ПЕРЕКРЕСТНАЯ ССЫЛКА НА РОДСТВЕННЫЕ ЗАЯВКИ
[0001] Настоящее изобретение испрашивает преимущество и приоритет предварительной заявки на патент США №62/728581, поданной 7 сентября 2018 года, и является частичным продолжением заявки на патент США №15/853166, поданной 22 декабря 2017 года, опубл. в виде публикации заявки на патент США №2018/0179183А1 28 июня 2018 года, которая испрашивает приоритет согласно предварительной заявке на патент США №62/438803, поданной 23 декабря 2016 года, и предварительной заявке на патент США №62/582698, поданной 7 ноября 2017 года, все из которых включены в данный документ посредством ссылки во всей своей полноте.
ВКЛЮЧЕНИЕ ПОСРЕДСТВОМ ССЫЛКИ
[0002] Заявка на патент США под регистрационным номером 15/230354, поданная 5 августа 2016 года; и заявка на патент США 15/206497, поданная 11 июля 2016 года; и заявка на патент США 15/209648, поданная 13 июля 2016 года; и заявка на патент США под регистрационным номером 62/406888, поданная 11 октября 2016 года; и заявка на патент США под регистрационным номером 14/686640, поданная 14 апреля 2015 года, опубл. в виде публикации заявки на патент США №2015/0291562; и заявка на патент США под регистрационным номером 14/792414, поданная 6 июля 2015 года, опубл. в виде публикации заявки на патент США №2016/0058872; и заявка на патент США под регистрационным номером 14/371956, поданная 11 июля 2014 года, опубл. в виде публикации заявки на патент США №2014/0356322; и заявка на патент США под регистрационным номером 15/074820, поданная 18 марта 2016 года, опубл. в виде публикации заявки на патент США №2016/0272639, включены в данный документ посредством ссылки во всей своей полноте. Кроме того, все источники, упомянутые в данном документе, включены в данный документ посредством ссылки во всей своей полноте.
ЗАЯВЛЕНИЕ ОТНОСИТЕЛЬНО ИССЛЕДОВАНИЯ, ФИНАНСИРУЕМОГО ГОСУДАРСТВОМ ИЛИ ФЕДЕРАЛЬНЫМ ПРАВИТЕЛЬСТВОМ
[0003] Настоящее изобретение было осуществлено при государственной поддержке в рамках гранта под номером NIH R35CA197589, выданного Национальными институтами здравоохранения. Государство имеет определенные права в отношении настоящего изобретения.
ОБЛАСТЬ ТЕХНИКИ, К КОТОРОЙ ОТНОСИТСЯ ИЗОБРЕТЕНИЕ
[0004] В описании предусмотрены бифункциональные соединения, содержащие фрагмент, связывающий целевой белок, и фрагмент, связывающий Е3-убиквитинлигазу, а также связанные с ними способы применения. Бифункциональные соединения применяются в качестве модуляторов целенаправленного убиквитинирования, в частности в отношении белков быстро ускоренной фибросаркомы (RAF), которые деградируются и/или иным образом ингибируются с помощью бифункциональных соединений в соответствии с настоящим изобретением.
УРОВЕНЬ ТЕХНИКИ
[0005] Большинство низкомолекулярных лекарственных средств связывают ферменты или рецепторы в плотных и четко определенных карманах. С другой стороны, общеизвестно, что осуществить целенаправленное воздействие на белок-белковые взаимодействия с применением малых молекул сложно из-за их больших поверхностей контакта и участия мелких бороздок или плоских поверхностей соприкосновения. Е3-убиквитинлигазы (из которых сотни известны у людей) придают субстратную специфичность убиквитинированию и, следовательно, являются более привлекательными терапевтическими мишенями, чем обычные ингибиторы протеасом, из-за их специфичности в отношении определенных белковых субстратов. Разработка лигандов Е3-лигаз оказалась сложной, частично из-за того факта, что они должны нарушать белок-белковые взаимодействия. Однако недавние разработки позволили получить специфические лиганды, которые связываются с этими лигазами. Например, с момента открытия нутлинов, первых низкомолекулярных ингибиторов Е3-лигаз, сообщалось о дополнительных соединениях, которые целенаправленно воздействуют на Е3-лигазы, однако данная область остается недостаточно развитой. Например, с момента открытия нутлинов, первых низкомолекулярных ингибиторов гомолога mouse double minute 2 (MDM2), представляющего собой Е3-лигазу, сообщалось о дополнительных соединениях, которые целенаправленно воздействуют на Е3-лигазы MDM2 (т.е. human double minute 2 или HDM2) (J. Di, et al. Current Cancer Drug Targets (2011), 11(8), 987-994).
[0006] Ген-супрессор опухоли p53 играет важную роль в остановке роста клеток и апоптозе в ответ на повреждение ДНК или стресс (A. Vazquez, et al. Nat. Rev. Drug. Dis. (2008), 7, 979-982), и инактивация p53 была предложена как один из основных путей выживания опухолевых клеток (A.J. Levine, et al. Nature (2000), 408, 307-310). У приблизительно 50% пациентов, у которых имеется рак, была обнаружена мутация р53 (М. Hollstein, et al. Science (1991), 233, 49-53), тогда как у пациентов с р53 дикого типа часто обнаруживается супрессия р53 с помощью MDM2 посредством белок-белкового взаимодействия р53 и MDM2 (P. Chene, et al. Nat. Rev. Cancer (2003), 3, 102-109). В нормальных клеточных условиях без онкогенного стрессового сигнала MDM2 поддерживает р53 в низкой концентрации. В ответ на повреждение ДНК или клеточный стресс уровень р53 повышается, и это также вызывает повышение уровня MDM2 вследствие отрицательной обратной связи от ауторегуляторной системы p53/MDM2. Другими словами, р53 регулирует MDM2 на транскрипционном уровне, а MDM2 регулирует р53 на уровне его активности (A. J. Levine, et al. Genes Dev. (1993) 7, 1126-1132).
[0007] С помощью нескольких механизмов можно объяснить супрессию р53 с помощью MDM2. Во-первых, MDM2 связывается с N-концевым доменом р53 и блокирует экспрессию р53-чувствительных генов (J. Momand, et al. Cell (1992), 69, 1237-1245). Во-вторых, MDM2 перемещает р53 из ядра в цитоплазму для облегчения протеолитической деградации (J. Roth, et al. EMBO J. (1998), 17, 554-564). Наконец, MDM2 осуществляет собственную Е3-лигазную активность, заключающуюся в конъюгации убиквитина с р53 для деградации с помощью убиквитин-зависимой протеасомной системы 26s (UPS) (Y. Haupt, et al. Nature (1997) 387, 296-299).Таким образом, поскольку MDM2 функционирует в качестве Е3-лигазы, рекрутирование MDM2 к вызывающему заболевание белку и осуществление его убиквитинирования и деградации является очень интересным подходом для разработки лекарственных средств.
[0008] Одна Е3-лигаза с многообещающим терапевтическим потенциалом представляет собой супрессор опухоли при болезни фон Гиппеля-Линдау (VHL), субъединицу, осуществляющую распознавание субстрата, Е3-лигазного комплекса VCB, который также состоит из элонгинов В и С, Cul2 и Rbxl. Основной субстрат VHL представляет собой фактор 1, индуцируемый гипоксиейα (HIF-1α), транскрипционный фактор, повышающий экспрессию генов, такой как проангиогенный фактор роста VEGF и цитокин эритропоэтин, индуцирующий образование красных клеток крови в ответ на низкие уровни кислорода. Были получены первые низкомолекулярные лиганды белка фон Гиппеля-Линдау (VHL), связывающиеся с субъединицей, осуществляющей распознавание субстрата, Е3-лигазы, и получены кристаллические структуры, подтверждающие, что соединение имитирует механизм связывания транскрипционного фактора HIF-1α, основного субстрата VHL.
[0009] Цереблон представляет собой белок, который у людей кодируется геном CRBN. Ортологи CRBN являются высококонсервативными от растений до людей, что подчеркивает его физиологическое значение. Цереблон входит в состав Е3-убиквитинлигазного комплекса со связывающимся с поврежденной ДНК белком 1 (DDB1), куллином-4А (CUL4A) и регулятором куллинов 1 (ROC1). Данный комплекс убиквитинирует ряд других белков. Посредством механизма, который еще полностью не был выяснен, убиквитинирование целевых белков с помощью цереблона приводит к повышению уровней фактора роста фибробластов 8 (FGF8) и фактора роста фибробластов 10 (FGF10). FGF8, в свою очередь, регулирует ряд процессов развития, таких как образование конечностей и слухового пузырька. Конечный результат состоит в том, что данный убиквитинлигазный комплекс является важным для роста конечностей у эмбрионов. В отсутствие цереблона DDB1 образует комплекс с DDB2, который функционирует как белок, связывающийся с поврежденной ДНК.
[0010] Ингибиторы белков апоптоза (IAP) представляют собой семейство белков, участвующих в подавлении апоптоза, т.е. гибели клеток. Семейство IAP человека включает 8 представителей, и многие другие организмы содержат гомологи IAP. IAP содержат специфичный в отношении Е3-лигазы домен и повторяющиеся домены бакуловирусного IAP (BIR), которые распознают субстраты и способствуют их убиквитинированию. IAP способствуют убиквитинированию и способны непосредственно связывать и ингибировать каспазы. Каспазы представляют собой протеазы (например, каспаза-3, каспаза-7 и каспаза-9), которые осуществляют апоптоз. Таким образом, посредством связывания каспаз IAP подавляют гибель клеток. Однако проапоптические стимулы могут привести к высвобождению митохондриальных белков DIABLO (также известных как второй митохондриальный активатор каспаз или SMAC) и HTRA2 (также известный как Omi). Связывание DIABLO и HTRA2, по-видимому, блокирует активность IAP.
[ООН] SMAC взаимодействует по сути со всеми известными IAP, в том числе с XIAP, c-IAP1, C-IAP2, NIL-IAP, Bruce и сурвивином. Первые четыре аминокислоты (AVPI) зрелого SMAC связываются с частью IAP, которая, как считается, является ключевой для блокирования антиапоптических эффектов IAP.
[0012] Бифункциональные соединения, такие как соединения, описанные в публикациях заявок на патент США 2015-0291562 и 2014-0356322 (включены в данный документ посредством ссылки), функционируют посредством рекрутирования эндогенных белков к Е3-убиквитинлигазе для деградации. В частности, в публикациях описаны бифункциональные или химерные соединения, осуществляющие целенаправленное воздействие посредством протеолиза (PROTAC), которые находят применение в качестве модуляторов целенаправленного убиквитинирования разнообразных полипептидов и других белков, которые затем деградируются и/или другим образом ингибируются с помощью бифункциональных соединений.
[0013] В данной области техники все еще существует потребность в эффективных средствах лечения заболевания, связанного со сверхэкспрессией или агрегацией белков быстро ускоренной фибросаркомы (RAF) или сверхактивацией RAF (например, конститутивно активный RAF). Например, применяемые в настоящее время ингибиторы BRaf (такие как вемурафениб и дабрафениб) способны целенаправленно воздействовать на мутантную форму BRaf V600. Таким образом, существует потребность в лечении заболеваний или нарушений (таких как меланома, рак легкого, рак поджелудочной железы и/или виды колоректального рака), которые характеризуются различными мутациями BRaf, которые нечувствительны к средствам, продаваемым в настоящее время. Кроме того, могут возникнуть мутации, обеспечивающие резистентность, в ответ на терапию с применением ингибиторов BRaf/MEK. Например, может возникать сплайс-вариант р61 у пациентов с меланомой, которых лечат с помощью терапии с применением ингибиторов BRaf/MEK, который не оставляет этим пациентам никаких вариантов клинического лечения. В настоящее время представленные на рынке средства также связываются с BRaf дикого типа и вызывают его парадоксальную активацию, которая приводит к клиническим усложнениям. Кроме того, на семейство гипоактивных мутантных форм BRaf класса III, которые осуществляют передачу сигнала посредством гетеродимеризации с CRaf и составляют 40% мутаций BRaf при немелкоклеточном раке легкого (NSCLC), а также эпизодически возникающих среди других видов рака, невозможно целенаправленно воздействовать с помощью любых в настоящее время одобренных ингибиторов BRaf или ингибиторов BRaf на клинической стадии. Мутантные формы BRAF класса I (V600E, V600K, V600D) характеризуются высокой киназной активностью и являются независимыми от Ras и димеризации, а также являются чувствительными к вемурагенибу. Мутантные формы BRAF класса II характеризуются киназной активностью, которая находится в пределах от высокой до промежуточной, и являются независимыми от Ras и зависимыми от димеризации, а также являются нечувствительными к вемурафенибу. Мутантные формы BRAF класса III характеризуются киназной активностью, которая находится в пределах от высокой до отсутствующей, и являются зависимыми от Ras и димеризации, а также являются нечувствительными к вемурафенибу.
[0014] Таким образом, неспецифические эффекты и неспособность целенаправленно воздействовать на RAF и модулировать его активность остаются препятствиями для разработки эффективных средств лечения. Таким образом, низкомолекулярные терапевтические средства, которые эффективно целенаправленно воздействуют на RAF (например, эффективно ингибируют и/или деградируют мутантные формы BRaf, не воздействуя при этом на BRaf дикого типа) и которые улучшают или усиливают субстратную специфичность VHL, цереблона, MDM2 и IAP, будут крайне полезными.
КРАТКОЕ ОПИСАНИЕ
[0015] В настоящем изобретении описаны бифункциональные соединения, функция которых состоит в рекрутировании эндогенных белков к Е3-убиквитинлигазе для деградации, и способы их применения. В частности, в настоящем изобретении предусмотрены бифункциональные или химерные соединения, осуществляющие целенаправленное воздействие посредством протеолиза (PROTAC), которые находят применение в качестве модуляторов целенаправленного убиквитинирования разнообразных полипептидов и других белков, которые затем деградируются и/или иным образом ингибируются с помощью бифункциональных соединений, описанных в данном документе. Преимущество соединений, предусмотренных в данном документе, состоит в том, что возможен широкий спектр фармакологических активностей, согласующийся с деградацией/ингибированием целевых полипептидов из практически любого класса или семейства белков. Кроме того, в описании предусмотрены способы применения эффективного количества соединений, описанных в данном документе, для лечения или облегчения болезненного состояния, такого как рак (например, почечноклеточная карцинома, рак поджелудочной железы, колоректальный рак, рак легкого, рак яичника, рак щитовидной железы, пилоцитарная астроцитома, рак предстательной железы, рак желудка, гепатоклеточная карцинома и меланома), кардио-фацио-кожный синдром, нейрофиброматоз 1 типа, синдром Костелло, синдром Нунан, синдром LEOPARD (лентиго, электрокардиографические аномалии, глазной гипертелоризм, легочный стеноз, аномальные гениталии, замедленный рост, глухота).
[0016] Таким образом, в одном аспекте настоящего изобретения предусмотрены бифункциональные соединения или соединения PROTAC, которые содержат фрагмент, связывающий Е3-убиквитинлигазу (т.е. лиганд для Е3-убиквитинлигазы или группа «ULM»), и фрагмент, который связывает целевой белок (т.е. лиганд, целенаправленно воздействующий на белок/полипептид, или группа «РТМ») таким образом, что целевой белок/полипептид размещается в непосредственной близости от убиквитинлигазы для осуществления деградации (и ингибирования) данного белка. В предпочтительном варианте осуществления ULM (модулятор убиквитинлигазы) может представлять собой фрагмент, связывающий белок фон Гиппеля-Линдау Е3-убиквитинлигазного комплекса (VLM), или фрагмент, связывающий цереблон Е3-убиквитинлигазного комплекса (CLM), или фрагмент, связывающий Е3-убиквитинлигазу, представляющую собой гомолог mouse double minute 2 (MDM2) (MLM), или фрагмент, связывающий IAP Е3-убиквитинлигазного комплекса (т.е. «ILM»). Например, структура бифункционального соединения может быть изображена как
[0017] Соответствующие положения фрагментов РТМ и ULM (например, VLM, CLM, MLM или ILM), а также их количество, как проиллюстрировано в данном документе, предусмотрены только в качестве примера и не предназначены для ограничения соединений каким-либо образом. Специалисту в данной области техники будет понятно, что бифункциональные соединения, описанные в данном документе, можно синтезировать таким образом, что количество и положение соответствующих функциональных фрагментов могут варьироваться по необходимости.
[0018] В определенных вариантах осуществления бифункциональное соединение дополнительно содержит химический линкер («L»). В данном примере структура бифункционального соединения может быть изображена как
где РТМ представляет собой фрагмент, целенаправленно воздействующий на белок/полипептид, L представляет собой линкер, например, связь или химическую группу, связывающий РТМ с ULM, и ULM представляет собой фрагмент, связывающий IAP Е3-убиквитинлигазного комплекса, или фрагмент, связывающий белок фон Гиппеля-Линдау Е3-убиквитинлигазного комплекса (VHL) (VLM), или фрагмент, связывающий цереблон Е3-убиквитинлигазного комплекса (CLM), или фрагмент, связывающий Е3-убиквитинлигазу, представляющую собой гомолог mouse double minute 2 (MDM2) (MLM).
[0019] Например, структура бифункционального соединения может быть изображена как
где РТМ представляет собой фрагмент, целенаправленно воздействующий на белок/полипептид; «L» представляет собой линкер (например, связь или химическую линкерную группу), связывающий РТМ и по меньшей мере один из VLM, CLM, MLM, ILM или их комбинацию; VLM представляет собой фрагмент, связывающий белок фон Гиппеля-Линдау Е3-убиквитинлигазного комплекса, который связывается с VHL Е3-лигазного комплекса; CLM представляет собой фрагмент, связывающий цереблон Е3-убиквитинлигазного комплекса, который связывается с цереблоном; MLM представляет собой фрагмент, связывающий MDM2 Е3-убиквитинлигазу; и ILM представляет собой фрагмент, связывающий IAP, который связывается с IAP.
[0020] В определенных предпочтительных вариантах осуществления ILM представляет собой тетрапептидный фрагмент AVPI. Таким образом, в определенных дополнительных вариантах осуществления ILM бифункционального соединения содержит аминокислоты аланин (А), валин (V), пролин (Р) и изолейцин (I) или их неприродные миметики соответственно. В дополнительных вариантах осуществления аминокислоты в тетрапептидном фрагменте AVPI соединены друг с другом посредством амидных связей (т.е. -C(O)NH- или -NHC(O)-).
[0021] В определенных вариантах осуществления соединения, описанные в данном документе, содержат несколько независимо выбранных ULM, несколько РТМ, несколько химических линкеров или их комбинацию.
[0022] В определенных вариантах осуществления ILM содержит химические фрагменты, такие как фрагменты, описанные в данном документе.
[0023] В дополнительных вариантах осуществления VLM может представлять собой гидроксипролин или его производное. Кроме того, другие рассматриваемые VLM включены в публикацию заявки на патент США №2014/03022523, которая, как указано выше, включена в данный документ во всей своей полноте.
[0024] В одном варианте осуществления CLM содержит химическую группу, полученную из имида, тиоимида, амида или тиоамида. В конкретном варианте осуществления химическая группа представляет собой фталимидогруппу или ее аналог или производное. В определенном варианте осуществления CLM представляет собой талидомид, леналидомид, помалидомид, их аналоги, их изостеры или их производные. Другие рассматриваемые CLM описаны в публикации заявки на патент США №2015/0291562, которая включена в данный документ во всей своей полноте.
[0025] В определенных вариантах осуществления MLM может представлять собой нутлин или его производное. Кроме того, другие рассматриваемые MLM включены в заявку на патент США №15/206497, поданную 11 июля 2016 года, которая, как указано выше, включена в данный документ во всей своей полноте. В определенных дополнительных вариантах осуществления MLM бифункционального соединения содержит химические фрагменты, такие как замещенные имидазолины, замещенные спироиндолиноны, замещенные пирролидины, замещенные пиперидиноны, замещенные морфолиноны, замещенные пирролопиримидины, замещенные имидазолопиридины, замещенный тиазолоимидазолин, замещенные пирролопирролидиноны и замещенные изохинолиноны.
[0026] В дополнительных вариантах осуществления MLM включает основные структуры, указанные выше, со смежными бис-арильными замещениями, расположенными в виде цис- или транс-кон фигурации.
[0027] В определенных вариантах осуществления «L» представляет собой связь. В дополнительных вариантах осуществления линкер «L» представляет собой соединяющую молекулу с линейной структурой с количеством отличных от водорода атомов в диапазоне, составляющем 1-20. Соединяющая молекула «L» может содержать без ограничения функциональные группы, такие как эфирная, амидная, алкановая, алкеновая, алкиновая группы, кетогруппа, гидроксильная группа, группа карбоновой кислоты, тиоэфирная, сульфоксидная и сульфоновая группы. Линкер может содержать ароматические, гетероароматические, циклические, бициклические и трициклические фрагменты. Замещение галогеном, таким как Cl, F, Br и I, может быть включено в линкер. В случае замещения фтором могут быть включены один или множество атомов фтора.
[0028] В определенных вариантах осуществления VLM представляет собой производное транс-3-гидроксипролина, где как азот, так и карбоновая кислота в транс-3-гидроксипролине функционализированы как амиды.
[0029] В определенных вариантах осуществления CLM представляет собой производное пиперидин-2,6-диона, где пиперидин-2,6-дион может быть замещен в 3-положении, и при этом 3-замещение может представлять собой замещение бициклическими гетероароматическими соединениями с соединением в виде связи С-N или связи С-С. Примеры CLM могут представлять собой без ограничения помалидомид, леналидомид и талидомид, а также их производные.
[0030] В дополнительном аспекте в описании предусмотрены терапевтические композиции, содержащие эффективное количество соединения, описанного в данном документе, или его солевой формы и фармацевтически приемлемый носитель. Терапевтические композиции модулируют деградацию белка у пациента или субъекта, например, у животного, такого как человек, и их можно применять для лечения или облегчения болезненных состояний или состояний, модулирование которых обеспечивается посредством деградации белка. В определенных вариантах осуществления терапевтические композиции, описанные в данном документе, можно применять для обеспечения деградации белков, представляющих интерес, для лечения или облегчения заболевания, например, рака. В еще одном аспекте в настоящем изобретении предусмотрен способ убиквитинирования/деградации целевого белка в клетке. В определенных вариантах осуществления способ включает введение бифункционального соединения, описанного в данном документе, содержащего ILM и РТМ, РТМ и VLM или РТМ и CLM, или РТМ и MLM, предпочтительно соединенные с помощью линкерного фрагмента, описанного далее в данном документе, где VLM/ILM/CLM/MLM связаны с РТМ с помощью линкера для целенаправленного воздействия на белок, который связывается с РТМ для деградации. Аналогично РТМ может быть связан с VLM, или CLM, или MLM, или ILM с помощью линкера для целенаправленного воздействия на белок или полипептид для деградации. Деградация целевого белка будет происходить при размещении целевого белка в непосредственной близости от Е3-убиквитинлигазы, что, таким образом, приводит к деградации целевого белка/ингибированию его эффектов и контролю уровней белка. Контроль уровней белка, предоставляемый настоящим изобретением, обеспечивает лечение болезненного состояния или состояния, которые модулируются за счет целевого белка посредством снижения уровня этого белка в клетках пациента.
[0031] В еще одном аспекте в описании предусмотрены способы лечения или облегчения заболевания, нарушения или их симптома у субъекта или пациента, например, у животного, такого как человек, включающие введение субъекту, нуждающемуся в этом, композиции, содержащей эффективное количество, например, терапевтически эффективное количество соединения, описанного в данном документе, или его солевой формы и фармацевтически приемлемый носитель, где композиция является эффективной для лечения или облегчения заболевания или нарушения или их симптома у субъекта.
[0032] В другом аспекте в описании предусмотрены способы идентификации эффектов деградации белков, представляющих интерес, в биологической системе с применением соединений в соответствии с настоящим изобретением.
[0033] Предшествующие общие области применения приведены только в качестве примера и не предназначены для ограничения объема настоящего изобретения и прилагаемой формулы изобретения. Дополнительные объекты и преимущества, связанные с композициями, способами и процессами по настоящему изобретению, будут понятны специалисту в данной области техники в свете данных формулы изобретения, описания и примеров. Например, различные аспекты и варианты осуществления настоящего изобретения можно применять в многочисленных комбинациях, все из которых явным образом предусмотрены настоящим описанием. Эти дополнительные аспекты и варианты осуществления явным образом включены в объем настоящего изобретения. Публикации и другие материалы, применяемые в данном документе для освещения уровня техники настоящего изобретения и, в конкретных случаях, для предоставления дополнительных подробностей в отношении его реализации на практике, включены посредством ссылки.
КРАТКОЕ ОПИСАНИЕ ГРАФИЧЕСКИХ МАТЕРИАЛОВ
[0034] Сопутствующие графические материалы, которые включены в описание и образуют его часть, иллюстрируют несколько вариантов осуществления настоящего изобретения и вместе с описанием служат для объяснения идей настоящего изобретения. Графические материалы предназначены только для иллюстрации варианта осуществления настоящего изобретения и не должны толковаться как ограничивающие настоящее изобретение. Дополнительные объекты, признаки и преимущества настоящего изобретения станут очевидными из следующего подробного описания, рассматриваемого совместно с сопутствующими фигурами, демонстрирующими иллюстративные варианты осуществления настоящего изобретения, в которых:
[0035] Фигуры 1А и 1В. Иллюстрация общего принципа для бифункциональных соединений по настоящему изобретению. (А) Иллюстративное бифункциональное соединение содержит фрагмент, целенаправленно воздействующий на белок (РТМ; заштрихованный прямоугольник темного цвета), фрагмент, связывающий убиквитинлигазу (ULM; заштрихованный треугольник светлого цвета), и необязательно линкерный фрагмент (L; черная линия), связывающий или присоединяющий РТМ к ULM. (В) Проиллюстрировано функциональное применение бифункциональных соединений, описанных в данном документе. Вкратце, ULM распознает и связывается со специфичной Е3-убиквитинлигазой, и РТМ связывается и рекрутирует целевой белок, приводя его в непосредственную близость от Е3-убиквитинлигазы. Как правило, Е3-убиквитинлигаза образует комплекс с Е2-убиквитинконъюгирующим белком и либо отдельно, либо с помощью белка Е2 катализирует присоединение убиквитина (темные круги) к лизину в целевом белке посредством изопептидной связи. На полиубиквитинированный белок (крайний справа) затем целенаправленно воздействуют с деградацией с помощью протеосомального механизма клетки.
[0036] Фигура 2А. Таблица 1А. Иллюстративные целенаправленно воздействующие на белок фрагменты и соединения по настоящему изобретению.
[0037] Фигура 2 В. Таблица 1 В. Иллюстративные целенаправленно воздействующие на белок фрагменты и соединения по настоящему изобретению.
[0038] Фигура 2С. Таблица 1С. Иллюстративные целенаправленно воздействующие на белок фрагменты и соединения по настоящему изобретению.
[0039] Фигура 2D. Таблица 1D. Иллюстративные целенаправленно воздействующие на белок фрагменты и соединения по настоящему изобретению.
[0040] Фигура 3А. Таблица 2А. Данные об иллюстративных целенаправленно воздействующих на белок фрагментах и соединениях по настоящему изобретению.
[0041] Фигура 3В. Таблица 2 В. Данные об иллюстративных целенаправленно воздействующих на белок фрагментах и соединениях по настоящему изобретению.
[0042] Фигура 3С. Таблица 2С. Данные об иллюстративных целенаправленно воздействующих на белок фрагментах и соединениях по настоящему изобретению.
[0043] Фигура 3D. Таблица 2D. Данные об иллюстративных целенаправленно воздействующих на белок фрагментах и соединениях по настоящему изобретению.
[0044] Фигура 4. Иллюстрация общего принципа бифункциональных соединений по настоящему изобретению.
[0045] Фигура 5. Иллюстративное бифункциональное соединение по настоящему изобретению индуцирует селективное в отношении мутантной формы разрушение BRAF.
[0046] Фигуры 6А, 6 В и 6С. Иллюстративное бифункциональное соединение по настоящему изобретению индуцирует деградацию мутантной формы BRAF, подавляет пролиферацию клеток и супрессирует передачу сигнала МАРК, не воздействуя на BRAF дикого типа.
[0047] Фигура 7. Иллюстративное бифункциональное соединение по настоящему изобретению индуцирует деградацию резистентной к вемурафенибу мутантной формы р61.
[0048] Фигуры 8А и 8 В. Иллюстративное бифункциональное соединение по настоящему изобретению индуцирует деградацию мутантной формы BRAF in vivo (а) и снижает объем опухоли (В).
[0049] Фигуры 9А и 9 В. Механизм, который лежит в основе селективности иллюстративного бифункционального соединения.
[0050] Фигура 10. BRAF дикого типа неспособен к рекрутированию куллина 2 (активной Е3-лигазы).
ПОДРОБНОЕ ОПИСАНИЕ
[0051] Следующее подробное описание предусмотрено для оказания специалисту в данной области техники поддержки в отношении реализации настоящего изобретения на практике. Специалисты в данной области техники могут осуществлять модификации и изменения в вариантах осуществления, описанных в данном документе, без отступления от сущности или объема настоящего изобретения. Все публикации, заявки на патенты, патенты, фигуры и другие источники, упомянутые в данном документе, явным образом включены посредством ссылки во всей своей полноте.
[0052] В настоящем изобретении описаны композиции и способы, которые относятся к открытию того, что белок Е3-убиквитинлигазного комплекса (например, ингибиторы белков апоптоза (IAP), белок фон Гиппеля-Линдау (VHL) Е3-убиквитинлигазного комплекса, цереблон Е3-убиквитинлигазного комплекса или Е3-убиквитинлигаза, представляющая собой гомолог mouse double minute 2 (MDM2)) убиквитинирует целевой белок как только он и целевой белок размещаются в непосредственной близости друг от друга с помощью бифункциональной или химерной конструкции, которая связывает белок Е3-убиквитинлигазного комплекса и целевой белок. Соответственно, в настоящем изобретении предусмотрены такие соединения и композиции, содержащие фрагмент, связывающий Е3-убиквитинлигазу («ULM»), связанный с фрагментом, связывающим белковую мишень («РТМ»), что приводит к убиквитинированию выбранного целевого белка с обеспечением деградации целевого белка протеасомой (см. фигуру 1). В настоящее изобретении также предусмотрены библиотека композиций и ее применение.
[0053] В определенных аспектах в настоящем изобретении предусмотрены соединения, которые содержат лиганд, например, низкомолекулярный лиганд (т.е. характеризующийся молекулярным весом, составляющим менее 2000, 1000, 500 или 200 дальтон), который способен связываться с убиквитинлигазой, такой как IAP, VHL, MDM2 или цереблон. Соединения также содержат фрагмент, который способен связываться с целевым белком таким образом, что целевой белок размещается в непосредственной близости от убиквитинлигазы для осуществления деградации (и/или ингибирования) данного белка. Малая молекула может означать, в дополнение к вышеуказанному, что молекула не представляет собой пептидил, т.е. обычно не считается пептидом, например, содержит менее 4, 3 или 2 аминокислот. В соответствии с настоящим описанием молекула РТМ, ULM или PROTAC может представлять собой малую молекулу.
[0054] Если не указано иное, то все технические и научные термины, применяемые в данном документе, имеют то же значение, которое обычно понятно специалисту в данной области техники, к которой относится настоящее изобретение. Терминология, применяемая в описании, предназначена только для описания конкретных вариантов осуществления и не предполагается как ограничивающая настоящее изобретение.
[0055] Если предусмотрен диапазон значений, подразумевается, что каждое промежуточное значение с точностью до десятой доли единицы нижнего предела, если из контекста явно не следует иное (как, например, в случае группы, содержащей определенное количество атомов углерода, в случае которой предусмотрено количество каждого атома углерода, который попадает в диапазон), между верхним и нижним пределами данного диапазона и любое другое указанное или промежуточное значение в данном указанном диапазоне охватываются настоящим изобретением. Верхние и нижние пределы этих меньших диапазонов, которые могут быть независимо включены в меньшие диапазоны, также охватываются настоящим изобретением, с учетом любого конкретно исключенного предела в указанном диапазоне. Если указанный диапазон включает один или оба предела, диапазоны, исключающие оба из этих включенных пределов, также включены в настоящее изобретение.
[0056] Для описания настоящего изобретения применяются следующие термины. В случаях, если термин конкретно не определен в данном документе, то такой термин имеет значение, общепризнанное специалистами в данной области техники, при применении этого термина в соответствующем контексте его применения в описании настоящего изобретения.
[0057] Формы единственного числа, применяемые в данном документе и в прилагаемой формуле изобретения, применяются в данном документе для обозначения одного или более одного (т.е. по меньшей мере одного) грамматического объекта данной формы единственного числа, если в контексте явно не указано иное. В качестве примера «элемент» означает один элемент или более одного элемента.
[0058] Фразу «и/или», применяемую в данном документе в описании и в формуле изобретения, следует понимать как означающую «один или оба» из элементов, объединенных таким образом, т.е. элементов, которые в одних случаях присутствуют совместно, а в других случаях присутствуют раздельно. Многие элементы, перечисленные с помощью «и/или», должны быть истолкованы таким же образом, т.е. «один или более» элементов, объединенных таким образом. Могут необязательно присутствовать другие элементы, отличные от элементов, конкретно определенных выражением «и/или», независимо от того, связаны ли они или не связаны с данными конкретно определенными элементами. Таким образом, в качестве неограничивающего примера ссылка на «А и/или В», в случае применения совместно с открытой формулировкой, такой как «содержащий», может относиться в одном варианте осуществления только к А (необязательно включая элементы, отличные от В); в другом варианте осуществления только к В (необязательно включая элементы, отличные от А); в еще одном варианте осуществления и к А, и к В (необязательно включая другие элементы); и т.д.
[0059] Как применяется в данном документе в описании и в формуле изобретения термин «или» следует понимать как имеющий такое же значение, как «и/или», определенное выше. Например, при разделении объектов в перечне «или» или «и/или» следует понимать как включающие, т.е. включение по меньшей мере одного, но также включение более одного из числа или перечня элементов и необязательно дополнительных объектов, не включенных в перечень. Только термины, четко указывающие на противоположное, такие как «только один из» или «точно один из», или, если применяется в формуле изобретения, «состоящий из», будут относиться к включению точно одного элемента из числа или перечня элементов. В целом, термин «или», применяемый в данном документе, следует понимать только как указывающий на исключающие альтернативы (т.е. «один или другой, но не оба»), если ему предшествуют термины исключительности, такие как «либо», «один из», «только один из» или «точно один из».
[0060] В формуле изобретения, а также в вышеприведенном описании все переходные фразы, такие как «содержащий», «включающий», «несущий», «имеющий», «вмещающий», «предусматривающий», «удерживающий», «состоящий из» и т.п. следует понимать как открытые, т.е. означающие включающий без ограничения. Только переходные фразы «состоящий из» и «по сути состоящий из» должны быть закрытыми или полузакрытыми переходными фразами соответственно, как изложено в разделе 2111.03 руководства по процедурам патентной экспертизы патентного ведомства США.
[0061] Применяемую в данном документе в описании и в формуле изобретения фразу «по меньшей мере один» по отношению к перечню из одного или более элементов следует понимать как означающую по меньшей мере один элемент, выбранный из любого одного или более элементов в перечне элементов, но не обязательно включающую по меньшей мере один из абсолютно всех элементов, конкретно перечисленных в перечне элементов, и не исключающую любые комбинации элементов из перечня элементов. Данное определение также допускает то, что необязательно могут присутствовать элементы, отличные от элементов, конкретно идентифицированных в перечне элементов, к которым относится фраза «по меньшей мере один», независимо от того, связаны ли они или не связаны с данными конкретно определенными элементами. Таким образом, в качестве неограничивающего примера «по меньшей мере один из А и В» (или эквивалентно «по меньшей мере один из А или В», или эквивалентно «по меньшей мере один из А и/или В») может относиться в одном варианте осуществления к по меньшей мере одному, необязательно включая более одного, А, без присутствия В (и необязательно включая элементы, отличные от В); в другом варианте осуществления к по меньшей мере одному, необязательно включая более одного, В, без присутствия А (и необязательно включая элементы, отличные от А); в еще одном варианте осуществления к по меньшей мере одному, необязательно включая более одного, А и по меньшей мере одному, необязательно включая более одного, В (и необязательно включая другие элементы) и т.д.
[0062] Также следует понимать, что в определенных способах, описанных в данном документе, которые включают более одной стадии или действия, порядок стадий или действий способа не обязательно ограничен порядком, в котором изложены стадии или действия способа, если в контексте не указано иное.
[0063] Термины «совместное введение» и «осуществление совместного введения» или «комбинированная терапия» относятся как к одновременному введению (введению двух или более терапевтических средств в одно и то же время), так и к разделенному во времени введению (введению одного или более терапевтических средств в момент времени, отличный от момента введения дополнительного терапевтического средства или средств), при условии, что терапевтические средства присутствуют у пациента до некоторой степени, предпочтительно в эффективных количествах, в одно и то же время. В определенных предпочтительных аспектах одно или более соединений по настоящему изобретению, описанных в данном документе, вводят совместно в комбинации с по меньшей мере одним дополнительным биологически активным средством, в том числе, в частности, противораковым средством. В особенно предпочтительных аспектах совместное введение соединений приводит к синергетической активности и/или терапии, в том числе противораковой активности.
[0064] Термин «соединение», применяемый в данном документе, если не указано иное, относится к любому конкретному химическому соединению, раскрытому в данном документе, и включает его таутомеры, региоизомеры, геометрические изомеры и, где применимо, стереоизомеры, в том числе оптические изомеры (энантиомеры) и другие стереоизомеры (диастереомеры), а также фармацевтически приемлемые соли и производные, в том числе пролекарство и/или его дейтерированные формы, где применимо, в соответствующем контексте. Рассматриваемые дейтерированные малые молекулы представляют собой молекулы, в которых один или более атомов водорода, содержащихся в молекуле лекарственного средства, были заменены дейтерием.
[0065] При его применении в соответствующем контексте термин соединение обычно относится к одному соединению, но он также может включать другие соединения, такие как стереоизомеры, региоизомеры и/или оптические изомеры (в том числе рацемические смеси), а также конкретные энантиомеры или энантиомерно обогащенные смеси раскрытых соединений. В соответствующем контексте данный термин также относится к соединениям в формах пролекарств, которые были модифицированы для облегчения введения и доставки соединений к сайту активности. Следует отметить, что при описании соединений по настоящему изобретению среди прочего описаны многочисленные заместители и переменные, связанные с ними. Специалисты в данной области техники поймут, что молекулы, которые описаны в данном документе, представляют собой стабильные соединения, как в общем описано ниже в данном документе. Если показана связь, то как двойная связь, так и одинарная связь представлены или понимаются в контексте показанного соединения и широко известных правил взаимодействия в соответствии с валентностью.
[0066] Термин «убиквитинлигаза» относится к семейству белков, которые облегчают перенос убиквитина к конкретному субстратному белку, целенаправленно воздействуя на субстратный белок для деградации. Например, IAP представляет собой белок Е3-убиквитинлигазного комплекса, который отдельно или в комбинации с Е2-убиквитинконъюгирующим ферментом обусловливает присоединение убиквитина к лизину в целевом белке и затем осуществляет целенаправленное воздействие на конкретные белковые субстраты для деградации с помощью протеасомы. Таким образом, Е3-убиквитинлигаза отдельно или в комплексе с Е2-убиквитинконъюгирующим ферментом отвечает за перенос убиквитина к целевым белкам. В целом, убиквитинлигаза участвует в полиубиквитинировании таким образом, что второй убиквитин присоединяется к первому; третий присоединяется ко второму и т.д. Посредством полиубиквитинирования белки метятся для деградации с помощью протеасомы. Однако существуют некоторые явления убиквитинирования, которые ограничены моноубиквитинированием, при котором к молекуле субстрата убиквитинлигазой добавляется только один убиквитин. Моноубиквитинированные белки не являются целевыми для протеасомы для деградации, но вместо этого их расположение в клетке или функция могут быть изменены, например, посредством связывания других белков, которые содержат домены, способные к связыванию убиквитина. Дополнительно усложняет задачу то, что ЕЗ способен целенаправленно воздействовать на различные лизины в убиквитине с образованием цепей. Наиболее распространенный лизин представляет собой Lys48 в цепи убиквитина. Данный лизин применяется для образования полиубиквитина, который распознается протеасомой.
[0067] Термин «пациент» или «субъект» применяется на всем протяжении настоящего описания для описания животного, предпочтительно человека или домашнего животного, которому предоставляется лечение, в том числе профилактическое лечение, с помощью композиций в соответствии с настоящим изобретением. Для лечения тех инфекций, состояний или болезненных состояний, которые являются специфическими для конкретного животного, такого как пациент-человек, термин пациент относится к данному конкретному животному, в том числе домашнему животному, такому как собака или кошка, или сельскохозяйственному животному, такому как лошадь, корова, овца и т.д. В общем, в настоящем изобретении термин пациент относится к пациенту-человеку, если иное не указано или не подразумевается из контекста применения данного термина.
[0068] Термин «эффективный» применяется для описания количества соединения, композиции или компонента, которые при применении в контексте их предполагаемого применения приводят к достижению требуемого результата. Термин «эффективный» включает все другие термины, связанные с эффективным количеством или эффективной концентрацией, которые иным образом описаны или применяются в настоящей заявке.
[0069] Соединения и композиции
[0070] В одном аспекте в описании предусмотрены соединения, содержащие фрагмент, связывающий Е3-убиквитинлигазу («ULM»), то есть фрагмент, связывающий IAP Е3-убиквитинлигазного комплекса («ILM»), фрагмент, связывающий цереблон Е3-убиквитинлигазного комплекса («CLM»), фрагмент, связывающий белок фон Гиппеля-Линдау (VHL) Е3-убиквитинлигазного комплекса (VLM), и/или фрагмент, связывающий Е3-убиквитинлигазу, представляющую собой гомолог mouse double minute 2 (MDM2) (MLM). В иллюстративном варианте осуществления ULM связан с фрагментом, связывающим целевой белок (РТМ), с помощью химического линкера (L) в соответствии со структурой:
(A) PTM-L-ULM
где L представляет собой связь или химическую линкерную группу, ULM представляет собой фрагмент, связывающий Е3-убиквитинлигазу, и РТМ представляет собой фрагмент, связывающий целевой белок. Количество и/или относительные положения фрагментов в соединениях, проиллюстрированных в данном документе, предусмотрены только в качестве примера. Специалисту в данной области техники будет понятно, что соединения, описанные в данном документе, можно синтезировать с любым требуемым количеством и/или относительным положением соответствующих функциональных фрагментов.
[0071] Термины ULM, ILM, VLM, MLM и CLM применяются в их включительном смысле, если в контексте не указано иное. Например, термин ULM включает все ULM, в том числе ULM, которые связывают IAP (т.е. ILM), MDM2 (т.е. MLM), цереблон (т.е. CLM) и VHL (т.е. VLM). Кроме того, термин ILM включает все возможные фрагменты, связывающие IAP Е3-убиквитинлигазного комплекса, термин MLM включает все возможные фрагменты, связывающие Е3-убиквитинлигазу MDM2, термин VLM включает все возможные фрагменты, связывающие VHL, и термин CLM включает все фрагменты, связывающие цереблон.
[0072] В другом аспекте в настоящем изобретении предусмотрены бифункциональные или полифункциональные соединения (например, PROTAC), пригодные для регуляции активности белка посредством индукции деградации целевого белка. В определенных вариантах осуществления соединение содержит ILM, или VLM, или CLM, или MLM, связанные, например, связанные ковалентно, непосредственно или опосредованно, с фрагментом, который связывает целевой белок (т.е. фрагментом, целенаправленно воздействующим на белок, или «РТМ»). В определенных вариантах осуществления ILM/VLM/CLM/MLM и РТМ соединены или связаны с помощью химического линкера (L). ILM связывает IAP Е3-убиквитинлигазного комплекса, VLM связывает VHL, CLM связывает цереблон Е3-убиквитинлигазного комплекса, и MLM связывает Е3-убиквитинлигазу MDM2, и РТМ распознает целевой белок, и при этом взаимодействие соответствующих фрагментов с их мишенями способствует деградации целевого белка посредством размещения целевого белка в непосредственной близости от белка убиквитинлигазного комплекса. Иллюстративное бифункциональное соединение может быть изображено как:
(В) РТМ-ILM
(С) РТМ-CLM
(D) РТМ-VLM
(Е) РТМ-MLM
[0073] В определенных вариантах осуществления бифункциональное соединение дополнительно содержит химический линкер («L»). Например, бифункциональное соединение может быть изображено как:
где РТМ представляет собой фрагмент, целенаправленно воздействующий на белок/полипептид, L представляет собой химический линкер, ILM представляет собой фрагмент, связывающий IAP Е3-убиквитинлигазного комплекса, CLM представляет собой фрагмент, связывающий цереблон Е3-убиквитинлигазного комплекса, VLM представляет собой фрагмент, связывающий VHL, и MLM представляет собой фрагмент, связывающий Е3-убиквитинлигазу MDM2.
[0074] В определенных вариантах осуществления ULM (например, ILM, CLM, VLM или MLM) демонстрирует активность или связывается с Е3-убиквитинлигазой (например, IAP Е3-убиквитинлигазного комплекса, цереблоном Е3-убиквитинлигазного комплекса, VHL или Е3-убиквитинлигазой MDM2) с IC50, составляющей менее приблизительно 200 мкМ. IC50 можно определить в соответствии с любым способом, известным из уровня техники, например, с помощью анализа поляризации флуоресценции.
[0075] В определенных дополнительных вариантах осуществления бифункциональные соединения, описанные в данном документе, демонстрируют активность с IC50, составляющей менее приблизительно 100, 50, 10, 1, 0,5, 0,1, 0,05, 0,01, 0,005, 0,001 мМ, или менее приблизительно 100, 50, 10, 1, 0,5, 0,1, 0,05, 0,01, 0,005, 0,001 мкМ, или менее приблизительно 100, 50, 10, 1, 0,5, 0,1, 0,05, 0,01, 0,005, 0,001 нМ, или менее приблизительно 100, 50, 10, 1, 0,5, 0,1, 0,05, 0,01, 0,005, 0,001 пМ.
[0076] В определенных вариантах осуществления соединения, описанные в данном документе, содержат несколько РТМ (целенаправленно воздействующих на одинаковые или различные белковые мишени), несколько ULM, один или более ULM (т.е. фрагментов, которые специфически связываются с несколькими/различными белками Е3-убиквитинлигазного комплекса, например, VHL, IAP, цереблоном и/или MDM2) или их комбинацию. В любом из аспектов или вариантов осуществления, описанных в данном документе, РТМ и ULM (например, ILM, VLM, CLM и/или MLM) могут быть связаны непосредственно или связаны с помощью одного или более химических линкеров или их комбинации. В дополнительных вариантах осуществления, где соединение содержит несколько ULM, ULM могут относиться к одной и той же Е3-убиквитинлигазе, или каждый соответствующий ULM способен специфически связываться с другой Е3-убиквитинлигазой. В еще одних дополнительных вариантах осуществления, где соединение содержит несколько РТМ, РТМ способны связывать один и тот же целевой белок, или каждый соответствующий РТМ способен специфически связываться с другим целевым белком.
[0077] В определенных вариантах осуществления, где соединение содержит несколько ULM, ULM являются идентичными. В дополнительных вариантах осуществления в соединении, содержащем множество ULM (например, ULM, ULM' и т.д.), по меньшей мере один РТМ связан с ULM непосредственно или связан с помощью химического линкера (L), или как одного, так и другого. В определенных дополнительных вариантах осуществления соединение, содержащее множество ULM, дополнительно содержит несколько РТМ. В еще одних дополнительных вариантах осуществления РТМ являются одинаковыми или необязательно различными. В еще одних дополнительных вариантах осуществления, где РТМ являются различными, соответствующие РТМ способны связывать одну и ту же белковую мишень или специфически связываться с различными белковыми мишенями.
[0078] В определенных вариантах осуществления соединение может содержать множество ULM и/или множество ULM'. В дополнительных вариантах осуществления соединение, содержащее по меньшей мере два различных ULM, множество ULM и/или множество ULM', дополнительно содержит по меньшей мере один РТМ, связанный с ULM или ULM' непосредственно, или связанный с помощью химического линкера, или как одного, так и другого. В любом из вариантов осуществления, описанных в данном документе, соединение, содержащее по меньшей мере два различных ILM, может дополнительно содержать несколько РТМ. В еще одних дополнительных вариантах осуществления РТМ являются одинаковыми или необязательно различными. В еще одних дополнительных вариантах осуществления, где РТМ являются различными, соответствующие РТМ способны связывать одну и ту же белковую мишень или специфически связываться с различными белковыми мишенями. В еще одних дополнительных вариантах осуществления РТМ как таковой представляет собой ULM (или ULM'), такой как ILM, VLM, CLM, MLM, ILM', VLM', CLM' и/или MLM'.
[0079] В дополнительных вариантах осуществления в описании предусмотрены соединения, описанные в данном документе, в том числе их энантиомеры, диастереомеры, сольваты и полиморфы, в том числе их фармацевтически приемлемые солевые формы, например, солевые формы присоединения кислоты и основания.
[0080] Термин «независимо» применяется в данном документе для указания того, что переменная, которая используется независимо, варьируется независимо от применения к применению.
[0081] Под термином «алкил» в его соответствующем контексте следует понимать линейный, разветвленный или циклический полностью насыщенный углеводородный радикал или алкильную группу, предпочтительно C1-С10, более предпочтительно C1-C6, в качестве альтернативы C1-С3алкильную группу, которая может быть необязательно замещена. Примеры алкильных групп представляют собой, среди прочих, метил, этил, н-бутил, втор-бутил, н-гексил, н-гептил, н-октил, н-нонил, н-децил, изопропил, 2-метилпропил, циклопропил, циклопропилметил, циклобутил, циклопентил, циклопентилэтил, циклогексилэтил и циклогексил. В определенных вариантах осуществления алкильная группа имеет на конце галогенсодержащую группу (At, Br, Cl, F или I). В некоторых предпочтительных вариантах осуществления соединения в соответствии с настоящим изобретении могут применяться для ковалентного связывания с ферментами дегалогеназами. Данные соединения, как правило, содержат боковую цепь (часто соединенную с помощью полиэтиленгликолевой группы), которая заканчивается алкильной группой, которая содержит заместитель, представляющий собой галоген (часто хлор или бром), на своем дистальном конце, которая обеспечивает ковалентное связывание соединения, содержащего такой фрагмент, с белком.
[0082] Термин «алкенил» относится к линейным, разветвленным или циклическим углеводородным радикалам С2-С10 (предпочтительно C2-C6), содержащим по меньшей мере одну связь С=С.
[0083] Термин «алкинил» относится к линейным, разветвленным или циклическим углеводородным радикалам С2-С10 (предпочтительно С2-С6), содержащим по меньшей мере одну связь С≡С.
[0084] Термин «алкилен», если применяется, относится к группе (СН2)n- (n представляет собой целое число, как правило, 0-6), которая может быть необязательно замещена. Если группа замещена, то алкиленовая группа предпочтительно замещена по одной или более метиленовым группам C1-С6алкильной группой (в том числе циклопропильной группой или трет-бутильной группой), но также может быть замещена одной или более галогенсодержащими группами, предпочтительно 1-3 галогенсодержащими группами, или одной или двумя гидроксильными группами, группами 0-(С1-С6алкил) или боковыми цепями аминокислот, как далее раскрыто в данном документе. В определенных вариантах осуществления алкиленовая группа может быть замещена уретаном или алкокси группой (или другой группой), которая дополнительно замещена полиэтиленгликолевой цепью (1-10, предпочтительно 1-6, часто 1-4 этиленгликолевых звеньев), которая замещена (предпочтительно но не исключительно на дистальном конце полиэтиленгликолевой цепи) алкильной цепью, замещенной одной галогенсодержащей группой, предпочтительно хлорсодержащей группой. В еще одних вариантах осуществления алкиленовая (часто метиленовая) группа может быть замещена группой в виде боковой цепи аминокислоты, такой как группа в виде боковой цепи природной или неприродной аминокислоты, например, аланина, β-аланина, аргинина, аспарагина, аспарагиновой кислоты, цистеина, цистина, глутаминовой кислоты, глутамина, глицина, фенилаланина, гистидина, изолейцина, лизина, лейцина, метионина, пролина, серина, треонина, валина, триптофана или тирозина.
[0085] Под термином «незамещенный» следует понимать замещенный только атомами водорода. Диапазон атомов углерода, который включает С0, означает, что углерод отсутствует и заменен на Н. Таким образом, диапазон атомов углерода, который представляет собой С0-С6, включает 1, 2, 3, 4, 5 и 6 атомов углерода, а в случае С0 вместо углерода находится Н.
[0086] Под термином «замещенный» или «необязательно замещенный» следует понимать независимо (т.е. если встречается более одного заместителя, каждый заместитель является независимым от другого заместителя) один или более заместителей (независимо не более пяти заместителей, предпочтительно не более трех заместителей, часто 1 или 2 заместителя при фрагменте в соединении в соответствии с настоящим изобретением, и может включать заместители, которые сами могут быть дополнительно замещены) в положении атома углерода (или азота) в любом месте в молекуле в соответствующем контексте, и под заместителями подразумеваются гидроксил, тиол, карбоксил, циано (C≡N), нитро (NO2), галоген (предпочтительно 1, 2 или 3 атома галогена, особенно при алкиле, особенно метильной группе, например, трифторметил), алкильная группа (предпочтительно C1-С10, более предпочтительно C1-C6), арил (особенно фенил и замещенный фенил, например, бензил или бензоил), алкоксигруппа (предпочтительно C1-С6алкил или арил, в том числе фенил и замещенный фенил), тиоэфир (C1-С6алкил или арил), ацил (предпочтительно C1-С6ацил), сложный эфир или сложный тиоэфир (предпочтительно C1-С6алкил или арил), в том числе сложный алкиленовый эфир (таким образом, что присоединение происходит по алкиленовой группе, а не по сложноэфирной функциональной группе, которая является предпочтительно замещенной C1-С6алкильной или арильной группой), предпочтительно C1-С6алкил или арил, галоген (предпочтительно F или Cl), амин (в том числе пяти- или шестичленный циклический алкиленовый амин, в том числе дополнительно C1-С6алкиламин или C1-С6диалкиламин, при этом алкильные группы могут быть замещены одной или двумя гидроксильными группами) или необязательно замещенная группа -N(С0-С6алкил)С(O)(O-С1-С6алкил) (которая может быть необязательно замещена полиэтиленгликолевой цепью, с которой дополнительно связана алкильная группа, содержащая один атом галогена, предпочтительно заместитель, представляющий собой атом хлора), гидразин, амидо, предпочтительно замещенный одной или двумя C1-С6алкильными группами (в том числе карбоксамидом, который необязательно замещен одной или двумя С1-С6алкильными группами), алканол (предпочтительно C1-С6алкил или арил) или алкановая кислота (предпочтительно C1-С6алкил или арил). Заместители в соответствии с настоящим изобретением могут включать, например, группы -SiR1R2R3, где каждый из R1 и R2 описан далее в данном документе, и R3 представляет собой Н или C1-С6алкильную группу, предпочтительно R1, R2, R3 в данном контексте представляют собой C1-С3алкильную группу (в том числе изопропиловую или трет-бутильную группу). Каждая из вышеописанных групп может быть непосредственно соединена с замещенным фрагментом, или в качестве альтернативы заместитель может быть соединен с замещенным фрагментом (предпочтительно в случае арильного или гетероарильного фрагмента) посредством необязательно замещенной группы -(СН2)m- или в качестве альтернативы необязательно замещенных групп -(OCH2)m-, -(OCH2CH2)m- или -(СН2СН2О)m-, которые могут быть замещены любым одним или более из вышеописанных заместителей. Алкиленовые группы -(CH2)m-, или группы -(СН2)n-, или другие цепи, такие как этиленгликолевые цепи, определенные выше, могут быть замещены в любом месте в цепи. Предпочтительные заместители при алкиленовых группах включают галоген или С1-С6алкильные (предпочтительно С1-С3) группы, которые могут быть необязательно замещены одной или двумя гидроксильными группами, одной или двумя эфирными группами (группами O-C1-C6), не более чем тремя галогенсодержащими группами (предпочтительно F), или боковую цепь аминокислоты, как далее описано в данном документе, и необязательно замещенный амид (предпочтительно карбоксамид, замещенный, как описано выше) или уретановые группы (часто с одним или двумя заместителями, представляющими собой С0-С6алкил, при этом группа(группы) может(могут) быть дополнительно замещена(замещены)). В определенных вариантах осуществления алкиленовая группа (часто одна метиленовая группа) замещена одной или двумя необязательно замещенными C1-С6алкильными группами, предпочтительно С1-С4алкильной группой, чаще всего метильной или О-метильной группами или боковой цепью аминокислоты, как далее описано в данном документе. В настоящем изобретении фрагмент в молекуле может быть необязательно замещен не более чем пятью заместителями, предпочтительно не более чем тремя заместителями. Чаще всего в настоящем изобретении фрагменты, которые являются замещенными, замещены одним или двумя заместителями.
[0087] Под термином «замещенный» (каждый заместитель является независимым от любого другого заместителя) в контексте его применения также следует понимать C1-С6алкил, C1-С6алкокси, галоген, амидо, карбоксамидо, сульфон, в том числе сульфонамид, кето, карбокси, сложный C1-С6эфир (сложный оксиэфир или сложный эфир карбоновой кислоты), C1-С6кето, уретан -O-C(O)-NR1R2 или -N(R1)-C(O)-O-R1, нитро, циано и амин (в том числе, в частности, C1-С6алкилен-NR1R2, моно- или дизамещенные C1-С6алкилом амины, которые могут быть необязательно замещены одной или двумя гидроксильными группами). Каждая из данных групп содержит, если не указано иное, в соответствующем контексте 1-6 атомов углерода. В определенных вариантах осуществления предпочтительные заместители будут включать, например, -NH-, -NHC(O)-, -О-, =O, -(СН2)m- (в данном контексте тип равняются 1, 2, 3, 4, 5 или 6), -S-, -S(O)-, SO2- или -NH-C(O)-NH-, -(СН2)nOH, (СН2)nSH, -(СН2)nCOOH, C1-С6алкил, -(СН2)nO-(С1-С6алкил), -(СН2)nC(O)-(C1-С6алкил), -(СН2)nOC(O)-(С1-С6алкил), -(СН2)nC(O)O-(С1-С6алкил), -(СН2)nNHC(O)-R1, -(СН2)nC(O)-NR1R2, -(ОСН2)nOH, -(CH2O)nCOOH, C1-С6алкил, -(ОСН2)nO-(С1-С6алкил), -(CH2O)nC(O)-(С1-С6алкил), -(OCH2)nNHC(O)-R1, -(СН20)nC(O)-NR1R2, -S(O)2-Rs, -S(O)-Rs (Rs представляет собой C1-С6алкил или группу -(СН2)m-NR1R2), NO2, CN или галоген (F, Cl, Br, I, предпочтительно F или CI), в зависимости от контекста применения заместителя. Каждый из R1 и R2 в соответствующем контексте представляет собой Н или С1-С6алки льную группу (которая может быть необязательно замещена одной или двумя гидроксильными группами или не более чем тремя галогенсодержащими группами, предпочтительно фтором). В химическом контексте определенного соединения и применяемого заместителя под термином «замещенный» также следует понимать необязательно замещенную арильную или гетероарильную группу или необязательно замещенную гетероциклическую группу, как описано далее в данном документе. Алкиленовые группы также могут быть замещены, как далее раскрыто в данном документе, предпочтительно необязательно замещенными C1-С6алкильными группами (метил, этил, или гидроксиметил, или гидроксиэтил являются предпочтительными, обеспечивая таким образом хиральный центр), боковой цепью аминокислоты, как далее описано в данном документе, амидогруппой, как описано выше в данном документе, или уретановой группой О-C(O)-NR1R2, где R1 и R2 являются такими, как описано далее в данном документе, хотя в качестве заместителей также можно применять многочисленные другие группы. Различные необязательно замещенные фрагменты могут быть замещены 3 или более заместителями, предпочтительно не более чем 3 заместителями и предпочтительно 1 или 2 заместителями. Следует отметить, что в случаях, где в соединении в конкретном положении молекулы необходимо замещение (в основном, из-за валентности), но замещение не указано, то данный заместитель толкуют или понимают как Н, если контекст замещения не предполагает иное.
[0088] Термин «арил» или «ароматический» в соответствующем контексте относится к замещенному (как далее описано в данном документе) или незамещенному одновалентному ароматическому радикалу, имеющему одно кольцо (например, бензол, фенил, бензил) или конденсированные кольца (например, нафтил, антраценил, фенантренил и т.д.), и он может быть связан с соединением в соответствии с настоящим изобретением в любом доступном устойчивом положении на кольце(кольцах), или как указано в ином случае в представленной химической структуре. Другие примеры арильных групп в соответствующем контексте могут включать, среди прочих, гетероциклические ароматические кольцевые системы, «гетероарильные» группы, содержащие один или более атомов азота, кислорода или серы в кольце (моноциклическом), такие как имидазол, фурил, пиррол, фуранил, тиен, тиазол, пиридин, пиримидин, пиразин, триазол, оксазол, или конденсированные кольцевые системы, такие как индол, хинолин, индолизин, азаиндолизин, бензофуразан и т.д., которые могут быть необязательно замещены, как описано выше. Гетероарильные группы, которые можно упомянуть, включают азотсодержащие гетероарильные группы, такие как пиррол, пиридин, пиридон, пиридазин, пиримидин, пиразин, пиразол, имидазол, триазол, триазин, тетразол, индол, изоиндол, индолизин, азаиндолизин, пурин, индазол, хинолин, дигидрохинолин, тетрагидрохинолин, изохинолин, дигидроизохинолин, тетрагидроизохинолин, хинолизин, фталазин, нафтиридин, хиноксалин, хиназолин, циннолин, птеридин, имидазопиридин, имидазотриазин, пиразинопиридазин, акридин, фенантридин, карбазол, карбазолин, пиримидин, фенантролин, фенацен, оксадиазол, бензимидазол, пирролопиридин, пирролопиримидин и пиридопиримидин; серосодержащие ароматические гетероциклы, такие как тиофен и бензотиофен; кислородсодержащие ароматические гетероциклы, такие как фуран, пиран, циклопентапиран, бензофуран и изобензофуран; и ароматические гетероциклы, содержащие 2 или более гетероатомов, выбранных из азота, серы и кислорода, такие как, среди прочих, тиазол, тиадизол, изотиазол, бензоксазол, бензотиазол, бензотиадиазол, фенотиазин, изоксазол, фуразан, феноксазин, пиразолоксазол, имидазотиазол, тиенофуран, фуропиррол, пиридоксазин, фуропиридин, фуропиримидин, тиенопиримидин и оксазол, все из которых могут быть необязательно замещены.
[0089] Термин «замещенный арил» относится к ароматической карбоциклической группе, состоящей из по меньшей мере одного ароматического кольца или нескольких конденсированных колец, по меньшей мере одно из которых является ароматическим, где кольцо(кольца) замещено(замещены) одним или более заместителями. Например, арильная группа может содержать заместитель(заместители), выбранный(выбранные) из -(CH2)nOH, -(СН2)n-O-(C1-С6)алкила, -(СН2)n-O-(СН2)n-(С1-С6)алкила, -(СН2)n-С(O)(С0-С6)алкила, -(СН2)n-С(O)O(С0-С6)алкила, -(СН2)n-ОС(O)(С0-С6)алкила, амина, моно- или ди(С1-С6алкил)амина, где алкильная группа при амине необязательно замещена 1 или 2 гидроксильными группами или не более чем тремя галогенсодержащими группами (предпочтительно F, Cl), ОН, СООН, C1-С6алкила, предпочтительно СН3, CF3, ОМе, OCF3, NO2 или группы CN (каждая из которых может быть замещена в орто-, мета- и/или пара-положениях фенильного кольца, предпочтительно пара-), необязательно замещенной фенильной группы (фенильная группа как таковая предпочтительно замещена линкерной группой, присоединенной к группе РТМ, в том числе к группе ULM) и/или из по меньшей мере одного из F, Cl, ОН, СООН, СН3, CF3, ОМе, OCF3, NO2 или группы CN (в орто-, мета- и/или пара-положениях фенильного кольца, предпочтительно пара-), нафтильной группы, которая может быть необязательно замещена, необязательно замещенного гетероарила, предпочтительно необязательно замещенного изоксазола, в том числе метилзамещенного изоксазола, необязательно замещенного оксазола, в том числе метилзамещенного оксазола, необязательно замещенного тиазола, в том числе метилзамещенного тиазола, необязательно замещенного изотиазола, в том числе метилзамещенного изотиазола, необязательно замещенного пиррола, в том числе метилзамещенного пиррола, необязательно замещенного имидазола, в том числе метилимидазола, необязательно замещенного бензимидазола или метоксибензилимидазола, необязательно замещенного оксимидазола или метилоксимидазола, необязательно замещенной диазольной группы, в том числе метилдиазольной группы, необязательно замещенной триазольной группы, в том числе метилзамещенной триазольной группы, в том числе метилзамещенной триазольной группы, необязательно замещенной пиридиновой группы, в том числе галоген- (предпочтительно F) или метилзамещенной пиридиновой группы или оксапиридиновой группы (где пиридиновая группа соединена с фенильной группой с помощью атома кислорода), необязательно замещенного фурана, необязательно замещенного бензофурана, необязательно замещенного дигидробензофурана, необязательно замещенного индола, индолизина или азаиндолизина (2-, 3- или 4-азаиндолизина), необязательно замещенного хинолина и их комбинаций.
[0090] «Карбоксил» обозначает группу --C(O)OR, где R представляет собой водород, алкил, замещенный алкил, арил, замещенный арил, гетероарил или замещенный гетероарил, при этом эти общие заместители имеют значения, которые идентичны определениям соответствующих групп, определенных в данном документе.
[0091] Термин «гетероарил» или «гетарил» может означать без ограничения необязательно замещенный хинолин (который может быть присоединен к фармакофору или замещен по любому атому углерода в хинолиновом кольце), необязательно замещенный индол (в том числе дигидроиндол), необязательно замещенный индолизин, необязательно замещенный азаиндолизин (2, 3 или 4-азаиндолизин), необязательно замещенный бензимидазол, бензодиазол, бензоксофуран, необязательно замещенный имидазол, необязательно замещенный изоксазол, необязательно замещенный оксазол (предпочтительно метилзамещенный), необязательно замещенный диазол, необязательно замещенный триазол, тетразол, необязательно замещенный бензофуран, необязательно замещенный тиофен, необязательно замещенный тиазол (предпочтительно метил- и/или тиолзамещенный), необязательно замещенный изотиазол, необязательно замещенный триазол (предпочтительно 1,2,3-триазол, замещенный метильной группой, триизопропилсилильной группой, необязательно замещенной -(СН2)m-O-C1-С6алкильной группой или необязательно замещенной -(СН2)m-С(O)-O-С1-С6алкильной группой), необязательно замещенный пиридин (2-, 3 или 4-пиридин) или группу в соответствии с химической структурой:
где
Sc представляет собой CHRSS, NRURE или О;
RHET представляет собой Н, CN, NO2, галоген (предпочтительно Cl или F), необязательно замещенный C1-С6алкил (предпочтительно замещенный одной или двумя гидроксильными группами или не более чем тремя галогенсодержащими группами (например, CF3), необязательно замещенный O(С1-С6алкил) (предпочтительно замещенный одной или двумя гидроксильными группами или не более чем тремя галогенсодержащими группами) или необязательно замещенную ацетиленовую группу -C≡C-Ra, где Ra представляет собой Н или C1-С6алкильную группу (предпочтительно C1-С3алкил);
RSS представляет собой Н, CN, NO2, галоген (предпочтительно F или Cl), необязательно замещенный C1-С6алкил (предпочтительно замещенный одной или двумя гидроксильными группами или не более чем тремя галогенсодержащими группами), необязательно замещенный O-(С1-С6алкил) (предпочтительно замещенный одной или двумя гидроксильными группами или не более чем тремя галогенсодержащими группами) или необязательно замещенный -С(O)(С1-С6алкил) (предпочтительно замещенный одной или двумя гидроксильными группами или не более чем тремя галогенсодержащими группами);
RURE представляет собой Н, C1-С6алкил (предпочтительно Н или C1-С3алкил) или -С(O)(С1-С6алкил), при этом каждая из этих групп необязательно замещена одной или двумя гидроксильными группами или не более чем тремя галогенсодержащими, предпочтительно фторсодержащими группами, или необязательно замещенный гетероцикл, например, пиперидин, морфолин, пирролидин, тетрагидрофуран, тетрагидротиофен, пиперидин, пиперазин, каждый из которых необязательно замещен, и
YC представляет собой N или C-RYC, где RYC представляет собой Н, ОН, CN, NO2, галоген (предпочтительно Cl или F), необязательно замещенный C1-С6алкил (предпочтительно замещенный одной или двумя гидроксильными группами или не более чем тремя галогенсодержащими группами (например, CF3), необязательно замещенный O(C1-С6алкил) (предпочтительно замещенный одной или двумя гидроксильными группами или не более чем тремя галогенсодержащими группами) или необязательно замещенную ацетиленовую группу -C≡C-Ra, где Ra представляет собой Н или C1-С6алкильную группу (предпочтительно C1-С3алкил);
[0092] Термины «аралкил» и «гетероарилалкил» относятся к группам, которые содержат как арил или, соответственно, гетероарил, а также алкил, и/или гетероалкил, и/или карбоциклические и/или гетероциклоалкильные кольцевые системы в соответствии с представленными выше определениями.
[0093] Применяемый в данном документе термин «арилалкил» относится к арильной группе, определенной выше, присоединенной к алкильной группе, определенной выше. Арилалкильная группа присоединена к исходному фрагменту посредством алкильной группы, где алкильная группа содержит от одного до шести атомов углерода. Арильная группа в арилалкильной группе может быть замещена, как определено выше.
[0094] Термин «гетероцикл» относится к циклической группе, которая содержит по меньшей мере один гетероатом, например, N, О или S, и может быть ароматической (гетероарил) или неароматической. Таким образом, гетероарильные фрагменты включены в определение гетероцикла в зависимости от контекста их применения. Иллюстративные гетероарильные группы описаны выше в данном документе.
[0095] Иллюстративные гетероциклические группы включают, среди прочих, азетидинил, бензимидазолил, 1,4-бензодиоксанил, 1,3-бензодиоксолил, бензоксазолил, бензотиазолил, бензотиенил, дигидроимидазолил, дигидропиранил, дигидрофуранил, диоксанил, диоксоланил, этиленмочевину, 1,3-диоксолан, 1,3-диоксан, 1,4-диоксан, фурил, гомопиперидинил, имидазолил, имидазолинил, имидазолидинил, индолинил, индолил, изохинолинил, изотиазолидинил, изотиазолил, изоксазолидинил, изоксазолил, морфолинил, нафтиридинил, оксазолидинил, оксазолил, пиридон, 2-пирролидон, пиридин, пиперазинил, N-метилпиперазинил, пиперидинил, фталимид, сукцинимид, пиразинил, пиразолинил, пиридил, пиримидинил, пирролидинил, пирролинил, пирролил, хинолинил, тетрагидрофуранил, тетрагидропиранил, тетрагидрохинолин, тиазолидинил, тиазолил, тиенил, тетрагидротиофен, океан, оксетанил, оксатиоланил, тиан.
[0096] Гетероциклические группы могут быть необязательно замещены членом, выбранным из группы, состоящей из алкокси, замещенного алкокси, циклоалкила, замещенного циклоалкила, циклоалкенила, замещенного циклоалкенила, ацила, ациламино, ацилокси, амино, замещенного амино, аминоацила, аминоацилокси, оксиаминоацила, азидо, циано, галогена, гидроксила, кето, тиокето, карбокси, карбоксиалкила, тиоарилокси, тиогетероарилокси, тиогетероциклоокси, тиола, тиоалкокси, замещенного тиоалкокси, арила, арилокси, гетероарила, гетероарилокси, гетероциклической группы, гетероциклоокси, гидроксиамино, алкоксиамино, нитро, -SO-алкила, -SO-замещенного алкила, -SO-арила, -SO-гетероарила, -SO2-алкила, -SO2-замещенного алкила, -SO2-арила, оксо (=O) и -SO2-гетероарила. Такие гетероциклические группы могут иметь одно кольцо или несколько конденсированных колец. Примеры содержащих азот гетероциклов и гетероарилов включают без ограничения пиррол, имидазол, пиразол, пиридин, пиразин, пиримидин, пиридазин, индолизин, изоиндол, индол, индазол, пурин, хинолизин, изохинолин, хинолин, фталазин, нафтилпиридин, хиноксалин, хиназолин, циннолин, птеридин, карбазол, карболин, фенантридин, акридин, фенантролин, изотиазол, феназин, изоксазол, феноксазин, фенотиазин, имидазолидин, имидазолин, пиперидин, пиперазин, индолин, морфолино, пиперидинил, тетрагидрофуранил и т.п., а также содержащие N-алкоксиазот гетероциклы. Термин «гетероциклическая группа» также включает бициклические группы, в которых любое из гетероциклических колец конденсировано с бензольным кольцом или циклогексановым кольцом или другим гетероциклическим кольцом (например, индолил, хинолил, изохинолил, тетрагидрохинолил и т.п.).
[0097] Термин «циклоалкил» может означать без ограничения одновалентные группы, полученные из моноциклических или полициклических алкильных групп или циклоалканов, определенных в данном документе, например, насыщенные моноциклические углеводородные группы, содержащие от трех до двадцати атомов углерода в кольце, в том числе без ограничения циклопропил, циклобутил, циклопентил, циклогексил, циклогептил и т.п. Термин «замещенный циклоалкил» может означать без ограничения моноциклическую или полициклическую алкильную группу и предусматривает замещение одним или более заместителями, например, амино, галогеном, алкилом, замещенным алкилом, карбилокси, карбилмеркапто, арилом, нитро, меркапто или сульфо, при этом эти общие группы-заместители имеют значения, которые идентичны определениям соответствующих групп, определенных в данном обозначении.
[0098] «Гетероциклоалкил» относится к моноциклической или полициклической алкильной группе, в которой по меньшей мере один атом углерода в кольце его циклической структуры заменен гетероатомом, выбранным из группы, состоящей из N, О, S или Р. «Замещенный гетероциклоалкил» относится к моноциклической или полициклической алкильной группе, в которой по меньшей мере один атом углерода в кольце его циклической структуры заменен гетероатомом, выбранным из группы, состоящей из N, О, S или Р, и при этом группа содержит один или более заместителей, выбранных из группы, состоящей из галогена, алкила, замещенного алкила, карбилокси, карбилмеркапто, арила, нитро, меркапто или сульфо, при этом эти общие группы-заместители имеют значения, которые идентичны определениям соответствующих групп, определенных в данном обозначении.
[0099] Под термином «гидрокарбил» следует понимать соединение, которое содержит атомы углерода и водорода и которое может быть полностью насыщенным, частично ненасыщенным или ароматическим, и он включает арильные группы, алкильные группы, алкенильные группы и алкинильные группы.
[0100] Термин «независимо» применяется в данном документе для указания того, что переменная, которая используется независимо, варьируется независимо от применения к применению.
[0101] Термин «низший алкил» относится к метилу, этилу или пропилу.
[0102] Термин «низший алкокси» относится к метокси, этокси или пропокси.
[0103] В любом из вариантов осуществления, описанных в данном документе, W, X, Y, Z, G, G', R, R', R'', Q1 - Q4 и А могут быть независимо ковалентно связаны с линкером и/или линкером, к которому присоединены одна или более групп РТМ, ULM, ILM или ILM'.
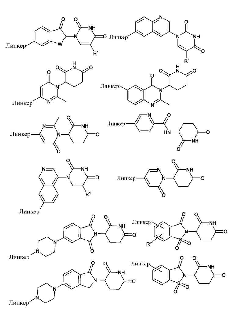
[0104] Иллюстративные CLM
[0105] Неоимидные соединения
[0106] В одном аспекте в описании предусмотрены соединения, пригодные для связывания и/или ингибирования цереблона. В определенных вариантах осуществления соединение выбрано из группы, состоящей из химических структур:



или
где
W в формулах (а) - (е) [например, (a1), (b), (с), (d1), (е), (f), (а2), (d2), (а3) и (а4)] независимо выбран из группы, состоящей из СН2, О, CHR, С=O, SO2, NH, необязательно замещенного циклоалкила (например, необязательно замещенного 3-6-членного циклоалкила, необязательно замещенной циклопропильной группы или необязательно замещенной циклобутильной группы), необязательно замещенного гетероциклоалкила и N-алкила;
W3 выбран из С или N;
X в формулах (а) - (е) отсутствует или независимо выбран из группы, состоящей из О, S и CH2;
Y в формулах (а) - (е) независимо выбран из группы, состоящей из СН2, -C=CR', NH, N-алкила, N-арила, N-гетарила, N-циклоалкила, N-гетероциклила, О и S;
Z в формулах (а) - (е) отсутствует или независимо выбран из группы, состоящей из О, S или СН2, за исключением того, что X и Z одновременно не могут отсутствовать или представлять собой СН2;
G и G' в формулах (а) - (е) независимо выбраны из группы, состоящей из Н, необязательно замещенного линейного или разветвленного алкила, ОН, R'OCOOR, R'OCONRR'', -(СН2)n'-O-Р(=O)(O-С1-6алкил)(ОН), -(СН2)n'-O-Р(=O)(0-С1-6алкил)2,-(СН2)n'-O-Р(=O)(ОН)2, -СН2ОСОО(CH2CH2O)n''СН3, СН2-гетероциклила, необязательно замещенного R', и бензила, необязательно замещенного R';
n'' представляет собой целое число от 8 до 35 (например, 8, 9, 10, 11, 12, 13, 14, 15, 16, 17. 18. 19. 20. 21. 22. 23 24. 25, 26, 27, 28, 29, 30, 31, 32, 33, 34 или 35);
каждый из Q1 - Q4 в формулах (а) - (е) независимо представляет собой углерод С, замещенный группой, независимо выбранной из Н, R, N или N-оксида;
А в формулах (а) - (е) независимо выбран из группы, состоящей из Н, необязательно замещенного линейного или разветвленного алкила, циклоалкила, Cl и F;
R в формулах (а) - (е) включает без ограничения Н, -CONR'R'' -OR', -NR'R'' -SR', -SO2R', -SO2NR'R'' -CR'R''-, -CR'NR'R''-, (-CR'O)n'R'', галоген, необязательно замещенный арил (например, необязательно замещенный С5-С7арил), необязательно замещенный алкиларил (например, алкиларил, содержащий по меньшей мере одно из необязательно замещенного С1-Сбалкила, необязательно замещенного С5-С7арила или их комбинаций), необязательно замещенный гетероарил (например, необязательно замещенный С5-С7 гетероарил), незамещенный или замещенный линейный или разветвленный алкил (например, линейный или разветвленный С1-С6алкил, необязательно замещенный одним или более из галогена, циклоалкила (например, С3-С6циклоалкила) или арила (например, С5-С7арила)), необязательно замещенную алкоксильную группу (например, метокси, этокси, бутокси, пропокси, пентокси или гексокси, где алкоксил может быть замещен одним или более из галогена, алкила, галогеналкила, фторалкила, циклоалкила (например, С3-С6циклоалкила) или арила (например, С5-С7арила)), необязательно замещенный
(например, необязательно замещенный одним или более из галогена, алкила, галогеналкила, фторалкила, циклоалкила (например, С3-С6циклоальсила) или арила (например, С5-С7арила)), необязательно замещенный
(например, необязательно замещенный одним или более из галогена, алкила, галогеналкила, фторалкила, циклоалкила (например, С3-С6циклоалкила) или арила (например, С5-С7арила)), необязательно замещенный циклоалкил (например, необязательно замещенный С3-С7циклоалкил), необязательно замещенный гетероциклил (например, необязательно замещенный С3-С7 гетероциклил), -P(O)(OR')R'', -P(O)R'R'', -OP(O)(OR')R'', -OP(O)R'R'', -Cl, -F, -Br, -I, -CF3, -CN, -NR'SO2NR'R'', -NR'CONR'R'', -CONR'COR'', -NR'C(=N-CN)NR'R'', -C(=N-CN)NR'R'', -NR'C(=N-CN)R'', -NR'C(=C-NO2)NR'R'', -SO2NR'COR'', -NO2, -CO2R', -C(C=N-OR')R'', -CR'=CR'R'', -CCR', -S(C=O)(C=N-R')R'', -SF5 и -OCF3;
каждый из x, у и z независимо равняется 0, 1, 2, 3, 4, 5 или 6;
R' и R'' в формулах (а) - (е) независимо выбраны из Н, необязательно замещенного линейного или разветвленного алкила, необязательно замещенного циклоалкила, необязательно замещенного арила, необязательно замещенного гетероарила, необязательно замещенной гетероциклической группы, -C(=O)R, необязательно замещенного гетероциклила;
каждый из n и n' по отдельности в формулах (а) - (е) представляет собой целое число от 1 до 10 (например, 1 4, 1, 2, 3, 4, 5, 6, 7, 8, 9 или 10);
представляет собой одинарную связь или двойную связь; и
в формулах (а) - (е) представляет собой связь, которая может обеспечивать стереоспецифичность ((R) или (S)) или не обеспечивать стереоспецифичность.
[0107] Иллюстративные CLM
[0108] В любом из соединений, описанных в данном документе, CLM имеет химическую структуру, выбранную из группы:
где
W в формулах (а) - (е) [например, (a1), (b), (с), (d1), (е), (f), (а2), (d2), (а3) и (а4)] независимо выбран из группы, состоящей из CH2, О, CHR, С=О, SO2, NH, необязательно замещенного циклоалкила (например, необязательно замещенного 3-6-членного циклоалкила, необязательно замещенной циклопропильной группы или необязательно замещенной циклобутильной группы), необязательно замещенного гетероциклоалкила (например, необязательно замещенного 3-6-членного гетероциклоалкила) и N-алкила;
W3 выбран из С или N;
X в формулах (а) - (е) отсутствует или независимо выбран из группы, состоящей из О, S и СН2;
Y в формулах (а) - (е) независимо выбран из группы, состоящей из СН2, -C=CR', NH, N-алкила, N-арила, N-гетарила, N-циклоалкила, N-гетероциклила, О и S;
Z в формулах (а) - (е) отсутствует или независимо выбран из группы, состоящей из О, S и СН2, за исключением того, что X и Z одновременно не могут отсутствовать или представлять собой CH2;
G и G' в формулах (а) - (е) независимо выбраны из группы, состоящей из Н, необязательно замещенного линейного или разветвленного алкила, ОН, R'OCOOR, R'OCONRR'', -(СН2)n'-O-Р(=O)(O-С1-6алкил)(ОН), -(СН2)n'-О-Р(=O)(O-С1-6алкил)2,-(СН2)n'-О-Р(=О)(ОН)2, -CH2OCOO(СН2СНО)n''СН3, CH2-гетероциклила, необязательно замещенного R', и бензила, необязательно замещенного R';
n'' представляет собой целое число от 8 до 35 (например, 8, 9, 10, 11, 12, 13, 14, 15, 16, 17. 18. 19. 20. 21. 22. 23 24. 25, 26, 27, 28, 29, 30, 31, 32, 33, 34 или 35);
каждый из Q1 - Q4 в формулах (а) - (е) независимо представляет собой углерод С, замещенный группой, независимо выбранной из Н, R, N или N-оксида;
А в формулах (а) - (е) независимо выбран из группы, состоящей из Н, необязательно замещенного линейного или разветвленного алкила, циклоалкила, Cl и F;
R в формулах (а) - (е) включает без ограничения Н, -CONR'R'', -OR', -NR'R'', -SR', -SO2R', -SO2NR'R'', -CR'R''-, -CR'NR'R''-, (-CR'O)n'R'', галоген, необязательно замещенный гетероциклил (например, необязательно замещенный С3-С7 гетероциклил), необязательно замещенный -арил (например, необязательно замещенный С5-С7арил), необязательно замещенный алкиларил (например, алкиларил, содержащий по меньшей мере одно из необязательно замещенного С1-С6алкила, необязательно замещенного С5-С7арила или их комбинаций), необязательно замещенный гетероарил (например, необязательно замещенный С5-С7 гетероарил), необязательно замещенный линейный или разветвленный алкил (например, линейный или разветвленный С1-С6алкил, необязательно замещенный одним или более из галогена, циклоалкила (например, С3-Сбциклоалкила), или арил (например, С5-С7арил)), необязательно замещенную алкоксильную группу (например, метокси, этокси, бутокси, пропокси, пентокси или гексокси, где алкоксил может быть замещен одним или более из галогена, алкила, галогеналкила, фторалкила, циклоалкила (например, С3-С6циклоалкила), или арил (например, С5-С7арил)), необязательно замещенный
(например, необязательно замещенный одним или более из галогена, алкила, галогеналкила, фторалкила, циклоалкила (например, С3-С6циклоалкила), или арил (например, С5-С7арил)), необязательно замещенный
(например, необязательно замещенный одним или более из галогена, алкила, галогеналкила, фторалкила, циклоалкила (например, С3-С6циклоалкила), или арил (например, С5-С7арил)), необязательно замещенный циклоалкил (например, необязательно замещенный С3-С7циклоалкил), необязательно замещенный циклоалкил (например, необязательно замещенный С3-С7циклоалкил), необязательно замещенный гетероциклил (например, необязательно замещенный С3-С7 гетероциклил), -P(О)(OR')R'', -P(О)R'R'', -OP(О)(OR')R'', -OP(О)R'R'', -Cl, -F, -Br, -I, -CF3, -CN, -NR'SO2NR'R'', -NR'CONR'R'', -CONR'COR'', -NR'C(=N-CN)NR'R'', -C(=N-CN)NR'R'', -NR'C(=N-CN)R'', -NR'C(=C-N02)NR'R'', -SO2NR'COR'', -NO2, -CO2R', -C(C=N-OR')R'', -CR'=CR'R'', -CCR', -S(C=О)(C=N-R')R'', -SF5 и -OCF3, где по меньшей мере один R (например, по меньшей мере одно из О, ОН, N, NH, NH2, С1-С6алкила, С1-С6алкокси, необязательно замещенного циклоалкила (например, необязательно замещенного С3-С7циклоалкила), необязательно замещенного гетероциклила (например, необязательно замещенного С3-С7гетероциклила), -алкиларила (например, алкиларила, содержащего по меньшей мере одно из С1-С6алкила, С4-С7арила или их комбинации), арила (например, С5-С7арила), гетероариларила (например, С5-С7гетероарила), амина, амида или карбокси) модифицирован с возможностью ковалентного присоединения к РТМ, химической линкерной группе (L), ULM, CLM' (например, CLM' представляет собой дополнительный CLM, который характеризуется такой же структурой, как первый CLM, или отличной от нее) или их комбинации
каждый из х, у и z независимо равняется 0, 1, 2, 3, 4, 5 или 6;
R' и R'' в формулах (а) - (е) независимо выбраны из связи, Н, необязательно замещенного линейного или разветвленного алкила, необязательно замещенного циклоалкила, необязательно замещенного арила, необязательно замещенного гетероарила, необязательно замещенной гетероциклической группы, -C(=O)R, необязательно замещенного гетероциклила;
каждый из n и n' по отдельности в формулах (а) - (е) представляет собой целое число от 1 до 10 (например, 1-4, 1, 2, 3, 4, 5, 6, 7, 8, 9 или 10);
в формулах (а) - (е) представляет собой связь, которая может обеспечивать стереоспецифичность ((R) или (S)) или не обеспечивать стереоспецифичность
[0109] В определенных вариантах осуществления, описанных в данном документе, CLM или ULM имеют химическую структуру, выбранную из группы:
где
W в формуле (g) независимо выбран из группы, состоящей из CH2, С=О, NH и N-алкила;
А в формуле (g) независимо выбран из Н, метила, алкила (например, С1-С6алкила (линейного, разветвленного, необязательно замещенного));
R в формуле (g) независимо выбран из Н, ОН, NH2, галогена, метила, необязательно замещенного линейного или разветвленного алкила (например, необязательно замещенного линейного или разветвленного С1-С6алкила), необязательно замещенного С1-С6алкокси, необязательно замещенного циклоалкила (например, необязательно замещенного С3-С7циклоалкила), необязательно замещенного гетероциклила (например, необязательно замещенного С3-С7гетероциклила), необязательно замещенного -алкиларила (например, -алкиларила, содержащего по меньшей мере одно из С1-С6алкила, С4-С7арила или их комбинации), необязательно замещенного арила (например, С5-С7арила), амина, амида или карбокси);
n в формулах (g) представляет собой целое число от 1 до 4 (например, 1, 2, 3 или 4), где по меньшей мере один R (например, по меньшей мере одно из ОН, NH2, галогена, С1-С6алкила, С1-С6алкокси, -алкиларила (например, алкиларила, содержащего по меньшей мере одно из С1-С6алкила, С4-С7арила или их комбинации), арила (например, С5-С7арила), амина, амида или карбокси) модифицировано с возможностью ковалентного присоединения к РТМ, химической линкерной группе (L), ULM, CLM (или CLM') или их комбинации; и
в формуле (g) представляет собой связь, которая может обеспечивать стереоспецифичность ((R) или (S)) или не обеспечивать стереоспецифичность.
[0110] В любом из вариантов осуществления, описанных в данном документе, W, X, Y, Z, G, G', R, R', R'', Q1-Q4 и А в формулах (а) - (g) [например, (a1), (b), (с), (d1), (е), (f), (а2), (d2), (а3), (а4) и (g)] могут независимо быть ковалентно связаны с линкером и/или линкером, к которому присоединена одна или более групп РТМ, ULM, CLM или CLM'.
[0111] В любом из аспектов или вариантов осуществления, описанных в данном документе, CLM содержит 1-4 R-групп при Q1, Q2, Q3, Q4 или их комбинации, где каждый R представляет собой независимо выбранные функциональные группы или атомы, например, ОН, галоген, С1-С6алкил, С1-С6алкокси, необязательно замещенный циклоалкил (например, необязательно замещенный С3-С7циклоалкил), необязательно замещенный гетероциклил (например, необязательно замещенный С3-С7гетероциклил), -алкиларил (например, алкиларил, содержащий по меньшей мере одно из С1-С6алкила, С4-С7арила или их комбинации), арил (например, С5-С7арил), амин, амид, циано или карбокси, и один из них необязательно модифицирован с возможностью ковалентного присоединения к РТМ, химической линкерной группе (L), ULM, CLM (или CLM') или их комбинации.
[0112] В некоторых вариантах осуществления CLM представлен следующими структурами, на которых пунктирными линиями указаны точки присоединения линкера:
[0113] Более конкретно, неограничивающие примеры CLM включают показанные ниже CLM, а также ''гибридные'' молекулы CLM, которые образуются из комбинации 1 или более различных признаков, показанных в молекулах ниже.
[0114] В любом из соединений, описанных в данном документе, CLM имеет химическую структуру, выбранную из группы:
где
W независимо выбран из CH2, О, CHR, С=О, SO2, NH, необязательно замещенного циклоалкила, необязательно замещенного гетероциклоалкила и N-алкила;
каждый из Q1, Q2, Q3, Q4 Q5 независимо представляет собой углерод С или N, замещенные группой, независимо выбранной из Н, R', N или N-оксида;
R1 отсутствует или выбран из Н, ОН, CN, С1-С3алкила, С=О;
R2 отсутствует или выбран из группы, состоящей из Н, ОН, CN, С1-С3алкила, CHF2, CF3, СНО, C(=О)NH2;
R3 выбран из Н, алкила (например, С1-С6 или С1-С3алкила), замещенного алкила (например, замещенного С1-С6 или С1-С3алкила), алкокси (например, С1-С6 или С1-СЗалкоксила), замещенного алкокси (например, замещенного С1-С6 или С1-С3алкоксила);
R4 выбран из Н, алкила, замещенного алкила;
каждый из R5 и R6 независимо представляет собой Н, галоген, C(=О)R', CN, ОН, CF3;
X представляет собой С, СН, С=О или N;
X1 представляет собой С=О, N, СН или СН2;
R' выбран из Н, ОН, галогена, амина, циано, алкила (например, С1-С3алкила), замещенного алкила (например, замещенного С1-С3алкила), алкокси (например, С1-С3алкоксила), замещенного алкокси (например, замещенного С1-С3алкоксила), NR2R3, C(=О)OR2, необязательно замещенного фенила;
n равняется 0-4;
представляет собой одинарную или двойную связь; и
CLM ковалентно присоединен к РТМ, химической линкерной группе (L), ULM, CLM (или CLM') или их комбинации.
[0115] В любом аспекте или варианте осуществления, описанных в данном документе, CLM или CLM' ковалентно присоединены к РТМ, химической линкерной группе (L), ULM, CLM, CLM' или их комбинации посредством R-группы (такой как R, R1, R2, R3, R4 или R'), W-, Х- или Q- группы (такой как Q1, Q2, Q3, Q4 или Q5) в формулах (h) - (ab).
[0116] В любом из вариантов осуществления, описанных в данном документе, CLM или CLM' ковалентно присоединены к РТМ, химической линкерной группе (L), ULM, CLM, CLM' или их комбинации посредством W, X, R, R1, R2, R3, R4, R5, R', Q1, Q2, Q3, Q4 и Q5 в формулах (h) - (ab).
[0117] В любом из вариантов осуществления, описанных в данном документе, W, X, R1, R2, R3, R4, R', Q1, Q2, Q3, Q4 и Q5 в формулах (h) - (ab) могут быть независимо ковалентно связаны с линкером и/или линкером, к которому присоединена одна или более групп РТМ, ULM, ULM', CLM или CLM'.
[0118] Более конкретно, неограничивающие примеры CLM включают показанные ниже CLM, а также ''гибридные'' молекулы или соединения, которые образуются в результате комбинирования 1 или более признаков следующих соединений:
где
W независимо выбран из группы, состоящей из СН2, CHR, С=О, SO2, NH и N-алкила;
R1 отсутствует или выбран из группы, состоящей из Н, СН, CN, С1-С3алкила;
R2 представляет собой Н или С1-С3алкил;
R3 выбран из Н, алкила, замещенного алкила, алкокси, замещенного алкокси;
R4 представляет собой метил или этил;
R5 представляет собой Н или галоген;
R6 представляет собой Н или галоген;
R в CLM представляет собой Н;
R' представляет собой Н или точку присоединения РТМ, РТМ', химической линкерной группы (L), ULM, CLM, CLM',
каждый из Q1 и Q2 независимо представляет собой С или N, замещенные группой, независимо выбранной из Н или С1-С3алкила;
представляет собой одинарную или двойную связь;
n представляет собой целое число от 1 до 4 (например, 1, 2, 3 или 4); и
R включает Н, -CONR'R'', -OR', -NR'R'', -SR', -SO2R', -SO2NR'R'', -CR'R''-, -CR'NR'R''-, (-CR'O)n'R'', галоген, необязательно замещенный гетероциклил, необязательно замещенный арил (например, необязательно замещенный С5-С7арил), необязательно замещенный алкиларил (например, алкиларил, содержащий по меньшей мере одно из необязательно замещенного С1-С6алкила, необязательно замещенного С5-С7арила или их комбинаций), необязательно замещенный гетероарил (например, необязательно замещенный С5-С7арил), необязательно замещенный линейный или разветвленный алкил (например, линейный или разветвленный С1-С6алкил, необязательно замещенный одним или более из галогена, циклоалкила (например, С3-С6циклоалкила), или арила (например, С5-С7арила)), необязательно замещенную алкоксильную группу (например, метокси, этокси, бутокси, пропокси, пентокси или гексокси, где алкоксил может быть замещен одним или более из галогена, алкила, галогеналкила, фторалкила, циклоалкила (например, С3-С6циклоалкила) или арила (например, С5-С7 арила)), необязательно замещенный
(например, необязательно замещенный одним или более из галогена, алкила, галогеналкила, фторалкила, циклоалкила (например, С3-С6циклоалкила), или арила (например, С5-С7арил)), необязательно замещенный
(например, необязательно замещенный одним или более из галогена, алкила, галогеналкила, фторалкила, циклоалкила (например, С3-С6циклоалкила), или арила (например, С5-С7арил)), необязательно замещенный циклоалкил, необязательно замещенный гетероциклил, -P(О)(OR')R'', -P(О)R'R'', -OP(О)(OR')R'', -OP(О)R'R'', -Cl, -F, -Br, -I, -CF3, -CN, -NR'SO2NR'R'', -NR'CONR'R'', -CONR'COR'', -NR'C(=N-CN)NR'R'', -C(=N-CN)NR'R'', -NR'C(=N-CN)R'', -NR'C(=C-NO2)NR'R'', -SO2NR'COR'', -NO2, -CO2R', -C(C=N-OR')R'', -CR'=CR'R'', -CCR', -S(C=О)(C=N-R')R'', -SF5 и -OCF3.
[0119] В любом аспекте или варианте осуществления, описанных в данном документе, по меньшей мере один R из Q1, Q2, Q3, Q4, Q5 или их комбинации (например, по меньшей мере одно из ОН, NH2, С1-С6алкила, С1-С6алкокси, -алкиларила (например, алкиларила, содержащего по меньшей мере одно из С1-С6алкила, С4-С7арила или их комбинации), арила (например, С5-С7арила), амина, амида или карбокси) модифицировано с возможностью ковалентного присоединения к РТМ, химической линкерной группе (L), ULM, CLM' (например, CLM' представляет собой дополнительный CLM, который характеризуется такой же структурой, как первый CLM, или отличной от нее) или их комбинации;
[0120] В любом из вариантов осуществления, описанных в данном документе, W, R1, R2, Q1, Q2, Q3, Q4 и R в формулах (ас) - (an) могут быть независимо ковалентно связаны с линкером и/или линкером, к которому присоединены одна или более групп РТМ, ULM, ULM', CLM или CLM'.
[0121] В любом из вариантов осуществления, описанных в данном документе, R1, R2, Q1, Q2, Q3, Q4 и R в формулах (ас) - (an) могут быть независимо ковалентно связаны с линкером и/или линкером, к которому присоединены одна или более групп РТМ, ULM, ULM', CLM или CLM'.
[0122] В любом из вариантов осуществления, описанных в данном документе, Q1, Q2, Q3, Q4 и R в формулах (ас) - (an) могут быть независимо ковалентно связаны с линкером и/или линкером, к которому присоединены одна или более групп РТМ, ULM, ULM', CLM или CLM'.
[0123] В любом аспекте или варианте осуществления, описанных в данном документе, R в формулах (ас) - (an) модифицирован с возможностью ковалентного присоединения к линкерной группе (L), РТМ, ULM, второму CLM, имеющему такую же химическую структуру, как CLM, CLM', второму линкеру или любому из нескольких из них или их комбинации.
[0124] В любом аспекте или варианте осуществления, описанных в данном документе, CLM выбран из
где R' представляет собой галоген, и R1 является таким, как описано в любом аспекте или варианте осуществления, описанных в данном документе.
[0125] В определенных случаях CLM может представлять собой имиды, которые связываются с цереблоном Е3-лигазного комплекса. Эти имиды и точка присоединения линкера могут быть представлены без ограничения следующими структурами:
R' представляет собой галоген.
[0126] Иллюстративные VLM
[0127] В определенных вариантах осуществления соединений, описанных в данном документе, ULM представляет собой VLM и имеет химическую структуру ULM-a:
ULM-
где
пунктирная линия указывает на присоединение по меньшей мере одного РТМ, другого ULM, или VLM, или MLM, или ILM, или CLM (т.е. ULM', или VLM', или CLM', или ILM, или MLM') или химического линкерного фрагмента, связывающего по меньшей мере один РТМ, ULM', или VLM', или CLM', или ILM', или MLM' с другим концом линкера;
каждый из X1, X2 в формуле ULM-a независимо выбран из группы, состоящей из связи, О, NRY3, CRY3RY4, С=О, OS, SO и SO2;
каждый из RY3, RY4 в формуле ULM-a независимо выбран из группы, состоящей из Н, необязательно замещенного линейного или разветвленного С1-6алкила (например, необязательно замещенного 1 или более атомами галогена), необязательно замещенного C1-6алкоксила (например, необязательно замещенного 0-3 группами RP);
RP в формуле ULM-a представляет собой 0, 1, 2 или 3 группы, каждая из которых независимо выбрана из Н, галогена, -ОН, C1-3алкила, С=О;
W3 в формуле ULM-a выбран из группы, состоящей из необязательно замещенного Т, необязательно замещенного T-N(R1aR1b)X3, необязательно замещенного -T-N(R1aR1b), необязательно замещенного -Т-арила, необязательно замещенного -Т-гетероарила, необязательно замещенного Т-бигетероарила, необязательно замещенного -Т-гетероцикла, необязательно замещенного -Т-бигетероцикла, необязательно замещенного -NR1T-арила, необязательно замещенного -NR1-Т-гетероарила или необязательно замещенного -NR1-T-гетероцикла;
X3 в формуле ULM-a представляет собой С=О, R1, R1a, R1b;
каждый из R1, R1a, R1b независимо выбран из группы, состоящей из Н, линейной или разветвленной C1-С6лкильной группы, необязательно замещенной 1 или более из галогена или групп -ОН, RY3C=O, RY3C=S, RY3SO, RY3SO2, N(RY3RY4)C=S, N(RY3RY4)OS, N(RY3RY4)SO и N(RY3RY4)SO2;
T в формуле ULM-a выбран из группы, состоящей из необязательно замещенного алкила, группы (CH2)n, где каждая из метиленовых групп необязательно замещена одним или двумя заместителями, выбранными из группы, состоящей из галогена, метила, необязательно замещенного алкокси, -
(CH2)m'C(=O)CH2)m'C(=O)OH),
(CH2)m'OCOCH2(CH2)m'OCH2(CH2)m'CO(CH2)m'OH,
(CH2)m'OCOCH2(CH2)m'CO(CH2)m'OH, линейной или разветвленной C1-С6алкильной группы, необязательно замещенной 1 или более из галогена или ОН, C(O)NR1R1a или NR1R1a, или R1 и R1a присоединены с образованием необязательно замещенного гетероцикла, или групп -ОН, или боковой цепи аминокислоты, необязательно замещенной;
каждый m' по отдельности представляет собой целое число от 1 до 4 (например, 1, 2, 3 или 4);
W4 в формуле ULM-a необязательно замещен -NR1-T-арилом, где арильная группа может быть необязательно замещена необязательно замещенным 5-6-членным гетероарилом, необязательно замещенным арилом или необязательно замещенным алкокси, необязательно замещенной -NR1-T-гетероарильной группой или необязательно замещенным -NR1-T-гетероциклом, где -NR1 ковалентно связан с X2, и R1 представляет собой Н или СН3, предпочтительно Н; и
n равняется 0-6, часто 0, 1, 2 или 3, предпочтительно 0 или 1.
[0128] В любом из вариантов осуществления, описанных в данном документе, Т выбран из группы, состоящей из необязательно замещенного алкила, группы (CH2)n, где каждая из метиленовых групп необязательно замещена одним или двумя заместителями, выбранными из группы, состоящей из галогена, метила, необязательно замещенного алкокси, -(CH2)m'C(=О)(CH2)m'C(=О)(OH), (CH2)m'OCOCH2(CH2)m'OCH2(CH2)m'CO(CH2)m'OH, (CH2)m'OCOCH2(CH2)m'CO(CH2)m'OH, линейной или разветвленной C1-С6алкильной группы, необязательно замещенной 1 или более из галогена, C(О)NR1R1a или NR1R1a, или R1 и R1a присоединены с образованием необязательно замещенного гетероцикла, или групп -ОН, или боковой цепи аминокислоты, необязательно замещенной; каждый m' по отдельности представляет собой целое число от 1 до 4 (например, 1, 2, 3 или 4), и n равняется 0-6, часто 0, 1, 2 или 3, предпочтительно 0 или 1.
[0129] В любом аспекте или варианте осуществления, описанных в данном документе, W4 в формуле ULM-a представляет собой

W5 представляет собой необязательно замещенный фенил, необязательно замещенный нафтил или необязательно замещенный 5-10-членный гетероарил (например, W5 необязательно замещен одним или более [например, 1, 2, 3, 4 или 5] из галогена, CN, необязательно замещенного линейного или разветвленного С1-С12алкила, необязательно содержащего один или более (например, 1, 2, 3, 4 или более) атомов углерода, замененных атомом кислорода, необязательно замещенного галогеналкила, необязательно замещенного алкокси, гидрокси или необязательно замещенного галогеналкокси);
каждый из R14a,R14b независимо выбран из группы, состоящей из Н, галогеналкила, необязательно замещенного алкокси, необязательно замещенного гидроксилалкила, -(CH2)m'C(=О)(CH2)m'C(=О)(OH), (CH2)m'OCOCH2(CH2)m'OCH2(CH2)m'CO(CH2)m'OH, (CH2)m'OCOCH2(CH2)m'CO(CH2)m'OH или необязательно замещенного линейного или разветвленного алкила, необязательно с одним или более атомами углерода, замененными кислородом;
каждый m' по отдельности представляет собой целое число от 1 до 4 (например, 1, 2, 3 или 4);
R1 представляет собой Н, линейную или разветвленную C1-С6алкильную группу, необязательно замещенную 1 или более из галогена или групп -ОН;
W6 представляет собой необязательно замещенный 8-14-членный бициклический гетероцикл (например,

R15 выбран из группы, состоящей из Н, галогена, CN, ОН, NO2, N R14aR14b, OR14a, CONR14aR14b, NR14aCOR14b, SO2NR14aR14b, NR14a SO2R14b, необязательно замещенного алкила, необязательно замещенного галогеналкила, необязательно замещенного алкокси, необязательно замещенного галогеналкокси, необязательно замещенного арила, необязательно замещенного гетероарила, необязательно замещенного циклоалкила или необязательно замещенного циклогетероалкила.
[0130] В любом аспекте или варианте осуществления, описанных в данном документе, W5 в формуле ULM-a выбран из группы, состоящей из необязательно замещенного фенила или необязательно замещенного 5-10-членного гетероарила (например, W5 необязательно замещен одним или более [например 1, 2, 3, 4 или 5] из галогена, CN, необязательно замещенного линейного или разветвленного С1-С12алкила, необязательно содержащего один или более (например, 1, 2, 3, 4 или более) атомов углерода, замененных атомом кислорода, необязательно замещенного галогеналкила, необязательно замещенного алкокси, необязательно замещенного галогеналкокси или гидрокси),
R15 в формуле ULM-a выбран из группы, состоящей из Н, галогена, CN, ОН, NO2, N R14aR14b, OR14a, CONR14aR14b, NR14aCOR14b, SO2NR14aR14b,NR14a SO2R14b, необязательно замещенного алкила, необязательно замещенного галогеналкила, необязательно замещенного алкокси, необязательно замещенного галогеналкокси, необязательно замещенного арила, необязательно замещенного гетероарила, необязательно замещенного циклоалкила или необязательно замещенного циклогетероалкила;
[0131] В аспекте или варианте осуществления, описанных в данном документе, заместители W4 для применения в настоящем изобретении также включают конкретно (и без ограничения конкретным раскрытым соединением) заместители W4, которые обнаружены в определенных соединениях, раскрытых в данном документе. Каждый из этих заместителей W4 можно применять совместно с любым количеством заместителей W3, которые также раскрыты в данном документе.
[0132] В аспекте или варианте осуществления, описанных в данном документе, ULM-a необязательно замещен 0-3 группами RP в пирролидиновом фрагменте. Каждый RP независимо представляет собой Н, галоген, -ОН, С1-3алкил, С=О.
[0133] В аспекте или варианте осуществления, описанных в данном документе, W3, W4 в формуле ULM-a могут быть независимо ковалентно связаны с линкером, к которому присоединены одна или более групп РТМ.
и где пунктирная линия указывает на участок присоединения по меньшей мере одного РТМ, другого ULM (ULM') или химического линкерного фрагмента, связывающего по меньшей мере один РТМ, или ULM', или оба из них с ULM.
[0134] В определенных вариантах осуществления ULM представляет собой VHL и представлен структурой:
где
W3 в формуле ULM-b выбран из группы, состоящей из необязательно замещенного арила, необязательно замещенного гетероарила или 
R9 и R10 в формуле ULM-b независимо представляют собой водород, необязательно замещенный алкил, необязательно замещенный циклоалкил, необязательно замещенный гидроксиалкил, необязательно замещенный гетероарил или галогеналкил, или R9, R10 и атом углерода, к которому они присоединены, образуют необязательно замещенный циклоалкил;
R11 в формуле ULM-b выбран из группы, состоящей из необязательно замещенной гетероциклической группы, необязательно замещенного алкокси, необязательно замещенного гетероарила, необязательно замещенного арила, 
R12 в формуле ULM-b выбран из группы, состоящей из Н или необязательно замещенного алкила;
R13 в формуле ULM-b выбран из группы, состоящей из Н, необязательно замещенного алкила, необязательно замещенного алкилкарбонила, необязательно замещенного (циклоалкил)алкилкарбонила, необязательно замещенного аралкилкарбонила, необязательно замещенного арилкарбонила, необязательно замещенного (гетероциклил)карбонила или необязательно замещенного аралкила;
каждый из R14a,R14b в формуле ULM-b независимо выбран из группы, состоящей из Н, галогеналкила, необязательно замещенного алкокси, необязательно замещенного гидроксилалкила, -(CH2)m'C(=О)(CH2)m'C(=О)(OH), (CH2)m'OCOCH2(CH2)m'OCH2(CH2)m'CO(CH2)m'OH, (CH2)m'OCOCH2(CH2)m'CO(CH2)m'OH или необязательно замещенного линейного или разветвленного алкила, необязательно с одним или более атомами углерода, замененными кислородом;
R1 представляет собой Н, линейную или разветвленную C1-С6алкильную группу, необязательно замещенную 1 или более из галогена или групп -ОН;
каждый m' по отдельности представляет собой целое число от 1 до 4 (например, 1, 2, 3 или 4);
W5 в формуле ULM-b выбран из группы, состоящей из необязательно замещенного фенила или необязательно замещенного 5-10-членного гетероарила,
R15 в формуле ULM-b выбран из группы, состоящей из Н, галогена, CN, ОН, NO2, N R14aR14b, OR14a, CONR14aR14b, NR14aCOR14b, SO2NR14aR14b, NR14a SO2R14b, необязательно замещенного алкила, необязательно замещенного галогеналкила, необязательно замещенного галогеналкокси, необязательно замещенного арила, необязательно замещенного гетероарила, необязательно замещенного циклоалкила или необязательно замещенного циклогетероалкила;
каждый R16 в формуле ULM-b независимо выбран из группы, состоящей из Н, CN, галогена, необязательно замещенного алкила, необязательно содержащего один или более атомов углерода, замененных атомом кислорода (например, необязательно замещенного CN или ОН), необязательно замещенного галогеналкила, гидрокси или необязательно замещенного галогеналкокси;
о в формуле ULM-b равняется 0, 1, 2, 3 или 4;
R18 в формуле ULM-b независимо выбран из группы, состоящей из Н, галогена, необязательно замещенного алкокси, циано, необязательно замещенного алкила, галогеналкила, галогеналкокси или линкера; и
р в формуле ULM-b равняется 0, 1, 2, 3 или 4, и где пунктирная линия указывает на участок присоединения по меньшей мере одного РТМ, другого ULM (ULM') или химического линкерного фрагмента, связывающего по меньшей мере один РТМ, или ULM', или оба из них с ULM.
[0135] В определенных вариантах осуществления R15 в формуле ULM-b представляет собой
где R17 представляет собой Н, галоген, необязательно замещенный С3-6циклоалкил, необязательно замещенный C1-6алкил, необязательно замещенный C1-6алкенил и C1-6галогеналкил; и Ха представляет собой S или О.
[0136] В определенных вариантах осуществления R15 в формуле ULM-b выбран из группы, состоящей из метила, этила, изопропила и циклопропила.
[0137] В определенных дополнительных вариантах осуществления R15 в формуле ULM-b выбран из группы, состоящей из
[0138] В определенных вариантах осуществления R11 в формуле ULM-b выбран из группы, состоящей из
[0139] В определенных вариантах осуществления ULM имеет химическую структуру, выбранную из группы, состоящей из
где
R1 в формулах ULM-c, ULM-d и ULM-e представляет собой Н, этил, изопропил, трет-бутил, втор-бутил, циклопропил, циклобутил, циклопентил или циклогексил; необязательно замещенный алкил, необязательно замещенный гидроксиалкил, необязательно замещенный гетероарил или галогеналкил;
R14a в формулах ULM-c, ULM-d и ULM-e представляет собой Н, галогеналкил, необязательно замещенный алкил, метил, фторметил, гидроксиметил, этил, изопропил,
(CH2)m'OCOCH2(CH2)m'OCH2(CH2)m'CO(CH2)m'OH,
(CH2)m'OCOCH2(CH2)m'CO(CH2)m'OH или циклопропил;
каждый m' по отдельности представляет собой целое число от 1 до 4 (например, 1, 2, 3 или 4);
R15 в формулах ULM-c, ULM-d и ULM-e выбран из группы, состоящей из Н, галогена, CN, ОН, NO2, необязательно замещенного гетероарила, необязательно замещенного арила; необязательно замещенного алкила, необязательно замещенного галогеналкила, необязательно замещенного галогеналкокси, циклоалкила или циклогетероалкила;
X в формулах ULM-c, ULM-d и ULM-e представляет собой С, CH2 или С=О;
R3 в формулах ULM-c, ULM-d и ULM-e отсутствует или представляет собой связь или необязательно замещенный 5- или 6-членный гетероарил; и
где пунктирная линия указывает на участок присоединения по меньшей мере одного РТМ, другого ULM (ULM') или химического линкерного фрагмента, связывающего по меньшей мере один РТМ, или ULM', или оба из них с ULM.
[0140] В определенных вариантах осуществления ULM включает группу в соответствии с химической структурой:
где
R14a в формуле ULM-f представляет собой Н, галогеналкил, необязательно замещенный алкил, метил, фторметил, гидроксиметил, этил, изопропил, (CH2)m’ OCOCH2((CH2)m’ OCH2((CH2)m’CO((CH2)m’OH,
((CH2)m’OCOCH2((CH2)m’CO((CH2)m’OH или циклопропил;
каждый m’ по отдельности представляет собой целое число от 1 до 4 (например, 1, 2, 3 или 4);
R9 в формуле ULM-f представляет собой Н;
R10 в формуле ULM-f представляет собой Н, этил, изопропил, трет-бутил, втор-бутил, циклопропил, циклобутил, циклопентил или циклогексил;
R11 в формуле ULM-f представляет собой 
или необязательно замещенный гетероарил;
p в формуле ULM-f равняется 0, 1, 2, 3 или 4;
каждый R18 в формуле ULM-f независимо представляет собой галоген, необязательно замещенный алкокси, циано, необязательно замещенный алкил, галогеналкил, галогеналкокси или линкер;
R12 в формуле ULM-f представляет собой Н, С=O;
R13 в формуле ULM-f представляет собой Н, необязательно замещенный алкил, необязательно замещенный алкилкарбонил, необязательно замещенный (циклоалкил)алкилкарбонил, необязательно замещенный аралкилкарбонил, необязательно замещенный арилкарбонил, необязательно замещенный (гетероциклил)карбонил или необязательно замещенный аралкил,
R15 в формуле ULM-f выбран из группы, состоящей из Н, галогена, Cl, CN, ОН, NO2, необязательно замещенного гетероарила, необязательно замещенного арила; необязательно замещенного циклогетероалкила;
и
пунктирная линия в формуле ULM-f указывает на участок присоединения по меньшей мере одного РТМ, другого ULM (ULM’) или химического линкерного фрагмента, связывающего по меньшей мере один РТМ, или ULM’, или оба из них с ULM.
[0141] В определенных вариантах осуществления ULM выбран из следующих структур: 
*
где n равняется 0 или 1.
[0142] В определенных вариантах осуществления ULM выбран из следующих структур:
где фенильное кольцо в ULM-a1 -ULM-a15, ULM-b1 -ULM-b12, ULM-c1 - ULM-c15 и ULM-d1 - ULM-d9 необязательно замещено атомом фтора, низшим алкиломи алкокси группами, и где пунктирная линия указывает на участок присоединения по меньшей мере одного РТМ, другого ULM (ULM’) или химического линкерного фрагмента, связывающего по меньшей мере один РТМ, или ULM’, или оба из них с ULM-a.
[0143] В одном варианте осуществления фенильное кольцо в ULM-a1 - ULM-a15, ULM-b1 - ULM-b12, ULM-c1 - ULM-c15 и ULM-d1 - ULM-d9 может быть функционализировано как сложный эфир, чтобы сделать его частью пролекарства.
[0144] В определенных вариантах осуществления гидроксильная группа в пирролидиновом кольце в ULM-a1 -ULM-a15, ULM-b1 -ULM-b12, ULM-c1 - ULM-c15 и ULM-d1 - ULM-d9 соответственно содержит связанный слсжноэфирной связью фрагмент пролекарства.
[0145] В любом из аспектов или вариантов осуществления, описанных в данном документе, каждый из ULM и, в случае его присутствия, ULM’ независимо представляют собой группу в соответствии с химической структурой:
где
R1’ в ULM-g представляет собой необязательно замещенную C1-С6алкильную группу, необязательно замещенный -(СН2)nOH, необязательно замещенный -(CH2)nSH, необязательно замещенную (CH2)n-O-(C1-С6)алкильную группу, необязательно замещенную (CH2)n-WCOCW-(C0-С6)алкильную группу, содержащую эпоксидный фрагмент WCOCW, где каждый W независимо представляет собой Η или C1-С3алкильную группу, необязательно замещенный -(СН2)nCOOH, необязательно замещенный -(СН2)nC(O)-(С1-С6алкил), необязательно замещенный -(CH2)nNHC(O)-R1, необязательно замещенный -(CH2)nC(O)-NR1R2, необязательно замещенный -(CH2)nOC(O)-NR1R2, -(СН2О)nH, необязательно замещенный -(CH2)nOC(O)-(C1-С6алкил), необязательно замещенный -(СН2)nC(O)-O-(С1-С6алкил), необязательно замещенный -(СН2О)nCOOH, необязательно замещенный -(ОСН2)nO-(С1-С6алкил), необязательно замещенный -(СН2О)nC(O)-(С1-С6алкил), необязательно замещенный -(OCH2)nNHC(O)-R1, необязательно замещенный -(CH2O)nC(O)-NR1R2, -(СН2СН2О)nH, необязательно замещенный -(СН2СН2О)nCOOH, необязательно замещенный -(ОСН2СН2)nO-(С1-С6алкил), необязательно замещенный -(СН2СН2О)nC(O)-(С1-С6алкил), необязательно замещенный -(OCH2CH2)nNHC(O)-R1, необязательно замещенный -(CH2CH2O)nC(O)-NR1R2, необязательно замещенный -SO2RS, необязательно замещенный S(O)RS, NO2, CN или галоген (F, Cl, Br, I, предпочтительно F или Cl);
каждый из R1 и R2 в ULM-g независимо представляет собой Η или C1-С6алкильную группу, которая может быть необязательно замещена одной или двумя гидроксильными группами или не более чем тремя галогенсодержащими группами (предпочтительно фтором);
RS в ULM-g представляет собой C1-С6алкильную группу, необязательно замещенную арильную, гетероарильную или гетероциклическую группу, или группу -(CH2)mNR1R2;
каждый из X и X’ в ULM-g независимо представляет собой С=0, C=S, -S(O), S(O)2, (предпочтительно как X, так и X’ представляют собой С=O);
R2’ в ULM-g представляет собой необязательно замещенную
-(CH2)n-(C=O)u(NR1)v(SO2)waлκильнyю группу, необязательно замещенную группу
-(CH2)n-(C=O)u(NR1)v(SO2)wNR1NR2N, необязательно замещенный
-(СН2)n-(C=O)u(NR1)v(SO2)w-арил, необязательно замещенный
-(CH2)n-(C=O)u(NR1)v(SO2)w-гетероарил, необязательно замещенный
-(СН2)n-(C=O)vNR1(SO2)w-гетероцикл, необязательно замещенный
-NR1-(CH2)n-C(O)u(NR1)v(SO2)w-алкил, необязательно замещенный
-NR1-(CH2)n-C(O)u(NR1)v(SO2)w- NR1NR2N, необязательно замещенный
-NR1-(CH2)n-C(O)u(NR1)v(SO2)w-NR1C(O)R1N, необязательно замещенный
-NR1-(CH2)n-(C=O)u(NR1)v(SO2)wapил, необязательно замещенный
-NR1-(CH2)n-(C=O)u(NR1)v(SO2)wгeтepoapил или необязательно замещенный
-NR1-(CH2)n-(C=O)vNR1(SO2)w-гетероцикл, необязательно замещенную
-XR2’ -алкильную группу; необязательно замещенную -XR2’ -арильную группу; необязательно замещенную -XR2’ -гетероарильную группу; необязательно замещенную -XR2’ -гетероциклическую группу; необязательно замещенный;
R3’ в ULM-g представляет собой необязательно замещенный алкил, необязательно замещенный -(СН2)n-(O)u(NR1)v(SO2)w-алкил, необязательно замещенный
-(CH2)n-C(O)u(NR1)v(SO2)w-NR1NR2N, необязательно замещенный
-(CH2)n-C(O)u(NR1)v(SO2)w-NR1C(O)R1N, необязательно замещенный
-(CH2)n-C(O)v(NR1)v(SO2)w-C(O)NR1R2, необязательно замещенный
-(CH2)n-C(O)u(NR1)v(SO2)w-арил, необязательно замещенный
-(CH2)n-C(O)u(NR1)v(SO2)w-гетероарил, необязательно замещенный
-(СН2)n-C(O)u(NR1)v(SO2)w-гетероцикл, необязательно замещенный -NR1-(CH2)n-C(O)u(NR1)v(SO2)w-алкил, необязательно замещенный -NR1-(CH2)n-C(O)u(NR1)v(SO2)w-NR1NR2N, необязательно замещенный -NR1-(CH2)n-C(O)u(NR1)v(SO2)w-NR1C(O)R1N, необязательно замещенный -NR1-(CH2)n-C(O)u(NR1)v(SO2)w-арил, необязательно замещенный -NR1-(CH2)n-C(O)u(NR1)v(SO2)w-гетероарил, необязательно замещенный -NR1-(CH2)n-C(O)u(NR1)v(SO2)w-гетероцикл, необязательно замещенный -O-(СН2)n-(C=O)u(NR1)v(SO2)w-ал?ил, необязательно замещенный -O-(СН2)n-(C=O)u(NR1)v(SO2)w-NR1NR2N, необязательно замещенный -O-(СН2)n-(C=O)u(NR1)v(SO2)w-NR1C(O)R1N, необязательно замещенный -O-(СН2)n-(C=O)u(NR1)v(SO2)w-арил, необязательно замещенный -O-(СН2)n-(C=O)u(NR1)v(SO2)w-гетероарил или необязательно замещенный -O-(СН2)n-(C=O)u(NR1)v(SO2)w-гетероцикл,-(СН2)n-(V)n’-(СН2)n-(V)n’-алкильную группу, необязательно замещенную -(СН2)n-(V)n’-(СН2)n-(V)n’-арильную группу, необязательно замещенную -(СН2)n-(V)n’-(СН2)n-(V)n’-гетероарильную группу, необязательно замещенную -(СН2)n-(V)n’-(СН2)n-(V)n’-гетероциклическую группу, необязательно замещенную -(СН2)n-N(R1’)С=О)m’-(V)n’-алкильную группу, необязательно замещенную -(СН2)n-N(R1’)(С=О)m’-(V)n’-арильную группу, необязательно замещенную -(CH2)n-N(R1’)(C=O)m’-(V)n’-гетероарильную группу, необязательно замещенную -(CH2)n-N(R1’)(C=O)m’-(V)n’-гетероциклическую группу, необязательно замещенную -XR3’ -алкильную группу; необязательно замещенную -XR3’ -арильную группу; необязательно замещенную -XR3’-гетероарильную группу; необязательно замещенную -XR3’ -гетероциклическую группу; необязательно замещенный;
каждый из R1N и R2N в ULM-g независимо представляет собой Н, C1-С6алкил, который необязательно замещен одной или двумя гидроксильными группами и не более чем тремя галогенсодержащими группами или необязательно замещенным -(СН2)n-арилом, -(СН2)n-гетероарилом или -(СН2)n-гетероциклической группой;
V в ULM-g представляет собой О, S или NR1;
R1 в ULM-g является таким же как определено выше;
каждый из R1 и R1’ в ULM-g независимо представляет собой Η или C1-С3алкильную группу;
каждый из XR2’ и XR3’ в ULM-g независимо представляет собой необязательно замещенный -CH2)n-, -CH2)n-CH(Xv)=CH(Xv)- (цис или транс), СН2)n-СН≡СН-, -(СН2СН2О)n- или С3-С6циклоалкильную группу, где Xv представляет собой Н, галоген или C1-С3алкильную группу, которая необязательно замещена;
каждый m в ULM-g независимо равняется 0, 1, 2, 3, 4, 5, 6;
каждый m’ в ULM-g независимо равняется 0 или 1;
каждый n в ULM-g независимо равняется 0, 1, 2, 3, 4, 5, 6;
каждый n’ в ULM-g независимо равняется 0 или 1;
каждый u в ULM-g независимо равняется 0 или 1;
каждый v в ULM-g независимо равняется 0 или 1;
каждый w в ULM-g независимо равняется 0 или 1; и
любые один или более из R1’, R2’, R3’, X и X’ в ULM-g необязательно модифицированы таким образом, чтобы ковалентно присоединяться к группе РТМ посредством линкерной группы, если РТМ не представляет собой ULM’, или если РТМ представляет собой ULM’, то любые один или более из R1’, R2’, R3’, X и X’ в каждом из ULM и ULM’ необязательно модифицированы таким образом, чтобы ковалентно присоединяться друг к другу непосредственно или посредством линкерной группы, или ее фармацевтически приемлемую соль, стереоизомер, сольват или полиморф.
[0146] В любом из аспектов или вариантов осуществления, описанных в данном документе, каждый из ULM и, в случае его присутствия, ULM’ независимо представляют собой группу в соответствии с химической структурой:
где
каждый из R1’, R2’ и R3’ в ULM-h является таким же, как определено выше, и X представляет собой группу С=O, C=S, -S(O) или группу S(O)2, более предпочтительно группу С=O, и
любые один или более из R1’, R2’ и R3’ в ULM-h необязательно модифицированы таким образом, чтобы связывать линкерную группу, с которой дополнительно ковалентно связана группа РТМ, если РТМ не представляет собой ULM’, или если РТМ представляет собой ULM’, то любые один или более из R1’, R2’, R3’ в каждом из ULM и ULM’ необязательно модифицированы таким образом, чтобы ковалентно связываться друг с другом непосредственно или посредством линкерной группы, или
ее фармацевтически приемлемую соль, энантиомер, диастереомер, сольват или полиморф.
[0147] В любом из аспектов или вариантов осуществления, описанных в данном документе, каждый из ULM и, в случае его присутствия, ULM’ независимо соответствует химической структуре:
где
любые один или более из R1’, R2’ и R3’ в ULM-I необязательно модифицированы таким образом, чтобы связывать линкерную группу, с которой дополнительно ковалентно связана группа РТМ, если РТМ не представляет собой ULM’, или если РТМ представляет собой ULM’, то любые один или более из R1’, R2’, R3’ в каждом из ULM и ULM’ необязательно модифицированы таким образом, чтобы ковалентно связываться друг с другом непосредственно или посредством линкерной группы, или
ее фармацевтически приемлемой соли, энантиомеру, диастереомеру, сольвату или полиморфу.
[0148] В дополнительных аспектах настоящего изобретения R1’ в ULM-g - ULM-i предпочтительно представляет собой гидроксильную группу или группу, которая может быть метаболизирована до гидроксильной или карбоксильной группы таким образом, чтобы соединение представляло собой форму пролекарства активного соединения. Иллюстративные предпочтительные группы R1’ включают, например, -(СН2)nOH, (СН2)n-O-(С1-С6)алкильную группу, -(СН2)nCOOH, -(СН2О)nH, необязательно замещенный -(СН2)nOC(O)-(С1-С6алкил) или необязательно замещенный -(СН2)nC(O)-O-(С1-С6алкил), где n равняется 0 или 1. Если R1’ представляет собой или содержит группу карбоновой кислоты, гидроксильную группу или аминогруппу, то гидроксильная группа, группа карбоновой кислоты или аминогруппа (каждая из которых может быть необязательно замещена) могут быть дополнительно химически модифицированы для обеспечения образования ковалентной связи с линкерной группой, с которой связана группа РТМ (в том числе группа ULM’);
[0149] X и X’, в случае их присутствия, в ULM-g и ULM-h предпочтительно представляют собой группу С=O, C=S, -S(O) или группу S(O)2, более предпочтительно группу С=O;
[0150] R2’ в ULM-g - ULM-i предпочтительно представляет собой необязательно замещенный -NR1-Т-арил, необязательно замещенную -NR1-T-гетероарильную группу или необязательно замещенный -NR1-Т-гетероцикл, где R1 представляет собой Η или СН3, предпочтительно Н, и Τ представляет собой необязательно замещенную группу -(СН2)n-, где каждая из метиленовых групп может быть необязательно замещена одним или двумя заместителями, предпочтительно выбранными из галогена, боковой цепи аминокислоты, как далее описано в данном документе, или C1-С3алкильной группы, предпочтительно одной или двумя метальными группами, которые могут быть необязательно замещены; и n равняется 0-6 (например, 0, 1, 2 или 3, например, 0 или 1). В качестве альтернативы Τ может также представлять собой группу -(СН2О)n-, группу -(ОСН2)n-, группу -(СН2СН2О)n-, группу -(ОСН2СН2)n-, все из которых необязательно замещены.
[0151] Предпочтительные арильные группы для R2’ в ULM-g - ULM-i включают необязательно замещенные фенильные или нафтильные группы, предпочтительно фенильные группы, где фенильная или нафтильная группы необязательно присоединены к группе РТМ посредством линкерной группы, к которой присоединена группа РТМ (в том числе группа ULM’), галоген (предпочтительно F или Cl), амин, моноалкил- или диалкиламин (предпочтительно диметиламин), F, Cl, ОН, СООН, C1-С6алкил, предпочтительно СН3, CF3, ОМе, OCF3, NO2 или группа CN (каждый из которых может быть замещен в орто-, мета- и/или пара-положениях фенильного кольца, предпочтительно пара-), необязательно замещенная фенильная группа (фенильная группа как таковая необязательно присоединена к РТМ посредством линкерной группы, в том числе группе ULM’) и/или по меньшей мере один из F, Cl, ОН, СООН, СН3, CF3, ОМе, OCF3, NO2 или группа CN (в орто-, мета- и/или пара-положениях фенильного кольца, предпочтительно пара-), нафтильную группу, которая может быть необязательно замещена, необязательно замещенный гетероарил, предпочтительно необязательно замещенный изоксазол, в том числе метилзамещенный изоксазол, необязательно замещенный оксазол, в том числе метилзамещенный оксазол, необязательно замещенный тиазол, в том числе метилзамещенный тиазол, необязательно замещенный изотиазол, в том числе метилзамещенный изотиазол, необязательно замещенный пиррол, в том числе метилзамещенный пиррол, необязательно замещенный имидазол, в том числе метилимидазол, необязательно замещенный бензимидазол или метоксибензилимидазол, необязательно замещенный оксимидазол или метилоксимидазол, необязательно замещенную диазольную группу, в том числе метилдиазольную группу, необязательно замещенную триазольную группу, в том числе метилзамещенную триазольную группу, необязательно замещенную пиридиновую группу, в том числе галоген- (предпочтительно F) или метилзамещенную пиридиновую группу или оксапиридиновую группу (где пиридиновая группа связана с фенильной группой посредством кислорода), необязательно замещенный фуран, необязательно замещенный бензофуран, необязательно замещенный дигидробензофуран, необязательно замещенный индол, индолизин или азаиндолизин (2-, 3- или 4-азаиндолизин), необязательно замещенный хинолин, необязательно замещенную группу в соответствии с химической структурой:
где
Sc в ULM-g - ULM-i представляет собой CHRSS, NRURE или О;
RHET в ULM-g - ULM-i представляет собой Η, CN, ΝΟ2, галоген (предпочтительно Cl или F), необязательно замещенный C1-С6алкил (предпочтительно замещенный одной или двумя гидроксильными группами или не более чем тремя галогенсодержащими группами (например, CF3), необязательно замещенный O(С1-С6алкил) (предпочтительно замещенный одной или двумя гидроксильными группами или не более чем тремя галогенсодержащими группами) или необязательно замещенную ацетиленовую группу -C=C-Ra, где Ra представляет собой Η или C1-С6алкильную группу (предпочтительно C1-С3алкил);
RSS в ULM-g - ULM-i представляет собой Н, CN, NO2, галоген (предпочтительно F или Cl), необязательно замещенный C1-С6алкил (предпочтительно замещенный одной или двумя гидроксильными группами или не более чем тремя галогенсодержащими группами), необязательно замещенный O-(C1-C6 алкил) (предпочтительно замещенный одной или двумя гидроксильными группами или не более чем тремя галогенсодержащими группами) или необязательно замещенный -С(O)(С1-С6алкил) (предпочтительно замещенный одной или двумя гидроксильными группами или не более чем тремя галогенсодержащими группами);
RURE в ULM-g - ULM-i представляет собой Н, C1-С6алкил (предпочтительно Η или C1-С3алкил) или -С(O)(С1-С6алкил), при этом каждая из данных групп необязательно замещена одной или двумя гидроксильными группами или не более чем тремя атомами галогена, предпочтительно фторсодержащими группами, или необязательно замещенную фенильную группу, необязательно замещенный гетероарил или необязательно замещенный гетероцикл, предпочтительно, например, пиперидин, морфолин, пирролидин, тетрагидрофуран);
RPRO в ULM-g - ULM-i представляет собой Н, необязательно замещенный C1-С6алкил или необязательно замещенный арил (фенил или нафтил), гетероарил или гетероциклическую группу, выбранную из группы, состоящей из оксазола, изоксазола, тиазола, изотиазола, имидазола, диазола, оксимидазола, пиррола, пирролидина, фурана, дигидрофурана, тетрагидрофурана, тиена, дигидротиена, тетрагидротиена, пиридина, пиперидина, пиперазина, морфолина, хинолина, (каждый из которых предпочтительно замещен C1-С3алкильной группой, предпочтительно метильной или галогенсодержащей группой, предпочтительно F или Cl), бензофурана, индола, индолизина, азаиндолизина;
каждый из RPRO1 и RPRO2 в ULM-g-ULM-i независимо представляет собой Н, необязательно замещенную C1-С3алкильную группу, или они вместе образуют кетогруппу; и
каждый n в ULM-g - ULM-i независимо равняется 0, 1, 2, 3, 4, 5 или 6 (предпочтительно 0 или 1) или представляет собой необязательно замещенный гетероцикл, предпочтительно тетрагидрофуран, тетрагидротиен, пиперидин, пиперазин или морфолин (при этом каждая из данных групп, если замещена, то предпочтительно замещена метилом или галогеном (F, Br, Cl), при этом каждая из данных групп может быть необязательно присоединена к группе РТМ (в том числе группе ULM’) посредством линкерной группы.
[0152] В определенных предпочтительных аспектах
в ULM-
g - ULM-i представляет собой
где RPRO и n в ULM-g - ULM-i являются такими, как указано выше.
[0153] Предпочтительные гетероарильные группы для R2’ в ULM-g - ULM-i включают необязательно замещенный хинолин (который может быть присоединен к фармакофору или замещен по любому атому углерода в пределах хинолинового кольца), необязательно замещенный индол, необязательно замещенный индолизин, необязательно замещенный азаиндолизин, необязательно замещенный бензофуран, в том числе необязательно замещенный бензофуран, необязательно замещенный изоксазол, необязательно замещенный тиазол, необязательно замещенный изотиазол, необязательно замещенный тиофен, необязательно замещенный пиридин (2-, 3- или 4-пиридин), необязательно замещенный имидазол, необязательно замещенный пиррол, необязательно замещенный диазол, необязательно замещенный триазол, тетразол, необязательно замещенный оксимидазол или группу в соответствии с химической структурой:
где
Sc в ULM-g - ULM-i представляет собой CHRSS, NRURE или О;
RHET в ULM-g - ULM-i представляет собой Н, CN, NO2, галоген (предпочтительно С1 или F), необязательно замещенный C1-С6алкил (предпочтительно замещенный одной или двумя гидроксильными группами или не более чем тремя галогенсодержащими группами (например, CF3), необязательно замещенный O(С1-С6алкил) (предпочтительно замещенный одной или двумя гидроксильными группами или не более чем тремя галогенсодержащими группами) или необязательно замещенную ацетиленовую группу -C≡C-Ra, где Ra в ULM-g - ULM-i представляет собой Η или C1-С3алкильную группу (предпочтительно C1-С3алкил);
RSS в ULM-g - ULM-i представляет собой Η, CN, ΝΟ2, галоген (предпочтительно F или Cl), необязательно замещенный C1-С6алкил (предпочтительно замещенный одной или двумя гидроксильными группами или не более чем тремя галогенсодержащими группами), необязательно замещенный 0-(C1-C6 алкил) (предпочтительно замещенный одной или двумя гидроксильными группами или не более чем тремя галогенсодержащими группами) или необязательно замещенный -С(O)(С1-С6алкил) (предпочтительно замещенный одной или двумя гидроксильными группами или не более чем тремя галогенсодержащими группами);
RURE в ULM-g - ULM-i представляет собой Н, C1-С6алкил (предпочтительно Η или C1-С3алкил) или -С(O)(С1-С6алкил), при этом каждая из данных групп необязательно замещена одной или двумя гидроксильными группами или не более чем тремя атомами галогена, предпочтительно фторсодержащими группами, или необязательно замещенный гетероцикл, например, пиперидин, морфолин, пирролидин, тетрагидрофуран, тетрагидротиофен, пиперидин, пиперазин, каждый из которых необязательно замещен, и
YC в ULM-g - ULM-i представляет собой N или C-RYC, где RYC представляет собой Н, ОН, CN, NO2, галоген (предпочтительно Cl или F), необязательно замещенный C1-С6алкил (предпочтительно замещенный одной или двумя гидроксильными группами или не более чем тремя галогенсодержащими группами (например, CF3), необязательно замещенный О(С1-С6алкил) (предпочтительно замещенный одной или двумя гидроксильными группами или не более чем тремя галогенсодержащими группами) или необязательно замещенную ацетиленовую группу -С≡C-Ra, где Ra представляет собой Η или C1-С6алкильную группу (предпочтительно C1-С3алкил), при этом каждая из данных групп может быть необязательно присоединена к группе РТМ (в том числе группе ULM’) посредством линкерной группы.
[0154] Предпочтительные гетероциклические группы для R2’ в ULM-g - ULM-i включают тетрагидрофуран, тетрагидротиен, тетрагидрохинолин, пиперидин, пиперазин, пирролидин, морфолин, оксан или тиан, при этом каждая из данных групп может быть необязательно замещена, или группу в соответствии с химической структурой:
Предпочтительно
или группу 
где
RPRO в ULM-g - ULM-i представляет собой Н, необязательно замещенный C1-С6алкил или необязательно замещенный арил, гетероарил или гетероциклическую группу;
каждый из RPRO1 и RPRO2 в ULM-g - ULM-i независимо представляет собой Н, необязательно замещенную C1-С3алкильную группу, или они вместе образуют кетогруппу, и
каждый n в ULM-g - ULM-i независимо равняется 0, 1, 2, 3, 4, 5 или 6 (часто 0 или 1), при этом каждая из данных групп может быть необязательно присоединена к группе РТМ (в том числе группе ULM’) посредством линкерной группы.
[0155] Предпочтительные заместители R2’ в ULM-g - ULM-i также включают конкретно (и без ограничения конкретным раскрытым соединением) заместители R2’, которые обнаружены в определенных соединениях, раскрытых в данном документе (которые включают конкретные соединения, которые раскрыты в настоящем описании и прилагаемых к нему графических материалах). Каждый из этих заместителей R2’ можно применять совместно с любым количеством заместителей R3’, которые также раскрыты в данном документе.
[0156] R3’ в ULM-g - ULM-i предпочтительно представляет собой необязательно замещенный Т-арил, необязательно замещенный Т-гетероарил, необязательно замещенный Т-гетероцикл, необязательно замещенный-NR1-T-арил, необязательно замещенный -NR1-Т-гетероарил или необязательно замещенный -NR1-Т-гетероцикл. В предпочтительном варианте осуществления R1 представляет собой Η или C1-С3алкильную группу, предпочтительно Η или СН3, Τ представляет собой необязательно замещенную группу -(CH2)n-, где каждая из метиленовых групп может быть необязательно замещена одним или двумя заместителями, предпочтительно выбранными из галогена, C1-С6алкильной группы (линейной, разветвленной, необязательно замещенной) или боковой цепи аминокислоты, как далее описано в данном документе, предпочтительно метила, который может быть необязательно замещен; и n равняется 0-6, например, 0, 1, 2 или 3 (например, 0 или 1). В качестве альтернативы, Τ может также представлять собой группу -(СН2О)n-, группу -(OCH2)n-, группу -(СН2ОСН2О)n-, группу -(OCH2CH2)n-, при этом каждая из данных групп необязательно замещена.
[0157] Предпочтительные арильные группы для R3’ в ULM-g - ULM-i включают необязательно замещенные фенильные или нафтильные группы, предпочтительно фенильные группы, где фенильная или нафтильная группа необязательно присоединена к группе РТМ (в том числе группе ULM’) посредством линкерной группы, и/или галогена (предпочтительно F или Cl), амина, моноалкил-или диалкиламина (предпочтительно диметиламина), амидогруппы (предпочтительно группы -(CH2)m-NR1C(O)R2, где m, R1 и R2 являются такими, как определено выше), галогена (часто F или Cl), ОН, СН3, CF3, ОМе, OCF3, NO2, CN или группы S(O)2RS (RS представляет собой C1-С6алкильную группу, необязательно замещенную арильную, гетероарильную или гетероциклическую группу или группу -(CH2)mNR1R2), каждый из которых может быть замещен в орто-, мета- и/или пара-положениях фенильного кольца, предпочтительно пара-), или арила (предпочтительно фенила), гетероарила или гетероцикла. Предпочтительно указанная замещающая фенильная группа представляет собой необязательно замещенную фенильную группу (т.е., замещающая фенильная группа как таковая предпочтительно замещена по меньшей мере одним из F, Cl, ОН, SH, СООН, СН3, CF3, ОМе, OCF3, NO2, CN или линкерной группы, к которой присоединена группа РТМ (в том числе группа ULM’), где замещение происходит в орто-, мета- и/или пара-положениях фенильного кольца, предпочтительно пара-), нафтильную группу, которая может быть необязательно замещена, в том числе как описано выше, необязательно замещенный гетероарил (предпочтительно необязательно замещенный изоксазол, в том числе метилзамещенный изоксазол, необязательно замещенный оксазол, в том числе метилзамещенный оксазол, необязательно замещенный тиазол, в том числе метилзамещенный тиазол, необязательно замещенный пиррол, в том числе метилзамещенный пиррол, необязательно замещенный имидазол, в том числе метилимидазол, бензилимидазол или метоксибензилимидазол, оксимидазол или метилоксимидазол, необязательно замещенную диазольную группу, в том числе метилдиазольную группу, необязательно замещенную триазольную группу, в том числе метилзамещенную триазольную группу, пиридиновую группу, в том числе галоген- (предпочтительно F) или метилзамещенную пиридиновую группу или оксапиридиновую группу (где пиридиновая группа связана с фенильной группой посредством кислорода), или необязательно замещенный гетероцикл (тетрагидрофуран, тетрагидротиофен, пирролидин, пиперидин, морфолин, пиперазин, тетрагидрохинолин, оксан или тиан. Каждая из арильных, гетероарильных или гетероциклических групп может быть необязательно присоединена к группе РТМ (в том числе группе ULM’) посредством линкерной группы.
[0158] Предпочтительные гетероарильные группы для R3’ в ULM-g - ULM-i включают необязательно замещенный хинолин (который может быть присоединен к фармакофору или замещен при любом атоме углерода в хинолиновом кольце), необязательно замещенный индол (в том числе дигидроиндол), необязательно замещенный индолизин, необязательно замещенный азаиндолизин (2-, 3- или 4-азаиндолизин), необязательно замещенный бензимидазол, бензодиазол, бензоксофуран, необязательно замещенный имидазол, необязательно замещенный изоксазол, необязательно замещенный оксазол (предпочтительно метилзамещенный), необязательно замещенный диазол, необязательно замещенный триазол, тетразол, необязательно замещенный бензофуран, необязательно замещенный тиофен, необязательно замещенный тиазол (предпочтительно метил- и/или тиолзамещенный), необязательно замещенный изотиазол, необязательно замещенный триазол (предпочтительно 1,2,3-триазол, замещенный метальной группой, триизопропилсилильной группой, необязательно замещенной -(CH2)m-O-C1-С6алкильной группой или необязательно замещенной -(СН2)m-С(O)-O-С1-С6алкильной группой), необязательно замещенный пиридин (2-, 3- или 4-пиридин) или группу в соответствии с химической структурой:
или
где
Sc в ULM-g - ULM-i представляет собой CHRSS, NRURE или О;
RHET в ULM-g - ULM-i представляет собой Н, CN, NO2, галоген (предпочтительно Cl или F), необязательно замещенный C1-С6алкил (предпочтительно замещенный одной или двумя гидроксильными группами или не более чем тремя галогенсодержащими группами (например, CF3), необязательно замещенный О(С1-С6алкил) (предпочтительно замещенный одной или двумя гидроксильными группами или не более чем тремя галогенсодержащими группами) или необязательно замещенную ацетиленовую группу -C≡C-Ra, где Ra представляет собой Η или C1-С6алкильную группу (предпочтительно C1-С3алкил);
RSS в ULM-g - ULM-i представляет собой Н, CN, NO2, галоген (предпочтительно F или Cl), необязательно замещенный C1-С6алкил (предпочтительно замещенный одной или двумя гидроксильными группами или не более чем тремя галогенсодержащими группами), необязательно замещенный O-(C1-C6 алкил) (предпочтительно замещенный одной или двумя гидроксильными группами или не более чем тремя галогенсодержащими группами) или необязательно замещенный -С(O)(С1-С6алкил) (предпочтительно замещенный одной или двумя гидроксильными группами или не более чем тремя галогенсодержащими группами);
RURE в ULM-g - ULM-i представляет собой Н, C1-С6алкил (предпочтительно Η или C1-С3алкил) или -С(O)(С1-С6алкил), при этом каждая из данных групп необязательно замещена одной или двумя гидроксильными группами или не более чем тремя атомами галогена, предпочтительно фторсодержащими группами, или необязательно замещенный гетероцикл, например, пиперидин, морфолин, пирролидин, тетрагидрофуран, тетрагидротиофен, пиперидин, пиперазин, каждый из которых необязательно замещен, и
YC в ULM-g - ULM-i представляет собой N или C-RYC, где RYC представляет собой Н, ОН, CN, NO2, галоген (предпочтительно Cl или F), необязательно замещенный C1-С6алкил (предпочтительно замещенный одной или двумя гидроксильными группами или не более чем тремя галогенсодержащими группами (например, CF3), необязательно замещенный O(С1-С6алкил) (предпочтительно замещенный одной или двумя гидроксильными группами или не более чем тремя галогенсодержащими группами) или необязательно замещенную ацетиленовую группу -C≡C-Ra, где Ra представляет собой Η или C1-С6алкильную группу (предпочтительно C1-С3алкил). Каждая из указанных гетероарильных групп может быть необязательно присоединена к группе РТМ (в том числе группе ULM’) посредством линкерной группы.
[0159] Предпочтительные гетероциклические группы для R3’ в ULM-g - ULM-i включают тетрагидрохинолин, пиперидин, пиперазин, пирролидин, морфолин, тетрагидрофуран, тетрагидротиофен, оксан и тиан, при этом каждая из данных групп может быть необязательно замещена, или группу в соответствии с химической структурой:
или
предпочтительно
или группу
где
RPRO в ULM-g - ULM-i представляет собой Н, необязательно замещенный C1-С6алкил или необязательно замещенный арил (фенил или нафтил), гетероарил или гетероциклическую группу, выбранную из группы, состоящей из оксазола, изоксазола, тиазола, изотиазола, имидазола, диазола, оксимидазола, пиррола, пирролидина, фурана, дигидрофурана, тетрагидрофурана, тиена, дигидротиена, тетрагидротиена, пиридина, пиперидина, пиперазина, морфолина, хинолина (каждый из которых предпочтительно замещен C1-С3алкильной группой, предпочтительно метильной или галогенсодержащей группой, предпочтительно F или Cl), бензофурана, индола, индолизина, азаиндолизина;
каждый из RPRO1 и RPRO2 в ULM-g - ULM-i независимо представляет собой Н, необязательно замещенную C1-С3алкильную группу, или они вместе образуют кетогруппу, и
каждый n в ULM-g - ULM-i равняется 0, 1, 2, 3, 4, 5 или 6 (предпочтительно 0 или 1), где каждая из указанных гетероциклических групп может быть необязательно присоединена к группе РТМ (в том числе группе ULM’) посредством линкерной группы.
[0160] Предпочтительные заместители R3’ в ULM-g - ULM-i также включают конкретно (и без ограничения конкретным раскрытым соединением) заместители R3’, которые обнаружены в определенных соединениях, раскрытых в данном документе (которые включают конкретные соединения, которые раскрыты в настоящем описании и прилагаемых к нему графических материалах). Каждый из этих заместителей R3’ можно применять совместно с любым количеством заместителей R2’, которые также раскрыты в данном документе.
[0161] В определенных альтернативных предпочтительных вариантах осуществления R2’ в ULM-g - ULM-i представляет собой необязательно замещенную -NR1-XR2’ -алкильную группу, -NR1-XR2’ -арильную группу; необязательно замещенный -NR1- XR2’ -НЕТ, необязательно замещенный -NR1-XR2’ -арил-НЕТ или необязательно замещенный -NR1-XR2’ -НЕТ-арил,
где
R1 в ULM-g - ULM-i представляет собой Η или C1-С3алкильную группу (предпочтительно Н);
XR2’ в ULM-g - ULM-i представляет собой необязательно замещенный CH2)n-, -CH2)n-CH(Xv)=CH(Xv)- (цис или транс), -(СН2)n-СН*=СН-, -(СН2СН2О)n- или С3-С6циклоалкильную группу; и
Xv в ULM-g - ULM-i представляет собой Н, галоген или C1-С3алкильную группу, которая необязательно замещена одной или двумя гидроксильными группами или не более чем тремя галогенсодержащими группами;
алкил в ULM-g - ULM-i представляет собой необязательно замещенную С1-С10алкильную (предпочтительно C1-С6алкильную) группу (в определенных предпочтительных вариантах осуществления алкильная группа содержит на конце галогенсодержащую группу, часто Cl или Br);
арил в ULM-g - ULM-i представляет собой необязательно замещенную фенильную или нафтильную группу (предпочтительно фенильную группу); и
НЕТ в ULM-g - ULM-i представляет собой необязательно замещенный оксазол, изоксазол, тиазол, изотиазол, имидазол, диазол, оксимидазол, пиррол, пирролидин, фуран, дигидрофуран, тетрагидрофуран, тиен, дигидротиен, тетрагидротиен, пиридин, пиперидин, пиперазин, морфолин, бензофуран, индол, индолизин, азаиндолизин, хинолин (при замещении каждый предпочтительно замещен C1-С3алкильной группой, предпочтительно метильной или галогенсодержащей группой, предпочтительно F или Cl) или группу в соответствии с химической структурой:
Sc в ULM-g - ULM-i представляет собой CHRSS, NRURE или О;
RHET в ULM-g - ULM-i представляет собой Н, CN, NO2, галоген (предпочтительно Cl или F), необязательно замещенный C1-С6алкил (предпочтительно замещенный одной или двумя гидроксильными группами или не более чем тремя галогенсодержащими группами (например, CF3), необязательно замещенный О(С1-С6алкил) (предпочтительно замещенный одной или двумя гидроксильными группами или не более чем тремя галогенсодержащими группами) или необязательно замещенную ацетиленовую группу -C≡C-Ra, где Ra представляет собой Η или C1-С6алкильную группу (предпочтительно C1-С3алкил);
RSS в ULM-g - ULM-i представляет собой Н, CN, NO2, галоген (предпочтительно F или Cl), необязательно замещенный C1-С6алкил (предпочтительно замещенный одной или двумя гидроксильными группами или не более чем тремя галогенсодержащими группами), необязательно замещенный O-(C1-C6 алкил) (предпочтительно замещенный одной или двумя гидроксильными группами или не более чем тремя галогенсодержащими группами) или необязательно замещенный -С(O)(С1-С6алкил) (предпочтительно замещенный одной или двумя гидроксильными группами или не более чем тремя галогенсодержащими группами);
RURE в ULM-g - ULM-i представляет собой Н, C1-С6алкил (предпочтительно Η или C1-С3алкил) или -С(O)(С1-С6алкил), при этом каждая из данных групп необязательно замещена одной или двумя гидроксильными группами или не более чем тремя атомами галогена, предпочтительно фторсодержащими группами, или необязательно замещенный гетероцикл, например, пиперидин, морфолин, пирролидин, тетрагидрофуран, тетрагидротиофен, пиперидин, пиперазин, каждый из которых необязательно замещен,
YC в ULM-g - ULM-i представляет собой N или C-RYC, где RYC представляет собой Н, ОН, CN, NO2, галоген (предпочтительно Cl или F), необязательно замещенный C1-С6алкил (предпочтительно замещенный одной или двумя гидроксильными группами или не более чем тремя галогенсодержащими группами (например, CF3), необязательно замещенный 0(С1-С6алкил) (предпочтительно замещенный одной или двумя гидроксильными группами или не более чем тремя галогенсодержащими группами) или необязательно замещенную ацетиленовую группу -C≡C-Ra, где Ra представляет собой Η или C1-С6алкильную группу (предпочтительно C1-С3алкил);
RPRO в ULM-g - ULM-i представляет собой Н, необязательно замещенный C1-С6алкил или необязательно замещенный арил (фенил или нафтил), гетероарил или гетероциклическую группу, выбранную из группы, состоящей из оксазола, изоксазола, тиазола, изотиазола, имидазола, диазола, оксимидазола, пиррола, пирролидина, фурана, дигидрофурана, тетрагидрофурана, тиена, дигидротиена, тетрагидротиена, пиридина, пиперидина, пиперазина, морфолина, хинолина (каждый из которых предпочтительно замещен C1-С3алкильной группой, предпочтительно метильной или галогенсодержащей группой, предпочтительно F или Cl), бензофурана, индола, индолизина, азаиндолизина;
каждый из RPRO1 и RPRO2 в ULM-g - ULM-i независимо представляет собой Н, необязательно замещенную C1-С3алкильную группу, или они вместе образуют кетогруппу, и
каждый n в ULM-g - ULM-i независимо равняется 0, 1, 2, 3, 4, 5 или 6 (предпочтительно 0 или 1).
[0162] Каждая из указанных групп может быть необязательно присоединена к группе РТМ (в том числе группе ULM’) посредством линкерной группы.
[0163] В определенных альтернативных вариантах осуществления настоящего изобретения R3’ в ULM-g - ULM-i представляет собой необязательно замещенную группу -(CH2)n-(V)n’-(CH2)n-(V)n’-RS3’, необязательно замещенную группу -(СН2)n-N(R1’)(C=O)m’-(V)n’-RS3’, необязательно замещенную -XR3’-алкильную группу, необязательно замещенную -XR3’-арильную группу; необязательно замещенную группу -XR3’ -НЕТ, необязательно замещенную группу -XR3’ -арил-НЕТ или необязательно замещенную -XR3’ -НЕТ-арильную группу,
где
RS3’ представляет собой необязательно замещенную алкильную группу (C1-С10, предпочтительно C1-С6алкил), необязательно замещенную арильную группу или группу НЕТ;
R1 представляет собой Η или C1-С3алкильную группу (предпочтительно Н);
V представляет собой О, S или NR1’;
XR3’ представляет собой -(CH2)n-, -(CH2CH2O)n-, -CH2)n-CH(Xv)=CH(Xv)-(цис или транс), СН2)n-СН≡СН- или С3-С6циклоалкильную группу, всех из которых необязательно замещены;
Xv представляет собой Η, галоген или C1-С3алкильную группу, которая необязательно замещена одной или двумя гидроксильными группами или не более чем тремя галогенсодержащими группами;
алкил представляет собой необязательно замещенную C1-С10алкильную (предпочтительно C1-С6алкильную) группу (в определенных предпочтительных вариантах осуществления алкильная группа содержит на конце галогенсодержащую группу, часто О или Br);
арил представляет собой необязательно замещенную фенильную или нафтильную группу (предпочтительно фенильную группу); и
НЕТ представляет собой необязательно замещенный оксазол, изоксазол, тиазол, изотиазол, имидазол, диазол, оксимидазол, пиррол, пироллидин, фуран, дигидрофуран, тетрагидрофуран, тиен, дигидротиен, тетрагидротиен, пиридин, пиперидин, пиперазин, морфолин, бензофуран, индол, индолизин, азаиндолизин, хинолин (при замещении каждый предпочтительно замещен C-С3алкильной группой, предпочтительно метильной группой или галогенсодержащей группой, предпочтительно F или Cl) или группу в соответствии с химической структурой:
Sc в ULM-g - ULM-i представляет собой CHRSS, NRURE или О;
RHET в ULM-g - ULM-i представляет собой Η, CN, ΝΟ2, галоген (предпочтительно Cl или F), необязательно замещенный C1-С6алкил (предпочтительно замещенный одной или двумя гидроксильными группами или не более чем тремя галогенсодержащими группами (например, CF3), необязательно замещенный O(С1-С6алкил) (предпочтительно замещенный одной или двумя гидроксильными группами или не более чем тремя галогенсодержащими группами) или необязательно замещенную ацетиленовую группу -C≡C-Ra, где Ra представляет собой Η или C1-С6алкильную группу (предпочтительно C1-С3алкил);
RSS в ULM-g - ULM-i представляет собой Н, CN, NO2, галоген (предпочтительно F или Cl), необязательно замещенный C1-С6алкил (предпочтительно замещенный одной или двумя гидроксильными группами или не более чем тремя галогенсодержащими группами), необязательно замещенный O-(С1-С6 алкил) (предпочтительно замещенный одной или двумя гидроксильными группами или не более чем тремя галогенсодержащими группами) или необязательно замещенный -С(O)(С1-С6алкил) (предпочтительно замещенный одной или двумя гидроксильными группами или не более чем тремя галогенсодержащими группами);
RURE в ULM-g - ULM-i представляет собой Н, C1-С6алкил (предпочтительно Η или C1-С3алкил) или С(O)(С0-С6алкил), при этом каждая из данных групп необязательно замещена одной или двумя гидроксильными группами или не более чем тремя атомами галогена, предпочтительно фторсодержащими группами, или необязательно замещенный гетероцикл, например, пиперидин, морфолин, пирролидин, тетрагидрофуран, тетрагидротиофен, пиперидин, пиперазин, каждый из которых необязательно замещен;
YC в ULM-g - ULM-i представляет собой N или C-RYC, где RYC представляет собой Н, ОН, CN, NO2, галоген (предпочтительно Cl или F), необязательно замещенный C1-С6алкил (предпочтительно замещенный одной или двумя гидроксильными группами или не более чем тремя галогенсодержащими группами (например, CF3), необязательно замещенный O(С1-С6алкил) (предпочтительно замещенный одной или двумя гидроксильными группами или не более чем тремя галогенсодержащими группами) или необязательно замещенную ацетиленовую группу -С≡C-Ra, где Ra представляет собой Η или C1-С6алкильную группу (предпочтительно C1-С3алкил);
RPRO в ULM-g - ULM-i представляет собой Н, необязательно замещенный C1-С6алкил или необязательно замещенный арил (фенил или нафтил), гетероарил или гетероциклическую группу, выбранную из группы, состоящей из оксазола, изоксазола, тиазола, изотиазола, имидазола, диазола, оксимидазола, пиррола, пирролидина, фурана, дигидрофурана, тетрагидрофурана, тиена, дигидротиена, тетрагидротиена, пиридина, пиперидина, пиперазина, морфолина, хинолина (каждый из которых предпочтительно замещен C1-С3алкильной группой, предпочтительно метильной или галогенсодержащей группой, предпочтительно F или Cl), бензофурана, индола, индолизина, азаиндолизина;
каждый из RPRO1 и RPRO2 в ULM-g - ULM-i независимо представляет собой Н, необязательно замещенную C1-С3алкильную группу, или они вместе образуют кетогруппу;
каждый n в ULM-g - ULM-i независимо равняется 0, 1, 2, 3, 4, 5 или 6 (предпочтительно 0 или 1);
каждый m’ в ULM-g - ULM-i равняется 0 или 1; и
каждый n’ в ULM-g - ULM-i равняется 0 или 1;
где каждое из указанных соединений, предпочтительно при алкильных, арильных или Het-группах, необязательно присоединено к группе РТМ (в том числе группе ULM’) посредством линкерной группы.
[0164] В альтернативных вариантах осуществления R3’ в ULM-g - ULM-i представляет собой -(СН2)n-арил, -(СН2СН2О)n-арил, -(СН2)n-НЕТ или -(СН2СН2О)n-НЕТ,
где
указанный арил в ULM-g - ULM-i представляет собой фенил, который необязательно замещен одним или двумя заместителями, где указанный(указанные) заместитель (заместители) предпочтительно выбран(выбраны) из -(СН2)nOH, C1-С6алкила, который как таковой дополнительно необязательно замещен CN, галогеном (не более чем тремя галогенсодержащими группами), ОН, -(СН2)nO(С1-С6)алкилом, амином, моно- или ди-(C1-С6 алкил)амином, где алкильная группа при амине необязательно замещена 1 или 2 гидроксильными группами или не более чем тремя галогенсодержащими (предпочтительно F, Cl) группами, или
указанная арильная группа в ULM-g - ULM-i замещена -(СН2)nOH, -(СН2)n-O-(С1-С6)алкилом, -(СН2)n-O-(СН2)n-(С1-С6)алкилом, -(СН2)n-С(О)(С0-С6)алкилом, -(СН2)n-С(O)O(С0-С6)алкилом, -(СН2)n-ОС(O)(С0-С6)алкилом, амином, моно- или ди-(С1-С6алкил)амином, где алкильная группа при амине необязательно замещена 1 или 2 гидроксильными группами или не более чем тремя галогенсодержащими (предпочтительно F, Cl) группами, CN, NO2, необязательно замещенной -(СН2)n-(V)m’-СН2)n-(V)m’-(С1-С6)алкильной группой, группой -(V)m’-(CH2CH2O)n-RPEG, где V представляет собой О, S или NR1’, R1’ представляет собой Η или C1-С3алкильную группу (предпочтительно Н), и RPEG представляет собой Η или C1-С6алкильную группу, которая необязательно замещена (в том числе необязательно замещена карбоксильной группой), или
указанная арильная группа в ULM-g - ULM-i необязательно замещена гетероциклом, в том числе гетероарилом, выбранным из группы, состоящей из оксазола, изоксазола, тиазола, изотиазола, имидазола, диазола, оксимидазола, пиррола, пирролидина, фурана, дигидрофурана, тетрагидрофурана, тиена, дигидротиена, тетрагидротиена, пиридина, пиперидина, пиперазина, морфолина, хинолина, бензофурана, индола, индолизина, азаиндолизина (при замещении каждый предпочтительно замещен C1-С3алкильной группой, предпочтительно метильной или галогенсодержащей группой, предпочтительно F или Cl), или группой в соответствии с химической структурой:
Sc в ULM-g - ULM-i представляет собой CHRSS, NRURE или О;
RHET в ULM-g - ULM-i представляет собой Н, CN, NO2, галоген (предпочтительно Cl или F), необязательно замещенный C1-С6алкил (предпочтительно замещенный одной или двумя гидроксильными группами или не более чем тремя галогенсодержащими группами (например, CF3), необязательно замещенный О(С1-С6алкил) (предпочтительно замещенный одной или двумя гидроксильными группами или не более чем тремя галогенсодержащими группами) или необязательно замещенную ацетиленовую группу -C≡C-Ra, где Ra представляет собой Η или C1-С6алкильную группу (предпочтительно C1-С3алкил);
RSS в ULM-g - ULM-i представляет собой Н, CN, NO2, галоген (предпочтительно F или Cl), необязательно замещенный C1-С6алкил (предпочтительно замещенный одной или двумя гидроксильными группами или не более чем тремя галогенсодержащими группами), необязательно замещенный O-(C1-C6 алкил) (предпочтительно замещенный одной или двумя гидроксильными группами или не более чем тремя галогенсодержащими группами) или необязательно замещенный -С(O)(С1-С6алкил) (предпочтительно замещенный одной или двумя гидроксильными группами или не более чем тремя галогенсодержащими группами);
RURE в ULM-g - ULM-i представляет собой Н, C1-С6алкил (предпочтительно Η или C1-С3алкил) или -С(O)(С0-С6алкил), при этом каждая из данных групп необязательно замещена одной или двумя гидроксильными группами или не более чем тремя атомами галогена, предпочтительно фторсодержащими группами, или необязательно замещенный гетероцикл, например, пиперидин, морфолин, пирролидин, тетрагидрофуран, тетрагидротиофен, пиперидин, пиперазин, каждый из которых необязательно замещен;
YC в ULM-g - ULM-i представляет собой N или C-RYC, где RYC представляет собой Н, ОН, CN, NO2, галоген (предпочтительно Cl или F), необязательно замещенный C1-С6алкил (предпочтительно замещенный одной или двумя гидроксильными группами или не более чем тремя галогенсодержащими группами (например, CF3), необязательно замещенный O(С1-С6алкил) (предпочтительно замещенный одной или двумя гидроксильными группами или не более чем тремя галогенсодержащими группами) или необязательно замещенную ацетиленовую группу -C≡C-Ra, где Ra представляет собой Η или C1-С6алкильную группу (предпочтительно C1-С3алкил);
RPRO в ULM-g - ULM-i представляет собой Н, необязательно замещенный C1-С6алкил или необязательно замещенный арил (фенил или нафтил), гетероарил или гетероциклическую группу, выбранную из группы, состоящей из оксазола, изоксазола, тиазола, изотиазола, имидазола, диазола, оксимидазола, пиррола, пирролидина, фурана, дигидрофурана, тетрагидрофурана, тиена, дигидротиена, тетрагидротиена, пиридина, пиперидина, пиперазина, морфолина, хинолина (каждый из которых предпочтительно замещен C1-С3алкильной группой, предпочтительно метильной или галогенсодержащей группой, предпочтительно F или Cl), бензофурана, индола, индолизина, азаиндолизина;
каждый из RPRO1 и RPRO2 в ULM-g - ULM-i независимо представляет собой Н, необязательно замещенную C1-С3алкильную группу, или они вместе образуют кетогруппу;
НЕТ в ULM-g - ULM-i предпочтительно представляет собой оксазол, изоксазол, тиазол, изотиазол, имидазол, диазол, оксимидазол, пиррол, пирролидин, фуран, дигидрофуран, тетрагидрофуран, тиен, дигидротиен, тетрагидротиен, пиридин, пиперидин, пиперазин, морфолин, хинолин, (каждый из которых предпочтительно замещен C1-С3алкильной группой, предпочтительно метильной или галогенсодержащей группой, предпочтительно F или Cl), бензофуран, индол, индолизин, азаиндолизин или группу в соответствии с химической структурой:
Sc в ULM-g - ULM-i представляет собой CHRSS, NRURE или О;
RHET в ULM-g - ULM-i представляет собой Н, CN, NO2, галоген (предпочтительно Cl или F), необязательно замещенный C1-С6алкил (предпочтительно замещенный одной или двумя гидроксильными группами или не более чем тремя галогенсодержащими группами (например, CF3), необязательно замещенный O(С1-С6алкил) (предпочтительно замещенный одной или двумя гидроксильными группами или не более чем тремя галогенсодержащими группами) или необязательно замещенную ацетиленовую группу -C≡C-Ra, где Ra представляет собой Η или C1-С6алкильную группу (предпочтительно C1-С3алкил);
RSS в ULM-g - ULM-i представляет собой Н, CN, NO2, галоген (предпочтительно F или Cl), необязательно замещенный C1-С6алкил (предпочтительно замещенный одной или двумя гидроксильными группами или не более чем тремя галогенсодержащими группами), необязательно замещенный O-(C1-C6 алкил) (предпочтительно замещенный одной или двумя гидроксильными группами или не более чем тремя галогенсодержащими группами) или необязательно замещенный -С(O)(С1-С6алкил) (предпочтительно замещенный одной или двумя гидроксильными группами или не более чем тремя галогенсодержащими группами);
RURE в ULM-g - ULM-i представляет собой Н, C1-С6алкил (предпочтительно Η или C1-С3алкил) или С(O)(С0-С6алкил), при этом каждая из данных групп необязательно замещена одной или двумя гидроксильными группами или не более чем тремя атомами галогена, предпочтительно фторсодержащими группами, или необязательно замещенный гетероцикл, например, пиперидин, морфолин, пирролидин, тетрагидрофуран, тетрагидротиофен, пиперидин, пиперазин, каждый из которых необязательно замещен;
YC в ULM-g - ULM-i представляет собой N или C-RYC, где RYC представляет собой Н, ОН, CN, NO2, галоген (предпочтительно Cl или F), необязательно замещенный C1-С6алкил (предпочтительно замещенный одной или двумя гидроксильными группами или не более чем тремя галогенсодержащими группами (например, CF3), необязательно замещенный O(С1-С6алкил) (предпочтительно замещенный одной или двумя гидроксильными группами или не более чем тремя галогенсодержащими группами) или необязательно замещенную ацетиленовую группу -C≡C-Ra, где Ra представляет собой Η или C1-С6алкильную группу (предпочтительно C1-С3алкил);
RPRO в ULM-g - ULM-i представляет собой Η, необязательно замещенный C1-С6алкил или необязательно замещенный арил, гетероарил или гетероциклическую группу;
каждый из RPRO1 и RPRO2 в ULM-g - ULM-i независимо представляет собой Н, необязательно замещенную C1-С3алкильную группу, или они вместе образуют кетогруппу;
каждый m’ в ULM-g - ULM-i независимо равняется 0 или 1; и
каждый n в ULM-g - ULM-i независимо равняется 0, 1, 2, 3, 4, 5 или 6 (предпочтительно 0 или 1),
где каждое из указанных соединений, предпочтительно при указанном ариле или НЕТ-группах, необязательно присоединено к группе РТМ (в том числе группе ULM’) посредством линкерной группы.
[0165] В еще одних дополнительных вариантах осуществления предпочтительные соединения включают соединения в соответствии с химической руктурой:
где
R1’ в ULM-i представляет собой ОН или группу, которая метаболизируется в организме пациента или субъекта до ОН;
R2’ в ULM-i представляет собой -NH-СН2-арил-НЕТ (предпочтительно фенил, непосредственно связанный с метилзамещенным тиазолом);
R3’ в ULM-i представляет собой группу -CHRCR3’-NH-C(O)-R3P1 или группу-CHRCR3’-R3P2.;
RCR3’ в ULM-i представляет собой С1-С4алкильную группу, предпочтительно метил, изопропил или трет-бутил;
R3P1 в ULM-i представляет собой C1-С3алкил (предпочтительно метил), необязательно замещенную оксетановую группу (предпочтительно метилзамещенную группу -(СН2)nOCH3, где n равняется 1 или 2
(предпочтительно 2), или группу
(этилэфирная группа предпочтительно мета-замещена при фенильном фрагменте), морфолиновую группу (связанную с карбонилом в 2- или 3-положении;
R3P2 в ULM-i представляет собой группу
арил в ULM-i представляет собой фенил;
НЕТ в ULM-i представляет собой необязательно замещенный тиазол или изотиазол;и
RHET в ULM-i представляет собой Η или галогенсодержащую группу (предпочтительно Н);
или их фармацевтически приемлемую соль, стереоизомер, сольват или полиморф, где каждое из указанных соединений необязательно присоединено к группе РТМ (в том числе группе ULM’) посредством линкерной группы.
[0166] В определенных аспектах бифункциональные соединения содержат фрагмент, связывающий Е3-убиквитинлигазу (ULM), где ULM представляет собой группу в соответствии с химической структурой:
где
каждый из R5 и R6 в ULM-j независимо представляет собой ОН, SH или необязательно замещенный алкил, или R5, R6 и атом углерода, к которому они присоединены, образуют карбонил;
R7 в ULM-j представляет собой Η или необязательно замещенный алкил;
Ε в ULM-j представляет собой связь, С=O или C=S;
G в ULM-j представляет собой связь, необязательно замещенный алкил, -СООН или C=J;
J в ULM-j представляет собой О или N-R8;
R8 в ULM-j представляет собой Н, CN, необязательно замещенный алкил или необязательно замещенный алкокси;
Μ в ULM-j представляет собой необязательно замещенный арил, необязательно замещенный гетероарил, необязательно замещенную
гетероциклическую группу или 
каждый из R9 и R10 в ULM-j независимо представляет собой Н; необязательно замещенный алкил, необязательно замещенный циклоалкил, необязательно замещенный гидроксиалкил, необязательно замещенный тиоалкил, ULM, соединенный дисульфидной связью, необязательно замещенный гетероарил или галогеналкил; или R9, R10 и атом углерода к которому они присоединены, образуют необязательно замещенный циклоалкил;
R11 в ULM-j необязательно представляет собой замещенную гетероциклическую группу, необязательно замещенный алкокси, необязательно
R11 в ULM-j необязательно представляет собой замещенную гетероциклическую группу, необязательно замещенный алкокси, необязательно
замещенный гетероарил, необязательно замещенный арил или 
R12 в ULM-j представляет собой Η или необязательно замещенный алкил;
R13 в ULM-j представляет собой Н, необязательно замещенный алкил, необязательно замещенный алкилкарбонил, необязательно замещенный (циклоалкил)алкилкарбонил, необязательно замещенный аралкилкарбонил, необязательно замещенный арилкарбонил, необязательно замещенный (гетероциклил)карбонил или необязательно замещенный аралкил; необязательно замещенный (оксоалкил)карбамат,
каждый R14 в ULM-j независимо представляет собой Н, галогеналкил, необязательно замещенный циклоалкил, необязательно замещенный алкил или необязательно замещенный гетероциклоалкил;
R15 в ULM-j представляет собой Н, необязательно замещенный гетероарил, галогеналкил, необязательно замещенный арил, необязательно замещенный алкокси или необязательно замещенный гетероциклил;
каждый R16 в ULM-j независимо представляет собой галоген, необязательно замещенный алкил, необязательно замещенный галогеналкил, CN или необязательно замещенный галогеналкокси;
каждый R25 в ULM-j независимо представляет собой Η или необязательно замещенный алкил; или обе группы R25 могут быть взяты вместе с образованием оксо- или необязательно замещенной циклоалкильной группы;
R23 в ULM-j представляет собой Η или ОН;
Ζ1, Z2, Z3 и Z4 в ULM-j независимо представляют собой С или N; и
о в ULM-j равняется 0, 1, 2, 3 или 4, или ее фармацевтически приемлемую соль, стереоизомер, сольват или полиморф.
[0167] В определенных вариантах осуществления, где G в ULM-j представляет собой C=J, J представляет собой О, R7 представляет собой Н, каждый R14 представляет собой Н, и о равняется 0.
[0168] В определенных вариантах осуществления, где G в ULM-j представляет собой C=J, J представляет собой О, R7 представляет собой Н, каждый R14 представляет собой Н, R15 представляет собой необязательно замещенный гетероарил, и о равняется 0. В других случаях Ε представляет собой С=O, и Μ представляет собой
[0169] В определенных вариантах осуществления, где Ε в ULM-j представляет собой С=O, R11 представляет собой необязательно замещенную гетероциклическую
группу или
и Μ представляет собой 
[0170] В определенных вариантах осуществления, где Ε в ULM-j представляет
собой С=O, Μ представляет собой
и R11 представляет собой
каждый R18 независимо представляет собой галоген, необязательно замещенный алкокси, циано, необязательно замещенный алкил, галогеналкил или галогеналкокси; и p равняется 0, 1, 2, 3 или 4.
[0171] В определенных вариантах осуществления каждый из ULM и, в случае его присутствия, ULM’ независимо представляет собой группу в соответствии с химической структурой:
где
G в ULM-k представляет собой C=J, J представляет собой О;
R7 в ULM-k представляет собой Н;
каждый R14 в ULM-k представляет собой Н;
о в ULM-k равняется 0;
R15 в ULM-k представляет собой
; и
R17 в ULM-k представляет собой Н, галоген, необязательно замещенный циклоалкил, необязательно замещенный алкил, необязательно замещенный алкенил и галоген алкил.
[0172] В других случаях R17 в ULM-k представляет собой алкил (например, метил) или циклоалкил (например, циклопропил).
[0173] В других вариантах осуществления каждый из ULM и, в случае его присутствия, ULM' независимо представляет собой группу в соответствии с химической структурой:
,
где
G в ULM-k представляет собой C=J, J представляет собой О;
R7 в ULM-k представляет собой Н;
каждый R14 в ULM-k представляет собой Н;
о в ULM-k равняется 0; и
R15 в ULM-k выбран из группы, состоящей из
и
, где R30 в ULM-k представляет собой H или необязательно замещенный алкил.
[0174] В других вариантах осуществления каждый из ULM и, в случае его присутствия, ULM' независимо представляет собой группу в соответствии с химической структурой:
,
где
E в ULM-k представляет собой С=O;
M в ULM-k представляет собой
; и
R11 в ULM-k выбран из группы, состоящей из
и 
[0175] В еще одних вариантах осуществления соединение имеет химическую структуру,
где E в ULM-k представляет собой С=O;
R11 в ULM-k представляет собой
; и
M в ULM-k представляет собой
;
q в ULM-k равняется 1 или 2;
R20 в ULM-k представляет собой Н, необязательно замещенный алкил, необязательно замещенный циклоалкил, необязательно замещенный арил или
;
R21 в ULM-k представляет собой H или необязательно замещенный алкил; и
R22 в ULM-k представляет собой Н, необязательно замещенный алкил, необязательно замещенный алкокси или галогеналкил.
[0176] В любом варианте осуществления, описанном в данном документе, R11 в ULM-j или в ULM-k выбран из группы, состоящей из
и 
[0177] В определенных вариантах осуществления R11 в ULM-j или в ULM-k выбран из группы, состоящей из
и 
[0178] В определенных вариантах осуществления ULM (или, в случае его присутствия, ULM') представляет собой группу в соответствии с химической структурой:
где
X в ULM-1 представляет собой О или S;
Y в ULM-1 представляет собой Н, метил или этил;
R17 в ULM-1 представляет собой Н, метил, этил, гидроксиметил или циклопропил;
M в ULM-1 представляет собой необязательно замещенный арил, необязательно замещенный гетероарил или
;
R9 в ULM-1 представляет собой Н;
R10 в ULM-1 представляет собой Н, необязательно замещенный алкил, необязательно замещенный галогеналкил, необязательно замещенный гетероарил, необязательно замещенный арил, необязательно замещенный гидроксиалкил, необязательно замещенный тиоалкил или циклоалкил;
R11 в ULM-1 представляет собой необязательно замещенную гетероароматическую группу, необязательно замещенную гетероциклическую группу, необязательно замещенный арил или
;
R12 в ULM-1 представляет собой H или необязательно замещенный алкил; и
R13 в ULM-1 представляет собой Н, необязательно замещенный алкил, необязательно замещенный алкилкарбонил, необязательно замещенный (циклоалкил)алкилкарбонил, необязательно замещенный аралкилкарбонил, необязательно замещенный арилкарбонил, необязательно замещенный (гетероциклил)карбонил или необязательно замещенный аралкил; необязательно замещенный (оксоалкил)карбамат.
[0179] В некоторых вариантах осуществления каждый из ULM и, в случае его присутствия, ULM' независимо представляет собой группу в соответствии с химической структурой:
где
Y в ULM-m представляет собой H, метил или этил;
R9 в ULM-m представляет собой Н;
R10 представляет собой изопропил, трет-бутил, втор-бутил, циклопентил или циклогексил;
R11 в ULM-m представляет собой необязательно замещенный амид, необязательно замещенный изоиндолинон, необязательно замещенный изооксазол, необязательно замещенные гетероциклы.
[0180] В других вариантах осуществления обретения каждый из ULM и, в случае его присутствия, ULM' независимо представляет собой группу в соответствии с химической структурой:
где
R17 в ULM-n представляет собой метил, этил или циклопропил; и
R9, R10 и R11 в ULM-n являются такими, как определено выше. В других случаях R9 представляет собой Н; и
R10 в ULM-n представляет собой Н, алкил или циклоалкил (предпочтительно, изопропил, трет-бутил, втор-бутил, циклопентил или циклогексил).
[0181] В любом из аспектов или вариантов осуществления, описанных в данном документе, ULM (или, в случае его присутствия, ULM'), как описано в данном документе, может представлять собой его фармацевтически приемлемую соль, энантиомер, диастереомер, сольват или полиморф. Кроме того, в любом из аспектов или вариантов осуществления, описанных в данном документе, ULM (или, в случае его присутствия, ULM'), как описано в данном документе, может быть связан с РТМ непосредственно с помощью связи или химического линкера.
[0182] В определенных аспектах настоящего изобретения фрагмент ULM выбран из группы, состоящей из
и 
в
где VLM может быть присоединен к РТМ посредством линкера, описанного в данном документе, в любом подходящем положении, в том числе, например, при ариле, гетероариле, фениле или фениле индольной группы, необязательно посредством любой подходящей функциональной группы, такой как амин, сложный эфир, эфир, алкил или алкокси.
Иллюстративные ILM
[0183] Тетрапептидные фрагменты AVPI
[0134] В любом из соединений, описанных в данном документе, ILM может содержать тетрапептидный фрагмент аланин-валин-пролин-изолейцин (AVPI) или его неприродный миметик. В определенных вариантах осуществления ILM выбран из группы, состоящей из химических структур, представленных посредством формул (I), (II), (III), (IV) и (V):
где
R1 для формул (I), (II), (III), (IV) и (V) выбран из H или алкила;
R2 для формул (I), (II), (III), (IV) и (V) выбран из H или алкила;
R3 для формул (I), (II), (III), (IV) и (V) выбран из Н, алкила, циклоалкила и гетероциклоалкила;
R5 и R6 для формул (I), (II), (III), (IV) и (V) независимо выбраны из Н, алкила, циклоалкила, гетероциклоалкила или, более предпочтительно, R5 и R6, взятые вместе для формул (I), (II), (III), (IV) и (V), образуют пирролидиновое или пиперидиновое кольцо, дополнительно необязательно конденсированное с 1-2-циклоалкильными, гетероциклоалкильными, арильными или гетероарильными кольцами, каждое из которых затем может быть дополнительно конденсировано с другим циклоалкильным, гетероциклоалкильным, арильным или гетероарильным кольцом;
R3 и R5 для формул (I), (II), (III), (IV) и (V), взятые вместе, могут образовывать 5-8-членное кольцо, дополнительно необязательно конденсированное с 1-2 циклоалкильными, гетероциклоалкильными, арильными или гетероарильными кольцами;
R7 для формул (I), (II), (III), (IV) и (V) выбран из циклоалкила, циклоалкилалкила, гетероциклоалкила, гетероциклоалкилалкила, арила, арил-C(O)-R4, арилалкила, гетероарила, гетероарил-C(O)-R4, гетероарил-R4, гетероарилнафталина, гетероарилалкила или -C(O)NH-R4, каждый из которых дополнительно необязательно замещен 1-3 заместителями, выбранными из галогена, алкила, галогеналкила, гидроксила, алкокси, циано, (гетеро)циклоалкила, (гетеро)арила, -С(О)NH-R4 или -C(O)-R4; и
R4 выбран из алкила, циклоалкила, гетероциклоалкила, циклоалкилалкила, гетероциклоалкилалкила, арила, арилалкила, гетероарила, гетероарилалкила, дополнительно необязательно замещенных 1-3 заместителями, описанными выше.
[0185] Как показано выше, P1, P2, Р3 и Р4 в формуле (II) соответствует А, V, P и I соответственно тетрапептидного фрагмента AVPI или его неприродного миметика. Подобным образом, в каждой из формул (I) и (III)-(V) присутствуют части, соответствующие А, V, P и I тетрапептидного фрагмента AVPI или его неприродного миметика.
[0186] В любом из соединений, описанных в данном документе, ILM может иметь структуру формулы (VI), которая представляет собой производное антагонистов IAP, описанных в публ. WO. №2008/014236, или ее неприродного миметика,
где
R1 в формуле (VI) независимо выбран из Н, С1-С4-алкила, С1-С4-алкенила, С1-С4-алкинила или С3-С10-циклоалкила, которые являются незамещенными или замещенными;
R2 в формуле (VI) независимо выбран из Н, С1-С4-алкила, С1-С4-алкенила, С1-С4-алкинила или С3-С10-циклоалкила, которые являются незамещенными или замещенными;
R3 в формуле (VI) независимо выбран из Н, -CF3, -С2Н5, С1-С4-алкила, C1-С4-алкенила, С1-С4-алкинила, -CH2-Z, или любые R2 и R3 вместе образуют гетероциклическое кольцо;
каждый Z в формуле (VI) независимо выбран из Н, -ОН, F, Cl, -СН3, -CF3, -CH2Cl, -CH2F или -СН2ОН;
R4 в формуле (VI) независимо выбран из C1-С16алкила с прямой или разветвленной цепью, C1-C16-алкенила, С1-С16-алкинила, С3-С16-циклоалкила, -(CH2)0-6-Z1, -(СН2)0-6-арила и -(CH2)0-6-het, где алкил, циклоалкил и фенил являются незамещенными или замещенными;
R5 в формуле (VI) независимо выбран из Н, С1-10-алкила, арила, фенила, С3-7-циклоалкила, -(СН2)1-6-С3-7-циклоалкила, -С1-10-алкиларила, -(СН2)0-6-С3-7-циклоалкил-(СН2)0-6-фенила, -(СН2)0-4-СН[(СН2)1-4-фенил]2, инданила, -C(О)-C1-10-алкила, -С(О)-(СН2)1-6-С3-7-циклоалкила, -С(О)-(СН2)0-6-фенила, -(СН2)0-6-С(О)-фенила, -(CH2)0-6-het, -C(О)-(CH2)1-6-het, или R5 выбран из остатка аминокислоты, где алкильные, циклоалкильные, фенильные и арильные заместители являются незамещенными или замещенными;
Z1 в формуле (VI) независимо выбран из N(R10)-С(O)-С1-10-алкила, -N(R10)-С(O)-(СН2)0-6-С3-7-циклоалкила, -N(R10)-C(O)-(CH2)0-6-фенила, -N(R10)-C(О)(CH2)1-6-het, -C(О)-N(R10)(R12), -С(О)-О-С1-10-алкила, -C(О)-О-(CH2)1-6-C3-7-циклоалкила, -С(О)-О-(СН2)0-6-фенила, -С(О)-О-(CH2)1-6-het, -О-С(О)-С1-10-алкила, -О-С(О)-(СН2)1-6-С3-7-циклоалкила, -О-С(О)-(СН2)0-6-фенила, -О-С(О)-(CH2)1-6-het, где алкил, циклоалкил и фенил являются незамещенными или замещенными;
het в формуле (VI) независимо выбран из 5-7-членного гетероциклического кольца, содержащего 1-4 гетероатома, выбранных из N, О и S, или 8-12-членной конденсированной кольцевой системы, содержащей по меньшей мере одно 5-7-членное гетероциклическое кольцо, содержащее 1, 2 или 3 гетероатома, выбранные из N, О и S, при этом гетероциклическое кольцо или конденсированная кольцевая система являются незамещенными или замещенными по атому углерода или азота;
R10 в формуле (VI) выбран из Н, -СН3, -CF3, -СН2ОН или -CH2Cl;
R11 и R12 в формуле (VI) независимо выбраны из Н, C1-4-алкила, С3-7-циклоалкила, -(СН2)1-6-С3-7-циклоалкила, (СН2)0-6-фенила, где алкил, циклоалкил и фенил являются незамещенными или замещенными; или R11 и R12 вместе атомом азота образуют het, и
U в формуле (VI) независимо является таким, как показано в формуле (VII),
где
каждый n в формуле (VII) независимо выбран из 0-5;
X в формуле (VII) выбран из группы, состоящей из -СН и N;
Ra и Rb в формуле (VII) независимо выбраны из группы, состоящей из атомов О, S или N или C0-8-алкила, где один или более атомов углерода в алкильной цепи необязательно заменены гетероатомом, выбранным из О, S или N, и где каждый алкил независимо является либо незамещенным, либо замещенным;
Rd в формуле (VII) выбран из группы, состоящей из Re-Q-(Rf)p(Rg)q и Ar1-D-Ar2;
Rc в формуле (VII) выбран из группы, состоящей из Н, или любые Rc и Rd вместе образуют циклоалкил или het; где если Rc и Rd образуют циклоалкил или het, R5 присоединен к образованному кольцу при атоме С или N;
p и q в формуле (VII) независимо выбраны из 0 или 1;
Re в формуле (VII) выбран из группы, состоящей из C1-8-алкила и алкилидена, и каждый Re является либо незамещенным, либо замещенным;
Q выбран из группы, состоящей из N, О, S, S(O) и S(O)2;
Ar1 и Ar2 в формуле (VII) независимо выбраны из группы, состоящей из замещенного или незамещенного арила и het;
Rf и Rg в формуле (VII) независимо выбраны из Н, -C1-10-алкила, С1-10-алкиларила, -ОН, -О-С1-10-алкила, -(СН2)0-6-С3-7-циклоалкила, -O-(СН2)0-6-арила, фенила, арила, фенил-фенила, -(CH2)1-6-het, -O-(CH2)1-6-het, -OR13, -C(0)-R13, -C(O)-N(R13)(R14), -N(R13)(R14), -S-R13, -S(O)-R13, -S(O)2-R13, -S(O)2-NR13R14, -NR13-S(O)2-R14, -S-Ct-10-алкила, арил-С1-4-алкила или het-C1-4-алкила, где алкил, циклоалкил, het и арил являются незамещенными или замещенными, -SO2-C1-2-алкила, -SO2-С1-2-алкилфенила, -O-C1-4-алкила, или любые Rg и Rf вместе образуют кольцо, выбранное из het или арила;
D в формуле (VII) выбран из группы, состоящей из -СО-, -C(O)-C1-7-алкилена или арилена, -CF2-, -О-, -S(O)r, где r равняется 0-2, 1,3-диоксалана или C1-7-алкил-ОН; где алкил, алкилен или арилен являются незамещенными или замещенными одним или более из галогенов, ОН, -O-C1-6-алкила, -S-C1-6-алкила или -CF3; или каждый D независимо выбран из N(Rh);
Rh выбран из группы, состоящей из Н, незамещенного или замещенного C1-7-алкила, арила, незамещенного или замещенного -O-(С1-7-циклоалкил), -С(O)-С1-10-алкила, -С(O)-С01-10-алкиларила, -C-O-C01-10-алкила, -С-О-С0-10-алкиларила, -SO2-С1-10-алкила или -SO2-(С0-10-алкиларил);
R6, R7, R8 и R9 в формуле (VII) независимо выбраны из группы, состоящей из Н, -С1-10-алкила, -С1-10-алкокси, арил-С1-10-алкокси, -ОН, -О-С1-10-алкила, -(СН2)0-6-С3-7-циклоалкила, -O-(СН2)0-6-арила, фенила, -(CH2)1-6-het, -О-(CH2)1-6-het, -OR13, -C(O)-R13, -C(O)-N(R13)(R14), -N(R13)(R14), -S-R13, -S(O)-R13, -S(O)2-R13, -S(O)2-NR13R14 или -NR13-S(O)2-R14; где каждый алкил, циклоалкил и арил является незамещенным или замещенным; и любые R6, R7, R8 и R9 необязательно вместе образуют кольцевую систему;
R13 и R14 в формуле (VII) независимо выбраны из группы, состоящей из Н, С1-10-алкила, -(СН2)0-6-С3-7-циклоалкила, -(СН2)0-6-(СН)0-1-(арил)1-2, -C(O)-C1-10-алкила, -С(O)-(СН2)1-6-С3-7-циклоалкила, -С(О)-О-(СН2)0-6-арила, -С(О)-(СН2)0-6-О-флуоренила, -С(О)-NH-(СН2)0-6-арила, -С(О)-(СН2)0-6-арила, -С(О)-(CH2)0-6-het,-С(S)-С1-10-алкила, -С(S)-(СН2)1-6-С3-7-циклоалкила, -C(S)-O-(CH2)0-6-арила, -С(S)-(СН2)0-6-O-флуоренила, -С(S)-NH-(СН2)0-6-арила, -C(S)-(CH2)0-6-арила или -C(S)-(CH2)1-6-het, где каждый алкил, циклоалкил и арил является незамещенным или замещенным, или любые R13 и R14 вместе с атомом азота образуют net;
где алкильные заместители в R13 и R14 в формуле (VII) являются незамещенными или замещенными и при замещении замещены одним или более заместителями, выбранными из С1-10-алкила, галогена, OH, -O-C1-6-алкила, -S-C1-6-алкила и -CF3, и замещенный фенил или арил в R13 и R14 замещены одним или более заместителями, выбранными из галогена, гидроксила, С1-4-алкила, C1-4-алкокси, нитро, -CN, -O-C(O)-C1-4-алкила и -С(O)-O-C1-4-арила, или представляет собой их фармацевтически приемлемую соль или гидрат.
[0187] В любом из соединений, описанных в данном документе, ILM может иметь структуру формулы (VIII), которая основана на лигандах IAP, описанных в Ndubaku, С., et al. Antagonism of с-IAP and XIAP proteins is required for efficient induction of cell death by small-molecule IAP antagonists, ACS Chem. Biol., 557-566, 4(7) (2009), или ее неприродного миметика,
где каждый из А1 и А2 в формуле (VIII) независимо выбран из необязательно замещенных моноциклических, конденсированных колец, арилов и гетероарилов; и
R в формуле (VIII) выбран из H или Me.
[0188] В конкретном варианте осуществления линкерная группа L присоединена к А1 в формуле (VII). В другом варианте осуществления линкерная группа L присоединена к А2 в формуле (VIII).
[0189] В конкретном варианте осуществления ILM выбран из группы, состоящей из
и 
[0190] В любом из соединений, описанных в данном документе, ILM может иметь структуру формулы (IX), которая получена из хемотипов, на которые сделана перекрестная ссылка в Mannhold, R., et al. IAP antagonists: promising candidates for cancer therapy, Drug Discov. Today, 15 (5-6), 210-9 (2010), или ее неприродного миметика,
где R1 выбран из алкила, циклоалкила и гетероциклоалкила и наиболее предпочтительно из изопропила, трет-бутила, циклогексила и тетрагидропиранила, и R2 в формуле (IX) выбран из -OPh или Н.
[0191] В любом из соединений, описанных в данном документе, ILM может иметь структуру формулы (X), которая получена из хемотипов, на которые сделана перекрестная ссылка в Mannhold, R., et al. IAP antagonists: promising candidates for cancer therapy, Drug Discov. Today, 15 (5-6), 210-9 (2010), или ее неприродного миметика,
где
R1 в формуле (X) выбран из Н, -СН2ОН, --СН2СН2ОН, --CH2NH2, --CH2CH2NH2;
X в формуле (X) выбран из S или СН2,
R2 в формуле (X) выбран из:
R3 и R4 в формуле (X) независимо выбраны из H или Me.
[0192] В любом из соединений, описанных в данном документе, ILM может иметь структуру формулы (XI), которая получена из хемотипов, на которые сделана перекрестная ссылка в Mannhold, R., et al. IAP antagonists: promising candidates for cancer therapy, Drug Discov. Today, 15 (5-6), 210-9 (2010), или ее неприродного миметика, 
где R1 в формуле (XI) выбран из Н или Me, и R2 в формуле (XI) выбран из Н или
[0193] В любом из соединений, описанных в данном документе, ILM может иметь структуру формулы (ХП), которая получена из хемотипов, на которые сделана перекрестная ссылка в Mannhold, R., et al. IAP antagonists: promising candidates for cancer therapy, Drug Discov. Today, 15 (5-6), 210-9 (2010), или ее неприродного миметика,
где
R1 в формуле (XII) выбран из
R2 в формуле (XII) выбран из
[0194] В любом из соединений, описанных в данном документе, фрагмент, связывающий IAP Е3-убиквитинлигазного комплекса, выбран из группы, состоящей из:
[0195] В любом из соединений, описанных в данном документе, ILM может иметь структуру формулы (ХШ), которая основана на структуре лигандов IAP, кратко описанных в Flygare, J.A., et al. Small-molecule pan-IAP antagonists: a patent review, Expert Opin. Ther. Pat., 20 (2), 251-67 (2010), или ее неприродного миметика,
где
Z в формуле (XIII) отсутствует или представляет собой О,
R1 в формуле (XIII) выбран из
R10 в
выбран из Н, алкила или арила;
X выбран из СН2 и О, и
представляет собой азотсодержащий гетероарил.
[0196] В любом из соединений, описанных в данном документе, ILM может иметь структуру формулы (XIV), которая основана на структуре лигандов IAP, кратко описанных в Flygare, J.A., et al. Small-molecule pan-IAP antagonists: a patent review, Expert Opin. Ther. Pat., 20 (2), 251-67 (2010), или ее неприродного миметика,
где
Z в формуле (XIV) отсутствует или представляет собой О,
R3 и R4 в формуле (XIV) независимо выбраны из Н или Me;
R1 в формуле (XIV) выбран из
R10 в
выбран из Н, алкила или арила;
Х в
выбран из СН2 и О, и
или
представляет собой азотсодержащий гетероарил.
[0197] В любом из соединений, описанных в данном документе, ILM выбран из группы, состоящей из
, которые представляют собой производные лигандов, раскрытых в публ. патента США №2008/0269140 и в патенте США №7244851.
[0198] В любом из соединений, описанных в данном документе, ILM может иметь структуру формулы (XV), которая представляет собой производное лиганда IAP, описанное в публ. WO №2008/128171, или ее неприродного миметика,
(XV) где
Z в формуле (XV) отсутствует или представляет собой О,
R1 в формуле (XV) выбран из
R10 в
выбран из Н, алкила или арила;
Х в
выбран из СН2 и О, и
или
представляет собой азотсодержащий гетероарил, и
R2 в формуле (XV) выбран из Н, алкила или ацила;
[0199] В конкретном варианте осуществления ILM имеет следующую структуру:
[0200] В любом из соединений, описанных в данном документе, ILM может иметь структуру формулы (XVI), которая основана на структуре лиганда IAP, описанного в публ. WO №2006/069063, или ее неприродного миметика,
где
R2 в формуле (XVI) выбран из алкила, циклоалкила и гетероциклоалкила; более предпочтительно из изопропила, трет-бутила, циклогексила и тетрагидроггиранила, наиболее предпочтительно из циклогексила;
в формуле (XVI) представляет собой 5- или 6-членный азотсодержащий гетероарил; более предпочтительно, 5-членный азотсодержащий гетероарил и наиболее предпочтительно тиазол; и
Ar в формуле (XVI) представляет со6ой арил или гетероарил.
[0201] В любом из соединений, описанных в данном документе, ILM может иметь структуру формулы (XVII), которая основана на структуре лигандов IAP, описанных в Cohen, F. et al., Antagonists of inhibitors of apoptosis proteins based on thiazole amide isosteres, Bioorg. Med. Chem. Lett., 20(7), 2229-33 (2010), или ее неприродного миметика,
где
R1 в формуле (XVII) выбран из группы, состоящей из галогена (например, фтора), циано,
X в формуле (XVII) выбран из группы, состоящей из О или СН2.
[0202] В любом из соединений, описанных в данном документе, ILM может иметь структуру формулы (XVIII), которая основана на структуре лигандов IAP, описанных в Cohen, F. et al., Antagonists of inhibitors of apoptosis proteins based on thiazole amide isosteres, Bioorg. Med. Chem. Lett., 20(7), 2229-33 (2010), или ее неприродного миметика,
где R в формуле (XVIII) выбран из алкила, арила, гетероарила, арилалкила, гетероарилалкила или галогена (в различных положениях замещения).
[0203] В любом из соединений, описанных в данном документе, ILM может иметь структуру формулы (XIX), которая основана на структуре лигандов IAP, описанных в Cohen, F. et al., Antagonists of inhibitors of apoptosis proteins based on thiazole amide isosteres, Bioorg. Med. Chem. Lett, 20(7), 2229-33 (2010), или ее неприродного миметика,
где
представляет собой 6-членный гетероарил, содержащий азот.
[0204] В определенном варианте осуществления ILM в композиции выбран из группы, состоящей из
[0205] В определенных вариантах осуществления ILM в композиции выбран из группы, состоящей из
[0206] В любом из соединений, описанных в данном документе, ILM может иметь структуру формулы (XX), которая основана на структуре лигандов IAP описанных в публ. WO №2007/101347, или ее неприродного миметика,
где X в формуле (XX) выбран из CH2, О, NH или S.
[0207] В любом из соединений, описанных в данном документе, ILM может иметь структуру формулы (XXI), которая основана на структуре лигандов IAP, описанных в патенте США №7345081 и патенте США №7419975, или ее неприродного миметика,
где
R2 в формуле (XXI) выбран из 
R5 в формуле (XXI) выбран из 
W в формуле (XXI) выбран из СН или N; и
R6 в
независимо представляет собой моно- или бициклический конденсированный арил или гетероарил.
[0208] В определенных вариантах осуществления ILM в соединении выбран из группы, состоящей из
[0209] В любом из соединений, описанных в данном документе, ILM может иметь структуру формулы (XXII) или (XXIV), которая получена из структуры лигандов IAP, описанных в публ. WO №2015/006524 и Perez HL, Discovery of potent heterodimeric antagonists of inhibitor of apoptosis proteins (lAPs) with sustained antitumor activity. J. Med. Chem. 58(3), 1556-62 (2015), или ее неприродного миметика, и химического линкера к линкерной группе L, как показано далее:
где
R1 в формулах (XXII), (XXIII) или (XXIV) выбран из необязательно замещенного алкила, необязательно замещенного циклоалкила, необязательно замещенного циклоалкилалкила, необязательно замещенного гетероциклила, не обязательно замещенного арилалкила или необязательно замещенного ар ил а;
R2 в формулах (XXII), (XXIII) или (XXIV) выбран из необязательно замещенного алкила, необязательно замещенного циклоалкила, необязательно замещенного циклоалкилалкила, необязательно замещенного гетероциклила, не обязательно замещенного арилалкила или необязательно замещенного арила;
или в качестве альтернативы
R1 и R2 в формулах (ХХП), (XXIII) или (XXIV) независимо выбраны из необязательно замещенного тиоалкила, где заместители, присоединенные к атому S тиоалкила, представляют собой необязательно замещенный алкил, необязательно замещенный разветвленный алкил, необязательно замещенный гегероциклил, -(CH2)vCOR20, -CH2CHR21COR22 или --CH2R23,
где
v представляет собой целое число от 1 до 3,
R20 и R22 в -(CH2)vCOR2 и --CH2R23 независимо выбраны из ОН, NR24R25 или OR26,
R21 в -CH2CHR21COR2 выбран из NR24R25,
R23 в --CH2R23 выбран из необязательно замещенного арила или необязательно замещенного гетероциклила, где необязательные заместители включают алкил и галоген;
R24 в NR24R25 выбран из водорода или необязательно замещенного ал кила;
R25 в NR24R25 выбран из водорода, необязательно замещенного алкила, необязательно замещенного разветвленного алкила, необязательно замещенного арилалкила, необязательно замещенного гетероциклила, -CH2(OCH2CH2O)mCH3 или полиаминной цепи, такой как спермин или спермидин;
R26 в OR26 выбран из необязательно замещенного алкила, где необязательные заместители представляют собой ОН, галоген или NH2; и
m представляет собой целое число от 1 до 8;
R3 и R4 в формулах (XXII), (XXIII) или (XXIV) независимо представляют собой необязательно замещенный алкил, необязательно замещенный циклоалкил, необязательно замещенный арил, необязательно замещенный арилалкил, необязательно замещенный арилалкокси, необязательно замещенный гетероарил, необязательно замещенный гетероциклил, необязательно замещенный гетероарилалкил или необязательно замещенный гетероциклоалкил, где заместители представляют собой алкил, галоген или ОН;
R5, R6, R7 и R8 в формулах (XXII), (XXIII) или (XXIV) независимо представляют собой водород, необязательно замещенный алкил или необязательно замещенный циклоалкил; и/или представляет собой ее фармацевтически приемлемую соль, таутомер или стереоизомер.
[0210] В конкретном варианте осуществления в ILM в соответствии с формулами (XXII) - (XXIV)
R7 и R8 выбраны из Н или Me;
R5 и R6 выбраны из группы, состоящей из
R3 и R4 выбраны из группы, состоящей из
[0211] В любом из соединений, описанных в данном документе, ILM может иметь структуру формулы (XXV), (XXVI), (XXVII), или (XXVIII), которая получена из структуры лигандов IAP, описанных в публ. WO №2014/055461 и Kim, KS, Discovery of tetrahydroisoquinoline-based bivalent heterodimeric IAP antagonists. Bioorg. Med. Chem. Lett 24(21), 5022-9 (2014), или ее неприродного миметика, и химического линкера клинкерной группе L, как показано далее:
где
R2 в формулах (XXV)-(XXVIII) выбран из Н, необязательно замещенного алкила, необязательно замещенного циклоалкила, необязательно замещенного циклоалкилалкила, необязательно замещенного гетероциклила, не обязательно замещенного арилалкила или необязательно замещенного ар ил а;
или в качестве альтернативы
R1 и R2 в формулах (XXV) и (XXVIII) независимо выбраны из Н, необязательно замещенного -raoanKm:-CR60R61SR70, где R60 и R61 выбраны из Н или метила, и R70 представляет собой необязательно замещенный алкил, необязательно замещенный разветвленный алкил, необязательно замещенный гетероциклил, -(CH2)v(COR30, -CH2CHR21COR22 или -CH2R23;
где
v представляет собой целое число от 1 до 3;
R20 и R22 в -(CH2),COR20, -CH2CHR21COR22 независимо выбраны из ОН, NR24R25 или OR26,
R21 в -CH2CHR21COR22 выбран из NR24R25;
R23 в -CH2R23 выбран из необязательно замещенного арила или необязательно замещенного гетероциклила, где необязательные заместители включают ал к ил и галоген;
R24 в NR24R25 выбран из водорода или необязательно замещенного алкила;
R25 в NR24R25 выбран из водорода, необязательно замещенного алкила, необязательно замещенного разветвленного алкила, необязательно замещенного ар ил ал кил а, необязательно замещенного гетероциклила, -СН2СН2(OCH2CH2)mCH3 или полиаминной цепи -[CH2CH2(CH2)δNH]ψCH2CH2(CH2)ωrNH2, такой как спермин или спермидин,
где δ=O-2, ψ=1-3, ω=O-2;
R26 в OR26
представляет собой необязательно замещенный алкил, где необязательные заместители представляют собой ОН, галоген или NH2;
m представляет собой целое число от 1 до 8;
R6 и R8 в формулах (XXV)-(XXVIII) независимо выбраны из водорода, необязательно замещенного алкила или необязательно замещенного цикл о ал кил а; и
R31 в формулах (XXV) - (XXVIII) выбран из алкила, арила, арилалкила, гетероарила или гетероарилалкила, необязательно дополнительно замещенных, предпочтительно выбранных из группы, состоящей из
[0212] В любом из соединений, описанных в данном документе, ILM может иметь структуру формулы (XXIX) или (XXX), которая получена из структуры лигандов IAP, описанных в публ. WO №2013/071039, или ее неприродного миметика,
где
R43 и R44 в формулах (XXIX) и (XXX) независимо выбраны из водорода, алкила, арила, арилалкила, гетероарила, гетероарилалкила, циклоалкила, циклоалкилалкила, дополнительно необязательно замещенных, и
R6 и R8 в формулах (XXIX) и (XXX) независимо выбраны из водорода, необязательно замещенного алкила или необязательно замещенного циклоалкила.
каждый X в формулах (XXIX) и (XXX) независимо выбран из
каждый Z в формулах (XXIX) и (XXX) выбран из
где каждый
представляет собой точку присоединения к соединению; и каждый Y выбран из
где
где
представляет собой точку присоединения к части -С=O соединения;
представляет собой точку присоединения к аминочасти соединения;
представляет собой первую точку присоединения к Z;
представляет собой вторую точку присоединения к Z, и А выбран из -C(O)R3 или
, или таутомерной формы любого из вышеуказанных, где
R3 в -C(O)R3 выбран из ОН, NHCN, NHSO2R10, NHOR11 или N(R12)(R13),
R10 и R11 в NHSO2R10 и NHOR11 независимо выбраны из -С1-С4алкила, циклоалкила, арила, гетероарила или гетероциклоалкила, любой из которых не обязательно замещен, и водорода,
каждый из R12 и R13 в N(R12)(R13) независимо выбран из водорода, -C1-С4алкила, -(С1-С4алкилен)-NH-(С1-С4алкил), бензила, -(С1-С4алкилен)-С(O)ОН,
-(С1-С4алкилен)-С(O)СН3, -СН(бензил)-СООН, -С1-С4алкокси и
-(С1-С4алкилен)-O-(С1-С4гидроксиалкил), или R12 и R13 в N(R12)(R13) взяты вместе с атомом азота, с которым они совместно связаны, с образованием насыщенного гетероциклила, необязательно содержащего один дополнительный гетер о атом, выбранный из N, О и S, и где насыщенный гетероцикл необязательно замещен метилом.
[0213] В любом из соединений, описанных в данном документе, ILM может иметь структуру формулы (XXXI), которая получена из структуры лигандов IAP, описанных в публ. WO №2013/071039, или ее неприродного миметика,
где
W1 в формуле (XXXI) выбран из О, S, N-RA или C(R8a)(Rb),
W2 в формуле (XXXI) выбран из О, S, N-RA или C(R8c)(R8d); при условии, что W1 и W2 одновременно не представляют собой О или S;
R1 в формуле (XXXI) выбран из Н, C1-С6алкила, С3-С6циклоалкила, -C1-С6алкил-(замещенный или незамещенный С3-С6циклоалкил), замещенного или незамещенного арила, замещенного или незамещенного гетероарила, -C1-С6алкил-(замещенный или незамещенный арил) или С1-С6алкил-(замещенный или незамещенный гетероарил);
если X1 выбран из О, N-RA, S, S(O) или S(O)2, то X2 представляет собой C(R2aR2b);
или
X1 в формуле (XXXI) выбран из CR2cR2d, и X2 представляет собой CR2aR2b, и R2c и R2a вместе образуют связь;
или
X1 и X2 в формуле (XXXI) независимо выбраны из С и N и являются членами конденсированного замещенного или незамещенного насыщенного или частично насыщенного 3-10-членного циклоалкильного кольца, конденсированного замещенного или незамещенного насыщенного или частично насыщенного 3-10-членного гетероциклоалкильного кольца, конденсированного замещенного или незамещенного 5-10-членного арильного кольца, или конденсированного замещенного или незамещенного 5-10-членного гетероарильного кольца;
или
X1 в формуле (XXXI) выбран из СН2, и X2 представляет собой С=O, C=C(RC)2 или C=NRC; где каждый Rc независимо выбран из Н, -CN, -ОН, алкокси, замещенного или незамещенного C1-С6алкила, замещенного или незамещенного С3-С6циклоалкила, замещенного или незамещенного С2-С5гетероциклоалкила, замещенного или незамещенного арила, замещенного или незамещенного гетероарила, -С1-С6алкил-(замещенный или незамещенный С3-С6циклоалкил), -С1-С6алкил-(замещенный или незамещенный С2-С5гетероциклоалкил), -С1-С6алкил-(замещенный или незамещенный арил) или С1-С6алкил-(замещенный или незамещенный гетероарил);
RA в N-RA выбран из Н, C1-С6алкила, -С(=O)С1-С2алкила, замещенного или незамещенного арила или замещенного или незамещенного гетероарила;
R2a, R2b, R2c, R2d в CR2cR2d и CR2aR2b независимо выбраны из Н, замещенного или незамещенного С1-С6алкила, замещенного или незамещенного C1-С6гетероалкила, замещенного или незамещенного С3-С6циклоалкила, замещенного или незамещенного С2-С5гетероциклоалкила, замещенного или незамещенного арила, замещенного или незамещенного гетероарила, -С1-С6алкил-(замещенный или незамещенный С3-С6циклоалкил), -С1-С6алкил-(замещенный или незамещенный С2-С5гетероциклоалкил), -C1-С6алкил-(замещенный или незамещенный арил), -С1-С6алкил-(замещенный или незамещенный гетероарил) и -C(=O)RB;
RB в -C(=O)RB выбран из замещенного или незамещенного C1-С6алкила, замещенного или незамещенного С3-С6циклоалкила, замещенного или незамещенного С2-С5гетероциклоалкила, замещенного или незамещенного арила, замещенного или незамещенного гетероарила, -С1-С6алкил-(замещенный или незамещенный С3-С6циклоалкил), -С1-С6алкил-(замещенный или незамещенный С2-С6гетероциклоалкил), -С1-С6алкил-(замещенный или незамещенный арил), -С1-С6алкил-(замещенный или незамещенный гетероарил) или -NRDRE;
RD и RE в NRDRE независимо выбраны из Н, замещенного или незамещенного C1-С6алкила, замещенного или незамещенного С3-С6циклоалкила, замещенного или незамещенного С2-С5гетероциклоалкила, замещенного или незамещенного арила, замещенного или незамещенного гетероарила, -С1-С6алкил-(замещенный или незамещенный С3-С6циклоалкил), -С1-С6алкил-(замещенный или незамещенный С2-С5гетероциклоалкил), -C1-С6алкил-(замещенный или незамещенный арил) или -С1-С6алкил-(замещенный или незамещенный гетероарил);
m в формуле (XXXI) выбран из 0, 1 или 2;
-U- в формуле (XXXI) выбран из -NHC(=O)-, -C(=O)NH-, -NHS(=O)2-, -S(=O)2NH-, -NHC(=O)NH-, -NH(C=O)O-, -O(C=O)NH- или -NHS(=O)2NH-;
R3 в формуле (XXXI) выбран из C1-С3алкила или C1-Сзфторалкила;
R4 в формуле (XXXI) выбран из -NHR5, -N(R5)2, -N+(R5)3 или -OR5;
каждый R5 в -NHR5, -N(R5)2, -N+(R5)3 и -OR5 независимо выбран из Н, C1-С3алкила, C1-С3галогеналкила, C1-С3гетероалкила и -C1-С3алкил-(С3-С5циклоалкил);
или
R3 и R5 в формуле (XXXI), вместе с атомами, к которым они присоединены, образуют замещенное или незамещенное 5-7-членное кольцо;
или
R3 в формуле (XXXI) связан с атомом азота в U с образованием замещенного или незамещенного 5-7-членного кольца;
R6 в формуле (XXXI) выбран из -NHC(=O)R7, -C(=O)NHR7, -NHS(=O)2R7, -S(=O)2NHR7; -NHC(=O)NHR7, -NHC(=O)NHR7, -NHS(=O)2NHR7, -(C1-С3алкил)-NHC(=O)R7, -(C1-С3алкил)-С(=O)NHR7, -(C1-С3алкил)-NHS(=O)2R7, -(C1-С3алкил)-S(=O)2NHR7; -(C1-С3алкил)-NHC(=O)NHR7, -(C1-С3алкил)-NHS(=O)2NHR7, замещенного или незамещенного С2-С10гетероциклоалкила или замещенного или незамещенного гетероарила;
каждый R7 в -NHC(=O)R7, -C(=O)NHR7, -NHS(=O)2R7, -S(=O)2NHR7; -NHC(=O)NHR7, -NHS(=O)2NHR7, -(C1-С3алкил)-NHC(=O)R7, -(C1-С3алкил)-C(=O)NHR7, -(C1-С3алкил)-NHS(=O)2R7, -(C1-С3алкил)-S(=O)2NHR7; -(C1-С3алкил)-NHC(=O)NHR7, -(C1-С3алкил)-NHS(=O)2NHR7 независимо выбран из C1-С6алкила, C1-С6галогеналкила, C1-С6гетероалкила, замещенного или незамещенного С3-С10циклоалкила, замещенного или незамещенного С2-С10гетероциклоалкила, замещенного или незамещенного арила, замещенного или незамещенного гетероарила, -С1-С6алкил-(замещенный или незамещенный С3-С10циклоалкил), -С1-С6алкил-(замещенный или незамещенный С2-С10гетероциклоалкил), -С1-С6алкил-(замещенный или незамещенный арил), -С1-С6алкил-(замещенный или незамещенный гетероарил), -(СН2)р-СН(замещенный или незамещенный арил)2, -(СН2)Р-СН(замещенный или незамещенный гетероарил)2, -(СН2)р-СН(замещенный или незамещенный арил)(замещенный или незамещенный гетероарил), -(замещенный или незамещенный арил)-(замещенный или незамещенный арил), -(замещенный или незамещенный арил)-(замещенный или незамещенный гетероарил), -(замещенный или незамещенный гетероарил)-(замещенный или незамещенный арил) или -(замещенный или незамещенный гетероарил)-(замещенный или незамещенный гетероарил);
р в R7 выбран из 0, 1 или 2;
R8a, R8b, R8c и R8d в C(R8a)(R8b) и C(R8c)(R8d) независимо выбраны из Н, C1-С6алкила, C1-С6фторалкила, C1-С6алкокси, C1-С6гетероалкила и замещенного или незамещенного арила;
или
R8a и R8d являются такими, как определено выше, и R8b и R8c вместе образуют связь;
или
R8a и R8d являются такими, как определено выше, и R8b и R8c вместе с атомами, к которым они присоединены, образуют замещенное или незамещенное конденсированное 5-7-членное насыщенное или частично насыщенное карбоциклическое кольцо или гетероциклическое кольцо, содержащее 1-3 гетероатома, выбранные из S, О и N, замещенное или незамещенное конденсированное 5-10-членное арильное кольцо или замещенное или незамещенное конденсированное 5-10-членное гетероарильное кольцо, содержащее 1-3 гетероатома, выбранные из S, О и N;
или
R8c и R8d являются такими, как определено выше, и R8a и R8b вместе с атомами, к которым они присоединены, образуют замещенный или незамещенный насыщенный или частично насыщенный 3-7-членный спироцикл или гетероспироцикл, содержащий 1-3 гетероатома, выбранные из S, О и N;
или
R8a и R8b являются такими, как определено выше, и R8c и R8d вместе с атомами, к которым они присоединены, образуют замещенный или незамещенный насыщенный или частично насыщенный 3-7-членный спироцикл или гетероспироцикл, содержащий 1-3 гетероатома, выбранные из S, О и N;
где каждый замещенный алкил, гетероалкил, конденсированное кольцо, спироцикл, гетероспироцикл, циклоалкил, гетер оцикло алкил, ар ил или гетероарил замещен 1-3 R9, и
каждый R9 в R8a, Rb, R8c и R8d независимо выбран из галогена, -ОН, -SH, (С=O), CN, С1-С4алкила, С1-С4фторалкила, С1-С4алкокси, С1-С4фторалкокси, -NH2, -NH(С1-С4алкил), -NH(C1-С4алкил)2, -С(=O)ОН, -C(=O)NH2, -C(=O)C1-С3алкила, -S(=O)2СН3, -NH(C1-С4алкил)-OH, -NH(С1-С4алкил)-O-(С1-С4алкил), -O(С1-С4алкил)-NH2, -O(С1-С4алкил)-NH-(С1-С4алкил) и -O(C1-С4алкил)-N-(C1-С4алкил)2 или два R9 вместе с атомами, к которым они присоединены, образуют метилендиокси- или этилендиокси-кольцо, замещенное или незамещенное галогеном, -ОН или C1-С3алкилом.
[0214] В любом из соединений, описанных в данном документе, ILM может иметь структуру формулы (XXXII), которая получена из структуры лигандов IAP, описанных в публ. WO №2013/071039, или ее неприродного миметика,
где
W1 в формуле (ХХХП) представляет собой О, S, N-RA или С(R8a)(R8b);
W2 в формуле (XXXII) представляет собой О, S, N-RA или C(R8c)(R8d); при условии, что W1 и W2 одновременно не представляют собой О или S;
R1 в формуле (XXXII) выбран из Н, C1-С6алкила, С3-С6циклоалкила, -C1-С6алкил-(замещенный или незамещенный С3-С6циклоалкил), замещенного или незамещенного арила, замещенного или незамещенного гетероарила, -C1-С6алкил-(замещенный или незамещенный арил) или С1-С6алкил-(замещенный или незамещенный гетероарил);
если X1 в формуле (XXXII) представляет собой N-RA, то X2 представляет собой С=O или CR2cR2d, и X3 представляет собой CR2aR2b;
или
если X1 в формуле (XXXII) выбран из S, S(O) или S(O)2, то X2 представляет собой CR2cR2d, и X3 представляет собой CR2aR2b;
или
если X1 в формуле (XXXII) представляет собой О, то X2 представляет собой CR2cR2d и N-RA, и X3 представляет собой CR2aR2b;
или
если X1 в формуле (XXXII) представляет собой СН3, то X2 выбран из О, N-RA, S, S(O) или S(O)2, и X3 представляет собой CR2aR2b;
если X1 в формуле (XXXII) представляет собой CR2eR2f, и Х2 представляет собой CR2cR2d, и R2e и R2c вместе образуют связь, и X3 в формуле (XXXII) представляет собой CR2aR2b;
или
каждый из X1 и X3 в формуле (XXXII) представляет собой СН2, и X2 в формуле (XXXII) представляет собой С=O, C=C(RC)2 или C=NRC; где каждый RC независимо выбран из Н, -CN, -ОН, алкокси, замещенного или незамещенного С1-С6алкила, замещенного или незамещенного С3-С6циклоалкила, замещенного или незамещенного С2-С5 гетероциклоалкила, замещенного или незамещенного арила, замещенного или незамещенного гетероарила, -С1-С6алкил-(замещенный или незамещенный С3-С6циклоалкил), -С1-С6алкил-(замещенный или незамещенный С2-С5гетероциклоалкил), -C1-С6алкил-(замещенный или незамещенный арил) или -С1-С6алкил-(замещенный или незамещенный гетероарил);
или
X1 и X2 в формуле (XXXII) независимо выбраны из С и N и являются членами конденсированного замещенного или незамещенного насыщенного или частично насыщенного 3-10-членного циклоалкильного кольца, конденсированного замещенного или незамещенного насыщенного или частично насыщенного 3-10-членного гетероциклоалкильного кольца, конденсированного замещенного или незамещенного 5-10-членного арильного кольца или конденсированного замещенного или незамещенного 5-10-членного гетероарильного кольца, и X3 представляет собой CR2aR2b;
или
X2 и X3 в формуле (XXXII) независимо выбраны из С и N и являются членами конденсированного замещенного или незамещенного насыщенного или частично насыщенного 3-10-членного циклоалкильного кольца, конденсированного замещенного или незамещенного насыщенного или частично насыщенного 3-10-членного гетероциклоалкильного кольца, конденсированного замещенного или незамещенного 5-10-членного арильного кольца или конденсированного замещенного или незамещенного 5- 10-членного гетероарильного кольца, и X1 в формуле (XXXII) представляет собой CR2eR2f;
RA в N-RA выбран из Н, C1-С6алкила, -С(=O)С1-С2алкила, замещенного или незамещенного арила или замещенного или незамещенного гетероарила;
R2a, R2b, R2c, R2d, R2e и R2f в CR2cR2d, CR2aR2b и CR2eR2f независимо выбраны из H, замещенного или незамещенного С1-С6алкила, замещенного или незамещенного C1-С6гетероалкила, замещенного или незамещенного С3-С6циклоалкила, замещенного или незамещенного С2-С5гетероциклоалкила, замещенного или незамещенного арила, замещенного или незамещенного гетероарила, -С1-С6алкил-(замещенный или незамещенный С3-С6циклоалкил), -С1-С6алкил-(замещенный или незамещенный С2-С5гетероциклоалкил), -C1-С6алкил-(замещенный или незамещенный арил), -С1-С6алкил-(замещенный или незамещенный гетероарил) и -C(=O)RB;
RB в -C(=O)RB выбран из замещенного или незамещенного C1-С6алкила, замещенного или незамещенного С3-С6циклоалкила, замещенного или незамещенного С2-С5гетероциклоалкила, замещенного или незамещенного арила, замещенного или незамещенного гетероарила, -С1-С6алкил-(замещенный или незамещенный С3-С6циклоалкил), -С1-С6алкил-(замещенный или незамещенный С2-С5гетероциклоалкил), -С1-С6алкил-(замещенный или незамещенный арил), -С1-С6алкил-(замещенный или незамещенный гетероарил) или -NRDRE;
RD и RE в NRDRE независимо выбраны из Н, замещенного или незамещенного C1-С6алкила, замещенного или незамещенного С3-С6циклоалкила, замещенного или незамещенного С2-С5гетероциклоалкила, замещенного или незамещенного арила, замещенного или незамещенного гетероарила, -С1-С6алкил-(замещенный или незамещенный С3-С6циклоалкил), -С1-С6алкил-(замещенный или незамещенный С2-С5 гетероциклоалкил), -C1-С6алкил-(замещенный или незамещенный арил) или С1-С6алкил-(замещенный или незамещенный гетероарил);
m в формуле (XXXII) выбран из 0, 1 или 2;
-U- в формуле (XXXII) выбран из -NHC(=O)-, -C(=O)NH-, -NHS(=O)2-, -S(=O)2NH-, -NHC(=O)NH-, -NH(C=O)O-, -O(C=O)NH- или -NHS(=O)2NH-;
R3 в формуле (XXXII) выбран из C1-С3алкила или C1-С3фторалкила;
R4 в формуле (XXXII) выбран из -NHR5, -N(R5)2, -N+(R5)3 или -OR5;
каждый R5 в -NHR5, -N(R5)2, -N+(R5)3 и -OR5 независимо выбран из Н, C1-С3алкила, C1-С3галогеналкила, C1-С3гетероалкила и -С1-С3алкил-(С3-С5циклоалкил);
или
R3 и R5 в формуле (XXXII) вместе с атомами, к которым они присоединены, образуют замещенное или незамещенное 5-7-членное кольцо;
или
R3 в формуле (XXXII) связан с атомом азота в U с образованием замещенного или незамещенного 5-7-членного кольца;
R6 в формуле (XXXII) выбран из -NHC(=O)R7, -C(=O)NHR7, -NHS(=O)2R7, -S(=O)2NHR7; -NHC(=O)NHR7, -NHS(=O)2NHR7, -(C1-С3алкил)-NHC(=O)R7, -(C1-С3алкил)-С(=O)NHR7, -(C1-С3алкил)-NHS(=O)2R7, -(C1-С3алкил)-S(=O)2NHR7; -(С1-С3алкил)-NHC(=O)NHR7, -(C1-С3алкил)-NHS(=O)2NHR7, замещенного или незамещенного С2-С10гетероциклоалкила или замещенного или незамещенного гетероарила;
каждый R7 в -NHC(=O)R7, -C(=O)NHR7, -NHS(=O)2R7, -S(=O)2NHR7; -NHC(=O)NHR7, -NHS(=O)2NHR7, -(C1-С3алкил)-NHC(=О)R7, -(C1-С3алкил)-C(=O)NHR7, -(С1-С3алкил)-NHS(=O)2R7, -(С1-С3алкил)-S(=O)2NHR7; -(C1-С3алкил)-NHC(=O)2NHR7, -(C1-С3алкил)-NHS(=O)2NHR7 независимо выбран из C1-С6алкила, C1-С6галогеналкила, C1-С6гетероалкила, замещенного или незамещенного С3-С10циклоалкила, замещенного или незамещенного С2-С10гетероциклоалкила, замещенного или незамещенного арила, замещенного или незамещенного гетероарила, -С1-С6алкил-(замещенный или незамещенный С3-С10циклоалкил), -С1-С6алкил-(замещенный или незамещенный С2-С10гетероциклоалкил), -С1-С6алкил-(замещенный или незамещенный арил), -С1-С6алкил-(замещенный или незамещенный гетероарил), -(СН2)р-CH(замещенный или незамещенный арил)2, -(СН2)р-СН(замещенный или незамещенный гетероарил)2, -(СН2)р-СН(замещенный или незамещенный арил)(замещенный или незамещенный гетероарил), -(замещенный или незамещенный арил)-(замещенный или незамещенный арил), -(замещенный или незамещенный арил)-(замещенный или незамещенный гетероарил), -(замещенный или незамещенный гетероарил)-(замещенный или незамещенный арил) или -(замещенный или незамещенный гетероарил)-(замещенный или незамещенный гетероарил);
p в R7 выбран из 0, 1 или 2;
R8a, R8b, R8c и R8d в C(R8a)(R8b) и C(R8c)(R8d) независимо выбраны из Н, C1-С6алкила, C1-С6фторалкила, C1-С6алкокси, C1-С6гетероалкила и замещенного или незамещенного арила;
или
R8a и R88d являются такими, как определено выше, и R8b и R8c вместе образуют связь;
или
R8a и R8d являются такими, как определено выше, и R8b и R8c вместе с атомами, к которым они присоединены, образуют замещенное или незамещенное конденсированное 5-7-членное насыщенное или частично насыщенное карбоциклическое кольцо или гетероциклическое кольцо, содержащее 1-3 гетероатома, выбранные из S, О и N, замещенное или незамещенное конденсированное 5-10-членное арильное кольцо или замещенное или незамещенное конденсированное 5-10-членное гетероарильное кольцо, содержащее 1-3 гетероатома, выбранные из S, О и N;
или
R8c и R8d являются такими, как определено выше, и R8a и R8b вместе с атомами, к которым они присоединены, образуют замещенный или незамещенный насыщенный или частично насыщенный 3-7-членный спироцикл или гетероспироцикл, содержащий 1-3 гетероатома, выбранные из S, О и N;
или
R8a и R8b являются такими, как определено выше, и R8c и R8d вместе с атомами, к которым они присоединены, образуют замещенный или незамещенный насыщенный или частично насыщенный 3-7-членный спироцикл или гетероспироцикл, содержащий 1-3 гетероатома, выбранные из S, О и N;
где каждый замещенный алкил, гетероалкил, конденсированное кольцо, спироцикл, гетероспироцикл, циклоалкил, гетероциклоалкил, арил или гетероарил замещен 1-3 R9, и
каждый R9 в R8a, R8b, R8c и R8d независимо выбран из галогена, -ОН, -SH, (С=O), CN, С1-С4алкила, С1-С4 фторалкила, С1-С4алкокси, С1-С4фторалкокси, -NH2, -NH(С1-С4алкил), -NH(C1-С4алкил)2, -С(=O)ОН, -C(=O)NH2, -C(=O)С1-С3алкила, -S(=O)2CH3, -NH(C1-С4алкил)-OH, -NH(С1-С4алкил)-O-(С1-С4алкил), -O(C1-С4алкил)-NH2, -O(С1-С4алкил)-NH-(С1-С4алкил) и -O(C1-С4алкил)-N-(C1-С×алкил)2 или два R9 вместе с атомами, к которым они присоединены, образуют метилендиокси- или этилендиокси-кольцо, замещенное или незамещенное галогеном, -ОН или C-1-С3алкилом.
[0215] В любом из соединений, описанных в данном документе, ILM может иметь структуру формулы (XXXIII), которая получена из структуры лигандов IAP, описанных в публ. WO №2013/071039, или ее неприродного миметика,
где
W1 в формуле (ХХХШ) выбран из О, S, N-RA или C(R8a)(R8b),
W2 в формуле (ХХХШ) выбран из О, S, N-RA или С^3 с)^за), при условии, что W1 и W2 одновременно не представляют собой О или S,
R1 в формуле (ХХХШ) выбран из Н, C1-С6алкила, С3-С6циклоалкила, -C1-С6алкил-(замещенный или незамещенный С3-С6циклоалкил), замещенного или незамещенного арила, замещенного или незамещенного гетероарила, -C1-С6алкил-(замещенный или незамещенный арил) или -С1-С6алкил-(замещенный или незамещенный гетероарил);
если X1 в формуле (XXXIII) выбран из N-RA, S, S(O) или S(O)2, то X2 в формуле (XXXIII) представляет собой CR2cR2d, и X3 в формуле (XXXIII) представляет собой CR2aR2b;
или
если X1 в формуле (XXXIII) представляет собой О, то X2 в формуле (XXXIII) выбран из О, N-RA, S, S(O) или S(O)2, и X3 в формуле (XXXIII) представляет собой CR2aR2b;
или
если X1 в формуле (XXXIII) представляет собой CR2eR2f, и X2 в формуле (XXXIII) представляет собой CR2cR2d, и R2e и R2c вместе образуют связь, и X в формуле (XXXIII) представляет собой CR2aR2b;
или
X1 и X2 в формуле (XXXIII) независимо выбраны из С и N и являются членами конденсированного замещенного или незамещенного насыщенного или частично насыщенного 3-10-членного циклоалкильного кольца, конденсированного замещенного или незамещенного насыщенного или частично насыщенного 3-10-членного гетероциклоалкильного кольца, конденсированного замещенного или незамещенного 5-10-членного арильного кольца или конденсированного замещенного или незамещенного 5- 10-членного гетероарильного кольца, и X3 в формуле (XXXIII) представляет собой CR2aR2b;
или
X2 и X3 в формуле (XXXIII) независимо выбраны из С и N и являются членами конденсированного замещенного или незамещенного насыщенного или частично насыщенного 3-10-членного циклоалкильного кольца, конденсированного замещенного или незамещенного насыщенного или частично насыщенного 3-10-членного гетероциклоалкильного кольца, конденсированного замещенного или незамещенного 5-10-членного арильного кольца или конденсированного замещенного или незамещенного 5-10-членного гетероарильного кольца, и X1 в формуле (VLII) представляет собой CR2eR2f;
RA в N-RA представляет собой Н, C1-С6алкил, -С(=O)С1-С2алкил, замещенный или незамещенный арил или замещенный или незамещенный гетероарил;
R2a, R2b, R2c, R2d, R2e и R2f в CR2cR2d, CR2aR2b и CR2eR2f независимо выбраны из H, замещенного или незамещенного C1-С6алкила, замещенного или незамещенного C1-С6гетероалкила, замещенного или незамещенного С3-С6циклоалкила, замещенного или незамещенного С2-С5гетероциклоалкила, замещенного или незамещенного арила, замещенного или незамещенного гетероарила, -С1-С6алкил-(замещенный или незамещенный С3-С6циклоалкил), -С1-С6алкил-(замещенный или незамещенный С2-С5гетероциклоалкил), -C1-С6алкил-(замещенный или незамещенный арил), -С1-С6алкил-(замещенный или незамещенный гетероарил) и -C(=O)RB;
RB в -C(=O)RB представляет собой замещенный или незамещенный C1-С6алкил, замещенный или незамещенный С3-С6циклоалкил, замещенный или незамещенный С2-С5гетероциклоалкил, замещенный или незамещенный арил, замещенный или незамещенный гетероарил, -С1-С6алкил-(замещенный или незамещенный С3-С6циклоалкил), -С1-С6алкил-(замещенный или незамещенный Сг-Сбгетероциклоалкил), -С1-Сеалкил-(замещенный или незамещенный арил), -С1-С6алкил-(замещенный или незамещенный гетероарил) или -NRDRE;
RD и RE в NRDRE независимо выбраны из Н, замещенного или незамещенного C1-С6алкила, замещенного или незамещенного С3-С6циклоалкила, замещенного или незамещенного С2-С5гетероциклоалкила, замещенного или незамещенного арила, замещенного или незамещенного гетероарила, -С1-С6алкил-(замещенный или незамещенный С3-С6циклоалкил), -С1-С6алкил-(замещенный или незамещенный С2-С5гетероциклоалкил), -C1-С6алкил-(замещенный или незамещенный арил) или -С1-С6алкил-(замещенный или незамещенный гетероарил);
m в формуле (XXXIII) равняется 0, 1 или 2;
-U- в формуле (XXXIII) представляет собой -NHC(=O)-, -C(=O)NH-, -NHS(=O)2-, -S(=O)2NH-, -NHC(=O)NH-, -NH(C=O)O-, -O(C=O)NH- или -NHS(=O)2NH-;
R3 в формуле (XXXIII) представляет собой C1-С3алкил или C1-С3фторалкил;
R4 в формуле (XXXIII) представляет собой -NHR5, -N(R5)2, -N+(R5)3 или -OR5;
каждый R5 в -NHR5, -N(R5)2, -N+(R5)3 и -OR5 независимо выбран из Н, C1-С3алкила, C1-С3галогеналкила, C1-С3гетероалкила и -С1-С3алкил-(С3-С5диклоалкил);
или
R3 и R5 в формуле (XXXIII) вместе с атомами, к которым они присоединены, образуют замещенное или незамещенное 5-7-членное кольцо;
или
R3 в формуле (XXXIII) связан с атомом азота в U с образованием замещенного или незамещенного 5-7-членного кольца;
R6 в формуле (XXXIII) выбран из -NHC(=O)R7, -C(=O)NHR7, -NHS(=O)2R7, -S(=O)2NHR7; -NHC(=O)NHR7, -NHS(=O)2NHR7, -(C1-С3алкил)-NHC(=O)R7, -(C1-С3алкил)-С(=O)NHR7, -(C1-С3алкил)-NHS(=O)2R7, -(C1-С3алкил)-S(=O)2NHR7; -(C1-С3алкил)-NHC(=O)2NHR7, -(C1-С3алкил)-NHS(=O)2NHR7, замещенного или незамещенного С2-С10гетероциклоалкила или замещенного или незамещенного гетероарила;
каждый R7 в -NHC(=O)R7, -C(=O)NHR7, -NHS(=O)2R7, -S(=O)2NHR7; -NHC(=O)NHR7, -NHS(=O)2NHR7, -(C1-С3алкил)-NHC(=O)R7, -(C1-С3алкил)-C(=O)NHR7, -(С1-С3алкил)-NHS(=O)2R7, -(С1-С3алкил)-S(=O)2NHR7; -(C1-С3алкил)-NHC(=O)NHR7, -(С1-С3алкил)-NHS(=O)2NHR7 независимо выбран из C1-С6алкила, C1-С6галогеналкила, C1-С6гетероалкила, замещенного или незамещенного С3-С10циклоалкила, замещенного или незамещенного С2-С10гетероциклоалкила, замещенного или незамещенного арила, замещенного или незамещенного гетероарила, -С1-С6алкил-(замещенный или незамещенный С3-С10циклоалкил), -С1-С6алкил-(замещенный или незамещенный С2-С10гетероциклоалкил), -С1-С6алкил-(замещенный или незамещенный арил), -С1-С6алкил-(замещенный или незамещенный гетероарил), -(СН2)р-СН(замещенный или незамещенный арил)2, -(СН2)р-СН(замещенный или незамещенный гетероарил)2, -(СН2)р-СН(замещенный или незамещенный арил)(замещенный или незамещенный гетероарил), -(замещенный или незамещенный арил)-(замещенный или незамещенный арил), -(замещенный или незамещенный арил)-(замещенный или незамещенный гетероарил), -(замещенный или незамещенный гетероарил)-(замещенный или незамещенный арил) или -(замещенный или незамещенный гетероарил)-(замещенный или незамещенный гетероарил);
р в R7 равняется 0, 1 или 2;
R8a, R8b, R8c и R8d в C(R8a)(R8b) и C(R8c)(R8d) независимо выбраны из Н, C1-С6алкила, C1-С6фторалкила, C1-С6алкокси, C1-С6гетероалкила и замещенного или незамещенного арила;
или
R8a и R8d являются такими, как определено выше, и R8b и R8c вместе образуют связь;
или
R8a и R8d являются такими, как определено выше, и R8b и R8c вместе с атомами, к которым они присоединены, образуют замещенное или незамещенное конденсированное 5-7-членное насыщенное или частично насыщенное карбоциклическое кольцо или гетероциклическое кольцо, содержащее 1-3 гетероатома, выбранные из S, О и N, замещенное или незамещенное конденсированное 5-10-членное арильное кольцо или замещенное или незамещенное конденсированное 5-10-членное гетероарильное кольцо, содержащее 1-3 гетероатома, выбранные из S, О и N;
или
R8c и R8d являются такими, как определено выше, и R8a и R8b вместе с атомами, к которым они присоединены, образуют замещенный или незамещенный насыщенный или частично насыщенный 3-7-членный спироцикл или гетероспироцикл, содержащий 1-3 гетероатома, выбранные из S, О и N;
или
R8a и R8b являются такими, как определено выше, и R8c и R8d вместе с атомами, к которым они присоединены, образуют замещенный или незамещенный насыщенный или частично насыщенный 3-7-членный спироцикл или гетероспироцикл, содержащий 1-3 гетероатома, выбранные из S, О и N;
где каждый замещенный алкил, гетероалкил, конденсированное кольцо, спироцикл, гетероспироцикл, циклоалкил, гетероциклоалкил, арил или гетероарил замещен 1-3 R9; и
каждый R9 в R8a, R8b, R8c и R8d независимо выбран из галогена, -ОН, -SH, (С=O), CN, (C1-С4алкила, С1-С4фторалкила, C1-С4алкокси, С1-С4фторалкокси, -NH2, -NH(С1-С4алкил), -NH(С1-С4алкил)2, -С(=O)ОН, -C(=O)NH2, -C(=O)C1-С3алкила, -S(=O)2CH3, -NH(С1-С4алкил)-ОН, NH(С1-С4алкил)-O-(С-С4алкил), -O(С1-С4алкил)-NH2; -O(С1-С4алкил)-NH-(С1-С4алкил) и -O(C1-С4алкил)-N-(C1-С4алкил)2 или два R9 вместе с атомами, к которым они присоединены, образуют метилендиокси- или этилендиокси-кольцо, замещенное или незамещенное галогеном, -ОН или C1-С3алкилом.
[0216] В любом из соединений, описанных в данном документе, ILM может иметь структуру формулы (XXXIV), которая получена из структуры лигандов IAP, описанных в публ. WO №2013/071039, или ее неприродного миметика,
где
W1 в формуле (XXXIV) выбран из О, S, N-RA или C(R8a)(R8b),
W2 в формуле (XXXIV) выбран из О, S, N-RA или C(R8c)(R8d), при условии, что W1 и W2 одновременно не представляют собой О или S,
W3 в формуле (XXXIV) выбран из О, S, N-RA или C(R8e)(R8f), при условии, что кольцо, содержащее W1, W2 и W3, не содержит двух смежных атомов кислорода или атомов серы,
R1 в формуле (XXXIV) выбран из Н, C1-С6алкила, С3-С6циклоалкила, -C1-С6алкил-(замещенный или незамещенный С3-С6циклоалкил), замещенного или незамещенного арила, замещенного или незамещенного гетероарила, -C1-С6алкил-(замещенный или незамещенный арил) или -С1-С6алкил-(замещенный или незамещенный гетероарил),
если X1 в формуле (XXXIV) представляет собой О, то X2 в формуле (XXXIV) выбран из CR2cR2d и N-RA, и X3 в формуле (XXXIV) представляет собой CR2aR2d;
или
если X1 в формуле (XXXIV) представляет собой СН2, то X2 в формуле (XXIV) выбран из О, N-RA, S, S(O) или S(O)2, и X3 в формуле (XXXIV) представляет собой CR2aR2b;
или
если Х1 в формуле (XXXIV) представляет собой CR2eR2f, и X2 в формуле (XXXIV) представляет собой CR2cR2d, и R2e и R2c вместе образуют связь, и X3 в формуле (XXXIV) представляет собой CR2aR2b;
или
каждый из X1 и X3 в формуле (XXXIV) представляет собой СН2, и X2 в формуле (XXXIV) представляет собой С=O, C=C(RC)2 или C=NRC; где каждый RC независимо выбран из Н, -CN, -ОН, алкокси, замещенного или незамещенного C1-С6алкила, замещенного или незамещенного С3-С6циклоалкила, замещенного или незамещенного С2-С5гетероциклоалкила, замещенного или незамещенного арила, замещенного или незамещенного гетероарила, -С1-С6алкил-(замещенный или незамещенный С3-С6циклоалкил), -С1-С6алкил-(замещенный или незамещенный С2-С5гетероциклоалкил), -C1-С6алкил-(замещенный или незамещенный арил) или -С1-С6алкил-(замещенный или незамещенный гетероарил);
или
X1 и X2 в формуле (XXXIV) независимо выбраны из С и N и являются членами конденсированного замещенного или незамещенного, насыщенного или частично насыщенного 3-10-членного циклоалкильного кольца, конденсированного замещенного или незамещенного, насыщенного или частично насыщенного 3-10-членного гетероциклоалкильного кольца, конденсированного замещенного или незамещенного 5-10-членного арильного кольца или конденсированного замещенного или незамещенного 5-10-членного гетероарильного кольца, и X3 в формуле (XXXIV) представляет собой CR2aR2b;
или
X2 и X3 в формуле (XXXIV) независимо выбраны из С и N и являются членами конденсированного замещенного или незамещенного, насыщенного или частично насыщенного 3-10-членного циклоалкильного кольца, конденсированного замещенного или незамещенного, насыщенного или частично насыщенного 3-10-членного гетероциклоалкильного кольца, конденсированного замещенного или незамещенного 5-10-членного арильного кольца или конденсированного замещенного или незамещенного 5-10-членного гетероарильного кольца, и X1 в формуле (VLIV) представляет собой CR2eR2f;
RA в N-RA выбран из H, C1-С6алкила, -С(=O)С1-С2алкила, замещенного или незамещенного арила или замещенного или незамещенного гетероарила;
R2a, R2b, R2c, R2d, R2e и R2f в CR2cR2d, CR2aR2b и CR2eR2f независимо выбраны из H, замещенного или незамещенного C1-С6алкила, замещенного или незамещенного C1-С6гетероалкила, замещенного или незамещенного С3-С6циклоалкила, замещенного или незамещенного С2-С5 гетероциклоалкила, замещенного или незамещенного арила, замещенного или незамещенного гетероарила, -С1-С6алкил-(замещенный или незамещенный С3-С6циклоалкил), -С1-С6алкил-(замещенный или незамещенный С2-С5 гетероциклоалкил), -C1-С6алкил-(замещенный или незамещенный арил), -С1-С6алкил-(замещенный или незамещенный гетероарил) и -C(=O)RB;
RB в -C(=O)RB выбран из замещенного или незамещенного C1-С6алкила, замещенного или незамещенного С3-С6циклоалкила, замещенного или незамещенного С2-С5гетероциклоалкила, замещенного или незамещенного арила, замещенного или незамещенного гетероарила, -С1-С6алкил-(замещенный или незамещенный С3-С6циклоалкил), -С1-С6алкил-(замещенный или незамещенный С2-С5 гетероциклоалкил), -С1-С6алкил-(замещенный или незамещенный арил), -С1-С6алкил-(замещенный или незамещенный гетероарил) или -NRDRE;
RD и RE в NRDRE независимо выбраны из Н, замещенного или незамещенного C1-С6алкила, замещенного или незамещенного С3-С6циклоалкила, замещенного или незамещенного С2-С5 гетероциклоалкила, замещенного или незамещенного арила, замещенного или незамещенного гетероарила, -С1-С6алкил-(замещенный или незамещенный С3-С6циклоалкил), -С1-С6алкил-(замещенный или незамещенный С2-С5 гетероциклоалкил), -C1-С6алкил-(замещенный или незамещенный арил) или С1-С6алкил-(замещенный или незамещенный гетероарил);
m в формуле (XXXIV) выбран из 0, 1 или 2;
-U- в формуле (XXXIV) выбран из -NHC(=O)-, -C(=O)NH-, -NHS(=O)2-, -S(=O)2NH-, -NHC(=O)NH-, -NH(C=O)O-, -O(C=O)NH- или -NHS(=O)2NH-;
R3 в формуле (XXXIV) выбран из C1-С3алкила или C1-С3фторалкила;
R4 в формуле (XXXIV) выбран из -NHR5, -N(R5)2, -N+(R5)3 или -OR5;
каждый R5 в -NHR5, -N(R5)2, -N+(R5)3 и -OR5 независимо выбран из Н, C1-С3алкила, C1-С3галогеналкила, C1-С3гетероалкила и С1-С3алкил-(С3-С5циклоалкил);
или
R3 и R5 в формуле (XXXIV), вместе с атомами, к которым они присоединены, образуют замещенное или незамещенное 5-7-членное кольцо;
или
R3 в формуле (XXXIV) связан с атомом азота в U с образованием замещенного или незамещенного 5-7-членного кольца;
R6 в формуле (XXXIV) выбран из -NHC(=O)R7, -C(=O)NHR7, -NHS(=O)2R7, -S(=O)2NHR7; -NHC(=O)NHR7, -NHS(=O)2NHR7, -(C1-С3алкил)-NHC(=O)R7, -(С1-С3алкил)-С(=O)NHR7, -(С1-С3алкил)-NHS(=O)2R7, -(C1-С3алкил)-S(=O)2NHR7; -(C1-С3алкил)-NHC(=O)NHR7, -(C1-С3алкил)-NHS(=O)2NHR7, замещенного или незамещенного С2-Сюгетероциклоалкила или замещенного или незамещенного гетероарила;
каждый R7 в -NHC(=O)R7, -C(=O)NHR7, -NHS(=O)2R7, -S(=O)2NHR7; -NHC(=O)NHR7, -NHS(=O)2NHR7, -(С1-С3алкил)-NHC(=O)R7, -(C1-С3алкил)-C(=O)NHR7, -(C1-С3алкил)-NHS(=O)2R7, -(C1-С3алкил)-S(=O)2NHR7; -(C1-С3алкил)-NHC(=O)NHR7, -(C1-С3алкил)-NHS(=O)2NHR7 независимо выбран из C1-С6алкила, C1-С6галогеналкила, C1-С6гетероалкила, замещенного или незамещенного С3-С10циклоалкила, замещенного или незамещенного С2-С10гетероциклоалкила, замещенного или незамещенного арила, замещенного или незамещенного гетероарила, -С1-С6алкил-(замещенный или незамещенный С3-С10циклоалкил), -С1-С6алкил-(замещенный или незамещенный С2-С10гетероциклоалкил), -С1-С6алкил-(замещенный или незамещенный арил), -С1-С6алкил-(замещенный или незамещенный гетероарил), -(СН2)р-СН(замещенный или незамещенный арил)2, -(СН2)р-СН(замещенный или незамещенный гетероарил)2, -(СН2)р-СН(замещенный или незамещенный арил)(замещенный или незамещенный гетероарил), -(замещенный или незамещенный арил)-(замещенный или незамещенный арил), -(замещенный или незамещенный арил)-(замещенный или незамещенный гетероарил), -(замещенный или незамещенный гетероарил)-(замещенный или незамещенный арил) или -(замещенный или незамещенный гетероарил)-(замещенный или незамещенный гетероарил);
р в R7 выбран из 0, 1 или 2;
R8a, R8b, R8c, R8d, R8e и R8f в C(R8a)(R8b), C(R8c)(R8d) и C(R8e)(R8f) независимо выбраны из H, C1-С6алкила, C1-С6фторалкила, C1-С6алкокси, C1-С6гетероалкила и замещенного или незамещенного арила;
или
R8a, R8d, R8e и R8f в C(R8a)(R8b), C(R8c)(R8d) и C(R8e)(R8f) являются такими, как определено выше, и R8b и R8c вместе образуют связь;
или
R8a, R8b, R8d и R8f в C(R8a)(R8b), C(R8c)(R8d) и C(R8e)(R8f) являются такими, как определено выше, и R8c и R8e вместе образуют связь;
или
R8a, R8d, R8e и R8f в C(R8a)(R8b), C(R8c)(R8d) и C(R8e)(R8f) являются такими, как определено выше, и R8b и R8c вместе с атомами, к которым они присоединены, образуют замещенное или незамещенное конденсированное 5- 7-членное насыщенное или частично насыщенное карбоциклическое кольцо или гетероциклическое кольцо, содержащее 1-3 гетероатома, выбранные из S, О и N, замещенное или незамещенное конденсированное 5-10-членное арильное кольцо или замещенное или незамещенное конденсированное 5-10-членное гетероарильное кольцо, содержащее 1-3 гетероатома, выбранные из S, O и N;
или
R8a, R8b, R8d и R8f в C(R8a)(R8b), C(R8c)(R8d) и C(R8e)(R8f) являются такими, как определено выше, и R8c и R8e вместе с атомами, к которым они присоединены, образуют замещенное или незамещенное конденсированное 5-7-членное насыщенное или частично насыщенное карбоциклическое кольцо или гетероциклическое кольцо, содержащее 1-3 гетероатома, выбранные из S, О и N, замещенное или незамещенное конденсированное 5-10-членное арильное кольцо или замещенное или незамещенное конденсированное 5-10-членное гетероарильное кольцо, содержащее 1-3 гетероатома, выбранные из S, O и N;
или
R8c, R8d, R8e и R8f в C(R8c)(R8d) и C(R8e)(R8f) являются такими, как определено выше, и R8a и R8b, вместе с атомами, к которым они присоединены, образуют замещенный или незамещенный насыщенный или частично насыщенный 3-7-членный спироцикл или гетероспироцикл, содержащий 1-3 гетероатома, выбранные из S, О и N;
или
R8a, R8b, R8e и R8f в C(R8a)(R8b) и C(R8e)(R8f) являются такими, как определено выше, и R8c и R8d, вместе с атомами, к которым они присоединены, образуют замещенный или незамещенный насыщенный или частично насыщенный 3-7-членный спироцикл или гетероспироцикл, содержащий 1-3 гетероатома, выбранные из S, О и N;
или
R8a, R8b, R8c и R8d в C(R8a)(R8b) и C(R8c)(R8d) являются такими, как определено выше, и R8e и R8f, вместе с атомами, к которым они присоединены, образуют замещенный или незамещенный насыщенный или частично насыщенный 3-7-членный спироцикл или гетероспироцикл, содержащий 1-3 гетероатома, выбранные из S, О и N;
или
где каждый замещенный алкил, гетероалкил, конденсированное кольцо, спироцикл, гетероспироцикл, циклоалкил, гетероциклоалкил, арил или гетероарил замещен 1-3 R9, и
каждый R9 в R8a, R8b, R8c, R8d, R8e и R8f независимо выбран из галогена, -ОН, -SH, (С=O), CN, С1-С4алкила, С1-С4фторалкила, С1-С4алкокси, C1-С4фторалкокси, -NH2, -NH(C1-С4алкил), -NH(C1-С4алкил)2, -С(=O)ОН, C(=O)NH2, -С(=O)С1-С3алкила, -S(=O)2CH3, -NH (Свалки л)-ОН, -NH(C1-С4 алкил)-О-(С-С4алкил), -О(С1-С4алкил)-NH2, -О(С1-С4алкил)-NH-(С1-С4алкил) и -O(С1-С4алкил)-N-(С1-С4алкил)2 или два R9 вместе с атомами, к которым они присоединены, образуют метилендиокси- или этилендиокси-кольцо, замещенное или незамещенное галогеном, -ОН или C1-С3алкилом.
[0217] В любом из соединений, описанных в данном документе, ILM может иметь структуру формулы (XXXV), (XXXVI) или (XXXVII), которая получена из структуры лигандов IAP, описанных в Vamos, М., et al., Expedient synthesis of highly potent antagonists of inhibitor of apoptosis proteins (lAPs) with unique selectivity for ML-IAP, ACS Chem. Biol., 8(4), 725-32 (2013), или ее неприродного миметика,
где
R2 в формулах (XXXV) и (XXXVII) независимо выбраны из Н или ME,
R3 и R4 в формуле (XXXV) независимо выбраны из Н или ME,
X в формулах (XXXV) и (XXXVII) независимо выбран из О или S; и
R1 в формулах (XXXV) и (XXXVII) выбран из
[0218] В конкретном варианте осуществления ILM имеет структуру в соответствии с формулой (XXXVIII),
где R3 и R4 в формуле (XXXVIII) независимо выбраны из Н или ME,
представляет собой 5-членный гетероцикл, выбранный из
[0219] В конкретном варианте осуществления
в формуле (XXXVIII) представляет собой 
[0220] В конкретном варианте осуществления ILM имеет структуру и присоединен к линкерной группе L, как показано ниже
[0221] В любом из соединений, описанных в данном документе, ILM может иметь структуру формулы (XXXIX) или (XL), которая основана на структуре лигандов IAP, описанных в Henriessy, EJ, et al., Discovery of aminopiperidine-based Smac mimetics as IAP antagonists, Bioorg. Med. Chern. Lett., 22(4), 1960-4 (2012), или ее неприродного миметика, 
где
R1 в формулах (XXXIX) и (XL) выбран из
R2 в формулах (XXXIX) и (XL) выбран из Н или Me,
R3 в формулах (XXXIX) и (XL) выбран из
X выбран из Н, галогена, метила, меток си, гидрокси, нитро или три фтор метила.
[0222] В любом из соединений, описанных в данном документе, ILM может иметь структуру и быть химически соединенным с линкером, как показано в формуле (XLI) или (XLII), или ее неприродного миметика,
[0223] В любом из соединений, описанных в данном документе, JLM может иметь структуру формулы (XLIII), которая основана на структуре лигандов IAP, описанных в Cohen, F, et al., Orally bioavailable antagonists of inhibitor of apoptosis proteins based on an azabicyclooctane scaffold, J. Med. Chem., 52(6), 1723-30 (2009), или ее неприродного миметика,
где
R1 в формулах (XLIII) выбран из
X в
выбран из Н, фтора, метила или метокси.
[0224] В конкретном варианте осуществления ILM представлен следующей структурой:
[0225] В конкретном варианте осуществления ILM выбран из группы, состоящей из следующего, и при этом показана химическая связь между ILM и линкерной группой L,
[0226] В любом из соединений, описанных в данном документе, ILM выбран из группы, состоящей из представленных ниже структур, которые основаны на структуре лигандов IAP, описанных в Asano, М, et al., Design, sterioselective synthesis, and biological evaluation of novel tri-cyclic compounds as inhibitor of apoptosis proteins (IAP) antagonists, Bioorg. Med. Chern., 21(18): 5725-37 (2013), или ее неприродного миметика,
[0227] В конкретном варианте осуществления ILM выбран из группы, состоящей из следующего, и при этом показана химическая связь между ILM и линкерной группой L,
[0228] В любом из соединений, описанных в данном документе, ILM может иметь структуру формулы (XLIV), которая основана на структуре лигандов IAP, описанных в Asano, М, et al., Design, sterioselective synthesis, and biological evaluation of novel tri-cyclic compounds as inhibitor of apoptosis proteins (IAP) antagonists, Bioorg. Med. Chem., 21(18): 5725-37 (2013), или ее неприродного миметика,
где X в формуле (XLIV) представляет собой один или два заместителя, независимо выбранные из Н, галогена или циан о.
[0229] В любом из соединений, описанных в данном документе, JLM может иметь структуру и быть химически соединенным с линкерной группой L, как показано в формуле (XLV) или (XLVI), или ее неприродного миметика,
где X в формуле (XLV) и (XLVI) представляет собой один или два заместителя, независимо выбранные из Н, галогена или циано и, и L в формулах (XLV) и (XLVI) представляет собой линкерную группу, описанную в данном документе.
[0230] В любом из соединений, описанных в данном документе, ILM может иметь структуру формулы (XLVII), которая основана на структуре лигандов IAP, описанных в Ardecky, RJ, et al., Design, sysnthesis and evaluation of inhibitor of op opt os is (IAP) antagonists that are highly selective for the BIR2 domain of XIAP, Bioorg. Med. Chern., 23(14): 4253-7 (2013), или ее неприродного миметика,
где
формуле (XLVII) представляет собой природную или неприродную аминокислоту, и
R2 в формуле (XLVII) выбран из 
[0231] В любом из соединений, описанных в данном документе, ILM может иметь структуру и быть химически соединенным с линкерной группой L, как показано в формуле (XLVIII) или (XLIX), или ее неприродного миметика,
в формулах (XLVIII) и (XLLX) представляет собой природную или неприродную аминокислоту, и
L в формулах (XLVIII) и (XLIX) представляет собой линкерную группу, описанную в данном документе.
[0232] В любом из соединений, описанных в данном документе, ILM может иметь структуру, выбранную из группы, состоящей из следующего, которая основана на структуре лигандов IAP, описанных в Wang, J, et al., Discovery of novel second mitochondrial-derwed activator of caspase mimetics as selective inhibitor or apoptosis protein inhibitors, J. Pharmacol. Exp. Ther., 349(2): 319-29 (2014), или ее неприродного миметика,
[0233] В любом из соединений, описанных в данном документе, ILM имеет структуру в соответствии с формулой (L), которая основана на структуре лигандов IAP, описанных в Hird, AW, et al., Structure-based design and synthesis of tricyclic IAP (Inhibitors of Apoptosis Proteins) inhibitors, Bioorg. Med. С hern. Lett., 24(7), 1820-4 (2014), или ее неприродныммиметиком,
где R в формуле (L) выбран из группы, состоящей из
R1 в
выбран из Н или Me;
R2 в выбран из алкила или циклоалкила;
X в
представляет собой
1-2 заместителя, независимо выбранных из галогена, гидроксиметокси, нитро и трифторметила;
Z в
представляет собой О или NH;
НЕТ в
представляет собой моно- или конденсированный бициклический гетероарил; и
в формуле (L) представляет собой необязательную двойную связь.
[0234] В конкретном варианте осуществления ILM в соединении имеет химическую структуру, выбранную из группы, состоящей из
Иллюстративные MLM
[0235] В определенных дополнительных вариантах осуществления MLM бифункционального соединения содержит химические фрагменты, такие как замещенные имидазолины, замещенные спироиндолиноны, замещенные пирролидины, замещенные пиперидиноны, замещенные морфолиноны, замещенные пирролопиримидины, замещенные имидазолопиридины, замещенный тиазолоимидазолин, замещенные пирролопирролидиноны и замещенные изохинолиноны.
[0236] В дополнительных вариантах осуществления MLM включает основные структуры, указанные выше, со смежными бис-арильными замещениями, расположенными в виде цис- или транс-кон фигурации.
[0237] В еще одних дополнительных вариантах осуществления MLM содержит часть структурных признаков как в RG7112, RG7388, SAR405838, AMG-232, АМ-7209, DS-5272, MK-8242 и NVP-CGM-097 и их аналоги или производные.
[0238] В определенных предпочтительных вариантах осуществления MLM представляет собой производное замещенного имидазолина, представленного с помощью формулы (А-1), или тиазолоимидазолина, представленного с помощью формулы (А-2), или спироиндолинона, представленного с помощью формулы (А-3), или пироллидина, представленного с помощью формулы (А-4), или пиперидинона/морфолинона, представленного с помощью формулы (А-5), или изохинолинона, представленного с помощью формулы (А-6), или пироллопиримидина/имидазолопиридина, представленного с помощью формулы (А-7), или пирролопирролидинона/имидазолопирролидинона, представленного с помощью формулы (А-8).
где в приведенных выше формулах (А-1)-(А-8)
X в формулах (А-1)-(А-8) выбран из группы, состоящей из углерода, кислорода, серы, сульфоксида, сульфона и N-Ra;
Ra независимо представляет собой Н или алкильную группу с количеством атомов углерода, составляющим 1-6;
Y и Z в формулах (А-1)-(А-8) независимо представляют собой углерод или азот;
А, А' и А'' в формулах (А-1)-(А-8) независимо выбраны из С, N, О или S, также могут представлять собой один или два атома, образующие конденсированное бициклическое кольцо или 6,5- и 5,5-конденсированную ароматическую бициклическую группу;
R1, R× в формулах (А-1)-(А-8) независимо выбраны из группы, состоящей из арильной или гетероарильной группы, при этом гетероарильная группа содержит один или два гетероатома, независимо выбранные из серы или азота, где арильная или гетероарильная группа может быть моноциклической или бициклической или незамещенной или замещенной одним-тремя заместителями, независимо выбранными из группы, состоящей из
галогена, -CN, С1-С6алкильной группы, С3-С6циклоалкила, -ОН, алкокси с 1-6 атомами углерода, фторзамещенного алкокси с 1-6 атомами углерода, сульфоксида с 1-6 атомами углерода, сульфона с 1-6 атомами углерода, кетона с 2-6 атомами углерода, амидов с 2-6 атомами углерода и диалкиламина с 2-6 атомами углерода;
R3, R4 в формулах (А-1)-(А-8) независимо выбраны из группы, состоящей из Н, метила и С1-С6алкила;
R5 в формулах (А-1)-(А-8) выбран из группы, состоящей из арильной или гетероарильной группы, при этом гетероарильная группа содержит один или два гетероатома, независимо выбранные из серы или азота, где арильная или гетероарильная группа может быть моноциклической или бициклической или незамещенной или замещенной одним-тремя заместителями, независимо выбранными из группы, состоящей из
галогена, -CN, С1-С6алкильной группы, С3-С6циклоалкила, -ОН, алкокси с 1-6 атомами углерода, фторзамещенного алкокси с 1-6 атомами углерода, сульфоксида с 1-6 атомами углерода, сульфона с 1-6 атомами углерода, кетона с 2-6 атомами углерода, амидов с 2-6 атомами углерода, диалкиламина с 2-6 атомами углерода, алкилового эфира (С2-С6), алкилкетона (С3-С6), морфолинила, сложного алкилового эфира (С3-С6), алкилцианида (С3-С6);
R6 в формулах (А-1)-(А-8) представляет собой Н или -C(=O)Rb, где
Rb в формулах (А-1)-(А-8) выбран из группы, состоящей из алкила, циклоалкила, моно-, ди- или тризамещенного арила или гетероарила, 4-морфолинила, 1-(3-оксопиперазунил), 1-пиперидинила, 4-N-Rc-морфолинила, 4-Rc-1-пиперидинила и 3-Rc-1-пиперидинила, где
Rc в формулах (А-1)-(А-8) выбран из группы, состоящей из алкила, фторзамещенного алкила, цианоалкила, гидроксилзамещенного алкила, циклоалкила, алкоксиалкила, амидалкила, алкилсульфона, алкилсульфоксида, алкиламида, арила, гетероарила, моно-, бис- и тризамещенного арила или гетероарила, CH2CH2Rd и CH2CH2CH2Rd, где
Rd в формулах (A-1)-(А-8) выбран из группы, состоящей из алкокси, алкилсульфона, алкилсульфоксида, N-замещенного карбоксамида, -NHC(O)-алкила, -NH-SO2-алкила, арила, замещенного арила, гетероарила, замещенного гетероарила;
R7 в формулах (А-1)-(А-8) выбран из группы, состоящей из Н, С1-С6алкила, циклического алкила, фторзамещенного алкила, цианозамещенного алкила, 5- или 6-членного гетероарила или арила, замещенного 5- или 6-членного гетероарила или арила;
R8 в формулах (А-1)-(А-8) выбран из группы, состоящей из Re-C(O)-Rf, -Re-алкокси, -Re-арила, -Re-гетероарила и -Re-C(O)-Rf-C(O)-Rg, где
Re в формулах (А-1)-(А-8) представляет собой алкилен с 1-6 атомами углерода или связь;
Rf в формулах (А-1)-(А-8) представляет собой замещенный 4-7-членный гетероцикл;
Rg в формулах (А-1)-(А-8) выбран из группы, состоящей из арила, гетероарила, замещенного арила или гетероарила и 4-7-членного гетероцикла;
R9 в формулах (А-1)-(А-8) выбран из группы, состоящей из моно-, бис- или тризамещения заместителями в конденсированном бициклическом ароматическом кольце в формуле (А-3), где заместители независимо выбраны из группы, состоящей из галогена, алкена, алкина, алкила, незамещенного или замещенного Cl или F;
R10 в формулах (А-1)-(А-8) выбран из группы, состоящей из арильной или гетероарильной группы, где гетероарильная группа может содержать один или два гетероатома, такие как сера или азот, при этом арильная или гетероарильная группа могут быть моноциклическими или бициклическими, арильная или гетероарильная группа могут быть незамещенными или замещенными одним-тремя заместителями, в том числе галогеном, F, Cl, -CN, алкеном, алкином, С1-С6алкильной группой, С1-С6циклоалкилом, -ОН, алкокси с 1-6 атомами углерода, фторзамещенным алкокси с 1-6 атомами углерода, сульфоксидом с 1-6 атомами углерода, сульфоном с 1-6 атомами углерода, кетоном с 2-6 атомами углерода;
R11 в формулах (А-1)-(А-8) представляет собой -C(O)-N(Rh)(Ri), где Rh и Ri выбраны из группы, состоящей из следующих групп:
Н; необязательно замещенный линейный или разветвленный С1-С6алкил; алкоксизамещенный алкил; моно- и дигидроксизамещенный алкил (например, С3-С6), сульфонзамещенный алкил; необязательно замещенный арил; необязательно замещенный гетероарил; моно-, би- или тризамещенный арил или гетероарил; фенил-4-карбоновая кислота; замещенная фенил-4-карбоновая кислота, алкилкарбоновая кислота; необязательно замещенная гетероарилкарбоновая кислота; алкилкарбоновая кислота; фторзамещенная алкилкарбоновая кислота; необязательно замещенный циклоалкил, 3-гидроксициклобутан, 4-гидроксициклогексан, арилзамещенный циклоалкил; гетероарилзамещенный циклоалкил; или Rh и Ri, взятые вместе, образуют кольцо;
R12 и R13 в формулах (А-1)-(А-8) независимо выбраны из Н, низшего алкила (С1-С6), низшего алкенила (С2-С6), низшего алкинила (С2-С6), циклоалкила (4-, 5- и 6-членное кольцо), замещенного циклоалкила, циклоалкенила, замещенного циклоалкенила, 5- и 6-членного арила и гетероарила, R12 и R13 могут быть соединены с образованием 5- и 6-членного кольца с замещением в кольце или без него;
R14 в формулах (А-1)-(А-8) выбран из группы, состоящей из алкила, замещенного алкила, алкенила, замещенного алкенила, арила, замещенного арила, гетероарила, замещенного гетероарила, гетероцикла, замещенного гетероцикла, циклоалкила, замещенного циклоалкила, циклоалкенила и замещенного циклоалкенила;
R15 в формулах (А-1)-(А-8) представляет собой CN;
R16 в формулах (А-1)-(А-8) выбран из группы, состоящей из С1-6алкила, С1-6циклоалкила, С2-6алкенила, С1-6алкила или С3-6циклоалкила с одним или несколькими атомами водорода, замененными фтором, алкила или циклоалкила с одной группой СН2, замененной S(=O), -S или -S(=O)2, алкила или циклоалкила с концевой группой СН3, замененной S(=O)2]N(алкил)(алкил), -С(=O)]N(алкил)(алкил), -N(алкил)S(=O)2(алкил), -С(=O)2(алкил), -О(алкил), С1-6алкила или алкилциклоалкила с гидроном, замененным гидроксильной группой, 3-7-членного циклоалкила или гетероциклоалкила, необязательно содержащих группу -(С=O)-, или 5-6-членной арильной или гетероарильной группы, при этом гетероциклоалкильная или гетероарильная группа может содержать один-три гетероатома, независимо выбранных из О, N или S, и при этом циклоалкильная, гетероциклоалкильная, арильная или гетероарильная группа может быть незамещенной или замещенной одним-тремя заместителями, независимо выбранными из галогена, С1-6алкильных групп, гидроксилированного С1-6алкила, С1-6алкилсодержащего тиоэфира, простого эфира, сульфона, сульфоксида, фторзамещенного простого эфира или цианогруппы;
R17 в формулах (А-1)-(А-8) выбран из группы, состоящей из (CH2)nC(O)NRkRl, где Rk и R1 независимо выбраны из Н, С1-6алкила, гидроксилированного С1-6алкила, С1-6алкоксиалкила, С1-6алкила с одним или несколькими атомами водорода, замененными фтором, С1-6алкила с одним атомом углерода, замененным S(O), S(O)(O), С1-6алкоксиалкила с одним или несколькими атомами водорода, замененными фтором, С1-6алкила с атомом водорода, замененным цианогруппой, 5- и 6-членного арила или гетероарила, алкиларила с алкильной группой, содержащей 1-6 атомов углерода, и алкилгетероарила с алкильной группой, содержащей 1-6 атомов углерода, где арильная или гетероарильная группа могут быть дополнительно замещены;
R18 в формулах (А-1)-(А-8) выбран из группы, состоящей из замещенного арила, гетероарила, алкила, циклоалкила, при этом замещение предпочтительно предусматривает -N(С1-4алкил)(циклоалкил), -N(C1-4алкил)алкилциклоалкил и -N(C1-4алкил)[(алкил)-(гетероцикл-замещенный)-циклоалкил];
R19 в формулах (А-1)-(А-8) выбран из группы, состоящей из арила, гетероарила, бициклического гетероарила, и данные арильные или гетероарильные группы могут быть замещены галогеном, С1-6алкилом, С1-бциклоалкилом, CF3, F, CN, алкином, алкилсульфоном, при этом замещение атомом галогена может предусматривать моно-, бис- или тризамещение;
R20 и R21 в формулах (А-1)-(А-8) независимо выбраны из С1-6алкила, С1-6циклоалкила, С1-6алкокси, гидроксилированного С1-6алкокси и фторзамещенного С1-6алкокси, где R20 и R21 дополнительно могут быть соединены с образованием 5-, 6- и 7-членного циклического или гетероциклического кольца, которое может быть дополнительно замещено;
R22 в формулах (А-1)-(А-8) выбран из группы, состоящей из Н, С1-балкила, С1-6циклоалкила, карбоновой кислоты, сложного эфира карбоновой кислоты, амида, обратного амида, сульфонамида, обратного сульфонамида, N-ацилмочевины, азотсодержащего 5-членного гетероцикла, при этом 5-членные гетероциклы могут быть дополнительно замещены С1-6алкилом, алкокси, фторзамещенным алкилом, CN и алкилсульфоном;
R23 в формулах (А-1)-(А-8) выбран из арила, гетероарила, -О-арила, -О-гетероарила, -О-алкила, -О-алкилциклоалкила, -NH-алкила, -NH-алкилциклоалкила, -N(Н)-арила, -N(H)-гетероарила, -N(алкил)-арила, -N(алкил)-гетероарила, при этом арильные или гетероарильные группы могут быть замещены галогеном, С1-6алкилом, гидроксилированным С1-6алкилом, циклоалкилом, фторзамещенным С1-6алкилом, CN, алкокси, алкилсульфоном, амидом и сульфонамидом;
R24 в формулах (А-1)-(А-8) выбран из группы, состоящей из СН2-(С1-6алкил), -СН2-циклоалкила, -СН2-арила, СН2-гетероарила, где алкил, циклоалкил, арил и гетероарил могут быть замещены галогеном, алкокси, гидроксилированным алкилом, цианозамещенным алкилом, циклоалилом и замещенным циклоалкилом;
R25 в формулах (А-1)-(А-8) выбран из группы, состоящей из С1-6алкила, С1-6алкилциклоалкила, алкоксизамещенного алкила, гидроксилированного алкила, арила, гетероарила, замещенного арила или гетероарила, 5-, 6- и 7-членных азотсодержащих насыщенных гетероциклов, 5,6-конденсированных и 6,6-конденсированных азотсодержащих насыщенных гетероциклов, и при этом данные насыщенные гетероциклы могут быть замещены С1-6алкилом, фторзамещенным С1-6алкилом, алкокси, арилом и гетероарильной группой;
R26 в формулах (А-1)-(А-8) выбран из группы, состоящей из С1-6алкила, С3-6циклоалкила, при этом алкил или циклоалкил могут быть замещены ОН, алкокси, фторзамещенным алкокси, фторзамещенным алкилом, -NH2, -NH-алкилом, NH-С(O)алкилом, -NH-S(O)2-алкилом и -S(O)2-алкилом;
R27 в формулах (А-1)-(А-8) выбран из группы, состоящей из арила, гетероарила, бициклического гетероарила, где арильные или гетероарильные группы могут быть замещены С1-6алкилом, алкокси, NH2, NH-алкилом, галогеном или -CN, и при этом замещение может независимо предусматривать моно-, бис- и тризамещение;
R28 в формулах (А-1)-(А-8) выбран из группы, состоящей из арила, 5- и 6-членного гетероарила, бициклического гетероарила, циклоалкила, насыщенного гетероцикла, такого как пиперидин, пиперидинон, тетрагидропиран, N-ацилпиперидин, где циклоалкил, насыщенный гетероцикл, арил или гетероарил могут быть дополнительно замещены -ОН, алкокси, при этом моно-, бис- или тризамещение предусматривает замещение галогеном, -CN, алкилсульфоном и фторзамещенными алкильными группами; и
1i'' в формулах (А-1)-(А-8) выбран из группы, состоящей из Н, алкила, арилзамещенного алкила, алкоксизамещенного алкила, циклоалкила, арилзамещенного циклоалкила и алкоксизамещенного циклоалкила.
[0239] В определенных вариантах осуществления гетероциклы в Rf и Rg в формулах (А-1)-(А-8) представляют собой замещенный пирролидин, замещенный пиперидин, замещенный пиперазин.
[0240] Более конкретно, неограничивающие примеры MLM включают показанные ниже MLM, а также ''гибридные'' молекулы MLM, которые образуются из комбинации 1 или более различных признаков, показанных в молекулах ниже.
[0241] С применением MLM в формулах А-1-А-8 следующие PROTAC могут быть получены с обеспечением целенаправленного воздействия на конкретный белок для деградации, где ''L'' представляет собой соединяющую молекулу (т.е. линкерную группу), и ''РТМ'' представляет собой лиганд, связывающийся с целевым белком.
[0242] В определенных вариантах осуществления в описании предусмотрена бифункциональная молекула, характеризующаяся структурой, выбранной из группы, состоящей из

где X, Ra, Y, Z, A, A', A'', R1, R2, R3, R4, R5, R6, Rb, Rc, Rd, R7, Re, Rf, Rg, R9, R10, R11, R12, R13, R14, R15, R16, R17, Rk, Rl, R18, R19, R20, R21, R22, R23, R24, R25, R26, R27, R28 и R28 являются такими, как определено в данном документе в отношении формул (А-1)-(А-8).
[0243] В определенных вариантах осуществления в описании предусмотрены бифункциональные или химерные молекулы со структурой PTM-L-MLM, где РТМ представляет собой фрагмент, связывающий белковую мишень, связанную с MLM посредством L, где L представляет собой связь (т.е. отсутствует) или химический линкер. В определенных вариантах осуществления MLM имеет структуру, выбранную из группы, состоящей из А-1-1, А-1-2, А-1-3 и А-1-4:
где
R1' и R2' в формулах А-1-1 - А-1-4 (т.е., А-1-1, А-1-2, А-1-3 и А-1-4) независимо выбраны из группы, состоящей из F, Cl, Br, I, ацетилена, CN, CF3 и NO2;
R3' выбран из группы, состоящей из -ОСН3, -ОСН2СН3, -OCH2CH2F, -ОСН2СН2ОСН3 и -ОСН(СН3)2;
R4' в формулах А-1-1 - А-1-4 выбран из группы, состоящей из Н, галогена, -СН3, -CF3, -ОСН3, -С(СН3)3, -СН(СН3)2, -циклопропила, -CN, -С(СН3)2ОН, -С(СН3)2OCH2CH3, -С(СН3)2СН2ОН, -С(СН3)2СН2ОСН2СН3, -С(СН3)2СН2ОСН2СН2ОН, -С(СН3)2СН2ОСН2СН3, -C(CH3)2CN, С(СН3)2С(O)СН3, -C(CH3)2C(O)NHCH3, -C(CH3)2C(O)N(CH3)2, -SCH3, -SCH2CH3, -S(O)2CH3, -S(O2)CH2CH3, -NHC(CH3)3, -N(CH3)2, пирролидинила и 4-морфолинила;
R5' в формулах А-1-1 - А-1-4 выбран из группы, состоящей из галогена, -циклопропила, -S(O)2CH3, -S(O)2CH2CH3, 1-пирролидинила, -NH2, -N(CH3)2 и -NHC(CH3)3; и
R6' в формулах А-1-1 - А-1-4 выбран из структур, представленных ниже, где точка соединения с линкером указана как ''*''.
Помимо R6' как точки присоединения линкера, R4' также может служить как положение присоединения линкера. В случае, если R4' является местом соединения с линкером, линкер будет соединен с концевым атомом групп R4', показанных выше.
[0244] В определенных вариантах осуществления положение соединения с линкером в формулах А-1-1 - А-1-4 находится на по меньшей мере одном из R4' или R6' или как на одном, так и на другом.
[0245] В определенных вариантах осуществления R6' в формулах А-1-1 - А-1-4 независимо выбран из группы, состоящей из Н,
, где ''*'' указывает на точку присоединения линкера.
[0246] В определенных вариантах осуществления линкер в формуле А-4-1 - А-4-6 присоединен к по меньшей мере одному из R1', R2', R3', R4', R5', R6' или их комбинации.
[0247] В определенных вариантах осуществления в описании предусмотрены бифункциональные или химерные молекулы со структурой PTM-L-MLM, где РТМ представляет собой фрагмент, связывающий белковую мишень, связанную с MLM посредством L, где L представляет собой связь (т.е. отсутствует) или химический линкер. В определенных вариантах осуществления MLM имеет структуру, выбранную из группы, состоящей из А-4-1, А-4-2, А-4-3, А-4-4, А-4-5 и А-4-6:
где
R7' в формулах А-4-1 - А-4-6 (т.е. А-4-1, А-4-2, А-4-3, А-4-4, А-4-5 и А-4-6) представляет собой один или более (например, 1, 2, 3 или 4) атомов галогена;
R8' в формулах А-4-1 - А-4-6 представляет собой одну или более групп (например, 1, 2, 3 или 4 групп), выбранных из группы, состоящей из Н, -F, -Cl, -Br, -I, -CN, -NO2, этиленила, циклопропила, метила, этила, изопропила, винила, метокси, этокси, изопропокси, -ОН, другого С1-6алкила, другого С1-6алкенила и С1-6алкинила, моно-, ди- или тризамещенных;
R9' в формулах А-4-1 - А-4-6 выбран из группы, состоящей из алкила, замещенного алкила, алкенила, замещенного алкенила, алкинила, замещенного алкинила, арила, замещенного арила, гетероарила, замещенного гетероарила, циклоалкила, замещенного циклоалкила, алкенила и замещенного циклоалкенила;
Z в формулах A-4-1 - A-4-6 выбран из группы, состоящей из Н, -ОСН3, -ОСН2СН3 и галогена;
каждый из R10' и R11' в формулах А-4-1 - А-4-6 независимо выбран из группы, состоящей из Н, (CH2)n-R', (CH2)n-NR'R'', (CH2)n-NR'COR'', (CH2)n-NR'SO2R'', (CH2)n-COOH, (CH2)n-COOR', (CH)n-CONR'R'', (CH2)n-OR', (CH2)n-SR', (CH2)n-SOR', (CH2)n-CH(OH)-R', (CH2)n-COR'. (CH2)n-SO2R', (CH2)n-SONR'R'', (CH2)n-SO2NR'R'', (CH2CH2O)m-(CH2)n-R', (CH2CH2O)m-(CH2)n-OH, (CH2CH2O)m-(CH2)n-OR', (CH2CH2O)m-(CH2)n-NR'R'', (CH2CH2O)m-(CH2)n-NR'COR'', (CH2CH2O)m(CH2)n-NR'SO2R'', (CH2CH2O)m(CH2)n-COOH, (CH2CH2O)m(CH2)n-COOR', (CH2CH2O)m-(CH2)n-CONR'R'', (CH2CH2O)m-(CH2)n-SO2R', (CH2CH2O)m-(CH2)n-COR', (CH2CH2O)m-(CH2)n-SONR'R'', (CH2CH2O)m-(CH2)n-SO2NR'R'', (CH2)p-(CH2CH2O)m-(CH2)nR', (CH2)p-(CH2CH2O)m-(CH2)n-OH, (CH2)p-(CH2CH2O)m-(CH2)n-OR', (CH2)p-(CH2CH2O)m-(CH2)n-NR'R'', (CH2)p-(CH2CH2O)m-(CH2)n-NR'COR'', (CH2)p-(CH2CH2O)m-(CH2)n-NR' SO2R'', (CH2)p-(CH2CH2O)m-(CH2)n-COOH, (CH2)p-(CH2CH2O)m-(CH2)n-COOR', (CH2)p-(CH2CH2O)m-(CH2)n-CONR'R'', (CH2)p-(CH2CH2O)m-(CH2)n-SO2R', (CH2)p-(CH2CH2O)m-(CH2)n-COR', (CH2)p-(CH2CH2O)m-(CH2)n-SONR'R'', (CH2)p(CH2CH2O)m-(CH2)n-SO2NR'R'', арил-(СН2)n-СООН и гетероарилалкил-СО-алкил-NR'R''m, где алкил может быть замещен OR', и гетероарил-(СН2)n-гетероцикла, где гетероцикл необязательно может быть замещен алкилом, гидроксилом, COOR' и COR'; где R' и R'' выбраны из Н, алкила, алкила, замещенного галогеном, гидроксила, NH2, NH(алкил), N(алкил)2, оксо, карбокси, циклоалкила и гетероарила;
m, n и р независимо представляют собой 0-6;
R12' в формулах А-4-1 - А-4-6 выбран из группы, состоящей из -О-(алкил), -O-(алкил)-алкокси, -С(O)-(алкил), -С(ОН)-алкилалкокси, -C(O)-NH-(алкил), -С(O)-N-(алкил)2, -S(O)-(алкил), S(O)2-(алкил), -С(O)-(циклический амин) и -О-арил-(алкил), -О-арил-(алкокси);
R1'' в формулах А-4-1 - А-4-6 выбран из группы, состоящей из Н, алкила, арилзамещенного алкила, алкоксизамещенного алкила, циклоалкила, арилзамещенного циклоалкила и алкоксизамещенного циклоалкила.
[0248] В любом из аспектов или вариантов осуществления, описанных в данном документе, алкил, алкокси или т.п.могут представлять собой низший алкил или низший алкокси.
[0249] В определенных вариантах осуществления положение соединения с линкером в формулах А-4-1 - А-4-6 находится на по меньшей мере одном из Z, R8', R9', R10', R11'', R12'' или R1''.
[0250] Способ, применяемый для разработки химерных молекул, представленных в А-1-1 - А-1-4, А-4-1 - А-4-6, можно применять в отношении MLM с формулой А-2, А-3, А-5, А-6, А-7 и А-8, где обращенная к растворителю область в MLM может быть соединена с линкером «L», который будет присоединен к целевому белковому лиганду ''РТМ'', с конструированием PROTAC.
[0251] Иллюстративные фрагменты, связывающие MDM2, включают без ограничения следующие:
[0252] 1. Ингибиторы HDM2/MDM2, идентифицированные в Vassilev, et al., In vivo activation of the p53 pathway by small-molecule antagonists of MDM2, SCIENCE vol:303, pag:844-848 (2004) и Schneekloth, et al., Targeted intracellular protein degradation induced by a small molecule: En route to chemical proteomics, Bioorg. Med. Chem. Lett. 18 (2008) 5904 5908, в том числе (или дополнительно) соединения нутлин-3, нутлин-2 и нутлин-1 (дериватизированный), описанные ниже, а также все их производные и аналоги:
(дериватизированный, где линкерная группа L или группа (L-MLM) присоединены, например, при метоксигруппе или гидроксильной группе);
(дериватизированный, где линкерная группа L или группа -(L-MLM) присоединены, например, при метоксигруппе или гидроксильной группе);
(дериватизированный, где линкерная группа L или группа -(L-MLM) присоединены, например, посредством метоксигруппы или гидроксильной группы); и
[0253] 2.Транс-4-йод-4'-боранилхалкон
(дериватизированный где линкерная группа L, или линкерная группа L, или группа -(L-MLM) присоединены, например, посредством гидроксигруппы).
Иллюстративные линкеры
[0254] В определенных вариантах осуществления соединения, описанные в данном документе, включают один или более РТМ, химически соединенные или связанные с одним или более ULM (например, по меньшей мере одним из CLM, VLM, MLM, ILM или их комбинацией) посредством химического линкера (L). В определенных вариантах осуществления линкерная группа L представляет собой группу, содержащую одно или более ковалентно связанных структурных звеньев (например, -AL1…(AL)q- или -(AL)q-), где A1 представляет собой группу, связанную с РТМ, и (AL)q представляет собой группу, связанную с ULM.
[0255] В любом аспекте или варианте осуществления, описанных в данном документе, соединение или связывание линкера (L) с ULM (например, VLM, ILM, CLM или MLM) представляет собой стабильное соединение L-ULM. Например, в любом аспекте или варианте осуществления, описанных в данном документе, если линкер (L) и ULM соединены посредством гетероатома, любой последующий гетероатом, если он присутствует, отделен по меньшей мере одним единственным атомом углерода (например, -CH2-), например, посредством ацетальной или аминальной группы. В качестве дополнительного примера в любом аспекте или варианте осуществления, описанных в данном документе, если линкер (L) и ULM соединены посредством гетероатома, гетероатом не является частью сложного эфира.
[0256] В любом аспекте или варианте осуществления, описанных в данном документе, линкерная группа L представляет собой связь или химическую линкерную группу, представленную формулой (AL)q-, где А представляет собой химический фрагмент, и q представляет собой целое число от 1 до 100 (например, 1, 2, 3, 4, 5, 6, 7, 8, 9, 10, 11, 12, 13, 14, 15, 16, 17, 18, 19, 20, 21, 22, 23, 24, 25, 26, 27, 28, 29, 30, 31, 32, 33, 34, 35, 36, 37, 38, 39, 40, 41, 42, 43, 44, 45, 46, 47, 48, 49, 50, 51, 52, 53, 54, 55, 56, 57, 58, 59, 60, 61, 62, 63, 64, 65, 66, 67, 68, 69, 70, 71, 72, 73, 74, 75, 76, 77, 78, 79, 80, 81, 82, 83, 84, 85, 86, 87, 88, 89, 90, 91, 92, 93, 94, 95, 96, 97, 98, 99 или 100), и где L ковалентно связан с РТМ и ULM и обеспечивает надлежащее связывание РТМ с белковой мишенью и ULM с Е3-убиквитинлигазой с обеспечением в результате убиквитинирования целевого белка.
[0257] В любом аспекте или варианте осуществления, описанных в данном документе, линкерная группа L представляет собой -(AL)q-, где
(AL)q представляет собой группу, которая присоединена к по меньшей мере одному фрагменту ULM, фрагменту РТМ (например, CLM или VLM) или их комбинации;
q в линкере представляет собой целое число, которое равняется 1 или больше (например, 1, 2, 3, 4, 5, 6, 7, 8, 9, 10, 11, 12, 13, 14, 15, 16, 17, 18, 19, 20, 21, 22, 23, 24, 25, 26, 27, 28, 29, 30, 31, 32, 33, 34, 35, 36, 37, 38, 39, 40, 41, 42, 43, 44, 45, 46, 47, 48, 49, 50, 51, 52, 53, 54, 55, 56, 57, 58, 59, 60, 61, 62, 63, 64, 65, 66, 67, 68, 69, 70, 71, 72, 73, 74, 75, 76, 77, 78, 79, 80, 81, 82, 83, 84, 85, 86, 87, 88, 89, 90, 91, 92, 93, 94, 95, 96, 97, 98, 99 или 100);
каждый AL независимо выбран из группы, состоящей из связи, CRL1RL2, О, S, SO, SO2, NRL3, SO2NRL3, SONRL3, CONRL3, NRL3CONRL4, NRL3SO2NRL4, CO, CRL1=CRL2, C=C, SiRL1RL2, P(O)RL1, P(O)ORL1, NRL3C(=NCN)NRL4, NRL3C(=NCN), NRL3C(=CNO2)NRL4, С3-11циклоалкила, необязательно замещенного 0-6 группами RL1 и/или RL2, С5-13спироциклоалкила, необязательно замещенного 0-9 группами RL1 и/или RL2, С3-11гетероциклила, необязательно замещенного 0-6 группами RL1 и/или RL2, С5-13спирогетероциклоалкила, необязательно замещенного 0-8 группами RL1 и/или RL2, арила, необязательно замещенного 0-6 группами RL1 и/или RL2, гетероарила, необязательно замещенного 0-6 группами RL1 и/или RL2, где каждый из RL1 или RL2 независимо необязательно связан с другими группами с образованием циклоалкильного и/или гетероциклильного фрагмента, необязательно замещенных 0-4 группами RL5; и
каждый из RL1, RL2, RL3, RL4 и RL5 независимо представляет собой Н, галоген, С1-8алкил, ОС1-8алкил, SC1-8алкил, NHC1-8алкил, N(С1-8алкил)2, С3-11циклоалкил, арил, гетероарил, С3-11гетероциклил, ОС3-8циклоалкил, SC3-8циклоалкил, NHC3-8циклоалкил, N[(С3-8циклоалкил)2, N[(С3-8циклоалкил)(С1-8алкил), ОН, NH2, SH, SO2C1-8алкил, Р(O)(ОС1-8алкил)(С1-8алкил), P(O)(OC1-8алкил)2, СС-С1-8алкил, ССН, СН=CH(С1-8алкил), С(С1-8алкил)=СН(С1-8алкил), С(С1-8алкил)=С(С1-8алкил)2, Si(OH)3, Si(С1-8алкил)3, Si(ОН)(С1-8алкил)2, COC1-8алкил, CO2H, галоген, CN, CF3, CHF2, CH2F, NO2, SF5, SO2NHC1-8алкил, SO2N(C1-8алкил)2, SONHC1-8алкил, SON(С1-8алкил)2, CONHC1-8алкил, CON(C1-8алкил)2, N(С1-8алкил)CONH(С1-8алкил), N(С1-8алкил)CON(С1-8алкил)2, NHCONH(C1-8алкил), NHCON(C1-8алкил)2, NHCONH2, N(C1-8алкил)SO2NH(C1-8алкил), N(С1-8алкил) SO2N(C1-8алкил)2, NH SO2NH(C1-8алкил), NH SO2N(C1-8алкил)2, NH SO2NH2.
[0258] В любом аспекте или варианте осуществления, описанных в данном документе, q в линкере представляет собой целое число, которое равняется 0 или больше. В определенных вариантах осуществления q представляет собой целое число, которое равняется 1 или больше.
[0259] В любом аспекте или варианте осуществления, описанных в данном документе, например, где q в линкере равняется более 2, (AL)q представляет собой группу, которая представляет собой AL1 и (AL)q, где звенья AL соединяют РТМ с ULM.
[0260] В любом аспекте или варианте осуществления, описанных в данном документе, например, где q в линкере равняется 2, (AL)q представляет собой группу, которая присоединена к AL1 и к ULM.
[0261] В любом аспекте или варианте осуществления, описанных в данном документе, например, где q в линкере равняется 1, структура линкерной группы L представляет собой -AL1-, и AL1 представляет собой группу, которая присоединена к фрагменту ULM и фрагменту РТМ.
[0262] В любом аспекте или варианте осуществления, описанных в данном документе, линкер (L) включает группу, представленную общей структурой, выбранной из группы, состоящей из
-NR(CH2)n-(низший алкил)-, -NR(CH2)n-(низший алкоксил)-, -NR(CH2)n-(низший алкоксил)-ОСН2-, -NR(CH2)n-(низший алкоксил)-(низший алкил)-ОСН2-, -NR(CH2)n-(циклоалкил)-(низший алкил)-ОСН2-, -NR(CH2)n-(гетероциклоалкил)-, -NR(CH2CH2O)n-(низший алкил)-O-CH2-, -NR(CH2CH2O)n-(гетероциклоалкил)-O-СН2-, -NR(CH2CH2O)n-арил-O-СН2-, -NR(CH2CH2O)n-(гетероарил)-O-СН2-, -NR(CH2CH2O)n-(циклоалкил)-O-(гетероарил)-O-CH2-, -NR(CH2CH2O)n-(циклоалкил)-O-арил-O-CH2-, -NR(CH2CH2O)n-(низший алкил)-NH-арил-ОСН2-, -NR(CH2CH2O)n-(низший алкил)-O-арил-СН2, NR(CH2CH2O)n-циклоалкил-O-арил-, -NR(CH2CH2O)n-циклоалкил-O-(гетероарил)1-, -NR(СН2СН2)n-(циклоалкил)-O-(гетероцикл)-СН2, NR(СН2СН2)n-(гетероцикл)-(гетероцикл)-СН2, -N(R1R2)-(гетероцикл)-СН2; где
n в линкере может равняться 0-10;
R в линкере может представлять собой Н, низший алкил;
R1 и R2 в линкере могут образовывать кольцо с соединяющим N.
[0263] В любом аспекте или варианте осуществления, описанных в данном документе, линкер (L) включает группу, представленную общей структурой, выбранной из группы, состоящей из
-N(R)-(CH2)m-O(CH2)n-O(CH2)o-O(CH2)p-O(CH2)q-O(CH2)r-OCH2-,
-O-(CH2)m-O(CH2)mO(CH2)o-O(CH2)p-O(CH2)q-O(CH2)r-OCH2-,
-O-(CH2)m-O(CH2)n-O(CH2)o-O(CH2)p-O(CH2)q-O(CH2)r-O-;
-N(R)-(CH2)m-O(CH2)n-O(CH2)o-O(CH2)p-O(CH2)q-O(CH2)r-O-;
-(CH2)m-O(CH2)n-O(CH2)o-O(CH2)p-O(CH2)q-O(CH2)r-O-;
-(CH2)m-O(CH2)n-O(CH2o-O(CH2)p-O(CH2)q-O(CH2)r-OCH2-;
где
каждый m, n, о, р, q и r в линкере независимо равняется 0, 1, 2, 3, 4, 5, 6, 7, 8, 9, 10, 11, 12, 13, 14, 15, 16, 17, 18, 19 или 20;
если число равняется нулю, то связь N-O или О-О отсутствует;
R в линкере представляет собой Н, метил и этил;
X в линкере представляет собой Н и F
где m в линкере может равняться 2, 3, 4, 5,
где каждый n и m в линкере может независимо равняться 0, 1, 2, 3, 4, 5, 6.
[0264] В любом аспекте или варианте осуществления, описанных в данном документе, линкер (L) выбран из группы, состоящей из
где каждый из m и n независимо выбран из 0, 1, 2,3,4, 5 или 6.
[0265] В любом аспекте или варианте осуществления, описанных в данном документе, линкер (L) выбран из группы, состоящей из
[0266] В любом аспекте или варианте осуществления, описанных в данном документе, линкер (L) выбран из группы, состоящей из
[0267] В любом аспекте или варианте осуществления, описанных в данном документе; линкер (L) выбран из группы, состоящей из
где m, n, о, p, q, r, s независимо равняются 0, 1,2, 3, 4, 5, 6, 7, 8, 9, 10, 11, 12, 13, 14, 15, 16, 17, 18, 19 или 20.
[0268] В любом аспекте или варианте осуществления, описанных в данном документе, линкер (L) выбран из группы, состоящей из
[0269] В любом аспекте или варианте осуществления, описанных в данном документе, линкер (L) имеет структуру, выбранную без ограничения из структур, показанных ниже, где пунктирная линия указывает на точку присоединения к фрагментам РТМ или ULM.
где
каждый из WL1 и WL2 независимо отсутствует или представляет собой 4-8-членное кольцо с 0-4 гетероатомами, необязательно замещенное RQ, при этом каждый RQ независимо представляет собой Н, галоген, ОН, CN, CF3, необязательно замещенный линейный или разветвленный C1-С6алкил, необязательно замещенный линейный или разветвленный C1-С6алкокси, или 2 группы RQ взятые вместе с атомом, к которому они присоединены, образуют 4-8-членную кольцевую систему, содержащую 0-4 гетероатома;
каждый YL1 независимо представляет собой связь, необязательно замещенный линейный или разветвленный C1-С6алкил, и необязательно один или более атомов С заменены О; или необязательно замещенный линейный или разветвленный C1-С6алкокси;
n равняется 0-10; и
указывает на точку присоединения к фрагментам РТМ или ULM.
[0270] В любом аспекте или варианте осуществления, описанных в данном документе, линкер (L) имеет структуру, выбранную без ограничения из структур, показанных ниже, где пунктирная линия указывает на точку присоединения к фрагментам РТМ или ULM.
где
каждый из WL1 и WL2 независимо отсутствует или представляет собой арил, гетероарил, циклическую группу, гетероциклическую группу, C1-6алкил, и необязательно один или более атомов С заменены О, C1-6алкен, и необязательно один или более атомов С заменены О, C1-6алкин, и необязательно один или более атомов С заменены О, бициклическую группу, биарил, бигетероарил или бигетероциклическую группу, каждый из которых необязательно замещен RQ, каждый RQ независимо представляет собой Н, галоген, ОН, CN, CF3, гидроксил, нитро, С≡СН, С2-6алкенил, С2-6алкинил, необязательно замещенный линейный или разветвленный C1-С6алкил, необязательно замещенный линейный или разветвленный C1-С6алкокси, необязательно замещенный OC1-3алкил (например, необязательно замещенный 1 или более -F), ОН, NH2, NRY1RY2, CN, или 2 группы RQ, взятые вместе с атомом, к которому они присоединены, образуют 4-8-членную кольцевую систему, содержащую 0-4 гетероатома;
каждый YL1 независимо представляет собой связь, NRYL1, О, S, NRYL2, CRYL1RYL2, С=O, C=S, SO, SO2, необязательно замещенный линейный или разветвленный C1-С6алкил, и необязательно один или более атомов С заменены О; необязательно замещенный линейный или разветвленный C1-С6алкокси;
QL представляет собой 3-6-членное алициклическое или ароматическое кольцо с 0-4 гетероатомами, необязательно содержащее мостиковую связь, необязательно замещенное 0-6 RQ, при этом каждый RQ независимо представляет собой Н, необязательно замещенный линейный или разветвленный С1-6алкил (например, необязательно замещенный 1 или более из галогена или C1-6алкоксила), или 2 группы RQ, взятые вместе с атомом, к которому они присоединены, образуют 3-8-членную кольцевую систему, содержащую 0-2 гетероатома;
каждый RYL1, RYL2 независимо представляет собой Н, ОН, необязательно замещенный линейный или разветвленный C1-6алкил (например, необязательно замещенный 1 или более из галогена или C1-6алкоксила), или R1, R2 вместе с атомом, к которому они присоединены, образуют 3-8-членную кольцевую систему, содержащую 0-2 гетероатома;
n равняется 0-10; и
указывает на точку присоединения к фрагментам РТМ или ULM.
[0271] В дополнительных вариантах осуществления линкерная группа представляет собой необязательно замещенный (поли)этиленгликоль, содержащий от 1 до приблизительно 100 этиленгликолевых звеньев (например, 1, 2, 3, 4, 5, 6, 7, 8, 9, 10, 11, 12, 13, 14, 15, 16, 17, 18, 19, 20, 21, 22, 23, 24, 25, 26, 27, 28, 29, 30, 31, 32, 33, 34, 35, 36, 37, 38, 39, 40, 41, 42, 43, 44, 45, 46, 47, 48, 49, 50 и т.д этиленгликолевых звеньев), от приблизительно 1 до приблизительно 50 этиленгликолевых звеньев, от 1 до приблизительно 25 этиленгликолевых звеньев, от приблизительно 1 до 10 этиленгликолевых звеньев, от 1 до приблизительно 8 этиленгликолевых звеньев и от 1 до 6 этиленгликолевых звеньев, от 2 до 4 этиленгликолевых звеньев, или необязательно замещенные алкильные группы, распределенные между необязательно замещенными атомами О, N, S, Р или Si. В определенных вариантах осуществления линкер замещен арильной, фенильной, бензильной, алкильной, алкиленовой или гетероциклической группой. В определенных вариантах осуществления линкер может быть асимметричным или симметричным.
[0272] В любом из вариантов осуществления соединений, описанных в данном документе, линкерная группа может представлять собой любой подходящий фрагмент, описанный в данном документе. В одном варианте осуществления линкер представляет собой замещенную или незамещенную полиэтиленгликолевую группу размером в диапазоне от приблизительно 1 до приблизительно 12 этиленгликолевых звеньев, от 1 до приблизительно 10 этиленгликолевых звеньев, от приблизительно 2 до приблизительно 6 этиленгликолевых звеньев, от приблизительно 2 до 5 этиленгликолевых звеньев, от приблизительно 2 до 4 этиленгликолевых звеньев.
[0273] В любом аспекте или варианте осуществления, описанных в данном документе, линкер (L) включает необязательно замещенный C1-С100алкил (например, C1, С2, С3, С4, С5, С6, С7, C8, С9, С10, С11, С12, С13, С14, C15, С16, С17, C18, C19, С20, С21, С22, С23, С24, С25, С26, С27, С28, С29, С30, С31, С32, С33, С34, С35, С36, С37, С38, С39, С40, С41, С42, С43, С44, С45, С46, С47, С48, С49, С50, С51, С52, С53, С54, С55, С56, С57, С58, С59, С60, С61, С62, С63, С64, С65, С66, С67, С68, С69, С70, С71, С72, С73, С74, С75, С76, С77, С78, С79, C80, C81, C82, С83, С84, C85, C86, C87, C88, C89, C90, C91, C92, C93, C94, C95, C96, C97, C98, C99 или С100алкил), где каждый атом углерода необязательно замещен (1) гетероатомом, выбранным из атомов N, S, Р или Si, который имеет подходящее количество атомов водорода, замещений или их обоих для заполнения валентности, (2) необязательно замещенным циклоалкилом или бициклическим циклоалкилом, (3) необязательно замещенным гетероциклоалкилом или бициклическим гетероциклоалкилом, (4) необязательно замещенным арилом или бициклическим арилом или (5) необязательно замещенным гетероарилом или бициклическим гетероарилом. В любом аспекте или варианте осуществления, описанных в данном документе, линкер (L) не предусматривает связывания гетероатом-гетероатом (например, никакие из гетероатомов не связаны с линкером ковалентно или не расположены рядом с ним).
[0274] В любом аспекте или варианте осуществления, описанных в данном документе, линкер (L) включает необязательно замещенный C1-С100алкил (например, C1, С2, С3, С4, С5, С6, С7, С8, С9, С10, С11, С12, С13, С14, С15, С16, С17, C18, С19, С20, С21, С22, С23, С24, С25, С26, С27, С28, С29, С30, С31, С32, С33, С34, С35, С36, С37, С38, С39, С40, С41, С42, С43, С44, С45, С46, С47, С48, С49, С50, С51, С52, С53, С54, С55, С56, С57, С58, С59, С60, С61, С62, С63, С64, С65, С66, С67, С68, С69, С70, С71, С72, C73, С74, С75, С76, С77, С78, С79, С80, C81, C82, С83, C84, C85, C86, C87, C88, C89, C90, C91, C92, C93, C94, C95, C96, C97, C98, C99 или С100алкил), где
каждый атом углерода необязательно замещен CRL1RL2, О, S, SO, SO2, NRL3, SO2NRL3, SONRL3, CONRL3, NRL3CONRL4, NRL3SO2NRL4, CO, CRL1=CRL2, C=C, SiRL1RL2, P(O)RL1, P(O)ORL1, NRL3C(=NCN)NRL4, NRL3C(=NCN), NRL3C(=CNO2)NRL4, С3-11циклоалкилом, необязательно замещенным 0-6 группами RL1 и/или RL2, С5-13спироциклоалкилом, необязательно замещенным 0-9 группами RL1 и/или RL2, С3-11гетерооциклилом, необязательно замещенным 0-6 группами RL1 и/или RL2, С5-13спирогетероциклилом, необязательно замещенным 0-8 группами RL1 и/или RL2, арилом, необязательно замещенным 0-6 группами RL1 и/или RL2, гетероарилом, необязательно замещенным 0-6 группами RL1 и/или RL2, где каждый из RL1 или RL2 независимо необязательно связан с другими группами с образованием циклоалкильного и/или гетероциклильного фрагмента, необязательно замещенных 0-4 группами RL5; и
каждый из RL1, RL2, RL3, RL4 и RL5 независимо представляет собой Н, галоген, C1-8алкил, ОС1-8алкил, SC1-8алкил, NHC1-8алкил, N(С1-8алкил)2, С3-11циклоалкил, арил, гетероарил, С3-11гетероциклил, ОС3-8циклоалкил, SC3-8циклоалкил, NHC3-8циклоалкил, N(С3-8циклоалкил)2, N(C3-8циклоалкил)(C1-8алкил), ОН, NH2, SH, SO2C1-8алкил, Р(О)(ОС1-8алкил)(С1-8алкил), P(O)(OC1-8алкил)2, СС-С1-8алкил, ССН, СН=СН(С1-8алкил), С(С1-8алкил)=СН(С1-8алкил), С(С1-8алкил)=С(С1-8алкил)2, Si(OH)3, Si(С1-8алкил)3, Si(ОН)(С1-8алкил)2, COC1-8алкил, CO2H, галоген, CN, CF3, CHF2, CH2F, NO2, SF5, SO2NHC1-8алкил, SO2N(C1-8алкил)2, SONHC1-8алкил, SON(C1-8алкил)2, CONHC1-8алкил, CON(C1-8алкил)2, N(C1-8алкил)CONH(C1-8алкил), N(C1-8алкил)CON(C1-8алкил)2, NHCONH(C1-8алкил), NHCON(С1-8алкил)2, NHCONH2, N(C1-8алкил)SO2NH(C1-8алкил), N(С1-8алкил) SO2N(С1-8алкил)2, NH SO2NH(С1-8алкил), NH SO2N(C1-8алкил)2, NH SO2NH2.
[0275] В любом аспекте или варианте осуществления, описанных в данном документе, линкер (L) не предусматривает связывания гетероатом-гетероатом (например, никакие из гетероатомов не связаны с линкером ковалентно или не расположены рядом с ним).
[0276] В любом аспекте или варианте осуществления, описанных в данном документе, линкер (L) включает от приблизительно 1 до приблизительно 50 (например, 1, 2, 3, 4, 5, 6, 7, 8, 9, 10, 11, 12, 13, 14, 15, 16, 17, 18, 19, 20, 21, 22, 23, 24, 25, 26, 27, 28, 29, 30, 31, 32, 33, 34, 35, 36, 37, 38, 39, 40, 41, 42, 43, 44, 45, 46, 47, 48, 49 или 50) алкиленгликолевых звеньев, которые необязательно замещены, где углерод или кислород может быть замещен гетероатомом, выбранным из атомов N, S, Р или Si, с подходящим количеством атомов водорода для заполнения валентности. Например, в любом аспекте или варианте осуществления, описанных в данном документе, линкер (L) имеет химическую структуру, выбранную из
где углерод или кислород может быть замещен гетероатомом, выбранным из атомов N, S, Р или Si, с подходящим количеством атомов водорода для заполнения валентности, и m, n, о, р, q, r и s независимо выбраны из 0, 1, 2, 3, 4, 5, 6, 7, 8, 9, 10, 11, 12, 13, 14, 15, 16, 17, 18, 19 и 20.
[0277] В любом аспекте или варианте осуществления, описанных в данном документе, настоящее изобретение направлено на соединение, которое содержит группу РТМ, описанную выше, которая связывается с целевым белком или полипептидом (например, RAF), который убиквитинируется убиквитинлигазой и непосредственно химически связан с группой ULM или посредством линкерного фрагмента L, или РТМ, в качестве альтернативы, представляет собой группу ULM', которая также является фрагментом, связывающим убиквитинлигазу, который может быть идентичным группе ULM, описанной выше, или отличным от нее, и непосредственно связан с группой ULM непосредственно или посредством линкерного фрагмента; и L представляет собой линкерный фрагмент, описанный выше, который может присутствовать или отсутствовать и который химически (ковалентно) связывает ULM с РТМ или его фармацевтически приемлемой солью, энантиомером, стереоизомером, сольватом или полиморфом.
[0278] В любом аспекте или варианте осуществления, описанных в данном документе, линкерная группа L представляет собой группу, содержащую одно или более ковалентно соединенных структурных звеньев, независимо выбранных из группы, состоящей из
X выбран из группы, состоящей из О, N, S, S(O) и SO2; n представляет собой целое число от 1 до 5, 5; RL1 представляет собой водород или алкил,
представляет собой моно- или бициклический арил или гетероарил, необязательно замещенный 1-3 заместителями, выбранными из алкила, галогена, галогеналкила, гидрокси, алкокси или циано;
представляет собой моно- или бициклический циклоалкил или гетероциклоалкил, необязательно замещенный 1-3 заместителями, выбранными из алкила, галогена, галогеналкила, гидрокси, алкокси или циано; и фенильный кольцевой фрагмент может быть необязательно замещен 1, 2 или 3 заместителями, выбранными из группы, состоящей из алкила, галогена, галогеналкила, гидрокси, алкокси и циано. В одном варианте осуществления линкерная группа L содержит не более 10 ковалентно соединенных структурных звеньев, описанных выше.
[0279] Хотя группа ULM и группа РТМ могут быть ковалентно связаны с линкерной группой посредством любой группы, которая является подходящей и стабильной относительно химической природы линкера, в предпочтительных аспектах настоящего изобретения линкер независимо ковалентно связан с группой ULM и группой РТМ предпочтительно посредством амидной, сложноэфирной, сложнотиоэфирной групп, кетогруппы, карбаматной группы (уретановой группы), атома углерода или эфирной группы, каждая группа из которых может быть включена где-либо в группе ULM и группе РТМ с обеспечением максимального связывания группы ULM с убиквитинлигазой и группы РТМ с целевым белком, подлежащим деградации. (Следует отметить, что в определенных аспектах, если группа РТМ представляет собой группу ULM, целевой белок, подлежащий деградации, может как таковой представлять собой убиквитинлигазу). В определенных предпочтительных аспектах линкер может быть связан с необязательно замещенной алкильной, алкиленовой, алкеновой или алкиновой группой, арильной группой или гетероциклической группой на группах ULM и/или РТМ.
Иллюстративные РТМ
[0280] В предпочтительных аспектах настоящего изобретения группа РТМ представляет собой группу, которая связывается с целевыми белками. Мишени группы РТМ являются многочисленными по своей природе и выбраны из белков, которые экспрессируются в клетке таким образом, что по меньшей мере часть последовательностей встречается в клетке и может связываться с группой РТМ. Термин «белок» включает олигопептиды и полипептидные последовательности достаточной длины для того, чтобы они могли связываться с группой РТМ в соответствии с настоящим изобретением. Любой белок в эукариотической системе или микробной системе, в том числе вирусе, бактерии или грибе, как описано далее в данном документе, является мишенью для убиквитинирования, опосредованного соединениями в соответствии с настоящим изобретением. Предпочтительно целевой белок представляет собой эукариотический белок.
[0281] Группы РТМ в соответствии с настоящим изобретением включают, например, любой фрагмент, который связывается с белком специфически (связывается с целевым белком), и включают, среди многих других, следующие неограничивающие примеры низкомолекулярных целевых белковых фрагментов: ингибиторы RAF, ингибиторы Hsp90, ингибиторы киназ, ингибиторы HDM2 и MDM2, соединения, целенаправленно воздействующие на бромодоменсодержащие белки BET человека, ингибиторы HDAC, ингибиторы лизинметилтрансферазы человека, ингибиторы ангиогенеза, соединения, взаимодействующие с ядерными рецепторами гормонов, иммуносупрессорные соединения и соединения, целенаправленно воздействующие на рецептор ароматических углеводородов (AHR). В композициях, описанных ниже, проиллюстрированы некоторые из представителей низкомолекулярных фрагментов, связывающих целевой белок. Такие низкомолекулярные фрагменты, связывающие целевой белок, также включают фармацевтически приемлемые соли, энантиомеры, сольваты и полиморфы этих композиций, а также другие малые молекулы, которые способны целенаправленно воздействовать на белок, представляющий интерес.Эти связывающие фрагменты связаны с фрагментом, связывающим убиквитинлигазу, предпочтительно посредством линкера, для размещения целевого белка (с которым связан фрагмент, целенаправленно воздействующий на белок) в непосредственной близости от убиквитинлигазы для убиквитинирования и деградации.
[0282] Любой белок, который может связываться с фрагментом, целенаправленно воздействующим на белок, или группой РТМ и может подвергаться действию убиквитинлигазы (например, RAF) или опосредованной ею деградации, представляет собой целевой белок в соответствии с настоящим изобретением. В целом, целевые белки могут включать, например, структурные белки, рецепторы, ферменты, белки клеточной поверхности, белки, участвующие в общем функционировании клетки, в том числе белки, вовлеченные в каталитическую активность, ароматазную активность, двигательную активность, хеликазную активность, метаболические процессы (анаболизм и катаболизм), антиоксидантную активность, протеолиз, биосинтез, белки с киназной активностью, оксидоредуктазной активностью, трансферазной активностью, гидролазной активностью, лиазной активностью, изомеразной активностью, лигазной активностью, активностью регуляторного фермента, активностью переносчика сигнала, активностью структурной молекулы, связывающей активностью (белок, липид, углевод), рецепторной активностью, вовлеченные в клеточную подвижность, слияние мембран, клеточную коммуникацию, регуляцию биологических процессов, развитие, дифференцировку клеток, ответ на стимул, белки, ассоциированные с поведением клетки, белки клеточной адгезии, белки, вовлеченные в гибель клеток, белки, вовлеченные в транспорт (в том числе активность белка-транспортера, ядерный транспорт, активность транспортера ионов, активность канала-транспортера, активность переносчика, пермеазная активность, активность в отношении секреции, активность транспортера электронов, патогенез, активность регулятора шаперонов, активность в отношении связывания нуклеиновой кислоты, активность регулятора транскрипции, активность в отношении внеклеточной организации и биогенеза, активность регулятора трансляции. Белки, представляющие интерес, могут включать, среди многих других, белки эукариот (например, c-RAF, A-RAF и/или B-RAF) и прокариот, в том числе людей, как мишени для терапии лекарственным средством, других животных, в том числе одомашненных животных, микроорганизмов, для определения мишеней антибиотиков и других противомикробных средств, и растений и даже вирусов (например, v-RAF и/или v-Mil).
[0283] Настоящее изобретение можно применять для лечения ряда болезненных состояний и/или других состояний, в том числе любого болезненного состояния и/или состояния, при котором нарушена регуляция белков и при котором пациент получит пользу от деградации белков.
[0284] В дополнительном аспекте в описании предусмотрены терапевтические композиции, содержащие эффективное количество соединения, описанного в данном документе, или его солевой формы и фармацевтически приемлемый носитель, добавку или вспомогательное вещество и необязательно дополнительное биологически активное средство. Терапевтические композиции модулируют деградацию белка у пациента или субъекта, например, у животного, такого как человек, и их можно применять для лечения или облегчения болезненных состояний или состояний, модулирование которых обеспечивается посредством деградации белка. В определенных вариантах осуществления терапевтические композиции, описанные в данном документе, можно применять для обеспечения деградации белков, представляющих интерес, для лечения или облегчения заболевания, например, рака, кардио-фацио-кожного синдрома, нейрофиброматоза 1 типа, синдрома Костелло, синдрома Нунан, синдрома LEOPARD. В определенных дополнительных вариантах осуществления заболевание представляет собой почечноклеточную карциному, рак поджелудочной железы, колоректальный рак, рак легкого, рак яичника, рак щитовидной железы, пилоцитарную астроцитому, рак предстательной железы, рак желудка, гепатоклеточную карциному и меланому.
[0285] В альтернативных аспектах настоящее изобретение относится к способу лечения болезненного состояния или облегчения симптомов заболевания или состояния у субъекта, нуждающегося в этом, посредством деградации белка или полипептида, за счет которых модулируется болезненное состояние или другое состояние, включающему введение указанному пациенту или субъекту эффективного количества, например, терапевтически эффективного количества по меньшей мере одного соединения, описанного в данном документе выше, необязательно в комбинации с фармацевтически приемлемым носителем, добавкой или вспомогательным веществом и необязательно дополнительным биологически активным средством, где композиция является эффективной для лечения или облегчения заболевания или нарушения или их симптома у субъекта. Способ в соответствии с настоящим изобретением можно применять для лечения большого количества болезненных состояний или других состояний, в том числе рака, кардио-фацио-кожного синдрома, нейрофиброматоза 1 типа, синдрома Костелло, синдрома Нунан, синдрома LEOPARD, посредством введения эффективных количеств по меньшей мере одного соединения, описанного в данном документе. Болезненное состояние или другое состояние может представлять собой заболевание, вызванное микроорганизмом или другим экзогенным организмом, таким как вирус (например, мышиный ретровирус или птичий ретровирус, такой как птичий ретровирус МН2), бактерия, гриб, простейшее или другой микроорганизм, или может представлять собой болезненное состояние, которое вызвано сверхэкспрессией белка и/или присутствием белка в постоянно активированном состоянии, что приводит к болезненному состоянию и/или другому состоянию.
[0286] В другом аспекте в описании предусмотрены способы идентификации эффектов деградации белков, представляющих интерес, в биологической системе с применением соединений в соответствии с настоящим изобретением.
[0287] Термин «целевой белок» применяется в данном документе для описания белка или полипептида, которые представляют собой мишень для связывания с соединением в соответствии с настоящим изобретением и деградации посредством убиквитинлигазы. Такие низкомолекулярные фрагменты, связывающие целевой белок, также включают фармацевтически приемлемые соли, энантиомеры, сольваты и полиморфы этих композиций, а также другие малые молекулы, которые способны целенаправленно воздействовать на белок, представляющий интерес.Данные связывающие фрагменты соединены с по меньшей мере одной группой ULM (например, VLM, CLM, ILM и/или MLM) посредством по меньшей мере одной линкерной группы L.
[0288] Целевые белки, которые могут быть связаны с фрагментом, целенаправленно воздействующим на белок, и деградированы с помощью лигазы, с которой связан фрагмент, связывающий убиквитинлигазу, включают любые белок или пептид, в том числе их фрагменты, их аналоги и/или их гомологи. Целевые белки включают белки и пептиды, обладающие любой биологической функцией или активностью, в том числе структурной, регуляторной, гормональной, ферментативной, генетической, иммунологической, сократительной, запасающей, транспортной активностью и активностью передачи сигнала. Более конкретно, ряд мишеней лекарственного средства для терапевтических средств для человека представляет собой белковые мишени, с которыми может связываться фрагмент, целенаправленно воздействующий на белок, и встраивать их в соединения в соответствии с настоящим изобретением. Они включают белки, которые можно применять для восстановления функции при многочисленных полигенных заболеваниях, в том числе, например, В7.1 и В7, TLNFRlm, TNFR2, NADPH-оксидаза, BclIBax и другие партнеры в пути апоптоза, рецептор С5а, HMG-CoA-редуктаза, фосфодиэстераза типа PDE V, фосфодиэстераза типа 4 PDE IV, PDE I, PDEII, PDEIII, ингибитор скваленциклазы, CXCR1, CXCR2, синтаза оксида азота (NO), циклооксигеназа 1, циклооксигеназа 2, рецепторы 5НТ, рецепторы дофамина, G-белки, т.е. Gq, рецепторы гистамина, 5-липооксигеназа, триптаза, представляющая собой сериновую протеазу, тимидилатсинтаза, пуриннуклеозидфосфорилаза, GAPDH трипаносом, гликогенфосфорилаза, карбоангидраза, рецепторы хемокинов, JAW STAT, RXR и подобные, протеаза HIV 1, интеграза HIV 1, нейраминидаза вируса гриппа, обратная транскриптаза гепатита В, натриевый канал, белок множественной лекарственной устойчивости (MDR), белок Р-гликопротеин (и MRP), тирозинкиназы, CD23, CD124, тирозинкиназа р56 lck, CD4, CD5, рецептор IL-2, рецептор IL-1, TNF-aльфaR, ICAM1, каналы Cat+, VCAM, интегрин VLA-4, селектины, CD40/CD40L, невокинины и рецепторы, инозинмонофосфатдегидрогеназа, МАР-киназа р38, путь Ras/Raf/MEK-ERK, интерлейкин-1-конвертирующий фермент, каспаза, протеаза NS3 HCV, РНК-хеликаза NS3 HCV, глицинамидрибонуклеотидформилтрансфераза, протеаза риновируса 3С, протеаза вируса простого герпеса-1 (HSV-I), протеаза цитомегаловируса (CMV), поли(ADP-рибозо)полимераза, циклинзависимые киназы, фактор роста эндотелия сосудов, рецептор окситоцина, ингибитор микросомального транспортного белка, ингибитор транспорта желчных кислот, ингибиторы 5-альфа-редуктазы, ангиотензин 11, рецептор глицина, рецептор обратного захвата норадреналина, рецепторы эндотелинов, нейропептид Y и рецептор, рецепторы эстрогенов, рецепторы андрогенов, рецепторы аденозина, аденозинкиназа и АМР-дезаминаза, пуринергические рецепторы (P2Y1, P2Y2, P2Y4, P2Y6, Р2Х1-7), фарнезилтрансферазы, геранилгеранилтрансфераза, рецептор TrkA для NGF, бета-амилоид, тирозинкиназа Flk-IIKDR, рецептор витронектина, рецептор интегрина, Her-21 neu, ингибитор теломеразы, цитозольная фосфолипаза А2 и рецепторная тирозинкиназа EGF. Дополнительные белковые мишени включают, например, экдизон 20-монооксигеназу, ионный канал, представляющий собой хлорный канал, открываемый с помощью GABA, ацетилхолинэстеразу, белок, представляющий собой потенциалчувствительный натриевый канал, канал, высвобождающий кальций из клетки, и хлорные каналы. Еще одни дополнительные целевые белки включают ацетил-СоА-карбоксилазу, аденилосукцинатсинтетазу, протопорфириногеноксидазу и енолпирувилшикиматфосфатсинтазу.
[0289] Данные различные белковые мишени можно применять в скринингах для идентификации фрагментов соединения, которые связываются с белком, и посредством встраивания фрагмента в соединения в соответствии с настоящим изобретением уровень активности белка может быть изменен для достижения конечного терапевтического результата.
[0290] Термин «фрагмент, целенаправленно воздействующий на белок», или РТМ применяется для описания малой молекулы, которая связывается с целевым белком или другим белком или полипептидом, представляющим интерес, и обеспечивает размещение/присутствие данного белка или полипептида в непосредственной близости от убиквитинлигазы таким образом, что может происходить деградация белка или полипептида с помощью убиквитинлигазы. Неограничивающие примеры низкомолекулярных фрагментов, связывающих целевой белок, включают, среди многих других, ингибиторы RAF, ингибиторы Hsp90, ингибиторы киназ, ингибиторы MDM2, соединения, целенаправленно воздействующие на бромодоменсодержащие белки BET человека, ингибиторы HDAC, ингибиторы лизинметилтрансферазы человека, ингибиторы ангиогенеза, иммуносупрессорные соединения и соединения, целенаправленно воздействующие на рецептор ароматических углеводородов (AHR). В композициях, описанных ниже, проиллюстрированы некоторые из представителей низкомолекулярных целевых белков.
[0291] Иллюстративные фрагменты, целенаправленно воздействующие на белок, в соответствии с настоящим изобретением включают ингибиторы RAF, ингибиторы галогеналкангалогеназы, ингибиторы Hsp90, ингибиторы киназ, ингибиторы MDM2, соединения, целенаправленно воздействующие на бромодоменсодержащие белки BET человека, ингибиторы HDAC, ингибиторы лизинметилтрансферазы человека, ингибиторы ангиогенеза, иммуносупрессорные соединения и соединения, целенаправленно воздействующие на рецептор ароматических углеводородов (AHR).
[0292] В композициях, описанных ниже, проиллюстрированы некоторые из представителей данных типов низкомолекулярных фрагментов, связывающих целевой белок. Такие низкомолекулярные фрагменты, связывающие целевой белок, также включают фармацевтически приемлемые соли, энантиомеры, сольваты и полиморфы этих композиций, а также другие малые молекулы, которые способны целенаправленно воздействовать на белок, представляющий интерес.Источники, цитируемые в данном документе ниже, включены в данный документ посредством ссылки во всей своей полноте.
[0293] В любом аспекте или варианте осуществления, описанных в данном документе, РТМ представляет собой малую молекулу, содержащую фрагмент, целенаправленно воздействующий на белок B-RAF.
[0294] В любом аспекте или варианте осуществления, описанных в данном документе, РТМ целенаправленно воздействует на RAF и/или связывает его. Например, в любом аспекте или варианте осуществления, описанных в данном документе, РТМ может содержать химическую группу, выбранную из группы химических структур, состоящих из РТМ-Ia или РТМ-Ib:
где
связи, обозначенные двойным пунктиром, представляют собой ароматические связи;
VPTM, WPTM, XPTM, YPTM, ZPTM представляют собой одну из следующих комбинаций: С, СН, N, N, С; С, N, N, СН, С; С, О, С, СН, С; С, S, С, СН, С; С, СН, С, О, С; С, СН, С, S, С; С, СН, N, СН, С; N, СН, С, СН, С; С, СН, С, СН, N; N, N, С, СН, С; N, СН, С, N, С; С, СН, С, N, N; С, N, С, СН, N; С, N, С, N, С; и С, N, N, N, С;
XPTM35, XPTM36, XPTM37 и XPTM38 независимо выбраны из СН и N;
RPTM1 ковалентно присоединен к ULM, химической линкерной группе (L), CLM, ILM, VLM, MLM, ULM', CLM', ILM', VLM', MLM' или их комбинации;
RPTM2 представляет собой водород, галоген, арил, метил, этил, ОСН3, NHCH3 или М1-СН2-СН2-М2, где M1 представляет собой СН2, О и NH, и М2 представляет собой водород, алкил, циклический алкил, арил или гетероцикл;
RPTM2a и RPTM2b представляют собой водород, ОН, галоген;
RPTM3 отсутствует или представляет собой водород, арил, метил, этил, другой алкил, циклический алкил, ОСН3, NHCH3 или M1-CH2-CH2-M2, где M1 представляет собой СН2, О и NH, и М2 представляет собой водород, алкил, циклический алкил, арил или гетероцикл;
RPTM4 представляет собой водород, галоген, арил, метил, этил, ОСН3, NHCH3 или М1-СН2-СН2-М2, где M1 представляет собой СН2, О и NH, и М2 представляет собой водород, алкил, циклический алкил, арил или гетероцикл; и
RPTM5 выбран из группы, состоящей из
[0295] В любом аспекте или варианте осуществления, описанных в данном документе, РТМ может содержать химическую группу, выбранную из группы химических структур, состоящих из РТМ-IIa или РТМ-IIb:
где
XPTM1, XPTM2, XPTM3, XPTM4, XPTM5 и XPTM6 независимо выбраны из СН или N;
RPTM5a выбран из группы, состоящей из связи, необязательно замещенного амина, необязательно замещенного амида (например, необязательно замещенного алкильной, метальной, этильной, пропильной или бутильной группой), Н,
, -NHC(O)RPTM5;
RPTM5 выбран из группы, состоящей из
RPTMb представляет собой водород или линейный или разветвленный С1-С4алкил (например, метил или этил);
каждый из RPTM6a и RPTM6b независимо выбран из водорода, галогена или необязательно замещенного линейного или разветвленного C1-С6алкила;
RPTM6 отсутствует или представляет собой водород, галоген, арил, метил, этил, ОСН3, NHCH3 или M1-CH2-CH2-M2, где M1 представляет собой СН2, О и NH, и М2 представляет собой водород, алкил, циклический алкил, арил или гетероцикл;
RPTM6c представляет собой водород или линейный или разветвленный С1-С4алкил (например, метил или этил);
RPTM7 отсутствует или представляет собой водород, галоген, арил, метил, этил, ОСН3, NHCH3 или M1-CH2-CH2-M2, где M1 представляет собой СН2, О или NH, и М2 представляет собой водород, алкил, циклический алкил, арил или гетероцикл;
RPTM8, RPTM9 или RPTM10 отсутствуют или независимо выбраны из группы, состоящей из водорода, галогена, арила, гетероарила, алкила, циклоалкила, гетероцикла, метила, этила, ОСН3, NHCH3 или М1-СН2-СН2-М2, где M1 представляет собой СН2, О и NH, и М2 представляет собой водород, алкил, циклический алкил, арил или гетероцикл;
RPTM11 отсутствует или представляет собой водород, галоген, метил, этил, ОСН3, NH СН3 или M1-CH2-CH2-M2, где M1 представляет собой СН2, О или NH, и М2 представляет собой водород, алкил, циклический алкил, арил или гетероцикл; и
по меньшей мере один из RPTM8, RPTM9 или RPTM10 модифицирован с возможностью ковалентного присоединения к ULM, химической линкерной группе (L), CLM, ILM, VLM, MLM, ULM', CLM', ILM', VLM', MLM' или их комбинации, или два из RPTM8, RPTM9 и RPTM10 модифицированы таким образом, что образуют полициклическое (например, бициклическое) конденсированное кольцо с химической линкерной группой.
[0296] В определенных вариантах осуществления РТМ может содержать химическую группу, выбранную из группы химических структур, состоящей из:
или
где RPTM5, RPTM6а, RPTM6b, RPTM6, RPTM7, RPTM8, RPTM9, RPTM10, RPTM11 являются такими, как описано в данном документе.
[0297] В некоторых вариантах осуществления, если RPTM9 представляет собой положение с ковалентной связью, то RPTM7 и RPTM8 могут быть соединены вместе посредством ковалентной связи таким образом, что образуют бициклическую группу с кольцом, к которому присоединены RPTM7 и RPTM8.
[0298] В других вариантах осуществления, если RPTM8 представляет собой положение с ковалентной связью, то RPTM9 и RPTM10 могут быть соединены вместе посредством ковалентной связи таким образом, что образуют бициклическую группу с кольцом, к которому присоединены RPTM9 и RPTM10.
[0299] В дополнительных вариантах осуществления, если RPTM10 представляет собой положение с ковалентной связью, то RPTM8 и RPTM9 могут быть соединены вместе посредством ковалентной связи таким образом, что образуют бициклическую группу с кольцом, к которому присоединены RPTM8 и RPTM9.
[0300] В любом аспекте или варианте осуществления, описанных в данном документе, РТМ может содержать химическую группу, выбранную из группы химических структур, состоящих из РТМ-III:
где
XPTM7, XPTM8, XPTM9, XPTM10, XPTM11, XPTM12, XPTM13, XPTM14, XPTM15, XPTM16, XPTM17, XPTM18, XPTM19, XPTM20 независимо представляют собой СН или N;
RPTM12, RPTM13, RPTM14, RPTM15, RPTM16, RPTM17, RPTM18, RPTM19 отсутствуют или независимо выбраны из группы, состоящей из водорода, галогена, арила, гетероарила, циклоалкила, гетероцикла, метила, этила, другого алкила, ОСН3, NHCH3 или М1-СН2-СН2-М2, где M1 представляет собой СН2, О и NH, и М2 представляет собой водород, алкил, циклический алкил, арил или гетероцикл;
RPTM20 представляет собой небольшую группу, содержащую менее четырех атомов, отличных от водорода;
RPTM21 выбран из группы, состоящей из трифторметила, хлора, брома, фтора, метила, этила, пропила, изопропила, трет-бутила, бутила, изобутила, циклопропила, циклобутила, циклопентила, циклогексила, ОСН3, NHCH3, диметиламино или M1-CH2-CH2-M2, где M1 представляет собой СН2, О или по меньшей мере один из RPTM12, RPTM13 и RPTM16 модифицирован с возможностью ковалентного присоединения к ULM, химической линкерной группе (L), CLM, ILM, VLM, MLM, ULM', CLM', ILM', VLM', MLM' или их комбинации.
[0301] В некоторых вариантах осуществления, если RPTM12 представляет собой положение с ковалентной связью, то RPTM13 и RPTM14 могут быть соединены вместе посредством ковалентной связи таким образом, что образуют бициклическую группу с кольцом, к которому присоединены RPTM13 и RPTM14; и/или RPTM15 и RPTM16 могут быть соединены вместе посредством ковалентной связи таким образом, чтобы образовывать бициклическую группу с кольцом, к которому присоединены RPTM15 и RPTM16.
[0302] В других вариантах осуществления, если RPTM13 представляет собой положение с ковалентной связью, то RPTM12 и RPTM16 могут быть соединены вместе посредством ковалентной связи таким образом, что образуют бициклическую группу с кольцом, к которому присоединены RPTM12 и RPTM16; и/или RPTM15 и RPTM16 могут быть соединены вместе посредством ковалентной связи таким образом, чтобы образовывать бициклическую группу с кольцом, к которому присоединены RPTM15 и RPTM16.
[0303] В дополнительных вариантах осуществления, если RPTM16 представляет собой положение с ковалентной связью, то RPTM12 и RPTM13 могут быть соединены вместе посредством ковалентной связи таким образом, что образуют бициклическую группу с кольцом, к которому присоединены RPTM12 и RPTM13; и/или RPTM13 и RPTM14 могут быть соединены вместе посредством ковалентной связи таким образом, чтобы образовывать бициклическую группу с кольцом, к которому присоединены RPTM13 и RPTM14.
[0304] В любом аспекте или варианте осуществления, описанных в данном документе, РТМ может содержать химическую группу, выбранную из группы химических структур, состоящих из PTM-IVa или PTM-IVb:
или
где
XPTM21, XPTM22, XPTM23, XPTM24, XPTM25, XPTM26, XPTM27, XPTM28, XPTM29, XPTM30, XPTM31, XPTM32, XPTM33, XPTM34 независимо представляют собой СН или N;
RPTM22 выбран из группы, состоящей из
каждый из RPTM25a и RPTM25b независимо выбран из водорода, галогена или C1-С6алкила (линейного, разветвленного, необязательно замещенного);
RPTM23, RPTM24, RPTM28, RPTM29, RPTM30, RPTM31, RPTM32 отсутствуют или независимо выбраны из группы, состоящей из связи, водорода, галогена, арила (необязательно замещенного), гетероарила (необязательно замещенного), циклоалкила (необязательно замещенного), гетероцикла (необязательно замещенного), метила, этила (необязательно замещенного), другого алкила (линейного, разветвленного, необязательно замещенного), ОСН3, NHCH3 или M1-CH2-CH2-M2, где M1 представляет собой CH2, О и NH, и М2 представляет собой водород, алкил (линейный, разветвленный, необязательно замещенный), циклический алкил (необязательно замещенный), арил (необязательно замещенный) или гетероцикл (необязательно замещенный); и
RPTM25 отсутствует или представляет собой водород, галоген, С1-С6алкил (линейный, разветвленный, необязательно замещенный), OCH3, NHCH3 или SCH3;
RPTM26 отсутствует или представляет собой водород, галоген, C1-С6алкил (линейный, разветвленный, необязательно замещенный), ОСН3, NHCH3 или SCH3;
RPTM27 отсутствует или выбран из группы, состоящей из водорода, галогена, C1-С6алкила (линейного, разветвленного, необязательно замещенного), ОСН3, NHCH3 или SCH3; и
по меньшей мере один из RPTM24, RPTM29, RPTM32 модифицирован с возможностью ковалентного присоединения к ULM, химической линкерной группе (L), CLM, ILM, VLM, MLM, ULM', CLM', ILM', VLM', MLM' или их комбинации.
[0305] В некоторых вариантах осуществления, если RPTM24 представляет собой положение с ковалентной связью, то RPTM31 и RPTM32 могут быть соединены вместе посредством ковалентной связи таким образом, что образуют бициклическую группу с кольцом, к которому присоединены RPTM31 и RPTM32; или RPTM29 и RPTM30 могут быть соединены вместе посредством ковалентной связи таким образом, чтобы образовывать бициклическую группу с кольцом, к которому присоединены RPTM29 и RPTM30.
[0306] В других вариантах осуществления, если RPTM29 представляет собой положение с ковалентной связью, то RPTM24 и RPTM32 могут быть соединены вместе посредством ковалентной связи таким образом, что образуют бициклическую группу с кольцом, к которому присоединены RPTM24 и RPTM32; и/или RPTM31 и RPTM32 могут быть соединены вместе посредством ковалентной связи таким образом, чтобы образовывать бициклическую группу с кольцом, к которому присоединены RPTM31 и RPTM32.
[0307] В дополнительных вариантах осуществления, если RPTM32 представляет собой положение с ковалентной связью, то RPTM24 и RPTM29 могут быть соединены вместе посредством ковалентной связи таким образом, что образуют бициклическую группу с кольцом, к которому присоединены RPTM24 и RPTM29; и/или RPTM29 и RPTM30 могут быть соединены вместе посредством ковалентной связи таким образом, чтобы образовывать бициклическую группу с кольцом, к которому присоединены RPTM29 и RPTM30
[0308] В любом аспекте или варианте осуществления, описанных в данном документе, РТМ может содержать химическую группу, выбранную из группы химических структур, состоящих из PTM-Va или PTM-Vb:
или 
где
XPTM35, XPTM36, XPTM37, XPTM38 и XPTM39 независимо представляют собой СН или N;
RPTM33 представляет собой галоген или линейный или разветвленный С1-С4 галогеналкил;
каждый из RPTM34, RPTM35, RPTM36, RPTM37 и RPTM38 независимо выбран из водорода, галогена или линейного или разветвленного С1-С4алкила (например, метила, этила, пропила или бутила);
RPTM39 представляет собой необязательно замещенный С4-С7 гетероциклоалкил (например, необязательно замещенный С5- или С6 гетероциклоалкил); и
представляет собой точку присоединения к ULM, химической линкерной группе (L), CLM, ILM, VLM, MLM, ULM', CLM', ILM', VLM', MLM' или их комбинации.
[0309] В любом аспекте или любых вариантах осуществления, описанных в данном документе, РТМ выбран из группы, состоящей из химических структур РТМ-1, РТМ-2, РТМ-3, РТМ-4, РТМ-5, РТМ-6, РТМ-7, РТМ-8, РТМ-9, РТМ-10, РТМ-11, РТМ-12 и РТМ-13:
[0310] В любом аспекте или варианте осуществления, описанных в данном документе, ULM выбран из группы, состоящей из 
где R14a представляет собой Н, метил или гидроксиметил.
[0311] В любом аспекте или варианте осуществления, описанных в данном документе, присутствует по меньшей мере одно из следующего: (i) РТМ выбран из РТМ, включающих соединения 1-873 или 307-873 по настоящему изобретению; (ii) химическая линкерная группа (L) выбрана из линкеров, включающих соединения 1-873 или 307-873 по настоящему изобретению; (iii) ULM выбран из ULM, включающих соединения 1-873 или 307-873 по настоящему изобретению; (iv) соединение дополнительно содержит химический фрагмент, представляющий собой пролекарство, выбранный из РТМ, включающих соединения 796-873, или (v) их комбинация.
[0312] В любом аспекте или варианте осуществления, описанных в данном документе, ULM выбран из группы, состоящей из
Бифункциональные соединения, представляющие собой пролекарства
[0313] В любом аспекте или варианте осуществления, описанных в данном документе, бифункциональное соединение по настоящему изобретению или пролекарство на его основе дополнительно содержат множество этиленгликолевых звеньев. В любом аспекте или варианте осуществления, описанных в данном документе, бифункциональные соединения по настоящему изобретению или пролекарство на их основе дополнительно содержат по меньшей мере одну (например, 1, 2, 3, 4, 5, 6, 7, 8 или больше) полиэтиленгликолевую (PEG) цепь. В любом аспекте или варианте осуществления, описанных в данном документе, бифункциональное соединение по настоящему изобретению или пролекарство на его основе дополнительно содержат множество (например, 2, 3, 4, 5, 6, 7, 8 или больше) полиэтиленгликолевых цепей, которые характеризуются одинаковой длиной цепи или смесью значений длины цепи. В любом аспекте или варианте осуществления, описанных в данном документе, бифункциональное соединение или пролекарство на его основе дополнительно содержат часть, представляющую собой пролекарство, выбранную из иллюстративных соединений 796-873.
[0314] В любом аспекте или варианте осуществления, описанных в данном документе, бифункциональное соединение по настоящему изобретению или пролекарство на его основе дополнительно содержат по меньшей мере одну (например, 1,2, 3, 4, 5, 6, 7, 8 или больше) полиэтиленгликолевую цепь, описанную в данном документе, где каждая полиэтиленгликолевая цепь ковалентно связана с бифункциональным соединением в той же точке, что и присоединение PEG-цепи в соединении, выбранном из иллюстративных соединений 796-873. В любом аспекте или варианте осуществления, описанных в данном документе, каждая PEG-цепь присоединена непосредственно или опосредованно посредством переменной (например, посредством метильной группы или О) или вместо переменной VLM, описанного в данном документе (например, RP, R14a, R14b, W4, W5, R1', R2', R3'), CLM, описанного в данном документе (например, G или G'), или РТМ, описанного в данном документе (например, RPTM6c). Например, в любом аспекте или варианте осуществления, описанных в данном документе в отношении VLM, RP, R14A, R14b или их комбинация модифицированы таким образом, чтобы ковалентно связываться (например, гидроксильная группа RP или R1', метильная группа R14a, R14b или W5 модифицированы таким образом, чтобы ковалентно связываться) непосредственно или опосредованно с фрагментом, который содержит PEG-цепь, или заменены фрагментом, который содержит PEG-цепь. Дополнительно, в любом аспекте или варианте осуществления, описанных в данном документе в отношении CLM, G, G' или их комбинация модифицированы таким образом, чтобы ковалентно связываться (например, метил в G или G' модифицирован таким образом, чтобы ковалентно связываться) непосредственно или опосредованно с фрагментом, который содержит PEG-цепь, или заменены фрагментом, который содержит PEG-цепь.
[0315] В любом аспекте или варианте осуществления, описанных в данном документе, бифункциональное соединение по настоящему изобретению или пролекарство на его основе содержат по меньшей мере один (например, 1, 2, 3, 4, 5, 6, 7, 8 или больше)
, где r представляет собой целое число от 8 до 35 (например, 8, 9, 10, 11, 12, 13, 14, 15, 16, 17, 18, 19, 20, 21, 22, 23, 24, 25, 26, 27, 28, 29, 30, 31, 32, 33, 34 или 35). Например, в любом аспекте или варианте осуществления, описанных в данном документе в отношении VLM, RP, R14A, R14b или их комбинация модифицированы таким образом, чтобы ковалентно связываться (например, гидроксильная группа RP, метильная группа R14a, R14b или W5 модифицированы таким образом, чтобы ковалентно связываться) непосредственно или опосредованно с одной из вышеуказанных структур, или заменены одной из вышеуказанных структур. Дополнительно, в любом аспекте или варианте осуществления, описанных в данном документе в отношении CLM, G, G' или их комбинация модифицированы таким образом, чтобы ковалентно связываться (например, метил в G или G' модифицированы таким образом, чтобы ковалентно связываться) непосредственно или опосредованно с одной из вышеуказанных структур, или заменены одной из вышеуказанных структур. Например, в любом аспекте или варианте осуществления, описанных в данном документе, каждая PEG-цепь может быть присоединена к VLM, CLM или РТМ посредством химической группы, выбранной из
[0316] В любом аспекте или варианте осуществления, описанных в данном документе, полиэтиленгликолевая цепь бифункционального соединения или пролекарства на его основе содержит или составляет от приблизительно 8 этиленгликолевых звеньев до приблизительно 35 (например, 8, 9, 10, 11, 12, 13, 14, 15, 16, 17, 18, 19, 20, 21, 22, 23, 24, 25, 26, 27, 28, 29, 30, 31, 32, 33, 34 или 35), от приблизительно 10 этиленгликолевых звеньев до приблизительно 35 этиленгликолевых звеньев (например, от приблизительно 10 до приблизительно 35 этиленгликолевых звеньев, от приблизительно 10 до приблизительно 30 этиленгликолевых звеньев, от приблизительно 10 до приблизительно 25 этиленгликолевых звеньев, от приблизительно 10 до приблизительно 20 этиленгликолевых звеньев, от приблизительно 10 до приблизительно 15 этиленгликолевых звеньев, от приблизительно 15 до приблизительно 35 этиленгликолевых звеньев, от приблизительно 15 до приблизительно 30 этиленгликолевых звеньев, от приблизительно 15 до приблизительно 25 этиленгликолевых звеньев, от приблизительно 15 до приблизительно 20 этиленгликолевых звеньев, от приблизительно 20 до приблизительно 35 этиленгликолевых звеньев, от приблизительно 20 до приблизительно 30 этиленгликолевых звеньев, от приблизительно 20 до приблизительно 25 этиленгликолевых звеньев, от приблизительно 25 до приблизительно 35 этиленгликолевых звеньев, от приблизительно 25 до приблизительно 30 этиленгликолевых звеньев или от приблизительно 30 до приблизительно 35 этиленгликолевых звеньев).
[0317] В любом аспекте или варианте осуществления, описанных в данном документе, метоксиполиэтиленгликоль или полиэтиленгликоль, содержащий метильную группу на одном конце, характеризующийся средним молекулярным весом, составляющим 1000 (такой как mPEG-1000), можно применять для получения бифункциональных соединений, представляющих собой пролекарства по настоящему изобретению. Например, в любом аспекте или варианте осуществления метоксиполиэтиленгликоль или полиэтиленгликоль, содержащий метильную группу на одном конце, характеризующийся средней длиной цепи, составляющей 22 звена (такой как mPEG-1000), можно применять для получения бифункциональных соединений, представляющих собой пролекарства по настоящему изобретению. Способы, описанные в данном документе, можно применять для получения более длинных или более коротких PEG-цепей с одинаковыми или различными значениями длины цепи.
[0318] В любом аспекте или варианте осуществления, описанных в данном документе, бифункциональное соединение, представляющее собой пролекарство по настоящему изобретению, характеризуется процентом высвобождения, составляющим по меньшей мере приблизительно 10%. Например, в любом аспекте или варианте осуществления, описанных в данном документе, бифункциональное соединение, представляющее собой пролекарство по настоящему изобретению, характеризуется процентом высвобождения, составляющим по меньшей мере приблизительно 10%, по меньшей мере приблизительно 15%, по меньшей мере приблизительно 20%, по меньшей мере приблизительно 25%, по меньшей мере приблизительно 30%, по меньшей мере приблизительно 35%, по меньшей мере приблизительно 40%, по меньшей мере приблизительно 45%, по меньшей мере приблизительно 50%, по меньшей мере приблизительно 55%, по меньшей мере приблизительно 60%, по меньшей мере приблизительно 65%, по меньшей мере приблизительно 70%, по меньшей мере приблизительно 75%, по меньшей мере приблизительно 80%, по меньшей мере приблизительно 85%, по меньшей мере приблизительно 90%, от приблизительно 10% до приблизительно 90%, от приблизительно 10% до приблизительно 80%, от приблизительно 10% до приблизительно 70%, от приблизительно 10% до приблизительно 60%, от приблизительно 10% до приблизительно 50%, от приблизительно 10% до приблизительно 40%, от приблизительно 10% до приблизительно 30%, от приблизительно 20% до приблизительно 90%, от приблизительно 20% до приблизительно 80%, от приблизительно 20% до приблизительно 70%, от приблизительно 20% до приблизительно 60%, от приблизительно 20% до приблизительно 50%, от приблизительно 20% до приблизительно 40%, от приблизительно 30% до приблизительно 90%, от приблизительно 30% до приблизительно 80%, от приблизительно 30% до приблизительно 70%, от приблизительно 30% до приблизительно 60%, от приблизительно 30% до приблизительно 50%, от приблизительно 40% до приблизительно 90%, от приблизительно 40% до приблизительно 80%, от приблизительно 40% до приблизительно 70%, от приблизительно 40% до приблизительно 60%, от приблизительно 50% до приблизительно 90%, от приблизительно 50% до приблизительно 80%, от приблизительно 50% до приблизительно 70%, от приблизительно 60% до приблизительно 90% или от приблизительно 60% до приблизительно 80%, от приблизительно 70% до приблизительно 90% за приблизительно 30 минут, приблизительно 60 минут, приблизительно 1,5 часа, приблизительно 2 часа, приблизительно 2,5 часа, приблизительно 3 часа, приблизительно 3,5 часа, приблизительно 4 часа, приблизительно 4,5 часа, приблизительно 5 часов, приблизительно 4,5 часа, приблизительно 6 часов, приблизительно 6,5 часа, приблизительно 7 часов, приблизительно 7,5 часа, приблизительно 8 часов, приблизительно 8,5 часа, приблизительно 9 часов, приблизительно 9,5 часа или приблизительно 10 часов.
[0319] В любом аспекте или варианте осуществления, описанных в данном документе, бифункциональное соединение, представляющее собой пролекарство по настоящему изобретению, характеризуется периодом полужизни, составляющим по меньшей мере приблизительно 60 минут. Например, в любом аспекте или варианте осуществления, описанных в данном документе, бифункциональное соединение, представляющее собой пролекарство по настоящему изобретению, характеризуется периодом полужизни в сыворотке крови или плазме крови (например, сыворотке крови или плазме крови человека, макака-крабоеда, крысы, мыши, свиньи, собаки, кота и т.д.), составляющим приблизительно 1 минуту или меньше, приблизительно 5 минут или меньше, 10 минут или меньше, приблизительно 15 минут или меньше, приблизительно 30 минут или меньше, приблизительно 45 минут или меньше, приблизительно 1 час или меньше, 1,5 часа или меньше, приблизительно 2 часа или меньше, приблизительно 2,5 часа или меньше, приблизительно 3 часа или меньше, приблизительно 3,5 часа или меньше, приблизительно 4 часа или меньше, 4,5 часа или меньше, приблизительно 5 часов или меньше, приблизительно 5,5 часа или меньше, приблизительно 6 часов или меньше, приблизительно 6,5 часа или меньше, приблизительно 7 часов или меньше, приблизительно 7,5 часа или меньше, приблизительно 8 часов или меньше, 8,5 часа или меньше, приблизительно 9 часов или меньше, 9,5 часов или меньше, приблизительно 10 часов или меньше, приблизительно 11 часов или меньше, приблизительно 12 часов или меньше, приблизительно 14 часов или меньше, приблизительно 16 часов или меньше, приблизительно 18 часов или меньше, приблизительно 20 часов или меньше, приблизительно 22 часа или меньше, приблизительно 24 часа или меньше, приблизительно 26 часов или меньше, приблизительно 28 часов или меньше, приблизительно 30 часов или меньше, приблизительно 32 часа или меньше, приблизительно 34 часа или меньше, приблизительно 36 часов или меньше, приблизительно 38 часов или меньше, приблизительно 40 часов или меньше, приблизительно 42 часа или меньше, приблизительно 44 часа или меньше, приблизительно 46 часов или меньше, приблизительно 48 часов или меньше, приблизительно 50 часов или меньше, от приблизительно 15 секунд до приблизительно 50 часов, от приблизительно 15 секунд до приблизительно 45 часов, от приблизительно 15 секунд до приблизительно 40 часов, от приблизительно 15 секунд до приблизительно 35 часов, от приблизительно 15 секунд до приблизительно 30 часов, от приблизительно 15 секунд до приблизительно 25 часов, от приблизительно 15 секунд до приблизительно 20 часов, от приблизительно 15 секунд до приблизительно 15 часов, от приблизительно 15 секунд до приблизительно 10 часов, от приблизительно 15 секунд до приблизительно 5 часов, от приблизительно 30 секунд до приблизительно 50 часов, от приблизительно 30 секунд до приблизительно 45 часов, от приблизительно 30 секунд до приблизительно 40 часов, от приблизительно 30 секунд до приблизительно 35 часов, от приблизительно 30 секунд до приблизительно 30 часов, от приблизительно 30 секунд до приблизительно 25 часов, от приблизительно 30 секунд до приблизительно 20 часов, от приблизительно 30 секунд до приблизительно 15 часов, от приблизительно 30 секунд до приблизительно 10 часов, от приблизительно 30 секунд до приблизительно 5 часов, от приблизительно 1 минуты до приблизительно 50 часов, от приблизительно 1 минуты до приблизительно 45 часов, от приблизительно 1 минуты до приблизительно 40 часов, от приблизительно 1 минуты до приблизительно 35 часов, от приблизительно 1 минуты до приблизительно 30 часов, от приблизительно 1 минуты до приблизительно 25 часов, от приблизительно 1 минуты до приблизительно 20 часов, от приблизительно 1 минуты до приблизительно 15 часов, от приблизительно 1 минуты до приблизительно 10 часов, от приблизительно 1 минуты до приблизительно 5 часов, от приблизительно 1 до приблизительно 50 часов, от приблизительно 1 до приблизительно 45 часов, от приблизительно 1 до приблизительно 40 часов, от приблизительно 1 до приблизительно 35 часов, от приблизительно 1 до приблизительно 30 часов, от приблизительно 1 до приблизительно 25 часов, от приблизительно 1 до приблизительно 20 часов, от приблизительно 1 до приблизительно 15 часов, от приблизительно 1 до приблизительно 10 часов, от приблизительно 1 до приблизительно 5 часов, от приблизительно 5 до приблизительно 50 часов, от приблизительно 5 до приблизительно 45 часов, от приблизительно 5 до приблизительно 40 часов, от приблизительно 5 до приблизительно 35 часов, от приблизительно 5 до приблизительно 30 часов, от приблизительно 5 до приблизительно 25 часов, от приблизительно 5 до приблизительно 20 часов, от приблизительно 5 до приблизительно 15 часов, от приблизительно 5 до приблизительно 10 часов, от приблизительно 10 до приблизительно 50 часов, от приблизительно 10 до приблизительно 45 часов, от приблизительно 10 до приблизительно 40 часов, от приблизительно 10 до приблизительно 35 часов, от приблизительно 10 до приблизительно 30 часов, от приблизительно 10 до приблизительно 25 часов, от приблизительно 10 до приблизительно 20 часов, от приблизительно 15 до приблизительно 50 часов, от приблизительно 15 до приблизительно 45 часов, от приблизительно 15 до приблизительно 40 часов, от приблизительно 15 до приблизительно 35 часов, от приблизительно 15 до приблизительно 30 часов, от приблизительно 15 до приблизительно 25 часов, от приблизительно 20 до приблизительно 50 часов, от приблизительно 20 до приблизительно 45 часов, от приблизительно 20 до приблизительно 40 часов, от приблизительно 20 до приблизительно 35 часов, от приблизительно 20 до приблизительно 30 часов, от приблизительно 25 до приблизительно 50 часов, от приблизительно 25 до приблизительно 45 часов, от приблизительно 25 до приблизительно 40 часов, от приблизительно 25 до приблизительно 35 часов, от приблизительно 30 до приблизительно 50 часов, от приблизительно 30 до приблизительно 45 часов, от приблизительно 30 до приблизительно 40 часов, от приблизительно 35 до приблизительно 50 часов, от приблизительно 35 до приблизительно 45 часов, от приблизительно 40 до приблизительно 50 часов, в сыворотке крови (например, сыворотке крови человека, сыворотке крови обезьяны, сыворотке крови собаки, сыворотке крови кота, сыворотке крови свиньи, сыворотке крови лошади и т.д.).
Терапевтические композиции
[0320] Фармацевтические композиции, содержащие комбинации эффективного количества по меньшей мере одного бифункционального соединения, описанного в данном документе, и одного или более из соединений, описанных далее в данном документе, все в эффективных количествах, в комбинации с фармацевтически эффективным количеством носителя, добавки или вспомогательного вещества, представляют собой дополнительный аспект настоящего изобретения.
[0321] В настоящее изобретение включены, где применимо, композиции, содержащие фармацевтически приемлемые соли, в частности, соли присоединения кислоты или основания соединений, описанных в данном документе. Кислоты, которые применяются для получения фармацевтически приемлемых солей присоединения кислоты вышеуказанных основных соединений, пригодных в соответствии с данным аспектом, представляют собой кислоты, которые образуют нетоксичные соли присоединения кислоты, т.е. соли, содержащие фармакологически приемлемые анионы, такие как, среди многих других, гидрохлоридные, гидробромидные, гидройодидные, нитратные, сульфатные, бисульфатные, фосфатные, кислые фосфатные, ацетатные, лактатные, цитратные, кислые цитратные, тартратные, битартратные, сукцинатные, малеатные, фумаратные, глюконатные, сахаратные, бензоатные, метансульфонатные, этансульфонатные, бензолсульфонатные, п-толуолсульфонатные и памоатные [т.е. 1,1'-метилен-бис-(2-гидрокси-3 нафтоат)]соли.
[0322] Фармацевтически приемлемые соли присоединения основания также могут применяться для получения фармацевтически приемлемых форм солей соединений или производных в соответствии с настоящим изобретением. Химические основания, которые можно применять в качестве реагентов для получения фармацевтически приемлемых основных солей соединений по настоящему изобретению, которые имеют кислотную природу, представляют собой основания, которые образуют нетоксичные основные соли с такими соединениями. Такие нетоксичные основные соли включают, среди прочих, без ограничения соли, полученные из таких фармакологически приемлемых катионов, как катионы щелочных металлов (например, калия и натрия) и катионы щелочноземельных металлов (например, кальция, цинка и магния), аммониевые или водорастворимые соли присоединения амина, такие как N-метилглюкаминовые (меглюминовые) и низшие алканоламмониевые, а также другие основные соли фармацевтически приемлемых органических аминов.
[0323] Соединения, описанные в данном документе, в соответствии с настоящим изобретением можно вводить одной дозой или разделенными дозами пероральным, парентеральным или местным путями. Введение активного соединения может варьироваться от непрерывного (внутривенное вливание) до нескольких пероральных введений в день (например, Q.I.D.) и среди прочих путей введения может включать пероральное, местное, парентеральное, внутримышечное, внутривенное, подкожное, трансдермальное (которое может включать средство, способствующее проникновению), трансбуккальное, подъязычное и суппозиторное введение. Таблетки для перорального применения, покрытые кишечнорастворимой оболочкой, также можно применять для увеличения биодоступности соединений при введении пероральным путем. Наиболее эффективная лекарственная форма будет зависеть от фармакокинетики конкретного выбранного средства, а также тяжести заболевания у пациента. Также можно применять введение соединений в соответствии с настоящим изобретением в виде спреев, распылителей или аэрозолей для интраназального, интратрахеального или ингаляционного введения. Следовательно, настоящее изобретение также направлено на фармацевтические композиции, содержащие эффективное количество соединения, описанного в данном документе, необязательно в комбинации с фармацевтически приемлемым носителем, добавкой или вспомогательным веществом. Соединения в соответствии с настоящим изобретением можно вводить в формах с немедленным высвобождением, с высвобождением через определенные промежутки времени или с замедленным или контролируемым высвобождением. Формы с замедленным или контролируемым высвобождением предпочтительно вводятся перорально, но также в суппозиторной и трансдермальной или других формах для местного применения. Внутримышечные инъекции в липосомной форме также можно применять для контроля или замедления высвобождения соединения в месте инъекции.
[0324] Композиции, описанные в данном документе, можно составлять традиционным способом с применением одного или более фармацевтически приемлемых носителей, а также их можно вводить в виде составов с контролируемым высвобождением. Фармацевтически приемлемые носители, которые можно применять в данных фармацевтических композициях, включают без ограничения иониты, оксид алюминия, стеарат алюминия, лецитин, сывороточные белки, такие как сывороточный альбумин человека, буферные вещества, такие как фосфаты, глицин, сорбиновая кислота, сорбат калия, смеси неполных глицеридов насыщенных жирных кислот растительного происхождения, воду, соли или электролиты, такие как проламинсульфат, гидрофосфат динатрия, гидрофосфат калия, хлорид натрия, соли цинка, коллоидный диоксид кремния, трисиликат магния, поливинилпирролидон, вещества на основе целлюлозы, полиэтиленгликоль, натрийкарбоксиметилцеллюлозу, полиакрилаты, воски, блок-сополимеры полиэтилена и полиоксипропилена, полиэтиленгликоль и ланолин.
[0325] Композиции, описанные в данном документе, можно вводить перорально, парентерально, с помощью ингаляционного спрея, местно, ректально, назально, трансбуккально, вагинально или с помощью имплантированного резервуара. Применяемый в данном документе термин «парентеральный» включает методики подкожной, внутривенной, внутримышечной, внутрисуставной, интрасиновиальной, интрастернальной, интратекальной, внутрипеченочной, внутриочаговой и внутричерепной инъекции или ин фузии. Композиции предпочтительно вводятся перорально, интраперитонеально или внутривенно.
[0326] Стерильные формы композиций для введения путем инъекции, описанных в данном документе, могут представлять собой водную или маслянистую суспензию. Данные суспензии можно составлять в соответствии с методиками, известными из уровня техники, с применением подходящих диспергирующих или смачивающих средств и суспендирующих средств. Стерильный препарат для введения путем инъекции также может представлять собой стерильные раствор или суспензию для введения путем инъекции в нетоксичных разбавителе или растворителе, приемлемых для парентерального введения, например, в виде раствора в 1,3-бутандиоле. Приемлемыми средами-носителями и растворителями, которые можно использовать, являются вода, раствор Рингера и изотонический раствор хлорида натрия. Кроме того, стерильные нелетучие масла традиционно используются в качестве растворителя или суспендирующей среды. Для данной цели можно использовать любое легкое нелетучее масло, в том числе синтетические моно- или диглицериды. Жирные кислоты, такие как олеиновая кислота, и их производные, представляющие собой глицериды, являются применимыми для получения препаратов для введения путем инъекции, также как и природные фармацевтически приемлемые масла, такие как оливковое масло или касторовое масло, особенно в их полиоксиэтилированных вариантах. Данные масляные растворы или суспензии также могут содержать разбавитель или диспергирующее средство, представляющее собой длинноцепочечный спирт, такой как указанный в фармакопее Швейцарии или подобный спирт.
[0327] Фармацевтические композиции, описанные в данном документе, можно вводить перорально в любой лекарственной форме, приемлемой для перорального введения, в том числе без ограничения в капсулах, таблетках, водных суспензиях или растворах. В случае таблеток для перорального применения общепринятые носители включают лактозу и кукурузный крахмал. Также, как правило, добавляют смазывающие средства, такие как стеарат магния. Для перорального введения в форме капсул применимые разбавители включают лактозу и высушенный кукурузный крахмал. Если для перорального применения требуются водные суспензии, то активный ингредиент объединяют с эмульгирующими и суспендирующими средствами. При необходимости также можно добавлять определенные подсластители, ароматизаторы или красящие средства.
[0328] В качестве альтернативы, фармацевтические композиции, описанные в данном документе, можно вводить в форме суппозиториев для ректального введения. Их можно получать посредством смешивания средства с подходящим не вызывающим раздражения вспомогательным веществом, которое является твердым при комнатной температуре, но жидким при температуре в прямой кишке и, следовательно, будет плавиться в прямой кишке с высвобождением лекарственного средства. Такие материалы включают масло какао, пчелиный воск и полиэтиленгликоли.
[0329] Фармацевтические композиции, описанные в данном документе, также можно вводить местно. Подходящие составы для местного применения легко получить для каждой из этих областей или органов. Местное применение по отношению к нижнему отделу кишечника можно осуществлять с помощью состава, представляющего собой ректальный суппозиторий (см. выше), или подходящего состава для введения с помощью клизмы. Также можно применять приемлемые для местного применения трансдермальные пластыри.
[0330] Для видов местного применения фармацевтические композиции можно составлять в форме подходящей мази, содержащей активный компонент, суспендированный или растворенный в одном или более носителях. Носители для местного введения соединений по настоящему изобретению включают без ограничения минеральное масло, вазелиновое масло, белый вазелин, соединение, представляющее собой пропиленгликоль, полиоксиэтилен, полиоксипропилен, эмульгирующий воск и воду. В определенных предпочтительных аспектах настоящего изобретения соединения можно наносить в виде покрытия на стент, который хирургическим путем имплантируется пациенту, для предотвращения окклюзии в стенте у пациента или снижения вероятности ее возникновения.
[0331] В качестве альтернативы, фармацевтические композиции можно составлять в форме подходящего лосьона или крема, содержащего активные компоненты, суспендированные или растворенные в одном или более фармацевтически приемлемых носителях. Подходящие носители включают без ограничения минеральное масло, сорбитанмоностеарат, полисорбат 60, воск на основе цетиловых эфиров, цетеариловый спирт, 2-октилдодеканол, бензиловый спирт и воду.
[0332] Для офтальмологического применения фармацевтические композиции можно составлять в виде тонкодисперсных суспензий в изотоническом стерильном солевом растворе с доведенным значением рН или предпочтительно в виде растворов в изотоническом стерильном солевом растворе с доведенным значением рН с консервантом, таким как хлорид бензалкония, или без него. В качестве альтернативы, для путей офтальмологического применения фармацевтические композиции можно составлять в форме мази, например, с вазелином.
[0333] Фармацевтические композиции, описанные в данном документе, также можно вводить с помощью назального аэрозоля или посредством ингаляции. Такие композиции получают в соответствии с методиками, хорошо известными в области фармацевтического составления, и их можно получать в виде растворов в солевом растворе с использованием бензилового спирта или других подходящих консервантов, стимуляторов абсорбции для повышения биодоступности, фторуглеродов и/или других традиционных солюбилизирующих или диспергирующих средств.
[0334] Количество соединения в фармацевтической композиции, описанной в данном документе, которое может быть объединено с материалами-носителями с получением единой лекарственной формы, будет варьироваться в зависимости от организма и заболевания, подлежащих лечению, конкретного способа введения. Предпочтительно композиции должны быть составлены таким образом, чтобы содержать от приблизительно 0,05 миллиграмма до приблизительно 750 миллиграмм или больше, более предпочтительно от приблизительно 1 миллиграмма до приблизительно 600 миллиграмм и еще более предпочтительно от приблизительно 10 миллиграмм до приблизительно 500 миллиграмм активного ингредиента отдельно или в комбинации с по меньшей мере одним другим соединением в соответствии с настоящим изобретением.
[0335] Также следует понимать, что конкретный режим дозирования и лечения для любого конкретного пациента будут зависеть от ряда факторов, в том числе от активности конкретного используемого соединения, возраста, веса тела, общего состояния здоровья, пола, рациона, времени введения, скорости выведения, комбинации лекарственных средств и мнения лечащего врача, а также тяжести конкретного заболевания или состояния, подлежащих лечению.
[0336] Пациента или субъекта, нуждающихся в терапии с применением соединений в соответствии со способами, описанными в данном документе, можно лечить путем введения пациенту (субъекту) эффективного количества соединения в соответствии с настоящим изобретением, в том числе его фармацевтически приемлемых солей, сольватов или полиморфов, необязательно в фармацевтически приемлемом носителе или разбавителе, либо отдельно, либо в комбинации с другими известными средствами, стимулирующими эритропоэз, которые определены далее в данном документе.
[0337] Данные соединения можно вводить любым подходящим путем, например, перорально, парентерально, внутривенно, внутрикожно, подкожно или местно, в том числе трансдермально, в форме жидкости, крема, геля или твердой форме, или в форме аэрозоля.
[0338] Активное соединение включается в фармацевтически приемлемый носитель или разбавитель в количестве, достаточном для доставки пациенту терапевтически эффективного количества для требуемого показания, не вызывая серьезных токсических эффектов у пациента, получающего лечение. Предпочтительная доза активного соединения для всех перечисленных в данном документе состояний находится в диапазоне от приблизительно 10 нг/кг до 300 мг/кг, предпочтительно от 0,1 до 100 мг/кг в день, чаще от 0,5 до приблизительно 25 мг на килограмм веса тела реципиента/пациента в день. Типичная доза для местного применения будет находиться в диапазоне, составляющем 0,01-5% вес/вес, в подходящем носителе.
[0339] Соединение удобно вводить в любой подходящей стандартной лекарственной форме, в том числе без ограничения лекарственной форме, содержащей менее 1 мг, 1-3000 мг, предпочтительно 5-500 мг активного ингредиента на стандартную лекарственную форму. Доза для перорального введения, составляющая приблизительно 25-250 мг, часто является подходящей.
[0340] Активный ингредиент предпочтительно вводится для достижения максимальных концентраций активного соединения в плазме крови, составляющих приблизительно 0,00001-30 мМ, предпочтительно приблизительно 0,1-30 мкМ. Этого можно достичь, например, посредством внутривенной инъекции раствора или состава активного ингредиента необязательно в солевом растворе или водной среде или введения активного ингредиента в виде болюса. Пероральное введение также является подходящим для достижения эффективных концентраций активного средства в плазме крови.
[0341] Концентрация активного соединения в составе лекарственного средства будет зависеть от значений скорости абсорбции, распределения, инактивации и выведения лекарственного средства, а также от других факторов, известных специалистам в данной области техники. Следует отметить, что величины дозы также будут варьироваться в зависимости от тяжести состояния, подлежащего облегчению. Также следует понимать, что для любого конкретного субъекта конкретные режимы дозирования должны корректироваться с течением времени в соответствии с индивидуальной потребностью и профессиональным мнением специалиста, осуществляющего или контролирующего введение композиций, и что диапазоны концентраций, изложенные в данном документе, являются исключительно иллюстративными и не предназначены для ограничения объема заявляемой композиции или ее применения на практике. Активный ингредиент можно вводить за один раз или можно разделить на несколько меньших доз для введения с различными интервалами времени.
[0342] Композиции для перорального применения обычно будут содержать инертный разбавитель или съедобный носитель. Они могут быть заключены в желатиновые капсулы или спрессованы в таблетки. С целью перорального терапевтического введения активное соединение или его производное, представляющее собой пролекарство, можно объединять со вспомогательными веществами и применять в форме таблеток, пастилок или капсул. Фармацевтически совместимые связывающие средства и/или вспомогательные материалы можно включать как часть композиции.
[0343] Таблетки, пилюли, капсулы, пастилки и т.п. могут содержать любой из следующих ингредиентов или соединения подобного происхождения: связующее, такое как микрокристаллическая целлюлоза, трагакантовая камедь или желатин; вспомогательное вещество, такое как крахмал или лактоза, диспергирующее средство, такое как альгиновая кислота, примогель или кукурузный крахмал; смазывающее средство, такое как стеарат магния или стеротес; вещество, способствующее скольжению, такое как коллоидный диоксид кремния; подсластитель, такой как сахароза или сахарин; или ароматизирующее средство, такое как мята перечная, метилсалицилат или ароматизатор с запахом апельсина. Если стандартная лекарственная форма представляет собой капсулу, то она может содержать, в дополнение к материалу вышеуказанного типа, жидкий носитель, такой как жирное масло. Кроме того, стандартные лекарственные формы могут содержать другие различные материалы, которые изменяют физическую форму лекарственной формы, например, покрытия из сахара, шеллака или кишечнорастворимых средств.
[0344] Активное соединение или его фармацевтически приемлемую соль можно вводить в виде компонента настойки, суспензии, сиропа, облатки, жевательной резинки или т.п. Сироп может содержать, в дополнение к активным соединениям, сахарозу в качестве подсластителя и определенные консерванты, красители и красящие средства, а также вкусоароматические добавки.
[0345] Активное соединение или его фармацевтически приемлемые соли также можно смешивать с другими активными материалами, которые не ослабляют необходимое действие, или с материалами, которые дополняют необходимое действие, такими как средства, стимулирующие выработку эритропоэтина, в том числе ЕРО и дарбэпоэтин альфа, среди прочих. В определенных предпочтительных аспектах настоящего изобретения одно или более соединений в соответствии с настоящим изобретением вводится совместно с другим биологически активным средством, таким как средство, стимулирующее выработку эритропоэтина, или средство для заживления ран, в том числе антибиотик, как далее описано в данном документе.
[0346] Растворы или суспензии, применяемые для парентерального, внутрикожного, подкожного или местного применения, могут содержать следующие компоненты: стерильный разбавитель, такой как вода для инъекций, солевой раствор, нелетучие масла, полиэтиленгликоли, глицерин, пропиленгликоль или другие синтетические растворители; антибактериальные средства, такие как бензиловый спирт или метилпарабены; антиоксиданты, такие как аскорбиновая кислота или бисульфит натрия; хелатирующие средства, такие как этилендиаминтетрауксусная кислота; буферы, такие как ацетаты, цитраты или фосфаты, и средства для регуляции тоничности, такие как хлорид натрия или декстроза. Препарат для парентерального введения может быть заключен в ампулы, одноразовые шприцы или многодозовые флаконы, изготовленные из стекла или пластика.
[0347] При введении внутривенно предпочтительные носители представляют собой физиологический солевой раствор или фосфатно-солевой буферный раствор (PBS).
[0348] В одном варианте осуществления активные соединения получают с носителями, которые будут защищать соединение от быстрого выведения из организма, такими как состав с контролируемым высвобождением, в том числе имплантаты и микроинкапсулированные системы доставки. Можно применять биодеградируемые биосовместимые полимеры, такие как этиленвинилацетат, полиангидриды, полигликолевая кислота, коллаген, сложные полиортоэфиры и полимолочная кислота. Способы получения таких составов будут очевидны специалистам в данной области техники.
[0349] Липосомные суспензии также могут представлять собой фармацевтически приемлемые носители. Их можно получать в соответствии со способами, известными специалистам в данной области техники, например, как описано в патенте США №4522811 (который включен в данный документ посредством ссылки во всей своей полноте). Например, липосомные составы можно получать посредством растворения подходящего(подходящих) липида(липидов) (такого как стеароилфосфатидилэтаноламин, стеароилфосфатидилхолин, арахадоилфосфатидилхолин и холестерин) в неорганическом растворителе, который затем выпаривают, оставляя тонкую пленку высушенного липида на поверхности контейнера. Затем водный раствор активного соединения вносят в контейнер. Затем контейнер вращают вручную для отделения липидного материала от стенок контейнера и диспергирования липидных агрегатов, за счет чего образуется липосомная суспензия.
Терапевтические способы
[0350] В дополнительном аспекте в описании предусмотрены терапевтические композиции, содержащие эффективное количество соединения, описанного в данном документе, или его солевой формы и фармацевтически приемлемый носитель. Терапевтические композиции модулируют деградацию белка у пациента или субъекта, например, у животного, такого как человек, и их можно применять для лечения или облегчения болезненных состояний или состояний, модулирование которых обеспечивается посредством деградации белка.
[0351] Применяемые в данном документе термины «лечить», «осуществлять лечение» и «лечение» и т.д. относятся к любому действию, обеспечивающему пользу для пациента, которому могут вводиться соединения по настоящему изобретению, в том числе лечению любого болезненного состояния или состояния, модулируемого за счет белка, с которым связываются соединения по настоящему изобретению. Болезненные состояния или состояния, в том числе рак, кардио-фацио-кожный синдром, нейрофиброматоз 1 типа, синдром Костелло, синдром Нунан, синдром LEOPARD (лентиго, электрокардиографические аномалии, глазной гипертелоризм, или легочный стеноз, аномальные гениталии, замедленный рост, глухота), которые можно лечить с применением соединений в соответствии с настоящем изобретением, изложены в данном документе выше.
[0352] В описании предусмотрены терапевтические композиции, описанные в данном документе, предназначенные для обеспечения деградации белков, представляющих интерес, для лечения или облегчения заболевания, например, рака, кардио-фацио-кожного синдрома, нейрофиброматоза 1 типа, синдрома Костелло, синдрома Нунан или синдрома LEOPARD (лентиго, электрокардиографические аномалии, глазной гипертелоризм, легочный стеноз, аномальные гениталии, замедленный рост, глухота). В определенных дополнительных вариантах осуществления заболевание представляет собой множественную миелому. Таким образом, в другом аспекте в описании предусмотрен способ убиквитинирования/деградации целевого белка в клетке. В определенных вариантах осуществления способ включает введение бифункционального соединения, описанного в данном документе, содержащего, например, ULM и РТМ, предпочтительно соединенные посредством линкерного фрагмента, как далее описано в данном документе, где ULM связан с РТМ, и где ULM распознает белок убиквитинового пути (например, убиквитинлигазу, такую как Е3-убиквитинлигаза, в том числе цереблон, VHL, IAP и/или MDM2), и РТМ распознает целевой белок таким образом, что при размещении целевого белка в непосредственной близости от убиквитинлигазы будет происходить деградация целевого белка, что таким образом приводит к деградации целевого белка/подавлению его эффектов и контролю уровней белка. Контроль уровней белка, предоставляемый настоящим изобретением, обеспечивает лечение болезненного состояния или состояния, модулируемого за счет целевого белка, посредством снижения уровня данного белка в клетке, например, клетке пациента. В определенных вариантах осуществления способ включает введение эффективного количества соединения, описанного в данном документе, необязательно включающего фармацевтически приемлемые вспомогательное вещество, носитель, вспомогательное средство, другое биологически активное средство или их комбинацию.
[0353] В дополнительных вариантах осуществления в описании предусмотрены способы лечения или облегчения заболевания, нарушения или их симптома у субъекта или пациента, например, у животного, такого как человек, включающие введение субъекту, нуждающемуся в этом, композиции, содержащей эффективное количество, например, терапевтически эффективное количество, соединения, описанного в данном документе, или его солевой формы и фармацевтически приемлемые вспомогательное вещество, носитель, вспомогательное средство, другое биологически активное средство или их комбинацию, где композиция является эффективной для лечения или облегчения заболевания или нарушения или их симптома у субъекта.
[0354] В другом аспекте в описании предусмотрены способы идентификации эффектов деградации белков, представляющих интерес, в биологической системе с применением соединений в соответствии с настоящим изобретением.
[0355] В другом варианте осуществления настоящее изобретение направлено на способ лечения пациента-человека, нуждающегося в модулировании болезненного состояния или состояния за счет белка, где деградация данного белка будет оказывать терапевтический эффект у пациента, при этом способ включает введение нуждающемуся пациенту эффективного количества соединения в соответствии с настоящим изобретением, необязательно в комбинации с другим биологически активным средством. Болезненное состояние или состояние может представлять собой заболевание, вызванное микроорганизмом или другим экзогенным организмом, таким как вирус, бактерия, гриб, простейшее или другой микроорганизм, или может представлять собой болезненное состояние, которое вызвано сверхэкспрессией и/или сверхактивацией (например, постоянной активностью) белка, что приводит к болезненному состоянию и/или состоянию.
[0356] Термин «болезненное состояние или состояние» применяется для описания любого болезненного состояния или состояния, где происходит нарушение регуляции белка (т.е. количество белка, экспрессируемого у пациента, повышено), и где деградация одного или более белков у пациента может обеспечивать благоприятную терапию или облегчение симптомов у пациента, нуждающегося в этом. В определенных случаях болезненное состояние или состояние можно излечить.
[0357] Болезненные состояния или состояния, которые можно лечить с применением соединений в соответствии с настоящим изобретением, включают, например, астму, аутоиммунные заболевания, такие как рассеянный склероз, различные виды рака, цилиопатии, расщепленное небо, диабет, заболевание сердца, гипертонию, воспалительное заболевание кишечника, задержку умственного развития, расстройство настроения, ожирение, рефракционную аномалию, бесплодие, синдром Ангельмана, болезнь Канавана, целиакию, болезнь Шарко-Мари-Тута, муковисцидоз, мышечную дистрофию Дюшенна, гемохроматоз, гемофилию, синдром Клайнфельтера, нейрофиброматоз, фенилкетонурию, поликистозное заболевание почек, синдром Прадера-Вилли (PKD1) или 4 (PKD2), серповидноклеточное заболевание, болезнь Тея-Сакса, синдром Тернера.
[0358] Термин «неоплазия» или «рак» применяется на всем протяжении настоящего описания для описания патологического процесса, который приводит к образованию и росту ракового или злокачественного новообразования, т.е. аномальной ткани, которая растет посредством клеточной пролиферации, часто более быстро, чем нормальная ткань, и продолжает расти после прекращения действия стимулов, которые инициировали новый рост. Злокачественные новообразования демонстрируют частичное или полное отсутствие структурной организации и функциональной координации с нормальной тканью, и большинство из них распространяются в окружающие ткани, метастазируют в несколько мест и вероятно вернутся вновь после попытки удаления и обусловят смерть пациента, если их не лечить должным образом. Применяемый в данном документе термин «неоплазия» применяется для описания всех раковых болезненных состояний, и он включает или охватывает патологический процесс, ассоциированный со злокачественными гематогенными, асцитическими и солидными опухолями. Иллюстративные виды рака, которые можно лечить с помощью соединений по настоящему изобретению либо отдельно, либо в комбинации с по меньшей мере одним дополнительным противораковым средством, включают плоскоклеточную карциному, базальноклеточную карциному, аденокарциному, виды гепатоклеточной карциномы и виды почечноклеточной карциномы, рак мочевого пузыря, кишечника, молочной железы, шейки матки, толстой кишки, пищевода, головы, почки, печени, легкого, шеи, яичника, поджелудочной железы, предстательной железы и желудка; виды лейкоза; виды доброкачественной и злокачественной лимфомы, в частности лимфому Беркитта и неходжкинскую лимфому; виды доброкачественной и злокачественной меланомы; миелопролиферативные заболевания; виды саркомы, в том числе саркому Юинга, гемангиосаркому, саркому Капоши, липосаркому, виды миосаркомы, периферическую нейроэпителиому, синовиальную саркому, виды глиомы, виды астроцитомы, виды олигодендроглиомы, виды эпендимомы, виды глиобластомы, виды нейробластомы, виды ганглионевромы, виды ганглиоглиомы, виды медуллобластомы, опухоли клеток шишковидного тела, виды менингиомы, виды менингеальной саркомы, виды нейрофибромы и виды шванномы; рак кишечника, рак молочной железы, рак предстательной железы, рак шейки матки, рак матки, рак легкого, рак яичника, рак яичка, рак щитовидной железы, астроцитому, рак пищевода, рак поджелудочной железы, рак желудка, рак печени, рак толстой кишки, меланому; карциносаркому, болезнь Ходжкина, опухоль Вильмса и виды тератокарциномы. Дополнительные виды рака, которые можно лечить с применением соединений в соответствии с настоящим изобретением, включают, например, Т-клеточный острый лимфобластный лейкоз (T-ALL), Т-клеточную лимфобластную лимфому (T-LL), периферическую Т-клеточную лимфому, Т-клеточный лейкоз взрослых, ALL из пре-В-клеток, виды лимфомы из пре-В-клеток, В-крупноклеточную лимфому, лимфому Беркитта, В-клеточный ALL, ALL, положительный по филадельфийской хромосоме, и CML, положительный по филадельфийской хромосоме.
[0359] Термин «биологически активное средство» применяется для описания средства, отличного от соединения в соответствии с настоящим изобретением, которое применяется в комбинации с соединениями по настоящему изобретению в качестве средства с биологической активностью для содействия в осуществлении назначенной терапии, ингибирования и/или предупреждения/профилактики, для которых применяются соединения по настоящему изобретению. Предпочтительные биологически активные средства для применения в данном документе включают такие средства, которые обладают фармакологической активностью, сходной с активностью, для которой применяются или вводятся соединения по настоящему изобретению, и включают, например, противораковые средства, противовирусные средства, особенно в том числе средства против HIV, средства против ретровирусов и средства против HCV, противомикробные средства, противогрибковые средства и т.д.
[0360] Термин «дополнительное противораковое средство» применяется для описания противоракового средства, которое можно объединять с соединениями в соответствии с настоящим изобретением для лечения рака. Эти средства включают, например, эверолимус, трабектедин, абраксан, TLK 286, AV-299, DN-101, пазопаниб, GSK690693, RTA 744, ON 0910.Na, AZD 6244 (ARRY-142886), AMN-107, TKI-258, GSK461364, AZD 1152, энзастаурин, вандетаниб, ARQ-197, MK-0457, MLN8054, PHA-739358, R-763, AT-9263, ингибитор FLT-3, ингибитор VEGFR, ингибитор TK EGFR, ингибитор киназы Aurora, модулятор PIK-1, ингибитор Bcl-2, ингибитор HDAC, ингибитор c-MET, ингибитор PARP, ингибитор Cdk, ингибитор TK EGFR, ингибитор IGFR-TK, антитело к HGF, ингибитор киназы PI3, ингибитор АКТ, ингибитор mTORC1/2, ингибитор JAK/STAT, ингибитор контрольной точки 1 или 2, ингибитор киназы фокальной адгезии, ингибитор киназы МАР-киназы (mek), антитело к ловушке VEGF, пеметрексед, эрлотиниб, дазатаниб, нилотиниб, декатаниб, панитумумаб, амрубицин, ореговомаб, Lep-etu, нолатрексед, azd2171, батабулин, офатумумаб, занолимумаб, эдотекарин, тетрандрин, рубитекан, тесмилифен, облимерсен, тицилимумаб, ипилимумаб, госсипол, Bio 111, 131-I-TM-601, ALT-110, BIO 140, СС 8490, циленгитид, гиматекан, IL13-PE38QQR, INO 1001, IPdR1 KRX-0402, лукантон, LY317615, нейрадиаб, витеспан, Rta 744, Sdx 102, талампанель, атрасентан, Xr 311, ромидепсин, ADS-100380, сунитиниб, 5-фторурацил, вориностат, этопозид, гемцитабин, доксорубицин, липосомальный доксорубицин, 5'-дезокси-5-фторуридин, винкристин, темозоломид, ZK-304709, селициклиб; PD0325901, AZD-6244, капецитабин, L-глутаминовую кислоту, N-[4-[2-(2-амино-4,7-дигидро-4-оксо-1Н-пирроло[2,3-d]пиримидин-5-ил)этил]бензоил]-, динатриевую соль, гептагидрат, камптотецин, PEG-меченный иринотекан, тамоксифен, цитрат торемифена, анастразол, эксеместан, летрозол, DES (диэтилстилбестрол), эстрадиол, эстроген, конъюгированный эстроген, бевацизумаб, IMC-1C11, CHIR-258); 3-[5-(метилсульфонилпиперадинметил)-индолилхинолон, ваталаниб, AG-013736, AVE-0005, ацетат гозерелина, ацетат лейпролида, памоат трипторелина, ацетат медроксипрогестерона, капроат гидроксипрогестерона, ацетат мегестрола, ралоксифен, бикалутамид, флутамид, нилутамид, ацетат мегестрола, СР-724714; TAK-165, HKI-272, эрлотиниб, лапатаниб, канертиниб, антитело к ABX-EGF, эрбитукс, EKB-569, PKI-166, GW-572016, лонафарниб, BMS-214662, типифарниб; амифостин, NVP-LAQ824, субероиланалидгидроксамовую кислоту, вальпроевую кислоту, трихостатин A, FK-228, SU11248, сорафениб, KRN951, аминоглутетимид, арнсакрин, анагрелид, L-аспарагиназу, вакцину на основе бацилл Кальметта-Герена (BCG), адриамицин, блеомицин, бусерелин, бусульфан, карбоплатин, кармустин, хлорамбуцил, цисплатин, кладрибин, клодронат, ципротерон, цитарабин, дакарбазин, дактиномицин, даунорубицин, диэтилстилбестрол, эпирубицин, флударабин, флудрокортизон, флуоксиместерон, флутамид, гливек, гемцитабин, гидроксимочевину, идарубицин, ифосфамид, иматиниб, лейпролид, левамизол, ломустин, мехлоретамин, мелфалан, 6-меркаптопурин, месну, метотрексат, митомицин, митотан, митоксантрон, нилутамид, октреотид, оксалиплатин, памидронат, пентостатин, пликамицин, порфимер, прокарбазин, ралтитрексед, ритуксимаб, стрептозоцин, тенипозид, тестостерон, талидомид, тиогуанин, тиотепу, третиноин, виндезин, 13-цис-ретиноевую кислоту, фенилаланин мустард, урацил мустард, эстрамустин, алтретамин, флоксуридин, 5-дезоксиуридин, цитозин-арабинозид, 6-меркаптопурин, дезоксикоформицин, кальцитриол, валрубицин, митрамицин, винбластин, винорелбин, топотекан, разоксин, маримастат, COL-3, неовастат, BMS-275291, скваламин, эндостатин, SU5416, SU6668, EMD121974, интерлейкин-12, IM862, ангиостатин, витаксин, дролоксифен, идоксифен, спиронолактон, финастерид, цимитидин, трастузумаб, денилейкин дифтитокс, гефитиниб, бортезимиб, паклитаксел, паклитаксел без кремофора, доцетаксел, эпитилон В, BMS-247550, BMS-310705, дролоксифен, 4-гидрокситамоксифен, пипендоксифен, ERA-923, арзоксифен, фулвестрант, аколбифен, лазофоксифен, идоксифен, TSE-424, HMR-3339, ZK186619, топотекан, PTK787/ZK 222584, VX-745, PD 184352, рапамицин, 40-О-(2-гидроксиэтил)-рапамицин, темсиролимус, АР-23573, RAD001, АВТ-578, ВС-210, LY294002, LY292223, LY292696, LY293684, LY293646, вортманнин, ZM336372, L-779,450, PEG-филграстим, дарбэпоэтин, эритропоэтин, гранулоцитарный колониестимулирующий фактор, золендронат, преднизон, цетуксимаб, гранулоцитарно-макрофагальный колониестимулирующий фактор, гистрелин, пегилированный интерферон альфа-2а, интерферон альфа-2а, пегилированный интерферон альфа-2b, интерферон альфа-2b, азацитидин, PEG-L-аспарагиназу, леналидомид, гемтузумаб, гидрокортизон, интерлейкин-11, дексразоксан, алемтузумаб, полностью транс-ретиноевую кислоту, кетоконазол, интерлейкин-2, мегестрол, иммуноглобулин, азотистый иприт, метилпреднизолон, ибритгумомаб тиуксетан, андрогены, децитабин, гексаметилмеламин, бексаротен, тозитумомаб, триоксид мышьяка, кортизон, эдитронат, митотан, циклоспорин, липосомальный даунорубицин, аспарагиназу Edwina, стронций 89, касопитант, нетупитант, антагонист рецептора NK-1, палоносетрон, апрепитант, дифенгидрамин, гидроксизин, метоклопрамид, лоразепам, алпразолам, галоперидол, дроперидол, дронабинол, дексаметазон, метилпреднизолон, прохлорперазин, гранисетрон, ондансетрон, доласетрон, трописетрон, PEG-филграстим, эритропоэтин, эпоэтин альфа, дарбэпоэтин альфа и их смеси.
[0361] Термин «средство против HIV», «средство против ретровирусов» или «дополнительное средство против HIV» включает, например, нуклеозидные ингибиторы обратной транскриптазы (NRTI), другие отличные от нуклеозидных ингибиторов ингибиторы обратной транскриптазы (т.е. ингибиторы, которые не являются иллюстративными для настоящего изобретения), ингибиторы протеаз, ингибиторы слияния, среди прочих, иллюстративные соединения, которые могут включать, например, 3ТС (ламивудин), AZT (зидовудин), (-)-FTC, ddI (диданозин), ddC (зальцитабин), абакавир (ABC), тенофовир (РМРА), D-D4FC (реверсет), D4T (ставудин), рацивир, L-FddC, L-FD4C, NVP (невирапин), DLV (делавирдин), EFV (эфавиренз), SQVM (мезилат саквинавира), RTV (ритонавир), IDV (индинавир), SQV (саквинавир), NFV (нелфинавир), APV (ампренавир), LPV (лопинавир), ингибиторы слияния, такие как Т20, среди прочих, фузеон и их смеси, в том числе соединения против HIV, находящиеся в настоящее время на клинических испытаниях или в разработке.
[0362] Другие средства против HIV/против ретровирусов, которые можно применять при совместном введении с соединениями в соответствии с настоящим изобретением, включают, например, другие NNRTI (т.е. отличные от NNRTI в соответствии с настоящим изобретением) и могут быть выбраны из группы, состоящей из невирапина (BI-R6-587), делавирдина (U-90152S/T), эфавиренза (DMP-266), UC-781 (N-[4-хлор-3-(3-метил-2-бутенилокси)фенил]-2-метил-3-фуранкарботиамид), этравирина (ТМС125), тровирдина (Ly300046.HCl), МКС-442 (эмивирин, коактинон), HI-236, HI-240, HI-280, HI-281, рилпивирина (ТМС-278), MSC-127, HBY 097, DMP266, байкалина (TJN-151) ADAM-II (метил-3',3'-дихлор-4',4''-диметокси-5',5''-бис(метоксикарбонил)-6,6-дифенилгексеноат), метил-3-бром-5-(1-5-бром-4-метокси-3-(метоксикарбонил)фенил)гепт-1-енил)-2-метоксибензоата (аналог алкенилдиарилметана, аналог Adam), (5-хлор-3-(фенилсульфинил)-2'-индолкарбоксамид), ААР-ВНАР (U-104489 или PNU-104489), каправирина (AG-1549, S-1153), атевирдина (U-87201E), ауринтрикарбоновой кислоты (SD-095345), 1-[(6-циано-2-индолил)карбонил]-4-[3-(изопропиламино)-2-пиридинил]пиперазина, 1-[5-[[N-(метил)метилсульфониламино]-2-индолилкарбонил-4-[3-(изопропиламино)-2-пиридинил]пиперазина, 1-[3-(этиламино)-2-[пиридинил]-4-[(5-гидрокси-2-индолил)карбонил]пиперазина, 1-[(6-формил-2-индолил)карбонил]-4-[3-(изопропиламино)-2-пиридинил]пиперазина, 1-[[5-(метилсульфонилокси)-2-индоил)карбонил]-4-[3-(изопропиламино)-2-пиридинил]пиперазина, U88204E, бис(2-нитрофенил)сульфона (NSC 633001), каланолида A (NSC675451), каланолида В, 6-бензил-5-метил-2-(циклогексилокси)пиримидин-4-она (DABO-546), DPC 961, E-EBU, E-EBU-dm, E-EPSeU, E-EPU, фоскарнета (фоскавир), НЕРТ (1-[(2-гидроксиэтокси)метил]-6-(фенилтио)тимин), НЕРТ-М (1-[(2-гидроксиэтокси)метил]-6-(3-метилфенил)тио)тимин), HEPT-S (1-[(2-гидроксиэтокси)метил]-6-(фенилтио)-2-тиотимин), инофиллума Р, L-737,126, мишелламина A (NSC650898), мишелламина В (NSC649324), мишелламина F, 6-(3,5-диметилбензил)-1-[(2-гидроксиэтокси)метил]-5-изопропилурацила, 6-(3,5-диметилбензил)-1-(этиоксиметил)-5-изопропилурацила, NPPS, E-BPTU (NSC 648400), олтипраза (4-метил-5-(пиразинил)-3Н-1,2-дитиол-3-тиона), N-{2-(2-хлор-6-фторфенэтил]-N'-(2-тиазолил)тиомочевины (Cl, F производное РЕТТ), N-{2-(2,6-дифторфенэтил]-N'-[2-(5-бромпиридил)]тиомочевины {производное РЕТТ), N-{2-(2,6-дифторфенэтил]-N'-[2-(5-метилпиридил)]тиомочевины {пиридилпроизводное РЕТТ), N-[2-(3-фторфуранил)этил]-N'-[2-(5-хлорпиридил)]тиомочевины, N-[2-(2-фтор-6-этоксифенэтил)]-N'-[2-(5-бромпиридил)]тиомочевины, N-(2-фенэтил)-N'-(2-тиазолил)тиомочевины (LY-73497), L-697,639, L-697,593, L-697,661, 3-[2-(4,7-дифторбензоксазол-2-ил)этил}-5-этил-6-метил(пипридин-2(1Н)-тиона (производное 2-пиридинона), 3-[[(2-метокси-5,6-диметил-3-пиридил)метил]амин]-5-этил-6-метил(пипридин-2(1Н)-тиона, R82150, R82913, R87232, R88703, R89439 (ловирид), R90385, S-2720, сурамина натрия, TBZ (тиазолобензимидазол, NSC625487), тиазолоизоиндол-5-она, (+)R)-9b-(3,5-диметилфенил-2,3-дигидротиазоло[2,3-а]изоиндол-5(9bH)-она, тивирапина (R86183), UC-38 и UC-84, среди прочих.
[0363] Термин «фармацевтически приемлемая соль» применяется на всем протяжении данного описания для описания, где применимо, солевой формы одного или более из соединений, описанных в данном документе, которые присутствуют для повышения растворимости соединения в желудочных соках желудочно-кишечного тракта пациента с целью способствовать растворению и биодоступности соединений. Фармацевтически приемлемые соли включают соли, полученные из фармацевтически приемлемых неорганических или органических оснований и кислот, где применимо. Подходящие соли включают соли, полученные из щелочных металлов, такие как калий и натрий, щелочноземельных металлов, такие как кальциевые, магниевые и аммониевые соли, среди многих других кислот и оснований, хорошо известных в области фармацевтики. Натриевые и калиевые соли являются особенно предпочтительными как соли, нейтрализующие фосфаты, в соответствии с настоящим изобретением.
[0364] Термин «фармацевтически приемлемое производное» применяется на всем протяжении данного описания для описания любой фармацевтически приемлемой формы пролекарства (такой как сложный эфир, амид, другая группа пролекарства), которая при введении пациенту обеспечивает непосредственно или опосредованно соединение по настоящему изобретению или активный метаболит соединения по настоящему изобретению.
Общие подходы к синтезу
[0365] Для осуществления на практике синтеза и оптимизации бифункциональных молекул, описанных в данном документе, можно найти решение в постадийном или модульном способе. Например, идентификация соединений, которые связываются с целевыми молекулами, может предусматривать операции скрининга с высокой или средней пропускной способностью, если подходящие лиганды не являются непосредственно доступными. Не редки случаи, когда исходные лиганды требуют циклов итерационного проектирования и оптимизации для улучшения субоптимальных аспектов, идентифицированных с помощью данных из подходящих in vitro и фармакологических и/или ADMET анализов. Часть операции оптимизации/SAR будет заключаться в тестировании положений лиганда, которые допускают замещение и которые могут быть подходящими местами для присоединения химических групп линкера, ранее указанного в данном документе. Если доступны кристаллографические или ЯМР данные о структуре, их можно применять для фокусирования на таком синтетическом усилии.
[0366] Очень похожим образом можно идентифицировать и оптимизировать лиганды для Е3-лигазы, т.е. ULM/ILM/VLM/CLM/ILM.
[0367] Имея в своем распоряжении РТМ и ULM (например, ILM, VLM, CLM и/или ILM) специалист в данной области техники может применять известные способы синтеза для их комбинации с линкерным фрагментом или без него. Линкерные фрагменты можно синтезировать в диапазоне составов, значений длины и эластичности и функционализировать так, что группы РТМ и ULM могут быть присоединены последовательно к дальним концам линкера. Таким образом, можно создать и профилировать библиотеку бифункциональных молекул в фармакологических исследованиях и ADMET/PK анализах in vitro и in vivo. Как и с группами РТМ и ULM, конечные бифункциональные молекулы можно подвергать циклам итерационного проектирования и оптимизации с целью определения молекул с необходимыми свойствами.
[0368] В некоторых случаях могут быть необходимы стратегии введения защитной группы и/или взаимопревращения функциональных групп (FGI) для способствования получению необходимых веществ. Данные химические способы широко известны химику, специализирующемуся в области органического синтеза, и множество способов можно найти в руководствах, таких как «Greene's Protective Groups in Organic Synthesis» Peter G. M. Wuts and Theodora W. Greene (Wiley) и «Organic Synthesis: The Disconnection Approach» Stuart Warren and Paul Wyatt (Wiley).
[0369] Перечень сокращений
[0370] AcOH, уксусная кислота
[0371] водн., водный
[0372] BINAP, 2,2'-бис(дифенилфосфино)-1,1'-бинафталин
[0373] Boc, трет-бутоксикарбонил
[0374] Boc2O, ди-трет-бутилдикарбонат
[0375] ВОР, гексафторфосфат (бензотриазол-1-илокси)трис(диметиламино)фосфония
[0376] CDCl3, дейтерохлороформ
[0377] CD3OD, дейтерометанол
[0378] CH3CN, ацетонитрил
[0379] СН3ОН, метанол
[0380] CsF, фторид цезия
[0381] Cs2CO3, карбонат цезия
[0382] Cu(ОАс)2, ацетат меди(II)
[0383] Cy2NMe, дициклогексилметиламин
[0384] DCM, дихлорметан
[0385] DIAD, диизопропилазодикарбоксилат
[0386] DIEA или DIPEA, диизопропилэтиламин
[0387] DMAP, N,N-диметиламинопиридин
[0388] DMF, N,N-диметилформамид
[0389] DMSO, диметилсульфоксид
[0390] DMSO-d6, гексадейтеродиметилсульфоксид
[0391] Et2NH, диэтиламин
[0392] EtOAc или ЕА, этилацетат
[0393] HCl, хлористоводородная кислота
[0394] H2O, вода
[0395] HPLC, высокоэффективная жидкостная хроматография
[0396] IBX, 2-йодоксибензойная кислота
[0397] КОАс, ацетат калия
[0398] LCMS, жидкостная хроматография/масс-спектрометрия
[0399] LiOH, гидроксид лития
[0400] МеОН, метанол
[0401] MsCl, метансульфонилхлорид
[0402] N2, азот
[0403] NaH, гидрид натрия
[0404] NaBH3CN, цианоборогидрид натрия
[0405] NaBH(OAc)3, триацетоксиборогидрид натрия
[0406] NaCl, хлорид натрия
[0407] NaHCO3, бикарбонат натрия
[0408] NaI, йодид натрия
[0409] Na2SO4, сульфат натрия
[0410] n-BuLi, н-бутиллитий
[0411] NH3, аммиак
[0412] NH4Cl, хлорид аммония
[0413] NH2OH⋅HCl, гидрохлорид гидроксиламина
[0414] NMP, N-метилпирролидон
[0415] ЯМР, ядерный магнитный резонанс
[0416] О2, кислород
[0417] Pd(aMPhos)Cl2, бис(ди-трет-бутил(4-диметиламинофенил)фосфин)дихлорпалладий(II)
[0418] Pd2(dba)3, трис(дибензилиденапетон)дипалладий(0)
[0419] Pd(dppf)Cl2, [1,1'-бис(дифенилфосфино)ферроцен]дихлорпалладий(II)
[0420] Pd(OH)2, гидроксид палладия
[0421] Pd(PPh3)4, тетракис(трифенилфосфин)палладий(0)
[0422] РЕ, петролейный эфир
[0423] Ph3P, трифенилфосфин
[0424] Ру, пиридин
[0425] РуВОР, гексафторфосфат (бензотриазол-1-илокси)трипирролидинофосфония
[0426] к. т., комнатная температура
[0427] TBAF, тетра-н-бутиламмония фторид
[0428] TBDPSCl, трет-бутилдифенилсилилхлорид
[0429] TBS, трет-бутилдиметилсилил
[0430] tBuOK, трет-бутоксид калия
[0431] [tBu3PH]BF4, тетрафторборат три-трет-бутилфосфония
[0432] TEA, триэтиламин
[0433] THF, тетрагидрофуран
[0434] TLC, тонкослойная хроматография
[0435] TMSOTf, триметилсилилтрифторметансульфонат
[0436] TsCl, п-толуолсульфонилхлорид
[0437] TsOH, п-толуолсульфоновая кислота
[0438] Схема 1А.
[0439] Соединение формулы I может вступать в реакцию с реагентом II (коммерчески доступным или легко получаемым с применением стандартных методик реакций, известных специалисту в данной области техники), в условиях катализируемого палладием кросс-сочетания, например с подходящим палладиевым катализатором, таким как бис(ди-трет-бутил(4-диметиламинофенил)фосфин)дихлорпалладий(II), подходящим основанием, таким как фторид цезия, подходящим растворителем, таким как смеси 1,4-диоксана и воды, при подходящей температуре, такой как 100°С, с применением микроволнового излучения или без него, с получением соединения формулы III. Одна из М или М' представляет собой функциональную группу, способную подвергаться катализируемому палладием трансметаллированию, например, бороновую кислоту, сложный эфир бороновой кислоты или триалкилстаннан; другая М или М'представляет собой функциональную группу, способную подвергаться катализируемому палладием окислительному присоединению, например, йодид, бромид, хлорид или трифторметансульфонат; Ar представляет собой ароматическую или гетероароматическую кольцевую систему; L представляет собой необязательный линкер или часть линкера,
представляет собой первичный или вторичный амин, необязательно циклизированный в 4-8-членное гетероциклическое кольцо, где PG представляет собой подходящую защитную группу, в том числе без ограничения трет-бутоксикарбонил или бензил. Соединения формулы III могут быть преобразованы в соединение формулы IV путем обработки реагентом, подходящим для удаления PG, например хлороводородом в 1,4-диоксане, если PG представляет собой трет-бутоксикарбонил. Соединение IV затем может вступать в реакцию с соединением V с получением соединения VI, где L' представляет собой необязательный линкер или часть линкера, Y представляет собой СН2 или С=O, и X представляет собой либо подходящую уходящую группу (например, OMs, OTs, Cl и т.д.), либо альдегид (СНО). Если X представляет собой уходящую группу, n равняется 0, и подходящими условиями реакции являются условия реакции алкилирования, например, диизопропилэтиламин, йодид калия, DMSO или ацетонитрил, 80°С. Если X представляет собой альдегид, n равняется 1, и подходящими условиями реакции являются условия реакции восстановительного аминирования, например, цианоборогидрид натрия, метанол, дихлорметан, уксусная кислота, комнатная температура.
[0440] Схема 1 В.
[0441] Соединение формулы I может вступать в реакцию с реагентом II (коммерчески доступным или легко получаемым с применением стандартных методик реакций, известных специалисту в данной области техники), в условиях катализируемого палладием кросс-сочетания, например с подходящим палладиевым катализатором, таким как бис(ди-трет-бутил(4-диметиламинофенил)фосфин)дихлорпалладий(II), подходящим основанием, таким как фторид цезия, подходящим растворителем, таким как смеси 1,4-диоксана и воды, при подходящей температуре, такой как 100°С, с применением микроволнового излучения или без него, с получением соединения формулы III. Одна из М или М' представляет собой функциональную группу, способную подвергаться катализируемому палладием трансметаллированию, например, бороновую кислоту, сложный эфир бороновой кислоты или триалкилстаннан; другая М или М' представляет собой функциональную группу, способную подвергаться катализируемому палладием окислительному присоединению, например, йодид, бромид, хлорид или трифторметансульфонат; каждый из Z и Z' независимо представляет собой Н или подходящую защитную группу, такую как трет-бутоксикарбонил; Ar представляет собой ароматическую или гетероароматическую кольцевую систему; L представляет собой необязательный линкер или часть линкера,
представляет собой первичный или вторичный амин, необязательно циклизированный в 4-8-членное гетероциклическое кольцо и/или конденсированный с Ar, где PG представляет собой подходящую защитную группу, в том числе без ограничения трет-бутоксикарбонил или бензил. Соединения формулы III могут быть преобразованы в соединение формулы IV путем обработки реагентом, подходящим для удаления PG, например хлороводородом в 1,4-диоксане, если PG представляет собой трет-бутоксикарбонил. Соединение IV затем может вступать в реакцию с соединением V с получением соединения VI, где L' представляет собой необязательный линкер или часть линкера, Y представляет собой CH2 или С=O, X представляет собой либо подходящую уходящую группу (например, OMs, OTs, Cl и т.д.), либо альдегид (СНО), и R представляет собой необязательный заместитель (например, F или ОСН3), и W представляет собой:
или 
[0442] Если X представляет собой уходящую группу, n равняется 0, и подходящими условиями реакции являются условия реакции алкилирования, например, диизопропилэтиламин, йодид калия, DMSO или ацетонитрил, 80°С. Если X представляет собой альдегид, n равняется 1, и подходящими условиями реакции являются условия реакции восстановительного аминирования, например, цианоборогидрид натрия, метанол, дихлорметан, уксусная кислота, комнатная температура. При необходимости смеси энантиомеров или диастереомеров любых соединений IV, V или VI могут быть разделены на составляющие их энантиомеры или диастереомеры с применением методик, известных специалисту в данной области техники, в том числе без ограничения препаративной высокоэффективной жидкостной хроматографии или препаративной сверхкритической флюидной хроматографии.
[0443] В случаях, где W представляет собой
соединение VI можно обрабатывать в условиях, подходящих для имидной циклизации, например, бензолсульфоновая кислота в ацетонитриле или N-метилпирролидоне при 100°С, с получением другого соединения формулы VI, где W представляет собой 
[0444] В случаях, где один или оба из Z или Z' представляют собой защитную группу, такая защитная группа может быть удалена из соединения VI, например путем обработки трифторуксусной кислотой, если Z и/или Z' представляют собой трет-бутоксикарбонил, с получением другого соединения формулы VI, где Z и Z' представляют собой Н.
[0445] Специалисту в данной области техники будет также очевидно, что положения
в II и X в V могут меняться на обратные по всей синтетической последовательности, так что положения
и
в соединении VI являются обратными. В таких случаях X также может представлять собой СН2ОН или защищенный альдегид, например, в виде его ацеталя, и может быть преобразован в соединение, где X представляет собой СНО, путем окисления спирта, например, с помощью периодинана Десса-Мартина, или удаления защитной группы с ацеталя, например, с помощью Amberlyst 15 в ацетоне и воде с обратным холодильником, до реакции с V.
[0446] Схема 2.
[0447] Соединение формулы IV также может вступать в реакцию с соединением формулы VII с получением соединений формулы VIII, где X представляет собой подходящую уходящую группу, такую как фтор или хлор, Y представляет собой С=O, R представляет собой один или более необязательных заместителей, W представляет собой Н или СН3, и условиями реакции являются условия нуклеофильного ароматического замещения, например, триэтиламин, DMSO, 70°С.
[0448] Схема 3А.
[0449] Соединение формулы I может вступать в реакцию с реагентом IX (коммерчески доступным или легко получаемым с применением стандартных методик реакций, известных специалисту в данной области техники) в условиях катализируемого палладием кросс-сочетания, например, как показано на схеме 1А или 1 В, с получением соединения формулы X. Одна из М или М' представляет собой функциональную группу, способную подвергаться катализируемому палладием трансметаллированию, например, бороновую кислоту, сложный эфир бороновой кислоты или триалкилстаннан; другая М или М' представляет собой функциональную группу, способную подвергаться катализируемому палладием окислительному присоединению, например, йодид, бромид, хлорид или трифторметансульфонат; Ar представляет собой ароматическую или гетероароматическую кольцевую систему; L представляет собой необязательный линкер или часть линкера, и PG представляет собой подходящую сложноэфирную защитную группу, например метил, этил или трет-бутил. Соединения формулы X могут быть преобразованы в соединение формулы XI путем обработки реагентом, подходящим для удаления PG, например хлороводородом в 1,4-диоксане, если PG представляет собой трет-бутил. Соединение XI затем может вступать в реакцию с соединением XII, где Z представляет собой необязательный заместитель, например Н, метил или гидроксиметил, с получением соединений формулы XIII в условиях образования амидов, например, гексафторфосфат (бензотриазол-1-илокси)трипирролидинофосфония, диизопропилэтиламин, DMF, комнатная температура.
[0450] Схема 3 В.
[0451] Соединение формулы I' может вступать в реакцию с реагентом IX (коммерчески доступным или легко получаемым с применением стандартных методик реакций, известных специалисту в данной области техники) в условиях катализируемого палладием кросс-сочетания, например, как показано на схеме 1А или 1 В, с получением соединения формулы X. Одна из М или М' представляет собой функциональную группу, способную подвергаться катализируемому палладием трансметаллированию, например, бороновую кислоту, сложный эфир бороновой кислоты или триалкилстаннан; другая М или М' представляет собой функциональную группу, способную подвергаться катализируемому палладием окислительному присоединению, например, йодид, бромид, хлорид или трифторметансульфонат; Ar представляет собой ароматическую или гетероароматическую кольцевую систему; L представляет собой необязательный линкер или часть линкера; PG представляет собой подходящую сложноэфирную защитную группу, например метил, этил или трет-бутил; и W представляет собой необязательную защитную группу, например 2-(триметилсилил)этоксиметил. В случае необходимости, например, если L содержит первичный или вторичный амин или спирт, такие функциональные группы могут быть необязательно защищены подходящей защитной группой, например, трет-бутоксикарбонилом, если функциональная группа представляет собой амин, или трет-бутилдиметилсилилом, если функциональная группа представляет собой спирт. Соединения формулы X могут быть преобразованы в соединение формулы XI путем обработки реагентом, подходящим для удаления необязательного W, например хлороводородом в 1,4-диоксане и метаноле или этилендиамином и фторидом тетра-н-бутиламмония, если W представляет собой 2-(триметилсилил)этоксиметил; с последующей обработкой реагентом, подходящим для удаления PG, например хлороводородом в 1,4-диоксане, если PG представляет собой трет-бутил. Соединение XI затем может вступать в реакцию с соединением XII, где Z представляет собой необязательно замещенный углерод, например, CH2, CD2, СН(Ме), СН(CH2OH), С(СН3)2, R представляет собой необязательный заместитель, например F или СН2ОН, и Y представляет собой необязательный заместитель, например галоген, CN или необязательно замещенный арил или гетероциклил, с получением соединений формулы XIII в условиях образования амидов, например, гексафторфосфат (бензотриазол-1-илокси)трипирролидинофосфония, диизопропилэтиламин, DMF, комнатная температура. Специалисту в данной области техники будет очевидно, что если L содержит защищенный амин или спирт, такая защитная группа может быть удалена, при необходимости, на стадии получения соединения X, XI или XIII, например путем обработки трифторуксусной кислотой, если указанная защитная группа представляет собой трет-бутоксикарбонил, или хлористоводородной кислотой в метаноле, если указанная защитная группа представляет собой трет-бутилдиметилсилил.
[0452] Схема 4А.
[0453] В качестве альтернативы соединение формулы IX может быть преобразовано в соединение формулы XIV путем применения условий, аналогичных условиям превращения X в XI на схеме 3А или 3 В. Соединение формулы XIV может быть преобразовано в соединение формулы XV путем применения условий, аналогичных условиям превращения XI в XIII на схеме 3А или 3 В. Соединение формулы XV затем может быть преобразовано в соединение формулы XIII посредством проведения реакции с соединением формулы I с применением условий, аналогичных условиям превращения I и IX в X на схеме 3А или 3 В.
[0454] Схема 4 В.
[0455] В качестве альтернативы соединение формулы IX может быть преобразовано в соединение формулы XIV путем применения условий, аналогичных условиям превращения X в XI на схеме 3А или 3 В. Соединение формулы XIV может быть преобразовано в соединение формулы XV путем применения условий, аналогичных условиям превращения XI в XIII на схеме 3A или 3B. Соединение формулы XV затем может быть преобразовано в соединение формулы XIII путем проведения реакции с соединением формулы I' с применением условий, аналогичных условиям превращения I' и IX в X, с последующим необязательным удалением защитной группы W на схеме 3B.
[0456] Схема 5.
[0457] Соединение формулы XVI может вступать в реакцию с реагентом II' (коммерчески доступным или легко получаемым с применением стандартных методик реакций, известных специалисту в данной области техники) в условиях реакции кросс-сочетания Чана-Лама, например, ацетат меди(II), пиридин, или диэтиламин, или триэтиламин, 100°С, с получением соединения формулы XVII. М' представляет собой бороновую кислоту или сложный эфир бороновой кислоты; Ar представляет собой ароматическую или гетероароматическую кольцевую систему; L представляет собой необязательный линкер,
представляет собой первичный или вторичный амин, необязательно циклизированный в 4-8-членное гетероциклическое кольцо, где PG представляет собой подходящую защитную группу, в том числе без ограничения трет-бутоксикарбонил или бензил. Соединения формулы XVII могут вступать в реакцию с реагентом XVIII в условиях катализируемого палладием кросс-сочетания, например, [1,1'-бис(дифенилфосфино)ферроцен]дихлорпалладий, тетрафторборат три-трет-бутилфосфина, фторид цезия, 1,4-диоксан, 90°С, с получением соединения формулы XIX. М представляет собой функциональную группу, способную подвергаться катализируемому палладием трансметаллированию, например, бороновую кислоту, сложный эфир бороновой кислоты или триалкилстаннан, и Ar' представляет собой ароматическую или гетероароматическую кольцевую систему с необязательными заместителями. Соединение формулы XIX затем может быть преобразовано в соединение формулы XX путем обработки реагентом, подходящим для удаления PG, например хлороводородом в 1,4-диоксане или метаноле, если PG представляет собой трет-бутил. Соединение формулы XX также может вступать в реакцию с соединением формулы VII с получением соединений формулы XXI, где X представляет собой подходящую уходящую группу, такую как фтор или хлор, Y представляет собой С=O, ароматическое кольцо в VII может иметь дополнительные необязательные заместители, и условиями реакции являются условия нуклеофильного ароматического замещения, например, триэтиламин, DMSO, 80°С. В случаях, где группа Ar' содержит необязательные заместители, например кетон, они могут подвергаться дополнительной функционализации, например путем обработки гидрохлоридом гидроксиламина и пиридином при комнатной температуре, с получением дополнительных соединений формулы XXI.
[0458] Схема 6.
[0459] В качестве альтернативы соединение формулы XVII может быть преобразовано в соединение формулы XXII путем применения условий, аналогичных условиям превращения XIX в XX на схеме 5. Соединение формулы XXII затем можно обрабатывать соединением формулы VII, как определено на схеме 5, с получением соединения формулы XXIII. Соединение формулы XXIII затем можно обрабатывать реагентом XVIII, как определено на схеме 5, с получением соединения формулы XXI. В случаях, где группа Ar' содержит необязательные заместители, например кетон, они могут подвергаться дополнительной функционализации, например путем обработки гидрохлоридом гидроксиламина и пиридином при комнатной температуре, с получением дополнительных соединений формулы XXI.
[0460] Схема 7.
[0461] Соединение формулы XXIV (полученное аналогично получению XVII из XVI и II' на схеме 5 с дополнительными преобразованиями функциональных групп, при необходимости, которые широко известны специалисту в данной области техники) может вступать в реакцию с соединением формулы XXV с получением соединения формулы XXVI в условиях восстановительного аминирования, например, цианоборогидрид натрия, уксусная кислота, метанол, комнатная температура. В данном документе Ar представляет собой ароматическую или гетероароматическую кольцевую систему; L и L' представляют собой необязательный линкер или часть линкера,
представляет собой первичный или вторичный амин, необязательно циклизированный в 4-8-членное гетероциклическое кольцо, и Y представляет собой CH2 или С=O. Соединение формулы XXVI затем можно обрабатывать реагентом XVIII, как определено на схеме 5, с получением соединения формулы XXVII. В случаях, где группа Ar' содержит необязательные заместители, например кетон, они могут подвергаться дополнительной функционализации, например путем обработки гидрохлоридом гидроксиламина и пиридином при комнатной температуре, с получением дополнительных соединений формулы XVII.
[0462] Схема 8.
[0463] В качестве альтернативы соединение формулы XXII можно обрабатывать соединением формулы XXVIII в условиях восстановительного аминирования, например, как на схеме 7, с получением соединения формулы XXVF. В данном документе Ar, L, L',
и Y определены, как на схеме 7. Соединение формулы XXVI' затем можно обрабатывать реагентом XVIII, как определено на схеме 5, с получением соединения формулы XXVII'. В случаях, где группа Ar' содержит необязательные заместители, например кетон, они могут подвергаться дополнительной функционализации, например путем обработки гидрохлоридом гидроксиламина и пиридином при комнатной температуре, с получением дополнительных соединений формулы XVII'.
[0464] Схема 9.
[0465] Соединение формулы XIX может вступать в реакцию с соединением формулы VII с получением соединений формулы XXX, где X представляет собой подходящую уходящую группу, такую как фтор или хлор, Y представляет собой С=O, ароматическое кольцо в VII может иметь дополнительные необязательные заместители, и условиями реакции являются условия нуклеофильного ароматического замещения, например, диизопропилэтиламин, NMP, 130°С, с применением микроволнового излучения или без него.
[0466] Схема 10.
[0467] В качестве альтернативы соединение формулы XIX можно обрабатывать соединением формулы XXVIII с получением соединения формулы XXXI в условиях восстановительного аминирования, например, триацетоксиборогидрид натрия, этанол, дихлорметан, комнатная температура.
[0468] Схема 11.
или
[0469] В качестве альтернативы соединение формулы XXXII, полученное из соединения формулы XIX посредством простых преобразований, хорошо известных специалисту в данной области техники, например, алкилирование или восстановительное аминирование, может вступать в реакцию с соединением формулы XII с получением соединения формулы XXXIII в условиях образования амидов, например, гексафторфосфат (бензотриазол-1-илокси)трипирролидинофосфония, диизопропилэтиламин, DMF, комнатная температура
[0470] Схема 12А.
[0471] Соединение формулы XXXIV может вступать в реакцию с реагентом XXXV (коммерчески доступным или легко получаемым с применением стандартных методик реакций, известных специалисту в данной области техники) в условиях нуклеофильного замещения, например, карбонат калия, йодид калия, DMSO, 60°С, с получением соединения формулы XXXVI. В качестве альтернативы условия реакции могут быть такими же, как для реакции Мицунобу, например, трифенилфосфин, диэтилазодикарбоксилат, THF. В данном документе Y представляет собой CH2 или С=O; одна из М или М' представляет собой функциональную группу, способную подвергаться катализируемому палладием трансметаллированию, например, бороновую кислоту, сложный эфир бороновой кислоты или триалкилстаннан; другая М или М' представляет собой функциональную группу, способную подвергаться катализируемому палладием окислительному присоединению, например, йодид, бромид, хлорид или трифторметансульфонат; Ar представляет собой ароматическую или гетероароматическую кольцевую систему; и L представляет собой линкер. Если реакция представляет собой реакцию нуклеофильного замещения, то X представляет собой подходящую уходящую группу, например п-толуолсульфонат, метансульфонат, йодид, бромид или хлорид; если реакция представляет собой реакцию Мицунобу, то X представляет собой ОН. Соединение формулы XXXVI затем может быть дополнительно преобразовано путем проведения реакции с соединением I в условиях катализируемого палладием кросс-сочетания, например с подходящим палладиевым катализатором, таким как бис(ди-трет-бутил(4-диметиламинофенил)фосфин)дихлорпалладий(II), подходящим основанием, таким как фторид цезия, подходящим растворителем, таким как смеси 1,4-диоксана и воды, при подходящей температуре, такой как 100°С, с применением микроволнового излучения или без него, с получением соединения формулы XXXVII.
[0472] Схема 12 В.
Соединение формулы XXXIV может вступать в реакцию с реагентом XXXV (коммерчески доступным или легко получаемым с применением стандартных методик реакций, известных специалисту в данной области техники) с получением соединения формулы XXXVI. Во всех случаях М представляет собой функциональную группу, способную подвергаться катализируемому палладием трансметаллированию, например, бороновую кислоту, сложный эфир бороновой кислоты или триалкилстаннан; или в качестве альтернативы М представляет собой функциональную группу, способную подвергаться катализируемому палладием окислительному присоединению, например, йодид, бромид, хлорид или трифторметансульфонат; Ar представляет собой ароматическую или гетероароматическую кольцевую систему; L представляет собой линкер; R представляет собой один или более необязательных заместителей; и либо R' и R'' одновременно представляют собой сложные эфиры карбоновых кислот, например, СО2СН2СН3, R представляет собой сложный эфир карбоновой кислоты, например, СО2СН3, и R' представляет собой CN, либо вместе R и R' образуют либо
, либо
, где Y представляет собой либо СН2, либо С=O.
В некоторых случаях X представляет собой первичный или вторичный амин, необязательно циклизированный в 4-8-членное гетероциклическое кольцо, Y представляет собой подходящую уходящую группу, такую как фтор или хлор, и условиями реакции являются условия нуклеофильного ароматического замещения, например, триэтиламин, DMSO, 70°С. В таких случаях Z становится соответствующим вторичным или третичным амином, полученным из X.
В других случаях X представляет собой подходящую уходящую группу, например п-толуолсульфонат, метансульфонат, йодид, бромид или хлорид, Y представляет собой ОН, и условиями реакции являются условия нуклеофильное замещение, например, карбонат калия, йодид калия, DMSO, 60°С. В таких случаях Z представляет собой О.
В других случаях X представляет собой ОН, Y представляет собой ОН, и условия реакции могут быть такими же, как для реакции Мицунобу, например, трифенилфосфин, диэтилазодикарбоксилат, THF. В таких случаях Z представляет собой О.
Соединение формулы XXXVI может быть дополнительно преобразовано в другое соединение формулы XXXVI. Если R' представляет собой сложный эфир карбоновой кислоты, и R'' представляет собой CN, то может осуществляться восстановление R'' до СНО, например путем обработки гипофосфитом натрия и никелем Ренея в смеси пиридина, уксусной кислоты и воды. Если R' и R'' вместе образуют
, то сольволиз, например, с помощью гидроксида натрия в спиртовом растворителе и тетрагидрофуране может обеспечить получение соединения, где R' представляет собой сложный эфир карбоновой кислоты, и R'' представляет собой CH2OH. Данное соединение можно дополнительно окислять, например, с помощью диоксида марганца, с получением эквивалентного соединения XXXVI, где R' представляет собой сложный эфир карбоновой кислоты, и R'' представляет собой СНО. Такие соединения, где R' представляет собой сложный эфир карбоновой кислоты, и R'' представляет собой СНО, затем могут вступать в реакцию с 3-аминоглутаримидом в присутствии, например, триацетоксиборогидрида натрия, диизопропилэтиламина и уксусной кислоты в метаноле и дихлорметане с получением нового соединения формулы XXXVI, где R' и R'' вместе представляют собой
, где Y представляет собой CH2.
Соединение формулы XXXVI затем может быть дополнительно преобразовано путем проведения реакции с соединением I в условиях катализируемого палладием кросс-сочетания, например с подходящим палладиевым катализатором, таким как бис(ди-трет-бутил(4-диметиламинофенил)фосфин)дихлорпалладий(II), подходящим основанием, таким как фторид цезия, подходящим растворителем, таким как смеси 1,4-диоксана и воды, при подходящей температуре, такой как 100°С, с применением микроволнового излучения или без него, с получением соединения формулы XXXVII. В данном документе М', Z и Z' являются такими, как определено на схеме 1В.
В случаях, где один или оба из Z или Z' представляют собой защитную группу, такая защитная группа может быть удалена из соединения XXXVII, например путем обработки три фторуксусной кислотой, если Z и/или Z' представляют собой трет-бутоксикарбонил, с получением другого соединения формулы XXXVII где Z и Z' представляют собой Н.
[0473] В случаях, где R' и R'' одновременно представляют собой сложные эфиры карбоновых кислот в соединении XXXVII, гидролиз, например, с помощью гидроксида натрия в метаноле и воде, может обеспечивать получение другого соединения XXXVII, где R' и R'' представляют собой СО2Н. Такое соединение может затем вступить в реакцию, например, с 3-аминоглутаримидом, гексафторфосфатом (бензотриазол-1-илокси)трис(диметиламино)фосфония и диизопропиламином в N,N-диметилформамиде с получением нового соединения формулы XXXVII, где R' и R'' вместе представляют собой
, где Y представляет собой С=O.
[0474] Схема 13А.
[0475] Соединение формулы I может вступать в реакцию с реагентом XXXVIII (легко получаемым с применением стандартных методик реакций, известных специалисту в данной области техники) в условиях катализируемого палладием кросс-сочетания, например, [1,1'-бис(дифенилфосфино)ферроцен]дихлорпалладий(II), карбонат натрия, в подходящем растворителе, таком как смесь 1,4-диоксан/вода, при подходящей температуре, такой как 100°С, с применением нагревания с помощью микроволнового излучения или без него, с получением соединения формулы XXXIX. Одна из М или М' представляет собой функциональную группу, способную подвергаться катализируемому палладием трансметаллированию, например, бороновую кислоту, сложный эфир бороновой кислоты или триалкилстаннан; другая М или М' представляет собой функциональную группу, способную подвергаться катализируемому палладием окислительному присоединению, например, йодид, бромид, хлорид или трифторметансульфонат; Ar представляет собой ароматическую или гетероароматическую кольцевую систему; L представляет собой необязательный линкер или часть линкера, и PG представляет собой подходящую сложноэфирную защитную группу, например метил, этил или трет-бутил. Соединения формулы XXXIX могут быть преобразованы в соединение формулы XL путем обработки реагентом, подходящим для удаления PG, например гидроксидом натрия в метаноле и воде при 40°С, если PG представляет собой метил или этил. Соединение XL затем может вступать в реакцию с соединением XLI, где Z представляет собой необязательный заместитель, например Н, метил или гидроксиметил, с получением соединений формулы XLII в условиях образования амидов, например, N-оксид гексафторфосфата N-[(диметиламино)-1Н-1,2,3-триазоло-[4,5-b]пиридин-1-илметилен]-N-метилметанаминия, диизопропилэтиламин, DMF, комнатная температура.
[0476] Схема 13 В.
[0477] Соединение формулы I' может вступать в реакцию с реагентом XXXVIII (легко получаемым с применением стандартных методик реакций, известных специалисту в данной области техники) в условиях катализируемого палладием кросс-сочетания, например, [1,1'-бис(дифенилфосфино)ферроцен]дихлорпалладий(II), карбонат натрия, в подходящем растворителе, таком как смесь 1,4-диоксан/вода, при подходящей температуре, такой как 100°С, с применением нагревания с помощью микроволнового излучения или без него, с получением соединения формулы XXXIX. Одна из М или М' представляет собой функциональную группу, способную подвергаться катализируемому палладием трансметаллированию, например, бороновую кислоту, сложный эфир бороновой кислоты или триалкилстаннан; другая М или М' представляет собой функциональную группу, способную подвергаться катализируемому палладием окислительному присоединению, например, йодид, бромид, хлорид или трифторметансульфонат; Ar представляет собой ароматическую или гетероароматическую кольцевую систему; L представляет собой необязательный линкер или часть линкера; PG представляет собой подходящую сложноэфирную защитную группу, например метил, этил или трет-бутил; W представляет собой необязательную защитную группу, например 2-(триметилсилил)этоксиметил; и изоксазол в соединении XXXVIII и следующих структурах может иметь необязательный заместитель. Соединения формулы XXXIX могут быть преобразованы в соединение формулы XL путем обработки реагентом, подходящим для удаления необязательного W, например хлороводородом в 1,4-диоксане и метаноле или этилендиамином и фторидом тетра-н-бутиламмония, если W представляет собой 2-(триметилсилил)этоксиметил; с последующей обработкой реагентом, подходящим для удаления PG, например гидроксидом натрия в метаноле и воде при 40°С, если PG представляет собой метил или этил. Соединение XL затем может вступать в реакцию с соединением XLI, где Z представляет собой необязательный заместитель, например Н, метил или гидроксиметил, с получением соединений формулы XLII в условиях образования амидов, например, N-оксид гексафторфосфата N-[(диметиламино)-1Н-1,2,3-триазоло-[4,5-b]пиридин-1-илметилен]-N-метилметанаминия, диизопропилэтиламин, DMF, комнатная температура. Необязательно, как будет очевидно специалисту в данной области техники, порядок стадий амидного сочетания и катализируемого палладием кросс-сочетания в последовательности реакций может быть изменен на обратный посредством подходящих манипуляций с М, М' и PG.
[0478] Схема 14.
[0479] Соединение формулы XLIII может вступать в реакцию с реагентом XLIV (коммерчески доступным или легко получаемым с применением стандартных методик реакций, известных специалисту в данной области техники) в условиях нуклеофильного замещения, например, карбонат цезия, DMF, 75°С, с получением соединения формулы XLV. Ar представляет собой ароматическую или гетероароматическую кольцевую систему; X представляет собой подходящую уходящую группу, например п-толуолсульфонат, метансульфонат, йодид, бромид или хлорид; L представляет собой необязательный линкер; и PG представляет собой подходящую сложноэфирную защитную группу, например метил, этил или трет-бутил. Соединения формулы XLV могут быть преобразованы в соединение формулы XLVI путем обработки реагентом, подходящим для удаления PG, например 3 н. хлористоводородной кислотой в 1,4-диоксане при комнатной температуре, если PG представляет собой трет-бутил. Соединение XLVI затем может вступать в реакцию с соединениями XII, как определено на схеме 3A или 3B, с получением соединений формулы XLVII в условиях образования амидов, например, (бензотриазол-1-илокси)трипирролидинофосфония гексафторфосфат, диизопропилэтиламин, DMF, комнатная температура. Соединение формулы XLVII затем можно обрабатывать реагентом XVIII, как определено на схеме 5, с получением соединения формулы XLVIII. В случаях, где группа Ar' содержит необязательные заместители, например кетон, они могут подвергаться дополнительной функционализации, например путем обработки гидрохлоридом гидроксиламина и пиридином при комнатной температуре, с получением дополнительных соединений формулы XLVIII.
[0480] Промежуточное соединение 1: (3R)-N-[3-([5-бром-1Н-пирроло[2,3-b]пиридин-3-ил]карбонил)-2,4-дифторфенил]-3-фторпирролидин-1-сульфонамид
[0481] Стадия А:
[0482] 2,6-дифтор-3-нитробензоилхлорид
[0483] В круглодонную колбу объемом 150 мл помещали 2,6-дифтор-3-нитробензойную кислоту (15,0 г, 73,8 ммоль, 1,0 экв.), толуол (80 мл), тионилхлорид (80 мл). Полученную смесь перемешивали при 80°С в течение ночи и концентрировали при пониженном давлении. Это обеспечивало получение 14,1 г (86%) 2,6-дифтор-3-нитробензоилхлорида в виде коричневого масла.
[0484] Стадия В: 5-бром-3-[(2,6-дифтор-3-нитрофенил)карбонил]-1Н-пирроло[2,3-b]пиридин
[0485] 5-Бром-1Н-пирроло[2,3-b]пиридин (11,0 г, 55,8 ммоль, 1,1 экв.) смешивали с 200 мл хлорметана и добавляли порциями трихлорид алюминия (42,0 г, 318,2 ммоль, 6,4 экв.). Реакционную смесь перемешивали при комнатной температуре в течение 1 часа и добавляли 2,6-дифтор-3-нитробензоилхлорид (11,0 г, 49,6 ммоль, 1,0 экв.). Реакционную смесь нагревали при 50°С в течение ночи, затем реакционную смесь охлаждали до комнатной температуры и выливали в ледяную воду (500 мл), экстрагировали этилацетатом (500 мл (3). Объединенный органический слой промывали солевым раствором (500 мл (2), высушивали над безводным сульфатом натрия. Растворитель концентрировали с получением (5-бром-1Н-пирроло[2,3-b]пиридин-3-ил)(2,6-дифтор-3-нитрофенил)метанона (12,2 г) в виде желтого твердого вещества, которое непосредственно применяли на следующей стадии без дополнительной очистки. LCMS (ES+): масса/заряд 381,30 [М+Н]+.
[0486] Стадия С: 3-([5-бром-1Н-пирроло[2,3-b]пиридин-3-ил]карбонил)-2,4-дифторанилин
[0487] Смесь (5-бром-1Н-пирроло[2,3-b]пиридин-3-ил)(2,6-дифтор-3-нитрофенил)метанона (7,8 г, 20,4 ммоль, 1,0 экв.), железа (5,6 г, 100,2 ммоль, 4,9 экв.), хлорида аммония (3,6 г, 68 ммоль), хлористоводородной кислоты (25,0 мл) в этаноле (40 мл) и тетрагидрофуране (40 мл) нагревали с обратным холодильником в течение ночи. После охлаждения до комнатной температуры смесь фильтровали через подушку из целита. Фильтрат концентрировали in vacuo и остаток очищали с помощью колоночной хроматографии на силикагеле (петролейный эфир/этилацетат=1/2) с получением (3-амино-2,6-дифторфенил)(5-бром-1Н-пирроло[2,3-b]пиридин-3-ил)метанона (4,3 г, выход 60%) в виде желтого твердого вещества. LCMS (ES+): масса/заряд 351,80 [М+Н]+.
[0488] Стадия D: (R)-3-фторпирролидин-1-сульфонилхлорид
[0489] В высушенную в печи колбу загружали гидрохлорид (R)-3-фторпирролидина (3,0 г, 24 ммоль), триэтиламин (7,2 г, 72 ммоль) и дихлорметан (150 мл). Смесь перемешивали в течение 15 минут при комнатной температуре и затем охлаждали до приблизительно -30°С на бане с сухим льдом/ацетонитрилом в течение 10 минут. Добавляли по каплям сульфурилхлорид (6,0 г, 48 ммоль) в течение 10 минут. Реакционную смесь перемешивали при приблизительно -30°С в течение часа, затем перемешивали при комнатной температуре в течение 5 часов. Реакционную смесь разбавляли с помощью водного раствора HCl (1 н., 70 мл). Слои разделяли и водные слои экстрагировали дихлорметаном (50 мл (3). Объединенный органический слой промывали с помощью водного раствора HCl (1 н., 50 мл) и солевого раствора (50 мл), высушивали над безводным сульфатом натрия. Растворитель концентрировали с получением (R)-3-фторпирролидин-1-сульфонилхлорида (4,5 г) в виде белого твердого вещества, которое непосредственно применяли на следующей стадии без дополнительной очистки.
[0490] Стадия Е: (3R)-N-[3-([5-бром-1Н-пирроло[2,3-b]пиридин-3-ил]карбонил)-2,4-дифторфенил]-3-фторпирролидин-1-сульфонамид
[0491] К раствору (3-амино-2,6-дифторфенил)(5-бром-1Н-пирроло[2,3-b]пиридин-3-ил)метанона (8,0 г, 22,79 ммоль, 1,0 экв.) в пиридине (25,0 г) добавляли (R)-3-фторпирролидин-1-сульфонилхлорид (4,6 г, 24,60 ммоль, 1,08 экв.) и 4-диметиламинопиридин (560,0 мг, 4,59 ммоль, 0,2 экв.). Реакционную смесь перемешивали в течение 12 часов при 40°С.Растворитель удаляли и добавляли воду (20 мл), регулировали до рН=7~8 водным раствором бикарбоната натрия, экстрагировали этилацетатом (100 мл × 2). Объединенный органический слой промывали солевым раствором (50 мл × 2), высушивали над безводным сульфатом натрия. Растворитель удаляли in vacuo и остаток очищали с помощью колоночной хроматографии на силикагеле с применением смеси этилацетат/петролейный эфир (3:1) с получением (R)-N-(3-(5-бром-1Н-пирроло[2,3-b]пиридин-3-карбонил)-2,4-дифторфенил)-3-фторпирролидин-1-сульфонамида (6,4 г) в виде желтого твердого вещества. LCMS (ES+): масса/заряд 505,05 [М+Н]+.
[0492] Промежуточное соединение 2: (R)-N-(2,4-дифтор-3-(5-(4,4,5,5-тетраметил-1,3,2-диоксаборолан-2-ил)-1H-пирроло[2,3-b]пиридин-3-карбонил)фенил)-3-фторпирролидин-1-сульфонамид
[0493] Стадия А: (R)-N-(2,4-дифтор-3-(5-(4,4,5,5-тетраметил-1,3,2-диоксаборолан-2-ил)-1Н-пирроло[2,3-b]пиридин-3-карбонил)фенил)-3-фторпирролидин-1-сульфонамид
[0494] К раствору (R)-N-(3-(5-бром-1Н-пирроло[2,3-b]пиридин-3-карбонил)-2,4-дифторфенил)-3-фторпирролидин-1-сульфонамида (1,0 г, 2,0 ммоль) в 1,4-диоксане последовательно добавляли КОАс (392,0 мг, 4,0 ммоль), Pd(dppf)Cl2 (163,0 мг, 0,2 ммоль) и 4,4,4',4',5,5,5',5'-октаметил-2,2'-би(1,3,2-диоксаборолан) (1,02 г, 4,0 ммоль). Полученный раствор нагревали до 90°С в течение ночи в атмосфере N2. После охлаждения до комнатной температуры растворитель удаляли при пониженном давлении. Остаток очищали с помощью колоночной хроматографии на силикагеле с элюированием смесью этилацетат/петролейный эфир (1:1). Это обеспечивало получение 551,0 мг (50%) (R)-N-(2,4-дифтор-3-(5-(4,4,5,5-тетраметил-1,3,2-диоксаборолан-2-ил)-1Н-пирроло[2,3-b]пиридин-3-карбонил)фенил)-3-фторпирролидин-1-сульфонамида в виде светло-коричневого твердого вещества. LCMS (ES+): масса/заряд 551,15 [М+Н]+.
[0495] Промежуточное соединение 3: N-(3-[5-бром-1Н-пирроло[2,3-b]пиридин-3-карбонил]-2,4-дифторфенил)-2-(диметиламино)этан-1-сульфонамид
[0496] Стадия А: N-(3-[5-бром-1Н-пирроло[2,3-b]пиридин-3-карбонил]-2,4-дифторфенил)этен-1-сульфонамид
[0497] В круглодонную колбу объемом 100 мл помещали 3-[5-бром-1Н-пирроло[2,3-b]пиридин-3-карбонил]-2,4-дифторанилин (500 мг, 1,42 ммоль, 1 экв.), пиридин (20 мл, 248,47 ммоль, 174,99 экв.), DMAP (35 мг, 0,29 ммоль, 0,20 экв.), этенсульфонилхлорид (360 мг, 2,84 ммоль, 2,00 экв.), дихлорметан (20 мл). Полученный раствор перемешивали в течение 0,5 часа при комнатной температуре. Реакционную смесь концентрировали при пониженном давлении. Остаток обрабатывали с помощью колонки с силикагелем с элюированием смесью этилацетат/петролейный эфир (1:1). Это обеспечивало получение 300 мг (48%) N-(3-[5-бром-1Н-пирроло[2,3-b]пиридин-3-карбонил]-2,4-дифторфенил)этен-1-сульфонамида в виде белого твердого вещества. LCMS (ES+): масса/заряд 443,80 [М+Н]+.
[0498] Стадия В: N-(3-[5-бром-1Н-пирроло[2,3-b]пиридин-3-карбонил]-2,4-дифторфенил)-2-(диметиламино)этан-1-сульфонамид
[0499] В круглодонную колбу объемом 100 мл помещали N-(3-[5-бром-1H-пирроло[2,3-b]пиридин-3-карбонил]-2,4-дифторфенил)этен-1-сульфонамид (300 мг, 0,68 ммоль, 1 экв.), дихлорметан (20 мл), диметиламин (2,0 мл). Полученный раствор перемешивали в течение 2 часов при комнатной температуре. Реакционную смесь концентрировали при пониженном давлении. Это обеспечивало получение 360 мг (неочищенного) N-(3-[5-бром-1Н-пирроло[2,3-b]пиридин-3-карбонил]-2,4-дифторфенил)-2-(диметиламино)этан-1-сульфонамида в виде белого твердого вещества. LCMS (ES+): масса/заряд 488,85 [М+Н]+.
[0500] Промежуточное соединение 4: N-(3-[5-бром-1Н-пирроло[2,3-b]пиридин-3-карбонил]-2,4-дифторфенил)-2,3-дигидроксипропан-1-сульфонамид
[0501] Стадия А: N-(3-[5-бром-1Н-пирроло[2,3-b]пиридин-3-карбонил]-2,4-дифторфенил)проп-2-ен-1-сульфонамид
[0502] В круглодонную колбу объемом 25 мл помещали 3-[5-бром-1Н-пирроло[2,3-b]пиридин-3-карбонил]-2,4-дифторанилин (500 мг, 1,42 ммоль, 1 экв.), пиридин (2 мл, 15 экв.), проп-2-ен-1-сульфонилхлорид (399,2 мг, 2,84 ммоль, 2 экв.), DMAP (52,0 мг, 0,43 ммоль, 0,3 экв.). Полученный раствор перемешивали в течение ночи при 45°С на масляной бане. Полученную смесь концентрировали. Остаток обрабатывали с помощью колонки с силикагелем с элюированием смесью этилацетат/петролейный эфир (1/1). Это обеспечивало получение 480 мг (74%) N-(3-[5-бром-1Н-пирроло[2,3-b]пиридин-3-карбонил]-2,4-дифторфенил)проп-2-ен-1-сульфонамида в виде желтого твердого вещества.
[0503] Стадия В: N-(3-[5-бром-1H-пирроло[2,3-b]пиридин-3-карбонил]-2,4-дифторфенил)-2,3-дигидроксипропан-1-сульфонамид
[0504] В круглодонную колбу объемом 50 мл помещали N-(3-[5-бром-1H-пирроло[2,3-b]пиридин-3-карбонил]-2,4-дифторфенил)проп-2-ен-1-сульфонамид (430 мг, 0,94 ммоль, 1 экв.), ацетон (20 мл), N-оксид N-метилморфолина (226 мг), воду (5 мл), тетраоксоосмий (4 мл). Полученный раствор перемешивали в течение ночи при комнатной температуре. Затем реакционную смесь гасили путем добавления воды (20 мл). Полученный раствор экстрагировали этилацетатом (30 мл × 3). Полученную смесь промывали солевым раствором (20 мл × 1), высушивали над безводным сульфатом натрия и концентрировали при пониженном давлении. Остаток обрабатывали с помощью колонки с силикагелем с элюированием смесью этилацетат/петролейный эфир (1/1). Это обеспечивало получение 377 мг (82%) N-(3-[5-бром-1Н-пирроло[2,3-b]пиридин-3-карбонил]-2,4-дифторфенил)-2,3-дигидроксипропан-1-сульфонамида в виде белого твердого вещества.
[0505] Промежуточное соединение 5: (R)-N-(3-(5-бром-1Н-пирроло[2,3-b]пиридин-3-карбонил)-2,4-дифторфенил)-3-фторпирролидин-1-карбоксамид
[0506] К раствору (3-амино-2,6-дифторфенил)(5-бром-1Н-пирроло[2,3-b]пиридин-3-ил)метанона (2,0 г, 5,70 ммоль, 1,00 экв.), триэтиламина (8,6 г, 85,5 ммоль, 15,00 экв.) в дихлорметане (80 мл) медленно добавляли раствор бис(трихлорметил)карбоната (2,5 г, 8,55 ммоль, 1,50 экв.) в дихлорметане (40 мл) с последующим добавлением по каплям раствора (R)-3-фторпирролидина (761,0 мг, 8,55 ммоль, 1,50 экв.) в дихлорметане (40 мл) при 0°С. Полученный раствор перемешивали в течение 30 минут при 0°С на бане с водой/льдом. Полученный раствор гасили водным раствором хлорида аммония (40 мл), экстрагировали дихлорметаном (40 мл × 2). Затем органические слои объединяли и концентрировали. Остаток обрабатывали с помощью колонки с силикагелем с применением смеси хлороформ/метанол (10:1). Это обеспечивало получение 541,0 мг (20%) (R)-N-(3-(5-бром-1Н-пирроло[2,3-b]пиридин-3-карбонил)-2,4-дифторфенил)-3-фторпирролидин-1-карбоксамида в виде рыжевато-коричневого твердого вещества. LCMS (ES+): масса/заряд 467,10 [М+Н]+.
[0507] Схема 15.
[0508] Соединение формулы XLIX (легко получаемое с применением стандартных методик реакций, известных специалисту в данной области техники) может вступать в реакцию с соединением формулы.
[0509] Соединение формулы XLIX может вступать в реакцию с реагентом XLIV в условиях нуклеофильного замещения, например, диизопропилэтиламин, йодид калия, ацетонитрил, 100°С, с получением соединения формулы L. L' представляет собой необязательный линкер или часть линкера; Nu-H представляет собой подходящий нуклеофил, такой как спирт или вторичный амин; X представляет собой подходящую уходящую группу, например п-толуолсульфонат, метансульфонат, йодид, бромид или хлорид; L представляет собой необязательный линкер; и PG представляет собой подходящую сложноэфирную защитную группу, например метил, этил или трет-бутил. Соединения формулы L могут быть преобразованы в соединение формулы LI путем обработки реагентом, подходящим для удаления PG, например трифторуксусной кислотой, дихлорметаном, 30°С, если PG представляет собой трет-бутил. Соединение LI затем может вступать в реакцию с соединениями XII, как определено на схеме 3A или 3B, с получением соединений формулы LII в условиях образования амидов, например, 1-этил-3-(3-диметиламинопропил)карбодиимид, 1-гидроксибензотриазол, триэтиламин, DMF, 30°С.
[0510] Схема 16.
[0511] Соединение формулы XLIX, как определено на схеме 15, может вступать в реакцию с соединением V с получением соединения LIII, где L представляет собой необязательный линкер или часть линкера, Y представляет собой CH2 или С=O, X представляет собой либо подходящую уходящую группу (например, OMs, OTs, Cl и т.д.), либо альдегид (СНО); R представляет собой необязательный заместитель (например, F или ОСН3); и W представляет собой
, если Y представляет собой С=O; или
, если Y представляет собой СН2.
[0512] Если X представляет собой уходящую группу, n равняется 0, Nu-H представляет собой первичный или вторичный амин или спирт, и подходящими условиями реакции являются условия реакции алкилирования, например, карбонат калия, DMF, 70°С. Если X представляет собой альдегид, n равняется 1, Nu-H представляет собой первичный или вторичный амин, и подходящими условиями реакции являются условия реакции восстановительного аминирования, например, цианоборогидрид натрия, метанол, дихлорметан, уксусная кислота, комнатная температура. Специалисту в данной области техники будет очевидно, что положения Nu-H в XLIX и X в V также могут меняться на обратные, так что положения Nu и (СН2)n в соединении LIII являются обратными. Соединение формулы LIII, где W находится в форме с открытой цепью, может быть дополнительно преобразовано в другое соединение формулы LIII, где W представляет собой глутаримид, путем циклизации в подходящих условиях, например, бензолсульфоновая кислота, ацетонитрил, 100°С.
[0513] Схема 17.
[0514] Соединение формулы LIV (полученное с применением стандартных условий, известных специалисту в данной области техники, аналогично синтезу соединений III на схеме 1А или 1 В) может вступать в реакцию с соединением формулы LV (полученным с применением стандартных условий, известных специалисту в данной области техники, аналогично синтезу соединений XV на схеме 2) в условиях восстановительного аминирования, например, триацетоксиборогидрид натрия, триэтиламин, дихлорэтан, 30°С, с получением соединения формулы LVI. В данном документе Ar представляет собой ароматическую или гетероароматическую кольцевую систему; L и L' представляют собой необязательный линкер или часть линкера; X представляет собой Н или необязательный заместитель, который может быть необязательно циклизирован в L с образованием кольца;
представляет собой первичный или вторичный амин, необязательно циклизированный в 4-8-членное гетероциклическое кольцо; и R, Z и Y являются такими, как определено для соединения XII на схеме 3B. Специалисту в данной области техники будет очевидно, что положения С(O)Х в LIV и
в LV могут меняться на обратные, при этом X необязательно циклизирован в L' с образованием кольца, так что положения СНХ и
в соединении LVI являются обратными.
[0515] Схема 18.
[0516] Соединение формулы LIV (полученное с применением стандартных условий, известных специалисту в данной области техники, аналогично синтезу соединений III на схеме 1А или 1 В) может вступать в реакцию с соединением формулы LVII (полученным с применением стандартных условий, известных специалисту в данной области техники) в условиях восстановительного аминирования, например, триацетоксиборогидрид натрия, уксусная кислота, дихлорметан, метанол, 30°С, с получением соединения формулы LVIII. В данном документе Ar представляет собой ароматическую или гетероароматическую кольцевую систему; L и L' представляют собой необязательный линкер или часть линкера; X представляет собой Н или необязательный заместитель, который может быть необязательно циклизирован в L с образованием кольца;
представляет собой первичный или вторичный амин, необязательно циклизированный в 4-8-членное гетероциклическое кольцо; R, Z и Y являются такими, как определено для соединения XII на схеме 3B; и изоксазол в соединении LVII и следующих структурах может иметь необязательный заместитель. Специалисту в данной области техники будет очевидно, что положения С(O)Х в LIV и
в LVII могут меняться на обратные, при этом X необязательно циклизирован в L' с образованием кольца, так что положения СНХ и
являются обратными в соединении LVIII.
[0517] Пример синтеза соединения 86
[0518] Стадия А: (R)-трет-бутил-4-(4-(3-(2,6-дифтор-3-(3-фторпирролидин-1-сульфонамидо)бензоил)-1Н-пирроло[2,3-b]пиридин-5-ил)фенил)пиперазин-1-карбоксилат
[0519] К раствору (R)-N-(3-(5-бром-1Н-пирроло[2,3-b]пиридин-3-карбонил)-2,4-дифторфенил)-3-фторпирролидин-1-сульфонамида (0,50 г, 1,0 ммоль) в смеси 1,4-диоксан/H2O (20 мл/2 мл) добавляли трет-бутил-4-(4-(4,4,5,5-тетраметил-1,3,2-диоксаборолан-2-ил)фенил)пиперазин-1-карбоксилат (0,43 г, 1,2 ммоль), фторид цезия (0,23 г, 1,5 ммоль) и Pd(aMPhos)Cl2 (0,11 г, 0,15 ммоль) в атмосфере аргона. Смесь перемешивали при 100°С в течение 3 часов. После охлаждения до комнатной температуры добавляли воду. Водную фазу экстрагировали этилацетатом (20 мл × 3) и объединенные органические фазы высушивали над безводным сульфатом натрия, фильтровали и концентрировали in vacuo. Неочищенный продукт очищали с помощью силикагеля (дихлорметан/метанол=12:1) с получением соединения (R)-трет-бутил-4-(4-(3-(2,6-дифтор-3-(3-фторпирролидин-1-сульфонамидо)бензоил)-1Н-пирроло[2,3-b]пиридин-5-ил)фенил)пиперазин-1-карбоксилата (0,39 г, 57%) в виде желтого твердого вещества. LCMS: масса/заряд 685,2 [М+Н]+; 1Н ЯМР (400 МГц, DMSO-d6) δ 1,43 (9Н, s), 2,06-2,12 (1H, m), 3,18-3,20 (4Н, m), 3,26-3,30 (1Н, m), 3,37-3,53 (8Н, m), 5,30 (1H, d, J=52,0 Гц), 7,10 (2Н, d, J=8,8 Гц), 7,28 (1H, t, J=8,4 Гц), 7,60-7,64 (3Н, m), 8,09 (1Н, d, J=2,8 Гц), 8,55 (1H, brs.), 8,66 (1Н, d, J=2,4 Гц), 9,87 (1Н, s), 12,93 (1H, s).
[0520] Стадия В: (R)-N-(2,4-дифтор-3-(5-(4-(пиперазин-1-ил)фенил)-1Н-пирроло[2,3-b]пиридин-3-карбонил)фенил)-3-фторпирролидин-1-сульфонамид
[0521] Раствор (R)-трет-бутил-4-(4-(3-(2,6-дифтор-3-(3-фторпирролидин-1-сульфонамидо)бензоил)-1Н-пирроло[2,3-b]пиридин-5-ил)фенил)пиперазин-1-карбоксилата (0,39 г, 0,57 ммоль) в смеси хлористоводородная кислота/1,4-диоксан (5 мл, 4,0 н.) перемешивали при комнатной температуре в течение 3 часов. Затем растворитель непосредственно удаляли, затем добавляли воду (10 мл) и рН смеси регулировали до 8-9 с помощью насыщенного раствора бикарбоната натрия. Водную фазу экстрагировали этилацетатом (10 мл × 3) и объединенные органические фазы высушивали над безводным сульфатом натрия, фильтровали и концентрировали in vacuo с получением (R)-N-(2,4-дифтор-3-(5-(4-(пиперазин-1-ил)фенил)-1Н-пирроло[2,3-b]пиридин-3-карбонил)фенил)-3-фторпирролидин-1-сульфонамида (0,30 г, 91%) в виде желтого твердого вещества.
[0522] Стадия С: 2-(2-хлорэтокси)этил-4-метилбензолсульфонат
[0523] Смесь 2-(2-хлорэтокси)этанола (0,5 г, 4,0 ммоль), тозилхлорида (0,8 г, 4,0 ммоль) и триэтиламина (810 мг, 8,1 ммоль) в дихлорметане (10 мл) перемешивали при комнатной температуре в течение ночи. Смесь выливали в насыщенный раствор бикарбоната натрия (20 мл) и экстрагировали дихлорметаном (20 мл × 3). Объединенную органическую фазу концентрировали in vacuo и остаток очищали с помощью колоночной хроматографии на силикагеле (петролейный эфир/этилацетат=10/1) с получением 2-(2-хлорэтокси)этил-4-метилбензолсульфоната (0,9 г, выход 80%) в виде бесцветного масла. LCMS: масса/заряд 279,1 [М+Н]+.
[0524] Стадия D: 5-(2-(2-хлорэтокси)этокси)-2-('2,6-диоксопиперидин-3-ил)изоиндолин-1,3-дион
[0525] Смесь 2-(2-хлорэтокси)этил-4-метилбензолсульфоната (100 мг, 0,36 ммоль), 2-(2,6-диоксопиперидин-3-ил)-5-гидроксиизоиндолин-1,3-диона (98 мг, 0,36 ммоль), этилдиизопропиламина (93 мг, 0,72 ммоль) и йодида калия (59 мг, 0,36 ммоль) в диметилсульфоксиде (5 мл) нагревали при 45°С в течение 2 часов и затем охлаждали до комнатной температуры. Реакционную смесь выливали в воду (10 мл) и экстрагировали дихлорметаном (15 мл × 3). Объединенную органическую фазу концентрировали in vacuo и остаток очищали с помощью колоночной хроматографии на силикагеле (дихлорметан/метанол=20/1) с получением 5-(2-(2-хлорэтокси)этокси)-2-(2,6-диоксопиперидин-3-ил)изоиндолин-1,3-диона (48 мг, выход 35%) в виде белого твердого вещества. LCMS: масса/заряд 381,2 [М+Н]+.
[0526] Стадия Е: (3R)-N-(3-(5-(4-(4-(2-(2-(2-(2,6-диоксопиперидин-3-ил)-1,3-диоксоизоиндолин-5-илокси)этокси)этил)пиперазин-1-ил)фенил)-1Н-пирроло[2,3-b]пиридин-3-карбонил)-2,4-дифторфенил)-3-фторпирролидин-1-сульфонамид
[0527] Смесь 5-(2-(2-хлорэтокси)этокси)-2-(2,6-диоксопиперидин-3-ил)изоиндолин-1,3-диона (40 мг, 0,11 м ммоль), (R)-N-(2,4-дифтор-3-(5-(4-(пиперазин-1-ил)фенил)-1Н-пирроло[2,3-b]пиридин-3-карбонил)фенил)-3-фторпирролидин-1-суль фонами да (61 мг, 0,11 ммоль), этилдиизопропиламина (28 мг, 0,22 ммоль) и йодида калия (18 мг, 0,11 ммоль) в диметилсульфоксиде (5 мл) нагревали при 80°С в течение ночи. Смесь выливали в воду (10 мл) и экстрагировали дихлорметаном (10 мл × 3). Органическую фазу концентрировали in vacuo и остаток очищали с помощью препаративной HPLC с получением (3R)-N-(3-(5-(4-(4-(2-(2-(2-(2,6-диоксопиперидин-3-ил)-1,3-диоксоизоиндолин-5-илокси)этокси)этил)пиперазин-1-ил)фенил)-1Н-пирроло[2,3-b]пиридин-3-карбонил)-2,4-дифторфенил)-3-фторпирролидин-1-сульфонамида (31 мг, выход 30%) в виде желтого твердого вещества. LCMS: масса/заряд 929,3 [М+Н]+; 1Н ЯМР (400 МГц, DMSO-d6) δ 1,95-2,10 (3H, m), 2,53-2,59 (8Н, m), 3,18-3,23 (4Н, m), 3,24-3,31 (2Н, m), 3,36-3,39 (2Н, m), 3,47 (1Н, s), 3,64 (2Н, t, J=6,0 Гц), 3,80 (2Н, t, J=4,0 Гц), 4,35 (2Н, t, J=4,0 Гц), 5,12 (1Н, dd, J=5,6, 9,6 Гц), 5,29 (1Н, d, J=12,8 Гц), 7,05 (2Н, d, J=8,8 Гц), 7,26 (1Н, d, J=8,8 Гц), 7,39 (1Н, dd, J=2,0, 8,4 Гц), 7,48 (1Н, d, J=2,4 Гц), 7,58-7,65 (3Н, m), 7,85 (1H, d, J=8,4 Гц), 8,07 (1Н, s), 8,53 (1H, d, J=2,4 Гц), 8,65 (1H, d, J=2,4 Гц), 9,85 (1H, brs), 11,1 (1Н, s), 12,9 (1Н, s).
[0528] Соединения 87-90 могут быть получены аналогичным образом.
[0529] Пример синтеза соединения 91
[0530] Стадия А: 2-(2-(4-(4,4,5,5-тетраметил-1,3,2-диоксаборолан-2-ил)фенокси)этокси)этанол
[0531] К раствору 2-(2-хлорэтокси)этанола (2,0 г, 16,1 ммоль) в N,N-диметилформамиде (15,0 мл) добавляли 4-(4,4,5,5-тетраметил-1,3,2-диоксаборолан-2-ил)фенол (3,54 г, 16,1 ммоль), карбонат цезия (10,5 г, 32,2 ммоль) и йодид калия (267 мг, 1,61 ммоль). Реакционную смесь перемешивали при 60°С в течение ночи. Затем добавляли воду (50 мл) и экстрагировали этилацетатом (50 мл × 3), промывали солевым раствором (5 мл × 4). Объединенные органические фазы высушивали над безводным сульфатом натрия, фильтровали и концентрировали in vacuo. Остаток очищали с помощью силикагеля (петролейный эфир/этилацетат=2:1) с получением 2-(2-(4-(4,4,5,5-тетраметил-1,3,2-диоксаборолан-2-ил)фенокси)этокси)этанола (2,1 г, 42%) в виде желтого масла. 1Н ЯМР (400 МГц, DMSO-d6) δ 1,28 (12Н, s), 3,49-3,52 (4Н, m), 3,74 (2Н, t, J=4,8 Гц), 4,10-4,12 (2Н, m), 4,62-4,64 (1Н, m), 6,93 (2H, d, J=9,2 Гц), 7,60 (2H, d, J=8,4 Гц).
[0532] Стадия В: 2-(2-(4-(4,4,5,5-тетраметил-1,3,2-диоксаборолан-2-ил)фенокси)этокси)этилметансульфонат
[0533] К раствору 2-(2-(4-(4,4,5,5-тетраметил-1,3,2-диоксаборолан-2-ил)фенокси)этокси)этанола (350 мг, 1,14 ммоль) в дихлорметане (15,0 мл) добавляли триэтиламин (231 мг, 2,28 ммоль) и метансульфонилхлорид (157 мг, 1,37 ммоль) в атмосфере азота. Полученную реакционную смесь перемешивали при комнатной температуре в течение 1 часа. Затем добавляли водн. раствор бикарбоната натрия (20,0 мл) и экстрагировали дихлорметаном (20 мл × 3), промывали солевым раствором, высушивали и концентрировали in vacuo с получением неочищенного 2-(2-(4-(4,4,5,5-тетраметил-1,3,2-диоксаборолан-2-ил)фенокси)этокси)этилметансульфоната в виде желтого масла, которое применяли для следующей стадии без дополнительной очистки. TCMS: масса/заряд 404,2 [М+18]+.
[0534] Стадия С: трет-бутил-4-(2-(2-(4-(4,4,5,5-тетраметил-1,3,2-диоксаборолан-2-ил)фенокси)этокси)этил)пиперазин-1-карбоксилат
[0535] К раствору 2-(2-(4-(4,4,5,5-тетраметил-1,3,2-диоксаборолан-2-ил)фенокси)этокси)этилметансульфоната (1,14 ммоль) в ацетонитриле (20 мл) добавляли карбонат калия (315 мг, 2,28 ммоль) и трет-бутилпиперазин-1-карбоксилат (234 мг, 1,25 ммоль). Полученную реакционную смесь перемешивали при 80°С в течение ночи. Растворитель концентрировали in vacuo. Остаток экстрагировали этилацетатом (20 мл × 3) и водой (20 мл). Органическую фазу высушивали и концентрировали in vacuo. Остаток очищали с помощью препаративной TLC (петролейный эфир/этилацетат=1:2) с получением трет-бутил-4-(2-(2-(4-(4,4,5,5-тетраметил-1,3,2-диоксаборолан-2-ил)фенокси)этокси)этил)пиперазин-1-карбоксилата (280 мг, 52% за две стадии) в виде бледно-желтого твердого вещества. 1Н ЯМР (400 МГц, DMSO-d6) δ 1,27 (12Н, s), 1,38 (9Н, s), 2,35 (4Н, t, J=5,2 Гц), 2,47-2,50 (2Н, m), 3,25-3,26 (4Н, m), 3,57 (2Н, t, J=6,0 Гц), 3,70-3,73 (2Н, m), 4,10-4,12 (2Н, m), 6,92 (2Н, d, J=8,8 Гц), 7,59 (2Н, d, J=8,4 Гц).
[0536] Стадия D: (R)-трет-бутил-4-(2-(2-(4-(3-(2,6-дифтор-3-(3-фторпирролидин-1-сульфонамидо)бензоил)-1Н-пирроло[2,3-b]пиридин-5-ил)фенокси)этокси)этил)пиперазин-1-карбоксилат
[0537] К раствору трет-бутил-4-(2-(2-(4-(4,4,5,5-тетраметил-1,3,2-диоксаборолан-2-ил)фенокси)этокси)этил)пиперазин-1-карбоксилата (114 мг, 0,238 ммоль) в смеси 1,4-диоксан/вода (10 мл/1 мл) добавляли (R)-N-(3-(5-бром-1H-пирроло[2,3-b]пиридин-3-карбонил)-2,4-дифторфенил)-3-фторпирролидин-1-сульфонамид (120 мг, 0,238 ммоль), фторид цезия (72,4 мг, 0,476 ммоль) и Pd(aMPhos)Cl2 (16,9 мг, 0,0238 ммоль). Полученную реакционную смесь перемешивали при 95°С в течение 16 часов. После охлаждения добавляли воду (20 мл) и экстрагировали этилацетатом (15 мл × 3). Органическую фазу высушивали и концентрировали in vacuo. Остаток очищали с помощью препаративной TLC (дихлорметан/метанол=20:1) с получением (R)-трет-бутил-4-(2-(2-(4-(3-(2,6-дифтор-3-(3-фторпирролидин-1-сульфонамидо)бензоил)-1Н-пирроло[2,3-b]пиридин-5-ил)фенокси)этокси)этил)пиперазин-1-карбоксилата (60 мг, 33%) в виде бледно-желтого твердого вещества. LCMS: масса/заряд 773,3 [М+Н]+.
[0538] Стадия Е: гидрохлорид (R)-N-(2,4-дифтор-3-(5-(4-(2-(2-(пиперазин-1-ил)этокси)этокси)фенил)-1H-пирроло[2,3-b]пиридин-3-карбонил)фенил)-3-фторпирролидин-1-сульфонамида
[0539] Раствор (R)-трет-бутил-4-(2-(2-(4-(3-(2,6-дифтор-3-(3-фторпирролидин-1-сульфонамидо)бензоил)-1Н-пирроло[2,3-b]пиридин-5-ил)фенокси)этокси)этил)пиперазин-1-карбоксилата (60 мг, 0,0517 ммоль) в смеси хлористоводородная кис лота/1,4-диоксан (5 мл, 4 М) перемешивали при комнатной температуре в течение 1 часа. Растворитель концентрировали in vacuo с получением соединения гидрохлорида (R)-N-(2,4-дифтор-3-(5-(4-(2-(2-(пиперазин-1-ил)этокси)этокси)фенил)-1Н-пирроло[2,3-b]пиридин-3-карбонил)фенил)-3-фторпирролидин-1-сульфонамида в виде бледно-желтого твердого вещества, которое применяли на следующей стадии без дополнительной очистки. LCMS: масса/заряд 673,2 [М+Н]+.
[0540] Стадия F: (3R)-N-(3-(5-(4-(2-(2-(4-(2-(2,6-диоксопиперидин-3-ил)-1,3-диоксоизоиндолин-5-ил)пиперазин-1-ил)этокси)этокси)фенил)-1Н-пирроло[2,3-b]пиридин-3-карбонил)-2,4-дифторфенил)-3-фторпирролидин-1-сульфонамид
[0541] К раствору гидрохлорида (R)-N-(2,4-дифтор-3-(5-(4-(2-(2-(пиперазин-1-ил)этокси)этокси)фенил)-1Н-пирроло[2,3-b]пиридин-3-карбонил)фенил)-3-фторпирролидин-1-сульфонамида (0,0517 ммоль) в диметилсульфоксиде (3 мл) добавляли 2-(2,6-диоксопиперидин-3-ил)-5-фторизоиндолин-1,3-дион (14,3 мг, 0,0517 ммоль) и триэтиламин (10,5 мг, 0,104 ммоль). Реакционную смесь перемешивали при 70°С в течение 24 часов. После охлаждения до комнатной температуры добавляли воду (10 мл) и экстрагировали этилацетатом (10,0 мл × 3). Объединенную органическую фазу промывали солевым раствором (2,0 мл × 4), высушивали над безводным сульфатом натрия, фильтровали и концентрировали in vacuo. Остаток дважды очищали с помощью препаративной TLC (дихлорметан/метанол=20:1) с получением (3R)-N-(3-(5-(4-(2-(2-(4-(2-(2,6-диоксопиперидин-3-ил)-1,3-диоксоизоиндолин-5-ил)пиперазин-1-ил)этокси)этокси)фенил)-1Н-пирроло[2,3-b]пиридин-3-карбонил)-2,4-дифторфенил)-3-фторпирролидин-1-сульфонамида (6,7 мг, 14%) в виде желтого твердого вещества. LCMS: масса/заряд 929,3 [М+Н]+. 1Н ЯМР (400 МГц, DMSO-d6) δ 1,96-2,13 (3Н, m), 2,58 (7Н, s), 2,83-2,92 (1H, m), 3,26-3,30 (2Н, m), 3,40-3,43 (6Н, m), 3,48 (1H, s), 3,63-3,67 (2Н, m), 3,76-3,80 (2Н, m), 4,17-4,19 (2Н, m), 5,05-5,09 (1Н, m), 5,23-5,36 (1H, m), 7,11 (2Н, d, J=8,4 Гц), 7,24-7,29 (2Н, m), 7,34 (1H, s), 7,60-7,69 (4Н, m), 8,10 (1Н, s), 8,57 (1Н, brs), 8,66 (1H, d, J=2,4 Гц), 9,88 (1Н, s), 11,09 (1Н, s), 12,95 (1Н, s).
[0542] Соединения 92-97 могут быть получены аналогичным образом.
[0543] Пример синтеза соединения 99
[0544] Стадия А: трет-бутил-4-(4-бромфенил)пиперазин-1-карбоксилат
[0545] К раствору 1,4-дибромбензола (5,0 г, 21,2 ммоль) в толуоле (100 мл) добавляли трет-бутилпиперазин-1-карбоксилат (3,04 г, 16,3 ммоль), Pd2(dba)3 (485 мг, 0,53 ммоль), t-BuOK (5,95 г, 53 ммоль) и BINAP (485 мг, 0,53 ммоль). Полученный раствор перемешивали при 90°С в течение 3 часов в атмосфере N2. После охлаждения до комнатной температуры реакционную смесь гасили с помощью Н2О (50 мл) и смесь экстрагировали с помощью ЕА. Объединенный органический слой высушивали над безводным сульфатом натрия и концентрировали in vacuo. Остаток очищали с помощью силикагеля с получением необходимого продукта (1,2 г, выход 17%) в виде белого твердого вещества. 1Н ЯМР (400 МГц, CDCl3): δ 7,35 (d, J=8,8 Гц, 2Н), 6,78 (d, J=9,2 Гц, 2Н), 3,57 (t, J=4,8 Гц, 4Н), 3,09 (t, J=4,8 Гц, 4Н), 1,48 (s, 9Н).
[0546] Стадия В: трет-бутил-4-(4-(4,4,5,5-тетраметил-1,3,2-диоксаборолан-2-ил)фенил)пиперазин-1-карбоксилат
[0547] К раствору трет-бутил-4-(4-бромфенил)пиперазин-1-карбоксилата (1,2 г, 3,53 ммоль) в 1,4-диоксане (24 мл) добавляли 4,4,4',4',5,5,5',5'-октаметил-2,2'-би(1,3,2-диоксаборолан) (1,8 г, 7,06 ммоль), Pd(dppf)Cl2 (258 мг, 0,35 ммоль) и КОАс (1,04 г, 10,59 ммоль). Полученный раствор перемешивали при 90°С в течение ночи в атмосфере N2. TLC показала завершение реакции. После охлаждения до комнатной температуры реакционную смесь разбавляли с помощью 50 мл ЕА и смесь промывали водой и солевым раствором. Органическую фазу высушивали над безводным сульфатом натрия. Остаток очищали с помощью хроматографической колонки с получением необходимого продукта (1,0 г, выход 73%). LCMS (ES+): масса/заряд 482,0.
[0548] Стадия С: трет-бутил-2-(2-(4-(4-(4,4,5,5-тетраметил-1,3,2-диоксаборолан-2-ил)фенил)пиперазин-1-ил)этокси)ацетат
[0549] К раствору трет-бутил-4-(4-(4,4,5,5-тетраметил-1,3,2-диоксаборолан-2-ил)фенил)пиперазин-1-карбоксилата (550 мг, 1,42 ммоль) в DCM (5 мл) добавляли TFA (1,5 мл, 20,2 ммоль). Полученный раствор перемешивали при 5°С в течение 2 часов. Растворитель удаляли под вакуумом с получением остатка (547 мг, рассчитанное значение), который применяли непосредственно на следующей стадии. К раствору остатка (547 мг, 1,42 ммоль) в сухом DMF (5 мл) добавляли К2СО3 (977 мг, 7,08 ммоль), KI (470 мг, 2,83 ммоль) и трет-бутил-2-(2-хлорэтокси)ацетат (550 мг, 2,83 ммоль). Полученный раствор перемешивали при 90°С в течение 3 часов. После охлаждения до комнатной температуры реакционную смесь гасили с помощью 20 мл насыщенного раствора NaCl и смесь дважды экстрагировали с помощью ЕА. Объединенный органический слой концентрировали in vacuo и остаток очищали с помощью силикагеля с получением необходимого продукта (300 мг, выход 47% за две стадии) в виде масла. 1Н ЯМР (400 МГц, CDCl3): δ 7,70 (d, J=8,4 Гц, 2Н), 6,88 (d, J=8,8 Гц, 2Н), 4,01 (m, 3Н), 3,69 (m, 4Н), 3,30 (m, 4Н), 2,68 (m, 6Н), 1,48 (s, 9Н), 1,32 (s, 12Н).
[0550] Стадия D: (R)-трет-бутил-2-(2-(4-(4-(3-(2,б-дифтор-3-(3-фторпирролидин-1-сульфонамидо)бензоил)-1Н-пирроло[2,3-b]пиридин-5-ил)фенил)пиперазин-1-ил)этокси)ацетат
[0551] К раствору трет-бутил-2-(2-(4-(4-(4,4,5,5-тетраметил-1,3,2-диоксаборолан-2-ил)фенил)пиперазин-1-ил)этокси)ацетата (100 мг, 0,20 ммоль) в смеси 1,4-диоксан/Н2О (10 мл/1 мл) добавляли (3R)-N-[3-([5-бром-1Н-пирроло[2,3-b]пиридин-3-ил]карбонил)-2,4-дифторфенил]-3-фторпирролидин-1-сульфонамид (134 мг, 0,36 ммоль), Pd(aMphos)Cl2 (15 мг, 0,02 ммоль) и CsF (121 мг, 0,80 ммоль). Полученный раствор перемешивали при 95°С в течение 3 часов в атмосфере N2. TLC показала завершение реакции. После охлаждения до комнатной температуры реакционную смесь разбавляли с помощью 50 мл ЕА и смесь промывали водой и солевым раствором. Органическую фазу высушивали над безводным сульфатом натрия и концентрировали in vacuo. Остаток очищали с помощью хроматографической колонки с получением необходимого продукта (100 мг, выход 66%). LCMS (ES+): масса/заряд 743,2 [М+Н-16]+.
[0552] Стадия Е: (2S,4R)-1-((S)-2-(2-(2-(4-(4-(3-(2,6-дифтор-3-((R)-3-фторпирролидин-1-сульфонамидо)бензоил)-1Н-пирроло[2,3-b]пиридин-5-ил)фенил)пиперазин-1-ил)этокси)ацетамидо)-3,3-диметилбутаноил)-4-гидрокси-N-(4-(4-метилтиазол-5-ил)бензил)пирролидин-2-карбоксамид
[0553] К раствору соединения (R)-трет-бутил-2-(2-(4-(4-(3-(2,6-дифтор-3-(3-фторпирролидин-1-сульфонамидо)бензоил)-1Н-пирроло[2,3-b]пиридин-5-ил)фенил)пиперазин-1-ил)этокси)ацетата с метанолом (100 мг, 0,13 ммоль) в 1,4-диоксане (2 мл) добавляли HCl (г.), 1,4-диоксан (1 мл, 8 М). Полученный раствор перемешивали при 50°С в течение 3 часов. TLC показала завершение реакции. После охлаждения до комнатной температуры реакционную смесь концентрировали с получением неочищенного продукта (93 мг, выход 100%, рассчитанное значение), который применяли в следующей реакции. К раствору неочищенного продукта (93 мг, 0,13 ммоль) в сухом NMP (5 мл) последовательно добавляли гидрохлорид (2S,4R)-N-(4-(4-метилтиазол-5-ил)бензил)-1-((S)-2-амино-3,3-диметилбутаноил)-4-гидроксипирролидин-2-карбоксамида (91 мг, 0,19 ммоль), DIEA (167 мг, 1,30 ммоль) и РуВОР (203 мг, 0,39 ммоль). Полученный раствор перемешивали при 10°С в течение 1 часа. После того, как реакционную смесь гасили солевым раствором (20 мл), смесь дважды экстрагировали с помощью ЕА. Органические слои концентрировали и остаток очищали с помощью силикагеля и препаративной HPLC с получением необходимого продукта (39 мг, выход 27% за две стадии) в виде желтого твердого вещества. 1Н ЯМР (400 МГц, CD3OD): δ 8,80 (s, 1H), 8,65 (s, 1H), 8,56 (s, 1H), 7,89 (s, 1H), 7,73 (m, 1H), 7,54 (d, J=8,8 Гц, 2H), 7,44 (d, J=7,6 Гц, 2H), 7,36 (d, J=8,0 Гц, 2H), 7,07-7,14 (m, 3H), 5,13-5,30 (m, 1H), 4,71 (s, 1H), 4,50-4,65 (m, 4H), 4,34 (d, J=15,6 Гц, 1H), 4,12 (m, 2H), 3,78-3,95 (m, 4H), 3,40-3,65 (m, 9H), 3,10 (m, 6H), 2,42 (s, 3H), 2,00-2,30 (m, 4H), 1,04 (s, 9H); LCMS (ES+): масса/заряд 550,3 [M/2+H]+.
[0554] Соединения 98, 100-101, 102, 103-106 и 223-252 могут быть получены аналогичным образом.
[0555] Пример синтеза соединения 114
[0556] Стадия А: гидрохлорид 1-(азетидин-3-ил)-4-(4-бромфенил)пиперазина
[0557] К раствору гидрохлорида 1-(4-бромфенил)пиперазина (2,0 г, 7,21 ммоль) в СН3ОН/DCM (об./об.=1/1, 30 мл) добавляли КОАс (1,4 г, 14,4 ммоль) и кат. количество АсОН (0,1 мл) при комнатной температуре. После перемешивания в течение 30 минут, NaBH(OAc)3 (7,6 г, 36,1 ммоль). Смесь перемешивали при 30°С в течение ночи. После гашения реакционной смеси с помощью водн. раствора NaHCO3 (50 мл) смесь экстрагировали с помощью DCM (100 мл × 2). Объединенный органический слой промывали солевым раствором (50 мл), высушивали над безводным сульфатом натрия и концентрировали под вакуумом с получением неочищенного необходимого продукта (2,5 г) в виде светло-коричневого твердого вещества, которое применяли на следующей стадии без дополнительной очистки. К раствору вышеуказанных промежуточных соединений в метаноле (20 мл) добавляли HCl (г.)/СН3ОН (10 мл). Полученный раствор перемешивали в течение 2 часов при комнатной температуре. Растворитель удаляли под вакуумом. Остаток растирали с DCM и фильтровали с получением необходимого продукта, гидрохлорида 1-(азетидин-3-ил)-4-(4-бромфенил)пиперазина (2,0 г), в виде коричневого твердого вещества.
[0558] Стадия В: этил-2-(3-(4-(4-бромфенил)пиперазин-1-ил)азетидин-1-ил)ацетат
[0559] К раствору гидрохлорида 1-(азетидин-3-ил)-4-(4-бромфенил)пиперазина (2,0 г, 6,01 ммоль) в СН3ОН/DCM (об./об.=1/1, 10 мл) добавляли КОАс (1,2 г, 12,1 ммоль) и кат. количество АсОН (0,1 мл) при комнатной температуре. После перемешивания в течение 30 минут, NaBH(OAc)3 (6,3 г, 30,1 ммоль). Смесь перемешивали при 30°С в течение ночи. После гашения реакционной смеси с помощью водн. раствора NaHCO3 (30 мл) смесь экстрагировали с помощью DCM (50 мл × 3). Объединенный органический слой промывали солевым раствором (50 мл), высушивали над безводным сульфатом натрия и концентрировали под вакуумом с получением необходимого продукта, этил-2-(3-(4-(4-бромфенил)пиперазин-1-ил)азетидин-1-ил)ацетата (1,0 г, неочищенный), в виде светло-коричневого твердого вещества, которое применяли на следующей стадии без дополнительной очистки. LCMS (ES+): масса/заряд 384,1; 382,1 [М+Н]+.
[0560] Стадия С: метил-2-(3-(4-(4-(4,4,5,5-тетраметил-1,3,2-диоксаборолан-2-ил)фенил)пиперазин-1-ил)азетидин-1-ил)ацетат
[0561] К раствору этил-2-(3-(4-(4-бромфенил)пиперазин-1-ил)азетидин-1-ил)ацетата (1,0 г, неочищенный) в метаноле (20 мл) добавляли HCl (г.)/СН3ОН (10 мл). Полученный раствор перемешивали при 60°С в течение 2 часов. Растворитель удаляли под вакуумом. Остаток поглощали с помощью DCM (100 мл) и смесь промывали с помощью NaHCO3 (30 мл × 3). Органическую фазу концентрировали под вакуумом. Остаток (500 мг) применяли в следующей реакции без дополнительной очистки. К раствору вышеуказанных промежуточных соединений (500 мг, 1,4 ммоль) в 1,4-диоксане (20 мл) добавляли КОАс (267 мг, 2,8 ммоль), Pd(dppf)Cl2 (190 мг, 0,14 ммоль), 4,4,5,5-тетраметил-2-(4,4,5,5-тетраметил-1,3,2-диоксаборолан-2-ил)-1,3,2-диоксаборолан (700 мг, 2,8 ммоль). Полученный раствор продували с помощью N2 при комнатной температуре в течение 10 минут с удалением избытка О2. Смесь перемешивали при 100°С в течение ночи. После охлаждения до комнатной температуры реакционную смесь поглощали с помощью EtOAc. Органическую фазу концентрировали под вакуумом. Остаток очищали с помощью силикагеля с применением смеси РЕ/ЕА (10~1/1) с получением необходимого продукта, метил-2-(3-(4-(4-(4,4,5,5-тетраметил-1,3,2-диоксаборолан-2-ил)фенил)пиперазин-1-ил)азетидин-1-ил)ацетата (300 мг), в виде коричневого твердого вещества. LCMS (ES+): масса/заряд 416,3 [М+Н]+.
[0562] Стадия D: (2S,4R)-N-(4-(4-метилтиазол-5-ил)бензил)-1-((S)-3,3-диметил-2-(2-(3-(4-(4-(4,4,5,5-тетраметил-1,3,2-диоксаборолан-2-ил)фенил)пиперазин-1-ил)азетидин-1-ил)ацетамидо)бутаноил)-4-гидроксипирролидин-2-карбоксамид
[0563] К раствору метил-2-(3-(4-(4-(4,4,5,5-тетраметил-1,3,2-диоксаборолан-2-ил)фенил)пиперазин-1-ил)азетидин-1-ил)ацетата (300 мг, 0,72 ммоль) в H2O/THF (об./об.=1/5,5 мл) добавляли LiOH (34 мг, 1,5 ммоль). Полученный раствор перемешивали при комнатной температуре в течение 1 часа. Затем растворитель удаляли под вакуумом. Остаток применяли в следующей реакции без дополнительной очистки. К раствору вышеуказанных промежуточных соединений в DMF (5,0 мл) добавляли DIEA (300 мг, 2,2 ммоль), гидрохлорид (2S,4R)-N-(4-(4-метилтиазол-5-ил)бензил)-1-((S)-2-амино-3,3-диметилбутаноил)-4-гидроксипирролидин-2-карбоксамида (338 мг, 0,72 ммоль) и РуВОР (564 мг, 1,1 ммоль) при комнатной температуре. Полученный раствор перемешивали при 20°С в течение 2 часов. Реакционную смесь гасили с помощью Н2О (10 мл) и смесь экстрагировали с помощью EtOAc (20 мл × 3). Объединенный органический слой концентрировали под вакуумом. Остаток очищали с помощью препаративной TLC с применением смеси DCM/СН3ОН (20/1) с получением необходимого продукта, (2S,4R)-1-((S)-3,3-диметил-2-(2-(3-(4-(4-(4,4,5,5-тетраметил-1,3,2-диоксаборолан-2-ил)фенил)пиперазин-1-ил)азетидин-1-ил)ацетамидо)бутаноил)-4-гидрокси-N-(4-(4-метилтиазол-5-ил)бензил)пирролидин-2-карбоксамида (80 мг), в виде светло-коричневого твердого вещества. LCMS (ES+): масса/заряд 814,4 [М+Н]+.
[0564] Стадия Е: (2S,4R)-N(4-(4-метилтиазол-5-ил)бензил)-1-((S)-2-(2-(3-(4-(4-(3-(2,6-дифтор-3-((R)-3-фторпирролидин-1-сульфонамидо)бензоил)-1Н-пирроло[2,3-b]пиридин-5-ил)фенил)пиперазин-1-ил)азетидин-1-ил)ацетамидо)-3,3-диметилбутаноил)-4-гидроксипирролидин-2-карбоксамид
[0565] К раствору (2S,4R)-1-((S)-3,3-диметил-2-(2-(3-(4-(4-(4,4,5,5-тетраметил-1,3,2-диоксаборолан-2-ил)фенил)пиперазин-1-ил)азетидин-1-ил)ацетамидо)бутаноил)-4-гидрокси-N-(4-(4-метилтиазол-5-ил)бензил)пирролидин-2-карбоксамида (80 мг, 0,098 ммоль) в смеси H2O/1,4-диоксан (об./об.=1/5, 5,0 мл) добавляли CsF (45 мг, 0,29 ммоль), Pd(amphos)Cl2 (8 мг, 0,01 ммоль), (R)-N-(3-(5-бром-1Н-пирроло[2,3-b]пиридин-3-карбонил)-2,4-дифторфенил)-3-фторпирролидин-1-сульфонамид (70 мг, 0,14 ммоль) при комнатной температуре. Раствор продували с помощью N2 при комнатной температуре в течение 10 минут с удалением избытка О2. Полученный раствор перемешивали при 80°С в течение ночи. После охлаждения до комнатной температуры реакционную смесь поглощали с помощью EtOAc. Объединенный органический слой концентрировали под вакуумом. Остаток очищали с помощью препаративной TLC с применением смеси DCM/СН3ОН (20/1) с получением необходимого продукта, (2S,4R)-1-((S)-2-(2-(3-(4-(4-(3-(2,6-дифтор-3-(((R)-3-фторпирролидин)-1-сульфонамидо)бензоил)-1Н-пирроло[2,3-b]пиридин-5-ил)фенил)пиперазин-1-ил)азетидин-1-ил)ацетамидо)-3,3-диметилбутаноил)-4-гидрокси-N-(4-(4-метилтиазол-5-ил)бензил)пирролидин-2-карбоксамида (35 мг), в виде светло-желтого твердого вещества. 1Н ЯМР (400 МГц, DMSO-d6): δ 9,02 (s, 1H), 8,71-8,75 (m, 2H), 8,68 (br, 1H), 8,12 (s, 1H), 7,61-7,66 (m, 4H), 7,42-7,46 (m, 5H), 7,19-7,21 (m, 2H), 7,06 (d, J=8,0 Гц, 2H), 5,33-5,35 (m, 0,5H), 5,22-5,23 (m, 0,5 H), 5,16 (d, J=7,2 Гц, 1H), 4,53 (d, J=9,6 Гц, 1H), 4,34-4,47 (m, 5H), 4,24-4,29 (m, 1H), 4,04 (s, 1H), 3,65-3,66 (m, 3H), 3,51-3,61 (m, 5H), 3,22-3,34 (m, 6H), 3,08 (br, 3H), 2,41-2,47 (m, 3H), 1,93-2,07 (m, 5H), 0,94 (s, 9H); LCMS (ES+): масса/заряд 1111,3 [M+H]+, 1108,3 [M-H]+.
[0566] Соединения 107-113, 115, 116 и 253-269 могут быть получены аналогичным образом.
[0567] Пример синтеза соединения 117
[0568] Стадия А: трет-бутил-4-(4-(4-бром-3-(пиридин-4-ил)-1Н-пиразол-1-ил)фенил)пиперазин-1-карбоксилат
[0569] Смесь 4-(4-бром-1H-пиразол-3-ил)пиридина (5,0 г, 22,3 ммоль) (ранее описанного в Bioorg. Med. Chem. Lett. 2008, 18, 4692-4695), трет-бутил-4-(4-(4,4,5,5-тетраметил-1,3,2-диоксаборолан-2-ил)фенил)пиперазин-1-карбоксилата (8,7 г, 22,3 ммоль) и ацетата меди (4,0 г, 22,3 ммоль) в пиридине (30 мл) перемешивали при 100°С в течение ночи. Смесь концентрировали in vacuo и остаток очищали с помощью колоночной хроматографии на силикагеле (петролейный эфир/эти л ацетат=5/1) с получением трет-бутил-4-(4-(4-бром-3-(пиридин-4-ил)-1Н-пиразол-1-ил)фенил)пиперазин-1-карбоксилата (10,8 г, выход 70%) в виде коричневого твердого вещества.
[0570] Стадия В: трет-бутил-4-(4-(4-(1-оксо-2,3-дигидро-1Н-инден-5-ил)-3-(пиридин-4-ил)-1Н-пиразол-1-ил)фенил)пиперазин-1-карбокси лат
[0571] Смесь трет-бутил-4-(4-(4-бром-3-(пиридин-4-ил)-1Н-пиразол-1-ил)фенил)пиперазин-1-карбоксилата (2,4 г, 5,0 ммоль), 5-(4,4,5,5-тетраметил-1,3,2-диоксаборолан-2-ил)-2,3-дигидро-1Н-инден-1-она (1,3 г, 5,0 ммоль), [1,1'-бис(дифенилфосфино)ферроцен]дихлорпалладия (366 мг, 0,5 ммоль), тетрафторборат три-трет-бутилфосфина(145 мг, 0,5 ммоль) и фторид цезия (2,3 г, 15,0 ммоль) в смеси 1,4-диоксан/вода (20 мл, 10/1) перемешивали при 90°С в течение ночи. Смесь выливали в воду (30 мл) и экстрагировали дихлорметаном (30 мл × 3). Объединенную органическую фазу концентрировали in vacuo и остаток очищали с помощью колоночной хроматографии на силикагеле (дихлорметан/метанол=20/1) с получением трет-бутил-4-(4-(4-(1-оксо-2,3-дигидро-1H-инден-5-ил)-3-(пиридин-4-ил)-1Н-пиразол-1-ил)фенил)пиперазин-1-карбоксилата (1,6 г, выход 60%) в виде желтого твердого вещества. LCMS: масса/заряд 536,3 [М+Н]+.
[0572] Стадия С: гидрохлорид 5-(1-(4-(пиперазин-1-ил)фенил)-3-(пиридин-4-ил)-1Н-пиразол-4-ил)-2,3-дигидро-1Н-инден-1-она
[0573] Раствор трет-бутил-4-(4-(4-(1-оксо-2,3-дигидро-1Н-инден-5-ил)-3-(пиридин-4-ил)-1Н-пиразол-1-ил)фенил)пиперазин-1-карбоксилата (1,6 г, 3,0 ммоль) в смеси сухая хлористоводородная кислота/метанол (30 мл, 1,0 М) перемешивали при комнатной температуре в течение ночи. Реакционную смесь концентрировали in vacuo с получением гидрохлорида 5-(1-(4-(пиперазин-1-ил)фенил)-3-(пиридин-4-ил)-1Н-пиразол-4-ил)-2,3-дигидро-1Н-инден-1-она (1,0 г, выход 80%) в виде белого твердого вещества, которое непосредственно применяли на следующей стадии без дополнительной очистки.
[0574] Стадия D: 2-(2,6-диоксопиперидин-3-ил)-5-(4-(4-(4-(1-оксо-2,3-дигидро-1Н-инден-5-ил)-3-(пиридин-4-ил)-1Н-пиразол-1-ил)фенил)пиперазин-1-ил)изоиндолин-1,3-дион
[0575] Смесь гидрохлорида 5-(1-(4-(пиперазин-1-ил)фенил)-3-(пиридин-4-ил)-1Н-пиразол-4-ил)-2,3-дигидро-1Н-инден-1-она (1,0 г, 2,3 ммоль), 2-(2,6-диоксопиперидин-3-ил)-5-фторизоиндолин-1,3-диона (635 мг, 2,3 ммоль) и триэтиламина (697 мг, 6,9 ммоль) в диметилсульфоксиде (10 мл) перемешивали при 80°С в течение ночи. Смесь выливали в воду (20 мл) и экстрагировали этилацетатом (20 мл × 3). Объединенную органическую фазу концентрировали in vacuo и остаток очищали с помощью колоночной хроматографии на силикагеле (дихлорметан/метанол=20/1) с получением 2-(2,6-диоксопиперидин-3-ил)-5-(4-(4-(4-(1-оксо-2,3-дигидро-1Н-инден-5-ил)-3-(пиридин-4-ил)-1Н-пиразол-1-ил)фенил)пиперазин-1-ил)изоиндолин-1,3-диона (1,1 г, выход 70%) в виде желтого твердого вещества. LCMS: масса/заряд 692,3 [М+Н]+.
[0576] Стадия Е: (Е)-2-(2,6-диоксопиперидин-3-ил)-5-(4-(4-(4-(1-(гидроксиимино)-2,3-дигидро-1Н-инден-5-ил)-3-(пиридин-4-ил)-1Н-пиразол-1-ил)фенил)пиперазин-1-ил)изоиндолин-1,3-дион
[0577] Смесь 2-(2,6-диоксопиперидин-3-ил)-5-(4-(4-(4-(1-оксо-2,3-дигидро-1Н-инден-5-ил)-3-(пиридин-4-ил)-1Н-пиразол-1-ил)фенил)пиперазин-1-ил)изоиндолин-1,3-диона (300 мг, 0,43 ммоль) и гидрохлорида гидроксиламина (300 мг, 4,3 ммоль) в пиридине (10 мл) перемешивали при комнатной температуре в течение ночи. Реакционную смесь концентрировали in vacuo. Остаток очищали с помощью препаративной HPLC с получением (Е)-2-(2,6-диоксопиперидин-3-ил)-5-(4-(4-(4-(1-(гидроксиимино)-2,3-дигидро-1Н-инден-5-ил)-3-(пиридин-4-ил)-1Н-пиразол-1-ил)фенил)пиперазин-1-ил)изоиндолин-1,3-Диона (182 мг, выход 60%) в виде желтого твердого вещества. LCMS: масса/заряд 707,3 [М+Н]+; 1Н ЯМР (400 МГц, DMSO-d6) δ 2,01-2,07 (1H, m), 2,54-2,61 (2Н, m), 2,80-2,89 (3H, m), 2,98-3,02 (2Н, m), 3,39 (4Н, brs), 3,66 (4Н, brs), 5,06-5,11 (1Н, m), 7,16 (2Н, d, J=8,8 Гц), 7,21 (1H, d, J=7,6 Гц), 7,33-7,35 (1Н, m), 7,42 (2Н, d, J=8,0 Гц), 7,47 (2Н, dd, J=5,6, 1,6 Гц), 7,55 (1H, J=7,6 Гц), 7,72 (1H, d, J=8,4 Гц), 7,83 (2Н, d, J=8,8 Гц), 8,57 (2Н, dd, J=4,4, 1,2 Гц), 8,73 (1Н, s), 10,9 (1Н, s), 11,0-11,1 (1H. m).
[0578] Соединения 118-132 и 271 могут быть получены аналогичным образом.
[0579] Пример синтеза соединения 137
[0580] Стадия А: трет-бутил-(2-(4-(4-бром-3-(пиридин-4-ил)-1Н-пиразол-1-ил)фенокси)этил)(метил)карбамат
[0581] К раствору трет-бутилметил(2-(4-(4,4,5,5-тетраметил-1,3,2-диоксаборолан-2-ил)фенокси)этил)карбамата (3,57 г, 9,47 ммоль) и 4-(4-бром-1Н-пиразол-3-ил)пиридина (2,12 г, 9,47 ммоль) в DCM (20 мл) добавляли Et2NH (6,91 г, 94,72 ммоль), Cu(ОАс)2 (1,72 г, 9,47 ммоль). Полученную смесь перемешивали при 30°С в течение 16 часов в атмосфере O2. Смесь разбавляли с помощью DCM (30 мл) и затем смесь трижды промывали с помощью NH3⋅H2O. Органическую фазу выпаривали при пониженном давлении, остаток очищали с помощью колоночной хроматографии на силикагеле (DCM/MeOH=80/1) с получением трет-бутил-(2-(4-(4-бром-3-(пиридин-4-ил)-1Н-пиразол-1-ил)фенокси)этил)(метил)карбамата (3,0 г, выход 66,9%) в виде коричневого масла.
[0582] Стадия В: 2-(4-(4-бром-3-(пиридин-4-ил)-1Н-пиразол-1-ил)фенокси)-N-метилэтан-1-амин
[0583] К раствору трет-бутил-(2-(4-(4-бром-3-(пиридин-4-ил)-1Н-пиразол-1-ил)фенокси)этил)(метил)карбамата (1,56 г, 3,31 ммоль) в МеОН (6 мл) медленно добавляли HCl/диоксан (6 н., 10 мл) при комнатной температуре. Смесь перемешивали при комнатной температуре в течение 2 часов. Смесь выпаривали при пониженном давлении с получением 2-(4-(4-бром-3-(пиридин-4-ил)-1Н-пиразол-1-ил)фенокси)-N-метилэтан-1-амина в виде бесцветного твердого вещества (1,23 г, выход 100%).
[0584] Стадия С: 5-((2-(4-(4-бром-3-(пиридин-4-ил)-1Н-пиразол-1-ил)фенокси)этил)(метил)амино)-2-(2,6-диоксопиперидин-3-ил)изоиндолин-1,3-дион
[0585] К раствору 2-(4-(4-бром-3-(пиридин-4-ил)-1Н-пиразол-1-ил)фенокси)-N-метилэтан-1-амина (400 мг, 1,07 ммоль) и 2-(2,6-диоксопиперидин-3-ил)-5-фторизоиндолин-1,3-диона (591,9 мг, 2,14 ммоль) в NMP (2 мл) добавляли DIPEA (1,38 г, 10,7 ммоль). Полученную смесь перемешивали при 130°С в течение 12 часов в атмосфере N2. Смесь разбавляли с помощью ЕА (30 мл) и затем смесь дважды промывали солевым раствором. Органическую фазу выпаривали при пониженном давлении, остаток очищали с помощью колоночной хроматографии на силикагеле (РЕ/EtOAc=1/3) с получением 5-((2-(4-(4-бром-3-(пиридин-4-ил)-1Н-пиразол-1-ил)фенокси)этил)(метил)амино)-2-(2,6-диоксопиперидин-3-ил)изоиндолин-1,3-диона (500 мг, выход 74,1%).
[0586] Стадия D: 2-(2,6-диоксопиперидин-3-ил)-5-(метил(2-(4-(4-(1-оксо-2,3-дигидро-1Н-инден-5-ил)-3-(пиридин-4-ил)-1Н-пиразол-1-ил)фенокси)этил)амино)изоиндолин-1,3-дион
[0587] К раствору 5-((2-(4-(4-бром-3-(пиридин-4-ил)-1Н-пиразол-1-ил)фенокси)этил)(метил)амино)-2-(2,6-диоксопиперидин-3-ил)изоиндолин-1,3-диона (500 мг, 0,79 ммоль) и 5-(4,4,5,5-тетраметил-1,3,2-диоксаборолан-2-ил)-2,3-дигидро-1Н-инден-1-она (307,6 мг, 1,19 ммоль) в смеси 1,4-диоксан/H2O (9 мл, 8:1) добавляли t-Bu3PHBF4 (92,2 мг, 0,32 ммоль), CsF (483,3 мг, 3,18 ммоль), Cy2NMe (5 капель) и Pd2(dba)3 (145,6 мг, 0,16 ммоль). Полученную смесь перемешивали при 100°С в течение 2 часов в N2. Растворитель выпаривали при пониженном давлении. Остаток разбавляли с помощью ЕА (30 мл) и затем смесь дважды промывали солевым раствором. Органическую фазу выпаривали при пониженном давлении, остаток очищали с помощью колоночной хроматографии на силикагеле (PE/DCM/MeOH=800/200/25) с получением 2-(2,6-диоксопиперидин-3-ил)-5-(метил(2-(4-(4-(1-оксо-2,3-дигидро-1Н-инден-5-ил)-3-(пиридин-4-ил)-1Н-пиразол-1-ил)фенокси)этил)амино)изоиндолин-1,3-диона (500 мг, выход 92,4%).
[0588] Стадия Е: (Е)-2-(2,6-диоксопиперидин-3-ил)-5-((2-(4-(4-(1-(гидроксиимино)-2,3-дигидро-1Н-инден-5-ил)-3-(пиридин-4-ил)-1Н-пиразол-1-ил)фенокси)этил)(метил)амино)изоиндолин-1,3-дион
[0589] К раствору 2-(2,6-диоксопиперидин-3-ил)-5-(метил(2-(4-(4-(1-оксо-2,3-дигидро-1Н-инден-5-ил)-3-(пиридин-4-ил)-1Н-пиразол-1-ил)фенокси)этил)амино)изоиндолин-1,3-диона (200 мг, 0,294 ммоль) в CH3CN3/Ру (3 мл/3 мл) добавляли NH2OH⋅HCl (200 мг, 2,877 ммоль), смесь перемешивали при 40°С в течение 0,5 часа. Смесь разбавляли с помощью DCM (30 мл), дважды промывали солевым раствором. Органический слой выпаривали при пониженном давлении. Остаток очищали с помощью TLC (DCM/EA/MeOH=50/100/15) с получением (Е)-2-(2,6-диоксопиперидин-3-ил)-5-
[0590] ((2-(4-(4-(1-(гидроксиимино)-2,3-дигидро-1Н-инден-5-ил)-3-(пиридин-4-ил)-1Н-пиразол-1-ил)фенокси)этил)(метил)амино)изоиндолин-1,3-диона в виде желто-зеленого твердого вещества (103 мг, выход 49,9%). 1Н ЯМР (400 МГц, CDCl3): δ 8,56 (d, J=4,0 Гц, 2Н), 8,16 (s, 1H), 7,94 (s, 1H), 7,66-7,72 (m, 4Н), 7,50 (d, J=4,8 Гц, 2Н), 7,43 (s, 1H), 7,29 (s, 1H), 7,19-7,26 (m, 2Н), 6,93-6,98 (m, 3Н), 4,92-4,96 (m, 1Н), 4,24 (t, J=4,8 Гц, 2Н), 3,94 (t, J=10 Гц, 2Н), 3,23 (s, 3H), 3,00-3,04 (m, 4Н), 2,77-2,92 (m, 4Н), 2,12-2,15 (d, J=8,4 Гц, 1H); LCMS (ES+): масса/заряд 696,2 [М+Н]+.
[0591] Соединения 133-136, 138-149 и 273-281 могут быть получены аналогичным образом.
[0592] Пример синтеза соединения 150
[0593] Стадия А: 4-(4-бром-1-(4-(2-(3-((трет-бутилдиметилсилил)окси)пропокси)этокси)фенил)-1Н-пиразол-3-ил)пиридин
[0594] К раствору 2-(3-((трет-бутилдиметилсилил)окси)пропокси)этил-4-метилбензолсульфоната (420 мг, 1,08 ммоль) в сухом DMF (10 мл) последовательно добавляли К2СО3 (299 мг, 2,16 ммоль) и 4-(4-бром-1Н-пиразол-3-ил)пиридин (342 мг, 1,08 ммоль). Полученный раствор перемешивали при 80°С в течение 3 часов. Реакционную смесь разбавляли с помощью ЕА (30 мл) и промывали солевым раствором. Органическую фазу высушивали над безводным сульфатом натрия и концентрировали под вакуумом. Остаток очищали с получением необходимого продукта, 4-(4-бром-1-(4-(2-(3-((трет-бутилдиметилсилил)окси)пропокси)этокси)фенил)-1Н-пиразол-3-ил)пиридина (DCM:MeOH=20:1) (430 мг), в виде бесцветного твердого вещества. 1Н ЯМР (400 МГц, CDCl3): δ 8,66 (br, 2Н), 7,89-7,93 (m, 3H), 7,55 (d, J=8,8 Гц, 2Н), 6,96-6,98 (m, 2Н), 4,04-4,14 (m, 2Н), 3,76 (d, J=4,8 Гц, 2Н), 3,67 (d, J=6 Гц, 3Н), 3,58 (d, J=6,4 Гц, 2Н), 1,71-1,79 (m, 2Н), 0,84 (s, 9Н), 0,0 (s, 6Н).
[0595] Стадия В: 3-(2-(4-(4-бром-3-(пиридин-4-ил)-1Н-пиразол-1-ил)фенокси)этокси)пропан-1-ол
[0596] К раствору 4-(4-бром-1-(4-(2-(3-((трет-бутилдиметилсилил)окси)пропокси)этокси)фенил)-1Н-пиразол-3-ил)пиридина (430 мг, 0,808 ммоль) в 1,4-диоксане (2 мл) добавляли 6 М HCl в 1,4-диоксане (4 мл). Полученный раствор перемешивали при 25°С в течение 1 часа. Растворитель удаляли при пониженном давлении с получением неочищенного необходимого продукта, 3-(2-(4-(4-бром-3-(пиридин-4-ил)-1Н-пиразол-1-ил)фенокси)этокси)пропан-1-ола (270 мг неочищенный), который применяли на следующей стадии без дополнительной очистки. LCMS (ES+): масса/заряд 420,0 [М+Н]+.
[0597] Стадия С: 3-(2-(4-(4-бром-3-(пиридин-4-ил)-1Н-пиразол-1-ил)фенокси)этокси)пропаналь
[0598] К раствору 3-(2-(4-(4-бром-3-(пиридин-4-ил)-1H-пиразол-1-ил)фенокси)этокси)пропан-1-ола (135 мг, 0,32 ммоль) добавляли IBX (136 мг, 0,48 ммоль) в CH3CN (4 мл) при комнатной температуре. Смесь перемешивали при 80°С в течение 2 часов. После завершения реакции смесь фильтровали. Фильтрат концентрировали под вакуумом с получением неочищенного необходимого продукта, 3-(2-(4-(4-бром-3-(пиридин-4-ил)-1Н-пиразол-1-ил)фенокси)этокси)пропаналя (140 мг неочищенный), который применяли на следующей стадии без дополнительной очистки. LCMS (ES+): масса/заряд 416,0 [М+Н]+.
[0599] Стадия D: трет-бутил-4-(2-(2,6-диоксопиперидин-3-ил)-1,3-диоксоизоиндолин-4-ил)пиперазин-1-карбоксилат
[0600] К раствору трет-бутилпиперазин-1-карбоксилата (1,35 г, 7,25 ммоль) в NMP (10 мл) добавляли 2-(2,6-диоксопиперидин-3-ил)-4-фторизоиндолин-1,3-дион (1 г, 3,62 ммоль) и DIEA (1,87 г, 14,5 ммоль). Полученный раствор перемешивали при 90°С в атмосфере N2 в течение 4 часов. Реакционную смесь разбавляли с помощью ЕА (30 мл) и промывали солевым раствором. Органическую фазу высушивали над безводным сульфатом натрия и концентрировали под вакуумом. Остаток очищали с получением необходимого продукта, трет-бутил-4-(2-(2,6-диоксопиперидин-3-ил)-1,3-диоксоизоиндолин-4-ил)пиперазин-1-карбоксилата (DCM:EA=1:1) (1,4 г), в виде желтого твердого вещества. 1Н ЯМР (400 МГц, DMSO-d6): δ 7,73 (d, J=7,2 Гц, 1Н), 7,35-7,41 (m, 2H), 5,09-5,13 (m, 1H), 3,52 (s, 4H), 3,26 (s, 4H), 2,84-2,89 (m, 1H), 2,56-2,63 (m, 2H), 2,00-2,05 (m, 2H), 1,45 (s, 9H).
[0601] Стадия E: гидрохлорид 2-(2,6-диоксопиперидин-3-ил)-4-(пиперазин-1-ил)изоиндолин-1,3-диона
[0602] К раствору трет-бутил-4-(2-(2,6-диоксопиперидин-3-ил)-1,3-диоксоизоиндолин-4-ил)пиперазин-1-карбоксилата (1,4 г, 3,16 ммоль) в 1,4-диоксане (4 мл) добавляли 6 М HCl в 1,4-диоксане (6 мл). Полученный раствор перемешивали при 25°С в течение 1 часа. Раствор концентрировали при пониженном давлении. Остаток обеспечивал получение необходимого продукта, гидрохлорида 2-(2,6-диоксопиперидин-3-ил)-4-(пиперазин-1-ил)изоиндолин-1,3-диона (1,4 г, неочищенный), который применяли на следующей стадии без дополнительной очистки. LCMS (ES+): масса/заряд 343,1 [М+Н]+.
[0603] Стадия F: 4-(4-(3-(2-(4-(4-бром-3-(пиридин-4-ил)-1Н-пиразол-1-ил)фенокси)этокси)пропил)пиперазин-1-ил)-2-(2,6-диоксопиперидин-3-ил)изоиндолин-1,3-дион
[0604] К раствору 3-(2-(4-(4-бром-3-(пиридин-4-ил)-1Н-пиразол-1-ил)фенокси)этокси)пропаналя (140 мг, неочищенный, 0,32 ммоль), 2-(2,6-диоксопиперидин-3-ил)-4-(пиперазин-1-ил)изоиндолин-1,3-диона (123 мг, 0,32 ммоль), NaBH3CN (41 мг, 0,64 ммоль), уксусную кислоту (3,8 мг, 0,062 ммоль) в МеОН. Полученный раствор перемешивали при к. т. в течение ночи. Смесь разбавляли с помощью ЕА, промывали водой и солевым раствором. Органическую фазу высушивали над безводным сульфатом натрия и концентрировали под вакуумом. Остаток очищали с получением необходимого продукта, 4-(4-(3-(2-(4-(4-бром-3-(пиридин-4-ил)-1Н-пиразол-1-ил)фенокси)этокси)пропил)пиперазин-1-ил)-2-(2,6-диоксопиперидин-3-ил)изоиндолин-1,3-диона (DCM:MeOH=15:1) (70 мг), в виде желтого твердого вещества. LCMS (ES+): масса/заряд 742,1 [М+Н]+.
[0605] Стадия G: 2-(2,6-диоксопиперидин-3-ил)-4-(4-(3-(2-(4-(4-(1-оксо-2,3-дигидро-1Н-инден-5-ил)-3-(пиридин-4-ил)-1Н-пиразол-1-ил)фенокси)этокси)пропил)пиперазин-1-ил)изоиндолин-1,3-дион
[0606] К раствору 4-(4-(3-(2-(4-(4-бром-3-(пиридин-4-ил)-1Н-пиразол-1-ил)фенокси)этокси)пропил)пиперазин-1-ил)-2-(2,6-диоксопиперидин-3-ил)изоиндолин-1,3-диона (70 мг, 0,094 ммоль), 5-(4,4,5,5-тетраметил-1,3,2-диоксаборолан-2-ил)-2,3-дигидро-1Н-инден-1-она (191 мг, 0,74 ммоль), Pd2(dba)3 (181 мг, 0,198 ммоль), CsF (300 мг, 1,97 ммоль), тетрафторборат три-трет-бутилфосфина(115 мг, 0,39 ммоль), N,N-дициклогексилметиламин (9 мг, 0,047 ммоль) в смеси 1,4-диоксан/H2O (6 мл, 10/1). Полученный раствор подвергали облучению при 100°С с помощью микроволнового излучения в атмосфере N2 в течение 2 часов. После охлаждения до комнатной температуры смесь разбавляли с помощью ЕА, промывали водой и солевым раствором. Органическую фазу высушивали над безводным сульфатом натрия и концентрировали под вакуумом. Остаток очищали с получением необходимого продукта, 2-(2,6-диоксопиперидин-3-ил)-4-(4-(3-(2-(4-(4-(1-оксо-2,3-дигидро-1Н-инден-5-ил)-3-(пиридин-4-ил)-1Н-пиразол-1-ил)фенокси)этокси)пропил)пиперазин-1-ил)изоиндолин-1,3-диона (DCM:MeOH=20:1) (33 мг), в виде желтого твердого вещества. LCMS (ES+): масса/заряд 795,3 [М+Н]+.
[0607] Стадия Н: (Е)-2-(2,6-диоксопиперидин-3-ил)-4-(4-(3-(2-(4-(4-(1-(гидроксиимино)-2,3-дигидро-1Н-инден-5-ил)-3-(пиридин-4-ил)-1Н-пиразол-1-ил)фенокси)этокси)пропил)пиперазин-1-ил)изоиндолин-1,3-дион
[0608] К раствору 2-(2,6-диоксопиперидин-3-ил)-4-(4-(3-(2-(4-(4-(1-оксо-2,3-дигидро-1Н-инден-5-ил)-3-(пиридин-4-ил)-1Н-пиразол-1-ил)фенокси)этокси)пропил)пиперазин-1-ил)изоиндолин-1,3-диона (33 мг, 0,042 ммоль) в ацетонитриле (2 мл) и пиридине (1,5 мл) добавляли гидрохлорид гидроксиламина (27 мг, 0,42 ммоль). Смесь перемешивали при 40°С в течение 20 минут и ее разбавляли с помощью 20 мл DCM, промывали солевым раствором (10 мл). Органический слой концентрировали и очищали с помощью препаративной TLC с получением (Е)-2-(2,6-диоксопиперидин-3-ил)-4-(4-(3-(2-(4-(4-(1-(гидроксиимино)-2,3-дигидро-1Н-инден-5-ил)-3-(пиридин-4-ил)-1Н-пиразол-1-ил)фенокси)этокси)пропил)пиперазин-1-ил)изоиндолин-1,3-диона (22 мг, выход 66,6%) в виде желтого твердого вещества. 1Н ЯМР (400 МГц, CDCl3): δ 8,56 (d, J=5,6 Гц, 2Н), 8,37 (s, 1H), 7,94 (s, 1H), 7,68 (d, J=9,2 Гц, 3H), 7,55-7,57 (m, 1H), 7,51 (d, J=5,6 Гц, 2H), 7,38-7,40 (m, 1H), 7,21-7,28 (m, 2H), 7,15 (d, J=8,4 Гц, 1H), 7,04 (d, J=8,8 Гц, 2H), 4,91-4,98 (m, 1H), 4,18 (d, J=4,8 Гц, 2H), 3,82-3,84 (m, 2H), 3,63 (d, J=6,4 Гц, 2H), 3,49 (s, 2H), 3,36-3,38 (m, 4H), 3,02 (d, J=10,8 Гц, 4H), 2,69-2,87 (m, 8H), 2,52-2,56 (m, 2H), 1,85-1,88 (m, 1H); LCMS (ES+): масса/заряд 810,2 [M+H]+.
[0609] Соединения 151-172 и 282-284 могут быть получены аналогичным образом.
[0610] Пример синтеза соединения 174
[0611] Стадия А: 4-(бензилокси)бутил-4-метилбензолсульфонат
[0612] К раствору 4-(бензилокси)бутил-4-метилбензолсульфоната (5 г, 27,76 ммоль), DMAP (0,34 г, 2,78 ммоль) и TEA (8,4 г, 83,28 ммоль) в DCM (50 мл) партиями добавляли TsCl (7,94 г, 41,64 ммоль). Полученный раствор перемешивали при 15°С в течение 2 часов. Реакционную смесь гасили путем добавления насыщенного раствора NH4Cl (50 мл). Смесь экстрагировали с помощью DCM (50 мл × 2). Объединенный органический слой высушивали над безводным сульфатом натрия, концентрировали под вакуумом. Остаток очищали с помощью силикагеля с получением необходимого продукта, 4-(бензилокси)бутил-4-метилбензолсульфоната (5,6 г, выход 60%), в виде светло-желтого масла. 1Н ЯМР (400 МГц, CDCl3): δ 7,77 (d, J=8,4 Гц, 2Н), 7,26-7,33 (m, 7Н), 4,45 (s, 2Н), 4,05 (t, J=6,4 Гц, 2Н), 3,42 (t, J=6,4 Гц, 2Н), 2,44 (s, 3Н), 1,59-1,78 (m, 4Н).
[0613] Стадия В: (S)-трет-бутил-5-амино-4-(4-(4-(бензилокси)бутокси)-1,3-диоксоизоиндолин-2-ил)-5-оксопентаноат
[0614] К раствору 4-(бензилокси)бутил-4-метилбензолсульфоната (0,63 г, 1,87 ммоль) в сухом DMF (8,0 мл) последовательно добавляли К2СО3 (0,4 г, 2.88 ммоль), трет-бутил-(S)-5-амино-4-(4-гидрокси-1,3-диоксоизоиндолин-2-ил)-5-оксопентаноат (0,5 г, 1,44 ммоль). Полученный раствор перемешивали при 70°С в течение 2 часов. После охлаждения до комнатной температуры реакционную смесь гасили водой (30 мл) и смесь экстрагировали с помощью ЕА (40 мл × 2). Объединенный органический слой промывали солевым раствором, высушивали над безводным сульфатом натрия, концентрировали под вакуумом. Остаток очищали с помощью колонки с силикагелем с получением (S)-трет-бутил-5-амино-4-(4-(4-(бензилокси)бутокси)-1,3-диоксоизоиндолин-2-ил)-5-оксопентаноата (0,4 г, выход 55%). 1Н ЯМР (400 МГц, CDCl3): δ 7,63 (t, J=8,4 Гц, 1Н), 7,43 (m, 1H), 7,25-7,40 (m, 5H), 7,18 (s, 1H), 6,41 (br, 1H), 5,66 (br, 1H), 4,79 (m, 1H), 4,52 (s, 2H), 4,19 (t, J=6,4 Гц, 2H), 3,58 (t, J=6,4 Гц, 2H), 3,47 (m, 2H), 2,50 (m, 2H), 2,25 (m, 2H), 2,00 (m, 2H), 1,85 (m, 1H), 1,43 (s, 9H).
[0615] Стадия С: (S)-2-(2,6-диоксопиперидин-3-ил)-4-(4-гидроксибутокси)изоиндолин-1,3-дион
[0616] К раствору (S)-трет-бутил-5-амино-4-(4-(4-(бензилокси)бутокси)-1,3-диоксоизоиндолин-2-ил)-5-оксопентаноата (400 мг, 0,784 ммоль) в ацетонитриле (5 мл) добавляли TsOH⋅H2O (1,48 г, 7,84 ммоль). Полученный раствор перемешивали при 80°С в течение 2 часов. Реакционную смесь гасили с помощью насыщенного раствора NaHCO3 и экстрагировали с помощью ЕА. Органический слой высушивали над безводным сульфатом натрия, концентрировали и очищали с помощью колонки с получением (S)-4-(4-(бензилокси)бутокси)-2-(2,6-диоксопиперидин-3-ил)изоиндолин-1,3-диона (370 мг). К раствору (S)-4-(4-(бензилокси)бутокси)-2-(2,6-диоксопиперидин-3-ил)изоиндолин-1,3-диона (370 мг, 0,85 ммоль) в THF/MeOH (4 мл/1 мл) добавляли Pd(OH)2 (185 мг) и две капли концентрированной HCl. Полученную смесь перемешивали при 20°С в течение 1 часа в атмосфере Н2 при 1 атм. Полученный раствор фильтровали и выпаривали. Остаток очищали с помощью препаративной TLC с получением необходимого продукта, (S)-2-(2,6-диоксопиперидин-3-ил)-4-(4-гидроксибутокси)изоиндолин-1,3-диона (250 мг, выход 92% за две стадии). LCMS (ES+, отрицат.): масса/заряд 345,0 [М-Н]+.
[0617] Стадия D: (S)-4-((2-(2,6-диоксопиперидин-3-ил)-1,3-диоксоизоиндолин-4-ил)окси)бутаналь
[0618] К раствору (S)-2-(2,6-диоксопиперидин-3-ил)-4-(4-гидроксибутокси)изоиндолин-1,3-диона (0,25 г, 0,72 ммоль) в CH3CN (5 мл) добавляли IBX (607 мг, 2,16 ммоль). Полученный раствор перемешивали при 75°С в течение 1 часа. После охлаждения до комнатной температуры реакционную смесь фильтровали и концентрировали под вакуумом с получением неочищенного необходимого продукта (240 мг, неочищенный, рассчитанное значение, выход 100%), который применяли непосредственно на следующей стадии.
[0619] Стадия Е: (S)-4-(4-(4-(4-бром-3-(пиридин-4-ил)-1H-пиразол-1-ил)фенил)пиперазин-1-ил)бутокси)-2-(2,6-диоксопиперидин-3-ил)изоиндолин-1,3-дион
[0620] К раствору (S)-4-((2-(2,6-диоксопиперидин-3-ил)-1,3-диоксоизоиндолин-4-ил)окси)бутаналя (240 мг, неочищенный, 0,72 ммоль) в МеОН (6 мл) добавляли 1-(4-(4-бром-3-(пиридин-4-ил)-1Н-пиразол-1-ил)фенил)пиперазин (276 мг, 0,72 ммоль) и две капли АсОН. Затем добавляли NaBH3CN (134 мг, 2,16 ммоль). Полученный раствор перемешивали при 18°С в течение 2 часов. Затем гасили водой (30 мл) и смесь экстрагировали с помощью ЕА (40 мл × 2). Объединенный органический слой высушивали над безводным сульфатом натрия и концентрировали под вакуумом. Остаток обрабатывали с помощью колонки с силикагелем с получением необходимого продукта, (S)-4-(4-(4-(4-(4-бром-3-(пиридин-4-ил)-1Н-пиразол-1-ил)фенил)пиперазин-1-ил)бутокси)-2-(2,6-диоксопиперидин-3-ил)изоиндолин-1,3-диона (350 мг, выход 68%) за две стадии). LCMS (ES+): масса/заряд 713,1 [М+Н]+.
[0621] Стадия F: (S)-2-(2,6-диоксопиперидин-3-ил)-4-(4-(4-(4-(4-(1-оксо-2,3-дигидро-1Н-инден-5-ил)-3-(пиридин-4-ил)-1Н-пиразол-1-ил)фенил)пиперазин-1-ил)бутокси)изоиндолин-1,3-дион
[0622] К раствору (S)-4-(4-(4-(4-(4-бром-3-(пиридин-4-ил)-1H-пиразол-1-ил)фенил)пиперазин-1-ил)бутокси)-2-(2,6-диоксопиперидин-3-ил)изоиндолин-1,3-диона (0,35 г, 0,52 ммоль) и 5-(4,4,5,5-тетраметил-1,3,2-диоксаборолан-2-ил)-2,3-дигидро-1Н-инден-1-она (147 мг, 0,57 ммоль) в смеси 1,4-диоксан (15 мл)/H2O (1,5 мл) последовательно добавляли CsF (316 мг, 2,08 ммоль), Pd2(dba)3 (190 мг, 0,21 ммоль), тетрафторборат три-трет-бутилфосфина(121 мг, 0,42 ммоль) и две капли N-циклогексил-N-метилциклогексанамина. Реакционную смесь нагревали до 100°С в течение 2 часов в атмосфере N2. После охлаждения до комнатной температуры реакционную смесь гасили водой (20 мл) и смесь экстрагировали этилацетатом (30 мл × 2). Объединенный органический слой высушивали над безводным сульфатом натрия и концентрировали под вакуумом. Остаток обрабатывали с помощью колонки с силикагелем с получением необходимого продукта, (S)-2-(2,6-диоксопиперидин-3-ил)-4-(4-(4-(4-(4-(1-оксо-2,3-дигидро-1Н-инден-5-ил)-3-(пиридин-4-ил)-1Н-пиразол-1-ил)фенил)пиперазин-1-ил)бутокси)изоиндолин-1,3-диона (0,3 г, выход 80%), в виде желтого твердого вещества. LCMS (ES+): масса/заряд 382,8 [(М+Н)/2]+.
[0623] Стадия G: (S,Е)-2-(2,6-диоксопиперидин-3-ил)-4-(4-(4-(4-(4-(1-(гидроксиимино)-2,3-дигидро-1Н-инден-5-ил)-3-(пиридин-4-ил)-1Н-пиразол-1-ил)фенил)пиперазин-1-ил)бутокси)изоиндолин-1,3-дион
[0624] К раствору (S)-2-(2,6-диоксопиперидин-3-ил)-4-(4-(4-(4-(4-(1-оксо-2,3-дигидро-1Н-инден-5-ил)-3-(пиридин-4-ил)-1Н-пиразол-1-ил)фенил)пиперазин-1-ил)бутокси)изоиндолин-1,3-диона (165 мг, 0,22 ммоль) в смеси ацетонитрил/пиридин (6 мл/3 мл) добавляли гидрохлорид гидроксиламина (150 мг, 2,16 ммоль). Смесь перемешивали при 45°С в течение 1 часа. Растворитель удаляли под вакуумом и остаток очищали с помощью препаративной TLC с применением смеси DCM/MeOH (20/1) с получением необходимого продукта, (S,Е)-2-(2,6-диоксопиперидин-3-ил)-4-(4-(4-(4-(4-(1-(гидроксиимино)-2,3-дигидро-1Н-инден-5-ил)-3-(пиридин-4-ил)-1Н-пиразол-1-ил)фенил)пиперазин-1-ил)бутокси)изоиндолин-1,3-диона (60 мг, выход 38%), в виде белого твердого вещества. 1Н ЯМР (400 МГц, DMSO-d6): δ 11,11 (s, 1Н), 10,88 (d, J=3,6 Гц, 1H), 8,69 (s, 1H), 8,56 (m, 2H), 7,81 (m, 3H), 7,35-7,62 (m, 6H), 7,20 (s, 1H), 7,09 (m, 2H), 5,10 (m, 1H), 4,25 (t, J=6,4 Гц, 2H), 3,32 (m, 4H), 3,19 (m, 4H), 2,75-3,05 (m, 5H), 2,40 (m, 2H), 1,60-2,10 (m, 8H); LCMS (ES+): масса/заряд 779,3 [M+H]+.
[0625] Соединения 173 и 175-181 могут быть получены аналогичным образом.
[0626] Пример синтеза соединения 182
[0627] Стадия А: N-(3-(5-((1-(2-(2,6-диоксопиперидин-3-ил)-1,3-диоксоизоиндолин-4-ил)пиперидин-4-ил)(метил)амино)-3-(пиримидин-5-ил)-1Н-пирроло[3,2-b]пиридин-1-ил)-2,4-дифторфенил)пропан-1-сульфонамид
[0628] Смесь N-(2,4-дифтор-3-(5-(метил(пиперидин-4-ил)амино)-3-(пиримидин-5-ил)-1Н-пирроло[3,2-b]пиридин-1-ил)фенил)пропан-1-сульфонамида (100,0 мг, 0,18 ммоль) (ранее описанного в WO 2012/104388), 2-(2,6-диоксопиперидин-3-ил)-4-фторизоиндолин-1,3-диона (102 мг, 0,36 ммоль), DIEA (239 мг, 1,80 ммоль) в безводном NMP (2,0 мл) облучали при 130°С с помощью микроволнового излучения в течение 1 часа. После охлаждения до комнатной температуры реакционную смесь гасили водой и смесь экстрагировали с помощью ЕА (10 мл × 3). Объединенный органический слой промывали водой (10 мл × 3), солевым раствором (20 мл), высушивали над безводным сульфатом натрия и концентрировали под вакуумом. Остаток очищали с помощью препаративной TLC с получением необходимого продукта, N-(3-(5-((1-(2-(2,6-диоксопиперидин-3-ил)-1,3-диоксоизоиндолин-4-ил)пиперидин-4-ил)(метил)амино)-3-(пиримидин-5-ил)-1Н-пирроло[3,2-b]пиридин-1-ил)-2,4-дифторфенил)пропан-1-сульфонамида (DCM:MeOH=10:1) (45 мг, выход=30,6%), в виде белого твердого вещества. 1Н ЯМР (400 МГц, CDCl3): δ 9,58 (s, 1H), 9,10 (s, 1H), 8,03 (s, 1H), 7,67-7,59 (m, 2H), 7,42 (d, J=7,2 Гц, 1H), 7,34 (d, J=8 Гц, 1H), 7,23-7,18 (m, 1H), 6,66 (d, J=12 Гц, 1H), 5,02-4,81 (m, 1H), 3,90-3,89 (m, 1H), 3,18-3,14 (m, 3H), 3,05 (s, 2H), 2,96-2,87 (m, 3H), 2,13 (dd, J=2,8 Гц, 4 Гц, 2H), 2,00-1,90 (m, 3Н), 1,30 (s, 8H), 1,09 (t, J=12,0 Гц, 3Н), 0,84-0,88 (m, 4H); LCMS (ES+): масса/заряд 798,2 [M+H]+.
[0629] Соединение 183 может быть получено аналогичным образом.
[0630] Пример синтеза соединения 184
[0631] Стадия А: трет-бутил-(S)-5-амино-4-(4-(2-(бензилокси)этокси)-1,3-диоксоизоиндолин-2-ил)-5-оксопентаноат
[0632] Смесь трет-бутил-(S)-5-амино-4-(4-гидрокси-1,3-диоксоизоиндолин-2-ил)-5-оксопентаноата (1,22 г, 3,51 ммоль), 2-(бензилокси)этилметансульфоната (900 мг, 3,91 ммоль), К2СО3 (1,08 г, 7,83 ммоль) в DMF (10 мл) перемешивали при 70°С в течение 6 часов. После гашения водой смесь экстрагировали с помощью ЕА. Органическую фазу высушивали над безводным сульфатом натрия и концентрировали под вакуумом. Остаток очищали с получением необходимого продукта, трет-бутил-(S)-5-амино-4-(4-(2-(бензилокси)этокси)-1,3-диоксоизоиндолин-2-ил)-5-оксопентаноата (РЕ:EtOAc=1:5) (907 мг).
[0633] Стадия В: (S)-4-(2-(бензилокси)этокси)-2-(2,6-диоксопиперидин-3-ил)изоиндолин-1,3-дион
[0634] Раствор трет-бутил-(S)-5-амино-4-(4-(2-(бензилокси)этокси)-1,3-диоксоизоиндолин-2-ил)-5-оксопентаноата (907 мг, 1,88 ммоль), p-TsOH (1,5 г, 7,89 ммоль) в MeCN (10 мл) перемешивали при 80°С в течение 8 часов. После гашения водой смесь разбавляли с помощью ЕА, промывали водой, солевым раствором. Органическую фазу высушивали над безводным сульфатом натрия и концентрировали под вакуумом. Остаток очищали с получением необходимого продукта, (S)-4-(2-(бензилокси)этокси)-2-(2,6-диоксопиперидин-3-ил)изоиндолин-1,3-диона (РЕ:EtOAc=1:1) (1,23 г, неочищенный).
[0635] Стадия С: (S)-2-(2,6-диоксопиперидин-3-ил)-4-(2-гидроксиэтокси)изоиндолин-1,3-дион
[0636] Раствор (S)-4-(2-(бензилокси)этокси)-2-(2,6-диоксопиперидин-3-ил)изоиндолин-1,3-диона (1,23 г, 3,01 ммоль), Pd(OH)2/C (0,7 г), смеси HCl/диоксан (6 н., 6 капель) в МеОН/EtOAc (1:1, 40 мл) перемешивали при комнатной температуре в течение 12 часов в атмосфере H2 при 1 атм. Смесь фильтровали через целит и фильтрат концентрировали под вакуумом с получением необходимого продукта, (S)-2-(2,6-диоксопиперидин-3-ил)-4-(2-гидроксиэтокси)изоиндолин-1,3-диона (700 мг, неочищенный).
[0637] Стадия D: (S)-2-((2-(2,6-диоксопиперидин-3-ил)-1,3-диоксоизоиндолин-4-ил)окси)ацетальдегид
[0638] К раствору (S)-2-(2,6-диоксопиперидин-3-ил)-4-(2-гидроксиэтокси)изоиндолин-1,3-Диона (200 мг, 0,63 ммоль) в CH3CN (10 мл) добавляли IBX (352 мг, 1,26 ммоль). Полученный раствор перемешивали при 80°С в течение 2 часов. После охлаждения до комнатной температуры смесь фильтровали и фильтрат концентрировали под вакуумом с получением неочищенного необходимого продукта, (S)-2-((2-(2,6-диоксопиперидин-3-ил)-1,3-диоксоизоиндолин-4-ил)окси)ацетальдегида (200 мг, неочищенный), в виде желтого твердого вещества, которое применяли в следующей реакции без дополнительной очистки.
[0639] Стадия Е: N-(3-(5-((1-(2-((2-(2,6-диоксопиперидин-3-ил)-1,3-диоксоизоиндолин-4-ил)окси)этил)пиперидин-4-ил)(метил)амино)-3-(пиримидин-5-ил)-1Н-пирроло[3,2-b]пиридин-1-ил)-2,4-дифторфенил)пропан-1-сульфонамид
[0640] К раствору (S)-2-((2-(2,6-диоксопиперидин-3-ил)-1,3-диоксоизоиндолин-4-ил)окси)ацетальдегида (200 мг, неочищенный, 0,631 ммоль), гидрохлорида N-(2,4-дифтор-3-(5-(метил(пиперидин-4-ил)амино)-3-(пиримидин-5-ил)-1Н-пирроло[3,2-b]пиридин-1-ил)фенил)пропан-1-сульфонамида (80 мг, 0,148 ммоль), СН3СООН (3,8 мг, 0,062 ммоль) в EtOH/DCM (об./об.=1/1, 20 мл) добавляли NaBH(OAc)3 (400 мг, 1,88 ммоль). Полученный раствор перемешивали при комнатной температуре в течение ночи. После гашения водой смесь экстрагировали с помощью EtOAc. Органическую фазу высушивали над безводным сульфатом натрия и концентрировали под вакуумом. Остаток очищали с помощью препаративной TLC (DCM/EtOAc/MeOH=10/1/1) с получением необходимого продукта, (S)-N-(3-(5-((1-(2-((2-(2,6-диоксопиперидин-3-ил)-1,3-диоксоизоиндолин-4-ил)-окси)этил)пиперидин-4-ил)(метил)амино)-3-(пиримидин-5-ил)-1Н-пирроло[3,2-b]пиридин-1-ил)-2,4-дифторфенил)пропан-1-сульфонамида (20,1 мг), в виде белого твердого вещества. 1H NMR (400 MHz, DMSO-d6) δ 11.07 (s, 1H), 9.80-10.02 (m, 1H), 9.66 (s, 1H), 9.01 (s, 1H), 8.40 (s, 1H), 7.80-7.89 (m, 1H), 7.61-7.63 (m, 2H), 7.44-7.48 (m, 2H), 6.76 (d, J=9.3 Hz, 1H), 5.08 (dd, J=12.9, 5.2 Hz, 1H), 4.33-4.49 (m, 3H), 3.45 (s, 6H), 3.06-3.25 (m, 3H), 2.94 (s, 2H), 2.83 (s, 2H), 2.55-2.73 (m, 4H), 2.29 (d, J=10.3 Hz, 2H), 1.77 (m, 2H), 1.68 (d, J=10.1 Hz, 2H), 0.99 (t, J=7.4 Hz, 3H); LC-MS: (ES+): m/z 842.3 [M+H]+.
[0641] Соединения 185-189 могут быть получены аналогичным образом.
[0642] Пример синтеза соединения 191
[0643] Стадия А: трет-бутил-2-(2-(2-оксоэтокси)этокси)ацетат
[0644] К раствору трет-бутил-2-(2-(2-гидроксиэтокси)этокси)ацетата (1 г, 4,55 ммоль) в CH3CN (15 мл) добавляли IBX (3,8 г, 13,64 ммоль). Полученный раствор перемешивали при 75°С в течение 1 часа. После охлаждения до комнатной температуры смесь фильтровали и фильтрат концентрировали под вакуумом с получением неочищенного необходимого продукта, трет-бутил-2-(2-(2-оксоэтокси)этокси)ацетата (1 г, неочищенный, выход 100%), который применяли непосредственно на следующей стадии. 1Н ЯМР (400 МГц, CDCl3): δ 9,75 (s, 1Н), 4,18 (s, 2Н), 4,03 (s, 2Н), 3,77 (s, 4Н), 1,48 (s, 9Н).
[0645] Стадия В: трет-бутил-2-(2-(2-(4-((1-(2,6-дифтор-3-(пропилсульфонамидо)фенил)-3-(пиримидин-5-ил)-1H-пирроло[3,2-b]пиридин-5-ил)(метил)мино)иперидин-1-ил)этокси)этокси)ацетат
[0646] К раствору трет-бутил-2-(2-(2-оксоэтокси)этокси)ацетата (181 мг, неочищенный, 0,83 ммоль) в EtOH/DCM (1/1) добавляли гидрохлорид N-(2,4-дифтор-3-(5-(метил(пиперидин-4-ил)амино)-3-(пиримидин-5-ил)-1Н-пирроло[3,2-b]пиридин-1-ил)фенил)пропан-1-сульфонамида (150 мг, 0,28 ммоль) и добавляли кат. количество АсОН. Добавляли КОАс, если значение рН составляло менее 5-6. После перемешивания в течение 30 минут добавляли NaBH(OAc)3 (235 мг, 1,11 ммоль). Полученный раствор перемешивали при 30°С в течение 1 часа. После гашения водой (20 мл) смесь экстрагировали с помощью DCM (30 мл × 2). Объединенный органический слой высушивали над безводным сульфатом натрия и концентрировали под вакуумом. Остаток обрабатывали с помощью колонки с силикагелем с получением необходимого продукта, 2-(2-(2-(4-((1-(2,6-дифтор-3-(пропилсульфонамидо)фенил)-3-(пиримидин-5-ил)-1Н-пирроло[3,2-b]пиридин-5-ил)(метил)амино)пиперидин-1-ил)этокси)этокси)ацетата (120 мг, выход 58%). LCMS: (ES+): масса/заряд 744,3 [М+Н]+.
[0647] Стадия С: 2-(2-(2-(4-((1-(2,6-дифтор-3-(пропилсульфонамидо)фенил)-3-(пиримидин-5-ил)-1Н-пирроло[3,2-b]пиридин-5-ил)(метил)амино)пиперидин-1-ил)этокси)этокси)уксусная кислота
[0648] К раствору трет-бутил-2-(2-(2-(4-((1-(2,6-дифтор-3-(пропилсульфонамидо)фенил)-3-(пиримидин-5-ил)-1Н-пирроло[3,2-b]пиридин-5-ил)(метил)амино)пиперидин-1-ил)этокси)этокси)ацетата (0,12 г, 0,16 ммоль) в DCM (3 мл) добавляли TFA (1 мл). Полученный раствор перемешивали при 30°С в течение 1 часа. Растворитель удаляли под вакуумом с получением необходимого продукта, 2-(2-(2-(4-((1-(2,6-дифтор-3-(пропилсульфонамидо)фенил)-3-(пиримидин-5-ил)-1Н-пирроло[3,2-b]пиридин-5-ил)(метил)амино)пиперидин-1-ил)этокси)этокси)уксусной кислоты (111 мг, неочищенная, рассчитанное значение), которую применяли в следующей реакции без дополнительной очистки. LCMS: (ES+): масса/заряд 688,2 [М+Н]+.
[0649] Стадия D: (2S,4R)-1-(S)-2-(2-(2-(2-(4-((1-(2,6-дифтор-3-(пропилсульфонамидо)фенил)-3-(пиримидин-5-ил)-1H-пирроло[3,2-b]пиридин-5-ил)(метил)амино)пиперидин-1-ил)этокси)этокси)ацетамидо)-3,3-диметилбутаноил)-4-гидрокси-N-(4-(4-метилтиазол-5-ил)бензил)пирролидин-2-карбоксамид
[0650] К раствору 2-(2-(2-(4-((1-(2,6-дифтор-3-(пропилсульфонамидо)фенил)-3-(пиримидин-5-ил)-1Н-пирроло[3,2-b]пиридин-5-ил)(метил)амино)пиперидин-1-ил)этокси)этокси)уксусной кислоты (111 мг, неочищенная, 0,16 ммоль) в DCM (10 мл) последовательно добавляли гидрохлорид (2S,4R)-1-((S)-2-амино-3,3-диметилбутаноил)-4-гидрокси-N-(4-(4-метилтиазол-5-ил)бензил)пирролидин-2-карбоксамида (150 мг, 0,32 ммоль), DIPEA (209 мг, 1,62 ммоль) и РуВОР (250 мг, 0,48 ммоль). После перемешивания при 30°С в течение 1 часа реакционную смесь разбавляли с помощью DCM (30 мл), промывали водой (10 мл × 2), солевым раствором (10 мл). Органическую фазу высушивали над безводным сульфатом натрия и концентрировали под вакуумом. Остаток сначала очищали с помощью колонки (DCM/MeOH 19/1) и дополнительно очищали с помощью препаративной HPLC с получением необходимого продукта, (2S,4R)-1-((S)-2-(2-(2-(2-(4-((1-(2,6-дифтор-3-(пропилсульфонамидо)фенил)-3-(пиримидин-5-ил)-1Н-пирроло[3,2-b]пиридин-5-ил)(метил)амино)пиперидин-1-ил)этокси)этокси)ацетамидо)-3,3-диметилбутаноил)-4-гидрокси-N-(4-(4-метилтиазол-5-ил)бензил)пирролидин-2-карбоксамида (55 мг, выход 31% за две стадии) в виде белого твердого вещества. 1Н ЯМР (400 МГц, DMSO-d6): δ 9,65 (s, 2Н), 9,02 (s, 1H), 8,94 (s, 1H), 8,57 (t, J=4,8 Гц, 1H), 8,40 (m, 1H), 7,55-7,65 (m, 1H), 7,35-7,50 (m, 7H), 6,74 (d, J=9,2 Гц, 1H), 4,57 (d, J=9,6 Гц, 1H), 4,20-4,50 (m, 5H), 4,00 (s, 2H), 3,50-3,70 (m, 2H), 3,00-3,20 (m, 7H), 2,93 (s, 3H), 2,50-2,70 (m, 4H), 2,43 (s, 3H), 1,60-2,25 (m, 13H), 0,90-1,05 (m, 12H); LCMS: (ES+): масса/заряд 1101,4 [M+H]+.
[0651] Соединения 190 и 192 могут быть получены аналогичным образом.
[0652] Пример синтеза соединения 195, [(3R)-N-(3-(5-(4-(2-(2-(2,6-диоксопиперидин-3-ил)-1,3-диоксоизоиндолин-5-илокси)этокси)фенил)-1Н-пирроло[2,3-b]пиридин-3-карбонил)-2,4-дифторфенил)-3-фторпирролидин-1-сульфонамид]
[0653] Стадия А: этил-2-(4-(4,4,5,5-тетраметил-1,3,2-диоксаборолан-2-ил)фенокси)ацетат
[0654] К раствору 4-(4,4,5,5-тетраметил-1,3,2-диоксаборолан-2-ил)фенола (5 г, 22,7 ммоль) в N,N-диметилформамиде (50 мл) добавляли этил-2-бромацетат (4,52 г, 27,2 ммоль) и карбонат калия (6,27 г, 45,4 ммоль). Смесь перемешивали в течение ночи в атмосфере газообразного азота. Реакционную смесь добавляли в воду (200 мл) и экстрагировали этилацетатом (150 мл × 3). Органический слой промывали солевым раствором (100 мл × 3). Объединенные органические фазы высушивали над безводным сульфатом натрия, фильтровали и концентрировали in vacuo с получением этил-2-(4-(4,4,5,5-тетраметил-1,3,2-диоксаборолан-2-ил)фенокси)ацетата (5,2 г, 75%) в виде бесцветного масла.
[0655] Стадия В: метил-2-(4-(4,4,5,5-тетраметил-1,3,2-диоксаборолан-2-ил)фенокси)этанол
[0656] К раствору этил-2-(4-(4,4,5,5-тетраметил-1,3,2-диоксаборолан-2-ил)фенокси)ацетата (1 г, 3,27 ммоль) в смеси тетрагидрофуран/этанол (10 мл/10 мл) добавляли борогидрид натрия (124 мг, 3,27 ммоль) на бане с ледяной водой. Обеспечивали нагревание смеси до комнатной температуры и перемешивали в течение 2 часов. Смесь разделяли между этилацетатом (100 мл) и водой (50 мл). Органический слой отделяли, промывали солевым раствором (20 мл × 3), высушивали над безводным сульфатом натрия, фильтровали и концентрировали in vacuo с получением метил-2-(4-(4,4,5,5-тетраметил-1,3,2-диоксаборолан-2-ил)фенокси)этанола (0,8 г, 93%) в виде бесцветного масла.
[0657] Стадия С: 2-(4-(4,4,5,5-тетраметил-1,3,2-диоксаборолан-2-ил)фенокси)этилметансульфонат
[0658] К раствору 2-(4-(4,4,5,5-тетраметил-1,3,2-диоксаборолан-2-ил)фенокси)этанола (200 мг, 0,76 ммоль) и этилдиизопропиламина (293 мг, 2,27 моль) в дихлорметане (10,0 мл) при охлаждении добавляли метансульфонилхлорид (105 мг, 0,91 ммоль) и смесь перемешивали при 0°С в течение 30 минут. Смесь гасили холодной водой (10,0 мл), органический слой промывали раствором бикарбоната натрия (10,0 мл × 3) и солевым раствором (10,0 мл × 3), высушивали над насыщенным раствором безводного сульфата натрия, фильтровали и концентрировали in vacuo с получением (2-(4-(4,4,5,5-тетраметил-1,3,2-диоксаборолан-2-ил)фенокси)этилметансульфоната, который применяли непосредственно для следующей стадии.
[0659] Стадия D: 2-(2,6-диоксопиперидин-3-ил)-5-(2-(4-(4,4,5,5-тетраметил-1,3,2-диоксаборолан-2-ил)фенокси)этокси)изоиндодин-1,3-дион
[0660] Смесь (2-(4-(4,4,5,5-тетраметил-1,3,2-диоксаборолан-2-ил)фенокси)этилметансульфоната (260 мг, 0,76 ммоль), карбоната калия (210 мг, 1,52 моль), йодида калия (126 мг, 0,76 ммоль) и 2-(2,6-диоксопиперидин-3-ил)-5-гидроксиизоиндолин-1,3-диона (208 мг, 0,76 ммоль) в диметилсульфоксиде (10 мл) перемешивали при 60°С в течение ночи. Полученную смесь охлаждали до комнатной температуры. Добавляли воду (20 мл) и этилацетат (20 мл). Органический слой отделяли, промывали солевым раствором (10 мл × 2), высушивали над безводным сульфатом натрия, фильтровали и концентрировали in vacuo с получением неочищенного продукта, который очищали с помощью препаративной TLC (дихлорметан/метанол=20:1) с получением 2-(2,6-диоксопиперидин-3-ил)-5-(2-(4-(4,4,5,5-тетраметил-1,3,2-диоксаборолан-2-ил)фенокси)этокси)изоиндолин-1,3-диона (140 мг, 36%, две стадии) в виде белого твердого вещества. LCMS (ES+): масса/заряд 521,2 [М+Н]+, 538,2 [М+18]+.
[0661] Стадия Е: (3R)-N-(3-(5-(4-(2-(2-(2,6-диоксопиперидин-3-ил)-1,3-диоксоизоиндолин-5-илокси)этокси)фенил)-1Н-пирроло[2,3-b]пиридин-3-карбонил)-2,4-дифторфенил)-3-фторпирролидин-1-сульфонамид
[0662] К раствору 2-(2,6-диоксопиперидин-3-ил)-5-(2-(4-(4,4,5,5-тетраметил-1,3,2-диоксаборолан-2-ил)фенокси)этокси)изоиндолин-1,3-диона (136 мг, 0,26 ммоль), (R)-N-(3-(5-бром-1Н-пирроло[2,3-b]пиридин-3-карбонил)-2,4-дифторфенил)-3-фторпирролидин-1-сульфонамида (120 мг, 0,24 ммоль) и CsF (0,18 мг, 0,012 ммоль) в 1,4-диоксане (10 мл) и воде (2 мл) добавляли Pd(aMPhos)Cl2 (17 мг, 0,024 ммоль) в атмосфере аргона и смесь перемешивали при 100°С в течение 6 часов. Когда ее охлаждали до комнатной температуры, добавляли воду (20 мл) и полученную смесь экстрагировали с помощью ЕА (20 мл × 3), промывали солевым раствором (10 мл × 3), высушивали над безводным сульфатом натрия, фильтровали и концентрировали. Остаток очищали с помощью препаративной HPLC с получением (3R)-N-(3-(5-(4-(2-(2-(2,6-диоксопиперидин-3-ил)-1,3-диоксоизоиндолин-5-илокси)этокси)фенил)-1Н-пирроло[2,3-b]пиридин-3-карбонил)-2,4-дифторфенил)-3-фторпирролидин-1-сульфонамида (8,1 мг, выход 4%) в виде белого твердого вещества. LCMS (ES+): масса/заряд 817,2 [М+Н]+; 1Н ЯМР (400 МГц, DMSO-d6) δ 2,06-2,09 (3Н, m), 2,55-2,62 (2Н, m), 2,85-2,93 (1H, m), 3,24-3,27 (1H, m), 3,38-3,50 (3Н, m), 4,42-4,46 (2Н, m), 4,58-4,62 (2Н, m), 5,12-5,16 (1H, m), 5,23-5,36 (1Н, m), 7,15 (2Н, d, J=8,8 Гц), 7,25 (1Н, t, J=8,8 Гц), 7,45 (1Н, dd, J=2,4, 8,4 Гц), 7,55 (1Н, d,J=2,0 Гц), 7,59-7,63 (1H, m), 7,70 (2Н, d, J=8,4 Гц), 7,87 (1Н, d, J=8,4 Гц), 8,10 (1H, s), 8,58 (1H, s), 8,68 (1Н, d, J=2,4 Гц), 9,89 (1H, brs.), 11,14 (1Н, s), 12,96 (1H, brs.).
[0663] Соединения 194 и 195 могут быть получены аналогичным образом.
[0664] Пример синтеза соединения 285, [(2S,4R)-1-((S)-2-(3-(2-(4-(4-(3-(2,6-дифтор-3-(((R)-3-фторпирролидин)-1-сульфонамидо)бензоил)-1Н-пирроло[2,3-b]пиридин-5-ил)фенил)пиперазин-1-ил)этокси)изоксазол-5-ил)-3-метилбутаноил)-4-гидрокси-N-(4-(4-метилтиазол-5-ил)бензил)пирролидин-2-карбоксамид], и соединения 286, [(2S,4R)-1-((R)-2-(3-(2-(4-(4-(3-(2,6-дифтор-3-(((R)-3-фторпирролидин)-1-сульфонамидо)бензоил)-1Н-пирроло[2,3-b]пиридин-5-ил)фенил)пиперазин-1-ил)этокси)изоксазол-5-ил)-3-метилбутаноил)-4-гидрокси-N-(4-(4-метилтиазол-5-ил)бензил)пирролидин-2-карбоксамид]
и
[0665] Стадия А: 2-(3-гидрокси-1,2-оксазол-5-ил)-3-метилбутановая кислота
[0666] В круглодонную колбу объемом 100 мл помещали 2-(3-метокси-1,2-оксазол-5-ил)-3-метилбутановую кислоту (1,0 г, 5,02 ммоль, 1,0 экв.) и раствор бромистоводородной кислоты (11,9 г, 147,07 ммоль, 29,30 экв.) в уксусной кислоте (20 мл). Полученный раствор перемешивали в течение ночи при 60°С на масляной бане. Реакционную смесь концентрировали при пониженном давлении. Это обеспечивало получение 650,0 мг (неочищенной) 2-(3-гидрокси-1,2-оксазол-5-ил)-3-метилбутановой кислоты в виде белого твердого вещества.
[0667] LCMS (ES+): масса/заряд 186,05 [М+Н]+.
[0668] Стадия В: этил-2-(3-гидрокси-1,2-оксазол-5-ил)-3-метилбутаноат
[0669] В круглодонную колбу объемом 50 мл, которую продували азотом и в которой поддерживали инертную атмосферу азота, помещали раствор 2-(3-гидрокси-1,2-оксазол-5-ил)-3-метилбутановой кислоты (650,0 мг, 3,51 ммоль, 1,00 экв.) в этаноле (30 мл), серной кислоте (1 мл). Полученный раствор перемешивали в течение ночи при 70°С. Затем реакционную смесь гасили путем добавления 20 мл воды и экстрагировали этилацетатом (20 мл х 2). Объединенный органический слой высушивали над безводным сульфатом натрия. Фильтровали и фильтрат концентрировали при пониженном давлении. Это обеспечивало получение 720,0 мг (96%) этил-2-(3-гидрокси-1,2-оксазол-5-ил)-3-метилбутаноата в виде светло-желтого масла.
[0670] Стадия С: этил-2-[3-(2-бромэтокси)-1,2-оксазол-5-ил]-3-метилбутаноат
[0671] В круглодонную колбу объемом 50 мл, которую продували азотом и в которой поддерживали инертную атмосферу азота, помещали раствор этил-2-(3-гидрокси-1,2-оксазол-5-ил)-3-метилбутаноата (380,0 мг, 1,78 ммоль, 1,00 экв.) в ацетоне (15 мл), 1,2-дибромэтан (994,8 мг, 5,30 ммоль, 3,00 экв.), Cs2CO3 (1,17 г, 3,59 ммоль, 2,00 экв.). Полученную смесь перемешивали в течение ночи при комнатной температуре. Затем реакционную смесь гасили путем добавления воды (15 мл) и экстрагировали этилацетатом (20 мл х 3). Объединенный органический слой высушивали над безводным сульфатом натрия и концентрировали при пониженном давлении. Остаток обрабатывали с помощью колонки с силикагелем с элюированием смесью этилацетат/петролейный эфир (1:5). Это обеспечивало получение 450,0 мг (79%) этил-2-[3-(2-бромэтокси)-1,2-оксазол-5-ил]-3-метилбутаноата в виде бесцветного твердого вещества.
[0672] Стадия D: 1-[4-(4,4,5,5-тетраметил-1,3,2-диоксаборолан-2-ил)фенил]пиперазин
[0673] В круглодонную колбу объемом 100 мл, которую продували азотом и в которой поддерживали инертную атмосферу азота, помещали раствор трет-бутил-4-[4-(4,4,5,5-тетраметил-1,3,2-диоксаборолан-2-ил)фенил]пиперазин-1-карбоксилата (1,6 г, 4,12 ммоль, 1,00 экв.) в дихлорметане (40 мл) с последующим добавлением по каплям TMSOTf (1,5 г, 6,75 ммоль, 1,60 экв.) с перемешиванием при 0°С. К вышеуказанному раствору добавляли 6-диметилпиридин (132,5 мг, 1,00 ммоль, 0,30 экв.). Полученный раствор перемешивали в течение 3 часов при комнатной температуре. Затем реакционную смесь гасили путем добавления 50 мл насыщенного водного раствора бикарбоната натрия. Полученный раствор экстрагировали этилацетатом (30 мл х 3). Объединенный органический слой высушивали над безводным сульфатом натрия и концентрировали при пониженном давлении. Остаток обрабатывали с помощью колонки с силикагелем с элюированием смесью дихлорметан/метанол (10:1). Это обеспечивало получение 854,0 мг (72%) 1-[4-(4,4,5,5-тетраметил-1,3,2-диоксаборолан-2-ил)фенил]пиперазина в виде грязно-белого твердого вещества. LCMS (ES+): масса/заряд 289,15 [М+Н]+.
[0674] Стадия Е: этил-3-метил-2-[3-(2-[4-[4-(тетраметил-1,3,2-диоксаборолан-2-ил)фенил]пиперазин-1-ил]этокси)-1,2-оксазол-5-ил]бутаноат
[0675] В герметичную пробирку объемом 30 мл, которую продували азотом и в которой поддерживали инертную атмосферу азота, помещали раствор этил-2-[3-(2-бромэтокси)-1,2-оксазол-5-ил]-3-метилбутаноата (576,0 мг, 1,80 ммоль, 1,00 экв.) в N,N-диметилформамиде (6 мл), 1-[4-(тетраметил-1,3,2-диоксаборолан-2-ил)фенил]пиперазин (624,0 мг, 2,17 ммоль, 1,20 экв.), DIEA (17 мл), NaI (20 мг). Полученный раствор перемешивали в течение 16 часов при 130°С. Затем реакционную смесь гасили путем добавления 30 мл воды. Полученный раствор экстрагировали этилацетатом (30 мл х 3). Объединенный органический слой промывали солевым раствором (30 мл х 3), высушивали над безводным сульфатом натрия и концентрировали при пониженном давлении. Остаток обрабатывали с помощью колонки с силикагелем с элюированием смесью этилацетат/петролейный эфир (1:2). Это обеспечивало получение 720,0 мг (76%) этил-3-метил-2-[3-(2-[4-[4-(тетраметил-1,3,2-диоксаборолан-2-ил)фенил]пиперазин-1-ил]этокси)-1,2-оксазол-5-ил]бутаноата в виде светло-желтого твердого вещества. LCMS (ES+): масса/заряд 528,25 [М+H]+.
[0676] Стадия F: этил-2-(3-[2-[4-(4-[3-[(2,6-дифтор-3-[[(3R)-3-фторпирролидинсульфонил]амино]фенил)карбонил]-1Н-пирроло[2,3-b]пиридин-5-ил]фенил)пиперазин-1-ил]этокси]-1,2-оксазол-5-ил)-3-метилбутаноат
[0677] 
[0678] В герметичную пробирку объемом 30 мл, которую продували азотом и в которой поддерживали инертную атмосферу азота, помещали раствор этил-3-метил-2-[3-(2-[4-[4-(тетраметил-1,3,2-диоксаборолан-2-ил)фенил]пиперазин-1-ил]этокси)-1,2-оксазол-5-ил]бутаноата (527,0 мг, 1,00 ммоль, 1,00 экв.) в 20 мл смеси 1,4-диоксан/вода (4:1), (3R)-N-[3-(5-бром-1Н-пирроло[2,3-b]пиридин-3-илкарбонил)-2,4-дифторфенил]-3-фторпирролидин-1-сульфонамид (503,0 мг, 1,00 ммоль, 1,00 экв.), карбонат натрия (318,0 мг, 3,00 ммоль, 3,00 экв.), Pd(dppf)Cl2 (82,0 мг, 0,10 ммоль, 0,10 экв.). Реакционную смесь подвергали реакции при микроволновом облучении в течение 2 часов при 100°С. Затем реакционную смесь гасили путем добавления 20 мл воды. Полученный раствор экстрагировали этилацетатом (30 мл х 3). Объединенный органический слой высушивали над безводным сульфатом натрия и концентрировали при пониженном давлении. Остаток обрабатывали с помощью колонки с силикагелем с элюированием смесью дихлорметан/метанол (10:1). Это обеспечивало получение 460,0 мг (56%) этил-2-(3-[2-[4-(4-[3-[(2,6-дифтор-3-[[(3R)-3-фторпирролидин-1-сульфонил]амино]фенил)карбонил]-1Н-пирроло[2,3-b]пиридин-5-ил]фенил)пиперазин-1-ил]этокси]-1,2-оксазол-5-ил)-3-метилбутаноата в виде светло-желтого твердого вещества. LCMS (ES+): масса/заряд 824,15 [М+Н]+.
Стадия G: 2-(3-[2-[4-(4-[3-[(2,6-дифтор-3-[[(3R)-3-фторпирролидин-1-сульфонил]амино]фенил)карбонил]-1Н-пирроло[2,3-b]пиридин-5-ил]фенил)пиперазин-1-ил]этокси]-1,2-оксазол-5-ил)-3-метилбутановая кислота
[0679] В круглодонную колбу объемом 50 мл, которую продували азотом и в которой поддерживали инертную атмосферу азота, помещали раствор этил-2-(3-[2-[4-(4-[3-[(2,6-дифтор-3-[[(3R)-3-фторпирролидин-1-сульфонил]амино]фенил)карбонил]-1Н-пирроло[2,3-b]пиридин-5-ил]фенил)пиперазин-1-ил]этокси]-1,2-оксазол-5-ил)-3-метилбутаноата (420,0 мг, 0,51 ммоль, 1,00 экв.) в метаноле (10 мл) и затем добавляли раствор гидроксида натрия (102,0 мг, 2,55 ммоль, 5,00 экв.) в воде (2 мл). Полученный раствор перемешивали при 40°С в течение 5 часов. Значение рН раствора регулировали до рН 6 с помощью хлороводорода (1 моль/л). Твердые вещества собирали путем фильтрации. Твердое вещество высушивали в печи при пониженном давлении. Это обеспечивало получение 366,0 мг (90%) 2-(3-[2-[4-(4-[3-[(2,6-дифтор-3-[[(3R)-3-фторпирролидин-1-сульфонил]амино]фенил)карбонил]-1Н-пирроло[2,3-b]пиридин-5-ил]фенил)пиперазин-1-ил]этокси]-1,2-оксазол-5-ил)-3-метилбутановой кислоты в виде твердого вещества. LCMS (ES+): масса/заряд 796,10 [М+Н]+.
[0680] Стадия Н: (2S,4R)-1-[2-(3-[2-[4-(4-[3-[(2,6-дифтор-3-[[(3R)-3-фторпирролидин-1-сульфонил]амино]фенил)карбонил]-1Н-пирроло[2,3-b]пиридин-5-ил]фенил)пиперазин-1-ил]этокси]-1,2-оксазол-5-ил)-3-метилбутаноил]-4-гидрокси-N-[[4-(4-метил-1,3-тиазол-5-ил)фенил-метил]пирролидин-2-карбоксамид
[0681] К раствору 2-(3-[2-[4-(4-[3-[(2,6-дифтор-3-[[(3R)-3-фторпирролидин-1-сульфонил]амино]фенил)карбонил]-1Н-пирроло[2,3-b]пиридин-5-ил]фенил)пиперазин-1-ил]этокси]-1,2-оксазол-5-ил)-3-метилбутановой кислоты (300,0 мг, 0,38 ммоль, 1,00 экв.) и гидрохлорида (2S,4R)-4-гидрокси-N-[4-(4-метил-1,3-тиазол-5-ил)фенил]метилпирролидин-2-карбоксамида (199,9 мг, 0,56 ммоль, 1,50 экв.) в N,N-диметилформамиде (10 мл) добавляли DIEA (3,0 мл) и ВОР (200,3 мг, 0,45 ммоль, 1,20 экв.). Полученную смесь перемешивали в течение 1 часа при комнатной температуре. Затем реакционную смесь гасили путем добавления 20 мл воды. Полученный раствор экстрагировали этилацетатом (30 мл х 3). Объединенный органический слой промывали солевым раствором (30 мл х 3), высушивали над безводным сульфатом натрия и концентрировали при пониженном давлении. Остаток обрабатывали с помощью колонки с силикагелем с элюированием смесью дихлорметан/метанол (10:1). Это обеспечивало получение 265,0 мг (64%) (2S,4R)-1-[2-(3-[2-[4-(4-[3-[(2,6-дифтор-3-[[(3R)-3-фторпирролидин-1-сульфонил]амино]фенил)карбонил]-1Н-пирроло[2,3-b]пиридин-5-ил]фенил)пиперазин-1-ил]этокси]-1,2-оксазол-5-ил)-3-метилбутаноил]-4-гидрокси-N-[[4-(4-метил-1,3-тиазол-5-ил)фенил]метил]пирролидин-2-карбоксамида в виде твердого вещества. LCMS (ES+): масса/заряд 1095,30 [М+Н]+.
[0682] Стадия I: (2S,4R)-4-гидрокси-N-[[4-(4-метил-1,3-тиазол-5-ил)фенил]метил]-1-(2-[3-[2-(метиламино)этокси]-1,2-оксазол-5-ил]бутаноил)пирролидин-2-карбоксамид
и
[0683] (2S,4R)-1-[2-(3-[2-[4-(4-[3-[(2,6-Дифтор-3-[[(3R)-3-фторпирролидин-1-сульфонил]амино]фенил)карбонил]-1Н-пирроло[2,3-b]пиридин-5-ил]фенил)пиперазин-1-ил]этокси]-1,2-оксазол-5-ил)-3-метилбутаноил]-4-гидрокси-N-[[4-(4-метил-1,3-тиазол-5-ил)фенил]метил]пирролидин-2-карбоксамид разделяли с помощью хиральной HPLC, что приводило к образованию:
[0684] 25,7 мг (10%) (2S,4R)-1-((S)-2-(3-(2-(4-(4-(3-(2,6-дифтор-3-(((R)-3-фторпирролидин)-1-сульфонамидо)бензоил)-1Н-пирроло[2,3-b]пиридин-5-ил)фенил)пиперазин-1-ил)этокси)изоксазол-5-ил)-3-метилбутаноил)-4-гидрокси-N-(4-(4-метилтиазол-5-ил)бензил)пирролидин-2-карбоксамида. 1H ЯМР (300 МГц, DMSO-d6): δ 9,10-8,97 (m, 1H), 8,65 (d, J=2,0 Гц, 1H), 8,60-8,53 (m, 2H), 8,10-8,07 (m, 1H), 7,70-7,56 (m, 3H), 7,51-7,21 (m, 5H), 7,18-7,07 (m, 2H), 6,18-6,12 (m, 1H), 5,38-5,21 (m, 1H), 4,44-4,31 (m, 6H), 3,78 (d, J=8,6 Гц, 1H), 3,62-3,45 (m, 4H), 3,32-3,01 (m, 8H), 2,98-2,60 (m, 4H), 2,55-2,43 (m, 3H), 2,34-1,82 (m, 6H), 0,97-0,62 (m, 6H). LCMS (ES+): масса/заряд 1095,60 [М+Н]+.
[0685] 57,5 мг (22%) (2S,4R)-1-((R)-2-(3-(2-(4-(4-(3-(2,6-дифтор-3-(((R)-3-фторпирролидин)-1-сульфонамидо)бензоил)-1Н-пирроло[2,3-b]пиридин-5-ил)фенил)пиперазин-1-ил)этокси)изоксазол-5-ил)-3-метилбутаноил)-4-гидрокси-N-(4-(4-метилтиазол-5-ил)бензил)пирролидин-2-карбоксамида. 1H ЯМР (300 МГц, DMSO-d6): δ 12,90 (brs, 1H), 9,84 (brs, 1H), 8,99-8,95 (m, 1H), 8,69-8,66 (m, 1H), 8,60-8,53 (m, 2H), 8,07 (s, 1H), 7,70-7,61 (m, 3H), 7,54-7,39 (m, 4H), 7,38-7,30 (m, 1H), 7,21-7,08 (m, 2H), 6,18-5,80 (m, 1H), 5,40-5,15 (m, 1H), 4,74-4,28 (m, 6H), 3,90-3,62 (m, 6H),3,41-3,22 (m, 7H), 3,21-2,81 (m, 5H) 2,45-2,42 (m, 3H), 2,32-2,20 (m, 1H), 2,17-1,80 (m, 4H), 0,95 (d, J=6,5 Гц, 3H), 0,81 (d, J=6,7 Гц, 3H). LCMS (ES+): масса/заряд 1095,60 [М+Н]+.
[0686] Иллюстративные соединения 287 и 288 могут быть получены аналогичным образом.
[0687] Пример синтеза соединения 291, [(2S,4R)-4-гидрокси-1-((S)-2-(2-(2-(4-(4-((Е)-1-(гидроксиимино)-2,3-дигидро-1Н-инден-5-ил)-3-(пиридин-4-ил)-1Н-пиразол-1-ил)фенокси)этокси)ацетамидо)-3,3-диметилбутаноил)-N-(4-(4-метилтиазол-5-ил)бензил)пирролидин-2-карбоксамид]
[0688] Стадия А: трет-бутил-2-(2-(4-(4-бром-3-(пиридин-4-ил)-1Н-пиразол-1-ил)фенокси)этоксиацетатэтокси)ацетат
[0689] К раствору трет-бутил-2-(2-хлорэтокси)ацетата (400 мг, 2,06 ммоль) и CS2CO3 в DMF (15 мл) добавляли трет-бутил-4-(4-бром-3-(пиридин-4-ил)-1Н-пиразол-1-ил)фенол (525 мг, 1,66 ммоль). Смесь перемешивали при 75°С в течение 3 часов. Раствор разбавляли с помощью ЕА (100 мл). Смесь промывали водой, солевым раствором. Органическую фазу высушивали над безводным сульфатом натрия, фильтровали и концентрировали при пониженном давлении. Остаток очищали с помощью колоночной хроматографии на силикагеле с получением 2-(2-(4-(4-бром-3-(пиридин-4-ил)-1H-пиразол-1-ил)фенокси)этокси)ацетатэтокси)ацетата (290 мг, 0,62 ммоль). LCMS (ES+): масса/заряд 475,21 [М+Н]+, 476,1 [М+2H]+.
[0690] Стадия В: (2S,4R)-1-((S)-2-(2-(2-(4-(4-бром-3-(пиридин-4-ил)-1Н-пиразол-1-ил)фенокси)этокси)ацетамидо)-3,3-диметилбутаноил)-4-гидрокси-N-(4-(4-метилтиазол-5-ил)бензил)пирролидин-2-карбоксамид
[0691] К раствору 2-(2-(4-(4-бром-3-(пиридин-4-ил)-1H-пиразол-1-ил)фенокси)этокси)ацетатэтокси)ацетата (290 мг, 0,61 ммоль) в 1,4-диоксане (5 мл) добавляли HCl (г.) в 1,4-диоксане (3 М, 5 мл). Реакционную смесь перемешивали при комнатной температуре в течение 2 часов. Растворитель удаляли при пониженном давлении. Остаток растворяли в DCM (20 мл). К раствору последовательно добавляли гидрохлорид (2S,4R)-1-((S)-2-амино-3,3-диметилбутаноил)-4-гидрокси-N-(4-(4-метилтиазол-5-ил)бензил)пирролидин-2-карбоксамида (394 мг, 0,92 ммоль), DIPEA (394 мг, 3,05 ммоль) и РуВОР (954 г, 1,83 ммоль). После перемешивания в течение 30 минут его разбавляли с помощью DCM (50 мл). Смесь промывали водой, солевым раствором. Органическую фазу высушивали над безводным сульфатом натрия, фильтровали и концентрировали при пониженном давлении. Остаток очищали с помощью колоночной хроматографии на силикагеле с получением (2S,4R)-1-((S)-2-(2-(2-(4-(4-бром-3-(пиридин-4-ил)-1Н-пиразол-1-ил)фенокси)этокси)ацетамидо)-3,3-диметилбутаноил)-4-гидрокси-N-(4-(4-метилтиазол-5-ил)бензил)пирролидин-2-карбоксамида (390 мг, 0,46 ммоль). LCMS (ES+): масса/заряд 830,2 [М+Н]+.
[0692] Стадия С: (2S,4R)-1-((S)-3,3-диметил-2-(2-(2-(4-(4-(1-оксо-2,3-дигидро-1Н-инден-5-ил)-3-(пиридин-4-ил)-1H-пиразол-1-ил)фенокси)этокси)ацетамидо)бутаноил)-4-гидрокси-N-(4-(4-метилтиазол-5-ил)бензил)пирролидин-2-карбоксамид
[0693] К раствору (2S,4R)-1-((S)-2-(2-(2-(4-(4-бром-3-(пиридин-4-ил)-1Н-пиразол-1-ил)фенокси)этокси)ацетамидо)-3,3-диметилбутаноил)-4-гидрокси-N-(4-(4-метилтиазол-5-ил)бензил)пирролидин-2-карбоксамида (390 мг, 0,46 ммоль) и 5-(4,4,5,5-тетраметил-1,3,2-диоксаборолан-2-ил)-2,3-дигидро-1Н-инден-1-она (248 мг, 0,92 ммоль) в смеси 1,4-диоксан/вода (20 мл/1 мл) последовательно добавляли Pd(aMPhos)Cl2 (36 мг, 0,046 ммоль), CsF (360 мг, 2,30 ммоль). Реакционную смесь перемешивали при 90°С в течение ночи в атмосфере азота. После охлаждения до комнатной температуры ее разбавляли этилацетатом (100 мл). Смесь промывали солевым раствором (50 мл х 2). Органическую фазу высушивали над безводным сульфатом натрия, фильтровали и концентрировали под вакуумом. Остаток очищали с помощью колоночной хроматографии на силикагеле (DCM/MeOH) с получением (2S,4R)-1-((S)-3,3-диметил-2-(2-(2-(4-(4-(1-оксо-2,3-дигидро-1Н-инден-5-ил)-3-(пиридин-4-ил)-1Н-пиразол-1-ил)фенокси)этокси)ацетамидо)бутаноил)-4-гидрокси-N-(4-(4-метилтиазол-5-ил)бензил)пирролидин-2-карбоксамида (230 мг, 0,26 ммоль). LCMS (ES+): масса/заряд 882,3 [М+Н]+.
[0694] Стадия D: (2S,4R)-4-гидрокси-1-((S)-2-(2-(2-(4-(4-((Е)-1-(гидроксиимино)-2,3-дигидро-1Н-инден-5-ил)-3-(пиридин-4-ил)-1Н-пиразол-1-ил)фенокси)этокси)ацетамидо)-3,3-диметилбутаноил)-N-(4-(4-метилтиазол-5-ил)бензил)пирролидин-2-карбоксамид
[0695] К раствору (2S,4R)-1-((S)-3,3-диметил-2-(2-(2-(4-(4-(1-оксо-2,3-дигидро-1Н-инден-5-ил)-3-(пиридин-4-ил)-1H-пиразол-1-ил)фенокси)этокси)ацетамидо)бутаноил)-4-гидрокси-N-(4-(4-метилтиазол-5-ил)бензил)пирролидин-2-карбоксамида (230 мг, 0,26 ммоль) в CH3CN и пиридине (об./об. = 1/1, 5 мл) добавляли NH2OH⋅HCl (179 мг, 2,6 ммоль). Раствор перемешивали при 20°С в течение 3 часов. Смесь фильтровали через целит. Фильтрат концентрировали под вакуумом. Остаток очищали с помощью колоночной хроматографии на силикагеле (DCM/MeOH) с получением (2S,4R)-4-гидрокси-1-((S)-2-(2-(2-(4-(4-((Е)-1-(гидроксиимино)-2,3-дигидро-1Н-инден-5-ил)-3-(пиридин-4-ил)-1Н-пиразол-1-ил)фенокси)этокси)ацетамидо)-3,3-диметилбутаноил)-N-(4-(4-метилтиазол-5-ил)бензил)пирролидин-2-карбоксамида (21 мг, 0,023 ммоль). 1H ЯМР (400 МГц, DMSO-d6): δ 10,89 (s, 1Н), 8,97 (s, 1H), 8,72 (s, 1H), 8,56-8,58 (m, 3H), 7,86 (d, J=8,4 Гц, 2H), 7,49-7,57 (m, 3H), 7,39 (m, 6H), 7,22 (s, 1H), 7,09-7,12 (m, 2H), 5,17 (m, 1H), 4,52-4,65 (m, 1H), 4,32-4,50 (m, 3H), 4,08-4,29 (s, 4H), 3,95-4,05 (m, 2H), 3,73-3,82 (m, 2H), 3,56-3,70 (m, 2H), 2,95-3,08 (m, 2H), 2,76-2,85 (s, 2H), 2,40-2,51 (m, 3H), 1,87-2,16 (s, 1H), 0,91-1,07 (s, 9H). LCMS (ES+): масса/заряд 898,4 [М+Н]+.
[0696] Иллюстративные соединения 289, 290, 292 и 293 могут быть получены аналогичным образом.
[0697] Пример 15. Схема синтеза А: соединения 305, 298, 299, 300, 301, 302, 514 и 303
Способ А
[0698] трет-Бутил-4-(4-(4,4,5,5-тетраметил-1,3,2-диоксаборолан-2-ил)фенокси)бутаноат (1). К смеси 4-(4,4,5,5-тетраметил-1,3,2-диоксаборолан-2-ил)фенола (209,12 мг, 0,95 ммоль) и трет-бутил-4-бромбутаноата (212 мг, 0,95 ммоль) в N,N-диметилформамиде (2 мл) добавляли Cs2CO3 (402,47 мг, 1,24 ммоль). Реакционную смесь нагревали при 65°С в течение 12 часов (в течение ночи). С помощью TLC показали присутствие небольшого количества исходного вещества (Hex:AcOEt, 7:3). Неочищенный продукт очищали с помощью флэш-СС (SiO2-25 г, Hex:AcOEt, градиент от 9:1 до 4:6) с получением 198 мг (выход 57%) продукта в виде масла: 1H ЯМР (500 МГц, DMSO-d6) δ 7,59 (d, J=8,2 Гц, 2H), 6,91 (d, J=7,9 Гц, 2Н), 3,99 (t, J=6,3 Гц, 2H), 2,35 (t, J=7,3 Гц, 2H), 1,92 (р, J=6,7 Гц, 2H), 1,39 (s, 9H), 1,27 (s, 12H). 13C ЯМР (101 МГц, dmso) δ 172,25, 161,56, 136,66, 114,37, 83,77, 80,12, 66,81, 31,72, 28,20, 25,12, 24,71. LC-MS (ESI); масса/заряд [M+Na]+: рассч. для C20H31BO5Na 385,2162. Обнаруженное 385,2194.
[0699] трет-Бутил-4-(4-(3-бензоил-1Н-пирроло[2,3-b]пиридин-5-ил)фенокси)бутаноат (2). Раствор трет-бутил-4-[4-(4,4,5,5-тетраметил-1,3,2-диоксаборолан-2-ил)фенокси]-бутаноата (72 мг, 0,2 ммоль) и (5-бром-1H-пирроло[2,3-b]пиридин-3-ил)-фенилметанона (59,85 мг, 0,2 ммоль) в диоксане (6 мл) дегазировали под вакуумом и продували аргоном. Затем добавляли K2CO3 (82,4 мг, 0,6 ммоль), затем воду (2 мл), реакционную смесь дегазировали под вакуумом и снова продували аргоном. Добавляли в нее трициклогексилфосфин (5,57 мг, 0,02 ммоль) и Pd(dba)2 (5,71 мг, 0,01 ммоль) и реакционную смесь дегазировали под вакуумом и снова продували аргоном. Затем реакционную смесь нагревали при 90°С в течение 2 часов. С помощью TLC показали присутствие некоторого количества SM (Hex:AcOEt, 3:7), дважды добавляли дополнительные количества трициклогексилфосфина (5,57 мг, 0,02 ммоль) и Pd(dba)2 (5,71 мг, 0,01 ммоль) и реакционную смесь перемешивали в течение дополнительных 2 часов. Реакционную смесь разбавляли с помощью AcOEt (20 мл), высушивали (Na2SO4) и фильтровали в вакууме через подушку из целита, фильтрат высушивали (Na2SO4) и концентрировали под вакуумом. Неочищенный материал разбавляли в DCM и очищали с помощью флэш-хроматографии (SiO2-40 г, градиент Hex:AcOEt, градиент от 9:1 до 100% AcOEt) с получением 69 мг (68%) продукта в виде грязно-белого твердого вещества. 1H ЯМР (500 МГц, DMSO-d6) δ 12,68 (s, 1H), 8,65 (s, 1H), 8,60 (s, 1H), 8,10 (s, 1H), 7,82 (d, J=7,5 Гц, 2H), 7,58 (dt, J=36,0, 7,9 Гц, 5Н), 7,04 (d, J=8,1 Гц, 2Н), 4,16-3,83 (m, 2H), 2,37 (t, J=6,5 Гц, 2H), 1,95 (dd, J=11,4, 5,5 Гц, 2H), 1,39 (s, 9H). 13С ЯМР (126 МГц, dmso) δ 189,81, 171,86, 158,13, 148,26, 143,24, 139,62, 136,43, 131,45, 130,82, 130,66, 128,52, 128,48, 128,16, 127,01, 118,77, 115,13, 113,73, 79,68, 66,63, 31,36, 27,77, 24,37. LC-MS (ESI); масса/заряд: [М+Н]+ рассч. для C28H29N2O4 457,2127. Обнаруженное 457,2156.
[0700] 4-(4-(3-Бензоил-1Н-пирроло[2,3-b]пиридин-5-ил)фенокси)бутановая кислота (3). Раствор трет-бутил-4-(4-(3-(2,6-дифторбензоил)-1Н-пирроло[2,3-b]пиридин-5-ил)-фенокси)бутаноата (30 мг, 0,06 ммоль) в смеси TFA (1 мл, 13,46 ммоль) и дихлорметана (3 мл) перемешивали в течение 1 часа. Затем растворитель удаляли под вакуумом и неочищенный продукт высушивали в высоком вакууме в течение 2 часов. Неочищенный продукт применяли на следующей стадии без какой-либо дополнительной очистки (26,5 мг, количественный выход). LC-MS (ESI); масса/заряд: [М+Н]+ рассч. для C24H21N2O4 401,1501. Обнаруженное 401,1420.
[0701] (2S,4R)-1-((S)-2-(4-(4-(3-Бензоил-1Н-пирроло[2.3-b]пиридин-5-ил)фенокси)бутанамидо)-3,3-диметилбутаноил)-4-гидрокси-N-(4-(4-метилтиазол-5-ил)бензил)пирролидин-2-карбоксамид (соединение 305). К раствору 4-[4-(3-бензоил-1Н-пирроло[2,3-b]пиридин-5-ил)-фенокси]бутановой кислоты (26,5 мг, 0,07 ммоль) и гидрохлорида (2S,4R)-1-[(2S)-2-амино-3,3-диметилбутаноил]-4-гидрокси-N-[[4-(4-метилтиазол-5-ил)фенил]метил]пирролидин-2-карбоксамида (30,91 мг, 0,07 ммоль) в DMF (2 мл) добавляли TEA (0,2 мл, 1,43 ммоль) и РуВОР (37,88 мг, 0,07 ммоль) при комнатной температуре. Реакционную смесь перемешивали в течение 12 часов (в течение ночи) при той же температуре. TLC (DCM:MeOH:NH4OH, 90:9:1) показала отсутствие исходных веществ. DMF удаляли в высоком вакууме. Неочищенный продукт фильтровали через картридж диоксид кремния-карбонат (1 г) с применением DCM:MeOH (9:1) в качестве элюента. Фильтрат выпаривали под вакуумом и неочищенный продукт очищали с помощью PTLC (MeOH:DCM, 9:1) с получением 31 мг продукта (выход 58%). 1H ЯМР (400 МГц, DMSO-d6) δ 12,70 (s, 1H), 8,97 (s, 1H), 8,68 (d, J=2,2 Гц, 1H), 8,62 (d, J=2,3 Гц, 1H), 8,60-8,51 (m, 1H), 8,12 (s, 1H), 8,00 (d, J=9,3 Гц, 1H), 7,90-7,77 (m, 1H), 7,72-7,51 (m, 5H), 7,48-7,29 (m, 4H), 7,07 (d, J=8,7 Гц, 2Н), 5,15 (d, J=3,5 Гц, 1H), 4,59 (d, J=9,3 Гц, 1H), 4,50-4,32 (m, 3H), 4,22 (dd, J=15,9, 5,4 Гц, 1Н), 4,03 (td, J=6,5, 2,6 Гц, 2Н), 3,80-3,60 (m, 2H), 2,44 (s, 3H), 2,48-2,28 (m, 5H), 2,13-1,84 (m, 4H), 0,96 (s, 9H). 13С ЯМР (101 МГц, dmso) δ 189,87, 172,00, 171,63, 169,69, 158,23, 151,48, 148,29, 147,73, 143,29, 139,64, 139,53, 136,54, 131,52, 131,19, 130,74, 129,65, 128,66, 128,58, 128,55, 128,21, 127,44, 127,05, 118,81, 115,19, 113,74, 68,93, 67,13, 58,75, 56,47, 48,64, 41,68, 38,01, 35,29, 31,33, 26,43, 25,08, 15,99. LC-MS (ESI); масса/заряд [М+Н]+: рассч. для C46H49N6O6S 813,3434. Обнаруженное 813,3478.
[0702] (2S,4S)-1-((S)-2-(4-(4-(3-(2,6-Дифтор-3-(пропилсульфонамидо)бензоил)-1Н-пирроло[2,3-b]-пиридин-5-ил)фенокси)бутанамидо)-3,3-диметилбутаноил)-4-гидрокси-N-(4-(4-метилтиазол-5-ил)-бензил)пирролидин-2-карбоксамид (соединение 514).
[0703] К раствору 4-[4-[3-[2,6-дифтор-3-(пропилсульфониламино)бензоил]-1Н-пирроло[2,3-b]пиридин-5-ил]фенокси]бутановой кислоты (4,08 мг, 0,00732 ммоль) и (2S,4S)-1-((S)-2-амино-3,3-диметилбутаноил)-4-гидрокси-N-(4-(4-метилтиазол-5-ил)бензил)-пирролидин-2-карбоксамида (3,76 мг, 0,00873 ммоль) в DMF (1,5 мл) добавляли TEA (0,200 мл, 1,43 ммоль) и РуВОР (4,19 мг, 0,00805 ммоль) при комнатной температуре. Реакционную смесь перемешивали в течение 4 ч. при той же температуре. TLC (DCM:MB, 1:1) показала отсутствие исходных веществ. DMF удаляли в высоком вакууме (продукт частично растворим в воде). Неочищенный продукт фильтровали через картридж диоксид кремния-карбонат с применением DCM:MeOH (9:1) в качестве элюента. Фильтрат выпаривали под вакуумом и неочищенный продукт очищали с помощью PTLC (DCM:MeOH:NH4OH, 90:9:1) с получением 3,1 мг продукта (выход 43%). 1H (500 МГц, DMSO-d6) δ 12,83 (bs, 1H), 9,64 (bs, 1H), 8,96 (s, 1H), 8,77-8,41 (m, 3Н), 8,18 (s, 1H), 7,97 (d, J=8,6 Гц, 1H), 7,65 (d, J=8,5 Гц, 2H), 7,61-7,48 (m, 1H), 7,38 (q, J=8,2 Гц, 4Н), 7,26 (t, J=8,7 Гц, 1H), 7,04 (d, J=8,7 Гц, 2H), 5,43 (d, J=7,2 Гц, 1H), 4,54-4,31 (m, 3Н), 4,30-4,15 (m, 2H), 4,08-3,88 (m, 3Н), 3,50-3,40 (m, 1H), 3,16-3,02 (m, 2H), 2,44-2,26 (m, 3Н), 2,42 (s, 3Н), 2,04-1,88 (m, 2H), 1,79-1,63 (m, 3Н), 0,95 (s, 9H), 0,94 (t, 3Н). 13С ЯМР (151 МГц, DMSO-d6) δ 181,03, 172,89, 172,34, 170,35, 158,75, 156,44 (dd, J=246,1, 6,7 Гц), 152,78 (dd, J=249,5, 8,6 Гц), 151,89, 148,94, 148,15, 144,15, 139,63, 139,07, 131,74, 131,55, 130,82, 130,14, 129,36-129,11 (m), 129,08, 128,68, 127,86, 126,85, 122,35 (dd, J=13,6, 3,4 Гц), 117,94, 116,03, 115,59, 69,53, 67,52, 58,95, 57,24, 56,04, 53,86, 42,21, 37,36, 35,11, 31,62, 26,82, 25,42, 17,26, 16,37, 13,04. LC-MS (ESI); масса/заряд [М+Н]+: рассч. для C49H54F2N7O8S2 970,3443. Обнаруженное 970,3422.
[0704] Пример 16. Схема синтеза В: 217, 220, 510 и 221
Способ В
[0705] трет-Бутил-(4-(3-(2,6-дифтор-3-(пропилсульфонамидо)бензоил)-1Н-пирроло[2,3-b]пиридин-5-ил)фенил)карбамат (5а). К раствору трет-бутил-(4-(4,4,5,5-тетраметил-1,3,2-диоксаборолан-2-ил)фенил)карбамата (50,99 мг, 0,16 ммоль) в диоксане (3 мл) добавляли N-[3-(5-бром-1-Н-пирроло[2,3-b]пиридин-3-карбонил)-2,4-дифторфенил]пропан-1-сульфонамид (0,06 мл, 0,13 ммоль), K2CO3 (55,19 мг, 0,4 ммоль), трициклогексилфосфин (3,73 мг, 0,01 ммоль) и воду (1 мл). Затем реакционную смесь дегазировали под вакуумом и продували аргоном, добавляли в нее Pd(dba)2 (3,83 мг, 0,01 ммоль) и реакционную смесь нагревали при 80°С в течение 3 часов. С помощью TLC показали присутствие небольших количеств SM (Hex:AcOEt, 3:7), реакционную смесь фильтровали в вакууме через подушку из целита, фильтрат выливали в насыщенный водный раствор NaCl (20 мл) и продукт экстрагировали с помощью EtOAc (2 х 20 мл). Слои на основе EtOAc объединяли, высушивали (Na2SO4) и концентрировали в вакууме. Неочищенный материал разбавляли в DCM и очищали с помощью флэш-хроматографии (SiO2-12 г, гексан:AcOEt, градиент от 8:2 до 100% AcOEt) с получением 47 мг (56%) продукта в виде грязно-белого твердого вещества. 1Н ЯМР (400 МГц, DMSO-d6) δ 12,96 (bs, 1H), 9,77 (bs, 1H), 9,49 (s, 1H), 8,68 (d, J=2,1 Гц, 1H), 8,57 (bs, 1H), 8,21 (s, 1H), 7,79-7,46 (m, 5H), 7,28 (td, J=8,7, 1,5 Гц, 1H), 3,19-3,07 (m, 2H), 1,74 (dq, J=14,9, 7,4 Гц, 2Н), 1,50 (s, 9H), 0,96 (t, J=7,4 Гц, 3Н). 13С ЯМР (151 МГц, dmso) δ 180,61, 156,03 (dd, J=246,5, 7,1 Гц), 152,77, 152,34 (dd, J=249,5, 8,5 Гц), 148,60, 143,76, 139,22, 138,64, 131,66, 131,31, 128,79 (d, J=9,7 Гц), 127,35, 126,38, 121,94 (dd, J=13,7, 3,6 Гц), 118,66, 118,24 (t, J=23,5 Гц), 117,53, 115,63, 112,35 (dd, J=22,6, 3,9 Гц), 79,19, 53,46, 28,15, 16,85, 12,62. LC-MS (ESI); масса/заряд: [М+Н]+ рассч. для C28H29F2N4O5S 571,1826. Обнаруженное 571,1917.
[0706] N-(3-(5-(4-Аминофенил)-1Н-пирроло[2,3-b]пиридин-3-карбонил)-2,4-дифторфенил)пропан-1-сульфонамид (6). Раствор трет-бутил-(4-(3-(2,6-дифтор-3-(пропилсульфонамидо)бензоил)-1Н-пирроло-[2,3-b]пиридин-5-ил)фенил)карбамата (30 мг, 0,05 ммоль) в TFE (2 мл) нагревали при 140°С, в течение 3 часов в условиях нагревания с помощью микроволнового излучения. Реакционную смесь выпаривали до сухого состояния под вакуумом с получением 23 мг продукта с количественными выходами. Неочищенный продукт применяли на следующей стадии без какой-либо дополнительной очистки. LC-MS (ESI); масса/заряд: [М+Н]+ рассч. для C23H21F2N4O3S 471,1302. Обнаруженное 471,1351.
[0707] трет-Бутил-5-((4-(3-(2,6-дифтор-3-(пропилсульфонамидо)бензоил)-1Н-пирроло[2,3-b]пиридин-5-ил)фенил)амино)-5-оксопентаноат (7). К раствору трет-бутил-5-хлор-5-оксопентаноата (21,96 мг, 0,11 ммоль) в THF (2 мл) добавляли N-(3-(5-(4-аминофенил)-1Н-пирроло[2,3-b]-пиридин-3-карбонил)-2,4-дифторфенил)пропан-1-сульфонамид (10 мг, 0,02 ммоль). Полученную суспензию нагревали до температуры возврата флегмы в течение 12 часов (в течение ночи). Реакционную смесь выпаривали в вакууме и неочищенный продукт очищали с помощью PTLC (MB:DCM, 4:6) с получением 10,7 мг белого порошка (выход 79%). 1H ЯМР (500 МГц, DMSO-d6) δ 12,96 (bs, 1H), 10,04 (s, 1H), 9,76 (bs, 1H), 8,69 (d, J=2,2 Гц, 1H), 8,59 (s, 1H), 8,21 (s, 1H), 7,75 (d, J=8,7 Гц, 2H), 7,69 (d, J=8,6 Гц, 2Н), 7,59 (td, J=9,0, 5,8 Гц, 1H), 7,28 (t, J=9,2 Гц, 1H), 3,13 (dd, J=8,7, 6,7 Гц, 2H), 2,39 (t, J=7,4 Гц, 2H), 2,28 (t, J=7,4 Гц, 2H), 1,83 (p, J=7,4 Гц, 2H), 1,75 (h, J=7,5 Гц, 2H), 1,41 (s, 9H), 0,96 (t, J=7,4 Гц, 3Н). 13С ЯМР (101 МГц, dmso) δ 181,01, 172,37, 171,16, 156,02 (dd, J=246,3, 7,0 Гц), 152,34 (dd, J=249,5, 8,5 Гц), 149,05, 144,18, 139,30, 139,05, 133,00, 131,62, 128,77 (d, J=9,5 Гц), 127,75, 126,88, 121,96 (dd, J=13,7, 3,5 Гц), 120,04, 118,74-117,84 (m), 117,94, 116,05, 112,34 (dd, J=22,8, 3,0 Гц). 79,98, 53,89, 35,72, 34,53, 28,20, 20,93, 17,25, 13,02. LC-MS (ESI); масса/заряд: [М+Н]+ рассч. для C32H35F2N4O6S 641,2245. Обнаруженное 641,2473.
[0708] 5-((4-(3-(2,6-Дифтор-3-(пропилсульфонамидо)бензоил)-1Н-пирроло[2,3-b]пиридин-5-ил)фенил)амино)-5-оксопентановая кислота (8). Раствор трет-бутил-5-((4-(3-(2,6-дифтор-3-(пропилсульфонамидо)бензоил)-1Н-пирроло[2,3-b]пиридин-5-ил)фенил)амино)-5-оксопентаноата (10,7 мг, 0,02 ммоль) в смеси TFA (1 мл, 13,46 ммоль) и дихлорметана (2 мл) перемешивали в течение 2 часов. Затем растворитель удаляли под вакуумом и неочищенный продукт высушивали в высоком вакууме в течение 2 часов. Неочищенный продукт применяли на следующей стадии без какой-либо дополнительной очистки (9,7 мг, количественный выход). LC-MS (ESI); масса/заряд: [М+Н]+ рассч. для C28H27F2N4O6S 585,1619. Обнаруженное 585,1636.
[0709] N1-(4-(3-(2,6-Дифтор-3-(пропилсульфонамидо)бензоил)-1Н-пирроло[2,3-b]пиридин-5-ил)фенил)-N5-((S)-1-((2S,4R)-4-гидрокси-2-((4-(4-метилтиазол-5-ил)бензил)карбамоил)пирролидин-1-ил)-3,3-диметил-1-оксобутан-2-ил)глутарамид (соединение 217). К раствору 5-((4-(3-(2,6-дифтор-3-(пропилсульфонамидо)бензоил)-1Н-пирроло[2,3-b]пиридин-5-ил)фенил)амино)-5-оксопентановой кислоты (9,7 мг, 0,02 ммоль) и гидрохлорида (2S,4R)-1-[(2S)-2-амино-3,3-диметилбутаноил]-4-гидрокси-N-[[4-(4-метилтиазол-5-ил)фенил]метил]пирролидин-2-карбоксамида (8,52 мг, 0,02 ммоль) в DMF (1 мл) добавляли TEA (0,1 мл, 0,72 ммоль) и РуВОР (9,5 мг, 0,02 ммоль) при комнатной температуре. Реакционную смесь перемешивали в течение 4 часов при той же температуре. TLC (DCM:MeOH:NH4OH, 90:9:1) показала отсутствие исходных веществ. Реакционную смесь разбавляли с помощью EtOAc (10 мл) и промывали солевым раствором (5 мл, 4х), органическую фазу высушивали (Na2SO4) и выпаривали под вакуумом. Неочищенный продукт очищали с помощью PTLC (DCM:MeOH:NH4OH, 90:9:1) с получением 4,8 мг продукта (выход 29%). 1H ЯМР (500 МГц, DMSO-d6) δ 10,02 (s, 1H), 8,97 (s, 1H), 8,68 (d, 1H), 8,64-8,52 (m, 2H), 8,21 (s, 1H), 7,95 (d, J=9,2 Гц, 1H), 7,72 (dd, J=36,7, 8,5 Гц, 4Н), 7,62-7,54 (m, 1H), 7,40 (dd, 4Н), 7,28 (t, J=8,7 Гц, 1H), 5,16 (d, 2H), 4,56 (d, J=9,3 Гц, 1H), 4,50-4,40 (m, 2H), 4,40-4,33 (m, 1H), 4,22 (dd, J=15,8, 5,3 Гц, 1H), 3,76-3,62 (m, 2H), 3,16-3,05 (m, 2H), 2,44 (s, 3H), 2,41-2,17 (m, 4Н), 2,09-2,01 (m, 1H), 1,98-1,80 (m, 3Н), 1,74 (dq, J=14,9, 7,4 Гц, 2H), 0,96 (s, 9H), 0,95 (t, 3H). 13С ЯМР (151 МГц, dmso) δ 181,06, 172,39, 172,17, 171,46, 170,15, 156,37 (dd, J=246,6, 6,3 Гц), 152,73 (dd, J=249,4, 8,1 Гц), 151,86, 149,05, 148,13, 144,19, 139,91, 139,37, 139,13, 132,97, 131,64, 131,59, 130,05, 129,22 (d, J=14,7 Гц), 129,06, 127,84, 127,74, 126,89, 122,47 (d, J=14,1 Гц), 120,07, 119,02-118,20 (m), 117,95, 116,06, 112,75 (dd, J=23,4, 2,8 Гц), 69,34, 59,15, 56,90, 56,81, 53,87, 42,08, 38,38, 36,36, 35,63, 34,63, 26,85, 21,91, 17,27, 16,37, 13,04. LC-MS (ESI); масса/заряд [М+Н]+: рассч. для C50H55F2N8O8S2 997,3552. Обнаруженное 997,3524.
[0710] N1-(4-(3-(2,6-Дифтор-3-(пропилсульфонамидо)бензоил)-1H-пирроло[2,3-b]пиридин-5-ил)фенил)-N4-((S)-1-((2S,4R)-4-гидрокси-2-((4-(4-метилтиазол-5-ил)бензил)карбамоил)пирролидин-1-ил)-3,3-диметил-1-оксобутан-2-ил)-N1-метилсукцинамид (соединение 510).
[0711] К раствору 4-[4-[3-[2,6-дифтор-3-(пропилсульфониламино)-бензоил]-1Н-пирроло[2,3-b]пиридин-5-ил]-N-метиланилино]-4-оксобутановой кислоты (33,7 мг, 0,06 ммоль) и гидрохлорида (2S,4R)-1-[(2S)-2-амино-3,3-диметилбутаноил]-4-гидрокси-N-[[4-(4-метилтиазол-5-ил)фенил]метил]пирролидин-2-карбоксамида (4) (32,31 мг, 0,07 ммоль) в DMF (2 мл) добавляли TEA (0,2 мл, 1,43 ммоль) и РуВОР (36 мг, 0,07 ммоль) при комнатной температуре. Реакционную смесь перемешивали в течение 4 ч. при той же температуре. TLC (DCM:MeOH:NH4OH, 90:9:1) показала присутствие некоторого количества исходного вещества (кислоты). Реакционную смесь выпаривали до сухого состояния в высоком вакууме. Неочищенный продукт очищали с помощью PTLC (DCM:MeOH:NH4OH, 90:9:1) с получением 4,6 мг продукта (выход 8%). 1H ЯМР (400 МГц, DMSO-d6) δ 13,01 (bs, 1H), 9,70 (bs, 1H), 8,95 (s, 1H), 8,73 (d, J=2,3 Гц, 1H), 8,66 (bs, 1H), 8,54 (t, J=5,9 Гц, 1H), 8,22 (s, 1H), 7,84 (dd, J=19,4, 8,6 Гц, 2Н), 7,57 (td, J=9,0, 6,1 Гц, 1H), 7,52-7,30 (m, 6H), 7,26 (t, J=8,5 Гц, 1H), 5,08 (d, J=3,2 Гц, 1H), 4,47 (d, J=9,2 Гц, 1H), 4,44-4,25 (m, 3H), 4,19 (dd, J=16,0, 5,4 Гц, 1H), 3,66-3,54 (m, 2Н), 3,19 (s, 3H), 3,16-3,00 (m, 2Н), 2,75- 2,16 (m, 4H), 2,42 (s, 3H), 2,06-1,96 (m, 1H), 1,93-1,80 (m, 1H), 1,79-1,64 (m, 2H), 0,94 (t, 3Н), 0,90 (s, 9H). 13C ЯМР (151 МГц, DMSO-d6) δ 181,08, 172,37, 171,90, 171,57, 170,00, 156,45 (dd, J=246,4, 7,0 Гц), 152,76 (dd, J=249,3, 8,9 Гц), 151,88, 149,37, 148,13, 144,49, 143,73, 139,91, 139,34, 137,64, 131,59, 131,11, 130,04, 129,53-129,16 (m), 129,06, 127,84, 127,55, 122,35 (d, J=15,0 Гц), 119,06-118,23 (m), 117,93, 116,13, 112,77 (d, J=22,0 Гц), 69,31, 59,13, 56,87, 56,75, 53,86, 42,07, 38,32, 35,76, 30,61, 29,66, 26,77, 22,93, 17,26, 16,37, 13,04. LC-MS (ESI); масса/заряд [М+Н]+: рассч. для C50H55F2N8O8S2 997,3552. Обнаруженное 997,3572.
[0712] Пример 17. Схема синтеза С: соединение 218, 219 и 222
Способ С
[0713] трет-Бутил-4-(3-(2,6-дифтор-3-(пропилсульфонамидо)бензоил)-1Н-пирроло[2,3-b]пиридин-5-ил)пиперазин-1-карбоксилат (9а). Раствор N-[3-(5-6ром-1H-пирроло[2,3-b]пиридин-3-карбонил)-2,4-дифторфенил]пропан-1-сульфонамида (61 мг, 0,13 ммоль) и трет-бутилпиперазин-1-карбоксилата (37,19 мг, 0,2 ммоль) в THF (3 мл) продували аргоном (5х). Добавляли RuPhos (18,63 мг, 0,04 ммоль) и Pd(OAc)2 (2,99 мг, 0,01 ммоль) с последующим добавлением 1М LHMDS в THF (0,53 мл). Реакционную смесь нагревали до 60°С и перемешивали в течение 6 часов. Реакционную смесь охлаждали и выливали в водный раствор щавелевой кислоты (5%, 2 мл), затем добавляли насыщенный водный раствор NaHCO3 (5 мл), продукт экстрагировали с помощью DCM (3 х 10 мл). Органические экстракты объединяли, высушивали (Na2SO4) и выпаривали под вакуумом. Неочищенный продукт очищали с помощью PTLC (DCM:MeOH:NH4OH, 90:9:1) (20 мг, 26%). 1H ЯМР (400 МГц, DMSO-d6) δ 12,61 (bs, 1Н), 9,73 (bs, 1H), 8,27 (d, J=2,6 Гц, 1H), 8,03 (s, 1H), 7,94 (bs, 1H), 7,57 (td, J=9,0, 5,9 Гц, 1H), 7,26 (td, J=8,7, 1,5 Гц, 1H), 3,63-3,46 (m, 4H), 3,42-3,24 (m, 4H), 3,20-3,06 (m, 2H), 1,74 (dq, J=15,0, 7,4 Гц, 2Н), 1,43 (s, 9H), 0,96 (t, J=7,4 Гц, 3Н). 13С ЯМР (101 МГц, dmso) δ 180,37, 155,96 (dd, J=246,2, 7,2 Гц), 153,87, 152,31 (dd, J=249,1, 8,6 Гц), 144,72, 144,31, 138,06, 137,78, 128,59 (d, J=7,8 Гц), 121,94 (dd, J=13,6, 3,7 Гц), 119,35-117,93 (m), 117,56, 115,58, 115,17, 112,25 (dd, J=22,7, 3,8 Гц), 79,01, 53,49, 50,03, 43,56, 28,07, 16,84, 12,61. LC-MS (ESI); масса/заряд: [М+Н]+ рассч. для C26H32F2N5O5S 564,2092. Обнаруженное 564,2.
[0714] N-(2,4-Дифтор-3-(5-(пиперазин-1-ил)-1Н-пирроло[2,3-b]пиридин-3-карбонил)фенил)пропан-1-сульфонамид (9b). Раствор трет-бутил-4-(3-(2,6-дифтор-3-(пропилсульфонамидо)бензоил)-1Н-пирроло-[2,3-b]пиридин-5-ил)пиперазин-1-карбоксилата (20 мг, 0,04 ммоль) в смеси DCM:TFA (3 мл: 1 мл) перемешивали в течение 1 часа при комнатной температуре. С помощью TLC показали, что исходного вещества больше не осталось (DCM:MeOH:NH4OH, 90:9:1). 16,4 мг продукта (количественный выход), неочищенного продукта, применяли на следующей стадии без какой-либо дополнительной очистки. LC-MS (ESI); масса/заряд [М+Н]+: рассч. для C21H24F2N5O3S 464,1567. Обнаруженное 464,1712.
[0715] трет-Бутил-5-(4-(3-(2,6-дифтор-3-(пропилсульфонамидо)бензоил)-1Н-пирроло[2,3-b]пиридин-5-ил)пиперазин-1-ил)-5-оксопентаноат (10). К раствору N-(2,4-дифтор-3-(5-(пиперазин-1-ил)-1Н-пирроло[2,3-b]пиридин-3-карбонил)-фенил)пропан-1-сульфонамида (16,4 мг, 0,04 ммоль) и 5-(трет-бутокси)-5-оксопентановой кислоты (7,99 мг, 0,04 ммоль) в DMF (2 мл) добавляли TEA (0,1 мл, 0,72 ммоль) и РуВОР (20,25 мг, 0,04 ммоль) при комнатной температуре. Реакционную смесь перемешивали в течение 3 часов при той же температуре. TLC (DCM:MeOH:NH4OH, 90:9:1) показала отсутствие исходных веществ. Реакционную смесь растворяли в EtOAc (10 мл) и промывали солевым раствором/водой (3х5 мл). Органический экстракт концентрировали под вакуумом и неочищенный продукт очищали с помощью PTLC (DCM:MeOH:NH4OH, 90:9:1) с получением 15,4 мг продукта (выход 69%). 1H ЯМР (400 МГц, DMSO-d6) δ 12,67 (bs, 1H), 9,71 (bs, 1H), 8,29 (s, 1H), 8,03 (s, 1H), 7,95 (s, 1H), 7,56 (q, J=8,8 Гц, 1H), 7,26 (t, J=8,7 Гц, 1H), 3,71-3,57 (m, 4H), 3,24-3,06 (m, 6H), 2,39 (t, J=7,3 Гц, 2H), 2,26 (t, J=7,3 Гц, 2H), 1,84-1,66 (m, 4H), 1,40 (s, 9H), 0,96 (t, J=7,4 Гц, 3Н). 13С ЯМР (101 МГц, dmso) δ 180,79, 172,52, 170,57, 156,37 (dd, J=246,4, 7,1 Гц), 152,72 (dd, J=249,2, 8,7 Гц), 145,03, 144,70, 138,44, 138,20, 129,01 (d, J=10,4 Гц), 122,34 (dd, J=13,7, 3,7 Гц), 119,28-118,29 (m), 117,97, 115,84, 115,58, 112,66 (dd, J=22,8, 3,3 Гц), 79,92, 53,89, 50,66, 45,18, 41,39, 34,57, 31,72, 28,21, 20,83, 17,25, 13,02. LC-MS (ESI); масса/заряд [М+Н]+: рассч. для C30H38F2N5O6S 634,2510. Обнаруженное 634,2621.
[0716] 5-((4-(3-(2,6-Дифтор-3-(пропилсульфонамидо)бензоил)-1Н-пирроло[2,3-b]пиридин-5-ил)фенил)амино)-5-оксопентановая кислота (11). Раствор трет-бутил-5-((4-(3-(2,6-дифтор-3-(пропилсульфонамидо)бензоил)-1Н-пирроло[2,3-b]пиридин-5-ил)фенил)амино)-5-оксопентаноата (10,7 мг, 0,02 ммоль) в смеси TFA (1 мл, 13,46 ммоль) и дихлорметана (2 мл) перемешивали в течение 2 часов при комнатной температуре. Затем растворитель удаляли под вакуумом и неочищенный продукт высушивали в высоком вакууме в течение 2 часов. Неочищенный продукт применяли на следующей стадии без какой-либо дополнительной очистки (9,7 мг, количественный выход). LC-MS (ESI); масса/заряд: [М+Н]+ рассч. для C28H27F2N4O6S 585,1619. Обнаруженное 585,1636.
[0717] (2S,4R)-1-((S)-2-(5-(4-(3-(2,6-Дифтор-3-(пропилсульфонамидо)бензоил)-1Н-пирроло[2,3-b]пиридин-5-ил)пиперазин-1-ил)-5-оксопентанамидо)-3,3-диметилбутаноил)-4-гидрокси-N-(4-(4-метилтиазол-5-ил)бензил)пирролидин-2-карбоксамид (соединение 218). К раствору 5-(4-(3-(2,6-дифтор-3-(пропилсульфонамидо)бензоил)-1Н-пирроло[2,3-b]пиридин-5-ил)пиперазин-1-ил)-5-оксопентановой кислоты (9,3 мг, 0,02 ммоль) и гидрохлорида (2S,4R)-1-[(2S)-2-амино-3,3-диметилбутаноил]-4-гидрокси-N-[[4-(4-метилтиазол-5-ил)фенил]метил]пирролидин-2-карбоксамида (8,27 мг, 0,018 ммоль) в DMF (1 мл) добавляли TEA (0,1 мл, 0,72 ммоль) и РуВОР (9,22 мг, 0,018 ммоль) при комнатной температуре. Реакционную смесь перемешивали в течение 4 часов при той же температуре. TLC (DCM:MeOH:NH4OH, 90:9:1) показала отсутствие исходных веществ. Реакционную смесь разбавляли с помощью EtOAc (10 мл) и промывали солевым раствором (5 мл, 4х), органическую фазу высушивали (Na2SO4) и выпаривали под вакуумом. С помощью TLC в неочищенной смеси не обнаружили продукт, только некоторое количество исходного вещества VHL (4) (продукт растворим в воде). Водные экстракты лиофилизировали в течение ночи, твердый остаток фильтровали с применением смеси DCM:MeOH:NH4OH (90:9:1, 30 мл). Фильтрат выпаривали до сухого состояния и неочищенный продукт очищали с помощью PTLC (DCM:MeOH:NH4OH, 90:9:1) с получением 13 мг продукта (выход 81%). 1H ЯМР (500 МГц, DMSO-d6) δ 12,64 (bs, 1H), 9,74 (bs, 1H), 8,97 (s, 1H), 8,62-8,52 (m, 3H), 8,28 (d, J=2,0 Гц, 1H), 8,00 (s, 1H), 7,95 (bs, 1H), 7,90 (d, J=9,2 Гц, 1H), 7,59-7,49 (m, 1H), 7,47-7,27 (m, 4H), 7,20 (t, J=8,7 Гц, 1H), 5,13 (bs, 1H), 4,56 (d, J=9,3 Гц, 1H), 4,48-4,32 (m, 3H), 4,22 (dd, J=15,8, 5,3 Гц, 1H), 3,75-3,57 (m, 5H), 3,23-3,02 (m, 7H), 2,44 (s, 3H), 2,41 2,17 (m, 4H), 2,07-2,01 (m, 1H), 1,96 1,87 (m, 1H), 1,81-1,66 (m, 4H), 0,95 (s, 9H), 0,94 (t, 3H). 13С ЯМР (151 МГц, dmso) δ 180,70, 171,99, 171,92, 170,44, 169,75, 155,24 (dd, J=248,1, 5,5 Гц), 152,12 (dd, J=248,8, 8,5 Гц), 151,47, 147,73, 144,63, 144,31, 139,52, 138,02, 137,75, 131,19, 129,65, 128,65, 127,98-127,64 (m), 127,44, 123,91-123,09 (m), 118,86-117,72 (m), 117,60, 115,50, 115,23, 112,02 (dd, J=22,6, 3,2 Гц), 68,92, 58,74, 56,47, 56,43, 53,44, 50,31, 50,18, 48,63, 44,86, 41,68, 41,00, 37,99, 34,28, 31,80, 26,43, 21,36, 16,99, 15,97, 12,72. LC-MS (ESI); масса/заряд [М+Н]+: рассч. для C48H58F2N9O8S2 990,3817. Обнаруженное 990,3889.
[0718] Пример 18. Схема синтеза С: соединение 304 и 306
Способ D
[0719] трет-Бутил-4-[4-[3-[2,6-дифтор-3-(пропилсульфониламино)бензоил]-1Н-пирроло[2,3-b]пиридин-5-ил]пиперазин-1-ил]бутаноат (12). К раствору метил-N-[2,4-дифтор-3-(5-пиперазин-1-ил-1Н-пирроло[2,3-b]-пиридин-3-карбонил)фенил]пропан-1-сульфонамид-2,2,2-трифторуксусной кислоты (17,4 мг, 0,03 ммоль) и трет-бутил-4-йодбутаноата (8,95 мг, 0,03 ммоль) в DMF (1 мл) добавляли TEA (0,03 мл, 0,15 ммоль), полученный раствор перемешивали в течение 16 часов при 50°С (в течение ночи). Растворитель выпаривали в высоком вакууме и остаток фильтровали через картридж диоксид кремния-карбонат (1 г) с применением DCM:MeOH (9:1) в качестве элюента. Фильтрат выпаривали под вакуумом и неочищенный продукт очищали с помощью PTLC (DCM:MeOH:NH4OH, 90:9:1) с получением 8,8 мг продукта (выход 48%). 1H ЯМР (400 МГц, DMSO-d6) δ 12,63 (bs, 1H), 9,73 (bs, 1H), 8,25 (d, J=2,7 Гц, 1H), 8,00 (s, 1H), 7,89 (bs, 1H), 7,56 (td, J=9,0, 6,0 Гц, 2Н), 7,34-7,16 (m, 1H), 3,25-3,04 (m, 6H), 2,68-2,52 (m, 4H), 2,34 (t, J=7,1 Гц, 2Н), 2,24 (t, J=7,2 Гц, 2Н), 1,85-1,61 (m, 4H), 1,40 (s, 9H), 0,96 (t, J=7,4 Гц, 3Н). 13С ЯМР (151 МГц, DMSO-d6) δ 180,34, 172,23, 155,99 (dd, J=246,1, 7,0 Гц), 152,31 (dd, J=249,3, 8,6 Гц), 144,80, 143,96, 137,64, 137,36, 128,60 (d, J=9,9 Гц), 121,91 (dd, J=13,6, 3,7 Гц), 118,41 (t, J=23,8 Гц), 117,63, 115,12, 114,54, 112,26 (dd, J=22,8, 3,7 Гц), 56,95, 53,47, 52,70, 49,72, 32,69, 27,83, 21,79, 16,86, 12,63. LC-MS (ESI); масса/заряд: [М+Н]+ рассч. для C29H38F2N5O5S 606,2561. Обнаруженное 606,2504.
[0720] 4-[4-[3-[2,6-Дифтор-3-(пропилсульфониламино)бензоил]-1Н-пирроло[2,3-b]пиридин-5-ил]пиперазин-1-ил]бутановая кислота (13). Раствор трет-бутил-4-[4-[3-[2,6-дифтор-3-(пропилсульфониламино)бензоил]-1Н-пирроло[2,3-b]пиридин-5-ил]пиперазин-1-ил]бутаноата (8,8 мг, 0,01 ммоль) в смеси TFA (1 мл, 13,46 ммоль) и дихлорметана (3 мл) перемешивали в течение 1 часа. Затем растворитель удаляли под вакуумом и неочищенный продукт высушивали в высоком вакууме в течение 2 часов. Неочищенный продукт применяли на следующей стадии без какой-либо дополнительной очистки (7,9 мг, количественный выход). LC-MS (ESI); масса/заряд: [М+Н]+ рассч. для C25H30F2N5O5S 550,1936. Обнаруженное 550,1865.
[0721] (2S,4R)-1-((S)-2-(4-(4-(3-(2,6-Дифтор-3-(пропилсульфонамидо)бензоил)-1Н-пирроло[2,3-b]пиридин-5-ил)пиперазин-1-ил)бутанамидо)-3,3-диметилбутаноил)-4-гидрокси-N-(4-(4-метилтиазол-5-ил)бензил)пирролидин-2-карбоксамид (соединение 304). К раствору 4-[4-[3-[2,6-дифтор-3-(пропилсульфониламино)бензоил]-1Н-пирроло[2,3-b]пиридин-5-ил]пиперазин-1-ил]бутановой кислоты (7,9 мг, 0,01 ммоль) и гидрохлорида (2S,4R)-1-[(2S)-2-амино-3,3-диметилбутаноил]-4-гидрокси-N-[[4-(4-метилметилтиазол-5-ил)фенил]метил]пирролидин-2-карбоксамида (7,38 мг, 0,02 ммоль) в DMF (1 мл) добавляли TEA (0,1 мл, 0,72 ммоль) и РуВОР (8,23 мг, 0,02 ммоль) при комнатной температуре. Реакционную смесь перемешивали в течение 12 часов (в течение ночи) при той же температуре. TLC (DCM:MeOH:NH4OH, 90:9:1) показала отсутствие исходных веществ. Реакционную смесь выпаривали до сухого состояния. Неочищенный продукт фильтровали через картридж диоксид кремния-карбонат (1 г) с применением DCM:MeOH (9:1) в качестве элюента (промыли несколько раз, продукт имеет высокую аффинность к неподвижной фазе). Фильтрат выпаривали под вакуумом и неочищенный продукт очищали с помощью PTLC (DCM:MeOH, 9:1) с получением 7,2 мг продукта (выход 52%). 1H ЯМР (500 МГц, DMSO-d6) δ 12,66 (bs, 1H), 9,73 (bs, 1H), 8,96 (s, 1H), 8,61-8,50 (m, 1H), 8,25 (s, 1H), 8,00 (s, 1H), 7,93 (bs, 1H), 7,88 (d, J=9,1 Гц, 1H), 7,63-7,49 (m, 1H), 7,40 (dd, 4H), 7,25 (t, J=8,7 Гц, 1H), 5,14 (s, 1H), 4,56 (d, J=9,1 Гц, 1H), 4,46-4,34 (m, 3H), 4,22 (dd, J=15,8, 4,7 Гц, 1H), 3,75-3,60 (m, 2H), 3,23-3,14 (m, 4H), 3,13-3,08 (m, 2H), 2,65-2,53 (m, 4H), 2,43 (s, 3H), 2,38-2,31 (m, 2H), 2,31-2,25 (m, 1H), 2,24-2,16 (m, 1H), 2,07-1,99 (m, 1H), 1,95-1,87 (m, 1H), 1,72 (dq, J=16,3, 10,5, 8,9 Гц, 4H), 0,95 (t, J=5,3 Гц, 3H), 0,95 (s, 9H). 13C ЯМР (151 МГц, DMSO-d6) δ 180,77, 172,43, 172,39, 170,12, 156,38 (dd, J=246,2, 7,1 Гц), 152,75 (dd, J=249,8, 9,0 Гц), 151,87, 148,13, 145,23, 144,35, 139,92, 138,09, 137,78, 131,59, 130,05, 129,21-128,76 (m), 127,84, 122,32 (d, J=13,1 Гц), 119,83-118,25 (m), 118,03, 115,53, 114,96, 112,68 (d, J=22,7 Гц), 69,30, 59,13, 57,62, 56,79, 55,33, 53,88, 53,06, 50,11, 42,07, 38,38, 35,68, 33,27, 26,83, 23,09, 17,26, 16,37, 13,04. LC-MS (ESI); масса/заряд [М+Н]+: рассч. для C47H58F2N9O7S2 962,3868. Обнаруженное 962,3986.
[0722] Пример 19. Схема синтеза Е: соединение 511 и 513
Способ Е
[0723] трет-Бутил-3-(4-(4,4,5,5-тетраметил-1,3,2-диоксаборолан-2-ил)бензамидо)пропаноат (14).
[0724] К раствору 4-(4,4,5,5-тетраметил-1,3,2-диоксаборолан-2-ил)бензойной кислоты (538 мг, 2,17 ммоль) и трет-бутил-3-аминопропаноата (315 мг, 2,17 ммоль) в N,N-диметилформамиде (10 мл) добавляли N,N-диизопропилэтиламин (1,13 мл, 6,51 ммоль) и гексафторфосфат O-(7-азабензотриазол-1-ил)-N,N,N',N'-тетраметилурония (825 мг, 2,17 ммоль) при комнатной температуре. Реакционную смесь перемешивали в течение 4 ч. при той же температуре. TLC (DCM:MeOH:NH4OH, 90:9:1) показала отсутствие исходных веществ. Реакционную смесь разбавляли с помощью EtOAc (50 мл), промывали водой/солевым раствором (4 х 30 мл), высушивали (Na2SO4) и выпаривали под вакуумом. Неочищенный продукт очищали с помощью флэш-хроматографии (SiO2-25 г, градиент Hex:EtOAc, от 1:9 до 100% EtOAc за 15 мин) с получением 471 мг продукта (чистота согласно ЯМР ~90%, выход 52%). Данный продукт применяли на следующей стадии без какой-либо дополнительной очистки. 1H ЯМР (500 МГц, хлороформ-d) δ 7,86 (d, J=7,9 Гц, 2H), 7,74 (d, J=7,9 Гц, 2H), 6,87 (t, 1H) z 3,69 (q, J=5,9 Гц, 2H), 2,56 (t, J=5,8 Гц, 2Н), 1,45 (s, 9H), 1,35 (s, 12H). LC-MS (ESI); масса/заряд [М+Н]+: рассч. для C20H31BNO5 376,2295. Обнаруженное 376,2259.
[0725] трет-Бутил-3-(4-(3-(2,6-дифтор-3-(пропилсульфонамидо)бензоил)-1Н-пирроло[2,3-b]пиридин-5-ил)бензамидо)-пропаноат (15).
[0726] К раствору N-[3-(5-бром-1Н-пирроло[2,3-b]пиридин-3-карбонил)-2,4-дифторфенил]пропан-1-сульфонамида (5) (87,3 мг, 0,191 ммоль) в диоксане (6 мл) добавляли трет-бутил-2-[2-[2-[2-[4-(4,4,5,5-тетраметил-1,3,2-диоксаборолан-2-ил)фенокси]этокси]этокси]этокси]ацетат (14) (65,0 мг, 0,173 ммоль), K2CO3 (71,8 мг, 0,520 ммоль), трициклогексилфосфин (4,86 мг, 0,017 ммоль) и воду (2 мл). Затем реакционную смесь дегазировали под вакуумом и продували аргоном (5х), добавляли в нее Pd(dba)2 (4,98 мг, 0,080 ммоль) и реакционную смесь нагревали при 90°С в течение 3 ч. С помощью TLC показали присутствие небольших количеств SM (Нех:EtOAc, 3:7), реакционную смесь фильтровали в вакууме через подушку из целита, фильтрат выливали в насыщенный водный раствор NaCl (20 мл) и продукт экстрагировали с помощью EtOAc (2 х 20 мл). Слои на основе EtOAc объединяли, высушивали (Na2SO4) и концентрировали в вакууме. Неочищенный материал разбавляли в CH2Cl2 и очищали с помощью флэш-хроматографии (SiO2-12 г, гексан:EtOAc, от 9:1 до 100% EtOAc за 15 мин) с получением 75 мг (71%) продукта. 13С ЯМР (101 МГц, DMSO-d6) δ 181,08, 171,05, 166,24, 156,44 (dd, J=246,3, 6,9 Гц), 152,76 (dd, J=249,7, 8,2 Гц), 149,55, 144,57, 141,15, 139,40, 133,71, 130,98, 129,65-128,79 (m), 128,43, 127,64, 127,55-126,10 (m), 122,66-122,12 (m), 119,00-118,20 (m), 117,93, 116,15, 112,78 (dd, J=22,9, 3,5 Гц), 80,28, 53,88, 36,10, 35,45, 28,17, 17,25, 13,03. 1H ЯМР (500 МГц, DMSO-d6) δ 13,03 (bs, 1H), 9,76 (bs, 1H), 8,78 (s, 1H), 8,69 (s, 1H), 8,61 (t, J=4,6 Гц, 1H), 8,26 (s, 1H), 7,98 (d, J=7,1 Гц, 2H), 7,87 (d, J=7,2 Гц, 2Н), 7,59 (q, J=7,6 Гц, 1Н), 7,29 (t, J=8,7 Гц, 1Н), 3,50 (q, J=5,7 Гц, 2Н), 3,13 (t, 2H), 2,64-2,44 (m, 2H), 1,74 (dq, J=13,9, 7,3 Гц, 2H), 1,40 (s, 9H), 0,96 (t, J=7,4 Гц, 3Н). LC-MS (ESI); масса/заряд [М+Н]+: рассч. для C31H33F2N4O6S 627,2088. Обнаруженное 627,2485.
[0727] (2S,4R)-1-((S)-2-(3-(4-(3-(2,6-Дифтор-3-(пропилсульфонамидо)бензоил)-1Н-пирроло[2,3-b]пиридин-5-ил)-бензамидо)пропанамидо)-3,3-диметилбутаноил)-4-гидрокси-N-(4-(4-метилтиазол-5-ил)бензил)пирролидин-2-карбоксамид (соединение 511).
[0728] Раствор трет-бутил-4-[4-(3-бензоил-1Н-пирроло[2,3-b]пиридин-5-ил)фенокси]бутаноата (15) (26,0 мг, 0,0415 ммоль) в смеси TFA (1 мл, 13,46 ммоль) и дихлорметана (3 мл) перемешивали в течение 1,5 ч. Затем растворитель удаляли под вакуумом и неочищенный продукт высушивали в высоком вакууме в течение 2 ч. Неочищенный продукт применяли на следующей стадии без какой-либо дополнительной очистки (23,5 мг, количественный выход). LS-MS (ESI); масса/заряд: [М+Н]+ рассч. для C27H25F2N4O6S 571,1462. Обнаруженное 571,1812. К раствору неочищенного продукта, указанного выше, 4-[4-[3-[2,6-дифтор-3-(пропилсульфониламино)бензоил]-1Н-пирроло[2,3-b]пиридин-5-ил]-N-метиланилино]-4-оксобутановой кислоты (23,5 мг, 0,0402 ммоль) и гидрохлорида (2S,4R)-1-[(2S)-2-амино-3,3-диметилбутаноил]-4-гидрокси-N-[[4-(4-метилтиазол-5-ил)фенил]метил]пирролидин-2-карбоксамида (4) (21,0 мг, 0,0450 ммоль) в DMF (1 мл), добавляли TEA (0,139 мл, 1,00 ммоль) и РуВОР (23,4 мг, 0,0450 ммоль) при комнатной температуре. Реакционную смесь перемешивали в течение 4 ч. при той же температуре. TLC (DCM:MB, 1:1) показала отсутствие исходного вещества (кислоты). Реакционную смесь выпаривали до сухого состояния в высоком вакууме (продукт может быть растворимым в воде). Неочищенный продукт фильтровали через картридж диоксид кремния-карбонат (100 мг) с применением DCM:MeOH (9:1) в качестве элюента. Фильтрат выпаривали под вакуумом и неочищенный продукт очищали с помощью PTLC (MBLDCM, 1:1). Вторую очистку проводили с помощью PTLC (DCM:MeOH:NH4OH, 90:9:1) с получением 27 мг продукта (выход 73%). 1H ЯМР (500 МГц, DMSO-d6) δ 13,03 (bs, 1H), 9,77 (bs, 1H), 8,96 (s, 1H), 8,77 (s, 1H), 8,69 (s, 1H), 8,57 (t, J=5,7 Гц, 1H), 8,53 (t, J=4,9 Гц, 1H), 8,26 (s, 1H), 8,03 (d, J=9,1 Гц, 1H), 7,98 (d, J=8,0 Гц, 1H), 7,86 (d, J=8,0 Гц, 1H), 7,59 (q, J=8,8 Гц, 1H), 7,40 (dd, 4H), 7,28 (t, J=8,6 Гц, 1H), 5,16 (d, J=2,8 Гц, 1H), 4,58 (d, J=9,1 Гц, 1Н), 4,50-4,34 (m, 3Н), 4,22 (dd, J=15,8, 5,1 Гц, 1H), 3,80-3,61 (m, 2H), 3,58-3,40 (m, 2H), 3,15-3,06 (m, 2H), 2,69-2,49 (m, 2H), 2,43 (s, 3Н), 2,11-1,99 (m, 1H), 1,96-1,86 (m, 1H), 1,83-1,66 (m, 2H), 0,95 (t, 3Н), 0,94 (s, 9H). 13C ЯМР (151 МГц, DMSO-d6) δ 180,69, 171,95, 170,40, 169,62, 165,76, 156,00 (dd, J=246,6, 6,9 Гц), 152,34 (dd, J=249,4, 8,3 Гц), 151,42, 149,13, 147,71, 144,14, 140,67, 139,50, 138,99, 133,39, 131,16, 130,58, 129,64, 128,81 (d, J=9,8 Гц), 128,64, 128,03, 127,42, 127,23, 126,91, 122,26- 121,63 (m), 118,52-117,80 (m), 117,52, 115,75, 112,77-111,89 (m), 68,92, 58,75, 56,53, 56,40, 53,47, 41,67, 37,97, 36,32, 35,26, 34,89, 26,40, 16,85, 15,95, 12,63. LC-MS (ESI); масса/заряд [М+Н]+: рассч. для C49H53F2N8O8S2 983,3395. Обнаруженное 983,3963.
[0729] Пример 20. Схема синтеза Г: соединение 512, 513 и 516
Способ Г
[0730] трет-Бутил-4-(4-(3-(2,6-дифтор-3-(пропилсульфонамидо)бензоил)-1Н-пирроло[2,3-b]пиридин-5-ил)фенил)-пиперазин-1-карбоксилат (16).
[0731] К раствору N-[3-(5-бром-1Н-пирроло[2,3-b]пиридин-3-карбонил)-2,4-дифторфенил]пропан-1-сульфонамида (5) (70,8 мг, 0,155 ммоль) в диоксане (6 мл) добавляли трет-бутил-4-(4-(4,4,5,5-тетраметил-1,3,2-диоксаборолан-2-ил)фенил)пиперазин-1-карбоксилат (60,0 мг, 0,155 ммоль), K2CO3 (64,2 мг, 0,465 ммоль), трициклогексилфосфин (4,33 мг, 0,0155 ммоль) и воду (2 мл). Затем реакционную смесь дегазировали под вакуумом и продували аргоном (5х), добавляли в нее Pd(dba)2 (4,44 мг, 0,00773 ммоль) и реакционную смесь нагревали при 90°С в течение 3 ч. С помощью TLC показали присутствие небольших количеств SM (Hex:AcOEt, 3:7), реакционную смесь фильтровали в вакууме через подушку из целита, фильтрат выливали в насыщенный водный раствор NaCl (20 мл) и продукт экстрагировали с помощью EtOAc (2 х 20 мл). Слои на основе EtOAc объединяли, высушивали (Na2SO4) и концентрировали в вакууме. Неочищенный материал разбавляли в CH2Cl2 и очищали с помощью флэш-хроматографии (SiO2-12 г, гексан:EtOAc, от 9:1 до 100% EtOAc за 15 мин) с получением 82 мг (83%) продукта. 13С ЯМР (151 МГц, DMSO-d6) δ 180,61, 156,04 (dd, J=246,5, 6,9 Гц), 153,88, 152,34 (dd, J=249,4, 8,6 Гц), 150,35, 148,44, 143,61, 138,60, 131,47, 128,92-128,75 (m), 128,19 (d, J=161,3 Гц), 126,05, 121,94 (dd, J=13,6, 3,6 Гц), 118,96-117,87 (m), 117,60, 116,33, 115,61, 112,36 (dd, J=22,6, 3,2 Гц), 79,03, 53,42, 48,08, 43,72, 42,58, 28,09, 16,87, 12,64. 1H ЯМР (500 МГц, DMSO-d6) δ 12,92 (bs, 1H), 9,76 (bs, 1H), 8,66 (d, J=2,2 Гц, 1H), 8,55 (s, 1H), 8,19 (s, 1H), 7,75-7,46 (m, 3H), 7,28 (t, J=8,7 Гц, 1Н), 7,10 (d, J=8,7 Гц, 2Н), 3,49 (t, 4H), 3,19 (t, J=5,2 Гц, 4Н), 3,16-3,05 (m, 2H), 1,74 (h, J=7,5 Гц, 2H), 1,43 (s, 9Н), 0,96 (t, J=7,4 Гц, 3H). LC-MS (ESI); масса/заряд [М+Н]+: рассч. для C32H36F2N5O5S 640,2405. Обнаруженное 640,2541.
[0732] N-(2,4-Дифтор-3-(5-(4-(пиперазин-1-ил)фенил)-1Н-пирроло[2,3-b]пиридин-3-карбонил)фенил)пропан-1-сульфонамид (17).
[0733] Раствор трет-бутил-4-[4-[3-[2,6-дифтор-3-(пропилсульфониламино)бензоил]-1Н-пирроло[2,3-b]пиридин-5-ил]фенил]пиперазин-1-карбоксилата (16) (28,0 мг, 0,0438 ммоль) в смеси DCM/TFA (3:1, 4 мл) перемешивали в течение 1 ч. при комнатной температуре (с помощью TLC SM «А» не обнаружили). Растворитель удаляли под вакуумом и остаток высушивали в высоком вакууме в течение 2 ч. (23 мг продукта, количественный выход). Неочищенный продукт применяли на следующей стадии без какой-либо дополнительной очистки. LC-MS (ESI); масса/заряд [М+Н]+: рассч. для C27H28F2N5O3S 540,1880. Обнаруженное 540,1949.
[0734] трет-Бутил-2-(4-(4-(3-(2,6-дифтор-3-(пропилсульфонамидо)бензоил)-1Н-пирроло[2,3-b]пиридин-5-ил)-фенил)пиперазин-1-ил)ацетат (18).
[0735] К раствору N-[2,4-дифтор-3-[5-(4-пиперазин-1-илфенил)-1Н-пирроло[2,3-b]пиридин-3-карбонил]-фенил]пропан-1-сульфонамида (17) (23,0 мг, 0,0426 ммоль) и TEA (0,0594 мл, 0,426 ммоль) в DMF (1 мл) добавляли трет-бутил-2-бромацетат (9,15 мг, 0,0469 ммоль) и полученный раствор перемешивали в течение 3 ч. при к.т. Реакционную смесь выпаривали под вакуумом. Неочищенный продукт очищали с помощью PTLC (DCM:MeOH:NH4OH, 90:9:1, 2х) с получением 19 мг чистого продукта (выход 69%). 1H ЯМР (500 МГц, DMSO-d6) δ 12,92 (bs, 1H), 9,76 (bs, 1H), 8,65 (t, J=2,6 Гц, 1H), 8,55 (s, 1H), 8,18 (s, 1H), 7,76-7,42 (m, 3H), 7,28 (t, J=8,3 Гц, 1H), 7,07 (d, J=6,5 Гц, 2H), 3,33 (s, 2H), 3,30-3,16 (m, 4H), 3,16-3,04 (m, 2H), 2,81-2,55 (m, 4H), 1,84-1,67 (m, 2H), 1,43 (s, 9H), 0,96 (t, J=7,2 Гц, 3H). 13С ЯМР (151 МГц, DMSO-d6) δ 180,57, 169,22, 156,02 (dd, J=246,3, 7,0 Гц), 152,33 (dd, J=249,4, 8,6 Гц), 150,42, 148,37, 143,55, 138,50, 131,53, 128,75 (d, J=9,6 Гц), 128,17, 127,58, 125,93, 121,92 (dd, J=13,6, 3,6 Гц), 118,25 (t, J=23,6 Гц), 117,58, 115,80, 115,58, 112,33 (dd, J=21,9, 3,0 Гц), 80,23, 59,21, 53,44, 51,81, 47,93, 27,82, 16,84, 12,62. LC-MS (ESI); масса/заряд [М+Н]+: рассч. для C33H38F2N5O5S 654,2561. Обнаруженное 654,2675.
[0736] (2S,4R)-1-((S)-2-(2-(4-(4-(3-(2,6-Дифтор-3-(пропилсульфонамидо)бензоил)-1Н-пирроло[2,3-b]пиридин-5-ил)фенил)пиперазин-1-ил)ацетамидо)-3,3-диметилбутаноил)-4-гидрокси-N-(4-(4-метилтиазол-5-ил)бензил)пирролидин-2-карбоксамид (соединение 512).
Раствор трет-бутил-2-(4-(4-(3-(2,6-дифтор-3-(пропилсульфонамидо)бензоил)-1Н-пирроло[2,3-b]пиридин-5-ил)фенил)пиперазин-1-ил)ацетата (18) (20,0 мг, 0,0306 ммоль) в смеси TFA (2 мл, 13,46 ммоль) и дихлорметана (2 мл) перемешивали в течение 5 ч. Затем растворитель удаляли под вакуумом и неочищенный продукт высушивали в высоком вакууме в течение 1 ч. Неочищенный продукт применяли на следующей стадии без какой-либо дополнительной очистки (18,3 мг, количественный выход). LC-MS (ESI); масса/заряд: [М+Н]+ рассч. для C29H30F2N5O5S 598,1935. Обнаруженное 598,1953. К раствору неочищенного продукта, указанного выше, 2-(4-(4-(3-(2,6-дифтор-3-(пропилсульфонамидо)бензоил)-1Н-пирроло[2,3-b]пиридин-5-ил)фенил)пиперазин-1-ил)уксусной кислоты (18,3 мг, 0,0306 ммоль) и гидрохлорида (2S,4R)-1-[(2S)-2-амино-3,3-диметилбутаноил]-4-гидрокси-N-[[4-(4-метилтиазол-5-ил)фенил]метил]пирролидин-2-карбоксамида (4) (17,2 мг, 0,0367 ммоль) в DMF (1 мл), добавляли TEA (0,106 мл, 0,762 ммоль) и РуВОР (19,1 мг, 0,0367 ммоль) при комнатной температуре. Реакционную смесь перемешивали в течение 4 ч. при той же температуре. TLC (DCM:MeOH:NH4OH, 90:9:1) показала отсутствие исходного вещества (кислоты). Реакционную смесь выпаривали до сухого состояния в высоком вакууме. Неочищенный продукт разбавляли с помощью EtOAc (10 мл) и промывали с помощью насыщенного водного раствора NaHCO3 (2х5 мл), органический экстракт высушивали (Na2SO4) и выпаривали под вакуумом. Неочищенный продукт очищали с помощью PTLC DCM:MeOH:NH4OH, 90:9:1, 2х) с получением 20 мг продукта (выход 65%). 1H ЯМР (500 МГц, DMSO-d6) δ 12,92 (bs, 1H), 9,76 (bs, 1H), 8,91 (s, 1H), 8,66 (s, 1H), 8,65-8,45 (m, 2H), 7,85 (d, J=9,1 Гц, 1H), 7,74-7,52 (m, 3Н), 7,49-7,32 (m, 4H), 7,28 (t, J=8,6 Гц, 1H), 7,09 (d, J=8,5 Гц, 2H), 5,16 (d, J=3,0 Гц, 1H), 4,54 (d, J=9,6 Гц, 1H), 4,52-4,32 (m, 3Н), 4,26 (dd, J=15,7, 5,4 Гц, 1H), 3,76 3,58 (m, 2H), 3,27 (s, 4H), 3,21-2,95 (m, 4H), 2,68 (s, 4H), 2,40 (s, 3Н), 2,07 (dd, J=12,9, 7,7 Гц, 1Н), 1,92 (ddd, J=13,1, 9,0, 4,6 Гц, 1H), 1,75 (h, J=7,5 Гц, 2H), 0,97 (s, 9H), 0,96 (t, J=7,4 Гц, 3Н). 13С ЯМР (126 МГц, DMSO-d6) δ 180,56, 171,77, 169,28, 168,48, 156,02 (dd, J=246,6, 7,0 Гц), 152,37 (dd, J=240,8, 8,8 Гц), 151,30, 150,27, 148,38, 147,68, 143,55, 139,42, 138,47, 131,48, 131,12, 129,68, 129,10-128,66 (m), 128,63, 128,33, 127,57, 127,51, 125,96, 121,92 (dd, J=13,7, 3,6 Гц), 118,60-117,95 (m), 117,57, 115,84, 115,59, 112,32 (dd, J=23,0, 2,7 Гц), 68,91, 60,59, 58,81, 56,56, 55,86, 48,16, 41,67, 37,87, 35,80, 26,26, 16,83, 15,90, 12,61. LC-MS (ESI); масса/заряд [М+Н]+: рассч. для C51H58F2N9O7S2 1010,3868. Обнаруженное 1010,4036.
[0737] (2S,4R)-1-((S)-2-(4-(4-(3-(2,6-Дифтор-3-(пропилсульфонамидо)бензоил)-1Н-пирроло[2,3-b]-пиридин-5-ил)бензамидо)бутанамидо)-3,3-диметилбутаноил)-4-гидрокси-N-(4-(4-метилтиазол-5-ил)бензил)пирролидин-2-карбоксамид (соединение 513).
[0738] К раствору неочищенного продукта из SJF-0633, 4-(4-(3-(2,6-дифтор-3-(пропилсульфонамидо)бензоил)-1Н-пирроло[2,3-b]пиридин-5-ил)бензамидо)бутановой кислоты (29,0 мг, 0,0496 ммоль) и гидрохлорида (2S,4R)-1-[(2S)-2-амино-3,3-диметилбутаноил]-4-гидрокси-N-[[4-(4-метилтиазол-5-ил)фенил]метил]пирролидин-2-карбоксамида (27,8 мг, 0,0595 ммоль) в DMF (2 мл), добавляли TEA (0,172 мл, 1,23 ммоль) и РуВОР (31,0 мг, 0,0595 ммоль) при комнатной температуре. Реакционную смесь перемешивали в течение 4 ч. при той же температуре. TLC (DCM:MeOH:NH4OH, 90:9:1) показала отсутствие исходного вещества (кислоты). Реакционную смесь выпаривали до сухого состояния в высоком вакууме. Неочищенный продукт фильтровали через картридж диоксид кремния-карбонат (1 г) с применением DCM:MeOH (9:1) в качестве элюента. Фильтрат выпаривали под вакуумом и неочищенный продукт очищали с помощью PTLC (DCM:MeOH:NH4OH, 85:14:1) с получением 35 мг продукта (выход 71%). 1H ЯМР (400 МГц, DMSO-d6) δ 12,96 (bs, 1H), 9,70 (bs, 1H), 8,97 (s, 1H), 8,77 (d, J=2,0 Гц, 1H), 8,69 (bs, 1H), 8,56 (t, J=5,6 Гц, 2H), 8,26 (s, 1H), 8,08-7,92 (m, 3H), 7,86 (d, J=8,2 Гц, 2H), 7,65-7,53 (m, 1H), 7,40 (dd, J=8,2 Гц, 4Н), 7,29 (t, J=8,7 Гц, 1H), 5,14 (d, J=3,5 Гц, 1H), 4,57 (d, J=9,3 Гц, 1H), 4,51-4,31 (m, 3H), 4,22 (dd, J=15,9, 5,4 Гц, 1H), 3,77-3,59 (m, 2H), 3,32-3,21 (m, 2H), 3,17-3,05 (m, 2H), 2,44 (s, 3H), 2,42-2,14 (m, 2H), 2,08 1,98 (m, 1H), 1,97-1,84 (m, 1H), 1,88 1,61 (m, 4Н), 0,96 (s, 9H), 0,95 (t, 3H). 13С ЯМР (151 МГц, DMSO-d6) δ 181,11, 172,38, 172,30, 170,10, 166,19, 156,45 (dd, J=246,3, 7,1 Гц), 152,78 (dd, J=249,6, 8,2 Гц), 151,86, 149,54, 148,13, 144,57, 141,04, 139,92, 139,43, 133,94, 131,59, 131,04, 130,05, 129,46-129,15 (m), 129,06, 128,49, 127,84, 127,63, 127,32, 122,35 (dd, J=13,4, 3,8 Гц), 118,94-118,30 (m), 117,94, 116,15, 112,79 (d, J=22,6 Гц), 69,32, 59,14, 56,87, 56,82, 53,87, 42,08, 40,46, 38,39, 35,69, 33,08, 26,84, 26,10, 17,26, 16,38, 13,04. LC-MS (ESI); масса/заряд [М+Н]+: рассч. для C50H55F2N8O8S2 997,3552. Обнаруженное 997,2761.
[0739] (2S,4S)-1-((S)-2-(2-(4-(4-(3-(2,6-Дифтор-3-(пропилсульфонамидо)бензоил)-1Н-пирроло[2,3-b]пиридин-5-ил)фенил)пиперазин-1-ил)ацетамидо)-3,3-диметилбутаноил)-4-гидрокси-N-(4-(4-метилтиазол-5-ил)бензил)пирролидин-2-карбоксамид (соединение 516).
[0740] К раствору неочищенного продукта из SJF-0660, 2-(4-(4-(3-(2,6-дифтор-3-(пропилсульфонамидо)бензоил)-1Н-пирроло[2,3-b]пиридин-5-ил)фенил)пиперазин-1-ил)уксусной кислоты (5,70 мг, 0,00954 ммоль) и (2S,4S)-1-((S)-2-мино-3,3-диметилбутаноил)-4-гидрокси-N-(4-(4-метилтиазол-5-ил)бензил)пирролидин-2-карбоксамида (5,35 мг, 0,0124 ммоль) в DMF (1 мл), добавляли TEA (0,1 мл, 0,762 ммоль) и РуВОР (5,96 мг, 0,0114 ммоль) при комнатной температуре. Реакционную смесь перемешивали в течение 4 ч. при той же температуре. TLC (DCM:MeOH:NH4OH, 85:14:1) показала отсутствие исходного вещества (кислоты). Реакционную смесь выпаривали до сухого состояния в высоком вакууме (продукт может быть растворимым в воде). Неочищенный продукт фильтровали через картридж диоксид кремния-карбонат (100 мг) с применением DCM:MeOH (9:1) в качестве элюента и выпаривали под вакуумом. Неочищенный продукт очищали с помощью PTLC (DCM:MeOH:NH4OH, 85:14:1) с получением 6,1 мг продукта (выход 63%). 1H ЯМР (500 МГц, DMSO-d6) δ 12,93 (bs, 1H), 9,76 (bs, 1H), 8,93 (s, 1H), 8,69 (t, J=5,8 Гц, 1H), 8,66 (s, 1H), 8,56 (bs, 1H), 8,18 (s, 1H), 7,81 (d, J=8,6 Гц, 1H), 7,65-7,50 (m, 3Н), 7,51-7,32 (m, 4H), 7,28 (t, J=8,7 Гц, 1H), 7,09 (d, J=8,2 Гц, 2Н), 5,48 (d, J=7,2 Гц, 1H), 4,49 (d, J=9,2 Гц, 1H), 4,46-4,33 (m, 2Н), 4,32-4,18 (m, 2Н), 3,96-3,88 (m, 1H), 3,54-3,42 (m, 1H), 3,30-3,19 (m, 4H), 3,17-3,00 (m, 4H), 2,78-2,56 (m, 4H), 2,41 (s, 3Н), 2,39-2,30 (m, 1H), 1,82-1,68 (m, 3Н), 0,98 (s, 9H), 0,95 (t, 3H). 13С ЯМР (151 МГц, DMSO-d6) δ 180,60, 172,29, 169,55, 168,84, 156,04 (dd, J=246,5, 6,9 Гц), 152,38 (dd, J=249,4, 8,3 Гц), 151,40, 150,29, 148,40, 147,75, 143,57, 139,16, 138,53, 131,50, 131,12, 129,79, 128,78 (d, J=7,4 Гц), 128,70, 128,36, 127,54, 125,99, 121,93 (dd, J=13,4, 3,6 Гц), 118,52-117,94 (m), 117,59, 115,87, 115,60, 112,35 (dd, J=23,0, 3,9 Гц), 69,09, 60,50, 58,62, 56,01, 55,63, 53,46, 52,70, 48,17, 41,83, 36,90, 35,21, 26,25, 16,85, 15,93, 12,63. LC-MS (ESI); масса/заряд [М+Н]+: рассч. для C51H58F2N9O7S2 1010,3868. Обнаруженное 1010,3542.
[0741] Пример 21. Схема синтеза G: соединение 515
Способ G
[0742] трет-Бутил-5-(4-бромфенил)-5-оксопентаноат (19).
[0743] В колбе, оснащенной магнитной мешалкой, растворяли 5-(4-бромфенил)-5-оксопентановую кислоту (0,460 г, 1,70 ммоль) и Вос-ангидрид (0,481 г, 2,21 ммоль) в трет-бутаноле (1,00 мл, 10,5 ммоль) и затем в нее добавляли хлорид магния (0,0162 г. 0,170 ммоль). Смесь перемешивали при 40°С в течение 16 ч. (в течение ночи). Неочищенную реакционную смесь разбавляли с помощью EtOAc (100 мл), промывали водой (2 х 100 мл), водным раствором NaHCO3 (2 х 100 мл), высушивали (Na2SO4) и выпаривали путем ротационного выпаривания. Неочищенный продукт очищали с помощью флэш-хроматографии (SiO2-25 г, градиент от Hex 100% до Нех:EtOAc 1:1, за 15 мин) с получением 198 мг продукта (выход 35%). 1Н ЯМР (500 МГц, хлороформ-d) δ 7,82 (d, J=8,3 Гц, 2Н), 7,60 (d, J=8,4 Гц, 2Н), 2,99 (t, J=7,2 Гц, 2Н), 2,33 (t, J=7,1 Гц, 2Н), 2,01 (p, J=7,2 Гц, 2Н), 1,44 (s, 9H). 13C ЯМР (101 МГц, cdcl3) δ 198,68, 172,67, 135,69, 132,04, 129,72, 128,33, 80,54, 37,64, 34,68, 28,27, 19,68. LC-MS (ESI); масса/заряд [M+Na]+: рассч. для C15H19BrO3Na 349,0415. Обнаруженное 349,0676 и 351,0609.
[0744] трет-Бутил-5-(4-(3-(2,6-дифтор-3-(пропилсульфонамидо)бензоил)-1Н-пирроло[2,3-b]пиридин-5-ил)фенил)-5-оксопентаноат (20).
[0745] К раствору трет-бутил-5-(4-бромфенил)-5-оксопентаноата (19) (74,0 мг, 0,226 ммоль) в диоксане (5 мл) добавляли 4,4,5,5-тетраметил-2-(4,4,5,5-тетраметил-1,3,2-диоксаборолан-2-ил)-1,3,2-диоксаборолан (63,2 мг, 0,249 ммоль), CH3CO2K (66,6 мг, 0,678 ммоль) и реакционную смесь дегазировали в атмосфере аргона. Добавляли X-PHOS (16,2 мг, 0,0339 ммоль) и ацетат палладия(II) (2,54 мг, 0,0113 ммоль) и реакционную смесь перемешивали при 100°С (внешняя температура) в течение 1 ч. в атмосфере аргона. Через 1 ч. температуру нагревательной бани понижали до 90°С и колбу из нагревательной бани убирали, но продолжали перемешивание. Добавляли N-[3-(5-6ром-1Н-пирроло[2,3-b]пиридин-3-карбонил)-2,4-дифторфенил]пропан-1-сульфонамид (5) (104 мг, 0,226 ммоль) и карбонат калия (93,8 мг, 0,678 ммоль) с последующим добавлением воды (2,00 мл). Добавляли трициклогексилфосфин (6,34 мг, 0,0226 ммоль, 2х) и Pd(dba)2 (6,50 мг, 0,0113 ммоль) и реакционную смесь нагревали при интенсивном перемешивании при 90°С и перемешивали в течение 3 ч., затем реакционную смесь охлаждали до температуры окружающей среды. Реакционную смесь разбавляли с помощью EtOAc (30 мл) и выливали в солевой раствор (20 мл), органический экстракт высушивали (Na2SO4) и выпаривали под вакуумом. Неочищенный продукт очищали с помощью флэш-хроматографии (SiO2-40 г, градиент Нех:EtOAc, от 1:9 до 100% EtOAc за 20 мин). Продукт характеризовался чистотой, составляющей приблизительно 85%, его снова очищали с помощью PTLC (DCM:MeOH:NH4OH, 90:9:1) с получением 45 мг продукта (выход 32%). 1H ЯМР (500 МГц, DMSO-d6) δ 12,98 (bs, 1H), 9,68 (bs, 1H), 8,78 (s, 1H), 8,69 (s, 1H), 8,26 (s, 1H), 8,07 (d, J=8,3 Гц, 2H), 7,92 (d, J=8,3 Гц, 2Н), 7,65-7,49 (m, 1H), 7,27 (t, J=8,7 Гц, 1H), 3,10 (q, J=7,8, 7,3 Гц, 4Н), 2,29 (t, J=7,4 Гц, 2H), 1,85 (p, J=7,3, 6,8 Гц, 2H), 1,79-1,62 (m, 2H), 1,39 (s, 9H), 0,95 (t, J=7,4 Гц, 3Н). 13С ЯМР (151 МГц, DMSO-d6) δ 199,09, 180,72, 172,08, 156,04 (dd, J=246,5, 6,9 Гц), 152,37 (dd, J=249,6, 8,5 Гц), 149,29, 144,21, 142,60, 139,11, 135,42, 130,30, 128,97-128,74 (m), 128,78, 127,40, 127,35, 122,00 (dd, J=13,6, 3,7 Гц), 118,66-117,86 (m), 117,55, 115,79, 112,38 (dd, J=22,7, 3,8 Гц), 79,61, 53,48, 37,08, 34,03, 27,80, 19,46, 16,86, 12,64. LC-MS (ESI); масса/заряд: [М+Н]+ рассч. для C32H34F2N3O6S 626,2136. Обнаруженное 626,2191.
[0746] (2S,4R)-1-((S)-2-(5-(4-(3-(2,6-Дифтор-3-(пропилсульфонамидо)бензоил)-1Н-пирроло[2,3-b]пиридин-5-ил)-фенил)-5-оксопентанамидо)-3,3-диметилбутаноил)-4-гидрокси-N-(4-(4-метилтиазол-5-ил)бензил)пирролидин-2-карбоксамид (соединение 515).
[0747] Раствор трет-бутил-5-(4-(3-(2,6-дифтор-3-(пропилсульфонамидо)бензоил)-1Н-пирроло[2,3-b]пиридин-5-ил)фенил)-5-оксопентаноата (20) (22,0 мг, 0,0352 ммоль) в смеси TFA (1,50 мл, 20,2 ммоль) и дихлорметана (3 мл) перемешивали в течение 2 ч. при комнатной температуре. Затем растворитель удаляли под вакуумом и неочищенный продукт высушивали в высоком вакууме в течение 2 ч. Неочищенный продукт применяли на следующей стадии без какой-либо дополнительной очистки (19,9 мг, количественный выход). LC-MS (ESI); масса/заряд: [М+H]+ рассч. для C28H26F2N3O6S 570,1510. Обнаруженное 570,1553. К раствору неочищенного продукта, указанного выше, 5-(4-(3-(2,6-дифтор-3-(пропилсульфонамидо)бензоил)-1Н-пирроло[2,3-b]пиридин-5-ил)фенил)-5-оксопентановой кислоты (22,0 мг, 0,0386 ммоль) и гидрохлорида (2S,4R)-1-((S)-2-амино-3,3-диметилбутаноил)-4-гидрокси-N-(4-(4-метилтиазол-5-ил)бензил)пирролидин-2-карбоксамида (4) (19,8 мг, 0,0425 ммоль) в DMF (2 мл), добавляли TEA (0,200 мл, 1,43 ммоль) и РуВОР (22,1 мг, 0,0425 ммоль) при комнатной температуре. Реакционную смесь перемешивали в течение 4 ч. при той же температуре. TLC (DCM:MeOH:NH4OH, 90:9:1) показала отсутствие исходных веществ. DMF удаляли в высоком вакууме. Неочищенный продукт фильтровали через картридж диоксид кремния-карбонат с применением DCM:MeOH (9:1) в качестве элюента. Фильтрат выпаривали под вакуумом и неочищенный продукт очищали с помощью PTLC (DCM:MeOH:NH4OH, 85:14:1) с получением 25 мг продукта (выход 64%, чистота согласно ЯМР ~97%). 1H ЯМР (600 МГц, DMSO-d6) δ 13,03 (bs, 1H), 9,73 (bs, 1H), 8,94 (s, 1H), 8,76 (d, J=2,1 Гц, 1H), 8,69 (bs, 1H), 8,55 (t, J=6,0 Гц, 1Н), 8,25 (s, 1H), 8,06 (d, J=8,3 Гц, 2H), 7,93 (d, J=9,3 Гц, 1H), 7,90 (d, J=8,2 Гц, 2Н), 7,63-7,50 (m, 1H), 7,37 (dd, 4H), 7,26 (t, J=8,6 Гц, 1H), 5,11 (d, J=3,5 Гц, 1H), 4,54 (d, J=9,3 Гц, 1H), 4,46-4,36 (m, 2H), 4,36-4,30 (m, 1H), 4,19 (dd, J=15,8, 5,5 Гц, 1H), 3,78-3,55 (m, 2H), 3,13-3,07 (m, 2H), 3,04 (t, J=7,4 Гц, 2H), 2,40 (s, 3H), 2,37- 2,21 (m, 2H), 2,08-1,95 (m, 1H), 1,96-1,79 (m, 3H), 1,71 (h, J=7,5 Гц, 2Н), 0,93 (s, 9Н), 0,92 (t, 3H). 13С (151 МГц, DMSO-d6) δ 199,32, 180,72, 171,98, 171,86, 169,74, 156,03 (dd, J=246,6, 6,9 Гц), 152,36 (dd, J=249,4, 8,4 Гц), 151,43, 149,28, 147,71, 144,21, 142,52, 139,52, 139,12, 135,48, 131,17, 130,32, 129,63, 129,00-128,81 (m), 128,79, 128,64, 127,43, 127,36, 127,36, 121,98 (dd, J=13,6, 3,6 Гц), 118,75-117,76 (m), 117,54, 115,78, 112,37 (dd, J=22,4, 3,6 Гц), 68,92, 58,74, 53,46, 41,67, 37,99, 37,47, 35,20, 34,11, 26,43, 20,38, 16,86, 15,95, 12,63. LC-MS (ESI); масса/заряд [М+Н]+: рассч. для C50H54F2N7O8S2 982,3443. Обнаруженное 982,3535.
[0748] Пример синтеза соединения 196: (Z)-2-(2,6-диоксопиперидин-3-ил)-5-(3-(4-(4-(4-(1-(гидроксиимино)-2,3-дигидро-1Н-инден-5-ил)-3-(пиридин-4-ил)-1Н-пиразол-1-ил)фенокси)бутокси)фенил)изоиндолин-1,3-диона
[0749] Стадия А: 5-(1-(4-(4-гидроксибутокси)фенил)-3-(пиридин-4-ил)-1Н-пиразол-4-ил)-2,3-дигидро-1H-инден-1-он
[0750] К раствору 4-(4-(4-бром-3-(пиридин-4-ил)-1Н-пиразол-1-ил)фенокси)бутан-1-ола (150 мг, 0,39 ммоль) и 5-(4,4,5,5-тетраметил-1,3,2-диоксаборолан-2-ил)-2,3-дигидроинден-1-она (120 мг, 0,46 ммоль) в смеси 1,4-диоксан/H2O (10 мл, об./об. = 10/1) добавляли t-Bu3PHBF4 (44,8 мг, 0,15 ммоль), CsF (234,9 мг, 1,54 ммоль), Cy2NCH3 (5 капель) и Pd2(dba)3 (70,7 мг, 0,077 ммоль). Полученный раствор перемешивали при 100°С в течение 2 часов в N2. Растворитель выпаривали при пониженном давлении. Остаток разбавляли с помощью ЕА (30 мл) и смесь промывали солевым раствором. Органическую фазу выпаривали при пониженном давлении и остаток очищали с помощью колоночной хроматографии на силикагеле (DCM/MeOH - 80/1) с получением необходимого продукта (140 мг, выход 82,4%) в виде бесцветного масла.
[0751] Стадия В: трет-бутил-5-(3-(пиридин-4-ил)-1-(4-(4-(3-(4,4,5,5-тетраметил-1,3,2-диоксаборолан-2-ил)фенокси)бутокси)фенил)-1Н-пиразол-4-ил)-2,3-дигидро-1Н-инден-1-он
[0752] К раствору 5-(1-(4-(4-гидроксибутокси)фенил)-3-(пиридин-4-ил)-1Н-пиразол-4-ил)-2,3-дигидро-1Н-инден-1-она (140 мг, 0,32 ммоль) и триэтиламина (96,8 мг, 0,96 ммоль) в DCM (10 мл) добавляли MsCl (43,8 мг, 0,38 ммоль) при 0°С. После перемешивания при 30°С в течение 1 часа растворитель удаляли под вакуумом. Остаток разбавляли с помощью ЕА (30 мл) и смесь промывали солевым раствором. Органическую фазу концентрировали с получением промежуточного соединения мезилата (180 мг, 0,34 ммоль, 109%). К раствору мезилата (90 мг, 0,17 ммоль) в сухом DMF (10 мл) добавляли 3-(4,4,5,5-тетраметил-1,3,2-диоксаборолан-2-ил)фенол (449,7 мг, 0,22 ммоль) и K2CO3 (47,9 мг, 0,34 ммоль). Полученную смесь перемешивали при 68°С в течение 4 часов. Смесь разбавляли с помощью EtOAc (40 мл) и смесь промывали солевым раствором и высушивали над безводным сульфатом натрия. Органическую фазу концентрировали при пониженном давлении. Остаток очищали с помощью препаративной TLC (РЕ/EtOAc = 1/3) с получением необходимого продукта (80 мг, выход 71,7%). 1H ЯМР (400 МГц, CDCl3): δ 8,65-8,55 (m, 2H), 8,00 (s, 1H), 7,76 (d, J=7,7 Гц, 1Н), 7,68 (d, J=9,1 Гц, 2Н), 7,51 (s, 2H), 7,44 (s, 1H), 7,29-7,41 (m, 4H), 7,02 (d, J=7,0 Гц, 3Н), 4,12 (dd, J=14,0, 6,9 Гц, 4Н), 3,60-3,67 (m, 1H), 3,13 (s, 2H), 2,74 (s, 2H), 2,01 (s, 2H), 1,34 (s, 12H).
[0753] Стадия С: трет-бутил-2-(2,6-диоксопиперидин-3-ил)-5-(3-(4-(4-(4-(1-оксо-2,3-дигидро-1Н-инден-5-ил)-3-(пиридин-4-ил)-1H-пиразол-1-ил)фенокси)бутокси)фенил)изоиндолин-1,3-дион
[0754] К раствору трет-бутил-5-(3-(пиридин-4-ил)-1-(4-(4-(3-(4,4,5,5-тетраметил-1,3,2-диоксаборолан-2-ил)фенокси)бутокси)фенил)-1Н-пиразол-4-ил)-2,3-дигидро-1H-инден-1-она (80 мг, 0,12 ммоль) и 5-(3-бромфенил)-2-(2,6-диоксопиперидин-3-ил)изоиндолин-1,3-диона (46,3 мг, 0,14 ммоль) в смеси 1,4-диоксан/H2O (9 мл, 8:1) добавляли t-Bu3PHBF4 (14,5 мг, 0,050 ммоль), CsF (75,8 мг, 0,50 ммоль), Cy2NMe (1 капля) и Pd2(dba)3 (22,8 мг, 0,025 ммоль). Полученную смесь перемешивали при 100°С в течение 2 часов в атмосфере N2. Растворитель выпаривали при пониженном давлении. Остаток разбавляли с помощью ЕА (30 мл) и смесь промывали солевым раствором. Органическую фазу выпаривали при пониженном давлении. Остаток очищали с помощью TLC (PE/EtOAc = 1/8) с получением необходимого продукта (40 мг, выход 41,5%).
[0755] Стадия D: (Z)-2-(2,6-диоксопиперидин-3-ил)-5-(3-(4-(4-(4-(1-(гидроксиимино)-2,3-дигидро-1Н-инден-5-ил)-3-(пиридин-4-ил)-1H-пиразол-1-ил)фенокси)бутокси)фенил)изоиндолин-1,3-дион
[0756] К раствору трет-бутил-2-(2,6-диоксопиперидин-3-ил)-5-(3-(4-(4-(4-(1-оксо-2,3-дигидро-1Н-инден-5-ил)-3-(пиридин-4-ил)-1H-пиразол-1-ил)фенокси)бутокси)фенил)изоиндолин-1,3-диона (40 мг, 0052 ммоль) в CH3CN/Py (5 мл/2 мл) добавляли NH2OH⋅HCl (40 мг, 0,57 ммоль). Реакционную смесь перемешивали при 40°С в течение 0,5 часа. Смесь разбавляли с помощью EtOAc (30 мл) и дважды промывали солевым раствором. Органический слой выпаривали при пониженном давлении. Остаток очищали с помощью препаративной HPLC с получением необходимого продукта в виде белого твердого вещества (13,5 мг, выход 8,6%). 1H ЯМР (400 МГц, CDCl3): δ 8,47-8,86 (m, 3Н), 8,27 (s, 1H), 8,09 (s, 1H), 7,94 (d, J=4,9 Гц, 3Н), 7,68 (d, J=8,7 Гц, 3Н), 7,52 (s, 2Н), 7,36-7,47 (m, 2H), 7,29 (s, 1H), 7,21 (s, 1H), 7,15 (s, 1H), 7,02 (d, J=8,4 Гц, 3Н), 4,97-5,04 (m, 1H), 4,13 (s, 4H), 2,74-3,12 (m, 8H), 2,21 (d, J=7,7 Гц, 2H), 2,01-2,09 (m, 3Н). LCMS (ES+): масса/заряд 787,2 [М+Н]+.
[0757] Пример синтеза соединения 197: (Е)-2-(2,6-диоксопиперидин-3-ил)-5-(4-(2-(2-(4-(4-(1-(гидроксиимино)-2,3-дигидро-1Н-инден-5-ил)-3-(пиридин-4-ил)-1Н-пиразол-1-ил)фенокси)этокси)этил)пиперазин-1-ил)изоиндолин-1,3-диона 
[0758] Стадия А: 2-(2-(4-(4-бром-3-(пиридин-4-ил)-1Н-пиразол-1-ил)фенокси)этокси)этанол
[0759] К раствору 4-(4-бром-3-(пиридин-4-ил)-1Н-пиразол-1-ил)фенола (500 мг, 1,58 ммоль) в сухом DMF (5 мл) последовательно добавляли Cs2CO3 (1,55 г, 4,75 ммоль) и 2-(2-гидроксиэтокси)этил-4-метилбензолсульфонат (1,23 г, 4,75 ммоль). Полученный раствор перемешивали при 70°C в течение 3 часов. После охлаждения до комнатной температуры реакционную смесь гасили водой (20 мл) и смесь экстрагировали с помощью EtOAc (20 мл × 3). Объединенный органический слой высушивали над безводным сульфатом натрия и концентрировали под вакуумом. Остаток очищали с помощью колонки с силикагелем с получением необходимого продукта (500 мг, выход 78%) в виде желтого твердого вещества. 1H ЯМР (400 МГц, CDCl3): δ 8,69 (s, 2Н), 7,91-7,96 (m, 3Н), 7,62 (d, J=8,8 Гц, 2Н), 7,05 (d, J=8,4 Гц, 2Н), 4,19 (t, J=4,4 Гц, 2Н), 3,90 (t, J=4,0 Гц, 2Н), 3,78 (t, J=4,8 Гц, 2Н), 3,70 (t, J=4,4 Гц, 2Н).
[0760] Стадия В: 2-(2-(4-(4-бром-3-(пиридин-4-ил)-1Н-пиразол-1-ил)фенокси)этокси)этилметансульфонат
[0761] К раствору 2-(2-(4-(4-бром-3-(пиридин-4-ил)-1Н-пиразол-1-ил)фенокси)этокси)этанола (500 мг, 1,24 ммоль) и TEA (249 мг, 2,47 ммоль) в DCM (5 мл) по каплям добавляли MsCl (169 мг, 1,48 ммоль) при 0°C. Полученный раствор перемешивали при 5°C в течение 0,5 часа. После его гашения с помощью насыщенного раствора NaHCO3 (20 мл) смесь экстрагировали с помощью DCM (20 мл × 2). Объединенный органический слой высушивали над безводным сульфатом натрия и концентрировали с получением необходимого продукта (550 мг, неочищенный, рассчитанное значение) в виде масла, которое применяли непосредственно на следующей стадии. LCMS (ES+): масса/заряд 482,0 [М+Н]+.
[0762] Стадия С: трет-бутил-4-(2-(2-(4-(4-бром-3-(пиридин-4-ил)-1Н-пиразол-1-ил)фенокси)этокси)этил)пиперазин-1-карбоксилат
[0763] К раствору 2-(2-(4-(4-бром-3-(пиридин-4-ил)-1H-пиразол-1-ил)фенокси)этокси)этилметансульфоната (0,5 г, 1,04 ммоль) и трет-бутилпиперазин-1-карбоксилата (385 мг, 2,08 ммоль) в DMF (5 мл) последовательно добавляли K2CO3 (715 мг, 5,20 ммоль) и KI (860 мг, 5,20 ммоль). Полученный раствор перемешивали при 75°C в течение 3 часов. После охлаждения до комнатной температуры реакционную смесь гасили водой (20 мл) и смесь экстрагировали этилацетатом (30 мл × 2). Объединенный органический слой высушивали над безводным сульфатом натрия и концентрировали под вакуумом. Остаток обрабатывали с помощью колонки с силикагелем с получением необходимого продукта (0,4 г, выход 56% за две стадии) в виде коричневого масла. 1H ЯМР (400 МГц, CDCl3): δ 8,69 (d, J=4,8 Гц, 2Н), 7,97 (m, 3Н), 7,61 (d, J=9,2 Гц, 2Н), 7,01 (d, J=8,8 Гц, 2Н), 4,05-4,20 (m, 3Н), 3,84 (t, J=4,8 Гц, 2Н), 3,71 (t, J=5,6 Гц, 2Н), 3,44 (m, 4Н), 2,63 (t, J=5,6 Гц, 2Н), 2,45 (m, 4Н), 1,46 (s, 9Н).
[0764] Стадия D: трет-бутил-4-(2-(2-(4-(4-(1-оксо-2,3-дигидро-1Н-инден-5-ил)-3-(пиридин-4-ил)-1Н-пиразол-1-ил)фенокси)этокси)этил)пиперазин-1-карбоксилат
[0765] К раствору трет-бутил-4-(2-(2-(4-(4-бром-3-(пиридин-4-ил)-1Н-пиразол-1-ил)фенокси)этокси)этил)пиперазин-1-карбоксилата (0,4 г, 0,70 ммоль) и 5-(4,4,5,5-тетраметил-1,3,2-диоксаборолан-2-ил)-2,3-дигидро-1Н-инден-1-она (271 мг, 1,05 ммоль) в смеси 1,4-диоксан (15 мл)/H2O (1,5 мл) последовательно добавляли CsF (425 мг, 2,80 ммоль), Pd(dba)3 (256 мг, 0,28 ммоль), тетрафторборат три-трет-бутилфосфина (162 мг, 0,56 ммоль) и кат. количество N-циклогексил-N-метилциклогексанамина. Реакционную смесь нагревали до 100°C в течение 2 ч. в атмосфере N2. После охлаждения до комнатной температуры реакционную смесь гасили водой (20 мл) и смесь экстрагировали этилацетатом (30 мл × 2). Объединенный органический слой высушивали над безводным сульфатом натрия и концентрировали под вакуумом. Остаток обрабатывали с помощью колонки с силикагелем с получением необходимого продукта, (0,4 г, неочищенный) в виде коричневого масла. LCMS (ES+): масса/заряд 624,7 [М+Н]+.
[0766] Стадия Е: 2-(2,6-диоксопиперидин-3-ил)-5-(4-(2-(2-(4-(4-(1-оксо-2,3-дигидро-1Н-инден-5-ил)-3-(пиридин-4-ил)-1Н-пиразол-1-ил)фенокси)этокси)этил)пиперазин-1-ил)изоиндолин-1,3-дион
[0767] К раствору трет-бутил-4-(2-(2-(4-(4-(1-оксо-2,3-дигидро-1Н-инден-5-ил)-3-(пиридин-4-ил)-1Н-пиразол-1-ил)фенокси)этокси)этил)пиперазин-1-карбоксилата (400 мг, 0,64 ммоль) в MeOH (5 мл) добавляли HCl в 1,4-диоксане (5 мл, 8 моль/л). Полученный раствор перемешивали при 10°C в течение 1 часа. Растворитель удаляли под вакуумом с получением необходимого продукта (359 мг, рассчитанное значение), который применяли непосредственно на следующей стадии. К раствору неочищенного продукта (359 мг, 0,64 ммоль) в NMP (5 мл) последовательно добавляли DIEA (825 мг, 6,40 ммоль) и 2-(2,6-диоксопиперидин-3-ил)-5-фторизоиндолин-1,3-дион (530 мг, 1,92 ммоль). Реакционную смесь подвергали облучению до 150°C с помощью микроволнового излучения в течение 60 минут. После охлаждения до комнатной температуры реакционную смесь гасили водой (20 мл) и смесь экстрагировали этилацетатом (30 мл × 2). Объединенный органический слой высушивали над безводным сульфатом натрия и концентрировали под вакуумом. Остаток обрабатывали с помощью колонки с силикагелем с получением необходимого продукта, (3 г, неочищенный, включающий NMP) в виде коричневого масла. LCMS (ES+): масса/заряд 780,8 [М+Н]+.
[0768] Стадия F: (Е)-2-(2,6-диоксопиперидин-3-ил)-5-(4-(2-(2-(4-(4-(1-(гидроксиимино)-2,3-дигидро-1Н-инден-5-ил)-3-(пиридин-4-ил)-1Н-пиразол-1-ил)фенокси)этокси)этил)пиперазин-1-ил)изоиндолин-1,3-дион
[0769] К раствору 2-(2,6-диоксопиперидин-3-ил)-5-(4-(2-(2-(4-(4-(1-оксо-2,3-дигидро-1Н-инден-5-ил)-3-(пиридин-4-ил)-1Н-пиразол-1-ил)фенокси)этокси)этил)пиперазин-1-ил)изоиндолин-1,3-диона (625 мг, 0,64 ммоль, рассчитанное значение) и гидрохлорида гидроксиламина (667 мг, 9,60 ммоль) в MeOH/DCM (4 мл/1 мл) добавляли NaHCO3 (1,21 г, 14,4 ммоль) при 50°C Смесь перемешивали при 50°C в течение 10 минут.Остаток очищали с помощью препаративной TLC с применением смеси DCM/MeOH=20/1 и затем его дополнительно очищали с помощью препаративной HPLC с получением необходимого продукта (34 мг) в виде желтого твердого вещества. 1H ЯМР (400 МГц, DMSO-d6): δ 11,09 (s, 1Н), 10,93 (s, 1H), 9,93 (br, 1H), 8,79 (s, 1H), 8,68 (s, 2Н), 7,91 (d, J=8,4 Гц, 2Н), 7,65-7,80 (m, 3Н), 7,58 (d, J=8,0 Гц, 1H), 7,49 (s, 1H), 7,44 (s, 1Н), 7,34 (d, J=8,4 Гц, 1Н), 7,25 (d, J=8,0 Гц, 1Н), 7,16 (d, J=8,8 Гц, 2Н), 5,09 (m, 1Н), 4,25 (m, 4Н), 3,88 (m, 4Н), 3,01 (m, 2Н), 2,86 (m, 3Н), 2,50 (m, 3Н), 2,03 (m, 1H); LCMS (ES+): масса/заряд 796,3 [М+Н]+.
[0770] Пример синтеза соединения 198: (E)-2-(2,6-диоксопиперидин-3-ил)-5-(2-(2-(4-(4-(4-(1-(гидроксиимино)-2,3-дигидро-1Н-инден-5-ил)-3-(пиридин-4-ил)-1H-пиразол-1-ил)фенил)пиперазин-1-ил)этокси)этокси)изоиндолин-1,3-диона
[0771] Стадия А: 5-(1-(4-(4-(2-(2-гидроксиэтокси)этил)пиперазин-1-ил)фенил)-3-(пиридин-4-ил)-1Н-пиразол-4-ил)-2,3-дигидро-1Н-инден-1-он
[0772] К раствору трет-бутил-4-(4-(4-(1-оксо-2,3-дигидро-1Н-инден-5-ил)-3-(пиридин-4-ил)-1Н-пиразол-1-ил)фенил)пиперазин-1-карбоксилата (200 мг, 0,37 ммоль) в MeOH (3 мл) добавляли 6 M HCl (г.) в 1,4-диоксане (1 мл). Полученный раствор перемешивали при 25°C в течение 1 часа. Растворитель удаляли под вакуумом. Остаток разбавляли с помощью 20 мл DCM и рН регулировали до приблизительно 9 путем постепенного добавления водного раствора NaHCO3. Смесь экстрагировали с помощью DCM. Объединенный органический слой высушивали над Na2SO4, фильтровали и концентрировали при пониженном давлении с получением необходимого продукта, который применяли непосредственно на следующей стадии. К раствору вышеуказанного промежуточного соединения (180 мг, неочищенное, 0,37 ммоль) в DMF (3 мл) добавляли 2-(2-гидроксиэтокси)этил-4-метилбензолсульфонат (194 мг, 0,75 ммоль) и K2CO3 (153,2 мг, 1,11 ммоль). Полученный раствор перемешивали при 70°C в течение 2 часов. После охлаждения до комнатной температуры реакционную смесь разбавляли с помощью DCM (20 мл) и смесь промывали солевым раствором. Органическую фазу высушивали над Na2SO4, фильтровали и концентрировали при пониженном давлении. Остаток очищали с помощью препаративной TLC с получением необходимого продукта (53 мг, выход 27,2%) в виде желтого твердого вещества. LCMS (ES+): масса/заряд 524,2 [М+Н]+.
[0773] Стадия В: трет-бутил-2-(2,6-диоксопиперидин-3-ил)-5-(2-(2-(4-(4-(4-(1-оксо-2,3-дигидро-1Н-инден-5-ил)-3-(пиридин-4-ил)-1Н-пиразол-1-ил)фенил)пиперазин-1-ил)этокси)этокси)изоиндолин-1,3-дион
[0774] К раствору 5-(1-(4-(4-(2-(2-гидроксиэтокси)этил)пиперазин-1-ил)фенил)-3-(пиридин-4-ил)-1Н-пиразол-4-ил)-2,3-дигидро-1Н-инден-1-она (53 мг, 0,10 ммоль), Ph3P (78,7 мг, 0,3 ммоль) и 2-(2,6-диоксопиперидин-3-ил)-5-фторизоиндолин-1,3-диона (41,1 мг, 0,15 ммоль) в сухом THF (3,0 мл) по каплям добавляли DIAD (60,7 мг,0,3 ммоль) в атмосфере N2. Смесь перемешивали при 20°C в течение 1,5 часа. После ее гашения с помощью Н2О (20 мл) смесь экстрагировали с помощью DCM (20 мл × 3). Объединенный органический слой промывали солевым раствором, высушивали над Na2SO4 и концентрировали под вакуумом. Остаток очищали с помощью препаративной TLC с получением необходимого продукта (неочищенный, 45 мг, выход 34,7%) в виде желтого твердого вещества. LCMS (ES+): масса/заряд 780,3 [М+Н]+.
[0775] Стадия С: (Е)-2-(2,6-диоксопиперидин-3-ил)-5-(2-(2-(4-(4-(4-(1-(гидроксиимино)-2,3-дигидро-1Н-инден-5-ил)-3-(пиридин-4-ил)-1Н-пиразол-1-ил)фенил)пиперазин-1-ил)этокси)этокси)изоиндолин-1,3-дион
[0776] К раствору трет-бутил-2-(2,6-диоксопиперидин-3-ил)-5-(2-(2-(4-(4-(4-(1-оксо-2,3-дигидро-1Н-инден-5-ил)-3-(пиридин-4-ил)-1Н-пиразол-1-ил)фенил)пиперазин-1-ил)этокси)этокси)изоиндолин-1,3-диона (45 мг, 0,058 ммоль) в CH3CN/пиридин (3,0 мл, об./об.=2/1) добавляли гидрохлорид гидроксиламина (40,1 мг, 0,58 ммоль). Смесь перемешивали при 40°C в течение 20 минут.Затем реакционную смесь разбавляли с помощью DCM (20 мл) и смесь промывали солевым раствором (10 мл × 3). Объединенный органический слой удаляли под вакуумом и остаток очищали с помощью препаративной TLC и препаративной HPLC с получением необходимого продукта (5,5 мг, выход 12%) в виде желтого твердого вещества. 1H ЯМР (400 МГц, CDCl3): δ 8,55 (s, 2Н), 8,04 (s, 1Н), 7,94 (s, 1Н), 7,79 (d, 8,0 Гц, 1H), 7,65 (d, J=8,8 Гц, 3Н), 7,39 (s, 2Н), 7,30 (s, 1Н), 7,23 (s, 1H), 7,01 (d, J=8,8 Гц, 2Н), 4,98-4,93 (m, 1H), 4,27 (s, 2Н), 3,90 (s, 2Н), 3,77 (s, 2Н), 3,28 (s, 4Н), 3,06-3,01 (m, 4Н), 2,93-2,81 (m, 2Н), 2,74 (s, 7Н), 2,17-2,13 (br, 1Н). LCMS (ES+): масса/заряд 795,3 [М+Н]+.
[0777] Пример синтеза соединения 199: (Е)-2-(2,6-диоксопиперидин-3-ил)-4-(3-(4-(4-(4-(1-(гидроксиимино)-2,3-дигидро-1Н-инден-5-ил)-3-(пиридин-4-ил)-1H-пиразол-1-ил)фенил)пиперазин-1-ил)пропокси)изоиндолин-1,3-диона
[0778] Стадия А: 5-(1-(4-(4-(3-гидроксипропил)пиперазин-1-ил)фенил)-3-(пиридин-4-ил)-1Н-пиразол-4-ил)-2,3-дигидро-1Н-инден-1-он
[0779] К раствору трет-бутил-4-(4-(4-(1-оксо-2,3-дигидро-1Н-инден-5-ил)-3-(пиридин-4-ил)-1Н-пиразол-1-ил)фенил)пиперазин-1-карбоксилата (270 мг, 0,50 ммоль) в MeOH (5 мл) добавляли 6 M HCl в 1,4-диоксане (1 мл). Полученный раствор перемешивали при 25°C в течение 1 часа. Растворитель удаляли in vacuo. Остаток разбавляли с помощью 20 мл DCM и рН регулировали до ~ 9 путем добавления водного раствора NaHCO3. Смесь экстрагировали с помощью DCM. Объединенный органический слой высушивали над Na2SO4, фильтровали и концентрировали при пониженном давлении. Остаток (240 мг, неочищенный) применяли непосредственно на следующей стадии без дополнительной очистки.
[0780] К раствору вышеуказанного промежуточного соединения (240 мг, неочищенное, 0,50 ммоль) в DMF (5 мл) добавляли 3-гидроксипропил-4-метилбензолсульфонат (230 мг, 1 ммоль) и K2CO3 (207 мг, 1,5 ммоль). Полученный раствор перемешивали при 70°C в течение 2 часов. После охлаждения до комнатной температуры реакционную смесь разбавляли с помощью DCM (20 мл). Смесь промывали солевым раствором, высушивали над Na2SO4. Раствор фильтровали и концентрировали при пониженном давлении. Остаток очищали с помощью препаративной TLC с получением необходимого продукта (100 мг, выход 30,5%) в виде желтого твердого вещества. LCMS (ES+): масса/заряд 494,3 [М+Н]+.
[0781] Стадия В: трет-бутил-5-амино-4-(1,3-диоксо-4-(3-(4-(4-(4-(1-оксо-2,3-дигидро-1Н-инден-5-ил)-3-(пиридин-4-ил)-1Н-пиразол-1-ил)фенил)пиперазин-1-ил)пропокси)изоиндолин-2-ил)-5-оксопентаноат
[0782] К раствору 5-(1-(4-(4-(3-гидроксипропил)пиперазин-1-ил)фенил)-3-(пиридин-4-ил)-1Н-пиразол-4-ил)-2,3-дигидро-1Н-инден-1-она (100 мг, 0,20 ммоль), трифенилфосфина (157,2 мг, 0,60 ммоль) и трет-бутил-5-амино-4-(4-гидрокси-1,3-диоксоизоиндолин-2-ил)-5-оксопентаноата (104,4 мг, 0,30 ммоль) в сухом THF (5,0 мл) по каплям добавляли DIAD (121,2 мг, 0,60 ммоль) в атмосфере N2. Смесь перемешивали при 20°C в течение 1,5 часа. Реакционную смесь гасили с помощью DCM (20 мл) и смесь промывали солевым раствором (10 мл × 3). Органическую фазу концентрировали под вакуумом. Остаток очищали с помощью препаративной TLC с получением необходимого продукта (120 мг, выход 43,1%) в виде желтого твердого вещества. LCMS (ES+): масса/заряд 824,3 [М+Н]+.
[0783] Стадия С: 2-(2,6-диоксопиперидин-3-ил)-4-(3-(4-(4-(4-(1-оксо-2,3-дигидро-1Н-инден-5-ил)-3-(пиридин-4-ил)-1Н-пиразол-1-ил)фенил)пиперазин-1-ил)пропокси)изоиндолин-1,3-дион
[0784] К раствору трет-бутил-5-амино-4-(1,3-диоксо-4-(3-(4-(4-(4-(1-оксо-2,3-дигидро-1Н-инден-5-ил)-3-(пиридин-4-ил)-1Н-пиразол-1-ил)фенил)пиперазин-1-ил)пропокси)изоиндолин-2-ил)-5-оксопентаноата (неочищенный, 120 мг, 0,087 ммоль) в ацетонитриле (5 мл) добавляли п-толуолсульфоновую кислоту (45,2 мг, 0,26 ммоль). Смесь перемешивали при 80°C в течение 3 часов. После охлаждения до комнатной температуры реакционную смесь разбавляли с помощью DCM (30 мл) и смесь промывали солевым раствором (10 мл × 2). Органическую фазу высушивали над Na2SO4 и концентрировали под вакуумом. Остаток очищали с помощью препаративной TLC с получением необходимого продукта (40 мг, выход 61,1%) в виде желтого твердого вещества. LCMS (ES+): масса/заряд 750,3 [М+Н]+.
[0785] Стадия D: (Е)-2-(2,6-диоксопиперидин-3-ил)-4-(3-(4-(4-(4-(1-(гидроксиимино)-2,3-дигидро-1Н-инден-5-ил)-3-(пиридин-4-ил)-1Н-пиразол-1-ил)фенил)пиперазин-1-ил)пропокси)изоиндолин-1,3-дион
[0786] К раствору 2-(2,6-диоксопиперидин-3-ил)-4-(3-(4-(4-(4-(1-оксо-2,3-дигидро-1Н-инден-5-ил)-3-(пиридин-4-ил)-1Н-пиразол-1-ил)фенил)пиперазин-1-ил)пропокси)изоиндолин-1,3-диона (40 мг, 0,053 ммоль) в смеси ацетонитрил/пиридин (об./об.=3/1, 4 мл) добавляли гидрохлорид гидроксиламина (36,8 мг, 0,53 ммоль). Смесь перемешивали при 40°C в течение 20 минут и затем ее разбавляли с помощью DCM (20 мл). Смесь промывали солевым раствором (10 мл × 2). Органическую фазу высушивали над Na2SO4 и концентрировали под вакуумом. Остаток очищали с помощью препаративной TLC и препаративной HPLC с получением необходимого продукта (7,5 мг, выход 18,4%) в виде желтого твердого вещества. 1H ЯМР (400 МГц, DMSO-d6): δ 11,11 (s, 1Н), 10,90 (s, 1Н), 8,70 (s, 1Н), 8,57-8,56 (m, 2Н), 7,85-7,77 (m, 3Н), 7,56 (d, J=8,0 Гц, 2Н), 7,49-7,45 (m, 3Н), 7,41 (s, 1Н), 7,22 (d, J=8,0 Гц, 1Н), 7,10-7,08 (m, 2Н), 5,12-5,08 (m, 1Н), 4,32-4,28 (m, 2Н), 3,22 (s, 5Н), 3,03-2,97 (m, 2Н), 2,89-2,80 (m, 3Н), 2,62-2,57 (m, 7Н), 2,06-1,99 (m, 3Н). LCMS (ES+): масса/зарад 765,2 [М+Н]+.
[0787] Пример синтеза соединения 200: (Е)-2-(2,6-диоксопиперидин-3-ил)-4-(3-(3-(4-(4-(1-(гидроксиимино)-2,3-дигидро-1Н-инден-5-ил)-3-(пиридин-4-ил)-1Н-пиразол-1-ил)фенокси)пропокси)фенил)изоиндолин-1,3-диона
[0788] Стадия А: 3-(4-(4-бром-3-(пиридин-4-ил)-1Н-пиразол-1-ил)фенокси)пропан-1-ол
[0789] К раствору 4-(4-бром-1Н-пиразол-3-ил)пиридина (500 мг, 1,58 ммоль) в сухом DMF (10,0 мл) последовательно добавляли K2CO3 (434 мг, 3,16 ммоль) и 3-гидроксипропил-4-метилбензолсульфонат (400 мг, 1,74 ммоль). Полученный раствор перемешивали при 80°C в течение 3 часов. Реакционную смесь разбавляли с помощью EA (30 мл) и промывали солевым раствором. Органическую фазу высушивали над безводным сульфатом натрия и концентрировали под вакуумом. Остаток очищали с получением необходимого продукта, 3-(4-(4-бром-3-(пиридин-4-ил)-1Н-пиразол-1-ил)фенокси)пропан-1-ола (РЕ:ЕА=1:1) (400 мг, выход 67%), в виде светло-желтого масла. LCMS (ES+): масса/заряд 376,0 [М+Н]+.
[0790] Стадия В: 3-(4-(4-бром-3-(пиридин-4-ил)-1Н-пиразол-1-ил)фенокси)пропан-1-ол
[0791] Раствор 3-(4-(4-бром-3-(пиридин-4-ил)-1Н-пиразол-1-ил)фенокси)пропан-1-ола (400 мг, 1,07 ммоль), 5-(4,4,5,5-тетраметил-1,3,2-диоксаборолан-2-ил)-2,3-дигидро-1Н-инден-1-она (414 мг, 1,6 ммоль), Pd2(dba)3 (392 мг, 0,427 ммоль), CsF (650 мг, 4,28 ммоль), тетрафторбората три-трет-бутилфосфина (248 мг, 0,855 ммоль), N,N-дициклогексилметиламина (9,0 мг, 0,047 ммоль) в смеси 10% воды в 1,4-диоксане (10 мл) подвергали облучению при 100°C с помощью микроволнового излучения в атмосфере N2 в течение 2 часов. Смесь охлаждали до комнатной температуры и гасили водой. Смесь разбавляли с помощью EA и промывали водой и солевым раствором. Органическую фазу высушивали над безводным сульфатом натрия и концентрировали под вакуумом. Остаток очищали с получением необходимого продукта, 3-(4-(4-бром-3-(пиридин-4-ил)-1Н-пиразол-1-ил)фенокси)пропан-1-ола (DCM: MeOH=50:1) (450 мг, выход 87%), в виде желтого твердого вещества. LCMS (ES+): масса/заряд 426,1 [М+Н]+.
[0792] Стадия С: 5-(3-(пиридин-4-ил)-1-(4-(3-(3-(4,4,5,5-тетраметил-1,3,2-диоксаборолан-2-ил)фенокси)пропокси)фенил)-1Н-пиразол-4-ил)-2,3-дигидро-1Н-инден-1-он
[0793] К раствору 3-(4-(4-бром-3-(пиридин-4-ил)-1Н-пиразол-1-ил)фенокси)пропан-1-ола (450 мг, 1,06 ммоль) и TEA (214 мг, 2,12 ммоль) в DCM (10,0 мл) по каплям добавляли MsCl (145 мг, 1,27 ммоль) при 0°C. Полученный раствор перемешивали при 25°C в течение 1 часа. Растворитель выпаривали и остаток разбавляли с помощью EA (50 мл). Раствор промывали с помощью насыщенного раствора NaHCO3 и солевого раствора. Органический слой высушивали над безводным сульфатом натрия. Растворитель удаляли под вакуумом с получением неочищенного необходимого продукта (520 мг, неочищенный), который применяли непосредственно на следующей стадии. К раствору вышеуказанного необходимого продукта (520 мг, 1,03 ммоль) в сухом DMF (10 мл) добавляли K2CO3 (285 мг, 2,07 ммоль) и 3-(4,4,5,5-тетраметил-1,3,2-диоксаборолан-2-ил)фенол (341 мг, 1,55 ммоль). Полученный раствор перемешивали при 70°C в течение ночи. После охлаждения до комнатной температуры реакционную смесь разбавляли с помощью EA (50 мл) и смесь промывали водой, солевым раствором. Органический слой высушивали над безводным сульфатом натрия. Остаток очищали с помощью хроматографической колонки с получением 5-(3-(пиридин-4-ил)-1-(4-(3-(3-(4,4,5,5-тетраметил-1,3,2-диоксаборолан-2-ил)фенокси)пропокси)фенил)-1Н-пиразол-4-ил)-2,3-дигидро-1Н-инден-1-она (200 г, выход 32% за две стадии). 1H ЯМР (400 МГц, CDCl3): δ 8,62 (d, J=6 Гц, 2Н), 8,00 (s, 1H), 7,76 (d, J=7,6 Гц, 1Н), 7,68 (d, J=7,6 Гц, 2Н), 7,51 (d, J=4,4 Гц, 2Н), 7,27-7,44 (m, 4Н), 7,02-7,04 (m, 3Н), 4,15-4,22 (m, 3Н), 4,11-4,13 (m, 4Н), 3,12 3,14 (m, 2Н), 2,72-2,75 (m, 2Н), 2,10 (s, 1H), 1,34 (s, 11Н), 2,83 (s, 1H).
[0794] Стадия D: 2-(2,6-диоксопиперидин-3-ил)-4-(3-(3-(4-(4-(1-оксо-2,3-дигидро-1Н-инден-5-ил)-3-(пиридин-4-ил)-1Н-пиразол-1-ил)фенокси)пропокси)фенил)изоиндолин-1,3-дион
[0795] К раствору 4-хлор-2-(2,6-диоксопиперидин-3-ил)изоиндолин-1,3-диона (47 мг, 0,159 ммоль) и 5-(3-(пиридин-4-ил)-1-(4-(3-(3-(4,4,5,5-тетраметил-1,3,2-диоксаборолан-2-ил)фенокси)пропокси)фенил)-1Н-пиразол-4-ил)-2,3-дигидро-1Н-инден-1-она (47 мг, 0,159 ммоль) в смеси диоксан (5 мл)/H2O (0,5 мл) добавляли CsF (97 мг, 0,64 ммоль), Pd(aMphos)Cl2 (12 мг, 0,016 ммоль). После перемешивания при 100°C в течение 2 часов в атмосфере азота реакционную смесь разбавляли с помощью 30 мл этилацетата и раствор промывали солевым раствором (10 мл × 3). Органическую фазу высушивали над безводным сульфатом натрия и концентрировали под вакуумом. Остаток очищали с помощью препаративной TLC (DCM/MeOH=20/1) с получением необходимого продукта, 2-(2,6-диоксопиперидин-3-ил)-4-(3-(3-(4-(4-(1-оксо-2,3-дигидро-1Н-инден-5-ил)-3-(пиридин-4-ил)-1Н-пиразол-1-ил)фенокси)пропокси)фенил)изоиндолин-1,3-диона (50 мг, выход 40%), в виде желтого твердого вещества. LCMS (ES+): масса/заряд 758,2 [М+Н]+.
[0796] Стадия Е: (Е)-2-(2,6-диоксопиперидин-3-ил)-4-(3-(3-(4-(4-(1-(гидроксиимино)-2,3-дигидро-1Н-инден-5-ил)-3-(пиридин-4-ил)-1Н-пиразол-1-ил)фенокси)пропокси)фенил)изоиндолин-1,3-дион
[0797] К раствору 2-(2,6-диоксопиперидин-3-ил)-4-(3-(3-(4-(4-(1-оксо-2,3-дигидро-1Н-инден-5-ил)-3-(пиридин-4-ил)-1Н-пиразол-1-ил)фенокси)пропокси)фенил)изоиндолин-1,3-диона (50 мг, 0,053 ммоль) в ацетонитриле (2 мл) и пиридине (1 мл) добавляли гидрохлорид гидроксиламина (34 мг, 0,53 ммоль). После перемешивания 20 минут при 40°C реакционную смесь разбавляли с помощью DCM (20 мл) и смесь промывали солевым раствором (10 мл × 2). Органическую фазу высушивали над Na2SO4 и концентрировали под вакуумом, остаток очищали с помощью препаративной TLC с получением (Е)-2-(2,6-диоксопиперидин-3-ил)-4-(3-(3-(4-(4-(1-(гидроксиимино)-2,3-дигидро-1Н-инден-5-ил)-3-(пиридин-4-ил)-1Н-пиразол-1-ил)фенокси)пропокси)фенил)изоиндолин-1,3-диона (26 мг, выход 51%) в виде желтого твердого вещества. 1H ЯМР (400 МГц, DMSO-d6): δ 11,09 (s, 1H), 10,89 (s, 1H), 8,73 (s, 1Н), 8,57 (d, J=5,2 Гц, 2Н), 7,82-7,92 (m, 5Н), 7,56 (d, J=8,0 Гц, 1H), 7,48 (d, J=4,8 Гц, 2), 7,37-7,41 (m, 2), 7,09-7,23 (m, 6H), 5,05-5,10 (m, 1H), 4,22-4,29 (m, 4Н), 4,10 (s, 1H), 3,17 (d, J=4,8 Гц, 1H), 2,99-3,01 (m, 2Н), 2,81-2,84 (m, 3Н), 2,22-2,54 (m, 1Н), 2,02-2,08 (m, 1H); LCMS (ES+): масса/заряд 773,2 [М+Н]+.
[0798] Пример синтеза соединения 201
[0799] Стадия А: 5-фтор-2-(1-метил-2,6-диоксопиперидин-3-ил)изоиндолин-1,3-дион
[0800] К раствору 2-(2,6-диоксопиперидин-3-ил)-5-фторизоиндолин-1,3-диона (500 мг, 1,81 ммоль) в сухом DMF (10,0 мл) добавляли NaH (145 мг, 3,62 ммоль) при 0°C. После перемешивания в течение 0,5 ч. добавляли CH3I (513,7 мг, 3,62 ммоль) при 0°C. Полученный раствор перемешивали в течение 2 часов. После гашения с помощью водн. раствора NH4Cl смесь разбавляли с помощью 30 мл EA и промывали солевым раствором (20 мл × 3). Органическую фазу высушивали над Na2SO4, концентрировали с получением 5-фтор-2-(1-метил-2,6-диоксопиперидин-3-ил)изоиндолин-1,3-диона (500 мг, выход 95,2%) в виде коричневого твердого вещества, которое применяли непосредственно на следующей стадии. LCMS (ES+): масса/заряд 291,1 [М+Н]+.
[0801] Стадия В: 2-(1-метил-2,6-диоксопиперидин-3-ил)-5-(4-(4-(4-(1-оксо-2,3-дигидро-1Н-инден-5-ил)-3-(пиридин-4-ил)-1Н-пиразол-1-ил)фенил)пиперазин-1-ил)изоиндолин-1,3-дион
[0802] К раствору трет-бутил-4-(4-(4-(1-оксо-2,3-дигидро-1Н-инден-5-ил)-3-(пиридин-4-ил)-1Н-пиразол-1-ил)фенил)пиперазин-1-карбоксилата (100 мг, 0,19 ммоль) в MeOH (3 мл) добавляли 6 M HCl в 1,4-диоксане (1 мл). Полученный раствор перемешивали при 25°C в течение 1 часа. Раствор концентрировали и разбавляли с помощью 20 мл DCM, добавляли водн. раствор NaHCO3 до рН>7. Смесь экстрагировали с помощью DCM. Органический слой высушивали над Na2SO4, фильтровали и концентрировали при пониженном давлении, что применяли непосредственно на следующей стадии. К раствору вышеуказанного промежуточного соединения (90 мг, неочищенный, 0,19 ммоль) в NMP (5 мл) добавляли 5-фтор-2-(1-метил-2,6-диоксопиперидин-3-ил)изоиндолин-1,3-дион (100 мг, 0,29 ммоль) и DIEA (245,1 мг, 1,9 ммоль). Полученный раствор подвергали облучению при 150°C с помощью микроволнового излучения в течение 2 часов. После охлаждения до комнатной температуры, его разбавляли с помощью DCM (20 мл) и смесь промывали солевым раствором. Органическую фазу высушивали над Na2SO4, фильтровали и концентрировали при пониженном давлении. Остаток очищали с помощью колонки с силикагелем с получением 2-(1-метил-2,6-диоксопиперидин-3-ил)-5-(4-(4-(4-(1-оксо-2,3-дигидро-1Н-инден-5-ил)-3-(пиридин-4-ил)-1Н-пиразол-1-ил)фенил)пиперазин-1-ил)изоиндолин-1,3-диона (43 мг, выход 26,5%). LCMS (ES+): масса/заряд 706,3 [М+Н]+.
[0803] Стадия С: (Е)-2-(2,6-диоксопиперидин-3-ил)-5-(4-(4-(4-(1-(гидроксиимино)-2,3-дигидро-1Н-инден-5-ил)-3-(гшридин-4-ил)-1Н-пиразол-1-ил)фенил)пиперазин-1-ил)изоиндолин-1,3-дион
[0804] К раствору 2-(1-метил-2,6-диоксопиперидин-3-ил)-5-(4-(4-(4-(1-оксо-2,3-дигидро-1Н-инден-5-ил)-3-(пиридин-4-ил)-1Н-пиразол-1-ил)фенил)пиперазин-1-ил)изоиндолин-1,3-диона (43 мг, 0,061 ммоль) в смеси ацетонитрил/пиридин (3 мл, об./об.=2/1) добавляли гидрохлорид гидроксиламина (42,4 мг, 0,61 ммоль) при комнатной температуре. Смесь нагревали до 40°C в течение 40 минут. После охлаждения до комнатной температуры ее разбавляли с помощью DCM (20 мл), промывали солевым раствором (10 мл). Органическую фазу концентрировали под вакуумом. Остаток очищали с помощью препаративной TLC с получением (Е)-2-(2,6-диоксопиперидин-3-ил)-5-(4-(4-(4-(1-(гидроксиимино)-2,3-дигидро-1Н-инден-5-ил)-3-(пиридин-4-ил)-1Н-пиразол-1-ил)фенил)пиперазин-1-ил)изоиндолин-1,3-диона (23 мг, выход 52,3%) в виде желтого твердого вещества. 1H ЯМР (400 МГц, DMSO-d6): δ 10,90 (s, 1Н), 8,73 (s, 1Н), 8,58-8,56 (d, J=8,0 Гц, 2Н), 7,84-7,82 (d, J=8,8 Гц, 2Н), 7,74-7,72 (d, J=8,4 Гц, 1Н), 7,56-7,55 (d, J=8,4 Гц, 1Н), 7,49-7,48 (m, 2Н), 7,43- 7,41 (m, 2Н), 7,36-7,34 (m, 1H), 7,22-7,21 (d, J=8,0 Гц, 1H), 7,17-7,15 (d, J-10 Гц, 2Н), 5,18-5,14 (m, 1H), 3,66 (s, 4Н), 3,42 (s, 4Н), 3,02-2,91 (m, 6Н), 2,85-2,74 (m, 3Н), 2,60-2,53 (m, 1H), 2,09-2,00 (br, 1H). LCMS (ES+): масса/заряд 721,3 [М+Н]+.
[0805] Пример синтеза соединения 202: (3R)-N-(3-(5-(4-(4-(2-(4-(2-(2,6-диоксопиперидин-3-ил)-1,3-диоксоизоиндолин-5-ил)пиперазин-1-ил)этил)пиперазин-1-ил)фенил)-1Н-пирроло[2,3-b]пиридин-3-карбонил)-2,4-дифторфенил)-3-фторпирролидин-1-сульфонамида
[0806] Стадия А: 1-(4-бромфенил)-4-(2,2-диэтоксиэтил)пиперазин
[0807] К раствору 1-(4-бромфенил)пиперазина (5 г, 20,8 ммоль) в сухом DMF (50 мл) добавляли 2-бром-1,1-диэтоксиэтан (4,1 г, 20,8 ммоль) и K2CO3 (8,6 г, 62,4 ммоль). Полученный раствор перемешивали при 90°C в течение 16 часов. Реакционную смесь разбавляли с помощью EA (50 мл) и смесь промывали (20 мл × 2). Органический слой высушивали над безводным сульфатом натрия и концентрировали под вакуумом. Остаток обрабатывали с помощью колонки с силикагелем с получением необходимого продукта (6 г, выход 81%) в виде масла.
[0808] 1H ЯМР (400 МГц, CDCl3): δ 7,32 (d, J=9,2 Гц, 2Н), 6,77 (d, J=8,8 Гц, 2Н), 4,67 (t, J=5,2 Гц, 1H), 3,69-3,72 (m, 2Н), 3,54-3,58 (m, 2Н), 3,15 (m, 4Н), 2,68-2,71 (m, 4Н), 2,60 (d, J=5,2 Гц, 2Н), 1,22 (t, J=7,2 Гц, 6Н).
[0809] Стадия В: 1-(2,2-диэтоксиэтил)-4-(4-(4,4,5,5-тетраметил-1,3,2-диоксаборолан-2-ил)фенил)пиперазин
[0810] К раствору 1-(4-бромфенил)-4-(2,2-диэтоксиэтил)пиперазина (7,8 г, неочищенный, 21,9 ммоль) в 1,4-диоксане (70 мл) добавляли 4,4,4',4',5,5,5',5'-октаметил-2,2'-би(1,3,2-диоксаборолан) (8,3 г, 32,8 ммоль), Pd(dppf)Cl2 (1,6 г, 2,2 ммоль) и KOAc (6,4 г, 65,6 ммоль). Полученный раствор перемешивали в течение ночи при 90°C в атмосфере N2. TLC показала завершение реакции. После охлаждения до комнатной температуры реакционную смесь концентрировали и очищали с помощью хроматографической колонки с получением 1-(2,2-диэтоксиэтил)-4-(4-(4,4,5,5-тетраметил-1,3,2-диоксаборолан-2-ил)фенил)пиперазина (5 г, выход 74%). 1H ЯМР (400 МГц, CDCl3): δ 7,69 (d, J=8,4 Гц, 2Н), 6,87 (d, J=8,4 Гц, 2Н), 4,70 (m, 1Н), 3,50-3,72 (m, 4Н), 3,26 (m, 4Н), 2,72 (m, 4Н), 2,60 (d, J=5,2 Гц, 2Н), 1,32 (s, 12Н), 1,22 (t, J=7,2 Гц, 6Н).
[0811] Стадия С: (R)-N-(3-(5-(4-(4-(2,2-диэтоксиэтил)пиперазин-1-ил)фенил)-1Н-пирроло[2,3-b]пиридин-3-карбонил)-2,4-дифторфенил)-3-фторпирролидин-1-сульфонамид
[0812] К раствору (R)-N-(3-(5-бром-1Н-пирроло[2,3-b]пиридин-3-карбонил)-2,4-дифторфенил)-3-фторпирролидин-1-сульфонамида (300 мг, 0,60 ммоль) в смеси 1,4-диоксан/H2O (10 мл/2 мл) добавляли 1-(2,2-диэтоксиэтил)-4-(4-(4,4,5,5-тетраметил-1,3,2-диоксаборолан-2-ил)фенил)пиперазин (726 мг, 1,80 ммоль), Pd(aMphos)Cl2 (42 мг, 0,06 ммоль) и CsF (363 мг, 3,20 ммоль). Полученный раствор перемешивали при 95°С в течение 3 часов в атмосфере N2. TLC показала завершение реакции. После охлаждения до комнатной температуры реакционную смесь разбавляли с помощью EA (50 мл), промывали водой и солевым раствором. Органический слой высушивали над безводным сульфатом натрия. Остаток очищали с помощью хроматографической колонки с получением (R)-N-(3-(5-(4-(4-(2,2-диэтоксиэтил)пиперазин-1-ил)фенил)-1Н-пирроло[2,3-b]пиридин-3-карбонил)-2,4-дифторфенил)-3-фторпирролидин-1-сульфонамида (350 мг, выход 70%). LCMS (ES+): масса/заряд 701,3 [М+Н]+.
[0813] Стадия D: (R)-N-(2,4-дифтор-3-(5-(4-(4-(2-оксоэтил)пиперазин-1-ил)фенил)-1Н-пирроло[2,3-b]пиридин-3-карбонил)фенил)-3-фторпирролидин-1-сульфонамид
[0814] К раствору (R)-N-(3-(5-(4-(4-(2,2-диэтоксиэтил)пиперазин-1-ил)фенил)-1Н-пирроло[2,3-b]пиридин-3-карбонил)-2,4-дифторфенил)-3-фторпирролидин-1-сульфонамида (350 мг, 0,50 ммоль) в CH3CN (10 мл) добавляли концентрированную HCl (3 мл, которую разбавляли с помощью 9 мл H2O). Полученный раствор перемешивали при 55°С в течение 16 часов. После охлаждения до комнатной температуры в реакционную смесь добавляли насыщ. раствор NaHCO3 для регулирования рН до 7-8. Наблюдали присутствие большого количества твердого вещества. Суспензию экстрагировали с помощью DCM. Органическую фазу высушивали над безводным сульфатом натрия и концентрировали с получением (R)-N-(2,4-дифтор-3-(5-(4-(4-(2-оксоэтил)пиперазин-1-ил)фенил)-1Н-пирроло[2,3-b]пиридин-3-карбонил)фенил)-3-фторпирролидин-1-сульфонамида (490 мг, неочищенный). LCMS (ES+): масса/заряд 645,2 [М+Н+18]+.
[0815] Стадия Е: (3R)-N-(3-(5-(4-(4-(2-(4-(2-(2,6-диоксопиперидин-3-ил)-1,3-диоксоизоиндолин-5-ил)пиперазин-1-ил)этил)пиперазин-1-ил)фенил)-1H-пирроло[2,3-b]пиридин-3-карбонил)-2,4-дифторфенил)-3-фторпирролидин-1-сульфонамид
[0816] К раствору (R)-N-(2,4-дифтор-3-(5-(4-(4-(2-оксоэтил)пиперазин-1-ил)фенил)-1Н-пирроло[2,3-b]пиридин-3-карбонил)фенил)-3-фторпирролидин-1-сульфонамида (490 мг, неочищенный, 0,80 ммоль) в THF/MeOH/DMSO (15 мл, 1/1/1) добавляли гидрохлорид 2-(2,6-диоксопиперидин-3-ил)-5-(пиперазин-1-ил)изоиндолин-1,3-диона (364 мг, 0,96 ммоль) и две капли AcOH. Затем добавляли NaBH3CN (248 мг, 4,00 ммоль). Полученный раствор перемешивали при 20°C в течение 2 часов. Реакционную смесь разбавляли с помощью 20 мл насыщенного раствора NaCl и экстрагировали с помощью DCM. Органическую фазу высушивали над безводным сульфатом натрия и концентрировали. Неочищенное вещество сначала обрабатывали с помощью колонки с силикагелем и затем с помощью препаративной HPLC с получением необходимого продукта, (3R)-N-(3-(5-(4-(4-(2-(4-(2-(2,6-диоксопиперидин-3-ил)-1,3-диоксоизоиндолин-5-ил)пиперазин-1-ил)этил)пиперазин-1-ил)фенил)-1Н-пирроло[2,3-b]пиридин-3-карбонил)-2,4-дифторфенил)-3-фторпирролидин-1-сульфонамида (75 мг, выход 16% за две стадии), в виде желтого твердого вещества. 1H ЯМР (400 МГц, DMSO-d6): δ 12,92 (s, 1Н), 11,08 (s, 1H), 9,80 (br, 1Н), 8,54-8,66 (m, 2Н), 8,07 (s, 1Н), 7,59-7,69 (m, 4Н), 7,25-7,35 (m, 3Н), 7,07 (d, J=8,4 Гц, 2Н), 5,05-5,36 (m, 2Н), 3,22-3,48 (m, 14Н), 2,55- 3,00 (m, 14Н), 1,90-2,20 (m, 4Н); LCMS (ES+): масса/заряд 954,3 [М+Н]+.
[0817] Пример синтеза соединения 203: (Е)-2-(2,6-диоксопиперидин-3-ил)-5-(2-(3-(4-(1-(гидроксиимино)-2,3-дигидро-1Н-инден-5-ил)-3-(пиридин-4-ил)-1Н-пиразол-1-ил)фенокси)этокси)изоиндолин-1,3-диона
[0818] Стадия А: 4-(1-(3-(2-(бензилокси)этокси)фенил)-4-бром-1Н-пиразол-3-ил)пиридин
[0819] К раствору 2-(3-(2-(бензилокси)этокси)фенил)-4,4,5,5-тетраметил-1,3,2-
[0820] диоксаборолана (1,2 г, 3,39 ммоль) в DCM (50 мл) последовательно добавляли 4-(4-бром-1Н-пиразол-3-ил)пиридин (831,53 мг, 3,73 ммоль), Cu(ОАс)2 (615,6 мг, 3,39 ммоль), Et2NH (2,47 г, 33,9 ммоль). Полученный раствор перемешивали при 30°C в течение ночи. Смесь промывали с помощью гидроксида аммония (30 мл × 3). Органическую фазу высушивали и концентрировали под вакуумом. Остаток очищали с помощью колонки с силикагелем с применением смеси РЕ/ЕА с получением необходимого продукта, 4-(1-(3-(2-(бензилокси)этокси)фенил)-4-бром-1Н-пиразол-3-ил)пиридина (900 мг, выход 59%), в виде пурпурного твердого вещества. LCMS (ES+): масса/заряд 450,1 [М+Н]+.
[0821] Стадия В: 5-(1-(3-(2-(бензилокси)этокси)фенил)-3-(пиридин-4-ил)-1Н-пиразол-4-ил)-2,3-дигидро-1H-инден-1-он
[0822] К раствору 4-(1-(3-(2-(бензилокси)этокси)фенил)-4-бром-1Н-пиразол-3-ил)пиридина (900 мг, 2,0 ммоль) в смеси 1,4-диоксан/Н2О (20 мл, об./об.=10/1) последовательно добавляли 5-(4,4,5,5-тетраметил-1,3,2-диоксаборолан-2-ил)-2,3-дигидро-1Н-инден-1-он (774 мг, 3,0 ммоль), Pd2(dba)3 (183,14 мг, 0,2 ммоль), CsF (3,14 г, 20,64 ммоль), [(t-Bu)3PH]BF4 (609 мг, 2,1 ммоль), N,N-дициклогексилметиламин (503 мг, 2,58 ммоль). Полученный раствор перемешивали при 100°C в течение 2 часов в N2. После охлаждения до комнатной температуры реакционную смесь разбавляли с помощью EA (50 мл), промывали водой и солевым раствором. Органический слой высушивали над безводным сульфатом натрия, концентрировали под вакуумом. Остаток очищали с помощью колонки с силикагелем с получением 5-(1-(3-(2-(бензилокси)этокси)фенил)-3-(пиридин-4-ил)-1Н-пиразол-4-ил)-2,3-дигидро-1Н-инден-1-она (750 мг, выход 74,9%) в виде желтого твердого вещества. LCMS (ES+): масса/заряд 502,2 [М+Н]+.
[0823] Стадия С: 5-(1-(3-(2-гидроксиэтокси)фенил)-3-(пиридин-4-ил)-1Н-пиразол-4-ил)-2,3-дигидро-1Н-инден-1-он
[0824] К раствору 5-(1-(3-(2-(бензилокси)этокси)фенил)-3-(пиридин-4-ил)-1Н-пиразол-4-ил)-2,3-дигидро-1Н-инден-1-она (750 мг, 1,50 ммоль) в DCM (10 мл) по каплям добавляли BBr3 (1,13 г, 4,50 ммоль) в DCM (5 мл) при -60°C в атмосфере N2. После перемешивания в течение 1 часа смесь разбавляли с помощью DCM (20 мл) и промывали солевым раствором (10 мл × 2). Органическую фазу концентрировали и очищали с помощью колонки с силикагелем с получением 5-(1-(3-(2-гидроксиэтокси)фенил)-3-(пиридин-4-ил)-1Н-пиразол-4-ил)-2,3-дигидро-1H-инден-1-она (150 мг, выход 24,4%) в виде желтого твердого вещества. LCMS (ES+): масса/заряд 412,1 [М+Н]+.
[0825] Стадия D: 2-(2,6-диоксопиперидин-3-ил)-5-(2-(3-(4-(1-оксо-2,3-дигидро-1Н-инден-5-ил)-3-(пиридин-4-ил)-1Н-пиразол-1-ил)фенокси)этокси)изоиндолин-1,3-дион
[0826] К раствору 5-(1-(3-(2-гидроксиэтокси)фенил)-3-(пиридин-4-ил)-1Н-пиразол-4-ил)-2,3-дигидро-1Н-инден-1-она (150 мг, 0,36 ммоль) в DCM (10 мл) и TEA (109,08 мг, 1,08 ммоль) по каплям добавляли MsCl (61,56 мг, 0,54 ммоль) при 0°C Полученный раствор перемешивали при 25°C в течение 0,5 часа. Затем добавляли воду и экстрагировали с помощью DCM. Органический слой промывали водой и солевым раствором, высушивали над безводным сульфатом натрия и концентрировали с получением неочищенного необходимого продукта (170 мг, неочищенный, выход 95,5%) в виде желтого масла, которое применяли непосредственно на следующей стадии. К раствору вышеуказанного необходимого продукта (170 мг, 0,35 ммоль) в DMF (10 мл) добавляли K2CO3 (144,9 мг, 1,05 ммоль), 2-(2,6-диоксопиперидин-3-ил)-5-гидроксиизоиндолин-1,3-дион (191,8 мг, 0,70 ммоль). Полученный раствор перемешивали при 70°C в течение 2 часов. После гашения водой смесь экстрагировали с помощью EA (30 мл), промывали водой и солевым раствором. Органическую фазу высушивали над безводным сульфатом натрия, концентрировали и очищали с помощью колонки с силикагелем с получением 2-(2,6-диоксопиперидин-3-ил)-5-(2-(3-(4-(1-оксо-2,3-дигидро-1Н-инден-5-ил)-3-(пиридин-4-ил)-1Н-пиразол-1-ил)фенокси)этокси)изоиндолин-1,3-диона (60 мг, выход 25,9%) в виде белого твердого вещества. LCMS (ES+): масса/заряд 668,2 [М+Н]+.
[0827] Стадия Е: (Е)-2-(2,6-диоксопиперидин-3-ил)-5-(2-(3-(4-(1-(гидроксиимино)-2,3-дигидро-1Н-инден-5-ил)-3-(пиридин-4-ил)-1Н-пиразол-1-ил)фенокси)этокси)изоиндолин-1,3-дион
[0828] К раствору S2-(2,6-диоксопиперидин-3-ил)-5-(2-(3-(4-(1-оксо-2,3-дигидро-1Н-инден-5-ил)-3-(пиридин-4-ил)-1Н-пиразол-1-ил)фенокси)этокси)изоиндолин-1,3-диона (60 мг, 0,090 ммоль) в смеси ацетонитрил/пиридин (3,0 мл, об./об.=2/1) добавляли гидрохлорид гидроксиламина (58,41 мг, 0,90 ммоль). Смесь перемешивали при 40°C в течение 20 минут. Затем ее разбавляли с помощью DCM (20 мл) и промывали солевым раствором (10 мл). Органическую фазу концентрировали и очищали с помощью препаративной HPLC с получением (Е)-2-(2,6-диоксопиперидин-3-ил)-5-(2-(3-(4-(1-(гидроксиимино)-2,3-дигидро-1Н-инден-5-ил)-3-(пиридин-4-ил)-1Н-пиразол-1-ил)фенокси)этокси)изоиндолин-1,3-диона (8 мг, выход 65,6%) в виде белого твердого вещества. 1H ЯМР (400 МЕц, CDCl3): δ 8,58 (s, 2Н), 8,04 (s, 2Н), 7,83-7,81 (d, J=8,4 Гц, 1H), 7,68-7,66 (d, J=7,6 Гц, 1Н), 7,52 (m, 2Н), 7,48 (m, 1Н),7,44-7,43 (m, 2Н), 7,41-7,36 (m, 2Н), 7,30 (s, 2Н), 7,23 (s, 2Н), 4,99-4,94 (m, 1Н), 4,49 (s, 4Н), 3,05-2,94 (m, 4Н), 2,90-2,73 (m, 3Н), 2,04-2,00 (m, 1H); LCMS: (ES+): масса/заряд 683,2 [М+Н]+.
[0829] Соединения 204 и 205 могут быть получены аналогично соединению 203.
[0830] Пример синтеза соединения 206: (Е)-2-(2,6-диоксопиперидин-3-ил)-5-(2-(4-(4-(1-(гидроксиимино)-2,3-дигидро-1Н-инден-5-ил)-3-(пиридин-4-ил)-1Н-пиразол-1-ил)пиперидин-1-ил)этокси)изоиндолин-1,3-диона
[0831] Стадия А: трет-бутил-4-(4-бром-3-(пиридин-4-ил)-1Н-пиразол-1-ил)пиперидин-1-карбоксилат
[0832] Раствор 4-(4-бром-1Н-пиразол-3-ил)пиридина (5,0 г, 22,4 ммоль), трет-бутил-4-бромпиперидин-1-карбоксилата (7,1 г, 26,9 ммоль) и Cs2CO3 (11,0 г, 33,6 ммоль) в DMF (50 мл) перемешивали при 55°С в течение ночи. Когда его охлаждали до комнатной температуры добавляли воду (50 мл). Полученную смесь экстрагировали этилацетатом (20 мл × 3) и объединенный органический слой промывали солевым раствором (20 мл × 3), высушивали над безводным сульфатом натрия, фильтровали и концентрировали. Остаток очищали с помощью колоночной хроматографии на диоксиде кремния (петролейный эфир/этилацетат=1/1) с получением трет-бутил-4-(4-бром-3-(пиридин-4-ил)-1Н-пиразол-1-ил)пиперидин-1-карбоксилата (3,7 г, выход 41%) в виде коричневого масла. LCMS: масса/заряд 407,1 [М+Н]+.
[0833] Стадия В: трет-бутил-4-(4-(1-оксо-2,3-дигидро-1Н-инден-5-ил)-3-(пиридин-4-ил)-1Н-пиразол-1-ил)пиперидин-1-карбоксилат
[0834] К раствору трет-бутил-4-(4-бром-3-(пиридин-4-ил)-1Н-пиразол-1-ил)пиперидин-1-карбоксилата (2,0 г, 4,9 ммоль), 5-(4,4,5,5-тетраметил-1,3,2-диоксаборолан-2-ил)-2,3-дигидро-1Н-инден-1-она (1,4 г, 5,4 ммоль) и K2CO3 (1,4 г, 9,8 ммоль) в 1,4-диоксане (40 мл) и воде (8 мл) добавляли Pd(PPh3)4 (200 мг) в атмосфере Ar и смесь перемешивали при 80°C в течение 2 часов. Когда ее охлаждали до комнатной температуры, смесь экстрагировали этилацетатом (20 мл × 3) и объединенный органический слой промывали солевым раствором (20 мл × 3), высушивали над безводным сульфатом натрия, фильтровали и концентрировали in vacuo. Остаток очищали с помощью колоночной флэш-хроматографии (петролейный эфир/этилацетат=1/10) с получением трет-бутил-4-(4-(1-оксо-2,3-дигидро-1Н-инден-5-ил)-3-(пиридин-4-ил)-1Н-пиразол-1-ил)пиперидин-1-карбоксилата (1,9 г, выход 84%) в виде желтого масла. LCMS: масса/заряд 459,3 [М+Н]+.
[0835] Стадия С: 5-(1-(пиперидин-4-ил)-3-(пиридин-4-ил)-1Н-пиразол-4-ил)-2,3-дигидро-1Н-инден-1-он
[0836] Смесь трет-бутил-4-(4-(1-оксо-2,3-дигидро-1Н-инден-5-ил)-3-(пиридин-4-ил)-1Н-пиразол-1-ил)пиперидин-1-карбоксилата (1,9 г, 4,1 ммоль) в смеси HCl/1,4-диоксан (20 мл) перемешивали при комнатной температуре в течение 2 часов. Затем растворитель непосредственно удаляли в вакууме и получали неочищенный продукт (1,6 г, выход 100%)) в виде гидрохлоридной соли, которую непосредственно применяли на следующей стадии без дополнительной очистки.
[0837] Стадия D: 2-(2,6-диоксопиперидин-3-ил)-5-(2-(4-(4-(1-оксо-2,3-дигидро-1Н-инден-5-ил)-3-(пиридин-4-ил)-1Н-пиразол-1-ил)пиперидин-1-ил)этокси)изоиндодин-1,3-дион
[0838] Раствор 5-(1-(пиперидин-4-ил)-3-(пиридин-4-ил)-1Н-пиразол-4-ил)-2,3-дигидро-1Н-инден-1-она (440 мг, 1,2 ммоль), 5-(2-хлорэтокси)-2-(2,6-диоксопиперидин-3-ил)изоиндолин-1,3-диона (410 мг, 1,2 ммоль), KI (304 мг, 1,8 ммоль) и DIPEA (476 мг, 3,6 ммоль) в DMSO (8 мл) перемешивали при 100°C в течение ночи. Когда его охлаждали до комнатной температуры, добавляли воду (10 мл), и смесь экстрагировали этилацетатом (5 мл × 3), и объединенный органический слой промывали солевым раствором (5 мл × 3), высушивали над безводным сульфатом натрия, фильтровали и концентрировали. Остаток очищали с помощью препаративной TLC (DCM/MeOH=10/1) с получением 2-(2,6-диоксопиперидин-3-ил)-5-(2-(4-(4-(1-оксо-2,3-дигидро-1Н-инден-5-ил)-3-(пиридин-4-ил)-1Н-пиразол-1-ил)пиперидин-1-ил)этокси)изоиндолин-1,3-диона (180 мг, выход 22%) в виде белого твердого вещества. LCMS: масса/заряд 659,3 [М+Н]+.
[0839] Стадия Е: (Е)-2-(2,6-диоксопиперидин-3-ил)-5-(2-(4-(4-(1-(гидроксиимино)-2,3-дигидро-1Н-инден-5-ил)-3-(пиридин-4-ил)-1Н-пиразол-1-ил)пиперидин-1-ил)этокси)изоиндолин-1,3-дион
[0840] К раствору 2-(2,6-диоксопиперидин-3-ил)-5-(2-(4-(4-(1-оксо-2,3-дигидро-1Н-инден-5-ил)-3-(пиридин-4-ил)-1H-пиразол-1-ил)пиперидин-1-ил)этокси)изоиндолин-1,3-диона (120 мг, 0,2 ммоль) в пиридине (2 мл) добавляли гидрохлорид гидроксиламина (126 мг, 1,8 ммоль) и смесь перемешивали при комнатной температуре в течение 2 часов. Затем растворитель удаляли in vacuo и остаток очищали с помощью препаративной HPLC с получением (Е)-2-(2,6-диоксопиперидин-3-ил)-5-(2-(4-(4-(1-(гидроксиимино)-2,3-дигидро-1Н-инден-5-ил)-3-(пиридин-4-ил)-1Н-пиразол-1-ил)пиперидин-1-ил)этокси)изоиндолин-1,3-диона (52 мг, выход 42%). LCMS: масса/заряд 674,2 [М+Н]+; 1H ЯМР (400 МГц, DMSO-d6) δ 2,03-2,11 (5Н, m), 2,25-2,30 (2Н, m), 2,50-2,62 (2Н, m), 2,78-2,86 (5Н, m), 2,88-2,99 (2Н, m), 3,08-3,11 (2Н, m), 4,22-4,28 (1Н, m), 4,33 (2Н, t, J=5,2 Гц), 5,12 (1H, dd, 12,8, 5,2 Гц), 7,12 (1H, d, J=8,0 Гц), 7,30 (1Н, s), 7,38-7,40 (3Н, m), 7,49-7,52 (2Н, m), 7,84 (1Н, d, J=8,4 Гц), 8,14 (1H, s), 8,50 (2Н, dd, J=4,4, 1,6 Гц), 10,86 (1H, s), 11,10 (1Н, s).
[0841] Пример синтеза соединения 207: (E)-2,6-диоксопиперидин-3-ил)-5-(4-(4-(1-(гидроксиимино)-2,3-дигидро-1Н-инден-5-ил)-3-(пиридин-4-ил)-1Н-пиразол-1-ил)-1,4'-бипиперидин-1'-ил)изоиндолин-1,3-диона
[0842] Стадия А: трет-бутил-4-(4-(1-оксо-2,3-дигидро-1Н-инден-5-ил)-3-(пиридин-4-ил)-1Н-пиразол-1-ил)-1,4'-бипиперидин-1'-карбоксилат
[0843] Раствор 5-(1-(пиперидин-4-ил)-3-(пиридин-4-ил)-1Н-пиразол-4-ил)-2,3-дигидро-1Н-инден-1-она (2,5 г, 7,0 ммоль), трет-бутил-4-бромпиперидин-1-карбоксилата (2,0 г, 7,7 ммоль), KI (1,2 г, 7,0 ммоль) и K2CO3 (2,9 г, 20,9 ммоль) в DMF (20 мл) перемешивали при 110°C в течение ночи. Когда его охлаждали до комнатной температуры добавляли воду (30 мл). Полученную смесь экстрагировали этилацетатом (20 мл × 3) и объединенный органический слой промывали солевым раствором (20 мл × 3), высушивали над безводным сульфатом натрия, фильтровали и концентрировали. Остаток очищали с помощью колоночной хроматографии на диоксиде кремния (DCM/MeOH=20/1) с получением трет-бутил-4-(4-(1-оксо-2,3-дигидро-1Н-инден-5-ил)-3-(пиридин-4-ил)-1Н-пиразол-1-ил)-1,4,-бипиперидин-1'-карбоксилата (360 мг, выход 10%) в виде коричневого масла. LCMS: масса/заряд 542,3 [М+Н]+.
[0844] Стадия В: 5-(1-(1,4'-бипиперидин-4-ил)-3-(пиридин-4-ил)-1Н-пиразол-4-ил)-2,3-дигидро-1Н-инден-1-он
[0845] Смесь трет-бутил-4-(4-(1-оксо-2,3-дигидро-1Н-инден-5-ил)-3-(пиридин-4-ил)-1Н-пиразол-1-ил)-1,4'-бипиперидин-1'-карбоксилата (360 мг, 0,7 ммоль) в смеси HCl/1,4-диоксан (10 мл) перемешивали при комнатной температуре в течение 30 минут. Затем растворитель непосредственно удаляли в вакууме и неочищенный продукт (300 мг, выход 100%) получали в виде гидрохлоридной соли, которую непосредственно применяли на следующей стадии без дополнительной очистки.
[0846] Стадия С: 2-(2,6-диоксопиперидин-3-ил)-5-(4-(4-(1-оксо-2,3-дигидро-1H-инден-5-ил)-3-(пиридин-4-ил)-1Н-пиразол-1-ил)-1,4'-бипиперидин-1'-ил)изоиндолин-1,3-дион
[0847] Раствор 5-(1-(1,4'-бипиперидин-4-ил)-3-(пиридин-4-ил)-1Н-пиразол-4-ил)-2,3-дигидро-1Н-инден-1-она (290 мг, 0,7 ммоль), 2-(2,6-диоксопиперидин-3-ил)-5-фторизоиндолин-1,3-диона (183 мг, 0,7 ммоль) и Et3N (336 мг, 3,3 ммоль) в DMSO (5 мл) перемешивали при 80°C в течение ночи. Когда его охлаждали до комнатной температуры, добавляли воду (10 мл), и смесь экстрагировали этилацетатом (5 мл × 3), и объединенный органический слой промывали солевым раствором (5 мл × 3), высушивали над безводным сульфатом натрия, фильтровали и концентрировали. Остаток очищали с помощью препаративной TLC (DCM/MeOH=20/1) с получением 2-(2,6-диоксопиперидин-3-ил)-5-(4-(4-(1-оксо-2,3-дигидро-1Н-инден-5-ил)-3-(пиридин-4-ил)-1Н-пиразол-1-ил)-1,4'-бипиперидин-1'-ил)изоиндолин-1,3-диона (195 мг, выход 42%) в виде белого твердого вещества. LCMS: масса/заряд 698,3 [М+Н]+.
[0848] Стадия D: (Е)-2-(2,6-диоксопиперидин-3-ил)-5-(4-(4-(1-(гидроксиимино)-2,3-дигидро-1Н-инден-5-ил)-3-(пиридин-4-ил)-1Н-пиразол-1-ил)-1,4'-бипиперидин-1'-ил)изоиндолин-1,3-дион
[0849] К раствору 2-(2,6-диоксопиперидин-3-ил)-5-(4-(4-(1-оксо-2,3-дигидро-1Н-инден-5-ил)-3-(пиридин-4-ил)-1Н-пиразол-1-ил)-1,4'-бипиперидин-1'-ил)изоиндолин-1,3-диона (95 мг, 0,1 ммоль) в пиридине (2 мл) добавляли гидрохлорид гидроксиламина (94 мг, 1,3 ммоль) и смесь перемешивали при комнатной температуре в течение 2 часов. Затем растворитель удаляли in vacuo и остаток очищали с помощью препаративной HPLC с получением (Е)-2-(2,6-диоксопиперидин-3-ил)-5-(4-(4-(1-(гидроксиимино)-2,3-дигидро-1Н-инден-5-ил)-3-(пирид ин-4-ил)-1Н-пиразол-1-ил)-1,4'-бипиперидин-1'-ил)изоиндолин-1,3-диона (53 мг, выход 55%). LCMS: масса/заряд 713,4 [М+Н]+; 1H ЯМР (400 МГц, DMSO-d6) δ 1,51-1,53 (2Н, m), 1,84-1,87 (2Н, m), 1,97-2,03 (3Н, m), 2,09-2,11 (2Н, m), 2,32-2,37 (2Н, m), 2,57-2,67 (2Н, m), 2,78-2,89 (3Н, m), 2,90-2,99 (6Н, m), 4,11 (2Н, d, J=12,8 Гц), 4,20-4,22 (1H, m), 5,06 (1Н, dd, J=12,8, 5,6 Гц), 7,12 (1H, d, J=8,8 Гц), 7,25 (1Н, d, J=6,0 Гц), 7,27 (1Н, s), 7,30 (1Н, s), 7,38 (2Н, dd, J=4,8, 1,2 Гц), 7,50 (1Н, d, J=8,0 Гц), 7,56 (1Н, d, J=8,8 Гц), 8,13 (1H, s), 8,24 (1H, s), 8,50 (2Н, dd, J=4,8, 1,6, Гц), 10,86 (1H, s), 11,08 (1H, s).
[0850] Пример синтеза соединения 208: (3R)-N-(3-(5-(4-(2-(2-(2-(2-(4-(2-(2,6-диоксопиперидин-3-ил)-1,3-диоксоизоиндолин-5-ил)пиперазин-1-ил)этокси)этокси)этокси)этокси)фенил)-1Н-пирроло[2,3-b]пиридин-3-карбонил)-2,4-дифторфенил)-3-фторпирролидин-1-сульфонамида
[0851] Стадия А: 2-(2-(2-(2-(4-бромфенокси)этокси)этокси)этокси)ацетальдегид
[0852] К раствору 2-(2-(2-(2-(4-бромфенокси)этокси)этокси)этокси)этан-1-ола (3,1 г, 8,90 ммоль) в ацетонитриле (30 мл) добавляли IBX (3,7 г, 13,40 ммоль). Смесь нагревали до 80°C в течение 1 часа. После охлаждения до комнатной температуры смесь фильтровали через целит и концентрировали с получением неочищенного необходимого продукта, 2-(2-(2-(2-(4-бромфенокси)этокси)этокси)этокси)ацетальдегида (3,2 г, неочищенный), в виде масла.
[0853] Стадия В: 5-(4-(2-(2-(2-(2-(4-бромфенокси)этокси)этокси)этокси)этил)пиперазин-1-ил)-2-(2,6-диоксопиперидин-3-ил)изоиндолин-1,3-дион
[0854] К раствору 2-(2-(2-(2-(4-бромфенокси)этокси)этокси)этокси)ацетальдегида (3,2 г, 9,20 ммоль) и гидрохлорида 2-(2,6-диоксопиперидин-3-ил)-5-(пиперазин-1-ил)изоиндолин-1,3-диона (3,1 г, 9,20 ммоль) в метаноле (100 мл) и двух каплях AcOH добавляли NaBH3CN (0,58 г, 9,20 ммоль). Смесь перемешивали при комнатной температуре в течение ночи. После гашения водой (50 мл) смесь экстрагировали с помощью DCM (100 мл × 2). Объединенный органический слой промывали солевым раствором (200 мл), высушивали над Na2SO4 и фильтровали. Растворитель выпаривали при пониженном давлении. Остаток очищали с помощью колоночной хроматографии (DCM:MeOH=20:1) с получением необходимого соединения 5-(4-(2-(2-(2-(2-(4-бромфенокси)этокси)этокси)этокси)этил)пиперазин-1-ил)-2-(2,6-диоксопиперидин-3-ил)изоиндолин-1,3-диона (1,1 г, 18%) в виде желтого твердого вещества. LC-MS: (ES+): масса/заряд 675,1 [М+Н]+.
[0855] Стадия С: 2-(2,6-диоксопиперидин-3-ил)-5-(4-(2-(2-(2-(2-(4-(4,4,5,5-тетраметил-1,3,2-диоксаборолан-2-ил)фенокси)этокси)этокси)этокси)этил)пиперазин-1-ил)изоиндолин-1,3-дион
[0856] Раствор 5-(4-(2-(2-(2-(2-(4-бромфенокси)этокси)этокси)этокси)этил)пиперазин-1-ил)-2-(2,6-диоксопиперидин-3-ил)изоиндолин-1,3-диона (400 мг, 0,60 ммоль), 4,4,4',4',5,5,5',5'-октаметил-2,2'-би(1,3,2-диоксаборолан) (227 мг, 0,89 ммоль), Pd(dppf)Cl2 (88 мг, 0,12 ммоль) и KOAc (118 мг, 1,20 ммоль) в диоксане (10 мл) нагревали до 90°C в течение ночи в атмосфере N2. После гашения реакционной смеси водой (15 мл) смесь экстрагировали с помощью DCM (50 мл × 2). Объединенные слои промывали водой и солевым раствором. Объединенный органический слой высушивали (Na2SO4), фильтровали и концентрировали при пониженном давлении. Остаток очищали с помощью хроматографии на силикагеле с получением 2-(2,6-диоксопиперидин-3-ил)-5-(4-(2-(2-(2-(2-(4-(4,4,5,5-тетраметил-1,3,2-диоксаборолан-2-ил)фенокси)этокси)этокси)этокси)этил)пиперазин-1-ил)изоиндолин-1,3-диона (200 мг, 47%) в виде желтого твердого вещества. LCMS (ES+): масса/заряд 721,3 [М+Н]+.
[0857] Стадия D: (3R)-N-(3-(5-(4-(2-(2-(2-(2-(4-(2-(2,6-диоксопиперидин-3-ил)-1,3-диоксоизоиндолин-5-ил)пиперазин-1-ил)этокси)этокси)этокси)этокси)фенил)-1Н-пирроло[2,3-b]пиридин-3-карбонил)-2,4-дифторфенил)-3-фторпирролидин-1-сульфонамид
[0858] Раствор 2-(2,6-диоксопиперидин-3-ил)-5-(4-(2-(2-(2-(2-(4-(4,4,5,5-тетраметил-1,3,2-диоксаборолан-2-ил)фенокси)этокси)этокси)этокси)этил)пиперазин-1-ил)изоиндолин-1,3-диона (200 мг, 0,28 ммоль), (R)-N-[-(3-(5-бром-1Н-пирроло[2,3-b]пиридин-3-карбонил)-2,4-дифторфенил)-3-фторпирролидин-1-сульфонамида (116 мг, 0,23 ммоль), Pd(aMPhos)Cl2 (66 мг, 0,09 ммоль) и CsF (141 мг, 0,93 ммоль) в смеси диоксан/Н2О (5 мл/1 мл) нагревали до 100°C в течение 4 часов в атмосфере N2. После гашения реакционной смеси водой (15 мл) смесь экстрагировали с помощью DCM (50 мл × 2). Объединенные слои промывали водой и солевым раствором. Объединенный органический слой высушивали (Na2SO4), фильтровали и концентрировали при пониженном давлении. Остаток очищали с помощью хроматографии на силикагеле с получением (3R)-N-(3-(5-(4-(2-(2-(2-(2-(4-(2-(2,6-диоксопиперидин-3-ил)-1,3-диоксоизоиндолин-5-ил)пиперазин-1-ил)этокси)этокси)этокси)этокси)фенил)-1Н-пирроло[2,3-b]пиридин-3-карбонил)-2,4-дифторфенил)-3-фторпирролидин-1-сульфонамида (40 мг, 17%) в виде желтого твердого вещества. 1H ЯМР (400 МГц, CDCl3): δ 11,23 (bs, 1Н), 10,56 (s, 1H), 8,73 (s, 1H), 8,54 (s, 1Н), 7,68-7,62 (m, 3Н), 7,44 (s, 1H), 7,28 (s, 1Н), 7,09 (d, J=8,8 Гц, 2Н), 7,01 (t, J=8,8 Гц, 1Н), 6,84 (s, 1H), 6,54 (d, J=7,6 Гц, 1Н), 5,17 (s, 1Н), 5,11 4,95 (m, 1H), 4,23 (s, 2Н), 3,92 (s, 2Н), 3,77-3,76 (m, 2Н), 3,69-3,67 (m, 4Н), 3,64-3,57 (m, 4Н), 3,54-3,51 (m, 2Н), 3,42-3,39 (m, 2Н), 3,13 (s, 4Н), 2,93 (s, 3Н), 2,50-2,35 (m, 6Н), 2,10 (s, 2Н); LCMS (ES+): масса/заряд 1018,3 [М+Н]+.
[0859] Пример синтеза соединения 209
[0860] Стадия А: 3-(трет-бутилдиметилсилилокси)циклогексанол
[0861] К раствору 1,3-циклогександиола (смесь цис- и транс-изомеров, 25 г, 0,216 ммоль) и имидазола (8,8 г, 0,129 ммоль)) в смеси дихлорметана (150 мл) и тетрагидрофурана (150 мл) добавляли по каплям раствор трет-бутилдиметилсилилхлорида (16,2 г, 0,107 ммоль) в смеси дихлорметана (40 мл) и тетрагидрофурана (40 мл) при 0°C. Обеспечивали нагревание реакционной смеси до температуры окружающей среды и перемешивали в течение ночи. Нерастворимый материал удаляли путем фильтрации и маточный раствор концентрировали при пониженном давлении с получением остатка, который растворяли в этилацетате (300 мл) и промывали по очереди с помощью 1 н. водного раствора хлористоводородной кислоты (100 мл), солевого раствора (100 мл), насыщенного раствора гидрокарбоната натрия в воде (100 мл) и насыщенного раствора хлорида натрия (100 мл) и высушивали над высушивали над безводным сульфатом натрия. Выпаривание растворителя обеспечивало получение остатка, который хроматографировали на силикагеле (этилацетат/н-гексан=1:5) с получением 3-(трет-бутилдиметилсилилокси)циклогексанола (смесь цис- и транс-изомеров) (12,5 г, выход 51%) в виде бесцветного масла.
[0862] Стадия В: 3-(пиридин-4-илокси)циклогексанол
[0863] В смесь 3-(трет-бутилдиметилсилилокси)циклогексанола (10 г, 43,4 ммоль), пиридин-4-ола (3,9 г, 41,2 ммоль), трифенилфосфина (14,8 г, 56,42 ммоль) в THF (40 мл, сухой) по каплям добавляли диизопропилазодикарбоксилат (10,5 г, 52,1 ммоль) в течение периода 0,5 часа при комнатной температуре в атмосфере азота. Смесь перемешивали в течение 3 ч. при комнатной температуре в атмосфере азота. Добавляли водн. раствор HCl (70 мл, 1 н.) и перемешивали в течение 0,5 часа. Смесь экстрагировали с помощью DCM (60 мл × 3). Повышали основность жидкого слоя с помощью KOH и экстрагировали этилацетатом (60 мл × 4). Объединенный органический слой высушивали над безводным сульфатом натрия, фильтровали и концентрировали in vacuo с получением 3-(пиридин-4-илокси)циклогексанола (3,3 г, выход 40%) в виде желтого масла. LCMS: масса/заряд 194,1 [М+Н]+.
[0864] Стадия С: 3-(пиперидин-4-илокси)циклогексанол
[0865] В смесь раствора 3-(пиридин-4-илокси)циклогексанола (3,3 г, 17 ммоль) в этаноле (30 мл) добавляли диоксид платины (660 мг, 2,9 ммоль), серную кислоту (2,5 г, 26 ммоль), затем реакционную смесь перемешивали при 50°C в течение 2 дней в атмосфере водорода при 2,0 МПа. Смесь фильтровали и концентрировали, добавляли солевой раствор (30 мл × 3) и экстрагировали с помощью DCM/MeOH (10/1, 30 мл × 3). Объединенный органический слой высушивали над безводным сульфатом натрия, фильтровали и концентрировали in vacuo. Остаток очищали с помощью колоночной хроматографии на диоксиде кремния (дихлорметан/метанол=10/1) с получением 3-(пиперидин-4-илокси)циклогексанола (330 мг, выход 10%) в виде бледно-желтого масла.
[0866] Стадия С: трет-бутил-4-(3-гидроксициклогексилокси)пиперидин-1-карбоксилат
[0867] К раствору 3-(пиперидин-4-илокси)циклогексанола (330 мг, 1,66 ммоль) и DIEA (642 мг, 4,9 ммоль) в дихлорметане (15 мл) добавляли Вос2О (436 мг, 2,0 ммоль), затем его перемешивали при комнатной температуре в течение ночи. Растворитель удаляли in vacuo при комнатной температуре и остаток очищали с помощью колоночной хроматографии на силикагеле (этилацетат/петролейный эфир=1/1) с получением трет-бутил-4-(3-гидроксициклогексилокси)пиперидин-1-карбоксилата (352 мг, выход 71%) в виде желтого масла.
[0868] Стадия D: трет-бутил-4-(3-(метилсульфонилокси)циклогексилокси)пиперидин-1-карбоксилат
[0869] К раствору трет-бутил-4-(3-гидроксициклогексилокси)пиперидин-1-карбоксилата (352 мг, 1,18 ммоль) и DIEA (457 мг, 3,5 ммоль) в дихлорметане (15 мл) добавляли MsCl (162 мг, 1,4 ммоль) и смесь перемешивали при 0°C в течение 1 часа. Ее последовательно промывали с помощью водного раствора NaHCO3 (15 мл × 2), солевого раствора (10 мл × 2). Органическую фазу высушивали над безводным Na2SO4, фильтровали и концентрировали in vacuo с получением неочищенного трет-бутил-4-(3-(метилсульфонилокси)циклогексилокси)пиперидин-1-карбоксилата (351 мг, выход 79%) в виде бледно-желтого масла.
[0870] Стадия Е: цис-трет-бутил-3-(4-бром-3-(пиридин-4-ил)-1Н-пиразол-1-ил)циклогексилокси)пиперидин-1-карбоксилат и транс-трет-бутил-3-(4-бром-3-(пиридин-4-ил)-1Н-пиразол-1-ил)циклогексилокси)пиперидин-1-карбоксилат
[0871] Смесь трет-бутил-4-(3-(метилсульфонилокси)циклогексилокси)пиперидин- 1-карбоксилата (450 мг, 1,19 ммоль), 4-(4-бром-1Н-пиразол-3-ил)пиридина (252 мг, 1,13 ммоль), Cs2CO3 (1,16 г, 3,57 ммоль) в N,N-диметилформамиде (5 мл) перемешивали при 80°C в течение двух дней. Ее разбавляли солевым раствором (15 мл) и экстрагировали этилацетатом (15 мл × 3). Объединенный органический слой промывали солевым раствором (15 мл × 3), высушивали над безводным сульфатом натрия, фильтровали и концентрировали in vacuo. Остаток очищали с помощью колоночной хроматографии на силикагеле (этилацетат/петролейный эфир=1/1) с получением цис-трет-бутил-3-(4-бром-3-(пиридин-4-ил)-1Н-пиразол-1-ил)циклогексилокси)пиперидин-1-карбоксилата (140 мг) и транс-трет-бутил-3-(4-бром-3-(пиридин-4-ил)-1Н-пиразол-1-ил)циклогексилокси)пиперидин-1-карбоксилата (130 мг) в виде бледно-желтого твердого вещества. Для цис-трет-бутил-3-(4-бром-3-(пиридин-4-ил)-1Н-пиразол-1-ил)циклогексилокси)пиперидин-1-карбоксилата: LCMS: масса/заряд 505,3 [М+Н]+; 1H ЯМР (400 МГц, CDCl3) δ 1,38 (9Н, s), 1,53-1,72 (6Н, m), 1,89-2,11 (6Н, m), 2,97- 3,04 (2Н, m), 3,41-3,47 (1H, m), 3,53-3,55 (1H, m), 3,69 (2Н, brs), 4,09-4,15 (1H, m), 7,52 (1H, s), 7,84 (2Н, d, J=6,0 Гц), 8,59 (2Н, s). Для транс-трет-бутил-3-(4-бром-3-(пиридин-4-ил)-1Н-пиразол-1-ил)циклогексилокси)пиперидин-1-карбоксилата: LCMS: масса/заряд 505,3 [М+Н]+; 1H ЯМР (400 МГц, CDCl3) δ 1,39 (9Н, s), 1,42-1,92 (9Н, m), 2,05-2,18 (3Н, m), 3,04-3,11 (2Н, m), 3,46-3,50 (1H, m), 3,66 (2Н, brs), 3,90 (1Н, s); 4,42-4,46 (1H, m), 7,47 (1H, s), 7,85 (2Н, d, J=5,6 Гц), 8,58 (2Н, s).
[0872] Стадия F: трет-бутил-4-((1S,3R)-3-(4-(1-оксо-2,3-дигидро-1Н-инден-5-ил)-3-(пиридин-4-ил)-1Н-пиразол-1-ил)циклогексилокси)пиперидин-1-карбоксилат
[0873] Смесь трет-бутил-4-((1S,3R)-3-(4-бром-3-(пиридин-4-ил)-1Н-пиразол-1-ил)циклогексилокси)пиперидин-1-карбоксилата (40 мг, 0,08 ммоль), 5-(4,4,5,5-тетраметил-1,3,2-диоксаборолан-2-ил)-2,3-дигидро-1Н-инден-1-она (26 мг, 0,1 ммоль), K2CO3 (33 мг, 0,24 ммоль), тетракис(трифенилфосфин)палладия (10 мг, 10 мол. %) перемешивали в смеси 1,4-диоксан/вода (6 мл, 5/1) при 80°C в течение 2 часов в атмосфере азота. После охлаждения смеси ее разбавляли водой (10 мл), экстрагировали этилацетатом (15 мл × 3). Объединенный органический слой промывали солевым раствором (20 мл), высушивали над безводным сульфатом натрия, фильтровали и концентрировали in vacuo. Остаток очищали с помощью колоночной хроматографии (петролейный эфир/этилацетат=45/55) с получением трет-бутил-4-((1S,3R)-3-(4-(1-оксо-2,3-дигидро-1Н-инден-5-ил)-3-(пиридин-4-ил)-1Н-пиразол-1-ил)циклогексилокси)пиперидин-1-карбоксилата (20 мг, выход 44%) в виде желтого твердого вещества. LCMS: масса/заряд 557,3 [М+Н]+.
[0874] Стадия G: 5-(1-((1R,3S)-3-(пиперидин-4-илокси)циклогексил)-3-(пиридин-4-ил)-1Н-пиразол-4-ил)-2,3-дигидро-1Н-инден-1-он
[0875] Раствор трет-бутил-4-((1S,3R)-3-(4-(1-оксо-2,3-дигидро-1Н-инден-5-ил)-3-(пиридин-4-ил)-1Н-пиразол-1-ил)циклогексилокси)пиперидин-1-карбоксилата (40 мг, 0,08 ммоль) в растворе 4 н. HCl в 1,4-диоксане (3 мл) перемешивали при 0°C в течение 5 часов. Затем растворитель непосредственно удаляли с получением 5-(1-((1R,3S)-3-(пиперидин-4-илокси)циклогексил)-3-(пиридин-4-ил)-1Н-пиразол-4-ил)-2,3-дигидро-1Н-инден-1-она (38 мг, неочищенный, выход 100%), который непосредственно применяли на следующей стадии без дополнительной очистки.
[0876] Стадия Н: 2-(2,6-диоксопиперидин-3-ил)-5-(4-((1S,3R)-3-(4-(1-оксо-2,3-дигидро-1Н-инден-5-ил)-3-(пиридин-4-ил)-1Н-пиразол-1-ил)циклогексилокси)пиперидин-1-ил)изоиндолин-1,3-дион
[0877] Смесь 5-(1-((1R,3S)-3-(пиперидин-4-илокси)циклогексил)-3-(пиридин-4-ил)-1Н-пиразол-4-ил)-2,3-дигидро-1Н-инден-1-она (20 мг, 0,044 ммоль), 2-(2,6-диоксопиперидин-3-ил)-5-фторизоиндолин-1,3-диона (18 мг, 0,066 ммоль), DIEA (17 мг, 0,13 ммоль) в DMSO (3 мл) перемешивали при 80°C в течение ночи. Ее разбавляли солевым раствором (15 мл) и экстрагировали этилацетатом (15 мл × 3). Объединенный органический слой промывали солевым раствором (15 мл × 3), высушивали над безводным сульфатом натрия, фильтровали и концентрировали in vacuo. Остаток очищали с помощью препаративной TLC (DCM/MeOH=20/1) с получением 2-(2,6-диоксопиперидин-3-ил)-5-(4-((1S,3R)-3-(4-(1-оксо-2,3-дигидро-1Н-инден-5-ил)-3-(пиридин-4-ил)-1Н-пиразол-1-ил)циклогексилокси)пиперидин-1-ил)изоиндолин-1,3-диона (15 мг, выход 50%) в виде желтого твердого вещества. LCMS: масса/заряд 713,3 [М+Н]+.
[0878] Стадия I: 2-(2,6-диоксопиперидин-3-ил)-5-(4-((1S,3R)-3-(4-((Е)-1-(гидроксиимино)-2,3-дигидро-1Н-инден-5-ил)-3-(пиридин-4-ил)-1Н-пиразол-1-ил)циклогексилокси)пиперидин-1-ил)изоиндолин-1,3-дион
[0879] Смесь 2-(2,6-диоксопиперидин-3-ил)-5-(4-((1S,3R)-3-(4-(1-оксо-2,3-дигидро-1Н-инден-5-ил)-3-(пиридин-4-ил)-1Н-пиразол-1-ил)циклогексилокси)пиперидин-1-ил)изоиндолин-1,3-диона (15 мг, 0,021 ммоль), гидрохлорида гидроксиламина (15 мг, 0,21 ммоль) в пиридине (3 мл) перемешивали при комнатной температуре в течение ночи. Растворитель непосредственно удаляли in vacuo при комнатной температуре и остаток очищали с помощью препаративной HPLC с получением 2-(2,6-диоксопиперидин-3-ил)-5-(4-((1S,3R)-3-(4-((Е)-1-(гидроксиимино)-2,3-дигидро-1Н-инден-5-ил)-3-(пиридин-4-ил)-1Н-пиразол-1-ил)циклогексилокси)пиперидин-1-ил)изоиндолин-1,3-диона (2,8 мг, выход 18%) в виде желтого твердого вещества. LCMS: масса/заряд 728,3 [М+Н]+; 1H ЯМР (400 МГц, CDCl3) δ 1,73-2,08 (12Н, m), 2,17-2,19 (1H, m), 2,51-2,53 (1Н, m), 2,66-2,96 (7Н, m), 3,17-3,23 (2Н, m), 3,48-354 (1Н, m), 3,61-3,73 (3Н, m), 4,16-4,22 (1Н, m), 4,84-4,89 (1Н, m), 6,98 (1Н, dd, J=8,4, 2,0 Гц), 7,09 (1Н, d, J=8,0 Гц), 7,15 (1H, s), 7,21 (1Н, d, J=2,4 Гц), 7,45-7,51 (3Н, m), 7,59 (2Н, t, J=8,8 Гц), 8,14 (1H, d, J=12,8 Гц), 8,46 (1Н, d, J=4,8 Гц).
[0880] Соединение 210 может быть получено аналогично соединению 209.
[0881] Пример синтеза соединения 211: (Е)-2-(2,6-диоксопиперидин-3-ил)-5-(3-(1-(2-(4-(4-(1-(гидроксиимино)-2,3-дигидро-1Н-инден-5-ил)-3-(пиридин-4-ил)-1H-пиразол-1-ил)фенокси)этил)пиперидин-4-ил)азетидин-1-ил)изоиндолин-1,3-диона
[0882] Стадия А: трет-бутил-3-(1-(2-(4-(4-бром-3-(пиридин-4-ил)-1Н-пиразол-1-ил)фенокси)этил)пиперидин-4-ил)азетидин-1-карбоксилат
[0883] К раствору 2-(4-(4-бром-3-(пиридин-4-ил)-1Н-пиразол-1-ил)фенокси)ацетальдегида (0,34 г, 0,95 ммоль) в EtOH/DCM (6 мл/6 мл) добавляли трет-бутил-3-(пиперидин-4-ил)азетидин-1-карбоксилат (272 мг, 1,14 ммоль) и кат. количество AcOH. Добавляли AcOK, если значение рН составляло менее 5-6. Затем добавляли NaBH(OAc)3 (810 мг, 3,80 ммоль). Полученный раствор перемешивали при 30°C в течение 1 часа. После гашения реакционной смеси с помощью водн. раствора NaHCO3 (20 мл) смесь экстрагировали с помощью DCM (30 мл × 2). Объединенный органический слой высушивали над безводным сульфатом натрия и концентрировали под вакуумом. Остаток обрабатывали с помощью колонки с силикагелем с получением необходимого продукта, трет-бутил-3-(1-(2-(4-(4-бром-3-(пиридин-4-ил)-1Н-пиразол-1-ил)фенокси)этил)пиперидин-4-ил)азетидин-1-карбоксилата (270 мг). LCMS: (ES+): масса/заряд 583,3 [М+Н]+.
[0884] Стадия В: 4-(1-(4-(2-(4-(азетидин-3-ил)пиперидин-1-ил)этокси)фенил)-4-бром-1Н-пиразол-3-ил)пиридин
[0885] К раствору трет-бутил-3-(1-(2-(4-(4-бром-3-(пиридин-4-ил)-1Н-пиразол-1-ил)-фенокси)этил)пиперидин-4-ил)азетидин-1-карбоксилата (0,27 г, 0,46 ммоль) в DCM (6 мл) добавляли TFA (2 мл). Полученную смесь перемешивали при 30°C в течение 1 часа. Растворитель удаляли под вакуумом и остаток дважды выпаривали совместно с DCM с получением необходимого продукта, 4-(1-(4-(2-(4-(азетидин-3-ил)пиперидин-1-ил)этокси)-фенил)-4-бром-1Н-пиразол-3-ил)пиридина (224 мг, неочищенный, рассчитанное значение, 0,46 ммоль), который применяли в следующей реакции без дополнительной очистки. LCMS: (ES+): масса/заряд 482,0 [М+Н]+.
[0886] Стадия С: 5-(3-(1-(2-(4-(4-бром-3-(пиридин-4-ил)-1Н-пиразол-1-ил)фенокси)этил)пиперидин-4-ил)азетидин-1-ил)-2-(2,6-диоксопиперидин-3-ил)изоиндолин-1,3-дион
[0887] К раствору 4-(1-(4-(2-(4-(азетидин-3-ил)пиперидин-1-ил)этокси)фенил)-4-бром-1Н-пиразол-3-ил)пиридина (224 мг, неочищенный, 0,46 ммоль) в NMP (5 мл) добавляли 2-(2,6-диоксопиперидин-3-ил)-5-фторизоиндолин-1,3-дион (254 мг, 0,92 ммоль) и DIEA (0,6 г, 4,6 ммоль). Полученный раствор подвергали облучению при 150°C с помощью микроволнового излучения в течение 2 часов. После охлаждения до комнатной температуры смесь разбавляли с помощью EA (50 мл). Смесь промывали солевым раствором (10 мл × 3). Органическую фазу высушивали над Na2SO4, фильтровали и концентрировали при пониженном давлении. Остаток очищали с помощью препаративной TLC с получением 5-(3-(1-(2-(4-(4-бром-3-(пиридин-4-ил)-1Н-пиразол-1-ил)фенокси)этил)пиперидин-4-ил)азетидин-1-ил)-2-(2,6-диоксопиперидин-3-ил)изоиндолин-1,3-диона (60 мг). LCMS: (ES+): масса/заряд 739,3 [М+Н]+.
[0888] Стадия D: 2-(2,6-диоксопиперидин-3-ил)-5-(3-(1-(2-(4-(4-(1-оксо-2,3-дигидро-1Н-инден-5-ил)-3-(пиридин-4-ил)-1Н-пиразол-1-ил)фенокси)этил)пиперидин-4-ил)азетидин-1-ил)изоиндолин-1,3-дион
[0889] К раствору 5-(3-(1-(2-(4-(4-бром-3-(пиридин-4-ил)-1Н-пиразол-1-ил)фенокси)этил)пиперидин-4-ил)азетидин-1-ил)-2-(2,6-диоксопиперидин-3-ил)изоиндолин-1,3-диона (60 мг, 0,081 ммоль) и 5-(4,4,5,5-тетраметил-1,3,2-диоксаборолан-2-ил)-2,3-дигидро-1Н-инден-1-она (84 мг, 0,325 ммоль) в смеси диоксан (15 мл)/Н2О (3 мл) последовательно добавляли CsF (49 мг, 0,325 ммоль), Pd2(dba)3 (30 мг, 0,033 ммоль), тетрафторборат три-трет-бутилфосфина (20 мг, 0,066 ммоль) и две капли Cy2NCH3. Полученный раствор нагревали до 100°C в течение 16 часов в атмосфере N2. После охлаждения до комнатной температуры реакционную смесь гасили водой (20 мл) и смесь экстрагировали этилацетатом (30 мл × 2). Объединенный органический слой высушивали над безводным сульфатом натрия и концентрировали под вакуумом. Остаток очищали с помощью препаративной TLC с получением необходимого продукта, 2-(2,6-диоксопиперидин-3-ил)-5-(3-(1-(2-(4-(4-(1-оксо-2,3-дигидро-1Н-инден-5-ил)-3-(пиридин-4-ил)-1H-пиразол-1-ил)фенокси)этил)пиперидин-4-ил)азетидин-1-ил)изоиндолин-1,3-диона (30 мг, выход 47%), в виде желтого твердого вещества. LCMS: (ES+): масса/заряд 790,3 [М+Н]+.
[0890] Стадия Е: (Е)-2-(2,6-диоксопиперидин-3-ил)-5-(3-(1-(2-(4-(4-(1-(гидроксиимино)-2,3-дигидро-1Н-инден-5-ил)-3-(пиридин-4-ил)-1Н-пиразол-1-ил)фенокси)этил)пиперидин-4-ил)азетидин-1-ил)изоиндолин-1,3-дион
[0891] К раствору 2-(2,6-диоксопиперидин-3-ил)-5-(3-(1-(2-(4-(4-(1-оксо-2,3-дигидро-1Н-инден-5-ил)-3-(пиридин-4-ил)-1Н-пиразол-1-ил)фенокси)этил)пиперидин-4-ил)азетидин-1-ил)изоиндолин-1,3-диона (30 мг, 0,038 ммоль) в CH3CN/пиридин (6 мл/3 мл) добавляли гидрохлорид гидроксиламина (26 мг, 0,38 ммоль). Смесь перемешивали при 50°С в течение 1 часа. Растворитель удаляли под вакуумом и остаток очищали с помощью препаративной TLC с применением смеси DCM/MeOH (15/1) с получением необходимого продукта (Е)-2-(2,6-диоксопиперидин-3-ил)-5-(3-(1-(2-(4-(4-(1-(гидроксиимино)-2,3-дигидро-1Н-инден-5-ил)-3-(пиридин-4-ил)-1Н-пиразол-1-ил)фенокси)этил)пиперидин-4-ил)азетидин-1-ил)изоиндолин-1,3-диона (15 мг, выход 50%) в виде желтого твердого вещества. 1Н ЯМР (400 МГц, DMSO-d6): δ 11,07 (s, 1H), 10,91 (s, 1H), 8,75 (s, 1H), 8,57 (d, J=5,6 Гц, 2H), 7,87 (d, J=8,8 Гц, 2H), 7,65 (d, J=4,8 Гц, 1H), 7,55 (d, J=4,8 Гц, 1H), 7,49 (d, J=5,6 Гц, 2H), 7,41 (s, 1H), 7,21 (d, J=4,8 Гц, 1H), 7,12 (d, J=9,2 Гц, 2H), 6,77 (s, 1H), 6,63 (d, J=4,4 Гц, 1H), 5,00-5,10 (m, 1H), 4,05-4,20 (m, 4H), 3,70-3,80 (m, 2H), 2,70-3,10 (m, 7H), 2,55-2,65 (m, 4H), 1,70-2,05 (m, 10H); LCMS: (ES+): масса/заряд 806,3 [M+H]+.
[0892] Пример синтеза соединения 213: (Е)-2-2.6-диоксопиперидин-3-ил)-4-(3-(2-(2-((4-(4-(1-(гидроксиимино)-2,3-дигидро-1Н-инден-5-ил)-3-(пиридин-4-ил)-1Н-пиразол-1-ил)фенокси)метил)фенокси)этокси)пропокси)изоиндолин-1,3-диона
[0893] Стадия А: (2-(2-(3-((трет-бутилдиметилсилил)окси)пропокси)этокси)фенил)метанол
[0894] К раствору 2-(3-((трет-бутилдиметилсилил)окси)пропокси)этил-4-метилбензолсульфоната (1 г, 2,58 ммоль) в DMF (10 мл) добавляли 2-(гидроксиметил)фенол (0,38 г, 3,09 моль) и K2CO3 (1,07 г, 2,74 ммоль). Полученный раствор перемешивали при 70°С в течение 3 часов. После охлаждения до комнатной температуры реакционную смесь гасили с помощью водн. раствора NH4Cl и смесь экстрагировали с помощью EtOAc. Органическую фазу высушивали над безводным сульфатом натрия, концентрировали под вакуумом. Остаток очищали с помощью хроматографической колонки с получением (2-(2-(3-((трет-бутилдиметилсилил)окси)пропокси)этокси)фенил)метанола (400 мг, выход 45,6%) в виде бесцветного масла. 1H ЯМР (400 МГц, CDCl3): δ 7,36 7,34 (d, J=7,2 Гц, 1H), 7,18-7,14 (t, J=7,2 Гц, 1H), 6,93-6,90 (m, 2H), 4,90-4,87 (t, J=5,6 Гц, 1H), 4,49-4,47 (m, 2H), 4,07-4,05 (m, 2H), 3,68-3,61 (m, 4H), 3,52-2,90 (t, J=6,4 Гц, 2H), 1,70-1,64 (m, 2H), 0,83 (s, 9H), 0,00 (s, 6H).
[0895] Стадия В: 4-(4-бром-1-(4-((2-(2-(3-((трет-бутилдиметилсилил)окси)пропокси)этокси)бензил)окси)фенил)-1Н-пиразол-3-ил)пиридин
[0896] К раствору (2-(2-(3-((трет-бутилдиметилсилил)окси)пропокси)этокси)фенил)метанола (400 мг, 1,18 ммоль) в DCM (20 мл) и DIPEA (457 мг, 3,54 ммоль) добавляли MsCl (268 мг, 2,36 ммоль) при 0°С. Полученный раствор перемешивали при комнатной температуре в течение 1 часа. Реакционную смесь разбавляли с помощью DCM (100 мл), промывали водой, солевым раствором. Органическую фазу высушивали над безводным сульфатом натрия, концентрировали под вакуумом с получением неочищенного необходимого продукта (320 мг, выход 100%), который применяли непосредственно на следующей стадии. К раствору вышеуказанного необходимого продукта (320 мг, 0,89 ммоль) в сухом DMF (20 мл) добавляли K2CO3 (368,5 мг, 2,67 ммоль) и 4-(4-бром-3-(пиридин-4-ил)-1Н-пиразол-1-ил)фенол (309,7 мг, 0,98 ммоль). Полученный раствор перемешивали при 70°С в течение 2 часов. После охлаждения до комнатной температуры реакционную смесь разбавляли с помощью EtOAc (100 мл), промывали водой и солевым раствором. Органическую фазу высушивали над безводным сульфатом натрия. Остаток очищали с помощью хроматографической колонки с получением 4-(4-бром-1-(4-((2-(2-(3-((трет-бутилдиметилсилил)окси)пропокси)этокси)бензил)окси)фенил)-1Н-пиразол-3-ил)пиридина (300 мг, выход 40,1% за 2 стадии) в виде красного масла. 1Н ЯМР (400 МГц, CDCl3): δ 8,73-8,67 (m, 2Н), 8,00-7,90 (m, 3Н), 7,63-7,59 (d, J=9,2 Гц, 1H), 7,50-7,42 (m, 1H), 7,33-7,27 (m, 2H), 7,12-7,08 (m, 2H), 7,02-6,91 (m, 2H), 5,20 (s, 2H), 4,22-4,17 (t, J=4,8 Гц, 2H), 3,84-3,76 (t, J=5,2 Гц, 2H), 3,70-3,67 (t, J=6,4 Гц, 2H), 3,62-3,59 (t, J=6,4 Гц, 2H), 1,82-1,75 (m, 2H), 0,87 (s, 9H), 0,02 (s, 6H).
[0897] Стадия С: 3-(2-(2-((4-(4-бром-3-(пиридин-4-ил)-1Н-пиразол-1-ил)фенокси)метил)фенокси)этокси)пропан-1-ол
[0898] К раствору 4-(4-бром-1-(4-((2-(2-(3-((трет-бутилдиметилсилил)окси)-пропокси)этокси)бензил)окси)фенил)-1Н-пиразол-3-ил)пиридина (300 мг, 0,47 ммоль) в МеОН (10 мл) добавляли HCl в 1,4-диоксане (1 мл, 6 М/л, 6 ммоль) при комнатной температуре. Полученный раствор перемешивали при комнатной температуре в течение 0,5 часа. Раствор концентрировали и разбавляли с помощью 100 мл DCM, промывали с помощью NaHCO3 (50 мл × 3). Органическую фазу высушивали над безводным сульфатом натрия и концентрировали под вакуумом. Остаток очищали с помощью препаративной TLC с получением необходимого продукта, 3-(2-(2-((4-(4-бром-3-(пиридин-4-ил)-1Н-пиразол-1-ил)фенокси)метил)фенокси)этокси)пропан-1-ола (160 мг, выход 65%), в виде белого твердого вещества. LCMS (ES+): масса/заряд 524,1 [М+Н]+.
[0899] Стадия D: трет-бутил-5-амино-4-(4-(3-(2-(2-((4-(4-бром-3-(пиридин-4-ил)-1Н-пиразол-1-ил)фенокси)метил)фенокси)этокси)пропокси)-1,3-диоксоизоиндолин-2-ил)-5-оксопентаноат
[0900] К раствору 3-(2-(2-((4-(4-бром-3-(пиридин-4-ил)-1Н-пиразол-1-ил)фенокси)метил)фенокси)этокси)пропан-1-ола (160 мг, 0,31 ммоль), PPh3 (244 мг, 0,93 ммоль) и трет-бутил-5-амино-4-(4-гидрокси-1,3-диоксоизоиндолин-2-ил)-5-оксопентаноата (159,4 мг, 0,46 ммоль) в сухом THF (10 мл) добавляли DIAD (188 мг, 0,93 ммоль) в атмосфере N2. Полученный раствор перемешивали при комнатной температуре в течение 2 часов. После гашения водой смесь экстрагировали с помощью DCM. Объединенный органический слой промывали водой и солевым раствором, высушивали над безводным сульфатом натрия и концентрировали. Остаток очищали с помощью препаративной TLC с получением необходимого продукта, трет-бутил-5-амино-4-(4-(3-(2-(2-((4-(4-бром-3-(пиридин-4-ил)-1Н-пиразол-1-ил)фенокси)метил)фенокси)этокси)-пропокси)-1,3-диоксоизоиндолин-2-ил)-5-оксопентаноата (110 мг, выход 42,2%), в виде белого твердого вещества. LCMS (ES+): масса/заряд 854,2 [М+Н]+.
[0901] Стадия D: 4-(3-(2-(2-((4-(4-бром-3-(пиридин-4-ил)-1Н-пиразол-1-ил)фенокси)метил)фенокси)этокси)пропокси)-2-(2,6-диоксопиперидин-3-ил)изоиндолин-1,3-дион
[0902] К раствору трет-бутил-5-амино-4-(4-(3-(2-(2-((4-(4-бром-3-(пиридин-4-ил)-1Н-пиразол-1-ил)фенокси)метил)фенокси)этокси)пропокси)-1,3-диоксоизоиндолин-2-ил)-5-оксопентаноата (80 мг, 0,094 ммоль) в ацетонитриле (15 мл) добавляли 4-метилбензолсульфоновую кислоту (32,3 мг, 0,28 ммоль). Раствор перемешивали при 60°С в течение 48 часов. После охлаждения до комнатной температуры реакционную смесь гасили с помощью водн. раствора NaHCO3 (до рН>7) и смесь экстрагировали с помощью DCM (20 мл × 3). Объединенный органический слой высушивали над Na2SO4 и концентрировали под вакуумом. Остаток очищали с помощью препаративной TLC с получением необходимого продукта, 4-(3-(2-(2-((4-(4-бром-3-(пиридин-4-ил)-1Н-пиразол-1-ил)фенокси)метил)фенокси)этокси)пропокси)-2-(2,6-диоксопиперидин-3-ил)-изоиндолин-1,3-диона (40 мг, выход 54,8%) в виде белого твердого вещества. LCMS (ES+): масса/заряд 781,1 [М+Н]+.
[0903] Стадия Е: 2-(2,6-диоксопиперидин-3-ил)-4-(3-(2-(2-((4-(4-(1-оксо-2,3-дигидро-1Н-инден-5-ил)-3-(пиридин-4-ил)-1Н-пиразол-1-ил)фенокси)метил)фенокси)этокси)пропокси)изоиндолин-1,3-дион
[0904] К раствору 4-(3-(2-(2-((4-(4-бром-3-(пиридин-4-ил)-1Н-пиразол-1-ил)фенокси)метил)фенокси)этокси)пропокси)-2-(2,6-диоксопиперидин-3-ил)изоиндолин-1,3-диона (40 мг, 0,051 ммоль) в смеси 1,4-диоксан/H2O (5 мл, об./об.=10/1) добавляли 5-(4,4,5,5-тетраметил-1,3,2-диоксаборолан-2-ил)-2,3-дигидро-1Н-инден-1-он (19,87 мг, 0,077 ммоль), Pd2(dba)3 (4,67 мг, 0,0051 ммоль), CsF (31,0 мг, 0,20 ммоль), [(t-Bu)3PH]BF4 (0,59 мг, 0,0020 ммоль), Ν,Ν-дициклогексилметиламин (0,50 мг, 0,0026 ммоль). Полученный раствор перемешивали при 100°С в течение 2 часов в N2. После охлаждения до комнатной температуры реакционную смесь разбавляли с помощью DCM (50 мл), промывали водой и солевым раствором. Органическую фазу высушивали над безводным сульфатом натрия, концентрировали под вакуумом. Остаток очищали с помощью препаративной TLC с получением необходимого продукта, 2-(2,6-диоксопиперидин-3-ил)-4-(3-(2-(2-((4-(4-(1-оксо-2,3-дигидро-1Н-инден-5-ил)-3-(пиридин-4-ил)-1Н-пиразол-1-ил)фенокси)метил)фенокси)этокси)пропокси)изоиндолин-1,3-диона (30 мг, выход 70,3%), в виде белого твердого вещества. LCMS (ES+): масса/заряд 832,3 [М+Н]+.
[0905] Стадия F: (Е)-2-(2,6-диоксопиперидин-3-ил)-4-(3-(2-(2-((4-(4-(1-(гидроксиимино)-2,3-дигидро-1Н-инден-5-ил)-3-(пиридин-4-ил)-1Н-пиразол-1-ил)фенокси)метил)фенокси)этокси)пропокси)изоиндолин-1,3-дион
[0906] К раствору 2-(2,6-диоксопиперидин-3-ил)-4-(3-(2-(2-((4-(4-(1-оксо-2,3-дигидро-1Н-инден-5-ил)-3-(пиридин-4-ил)-1Н-пиразол-1-ил)фенокси)метил)фенокси)этокси)пропокси)изоиндолин-1,3-диона (30 мг, 0,036 ммоль) в ацетонитрил/пиридин (3 мл, об./об.=2/1) добавляли гидрохлорид гидроксиламина (25,1 мг, 0,36 ммоль). Смесь перемешивали при 40°С в течение 20 минут, ее разбавляли с помощью DCM (20 мл) и промывали солевым раствором (10 мл). Органическую фазу концентрировали под вакуумом. Остаток очищали с помощью препаративной TLC с получением (Е)-2-(2,6-диоксопиперидин-3-ил)-4-(3-(2-(2-((4-(4-(1-(гидроксиимино)-2,3-дигидро-1Н-инден-5-ил)-3-(пиридин-4-ил)-1Н-пиразол-1-ил)фенокси)метил)фенокси)этокси)пропокси)изоиндолин-1,3-диона (6,2 мг, выход 20,3%) в виде белого твердого вещества. 1Н ЯМР (400 МГц, CDCl3): δ 8,57- 8,56 (m, 2Н), 8,32 (s, 1Н), 7,93 (s, 1H), 7,69-7,63 (m, 3H), 7,57-7,51 (m, 3H), 7,43-7,41 (m, 1H), 7,38-7,36 (d, J=7,2 Гц, 1H), 7,28 (s, 2H), 7,23 (s, 2H), 7,15-7,13 (d, J=7,6 Гц, 1H), 7,08-7,06 (m, 2H), 7,00-6,97 (m, 1H), 6,91-6,89 (d, J=7,6 Гц, 1H), 5,15 (s, 2H), 4,92-4,88 (m, 1H), 4,26-4,23 (t, J=6,4 Гц, 2H), 4,20-4,17 (t, J=4,4 Гц, 2H), 3,86-3,84 (t, J=4,8 Гц, 2H), 3,79-3,76 (t, J=6,0 Гц, 2H), 3,08-2,96 (m, 4H), 2,90-2,82 (m, 1H), 2,81-2,66 (m, 2H), 2,16-2,05 (m, 3H); LCMS (ES+): масса/заряд 847,3 [M+H]+.
[0907] Соединение 212 может быть получено аналогично соединению 213.
[0908] Пример синтеза соединения 215: (Е)-2-(2,6-диоксопиперидин-3-ил)-4-(3-(3-((4'-(4-(1-(гидроксиимино)-2,3-дигидро-1Н-инден-5-ил)-3-(пиридин-4-ил)-1Н-пиразол-1-ил)-[1,1'-бифенил]-4-ил)окси)пропокси)пропокси)изоиндолин-1,3-диона
[0909] Стадия А: 4-бром-4'-метокси-1,1'-бифенил
[0910] К раствору (4-метоксифенил)бороновой кислотой (5 г, 32,9 ммоль) в смеси толуол/МеОН (200 мл/100 мл) добавляли 1,4-дибромбензол (11,6 г, 49,4 ммоль), Pd(PPh3)4 (1,9 г, 1,65 ммоль) и Cs2CO3 (21,4 г, 65,8 ммоль). Полученный раствор перемешивали при 100°С в течение 16 часов в атмосфере N2. TLC показала завершение реакции. После охлаждения до комнатной температуры реакционную смесь разбавляли с помощью 50 мл ЕА, промывали водой, солевым раствором. Органическую фазу высушивали над безводным сульфатом натрия и концентрировали in vacuo. Остаток очищали с помощью хроматографической колонки с получением 4-бром-4'-метокси-1,1'-би фенила (7,0 г, выход 80%). LCMS (ES+): масса/заряд 263,1 [М+Н]+.
[0911] Стадия В: (4'-метокси-[1,1'-бифенил1-4-ил)бороновая кислота
[0912] К раствору 4-бром-4'-метокси-1,1'-бифенила (2 г, 7,63 ммоль) в сухом THF (30 мл) по каплям добавляли n-BuLi (9,2 мл, 22,9 ммоль, 2,5 Μ в гексане) при -78°С в атмосфере N2. Через 1 ч. добавляли по каплям (СН3О)3В (2,38 г, 22,9 ммоль) при -78°С. Полученный раствор перемешивали в течение 1 часа при -78°С и в течение ночи при 5°С. После гашения с помощью насыщенного раствора NH4Cl смесь экстрагировали с помощью ЕА (30 мл × 2). Объединенный органический слой высушивали над безводным сульфатом натрия. Остаток очищали с помощью хроматографической колонки с получением (4'-метокси-[1,1'-бифенил]-4-ил)бороновой кислоты (1,0 г, выход 58%). 1Н ЯМР (400 МГц, DMSO-d6): δ 8,06 (s, 2Н), 7,84 (d, J=7,6 Гц, 2H), 7,63 (d, J=7,6 Гц, 2H), 7,58 (d, J=7,6 Гц, 2H), 7,02 (d, J=7,6 Гц, 2H), 3,80 (s, 3Н).
[0913] Стадия С: 4-(4-бром-1-(4'-метокси-[1,1'-бифенил]-4-ил)-1Н-пиразол-3-ил)пиридин
[0914] К раствору (4'-метокси-[1,1'-бифенил]-4-ил)бороновой кислоты (1 г, 4,39 ммоль) в смеси DCM/пиридин (40 мл/4 мл) добавляли Cu(ОАс)2 (0,8 г, 4,39 ммоль) и 4-(4-бром-1Н-пиразол-3-ил)пиридин (1,5 г, 6,58 ммоль). Полученный раствор перемешивали при 5°С в течение 16 часов в атмосфере О2. Реакционную смесь промывали аммиаком (20 мл × 2). Органическую фазу высушивали над Na2SO4, концентрировали под вакуумом. Остаток обрабатывали с помощью колонки с силикагелем с получением необходимого продукта, 4-(4-бром-1-(4'-метокси-[1,1'-бифенил]-4-ил)-1Н-пиразол-3-ил)пиридина (1 г неочищенный, выход 56%). LCMS (ES+): масса/заряд 407,4 [М+Н]+.
[0915] Стадия D: 4-(1-(4'-(3-(3-(бензилокси)пропокси)пропокси)-[1,1'-бифенил]-4-ил)-4-бром-1Н-пиразол-3-ил)пиридин
[0916] К раствору 4-(4-бром-1-(4'-метокси-[1,1'-бифенил]-4-ил)-1Н-пиразол-3-ил)
[0917] пиридина (1 г, 2,46 ммоль) в DCM (40 мл) по каплям добавляли BBr3 (1,85 г, 7,38 ммоль). Полученный раствор перемешивали при 10°С в течение 2 часов. После гашения с помощью МеОН и концентрирования неочищенное вещество обрабатывали с помощью колонки с силикагелем с получением необходимого продукта, 4'-(4-бром-3-(пиридин-4-ил)-1Н-пиразол-1-ил)-[1,1'-бифенил]-4-ола (0,6 г, выход 62%). К раствору 4'-(4-бром-3-(пиридин-4-ил)-1Н-пиразол-1-ил)-[1,1'-бифенил]-4-ола (375 мг, 0,96 ммоль) в сухом DMF (5 мл) добавляли Cs2CO3 (1,56 г, 4,80 ммоль) и 3-(3-(бензилокси)пропокси)пропилметансульфонат (0,58 г, 1,92 ммоль). Полученный раствор перемешивали при 75°С в течение 2 часов. После охлаждения до комнатной температуры реакционную смесь разбавляли с помощью ЕА (50 мл), промывали водой и солевым раствором. Органический слой высушивали над безводным сульфатом натрия. Остаток очищали с помощью хроматографической колонки с получением 4-(1-(4'-(3-(3-(бензилокси)пропокси)пропокси)-[1,1'-бифенил]-4-ил)-4-бром-1Н-пиразол-3-ил)пиридина (400 мг, выход 70%). 1Н ЯМР (400 МГц, DMSO-d6): δ 9,02 (s, 1H), 8,73 (br, 2Н), 8,00 (m, 2Н), 7,80 (d, J=8,0 Гц, 2H), 7,67 (d, J=8,4 Гц, 2H), 7,30 (m, 5Н), 7,03 (d, J=8,4 Гц, 2H), 4,45 (m, 2Н), 4,06 (t, J=5,6 Гц, 2H), 3,53 (m, 7Н), 1,97 (m, 2Н), 1,77 (m, 2Н).
[0918] Стадия Ε: 5-(1-(4'-(3-(3-гидроксипропокси)пропокси)-[1,1'-бифенил]-4-ил)-3-(пиридин-4-ил)-1Н-пиразол-4-ил)-2,3-дигидро-1Н-инден-1-он
[0919] К раствору 4-(1-(4'-(3-(3-(бензилокси)пропокси)пропокси)-[1,1'-бифенил]-4-ил)-4-бром-1Н-пиразол-3-ил)пиридина (0,4 г, 0,67 ммоль) и 5-(4,4,5,5-тетраметил-1,3,2-диоксаборолан-2-ил)-2,3-дигидро-1Н-инден-1-она (260 мг, 1,01 ммоль) в смеси 1,4-диоксан (15 мл)/H2O (1,5 мл) последовательно добавляли CsF (328 мг, 2,16 ммоль), Pd2(dba)3 (196 мг, 0,216 ммоль), тетрафторборат три-трет-бутилфосфина(124 мг, 0,43 ммоль) и две капли N-циклогексил-N-метилциклогексанамина. Реакционную смесь нагревали до 100°С в течение 2 часов в атмосфере N2. После охлаждения до комнатной температуры реакционную смесь гасили водой (20 мл) и смесь экстрагировали этилацетатом (30 мл × 2). Объединенный органический слой высушивали над безводным сульфатом натрия и концентрировали под вакуумом. Остаток обрабатывали с помощью колонки с силикагелем с получением необходимого продукта, 5-(1-(4'-(3-(3-(бензилокси)пропокси)пропокси)-[1,1'-бифенил]-4-ил)-3-(пиридин-4-ил)-1Н-пиразол-4-ил)-2,3-дигидро-1Н-инден-1-она (0,4 г, выход 92%), в виде коричневого масла. К раствору 5-(1-(4'-(3-(3-(бензилокси)пропокси)пропокси)-[1,1'-бифенил]-4-ил)-3-(пиридин-4-ил)-1Н-пиразол-4-ил)-2,3-дигидро-1Н-инден-1-она (400 мг, 0,16 ммоль) в THF/MeOH (10 мл/1 мл и две капли концентрированной HCl) добавляли Pd(OH)2 на угле (200 мг). Смесь перемешивали при 5°С в течение 1 часа в атмосфере Н2 при 1 атм. Смесь фильтровали и твердое вещество промывали с помощью THF. Органический слой концентрировали и очищали с помощью колонки с получением 5-(1-(4'-(3-(3-гидроксипропокси)пропокси)-[1,1'-бифенил]-4-ил)-3-(пиридин-4-ил)-1Н-пиразол-4-ил)-2,3-дигидро-1Н-инден-1-она (250 мг, выход 72%). 1Н ЯМР (400 МГц, CDCl3): δ 8,73 (d, J=5,6 Гц, 2Н), 8,64 (s, 3Н), 8,10 (m, 2Н), 7,85 (m, 3Н), 7,68 (d, J=6,0 Гц, 2Н), 7,55 (m, 4Н), 7,28-7,50 (m, 6Н), 7,00 (d, J=8,4 Гц, 2Н), 5,68 (m, 1Н), 4,49 (s, 2H), 4,15 (m, 3Н), 3,45-3,70 (m, 6H), 3,18 (m, 2H), 2,78 (m, 2H).
[0920] Стадия F: трет-бутил-5-амино-4-(1,3-диоксо-4-(3-(3-((4'-(4-(1-оксо-2,3-дигидро-1Н-инден-5-ил)-3-(пиридин-4-ил)-1Η-пиразол-1-ил)-[1,1'-бифенил]-4-ил)окси)пропокси)пропокси)изоиндолин-2-ил)-5-оксопентаноат
[0921] К раствору 5-(1-(4'-(3-(3-гидроксипропокси)пропокси)-[1,1'-бифенил]-4-ил)-3-(пиридин-4-ил)-1Н-пиразол-4-ил)-2,3-дигидро-1Н-инден-1-она (250 мг, 0,45 ммоль), Ph3P (351 мг, 1,35 ммоль) и трет-бутил-5-амино-4-(4-гидрокси-1,3-диоксоизоиндолин-2-ил)-5-оксопентаноата (233 мг, 0,67 ммоль) в сухом THF (20 мл) по каплям добавляли DIAD (266 мг, 1,35 ммоль) в THF (3 мл) при 0°С. Полученный раствор перемешивали при 0~10°С в течение 2 часов. Реакционную смесь разбавляли с помощью ЕА (50 мл), промывали водой и солевым раствором. Органический слой высушивали над безводным сульфатом натрия, концентрировали и обрабатывали с помощью колонки с силикагелем с получением трет-бутил-5-амино-4-(1,3-диоксо-4-(3-(3-((4'-(4-(1-оксо-2,3-дигидро-1Н-инден-5-ил)-3-(пиридин-4-ил)-1Н-пиразол-1-ил)-[1,1'-бифенил]-4-ил)окси)пропокси)пропокси)изоиндолин-2-ил)-5-оксопентаноата (150 мг, выход 38%) в виде масла. LCMS (ES+): масса/заряд 890,4 [М+Н]+.
[0922] Стадия G: 2-(2,6-диоксопиперидин-3-ил)-4-(3-(3-((4'-(4-(1-оксо-2,3-дигидро-1Н-инден-5-ил)-3-(пиридин-4-ил)-1Η-пиразол-1-ил)-[1,1'-бифенил]-4-ил)окси)пропокси)пропокси)изоиндолин-1,3-дион
[0923] К раствору трет-бутил-5-амино-4-(1,3-диоксо-4-(3-(3-((4'-(4-(1-оксо-2,3-дигидро-1Н-инден-5-ил)-3-(пиридин-4-ил)-1Η-пиразол-1-ил)-[1,1'-бифенил]-4-ил)окси)пропокси)пропокси)изоиндолин-2-ил)-5-оксопентаноата (150 мг, 0,168 ммоль) в CH3CN (5 мл) добавляли TsOH (289 мг, 1,68 ммоль). Полученный раствор перемешивали при 80°С в течение 3 часов. Реакционную смесь гасили с помощью насыщенного раствора NaHCO3 и экстрагировали с помощью ЕА.
Органический слой высушивали над безводным сульфатом натрия, концентрировали и очищали с помощью препаративной TLC с получением 2-(2,6-диоксопиперидин-3-ил)-4-(3-(3-((4'-(4-(1-оксо-2,3-дигидро-1Н-инден-5-ил)-3-(пиридин-4-ил)-1Н-пиразол-1-ил)-[1,1'-бифенил]-4-ил)окси)пропокси)пропокси)изоиндолин-1,3-диона (100 мг, выход 73%). LCMS (ES+): масса/заряд 816,3 [М+Н]+.
[0924] Стадия Н: (Е)-2-(2,6-диоксопиперидин-3-ил)-4-(3-(3-((4'-(4-(1-(гидроксиимино)-2,3-дигидро-1Н-инден-5-ил)-3-(пиридин-4-ил)-1Н-пиразол-1-ил)-[1,1'-бифенил]-4-ил)окси)пропокси)пропокси)изоиндолин-1,3-дион
[0925] К раствору 2-(2,6-диоксопиперидин-3-ил)-4-(3-(3-((4'-(4-(1-оксо-2,3-дигидро-1Н-инден-5-ил)-3-(пиридин-4-ил)-1Η-пиразол-1-ил)-[1,1'-бифенил]-4-ил)окси)пропокси)пропокси)изоиндолин-1,3-диона (100 мг, 0,123 ммоль) и гидрохлорида гидроксиламина (256 мг, 3,681 ммоль) в MeOH/DCM (4 мл/1 мл) добавляли NaHCO3 (464 мг, 5,521 ммоль) при 50°С.Смесь перемешивали при 50°С в течение 1 часа. Остаток очищали с помощью препаративной TLC с применением смеси DCM/MeOH (20:1) с получением необходимого продукта, (Е)-2-(2,6-диоксопиперидин-3-ил)-4-(3-(3-((4'-(4-(1-(гидроксиимино)-2,3-дигидро-1Н-инден-5-ил)-3-(пиридин-4-ил)-1Н-пиразол-1-ил)-[1,1'-бифенил]-4-ил)окси)пропокси)пропокси)изоиндолин-1,3-диона (24 мг, выход 24%), в виде желтого твердого вещества. 1H ЯМР (400 МГц, DMSO-d6): δ 11,09 (s, 1Н), 10,90 (s, 1H), 8,90 (s, 1H), 8,59 (d, J=5,6 Гц, 2H), 8,02 (d, J=8,4 Гц, 2H), 7,79 (m, 3H), 7,38- 7,70 (m, 8H), 7,25 (d, J=6,0 Гц, 1H), 6,98 (d, J=8,8 Гц, 2H), 5,09 (m, 1H), 4,26 (m, 2H), 4,05 (m, 2H), 3,60 (m, 4H), 3,05 (m, 2H), 2,86 (m, 3H), 2,50 (m, 3H), 2,03 (m, 5H); LCMS (ES+): масса/заряд 831,3 [M+H]+.
[0926] Соединение 214 может быть получено аналогично соединению 215.
[0927] Пример синтеза соединения 100: (2S,4R)-1-((S)-2-(2-(3-(4-(4-(3-(2,6-дифтор-3-((R)-3-фторпирролидин-1-сульфонамидо)бензоил)-1Н-пирроло[2,3-b]пиридин-5-ил)фенил)пиперазин-1-ил)пропокси)ацетамидо)-3,3-диметилбутаноил)-4-гидрокси-N-(4-(4-метилтиазол-5-ил)бензил)пирролидин-2-карбоксамида
[0928] Стадия А: трет-бутил-2-(3-хлорпропокси)ацетат
[0929] К раствору трет-бутил-2-бромацетата (5,0 г, 26 ммоль) и 3-хлорпропан-ола (2,9 г, 31 ммоль) в сухом DMF (15 мл) добавляли NaOH (1,2 г, 31 ммоль) при 0°С После перемешивания в течение 2 часов при 0°С его нагревали до комнатной температуры в течение ночи. Реакционную смесь гасили с помощью Н2О (20 мл) при 0°С и смесь экстрагировали с помощью РЕ (20 мл × 2). Объединенный органический слой промывали водой, солевым раствором. Органическую фазу концентрировали под вакуумом с получением необходимого продукта, трет-бутил-2-(3-хлорпропокси)ацетата (2,8 г, выход 52%), в виде масла, которое применяли непосредственно на следующей стадии. 1Н ЯМР (400 МГц, CDCl3): δ 3,97 (s, 2Н), 3,65-3,70 (m, 4Н), 2,05-2,08 (m, 2Н), 1,49 (s, 9Н).
[0930] Стадия В: трет-бутил-2-(3-(4-(4-(4,4,5,5-тетраметил-1,3,2-диоксаборолан-2-ил)фенил)пиперазин-1-ил)пропокси)ацетат
[0931] К раствору 1-(4-(4,4,5,5-тетраметил-1,3,2-диоксаборолан-2-ил)фенил)пиперазин-2,2,2-трифторацетата (530 мг, 1,32 ммоль) в сухом DMF (5 мл) последовательно добавляли K2CO3 (911 мг, 6,60 ммоль), ΚΙ (438 мг, 2,64 ммоль) и трет-бутил-2-(3-хлорпропокси)ацетат (550 мг, 2,64 ммоль). Полученный раствор перемешивали при 90°С в течение 3 часов. После охлаждения до комнатной температуры реакционную смесь разбавляли с помощью ЕА (50 мл) и смесь промывали водой, солевым раствором. Органическую фазу концентрировали под вакуумом. Остаток очищали с помощью препаративной TLC с получением необходимого продукта, трет-бутил-2-(3-(4-(4-(4,4,5,5-тетраметил-1,3,2-диоксаборолан-2-ил)фенил)пиперазин-1-ил)пропокси)ацетата (300 мг, неочищенный). 1H ЯМР (400 МГц, CDCl3): δ 7,70 (d, J=8,0 Гц, 2H), 6,89 (d, J=8,0 Гц, 2H), 3,96 (br, 2Н), 3,27 (br, 4Н), 3,21 (br, 2Н), 2,60 (br, 4Н), 2,51-2,53 (m, 2Н), 1,82-1,85 (m, 2Н), 1,42 (s, 9Н), 1,24 (s, 12Н).
[0932] Стадия С: (R)-трет-бутил-2-(3-(4-(4-(3-(2,6-дифтор-3-(3-фторпирролидин-1-сульфонамидо)бензоил)-1Н-пирроло[2,3-b]пиридин-5-ил)фенил)пиперазин-1-ил)пропокси)ацетат
[0933] К раствору (R)-N-(3-(5-бром-1Н-пирроло[2,3-b]пиридин-3-карбонил)-2,4-дифторфенил)-3-фторпирролидин-1-сульфонамида (100 мг, 0,20 ммоль) в смеси диоксан/Н2О (10 мл/1 мл) добавляли трет-бутил-2-(3-(4-(4-(4,4,5,5-тетраметил-1,3,2-диоксаборолан-2-ил)фенил)пиперазин-1-ил)пропокси)ацетат (200 мг, 0,43 ммоль), Pd(aMphos)Cl2 (15 мг, 0,02 ммоль) и CsF (121 мг, 0,80 ммоль). Полученный раствор перемешивали при 95°С в течение 16 часов в атмосфере N2. TLC показала завершение реакции. После охлаждения до комнатной температуры реакционную смесь разбавляли с помощью 50 мл ЕА, промывали водой и солевым раствором. Органический слой высушивали над безводным сульфатом натрия. Остаток очищали с помощью препаративной TLC с получением необходимого продукта, (R)-трет-бутил-2-(3-(4-(4-(3-(2,6-дифтор-3-(3-фторпирролидин-1-сульфонамидо)бензоил)-1Н-пирроло[2,3-b]пиридин-5-ил)фенил)пиперазин-1-ил)пропокси)ацетата (80 мг, выход 53%). 1Н ЯМР (400 МГц, CDCl3): δ 12,00 (br, 1H), 8,87 (s, 1H), 8,60 (s, 1H), 7,75 (s, 2H), 7,54 (d, J=8,0 Гц, 2H), 6,98-7,05 (m, 3H), 5,15-5,30 (m, 1H), 3,97 (s, 2H), 3,71-3,75 (m, 2H), 3,49-3,65 (m, 6H), 3,28 (s, 4H), 2,58-2,67 (m, 6H), 1,80-2,30 (m, 3H), 1,49 (s, 9H).
[0934] Стадия D: (2S,4R)-1-((S)2-(2-(3-(4-(4-(3-(2,6-дифтор-3-((R)-3-фторпирролидин-1-сульфонамидо)бензоил)-1Н-пирроло[2,3-b]пиридин-5-ил)фенил)пиперазин-1-ил)пропокси)ацетамидо)-3,3-диметилбутаноил)-4-гидрокси-N-(4-(4-метилтиазол-5-ил)бензил)пирролидин-2-карбоксамид
[0935] К раствору (R)-трет-бутил-2-(3-(4-(4-(3-(2,6-дифтор-3-(3-фторпирролидин-1-сульфонамидо)бензоил)-1Н-пирроло[2,3-b]пиридин-5-ил)фенил)пиперазин-1-ил)пропокси)ацетата (80 мг, 0,13 ммоль) в диоксане (2 мл) добавляли HCl в диоксане (2 мл, 8 М). Полученный раствор перемешивали при 50°С в течение 5 часов. После охлаждения до комнатной температуры растворитель удаляли под вакуумом с получением (R)-2-(3-(4-(4-(3-(2,6-дифтор-3-(3-фторпирролидин-1-сульфонамидо)бензоил)-1Н-пирроло[2,3-b]пиридин-5-ил)фенил)пиперазин-1-ил)пропокси)уксусной кислоты (74 мг, выход 100%, рассчитанное значение). К раствору (R)-2-(3-(4-(4-(3-(2,6-дифтор-3-(3-фторпирролидин-1-сульфонамидо)-бензоил)-1Н-пирроло[2,3-b]пиридин-5-ил)фенил)пиперазин-1-ил)пропокси)уксусной кислоты (74 мг, 0,11 ммоль), гидрохлорида (2S,4R)-1-((S)-2-амино-3,3-диметилбутаноил)-4-гидрокси-N-(4-(4-метилтиазол-5-ил)бензил)пирролидин-2-карбоксамида (91 мг, 0,19 ммоль) и DIEA (142 мг, 1,10 ммоль) в сухом NMP (5,0 мл) добавляли РуВОР (172 мг, 0,33 ммоль) при комнатной температуре. После перемешивания при 10°С в течение 1 часа реакционную смесь гасили солевым раствором (20 мл) и смесь поглощали с помощью ЕА. Органическую фазу концентрировали под вакуумом и остаток очищали с помощью препаративной TLC и препаративной HPLC с получением необходимого продукта, (2S,4R)-1-((S)-2-(2-(3-(4-(4-(3-(2,6-дифтор-3-((R)-3-фторпирролидин-1-сульфонамидо)бензоил)-1Н-пирроло[2,3-b]пиридин-5-ил)фенил)пиперазин-1-ил)пропокси)ацетамидо)-3,3-диметилбутаноил)-4-гидрокси-N-(4-(4-метилтиазол-5-ил)бензил)пирролидин-2-карбоксамида (20 мг, выход 17%, 2 стадии), в виде белого твердого вещества. 1Н ЯМР (400 МГц, CD3OD): δ 8,82 (s, 1H), 8,65 (s, 1H), 8,59 (s, 1H), 7,89 (s, 1H), 7,74 (m, 1Н), 7,59 (d, J=8,8 Гц, 2Н), 7,30-7,50 (m, 4Н), 7,07-7,20 (m, 3Н), 5,15-5,30 (m, 1H), 4,62 (s, 1Н), 4,50-4,60 (m, 3Н), 4,30 (d, J=7,8 Гц, 1H), 4,12 (m, 2Н), 3,78-3,95 (m, 2Н), 3,40-3,80 (m, 14Н), 3,10 (m, 5Н), 2,42 (s, 3Н), 1,98-2,30 (m, 8Н), 1,03 (s, 9Н); LCMS (ES+): масса/заряд 1113,3 [М+Н]+.
[0936] Пример синтеза соединения 152: (Е)-2-(2,6-диоксопиперидин-3-ил)-5-(4-(2-(4-(4-(1-(гидроксиимино)-2,3-дигидро-1Н-инден-5-ил)-3-(пиридин-4-ил)-1Н-пиразол-1-ил)фенокси)этил)пиперазин-1-ил)изоиндолин-1,3-диона
[0937] Стадия А: 2-(4-(4-бром-3-(пиридин-4-ил)-1H-пиразол-1-ил)фенокси)ацетальдегид
[0938] К раствору 4-(4-бром-1-(4-(2,2-диэтоксиэтокси)фенил)-1Н-пиразол-3-ил)пиридина (1 г, 2,32 ммоль) в CH3CN (10 мл) добавляли конц. HCl (2 мл, разбавленная в 6 мл Н2О). Полученный раствор перемешивали при 55°С в течение 1 часа. После охлаждения до 0°С рН регулировали до приблизительно 9 путем постепенного добавления насыщенного водного раствора NaHCO3. Твердое вещество фильтровали и выпаривали совместно с CH3CN с получением 2-(4-(4-бром-3-(пиридин-4-ил)-1Н-пиразол-1-ил)фенокси)ацетальдегида (0,3 г, выход 66,9%) в виде белого твердого вещества. LCMS (ES+): масса/заряд 358,0, 376,0/378,0 [М+Н]+, [М+18]+.
[0939] Стадия В: 5-(4-(2-(4-(4-бром-3-(пиридин-4-ил)-1Н-пиразол-1-ил)фенокси)этил)пиперазин-1-ил)-2-(2,6-диоксопиперидин-3-ил)изоиндолин-1,3-дион
[0940] К раствору 2-(4-(4-бром-3-(пиридин-4-ил)-1Н-пиразол-1-ил)фенокси)ацетальдегида (0,1 г, 0,28 ммоль) в МеОН (10 мл) добавляли гидрохлорид 2-(2,6-диоксопиперидин-3-ил)-5-(пиперазин-1-ил)изоиндолин-1,3-диона (127 мг, 0,34 ммоль) и кат.количество НОАс. Добавляли AcOK, если значение рН составляло менее 5~6. Затем добавляли NaBH3CN (87 мг, 1,40 ммоль). Полученный раствор перемешивали при 20°С в течение 1 часа. Затем гасили с помощью насыщенного раствора NH4Cl (20 мл) и смесь экстрагировали с помощью DCM (30 мл × 2). Объединенный органический слой высушивали над безводным сульфатом натрия и концентрировали под вакуумом. Остаток очищали с помощью препаративной TLC с получением необходимого продукта, 5-(4-(2-(4-(4-бром-3-(пиридин-4-ил)-1Н-пиразол-1-ил)-фенокси)этил)пиперазин-1-ил)-2-(2,6-диоксопиперидин-3-ил)изоиндолин-1,3-диона (90 мг, выход 35%). LCMS (ES+): масса/заряд 684,1/686,1 [М+Н]+.
[0941] Стадия С: 2-(2,6-диоксопиперидин-3-ил)-5-(4-(2-(4-(4-(1-оксо-2,3-дигидро-1Н-инден-5-ил)-3-(пиридин-4-ил)-1Н-пиразол-1-ил)фенокси)этил)пиперазин-1-ил)изоиндолин-1,3-дион
[0942] К раствору 5-(4-(2-(4-(4-бром-3-(пиридин-4-ил)-1Н-пиразол-1-ил)фенокси)этил)пиперазин-1-ил)-2-(2,6-диоксопиперидин-3-ил)изоиндолин-1,3-диона (90 мг, 0,13 ммоль) и 5-(4,4,5,5-тетраметил-1,3,2-диоксаборолан-2-ил)-2,3-дигидро-1Н-инден-1-она (37 мг, 0,15 ммоль) в смеси диоксан/H2O (10 мл/1 мл) последовательно добавляли t-Bu3PHBF4 (31 мг, 0,11 ммоль), CsF (80 мг, 0,53 ммоль), Cy2NMe (5 капель) и Pd2(dba)3 (48 мг, 0,05 ммоль). Полученную смесь перемешивали при 90°С в течение 2 часов в N2. После охлаждения до комнатной температуры растворитель удаляли при пониженном давлении. Остаток разбавляли с помощью ЕА (30 мл) и затем смесь промывали солевым раствором. Органическую фазу выпаривали под вакуумом. Остаток очищали с помощью препаративной TLC и препаративной HPLC с получением необходимого продукта, 2-(2,6-диоксопиперидин-3-ил)-5-(4-(2-(4-(4-(1-оксо-2,3-дигидро-1Н-инден-5-ил)-3-(пиридин-4-ил)-1Н-пиразол-1-ил)фенокси)этил)пиперазин-1-ил)изоиндолин-1,3-диона (60 мг, выход 69%). LCMS (ES+): масса/заряд 736,3 [М+Н]+.
[0943] Стадия D: (Е)-2-(2,6-диоксопиперидин-3-ил)-5-(4-(2-(4-(4-(1-(гидроксиимино)-2,3-дигидро-1Н-инден-5-ил)-3-(пиридин-4-ил)-1Н-пиразол-1-ил)фенокси)этил)пиперазин-1-ил)изоиндолин-1,3-дион
[0944] К раствору 2-(2,6-диоксопиперидин-3-ил)-5-(4-(2-(4-(4-(1-оксо-2,3-дигидро-1Н-инден-5-ил)-3-(пиридин-4-ил)-1Н-пиразол-1-ил)фенокси)этил)пиперазин-1-ил)изоиндолин-1,3-диона (60 мг, 0,08 ммоль) в смеси CH3CN/пиридин (6 мл/3 мл) добавляли NH2OH.HCl (57 мг, 0,82 ммоль). Смесь перемешивали при 45°С в течение 0,5 часа. Смесь разбавляли с помощью DCM (30 мл) и промывали солевым раствором. Органическую фазу концентрировали при пониженном давлении. Остаток очищали с помощью препаративной TLC (DCM/MeOH 15/1) с получением необходимого продукта, (Е)-2-(2,6-диоксопиперидин-3-ил)-5-(4-(2-(4-(4-(1-(гидроксиимино)-2,3-дигидро-1Н-инден-5-ил)-3-(пиридин-4-ил)-1Н-пиразол-1-ил)фенокси)этил)пиперазин-1-ил)изоиндолин-1,3-диона, в виде желтого твердого вещества (45 мг, выход 73%).
1H ЯМР (400 МГц, DMSO-d6): δ 11,07 (s, 1H), 10,89 (s, 1H), 8,75 (s, 1H), 8,58 (d, J=5,6 Гц, 2H), 7,87 (d, J=8,8 Гц, 2H), 7,68 (d, J=8,4 Гц, 1H), 7,55 (d, J=8,0 Гц, 1H), 7,48 (d, J=4,4 Гц, 2H), 7,20-7,41 (m, 4H), 7,14 (d, J=9,2 Гц, 2H), 5,08 (m, 1H), 4,21 (t, J=5,6 Гц, 2H), 3,47 (m, 4H), 2,99-3,02 (m, 2H), 2,67-2,89 (m, 10H), 2,05 (m, 1H); LCMS (ES+): масса/заряд 751,3 [M+H]+.
[0945] Пример синтеза соединения 216: (2S,4R)-1-((S)-2-(3-(2-(3-(3-(2,6-дифтор-3-(пропилсульфонамидо)бензоил)-1Н-пирроло[2,3-b]пиридин-5-ил)фенокси)этокси)пропанамидо)-3,3-диметилбутаноил)-4-гидрокси-N-(4-(4-метилтиазол-5-ил)бензил)пирролидин-2-карбоксамида.
[0946] К раствору 3-[2-[3-[3-[2,6-дифтор-3-(пропилсульфониламино)бензоил]-1Н-пирроло[2,3-b]пиридин-5-ил]фенокси]этокси]пропановой кислоты (22,8 мг, 0,04 ммоль) и гидрохлорида (2S,4R)-1-[(2S)-2-амино-3,3-диметилбутаноил]-4-гидрокси-N-[[[4-(4-метилтиазол-5-ил)фенил]метил]пирролидин-2-карбоксамида (19,93 мг, 0,043 ммоль) в DMF (2 мл) добавляли TEA (0,1 мл, 0,72 ммоль) и РуВОР (22,21 мг, 0,043 ммоль) при комнатной температуре. Реакционную смесь перемешивали в течение 12 ч. (в течение ночи) при той же температуре. TLC (DCM:MEOH:NH4OH, 90:9:1) показала отсутствие исходных веществ. DMF удаляли в высоком вакууме. Неочищенный продукт фильтровали через картридж диоксид кремния-карбонат с применением DCM:MeOH (9:1) в качестве элюента. Фильтрат выпаривали под вакуумом и неочищенный продукт очищали с помощью PTLC (MeOH:DCM, 1:9, 2х) с получением 20 мг продукта (выход 52%). 1Н ЯМР (500 МГц, DMSO-d6) δ 13,00 (bs, 1H), 9,78 (bs, 1H), 8,96 (s, 1H), 8,71 (s, 1H), 8,62 (s, 1H), 8,55 (t, J=5,5 Гц, 1H), 8,23 (s, 1H), 7,96 (d, J=9,2 Гц, 1H), 7,59 (q, J=8,3 Гц, 1H), 7,52-7,18 (m, 8H), 6,99 (d, J=8,2 Гц, 1H), 5,13 (d, J=3,8 Гц, 1H), 4,57 (d, J=9,4 Гц, 1H), 4,48- 4,32 (m, 3H), 4,23 (d, J=5,5 Гц, 1H), 4,19 (t, J=5,1 Гц, 2H), 3,86-3,57 (m, 6H), 3,19- 3,06 (m, 2H), 2,61 (m, 1H), 2,43 (s, 3H), 2,43-2,37 (m, 1H), 2,08-2,00 (m, 1H), 1,95- 1,87 (m, 1H), 1,80-1,69 (m, 2H), 0,94 (s, 9H), 0,95 (t, 3Н). 13C ЯМР (151 МГц, dmso) δ 180,64, 171,95, 169,97, 169,57, 159,10, 156,03 (dd, J=246,6, 6,9 Гц), 152,34 (dd, J=249,6, 8,4 Гц), 151,42, 148,97, 147,72, 144,17, 139,67, 139,50, 138,81, 131,46, 131,17, 130,28, 129,64, 128,94-128,71 (m), 128,64, 127,42, 127,17, 121,98 (dd, J=13,6, 3,4 Гц), 119,57, 118,54-117,84 (m), 117,47, 115,72, 113,74, 113,11, 112,53-112,23 (m), 68,91, 68,69, 67,21, 67,13, 58,74, 56,37, 53,46, 41,68, 37,97, 35,70, 35,37, 26,36, 16,86, 15,95, 12,63. LC-MS (ESI); масса/заряд [M+H]+: рассч. для C50H56F2N7O9S2 1000,3548. Обнаруженное 1000,3536.
[0947] Пример синтеза соединения 217: N1-(4-(3-(2,6-дифтор-3-(пропилсульфонамидо)бензоил)-1Н-пирроло[2,3-b]пиридин-5-ил)фенил)-N5-((S)-1-((2S,4R)-4-гидрокси-2-((4-(4-метилтиазол-5-ил)бензил)карбамоил)пирролидин-1-ил)-3,3-диметил-1-оксобутан-2-ил)глутарамида.
[0948] К раствору 5-((4-(3-(2,6-дифтор-3-(пропилсульфонамидо)бензоил)-1Н-пирроло[2,3-b]пиридин-5-ил)фенил)амино)-5-оксопентановой кислоты (9,7 мг, 0,02 ммоль) и гидрохлорида (2S,4R)-1-[(2S)-2-амино-3,3-диметилбутаноил]-4-гидрокси-N-[[4-(4-метилтиазол-5-ил)фенил]метил]пирролидин-2-карбоксамида (8,52 мг, 0,02 ммоль) в DMF (1 мл) добавляли TEA (0,1 мл, 0,72 ммоль) и РуВОР (9,5 мг, 0,02 ммоль) при комнатной температуре. Реакционную смесь перемешивали в течение 4 ч. при той же температуре. TLC (DCM:MEOH:NH4OH, 90:9:1) показала отсутствие исходных веществ. Реакционную смесь разбавляли с помощью EtOAc (10 мл) и промывали солевым раствором (5 мл, 4х), органическую фазу высушивали (Na2SO4) и выпаривали под вакуумом. Неочищенный продукт очищали с помощью PTLC (DCM:MEOH:NH4OH, 90:9:1, 2х) с получением 4,8 мг продукта (выход 29%). 1Н ЯМР (500 МГц, DMSO-d6) δ 10,02 (s, 1Н), 8,97 (s, 1H), 8,68 (d, 1H), 8,64-8,52 (m, 2H), 8,21 (s, 1H), 7,95 (d, J=9,2 Гц, 1H), 7,72 (dd, J=36,7, 8,5 Гц, 4H), 7,62-7,54 (m, 1H), 7,40 (dd, 4H), 7,28 (t, J=8,7 Гц, 1H), 5,16 (d, 2H), 4,56 (d, J=9,3 Гц, 1H), 4,50- 4,40 (m, 2H), 4,40-4,33 (m, 1H), 4,22 (dd, J=15,8, 5,3 Гц, 1H), 3,76-3,62 (m, 2H), 3,16-3,05 (m, 2H), 2,44 (s, 3H), 2,41-2,17 (m, 4H), 2,09-2,01 (m, 1H), 1,98-1,80 (m, 3H), 1,74 (dq, J=14,9, 7,4 Гц, 2H), 0,96 (s, 9H), 0,95 (t, 3Н). 13C ЯМР (151 МГц, dmso) δ 181,06, 172,39, 172,17, 171,46, 170,15, 156,37 (dd, J=246,6, 6,3 Гц), 152,73 (dd, J=249,4, 8,1 Гц), 151,86, 149,05, 148,13, 144,19, 139,91, 139,37, 139,13, 132,97, 131,64, 131,59, 130,05, 129,22 (d, J=14,7 Гц), 129,06, 127,84, 127,74, 126,89, 122,47 (d, J=14,1 Гц), 120,07, 119,02-118,20 (m), 117,95, 116,06, 112,75 (dd, J=23,4, 2,8 Гц), 69,34, 59,15, 56,90, 56,81, 53,87, 42,08, 38,38, 36,36, 35,63, 34,63, 26,85, 21,91, 17,27, 16,37, 13,04. LC-MS (ESI); масса/заряд [M+H]+: рассч. для C50H55F2N8O8S2 997,3552. Обнаруженное 997,3524.
[0949] Пример синтеза соединения 218: (2S,4R)-1-((S)-2-(5-(4-(3-(2,6-дифтор-3-(пропилсульфонамидо)бензоил)-1Н-пирроло[2,3-b]пиридин-5-ил)пиперазин-1-ил)-5-оксопентанамидо)-3,3-диметилбутаноил)-4-гидрокси-N-(4-(4-метилтиазол-5-ил)бензил)пирролидин-2-карбоксамида.
[0950] К раствору 5-(4-(3-(2,6-дифтор-3-(пропилсульфонамидо)бензоил)-1Н-пирроло[2,3-b]пиридин-5-ил)пиперазин-1-ил)-5-оксопентановой кислоты (9,3 мг, 0,02 ммоль) и гидрохлорида (2S,4R)-1-[(2S)-2-амино-3,3-диметилбутаноил]-4-гидрокси-Ν-[[4-(4-метилтиазол-5-ил)фенил]метил]пирролидин-2-карбоксамида (8,27 мг, 0,018 ммоль) в DMF (1 мл) добавляли TEA (0,1 мл, 0,72 ммоль) и РуВОР (9,22 мг, 0,018 ммоль) при комнатной температуре. Реакционную смесь перемешивали в течение 4 ч. при той же температуре. TLC (DCM:MEOH:NH4OH, 90:9:1) показала отсутствие исходных веществ. Реакционную смесь разбавляли с помощью EtOAc (10 мл) и промывали солевым раствором (5 мл, 4х), органическую фазу высушивали (Na2SO4) и выпаривали под вакуумом. С помощью TLC в неочищенной смеси не обнаружили продукт, только некоторое количество исходного вещества (продукт является растворимым в воде). Водные экстракты лиофилизировали в течение ночи, твердый остаток фильтровали с применением (DCM:MEOH:NH4OH, 90:9:1, 30 мл). Фильтрат выпаривали до сухого состояния и неочищенный продукт очищали с помощью PTLC (DCM:MEOH:NH4OH, 90:9:1, 2х) с получением 13 мг продукта (выход 81%). 1Н ЯМР (500 МГц, DMSO-d6) δ 12,64 (bs, 1H), 9,74 (bs, 1H), 8,97 (s, 1H), 8,62-8,52 (m, 3H), 8,28 (d, J=2,0 Гц, 1H), 8,00 (s, 1H), 7,95 (bs, 1H), 7,90 (d, J=9,2 Гц, 1H), 7,59-7,49 (m, 1H), 7,47-7,27 (m, 4H), 7,20 (t, J=8,7 Гц, 1H), 5,13 (bs, 1H), 4,56 (d, J=9,3 Гц, 1H), 4,48-4,32 (m, 3H), 4,22 (dd, J=15,8, 5,3 Гц, 1H), 3,75-3,57 (m, 5H), 3,23-3,02 (m, 7H), 2,44 (s, 3H), 2,41-2,17 (m, 4H), 2,07-2,01 (m, 1H), 1,96-1,87 (m, 1H), 1,81-1,66 (m, 4H), 0,95 (s, 9H), 0,94 (t, 3Н). 13C ЯМР (151 МГц, dmso) δ 180,70, 171,99, 171,92, 170,44, 169,75, 155,24 (dd, J=248,1, 5,5 Гц), 152,12 (dd, J=248,8, 8,5 Гц), 151,47, 147,73, 144,63, 144,31, 139,52, 138,02, 137,75, 131,19, 129,65, 128,65, 127,98-127,64 (m), 127,44, 123,91-123,09 (m), 118,86-117,72 (m), 117,60, 115,50, 115,23, 112,02 (dd, J=22,6, 3,2 Гц), 68,92, 58,74, 56,47, 56,43, 53,44, 50,31, 50,18, 48,63, 44,86, 41,68, 41,00, 37,99, 34,28, 31,80, 26,43, 21,36, 16,99, 15,97, 12,72. LC-MS (ESI); масса/заряд [M+H]+: рассч. для C48H58F2N9O8S2 990,3817. Обнаруженное 990,3889.
[0951] Пример синтеза соединения 219: (2S.4R)-1-((S)-2-(4-(4-(3-(2,6-дифтор-3-(пропилсульфонамидо)бензоил)-1Н-пирроло[2,3-b]пиридин-5-ил)пиперазин-1-ил)-4-оксобутанамидо)-3,3-диметилбутаноил)-4-гидрокси-N-(4-(4-метилтиазол-5-ил)бензил)пирролидин-2-карбоксамида.
[0952] К раствору 4-(4-(3-(2,6-дифтор-3-(пропилсульфонамидо)бензоил)-1Н-пирроло[2,3-b]пиридин-5-ил)пиперазин-1-ил)-4-оксобутановой кислоты (9 мг, 0,016 ммоль) и гидрохлорида (2S,4R)-1-[(2S)-2-амино-3,3-диметилбутаноил]-4-гидрокси-Ν-[[4-(4-метилтиазол-5-ил)фенил]метил]пирролидин-2-карбоксамида (8,2 мг, 0,018 ммоль) в DMF (1 мл) добавляли TEA (0,1 мл, 0,72 ммоль) и РуВОР (9,14 мг, 0,018 ммоль) при комнатной температуре. Реакционную смесь перемешивали в течение 12 ч. (в течение ночи) при той же температуре. TLC (DCM:MEOH:NH4OH, 90:9:1) показала отсутствие исходных веществ. Реакционную смесь выпаривали до сухого состояния. Неочищенный продукт фильтровали через картридж диоксид кремния-карбонат (100 мг) с применением DCM:MeOH (9:1) в качестве элюента. Фильтрат выпаривали под вакуумом и неочищенный продукт очищали с помощью PTLC (DCM:MEOH:NH4OH, 90:9:1, 2х) с получением 11 мг продукта (выход 75%). 1Н ЯМР (500 МГц, DMSO-d6) δ 12,66 (bs, 1Н), 9,45 (bs, 1H), 8,98 (s, 1H), 8,60 (bs, 1H), 8,29 (s, 1H), 8,04 (s, 1H), 8,01-7,88 (m, 2H), 7,62-7,49 (m, 1H), 7,40 (q, J=8,0 Гц, 4H), 7,26 (t, J=8,8 Гц, 1H), 5,15 (d, J=3,5 Гц, 1H), 4,54 (d, J=9,3 Гц, 1H), 4,49-4,31 (m, 3H), 4,22 (dd, J=16,1, 5,6 Гц, 1H), 3,81-3,53 (m, 6H), 3,26-3,03 (m, 6H), 2,73-2,52 (m, 3H), 2,44 (s, 3H), 2,42-2,33 (m, 1H), 2,09-1,98 (m, 1H), 1,95-1,84 (m, 1H), 1,74 (q, J=7,5 Гц, 2H), 0,96 (t, 3H), 0,94 (s, 9H). 13C ЯМР (126 МГц, dmso) δ 180,45, 172,02, 171,35, 170,07, 169,64, 156,00 (dd, J=245,9, 6,5 Гц), 152,34 (dd, J=249,7, 8,3 Гц), 151,52, 147,75, 144,70, 144,30, 139,55, 138,08, 137,91, 131,22, 129,66, 128,69, 128,53 (d, J=2,4 Гц), 127,46, 121,96 (d, J=14,1 Гц), 118,61 117,82 (m), 117,60, 115,44, 115,20, 112,32 (dd, J=23,0, 3,3 Гц), 68,95, 58,78, 56,50, 56,39, 53,46, 50,25, 50,13, 44,76, 41,69, 41,17, 37,99, 35,43, 30,18, 28,05, 26,44, 16,89, 16,00, 12,67. LC-MS (ESI); масса/заряд [M+H]+: рассч. для C47H56F2N9O8S2 976,3661. Обнаруженное 976,3712.
[0953] Пример синтеза соединения 220: N1-(4-(3-(2,6-дифтор-3-(пропилсульфонамидо)бензоил)-1Н-пирроло[2,3-b]пиридин-5-ил)фенил)-N4-((S)-1-((2S,4R)-4-гидрокси-2-((4-(4-метилтиазол-5-ил)бензил)карбамоил)пирролидин-1-ил)-3,3-диметил-1-оксобутан-2-ил)сукцинамида. К раствору 4-((4-(3-(2,6-дифтор-3-(пропилсульфонамидо)бензоил)-1Н-пирроло[2,3-b]пиридин-5-ил)фенил)амино)-4-оксобутановой кислоты (15 мг, 0,03 ммоль) и гидрохлорида (2S,4R)-1-[(2S)-2-амино-3,3-диметилбутаноил]-4-гидрокси-N-[[4-(4-метилтиазол-5-ил)фенил]метил]пирролидин-2-карбоксамида (13,51 мг, 0,03 ммоль) в DMF (1 мл) добавляли TEA (0,1 мл, 0,72 ммоль) и РуВОР (15,05 мг, 0,03 ммоль) при комнатной температуре. Реакционную смесь перемешивали в течение 4 ч. при той же температуре. TLC (DCM:MEOH:NH4OH, 90:9:1) показала отсутствие исходных веществ. Реакционную смесь выпаривали до сухого состояния в высоком вакууме. Неочищенный продукт фильтровали через картридж диоксид кремния-карбонат (100 мг) с применением DCM:MeOH (9:1) в качестве элюента. Фильтрат выпаривали под вакуумом и неочищенный продукт очищали с помощью PTLC (DCM:MEOH:NH4OH, 90:9:1, 2х) с получением 12 мг продукта (чистота -85%). Данный продукт снова очищали с помощью PTLC (DCM:MeOH, 9:1) с получением 8 мг продукта (выход 31%). 1H ЯМР (500 МГц, DMSO-d6) δ 12,97 (bs, 1 Η), 10,11 (s, 1Η), 9,79 (bs, 1H), 8,98 (d, J=2,3 Гц, 0H), 8,69 (s, 1H), 8,66-8,49 (m, 2H), 8,23 (s, 1H), 8,02 (d, J=9,0 Гц, 1H), 7,84-7,64 (m, 4H), 7,63-7,53 (m, 1H), 7,51-7,33 (m, 4H), 7,29 (t, J=8,4 Гц, 1H), 5,17 (s, 1H), 4,56 (d, J=7,8 Гц, 1H), 4,50-4,39 (m, 2H), 4,40-4,31 (m, 1H), 4,26-4,16 (m, 1H), 3,66 (q, J=10,1 Гц, 2H), 3,19-3,06 (m, 2H), 2,72-2,52 (m, 4H), 2,44 (s, 3H), 2,12-1,97 (m, 1H), 1,96-1,84 (m, 1H), 1,74 (dq, J=13,2, 8,3, 7,3 Гц, 2H), 0,96 (t, 3H), 0,95 (s, 9H). 13C ЯМР (126 МГц, dmso) δ 180,66, 172,02, 171,24, 170,67, 169,64, 156,05 (dd, J=246,9, 7,0 Гц), 152,37 (dd, J=249,3, 8,1 Гц), 151,49, 148,66, 147,75, 143,82, 139,53, 139,00, 138,70, 132,54, 131,27, 131,22, 129,68, 129,22- 128,38 (m), 128,69, 127,47, 127,39, 126,53, 121,99 (dd, J=12,9,4,5 Гц), 119,59, 118,72- 117,87 (m), 117,57, 115,68, 112,90-112,05 (m), 68,95, 58,79, 56,56, 56,41, 53,51,41,71, 37,98, 35,45, 31,98, 30,14, 26,43, 16,88, 15,99, 12,65. LC-MS (ESI); масса/заряд [M+H]+: рассч. для C49H53F2N8O8S2 983,3395. Обнаруженное 983,3569.
[0954] Пример синтеза соединения 221: N1-(4-(3-(2,6-дифтор-3-(пропилсульфонамидо)бензоил)-1Н-пирроло[2,3-b]пиридин-5-ил)фенил)-N3-((S)-1-((2S,4R)-4-гидрокси-2-((4-(4-метилтиазол-5-ил)бензил)карбамоил)пирролидин-1-ил)-3,3-диметил-1-оксобутан-2-ил)-малонамида. К раствору 3-((4-(3-(2,6-дифтор-3-(пропилсульфонамидо)бензоил)-1Н-пирроло[2,3-b]пиридин-5-ил)фенил)амино)-3-оксопропановой кислоты (16,8 мг, 0,03 ммоль) и гидрохлорида (2S,4R)-1-[(2S)-2-амино-3,3-диметилбутаноил]-4-гидрокси-N-[[4-(4-метилтиазол-5-ил)фенил]метил]пирролидин-2-карбоксамида (15,5 мг, 0,033 ммоль) в DMF (1 мл) добавляли TEA (0,1 мл, 0,72 ммоль) и РуВОР (17,28 мг, 0,033 ммоль) при комнатной температуре. Реакционную смесь перемешивали в течение 12 ч. (в течение ночи) при той же температуре. TLC (DCM:MEOH:NH4OH, 90:9:1) показала отсутствие исходных веществ. Реакционную смесь выпаривали до сухого состояния в высоком вакууме. Неочищенный продукт фильтровали через картридж диоксид кремния-карбонат (100 мг) с применением DCM:MeOH (9:1) в качестве элюента. Фильтрат выпаривали под вакуумом и неочищенный продукт очищали с помощью PTLC (DCM:MEOH:NH4OH, 90:9:1, 2х), продукт очищали снова с помощью PTLC (DCM:MeOH, 9:1) с получением 19,5 мг продукта (выход 67%). 1H ЯМР (400 МГц, DMSO-d6) δ 12,96 (bs, 1H), 10,23 (s, 1H), 9,75 (bs, 1H), 8,97 (s, 1H), 8,69 (s, 1H), 8,66 8,51 (m, 2H), 8,26 (d, J=9,1 Гц, 1H), 8,22 (s, 1H), 7,73 (dd, J=8,5 Гц, 4H), 7,59 (q, J=8,6 Гц, 1H), 7,41 (dd, J=8,0 Гц, 4H), 7,28 (t, J=8,7 Гц, 1H), 5,16 (d, 1H), 4,59 (d, J=9,2 Гц, 1H), 4,52-4,33 (m, 3H), 4,24 (dd, J=15,7, 5,0 Гц, 1H), 3,68 (q, J=10,6 Гц, 2H), 3,44 (q, 2H), 3,20-3,05 (m, 2H), 2,45 (s, 3H), 2,10-2,01 (m, 1H), 1,96-1,89 (m, 1H), 1,74 (dq, J=14,8, 7,3 Гц, 2H), 0,98 (s, 9H), 0,97 (t, J=8,3 Гц, 3Н). 13C ЯМР (101 МГц, dmso) δ 180,62, 171,91, 169,34, 166,16, 166,03, 156,02 (dd, J=246,8, 7,1 Гц), 152,34 (dd, J=249,4, 8,1 Гц), 151,43, 148,69, 147,73, 143,79, 139,50, 138,69, 138,54, 132,98, 131,17, 131,13, 129,68, 129,11-128,65 (m), 128,67, 128,01, 127,45, 126,53, 122,21-121,73 (m), 119,70, 118,63-117,89 (m), 117,54, 115,66, 112,35 (dd, J=23,5, 3,0 Гц), 68,93, 58,79, 56,66, 56,52, 53,49, 44,32, 41,70, 37,97, 35,60, 26,33, 16,85, 15,96, 12,62. LC-MS (ESI); масса/заряд [M+H]+: рассч. для C48H51F2N8O8S2 969,3239. Обнаруженное 969,3272.
[0955] Пример синтеза соединения 222: (2S,4R)-1-((S)-2-(3-(4-(3-(2,6-дифтор-3-(пропилсульфонамидо)бензоил)-1Н-пирроло[2,3-b]пиридин-5-ил)пиперазин-1-ил)-3-оксопропанамидо)-3,3-диметилбутаноил)-4-гидрокси-N-(4-(4-метилтиазол-5-ил)бензил)пирролидин-2-карбоксамида. К раствору 3-(4-(3-(2,6-дифтор-3-(пропилсульфонамидо)бензоил)-1Н-пирроло[2,3-b]пиридин-5-ил)пиперазин-1-ил)-3-оксопропановой кислоты (12,5 мг, 0,02 ммоль) и гидрохлорида (2S,4R)-l-[(2S)-2-амино-3,3-диметилбутаноил]-4-гидрокси-N-[[4-(4-метилтиазол-5-ил)фенил]метил]пирролидин-2-карбоксамида (11,69 мг, 0,03 ммоль) в DMF (1 мл) добавляли TEA (0,1 мл, 0,72 ммоль) и РуВОР (13,02 мг, 0,03 ммоль) при комнатной температуре. Реакционную смесь перемешивали в течение 12 ч. (в течение ночи) при той же температуре. TLC (DCM:MEOH:NH4OH, 90:9:1) показала отсутствие исходных веществ. Реакционную смесь выпаривали до сухого состояния. Неочищенный продукт фильтровали через картридж диоксид кремния-карбонат (100 мг) с применением DCM:MeOH (9:1) в качестве элюента. Фильтрат выпаривали под вакуумом и неочищенный продукт очищали с помощью PTLC (MeOH:DCM, 1:9, 2х) с получением 14,1 мг продукта (выход 64%). 1Н ЯМР (500 МГц, DMSO-d6) δ 12,71 (bs, 1Н), 9,74 (bs, 1H), 8,98 (s, 1H), 8,59 (t, J=5,7 Гц, 1H), 8,29 (s, 1H), 8,26 (d, J=9,1 Гц, 1H), 8,03 (s, 1H), 7,96 (bs, 1H), 7,57 (q, J=7,4, 6,3 Гц, 1H), 7,41 (dd, J=8,0 Гц, 4H), 7,26 (t, J=8,7 Гц, 1H), 5,22-5,05 (m, 1H), 4,58 (d, J=9,3 Гц, 1H), 4,51-4,32 (m, 3H), 4,23 (dd, J=15,8, 5,3 Гц, 1H), 3,67 (q, J=12,3, 10,6 Гц, 8H), 3,52 (dd, J=53,7, 15,5 Гц, 2H), 3,27-3,05 (m, 6H), 2,45 (s, 3H), 2,09-2,00 (m, 1H), 1,96-1,86 (m, 1H), 1,74 (h, J=7,3 Гц, 2H), 0,97 (s, 9H), 0,96 (t, 3Н). 13C ЯМР (101 МГц, dmso) δ 180,41, 171,91, 169,38, 166,32, 166,06, 156,01 (dd, J=246,5, 6,7 Гц), 152,34 (dd, J=249,2, 8,3 Гц), 151,44, 147,73, 144,60, 144,28, 139,50, 138,06, 137,84, 131,17, 129,66, 128,75 (d, J=8,0 Гц), 128,65, 127,43, 121,86 (dd, J=13,5,3,5 Гц), 118,34 (m), 117,58, 115,42, 115,18, 112,28 (dd, J=23,1, 3,5 Гц), 68,89, 58,75, 56,54, 56,43, 53,49, 50,10, 45,56, 41,68, 41,19, 40,95, 37,95, 35,52, 26,36, 16,85, 15,96, 12,62. LC-MS (ESI); масса/заряд [M+H]+: рассч. для C46H54F2N9O8S2 962,3504. Обнаруженное 962,3694.
[0956] Пример синтеза соединения 294: (Е)-2-(2,6-диоксопиперидин-3-ил)-5-(3-(4-(4-(1-(гидроксиимино)-2,3-дигидро-1Н-инден-5-ил)-3-(пиридин-4-ил)-1Н-пиразол-1-ил)фенокси)-[1,3'-биазетидин]-1'-ил)изоиндолин-1,3-диона
[0957] Стадия А: трет-бутил-3-(4-(4,4,5,5-тетраметил-1,3,2-диоксаборолан-2-ил)фенокси)азетидин-1-карбоксилат
[0958] Смесь трет-бутил-3-йодазетидин-1-карбоксилата (2,8 г, 12,6 ммоль), 4-(4,4,5,5-тетраметил-1,3,2-диоксаборолан-2-ил)фенола (3,9 г, 13,8 ммоль) и K2CO3 (3,5 г, 25,2 ммоль) в сухом DMF (20 мл) перемешивали при 80°С в течение ночи. После охлаждения до комнатной температуры добавляли DCM (50 мл) и воду (25 мл). Слои разделяли и органическую фазу промывали водой и солевым раствором. Органическую фазу высушивали (Na2SO4), фильтровали и концентрировали под вакуумом. Остаток очищали с помощью флэш-хроматографии на колонке с силикагелем (РЕ:ЕА=9:1) с получением необходимого продукта (2,4 г, выход 65%).
[0959] Стадия В: трет-бутил-3-(4-(4-бром-3-(пиридин-4-ил)-1Н-пиразол-1-ил)фенокси)азетидин-1-карбоксилат
[0960] К раствору трет-бутил-3-(4-(4,4,5,5-тетраметил-1,3,2-диоксаборолан-2-ил)фенокси)азетидин-1-карбоксилата (2,4 г, 6,4 ммоль) и 4-(4-бром-1Н-пиразол-3-ил)пиридина (1,71 г, 7,68 ммоль) в DCM (20 мл) добавляли Et2NH (4,7 г, 64 ммоль), Cu(ОАс)2 (1,75 г, 9,6 ммоль). Полученную смесь перемешивали при 30°С в течение 16 часов в атмосфере О2. Смесь разбавляли с помощью DCM (30 мл) и смесь промывали с помощью водного раствора аммиака (10 мл × 3). Органическую фазу выпаривали при пониженном давлении и остаток очищали с помощью колоночной хроматографии на силикагеле (DCM/MeOH=20/1) с получением трет-бутил-3-(4-(4-бром-3-(пиридин-4-ил)-1Н-пиразол-1-ил)фенокси)азетидин-1-карбоксилата (1,5 г, выход 50%) в виде коричневого масла. LCMS (ES+): масса/заряд 471 [М+Н]+.
[0961] Стадия С: 4-(1-(4-(азетидин-3-илокси)фенил)-4-бром-1Н-пиразол-3-ил)пиридин
[0962] К раствору трет-бутил-3-(4-(4-бром-3-(пиридин-4-ил)-1Н-пиразол-1-ил)фенокси)азетидин-1-карбоксилата (700 мг) в DCM (3 мл) добавляли 3 Μ HCl в 1,4-диоксане (3 мл). Полученный раствор перемешивали при комнатной температуре в течение 2 часов. Растворитель удаляли при пониженном давлении с получением неочищенного необходимого продукта (600 мг, неочищенный). LCMS (ES+): масса/заряд 371 [М+Н]+.
[0963] Стадия D: трет-бутил-3-(4-(4-бром-3-(пиридин-4-ил)-1Н-пиразол-1-ил)фенокси)-[1,3'-биазетидин]-1'-карбоксилат
[0964] К раствору 4-(1-(4-(азетидин-3-илокси)фенил)-4-бром-1Н-пиразол-3-ил)пиридина (50 мг, 0,14 ммоль) и трет-бутил-3-оксоазетидин-1-карбоксилата (48 мг, 0,28 ммоль) в DCE (1,0 мл) добавляли АсОН (1 капля), NaBH(OAc)3 (74 мг, 0,35 ммоль). Полученный раствор перемешивали при 30°С в течение ночи. Смесь разбавляли с помощью ЕА (5 мл) и смесь трижды промывали с помощью водн. раствора NaHCO3. Органическую фазу выпаривали при пониженном давлении, остаток очищали с помощью колоночной хроматографии на силикагеле (РЕ/ЕА=1/1) с получением трет-бутил-3-(4-(4-бром-3-(пиридин-4-ил)-1Н-пиразол-1-ил)-фенокси)-[1,3'-биазетидин]-1'-карбоксилата (30 мг, выход 42%) в виде коричневого масла. LCMS (ES+): масса/заряд 526 [М+Н]+.
[0965] Стадия Ε: 5-(3-(4-(4-бром-3-(пиридин-4-ил)-1Н-пиразол-1-ил)фенокси)-[1,3'-биазетидин]-1'-ил)-2-(2,6-диоксопиперидин-3-ил)изоиндолин-1,3-дион
[0966] К раствору трет-бутил-3-(4-(4-бром-3-(пиридин-4-ил)-1Н-пиразол-1-ил)фенокси)-[1,3'-биазетидин]-1'-карбоксилата (160 мг) в DCM (2 мл) добавляли 3 Μ HCl в 1,4-диоксане (1 мл). Полученный раствор перемешивали при комнатной температуре в течение 2 часов. Растворитель удаляли при пониженном давлении с получением необходимого продукта (150 мг, неочищенный). К раствору 3-(4-(4-бром-3-(пиридин-4-ил)-1Н-пиразол-1-ил)фенокси)-1,3'-биазетидина (7,0 мг, 0,0165 ммоль) и 2-(2,6-диоксопиперидин-3-ил)-5-фторизоиндолин-1,3-диона (9,0 мг, 0,033 ммоль) в ΝΜΡ (1,0 мл) добавляли DIPEA (1 капля). Полученный раствор перемешивали при 130°С в течение 1 часа в атмосфере N2. После охлаждения до к. т. смесь разбавляли с помощью ЕА (3 мл) и смесь дважды промывали солевым раствором. Органическую фазу выпаривали при пониженном давлении, остаток очищали с помощью колоночной хроматографии на силикагеле (DCM/MeOH=15/1) с получением 5-(3-(4-(4-бром-3-(пиридин-4-ил)-1Н-пиразол-1-ил)фенокси)-[1,3'-биазетидин]-1'-ил)-2-(2,6-диоксопиперидин-3-ил)изоиндолин-1,3-диона (4 мг, выход 36%). LCMS (ES+): масса/заряд 682 [М+Н]+.
[0967] Стадия F: 2-(2,6-диоксопиперидин-3-ил)-5-(3-(4-(4-(1-оксо-2,3-дигидро-1Н-инден-5-ил)-3-(пиридин-4-ил)-1Н-пиразол-1-ил)фенокси)-[1,3'-биазетидин]-1'-ил)изоиндолин-1,3-дион
[0968] К раствору 5-(3-(4-(4-бром-3-(пиридин-4-ил)-1Н-пиразол-1-ил)фенокси)-[1,3'-биазетидин]-1'-ил)-2-(2,6-диоксопиперидин-3-ил)изоиндолин-1,3-диона (200 мг, 0,29 ммоль) в смеси 1,4-диоксан/Н2О (об./об.=10/1,5 мл) последовательно добавляли 5-(4,4,5,5-тетраметил-1,3,2-диоксаборолан-2-ил)-2,3-дигидро-1Н-инден-1-он (83 мг, 0,32 ммоль), Pd2(dba)3 (110 мг, 0,12 ммоль), CsF (176 мг, 1,20 ммоль), [(t-Bu)3PH]BF4 (68 мг, 0,12 ммоль) и Ν,Ν-дициклогексилметиламин (2,9 мг, 0,015 ммоль). Полученный раствор нагревали до 100°С в течение 2 часов в N2. После охлаждения до комнатной температуры реакционную смесь разбавляли с помощью ЕА (10 мл) и смесь промывали водой, солевым раствором. Органическую фазу высушивали над безводным сульфатом натрия, концентрировали под вакуумом. Остаток очищали с помощью препаративной HPLC с получением 2-(2,6-диоксопиперидин-3-ил)-5-(3-(4-(4-(1-оксо-2,3-дигидро-1Н-инден-5-ил)-3-(пиридин-4-ил)-1Н-пиразол-1-ил)фенокси)-[1,3'-биазетидин]-1'-ил)изоиндолин-1,3-диона (90 мг, выход 41,9%) в виде желтого твердого вещества. LCMS (ES+): масса/заряд 733 [М+Н]+.
[0969] Стадия G: (Е)-2-(2,6-диоксопиперидин-3-ил)-5-(3-(4-(4-(1-(гидроксиимино)-2,3-дигидро-1Н-инден-5-ил)-3-(пиридин-4-ил)-1Н-пиразол-1-ил)фенокси)-[1,3'-биазетидин]-1'-ил)изоиндолин-1,3-дион
[0970] К раствору 2-(2,6-диоксопиперидин-3-ил)-5-(3-(4-(4-(1-оксо-2,3-дигидро-1Н-инден-5-ил)-3-(пиридин-4-ил)-1Н-пиразол-1-ил)фенокси)-[1,3'-биазетидин]-1'-ил)изоиндолин-1,3-диона (90 мг, 0,12 ммоль) в смеси ацетонитрил/пиридин (об./об.=1/1, 6,0 мл) добавляли гидрохлорид гидроксиламина (83,4 мг, 1,2 ммоль). Смесь перемешивали при 40°С в течение 20 минут. После гашения с помощью DCM (20 мл) смесь промывали солевым раствором (10 мл × 2). Органическую фазу концентрировали под вакуумом и остаток очищали с помощью препаративной TLC с получением (Е)-2-(2,6-диоксопиперидин-3-ил)-5-(3-(4-(4-(1-(гидроксиимино)-2,3-дигидро-1Н-инден-5-ил)-3-(пиридин-4-ил)-1Н-пиразол-1-ил)фенокси)-[1,3'-биазетидин]-1'-ил)изоиндолин-1,3-диона (25 мг, выход 27%) в виде желтого твердого вещества.
[0971] 1H ЯМР (400 МГц, CDCl3): δ 11,06 (s, 1Η), 10,89 (s, 1H), 8,73 (s, 1H), 8,57 (d, J=4,8 Гц, 2H), 7,87 (a,J=8,8 Гц, 2H), 7,65 (d, J=8,0 Гц, 1H), 7,56 (d, J=8,0 Гц, 1H), 7,48 (d, J=4,8 Гц, 2H), 7,40 (s, 1H), 7,22 (d, J=8,0 Гц, 1H), 7,03 (d, J=8,8 Гц, 2H), 6,80 (s, 1H), 6,68 (d, J=8,4 Гц, 1H), 5,02-5,07 (m, 1H), 4,96 (t, J=2,4 Гц, 1H), 4,09 (t, J=8,4 Гц, 2H), 3,80-3,87 (m, 4H), 3,73 (s, 1H), 3,22 (s, 4H), 3,01 (d,J=5,2 Гц, 2H), 2,84 (d, J=5,6 Гц, 2H), 2,01 (d, J=9,2 Гц, 2H); LCMS (ES+): масса/заряд 748,79 [M+H]+.
[0972] Пример синтеза соединения 226: (2S,4R)-1-((S)-2-(2-(4-((4-(4-(3-(2,6-дифтор-3-((R)-3-фторпирролидин-1-сульфонамидо)бензоил)-1Н-пирроло[2,3-b]пиридин-5-ил)фенил)пиперазин-1-ил)метил)пиперидин-1-ил)ацетамидо)-3,3-диметилбутаноил)-4-гидрокси-N-(4-(4-метилтиазол-5-ил)бензил)пирролидин-2-карбоксамида
[0973] Стадия А: трет-бутил-2-(4-формилпиперидин-1-ил)ацетат
[0974] К раствору трет-бутил-2-(4-(гидроксиметил)пиперидин-1-ил)ацетата (1,5 г, 6,55 ммоль) в CH3CN (10 мл) добавляли IBX (2,7 г, 9,85 ммоль). Полученный раствор перемешивали при 80°С в течение 5 часов. После охлаждения до комнатной температуры реакционную смесь разбавляли с помощью ЕА (30 мл) и раствор промывали сульфитом натрия и бикарбонатом натрия. Органический слой высушивали над безводным сульфатом натрия. Органическую фазу концентрировали под вакуумом. Остаток очищали с помощью хроматографии на силикагеле (РЕ:ЕА=5:1) с получением необходимого продукта, трет-бутил-2-(4-формилпиперидин-1-ил)ацетата (350 мг, выход 25%), в виде желтого масла. 1Н ЯМР (400 МГц, CDCl3): δ 9,64 (s, 1H), 3,12 (s, 2H), 2,85-2,89 (m, 2H), 2,31-2,37 (m, 2H), 2,20-2,26 (m, 1H), 1,89-1,93 (m, 2H), 1,74-1,77 (m, 2H), 1,47 (s, 9H).
[0975] Стадия В: трет-бутил-2-(4-((4-(4-бромфенил)пиперазин-1-ил)метил)пиперидин-1-ил)ацетат
[0976] К раствору трет-бутил-2-(4-формилпиперидин-1-ил)ацетата (370 мг, 1,54 ммоль) и 1-(4-бромфенил)пиперазина (350 мг, 1,54 ммоль) в СН3ОН/DCM (об./об.=1/1, 10 мл) добавляли каталитическое количество АсОН (0,1 мл) при комнатной температуре. После перемешивания в течение 30 минут добавляли NaBH(OAc)3 (1,3 г, 6,17 ммоль). Смесь перемешивали при 30°С в течение 1 часа. После гашения с помощью водн. раствора NaHCO-3 (20 мл) смесь экстрагировали с помощью DCM (10 мл × 3). Объединенный органический слой промывали солевым раствором (20 мл), высушивали над безводным сульфатом натрия и концентрировали под вакуумом. Остаток очищали с помощью силикагеля (DCM:MeOH=50:1) с получением трет-бутил-2-(4-((4-(4-бромфенил)пиперазин-1-ил)метил)пиперидин-1-ил)ацетата (330 мг, выход 47%) в виде желтого масла. LCMS (ES+): масса/заряд 454,2 [М+Н]+.
[0977] Стадия С: трет-бутил-2-(4-((4-(4-(4,4,5,5-тетраметил-1,3,2-диоксаборолан-2-ил)фенил)пиперазин-1-ил)метил)пиперидин-1-ил)ацетат
[0978] К раствору 4,4,4',4',5,5,5',5'-октаметил-2,2'-би(1,3,2-диоксаборолан) (242 мг, 0,951 ммоль) и трет-бутил-2-(4-((4-(4-бромфенил)пиперазин-1-ил)метил)пиперидин-1-ил)ацетата (330 мг, 0,732 ммоль) в 1,4-диоксане (5 мл) добавляли KOAc (145 мг, 1,46 ммоль) и Pd(dppf)Cl2 (54 мг, 0,0732 ммоль). После перемешивания при 90°С в течение ночи в атмосфере азота реакционную смесь разбавляли с помощью 30 мл этилацетата и раствор промывали солевым раствором (10 мл × 3). Органическую фазу высушивали над безводным сульфатом натрия и концентрировали под вакуумом. Остаток очищали с помощью силикагеля (DCM:MeOH=100:3) с получением необходимого продукта, трет-бутил-2-(4-((4-(4-(4,4,5,5-тетраметил-1,3,2-диоксаборолан-2-ил)фенил)пиперазин-1-ил)метил)пиперидин-1-ил)ацетата (100 мг, выход 27%), в виде желтого твердого вещества. LCMS (ES+): масса/заряд 499,4 [М+Н]+.
[0979] Стадия D: (R)-трет-бутил-2-(4-((4-(4-(3-(2,6-дифтор-3-(3-фторпирролидин-1-сульфонамидо)бензоил)-1Н-пирроло[2,3-b]пиридин-5-ил)фенил)пиперазин-1-ил)метил)пиперидин-1-ил)ацетат
[0980] К раствору трет-бутил-2-(4-((4-(4-(4,4,5,5-тетраметил-1,3,2-диоксаборолан-2-ил)фенил)пиперазин-1-ил)метил)пиперидин-1-ил)ацетата (100 мг, 0,199 ммоль) в смеси H2O/диоксан (об./об.=1/5, 5,0 мл) добавляли CsF (121 мг, 0,796 ммоль), Pd(aMPhos)Cl2 (14 мг, 0,0199 ммоль) и (R)-N-(3-(5-бром-1H-пирроло[2,3-b]пиридин-3-карбонил)-2,4-дифторфенил)-3-фторпирролидин-1-сульфонамид (100 мг, 0,199 ммоль) при комнатной температуре. Раствор продували с помощью N2 при комнатной температуре в течение 10 минут с удалением избытка О2. Полученный раствор перемешивали при 100°С в течение 4 часов. После охлаждения до комнатной температуры реакционную смесь поглощали с помощью EtOAc. Объединенные органические слои концентрировали под вакуумом. Остаток очищали с помощью препаративной TLC (DCM:СН3ОН=20:1) с получением необходимого продукта, (R)-трет-бутил-2-(4-((4-(4-(3-(2,6-дифтор-3-(3-фторпирролидин-1-сульфонамидо)бензоил)-1Н-пирроло[2,3-b]пиридин-5-ил)фенил)пиперазин-1-ил)метил)пиперидин-1-ил)ацетата (50 мг, выход 32%), в виде светло-желтого твердого вещества. LCMS (ES+): масса/заряд 797,6 [М+Н]+.
[0981] Стадия Е: (R)-2-(4-((4-(4-(3-(2,6-дифтор-3-(3-фторпирролидин-1-сульфонамидо)бензоил)-1Н-пирроло[2,3-b]пиридин-5-ил)фенил)пиперазин-1-ил)метил)пиперидин-1-ил)уксусная кислота
[0982] К раствору (R)-трет-бутил-2-(4-((4-(4-(3-(2,6-дифтор-3-(3-фторпирролидин-1-сульфонамидо)бензоил)-1Н-пирроло[2,3-b]пиридин-5-ил)фенил)пиперазин-1-ил)метил)пиперидин-1-ил)ацетата (50 мг, 0,0629 ммоль) в DCM (1 мл) добавляли TFA (0,5 мл). Полученный раствор перемешивали в течение 2 часов при комнатной температуре. Растворитель удаляли под вакуумом. Остаток представлял собой необходимый продукт, (R)-2-(4-((4-(4-(3-(2,6-дифтор-3-(3-фторпирролидин-1-сульфонамидо)бензоил)-1Н-пирроло[2,3-b]пиридин-5-ил)фенил)пиперазин-1-ил)метил)пиперидин-1-ил)уксусную кислоту (80 мг, неочищенная), в виде желтого твердого вещества. LCMS (ES+): масса/заряд 740,2 [М+Н]+.
[0983] Стадия G: (2S,4R)-1-((S)-2-(2-(4-((4-(4-(3-(2,6-дифтор-3-((R)-3-фторпирролидин-1-сульфонамидо)бензоил)-1Н-пирроло[2,3-b]пиридин-5-ил)фенил)пиперазин-1-ил)метил)пиперидин-1-ил)ацетамидо)-3,3-диметилбутаноил)-4-гидрокси-N-(4-(4-метилтиазол-5-ил)бензил)пирролидин-2-карбоксамид
[0984] К раствору (R)-2-(4-((4-(4-(3-(2,6-дифтор-3-(3-фторпирролидин-1-сульфонамидо)бензоил)-1Н-пирроло[2,3-b]пиридин-5-ил)фенил)пиперазин-1-ил)метил)пиперидин-1-ил)уксусной кислоты (47 мг, 0,0629 ммоль) в DCM (5,0 мл) добавляли DIEA (25 мг, 0,189 ммоль), (2S,4R)-1-((S)-2-((13-хлоранил)диазенил)-3,3-диметилбутаноил)-4-гидрокси-N-(4-(4-метилтиазол-5-ил)бензил)пирролидин-2-карбоксамид (30 мг, 0,0691 ммоль) и РуВОР (40 мг, 0,0755 ммоль) при комнатной температуре. Полученный раствор перемешивали при 20°С в течение 1 часа. Реакционную смесь гасили с помощью Н2О (10 мл) и смесь экстрагировали с помощью DCM (20 мл × 3). Объединенный органический слой концентрировали под вакуумом. Остаток очищали с помощью препаративной TLC (ОСМ:СН3ОН=10:1) с получением необходимого продукта, (2S,4R)-1-((S)-2-(2-(4-((4-(4-(3-(2,6-дифтор-3-((R)-3-фторпирролидин-1-сульфонамидо)бензоил)-1Н-пирроло[2,3-b]пиридин-5-ил)фенил)пиперазин-1-ил)метил)пиперидин-1-ил)ацетамидо)-3,3-диметилбутаноил)-4-гидрокси-N-(4-(4-метилтиазол-5-ил)бензил)пирролидин-2-карбоксамида (33 мг), в виде белого твердого вещества. 1H ЯМР (400 МГц, CD3OD): δ 8,77 (s, 1H), 8,59 (s, 1Н), 8,49 (s, 1H), 7,79 (s, 1Н), 7,61-7,69 (m, 1Н), 7,49 (d, J=8,8 Гц, 2Н), 7,31-7,39 (m, 4Н), 6,98-7,04 (m, 3Н), 5,18 (s, 0,5Н), 5,02 (s, 0,5Н), 4,56 (s, 1Н), 4,41 4,53 (m, 2Н), 4,22-4,29 (m, 1H), 3,76-3,81 (m, 1Н), 3,68-3,73 (m, 1Н), 3,23-3,52 (m, 4Н), 3,16 (s, 4Н), 2,94 (s, 2Н), 2,90 (s, 1Н), 2,72-2,81 (m, 2Н), 2,50 (br, 4Н), 2,38 (s, 3Н), 1,92-2,20 (m, 10Н), 1,66-1,79 (m, 2Н), 0,95 (s, 9Н); LCMS (ES+): масса/заряд 1154,3 [М+Н]+.
[0985] Пример синтеза соединения 227: (2S,4R)-1-((S)-2-(2-(4-((1-(4-(3-(2,6-дифтор-3-((R)-3-фторпирролидин-1-сульфонамидо)бензоил)-1Н-пирроло[2,3-b]пиридин-5-ил)фенил)пиперидин-4-ил)метил)пиперазин-1-ил)ацетамидо)-3,3-диметилбутаноил)-4-гидрокси-N-(4-(4-метилтиазол-5-ил)бензил)пирролидин-2-карбоксамида
[0986] Стадия А: 1-(4-бромфенил)пиперидин-4-карбальдегид
[0987] К раствору 1-(4-бромфенил)-4-(диметоксиметил)пиперидина (1 г, 3,18 ммоль) в MeCN (10 мл) добавляли хлористоводородную кислоту (3 н.).
Полученный раствор перемешивали при 50°С в течение 4 часов. После охлаждения до комнатной температуры рН смеси регулировали до 8~9 с помощью водн. раствора NaHCO3. Реакционную смесь разбавляли с помощью 30 мл ЕА и смесь промывали сульфитом натрия, бикарбонатом натрия. Органическую фазу высушивали над безводным сульфатом натрия. Органическую фазу концентрировали под вакуумом. Остаток представлял собой необходимый продукт, 1-(4-бромфенил)пиперидин-4-карбальдегид (1 г, неочищенный), в виде желтого твердого вещества. LCMS (ES+): масса/заряд 268,0 [М+Н]+.
[0988] Стадия В: трет-бутил-4-((1-(4-бромфенил)пиперидин-4-ил)метил)пиперазин-1-карбоксилат
[0989] К раствору 1-(4-бромфенил)пиперидин-4-карбальдегида (1 г, неочищенный) и трет-бутилпиперазин-1-карбоксилата (590 мг, 3,18 ммоль) в СН3ОН/DCM (об./об.=1/1, 10 мл) добавляли кат.количество АсОН (0,1 мл) при комнатной температуре. После перемешивания в течение 30 минут добавляли NaBH(OAc)3 (2,7 г, 12,7 ммоль). Полученный раствор перемешивали при 30°С в течение ночи. После гашения с помощью водн. раствора NaHCO3 (20 мл) смесь экстрагировали с помощью DCM (10 мл × 3). Объединенные органические слои промывали солевым раствором (20 мл), высушивали над безводным сульфатом натрия и концентрировали под вакуумом. Остаток очищали с помощью силикагеля с применением смеси РЕ/ЕА (8/1) с получением трет-бутил-4-((1-(4-бромфенил)пиперидин-4-ил)метил)пиперазин-1-карбоксилата (800 мг) в виде желтого масла. LCMS (ES+): масса/заряд 440,2 [М+Н]+.
[0990] Стадия С: трет-бутил-2-(4-((1-(4-бромфенил)пиперидин-4-ил)метил)пиперазин-1-ил)ацетат
[0991] К раствору трет-бутил-4-((1-(4-бромфенил)пиперидин-4-ил)метил)пиперазин-1-карбоксилата (800 мг, 1,83 ммоль) в DCM (4 мл) добавляли TFA (2 мл). Полученный раствор перемешивали в течение 2 часов при комнатной температуре. Растворитель удаляли под вакуумом с получением неочищенного необходимого продукта (1 г, неочищенный), который применяли непосредственно на следующей стадии. К раствору вышеуказанного неочищенного продукта (500 г, неочищенный) и трет-бутил-2-бромацетата (176 мг, 0,913 ммоль) в сухом DMF (5 мл) добавляли K2CO3 (190 мг, 1,37 ммоль). Полученный раствор перемешивали при комнатной температуре в течение ночи. Реакционную смесь разбавляли с помощью 40 мл ЕА и смесь промывали водой, солевым раствором. Органическую фазу высушивали над безводным сульфатом натрия. Остаток представлял собой необходимый продукт, трет-бутил-2-(4-((1-(4-бромфенил)пиперидин-4-ил)метил)пиперазин-1-ил)ацетат (410 мг, неочищенный), в виде желтого масла. LCMS (ES+): масса/заряд 453,2 [М+Н]+.
[0992] Стадия D: трет-бутил-2-(4-((1-(4-(4,4,5,5-тетраметил-1,3,2-диоксаборолан-2-ил)фенил)пиперидин-4-ил)метил)пиперазин-1-ил)ацетат
[0993] К раствору 4,4,4',4',5,5,5',5'-октаметил-2,2'-би(1,3,2-диоксаборолан) (300 мг, 1,18 ммоль) и трет-бутил-2-(4-((1-(4-бромфенил)пиперидин-4-ил)метил)-пиперазин-1-ил)ацетата (410 мг, 0,913 ммоль) в 1,4-диоксане (5 мл) добавляли KOAc (178 мг, 1,82 ммоль) и Pd(dppf)Cl2 (67 мг, 0,0913 ммоль). После перемешивания при 90°С в течение ночи в атмосфере азота реакционную смесь разбавляли с помощью 30 мл этилацетата и раствор промывали солевым раствором (10 мл × 3). Органическую фазу высушивали над безводным сульфатом натрия и концентрировали под вакуумом. Остаток очищали с помощью силикагеля с применением смеси DCM/MeOH (100/3) с получением необходимого продукта, трет-бутил-2-(4-((1-(4-(4,4,5,5-тетраметил-1,3,2-диоксаборолан-2-ил)фенил)пиперидин-4-ил)метил)пиперазин-1-ил)ацетата (200 мг, неочищенный), в виде желтого твердого вещества. LCMS (ES+): масса/заряд 500,4 [М+Н]+.
[0994] Стадия Ε: (R)-трет-бутил-2-(4-((1-(4-(3-(2,6-дифтор-3-(3-фторпирролидин-1-сульфонамидо)бензоил)-1Н-пирроло[2,3-b]пиридин-5-ил)фенил)пиперидин-4-ил)метил)пиперазин-1-ил)ацетат
[0995] К раствору трет-бутил-2-(4-((1-(4-(4,4,5,5-тетраметил-1,3,2-диоксаборолан-2-ил)фенил)пиперидин-4-ил)метил)пиперазин-1-ил)ацетата (200 мг, неочищенный) в смеси H2O/диоксан (об./об.=1/5, 5,0 мл) добавляли CsF (121 мг, 0,796 ммоль), Pd(aMPhos)Cl2 (14 мг, 0,0199 ммоль), (R)-N-(3-(5-бром-1Н-пирроло[2,3-b]пиридин-3-карбонил)-2,4-дифторфенил)-3-фторпирролидин-1-сульфонамид (100 мг, 0,199 ммоль) при комнатной температуре. Раствор продували с помощью N2 при комнатной температуре в течение 10 минут с удалением избытка О2. Полученный раствор перемешивали при 100°С в течение 4 часов. После охлаждения до комнатной температуры реакционную смесь поглощали с помощью EtOAc. Объединенные органические слои концентрировали под вакуумом. Остаток очищали с помощью препаративной TLC с применением смеси DCM/CH3OH (20/1) с получением необходимого продукта, (R)-трет-бутил-2-(4-((1-(4-(3-(2,6-дифтор-3-(3-фторпирролидин-1-сульфонамидо)бензоил)-1Н-пирроло[2,3-b]пиридин-5-ил)фенил)пиперидин-4-ил)метил)пиперазин-1-ил)ацетата (110 мг, выход 69%), в виде светло-желтого твердого вещества. LCMS (ES+): масса/заряд 796,3 [М+Н]+.
[0996] Стадия F: (2S,4R)-1-((S)-2-(2-(4-((1-(4-(3-(2,6-дифтор-3-((R)-3-фторпирролидин-1-сульфонамидо)бензоил)-1Н-пирроло[2,3-b]пиридин-5-ил)фенил)пиперидин-4-ил)метил)пиперазин-1-ил)ацетамидо)-3,3-диметилбутаноил)-4-гидрокси-N-(4-(4-метилтиазол-5-ил)бензил)пирролидин-2-карбоксамид
[0997] К раствору (R)-трет-бутил-2-(4-((1-(4-(3-(2,6-дифтор-3-(3-фторпирролидин-1-сульфонамидо)бензоил)-1Н-пирроло[2,3-b]пиридин-5-ил)фенил)пиперидин-4-ил)метил)пиперазин-1-ил)ацетата (110 мг, 0,139 ммоль) в DCM (3 мл) добавляли TFA (1,5 мл). Полученный раствор перемешивали при комнатной температуре в течение 2 часов. Растворитель удаляли под вакуумом с получением неочищенного необходимого продукта (180 мг, неочищенный), который применяли непосредственно на следующей стадии. К раствору вышеуказанной кислоты (180 мг, неочищенная) в DMF (5,0 мл) добавляли DIEA (54 мг, 0,418 ммоль), (2S,4R)-1-((S)-2-((13-хлоранил)диазенил)-3,3-диметилбутаноил)-4-гидрокси-N-(4-(4-метилтиазол-5-ил)бензил)пирролидин-2-карбоксамид (66 мг, 0,153 ммоль) и РуВОР (87 мг, 0,167 ммоль) при комнатной температуре. Полученный раствор перемешивали при 20°С в течение 1 часа. Затем гасили с помощью Н2О (10 мл) и смесь экстрагировали с помощью ЕА (20 мл × 3). Объединенный органический слой концентрировали под вакуумом. Остаток очищали с помощью препаративной HPLC с получением необходимого продукта необходимого продукта (42 мг) в виде желтого твердого вещества. 1H ЯМР (400 МГц, McOD-d4): δ 8,89 (s, 1H), 8,70 (s, 1H), 8,61 (s, 1H), 7,91 (s, 1H), 7,71-7,80 (m, 1H), 7,60 (d,J=8,4 Гц, 2H), 7,43-7,50 (m, 4H), 7,12- 7,16 (m, 3H), 5,23 (s, 0,5H), 5,18 (s, 0,5H), 4,95 (m, 4H), 4,56 (s, 1H), 4,53-4,66 (m, 4H), 4,35-4,41 (m, 1H), 3,79-3,90 (m, 4H), 3,44-3,60 (m, 6H), 3,08-3,19 (m, 2H), 2,72- 2,81 (m, 10H), 2,50 (s, 3H), 2,03-2,25 (m, 5H), 1,87-1,92 (m, 3H), 1,52-1,63 (m, 2H), 1,04 (s, 9H); LCMS (ES+): масса/заряд 1101,3 [M+H]+.
[0998] Пример синтеза соединения 295: (2S,4R)-1-((S)-2-(2-(4-((4-(4-(3-(2,6-дифтор-3-(((3S,4S)-3-фтор-4-гидроксипирролидин)-1-сульфонамидо)бензоил)-1Н-пирроло[2,3-b]пиридин-5-ил)фенил)пиперазин-1-ил)метил)пиперидин-1-ил)ацетамидо)-3,3-диметилбутаноил)-4-гидрокси-N-(4-(4-метилтиазол-5-ил)бензил)пирролидин-2-карбоксамида
[0999] Стадия А: (3S,4S)-3-[(трет-бутилдифенилсилил)окси]-4-фторпирролидин
[1000] В круглодонную колбу объемом 50 мл помещали (3S,4S)-4-фторпирролидин-3-ол (500 мг, 4,76 ммоль, 1 экв.), дихлорметан (10 мл), имидазол (323,8 мг, 4,76 ммоль, 1 экв.), TBDPSCl (1307,5 мг, 4,76 ммоль, 1 экв.). Полученный раствор перемешивали в течение ночи при комнатной температуре. Полученную смесь концентрировали. Остаток обрабатывали с помощью колонки с силикагелем с элюированием смесью дихлорметан/метанол (10/1). Это обеспечивало получение 470 мг (29%) (3S,4S)-3-[(трет-бутилдифенилсилил)окси]-4-фторпирролидина в виде желтого масла.
[1001] Стадия В: (3S,4S)-3-[(трет-бутилдифенилсилил)окси]-4-фторпирролидин-1-сульфонилхлорид
[1002] В круглодонную колбу объемом 50 мл помещали (3S,4S)-3-[(трет-бутилдифенилсилил)окси]-4-фторпирролидин (370 мг, 1 экв.), дихлорметан (5 мл), диизопропилэтиламин (279 мг, 2 экв.), дихлорсульфоксид (290 мг, 2 экв.). Полученный раствор перемешивали в течение 4 часов при -30°С. Затем реакционную смесь гасили путем добавления воды (20 мл). Полученный раствор экстрагировали дихлорметаном (20 мл × 3). Полученную смесь промывали солевым раствором (20 мл × 1), высушивали над безводным сульфатом натрия и концентрировали. Это обеспечивало получение 450 мг (3S,4S)-3-[(трет-бутилдифенилсилил)окси]-4-фторпирролидин-1-сульфонилхлорида в виде желтого масла.
[1003] Стадия С: (3S,4S)-N-(3-[5-бром-1Н-пирроло[2,3-b]пиридин-3-карбонил]-2,4-дифторфенил)-3-[(трет-бутилдифенилсилил)окси]-4-фторпирролидин-1-сульфонамид
[1004] В круглодонную колбу объемом 25 мл помещали (3S,4S)-3-[(трет-бутилдифенилсилил)окси]-4-фторпирролидин-1-сульфонилхлорид (449,4 мг, 1,02 ммоль, 2,00 экв.), пиридин (0,7 мл), 3-[5-бром-1Н-пирроло[2,3-b]пиридин-3-карбонил]-2,4-дифторанилин (179 мг, 0,51 ммоль, 1 экв.), диметиламинопиридин (18,6 мг, 0,15 ммоль, 0,30 экв.). Полученный раствор перемешивали в течение 3 часов при 45°С на масляной бане. Полученную смесь концентрировали. Остаток обрабатывали с помощью колонки с силикагелем с элюированием смесью этилацетат/петролейный эфир (1/1). Это обеспечивало получение 120 мг (31%) (3S,4S)-N-(3-[5-бром-1Н-пирроло[2,3-b]пиридин-3-карбонил]-2,4-дифторфенил)-3-[(трет-бутилдифенилсилил)окси]-4-фторпирролидин-1-сульфонамида в виде желтого масла.
[1005] Стадия D: синтез трет-бутил-2-(4-[[4-(4-[3-[3-([[(3S,4S)-3-[(трет-бутилдифенилсилил)окси]-4-фторпирролидин-1-ил]сульфонил]амино)-2,6-дифторбензоил]-1Н-пирроло[2,3-b]пиридин-5-ил]фенил)пиперазин-1-ил]метил]пиперидина
[1006] В круглодонную колбу объемом 50 мл помещали (3S,4S)-N-(3-[5-бром-1Н-пирроло[2,3-b]пиридин-3-карбонил]-2,4-дифторфенил)-3-[(трет-бутилдифенилсилил)окси]-4-фторпирролидин-1-сульфонамид (120 мг, 0,16 ммоль, 1 экв.), 1,4-диоксан (5 мл, 0,06 ммоль), воду (0,0 мл, 0,06 ммоль), трет-бутил-2-[4-([4-[4-(4,4,5,5-тетраметил-1,3,2-диоксаборолан-2-ил)фенил]пиперазин-1-ил]метил)пиперидин-1-ил]ацетат (79,1 мг, 0,16 ммоль, 1 экв.), Na2CO3 (50,4 мг, 0,48 ммоль, 3 экв.), Pd(dppf)Cl2 (39 мг). Полученный раствор перемешивали в течение 2 часов при 110°С на масляной бане. Полученную смесь концентрировали. Остаток обрабатывали с помощью колонки с силикагелем с элюированием смесью дихлорметан/метанол (10/1). Это обеспечивало получение 90 мг (54%) трет-бутил-2-(4-[[4-(4-[3-[3-([[(3S,4S)-3-[(трет-бутилдифенилсилил)окси]-4-фторпирролидин-1-ил]сульфонил]амино)-2,6-дифторбензоил]-1Н-пирроло[2,3-b]пиридин-5-ил]фенил)пиперазин-1-ил]метил]пиперидина в виде желтого масла.
[1007] Стадия Е: синтез 2-(4-[[4-(4-[3-[3-([[(3S,4S)-3-[(трет-бутилдифенилсилил)окси]-4-фторпирролидин-1-ил]сульфонил]амино)-2,6-дифторбензоил]-1Н-пирроло[2,3-b]пиридин-5-ил]фенил)пиперазин-1-ил]метил]пиперидин-1-ил)уксусной кислоты
[1008] В круглодонную колбу объемом 25 мл помещали трет-бутил-2-(4-[[4-(4-[3-[3-([[(3S,4S)-3-[(трет-бутилдифенилсилил)окси]-4-фторпирролидин-1-ил]сульфонил]амино)-2,6-дифторбензоил]-1Н-пирроло[2,3-b]пиридин-5-ил]фенил)пиперазин-1-ил]метил]пиперидин (90 мг, 0,09 ммоль, 1 экв.), дихлорметан (5 мл), трифторуксусную кислоту (2 мл, 0,02 ммоль). Полученный раствор перемешивали в течение ночи при комнатной температуре. Полученную смесь концентрировали при пониженном давлении. Это обеспечивало получение 60 мг (70,43%) 2-(4-[[4-(4-[3-[3-([[(3S,4S)-3-[(трет-бутилдифенилсилил)окси]-4-фторпирролидин-1-ил]сульфонил]амино)-2,6-дифторбензоил]-1Н-пирроло[2,3-b]пиридин-5-ил]фенил)пиперазин-1-ил]метил]пиперидин-1-ил)уксусной кислоты в виде желтого твердого вещества.
[1009] Стадия F: синтез 2-(4-[[4-[4-[3-[2,6-дифтор-3-([[(3S,4S)-3-фтор-4-гидроксипирролидин-1-ил]сульфонил]амино)бензоил]-1Н-пирроло[2,3-b]пиридин-5-ил]фенил)пиперазин-1-ил]метил]пиперидин-1-ил)уксусной кислоты
[1010] В круглодонную колбу объемом 25 мл помещали 2-(4-[[4-(4-[3-[3-([[(3S,4S)-3-[(трет-бутилдифенилсилил)окси]-4-фторпирролидин-1-ил]сульфонил]амино)-2,6-дифторбензоил]-1Н-пирроло[2,3-b]пиридин-5-ил]фенил)пиперазин-1-ил]метил]пиперидин-1-ил)уксусную кислоту (60 мг, 0,06 ммоль, 1 экв.), тетрагидрофуран (3 мл), TBAF (1 мл, 0,06 экв.). Полученный раствор перемешивали в течение 2 часов при 40°С. Полученную смесь концентрировали при пониженном давлении. Остаток обрабатывали с помощью колонки с силикагелем с элюированием смесью дихлорметан/метанол (10/1). Это обеспечивало получение 50 мг (109,62%) 2-(4-[[4-(4-[3-[2,6-дифтор-3-([[(3S,4S)-3-фтор-4-гидроксипирролидин-1-ил]сульфонил]амино)бензоил]-1Н-пирроло[2,3-b]пиридин-5-ил]фенил)пиперазин-1-ил]метил]пиперидин-1-ил)уксусной кислоты в виде желтого масла.
[1011] Стадия G: (2S,4R)-1-((S)-2-(2-(4-((4-(4-(3-(2,6-шфтор-3-(((3S,4S)-3-фтор-4-гидроксипирролидин)-1-сульфонамидо)бензоил)-1Н-пирроло[2,3-b]пиридин-5-ил)фенил)пиперазин-1-ил)метил)пиперидин-1-ил)ацетамидо)-3,3-диметилбутаноил)-4-гидрокси-N-(4-(4-метилтиазол-5-ил)бензил)пирролидин-2-карбоксамид
[1012] В круглодонную колбу объемом 25 мл помещали 2-(4-[[4-(4-[3-[2,6-дифтор-3-([[(3S,4S)-3-фтор-4-гидроксипирролидин-1-ил]сульфонил]амино)бензоил]-1Н-пирроло[2,3-b]пиридин-5-ил]фенил)пиперазин-1-ил]метил]пиперидин-1-ил)уксусную кислоту (50 мг, 0,066 ммоль, 1 экв.), DMF (5 мл), (2S,4R)-1-[(2S)-2-амино-3,3-диметилбутаноил]-4-гидрокси-N-[[4-(4-метил-1,3-тиазол-5-ил)фенил]метил]пирролидин-2-карбоксамид (30,8 мг, 0,066 ммоль, 1 экв.), диизопропилэтиламин (34,1 мг, 0,264 ммоль, 4,00 экв.), ВОР (35 мг, 0,079 ммоль, 1,2 экв.). Полученный раствор перемешивали в течение 3 часов при комнатной температуре. Затем реакционную смесь гасили водой (30 мл), экстрагировали дихлорметаном (30 мл ×3), промывали водой (30 мл) и концентрировали при пониженном давлении. Неочищенный продукт очищали с помощью препаративной HPLC. Это обеспечивало получение 32,6 мг (42%) (2S,4R)-1-((S)-2-(2-(4-((4-(4-(3-(2,6-дифтор-3-(((3S,4S)-3-фтор-4-гидроксипирролидин)-1-сульфонамидо)бензоил)-1Н-пирроло[2,3-b]пиридин-5-ил)фенил)пиперазин-1-ил)метил)пиперидин-1-ил)ацетамидо)-3,3-диметилбутаноил)-4-гидрокси-N-[-(4-(4-метилтиазол-5-ил)бензил)пирролидин-2-карбоксамида в виде желтого твердого вещества. 1Н ЯМР (400 МГц, CD3OD): δ 8,87 (s, 1Н), 8,69 (s, 1Н), 8,58 (s, 1Н), 7,89 (s, 1Н), 7,73-7,72 (m, 1Н), 7,58 (d, J=8,8 Гц, 2Н), 7,48-7,40 (m, 4Н), 7,10-7,05 (m, 3Н), 4,93 (s, 1Н), 4,63 (s, 1Н), 4,57 (d, J=6 Гц, 1Н), 4,52-4,50 (m, 1Н), 4,38-4,34 (m, 2Н), 3,87-3,86 (m, 1Н), 3,82-3,81 (m, 1Н), 3,57-3,50 (m, 3Н), 3,36-3,33 (m, 1Н), 3,31-3,20 (m, 5Н), 3,02 (s, 2Н), 3,01-2,90 (m, 2Н), 2,56 (s, 3Н), 2,74 (s, 3Н), 2,26-2,20 (m, 4Н), 2,10-2,01 (m, 1Н), 1,82-1,71 (m, 2Н), 1,67-1,61 (m, 3Н), 1,44-1,28 (m, 2Н), 1,05-1,02 (m, 9Н); LCMS (ES+): масса/зарад 1168,30 [М+Н]+.
[1013] Пример синтеза соединения 298: (2S,4R-1-((S)-2-(2-(4-(3-(2,6-дифгор-3-(пропилсульфонамидо)бензоил)-1Н-пирроло[2,3-b]пиридин-5-ил)фенокси)ацетамидо)-3,3-диметилбутаноил)-4-гидрокси-N-(4-(4-метилтиазол-5-ил)бензил)пирролидин-2-карбоксамида.
[1014] К раствору 2-[4-[3-[2,6-дифтор-3-(пропилсульфониламино)бензоил]-1Н-пирроло[2,3-b]пиридин-5-ил]фенокси]уксусной кислоты (10,8 мг, 0,02 ммоль) и гидрохлорида (2S,4R)-1-[(2S)-2-амино-3,3-диметилбутаноил]-4-гидрокси-N-[[4-(4-метилтиазол-5-ил)фенил]метил]пирролидин-2-карбоксамида (9,5 мг, 0,02 ммоль) в DMF (1 мл) добавляли TEA (0,1 мл, 0,717 ммоль) и РуВОР (11 мг, 0,021 ммоль) при комнатной температуре. Реакционную смесь перемешивали в течение 4 часов при той же температуре. TLC (DCM:MeOH:NH4OH, 90:9:1) показала отсутствие исходных веществ. DMF удаляли в высоком вакууме. Неочищенный продукт фильтровали через картридж диоксид кремния-карбонат (100 мг) с применением смеси DCM:MeOH (90:10) в качестве элюента. Фильтрат выпаривали под вакуумом и неочищенный продукт очищали с помощью PTLC (DCM:MeOH:NH4OH, 90:9:1) с получением 8,5 мг продукта (выход 44%). 1Н ЯМР (500 МГц, DMSO-d6) δ 12,88 (s, 1Н), 9,67 (s, 1H), 8,98 (s, 1H), 8,76-8,50 (m, 3H), 8,23 (s, 1H), 7,98 (d, J=9,4 Гц, 1Н), 7,69 (d, J=8,6 Гц, 2H), 7,59 (td, J=9,0, 5,8 Гц, 1H), 7,49-7,34 (m, 4H), 7,33-7,20 (m, 1H), 7,10 (d, J=8,7 Гц, 2H), 5,20 (d, J=3,3 Гц, 1H), 4,72 (s, 2H), 4,62 (d, J=9,4 Гц, 1H), 4,54-4,34 (m, 3H), 4,25 (dd, J=15,9, 5,5 Гц, 1H), 3,74-3,59 (m, 2H), 3,19-3,07 (m, 2H), 2,44 (s, 3H), 2,07 (dd, J=12,9, 7,7 Гц, 1H), 1,91 (ddd, J=12,8, 8,8, 4,5 Гц, 1H), 1,80-1,65 (m, 2H), 0,96 (s, 9H), 0,94 (t, 3Н). 13C ЯМР (151 МГц, dmso) δ 180,62, 171,82, 169,13, 167,11, 157,51, 156,02 (dd, J=246,1, 7,0 Гц), 152,34 (dd, J=249,6, 8,5 Гц), 151,45, 148,60, 147,74, 143,80, 139,47, 138,70, 131,16, 129,70, 129,00-128,42 (m), 128,81, 128,69, 128,31, 128,00, 127,48, 126,53, 121,96 (dd, J=13,6,3,5 Гц), 118,61-117,85 (m), 117,53, 115,63, 115,34, 112,34 (dd, J=22,4, 3,4 Гц), 68,91, 66,58, 58,80, 56,58, 56,17, 53,45, 41,69, 37,95, 35,79, 26,28, 16,85, 15,96, 12,63. LC-MS (ESI); масса/заряд [M+H]+: рассч. для C47H50F2N7O8S2 942,3130. Обнаруженное 942,3134.
[1015] Пример синтеза соединения 299: (2S,4R-1-((S)-2-(4-(3-(3-(2,6-дифтор-3-(пропилсульфонамидо)бензоил)-1Н-пирроло[2,3-b]пиридин-5-ил)фенокси)бутанамидо)-3,3-диметилбутаноил)-4-гидрокси-N-(4-(4-метилтиазол-5-ил)бензил)пирролидин-2-карбоксамида.
[1016] К раствору 4-[3-[3-[2,6-дифтор-3-(пропилсульфониламино)бензоил]-1Н-пирроло[2,3-b]пиридин-5-ил]фенокси]бутановой кислоты (18 мг, 0,03 ммоль) и гидрохлорида (2S,4R)-1-[(2S)-2-амино-3,3-диметилбутаноил]-4-гидрокси-N-[[4-(4-метилтиазол-5-ил)-фенил]метил]пирролидин-2-карбоксамида (16,8 мг, 0,036 ммоль) в DMF (2 мл) добавляли TEA (0,1 мл, 0,72 ммоль) и РуВОР (18,4S мг, 0,04 ммоль) при комнатной температуре. Реакционную смесь перемешивали в течение 4 часов при той же температуре. TLC (DCM:MeOH:NH4OH, 90:9:1) показала отсутствие исходных веществ. DMF удаляли в высоком вакууме (продукт может быть частично растворимым в воде). Неочищенный продукт фильтровали через картридж диоксид кремния-карбонат с применением DCM:MeOH (9:1) в качестве элюента. Фильтрат выпаривали под вакуумом и неочищенный продукт очищали с помощью PTLC (DCM:MeOH:NH4OH, 90:9:1), вторую очистку проводили с помощью PTLC (DCM:MeOH, 9:1) с получением 8 мг продукта (выход 25%). 1Н ЯМР (500 МГц, DMSO-d6) δ 12,97 (bs, 1Н), 9,72 (bs, 1H), 8,97 (s, 1H), 8,71 (d, J=2,1 Гц, 1H), 8,61 (s, 2H), 8,56 (t, J=6,0 Гц, 2H), 8,23 (s, 1H), 7,99 (d, J=9,3 Гц, 1H), 7,59 (td, J=9,0, 5,9 Гц, 1H), 7,50-7,16 (m, 8H), 6,98 (d, J=8,2 Гц, 1H), 5,13 (d, J=3,4 Гц, 1H), 4,58 (d, J=9,3 Гц, 1H), 4,48-4,40 (m, 2H), 4,35 (s, 1H), 4,22 (dd, J=15,9, 5,5 Гц, 1H), 4,08 (ddt, J=9,6, 7,1, 3,2 Гц, 2H), 3,74-3,62 (m, 2H), 3,15-3,06 (m, 2H), 2,50-2,45 (m, 1H), 2,44 (s, 3Н), 2,41-2,33 (m, 1H), 2,09-1,86 (m, 4H), 1,79-1,67 (m, 2H), 0,97 (t, 3H), 0,94 (s, 9H). 13C ЯМР (151 МГц, dmso) δ 181,05, 172,3S, 172,05, 170,09, 159,63, 156,44 (dd, J=246,5, 6,8 Гц), 152,74 (dd, J=249,6, 8,6 Гц), 151,86, 149,36, 148,13, 140,05, 139,92, 139,24, 131,87, 131,59, 130,71, 130,05, 129,20 (t, J=5,0 Гц), 129,06, 127,84, 127,52, 122,37 (dd, J=13,5, 3,5 Гц), 119,87, 118,95-118,24 (m), 117,88, 116,11, 114,12, 113,60, 112,91-112,65 (m), 69,32, 67,53, 59,14, 56,88, 56,83, 53,86, 42,08, 38,38, 35,67, 31,76, 26,80, 25,52, 17,26, 16,37, 13,04. LC-MS (ESI); масса/зарад [M+H]+: рассч. для C49H54F2N7O8S2 970,3443. Обнаруженное 970,3787.
[1017] Пример синтеза соединения 300: (2S,4R-1-((S)-2-(2-(2-(3-(3-(2,6-дифтор-3-(пропилсульфонамидо)бензоил)-1Н-пирроло[2,3-b]пиридин-5-ил)фенокси)этокси)ацетамидо)-3,3-диметилбутаноил)-4-гидрокси-N-(4-(4-метилтиазол-5-ил)бензил)пирролидин-2-карбоксамида.
[1018] К раствору 2-[2-[3-[3-[2,6-дифтор-3-(пропилсульфониламинобензоил]-1Н-пирроло[2,3-b]пиридин-5-ил]фенокси]этокси]уксусной кислоты (19,1 мг, 0,03 ммоль) и гидрохлорида (2S,4R)-1-[(2S)-2-амино-3,3-диметилбутаноил]-4-гидрокси-N-[[4-(4-метилтиазол-5-ил)фенил]метил]пирролидин-2-карбоксамида (17,11 мг, 0,04 ммоль) в DMF(2 мл) добавляли TEA (0,1 мл, 0,72 ммоль) и РуВОР (19,06 мг, 0,04 ммоль) при комнатной температуре. Реакционную смесь перемешивали в течение 2 часов при той же температуре. TLC (DCM:MeOH:NH4OH, 90:9:1) показала отсутствие исходных веществ. DMF удаляли в высоком вакууме (продукт может быть частично растворимым в воде). Неочищенный продукт фильтровали через картридж диоксид кремния-карбонат с применением DCM:MeOH (9:1) в качестве элюента. Фильтрат выпаривали под вакуумом и неочищенный продукт очищали с помощью PTLC (DCM:MeOH:NH4OH, 90:9:1) с получением 13 мг продукта (выход 40%). 1Н ЯМР (400 МГц, DMSO-d6) δ 12,95 (bs, 1Н), 9,74 (bs, 1H), 8,91 (s, 1H), 8,67 (d, J=2,0 Гц, 1H), 8,55 (dd, J=12,8, 6,8 Гц, 2H), 8,19 (s, 1H), 7,56 (td, J=9,0, 6,0 Гц, 1H), 7,49 (d, J=9,5 Гц, 1H), 7,42-7,20 (m, 8H), 7,07-7,00 (m, 1H), 5,13 (d, J=3,5 Гц, 1H), 4,58 (d, J=9,6 Гц, 1H), 4,44 (t, J=8,1 Гц, 1H), 4,36 (dd, J=15,8, 6,2 Гц, 2H), 4,30-4,16 (m, 3H), 4,06 (s, 2H), 3,86 (t, J=4,3 Гц, 2H), 3,13-3,04 (m, 2H), 2,37 (s, 3H), 2,07-1,99 (m, 1H), 1,94-1,83 (m, 1H), 1,78-1,64 (m, 2H), 0,94 (t, 3H), 0,93 (s, 9H). 13C ЯМР (126 МГц, dmso) δ 181,03, 172,20, 169,60, 168,98, 159,52, 156,46 (dd, J=246,7, 7,1 Гц), 152,75 (dd), 151,81, 149,36, 148,14, 144,59, 140,08, 139,80, 139,21, 131,85, 131,56, 130,66, 130,08, 129,62-128,89 (m), 129,08, 127,82, 122,38 (dd, J=13,5, 3,6 Гц), 120,09, 118,98-118,30 (m), 117,89, 116,15, 114,40, 113,50, 112,78 (dd, J=22,9, 3,8 Гц), 70,05, 70,00, 69,34, 67,49, 59,18, 57,04, 56,16, 53,89, 42,12, 38,34, 36,22, 26,65, 17,28, 16,32, 13,05. LC-MS (ESI); масса/заряд [M+H]+: рассч. для C49H54F2N7O9S2 986,3392. Обнаруженное 986,3679.
[1019] Пример синтеза соединения 217: N1-(4-(3-(2,6-дифтор-3-(пропилсульфонамидо)бензоил)-1H-пирроло[2,3-b]пиридин-5-ил)фенил)-N5-((S)-1-((2S,4R)-4-гидрокси-2-((4-(4-метилтиазол-5-ил)бензил)карбамоил)пирролидин-1-ил)-3,3-диметил-1-оксобутан-2-ил)глутарамида.
[1020] К раствору 5-((4-(3-(2,6-дифтор-3-(пропилсульфонамидо)бензоил)-1Н-пирроло[2,3-b]пиридин-5-ил)фенил)амино)-5-оксопентановой кислоты (9,7 мг, 0,02 ммоль) и гидрохлорида (2S,4R)-1-[(2S)-2-амино-3,3-диметилбутаноил]-4-гидрокси-N-[[4-(4-метилтиазол-5-ил)фенил]метил]пирролидин-2-карбоксамида (8,52 мг, 0,02 ммоль) в DMF (1 мл) добавляли TEA (0,1 мл, 0,72 ммоль) и РуВОР (9,5 мг, 0,02 ммоль) при комнатной температуре. Реакционную смесь перемешивали в течение 4 часов при той же температуре. TLC (DCM:MeOH:NH4OH, 90:9:1) показала отсутствие исходных веществ. Реакционную смесь разбавляли с помощью EtOAc (10 мл) и промывали солевым раствором (5 мл, 4х), органическую фазу высушивали (Na2SO4) и выпаривали под вакуумом. Неочищенный продукт очищали с помощью PTLC (DCM:MeOH:NH4OH, 90:9:1) с получением 4,8 мг продукта (выход 29%). 1Н ЯМР (500 МГц, DMSO-d6) δ 10,02 (s, 1Н), 8,97 (s, 1H), 8,68 (d, 1H), 8,64-8,52 (m, 2H), 8,21 (s, 1H), 7,95 (d, J=9,2 Гц, 1H), 7,72 (dd, J=36,7, 8,5 Гц, 4H), 7,62-7,54 (m, 1H), 7,40 (dd, 4H), 7,28 (t, J=8,7 Гц, 1H), 5,16 (d, 2H), 4,56 (d, J=9,3 Гц, 1H), 4,50-4,40 (m, 2H), 4,40-4,33 (m, 1H), 4,22 (dd, J=15,8, 5,3 Гц, 1H), 3,76-3,62 (m, 2H), 3,16-3,05 (m, 2H), 2,44 (s, 3H), 2,41-2,17 (m, 4H), 2,09-2,01 (m, 1H), 1,98-1,80 (m, 3H), 1,74 (dq, J=14,9, 7,4 Гц, 2H), 0,96 (s, 9H), 0,95 (t, 3Н). 13C ЯМР (151 МГц, dmso) δ 181,06, 172,39, 172,17, 171,46, 170,15, 156,37 (dd, J=246,6, 6,3 Гц), 152,73 (dd, J=249,4, 8,1 Гц), 151,86, 149,05, 148,13, 144,19, 139,91, 139,37, 139,13, 132,97, 131,64, 131,59, 130,05, 129,22 (d, J=14,7 Гц), 129,06, 127,84, 127,74, 126,89, 122,47 (d, J=14,1 Гц), 120,07, 119,02-118,20 (m), 117,95, 116,06, 112,75 (dd, J=23,4, 2,8 Гц), 69,34, 59,15, 56,90, 56,81, 53,87, 42,08, 38,38, 36,36, 35,63, 34,63, 26,85, 21,91, 17,27, 16,37, 13,04. LC-MS (ESI); масса/заряд [M+H]+: рассч. для C50H55F2N8O8S2 997,3552. Обнаруженное 997,3524.
[1021] Пример синтеза соединения 218: (2S,4R-1-((S)-2-(5-(4-(3-(2,6-дифтор-3-(пропилсульфонамидо)бензоил)-1Н-пирроло[2,3-b]пиридин-5-ил)пиперазин-1-ил)-5-оксопентанамидо)-3,3-диметилбутаноил)-4-гидрокси-N-(4-(4-метилтиазол-5-ил)бензил)пирролидин-2-карбоксамида.
[1022] К раствору 5-(4-(3-(2,6-дифтор-3-(пропилсульфонамидо)бензоил)-1Н-пирроло[2,3-b]пиридин-5-ил)пиперазин-1-ил)-5-оксопентановой кислоты (9,3 мг, 0,02 ммоль) и гидрохлорида (2S,4R)-1-[(2S)-2-амино-3,3-диметилбутаноил]-4-гидрокси-N-[[4-(4-метилтиазол-5-ил)фенил]метил]пирролидин-2-карбоксамида (8,27 мг, 0,018 ммоль) в DMF (1 мл) добавляли TEA (0,1 мл, 0,72 ммоль) и РуВОР (9,22 мг, 0,018 ммоль) при комнатной температуре. Реакционную смесь перемешивали в течение 4 часов при той же температуре. TLC (DCM:MeOH:NH4OH, 90:9:1) показала отсутствие исходных веществ. Реакционную смесь разбавляли с помощью EtOAc (10 мл) и промывали солевым раствором (5 мл, 4х), органическую фазу высушивали (Na2SO4) и выпаривали под вакуумом. С помощью TLC в неочищенной смеси не обнаружили продукт, только некоторое количество исходного вещества VHL (4) (продукт растворим в воде). Водные экстракты лиофилизировали в течение ночи, твердый остаток фильтровали с применением смеси DCM:MeOH:NH4OH (90:9:1, 30 мл). Фильтрат выпаривали до сухого состояния и неочищенный продукт очищали с помощью PTLC (DCM:MeOH:NH4OH, 90:9:1) с получением 13 мг продукта (выход 81%). 1Н ЯМР (500 МГц, DMSO-d6) δ 12,64 (bs, 1Н), 9,74 (bs, 1H), 8,97 (s, 1H), 8,62-8,52 (m, 3H), 8,28 (d, J=2,0 Гц, 1H), 8,00 (s, 1H), 7,95 (bs, 1H), 7,90 (d, J=9,2 Гц, 1H), 7,59-7,49 (m, 1H), 7,47-7,27 (m, 4H), 7,20 (t, J=8,7 Гц, 1H), 5,13 (bs, 1H), 4,56 (d, J=9,3 Гц, 1H), 4,48-4,32 (m, 3H), 4,22 (dd, J=15,8, 5,3 Гц, 1H), 3,75-3,57 (m, 5H), 3,23-3,02 (m, 7H), 2,44 (s, 3H), 2,41-2,17 (m, 4H), 2,07-2,01 (m, 1H), 1,96-1,87 (m, 1H), 1,81-1,66 (m, 4H), 0,95 (s, 9H), 0,94 (t, 3Н). 13C ЯМР (151 МГц, dmso) δ 180,70, 171,99, 171,92, 170,44, 169,75, 155,24 (dd, J=248,1, 5,5 Гц), 152,12 (dd, J=248,8, 8,5 Гц), 151,47, 147,73, 144,63, 144,31, 139,52, 138,02, 137,75, 131,19, 129,65, 128,65, 127,98-127,64 (m), 127,44, 123,91-123,09 (m), 118,86-117,72 (m), 117,60, 115,50, 115,23, 112,02 (dd, J=22,6, 3,2 Гц), 68,92, 58,74, 56,47, 56,43, 53,44, 50,31, 50,18, 48,63, 44,86, 41,68, 41,00, 37,99, 34,28, 31,80, 26,43, 21,36, 16,99, 15,97, 12,72. LC-MS (ESI); масса/заряд [M+H]+: рассч. для C48H58F2N9O8S2 990,3817. Обнаруженное 990,3889.
[1023] Пример синтеза соединения 219: (2S,4R-1-((S)-2-(4-(4-(3-(2,6-дифтор-3-(пропилсульфонамидо)бензоил)-1Н-пирроло[2,3-b]пиридин-5-ил)пиперазин-1-ил)-4-оксобутанамидо)-3,3-диметилбутаноил)-4-гидрокси-N-(4-(4-метилтиазол-5-ил)бензил)пирролидин-2-карбоксамида.
[1024] К 4-(4-(3-(2,6-дифтор-3-(пропилсульфонамидо)бензоил)-1Н-пирроло[2,3-b]пиридин-5-ил)пиперазин-1-ил)-4-оксобутановой кислоте (9 мг, 0,016 ммоль) и гидрохлориду (2S,4R)-1-[(2S)-2-амино-3,3-диметилбутаноил]-4-гидрокси-N-[[4-(4-метилтиазол-5-ил)фенил]метил]пирролидин-2-карбоксамида (8,2 мг, 0,018 ммоль) в DMF (1 мл) добавляли TEA (0,1 мл, 0,72 ммоль) и РуВОР (9,14 мг, 0,018 ммоль) при комнатной температуре. Реакционную смесь перемешивали в течение 12 часов (в течение ночи) при той же температуре. TLC (DCM:MeOH:NH4OH, 90:9:1) показала отсутствие исходных веществ. Реакционную смесь выпаривали до сухого состояния. Неочищенный продукт фильтровали через картридж диоксид кремния-карбонат (100 мг) с применением DCM:MeOH (9:1) в качестве элюента. Фильтрат выпаривали под вакуумом и неочищенный продукт очищали с помощью PTLC (DCM:MeOH:NH4OH, 90:9:1) с получением 11 мг продукта (выход 75%). 1Н ЯМР (500 МГц, DMSO-d6) δ 12,66 (bs, 1Н), 9,45 (bs, 1H), 8,98 (s, 1H), 8,60 (bs, 1H), 8,29 (s, 1H), 8,04 (s, 1H), 8,01-7,88 (m, 2H), 7,62-7,49 (m, 1H), 7,40 (q, J=8,0 Гц, 4H), 7,26 (t, J=8,8 Гц, 1H), 5,15 (d, J=3,5 Гц, 1H), 4,54 (d, J=9,3 Гц, 1H), 4,49-4,31 (m, 3H), 4,22 (dd, J=16,1, 5,6 Гц, 1H), 3,81-3,53 (m, 6H), 3,26-3,03 (m, 6H), 2,73-2,52 (m, 3H), 2,44 (s, 3H), 2,42-2,33 (m, 1H), 2,09-1,98 (m, 1H), 1,95-1,84 (m, 1H), 1,74 (q, J=7,5 Гц, 2H), 0,96 (t, 3H), 0,94 (s, 9H). 13C ЯМР (126 МГц, dmso) δ 180,45, 172,02, 171,35, 170,07, 169,64, 156,00 (dd, J=245,9, 6,5 Гц), 152,34 (dd, J=249,7, 8,3 Гц), 151,52, 147,75, 144,70, 144,30, 139,55, 138,08, 137,91, 131,22, 129,66, 128,69, 128,53 (d, J=2,4 Гц), 127,46, 121,96 (d, J=14,1 Гц), 118,61-117,82 (m), 117,60, 115,44, 115,20, 112,32 (dd, J=23,0, 3,3 Гц), 68,95, 58,78, 56,50, 56,39, 53,46, 50,25, 50,13, 44,76, 41,69, 41,17, 37,99, 35,43, 30,18, 28,05, 26,44, 16,89, 16,00, 12,67. LC-MS (ESI); масса/заряд [M+H]+: рассч. для C47H56F2N9O8S2 976,3661. Обнаруженное 976,3712.
[1025] Пример синтеза соединения 220: N1-(4-(3-(2,6-дифтор-3-(пропилсульфонамидо)бензоил)-1Н-пирроло[2,3-b]пиридин-5-ил)фенил)-N4-((S)-1-((2S,4R)-4-гидрокси-2-((4-(4-метилтиазол-5-ил)бензил)карбамоил)пирролидин-1-ил)-3,3-диметил-1-оксобутан-2-ил)сукцинамида.
[1026] К раствору продукта из синтеза соединения 218, [(2S,4R)-1-((S)-2-(5-(4-(3-(2,6-дифтор-3-(пропилсульфонамидо)бензоил)-1Н-пирроло[2,3-b]пиридин-5-ил)пиперазин-1-ил)-5-оксопентанамидо)-3,3-диметилбутаноил)-4-гидрокси-N-(4-(4-метилтиазол-5-ил)бензил)пирролидин-2-карбоксамид]; 4-((4-(3-(2,6-дифтор-3-(пропилсульфонамидо)бензоил)-1Н-пирроло[2,3-b]пиридин-5-ил)фенил)амино)-4-оксобутановой кислоты (15 мг, 0,03 ммоль) и гидрохлорида (2S,4R)-1-[(2S)-2-амино-3,3-диметилбутаноил]-4-гидрокси-N-[[4-(4-метилтиазол-5-ил)фенил]метил]пирролидин-2-карбоксамида (13,51 мг, 0,03 ммоль) в DMF (1 мл) добавляли TEA (0,1 мл, 0,72 ммоль) и РуВОР (15,05 мг, 0,03 ммоль) при комнатной температуре. Реакционную смесь перемешивали в течение 4 часов при той же температуре. TLC (DCM:MeOH:NH4OH, 90:9:1) показала отсутствие исходных веществ. Реакционную смесь выпаривали до сухого состояния в высоком вакууме. Неочищенный продукт фильтровали через картридж диоксид кремния-карбонат (100 мг) с применением DCM:MeOH (9:1) в качестве элюента. Фильтрат выпаривали под вакуумом и неочищенный продукт очищали с помощью PTLC (DCM:MeOH:NH4OH, 90:9:1) с получением 8 мг продукта (выход 31%). 1Н ЯМР (500 МГц, DMSO-d6) δ 12,97 (bs, 1Н), 10,11 (s, 1H), 9,79 (bs, 1H), 8,98 (d, J=2,3 Гц, 0H), 8,69 (s, 1H), 8,66-8,49 (m, 2H), 8,23 (s, 1H), 8,02 (d, J=9,0 Гц, 1H), 7,84-7,64 (m, 4H), 7,63-7,53 (m, 1H), 7,51-7,33 (m, 4H), 7,29 (t, J=8,4 Гц, 1H), 5,17 (s, 1H), 4,56 (d, J=7,8 Гц, 1H), 4,50-4,39 (m, 2H), 4,40-4,31 (m, 1H), 4,26-4,16 (m, 1H), 3,66 (q, J=10,1 Гц, 2H), 3,19-3,06 (m, 2H), 2,72-2,52 (m, 4H), 2,44 (s, 3Н), 2,12-1,97 (m, 1H), 1,96-1,84 (m, 1H), 1,74 (dq, J=13,2, 8,3, 7,3 Гц, 2H), 0,96 (t, 3H), 0,95 (s, 9H). 13C ЯМР (126 МГц, dmso) δ 180,66, 172,02, 171,24, 170,67, 169,64, 156,05 (dd, J=246,9, 7,0 Гц), 152,37 (dd, J=249,3, 8,1 Гц), 151,49, 148,66, 147,75, 143,82, 139,53, 139,00, 138,70, 132,54, 131,27, 131,22, 129,68, 129,22-128,3S (m), 128,69, 127,47, 127,39, 126,53, 121,99 (dd, J=12,9, 4,5 Гц), 119,59, 118,72-117,87 (m), 117,57, 115,68, 112,90-112,05 (m), 68,95, 58,79, 56,56, 56,41, 53,51, 41,71, 37,98, 35,45, 31,98, 30,14, 26,43, 16,88, 15,99, 12,65. LC-MS (ESI); масса/заряд [M+H]+: рассч. для C49H53F2N8O8S2 983,3395. Обнаруженное 983,3569.
[1027] Пример синтеза соединения 221: N1-(4-(3-(2,6-дифтор-3-(пропилсульфонамидо)бензоил)-1Н-пирроло[2,3-b]пиридин-5-ил)фенил)-N3-((S)-1-((2S,4R-4-гидрокси-2-((4-(4-метилтиазол-5-ил)бензил)карбамоил)пирролидин-1-ил)-3,3-диметил-1-оксобутан-2-ил)малонамида.
[1028] К раствору 3-((4-(3-(2,6-дифтор-3-(пропилсульфонамидо)бензоил)-1Н-пирроло[2,3-b]пиридин-5-ил)фенил)амино)-3-оксопропановой кислоты (16,8 мг, 0,03 ммоль) и гидрохлорида (2S,4R)-1-[(2S)-2-амино-3,3-диметилбутаноил]-4-гидрокси-N-[[4-(4-метилтиазол-5-ил)фенил]метил]пирролидин-2-карбоксамида (15,5 мг, 0,033 ммоль) в DMF (1 мл) добавляли TEA (0,1 мл, 0,72 ммоль) и РуВОР (17,28 мг, 0,033 ммоль) при комнатной температуре. Реакционную смесь перемешивали в течение 12 часов (в течение ночи) при той же температуре. TLC (DCM:MeOH:NH4OH, 90:9:1) показала отсутствие исходных веществ. Реакционную смесь выпаривали до сухого состояния в высоком вакууме. Неочищенный продукт фильтровали через картридж диоксид кремния-карбонат (100 мг) с применением DCM:MeOH (9:1) в качестве элюента. Фильтрат выпаривали под вакуумом и неочищенный продукт очищали с помощью PTLC (DCM:MeOH:NH4OH, 90:9:1) с получением 19,5 мг продукта (выход 67%). 1Н ЯМР (400 МГц, DMSO-d6) δ 12,96 (bs, 1Н), 10,23 (s, 1H), 9,75 (bs, 1H), 8,97 (s, 1H), 8,69 (s, 1H), 8,66-8,51 (m, 2H), 8,26 (d, J=9,1 Гц, 1H), 8,22 (s, 1H), 7,73 (dd, J=8,5 Гц, 4H), 7,59 (q, J=8,6 Гц, 1H), 7,41 (dd, J=8,0 Гц, 4H), 7,28 (t, J=8,7 Гц, 1H), 5,16 (d, 1H), 4,59 (d, J=9,2 Гц, 1H), 4,52-4,33 (m, 3H), 4,24 (dd, J=15,7, 5,0 Гц, 1H), 3,68 (q, J=10,6 Гц, 2H), 3,44 (q, 2H), 3,20-3,05 (m, 2H), 2,45 (s, 3H), 2,10-2,01 (m, 1H), 1,96-1,89 (m, 1H), 1,74 (dq, J=14,8, 7,3 Гц, 2H), 0,98 (s, 9H), 0,97 (t, J=8,3 Гц, 3Н). 13C ЯМР (101 МГц, dmso) δ 180,62, 171,91, 169,34, 166,16, 166,03, 156,02 (dd, J=246,8, 7,1 Гц), 152,34 (dd, J=249,4, 8,1 Гц), 151,43, 148,69, 147,73, 143,79, 139,50, 138,69, 138,54, 132,98, 131,17, 131,13, 129,68, 129,11-128,65 (m), 128,67, 128,01, 127,45, 126,53, 122,21-121,73 (m), 119,70, 118,63-117,89 (m), 117,54, 115,66, 112,35 (dd, J=23,5, 3,0 Гц), 68,93, 58,79, 56,66, 56,52, 53,49, 44,32, 41,70, 37,97, 35,60, 26,33, 16,85, 15,96, 12,62. LC-MS (ESI); масса/заряд [M+H]+: рассч. для C48H51F2N8O8S2 969,3239. Обнаруженное 969,3272.
[1029] Пример синтеза соединения 222: (2S,4R-1-((S)-2-(3-(4-(3-(2,6-дифтор-3-(пропилсульфонамидо)бензоил)-1Н-пирроло[2,3-b]пиридин-5-ил)пиперазин-1-ил)-3-оксопропанамидо)-3,3-диметилбутаноил)-4-гидрокси-N-(4-(4-метилтиазол-5-ил)бензил)пирролидин-2-карбоксамида.
[1030] К раствору 3-(4-(3-(2,6-дифтор-3-(пропилсульфонамидо)бензоил)-1Н-пирроло[2,3-b]пиридин-5-ил)пиперазин-1-ил)-3-оксопропановой кислоты (12,5 мг, 0,02 ммоль) и гидрохлорида (2S,4R)-1-[(2S)-2-амино-3,3-диметилбутаноил]-4-гидрокси-N-[[4-(4-метилтиазол-5-ил)фенил]метил]пирролидин-2-карбоксами да (11,69 мг, 0,03 ммоль) в DMF (1 мл) добавляли TEA (0,1 мл, 0,72 ммоль) и РуВОР (13,02 мг, 0,03 ммоль) при комнатной температуре. Реакционную смесь перемешивали в течение 12 часов (в течение ночи) при той же температуре. TLC (DCM:MeOH:NH4OH, 90:9:1) показала отсутствие исходных веществ. Реакционную смесь выпаривали до сухого состояния. Неочищенный продукт фильтровали через картридж диоксид кремния-карбонат (100 мг) с применением DCM:MeOH (9:1) в качестве элюента. Фильтрат выпаривали под вакуумом и неочищенный продукт очищали с помощью PTLC (DCM:MeOH:NH4OH, 90:9:1) с получением 14,1 мг продукта (выход 64%). 1Н ЯМР (500 МГц, DMSO-d6) δ 12,71 (bs, 1Н), 9,74 (bs, 1H), 8,98 (s, 1H), 8,59 (t, J=5,7 Гц, 1H), 8,29 (s, 1H), 8,26 (d, J=9,1 Гц, 1H), 8,03 (s, 1H), 7,96 (bs, 1H), 7,57 (q, J=7,4, 6,3 Гц, 1H), 7,41 (dd, J=8,0 Гц, 4H), 7,26 (t, J=8,7 Гц, 1H), 5,22-5,05 (m, 1H), 4,58 (d, J=9,3 Гц, 1H), 4,51-4,32 (m, 3H), 4,23 (dd, J=15,8, 5,3 Гц, 1H), 3,67 (q, J=12,3, 10,6 Гц, 8H), 3,52 (dd, J=53,7, 15,5 Гц, 2H), 3,27-3,05 (m, 6H), 2,45 (s, 3H), 2,09-2,00 (m, 1H), 1,96-1,86 (m, 1H), 1,74 (h, J=7,3 Гц, 2H), 0,97 (s, 9H), 0,96 (t, 3Н). 13C ЯМР (101 МГц, dmso) δ 180,41, 171,91, 169,38, 166,32, 166,06, 156,01 (dd, J=246,5, 6,7 Гц), 152,34 (dd, J=249,2, 8,3 Гц), 151,44, 147,73, 144,60, 144,28, 139,50, 138,06, 137,84, 131,17, 129,66, 128,75 (d, J=8,0 Гц), 128,65, 127,43, 121,86 (dd, J=13,5, 3,5 Гц), 118,34 (m), 117,58, 115,42, 115,18, 112,28 (dd, J=23,1, 3,5 Гц), 68,89, 58,75, 56,54, 56,43, 53,49, 50,10, 45,56, 41,68, 41,19, 40,95, 37,95, 35,52, 26,36, 16,85, 15,96, 12,62. LC-MS (ESI); масса/заряд [M+H]+: рассч. для C46H54F2N9O8S2 962,3504. Обнаруженное 962,3694.
[1031] Пример синтеза соединения 301: (2S,4R)-1-((S)-2-(4-(4-(3-(3-бутирамидо-2,6-дифторбензоил)-1Н-пирроло[2,3-b]пиридин-5-ил)фенокси)бутанамидо)-3,3-диметилбутаноил)-4-гидрокси-N-(4-(4-метилтиазол-5-ил)бензил)пирролидин-2-карбоксамида.
[1032] К раствору 4-(4-(3-(3-бутирамидо-2,6-дифторбензоил)-1Н-пирроло[2,3-b]пиридин-5-ил)фенокси)бутановой кислоты (27 мг, 0,05 ммоль) и гидрохлорида (2S,4R)-1-[(2S)-2-амино-3,3-диметилбутаноил]-4-гидрокси-N-[[4-(4-метилтиазол-5-ил)фенил]метил]пирролидин-2-карбоксамида (26,6 мг, 0,06 ммоль) в DMF (2 мл) добавляли TEA (0,1 мл, 0,72 ммоль) и РуВОР (29,64 мг, 0,06 ммоль) при комнатной температуре. Реакционную смесь перемешивали в течение 4 часов при той же температуре. TLC (DCM:MeOH:NH4OH, 90:9:1) показала отсутствие исходных веществ. DMF удаляли в высоком вакууме. Неочищенный продукт фильтровали через картридж диоксид кремния-карбонат с применением DCM:MeOH (9:1) в качестве элюента. Фильтрат выпаривали под вакуумом и неочищенный продукт очищали с помощью PTLC (DCM:MeOH:NH4OH, 90:9:1) с получением 37 мг продукта (выход 76%). 1Н ЯМР (400 МГц, DMSO-d6) δ 12,91 (bs, 1Н), 9,79 (s, 1H), 8,97 (s, 1H), 8,65 (d, J=2,2 Гц, 1H), 8,62-8,47 (m, 2H), 8,15 (s, 1H), 8,06-7,89 (m, 2H), 7,67 (d, J=8,7 Гц, 2H), 7,40 (dd, J=8,3 Гц, 4H), 7,23 (t, J=8,8 Гц, 1H), 7,07 (d, J=8,8 Гц, 2H), 5,14 (d, J=3,5 Гц, 1H), 4,58 (d, J=9,3 Гц, 1H), 4,49-4,40 (m, 2H), 4,37 (bs, 1H), 4,22 (dd, J=15,9, 5,4 Гц, 1H), 4,03 (t, J=7,2 Гц, 2H), 3,77-3,62 (m, 2H), 2,44 (s, 3H), 2,43-2,30 (m, 4H), 2,09-1,87 (m, 4H), 1,61 (h, J=7,4 Гц, 2H), 0,96 (s, 9H), 0,92 (t, J=7,4 Гц, 3Н). 13C ЯМР (151 МГц, dmso) δ 180,92, 171,97, 171,67, 171,61, 169,68, 158,33, 154,61 (dd, J=244,6, 7,1 Гц), 151,44, 150,34 (dd, J=248,8, 8,2 Гц), 148,52, 147,72, 143,71, 139,52, 138,48, 131,32, 131,17, 130,42, 129,64, 128,65, 128,28, 127,43, 126,50, 126,06 (d, J=10,1 Гц), 123,23 (dd, J=12,4, 3,6 Гц), 118,47-117,44 (m), 117,55, 115,65, 115,18, 111,60 (d, J=25,0 Гц), 68,92, 67,13, 58,74, 56,48, 56,42, 41,67, 37,99, 37,57, 35,26, 31,32, 26,41, 25,07, 18,56, 15,96, 13,57. LC-MS (ESI); масса/заряд [M+H]+: рассч. для C50H54F2N7O7S 934,3773. Обнаруженное 934,2690.
[1033] Пример синтеза соединения 302: (2S,4R)-1-((S)-2-(4-(4-(3-(3-амино-2,6-дифторбензоил)-1Н-пирроло[2,3-b]пиридин-5-ил)фенокси)бутанамидо)-3,3-диметилбутаноил)-4-гидрокси-N-(4-(4-метилтиазол-5-ил)бензил)пирролидин-2-карбоксамида.
[1034] К раствору 4-(4-(3-(3-амино-2,6-дифторбензоил)-1Н-пирроло[2,3-b]пиридин-5-ил)фенокси)бутановой кислоты (11,5 мг, 0,03 ммоль) и гидрохлорида (2S,4R)-1-[(2S)-2-амино-3,3-диметилбутаноил]-4-гидрокси-N-[[4-(4-метилтиазол-5-ил)фенил]метил]пирролидин-2-карбоксамида (23,79 мг, 0,05 ммоль) в DMF (2 мл) добавляли TEA (0,1 мл, 0,72 ммоль) и РуВОР (14,58 мг, 0,03 ммоль) при комнатной температуре. Реакционную смесь перемешивали в течение 4 ч. при той же температуре. TLC (DCM:MeOH:NH4OH, 90:9:1) показала отсутствие исходных веществ. DMF удаляли в высоком вакууме. Неочищенный продукт фильтровали через картридж диоксид кремния-карбонат (1 г) с применением DCM:MeOH (9:1) в качестве элюента. Фильтрат выпаривали под вакуумом и неочищенный продукт очищали с помощью PTLC (MeOH:DCM, 9:1) с получением 17,5 мг продукта (выход 80%). 1Н ЯМР (500 МГц, DMSO-d6) δ 12,68 (bs, 1Н), 8,97 (s, 1Н), 8,64 (d, J=2,2 Гц, 1H), 8,61-8,47 (m, 2H), 8,06 (s, 1H), 8,00 (d, J=9,3 Гц, 1H), 7,65 (d, J=8,6 Гц, 2H), 7,40 (dd, 4H), 7,07 (d, J=8,7 Гц, 2H), 6,99-6,82 (m, 2H), 5,21 (s, 2H), 5,15 (d, J=3,6 Гц, 1H), 4,58 (d, J=9,3 Гц, 1H), 4,50-4,40 (m, 2H), 4,37 (bs, 1H), 4,23 (dd, J=15,8, 5,3 Гц, 1H), 4,10-3,93 (m, 2H), 3,78-3,54 (m, 2H), 2,58-2,26 (m, 2H), 2,44 (s, 3H), 2,11-1,82 (m, 4H), 0,94 (s, 9H). 13C ЯМР (126 МГц, dmso) δ 182,20, 171,97, 171,63, 169,69, 158,31, 151,43, 149,20 (dd, J=234,8, 6,5 Гц), 148,45, 147,72, 146,01 (dd, J=241,2, 7,9 Гц), 143,55, 139,51, 137,92, 133,42 (dd, J=12,9, 2,4 Гц), 131,18, 130,49, 129,65, 128,65, 128,24, 127,44, 126,47, 118,32-117,22 (m), 117,57, 116,91-116,23 (m), 115,84, 115,19, 111,36 (dd, J=22,3, 2,9 Гц), 68,92, 67,14, 58,74, 56,50, 56,41, 41,68, 37,97, 35,25, 31,33, 26,41, 25,07, 15,95. LC-MS (ESI); масса/заряд [M+H]+: рассч. для C46H48F2N7O6S 864,3354. Обнаруженное 864,3437.
[1035] Пример синтеза соединения 303: (2S,4R)-1-((S)-2-(4-(4-(3-(2,6-дифторбензоил)-1Н-пирроло[2,3-b]пиридин-5-ил)фенокси)бутанамидо)-3,3-диметилбутаноил)-4-гидрокси-N-(4-(4-метилтиазол-5-ил)бензил)пирролидин-2-карбоксамида.
[1036] К раствору 4-(4-(3-(2,6-дифторбензоил)-1Н-пирроло-[2,3-b]пиридин-5-ил)фенокси)бутановой кислоты (19,4 мг, 0,04 ммоль) и гидрохлорида (2S,4R)-1-[(2S)-2-амино-3,3-диметилбутаноил]-4-гидрокси-N-[[4-(4-метилтиазол-5-ил)фенил]метил]пирролидин-2-карбоксамида (20,76 мг, 0,04 ммоль) в DMF (2 мл) добавляли TEA (0,1 мл, 0,72 ммоль) и РуВОР (25,45 мг, 0,05 ммоль) при комнатной температуре. Реакционную смесь перемешивали в течение 4 часов при той же температуре. TLC (DCM:MeOH:NH4OH, 90:9:1) показала отсутствие исходных веществ. DMF удаляли в высоком вакууме. Неочищенный продукт фильтровали через картридж диоксид кремния-карбонат (1 г) с применением DCM:MeOH (9:1) в качестве элюента. Фильтрат выпаривали под вакуумом и очищали неочищенный продукт с помощью PTLC (DCM:MeOH:NH4OH, 90:9:1) с получением 29 мг продукта (выход 77%). 1Н ЯМР (500 МГц, DMSO-d6) δ 12,89 (bs, 1Н), 8,97 (s, 1H), 8,65 (d, J=1,9 Гц, 1H), 8,62-8,54 (m, 2H), 8,13 (s, 1H), 8,00 (d, J=9,3 Гц, 1H), 7,75-7,55 (m, 3H), 7,43 (d, J=8,1 Гц, 3H), 7,38 (d, J=8,1 Гц, 2H), 7,28 (t, J=7,9 Гц, 2H), 7,07 (d, J=8,6 Гц, 2H), 5,15 (d, J=3,3 Гц, 1H), 4,59 (d, J=9,3 Гц, 1H), 4,49-4,40 (m, 2H), 4,39-4,33 (m, 1H), 4,23 (dd, J=15,9, 5,4 Гц, 1H), 4,09-3,97 (m, 2H), 3,77-3,61 (m, 2H), 1H ЯМР (500 МГц, DMSO-d6) δ 2,48-2,31 (m, 2H), 2,44 (s, 3H), 2,11-1,86 (m, 4H), 0,96 (s, 9H). 13C ЯМР (151 МГц, dmso) δ 181,30, 171,97, 171,61, 169,68, 158,80 (dd, J=247,2, 7,9 Гц), 158,33, 151,44, 148,52, 147,72, 143,70, 139,51, 138,38, 132,14 (t, J=9,9 Гц), 131,30, 131,17, 130,44, 129,64, 128,64, 128,27, 127,43, 126,48, 117,76 (t, J=23,3 Гц), 117,54, 115,78, 115,18, 112,29 (dd, J=21,0, 4,2 Гц), 68,92, 67,13, 58,74, 56,48, 56,42, 41,67, 37,98, 35,26, 31,32, 26,41, 25,06, 15,96. LC-MS (ESI); масса/зарад [M+H]+: рассч. для C46H47F2N6O6S 849,3245. Обнаруженное 849,3378.
[1037] Пример синтеза соединения 304: (2S,4R)-1-((S)-2-(4-(4-(3-(2,6-дифтор-3-(пропилсульфонамидо)бензоил)-1Н-пирроло[2,3-b]пиридин-5-ил)пиперазин-1-ил)бутанамидо)-3,3-диметилбутаноил)-4-гидрокси-N-(4-(4-метилтиазол-5-ил)бензил)пирролидин-2-карбоксамида.
[1038] К раствору 4-[4-[3-[2,6-дифтор-3-(пропилсульфониламино)бензоил]-1Н-пирроло[2,3-b]пиридин-5-ил]пиперазин-1-ил]бутановой кислоты (7,9 мг, 0,01 ммоль) и гидрохлорида (2S,4R)-1-[(2S)-2-амино-3,3-диметилбутаноил]-4-гидрокси-N-[[4-(4-метилметилтиазол-5-ил)фенил]метил]пирролидин-2-карбоксамида (7,38 мг, 0,02 ммоль) в DMF (1 мл) добавляли TEA (0,1 мл, 0,72 ммоль) и РуВОР (8,23 мг, 0,02 ммоль) при комнатной температуре. Реакционную смесь перемешивали в течение 12 часов (в течение ночи) при той же температуре. TLC (DCM:MeOH:NH4OH, 90:9:1) показала отсутствие исходных веществ. Реакционную смесь выпаривали до сухого состояния. Неочищенный продукт фильтровали через картридж диоксид кремния-карбонат (1 г) с применением DCM:MeOH (9:1) в качестве элюента (промыли несколько раз, продукт имеет высокую аффинность к неподвижной фазе). Фильтрат выпаривали под вакуумом и неочищенный продукт очищали с помощью PTLC (DCM:MeOH, 9:1) с получением 7,2 мг продукта (выход 52%). 1Н ЯМР (500 МГц, DMSO-d6) δ 12,66 (bs, 1Н), 9,73 (bs, 1H), 8,96 (s, 1H), 8,61 8,50 (m, 1H), 8,25 (s, 1H), 8,00 (s, 1H), 7,93 (bs, 1H), 7,88 (d, J=9,1 Гц, 1H), 7,63-7,49 (m, 1H), 7,40 (dd, 4H), 7,25 (t, J=8,7 Гц, 1H), 5,14 (s, 1H), 4,56 (d, J=9,1 Гц, 1H), 4,46-4,34 (m, 3H), 4,22 (dd, J=15,8, 4,7 Гц, 1H), 3,75-3,60 (m, 2H), 3,23-3,14 (m, 4H), 3,13-3,08 (m, 2Н), 2,65-2,53 (m, 4Н), 2,43 (s, 3Н), 2,38-2,31 (m, 2Н), 2,31-2,25 (m, 1Н), 2,24-2,16 (m, 1H), 2,07-1,99 (m, 1H), 1,95 1,87 (m, 1H), 1,72 (dq, J=16,3, 10,5, 8,9 Гц, 4H), 0,95 (t, J=5,3 Гц, 3Н), 0,95 (s, 9H). 13C ЯМР (151 МГц, DMSO-d6) δ 180,77, 172,43, 172,39, 170,12, 156,38 (dd, J=246,2, 7,1 Гц), 152,75 (dd, J=249,8, 9,0 Гц), 151,87, 148,13, 145,23, 144,35, 139,92, 138,09, 137,78, 131,59, 130,05, 129,21-128,76 (m), 127,84, 122,32 (d, J=13,1 Гц), 119,83-118,25 (m), 118,03, 115,53, 114,96, 112,68 (d, J=22,7 Гц), 69,30, 59,13, 57,62, 56,79, 55,33, 53,88, 53,06, 50,11, 42,07, 38,38, 35,68, 33,27, 26,83, 23,09, 17,26, 16,37, 13,04. LC-MS (ESI); масса/заряд [M+H]+: рассч. для C47H58F2N9O7S2 962,3868. Обнаруженное 962,3986.
[1039] Пример синтеза соединения 305: (2S,4R)-1-((S)-2-(4-(4-(3-бензоил-1Н-пирроло[2,3-b]пиридин-5-ил)фенокси)бутанамидо)-3,3-диметилбутаноил)-4-гидрокси-N-(4-(4-метилтиазол-5-ил)бензил)пирролидин-2-карбоксамида.
[1040] К раствору 4-[4-(3-бензоил-1Н-пирроло[2,3-b]пиридин-5-ил)-фенокси]бутановой кислоты (26,5 мг, 0,07 ммоль) и гидрохлорида (2S,4R)-1-[(2S)-2-амино-3,3-диметилбутаноил]-4-гидрокси-N-[[4-(4-метилтиазол-5-ил)фенил]метил]пирролидин-2-карбоксамида (30,91 мг, 0,07 ммоль) в DMF (2 мл) добавляли TEA (0,2 мл, 1,43 ммоль) и РуВОР (37,88 мг, 0,07 ммоль) при комнатной температуре. Реакционную смесь перемешивали в течение 12 часов (в течение ночи) при той же температуре. TLC (DCM:MeOH:NH4OH, 90:9:1) показала отсутствие исходных веществ. DMF удаляли в высоком вакууме. Неочищенный продукт фильтровали через картридж диоксид кремния-карбонат (1 г) с применением DCM:MeOH (9:1) в качестве элюента. Фильтрат выпаривали под вакуумом и неочищенный продукт очищали с помощью PTLC (MeOH:DCM, 9:1) с получением 31 мг продукта (выход 58%). 1Н ЯМР (400 МГц, DMSO-d6) δ 12,70 (s, 1Н), 8,97 (s, 1Н), 8,68 (d, J=2,2 Гц, 1H), 8,62 (d, J=2,3 Гц, 1H), 8,60-8,51 (m, 1H), 8,12 (s, 1H), 8,00 (d, J=9,3 Гц, 1H), 7,90-7,77 (m, 1H), 7,72-7,51 (m, 5H), 7,48-7,29 (m, 4H), 7,07 (d, J=8,7 Гц, 2H), 5,15 (d, J=3,5 Гц, 1H), 4,59 (d, J=9,3 Гц, 1H), 4,50-4,32 (m, 3H), 4,22 (dd, J=15,9, 5,4 Гц, 1H), 4,03 (td, J=6,5, 2,6 Гц, 2H), 3,80-3,60 (m, 2H), 2,44 (s, 3H), 2,48-2,28 (m, 5H), 2,13-1,84 (m, 4H), 0,96 (s, 9H). 13C ЯМР (101 МГц, dmso) δ 189,87, 172,00, 171,63, 169,69, 158,23, 151,48, 148,29, 147,73, 143,29, 139,64, 139,53, 136,54, 131,52, 131,19, 130,74, 129,65, 128,66, 128,58, 128,55, 128,21, 127,44, 127,05, 118,81, 115,19, 113,74, 68,93, 67,13, 58,75, 56,47, 48,64, 41,68, 38,01, 35,29, 31,33, 26,43, 25,08, 15,99. LC-MS (ESI); масса/заряд [M+H]+: рассч. для C46H49N6O6S 813,3434. Обнаруженное 813,3478.
[1041] Пример синтеза соединения 306: (2S,4R)-1-((S)-2-(2-(2-(4-(3-(2,6-дифтор-3-(пропилсульфонамидо)бензоил)-1H-пирроло[2,3-b]пиридин-5-ил)пиперазин-1-ил)этокси)ацетамидо)-3,3-диметилбутаноил)-4-гидрокси-N-(4-(4-метилтиазол-5-ил)бензил)пирролидин-2-карбоксамида.
[1042] К раствору 2-[2-[4-[3-[2,6-дифтор-3-(пропилсульфониламино)бензоил]-1Н-пирроло[2,3-b]пиридин-5-ил]пиперазин-1-ил]этокси]уксусной кислоты (7,9 мг, 0,01 ммоль) и гидрохлорида (2S,4R)-1-[(2S)-2-амино-3,3-диметилбутаноил]-4-гидрокси-N-[[4-(4-метилтиазол-5-ил)фенил]метил]пирролидин-2-карбоксамида (7,18 мг, 0,02 ммоль) в DMF (1 мл) добавляли TEA (0,1 мл, 0,72 ммоль) и РуВОР (8 мг, 0,02 ммоль) при комнатной температуре. Реакционную смесь перемешивали в течение 12 часов (в течение ночи) при той же температуре. TLC (DCM:MeOH:NH4OH, 90:9:1) показала отсутствие исходных веществ. Реакционную смесь выпаривали до сухого состояния в высоком вакууме. Неочищенный продукт выпаривали под вакуумом и неочищенный продукт очищали с помощью PTLC (DCM:MeOH:NH4OH, 90:9:1) с получением 8,1 мг продукта (выход 59%). 1Н ЯМР (500 МГц, DMSO-d6) δ 12,66 (bs, 1H), 9,72 (bs, 1H), 8,93 (s, 1H), 8,59 (bs, 1H), 8,22 (s, 1H), 7,99 (s, 1H), 7,89 (bs, 1H), 7,56 (dh, J=9,1, 3,4, 2,9 Гц, 1H), 7,51-7,31 (m, 5H), 7,25 (t, J=8,6 Гц, 1H), 5,17 (s, 1H), 4,57 (dd, J=9,7, 2,4 Гц, 1H), 4,50-4,33 (m, 3H), 4,28-4,19 (m, 1H), 4,07-3,92 (m, 2H), 3,65 (d, J=15,4 Гц, 4H), 3,22-3,05 (m, 6H), 2,64 (d, J=21,6 Гц, 6H), 2,42 (s, 3H), 2,11-2,03 (m, 1H), 1,91 (dd, J=13,3, 5,8 Гц, 1H), 1,80-1,67 (m, 2H), 0,96 (перекрытие s/t, 12H). 13C ЯМР (151 МГц, DMSO-d6) δ 180,38, 171,80, 169,18, 168,58, 156,01 (dd, J=246,2, 6,8 Гц), 152,34 (dd, J=249,1, 8,7 Гц), 151,39, 147,73, 144,79, 143,97, 139,43, 137,73, 137,38, 131,16, 129,70, 128,68, 128,60 (d), 127,47, 121,93 (dd, J=13,8, 3,7 Гц), 118,89-118,05 (m), 117,64, 115,15, 114,62, 112,29 (dd, J=22,2, 3,2 Гц), 69,65, 68,94, 68,76, 58,81, 57,13, 56,64, 55,73, 53,49, 53,09, 49,72, 41,71, 37,93, 35,87, 26,24, 16,88, 15,95, 12,65. LC-MS (ESI); масса/заряд [M+H]+: рассч. для C47H58F2N9O8S2 978,3817. Обнаруженное 978,3933.
[1043] Иллюстративный синтез (R)-N-(2,4-дифтор-3-(5-(4,4,5,5-тетраметил-1,3,2-диоксаборолан-2-ил)-1-((2-(триметилсилил)этокси)метил)-1Н-пирроло[2,3-b]пиридин-3-карбонил)фенил)-3-фтор-N-((2-(триметилсилил)этокси)метил)пирролидин-1-сульфонамида (промежуточного соединения 6)
[1044] Стадия 1: получение 2,6-дифтор-3-нитробензоилхлорида
[1045] В круглодонную колбу объемом 500 мл помещали 2,6-дифтор-3-нитробензойную кислоту (30,0 г, 147,6 ммоль, 1,0 экв.), толуол (160 мл), тионилхлорид (160 мл). Полученную смесь перемешивали при 80°С в течение ночи и концентрировали при пониженном давлении. Это обеспечивало получение 28,2 г (86%) 2,6-дифтор-3-нитробензоилхлорида в виде коричневого масла.
[1046] Стадия 2: получение (5-бром-1Н-пирроло[2,3-b]пиридин-3-ил)(2,6-дифтор-3-нитрофенил)метанона
[1047] В смесь 5-бром-1Н-пирроло[2,3-b]пиридина (22,0 г, 111,6 ммоль, 1,1 экв.) в 300 мл хлорметана частями загружали трихлорид алюминия (84,0 г, 0,64 моль, 6,4 экв.). Реакционную смесь перемешивали при комнатной температуре в течение 1 часа и добавляли 2,6-дифтор-3-нитробензоилхлорид (22,0 г, 100,0 ммоль, 1,0 экв.). Реакционную смесь нагревали при 50°С в течение ночи, затем реакционную смесь охлаждали до комнатной температуры и выливали в ледяную воду (500 мл), экстрагировали этилацетатом (500 мл ×3). Объединенные органические слои промывали солевым раствором (500 мл ×2), высушивали над безводным сульфатом натрия. Растворитель концентрировали с получением (5-бром-1Н-пирроло[2,3-b]пиридин-3-ил)(2,6-дифтор-3-нитрофенил)метанона (24,4 г) в виде желтого твердого вещества. LC/MS (ESI) масса/заряд: 381,30 [М+1]+.
[1048] Стадия 3: получение (3-амино-2,6-дифторфенил)(5-бром-1Н-пирроло[2,3-b]пиридин-3-ил)метанона
[1049] Смесь (5-бром-1Н-пирроло[2,3-b]пиридин-3-ил)(2,6-дифтор-3-нитрофенил)метанона (15,8 г, 40,8 ммоль, 1,0 экв.), железа (12,0 г, 200,2 ммоль, 4,9 экв.), хлорида аммония (7,2 г, 140,0 ммоль), хлористоводородной кислоты (50,0 мл) в этаноле (80 мл) и тетрагидрофуране (80 мл) нагревали с обратным холодильником в течение ночи. После охлаждения до комнатной температуры смесь фильтровали через подушку из целита. Фильтрат концентрировали in vacuo и остаток очищали с помощью колоночной хроматографии на силикагеле (петролейный эфир/этилацетат = 1/2) с получением (3-амино-2,6-дифторфенил)(5-бром-1Н-пирроло[2,3-b]пиридин-3-ил)метанона (8,6 г, выход 60%) в виде желтого твердого вещества. LC/MS (ESI) масса/заряд: 351,80 [М+1]+.
[1050] Стадия 4: получение (R)-3-фторпирролидин-1-сульфонилхлорида
[1051] В высушенную в печи колбу загружали гидрохлорид (R)-3-фторпирролидина (3,0 г, 24 ммоль), триэтиламин (7,2 г, 72 ммоль) и дихлорметан (150 мл). Смесь перемешивали в течение 15 мин при комнатной температуре и затем охлаждали до приблизительно -30°С на бане сухой лед/ацетонитрил в течение 10 мин. Добавляли по каплям сульфурилхлорид (6,0 г, 48 ммоль) в течение 10 мин. Реакционную смесь перемешивали при приблизительно -30°С в течение часа, затем перемешивали при комнатной температуре в течение 5 часов. Реакционную смесь разбавляли с помощью водного раствора HCl (1 н., 70 мл). Слои разделяли и водные слои экстрагировали дихлорметаном (50 мл ×3). Объединенные органические слои промывали с помощью водного раствора HCl (1 н., 50 мл), промывали солевым раствором (50 мл) и высушивали над безводным сульфатом натрия. Растворитель концентрировали с получением (R)-3-фторпирролидин-1-сульфонилхлорида (4,5 г) в виде белого твердого вещества.
[1052] Стадия 5: получение (R)-N-(3-(5-бром-1Н-пирроло[2,3-b]пиридин-3-карбонил)-2,4-дифторфенил)-3-фторпирролидин-1-сульфонамида
[1053] К раствору (3-амино-2,6-дифторфенил)(5-бром-1Н-пирроло[2,3-b]пиридин-3-ил)метанона (8,0 г, 22,79 ммоль, 1,0 экв.) в пиридине (25,0 г) добавляли (R)-3-фторпирролидин-1-сульфонилхлорид (4,6 г, 24,60 ммоль, 1,08 экв.) и 4-диметиламинопиридин (560,0 мг, 4,59 ммоль, 0,2 экв.). Реакционную смесь перемешивали в течение 12 ч. при 40°С. Растворитель удаляли и добавляли воду (20 мл). Добавляли водный раствор бикарбоната натрия для регулирования рН=7~8 и затем экстрагировали этилацетатом (100 мл ×2). Объединенные органические слои промывали солевым раствором (50 мл ×2), высушивали над безводным сульфатом натрия. Растворитель удаляли при пониженном давлении и остаток очищали с помощью колоночной хроматографии на силикагеле с применением смеси этилацетат/петролейный эфир (3:1) с получением (R)-N-(3-(5-бром-1Н-пирроло[2,3-b]пиридин-3-карбонил)-2,4-дифторфенил)-3-фторпирролидин-1-сульфонамида (6,4 г) в виде желтого твердого вещества. LC/MS (ESI) масса/заряд: 505,05 [М+1]+.
[1054] Стадия 6: получение (R)-N-(3-(5-бром-1-((2-(триметилсилил)этокси)метил)-1Н-пирроло[2,3-b]пиридин-3-карбонил)-2,4-дифторфенил)-3-фтор-N-((2-(триметилсилил)этокси)метил)пирролидин-1-сульфонамида
[1055] К смеси (3R)-N-[3-(5-бром-1Н-пирроло[2,3-b]пиридин-3-карбонил)-2,4-дифторфенил]-3-фторпирролидин-1-сульфонамида (5,82 г, 11,56 ммоль, 1 экв.) в диметилформамиде (70 мл) порциями добавляли гидрид натрия (925 мг, 23,13 ммоль, чистота 60% в минеральном масле, 2 экв.) при 0°С. Затем смесь перемешивали при 0~20°С в течение 0,5 ч. Затем 2-(триметилсилил)этоксиметилхлорид (4,24 г, 25,44 ммоль, 4,5 мл, 2,2 экв.) добавляли по каплям к смеси при 20°С. Смесь перемешивали при 50°С в течение 1,5 ч. Выливали воду (150 мл) в смесь и перемешивали в течение 1 мин. Водную фазу экстрагировали этилацетатом (100 мл ×3). Объединенную органическую фазу промывали солевым раствором (100 мл ×2), высушивали с помощью безводного сульфата натрия, фильтровали и концентрировали в вакууме. Остаток очищали с помощью колоночной хроматографии на силикагеле (петролейный эфир/этилацетат = 100/1, 10/1). Продукт, (3R)-N-[3-[5-бром-1-(2-триметилсилилэтоксиметил)пирроло[2,3-b]пиридин-3-карбонил]-2,4-дифторфенил]-3-фтор-N-(2-триметилсилилэтоксиметил)пирролидин-1-сульфонамид (5,01 г, 6,51 ммоль, выход 56%, чистота 99%), получали в виде светло-желтого масла. LC/MS (ESI) масса/заряд: 765,0 [М+1]+.
[1056] Стадия 7: получение (R)-N-(2,4-дифтор-3-(5-(4,4,5,5-тетраметил-1,3,2-диоксаборолан-2-ил)-1-((2-(триметилсилил)этокси)метил)-1Н-пирроло[2,3-b]пиридин-3-карбонил)фенил)-3-фтор-N-((2-(триметилсилил)этокси)метил)пирролидин-1-сульфонамида
[1057] К смеси 4,4,5,5-тетраметил-2-(4,4,5,5-тетраметил-1,3,2-диоксаборолан-2-ил)-1,3,2-диоксаборолана (349 мг, 1,37 ммоль, 1,05 экв.) и (3R)-N-[3-[5-бром-1-(2-триметилсилилэтоксиметил)пирроло[2,3-b]пиридин-3-карбонил]-2,4-дифторфенил]-3-фтор-N-(2-триметилсилилэтоксиметил)пирролидин-1-сульфонамида (1 г, 1,31 ммоль, 1 экв.) в диоксане (7 мл) одной порцией добавляли ацетат калия (256,97 мг, 2,62 ммоль, 2 экв.) и [1,1'-бис(дифенилфосфино)]ферроцендихлорпалладий (II) (96 мг, 0,13 ммоль, 0,1 экв.) при 15°С в атмосфере азота. Смесь перемешивали при 85°С в течение 12 ч. Выливали воду (50 мл) в смесь и перемешивали в течение 1 мин. Водную фазу экстрагировали этилацетатом (50 мл ×3). Объединенную органическую фазу промывали солевым раствором (50 мл ×2), высушивали с помощью безводного сульфата натрия, фильтровали и концентрировали в вакууме. Остаток очищали с помощью колоночной хроматографии на силикагеле (петролейный эфир/этилацетат = 20/1, 3/1). Продукт, (3R)-N-[2,4-дифтор-3-[5-(4,4,5,5-тетраметил-1,3,2-диоксаборолан-2-ил)-1-(2-триметилсилилэтоксиметил)пирроло[2,3-b]пиридин-3-карбонил]фенил]-3-фтор-N-(2-триметилсилилэтоксиметил)пирролидин-1-сульфонамид (1,02 г, 1,22 ммоль, выход 93%, чистота 96%), получали в виде бесцветного масла. LC/MS (ESI) масса/заряд: 811,1 [М+1]+.
[1058] Иллюстративный синтез гидрохлорида (2S,4R)-1-((S)-2-амино-3,3-диметилбутаноил)-4-гидрокси-N-((S)-1-(4-(4-метилтиазол-5-ил)фенил)этил)пирролидин-2-карбоксамида (промежуточного соединения 7)
[1059] Стадия 1: получение трет-бутил-(S)-(1-(4-бромфенил)этил)карбамата
[1060] В круглодонную колбу объемом 250 мл помещали (1S)-1-(4-бромфенил)этан-1-амин (10,0 г, 49,98 ммоль, 1,00 экв.) в дихлорметане (100 мл), триэтиламин (10,0 г, 99,01 ммоль, 2,00 экв.), ди-трет-бутилдикарбонат (13,0 г, 59,63 ммоль, 1,20 экв.). Полученный раствор перемешивали в течение 2 ч. при комнатной температуре. Полученную смесь концентрировали под вакуумом. Остаток обрабатывали с помощью колонки с силикагелем с применением смеси этилацетат/петролейный эфир (1:10). Это обеспечивало получение 15,0 г трет-бутил-N-[(1S)-1-(4-бромфенил)этил]карбамата в виде белого твердого вещества.
[1061] Стадия 2: получение трет-бутил-(S)-(1-(4-(4-метилтиазол-5-ил)фенил)этил)карбамата
[1062] В круглодонную колбу объемом 250 мл, которую продували азотом и в которой поддерживали инертную атмосферу азота, помещали раствор трет-бутил-N-[(1S)-1-(4-бромфенил)этил]карбамата (15,0 г, 49,97 ммоль, 1,00 экв.) в N,N-диметилацетамиде (100 мл), 4-метил-1,3-тиазол (9,9 г, 99,84 ммоль, 2,00 экв.), ацетат калия (9,8 г, 99,86 ммоль, 2,00 экв.), ацетат палладия (II) (112,5 мг, 0,50 ммоль, 0,01 экв.). Полученный раствор перемешивали в течение 2 ч. при 120°С. Реакционную смесь гасили путем добавления воды (500 мл). Полученный раствор экстрагировали этилацетатом (200 мл ×3) и органические слои объединяли и концентрировали под вакуумом. Остаток обрабатывали с помощью колонки с силикагелем с применением смеси этилацетат/петролейный эфир (1:5). Это обеспечивало получение 7,5 г (47%) трет-бутил-N-[(1S)-1-[4-(4-метил-1,3-тиазол-5-ил)фенил]этил]карбамата в виде белого твердого вещества. LC/MS (ESI) масса/заряд: 319,13 [M+Na]+.
[1063] Стадия 3: получение гидрохлорида (S)-1-(4-(4-метилтиазол-5-ил)фенил)этан-1-амина
[1064] В круглодонную колбу объемом 100 мл помещали раствор трет-бутил-N-[(1S)-1-[4-(4-метил-1,3-тиазол-5-ил)фенил]этил]карбамата (7,5 г, 23,55 ммоль, 1,00 экв.) в метаноле (20 мл), барботировали хлороводород (газ) при комнатной температуре. Полученный раствор перемешивали в течение 2 ч. при комнатной температуре. Полученную смесь концентрировали под вакуумом. Это обеспечивало получение 4,4 г (86%) (1S)-1-[4-(4-метил-1,3-тиазол-5-ил)фенил]этан-1-амина в виде белого твердого вещества.
[1065] Стадия 4: получение трет-бутил-(2S,4R)-4-гидрокси-2-(((S)-1-(4-(4-метилтиазол-5-ил)фенил)этил)карбамоил)пирролидин-1-карбоксилата
[1066] В круглодонную колбу объемом 100 мл помещали (2S,4R)-1-[(трет-бутокси)карбонил]-4-гидроксипирролидин-2-карбоновую кислоту (4,7 г, 20,32 ммоль, 1,00 экв.) в N,N-диметилформамиде (20 мл), N-этил-N-изопропилпропан-2-амин (7,8 г, 60,35 ммоль, 3,00 экв.), гексафторфосфат о-(7-азабензотриазол-1-ил)-N,N,N',N'-тетраметилурония (11,5 г, 30,26 ммоль, 1,50 экв.), (1S)-1-[4-(4-метил-1,3-тиазол-5-ил)фенил]этан-1-амин (4,4 г, 20,15 ммоль, 1,00 экв.). Полученный раствор перемешивали в течение 12 ч. при комнатной температуре. Реакционную смесь гасили путем добавления воды (20 мл). Полученный раствор экстрагировали этилацетатом (100 мл ×3) и органические слои объединяли и высушивали в печи при пониженном давлении, концентрировали под вакуумом. Остаток обрабатывали с помощью колонки с силикагелем с применением смеси этилацетат/петролейный эфир (1:1). Это обеспечивало получение 5,0 г (57%) трет-бутил-(2S,4R)-4-гидрокси-2-[[(1S)-1-[4-(4-метил-1,3-тиазол-5-ил)фенил]этил]карбамоил]пирролидин-1-карбоксилата в виде желтого твердого вещества. LC/MS (ESI) масса/заряд: 432,15 [М+1]+.
[1067] Стадия 5: получение гидрохлорида (2S,4R)-4-гидрокси-N-((S)-1-(4-(4-метилтиазол-5-ил)фенил)этил)пирролидин-2-карбоксамида
[1068] В круглодонную колбу объемом 500 мл помещали раствор трет-бутил-(2S,4R)-4-гидрокси-2-[[(1S)-1-[4-(4-метил-1,3-тиазол-5-ил)фенил]этил]карбамоил]пирролидин-1-карбоксилата (5,0 г, 11,59 ммоль, 1,00 экв.) в метаноле (200 мл), затем хлороводород (газ) барботировали в реакционную смесь в течение 2 ч. при комнатной температуре. Полученную смесь концентрировали под вакуумом. Это обеспечивало получение 3,2 г (83%) (2S,4R)-4-гидрокси-N-[(1S)-1-[4-(4-метил-1,3-тиазол-5-ил)фенил]этил]пирролидин-2-карбоксамида в виде красного твердого вещества.
[1069] Стадия 6: получение трет-бутил-((S)-1-((2S,4R)-4-гидрокси-2-(((S)-1-(4-(4-метилтиазол-5-ил)фенил)этил)карбамоил)пирролидин-1-ил)-3,3-диметил-1-оксобутан-2-ил)карбамата
[1070] В круглодонную колбу объемом 25 мл помещали (2S)-2-[(трет-бутокси)карбонил]амино-3,3-диметилбутановую кислоту (2,0 г, 8,65 ммоль, 0,99 экв.) в N,N-диметилформамиде (30 мл), N-этил-N-изопропилпропан-2-амин (3,4 г, 3,00 экв.), гексафторфосфат о-(7-азабензотриазол-1-ил)-N,N,N',N'-тетраметилурония (5,0 г, 1,50 экв.), гидрохлорид (2S,4R)-4-гидрокси-N-[(1S)-1-[4-(4-метил-1,3-тиазол-5-ил)фенил]этил]пирролидин-2-карбоксамида (3,2 г, 8,70 ммоль, 1,00 экв.). Полученный раствор перемешивали в течение 12 ч. при комнатной температуре. Полученный раствор экстрагировали этилацетатом (60 мл ×3) и промывали водой (100 мл ×2). Органические слои объединяли и высушивали, концентрировали под вакуумом. Остаток обрабатывали с помощью колонки с силикагелем с применением смеси этилацетат/петролейный эфир (1:3). Это обеспечивало получение 4,0 г (84%) трет-бутил-N[(2S)-1-[(2S,4R)-4-гидрокси-2-[[(1S)-1-[4-(4-метил-1,3-тиазол-5-ил)фенил]этил]карбамоил]пирролидин-1-ил]-3,3-диметил-1-оксобутан-2-ил]карбамата в виде желтого твердого вещества. LC/MS (ESI) масса/заряд: 545,30 [М+1]+.
[1071] Стадия 7: получение гидрохлорида (2S,4R)-1-((S)-2-амино-3,3-диметилбутаноил)-4-гидрокси-N-((S)-1-(4-(4-метилтиазол-5-ил)фенил)этил)пирролидин-2-карбоксамида
[1072] В круглодонную колбу объемом 100 мл помещали раствор трет-бутил-N-[(28)-1-[(2S,4R)-4-гидрокси-2-[[(1S)-1-[4-(4-метил-1,3-тиазол-5-ил)фенил]этил]карбамоил]пирролидин-1-ил]-3,3-диметил-1-оксобутан-2-ил]карбамата (4,0 г, 7,34 ммоль, 1,00 экв.) в метаноле (30 мл), затем хлороводород (газ) барботировали в реакционную смесь в течение 2 ч. при комнатной температуре. Полученную смесь концентрировали под вакуумом. Это обеспечивало получение 3,5 г гидрохлорида (2S,4R)-1-[(2S)-2-амино-3,3-диметилбутаноил]-4-гидрокси-N-[(1S)-1-[4-(4-метил-1,3-тиазол-5-ил)фенил]этил]пирролидин-2-карбоксамида в виде желтого твердого вещества. LC/MS (ESI) масса/заряд: 445,05 [М+1]+; 1Н ЯМР (400 МГц, DMSO-d6) δ 8,99 (s, 1Н), 8,57-8,55 (d, J=7,8 Гц, 1Н), 8,01 (b, 3Н), 7,46-7,43 (d, J=8,4 Гц, 2Н), 7,39-7,37 (d, J=8,4 Гц, 2Н), 4,98-4,90 (m, 1Н), 4,57-4,51 (m, 1Н), 4,34 (b, 1Н), 3,94-3,92 (m, 1Н), 3,69-3,66 (m, 1Н), 3,53-3,49 (m, 1Н), 2,52 (s, 3Н), 2,10-2,07 (m, 1Н), 1,83-1,81 (m, 1Н), 1,40-1,30 (m, 3Н), 1,03 (s, 9Н).
[1073] Иллюстративный синтез гидрохлорида N-(2-метил-5'-морфолино-6'-(пиперидин-4-илокси)-[3,3'-бипиридин1-5-ил)-3-(трифторметил)бензамида (промежуточного соединения 8)
[1074] Стадия 1: получение 4-(5-бром-2-фторпиридин-3-ил)морфолина
[1075] К смеси 5-бром-2-фторпиридин-3-амина (4 г, 20,94 ммоль, 1 экв.) в диметилформамиде (40 мл) добавляли гидрид натрия (2,51 г, 62,83 ммоль, 60% в минеральном масле, 3 экв.) при 0°С. Смесь перемешивали при 25°С в течение 0,5 часа. Затем к смеси добавляли 1-бром-2-(2-бромэтокси)этан (7,29 г, 31,41 ммоль, 3,94 мл, 1,5 экв.). Смесь перемешивали при 80°С в течение 1,5 часа. Смесь разбавляли водой (200 мл), экстрагировали этилацетатом (70 мл ×2). Объединенный органический слой промывали водой (100 мл ×2), солевым раствором (100 мл), высушивали над безводным сульфатом натрия, фильтровали и концентрировали при пониженном давлении с получением остатка. Остаток очищали с помощью хроматографии на силикагеле (петролейный эфир:этилацетат = от 15:1 до 8:1). Соединение, 4-(5-бром-2-фтор-3-пиридил)морфолин (3,4 г, 13,02 ммоль, выход 62%), получали в виде светло-зеленого твердого вещества. 1Н ЯМР (400 МГц, CDCl3) δ 7,80-7,79 (m, 1Н), 7,33-7,30 (m, 1H), 3,87-3,82 (m, 4H), 3,13-3,08 (m, 4H).
[1076] Стадия 2: получение 4-(2-фтор-5-(4,4,5,5-тетраметил-1,3,2-диоксаборолан-2-ил)пиридин-3-ил)морфолина
[1077] К смеси 4-(5-бром-2-фтор-3-пиридил)морфолина (2,0 г, 7,66 ммоль, 1 экв.) и 4,4,5,5-тетраметил-2-(4,4,5,5-тетраметил-1,3,2-диоксаборолан-2-ил)-1,3,2-диоксаборолана (2,92 г, 11,49 ммоль, 1,5 экв.) в диоксане (25 мл) добавляли ацетат калия (2,26 г, 22,98 ммоль, 3 экв.) и комплекс дихлорида 1,1'-бис(дифенилфосфино)ферроценпалладия (ii) и дихлорметана (625 мг, 0,76 ммоль, 0,1 экв.). Смесь дегазировали и повторно заполняли азотом 3 раза и перемешивали при 100°С в течение 2 ч. в атмосфере азота. Смесь фильтровали и концентрировали при пониженном давлении с получением неочищенного продукта. Неочищенный продукт применяли на следующей стадии без дополнительной очистки. Неочищенный продукт, 4-[2-фтор-5-(4,4,5,5-тетраметил-1,3,2-диоксаборолан-2-ил)-3-пиридил]морфолин (5,0 г, неочищенный), получали в виде желтого масла. LC/MS (ESI) масса/заряд: 309,1 [М+1]+.
[1078] Стадия 3: получение N-(6'-фтор-2-метил-5'-морфолино-[3,3',-бипиридин]-5-ил)-3-(трифторметил)бензамида
[1079] К смеси N-(5-бром-6-метил-3-пиридил)-3-(трифторметил)бензамида (1,5 г, 4,18 ммоль, 1 экв.) и 4-[2-фтор-5-(4,4,5,5-тетраметил-1,3,2-диоксаборолан-2-ил)-3-пиридил]морфолина (2,70 г, 8,77 ммоль, 2,1 экв.) в диоксане (15 мл) добавляли карбонат калия (1,73 г, 12,53 ммоль, 3 экв.), комплекс дихлорида 1,1'-бис(дифенилфосфино)ферроценпалладия (ii) и дихлорметана (341 мг, 0,41 ммоль, 0,1 экв.) и воду (3 мл). Смесь дегазировали и повторно заполняли азотом 3 раза. Затем ее перемешивали при 100°С в течение 4 ч. в атмосфере азота. Смесь концентрировали при пониженном давлении с получением остатка. Остаток очищали с помощью хроматографии на силикагеле (петролейный эфир:этилацетат = от 3:2 до 1:4). Соединение, N-5-(6-фтор-5-морфолино-3-пиридил)-6-метил-3-пиридил]-3-(трифторметил)бензамид (1,3 г, 2,82 ммоль, выход 67%), получали в виде желтого твердого вещества. 1Н ЯМР (400 МГц, CDCl3) δ 8,63 (d, J=2,4 Гц, 1Н), 8,32 (s, 1Н), 8,20 (d, J=3,2 Гц, 1Н), 8,15 (s, 1Н), 7,85-7,83 (m, 1Н), 7,76-7,74 (m, 1Н), 7,66 (t, J=8,0 Гц, 1Н), 7,24-7,20 (m, 1Н), 3,91-3,89 (m, 4Н), 3,18-3,16 (m, 4Н), 2,49 (s, 3Н).
[1080] Стадия 4: получение трет-бутил-4-((2'-метил-5-морфолино-5'-(3-(трифторметил)бензамидо)-[3,3'-бипиридин]-6-ил)окси)пиперидин-1-карбоксилата
[1081] К смеси трет-бутил-4-гидроксипиперидин-1-карбоксилата (2,62 г, 13,03 ммоль, 1,5 экв.) в диметилформамиде (100 мл) добавляли гидрид натрия (764 мг, 19,11 ммоль, чистота 60%, 2,2 экв.) при 15°С. Смесь перемешивали при 15°С в течение 0,5 ч. и добавляли N-[5-(6-фтор-5-морфолино-3-пиридил)-6-метил-3-пиридил]-3-(трифторметил)бензамид (4 г, 8,69 ммоль, 1 экв.) в реакционную смесь и перемешивали при 80°С в течение 2 ч. Смесь гасили путем добавления воды (200 мл), разбавляли этилацетатом (20 мл) и экстрагировали этилацетатом (40 мл ×4), объединенную органическую фазу промывали солевым раствором (50 мл), высушивали над безводным сульфатом натрия, фильтровали и концентрировали при пониженном давлении. Остаток растирали со смесью петролейный эфир/этилацетат (об./об. = 5:1, 30 мл) и собирали путем фильтрации. Получали соединение трет-бутил-4-[[5-[2-метил-5-[[3-(трифторметил)бензоил]амино]-3-пиридил]-3-морфолино-2-пиридил]окси]пиперидин-1-карбоксилат (4,5 г, 7,01 ммоль, выход 80%) в виде коричневого твердого вещества. LC/MS (ESI) масса/заряд: 642,2 [М+1]+; 1Н ЯМР (400 МГц, CDCl3) δ 8,64 (d, J=2,4 Гц, 1Н), 8,23-8,09 (m, 4Н), 7,86 (d, J=7,6 Гц, 1Н), 7,78 (d, J=1,8 Гц, 1Н), 7,72-7,63 (m, 1Н), 7,07 (d, J=1,7 Гц, 1Н), 5,48-5,34 (m, 1Н), 3,96-3,86 (m, 4Н), 3,78-3,66 (m, 2Н), 3,52-3,39 (m, 2Н), 3,16 (s, 4Н), 2,54 (s, 3Н), 2,12-2,03 (m, 2Н), 1,86 (m, 2Н), 1,51 (s, 9Н).
[1082] Стадия 5: получение гидрохлорида N-(2-метил-5'-морфолино-6'-(пиперидин-4-илокси)-[3,3'-бипиридин]-5-ил)-3-(трифторметил)бензамида
[1083] К смеси трет-бутил-4-[[5-[2-метил-5-[[3-(трифторметил)бензоил]амино]-3-пиридил]-3-морфолино-2-пиридил]окси]пиперидин-1-карбоксилата (4,5 г, 7,01 ммоль, 1 экв.) в дихлорметане (100 мл) добавляли смесь хлороводород/диоксан (4 М, 17 мл, 10 экв.). Смесь перемешивали при 15°С в течение 1 ч. Смесь концентрировали при пониженном давлении. Получали соединение N-[6-метил-5-[5-морфолино-6-(4-пиперидилокси)-3-пиридил]-3-пиридил]-3-(трифторметил)бензамид (4,5 г, неочищенный, гидрохлорид) в виде коричневого твердого вещества. LC/MS (ESI) масса/заряд: 542,2 [М+1]+.
[1084] Иллюстративный синтез гидрохлорида (2S,4R)-1-((S)-2-амино-3,3-диметилбутаноил)-4-гидрокси-N-(4-(4-метилтиазол-5-ил)бензил)пирролидин-2-карбоксамида (промежуточного соединения 9)
[1085] Стадия 1: получение 4-(4-метилтиазол-5-ил)бензонитрила
[1086] В круглодонную колбу объемом 1 л, которую продували азотом и в которой поддерживали инертную атмосферу азота, помещали раствор 4-бромбензонитрила (20 г, 109,88 ммоль, 1,00 экв.) в DMA (250 мл), 4-метил-1,3-тиазол (21,88 г, 220,67 ммоль, 2,00 экв.), Pd(OAc)2 (743 мг, 3,31 ммоль, 0,03 экв.) и KOAc (21,66 г, 220,71 ммоль, 2,00 экв.). Полученный раствор перемешивали в течение 5 ч. при 150°С. Реакционную смесь охлаждали с помощью бани с водой/льдом и разбавляли с помощью 1 л воды. Полученный раствор экстрагировали с помощью 3×300 мл этилацетата. Объединенные органические слои промывали с помощью 3×300 мл воды и 1×300 мл солевого раствора, затем высушивали над безводным сульфатом натрия и концентрировали под вакуумом. Остаток очищали с помощью Combi-Flash с применением смеси этилацетат/петролейный эфир (1:100-1:5). Это обеспечивало получение 20 г (91%) 4-(4-метил-1,3-тиазол-5-ил)бензонитрила в виде бежевого твердого вещества.
[1087] Стадия 2: получение (4-(4-метилтиазол-5-ил)фенил)метанамина
[1088] В 3-горлую круглодонную колбу объемом 3 л, которую продували азотом и в которой поддерживали инертную атмосферу азота, помещали 4-(4-метил-1,3-тиазол-5-ил)бензонитрил (35 г, 174,77 ммоль, 1,00 экв.) в тетрагидрофуране (1000 мл). За этим следовало добавление порциями LiAlH4 (20 г, 526,32 ммоль, 3,00 экв.) при 0°С в 10 мин. Полученный раствор перемешивали в течение 3 ч. при 60°С на масляной бане. Реакционную смесь охлаждали до 0°С с помощью бани с водой/льдом, затем гасили путем добавления 20 мл воды, 20 мл NaOH (15%) и 60 мл воды. Полученный раствор разбавляли с помощью 200 мл этилацетата. Твердые вещества отфильтровывали. Фильтрат высушивали над безводным сульфатом натрия и концентрировали под вакуумом. Остаток обрабатывали с помощью колонки с силикагелем с применением смеси дихлорметан/метанол (10:1). Это обеспечивало получение 20 г (56%) [4-(4-метил-1,3-тиазол-5-ил)фенил]метанамина в виде желтого масла.
[1089] Стадия 3: получение трет-бутил-(2S,4R)-4-гидрокси-2-((4-(4-метилтиазол-5-ил)бензил)карбамоил)пирролидин-1-карбоксилата
[1090] В круглодонную колбу объемом 50 мл помещали (2S,4R)-1-[(трет-бутокси)карбонил]-4-гидроксипирролидин-2-карбоновую кислоту (2,7 г, 11,68 ммоль, 1,20 экв.) в N,N-диметилформамиде (30 мл), DIEA (2,52 г, 19,50 ммоль, 1,20 экв.), HATU (4,47 г, 11,76 ммоль, 1,20 экв.), [4-(4-метил-1,3-тиазол-5-ил)фенил]метанамин (2 г, 9,79 ммоль, 1,00 экв.). Полученный раствор перемешивали в течение ночи при 25°С. Затем реакционную смесь гасили путем добавления 20 мл воды и экстрагировали с помощью 3×20 мл этилацетата. Органические слои объединяли, высушивали над безводным сульфатом натрия и концентрировали под вакуумом. Остаток обрабатывали с помощью колонки с силикагелем с применением смеси дихлорметан/метанол (20:1). Это обеспечивало получение 1 г (24%) трет-бутил-(2S,4R)-4-гидрокси-2-([[4-(4-метил-1,3-тиазол-5-ил)фенил]метил]карбамоил)пирролидин-1-карбоксилата в виде желтого твердого вещества.
[1091] Стадия 4: получение гидрохлорида (2S,4R)-4-гидрокси-N-(4-(4-метилтиазол-5-ил)бензил)пирролидин-2-карбоксамида
[1092] В круглодонную колбу объемом 1000 мл помещали трет-бутил-(2S,4R)-4-гидрокси-2-([[4-(4-метил-1,3-тиазол-5-ил)фенил]метил]карбамоил)пирролидин-1-карбоксилат (45 г, 107,78 ммоль, 1,00 экв.), раствор хлороводорода (13,44 л) в диоксане (300 мл). Полученный раствор перемешивали в течение 2 ч. при 20°С. Твердые вещества собирали путем фильтрации. Это обеспечивало получение 37,3 г (98%) гидрохлорида (2S,4R)-4-гидрокси-N-[[4-(4-метил-1,3-тиазол-5-ил)фенил]метил]пирролидин-2-карбоксамида в виде желтого твердого вещества.
[1093] Стадия 5: получение трет-бутил-((S)-1-((2S,4R)-4-тидрокси-2-((4-(4-метилтиазол-5-ил)бензил)карбамоил)пирролидин-1-ил)-3,3-диметил-1-оксобутан-2-ил)карбамата
[1094] В круглодонную колбу объемом 1000 мл помещали (2S)-2-[[(трет-бутокси)карбонил]амино]-3,3-диметилбутановую кислоту (15,73 г, 68,01 ммоль, 1,20 экв.) в N,N-диметилформамиде (500 мл), DIEA (29,2 г, 225,94 ммоль, 4,00 экв.), HATU (25,9 г, 68,12 ммоль, 1,20 экв.) и (2S,4R)-2-амино-5-хлор-4-гидрокси-N-[[4-(4-метил-1,3-тиазол-5-ил)фенил]метил]пентанамид (20 г, 56,52 ммоль, 1,00 экв.). Полученный раствор перемешивали 16 ч. при 20°С. Затем реакционную смесь гасили путем добавления 200 мл воды и экстрагировали с помощью 3×100 мл этилацетата. Объединенные органические слои высушивали над безводным сульфатом натрия и концентрировали под вакуумом. Остаток обрабатывали с помощью колонки с силикагелем с применением смеси этилацетат/петролейный эфир (2:1). Это обеспечивало получение 15,2 г (51%) трет-бутил-N-[(2S)-1-[(2S,4R)-4-гидрокси-2-([[4-(4-метил-1,3-тиазол-5-ил)фенил]метил]карбамоил)пирролидин-1-ил]-3,3-диметил-1-оксобутан-2-ил]карбамата в виде желтого твердого вещества.
[1095] Стадия 6: получение гидрохлорида (2S,4R)-1-((S)-2-амино-3,3-диметилбутаноил)-4-гидрокси-N-(4-(4-метилтиазол-5-ил)бензил)пирролидин-2-карбоксамида
[1096] В круглодонную колбу объемом 500 мл помещали трет-бутил-N-[(2S)-1-[(2S,4R)-4-гидрокси-2-([[4-(4-метил-1,3-тиазол-5-ил)фенил]метил]карбамоил)пирролидин-1-ил]-3,3-диметил-1-оксобутан-2-ил]карбамат (12 г, 22,61 ммоль, 1,00 экв.) в диоксане (20 мл) и раствор хлороводорода (3,584 л) в диоксане (80 мл). Полученный раствор перемешивали в течение 2 ч. при 25°С. Твердые вещества собирали путем фильтрации. Это обеспечивало получение 5,1 г (48%) гидрохлорида (2S,4R)-1-[(2S)-2-амино-3,3-диметилбутаноил]-4-гидрокси-N-[[4-(4-метил-1,3-тиазол-5-ил)фенил]метил]пирролидин-2-карбоксамида в виде желтого твердого вещества. LC/MS (ESI) масса/заряд: 431 [М+1]+; 1Н ЯМР (400 МГц, CD3OD) δ 9,84-9,82 (s, 1Н), 7,58-7,54 (m, 4Н), 4,71-4,41 (m, 4Н), 4,13-4,08 (m, 1Н), 3,86-3,71 (m, 2Н), 3,36 (s, 1Н), 2,60-2,58 (s, 3Н), 2,35-2,07 (m, 2Н), 1,19-1,12 (m, 9Н).
[1097] Иллюстративный синтез трет-бутил-2-(4-((4-(4-(4,4,5,5-тетраметил-1,3,2-диоксаборолан-2-ил)фенил)пиперазин-1-ил)метил)пиперидин-1-ил)ацетата (промежуточного соединения 10)
[1098] Стадия 1: получение трет-бутил-4-((4-(4-бромфенил)пиперазин-1-ил)метил)пиперидин-1-карбоксилата
[1099] В круглодонную колбу объемом 100 мл помещали раствор гидрохлорида 1-(4-бромфенил)пиперазина (900,0 мг, 3,26 ммоль, 1,00 экв.) в дихлорметане (20 мл). Добавляли DIEA (841,0 мг, 6,52 ммоль, 2,00 экв.) и трет-бутил-4-формилпиперидин-1-карбоксилат (694,4 мг, 3,26 ммоль, 1,00 экв.). Через несколько минут добавляли триацетоксиборогидрид натрия (2,1 г, 9,78 ммоль, 3,00 экв.). Полученный раствор перемешивали в течение 1 ч. при комнатной температуре. Затем реакционную смесь гасили водой (30 мл), экстрагировали дихлорметаном (30 мл ×2). Органическую фазу выпаривали, концентрировали при пониженном давлении и остаток обрабатывали с помощью колонки с силикагелем с применением смеси этилацетат/петролейный эфир (1:4). Это обеспечивало получение 1,3 г (91%) трет-бутил-4-((4-(4-бромфенил)пиперазин-1-ил)метил)пиперидин-1-карбоксилата в виде белого твердого вещества. LC/MS (ESI) масса/заряд: 438,30 [М+1]+.
[1100] Стадия 2: получение 1-(4-бромфенил)-4-(пиперидин-4-илметил)пиперазина
[1101] В круглодонную колбу объемом 100 мл помещали раствор трет-бутил-4-((4-(4-бромфенил)пиперазин-1-ил)метил)пиперидин-1-карбоксилата (1,3 г, 0,64 ммоль, 1,00 экв.), 2,2,2-трифторацетальдегида (5 мл) в дихлорметане (10 мл). Полученный раствор перемешивали в течение 2 ч. при комнатной температуре. Полученную смесь концентрировали при пониженном давлении. Это обеспечивало получение 1,3 г (97%) соединения 1-(4-бромфенил)-4-(пиперидин-4-илметил)пиперазина с 2,2,2-трифторуксусной кислотой (1:1) в виде белого твердого вещества. LC/MS (ESI) масса/заряд: 338,05 [М+1]+.
[1102] Стадия 3: получение трет-бутил-2-(4-((4-(4-бромфенил)пиперазин-1-ил)метил)пиперидин-1-ил)ацетата
[1103] В круглодонную колбу объемом 100 мл помещали раствор соединения 1-(4-бромфенил)-4-(пиперидин-4-илметил)пиперазина с 2,2,2-трифторуксусной кислотой (1:1) (1,3 г, 2,88 ммоль, 1,00 экв.) в THF (20 мл). Добавляли гидроксид натрия (1 М, 10 мл), трет-бутил-2-бромацетат (782,2 мг, 4,03 ммоль, 1,40 экв.). Полученный раствор перемешивали в течение 30 минут при 0°С на ледяной бане. Полученный раствор разбавляли водой (40 мл), экстрагировали этилацетатом (40 мл ×2). Органическую фазу выпаривали, концентрировали при пониженном давлении и остаток обрабатывали с помощью колонки с силикагелем с применением смеси этилацетат/петролейный эфир (2:3). Это обеспечивало получение 983,4 мг (76%) трет-бутил-2-(4-((4-(4-бромфенил)пиперазин-1-ил)метил)пиперидин-1-ил)ацетата в виде белого твердого вещества. LC/MS (ESI) масса/заряд: 452,15 [М+1]+.
[1104] Стадия 4: получение трет-бутил-2-(4-((4-(4-(4,4,5,5-тетраметил-1,3,2-диоксаборолан-2-ил)фенил)пиперазин-1-ил)метил)пиперидин-1-ил)ацетата
[1105] В круглодонную колбу объемом 100 мл помещали раствор трет-бутил-2-(4-((4-(4-бромфенил)пиперазин-1-ил)метил)пиперидин-1-ил)ацетата (983,4 мг, 2,18 ммоль, 1,00 экв.), 4,4,4',4',5,5,5',5'-октаметил-2,2'-би(1,3,2-диоксаборолан) (1,1 г, 4,36 ммоль, 2,00 экв.), Pd(dppf)Cl2 (358,1 мг, 0,44 ммоль, 0,20 экв.), ацетата калия (641,0 г, 6,54 ммоль, 3,00 экв.) в 1,4-диоксане (30 мл). В атмосфере азота полученный раствор перемешивали в течение ночи при 85°С на масляной бане. Твердые вещества отфильтровывали. Фильтрат выпаривали, концентрировали при пониженном давлении и остаток обрабатывали с помощью колонки с силикагелем с применением смеси этилацетат/петролейный эфир (1:1). Это обеспечивало получение 783,4 мг (72%) трет-бутил-2-(4-((4-(4-(4,4,5,5-тетраметил-1,3,2-диоксаборолан-2-ил)фенил)пиперазин-1-ил)метил)пиперидин-1-ил)ацетата в виде желтого твердого вещества. LC/MS (ESI) масса/заряд: 500,30 [М+1]+.
[1106] Иллюстративный синтез (2S,4R)-1-((5)-2-(2-(4-(4-(4-(3-(2,6-дифтор-3-(((R-3-фторпирролидин)-1-сульфонамидо)бензоил)-1Н-пирроло[2,3-b]пиридин-5-ил)фенил)пиперазин-1-ил)пиперидин-1-ил)ацетамидо)-3,3-диметилбутаноил)-4-гидрокси-N-((S)-1-(4-(4-метилтиазол-5-ил)фенил)этил)пирролидин-2-карбоксамида (пример 320)
[1107] Стадия 1: получение трет-бутил-4-(4-(4-бромфенил)пиперазин-1-ил)пиперидин-1-карбоксилата
[1108] В круглодонную колбу объемом 250 мл помещали раствор гидрохлорида 1-(4-бромфенил)пиперазина (5,0 г, 18,0 ммоль, 1,0 экв.) в дихлорметане (10 мл), трет-бутил-4-оксопиперидин-1-карбоксилат (4,9 г, 24,9 ммоль, 1,4 экв.), ацетилэтанпероксоат-натрийборанилацетат (13,2 г, 62,3 ммоль, 3,5 экв.). Полученный раствор перемешивали в течение ночи при комнатной температуре. Затем реакционную смесь гасили путем добавления 1 мл воды/льда. Полученный раствор экстрагировали дихлорметаном (20 мл ×2) и органические слои объединяли и высушивали над безводным сульфатом натрия и концентрировали под вакуумом. Остаток обрабатывали с помощью колонки с силикагелем с применением смеси этилацетат/петролейный эфир (1:0). Это обеспечивало получение 4,2 г (54%) трет-бутил-4-[4-(4-бромфенил)пиперазин-1-ил]пиперидин-1-карбоксилата в виде белого твердого вещества. LC/MS (ESI) масса/заряд: 426,10 [М+1]+.
[1109] Стадия 2: получение гидрохлорида 1-(4-бромфенил)-4-(пиперидин-4-ил)пиперазина
[1110] В круглодонную колбу объемом 100 мл помещали раствор трет-бутил-4-[4-(4-бромфенил)пиперазин-1-ил]пиперидин-1-карбоксилата (4,2 г, 9,8 ммоль, 1,0 экв.) в дихлорметане (10 мл), хлороводороде (5 мл). Полученный раствор перемешивали в течение 1 ч. при комнатной температуре. Полученную смесь концентрировали под вакуумом. Это обеспечивало получение 3,0 г (85%) гидрохлорида 1-(4-бромфенил)-4-(пиперидин-4-ил)пиперазина в виде белого твердого вещества. LC/MS (ESI) масса/заряд: 325,95 [М+1]+.
[1111] Стадия 3: получение трет-бутил-2-(4-(4-(4-бромфенил)пиперазин-1-ил)пиперидин-1-ил)ацетата
[1112] В круглодонную колбу объемом 100 мл помещали раствор гидрохлорида 1-(4-бромфенил)-4-(пиперидин-4-ил)пиперазина (3,0 г, 8,3 ммоль, 1,0 экв.) в дихлорметане (10 мл), триэтиламин (2,0 г, 19,8 ммоль, 2,4 экв.), трет-бутил-2-бромацетат (2,3 г, 11,8 ммоль, 1,4 экв.). Полученный раствор перемешивали в течение ночи при комнатной температуре. Затем реакционную смесь гасили путем добавления 1 мл воды/льда. Полученный раствор экстрагировали дихлорметаном (20 мл ×2) и органические слои объединяли и высушивали над безводным сульфатом натрия и концентрировали под вакуумом. Остаток обрабатывали с помощью колонки с силикагелем с применением смеси этилацетат/петролейный эфир (1:0). Это обеспечивало получение 2,0 г (53%) трет-бутил-2-[4-[4-(4-бромфенил)пиперазин-1-ил]пиперидин-1-ил]ацетата в виде белого твердого вещества. LC/MS (ESI) масса/заряд: 440,30 [М+1]+.
[1113] Стадия 4: получение трет-бутил-2-(4-(4-(4-(4,4,5,5-тетраметил-1,3,2-диоксаборолан-2-ил)фенил)пиперазин-1-ил)пиперидин-1-ил)ацетата
[1114] В герметичную пробирку объемом 20-30 мл помещали раствор трет-бутил-2-[4-[4-(4-бромфенил)пиперазин-1-ил]пиперидин-1-ил]ацетата (2,0 г, 4,5 ммоль, 1,0 экв.) в диоксане (10 мл), 4,4,5,5-тетраметил-2-(4,4,5,5-тетраметил-1,3,2-диоксаборолан-2-ил)-1,3,2-диоксаборолан (2,3 г, 9,1 ммоль, 2,0 экв.), KOAc (874,6 мг, 8,9 ммоль, 2,0 экв.), Pd(dppf)Cl2 (700,6 мг, 0,9 ммоль, 0,2 экв.). Полученный раствор перемешивали в течение ночи при 85°С на масляной бане. Затем реакционную смесь гасили путем добавления 1 мл воды/льда. Полученный раствор экстрагировали этилацетатом (20 мл ×2) и органические слои объединяли и высушивали над безводным сульфатом натрия и концентрировали под вакуумом. Остаток обрабатывали с помощью колонки с силикагелем с применением смеси этилацетат/петролейный эфир (1:0). Это обеспечивало получение 630,0 мг (29%) трет-бутил-2-(4-[4-[4-(4,4,5,5-тетраметил-1,3,2-диоксаборолан-2-ил)фенил]пиперазин-1-ил]пиперидин-1-ил)ацетата в виде черного твердого вещества. LC/MS (ESI) масса/заряд: 486,25 [М+1]+.
[1115] Стадия 5: получение трет-бутил-(R)-2-(4-(4-(4-(3-(2,6-дифтор-3-((3-фторпирролидин)-1-сульфонамидо)бензоил)-1Н-пирроло[2,3-b]пиридин-5-ил)фенил)пиперазин-1-ил)пиперидин-1-ил)ацетата
[1116] В герметичную пробирку объемом 20-30 мл помещали раствор трет-бутил-2-(4-[4-[4-(4,4,5,5-тетраметил-1,3,2-диоксаборолан-2-ил)фенил]пиперазин-1-ил]пиперидин-1-ил)ацетата (630,0 мг, 1,3 ммоль, 1,0 экв.) в смеси диоксан/Н2О (4:1 мл), (3R)-N-(3-5-бром-1Н-пирроло[2,3-b]пиридин-3-карбонил-2,4-дифторфенил)-3-фторпирролидин-1-сульфонамид (300,0 мг, 0,6 ммоль, 0,5 экв.), Pd(dppf)Cl2 (46,9 мг), карбонат натрия (99,2 мг, 0,9 ммоль, 0,7 экв.). Полученный раствор перемешивали в течение 2 ч. при 105°С. Затем реакционную смесь гасили путем добавления 1 мл воды/льда. Полученный раствор экстрагировали этилацетатом (20 мл ×2) и органические слои объединяли и высушивали над безводным сульфатом натрия и концентрировали под вакуумом. Остаток обрабатывали с помощью колонки с силикагелем с применением смеси дихлорметан/метанол (10:1). Это обеспечивало получение 256,0 мг (25%) трет-бутил-2-[4-[4-(4-[3-[2,6-дифтор-3-([[(3R)-3-фторпирролидин-1-ил]сульфонил]амино)бензоил]-1Н-пирроло[2,3-b]пиридин-5-ил]фенил)пиперазин-1-ил]пиперидин-1-ил]ацетата в виде желтого твердого вещества. LC/MS (ESI) масса/заряд: 782,05 [М+1]+.
[1117] Стадия 6: получение (К)-2-(4-(4-(4-(3-(2,6-дифгор-3-((3-фторпирролидин)-1-сульфонамидо)бензоил)-1Н-пирроло[2,3-b]пиридин-5-ил)фенил)пиперазин- 1-ил)пиперидин- 1-ил)уксусной кислоты
[1118] В круглодонную колбу объемом 100 мл помещали раствор трет-бутил-2-[4-[4-(4-[3-[2,6-дифтор-3-([[(3R)-3-фторпирролидин-1-ил]сульфонил]амино)бензоил]-1Н-пирроло[2,3-b]пиридин-5-ил]фенил)пиперазин-1-ил]пиперидин-1-ил]ацетата (256,0 мг, 0,3 ммоль, 1,0 экв.) в дихлорметане (10 мл), трифторуксусной кислоте (2 мл). Полученный раствор перемешивали в течение ночи при комнатной температуре. Полученную смесь концентрировали под вакуумом. Это обеспечивало получение 120,0 мг (50%) 2-[4-[4-(4-[3-[2,6-дифтор-3-([[(3R)-3-фторпирролидин-1-ил]сульфонил]амино)бензоил]-1Н-пирроло[2,3-b]пиридин-5-ил]фенил)пиперазин-1-ил]пиперидин-1-ил]уксусной кислоты в виде желтого твердого вещества. LC/MS (ESI) масса/заряд: 726,15 [М+1]+.
[1119] Стадия 7: получение (2S,4R)-1-((S)-2-(2-(4-(4-(4-(3-(2,6-дифтор-3-(((R)-3-фторпирролидин)-1-сульфонамидо)бензоил)-1Н-пирроло[2,3-b]пиридин-5-ил)фенил)пиперазин-1-ил)пиперидин-1-ил)ацетамидо)-3,3-диметилбутаноил)-4-гидрокси-N-((S)-1-(4-(4-метилтиазол-5-ил)фенил)этил)пирролидин-2-карбоксамида 
[1120] В круглодонную колбу объемом 100 мл помещали раствор 2-[4-[4-(4-[3-[2,6-дифтор-3-([[(3R)-3-фторпирролидин-1-ил]сульфонил]амино)бензоил]-1Н-пирроло[2,3-b]пиридин-5-ил]фенил)пиперазин-1-ил]пиперидин-1-ил]уксусной кислоты (120,0 мг, 0,3 ммоль, 1,0 экв.) в N,N-диметилформамиде (5 мл), (2S,4R)-1-[(2S)-2-амино-3,3-диметилбутаноил]-4-гидрокси-N-[(1S)-1-[4-(4-метил-1,3-тиазол-5-ил)фенил]этил]пирролидин-2-карбоксамид (88,2 мг, 0,4 ммоль, 1,2 экв.), N,N-диизопропилэтиламин (64,1 мг, 1,0 ммоль, 3,0 экв.), гексафторфосфат (бензотриазол-1-илокси)трис(диметиламино)фосфония (87,8 мг). Полученный раствор перемешивали в течение 1 ч. при комнатной температуре. Затем реакционную смесь гасили путем добавления 1 мл воды/льда. Полученный раствор экстрагировали этилацетатом (20 мл × 2) и органические слои объединяли и высушивали над безводным сульфатом натрия и концентрировали под вакуумом. Неочищенный продукт очищали с помощью препаративной HPLC с получением 42,9 мг (23%) (2S,4R)-1-[(2S)-2-(2-[4-[4-(4-[3-[2,6-дифтор-3-([[(3R)-3-фторпирролидин-1-ил]сульфонил]амино)бензоил]-1Н-пирроло[2,3-b]пиридин-5-ил]фенил)пиперазин-1-ил]пиперидин-1-ил]ацетамидо)-3,3-диметилбутаноил]-4-гидрокси-N-[(1S)-1-[4-(4-метил-1,3-тиазол-5-ил)фенил]этил]пирролидин-2-карбоксамида в виде грязно-белого твердого вещества. LC/MS (ESI) масса/заряд: 1152,20 [М+1]+; 1Н ЯМР (400 МГц, DMSO-d6) δ 12,87 (brs, 1H), 9,96 (brs, 1H), 8,96 (d, J=2,1 Гц, 1H), 8,63 (d, J=2,3 Гц, 1H), 8,51 (s, 1H), 8,40 (d, J=7,6 Гц, 1H), 8,04 (s, 1H), 7,74 (d, J=9,6 Гц, 1H), 7,70-7,60 (m, 3H), 7,47-7,42 (m, 2H), 7,40-7,31 (m, 2H), 7,23 (t, J=8,9 Гц, 1H), 7,05 (d, J=8,5 Гц, 2H), 5,36-5,15 (m, 1H), 5,19 (s, 1H), 4,88 (t, J=7,1 Гц, 1H), 4,54-4,38 (m, 2H), 4,27-4,21 (m, 1H), 3,60-3,52 (m, 2H), 3,47-3,41 (m, 1H), 3,37-3,31 (m, 2H), 3,30-3,24 (m, 5H),3,03 (d, J=16,1 Гц, 1H), 2,89-2,80 (m, 3H), 2,70-2,55 (m, 5H), 2,34-2,03 (m, 7H), 1,87-1,72 (m, 3H), 1,47-1,37 (m, 6H), 0,93 (s, 9H).
[1121] Иллюстративный синтез (2S,4R)-1-((S)-2-(2-(4-(((3R,5S)-4-(4-(3-(2,6-дифтор-3-(((R)-3-фторпирролидин)-1-сульфонамидо)бензоил)-1Н-пирроло[2,3-b]пиридин-5-ил)фенил)-3,5-диметилпиперазин-1-ил)метил)пиперидин-1-ил)ацетамидо)-3,3-диметилбутаноил)-4-гидрокси-N-((S)-1-(4-(4-метилтиазол-5-ил)фенил)этил)пирролидин-2-карбоксамида (пример 360)
[1122] Стадия 1: получение трет-бутил-бис(2-гидроксипропил)карбамата
[1123] К раствору 1-(2-гидроксипропиламино)пропан-2-ола (10 г, 75,08 ммоль, 10 мл, 1 экв.) в тетрагидрофуране (200 мл) добавляли Вос-ангидрид (17,2 г, 78,84 ммоль, 18 мл, 1,05 экв.) и триэтиламин (22,8 г, 225,25 ммоль, 31,3 мл, 3 экв.). Смесь перемешивали при 15°С в течение 12 часов. В смесь выливали воду (400 мл) и перемешивали в течение 1 минуты. Водную фазу экстрагировали этилацетатом (200 мл × 3). Объединенную органическую фазу промывали солевым раствором (100 мл × 2), высушивали с помощью безводного сульфата натрия, фильтровали и концентрировали в вакууме. Остаток очищали с помощью хроматографии на силикагеле (петролейный эфир : этилацетат = от 10:1 до 2:1) с получением трет-бутил-N,N-бис(2-гидроксипропил)карбамата (14,7 г, 63,01 ммоль, выход 83%) в виде белого твердого вещества. LC/MS (ESI) масса/заряд: 256,1 [М+23]+.
[1124] Стадия 2: получение трет-бутил-бис(2-оксопропил)карбамата
[1125] К раствору оксалилхлорида (16,3 г, 128,5 ммоль, 3 экв.) в дихлорметане (100 мл) добавляли раствор диметилсульфоксида (13,4 г, 171,45 ммоль, 4 экв.) в дихлорметане (100 мл) по каплям при -70°С. Смесь перемешивали при -70°С в течение 0,5 часа. Раствор трет-бутил-N,N-бис(2-гидроксипропил)карбамата (10 г, 42,86 ммоль, 1 экв.) в дихлорметане (100 мл) добавляли по каплям к смеси и смесь перемешивали при -70°С в течение еще 0,5 часа. Затем к реакционной смеси добавляли триэтиламин (21,7 г, 214,31 ммоль, 5 экв.) при -70°С. Обеспечивали нагревание смеси до 15°С и перемешивали при 15°С в течение 2 часов. Реакционную смесь разбавляли водой (500 мл) и экстрагировали дихлорметаном (300 мл × 2). Объединенную органическую фазу промывали насыщенным солевым раствором (300 мл × 2), высушивали с помощью безводного сульфата натрия, фильтровали и концентрировали в вакууме. Остаток очищали с помощью хроматографии на силикагеле (петролейный эфир : этилацетат = от 10:1 до 2:1) с получением трет-бутил-N,N-диацетонилкарбамата (6,4 г, 27,91 ммоль, выход 65%) в виде бесцветного масла.
[1126] Стадия 3: получение трет-бутил-4-(4-бромфенил)-3,5-диметилпиперазин-1-карбоксилата
[1127] К раствору трет-бутил-N,N-диацетонилкарбамата (6,4 г, 27,91 ммоль, 1,2 .экв) и 4-броманилина (4 г, 23,26 ммоль, 1 экв.) в метаноле (70 мл) добавляли уксусную кислоту (7 мл). Смесь перемешивали при 15°С в течение 0,5 часа. Добавляли боран-2-метилпиридин (4,98 г, 46,52 ммоль, 2 экв.), затем смесь перемешивали при 15°С в течение 12 часов. Реакционную смесь разбавляли водой (120 мл) и экстрагировали этилацетатом (80 мл × 3). Объединенную органическую фазу промывали насыщенным солевым раствором (100 мл × 2), высушивали с помощью безводного сульфата натрия, фильтровали и концентрировали в вакууме. Остаток очищали с помощью хроматографии на силикагеле (петролейный эфир : этилацетат = от 20:1 до 5:1) с получением трет-бутил-4-(4-бромфенил)-3,5-диметилпиперазин-1-карбоксилата (8 г, 21,66 ммоль, выход 93%) в виде бесцветного масла. LC/MS (ESI) масса/заряд: 369,0 [М+1]+; 1Н ЯМР (400 МГц, CDCl3) δ 7,44-7,40 (m, 2Н), 7,00-6,94 (m, 2Н), 3,88 (s, 1Н), 3,49 (s, 1H), 3,11-2,97 (m, 2H), 2,93-2,77 (m, 2H), 1,50 (s, 9H), 0,79 (d, J=6,0 Гц, 6H).
[1128] Стадия 4: получение 1-(4-бромфенил)-2,6-диметилпиперазина
[1129] К раствору трет-бутил-4-(4-бромфенил)-3,5-диметилпиперазин-1-карбоксилата (8 г, 21,66 ммоль, 1 экв.) в дихлорметане (100 мл) добавляли 4 М хлористоводородную кислоту в диоксане (90 мл). Смесь перемешивали при 15°С в течение 2 часов. Реакционную смесь концентрировали при пониженном давлении с получением неочищенного продукта, 1-(4-бромфенил)-2,6-диметилпиперазина (6,6 г, 21,59 ммоль, выход 99%, гидрохлорид), в виде белого твердого вещества, применяемого на следующей стадии без дополнительной очистки.
[1130] Стадия 5: получение трет-бутил-4-((4-(4-бромфенил)-3,5-диметилпиперазин- 1-ил)метил)пиперидин-1-карбоксилата
[1131] К раствору 1-(4-бромфенил)-2,6-диметилпиперазина (6,6 г, 21,59 ммоль, 1 экв., гидрохлорид) в метаноле (100 мл) добавляли ацетат натрия (5,31 г, 64,78 ммоль, 3 экв.). Смесь перемешивали при 15°С в течение 10 мин. Добавляли трет-бутил-4-формилпиперидин-1-карбоксилат (5,99 г, 28,07 ммоль, 1,3 экв.), смесь перемешивали при 15°С в течение 20 мин. Добавляли цианоборогидрид натрия (2,71 г, 43,19 ммоль, 2 экв.), затем смесь перемешивали при 15°С в течение еще 12 часов. Реакционную смесь разбавляли водой (500 мл) и экстрагировали этилацетатом (300 мл × 2). Объединенную органическую фазу промывали насыщенным солевым раствором (300 мл × 2), высушивали с помощью безводного сульфата натрия, фильтровали и концентрировали при пониженном давлении. Остаток очищали с помощью хроматографии на силикагеле (петролейный эфир : этилацетат = от 10:1 до 3:1) с получением трет-бутил-4-[[4-(4-бромфенил)-3,5-диметилпиперазин-1-ил]метил]пиперидин-1-карбоксилата (6,6 г, 14,01 ммоль, выход 64%, чистота 99%) в виде белого твердого вещества. LC/MS (ESI) масса/заряд: 466,1 [М+1]+; 1Н ЯМР (400 МГц, CDCl3) δ 7,38 (d, J=8,0 Гц, 2Н), 6,89 (d, J=8,0 Гц, 2Н), 4,32 (d, J=6,0 Гц, 1H), 4,21 (s, 1H), 3,58-3,45 (m, 2H), 2,72 (s, 3H), 2,63 (d,J=8,8 Гц, 2H), 2,29 (dd, J=6,4, 10,4 Гц, 2H), 1,95-1,82 (m, 2H), 1,80-1,71 (m, 2H), 1,70-1,57 (m, 1H), 1,47 (s, 9H), 1,17-1,02 (m, 2H), 0,94 (d,J=6,0 Гц, 6H).
[1132] Стадия 6: получение 1-(4-бромфенил)-2,6-диметил-4-(пиперидин-4-илметил)пиперазина
[1133] К раствору трет-бутил-4-[[4-(4-бромфенил)-3,5-диметилпиперазин-1-ил]метил]пиперидин-1-карбоксилата (6,6 г, 14,15 ммоль, 1 экв.) в дихлорметане (50 мл) добавляли 4 М хлористоводородную кислоту в диоксане (50 мл, 14,13 экв.). Смесь перемешивали при 15°С в течение 2 часов. Реакционную смесь концентрировали при пониженном давлении. Неочищенный продукт растирали с этилацетатом (100 мл) с получением 1-(4-бромфенил)-2,6-диметил-4-(4-пиперидилметил)пиперазина (6 г, неочищенный, гидрохлорид) в виде белого твердого вещества.
[1134] Стадия 7: получение трет-бутил-2-(4-(((3R,5S)-4-(4-бромфенил)-3,5-диметилпиперазин-1-ил)метил)пиперидин-1-ил)ацетата
[1135] К раствору 1-(4-бромфенил)-2,6-диметил-4-(4-пиперидилметил)пиперазина (6 г, 14,90 ммоль, 1 же., гидрохлорид) в ацетонитриле (100 мл) добавляли диизопропилэтиламин (9,63 г, 74,48 ммоль, 12,9 мл, 5 экв.) и трет-бутил-2-бромацетат (2,91 г, 14,9 ммоль, 2,2 мл, 1 экв.). Смесь перемешивали при 80°С в течение 1,5 часа. Реакционную смесь разбавляли водой (200 мл) и экстрагировали этилацетатом (100 мл × 2). Объединенную органическую фазу промывали насыщенным солевым раствором (100 мл × 2), высушивали с помощью безводного сульфата натрия, фильтровали и концентрировали при пониженном давлении. Остаток очищали с помощью хроматографии на силикагеле (петролейный эфир : этилацетат = от 10:1 до 2:1) с получением трет-бутил-2-[4-[[(3S,5S)-4-(4-бромфенил)-3,5-диметилпиперазин-1-ил]метил]-1-пиперидил]ацетата (580 мг, 1,21 ммоль, выход 16%) в виде белого твердого вещества и 2-[4-[[(3R,5S)-4-(4-бромфенил)-3,5-диметилпиперазин-1-ил]метил]-1-пиперидил]ацетата (2,7 г, 5,62 ммоль, выход 75%) в виде белого твердого вещества. 1Н ЯМР (400 МГц, CDCl3) δ 7,39 (d, J=8,4 Гц, 2Н), 6,96 (d, J=8,4 Гц, 2Н), 3,22 (s, 2Н), 3,12 (s, 2Н), 2,95 (d, J=11,2 Гц, 2Н), 2,67 (d, J=10,4 Гц, 2H), 2,25-2,14 (m, 4Н), 2,09 (t, J=9,6 Гц, 2H), 1,77 (d,J=12,0 Гц, 2Н), 1,55-1,44 (m, 10Н), 1,40-1,27 (m, 2Н), 0,84 (d, J=6,0 Гц, 6Н).
[1136] Стадия 8: получение трет-бутил-2-(4-(((3R,5S)-4-(4-(3-(2,6-дифтор-3-(((R)-3-фтор-N-((2-(триметилсилил)этокси)метил)пирролидин)-1-сульфонамидо)бензоил)-1-((2-(триметилсилил)этокси)метил)-1Н-пирроло[2,3-b]пиридин-5-ил)фенил)-3,5-диметилпиперазин-1-ил)метил)пиперидин-1-ил)ацетата
[1137] Смесь трет-бутил-2-[4-[[(3R,5S)-4-(4-бромфенил)-3,5-диметилпиперазин-1-ил]метил]-1-пиперидил]ацетата (150 мг, 0,31 ммоль экв.), (3R)-N-[2,4-дифтор-3-[5-(4,4,5,5-тетраметил-1,3,2-диоксаборолан-2-ил)-1-(2-триметилсилилэтоксиметил)пирроло[2,3-b]пиридин-3-карбонил]фенил]-3-фтор-N-(2-триметилсилилэтоксиметил)пирролидин-1-сульфонамида (253 мг, 0,31 ммоль, 1 экв.), фторида цезия (190 мг, 1,25 ммоль, 4 экв.) и 4-ди-трет-бутилфосфанил-N,N-диметиланилин-дихлорпалладия (22 мг, 0,03 ммоль, 0,1 экв.) в диоксане (4 мл) и воде (0,4 мл) дегазировали и продували с помощью азота (3×) и затем смесь перемешивали при 95°С в течение 3 часов в атмосфере азота. Реакционную смесь разбавляли водой (15 мл) и экстрагировали этилацетатом (10 мл × 2). Объединенную органическую фазу промывали насыщенным солевым раствором (10 мл × 2), высушивали с помощью безводного сульфата натрия, фильтровали и концентрировали при пониженном давлении. Остаток очищали с помощью хроматографии на силикагеле (дихлорметан : метанол = от 100:1 до 50:1)) с получением трет-бутил-2-[4-[[(3S,5S)-4-[4-[3-[2,6-дифтор-3-[[(3R)-3-фторпирролидин-1-ил]сульфонил-(2-триметилсилилэтоксиметил)амино]бензоил]-1-(2-триметилсилилэтоксиметил)пирроло[2,3-b]пиридин-5-ил]фенил]-3,5-диметилпиперазин-1-ил]метил]-1-пиперидил]ацетата (170 мг, 0,15 ммоль, выход 50%) в виде светло-желтого твердого вещества. LC/MS (ESI) масса/заряд: 543,0 [М/2+1]+.
[1138] Стадия 9: получение метил-2-(4-(((3R,5S)-4-(4-(3-(2,6-дифтор-3-(((R)-3-фторпирролидин)-1-сульфонамидо)бензоил)-1Н-пирроло[2,3-b]пиридин-5-ил)фенил)-3,5-диметилпиперазин-1-ил)метил)пиперидин-1-ил)ацетата
[1139] К раствору трет-бутил-2-[4-[[(3R,5S)-4-[4-[3-[2,6-дифтор-3-[[(3R)-3-фторпирролидин-1-ил]сульфонил-(2-триметилсилилэтоксиметил)амино]бензоил]-1-(2-триметилсилилэтоксиметил)пирроло[2,3-b]пиридин-5-ил]фенил]-3,5-диметилпиперазин-1-ил]метил]-1-пиперидил]ацетата (170 мг, 0,15 ммоль, 1 экв.)в метаноле (4 мл) добавляли 4 М хлористоводородную кислоту в диоксане (8 мл). Смесь перемешивали при 40°С в течение 12 часов. Реакционную смесь концентрировали при пониженном давлении с удалением диоксана, метанола и хлористоводородной кислоты с получением неочищенного продукта, метил-2-[4-[[(3R,5S)-4-[4-[3-[2,6-дифтор-3-[[(3R)-3-фторпирролидин-1-ил]сульфониламино]бензоил]-1Н-пирроло[2,3-b]пиридин-5-ил]фенил]-3,5-диметилпиперазин-1-ил]метил]-1-пиперидил]ацетата (120 мг, 0,15 ммоль, выход 97%), в виде светло-желтого твердого вещества, применяемого на следующей стадии без дополнительной очистки. LC/MS (ESI) масса/заряд: 782,5 [М+1]+.
[1140] Стадия 10: получение 2-(4-(((3R,5S)-4-(4-(3-(2,6-дифтор-3-(((R)-3-фторпирролидин)-1-сульфонамидо)бензоил)-1Н-пирроло[2,3-b]пиридин-5-ил)фенил)-3,5-диметилпиперазин-1-ил)метил)пиперидин-1-ил)уксусной кислоты
[1141] К раствору метил-2-[4-[[(3R,5S)-4-[4-[3-[2,6-дифтор-3-[[(3R)-3-фторпирролидин-1-ил]сульфониламино]бензоил]-1Н-пирроло[2,3-b]пиридин-5-ил]фенил]-3,5-диметилпиперазин-1-ил]метил]-1-пиперидил]ацетата (120 мг, 0,15 ммоль, 1 экв.) в метаноле (3 мл) и воде (1 мл) добавляли моногидрат гидроксида лития (32 мг, 0,76 ммоль, 5 экв.). Смесь перемешивали при 40°С в течение 2 часов. Реакционную смесь концентрировали при пониженном давлении с удалением метанола. Смесь регулировали до рН 4~5 с помощью хлористоводородной кислоты (2 М) и концентрировали при пониженном давлении с удалением воды. Остаток очищали с помощью полупрепаративной HPLC с обращенной фазой с получением 2-[4-[[(3R,5S)-4-[4-[3-[2,6-дифтор-3-[[(3R)-3-фторпирролидин-1-ил]сульфониламино]бензоил]-1Н-пирроло[2,3-b]пиридин-5-ил]фенил]-3,5-диметилпиперазин-1-ил]метил]-1-пиперидил]уксусной кислоты (90 мг, 0,11 ммоль, выход 76%) в виде желтого твердого вещества. LC/MS (ESI) масса/заряд: 768,4 [М+1]+.
[1142] Стадия 11: получение (2S,4R)-1-((S)-2-(2-(4-(((3R,5S)-4-(4-(3-(2,6-дифтор-3-(((R)-3-фторпирролидин)-1-сульфонамидо)бензоил)-1Н-пирроло[2,3-b]пиридин-5-ил)фенил)-3,5-диметилпиперазин-1-ил)метил)пиперидин-1-ил)ацетамидо)-3,3-диметилбутаноил)-4-гидрокси-N-((S)-1-(4-(4-метилтиазол-5-ил)фенил)этил)пирролидин-2-карбоксамида
[1143] Смесь 2-[4-[[(3R,5S)-4-[4-[3-[2,6-дифтор-3-[[(3R)-3-фторпирролидин-1-ил]сульфониламино]бензоил]-1Н-пирроло[2,3-b]пиридин-5-ил]фенил]-3,5-диметилпиперазин-1-ил]метил]-1-пиперидил]уксусной кислоты (90 мг, 0,11 ммоль, 1 экв.), (2S,4R)-1-[(2S)-2-амино-3,3-диметилбутаноил]-4-гидрокси-N-[(1S)-1-[4-(4-метилтиазол-5-ил)фенил]этил]пирролидин-2-карбоксамида (56 мг, 0,11 ммоль, 1 экв., гидрохлорид), триэтиламина (23 мг, 0,23 ммоль, 2 экв.) и гидроксибензотриазола (19 мг, 0,14 ммоль, 1,2 экв.) в диметилформамиде (2 мл) перемешивали при 40°С в течение 0,5 часа. Добавляли гидрохлорид 1-(3-диметиламинопропил)-3-этилкарбодиимида (33 мг, 0,17 ммоль, 1,5 экв.) и затем смесь перемешивали при 40°С в течение 2,5 часа. Раствор очищали с помощью полупрепаративной HPLC с обращенной фазой с получением (2S,4R)-1-[(2S)-2-[[2-[4-[[(3R,5S)-4-[4-[3-[2,6-дифтор-3-[[(3R)-3-фторпирролидин-1-ил]сульфониламино]бензоил]-1Н-пирроло[2,3-b]пиридин-5-ил]фенил]-3,5-диметилпиперазин-1-ил]метил]-1-пиперидил]ацетил]амино]-3,3-диметилбутаноил]-4-гидрокси-N-[(1S)-1-[4-(4-метилтиазол-5-ил)фенил]этил]пирролидин-2-карбоксамида (66,1 мг, 0,05 ммоль, выход 44%, чистота 97%, формиат) в виде белого твердого вещества. LC/MS (ESI) масса/заряд: 597,8 [М/2+1]+; 1Н ЯМР (400 МГц, DMSO-d6) δ 12,92 (s, 1H), 8,99 (s, 1H), 8,68 (d, J=2,0 Гц, 1H), 8,57 (s, 1H), 8,44 (d, J=7,6 Гц, 1H), 8,19 (s, 1H), 8,07 (s, 1H), 7,78 (d, J=10,0 Гц, 1H), 7,67-7,59 (m, 3H), 7,49-7,42 (m, 2H), 7,40-7,35 (m, 2H), 7,26 (t, J=8,0 Гц, 1H), 7,08 (d,J=8,4 Гц, 2H), 5,39-5,21 (m, 1H), 4,91 (q, J=7,2 Гц, 1H), 4,52 (d, J=10,0 Гц, 1H), 4,46 (t, J=8,4 Гц, 1H), 4,30 (s, 1H), 3,69-3,56 (m, 3H), 3,33-3,25 (m, 6H), 3,08-3,00 (m, 2H), 2,94-2,79 (m, 3H), 2,46 (s, 3H), 2,44-2,37 (m, 2H), 2,21 (d,J=6,4 Гц, 3H), 2,17-1,94 (m, 6H), 1,88-1,72 (m, 3H), 1,68-1,51 (m, 1H), 1,40 (d, J=7,2 Гц, 3H), 1,31-1,16 (m, 2H), 1,03 (br d, J=6,0 Гц, 6H), 0,96 (s, 10H).
[1144] Иллюстративный синтез (2S,4R)-4-гидрокси- 1-((2-(2-(2-(2-(4-((2'-метил-5-морфолино-5'-(3-(трифторметил')бензамидо)-[3,3'-бипиридин]-6-ил)окси)пиперидин-1-ил)этокси)этокси)этокси)ацетил)-L-валил)-N-((S)-1-(4-(4-метилтиазол-5-ил)фенил)этил)пирролидин-2-карбоксамида (пример 346)
[1145] Стадия 1: получение трет-бутил-2-(2-(2-(2-гидроксиэтокси)этокси)этокси)ацетата
[1146] К раствору 2-[2-(2-гидроксиэтокси)этокси]этанола (38 г, 256,34 ммоль, 34 мл, 5 экв.) в тетрагидрофуране (200 мл) добавляли гидрид натрия (2,46 г, 61,52 ммоль, чистота 60%, 1,2 экв.) при 0°С в течение периода 1 ч. в атмосфере азота. Реакционную смесь перемешивали в течение 1 ч. Затем раствор трет-бутил-2-бромацетата (10 г, 51,27 ммоль, 7,58 мл, 1 экв.) в тетрагидрофуране (100 мл) добавляли по каплям в раствор при 0°С и реакционную смесь перемешивали в течение еще 12 ч. при 20°С. Смесь гасили водой (50 мл) и экстрагировали этилацетатом (50 мл × 3). Органический слой высушивали над сульфатом натрия и концентрировали. Остаток очищали с помощью хроматографии на силикагеле (петролейный эфир : этилацетат = от 10:1 до 1:1). трет-Бутил-2-[2-[2-(2-гидроксиэтокси)этокси]этокси]ацетат (3 г, 11,35 ммоль, выход 22%) получали в виде желтого масла. 1Н ЯМР (400 МГц, CDCl3) δ 4,02 (s, 2Н), 3,81-3,57 (m, 12Н), 2,61 (br s, 1H), 1,47 (s, 9H).
[1147] Стадия 2: получение трет-бутил-2-(2-(2-(2-(тозилокси)этокси)этокси)этокси)ацетата
[1148] К раствору трет-бутил-2-[2-[2-(2-гидроксиэтокси)этокси]этокси]ацетата (1 г, 3,78 ммоль, 1 экв.) в дихлорметане (20 мл) добавляли пара-толуолсульфонилхлорид (2,1 г, 11,35 ммоль, 3 экв.) и триэтиламин (1,9 г, 18,92 ммоль, 5 экв.), 4-диметиламинопиридин (462 мг, 3,78 ммоль, 1 экв.). Смесь перемешивали при 30°С в течение 12 ч. Смесь гасили водой (30 мл) и экстрагировали дихлорметаном (30 мл*3). Органический слой высушивали над сульфатом натрия и концентрировали. Остаток очищали с помощью хроматографии на силикагеле (петролейный эфир : этилацетат = от 10:1 до 1:1). трет-Бутил-2-[2-[2-[2-(п-толилсульфонилокси)этокси]этокси]этокси]ацетат (500 мг, 1,19 ммоль, выход 31%) получали в виде желтого масла. LC/MS (ESI) масса/заряд: 441,1 [М+23]+.
[1149] Стадия 3: получение трет-бутил-2-(2-(2-(2-(4-((2'-метил-5-морфолино-5'-(3-(трифторметил)бензамидо)-[3,3'-бипиридин]-6-ил)окси)пиперидин-1-ил)этокси)этокси)этокси)ацетата
[1150] К раствору трет-бутил-2-[2-[2-[2-(п-толилсульфонилокси)этокси]этокси]этокси]ацетата (200 мг, 0,477 ммоль, 1 экв.) в ацетонитриле (5 мл) добавляли N,N-диизопропилэтиламин (370 мг, 2,87 ммоль, 6 экв.), гидрохлорид N-[6-метил-5-[5-морфолино-6-(4-пиперидилокси)-3-пиридил]-3-пиридил]-3-(трифторметил)бензамида и йодид калия (79 мг, 0,477 ммоль, 1 экв.). Смесь перемешивали при 100°С в течение 12 ч. Смесь гасили водой (30 мл) и экстрагировали этилацетатом (30 мл*3). Органический слой высушивали над сульфатом натрия и концентрировали. Остаток очищали с помощью препаративной TLC (дихлорметан : метанол = 10:1). трет-Бутил-2-[2-[2-[2-[4-[[5-[2-метил-5-[[3-(трифторметил)бензоил]амино]-3-пиридил]-3-морфолино-2-пиридил]окси]-1-пиперидил]этокси]этокси]этокси]ацетат (200 мг, 0,253 ммоль, выход 53%) получали в виде желтого масла. LC/MS (ESI) масса/заряд: 788,2 [М+1]+.
[1151] Стадия 4: получение 2-(2-(2-(2-(4-((2'-метил-5-морфолино-5'-(3-(трифторметил)бензамидо)-[3,3'-бипиридин]-6-ил)окси)пиперидин-1-ил)этокси)этокси)этокси)уксусной кислоты
[1152] К раствору трет-бутил-2-[2-[2-[2-[4-[[5-[2-метил-5-[[3-(трифторметил)бензоил]амино]-3-пиридил]-3-морфолино-2-пиридил]окси]-1-пиперидил]этокси]этокси]этокси]ацетата (200 мг, 0,253 ммоль, 1 экв.) в дихлорметане (2 мл) добавляли трифторуксусную кислоту (578 мг, 5,08 ммоль, 20 экв.). Смесь перемешивали при 20°С в течение 12 ч. Смесь концентрировали. Остаток применяли на следующей стадии без дополнительной очистки. 2-[2-[2-[2-[4-[[5-[2-Метил-5-[[3-(трифторметил)бензоил]амино]-3-пиридил]-3-морфолино-2-пиридил]окси]-1-пиперидил]этокси]этокси]этокси]уксусную кислоту (200 мг, неочищенная, трифторуксусная кислота) получали в виде желтого масла. LC/MS (ESI) масса/заряд: 732,2 [М+1]+.
[1153] Стадия 5: получение (2S,4R)-4-гидрокси-1-((2-(2-(2-(2-(4-((2'-метил-5-морфолино-5'-(3-(трифторметил)бензамидо)-[3,3,-бипиридин]-6-ил)окси)пиперидин-1-ил)этокси)этокси)этокси)ацетил)-L-валил)-N-((S)-1-(4-(4-метилтиазол-5-ил)фенил)этил)пирролидин-2-карбоксамида
[1154] К раствору 2-[2-[2-[2-[4-[[5-[2-метил-5-[[3-(трифторметил)бензоил]амино]-3-пиридил]-3-морфолино-2-пиридил]окси]-1-пиперидил]этокси]этокси]этокси]уксусной кислоты (200 мг, 0,236 ммоль, 1 экв., трифторуксусная кислота) и (2S,4R)-1-[(2S)-2-амино-3,3-диметилбутаноил]-4-гидрокси-N-[(1S)-1-[4-(4-метилтиазол-5-ил)фенил]этил]пирролидин-2-карбоксамида (170 мг, 0,354 ммоль, 1,5 экв., гидрохлорид) в N,N-диметилформамиде (2 мл) добавляли гидроксибензотриазол (38 мг, 0,283 ммоль, 1,2 экв.) триэтиламин (119 мг, 1,18 ммоль, 5 экв.) и гидрохлорид 1-(3-диметиламинопропил)-3-этилкарбодиимида (68 мг, 0,354 ммоль, 1,5 экв.). Смесь перемешивали при 20°С в течение 12 ч. Смесь гасили водой (30 мл*3) и экстрагировали смесью дихлорметан/метанол (10:1, 30 мл*3). Органический слой высушивали над сульфатом натрия и концентрировали. Остаток очищали с помощью препаративной HPLC. (2S,4R)-1-[(2S)-3,3-Диметил-2-[[2-[2-[2-[2-[4-[[5-[2-метил-5-[[3-(трифторметил)бензоил]амино]-3-пиридил]-3-морфолино-2-пиридил]окси]-1-пиперидил]этокси]этокси]этокси]ацетил]амино]бутаноил]-4-гидрокси-N-[(1S)-1-[4-(4-метилтиазол-5-ил)фенил]этил]пирролидин-2-карбоксамид (136,7 мг, 0,107 ммоль, выход 45%, чистота 98%, 2 муравьиных кислоты) получали в виде желтого твердого вещества. LC/MS (ESI) масса/заряд: 1144,5 [М+1]+; 1Н ЯМР (400 МГц, DMSO-d6) δ 10,66 (s, 1H), 8,97 (s, 1Н), 8,84 (d, J=2,4 Гц, 1H), 8,43 (d, J=7,6 Гц, 1H), 8,32 (s, 1H), 8,28 (d, J=8,0 Гц, 1H), 8,16 (s, 2H), 8,03 (d, J=2,4 Гц, 1H), 7,99 (d, J=7,6 Гц, 1H), 7,84-7,74 (m, 2H), 7,46-7,32 (m, 5H), 7,20 (d, J=2,0 Гц, 1H), 5,19 (br s, 1H), 4,95- 4,85 (m, 1H), 4,55 (d, J=9,6 Гц, 1H), 4,44 (t, J=8,0 Гц, 1H), 4,28 (br s, 1H), 3,96 (s, 2H), 3,75 (br s, 4H), 3,67-3,49 (m, 12H), 3,09 (br s, 4H), 2,75-2,64 (m, 2H), 2,55 (br t, J=5,6 Гц, 1H), 2,44 (d, J=4,4 Гц, 9H), 2,09-1,94 (m, 3H), 1,82-1,70 (m, 3H), 1,37 (d, J=7,2 Гц, 3H), 0,94 (s, 9H).
[1155] Иллюстративный синтез N-(6'-((1-(2-(2-(2-((2-(2,6-диоксопиперидин-3-ил)-1-оксоизоиндолин-5-ил)окси)этокси)этокси)этил)пиперидин-4-ил)окси)-2-метил-5'-морфолино-[3,3'-бипиридин]-5-ил)-3-(трифторметил)бензамида (пример 356)
[1156] Стадия 1: получение 2-(2-(2-гидроксиэтокси)этокси)этил-4-метилбензолсульфоната
[1157] К смеси 2-[2-(2-гидроксиэтокси)этокси]этанола (5,00 г, 33,29 ммоль, 1,00 экв.) и 4-метилбензолсульфонилхлорида (1,59 г, 8,32 ммоль, 0,25 экв.) в дихлорметане (50 мл) одной порцией добавляли триэтиламин (1,68 г, 16,65 ммоль, 2,3 мл, 0,5 экв.) при 25°С в атмосфере азота. Смесь перемешивали при 25°С в течение 12 ч. Смесь промывали солевым раствором (30 мл × 2), высушивали с помощью безводного сульфата натрия, фильтровали и концентрировали в вакууме. Остаток очищали с помощью хроматографии на силикагеле (петролейный эфир/этилацетат = от 1/1 до 0:1) с получением 2-[2-(2-гидроксиэтокси)этокси]этил-4-метилбензолсульфоната (1,72 г, 5,65 ммоль, выход 17%) в виде бесцветного масла. 1Н ЯМР (400 МГц, CDCl3) δ 7,81 (d, J=8,3 Гц, 2Н), 7,35 (d, J=8,0 Гц, 2Н), 4,22-4,15 (m, 2Н), 3,79-3,67 (m, 4Н), 3,67-3,56 (m, 6Н), 2,46 (s, 3Н).
[1158] Стадия 2: получение трет-бутил-5-амино-4-(((бензилокси)карбонил)амино)-5-оксопентаноата
[1159] Смесь 2-(бензилоксикарбониламино)-5-трет-бутокси-5-оксопентановой кислоты (40 г, 118,56 ммоль, 1 экв.), пиридина (18,76 г, 237,13 ммоль, 2 экв.) и ди-трет-бутилдикарбоната (41,40 г, 189,70 ммоль, 1,6 экв.) в диоксане (400 мл) перемешивали при 0°С в течение 0,5 ч. Затем в реакционную смесь добавляли бикарбонат аммония (28,12 г, 355,69 ммоль, 3 экв.) при 0°С. Смесь перемешивали при 15°С в течение 12 ч. Смесь гасили путем добавления воды (1000 мл), экстрагировали этилацетатом (200 мл * 4), объединенную органическую фазу промывали солевым раствором (200 мл), высушивали над безводным сульфатом натрия, фильтровали и концентрировали при пониженном давлении. Остаток растирали со смесью петролейный эфир/этил ацетат (об./об.=3:1, 100 мл) и собирали путем фильтрации. Получали соединение трет-бутил-5-амино-4-(бензилоксикарбониламино)-5-оксопентаноат (35 г, 104,05 ммоль, выход 87%) в виде белого твердого вещества. 1Н ЯМР (400 МГц, CDCl3) δ 7,44-7,31 (m, 5Н), 6,34 (d, J=2,8 Гц, 1Н), 5,83-5,63 (m, 1H), 5,45 (s, 1H), 5,13 (s, 2H), 4,50-4,17 (m, 1H), 2,57-2,45 (m, 1H), 2,41-2,31 (m, 1H), 2,19-2,06 (m, 1H), 1,96 (d, J=7,2, 14,4 Гц, 1H), 1,49-1,43 (m, 9H).
[1160] Стадия 3: получение трет-бутил-4,5-диамино-5-оксопентаноата
[1161] К раствору трет-бутил-5-амино-4-(бензилоксикарбониламино)-5-оксопентаноата (30 г, 89,18 ммоль, 1 экв.) в метаноле (300 мл) добавляли палладий на угле (8 г, чистота 10%) в атмосфере азота. Суспензию дегазировали под вакуумом и продували водородом несколько раз. Смесь перемешивали в атмосфере водорода (45 фунтов/кв. дюйм) при 40°С в течение 12 часов. Смесь фильтровали и концентрировали при пониженном давлении. Остаток применяли на следующей стадии без дополнительной очистки. Получали соединение трет-бутил-4,5-диамино-5-оксопентаноат (17 г, 84,05 ммоль, выход 94%) в виде серого твердого вещества. 1Н ЯМР (400 МГц, DMSO-d6) δ 7,32 (s, 1Н), 6,98 (s, 1H), 3,10 (m, 1H), 3,04-2,58 (m, 2H), 2,24 (m, 2H), 1,84-1,70 (m, 1H), 1,65-1,50 (m, 1H), 1,40 (s, 9H).
[1162] Стадия 4: получение метил-4-((трет-бутилдиметилсилил)окси)-2-метилбензоата
[1163] К раствору метил-4-гидрокси-2-метилбензоата (5,00 г, 30,09 ммоль, 1,00 экв.) в диметилформамиде (100 мл) добавляли имидазол (6,15 г, 90,27 ммоль, 3,00 экв.). Смесь перемешивали при 15°С в течение 0,5 ч. и затем добавляли хлортриметилсилан (6,80 г, 45,14 ммоль, 5,5 мл, 1,50 экв.). Полученную смесь перемешивали при 15°С в течение еще 14,5 ч. Смесь выливали в насыщенный солевой раствор (300 мл) и затем экстрагировали этилацетатом (300 мл * 2). Объединенные органические слои промывали с помощью 1 М хлористоводородной кислоты (300 мл * 2), солевого раствора (300 мл * 3), высушивали над сульфатом натрия, фильтровали и концентрировали в вакууме с получением метил-4-[трет-бутил(диметил)силил]окси-2-метилбензоата (8,00 г, 28,53 ммоль, выход 95%) в виде бесцветного масла, которое применяли на следующей стадии без дополнительной очистки. LC/MS (ESI) масса/заряд: 281,2 [М+1]+.
[1164] Стадия 5: получение метил-2-(бромметил)-4-((трет-бутилдиметилсилил)окси)бензоата
[1165] К раствору метил-4-[трет-бутил(диметил)силил]окси-2-метилбензоата (3,00 г, 10,70 ммоль, 1,00 экв.) в тетрахлориде углерода (40 мл) добавляли N-бромсукцинимид (2,29 г, 12,84 ммоль, 1,20 экв.) и 2,2-азобисизобутиронитрил (88 мг, 0,54 ммоль, 0,05 экв.). Смесь перемешивали при 15°С в течение 0,5 ч., затем нагревали до 80°С и перемешивали при 80°С в течение еще 2,5 ч. Смесь выливали в воду (300 мл), органический слой отделяли. Водный слой экстрагировали дихлорметаном (200 мл * 2). Объединенные органические слои промывали насыщенным солевым раствором (300 мл * 3), высушивали над сульфатом натрия, фильтровали и концентрировали в вакууме с получением метил-2-(бромметил)-4-[трет-бутил(диметил)силил]оксибензоата (4,00 г, 8,39 ммоль, выход 78%, чистота 75%) в виде светло-желтого масла, которое непосредственно применяли на следующей стадии без дополнительной очистки. LC/MS (ESI) масса/заряд: 359,0/361,0 [М+1]+.
[1166] Стадия 6: получение трет-бутил-5-амино-4-(5-гидрокси-1-оксоизоиндолин-2-ил)-5-оксопентаноата
[1167] К смеси метил-2-(бромметил)-4-[трет-бутил(диметил)силил]оксибензоата (10 г, 27,83 ммоль, 1 экв.) и трет-бутил-4,5-диамино-5-оксопентаноата (5,63 г, 27,83 ммоль, 1 экв.) в ацетонитриле (150 мл) добавляли диизопропилэтиламин (14,39 г, 111,32 ммоль, 4 экв.). Смесь перемешивали при 80°С в течение 12 ч. Смесь гасили путем добавления воды (200 мл), экстрагировали этилацетатом (40 мл * 6), объединенную органическую фазу промывали солевым раствором (50 мл), высушивали над безводным сульфатом натрия, фильтровали и концентрировали при пониженном давлении. Остаток очищали с помощью препаративной HPLC с получением трет-бутил-5-амино-4-[5-[трет-бутил(диметил)силил]окси-1-оксоизоиндолин-2-ил]-5-оксопентаноата (3 г, 6,69 ммоль, выход 24%) в виде желтого масла и трет-бутил-5-амино-4-(5-гидрокси-1-оксоизоиндолин-2-ил)-5-оксопентаноата (4 г, 11,96 ммоль, выход 42%) в виде желтого твердого вещества.
[1168] Стадия 7: получение трет-бутил-5-амино-4-(5-(2-(2-(2-гидроксиэтокси)этокси)этокси)-1-оксоизоиндолин-2-ил)-5-оксопентаноата
[1169] К раствору 2-[2-(2-гидроксиэтокси)этокси]этил-4-метилбензолсульфоната (251 мг, 0,82 ммоль, 1,2 экв.) в N,N-диметилформамиде (4 мл) добавляли карбонат калия (285 мг, 2,06 ммоль, 3 экв.), йодид калия (114 мг, 0,68 ммоль, 1 экв.) и трет-бутил-5-амино-4-(5-гидрокси-1-оксоизоиндолин-2-ил)-5-оксопентаноат (230 мг, 0,68 ммоль, 1 экв.). Смесь перемешивали при 80°С в течение 1 часа. Раствор гасили водой (20 мл) и экстрагировали смесью дихлорметан/метанол =10:1 (20 мл × 8). Органический слой промывали насыщенным солевым раствором (20 мл × 1), высушивали над сульфатом натрия и фильтровали и концентрировали при пониженном давлении с получением остатка. Остаток очищали с помощью препаративной тонкослойной хроматографии (дихлорметан : метанол = 10:1) с получением трет-бутил-5-амино-4-[5-[2-[2-(2-гидроксиэтокси)этокси]этокси]-1-оксоизоиндолин-2-ил]-5-оксопентаноата (275 мг, 0,58 ммоль, выход 85%) в виде желтого масла. LC/MS (ESI) масса/заряд: 467,4 [М+1]+.
[1170] Стадия 8: получение трет-бутил-5-амино-5-оксо-4-(1-оксо-5-(2-(2-(2-(тозилокси)этокси)этокси)этокси)изоиндолин-2-ил)пентаноата
[1171] К раствору метансульфонилхлорида (224 мг, 1,18 ммоль, 2 экв.) в N,N-диметилформамиде (4 мл) добавляли триэтиламин (178 мг, 1,77 ммоль, 3 экв.) и диметиламинопиридин (14 мг, 0,11 ммоль, 0,2 экв.) и трет-бутил-5-амино-4-[5-[2-[2-(2-гидроксиэтокси)этокси]этокси]-1-оксоизоиндолин-2-ил]-5-оксопентаноат (275 мг, 0,58 ммоль, 1 экв.). Смесь перемешивали при 20°С в течение 1 часа. Раствор гасили водой (10 мл) и экстрагировали смесью дихлорметан : метанол = 10:1 (10 мл × 4). Органический слой высушивали над сульфатом натрия и фильтровали и концентрировали при пониженном давлении с получением остатка. Остаток очищали с помощью препаративной тонкослойной хроматографии (дихлорметан : метанол = 10:1) с получением трет-бутил-5-амино-5-оксо-4-[1-оксо-5-[2-[2-[2-(п-толилсульфонилокси)этокси]этокси]этокси]изоиндолин-2-ил]пентаноата (220 мг, 0,35 ммоль, выход 60%) в виде желтого масла. LC/MS (ESI) масса/заряд: 621,4 [М+1]+.
[1172] Стадия 9: получение трет-бутил-5-амино-4-(5-(2-(2-(2-(4-((2'-метил-5-морфолино-5'-(3-(трифторметил)бензамидо)-[3,3'-бипиридин]-6-ил)окси)пиперидин-1-ил)этокси)этокси)этокси)-1-оксоизоиндолин-2-ил)-5-оксопентаноата
[1173] К раствору N-[6-метил-5-[5-морфолино-6-(4-пиперидилокси)-3-пиридил]-3-пиридил]-3-(трифторметил)бензамида (204 мг, 0,35 ммоль, 1 экв., хлороводород) в ацетонитриле (5 мл) добавляли N,N-диизопропилэтиламин (137 мг, 1,06 ммоль, 3 экв.), и йодид калия (58 мг, 0,35 ммоль, 1 экв.), и трет-бутил-5-амино-5-оксо-4-[1-оксо-5-[2-[2-[2-(п-толилсульфонилокси)этокси]этокси]этокси]изоиндолин-2-ил]пентаноат (220 мг, 0,35 ммоль, 1 экв.). Смесь перемешивали при 100°С в течение 1 часа. Раствор гасили водой (10 мл) и экстрагировали смесью дихлорметан : метанол = 10:1 (10 мл × 3). Органический слой высушивали над сульфатом натрия и фильтровали и концентрировали при пониженном давлении с получением остатка. Остаток очищали с помощью препаративной тонкослойной хроматографии (дихлорметан : метанол = 10:1) с получением трет-бутил-5-амино-4-[5-[2-[2-[2-[4-[[5-[2-метил-5-[[3-(трифторметил)бензоил]амино]-3-пиридил]-3-морфолино-2-пиридил]окси]-1-пиперидил]этокси]этокси]этокси]-1-оксоизоиндолин-2-ил]-5-оксопентаноата (141 мг, 0,13 ммоль, выход 37%, чистота 93%), который получали в виде желтого масла. LC/MS (ESI) масса/заряд: 991,5 [М+1]+.
[1174] Стадия 10: получение N-(6'-((1-(2-(2-(2-((2-(2,6-диоксопиперидин-3-ил)-1-оксоизоиндолин-5-ил)окси)этокси)этокси)этил)пиперидин-4-ил)окси)-2-метил-5'-морфолино-[3,3'-бипиридин]-5-ил)-3-(трифторметил)бензамида
[1175] К раствору трет-бутил-5-амино-4-[5-[2-[2-[2-[4-[[5-[2-метил-5-[[3-(трифторметил)бензоил]амино]-3-пиридил]-3-морфолино-2-пиридил]окси]-1-пиперидил]этокси]этокси]этокси]-1-оксоизоиндолин-2-ил]-5-оксопентаноата (141 мг, 0,14 ммоль, 1 экв.) в ацетонитриле (1 мл) добавляли бензолсульфоновую кислоту (80 мг, 0,42 ммоль, 3 экв.). Смесь перемешивали при 100°С в течение 1 часа. Раствор гасили водой (10 мл) и экстрагировали смесью дихлорметан : метанол = 10:1 (10 мл × 3). Органический слой высушивали над сульфатом натрия и фильтровали и концентрировали при пониженном давлении с получением остатка. Остаток очищали с помощью препаративной тонкослойной хроматографии (дихлорметан : метанол = 10:1) с получением N-[5-[6-[[1-[2-[2-[2-[2-(2,6-диоксо-3-пиперидил)-1-оксоизоиндолин-5-ил]оксиэтокси]этокси]этил]-4-пиперидил]окси]-5-морфолино-3-пиридил]-6-метил-3-пиридил]-3-(трифторметил)бензамида (54,1 мг, 0,057 ммоль, выход 40%, чистота 97%), который получали в виде белого твердого вещества. LC/MS (ESI) масса/заряд: 916,3 [М+1]+; 1Н ЯМР (400 МГц, DMSO-d6) δ 10,94 (s, 1Н), 10,65 (s, 1H), 8,84 (s, 1H), 8,36-8,23 (m, 2H), 8,08-7,94 (m, 2H), 7,87-7,74 (m, 2H), 7,61 (d, J=8,8 Гц, 1H), 7,24-7,14 (m, 2H), 7,06 (d, J=8,4 Гц, 1H), 5,20 (s, 1H), 5,06 (dd, J=5,2, 13,2 Гц, 1H), 4,39-4,17 (m, 4H), 3,84-3,73 (m, 6H), 3,66-3,50 (m, 6H), 3,09 (s, 5H), 2,59 (s, 4H), 2,45-2,36 (m, 7H), 1,99 (s, 3H), 1,75 (s, 2H), 1,82-1,68 (m, 1H).
[1176] Иллюстративный синтез N-(6'-(4-(2-(2-(2-((2-(2,6-диоксопиперидин-3-ил)-1,3-диоксоизоиндолин-5-ил)окси)этокси)этокси)этокси)фенокси)-2-метил-5'-морфолино-[3,3'-бипиридин]-5-ил)-3-(трифторметил)бензамида (пример 468)
[1177] Стадия 1: получение N-(2-метил-5'-морфолино-6'-(4-((тетрагидро-2Н-пиран-2-ил)окси)фенокси)-[3,3'-бипиридин]-5-ил)-3-(трифторметил)бензамида
[1178] К смеси 4-тетрагидропиран-2-илоксифенола (949 мг, 4,89 ммоль, 1,5 экв.) в 1-метил-2-пирролидиноне (15 мл) одной порцией добавляли трет-бутоксид калия (731 мг, 6,52 ммоль, 2 экв.) и N-[5-(6-фтор-5-морфолино-3-пиридил)-6-метил-3-пиридил]-3-(трифторметил)бензамид (1,5 г, 3,26 ммоль, 1 экв.) при 15°С. Смесь перемешивали при 140°С в условиях микроволнового излучения в течение 2 ч. Смесь промывали водой (50 мл). Водный слой экстрагировали этилацетатом (30 мл × 7). Все объединенные органические слои промывали солевым раствором, высушивали над сульфатом натрия, фильтровали и концентрировали. Остаток очищали с помощью препаративной высокоэффективной жидкостной хроматографии с получением коричневого твердого вещества. N-[6-Метил-5-[5-морфолино-6-(4-тетрагидропиран-2-илоксифенокси)-3-пиридил]-3-пиридил]-3-(трифторметил)бензамид (600 мг, 0,94 ммоль, выход 29%) получали в виде коричневого твердого вещества. LC/MS (ESI) масса/заряд: 635,1 [М+1]+.
[1179] Стадия 2: получение N-(6'-(4-гидроксифенокси)-2-метил-5'-морфолино-[3,3'-бипиридин]-5-ил)-3-(трифторметил)бензамида
[1180] К смеси N-[6-метил-5-[5-морфолино-6-(4-тетрагидропиран-2-илоксифенокси)-3-пиридил]-3-пиридил]-3-(трифторметил)бензамида (200 мг, 0,31 ммоль, 1 экв.) в дихлорметане (5 мл) добавляли смесь хлористоводородная кислота/диоксан (4 М, 2 мл, 20 экв.). Смесь перемешивали при 15°С в течение 30 мин. Смесь концентрировали при пониженном давлении. Остаток применяли на следующей стадии без дополнительной очистки. Соединение, N-[5-[6-(4-гидроксифенокси)-5-морфолино-3-пиридил]-6-метил-3-пиридил]-3-(трифторметил)бензамид (200 мг, неочищенный, гидрохлорид), получали в виде коричневого твердого вещества.
[1181] Стадия 3: получение N-(6'-(4-(2-(2-(2-бромэтокси)этокси)этокси)фенокси)-2-метил-5'-морфолино-[3,3'-бипиридин]-5-ил)-3-(трифторметил)бензамида
[1182] К раствору N-[5-[6-(4-гидроксифенокси)-5-морфолино-3-пиридил]-6-метил-3-пиридил]-3-(трифторметил)бензамида (200 мг, 0,36 ммоль, 1 экв.) в ацетонитриле (5 мл) добавляли карбонат калия (151 мг, 1,09 ммоль, 3 экв.) и 1,2-бис(2-бромэтокси)этан (250,64 мг, 908,22 мкмоль, 2,5 экв.). Смесь перемешивали при 60°С в течение 2 ч. Реакционную смесь фильтровали и фильтрат концентрировали. Остаток очищали с помощью препаративной TLC (дихлорметан : метанол = 10:1). Соединение, N-[5-[6-[4-[2-[2-(2-бромэтокси)этокси]этокси]фенокси]-5-морфолино-3-пиридил]-6-метил-3-пиридил]-3-(трифторметил)бензамид (160 мг, 0,21 ммоль, выход 59%), получали в виде желтого твердого вещества. LC/MS (ESI) масса/заряд: 747,0 [М+1]+.
[1183] Стадия 4: получение 2-(2,6-диоксопиперидин-3-ил)-5-гидроксиизоиндолин-1,3-диона
[1184] К раствору 3-аминопиперидин-2,6-диона (4,1 г, 24,7 ммоль, 1,50 экв., HCl-соль) в уксусной кислоте (45 мл) добавляли ацетат натрия (4,1 г, 49,4 ммоль, 3,00 экв.), затем смесь перемешивали при 25°С в течение 1 ч. Затем в смесь добавляли 4-гидроксифталевую кислоту (3,0 г, 16,5 ммоль, 1,00 экв.) и нагревали до 120°С, перемешивали в течение дополнительных 11 ч. Смесь концентрировали и затем выливали в воду (20 мл), а затем фильтровали. Неочищенный продукт очищали с помощью колоночной хроматографии (дихлорметан : метанол = от 50:1 до 10:1) с получением 2-(2,6-диоксо-3-пиперидил)-5-гидроксиизоиндолин-1,3-диона (3,9 г, 14,3 ммоль, выход 86%) в виде бесцветного твердого вещества. LC/MS (ESI) масса/заряд: 275 [М+1]+; 1Н ЯМР (400 МГц, CDCl3) δ 11,19-10,94 (m, 2Н), 7,75 (d, J=8,0 Гц, 1Н), 7,20-7,08 (m, 2H), 5,08 (dd, J=5,2, 12,8 Гц, 1H), 3,34 (br s, 1H), 2,95-2,81 (m, 1H), 2,64-2,55 (m, 1H), 2,08-1,98 (m, 1H).
[1185] Стадия 5: получение N-(6'-(4-(2-(2-(2-((2-(2,6-диоксопиперидин-3-ил)-1,3-диоксоизоиндолин-5-ил)окси)этокси)этокси)этокси)фенокси)-2-метил-5'-морфолино-[3,3'-бипиридин]-5-ил)-3-(трифторметил)бензамида
[1186] К раствору N-[5-[6-[4-[2-[2-(2-бромэтокси)этокси]этокси]фенокси]-5-морфолино-3-пиридил]-6-метил-3-пиридил]-3-(трифторметил)бензамида (80 мг, 0,11 ммоль, 1 экв.) в диметилформамиде (2 мл) добавляли карбонат калия (44 мг, 0,32 ммоль, 3 экв.) и 2-(2,6-диоксо-3-пиперидил)-5-гидроксиизоиндолин-1,3-дион (44 мг, 0,16 ммоль, 1,5 экв.). Смесь перемешивали при 60°С в течение 2 часов. Реакционную смесь фильтровали и фильтрат концентрировали. Остаток очищали с помощью препаративной HPLC. Соединение, N-[5-[6-[4-[2-[2-[2-[2-(2,6-диоксо-3-пиперидил)-1,3-диоксоизоиндолин-5-ил]оксиэтокси]этокси]этокси]фенокси]-5-морфолино-3-пиридил]-6-метил-3-пиридил]-3-(трифторметил)бензамид (25,8 мг, 0,02 ммоль, выход 25%, чистота 97%), получали в виде серого твердого вещества. LC/MS (ESI) масса/заряд: 939,2 [М+1]+; 1Н ЯМР (400 МГц, DMSO-d6) δ 11,10 (d, J=1,0 Гц, 1H), 10,73-10,60 (m, 1H), 8,85 (d, J=2,4 Гц, 1H), 8,32 (s, 1H), 8,28 (d, J=7,7 Гц, 1H), 8,05 (d, J=2,3 Гц, 1H), 7,99 (d, J=8,0 Гц, 1H), 7,86-7,77 (m, 2H), 7,71 (d, J=2,1 Гц, 1H), 7,46 (d, J=2,2 Гц, 1H), 7,41-7,33 (m, 2H), 7,13-7,05 (m, 2H), 7,00-6,93 (m, 2H), 5,11 (dd, J=5,6, 12,9 Гц, 1H), 4,32 (dd, J=3,6, 5,2 Гц, 2H), 4,16- 4,02 (m, 2H), 3,84-3,79 (m, 2H), 3,78-3,73 (m, 6H), 3,64 (s, 4H), 3,56 (d, J=8,8 Гц, 1H), 3,48-3,37 (m, 1H), 3,21-3,17 (m, 3H), 2,94-2,81 (m, 1H), 2,60 (d, J=2,4 Гц, 1H), 2,44 (s, 3H), 2,08-1,98 (m, 1H).
[1187] Иллюстративный синтез (2S,4R)-1-((S)-2-(2-(4-((1-(4-(3-(2,6-дифтор-3-(((R)-3-фторпирролидин)-1-сульфонамидо)бензоил)-1Н-пирроло[2,3-b]пиридин-5-ил)фенил)пиперидин-4-ил)метил)пиперазин-1-ил)ацетамидо)-3,3-диметилбутаноил)-4-гидрокси-N-((S)-1-(4-(4-(гидроксиметил)тиазол-5-ил)фенил)этил)пирролидин-2-карбоксамида (пример 498)
[1188] Стадия 1: получение (1-(4-бромфенил)пиперидин-4-ил)метанола
[1189] К раствору 4-пиперидилметанола (100 г, 868 ммоль, 1 экв.), 1-бром-4-йодбензола (245 г, 868 ммоль, 1 экв.), L-пролина (40 г, 347 ммоль, 0,4 экв.) в диметилсульфоксиде (1,8 л) добавляли йодид меди(I) (33 г, 173 ммоль, 0,2 экв.) и карбонат калия (240 г, 1,74 моль, 2 экв.). Смесь дегазировали в вакууме и продували азотом 3 раза. Затем смесь нагревали до 90°С в течение 12 часов в атмосфере азота. Реакционную смесь выливали в 1,0 л воды и перемешивали в течение 1 часа. Затем смесь экстрагировали этилацетатом (1000 мл * 3). Объединенные органические слои промывали солевым раствором (1 л * 3), высушивали над безводным сульфатом натрия, фильтровали и концентрировали при пониженном давлении. Остаток очищали с помощью колоночной хроматографии на силикагеле (петролейный эфир/этил ацетат = от 10:1 до 3:1). [1-(4-Бромфенил)-4-пиперидил]метанол (120 г, 444 ммоль, выход 51%) получали в виде белого твердого вещества. 1Н ЯМР (400 МГц, DMSO-d6) δ 7,46-7,28 (m, 2Н), 6,88-6,75 (m, 2Н), 4,49 (t, J=5,2 Гц, 1H), 3,69-3,66 (m, 2H), 3,28 (t, J=6,0 Гц, 2H), 2,66-2,60 (m, 2H), 1,75-1,70 (m, 2H), 1,52-1,51 (m, 1H), 1,24-1,18 (m, 2H).
[1190] Стадия 2: получение 1-(4-бромфенил)пиперидин-4-карбальдегида
[1191] К раствору оксалилхлорида (140,94 г, 1,11 моль, 3 экв.) в дихлорметане (550 мл) добавляли по каплям раствор диметилсульфоксида (115,68 г, 1,48 моль, 4 экв.) в дихлорметане (550 мл) при -68°С в течение периода 0,5 часа в атмосфере азота. Смесь перемешивали при -68°С в течение получаса и затем добавляли по каплям раствор [1-(4-бромфенил)-4-пиперидил]метанола (100 г, 370,14 ммоль, 1 экв.) в дихлорметане (1000 мл) при -68°С. Смесь перемешивали при -68°С в течение еще 0,5 часа. В реакционную смесь добавляли по каплям триэтиламин (299,64 г, 2,96 моль, 8 экв.) при -68°С. Полученную смесь перемешивали при -68°С в течение 2 часов. Реакционную смесь гасили хлоридом аммония 500 мл при 25°С и экстрагировали этилацетатом (600 мл × 3). Объединенные органические слои промывали солевым раствором (400 мл × 3), высушивали над безводным сульфатом натрия, фильтровали и концентрировали при пониженном давлении. Остаток растирали с петролейным эфиром (300 мл). 1-(4-Бромфенил)пиперидин-4-карбальдегид (93 г, 346,82 ммоль, выход 93%) получали в виде желтого твердого вещества. 1Н ЯМР (400 МГц, CDCl3) δ 9,72 (s, 1H), 7,54-7,34 (m, 2,0 Н), 6,85-6,74 (m, 2,0 Н), 3,61-3,56 (m, 2Н), 2,91-2,86 (m, 2Н), 2,48-2,33 (m, 1H), 2,07-2,04 (m, 2H), 1,82-1,80 (m, 2H).
[1192] Стадия 3: получение 1-(4-бромфенил)-4-(диметоксиметил)пиперидина
[1193] К раствору 1-(4-бромфенил)пиперидин-4-карбальдегида (370 г, 1,38 моль, 1 экв.) в метиловом спирте (1200 мл) добавляли триметоксиметан (732,14 г, 6,90 моль, 5 экв.) и гидрат 4-метилбензолсульфоновой кислоты (52,49 г, 275,97 ммоль, 0,2 экв.). Смесь перемешивали при 25°С в течение 12 часов. Реакционную смесь гасили путем добавления 500 мл бикарбоната натрия при 25°С и экстрагировали дихлорметаном (500 мл × 3). Объединенные органические слои промывали солевым раствором (300 мл × 3), высушивали над безводным сульфатом натрия, фильтровали и концентрировали при пониженном давлении. Остаток растирали с петролейным эфиром и этилацетатом (1,5 л, петролейный эфир : этилацетат = 20:1). 1-(4-Бромфенил)-4-(диметоксиметил)пиперидин (366 г, 1,16 моль, выход 84%) получали в виде красного твердого вещества. Маточную жидкость (45 г) дополнительно очищали с помощью флэш-хроматографии. 1Н ЯМР (400 МГц, CDCl3) δ 7,52-7,33 (m, 2 Н), 6,83-6,70 (m, 2 Н), 4,10 (dd, J=2,4 Гц, J=7,2 Гц, 1Н), 3,69-3,66 (m, 2H), 3,40 (s, 6H), 2,71-2,65 (m, 2H), 1,88-1,87 (m, 2H), 1,85-1,84 (m, 1H), 1,48-1,44 (m, 2H).
[1194] Стадия 4: получение 4-(диметоксиметил)-1-(4-(4,4,5,5-тетраметил-1,3,2-диоксаборолан-2-ил)фенил)пиперидина
[1195] 1-(4-Бромфенил)-4-(диметоксиметил)пиперидин (1 г, 3,18 ммоль, 1 экв.), 4,4,5,5-тетраметил-2-(4,4,5,5-тетраметил-1,3,2-диоксаборолан-2-ил)-1,3,2-диоксаборолан (969 мг, 3,82 ммоль, 1,2 экв.), ди-трет-бутил(циклопентил)фосфан-дихлорпалладий-железо (207 мг, 0,31 ммоль, 0,1 экв.) и ацетат калия (624 мг, 6,37 ммоль, 2 экв.) в диоксане (10 мл) дегазировали и затем нагревали до 100°С в течение 12 часов в атмосфере азота. Реакционную смесь разбавляли этилацетатом (50 мл), фильтровали и концентрировали при пониженном давлении. Остаток очищали с помощью колоночной хроматографии на силикагеле (петролейный эфир/этилацетат = от 50/1 до 10/1). 4-(Диметоксиметил)-1-[4-(4,4,5,5-тетраметил-1,3,2-диоксаборолан-2-ил)фенил]пиперидин (500 мг, 1,38 ммоль, выход 43%) получали в виде белого твердого вещества. LC/MS (ESI) масса/заряд: 362,2 [М+1]+; 1Н ЯМР (400 МГц, CDCl3) δ 7,71 (d, J=8,8 Гц, 2Н), 6,92 (d, J=8,8 Гц, 2Н), 4,08 (d, J=6,9 Гц, 1Н), 3,85 (d, J=12,5 Гц, 2H), 3,39 (s, 6H), 2,75 (dt, J=2,2, 12,5 Гц, 2H), 1,91-1,75 (m, 3Н), 1,49-1,38 (m, 2H), 1,35 (s, 12H).
[1196] Стадия 5: получение (R)-N-(3-(5-(4-(4-(диметоксиметил)пиперидин-1-ил)фенил)-1-((2-(триметилсилил)этокси)метил)-1Н-пирроло[2,3-b]пиридин-3-карбонил)-2,4-дифторфенил)-3-фтор-N-((2-(триметилсилил)этокси)метил)пирролидин-1-сульфонамида
[1197] 4-(Диметоксиметил)-1-[4-(4,4,5,5-тетраметил-1,3,2-диоксаборолан-2-ил)фенил]пиперидин (800 мг, 2,21 ммоль, 1 экв.), (3R)-N-[3-[5-бром-l-(2-триметилсилилэтоксиметил)пирроло[2,3-b]пиридин-3-карбонил]-2,4-дифторфенил]-3-фтор-N-(2-триметилсилилэтоксиметил)пирролидин-1-сульфонамид (1,69 г, 2,21 ммоль, 1 экв.), фторид цезия (1,35 г, 8,86 ммоль, 4 экв.) и 4-ди-трет-бутилфосфанил-N,N-диметиланилин-дихлорпалладий (156 мг, 0,22 ммоль, 0,1 экв.) в диоксане (15 мл) и воде (1,5 мл) дегазировали и затем нагревали до 85°С в течение 12 часов в атмосфере азота. Реакционную смесь разбавляли водой (50 мл) и экстрагировали этилацетатом (50 мл × 3). Объединенные органические слои промывали солевым раствором (50 мл × 3), высушивали над безводным сульфатом натрия, фильтровали и концентрировали при пониженном давлении. Остаток очищали с помощью колоночной хроматографии на силикагеле (петролейный эфир/этилацетат = от 50/1 до 5/1). (3R)-N-[3-[5-[4-[4-(Диметоксиметил)-1-пиперидил]фенил]-1-(2-триметилсилилэтоксиметил)пирроло[2,3-b]пиридин-3-карбонил]-2,4-дифторфенил]-3-фтор-N-(2-триметилсилилэтоксиметил)пирролидин-1-сульфонамид (1,5 г, 1,63 ммоль, выход 73%) получали в виде желтого твердого вещества. LC/MS (ESI) масса/заряд: 918,1 [М+1]+; 1Н ЯМР (400 МГц, DMSO-d6) δ 8,72 (d, J=2,0 Гц, 1Н), 8,55 (s, 1H), 8,34 (s, 1H), 7,77 (dt, J=6,0, 8,8 Гц, 1H), 7,59 (d, J=8,8 Гц, 2H), 7,43-7,36 (m, 1H), 7,06 (d, J=8,8 Гц, 2H), 5,68 (s, 2H), 5,43-5,21 (m, 1H), 5,01 4,89 (m, 2H), 4,12-4,07 (m, 1H), 3,81 (d, J=12,4 Гц, 2H), 3,68-3,61 (m, 2H), 3,57 (t, J=8,0 Гц, 2H), 3,50 (s, 1H), 3,45-3,38 (m, 2H), 3,30-3,25 (m, 7H), 2,20- 2,00 (m, 2H), 1,78-1,66 (m, 3H), 1,42-1,27 (m, 2H), 1,21-1,13 (m, 1H), 0,91-0,77 (m, 4H), -0,02 (s, 9H), -0,09 - -0,14 (m, 9H).
[1198] Стадия 6: получение (R)-N-(3-(5-(4-(4-(диметоксиметил)пиперидин-1-ил)фенил)-1Н-пирроло[2,3-b]пиридин-3-карбонил)-2,4-дифторфенил)-3-фторпирролидин- 1-сульфонамида
[1199] К раствору (3S)-N-[3-[5-[4-[4-(диметоксиметил)-1-пиперидил]фенил]-1-(2-триметилсилилэтоксиметил)пирроло[2,3-b]пиридин-3-карбонил]-2,4-дифторфенил]-3-фтор-N-(2-триметилсилилэтоксиметил)пирролидин-1-сульфонамида (1,4 г, 1,52 ммоль, 1 экв.) в метаноле (10 мл) добавляли хлористоводородную кислоту (4 M в диоксане, 20 мл). Реакционную смесь перемешивали при 50°С в течение 24 ч. Реакционную смесь концентрировали при пониженном давлении. (3R)-N-[3-[5-[4-[4-(Диметоксиметил)-1-пиперидил]фенил]-1Н-пирроло[2,3-b]пиридин-3-карбонил]-2,4-дифторфенил]-3-фторпирролидин-1-сульфонамид (900 мг, 1,37 ммоль, выход 89%) получали в виде желтого твердого вещества. LC/MS (ESI) масса/заряд: 658,1 [М+1]+.
[1200] Стадия 7: получение (R)-N-(2,4-дифтор-3-(5-(4-(4-формилпиперидин-1-ил)фенил)-1Н-пирроло[2,3-b]пиридин-3-карбонил)фенил)-3-фторпирролидин-1-сульфонамида
[1201] К раствору (3R)-N-[3-[5-[4-[4-(диметоксиметил)-1-пиперидил]фенил]-1Н-пирроло[2,3-b]пиридин-3-карбонил]-2,4-дифторфенил]-3-фторпирролидин-1-сульфонамида (900 мг, 1,37 ммоль, 1 экв.) в тетрагидрофуране (18 мл) добавляли серную кислоту (3 М, 18 мл, 40 экв.). Реакционную смесь перемешивали при 50°С в течение 0,5 часа. рН регулировали до 8 с помощью гидроксида натрия (1 M в воде), затем экстрагировали этилацетатом (50 мл × 3). Объединенные органические слои промывали солевым раствором (100 мл × 2), высушивали над безводным сульфатом натрия, фильтровали и концентрировали при пониженном давлении. Остаток растирали с этилацетатом (15 мл). (3R)-N-[2,4-Дифтор-3-[5-[4-(4-формил-1-пиперидил)фенил]-1Н-пирроло[2,3-b]пиридин-3-карбонил]фенил]-3-фторпирролидин-1-сульфонамид (710 мг, 1,16 ммоль, выход 84%) получали в виде желтого твердого вещества. LC/MS (ESI) масса/заряд: 630,1 [М+19]+; 1Н ЯМР (400 МГц, DMSO-d6) δ 12,91 (s, 1H), 9,87 (s, 1H), 9,65 (s, 1H), 8,76-8,46 (m, 2H), 8,23-8,01 (m, 1H), 7,72-7,51 (m, 3H), 7,35-7,22 (m, 1H), 7,15-6,97 (m, 2H), 5,48- 5,13 (m, 1H), 3,70 (d, J=12,8 Гц, 2H), 3,60 (t, J=6,0 Гц, 1H), 3,48 (s, 1H), 3,36-3,24 (m, 2H), 2,98-2,83 (m, 2H), 2,09 (dd, J=7,6, 12,8 Гц, 1H), 1,99-1,87 (m, 3H), 1,75 (t, J=6,4 Гц, 1H), 1,67-1,51 (m,2H), 0,91-0,75 (m, 2H).
[1202] Стадия 8: получение трет-бутил-(S)-(1-(4-(4,4,5,5-тетраметил-1,3,2-диоксаборолан-2-ил)фенил)этил)карбамата
[1203] К раствору трет-бутил-N-[(1S)-1-(4-бромфенил)этил]карбамата (5 г, 16,66 ммоль, 1 экв.) и 4,4,5,5-тетраметил-2-(4,4,5,5-тетраметил-1,3,2-диоксаборолан-2-ил)-1,3,2-диоксаборолана (5,08 г, 19,99 ммоль, 1,2 экв.) в диоксане (100 мл) добавляли [1,1'-бис(дифенилфосфино)ферроцен]дихлорпалладий(II) (974,98 мг, 1,33 ммоль, 0,08 экв.) и ацетат калия (3,27 г, 33,31 ммоль, 2 экв.). Смесь перемешивали при 90°С в течение 2 часов. Реакционную смесь концентрировали с получением неочищенного продукта. Неочищенный продукт очищали с помощью хроматографии на силикагеле (петролейный эфир : этилацетат = от 1:0 до 10:1). Соединение, трет-бутил-N-[(1S)-1-[4-(4,4,5,5-тетраметил-1,3,2-диоксаборолан-2-ил)фенил]этил]карбамат (8,2 г, 16,44 ммоль, выход 98,7%, чистота 69,6%), получали в виде желтого масла. LC/MS (ESI) масса/заряд: 370,26 [М+23]+.
[1204] Стадия 9: получение этил-(S)-5-(4-(1-((трет-бутоксикарбонил)амино)этил)фенил)тиазол-4-карбоксилата
[1205] Смесь этил-5-бромтиазол-4-карбоксилата (3,49 г, 14,77 ммоль, 0,9 экв.), трет-бутил-N-[(1S)-1-[4-(4,4,5,5-тетраметил-1,3,2-диоксаборолан-2-ил)фенил]этил]карбамата (5,70 г, 16,41 ммоль, 1 экв.), [1,1'-бис(дифенилфосфино)ферроцен]дихлорпалладия(II) (120 мг, 0,16 ммоль, 0,01 экв.), карбоната калия (4,54 г, 32,83 ммоль, 2 экв.) в смеси диоксана (130 мл) и воды (22 мл) дегазировали и продували азотом три раза, и затем смесь перемешивали при 80°С в течение 10 часов в атмосфере азота. Реакционную смесь концентрировали и гасили водой (50 мл), затем два раза экстрагировали этилацетатом (60 мл). Объединенные органические слои два раза промывали насыщенным водным раствором хлорида натрия (50 мл), высушивали над безводным сульфатом натрия, концентрировали с получением неочищенного продукта. Неочищенный продукт очищали с помощью хроматографии на силикагеле (петролейный эфир : этилацетат = от 1:0 до 1:1). Соединение, этил-5-[4-[(1S)-1-(трет-бутоксикарбониламино)этил]фенил]тиазол-4-карбоксилат (5,07 г, 13,48 ммоль, выход 82,1%), получали в виде желтого твердого вещества. LC/MS (ESI) масса/заряд: 377,1 [М+1]+; 1Н ЯМР (400 МГц, CDCl3) δ 8,76 (s, 1H), 7,49 (d, J=8,0 Гц, 2H), 7,37 (d, J=8,0 Гц, 2H), 4,85 (s, 2H), 4,35-4,29 (m, 2H), 1,44 (s, 9H), 1,28 (t, J=7,2 Гц, 3Н), 1,24 (s, 3Н).
[1206] Стадия 10: получение трет-бутил-(S)-(1-(4-(4-(гидроксиметил)тиазол-5-ил)фенил)этил)карбамата
[1207] К смеси этил-5-[4-[(1S)-1-(трет-бутоксикарбониламино)этил]фенил]тиазол-4-карбоксилата (900 мг, 2,39 ммоль, 1 экв.) и хлорида кальция (796 мг, 7,17 ммоль, 3 экв.) в воде (40 мл) и тетрагидрофуране (20 мл) добавляли борогидрид натрия (181 мг, 4,78 ммоль, 2 экв.) при 0°С в атмосфере азота. Смесь нагревали до 5°С, перемешивали в течение 2 часов. Затем добавляли хлористоводородную кислоту (5 М, 4,50 мл) и ацетон (4,95 мл) при 0°С, реакционную смесь перемешивали при 5°С в течение еще 0,5 ч. рН регулировали до 5 с помощью 5 М гидроксида натрия. Водную фазу экстрагировали этилацетатом (20 мл × 4). Объединенную органическую фазу промывали солевым раствором (20 мл × 2), высушивали с помощью безводного сульфата натрия, фильтровали и концентрировали под вакуумом. Остаток очищали с помощью полупрепаративной HPLC с обращенной фазой. Соединение, трет-бутил-N-[(1S)-1-[4-[4-(гидроксиметил)тиазол-5-ил]фенил]этил]карбамат (400 мг, 1,20 ммоль, выход 50,0%), получали в виде белого твердого вещества. LC/MS (ESI) масса/заряд: 335,2 [М+1]+.
[1208] Стадия 11: получение (S)-(5-(4-(1-аминоэтил)фенил)тиазол-4-ил)метанола
[1209] К смеси трет-бутил-N-[(1S)-1-[4-[4-(гидроксиметил)тиазол-5-ил]фенил]этил]карбамата (0,4 г, 1,20 ммоль, 1 экв.) в дихлорметане (1,5 мл) добавляли смесь хлористоводородная кислота/диоксан (4 М, 10 мл) при 15°С. Смесь перемешивали при 15°С в течение 2 ч. Смесь концентрировали при пониженном давлении при 45°С. Соединение, [5-[4-[(1S)-1-аминоэтил]фенил]тиазол-4-ил]метанол (380 мг, неочищенный, гидрохлорид), получали в виде белого твердого вещества.
[1210] Стадия 12: получение трет-бутил-(2S,4R)-4-гидрокси-2-(((S)-1-(4-(4-(гидроксиметил)тиазол-5-ил)фенил)этил)карбамоил)пирролидин-1-карбоксилата
[1211] К смеси [5-[4-[(1S)-1-аминоэтил]фенил]тиазол-4-ил]метанола (328 мг, 1,21 ммоль, 1,00 экв., гидрохлорид) и (2S,4R)-1-трет-бутоксикарбонил-4-гидроксипирролидин-2-карбоновой кислоты (280 мг, 1,21 ммоль, 1 экв.) в N,N-диметилформамиде (15 мл) одной порцией добавляли гидрохлорид 1-(3-диметиламинопропил)-3-этилкарбодиимида (348 мг, 1,82 ммоль, 1,5 экв.), 1-гидроксибензотриазол (245 мг, 1,82 ммоль, 1,5 экв.) и N,N-диизопропилэтиламин (782 мг, 6,05 ммоль, 1,05 мл, 5 экв.) при 15°С в атмосфере азота. Смесь перемешивали при 15°С в течение 16 часов. Смесь концентрировали при пониженном давлении при 45°С. Остаток очищали с помощью полупрепаративной HPLC с обращенной фазой. Соединение, трет-бутил-(2S,4R)-4-гидрокси-2-[[(1S)-1-[4-[4-(гидроксиметил)тиазол-5-ил]фенил]этил]карбамоил]пирролидин-1-карбоксилат (370 мг, 0,83 ммоль, выход 68%), получали в виде белого твердого вещества. LC/MS (ESI) масса/заряд: 448,2 [М+1]+.
[1212] Стадия 13: получение (2S,4R)-4-гидрокси-N-((S)-1-(4-(4-(гидроксиметил)тиазол-5-ил)фенил)этил)пирролидин-2-карбоксамида
[1213] К раствору трет-бутил-(2S,4R)-4-гидрокси-2-[[(1S)-1-[4-[4-(гидроксиметил)тиазол-5-ил]фенил]этил]карбамоил]пирролидин-1-карбоксилата (0,39 г, 0,87 ммоль, 1 экв.) в дихлорметане (1 мл) добавляли смесь хлористоводородная кислота/диоксан (4 М, 10 мл), перемешивали при 15°С в течение 1 ч. Смесь концентрировали при пониженном давлении при 45°С. (2S,4R)-4-Гидрокси-N-[(1S)-1-[4-[4-(гидроксиметил)тиазол-5-ил]фенил]этил]пирролидин-2-карбоксамид (360 мг, неочищенный, гидрохлорид) получали в виде белого твердого вещества.
[1214] Стадия 14: получение трет-бутил-((S)-1-((2S,4R)-4-гидрокси-2-(((S)-1-(4-(4-(гидроксиметил)тиазол-5-ил)фенил)этил)карбамоил)пирролидин-1-ил)-3,3-диметил-1-оксобутан-2-ил)карбамата
[1215] Раствор (2S,4R)-4-гидрокси-N-[(1S)-1-[4-[4-(гидроксиметил)тиазол-5-ил]фенил]этил]пирролидин-2-карбоксамида (706 мг, 1,84 ммоль, 1 экв., гидрохлорид), (2S)-2-(трет-бутоксикарбониламино)-3,3-диметилбутановой кислоты (425 мг, 1,84 ммоль, 1 экв.), гидроксибензотриазола (298 мг, 2,21 ммоль, 1,2 экв.), диизопропилэтиламина (1,43 г, 11,04 ммоль, 6 экв.), гидрохлорида карбодиимида (705 мг, 3,68 ммоль, 2 экв.) в N,N-диметилформамиде (40 мл) перемешивали при 20°С в течение 12 ч. Реакционный раствор промывали водой (100 мл). Водный слой экстрагировали этилацетатом (40 мл × 8). Все объединенные органические слои промывали солевым раствором, высушивали над сульфатом натрия, фильтровали и концентрировали при пониженном давлении. Остаток (дихлорметан : метанол = 10:1) очищали с помощью колоночной хроматографии на силикагеле (этилацетат : метанол = 1:0) с получением белого твердого вещества. трет-Бутил-N-[(1S)-1-[(2S,4R)-4-гидрокси-2-[[(1S)-1-[4-[4-(гидроксиметил)тиазол-5-ил]фенил]этил]карбамоил]пирролидин-1-карбонил]-2,2-диметилпропил]карбамат (400 мг, 0,71 ммоль, выход 38%, чистота 99%) получали в виде белого твердого вещества. LC/MS (ESI) масса/заряд: 561,3 [М+1]+.
[1216] Стадия 15: получение (2S,4R)-1-((S)-2-амино-3,3-диметилбутаноил)-4-гидрокси-N-((S)-1-(4-(4-(гидроксиметил)тиазол-5-ил)фенил)этил)пирролидин-2-карбоксамида
[1217] К раствору трет-бутил-N-[(1S)-l-[(2S,4R)-4-гидрокси-2-[[(1S)-l-[4-[4-(гидроксиметил)тиазол-5-ил]фенил]этил]карбамоил]пирролидин-1-карбонил]-2,2-диметилпропил]карбамата (400 мг, 0,71 ммоль, 1 экв.) в дихлорметане (20 мл) добавляли смесь хлористоводородная кислота/диоксан (4 М, 20 мл, 113,10 экв.). Смесь перемешивали при 20°С в течение 20 мин. Смесь концентрировали с получением белого твердого вещества. Белое твердое вещество применяли для следующей стадии без дополнительной очистки. (2S,4R)-1-[(2S)-2-Амино-3,3-диметилбутаноил]-4-гидрокси-N-[(1S)-1-[4-[4-(гидроксиметил)тиазол-5-ил]фенил]этил]пирролидин-2-карбоксамид (351 мг, неочищенный, гидрохлорид) получали в виде белого твердого вещества. LC/MS (ESI) масса/заряд: 461,2 [М+1]+.
[1218] Стадия 16: получение трет-бутил-4-(2-(((S)-1-((2S,4R)-4-гидрокси-2-(((S)-1-(4-(4-(гидроксиметил)тиазол-5-ил)фенил)этил)карбамоил)пирролидин-1-ил)-3,3-диметил-1-оксобутан-2-ил)амино)-2-оксоэтил)пиперазин-1-карбоксилата
[1219] Раствор (2S,4R)-1-[(2S)-2-амино-3,3-Диметилбутаноил]-4-гидрокси-N-[(1S)-1-[4-[4-(гидроксиметил)тиазол-5-ил]фенил]этил]пирролидин-2-карбоксамида (351 мг, 0,70 ммоль, 1 экв., гидрохлорид), 2-(4-трет-бутоксикарбонилпиперазин-1-ил)уксусной кислоты (172 мг, 0,70 ммоль, 1 экв.), гидроксибензотриазола (114 мг, 0,85 ммоль, 1,2 экв.), диизопропилэтиламина (548 мг, 4,24 ммоль, 6 экв.), гидрохлорида карбодиимида (271 мг, 1,41 ммоль, 2 экв.) в N,N-диметилформамиде (20 мл) перемешивали при 20°С в течение 12 ч. Реакционный раствор промывали водой (100 мл). Водный слой экстрагировали этилацетатом (40 мл × 8). Все объединенные органические слои промывали солевым раствором, высушивали над сульфатом натрия, фильтровали и концентрировали при пониженном давлении. Остаток (дихлорметан : метанол = 10:1) очищали с помощью колоночной хроматографии на силикагеле (этилацетат : метанол = 1:0) с получением трет-бутил-4-[2-[[(1S)-1-[(2S,4R)-4-гидрокси-2-[[(1S)-1-[4-[4-(гидроксиметил)тиазол-5-ил]фенил]этил]карбамоил]пирролидин-1-карбонил]-2,2-диметилпропил]амино]-2-оксоэтил]пиперазин-1-карбоксилата (340 мг, 0,48 ммоль, выход 68%, чистота 97%) в виде белого твердого вещества. LC/MS (ESI) масса/заряд: 687,4 [М+1]+.
[1220] Стадия 17: получение (2S,4R)-1-((S)-3,3-диметил-2-(2-(пиперазин-1-ил)ацетамидо)бутаноил)-4-гидрокси-N-((S)-1-(4-(4-(гидроксиметил)тиазол-5-ил)фенил)этил)пирролидин-2-карбоксамида
[1221] К раствору трет-бутил-4-[2-[[(1S)-1-[(2S,4R)-4-гидрокси-2-[[(1S)-1-[4-[4-(гидроксиметил)тиазол-5-ил]фенил]этил]карбамоил]пирролидин-1-карбонил]-2,2-диметилпропил]амино]-2-оксоэтил]пиперазин-1-карбоксилата (340 мг, 0,48 ммоль, 1 экв.) в дихлорметане (10 мл) добавляли смесь хлористоводородная кислота/диоксан (4 М, 20 мл, 165,66 экв.). Смесь перемешивали при 20°С в течение 20 мин. Смесь концентрировали с получением белого твердого вещества. Белое твердое вещество применяли для следующей стадии без дополнительной очистки. (2S,4R)-1-[(2S)-3,3-Диметил-2-[(2-пиперазин-1-илацетил)амино]бутаноил]-4-гидрокси-N-[(1S)-1-[4-[4-(гидроксиметил)тиазол-5-ил]фенил]этил]пирролидин-2-карбоксамид (300 мг, неочищенный, гидрохлорид) получали в виде белого твердого вещества. LC/MS (ESI) масса/заряд: 587,4 [М+1]+.
[1222] Стадия 18: получение (2S,4R)-1-((S)-2-(2-(4-((1-(4-(3-(2,6-дифтор-3-(((R)-3-фторпирролидин)-1-сульфонамидо)бензоил)-1Н-пирроло[2,3-b]пиридин-5-ил)фенил)пиперидин-4-ил)метил)пиперазин-1-ил)ацетамидо)-3,3-диметилбутаноил)-4-гидрокси-N-((S)-1-(4-(4-(гидроксиметил)тиазол-5-ил)фенил)этил)пирролидин-2-карбоксамида
[1223] К раствору (2S,4R)-1-[(2S)-3,3-диметил-2-[(2-пиперазин-1-илацетил)амино]бутаноил]-4-гидрокси-N-[(1S)-1-[4-[4-(гидроксиметил)тиазол-5-ил]фенил]этил]пирролидин-2-карбоксамида (200 мг, 0,32 ммоль, 1 экв., гидрохлорид) в дихлорэтане (8 мл) добавляли триэтиламин (195 мг, 1,93 ммоль, 6 экв.). Смесь перемешивали при 20°С в течение 20 мин. Затем к смеси добавляли (3R)-N-[2,4-дифтор-3-[5-[4-(4-формил-1-пиперидил)фенил]-1Н-пирроло[2,3-b]пиридин-3-карбонил]фенил]-3-фторпирролидин-1-сульфонамид (196 мг, 0,32 ммоль, 1 экв.). Смесь перемешивали при 20°С в течение 20 мин. Затем в смесь добавляли триацетоксиборогидрид натрия (204 мг, 0,96 ммоль, 3 экв.). Смесь перемешивали при 20°С в течение 3 ч. Реакционный раствор промывали водой (20 мл). Водный слой экстрагировали этилацетатом (20 мл × 6). Все объединенные органические слои промывали солевым раствором, высушивали над сульфатом натрия, фильтровали и концентрировали при пониженном давлении. Остаток очищали с помощью препаративной высокоэффективной жидкостной хроматографии с получением желтого твердого вещества. (2S,4R)-1-[(2S)-2-[[2-[4-[[1-[4-[3-[2,6-Дифтор-3-[[(3R)-3-фторпирролидин-1-ил]сульфониламино]бензоил]-1Н-пирроло[2,3-b]пиридин-5-ил]фенил]-4-пиперидил]метил]пиперазин-1-ил]ацетил]амино]-3,3-диметилбутаноил]-4-гидрокси-N-[(1S)-1-[4-[4-(гидроксиметил)тиазол-5-ил]фенил]этил]пирролидин-2-карбоксамид (148 мг, 0,12 ммоль, выход 37%, чистота 95%) получали в виде желтого твердого вещества. LC/MS (ESI) масса/заряд: 1182,4 [М+1]+; 1Н ЯМР (400 МГц, DMSO-d6) δ 12,94 (s, 1H), 9,85 (s, 1H), 9,03 (d, J=2,8 Гц, 1Н), 8,66 (d, J=2,0 Гц, 1Н), 8,56 (s, 1Н), 8,41 (d, J=8,0 Гц, 1H), 8,09 (s, 1H), 7,70-7,58 (m, ЗН), 7,58-7,51 (m, 2Н), 7,43-7,32 (m, 2Н), 7,27 (m, 1Н), 7,16 (d, J=8,0 Гц, 2Н), 5,43-5,19 (m, 2Н), 5,01 4,83 (m, 1H), 4,61-4,48 (m, 10Н), 4,47-4,40 (m, 4Н), 4,33-4,02 (m, 1Н), 3,82 (br d, J=11,6 Гц, 2Н), 3,69-3,46 (m, 5Н), 3,06-2,79 (m, 6Н), 2,24-1,58 (m, 8Н), 1,52-1,29 (m, 5Н), 1,04-0,88 (m, 9Н).
[1224] Иллюстративный синтез (2S,4R)-1-((R)-2-(3-(4-((1-(5-(3-(2,6-дифтор-3-(((R)-3-фторпирролидин)-1-сульфонамидо)бензоил)-1Н-пирроло[2,3-b]пиридин-5-ил)пиримидин-2-ил)пиперидин-4-ил)метил)пиперазин-1-ил)изоксазол-5-ил)-3-метилбутаноил)-4-гидрокси-N-((S)-1-(4-(4-метилтиазол-5-ил)фенил)этил)пирролидин-2-карбоксамида (пример 403)
[1225] Стадия 1: получение бензил-4-(диметоксиметил)пиперидин-1-карбоксилата
[1226] К раствору бензил-4-формилпиперидин-1-карбоксилата (25 г, 101,10 ммоль, 1 экв.) в метаноле (230 мл) добавляли п-толуолсульфоновую кислоту (961 мг, 5,05 ммоль, 0,05 экв.) и триметоксиметан (53,64 г, 505,48 ммоль, 55 мл, 5 экв.). Смесь перемешивали при 25°С в течение 12 часов. Насыщенный водный раствор бикарбоната натрия (50 мл) выливали в смесь до рН=8. Водную фазу экстрагировали этилацетатом (100 мл × 3). Объединенную органическую фазу промывали солевым раствором (100 мл × 2), высушивали с помощью безводного сульфата натрия, фильтровали и концентрировали в вакууме. Остаток очищали с помощью хроматографии на силикагеле (петролейный эфир : этилацетат = от 30:1 до 10:1). Соединение, бензил-4-(диметоксиметил)пиперидин-1-карбоксилат (29 г, 98,86 ммоль, выход 97%), получали в виде бесцветного масла. LC/MS (ESI) масса/заряд: 316 [М+23]+.
[1227] Стадия 2: получение 4-(диметоксиметил)пиперидина
[1228] К раствору бензил-4-(диметоксиметил)пиперидин-1-карбоксилата (29 г, 98,86 ммоль, 1 экв.) в метаноле (200 мл) добавляли палладий на угле (2 г, чистота 10%) в атмосфере азота. Суспензию дегазировали и 3 раза продували водородом. Смесь перемешивали в атмосфере водорода (50 фунтов/кв. дюйм) при 25°С в течение 12 часов. Реакционную смесь фильтровали и фильтрат концентрировали. Неочищенный продукт применяли на следующей стадии без дополнительной очистки. Соединение, 4-(диметоксиметил)пиперидин (14,9 г, 93,58 ммоль, выход 94%), получали в виде светло-желтого масла. LC/MS (ESI) масса/заряд: 160,2 [М+1]+; 1Н ЯМР (400 МГц, CDCl3) δ 4,03 (d, J=7,2 Гц, 1H), 3,34 (s, 6Н), 3,28 (s, 1Н), 3,17- 3,10 (m, 2Н), 2,60 (dt, J=2,4, 12,4 Гц, 2Н), 1,79-1,67 (m, 3Н), 1,33-1,20 (m, 2Н).
[1229] Стадия 3: получение 5-бром-2-(4-(диметоксиметил)пиперидин-1-ил)пиримидина
[1230] К раствору 5-бром-2-хлор-пиримидина (1,21 г, 6,28 ммоль, 1 экв.) и 4-(диметоксиметил)пиперидина (1,0 г, 6,28 ммоль, 1 экв.) в ацетонитриле (20 мл) добавляли карбонат калия (1,74 г, 12,56 ммоль, 2 экв.). Смесь перемешивали при 70°С в течение 12 ч. Реакционную смесь экстрагировали этилацетатом (40 мл × 2) и промывали насыщенным водным солевым раствором (25 мл × 2). Объединенные органические слои высушивали над безводным сульфатом натрия, фильтровали и концентрировали при пониженном давлении. Остаток очищали с помощью хроматографии на силикагеле (петролейный эфир/этилацетат = от 10:1 до 2:1). Соединение, 5-бром-2-[4-(диметоксиметил)-1-пиперидил]пиримидин (1,46 г, 4,62 ммоль, выход 73%), получали в виде белого твердого вещества. 1Н ЯМР (400 МГц, CDCl3) δ 8,27 (s, 2Н), 4,77-4,67 (m, 2Н), 4,05 (d, J=7,2 Гц, 1H), 3,37 (s, 6H), 2,83 (dt, J=2,8, 13,2 Гц, 2H), 1,95-1,79 (m, 3Н), 1,33-1,22 (m, 2H).
[1231] Стадия 4: получение (R)-N-(3-(5-(2-(4-(диметоксиметил)пиперидин-1-ил)пиримидин-5-ил)-1-((2-(триметилсилил)этокси)метил)-1Н-пирроло[2,3-b]пиридин-3-карбонил)-2,4-дифторфенил)-3-фтор-N-((2-(триметилсилил)этокси)метил)пирролидин-1-сульфонамида
[1232] Смесь 5-бром-2-[4-(диметоксиметил)-1-пиперидил]пиримидина (327 мг, 1,04 ммоль, 1,2 экв.), (3R)-N-[2,4-дифтор-3-[5-(4,4,5,5-тетраметил-1,3,2-диоксаборолан-2-ил)-1-(2-триметилсилилэтоксиметил)пирроло[2,3-b]пиридин-3-карбонил]фенил]-3-фтор-N-(2-триметилсилилэтоксиметил)пирролидин-1-сульфонамида (700 мг, 0,86 ммоль, 1 экв.), фторида цезия (524 мг, 3,45 ммоль, 0,1 мл, 4 экв.) и 4-ди-трет-бутилфосфанил-N,N-диметиланилин-дихлорпалладия (61 мг, 0,09 ммоль, 0,1 экв.) в диоксане (5 мл) и воде (1 мл) дегазировали и продували азотом 3 раза, и затем смесь перемешивали при 90°С в течение 12 ч. в атмосфере азота. Реакционную смесь экстрагировали этилацетатом (30 мл × 2) и промывали насыщенным водным солевым раствором (30 мл × 2). Объединенные органические слои высушивали над безводным сульфатом натрия, фильтровали и концентрировали при пониженном давлении. Остаток очищали с помощью препаративной HPLC с обращенной фазой. Соединение, (3R)-N-[3-[5-[2-[4-(диметоксиметил)-1-пиперидил]пиримидин-5-ил]-1-(2-триметилсилилэтоксиметил)пирроло[2,3-b]пиридин-3-карбонил]-2,4-дифторфенил]-3-фтор-N-(2-триметилсилилэтоксиметил)пирролидин-1-сульфонамид (445 мг, 0,45 ммоль, выход 52%, чистота 97%, формиат), получали в виде коричневого твердого вещества. LC/MS (ESI) масса/заряд: 920,5 [М+1]+.
[1233] Стадия 5: получение (R)-N-(3-(5-(2-(4-(диметоксиметил)пиперидин-1-ил)пиримидин-5-ил)-1Н-пирроло[2,3-b]пиридин-3-карбонил)-2,4-дифторфенил)-3-фторпирролидин-1-сульфонамида
[1234] К раствору (3R)-N-[3-[5-[2-[4-(диметоксиметил)-1-пиперидил]пиримидин-5-ил]-1-(2-триметилсилилэтоксиметил)пирроло[2,3-b]пиридин-3-карбонил]-2,4-дифторфенил]-3-фтор-N-(2-триметилсилилэтоксиметил)пирролидин-1-сульфонамида (680 мг, 0,70 ммоль, 1 экв., формиат) в метаноле (3 мл) добавляли хлористоводородную кислоту (4 M в диоксане, 8 мл). Смесь перемешивали при 50°С в течение 24 ч. Реакционную смесь концентрировали под вакуумом. Соединение, (3R)-N-[3-[5-[2-[4-(диметоксиметил)-1-пиперидил]пиримидин-5-ил]-1Н-пирроло[2,3-b]пиридин-3-карбонил]-2,4-дифторфенил]-3-фторпирролидин-1-сульфонамид (560 мг, неочищенный), получали в виде желтого твердого вещества, которое непосредственно применяли на следующей стадии без дополнительной очистки. LC/MS (ESI) масса/заряд: 684,4 [М+23]+.
[1235] Стадия 6: получение (R)-N-(2,4-дифтор-3-(5-(2-(4-формилпиперидин-1-ил)пиримидин-5-ил)-1Н-пирроло[2,3-b]пиридин-3-карбонил)фенил)-3-фторпирролидин-1-сульфонамида
[1236] К раствору (3R)-N-[3-[5-[2-[4-(диметоксиметил)-1-пиперидил]пиримидин-5-ил]-1Н-пирроло[2,3-b]пиридин-3-карбонил]-2,4-дифторфенил]-3-фторпирролидин-1-сульфонамида (560 мг, 0,85 ммоль, 1 экв.) в тетрагидрофуране (10 мл) добавляли серную кислоту (2 М, 15 мл, 35,34 экв.). Смесь перемешивали при 70°С в течение 4 ч. Повышали основность реакционной смеси с помощью насыщенного раствора бикарбоната натрия до рН=7~8. Затем реакционную смесь экстрагировали этилацетатом (30 мл × 2) и промывали насыщенным солевым раствором (25 мл × 2). Объединенные органические слои высушивали над безводным сульфатом натрия, фильтровали и концентрировали при пониженном давлении. Остаток очищали с помощью полупрепаративной HPLC с обращенной фазой. Соединение, (3R)-N-[2,4-дифтор-3-[5-[2-(4-формил-1-пиперидил)пиримидин-5-ил]-1Н-пирроло[2,3-b]пиридин-3-карбонил]фенил]-3-фторпирролидин-1-сульфонамид (340 мг, 0,55 ммоль, выход 65%), получали в виде желтого твердого вещества. LC/MS (ESI) масса/заряд: 614,3 [М+1]+; 1Н ЯМР (400 МГц, DMSO-d6) δ 12,95 (s, 1Н), 9,65 (s, 1H), 8,75 (s, 2H), 8,65 (s, 1H), 8,54 (s, 1H), 8,09 (s, 1H), 7,67-7,53 (m, 1H), 7,23 (t, J=8,8 Гц, 1H), 5,40-5,18 (m, 1H), 4,52 (d, J=13,2 Гц, 2H), 3,46 (s, 1H), 3,38 (s, 3H), 3,27-3,20 (m, 3H), 2,75-2,60 (m, 1H), 2,08 (d, J=13,2 Гц, 2H), 2,00-1,88 (m, 2H), 1,58-1,41 (m,2H).
[1237] Стадия 7: получение метил-3-(бензилокси)изоксазол-5-карбоксилата
[1238] К раствору метил-3-гидроксиизоксазол-5-карбоксилата (7,20 г, 50,31 ммоль, 1,00 экв.) в ацетоне (150 мл) добавляли карбонат калия (13,91 г, 100,62 ммоль, 2,00 экв.). Смесь нагревали до 80°С в течение 1 ч., затем добавляли (бромметил)бензол (10,33 г, 60,37 ммоль, 1,20 экв.). Полученную смесь перемешивали при 80°С в течение еще 3 ч. Твердое вещество отфильтровывали и фильтрат концентрировали в вакууме. Остаток дополнительно очищали с помощью колоночной хроматографии на силикагеле (петролейный эфир : этилацетат = от 15:1 до 10:1) с получением метил-3-бензилоксиизоксазол-5-карбоксилата (9,50 г, 40,73 ммоль, выход 81%) в виде бесцветного масла. Масло затвердевало после отстаивания при 15°С в течение 15 ч. LC/MS (ESI) масса/заряд: 256,0 [М+23]+; 1Н ЯМР (400 МГц, CDCl3) δ 7,49-7,41 (m, 5Н), 6,60 (s, 1H), 5,34 (s, 2H), 3,97 (s, 3Н).
[1239] Стадия 8: получение (3-(бензилокси)изоксазол-5-ил)метанола
[1240] К раствору метил-3-бензилоксиизоксазол-5-карбоксилата (2,33 г, 9,99 ммоль, 1,00 экв.) в метаноле (50 мл) порциями добавляли борогидрид натрия (756 мг, 19,98 ммоль, 2,00 экв.). Полученную смесь перемешивали при 15°С в течение 3 ч. Смесь выливали в хлористоводородную кислоту (0,2 М, 200 мл) и затем экстрагировали этилацетатом (150 мл × 2). Объединенные органические слои промывали насыщенным солевым раствором (200 мл × 2), высушивали над безводным сульфатом натрия, фильтровали и концентрировали в вакууме с получением (3-бензилоксиизоксазол-5-ил)метанола (1,85 г, 9,02 ммоль, выход 90%) в виде бесцветного масла. LC/MS (ESI) масса/заряд: 206,1 [М+1]+.
[1241] Стадия 9: получение 2-(3-(бензилокси)изоксазол-5-ил)ацетонитрила
[1242] К раствору цианистого бромида (334 мг, 3,15 ммоль, 1,05 экв.) и трифенилфосфина (787 мг, 3,00 ммоль, 1,00 экв.) в дихлорметане (10 мл) добавляли раствор (3-бензилоксиизоксазол-5-ил)метанола (616 мг, 3,00 ммоль, 1,00 экв.) в дихлорметане (10 мл). Смесь перемешивали при 15°С в течение 1 часа, затем добавляли 2,3,4,6,7,8,9,10-октагидропиримидо[1,2-а]азепин (480 мг, 3,15 ммоль, 1,05 экв.) при 0°С. Полученную смесь перемешивали при 0~15°С в течение еще 14 ч. Растворитель концентрировали в вакууме. Остаток дополнительно очищали с помощью колоночной хроматографии на силикагеле (петролейный эфир : этилацетат = от 5:1 до 4:1) с получением 2-(3-бензилоксиизоксазол-5-ил)ацетонитрила (320 мг, 1,49 ммоль, выход 50%) в виде бесцветного масла. LC/MS (ESI) масса/заряд: 215,0 [М+1]+; 1Н ЯМР (400 МГц, CDCl3) δ 7,48-7,41 (m, 5Н), 6,06 (s, 1Н), 5,30 (s, 2H), 3,82 (s, 2H).
[1243] Стадия 10: получение 2-(3-(бензилокси)изоксазол-5-ил)-3-метилбутаннитрила 
[1244] К раствору 2-(3-бензилоксиизоксазол-5-ил)ацетонитрила (214 мг, 1,00 ммоль, 1,00 экв.) в N,N-диметилформамиде (3 мл) добавляли карбонат калия (138 мг, 1,00 ммоль, 1,00 экв.). Смесь перемешивали при 15°С в течение получаса, затем добавляли 2-йодпропан (170 мг, 1,00 ммоль, 1,00 экв.). Полученную смесь перемешивали при 15°С в течение еще 2,5 ч. Затем к смеси добавляли 2-метилпропан-2-олат калия (90 мг, 0,8 ммоль, 0,80 экв.), смесь перемешивали при 15°С в течение еще 12 ч. Смесь выливали в хлористоводородную кислоту (0,2 М, 30 мл), затем экстрагировали этилацетатом (30 мл × 2). Объединенные органические слои высушивали над безводным сульфатом натрия, фильтровали и концентрировали в вакууме. Остаток очищали с помощью колоночной хроматографии на силикагеле (петролейный эфир:этилацетат = от 10:1 до 8:1) с получением 2-(3-бензилоксиизоксазол-5-ил)-3-метилбутаннитрила (150 мг, 0,56 ммоль, выход 59%) в виде бесцветного масла. 1Н ЯМР (400 МГц, CDCl3) δ 7,48 7,41 (m, 5Н), 6,04 (s, 1H), 5,28 (s, 2Н), 3,85 (d, J=5,6 Гц, 1H), 2,42-2,37 (m, 1H), 1,18 (d, J=6,8 Гц, 3H), 1,10 (d, J=6,8 Гц, 3H).
[1245] Стадия 11: получение 2-(3-гидроксиизоксазол-5-ил)-3-метилбутановой кислоты
[1246] К раствору 2-(3-бензилоксиизоксазол-5-ил)-3-метилбутаннитрила (3,40 г, 13,27 ммоль, 1,00 экв.) в диоксане (30 мл) добавляли хлористоводородную кислоту (11,8 М, 120 мл). Смесь нагревали до 100°С и перемешивали при 100°С в течение 15 ч. Смесь охлаждали до 15°С и затем экстрагировали этилацетатом (150 мл × 3). Объединенные органические слои высушивали над безводным сульфатом натрия, фильтровали и концентрировали в вакууме. Неочищенный продукт дополнительно очищали с помощью препаративной HPLC с получением 2-(3-гидроксиизоксазол-5-ил)-3-метилбутановой кислоты (230 мг, 1,19 ммоль, выход 9%) в виде желтого твердого вещества. LC/MS (ESI) масса/заряд: 186,1 [М+1]+.
[1247] Стадия 12: получение метил-2-(3-гидроксиизоксазол-5-ил)-3-метилбутаноата
[1248] К раствору 2-(3-гидроксиизоксазол-5-ил)-3-метилбутановой кислоты (1 г, 5,40 ммоль, 1 экв.) в метаноле (10 мл) добавляли тионилхлорид (2,57 г, 21 ммоль, 1,57 мл, 4 экв.) при 0°С. Реакционную смесь перемешивали при 70°С в течение 3 часов. Реакционную смесь концентрировали при пониженном давлении. Остаток разбавляли водой (50 мл) и экстрагировали этилацетатом (30 мл × 3). Объединенные органические слои промывали солевым раствором (80 мл × 2), высушивали над безводным сульфатом натрия, фильтровали и концентрировали при пониженном давлении. Метил-2-(3-гидроксиизоксазол-5-ил)-3-метилбутаноат (1 г, 5,02 ммоль, выход 92%) получали в виде желтого масла. LC/MS (ESI) масса/заряд: 200,1 [М+1]+.
[1249] Стадия 13: получение метил-3-метил-2-(3-(((перфторбутил)сульфонил)окси)изоксазол-5-ил)бутаноата
[1250] К раствору метил-2-(3-гидроксиизоксазол-5-ил)-3-метилбутаноата (800 мг, 4,02 ммоль, 1 экв.) в ацетонитриле (5 мл) добавляли карбонат калия (1,11 г, 8,03 ммоль, 2 экв.) и перфторбутилсульфонилфторид (1,46 г, 4,82 ммоль, 1,2 экв.). Реакционную смесь перемешивали при 25°С в течение 12 часов. Реакционную смесь разбавляли водой (50 мл) и экстрагировали этилацетатом (30 мл × 3). Объединенные органические слои промывали солевым раствором (80 мл × 3), высушивали над безводным сульфатом натрия, фильтровали и концентрировали при пониженном давлении. Остаток очищали с помощью колоночной хроматографии на силикагеле (петролейный эфир/этилацетат = от 100/1 до 20/1). Метил-3-метил-2-[3-(1,1,2,2,3,3,4,4,4-нонафторбутилсульфонилокси)изоксазол-5-ил]бутаноат (530 мг, 1,10 ммоль, выход 27%) получали в виде бесцветного масла. 1Н ЯМР (400 МГц, DMSO-d6) δ 6,44 (s, 1H), 3,79 (s, 3H), 3,68 (d, J=8,0 Гц, 1H), 2,49-2,33 (m, 1H), 1,04 (d, J=6,8 Гц, 3H), 0,96 (d, J=6,8 Гц, 3H).
[1251] Стадия 14: получение трет-бутил-4-(5-(1-метокси-3-метил-1-оксобутан-2-ил)изоксазол-3-ил)пиперазин-1-карбоксилата
[1252] Раствор метил-3-метил-2-[3-(1,1,2,2,3,3,4,4,4-нонафторбутилсульфонилокси)изоксазол-5-ил]бутаноата (400 мг, 0,83 ммоль, 1 экв.) и трет-бутилпиперазин-1-карбоксилата (154 мг, 0,83 ммоль, 1 экв.) в диметилформамиде (5 мл) перемешивали при 130°С в течение 12 часов. Реакционную смесь разбавляли водой (30 мл) и экстрагировали этилацетатом (30 мл × 3). Объединенные органические слои промывали солевым раствором (30 мл × 3), высушивали над безводным сульфатом натрия, фильтровали и концентрировали при пониженном давлении. Остаток очищали с помощью препаративной TLC (петролейный эфир:этилацетат = 3:1). трет-Бутил-4-[5-(1-метоксикарбонил-2-метилпропил)изоксазол-3-ил]пиперазин-1-карбоксилат (130 мг, 0,35 ммоль, выход 42%) получали в виде бесцветного масла. 1H ЯМР (400 МГц, CDCl3) δ 5,93 (s, 1Н), 3,73 (s, 3H), 3,58-3,47 (m, 5Н), 3,29-3,19 (m, 4Н), 2,43-2,17 (m, 1H), 1,48 (s, 9Н), 1,00 (d, J=6,8 Гц, 3H), 0,93 (d, J=6,8 Гц, 3H).
[1253] Стадия 15: получение 2-(3-(4-(трет-бутоксикарбонил)пиперазин-1-ил)изоксазол-5-ил)-3-метилбутановой кислоты
[1254] К раствору трет-бутил-4-[5-(1-метоксикарбонил-2-метилпропил)изоксазол-3-ил]пиперазин-1-карбоксилата (130 мг, 0,35 ммоль, 1 экв.) в метаноле (2 мл), тетрагидрофуране (2 мл) и воде (2 мл) добавляли гидроксид лития (44 мг, 1,06 ммоль, 3 экв.). Реакционную смесь перемешивали при 15°С в течение 1 часа. Добавляли воду (3 мл). рН регулировали до 6 с помощью хлористоводородной кислоты (1M в воде) и экстрагировали этилацетатом (10 мл × 5). Объединенные органические слои промывали солевым раствором (50 мл × 1), высушивали над безводным сульфатом натрия, фильтровали и концентрировали при пониженном давлении. 2-[3-(4-трет-Бутоксикарбонилпиперазин-1-ил)изоксазол-5-ил]-3-метилбутановую кислоту (100 мг, 0,28 ммоль, выход 79%) получали в виде белого твердого вещества. 1Н ЯМР (400 МГц, DMSO-d6) δ 12,83 (s, 1H), 6,23 (s, 1Н), 3,45-3,36 (m, 5Н), 3,20-3,09 (m, 4Н), 2,30-2,16 (m, 1H), 1,41 (s, 9Н), 0,95 (d, J=6,8 Гц, 3H), 0,82 (d, J=6,8 Гц, 3H).
[1255] Стадия 16: получение трет-бутил-(8)-(1-(4-бромфенил)этил)карбамата
[1256] К раствору (18)-1-(4-бромфенил)этанамина (24,9 г, 124,45 ммоль, 1 экв.) в тетрагидрофуране (350 мл) добавляли триэтиламин (37,78 г, 373,36 ммоль, 3 экв.). Затем по каплям добавляли ди-трет-бутилдикарбонат (28,52 г, 130,68 ммоль, 30 мл, 1,05 экв.) при 0°С в атмосфере азота. Затем смесь перемешивали при 25°С в течение 12 ч. Реакционную смесь концентрировали при пониженном давлении с удалением тетрагидрофурана. В смесь выливали воду (400 мл) и перемешивали в течение 1 минуты. Водную фазу экстрагировали этилацетатом (200 мл × 3). Объединенную органическую фазу промывали солевым раствором (200 мл × 2), высушивали с помощью безводного сульфата натрия, фильтровали и концентрировали в вакууме. Неочищенный продукт растирали с петролейным эфиром (250 мл). Соединение, трет-бутил-N-[(1S)-1-(4-бромфенил)этил]карбамат (34,5 г, 114,93 ммоль, выход 92%), получали в виде белого твердого вещества. LC/MS (ESI) масса/заряд: 246,0 [М+1-56]+.
[1257] Стадия 17: получение трет-бутил-(S)-(1-(4-(4-метилтиазол-5-ил)фенил)этил)карбамата
[1258] К раствору трет-бутил-N-[(1S)-1-(4-бромфенил)этил]карбамата (14,5 г, 48,30 ммоль, 1 экв.) и 4-метилтиазола (7,18 г, 72,45 ммоль, 1,5 экв.) в диметилацетамиде (15 мл) добавляли ацетат палладия(II) (542 мг, 2,42 ммоль, 0,05 экв.) и ацетат калия (9,48 г, 96,61 ммоль, 2 экв.). Смесь перемешивали при 90°С в течение 12 ч. В смесь выливали воду (300 мл) и перемешивали в течение 1 минуты. Водную фазу экстрагировали этилацетатом (100 мл × 3). Объединенную органическую фазу промывали солевым раствором (100 мл × 2), высушивали с помощью безводного сульфата натрия, фильтровали и концентрировали в вакууме. Остаток очищали с помощью флэш-хроматографии на колонке С18 [ACN/H2O (0,5% FA)=5%~50%]. Соединение, трет-бутил-N-[(1S)-1-[4-(4-метилтиазол-5-ил)фенил]этил]карбамат (9,8 г, 29,85 ммоль, выход 61%, чистота 97%), получали в виде серого твердого вещества. LC/MS (ESI) масса/заряд: 319,0 [М+1]+.
[1259] Стадия 18: получение (S)-1-(4-(4-метилтиазол-5-ил)фенил)этан-1-амина
[1260] К раствору трет-бутил-N-[(1S)-1-[4-(4-метилтиазол-5-ил)фенил]этил]карбамата (1,5 г, 4,71 ммоль, 1 экв.) в дихлорметане (20 мл) добавляли смесь хлористоводородная кислота/диоксан (4 М, 20 мл, 16,98 экв.). Смесь перемешивали при 12 ч. Реакционную смесь концентрировали при пониженном давлении с удалением дихлорметана. Неочищенный продукт растирали с петролейным эфиром (100 мл). Соединение, (1S)-1-[4-(4-метилтиазол-5-ил)фенил]этанамин (1,1 г, неочищенный, HCl), получали в виде желтого твердого вещества. LC/MS (ESI) масса/заряд: 219,1 [М+1]+.
[1261] Стадия 19: получение трет-бутил-(2S,4R)-4-гидрокси-2-(((S)-1-(4-(4-метилтиазол-5-ил)фенил)этил)карбамоил)пирролидин-1-карбоксилата
[1262] К раствору (2S,4R)-1-трет-бутоксикарбонил-4-гидроксипирролидин-2-карбоновой кислоты (998 мг, 4,32 ммоль, 1,1 экв.) и гексафторфосфата о-(7-азабензотриазол-1-ил)-N,N,N',N'-тетраметилурония (1,79 г, 4,71 ммоль, 1,2 экв.) в диметилформамиде (10 мл) добавляли (1S)-1-[4-(4-метилтиазол-5-ил)фенил]этанамин (1 г, 3,92 ммоль, 1 экв., гидрохлорид) и диизопропилэтиламин (1,52 г, 11,77 ммоль, 2,05 мл, 3 экв.). Реакционную смесь перемешивали при 15°С в течение 0,5 часа. Реакционную смесь выливали в воду (20 мл), экстрагировали этилацетатом (30 мл × 3). Объединенные органические слои промывали солевым раствором (50 мл × 3), высушивали над безводным сульфатом натрия, фильтровали и концентрировали при пониженном давлении. Остаток очищали с помощью колоночной хроматографии на силикагеле (петролейный эфир/этилацетат = от 100/1 до 30/1). трет-Бутил-(2S,4R)-4-гидрокси-2-[[(1S)-1-[4-(4-метилтиазол-5-ил)фенил]этил]карбамоил]пирролидин-1-карбоксилат (1,2 г, 2,78 ммоль, выход 70%) получали в виде белого твердого вещества. LC/MS (ESI) масса/заряд: 432,3 [М+1]+; 1Н ЯМР (400 МГц, DMSO-d6) δ 8,98 (s, 1H), 8,52-8,28 (m, 1Н), 7,46-7,36 (m, 4Н), 5,03 4,93 (m, 2Н), 4,27-4,13 (m, 2Н), 3,45-3,22 (m, 5Н), 2,88 (s, 1H), 2,75-2,67 (m, 1H), 2,44 (s, 3H), 2,04 (q, J=10,8 Гц, 1Н), 1,80-1,69 (m, 1Н), 1,42-1,37 (m, 5Н), 1,31 (s, 7Н).
[1263] Стадия 20: получение (2S,4R)-4-гидрокси-N-((S)-1-(4-(4-метилтиазол-5-ил)фенил)этил)пирролидин-2-карбоксамида
[1264] К раствору трет-бутил-(2S,4R)-4-гидрокси-2-[[(1S)-1-[4-(4-метилтиазол-5-ил)фенил]этил]карбамоил]пирролидин-1-карбоксилата (1 г, 2,32 ммоль, 1 экв.) в дихлорметане (10 мл) добавляли хлористоводородную кислоту (2,5 М в диоксане, 5 мл, 5,39 экв.). Реакционную смесь перемешивали при 15°С в течение 0,5 часа. Реакционную смесь концентрировали при пониженном давлении. (2S,4R)-4-Гидрокси-N[(1S)-1-[4-(4-метилтиазол-5-ил)фенил]этил]пирролидин-2-карбоксамид (800 мг, 2,17 ммоль, выход 93%, гидрохлорид) получали в виде бесцветного масла. LC/MS (ESI) масса/заряд: 332,1 [М+1]+.
[1265] Стадия 21: получение трет-бутил-4-(5-(1-((2S,4R)-4-гидрокси-2-(((S)-1-(4-(4-метилтиазол-5-ил)фенил)этил)карбамоил)пирролидин-1-ил)-3-метил-1-оксобутан-2-ил)изоксазол-3-ил)пиперазин-1-карбоксилата
[1266] К раствору 2-[3-(4-трет-бутоксикарбонилпиперазин-1-ил)изоксазол-5-ил]-3-метилбутановой кислоты (100 мг, 0,28 ммоль, 1 экв.) и гексафторфосфатао-(7-азабензотриазол-1-ил)-N,N,N',N'-тетраметилурония (129 мг, 0,33 ммоль, 1,2 экв.) в диметилформамиде (5 мл) добавляли (2S,4R)-4-гидрокси-N-[(1S)-1-[4-(4-метилтиазол-5-ил)фенил]этил]пирролидин-2-карбоксамид (104 мг, 0,28 ммоль, 1 экв., гидрохлорид) и диизопропилэтиламин (109 мг, 0,84 ммоль, 3 экв.). Реакционную смесь перемешивали при 15°С в течение 0,5 ч. Реакционную смесь выливали в воду (20 мл), экстрагировали этилацетатом (30 мл × 3). Объединенные органические слои промывали солевым раствором (50 мл × 3), высушивали над безводным сульфатом натрия, фильтровали и концентрировали при пониженном давлении. Остаток очищали с помощью препаративной TLC (дихлорметан:метанол = 10:1). трет-Бутил-4-[5-[1-[(2S,4R)-4-гидрокси-2-[[(1S)-1-[4-(4-метилтиазол-5-ил)фенил]этил]карбамоил]пирролидин-1-карбонил]-2-метилпропил]изоксазол-3-ил]пиперазин-1-карбоксилат (180 мг, 0,26 ммоль, выход 92%, чистота 97%) получали в виде бесцветного масла. LC/MS (ESI) масса/заряд: 661,4 [М+1]+; 1Н ЯМР (400 МГц, CDCl3) δ 8,70 (d, J=1,2 Гц, 1Н), 8,03 (s, 1H), 7,45-7,39 (m, 3H), 7,38-7,31 (m, 2H), 5,94 (d, J=10,0 Гц, 1H), 5,13-4,95 (m, 1H), 4,79 (dd, J=4,4, 8,4 Гц, 1H), 4,70-1,59 (m, 2H), 3,84-3,71 (m, 1H), 3,67-3,55 (m, 4H), 3,54-3,47 (m, 5H), 3,21 (td, J=5,2, 13,2 Гц, 4H), 2,98 (s, 4H), 2,90 (s, 4H), 2,82 (s, 6H), 2,55 (d, J=1,6 Гц, 4H), 2,45 (ddd, J=6,4, 9,6, 16,0 Гц, 1H), 2,08-1,92 (m, 1H), 1,53-1,37 (m, 13H), 1,06 (dd, J=2,4, 6,4 Гц, 3H), 0,94 (d, J=6,8 Гц, 3H).
[1267] Стадия 22: получение трет-бутил-4-(5-((R)-1-((2S,4R)-4-гидрокси-2-(((S)-1-(4-(4-метилтиазол-5-ил)фенил)этил)карбамоил)пирролидин-1-ил)-3-метил-1-оксобутан-2-ил)изоксазол-3-ил)пиперазин-1-карбоксилата
[1268] трет-Бутил-4-[5-[1-[(2S,4R)-4-гидрокси-2-[[(1S)-1-[4-(4-метилтиазол-5-ил)фенил]этил]карбамоил]пирролидин-1-карбонил]-2-метилпропил]изоксазол-3-ил]пиперазин-1-карбоксилат (200 мг, 0,29 ммоль, 1 экв.) разделяли с помощью хиральной сверхкритической флюидной хроматографии. трет-Бутил-4-[5-[(1S)-1-[(2S,4R)-4-гидрокси-2-[[(1S)-1-[4-(4-метилтиазол-5-ил)фенил]этил]карбамоил]пирролидин-1-карбонил]-2-метилпропил]изоксазол-3-ил]пиперазин-1-карбоксилат (80 мг, 0,11 ммоль, выход 76%, чистота 95%) получали в виде белого твердого вещества. трет-Бутил-4-[5-[(1R)-1-[(2S,4R)-4-гидрокси-2-[[(1S)-1-[4-(4-метилтиазол-5-ил)фенил]этил]карбамоил]пирролидин-1-карбонил]-2-метилпропил]изоксазол-3-ил]пиперазин-1-карбоксилат (70 мг, 0,1 ммоль, 68% выход, 98% чистота) получали в виде белого твердого вещества.
[1269] Стадия 23: получение (2S,4R)-4-гидрокси-1-((R)-3-метил-2-(3-(пиперазин-1-ил)изоксазол-5-ил)бутаноил)-N-((S)-1-(4-(4-метилтиазол-5-ил)фенил)этил)пирролидин-2-карбоксамида
[1270] К раствору трет-бутан-4-[5-[(1R)-1-[(2S,4R)-4-гидрокси-2-[[(1S)-1-[4-(4-метилтиазол-5-ил)фенил]этил]карбамоил]пирролидин-1-карбонил]-2-метилпропил]изоксазол-3-ил]пиперазин-1-карбоксилата (70 мг, 0,1 ммоль, 1 экв.) в дихлорметане (2 мл) добавляли хлористоводородную кислоту (4M в диоксане, 3 мл). Реакционную смесь перемешивали при 15°С в течение 1 часа. Реакционную смесь концентрировали при пониженном давлении. (2S,4R)-4-Гидрокси-1-[(2R)-3-метил-2-(3-пиперазин-1-илизоксазол-5-ил)бутаноил]-N-[(1S)-1-[4-(4-метилтиазол-5-ил)фенил]этил]пирролидин-2-карбоксамид (55 мг, 0,09 ммоль, выход 91%, чистота 99%) получали в виде белого твердого вещества. LC/MS (ESI) масса/заряд: 567,2 [М+1]+.
[1271] Стадия 24: получение (2S,4R)-1-((R)-2-(3-(4-((1-(5-(3-(2,6-дифтор-3-(((R)-3-фторпирролидин)-1-сульфонамидо)бензоил)-1Н-пирроло[2,3-b]пиридин-5-ил)пиримидин-2-ил)пиперидин-4-ил)метил)пиперазин-1-ил)изоксазол-5-ил)-3-метилбутаноил)-4-гидрокси-N-((S)-1-(4-(4-метилтиазол-5-ил)фенил)этил)пирролидин-2-карбоксамида
[1272] К раствору (2S,4R)-4-гидрокси-1-[(2R)-3-метил-2-(3-пиперазин-1-илизоксазол-5-ил)бутаноил]-N[(1S)-1-[4-(4-метилтиазол-5-ил)фенил]этил]пирролидин-2-карбоксамида (68,81 мг, 0,11 ммоль, 1 экв., гидрохлорид) в метаноле (0,5 мл) и дихлорметане (0,5 мл) добавляли ацетат натрия (19 мг, 0,22 ммоль, 2 экв.) для регулирования рН ~8,0. Затем добавляли (3R)-N-[2,4-дифтор-3-[5-[2-(4-формил-1-пиперидил)пиримидин-5-ил]-1H-пирроло[2,3-b]пиридин-3-карбонил]фенил]-3-фторпирролидин-1-сульфонамид (70 мг, 0,11 ммоль, 1 экв.). Смесь перемешивали при 30°С в течение 15 мин с последующим добавлением уксусной кислоты (14 мг, 0,22 ммоль, 2 экв.) для регулирования рН ~5,0. Смесь перемешивали при 15°С в течение 15 мин. Затем порциями добавляли цианоборогидрид натрия (14 мг, 0,22 ммоль, 2 экв.). Реакционную смесь перемешивали при 30°С в течение 2,5 часа. Добавляли дихлорметан (30 мл × 2), метанол (5 мл) и воду (25 мл × 2) и органические слои разделяли. Объединенную органическую фазу концентрировали под вакуумом. Остаток очищали с помощью полупрепаративной HPLC с обращенной фазой. Соединение, (2S,4R)-l-[(2R)-2-[3-[4-[[1-[5-[3-[2,6-дифтор-3-[(3R)-3-фторпирролидин-1-ил]сульфониламино]бензоил]-1Н-пирроло[2,3-b]пиридин-5-ил]пиримидин-2-ил]-4-пиперидил]метил]пиперазин-1-ил]изоксазол-5-ил]-3-метилбутаноил]-4-гидрокси-R-[(1S)-1-[4-(4-метилтиазол-5-ил)фенил]этил]пирролидин-2-карбоксамид (56,9 мг, 0,04 ммоль, выход 37%, чистота 95%, трифторуксусная кислота), получали в виде грязно-белого твердого вещества. LC/MS (ESI) масса/заряд: 582,8 [М/2+1]+; 1Н ЯМР (400 МГц, DMSO-d6) δ 12,99 (s, 1H), 9,82 (s, 1H), 8,98 (s, 1H), 8,76 (s, 2H), 8,66 (s, 1H), 8,56 (s, 1H), 8,37 (d, J=6,8 Гц, 1H), 8,11 (s, 1H), 7,69-7,56 (m, 1H), 7,51-7,41 (m, 2H), 7,40-7,33 (m, 2H), 7,27 (t, J=8,8 Гц, 1H), 6,34-6,16 (m, 1H), 5,43-5,21 (m, 1H), 5,11 (s, 1H), 4,99-4,84 (m, 1H), 4,75 (d, J=12,0 Гц, 2H), 4,52-41,20 (m, 2H), 3,80 (s, 2H), 3,73 (d, J=6,4 Гц, 1H), 3,63 (d, J=9,2 Гц, 3H), 3,47 (d, J=13,6 Гц, 3H), 3,41 (s, 3H), 3,24 (s, 2H), 3,13 (s, 3H), 3,07- 2,96 (m, 2H), 2,49-2,44 (m, 1H), 2,46 (s, 3H), 2,30-2,10 (m, 4H), 2,08-1,97 (m, 2H), 1,92-1,76 (m, 2H), 1,52-1,34 (m, 3H), 1,24 (s, 3H), 0,98 (d, J=6,0 Гц, 2H), 0,90-0,77 (m, 3H).
[1273] Иллюстративный синтез (2S,4R)-1-(2-(3-(3-(4-(5-(3-(2,6-дифтор-3-(((R)-3-фторпирролидин)-1-сульфонамидо)бензоил)-1Н-пирроло[2,3-b]пиридин-5-ил)пиримидин-2-ил)пиперазин-1-ил)азетидин-1-ил)изоксазол-5-ил)-3-метилбутаноил)-4-гидрокси-N-(4-(4-метилтиазол-5-ил)бензил)пирролидин-2-карбоксамида (пример 322)
[1274] Стадия 1: получение трет-бутил-4-(1-((бензилокси)карбонил)азетидин-3-ил)пиперазин-1-карбоксилата
[1275] В круглодонную колбу объемом 250 мл помещали трет-бутилпиперазин-1-карбоксилат (10,0 г, 53,69 ммоль, 1 экв.) и бензил-3-оксоазетидин-1-карбоксилат (11,0 г, 53,60 ммоль, 1,00 экв.) в дихлорметане (150 мл), к которому добавляли NaBH(OAc)3 (34,1 г, 161,07 ммоль, 3 экв.). Полученную смесь перемешивали в течение 3 ч. при комнатной температуре. Затем реакционную смесь гасили водой (100 мл), экстрагировали дихлорметаном (100 мл × 3), промывали водой (100 мл) и солевым раствором (100 мл), высушивали над безводным сульфатом натрия и концентрировали при пониженном давлении. Остаток обрабатывали с помощью колонки с силикагелем с применением смеси этилацетат/петролейный эфир (об.:об. = 2:1). Это обеспечивало получение 10,0 г (49,61%) трет-бутил-4-[1-[(бензилокси)карбонил]азетидин-3-ил]пиперазин-1-карбоксилата в виде светло-коричневого твердого вещества. LC/MS (ESI) масса/заряд: 376,35 [М+1]+.
[1276] Стадия 2: получение трет-бутил-4-(азетидин-3-ил)пиперазин-1-карбоксилата
[1277] К раствору трет-бутил-4-[1-[(бензилокси)карбонил]азетидин-3-ил]пиперазин-1-карбоксилата (10,0 г, 26,63 ммоль, 1 экв.) в 30 мл МеОН добавляли Pd/C (10%, 2,0 г) в атмосфере азота в круглодонной колбе объемом 250 мл. Колбу затем подвергали вакуумированию и продували водородом. Реакционную смесь гидрогенизировали при комнатной температуре в течение 2 часов в атмосфере водорода с применением баллона с водородом, затем фильтровали через подушку из целита и фильтрат концентрировали при пониженном давлении. Это обеспечивало получение 5,9 г (91,79%) трет-бутил-4-(азетидин-3-ил)пиперазин-1-карбоксилата в виде желтого масла. LC/MS (ESI) масса/заряд: 242,20 [М+1]+.
[1278] Стадия 3: получение трет-бутил-2-изопропилбут-3-еноата
[1279] В круглодонную колбу объемом 1000 мл, которую продували азотом и в которой поддерживали инертную атмосферу азота, помещали раствор трет-бутил-бут-3-еноата (20,0 г, 140,6 ммоль, 1,0 экв.) в тетрагидрофуране (400 мл). К вышеуказанной смеси добавляли диизопропиламид лития (30,0 г, 280,1 ммоль, 2,0 экв.) при -78°С. После перемешивания в течение 30 мин при -78°С в реакционную смесь порциями загружали 2-йодпропан (36,0 г, 211,8 ммоль, 1,5 экв.) при -78°С. Полученную смесь нагревали до комнатной температуры и перемешивали в течение ночи при комнатной температуре. Затем реакционную смесь гасили путем добавления 300 мл насыщенного раствора NH4Cl. Полученный раствор экстрагировали этилацетатом (300 мл × 3) и органические слои объединяли и концентрировали под вакуумом. Остаток обрабатывали с помощью колонки с силикагелем с элюированием смесью этилацетат/петролейный эфир (20:1). Это обеспечивало получение 18,0 г (69,0%) трет-бутил-2-(пропан-2-ил)бут-3-еноата в виде светло-желтой жидкости.
[1280] Стадия 4: получение трет-бутил-2-(3-бром-4,5-дигидроизоксазол-5-ил)-3-метилбутаноата
[1281] В круглодонную колбу объемом 1000 мл, которую продували азотом и в которой поддерживали инертную атмосферу азота, помещали раствор трет-бутил-2-(пропан-2-ил)бут-3-еноата (18,0 г, 97,7 ммоль, 1,0 экв.), метанпероксоата калия (29,0 г, 289,7 ммоль, 3,0 экв.) в DMF/H2O (200/200 мл) при -10°С. Затем добавляли 1-бром-N-гидроксиметанкарбонимидоилбромид (35,0 г, 172,6 ммоль, 1,8 экв.) к вышеуказанной смеси при -10°С. Полученную смесь перемешивали в течение ночи при комнатной температуре. Затем реакционную смесь гасили путем добавления 300 мл воды/льда. Полученную смесь экстрагировали этилацетатом (300 мл × 3) и органические слои объединяли и концентрировали под вакуумом. Остаток обрабатывали с помощью колонки с силикагелем с элюированием смесью этилацетат/петролейный эфир (10:1). Это обеспечивало получение 8,6 г (29,0%) трет-бутил-2-(3-бром-4,5-дигидро-1,2-оксазол-5-ил)-3-метилбутаноата в виде твердого вещества. LC/MS (ESI) масса/заряд: 306,40 [М+1]+.
[1282] Стадия 5: получение трет-бутил-4-(1-(5-(1-(трет-бутокси)-3-метил-1-оксобутан-2-ил)-4,5-дигидроизоксазол-3-ил)азетидин-3-ил)пиперазин-1-карбоксилата
[1283] В герметичную пробирку объемом 60 мл, которую продували азотом и в которой поддерживали инертную атмосферу азота, помещали трет-бутил-4-(азетидин-3-ил)пиперазин-1-карбоксилат (4,0 г, 16,57 ммоль, 1 экв.), трет-бутил-2-(3-бром-4,5-дигидро-1,2-оксазол-5-ил)-3-метилбутаноат (10,2 г, 33,15 ммоль, 2 экв.), DIEA (6,4 г, 49,72 ммоль, 3 экв.) в n-BuOH (20,0 мл). Полученную смесь перемешивали в течение 2 ч. при 110°С на масляной бане. Затем реакционную смесь гасили водой (50 мл), экстрагировали этилацетатом (50 мл × 3), промывали водой (50 мл) и солевым раствором (50 мл), высушивали над безводным сульфатом натрия и концентрировали. Остаток обрабатывали с помощью колонки с силикагелем с применением смеси этилацетат/петролейный эфир (об.:об. = 1:4). Это обеспечивало получение 2,2 г (28,45%) трет-бутил-4-(1-[5-[1-(трет-бутокси)-3-метил-1-оксобутан-2-ил]-4,5-дигидро-1,2-оксазол-3-ил]азетидин-3-ил)пиперазин-1-карбоксилата в виде желтого масла. LC/MS (EST) масса/заряд: 467,45 [М+1]+.
[1284] Стадия 6: получение трет-бутил-4-(1-(5-(1-(трет-бутокси)-3-метил-1-оксобутан-2-ил)изоксазол-3-ил)азетидин-3-ил)пиперазин-1-карбоксилата
[1285] Во флакон объемом 30 мл, который продували азотом и в котором поддерживали инертную атмосферу азота, помещали трет-бутил-4-(1-[5-[1-(трет-бутокси)-3-метил-1-оксобутан-2-ил]-4,5-дигидро-1,2-оксазол-3-ил]азетидин-3-ил)пиперазин-1-карбоксилат (2,2 г, 4,71 ммоль, 1 экв.), пиридин (1,9 г, 23,57 ммоль, 5 экв.), 12 (2,4 г, 9,46 ммоль, 2,01 экв.) в толуоле (20 мл). Полученный раствор перемешивали в течение 2 ч. при 110°С на масляной бане. Затем реакционную смесь гасили с помощью насыщенного раствора Na2S2O3 (50 мл), экстрагировали этилацетатом (50 мл × 3), промывали с помощью насыщенного раствора NaHCO3 (50 мл) и солевого раствора (50 мл), высушивали над безводным сульфатом натрия и концентрировали. Остаток обрабатывали с помощью колонки с силикагелем с применением смеси этилацетат/петролейный эфир (об.:об. = 1:1). Это обеспечивало получение 1,0 г (45,65%) трет-бутил-4-(1-[5-[1-(трет-бутокси)-3-метил-1-оксобутан-2-ил]-1,2-оксазол-3-ил]азетидин-3-ил)пиперазин-1-карбоксилата в виде желтого масла. LC/MS (ESI) масса/заряд: 465,1 [М+1]+.
[1286] Стадия 7: получение 3-метил-2-(3-(3-(пиперазин-1-ил)азетидин-1-ил)изоксазол-5-ил)бутановой кислоты
[1287] В круглодонную колбу объемом 100 мл помещали трет-бутил-4-(1-[5-[1-(трет-бутокси)-3-метил-1-оксобутан-2-ил]-1,2-оксазол-3-ил]азетидин-3-ил)пиперазин-1-карбоксилат (500,0 мг, 1,08 ммоль, 1 экв.) в DCM (20 мл), к которому добавляли 2,2,2-трифторуксусную кислоту (8 мл). Полученную смесь перемешивали в течение 5 часов при комнатной температуре и концентрировали при пониженном давлении. Это обеспечивало получение 270,0 мг 3-метил-2-[3-[3-(пиперазин-1-ил)азетидин-1-ил]-1,2-оксазол-5-ил]бутановой кислоты в виде желтого масла. LC/MS (ESI) масса/заряд: 309,30 [М+1]+.
[1288] Стадия 8: получение (R)-N-(3-(5-(2-хлорпиримидин-5-ил)-1Н-пирроло[2,3-b]пиридин-3-карбонил)-2,4-дифторфенил)-3-фторпирролидин-1-сульфонамида
[1289] В герметичную пробирку объемом 30 мл помещали (3R)-N-(3-[5-бром-1Н-пирроло[2,3-b]пиридин-3-карбонил]-2,4-дифторфенил)-3-фторпирролидин-1-сульфонамид (450,0 мг, 0,89 ммоль, 1 экв.), 2-хлор-5-(4,4,5,5-тетраметил-1,3,2-диоксаборолан-2-ил)пиримидин (645,0 мг, 2,68 ммоль, 3,00 экв.), Na2CO3 (284,0 мг, 2,68 ммоль, 3,00 экв.) и Pd(dppf)Cl2 CH2Cl2 (15,0 мг, 0,02 ммоль, 0,02 экв.) в диоксане (5 мл) и H2O (1 мл) в атмосфере азота. Полученную смесь перемешивали в течение 3 часов при 105°С на масляной бане в атмосфере азота. Полученную смесь концентрировали при пониженном давлении. Остаток обрабатывали с помощью колонки с силикагелем с элюированием смесью этилацетат/петролейный эфир (1:2). Это обеспечивало получение 70,0 мг (14,58%) (3R)-N-[3-[5-(2-хлорпиримидин-5-ил)-1Н-пирроло[2,3-b]пиридин-3-карбонил]-2,4-дифторфенил]-3-фторпирролидин-1-сульфонамида в виде светло-желтого твердого вещества. LC/MS (ESI) масса/заряд: 537,05 [М+1]+.
[1290] Стадия 9: получение 2-(3-(3-(4-(5-(3-(2,6-дифтор-3-(((R)-3-фторпирролидин)-1-сульфонамидо)бензоил)-1Н-пирроло[2,3-b]пиридин-5-ил)пиримидин-2-ил)пиперазин-1-ил)азетидин-1-ил)изоксазол-5-ил)-3-метилбутановой кислоты
[1291] В круглодонную колбу объемом 50 мл помещали 3-метил-2-[3-[3-(пиперазин-1-ил)азетидин-1-ил]-1,2-оксазол-5-ил]бутановую кислоту (40 мг, 0,13 ммоль, 1 экв.), (3R)-N-[3-[5-(2-хлорпиримидин-5-ил)-1Н-пирроло[2,3-b]пиридин-3-карбонил]-2,4-дифторфенил]-3-фторпирролидин- 1-сульфонамид (69,6 мг, 0,13 ммоль, 1 экв.), Et3N (50,3 мг, 0,39 ммоль, 3 экв.) в DCM (2 мл). Полученную смесь перемешивали в течение 48 ч. при комнатной температуре. Полученную смесь концентрировали под вакуумом. Остаток обрабатывали с помощью колонки с силикагелем с применением смеси дихлорметан/метанол (об.:об. = 4:1). Это обеспечивало получение 53,0 мг (50,52%) 2-(3-[3-[4-(5-[3-[2,6-дифтор-3-([[(3R)-3-фторпирролидин-1-ил]сульфонил]амино)бензоил]-1Н-пирроло[2,3-b]пиридин-5-ил]пиримидин-2-ил)пиперазин-1-ил]азетидин-1-ил]-1,2-оксазол-5-ил)-3-метилбутановой кислоты в виде желтого масла. LC/MS (ESI) масса/заряд: 809,05 [М+1]+.
[1292] Стадия 10: получение (2S,4R)-1-(2-(3-(3-(4-(5-(3-(2,6-дифтор-3-(((R)-3-фторпирролидин)-1-сульфонамидо)бензоил)-1Н-пирроло[2,3-b]пиридин-5-ил)пиримидин-2-ил)пиперазин-1-ил)азетидин-1-ил)изоксазол-5-ил)-3-метилбутаноил)-4-гидрокси-N-(4-(4-метилтиазол-5-ил)бензил)пирролидин-2-карбоксамида
[1293] В колбу объемом 50 мл помещали 2-(3-[3-[4-(5-[3-[2,6-дифтор-3-([[(3R)-3-фторпирролидин-1-ил]сульфонил]амино)бензоил]-1Н-пирроло[2,3-b]пиридин-5-ил]пиримидин-2-ил)пиперазин-1-ил]азетидин-1-ил]-1,2-оксазол-5-ил)-3-метилбутановую кислоту (53 мг, 0,07 ммоль, 1 экв.), (2S,4R)-4-гидрокси-N-[[4-(4-метил-1,3-тиазол-5-ил)фенил]метил]пирролидин-2-карбоксамид (20,8 мг, 0,07 ммоль, 1 экв.), DIEA (25,4 мг, 0,20 ммоль, 3 экв.), ВОР (43,5 мг, 0,10 ммоль, 1,5 экв.) в DMF (5 мл). Полученную смесь перемешивали в течение 2 часов при комнатной температуре. Затем реакционную смесь гасили путем добавления 20 мл воды и экстрагировали дихлорметаном (20 мл × 2), промывали с помощью 20 мл воды и 20 мл солевого раствора. Органическую фазу высушивали над безводным сульфатом натрия и концентрировали при пониженном давлении. Остаток очищали с помощью HPLC. Это обеспечивало получение 31,0 мг (42,69%) (2S,4R)-l-[2-(3-[3-[4-(5-[3-[2,6-дифтор-3-([[(3R)-3-фторпирролидин-1-ил]сульфонил]амино)бензоил]-1Н-пирроло[2,3-b]пиридин-5-ил]пиримидин-2-ил)пиперазин-1-ил]азетидин-1-ил]-1,2-оксазол-5-ил)-3-метилбутаноил]-4-гидрокси-N-[[4-(4-метил-1,3-тиазол-5-ил)фенил]метил]пирролидин-2-карбоксамида в виде желтого масла. LC/MS (ESI) масса/заряд: 1108,10 [М+1]+; 1Н ЯМР (400 МГц, DMSO-d6) δ 13,00 (s, 1H), 11,30 (brs, 1H), 9,80 (s, 1H), 8,97 (s, 1H), 8,85 (s, 2H), 8,67 (d, J=2,2 Гц, 1H), 8,58 (s, 1H), 8,50-8,46 (m, 1H), 8,14-8,06 (m, 1H), 7,69-7,55 (m, 1H), 7,46-6,91 (m, 5H), 5,97 (d, J=2,7 Гц, 1H), 5,38 (s, 1H), 5,20 (s, 1H), 4,85-4,60 (m, 2H), 4,43-4,26 (m, 4H), 4,25-4,15 (m, 4H), 3,83-3,74 (m, 2H), 3,69-3,28 (m, 10H), 3,12-2,98 (m, 1H), 2,43-2,40 (m, 3H), 2,27-1,83 (m, 5H), 1,23 (d, J=10,7 Гц, 1H), 0,95-0,90 (m, 2H), 0,85-0,71 (m, 2H), 0,63-0,52 (m, 1H).
[1294] Иллюстративный синтез (2S,4R)-1-((S)-2-(2-(4-((4-(4-(3-(2,6-дифтор-3-((3-гидроксипропил)сульфонамидо)бензоил)-1H-пирроло[2,3-b]пиридин-5-ил)фенил)пиперазин-1-ил)метил)пиперидин-1-ил)ацетамидо)-3,3-диметилбутаноил)-4-гидрокси-N-(4-(4-метилтиазол-5-ил)бензил)пирролидин-2-карбоксамида (пример 321)
[1295] Стадия 1: получение 3-ацетоксипропан-1-сульфоната натрия
[1296] В круглодонную колбу объемом 100 мл, которую продували азотом и в которой поддерживали инертную атмосферу азота, помещали 3-гидроксипропан-1-сульфонат натрия (5 г, 30,84 ммоль, 1 экв.) в уксусном ангидриде (40 мл). Полученный раствор перемешивали в течение 7 ч. при 120°С на масляной бане. После охлаждения до комнатной температуры собирали осажденные твердые вещества путем фильтрации и высушивали под вакуумом. Это обеспечивало получение 6,2 г (98,47%) 3-ацетоксипропан-1-сульфоната натрия в виде белого твердого вещества.
[1297] Стадия 2: получение 3-(хлорсульфонил)пропилацетат
[1298] В круглодонную колбу объемом 50 мл помещали 3-ацетоксипропан-1-сульфонат натрия (3 г, 14,69 ммоль, 1 экв.) в оксалилдихлориде (20 мл). В вышеуказанную смесь добавляли каталитическое количество DMF (0,1 мл). Полученную смесь перемешивали в течение 5 ч. при 68°С на масляной бане. Реакционную смесь концентрировали под вакуумом. Остаток повторно растворяли в EtOAc (100 мл). Нерастворимые твердые вещества отфильтровывали и фильтрат концентрировали под вакуумом. Это обеспечивало получение 2,3 г (78,02%) 3-(хлорсульфонил)пропилацетата в виде желтого масла.
[1299] Стадия 3: получение 3-(N-(3-(5-бром-1Н-пирроло[2,3-b]пиридин-3-карбонил)-2,4-дифторфенил)сульфамоил)пропилацетата
[1300] В круглодонную колбу объемом 50 мл помещали 3-(хлорсульфонил)пропилацетат (200 мг, 1,00 ммоль, 1 экв.), 3-[5-бром-1Н-пирроло[2,3-b]пиридин-3-карбонил]-2,4-дифторанилин (351,0 мг, 1,00 ммоль, 1 экв.) и DMAP (12,2 мг, 0,10 ммоль, 0,1 экв.) в пиридине (10 мл). Полученный раствор перемешивали в течение ночи при 40°С на масляной бане. Смесь концентрировали под вакуумом. Остаток обрабатывали с помощью колонки с силикагелем с элюированием смесью дихлорметан/метанол (20:1). Это обеспечивало получение 293 мг (56,93%) 3-(N-(3-(5-бром-1Н-пирроло[2,3-b]пиридин-3-карбонил)-2,4-дифторфенил)сульфамоил)пропилацетата в виде желтого твердого вещества. LC/MS (ESI) масса/заряд: 515,90/517,90,20 [М+1]+.
[1301] Стадия 4: получение трет-бутил-2-(4-((4-(4-(3-(3-((3-ацетоксипропил)сульфонамидо)-2,6-дифторбензоил)-1Н-пирроло[2,3-b]пиридин-5-ил)фенил)пиперазин-1-ил)метил)пиперидин-1-ил)ацетата
[1302] Во флакон объемом 10 мл, который продували азотом и в котором поддерживали инертную атмосферу азота, помещали 3-[(3-[5-бром-1Н-пирроло[2,3-b]пиридин-3-карбонил]-2,4-дифторфенил)сульфамоил]пропилацетат (293 мг, 0,57 ммоль, 1 экв.), трет-бутил-2-[4-([4-[4-(4,4,5,5-тетраметил-1,3,2-диоксаборолан-2-ил)фенил]пиперазин-1-ил]метил)пиперидин-1-ил]ацетат (340,2 мг, 0,68 ммоль, 1,2 экв.), Na2CO3 (180,4 мг, 1,70 ммоль, 3 экв.), Pd(dppf)Cl2 (41,5 мг, 0,06 ммоль, 0,1 экв.) в диоксане (5 мл) и H2O (1 мл) в атмосфере азота. Полученную смесь перемешивали в течение 2 ч. при 105°С на масляной бане. Реакционную смесь охлаждали до комнатной температуры и разбавляли водой (20 мл). Полученную смесь экстрагировали этилацетатом (40 мл × 3). Объединенный органический слой промывали солевым раствором (20 мл × 1), высушивали над безводным натрием и концентрировали под вакуумом. Остаток обрабатывали с помощью колонки с силикагелем с элюированием смесью дихлорметан/метанол (10:1). Это обеспечивало получение 287 мг (62,52%) трет-бутил-2-(4-((4-(4-(3-(3-(3-ацетоксипропилсульфонамидо)-2,6-дифторбензоил)-1Н-пирроло[2,3-b]пиридин-5-ил)фенил)пиперазин-1-ил)метил)пиперидин-1-ил)ацетата в виде желтого твердого вещества. LC/MS (ESI) масса/заряд: 809,55 [М+1]+.
[1303] Стадия 5: получение 2-(4-((4-(4-(3-(3-((3-ацетоксипропил)сульфонамидо)-2,6-дифторбензоил)-1Н-пирроло[2,3-b]пиридин-5-ил)фенил)пиперазин-1-ил)метил)пиперидин-1-ил)уксусной кислоты
[1304] В круглодонную колбу объемом 50 мл помещали 3-[[3-(5-[4-[4-([1-[2-(трет-бутокси)-2-оксоэтил]пиперидин-4-ил]метил)пиперазин-1-ил]фенил]-1Н-пирроло[2,3-b]пиридин-3-карбонил)-2,4-дифторфенил]сульфамоил]пропилацетат (287 мг, 0,35 ммоль, 1 экв.) в дихлорметане (20 мл). Затем добавляли TFA (5 мл) при комнатной температуре. Полученный раствор перемешивали в течение ночи при комнатной температуре. Смесь концентрировали под вакуумом. Это обеспечивало получение 267 мг (99,97%) HCl-соли 2-(4-((4-(4-(3-(3-(3-ацетоксипропилсульфонамидо)-2,6-дифторбензоил)-1Н-пирроло[2,3-b]пиридин-5-ил)фенил)пиперазин-1-ил)метил)пиперидин-1-ил)уксусной кислоты в виде желтого масла. LC/MS (ESI) масса/заряд: 753,10 [М+1]+.
[1305] Стадия 6: получение 3-(N-(2,4-дифтор-3-(5-(4-(4-((1-(2-(((S)-1-((2S,4R)-4-гидрокси-2-((4-(4-метилтиазол-5-ил)бензил)карбамоил)пирролидин-1-ил)-3,3-диметил-1-оксобутан-2-ил)амино)-2-оксоэтил)пиперидин-4-ил)метил)пиперазин-1-ил)фенил)-1Н-пирроло[2,3-b]пиридин-3-карбонил)фенил)сульфамоил)пропилацетата
[1306] В круглодонную колбу объемом 50 мл помещали 2-(4-((4-(4-(3-(3-(3-ацетоксипропилсульфонамидо)-2,6-дифторбензоил)-1Н-пирроло[2,3-b]пиридин-5-ил)фенил)пиперазин-1-ил)метил)пиперидин-1-ил)уксусную кислоту (267 мг, 0,35 ммоль, 1 экв.) в DMF (20 мл). Затем в вышеуказанный раствор последовательно добавляли ВОР (188,2 мг, 0,43 ммоль, 1,2 экв.) и DIEA (137,5 мг, 1,06 ммоль, 3 экв.). После перемешивания в течение 5 мин при комнатной температуре в реакционную смесь загружали раствор HCl-соли (2S,4R)-1-[(2S)-2-амино-3,3-диметилбутаноил]-4-гидрокси-N-[[4-(4-метил-1,3-тиазол-5-ил)фенил]метил]пирролидин-2-карбоксамида (152,7 мг, 0,35 ммоль, 1 экв.) в DMF (5 мл). Реакционную смесь перемешивали в течение 2 ч. при комнатной температуре. Затем реакционную смесь гасили путем добавления воды (20 мл). Полученную смесь экстрагировали смесью дихлорметан/метанол (об.:об. = 10:1, 40 мл × 3). Объединенный органический слой промывали солевым раствором (10 мл), высушивали над безводным сульфатом натрия и концентрировали. Остаток обрабатывали с помощью колонки с силикагелем с элюированием смесью дихлорметан/метанол (10:1). Это обеспечивало получение 283 мг (68,47%) 3-(N-(2,4-дифтор-3-(5-(4-(4-((1-(2-((S)-1-((2S,4R)-4-гидрокси-2-(4-(4-метилтиазол-5-ил)бензилкарбамоил)пирролидин-1-ил)-3,3-диметил-1-оксобутан-2-иламино)-2-оксоэтил)пиперидин-4-ил)метил)пиперазин-1-ил)фенил)-1Н-пирроло[2,3-b]пиридин-3-карбонил)фенил)сульфамоил)пропилацетата в виде желтого твердого вещества. LC/MS (ESI) масса/заряд: 1187,05 [М+23]+.
[1307] Стадия 7: получение (2S,4R)-1-((S)-2-(2-(4-((4-(4-(3-(2,6-дифтор-3-((3-гидроксипропил)сульфонамидо)бензоил)-1Н-пирроло[2,3-b]пиридин-5-ил)фенил)пиперазин-1-ил)метил)пиперидин-1-ил)ацетамидо)-3,3-диметилбутаноил)-4-гидрокси-N-(4-(4-метилтиазол-5-ил)бензил)пирролидин-2-карбоксамида
[1308] В круглодонную колбу объемом 50 мл помещали 3-[(2,4-дифтор-3-[5-[4-(4-[[1-([[(2S)-1-[(2S,4R)-4-гидрокси-2-([[4-(4-метил-1,3-тиазол-5-ил)фенил]метил]карбамоил)пирролидин-1-ил]-3,3-диметил-1-оксобутан-2-ил]карбамоил]метил)пиперидин-4-ил]мет (273 мг, 0,23 ммоль, 1 экв.), МеОН (20 мл, 493,98 ммоль, 2108,71 экв.), H2O (1 мл, 55,51 ммоль, 236,96 экв.), LiOH (16,8 мг, 0,70 ммоль, 3 экв.). Полученный раствор перемешивали в течение 2 ч. при 40°С на масляной бане. Неочищенный продукт (263 мг) очищали с помощью препаративной HPLC. Это обеспечивало получение 31,6 мг (11,93%) (2S,4R)-l-[(2S)-2-[2-(4-[[4-(4-[3-[2,6-дифтор-3-(3-гидроксипропансульфонамидо)бензоил]-1Н-пирроло[2,3-b]пиридин-5-ил]фенил)пиперазин-1-ил]метил]пиперидин-1-ил)ацетамидо]-3,3-диметилбутаноил]-4-гид в виде светло-желтого твердого вещества. LC/MS (ESI) масса/заряд: 1123,20 [М+1]+; 1Н ЯМР (400 МГц, CD3OD) δ 8,90 (s, 1H), 8,73 (s, 1H), 8,62 (d, J=2,1 Гц, 1Н), 7,98 (s, 1H), 7,72-7,54 (m, 3H), 7,48-7,34 (m, 4Н), 7,25-7,07 (m, 3H), 4,65 (d, J=10,9 Гц, 1H), 4,62 4,51 (m, 3H), 4,39 (d, J=15,5 Гц, 1Н), 3,98-3,79 (m, 2Н), 3,66 (t, J=6,0 Гц, 2Н), 3,34-3,12 (m, 8Н), 3,06- 2,90 (m, 2Н), 2,86-2,69 (m, 4Н), 2,54-2,45 (m, 3H), 2,44-2,18 (m, 5Н), 2,17-1,97 (m, 3H), 1,94-1,62 (m, 3H), 1,49-1,22 (m, 2Н), 1,06 (d, J=8,1 Гц, 9Н).
[1309] Иллюстративный синтез (2S,4R)-1-((2S)-2-(2-(4-((4-(4-(3-(3-((1-циклопентил-2,2,2-трифторэтил)амино(2.6-дифторбензоил)-1H-пирроло[2,3-b]пиридин-5-ил)фенил)пиперазин-1-ил)метил)пиперидин-1-ил)ацетамидо)3,3-диметилбутаноил)-4-гидрокси-N-(4-(4-метилтиазол-5-ил)бензил)пирролидин-2-карбоксамида (пример 365)
[1310] Стадия 1: получение (Е)-N-бензил-1-циклопентилметанимина
[1311] Суспензию циклопентанкарбальдегида (11,2 г, 114,1 ммоль, 1 экв.), 1-фенилметанамина (12,8 г, 119,7 ммоль, 1,05 экв.) и MgSO4 (69,9 г, 580,7 ммоль, 5,09 экв.) в дихлорметане (350 мл) перемешивали в течение 21 ч. при комнатной температуре. Твердые вещества отфильтровывали. Фильтрат выпаривали до сухого состояния и высушивали под вакуумом. Это обеспечивало получение 21,5 г (100%)) (Е)-бензил(циклопентилметилиден)амина в виде светло-желтой жидкости. LC/MS (ESI) масса/заряд: 188,4 [М+1]+.
[1312] Стадия 2: получение N-бензил-1-циклопентил-2,2,2-трифторэтан-1-амина
[1313] К раствору (Е)-бензил(циклопентилметилиден)амина (21,8 г, 116,2 ммоль, 1 экв.) в MeCN (220 мл) добавляли TFA (11,2 мл, 150,8 ммоль, 1,30 экв.), KHF2 (7,35 г, 94,1 ммоль, 0,81 экв.) и DMF (33 мл) при 0°С. Реакционную смесь перемешивали в течение 5 мин при 0°С. Затем к вышеуказанной смеси добавляли Me3SiCF3 (24,9 г, 175,2 ммоль, 1,51 экв.) и обеспечивали протекание реакции в полученной смеси при перемешивании в течение дополнительных 17 ч. при комнатной температуре. Затем реакционную смесь гасили путем добавления 43 мл насыщ. раствора Na2CO3. Смесь перемешивали в течение 5 минут и затем разбавляли водой (300 мл). Полученную смесь экстрагировали этилацетатом (200 мл × 3). Объединенные органические слои промывали водой (100 мл × 2) и солевым раствором (100 мл × 1) и высушивали над безводным сульфатом натрия. Неочищенное вещество обрабатывали с помощью колонки с силикагелем с применением смеси этилацетат/петролейный эфир (1:20). Это обеспечивало получение 7,34 г (24,6%) бензил(1-циклопентил-2,2,2-трифторэтил)амина в виде светло-желтой жидкости. LC/MS (ESI) масса/заряд: 258,10 [М+1]+; 1Н ЯМР (400 МГц, CDCl3) δ 1,44-1,87 (m, 9Н), 2,09-2,23 (m, 1H), 2,97-3,06 (m, 1H), 3,86 (d, J=12,9 Гц, 1H), 4,11 (d, J=13,2 Гц, 1H), 7,29-7,41 (m, 5H); 9F ЯМР (300 МГц, CDCl3) δ 71,5,72,1,72,2.
[1314] Стадия 3: получение гидрохлорида 1-циклопентил-2,2,2-трифторэтан-1-амина
[1315] К раствору бензил-(1-циклопентил-2,2,2-трифторэтил)амина (6,31 г, 24,52 ммоль, 1 экв.) в МеОН (80 мл) в реакторе с резервуаром под давлением объемом 500 мл добавляли Pd/C (2,17 г). В смесь загружали Н2 при 50 атм и перемешивали в течение 19 ч. при 50°С. Смесь фильтровали и к фильтрату добавляли НС1 в метаноле (30 мл). Объединенный фильтрат концентрировали и высушивали под вакуумом. Это обеспечивало получение 4,81 г (96,3%) гидрохлорида 1-циклопентил-2,2,2-трифторэтан-1-амина в виде белого твердого вещества. LC/MS (ESI) масса/заряд: 168,10 [М+1]+.
[1316] Стадия 4: получение метил-3-бром-2,6-дифторбензоата
[1317] К раствору 3-бром-2,6-дифторбензойной кислоты (10 г, 42,2 ммоль, 1 экв.) в метаноле (100 мл) добавляли серную кислоту (4 мл). Реакционный раствор нагревали до температуры возврата флегмы в течение 17 ч. Реакционную смесь охлаждали до комнатной температуры с помощью водяной бани. Полученную смесь концентрировали. Остаток экстрагировали этилацетатом (100 мл × 3) и органические слои объединяли. Полученную смесь промывали солевым раствором (100 мл × 2). Смесь высушивали над безводным сульфатом натрия. Остаток обрабатывали с помощью колонки с силикагелем с применением смеси этилацетат/петролейный эфир (1:20). Это обеспечивало получение 9,04 г (85,4%) метил-3-бром-2,6-дифторбензоата в виде белого твердого вещества. 1Н ЯМР (400 МГц, CDCl3) δ 3,98 (d, J=8,7 Гц, 3H), 6,90-6,96 (m, 1H), 7,62-7,70 (m, 1H); 9F ЯМР (300 МГц, CDCl3) δ 102,0, 110,9.
[1318] Стадия 5: получение метил-3-((1-циклопентил-2,2,2-трифторэтил)амино)-2,6-дифторбензоата
[1319] Смесь метил-3-бром-2,6-дифторбензоата 1,86 г, 7,41 ммоль, 1,49 экв.), гидрохлорида 1-циклопентил-2,2,2-трифторэтан-1-амина (1,01 г, 4,96 ммоль, 1 экв.) и CS2CO3 (4,83 г, 14,8 ммоль, 2,99 экв.) в толуоле (15 мл) продували с помощью N2. Затем к полученному добавляли RuPhos-PdCl-2nd G (386,9 мг, 0,50 ммоль, 0,10 экв.) и герметичную пробирку закрывали и полученную смесь перемешивали в течение 3 ч. при 100°С. Неочищенное вещество предварительно очищали с помощью флэш-хроматографии (силикагель, РЕ:EtOAc = 15:1) и затем дополнительно очищали с помощью препаративной TLC (РЕ:EtOAc = 15:1). Это обеспечивало получение 319,6 мг (19,1%) метил-3-[(1-циклопентил-2,2,2-трифторэтил)амино]-2,6-дифторбензоата в виде бесцветного масла. LC/MS (ESI) масса/заряд: 338,05 [М+1]+.
[1320] Стадия 6: получение 3-((1-циклопентил-2,2,2-трифторэтил)амино)-2,6-дифторбензойной кислоты
[1321] К перемешиваемому раствору метил-3-[(1-циклопентил-2,2,2-трифторэтил)амино]-2,6-дифторбензоата (298,4 мг, 0,88 ммоль, 1 экв.) в THF (10 мл), метаноле (5 мл) и Н2О (5 мл) добавляли LiOH⋅H2O (374,1 мг, 8,91 ммоль, 10,1 экв.). Полученный раствор перемешивали в течение 19 ч. при комнатной температуре. Затем смесь выпаривали до сухого состояния. К остатку добавляли 20 мл Н2О. Добавляли 1 М HCl для регулирования рН до 6. Смесь экстрагировали этилацетатом (40 мл × 3). Объединенные органические слои промывали водой, солевым раствором и высушивали над Na2SO4. Органическую фазу концентрировали и высушивали под вакуумом. Это обеспечивало получение 287 мг (100%) 3-[(1-циклопентил-2,2,2-трифторэтил)амино]-2,6-дифторбензойной кислоты в виде бесцветного масла. LC/MS (ESI) масса/заряд: 324,05 [М+1]+.
[1322] Стадия 7: получение 3-((1-циклопентил-2,2,2-трифторэтил)амино)-2,6-дифторбензоилхлорида
[1323] К раствору 3-[(1-циклопентил-2,2,2-трифторэтил)амино]-2,6-дифторбензойной кислоты (306,3 мг, 0,95 ммоль, 1 экв.) в толуоле (10 мл) добавляли сульфуроилдихлорид (2,8 мл, 38,6 ммоль, 40,7 экв.) и DMF (0,06 мл, 0,78 ммоль, 0,82 экв.). Полученный раствор нагревали до температуры возврата флегмы в течение 3 ч. Раствор выпаривали до сухого состояния и высушивали под вакуумом. Это обеспечивало получение 323,8 мг (100%) 3-[(1-циклопентил-2,2,2-трифторэтил)амино]-2,6-дифторбензоилхлорида в виде светло-коричневого масла.
[1324] Стадия 8: получение (5-бром-1Н-пирроло[2,3-b]пиридин-3-ил)(3-((1-циклопентил-2,2,2-трифторэтил)амино)-2,6-дифторфенил)метанона
[1325] К смеси AlCl3 (1,03 г, 7,73 ммоль, 8,16 экв.) в дихлорметане (7 мл) при 0°С добавляли 5-бром-1Н-пирроло[2,3-b]пиридин (187,2 мг, 0,95 ммоль, 1,00 экв.). Смесь перемешивали при 0°С в течение 1 ч. Затем к полученному добавляли 3-[(1-циклопентил-2,2,2-трифторэтил)амино]-2,6-дифторбензоилхлорид (323,8 мг, 0,95 ммоль, 1 экв.) в дихлорметане (7 мл) при 0°С. Смесь перемешивали в течение 1 ч. при 0°С и затем нагревали до комнатной температуры в течение дополнительных 15 ч. Затем реакционную смесь гасили путем добавления 15 мл воды и насыщ. водн. раствора NaHCO3 (15 мл). Смесь экстрагировали этилацетатом (30 мл × 3). Объединенные органические слои промывали солевым раствором (10 мл × 1)и высушивали над безводным сульфатом натрия. Неочищенное вещество обрабатывали с помощью колонки с силикагелем с применением смеси этилацетат/петролейный эфир (2:5). Это обеспечивало получение 395,3 мг (83,1%) 3-[5-бром-1Н-пирроло[2,3-b]пиридин-3-карбонил]-R-(1-циклопентил-2,2,2-трифторэтил)-2,4-дифторанилина в виде светло-желтого твердого вещества. LC/MS (ESI) масса/заряд: 501,95 [М+1]+.
[1326] Стадия 9: получение трет-бутил-2-(4-((4-(4-(3-(3-((1-циклопентил-2,2,2-трифторэтил)амино)-2,6-дифторбензоил)-1Н-пирроло[2,3-b]пиридин-5-ил)фенил)пиперазин-1-ил)метил)пиперидин-1-ил)ацетата
[1327] Смесь 3-[5-бром-1Н-пирроло[2,3-b]пиридин-3-карбонил]-N-(1-циклопентил-2,2,2-трифторэтил)-2,4-дифторанилина (200,7 мг, 0,40 ммоль, 1 экв.), трет-бутил-2-[4-([4-[4-(4,4,5,5-тетраметил-1,3,2-диоксаборолан-2-ил)фенил]пиперазин-1-ил]метил)пиперидин-1-ил]ацетата (358 мг, 0,72 ммоль, 1,79 экв.) и Na2CO3 (127,9 мг, 1,21 ммоль, 3,02 экв.) в диоксане (10 мл) и Н2О (2,5 мл) продували с помощью N2. Затем к полученному добавляли Pd(dppf)Cl2⋅CH2Cl2 (51,4 мг, 0,06 ммоль, 0,16 экв.). Герметичную пробирку закрывали и реакционную смесь перемешивали в течение 4 ч. при 105°С. Затем реакционную смесь гасили путем добавления воды (50 мл). Смесь экстрагировали этилацетатом (40 мл × 3) и объединенные органические слои промывали солевым раствором (30 мл × 1) и высушивали над безводным сульфатом натрия. Неочищенное вещество обрабатывали с помощью колонки с силикагелем с применением смеси дихлорметан/метанол (15:1). Это обеспечивало получение 240,2 мг (75,6%) трет-бутил-2-[4-([4-[4-(3-[3-[(1-циклопентил-2,2,2-трифторэтил)амино]-2,6-дифторбензоил]-1Н-пирроло[2,3-b]пиридин-5-ил)фенил]пиперазин-1-ил]метил)пиперидин-1-ил]ацетата в виде светло-коричневого твердого вещества. LC/MS (ESI) масса/заряд: 795,30 [М+1]+.
[1328] Стадия 10: получение 2-(4-((4-(4-(3-(3-((1-циклопентил-2,2,2-трифторэтил)амино)-2,6-дифторбензоил)-1Н-пирроло[2,3-b]пиридин-5-ил)фенил)пиперазин-1-ил)метил)пиперидин-1-ил)уксусной кислоты
[1329] К раствору трет-бутил-2-[4-([4-[4-(3-[3-[(1-циклопентил-2,2,2-трифторэтил)амино]-2,6-дифторбензоил]-1Н-пирроло[2,3-b]пиридин-5-ил)фенил]пиперазин-1-ил]метил)пиперидин-1-ил]ацетата (185 мг, 0,23 ммоль, 1 экв.) в дихлорметане (15 мл) добавляли TFA (4,0 мл). Реакционный раствор перемешивали в течение 15 ч. при комнатной температуре. Полученный раствор выпаривали до сухого состояния и высушивали под вакуумом. Это обеспечивало получение 171,9 мг (100%) 2-[4-([4-[4-(3-[3-[(1-циклопентил-2,2,2-трифторэтил)амино]-2,6-дифторбензоил]-1Н-пирроло[2,3-b]пиридин-5-ил)фенил]пиперазин-1-ил]метил)пиперидин-1-ил]уксусной кислоты в виде светло-желтого масла. LC/MS (ESI) масса/заряд: 739,25 [М+1]+.
[1330] Стадия 11: получение (2S,4R)-l-((2S)-2-(2-(4-((4-(4-(3-(3-((l-циклопентил-2,2,2-трифторэтил)амино)-2,6-дифторбензоил)-1Н-пирроло[2,3-b]пиридин-5-ил)фенил)пиперазин-1-ил)метил)пиперидин-1-ил)ацетамидо)-3,3-диметилбутаноил)-4-гидрокси-N-(4-(4-метилтиазол-5-ил)бензил)пирролидин-2-карбоксамида
[1331] К раствору 2-[4-([4-[4-(3-[3-[(1-циклопентил-2,2,2-трифторэтил)амино]-2,6-дифторбензоил]-1Н-пирроло[2,3-b]пиридин-5-ил)фенил]пиперазин-1-ил]метил)пиперидин-1-ил]уксусной кислоты (171,9 мг, 0,23 ммоль, 1 экв.) и гидрохлорида (2S,4R)-1-[(2S)-2-амино-3,3-диметилбутаноил]-4-гидрокси-N-[[4-(4-метил-1,3-тиазол-5-ил)фенил]метил]пирролидин-2-карбоксамида (175,4 мг, 0,38 ммоль, 1,61 экв.) в DMF (6 мл) добавляли DIEA (0,4 мл, 2,42 ммоль, 10,40 экв.) и ВОР (200,3 мг, 0,45 ммоль, 1,95 экв.). Реакционный раствор перемешивали в течение 3 ч. при комнатной температуре. Затем реакционную смесь гасили путем добавления 30 мл воды. Полученную смесь экстрагировали этилацетатом (50 мл × 3). Объединенные органические слои промывали водой (40 мл × 1), солевым раствором (40 мл × 1), высушивали над безводным сульфатом натрия и концентрировали. Неочищенный продукт очищали с помощью препаративной HPLC. Это обеспечивало получение 109,3 мг (40,8%) (2S,4R)-1-[(2S)-2-[2-[4-([4-[4-(3-[3-[(1-циклопентил-2,2,2-трифторэтил)амино]-2,6-дифторбензоил]-1Н-пирроло[2,3-b]пиридин-5-ил)фенил]пиперазин-1-ил]метил)пиперидин-1-ил]ацетамидо]-3,3-диметилбутаноил]-4-гидрокси-N-[[4-(4-метил-1,3-тиазол-5-ил)фенил]метил]пирролидин-2-карбоксамида в виде светло-желтого твердого вещества. LC/MS (ESI) масса/заряд: 1152,20 [М+1]+; 1Н ЯМР (400 МГц, DMSO-d6) δ 0,96 (s, 9Н), 1,10-1,27 (m, 2Н), 1,28-1,62 (m, 6Н), 1,63-1,98 (m, 6Н), 1,99-2,38 (m, 6Н), 2,47 (s, 6Н), 2,75-3,09 (m, 4Н), 3,11-3,26 (m, 4Н), 3,56-3,78 (m, 3H), 4,13-4,57 (m, 6Н), 5,17 (s, 1H), 5,73 (d, J=7,5 Гц, 1H), 6,96-7,27 (m, 4H), 7,43 (s, 4H), 7,59 (d, J=7,5 Гц, 2H), 7,83 (d, J=9,6 Гц, 1H), 8,10 (s, 1H), 8,48 (s, 1H), 8,65 (s, 2H), 9,01 (s, 1H), 12,8 (br., 1H).
[1332] Иллюстративный синтез (2S,4R)-1-((S)-2-(2-(4-((4-(4-(3-(2,6-дифтор-3-(((R)-3-фторпирролидин)-1-сульфонамидо)фенокси)-1Н-пирроло[2,3-b]пиридин-5-ил)фенил)пиперазин-1-ил)метил)пиперидин-1-ил)ацетамидо)-3,3-диметилбутаноил)-4-гидрокси-N-(4-(4-метилтиазол-5-ил)бензил)пирролидин-2-карбоксамида (пример 371)
[1333] Стадия 1: получение 5-бром-1-тозил-1Н-пирроло[2,3-b]пиридина
[1334] В 3-горлую круглодонную колбу объемом 250 мл, которую продували азотом и в которой поддерживали инертную атмосферу азота, помещали 5-бром-1Н-пирроло[2,3-b]пиридин (5,91 г, 29,99 ммоль, 1 экв.) в THF (120 мл), к которому порциями добавляли NaH (1,80 г, 45,00 ммоль, 1,50 экв., 60%) при 0°С на бане с водой/льдом. Полученную смесь перемешивали в течение 0,5 ч. при 0°С. Затем добавляли TsCl (6,29 г, 32,99 ммоль, 1,10 экв.) и обеспечивали перемешивание полученной смеси в течение дополнительных 2 ч. при комнатной температуре. Затем реакционную смесь гасили путем добавления воды (200 мл) и экстрагировали этилацетатом (200 мл × 3). Объединенный органический слой промывали солевым раствором, высушивали над безводным сульфатом натрия и концентрировали под вакуумом. Остаток обрабатывали с помощью колонки с силикагелем с элюированием смесью этилацетат/петролейный эфир (1:2). Это обеспечивало получение 10,48 г (99,48%) 5-бром-1-(4-метилбензолсульфонил)-1Н-пирроло[2,3-b]пиридина в виде светло-желтого твердого вещества. LC/MS (ESI) масса/заряд: 350,75 [М+1]+.
[1335] Стадия 2: получение бромида (2S,3R)-5-бром-N,N,N-триэтил-2-гидрокси-1-тозил-2,3-дигидро-1Н-пирроло[2,3-b]пиридин-3-аминия
[1336] В круглодонную колбу объемом 250 мл помещали 5-бром-1-(4-метилбензолсульфонил)-1Н-пирроло[2,3-b]пиридин (7,02 г, 19,99 ммоль, 1 экв.) и H2O (3,60 мл, 199,83 ммоль, 10,00 экв.) в ацетоне (130 мл), к которому добавляли NBS (3,91 г, 21,97 ммоль, 1,10 экв.). Полученный раствор перемешивали в течение 4,5 ч. при комнатной температуре и затем добавляли TEA (3,0 мл, 21,58 ммоль, 1,08 экв.). Обеспечивали перемешивание реакционной смеси в течение дополнительного 1 ч. при комнатной температуре и затем концентрировали под вакуумом. Остаток обрабатывали с помощью колонки с силикагелем с элюированием смесью этилацетат/петролейный эфир (1:1). Это обеспечивало получение 13,70 г (124,78%) бромида (2S,3R)-5-бром-N,N,N-триэтил-2-гидрокси-1-(4-метилбензолсульфонил)-1Н,2Н,3H-пирроло[2,3-b]пиридин-3-аминия в виде коричневого твердого вещества. LC/MS (ESI) масса/заряд: 467,90 [М+1]+.
[1337] Стадия 3: получение 2-(дифторметокси)-1,3-дифторбензола
[1338] В круглодонную колбу объемом 500 мл, которую продували азотом и в которой поддерживали инертную атмосферу азота, помещали 2,6-дифторфенол (20,00 г, 153,73 ммоль, 1 экв.), 2-хлор-2,2-дифторацетат натрия (46,89 г, 307,56 ммоль, 2,00 экв.), K2CO3 (25,49 г, 184,44 ммоль, 1,20 экв.) в DMF (200 мл) и H2O (20 мл). Полученную смесь перемешивали в течение 3 ч. при 100°С на масляной бане. Реакционную смесь охлаждали до комнатной температуры и гасили с помощью раствора HCl (13 моль/л, 30 мл). Смесь разбавляли водой (300 мл) и экстрагировали этилацетатом (300 мл × 3). Объединенный органический слой промывали солевым раствором (300 мл × 2), высушивали над безводным сульфатом натрия и концентрировали под вакуумом. Это обеспечивало получение 17,17 г (62,01%)) 2-(дифторметокси)-1,3-дифторбензола в виде желтой жидкости. 1Н ЯМР (300 МГц, CDCl3) δ 7,24-7,09 (m, 1Н), 7,03-6,93 (m, 2H), 6,69 (t, J=73,4 Гц, 1H).
[1339] Стадия 4: получение 2-(дифторметокси)-1,3-дифтор-4-нитробензола
[1340] В 3-горлую круглодонную колбу объемом 100 мл помещали H2SO4 (35 мл), к которой добавляли HNO3 (35 мл, 65%) при -10°С на бане жидкий азот/EtOH.
Затем медленно добавляли 2-(дифторметокси)-1,3-дифторбензол (7,00 г, 38,87 ммоль, 1 экв.) при -10°С. Полученную смесь перемешивали в течение 0,5 ч. при -10°С. Реакционную смесь разбавляли с помощью холодной воды (800 мл) и экстрагировали этилацетатом (300 мл × 3). Объединенный органический слой промывали с помощью NaHCO3 (200 мл), высушивали над безводным сульфатом натрия и концентрировали под вакуумом. Остаток обрабатывали с помощью колонки с силикагелем с элюированием смесью этилацетат/петролейный эфир (1:50). Это обеспечивало получение 4,68 г (53,49%) 2-(дифторметокси)-1,3-дифтор-4-нитробензола в виде желтого масла. 1Н ЯМР (300 МГц, CDCl3) δ 8,15-8,07 (m, 1Н), 7,29-7,17 (m, 1Н), 6,69 (t, J=72,0 Гц, 1Н).
[1341] Стадия 5: получение 2,6-дифтор-3-нитрофенола
[1342] В круглодонную колбу объемом 250 мл помещали 2-(дифторметокси)-1,3-дифтор-4-нитробензол (6,68 г, 29,68 ммоль, 1 экв.) в уксусной кислоте (6 мл), к которому добавляли раствор бромоводорода (40%, 90 мл) при комнатной температуре. Полученный раствор перемешивали в течение 40 ч. при 130°С на масляной бане. Реакционную смесь охлаждали до комнатной температуры и разбавляли водой (500 мл). Полученную смесь экстрагировали этилацетатом (400 мл × 2) и объединенный органический слой промывали солевым раствором (400 мл), высушивали над безводным сульфатом натрия и концентрировали под вакуумом. Остаток обрабатывали с помощью колонки с силикагелем с элюированием смесью этилацетат/петролейный эфир (1:4). Это обеспечивало получение 3,50 г (67,36%) 2,6-дифтор-3-нитрофенола в виде желтого твердого вещества. LC/MS (ESI) масса/заряд: 173,65 [М-1]-.
[1343] Стадия 6: получение 5-бром-3-(2,6-дифтор-3-нитрофенокси)-1-тозил-1Н-пирроло[2,3-b]пиридина
[1344] В круглодонную колбу объемом 250 мл помещали 2,6-дифтор-3-нитрофенол (1,05 г, 6,00 ммоль, 1 экв.), бромид (2S,3R)-5-бром-N,N,N-триэтил-2-гидрокси-1-(4-метилбензолсульфонил)-1Н,2Н,3H-пирроло[2,3-b]пиридин-3-аминия (3,95 г, 7,19 ммоль, 1,20 экв.), TEA (1,21 г, 11,96 ммоль, 1,99 экв.) в этилацетате (70 мл), к которому добавляли сухие 4А MS (5 г). Полученную смесь перемешивали в течение 4 ч. при 80°С на масляной бане, и затем охлаждали до комнатной температуры, и добавляли этоксиэтан-трифторборан (4,26 г, 30,01 ммоль, 5,01 экв.). Обеспечивали перемешивание полученной смеси в течение дополнительных 2 ч. при 50°С на масляной бане. Реакционную смесь охлаждали до комнатной температуры и твердые вещества отфильтровывали. Фильтрат разбавляли этилацетатом (250 мл) и промывали с помощью насыщенного раствора Na2CO3 (100 мл) и солевого раствора (100 мл), высушивали над безводным сульфатом натрия и концентрировали под вакуумом. Остаток обрабатывали с помощью колонки с силикагелем с элюированием смесью этилацетат/петролейный эфир (1:7). Это обеспечивало получение 1,13 г (35,94%) 5-бром-3-(2,6-дифтор-3-нитрофенокси)- 1-(4-метилбензолсульфонил)-1Н-пирроло[2,3-b]пиридина в виде желтого твердого вещества. LC/MS (ESI) масса/заряд: 523,75 [М+1]+.
[1345] Стадия 7: получение 3-((5-бром-1-тозил-1H-пирроло[2,3-b]пиридин-3-ил)окси)-2,4-дифторанилина
[1346] В круглодонную колбу объемом 50 мл помещали 5-бром-3-(2,6-дифтор-3-нитрофенокси)-1-(4-метилбензолсульфонил)-1Н-пирроло[2,3-b]пиридин (1,13 г, 2,16 ммоль, 1 экв.) в уксусной кислоте (10 мл). За этим следовало добавление порошка железа (965,6 мг, 17,29 ммоль, 8,02 экв.) при комнатной температуре. Полученную смесь перемешивали в течение 3 ч. при 50°С на масляной бане. Реакционную смесь охлаждали до комнатной температуры и регулировали значение рН смеси до 8 с помощью насыщенного раствора Na2CO3. Смесь экстрагировали этилацетатом (250 мл × 3) и объединенный органический слой высушивали над безводным сульфатом натрия и концентрировали под вакуумом. Остаток обрабатывали с помощью колонки с силикагелем с элюированием смесью этилацетат/петролейный эфир (1/5). Это обеспечивало получение 510 мг (47,87%) 3-[[5-бром-1-(4-метилбензолсульфонил)-1Н-пирроло[2,3-b]пиридин-3-ил]окси]-2,4-дифторанилина в виде розового твердого вещества. LC/MS (ESI) масса/заряд: 493,75 [М+1]+.
[1347] Стадия 8: получение 3-((5-бром-1Н-пирроло[2,3-b]пиридин-3-ил)окси)-2,4-дифторанилина
[1348] В круглодонную колбу объемом 50 мл помещали 3-[[5-бром-1-(4-метилбензолсуль фонил)-1Н-пирроло[2,3-b]пиридин-3-ил]окси]-2,4-дифторанилин (510 мг, 1,03 ммоль, 1 экв.), TBAF (3,5 мл) в THF (7 мл). Полученный раствор перемешивали в течение 24 ч. при комнатной температуре. Реакционную смесь разбавляли водой (100 мл) и экстрагировали этилацетатом (120 мл × 3). Объединенный органический слой промывали солевым раствором, высушивали над безводным сульфатом натрия и концентрировали под вакуумом. Остаток обрабатывали с помощью колонки с силикагелем с элюированием смесью этилацетат/петролейный эфир (2/3). Это обеспечивало получение 290 мг (82,64%)) 3-([5-бром-1Н-пирроло[2,3-b]пиридин-3-ил]окси)-2,4-дифторанилина в виде светло-коричневого твердого вещества. LC/MS (ESI) масса/заряд: 339,80 [М+1]+.
[1349] Стадия 9: получение (R)-N-(3-((5-бром-1Н-пирроло[2,3-b]пиридин-3-ил)окси)-2,4-дифторфенил)-3-фторпирролидин-1-сульфонамида
[1350] В герметичную пробирку объемом 8 мл помещали 3-([5-бром-1Н-пирроло[2,3-b]пиридин-3-ил]окси)-2,4-дифторанилин (200 мг, 0,59 ммоль, 1 экв.), DMAP (14,4 мг, 0,12 ммоль, 0,20 экв.) в пиридине (660 мл), к которому медленно добавляли (3R)-3-фторпирролидин-1-сульфонилхлорид (220,6 мг, 1,18 ммоль, 2,00 экв.) при комнатной температуре. Полученный раствор перемешивали в течение 24 ч. при 45°С на масляной бане. Реакционную смесь охлаждали до комнатной температуры и разбавляли водой (50 мл). Смесь экстрагировали этилацетатом (50 мл × 2) и органические слои объединяли, высушивали над безводным сульфатом натрия и концентрировали под вакуумом. Остаток обрабатывали с помощью колонки с силикагелем с элюированием смесью этилацетат/петролейный эфир (1/1). Это обеспечивало получение 216 мг (74,77%) (3R)-N-[3-([5-бром-1Н-пирроло[2,3-b]пиридин-3-ил]окси)-2,4-дифторфенил]-3-фторпирролидин- 1-суль фонами да в виде светло-коричневого твердого вещества. LC/MS (ESI) масса/заряд: 490,75 [М+1]+.
[1351] Стадия 10: получение трет-бутил-(R)-2-(4-((4-(4-(3-(2,6-дифтор-3-((3-фторпирролидин)-1-сульфонамидо)фенокси)-1Н-пирроло[2,3-b]пиридин-5-ил)фенил)пиперазин-1-ил)метил)пиперидин-1-ил)ацетата
[1352] В герметичную пробирку объемом 30 мл, которую продували азотом и в которой поддерживали инертную атмосферу азота, помещали (3R)-N-[3-([5-бром-lH-пирроло[2,3-b]пиридин-3-ил]окси)-2,4-дифторфенил]-3-фторпирролидин-1-сульфонамид (300 мг, 0,61 ммоль, 1 экв.), трет-бутил-2-[4-([4-[4-(4,4,5,5-тетраметил-1,3,2-диоксаборолан-2-ил)фенил]пиперазин-1-ил]метил)пиперидин-1-ил]ацетат (366 мг, 0,73 ммоль, 1,20 экв.), Na2CO3 (194,2 мг, 1,83 ммоль, 3,00 экв.), Pd(dppf)Cl2-CH2Cl2 (49,9 мг, 0,06 ммоль, 0,10 экв.) в диоксане (12 мл) и H2O (2 мл). Полученную смесь перемешивали в течение 2 ч. при 105°С на масляной бане. Реакционную смесь охлаждали до комнатной температуры и разбавляли водой (80 мл). Полученную смесь экстрагировали этилацетатом (80 мл × 2). Объединенные органические слои высушивали над безводным сульфатом натрия и концентрировали под вакуумом. Остаток обрабатывали с помощью колонки с силикагелем с элюированием смесью дихлорметан/метанол (15/1). Это обеспечивало получение 454 мг (94,84%) трет-бутил-2-(4-[[4-(4-[3-[2,6-дифтор-3-([[(3R)-3-фторпирролидин-1-ил]сульфонил]амино)фенокси]-1Н-пирроло[2,3-b]пиридин-5-ил]фенил)пиперазин-1-ил]метил]пиперидин-1-ил)ацетата в виде коричневого твердого вещества. LC/MS (ESI) масса/заряд: 784,05 [М+1]+.
[1353] Стадия 11: получение (R)-2-(4-((4-(4-(3-(2,6-дифтор-3-((3-фторпирролидин)-1-сульфонамидо)фенокси)-1Н-пирроло[2,3-b]пиридин-5-ил)фенил)пиперазин-1-ил)метил)пиперидин-1-ил)уксусной кислоты
[1354] В круглодонную колбу объемом 50 мл помещали трет-бутил-2-(4-[[4-(4-[3-[2,6-дифтор-3-([[(3R)-3-фторпирролидин-1-ил]сульфонил]амино)фенокси]-1Н-пирроло[2,3-b]пиридин-5-ил]фенил)пиперазин-1-ил]метил]пиперидин-1-ил)ацетат (398 мг, 0,51 ммоль, 1 экв.) в дихлорметане (6 мл), к которому добавляли TFA (3 мл) при комнатной температуре. Полученный раствор перемешивали в течение 3 ч. при 35°С на масляной бане и затем концентрировали под вакуумом. Это обеспечивало получение 369 мг (99,86%) 2-(4-[[4-(4-[3-[2,6-дифтор-3-([[(3R)-3-фторпирролидин-1-ил]сульфонил]амино)фенокси]-1Н-пирроло[2,3-b]пиридин-5-ил]фенил)пиперазин-1-ил]метил]пиперидин-1-ил)уксусной кислоты в виде коричневого масла. LC/MS (ESI) масса/заряд: 728,05 [М+1]+.
[1355] Стадия 12: получение (2S,4R)-1-((8)-2-(2-(4-((4-(4-(3-(2,6-дифтор-3-(((R)-3-фторпирролидин)-1-сульфонамидо)фенокси)-1Н-пирроло[2,3-b]пиридин-5-ил)фенил)пиперазин-1-ил)метил)пиперидин-1-ил)ацетамидо)-3,3-диметилбутаноил)-4-гидрокси-N-(4-(4-метилтиазол-5-ил)бензил)пирролидин-2-карбоксамида
[1356] В пробирку объемом 8 мл помещали 2-(4-[[4-(4-[3-[2,6-дифтор-3-([[(3R)-3-фторпирролидин-1-ил]сульфонил]амино)фенокси]-1Н-пирроло[2,3-b]пиридин-5-ил]фенил)пиперазин-1-ил]метил]пиперидин-1-ил)уксусную кислоту (218,3 мг, 0,30 ммоль, 1 экв.), (2S,4R)-1-[(2S)-2-амино-3,3-диметилбутаноил]-4-гидрокси-N-[[4-(4-метил-1,3-тиазол-5-ил)фенил]метил]пирролидин-2-карбоксамид (168,1 мг, 0,39 ммоль, 1,30 экв.), DIEA (155 мг, 1,20 ммоль, 4,00 экв.), ВОР (159,1 мг, 0,36 ммоль, 1,20 экв.) в DMF (5 мл). Полученный раствор перемешивали в течение 1 ч. при комнатной температуре. Реакционную смесь разбавляли водой (50 мл) и экстрагировали смесью дихлорметан/метанол (10/1, 50 мл × 2). Органические слои объединяли и промывали солевым раствором (50 мл × 2), высушивали над безводным сульфатом натрия и концентрировали под вакуумом. Остаток обрабатывали с помощью колонки с силикагелем с элюированием смесью дихлорметан/метанол (13/1). Полученный продукт дополнительно очищали с помощью препаративной HPLC. Это обеспечивало получение 64,2 мг (18,77%) (2S,4R)-l-[(2S)-2-[2-(4-[[4-(4-[3-[2,6-дифтор-3-([[(3R)-3-фторпирролидин-1-ил]сульфонил]амино)фенокси]-1Н-пирроло[2,3-b]пиридин-5-ил]фенил)пиперазин-1-ил]метил]пиперидин-1-ил)ацетамидо]-3,3-диметилбутаноил]-4-гидрокси-N-[[4-(4-метил-1,3-тиазол-5-ил)фенил]метил]пирролидин-2-карбоксамида в виде белого твердого вещества. LC/MS (ESI) масса/заряд: 1140,2 [М+1]+; 1Н ЯМР (300 МГц, CD3OD) δ 8,87 (s, 1Н), 8,43 (s, 1H), 7,99 (s, 1Н), 7,51-7,40 (m, 7Н), 7,09-7,03 (m, 4Н), 5,08 (d, J=53,0 Гц, 1H), 4,63-41,48 (m, 4Н), 4,38-41,33 (m, 1H), 3,91-3,76 (m, 2Н), 3,63-3,34 (m, 4Н), 3,22-3,19 (m, 4Н), 3,02 (s, 2Н), 2,91-2,84 (m, 2Н), 2,57-2,54 (m, 4Н), 2,47 (s, 3H), 2,25-2,16 (m, 5Н), 2,12-1,97 (m, 2Н), 1,87-1,76 (m, 3H), 1,60 (s, 1H), 1,36-1,27 (m, 2Н), 1,04 (s, 9Н).
[1357] Иллюстративный синтез (2S,4R)-1-((S)-2-(2-(3-(2-(3-(4-(3-(2,6-дифтор-3-(((R)-3-фторпирролидин)-1-сульфонамидо)бензоил)-1Н-пирроло[2,3-b]пиридин-5-ил)фенил)азетидин-1-ил)этил)азетидин-1-ил)ацетамидо)-3,3-диметилбутаноил)-4-гидрокси-N-(4-(4-метилтиазол-5-ил)бензил)пирролидин-2-карбоксамида (пример 441)
[1358] Стадия 1: получение трет-бутил-3-(4-(бензилокси)фенил)азетидин-1-карбоксилата
[1359] В 3-горлую круглодонную колбу объемом 1000 мл, которую продували азотом и в которой поддерживали инертную атмосферу азота, помещали цинк (11 г, 168,25 ммоль, 2,95 экв.) в DMF (400 мл), к которому добавляли I2 (2,23 г, 8,79 ммоль, 0,15 экв.) при комнатной температуре. Полученную смесь перемешивали в течение приблизительно 5 мин при комнатной температуре и затем порциями загружали трет-бутил-3-йодазетидин-1-карбоксилат (16,2 г, 57,22 ммоль, 1,00 экв.). Обеспечивали перемешивание реакционной смеси в течение приблизительно 1 ч. при комнатной температуре. Затем к вышеуказанной смеси добавляли 1-(бензилокси)-4-бромбензол (15 г, 57,01 ммоль, 1,00 экв.), SPhos (2,4 г, 5,85 ммоль, 0,10 экв.), Pd2(dba)3 (3,6 г, 3,93 ммоль, 0,07 экв.). Полученную смесь перемешивали в течение еще 3 часов при 50°С в атмосфере азота. Затем реакционную смесь гасили путем добавления 2000 мл воды и полученную смесь экстрагировали этилацетатом (3 × 700 мл). Органические слои объединяли и промывали солевым раствором (3 × 700 мл), высушивали над безводным сульфатом натрия и концентрировали под вакуумом. Остаток обрабатывали с помощью колонки с силикагелем с элюированием смесью этилацетат/петролейный эфир (градиент от 0% до 33%). Это обеспечивало получение 13 г (67,25%о) трет-бутил-3-[4-(бензилокси)фенил]азетидин-1-карбоксилата в виде желтого твердого вещества. LC/MS (ESI) масса/заряд: 340,10 [М+1]+.
[1360] Стадия 2: получение трет-бутил-3-(4-гидроксифенил)азетидин-1-карбоксилата
[1361] В круглодонную колбу объемом 100 мл помещали трет-бутил-3-[4-(бензилокси)фенил]азетидин-1-карбоксилат (3 г, 8,84 ммоль, 1,00 экв.) и Pd/C (10%, 3 г, 28,18 ммоль, 3,19 экв.)) в МеОН (30 мл) в атмосфере азота. Колбу затем подвергали вакуумированию и продували водородом. Реакционную смесь гидрогенизировали при комнатной температуре в течение 3 часов в атмосфере водорода с применением баллона с водородом. Затем реакционную смесь фильтровали через подушку из целита и фильтрат концентрировали при пониженном давлении. Это обеспечивало получение 1,5 г (68,18%)) трет-бути л-3-(4-гидроксифенил)азетидин-1-карбоксилата в виде белого твердого вещества. LC/MS (ESI) масса/заряд: 250,10 [М+1]+.
[1362] Стадия 3: получение трет-бутил-3-(4-(((трифторметил)сульфонил)окси)фенил)азетидин-1-карбоксилата
[1363] В круглодонную колбу объемом 100 мл помещали трет-бутил-3-(4-гидроксифенил)азетидин-1-карбоксилат (1,5 г, 0,006 ммоль, 1,00 экв.), фенил(трифторметансульфонилокси)аминотрифторметансульфонат (4,6 г, 11,82 ммоль, 1,96 экв.), DIEA (2,30 г, 17,80 ммоль, 2,96 экв.) в DCM (30 мл). Полученный раствор перемешивали в течение 12 часов при комнатной температуре. Смесь концентрировали. Остаток обрабатывали с помощью колонки с силикагелем с элюированием смесью этилацетат/петролейный эфир (градиент от 1:100 до 3:100). Это обеспечивало получение 1,5 г (65,36%) трет-бути л-3-[4-(трифторметансульфонилокси)фенил]азетидин-1-карбоксилата в виде грязно-белого масла. LC/MS (ESI) масса/заряд: 382,10 [М+1]+.
[1364] Стадия 4: получение трет-бутил-3-(4-(4,4,5,5-тетраметил-1,3,2-диоксаборолан-2-ил)фенил)азетидин-1-карбоксилата
[1365] В круглодонную колбу объемом 100 мл помещали трет-бутил-3-[4-(трифторметансульфонилокси)фенил]азетидин-1-карбоксилат (1,5 г, 3,93 ммоль, 1,00 экв.), 4,4,5,5-тетраметил-2-(4,4,5,5-тетраметил-1,3,2-диоксаборолан-2-ил)-1,3,2-диоксаборолан (1,5 г, 5,90 ммоль, 1,50 экв.), KOAc (1,2 г, 12,23 ммоль, 3,11 экв.), Pd(dppf)Cl2 (140 мг, 0,19 ммоль, 0,05 экв.) в диоксане (10 мл) в атмосфере азота. Полученный раствор перемешивали в течение 1 часа при 100°С в атмосфере азота. Смесь концентрировали и остаток обрабатывали с помощью колонки с силикагелем с элюированием смесью этилацетат/петролейный эфир (градиент от 1:100 до 1:10). Это обеспечивало получение 500 мг (35,38%) трет-бутил-3-[4-(4,4,5,5-тетраметил-1,3,2-диоксаборолан-2-ил)фенил]азетидин-1-карбоксилата в виде желтого масла. LC/MS (ESI) масса/заряд: 360,23 [М+1]+.
[1366] Стадия 5: получение 3-(4-(4,4,5,5-тетраметил-1,3,2-диоксаборолан-2-ил)фенил)азетидина
[1367] В круглодонную колбу объемом 100 мл помещали трет-бутил-3-[4-(4,4,5,5-тетраметил-1,3,2-диоксаборолан-2-ил)фенил]азетидин-1-карбоксилат (500 мг, 1,39 ммоль, 1,00 экв.) в DCM (10 мл), к которому добавляли TFA (3 мл). Полученный раствор перемешивали в течение 1 ч. при комнатной температуре. Смесь концентрировали при пониженном давлении. Это обеспечивало получение 350 мг (неочищенного) 3-[4-(4,4,5,5-тетраметил-1,3,2-диоксаборолан-2-ил)фенил]азетидина в виде желтого масла.
[1368] Стадия 6: получение трет-бутил-3-(2-гидроксиэтил)азетидин-1-карбоксилата
[1369] В 3-горлую круглодонную колбу объемом 250 мл помещали 2-[1-[(трет-бутокси)карбонил]азетидин-3-ил]уксусную кислоту (10 г, 46,46 ммоль, 1,00 экв.) в THF (100 мл), к которой по каплям добавляли ВН3⋅THF (70 мл) при 0°С. Полученный раствор перемешивали в течение 12 ч. при комнатной температуре. Затем реакционную смесь гасили путем добавления раствора NaOH (2 М, 100 мл). Полученную смесь экстрагировали этилацетатом (3 × 100 мл) и объединенный органический слой промывали солевым раствором, высушивали над безводным сульфатом натрия и концентрировали. Это обеспечивало получение 8,5 г (90,91%) трет-бутил-3-(2-гидроксиэтил)азетидин-1-карбоксилата в виде светло-желтого масла.
[1370] Стадия 7: получение трет-бутил-3-(2-(тозилокси)этил)азетидин-1-карбоксилата
[1371] В 3-горлую круглодонную колбу объемом 500 мл помещали трет-бутил-3-(2-гидроксиэтил)азетидин-1-карбоксилат (8,5 г, 42,23 ммоль, 1,00 экв.), TEA (12,8 г, 0,13 ммоль, 3,00 экв.) в DCM (100 мл), к которому медленно добавляли TsCl (10,5 г, 55,08 ммоль, 1,30 экв.). Полученный раствор перемешивали в течение 12 ч. при комнатной температуре. Затем реакционную смесь гасили путем добавления 100 мл воды. Полученную смесь экстрагировали дихлорметаном (2 × 50 мл). Объединенную органическую фазу промывали солевым раствором, высушивали над безводным сульфатом натрия и концентрировали. Остаток обрабатывали с помощью колонки с силикагелем с элюированием смесью этилацетат/петролейный эфир (градиент от 1:100 до 40:100). Это обеспечивало получение 8 г (53,33%) трет-бутил-3-(2-(тозилокси)этил)азетидин-1-карбоксилата в виде желтого масла.
[1372] Стадия 8: получение трет-бутил-3-(2-(3-(4-(4,4,5,5-тетраметил-1,3,2-диоксаборолан-2-ил)фенил)азетидин-1-ил)этил)азетидин-1-карбоксилата
[1373] В круглодонную колбу объемом 100 мл помещали 3-[4-(4,4,5,5-тетраметил-1,3,2-диоксаборолан-2-ил)фенил]азетидин (350 мг, 1,35 ммоль, 1,00 экв.), трет-бутил-3-[2-[(4-метилбензолсульфонил)окси]этил]азетидин-1-карбоксилат (480 мг, 1,35 ммоль, 1,00 экв.), K2CO3 (932 мг, 6,74 ммоль, 4,99 экв.), NaI (20 мг, 0,133 ммоль, 0,10 экв.) в MeCN (50 мл). Полученный раствор перемешивали в течение 12 ч. при 70°С на масляной бане. Нерастворимые твердые вещества отфильтровывали и фильтрат концентрировали. Остаток обрабатывали с помощью колонки с силикагелем с элюированием смесью дихлорметан/метанол (градиент от 100:1 до 100:7). Это обеспечивало получение 180 мг (30,13%) трет-бутил-3-(2-[3-[4-(4,4,5,5-тетраметил-1,3,2-диоксаборолан-2-ил)фенил]азетидин-1-ил]этил)азетидин-1-карбоксилата в виде желтого твердого вещества. LC/MS (ESI) масса/заряд: 443,25 [М+1]+.
[1374] Стадия 9: получение трет-бутил-(R)-3-(2-(3-(4-(3-(2,6-дифтор-3-((3-фторпирролидин)-1-сульфонамидо)бензоил)-1Н-пирроло[2,3-b]пиридин-5-ил)фенил)азетидин- 1-ил)этил)азетидин-1-карбоксилата
[1375] В круглодонную колбу объемом 100 мл помещали трет-бутил-3-(2-[3-[4-(4,4,5,5-тетраметил-1,3,2-диоксаборолан-2-ил)фенил]азетидин-1-ил]этил)азетидин-1-карбоксилат (180 мг, 0,41 ммоль, 1,00 экв.), (3R)-N-(3-[5-бром-1Н-пирроло[2,3-b]пиридин-3-карбонил]-2,4-дифторфенил)-3-фторпирролидин-1-сульфонамид (204 мг, 0,41 ммоль, 1,00 экв.), Na2CO3 (130 мг, 1,227 ммоль, 3,01 экв.), Pd(dppf)Cl2 (60 мг, 0,082 ммоль, 0,20 экв.) в диоксане (17 мл) и воде (3 мл) в атмосфере азота. Полученную смесь перемешивали в течение 2 ч. при 85°С на масляной бане. Остаток обрабатывали с помощью колонки с силикагелем с элюированием смесью дихлорметан/метанол (градиент от 100:1 до 100:8). Это обеспечивало получение 100 мг (33,27%) трет-бутил-3-[2-[3-(4-[3-[2,6-дифтор-3-([[(3R)-3-фторпирролидин-1-ил]сульфонил]амино)бензоил]-1Н-пирроло[2,3-b]пиридин-5-ил]фенил)азетидин-1-ил]этил]азетидин-1-карбоксилата в виде желтого твердого вещества. LC/MS (ESI) масса/заряд: 739,25 [М+1]+.
[1376] Стадия 10: получение (R)-N-(3-(5-(4-(1-(2-(азетидин-3-ил)этил)азетидин-3-ил)фенил)-1Н-пирроло[2,3-b]пиридин-3-карбонил)-2,4-дифторфенил)-3-фторпирролидин-1-сульфонамида 
[1377] В круглодонную колбу объемом 50 мл помещали трет-бутил-3-[2-[3-(4-[3-[2,6-дифтор-3-([[(3R)-3-фторпирролидин-1-ил]сульфонил]амино)бензоил]-1Н-пирроло[2,3-b]пиридин-5-ил]фенил)азетидин-1-ил]этил]азетидин-1-карбоксилат (20 мг, 0,027 ммоль, 1 экв.) в DCM (3 мл), к которому добавляли TFA (0,2 мл) при комнатной температуре. Полученный раствор перемешивали в течение 1 ч. при комнатной температуре. Смесь концентрировали под вакуумом. Это обеспечивало получение 15 мг (неочищенного) (3R)-N-[3-[5-(4-[1-[2-(азетидин-3-ил)этил]азетидин-3-ил]фенил)-1Н-пирроло[2,3-b]пиридин-3-карбонил]-2,4-дифторфенил]-3-фторпирролидин-1-сульфонамида в виде желтого твердого вещества.
[1378] Стадия 11: получение (R)-2-(3-(2-(3-(4-(3-(2,6-дифтор-3-((3-фторпирролидин)-1-сульфонамидо)бензоил)-1Н-пирроло[2,3-b]пиридин-5-ил)фенил)азетидин-1-ил)этил)азетидин-1-ил)уксусной кислоты
[1379] В круглодонную колбу объемом 50 мл помещали (3R)-N-[3-[5-(4-[l-[2-(азетидин-3-ил)этил]азетидин-3-ил]фенил)-1Н-пирроло[2,3-b]пиридин-3-карбонил]-2,4-дифторфенил]-3-фторпирролидин-1-сульфонамид (100 мг, 0,157 ммоль, 1 экв.), 2-оксоуксусную кислоту (13 мг, 0,176 ммоль, 1,12 экв.) в DCE (10 мл). Полученную смесь перемешивали в течение 10 мин при комнатной температуре и затем добавляли NaBH(OAc)3 (100 мг, 0,472 ммоль, 3,01 экв.). Реакционную смесь перемешивали в течение 1 ч. при комнатной температуре. Затем реакционную смесь гасили путем добавления 1 мл воды. Полученную смесь экстрагировали дихлорметаном (2 × 10 мл). Объединенную органическую фазу промывали солевым раствором, высушивали над безводным сульфатом натрия и концентрировали. Неочищенный продукт очищали с помощью препаративной HPLC. Это обеспечивало получение 20 мг (18,33% за 2 стадии) 2-(3-[2-[3-(4-[3-[2,6-дифтор-3-([[(3R)-3-фторпирролидин-1-ил]сульфонил]амино)бензоил]-1Н-пирроло[2,3-b]пиридин-5-ил]фенил)азетидин-1-ил]этил]азетидин-1-ил)уксусной кислоты в виде бесцветного масла. LC/MS (ESI) масса/заряд: 696,95 [М+1]+.
[1380] Стадия 12: получение (2S,4R)-1-((8)-2-(2-(3-(2-(3-(4-(3-(2,6-дифтор-3-(((R)-3-фторпирролидин)-1-сульфонамидо)бензоил)-1Н-пирроло[2,3-b]пиридин-5-ил)фенил)азетидин-1-ил)этил)азетидин-1-ил)ацетамидо)-3,3-диметилбутаноил)-4-гидрокси-1М-(4-(4-метилтиазол-5-ил)бензил)пирролидин-2-карбоксамида
[1381] В круглодонную колбу объемом 100 мл помещали (3R)-N-[3-[5-(4-[1-[2-(азетидин-3-ил)этил]азетидин-3-ил]фенил)-1Н-пирроло[2,3-b]пиридин-3-карбонил]-2,4-дифторфенил]-3-фторпирролидин-1-сульфонамид (120 мг, 0,172 ммоль, 1,00 экв.), (2S,4R)-1-[(2S)-2-амино-3,3-диметилбутаноил]-4-гидрокси-N-[[4-(4-метил-1,3-тиазол-5-ил)фенил]метил]пирролидин-2-карбоксамид (74 мг, 0,172 ммоль, 1,00 экв.), DIEA (111 мг, 0,859 ммоль, 4,99 экв.), ВОР (114 мг, 0,26 ммоль, 1,50 экв.) в DMF (5 мл). Полученный раствор перемешивали в течение 1 ч. при комнатной температуре. Смесь концентрировали. Неочищенный продукт очищали с помощью препаративной HPLC. Это обеспечивало получение 46,2 мг (18,33%) (2S,4R)-1-((S)-2-(2-(3-(2-(3-(4-(3-(2,6-дифтор-3-(((R)-3-фторпирролидин)-1-сульфонамидо)бензоил)-1Н-пирроло[2,3-b]пиридин-5-ил)фенил)азетидин-1-ил)этил)азетидин-1-ил)ацетамидо)-3,3-диметилбутаноил)-4-гидрокси-N-[-(4-(4-метилтиазол-5-ил)бензил)пирролидин-2-карбоксамида в виде желтого твердого вещества. LC/MS (ESI) масса/заряд: 1109,35 [M+1]+; 1Н ЯМР (300 МГц, DMSO-d6) δ 8,96 (m, 1H), 8,67 (s, 1H), 8,56 8,54 (m, 2H), 8,01 (s, 1H), 7,95-7,89 (d, 1H), 7,78-7,75 (m, 2H), 7,54-7,45 (m, 4H), 7,39-7,37 (m, 4Н), 6,86 (m, 1Н), 5,32 (m, 1H), 5,18 (m, 2H), 4,66-4,39 (m, 10H), 4,30-4,28 (m, 1H), 3,69-3,62 (m, 6H), 3,20-3,07 (m, 6H), 2,60 (m, 2H), 2,43-2,41 (m, 2H), 2,12-1,65 (m, 7H), 0,97 (s, 9H).
[1382] Иллюстративный синтез 2-(4-((1-(4-(3-(2,6-дифтор-3-(((R)-3-фторпирролидин)-1-сульфонамидо)бензоил)-1Н-пирроло[2,3-b]пиридин-5-ил)фенил)пиперидин-4-ил)метил)пиперазин-1-ил)-N-((S)-1-((2S,4R)-4-гидрокси-2-(5-(4-(4-метилтиазол-5-ил)фенил)-1Н-имидазол-2-ил)пирролидин-1-ил)-3,3-диметил-1-оксобутан-2-ил)ацетамида (пример 386)
[1383] Стадия 1: получение бензил-(2S,4R)-1-((S)-2-((трет-бутоксикарбонил)амино)-3,3-диметилбутаноил)-4-гидроксипирролидин-2-карбоксилата
[1384] В 3-горлую круглодонную колбу объемом 1000 мл, которую продували азотом и в которой поддерживали инертную атмосферу азота, помещали N,N-диметилформамид (200 мл), (2S)-2-[[(трет-бутокси)карбонил]амино]-3,3-диметилбутановую кислоту (48,98 г, 211,77 ммоль, 1,00 экв.), за этим следовало добавление HATU (96,69 г, 254,29 ммоль, 1,20 экв.) и DIEA (109,4 г, 846,49 ммоль, 4,00 экв.) при 0°С, затем перемешивали 20 мин. К полученному несколькими партиями добавляли бензил-(2S,4R)-4-гидроксипирролидин-2-карбоксилат (100,0 г, 254,45 ммоль, 1,20 экв.) при 0°С. Полученный раствор перемешивали в течение 2 ч. при комнатной температуре. Полученный раствор экстрагировали этилацетатом (300 мл × 3) и органические слои объединяли. Полученную смесь промывали солевым раствором (100 мл × 2). Смесь высушивали над безводным сульфатом натрия и концентрировали под вакуумом. Остаток обрабатывали с помощью колонки с силикагелем с применением смеси этилацетат/петролейный эфир (7/3). Это обеспечивало получение 80 г (87%) бензил-(2S,4R)-1-[(2S)-2-[[(трет-бутокси)карбонил]амино]-3,3-диметилбутаноил]-4-гидроксипирролидин-2-карбоксилата в виде светло-желтого твердого вещества.
[1385] Стадия 2: получение (2S,4R)-1-((S)-2-((трет-бутоксикарбонил)амино)-3,3-диметилбутаноил)-4-гидроксипирролидин-2-карбоновой кислоты
[1386] В круглодонную колбу объемом 100 мл добавляли бензил-(2S,4R)-1-[(2S)-2-[[(трет-бутокси)карбонил]амино]-3,3-диметилбутаноил]-4-гидроксипирролидин-2-карбоксилат (3 г, 6,90 ммоль, 1 экв.) и ментол (50 мл, 1,56 ммоль, 0,23 экв.) при комнатной температуре в атмосфере азота. К перемешиваемому раствору порциями добавляли Pd/C (200 мг, 1,88 ммоль, 0,27 экв.) при комнатной температуре в атмосфере азота. Колбу затем подвергали вакуумированию и продували водородом. Реакционную смесь гидрогенизировали при комнатной температуре в течение 16 часов в атмосфере водорода с применением баллона с водородом, затем фильтровали через подушку из целита, осадок на фильтре промывали с помощью ментола (120 мл) и концентрировали при пониженном давлении. Это обеспечивало получение (2S,4R)-1-[(2S)-2-[[(трет-бутокси)карбонил]амино]-3,3-диметилбутаноил]-4-гидроксипирролидин-2-карбоновой кислоты (1,67 г, 70,23%) в виде белого твердого вещества.
[1387] Стадия 3: получение 2-(4-бромфенил)-2-оксоэтил-(2S,4R)-1-((S)-2-((трет-бутоксикарбонил)амино)-3,3-диметилбутаноил)-4-гидроксипирролидин-2-карбоксилата
[1388] В круглодонную колбу объемом 50 мл добавляли 2-бром-1-(4-бромфенил)этан-1-он (1,04 г, 3,74 ммоль, 1 экв.), N,N-[-диизопропилэтиламин (1,5 г, 11,61 ммоль, 3,10 экв.) и (2S,4R)-1-[(2S)-2-[[(трет-бутокси)карбонил]амино]-3,3-диметилбутаноил]-4-гидроксипирролидин-2-карбоновую кислоту (1,3 г, 3,77 ммоль, 1,01 экв.) в ацетонитриле (40 мл) при комнатной температуре. Полученную смесь перемешивали в течение 3 ч. при комнатной температуре и затем концентрировали под вакуумом. Остаток очищали с помощью колоночной хроматографии на силикагеле с элюированием смесью петролейный эфир/этилацетат (1:1) с получением 2-(4-бромфенил)-2-оксоэтил-(2S,4R)-1-[(2S)-2-[[(трет-бутокси)карбонил]амино]-3,3-диметилбутаноил]-4-гидроксипирролидин-2-карбоксилата (2,16 г, 74,63%) в виде белого твердого вещества. LC/MS (ESI) масса/заряд: 541,00 [М+1]+.
[1389] Стадия 4: получение трет-бутил-((S)-1-((2S,4R)-2-(5-(4-бромфенил)-1Н-имидазол-2-ил)-4-гидроксипирролидин-1-ил)-3,3-диметил-1-оксобутан-2-ил)карбамата
[1390] В круглодонную колбу объемом 100 мл добавляли 2-(4-бромфенил)-2-оксоэтил-(2S,4R)-1-[(2S)-2-[[(трет-бутокси)карбонил]амино]-3,3-диметилбутаноил]-4-гидроксипирролидин-2-карбоксилат (2,06 г, 3,80 ммоль, 1 экв.) и ацетат аммония (2,3 г, 29,84 ммоль, 7,84 экв.) в ксилоле (40 мл) при комнатной температуре. Полученную смесь перемешивали в течение 3 ч. при 140°С. Реакционную смесь охлаждали до комнатной температуры и разбавляли водой (100 мл). Смесь экстрагировали этилацетатом (50 мл × 3). Объединенный органический слой промывали солевым раствором (50 мл), высушивали над сульфатом натрия и концентрировали под вакуумом. Остаток очищали с помощью колоночной хроматографии на силикагеле с элюированием этилацетатом (100%) с получением трет-бутил-N-[(2S)-1-[(2S,4R)-2-[5-(4-бромфенил)-1Н-имидазол-2-ил]-4-гидроксипирролидин-1-ил]-3,3-диметил-1-оксобутан-2-ил]карбамата (1,5 г, 75,61%) в виде желтого твердого вещества. LC/MS (ESI) масса/заряд: 522,95 [М+1]+.
[1391] Стадия 5: получение трет-бутил-((S)-1-((2S,4R)-4-гидрокси-2-(5-(4-(4-метилтиазол-5-ил)фенил)-1Н-имидазол-2-ил)пирролидин-1-ил)-3,3-диметил-1-оксобутан-2-ил)карбамата
[1392] В герметичную пробирку объемом 10 мл добавляли трет-бутил-N-[(2S)-1-[(2S,4R)-2-[5-(4-бромфенил)-1Н-имидазол-2-ил]-4-гидроксипирролидин-1-ил]-3,3-диметил-1-оксобутан-2-ил]карбамат (1,4 г, 2,68 ммоль, 1 экв.), карбонат калия (1,1 г, 7,96 ммоль, 2,96 экв.), Pd(dppf)Cl2 CH2Cl2 (219,3 мг, 0,27 ммоль, 0,1 экв.) и 4-метил-5-(4,4,5,5-тетраметил-1,3,2-диоксаборолан-2-ил)-1,3-тиазол (785,7 мг, 3,49 ммоль, 1,3 экв.) в диоксане (50 мл) и воде (10 мл) при комнатной температуре в атмосфере азота. Полученную смесь перемешивали в течение 3 ч. при 90°С в атмосфере азота. Обеспечивали охлаждение смеси до комнатной температуры. Водный слой экстрагировали этилацетатом (100 мл × 3). Объединенный органический слой промывали солевым раствором (50 мл × 2), высушивали над сульфатом натрия и концентрировали под вакуумом. Остаток очищали на колонке с силикагелем с элюированием смесью дихлорметан/метиловый спирт (10:1) с получением трет-бутил-№[(2S)-1-[(2S,4R)-4-гидрокси-2-[5-[4-(4-метил-1,3-тиазол-5-ил)фенил]-1Н-имидазол-2-ил]пирролидин-1-ил]-3,3-диметил-1-оксобутан-2-ил]карбамата (1,3 г, 89,72%) в виде желтого твердого вещества. LC/MS (ESI) масса/заряд: 540,10 [М+1]+.
[1393] Стадия 6: получение гидрохлорида (8)-2-амино-1-((2S,4R)-4-гидрокси-2-(5-(4-(4-метилтиазол-5-ил)фенил)-1Н-имидазол-2-ил)пирролидин-1-ил)-3,3-диметилбутан-1-она
[1394] В круглодонную колбу объемом 50 мл добавляли трет-бутил-N-[(2S)-1-[(2S,4R)-4-гидрокси-2-[5-[4-(4-метил-1,3-тиазол-5-ил)фенил]-1Н-имидазол-2-ил]пирролидин-1-ил]-3,3-диметил-1-оксобутан-2-ил]карбамат (1,3 г, 2,41 ммоль, 1 экв.) и хлористоводородную кислоту в диоксане (20 мл, 4 моль/л) при комнатной температуре. Полученную смесь перемешивали в течение 2 ч. при комнатной температуре и затем концентрировали при пониженном давлении. Это обеспечивало получение гидрохлорида (2S)-2-амино-1-[(2S,4R)-4-гидрокси-2-[5-[4-(4-метил-1,3-тиазол-5-ил)фенил]-1Н-имидазол-2-ил]пирролидин-1-ил]-3,3-диметилбутан-1-она (1,25 г, неочищенный) в виде желтого твердого вещества. LC/MS (ESI) масса/заряд: 440,30 [М+1]+.
[1395] Стадия 7: получение трет-бутил-4-((1-((бензилокси)карбонил)пиперидин-4-ил)метил)пиперазин-1-карбоксилата
[1396] В круглодонную колбу объемом 500 мл помещали бензил-4-формилпиперидин-1-карбоксилат (5 г, 20,22 ммоль, 1,00 экв.), трет-бутилпиперазин-1-карбоксилат (3,8 г, 20,40 ммоль, 1,01 экв.), дихлорметан (200 мл). За этим следовало добавление порциями триацетоксиборогидрида натрия (5,15 г) при 25°С в течение 10 мин. Полученный раствор перемешивали в течение 3 ч. при 25°С. Затем реакционную смесь гасили путем добавления воды (50 мл) и экстрагировали дихлорметаном (50 мл × 3). Объединенные органические слои промывали солевым раствором (150 мл), высушивали над безводным сульфатом натрия и концентрировали под вакуумом. Остаток обрабатывали с помощью колонки с силикагелем с применением смеси этилацетат/петролейный эфир (3:7-9:1). Это обеспечивало получение 7,62 г (90%) трет-бутил-4-([1-[(бензилокси)карбонил]пиперидин-4-ил]метил)пиперазин-1-карбоксилата в виде светло-желтого твердого вещества. LC/MS (ESI) масса/заряд: 418,20 [М+1]+.
[1397] Стадия 8: получение трет-бутил-4-(пиперидин-4-илметил)пиперазин-1-карбоксилата
[1398] В круглодонную колбу объемом 500 мл, которую продували азотом и в которой поддерживали инертную атмосферу азота, помещали трет-бутил-4-([1-[(бензилокси)карбонил]пиперидин-4-ил]метил)пиперазин-1-карбоксилат (7,62 г, 18,25 ммоль, 1,00 экв.), этанол (200 мл), палладий на угле (500 мг). Колбу затем подвергали вакуумированию и продували водородом с применением баллона с водородом. Реакционную смесь перемешивали в течение 16 ч. при комнатной температуре. Реакционную смесь фильтровали через подушку из целита и фильтрат концентрировали при пониженном давлении. Это обеспечивало получение 4,66 г (неочищенного) трет-бутил-4-(пиперидин-4-илметил)пиперазин-1-карбоксилата в виде бесцветного масла. LC/MS (ESI) масса/заряд: 284,10 [М+1]+.
[1399] Стадия 9: получение трет-бутил-4-((1-(4-бромфенил)пиперидин-4-ил)метил)пиперазин-1-карбоксилата
[1400] В 3-горлую круглодонную колбу объемом 250 мл помещали трет-бутил-4-[(пиперидин-4-ил)метил]пиперазин-1-карбоксилат (4,27 г, 15,07 ммоль, 1 экв.), (4-бромфенил)бороновую кислоту (3,63 г, 18,07 ммоль, 1,20 экв.), дихлорметан (100 мл), 4А MS (5 г), ацетат (ацетилокси)меди (4,10 г, 22,57 ммоль, 1,50 экв.), TEA (8,4 мл, 60,43 ммоль, 4,01 экв.). Полученную смесь продували воздухом и перемешивали в течение 20 ч. при комнатной температуре. Твердые вещества отфильтровывали и фильтрат концентрировали под вакуумом. Остаток обрабатывали с помощью колонки с силикагелем с применением смеси этилацетат/петролейный эфир (1:2). Это обеспечивало получение 3,87 г (58,59%) трет-бутил-4-[[1-(4-бромфенил)пиперидин-4-ил]метил]пиперазин-1-карбоксилата в виде светло-коричневого твердого вещества. LC/MS (ESI) масса/заряд: 438,00 [М+1]+.
[1401] Стадия 10: получение 1-((1-(4-бромфенил)пиперидин-4-ил)метил)пиперазина
[1402] В круглодонную колбу объемом 100 мл помещали трет-бутил-4-[[1-(4-бромфенил)пиперидин-4-ил]метил]пиперазин-1-карбоксилат (3,87 г, 8,83 ммоль, 1 экв.), дихлорметан (20 мл), трифторуксусную кислоту (10 мл). Полученный раствор перемешивали в течение 1 ч. при комнатной температуре. Полученную смесь концентрировали под вакуумом. Это обеспечивало получение 7,56 г (189,34%) 1-[[1-(4-бромфенил)пиперидин-4-ил]метил]пиперазин-трифторуксусной кислоты в виде коричневого твердого вещества. LC/MS (ESI) масса/заряд: 337,95 [М+1]+.
[1403] Стадия 11: получение трет-бутил-2-(4-((1-(4-бромфенил)пиперидин-4-ил)метил)пиперазин-1-ил)ацетата
[1404] В круглодонную колбу объемом 500 мл помещали 1-[[1-(4-бромфенил)пиперидин-4-ил]метил]пиперазин-трифторуксусную кислоту (7,56 г, 16,71 ммоль, 1 экв.), TEA (23 мл, 165,47 ммоль, 9,90 экв.), дихлорметан (130 мл). За этим следовало добавление по каплям трет-бутил-2-бромацетата (3,59 г, 18,40 ммоль, 1,10 экв.) при перемешивании. Полученный раствор перемешивали в течение 2 ч. при комнатной температуре. Полученный раствор разбавляли дихлорметаномом (200 мл) и промывали водой (100 мл). Органическое вещество высушивали над безводным сульфатом натрия и концентрировали под вакуумом. Остаток обрабатывали с помощью колонки с силикагелем с применением смеси этилацетат/петролейный эфир (1:1). Это обеспечивало получение 3,43 г (45,36%) трет-бутил-2-(4-[[1-(4-бромфенил)пиперидин-4-ил]метил]пиперазин-1-ил)ацетата в виде желтого твердого вещества. LC/MS (ESI) масса/заряд: 451,95 [М+1]+.
[1405] Стадия 12: получение трет-бутил-2-(4-((1-(4-(4,4,5,5-тетраметил-1,3,2-диоксаборолан-2-ил)фенил)пиперидин-4-ил)метил)пиперазин-1-ил)ацетата
[1406] В круглодонную колбу объемом 250 мл, которую продували азотом и в которой поддерживали инертную атмосферу азота, помещали трет-бутил-2-(4-[[1-(4-бромфенил)пиперидин-4-ил]метил]пиперазин-1-ил)ацетат (3,90 г, 8,62 ммоль, 1 экв.), 4,4,5,5-тетраметил-2-(4,4,5,5-тетраметил-1,3,2-диоксаборолан-2-ил)-1,3,2-диоксаборолан (4,38 г, 17,25 ммоль, 2,00 экв.), КОАс (2,53 г, 25,78 ммоль, 2,99 экв.), Pd(dppf)Cl2 CH2Cl2 (704 мг, 0,86 ммоль, 0,10 экв.), DMSO (70 мл). Полученную смесь перемешивали в течение 16 ч. при 90°С на масляной бане. Реакционную смесь охлаждали до комнатной температуры и разбавляли этилацетатом (500 мл). Смесь промывали водой (200 мл) и солевым раствором (100 мл × 1). Органическое вещество высушивали над безводным сульфатом натрия и концентрировали под вакуумом. Остаток обрабатывали с помощью колонки с силикагелем с применением смеси этилацетат/петролейный эфир (2:1). Это обеспечивало получение 2,57 г (59,69%) трет-бутил-2-[4-([1-[4-(4,4,5,5-тетраметил-1,3,2-диоксаборолан-2-ил)фенил]пиперидин-4-ил]метил)пиперазин-1-ил]ацетата в виде светло-коричневого твердого вещества. LC/MS (ESI) масса/заряд: 500,15 [М+1]+.
[1407] Стадия 13: получение трет-бутил-(R)-2-(4-((1-(4-(3-(2,6-дифтор-3-((3-фторпирролидин)-1-сульфонамидо)бензоил)-1Н-пирроло[2,3-b]пиридин-5-ил)фенил)пиперидин-4-ил)метил)пиперазин-1-ил)ацетата
[1408] В герметичную пробирку объемом 30 мл, которую продували азотом и в которой поддерживали инертную атмосферу азота, помещали трет-бутил-2-[4-([1-[4-(4,4,5,5-тетраметил-1,3,2-диоксаборолан-2-ил)фенил]пиперидин-4-ил]метил)пиперазин-1-ил]ацетат (1,09 г, 2,18 ммоль, 1,10 экв.), (3R)-N-(3-[5-бром-1H-пирроло[2,3-b]пиридин-3-карбонил]-2,4-дифторфенил)-3-фторпирролидин-1-сульфонамид (1,00 г, 1,99 ммоль, 1 экв.), диоксан (20 мл), Н2О (4 мл), Na2CO3 (632 мг, 5,96 ммоль, 3,00 экв.), Pd(dppf)Cl2⋅CH2Cl2 (162 мг, 0,20 ммоль, 0,10 экв.). Полученную смесь перемешивали в течение 2 ч. при 105°С на масляной бане. Реакционную смесь охлаждали до комнатной температуры и разбавляли этилацетатом (150 мл). Смесь промывали водой (50 мл). Органический слой высушивали над безводным сульфатом натрия и концентрировали под вакуумом. Остаток обрабатывали с помощью колонки с силикагелем с применением смеси дихлорметан/метанол (28:1). Это обеспечивало получение 1,15 г (72,72%) трет-бутил-2-(4-[[1-(4-[3-[2,6-дифтор-3-([[(3R)-3-фторпирролидин-1-ил]сульфонил]амино)бензоил]-1Н-пирроло[2,3-b]пиридин-5-ил]фенил)пиперидин-4-ил]метил]пиперазин-1-ил)ацетата в виде коричневого твердого вещества. LC/MS (ESI) масса/заряд: 796,00 [М+1]+.
[1409] Стадия 14: получение (R)-2-(4-((l-(4-(3-(2,6-дифгор-3-((3-фторпирролидин)-1-сульфонамидо)бензоил)-1Н-пирроло[2,3-b]пиридин-5-ил)фенил)пиперидин-4-ил)метил)пиперазин- 1-ил)уксусной кислоты
[1410] В круглодонную колбу объемом 100 мл помещали трет-бутил-2-(4-[[1-(4-[3-[2,6-дифтор-3-([[(3R)-3-фторпирролидин-1-ил]сульфонил]амино)бензоил]-1Н-пирроло[2,3-b]пиридин-5-ил]фенил)пиперидин-4-ил]метил]пиперазин-1-ил)ацетат (1,11 г, 1,39 ммоль, 1 экв.), дихлорметан (10 мл), три фторуксусную кислоту (5 мл). Полученный раствор перемешивали в течение 3 ч. при 35°С на масляной бане. Полученную смесь концентрировали под вакуумом. Это обеспечивало получение 1,12 г (108,55%) 2-(4-[[1-(4-[3-[2,6-дифтор-3-([[(3R)-3-фторпирролидин-1-ил]сульфонил]амино)бензоил]-1Н-пирроло[2,3-b]пиридин-5-ил]фенил)пиперидин-4-ил]метил]пиперазин-1-ил)уксусной кислоты в виде коричневого твердого вещества. LC/MS (ESI) масса/заряд: 740,40 [М+1]+.
[1411] Стадия 15: получение 2-(4-((1-(4-(3-(2,6-дифтор-3-(((R)-3-фторпирролидин)-1-сульфонамидо)бензоил)-1Н-пирроло[2,3-b]пиридин-5-ил)фенил)пиперидин-4-ил)метил)пиперазин-1-ил)-N-((S)-1-((2S,4R)-4-гидрокси-2-(5-(4-(4-метилтиазол-5-ил)фенил)-1Н-имидазол-2-ил)пирролидин-1-ил)-3,3-диметил-1-оксобутан-2-ил)ацетамида 
[1412] В круглодонную колбу объемом 100 мл добавляли гидрохлорид (2S)-2-амино-1-[(2S,4R)-4-гидрокси-2-[5-[4-(4-метил-1,3-тиазол-5-ил)фенил]-1Н-имидазол-2-ил]пирролидин-1-ил]-3,3-Диметилбутан-1-она (100 мг, 1 экв.), 2-(4-[[1-(4-[3-[2,6-дифтор-3-([[(3R)-3-фторпирролидин-1-ил]сульфонил]амино)бензоил]-1Н-пирроло[2,3-b]пиридин-5-ил]фенил)пиперидин-4-ил]метил]пиперазин-1-ил)уксусную кислоту (336 мг, 2,0 экв., 60%), N,N-диизопропилэтиламин (1 мл, 3,0 экв.) и гексафторфосфат (бензотриазол-1-илокси)трис(диметиламино)фосфония (201 мг, 2,0 экв.) в N,N-диметилформамиде (20 мл) при комнатной температуре в атмосфере азота. Полученную смесь перемешивали в течение 2 ч. при комнатной температуре в атмосфере азота. Реакционную смесь разбавляли водой и экстрагировали этилацетатом (50 мл × 2). Объединенный органический слой промывали солевым раствором (20 мл × 2), высушивали над сульфатом натрия и концентрировали под вакуумом. Неочищенный продукт очищали с помощью препаративной HPLC с получением 2-(4-[[1-(4-[3-[2,6-дифтор-3-([[(3R)-3-фторпирролидин-1-ил]сульфонил]амино)бензоил]-1Н-пирроло[2,3-b]пиридин-5-ил]фенил)пиперидин-4-ил]метил]пиперазин-1-ил)-N-[(2S)-1-[(2S,4R)-4-гидрокси-2-[5-[4-(4-метил-1,3-тиазол-5-ил)фенил]-1Н-имидазол-2-ил]пирролидин-1-ил]-3,3-диметил-1-оксобутан-2-ил]ацетамида (53,8 мг, 22,05%) в виде желтого твердого вещества. LC/MS (ESI) масса/заряд: 1161,20 [М+1]+; 1Н ЯМР (400 МГц, CD3OD) δ 8,88 (s, 1H), 8,69 (s, 1H), 8,61 (s, 1Н), 7,90 (s, 1Н), 7,82-7,71 (m, 3Н), 7,63-7,58 (m, 2Н), 7,51-7,46 (m, 2Н), 7,41-7,37 (m, 1H), 7,15-7,08 (m, 3Н), 5,33-5,24 (m, 2Н), 4,65-4,48 (m, 2Н), 3,99 (s, 2Н), 3,80-3,75 (m, 2Н), 3,61-3,39 (m, 5Н), 3,09 (s, 1H), 2,84-2,72 (m, 2Н), 2,63 (s, 3Н), 2,55-2,38 (m, 8Н), 2,36-2,02 (m, 5Н), 1,93-1,86(m, 2Н), 1,81-1,69 (m, 1Н),1,40-1,26 (m, 3Н), 1,05 (s, 2Н), 0,98 (s, 7Н).
[1413] Иллюстративный синтез N-((S)-1-((2S,4R-2-(5-бензил-1Н-имидазол-2-ил)-4-гидроксипирролидин-1-ил)-3,3-диметил-1-оксобутан-2-ил)-2-(4-((1-(4-(3-(2,6-дифтор-3-(((R)-3-фторпирролидин)-1-сульфонамидо)бензоил)-1Н-пирроло[2,3-b]иридин-5-ил)фенил)пиперидин-4-ил)метил)пиперазин-1-ил)ацетамида (пример 459)
[1414] Стадия 1: получение 1-бром-3-фенилпропан-2-она
[1415] К перемешиваемому раствору 2-фенилацетилхлорида (6 г, 38,812 ммоль, 1 экв.) в ацетонитриле (50 мл) по каплям добавляли TMSCHN2 (13,30 г, 116,441 ммоль, 3,00 экв.) при комнатной температуре в атмосфере азота. Полученную смесь перемешивали в течение 1 ч. при комнатной температуре. Обеспечивали охлаждение смеси до 0°С и по каплям добавляли раствор HBr в АсОН (40%, 12,56 г, 155,249 ммоль, 4,0 экв.). Реакционную смесь перемешивали в течение еще 15 мин при комнатной температуре в атмосфере азота. Затем смесь концентрировали при пониженном давлении и остаток очищали с помощью колоночной хроматографии на силикагеле, элюировали с помощью DCM/PE (1:1) с получением 1-бром-3-фенилпропан-2-она (4,5 г, 54,41%) в виде светло-желтого масла.
[1416] Стадия 2: получение 2-оксо-3-фенилпропил-(2S,4R)-1-((S)-2-((трет-бутоксикарбонил)амино)-3,3-диметилбутаноил)-4-гидроксипирролидин-2-карбоксилата
[1417] К перемешиваемому раствору 1-бром-3-фенилпропан-2-она (2,72 г, 12,766 ммоль, 1 экв.) и (2S,4R)-1-[(2S)-2-[[(трет-бутокси)карбонил]амино]-3,3-диметилбутаноил]-4-гидроксипирролидин-2-карбоновой кислоты (5,28 г, 15,319 ммоль, 1,20 экв.) в ацетонитриле (50 мл) по каплям добавляли DIEA (7 мл, 40,188 ммоль, 3,15 экв.) при комнатной температуре в атмосфере азота. Полученную смесь перемешивали в течение 3 часов при комнатной температуре в атмосфере азота. Смесь концентрировали при пониженном давлении. Остаток очищали с помощью колоночной хроматографии на силикагеле, элюировали смесью петролейный эфир/эти л ацетат (1:2) с получением 2-оксо-3-фенилпропил-(2S,4R)-1-[(2S)-2-[[(трет-бутокси)карбонил]амино]-3,3-диметилбутаноил]-4-гидроксипирролидин-2-карбоксилата (4,3 г, 70,68%) в виде грязно-белого твердого вещества. LC/MS (ESI) масса/заряд: 477,25 [М+1]+.
[1418] Стадия 3: получение трет-бутил-((8)-1-((2S,4R)-2-(5-бензил-1Н-имидазол-2-ил)-4-гидроксипирролидин-1-ил)-3,3-диметил-1-оксобутан-2-ил)карбамата
[1419] В сосуд для микроволновой обработки объемом 100 мл помещали раствор 2-оксо-3-фенилпропил-(2S,4R)-1-[(2S)-2-[[(трет-бутокси)карбонил]амино]-3,3-диметилбутаноил]-4-гидроксипирролидин-2-карбоксилата (952 мг, 1,998 ммоль, 1 экв.) и NH4OAC (1,23 г, 16,0 ммоль, 8,0 экв.) в ксилоле (50 мл) в атмосфере азота. Полученную смесь подвергали облучению в условиях микроволнового излучения в течение 1 часа при 140°С. Реакционную смесь разбавляли водой (30 мл) и экстрагировали этилацетатом (30 мл × 3). Объединенный органический слой промывали солевым раствором (50 мл), высушивали над безводным Na2SO4 и концентрировали при пониженном давлении. Остаток очищали с помощью колоночной хроматографии на силикагеле, элюировали смесью дихлорметан/метиловый спирт (10:1) с получением трет-бутил-N-[(2S)-1-[(2S,4R)-2-(5-бензил-1Н-имидазол-2-ил)-4-гидроксипирролидин- 1-ил]-3,3-диметил- 1-оксобутан-2-ил]карбамата (260,0 мг, 15,08%) в виде грязно-белого твердого вещества. LC/MS (ESI) масса/заряд: 457,30 [М+1]+.
[1420] Стадия 4: получение гидрохлорида (S)-2-амино-1-((2S,4R)-2-(5-бензил-1Н-имидазол-2-ил)-4-гидроксипирролидин-1-ил)-3,3-диметилбутан-1-она
[1421] К раствору трет-бутил-N-[(2S)-1-[(2S,4R)-2-(5-бензил-1Н-имидазол-2-ил)-4-гидроксипирролидин-1-ил]-3,3-диметил-1-оксобутан-2-ил]карбамата (260,0 мг, 0,569 ммоль, 1 экв.) в 1,4-диоксане (5 мл) медленно добавляли раствор хлороводорода в 1,4-диоксане (4,0 М, 5 мл). Полученную смесь перемешивали в течение 1 часа при комнатной температуре и затем концентрировали при пониженном давлении. Это обеспечивало получение 200,0 мг гидрохлорида (2S)-2-амино-1-[(2S,4R)-2-(5-бензил-1Н-имидазол-2-ил)-4-гидроксипирролидин-1-ил]-3,3-диметилбутан-1-она в виде грязно-белого твердого вещества. LC/MS (ESI) масса/заряд: 357,15 [М+1]+.
[1422] Стадия 5: получение N((S)-1-((2S,4R)-2-(5-бензил-1Н-имидазол-2-ил)-4-гидроксипирролидин-1-ил)-3,3-диметил-1-оксобутан-2-ил)-2-(4-((1-(4-(3-(2,6-дифтор-3-(((R)-3-фторпирролидин)-1-сульфонамидо)бензоил)-1Н-пирроло[2,3-b]пиридин-5-ил)фенил)пиперидин-4-ил)метил)пиперазин-1-ил)ацетамида
[1423] К перемешиваемому раствору гидрохлорида (2S)-2-амино-1-[(2S,4R)-2-(5-бензил-1Н-имидазол-2-ил)-4-гидроксипирролидин-1-ил]-3,3-диметилбутан-1-она (110 мг, 0,280 ммоль, 1 экв.) и 2-(4-[[1-(4-[3-[2,6-дифтор-3-([[(3R)-3-фторпирролидин-1-ил]сульфонил]амино)бензоил]-1Н-пирроло[2,3-b]пиридин-5-ил]фенил)пиперидин-4-ил]метил]пиперазин-1-ил)уксусной кислоты (207,11 мг, 0,280 ммоль, 1,00 экв.) в DMF (5 мл) добавляли DIEA (1 мл, 5,741 ммоль, 20,51 экв.) и ВОР (148,58 мг, 0,336 ммоль, 1,2 экв.) при комнатной температуре в атмосфере азота. Полученную смесь перемешивали в течение 1 часа при комнатной температуре в атмосфере азота. Затем реакционную смесь гасили путем добавления воды (50 мл) и экстрагировали этилацетатом (30 мл × 3). Объединенный органический слой промывали солевым раствором (30 мл × 2), высушивали над безводным Na2SO4 и концентрировали при пониженном давлении. Остаток очищали с помощью колоночной хроматографии на силикагеле, элюировали смесью дихлорметан/метиловый спирт (10:1) с получением неочищенного продукта, который дополнительно очищали с помощью препаративной HPLC. Это обеспечивало получение N-[(2S)-1-[(2S,4R)-2-(5-бензил-1Н-имидазол-2-ил)-4-гидроксипирролидин-1-ил]-3,3-диметил-1-оксобутан-2-ил]-2-(4-[[1-(4-[3-[2,6-дифтор-3-([[(3R)-3-фторпирролидин-1-ил]сульфонил]амино)бензоил]-1Н-пирроло[2,3-b]пиридин-5-ил]фенил)пиперидин-4-ил]метил]пиперазин-1-ил)ацетамида (50,6 мг, 16,76%) в виде светло-желтого твердого вещества. LC/MS (ESI) масса/заряд: 1078,35 [М+1]+; 1Н ЯМР (300 МГц, DMSO-d6) δ 12,92 (s, 1H), 8 11,50 (brs, 1H), 9,88 (brs, 1H), 8,65 (d, J=2,2 Гц, 1H), 8,53 (s, 1H), 8,08 (s, 1H), 7,80-7,64 (m, 1H), 7,68- 7,54 (m, 3H), 7,30-7,20 (m, 4H), 7,20-7,10 (m,3H), 7,07 (d, J=8,5 Гц, 2H), 6,64 (s, 1H), 5,39-5,01 (m, 3H), 4,46 (d, J=9,1 Гц, 2H), 3,98-3,78 (m, 5H), 3,65-3,55 (m, 3H), 3,53-3,40 (m, 2H), 3,06-2,96 (m, 3H), 2,73 (t, J=11,9 Гц, 3H), 2,60 (s, 1H), 2,40-2,20 (m, 4H), 2,19-2,03 (m, 4H), 1,90-1,71 (m, 3H), 1,31-1,12 (m, 3H), 0,92-0,89 (m, 1H), 0,79 (s, 9H).
[1424] Иллюстративный синтез 2-(4-((1-(4-(3-(2,6-дифтор-3-(((R-3-фторпирролидин)-1-сульфонамидо)бензоил)-1Н-пирроло[2,3-b]пиридин-5-ил)фенил)пиперидин-4-ил)метил)пиперазин-1-ил)-N-((S)-1-((2S,4R)-4-гидрокси-2-(5-(4-(4-метилтиазол-5-ил)бензил)-1Н-имидазол-2-ил)пирролидин-1-ил)-3,3-диметил-1-оксобутан-2-ил)ацетамида (пример 444)
[1425] Стадия 1: получение 1-бром-3-(4-бромфенил)пропан-2-она
[1426] В трехгорлую круглодонную колбу объемом 250 мл, которую продували азотом и в которой поддерживали инертную атмосферу азота, помещали раствор 2-(4-бромфенил)уксусной кислоты (2,50 г, 11,63 ммоль, 1,0 экв.) в дихлорметане (150 мл), к которому добавляли оксалилхлорид (1,77 г, 13,95 ммоль, 1,20 экв.) и N,N-диметилформамид (170 мг, 2,33 ммоль, 0,20 экв.). Полученную смесь перемешивали в течение 4 часов при комнатной температуре. Реакционную смесь концентрировали при пониженном давлении и остаток растворяли в ацетонитриле (150 мл). К вышеуказанному раствору добавляли раствор (триметилсилил)диазометана (3,98 г, 34,85 ммоль, 3,00 экв.) в гексанах (17,4 мл) при комнатной температуре. Полученный раствор перемешивали в течение еще 2 часов при комнатной температуре и затем охлаждали до 0°С на бане с водой/льдом. К охлажденной смеси медленно добавляли раствор бромоводорода в уксусной кислоте (40%, 8,48 г, 41,85 ммоль, 3,60 экв.). Затем обеспечивали протекание реакции в реакционной смеси в течение дополнительных 2 часов при комнатной температуре. Реакционную смесь гасили путем добавления 100 мл воды. Полученную смесь экстрагировали этилацетатом (250 мл × 3) и объединенный органический слой промывали солевым раствором (150 мл), высушивали над безводным сульфатом натрия и концентрировали при пониженном давлении. Остаток обрабатывали с помощью колонки с силикагелем с элюированием смесью дихлорметан/петролейный эфир (1:10). Это обеспечивало получение 1,80 г (53,03%) 1-бром-3-(4-бромфенил)пропан-2-она в виде светло-желтого масла.
[1427] Стадия 2: получение 3-(4-бромфенил)-2-оксопропил-(2S,4R)-1-((S)-2-((трет-бутоксикарбонил)амино)-3,3-диметилбутаноил)-4-гидроксипирролидин-2-карбоксилата
[1428] В круглодонную колбу объемом 100 мл помещали 1-бром-3-(4-бромфенил)пропан-2-он (1,80 г, 6,155 ммоль, 1,06 экв.), (2S,4R)-1-[(2S)-2-[[(трет-бутокси)карбонил]амино]-3,3-диметилбутаноил]-4-гидроксипирролидин-2-карбоновую кислоту (2,00 г, 5,807 ммоль, 1 экв.) и N,N-диизопропилэтиламин (10 мл) в ацетонитриле (30 мл). Полученную смесь перемешивали в течение ночи при комнатной температуре. Затем реакционную смесь гасили путем добавления 100 мл воды. Полученную смесь экстрагировали этилацетатом (250 мл × 3). Объединенный органический слой промывали солевым раствором (150 мл) и затем концентрировали при пониженном давлении. Остаток обрабатывали с помощью колонки с силикагелем с элюированием смесью дихлорметан/метанол (9:1). Это обеспечивало получение 1,57 г (48,67%) 3-(4-бромфенил)-2-оксопропил-(2S,4R)-1-[(2S)-2-[[(трет-бутокси)карбонил]амино]-3,3-диметилбутаноил]-4-гидроксипирролидин-2-карбоксилата в виде светло-желтого твердого вещества. LC/MS (ESI) масса/заряд: 555,20 [М+1]+.
[1429] Стадия 3: получение трет-бутил-((S)-1-((2S,4R)-2-(5-(4-бромбензил)-1Н-имидазол-2-ил)-4-гидроксипирролидин-1-ил)-3,3-диметил-1-оксобутан-2-ил)карбамата
[1430] В герметичную пробирку объемом 30 мл, которую продували азотом и в которой поддерживали инертную атмосферу азота, помещали 3-(4-бромфенил)-2-оксопропил-(2S,4R)-1-[(2S)-2-[[(трет-бутокси)карбонил]амино]-3,3-диметилбутаноил]-4-гидроксипирролидин-2-карбоксилат (1,37 г, 2,466 ммоль, 1 экв.), ацетат аммония (2,85 г, 36,971 ммоль, 14,99 экв.) в п-ксилоле (20 мл). Полученную смесь перемешивали в течение 24 часов при 140°С на масляной бане. Смесь концентрировали при пониженном давлении. Остаток обрабатывали с помощью колонки с силикагелем с элюированием смесью дихлорметан/метанол (95:5). Это обеспечивало получение 160,0 мг (12,11%) трет-бутил-N-[(2S)-1-[(2S,4R)-2-[5-[(4-бромфенил)метил]-1Н-имидазол-2-ил]-4-гидроксипирролидин-1-ил]-3,3-диметил-1-оксобутан-2-ил]карбамата в виде светло-коричневого полутвердого вещества.
[1431] Стадия 4: получение трет-бутил-((S)-1-((2S,4R)-4-гидрокси-2-(5-(4-(4-метилтиазол-5-ил)бензил)-1Н-имидазол-2-ил)пирролидин-1-ил)-3,3-диметил-1-оксобутан-2-ил)карбамата
[1432] В герметичную пробирку объемом 10 мл, которую продували азотом и в которой поддерживали инертную атмосферу азота, помещали трет-бутил-N-[(2S)-1-[(2S,4R)-2-[5-[(4-бромфенил)метил]-1Н-имидазол-2-ил]-4-гидроксипирролидин-1-ил]-3,3-диметил-1-оксобутан-2-ил]карбамат (180,0 мг, 0,34 ммоль, 1,0 экв.), 4-метил-5-(4,4,5,5-тетраметил-1,3,2-диоксаборолан-2-ил)-1,3-тиазол (151,0 мг, 0,67 ммоль, 2,0 экв.), карбонат калия (141,0 мг, 1,020 ммоль, 3,04 экв.) и Pd(dppf)Cl2⋅CH2Cl2 (28,0 мг, 0,034 ммоль, 0,10 экв.) в диоксане (3 мл) и воде (0,5 мл) в атмосфере азота. Полученную смесь перемешивали в течение 3 часов при 95°С на масляной бане в атмосфере азота. Смесь концентрировали при пониженном давлении. Остаток обрабатывали с помощью колонки с силикагелем с элюированием смесью дихлорметан/метанол (95:5). Это обеспечивало получение 108,0 мг (58,02%) трет-бутил-N-[(2S)-1-[(2S,4R)-4-гидрокси-2-(5-[[4-(4-метил-1,3-тиазол-5-ил)фенил]метил]-1Н-имидазол-2-ил)пирролидин-1-ил]-3,3-диметил-1-оксобутан-2-ил]карбамата в виде красного полутвердого вещества. LC/MS (ESI) масса/заряд: 554,30 [М+1]+.
[1433] Стадия 5: получение гидрохлорида (S)-2-амино-1-((2S,4R)-4-гидрокси-2-(5-(4-(4-метилтиазол-5-ил)бензил)-1Н-имидазол-2-ил)пирролидин-1-ил)-3,3-диметилбутан-1-она
[1434] В круглодонную колбу объемом 100 мл помещали раствор трет-бутил-N-[(2S)-1-[(2S,4R)-4-гидрокси-2-(5-[[4-(4-метил-1,3-тиазол-5-ил)фенил]метил]-1Н-имидазол-2-ил)пирролидин-1-ил]-3,3-диметил-1-оксобутан-2-ил]карбамата (108,0 мг, 0,195 ммоль, 1 экв.) в диоксане (5 мл), к которому добавляли раствор хлороводорода в 1,4-диоксане (4,0 М, 5 мл). Полученную смесь перемешивали в течение 1,5 часа при комнатной температуре. Смесь концентрировали при пониженном давлении. Это обеспечивало получение 95,0 мг (99,39%) гидрохлорида (2S)-2-амино-1-[(2S,4R)-4-гидрокси-2-(5-[[4-(4-метил-1,3-тиазол-5-ил)фенил]метил]-1Н-имидазол-2-ил)пирролидин-1-ил]-3,3-диметилбутан-1-она в виде светло-коричневого твердого вещества. LC/MS (ESI) масса/заряд: 454,25 [М+1]+.
[1435] Стадия 6: получение 2-(4-((1-(4-(3-(2,6-дифтор-3-(((R)-3-фторпирролидин)-1-сульфонамидо)бензоил)-1Н-пирроло[2,3-b]пиридин-5-ил)фенил)пиперидин-4-ил)метил)пиперазин-1-ил)-N-((S)-1-((2S,4R)-4-гидрокси-2-(5-(4-(4-метилтиазол-5-ил)бензил)-1Н-имидазол-2-ил)пирролидин-1-ил)-3,3-диметил-1-оксобутан-2-ил)ацетамида
[1436] В круглодонную колбу объемом 100 мл помещали гидрохлорид (2S)-2-амино-1-[(2S,4R)-4-гидрокси-2-(5-[[4-(4-метил-1,3-тиазол-5-ил)фенил]метил]-1Н-имидазол-2-ил)пирролидин-1-ил]-3,3-диметилбутан-1-она (93,0 мг, 0,190 ммоль, 1 экв.), 2-(4-[[1-(4-[3-[2,6-дифтор-3-([[(3R)-3-фторпирролидин-1-ил]сульфонил]амино)бензоил]-1Н-пирроло[2,3-b]пиридин-5-ил]фенил)пиперидин-4-ил]метил]пиперазин-1-ил)уксусную кислоту (159,0 мг, 0,190 ммоль, 1,00 экв.), N,N-диизопропилэтиламин (74,0 мг, 0,573 ммоль, 3,02 экв.) и ВОР (126,0 мг, 0,285 ммоль, 1,50 экв.) в г N,N-диметилформамиде (10 мл). Полученную смесь перемешивали в течение 1,5 часа при комнатной температуре. Затем реакционную смесь гасили путем добавления 100 мл воды и экстрагировали этилацетатом (250 мл × 3). Объединенный органический слой промывали солевым раствором, высушивали над безводным сульфатом натрия и концентрировали при пониженном давлении. Остаток обрабатывали с помощью колонки с силикагелем с элюированием смесью дихлорметан/метанол (9:1). Полученный продукт растворяли в смеси дихлорметан/метанол (4:1, 50 мл) и фильтровали через 0,22 мкм шприцевой фильтр. Фильтрат концентрировали при пониженном давлении. Это обеспечивало получение 54,2 мг (24,30%) 2-(4-[[1-(4-[3-[2,6-дифтор-3-([[(3R)-3-фторпирролидин-1-ил]сульфонил]амино)бензоил]-1Н-пирроло[2,3-b]пиридин-5-ил]фенил)пиперидин-4-ил]метил]пиперазин-1-ил)-N-[(2S)-1-[(2S,4R)-4-гидрокси-2-(5-[[4-(4-метил-1,3-тиазол-5-ил)фенил]метил]-1Н-имидазол-2-ил)пирролидин-1-ил]-3,3-диметил-1-оксобутан-2-ил]ацетамида в виде светло-желтого твердого вещества. LC/MS (ESI) масса/заряд: 1175,50 [М+1]+; 1Н ЯМР (300 МГц, DMSO-d6) δ 12,89 (s, 1H), 9,90 (brs, 1H), 8,95 (s, 1H), 8,62 (s, 1H), 8,50 (s, 1H), 8,05 (s, 1H), 7,80-7,52 (m, 4H), 7,50-7,29 (m, 5H), 7,12-7,03 (m, 2H), 6,73 (s, 1H), 5,43-4,90 (m, 3H), 4,50-4,42 (m, 2H), 3,91-3,75 (m, 5H), 3,59-3,40 (m, 5H), 3,20-2,80 (m, 2H), 2,81-2,67 (m, 3H), 2,45-2,41 (m, 4H), 2,40-1,96 (m, 7H), 1,94-1,71 (m, 3H), 1,42-1,10 (m, 7H), 0,97-0,90 (m, 1H), 0,73 (s, 9H).
[1437] Иллюстративный синтез 2-(4-((1-(4-(3-(2,6-дифтор-3-(((R)-3-фторпирролидин)-1-сульфонамидо)бензоил)-1Н-пирроло[2,3-b]пиридин-5-ил)фенил)пиперидин-4-ил)метил)пиперазин-1-ил)-N-((S)-1-((2S,4R)-4-гидрокси-2-(5-(4-(4-метилтиазол-5-ил)бензил)тиазол-2-ил)пирролидин-1-ил)-3,3-диметил-1-оксобутан-2-ил)ацетамида (пример 473)
[1438] Стадия 1: получение трет-бутил-(2S,4R)-4-((трет-бутилдифенилсилил)окси)-2-карбамоилпирролидин-1-карбоксилата
[1439] В круглодонную колбу объемом 100 мл помещали трет-бутил-(2S,4R)-2-карбамоил-4-гидроксипирролидин-1-карбоксилат (1,00 г, 4,343 ммоль, 1 экв.), имидазол (739,0 мг, 10,855 ммоль, 2,50 экв.) и TBDPSCl (1,43 г, 5,203 ммоль, 1,20 экв.) в N,N-диметилформамиде (20 мл). Полученную смесь перемешивали в течение ночи при комнатной температуре. Затем реакционную смесь гасили путем добавления 150 мл воды и полученную смесь экстрагировали этилацетатом (250 мл × 3). Органические слои объединяли, промывали солевым раствором, высушивали над безводным сульфатом натрия и концентрировали при пониженном давлении. Остаток обрабатывали с помощью колонки с силикагелем с элюированием смесью дихлорметан/метанол (98:2). Это обеспечивало получение 1,55 г (76,15%) трет-бутил-(2S,4R)-4-[(трет-бутилдифенилсилил)окси]-2-карбамоилпирролидин-1-карбоксилата в виде бесцветного масла. LC/MS (ESI) масса/заряд: 469,25 [М+1]+.
[1440] Стадия 2: получение трет-бутил-(2S,4R)-4-((трет-бутилдифенилсилил)окси)-2-карбамотиоилпирролидин-1-карбоксилата
[1441] В 3-горлую круглодонную колбу объемом 250 мл, которую продували азотом и в которой поддерживали инертную атмосферу азота, помещали трет-бутил-(2S,4R)-4-[(трет-бутилдифенилсилил)окси]-2-карбамоилпирролидин-1-карбоксилат (1,80 г, 3,841 ммоль, 1 экв.) и реагент Лавессона (1,71 г, 4,228 ммоль, 1,10 экв.) в THF (60 мл). Полученную смесь перемешивали в течение 12 часов при 70°С на масляной бане. Смесь затем концентрировали при пониженном давлении. Остаток обрабатывали с помощью колонки с силикагелем с элюированием смесью этилацетат/петролейный эфир (1:4). Это обеспечивало получение 1,1 г (59,09%) трет-бутил-(2S,4R)-4-[(трет-бутилдифенилсилил)окси]-2-карбамотиоилпирролидин-1-карбоксилата в виде белого твердого вещества. LC/MS (ESI) масса/заряд: 485,30 [М+1]+.
[1442] Стадия 3: получение трет-бутил-(2S,4R)-2-(5-(4-бромбензил)тиазол-2-ил)-4-((трет-бутилдифенилсилил)окси)пирролидин-1-карбоксилата
[1443] В круглодонную колбу объемом 100 мл помещали трет-бутил-(28,4Я)-4-[(трет-бутилдифенилсилил)окси]-2-карбамотиоилпирролидин- 1-карбоксилат (1,0 г, 2,1 ммоль, 1 экв.), пиридин (244 мг, 3,085 ммоль, 1,50 экв.) и 1-бром-3-(4-бромфенил)пропан-2-он (904,0 мг, 3,1 ммоль, 1,50 экв.) в этаноле (50 мл). Полученный раствор перемешивали в течение 1 часа при 80°С на масляной бане. Смесь затем концентрировали при пониженном давлении. Остаток обрабатывали с помощью колонки с силикагелем с элюированием смесью этилацетат/петролейный эфир (1:9). Это обеспечивало получение 960,0 мг (68,66%) трет-бутил-(2S,4R)-2-[5-[(4-бромфенил)метил]-1,3-тиазол-2-ил]-4-[(трет-бутилдифенилсилил)окси]пирролидин-1-карбоксилата в виде светло-желтого масла. LC/MS (ESI) масса/заряд: 677,20 [М+1]+.
[1444] Стадия 4: получение трет-бутил-(2S,4R)-4-((трет-бутилдифенилсилил)окси)-2-(5-(4-(4-метилтиазол-5-ил)бензил)тиазол-2-ил)пирролидин- 1-карбоксилата
[1445] В герметичную пробирку объемом 30 мл, которую продували азотом и в которой поддерживали инертную атмосферу азота, помещали трет-бутил-(2S,4R)-2-[5-[(4-бромфенил)метил]-1,3-тиазол-2-ил]-4-[(трет-бутилдифенилсилил)окси]пирролидин-1-карбоксилат (800,0 мг, 1,180 ммоль, 1 экв.), 4-метил-5-(4,4,5,5-тетраметил-1,3,2-диоксаборолан-2-ил)-1,3-тиазол (398,0 мг, 1,768 ммоль, 1,50 экв.), карбонат калия (489,0 мг, 3,538 ммоль, 3,00 экв.) и Pd(dppf)Cl2 (86,0 мг, 0,118 ммоль, 0,10 экв.) в диоксане (15 мл) и воде (3 мл). Полученную смесь перемешивали в течение 3 часов при 95°С на масляной бане. Затем смесь концентрировали при пониженном давлении. Остаток обрабатывали с помощью колонки с силикагелем с элюированием смесью этилацетат/петролейный эфир (1:4). Это обеспечивало получение 590,0 мг (71,82%) трет-бутил-(2S,4R)-4-[(трет-бутилдифенилсилил)окси]-2-(5-[[4-(4-метил-1,3-тиазол-5-ил)фенил]метил]-1,3-тиазол-2-ил)пирролидин-1-карбоксилата в виде светло-желтого твердого вещества. LC/MS (ESI) масса/заряд: 696,20 [М+1]+.
[1446] Стадия 5: получение гидрохлорида 2-((2S,4R)-4-((трет-бутилдифенилсилил)окси)пирролидин-2-ил)-5-(4-(4-метилтиазол-5-ил)бензил)тиазола
[1447] В круглодонную колбу объемом 100 мл помещали трет-бутил-(2S,4R)-4-[(трет-бутилдифенилсилил)окси]-2-(5-[[4-(4-метил-1,3-тиазол-5-ил)фенил]метил]-1,3-тиазол-2-ил)пирролидин-1-карбоксилат (600,0 мг, 0,862 ммоль, 1 экв.) в диоксане (10 мл), к которому добавляли раствор хлороводорода в 1,4-диоксане (4,0 М, 10 мл). Полученную смесь перемешивали в течение 2 часов при комнатной температуре. Затем смесь концентрировали при пониженном давлении. Это обеспечивало получение 540,0 мг (99,06%) гидрохлорида 2-[(2S,4R)-4-[(трет-бутилдифенилсилил)окси]пирролидин-2-ил]-5-[[4-(4-метил-1,3-тиазол-5-ил)фенил]метил]-1,3-тиазола в виде светло-желтого полутвердого вещества. LC/MS (ESI) масса/заряд: 596,30 [М+1]+.
[1448] Стадия 6: получение трет-бутил-((S)-1-((2S,4R)-4-((трет-бутилдифенилсилил)окси)-2-(5-(4-(4-метилтиазол-5-ил)бензил)тиазол-2-ил)пирролидин-1-ил)-3,3-диметил- 1-оксобутан-2-ил)карбамата
[1449] В круглодонную колбу объемом 100 мл помещали гидрохлорид 2-[(2S,4R)-4-[(трет-бутилдифенилсилил)окси]пирролидин-2-ил]-5-[[4-(4-метил-1,3-тиазол-5-ил)фенил]метил]-1,3-тиазола (530,0 мг, 0,838 ммоль, 1 экв.), (2S)-2-[[(трет-бутокси)карбонил]амино]-3,3-диметилбутановую кислоту (582,0 мг, 2,516 ммоль, 3,00 экв.), N,N-диизопропилэтиламин (650,0 мг, 5,029 ммоль, 6,00 экв.) и ВОР (1,11 г, 2,510 ммоль, 2,99 экв.) в N,N-диметилформамиде (35 мл). Полученную смесь перемешивали в течение 12 часов при комнатной температуре. Затем реакционную смесь гасили путем добавления 100 мл воды. Полученную смесь экстрагировали этилацетатом (250 мл × 3). Органические слои объединяли, промывали солевым раствором, высушивали над безводным сульфатом натрия и концентрировали при пониженном давлении. Остаток обрабатывали с помощью колонки с силикагелем с элюированием смесью этилацетат/петролейный эфир (1:3). Это обеспечивало получение 340,0 мг (50,13%) трет-бутил-N-[(2S)-1-[(2S,4R)-4-[(трет-бутилдифенилсилил)окси]-2-(5-[[4-(4-метил-1,3-тиазол-5-ил)фенил]метил]-1,3-тиазол-2-ил)пирролидин-1-ил]-3,3-диметил-1-оксобутан-2-ил]карбамата в виде светло-желтого масла. LC/MS (ESI) масса/заряд: 809,30 [М+1]+.
[1450] Стадия 7: получение трет-бутил-((8)-1-((2S,4R)-4-гидрокси-2-(5-(4-(4-метилтиазол-5-ил)бензил)тиазол-2-ил)пирролидин-1-ил)-3,3-диметил-1-оксобутан-2-ил)карбамата
[1451] В круглодонную колбу объемом 100 мл помещали трет-бутил-N-[(2S)-1-[(2S,4R)-4-[(трет-бутилдифенилсилил)окси]-2-(5-[[4-(4-метил-1,3-тиазол-5-ил)фенил]метил]-1,3-тиазол-2-ил)пирролидин-1-ил]-3,3-диметил-1-оксобутан-2-ил]карбамат (390,0 мг, 0,482 ммоль, 1 экв.) в тетрагидрофуране (20 мл), к которому добавляли раствор Bu4N⋅F (1,0 М, 1,45 мл в THF). Полученную смесь перемешивали в течение 2 часов при комнатной температуре. Затем реакционную смесь гасили путем добавления 100 мл воды. Полученную смесь экстрагировали этилацетатом (250 мл × 3). Органические слои объединяли, промывали солевым раствором, высушивали над безводным сульфатом натрия и концентрировали при пониженном давлении. Остаток обрабатывали с помощью колонки с силикагелем с элюированием смесью этилацетат/петролейный эфир (3:1). Это обеспечивало получение 250 мг (90,88%) трет-бутил-N(2S)-1-[(2S,4R)-4-гидрокси-2-(5-[[4-(4-метил-1,3-тиазол-5-ил)фенил]метил]-1,3-тиазол-2-ил)пирролидин-1-ил]-3,3-диметил-1-оксобутан-2-ил]карбамата в виде светло-желтого полутвердого вещества. LC/MS (ESI) масса/заряд: 571,25 [М+1]+.
[1452] Стадия 8: получение гидрохлорида (S)-2-амино-1-((2S,4R)-4-гидрокси-2-(5-(4-(4-метилтиазол-5-ил)бензил)тиазол-2-ил)пирролидин-1-ил)-3,3-диметилбутан-1-она
[1453] В круглодонную колбу объемом 100 мл помещали трет-бутил-N-[(2S)-1-[(2S,4R)-4-гидрокси-2-(5-[[4-(4-метил-1,3-тиазол-5-ил)фенил]метил]-1,3-тиазол-2-ил)пирролидин-1-ил]-3,3-диметил-1-оксобутан-2-ил]карбамат (250 мг, 0,438 ммоль, 1 экв.) в диоксане (20 мл), к которому добавляли раствор хлороводорода в 1,4-диоксане (4,0 М, 15 мл). Полученную смесь перемешивали в течение 2 часов при комнатной температуре. Смесь концентрировали при пониженном давлении. Это обеспечивало получение 220,0 мг (99,05%)) гидрохлорида (2S)-2-амино-1-[(2S,4R)-4-гидрокси-2-(5-[[4-(4-метил-1,3-тиазол-5-ил)фенил]метил]-1,3-тиазол-2-ил)пирролидин-1-ил]-3,3-диметилбутан-1-она в виде белого твердого вещества. LC/MS (ESI) масса/заряд: 471,15 [М+1]+.
[1454] Стадия 9: получение 2-(4-((1-(4-(3-(2,6-дифтор-3-(((R)-3-фторпирролидин)-1-сульфонамидо)бензоил)-1Н-пирроло[2,3-b]пиридин-5-ил)фенил)пиперидин-4-ил)метил)пиперазин-1-ил)-N-((S)-1-((2S,4R)-4-гидрокси-2-(5-(4-(4-метилтиазол-5-ил)бензил)тиазол-2-ил)пирролидин-1-ил)-3,3-диметил-1-оксобутан-2-ил)ацетамида
[1455] В круглодонную колбу объемом 100 мл помещали 2-(4-[[1-(4-[3-[2,6-дифтор-3-([[(3R)-3-фторпирролидин-1-ил]сульфонил]амино)бензоил]-1Н-пирроло[2,3-b]пиридин-5-ил]фенил)пиперидин-4-ил]метил]пиперазин-1-ил)уксусную кислоту (459,55 мг, 0,621 ммоль, 1,50 экв.), гидрохлорид (2S)-2-амино-1-[(2S,4R)-4-гидрокси-2-(5-[[4-(4-метил-1,3-тиазол-5-ил)фенил]метил]-1,3-тиазол-2-ил)пирролидин-1-ил]-3,3-диметилбутан-1-она (210 мг, 0,414 ммоль, 1 экв.), N,N-диизопропилэтиламин (161 мг, 1,246 ммоль, 3,01 экв.) и ВОР (275 мг, 0,622 ммоль, 1,50 экв.) в N,N-диметилформамиде (30 мл). Полученный раствор перемешивали в течение 2 часов при комнатной температуре. Затем реакционную смесь гасили путем добавления 100 мл воды. Полученную смесь экстрагировали этилацетатом (250 мл × 3). Органические слои объединяли, промывали солевым раствором, высушивали над безводным сульфатом натрия и концентрировали при пониженном давлении. Остаток обрабатывали с помощью колонки с силикагелем с элюированием смесью дихлорметан/метанол (8:1). Полученный продукт растворяли в 50 мл дихлорметана и раствор фильтровали через 0,22 мкм шприцевой фильтр. Фильтрат концентрировали при пониженном давлении. Это обеспечивало получение 57,1 мг (11,56%) 2-(4-[[1-(4-[3-[2,6-дифтор-3-([[(3R)-3-фторпирролидин-1-ил]сульфонил]амино)бензоил]-1Н-пирроло[2,3-b]пиридин-5-ил]фенил)пиперидин-4-ил]метил]пиперазин-1-ил)-N-[(2S)-1-[(2S,4R)-4-гидрокси-2-(5-[[4-(4-метил-1,3-тиазол-5-ил)фенил]метил]-1,3-тиазол-2-ил)пирролидин-1-ил]-3,3-диметил-1-оксобутан-2-ил]ацетамида в виде желтого твердого вещества. LC/MS (ESI) масса/заряд: 1192,60 [М+1]+; 1Н ЯМР (300 МГц, DMSO-d6) S 12,88 (s, 1H), 9,83 (s, 1H), 8,96 (s, 1H), 8,63 (s, 1H), 8,51 (s, 1H), 8,05 (s, 1H), 7,80-7,70 (m, 1H), 7,69-7,56 (m, 3H), 7,39 (d, J=8,0 Гц, 2H), 7,35-7,18 (m, 4Н), 7,04 (d,J=8,4 Гц, 2Н), 5,74 (s, 1H), 5,44-5,06 (m, 3Н), 4,51 (d,J=9,3 Гц, 1H), 4,49^1,38 (m, 1H), 4,03 (s, 2H), 3,85-3,72 (m, 3H), 3,70-3,62 (m, 1H), 3,48-3,39 (m, 3H), 3,16-2,82 (m, 2H), 2,69 (t, J=11,8 Гц, 2H), 2,45-2,35 (m, 6H), 2,25-2,05 (m, 7H), 1,80-1,60 (m, 3H), 1,23-1,19 (m, 6H), 0,83 (s, 9H).
[1456] Иллюстративный синтез 2-(4-((4-(4-(3-(2,6-дифтор-3-(((R)-3-фторпирролидин)-1-сульфонамидо)бензоил)-1Н-пирроло[2,3-b]пиридин-5-ил)фенил)пиперазин-1-ил)метил)пиперидин-1-ил-N-((S)-1-(2S,4R)-4-гидрокси-2-(5-(4-(4-метилтиазол-5-ил)фенил)-1Н-имидазол-2-ил)пирролидин-1-ил)-3,3-диметил-1-оксобутан-2-ил)ацетамида (пример 445)
[1457] Стадия 1: получение 2-(4-((4-(4-(3-(2,6-дифтор-3-(((Я)-3-фторпирролидин)-1-сульфонамидо)бензоил)-1Н-пирроло[2,3-b]пиридин-5-ил)фенил)пиперазин-1-ил)метил)пиперидин-1-ил)-N-((S)-1-((2S,4R)-4-гидрокси-2-(5-(4-(4-метилтиазол-5-ил)фенил)-1Н-имидазол-2-ил)пирролидин-1-ил)-3,3-диметил-1-оксобутан-2-ил)ацетамида
[1458] В круглодонную колбу объемом 100 мл помещали 2-(4-[[4-(4-[3-[2,6-дифтор-3-([[(3R)-3-фторпирролидин-1-ил]сульфонил]амино)бензоил]-1Н-пирроло[2,3-b]пиридин-5-ил]фенил)пиперазин-1-ил]метил]пиперидин-1-ил)уксусную кислоту (252,45 мг, 0,341 ммоль, 1,00 экв.), (2S)-2-амино-1-[(2S,4R)-4-гидрокси-2-[5-[4-(4-метил-1,3-тиазол-5-ил)фенил]-1Н-имидазол-2-ил]пирролидин-1-ил]-3,3-диметилбутан-1-он (150 мг, 0,341 ммоль, 1 экв.), DIEA (88,20 мг, 0,682 ммоль, 2 экв.), ВОР (226,38 мг, 0,512 ммоль, 1,5 экв.) в DMF (5 мл). Полученную смесь перемешивали в течение 1 часа при комнатной температуре. Затем реакционную смесь гасили путем добавления 20 мл воды и смесь экстрагировали этилацетатом (20 мл × 2). Объединенный органический слой промывали солевым раствором, высушивали над безводным сульфатом натрия и концентрировали при пониженном давлении. Остаток обрабатывали с помощью колонки с силикагелем с элюированием смесью этилацетат/МеОН (5:1). Это обеспечивало получение 72,0 мг (18,17%) 2-(4-[[4-(4-[3-[2,6-дифтор-3-([[(3R)-3-фторпирролидин-1-ил]сульфонил]амино)бензоил]-1Н-пирроло[2,3-b]пиридин-5-ил]фенил)пиперазин-1-ил]метил]пиперидин-1-ил)-N-[(2S)-1-[(2S,4R)-4-гидрокси-2-[5-[4-(4-метил-1,3-тиазол-5-ил)фенил]-1Н-имидазол-2-ил]пирролидин-1-ил]-3,3-диметил-1-оксобутан-2-ил]ацетамида в виде желтого твердого вещества. LC/MS (ESI) масса/заряд: 1161,35 [М+1]+; 1Н ЯМР (300 МГц, DMSO-d6) δ 12,89 (br s, 1Н), 11,95 (s, 1H), 9,83 (br s, 1H), 8,95 (s, 1H), 8,62 (d, J=2,2 Гц, 1H), 8,51 (s, 1H), 8,05 (s, 1H), 7,78-7,70 (m, 3H), 7,57-7,50 (m, 4H), 7,42 (d, J=8,0 Гц, 2H), 7,24-7,20 (m, 1H), 7,10-7,01 (m, 2H), 5,49-5,27 (m, 2H), 5,11- 5,03 (m, 1H), 4,61-4,50 (m, 2H), 3,95-3,84 (m, 1H), 3,71-3,61 (m, 1H), 3,47-3,42 (m, 1H), 3,41-3,37 (m, 2H), 3,30-3,20 (m, 1H), 3,19-3,10 (m, 4H), 2,93-2,72 (m, 4H), 2,46 (s, 3H), 2,41-1,89 (m, 9H), 1,89-1,70 (m, 2H), 1,68-1,52 (m, 1H), 1,28-1,22 (m, 1H), 1,21-1,11 (m, 3H), 0,95-0,91 (m, 1H), 0,85-0,72 (m, 9H).
[1459] Иллюстративный синтез (2S,4R)-1-((S)-5-(4-(3-(2,6-дифтор-3-(((R)-3-фторпирролидин)-1-сульфонамидо)бензоил)-1Н-пирроло[2,3-b]пиридин-5-ил)фенокси)-2-(3-метилизоксазол-5-ил)пентаноил)-4-гидрокси-N-((S)-1-(4-(4-метилтиазол-5-ил)фенил)этил)пирролидин-2-карбоксамида (пример 475) и (2S,4R)-1-((R)-5-(4-(3-(2,6-дифтор-3-(((R)-3-фторпирролидин)-1-сульфонамидо)бензоил)-1Н-пирроло[2,3-b]пиридин-5-ил)фенокси)-2-(3-метилизоксазол-5-ил)пентаноил)-4-гидрокси-N-((S)-1-(4-(4-метилтиазол-5-ил)фенил)этил)пирролидин-2-карбоксамида (пример 476)
[1460] Стадия 1: получение 3-(4-бромфенокси)пропан-1-ола
[1461] К раствору 4-бромфенола (3 г, 17,34 ммоль, 1 экв.) в N,N-диметилформамиде (100 мл) добавляли 3-бромпропан-1-ол (2,89 г, 20,81 ммоль, 1,2 экв.) и карбонат калия (7,19 г, 52,02 ммоль, 3 экв.) и смесь перемешивали при 70°С в течение 2 ч. Смесь разбавляли водой (100 мл) и экстрагировали этилацетатом (100 мл × 3) и промывали солевым раствором (300 мл). Органическую фазу высушивали с помощью безводного сульфата натрия, фильтровали и фильтрат конденсировали с получением неочищенного продукта. Остаток очищали с помощью колоночной хроматографии на силикагеле (чистый петролейный эфир). Продукт, 3-(4-бромфенокси)пропан-1-ол (3,10 г, 13,41 ммоль, выход 77%), получали в виде бесцветного масла. 1Н ЯМР (400 МГц, CDCl3) δ 7,41-7,30 (m, 2Н), 6,84-6,69 (m, 2Н), 4,16-3,95 (m, 2Н), 3,83 (t, J=6,0 Гц, 2Н), 2,23-1,90 (m, 4Н).
[1462] Стадия 2: получение 1-бром-4-(3-бромпропокси)бензола
[1463] К раствору 3-(4-бромфенокси)пропан-1-ола (3,1 г, 13,41 ммоль, 1 экв.) в тетраги дрофу ране (150 мл) добавляли тетрабромид углерода (6,67 г, 20,12 ммоль, 1,5 экв.) и трифенилфосфин (5,28 г, 20,12 ммоль, 1,5 экв.). Реакционную смесь перемешивали при 20°С в течение 1 ч. Смесь разбавляли водой (70 мл) и экстрагировали этилацетатом (40 мл × 3) и промывали солевым раствором (60 мл × 2). Органическую фазу высушивали с помощью безводного сульфата натрия, фильтровали и фильтрат конденсировали с получением неочищенного продукта. Остаток очищали с помощью колоночной хроматографии на силикагеле (чистый петролейный эфир). Продукт, 1-бром-4-(3-бромпропокси)бензол (3 г, 10,20 ммоль, выход 76%), получали в виде желтого твердого вещества. 1Н ЯМР (400 МГц, CDCl3) δ 7,43-7,35 (m, 2Н), 6,83-6,75 (m, 2Н), 4Д8 4,01 (m, 2Н), 3,60 (t, J=6,4 Гц, 2Н), 2,32 (квин., J=6,0 Гц, 2Н).
[1464] Стадия 3: получение 2-(3-метилизоксазол-5-ил)уксусной кислоты
[1465] К раствору 3,5-диметилизоксазола (4,85 г, 49,94 ммоль, 4,93 мл, 1 экв.) в тетраги дрофу ране (80 мл) по каплям добавляли н-бутиллитий (2,5 М, 19,98 мл, 1 экв.) при -70°С. Когда добавление завершали, смесь перемешивали при -70°С в течение получаса. Затем газообразный диоксид углерода (2,20 г, 49,94 ммоль, 1 экв.) барботировали в смесь при -70°С в течение получаса. Полученную смесь перемешивали при -70~0°С в течение еще 3 часов. Смесь выливали в 100 мл ледяной воды и регулировали рН до 3,0 с помощью 1,0 М хлористоводородной кислоты. Смесь экстрагировали этилацетатом (100 мл × 2). Объединенные органические слои промывали солевым раствором (200 мл), высушивали над сульфатом натрия, фильтровали и концентрировали в вакууме. Остаток непосредственно применяли для следующей стадии без дополнительной очистки. Получали 2-(3-метилизоксазол-5-ил)уксусную кислоту (4,5 г, неочищенная) в виде грязно-белого твердого вещества.
[1466] Стадия 4: получение метил-2-(3-метилизоксазол-5-ил)ацетата
[1467] К раствору 2-(3-метилизоксазол-5-ил)уксусной кислоты (4,2 г, 29,76 ммоль, 1 экв.) в метаноле (50 мл) по каплям добавляли тионилхлорид (7,08 г, 59,52 ммоль, 4,32 мл, 2 экв.) при 0°С. Когда добавление завершали, смесь нагревали до 80°С и перемешивали при 80°С в течение 2 часов. Растворитель концентрировали в вакууме, остаток разбавляли этилацетатом (100 мл). Смесь промывали насыщенным раствором бикарбоната натрия (100 мл), солевым раствором (100 мл), высушивали над сульфатом натрия, фильтровали и концентрировали в вакууме. Остаток очищали с помощью хроматографии на силикагеле (петролейный эфир: эти л ацетат=10:1-5:1) с получением метил-2-(3-метилизоксазол-5-ил)ацетата (3,6 г, 23,20 ммоль, выход 77%) в виде бесцветного масла. 1Н ЯМР (400 МГц, CDCl3) δ 6,11 (s, 1Н), 3,80 (s, 2H), 3,77 (s, 3Н), 2,30 (s, 3Н).
[1468] Стадия 5: получение метил-5-(4-бромфенокси)-2-(3-метилизоксазол-5-ил)пентаноата
[1469] К раствору метил-2-(3-метилизоксазол-5-ил)ацетата (0,95 г, 6,12 ммоль, 1 экв.) в тетрагидрофуране (20 мл) добавляли трет-бутоксид калия (825 мг, 7,35 ммоль, 1,2 экв.) и перемешивали при 15°С в течение 30 мин., затем в смесь добавляли 1-бром-4-(4-бромбутокси)бензол (1,98 г, 6,74 ммоль, 1,1 экв.) при 20°С в защитной атмосфере N2 в течение 2 ч. Смесь разбавляли водой (50 мл) и экстрагировали этилацетатом (50 мл × 3) и промывали солевым раствором (100 мл). Органическую фазу высушивали с помощью безводного сульфата натрия, фильтровали и фильтрат конденсировали с получением неочищенного продукта. Остаток очищали с помощью колоночной хроматографии с применением диоксида кремния (петролейный эфир/этилацетат = от 1/0 до 60/1). Продукт, метил-5-(4-бромфенокси)-2-(3-метилизоксазол-5-ил)пентаноат (370 мг, 1,00 ммоль, выход 17%), получали в виде бесцветного масла. LC/MS (ESI) масса/заряд: 368,1 [М+1]+; 1Н ЯМР (400 МГц, CDCl3) δ 7,39-7,31 (m, 2Н), 6,80-6,69 (m, 2Н), 6,11-6,02 (m, 1Н), 4,16-3,82 (m, 3Н), 3,81-3,74 (m, 1H), 3,73 (s, 2H), 2,27-2,27 (m, 1H), 2,30-2,26 (m, 2H), 2,26-2,02 (m, 1H), 1,86-1,73 (m, 1H), 1,73-1,71 (m, 1H), 1,88-1,69 (m, 1H).
[1470] Стадия 6: получение метил-5-(4-(3-(2,6-дифтор-3-(((R)-3-фтор-N-((2-(триметилсилил)этокси)метил)пирролидин)-1-сульфонамидо)бензоил)-1-((2-(триметилсилил)этокси)метил)-1Н-пирроло[2,3-b]пиридин-5-ил)фенокси)-2-(3-метилизоксазол-5-ил)пентаноата
[1471] В колбу загружали метил-5-(4-бромфенокси)-2-(3-метилизоксазол-5-ил)пентаноат (100 мг, 0,27 ммоль, 1 экв.), фторид цезия (165 мг, 1,09 ммоль, 4 экв.), 4-ди-трет-бутилфосфанил-N,N-диметиланилин-дихлорпалладий (19 мг, 0,03 ммоль, 0,1 экв.), (3R)-N-[2,4-дифтор-3-[5-(4,4,5,5-тетраметил-1,3,2-диоксаборолан-2-ил)-1-(2-триметилсилилэтоксиметил)пирроло[2,3-b]пиридин-3-карбонил]фенил]-3-фтор-N-(2-триметилсилилэтоксиметил)пирролидин-1-сульфонамид (220 мг, 0,27 ммоль, 1 экв.), диоксан (10 мл) и воду (2 мл). Смесь нагревали до 120°С в течение 1 ч. в атмосфере азота. Реакционную смесь гасили путем добавления воды (30 мл) и экстрагировали этилацетатом (20 мл × 3). Объединенные органические слои промывали солевым раствором (20 мл × 2), высушивали над безводным сульфатом натрия, фильтровали и концентрировали при пониженном давлении с получением остатка. Остаток очищали с помощью препаративной TLC (петролейный эфир : этилацетат=1:1). Необходимый продукт, метил-5-[4-[3-[2,6-дифтор-3-[[(3R)-3-фторпирролидин-1-ил]сульфонил-(2-триметилсилилэтоксиметил)амино]бензоил]-1-(2-триметилсилилэтоксиметил)пирроло[2,3-b]пиридин-5-ил]фенокси]-2-(3-метилизоксазол-5-ил)пентаноат (50 мг, 0,05 ммоль, выход 19%)), получали в виде желтого масла. LC/MS (ESI) масса/заряд: 972,4 [М+1]+.
[1472] Стадия 7: получение метил-5-(4-(3-(2,6-дифтор-3-(((R)-3-фторпирролидин)-1-сульфонамидо)бензоил)-1Н-пирроло[2,3-b]пиридин-5-ил)фенокси)-2-(3-метилизоксазол-5-ил)пентаноата
[1473] К раствору метилметил-5-[4-[3-[2,6-дифтор-3-[[(3R)-3-фторпирролидин-1-ил]сульфонил-(2-триметилсилилэтоксиметил)амино]бензоил]-1-(2-триметилсилилэтоксиметил)пирроло[2,3-b]пиридин-5-ил]фенокси]-2-(3-метилизоксазол-5-ил)пентаноата (200 мг, 0,20 ммоль, 1 экв.) в метаноле (5 мл) добавляли смесь хлороводород/диоксан (4 М, 10 мл, 464,12 экв.). Раствор перемешивали при 40°С в течение 20 ч. Реакционную смесь концентрировали в вакууме. Остаток применяли в следующей реакции и не подвергали очистке. Продукт, метил-5-[4-[3-[2,6-дифтор-3-[[(3R)-3-фторпирролидин-1-ил]сульфониламино]бензоил]-1Н-пирроло[2,3-b]пиридин-5-ил]фенокси]-2-(3-метилизоксазол-5-ил)пентаноат (150 мг, неочищенный, HCl), получали в виде желтого масла. LC/MS (ESI) масса/заряд: 712,2 [М+1]+.
[1474] Стадия 8: получение 5-(4-(3-(2,6-дифтор-3-(((R)-3-фторпирролидин)-1-сульфонамидо)бензоил)-1Н-пирроло[2,3-b]пиридин-5-ил)фенокси)-2-(3-метилизоксазол-5-ил)пентановой кислоты
[1475] К раствору метил-5-[4-[3-[2,6-дифтор-3-[[(3R)-3-фторпирролидин-1-ил]сульфониламино]бензоил]-1Н-пирроло[2,3-b]пиридин-5-ил]фенокси]-2-(3-метилизоксазол-5-ил)пентаноата (150 мг, 0,20 ммоль, 1 экв., HCl) в метаноле (2 мл) и воде (2 мл) добавляли гидроксид лития (42 мг, 1,00 ммоль, 5 экв.) и смесь перемешивали при 15°С в течение 2 ч. В реакционную смесь медленно загружали хлороводород (1 М) для регулирования рН до 4-5 и смесь промывали водой (20 мл), затем экстрагировали этилацетатом (15 мл × 3) и промывали солевым раствором (15 мл), затем органическую фазу концентрировали в вакууме с получением остатка. Продукт, 5-[4-[3-[2,6-дифтор-3-[[(3R)-3-фторпирролидин-1-ил]сульфониламино]бензоил]-1Н-пирроло[2,3-b]пиридин-5-ил]фенокси]-2-(3-метилизоксазол-5-ил)пентановую кислоту (130 мг, неочищенная), получали в виде желтого твердого вещества. LC/MS (ESI) масса/заряд: 698,2 [М+1]+.
[1476] Стадия 9: получение (2S,4R)-1-((S)-5-(4-(3-(2,6-дифтор-3-(((R)-3-фторпирролидин)-1-сульфонамидо)бензоил)-1Н-пирроло[2,3-b]пиридин-5-ил)фенокси)-2-(3-метилизоксазол-5-ил)пентаноил)-4-гидрокси-N-((S)-1-(4-(4-метилтиазол-5-ил)фенил)этил)пирролидин-2-карбоксамида и (2S,4R)-1-((R)-5-(4-(3-(2,6-дифтор-3-(((R)-3-фторпирролидин)-1-сульфонамидо)бензоил)-1Н-пирроло[2,3-b]пиридин-5-ил)фенокси)-2-(3-метилизоксазол-5-ил)пентаноил)-4-гидрокси-N-((S)-1-(4-(4-метилтиазол-5-ил)фенил)этил)пирролидин-2-карбоксамида
[1477] К раствору 5-[4-[3-[2,6-дифтор-3-[[(3R)-3-фторпирролидин-1-ил]сульфониламино]бензоил]-1Н-пирроло[2,3-b]пиридин-5-ил]фенокси]-2-(3-метилизоксазол-5-ил)пентановой кислоты (130 мг, 0,19 ммоль, 1 экв.) и (2S,4R)-4-гидрокси-N-[(1S)-1-[4-(4-метилтиазол-5-ил)фенил]этил]пирролидин-2-карбоксамида (69 мг, 0,19 ммоль, 1 экв., НС1) в N,N-[-диметилформамиде (5 мл) добавляли 1-гидроксибензотриазол (31 мг, 0,23 ммоль, 1,2 экв.) и N,N-диизопропилэтиламин (73 мг, 0,56 ммоль, 3 экв.) и смесь перемешивали при 15°С в течение 30 мин и в смесь добавляли гидрохлорид N-(3-диметиламинопропил)-N-этилкарбодиимида (43 мг, 0,23 ммоль, 1,2 экв.), затем перемешивали при 40°С в течение 2 ч. Смесь концентрировали в вакууме. Остаток очищали с помощью препаративной HPLC. Первый продукт, (2S,4R)-1-[(2S)-5-[4-[3-[2,6-дифтор-3-[[(3R)-3-фторпирролидин-1-ил]сульфониламино]бензоил]-1Н-пирроло[2,3-b]пиридин-5-ил]фенокси]-2-(3-метилизоксазол-5-ил)пентаноил]-4-гидрокси-N-[(1S)-1-[4-(4-метилтиазол-5-ил)фенил]этил]пирролидин-2-карбоксамид (23,7 мг, 0,02 ммоль, выход 12%, чистота 99%), получали в виде белого твердого вещества. LC/MS (ESI) масса/заряд: 1011,3 [М+1]+; 1Н ЯМР (300 МГц, DMSO-d6) δ 9,04-8,91 (m, 1Н), 8,65 (s, 1H), 8,56 (s, 1H), 8,41 (d, J=7,5 Гц, 1H), 8,07 (s, 1H), 7,72-7,55 (m, 3H), 7,49-7,31 (m, 5H), 7,21 (s, 1H), 7,13-7,00 (m, 2H), 6,36-6,03 (m, 1H), 5,40-5,19 (m, 1H), 5,13 (s, 1H), 5,00-4,84 (m, 1H), 4,48-4,37 (m, 1H),4,31 (s, 1H), 4,18 (t, J=7,1 Гц, 1H), 4,11-3,95 (m, 2H), 3,78 (dd, J=4,5, 10,5 Гц, 1H), 3,58 (d, J=11,4 Гц, 1H), 3,45 (s, 1H), 2,47-2,39 (m, 4H), 2,27-2,16 (m, 4H), 2,15-2,00 (m, 4H), 2,00-1,88 (m, 2H), 1,88-1,65 (m, 3H), 1,25-0,98 (m, 1H), 1,38 (d, J=6,8 Гц, 3Н). Второй продукт, (2S,4R)-1-[(2R)-5-[4-[3-[2,6-дифтор-3-[[(3R)-3-фторпирролидин-l-ил]сульфониламино]бензоил]-1H-пирроло[2,3-b]пиридин-5-ил]фенокси]-2-(3-метилизоксазол-5-ил)пентаноил]-4-гидрокси-N-[(1S)-1-[4-(4-метилтиазол-5-ил)фенил]этил]пирролидин-2-карбоксамид (15,7 мг, 0,02 ммоль, выход 8%, чистота 98%), получали в виде белого твердого вещества. LC/MS (ESI) масса/заряд: 1011,3 [М+1]+; 1Н ЯМР (300 МГц, DMSO-d6) δ 9,04-8,94 (m, 1H), 8,65 (d, J=2,1 Гц, 1H), 8,56 (s, 1Н), 8,40 (d, J=7,7 Гц, 1Н), 8,05 (s, 1H), 7,67 (d, J=8,7 Гц, 2Н), 7,62-7,53 (m, 1Н), 7,48-7,41 (m, 2Н), 7,40-7,30 (m, 3Н), 7,21-7,01 (m, 1H), 7,11-7,01 (m, 2Н), 6,28-6,22 (m, 1Н), 6,33 (s, 1H), 5,43-5,19 (m, 1H), 5,17 (s, 1Н), 5,03 (s, 1Н), 4,92 (t, J=7,3 Гц, 1H), 4,65-4,56 (m, 1H), 4,54-4,37 (m, 1H), 4,29 (s, 1Н), 4,21 (t, J=7,2 Гц, 1H), 4,06 (t, J=6,1 Гц, 2Н), 4,02-3,90 (m, 1Н), 3,73 (t, J=7,7 Гц, 1Н), 3,60 (d, J=10,0 Гц, 1Н), 2,47-2,43 (т, 4Н), 2,33 (d, J=1,8 Гц, 1H), 2,25-2,16 (т, 4Н), 2,13-1,91 (m, 5Н), 1,78 (dd, J=7,5, 12,5 Гц, ЗН), 1,26-1,13 (m, 1H), 1,44-1,10 (m, 5Н).
[1478] Иллюстративный синтез (2S,4R)-1-((S)-6-(4-(3-(2,6-дифтор-3-(((R)-3-фторпирролидин)-1-сульфонамидо)бензоил)-1Н-пирроло[2,3-b]пиридин-5-ил)фенокси)-2-(3-метилизоксазол-5-ил)гексаноил)-4-гидрокси-N-((S)-1-(4-(4-метилтиазол-5-ил)фенил)этил)пирролидин-2-карбоксамида (пример 452) и (2S,4R)-1-((R)-6-(4-(3-(2,6-дифтор-3-(((R)-3-фторпирролидин)-1-сульфонамидо)бензоил)-1Н-пирроло[2,3-b]пиридин-5-ил)фенокси)-2-(3-метилизоксазол-5-ил)гексаноил)-4-гидрокси-N-((S)-1-(4-(4-метилтиазол-5-ил)фенил)этил)пирролидин-2-карбоксамида (пример 453)
[1479] Стадия 1: получение 1-бром-4-(4-бромбутокси)бензола
[1480] К раствору 4-бромфенола (3 г, 17,34 ммоль, 1 экв.) в N,N-диметилформамиде (100 мл) добавляли 1,4-дибромбутан (18,72 г, 86,70 ммоль, 5 экв.) и карбонат калия (7,19 г, 52,02 ммоль, 3 экв.) и смесь перемешивали при 70°С в течение 2 ч. Смесь разбавляли водой (100 мл) и экстрагировали этилацетатом (100 мл × 3) и промывали солевым раствором (300 мл). Органическую фазу высушивали с помощью безводного сульфата натрия, фильтровали и фильтрат конденсировали с получением неочищенного продукта. Остаток очищали с помощью колоночной хроматографии на силикагеле (чистый петролейный эфир). Продукт, 1-бром-4-(4-бромбутокси)бензол (4,1 г, 13,31 ммоль, выход 77%), получали в виде бесцветного масла. LC/MS (ESI) масса/заряд: 308,1 [М+1]+; 1Н ЯМР (400 МГц, CDCl3) δ 7,44-7,31 (m, 2Н), 6,87-6,71 (m, 2Н), 4,03-3,88 (m, 2Н), 3,55-3,37 (m, 2Н), 2,12-1,87 (m, 4Н).
[1481] Стадия 2: получение метил-6-(4-бромфенокси)-2-(3-метилизоксазол-5-ил)гексаноата
[1482] К раствору метил-2-(3-метилизоксазол-5-ил)ацетата (420 мг, 2,71 ммоль, 1 экв.) в тетрагидрофуране (20 мл) добавляли трет-бутоксид калия (456 мг, 4,06 ммоль, 1,5 экв.) и перемешивали при 15°С в течение 30 мин., затем в смесь добавляли 1-бром-4-(4-бромбутокси)бензол (1 г, 3,25 ммоль, 1,2 экв.) при 20°С в защитной атмосфере N2 в течение 2 ч. Смесь разбавляли водой (50 мл) и экстрагировали этилацетатом (50 мл × 3) и промывали солевым раствором (100 мл).
Органическую фазу высушивали с помощью безводного сульфата натрия, фильтровали и фильтрат конденсировали с получением неочищенного продукта. Остаток очищали с помощью препаративной HPLC. Продукт, метил-6-(4-бромфенокси)-2-(3-метилизоксазол-5-ил)гексаноат (150 мг, 0,39 ммоль, выход 15%), получали в виде белого твердого вещества. LC/MS (ESI) масса/заряд: 382,0 [М+1]+; 1Н ЯМР (400 МГц, CDCl3) δ 7,41-7,31 (m, 2Н), 6,81-6,71 (m, 2Н), 6,08 (s, 1Н), 3,96-3,82 (m, 3Н), 3,74 (s, 3Н), 2,34 (s, 3Н), 2,20-2,07 (m, 1Н), 2,06-1,90 (m, 1Н), 1,89-1,69 (m, 2Н), 1,58-1,41 (m, 2Н).
[1483] Стадия 3: получение метил-6-(4-(3-(2,6-дифтор-3-(((R)-3-фтор-N-((2-(триметилсилил)этокси)метил)пирролидин)-1-сульфонамидо)бензоил)-1-((2-(триметилсилил)этокси)метил)-1Н-пирроло[2,3-b]пиридин-5-ил)фенокси)-2-(3-метилизоксазол-5-ил)гексаноата
[1484] В колбу загружали метил-6-(4-бромфенокси)-2-(3-метилизоксазол-5-ил)гексаноат (150 мг, 0,39 ммоль, 1 экв.), фторид цезия (239 мг, 1,57 ммоль, 4 экв.), 4-ди-трет-бутилфосфанил-N,N-диметиланилин-дихлорпалладий (28 мг, 0,04 ммоль, 0,1 экв.), (3R)-N-[2,4-дифтор-3-[5-(4,4,5,5-тетраметил-1,3,2-диоксаборолан-2-ил)-1-(2-триметилсилилэтоксиметил)пирроло[2,3-b]пиридин-3-карбонил]фенил]-3-фтор-N-(2-триметилсилилэтоксиметил)пирролидин-1-сульфонамид (318 мг, 0,39 ммоль, 1 экв.), диоксан (10 мл) и воду (2 мл). Смесь нагревали до 120°С в течение 1 ч. в атмосфере азота. Реакционную смесь гасили путем добавления воды (10 мл) и затем разбавляли водой (20 мл) и экстрагировали этилацетатом (40 мл × 3). Объединенные органические слои промывали солевым раствором (30 мл × 2), высушивали над безводным сульфатом натрия, фильтровали и концентрировали при пониженном давлении с получением остатка. Остаток очищали с помощью препаративной TLC (петролейный эфир:этилацетат=1:1). Продукт, метил-6-[4-[3-[2,6-дифтор-3-[[(3R)-3-фторпирролидин-1-ил]сульфонил-(2-триметилсилилэтоксиметил)амино]бензоил]-1-(2-триметилсилилэтоксиметил)пирроло[2,3-b]пиридин-5-ил]фенокси]-2-(3-метилизоксазол-5-ил)гексаноат (170 мг, 0,17 ммоль, выход 44%), получали в виде желтого масла.
[1485] Стадия 4: получение метил-6-(4-(3-(2,6-дифтор-3-(((R)-3-фторпирролидин)-1-сульфонамидо)бензоил)-1Н-пирроло[2,3-b]пиридин-5-ил)фенокси)-2-(3-метилизоксазол-5-ил)гексаноата
[1486] К раствору метил-6-[4-[3-[2,6-дифтор-3-[[(3R)-3-фторпирролидин-1-ил]сульфонил-(2-триметилсилилэтоксиметил)амино]бензоил]-1-(2-триметилсилилэтоксиметил)пирроло[2,3-b]]пиридин-5-ил]фенокси]-2-(3-метилизоксазол-5-ил)гексаноата (170 мг, 0,17 ммоль, 1 экв.) в метаноле (5 мл) добавляли смесь хлороводород/диоксан (4 М, 20 мл, 464,12 экв.). Раствор перемешивали при 40°С в течение 68 ч. Реакционную смесь концентрировали в вакууме. Остаток применяли в следующей реакции без дополнительной очистки. Необходимый продукт, метил-6-[4-[3-[2,6-дифтор-3-[[(3R)-3-фторпирролидин-1-ил]сульфониламино]бензоил]-1Н-пирроло[2,3-b]]пиридин-5-ил]фенокси]-2-(3-метилизоксазол-5-ил)гексаноат (120 мг, 0,16 ммоль, выход 91%, HCl), получали в виде бесцветного твердого вещества. LC/MS (ESI) масса/заряд: 726,1 [М+1]+.
[1487] Стадия 5: получение 6-(4-(3-(2,6-дифтор-3-(((R)-3-фторпирролидин)-1-сульфонамидо)бензоил)-1Н-пирроло[2,3-b]пиридин-5-ил)фенокси)-2-(3-метилизоксазол-5-ил)гексановой кислоты
[1488] К раствору метил-6-[4-[3-[2,6-дифтор-3-[[(3R)-3-фторпирролидин-1-ил]сульфониламино]бензоил]-1Н-пирроло[2,3-b]]пиридин-5-ил]фенокси]-2-(3-метилизоксазол-5-ил)гексаноата (120 мг, 0,16 ммоль, 1 экв., HCl) в метаноле (2 мл) и воде (2 мл) добавляли гидроксид лития (33 мг, 0,79 ммоль, 5 экв.) и смесь перемешивали при 15°С в течение 2 ч. В реакционную смесь медленно добавляли хлороводород (1 М) для регулирования рН до 4-5 и смесь промывали водой (20 мл), затем экстрагировали этилацетатом (15 мл × 3) и промывали солевым раствором (15 мл), затем органическую фазу концентрировали в вакууме с получением остатка. Продукт, 6-[4-[3-[2,6-дифтор-3-[[(3R)-3-фторпирролидин-1-ил]сульфониламино]бензоил]-1Н-пирроло[2,3-b]пиридин-5-ил]фенокси]-2-(3-метилизоксазол-5-ил)гексановую кислоту (110 мг, неочищенная), получали в виде желтого твердого вещества. LC/MS (ESI) масса/заряд: 712,1 [М+1]+.
[1489] Стадия 6: получение (2S,4R)-1-((S)-6-(4-(3-(2,6-дифтор-3-(((R)-3-фторпирролидин)-1-сульфонамидо)бензоил)-1Н-пирроло[2,3-b]пиридин-5-ил)фенокси)-2-(3-метилизоксазол-5-ил)гексаноил)-4-гидрокси-N-((S)-1-(4-(4-метилтиазол-5-ил)фенил)этил)пирролидин-2-карбоксамида и (2S,4R)-1-((R)-6-(4-(3-(2,6-дифтор-3-(((R)-3-фторпирролидин)-1-сульфонамидо)бензоил)-1Н-пирроло[2,3-b]пиридин-5-ил)фенокси)-2-(3-метилизоксазол-5-ил)гексаноил)-4-гидрокси-N-((S)-1-(4-(4-метилтиазол-5-ил)фенил)этил)пирролидин-2-карбоксамида
[1490] К раствору 6-[4-[3-[2,6-дифтор-3-[[(3R)-3-фторпирролидин-1-ил]сульфониламино]бензоил]-1Н-пирроло[2,3-b]пиридин-5-ил]фенокси]-2-(3-метилизоксазол-5-ил)гексановой кислоты (110 мг, 0,16 ммоль, 1 экв.) и (2S,4R)-4-гидрокси-N-[(1S)-1-[4-(4-метилтиазол-5-ил)фенил]этил]пирролидин-2-карбоксамида (57 мг, 0,16 ммоль, 1 экв., HCl) в N,N-диметилформамиде (5 мл) добавляли 1-гидроксибензотриазол (25 мг, 0,19 ммоль, 1,2 экв.) и N,N-диизопропилэтиламин (60 мг, 0,47 ммоль, 3 экв.) и смесь перемешивали при 15°С в течение 30 мин и в смесь добавляли гидрохлорид N-(3-диметиламинопропил)-N-этилкарбодиимида (36 мг, 0,19 ммоль, 1,2 экв.), затем перемешивали при 40°С в течение 2 ч. Смесь концентрировали в вакууме. Остаток очищали с помощью препаративной HPLC. Продукт 1, (2S,4R)-1-[(2S)-6-[4-[3-[2,6-дифтор-3-[[(3R)-3-фторпирролидин-1-ил]сульфониламино]бензоил]-1Н-пирроло[2,3-b]пиридин-5-ил]фенокси]-2-(3-метилизоксазол-5-ил)гексаноил]-4-гидрокси-N[(1S)-1-[4-(4-метилтиазол-5-ил)фенил]этил]пирролидин-2-карбоксамид (45,2 мг, 0,04 ммоль, выход 28%, чистота 98%), получали в виде белого твердого вещества. LC/MS (ESI) масса/заряд: 1025,3 [М+1]+; 1Н ЯМР (400 МГц, DMSO-d6) δ 9,04-8,92 (m, 1Н), 8,64 (d, J=2,0 Гц, 1Н), 8.55 (s, 1Н), 8,38 (d, J=8,0 Гц, 1H), 8,06 (s, 1H), 7,75-7,54 (m, 3Н), 7,52-7,27 (m, 4Н), 7,19 (t, J=8,8 Гц, 1H), 7,11-6,99 (m, 2Н), 6,34-6,02 (m, 1Н), 5,38-5,04 (m, 2Н), 5,01 4,80 (m, 1H), 4,76-4,58 (m, 1H), 4,51 4,35 (m, 1Н), 4,30 (s, 1H), 4,10 (t, J=7,6 Гц, 1Н), 4,05-3,86 (m, 3Н), 3,76 (dd, J=4,4, 10,0 Гц, 1Н), 3,56-3,49 (m, 2Н), 3,51-3,43 (m, 1H), 2,47-2,35 (m, 5Н), 2,26-2,14 (m, 3Н), 2,13-1,89 (m, 4Н), 1,88-1,64 (m, 4Н), 1,59-1,09 (m, 5Н). Продукт 2, (2S,4R)-1-[(2R)-6-[4-[3-[2,6-дифтор-3-[[(3R)-3-фторпирролидин-1-ил]сульфониламино]бензоил]-1Н-пирроло[2,3-b]пиридин-5-ил]фенокси]-2-(3-метилизоксазол-5-ил)гексаноил]-4-гидрокси-N-[(1S)-1-[4-(4-метилтиазол-5-ил)фенил]этил]пирролидин-2-карбоксамид (18,6 мг, 0,02 ммоль, выход 11%), чистота 97%), получали в виде белого твердого вещества. LC/MS (ESI) масса/заряд: 1026,2 [М+1]+; 1Н ЯМР (400 МГц, DMSO-d6) δ 9,02-8,94 (m, 1Н), 8,65 (d, J=1,6 Гц, 1Н), 8,56 (s, 1H), 8,38 (d, J=7,6 Гц, 1H), 8,20 (s, 1Н), 8,07 (s, 1Н), 7,72-7.56 (m, 3Н), 7,48-7,37 (m, 3Н), 7,36-7,27 (m, 2Н), 7,22 (t, J=8,8 Гц, 1Н), 7,07 (d, J=8,8 Гц, 2Н), 6,34-6,17 (m, 1Н), 5,35 (s, 1Н), 5,22 (s, 1Н), 5,13 (s, 1H), 5,04 4,86 (m, 1H), 4,51-4,38 (m, 1H), 4,28 (s, 1Н), 4,16-3,90 (m, 2Н), 3,73 (d, J=7,6 Гц, 1H), 3,62-3,51 (m, 1Н), 3,46 (s, 2Н), 2,42 (d, J=8,8 Гц, 5Н), 2,27-2,14 (m, 3Н), 2,07 (d, J=15,2 Гц, 2Н), 2,12-2,01 (m, 1Н), 1,99-1,88 (m, 2Н), 1,87-1,69 (m, 3Н), 1,52-1,35 (m, 5Н).
[1491] Иллюстративный синтез (2S,4R)-1-4-(2-(4-(3-(2,6-дифтор-3-(((R)-3-фторпирролидин)-1-сульфонамидо)бензоил)-1Н-пирроло[2,3-b]пиридин-5-ил)фенокси)этокси)-2-(3-метилизоксазол-5-ил)бутаноил)-4-гидрокси-N-((5)-1-(4-(4-метилтиазол-5-ил)фенил)этил)пирролидин-2-карбоксамида (пример 460)
[1492] Стадия 1: получение 1-бром-4-(2-(2-бромэтокси)этокси)бензола
[1493] К раствору 4-бромфенола (3 г, 17,34 ммоль, 1 экв.) и 1-бром-2-(2-бромэтокси)этана (4,02 г, 17,34 ммоль, 1 экв.) в N,N-диметилформамиде (10 мл) добавляли карбонат калия (4,79 г, 34,68 ммоль, 2 экв.). Реакционную смесь перемешивали при 60°С в течение 12 ч. Реакционную смесь гасили путем добавления воды (10 мл) и затем разбавляли водой (20 мл) и экстрагировали этилацетатом (40 мл × 3). Объединенные органические слои промывали солевым раствором (30 мл × 2), высушивали над безводным сульфатом натрия, фильтровали и концентрировали при пониженном давлении с получением остатка. Остаток очищали с помощью хроматографии на силикагеле (петролейный эфир: эти л ацетат = от 1:0 до 50:1) с получением 1-бром-4-[2-(2-бромэтокси)этокси]бензола (2,8 г, 8,64 ммоль, выход 49%) в виде бесцветного масла. 1Н ЯМР (400 МГц, CDCl3) δ 7,43-7,34 (m, 2Н), 6,86-6,77 (m, 2Н), 4,17-4,08 (m, 2Н), 3,94-3,87 (m, 4Н), 3,50 (t, J=6,2 Гц, 2Н).
[1494] Стадия 2: получение метил-4-(2-(4-бромфенокси)этокси)-2-(3-метилизоксазол-5-ил)бутаноата
[1495] К раствору метил-2-(3-метилизоксазол-5-ил)ацетата (239 мг, 1,54 ммоль, 1 экв.) в N,N-диметилформамиде (5 мл) добавляли трет-бутоксид калия (190 мг, 1,70 ммоль, 1,1 экв.) и йодид калия (25 мг, 0,15 ммоль, 0,1 экв.). Затем добавляли 1-бром-4-[2-(2-бромэтокси)этокси]бензол (500 мг, 1,54 ммоль, 1 экв.). Смесь перемешивали при 40°С в течение 2 ч. Смесь разбавляли с помощью насыщенного раствора гидрохлорида аммония (20 мл) и экстрагировали этилацетатом (20 мл × 3). Объединенную органическую фазу промывали насыщенным солевым раствором (30 мл), высушивали над сульфатом натрия, фильтровали и концентрировали. Остаток очищали с помощью хроматографии на силикагеле (петролейный эфир: эти л ацетат = от 1:0 до 15:1) с получением метил-4-[2-(4-бромфенокси)этокси]-2-(3-метилизоксазол-5-ил)бутаноата (125 мг, неочищенный) в виде бесцветного масла. 1Н ЯМР (400 МГц, CDCl3) δ 7,42-7,32 (m, 2Н), 6,84-6,76 (m, 2Н), 6,01 (s, 1Н), 4,10-4,03 (m, 3Н), 3,79-3,69 (m, 5Н), 3,63-3,56 (m, 1H), 3,52-3,44 (m, 1H), 2,46-2,32 (m, 1H), 2,27 (s, 3Н), 2,21-2,11 (m, 1Н).
[1496] Стадия 3: получение метил-4-(2-(4-(3-(2,6-дифтор-3-(((R)-3-фтор-N-((2-(триметилсилил)этокси)метил)пирролидин)-1-сульфонамидо)бензоил)-1-((2-(триметилсилил)этокси)метил)-1Н-пирроло[2,3-b]пиридин-5-ил)фенокси)этокси)-2-(3-метилизоксазол-5-ил)бутаноата
[1497] Смесь метил-4-[2-(4-бромфенокси)этокси]-2-(3-метилизоксазол-5-ил)бутаноата (125 мг, 0,31 ммоль, 1 экв.), (3R)-N-[-[2,4-дифтор-3-[5-(4,4,5,5-тетраметил-1,3,2-диоксаборолан-2-ил)-1-(2-триметилсилилэтоксиметил)пирроло[2,3-b]пиридин-3-карбонил]фенил]-3-фтор-N-(2-триметилсилилэтоксиметил)пирролидин-1-сульфонамида (305 мг, 0,37 ммоль, 1,2 экв.), CsF (190 мг, 1,26 ммоль, 0,05 мкл, 4 экв.), 4-ди-трет-бутилфосфанил-N,N-диметиланилин-дихлорпалладия (22 мг, 0,03 ммоль, 0,02 мл, 0,1 экв.) в диоксане (10 мл) и воде (2 мл) дегазировали и продували азотом (3 раза) и затем смесь перемешивали при 120°С в течение 1 ч. в атмосфере азота. Реакционную смесь разбавляли водой (20 мл) и экстрагировали этилацетатом (40 мл x 3). Объединенные органические слои промывали солевым раствором (30 мл x 2), высушивали над безводным сульфатом натрия, фильтровали и концентрировали при пониженном давлении с получением остатка. Остаток очищали с помощью препаративной TLC (петролейный эфир:этилацетат = 1:1) с получением метил-4-[2-[4-[3-[2,6-дифтор-3-[[(3R)-3-фторпирролидин-1-ил]сульфонил-(2-триметилсилилэтоксиметил)амино]бензоил]-1-(2-триметилсилилэтоксиметил)пирроло[2,3-b]пиридин-5-ил]фенокси]этокси]-2-(3-метилизоксазол-5-ил)бутаноата (130 мг, 0,12 ммоль, выход 40%, чистота 98%) в виде бесцветного масла. 1H ЯМР (400 МГц, CDCl3) δ 8,84 (d, J=1,6 Гц, 1H), 8,65 (d, J=2,2 Гц, 1H), 7,79-7,68 (m, 2H), 7,62 (d, J=8,8 Гц, 2H), 7,12-6,91 (m, 3H), 6,04 (s, 1H), 5,33-5,28 (m, 1H), 4,22-4,06 (m, 4H), 3,84-3,40 (m, 16H), 2,27 (s, 3H), 2,24-2,12 (m, 2H), 1,65 (s, 3H), 1,53 (s, 1H), 1,00-0,89 (m, 4H), 0,03 (s, 9H), -0,05 (s, 9H).
[1498] Стадия 4: получение метил-4-(2-(4-(3-(2,6-дифтор-3-(((R)-3-фторпирролидин)-1-сульфонамидо)бензоил)-1Н-пирроло[2,3-b]пиридин-5-ил)фенокси)этокси)-2-(3-метилизоксазол-5-ил)бутаноата
[1499] К раствору метил-4-[2-[4-[3-[2,6-дифтор-3-[[(3R)-3-фторпирролидин-1-ил]сульфонил-(2-триметилсилилэтоксиметил)амино]бензоил]-1-(2-триметилсилилэтоксиметил)пирроло[2,3-b]пиридин-5-ил]фенокси]этокси]-2-(3-метилизоксазол-5-ил)бутаноата (120 мг, 0,12 ммоль, 1 экв.) в метаноле (1 мл) добавляли хлороводород/диоксан (4 М, 4 мл, 133,63 экв.). Смесь перемешивали при 40°С в течение 24 ч. Реакционную смесь концентрировали при пониженном давлении с получением метил-4-[2-[4-[3-[2,6-дифтор-3-[[(3R)-3-фторпирролидин-1-ил]сульфониламино]бензоил]-1Н-пирроло[2,3-b]пиридин-5-ил]фенокси]этокси]-2-(3-метилизоксазол-5-ил)бутаноата (130 мг, неочищенный, хлороводород) в виде бесцветной жидкости, которую применяли на следующей стадии без дополнительной очистки.
[1500] Стадия 5: получение 4-(2-(4-(3-(2,6-дифтор-3-(((R)-3-фторпирролидин)-1-сульфонамидо)бензоил)-1Н-пирроло[2,3-b]пиридин-5-ил)фенокси)этокси)-2-(3-метилизоксазол-5-ил)бутановой кислоты
[1501] К раствору метил-4-[2-[4-[3-[2,6-дифтор-3-[[(3R)-3-фторпирролидин-1-ил]сульфониламино]бензоил]-1Н-пирроло[2,3-b]пиридин-5-ил]фенокси]этокси]-2-(3-метилизоксазол-5-ил)бутаноата (130 мг, 0,17 ммоль, 1 экв.) в воде (2 мл) и метаноле (2 мл) добавляли гидроксид лития (80 мг, 1,91 ммоль, 10,88 экв.). Смесь перемешивали при 20°С в течение 0,5 ч. Раствор смеси регулировали до РН(5) с помощью хлороводорода (1 Μ) и экстрагировали этилацетатом (10 мл x 2), высушивали над безводным сульфатом натрия, фильтровали и концентрировали при пониженном давлении с получением 4-[2-[4-[3-[2,6-дифтор-3-[[(3R)-3-фторпирролидин-1-ил]сульфониламино]бензоил]-1Н-пирроло[2,3-b]пиридин-5-ил]фенокси]этокси]-2-(3-метилизоксазол-5-ил)бутановой кислоты (50 мг, неочищенная) в виде бесцветного масла, которое применяли на следующей стадии без дополнительной очистки.
[1502] Стадия 6: получение (2S,4R)-1-(4-(2-(4-(3-(2,6-дифтор-3-(((R)-3-фторпирролидин)-1-сульфонамидо)бензоил)-1Н-пирроло[2,3-b]пиридин-5-ил)фенокси)этокси)-2-(3-метилизоксазол-5-ил)бутаноил)-4-гидрокси-N-((S)-1-(4-(4-метилтиазол-5-ил)фенил)этил)пирролидин-2-карбоксамида
[1503] К раствору (2S,4R)-4-гидрокси-N-[(1S)-1-[4-(4-метилтиазол-5-ил)фенил]этил]пирролидин-2-карбоксамид (25 мг, 0,07 ммоль, 1 экв., хлороводород) в Ν,Ν-диметилформамиде (1 мл) добавляли Ν,Ν-диизопропилэтиламин (26 мг, 0,21 ммоль, 3 экв.). Смесь перемешивали при 20°С в течение 10 мин. Затем добавляли 4-[2-[4-[3-[2,6-дифтор-3-[[(3R)-3-фторпирролидин-1-ил]сульфониламино]бензоил]-1Н-пирроло[2,3-b]пиридин-5-ил]фенокси]этокси]-2-(3-метилизоксазол-5-ил)бутановую кислоту (50 мг, 0,07 ммоль, 1 экв.) и 1-гидроксибензотриазол (11 мг, 0,08 ммоль, 1,2 экв.), смесь перемешивали при 20°С в течение 10 мин. Затем добавляли гидрохлорид N-[-(3-диметиламинопропил)-N-[-этилкарбодиимида (16 мг, 0,08 ммоль, 1,2 экв.). Смесь перемешивали при 20°С в течение 2 ч. 40 мин. Смесь гасили водой (5 мл), экстрагировали с помощью смеси (дихлорметан:метанол = 10:1) (10 мл x 2), промывали солевым раствором (20 мл), высушивали над безводным сульфатом натрия, фильтровали и затем концентрировали. Остаток очищали с помощью препаративной HPLC с получением (2S,4R)-1-[4-[2-[4-[3-[2,6-дифтор-3-[[(3R)-3-фторпирролидин-1-ил]сульфониламино]бензоил]-1Н-пирроло[2,3-b]пиридин-5-ил]фенокси]этокси]-2-(3-метилизоксазол-5-ил)бутаноил]-4-гидрокси-N-[(1S)-1-[4-(4-метилтиазол-5-ил)фенил]этил]пирролидин-2-карбоксамида (11,9 мг, 0,01 мкмоль, выход 16%, чистота 100%) в виде грязно-белого твердого вещества. LC/MS (ESI) масса/заряд: 521,3 [М/2+1]+; 1H ЯМР (400 МГц, DMSO-d6) δ 9,01-8,91 (m, 1Н), 8,64 (dd, J=2,2, 13,6 Гц, 1H), 8,55 (s, 1H), 8,47-8,35 (m, 1H), 8,06 (s, 1H), 7,67 (d, J=8,6 Гц, 1H), 7,64-7,55 (m, 2H), 7,46-7,32 (m, 5H), 7,19 (t, J=8,4 Гц, 1H), 7,08 (dd, J=8,8, 18,2 Гц, 2H), 6,32-6,21 (m, 1H), 5,41-5,06 (m, 2H), 4,99^,85 (m, 1H), 4,50-4,35 (m, 1H), 4,32-4,14 (m, 4H), 3,76 (d, J=4,6 Гц, 3H), 3,57-3,41 (m, 5H), 2,47-2,39 (m, 4H), 2,18 (d, J=6,4 Гц, 4H), 2,12-1,94 (m, 5H), 1,84-1,64 (m, 1H), 1,42-1,32 (m, 4H), 1,23 (s, 1H).
[1504] Иллюстративный синтез (2S,4R) 1-((S)-4-(2-(2-(4-(3-(2,6-дифтор-3-(((R)-3-фторпирролидин)-1-сульфонамидо)бензоил)-1Н-пирроло[2,3-b]пиридин-5-ил)фенокси)этокси)этокси)-2-(3-метилизоксазол-5-ил)бутаноил)-4-гидрокси-N-((S)-1-(4-(4-метилтиазол-5-ил)фенил)этил)пирролидин-2-карбоксамида (пример 461) и (2S,4R)-1-((R)-4-(2-(2-(4-(3-(2,6-дифтор-3-(((R)-3-фторпирролидин)-1-сульфонамидо)бензоил)-1Н-пирроло[2,3-b]пиридин-5-ил)фенокси)этокси)этокси)-2-(3-метилизоксазол-5-ил)бутаноил)-4-гидрокси-N-((S)-1-(4-(4-метилтиазол-5-ил)фенил)этил)пирролидин-2-карбоксамида (пример 462)
[1505] Стадия 1: получение 2-(2-(2-гидроксиэтокси)этокси)этил-4-метилбензолсульфоната
[1506] К смеси 2-[2-(2-гидроксиэтокси)этокси]этанола (5,00 г, 33,29 ммоль, 1,00 экв.) и 4-метилбензолсульфонилхлорида (1,59 г, 8,32 ммоль, 0,25 экв.) в дихлорметане (50 мл) одной порцией добавляли триэтиламин (1,68 г, 16,65 ммоль, 2,3 мл, 0,5 экв.) при 25°С в атмосфере азота. Смесь перемешивали при 25°С в течение 12 ч. Смесь промывали солевым раствором (30 мл x 2), высушивали с помощью безводного сульфата натрия, фильтровали и концентрировали в вакууме. Остаток очищали с помощью хроматографии на силикагеле (петролейный эфир/этилацетат = от 1/1 до 0:1) с получением 2-[2-(2-гидроксиэтокси)этокси]этил-4-метилбензолсульфоната (1,72 г, 5,65 ммоль, выход 17%) в виде бесцветного масла. LC/MS (ESI) масса/заряд: 327,0 [М+23]+; 1H ЯМР (400 МГц, CDCl3) δ 7,81 (d, J=8,3 Гц, 2H), 7,35 (d, J=8,0 Гц, 2H), 4,22-4,15 (m, 2Н), 3,79-3,67 (m, 4Н), 3,67-3,56 (m, 6Н), 2,46 (s, 3Н).
[1507] Стадия 2: получение 2-(2-(2-(4-бромфенокси)этокси)этокси)этан-1-ола
[1508] К раствору 2-[2-(2-гидроксиэтокси)этокси]этил-4-метилбензолсульфоната (2 г, 6,57 ммоль, 1 экв.) и 4-бромфенола (1,36 г, 7,89 ммоль, 1,2 экв.) в Ν,Ν-диметилформамиде (10 мл) добавляли карбонат калия (1,82 г, 13,14 ммоль, 2 экв.). Реакционную смесь перемешивали при 60°С в течение 12 ч. Реакционную смесь гасили путем добавления воды (20 мл) и затем разбавляли водой (30 мл), фильтровали и экстрагировали этилацетатом (40 мл x 3). Объединенные органические слои промывали солевым раствором (80 мл), высушивали над безводным сульфатом натрия, фильтровали и концентрировали при пониженном давлении с получением остатка. Остаток очищали с помощью хроматографии на силикагеле (петролейный эфир:этилацетат = от 20:1 до 3:1). Необходимое соединение, 2-[2-[2-(4-бромфенокси)этокси]этокси]этанол (1,09 г, 3,57 ммоль, выход 54%), получали в виде бесцветного масла. 1Н ЯМР (400 МГц, CDCl3) δ 7,44-7,33 (m, 2Н), 6,81 (d, J=8,8 Гц, 2H), 4,18-4,06 (m, 2Н), 3,92 3,83 (m, 2Н), 3,79 3,67 (m, 6Н), 3,65-3,60 (m, 2Н).
[1509] Стадия 3: получение 1-бром-4-(2-(2-(2-бромэтокси)этокси)этокси)бензола
[1510] К раствору 2-[2-[2-(4-бромфенокси)этокси]этокси]этанола (1,09 г,
3.57 ммоль, 1 экв.) и трифенилфосфина (1,41 г, 5,36 ммоль, 1,5 экв.) в тетрагидрофуране (10 мл) добавляли пербромметан (1,78 г, 5,36 ммоль, 1,5 экв.). Реакционную смесь перемешивали при 20°С в течение 1 ч. Реакционную смесь концентрировали при пониженном давлении с получением остатка. Остаток очищали с помощью хроматографии на силикагеле (петролейный эфир:этилацетат = от 50:1 до 10:1). Необходимое соединение, 1-бром-4-[2-[2-(2-бромэтокси)этокси]этокси]бензол (1,2 г, 3,26 ммоль, выход 91%), получали в виде светло-желтого масла. 1H ЯМР (400 МГц, CDCl3) δ 7,43-7,31(m, 2Н), 6,86-6,70 (m, 2Н), 4,16-4,06 (m, 2Н), 3,92- 3,79 (m, 4Н), 3,76-3,66 (m, 4Н), 3,48 (t, J=6,4 Гц, 2Н).
[1511] Стадия 4: получение метил-4-(2-(2-(4-бромфенокси)этокси)этокси)-2-(3-метилизоксазол-5-ил)бутаноата
[1512] К раствору метил-2-(3-метилизоксазол-5-ил)ацетата (211 мг, 1,36 ммоль, 1 экв.) и йодида калия (23 мг, 0,14 ммоль, 0,1 экв.) в Ν,Ν-диметилформамиде (5 мл) добавляли трет-бутоксид калия (183 мг, 1,63 ммоль, 1,2 экв.) и 1-бром-4-[2-[2-(2-бромэтокси)этокси]этокси]бензол (500 мг, 1,36 ммоль, 1 экв.). Реакционную смесь перемешивали при 40°С в течение 2 ч. Реакционную смесь гасили путем добавления воды (10 мл) и затем разбавляли водой (20 мл), фильтровали и экстрагировали этилацетатом (30 мл x 3). Объединенные органические слои промывали солевым раствором (50 мл), высушивали над безводным сульфатом натрия, фильтровали и концентрировали при пониженном давлении с получением остатка. Остаток очищали с помощью хроматографии на силикагеле (петролейный эфир: этилацетат = от 20:1 до 3:1). Необходимое соединение, метил-4-[2-[2-(4-бромфенокси)этокси]этокси]-2-(3-метилизоксазол-5-ил)бутаноат (250 мг, 0,57 ммоль, выход 41%), получали в виде бесцветного масла. 1H ЯМР (400 МГц, CDCl3) δ 7,44-7,32 (m, 2Н), 6,87-6,77 (m, 2Н), 6,03 (s, 1Н), 4,16-4,08 (m, 3H), 3,87-3,82 (m, 2H), 3,72 (s, 3H), 3,70-3,67 (m, 2H), 3,64-3,50 (m, 3H), 3,48-3,38 (m, 1H), 2,42-2,31 (m, 1H), 2,28 (s, 3H), 2,20-2,09 (m, 1H).
[1513] Стадия 5: получение метил-4-(2-(2-(4-(3-(2,6-дифтор-3-(((R)-3-фтор-N-((2-(триметилсилил)этокси)метил)пирролидин)-1-сульфонамидо)бензоил)-1-((2-(триметилсилил)этокси)метил)-1Н-пирроло[2,3-b]пиридин-5-ил)фенокси)этокси)этокси)-2-(3-метилизоксазол-5-ил)бутаноата
[1514] К раствору метил-4-[2-[2-(4-бромфенокси)этокси]этокси]-2-(3-метилизоксазол-5-ил)бутаноата (180 мг, 0,41 ммоль, 1 экв.) и (3R)-N-[-[2,4-дифтор-3-[5-(4,4,5,5-тетраметил-1,3,2-диоксаборолан-2-ил)-1-(2-триметилсилилэтоксиметил)пирроло[2,3-b]пиридин-3-карбонил]фенил]-3-фтор-N-(2-триметилсилилэтоксиметил)пирролидин-1-сульфонамида (330 мг, 0,41 ммоль, 1 экв.) в диоксане (10 мл) и воде (2 мл) добавляли 4-ди-трет-бутилфосфанил-N,N-диметиланилин-дихлорпалладий (29 мг, 0,04 ммоль, 0,1 экв.) и фторид цезия (247 мг, 1,63 ммоль, 4 экв.). Реакционную смесь перемешивали при 120°С в течение 1 ч. Реакционную смесь гасили путем добавления воды (10 мл) и затем разбавляли водой (20 мл), фильтровали и экстрагировали этилацетатом (30 мл x 3). Объединенные органические слои промывали солевым раствором (50 мл), высушивали над безводным сульфатом натрия, фильтровали и концентрировали при пониженном давлении с получением остатка. Остаток очищали с помощью препаративной TLC (петролейный эфир:этилацетат = 1:1). Необходимое соединение, метил-4-[2-[2-[4-[3-[2,6-дифтор-3-[[(3R)-3-фторпирролидин-1-ил]сульфонил-(2-триметилсилилэтоксиметил)амино]бензоил]-1-(2-триметилсилилэтоксиметил)пирроло[2,3-b]пиридин-5-ил]фенокси]этокси]этокси]-2-(3-метилизоксазол-5-ил)бутаноат (160 мг, 0,14 ммоль, выход 35%, чистота 92%), получали в виде светло-желтого масла. LC/MS (ESI) масса/заряд: 1046,0 [М+1]+.
[1515] Стадия 6: получение метил-4-(2-(2-(4-(3-(2,6-дифтор-3-(((R)-3-фторпирролидин)-1-сульфонамидо)бензоил)-1Н-пирроло[2,3-b]пиридин-5-ил)фенокси)этокси)этокси)-2-(3-метилизоксазол-5-ил)бутаноата 
[1516] К раствору метил-4-[2-[2-[4-[3-[2,6-дифтор-3-[[(3R)-3-фторпирролидин-1-ил]сульфонил-(2-триметилсилилэтоксиметил)амино]бензоил]-1-(2-триметилсилилэтоксиметил)пирроло[2,3-b]пиридин-5-ил]фенокси]этокси]этокси]-2-(3-метилизоксазол-5-ил)бутаноата (160 мг, 0,15 ммоль, 1 экв.) в метаноле (1 мл) добавляли смесь хлороводород/диоксан (4 М, 2 мл, 52,32 экв.). Реакционную смесь перемешивали при 40°С в течение 2 ч. Реакционную смесь концентрировали при пониженном давлении с получением остатка. Продукт переносили на следующую стадию без очистки. Необходимое соединение, метил-4-[2-[2-[4-[3-[2,6-дифтор-3-[[(3R)-3-фторпирролидин-1-ил]сульфониламино]бензоил]-1Н-пирроло[2,3-b]пиридин-5-ил]фенокси]этокси]этокси]-2-(3-метилизоксазол-5-ил)бутаноат (120 мг, неочищенный), получали в виде светло-желтого масла. LC/MS (ESI) масса/заряд: 786,3 [М+1]+.
[1517] Стадия 7: получение 4-(2-(2-(4-(3-(2,6-дифтор-3-(((R)-3-фторпирролидин)-1-сульфонамидо)бензоил)-1Н-пирроло[2,3-b]пиридин-5-ил)фенокси)этокси)этокси)-2-(3-метилизоксазол-5-ил)бутановой кислоты
[1518] К раствору метил-4-[2-[2-[4-[3-[2,6-дифтор-3-[[(3R)-3-фторпирролидин-1-ил]сульфониламино]бензоил]-1Н-пирроло[2,3-b]пиридин-5-ил]фенокси]этокси]этокси]-2-(3-метилизоксазол-5-ил)бутаноата (120 мг, 0,15 ммоль, 1 экв.) в метаноле (4 мл) и воде (1 мл) добавляли гидроксид лития (26 мг, 0,61 ммоль, 4 экв.). Реакционную смесь перемешивали при 20°С в течение 1 ч. Остаток регулировали до рН = 4~5 с помощью 1 Μ хлороводорода, затем экстрагировали этилацетатом (30 мл x 2). Объединенные органические слои высушивали над сульфатом натрия, фильтровали и концентрировали при пониженном давлении с получением остатка. Продукт переносили на следующую стадию без очистки. Необходимое соединение, 4-[2-[2-[4-[3-[2,6-дифтор-3-[[(3R)-3-фторпирролидин-1-ил]сульфониламино]бензоил]-1Н-пирроло[2,3-b]пиридин-5-ил]фенокси]этокси]этокси]-2-(3-метилизоксазол-5-ил)бутановую кислоту (110 мг, неочищенная), получали в виде светло-желтого масла.
[1519] Стадия 8: получение (2S,4R)-1-(S)-4-(2-(2-(4-(3-(2,6-дифтор-3-(((R)-3-фторпирролидин)-1-сульфонамидо)бензоил)-1Н-пирроло[2,3-b]пиридин-5-ил)фенокси)этокси)этокси)-2-(3-метилизоксазол-5-ил)бутаноил)-4-гидрокси-N-[-((S)-1-(4-(4-метилтиазол-5-ил)фенил)этил)пирролидин-2-карбоксамида и (2S,4R)-1-((R)-4-(2-(2-(4-(3-(2,6-дифтор-3-(((R)-3-фторпирролидин)-1-сульфонамидо)бензоил)-1Н-пирроло[2,3-b]пиридин-5-ил)фенокси)этокси)этокси)-2-(3-метилизоксазол-5-ил)бутаноил)-4-гидрокси-N-[-((S)-1-(4-(4-метилтиазол-5-ил)фенил)этил)пирролидин-2-карбоксамида
[1520] К раствору 4-[2-[2-[4-[3-[2,6-дифтор-3-[[(3R)-3-фторпирролидин-1-ил]сульфониламино]бензоил]-1Н-пирроло[2,3-b]пиридин-5-ил]фенокси]этокси]этокси]-2-(3-метилизоксазол-5-ил)бутановой кислоты (110 мг, 0,14 ммоль, 1 экв.) и (2S,4R)-4-гидрокси-N-[(1S)-1-[4-(4-метилтиазол-5-ил)фенил]этил]пирролидин-2-карбоксамида (52 мг, 0,14 ммоль, 1 экв., HCl) в Ν,Ν-диметилформамиде (1 мл) добавляли Ν,Ν-диизопропилэтиламин (55 мг, 0,43 ммоль, 3 экв.) и гидроксибензотриазол (23 мг, 0,17 ммоль, 1,2 экв.). Смесь перемешивали при 20°С в течение 0,15 ч., затем к смеси добавляли гидрохлорид 1-(3-диметиламинопропил)-3-этилкарбодиимида (33 мг, 0,17 ммоль, 1,2 экв.). Реакционную смесь перемешивали при 20°С в течение 1 ч. Реакционную смесь гасили путем добавления воды (10 мл) и затем разбавляли водой (20 мл) и экстрагировали этилацетатом (20 мл x 3). Объединенные органические слои высушивали над безводным сульфатом натрия, фильтровали и концентрировали при пониженном давлении с получением остатка. Остаток очищали с помощью препаративной TLC (дихлорметан:метанол = 10:1). Необходимые соединения получали в виде белых твердых веществ. Продукт 1, (2S,4R)-1-[(2S)-4-[2-[2-[4-[3-[2,6-дифтор-3-[[(3R)-3-фторпирролидин-1-ил]сульфониламино]бензоил]-1Н-пирроло[2,3-b]пиридин-5-ил]фенокси]этокси]этокси]-2-(3-метилизоксазол-5-ил)бутаноил]-4-гидрокси-N-[(1S)-1-[4-(4-метилтиазол-5-ил)фенил]этил]пирролидин-2-карбоксамид (22,7 мг, 0,021 ммоль, выход 29%, чистота 100%). LC/MS (ESI) масса/заряд: 543,2 [М/2+1]+; 1H ЯМР (400 МГц, DMSO-d6) δ 12,93 (s, 1Н), 9,84 (s, 1H), 8,96 (s, 1H), 8,72-8,52 (m, 2H), 8,41 (d, J=7,6 Гц, 1H), 8,08 (s, 1H), 7,71-7,54 (m, 3H), 7,48-7,31 (m, 4H), 7,26 (t, J=8,8 Гц, 1H), 7,07 (d, J=8,8 Гц, 2H), 6,26-6,01 (m, 1H), 5,41-5,20 (m, 1H), 5,15-5,02 (m, 1H), 5,00-4,86 (m, 1H), 4,40 (t, J=7,6 Гц, 1H), 4,33-4,08 (m, 4H), 3,84-3,34 (m, 13H), 2,45-2,40 (m, 3H), 2,23-1,93 (m, 6H), 1,88-1,71 (m, 1H), 1,38 (d, J=6,8 Гц, 3Н). Продукт 2, (2S,4R)-1-[(2R)-4-[2-[2-[4-[3-[2,6-дифтор-3-[[(3R)-3-фторпирролидин-1-ил]сульфониламино]бензоил]-1Н-пирроло[2,3-b]пиридин-5-ил]фенокси]этокси]этокси]-2-(3-метилизоксазол-5-ил)бутаноил]-4-гидрокси-N-[(1S)-1-[4-(4-метилтиазол-5-ил)фенил]этил]пирролидин-2-карбоксамид (14,7 мг, 0,013 ммоль, выход 18%, чистота 99%). LC/MS (ESI) масса/заряд: 543,2 [М/2+1]+; 1H ЯМР (400 МГц, DMSO-d6) δ 12,92 (s, 1Н), 9,84 (s, 1H), 9,03-8,92 (m, 1H), 8,69-8,49 (m, 2H), 8,35 (d, J=7,6 Гц, 1H), 8,08 (s, 1H), 7,77-7,53 (m, 3H), 7,47-7,20 (m, 5H), 7,09 (d, J=8,4 Гц, 2H), 6,37-6,19 (m, 1H), 5,43-5,20 (m, 1H), 5,12 (d, J=3,2 Гц, 1H), 5,04 4,85 (m, 1H), 4,65-4,38 (m, 1H), 4,34-4,09 (m, 4H), 3,79 (s, 2H), 3,66-3,36 (m, 11H), 2,47-2,38 (m, 3H), 2,24-1,97 (m, 6H), 1,83-1,70 (m, 1H), 1,47-1,29 (m, 3H).
[1521] Иллюстративный синтез (2S,4R)- 1-((S)-4-(2-(2-(2-(4-(3-(2,6-дифтор-3-(((R)-3-фторпирролидин)-1-сульфонамидо)бензоил)-1Н-пирроло[2,3-b]пиридин-5-ил)фенокси)этокси)этокси)этокси)-2-(3-метилизоксазол-5-ил)бутаноил)-4-гидрокси-N-(S)-1-(4-(4-метилтиазол-5-ил)фенил)этил)пирролидин-2-карбоксамида (пример 463) и (2S,4R)-1-((R)-4-(2-(2-(2-(4-(3-(2,6-дифтор-3-(((R)-3-фторпирролидин)-1-сульфонамидо)бензоил)-1Η-пирроло[2,3-b]пиридин-5-ил)фенокси)этокси)этокси)этокси)-2-(3-метилизоксазол-5-ил)бутаноил)-4-гидрокси-N-((S)-1-(4-(4-метилтиазол-5-ил)фенил)этил)пирролидин-2-карбоксамида (пример 464)
[1522] Стадия 1: получение 2-(2-(2-(2-гидроксиэтокси)этокси)этокси)этил-4-метилбензолсульфоната
[1523] К смеси 2-[2-[2-(2-гидроксиэтокси)этокси]этокси]этанола (5 г, 25,74 ммоль, 4,4 мл, 1 экв.) и 4-метилбензолсульфонилхлорида (1,23 г, 6,44 ммоль, 0,25 экв.) в дихлорметане (50 мл) добавляли триэтиламин (1,30 г, 12,87 ммоль, 1,8 мл, 0,5 экв.) одной порцией при 25°С в атмосфере азота. Смесь перемешивали при 25°С в течение 12 ч. Смесь промывали солевым раствором (30 мл x 2), высушивали с помощью безводного сульфата натрия, фильтровали и концентрировали в вакууме. Остаток очищали с помощью хроматографии на силикагеле (петролейный эфир/этилацетат = от 1/1 до 0/1) с получением 2-[2-[2-(2-гидроксиэтокси)этокси]этокси]этил-4-метилбензолсульфоната (1,98 г, 5,68 ммоль, выход 22%) в виде бесцветного масла. LC/MS (ESI) масса/заряд: 371,0 [М+23]+; 1Н ЯМР (400 МГц, CDCl3) δ 7,82 (d, J=8,3 Гц, 2H), 7,36 (d, J=8,2 Гц, 2H), 4,21-4,11 (m, 2Н), 3,75-3,61 (m, 14Н), 2,47 (s, 3Н).
[1524] Стадия 2: получение 2-(2-(2-(2-(4-бромфенокси)этокси)этокси)этокси)этан-1-ола
[1525] К раствору 2-[2-[2-(2-гидроксиэтокси)этокси]этокси]этил-4-метилбензолсульфоната (2 г, 5,74 ммоль, 1 экв.) и 4-бромфенола (1,09 г, 6,31 ммоль, 1,1 экв.) в Ν,Ν-диметилформамиде (10 мл) добавляли карбонат калия (1,59 г, 11,48 ммоль, 2 экв.). Реакционную смесь перемешивали при 60°С в течение 12 ч. Реакционную смесь гасили путем добавления воды (20 мл) и затем разбавляли водой (30 мл), фильтровали и экстрагировали этилацетатом (40 мл x 3). Объединенные органические слои промывали солевым раствором (80 мл), высушивали над безводным сульфатом натрия, фильтровали и концентрировали при пониженном давлении с получением остатка. Остаток очищали с помощью хроматографии на силикагеле (петролейный эфир:этилацетат = от 20:1 до 3:1). Необходимое соединение, 2-[2-[2-[2-(4-бромфенокси)этокси]этокси]этокси]этанол (1,34 г, 3,84 ммоль, выход 66%), получали в виде бесцветного масла. LC/MS (ESI) масса/заряд: 351,1 [М+1]+; 1H ЯМР (400 МГц, CDCl3) δ 7,44-7,33 (m, 2Н), 6,87-6,75 (m, 2Н), 4,17-4,07 (m, 2Н), 3,91-3,81 (m, 2Н), 3,79-3,57 (m, 12Н).
[1526] Стадия 3: получение 1-бром-4-(2-(2-(2-(2-бромэтокси)этокси)этокси)этокси)бензола
[1527] К раствору 2-[2-[2-[2-(4-бромфенокси)этокси]этокси]этокси]этанола (1,34 г, 3,84 ммоль, 1 экв.) в тетрагидрофуране (10 мл) добавляли пербромметан (1,91 г, 5,76 ммоль, 1,5 экв.) и трифенилфосфин (1,51 г, 5,76 ммоль, 1,5 экв.). Реакционную смесь перемешивали при 20°С в течение 1 ч. Реакционную смесь гасили путем добавления воды (10 мл) и затем разбавляли водой (20 мл) и экстрагировали этилацетатом (40 мл x 3). Объединенные органические слои промывали солевым раствором (30 мл x 2), высушивали над безводным сульфатом натрия, фильтровали и концентрировали при пониженном давлении с получением остатка. Остаток очищали с помощью хроматографии на силикагеле (петролейный эфир:этилацетат = от 50:1 до 10:1). Необходимое соединение, 1-бром-4-[2-[2-[2-(2-бромэтокси)этокси]этокси]этокси]бензол (1,1 г, 2,67 ммоль, выход 69%), получали в виде бесцветного масла. 1H ЯМР (400 МГц, CDCl3) δ 7,42-7,33 (m, 2Н), 6,87-6,73 (m, 2Н), 4,14-4,07 (m, 2Н), 3,91-3,77 (m, 4Н), 3,76-3,66 (m, 8Н), 3,47 (t, J=6,4 Гц, 2H).
[1528] Стадия 4: получение метил-4-(2-(2-(2-(4-бромфенокси)этокси)этокси)этокси)-2-(3-метилизоксазол-5-ил)бутаноата
[1529] К раствору метил-2-(3-метилизоксазол-5-ил)ацетата (188 мг, 1,21 ммоль, 1 экв.) в Ν,Ν-диметилформамиде (6 мл) добавляли трет-бутоксид калия (150 мг, 1,33 ммоль, 1,1 экв.) и йодид калия (20 мг, 0,12 ммоль, 0,1 экв.) и затем 1-бром-4-[2-[2-[2-(2-бромэтокси)этокси]этокси]этокси]бензол (500 мг, 1,21 ммоль, 1 экв.). Реакционную смесь перемешивали при 40°С в течение 2 ч. Реакционную смесь гасили путем добавления воды (10 мл) и затем разбавляли водой (20 мл), фильтровали и экстрагировали этилацетатом (30 мл x 3). Объединенные органические слои промывали солевым раствором (50 мл), высушивали над безводным сульфатом натрия, фильтровали и концентрировали при пониженном давлении с получением остатка. Остаток очищали с помощью хроматографии на силикагеле (петролейный эфир:этилацетат = 20:1 до 3:1). Необходимое соединение, метил-4-[2-[2-[2-(4-бромфенокси)этокси]этокси]этокси]-2-(3-метилизоксазол-5-ил)бутаноат (220 мг, 0,45 ммоль, выход 37%), получали в виде бесцветного масла. 1Н ЯМР (400 МГц, CDCl3) δ 7,31 (d, J=8,4 Гц, 2H), 6,80 (d, J=8,8 Гц, 2H), 6,03 (s, 1H), 4,16-4,07 (m, 3H), 3,90-3,81 (m, 2H), 3,76-3,71 (m, 5H), 3,70-3,65 (m, 2H), 3,65-3,60 (m, 2H), 3,58-3,49 (m, 3H), 3,46-3,36 (m, 1H), 2,41-2,31 (m, 1H), 2,30-2,27 (m, 3H), 2,20-2,07 (m, 1H).
[1530] Стадия 5: получение метил-4-(2-(2-(2-(4-(3-(2,6-дифтор-3-(((R)-3-фтор-N-((2-(триметилсилил)этокси)метил)пирролидин)-1-сульфонамидо)бензоил)-1-((2-(триметилсилил)этокси)метил)-1Н-пирроло[2,3-b]пиридин-5-ил)фенокси)этокси)этокси)этокси)-2-(3-метилизоксазол-5-ил)бутаноата
[1531] К раствору метил-4-[2-[2-[2-(4-бромфенокси)этокси]этокси]этокси]-2-(3-метилизоксазол-5-ил)бутаноата (220 мг, 0,45 ммоль, 1 экв.) и (3R)-N-[2,4-дифтор-3-[5-(4,4,5,5-тетраметил-1,3,2-диоксаборолан-2-ил)-1-(2-триметилсилилэтоксиметил)пирроло[2,3-b]пиридин-3-карбонил]фенил]-3-фтор-N-(2-триметилсилилэтоксиметил)пирролидин-1-сульфонамида (367 мг, 0,45 ммоль, 1 экв.) в диоксане (10 мл) и воде (2 мл) добавляли фторид цезия (275 мг, 1,81 ммоль, 4 экв.) и 4-ди-трет-бутилфосфанил-N,N-диметиланилин-дихлорпалладий (32 мг, 0,04 мкмоль, 0,1 экв.). Реакционную смесь перемешивали при 100°С в течение 12 ч. Реакционную смесь гасили путем добавления воды (10 мл) и затем разбавляли водой (20 мл), фильтровали и экстрагировали этилацетатом (30 мл x 3). Объединенные органические слои промывали солевым раствором (50 мл), высушивали над безводным сульфатом натрия, фильтровали и концентрировали при пониженном давлении с получением остатка. Остаток очищали с помощью препаративной ТГС (петролейный эфир:этил ацетат = 1:1). Необходимое соединение, метил-4-[2-[2-[2-[4-[3-[2,6-дифтор-3-[[(3R)-3-фторпирролидин-1-ил]сульфонил-(2-триметилсилилэтоксиметил)амино]бензоил]-1-(2-триметилсилилэтоксиметил)пирроло[2,3-b]пиридин-5-ил]фенокси]этокси]этокси]этокси]-2-(3-метилизоксазол-5-ил)бутаноат (270 мг, 0,23 ммоль, выход 51%, чистота 94%), получали в виде светло-желтого масла. LC/MS (ESI) масса/заряд: 546,2 [М/2+1]+; 1H ЯМР (400 МГц, CDCl3) δ 8,84 (d, J=1,6 Гц, 1H), 8,65 (d, J=2,0 Гц, 1H), 7,83-7,68 (m, 2H), 7,61 (d, J=8,8 Гц, 2H), 7,16-7,01 (m, 3H), 6,04 (s, 1H), 5,70 (s, 2H), 5,33-5,13 (m, 1H), 5,07-4,93 (m, 2H), 4,26-4,18 (m, 2H), 3,98-3,88 (m, 2H), 3,81-3,37 (m, 22H), 2,46-2,32 (m, 1H), 2,31-2,09 (m, 6H), 1,31-1,19 (m, 4H), 0,03 (s, 9H), -0,05 (s, 9H).
[1532] Стадия 6: получение метил-4-(2-(2-(2-(4-(3-(2,6-дифтор-3-(((R)-3-фторпирролидин)-1-сульфонамидо)бензоил)-1Н-пирроло[2,3-b]пиридин-5-ил)фенокси)этокси)этокси)этокси)-2-(3-метилизоксазол-5-ил)бутаноата
[1533] К раствору метил-4-[2-[2-[2-[4-[3-[2,6-дифтор-3-[[(3R)-3-фторпирролидин-1-ил]сульфонил-(2-триметилсилилэтоксиметил)амино]бензоил]-1-(2-триметилсилилэтоксиметил)пирроло[2,3-b]пиридин-5-ил]фенокси]этокси]этокси]этокси]-2-(3-метилизоксазол-5-ил)бутаноата (270 мг, 0,25 ммоль, 1 экв.) в метаноле (2 мл) добавляли смесь хлороводород/диоксан (4 М, 2 мл, 32,31 экв.). Реакционную смесь перемешивали при 40°С в течение 12 ч. Реакционную смесь концентрировали при пониженном давлении с получением остатка. Продукт переносили на следующую стадию без очистки. Необходимое соединение, метил-4-[2-[2-[2-[4-[3-[2,6-дифтор-3-[[(3R)-3-фторпирролидин-1-ил]сульфониламино]бензоил]-1Н-пирроло[2,3-b]пиридин-5-ил]фенокси]этокси]этокси]этокси]-2-(3-метилизоксазол-5-ил)бутаноат (250 мг, неочищенный), получали в виде светло-желтого масла. LC/MS (ESI) масса/заряд: 830,1 [М+1]+.
[1534] Стадия 7: получение 4-(2-(2-(2-(4-(3-(2,6-дифтор-3-(((R)-3-фторпирролидин)-1-сульфонамидо)бензоил)-1Н-пирроло[2,3-b]пиридин-5-ил)фенокси)этокси)этокси)этокси)-2-(3-метилизоксазол-5-ил)бутановой кислоты
[1535] К раствору метил-4-[2-[2-[2-[4-[3-[2,6-дифтор-3-[[(3R)-3-фторпирролидин-1-ил]сульфониламино]бензоил]-1Н-пирроло[2,3-b]пиридин-5-ил]фенокси]этокси]этокси]этокси]-2-(3-метилизоксазол-5-ил)бутаноата (250 мг, 0,3 ммоль, 1 экв.) в тетрагидрофуране (10 мл) и воде (2 мл) добавляли гидроксид лития (51 мг, 1,21 ммоль, 4 экв.). Реакционную смесь перемешивали при 20°С в течение 1 ч. Остаток регулировали до рН = 4~5 с помощью 1 Μ хлороводорода, затем экстрагировали этилацетатом (30 мл x 2). Объединенные органические слои высушивали над сульфатом натрия, фильтровали и концентрировали при пониженном давлении с получением остатка. Продукт переносили на следующую стадию без очистки. Необходимое соединение, 4-[2-[2-[2-[4-[3-[2,6-дифтор-3-[[(3R-3-фторпирролидин-1-ил]сульфониламино]бензоил]-1Н-пирроло[2,3-b]пиридин-5-ил]фенокси]этокси]этокси]этокси]-2-(3-метилизоксазол-5-ил)бутановую кислоту (200 мг, неочищенная), получали в виде светло-желтого твердого вещества. LC/MS (ESI) масса/заряд: 816,0 [М+1]+.
[1536] Стадия 8: получение (2S,4R)-1-((S)-4-(2-(2-(2-(4-(3-(2,6-дифтор-3-(((R)-3-фторпирролидин)-1-сульфонамидо)бензоил)-1Н-пирроло[2,3-b]пиридин-5-ил)фенокси)этокси)этокси)этокси)-2-(3-метилизоксазол-5-ил)бутаноил)-4-гидрокси-N-((S)-1-(4-(4-метилтиазол-5-ил)фенил)этил)пирролидин-2-карбоксамида и (2S,4R)-1-((R)-4-(2-(2-(2-(4-(3-(2,6-дифтор-3-(((R)-3-фторпирролидин)-1-сульфонамидо)бензоил)-1Н-пирроло[2,3-b]пиридин-5-ил)фенокси)этокси)этокси)этокси)-2-(3-метилизоксазол-5-ил)бутаноил)-4-гидрокси-N-((S)-1-(4-(4-метилтиазол-5-ил)фенил)этил)пирролидин-2-карбоксамида
[1537] К раствору 4-[2-[2-[2-[4-[3-[2,6-дифтор-3-[[(3R)-3-фторпирролидин-1-ил]сульфониламино]бензоил]-1Н-пирроло[2,3-b]пиридин-5-ил]фенокси]этокси]этокси]этокси]-2-(3-метилизоксазол-5-ил)бутановой кислоты (100 мг, 0,12 ммоль, 1 экв.) и (2S,4R)-4-гидрокси-N-[(1S)-1-[4-(4-метилтиазол-5-ил)фенил]этил]пирролидин-2-карбоксамида (45 мг, 0,12 ммоль, 1 экв., HCl) в Ν,Ν-диметилформамиде (2 мл) добавляли Ν,Ν-диизопропилэтиламин (48 мг, 0,37 ммоль, 3 экв.) и гидроксибензотриазол (20 мг, 0,15 ммоль, 1,2 экв.). Смесь перемешивали при 20°С в течение 0,25 ч., к смеси добавляли гидрохлорид 1-(3-диметиламинопропил)-3-этилкарбодиимида (28 мг, 0,15 ммоль, 1,2 экв.). Реакционную смесь перемешивали при 20°С в течение 1,25 ч. Реакционную смесь гасили путем добавления воды (10 мл) и затем разбавляли водой (20 мл) и экстрагировали этилацетатом (20 мл x 3). Объединенные органические слои высушивали над безводным сульфатом натрия, фильтровали и концентрировали при пониженном давлении с получением остатка. Остаток очищали с помощью препаративной HPLC (основное условие). Затем остаток очищали с помощью препаративной TLC (дихлорметан:метанол = 10:1). Необходимые соединения получали в виде белых твердых веществ. Продукт 1, (2S,4R)-1-[(2S)-4-[2-[2-[2-[4-[3-[2,6-дифтор-3-[[(3R)-3-фторпирролидин-1-ил]сульфониламино]бензоил]-1Н-пирроло[2,3-b]пиридин-5-ил]фенокси]этокси]этокси]этокси]-2-(3-метилизоксазол-5-ил)бутаноил]-4-гидрокси-N-[(1S)-1-[4-(4-метилтиазол-5-ил)фенил]этил]пирролидин-2-карбоксамид (16,97 мг, 0,014 ммоль, выход 24%, чистота 99%). LC/MS (ESI) масса/заряд: 562,4 [М/2+1]+; 1Н ЯМР (400 МГц, DMSO-d6) δ 8,96 (s, 1Н), 8,71-8,52 (m, 2H), 8,43 (s, 1H), 8,08 (s, 1H), 7,64 (s, 3H), 7,49-7,19 (m, 6H), 7,08 (s, 2H), 6,34-6,04 (m, 1H), 5,41-4,81 (m, 3H), 4,45-4,07 (m, 4H), 3,77 (s, 2H), 3,62-3,50 (m, 12H), 2,43 (s, 3H), 2,28-1,91 (m, 10H), 1,81 (s, 1H), 1,37 (s,4H). Продукт 2, (2S,4R)-1-[(2R)-4-[2-[2-[2-[4-[3-[2,6-дифтор-3-[[(3R)-3-фторпирролидин-1-ил]сульфониламино]бензоил]-1Н-пирроло[2,3-b]пиридин-5-ил]фенокси]этокси]этокси]этокси]-2-(3-метилизоксазол-5-ил)бутаноил]-4-гидрокси-N-[(1S)-1-[4-(4-метилтиазол-5-ил)фенил]этил]пирролидин-2-карбоксамид (15,25 мг, 0,013 ммоль, выход 22%, чистота 100%). LC/MS (ESI) масса/заряд: 562,4 [М/2+1]+; 1H ЯМР (400 МГц, DMSO-d6) δ 12,93 (s, 1Н), 9,86 (s, 1H), 9,08-8,91 (m, 1H), 8,73-8,53 (m, 2H), 8,36 (d, J=8,0 Гц, 1H), 8,08 (s, 1H), 7,73-7,55 (m, 3H), 7,50-7,22 (m, 5H), 7,15-7,03 (m, 2H), 6,36-6,20 (m, 1H), 5,41-5,18 (m, 2H), 5,12 (d, J=3,6 Гц, 1H), 5,05-4,84 (m, 1H), 4,69-4,38 (m, 3H), 4,32-4,12 (m, 4H), 3,79 (d, J=4,8 Гц, 2H), 3,68-3,37 (m, 9H), 2,44 (s, 3H), 2,36-1,85 (m, 8H), 1,84-1,68 (m, 1H), 1,48-1,17 (m, 4H).
[1538] Иллюстративный синтез (2S,4R)-1-(4-(4-((1-(4-(3-(2,6-дифтор-3-(((R)-3-фторпирролидин)-1-сульфонамидо)бензоил)-1Н-пирроло[2,3-b]пиридин-5-ил)фенил)пиперидин-4-ил)метил)пиперазин-1-ил)-3,3-диметил-2-(3-метилизоксазол-5-ил)бутаноил)-4-гидрокси-N-((S)-1-(4-(4-метилтиазол-5-ил)фенил)этил)пирролидин-2-карбоксамида (пример 477)
[1539] Стадия 1: получение 1-(трет-бутил)-4-метил-2,2-диметил-3-(3-метилизоксазол-5-ил)сукцината
[1540] К раствору метил-2-(3-метилизоксазол-5-ил)ацетата (4 г, 25,78 ммоль, 1 экв.) и трет-бутил-2-бром-2-метилпропаноата (11,50 г, 51,56 ммоль, 2 экв.) в Ν,Ν-диметилформамиде (30 мл) добавляли трет-бутоксид калия (4,34 г, 38,67 ммоль, 1,5 экв.), смесь перемешивали при 50°С в течение 2 ч. Смесь разбавляли водой (100 мл) и экстрагировали этилацетатом (100 мл, дважды), органическую фазу высушивали с помощью безводного сульфата натрия, фильтровали и фильтрат концентрировали с получением неочищенного продукта. Данный неочищенный материал очищали с помощью препаративной НРГС, смесь регулировали с помощью бикарбоната натрия до pH = 8, смесь экстрагировали этилацетатом (500 мл, дважды), органическую фазу высушивали с помощью безводного сульфата натрия, фильтровали и фильтрат концентрировали с получением продукта. Соединение, 1-трет-бутил-4-метил-2,2-диметил-3-(3-метилизоксазол-5-ил)сукцинат (5 г, 16,82 ммоль, выход 65%), получали в виде коричневого масла. 1H ЯМР (400 МГц, CDCl3) δ 6,08 (s, 1H), 4,36 (s, 1H), 3,73-3,67 (m, 3H), 2,30 (s, 3H), 1,45 (s, 9H), 1,28 (s, 3H), 1,16 (s, 3H).
[1541] Стадия 2: получение 4-метокси-2,2-диметил-3-(3-метилизоксазол-5-ил)-4-оксобутановой кислоты
[1542] К раствору 1-трет-бутил-4-метил-2,2-диметил-3-(3-метилизоксазол-5-ил)сукцината (4,9 г, 16,48 ммоль, 1 экв.) в дихлорметане (5 мл) добавляли смесь хлористоводородная кислота/диоксан (4 М, 10 мл, 2,43 экв.), смесь перемешивали при 20°С в течение 11 ч. Смесь концентрировали с получением продукта. Соединение, 4-метокси-2,2-диметил-3-(3-метилизоксазол-5-ил)-4-оксобутановую кислоту (4,0 г, неочищенная), получали в виде бледно-желтого масла. 1Н ЯМР (400 МГц, DMSO-d6) δ 12,65 (br s, 1H), 6,35 (s, 1H), 4,40 (s, 1H), 3,62 (s, 3H), 2,23 (s, 3H), 1,21 (s, 3H), 1,08 (s, 3H).
[1543] Стадия 3: получение трет-бутил-4-(4-метокси-2,2-диметил-3-(3-метилизоксазол-5-ил)-4-оксобутаноил)пиперазин-1-карбоксилата
[1544] К раствору 4-метокси-2,2-диметил-3-(3-метилизоксазол-5-ил)-4-оксобутановой кислоты (3,4 г, 14,09 ммоль, 1 экв.) и трет-бутилпиперазин-1-карбоксилата (3,41 г, 18,32 ммоль, 1,3 экв.) в Ν,Ν-диметилформамиде (30 мл) добавляли диизопропилэтиламин (3,64 г, 28,19 ммоль, 2 экв.) и затем добавляли гексафторфосфат O-(7-азабензотриазол-1-ил)-N,N,N,N-тетраметилурония (5,89 г, 15,50 ммоль, 1,1 экв.), смесь перемешивали при 20°С в течение 1 ч. Смесь разбавляли водой (100 мл) и экстрагировали дихлорметаном (100 мл, дважды), органическую фазу высушивали с помощью безводного сульфата натрия, фильтровали и фильтрат концентрировали с получением неочищенного продукта. Данное неочищенное вещество очищали с помощью хроматографии на силикагеле (этилацетат:петролейный эфир = от 0:1 до 1:20) с получением продукта, трет-бутил-4-[4-метокси-2,2-диметил-3-(3-метилизоксазол-5-ил)-4-оксобутаноил]пиперазин-1-карбоксилата (5,3 г, 12,94 ммоль, выход 91%), в виде бледно-желтого масла. 1Н ЯМР (400 МГц, CDCl3) δ 6,16-6,01 (m, 1Н), 4,39 (s, 1H), 3,70 (s, 3H), 3,67-3,56 (m, 4H), 3,50-3,41 (m, 4H), 2,36-2,24 (m, 3H), 1,53 (s, 3H), 1,47 (s, 9H), 1,31 (s, 3H).
[1545] Стадия 4: получение трет-бутил-4-(4-метокси-2,2-диметил-3-(3-метилизоксазол-5-ил)-4-оксобутил)пиперазин-1-карбоксилата
[1546] К раствору трет-бутил-4-[4-метокси-2,2-диметил-3-(3-метилизоксазол-5-ил)-4-оксобутаноил]пиперазин-1-карбоксилата (4,3 г, 10,50 ммоль, 1 экв.) в тетрагидрофуране (60 мл) добавляли диметилсульфид-боран (10 М, 10,5 мл, 10 экв.) при 0°С, смесь перемешивали при 40°С в течение 1 ч. Смесь гасили метанолом (20 мл), остаток концентрировали с получением неочищенного продукта. Неочищенный материал очищали с помощью препаративной HPLC, смесь регулировали с помощью насыщенного водного раствора бикарбоната натрия до рН = 8, смесь экстрагировали этилацетатом (200 мл, дважды), органическую фазу высушивали с помощью безводного сульфата натрия, фильтровали и фильтрат концентрировали с получением продукта. Соединение, трет-бутил-4-[4-метокси-2,2-диметил-3-(3-метилизоксазол-5-ил)-4-оксобутил]пиперазин- 1-карбоксилат (2,7 г, 6,83 ммоль, выход 65%), получали в виде бесцветного масла. 1Н ЯМР (400 МГц, CDCl3) δ 6,16 (s, 1Н), 4,24-4,06 (m, 1H), 3,70 (s, 3H), 3,40 (br s, 4H), 2,51 (s, 4H), 2,31-2,15 (m, 5H), 1,46 (s, 9H), 1,05 (s, 3H), 0,92 (s, 3H).
[1547] Стадия 5: получение 4-(4-(трет-бутоксикарбонил)пиперазин-1-ил)-3,3-диметил-2-(3-метилизоксазол-5-ил)бутановой кислоты
[1548] К раствору трет-бутил-4-[4-метокси-2,2-диметил-3-(3-метилизоксазол-5-ил)-4-оксобутил]пиперазин-1-карбоксилата (2,7 г, 6,83 ммоль, 1 экв.) в метаноле (10 мл) и тетрагидрофуране (10 мл) добавляли моногидрат гидроксида лития (2,86 г, 68,27 ммоль, 10 экв.) в воде (10 мл), смесь перемешивали при 20°С в течение 10 ч. Смесь регулировали с помощью водного раствора хлористоводородной кислоты (1 М) до pH = 5, смесь экстрагировали дихлорметаном (100 мл, три раза), органическую фазу высушивали с помощью безводного сульфата натрия, фильтровали и фильтрат концентрировали с получением продукта. Данный продукт очищали с помощью препаративной HPLC, фракцию ацетонитрила удаляли и остаток лиофилизировали с получением продукта. Соединение, 4-(4-трет-бутоксикарбонилпиперазин-1-ил)-3,3-диметил-2-(3-метилизоксазол-5-ил)бутановую кислоту (1,2 г, 3,15 ммоль), получали в виде белого твердого вещества. 1Н ЯМР (400 МГц, OMSO-d6) δ 6,25 (s, 1Н), 3,87 (s, 1Н), 3,27-3,21 (m, 4Н), 2,53 (s, 4Н), 2,29 (d, J=8,9 Гц, 2Н), 2,20 (s, 3Н), 1,38 (s, 9Н), 0,99 (s, 3Н), 0,92 (s, 3Н).
[1549] Стадия 6: получение «трет-бутил-4-(4-((2S,4R)-4-гидрокси-2-(((S)-1-(4-(4-метилтиазол-5-ил)фенил)этил)карбамоил)пирролидин-1-ил)-2,2-диметил-3-(3-метилизоксазол-5-ил)-4-оксобутил)пиперазин-1-карбоксилата
[1550] К раствору 4-(4-трет-бутоксикарбонилпиперазин-1-ил)-3,3-диметил-2-(3-метилизоксазол-5-ил)бутановой кислоты (1,2 г, 3,15 ммоль, 1 экв.) и (2S,4R)-4-гидрокси-N-[(1S)-1-[4-(4-метилтиазол-5-ил)фенил]этил]пирролидин-2-карбоксамида (1,5 г, 4,08 ммоль, 1,30 экв., гидрохлорид) в 1,2-дихлорэтане (15 мл) добавляли диизопропилэтиламин (1,22 г, 9,44 ммоль, 1,64 мл, 3 экв.), а затем 1-гидроксибензотриазол (510 мг, 3,77 ммоль, 1,2 экв.) и добавляли гидрохлорид N-(3-диметиламинопропил)-N-этилкарбодиимида (724 мг, 3,77 ммоль, 1,2 экв.), смесь перемешивали при 80°С в течение 5 ч. Смесь разбавляли дихлорметаном (100 мл) и промывали водой (100 мл), органическую фазу высушивали с помощью безводного сульфата натрия, фильтровали и фильтрат концентрировали с получением неочищенного продукта. Неочищенный материал очищали с помощью хроматографии на силикагеле (дихлорметан:метанол = от 50:1 до 10:1) с получением продукта. Продукт дополнительно очищали с помощью препаративной HPLC, фракцию на основе ацетонитрила удаляли и остаток лиофилизировали с получением продукта. Продукт еще дополнительно очищали с помощью препаративной HPLC, фракцию на основе ацетонитрила удаляли и остаток лиофилизировали с получением конечного продукта. Соединение, трет-бутил-4-[4-[(2S,4R)-4-гидрокси-2-[[(1S)-1-[4-(4-метилтиазол-5-ил)фенил]этил]карбамоил]пирролидин-1-ил]-2,2-диметил-3-(3-метилизоксазол-5-ил)-4-оксобутил]пиперазин-1-карбоксилат (490 мг, 0,71 ммоль, выход 22,4%), получали в виде белого твердого вещества. 1Н ЯМР (400 МГц, CDCl3) δ 8,68 (s, 1Н), 7,50-7,34 (m, 5Н), 6,27-6,08 (m, 1H), 5,13-4,97 (m, 1H), 4,71-4,55 (m, 2H), 4,47-4,32 (m, 1H), 3,90 (dd, J=5,4, 10,5 Гц, 1H), 3,53 (dd, J=4,2, 10,4 Гц, 1H), 3,41 (s, 4H), 2,67-2,43 (m, 8H), 2,31-2,25 (m, 3H), 2,22 (d, J=3,3 Гц, 2H), 1,97-1,85 (m, 1H), 1,52 (d, J=6,8 Гц, 2H), 1,48-1,40 (m, 10H), 1,11 (s, 3H), 1,04-0,96 (m, 3H).
[1551] Стадия 7: получение (28,4К)-1-(3,3-диметил-2-(3-метилизоксазол-5-ил)-4-(пиперазин-1-ил)бутаноил)-4-гидрокси-N-((S)-1-(4-(4-метилтиазол-5-ил)фенил)этил)пирролидин-2-карбоксамида
[1552] К раствору трет-бутил-4-[4-[(2S,4R)-4-гидрокси-2-[[(1S)-1-[4-(4-метилтиазол-5-ил)фенил]этил]карбамоил]пирролидин-1-ил]-2,2-диметил-3-(3-метилизоксазол-5-ил)-4-оксобутил]пиперазин-1-карбоксилата (200 мг, 0,29 ммоль, 1 экв.) в дихлорметане (3 мл) добавляли смесь хлористоводородная кислота/диоксан (4 М, 3 мл, 41,69 экв.), смесь перемешивали при 20°С в течение 1 ч. Смесь концентрировали с получением (2S,4R)-1-[3,3-диметил-2-(3-метилизоксазол-5-ил)-4-пиперазин-1-илбутаноил]-4-гидрокси-N-[(1S)-1-[4-(4-метилтиазол-5-ил)фенил]этил]пирролидин-2-карбоксамида (230 мг, неочищенный, гидрохлорид) в виде белого твердого вещества. LC/MS (ESI) масса/заряд: 595,2 [М+1]+.
[1553] Стадия 8: получение (2S,4R)-1-(4-(4-((1-(4-(3-(2,6-дифтор-3-(((R)-3-фторпирролидин)-1-сульфонамидо)бензоил)-1Н-пирроло[2,3-b]пиридин-5-ил)фенил)пиперидин-4-ил)метил)пиперазин-1-ил)-3,3-диметил-2-(3-метилизоксазол-5-ил)бутаноил)-4-гидрокси-N-((S)-1-(4-(4-метилтиазол-5-ил)фенил)этил)пирролидин-2-карбоксамида
[1554] К смеси (2S,4R)-1-[3,3-диметил-2-(3-метилизоксазол-5-ил)-4-пиперазин-1-илбутаноил]-4-гидрокси-N-[(1S)-1-[4-(4-метилтиазол-5-ил)фенил]этил]пирролидин-2-карбоксамида (50 мг, 0,08 ммоль, 1 экв., гидрохлорид) в метаноле (2 мл) одной порцией добавляли ацетат натрия (13 мг, 0,16 ммоль, 2 экв.) при 15°С.Смесь перемешивали при 15°С в течение 1 мин., затем добавляли (3R)-N-[2,4-дифтор-3-[5-[4-(4-формил-1-пиперидил)фенил]-1Н-пирроло[2,3-b]пиридин-3-карбонил]фенил]-3-фторпирролидин-1-сульфонамид (44 мг, 0,071 ммоль, 0,9 экв.) в дихлорметане (0,5 мл). Смесь перемешивали при 15°С в течение еще 30 мин., добавляли уксусную кислоту (0,87 ммоль, 0,05 мл, 11,04 экв.) для регулирования рН = 4~5. Затем добавляли цианоборогидрид натрия (10 мг, 0,16 ммоль, 2 экв.) и перемешивали при 30°С в течение 1 ч. Реакционную смесь разбавляли водой 10 мл и экстрагировали дихлорметаном (5 мл x 3). Объединенные органические слои промывали солевым раствором (10 мл x 3), высушивали над безводным сульфатом натрия, фильтровали и концентрировали при пониженном давлении. Остаток очищали с помощью полупрепаративной HPLC с обращенной фазой. Соединение, (2S,4R)-1-[4-[4-[[1-[4-[3-[2,6-дифтор-3-[[(3R)-3-фторпирролидин-1-ил]сульфониламино]бензоил]-1Н-пирроло[2,3-b]пиридин-5-ил]фенил]-4-пиперидил]метил]пиперазин-1-ил]-3,3-диметил-2-(3-метилизоксазол-5-ил)бутаноил]-4-гидрокси-N-[(1S)-1-[4-(4-метилтиазол-5-ил)фенил]этил]пирролидин-2-карбоксамид (22 мг, 0,01 ммоль, выход 21%, чистота 96%, формиат), получали в виде светло-желтого твердого вещества. LC/MS (ESI) масса/заряд: 1190,4 [М+1]+; 1H ЯМР (400 МГц, DMSO-d6) δ 12,94 (s, 1 Η), 8,97-9,03 (m, 1 Η), 8,65 (d, J=2,0 Гц, 1 Η), 8,53 (s, 1 Η), 8,41 (d, J=8,0 Гц, 1 Η), 8,18 (s, 1 Η), 8,06 (s, 1 Η), 7,56-7,66 (m, 3 Η), 7,34-7,48 (m, 4 Η), 7,25 (t, J=8,8 Гц, 1 Η), 7,06 (d, J=8,8 Гц, 2 Η), 6,11-6,28 (m, 1 Η), 5,20-5,40 (m, 1 Η), 4,87-4,99 (m, 1 Η), 4,21-4,43 (m, 3 Η), 4,10 (s, 1 Η), 3,77 (d, J=10,4 Гц, 4 Η), 3,47 (s, 8 Η), 3,17 (s, 5 Η), 2,71-2,75 (m, 1 Η), 2,47 (s, 6 Η), 2,05-2,27 (m, 8 Η), 1,75-1,86 (m, 3 Η), 1,70 (s, 1 Η), 1,36-1,47 (m, 3 Η), 1,21 (d, J=8,8 Гц, 2 Η), 0,98-1,07 (m, 3 Η), 0,88 (s, 3 Η).
[1555] Иллюстративный синтез (2S,4R) 1-((S)-2-(2-(4-((4-(4-(3-(2,6-дифтор-3-(((R)-3-фтор-N-метилпирролидин)-1-сульфонамидо)бензоил)-1Н-пирроло[2,3-b]пиридин-5-ил)фенил)пиперазин-1-ил)метил)пиперидин-1-ил)ацетамидо)-3,3-диметилбутаноил)-4-гидрокси-N-(4-(4-метилтиазол-5-ил)бензил)пирролидин-2-карбоксамида (пример 330)
[1556] Стадия 1: получение (5-бром-1-((2-(триметилсилил)этокси)метил)-1Н-пирроло[2,3-b]пиридин-3-ил)(2,6-дифтор-3-нитрофенил)метанона
[1557] К раствору (5-бром-1Н-пирроло[2,3-b]пиридин-3-ил)-(2,6-дифтор-3-нитрофенил)метанона (2 г, 5,23 ммоль, 1 экв.) в диметилформамиде (25 мл) добавляли 2-(хлорметокси)этилтриметилсилан (1,05 г, 6,28 ммоль, 1 мл, 1,2 экв.) и диизопропилэтиламин (1,01 г, 7,85 ммоль, 1 мл, 1,5 экв.). Смесь перемешивали при 80°С в течение 1,5 ч. Реакционную смесь промывали насыщенным солевым раствором (30 мл x 2) и экстрагировали этилацетатом (50 мл x 2). Объединенные органические слои высушивали над безводным сульфатом натрия, фильтровали и концентрировали при пониженном давлении. Остаток очищали с помощью хроматографии на силикагеле (петролейный эфир/этилацетат = от 12/1 до 10:1). Соединение, [5-бром-1-(2-триметилсилилэтоксиметил)пирроло[2,3-b]пиридин-3-ил]-(2,6-дифтор-3-нитрофенил)метанон (1,74 г, 3,40 ммоль, выход 64%), получали в виде желтого твердого вещества. LC/MS (ESI) масса/заряд: 513,9 [M+l]+; 1H ЯМР (400 МГц, CDCl3) δ 8,87 (d, J=2,0 Гц, 1H), 8,52 (d, J=2,0 Гц, 1H), 8,28 (ddd, J=5,6, 8,4, 9,2 Гц, 1H), 7,70 (s, 1H), 7,20 (ddd, J=1,6, 7,2, 9,2 Гц, 1H), 5,68 (s, 2H), 3,63-3,55 (m, 2H), 0,96-0,87 (m, 2H), -0,04 - -0,06 (m, 9H).
[1558] Стадия 2: получение (3-амино-2,6-дифторфенил)(5-бром-1-((2-(триметилсилил)этокси)метил)-1Н-пирроло[2,3-b]пиридин-3-ил)метанона
[1559] К раствору [5-бром-1-(2-триметилсилилэтоксиметил)пирроло[2,3-b]пиридин-3-ил]-(2,6-дифтор-3-нитрофенил)метанона (1,72 г, 3,36 ммоль, 1 экв.) в этиловом спирте (5 мл) и тетрагидрофуране (5 мл) и воде (5 мл) добавляли железо (1,87 г, 33,57 ммоль, 10 экв.) и хлорид аммония (898 мг, 16,78 ммоль, 0,6 мл, 5 экв.). Смесь перемешивали при 80°С в течение 5 часов. Реакционную смесь фильтровали, промывали солевым раствором (30 мл x 2) и экстрагировали этилацетатом (50 мл x 2). Объединенные органические слои высушивали над безводным сульфатом натрия, фильтровали и концентрировали при пониженном давлении. Остаток очищали с помощью хроматографии на силикагеле (петролейный эфир/этилацетат = от 10/1 до 4:1). Соединение, (3-амино-2,6-дифторфенил)-[5-бром-1-(2-триметилсилилэтоксиметил)пирроло[2,3-b]пиридин-3-ил]метанон (1,33 г, 2,56 ммоль, выход 76%, чистота 93%), получали в виде желтого масла. LC/MS (ESI) масса/заряд: 484,1 [М+2]+; 1H ЯМР (400 МГц, CDCl3) δ 8,86 (d, J=2,0 Гц, 1H), 8,48 (d, J=2,4 Гц, 1H), 7,74 (s, 1H), 6,90-6,80 (m, 2H), 5,66 (s, 2H), 3,60-3,54 (m, 2H), 0,94-0,88 (m, 2H), -0,04 - -0,07 (m, 9H).
[1560] Стадия 3: получение (R)-N-(3-(5-бром-1-((2-(триметилсилил)этокси)метил)-1Н-пирроло[2,3-b]пиридин-3-карбонил)-2,4-дифторфенил)-3-фторпирролидин-1-сульфонамида
[1561] К раствору (3-амино-2,6-дифторфенил)-[5-бром-1-(2-триметилсилилэтоксиметил)пирроло[2,3-b]пиридин-3-ил]метанона (985 мг, 1,90 ммоль, 1 экв.) в пиридине (15 мл) добавляли диметиламинопиридин (464 мг, 3,80 ммоль, 2 экв.) и (3R)-3-фторпирролидин-1-сульфонилхлорид (712 мг, 3,80 ммоль, 2 экв.). Смесь перемешивали при 50°С в течение 12 часов. Реакционную смесь промывали насыщенным солевым раствором (30 мл x 2) и экстрагировали этилацетатом (40 мл x 2). Объединенные органические слои высушивали над безводным сульфатом натрия, фильтровали и концентрировали при пониженном давлении. Остаток очищали с помощью полупрепаративной HPLC с обращенной фазой. Насыщенный водный раствор бикарбоната натрия добавляли для регулирования рН = 9. Водную фазу экстрагировали этилацетатом (50 мл x 3). Объединенную органическую фазу промывали солевым раствором (30 мл x 3), высушивали с помощью безводного сульфата натрия, фильтровали и концентрировали в вакууме. Соединение, (3R)-N-[3-[5-бром-l-(2-триметилсилилэтоксиметил)пирроло[2,3-b]пиридин-3-карбонил]-2,4-дифторфенил]-3-фторпирролидин-1-сульфонамид (210 мг, 0,33 ммоль, выход 17%), получали в виде бесцветного масла. 1Н ЯМР (400 МГц, CDCl3) δ 8,85 (d, J=2,0 Гц, 1H), 8,49 (d, J=2,4 Гц, 1H), 7,78-7,68 (m, 2H), 7,10-6,99 (m, 1H), 6,54 (s, 1H), 5,65 (s, 2H), 5,31 (s, 1H), 3,66-3,60 (m, 2H), 3,57 (d, J=8,4 Гц, 2H), 3,55-3,43 (m, 2H), 2,38-2,23 (m, 1H), 2,16 1,96 (m, 1H), 0,94 0,88 (m, 2H), -0,05 (s, 9H).
[1562] Стадия 4: получение (R)-N-(3-(5-бром-1-((2-(триметилсилил)этокси)метил)-1Н-пирроло[2,3-b]пиридин-3-карбонил)-2,4-дифторфенил)-3-фтор-N-метилпирролидин-1-сульфонамида
[1563] К раствору (3R)-N-[3-[5-бром-l-(2-триметилсилилэтоксиметил)пирроло[2,3-b]пиридин-3-карбонил]-2,4-дифторфенил]-3-фторпирролидин-1-сульфонамида (210 мг, 0,33 ммоль, 1 экв.) и в диметилформамиде (2 мл) добавляли диизопропилэтиламин (64 мг, 0,50 ммоль, 1,5 экв.) и йодметан (70 мг, 0,50 ммоль, 1,5 экв.). Смесь перемешивали при 50°С в течение 2 часов. Реакционную смесь промывали насыщенным водным солевым раствором (30 мл x 2) и экстрагировали этилацетатом (30 мл x 2). Объединенные органические слои высушивали над безводным сульфатом натрия, фильтровали и концентрировали при пониженном давлении. Остаток очищали с помощью препаративной тонкослойной хроматографии (петролейный эфир/этилацетат = 1:1, Rf = 0,6). Соединение, (3R)-N-[3-[5-бром-1-(2-триметилсилилэтоксиметил)пирроло[2,3-b]пиридин-3-карбонил]-2,4-дифторфенил]-3-фтор-N-метилпирролидин-1-сульфонамид (165 мг, 0,25 ммоль, выход 76%), получали в виде бесцветного масла. LC/MS (ESI) масса/заряд: 649,2 [М+2]+; 1H ЯМР (400 МГц, CDCl3) δ 8,85 (d, J=2,0 Гц, 1H), 8,49 (d, J=2,4 Гц, 1H), 7,74 (s, 1H), 7,66 (dt, J=6,0, 8,8 Гц, 1H), 7,08-7,01 (m, 1H), 5,65 (s, 2H), 5,34-5,14 (m, 1H), 3,71-3,64 (m, 1H), 3,64-3,59 (m, 2H), 3,59-3,53 (m, 2H), 3,53-3,47 (m, 1H), 3,25 (s, 3H), 2,39-2,06 (m, 2H), 0,95-0,88 (m, 2H), -0,06 (s, 9H).
[1564] Стадия 5: получение трет-бутил-(R)-2-(4-((4-(4-(3-(2,6-дифтор-3-((3-фтор-N-метилпирролидин)-1-сульфонамидо)бензоил)-1-((2-(триметилсилил)этокси)метил)-1Н-пирроло[2,3-b]пиридин-5-ил)фенил)пиперазин-1-ил)метил)пиперидин- 1-ил)ацетата
[1565] Смесь (3R)-N-[3-[5-бром-1-(2-триметилсилилэтоксиметил)пирроло[2,3-b]пиридин-3-карбонил]-2,4-дифторфенил]-3-фтор-N-метил-пирролидин-1-сульфонамида (165 мг, 0,25 ммоль, 1 экв.), трет-бутил-2-[4-[[4-[4-(4,4,5,5-тетраметил-1,3,2-диоксаборолан-2-ил)фенил]пиперазин-1-ил]метил]-1-пиперидил]ацетата (152 мг, 0,30 ммоль, 1,2 экв.), фторида цезия (154 мг, 1,02 ммоль, 4 экв.) и 4-ди-трет-бутилфосфанил-N,N-диметиланилин-дихлорпалладия (18 мг, 0,02 ммоль, 0,1 экв.) в диоксане (2 мл) и воде (0,5 мл) дегазировали и продували азотом 3 раза и затем смесь перемешивали при 100°С в течение 12 часов в атмосфере азота. Реакционную смесь промывали насыщенным водным солевым раствором (15 мл x 2) и экстрагировали этилацетатом (30 мл x 2). Объединенные органические слои высушивали над безводным сульфатом натрия, фильтровали и концентрировали при пониженном давлении. Остаток очищали с помощью препаративной тонкослойной хроматографии (дихлорметан:метанол = 10:1, Rf = 0,5). Соединение, трет-бутил-2-[4-[[4-[4-[3-[2,6-дифтор-3-[[(3R)-3-фторпирролидин-l-ил]сульфонилметиламино]бензоил]-l-(2-триметилсилилэтоксиметил)пирроло[2,3-b]пиридин-5-ил]фенил]пиперазин-1-ил]метил]-1-пиперидил]ацетат (93 мг, 0,09 ммоль, выход 38%), получали в виде белого твердого вещества. LC/MS (ESI) масса/заряд: 940,5 [М]+.
[1566] Стадия 6: получение метил-(R)-2-(4-((4-(4-(3-(2,6-дифтор-3-((3-фтор-N-метилпирролидин)-1-сульфонамидо)бензоил)-1Н-пирроло[2,3-b]пиридин-5-ил)фенил)пиперазин-1-ил)метил)пиперидин- 1-ил)ацетата
[1567] К раствору трет-бутил-2-[4-[[4-[4-[3-[2,6-дифтор-3-[[(3R)-3-фторпирролидин-1-ил]сульфонилметиламино]бензоил]-1-(2-триметилсилилэтоксиметил)пирроло[2,3-b]пиридин-5-ил]фенил]пиперазин-1-ил]метил]-1-пиперидил]ацетата (93 мг, 0,10 ммоль, 1 экв.) в метаноле (2 мл) добавляли смесь хлористоводородная кислота/диоксан (4 М, 4 мл, 161,75 экв.). Смесь перемешивали при 40°С в течение 14 часов. Реакционную смесь концентрировали под вакуумом с получением остатка. Соединение, метил-2-[4-[[4-[4-[3-[2,6-дифтор-3-[[(3R)-3-фторпирролидин-1-ил]сульфонилметиламино]бензоил]- 1Н-пирроло[2,3-b]пиридин-5-ил]фенил]пиперазин-1-ил]метил]-1-пиперидил]ацетат (120 мг, неочищенный, гидрохлорид), получали в виде желтого твердого вещества. LC/MS (ESI) масса/заряд: 768,1 [М+1]+.
[1568] Стадия 7: получение (R)-2-(4-((4-(4-(3-(2,6-дифтор-3-((3-фтор-N-метилпирролидин)-1-сульфонамидо)бензоил)-1Н-пирроло[2,3-b]пиридин-5-ил)фенил)пиперазин-1 -ил)метил)пиперидин-1 -ил)уксусной кислоты
[1569] К раствору метил-2-[4-[[4-[4-[3-[2,6-дифтор-3-[[(3R)-3-фторпирролидин-1-ил]сульфонилметиламино]бензоил]-1Н-пирроло[2,3-b]пиридин-5-ил]фенил]пиперазин-1-ил]метил]-1-пиперидил]ацетата (120 мг, 0,15 ммоль, 1 экв., гидрохлорид) в метаноле (1 мл), воде (0,5 мл) и тетрагидрофуране (1 мл) добавляли гидрат лития (11 мг, 0,45 ммоль, 3 экв.). Смесь перемешивали при 20°С в течение 1 ч. Реакционную смесь концентрировали под вакуумом с получением остатка. Остаток разбавляли водой 20 мл, затем подкисляли с помощью хлористоводородной кислоты (1 М) до рН = 5~6. Суспензию концентрировали под вакуумом с получением остатка. Соединение, 2-[4-[[4-[4-[3-[2,6-дифтор-3-[[(3R)-3-фторпирролидин-1-ил]сульфонилметиламино]бензоил]-1Н-пирроло[2,3-b]пиридин-5-ил]фенил]пиперазин-1-ил]метил]-1-пиперидил]уксусную кислоту (0,1 г, неочищенная, гидрохлорид), получали в виде желтого твердого вещества. LC/MS (ESI) масса/заряд: 754,3 [М+1]+.
[1570] Стадия 8: получение (2S,4R)-1-((S)-2-(2-(4-((4-(4-(3-(2,6-дифтор-3-(((R)-3-фтор-N-метилпирролидин)-1-сульфонамидо)бензоил)-1Н-пирроло[2,3-b]пиридин-5-ил)фенил)пиперазин-1-ил)метил)пиперидин-1-ил)ацетамидо)-3,3-диметилбутаноил)-4-гидрокси-N-(4-(4-метилтиазол-5-ил)бензил)пирролидин-2-карбоксамида
[1571] К раствору 2-[4-[[4-[4-[3-[2,6-дифтор-3-[[(3R)-3-фторпирролидин-1-ил]сульфонилметиламино]бензоил]-1Н-пирроло[2,3-b]пиридин-5-ил]фенил]пиперазин-1-ил]метил]-1-пиперидил]уксусной кислоты (0,1 г, 0,13 ммоль, 1 экв., гидрохлорид) в диметилформамиде (2 мл) добавляли гидроксибензотриазол (20 мг, 0,15 ммоль, 1,2 экв.), диизопропилэтиламин (49 мг, 0,38 ммоль, 3 экв.) и (2S,4R)-1-[(2S)-2-амино-3,3-диметилбутаноил]-4-гидрокси-N-[[4-(4-метилтиазол-5-ил)фенил]метил]пирролидин-2-карбоксамид (59 мг, 0,13 ммоль, 1 экв., гидрохлорид) при 20°С, в течение 15 мин. И затем после добавления добавляли углерод-гидрохлорид диметиламина (36 мг, 0,19 ммоль, 1,5 экв.). Полученную смесь перемешивали при 35°С в течение 1,75 часа. Реакционную смесь промывали насыщенным солевым раствором (25 мл x 2) и экстрагировали дихлорметаном (30 мл x 2). Объединенные органические слои высушивали над безводным сульфатом натрия, фильтровали и концентрировали при пониженном давлении. Остаток очищали с помощью полупрепаративной HPLC с обращенной фазой. Соединение, (2S,4R)-1-[(2S)-2-[[2-[4-[[4-[4-[3-[2,6-дифтор-3-[[(3R)-3-фторпирролидин-1-ил]сульфонилметиламино]бензоил]-1 Н-пирроло[2,3-b]пиридин-5-ил]фенил]пиперазин-1-ил]метил]-1-пиперидил]ацетил]амино]-3,3-диметилбутаноил]-4-гидрокси-N-[[4-(4-метилтиазол-5-ил)фенил]метил]пирролидин-2-карбоксамид (19,1 мг, 0,01 ммоль, выход 11%, чистота 100%, три фторуксусная кислота), получали в виде желтого твердого вещества. LC/MS (ESI) масса/заряд: 583,8 [M/2+l]+; 1H ЯМР (400 МГц, DMSO-d6) δ 12,98 (s, 1H), 10,12-9,59 (m, 2H), 9,03-8,97 (m, 1H), 8,78 (d, J=8,4 Гц, 1H), 8,61 (d, J=6,0 Гц, 2H), 8,12 (s, 1H), 7,76 (dt, J=6,0, 8,8 Гц, 1H), 7,68 (d, J=8,8 Гц, 2H), 7,41 (q, J=8,4 Гц, 4H), 7,33 (t, J=8,8 Гц, 1H), 7,17 (d, J=8,8 Гц, 2H), 5,41 (s, 1H), 5,28 (s, 1H), 4,60 (d, J=9,2 Гц, 2H), 4,52^1,34 (m, 5H), 4,22 (dd, J=5,2, 15,6 Гц, 1Н), 4,15-3,84 (m, 5H), 3,71 (d, J=7,2 Гц, 1H), 3,68-3,55 (m, 4H), 3,54-3,44 (m, 4H), 3,43-3,34 (m, 1H), 3,14 (s, 3H), 3,06 (s, 1H), 2,20 (d, J=6,4 Гц, 2H), 2,13 (d, J=7,6 Гц, 2H), 2,10-2,02 (m, 3H), 2,01-1,84 (m, 5H), 1,56 (s, 3H), 0,99-0,93 (m, 9H).
[1572] Иллюстративный синтез (2S,4R)-1-((S)-2-(2-(4-((4-(4-(3-(2-фтор-5-(((R-3-фторпирролидин)-1-сульфонамидо)бензоил)-1Н-пирроло[2,3-b]пиридин-5-ил)фенил)пиперазин-1-ил)метил)пиперидин-1-ил)ацетамидо)-3,3-диметилбутаноил)-4-гидрокси-N-(4-(4-метилтиазол-5-ил)бензил)пирролидин-2-карбоксамида (пример 312)
[1573] Стадия 1: получение 2-фтор-5-нитробензоилхлорида
[1574] К раствору 2-фтор-5-нитробензойной кислоты (5 г, 27 ммоль, 1 экв.) и тионилхлорида (49 г, 413 ммоль, 30 мл, 15 экв.) в толуоле (30 мл) и диметилформамиде (1,5 мл). Смесь перемешивали при 80°С в течение 12 часов. Реакционную смесь гасили путем добавления метанола. Реакционную смесь концентрировали при пониженном давлении с удалением растворителя. Соединение, 2-фтор-5-нитробензоилхлорид (5,8 г, неочищенный), получали в виде желтого масла.
[1575] Стадия 2: получение (5-бром-1Н-пирроло[2,3-b]пиридин-3-ил)(2-фтор-5-нитрофенил)метанона
[1576] К раствору 5-бром-1Н-пирроло[2,3-b]пиридина (5,86 г, 29,72 ммоль, 1,1 экв.) в 1,2-дихлорэтане (100 мл) порциями добавляли трихлорид алюминия (23 г, 172,93 ммоль, 9 мл, 6,4 экв.). Реакционную смесь перемешивали при 20°С в течение 1 часа и добавляли 2-фтор-5-нитробензоилхлорид (5,5 г, 27,02 ммоль, 1 экв.). Смесь перемешивали при 50°С в течение еще 12 часов. Реакционную смесь промывали насыщенным водным солевым раствором (35 мл x 2) и экстрагировали этилацетатом (50 мл x 3). Объединенные органические слои высушивали над безводным сульфатом натрия, фильтровали и концентрировали при пониженном давлении с получением остатка. Остаток очищали путем растирания с этилацетатом (15 мл) и метанолом (15 мл). Соединение, (5-бром-1Н-пирроло[2,3-b]пиридин-3-ил)-(2-фтор-5-нитрофенил)метанон (2,11 г, 5,79 ммоль, выход 21%), получали в виде коричневого твердого вещества. LC/MS (ESI) масса/заряд: 365,8 [М+1]+.
[1577] Стадия 3: получение (5-амино-2-фторфенил)(5-бром-1Н-пирроло[2,3-b]пиридин-3-ил)метанона
[1578] Смесь (5-бром-1Н-пирроло[2,3-b]пиридин-3-ил)-(2-фтор-5-нитрофенил)метанона (2,11 г, 5,79 ммоль, 1 экв.), хлористоводородной кислоты (12 М, 14,5 мл, 30 экв.), порошка железа (1,62 г, 28,97 ммоль, 5 экв.), хлорида аммония (930 мг, 17,38 ммоль, 3 экв.) в тетрагидрофуране (10 мл) и этаноле (10 мл) перемешивали при 80°С в течение 16 ч. Водный раствор гидроксида натрия (1 М) добавляли для регулирования рН = 8~9. Добавляли этилацетат (50 мл) и смесь перемешивали в течение 5 мин. Смесь фильтровали и фильтрат экстрагировали этилацетатом (50 мл x 3). Объединенную органическую фазу промывали солевым раствором (50 мл x 3), высушивали с помощью безводного сульфата натрия, фильтровали и концентрировали в вакууме. Остаток суспендировали в растворе петролейного эфира и этилацетата (30 мл, об.:об. = 1:1). Продукт, (5-амино-2-фторфенил)-(5-бром-1Н-пирроло[2,3-b]пиридин-3-ил)метанон (730 мг, 2,06 ммоль, выход 35%, чистота 94%), получали в виде коричневого твердого вещества. LC/MS (ESI) масса/заряд: 333,9 [М+1]+; 1H ЯМР (400 МГц, DMSO-d6) δ 12,93 (br s, 1H), 8,57 (d, J=2,4 Гц, 1H), 8,46 (d, J=2,4 Гц, 1H), 8,07 (d, J=1,6 Гц, 1H), 7,08 6,95 (m, 1H), 6,79-6,66 (m, 2H), 5,20 (s, 2H).
[1579] Стадия 4: получение (R)-N-(3-(5-бром-1Н-пирроло[2,3-b]пиридин-3-карбонил)-4-фторфенил)-3-фторпирролидин-1-сульфонамида
[1580] К раствору (5-амино-2-фторфенил)-(5-бром-1Н-пирроло[2,3-b]пиридин-3-ил)метанона (680 мг, 2,04 ммоль, 1 экв.) и (3R)-3-фторпирролидин-1-сульфонилхлорида (572 мг, 3,05 ммоль, 1,5 экв.) в пиридине (15 мл) добавляли 4-диметиламинопиридин (49 мг, 0,4 ммоль, 0,2 экв.). Смесь перемешивали при 40°С в течение 12 часов. Реакционную смесь регулировали до рН 8 с помощью насыщенного водного раствора бикарбоната натрия. В смесь выливали воду (100 мл) и перемешивали в течение 1 минуты. Водную фазу экстрагировали этилацетатом (100 мл x 3). Объединенную органическую фазу промывали солевым раствором (100 мл x 2), высушивали с помощью безводного сульфата натрия, фильтровали и концентрировали в вакууме. Остаток очищали с помощью колоночной хроматографии (дихлорметан:метанол = от 400:1 до 10:1). Соединение, (3R)-N-[3-(5-бром-1Н-пирроло[2,3-b]пиридин-3-карбонил)-4-фторфенил]-3-фторпирролидин-1-сульфонамид (780 мг, 1,61 ммоль, выход 78%), получали в виде коричневого твердого вещества. LC/MS (ESI) масса/заряд: 486,9 [М+1]+; 1H ЯМР (400 МГц, CDCl3) δ 8,89 (s, 1H), 8,47 (s, 1H), 7,77 (s, 1H), 7,46-7,36 (m, 2H), 7,18 (t, J=9,2 Гц, 1H), 6,69 (s, 1H), 5,42-5,14 (m, 1H), 3,78-3,59 (m, 4H), 3,54-3,43 (m, 2H), 2,97-2,88 (m, 1H).
[1581] Стадия 5: получение трет-бутил-(R)-2-(4-((4-(4-(3-(2-фтор-5-((3-фторпирролидин)-1-сульфонамидо)бензоил)-1Н-пирроло[2,3-b]пиридин-5-ил)фенил)пиперазин-1-ил)метил)пиперидин- 1-ил)ацетата
[1582] К раствору (3R)-N-[3-(5-бром-1Н-пирроло[2,3-b]пиридин-3-карбонил)-4-фторфенил]-3-фторпирролидин-1-сульфонамида (430 мг, 0,88 ммоль, 1 экв.) и трет-бутил-2-[4-[[4-[4-(4,4,5,5-тетраметил-1,3,2-диоксаборолан-2-ил)фенил]пиперазин-1-ил]метил]-1-пиперидил] ацетата (442 мг, 0,88 ммоль, 1 экв.) в воде (1 мл) и диоксане (10 мл) добавляли 4-ди-трет-бутилфосфанил-N,N-диметиланилин-дихлорпалладий (62 мг, 0,08 ммоль, 0,1 экв.) и фторид цезия (538 мг, 3,54 ммоль, 4 экв.). Смесь перемешивали при 100°С в течение 5 ч. В смесь выливали воду (100 мл) и перемешивали в течение 1 минуты. Водную фазу экстрагировали этилацетатом (40 мл x 3). Объединенную органическую фазу промывали солевым раствором (100 мл x 2), высушивали с помощью безводного сульфата натрия, фильтровали и концентрировали в вакууме. Остаток очищали с помощью препаративной тонкослойной хроматографии (дихлорметан:метанол = 10:1). Соединение, трет-бутил-2-[4-[[4-[4-[3-[2-фтор-5-[[(3R)-3-фторпирролидин-1-ил]сульфониламино]бензоил]-1Н-пирроло[2,3-b]пиридин-5-ил]фенил]пиперазин-1-ил]метил]-1-пиперидил]ацетат (260 мг, 0,30 ммоль, выход 34%, чистота 92%), получали в виде коричневого твердого вещества. LC/MS (ESI) масса/заряд: 778,1 [М+1]+.
[1583] Стадия 6: получение (R)-2-(4-((4-(4-(3-(2-фтор-5-((3-фторпирролидин)-1-сульфонамидо)бензоил)-1Н-пирроло[2,3-b]пиридин-5-ил)фенил)пиперазин-1-ил)метил)пиперидин-1-ил)уксусной кислоты
[1584] К раствору трет-бутил-2-[4-[[4-[4-[3-[2-фтор-5-[[(3R)-3-фторпирролидин-1-ил]сульфониламино]бензоил]-1Н-пирроло[2,3-b]пиридин-5-ил]фенил]пиперазин-1-ил]метил]-1-пиперидил]ацетата (200 мг, 0,25 ммоль, 1 экв.) в диоксане (10 мл) добавляли 4 Μ хлористоводородную кислоту в диоксане (6,67 мл, 103,72 экв.). Смесь перемешивали при 50°С в течение 3 ч. Реакционную смесь концентрировали при пониженном давлении с удалением хлористоводородной кислоты, диоксана и диоксана. Неочищенный продукт применяли на следующей стадии без дополнительной очистки. Соединение, 2-[4-[[4-[4-[3-[2-φτορ-5-[[(3R)-3-фторпирролидин-1-ил]сульфониламино]бензоил]-1Н-пирроло[2,3-b]пиридин-5-ил]фенил]пиперазин-1-ил]метил]-1-пиперидил]уксусную кислоту (194 мг, 0,25 ммоль, выход 99%, гидрохлорид), получали в виде желтого твердого вещества.
[1585] Стадия 7: получение (2S,4R)-1-((S)-2-(2-(4-((4-(4-(3-(2-фтор-5-(((R)-3-фторпирролидин)-1-сульфонамидо)бензоил)-1Н-пирроло[2,3-b]пиридин-5-ил)фенил)пиперазин-1-ил)метил)пиперидин-1-ил)ацетамидо)-3,3-диметилбутаноил)-4-гидрокси-N-(4-(4-метилтиазол-5-ил)бензил)пирролидин-2-карбоксамида
[1586] К раствору 2-[4-[[4-[4-[3-[2-фтор-5-[[(3R)-3-фторпирролидин-1-ил]сульфониламино]бензоил]-1Н-пирроло[2,3-b]пиридин-5-ил]фенил]пиперазин-1-ил]метил]-1-пиперидил]уксусной кислоты (194 мг, 0,25 ммоль, 1 экв., гидрохлорид) в Ν,Ν-диметилформамиде (3 мл) добавляли триэтиламин (39 мг, 0,38 ммоль, 1,5 экв.), гидроксибензотриазол (41 мг, 0,30 ммоль, 1,2 экв.), гидрохлорид 1-(3-диметиламинопропил)-3-этилкарбодиимида (74 мг, 0,38 ммоль, 1,5 экв.) и (2S,4R)-1-[(2S)-2-амино-3,3-диметилбутаноил]-4-гидрокси-N-[[4-(4-метилтиазол-5-ил)фенил]метил]пирролидин-2-карбоксамид (119 мг, 0,25 ммоль, 1 экв., хлористоводородная кислота). Смесь перемешивали при 20°С в течение 3 часов. В смесь выливали воду (10 мл) и перемешивали в течение 1 минуты. Водную фазу экстрагировали дихлорметаном (10 мл x 3). Объединенную органическую фазу промывали солевым раствором (10 мл x 2), высушивали с помощью безводного сульфата натрия, фильтровали и концентрировали в вакууме. Остаток очищали с помощью полупрепаративной HPLC с обращенной фазой. Соединение, (2S,4R)-1-[(2S)-2-[[2[4[[4[4[3-[2-фтор-5-[[(3R)-3-фторпирролидин-1-ил]сульфониламино]бензоил]-1Н-пирроло[2,3-b]пиридин-5-ил]фенил]пиперазин-1-ил]метил]-1-пиперидил]ацетил]амино]-3,3-диметилбутаноил]-4-гидрокси-N-[[4-(4-метилтиазол-5-ил)фенил]метил]пирролидин-2-карбоксамид (119 мг, 0,09 ммоль, выход 38%, чистота 96%), формиат), получали в виде желтого твердого вещества. LC/MS (ESI) масса/заряд: 567,7 [М/2]+; 1H ЯМР (400 МГц, DMSO-d6) δ 12,91 (s, 1H), 9,00 (s, 1H), 8,65-8,55 (m, 3H), 8,19 (s, 1H), 7,97 (s, 1H), 7,81 (d, J=9,2 Гц, 1H), 7,59 (d, J=8,8 Гц, 2H), 7,45-7,40 (m, 4H), 7,40-7,31 (m, 3H), 7,06 (d, J=8,8 Гц, 2H), 5,34 (s, 1H), 5,21 (s, 1H), 4,50 (d, J=9,6 Гц, 1H), 4,47-4,41 (m, 1H), 4,41-4,32 (m, 2H), 4,30-4,24 (m, 1H), 3,71-3,54 (m, 2H), 3,47 (d, J=3,2 Гц, 2H), 3,18 (s, 5H), 3,05-2,87 (m, 3H), 2,83 (s, 2H), 2,52 (d, J=2,0 Гц, 3H), 2,45 (s, 3H), 2,25-1,85 (m, 10H), 1,81- 1,69 (m, 2H), 1,55 (s, 1H), 1,23-1,09 (m, 2H), 0,99-0,91 (m, 9H).
[1587] Иллюстративный синтез (2S,4R) 1-((S)-2-(2-(4-((4-(4-(3-(2-фтор-3-(((R)-3-фторпирролидин)-1-сульфонамидо)бензоил)-1Н-пирроло[2,3-b]пиридин-5-ил)фенил)пиперазин-1-ил)метил)пиперидин-1-ил)ацетамидо)-3,3-диметилбутаноил)-4-гидрокси-N-(4-(4-метилтиазол-5-ил)бензил)пирролидин-2-карбоксамида (пример 313)
[1588] Стадия 1: получение (5-бром-1Н-пирроло[2,3-b]пиридин-3-ил)(2-фтор-3-нитрофенил)метанона
[1589] К раствору 2-фтор-3-нитробензойной кислоты (10 г, 54 ммоль, 1 экв.) в дихлорметане (100 мл) добавляли тионилхлорид (14 г, 118,85 ммоль, 8,6 мл, 2,2 экв.) и Ν,Ν-диметилформамид (1 мл). Смесь перемешивали при 60°С в течение 12 ч. Смесь концентрировали. 2-Фтор-3-нитробензоилхлорид (11 г, неочищенный) получали в виде желтого масла. К раствору 5-бром-1Н-пирроло[2,3-b]пиридина (11,7 г, 59,44 ммоль, 1,1 экв.) в дихлорметане (100 мл) добавляли трихлорид алюминия (46,1 г, 345,85 ммоль, 6,4 экв.). Затем в смесь добавляли раствор 2-фтор-3-нитробензоилхлорида (11 г, 54,04 ммоль, 1 экв.) в дихлорметане (50 мл). Смесь перемешивали при 60°С в течение 12 ч. Смесь добавляли в воду (300 мл) и экстрагировали этилацетатом (300 мл x 3). Органический слой высушивали над безводным сульфатом натрия и концентрировали. К остатку добавляли этилацетат (30 мл) и фильтровали с получением необходимого продукта. (5-Бром-1Н-пирроло[2,3-b]пиридин-3-ил)-(2-фтор-3-нитрофенил)метанон (12 г, 32,96 ммоль, выход 60%) получали в виде желтого твердого вещества. LC/MS (ESI) масса/заряд: 363,8 [М+1]+.
[1590] Стадия 2: получение (3-амино-2-фторфенил)(5-бром-1Н-пирроло[2,3-b]пиридин-3-ил)метанона
[1591] Смесь (5-бром-1Н-пирроло[2,3-b]пиридин-3-ил)-(2-фтор-3-нитрофенил)метанона (6 г, 16,48 ммоль, 1 экв.), хлорида аммония (3 г, 57,67 ммоль, 3,5 экв.) железа (4,5 г, 80,74 ммоль, 4,9 экв.), гидрохлорида (12 М, 20 мл, 14,57 экв.) в этаноле (50 мл) и тетрагидрофуране (50 мл) перемешивали при 78°С в течение 2 ч. К смеси добавляли гидроксид натрия (1 М) до рН = 8. Смесь экстрагировали этилацетатом (200 мл x 3). Органический слой высушивали над безводным сульфатом натрия и концентрировали. Остаток растирали с этилацетатом (30 мл) с получением необходимого продукта. (3-Амино-2-фторфенил)-(5-бром-1Н-пирроло[2,3-b]пиридин-3-ил)метанон (2,7 г, 8,08 ммоль, выход 49%) получали в виде желтого твердого вещества. LC/MS (ESI) масса/заряд: 335,9 [М+1]+; 1H ЯМР (400 МГц, CDCl3) δ 8,89 (d, J=2,0 Гц, 1H), 8,47 (d, J=2,0 Гц, 1H), 7,77 (d, J=3,2 Гц, 1H), 7,08-7,02 (m, 1H), 6,99-6,86 (m, 2H), 3,89 (br s, 2H).
[1592] Стадия 3: получение (R)-N-(3-(5-бром-1Н-пирроло[2,3-b]пиридин-3-карбонил)-2-фторфенил)-3-фторпирролидин-1-сульфонамида
[1593] К раствору (3-амино-2-фторфенил)-(5-бром-1Н-пирроло[2,3-b]пиридин-3-ил)метанона (700 мг, 2,09 ммоль, 1 экв.) в пиридине (7 мл) добавляли (3R)-3-фторпирролидин-1-сульфонилхлорид (589 мг, 3,14 ммоль, 1,5 экв.) и 4-диметиламинопиридин (51 мг, 0,418 ммоль, 0,2 экв.). Смесь перемешивали при 40°С в течение 12 ч. К смеси добавляли насыщенный раствор бикарбоната натрия (50 мл) и экстрагировали этилацетатом (50 мл x 3). Органический слой высушивали над сульфатом натрия и концентрировали. Остаток очищали с помощью препаративной TLC (дихлорметан:метанол=20:1). (3R)-N-[3-(5-Бром-1Н-пирроло[2,3-b]пиридин-3-карбонил)-2-фторфенил]-3-фторпирролидин-1-сульфонамид (400 мг, 0,824 ммоль, выход 39%) получали в виде желтого твердого вещества. LC/MS (ESI) масса/заряд: 486,9 [М+1]+; 1H ЯМР (400 МГц, CDCl3) δ 11,12 (br s, 1H), 8,91 (d, J=2,0 Гц, 1H), 8,52-8,44 (m, 1H), 7,86-7,72 (m, 2H), 7,38-7,31 (m, 1H), 7,13-6,94 (m, 1H), 5,36-5,14 (m, 1H), 3,68-3,58 (m, 2H), 3,57-3,46 (m, 2H), 2,36-2,22 (m, 1H), 2,18-1,97 (m, 1H).
[1594] Стадия 4: получение трет-бутил-(R)-2-(4-((4-(4-(3-(2-фтор-3-((3-фторпирролидин)-1-сульфонамидо)бензоил)-1Н-пирроло[2,3-b]пиридин-5-ил)фенил)пиперазин-1-ил)метил)пиперидин-1-ил)ацетата
[1595] К раствору (3R)-N-[3-(5-бром-1Н-пирроло[2,3-b]пиридин-3-карбонил)-2-фторфенил]-3-фторпирролидин-1-сульфонамида (100 мг, 0,20 ммоль, 1 экв.) и трет-бутил-2-[4-[[4-[4-(4,4,5,5-тетраметил-1,3,2-диоксаборолан-2-ил)фенил]пиперазин-1-ил]метил]-1-пиперидил]ацетата (102 мг, 0,20 ммоль, 1 экв.) в диоксане (2 мл) и воде (0,2 мл) добавляли 4-ди-трет-бутилфосфанил-N,N-диметиланилин-дихлорпалладий (29 мг, 0,041 ммоль, 0,2 экв.) и фторид цезия (125 мг, 0,82 ммоль, 4 экв.). Смесь перемешивали при 110°С в течение 6 ч. К смеси добавляли воду (30 мл x 3) и экстрагировали этилацетатом (30 мл x 3). Органический слой высушивали над безводным сульфатом натрия и концентрировали. Остаток очищали с помощью препаративной TLC (дихлорметан:метанол = 20:1). трет-Бутил-2-[4-[[4-[4-[3-[2-фтор-3-[[(3R)-3-фторпирролидин-1-ил]сульфониламино]бензоил]-1Н-пирроло[2,3-b]пиридин-5-ил]фенил]пиперазин-1-ил]метил]-1-пиперидил]ацетат (40 мг, 0,038 ммоль, выход 18%), чистота 74%) получали в виде желтого твердого вещества. LC/MS (ESI) масса/заряд: 778,5 [М+1]+.
[1596] Стадия 5: получение (R)-2-(4-((4-(4-(3-(2-фтор-3-((3-фторпирролидин)-1-сульфонамидо)бензоил)-1Н-пирроло[2,3-b]пиридин-5-ил)фенил)пиперазин-1-ил)метил)пиперидин- 1-ил)уксусной кислоты
[1597] К раствору трет-бутил-2-[4-[[4-[4-[3-[2-фтор-3-[[(3R)-3-фторпирролидин-1-ил]сульфониламино]бензоил]-1Н-пирроло[2,3-b]пиридин-5-ил]фенил]пиперазин-1-ил]метил]-1-пиперидил]ацетата (100 мг, 0,128 ммоль, 1 экв.) в дихлорметане (5 мл) добавляли смесь гидрохлорид/диоксан (4 М, 7,50 мл). Смесь перемешивали при 20°С в течение 12 ч. Смесь концентрировали. Остаток применяли на следующей стадии без дополнительной очистки. 2-[4-[[4-[4-[3-[2-Фтор-3-[[(3R)-3-фторпирролидин-1-ил]сульфониламино]бензоил]-1Н-пирроло[2,3-b]пиридин-5-ил]фенил]пиперазин-1-ил]метил]-1-пиперидил]уксусную кислоту (100 мг, неочищенная, гидрохлорид) получали в виде желтого твердого вещества. LC/MS (ESI) масса/заряд: 722,4 [М+1]+.
[1598] Стадия 6: получение (2S,4R)-1-((S)-2-(2-(4-((4-(4-(3-(2-фтор-3-(((R)-3-фторпирролидин)-1-сульфонамидо)бензоил)-1Н-пирроло[2,3-b]пиридин-5-ил)фенил)пиперазин-1-ил)метил)пиперидин-1-ил)ацетамидо)-3,3-диметилбутаноил)-4-гидрокси-N-(4-(4-метилтиазол-5-ил)бензил)пирролидин-2-карбоксамида
[1599] К раствору 2-[4-[[4-[4-[3-[2-фтор-3-[[(3R)-3-фторпирролидин-1-ил]сульфониламино]бензоил]-1Н-пирроло[2,3-b]пиридин-5-ил]фенил]пиперазин-1-ил]метил]-1-пиперидил]уксусной кислоты (100 мг, 0,138 ммоль, 1 экв.) и (2S,4R)-1-[(2S)-2-амино-3,3-Диметилбутаноил]-4-гидрокси-N-[[4-(4-метилтиазол-5-ил)фенил]метил]пирролидин-2-карбоксамида (59 мг, 0,138 ммоль, 1 экв.) в Ν,Ν-диметилформамиде (2 мл) добавляли гидроксибензотриазол (22 мг, 0,166 ммоль, 1,2 экв.) триэтиламин (21 мг, 0,207 ммоль, 1,5 экв.) и гидрохлорид 1-(3-диметиламинопропил)-3-этилкарбодиимида (39 мг, 0,207 ммоль, 1,5 экв.). Смесь перемешивали при 20°С в течение 0,5 ч. Смесь гасили водой (30 мл x 3) и экстрагировали смесью дихлорметан/метанол (10:1, 30 мл x 3). Органический слой высушивали над сульфатом натрия и концентрировали. Остаток очищали с помощью препаративной HPLC. (2S,4R)-1-[(2S)-2-[[2-[4-[[4-[4-[3-[2-Фтор-3-[[(3R)-3-фторпирролидин-1-ил]сульфониламино]бензоил]-1Н-пирроло[2,3-b]пиридин-5-ил]фенил]пиперазин-1-ил]метил]-1-пиперидил]ацетил]амино]-3,3-диметилбутаноил]-4-гидрокси-N-[[4-(4-метилтиазол-5-ил)фенил]метил]пирролидин-2-карбоксамид (5,9 мг, 0,04 ммоль, выход 3,47%, чистота 100%, 2 муравьиных кислоты) получали в виде желтого твердого вещества. LC/MS (ESI) масса/заряд: 1134,4 [М+1]+; 1Н ЯМР (400 МГц, DMSO-d6) δ 9,00 (s, 1Н), 8,63 (s, 2H), 8,56 (s, 1H), 8,25 (s, 2H), 7,92 (s, 1H), 7,82 (br d, J=9,6 Гц, 1H), 7,67-7,56 (m, 3H), 7,48-7,38 (m, 4H), 7,35-7,23 (m, 2H), 7,06 (br d, J=8,8 Гц, 2H), 5,37-5,20 (m, 1H), 4,54 4,21 (m, 7H), 3,63 (br d, J=14,2 Гц, 1H), 3,18 (br s, 3H), 3,04-2,76 (m, 4H), 2,45 (br s, 7H), 2,23-1,85 (m, 12H), 1,82-1,69 (m, 2H), 1,56 (br s, 1H), 1,25-1,07 (m, 3H), 0,94 (s, 10H).
[1600] Иллюстративный синтез (2S,4R)-1-((S)-2-(2-(4-((4-(4-(3-(2-хлор-6-фтор-3-(((R)-3-фторπирролидин)-1-сульфонамидо)бензоил)-lH-пирроло[2,3-b]пиридин-5-ил)фенил)пиперазин-1-ил)метил)пиперидин-1-ил)ацетамидо)-3,3-диметилбутаноил)-4-гидрокси-N-(4-(4-метилтиазол-5-ил)бензил)пирролидин-2-карбоксамида (пример 352)
[1601] Стадия 1: получение 2-хлор-6-фтор-3-нитробензойной кислоты
[1602] К раствору 2-хлор-6-фторбензойной кислоты (10 г, 57,29 ммоль, 1 экв.) в серной кислоте (100 мл) добавляли азотную кислоту (7,22 г, 114,58 ммоль, 5,16 мл, 2 экв.) при 0°С. Реакционную смесь нагревали до 20°С и перемешивали в течение 1 ч. Реакционный раствор выливали в ледяную воду (1000 мл) и перемешивали в течение 10 минут и затем экстрагировали этилацетатом (200 мл x 3). Органические слои объединяли и промывали водой (200 мл x 2), затем солевым раствором (100 мл). Органический слой высушивали над сульфатом натрия, фильтровали и фильтрат концентрировали в вакууме. 2-Хлор-6-фтор-3-нитробензойную кислоту (11,7 г, 53,29 ммоль, выход 93%) получали в виде белого твердого вещества.
[1603] Стадия 2: получение (5-бром-1Н-пирроло[2,3-b]пиридин-3-ил)(2-хлор-6-фтор-3-нитрофенил)метанона
[1604] К раствору 2-хлор-6-фтор-3-нитробензойной кислоты (11,3 г, 51,47 ммоль, 1 экв.) в толуоле (100 мл) добавляли сульфоксидхлорид (30,62 г, 257,34 ммоль, 5 экв.) и Ν,Ν-диметилформамид (1 мл). Смесь нагревали до 110°С в течение 2 ч. Растворитель удаляли в вакууме. Остаток растворяли в дихлорметане (200 мл) и к раствору добавляли 5-бром-1Н-пирроло[2,3-b]пиридин (11,15 г, 56,61 ммоль, 1,1 экв.), трихлорид алюминия (20,59 г, 154,40 ммоль, 3 экв.). Смесь нагревали до 40°С в течение 3 ч. Растворитель удаляли в вакууме и остаток выливали в ледяную воду (500 мл) и перемешивали в течение 30 минут. Смесь экстрагировали тетрагидрофураном (300 мл x 3). Органический слой промывали солевым раствором (300 мл x 2) и высушивали над сульфатом натрия. Смесь фильтровали и фильтрат концентрировали в вакууме. Неочищенный продукт растирали с метанолом (50 мл) с получением (5-бром-1Н-пирроло[2,3-b]пиридин-3-ил)-(2-хлор-6-фтор-3-нитрофенил)метанона (9,3 г, 22,40 ммоль, выход 43%, чистота 96%) в виде желтого твердого вещества. LC/MS (ESI) масса/заряд: 399,8 [М+1]+.
[1605] Стадия 3: получение (3-амино-2-хлор-6-фторфенил)(5-бром-1Н-пирроло[2,3-b]пиридин-3-ил)метанона
[1606] К раствору (5-бром-1Н-пирроло[2,3-b]пиридин-3-ил)-(2-хлор-6-фтор-3-нитрофенил)метанона (9,3 г, 23,33 ммоль, 1 экв.) в тетрагидрофуране (60 мл) и этиловом спирте (60 мл) добавляли хлористоводородную кислоту (12 М, 3,89 мл, 2 экв.), хлорид аммония (3,74 г, 70,00 ммоль, 3 экв.) и порошок железа (6,52 г, 116,67 ммоль, 5 экв.). Смесь перемешивали при 80°С в течение 12 ч. Реакционную смесь регулировали до рН 8 с помощью насыщенного водного раствора бикарбоната натрия. Реакционную смесь фильтровали и фильтрат концентрировали. В смесь выливали воду (100 мл) и перемешивали в течение 1 минуты. Водную фазу экстрагировали тетрагидрофураном (100 мл x 3). Объединенную органическую фазу промывали солевым раствором (100 мл x 2), высушивали с помощью безводного сульфата натрия, фильтровали и концентрировали в вакууме. Неочищенный продукт растирали со смесью петролейный эфир:этилацетат=1:1 (30 мл) с получением (3-амино-2-хлор-6-фторфенил)-(5-бром-1Н-пирроло[2,3-b]пиридин-3-ил)метанона (8,03 г, 21,13 ммоль, выход 90%, чистота 97%) в виде желтого твердого вещества. LC/MS (ESI) масса/заряд: 369,8 [М+1]+.
[1607] Стадия 4: получение (R)-N-(3-(5-бром-1Н-пирроло[2,3-b]пиридин-3-карбонил)-2-хлор-4-фторфенил)-3-фторпирролидин-1-сульфонамида
[1608] К раствору (3-амино-2-хлор-6-фторфенил)-(5-бром-1Н-пирроло[2,3-b]пиридин-3-ил)метанона (1 г, 2,71 ммоль, 1 экв.) и (3R)-3-фторпирролидин-1-сульфонилхлорида (610 мг, 3,26 ммоль, 1,2 экв.) в пиридине (10 мл) добавляли 4-диметиламинопиридин (66 мг, 0,54 ммоль, 0,2 экв.). Смесь перемешивали при 40°С в течение 12 часов. Реакционную смесь регулировали до рН 8 с помощью насыщенного водного раствора бикарбоната натрия. В смесь выливали воду (100 мл) и перемешивали в течение 1 минуты. Водную фазу экстрагировали этилацетатом (100 мл x 3). Объединенную органическую фазу промывали солевым раствором (100 мл x 2), высушивали с помощью безводного сульфата натрия, фильтровали и концентрировали в вакууме. Остаток очищали с помощью препаративной HPLC с обращенной фазой. Соединение, (3R)-N-[3-(5-бром-1Н-пирроло[2,3-b]пиридин-3-карбонил)-2-хлор-4-фторфенил]-3-фторпирролидин-1-сульфонамид (270 мг, 0,51 ммоль, выход 19%), получали в виде желтого твердого вещества. LC/MS (ESI) масса/заряд: 521,1 [М+1]+.
[1609] Стадия 5: получение (R)-N-(3-(5-бром-1-((2-(триметилсилил)этокси)метил)-1Н-пирроло[2,3-b]пиридин-3-карбонил)-2-хлор-4-фторфенил)-3-фтор-N-((2-(триметилсилил)этокси)метил)пирролидин-1-сульфонамида
[1610] К раствору (3R)-N-[3-(5-бром-1Н-пирроло[2,3-b]пиридин-3-карбонил)-2-хлор-4-фторфенил]-3-фторпирролидин-1-сульфонамида (410 мг, 0,78 ммоль, 1 экв.) в N,N-диметилформамиде (4,5 мл) добавляли гидрид натрия (78 мг, 1,97 ммоль, 60% в минеральном масле, 2,5 экв.) при 0°С. Затем к смеси добавляли (2-(хлорметокси)этил)триметилсилан (328 мг, 1,97 ммоль, 2,5 экв.) при 15°С. Смесь перемешивали при 0-15°С в течение 12 ч. К смеси добавляли насыщенный водный раствор хлорида аммония (10 мл). В смесь выливали воду (10 мл) и перемешивали в течение 1 минуты. Водную фазу экстрагировали этилацетатом (15 мл × 3). Объединенную органическую фазу промывали солевым раствором (15 мл × 2), высушивали с помощью безводного сульфата натрия, фильтровали и концентрировали в вакууме. Остаток очищали с помощью препаративной тонкослойной хроматографии с обращенной фазой (петролейный эфир/этилацетат=3/1). (3R)-N-[3-[5-Бром-1-(2-триметилсилилэтоксиметил)пирроло[2,3-b]пиридин-3-карбонил]-2-хлор-4-фторфенил]-3-фтор-N-(2-триметилсилилэтоксиметил)пирролидин-1-сульфонамид (330 мг, 0,42 ммоль, выход 53%) получали в виде желтого масла. LC/MS (ESI) масса/заряд: 781,0 [М+1]+.
[1611] Стадия 6: получение трет-бутил-(R)-2-(4-((4-(4-(3-(2-хлор-6-фтор-3-((3-фтор-N-((2-(триметилсилил)этокси)метил)пирролидин)-1-сульфонамидо)бензоил)-1-((2-(триметилсилил)этокси)метил)-1Н-пирроло[2,3-b]пиридин-5-ил)фенил)пиперазин-1-ил)метил)пиперидин-1-ил)ацетата
[1612] К раствору (3R)-N-[3-[5-бром-1-(2-триметилсилилэтоксиметил)пирроло[2,3-b]пиридин-3-карбонил]-2-хлор-4-фторфенил]-3-фтор-N-(2-триметилсилилэтоксиметил)пирролидин-1-сульфонамида (330 мг, 0,42 ммоль, 1 экв.) и трет-бутил-2-[4-[[4-[4-(4,4,5,5-тетраметил-1,3,2-диоксаборолан-2-ил)фенил]пиперазин-1-ил]метил]-1-пиперидил]ацетата (211 мг, 0,42 ммоль, 1 экв.) в диоксане (5 мл) и воде (0,5 мл) добавляли 4-ди-трет-бутилфосфанил-N,N-диметиланилин-дихлорпалладий (29 мг, 0,04 ммоль, 0,1 экв.) и фторид цезия (256 мг, 1,69 ммоль, 4 экв.). Смесь перемешивали при 90°С в течение 3 ч. В смесь выливали воду (100 мл) и перемешивали в течение 1 минуты. Водную фазу экстрагировали этилацетатом (50 мл × 3). Объединенную органическую фазу промывали солевым раствором (100 мл × 2), высушивали с помощью безводного сульфата натрия, фильтровали и концентрировали в вакууме. Остаток очищали с помощью препаративной TLC (дихлорметан:метанол=10:1). Соединение, трет-бутил-2-[4-[[4-[4-[3-[2-хлор-6-фтор-3-[[(3R)-3-фторпирролидин-1-ил]сульфонил-(2-триметилсилилэтоксиметил)амино]бензоил]-1-(2-триметилсилилэтоксиметил)пирроло[2,3-b]пиридин-5-ил]фенил]пиперазин-1-ил]метил]-1-пиперидил]ацетат (340 мг, 0,28 ммоль, выход 68%, чистота 91%), получали в виде желтого масла. LC/MS (ESI) масса/заряд: 537,8 [М/2+1]+.
[1613] Стадия 7: получение метил-(R)-2-(4-((4-(4-(3-(2-хлор-6-фтор-3-((3-фторпирролидин)-1-сульфонамидо)бензоил)-1Н-пирроло[2,3-b]пиридин-5-ил)фенил)пиперазин-1-ил)метил)пиперидин-1-ил)ацетата
[1614] К раствору трет-бутил-2-[4-[[4-[4-[3-[2-хлор-6-фтор-3-[[(3R)-3-фторпирролидин-1-ил]сульфонил-(2-триметилсилилэтоксиметил)амино]бензоил]-1-(2-триметилсилилэтоксиметил)пирроло[2,3-b]пиридин-5-ил]фенил]пиперазин-1-ил]метил]-1-пиперидил]ацетата (340 мг, 0,31 ммоль, 1 экв.) в метаноле (7 мл) добавляли смесь хлористоводородная кислота/диоксан (4 М, 14 мл). Смесь перемешивали при 40°С в течение 12 ч. Реакционную смесь фильтровали и концентрировали при пониженном давлении. Неочищенный продукт применяли на следующей стадии без дополнительной очистки. Метил-2-[4-[[4-[4-[3-[2-хлор-6-фтор-3-[[(3R)-3-фторпирролидин-1-ил]сульфониламино]бензоил]-1Н-пирроло[2,3-b]пиридин-5-ил]фенил]пиперазин-1-ил]метил]-1-пиперидил]ацетат (250 мг, 0,30 ммоль, выход 97%, гидрохлорид) получали в виде желтого твердого вещества. LC/MS (ESI) масса/заряд: 770,1 [М+1]+.
[1615] Стадия 8: получение (R)-2-(4-((4-(4-(3-(2-хлор-6-фтор-3-((3-фторпирролидин)-1-сульфонамидо)бензоил)-1Н-пирроло[2,3-b]пиридин-5-ил)фенил)пиперазин-1-ил)метил)пиперидин-1-ил)уксусной кислоты
[1616] К раствору метил-2-[4-[[4-[4-[3-[2-хлор-6-фтор-3-[[(3R)-3-фторпирролидин-1-ил]сульфониламино]бензоил]-1Н-пирроло[2,3-b]пиридин-5-ил]фенил]пиперазин-1-ил]метил]-1-пиперидил]ацетата (250 мг, 0,30 ммоль, 1 экв., гидрохлорид) в воде (3 мл), тетрагидрофуране (8 мл) и метаноле (8 мл) добавляли моногидрат гидроксида лития (78 мг, 1,86 ммоль, 6 экв.). Смесь перемешивали при 15°С в течение 2 ч. К смеси добавляли гидроксид натрия (24 мг, 0,61 ммоль, 2 экв.), смесь перемешивали при 40°С в течение 12 ч. Реакционную смесь фильтровали и концентрировали при пониженном давлении с получением остатка. Затем реакционную смесь регулировали до рН 7 с помощью хлористоводородной кислоты (1 М). Остаток очищали с помощью препаративной HPLC с обращенной фазой. Соединение, 2-[4-[[4-[4-[3-[2-хлор-6-фтор-3-[[(3R)-3-фторпирролидин-1-ил]сульфониламино]бензоил]-1Н-пирроло[2,3-b]пиридин-5-ил]фенил]пиперазин-1-ил]метил]-1-пиперидил]уксусную кислоту (100 мг, 0,12 ммоль, выход 80%, формиат), получали в виде желтого твердого вещества. LC/MS (ESI) масса/заряд: 756,1 [М+1]+.
[1617] Стадия 9: получение (2S,4R)-1-((S)-2-(2-(4-((4-(4-(3-(2-хлор-6-фтор-3-(((R)-3-фторпирролидин)-1-сульфонамидо)бензоил)-1Н-пирроло[2,3-b]пиридин-5-ил)фенил)пиперазин-1-ил)метил)пиперидин-1-ил)ацетамидо)-3,3-диметилбутаноил)-4-гидрокси-N-(4-(4-метилтиазол-5-ил)бензил)пирролидин-2-карбоксамида
[1618] К раствору 2-[4-[[4-[4-[3-[2-хлор-6-фтор-3-[[(3R)-3-фторпирролидин-1-ил]сульфониламино]бензоил]-1Н-пирроло[2,3-b]пиридин-5-ил]фенил]пиперазин-1-ил]метил]-1-пиперидил]уксусной кислоты (100 мг, 0,12 ммоль, 1 экв., формиат) и (2S,4R)-1-[(2S)-2-амино-3,3-диметилбутаноил]-4-гидрокси-N-[[4-(4-метилтиазол-5-ил)фенил]метил]пирролидин-2-карбоксамида (58 мг, 0,12 ммоль, 1 экв., гидрохлорид) в N,N-диметилформамиде (3 мл) добавляли гидроксибензотриазол (20 мг, 0,14 ммоль, 1,2 экв.) и триэтиламин (18 мг, 0,18 ммоль, 1,5 экв.). Смесь перемешивали при 15°С в течение 0,5 ч. К смеси добавляли гидрохлорид 1-(3-диметиламинопропил)-3-этилкарбодиимида (28 мг, 0,14 ммоль, 1,2 экв.), смесь перемешивали при 15°С в течение 11,5 ч. В смесь выливали воду (30 мл) и перемешивали в течение 1 минуты. Водную фазу экстрагировали дихлорметаном (10 мл × 3). Объединенную органическую фазу высушивали с помощью безводного сульфата натрия, фильтровали и концентрировали в вакууме. Остаток очищали с помощью препаративной HPLC с обращенной фазой. Соединение, (2S,4R)-1-[(2S)-2-[[2-[4-[[4-[4-[3-[2-хлор-6-фтор-3-[[(3R)-3-фторпирролидин-1-ил]сульфониламино]бензоил]-1Н-пирроло[2,3-b]пиридин-5-ил]фенил]пиперазин-1-ил]метил]-1-пиперидил]ацетил]амино]-3,3-диметилбутаноил]-4-гидрокси-N-[[4-(4-метилтиазол-5-ил)фенил]метил]пирролидин-2-карбоксамид (72,1 мг, 0,05 ммоль, выход 45%, чистота 100%), 2 формиата), получали в виде желтого твердого вещества. LC/MS (ESI) масса/заряд: 1168,4 [М+1]+; 1Н ЯМР (400 МГц, DMSO-d6) δ 13,04-12,70 (m, 1Н), 9,00 (s, 1H), 8,66-8,61 (m, 2H), 8,17 (s, 1H), 8,19-8,15 (m, 1H), 7,98 (s, 1H), 7,83 (d, J=9,6 Гц, 1H), 7,66 (dd, J=6,0, 8,8 Гц, 1H), 7,58 (d, J=7,6 Гц, 2H), 7,48-7,30 (m, 6H), 7,06 (d, J=8,0 Гц, 2H), 5,37-5,21 (m, 1H), 4,50 (d, J=9,2 Гц, 1H), 4,48-4,40 (m, 2H), 4,37 (d, J=6,4 Гц, 2H), 4,32-4,23 (m, 2H), 3,70-3,57 (m, 1H), 3,46 (s, 4H), 3,19 (s, 2H), 3,02 (d, J=16,0 Гц, 3H), 2,94-2,79 (m, 3H), 2,21-2,02 (m, 13H), 1,90 (s, 2H), 1,73 (d, J=14,8 Гц, 2H), 1,55 (s, 1H), 1,22-1,10 (m, 2H), 0,95 (s, 9H).
[1619] Иллюстративный синтез (2S,4R)-1-((S)-2-(3-(3-(4-(4-(3-(2,6-дифтор-3-(((R)-3-фторпирролидин)-1-сульфонамидо)бензоил)-1Н-пирроло[2,3-b]пиридин-5-ил)фенил)пиперазин-1-ил)пропил)уреидо)-3,3-диметилбутаноил)-4-гидрокси-N-((S)-1-(4-(4-метилтиазол-5-ил)фенил)этил)пирролидин-2-карбоксамида (пример 366)
[1620] Стадия 1: получение бензил-(3,3-диметоксипропил)карбамата
[1621] К раствору бензил-N-(3-оксопропил)карбамата (1 г, 4,83 ммоль, 1 экв.) в метаноле (10 мл) добавляли п-метилбензолсульфоновую кислоту (166 мг, 0,96 ммоль, 0,2 экв.) и триметоксиметан (2,56 г, 24,1 ммоль, 2,6 мл, 5 экв.). Смесь перемешивали при 30°С в течение 2 часов. Реакционную смесь разбавляли водой (15 мл) и экстрагировали этилацетатом (10 мл × 2). Объединенную органическую фазу промывали насыщенным солевым раствором (10 мл × 2), высушивали с помощью безводного сульфата натрия, фильтровали и концентрировали в вакууме. Остаток очищали с помощью хроматографии на силикагеле (петролейный эфир: этилацетат = от 20:1 до 5:1) с получением бензил-N-(3,3-диметоксипропил)карбамата (1,1 г, 4,34 ммоль, выход 89%) в виде бесцветного масла.
[1622] Стадия 2: получение 3,3-диметоксипропан-1-амина
[1623] К раствору бензил-N-(3,3-диметоксипропил)карбамата (1 г, 3,95 ммоль, 1 экв.) в тетрагидрофуране (15 мл) добавляли катализатор на основе палладия на активированном угле (300 мг, 10%, 1,00 экв.) в атмосфере азота. Суспензию дегазировали и продували с помощью водорода 3 раза. Смесь перемешивали в атмосфере водорода (15 фунтов/кв. дюйм) при 15°С в течение 12 часов. Реакционную смесь фильтровали и фильтрат концентрировали с получением 3,3-диметоксипропан-1-амина (340 мг, 2,85 ммоль, выход 72%) в виде бесцветного масла. 1Н ЯМР (400 МГц, CDCl3) δ 4,48 (t, J=5,6 Гц, 1H), 3,34 (s, 6H), 2,79 (t, J=6,4 Гц, 2H), 1,77 (q, J=6,4 Гц,2Н), 1,21 (s,2H).
[1624] Стадия 3: получение (2S,4R)-1-((S)-2-(3-(3,3-диметоксипропил)уреидо)-3,3-диметилбутаноил)-4-гидрокси-N-((S)-1-(4-(4-метилтиазол-5-ил)фенил)этил)пирролидин-2-карбоксамида
[1625] К раствору 3,3-диметоксипропан-1-амина (240 мг, 2,01 ммоль, 1 экв.) в тетраги дрофу ране (4 мл) добавляли N,N-карбонилдиимидазол (490 мг, 3,02 ммоль, 1,5 экв.) и триэтиламин (407 мг, 4,03 ммоль, 0,56 мл, 2 экв.). Смесь перемешивали при 15°С в течение 4 часов. К смеси по каплям добавляли раствор (2S,4R)-1-[(2S)-2-амино-3,3-диметилбутаноил]-4-гидрокси-N-[(1S)-1-[4-(4-метилтиазол-5-ил)фенил]этил]пирролидин-2-карбоксамида (484 мг, 1,01 ммоль, 0,5 экв., гидрохлорид) в тетрагидрофуране (4 мл) и смесь перемешивали при 40°С в течение еще 12 часов. Реакционную смесь разбавляли водой (20 мл) и экстрагировали этилацетатом (10 мл × 3). Объединенную органическую фазу промывали насыщенным солевым раствором (10 мл × 2), высушивали с помощью безводного сульфата натрия, фильтровали и концентрировали в вакууме. Остаток очищали с помощью хроматографии на силикагеле (дихлорметан:метанол = от 100:1 до 30:1) с получением (2S,4R)-1-[(2S)-2-(3,3-диметоксипропилкарбамоиламино)-3,3-диметилбутаноил]-4-гидрокси-N-[(1S)-1-[4-(4-метилтиазол-5-ил)фенил]этил]пирролидин-2-карбоксамида (380 мг, 0,65 ммоль, выход 31%) в виде белого твердого вещества.
[1626] Стадия 4: получение (2S,4R)-1-((S)-3,3-диметил-2-(3-(3-оксопропил)уреидо)бутаноил)-4-гидрокси-N-((S)-1-(4-(4-метилтиазол-5-ил)фенил)этил)пирролидин-2-карбоксамида
[1627] К раствору (2S,4R)-1-[(2S)-2-(3,3-Диметоксипропилкарбамоиламино)-3,3-диметилбутаноил]-4-гидрокси-N-[(1S)-1-[4-(4-метилтиазол-5-ил)фенил]этил]пирролидин-2-карбоксамида (200 мг, 0,33 ммоль, 1 экв.) в тетраги дрофу ране (30 мл) добавляли серную кислоту (2 М, 6,8 мл, 40 экв.). Смесь перемешивали при 60°С в течение 10 мин. Реакционную смесь регулировали до рН 8~9 с помощью насыщенного раствора бикарбоната натрия и воды (15 мл) и затем смесь экстрагировали этилацетатом (10 мл × 2). Объединенную органическую фазу промывали насыщенным солевым раствором (10 мл × 2), высушивали с помощью безводного сульфата натрия, фильтровали и концентрировали в вакууме с получением неочищенного продукта, (2S,4R)-1-[(2S)-3,3-диметил-2-(3-оксопропилкарбамоиламино)бутаноил]-4-гидрокси-N-[(1S)-1-[4-(4-метилтиазол-5-ил)фенил]этил]пирролидин-2-карбоксамида (180 мг, неочищенный), в виде белого твердого вещества, применяемого на следующей стадии без дополнительной очистки.
[1628] Стадия 5: получение трет-бутил-4-(4-(4,4,5,5-тетраметил-1,3,2-диоксаборолан-2-ил)фенил)пиперазин-1-карбоксилата
[1629] Смесь 4,4,5,5-тетраметил-2-(4,4,5,5-тетраметил-1,3,2-диоксаборолан-2-ил)-1,3,2-диоксаборолана (893 мг, 3,52 ммоль, 1,2 экв.), трет-бутил-4-(4-бромфенил)пиперазин-1-карбоксилата (1 г, 2,93 ммоль, 1 экв.), ацетата калия (575 мг, 5,86 ммоль, 2 экв.) и [1,1'-бис(дифенилфосфино)ферроцен]дихлорпалладия(ii) (214 мг, 0,29 ммоль, 0,1 экв.) в диоксане (15 мл) дегазировали и продували азотом 3 раза и затем смесь перемешивали при 90°С в течение 12 часов в атмосфере азота. Реакционную смесь фильтровали, промывали насыщенным водным солевым раствором (30 мл × 3) и экстрагировали этилацетатом (50 мл × 3). Объединенные органические слои высушивали над безводным сульфатом натрия, фильтровали и концентрировали при пониженном давлении. Остаток очищали с помощью хроматографии на силикагеле (петролейный эфир/этилацетат = от 15/1 до 5:1). Соединение, трет-бутил-4-[4-(4,4,5,5-тетраметил-1,3,2-диоксаборолан-2-ил)фенил]пиперазин-1-карбоксилат (1,07 г, 2,59 ммоль, выход 88%, чистота 94%), получали в виде белого твердого вещества. LC/MS (ESI) масса/заряд: 389,3 [М+1]+.
[1630] Стадия 6: получение трет-бутил-(R)-4-(4-(3-(2,6-дифтор-3-((3-фтор-N-((2-(триметилсилил)этокси)метил)пирролидин)-1-сульфонамидо)бензоил)-1-((2-(триметилсилил)этокси)метил)-1Н-пирроло[2,3-b]пиридин-5-ил)фенил)пиперазин-1-карбоксилата
[1631] Смесь трет-бутил-4-[4-(4,4,5,5-тетраметил-1,3,2-диоксаборолан-2-ил)фенил]пиперазин-1-карбоксилата (1,07 г, 2,59 ммоль, 1 экв.), (3R)-N-[3-[5-бром-1-(2-триметилсилилэтоксиметил)пирроло[2,3-b]пиридин-3-карбонил]-2,4-дифторфенил]-3-фтор-N-(2-триметилсилилэтоксиметил)пирролидин-1-сульфонамида (2,2 г, 2,88 ммоль, 1,11 экв.), 4-ди-трет-бутилфосфанил-N,N-диметиланилин-дихлорпалладия (183 мг, 0,26 ммоль, 0,2 мл, 0,1 экв.) и фторида цезия (1,57 г, 10,35 ммоль, 0,4 мл, 4 экв.) в диоксане (10 мл) и воде (2 мл) дегазировали и продували азотом 3 раза, а затем смесь перемешивали при 100°С в течение 12 ч. в атмосфере азота. Реакционную смесь выливали в воду (30 мл) и экстрагировали этилацетатом (50 мл × 2). Объединенные органические слои высушивали над безводным сульфатом натрия, фильтровали и концентрировали при пониженном давлении. Остаток очищали с помощью хроматографии на силикагеле (петролейный эфир/этилацетат = от 15:1 до 2:1). Соединение трет-бутил-4-[4-[3-[2,6-дифтор-3-[[(3R)-3-фторпирролидин-1-ил]сульфонил-(2-триметилсилилэтоксиметил)амино]бензоил]-1-(2-триметилсилилэтоксиметил)пирроло[2,3-b]пиридин-5-ил]фенил]пиперазин-1-карбоксилат (1,54 г, 1,59 ммоль, выход 62%, чистота 97%) получали в виде желтого масла. LC/MS (ESI) масса/заряд: 945,2 [М]+.
[1632] Стадия 7: получение (R)-N-(2,4-дифтор-3-(5-(4-(пиперазин-1-ил)фенил)-1Н-пирроло[2,3-b]пиридин-3-карбонил)фенил)-3-фторпирролидин-1-сульфонамида
[1633] К раствору трет-бутил-4-[4-[3-[2,6-дифтор-3-[[(3R)-3-фторпирролидин-1-ил]сульфонил-(2-триметилсилилэтоксиметил)амино]бензоил]-1-(2-триметилсилилэтоксиметил)пирроло[2,3-b]пиридин-5-ил]фенил]пиперазин-1-карбоксилата (1,54 г, 1,59 ммоль, 1 экв.) в дихлорметане (5 мл) добавляли смесь хлористоводородная кислота/диоксан (4 М, 15 мл, 37,85 экв.). Смесь перемешивали при 40°С в течение 4 ч. Затем добавляли метиловый спирт (5 мл) и смесь перемешивали при 40°С в течение еще 12 часов. Реакционную смесь концентрировали под вакуумом с получением остатка. Соединение, (3R)-N-[2,4-дифтор-3-[5-(4-пиперазин-1-илфенил)-1Н-пирроло[2,3-b]пиридин-3-карбонил]фенил]-3-фторпирролидин-1-сульфонамид (1,22 г, неочищенный, 2 гидрохлорида), получали в виде желтого твердого вещества. LC/MS (ESI) масса/заряд: 585,1 [М]+; 1Н ЯМР (400 МГц, DMSO-d6) δ 12,98 (s, 1H), 9,87 (s, 1Н), 9,18 (s, 2Н), 8,67 (d, J=2,4 Гц, 1H), 8,57 (s, 1Н), 8,08 (s, 1Н), 7,66 (d, J=8,8 Гц, 2Н), 7,27 (t, J=8,8 Гц, 1Н), 7,14 (d, J=8,8 Гц, 2Н), 5,39-5,21 (m, 1Н), 3,64 (s, 1Н), 3,61-3,55 (m, 1Н), 3,49-3,43 (m, 6Н), 3,40 (s, 3Н), 3,24 (s, 5Н).
[1634] Стадия 8: получение (2S,4R)-1-((S)-2-(3-(3-(4-(4-(3-(2,6-дифтор-3-(((R)-3-фторпирролидин)-1-сульфонамидо)бензоил)-1Н-пирроло[2,3-b]пиридин-5-ил)фенил)пиперазин-1-ил)пропил)уреидо)-3,3-диметилбутаноил)-4-гидрокси-N-((S)-1-(4-(4-метилтиазол-5-ил)фенил)этил)пирролидин-2-карбоксамида
[1635] К раствору (2S,4R)-1-[(2S)-3,3-Диметил-2-(3-оксопропилкарбамоиламино)бутаноил]-4-гидрокси-N-[(1S)-1-[4-(4-метилтиазол-5-ил)фенил]этил]пирролидин-2-карбоксамида (140 мг, 0,25 ммоль, 1 экв.) в 1,2-дихлорэтане (5 мл) добавляли триэтиламин (78 мг, 0,77 ммоль, 3 экв.) и (3R)-N-[2,4-дифтор-3-[5-(4-пиперазин-1-илфенил)-1Н-пирроло[2,3-b]пиридин-3-карбонил]фенил]-3-фторпирролидин-1-сульфонамид (160 мг, 0,25 ммоль, 1 экв., гидрохлорид). Смесь перемешивали при 15°С в течение 0,5 часа. Добавляли триацетоксиборогидрид натрия (109 мг, 0,51 ммоль, 2 экв.), затем смесь перемешивали при 15°С в течение 3 часов. Реакционную смесь разбавляли водой (10 мл) и экстрагировали дихлорметаном (10 мл × 2). Объединенную органическую фазу промывали насыщенным солевым раствором (5 мл × 2), высушивали с помощью безводного сульфата натрия, фильтровали и концентрировали в вакууме. Остаток очищали с помощью полупрепаративной HPLC с обращенной фазой с получением (2S,4R)-1-[(2S)-2-[3-[4-[4-[3-[2,6-дифтор-3-[[(3R)-3-фторпирролидин-1-ил]сульфониламино]бензоил]-1Н-пирроло[2,3-b]пиридин-5-ил]фенил]пиперазин-1-ил]пропилкарбамоиламино]-3,3-диметилбутаноил]-4-гидрокси-N-[(1S)-1-[4-(4-метилтиазол-5-ил)фенил]этил]пирролидин-2-карбоксамида (89,5 мг, 0,07 ммоль, выход 30%, чистота 100%), формиат) в виде белого твердого вещества. LC/MS (ESI) масса/заряд: 1112,3 [М+1]+; 1Н ЯМР (400 МГц, DMSO-d6) δ 12,90 (s, 1H), 8,97 (s, 1H), 8,65 (d, J=2,0 Гц, 1H), 8,53 (s, 1H), 8,36 (d, J=7,6 Гц, 1H), 8,19 (s, 1H), 8,05 (s, 1H), 7,66-7,56 (m, 3H), 7,46-7,41 (m, 2H), 7,40-7,35 (m, 2H), 7,25 (t, J=8,0 Гц, 1H), 7,12-7,01 (m, 2H), 6,15 (t, J=5,6 Гц, 1H), 6,08 (d, J=9,6 Гц, 1H), 5,38-5,19 (m, 1H), 4,91 (q, J=7,2 Гц, 1H), 4,44 (t, J=8,0 Гц, 1H), 4,35 4,26 (m, 2H), 3,66 3,57 (m, 2H), 3,48 (s, 1H), 3,43-3,36 (m, 2H), 3,33-3,27 (m, 1H), 3,26-3,12 (m, 5H), 3,11-2,97 (m, 2H), 2,55-2,53 (m, 2H), 2,45 (s, 3H), 2,35 (br t, J=7,2 Гц, 2H), 2,15-1,94 (m, 3H), 1,80 (ddd, J=4,8, 8,4, 12,8 Гц, 1H), 1,62-1,53 (m, 2H), 1,38 (d, J=7,2 Гц, 3H), 1,00 (s, 2H), 0,93 (s, 9H).
[1636] Иллюстративный синтез (2S,4R)-1-(4-(4-((3-)4-(3-(2,6-дифтор-3-(((R)-3-фторпирролидин)-1-сульфонамидо)бензоил)-1Н-пирроло[2,3-b]пиридин-5-ил)фенил)пиперидин-4-ил)метил)пиперазин-1-ил)-2-(3-метилизоксазол-5-ил)бутаноил)-4-гидрокси-N-((S)-1-(4-(4-метилтиазол-5-ил)фенил)этил)пирролидин-2-карбоксамида (пример 440)
[1637] Стадия 1: получение метил-4,4-диметокси-2-(3-метилизоксазол-5-ил)бутаноата
[1638] К раствору метил-2-(3-метилизоксазол-5-ил)ацетата (1 г, 6,45 ммоль, 1 экв.) в диметилформамиде (10 мл) добавляли трет-бутоксид калия (867 мг, 7,73 ммоль, 1,2 экв.). Смесь перемешивали при 15°С в течение получаса, затем добавляли 2-бром-1,1-диметоксиэтан (1,31 г, 7,73 ммоль, 1,2 экв.). Полученную смесь перемешивали при 15°С в течение еще 1,5 часа. Затем смесь нагревали до 50°С и перемешивали при 50°С в течение еще 1 часа. Смесь выливали в 100 мл солевого раствора и рН регулировали до 5,0 с помощью 2,0 М хлористоводородной кислоты. Смесь экстрагировали этилацетатом (50 мл × 2). Объединенные органические слои промывали солевым раствором (50 мл × 2), высушивали над сульфатом натрия, фильтровали и концентрировали в вакууме. Остаток дополнительно очищали с помощью колоночной хроматографии (петролейный эфир:этилацетат = от 10:1 до 5:1) с получением метил-4,4-диметокси-2-(3-метилизоксазол-5-ил)бутаноата (620 мг, 1,53 ммоль, выход 23%, чистота 60%) в виде бесцветного масла. LC/MS (ESI) масса/заряд: 244,1 [М+1]+.
[1639] Стадия 2: получение 2-(3-метилизоксазол-5-ил)-4-оксобутановой кислоты
[1640] К раствору метил-4,4-диметокси-2-(3-метилизоксазол-5-ил)бутаноата (0,4 г, 1,64 ммоль, 1 экв.) в диоксане (2 мл) добавляли серную кислоту (2 мл). Смесь нагревали до 50°С и перемешивали при 50°С в течение 2 часов. Смесь выливали в 20 мл солевого раствора и рН регулировали до 4,0 с помощью 2,0 М хлористоводородной кислоты. Смесь экстрагировали этилацетатом (30 мл × 2). Объединенные органические слои высушивали над сульфатом натрия, фильтровали и концентрировали в вакууме. Остаток непосредственно применяли для следующей стадии без дополнительной очистки. Получали 2-(3-метилизоксазол-5-ил)-4-оксобутановую кислоту (340 мг, неочищенная) в виде бесцветного масла. LC/MS (ESI) масса/заряд: 184,1 [М+1]+.
[1641] Стадия 3: получение 4-(4-(трет-бутоксикарбонил)пиперазин-1-ил)-2-(3-метилизоксазол-5-ил)бутановой кислоты
[1642] К раствору 2-(3-метилизоксазол-5-ил)-4-оксобутановой кислоты (330 мг, 1,80 ммоль, 1 экв.) и трет-бутилпиперазин-1-карбоксилата (335 мг, 1,80 ммоль, 1 экв.) в смеси метанола (3 мл) и дихлорметана (1 мл) добавляли уксусную кислоту (10 мг, 0,18 ммоль, 0,1 экв.). Смесь перемешивали при 15°С в течение получаса, затем к смеси добавляли цианоборогидрид натрия (169 мг, 2,70 ммоль, 1,5 экв.). Полученную смесь перемешивали при 15°С в течение еще получаса. Смесь выливали в 20 мл воды и рН регулировали до 8,0 с помощью насыщенного раствора бикарбоната натрия. Смесь затем экстрагировали этилацетатом (20 мл), органический слой выливали. Водный слой регулировали с помощью 2,0 М серной кислоты до рН~4,0, экстрагировали этилацетатом (30 мл × 3). Объединенный органический слой высушивали над сульфатом натрия, фильтровали и концентрировали в вакууме. Остаток непосредственно применяли для следующей стадии без дополнительной очистки. Получали 4-(4-трет-бутоксикарбонилпиперазин-1-ил)-2-(3-метилизоксазол-5-ил)бутановую кислоту (320 мг, неочищенная) в виде бесцветного масла. LC/MS (ESI) масса/заряд: 354,1 [М+1]+.
[1643] Стадия 4: получение трет-бутил-4-(4-((2S,4R)-4-гидрокси-2-(((S)-1-(4-(4-метилтиазол-5-ил)фенил)этил)карбамоил)пирролидин-1-ил)-3-(3-метилизоксазол-5-ил)-4-оксобутил)пиперазин-1-карбоксилата
[1644] К раствору 4-(4-трет-бутоксикарбонилпиперазин-1-ил)-2-(3-метилизоксазол-5-ил)бутановой кислоты (300 мг, 0,84 ммоль, 1 экв.), гидроксибензотриазола (137 мг, 1,02 ммоль, 1,2 экв.) и углерода-гидрохлорида дииламина (244 мг, 1,27 ммоль, 1,5 экв.) в диметилформамиде (4 мл) добавляли (2S,4R)-4-гидрокси-N-[(1S)-1-[4-(4-метилтиазол-5-ил)фенил]этил]пирролидин-2-карбоксамид (312 мг, 0,84 ммоль, 1 экв., гидрохлорид) и диизопропилэтиламин (219 мг, 1,70 ммоль, 2 экв.). Смесь перемешивали при 20°С в течение 2 часов. Смесь выливали в 30 мл насыщенного солевого раствора, экстрагировали этилацетатом (30 мл × 2). Объединенные органические слои промывали солевым раствором (30 мл × 3), высушивали над сульфатом натрия, фильтровали и концентрировали в вакууме. Остаток дополнительно очищали с помощью препаративной HPLC, фракцию нейтрализовали раствором бикарбоната натрия, экстрагировали этилацетатом (50 мл × 2). Объединенные органические слои промывали насыщенным солевым раствором (30 мл × 3), высушивали над сульфатом натрия, фильтровали и концентрировали в вакууме. трет-Бутил-4-[4-[(2S,4R)-4-гидрокси-2-[[(1S)-1-[4-(4-метилтиазол-5-ил)фенил]этил]карбамоил]пирролидин-1-ил]-3-(3-метилизоксазол-5-ил)-4-оксобутил]пиперазин-1-карбоксилат (180 мг, 0,27 ммоль, выход 31%) получали в виде грязно-белого твердого вещества. 1Н ЯМР (400 МГц, DMSO-d6) δ 8,99 (s, 1H), 8,46-8,35 (m, 1H), 7,47-7,28 (m, 4H), 6,28-6,21 (s, 1H), 5,14 (d, J=3,6 Гц, 1H), 5,02-4,84 (m, 1H), 4,44 (t, J=7,6 Гц, 1H), 4,32-4,09 (m, 2H), 3,63-3,57 (m, 1H), 3,55-3,35 (m, 2H), 3,30 (s, 3H), 2,52 (s, 2H), 2,47-2,45 (m, 3H), 2,31-2,25 (m, 4H), 2,21-2,16 (m, 3H), 2,12-2,00 (m, 2H), 1,95-1,86 (m, 1H), 1,84-1,74 (m, 1H), 1,45-1,30 (m, 12H).
[1645] Стадия 5: получение (2S,4R)-4-гидрокси-1-(2-(3-метилизоксазол-5-ил)-4-(пиперазин-1-ил)бутаноил)-N-((S)-1-(4-(4-метилтиазол-5-ил)фенил)этил)пирролидин-2-карбоксамида
[1646] К раствору трет-бутил-4-[4-[(2S,4R)-4-гидрокси-2-[[(1S)-1-[4-(4-метилтиазол-5-ил)фенил]этил]карбамоил]пирролидин-1-ил]-3-(3-метилизоксазол-5-ил)-4-оксобутил]пиперазин-1-карбоксилата (80 мг, 0,12 ммоль, 1 экв.) в дихлорметане (2 мл) добавляли смесь хлороводород/метанол (4 М, 5 мл, 166,71 экв.) и смесь перемешивали при 15°С в течение 1 ч. Реакционную смесь концентрировали в вакууме с получением остатка. Неочищенный продукт применяли на следующей стадии без дополнительной очистки. Продукт, (2S,4R)-4-гидрокси-1-[2-(3-метилизоксазол-5-ил)-4-пиперазин-1-илбутаноил]-N-[(1S)-1-[4-(4-метилтиазол-5-ил)фенил]этил]пирролидин-2-карбоксамид (70 мг, 0,12 ммоль, выход 97%, НС1), получали в виде желтого твердого вещества. LC/MS (ESI) масса/заряд: 567,2 [М+1]+.
[1647] Стадия 6: получение (2S,4R)-1-(4-(4-((1-(4-(3-(2,6-дифтор-3-(((R)-3-фторпирролидин)-1-сульфонамидо)бензоил)-1Н-пирроло[2,3-b]пиридин-5-ил)фенил)пиперидин-4-ил)метил)пиперазин-1-ил)-2-(3-метилизоксазол-5-ил)бутаноил)-4-гидрокси-N-((S)-1-(4-(4-метилтиазол-5-ил)фенил)этил)пирролидин-2-карбоксамида
[1648] Раствор (2S,4R)-4-гидрокси-1-[2-(3-метилизоксазол-5-ил)-4-пиперазин-1-илбутаноил]-N-[(1S)-1-[4-(4-метилтиазол-5-ил)фенил]этил]пирролидин-2-карбоксамида (98 мг, 0,16 мкмоль, 1 экв., гидрохлорид) и ацетата натрия (40 мг, 0,49 ммоль, 3 экв.) в дихлорметане (2 мл) и метаноле (3 мл) перемешивали при 25°С в течение 0,5 ч. Затем добавляли (3R)-N-[2,4-дифтор-3-[5-[4-(4-формил-1-пиперидил)фенил]-1Н-пирроло[2,3-b]пиридин-3-карбонил]фенил]-3-фторпирролидин-1-сульфонамид (100 мг, 0,16 ммоль, 1 экв.) и уксусную кислоту (9 мг, 0,16 ммоль, 1 экв.) и перемешивали в течение 0,5 ч. Затем добавляли цианоборогидрид натрия (30 мг, 0,49 ммоль, 3 экв.). Реакционную смесь перемешивали при 25°С в течение 0,5 ч. Реакционную смесь фильтровали и концентрировали при пониженном давлении. Остаток очищали с помощью препаративной HPLC. Остаток очищали с помощью препаративной TLC (дихлорметан:метанол=10:1). (2S,4R)-1-[4-[4-[[1-[4-[3-[2,6-Дифтор-3-[[(3R)-3-фторпирролидин-1-ил]сульфониламино]бензоил]-1Н-пирроло[2,3-b]пиридин-5-ил]фенил]-4-пиперидил]метил]пиперазин-1-ил]-2-(3-метилизоксазол-5-ил)бутаноил]-4-гидрокси-N-[(1S)-1-[4-(4-метилтиазол-5-ил)фенил]этил]пирролидин-2-карбоксамид (59 мг, 51,02 мкмоль, выход 31%, чистота 99%) получали в виде желтого твердого вещества. LC/MS (ESI) масса/заряд: 1165,3 [М+1]+; 1Н ЯМР (400 МГц, DMSO-d6) δ 12,89 (s, 1H), 9,03-8,94 (m, 1H), 8,64 (s, 1H), 8,53 (s, 1Н), 8,44-8,28 (m, 1Н), 8,06 (s, 1H), 7,68-7,53 (m, 3Н), 7,50-7,22 (m, 6Н), 7,06 (d, J=8,8 Гц, 2Н), 6,30-6,18 (m, 1Н), 5,43-5,10 (m, 2Н), 4,98-4,87 (m, 1H), 4,52-4,37 (m, 1Н), 4,30 (d, J=4,0 Гц, 1H), 4,24-4,12 (m, 1H), 3,95-3,72 (m, 3Н), 3,63-3,51 (m, 2Н), 3,44 (s, 6Н), 2,72 (t, J=11,6 Гц, 2Н), 2,46 (d, J=1,6 Гц, 4Н), 2,45-2,25 (m, 10Н), 2,22-2,19 (m, 2Н), 2,18-1,95 (m, 9Н), 1,88-1,62 (m, 5Н), 1,39-1,33 (m, 5Н), 1,24-1,19 (m, 2Н).
[1649] Иллюстративный синтез (2S,4R)-((S)-2-(2-(4-(4-(4-(3-(3-((N-этил-N-метилсульфамоил)амино)-2,б-дифторбензоил)-1H-пирроло[2,3-d]пиридин-5-ил)фенил)иперазин-1-ил)перидин-1-ил)ацетамидо)-3,3-диметилбутаноил)-4-гидрокси-N-((S)-1-(4-(4-метилтиазол-5-ил)фенил)этил)пирролидин-2-карбоксамида (пример 480)
[1650] Стадия 1: получение этил(метил)сульфамоилхлорида
[1651] К раствору N-метилэтанамина (500 мг, 8,46 ммоль, 1 экв.) и триэтиламина (856 мг, 8,46 ммоль, 1,18 мл, 1 экв.) в дихлорметане (8 мл). Затем к смеси добавляли сульфурилхлорид (1,14 г, 8,46 ммоль, 1 экв.) в дихлорметане (3 мл) при 0°С. Смесь перемешивали при 0°С в течение 2 ч. Реакционную смесь выливали в ледяную хлористоводородную кислоту (1 н., 30 мл). Объединенную органическую фазу промывали солевым раствором (50 мл × 1) и хлористоводородной кислотой (1 н., 20 мл), высушивали с помощью безводного сульфата натрия, фильтровали и концентрировали в вакууме. Неочищенный продукт применяли на следующей стадии без дополнительной очистки. Соединение, N-этил-N-метилсульфамоилхлорид (1 г, неочищенный), получали в виде бесцветного масла.
[1652] Стадия 2: получение [(3-{5-бром-1Н-пирроло[2,3-b]пиридин-3-карбонил}-2,4-дифторфенил)сульфамоил](этил)метиламина
[1653] К раствору (3-амино-2,6-дифторфенил)-(5-бром-1Н-пирроло[2,3-b]пиридин-3-ил)метанона (1,19 г, 3,38 ммоль, 1 экв.) в ПИРИДИНЕ (5 мл) добавляли 4-диметиламинопиридин (82 мг, 0,67 ммоль, 0,2 экв.) и N-этил-N-метилсульфамоилхлорид (800 мг, 5,08 ммоль, 1,5 экв.). Смесь перемешивали при 40°С в течение 12 ч. Реакционную смесь регулировали до рН 8 с помощью насыщенного водного раствора бикарбоната натрия. В смесь выливали воду (100 мл) и перемешивали в течение 1 минуты. Водную фазу экстрагировали этилацетатом (100 мл × 3). Объединенную органическую фазу промывали солевым раствором (100 мл × 2), высушивали с помощью безводного сульфата натрия, фильтровали и концентрировали в вакууме. Остаток очищали с помощью препаративной HPLC. Соединение, 5-бром-3-[3-[[этил(метил)сульфамоил]амино]-2,6-дифторбензоил]-1Н-пирроло[2,3-b]пиридин (550 мг, 1,16 ммоль, выход 34%), получали в виде желтого твердого вещества. LC/MS (ESI) масса/заряд: 474,9 [М+1]+.
[1654] Стадия 3: получение {[3-(5-бром-1-{[2-(триметилсилил)этокси]метил}-1Н-пирроло[2,3-b]пиридин-3-карбонил)-2,4-дифторфенил]({[2-(триметилсилил)этокси]метил})сульфамоил}(этил)метиламина
[1655] К раствору 5-бром-3-[3-[[этил(метил)сульфамоил]амино]-2,6-дифторбензоил]-1Н-пирроло[2,3-b]пиридина (550 мг, 1,16 ммоль, 1 экв.) в N,N-диметилформамиде (6 мл) добавляли гидрид натрия (139 мг, 3,49 ммоль, чистота 60%, 3 экв.) и (2-(хлорметокси)этил)триметилсилан (484 мг, 2,91 ммоль, 2,5 экв.). Смесь перемешивали при 40°С в течение 12 ч. В смесь выливали воду (100 мл) и перемешивали в течение 1 минуты. Водную фазу экстрагировали этилацетатом (70 мл × 3). Объединенную органическую фазу промывали солевым раствором (100 мл × 2), высушивали с помощью безводного сульфата натрия, фильтровали и концентрировали в вакууме. Остаток очищали с помощью колоночной хроматографии (петролейный эфир:этилацетат = от 1:0 до 20:1). Соединение, [5-бром-1-(2-триметилсилилэтоксиметил)пирроло[2,3-b]пиридин-3-ил]-[3-[[этил(метил)сульфамоил]-(2-триметилсилилэтоксиметил)амино]-2,6-дифторфенил]метанон (550 мг, 0,74 ммоль, выход 64%), получали в виде светло-желтого масла. LC/MS (ESI) масса/заряд: 734,8 [М+1]+.
[1656] Стадия 4: получение трет-бутил-2-(4-(4-(4-(3-(3-((N-этил-N-метилсульфамоил)((2-(триметилсилил)этокси)метил)амино)-2,6-дифторбензоил)-1-((2-(триметилсилил)этокси)метил)-1Н-пирроло[2,3-b]пиридин-5-ил)фенил)пиперазин-1-ил)пиперидин-1-ил)ацетата
[1657] К раствору [5-бром-1-(2-триметилсилилэтоксиметил)пирроло[2,3-b]пиридин-3-ил]-[3-[[этил(метил)сульфамоил]-(2-триметилсилилэтоксиметил)амино]-2,6-дифторфенил]метанона (350 мг, 0,47 ммоль, 1 экв.) и трет-бутил-2-[4-[4-[4-(4,4,5,5-тетраметил-1,3,2-диоксаборолан-2-ил)фенил]пиперазин-1-ил]-1-пиперидил]ацетата (231 мг, 0,47 ммоль, 1 экв.) в диоксане (3 мл) и воде (0,3 мл) добавляли фторид цезия (289 мг, 1,91 ммоль, 4 экв.) и 4-ди-трет-бутилфосфанил-N,N-диметиланилин-дихлорпалладий (33 мг, 0,04 ммоль, 0,1 экв.). Смесь перемешивали при 90°С в течение 3 ч. В смесь выливали воду (80 мл) и перемешивали в течение 1 минуты. Водную фазу экстрагировали этилацетатом (40 мл × 3). Объединенную органическую фазу промывали солевым раствором (100 мл × 2), высушивали с помощью безводного сульфата натрия, фильтровали и концентрировали в вакууме. Остаток очищали с помощью колоночной хроматографии (петролейный эфир: этилацетат = от 1:0 до 5:1). Соединение, трет-бутил-2-[4-[4-[4-[3-[3-[[этил(метил)сульфамоил]-(2-триметилсилилэтоксиметил)амино]-2,6-дифторбензоил]-1-(2-триметилсилилэтоксиметил)пирроло[2,3-b]пиридин-5-ил]фенил]пиперазин-1-ил]-1-пиперидил]ацетат (250 мг, 0,24 ммоль, выход 51%), получали в виде желтого твердого вещества. LC/MS (ESI) масса/заряд: 506,3 [М/2]+.
[1658] Стадия 5: получение метил-2-(4-(4-(4-(3-(3-((N-этил-N-метилсульфамоил)амино)-2,6-дифторбензоил)-1Н-пирроло[2,3-b]пиридин-5-ил)фенил)пиперазин-1-ил)пиперидин-1-ил)ацетата
[1659] К раствору трет-бутил-2-[4-[4-[4-[3-[3-[[этил(метил)сульфамоил]-(2-триметилсилилэтоксиметил)амино]-2,6-дифторбензоил]-1-(2-триметилсилилэтоксиметил)пирроло[2,3-b]пиридин-5-ил]фенил]пиперазин-1-ил]-1-пиперидил]ацетата (250 мг, 0,24 ммоль, 1 экв.) в метаноле (2 мл) добавляли смесь хлористоводородная кислота/диоксан (4 М, 10 мл, 161,98 экв.). Смесь перемешивали при 40°С в течение 12 ч. Реакционную смесь концентрировали при пониженном давлении. Неочищенный продукт применяли на следующей стадии без дополнительной очистки. Соединение, метил-2-[4-[4-[4-[3-[3-[[этил(метил)сульфамоил]амино]-2,6-дифторбензоил]-1Н-пирроло[2,3-b]пиридин-5-ил]фенил]пиперазин-1-ил]-1-пиперидил]ацетат (175 мг, неочищенный), получали в виде желтого масла. LC/MS (ESI) масса/заряд: 701,1 [М/2+1]+.
[1660] Стадия 6: получение 2-(4-(4-(4-(3-(3-((N-этил-N-метилсульфамоил)амино)-2,6-дифторбензоил)-1Н-пирроло[2,3-b]пиридин-5-ил)фенил)пиперазин-1-ил)пиперидин-1-ил)уксусной кислоты
[1661] К раствору метил-2-[4-[4-[4-[3-[3-[[этил(метил)сульфамоил]амино]-2,6-дифторбензоил]-1Н-пирроло[2,3-b]пиридин-5-ил]фенил]пиперазин-1-ил]-1-пиперидил]ацетата (175 мг, 0,24 ммоль, 1 экв.) в тетрагидрофуране (2 мл), метаноле (2 мл) и воде (1 мл) добавляли моногидрат гидроксида лития (41 мг, 0,98 ммоль, 4 экв.). Смесь перемешивали при 40°С в течение 1 ч. Реакционную смесь концентрировали при пониженном давлении. Реакционную смесь регулировали до рН 7 с помощью хлористоводородной кислоты (1 М). Осадок собирали путем фильтрации. Неочищенный продукт применяли на следующей стадии без дополнительной очистки. Соединение, 2-[4-[4-[4-[3-[3-[[этил(метил)сульфамоил]амино]-2,6-дифторбензоил]-1Н-пирроло[2,3-b]пиридин-5-ил]фенил]пиперазин-1-ил]-1-пиперидил]уксусная кислота (100 мг, 0,14 ммоль, выход 58%), получали в виде желтого твердого вещества. LC/MS (ESI) масса/заряд: 696,1 [М+1]+.
[1662] Стадия 7: получение (2S,4R)-1-((S)-2-(2-(4-(4-(4-(3-(3-((N-этил-N-метилсульфамоил)амино)-2,6-дифторбензоил)-1Н-пирроло[2,3-b]пиридин-5-ил)фенил)пиперазин-1-ил)пиперидин-1-ил)ацетамидо)-3,3-диметилбутаноил)-4-гидрокси-N-((S)-1-(4-(4-метилтиазол-5-ил)фенил)этил)пирролидин-2-карбоксамида
[1663] К раствору 2-[4-[4-[4-[3-[3-[[этил(метил)сульфамоил]амино]-2,6-дифторбензоил]-1Н-пирроло[2,3-b]пиридин-5-ил]фенил]пиперазин-1-ил]-1-пиперидил]уксусной кислоты (100 мг, 0,14 ммоль, 1 экв.) и (2S,4R)-1-[(2S)-2-амино-3,3-диметилбутаноил]-4-гидрокси-N-[(1S)-1-[4-(4-метилтиазол-5-ил)фенил]этил]пирролидин-2-карбоксамида (69 мг, 0,14 ммоль, 1,00 экв., гидрохлорид) в N,N-диметилформамиде (2 мл) добавляли гидроксибензотриазол (23 мг, 0,17 ммоль, 1,2 экв.), триэтиламин (22 мг, 0,21 ммоль, 1,5 экв.) и гидрохлорид 1-(3-диметиламинопропил)-3-этилкарбодиимида (33 мг, 0,17 ммоль, 1,2 экв.). Смесь перемешивали при 30°С в течение 12 ч. В смесь выливали воду (50 мл) и перемешивали в течение 1 минуты. Водную фазу экстрагировали дихлорметаном (20 мл × 3). Объединенную органическую фазу промывали солевым раствором (20 мл × 2), высушивали с помощью безводного сульфата натрия, фильтровали и концентрировали в вакууме. Остаток очищали с помощью препаративной HPLC. Соединение, (2S,4R)-1-[(2S)-2-[[2-[4-[4-[4-[3-[3-[[этил(метил)сульфамоил]амино]-2,6-дифторбензоил]-1Н-пирроло[2,3-b]пиридин-5-ил]фенил]пиперазин-1-ил]-1-пиперидил]ацетил]амино]-3,3-диметилбутаноил]-4-гидрокси-N-[(1S)-1-[4-(4-метилтиазол-5-ил)фенил]этил]пирролидин-2-карбоксамид (105,2 мг, 0,093 ммоль, выход 65%, чистота 100%), получали в виде желтого твердого вещества. LC/MS (ESI) масса/заряд: 562,0 [М/2+1]+; 1Н ЯМР (400 МГц, DMSO-d6) δ 13,15-12,64 (m, 1Н), 8,98 (s, 1H), 8,65 (d, J=2,0 Гц, 1H), 8,57-8,43 (m, 2H), 8,18 (s, 1H), 8,09 (s, 1H), 7,77 (d, J=9,2 Гц, 1H), 7,64-7,55 (m, 3H), 7,47-7,41 (m, 2H), 7,40-7,33 (m, 2H), 7,27 (t, J=8,4 Гц, 1H), 7,07 (d, J=8,8 Гц, 2H), 4,94-4,85 (m, 1H), 4,53-4,41 (m, 2H), 4,28 (s, 1H), 3,14-3,06 (m, 4H), 3,03 (s, 1H), 2,90 (d, J=16,0 Гц, 3H), 2,72 (s, 3H), 2,67 (s, 4H), 2,45 (s, 4H), 2,30-2,18 (m, 2H), 2,17 (s, 1H), 2,14-2,02 (m, 2H), 2,14-2,02 (m, 1H), 1,86 (s, 2H), 1,79-1,72 (m, 1H), 1,57-1,42 (m, 3H), 1,38 (d, J=7,2 Гц, 3H), 1,01 (t, J=7,2 Гц, 3H), 0,95 (s, 9H).
[1664] Иллюстративный синтез (2S,4R)-1-((S)-2-(2-((2S,6R)-4-((1-(4-(3-(2,6-дифтор-3-(((R)-3-фторпирролидин)-1-сульфонамидо)бензоил)-1H-пирроло[2,3-b]пиридин-5-ил)фенил)пиперидин-4-ил)метил)-2,6-диметилпиперазин-1-ил)ацетамидо)-3,3-диметилбутаноил)-4-гидрокси-N-((S)-1-(4-(4-метилтиазол-5-ил)фенил)этил)пирролидин-2-карбоксамида (пример 351)
[1665] Стадия 1: получение трет-бутил-(3S,5R)-4-(2-этокси-2-оксоэтил)-3,5-диметилпиперазин-1-карбоксилата
[1666] К раствору трет-бутил-(38,5Р)-3,5-диметилпиперазин-1-карбоксилата (1 г, 4,67 ммоль, 1 экв.) и этил-2-бромацетата (701 мг, 4,20 ммоль, 0,9 экв.) в ацетонитриле (10 мл) добавляли диизопропилэтиламин (1,81 г, 14,00 ммоль, 3 экв.). Реакционную смесь перемешивали при 80°С в течение 12 часов. Реакционную смесь разбавляли водой (50 мл) и экстрагировали этилацетатом (50 мл × 3). Объединенные органические слои промывали солевым раствором (80 мл × 2), высушивали над безводным сульфатом натрия, фильтровали и концентрировали при пониженном давлении. Остаток очищали с помощью колоночной хроматографии на силикагеле (петролейный эфир/этилацетат = от 30/1 до 1/1). трет-Бутил-(3S,5R)-4-(2-этокси-2-оксоэтил)-3,5-диметилпиперазин-1-карбоксилат (1,09 г, 3,63 ммоль, выход 77%) получали в виде белого твердого вещества. LC/MS (ESI) масса/заряд: 301,1 [М+1]+; 1Н ЯМР (400 МГц, CDCl3) δ 4,16 (q, J=7,2 Гц, 2Н), 4,02-3,72 (m, 2Н), 3,56 (s, 2Н), 2,96-2,82 (m, 2Н), 2,53 (s, 2Н), 1,46 (s, 9Н), 1,27 (t, J=7,2 Гц, 3H), 1,08 (d, J=6,4 Гц, 6Н).
[1667] Стадия 2: получение этил-2-((2S,6R)-2,6-диметилпиперазин-1-ил)ацетата
[1668] К раствору трет-бутил-(3S,5R)-4-(2-этокси-2-оксоэтил)-3,5-диметилпиперазин-1-карбоксилата (200 мг, 0,66 ммоль, 1 экв.) в дихлорметане (10 мл) добавляли хлористоводородную кислоту (4M в диоксане, 2 мл, 10 экв.). Реакционную смесь перемешивали при 15°С в течение 1 часа. Реакционную смесь концентрировали при пониженном давлении. Этил-2-[(2S,6R)-2,6-диметилпиперазин-1-ил]ацетат (140 мг, 0,59 ммоль, выход 88%, гидрохлорид) получали в виде белого твердого вещества.
[1669] Стадия 3: получение этил-2-((2S,6R)-4-((1-(4-(3-(2,6-дифтор-3-(((R)-3-фторпирролидин)-1-сульфонамидо)бензоил)-1Н-пирроло[2,3-b]пиридин-5-ил)фенил)пиперидин-4-ил)метил)-2,6-диметилпиперазин-1-ил)ацетата
[1670] К раствору этил-2-[(2S,6R)-2,6-диметилпиперазин-1-ил]ацетата (69 мг, 0,29 ммоль, 1,2 экв., гидрохлорид) и триэтиламина (74 мг, 0,73 ммоль, 3 экв.) в метаноле (2 мл) и дихлорметане (2 мл) добавляли (3R)-N-[2,4-дифтор-3-[5-[4-(4-формил-1-пиперидил)фенил]-1Н-пирроло[2,3-b]пиридин-3-карбонил]фенил]-3-фторпирролидин-1-сульфонамид (150 мг, 0,24 ммоль, 1 экв.). Реакционную смесь перемешивали при 15°С в течение 0,5 часа. Добавляли триацетоксиборогидрид натрия (155 мг, 0,73 ммоль, 3 экв.). Реакционную смесь перемешивали при 15°С в течение 0,5 часа. Реакционную смесь разбавляли водой (50 мл) и экстрагировали этилацетатом (50 мл × 3). Объединенные органические слои промывали солевым раствором (50 мл × 3), высушивали над безводным сульфатом натрия, фильтровали и концентрировали при пониженном давлении. Остаток очищали с помощью колоночной хроматографии на силикагеле (петролейный эфир/этилацетат = от 100/1 до 30/1). Этил-2-[(2S,6R)-4-[[1-[4-[3-[2,6-дифтор-3-[[(3R)-3-фторпирролидин-1-ил]сульфониламино]бензоил]-1Н-пирроло[2,34э]пиридин-5-ил]фенил]-4-пиперидил]метил]-2,6-диметилпиперазин-1-ил]ацетат (180 мг, 0,22 ммоль, выход 92%) получали в виде желтого твердого вещества. LC/MS (ESI) масса/заряд: 796,1 [М+1]+; 1Н ЯМР (400 МГц, DMSO-d6) δ 12,91 (s, 1H), 9,87 (s, 1H), 8,64 (d, J=2,0 Гц, 1H), 8,53 (s, 1Н), 8,07 (s, 1Н), 7,67-7,52 (m, 3H), 7,27 (t, J=8,4 Гц, 1H), 7,05 (d, J=8,8 Гц, 2Н), 5,46-5,12 (m, 1Н), 4,16-4,00 (m, 3H), 3,77 (d, J=12,0 Гц, 2Н), 3,50-3,43 (m, 3H), 3,39 (s, 2Н), 3,32-3,24 (m, 2Н), 3,16 (d, J=5,2 Гц, 1H), 2,85 (s, 2Н), 2,76-2,62 (m, 4Н), 2,09 (d, J=7,2 Гц, 4Н), 1,84-1,59 (m, 5Н), 1,25-1,13 (m, 5Н), 0,96 (d, J=6,0 Гц, 6Н).
[1671] Стадия 4: получение 2-((2S,6R)-4-((1-(4-(3-(2,6-дифтор-3-(((Р)-3-фторпирролидин)-1-сульфонамидо)бензоил)-1Н-пирроло[2,3-b]пиридин-5-ил)фенил)пиперидин-4-ил)метил)-2,6-диметилпиперазин-1-ил)уксусной кислоты
[1672] К раствору этил-2-[(2S,6R)-4-[[1-[4-[3-[2,6-дифтор-3-[[(3R)-3-фторпирролидин-1-ил]сульфониламино]бензоил]-1Н-пирроло[2,3-b]пиридин-5-ил]фенил]-4-пиперидил]метил]-2,6-диметилпиперазин-1-ил]ацетата (150 мг, 0,18 ммоль, 1 экв.) в метаноле (4 мл), воде (4 мл) и тетрагидрофуране (4 мл) добавляли моногидрат гидроксида лития (31 мг, 0,75 ммоль, 4 экв.). Реакционную смесь перемешивали при 15°С в течение 2 часов. рН регулировали до 6 с помощью 1 М хлористоводородной кислоты, концентрировали при пониженном давлении. Остаток очищали с помощью препаративной HPLC. 2-[(2S,6R)-4-[[1-[4-[3-[2,6-Дифтор-3-[[(3R)-3-фторпирролидин-1-ил]сульфониламино]бензоил]-1Н-пирроло[2,3-b]пиридин-5-ил]фенил]-4-пиперидил]метил]-2,6-диметилпиперазин-1-ил]уксусную кислоту (110 мг, 0,13 ммоль, выход 71%о, формиат) получали в виде желтого твердого вещества.
[1673] Стадия 5: получение (2S,4R)-1-((S)-2-(2-((2S,6R)-4-((1-(4-(3-(2,6-дифтор-3-(((R)-3-фторпирролидин)-1-сульфонамидо)бензоил)-1Н-пирроло[2,3-b]пиридин-5-ил)фенил)пиперидин-4-ил)метил)-2,6-диметилпиперазин-1-ил)ацетамидо)-3,3-диметилбутаноил)-4-гидрокси-N-((S)-1-(4-(4-метилтиазол-5-ил)фенил)этил)пирролидин-2-карбоксамида
[1674] К раствору 2-[(2S,6R)-4-[[1-[4-[3-[2,6-дифгор-3-[[(3R)-3-фторпирролидин-1-ил]сульфониламино]бензоил]-1Н-пирроло[2,3-b]пиридин-5-ил]фенил]-4-пиперидил]метил]-2,6-диметилпиперазин-1-ил]уксусной кислоты (70 мг, 0,09 ммоль, 1 экв.), гидроксибензотриазола (24 мг, 0,18 ммоль, 2 экв.), гидрохлорида 1-(3-диметиламинопропил)-3-этилкарбодиимида (34 мг, 0,18 ммоль, 2 экв.) в диметилформамиде (5 мл) добавляли (2S,4R)-1-[(2S)-2-амино-3,3-диметилбутаноил]-4-гидрокси-N-[(1S)-1-[4-(4-метилтиазол-5-ил)фенил]этил]пирролидин-2-карбоксамид (65 мг, 0,13 ммоль, 1,5 экв., гидрохлорид) и триэтиламин (46 мг, 0,45 ммоль, 5 экв.). Реакционную смесь перемешивали при 40°С в течение 12 часов. рН регулировали до 6 с помощью 1 М хлористоводородной кислоты. Остаток очищали с помощью препаративной HPLC. (2S,4R)-1-[(2S)-2-[[2-[(2S,6R)-4-[[1-[4-[3-[2,6-Дифтор-3-[[(3R)-3-фторпирролидин-1-ил]сульфониламино]бензоил]-1Н-пирроло[2,3-b]пиридин-5-ил]фенил]-4-пиперидил]метил]-2,6-диметилпиперазин-1-ил]ацетил]амино]-3,3-диметилбутаноил]-4-гидрокси-N-[(1S)-1-[4-(4-метилтиазол-5-ил)фенил]этил]пирролидин-2-карбоксамид (41 мг, 0,032 ммоль, выход 35%, чистота 97%о, формиат) получали в виде желтого твердого вещества. LC/MS (ESI) масса/заряд: 848,2 [М+1]+; 1Н ЯМР (400 МГц, DMSO-d6) δ 8,98 (s, 1H), 8,64 (d, J=2,0 Гц, 1H), 8,49 (d, J=7,5 Гц, 1H), 8,21 (s, 1H), 8,07 (s, 1H), 8,02-7,94 (m, 1H), 7,67-7,53 (m, 3H), 7,47-7,41 (m, 2H), 7,39-7,32 (m, 2H), 7,25 (t, J=8,4 Гц, 1H), 7,06 (d, J=8,8 Гц, 2H), 5,39-5,19 (m, 1H), 4,93-4,86 (m, 1H), 4,51-4,42 (m, 2H), 4,27 (s, 1H), 3,79 (s, 1H), 3,32-3,24 (m, 4H), 3,14 (d, J=18,0 Гц, 3H), 2,96 (d, J=18,0 Гц, 2H), 2,82-2,67 (m, 4H), 2,57 (s, 2H), 2,45 (s, 4H), 2,17-1,92 (m, 6H), 1,90-1,61 (m, 7H), 1,41-1,35 (m, 3H), 1,21 (d, J=11,6 Гц, 2H), 0,98 (d, J=6,0 Гц, 3H), 0,94 (s, 10Н), 0,86 (d, J=6,0 Гц, 3H), 0,89-0,83 (m, 1H).
[1675] Иллюстративный синтез (2S,4R)-1-((S)-2-(1-(4-((1-(4-(3-(2,6-дифтор-3-(((R)-3-фторпирролидин)-1-сульфонамидо)бензоил)-1Н-пирроло[2,3-b]пиридин-5-ил)фенил)пиперидин-4-ил)метил)пиперазин-1-ил)циклопропан-1-карбоксамидо)-3,3-диметилбутаноил)-4-гидрокси-N-((S)-1-(4-(4-метилтиазол-5-ил)фенил)этил)пирролидин-2-карбоксамида (пример 361)
[1676] Стадия 1: получение бензил-3,4-дигидроксипирролидин-1-карбоксилата
[1677] К раствору бензил-2,5-дигидропиррол-1-карбоксилата (10 г, 49,20 ммоль, 1 экв.) в третичном бутаноле (120 мл) и воде (100 мл) добавляли феррицианид калия (40,50 г, 123,01 ммоль, 2,5 экв.), карбонат калия (17,00 г, 123,01 ммоль, 2,5 экв.), метансульфонамид (4,68 г, 49,20 ммоль, 1 экв.) и дигидрат осмата(vi) калия (1,81 г, 4,92 ммоль, 0,1 экв.). Смесь перемешивали при 0-5°С в течение 12 часов. Реакционную смесь гасили насыщенным раствором сульфита натрия (50 мл). Реакционную смесь разбавляли водой (500 мл) и экстрагировали этилацетатом (200 мл × 2). Объединенную органическую фазу промывали насыщенным солевым раствором (200 мл × 2), высушивали с помощью безводного сульфата натрия, фильтровали и концентрировали в вакууме. Остаток очищали с помощью хроматографии на силикагеле (дихлорметан:метанол = от 100:1 до 30:1). Бензил-3,4-дигидроксипирролидин-1-карбоксилат (14 г, неочищенный) получали в виде желтого масла. LC/MS (ESI) масса/заряд: 260,0 [М+23]+.
[1678] Стадия 2: получение бензил-бис(2-оксоэтил)карбамата
[1679] К раствору бензил-3,4-дигидроксипирролидин-1-карбоксилата (1 г, 4,21 ммоль, 1 экв.) в тетрагидрофуране (20 мл) и воде (10 мл) добавляли перйодат натрия (1,35 г, 6,32 ммоль, 1,5 экв.). Смесь перемешивали при 15°С в течение 2 ч. В смесь выливали воду (100 мл) и перемешивали в течение 1 минуты. Водную фазу экстрагировали этилацетатом (100 мл × 3). Объединенную органическую фазу промывали солевым раствором (100 мл × 2), высушивали с помощью безводного сульфата натрия, фильтровали и концентрировали в вакууме. Неочищенный продукт применяли на следующей стадии без дополнительной очистки. Бензил-N,N-бис(2-оксоэтил)карбамат (900 мг, 3,83 ммоль, выход 90%) получали в виде желтого масла.
[1680] Стадия 3: получение бензил-4-(1-(метоксикарбонил)циклопропил)пиперазин-1-карбоксилата
[1681] К раствору бензил-N,N-бис(2-оксоэтил)карбамата (3,29 г, 13,99 ммоль, 2 экв.) в метаноле (30 мл) добавляли метил-1-аминоциклопропанкарбоксилат (805 мг, 6,99 ммоль, 1 экв.) и уксусную кислоту (2 мл). Смесь перемешивали при 15°С в течение 30 мин., добавляли боран-2-метилпиридин (1,50 г, 13,99 ммоль, 2 экв.), затем смесь перемешивали при 15°С в течение еще 11,5 часа. Реакционную смесь концентрировали при пониженном давлении. Остаток очищали с помощью флэш-хроматографии на колонке С18 (ацетонитрил/вода (0,5%TFA)=5%~90%). Смесь концентрировали при пониженном давлении. Добавляли насыщенный водный раствор бикарбоната натрия (30 мл). Водную фазу экстрагировали этилацетатом (50 мл × 3). Объединенную органическую фазу промывали солевым раствором (50 мл × 2), высушивали с помощью безводного сульфата натрия, фильтровали и концентрировали в вакууме. Соединение, бензил-4-(1-метоксикарбонилциклопропил)пиперазин-1-карбоксилат (2,20 г, 6,91 ммоль, выход 98%), получали в виде бесцветного масла. LC/MS (ESI) масса/заряд: 319,1 [М+1]+; 1Н ЯМР (400 МГц, CDCl3) δ 7,39-7,35 (m, 4Н), 7,35-7,30 (m, 1Н), 5,15 (s, 2H), 3,66 (s, 3H), 3,62-3,04 (m, 4H), 2,92 (s, 4H), 1,33-1,28 (m, 2H), 0,96 (q, J=3,6 Гц, 2H).
[1682] Стадия 4: получение метил-1-(пиперазин-1-ил)циклопропан-1-карбоксилата
[1683] К раствору бензил-4-(1-метоксикарбонилциклопропил)пиперазин-1-карбоксилата (2,2 г, 6,91 ммоль, 1 экв.) в тетрагидрофуране (30 мл) добавляли палладий на угле (30 мг, 10%) в атмосфере азота. Суспензию дегазировали под вакуумом и продували водородом несколько раз. Смесь перемешивали в атмосфере водорода (15 фунтов/кв. дюйм) при 30°С в течение 12 часов. Смесь затем перемешивали в атмосфере водорода (50 фунтов/кв. дюйм) при 30°С в течение 16 часов. Реакционную смесь фильтровали и фильтрат концентрировали. Метил-1-пиперазин-1-илциклопропанкарбоксилат (1,05 г, неочищенный) получали в виде бесцветного масла. LC/MS (ESI) масса/заряд: 185,1 [М+1]+; 1Н ЯМР (400 МГц, CDCl3) δ 3,74-3,59 (m, 3H), 3,02-2,81 (m, 4Н), 2,79-2,73 (m, 3H), 2,43-2,22 (m, 1Н), 1,73-1,49 (m, 1H), 1,30-1,22 (m, 2Н), 0,98-0,87 (m, 2Н).
[1684] Стадия 5: получение метил-(R)-1-(4-((1-(4-(3-(2,6-дифтор-3-((3-фторпирролидин)-1-сульфонамидо)бензоил)-1Н-пирроло[2,3-b]пиридин-5-ил)фенил)пиперидин-4-ил)метил)пиперазин-1-ил)циклопропан-1-карбоксилата
[1685] К раствору метил-1-пиперазин-1-илциклопропанкарбоксилата (72 мг, 0,39 ммоль, 1,2 экв.) и (3R)-N-[2,4-дифтор-3-[5-[4-(4-формил-1-пиперидил)фенил]-1Н-пирроло[2,3-b]пиридин-3-карбонил]фенил]-3-фторпирролидин-1-сульфонамида (200 мг, 0,32 ммоль, 1 экв.) в 1,2-дихлорэтане (2 мл) добавляли триацетоксиборогидрид натрия (207 мг, 0,98 ммоль, 3 экв.). Смесь перемешивали при 15°С в течение 1 часа. В смесь выливали воду (50 мл) и перемешивали в течение 1 минуты. Водную фазу экстрагировали дихлорметаном (30 мл × 3). Объединенную органическую фазу промывали солевым раствором (30 мл × 2), высушивали с помощью безводного сульфата натрия, фильтровали и концентрировали в вакууме. Остаток очищали с помощью хроматографии на силикагеле (дихлорметан:метанол = от 200:1 до 50:1). Соединение, метил-1-[4-[[1-[4-[3-[2,6-дифтор-3-[[(3R)-3-фторпирролидин-1-ил]сульфониламино]бензоил]-1Н-пирроло[2,3-b]пиридин-5-ил]фенил]-4-пиперидил]метил]пиперазин-1-ил]циклопропанкарбоксилат (210 мг, 0,26 ммоль, выход 82%), получали в виде желтого твердого вещества. LC/MS (ESI) масса/заряд: 780,1 [М+1]+.
[1686] Стадия 6: получение (R)-1-(4-((1-(4-(3-(2,6-дифтор-3-((3-фторпирролидин)-1-сульфонамидо)бензоил)-1Н-пирроло[2,3-b]пиридин-5-ил)фенил)пиперидин-4-ил)метил)пиперазин-1-ил)циклопропан-1-карбоновой кислоты
[1687] К раствору метил-1-[4-[[1-[4-[3-[2,6-дифтор-3-[[(3R)-3-фторпирролидин-1-ил]сульфониламино]бензоил]-1Н-пирроло[2,3-b]пиридин-5-ил]фенил]-4-пиперидил]метил]пиперазин-1-ил]циклопропанкарбоксилата (210 мг, 0,26 ммоль, 1 экв.) в метаноле (2 мл), тетрагидрофуране (2 мл) и воде (2 мл) добавляли моногидрат гидроксида лития (45 мг, 1,08 ммоль, 4 экв.). Смесь перемешивали при 40°С в течение 12 часов. Реакционную смесь регулировали до рН 5 с помощью хлористоводородной кислоты (1 М) и затем концентрировали при пониженном. Неочищенный продукт применяли на следующей стадии без дополнительной очистки. Соединение, 1-[4-[[1-[4-[3-[2,6-дифтор-3-[[(3R)-3-фторпирролидин-1-ил]сульфониламино]бензоил]-1Н-пирроло[2,3-b]пиридин-5-ил]фенил]-4-пиперидил]метил]пиперазин-1-ил]циклопропанкарбоновую кислоту (200 мг, содержится неорганическая соль), получали в виде желтого масла. LC/MS (ESI) масса/заряд: 766,4 [М+1]+.
[1688] Стадия 7: получение (2S,4R)-1-((S)-2-(1-(4-((1-(4-(3-(2,6-дифтор-3-(((R)-3-фторпирролидин)-1-сульфонамидо)бензоил)-1Н-пирроло[2,3-b]пиридин-5-ил)фенил)пиперидин-4-ил)метил)пиперазин-1-ил)циклопропан-1-карбоксамидо)-3,3-диметилбутаноил)-4-гидрокси-N-((S)-1-(4-(4-метилтиазол-5-ил)фенил)этил)пирролидин-2-карбоксамида
[1689] К раствору 1-[4-[[1-[4-[3-[2,6-дифтор-3-[[(3R)-3-фторпирролидин-1-ил]сульфониламино]бензоил]-1Н-пирроло[2,3-b]пиридин-5-ил]фенил]-4-пиперидил]метил]пиперазин-1-ил]циклопропанкарбоновой кислоты (200 мг, 0,26 ммоль, 1 экв.) и (2S,4R)-1-[(2S)-2-амино-3,3-диметилбутаноил]-4-гидрокси-N-[(1S)-1-[4-(4-метилтиазол-5-ил)фенил]этил]пирролидин-2-карбоксамида (125 мг, 0,26 ммоль, 1 экв., гидрохлорид) в N,N-диметилформамиде (5 мл) добавляли гидроксибензотриазол (42 мг, 0,31 ммоль, 1,2 экв.), триэтиламин (39 мг, 0,39 ммоль, 1,5 экв.) и гидрохлорид 1-(3-диметиламинопропил)-3-этилкарбодиимида (60 мг, 0,31 ммоль, 1,2 экв.). Смесь перемешивали при 40°С в течение 12 часов. В смесь выливали воду (50 мл) и перемешивали в течение 1 минуты. Водную фазу экстрагировали дихлорметаном (10 мл × 3). Объединенную органическую фазу промывали солевым раствором (10 мл × 2), высушивали с помощью безводного сульфата натрия, фильтровали и концентрировали в вакууме. Остаток очищали с помощью препаративной HPLC. Соединение, (2S,4R)-1-[(2S)-2-[[1-[4-[[1-[4-[3-[2,6-дифтор-3-[[(3R)-3-фторпирролидин-1-ил]сульфониламино]бензоил]-1Н-пирроло[2,3-b]пиридин-5-ил]фенил]-4-пиперидил]метил]пиперазин-1-ил]циклопропанкарбонил]амино]-3,3-диметилбутаноил]-4-гидрокси-N-[(1S)-1-[4-(4-метилтиазол-5-ил)фенил]этил]пирролидин-2-карбоксамид (27,3 мг, 0,022 ммоль, выход 8% за 2 стадии, чистота 99%, формиат), получали в виде желтого твердого вещества. LC/MS (ESI) масса/заряд: 596,9 [М/2+1]+; 1Н ЯМР (400 МГц, DMSO-d6) δ 13,16-12,44 (m, 1H), 8,98 (s, 1H), 8,64 (d, J=2,0 Гц, 1H), 8,51 (s, 1H), 8,45 (d, J=7,6 Гц, 1H), 8,36 (d, J=10,0 Гц, 1H), 8,23 (s, 1H), 8,04 (s, 1H), 7,65-7,55 (m, 3H), 7,46-7,41 (m, 2H), 7,40-7,32 (m, 2H), 7,21 (t, J=8,8 Гц, 1H), 7,06 (d, J=8,8 Гц, 2H), 5,39-5,18 (m, 1H), 4,95-4,83 (m, 1H), 4,53-4,40 (m, 2H), 4,28 (s, 1H), 3,77 (d, J=12,8 Гц, 2H), 3,58 (d, J=7,6 Гц, 1H), 3,45 (s, 1H), 3,27 (d, J=6,8 Гц, 3H), 2,72 (t, J=11,2 Гц, 2H), 2,46 (s, 3H), 2,40 (s, 6H), 2,21 (d, J=6,8 Гц, 3H), 2,13-2,00 (m, 4H), 1,85-1,65 (m, 5H), 1,40 (d, J=7,2 Гц, 3H), 1,30-1,15 (m, 2H), 1,08 (d, J=7,0 Гц, 1H), 1,04-0,89 (m, 13H).
[1690] Иллюстративный синтез (2S,4R)-1-((S)-2-(2-(4-((1-(4-(3-(2,6-дифтор-3-(((R)-3-фторпирролидин)-1-сульфонамидо)бензоил)-1Н-пирроло[2,3-b]пиридин-5-ил)фенил)пиперидин-4-ил)метил)-1,4-диазепан-1-ил)ацетамидо)-3,3-диметилбутаноил)-4-гидрокси-N-((S)-1-(4-(4-метилтиазол-5-ил)фенил)этил)пирролидин-2-карбоксамида (пример 412)
[1691] Стадия 1: получение бензил-4-(2-(трет-бутокси)-2-оксоэтил)-1,4-диазепан-1-карбоксилата
[1692] К раствору бензил-1,4-диазепан-1-карбоксилата (0,85 г, 3,63 ммоль, 1 экв.) в ацетонитриле (10 мл) добавляли N,N-диизопропилэтиламин (938 мг, 7,26 ммоль, 2 экв.), трет-бутил-2-бромацетат (707 мг, 3,63 ммоль, 0,5 мл, 1 экв.). Смесь перемешивали при 70°С в течение 2 ч. Реакционную смесь экстрагировали этилацетатом (40 мл × 2). Объединенные органические слои промывали насыщенным водным солевым раствором (30 мл × 2) и высушивали над безводным сульфатом натрия, фильтровали и концентрировали при пониженном давлении. Остаток очищали с помощью колоночной хроматографии на силикагеле (петролейный эфир/этилацетат = от 10/1 до 2:1). Соединение, бензил-4-(2-трет-бутокси-2-оксоэтил)-1,4-диазепан-1-карбоксилат (1,08 г, 2,82 ммоль, выход 77%, чистота 91%), получали в виде бесцветного масла. LC/MS (ESI) масса/заряд: 349,1 [М+1]+.
[1693] Стадия 2: получение трет-бутип-2-(1,4-диазепан-1-ил)ацетата
[1694] К раствору бензил-4-(2-трет-бутокси-2-оксоэтил)-1,4-диазепан-1-карбоксилата (1,31 г, 3,42 ммоль, 1 экв.) в тетрагидрофуране (10 мл) добавляли катализатор на основе палладия на активированном угле (0,2 г, чистота 10%) в атмосфере азота. Суспензию дегазировали под вакуумом и продували водородом несколько раз. Смесь перемешивали в атмосфере водорода (15 фунтов/кв. дюйм) при 40°С в течение 24 часов. Реакционную смесь фильтровали и фильтрат концентрировали. Соединение, трет-бутил-2-(1,4-диазепан-1-ил)ацетат (750 мг, 2,06 ммоль, выход 60%, чистота 59%), получали в виде желтого масла, которое непосредственно применяли на следующей стадии без дополнительной очистки. LC/MS (EST) масса/заряд: 215,2 [М+1]+.
[1695] Стадия 3: получение трет-бутил-(R)-2-(4-((1-(4-(3-(2,6-дифтор-3-((3-фторпирролидин)-1-сульфонамидо)бензоил)-1Н-пирроло[2,3-b]пиридин-5-ил)фенил)пиперидин-4-ил)метил)-1,4-диазепан-1-ил)ацетата
[1696] К смеси трет-бутил-2-(1,4-диазепан-1-ил)ацетата (131 мг, 0,36 ммоль, 1,1 экв.) в 1,2-дихлорметане (2 мл) и метаноле (1 мл) добавляли триэтиламин (33 мг, 0,32 ммоль, 1 экв.) и (3R)-N-[2,4-дифтор-3-[5-[4-(4-формил-1-пиперидил)фенил]-1Н-пирроло[2,3-b]пиридин-3-карбонил]фенил]-3-фторпирролидин-1-сульфонамид (0,2 г, 0,32 ммоль, 1 экв.). Смесь перемешивали при 30°С в течение 10 минут, затем добавляли триацетоксиборогидрид натрия (139 мг, 0,65 ммоль, 2 экв.). Смесь перемешивали при 30°С в течение 110 мин. Реакционную смесь экстрагировали этилацетатом (30 мл × 2). Объединенные органические слои промывали солевым раствором (20 мл × 2), высушивали над безводным сульфатом натрия, фильтровали и концентрировали при пониженном давлении. Неочищенный продукт очищали с помощью препаративной тонкослойной хроматографии (дихлорметан:метанол=10:1, Rf=0,4). Соединение, трет-бутил-2-[4-[[1-[4-[3-[2,6-дифтор-3-[[(3R)-3-фторпирролидин-1-ил]сульфониламино]бензоил]-1Н-пирроло[2,3-b]пиридин-5-ил]фенил]-4-пиперидил]метил]-1,4-диазепан-1-ил]ацетат (192 мг, 0,22 ммоль, выход 68%, чистота 94%), получали в виде желтого твердого вещества. LC/MS (ESI) масса/заряд: 810,4 [М+1]+.
[1697] Стадия 4: получение (R)-2-(4-((1-(4-(3-(2,6-дифтор-3-((3-фторпирролидин)-1-сульфонамидо)бензоил)-1Н-пирроло[2,3-b]пиридин-5-ил)фенил)пиперидин-4-ил)метил)-1,4-диазепан-1-ил)уксусной кислоты
[1698] К раствору трет-бутил-2-[4-[[1-[4-[3-[2,6-дифтор-3-[[(3R)-3-фторпирролидин-1-ил]сульфониламино]бензоил]-1Н-пирроло[2,3-b]пиридин-5-ил]фенил]-4-пиперидил]метил]-1,4-диазепан-1-ил]ацетата (240 мг, 0,27 ммоль, 1 экв.) в дихлорметане (5 мл) добавляли три фтору ксусную кислоту (1 мл). Смесь перемешивали при 15°С в течение 16 ч. Реакционную смесь концентрировали при пониженном давлении. Соединение, 2-[4-[[1-[4-[3-[2,6-дифтор-3-[[(3R)-3-фторпирролидин-1-ил]сульфониламино]бензоил]-1Н-пирроло[2,3-b]пиридин-5-ил]фенил]-4-пиперидил]метил]-1,4-диазепан-1-ил]уксусную кислоту (240 мг, неочищенная, трифторуксусная кислота), получали в виде желтого твердого вещества, которое непосредственно применяли на следующей стадии без дополнительной очистки. LC/MS (ESI) масса/заряд: 754,2 [М+1]+.
[1699] Стадия 5: получение (2S,4R)-1-((S)-2-(2-(4-((1-(4-(3-(2,6-дифтор-3-(((R)3-фторпирролидин)-1-сульфонамидо)бензоил)-1Н-пирроло[2,3-b]пиридин-5-ил)фенил)пиперидин-4-ил)метил)-1,4-диазепан-1-ил)ацетамидо)-3,3-диметилбутаноил)-4-гидрокси-N-((S)-1-(4-(4-метилтиазол-5-ил)фенил)этил)пирролидин-2-карбоксамида
[1700] К раствору 2-[4-[[1-[4-[3-[2,6-дифтор-3-[[(3R)-3-фторпирролидин-1-ил]сульфониламино]бензоил]-1Н-пирроло[2,3-b]пиридин-5-ил]фенил]-4-пиперидил]метил]-1,4-диазепан-1-ил]уксусной кислоты (240 мг, 0,27 ммоль, 1 экв., трифторуксусная кислота) в N,N-диметилформамиде (2 мл) добавляли гидроксибензотриазол (45 мг, 0,33 ммоль, 1,2 экв.), N,N-диизопропилэтиламин (72 мг, 0,55 ммоль, 2 экв.) и гидрохлорид 1-(3-диметиламинопропил)-3-этилкарбодиимида (79 мг, 0,41 ммоль, 1,5 экв.). Смесь перемешивали при 30°С 10 мин., затем добавляли (2S,4R)-1-[(2S)-2-амино-3,3-диметилбутаноил]-4-гидрокси-N-[(1S)-1-[4-(4-метилтиазол-5-ил)фенил]этил]пирролидин-2-карбоксамид (159 мг, 0,33 ммоль, 1,20 экв., гидрохлорид). Смесь перемешивали при 30°С в течение еще 110 мин. Реакционную смесь экстрагировали этилацетатом (30 мл × 2). Объединенные органические слои промывали солевым раствором (15 мл × 2), высушивали над безводным сульфатом натрия, фильтровали и концентрировали при пониженном давлении. Остаток очищали с помощью полупрепаративной HPLC с обращенной фазой. Соединение, (2S,4R)-1-[(2S)-2-[[2-[4-[[1-[4-[3-[2,6-дифтор-3-[[(3R)-3-фторпирролидин-1-ил]сульфониламино]бензоил]-1Н-пирроло[2,3-b]пиридин-5-ил]фенил]-4-пиперидил]метил]-1,4-диазепан-1-ил]ацетил]амино]-3,3-диметилбутаноил]-4-гидрокси-N-[(1S)-1-[4-(4-метилтиазол-5-ил)фенил]этил]пирролидин-2-карбоксамид (89,4 мг, 0,07 ммоль, выход 25%, чистота 97%, формиат), получали в виде розового твердого вещества. LC/MS (ESI) масса/заряд: 591,0 [М/2+1]+; 1Н ЯМР (400 МГц, DMSO-d6) δ 8,97 (s, 1H), 8,64 (d, J=2,0 Гц, 1H), 8,52 (s, 1H), 8,42 (d, J=8,4 Гц, 1H), 8,20 (s, 1H), 8,03 (s, 1H), 7,81 (d, J=10,0 Гц, 1H), 7,64-7,54 (m, 3H), 7,45-7,41 (m, 2H), 7,39-7,34 (m, 2H), 7,24-7,17 (m, 1H), 7,06 (d, J=8,8 Гц, 2H), 5,41-5,17 (m, 1H), 5,02-4,83 (m, 1H), 4,61 4,39 (m, 2H), 4,29 (s, 1H), 3,78 (d, J=12,4 Гц, 3H), 3,64-3,52 (m, 2H), 3,13-3,10 (m, 2H), 2,73-2,65 (m, 10H), 2,45 (s, 4H), 2,40-2,25 (m, 5H), 2,17-1,96 (m, 4H), 1,91-1,68 (m, 6H), 1,64 (s, 1H), 1,43-1,34 (m, 3H), 1,29-1,15 (m, 2H), 0,95 (s, 9H).
[1701] Иллюстративный синтез (2S,4R)-1-((S)-2-(2-(4-(1-(4-(3-(2,6-дифгор-3-(((R)-3-фторпирролидин)-1-сульфонамидо)бензоил)-1Н-пирроло[2,3-b]пиридин-5-ил)фенил)пиперидин-4-ил)-1,4-диазепан-1-ил)ацетамидо)-3,3-диметилбутаноил)-4-гидрокси-N-((S)-1-(4-(4-метилтиазол-5-ил)фенил)этил)пирролидин-2-карбоксамида (пример 437)
[1702] Стадия 1: получение 8-(4-бромфенил)-1,4-диокса-8-азаспиро[4.5]декана
[1703] К раствору 1-бром-4-йодбензола (5 г, 17,67 ммоль, 1 экв.) и 1,4-диокса-8-азаспиро[4.5]декана (2,53 г, 17,67 ммоль, 2,26 мл, 1 экв.) в диметилсульфоксиде (40 мл) добавляли L-ПРОЛИН (813 мг, 7,07 ммоль, 0,4 экв.), йодид меди (673 мг, 3,53 ммоль, 0,2 экв.) и карбонат калия (4,89 г, 35,35 ммоль, 2 экв.). Смесь перемешивали при 80°С в течение 12 ч. В смесь выливали воду (300 мл) и перемешивали в течение 1 минуты. Водную фазу экстрагировали этилацетатом (100 мл × 3). Объединенную органическую фазу промывали солевым раствором (100 мл × 2), высушивали с помощью безводного сульфата натрия, фильтровали и концентрировали в вакууме. Остаток очищали с помощью хроматографии на силикагеле (петролейный эфир: этилацетат = от 1:0 до 10:1). Соединение, 8-(4-бромфенил)-1,4-диокса-8-азаспиро[4.5]декан (3,2 г, 10,73 ммоль, выход 60%), получали в виде желтого твердого вещества. LC/MS (ESI) масса/заряд: 297,9 [М+1]+.
[1704] Стадия 2: получение 8-(4-(4,4,5,5-тетраметил-1,3,2-диоксаборолан-2-ил)фенил)-1,4-диокса-8-азаспиро[4.5]декана
[1705] К раствору 8-(4-бромфенил)-1,4-диокса-8-азаспиро[4.5]декана (3,2 г, 10,73 ммоль, 1 экв.) и 4,4,5,5-тетраметил-2-(4,4,5,5-тетраметил-1,3,2-диоксаборолан-2-ил)-1,3,2-диоксаборолана (2,73 г, 10,73 ммоль, 1 экв.) в диоксане (90 мл) добавляли ацетат калия (2,11 г, 21,46 ммоль, 2 экв.) и ди-трет-бутил(циклопентил)фосфан-дихлорпалладий-железо (699,45 мг, 1,07 ммоль, 0,1 экв.). Смесь перемешивали при 80°С в течение 12 ч. В смесь выливали воду (100 мл) и перемешивали в течение 1 минуты. Водную фазу экстрагировали этилацетатом (100 мл × 3). Объединенную органическую фазу промывали солевым раствором (100 мл × 2), высушивали с помощью безводного сульфата натрия, фильтровали и концентрировали в вакууме. Остаток очищали с помощью хроматографии на силикагеле (петролейный эфир: этилацетат = от 1:0 до 30:1). Соединение, 8-[4-(4,4,5,5-тетраметил-1,3,2-диоксаборолан-2-ил)фенил]-1,4-диокса-8-азаспиро[4.5]декан (2,2 г, 6,37 ммоль, выход 59%), получали в виде коричневого масла. LC/MS (ESI) масса/заряд: 346,1 [М+1]+.
[1706] Стадия 3: получение (R)-N-(3-(5-(4-(1,4-диокса-8-азаспиро[4.5]декан-8-ил)фенил)-1-((2-(триметилсилил)этокси)метил)-1Н-пирроло[2,3-b]пиридин-3-карбонил)-2,4-дифторфенил)-3-фтор-N-((2-(триметилсилил)этокси)метил)пирролидин-1-сульфонамида
[1707] К раствору 8-[4-(4,4,5,5-тетраметил-1,3,2-диоксаборолан-2-ил)фенил]-1,4-диокса-8-азаспиро[4.5]декана (1,4 г, 4,06 ммоль, 1 экв.) и (3R)-N-[3-[5-бром-1-(2-триметилсилилэтоксиметил)пирроло[2,3-b]пиридин-3-карбонил]-2,4-дифторфенил]-3-фтор-N-(2-триметилсилилэтоксиметил)пирролидин-1-сульфонамид а (3,10 г, 4,06 ммоль, 1 экв.) в диоксане (10 мл) и воде (1 мл) добавляли 4-ди-трет-бутилфосфанил-N,N-диметиланилин-дихлорпалладий (287 мг, 0,40 ммоль, 0,1 экв.) и фторид цезия (2,46 г, 16,22 ммоль, 4 экв.). Смесь перемешивали при 90°С в течение 12 ч. В смесь выливали воду (100 мл) и перемешивали в течение 1 минуты. Водную фазу экстрагировали этилацетатом (100 мл × 3). Объединенную органическую фазу промывали солевым раствором (100 мл × 2), высушивали с помощью безводного сульфата натрия, фильтровали и концентрировали в вакууме. Остаток очищали с помощью хроматографии на силикагеле (петролейный эфир:этилацетат = от 1:0 до 20:1). Соединение, (3R)-N-[3-[5-[4-(1,4-диокса-8-азаспиро[4.5]декан-8-ил)фенил]-1-(2-триметилсилилэтоксиметил)пирроло[2,3-b]пиридин-3-карбонил]-2,4-дифторфенил]-3-фтор-N-(2-триметилсилилэтоксиметил)пирролидин-1-сульфонамид (2,2 г, 2,44 ммоль, выход 60%), получали в виде коричневого масла. LC/MS (ESI) масса/заряд: 902,4 [М+1]+.
[1708] Стадия 4: получение (R)-N-(3-(5-(4-(1,4-диокса-8-азаспиро[4.5]декан-8-ил)фенил)-1Н-пирроло[2,3-b]пиридин-3-карбонил)-2,4-дифторфенил)-3-фторпирролидин-1-сульфонамида
[1709] К раствору (3R)-N-[3-[5-[4-(1,4-диокса-8-азаспиро[4.5]декан-8-ил)фенил]-1-(2-триметилсилилэтоксиметил)пирроло[2,3-b]пиридин-3-карбонил]-2,4-дифторфенил]-3-фтор-N-(2-триметилсилилэтоксиметил)пирролидин-1-сульфонамида (2,2 г, 2,44 ммоль, 1 экв.) в метаноле (30 мл) добавляли 4 М гидрохлорид в диоксане (55 мл, 90,22 экв.). Смесь перемешивали при 50°С в течение 12 ч. Реакционную смесь концентрировали при пониженном давлении с получением остатка. Неочищенный продукт применяли на следующей стадии без дополнительной очистки. Соединение, (3R)-N-[3-[5-[4-(1,4-диокса-8-азаспиро[4.5]декан-8-ил)фенил]-1Н-пирроло[2,3-b]пиридин-3-карбонил]-2,4-дифторфенил]-3-фторпирролидин-1-сульфонамид (1,5 г, неочищенный), получали в виде желтого твердого вещества. LC/MS (ESI) масса/заряд: 642,1 [М+1]+.
[1710] Стадия 5: получение (R)-N-(2,4-дифтор-3-(5-(4-(4-оксопиперидин-1-ил)фенил)-1Н-пирроло[2,3-b]пиридин-3-карбонил)фенил)-3-фторпирролидин-1-сульфонамида
[1711] К раствору (3R)-N-[3-[5-[4-(1,4-диокса-8-азаспиро[4.5]декан-8-ил)фенил]-1Н-пирроло[2,3-b]пиридин-3-карбонил]-2,4-дифторфенил]-3-фторпирролидин-1-сульфонамида (1,5 г, 2,34 ммоль, 1 экв.) в тетрагидрофуране (20 мл) добавляли гидрохлорид (3 М, 34,09 мл, 43,75 экв.). Смесь перемешивали при 50°С в течение 2 ч. Реакционную смесь концентрировали при пониженном давлении с получением остатка. Остаток очищали с помощью препаративной HPLC с обращенной фазой. Соединение, (3R)-N-[2,4-дифтор-3-[5-[4-(4-оксо-1-пиперидил)фенил]-1Н-пирроло[2,3-b]пиридин-3-карбонил]фенил]-3-фторпирролидин-1-сульфонамид (450 мг, 0,75 ммоль, выход 64%), получали в виде желтого твердого вещества. LC/MS (ESI) масса/заряд: 598,1 [М+1]+.
[1712] Стадия 6: получение трет-бутил-(R)-2-(4-(1-(4-(3-(2,6-дифтор-3-((3-фторпирролидин)-1-сульфонамидо)бензоил)-1Н-пирроло[2,3-b]пиридин-5-ил)фенил)пиперидин-4-ил)-1,4-диазепан-1-ил)ацетата
[1713] К раствору трет-бутил-2-(1,4-диазепан-1-ил)ацетата (149 мг, 0,41 ммоль, 1 экв.) и (3R)-N-[2,4-дифтор-3-[5-[4-(4-оксо-1-пиперидил)фенил]-1Н-пирроло[2,3-b]пиридин-3-карбонил]фенил]-3-фторпирролидин-1-сульфонамида (300 мг, 0,41 ммоль, 1 экв.) в N,N-диметилформамиде (6 мл) и уксусной кислоте (0,6 мл) добавляли цианоборогидрид натрия (77 мг, 1,23 ммоль, 3 экв.). Смесь перемешивали при 15°С в течение 12 ч. В смесь выливали воду (50 мл) и перемешивали в течение 1 минуты. Водную фазу экстрагировали этилацетатом (20 мл × 3). Объединенную органическую фазу промывали солевым раствором (40 мл × 2), высушивали с помощью безводного сульфата натрия, фильтровали и концентрировали в вакууме. Остаток очищали с помощью препаративной тонкослойной хроматографии (дихлорметан:метанол = 10:1). Соединение, трет-бутил-2-[4-[1-[4-[3-[2,6-дифтор-3-[[(3R)-3-фторпирролидин-1-ил]сульфониламино]бензоил]-1Н-пирроло[2,3-b]пиридин-5-ил]фенил]-4-пиперидил]-1,4-диазепан-1-ил]ацетат (140 мг, 0,17 ммоль, выход 42%), получали в виде желтого твердого вещества. LC/MS (ESI) масса/заряд: 796,2 [М+1]+.
[1714] Стадия 7: получение (R)-2-(4-(1-(4-(3-(2,6-дифтор-3-((3-фторпирролидин)-1-сульфонамидо)бензоил)-1Н-пирроло[2,3-b]пиридин-5-ил)фенил)пиперидин-4-ил)-1,4-диазепан-1-ил)уксусной кислоты
[1715] К раствору трет-бутил-2-[4-[1-[4-[3-[2,6-дифтор-3-[[(3R)-3-фторпирролидин-1-ил]сульфониламино]бензоил]-1Н-пирроло[2,3-b]пиридин-5-ил]фенил]-4-пиперидил]-1,4-диазепан-1-ил]ацетата (200 мг, 0,25 ммоль, 1 экв.) в дихлорметане (3 мл) добавляли 4 М хлористоводородную кислоту в диоксане (4,4 мл, 70,75 экв.). Смесь перемешивали при 15°С в течение 1 ч. Реакционную смесь концентрировали при пониженном давлении. Неочищенный продукт применяли на следующей стадии без дополнительной очистки. Соединение, 2-[4-[1-[4-[3-[2,6-дифтор-3-[[(3R)-3-фторпирролидин-1-ил]сульфониламино]бензоил]-1Н-пирроло[2,3-b]пиридин-5-ил]фенил]-4-пиперидил]-1,4-диазепан-1-ил]уксусную кислоту (200 мг, неочищенная, гидрохлорид), получали в виде желтого твердого вещества.
[1716] Стадия 8: получение (2S,4R)-1-((S)-2-(2-(4-(1-(4-(3-(2,6-дифтор-3-(((R)-3-фторпирролидин)-1-сульфонамидо)бензоил)-1Н-пирроло[2,3-b]пиридин-5-ил)фенил)пиперидин-4-ил)-1,4-диазепан-1-ил)ацетамидо)-3,3-диметилбутаноил)-4-гидрокси-N-((S)-1-(4-(4-метилтиазол-5-ил)фенил)этил)пирролидин-2-карбоксамида
[1717] К раствору (2S,4R)-1-[(2S)-2-амино-3,3-диметилбутаноил]-4-гидрокси-N-[(1S)-1-[4-(4-метилтиазол-5-ил)фенил]этил]пирролидин-2-карбоксамида (123 мг, 0,25 ммоль, 1,00 экв., гидрохлорид) и 2-[4-[1-[4-[3-[2,6-дифтор-3-[[(3R)-3-фторпирролидин-1-ил]сульфониламино]бензоил]-1Н-пирроло[2,3-b]пиридин-5-ил]фенил]-4-пиперидил]-1,4-диазепан-1-ил]уксусной кислоты (200 мг, 0,25 ммоль, 1 экв., гидрохлорид) в N,N-диметилформамиде (3 мл) добавляли триэтиламин (130 мг, 1,29 ммоль, 5 экв.), гидрохлорид 1-(3-диметиламинопропил)-3-этилкарбодиимида (59 мг, 0,30 ммоль, 1,2 экв.) и гидроксибензотриазол (41 мг, 0,30 ммоль, 1,2 экв.). Смесь перемешивали при 30°С в течение 12 ч. В смесь выливали воду (50 мл) и перемешивали в течение 1 минуты. Водную фазу экстрагировали этилацетатом (20 мл × 3). Объединенную органическую фазу промывали солевым раствором (20 мл × 2), высушивали с помощью безводного сульфата натрия, фильтровали и концентрировали в вакууме. Остаток очищали с помощью препаративной HPLC. Соединение, (2S,4R)-1-[(2S)-2-[[2-[4-[1-[4-[3-[2,6-дифтор-3-[[(3R)-3-фторпирролидин-1-ил]сульфониламино]бензоил]-1Н-пирроло[2,3-b]пиридин-5-ил]фенил]-4-пиперидил]-1,4-диазепан-1-ил]ацетил]амино]-3,3-диметилбутаноил]-4-гидрокси-N-[(1S)-1-[4-(4-метилтиазол-5-ил)фенил]этил]пирролидин-2-карбоксамид (57,8 мг, 0,04 ммоль, выход 17%, чистота 97%, формиат), получали в виде желтого твердого вещества. LC/MS (ESI) масса/заряд: 583,9 [М/2]+; 1Н ЯМР (400 МГц, DMSO-d6) δ 12,94 (s, 1H), 8,98 (s, 1Н), 8,64 (d, J=2,0 Гц, 1H), 8,53 (s, 1H), 8,45 (d, J=7,6 Гц, 1H), 8,17 (s, 2H), 8,06 (s, 1H), 7,82 (d, J=9,6 Гц, 1H), 7,66-7,54 (m, 3H), 7,46-7,40 (m, 2H), 7,40-7,33 (m, 2H), 7,25 (t, J=8,4 Гц, 1H), 7,07 (d, J=8,8 Гц, 2H), 5,39-5,20 (m, 1H), 4,98-4,84 (m, 1H), 4,50 (d, J=9,6 Гц, 1H), 4,44 (t, J=8,4 Гц, 1H), 4,28 (s, 1H), 3,84 (d, J=11,2 Гц, 2H), 3,63-3,53 (m, 2H), 3,47 (s, 3H), 3,11 (d, J=8,8 Гц, 2H), 2,79 (d, J=15,2 Гц, 4H), 2,75-2,68 (m, 6H), 2,45 (s, 4H), 2,14-2,01 (m, 3H), 1,85-1,69 (m, 6H), 1,63-1,44 (m, 3H), 1,38 (d, J=6,8 Гц, 3H), 0,95 (s, 9H).
[1718] Иллюстративный синтез (2S,4R)-1-((S)-2-(2-(4-((4-(4-(3-(2,6-дифтор-3-(((R)-3-фторпирролидин)-1-сульфонамидо)бензоил)-1Н-пирроло[2,3-b]пиридин-5-ил)фенил)пиперазин-1-ил)метил)фенил)ацетамидо)-3,3-диметилбутаноил)-4-гидрокси-N-((S)-1-(4-(4-метилтиазол-5-ил)фенил)этил)пирролидин-2-карбоксамида (пример 377)
[1719] Стадия 1: получение метил-(R)-2-(4-((4-(4-(3-(2,6-дифтор-3-((3-фторпирролидин)-1-сульфонамидо)бензоил)-1Н-пирроло[2,3-b]пиридин-5-ил)фенил)пиперазин-1-ил)метил)фенил)ацетата
[1720] К раствору (3R)-N-[2,4-дифтор-3-[5-(4-пиперазин-1-илфенил)-1Н-пирроло[2,3-b]пиридин-3-карбонил]фенил]-3-фторпирролидин-1-сульфонамида (200 мг, 0,30 ммоль, 1 экв., 2 гидрохлорида) в метиловом спирте (2 мл) и дихлорметане (1 мл) добавляли ацетат натрия (50 мг, 0,61 ммоль, 2 экв.) для регулирования рН-8,0. Затем добавляли метил-2-(4-формилфенил)ацетат (108 мг, 0,61 ммоль, 2 экв.). Смесь перемешивали при 30°С в течение 15 мин с последующим добавлением уксусной кислоты (36 мг, 0,61 ммоль, 2 экв.) для регулирования рН-5,0. Смесь перемешивали при 15°С в течение 15 мин. Затем порциями добавляли цианоборогидрид натрия (38 мг, 0,61 ммоль, 2 экв.). Реакционную смесь перемешивали при 30°С в течение 1,5 часа. Реакционную смесь выливали в воду (30 мл) и экстрагировали этилацетатом (30 мл × 2). Объединенные органические слои высушивали над безводным сульфатом натрия, фильтровали и концентрировали при пониженном давлении. Остаток очищали с помощью препаративной тонкослойной хроматографии (дихлорметан:метанол = 10:1, Rf=0,4). Соединение, метил-2-[4-[[4-[4-[3-[2,6-дифтор-3-[[(3R)-3-фторпирролидин-1-ил]сульфониламино]бензоил]-1Н-пирроло[2,3-b]пиридин-5-ил]фенил]пиперазин-1-ил]метил]фенил]ацетат (140 мг, 0,18 ммоль, выход 60%, чистота 98%), получали в виде бесцветного масла. LC/MS (ESI) масса/заряд: 747,2 [М+1]+.
[1721] Стадия 2: получение (R)-2-(4-((4-(4-(3-(2,6-дифтор-3-((3-фторпирролидин)-1-сульфонамидо)бензоил)-1Н-пирроло[2,3-b]пиридин-5-ил)фенил)пиперазин-1-ил)метил)фенил)уксусной кислоты
[1722] К раствору метил-2-[4-[[4-[4-[3-[2,6-дифтор-3-[[(3R)-3-фторпирролидин-1-ил]сульфониламино]бензоил]-1Н-пирроло[2,3-b]пиридин-5-ил]фенил]пиперазин-1-ил]метил]фенил]ацетата (140 мг, 0,19 ммоль, 1 экв.) в тетрагидрофуране (2 мл) и воде (0,5 мл) добавляли гидрат лития (14 мг, 0,56 ммоль, 3 экв.). Смесь перемешивали при 30°С в течение 12 ч. Реакционную смесь концентрировали под вакуумом. Остаток разбавляли водой 5 мл, затем подкисляли с помощью хлористоводородной кислоты (1 М) до рН=5-6. Суспензию концентрировали под вакуумом. Остаток очищали с помощью полупрепаративной HPLC с обращенной фазой. Соединение, 2-[4-[[4-[4-[3-[2,6-дифтор-3-[[(3R)-3-фторпирролидин-1-ил]сульфониламино]бензоил]-1Н-пирроло[2,3-b]пиридин-5-ил]фенил]пиперазин-1-ил]метил]фенил]уксусную кислоту (65 мг, 0,1 ммоль, выход 44%, чистота 94%), получали в виде желтого твердого вещества. LC/MS (ESI)масса/заряд: 733,1 [М+1]+.
[1723] Стадия 3: получение (2S,4R)-1-((S)-2-(2-(4-((4-(4-(3-(2,6-дифтор-3-(((R)-3-фторпирролидин)-1-сульфонамидо)бензоил)-1Н-пирроло[2,3-b]пиридин-5-ил)фенил)пиперазин-1-ил)метил)фенил)ацетамидо)-3,3-диметилбутаноил)-4-гидрокси-N-((S)-1-(4-(4-метилтиазол-5-ил)фенил)этил)пирролидин-2-карбоксамида 
[1724] К раствору 2-[4-[[4-[4-[3-[2,6-дифтор-3-[[(3R)-3-фторпирролидин-1-ил]сульфониламино]бензоил]-1Н-пирроло[2,3-b]пиридин-5-ил]фенил]пиперазин-1-ил]метил]фенил]уксусной кислоты (115 мг, 0,15 ммоль, 1 экв.) и (2S,4R)-1-[(2S)-2-амино-3,3-диметилбутаноил]-4-гидрокси-N-[(1S)-1-[4-(4-метилтиазол-5-ил)фенил]этил]пирролидин-2-карбоксамида (71 мг, 0,15 ммоль, 1,00 экв., гидрохлорид) в N,N-диметилформамиде (1 мл) добавляли гидроксибензотриазол (24 мг, 0,18 ммоль, 1,2 экв.), N,N-диизопропилэтиламин (57 мг, 0,44 ммоль, 3 экв.) и гидрохлорид 1-(3-диметиламинопропил)-3-этилкарбодиимида (42,42 мг, 0,22 ммоль, 1,5 экв.). Смесь перемешивали при 30°С в течение 2 ч. Реакционную смесь выливали в воду (30 мл) и экстрагировали этилацетатом (40 мл × 2). Объединенные органические слои высушивали над безводным сульфатом натрия, фильтровали и концентрировали при пониженном давлении. Остаток очищали с помощью полупрепаративной HPLC с обращенной фазой. Соединение, (2S,4R)-1-[(2S)-2-[[2-[4-[[4-[4-[3-[2,6-дифтор-3-[[(3R)-3-фторпирролидин-1-ил]сульфониламино]бензоил]-1Н-пирроло[2,3-b]пиридин-5-ил]фенил]пиперазин-1-ил]метил]фенил]ацетил]амино]-3,3-диметилбутаноил]-4-гидрокси-N-[(1S)-1-[4-(4-метилтиазол-5-ил)фенил]этил]пирролидин-2-карбоксамид (93,8 мг, 0,07 ммоль, выход 51%, чистота 97%, муравьиная кислота), получали в виде желтого твердого вещества. LC/MS (ESI) масса/заряд: 580,3 [М/2+1]+; 1H ЯМР (400 МГц, DMSO-d6) δ 12,90 (s, 1H), 9,01-8,95 (m, 1H), 8,64 (d, J=2,4 Гц, 1H), 8,53 (s, 1H), 8,44-8,36 (m, 1H), 8,15 (s, 1H), 8,06 (s, 1H), 7,99 (d, J=9,2 Гц, 1H), 7,69-7,53 (m, 3H), 7,47-7,41 (m, 2H), 7,41-7,35 (m, 2H), 7,30-7,21 (m, 5H), 7,06 (d, J=8,8 Гц, 2H), 5,41-5,19 (m, 1H), 5,10 (s, 1H), 5,00-4,84 (m, 1H), 4,50 (d, J=9,2 Гц, 1H), 4,43 (t, J=8,0 Гц, 1H), 4,27 (s, 1H), 3,66-3,55 (m, 3H), 3,49 (d, J=14,4 Гц, 4H), 3,39 (s, 3H), 3,21 (s, 3H), 2,56-2,53 (m, 2H), 2,52 (s, 3H), 2,45 (s, 3Н), 2,2-1,87 (m, 4H), 1,84-1,67 (m, 1H), 1,38 (d, J=7,2 Гц, 3Н), 1,00-0,80 (m, 9H).
[1725] Иллюстративный синтез (2S,4R)-1-((S)-2-(3-(4-(4-(4-(3-(2,6-дифтор-3-(((R-3-фторпирролидин)-1-сульфонамидо)бензоил)-1Н-пирроло[2,3-b]пиридин-5-ил)фенил)пиперазин-1-ил)бутокси)изоксазол-5-ил)-3-метилбутаноил)-4-гидрокси-N-((S)-1-(4-(4-метилтиазол-5-ил)фенил)этил)пирролидин-2-карбоксамида (пример 383) и (2S,4R)-1-((R)-2-(3-(4-(4-(4-(3-(2,6-дифтор-3-(((R)-3-фторпирролидин)-1-сульфонамидо)бензоил)-1Н-пирроло[2,3-b]пиридин-5-ил)фенил)пиперазин-1-ил)бутокси)изоксазол-5-ил)-3-метилбутаноил)-4-гидрокси-N-((S)-1-(4-(4-метилтиазол-5-ил)фенил)этил)пирролидин-2-карбоксамида (пример 384)
[1726] Стадия 1: получение метил-2-(3-(4,4-диметоксибутокси)изоксазол-5-ил)-3-метилбутаноата
[1727] К раствору 4-хлор-1,1-диметоксибутана (383 мг, 2,51 ммоль, 1 экв.) и метил-2-(3-гидроксиизоксазол-5-ил)-3-метилбутаноата (500 мг, 2,51 ммоль, 1 экв.) в N,N-диметилформамиде (10 мл) добавляли карбонат цезия (1,64 г, 5,02 ммоль, 2 экв.). Смесь перемешивали при 80°С в течение 2 ч. В смесь выливали воду (100 мл) и перемешивали в течение 1 минуты. Водную фазу экстрагировали этилацетатом (100 мл × 3). Объединенную органическую фазу промывали солевым раствором (100 мл × 2), высушивали с помощью безводного сульфата натрия, фильтровали и концентрировали в вакууме. Остаток очищали с помощью хроматографии на силикагеле (петролейный эфир : этилацетат = от 1:0 до 30:1). Соединение, метил-2-[3-(4,4-диметоксибутокси)изоксазол-5-ил]-3-метилбутаноат (500 мг, 1,36 ммоль, выход 54%, чистота 86%), получали в виде бесцветного масла. LC/MS (ESI) масса/заряд: 338,4 [М+23]+.
[1728] Стадия 2: получение метил-3-метил-2-(3-(4-оксобутокси)изоксазол-5-ил)бутаноата
[1729] К раствору метил-2-[3-(4,4-диметоксибутокси)изоксазол-5-ил]-3-метилбутаноата (500 мг, 1,36 ммоль, 1 экв.) в тетрагидрофуране (20 мл) добавляли серную кислоту (2 М, 27 мл, 40 экв.). Смесь перемешивали при 70°С в течение 0,5 ч. Реакционную смесь регулировали до рН 8 с помощью насыщенного водного раствора бикарбоната натрия. В смесь выливали воду (50 мл) и перемешивали в течение 1 минуты. Водную фазу экстрагировали этилацетатом (30 мл × 3). Объединенную органическую фазу промывали солевым раствором (30 мл × 2), высушивали с помощью безводного сульфата натрия, фильтровали и концентрировали в вакууме. Неочищенный продукт применяли на следующей стадии без дополнительной очистки. Соединение, метил-3-метил-2-[3-(4-оксобутокси)изоксазол-5-ил]бутаноат (270 мг, 1,00 ммоль, выход 73%), получали в виде бесцветного масла.
[1730] Стадия 3: получение метил-2-(3-(4-(4-(4-(3-(2,6-дифтор-3-(((R)-3-фторпирролидин)-1-сульфонамидо)бензоил)-1Н-пирроло[2,3-b]пиридин-5-ил)фенил)пиперазин-1-ил)бутокси)изоксазол-5-ил)-3-метилбутаноата
[1731] К раствору метил-3-метил-2-[3-(4-оксобутокси)изоксазол-5-ил]бутаноата (150 мг, 0,55 ммоль, 1 экв.) и (3R)-N-[2,4-дифтор-3-[5-(4-пиперазин-1-илфенил)-1Н-пирроло[2,3-b]пиридин-3-карбонил]фенил]-3-фторпирролидин-1-сульфонамида (345 мг, 0,55 ммоль, 1 экв., гидрохлорид) в 1,2-дихлорэтане (5 мл) добавляли триэтиламин (112 мг, 1,11 ммоль, 2 экв.) и триацетоксиборогидрид натрия (354 мг, 1,67 ммоль, 3 экв.). Смесь перемешивали при 15°С в течение 2 часов. В смесь выливали воду (100 мл) и перемешивали в течение 1 минуты. Водную фазу экстрагировали этилацетатом (30 мл × 3). Объединенную органическую фазу промывали солевым раствором (30 мл × 2), высушивали с помощью безводного сульфата натрия, фильтровали и концентрировали в вакууме. Остаток очищали с помощью препаративной TLC (дихлорметан : метанол = 10:1). Соединение, метил-2-[3-[4-[4-[4-[3-[2,6-дифтор-3-[[(3R)-3-фторпирролидин-1-ил]сульфониламино]бензоил]-1Н-пирроло[2,3-b]пиридин-5-ил]фенил]пиперазин-1-ил]бутокси]изоксазол-5-ил]-3-метилбутаноат (300 мг, 0,35 ммоль, выход 64%), получали в виде желтого твердого вещества. LC/MS (ESI) масса/заряд: 838,1 [М+1]+; 1H ЯМР (400 МГц, DMSO-d6) δ 12,89 (s, 1Н), 9,82 (s, 1H), 8,65 (d, J=2,4 Гц, 1H), 8,53 (s, 1H), 8,06 (s, 1H), 7,66-7,56 (m, 3H), 7,26 (t, J=8,8 Гц, 1H), 7,07 (d, J=8,8 Гц, 2Н), 6,20 (s, 1H), 5,23 (s, 1H), 4,20 (t, J - 6,4 Гц, 2Н), 3,67-3,65 (m, 3H), 3,48 (s, 1H), 3,43-3,36 (m, 2Н), 3,21 (s, 4H), 2,89 (s, 1H), 2,60-2,51 (m, 6H), 2,40 (t, J=6,8 Гц, 2Н), 2,33-2,25 (m, 1H), 2,14-2,06 (m, 1H), 1,81-1,72 (m, 2Н), 1,59 (квин., J=7,2 Гц, 2Н), 0,93 (d, J=6,8 Гц, 3H), 0,85 (d, J=6,8 Гц, 3H).
[1732] Стадия 4: получение 2-(3-(4-(4-(4-(3-(2,6-дифтор-3-(((R)-3-фторпирролидин)-1-сульфонамидо)бензоил)-1Н-пирроло[2,3-b]пиридин-5-ил)фенил)пиперазин-1-ил)бутокси)изоксазол-5-ил)-3-метилбутановой кислоты
[1733] К раствору метил-2-[3-[4-[4-[4-[3-[2,6-дифтор-3-[[(3R)-3-фторпирролидин-1-ил]сульфониламино]бензоил]-1Н-пирроло[2,3-b]пиридин-5-ил]фенил]пиперазин-1-ил]бутокси]изоксазол-5-ил]-3-метилбутаноата (300 мг, 0,35 ммоль, 1 экв.) в тетраги дрофу ране (5 мл), метаноле (5 мл) и воде (3 мл) добавляли моногидрат гидроксида лития (30 мг, 0,71 ммоль, 2 экв.). Смесь перемешивали при 40°С в течение 1 ч. Реакционную смесь концентрировали при пониженном давлении с получением остатка. Реакционную смесь регулировали до рН 5 с помощью хлористоводородной кислоты (1 M). Остаток очищали с помощью препаративной HPLC. Соединение, 2-[3-[4-[4-[4-[3-[2,6-дифтор-3-[[(3R)-3-фторпирролидин-1-ил]сульфониламино]бензоил]-1Н-пирроло[2,3-b]пиридин-5-ил]фенил]пиперазин-1-ил]бутокси]изоксазол-5-ил]-3-метилбутановую кислоту (200 мг, 0,24 ммоль, выход 67%), получали в виде желтого твердого вещества. LC/MS (ESI) масса/заряд: 824,4 [М+1]+.
[1734] Стадия 5: получение (2S,4R)-1-(2-(3-(4-(4-(4-(3-(2,6-дифтор-3-(((R)-3-фторпирролидин)-1-сульфонамидо)бензоил)-1Н-пирроло[2,3-b]пиридин-5-ил)фенил)пиперазин-1-ил)бутокси)изоксазол-5-ил)-3-метилбутаноил)-4-гидрокси-N-((S)-1-(4-(4-метилтиазол-5-ил)фенил)этил)пирролидин-2-карбоксамида
[1735] К раствору 2-[3-[4-[4-[4-[3-[2,6-дифтор-3-[[(3R)-3-фторпирролидин-1-ил]сульфониламино]бензоил]-1Н-пирроло[2,3-b]пиридин-5-ил]фенил]пиперазин-1-ил]бутокси]изоксазол-5-ил]-3-метилбутановой кислоты (200 мг, 0,24 ммоль, 1 экв.) и (2S,4R)-4-гидрокси-N-[(1S)-1-[4-(4-метилтиазол-5-ил)фенил]этил]пирролидин-2-карбоксамида (89 мг, 0,24 ммоль, 1,00 экв., HCl) в N,N-диметилформамиде (5 мл) добавляли триэтиламин (36 мг, 0,36 ммоль, 1,5 экв.), гидрохлорид 1-(3-диметиламинопропил)-3-этилкарбодиимида (55 мг, 0,29 ммоль, 1,2 экв.) и гидроксибензотриазол (39 мг, 0,29 ммоль, 1,2 экв.). Смесь перемешивали при 30°С в течение 12 часов. В смесь выливали воду (50 мл) и перемешивали в течение 1 минуты. Водную фазу экстрагировали дихлорметаном (20 мл × 3). Объединенную органическую фазу промывали солевым раствором (20 мл × 2), высушивали с помощью безводного сульфата натрия, фильтровали и концентрировали в вакууме. Остаток очищали с помощью препаративной HPLC. Соединение, (2S,4R)-1-[2-[3-[4-[4-[4-[3-[2,6-дифтор-3-[[(3R)-3-фторпирролидин-1-ил]сульфониламино]бензоил]-1Н-пирроло[2,3-b]пиридин-5-ил]фенил]пиперазин-1-ил]бутокси]изоксазол-5-ил]-3-метилбутаноил]-4-гидрокси-N-[(1S)-1-[4-(4-метилтиазол-5-ил)фенил]этил]пирролидин-2-карбоксамид (130 мг, 0,10 ммоль, выход 43%, чистота 96%, формиат), получали в виде белого твердого вещества. LC/MS (ESI) масса/заряд: 569,4 [M/2+1]+.
[1736] Стадия 6: получение (2S,4R)-1-((S)-2-(3-(4-(4-(4-(3-(2,6-дифтор-3-(((R)-3-фторпирролидин)-1-сульфонамидо)бензоил)-1Н-пирроло[2,3-b]пиридин-5-ил)фенил)пиперазин-1-ил)бутокси)изоксазол-5-ил)-3-метилбутаноил)-4-гидрокси-N-((S)-1-(4-(4-метилтиазол-5-ил)фенил)этил)пирролидин-2-карбоксамида и (2S,4R)-1-((R)-2-(3-(4-(4-(4-(3-(2,6-дифтор-3-(((R)-3-фторпирролидин)-1-сульфонамидо)бензоил)-1Н-пирроло[2,3-b]пиридин-5-ил)фенил)пиперазин-1-ил)бутокси)изоксазол-5-ил)-3-метилбутаноил)-4-гидрокси-N-((S)-1-(4-(4-метилтиазол-5-ил)фенил)этил)пирролидин-2-карбоксамида
[1737] (2S,4R)-1-[2-[3-[4-[4-[4-[3-[2,6-Дифтор-3-[[(3R)-3-фторпирролидин-1-ил]сульфониламино]бензоил]-1Н-пирроло[2,3-b]пиридин-5-ил]фенил]пиперазин-1-ил]бутокси]изоксазол-5-ил]-3-метилбутаноил]-4-гидрокси-N-[(1S)-1-[4-(4-метилтиазол-5-ил)фенил]этил]пирролидин-2-карбоксамид (130 мг, 0,10 ммоль, 1 экв., формиат) разделяли с помощью хиральной сверхкритической флюидной хроматографии. Соединение, (2S,4R)-1-[(2S)-2-[3-[4-[4-[4-[3-[2,6-дифтор-3-[[(3R)-3-фторпирролидин-1-ил]сульфониламино]бензоил]-1Н-пирроло[2,3-b]пиридин-5-ил]фенил]пиперазин-1-ил]бутокси]изоксазол-5-ил]-3-метилбутаноил]-4-гидрокси-N-[(1S)-1-[4-(4-метилтиазол-5-ил)фенил]этил]пирролидин-2-карбоксамид (22,68 мг, 0,01 ммоль, выход 32%, чистота 91%, формиат), получали в виде желтого твердого вещества. LC/MS (ESI) масса/заряд: 569,3 [М/2+1]+; 1H ЯМР (400 МГц, DMSO-d6) δ 12,86 (s, 1Н), 9,01-8,96 (m, 1H), 8,95-8,82 (m, 1H), 8,63 (d, J=2,1 Гц, 1Н), 8,52 (s, 1H), 8,30 (d, J=7,6 Гц, 1H), 8,03 (s, 1H), 7,63-7,46 (m, 4H), 7,45-7,38 (m, 2H), 7,35-7,30 (m, 2H), 7,13 (s, 1H), 7,05 (d, J=8,8 Гц, 2H), 6,16-6,07 (m, 1H), 5,37-5,17 (m, 1H), 5,11 (d, J=3,2 Гц, 1H), 5,05-4,96 (m, 1H), 4,90 (t, J=7,2 Гц, 1H), 4,42 (t, J=7,6 Гц, 1H), 4,26 (s, 1H), 4,22-4,11 (m, 2H), 3,75 (d, J=8,8 Гц, 1H), 3,59-3,36 (m, 4H), 3,29-3,12 (m, 6H), 2,45 (s, 3Н), 2,41-2,31 (m, 3H), 2,30-2,22 (m, 1H), 2,11-2,02 (m, 3H), 1,82-1,68 (m, 3H), 1,56 (dd, J=7,6, 14,5 Гц, 2H), 1,48-1,41 (m, 1H), 1,35 (d, J=7,2 Гц, 3Н), 0,96 (d, J=6,4 Гц, 3Н), 0,83 (d, J=6,8 Гц, 3Н). Соединение, (2S,4R)-1-[(2R)-2-[3-[4-[4-[4-[3-[2,6-дифтор-3-[[(3R)-3-фторпирролидин-1-ил]сульфониламино]бензоил]-1Н-пирроло[2,3-b]пиридин-5-ил]фенил]пиперазин-1-ил]бутокси]изоксазол-5-ил]-3-метилбутаноил]-4-гидрокси-N-[(1S)-1-[4-(4-метилтиазол-5-ил)фенил]этил]пирролидин-2-карбоксамид (52,44 мг, 0,04 ммоль, выход 76%, чистота 95%, формиат), получали в виде желтого твердого вещества. LC/MS (ESI) масса/заряд: 569,3 [М/2+1]+; 1H ЯМР (400 МГц, DMSO-d6) δ 12,95 (s, 1Н), 9,90 (s, 1H), 8,99 (s, 1H), 8,92 (s, 1H), 8,67 (d, J=2,0 Гц, 1H), 8,56 (s, 1H), 8,44 (d, J=7,6 Гц, 1H), 8,17-8,06 (m, 1H), 7,69-7,58 (m, 3Н), 7,50-7,42 (m, 2H), 7,41-7,34 (m, 2H), 7,28 (t, J=8,0 Гц, 1H), 7,12 (d, J=8,4 Гц, 2H), 6,14-5,93 (m, 1H), 5,39-5,22 (m, 1H), 5,39-5,22 (m, 1H), 5,15-5,01 (m, 1H), 4,99-4,84 (m, 1H), 4,37 (t, J=8,0 Гц, 1H), 4,29 (s, 1H), 4,20 (s, 2H), 3,75-3,62 (m, 2H), 3,53-3,36 (m, 6H), 2,54-2,52 (m, 3Н), 2,46 (s, 3Н), 2,35 (td, J=2,0, 8,4 Гц, 2H), 2,30-2,17 (m, 2H), 2,10-2,01 (m, 2H), 1,84-1,72 (m, 5H), 1,49-1,42 (m, 1H), 1,41-1,34 (m, 3Н), 1,24 (s, 1H), 1,00-0,94 (m, 3Н), 0,87-0,78 (m, 4H).
[1738] Иллюстративный синтез (2S,4R)-1-((S)-2-(3-(3-(4-(4-(3-(2,6-дифтор-3-(((R)-3-фторпирролидин)-1-сульфонамидо)бензоил)-1Н-пирроло[2,3-b]пиридин-5-ил)фенил)пиперазин-1-ил)пропокси)изоксазол-5-ил)-3-метилбутаноил)-4-гидрокси-N-((R)-2-гидрокси-1-(4-(4-метилтиазол-5-ил)фенил)этил)пирролидин-2-карбоксамида (пример 493) и (2S,4R)-1-((R)-2-(3-(3-(4-(4-(3-(2,6-дифтор-3-(((R)-3-фторпирролидин)-1-сульфонамидо)бензоил)-1Н-пирроло[2,3-b]пиридин-5-ил)фенил)пиперазин-1-ил)пропокси)изоксазол-5-ил)-3-метилбутаноил)-4-гидрокси-N-((R)-2-гидрокси-1-(4-(4-метилтиазол-5-ил)фенил)этил)пирролидин-2-карбоксамида (пример 479)
[1739] Стадия 1: получение трет-бутил-(R)-(1-(4-бром фенил)-2-гидроксиэтил)карбамата
[1740] К раствору (2R)-2-амино-2-(4-бромфенил)этанола (1,74 г, 6,89 ммоль, 1 экв., гидрохлорид) в тетрагидрофуране (25 мл) добавляли триэтиламин (2,79 г, 27,56 ммоль, 3,84 мл, 4 экв.) и трет-бутоксикарбонил-трет-бутилкарбонат (1,80 г, 8,27 ммоль, 1,90 мл, 1,2 экв.). Смесь перемешивали при 30°С в течение 12 ч. Реакционную смесь концентрировали при пониженном давлении с удалением тетрагидрофурана. Остаток экстрагировали этилацетатом (50 мл × 2). Объединенные органические слои промывали водным солевым раствором (40 мл × 2), высушивали над безводным сульфатом натрия, фильтровали и концентрировали при пониженном давлении. Неочищенный продукт растирали со смесью петролейный эфир/этилацетат (22 мл, об. : об. = 10:1). Соединение, трет-бутил-N-[(1R)-1-(4-бромфенил)-2-гидроксиэтил]карбамат (2 г, 6,33 ммоль, выход 91%), получали в виде белого твердого вещества. 1H ЯМР (400 МГц, CDCl3) δ 7,51-7,46 (m, 2H), 7,20 (d, J=8,4 Гц, 2Н), 5,27 (s, 1Н), 4,73 (s, 1H), 3,92-3,75 (m, 2H), 2,12 (s, 1H), 1,51-1,32 (m, 9H).
[1741] Стадия 2: получение трет-бутил-(R)-(2-гидрокси-1-(4-(4-метилтиазол-5-ил)фенил)этил)карбамата
[1742] Смесь трет-бутил-N-[(1R)-1-(4-бромфенил)-2-гидроксиэтил]карбамата (2,0 г, 6,33 ммоль, 1 экв.), 4-метилтиазола (1,25 г, 12,65 ммоль, 1,15 мл, 2 экв.), ацетата калия (1,24 г, 12,65 ммоль, 2 экв.) и ацетата палладия (142 мг, 0,63 ммоль, 0,1 экв.) в диметилацетамиде (40 мл) дегазировали и продували азотом 3 раза и затем смесь перемешивали при 100°С в течение 12 ч. в атмосфере азота. Реакционную смесь концентрировали при пониженном давлении с удалением диметилацетамида. Остаток экстрагировали этилацетатом (40 мл × 2) и промывали насыщенным солевым раствором (40 мл × 2). Объединенные органические слои высушивали над безводным сульфатом натрия, фильтровали и концентрировали при пониженном давлении. Остаток очищали с помощью хроматографии на силикагеле (петролейный эфир/этилацетат = от 5/1 до 1/2). Соединение, трет-бутил-N-[(1R)-2-гидрокси-1-[4-(4-метилтиазол-5-ил)фенил]этил]карбамат (1,45 г, 3,98 ммоль, выход 63%, чистота 91%), получали в виде желтого масла. LC/MS (ESI) масса/заряд: 335,1 [М+1]+.
[1743] Стадия 3: получение (R)-2-амино-2-(4-(4-метилтиазол-5-ил)фенил)этан-1-ола
[1744] К раствору трет-бутил-N-[(1R-)-2-гидрокси-1-[4-(4-метилтиазол-5-ил)фенил]этил]карбамата (1,45 г, 3,98 ммоль, 1 экв.) в дихлорметане (5 мл) добавляли хлористоводородную кислоту (4 М в диоксане, 18 мл, 18,33 экв.). Смесь перемешивали при 20°С в течение 2 ч. Реакционную смесь концентрировали при пониженном давлении. Неочищенный продукт растирали с этилацетатом (10 мл) при 15°С в течение 10 мин. Соединение (2R)-2-амино-2-[4-(4-метилтиазол-5-ил)фенил]этанол (1,08 г, 3,99 ммоль, выход 100%, гидрохлорид) получали в виде желтого твердого вещества. LC/MS (ESI) масса/заряд: 235,0 [М+1]+.
[1745] Стадия 4: получение трет-бутил-(2S,4R)-4-гидрокси-2-(((R)-2-гидрокси-1-(4-(4-метилтиазол-5-ил)фенил)этил)карбамоил)пирролидин-1-карбоксилата
[1746] К раствору (2R)-2-амино-2-[4-(4-метилтиазол-5-ил)фенил]этанола (1,08 г, 3,99 ммоль, 1 экв., гидрохлорид) и (2S,4R)-1-трет-бутоксикарбонил-4-гидроксипирролидин-2-карбоновой кислоты (922 мг, 3,99 ммоль, 1 экв.) в n,n-диметилформамиде (15 мл) добавляли гидроксибензотриазол (647 мг, 4,79 ммоль, 1,2 экв.), N,N-диизопропилэтиламин (1,55 г, 11,97 ммоль, 2 мл, 3 экв.) и гидрохлорид 1-(3-диметиламинопропил)-3-этилкарбодиимида (1,15 г, 5,98 ммоль, 1,5 экв.). Смесь перемешивали при 30°С в течение 12 ч. Реакционную смесь экстрагировали дихлорметаном (30 мл × 3) и промывали насыщенным солевым раствором (25 мл × 3). Объединенные органические слои высушивали над безводным сульфатом натрия, фильтровали и концентрировали при пониженном давлении. Остаток очищали с помощью колоночной хроматографии на силикагеле (этилацетат/метанол = от 50/1 до 20:1). Соединение, трет-бутил-(2S,4R)-4-гидрокси-2-[[(1R)-2-гидрокси-1-[4-(4-метилтиазол-5-ил)фенил]этил]карбамоил]пирролидин-1-карбоксилат (1,67 г, 2,90 ммоль, выход 72%, чистота 77%), получали в виде желтого твердого вещества. LC/MS (ESI) масса/заряд: 448,1 [М+1]+.
[1747] Стадия 5: получение (2S,4R)-4-гидрокси-N-((R)-2-гидрокси-1-(4-(4-метилтиазол-5-ил)фенил)этил)пирролидин-2-карбоксамида
[1748] К раствору трет-бутил-(2S,4R)-4-гидрокси-2-[[(1R)-2-гидрокси-1-[4-(4-метилтиазол-5-ил)фенил]этил]карбамоил]пирролидин-1-карбоксилата (1,67 г, 2,90 ммоль, 1 экв.) в дихлорметане (8 мл) добавляли смесь хлористоводородная кислота/диоксан (4 М, 20 мл). Смесь перемешивали при 15°С в течение 2 ч. Реакционную смесь концентрировали под вакуумом. Остаток очищали с помощью полупрепаративной HPLC с обращенной фазой. Соединение, (2S,4R)-4-гидрокси-N-[(1R)-2-гидрокси-1-[4-(4-метилтиазол-5-ил)фенил]этил]пирролидин-2-карбоксамид (930 мг, 2,42 ммоль, выход 83%, гидрохлорид), получали в виде белого твердого вещества. LC/MS (ESI) масса/заряд: 348,0 [М+1]+; 1H ЯМР (400 МГц, DMSO-d6) δ 9,84 (s, 1H), 9,17 (s, 1H), 9,00 (s, 1H), 8,61 (s, 1H), 7,51-7,35 (m, 4H), 4,96-4,88 (m, 1H), 4,48-4,37 (m, 3H), 3,69-3,55 (m, 2H), 3,29 (d, J=6,4 Гц, 1H), 3,09 (s, 1H), 2,46 (s, 3H), 2,41 (dd, J=7,6, 13,1 Гц, 1H), 1,89-1,74 (m, 1H).
[1749] Стадия 6: получение метил-2-(3-(3,3-диметоксипропокси)изоксазол-5-ил)-3-метилбутаноата
[1750] К раствору метил-2-(3-гидроксиизоксазол-5-ил)-3-метилбутаноата (2 г, 10,04 ммоль, 1 экв.) в N,N-диметилформамиде (40 мл) добавляли карбонат калия (2,08 г, 15,06 ммоль, 1,5 экв.) и 3-бром-1,1-диметоксипропан (2,02 г, 11,04 ммоль, 1,5 мл, 1,1 экв.). Смесь перемешивали при 70°С в течение 12 ч. Реакционную смесь экстрагировали этилацетатом (50 мл × 3). Объединенные органические слои промывали солевым раствором (40 мл × 2), высушивали над безводным сульфатом натрия, фильтровали и концентрировали при пониженном давлении. Остаток очищали с помощью хроматографии на силикагеле (петролейный эфир/этилацетат = от 50/1 до 20:1). Соединение, метил-2-[3-(3,3-диметоксипропокси)изоксазол-5-ил]-3-метилбутаноат (1,97 г, 6,54 ммоль, выход 65%), получали в виде бесцветного масла. LC/MS (ESI) масса/заряд: 324,1 [М+23]+; 1H ЯМР (400 МГц, DMSO-d6) δ 6,19 (s, 1H), 4,53 (t, J=5,6 Гц, 1H), 4,17 (t, J=6,4 Гц, 2H), 3,76-3,61 (m, 4H), 3,24 (s, 6H), 2,34-2,22 (m, 1H), 1,99 (q, J=6,4 Гц, 2H), 0,93 (d, J=6,8 Гц, 3Н), 0,85 (d, J=6,7 Гц, 3Н).
[1751] Стадия 7: получение метил-3-метил-2-(3-(3-оксопропокси)изоксазол-5-ил)бутаноата
[1752] К смеси метил-2-[3-(3,3-диметоксипропокси)изоксазол-5-ил]-3-метилбутаноата (1,97 г, 6,54 ммоль, 1 экв.) в тетрагидрофуране (100 мл) одной порцией добавляли серную кислоту (1 M, 100 мл, 15,30 экв.) при 20°С. Смесь перемешивали при 70°С в течение 0,5 часа. Повышали основность реакционной смеси с помощью насыщенного раствора бикарбоната натрия до рН=7~8. Водную фазу экстрагировали этилацетатом (50 мл × 3). Объединенную органическую фазу промывали солевым раствором (30 мл × 2), высушивали с помощью безводного сульфата натрия, фильтровали и концентрировали в вакууме. Соединение, метил-3-метил-2-[3-(3-оксопропокси)изоксазол-5-ил]бутаноат (1,47 г, 5,76 ммоль, выход 88%), получали в виде бесцветного масла, которое непосредственно применяли на следующей стадии и без дополнительной очистки.
[1753] Стадия 8: получение метил-2-(3-(3-(4-(4-(3-(2,6-дифтор-3-(((R)-3-фторпирролидин)-1-сульфонамидо)бензоил)-1Н-пирроло[2,3-b]пиридин-5-ил)фенил)пиперазин-1-ил)пропокси)изоксазол-5-ил)-3-метилбутаноата
[1754] К смеси (3R)-N-[2,4-дифтор-3-[5-(4-пиперазин-1-илфенил)-1Н-пирроло[2,3-b]пиридин-3-карбонил]фенил]-3-фторпирролидин-1-сульфонамида (1,45 г, 2,33 ммоль, 0,7 экв., гидрохлорид) в метаноле (8 мл) одной порцией добавляли ацетат натрия (547 мг, 6,67 ммоль, 2 экв.) при 15°С. Смесь перемешивали при 15°С в течение 15 мин., затем добавляли метил-3-метил-2-[3-(3-оксопропокси)изоксазол-5-ил]бутаноат (852 мг, 3,34 ммоль, 1 экв.) в дихлорметане (5 мл). Смесь перемешивали при 15°С в течение еще 15 мин., добавляли уксусную кислоту (0,5 мл) для регулирования рН = 4~5. Затем добавляли цианоборогидрид натрия (419 мг, 6,67 ммоль, 2 экв.) и перемешивали при 15°С в течение 11,5 часа. Реакционную смесь экстрагировали дихлорметаном (40 мл × 2). Объединенные органические слои промывали солевым раствором (25 мл × 2), высушивали над безводным сульфатом натрия, фильтровали и концентрировали при пониженном давлении. Остаток очищали с помощью полупрепаративной HPLC с обращенной фазой. Соединение, метил-2-[3-[3-[4-[4-[3-[2,6-дифтор-3-[[(3R)-3-фторпирролидин-1-ил]сульфониламино]бензоил]-1Н-пирроло[2,3-b]пиридин-5-ил]фенил]пиперазин-1-ил]пропокси]изоксазол-5-ил]-3-метилбутаноат (0,7 г, 0,84 ммоль, выход 25%, чистота 99%), получали в виде желтого твердого вещества. LC/MS (ESI) масса/заряд: 824,3 [М+1]+.
[1755] Стадия 9: получение 2-(3-(3-(4-(4-(3-(2,6-дифтор-3-(((R)-3-фторпирролидин)-1-сульфонамидо)бензоил)-1Н-пирроло[2,3-b]пиридин-5-ил)фенил)пиперазин-1-ил)пропокси)изоксазол-5-ил)-3-метилбутановой кислоты 
[1756] К раствору метил-2-[3-[3-[4-[4-[3-[2,6-дифтор-3-[[(3R)-3-фторпирролидин-1-ил]сульфониламино]бензоил]-1Н-пирроло[2,3-b]пиридин-5-ил]фенил]пиперазин-1-ил]пропокси]изоксазол-5-ил]-3-метилбутаноата (320 мг, 0,40 ммоль, 1 экв.) в тетрагидрофуране (1 мл), воде (0,5 мл) и метаноле (2 мл) добавляли гидрат лития (28 мг, 1,17 ммоль, 3 экв.). Смесь перемешивали при 40°С в течение 2 ч. Реакционную смесь подкисляли с помощью хлористоводородной кислоты (2 М) до рН=5~6. Затем реакционную смесь концентрировали под вакуумом. Остаток очищали с помощью полупрепаративной HPLC с обращенной фазой. Соединение, 2-[3-[3-[4-[4-[3-[2,6-дифтор-3-[[(3R)-3-фторпирролидин-1-ил]сульфониламино]бензоил]-1Н-пирроло[2,3-b]пиридин-5-ил]фенил]пиперазин-1-ил]пропокси]изоксазол-5-ил]-3-метилбутановую кислоту (195 мг, 0,23 ммоль, выход 60%, чистота 97%), получали в виде желтого твердого вещества. LC/MS (ESI) масса/заряд: 810,4 [М+1]+.
[1757] Стадия 10: получение (2S,4R)-1-((S)-2-(3-(3-(4-(4-(3-(2,6-дифтор-3-(((R)-3-фторпирролидин)-1-сульфонамидо)бензоил)-1Н-пирроло[2,3-b]пиридин-5-ил)фенил)пиперазин-1-ил)пропокси)изоксазол-5-ил)-3-метилбутаноил)-4-гидрокси-N-((R)-2-гидрокси-1-(4-(4-метилтиазол-5-ил)фенил)этил)пирролидин-2-карбоксамида и (2S,4R)-1-((R)-2-(3-(3-(4-(4-(3-(2,6-дифтор-3-(((R)-3-фторпирролидин)-1-сульфонамидо)бензоил)-1Н-пирроло[2,3-b]пиридин-5-ил)фенил)пиперазин-1-ил)пропокси)изоксазол-5-ил)-3-метилбутаноил)-4-гидрокси-N-((R)-2-гидрокси-1-(4-(4-метилтиазол-5-ил)фенил)этил)пирролидин-2-карбоксамида
[1758] Получали смесь 2-[3-[3-[4-[4-[3-[2,6-дифтор-3-[[(3R)-3-фторпирролидин-1-ил]сульфониламино]бензоил]-1Н-пирроло[2,3-b]пиридин-5-ил]фенил]пиперазин-1-ил]пропокси]изоксазол-5-ил]-3-метилбутановой кислоты (340 мг, 0,42 ммоль, 1 экв.), (2S,4R)-4-гидрокси-N-[(1R)-2-гидрокси-1-[4-(4-метилтиазол-5-ил)фенил]этил]пирролидин-2-карбоксамида (161 мг, 0,42 ммоль, 1,00 экв., гидрохлорид), гидроксибензотриазола (68 мг, 0,50 ммоль, 1,2 экв.), N,N-диизопропилэтиламина (109 мг, 0,84 ммоль, 0,2 мл, 2 экв.) и гидрохлорида 1-(3-диметиламинопропил)-3-этилкарбодиимида (121 мг, 0,63 ммоль, 1,5 экв.) в N,N-диметилформамиде (2 мл) и затем смесь перемешивали при 15°С в течение 2 ч. Реакционную смесь экстрагировали дихлорметаном (30 мл × 3). Объединенные органические слои промывали солевым раствором (20 мл × 2), высушивали над безводным сульфатом натрия, фильтровали и концентрировали при пониженном. Остаток очищали с помощью полупрепаративной HPLC с обращенной фазой. Соединение, (2S,4R)-1-[(2S)-2-[3-[3-[4-[4-[3-[2,6-дифтор-3-[[(3R)-3-фторпирролидин-1-ил]сульфониламино]бензоил]-1Н-пирроло[2,3-b]пиридин-5-ил]фенил]пиперазин-1-ил]пропокси]изоксазол-5-ил]-3-метилбутаноил]-4-гидрокси-N-[(1R)-2-гидрокси-1-[4-(4-метилтиазол-5-ил)фенил]этил]пирролидин-2-карбоксамид (44,9 мг, 0,04 ммоль, выход 10%, чистота 95%), получали в виде желтого твердого вещества. LC/MS (ESI) масса/заряд: 570,3 [M/2+1]+; 1H ЯМР (400 МГц, DMSO-d6) δ 12,87 (s, 1H), 9,83 (s, 1H), 9,03-8,94 (m, 1H), 8,67-8,61 (m, 1H), 8,53 (s, 1H), 8,29 (d, J=8,0 Гц, 1H), 8,05 (s, 1H), 7,66-7,54 (m, 3Н), 7,50-7,33 (m, 4H), 7,24 (t, J=8,8 Гц, 1H), 7,09-7,02 (m, 2H), 5,95-5,72 (m, 1H), 5,41-5,18 (m, 1H), 5,14 (d, J=3,6 Гц, 1H), 5,10-4,91 (m, 1H), 4,89-4,80 (m, 1H), 4,61-4,43 (m, 1H), 4,34-4,19 (m, 1H), 3,92-3,77 (m, 2H), 3,71-3,64 (m, 1H), 3,62-3,49 (m, 4H), 3,47 (s, 3Н), 3,31-3,24 (m, 3Н), 3,23-3,15 (m, 4H), 2,56-2,52 (m, 2H), 2,47-2,43 (m, 3Н), 2,39-2,26 (m, 3Н), 2,13-2,04 (m, 2H), 2,02-1,88 (m, 1H), 1,86-1,67 (m, 3Н), 0,99 (d, J=6,4 Гц, 2H), 0,91 (d, J=6,8 Гц, 2Н), 0,89-0,77 (m, 2H). Соединение, (2S,4R)-1-[(2R)-2-[3-[3-[4-[4-[3-[2,6-дифтор-3-[[(3R)-3-фторпирролидин-1-ил]сульфониламино]бензоил]-1Н-пирроло[2,3-b]пиридин-5-ил]фенил]пиперазин-1-ил]пропокси]изоксазол-5-ил]-3-метилбутаноил]-4-гидрокси-N-[(1R)-2-гидрокси-1-[4-(4-метилтиазол-5-ил)фенил]этил]пирролидин-2-карбоксамид (97,1 мг, 0,09 ммоль, выход 22%, чистота 100%), получали в виде желтого твердого вещества. LC/MS (ESI) масса/заряд: 570,3 [М/2+1]+; 1H ЯМР (400 МГц, DMSO-d6) δ 12,91 (s, 1H), 9,86 (s, 1H), 9,04-8,91 (m, 1H), 8,65 (d, J=2,4 Гц, 1H), 8,54 (s, 1H), 8,42 (d, J=8,0 Гц, 1H), 8,07 (s, 1H), 7,66-7,57 (m, 3H), 7,48-7,36 (m, 4H), 7,26 (t, J=8,8 Гц, 1H), 7,15-7,00 (m, 2H), 5,77 (s, 1H), 5,41-5,19 (m, 1H), 5,13 (d, J=3,6 Гц, 1H), 4,84 (t, J=5,6 Гц, 2H), 4,46 (t, J=8,0 Гц, 1H), 4,34-4,21 (m, 1H), 3,90-3,80 (m, 2H), 3,75-3,52 (m, 4H), 3,48 (s, 2H), 3,43-3,35 (m, 3H), 3,32-3,25 (m, 3H), 3,24-3,15 (m, 4H), 2,47-2,42 (m, 4H), 2,40-2,34 (m, 2H), 2,26 (d, J=16,0 Гц, 2Н), 2,14-1,98 (m, 3H), 1,85-1,73 (m, 3H), 1,00-0,94 (m, 3H), 0,93-0,86 (m, 3H).
[1759] Иллюстративный синтез (2S,4R)-1-((S)-2-(3-(3-(4-(4-(3-(2,6-дифтор-3-(((R)-3-фторпирролидин)-1-сульфонамидо)бензоил)-1Н-пирроло[2,3-b]пиридин-5-ил)фенил)пиперазин-1-ил)азетидин-1-ил)изоксазол-5-ил)-3-метилбутаноил)-4-гидрокси-N-((R)-2-гидрокси-1-(4-(4-метилтиазол-5-ил)фенил)этил)пирролидин-2-карбоксамида (пример 507) и (2S,4R)-1-((R-2-(3-(3-(4-(4-(3-(2,6-дифтор-3-(((R)-3-фторпирролидин)-1-сульфонамидо)бензоил)-1Н-пирроло[2,3-b]пиридин-5-ил)фенил)пиперазин-1-ил)азетидин-1-ил)изоксазол-5-ил)-3-метилбутаноил)-4-гидрокси-N-((R)-2-гидрокси-1-(4-(4-метилтиазол-5-ил)фенил)этил)пирролидин-2-карбоксамида (пример 508)
[1760] Стадия 1: получение трет-бутил-3-(4-(4-бром фенил)пиперазин-1-ил)азетидин-1-карбоксилата
[1761] К раствору 1-(4-бромфенил)пиперазина (8 г, 28,82 ммоль, 1 экв., гидрохлорид) и трет-бутил-3-оксоазетидин-1-карбоксилата (5,92 г, 34,58 ммоль, 1,2 экв.) в метаноле (130 мл) и уксусной кислоте (13 мл) добавляли боран-2-метилпиридин (6,17 г, 57,64 ммоль, 2 экв.). Смесь перемешивали при 15°С в течение 12 часов. Реакционную смесь экстрагировали дихлорметаном (80 мл × 3). Объединенные органические слои промывали солевым раствором (50 мл × 2), высушивали над безводным сульфатом натрия, фильтровали и концентрировали при пониженном давлении. Остаток очищали с помощью колоночной хроматографии на силикагеле (петролейный эфир/этилацетат = от 15/1 до 1/1). Соединение, трет-бутил-3-[4-(4-бромфенил)пиперазин-1-ил]азетидин-1-карбоксилат (11,29 г, 26,49 ммоль, выход 91%, чистота 93%), получали в виде белого твердого вещества. LC/MS (ESI) масса/заряд: 341,9 [M-56+1]+.
[1762] Стадия 2: получение 1-(азетидин-3-ил)-4-(4-бромфенил)пиперазина
[1763] К раствору трет-бутил-3-[4-(4-бромфенил)пиперазин-1-ил]азетидин-1-карбоксилата (11,29 г, 26,49 ммоль, 1 экв.) в дихлорметане (100 мл) добавляли трифторуксусную кислоту (22 мл). Смесь перемешивали при 15°С в течение 12 ч. Реакционную смесь концентрировали при пониженном давлении с получением остатка. рН остатка регулировали до 8 с помощью насыщенного водного раствора бикарбоната натрия (100 мл). Во время данного периода образовывался белый осадок. Его собирали путем фильтрации и концентрировали. Соединение, 1-(азетидин-3-ил)-4-(4-бромфенил)пиперазин (8,6 г, неочищенный), получали в виде белого твердого вещества. LC/MS (ESI) масса/заряд: 298,0 [М+1]+; 1H ЯМР (400 МГц, DMSO-d6) δ 8,74 (s, 1Н), 7,34 (d, J=8,8 Гц, 2Н), 6,91 (d, J=8,8 Гц, 2Н), 4,04-3,95 (m, 2H), 3,87 (dd, J=6,4, 10,8 Гц, 2Н), 3,31-3,27 (m, 1Н), 3,19-3,10 (m, 4H), 2,47-2,42 (m, 4H).
[1764] Стадия 3: получение метил-2-(3-(3-(4-(4-бромфенил)пиперазин-1-ил)азетидин-1-ил)изоксазол-5-ил)-3-метилбутаноата
[1765] К раствору 1-(азетидин-3-ил)-4-(4-бромфенил)пиперазина (5 г, 16,88 ммоль, 1 экв.) в N-метилпирролидоне (80 мл) добавляли N,N-диизопропилэтиламин (6,54 г, 50,64 ммоль, 8,82 мл, 3 экв.) и метил-3-метил-2-[3-(1,1,2,2,3,3,4,4,4-нонафторбутилсульфонилокси)изоксазол-5-ил]бутаноат (8,12 г, 16,88 ммоль, 1 экв.). Смесь перемешивали при 110°С в течение 2 ч. Реакционную смесь экстрагировали этилацетатом (40 мл × 3). Объединенные органические слои промывали солевым раствором (30 мл × 3), высушивали над безводным сульфатом натрия, фильтровали и концентрировали при пониженном давлении. Остаток очищали с помощью препаративной HPLC с обращенной фазой. Повышали основность смеси с помощью насыщенного раствора бикарбоната натрия до рН=7~8. Затем смесь экстрагировали этилацетатом (60 мл × 2). Объединенные органические слои промывали насыщенным водным солевым раствором (30 мл × 2) и высушивали над безводным сульфатом натрия, фильтровали и концентрировали при пониженном давлении. Соединение, метил-2-[3-[3-[4-(4-бромфенил)пиперазин-1-ил]азетидин-1-ил]изоксазол-5-ил]-3-метилбутаноат (1,43 г, 2,78 ммоль, выход 16%, чистота 92%), получали в виде желтого твердого вещества. Соединение, метил-2-(3-гидроксиизоксазол-5-ил)-3-метилбутаноат (2 г, 10,04 ммоль, выход 59%), получали в виде желтого масла. LC/MS (ESI) масса/заряд: 478,9 [М+1]+.
[1766] Стадия 4: получение метил-2-(3-(3-(4-(4-(3-(2,6-дифтор-3-(((R)-3-фтор-N-((2-(триметилсилил)этокси)метил)пирролидин)-1-сульфонамидо)бензоил)-1-((2-(триметилсилил)этокси)метил)-1Н-пирроло[2,3-b]пиридин-5-ил)фенил)пиперазин-1-ил)азетидин-1-ил)изоксазол-5-ил)-3-метилбутаноата
[1767] Смесь метил-2-[3-[3-[4-(4-бромфенил)пиперазин- 1-ил]азетидин-1-ил]изоксазол-5-ил]-3-метилбутаноата (1,43 г, 3,00 ммоль, 1 экв.), (3R)-N-[2,4-дифтор-3-[5-(4,4,5,5-тетраметил-1,3,2-диоксаборолан-2-ил)-1-(2-триметилсилилэтоксиметил)пирроло[2,3-b]пиридин-3-карбонил]фенил]-3-фтор-N-(2-триметилсилилэтоксиметил)пирролидин-1-сульфонамида(2,43 г, 3,00 ммоль, 1 экв.), 4-ди-трет-бутилфосфанил-N,N-диметиланилин-дихлорпалладия (212 мг, 0,30 ммоль, 0,1 экв.), фторида цезия (1,82 г, 11,98 ммоль, 4 экв.) в диоксане (10 мл) и воде (2 мл) дегазировали и продували азотом 3 раза и затем смесь перемешивали при 100°С в течение 12 ч. в атмосфере азота. Реакционную смесь экстрагировали этилацетатом (40 мл × 2). Объединенные органические слои промывали солевым раствором (25 мл × 2), высушивали над безводным сульфатом натрия, фильтровали и концентрировали при пониженном давлении. Остаток очищали с помощью колоночной хроматографии на силикагеле (петролейный эфир/этилацетат = от 10/1 до 1/1). Соединение, метил-2-[3-[3-[4-[4-[3-[2,б-дифтор-3-[[(3R.)-3-фторпирролидин-1-ил]сульфонил-(2-триметилсилилэтоксиметил)амино]бензоил]-1-(2-триметилсилилэтоксиметил)пирроло[2,3-b]пиридин-5-ил] фенил] пиперазин-1-ил]азетидин-1-ил]изоксазол-5-ил]-3-метилбутаноат (1,95 г, 1,78 ммоль, выход 59%, чистота 98%) получали в виде желтого масла. LC/MS (ESI) масс а/заряд: 541,3 [M/2+1]+.
[1768] Стадия 5: получение метил-2-(3-(3-(4-(4-(3-(2,6-дифтор-3-(((R)-3-фторпирролидин)-1-сульфонамидо)бензоил)-1Н-пирроло[2,3-b]пиридин-5-ил)фенил)пиперазин-1-ил)азетидин-1-ил)изоксазол-5-ил)-3-метилбутаноата
[1769] К раствору метил-2-[3-[3-[4-[4-[3-[2,6-дифтор-3-[[(3R)-3-фторпирролидин-1-ил]сульфонил-(2-триметилсилилэтоксиметил)амино]бензоил]-1-(2-триметилсилилэтоксиметил)пирроло[2,3-b]пиридин-5-ил]фенил]пиперазин-1-ил]азетидин-1-ил]изоксазол-5-ил]-3-метилбутаноата (1,95 г, 1,78 ммоль, 1 экв.) в 1,2-дихлорметане (6 мл) добавляли три фтору ксусную кислоту (3,05 г, 26,74 ммоль, 2 мл, 15 экв.). Смесь перемешивали при 30°С в течение 16 ч. Реакционную смесь концентрировали при пониженном давлении. Соединение, метил-2-[3-[3-[4-[4-[3-[2,6-дифтор-3-[[(3R)-3-фторпирролидин-1-ил]сульфониламино]бензоил]-1Н-пирроло[2,3-b]пиридин-5-ил]фенил]пиперазин-1-ил]азетидин-1-ил]изоксазол-5-ил]-3-метилбутаноат (1,67 г, неочищенный, трифторуксусная кислота); получали в виде желтого масла, которое непосредственно применяли на следующей стадии и без дополнительной очистки. LC/MS (ESI) масса/заряд: 411,4 [M/2+1]+.
[1770] Стадия 6: получение 2-(3-(3-(4-(4-(3-(2,6-дифтор-3-(((R)-3-фторпирролидин)-1-сульфонамидо)бензоил)-1Н-пирроло[2,3-b]пиридин-5-ил)фенил)пиперазин-1-ил)азетидин-1-ил)изоксазол-5-ил)-3-метилбутановой кислоты
[1771] К раствору метил-2-[3-[3-[4-[4-[3-[2,6-дифтор-3-[[(3R)-3-фторпирролидин-1-ил]сульфониламино]бензоил]-1Н-пирроло[2,3-b]пиридин-5-ил]фенил]пиперазин-1-ил]азетидин-1-ил]изоксазол-5-ил]-3-метилбутаноата (1,67 г, 1,79 ммоль, 1 экв., трифторацетат) в тетрагидрофуране (8 мл) и воде (2 мл) добавляли гидроксид натрия (285 мг, 7,15 ммоль, 4 экв.). Смесь перемешивали при 40°С в течение 2 часов. Реакционную смесь подкисляли с помощью серной кислоты (1 М) до рН=5~6. Затем реакционную смесь концентрировали под вакуумом. Остаток очищали с помощью полупрепаративной HPLC с обращенной фазой. Соединение, 2-[3-[3-[4-[4-[3-[2,6-дифтор-3-[[(3R)-3-фторпирролидин-1-ил]сульфониламино]бензоил]-1Н-пирроло[2,3-b]пиридин-5-ил]фенил]пиперазин-1-ил]азетидин-1-ил]изоксазол-5-ил]-3-метилбутановую кислоту (520 мг, 0,64 ммоль, выход 36%, чистота 99%), получали в виде желтого твердого вещества. LC/MS (ESI) масса/заряд: 807,3 [М+1]+.
[1772] Стадия 7: получение (2S,4R)-1-(2-(3-(3-(4-(4-(3-(2,6-дифтор-3-(((R)-3-фторпирролидин)-1-сульфонамидо)бензоил)-1Н-пирроло[2,3-b]пиридин-5-ил)фенил)пиперазин-1-ил)азетидин-1-ил)изоксазол-5-ил)-3-метилбутаноил)-4-гидрокси-N-((R)-2-гидрокси-1-(4-(4-метилтиазол-5-ил)фенил)этил)пирролидин-2-карбоксамида 
[1773] К раствору 2-[3-[3-[4-[4-[3-[2,6-дифтор-3-[[(3R)-3-фторпирролидин-1-ил]сульфониламино]бензоил]-1Н-пирроло[2,3-b]пиридин-5-ил]фенил]пиперазин-1-ил]азетидин-1-ил]изоксазол-5-ил]-3-метилбутановой кислоты (170 мг, 0,21 ммоль, 1 экв.) и (2S,4S)-4-гидрокси-N-[(1R)-2-гидрокси-1-[4-(4-метилтиазол-5-ил)фенил]этил]пирролидин-2-карбоксамида (89 мг, 0,23 ммоль, 1,1 экв., гидрохлорид) в N,N-диметилформамиде (1 мл) добавляли гидроксибензотриазол (34 мг, 0,25 ммоль, 1,2 экв.), N,N-диизопропилэтиламин (82 мг, 0,63 ммоль, 0,1 мл, 3 экв.) и гидрохлорид 1-(3-диметиламинопропил)-3-этилкарбодиимида (61 мг, 0,32 ммоль, 1,5 экв.). Смесь перемешивали при 15°С в течение 12 ч. Реакционную смесь экстрагировали дихлорметаном (30 мл × 2). Объединенные органические слои промывали солевым раствором (20 мл × 2), высушивали над безводным сульфатом натрия, фильтровали и концентрировали при пониженном давлении. Остаток очищали с помощью препаративной HPLC. Соединение, (2S,4R)-1-[(2R)-2-[3-[3-[4-[4-[3-[2,6-дифтор-3-[[(3R)-3-фторпирролидин-1-ил]сульфониламино]бензоил]-1Н-пирроло[2,3-b]пиридин-5-ил]фенил]пиперазин-1-ил]азетидин-1-ил]изоксазол-5-ил]-3-метилбутаноил]-4-гидрокси-N-[(1R)-2-гидрокси-1-[4-(4-метилтиазол-5-ил)фенил]этил]пирролидин-2-карбоксамид (160 мг, 0,14 ммоль, выход 65%, чистота 97%), получали в виде желтого твердого вещества. LC/MS (ESI) масса/заряд: 568,9 [M/2+1]+.
[1774] Стадия 8: получение (2S,4R)-1-((S)-2-(3-(3-(4-(4-(3-(2,6-дифтор-3-(((R)-3-фторпирролидин)-1-сульфонамидо)бензоил)-1Н-пирроло[2,3-b]пиридин-5-ил)фенил)пиперазин-1-ил)азетидин-1-ил)изоксазол-5-ил)-3-метилбутаноил)-4-гидрокси-N-((R)-2-гидрокси-1-(4-(4-метилтиазол-5-ил)фенил)этил)пирролидин-2-карбоксамида и (2S,4R)-1-((R)-2-(3-(3-(4-(4-(3-(2,6-дифтор-3-(((R)-3-фторпирролидин)-1-сульфонамидо)бензоил)-1Н-пирроло[2,3-b]пиридин-5-ил)фенил)пиперазин-1-ил)азетидин-1-ил)изоксазол-5-ил)-3-метилбутаноил)-4-гидрокси-N-((R)-2-гидрокси-1-(4-(4-метилтиазол-5-ил)фенил)этил)пирролидин-2-карбоксамида
[1775] (2S,4R)-1-[(2R)-2-[3-[3-[4-[4-[3-[2,6-Дифтор-3-[[(3R)-3-фторпирролидин-1-ил]сульфониламино]бензоил]-1Н-пирроло[2,3-b]пиридин-5-ил]фенил]пиперазин-1-ил]азетидин-1-ил]изоксазол-5-ил]-3-метилбутаноил]-4-гидрокси-N-[(1R)-2-гидрокси-1-[4-(4-метилтиазол-5-ил)фенил]этил]пирролидин-2-карбоксамид (160 мг, 0,15 ммоль, 1 экв.) разделяли с помощью SFC. Фракцию концентрировали в вакууме и остаток очищали с помощью препаративной HPLC. Соединение, (2S,4R)-1-[(2S)-2-[3-[3-[4-[4-[3-[2,6-дифтор-3-[[(3R)-3-фторпирролидин-1-ил]сульфониламино]бензоил]-1Н-пирроло[2,3-b]пиридин-5-ил]фенил]пиперазин-1-ил]азетидин-1-ил]изоксазол-5-ил]-3-метилбутаноил]-4-гидрокси-N-[(1R)-2-гидрокси-1-[4-(4-метилтиазол-5-ил)фенил]этил]пирролидин-2-карбоксамид (38 мг, 0,03 ммоль, выход 43%, чистота 98%), получали в виде желтого твердого вещества. LC/MS (ESI) масса/заряд: 568,8 [M/2+1]+; 1H ЯМР (400 МГц, DMSO-d6) δ 12,73 (s, 1Н), 8,99 (s, 1H), 8,88 (d, J=8,4 Гц, 1H), 8,63 (d, J=2,0 Гц, 1H), 8,49 (s, 1H), 8,11 (d, J=8,4 Гц, 1H), 7,96 (s, 1H), 7,60 (d, J=8,4 Гц, 2H), 7,56-7,46 (m, 2H), 7,43 (d, J=8,0 Гц, 2Н), 7,38-7,33 (m, 1H), 7,07 (d, J=8,8 Гц, 2H), 6,96 (s, 1H), 5,96-5,88 (m, 1H), 5,36-5,16 (m, 1H), 5,14 (d, J=3,6 Гц, 1H), 5,08-4,91 (m, 1H), 4,89=4,79 (m, 1H), 4,65-4,44 (m, 1H), 4,34-4,19 (m, 1H), 4,03-3,87 (m, 2H), 3,81-3,64 (m, 4H), 3,58 (dd, J=6,0, 12,0 Гц, 4Н), 3,30-3,04 (m, 3Н), 2,47 (d, J - 2,4 Гц, 9Н), 2,31-2,22 (m, 1H), 2,11 (s, 1H), 2,09-2,00 (m, 2H), 2,00-1,89 (m, 2H), 1,88-1,80 (m, 1H), 1,06-0,79 (m, 6H), 0,76 (d, J=6,8 Гц, 1H).
Соединение, (2S,4R)-1-[(2R)-2-[3-[3-[4-[4-[3-[2,6-дифтор-3-[[(3R)-3-фторпирролидин-1-ил]сульфониламино]бензоил]-1Н-пирроло[2,3-b]пиридин-5-ил]фенил]пиперазин-1-ил]азетидин-1-ил]изоксазол-5-ил]-3-метилбутаноил]-4-гидрокси-N-[(1R)-2-гидрокси-1-[4-(4-метилтиазол-5-ил)фенил]этил]пирролидин-2-карбоксамид (61,1 мг, 0,05 ммоль, выход 71%, чистота 98%), получали в виде желтого твердого вещества. LC/MS (ESI) масса/заряд: 568,7 [M/2+1]+; 1H ЯМР (400 МГц, DMSO-d6) δ 12,88 (s, 1Н), 8,98 (s, 1H), 8,93-8,68 (m, 1H), 8,65 (d, J=2,0 Гц, 1H), 8,52 (s, 1H), 8,38 (d, J=8,0 Гц, 1H), 8,03 (s, 1H), 7,69-7,55 (m, 3Н), 7,50-7,34 (m, 4H), 7,17 (t, J=8,8 Гц, 1H), 7,09 (d, J - 8,8 Гц, 2Н), 5,94-5,82 (m, 1H), 5,41-5,18 (m, 1H), 5,13 (d, J=3,6 Гц, 1H), 5,03-4,73 (m, 2Н), 4,43 (t, J=8,0 Гц, 1H), 4,29 (s, 1H), 3,97 (br t, J=6,8 Гц, 2Н), 3,83-3,67 (m, 4H), 3,67-3,54 (m, 4H), 3,29-3,20 (m, 6H), 3,17 (d, J=5,2 Гц, 1H), 2,57-2,52 (m, 3Н), 2,46 (s, 4H), 2,28-2,17 (m, 1H), 2,11 (s, 1H), 2,09-1,91 (m, 3Н), 1,87-1,76 (m, 1H), 1,04-0,74 (m, 6H).
[1776] Иллюстративный синтез 3-(1-оксо-5-(пиперазин-1-ил)изоиндолин-2-ил)пиперидин-2,6-диона (промежуточное соединение X)
[1777] Стадия 1: получение метил-2-бром-4-фторбензоата
[1778] К раствору 2-бром-4-фторбензойной кислоты (100 г, 456,60 ммоль, 1 экв.) в метаноле (800 мл) добавляли дихлорид серы (108,64 г, 913,21 ммоль, 2 экв.) при 0°С. Смесь перемешивали при 80°С в течение 12 часов. Реакционную смесь концентрировали при пониженном давлении. Остаток разбавляли водой, 500 мл, и экстрагировали этилацетатом (200 мл × 2). Объединенную органическую фазу промывали насыщенным раствором бикарбоната натрия (200 мл) и насыщенным солевым раствором (200 мл × 2), высушивали с помощью безводного сульфата натрия, фильтровали и концентрировали в вакууме с получением метил-2-бром-4-фторбензоата (102 г, 437,70 ммоль, выход 95%) в виде коричневого масла.
[1779] Стадия 2: получение трет-бутил-4-(3-бром-4-(метоксикарбонил)фенил)пиперазин-1-карбоксилата
[1780] К раствору метил-2-бром-4-фторбензоата (90 г, 386,21 ммоль, 1 экв.) в диметилсульфоксиде (500 мл) добавляли трет-бутилпиперазин-1-карбоксилат (111,82 г, 502,07 ммоль, 1,3 экв., хлористоводородная соль) и N,N-диизопропилэтиламин (199,66 г, 1,54 моль, 269 мл, 4 экв.). Смесь нагревали до 130°С и перемешивали при 130°С в течение 36 часов. Смесь выливали в 1,0 л воды и экстрагировали этилацетатом (500 мл × 2). Органический слой промывали водой (1000 мл), 0,5 М хлористоводородной кислотой (500 мл), насыщенным солевым раствором (500 мл) и затем высушивали над безводным сульфатом натрия, фильтровали и концентрировали в вакууме. Остаток растирали с (петролейный эфир : этилацетат = 5:1, 300 мл), твердое вещество фильтровали и высушивали в вакууме. трет-Бутил-4-(3-бром-4-метоксикарбонилфенил)пиперазин-1-карбоксилат (93 г, 232,92 ммоль, выход 60%) получали в виде грязно-белого твердого вещества. LC/MS (ESI) масса/заряд: 422,1 [М+23]+; 1H ЯМР (400МГц, DMSO-d6) δ 7,73 (d, J=8,8 Гц, 1Н), 7,18 (d, J=2,4 Гц, 1H), 6,98 (dd, J=8,8, 2,4 Гц, 1Н), 3,77 (s, 3H), 3,45-3,42 (m, 4H), 3,34-3,31 (m, 4H), 1,42 (s, 9H).
[1781] Стадия 3: получение 2-бром-4-(4-(трет-бутоксикарбонил)пиперазин-1-ил)бензойной кислоты
[1782] К раствору трет-бутил-4-(3-бром-4-метоксикарбонилфенил)пиперазин-1-карбоксилата (92 г, 230,42 ммоль, 1 экв.) в смеси тетрагидрофурана (400 мл), воды (200 мл) и метанола (200 мл) добавляли гидроксид натрия (27,65 г, 691,25 ммоль, 3 экв.). Смесь перемешивали при 60°С в течение 2 часов. Смесь выливали в 1,0 л воды, регулировали рН до 5,0 с помощью 11.8М хлористоводородной кислоты и затем экстрагировали этилацетатом (800 мл × 2). Объединенные органические слои высушивали над безводным сульфатом натрия, фильтровали и концентрировали в вакууме. 2-Бром-4-(4-трет-бутоксикарбонилпиперазин-1-ил)бензойную кислоту (85 г, 220,63 ммоль, выход 95%) получали в виде грязно-белого твердого вещества. LC/MS (ESI) масса/заряд: 406,9 [М+23]+; 1H ЯМР (400 МГц, DMSO-d6) δ 7,75 (d, J=8,8 Гц, 1Н), 7,15 (d, J=2,0 Гц, 1Н), 6,96 (dd, J=8,8, 2,0 Гц, 1Н), 3,44-3,42 (m, 4H), 3,34-3,31(m, 4H), 1,42 (s, 9H).
[1783] Стадия 4: получение 4-(4-(трет-бутоксикарбонил)пиперазин-1-ил)-2-формилбензойной кислоты
[1784] К раствору 2-бром-4-(4-трет-бутоксикарбонилпиперазин-1-ил)бензойной кислоты (54 г, 140,17 ммоль, 1 экв.) в тетрагидрофуране (600 мл) добавляли метиллитий (1,6 M, 88 мл, 1,0 экв.) при -70°С. Смесь перемешивали при -70°С в течение получаса, добавляли н-бутиллитий (2,5 M, 67 мл, 1,2 экв.) при -70°С. Смесь перемешивали при -70°С в течение получаса и затем добавляли диметилформамид (30,74 г, 420,50 ммоль, 32 мл, 3 экв.). Полученную смесь перемешивали при -70 ~ -50°С в течение еще 1 ч. Смесь выливали в 1,0 л воды, регулировали рН до 5,0 с помощью 2,0 М хлористоводородной кислоты и затем экстрагировали этилацетатом (800 мл × 3). Органический слой высушивали над безводным сульфатом натрия, фильтровали и концентрировали в вакууме. Остаток растирали со смесью петролейный эфир : этилацетат (об./об. = 1:3, 500 мл). 4-(4-трет-Бутоксикарбонилпиперазин-1-ил)-2-формилбензойную кислоту (36 г, 107,67 ммоль, выход 77%) получали в виде коричневого твердого вещества. LC/MS (ESI) масса/заряд: 357,1 [М+23]+; 1H ЯМР (400 МГц, DMSO-d6) δ 7,98 (d, J=8,4 Гц, 1Н), 7,58 (d, J=8,4 Гц, 1Н), 7,12 (dd, J=8,4, 2,0 Гц, 1Н), 6,48 (d, J=6,4 Гц, 1Н), 3,60-3,39 (m, 8H), 1,43 (s, 9H).
[1785] Стадия 5: получение 4-(4-(трет-бутоксикарбонил)пиперазин-1-ил)-2-(((2,6-диоксопиперидин-3-ил)амино)метил)бензойной кислоты
[1786] Раствор 3-аминопиперидин-2,6-диона (11,81 г, 71,78 ммоль, 1,2 экв., хлористоводородная соль) и ацетата натрия (9,81 г, 119,63 ммоль, 2 экв.) в метаноле (250 мл) перемешивали при 15°С в течение получаса, затем добавляли 4-(4-трет-бутоксикарбонилпиперазин-1-ил)-2-формилбензойную кислоту (20 г, 59,81 ммоль, 1 экв.). Смесь перемешивали при 15°С в течение еще получаса, добавляли цианоборогидрид натрия (7,52 г, 119,63 ммоль, 2 экв.). Полученную смесь перемешивали при 15°С в течение еще 2 ч. Смесь выливали в 800 мл воды и регулировали рН до 5,0 с помощью 2,0 М хлористоводородной кислоты и затем экстрагировали этилацетатом (400 мл × 3). Органический слой высушивали над безводным сульфатом натрия, фильтровали и концентрировали в вакууме. Остаток растирали со смесью петролейный эфир : этилацетат (об./об. = 3:1, 200 мл). 4-(4-трет-Бутоксикарбонилпиперазин-1-ил)-2-[[(2,6-диоксо-3-пиперидил)амино]метил]бензойную кислоту (26 г, 49,38 ммоль, выход 82%, чистота 84%) получали в виде серого твердого вещества. LC/MS (ESI) масса/заряд: 447,1 [М+1]+.
[1787] Стадия 6: получение трет-бутил-4-(2-(2,6-диоксопиперидин-3-ил)-1-оксоизоиндолин-5-ил)пиперазин-1-карбоксилата
[1788] К раствору 4-(4-трет-бутоксикарбонилпиперазин-1-ил)-2-[[(2,6-диоксо-3-пиперидил)амино]метил]бензойной кислоты (27 г, 51,10 ммоль, 1 экв.) и гексафторфосфата О-бензотриазол-1-илтетраметилурония (23,31 г, 61,32 ммоль, 1,2 экв.) в диметилформамиде (250 мл) добавляли диизопропилэтиламин (19,81 г. 153,29 ммоль, 3 экв.). Смесь перемешивали при 15°С в течение 1 ч. Смесь выливали в 800 мл воды, смесь перемешивали при 15°С в течение получаса. Образованное твердое вещество фильтровали и промывали с помощью 100 мл этилацетата и затем высушивали в вакууме. трет-Бутил-4-[2-(2,6-диоксо-3-пиперидил)-1-оксоизоиндолин-5-ил]пиперазин-1-карбоксилат (14,5 г, 33,84 ммоль, выход 66%) получали в виде желтого твердого вещества. LC/MS (ESI) масса/заряд: 429,2 [М+1]+; 1H ЯМР (400 МГц, DMSO-d6) δ 10,97 (s, 1H), 7,54 (d, J=8,4 Гц, 1H), 7,08-7,06 (m, 2H), 5,03 (dd, J=13,2, 5,2 Гц, 1H), 4,36-4,19 (m, 2H), 3,48-3,45 (m, 4H), 3,27-3,26 (m, 4H), 2,89-2,87 (m, 1H), 2,60-2,56 (m, 1H), 2,38-2,34 (m, 1H), 1,98-1,96 (m, 1H), 1,43 (s, 9H).
[1789] Стадия 7: получение 3-(1-оксо-5-(пиперазин-1-ил)изоиндолин-2-ил)пиперидин-2,6-диона
[1790] Суспензию трет-бутил-4-[2-(2,6-диоксо-3-пиперидил)-1-оксоизоиндолин-5-ил]пиперазин-1-карбоксилата (14,5 г, 33,84 ммоль, 1 экв.) в смеси гидрохлорид/диоксан (4,0 M, 250 мл) перемешивали при 15°С в течение 3 ч. Растворитель концентрировали в вакууме; остаток растирали с этилацетатом (50 мл). 3-(1-оксо-5-пиперазин-1-ил-изоиндолин-2-ил)пиперидин-2,6-дион (12 г, 32,89 ммоль, выход 97%, хлористоводородная соль) получали в виде белого твердого вещества. LC/MS (ESI) масса/заряд: 329,1 [М+1]+; 1H ЯМР (400 МГц, DMSO-d6) δ 10,98 (s, 1H), 9,43 (s, 2H), 7,58 (d, J=8,8 Гц, 1H), 7,16 7,11 (m, 2H), 5,07 (dd, J=13,2, 5,2 Гц, 1H), 4,38-4,21 (m, 2H), 3,55-3,53 (m, 4H), 3,20-3,19 (m, 4H), 2,90-2,86 (m, 1H), 2,60-2,56 (m, 1H), 2,38-2,34 (m, 1H), 1,98-1,96 (m, 1H).
[1791] Иллюстративный синтез (3R)-N-(3-(5-(4-(4-((1-(2-(2,6-диоксопиперидин-3-ил)-1-оксоизоиндолин-5-ил)пиперидин-4-ил)метил)пиперазин-1-ил)фенил)-1Н-пирроло[2,3-b]пиридин-3-карбонил)-2,4-дифторфенил)-3-фторпирролидин-1-сульфонамида(иллюстративного соединения 522)
[1792] Стадия 1: получение 5-(4-(диметоксиметил)пиперидин-1-ил)изобензофуран- 1(3Н)-она
[1793] К раствору 5-фтор-3Н-изобензофуран-1-она (1,6 г, 10,52 ммоль, 1 экв.) в диметилсульфоксиде (20 мл) добавляли 4-(диметоксиметил)пиперидин (1,67 г, 10,52 ммоль, 1 экв.) и N,N-диизопропилэтиламин (2,72 г, 21,04 ммоль, 2 экв.) и реакционную смесь перемешивали при 120°С в течение 2 ч. Остаток промывали водой (30 мл) и экстрагировали этилацетатом (30 мл × 3). Объединенные органические слои промывали солевым раствором (30 × 3 мл), высушивали над безводным сульфатом натрия, фильтровали и концентрировали при пониженном давлении. Остаток очищали с помощью колоночной хроматографии (петролейный эфир : этилацетат = 20:1 до чистого этилацетата). Продукт, 5-[4-(диметоксиметил)-1-пиперидил]-3Н-изобензофуран-1-она (1,9 г, 6,52 ммоль, выход 62%), получали в виде желтого твердого вещества. LC/MS (ESI) масса/заряд: 292,2 [М+1]+; 1H ЯМР (400 МГц, CDCl3) δ 7,70-7,48 (m, 1Н), 7,15-6,91 (m, 2H), 5,23 (s, 2H), 4,06 (d, J=6,8 Гц, 1Н), 3,96 (d, J=13,2 Гц,2Н), 3,26 (s, 5H), 3,14-3,13 (m, 1Н), 3,11-2,97 (m, 1H), 2,95-2,76 (m,2H), 2,00-1,78 (m, 1Н), 1,70 (d, J=12,8 Гц, 2H), 1,39-1,16 (m, 2H).
[1794] Стадия 2: получение 4-(4-(диметоксиметил)пиперидин-1-ил)-2-(гидроксиметил)бензойной кислоты
[1795] К раствору 5-[4-(диметоксиметил)-1-пиперидил]-3Н-изобензофуран-1-она (1,9 г, 6,52 ммоль, 1 экв.) в метаноле (10 мл) добавляли гидроксид натрия (1,30 г, 32,61 ммоль, 5 экв.), воду (10 мл) и смесь перемешивали при 20°С в течение 1 ч. Остаток промывали водой (30 мл) и экстрагировали этилацетатом (30 мл × 3). Объединенные органические слои промывали солевым раствором (30 мл × 3), высушивали над безводным сульфатом натрия, фильтровали и концентрировали при пониженном давлении. Органическую фазу высушивали с помощью безводного сульфата натрия, фильтровали и фильтрат конденсировали с получением продукта, 4-[4-(диметоксиметил)-1-пиперидил]-2-(гидроксиметил)бензойной кислоты (1,64 г), в виде бесцветного масла.
[1796] Стадия 3: получение метил-4-(4-(диметоксиметил)пиперидин-1-ил)-2-(гидроксиметил)бензоата
[1797] К раствору 4-[4-(диметоксиметил)-1-пиперидил]-2-(гидроксиметил)бензойной кислоты (1,64 г, 5,30 ммоль, 1 экв.) в метаноле (10 мл) и этилацетате (10 мл) добавляли (диазометил)триметилсилан (2 М, 7,95 мл, 3 экв.) при -10°С. Реакционную смесь перемешивали при -10°С в течение 0,25 ч. Раствор гасили водой (20 мл) и экстрагировали этилацетатом (30 мл × 3). Органический слой высушивали над сульфатом натрия и фильтровали. Фильтрат концентрировали с получением продукта, метил-4-[4-(диметоксиметил)-1-пиперидил]-2-(гидроксиметил)бензоата (1,7 г, 5,26 ммоль, выход 99%), в виде бесцветного масла.
[1798] Стадия 4: получение метил-2-(бромметил)-4-(4-(диметоксиметил)пиперидин-1-ил)бензоата
[1799] К раствору метил-4-[4-(диметоксиметил)-1-пиперидил]-2-(гидроксиметил)бензоата (1,7 г, 5,26 ммоль, 1 экв.) в тетрагидрофуране (20 мл) добавляли пербромметан (2,62 г, 7,89 ммоль, 1,5 экв.) и трифенилфосфин (2,07 г, 7,89 ммоль, 1,5 экв.). Реакционную смесь перемешивали при 20°С в течение 1 ч. Раствор гасили водой (20 мл) и экстрагировали этилацетатом (30 мл × 3). Органический слой высушивали над сульфатом натрия и фильтровали. Фильтрат концентрировали с получением неочищенного продукта. Остаток очищали с помощью колоночной хроматографии (диоксид кремния, петролейный эфир : этилацетат - от 40:1 до 20:1). Продукт, метил-2-(бромметил)-4-[4-(диметоксиметил)-1-пиперидил]бензоат (1,2 г, 3,11 ммоль, выход 59%), получали в виде желтого твердого вещества. LC/MS (ESI) масса/заряд: 388,1 [М+1]+; 1H ЯМР (400 МГц, CDCl3) δ 7,96-7,87 (m, 1Н), 6,95-6,74 (m, 2H), 4,97 (s, 2H), 4,07 (d, J=6,8 Гц, 1Н), 3,94-3,83 (m, 5H), 3,38 (s, 6H), 2,84 (dt, J=2,0, 12,8 Гц, 2Н), 1,94-1,76 (m, 3H), 1,61-1,33 (m, 3H).
[1800] Стадия 5: получение 3-(5-(4-(диметоксиметил)пиперидин-1-ил)-1-оксоизоиндолин-2-ил)пиперидин-2,6-диона
[1801] К раствору метил-2-(бромметил)-4-[4-(диметоксиметил)-1-пиперидил]бензоата (300 мг, 0,78 ммоль, 1 экв.) и 3-аминопиперидин-2,6-диона (192 мг, 1,16 ммоль, 1,5 экв., HCl) в ацетонитриле (20 мл) добавляли N,N-диизопропилэтиламин (301 мг, 2,33 ммоль, 3 экв.). Реакционную смесь перемешивал при 100°С в течение 15 ч. Добавляли воду (20 мл) в раствор и экстрагировали дихлорметаном (30 мл × 3). Органический слой высушивали над сульфатом натрия и фильтровали. Фильтрат концентрировали с получением неочищенного продукта. Неочищенный продукт растирали с этилацетатом (50 мл) при 25°С в течение 10 мин. Продукт, 3-[5-[4-(диметоксиметил)-1-пиперидил]-1-оксоизоиндолин-2-ил]пиперидиь2,6-дион (200 мг, 0,50 ммоль, выход 64%), получали в виде серого твердого вещества LC/MS (ESI) масса/заряд: 402,1 [М+1]+.
[1802] Стадия 6: получение 1-(2-(2,6-диоксопиперидин-3-ил)-1-оксоизоиндолин-5-ил)пиперидин-4-карбальдегида
[1803] К раствору 3-[5-[4-(диметоксиметил)-1-пиперидил]-1-оксоизоиндолин-2-ил]пиперидин-2,6-диона (50 мг, 0,13 ммоль, 1 экв.) в тетрагидрофуране (1 мл) и воде (0,2 мл) добавляли п-толуолсульфонат пиридиния (63 мг, 0,25 мкмоль, 2 экв.) и смесь перемешивали при 70°С в течение 8 ч. Смесь концентрировали в вакууме с получением продукта, 1-[2-(2,6-диоксо-3-пиперидил)- 1-оксоизоиндолин-5-ил]пиперидин-4-карбальдегида (40 мг), в виде бесцветного масла. LC/MS (ESI) масса/заряд: 356,2 [М+1]+.
[1804] Стадия 7: получение (3R)-N-(3-(5-(4-(4-((1-(2-(2,6-диоксопиперидин-3-ил)-1-оксоизоиндолин-5-ил)пиперидин-4-ил)метил)пиперазин-1-ил)фенил)-1Н-пирроло[2,3-b]пиридин-3-карбонил)-2,4-дифторфенил)-3-фторпирролидин-1-сульфонамида
[1805] К раствору 1-[2-(2,6-диоксо-3-пиперидил)-1-оксоизоиндолин-5-ил]пиперидин-4-карбальдегида (50 мг, 0,14 ммоль, 1 экв.) и (3R)-N-[2,4-дифтор-3-[5-(4-пиперазин-1-илфенил)-1Н-пирроло[2,3-b]пиридин-3-карбонил]фенил]-3-фторпирролидин-1-сульфонамида (83 мг, 0,14 ммоль, 1 экв.) в n,n-диметилформамиде (2 мл) добавляли уксусную кислоту (0,85 мг, 0,02 ммоль, 0,1 экв.) для регулирования рН до 5 при 25°С и перемешивали в течение 20 мин., затем к смеси добавляли цианоборогидрид натрия (18 мг, 0,28 ммоль, 2 экв.) и смесь перемешивали при 25°С в течение 1 ч. Остаток фильтровали с получением неочищенного продукта. Остаток очищали с помощью препаративной HPLC. Продукт, ((3R)-N-[3-[5-[4-[4-[[1-[2-(2,6-диоксо-3-пиперидил)-1-оксоизоиндолин-5-ил]-4-пиперидил]метил]пиперазин-1-ил]фенил]-1Н-пирроло[2,3-b]пиридин-3-карбонил]-2,4-дифторфенил]-3-фторпирролидин-1-сульфонамид (37,7 мг, 0,04 ммоль, выход 28%, чистота 98%), получали в виде зеленого твердого вещества. LC/MS (ESI) масса/заряд. 924,5 [М+1]+; 1H ЯМР (400 МГц, DMSO-d6) δ 10,93 (s, 1Н), 8,65 (d, J=2,0 Гц, 1Н), 8,53 (s, 1H), 8,20 (s, 1Н), 8,05 (s, 1Н), 7,67 -7,55 (m, 3H), 7,50 (d, J=8,8 Гц, 1Н), 7,24 (t, J=8,3 Гц, 1Н), 7,13-6,99 (m, 4H), 5,43-5,19 (m, 1Н), 5,03 (dd, J=5,2, 13,2 Гц, 1Н), 4,37-4,12 (m, 1Н), 4,16-4,12 (m, 1H), 3,88 (d, J=12,4 Гц, 2Н), 3,35-3,29 (m, 15H), 3,00-2,72 (m, 3H), 2,22 (d, J=6,4 Гц, 2Н), 2,10-1,95 (m, 1H), 1,96 (dd, J=4,9, 10,0 Гц, 2Н), 1,87-1,72 (m, 3H), 1,26-1,11 (m, 2H).
[1806] Иллюстративный синтез (3-(5-(4-((4-(4-(3-(2,6-дифтор-3-(((R)-3-фторпирролидин)-1-сульфонамидо)бензоил)-1Н-пирроло[2,3-b]пиридин-5-ил)фенил)пиперазин-1-ил)метил)пиперидин-1-ил)-1-оксоизоиндолин-2-ил)-2,6-диоксопиперидин-1-ил)метил-(2,5,8,11,14,17,20,23,26,29,32,35,38,41,44,47,50,53,56,59,62,65-докозаоксагептагексаконтан-67-ил)карбоната (иллюстративного соединения 862)
[1807] Стадия 1: получение хлорметил-(2,5,8,11,14,17,20,23,26,29,32,35,38,41,44,47,50,53,56,59,62,65-докозаоксагептагексаконтан-67-ил)карбоната
[1808] К смеси 2-[2-[2-[2-[2-[2-[2-[2-[2-[2-[2-[2-[2-[2-[2-[2-[2-[2-[2-[2-[2-(2-метоксиэтокси)этокси]этокси]этокси]этокси]этокси]этокси]этокси]этокси]этокси]эток си]этокси]этокси]этокси]этокси]этокси]этокси]этокси]этокси]этокси]этокси]этанола (20 г, 19,98 ммоль, 1 экв.) и пиридина (6,32 г, 79,90 ммоль, 6,5 мл, 4 экв.) в тетраги дрофу ране (200 мл) по каплям добавляли хлорметилхлорформиат (5,15 г, 39,95 ммоль, 3,5 мл, 2 экв.) при 0°С в атмосфере азота. Смесь перемешивали при 30°С в течение 12 часов. В смесь выливали воду (300 мл) и перемешивали в течение 1 минуты. Водную фазу экстрагировали дихлорметаном (200 мл × 3). Объединенную органическую фазу промывали солевым раствором (200 мл × 2), высушивали с помощью безводного сульфата натрия, фильтровали и концентрировали в вакууме. Остаток очищали с помощью хроматографии на силикагеле (силикагель 1000 меш, дихлорметан/метанол = 100/1, 20/1). Продукт, хлорметил-2-[2-[2-[2-[2-[2-[2-[2-[2-[2-[2-[2-[2-[2-[2-[2-[2-[2-[2-[2-[2-(2-метоксиэтокси)этокси]этокси]этокси]этокси]этокси]этокси]этокси]этокси]этокси]этокси]этокси]этокси]этокси]этокси]этокси]этокси]этокси]этокси]этокси]этокси]этилкарбонат (18 г, 16,46 ммоль, выход 82%), получали в виде светло-желтого твердого вещества. 1H ЯМР (400 МГц, CDCl3) δ 5,73 (s, 2H), 4,43-4,29 (m, 2H), 3,85-3,44 (m, 86H), 3,38 (s, 3Н).
[1809] Стадия 2: получение (3-(5-(4-(диметоксиметил)пиперидин-1-ил)-1-оксоизоиндолин-2-ил)-2,6-диоксопиперидин-1-ил)метил-(2,5,8,11,14,17,20,23,26,29,32,35,38,41,44,47,50,53,56,59,62,65-докозаоксагептагексаконтан-67-ил)карбоната
[1810] К смеси 3-[5-[4-(диметоксиметил)-1-пиперидил]-1-оксоизоиндолин-2-ил]пиперидин-2,6-диона (1 г, 2,49 ммоль, 1 экв.) и хлорметил-2-[2-[2-[2-[2-[2-[2-[2-[2-[2-[2-[2-[2-[2-[2-[2-[2-[2-[2-[2-[2-(2-метоксиэтокси)этокси]этокси]этокси]этокси]этокси]этокси]этокси]этокси]этокси]этокси]этокси]этокси]этокси]этокси]этокси]этокси]этокси]этокси]этокси]этокси]этилкарбоната (3,23 г, 2,95 ммоль, 1,19 экв.) в сухом диметилформамиде (10 мл) одной порцией добавляли порошок карбоната цезия (1,62 г, 4,98 ммоль, 2 экв.) при 15°С. Смесь перемешивали при 15°С в течение 12 часов. Смесь фильтровали. Фильтрат очищали с помощью препаративной HPLC с обращенной фазой. Продукт, [3-[5-[4-(диметоксиметил)-1-пиперидил]-1-оксоизоиндолин-2-ил]-2,6-диоксо-1-пиперидил]метил-2-[2-[2-[2-[2-[2-[2-[2-[2-[2-[2-[2-[2-[2-[2-[2-[2-[2-[2-[2-[2-(2-метоксиэтокси)этокси]этокси]этокси]этокси]этокси]этокси]этокси]этокси]этокси]этокси]этокси]этокси]этокси]этокси]этокси]этокси]этокси]этокси]этокси]этокси]этилкарбонат (1,4 г, 0,96 ммоль, выход 38%, чистота 100%), получали в виде грязно-белого масла путем лиофилизации. 1H ЯМР (400 МГц, CDCl3) δ 9,72 (s, 1H), 7,80 7,66 (m, 1H), 7,06-6,95 (m, 1H), 6,93-6,82 (m, 1H), 5,98-5,76 (m, 2H), 5,31 (s, 2H), 5,22 (dd, J=5,2, 13,6 Гц, 1H), 4,49-4,20 (m, 4H), 4,08 (d, J=6,8 Гц, 1H), 3,95-3,44 (m, 87H), 3,38 (s, 8H), 3,11-2,76 (m,4H), 2,33 (dq, J=4,4, 13,2 Гц, 1H), 2,24-2,12 (m, 1H), 1,93-1,83 (m, 2H), 1,54-1,34 (m, 2H).
[1811] Стадия 3: получение (3-(5-(4-формилпиперидин-1-ил)-1-оксоизоиндолин-2-ил)-2,6-диоксопиперидин-1-ил)метил-(2,5,8,1 1,14,17,20,23,26,29,32,35,38,41,44,47,50,53,56,59,62,65-докозао ксагептагексаконтан-67-ил)карбоната
[1812] К смеси [3-[5-[4-(диметоксиметил)-1-пиперидил]-1-оксоизоиндолин-2-ил]-2,6-диоксо-1-пиперидил]метил-2-[2-[2-[242-[2-[2-[2-[2-[2-[2-[2-[2-[2-[2-[2-[2-[2-[2-[2-[2-(2-метоксиэтокси)этокси]этокси]этокси]этокси]этокси]этокси]этокси]этокси]этокси]этокси]этокси]этокси]этокси]этокси]этокси]этокси]этокси]этокси]этокси]этокси]этилкарбоната (1,4 г, 0,96 ммоль, 1 экв.) в дихлорметане (20 мл) одной порцией добавляли трифторуксусную кислоту (5,47 г, 47,99 ммоль, 3,5 мл, 50 экв.) при 15°С. Смесь перемешивали при 15°С в течение 12 часов. Смесь концентрировали в вакууме. Продукт, [3-[5-(4-формил-1-пиперидил)-1-оксоизоиндолин-2-ил]-2,6-диоксо-1-пиперидил]метил-2-[2-[2-[2-[2-[2-[2-[2-[2-[2-[2-[2-[2-[2-[2-[2-[2-[2-[2-[2-[2-(2-метоксиэтокси)этокси]этокси]этокси]этокси]этокси]этокси]этокси]этокси]этокси]этокси]этокси]этокси]этокси]этокси]этокси]этокси]этокси]этокси]этокси]этокси]этилкарбонат (1,4 г, неочищенный), получали в виде коричневого масла. LC/MS (ESI) масса/заряд: 707,3 [M/2+1]+.
[1813] Стадия 4: получение (3-(5-(4-((4-(4-(3-(2,6-дифтор-3-(((R)-3-фторпирролидин)-1-сульфонамидо)бензоил)-1Н-пирроло[2,3-b]пиридин-5-ил)фенил)пиперазин-1-ил)метил)пиперидин-1-ил)-1-оксоизоиндолин-2-ил)-2,6-диоксопиперидин-1-ил)метил-(2,5,8,11,14,17,20,23,26,29,32,35,38,41,44,47,50,53,56,59,62,65-докозаоксагептагексаконтан-67-ил)карбоната
[1814] К смеси [3-[5-(4-формил-1-пиперидил)-1-оксоизоиндолин-2-ил]-2,6-диоксо-1-пиперидил]метил-2-[2-[2-[2-[2-[2-[2-[2-[2-[2-[2-[2-[2-[2-[2-[2-[2-[2-[2-[2-[2-(2-метоксиэтокси)этокси]этокси]этокси]этокси]этокси]этокси]этокси]этокси]этокси]этокси]этокси]этокси]этокси]этокси]этокси]этокси]этокси]этокси]этокси]этокси]этилкарбоната (200 мг, 0,14 ммоль, 1 экв.) и (3R)-N-[2,4-дифтор-3-[5-(4-пиперазин-1-илфенил)-1Н-пирроло[2,3-b]пиридин-3-карбонил]фенил]-3-фторпирролидин-1-сульфонамида (83 мг, 0,14 ммоль, 1 экв.) в диметилформамиде (2 мл) добавляли ацетат натрия (12 мг, 0,14 ммоль, 1 экв.) с регулированием до рН = 8. Затем одной порцией добавляли уксусную кислоту (42 мг, 0,71 ммоль, 5 экв.). Смесь перемешивали при 30°С в течение 10 мин. Затем одной порцией добавляли цианоборогидрид натрия (18 мг, 0,28 ммоль, 2 экв.). Смесь перемешивали при 30°С в течение 1 часа. Смесь фильтровали с получением фильтрата. Желтый фильтрат очищали с помощью полупрепаративной HPLC с обращенной фазой. Продукт, [3-[5-[4-[[4-[4-[3-[2,6-дифтор-3-[[(3R)-3-фторпирролидин-1-ил]сульфониламино]бензоил]-1Н-пирроло[2,3-b]пиридин-5-ил]фенил]пиперазин-1-ил]метил]-1-пиперидил]-1-оксоизоиндолин-2-ил]-2,б-диоксо-1-пиперидил]метил-2-[2-[2-[2-[2-[2-[2-[2-[2-[2-[2-[2-[2-[2-[2-[2-[2-[2-[2-[2-[2-(2-метоксиэтокси)этокси]этокси]этокси]этокси]этокси]этокси]этокси]этокси]этокси]этокси]этокси]этокси]этокси]этокси]этокси]этокси]этокси]этокси]этокси]этокси]этилкарбонат (203,4 мг, 0,10 ммоль, выход 46%, чистота 99%, формиат), получали в виде желтой смолы. LC/MS (ESI) масса/заряд: 991,7 [M/2+1]+; 1H ЯМР (400 МГц, CDCl3) δ 8,87 (s, 1H), 8,62 (d, J=2,0 Гц, 1H), 8,26 (s, 1H), 7,80-7,67 (m, 3H), 7,60 (d, J=8,8 Гц, 2H), 7,09-6,96 (m, 4H), 6,89 (s, 1H), 5,97-5,75 (m, 2H), 5,31 (s, 1H), 5,30-5,13 (m, 2H), 4,49-4,17 (m, 4H), 3,86 (d, J=12,4 Гц, 2H), 3,74-3,53 (m, 90H), 3,38 (s, 3H), 3,31 (s, 4H), 3,07-3,00 (m, 1H), 2,93-2,84 (m, 3Н), 2,69-2,62 (m, 4H), 2,38-1,84 (m, 10H), 1,42-1,32 (m,2H).
[1815] Иллюстративный синтез (3-(2,6-дифтор-3-(((R)-3-фторпирролидин)-1-сульфонамидо)бензоил)-5-(4-(4-((1-(2-(2,6-диоксопиперидин-3-ил)-1-оксоизоиндолин-5-ил)пиперидин-4-ил)метил)пиперазин-1-ил)фенил)-1Н-пирроло[2,3-b]пиридин-1-ил)метил-69-метил-2,5,8,11,14,17,20,23,26,29,32,35,38,41,44,47,50,53,56,59,62,65,68-трикозаоксагептаконтан-70-оата (иллюстративного соединения 866)
[1816] Стадия 1: получение хлорметил-69-метил-2,5,8,11,14,17,20,23,26,29,32,35,38,41,44,47,50,53,56,59,62,65,68-трикозаоксагептаконтан-70-оата
[1817] 2-[2-[2-[2-[2-[2-[2-[2-[2-[2-[2-[2-[2-[2-[2-[2-[2-[2-[2-[2-[2-[2-(2-Метоксиэтокси)этокси]этокси]этокси]этокси]этокси]этокси]этокси]этокси]этокси]этокси]этокси]этокси]этокси]этокси]этокси]этокси]этокси]этокси]этокси]этокси]этокси]пропановую кислоту (0,90 г, 0,84 ммоль, 1 экв.) добавляли к смеси гидросульфата тетрабутиламмония (28 мг, 0,08 ммоль, 0,1 экв.) и карбоната калия (579 мг, 4,19 ммоль, 5 экв.) в дихлорметане (10 мл) и воде (10 мл). Затем к смеси по каплям добавляли смесь хлор(хлорсульфонилокси)метана (415 мг, 2,52 ммоль, 3 экв.) в дихлорметане (5 мл). Смесь перемешивали при 20°С в течение 10 ч. в атмосфере азота. Смесь разбавляли дихлорметаном (20 мл) и водой (10 мл) и слои разделяли. Водный слой экстрагировали дихлорметаном (50 мл × 3). Объединенные органические слои высушивали над безводным сульфатом натрия, фильтровали и концентрировали при пониженном давлении с получением остатка. Остаток очищали с помощью колоночной хроматографии на силикагеле (дихлорметан : метанол = от 1:0 до 15:1) с получением хлорметил-2-[2-[2-[2-[2-[2-[2-[2-[2-[2-[2-[2-[2-[2-[2-[2-[2-[2-[2-[2-[2-[2-(2-метоксиэтокси)этокси]этокси]этокси]этокси]этокси]этокси]этокси]этокси]этокси]этокси]этокси]этокси]этокси]этокси]этокси]этокси]этокси]этокси]этокси]этокси]этокси]пропаноата (0,50 г, 0,45 ммоль, выход 53%) в виде желтого твердого вещества. 1H ЯМР (400 МГц, CDCl3) δ 5,82-5,72 (m, 2H), 4,15 (q, J=6,8 Гц, 1Н), 3,71-3,63 (m, 114H), 3,58-3,54 (m, 2H), 3,39 (s, 3H), 1,45 (d, J=6,8 Гц, 3Н).
[1818] Стадия 2: получение (3-(2,6-дифтор-3-(((R)-3-фторпирролидин)-1-сульфонамидо)бензоил)-5-(4-(4-((1-(2-(2,6-диоксопиперидин-3-ил)-1-оксоизоиндолин-5-ил)пиперидин-4-ил)метил)пиперазин-1-ил)фенил)-1Н-пирроло[2,3-b]пиридин-1-ил)метил-69-метил-2,5,8,11,14,17,20,23,26,29,32,35,38,41,44,47,50,53,56,59,62,65,68-трикозаоксагептаконтан-70-оата
[1819] К смеси (3R)-N-[3-[5-[4-[4-[[1-[2-(2,6-диоксо-3-пиперидил)-1-оксоизоиндолин-5-ил]-4-пиперидил]метил]пиперазин-1-ил]фенил]-1Н-пирроло[2,3-b]пиридин-3-карбонил]-2,4-дифторфенил]-3-фторпирролидин- 1-сульфонамида (0,23 г, 0,25 ммоль, 1 экв.)ихлорметил-2-[2-[2-[2-[2-[2-[2-[2-[2-[2-[2-[2-[2-[2-[2-[2-[2-[2-[2-[2-[2-[2-(2-метоксиэтокси)этокси]этокси]этокси]этокси]этокси]этокси]этокси]этокси]этокси]этокси]этокси]этокси]этокси]этокси]этокси]этокси]этокси]этокси]этокси]этокси]этокси]пропаноата (418 мг, 0,37 ммоль, 1,5 экв.) в N,N-диметилформамиде (3 мл) добавляли карбонат калия (103 мг, 0,75 ммоль, 3 экв.). Смесь перемешивали при 40°С в течение 5 ч. Смесь фильтровали с получением остатка. Остаток очищали с помощью полупрепаративной HPLC с обращенной фазой, затем дополнительно очищали с помощью препаративной тонкослойной хроматографии (дихлорметан : метанол = 15:1) с получением [3-[2,6-дифтор-3-[[(3R)-3-фторпирролидин-1-ил]сульфониламино]бензоил]-5-[4-[4-[[1-[2-(2,6-диоксо-3-пиперидил)-1-оксоизоиндолин-5-ил]-4-пиперидил]метил]пиперазин-1-ил]фенил]пирроло[2,3-b]пиридин-1-ил]метил-2-[2-[2-[2-[2-[2-[2-[2-[2-[2-[2-[2-[2-[2-[2-[2-[2-[2-[2-[2-[2-[2-(2-метоксиэтокси)этокси]этокси]этокси]этокси]этокси]этокси]этокси]этокси]этокси]этокси]этокси]этокси]этокси]этокси]этокси]этокси]этокси]этокси]этокси]этокси]этокси]пропаноата (36,3 мг, 0,02 ммоль, выход 6%, чистота 95%, муравьиная кислота) в виде желтой смолы. 1H ЯМР (400 МГц, CDCl3) δ 8,84 (d, J=2,0 Гц, 1Н), 8,68 (d, J=2,0 Гц, 1Н), 8,11 (s, 1Н), 7,86 (s, 1Н), 7,80-7,70 (m, 2H), 7,60 (d, J=8,8 Гц, 2Н), 7,08-6,97 (m, 4H), 6,89 (s, 1Н), 6,38-6,26 (m, 2H), 5,36-5,16 (m, 2H), 4,46-4,36 (m, 1Н), 4,29-4,23 (m, 1H), 4,07 (q, J=6,8 Гц, 1Н), 3,90-3,78 (m, 4H), 3,73-3,44 (m, 112H), 3,38 (s, 3Н), 3,36-3,22 (m, 2H), 2,98-2,50 (m, 7H), 2,44-2,14 (m, 6H), 2,09-1,91 (m, 6H), 1,38 1,32 (m, 5H).
[1820] Иллюстративный синтез (3-(2,6-дифтор-3-(((R)-3-фторпирролидин)-1-сульфонамидо)бензоил)-5-(4-(4-((1-(2-(2,6-диоксопиперидин-3-ил)-1-оксоизоиндолин-5-ил)пиперидин-4-ил)метил)пиперазин-1-ил)фенил)-1Н-пирроло[2,3-b]пиридин-1-ил)метил-2,5,8,11,14,17,20,23,26,29,32,35,38,41,44,47,50,53,56,59,62,65,68-трикозаоксагептаконтан-70-оата (иллюстративного соединения 860)
[1821] Стадия 1: получение трет-бутил-2,5,8,11,14,17,20,23,26,29,32,35,38,41,44,47,50,53,56,59,62,65,68-трикозаоксагептаконтан-70-оата
[1822] Смесь 2-[2-[2-[2-[2-[2-[2-[2-[2-[2-[2-[2-[2-[2-[2-[2-[2-[2-[2-[2-[2-(2-метоксиэтокси)этокси]этокси]этокси]этокси]этокси]этокси]этокси]этокси]этокси]этокси]этокси]этокси]этокси]этокси]этокси]этокси]этокси]этокси]этокси]этокси]этанола (50,00 г, 49,94 ммоль, 1 экв.) и 2-метилпропан-2-олата натрия (24,00 г, 249,70 ммоль, 5,0 экв.) в толуоле (500 мл) перемешивали при 125°С в течение 2 ч., затем реакционную смесь охлаждали до 80°С, к смеси добавляли трет-бутил-2-бромацетат (97,41 г, 499,40 ммоль, 73,80 мл, 10,0 экв.). Смесь перемешивали при 125°С в течение 28 ч. Смесь фильтровали в горячем состоянии через подушку из целита. Подушку ополаскивали горячим толуолом (~70°С, 100 мл × 3) и объединенные фильтраты концентрировали in vacuo. Полученное масло поглощали в этилацетате (100 мл) и добавляли к петролейному эфиру (600 мл) при интенсивном перемешивании. После отстаивания в течение 15 мин осадок собирали, промывали обильным количеством петролейного эфира и высушивали in vacuo с получением трет-бутил-2-[2-[2-[2-[2-[2-[2-[2-[2-[2-[2-[2-[2-[2-[2-[2-[2-[2-[2-[2-[2-[2-(2-метоксиэтокси)этокси]этокси]этокси]этокси]этокси]этокси]этокси]этокси]этокси]этокси]этокси]этокси]этокси]этокси]этокси]этокси]этокси]этокси]этокси]этокси]этокси]ацетата (40,00 г, 35,86 ммоль, выход 71%) в виде желтого твердого вещества. Продукт очищали с помощью колоночной хроматографии на силикагеле (петролейный эфир : этилацетат : дихлорметан : метанол = от 5:1:0:0 до 0:0:20:1) с получением трет-бутил-2-[2-[2-[2-[2-[2-[2-[2-[2-[2-[2-[2-[2-[2-[2-[2-[2-[2-[2-[2-[2-[2-(2-метоксиэтокси)этокси]этокси]этокси]этокси]этокси]этокси]этокси]этокси]этокси]этокси]этокси]этокси]этокси]этокси]этокси]этокси]этокси]этокси]этокси]этокси]этокси]ацетата (выход 92%) в виде желтого твердого вещества. 1H ЯМР (400 МГц, CDCl3) δ 4,02 (s, 2H), 3,67-3,62 (m, 90H), 3,57-3,52 (m, 2H), 3,38 (s, 3H), 1,47 (s, 9H).
[1823] Стадия 2: получение 2,5,8,11,14,17,20,23,26,29,32,35,38,41,44,47,50,53,56,59,62,65,68-трикозаоксагептаконтан-70-овой кислоты
[1824] К смеси трет-бутил-2-[2-[2-[2-[2-[2-[2-[2-[2-[2-[2-[2-[2-[2-[2-[2-[2-[2-[2-[2-[2-[2-(2-метоксиэтокси)этокси]этокси]этокси]этокси]этокси]этокси]этокси]этокси]этокси]этокси]этокси]этокси]этокси]этокси]этокси]этокси]этокси]этокси]этокси]этокси]этокси]ацетата (12,00 г, 10,76 ммоль, 1 экв.) в дихлорметане (100 мл) добавляли трифторуксусную кислоту (405,18 ммоль, 30 мл, 37,66 экв.). Смесь перемешивали при 20°С в течение 6 ч. Смесь концентрировали при пониженном давлении с получением остатка. В остаток загружали метил-трет-бутиловый эфир (100 мл) и перемешивали при 20°С в течение 2 ч. Смесь фильтровали и осадок на фильтре промывали метил-трет-бутиловым эфиром (50 мл × 3), затем концентрировали при пониженном давлении с получением 2-[2-[2-[2-[2-[2-[2-[2-[2-[2-[2-[2-[2-[2-[2-[2-[2-[2-[2-[2-[2-[2-(2-метоксиэтокси)этокси]этокси]этокси]этокси]этокси]этокси]этокси]этокси]этокси]этокси]этокси]этокси]этокси]этокси]этокси]этокси]этокси]этокси]этокси]этокси]этокси]уксусной кислоты (11,00 г, 10,38 ммоль, выход 96%) в виде желтой смолы. 1H ЯМР (400 МГц, CDCl3) δ 4,19 (s, 2H), 3,81-3,75 (m, 2H), 3,67 (s, 100H), 3,61-3,57 (m, 2H), 3,41(s, 3H).
[1825] Стадия 3: получение хлорметил-2,5,8,11,14,17,20,23,26,29,32,35,38,41,44,47,50,53,56,59,62,65,68-трикозаоксагептаконтан-70-оата
[1826] 2-[2-[2-[2-[2-[2-[2-[2-[2-[2-[2-[2-[2-[2-[2-[2-[2-[2-[2-[2-[2-[2-(2-Метоксиэтокси)этокси]этокси]этокси]этокси]этокси]этокси]этокси]этокси]этокси]этокси]этокси]этокси]этокси]этокси]этокси]этокси]этокси]этокси]этокси]этокси]этокси] уксусную кислоту (5,00 г, 4,72 ммоль, 1 экв.) добавляли к смеси гидросульфата тетрабутиламмония (160 мг, 0,47 ммоль, 0,1 экв.) и карбоната калия (2,61 г, 18,88 ммоль, 4 экв.) в дихлорметане (20 мл) и воде (20 мл). Затем к смеси по каплям добавляли раствор хлор(хлорсульфонилокси)метана (1,17 г, 7,08 ммоль, 1,5 экв.) в дихлорметане (5 мл). Смесь перемешивали при 20°С в течение 10 ч. в атмосфере азота. Смесь затем разбавляли в воде (20 мл) и дихлорметане (30 мл) и слои разделяли. Водный слой экстрагировали дихлорметаном (50 мл × 3). Объединенные органические слои высушивали над безводным сульфатом натрия, фильтровали и концентрировали при пониженном давлении с получением остатка. Остаток очищали с помощью колоночной хроматографии на силикагеле (дихлорметан : метанол = от 1:0 до 10:1) с получением хлорметил-2-[2-[2-[2-[2-[2-[2-[2-[2-[2-[2-[2-[2-[2-[2-[2-[2-[2-[2-[2-[2-[2-(2-метоксиэтокси)этокси]этокси]этокси]этокси]этокси]этокси]этокси]этокси]этокси]этокси]этокси]этокси]этокси]этокси]этокси]этокси]этокси]этокси]этокси]этокси]этокси]ацетата (3,00 г, 2,71 ммоль, выход 57%) в виде желтой смолы. 1H ЯМР (400 МГц, CDCl3) δ 5,72-5,68 (m, 2H), 4,26-4,15 (m, 2H), 3,72-3,67 (m, 2H), 3,58 (d, J=4,6 Гц, 86Н), 3,51-3,45 (m, 2H), 3,34-3,29 (m, 3Н).
[1827] Стадия 4: получение (3-(2,6-дифтор-3-(((R)-3-фторпирролидин)-1-сульфонамидо)бензоил)-5-(4-(4-((1-(2-(2,6-диоксопиперидин-3-ил)-1-оксоизоиндолин-5-ил)пиперидин-4-ил)метил)пиперазин-1-ил)фенил)-1Н-пирроло[2,3-b]пиридин-1-ил)метил-2,5,8,11,14,17,20,23,26,29,32,35,38,41,44,47,50,53,56,59,62,65,68-трикозаоксагептаконтан-70-оата
[1828] К смеси (3R)-N-[3-[5-[4-[4-[[1-[2-(2,6-диоксо-3-пиперидил)-1-оксоизоиндолин-5-ил]-4-пиперидил]метил]пиперазин-1-ил]фенил]-1Н-пирроло[2,3-b]пиридин-3-карбонил]-2,4-дифторфенил]-3-фторпирролидин-1-сульфонамида (120 мг, 0,13 ммоль, 1 экв.) и хлорметил-2-[2-[2-[2-[2-[2-[2-[2-[2-[2-[2-[2-[2-[2-[2-[2-[2-[2-[2-[2-[2-[2-(2-метоксиэтокси)этокси]этокси]этокси]этокси]этокси]этокси]этокси]этокси]этокси]этокси]этокси]этокси]этокси]этокси]этокси]этокси]этокси]этокси]этокси]этокси]этокси]ацетата (172 мг, 0,16 ммоль, 1,2 экв.) в DMF (1 мл) добавляли карбонат калия (54 мг, 0,39 ммоль, 3 экв.). Смесь перемешивали при 40°С в течение 5 ч. Смесь фильтровали с получением остатка. Остаток очищали с помощью полупрепаративной HPLC с обращенной фазой. Соединение дополнительно очищали с помощью препаративной TLC (дихлорметан : метанол = 15:1). Соединение дополнительно очищали с помощью полупрепаративной HPLC с обращенной фазой с получением [3-[2,6-дифтор-3-[[(3R)-3-фторпирролидин-1-ил]сульфониламино]бензоил]-5-[4-[4-[[1-[2-(2,6-диоксо-3-пиперидил)-1-оксоизоиндолин-5-ил]-4-пиперидил]метил]пиперазин-1-ил]фенил]пирроло[2,3-Ь]пиридин-1-ил]метил-2-[2-[2-[2-[2-[2-[2-[2-[2-[2-[2-[2-[2-[2-[2-[2-[2-[2-[2-[2-[2-[2-(2-метоксиэтокси)этокси]этокси]этокси]этокси]этокси]этокси]этокси]этокси]этокси]этокси]этокси]этокси]этокси]этокси]этокси]этокси]этокси]этокси]этокси]этокси]этокси]ацетата (36,53 мг, 0,02 ммоль, выход 13%, чистота 96%, муравьиная кислота) в виде желтой смолы. LC/MS (ESI) масса/заряд: 1020,2 [M/2+1]+; 1H ЯМР (400 МГц, CDCl3) δ 8,84 (d,J=2,0 Гц, 1Н), 8,69 (d, J=2,0 Гц, 1Н), 8,50-8,16 (m, 1H), 7,86 (s, 1H), 7,80-7,68 (m, 2H), 7,60 (d, J=8,4 Гц, 2H), 7,10-6,97 (m, 4H), 6,90 (s, 1H), 6,37-6,29 (m, 2H), 5,37-5,13 (m, 2H), 4,46-4,35 (m, 1Н), 4,31-4,16 (m, 3Н), 3,91-3,79 (m, 2H), 3,73-3,54 (m, 100H), 3,52-3,43 (m, 2H), 3,39 (s, 3H), 3,34-3,24 (m, 4H), 2,95-2,81 (m, 4H), 2,67-2,59 (m, 4H), 2,36-1,76 (m, 10H), 1,42-1,29 (m, 2H).
[1829] Иллюстративный синтез (3-(2,6-дифтор-3-(((R)-3-фторпирролидин)-1-сульфонамидо)бензоил)-5-(4-(4-((1-(2-(2,6-диоксопиперидин-3-ил)-1-оксоизоиндолин-5-ил)пиперидин-4-ил)метил)пиперазин-1-ил)фенил)-1Н-пирроло[2,3-b]пиридин-1-ил)метил(2,5,8,11,14,17,20,23,26,29,32,35,38,41,44,47,50,53,56,59,62,65-докозаоксагептагексаконтан-67-ил)карбоната (иллюстративного соединения 857)
[1830] Стадия 1: получение (3-(2,6-дифтор-3-(((R)-3-фторпирролидин)-1-сульфонамидо)бензоил)-5-(4-(4-((1-(2-(2,6-диоксопиперидин-3-ил)-1-оксоизоиндолин-5-ил)пиперидин-4-ил)метил)пиперазин- 1-ил)фенил)-1Н-пирроло[2,3-b]пиридин-1-ил)метил-(2,5,8,11,14,17,20,23,26,29,32,35,38,41,44,47,50,53,56,59,62,65-докозаоксагептагексаконтан-67-ил)карбоната
[1831] Смесь хлорметил-2-[2-[2-[2-[2-[2-[2-[2-[2-[2-[2-[2-[2-[2-[2-[2-[2-[2-[2-[2-[2-(2-метоксиэтокси)этокси]этокси]этокси]этокси]этокси]этокси]этокси]этокси]этокси]этокси]этокси]этокси]этокси]этокси]этокси]этокси]этокси]этокси]этокси]этокси]этилкарбоната (189 мг, 0,17 ммоль, 1,00 экв.), (3R)-N-[3-[5-[4-[4-[[1-[2-(2,6-диоксо-3-пиперидил)-1-оксоизоиндолин-5-ил]-4-пиперидил]метил]пиперазин-1-ил]фенил]-1Н-пирроло[2,3-b]пиридин-3-карбонил]-2,4-дифторфенил]-3-фторпирролидин-1-сульфонамида (160 мг, 0,17 ммоль, 1,00 экв.) и карбоната калия (71 мг, 0,52 ммоль, 3,00 экв.) в N,N-диметилформамиде (3 мл) перемешивали при 40°С в течение 5 ч. Смесь фильтровали и концентрировали при пониженном давлении с получением остатка. Остаток сначала очищали с помощью полупрепаративной HPLC с обращенной фазой, затем с помощью препаративной TLC (дихлорметан:метанол = 15:1, Rf=0,2) с получением [3-[2,6-дифтор-3-[[(3R)-3-фторпирролидин-1-ил]сульфониламино]бензоил]-5-[4-[4-[[1-[2-(2,6-диоксо-3-пиперидил)-1-оксоизоиндолин-5-ил]-4-пиперидил]метил]пиперазин-1-ил]фенил]пирроло[2,3-b]пиридин-1-ил]метил-2-[2-[2-[2-[2-[2-[2-[2-[2-[2-[2-[2-[2-[2-[2-[2-[2-[2-[2-[2-[2-(2-метоксиэтокси)этокси]этокси]этокси]этокси]этокси]этокси]этокси]этокси]этокси]этокси]этокси]этокси]этокси]этокси]этокси]этокси]этокси]этокси]этокси]этокси]этилкарбоната (49,4 мг, 0,02 ммоль, выход 14%, чистота 95%) в виде желтого твердого вещества. LC/MS (ESI) масса/заряд: 881,0 [М/2+1]+; 1H ЯМР (400 МГц, CDCl3) δ 8,82 (d, J=2,0 Гц, 1Н), 8,68 (d, J=2,0 Гц, 1Н), 8,21 (br s, 1H), 7,86 (s, 1H), 7,78-7,69 (m, 2H), 7,59 (d, J=8,8 Гц, 2H), 7,09-6,97 (m, 5H), 6,89 (s, 1H), 6,28 (s, 2H), 5,33-5,16 (m, 2H), 4,44-4,36 (m, 1H), 4,31-4,22 (m, 3Н), 3,86 (d, J=12,8 Гц, 3Н), 3,73-3,42 (m, 76H), 3,38 (s, 3Н), 3,32-3,25 (m, 4H), 2,95-2,59 (m, 9H), 2,40-1,73 (m, 15H), 1,42-1,23 (m, 3Н).
[1832] Иллюстративный синтез (3R)-N-(3-(5-(4-(6-((1-(2-(2,6-диоксопиперидин-3-ил)-1-оксоизоиндолин-5-ил)пиперидин-4-ил)метил)-2,6-диазаспиро[3.3]гептан-2-ил)фенил)-1Н-пирроло[2,3-b]пиридин-3-карбонил)-2,4-дифторфенил)-3-фторпирролидин-1-сульфонамида (иллюстративного соединения 536)
[1833] Стадия 1: получение трет-бутил-6-(4-бромфенил)-2,6-диазаспиро[3.3]гептан-2-карбоксилата
[1834] В 3-горлую круглодонную колбу объемом 250 мл помещали трет-бутил-2,6-диазаспиро[3.3]гептан-2-карбоксилат щавелевой кислоты (1,45 г, 5,029 ммоль, 1 экв.), (4-бромфенил)бороновую кислоту (1,20 г, 5,975 ммоль, 1,19 экв.), TEA (2,53 г, 25,002 ммоль, 4,97 экв.), Cu(OAc)2 (1,36 г, 7,488 ммоль, 1,49 экв.), DCM (150 мл), 4А MS (5 г). Смесь продували воздухом и перемешивали в течение 12 ч. при комнатной температуре. Твердые вещества отфильтровывали. Фильтрат промывали водой (100 мл), высушивали над безводным сульфатом натрия и концентрировали под вакуумом. Остаток обрабатывали с помощью колонки с силикагелем с применением смеси этилацетат/петролейный эфир (1/5). Это обеспечивало получение 1,02 г (57%) трет-бутил-6-(4-бромфенил)-2,6-диазаспиро[3.3]гептан-2-карбоксилата в виде светло-желтого твердого вещества. LC/MS (ESI) масса/заряд: 352,90/354,90 [М+1]+.
[1835] Стадия 2: получение трет-бутил-6-(4-(4,4,5,5-тетраметил-1,3,2-диоксаборолан-2-ил)фенил)-2,6-диазаспиро[3.3]гептан-2-карбоксилата
[1836] В герметичную пробирку объемом 30 мл, которую продували азотом и в которой поддерживали инертную атмосферу азота, помещали трет-бутил-6-(4-бромфенил)-2,6-диазаспиро[3.3]гептан-2-карбоксилат (706,40 мг, 2,000 ммоль, 1,00 экв.), 4,4,5,5-тетраметил-2-(4,4,5,5-тетраметил-1,3,2-диоксаборолан-2-ил)-1,3,2-диоксаборолан (761,70 мг, 3,000 ммоль, 1,50 экв.), KOAc (588,00 мг, 5,991 ммоль, 3,00 экв.), Pd(dppf)Cl2CH2Cl2 (163,30 мг, 0,200 ммоль, 0,10 экв.), DMSO (12,00 мл). Полученную смесь перемешивали в течение 5 ч. при 90°С на масляной бане. Реакционную смесь охлаждали до комнатной температуры и разбавляли водой (100 мл). Полученную смесь экстрагировали этилацетатом (100 мл х 2) и органические слои объединяли. Органическое вещество промывали солевым раствором (100 мл х 2), высушивали над безводным сульфатом натрия и концентрировали под вакуумом. Остаток обрабатывали с помощью колонки с силикагелем с применением смеси этилацетат/петролейный эфир (1/5). Это обеспечивало получение 743 мг (93%) трет-бутил-6-[4-(4,4,5,5-тетраметил-1,3,2-диоксаборолан-2-ил)фенил]-2,6-диазаспиро[3.3]гептан-2-карбоксилата в виде желтого твердого вещества. LC/MS (ESI) масса/заряд: 401,05 [М+1]+.
[1837] Стадия 3: получение трет-бутил-(R)-6-(4-(3-(2,6-дифтор-3-((3-фторпирролидин)-1-сульфонамидо)бензоил)-1Н-пирроло[2,3-b]пиридин-5-ил)фенил)-2,6-диазаспиро[3.3]гептан-2-карбоксилата
[1838] В герметичную пробирку объемом 30 мл, которую продували азотом и в которой поддерживали инертную атмосферу азота, помещали трет-бутил-6-[4-(4,4,5,5-тетраметил-1,3,2-диоксаборолан-2-ил)фенил]-2,6-диазаспиро[3.3]гептан-2-карбоксилат (288,20 мг, 0,720 ммоль, 1,20 экв.), (3R)-1H-(3-[5-бром-1Н-пирроло[2,3-b]пиридин-3-карбонил]-2,4-дифторфенил)-3-фторпирролидин-1-сульфонамид (302,00 мг, 0,600 ммоль, 1,00 экв.), K2CO3 (248,80 мг, 1,800 ммоль, 3,00 экв.), Pd(dppf)Cl2CH2Cl2 (49,00 мг, 0,060 ммоль, 0,10 экв.), диоксан (12,00 мл), H2O (2,00 мл). Полученную смесь перемешивали в течение 2 ч. при 95°С на масляной бане. Реакционную смесь охлаждали до комнатной температуры и разбавляли водой (50 мл). Полученную смесь экстрагировали этилацетатом (80 мл х 2), и органические слои объединяли, и высушивали над безводным сульфатом натрия, и концентрировали под вакуумом. Остаток очищали с помощью флэш-хроматографии (CH2Cl2/МеОН 30:1) и с последующим очищением с помощью препаративной TLC (CH2Cl2/MeOH 10:1). Это обеспечивало получение 203 мг (49%) трет-бутил-6-(4-[3-[2,6-дифтор-3-([[(3R)-3-фторпирролидин-1-ил]сульфонил]амино)бензоил]-1Н-пирроло[2,3-b]пиридин-5-ил]фенил)-2,6-диазаспиро[3.3]гептан-2-карбоксилата в виде желтого твердого вещества. LC/MS (ESI) масса/заряд: 697,10 [M+l]+.
[1839] Стадия 4: получение (R)-N-(3-(5-(4-(2,6-диазаспиро[3.3]гептан-2-ил)фенил)-1Н-пирроло[2,3-b]пиридин-3-карбонил)-2,4-дифторфенил)-3-фторпирролидин-1-сульфонамида
[1840] В круглодонную колбу объемом 100 мл помещали трет-бутил-6-(4-[3-[2,6-дифтор-3-([[(3R)-3-фторпирролидин-1-ил]сульфонил]амино)бензоил]-1Н-пирроло[2,3-b]пиридин-5-ил]фенил)-2,6-диазаспиро[3.3]гептан-2-карбоксилат (203,00 мг, 0,291 ммоль, 1,00 экв.), DCM (6,00 мл), TFA (1,50 мл). Полученный раствор перемешивали в течение 1 ч. при комнатной температуре. Для нейтрализации кислоты использовали DIEA. Это обеспечивало получение раствора 173,8 мг (99,98%) (3R)-N-[3-[5-(4-[2,6-диазаспиро[3.3]гептан-2-ил]фенил)-1Н-пирроло[2,3-b]пиридин-3-карбонил]-2,4-дифторфенил]-3-фторпирролидин-1-сульфонамида в DCM в виде светло-коричневого раствора. LC/MS (ESI) масса/заряд: 597,10 [М+1]+.
[1841] Стадия 5: получение метил-2-циано-4-(4-(гидроксиметил)пиперидин-1-ил)бензоата
[1842] В круглодонную колбу объемом 100 мл помещали метил-2-циано-4-фторбензоат (3,58 г, 19,983 ммоль, 1 экв.), (пиперидин-4-ил)метанол (3,45 г, 29,954 ммоль, 1,50 экв.), DIEA (9,9 мл, 56,837 ммоль, 2,84 экв.), DMSO (40 мл). Полученную смесь перемешивали в течение 2 ч. при 110°С на масляной бане. Реакционную смесь охлаждали до комнатной температуры и разбавляли водой (200 мл). Полученную смесь экстрагировали этилацетатом (200 мл х 2) и органические слои объединяли. Объединенные органические слои промывали солевым раствором (200 мл х 2), высушивали над безводным сульфатом натрия и концентрировали под вакуумом. Остаток обрабатывали с помощью колонки с силикагелем с применением смеси этилацетат/петролейный эфир (1/1). Это обеспечивало получение 5,21 г (95%) метил-2-циано-4-[4-(гидроксиметил)пиперидин-1-ил]бензоата в виде желто-зеленого полутвердого вещества. LC/MS (ESI) масса/заряд: 274,95 [М+1]+.
[1843] Стадия 6: получение метил-2-формил-4-(4-(гидроксиметил)пиперидин-1-ил)бензоата
[1844] В круглодонную колбу объемом 100 мл, которую продували азотом и в которой поддерживали инертную атмосферу азота, помещали H2O (10 мл), АсОН (10 мл), пиридин (20 мл), метил-2-циано-4-[4-(гидроксиметил)пиперидин-1-ил]бензоат (2,3 г, 8,384 ммоль, 1 экв.), моногидрат гипофосфита натрия (8,89 г, 83,873 ммоль, 10,00 экв.), Ni Ренея (1 г, 11,672 ммоль, 1,39 экв.). Полученную смесь перемешивали в течение 16 ч. при 70°С на масляной бане. Реакционную смесь охлаждали до комнатной температуры и твердые вещества отфильтровывали. Фильтрат разбавляли водой (100 мл) и экстрагировали этилацетатом (100 мл х 2). Органические слои объединяли и промывали солевым раствором (100 мл х 2). Органическое вещество высушивали над безводным сульфатом натрия и концентрировали под вакуумом. Остаток обрабатывали с помощью колонки с силикагелем с применением смеси этилацетат/петролейный эфир (1/1). Это обеспечивало получение 553 мг (24%) метил-2-формил-4-[4-(гидроксиметил)пиперидин-1-ил]бензоата в виде желто-зеленого масла. LC/MS (ESI) масса/заряд: 277,95 [М+1]+.
[1845] Стадия 7: получение 3-(5-(4-(гидроксиметил)пиперидин-1-ил)-1-оксоизоиндолин-2-ил)пиперидин-2,6-диона
[1846] В круглодонную колбу объемом 100 мл помещали метил-2-формил-4-[4-(гидроксиметил)пиперидин-1-ил]бензоат (500 мг, 1,803 ммоль, 1 экв.), гидрохлорид 3-аминопиперидин-2,6-диона (356,1 мг, 2,164 ммоль, 1,20 экв.), DIEA (0,6 мл), DCM (30 мл), АсОН (1 мл). Полученную смесь перемешивали в течение 4 ч. при 35°С на масляной бане. За этим следовало добавление NaBH(OAc)3 (1,15 г, 5,426 ммоль, 3,01 экв.), и обеспечивали протекание реакции в полученной смеси при перемешивании в течение дополнительных 16 ч. при комнатной температуре. Затем реакционную смесь гасили путем добавления воды (50 мл) и использовали насыщенный раствор NaHCO3 для регулирования рН до 8. Полученную смесь экстрагировали с помощью DCM/MeOH (10/1, 100 мл х 6) и органические слои объединяли. Органическое вещество высушивали над безводным сульфатом натрия и концентрировали под вакуумом. Остаток обрабатывали с помощью колонки с силикагелем с применением смеси дихлорметан/метанол (20/1). Это обеспечивало получение 504 мг (78%) 3-[5-[4-(гидроксиметил)пиперидин-1-ил]-1-оксо-2,3-дигидро-1Н-изоиндол-2-ил]пиперидин-2,6-диона в виде светло-зеленого твердого вещества. LC/MS (ESI) масса/заряд: 358,00 [М+1]+.
[1847] Стадия 8: получение 1-(2-(2,6-диоксопиперидин-3-ил)-1-оксоизоиндолин-5-ил)пиперидин-4-карбальдегида
[1848] В круглодонную колбу объемом 250 мл помещали 3-[5-[4-(гидроксиметил)пиперидин-1-ил]-1-оксо-2,3-дигидро-1Н-изоиндол-2-ил]пиперидин-2,6-дион (150,00 мг, 0,420 ммоль, 1,00 экв.), DCM (40,00 мл), DMP (356,00 мг, 0,839 ммоль, 2,00 экв.). Полученную смесь перемешивали в течение 1 ч. при 35°С на масляной бане. Твердые вещества отфильтровывали и фильтрат концентрировали под вакуумом. Остаток очищали с помощью препаративной TLC (CH2Cl2/MeOH 8:1). Это обеспечивало получение 115 мг (77%) 1-[2-(2,6-диоксопиперидин-3-ил)-1-оксо-2,3-дигидро-1Н-изоиндол-5-ил]пиперидин-4-карбальдегида в виде желтого твердого вещества. LC/MS (ESI) масса/заряд: 355,95 [М+1]+.
[1849] Стадия 9: получение (3R)-N-(3-(5-(4-(6-((1-(2-(2,6-диоксопиперидин-3-ил)-1-оксоизоиндолин-5-ил)пиперидин-4-ил)метил)-2,6-диазаспиро[3.3]гептан-2-ил)фенил)-1Н-пирроло[2,3-b]пиридин-3-карбонил)-2,4-дифторфенил)-3-фторпирролидин-1-сульфонамида
[1850] В круглодонную колбу объемом 100 мл помещали (3R)-N-[3-[5-(4-[2,6-диазаспиро[3.3]гептан-2-ил]фенил)-1Н-пирроло[2,3-b]пиридин-3-карбонил]-2,4-дифторфенил]-3-фторпирролидин-1-сульфонамид (173,80 мг, 0,291 ммоль, 1,00 экв.), 1-[2-(2,6-диоксопиперидин-3-ил)-1-оксо-2,3-дигидро-1Н-изоиндол-5-ил]пиперидин-4-карбальдегид (113,90 мг, 0,320 ммоль, 1,10 экв.), DCM (40,00 мл). Полученный раствор перемешивали в течение 2 ч. при 35°С на масляной бане. За этим следовало добавление NaBH3CN (54,80 мг, 0,872 ммоль, 2,99 экв.), и обеспечивали протекание реакции в полученной смеси при перемешивании в течение дополнительных 0,5 ч. при комнатной температуре. Затем реакционную смесь гасили путем добавления воды (50 мл) и экстрагировали с помощью DCM/MeOH (10/1, 60 мл х 2). Органические слои объединяли и высушивали над безводным сульфатом натрия и концентрировали под вакуумом. Остаток очищали с помощью препаративной TLC (CH2Cl2/MeOH 8:1). Это обеспечивало получение 69,0 мг (25%) (3R)-N-[3-(5-[4-[6-([1-[2-(2,6-диоксопиперидин-3-ил)-1-оксо-2,3-дигидро-1Н-изоиндол-5-ил]пиперидин-4-ил]метил)-2,6-диазаспиро[3.3]гептан-2-ил]фенил]-1Н-пирроло[2,3-b]пиридин-3-карбонил)-2,4-дифторфенил]-3-фторпирролидин-1-сульфонамида в виде желто-зеленого твердого вещества. LC/MS (ESI) масса/заряд: 936,25 [М+1]+; 1H ЯМР (400 МГц, DMSO-d6) δ 12,90 (s, 1Н), 10,96 (s, 1H), 8,62 (s, 1H), 8,50 (s, 1H), 8,07 (s, 1H), 7,66-7,49 (m, 4H), 7,29-7,23 (m, 1H), 7,05-7,02 (m, 2H), 6,58-6,55 (m, 2H), 5,30 (d, J=52,8 Гц, 1H), 5,08-5,02 (m, 1H), 4,35-4,16 (m, 2H), 3,94 3,84 (m, 6H), 3,51 3,49 (m, 1H), 3,39-3,38 (m, 5H), 3,30-3,23 (m, 1H), 2,91-2,76 (m, 3H), 2,61-2,55 (m, 1H), 2,39-2,35 (m, 3H), 2,18-1,93 (m, 3H), 1,77-1,73 (m, 2H), 1,52 (s, 1H), 1,23-1,18 (m, 4H).
[1851] Иллюстративный синтез (3R)-N-(3-(5-(4-(4-((6-(2-(2,6-диоксопиперидин-3-ил)-1-оксоизоиндолин-5-ил)-2,6-диазаспиро[3.3]гептан-2-ил)метил)пиперидин-1-ил)фенил)-1Н-пирроло[2,3-b]пиридин-3-карбонил)-2,4-дифторфенил)-3-фторпирролидин-1-сульфонамида (иллюстративного соединения 537)
[1852] Стадия 1: получение трет-бутил-6-(3-циано-4-(метоксикарбонил)фенил)-2,6-диазаспиро[3.3]гептан-2-карбоксилата
[1853] В герметичную пробирку объемом 30 мл помещали метил-2-циано-4-фторбензоат (896,00 мг, 5,001 ммоль, 1,00 экв.), трет-бутил-2,6-диазаспиро[3.3]гептан-2-карбоксилат щавелевой кислоты (1,59 г, 5,515 ммоль, 1,10 экв.), DIEA (4,20 мл, 24,113 ммоль, 4,82 экв.), DMSO (12,00 мл). Полученную смесь перемешивали в течение 2 ч. при 110°С на масляной бане. Реакционную смесь охлаждали до комнатной температуры и разбавляли водой (100 мл). Полученную смесь экстрагировали этилацетатом (100 мл х 2) и органические слои объединяли. Органическое вещество промывали солевым раствором (100 мл х 2), высушивали над безводным сульфатом натрия и концентрировали под вакуумом. Остаток обрабатывали с помощью колонки с силикагелем с применением смеси этилацетат/петролейный эфир (1/1). Это обеспечивало получение 1,75 г (98%) трет-бутил-6-[3-циано-4-(метоксикарбонил)фенил]-2,6-диазаспиро[3.3]гептан-2-карбоксилата в виде желто-зеленого твердого вещества. LC/MS (ESI) масса/заряд: 358,00 [М+1]+.
[1854] Стадия 2: получение трет-бутил-6-(3-формил-4-(метоксикарбонил)фенил)-2,6-диазаспиро[3.3]гептан-2-карбоксилата
[1855] В круглодонную колбу объемом 250 мл, которую продували азотом и в которой поддерживали инертную атмосферу азота, помещали H2O (15,00 мл), АсОН (15,00 мл), пиридин (30,00 мл), трет-бутил-6-[3-циано-4-(метоксикарбонил)фенил]-2,6-диазаспиро[3.3]гептан-2-карбоксилат (1,66 г, 4,645 ммоль, 1,00 экв.), моногидрат гипофосфита натрия (4,89 г, 46,135 ммоль, 9,93 экв.), Ni Ренея (1,00 г, 11,672 ммоль, 2,51 экв.). Полученную смесь перемешивали в течение 4 ч. при 70°С на масляной бане. Реакционную смесь охлаждали до комнатной температуры и разбавляли водой (150 мл). Твердые вещества отфильтровывали и к фильтрату добавляли насыщенный раствор NaHCO3 для регулирования рН до 8. Полученную смесь экстрагировали этилацетатом (200 мл х 2) и органические слои объединяли. Органическое вещество промывали солевым раствором (200 мл х 2), высушивали над безводным сульфатом натрия и концентрировали под вакуумом. Остаток обрабатывали с помощью колонка с силикагелем с применением смеси этилацетат/петролейный эфир (1/1). Это обеспечивало получение 500 мг (45%) трет-бутил-6-[3-формил-4-(метоксикарбонил)фенил]-2,6-диазаспиро[3.3]гептан-2-карбоксилата в виде желто-зеленого твердого вещества. LC/MS (ESI) масса/заряд: 361,00 [М+1]+.
[1856] Стадия 3: получение трет-бутил-6-(2-(2,6-диоксопиперидин-3-ил)-1-оксоизоиндолин-5-ил)-2,6-диазаспиро[3.3]гептан-2-карбоксилата
[1857] В круглодонную колбу объемом 100 мл помещали трет-бутил-6-[3-формил-4-(метоксикарбонил)фенил]-2,6-диазаспиро[3.3]гептан-2-карбоксилат (684,80 мг, 1,900 ммоль, 1,00 экв.), гидрохлорид 3-аминопиперидин-2,6-диона (375,30 мг, 2,280 ммоль, 1,20 экв.), DCM (30,00 мл), DIEA (0,80 мл, 4,593 ммоль, 2,42 экв.), АсОН (1,50 мл, 26,177 ммоль, 13,78 экв.). Полученную смесь перемешивали в течение 4 ч. при 35°С на масляной бане. За этим следовало добавление NaBH(OAc)3 (1,21 г, 5,709 ммоль, 3,00 экв.), и обеспечивали протекание реакции в полученной смеси при перемешивании в течение дополнительных 3 ч., при этом температуру поддерживали на уровне 35°С на масляной бане. Затем реакционную смесь гасили путем добавления воды (50 мл) и значение рН раствора регулировали до 8 с помощью насыщенного раствора NaHCO3. Полученную смесь экстрагировали с помощью DCM/MeOH (10/1, 100 мл х 2) и органические слои объединяли и высушивали над безводным сульфатом натрия и концентрировали под вакуумом. Остаток обрабатывали с помощью колонки с силикагелем с применением смеси дихлорметан/метанол (25/1). Это обеспечивало получение 620 мг (74%) трет-бутил-6-[2-(2,6-диоксопиперидин-3-ил)-1-оксо-2,3-дигидро-1Н-изоиндол-5-ил]-2,6-диазаспиро[3.3]гептан-2-карбоксилата в виде светло-зеленого твердого вещества. LC/MS (ESI) масса/заряд: 441,00 [М+1]+.
[1858] Стадия 4: получение 3-(1-оксо-5-(2,6-диазаспиро[3.3]гептан-2-ил)изоиндолин-2-ил)пиперидин-2,6-диона
[1859] В круглодонную колбу объемом 50 мл помещали трет-бутил-6-[2-(2,6-диоксопиперидин-3-ил)-1-оксо-2,3-дигидро-1Н-изоиндол-5-ил]-2,6-диазаспиро[3.3]гептан-2-карбоксилат (110,10 мг, 0,250 ммоль, 1,00 экв.), DCM (8,00 мл), TFA (1,50 мл). Полученный раствор перемешивали в течение 1 ч. при комнатной температуре. Кислоту нейтрализовали с помощью DIEA. Это обеспечивало получение раствора 85,1 мг 3-(5-[2,6-диазаспиро[3.3]гептан-2-ил]-1-оксо-2,3-дигидро-1Н-изоиндол-2-ил)пиперидин-2,6-диона в DCM в виде светло-коричневого раствор. LC/MS (ESI) масса/заряд: 341,00 [M+l]+.
[1860] Стадия 5: получение (3R)-N-(3-(5-(4-(4-((6-(2-(2,6-диоксопиперидин-3-ил)-1-оксоизоиндолин-5-ил)-2,6-диазаспиро[3.3]гептан-2-ил)метил)пиперидин-1-ил)фенил)-1Н-пирроло[2,3-b]пиридин-3-карбонил)-2,4-дифторфенил)-3-фторпирролидин-1-сульфонамида
[1861] В круглодонную колбу объемом 50 мл помещали (3R)-N-(2,4-дифтор-3-[5-[4-(4-формилпиперидин-1-ил)фенил]-1Н-пирроло[2,3-b]пиридин-3-карбонил]фенил)-3-фторпирролидин-1-сульфонамид (113,00 мг, 0,185 ммоль, 1,00 экв.), 3-(5-[2,6-диазаспиро[3.3]гептан-2-ил]-1-оксо-2,3-дигидро-1Н-изоиндол-2-ил)пиперидин-2,6-дион (75,50 мг, 0,222 ммоль, 1,20 экв.), DCM (45,00 мл).
Полученный раствор перемешивали в течение 2 ч. при 35°С на масляной бане. За этим следовало добавление NaBH3CN (34,80 мг, 0,554 ммоль, 3,00 экв.), и обеспечивали протекание реакции в полученной смеси при перемешивании в течение дополнительных 0,5 ч. при комнатной температуре. Затем реакционную смесь гасили путем добавления воды (50 мл) и экстрагировали с помощью DCM/MeOH (10/1, 60 мл х 2). Органические слои объединяли и высушивали над безводным сульфатом натрия и концентрировали под вакуумом. Остаток очищали с помощью препаративной TLC (CH2Cl2/МеОН = 7:1). Неочищенный продукт очищали с помощью препаративной HPLC. Это обеспечивало получение 27 мг (16%) (3R)-N-[3-(5-[4-[4-([6-[2-(2,6-диоксопиперидин-3-ил)-1-оксо-2,3-дигидро-1Н-изоиндол-5-ил]-2,6-диазаспиро[3.3]гептан-2-ил]метил)пиперидин-1-ил]фенил]-1Н-пирроло[2,3-b]пиридин-3-карбонил)-2,4-дифторфенил]-3-фторпирролидин-1-сульфонамида в виде желто-зеленого твердого вещества. LC/MS (ESI) масса/заряд: 936,30 [М+1]+; 1H ЯМР (300 МГц, DMSO-d6) δ 12,91 (s, 1Н), 10,95 (s, 1H), 8,65 (s, 1H), 8,53 (s, 1H), 8,16 (s, 1H), 8,07 (s, 1H), 7,66-7,57 (m, 3H), 7,51-7,48 (m, 1H), 7,30-7,24 (m, 1H), 7,08-7,05 (m, 2H), 6,53-6,48 (m, 2H), 5,30 (d, J=53,1 Гц, 1H), 5,06-5,00 (m, 1H), 4,34-4,15 (m, 3H), 4,00 (s, 5H), 3,79-3,75 (m, 3H), 2,96-2,81 (m, 2H), 2,74-2,66 (m, 3H), 2,61-2,56 (m, 1H), 2,44-2,28 (m, 4H), 2,14-1,94 (m, 4H), 1,79-1,75 (m, 2H), 1,49 (s, 1H), 1,30-1,19 (m, 3H).
[1862] Иллюстративный синтез (3R)-N-(3-(5-(4-(4-((4-(2-(2,6-диоксопиперидин-3-ил)-1-оксоизоиндолин-5-ил)пиперидин-1-ил)метил)пиперидин-1-ил)фенил)-1Н-пирроло[2,3-b]пиридин-3-карбонил)-2,4-дифторфенил)-3-фторпирролидин-1-сульфонамида (иллюстративного соединения 579)
[1863] Стадия 1: получение 3-(5-бром-1-оксоизоиндолин-2-ил)пиперидин-2,6-диона
[1864] В круглодонную колбу объемом 100 мл, которую продували азотом и в которой поддерживали инертную атмосферу азота, помещали раствор метил-4-бром-2-(бромметил)бензоата (10,0 г, 32,47 ммоль, 1,00 экв.) в N,N-диметилформамиде (30 мл), 3-аминопиперидин-2,6-дион (4,2 г, 32,78 ммоль, 1,00 экв.), триэтиламин (8,2 г, 81,04 ммоль, 2,50 экв.). Полученный раствор перемешивали в течение 12 ч. при 80°С. Затем реакционную смесь гасили путем добавления воды. Твердое вещество собирали, и полученный раствор экстрагировали этилацетатом, и органические слои объединяли. Полученную смесь промывали солевым раствором. Смесь высушивали над безводным сульфатом натрия. Остаток обрабатывали с помощью колонки с силикагелем с применением смеси этилацетат/петролейный эфир (1:5). Собранные фракции объединяли и концентрировали под вакуумом. Это обеспечивало получение 5,6 г (53%) 3-(5-бром-1-оксо-2,3-дигидро-1Н-изоиндол-2-ил)пиперидин-2,6-диона в виде пурпурного твердого вещества. LC/MS (ESI) масса/заряд: 323,00/325,00 [M+l]+.
[1865] Стадия 2: получение трет-бутил-4-(2-(2,6-диоксопиперидин-3-ил)-1-оксоизоиндолин-5-ил)-3,6-дигидропиридин-1(2Н)-карбоксилата
[1866] В 3-горлую круглодонную колбу объемом 250 мл, которую продували азотом и в которой поддерживали инертную атмосферу азота, помещали раствор трет-бутил-4-(тетраметил-1,3,2-диоксаборолан-2-ил)-1,2,3,6-тетрагидропиридин-1-карбоксилата (2,9 г, 9,38 ммоль, 3,00 экв.) в диоксане (60 мл), карбонат калия (1,3 г, 9,41 ммоль, 3,00 экв.), 3-(5-бром-1-оксо-2,3-дигидро-1Н-изоиндол-2-ил)пиперидин-2,6-дион (1,0 г, 3,09 ммоль, 1,00 экв.), тетракис(трифенилфосфин)палладий (358,0 мг, 0,31 ммоль, 0,10 экв.). Полученный раствор перемешивали в течение ночи при 90°С на масляной бане в атмосфере азота. Фильтраты собирали путем фильтрации. Полученную смесь концентрировали под вакуумом. Остаток обрабатывали с помощью колонки с силикагелем с применением смеси этилацетат/петролейный эфир (1/1). Собранные фракции объединяли и концентрировали под вакуумом. Это обеспечивало получение 260,0 мг (20%) трет-бутил-4-[2-(2,6-диоксопиперидин-3-ил)-1-оксо-2,3-дигидро-1Н-изоиндол-5-ил]-1,2,3,6-тетрагидропиридин-1-карбоксилатав виде желтого твердого вещества. LC/MS (ESI) масса/заряд: 426,15 [М+1]+.
[1867] Стадия 3: получение трет-бутил-4-(2-(2,6-диоксопиперидин-3-ил)-1-оксоизоиндолин-5-ил)пиперидин-1-карбоксилата
[1868] В круглодонную колбу объемом 50 мл помещали раствор трет-бутил-4-[2-(2,6-диоксопиперидин-3-ил)-1-оксо-2,3-дигидро-1Н-изоиндол-5-ил]-1,2,3,6-тетрагидропиридин-1-карбоксилата (200,0 мг, 0,47 ммоль, 1,00 экв.) в тетрагидрофуране (мл), палладий на угле (300,0 мг, 1,69 ммоль, 8,00 экв.) в атмосфере азота. Колбу затем подвергали вакуумированию и продували водородом. Реакционную смесь гидрогенизировали при комнатной температуре в течение 4 ч. в атмосфере водорода с применением баллона с водородом, затем фильтровали через подушку из целита и концентрировали при пониженном давлении. Это обеспечивало получение 190,0 мг (95%) трет-бутил-4-[2-(2,6-диоксопиперидин-3-ил)-1-оксо-2,3-дигидро-1Н-изоиндол-5-ил]пиперидин-1-карбоксилата в виде желтого твердого вещества.
[1869] Стадия 4: получение 3-(1-оксо-5-(пиперидин-4-ил)изоиндолин-2-ил)пиперидин-2,6-диона
[1870] В круглодонную колбу объемом 50 мл помещали раствор трет-бутил-4-[2-(2,6-диоксопиперидин-3-ил)-1-оксо-2,3-дигидро-1Н-изоиндол-5-ил]пиперидин-1-карбоксилата (90,0 мг, 0,21 ммоль, 1,00 экв.) в дихлорметане (4 мл), трифторуксусной кислоте (2,0 мл). Полученный раствор перемешивали в течение 2 ч. при комнатной температуре. Полученную смесь концентрировали под вакуумом. Это обеспечивало получение 80,0 мг (86%) 3-(1-оксо-5-(пиперидин-4-ил)изоиндолин-2-ил)пиперидин-2,6-диона (TFA-соль) в виде желтого масла.
[1871] Стадия 5: получение (3R)-N-(3-(5-(4-(4-((4-(2-(2,6-диоксопиперидин-3-ил)-1-оксоизоиндолин-5-ил)пиперидин-1-ил)метил)пиперидин-1-ил)фенил)-1Н-пирроло[2,3-b]пиридин-3-карбонил)-2,4-дифторфенил)-3-фторпирролидин-1-сульфонамида
[1872] В круглодонную колбу объемом 50 мл помещали 3-[1-оксо-5-(пиперидин-4-ил)-3Н-изоиндол-2-ил]пиперидин-2,6-дион-трифторуксусную кислоту (91,00 мг, 0,206 ммоль, 1,00 экв.), дихлорметан (15,00 мл), (3R)-N-(2,4-дифтор-3-[5-[4-(4-формилпиперидин-1-ил)фенил]-1Н-пирроло[2,3-b]пиридин-3-карбонил]фенил)-3-фторпирролидин-1-сульфонамид (126,10 мг, 0,206 ммоль, 1,00 экв.). Смесь перемешивали в течение 2 ч. при комнатной температуре, к полученному добавляли NaBH3CN (64,78 мг, 1,031 ммоль, 5,00 экв.). Полученный раствор перемешивали в течение ночи при комнатной температуре. Затем реакционную смесь гасили путем добавления воды (20 мл). Полученный раствор экстрагировали дихлорметаном (2 х 20 мл), высушивали над безводным сульфатом натрия. Остаток обрабатывали с помощью колонки с силикагелем с применением смеси дихлорметан/метанол (10/1). Неочищенный продукт очищали с помощью препаративной HPLC. Собранные фракции объединяли и концентрировали под вакуумом. Это обеспечивало получение 56,1 мг (29,48%) (3R)-N-[3-(5-[4-[4-([4-[2-(2,6-диоксопиперидин-3-ил)-1-оксо-3Н-изоиндол-5-ил]пиперидин-1-ил]метил)пиперидин-1-ил]фенил]-1Н-пирроло[2,3-b]пиридин-3-карбонил)-2,4-дифторфенил]-3-фторпирролидин-1-сульфонамида в виде желтого твердого вещества. LC/MS (ESI) масса/заряд: 923,30 [М+1]+; 1H ЯМР (300 МГц, DMSO-d6) δ 12,91 (s, 1H), 10,99 (s, 1H), 9,85 (s, 1H), 8,67 (s, 1H), 8,66 (s, 1H), 8,08 (s, 1H), 7,68-7,52 (m, 5H), 7,44-7,41 (d, J=7,8 Гц, 1H), 7,30-7,25 (m, 1H), 7,10-7,07 (d, J=8,4 Гц, 2Н), 5,40-5,09 (m, 2H), 4,47-4,28 (m, 2H), 3,83-3,79 (m, 2H), 3,51-3,29 (m, 4H), 3,04-3,00 (d, J=10,5 Гц, 2H), 2,93-2,52 (m, 5H), 2,27-2,25 (d, J=6,3 Гц, 2H), 2,15-1,99 (m, 5H), 1,87-1,73 (m, 7H), 1,28-1,25 (d, J=9,6 Гц, 2H).
[1873] Иллюстративный синтез (3R)-N-(3-(5-(4-(2-(4-(2-(2,6-диоксопиперидин-3-ил)-1-оксоизоиндолин-5-ил)пиперазин-1-ил)этил)фенил)-1Н-индол-3-карбонил)-2,4-дифторфенил)-3-фторпирролидин-1-сульфонамида (иллюстративного соединения 596)
[1874] Стадия 1: получение 1-бром-4-(2,2-диметоксиэтил)бензола
[1875] К смеси 2-(4-бромфенил)ацетальдегида (2 г, 10,05 ммоль, 1 экв.) и триметоксиметана (5,33 г, 50,24 ммоль, 5,51 мл, 5 экв.) в метаноле (30 мл) одной порцией добавляли аквакомплекс п-толуолсульфоновой кислоты (96 мг, 0,50 ммоль, 0,05 экв.) при 15°С в атмосфере азота. Смесь перемешивали при 15°С в течение 16 ч. Насыщенный водный раствор бикарбоната натрия добавляли для регулирования рН=8~9. Смесь выливали в воду (20 мл) и перемешивали в течение 1 мин. Водную фазу экстрагировали этилацетатом (60 мл * 2). Объединенную органическую фазу промывали солевым раствором (30 мл * 2), высушивали с помощью безводного сульфата натрия, фильтровали и концентрировали в вакууме. Остаток очищали с помощью колоночной хроматографии (петролейный эфир/этилацетат = от 15/1 до 5:1). Соединение, 1-бром-4-(2,2-диметоксиэтил)бензол (1,97 г, 8,04 ммоль, выход 80%), получали в виде бесцветного масла. 1H ЯМР (400 МГц, CDCl3) δ 7,47-7,34 (m, 2H), 7,16-7,05 (m, 2H), 4,55-4,44 (m, 1H), 3,39-3,30 (m, 6H), 2,92-2,79 (m, 2H).
[1876] Стадия 2: получение 2-(4-(2,2-диметоксиэтил)фенил)-4,4,5,5-тетраметил-1,3,2-диоксаборолана
[1877] Смесь 1-бром-4-(2,2-диметоксиэтил)бензола (1,63 г, 6,65 ммоль, 1 экв.), 4,4,5,5-тетраметил-2-(4,4,5,5-тетраметил-1,3,2-диоксаборолан-2-ил)-1,3,2-диоксаборолана (2,20 г, 8,65 ммоль, 1,3 экв.), ацетата калия (1,31 г, 13,30 ммоль, 2 экв.) и ди-трет-бутил(циклопентил)фосфан-дихлорпалладий-железа (433 мг, 0,66 ммоль, 0,1 экв.) в диоксане (25 мл) дегазировали и продували азотом 3 раза и затем смесь перемешивали при 95°С в течение 12 ч. в атмосфере азота. Реакционную смесь концентрировали при пониженном давлении. Остаток очищали с помощью колоночной хроматографии (петролейный эфир/этилацетат = от 50/1 до 20:1). Соединение, 2-[4-(2,2-диметоксиэтил)фенил]-4,4,5,5-тетраметил-1,3,2-диоксаборолан (1,9 г, 6,50 ммоль, выход 98%), получали в виде коричневого масла. 1Н ЯМР (400 МГц, CDCl3) δ 7,71-7,64 (m, 2H), 7,19 (s, 2H), 4,51-4,42 (m, 1H), 3,29-3,19 (m, 6H), 2,89-2,80 (m, 2H), 1,28-1,25 (m, 12H).
[1878] Стадия 3: получение (R)-N-(3-(5-(4-(2,2-диметоксиэтил)фенил)-1Н-пирроло[2,3-b]пиридин-3-карбонил)-2,4-дифторфенил)-3-фторпирролидин-1-сульфонамида
[1879] Смесь (3R)-N-[3-(5-бром-1Н-пирроло[2,3-b]пиридин-3-карбонил)-2,4-дифторфенил]-3-фторпирролидин-1-сульфонамида (1,95 г, 3,87 ммоль, 1 экв.), 2-[4-(2,2-диметоксиэтил)фенил]-4,4,5,5-тетраметил-1,3,2-диоксаборолана (1,25 г, 4,26 ммоль, 1,1 экв.), 4-ди-трет-бутилфосфанил-N,N-диметиланилин-дихлорпалладия (274 мг, 0,39 ммоль, 0,3 мл, 0,1 экв.), фторида цезия (2,35 г, 15,50 ммоль, 0,6 мл, 4 экв.) в диоксане (20 мл) и воде (4 мл) дегазировали и продували азотом 3 раза и затем смесь перемешивали при 90°С в течение 12 часов в атмосфере азота. Реакционную смесь разбавляли водой (30 мл) и экстрагировали этилацетатом (50 мл * 2). Объединенные органические слои промывали солевым раствором (40 мл * 2), высушивали над безводным сульфатом натрия, фильтровали и концентрировали при пониженном давлении. Остаток очищали с помощью колоночной хроматографии (дихлорметан:метанол = от 1/0 до 10:1). Затем неочищенный продукт дополнительно очищали с помощью препаративной HPLC. Соединение, (3R)-N-[3-[5-[4-(2,2-диметоксиэтил)фенил]-1Н-индол-3-карбонил]-2,4-дифторфенил]-3-фторпирролидин-1-сульфонамид (1,31 г, 2,23 ммоль, выход 57%), получали в виде желтого твердого вещества. LC/MS (ESI) масса/заряд: 589,2 [М+1]+.
[1880] Стадия 4: получение (R)-N-(2,4-дифтор-3-(5-(4-(2-оксоэтил)фенил)-1Н-пирроло[2,3-b]пиридин-3-карбонил)фенил)-3-фторпирролидин-1-сульфонамида
[1881] К раствору (3R)-N-[3-[5-[4-(2,2-диметоксиэтил)фенил]-1Н-индол-3-карбонил]-2,4-дифторфенил]-3-фторпирролидин-1-сульфонамида (1,31 г, 2,23 ммоль 1 экв.) в тетрагидрофуране (15 мл) добавляли серную кислоту (2 М, 15 мл, 13,46 экв. Смесь перемешивали при 70°С в течение 2 часов. Повышали основность реакционно смеси с помощью насыщенного водного раствора бикарбоната натрия до рН=8. Затем реакционную смесь разбавляли водой (40 мл), экстрагировали тетрагидрофураном (30 мл) и этилацетатом (30 мл * 2). Объединенные органические слои промывали солевым раствором (30 мл * 2), высушивали над безводным сульфатом натрия, фильтровали и концентрировали при пониженном давлении. Соединение, (3R)-N-[2,4-дифтор-3-[5-[4-(2-оксоэтил)фенил]-1Н-индол-3-карбонил]фенил]-3-фторпирролидин-1-сульфонамид (1,26 г), получали в виде желтого твердого вещества. LC/MS (ESI) масса/заряд: 543,2 [M+l]+.
[1882] Стадия 5: получение (3R)-N-(3-(5-(4-(2-(4-(2-(2,6-диоксопиперидин-3-ил)-1-оксоизоиндолин-5-ил)пиперазин-1-ил)этил)фенил)-1Н-индол-3-карбонил)-2,4-дифторфенил)-3-фторпирролидин-1-сульфонамида
[1883] К раствору 3-(1-оксо-5-пиперазин-1-илизоиндолин-2-ил)пиперидин-2,6-диона (70 мг, 0,19 ммоль, 1 экв., гидрохлорид) в метаноле (2 мл) и дихлорметане (1 мл) добавляли ацетат натрия (31 мг, 0,38 ммоль, 2 экв.) для регулирования РН~8. Смесь перемешивали при 30°С в течение 5 мин., затем добавляли (3R)-N-[2,4-дифтор-3-[5-[4-(2-оксоэтил)фенил]-1Н-пирроло[2,3-b]пиридин-3-карбонил]фенил]-3-фторпирролидин-1-сульфонамид (104 мг, 0,19 ммоль, 1 экв.). Смесь перемешивали при 30°С в течение 5 мин с последующим добавлением уксусной кислоты (23,04 мг, 0,38 ммоль, 2 экв.) для регулирования рН~5,0. Смесь перемешивали при 15°С в течение 20 мин. Затем добавляли порциями цианоборогидрид натрия (24 мг, 0,38 ммоль, 2 экв.). Реакционную смесь перемешивали при 30°С в течение 1,5 ч. Реакционную смесь разбавляли водой (30 мл), экстрагировали этилацетатом (25 мл * 2) и тетрагидрофураном (20 мл). Объединенные органические слои промывали насыщенным солевым раствором (20 мл * 2), высушивали над безводным сульфатом натрия, фильтровали и концентрировали при пониженном давлении. Остаток очищали с помощью препаративной HPLC. Соединение, (3R)-N-[3-[5-[4-[2-[4-[2-(2,6-диоксо-3-пиперидил)-1-оксоизоиндолин-5-ил]пиперазин-1-ил]этил]фенил]-1Н-пирроло[2,3-b]пиридин-3-карбонил]-2,4-дифторфенил]-3-фторпирролидин-1-сульфонамид (104,5 мг, 0,10 ммоль, выход 55%, чистота 98%, трифторацетат), получали в виде белого твердого вещества. LC/MS (ESI) масса/заряд: 855,3 [М+1]+; 1H ЯМР (400 МГц, DMSO-d6) δ 13,05-12,95 (m, 1Н), 10,96 (s, 1H), 9,85 (s, 1H), 8,72 (d, J=2,4 Гц, 1H), 8,64 (d, J=0,8 Гц, 1H), 8,13 (d, J=2,8 Гц, 1H), 7,81-7,73 (m, 2H), 7,67-7,56 (m, 2H), 7,47 (d, J=8,0 Гц, 2H), 7,28 (t, J=8,4 Гц, 1H), 7,24-7,15 (m, 2H), 5,41-5,18 (m, 1H), 5,07 (dd, J=5,2, 13,2 Гц, 1H), 4,42-4,33 (m, 1H), 4,29-4,22 (m, 1H), 4,14-4,02 (m, 3Н), 3,72 (d, J=11,2 Гц, 3Н), 3,42-3,38 (m, 2H), 3,37-3,21 (m, 4H), 3,20-3,09 (m, 4H), 2,99-2,85 (m, 1H), 2,64-2,54 (m, 2H), 2,39 (dd, J=4,8, 13,2 Гц, 1H), 2,13-2,07 (m, 1H), 2,01-1,95 (m, 1H).
[1884] Иллюстративный синтез (3R)-N-(3-(5-(4-(((1R,3S)-3-((1-(2-(2,6-диоксопиперидин-3-ил)-1-оксоизоиндолин-5-ил)пиперидин-4-ил)окси)циклогексил)окси)фенил)-1Н-пирроло[2,3-b]пиридин-3-карбонил)-2,4-дифторфенил)-3-фторпирролидин-1-сульфонамида (иллюстративног о соединения 709)
[1885] Стадия 1: получение трет-бутил-(R)-5-бром-3-(2,6-дифтор-3-((3-фторпирролидин)-1-сульфонамидо)бензоил)-1Н-пирроло[2,3-b]пиридин-1-карбоксилата
[1886] В круглодонную колбу объемом 250 мл помещали (3R)-N-(3-[5-бром-1H-пирроло[2,3-b]пиридин-3-карбонил]-2,4-дифторфенил)-3-фторпирролидин-1-сульфонамид (10,0 г, 19,9 ммоль, 1,0 экв.), DCM (120 мл), TEA (6,0 г, 59,3 ммоль, 3,0 экв.) и (Вос)2O (6,0 г, 29,7 ммоль, 1,5 экв.). Полученную смесь перемешивали в течение 6 ч. при комнатной температуре. Полученную смесь концентрировали под вакуумом. Остаток обрабатывали с помощью колонки с силикагелем с применением смеси этилацетат/петролейный эфир (1:3). Это обеспечивало получение 9,0 г (75,1%) трет-бутил-5-бром-3-(2,6-дифтор-3-[[(3R)-3-фторпирролидин-1-илсульфонил]амино]бензоил)пирроло[2,3-b]пиридин-1-карбоксилата в виде грязно-белого твердого вещества. LC/MS (ESI) масса/заряд: 605,10 [M+1]+.
[1887] Стадия 2: получение трет-бутил-(R)-3-(2,6-дифтор-3-((3-фторпирролидин)-1-сульфонамидо)бензоил)-5-(4,4,5,5-тетраметил-1,3,2-диоксаборолан-2-ил)-1Н-пирроло[2,3-b]пиридин-1-карбоксилата
[1888] В круглодонную колбу объемом 250 мл, которую продували азотом и в которой поддерживали инертную атмосферу азота, помещали трет-бутил-5-бром-3-(2,6-дифтор-3-[[(3R)-3-фторпирролидин-1-илсульфонил]амино]бензоил)пирроло[2,3-b]пиридин-1-карбоксилат (9,0 г, 14,9 ммоль, 1,0 экв.), бис(пинаколато)дибор (7,6 г, 29,9 ммоль, 2,0 экв.), Pd(dppf)Cl2 (1,6 г, 2,2 ммоль, 0,15 экв.), KOAc (4,4 г, 44,8 ммоль, 3,0 экв.) и диоксан (150 мл). Полученную суспензию перемешивали в течение 5 ч. при 90°С на масляной бане. Твердые вещества отфильтровывали и затем промывали с помощью DCM (3 х 100 мл). Объединенный фильтрат концентрировали под вакуумом. Остаток обрабатывали с помощью колонки с силикагелем с применением смеси этилацетат/петролейный эфир (1:1). Это обеспечивало получение 5,5 г (57%) трет-бутил-3-(2,6-дифтор-3-[[(3R)-3-фторпирролидин-1-илсульфонил]амино]бензоил)-5-(4,4,5,5-тетраметил-1,3,2-диоксаборолан-2-ил)пирроло[2,3-b]пиридин-1-карбоксилата в виде светло-желтого твердого вещества. LC/MS (ESI) масса/заряд: 651,20 [М+1]+.
[1889] Стадия 3: получение 3-(4-йодфенокси)циклогексан-1-ола
[1890] В 3-горлую круглодонную колбу объемом 1 л, которую продували азотом и в которой поддерживали инертную атмосферу азота, помещали PPh3 (17,9 г, 68,2 ммоль, 1,5 экв.), THF (500 мл) и DIAD (13,8 г, 68,2 ммоль, 1,5 экв.) при 0°С на бане с водой/льдом. После перемешивания реакционной смеси в течение 30 мин при 0°С в колбу добавляли циклогексан-1,3-диол (7,9 г, 68,0 ммоль, 1,5 экв.) и 4-йодфенол (10,0 г, 45,4 ммоль, 1,0 экв.). Полученную смесь перемешивали в течение 30 мин при 0°С и затем охлаждающую баню удаляли. Обеспечивали протекание реакции в полученной смеси при перемешивании в течение ночи при комнатной температуре. Полученную смесь концентрировали под вакуумом. Затем остаток гасили путем добавления 200 мл воды. Полученную смесь экстрагировали с помощью 3 х 250 мл этилацетата. Органическую фазу объединяли, промывали с помощью 3 х 150 мл солевого раствора, высушивали над безводным сульфатом натрия и концентрировали под вакуумом. Остаток обрабатывали с помощью колонки с силикагелем с применением смеси этилацетат/петролейный эфир (1:4). Это обеспечивало получение 5,5 г (38,0%) 3-(4-йодфенокси)циклогексан-1-ола в виде белого твердого вещества.
[1891] Стадия 4: получение ((3-(4-йодфенокси)циклогексил)окси)триметилсилана
[1892] В круглодонную колбу объемом 250 мл помещали 3-(4-йодфенокси)циклогексан-1-ол (5,5 г, 17,3 ммоль, 1,0 экв.), DCM (100 мл), TEA (5,5 г, 54,4 ммоль, 3,1 экв.) и TMSC1 (2,8 г, 25,8 ммоль, 1,5 экв.). Полученную смесь перемешивали в течение 5 ч. при комнатной температуре. Затем реакционную смесь гасили путем добавления 150 мл NaHCO3 (водн.). Полученную смесь экстрагировали с помощью 2 х 100 мл дихлорметана. Органические фазы объединяли, высушивали над безводным сульфатом натрия и концентрировали под вакуумом. Это обеспечивало получение 6,5 г (96,3%) ((3-(4-йодфенокси)циклогексил)окси)триметилсилана в виде белого полутвердого вещества.
[1893] Стадия 5: получение (((1S,3R)-3-(4-йодфенокси)циклогексил)окси)триметилсилана
[1894] [[3-(4-Иодфенокси)циклогексил]окси]триметилсилан (6,5 г, 16,65 ммоль, 1,0 экв.) очищали с помощью препаративной флэш-HPLC. Это обеспечивало получение 2,0 г (30,8%) [[(1S,3R)-3-(4-йодфенокси)циклогексил]окси]триметилсилана в виде белого твердого вещества.
[1895] Стадия 6: получение 4-(((1S,3R)-3-(4-йодфенокси)циклогексил)окси)пиперидина
[1896] В 3-горлую круглодонную колбу объемом 100 мл, которую продували азотом и в которой поддерживали инертную атмосферу азота, помещали [[(1S,3R)-3-(4-йодфенокси)циклогексил]окси]триметилсилан (1,9 г, 4,8 ммоль, 1,0 экв.) и DCM (50 мл). Раствор охлаждали до -70°С с помощью бани с EtOH/N2 (жидкий). В колбу затем последовательно добавляли трет-бутил-4-оксопиперидин-1-карбоксилат (0,97 г, 4,8 ммоль, 1,0 экв.), Et3SiH (0,62 г, 5,4 ммоль, 1,1 экв.) и TMSOTf (0,54 г, 2,4 ммоль, 0,5 экв.), при этом поддерживали температуру ниже -60°С. Обеспечивали нагревание полученной смеси до комнатной температуры в течение 2 ч. и перемешивали в течение еще 2 ч. при комнатной температуре. Затем реакционную смесь гасили путем добавления 150 мл NaHCO3 (водн.). Полученную смесь экстрагировали с помощью 3 х 150 мл дихлорметана. Органическую фазу объединяли, высушивали над безводным сульфатом натрия и концентрировали под вакуумом. Остаток обрабатывали с помощью колонки с силикагелем с применением смеси дихлорметан/метанол/Et3N (80:15:5). Это обеспечивало получение 580 мг (29,7%) 4-[[(1S,3R)-3-(4-йодфенокси)циклогексил]окси]пиперидина в виде светло-коричневого масла. LC/MS (ESI) масса/заряд: 402,10 [М+1]+.
[1897] Стадия 7: получение метил-4-фтор-2-формилбензоата
[1898] В круглодонную колбу объемом 250 мл помещали метил-2-циано-4-фторбензоат (5,38 г, 30,031 ммоль, 1,00 экв.), муравьиную кислоту (50,00 мл, 88%), H2O (5,00 мл), PtO2 (1,36 г, 5,989 ммоль, 0,20 экв.). Полученную смесь перемешивали в течение 2 ч. при 80°С на масляной бане. Добавляли остальную часть PtO2 (0,10 экв.) и обеспечивали протекание реакции в полученной смеси при перемешивании в течение дополнительных 2 ч., при этом температуру поддерживали при 80°С на масляной бане. Реакционную смесь охлаждали до комнатной температуры. Полученную смесь разбавляли водой (100 мл) и этилацетатом (200 мл). Твердые вещества отфильтровывали. Водный слой подвергали обратной экстракции этилацетатом (100 мл). Органические слои объединяли и промывали солевым раствором (150 мл х 2). Органическое вещество высушивали над безводным сульфатом натрия и концентрировали под вакуумом. Остаток обрабатывали с помощью колонки с силикагелем с применением смеси этилацетат/петролейный эфир (1/25). Это обеспечивало получение 2,17 г (40%) метил-4-фтор-2-формилбензоата в виде белого кристалла. LC/MS (ESI) масса/заряд: 182.95 [М+1]+; 1H ЯМР (300 МГц, CDCl3) δ 10,68-10,65 (m, 1Н), 8,10-8,03 (m, 1H), 7,64-7,60 (m, 1H), 7,36-7,28 (m, 1H), 3,99 (s, 3H).
[1899] Стадия 8: получение метил-2-формил-4-(4-(((1S,3R)-3-(4-йодфенокси)циклогексил)окси)пиперидин-1-ил)бензоата
[1900] В герметичную пробирку объемом 30 мл помещали 4-[[(1S,3R)-3-(4-йодфенокси)-циклогексил]окси]пиперидин (550 мг, 1,4 ммоль, 1,0 экв.), метил-4-фтор-2-формилбензоат (380 мг, 2,1 ммоль, 1,5 экв.), DMSO (10 мл) и DIEA (2 мл, 11,5 ммоль, 8,4 экв.). Пробирку продували и выдерживали в инертной атмосфере азота. Полученную смесь перемешивали в течение ночи при 110°С на масляной бане. Затем реакционную смесь гасили путем добавления 150 мл воды. Полученную смесь экстрагировали с помощью 3 х 150 мл этилацетата. Органическую фазу объединяли, промывали с помощью 3 х 100 мл солевого раствора, высушивали над безводным сульфатом натрия и концентрировали под вакуумом. Остаток обрабатывали с помощью колонки с силикагелем с применением смеси этилацетат/петролейный эфир (1:4). Это обеспечивало получение 95 мг (12,3%) метил-2-формил-4-(4-[[(1S,3R)-3-(4-йодфенокси)циклогексил]окси]пиперидин-1-ил)бензоата в виде желтого твердого вещества. LC/MS (ESI) масса/заряд: 564,05 [М+1]+.
[1901] Стадия 9: получение 3-(5-(4-(((1S,3R)-3-(4-йодфенокси)циклогексил)окси)пиперидин-1-ил)-1-оксоизоиндолин-2-ил)пиперидин-2,6-диона
[1902] В круглодонную колбу объемом 100 мл помещали гидрохлорид 3-аминопиперидин-2,6-диона (33 мг, 0,20 ммоль, 1,2 экв.), МеОН (1,5 мл), DIEA (44 мг, 0,34 ммоль, 2,0 экв.), DCM (25 мл), метил-2-формил-4-(4-[[(1S,3R)-3-(4-йодфенокси)циклогексил]окси]пиперидин-1-ил)бензоат (95 мг, 0,17 ммоль, 1,0 экв.) и НОАс (81 мг, 1,35 ммоль, 8,0 экв.). После перемешивания полученной смеси в течение 4 ч. при 35°С на масляной бане, в колбу добавляли NaBH3CN (32 мг, 0,51 ммоль, 3,0 экв.). Полученную смесь перемешивали в течение ночи, при этом температуру поддерживали при 35°С на масляной бане. Затем реакционную смесь гасили путем добавления 50 мл NaHCO3 (водн.). Полученную смесь экстрагировали с помощью 3 х 150 мл дихлорметана. Органическую фазу объединяли, высушивали над безводным сульфатом натрия и концентрировали под вакуумом. Неочищенный продукт очищали с помощью препаративной флэш-HPLC. Это обеспечивало получение 65 мг (59,9%) 3-[5-(4-[[(1S,3R)-3-(4-йодфенокси)циклогексил]окси]пиперидин-1-ил)-1-оксо-3Н-изоиндол-2-ил]пиперидин-2,6-диона в виде белого твердого вещества. LC/MS (ESI) масса/заряд: 644,15 [M+1]+.
[1903] Стадия 10: получение трет-бутил-3-(2,6-дифтор-3-(((R)-3-фторпирролидин)-1-сульфонамидо)бензоил)-5-(4-(((1R,3S)-3-((1-(2-(2,6-диоксопиперидин-3-ил)-1-оксоизоиндолин-5-ил)пиперидин-4-ил)окси)циклогексил)окси)фенил)-1Н-пирроло[2,3-b]пиридин-1-карбоксилата
[1904] В герметичную пробирку объемом 8 мл помещали 3-[5-(4-[[(1S,3R)-3-(4-йодфенокси)циклогексил]окси]пиперидин-1-ил)-1-оксо-3Н-изоиндол-2-ил]-пиперидин-2,6-дион (60 мг, 0,09 ммоль, 1,0 экв.), трет-бутил-3-(2,6-дифтор-3-[[(3R)-3-фторпирролидин-1-илсульфонил]амино]бензоил)-5-(4,4,5,5-тетраметил-1,3,2-диоксаборолан-2-ил)пирроло[2,3-b]пиридин-1-карбоксилат(91 мг, 0,14 ммоль, 1,5 экв.), K2CO3 (39 мг, 0,28 ммоль, 3,0 экв.), Pd(dtbpf)Cl2 (6 мг, 0,009 ммоль, 0,1 экв.), диоксан (2,1 мл) и H2O (0,3 мл). Пробирку продували и выдерживали в инертной атмосфере азота. Полученную смесь перемешивали в течение 1,5 ч. при 90°С на масляной бане. Неочищенный продукт очищали с помощью препаративной флэш-HPLC. Это обеспечивало получение 75 мг (77,3%) трет-бутил-3-(2,6-дифтор-3-[[(3R)-3-фторпирролидин-1-илсульфонил]амино]бензоил)-5-(4-[[(1R,3S)-3-([1-[2-(2,6-диоксопиперидин-3-ил)-1-оксо-3Н-изоиндол-5-ил]пиперидин-4-ил]окси)циклогексил]окси]фенил)пирроло[2,3-b]пиридин-1-карбоксилата в виде грязно-белого твердого вещества. LC/MS (ESI) масса/заряд: 1040,35 [М+1]+.
[1905] Стадия 11: получение (3R)-N-(3-(5-(4-(((1R,3S)-3-((1-(2-(2,6-диоксопиперидин-3-ил)-1-оксоизоиндолин-5-ил)пиперидин-4-ил)окси)циклогексил)окси)фенил)-1Н-пирроло[2,3-b]пиридин-3-карбонил)-2,4-дифторфенил)-3-фторпирролидин-1-сульфонамида
[1906] В круглодонную колбу объемом 100 мл помещали трет-бутил-3-(2,6-дифтор-3-[[(3R)-3-фторпирролидин-1-илсульфонил]амино]бензоил)-5-(4-[[(1R,3S)-3-([1-[2-(2,6-диоксопиперидин-3-ил)-1-оксо-3Н-изоиндол-5-ил]пиперидин-4-ил]окси)циклогексил]окси]фенил)пирроло[2,3-b]пиридин-1-карбоксилат (75 мг, 0,07 ммоль, 1,0 экв.), DCM (10 мл) и TFA (2 мл). Полученный раствор перемешивали в течение 1 ч. при комнатной температуре и затем концентрировали под вакуумом. Неочищенный продукт очищали с помощью препаративной флэш-HPLC. Это обеспечивало получение 25,0 мг (36,9%) (3R)-N-[3-[5-(4-[[(1R.3S)-3-([1-[2-(2,6-диоксопиперидин-3-ил)-1-оксо-3Н-изоиндол-5-ил]пиперидин-4-ил]окси)циклогексил]окси]фенил)-1Н-пирроло[2,3-b]пиридин-3-карбонил]-2,4-дифторфенил]-3-фторпирролидин-1-сульфонамида в виде белого твердого вещества. LC/MS (ESI) масса/заряд: 940,25 [М+1]+; 1H ЯМР (400 МГц, DMSO-d6) δ 12,94 (brs, 1Н), 10,95 (s, 1H), 9,87 (brs, 1H), 8,68 (s, 1H), 8,57 (brs, 1H), 8,11 (s, 1H), 7,72-7,60 (m, 3H), 7,51 (d, J=8,4 Гц, 1H), 7,29 (t, J=8,8 Гц, 1H), 7,17-7,03 (m, 4H), 5,31 (d, J=53,4 Гц, 1H), 5,05 (d, J=12,6 Гц, 1H),4,41(s, 1H), 4,33 (d, J=16,7 Гц, 1H), 4,21 (d, J=16,4 Гц, 1H), 3,79-3,55 (m, 4H), 3,50-3,39 (m, 3H), 3,13-3,03 (m, 2H), 2,98-2,84 (m, 1H), 2,45-2,32 (s, 2H), 2,20-1,85 (m, 8H), 1,84-1,72 (m, 1H), 1,58-1,45 (m, 2H), 1,43 1,05 (m, 5H).
[1907] Иллюстративный синтез (3R)-N-(3-(5-(4-(4-(3-(2-(2,6-диоксопиперидин-3-ил)-1-оксоизоиндолин-5-ил)-3-гидроксипропил)пиперазин-1-ил)фенил)-1Н-пирроло[2,3-b]пиридин-3-карбонил)-2,4-дифторфенил)-3-фторпирролидин-1-сульфонамида (иллюстративного соединения 766)
[1908] Стадия 1: получение 3-(5-(3,3-диэтоксипроп-1-ин-1-ил)-1-оксоизоиндолин-2-ил)пиперидин-2,6-диона
[1909] В герметичную пробирку объемом 30 мл помещали 3-(5-бром-1-оксо-3Н-изоиндол-2-ил)пиперидин-2,6-дион (2,00 г, 6,189 ммоль, 1,00 экв.), диметилформамид (15,00 мл), CuI (0,12 г, 0,619 ммоль, 0,10 экв.), диизопропилэтиламин (2,40 г, 18,567 ммоль, 3,00 экв.), Pd(PPh3)2Cb (0,43 г, 0,619 ммоль, 0,10 экв.), 3,3-диэтоксипропин (1,19 г, 9,284 ммоль, 1,50 экв.). Полученный раствор перемешивали в течение 3 ч. при 65°С на масляной бане. Затем реакционную смесь гасили путем добавления воды (20 мл). Полученный раствор экстрагировали этилацетатом (2 х 20 мл). Полученную смесь промывали солевым раствором (2 х 10 мл). Смесь высушивали над безводным сульфатом натрия. Остаток обрабатывали с помощью колонки с силикагелем с применением смеси дихлорметан/метанол (10/1). Собранные фракции объединяли и концентрировали под вакуумом. Это обеспечивало получение 1,2 г (52,34%) 3-[5-(3,3-диэтоксипроп-1-ин-1-ил)-1-оксо-3Н-изоиндол-2-ил]пиперидин-2,6-диона в виде желтого твердого вещества. LC/MS (ESI) масса/заряд: 371,05 [М+1]+.
[1910] Стадия 2: получение 3-(2-(2,6-диоксопиперидин-3-ил)-1-оксоизоиндолин-5-ил)пропиолальдегида
[1911] В круглодонную колбу объемом 50 мл помещали 3-[5-(3,3-диэтоксипроп-1-ин-1-ил)-1-оксо-3Н-изоиндол-2-ил]пиперидин-2,6-дион (200,00 мг, 0,540 ммоль, 1,00 экв.), тетрагидрофуран (5,00 мл), H2SO4 (5,00 мл, 93,803 ммоль, 173,73 экв.). Полученный раствор перемешивали в течение 2 ч. при комнатной температуре. Затем реакционную смесь гасили путем добавления воды (10 мл). Значение рН раствора регулировали до 8 с помощью Na2CO3 (1 моль/л). Полученный раствор экстрагировали дихлорметаном (2 х 20 мл). Собранные фракции объединяли и концентрировали под вакуумом. Это обеспечивало получение 120 мг (75,01%) 3-[2-(2,6-диоксопиперидин-3-ил)-1-оксо-3Н-изоиндол-5-ил]проп-2-иналя в виде желтого твердого вещества.
[1912] Стадия 3: получение (3R)-N-(3-(5-(4-(4-(3-(2-(2,6-диоксопиперидин-3-ил)-1-оксоизоиндолин-5-ил)-3-гидроксипропил)пиперазин-1-ил)фенил)-1Н-пирроло[2,3-b]пиридин-3-карбонил)-2,4-дифторфенил)-3-фторпирролидин-1-сульфонамида
[1913] В круглодонную колбу объемом 50 мл помещали (3R)-N-(2,4-дифтор-3-[5-[4-(пиперазин-1-ил)фенил]-1Н-пирроло[2,3-b]пиридин-3-карбонил]фенил)-3-фторпирролидин-1-сульфонамид-трифторуксусную кислоту (254,67 мг, 0,365 ммоль, 1,20 экв.), дихлорметан (15,00 мл), диизопропилэтиламин (117,78 мг, 0,911 ммоль, 3,00 экв.), 3-[2-(2,6-диоксопиперидин-3-ил)-1-оксо-3Н-изоиндол-5-ил]проп-2-иналь (90,00 мг, 0,304 ммоль, 1,00 экв.), НОАс (36,48 мг, 0,608 ммоль, 2,00 экв.), NaBH3CN (57,27 мг, 0,911 ммоль, 3,00 экв.). Полученный раствор перемешивали в течение ночи при 35°С на масляной бане. Затем реакционную смесь гасили путем добавления воды (20 мл). Полученный раствор экстрагировали дихлорметаном (2 х 20 мл), высушивали над безводным сульфатом натрия. Остаток обрабатывали с помощью колонки с силикагелем с применением смеси дихлорметан/метанол (10/1). Неочищенный продукт очищали с помощью препаративной HPLC. Собранные фракции объединяли и концентрировали под вакуумом. Это обеспечивало получение 29,5 мг (10,97%) (3R)-N-(3-[5-[4-(4-[3-[2-(2,6-диоксопиперидин-3-ил)-1-оксо-3Н-изоиндол-5-ил]-3-гидроксипропил]пиперазин-1-ил)фенил]-1Н-пирроло[2,3-b]пиридин-3-карбонил]-2,4-дифторфенил)-3-фторпирролидин-1-сульфонамида в виде желтого твердого вещества. LC/MS (ESI) масса/заряд: 885,20 [М+1]+; 1H ЯМР (400 МГц, DMSO-d6) δ 12,91 (s, 1H), 10,99 (s, 1H), 9,81 (s, 1H), 8,66 (s, 1H), 8,54 (s, 1H), 8,07 (s, 1H), 7,70-7,50 (m, 6H), 7,29-7,24 (m, 1H), 7,09-7,07 (d, J=8,8 Гц, 2H), 5,62 (s, 1H), 5,37-5,10 (m, 2H), 4,83-4,79 (m, 1H), 4,49-4,31 (m, 2H), 3,48-3,32 (m, 3H), 3,29-3,23 (m, 5H), 2,92-2,86 (m, 1H), 2,63-2,38 (m, 8H), 2,12-2,00 (m, 3H), 1,88-1,83 (m, 2H).
[1914] Иллюстративный синтез (2S,4R)-1-((S)-2-(2-(4-(((S)-4-(4-(3-(2,6-дифтор-3-(((R)-3-фторпирролидин)-1-сульфонамидо)бензоил)-1Н-пирроло[2,3-b]пиридин-5-ил)фенил)-2-(гидроксиметил)пиперазин-1-ил)метил)пиперидин-1-ил)ацетамидо)-3,3-диметилбутаноил)-4-гидрокси-N-((S)-1-(4-(4-метилтиазол-5-ил)фенил)этил)пирролидин-2-карбоксамида (иллюстративного соединения 773)
[1915] Стадия 1: получение трет-бутил-(S)-2-(гидроксиметил)-4-(4-йодфенил)пиперазин-1-карбоксилата
[1916] В круглодонную колбу объемом 250 мл, которую продували азотом и в которой поддерживали инертную атмосферу азота, помещали раствор трет-бутил-(2S)-2-(гидроксиметил)пиперазин-1 -карбоксилата (11,4 г, 52,7 ммоль, 1,0 экв.) в DMSO (60 мл), 1,4-дийодбензол (19,1 г, 59,9 ммоль, 1,1 экв.), CuI (0,9 г, 5,2 ммоль, 0,1 экв.), K2CO3 (14,5 г, 105,4 ммоль, 2,0 экв.), L-пролин (1,2 г, 10,4 ммоль, 0,2 экв.). Полученную смесь перемешивали в течение 12 часов при 90°С на масляной бане. Затем реакционную смесь гасили путем добавления 200 мл воды/льда. Полученный раствор экстрагировали этилацетатом (200 мл х 2). Остаток обрабатывали с помощью колонки с силикагелем с элюированием смесью этилацетат/петролейный эфир (1:1). Это обеспечивало получение 4,2 г (18,8%) трет-бутил-(2S)-2-(гидроксиметил)-4-(4-йодфенил)пиперазин-1-карбоксилата в виде твердого вещества. LC/MS (ESI) масса/заряд: 419,05 [М+1]+.
[1917] Стадия 2: получение (S)-(4-(4-йодфенил)пиперазин-2-ил)метанола
[1918] В круглодонную колбу объемом 50 мл помещали трет-бутил-(2S)-2-(гидроксиметил)-4-(4-йодфенил)пиперазин-1-карбоксилат (4,2 г, 9,9 ммоль, 1 экв.) в DCM (20 мл) и TFA (2 мл). Полученную смесь перемешивали в течение 2 часов при комнатной температуре. Полученную смесь концентрировали при пониженном давлении. Это обеспечивало получение 3,2 г [(28)-4-(4-йодфенил)пиперазин-2-ил]метанола в виде твердого вещества. LC/MS (ESI) масса/заряд: 318,95 [М+1]+.
[1919] Стадия 3: получение трет-бутил-(S)-4-((2-(гидроксиметил)-4-(4-йодфенил)пиперазин-1-ил)метил)пиперидин-1-карбоксилата
[1920] В круглодонную колбу объемом 100 мл помещали раствор [(2S)-4-(4-йодфенил)пиперазин-2-ил]метанола (3,2 г, 9,9 ммоль, 1,0 экв.), трет-бутил-4-формилпиперидин-1-карбоксилата (2,5 г, 12,1 ммоль, 1,2 экв.), триметилортоформиата (1,1 г, 9,9 ммоль, 1,0 экв.) в DCM (30 мл). Полученную смесь перемешивали в течение 16 часов при комнатной температуре и добавляли NaBH(OAc)3 (3,2 г, 15,2 ммоль, 1,5 экв.) и перемешивали реакционную смесь в течение 3 часов при комнатной температуре. Затем реакционную смесь гасили путем добавления 100 мл воды/льда. Полученный раствор экстрагировали дихлорметаном (50 мл х 3). Остаток обрабатывали с помощью колонки с силикагелем с применением смеси этилацетат/петролейный эфир (1:1). Это обеспечивало получение 3,6 г (67,1%) трет-бутил-4-[[(2S)-2-(гидроксиметил)-4-(4-йодфенил)пиперазин-1-ил]метил]пиперидин-1-карбоксилата в виде твердого вещества. LC/MS (ESI) масса/заряд: 516,15 [M+l]+.
[1921] Стадия 4: получение (S)-(4-(4-йодфенил)-1-(пиперидин-4-илметил)пиперазин-2-ил)метанола
[1922] В круглодонную колбу объемом 100 мл помещали трет-бутил-4-[[(2S)-2-(гидроксиметил)-4-(4-йодфенил)пиперазин-1-ил]метил]пиперидин-1-карбоксилат (3,6 г, 6,2 ммоль, 1,0 экв.) в DCM (30 мл) и TFA (3 мл). Полученную смесь перемешивали в течение 2 часов при комнатной температуре. Полученную смесь концентрировали. Это обеспечивало получение 2,5 г (85,6%) [(2S)-4-(4-йодфенил)-1-[(пиперидин-4-ил)метил]пиперазин-2-ил]метанола в виде твердого вещества. LC/MS (ESI) масса/заряд: 416,10 [М+1]+.
[1923] Стадия 5: получение трет-бутил-(S)-2-(4-((2-(гидроксиметил)-4-(4-йодфенил)пиперазин-1-ил)метил)пиперидин-1-ил)ацетата
[1924] В круглодонную колбу объемом 100 мл помещали [(2S)-4-(4-йодфенил)-1-[(пиперидин-4-ил)метил]пиперазин-2-ил]метанол (2,5 г, 5,7 ммоль, 1,0 экв.), трет-бутил-2-бромацетат (1,1 г, 5,7 ммоль, 1,0 экв.), N,N-диизопропилэтиламин (1,4 г, 11,5 ммоль, 2,0 экв.) в DCM (30 мл). Полученную смесь перемешивали в течение 16 часов при комнатной температуре. Затем реакционную смесь гасили путем добавления 100 мл воды. Полученный раствор экстрагировали дихлорметаном (50 мл х 3). Остаток обрабатывали с помощью колонки с силикагелем с элюированием смесью этилацетат/петролейный эфир (1:1). Это обеспечивало получение 1,2 г (44,2%) трет-бутил-2-(4-[[(2S)-2-(гидроксиметил)-4-(4-йодфенил)пиперазин-1-ил]метил]пиперидин-1-ил)ацетата в виде твердого вещества. LC/MS (ESI) масса/заряд: 530,25 [М+1]+.
[1925] Стадия 6: получение трет-бутил-(S)-2-(4-((2-(((трет-бутилдифенилсилил)окси)метил)-4-(4-йодфенил)пиперазин-1-ил)метил)пиперидин-1-ил)ацетата
[1926] В круглодонную колбу объемом 100 мл помещали раствор трет-бутил-2-(4-[[(2S)-2-(гидроксиметил)-4-(4-йодфенил)пиперазин-l-ил]метил]пиперидин-1-ил)ацетата (1,2 г, 2,4 ммоль, 1,0 экв.), трет-бутил(хлор)дифенилсилана (754,6 мг, 2,5 ммоль, 1,1 экв.), имидазола (339,6 мг, 4,9 ммоль, 2,0 экв.) в DCM (30 мл). Полученную смесь перемешивали в течение 2 часов при комнатной температуре. Затем реакционную смесь гасили путем добавления 50 мл воды. Полученную смесь экстрагировали дихлорметаном (50 мл х 3). Остаток обрабатывали с помощью колонки с силикагелем с элюированием смесью этилацетат/петролейный эфир (1:1). Это обеспечивало получение 920,0 мг (61,1%) трет-бутил-2-(4-[[(2S)-2-[[(трет-бутилдифенилсилил)окси]метил]-4-(4-йодфенил)пиперазин-1-ил]метил]пиперидин-1-ил)ацетата в виде твердого вещества. LC/MS (ESI) масса/заряд: 768,35 [М+1]+.
[1927] Стадия 7: получение (R)-N-(2,4-дифтор-3-(5-(4,4,5,5-тетраметил-1,3,2-диоксаборолан-2-ил)-1Н-пирроло[2,3-b]пиридин-3-карбонил)фенил)-3-фторпирролидин-1-сульфонамида
[1928] В круглодонную колбу объемом 250 мл, которую продували азотом и в которой поддерживали инертную атмосферу азота, помещали (3R)-N-(3-[5-бром-1H-пирроло[2,3-b]пиридин-3-карбонил]-2,4-дифторфенил)-3-фторпирролидин-1-сульфонамид (5 г, 9,93 ммоль, 1,0 экв.), бис(пинаколато)дибор (13 г, 51,19 ммоль, 5,15 экв.), KOAc (5 г, 50,94 ммоль, 5,13 экв.), Pd(dppf)Cl2 (1,7 г, 2,32 ммоль, 0,23 экв.), диоксан (100 мл). Полученный раствор перемешивали в течение 16 ч. при 100°С на масляной бане в атмосфере азота. Полученную смесь концентрировали при пониженном давлении. Остаток обрабатывали с помощью колонки с силикагелем с применением смеси дихлорметан/этилацетат (1:1). Это обеспечивало получение 4,05 г (74%) (3R)-N-[2,4-дифтор-3-[5-(4,4,5,5-тетраметил-1,3,2-диоксаборолан-2-ил)-1Н-пирроло[2,3-b]пиридин-3-карбонил]фенил]-3-фторпирролидин-1-сульфонамида в виде светло-коричневого твердого вещества. LC/MS (ESI) масса/заряд: 551,10 [М+1]+.
[1929] Стадия 8: получение трет-бутил-2-(4-(((S)-2-(((трет-бутилдифенилсилил)окси)метил)-4-(4-(3-(2,6-дифтор-3-(((R)-3-фторпирролидин)-1-сульфонамидо)бензоил)-1Н-пирроло[2,3-b]пиридин-5-ил)фенил)пиперазин-1-ил)метил)пиперидин-1-ил)ацетата
[1930] В герметичную пробирку объемом 30 мл, которую продували азотом и в которой поддерживали инертную атмосферу азота, помещали раствор трет-бутил-2-(4-[[(2S)-2-[[(трет-бутилдифенилсилил)окси]метил]-4-(4-йодфенил)пиперазин-1-ил]метил]пиперидин-1-ил)ацетата (920,0 мг, 1,1 ммоль, 1,0 экв.) в смеси диоксан/H2O (4/1-10 мл), (3R)-N-[2,4-дифтор-3-[5-(4,4,5,5-тетраметил-1,3,2-диоксаборолан-2-ил)-1Н-пирроло[2,3-b]пиридин-3-карбонил]фенил]-3-фторпирролидин-1-сульфонамид (1,0 мг, 1,9 ммоль, 1,5 экв.), трехосновный фосфат калия (796,2 мг, 3,4 ммоль, 3,0 экв.), Pd(DtBPF)Cl2 (162,9 мг, 0,3 ммоль, 0,2 экв.). Конечную реакционную смесь подвергали облучению с помощью микроволнового излучения в течение 1 часа при 95°С в атмосфере N2. Полученную смесь концентрировали при пониженном давлении. Остаток обрабатывали с помощью колонки с силикагелем с применением смеси дихлорметан/метанол (15:1). Это обеспечивало получение 465,0 мг трет-бутил-2-(4-[[(2S)-2-[[(трет-бутилдифенилсилил)окси]метил]-4-(4-[3-[2,6-дифтор-3-([[(3R)-3-фторпирролидин-1-ил]сульфонил]амино)бензоил]-1Н-пирроло[2,3-b]пиридин-5-ил]фенил)пиперазин-1-ил]метил]пиперидин-1-ил)ацетата в виде твердого вещества. LC/MS (ESI) масса/заряд: 1064,40 [М+1]+.
[1931] Стадия 9: получение 2-(4-(((S)-2-(((трет-бутилдифенилсилил)окси)метил)-4-(4-(3-(2,6-дифтор-3-(((R)-3-фторпирролидин)-1-сульфонамидо)бензоил)-1Н-пирроло[2,3-b]пиридин-5-ил)фенил)пиперазин-1-ил)метил)пиперидин-1-ил)уксусной кислоты
[1932] В круглодонную колбу объемом 50 мл помещали раствор трет-бутил-2-(4-[[(2S)-2-[[(трет-бутилдифенилсилил)окси]метил]-4-(4-[3-[2,6-дифтор-3-([[(3R)-3-фторпирролидин-1-ил]сульфонил]амино)бензоил]-1Н-пирроло[2,3-b]пиридин-5-ил]фенил)пиперазин-1-ил]метил]пиперидин-1-ил)ацетата (465,0 мг, 0,5 ммоль, 1,0 экв.) в DCM (10 мл) и TFA (2,0 мл). Полученную смесь перемешивали в течение 4 часов при комнатной температуре. Полученную смесь концентрировали при пониженном давлении. Это обеспечивало получение 415,0 мг (98,0%) 2-(4-[[(2S)-2-[[(трет-бутилдифенилсилил)окси]метил]-4-(4-[3-[2,6-дифтор-3-([[(3R)-3-фторпирролидин-1-ил]сульфонил]амино)бензоил]-1Н-пирроло[2,3-b]пиридин-5-ил]фенил)пиперазин-1-ил]метил]пиперидин-1-ил)уксусной кислоты в виде твердого вещества. LC/MS (ESI) масса/заряд: 1008,45 [М+1]+.
[1933] Стадия 10: получение (2S,4R)-1-((S)-2-(2-(4-(((S)-2-(((трет-бутилдифенилсилил)окси)метил)-4-(4-(3-(2,6-дифтор-3-(((R)-3-фторпирролидин)-1-сульфонамидо)бензоил)-1Н-пирроло[2,3-b]пиридин-5-ил)фенил)пиперазин-1-ил)метил)пиперидин-1-ил)ацетамидо)-3,3-диметилбутаноил)-4-гидрокси-N-((S)-1-(4-(4-метилтиазол-5-ил)фенил)этил)пирролидин-2-карбоксамида
[1934] В круглодонную колбу объемом 50 мл помещали раствор 2-(4-[[(2S)-2-[[(трет-бутилдифенилсилил)окси]метил]-4-(4-[3-[2,6-дифтор-3-([[(3R)-3-фторпирролидин-1-ил]сульфонил]амино)бензоил]-1Н-пирроло[2,3-b]пиридин-5-ил]фенил)пиперазин-1-ил]метил]пиперидин-1-ил)уксусной кислоты (415,0 мг, 0,5 ммоль, 1,0 экв.), (2S,4R)-1-[(2S)-2-амино-3,3-диметилбутаноил]-4-гидрокси-N-[(1S)-1-[4-(4-метил-1,3-тиазол-5-ил)фенил]этил]пирролидин-2-карбоксамида (225,2 мг, 0,5 ммоль, 1,1 экв.), N,N-диизопропилэтиламина (120,9 мг, 0,8 ммоль, 2,0 экв.), ВОР (249,4 мг, 0,6 ммоль, 1,3 экв.) в DMF (10 мл). Полученную смесь перемешивали в течение 30 мин при комнатной температуре. Затем реакционную смесь гасили путем добавления 50 мл воды. Полученный раствор экстрагировали этилацетатом (50 мл х 3). Остаток обрабатывали с помощью колонки с силикагелем с применением смеси дихлорметан/метанол (10:1). Это обеспечивало получение 365,0 мг (63,3%) (2S,4R)-l-[(2S)-2-[2-(4-[[(2S)-2-[[(трет-бутилдифенилсилил)окси]метил]-4-(4-[3-[2,6-дифтор-3-([[(3R)-3-фторпирролидин-1-ил]сульфонил]амино)бензоил]-1Н-пирроло[2,3-b]пиридин-5-ил]фенил)пиперазин-1-ил]метил]пиперидин-1-ил)ацетамидо]-3,3-диметилбутаноил]-4-гидрокси-N-[(1S)-1-[4-(4-метил-1,3-тиазол-5-ил)фенил]этил]пирролидин-2-карбоксамида в виде твердого вещества. LC/MS (ESI) масса/заряд: 1435,75 [M+1]+.
[1935] Стадия 11: получение (2S,4R)-1-((S)-2-(2-(4-(((S)-4-(4-(3-(2,6-дифтор-3-(((R)-3-фторпирролидин)-1-сульфонамидо)бензоил)-1Н-пирроло[2,3-b]пиридин-5-ил)фенил)-2-(гидроксиметил)пиперазин-1-ил)метил)пиперидин-1-ил)ацетамидо)-3,3-диметилбутаноил)-4-гидрокси-N-((S)-1-(4-(4-метилтиазол-5-ил)фенил)этил)пирролидин-2-карбоксамида
[1936] В круглодонную колбу объемом 50 мл помещали раствор (2S,4R)-1-[(2S)-2-[2-(4-[[(2S)-2-[[(трет-бутилдифенилсилил)окси]метил]-4-(4-[3-[2,6-дифтор-3-([[(3R)-3-фторпирролидин-1-ил]сульфонил]амино)бензоил]-1Н-пирроло[2,3-b]пиридин-5-ил]фенил)пиперазин-1-ил]метил]пиперидин-1-ил)ацетамидо]-3,3-диметилбутаноил]-4-гидрокси-N-[(1S)-1-[4-(4-метил-1,3-тиазол-5-ил)фенил]этил]пирролидин-2-карбоксамида (365,0 мг, 0,2 ммоль, 1,0 экв.) и CsF (88,2 мг, 0,4 ммоль, 2,0 экв.) в DMSO (10 мл). Полученную смесь перемешивали в течение 48 часов при 40°С на масляной бане. Затем реакционную смесь гасили путем добавления 50 мл воды. Полученный раствор экстрагировали этилацетатом (50 мл х 3), концентрировали. Неочищенный продукт очищали с помощью препаративной HPLC. Это обеспечивало получение 69,8 мг (23,9%) (2S,4R)-1-[(2S)-2-[2-(4-[[(2S)-4-(4-[3-[2,6-дифтор-3-([[(3R)-3-фторпирролидин-1-ил]сульфонил]амино)бензоил]-1Н-пирроло[2,3-b]пиридин-5-ил]фенил)-2-(гидроксиметил)пиперазин-1-ил]метил]пиперидин-1-ил)ацетамидо]-3,3-диметилбутаноил]-4-гидрокси-N-[(1S)-1-[4-(4-метил-1,3-тиазол-5-ил)фенил]этил]пирролидин-2-карбоксамида в виде твердого вещества. LC/MS (ESI) масса/заряд: 1196,55 [М+1]+; 1H ЯМР (400 МГц, DMSO-d6) δ 12,90 (s, 1H), 8,98 (s, 1H), 8,72 (s, 1H), 8,60-8,53 (m, 1H), 8,10 (s, 1H), 7,78-7,72 (m, 1H), 7,62-7,55 (m, 3H), 7,47 (d, J=8,0 Гц, 2Н), 7,35 (d, J=9,5 Гц, 2Н), 7,25-7,16 (m, 1H), 7,10-7,08 (m, 2H), 5,35-5,20 (m, 1H), 5,12 (s, 1H), 4,93-4,80 (m, 1H), 4,65-4,60 (m, 1H), 4,51-4,45 (m, 1H), 4,30-4,20 (m, 1H), 3,75-3,70 (m, 1H), 3,65-3,57 (m, 2H),3,55-3,52 (m, 3H), 3,45-3,33 (m, 3H), 3,32-3,16 (m, 1H), 3,11-3,02 (m, 2Н), 3,00-2,56 (m, 7H), 2,50- 2,46 (m, 4H), 2,33 (s, 1H), 2,29-2,07 (m, 6H), 1,90-1,70 (m, 3H), 1,51 (m, 1H), 1,38 (s, 3H), 1,25-1,06 (s, 3H), 0,94 (s, 9H).
[1937] Иллюстративный синтез (2S,4R)-1-((S)-2-(2-(4-((1-(4-(3-(2,6-дифтор-3-(((R)-3-фторпирролидин)-1-сульфонамидо)бензоил)-1Н-пирроло[2,3-b]пиридин-5-ил)фенил)пиперидин-4-ил)метил)пиперазин-1-ил)ацетамидо)-3,3-диметилбутаноил)-4-гидрокси-N-((S)-1-(4-(пиридин-4-ил)фенил)этил)пирролидин-2-карбоксамида (иллюстративного соединения 776)
[1938] Стадия 1: получение метил-(2S,4R)-4-гидроксипирролидин-2-карбоксилата
[1939] К смеси 1-трет-бутил-2-метил-(2S,4R)-4-гидроксипирролидин-1,2-дикарбоксилата (10 г, 40,77 ммоль, 1 экв.) в дихлорметане (10 мл) добавляли смесь хлороводород/диоксан (4 М, 10 экв.) при 20°С. Смесь перемешивали при 20°С в течение 1 ч. Смесь концентрировали при пониженном давлении с получением метил-(2S,4R)-4-гидроксипирролидин-2-карбоксилата (7,4 г, гидрохлорид) в виде желтого масла.
[1940] Стадия 2: получение метил-(2S,4R)-l-((S)-2-((трет-бутоксикарбонил)амино)-3,3-диметилбутаноил)-4-гидроксипирролидин-2-карбоксилата
[1941] К смеси метил-(2S,4R)-4-гидроксипирролидин-2-карбоксилата (7,4 г, 40,75 ммоль, 1 экв., гидрохлорид), (2S)-2-(трет-бутоксикарбониламино)-3,3-диметилбутановой кислоты (9,42 г, 40,75 ммоль, 1 же.) в диметилформамиде (200 мл) добавляли гидрохлорид карбодиимида (15,62 г, 81,49 ммоль, 2 же.), гидроксибензотриазол (6,61 г, 48,89 ммоль, 1,2 экв.) и диизопропилэтиламин (31,60 г, 244,47 ммоль, 6 экв.). Смесь перемешивали при 20°С в течение 12 ч. Смесь гасили путем добавления воды (1000 мл), экстрагировали этилацетатом (200 мл * 4), объединенную органическую фазу промывали солевым раствором (100 мл * 2), высушивали над безводным сульфатом натрия, фильтровали и концентрировали при пониженном давлении. Остаток очищали с помощью колоночной хроматографии на силикагеле (петролейный эфир:этилацетат = 5:1~1:1). Соединение, метил-(2S,4R)-1-[(2S)-2-(трет-бутоксикарбониламино)-3,3-диметилбутаноил]-4-гидроксипирролидин-2-карбоксилат (13,5 г, 37,66 ммоль, выход 92%), получали в виде желтого масла. LC/MS (ESI) масса/заряд: 381,2 [М+23]+.
[1942] Стадия 3: получение метил-(2S,4R)-1-((S)-2-амино-3,3-диметилбутаноил)-4-гидроксипирролидин-2-карбоксилата
[1943] К смеси метил-(2S,4R)-1-[(2S)-2-(трет-бутоксикарбониламино)-3,3-диметилбутаноил]-4-гидроксипирролидин-2-карбоксилата (13 г, 36,27 ммоль, 1 экв.) в дихлорметане (5 мл) добавляли смесь гидрохлорид/диоксан (4 М, 10 экв.). Смесь перемешивали при 20°С в течение 20 минут. Смесь концентрировали при пониженном давлении с получением метил-(2S,4R)-1-[(2S)-2-амино-3,3-диметилбутаноил]-4-гидроксипирролидин-2-карбоксилата (11 г, гидрохлорид) в виде бесцветного масла.
[1944] Стадия 4: получение трет-бутил-4-(2-(((S)-1-((2S,4R)-4-гидрокси-2-(метоксикарбонил)пирролидин-1-ил)-3,3-диметил-1-оксобутан-2-ил)амино)-2-оксоэтил)пиперазин-1-карбоксилата
[1945] К смеси метил-(2S,4R)-1-[(2S)-2-амино-3,3-диметилбутаноил]-4-гидроксипирролидин-2-карбоксилата (11 г, 37,32 ммоль, 1 экв., гидрохлорид), 2-(4-трет-бутоксикарбонилпиперазин-1-ил)уксусной кислоты (10,03 г, 41,05 ммоль, 1,1 экв.) в диметилформамиде (400 мл) добавляли гидрохлорид карбонимида (14,31 г, 74,63 ммоль, 2 экв.), гидроксибензотриазол (6,05 г, 44,78 ммоль, 1,2 экв.) и диизопропилэтиламин (28,94 г, 223,90 ммоль, 6 экв.). Смесь перемешивали при 20°С в течение 12 ч. Смесь гасили путем добавления воды (1000 мл), экстрагировали этилацетатом (100 мл * 6), объединенную органическую фазу промывали солевым раствором (100 мл * 2), высушивали над безводным сульфатом натрия, фильтровали и концентрировали при пониженном давлении. Остаток очищали с помощью колоночной хроматографии на силикагеле (петролейный эфир:этилацетат = 3:1~0:1). Соединение, трет-бутил-4-[2-[[(1S)-1-[(2S,4R)-4-гидрокси-2-метоксикарбонилпирролидин-1-карбонил]-2,2-диметилпропил]амино]-2-оксоэтил]пиперазин-1-карбоксилат (5 г, 10,32 ммоль, выход 27%), получали в виде белого твердого вещества. LC/MS (ESI) масса/заряд: 485,3 [М+1]+.
[1946] Стадия 5: получение метил-(2S,4R)-1-((S)-3,3-диметил-2-(2-(пиперазин-1-ил)ацетамидо)бутаноил)-4-гидроксипирролидин-2-карбоксилата
[1947] К смеси трет-бутил-4-[2-[[(1S)-1-[(2S,4R)-4-гидрокси-2-метоксикарбонилпирролидин-1-карбонил]-2,2-диметилпропил]амино]-2-оксоэтил]пиперазин-1-карбоксилата (600 мг, 1,24 ммоль, 1 экв.) в дихлорметане (50 мл) добавляли смесь хлороводород/диоксан (4 М, 10 экв.). Смесь перемешивали при 25°С в течение 30 мин. Смесь концентрировали при пониженном давлении с получением метил-(2S,4R)-1-[(2S)-3,3-диметил-2-[(2-пиперазин-1-илацетил)амино]бутаноил]-4-гидроксипирролидин-2-карбоксилата (520 мг, гидрохлорид) в виде белого твердого вещества. LC/MS (ESI) масса/заряд: 385,1 [М+1]+.
[1948] Стадия 6: получение метил-(2S,4R)-1-((S)-2-(2-(4-((1-(4-(3-(2,6-дифтор-3-(((R)-3-фторпирролидин)-1-сульфонамидо)бензоил)-1Н-пирроло[2,3-b]пиридин-5-ил)фенил)пиперидин-4-ил)метил)пиперазин-1-ил)ацетамидо)-3,3-диметилбутаноил)-4-гидроксипирролидин-2-карбоксилата
[1949] К смеси метил-(2S,4R)-1-[(2S)-3,3-Диметил-2-[(2-пиперазин-1-илацетил)амино]бутаноил]-4-гидроксипирролидин-2-карбоксилата(520 мг, 1,24 ммоль, 1,2 экв., гидрохлорид) в дихлорэтане (20 мл) добавляли триэтиламин (625 мг, 6,18 ммоль, 6 экв.). Смесь перемешивали при 25°С в течение 15 мин. Затем в реакционную смесь добавляли (3R)-N-[2,4-дифтор-3-[5-[4-(4-формил-1-пиперидил)фенил]-1Н-пирроло[2,3-b]пиридин-3-карбонил]фенил]-3-фторпирролидин-1-сульфонамид (629 мг, 1,03 ммоль, 1 экв.) и смесь перемешивали при 25°С в течение 15 мин. Затем к реакционной смеси добавляли ацетат борогидрида натрия (436 мг, 2,06 ммоль, 2 экв.) и смесь перемешивали при 25°С в течение 12 ч. Смесь гасили путем добавления воды (150 мл), экстрагировали этилацетатом (30 мл * 5), объединенную органическую фазу промывали солевым раствором (30 мл), высушивали над безводным сульфатом натрия, фильтровали и концентрировали при пониженном давлении. Остаток очищали с помощью колоночной хроматографии на силикагеле (петролейный эфир:этилацетат = 5:1~0:1). Соединение, метил-(2S,4R)-1-[(2S)-2-[[2-[4-[[1-[4-[3-[2,6-дифтор-3-[[(3R)-3-фторпирролидин-1-ил]сульфониламино]бензоил]-1Н-пирроло[2,3-b]пиридин-5-ил]фенил]-4-пиперидил]метил]пиперазин-1-ил]ацетил]амино]-3,3-диметилбутаноил]-4-гидроксипирролидин-2-карбоксилат (500 мг, 0,51 ммоль, выход 49%), получали в виде белого твердого вещества. LC/MS (ESI) масса/заряд: 980,5 [М]+.
[1950] Стадия 7: получение (2S,4R)-1-((S)-2-(2-(4-((1-(4-(3-(2,6-дифтор-3-(((R)-3-фторпирролидин)-1-сульфонамидо)бензоил)-1Н-пирроло[2,3-b]пиридин-5-ил)фенил)пиперидин-4-ил)метил)пиперазин-1-ил)ацетамидо)-3,3-диметилбутаноил)-4-гидроксипирролидин-2-карбоновой кислоты
[1951] К смеси метил-(2S,4R)-1-[(2S)-2-[[2-[4-[[1-[4-[3-[2,6-дифтор-3-[[(3R)-3-фторпирролидин-1-ил]сульфониламино]бензоил]-1Н-пирроло[2,3-b]пиридин-5-ил]фенил]-4-пиперидил]метил]пиперазин-1-ил]ацетил]амино]-3,3-диметилбутаноил]-4-гидроксипирролидин-2-карбоксилата (500 мг, 0,51 ммоль, 1 экв.) в метаноле (10 мл) добавляли гидроксид натрия (4 М, 4 экв.). Смесь перемешивали при 40°С в течение 1 ч. Смесь концентрировали при пониженном давлении с удалением метанола и остаток регулировали до рН=3~4. Раствор очищали с помощью препаративной HPLC. Соединение, (2S,4R)-1-[(2S)-2-[[2-[4-[[1-[4-[3-[2,6-дифтор-3-[[(3R)-3-фторпирролидин-1-ил]сульфониламино]бензоил]-1Н-пирроло[2,3-b]пиридин-5-ил]фенил]-4-пиперидил]метил]пиперазин-1-ил]ацетил]амино]-3,3-диметилбутаноил]-4-гидроксипирролидин-2-карбоновую кислоту (400 мг, 0,41 ммоль, выход 81%) получали в виде желтого твердого вещества. LC/MS (ESI) масса/заряд: 966,1 [М]+.
[1952] Стадия 8: получение трет-бутил-(S)-(1-(4-(пиридин-4-ил)фенил)этил)карбамата
[1953] Смесь трет-бутил-N-[(1S)-1-(4-бромфенил)этил]карбамата (500 мг, 1,67 ммоль, 1 экв.), 4-пиридилбороновой кислоты (245 мг, 2,00 ммоль, 1,2 экв.), [1,1-бис(дифенилфосфино)ферроцен]дихлорпалладия(II) (121 мг, 0,16 ммоль, 0,1 экв.) и фосфата калия (707 мг, 3,33 ммоль, 2 экв.) в диоксане (50 мл) и воде (5 мл) дегазировали и затем нагревали до 80°С в течение 12 часов в атмосфере азота. Смесь фильтровали и концентрировали при пониженном давлении. Остаток очищали с помощью колоночной хроматографии на силикагеле (петролейный эфир:этилацетат = 15:1-5:1). Соединение, трет-бутил-N-[(1S)-1-[4-(4-пиридил)фенил]этил]карбамат (400 мг, 1,34 ммоль, выход 80%), получали в виде белого твердого вещества. LC/MS (ESI) масса/заряд: 299,2 [М+1]+.
[1954] Стадия 9: получение (S)-1-(4-(пиридин-4-ил)фенил)этан-1-амина
[1955] К смеси трет-бутил-N-[(1S)-1-[4-(4-пиридил)фенил]этил]карбамата (400 мг, 1,34 ммоль, 1 экв.) в дихлорметане (10 мл) добавляли смесь хлороводород/диоксан (4 M, 3,35 мл, 10 экв.). Смесь перемешивали при 25°С в течение 30 мин. Смесь концентрировали при пониженном давлении с получением (1S)-1-[4-(4-пиридил)фенил]этанамина (380 мг, гидрохлорид) в виде белого твердого вещества. LC/MS (ES1) масса/заряд: 199,1 [М+1]+.
[1956] Стадия 10: получение (2S,4R)-1-((S)-2-(2-(4-((1-(4-(3-(2,6-дифтор-3-(((R)-3-фторпирролидин)-1-сульфонамидо)бензоил)-1Н-пирроло[2,3-b]пиридин-5-ил)фенил)пиперидин-4-ил)метил)пиперазин-1-ил)ацетамидо)-3,3-диметилбутаноил)-4-гидрокси-N-((S)-1-(4-(пиридин-4-ил)фенил)этил)пирролидин-2-карбоксамида
[1957] К смеси (1S)-1-[4-(4-пиридил)фенил]этанамина (54 мг, 0,23 ммоль, 1,5 экв., гидрохлорид), (2S,4R)-1-[(2S)-2-[[2-[4-[[1-[4-[3-[2,6-дифтор-3-[[(3R)-3-фторпирролидин-1-ил]сульфониламино]бензоил]-1Н-пирроло[2,3-b]пиридин-5-ил]фенил]-4-пиперидил]метил]пиперазин-1-ил]ацетил]амино]-3,3-диметилбутаноил]-4-гидроксипирролидин-2-карбоновой кислоты (150 мг, 0,15 ммоль, 1 экв.) в диметилформамиде (10 мл) добавляли гидроксибензотриазол (25 мг, 0,18 ммоль, 1,2 экв.), диизопропилэтиламин (120 мг, 0,93 ммоль, 6 экв.) и гидрохлорид карбодиимида (59 мг, 0,31 ммоль, 2 экв.). Смесь перемешивали при 25°С в течение 12 ч. Смесь гасили путем добавления воды (100 мл), экстрагировали этилацетатом (30 мл * 3), объединенную органическую фазу промывали солевым раствором (30 мл), высушивали над безводным сульфатом натрия, фильтровали и концентрировали при пониженном давлении. Остаток очищали с помощью препаративной HPLC. Соединение, (2S,4R)-1-[(2S)-2-[[2-[4-[[1-[4-[3-[2,6-дифтор-3-[[(3R)-3-фторпирролидин-1-ил]сульфониламино]бензоил]-1Н-пирроло[2,3-b]пиридин-5-ил]фенил]-4-пиперидил]метил]пиперазин-1-ил]ацетил]амино]-3,3-диметилбутаноил]-4-гидрокси-N-[(1S)-1-[4-(4-пиридил)фенил]этил]пирролидин-2-карбоксамид (61 мг, 0,04 ммоль, выход 31%, чистота 99%, 2 формиата), получали в виде желтого твердого вещества. LC/MS (ESI) масса/заряд: 573,8 [M/2+1]+; 1H ЯМР (400 МГц, DMSO-d6) δ 13,14-12,31 (m, 1H), 8,68-8,59 (m, 3Н), 8,56-8,43 (m, 2H), 8,22-8,13 (m, 2H), 8,06 (s, 1H), 7,81-7,67 (m, 5H), 7,64-7,54 (m, 3H), 7,47-7,37 (m, 2H), 7,25 (t, J=9,2 Гц, 1H), 7,07 (d, J=8,8 Гц, 2H), 5,41-5,19 (m, 1H), 5,18-4,87 (m, 2H), 4,55-4,37 (m, 2H), 4,31-4,23 (m, 1H), 3,83-3,75 (m, 2H), 3,63-3,53 (m, 6H), 3,01-2,94 (m, 2H), 2,78-2,68 (m, 3H), 2,44 (s, 3H), 2,21 (d, J=6,8 Гц, 3H), 2,14-1,99 (m, 4H), 1,86-1,66 (m, 5H), 1,48-1,37 (m, 3H), 1,30-1,13 (m, 3H), 0,95 (s, 9H).
[1958] Иллюстративный синтез (2S,4R)-1-(2-(5-(4-((1-(4-(3-(2,6-дифтор-3-(((R)-3-фторпирролидин)-1-сульфонамидо)бензоил)-1Н-пирроло[2,3-b]пиридин-5-ил)фенил)пиперидин-4-ил)метил)пиперазин-1-ил)пиридин-3-ил)-3-метилбутаноил)-4-гидрокси-N-((S)-1-(4-(4-метилтиазол-5-ил)фенил)этил)пирролидин-2-карбоксамида (иллюстративного соединения 752)
[1959] Стадия 1: получение этил-2-(5-бромпиридин-3-ил)ацетата
[1960] К раствору 2-(5-бромпиридин-3-ил)ацетонитрила (510 мг, 2,6 ммоль) в этаноле (13 мл) добавляли конц. H2SO4 (4,0 мл). Реакционную смесь перемешивали при 90°С в течение 16 ч. После завершения реакции рН смеси регулировали до 10 с помощью насыщенного раствора NaHCO3, затем экстрагировали этилацетатом (10 X 3 мл), промывали солевым раствором (5 мл). Органическую фазу концентрировали под вакуумом. Остаток очищали с помощью колоночной хроматографии (РЕ:ЕА = 2:1~1:5) с получением этил-2-(5-бромпиридин-3-ил)ацетата (550 мг) в виде желтого масла. LC/MS (ESI) масса/заряд: 244,1 [М+1]+.
[1961] Стадия 2: получение этил-2-(5-бромпиридин-3-ил)-3-метилбутаноата
[1962] Раствор этил-2-(5-бромпиридин-3-ил)ацетата (100 мг, 0,41 ммоль) в безводном THF 1 мл охлаждали до -78°С, добавляли по каплям LiHMDS (0,45 мл, 0,45 ммоль). Через 30 мин добавляли 2-йодпропан (76,5 мг, 0,45 ммоль). Смесь перемешивали при -78°С в течение 1 ч., затем ее оставляли до обеспечения комнатной температуры в течение 12 ч. После завершения реакции ее гасили водой при 0°С. Смесь экстрагировали с помощью ЕА (5 мл*3) и промывали солевым раствором (2 мл). Органическую фазу концентрировали под вакуумом. Остаток очищали с помощью колоночной хроматографии (РЕ:ЕА = 1:5~1:1) с получением 2-(5-бромпиридин-3-ил)-3-метилбутаноата (320 мг) в виде желтого масла. LC/MS (ESI) масса/заряд: 287,0 [М+1]+.
[1963] Стадия 3: получение трет-бутил-4-(5-(1-этокси-3-метил-1-оксобутан-2-ил)пиридин-3-ил)пиперазин-1-карбоксилата
[1964] Смесь 2-(5-бромпиридин-3-ил)-3-метилбутаноата (220 мг, 0,77 ммоль), трет-бутилпиперазин-1-карбоксилата (216 мг, 1,16 ммоль), Ru(phos) (145 мг, 0,31 ммоль), Cs2CO3 (378 мг, 1,16 ммоль) и Pd(OAc)2 (34 мг, 0,15 ммоль) в толуоле (4 мл) перемешивали при 100°С в течение 4 ч. в атмосфере N2. Смесь концентрировали и очищали с помощью колоночной хроматографии с применением РЕ:ЕА = 1:10~1:1 с получением трет-бутил-4-(5-(1-этокси-3-метил-1-оксобутан-2-ил)пиридин-3-ил)пиперазин-1-карбоксилата (280 мг) в виде белого твердого вещества. LC/MS (ESI) масса/заряд: 392,2 [М+1]+.
[1965] Стадия 4: получение этил-3-метил-2-(5-(пиперазин-1-ил)пиридин-3-ил)бутаноата
[1966] В круглодонную колбу объемом 50 мл помещали раствор трет-бутил-4-[5-(1-этокси-3-метил-1-оксобутан-2-ил)пиридин-3-ил]пиперазин-1-карбоксилата (450 мг, 1,149 ммоль, 1 экв.) в диоксане (15 мл), к которому добавляли HCl в 1,4-диоксане (4 М, 15 мл). Полученный раствор перемешивали в течение 7 ч. при комнатной температуре. Полученную смесь концентрировали при пониженном давлении. Это обеспечивало получение 460 мг гидрохлорида этил-3-метил-2-[5-(пиперазин-1-ил)пиридин-3-ил]бутаноата в виде желтого твердого вещества. LC/MS (ESI) масса/заряд: 292,20 [М+1]+.
[1967] Стадия 5: получение этил-2-(5-(4-((1-(4-бромфенил)пиперидин-4-ил)метил)пиперазин-1-ил)пиридин-3-ил)-3-метилбутаноата
[1968] В круглодонную колбу объемом 100 мл помещали раствор этил-3-метил-2-[5-(пиперазин-1-ил)пиридин-3-ил]бутаноата (146,70 мг, 0,503 ммоль, 1 экв.), DIEA (195,20 мг, 1,510 ммоль, 3 экв.), 1-(4-бромфенил)пиперидин-4-карбальдегида (135 мг, 0,503 ммоль, 1 экв.), ацетилэтанпероксоат-натрийборанилацетата (320,10 мг, 1,510 ммоль, 3 экв.) в DCM (50 мл). Полученный раствор перемешивали в течение 8 ч. при комнатной температуре. Затем реакционную смесь гасили путем добавления 20 мл воды/льда. Полученный раствор экстрагировали с помощью (40 мл × 3) этилацетата и органические слои объединяли. Полученную смесь промывали с помощью (20 мл × 1) солевого раствора, высушивали над безводным сульфатом натрия и концентрировали при пониженном давлении. Остаток обрабатывали с помощью колонки с силикагелем с элюированием смесью дихлорметан/метанол (20/1). Собранные фракции объединяли и концентрировали под вакуумом. Это обеспечивало получение 105 мг (38,37%) этил-2-[5-(4-[[1-(4-бромфенил)пиперидин-4-ил]метил]пиперазин-1-ил)пиридин-3-ил]-3-метилбутаноата в виде желтого твердого вещества. LC/MS (ESI)масса/заряд: 545,30 [М+1]+.
[1969] Стадия 6: получение этил-2-(5-(4-((1-(4-(3-(2,6-дифтор-3-(((R)-3-фторпирролидин)-1-сульфонамидо)бензоил)-1Н-пирроло[2,3-b]пиридин-5-ил)фенил)пиперидин-4-ил)метил)пиперазин-1-ил)пиридин-3-ил)-3-метилбутаноата
[1970] В герметичную пробирку объемом 20 мл, которую продували азотом и в которой поддерживали инертную атмосферу азота, помещали этил-2-[5-(4-[[1-(4-бромфенил)пиперидин-4-ил]метил]пиперазин-1-ил)пиридин-3-ил]-3-метилбутаноат (105 мг, 0,193 ммоль, 1 экв.), (3R)-N-[2,4-дифтор-3-[5-(4,4,5,5-тетраметил-1,3,2-диоксаборолан-2-ил)-1Н-пирроло[2,3-b]пиридин-3-карбонил]фенил]-3-фторпирролидин-1-сульфонамид (159,47 мг, 0,290 ммоль, 1,50 экв.), K3PO4 (123,01 мг, 0,580 ммоль, 3,00 экв.) в H2O (2 мл), Pd(DtBPF)Cl2 (62,95 мг, 0,097 ммоль, 0,5 экв.) в диоксане (8 мл). Конечную реакционную смесь подвергали облучению с помощью микроволнового излучения в течение 1 ч. при 85°С. Затем реакционную смесь гасили путем добавления 10 мл воды/льда. Полученный раствор экстрагировали с помощью (40 мл × 3) этилацетата. Объединенный органический слой промывали с помощью (20 мл × 1) солевого раствора, высушивали над безводным сульфатом натрия и концентрировали. Остаток обрабатывали с помощью колонки с силикагелем с элюированием смесью дихлорметан/метанол (10/1). Это обеспечивало получение 31 мг этил-2-[5-(4-[[1-(4-[3-[2,6-дифтор-3-([[(3R)-3-фторпирролидин-1-ил]сульфонил]амино)бензоил]-1Н-пирроло[2,3-b]пиридин-5-ил]фенил)пиперидин-4-ил]метил]пиперазин-1-ил)пиридин-3-ил]-3-метилбутаноата в виде коричневого твердого вещества. LC/MS (ESI) масса/заряд: 887,20 [М+1]+.
[1971] Стадия 7: получение 2-(5-(4-((1-(4-(3-(2,6-дифгор-3-(((R)-3-фторпирролидин)-1-сульфонамидо)бензоил)-1Н-пирроло[2,3-b]пиридин-5-ил)фенил)пиперидин-4-ил)метил)пиперазин-1-ил)пиридин-3-ил)-3-метилбутановой кислоты
[1972] В круглодонную колбу объемом 50 мл помещали раствор этил-2-[5-(4-[[1-(4-[3-[2,6-дифтор-3-([[(3R)-3-фторпирролидин-1-ил]сульфонил]амино)бензоил]-1Н-пирроло[2,3-b]пиридин-5-ил]фенил)пиперидин-4-ил]метил]пиперазин-1-ил)пиридин-3-ил]-3-метилбутаноата (31 мг, 0,035 ммоль, 1 экв.) в МеОН (5 мл), к которому добавляли LiOH⋅H2O (14,67 мг, 0,349 ммоль, 10 экв.) в Н2О (2 мл). Полученный раствор перемешивали в течение 8 ч. при 40°С на масляной бане. 3Начение рН раствора регулировали до 5 с помощью HCl (2 моль/л). Полученную смесь концентрировали под вакуумом. Это обеспечивало получение 79 мг 2-[5-(4-[[1-(4-[3-[2,6-дифтор-3-([[(3R)-3-фторпирролидин-1-ил]сульфонил]амино)бензоил]-1Н-пирроло[2,3-b]пиридин-5-ил]фенил)пиперидин-4-ил]метил]пиперазин-1-ил)пиридин-3-ил]-3-метилбутановой кислоты с литийолом в виде коричневого твердого вещества.
[1973] Стадия 8: получение (2S,4R)-1-(2-(5-(4-((1-(4-(3-(2,6-дифтор-3-(((R)-3-фторпирролидин)-1-сульфонамидо)бензоил)-1Н-пирроло[2,3-b]пиридин-5-ил)фенил)пиперидин-4-ил)метил)пиперазин-1-ил)пиридин-3-ил)-3-метилбутаноил)-4-гидрокси-N-((S)-1-(4-(4-метилтиазол-5-ил)фенил)этил)пирролидин-2-карбоксамида
[1974] В круглодонную колбу объемом 25 мл помещали 2-[5-(4-[[1-(4-[3-[2,6-дифтор-3-([[(3R)-3-фторпирролидин-1-ил]сульфонил]амино)бензоил]-1Н-пирроло[2,3-b]пиридин-5-ил]фенил)пиперидин-4-ил]метил]пиперазин-1-ил)пиридин-3-ил]-3-метилбутановую кислоту (79 мг, 0,092 ммоль, 1 экв.), DIEA (35,66 мг, 0,276 ммоль, 3 экв.), (2S,4R)-4-гидрокси-N-[(1S)-1-[4-(4-метил-1,3-тиазол-5-ил)фенил]этил]пирролидин-2-карбоксамид (60,96 мг, 0,184 ммоль, 2,00 экв.), ВОР (81,35 мг, 0,184 ммоль, 2 экв.) в DMF (10 мл). Полученный раствор перемешивали в течение 1 ч. при комнатной температуре. Затем реакционную смесь гасили путем добавления 10 мл воды/льда. Полученный раствор экстрагировали с помощью (40 мл × 3) этилацетата. Объединенные органические слои промывали с помощью (20 мл × 2) солевого раствора, высушивали над безводным сульфатом натрия и концентрировали. Неочищенный продукт очищали с помощью препаративной HPLC. Это обеспечивало получение 10,2 мг (9,46%) (2S,4R)-1-[2-[5-(4-[[1-(4-[3-[2,6-дифтор-3-([[(3R)-3-фторпирролидин-1-ил]сульфонил]амино)бензоил]-1Н-пирроло[2,3-b]пиридин-5-ил]фенил)пиперидин-4-ил]метил]пиперазин-1-ил)пиридин-3-ил]-3-метилбутаноил]-4-гидрокси-N-[(1S)-1-[4-(4-метил-1,3-тиазол-5-ил)фенил]этил]пирролидин-2-карбоксамида в виде желтого твердого вещества. LC/MS (ESI) масса/заряд: 1172,65 [М+1]+; 1Н ЯМР (400 МГц, CD3OD) δ 8,77 (s, 1Н), 8,76 (s, 1H), 8,50 (s, 1H), 8,02 (s, 1H), 7,79-7,48 (m, 1H), 7,47 (s, 1H), 7,39 (s, 2H), 7,36-7,32 (m, 5H), 7,12-7,00 (m, 3H), 5,21-5,11 (m, 2H), 4,62-4,55 (m, 5H), 4,51-4,31 (m, 2H), 3,67-3,63 (m, 3H), 3,47-3,39 (m, 4H), 2,64-2,56 (m, 2H), 2,55-2,51 (m, 4H), 2,47 (s, 3H), 2,39-2,37 (m, 3H), 2,14-2,10 (m, 3H), 1,86-1,82 (m, 4H), 1,76-1,72 (m, 1H), 1,43-1,45 (t, J=8 Гц, 2H), 1,35-1,18 (m, 5H), 1,18 (s, 3H), 0,65-0,61 (m, 3H).
[1975] Иллюстративный синтез (2S,4R)-1-((S)-2-(5-(2-(4-(4-(3-(2,6-дифтор-3-(((R)-3-фторпирролидин)-1-сульфонамидо)бензоил)-1Н-пирроло[2,3-b]пиридин-5-ил)фенил)пиперазин-1-ил)этокси)-1-метил-1Н-пиразол-3-ил)-3-метилбутаноил)-4-гидрокси-N-((S)-1-(4-(4-метилтиазол-5-ил)фенил)этил)пирролидин-2-карбоксамида (иллюстративного соединения 753)
[1976] Стадия 1: получение метил-2-(5-гидрокси-1-метил-1Н-пиразол-3-ил)ацетата
[1977] К смеси метилгидразина (21,83 г, 189,49 ммоль, 25 мл, 1,1 экв.) в толуоле (200 мл) добавляли диметил-3-оксопентандиоат (30 г, 172,26 ммоль, 24,79 мл, 1 экв.) и диизопропилэтиламин (26,72 г, 206,72 ммоль, 36 мл, 1,2 экв.). Смесь перемешивали при 140°С в течение 2 ч. и обеспечивали отгонку воды. Затем смесь перемешивали при 140°С в течение 12 ч. Смесь гасили путем добавления воды (400 мл) и экстрагировали этилацетатом (100 мл × 3). Водную фазу регулировали до РН=3~4 с помощью 1 М хлористоводородной кислоты и затем экстрагировали этилацетатом (100 мл × 10). Объединенную органическую фазу промывали солевым раствором (100 мл), высушивали над безводным сульфатом натрия, фильтровали и концентрировали при пониженном давлении. Соединение, метил-2-(5-гидрокси-1-метилпиразол-3-ил)ацетат (8,5 г, 49,95 ммоль, 1,00 экв.), очищали с помощью препаративной HPLC с обращенной фазой. Продукт, метил-2-(5-гидрокси-1-метилпиразол-3-ил)ацетат (5,38 г, 31,62 ммоль, выход 63%), получали в виде гря3Но-белого твердого вещества. LC/MS (ESI) масса/заряд: 171,2 [М+1]+; 1Н ЯМР (400 МГц, DMSO-d6) δ 10,81 (br s, 1Н), 5,42-5,11 (m, 1H), 3,59 (s, 3Н), 3,43 (s, 3Н), 3,40 (s, 2Н).
[1978] Стадия 2: получение метил-2-(5-(2,2-диметоксиэтокси)-1-метил-1Н-пиразол-3-ил)ацетата
[1979] К раствору метил-2-(5-гидрокси-1-метилпиразол-3-ил)ацетата (1,38 г, 8,11 ммоль, 1 экв.) в диметилформамиде (30 мл) добавляли карбонат калия (2,24 г, 16,22 ммоль, 2 экв.) и 2-бром-1,1-диметоксиэтан (1,44 г, 8,52 ммоль, 1 мл, 1,05 экв.). Смесь перемешивали при 70°С в течение 12 ч. Выливали воду (50 мл) в смесь и перемешивали в течение 1 мин. Водную фазу экстрагировали этилацетатом (50 мл × 3). Объединенную органическую фазу промывали солевым раствором (50 мл × 3), высушивали с помощью безводного сульфата натрия, фильтровали и концентрировали в вакууме. Остаток очищали с помощью колоночной хроматографии на силикагеле (петролейный эфир/этилацетат = 20/1, 2/1). Продукт, метил-2-[5-(2,2-диметоксиэтокси)-1-метилпиразол-3-ил]ацетат (744 мг, 2,74 ммоль, выход 33%, чистота 95%), получали в виде бесцветного масла. LC/MS (ESI) масса/заряд: 259,2 [М+1]+; 1Н ЯМР (400 МГц, DMSO-d6) δ 5,52 (s, 1H), 4,68 (t, J=5,2 Гц, 1H),4,03 (d, J=5,2 Гц, 2H), 3,71 (s, 3H), 3,61 (s, 3H), 3,57 (s, 2H), 3,44 (s, 6H).
[1980] Стадия 3: получение метил-2-(5-(2,2-диметоксиэтокси)-1-метил-1Н-пиразол-3-ил)-3-метилбутаноата
[1981] К раствору метил-2-[5-(2,2-диметоксиэтокси)-1-метилпиразол-3-ил]ацетата (744 мг, 2,88 ммоль, 1 экв.) в тетрагидрофуране (12 мл) добавляли диизопропиламид лития (2 М, 2,88 мл, 2 экв.) при -70°С. Смесь перемешивали при -70°С в течение 0,5 ч. Затем добавляли по каплям 2-йодпропан (734 мг, 4,32 ммоль, 0,45 мл, 1,5 экв.) при -70°С. Смесь перемешивали при 25°С в течение 3 ч. Смесь выливали в воду (50 мл) и перемешивали в течение 1 мин. Водную фазу экстрагировали этилацетатом (30 мл × 3). Объединенную органическую фазу промывали солевым раствором (30 мл × 2), высушивали с помощью безводного сульфата натрия, фильтровали и концентрировали в вакууме. Остаток очищали с помощью колоночной хроматографии на силикагеле (петролейный эфир/этилацетат = 20/1, 4/1). Продукт, метил-2-[5-(2,2-диметоксиэтокси)-1-метилпиразол-3-ил]-3-метилбутаноат (300 мг, 0,86 ммоль, выход 29%, чистота 85%), получали в виде светло-желтого масла. LC/MS (ESI) масса/заряд: 301,1 [М+1]+.
[1982] Стадия 4: получение 2-(5-(2,2-диметоксиэтокси)-1-метил-1Н-пиразол-3-ил)-3-метилбутановой кислоты
[1983] К раствору метил-2-[5-(2,2-диметоксиэтокси)-1-метилпиразол-3-ил]-3-метилбутаноата (300 мг, 0,99 ммоль, 1 экв.) в тетрагидрофуране (5 мл), метаноле (2 мл) и воде (1 мл) добавляли гидроксид лития (167 мг, 4,00 ммоль, 4 экв.). Смесь перемешивали при 40°С в течение 12 ч. Хлористоводородную кислоту (1 М, 5 мл) добавляли в реакционную смесь для регулирования рН до приблизительно 4-5, затем смесь экстрагировали этилацетатом (30 мл × 3). Объединенные органические слои промывали солевым раствором (50 мл × 2), высушивали над безводным сульфатом натрия, фильтровали и концентрировали при пониженном давлении. Соединение, 2-[5-(2,2-диметоксиэтокси)-1-метилпиразол-3-ил]-3-метилбутановую кислоту (260 мг, 0,90 ммоль, выход 90%), получали в виде коричневого масла. LC/MS (ESI) масса/заряд: 287,2 [М+1]+; 1Н ЯМР (400 МГц, DMSO-d6) δ 5,61 (s, 1H), 4,66 (t, J=5,2 Гц, 1H), 4,06-3,98 (m, 2H), 3,52-3,47 (m, 3H), 3,34 (d, J=0,8 Гц, 6H), 2,99 (d, J=10,0 Гц, 1H), 2,12 (qd, J=6,4, 16,4 Гц, 1H), 0,94 (d, J=6,4 Гц, 3H), 0,75 (d, J=6,8 Гц, 3H).
[1984] Стадия 5: получение (2S,4R)-1-(2-(5-(2,2-диметоксиэтокси)-1-метил-1Н-пиразол-3-ил)-3-метилбутаноил)-4-гидрокси-N-((S)-1-(4-(4-метилтиазол-5-ил)фенил)этил)пирролидин-2-карбоксамида
[1985] К раствору (2S,4R)-4-гидрокси-N-[(1S)-1-[4-(4-метилтиазол-5-ил)фенил]этил]пирролидин-2-карбоксамида (334 мг, 0,90 ммоль, 1 экв., гидрохлорид), 2-[5-(2,2-диметоксиэтокси)-1-метилпиразол-3-ил]-3-метилбутановой кислоты (260 мг, 0,90 ммоль, 1 экв.) в диметилформамиде (5 мл) добавляли гексафторфосфат O-(7-азабензотриазол-1-ил)-N,N,N',N'-тетраметилурония (517 мг, 1,36 ммоль, 1,5 экв.) и N,N-диизопропилэтиламин (352 мг, 2,72 ммоль, 3 экв.). Смесь перемешивали при 15°С в течение 1 ч. Реакционную смесь разбавляли водой 30 мл и экстрагировали этилацетатом (50 мл × 3). Объединенные органические слои промывали солевым раствором (50 мл × 3), высушивали над безводным сульфатом натрия, фильтровали и концентрировали при пониженном давлении. Остаток очищали с помощью флэш-хроматографии на силикагеле (элюент 0~10% дихлорметан/метанол). Соединение, (2S,4R)-1-[2-[5-(2,2-диметоксиэтокси)-1-метилпиразол-3-ил]-3-метилбутаноил]-4-гидрокси-N-[(1S)-1-[4-(4-метилтиазол-5-ил)фенил]этил]пирролидин-2-карбоксамид (300 мг, 0,47 ммоль, выход 52,33%, чистота 95%), получали в виде белой смолы. LC/MS (ESI) масса/заряд: 600,3 [М+1]+; 1Н ЯМР (400 МГц, CDCl3) δ 8,68 (s, 1H), 7,44-7,30 (m, 5H), 5,57-5,53 (m, 1H), 4,82-1,95 (m, 1H), 4,74-4,53 (m, 3H), 4,11-3,95 (m, 2H), 3,93-3,82 (m, 1H), 3,58 (d, J=3,2 Гц, 4H), 3,45-3,42 (m, 3H), 3,41 (s, 2H), 3,38 (s, 2H), 2,53 (d, J=1,6 Гц, 3H), 2,39 (s, 1H), 1,48 (d, J=7,2 Гц, 1H), 1,32 (d, J=7,2 Гц, 3H), 1,03 (d, J=6,6 Гц, 3H), 0,94-0,86 (m, 2H), 0,86-0,77 (m, 3H).
[1986] Стадия 6: получение (2S,4R)-1-((8)-2-(5-(2,2-диметоксиэтокси)-1-метил-1Н-пиразол-3-ил)-3-метилбутаноил)-4-гидрокси-N-((S)-1-(4-(4-метилтиазол-5-ил)фенил)этил)пирролидин-2-карбоксамида
[1987] (2S,4R)-1-[2-[5-(2,2-Диметоксиэтокси)-1-метилпиразол-3-ил]-3-метилбутаноил]-4-гидрокси-N-[(1S)-1-[4-(4-метилтиазол-5-ил)фенил]этил]пирролидин-2-карбоксамид (300 мг, 0,50 ммоль, 1 экв.) очищали с помощью хиральной SFC. Продукт, (2S,4R)-1-[(2S)-2-[5-(2,2-диметоксиэтокси)-1-метилпиразол-3-ил]-3-метилбутаноил]-4-гидрокси-N-[(1S)-1-[4-(4-метилтиазол-5-ил)фенил]этил]пирролидин-2-карбоксамид (85 мг, 0,14 ммоль, выход 84%, чистота 98,1%), получали в виде белого твердого вещества.
[1988] Стадия 7: получение (2S,4R)-4-гидрокси-1-((S)-3-метил-2-(1-метил-5-(2-оксоэтокси)-1Н-пиразол-3-ил)бутаноил)-N-((S)-1-(4-(4-метилтиазол-5-ил)фенил)этил)пирролидин-2-карбоксамида
[1989] К раствору (2S,4R)-1-[(2S)-2-[5-(2,2-диметоксиэтокси)-1-метилпиразол-3-ил]-3-метилбутаноил]-4-гидрокси-N-[(1S)-1-[4-(4-метилтиазол-5-ил)фенил]этил]пирролидин-2-карбоксамида (80 мг, 0,13 ммоль, 1 экв.) в тетраги дрофу ране (5 мл) добавляли серную кислоту (2 М, 2 мл, 30 экв.). Смесь перемешивали при 70°С в течение 2 ч. К смеси добавляли воду (10 мл) и добавляли насыщенный раствор бикарбоната натрия для регулирования рН до приблизительно 8. Затем смесь экстрагировали этилацетатом, 40 мл (20 мл × 2). Объединенные органические слои высушивали над безводным сульфатом натрия, фильтровали и концентрировали при пониженном давлении. Соединение, (2S,4R)-4-гидрокси-1-[(2S)-3-метил-2-[1-метил-5-(2-оксоэтокси)пиразол-3-ил]бутаноил]-N-[(1S)-1-[4-(4-метилтиазол-5-ил)фенил]этил]пирролидин-2-карбоксамид (55 мг, 0,10 ммоль, выход 74%), получали в виде бесцветной смолы. LC/MS (ESI) масса/заряд: 211,6 [М/2+1]+.
[1990] Стадия 8: получение (2S,4R)-1-((S)-2-(5-(2-(4-(4-(3-(2,6-дифтор-3-(((R)-3-фторпирролидин)-1-сульфонамидо)бензоил)-1Н-пирроло[2,3-b]пиридин-5-ил)фенил)пиперазин-1-ил)этокси)-1-метил-1Н-пиразол-3-ил)-3-метилбутаноил)-4-гидрокси-N-((S)-1-(4-(4-метилтиазол-5-ил)фенил)этил)пирролидин-2-карбоксамида
[1991] К раствору (3R)-N-[2,4-дифтор-3-[5-(4-пиперазин-1-илфенил)-1Н-пирроло[2,3-b] пиридин-3-карбонил]фенил]-3-фторпирролидин-1-сульфонамида (58 мг, 0,099 ммоль, 1,00 экв.) в диметилформамиде (1,5 мл) добавляли (2S,4R)-4-гидрокси-1-[(2S)-3-метил-2-[1-метил-5-(2-оксоэтокси)пиразол-3-ил]бутаноил]-N-[(1S)-1-[4-(4-метилтиазол-5-ил)фенил]этил]пирролидин-2-карбоксамид (55 мг, 0,099 ммоль, 1 экв.). Затем добавляли цианоборогидрид натрия (13 мг, 0,20 ммоль, 2 экв.). Смесь перемешивали при 30°С в течение 12 ч. Реакционную смесь разбавляли водой 10 мл и экстрагировали смесью дихлорметан/метанол (10 мл × 3). Объединенные органические слои высушивали над безводным сульфатом натрия, фильтровали и концентрировали при пониженном давлении. Остаток очищали с помощью полупрепаративной HPLC с обращенной фазой. Соединение, (2S,4R)-1-[(2S)-2-[5-[2-[4-[4-[3-[2,6-дифтор-3-[[(3R)-3-фторпирролидин-1-ил]сульфониламино]бензоил]-1Н-пирроло[2,3-b]пиридин-5-ил]фенил]пиперазин-1-ил]этокси]-1-метилпиразол-3-ил]-3-метилбутаноил]-4-гидрокси-N-[(1S)-1-[4-(4-метилтиазол-5-ил)фенил]этил]пирролидин-2-карбоксамид (40,2 мг, 0,03 ммоль, выход 32%, чистота 95%, формиат), получали в виде желтого твердого вещества. LC/MS (ESI) масса/заряд: 1122,4 [М+1]+; 1Н ЯМР (400 МГц, DMSO-d6) δ 12,88 (s, 1Н), 8,98 (s, 1H), 8,65 (s, 1H), 8,53 (s, 1H), 8,32 (d, J=7,5 Гц, 1H), 8,05 (s, 1H), 7,60 (d, 7=8,8 Гц, 3Н), 7,45-7,41 (m, 2Н), 7,38 (s, 2Н), 7,23 (d, J=8,8 Гц, 1H), 7,08 (d, J=9,2 Гц, 2H), 5,56 (s, 1H), 5,39-5,19 (m, 1H), 5,03 (d, J=4,0 Гц, 1H), 4,95-1,87 (m, 1H), 4,34-1,24 (m, 2H), 4,18 (d, J=5,2 Гц, 2H), 3,70 (s, 1H), 3,50 (s, 4H), 3,47 (s, 3H), 3,25-3,20 (m, 7H), 2,67 (s, 5H), 2,45 (s, 4H), 2,08 (d, J=10,4 Гц, 3Н), 1,96 (s, 2H), 1,80 (s, 1H), 1,39 (d, J=7,2 Гц, 3Н), 0,92 (d, J=6,4 Гц, 3Н), 0,71 (d, J=6,8 Гц, 3Н).
[1992] Иллюстративный синтез (2S,4R)-1-((R)-2-(5-(2-(4-(4-(3-(2,6-дифтор-3-(((R)-3-фторпирролидин)-1-сульфонамидо)бензоил)-1Н-пирроло[2,3-b]пиридин-5-ил)фенил)пиперазин-1-ил)этокси)-1-метил-1Н-пиразол-3-ил)-3-метилбутаноил)-4-гидрокси-N-((S)-1-(4-(4-метилтиазол-5-ил)фенил)этил)пирролидин-2-карбоксамида (иллюстративного соединения 757)
[1993] Стадия 1: получение (2S,4R)-1-((R)-2-(5-(2,2-диметоксиэтокси)-1-метил-1Н-пиразол-3-ил)-3-метилбутаноил)-4-гидрокси-N-((S)-1-(4-(4-метилтиазол-5-ил)фенил)этил)пирролидин-2-карбоксамида
[1994] (2S,4R)-1-[2-[5-(2,2-Диметоксиэтокси)-1-метилпиразол-3-ил]-3-метилбутаноил]-4-гидрокси-N-[(1S)-1-[4-(4-метилтиазол-5-ил)фенил]этил]пирролидин-2-карбоксамид (300 мг, 0,50 ммоль, 1 экв.) очищали с помощью хиральной SFC. Продукт, (2S,4R)-1-[(2R)-2-[5-(2,2-диметоксиэтокси)-1-метилпиразол-3-ил]-3-метилбутаноил]-4-гидрокси-N-[(1S)-1-[4-(4-метилтиазол-5-ил)фенил]этил]пирролидин-2-карбоксамид (150 мг, 0,24 ммоль, выход 74%, чистота 97,8%), получали в виде бесцветной смолы.
[1995] Стадия 2: получение (2S,4R)-4-гидрокси-1-((R)-3-метил-2-(1-метил-5-(2-оксоэтокси)-1Н-пиразол-3-ил)бутаноил)-N-((S)-1-(4-(4-метилтиазол-5-ил)фенил)этил)пирролидин-2-карбоксамида
[1996] К раствору (2S,4R)-1-[(2R)-2-[5-(2,2-диметоксиэтокси)-1-метилпиразол-3-ил]-3-метилбутаноил]-4-гидрокси-N-[(1S)-1-[4-(4-метилтиазол-5-ил)фенил]этил]пирролидин-2-карбоксамида (150 мг, 0,25 ммоль, 1 экв.) в тетраги дрофу ране (2 мл) добавляли серную кислоту (2 М, 1 мл, 8,00 экв.). Смесь перемешивали при 70°С в течение 2 ч. К смеси добавляли воду (10 мл) и добавляли насыщенный раствор бикарбоната натрия для регулирования рН до приблизительно 8. Затем смесь экстрагировали этилацетатом, 40 мл (20 мл × 2). Объединенные органические слои высушивали над безводным сульфатом натрия, фильтровали и концентрировали при пониженном давлении. Соединение, (2S,4R)-4-гидрокси-1-[(2R)-3-метил-2-[1-метил-5-(2-оксоэтокси)пиразол-3-ил]бутаноил]-N-[(1S)-1-[4-(4-метилтиазол-5-ил)фенил]этил]пирролидин-2-карбоксамид (130 мг, 0,23 ммоль, выход 93%), получали в виде бесцветной смолы. LC/MS (ESI) масса/заряд: 554,3 [М+1]+.
[1997] Стадия 3: получение (2S,4R)-1-((R)-2-(5-(2-(4-(4-(3-(2,6-дифтор-3-(((R)-3-фторпирролидин)-1-сульфонамидо)бензоил)-1Н-пирроло[2,3-b]пиридин-5-ил)фенил)пиперазин-1-ил)этокси)-1-метил-1Н-пиразол-3-ил)-3-метилбутаноил)-4-гидрокси-N-((S)-1-(4-(4-метилтиазол-5-ил)фенил)этил)пирролидин-2-карбоксамида
[1998] К раствору (3R)-N-[2,4-дифтор-3-[5-(4-пиперазин-1-илфенил)-1H-пирроло[2,3-b]пиридин-3-карбонил]фенил]-3-фторпирролидин-1-сульфонамида (137 мг, 0,23 ммоль, 1,00 экв.) в диметилформамиде (1,5 мл) добавляли (2S,4R)-4-гидрокси-1-[(2R)-3-метил-2-[1-метил-5-(2-оксоэтокси)пиразол-3-ил]бутаноил]-N-[(1S)-1-[4-(4-метилтиазол-5-ил)фенил]этил]пирролидин-2-карбоксамид (130 мг, 0,23 ммоль, 1 экв.). Затем добавляли цианоборогидрид натрия (29 мг, 0,46 ммоль, 2 экв.). Смесь перемешивали при 30°С в течение 12 ч. Реакционную смесь разбавляли водой 10 мл и экстрагировали смесью дихлорметан/метанол (10 мл × 3). Объединенные органические слои высушивали над безводным сульфатом натрия, фильтровали и концентрировали при пониженном давлении. Остаток очищали с помощью полупрепаративной HPLC с обращенной фазой. Соединение, (2S,4R)-1-[(2R)-2-[5-[2-[4-[4-[3-[2,6-дифтор-3-[[(3R)-3-фторпирролидин-1-ил]сульфониламино]бензоил]-1Н-пирроло[2,3-b]пиридин-5-ил]фенил]пиперазин-1-ил]этокси]-1-метилпиразол-3-ил]-3-метилбутаноил]-4-гидрокси-N-[(1S)-1-[4-(4-метилтиазол-5-ил)фенил]этил]пирролидин-2-карбоксамид (53,9 мг, 0,04 ммоль, выход 19%, чистота 100%, формиат), получали в виде желтого твердого вещества. LC/MS (ESI) масса/заряд: 561,8 [М/2+1]+; 1Н ЯМР (400 МГц, DMSO-d6) δ 12,88 (s, 1Н), 8,99-8,96 (m, 1H), 8,64 (d, J=2,2 Гц, 1H), 8,53 (s, 1H), 8,06 (s, 1H), 7,86 (d, J=8,0 Гц, 1H), 7,65-7,56 (m, 3H), 7,44 (d, J=4,4 Гц, 1H), 7,40 (d, J=8,4 Гц, 2H), 7,35-7,25 (m, 2H), 7,11-6,99 (m, 2H), 5,62-5,52 (m, 1H), 5,41-5,17 (m, 1H), 5,05 (d, J=3,6 Гц, 1H), 4,93 4,81 (m, 1H), 4,48-4,37 (m, 1H), 4,28-1,02 (m, 3H), 3,57-3,50 (m, 2H), 3,50-3,42 (m, 5H), 3,39 (s, 2H), 3,34 (s, 2H), 3,22 (s, 1H), 3,17 (s, 3H), 2,73-2,62 (m, 3H), 2,59 (s, 3H),2,48-2,41 (m, 4H), 2,20 (s, 1H),2,09 (d, J=15,6 Гц, 2H), 1,99 (s, 1H), 1,85 (brd, J=5,6 Гц, 1H), 1,45 (d, J=6,4 Гц, 1H), 1,31 (d, J=7,2 Гц, 2H), 0,94 (d, J=6,4 Гц, 2H), 0,77 (d, J=6,4 Гц, 3Н), 0,68 (d, J=6,4 Гц, 1H).
[1999] Иллюстративный синтез (2S,4R)-1-((S)-4-(4-((1-(4-(3-(2,6-дифтор-3-(((R)-3-фторпирролидин)-1-сульфонамидо)бензоил)-1Н-пирроло[2,3-b]пиридин-5-ил)фенил)пиперидин-4-ил)метил)пиперазин-1-ил)-3,3-диметил-2-(3-метилизоксазол-5-ил)бутаноил)-4-гидрокси-N-((S)-1-(4-(4-метилтиазол-5-ил)фенил)этил)пирролидин-2-карбоксамида (иллюстративного соединения 754)
[2000] Стадия 1: получение трет-бутил-4-((S)-4-((2S,4R)-4-гидрокси-2-(((S)-1-(4-(4-метилтиазол-5-ил)фенил)этил)карбамоил)пирролидин-1-ил)-2,2-диметил-3-(3-метилизоксазол-5-ил)-4-оксобутил)пиперазин-1-карбоксилата
[2001] трет-Бутил-4-[4-[(2S,4R)-4-гидрокси-2-[[(1S)-1-[4-(4-метилтиазол-5-ил)фенил]этил]карбамоил]пирролидин-1-ил]-2,2-диметил-3-(3-метилизоксазол-5-ил)-4-оксобутил]пиперазин-1-карбоксилат (80 мг, 0,12 ммоль, 1 экв.) очищали с помощью SFC с получением продукта, трет-бутил-4-[(3S)-4-[(2S,4R)-4-гидрокси-2-[[(1S)-1-[4-(4-метилтиазол-5-ил)фенил]этил]карбамоил]пирролидин-1-ил]-2,2-диметил-3-(3-метилизоксазол-5-ил)-4-оксобутил]пиперазин-1-карбоксилата, в виде белого твердого вещества. Продукт дополнительно очищали с помощью препаративной HPLC, фракцию на основе ацетонитрила удаляли и остаток лиофилизировали с получением трет-бутил-4-[(3S)-4-[(2S,4R)-4-гидрокси-2-[[(1S)-1-[4-(4-метилтиазол-5-ил)фенил]этил]карбамоил]пирролидин-1-ил]-2,2-диметил-3-(3-метилизоксазол-5-ил)-4-оксобутил]пиперазин-1-карбоксилата (19,7 мг, 0,023 ммоль, выход 20%, чистота 97%, TFA) в виде белого твердого вещества. LC/MS (ESI) масса/заряд: 695,3 [М+1]+; 1Н ЯМР (400 МГц, DMSO-d6) δ 8,96 (s, 1H), 7,52-7,37 (m, 4Н), 6,47 (s, 1Н), 5,04 (q, J=7,1 Гц, 1Н), 4,65-4,55 (m, 1Н), 4,48-1,39 (m, 2Н), 4,32-4,14 (m, 2Н), 3,89 (dd, J=3,9, 11,3 Гц, 1H), 3,70 (d, J=12,1 Гц, 1H), 3,56 (d, J=11,2 Гц, 2Н), 3,44-3,30 (m, 2Н), 3,23-3,02 (m, 3Н), 2,97-2,87 (m, 1H), 2,49 (s, 3Н), 2,32 (s, 3Н), 2,30-2,23 (m, 1H), 1,97 (ddd, J=4,3, 9,5, 13,4 Гц, 1H), 1,53 (d, J=7,1 Гц, 3Н), 1,50 (s, 9Н), 1,48 (s, 3Н), 1,11 (s, 3Н).
[2002] Стадия 2: получение (2S,4R)-1-((S)-3,3-диметил-2-(3-метилизоксазол-5-ил)-4-(пиперазин-1-ил)бутаноил)-4-гидрокси-N-((S)-1-(4-(4-метилтиазол-5-ил)фенил)этил)пирролидин-2-карбоксамида
[2003] К раствору трет-бутил-4-[(3S)-4-[(2S,4R)-4-гидрокси-2-[[(1S)-1-[4-(4-метилтиазол-5-ил)фенил]этил]карбамоил]пирролидин-1-ил]-2,2-диметил-3-(3-метилизоксазол-5-ил)-4-оксобутил]пиперазин-1-карбоксилата (330 мг, 0,47 ммоль, 1 экв.) в дихлорметане (4 мл) добавляли смесь хлористоводородная кислота/диоксан (4 М, 4 мл, 33,69 экв.), смесь перемешивали при 20°С в течение 0,5 ч. Смесь концентрировали с получением (2S,4R)-1-[(2S)-3,3-диметил-2-(3-метилизоксазол-5-ил)-4-пиперазин-1-илбутаноил]-4-гидрокси-N-[(1S)-1-[4-(4-метилтиазол-5-ил)фенил]этил]пирролидин-2-карбоксамида (310 мг, HCl) в виде желтого твердого вещества. LC/MS (ESI)масса/заряд: 595,2 [М+1]+.
[2004] Стадия 3: получение (2S,4R)-1-((S)-4-(4-((1-(4-(3-(2,6-дифтор-3-(((R)-3-фторпирролидин)-1-сульфонамидо)бензоил)-1Н-пирроло[2,3-b]пиридин-5-ил)фенил)пиперидин-4-ил)метил)пиперазин-1-ил)-3,3-диметил-2-(3-метилизоксазол-5-ил)бутаноил)-4-гидрокси-N-((S)-1-(4-(4-метилтиазол-5-ил)фенил)этил)пирролидин-2-карбоксамида
[2005] К раствору (2S,4R)-1-[(2S)-3,3-диметил-2-(3-метилизоксазол-5-ил)-4-пиперазин-1-илбутаноил]-4-гидрокси-N-[(1S)-1-[4-(4-метилтиазол-5-ил)фенил]этил]пирролидин-2-карбоксамида (120 мг, 0,19 ммоль, 1 экв., HCl) в метаноле (2 мл) и дихлорметане (2 мл) добавляли ацетат натрия (31 мг, 0,38 ммоль, 2 экв.) и затем добавляли (3R)-N-[2,4-дифтор-3-[5-[4-(4-формил-1-пиперидил)фенил]-1Н-пирроло[2,3-b]пиридин-3-карбонил]фенил]-3-фторпирролидин-1-сульфонамид (116 мг, 0,19 ммоль, 1 экв.), добавляли уксусную кислоту (53 мг, 0,87 ммоль, 4,60 экв.) до рН=6, смесь перемешивали при 20°С в течение 10 мин и затем добавляли цианоборогидрид натрия (48 мг, 0,76 ммоль, 4 экв.), смесь перемешивали при 20°С в течение 1 ч. Смесь концентрировали с получением неочищенного продукта, который очищали с помощью препаративной HPLC. Фракцию на основе ацетонитрила удаляли и остаток лиофилизировали с получением продукта. Соединение, (2S,4R)-1-[(2S)-4-[4-[[1-[4-[3-[2,6-дифтор-3-[[(3R)-3-фторпирролидин-1-ил]сульфониламино]бензоил]-1Н-пирроло[2,3-b]пиридин-5-ил]фенил]-4-пиперидил]метил]пиперазин-1-ил]-3,3-диметил-2-(3-метилизоксазол-5-ил)бутаноил]-4-гидрокси-N-[(1S)-1-[4-(4-метилтиазол-5-ил)фенил]этил]пирролидин-2-карбоксамид (83,7 мг, 66,41 мкмоль, выход 34,9%, чистота 98,1%), FA), получали в виде желтого твердого вещества. LC/MS (ESI) масса/заряд: 1190,5 [М+1]+; 1Н ЯМР (400 МГц, DMSO-d6) δ 12,91 (br s, 1H), 9,01-8,95 (m, 1H), 8,64 (d, J=2,2 Гц, 1Н), 8,52 (br s, 1Н), 8,41 (d, J=8,1 Гц, 1H), 8,18 (s, 1H), 8,07 (s, 1H), 7,65-7,52 (m, 3H), 7,48-7,32 (m, 4H), 7,25 (t, J=8,3 Гц, 1H), 7,05 (br d, J=8,8 Гц, 2H), 6,28-6,11 (m, 1H), 5,42-5,17 (m, 1H), 5,14-4,87 (m, 1H), 4,99-1,65 (m, 1H), 4,40-4,18 (m, 3H), 3,94 (s, 1H), 3,76 (br d, J=10,5 Гц, 2H), 3,47 (br s, 2H), 3,32-3,23 (m, 6H), 2,77-2,68 (m, 2H), 2,46-2,45 (m, 1H), 2,46 (s, 3H), 2,47-2,35 (m, 1H), 2,39 (br s, 2H), 2,24-1,95 (m, 11H), 1,85-1,62 (m, 4H), 1,46-1,35 (m, 3H), 1,20 (brd, J=10,1 Гц, 2Н), 1,07-0,95 (m, 3H), 0,90-0,81 (m, 3H).
[2006] Иллюстративный синтез (2S,4R)-1-((R)-4-(4-((1-(4-(3-(2,6-дифтор-3-(((R)-3-фторпирролидин)-1-сульфонамидо)бензоил)-1Н-пирроло[2,3-b]пиридин-5-ил)фенил)пиперидин-4-ил)метил)пиперазин-1-ил)-3,3-диметил-2-(3-метилизоксазол-5-ил)бутаноил)-4-гидрокси-N-((S)-1-(4-(4-метилтиазол-5-ил)фенил)этил)пирролидин-2-карбоксамида (иллюстративного соединения 755)
[2007] Стадия 1: получение трет-бутил-4-((R)-4-((2S,4R)-4-гидрокси-2-(((S)-1-(4-(4-метилтиазол-5-ил)фенил)этил)карбамоил)пирролидин-1-ил)-2,2-диметил-3-(3-метилизоксазол-5-ил)-4-оксобутил)пиперазин-1-карбоксилата
[2008] трет-Бутил-4-[4-[(2S,4R)-4-гидрокси-2-[[(1S)-1-[4-(4-метилтиазол-5-ил)фенил]этил]карбамоил]пирролидин-1-ил]-2,2-диметил-3-(3-метилизоксазол-5-ил)-4-оксобутил]пиперазин-1-карбоксилат (80 мг, 0,12 ммоль, 1 экв.) очищали с помощью SFC с получением продукта, трет-бутил-4-[(3R)-4-[(2S,4R)-4-гидрокси-2-[[(1S)-1-[4-(4-метилтиазол-5-ил)фенил]этил]карбамоил]пирролидин-1-ил]-2,2-диметил-3-(3-метилизоксазол-5-ил)-4-оксобутил]пиперазин-1-карбоксилата (24,3 мг, 34,03 мкмоль, выход 29,6%, чистота 97,3%), в виде белого твердого вещества. LC/MS (ESI) масса/заряд: 695,4 [М+1]+; 1Н ЯМР (400 МГц, DMSO-d6) δ 8,87 (s, 1H), 7,48-7,36 (m, 4H), 6,24 (s, 1H), 5,06-4,98 (m, 1H), 4,61-4,50 (m, 1H), 4,41 (s, 2H), 3,78 (d, J=10,9 Гц, 1H), 3,56 (dd, J=4,2, 10,7 Гц, 1H), 3,43 (s, 4H), 2,66-2,56 (m, 2H), 2,54-2,41 (m, 6H), 2,29 (d, J=13,0 Гц, 1H), 2,24 (s, 3H), 2,22-2,14 (m, 1H), 1,92 (ddd, J=4,7, 8,3, 13,2 Гц, 1H), 1,52 (d, J=7,0 Гц, 3Н), 1,45 (s, 9H), 1,10 (s, 3H), 0,98 (s, 3H).
[2009] Стадия 2: получение (2S,4R)-1-((R)-3,3-диметил-2-(3-метилизоксазол-5-ил)-4-(пиперазин-1-ил)бутаноил)-4-гидрокси-N-((S)-1-(4-(4-метилтиазол-5-ил)фенил)этил)пирролидин-2-карбоксамида
[2010] К раствору трет-бутил-4-[(3R)-4-[(2S,4R)-4-гидрокси-2-[[(1S)-1-[4-(4-метилтиазол-5-ил)фенил]этил]карбамоил]пирролидин-1-ил]-2,2-диметил-3-(3-метилизоксазол-5-ил)-4-оксобутил]пиперазин-1-карбоксилата (120 мг, 0,17 ммоль, 1 экв.) в дихлорметане (2 мл) добавляли смесь хлористоводородная кислота/диоксан (2 М, 2,9 мл, 33,69 экв.), смесь перемешивали при 20°С в течение 0,5 ч. Смесь концентрировали с получением продукта, (2S,4R)-1-[(2R)-3,3-диметил-2-(3-метилизоксазол-5-ил)-4-пиперазин-1-илбутаноил]-4-гидрокси-N-[(1S)-1-[4-(4-метилтиазол-5-ил)фенил]этил]пирролидин-2-карбоксамида (125 мг, HCl), в виде желтого твердого вещества. LC/MS (ESI) масса/заряд: 595,2 [М+1]+.
[2011] Стадия 3: получение (2S,4R)-1-((R)-4-(4-((1-(4-(3-(2,6-дифтор-3-(((R)-3-фторпирролидин)-1-сульфонамидо)бензоил)-1Н-пирроло[2,3-b]пиридин-5-ил)фенил)пиперидин-4-ил)метил)пиперазин-1-ил)-3,3-диметил-2-(3-метилизоксазол-5-ил)бутаноил)-4-гидрокси-N-((S)-1-(4-(4-метилтиазол-5-ил)фенил)этил)пирролидин-2-карбоксамида
[2012] К раствору (2S,4R)-1-[(2R)-3,3-диметил-2-(3-метилизоксазол-5-ил)-4-пиперазин-1-илбутаноил]-4-гидрокси-N-[(1S)-1-[4-(4-метилтиазол-5-ил)фенил]этил]пирролидин-2-карбоксамида (100 мг, 0,17 ммоль, 1 экв., HCl) в метаноле (2 мл) и дихлорметане (2 мл) добавляли ацетат натрия (28 мг, 0,34 ммоль, 2 экв.) и затем добавляли (3R)-N-[2,4-дифтор-3-[5-[4-(4-формил-1-пиперидил)фенил]-1Н-пирроло[2,3-b]пиридин-3-карбонил]фенил]-3-фторпирролидин-1-сульфонамид (103 мг, 0,17 ммоль, 1 экв.), добавляли уксусную кислоту (46 мг, 0,77 ммоль, 4,60 экв.) до рН=6, смесь перемешивали при 20°С в течение 10 мин и затем добавляли цианоборогидрид натрия (42 мг, 0,67 ммоль, 4 экв.), смесь перемешивали при 20°С в течение 1 ч. Смесь концентрировали с получением неочищенного продукта, который очищали с помощью препаративной HPLC. Фракцию на основе ацетонитрила удаляли и остаток лиофилизировали с получением продукта. Соединение, (2S,4R)-1-[(2R)-4-[4-[[1-[4-[3-[2,6-дифтор-3-[[(3R)-3-фторпирролидин-1-ил]сульфониламино]бензоил]-1Н-пирроло[2,3-b]пиридин-5-ил]фенил]-4-пиперидил]метил]пиперазин-1-ил]-3,3-диметил-2-(3-метилизоксазол-5-ил)бутаноил]-4-гидрокси-N-[(1S)-1-[4-(4-метилтиазол-5-ил)фенил]этил]пирролидин-2-карбоксамид (90,4 мг, 73,11 мкмоль, выход 43,5%, чистота 100%, FA) получали в виде желтого твердого вещества. LC/MS (ESI) масса/заряд: 1190,5 [М+1]+; 1Н ЯМР (400 МГц, DMSO-d6) δ 12,91 (br s, 1H), 9,01-8,96 (m, 1H), 8,64 (d, J=2,2 Гц, 1H), 8,53 (br s, 1H), 8,31 (d, J=7,8 Гц, 1H), 8,18 (s, 1H), 8,07 (s, 1H), 7,66-7,54 (m, 3H), 7,48-7,31 (m, 4H), 7,25 (t, J=8,7 Гц, 1H), 7,06 (br d, J=8,8 Гц, 2H), 6,19 (s, 1H), 5,40-5,20 (m, 1H), 4,90 (квин., J=7,1 Гц, 1H), 4,41 (t, J=7,3 Гц, 1H), 4,27 (br s, 1H), 4,22 (s, 1H), 3,77 (br d, J=11,9 Гц, 2H), 3,59 (br d, J=9,0 Гц, 1H), 3,47 (br s, 2H), 3,33-3,28 (m, 4H), 2,76-2,68 (m, 2H), 2,46-2,28 (m, 10H), 2,20-1,94 (m, 10H), 1,83-1,63 (m, 4H), 1,37 (d, J=7,0 Гц, 2H), 1,48 (br d, J=7,2 Гц, 1H), 1,28-1,11 (m, 2H), 1,04-0,94 (m, 3H), 0,87 (s, 3H).
[2013] Иллюстративный синтез (2S,4R)-1-((S)-3,3-диметил-2-(2-(2-(((1R,3R)-3-((2'-метил-5-морфолино-5'-(3-(трифторметил)бензамидо)-[3,3'-бипиридин]-6-ил)окси)циклогексил)окси)этокси)ацетамидо)бутаноил)-4-гидрокси-N-((S)-1-(4-(4-метилтиазол-5-ил)фенил)этил)пирролидин-2-карбоксамида (иллюстративного соединения 756)
[2014] Стадия 1: получение N-(5-бром-6-метилпиридин-3-ил)-3-(трифторметил)бензамида
[2015] К смеси 3-(трифторметил)бензойной кислоты (10,16 г, 53,47 ммоль, 1 экв.) и 5-бром-6-метилпиридин-3-амина (10 г, 53,47 ммоль, 1 экв.) в диметилформамиде (100 мл) добавляли гексафторфосфат [диметиламино(триазоло[4,5-b]пиридин-3-илокси)метилен]диметиламмония (30,49 г, 80,20 ммоль, 1,5 экв.) и триэтиламин (10,82 г, 106,93 ммоль, 2 экв.). Смесь перемешивали при 20°С в течение 12 часов. Смесь гасили водой (300 мл). Водный слой экстрагировали этилацетатом (200 мл × 3). Все объединенные органические слои промывали солевым раствором (300 мл), высушивали над сульфатом натрия, фильтровали и концентрировали. Остаток растирали в растворе петролейный эфир/этилацетат = 50:1 (100 мл) с получением N-[-(5-бром-6-метил-3-пиридил)-3-(трифторметил)бензамида (17 г, 46,01 ммоль, выход 86%, чистота 97%) в виде желтого твердого вещества. LC/MS (ESI) масса/заряд: 360,9 [М+1]+.
[2016] Стадия 2: получение (2-метил-5-(3-(трифторметил)бензамидо)пиридин-3-ил)бороновой кислоты
[2017] Смесь 4,4,5,5-тетраметил-2-(4,4,5,5-тетраметил-1,3,2-диоксаборолан-2-ил)-1,3,2-диоксаборолана (7,07 г, 27,84 ммоль, 2 экв.), N-(5-бром-6-метил-3-пиридил)-3-(трифторметил)бензамида (5 г, 13,92 ммоль, 1 экв.), [1,1'-бис(дифенилфосфино)ферроцен]дихлорпалладия(II) (1,14 г, 1,39 ммоль, 0,1 экв.), ацетата калия (4,10 г, 41,76 ммоль, 3 экв.) в диоксане (100 мл) дегазировали и продували азотом 3 раза и затем смесь перемешивали при 100°С в течение 12 часов в атмосфере азота. Реакционную смесь фильтровали и фильтрат концентрировали. Соединение, [2-метил-5-[[3-(трифторметил)бензоил]амино]-3-пиридил]бороновая кислота (5,5 г), получали в виде черно-коричневого масла. LC/MS (ESI) масса/заряд: 325,1 [М+1]+.
[2018] Стадия 3: получение (1S,3R)-3-(бензилокси)циклогексан-1-ола
[2019] К раствору циклогексан-1,3-диола (18 г, 154,96 ммоль, 1 экв.) в диметилформамиде (250 мл) добавляли гидрид натрия (6,20 г, 154,96 ммоль, чистота 60%, 1 экв.) и трибромид бора (26,50 г, 154,96 ммоль, 18,41 мл, 1 экв.). Смесь перемешивали при 0~60°С в течение 12 часов. Реакционную смесь гасили с помощью 1500 мл воды при 0°С и затем экстрагировали этилацетатом (500 мл X 3). Объединенные органические слои промывали солевыми растворами (500 мл X 3), высушивали над безводным сульфатом натрия, фильтровали и концентрировали при пониженном давлении. Остаток очищали с помощью колоночной хроматографии. Соединение, (1S,3R)-3-бензилоксициклогексанол (10 г, 48,48 ммоль, выход 62%), получали в виде желтого масла. LC/MS (ESI) масса/заряд: 259,0 [М-56]+.
[2020] Стадия 4: получение 2-(((1R,3R)-3-(бензилокси)циклогексил)окси)-5-бром-3-нитропиридина
[2021] К раствору 5-бром-3-нитропиридин-2-ола (8,76 г, 39,99 ммоль, 1,1 экв.) и (1S,3R)-3-бензилоксициклогексанола (7,5 г, 36,36 ммоль, 1 экв.) в тетрагидрофуране (150 мл) добавляли трифенилфосфин (14,30 г, 54,54 ммоль, 1,5 экв.) и изопропил-(NE)-N-изопропоксикарбонилиминокарбамат (11,03 г, 54,54 ммоль, 10,60 мл, 1,5 экв.). Смесь перемешивали при 0~25°С в течение 12 часов. Реакционную смесь гасили с помощью 300 мл воды при 20°С и затем экстрагировали этилацетатом (100 мл X 3). Объединенные органические слои промывали солевыми растворами (100 мл X 3), высушивали над безводным сульфатом натрия, фильтровали и концентрировали при пониженном давлении. Остаток очищали с помощью колоночной хроматографии (петролейный эфир:этилацетат = от 1:0 до 50:1). Соединение 2-[(1R,3R)-3-бензилоксициклогексокси]-5-бром-3-нитропиридин (7,5 г, 18,42 ммоль, выход 50%) получали в виде желтого масла.
[2022] Стадия 5: получение 2-(((1R,3R)-3-(бензилокси)циклогексил)окси)-5-бромпиридин-3-амина
[2023] Смесь 2-[(1R,3R)-3-бензилоксициклогексокси]-5-бром-3-нитропиридина (13,1 г, 32,17 ммоль, 1 экв.), железа (8,98 г, 160,83 ммоль, 5 экв.), хлорида аммония (8,60 г, 160,83 ммоль, 5 экв.) в этиловом спирте (250 мл) и воде (50 мл) дегазировали и продували азотом 3 раза и затем смесь перемешивали при 80°С в течение 12 часов в атмосфере азота. Реакционную смесь фильтровали и фильтрат концентрировали. Остаток очищали с помощью колоночной хроматографии (петролейный эфир/этилацетат = от 50/1 до 10:1). Соединение, 2-[(1R,3R)-3-бензилоксициклогексокси]-5-бромпиридин-3-амин (11,5 г, 30,48 ммоль, выход 94%), получали в виде желтого масла. LC/MS (ESI) масса/заряд: 377,1 [М+1]+.
[2024] Стадия 6: получение 4-(2-(((1R,3R)-3-(бензилокси)циклогексил)окси)-5-бромпиридин-3-ил)морфолина
[2025] К смеси 2-[(1R,3R)-3-бензилоксициклогексокси]-5-бромпиридин-3-амина (14,7 г, 38,96 ммоль, 1 экв.) в диметилформамиде (200 мл) добавляли гидрид натрия (7,79 г, 194,82 ммоль, чистота 60%, 5 экв.) при 25°С. Смесь перемешивали при 25°С в течение 0,5 часа. Затем к смеси добавляли 1-бром-2-(2-бромэтокси)этан (27,11 г, 116,89 ммоль, 14,65 мл, 3 экв.). Смесь перемешивали при 80°С в течение 11,5 часа. Реакционную смесь гасили с помощью 1000 мл воды при 0°С и затем экстрагировали этилацетатом (200 мл X 3). Объединенные органические слои промывали солевыми растворами (200 мл X 3), высушивали над безводным сульфатом натрия, фильтровали и концентрировали при пониженном давлении. Остаток очищали с помощью колоночной хроматографии (петролейный эфир/этилацетат = от 30:1 до 10:1). Соединение, 4-[2-[(1R,3R)-3-бензилоксициклогексокси]-5-бром-3-пиридил]морфолин (17 г, 38,00 ммоль, выход 97%), получали в виде желтого масла. LC/MS (ESI) масса/заряд: 447,1 [М+1]+.
[2026] Стадия 7: получение N-(6'-(((1R,3R)-3-(бензилокси)циклогексил)окси)-2-метил-5,-морфолино-[3,3'-бипиридин]-5-ил)-3-(трифторметил)бензамида
[2027] Смесь [2-метил-5-[[3-(трифторметил)бензоил]амино]-3-пиридил]бороновой кислоты (4,78 г, 14,75 ммоль, 1,1 экв.), 4-[2-[(1R,3R)-3-бензилоксициклогексокси]-5-бром-3-пиридил]морфолина (6 г, 13,41 ммоль, 1 экв.), циклопентил(дифенил)фосфан-дихлорметан-дихлорпалладий-железа (1,10 г, 1,34 ммоль, 0,1 экв.), карбоната калия (5,56 г, 40,24 ммоль, 3 экв.) и воды (2 мл) в диоксане (200 мл) дегазировали и продували азотом 3 раза и затем смесь перемешивали при 100°С в течение 12 часов в атмосфере азота. Реакционную смесь гасили с помощью 500 мл воды при 25°С и затем экстрагировали этилацетатом (200 мл X 3). Объединенные органические слои промывали солевыми растворами (100 мл X 2), высушивали над безводным сульфатом натрия, фильтровали и концентрировали при пониженном давлении. Остаток очищали с помощью колоночной хроматографии (петролейный эфир/этилацетат = от 20:1 до 8:1). Соединение, N-[5-[6-[(1R,3R)-3-бензилоксициклогексокси]-5-морфолино-3-пиридил]-6-метил-3-пиридил]-3-(трифторметил)бензамид (5,5 г, 8,50 ммоль, выход 63%), получали в виде желтого масла. LC/MS (ESI) масса/заряд: 647,1 [М+1]+.
[2028] Стадия 8: получение N-(6'-(((1R,3R)-3-гидроксициклогексил)окси)-2-метил-5'-морфолино-[3,3'-бипиридин]-5-ил)-3-(трифторметил)бензамида
[2029] К раствору N-[5-[6-[(1R,3R)-3-бензилоксициклогексокси]-5-морфолино-3-пиридил]-6-метил-3-пиридил]-3-(трифторметил)бензамида (5,5 г, 8,50 ммоль, 1 экв.) в дихлорметане (100 мл) добавляли трибромид бора (6,39 г, 25,51 ммоль, 2,46 мл, 3 экв.). Смесь перемешивали при -68°С в течение 1 часа. Реакционную смесь гасили с помощью 100 мл бикарбоната натрия при 25°С и затем разбавляли 150 мл воды, экстрагировали этилацетатом (80 мл X 3). Объединенные органические слои промывали с помощью 150 мл солевого раствора, высушивали над безводным сульфатом натрия, фильтровали и концентрировали при пониженном давлении. Остаток очищали с помощью препаративной HPLC. Соединение, N-[5-[6-[(1R,3R)-3-гидроксициклогексокси]-5-морфолино-3-пиридил]-6-метил-3-пиридил]-3-(трифторметил)бензамид (4,2 г, 7,55 ммоль, выход 88%) получали в виде желтого твердого вещества. LC/MS (ESI) масса/заряд: 557,2 [М+1]+.
[2030] Стадия 9: получение этил-2-(((1R,3R)-3-((2'-метил-5-морфолино-5'-(3-(трифторметил)бензамидо)-[3,3'-бипиридин]-6-ил)окси)циклогексил)окси)ацетата
[2031] К раствору N-[5-[6-[(1R,3R)-3-гидроксициклогексокси]-5-морфолино-3-пиридил]-6-метил-3-пиридил]-3-(трифторметил)бензамида (1 г, 1,80 ммоль, 1 экв.) в дихлорметане (10 мл) добавляли диацетоксиродий (39 мг, 0,18 ммоль, 0,1 экв.) и этил-2-диазоацетат (615 мг, 5,39 ммоль, 3 экв.). Смесь перемешивали при 25°С в течение 12 часов. Реакционную смесь фильтровали и фильтрат концентрировали. Остаток очищали с помощью колоночной хроматографии (петролейный эфир:этилацетат = от 3:1 до 1:3). Соединение, этил-2-[(1R,3R)-3-[[5-[2-метил-5-[[3-(трифторметил)бензоил]амино]-3-пиридил]-3-морфолино-2-пиридил]окси]циклогексокси]ацетат (500 мг, 0,18 ммоль, выход 43%), получали в виде желтого масла. LC/MS (ESI) масса/заряд: 643,1 [М+1]+.
[2032] Стадия 10: получение N-(6'-(((1R,3R)-3-(2-гидроксиэтокси)циклогексил)окси)-2-метил-5'-морфолино-[3,3'-бипиридин]-5-ил)-3-(трифторметил)бензамида
[2033] К раствору этил-2-[(1R,3R)-3-[[5-[2-метил-5-[[3-(трифторметил)бензоил]амино]-3-пиридил]-3-морфолино-2-пиридил]окси]циклогексокси]ацетата (700 мг, 1,09 ммоль, 1 экв.) в тетрагидрофуране (10 мл) добавляли алюмогидрид лития (41 мг, 1,09 ммоль, 1 экв.). Смесь перемешивали при 0~25°С в течение 1 часа. Реакционную смесь гасили с помощью 2 мл воды при 0°С и затем высушивали над безводным сульфатом натрия, фильтровали и концентрировали при пониженном давлении. Остаток очищали с помощью препаративной TLC (дихлорметан:метиловый спирт = 10:1). Соединение, N-[5-[6-[(1R,3R)-3-(2-гидроксиэтокси)циклогексокси]-5-морфолино-3-пиридил]-6-метил-3-пиридил]-3-(трифторметил)бензамид (400 мг, 0,67 ммоль, выход 61%), получали в виде желтого масла. LC/MS (ESI) масса/заряд: 601,1 [М+1]+.
[2034] Стадия 11: получение этил-2-(2-(((1R,3R)-3-((2'-метил-5-морфолино-5'-(3-(трифторметил)бензамидо)-[3,3'-бипиридин]-6-ил)окси)циклогексил)окси)этокси)ацетата
[2035] К раствору N-[5-[6-[(1R,3R)-3-(2-гидроксиэтокси)циклогексокси]-5-морфолино-3-пиридил]-6-метил-3-пиридил]-3-(трифторметил)бензамида (100 мг, 0,16 ммоль, 1 экв.) в дихлорметане (1 мл) добавляли диацетоксиродий (7 мг, 0,03 ммоль, 0,2 экв.) и этил-2-диазоацетат (189 мг, 1,66 ммоль, 10 экв.). Смесь перемешивали при 25°С в течение 1 часа. Реакционную смесь фильтровали и фильтрат концентрировали. Остаток очищали с помощью препаративной TLC (дихлорметан:метиловый спирт = 10:1). Соединение, этил-2-[2-[(1R,3R)-3-[[5-[2-метил-5-[[3-(трифторметил)бензоил]амино]-3-пиридил]-3-морфолино-2-пиридил]окси]циклогексокси]этокси]ацетат (81 мг, 0,11 ммоль, выход 70%), получали в виде желтого масла. LC/MS (ESI) масса/заряд: 687,2 [М+1]+.
[2036] Стадия 12: получение 2-(2-(((1R,3R)-3-((2'-метил-5-морфолино-5'-(3-(трифторметил)бензамидо)-[3,3'-бипиридин]-6-ил)окси)циклогексил)окси)этокси)уксусной кислоты
[2037] К раствору этил-2-[2-[(1R,3R)-3-[[5-[2-метил-5-[[3-(трифторметил)бензоил]амино]-3-пиридил]-3-морфолино-2-пиридил]окси]циклогексокси]этокси]ацетата (105 мг, 0,15 ммоль, 1 экв.) в тетраги дрофу ране (2 мл) и воде (0,2 мл) добавляли гидроксид лития (19 мг, 0,46 ммоль, 3 экв.). Смесь перемешивали при 40°С в течение 0,5 часа. Реакционную смесь концентрировали при пониженном давлении с удалением тетрагидрофурана. Остаток разбавляли с помощью 2 мл воды и смесь регулировали до рН=5 с помощью 2 мл хлористоводородной кислоты (1 М). Остаток очищали с помощью препаративной HPLC. Соединение, 2-[2-[(1R,3R)-3-[[5-[2-метил-5-[[3-(трифторметил)бензоил]амино]-3-пиридил]-3-морфолино-2-пиридил]окси]циклогексокси]этокси]уксусную кислоту (60 мг, 0,09 ммоль, выход 59%), получали в виде белого твердого вещества. LC/MS (ESI) масса/заряд: 659,2 [М+1]+.
[2038] Стадия 13: получение (2S,4R)-1-((S)-3,3-диметил-2-(2-(2-(((1R,3R)-3-((2'-метил-5-морфолино-5'-(3-(трифторметил)бензамидо)-[3,3'-бипиридин]-6-ил)окси)циклогексил)окси)этокси)ацетамидо)бутаноил)-4-гидрокси-N-((S)-1-(4-(4-метилтиазол-5-ил)фенил)этил)пирролидин-2-карбоксамида
[2039] Смесь 2-[2-[(1R,3R)-3-[[5-[2-метил-5-[[3-(трифторметил)бензоил]амино]-3-пиридил]-3-морфолино-2-пиридил]окси]циклогексокси]этокси]уксусной кислоты (60 мг, 0,09 ммоль, 1 экв.), (2S,4R)-1-[(2S)-2-амино-3,3-диметилбутаноил]-4-гидрокси-N-[(1S)-1-[4-(4-метилтиазол-5-ил)фенил]этил]пирролидин-2-карбоксамида (48 мг, 0,1 ммоль, 1,1 экв., гидрохлорид), гидроксибензотриазола (14 мг, 0,10 ммоль, 1,2 экв.), 1-(3-диметиламинопропил)-3-этилкарбодиимида (21 мг, 0,1 ммоль, 1,2 экв.) и триэтиламина (27 мг, 0,27 ммоль, 3 экв.) в диметилформамиде (3 мл) дегазировали и продували азотом 3 раза и затем смесь перемешивали при 40°С в течение 12 часов в атмосфере азота. Реакционную смесь гасили с помощью 50 мл воды при 25°С и затем экстрагировали этилацетатом (20 мл X 3). Объединенные органические слои промывали солевыми растворами (15 мл X 2), высушивали над безводным сульфатом натрия, фильтровали и концентрировали при пониженном давлении. Остаток очищали с помощью препаративной TLC (дихлорметан:метиловый спирт = 10:1). Соединение, (2S,4R)-1-[(2S)-3,3-диметил-2-[[2-[2-[(1R,3R)-3-[[5-[2-метил-5-[[3-(трифторметил)бензоил]амино]-3-пиридил]-3-морфолино-2-пиридил]окси]циклогексокси]этокси]ацетил]амино]бутаноил]-4-гидрокси-N-[(1S)-1-[4-(4-метилтиазол-5-ил)фенил]этил]пирролидин-2-карбоксамид (34,4 мг, 0,03 ммоль, выход 34%, чистота 98%), получали в виде белого твердого вещества. LC/MS (ESI) масса/заряд: 1086,2 [М+1]+; 1Н ЯМР (400 МГц, DMSO-d6) δ 10,65 (s, 1H), 8,96 (s, 1H), 8,84 (d, J=2,4 Гц, 1H), 8,41 (d, J=7,2 Гц, 1H), 8,31 (s, 1H), 8,27 (d, J=1,3 Гц, 1H), 8,03 (d, J=2,4 Гц, 1H), 7,99 (d, J=7,6 Гц, 1H), 7,83-7,75 (m, 2H), 7,46-7,39 (m, 2H), 7,38-7,30 (m, 3H), 7,19 (d, J=1,6 Гц, 1H), 5,46 (s, 1H), 5,13 (d, J=3,2 Гц, 1H), 4,95-4,82 (m, 1H), 4,53 (d, J=10,0 Гц, 1H), 4,43 (t,J=8,4 Гц, 1H),4,28 (s, 1H), 4,01-3,93 (m, 2H), 3,79-3,65 (m, 6H), 3,61 (dd, J=3,6, 8,4 Гц, 5H), 3,08 (s, 4H), 2,44 (s, 6H), 2,11-1,97 (m, 2H), 1,92-1,63 (m, 6H), 1,60-1,43 (m, 2H), 1,35 (dd, J=3,6, 6,8 Гц, 3Н), 0,92 (d, J=3,2 Гц, 9H).
[2040] Иллюстративный синтез 4-((R)-2-((2S,4R)-1-((S)-2-(2-(4-((4-(4-(3-(2,6-дифтор-3-(((R)-3-фторпирролидин)-1-сульфонамидо)бензоил)-1Н-пирроло[2,3-b]пиридин-5-ил)фенил)пиперазин-1-ил)метил)пиперидин-1-ил)ацетамидо)-3,3-диметилбутаноил)-4-гидроксипирролидин-2-карбоксамидо)-2-(4-(4-метилтиазол-5-ил)фенил)этокси)-4-оксобутановой кислоты (иллюстративного соединения 758)
[2041] Стадия 1: получение бензил-(2S,4R)-1-((S)-2-((трет-бутоксикарбонил)амино)-3,3-диметилбутаноил)-4-((трет-бутилдиметилсилил)окси)пирролидин-2-карбоксилата
[2042] В круглодонную колбу объемом 150 мл помещали бензил-(2S,4R)-1-[(2S)-2-[[(трет-бутокси)карбонил]амино]-3,3-диметилбутаноил]-4-гидроксипирролидин-2-карбоксилат (7 г, 16,11 ммоль, 1,00 экв.), имидазол (1,6 г, 23,51 ммоль, 1,46 экв.) в дихлорметане (80 мл) при 0°С. За этим следовало добавление порциями TBDMSC1 (3,6 г, 23,89 ммоль, 1,48 экв.) при 0°С. Полученный раствор перемешивали в течение 6 ч. при комнатной температуре. Затем реакционную смесь гасили путем добавления воды (60 мл). Полученную смесь экстрагировали дихлорметаном (50 мл × 3) и органические слои объединяли, промывали солевым раствором (100 мл × 2), высушивали над безводным сульфатом натрия и концентрировали под вакуумом. Остаток обрабатывали с помощью колонки с силикагелем с элюированием смесью этилацетат/петролейный эфир (1:9). Это обеспечивало получение 5,8 г (66%) бензил-(2S,4R)-1-[(2S)-2-[[(трет-бутокси)карбонил]амино]-3,3-диметилбутаноил]-4-[(трет-бутилдиметилсилил)окси]пирролидин-2-карбоксилата в виде светло-желтого масла. LC/MS (ESI) масса/заряд: 549,20 [М+1]+.
[2043] Стадия 2: получение (2S,4R)-1-((S)-2-((трет-бутоксикарбонил)амино)-3,3-диметилбутаноил)-4-((трет-бутилдиметилсилил)окси)пирролидин-2-карбоновой кислоты
[2044] В раствор бензил-(2S,4R)-1-[(2S)-2-[[(трет-бутокси)карбонил]амино]-3,3-диметилбутаноил]-4-[(трет-бутилдиметилсилил)окси]пирролидин-2-карбоксилата (500 мг, 0,91 ммоль, 1,00 экв.) в метаноле (15 мл) загружали Pd/C (10%, 100 мг) в атмосфере азота. Колбу затем подвергали вакуумированию и продували водородом. Реакционную смесь гидрогенизировали при комнатной температуре в течение 16 ч. в атмосфере водорода с применением баллона с водородом, затем фильтровали через подушку из целита и концентрировали при пониженном давлении. Это обеспечивало получение 273 мг (65%) (2S,4R)-1-[(2S)-2-[[(трет-бутокси)карбонил]амино]-3,3-диметилбутаноил]-4-[(трет-бутилдиметилсилил)окси]пирролидин-2-карбоновой кислоты в виде бесцветного масла. LC/MS (ESI) масса/заряд: 459,30 [М+1]+.
[2045] Стадия 3: получение трет-бутил-((S)-1-((2S,4R)-4-((трет-бутилдиметилсилил)окси)-2-(((R)-2-гидрокси-1-(4-(4-метилтиазол-5-ил)фенил)этил)карбамоил)пирролидин-1-ил)-3,3-диметил-1-оксобутан-2-ил)карбамата
[2046] В круглодонную колбу объемом 25 мл помещали (2S,4R)-1-[(2S)-2-[[(трет-бутокси)карбонил]амино]-3,3-диметилбутаноил]-4-[(трет-бутилдиметилсилил)окси]пирролидин-2-карбоновую кислоту (930 мг, 1 экв.), гидрохлорид (2R)-2-амино-2-[4-(4-метил-1,3-тиазол-5-ил)фенил]этан-1-ола (550 мг), HATU (930 мг), DIEA (1 г) в DMF (5 мл). Полученный раствор перемешивали в течение 1 ч. при комнатной температуре. Реакционную смесь разбавляли водой (80 мл) и экстрагировали этилацетатом (50 мл × 3). Объединенный органический слой высушивали над безводным сульфатом натрия и концентрировали. Остаток обрабатывали с помощью колонки с силикагелем с элюированием смесью этилацетат/петролейный эфир (1:0). Это обеспечивало получение 460 мг трет-бутил-N-[(2S)-1-[(2S,4R)-4-[(трет-бутилдиметилсилил)окси]-2-[[(1R)-2-гидрокси-1-[4-(4-метил-1,3-тиазол-5-ил)фенил]этил]карбамоил]пирролидин-1-ил]-3,3-диметил-1-оксобутан-2-ил]карбамата в виде светло-желтого масла. LC/MS (ESI) масса/заряд: 675,20 [М+1]+.
[2047] Стадия 4: получение (2S,4R)-1-((S)-2-амино-3,3-диметилбутаноил)-4-((трет-бутилдиметилсилил)окси)-N-[-((R)-2-гидрокси-1-(4-(4-метилтиазол-5-ил)фенил)этил)пирролидин-2-карбоксамида
[2048] В круглодонную колбу объемом 25 мл добавляли трет-бутил-N-[(2S)-1-[(2S,4R)-4-[(трет-бутилдиметилсилил)окси]-2-[[(1R)-2-гидрокси-1-[4-(4-метил-1,3-тиазол-5-ил)фенил]этил]карбамоил]пирролидин-1-ил]-3,3-диметил-1-оксобутан-2-ил]карбамат (660 мг, 980 ммоль, 1 экв.) в дихлорметане (10 мл). К вышеуказанной смеси добавляли по каплям TFA (3 мл) при 0°С. Полученную смесь перемешивали в течение 0,5 ч. при 0°С и затем гасили путем добавления насыщенного раствора бикарбоната натрия (100 мл) при комнатной температуре. Полученную смесь экстрагировали с помощью DCM (10 мл × 2). Объединенный органический слой высушивали над сульфатом натрия и концентрировали при пониженном давлении. Это обеспечивало получение соли (2S,4R)-1-[(2S)-2-амино-3,3-диметилбутаноил]-4-[(трет-бутилдиметилсилил)окси]-N-[(1R)-2-гидрокси-1-[4-(4-метил-1,3-тиазол-5-ил)фенил]этил]пирролидин-2-карбоксамида и трифторуксусной кислоты (760 мг) в виде желтого масла. LC/MS (ESI) масса/заряд: 575,20 [М+1]+.
[2049] Стадия 5: получение трет-бутил-(R)-2-(4-((4-(4-(3-(2,6-дифтор-3-((3-фторпирролидин)-1-сульфонамидо)бензоил)-1Н-пирроло[2,3-b]пиридин-5-ил)фенил)пиперазин-1-ил)метил)пиперидин-1-ил)ацетата
[2050] В круглодонную колбу объемом 100 мл помещали раствор трет-бутил-2-(4-((4-(4-(4,4,5,5-тетраметил-1,3,2-диоксаборолан-2-ил)фенил)пиперазин-1-ил)метил)пиперидин-1-ил)ацетата (783,4 мг, 1,57 ммоль, 1,50 экв.), (R)-N-(3-(5-бром-1Н-пирроло[2,3-b]пиридин-3-карбонил)-2,4-дифторфенил)-3-фторпирролидин-1-сульфонамида (525,0 мг, 1,05 ммоль, 1,00 экв.), карбоната натрия (222,6 мг, 2,10 ммоль, 2,00 экв.), Pd(dppf)Cl2 (85,5 мг, 0,10 ммоль, 0,10 экв.) в 1,4-диоксане (15 мл) и воде (3 мл). В атмосфере азота полученный раствор перемешивали в течение ночи при 100°С на масляной бане. Остаток выпаривали, концентрировали при пониженном давлении и обрабатывали с помощью колонки с силикагелем с применением смеси этилацетат/петролейный эфир (1:0). Это обеспечивало получение 621,5 мг (75%) (R)-трет-бутил-2-(4-((4-(4-(3-(2,6-дифтор-3-(3-фторпирролидин-1-сульфонамидо)бензоил)-1Н-пирроло[2,3-b]пиридин-5-ил)фенил)пиперазин-1-ил)метил)пиперидин-1-ил)ацетата в виде желтого твердого вещества. LC/MS (ESI) масса/заряд: 796,20 [М+1]+.
[2051] Стадия 6: получение (R)-2-(4-((4-(4-(3-(2,6-дифтор-3-((3-фторпирролидин)-1-сульфонамидо)бензоил)-1Н-пирроло[2,3-b]пиридин-5-ил)фенил)пиперазин-1-ил)метил)пиперидин-1-ил)уксусной кислоты
[2052] В круглодонную колбу объемом 50 мл помещали раствор (R)-трет-бутил-2-(4-((4-(4-(3-(2,6-дифтор-3-(3-фторпирролидин-1-сульфонамидо)бензоил)-1Н-пирроло[2,3-b]пиридин-5-ил)фенил)пиперазин-1-ил)метил)пиперидин-1-ил)ацетата (621,5 мг, 0,78 ммоль, 1,00 экв.), 2,2,2-трифторацетальдегида (8 мл) в дихлорметане (8 мл). Полученный раствор перемешивали в течение 5 ч. при комнатной температуре. Остаток выпаривали, концентрировали при пониженном давлении и обрабатывали с помощью колонки с силикагелем с применением смеси метанол/хлороформ (1:2). Это обеспечивало получение 500,0 мг (87%) (R)-2-(4-((4-(4-(3-(2,6-дифтор-3-(3-фторпирролидин-1-сульфонамидо)бензоил)-1Н-пирроло[2,3-b]пиридин-5-ил)фенил)пиперазин-1-ил)метил)пиперидин-1-ил)уксусной кислоты в виде желтого твердого вещества. LC/MS (ESI) масса/заряд: 740,15 [М+1]+.
[2053] Стадия 7: получение (2S,4R)-4-((трет-бутилдиметилсилил)окси)-1-((S)-2-(2-(4-((4-(4-(3-(2,6-дифтор-3-(((R)-3-фторпирролидин)-1-сульфонамидо)бензоил)-1Н-пирроло[2,3-b]пиридин-5-ил)фенил)пиперазин-1-ил)метил)пиперидин-1-ил)ацетамидо)-3,3-диметилбутаноил)-N-((R)-2-гидрокси-1-(4-(4-метилтиазол-5-ил)фенил)этил)пирролидин-2-карбоксамида
[2054] В круглодонную колбу объемом 50 мл добавляли 2-(4-[[4-(4-[3-[2,6-дифтор-3-([[(3R)-3-фторпирролидин-1-ил]сульфонил]амино)бензоил]-1Н-пирроло[2,3-b]пиридин-5-ил]фенил)пиперазин-1-ил]метил]пиперидин-1-ил)уксусную кислоту (700 мг, 950 ммоль, 1 экв.), соль (2S,4R)-1-[(2S)-2-амино-3,3-диметилбутаноил]-4-[(трет-бутилдиметилсилил)окси]-N-[(1R)-2-гидрокси-1-[4-(4-метил-1,3-тиазол-5-ил)фенил]этил]пирролидин-2-карбоксамида и трифторуксусной кислоты, (736,5 мг в 10 мл DMF, 1,07 моль, 1,13 экв.), DIEA (50 мг, 0,39 ммоль, 3,25 экв.) в DMF (5 мл) при комнатной температуре. Полученную смесь перемешивали в течение 1 ч. при комнатной температуре. Смесь разбавляли водой (22 мл) и экстрагировали с помощью EtOAc (30 мл × 3). Объединенные органические слои промывали солевым раствором (10 мл), высушивали над сульфатом натрия и концентрировали под вакуумом. Остаток очищали с помощью колоночной хроматографии на силикагеле с элюированием смесью дихлорметан/МеОН (9:1) с получением (2R)-2-[[(2S,4R)-1-[(2S)-2-[2-(4-[[4-(4-[3-[2,6-дифтор-3-([[(3R)-3-фторпирролидин-1-ил]сульфонил]амино)бензоил]-1Н-пирроло[2,3-b]пиридин-5-ил]фенил)пиперазин-1-ил]метил]пиперидин-1-ил)ацетамидо] (760 мг, 65,60%) в виде желтого масла.
[2055] Стадия 8: получение 4-((R)-2-((2S,4R)-4-((трет-бутилдиметилсилил)окси)-1-((S)-2-(2-(4-((4-(4-(3-(2,6-дифтор-3-(((R)-3-фторпирролидин)-1-сульфонамидо)бензоил)-1Н-пирроло[2,3-b]пиридин-5-ил)фенил)пиперазин-1-ил)метил)пиперидин-1-ил)ацетамидо)-3,3-диметилбутаноил)пирролидин-2-карбоксамидо)-2-(4-(4-метилтиазол-5-ил)фенил)этокси)-4-оксобутановой кислоты
[2056] В колбу объемом 50 мл, которую продували азотом и в которой поддерживали инертную атмосферу азота, помещали раствор (2S,4R)-4-[(трет-бутилдиметилсилил)окси]-1-[(2S)-2-[2-(4-[[4-(4-[3-[2,6-дифтор-3-([[(3R)-3-фторпирролидин-1-ил]сульфонил]амино)бензоил]-1Н-пирроло[2,3-b]пиридин-5-ил]фенил)пиперазин-1-ил]метил]пиперидин-1-ил)ацетамидо]-3,3-диметилбутаноил]-N-[(1R)-2-гидрокси-1-[4-(4-метил-1,3-тиазол-5-ил)фенил]этил]пирролидин-2-карбоксамида (100,00 мг, 0,077 ммоль, 1,00 экв.), DMAP (37,69 мг, 0,308 ммоль, 4 экв.), TEA (15,61 мг, 0,154 ммоль, 2 экв.), оксолан-2,5-диона (30,87 мг, 0,308 ммоль, 4,00 экв.) в DCM (20 мл). Полученный раствор перемешивали в течение 16 ч. при комнатной температуре. Полученный раствор экстрагировали с помощью (50 мл × 3) дихлорметана. Объединенные органические слои высушивали над безводным сульфатом натрия и концентрировали при пониженном давлении. Это обеспечивало получение 126 мг 4-[(2R)-2-[[(2S,4R)-4-[(трет-бутилдиметилсилил)окси]-1-[(2S)-2-[2-(4-[[4-(4-[3-[2,6-дифтор-3-([[(3R)-3-фторпирролидин-1-ил]сульфонил]амино)бензоил]-1Н-пирроло[2,3-b]пиридин-5-ил]фенил)пиперазин-1-ил]метил]пиперидин-1-ил)ацетамидо]-3,3-диметилбутаноил]пирролидин-2-ил]формамидо]-2-[4-(4-метил-1,3-тиазол-5-ил)фенил]этокси]-4-оксобутановой кислоты в виде твердого вещества. LC/MS (ESI) масса/заряд: 1396 [М+1]+.
[2057] Стадия 9: получение 4-((R)-2-((2S,4R)-1-((S)-2-(2-(4-((4-(4-(3-(2,6-дифтор-3-(((R)-3-фторпирролидин)-1-сульфонамидо)бензоил)-1Н-пирроло[2,3-b]пиридин-5-ил)фенил)пиперазин-1-ил)метил)пиперидин-1-ил)ацетамидо)-3,3-диметилбутаноил)-4-гидроксипирролидин-2-карбоксамидо)-2-(4-(4-метилтиазол-5-ил)фенил)этокси)-4-оксобутановой кислоты
[2058] В круглодонную колбу объемом 100 мл помещали 4-[(2R)-2-[[(2S,4R)-4-[(трет-бутилдиметилсилил)окси]-1-[(2S)-2-[2-(4-[[4-(4-[3-[2,6-дифтор-3-([[(3R)-3-фторпирролидин-1-ил]сульфонил]амино)бензоил]-1Н-пирроло[2,3-b]пиридин-5-ил]фенил)пиперазин-1-ил]метил]пиперидин-1-ил)ацетамидо]-3,3-диметилбутаноил]пирролидин-2-ил]формамидо]-2-[4-(4-метил-1,3-тиазол-5-ил)фенил]этокси]-4-оксобутановую кислоту (110,00 мг, 0,308 ммоль, 1 экв.) в диоксане (8,00 мл), к которой добавляли концентрированный хлороводород (1,00 мл). Полученный раствор перемешивали в течение 1 ч. при комнатной температуре. Полученный раствор экстрагировали с помощью (50 мл × 3) дихлорметана. Объединенные органические слои концентрировали при пониженном давлении. Остаток очищали с помощью препаративной HPLC. Это обеспечивало получение 50 мг 4-[(2R)-2-[[(2S,4R)-1-[(2S)-2-[2-(4-[[4-(4-[3-[2,6-дифтор-3-([[(3R)-3-фторпирролидин-1-ил]сульфонил]амино)бензоил]-1Н-пирроло[2,3-b]пиридин-5-ил]фенил)пиперазин-1-ил]метил]пиперидин-1-ил)ацетамидо]-3,3-диметилбутаноил]-4-гидроксипирролидин-2-ил]формамидо]-2-[4-(4-метил-1,3-тиазол-5-ил)фенил]этокси]-4-оксобутановой кислоты в виде желтого твердого вещества. LC/MS (EST) масса/заряд: 1282 [М+1]+; 1Н ЯМР (300 МГц, DMSO-d6) δ 12,9l(s, 1Н), 9,83 (s, 1H), 8,99 (s, 1H), 8,65 (s, 1H), 8,60-8,55 (m, 2H), 8,07 (s, 1H), 7,62 (s, 3H), 7,60-7,37 (m, 4H), 7,30-7,24 (m, 1H), 7,09-7,07 (m, 2H), 5,21-5,13 (m, 2H), 4,54-4,44 (m, 2H), 4,29-4,23 (m, 3H), 3,62-3,31 (m, 13H), 2,91-2,73 (m, 4H), 2,56-2,54 (m, 3H), 2,50-2,47 (m, 7H), 2,28-1,96 (m, 8H), 1,81-1,77 (m, 4H), 1,31-1,11 (m, 2H), 0,95-0,86 (s, 9H).
[2059] Иллюстративный синтез 2-(2-((R)-2-((2S,4R)-1-((S)-2-(2-(4-((4-(4-(3-(2,6-дифтор-3-(((R)-3-фторпирролидин)-1-сульфонамидо)бензоил)-1Н-пирроло[2,3-b] пиридин-5-ил)фенил)пиперазин-1-ил)метил)пиперидин-1-ил)ацетамидо)-3,3-диметилбутаноил)-4-гидроксипирролидин-2-карбоксамидо)-2-(4-(4-метилтиазол-5-ил)фенил)этокси)-2-оксоэтокси)уксусной кислоты (иллюстративного соединения 759)
[2060] Стадия 1: получение 2-(2-((R)-2-((2S,4R)-4-((трет-бутилдиметилсилил)окси)-1-((S)-2-(2-(4-((4-(4-(3-(2,6-дифтор-3-(((R)-3-фторпирролидин)-1-сульфонамидо)бензоил)-1Н-пирроло[2,3-b]пиридин-5-ил)фенил)пиперазин-1-ил)метил)пиперидин-1-ил)ацетамидо)-3,3-диметилбутаноил)пирролидин-2-карбоксамидо)-2-(4-(4-метилтиазол-5-ил)фенил)этокси)-2-оксоэтокси)уксусной кислоты
[2061] В колбу объемом 25 мл, которую продували азотом и в которой поддерживали инертную атмосферу азота, помещали раствор (2S,4R)-4-[(трет-бутилдиметилсилил)окси]-1-[(2S)-2-[2-(4-[[4-(4-[3-[2,6-дифтор-3-([[(3R)-3-фторпирролидин-1-ил]сульфонил]амино)бензоил]-1Н-пирроло[2,3-b]пиридин-5-ил]фенил)пиперазин-1-ил]метил]пиперидин-1-ил)ацетамидо]-3,3-диметилбутаноил]-N-[(1R)-2-гидрокси-1-[4-(4-метил-1,3-тиазол-5-ил)фенил]этил]пирролидин-2-карбоксамида (100,00 мг, 0,077 ммоль, 1,00 экв.), DMAP (28,27 мг, 0,231 ммоль, 3,00 экв.), TEA (15,61 мг, 0,154 ммоль, 2 экв.), 1,4-диоксан-2,6-диона (35,81 мг, 0,308 ммоль, 4,00 экв.) в DCM (5,00 мл). Полученный раствор перемешивали в течение 16 ч. при комнатной температуре. Полученный раствор экстрагировали с помощью (50 мл × 3) дихлорметана и органические слои объединяли и высушивали над безводным сульфатом натрия и концентрировали под вакуумом. Это обеспечивало получение 137,7 мг 2-[2-[(2R)-2-[[(2S,4R)-4-[(трет-бутилдиметилсилил)окси]-1-[(2S)-2-[2-(4-[[4-(4-[3-[2,6-дифтор-3-([[(3R)-3-фторпирролидин-1-ил]сульфонил]амино)бензоил]-1Н-пирроло[2,3-b]пиридин-5-ил]фенил)пиперазин-1-ил]метил]пиперидин-1-ил)ацетамидо]-3,3-диметилбутаноил]пирролидин-2-ил]формамидо]-2-[4-(4-метил-1,3-тиазол-5-ил)фенил]этокси]-2-оксоэтокси]уксусной кислоты в виде твердого вещества. LC/MS (ESI) масса/заряд: 1142 [М+1]+.
[2062] Стадия 2: получение 2-(2-((R)-2-((2S,4R)-1-((S)-2-(2-(4-((4-(4-(3-(2,6-дифтор-3-(((R)-3-фторпирролидин)-1-сульфонамидо)бензоил)-1Н-пирроло[2,3-b]пиридин-5-ил)фенил)пиперазин-1-ил)метил)пиперидин-1-ил)ацетамидо)-3,3-диметилбутаноил)-4-гидроксипирролидин-2-карбоксамидо)-2-(4-(4-метилтиазол-5-ил)фенил)этокси)-2-оксоэтокси)уксусной кислоты
[2063] В раствор 2-[2-[(2R)-2-[[(2S,4R)-4-[(трет-бутилдиметилсилил)окси]-1-[(2S)-2-[2-(4-[[4-(4-[3-[2,6-дифтор-3-([[3R)-3-фторпирролидин-1-ил]сульфонил]амино)бензоил]-1Н-пирроло[2,3-b]пиридин-5-ил]фенил)пиперазин-1-ил]метил]пиперидин-1-ил)ацетамидо]-3,3-диметилбутаноил]пирролидин-2-ил]формамидо]-2-[4-(4-метил-1,3-тиазол-5-ил)фенил]этокси]-2-оксоэтокси]уксусной кислоты (137,70 мг) в диоксане (8,00 мл) загружали концентрированный хлороводород (1,00 мл). Полученный раствор перемешивали в течение 1 ч. при комнатной температуре. Полученную смесь концентрировали при пониженном давлении. Остаток очищали с помощью препаративной HPLC. Это обеспечивало получение 50 мг 2-[2-[(2R)-2-[[(2S,4R)-1-[(2S)-2-[2-(4-[[4-(4-[3-[2,6-дифтор-3-([[(3R)-3-фторпирролидин-1-ил]сульфонил]амино)бензоил]-1Н-пирроло[2,3-b]пиридин-5-ил]фенил)пиперазин-1-ил]метил]пиперидин-1-ил)ацетамидо]-3,3-диметилбутаноил]-4-гидроксипирролидин-2-ил]формамидо]-2-(4-метилфенил)этокси]-2-оксоэтокси]уксусной кислоты в виде светло-желтого твердого вещества. LC/MS (ESI) масса/заряд: 1298,45 [М+1]+; 1Н ЯМР (300 МГц, DMSO-d6) δ 8,99 (s, 1H), 8,64-8,61 (m, 2Н), 8,53 (s, 1Н), 8,06 (s, 1Н), 7,89-7,86 (m, 1Н), 7,61 (s, 3Н), 7,58-7,46 (m, 4Н), 7,28-7,22 (m, 1H), 7,08-7,05 (d, J=8,1 Гц, 2Н), 5,31-5,19 (m, J=2H), 4,53-1,43 (m, 2Н), 4,38-4,16 (m, 6Н), 4,06-3,95 (m, 3Н), 3,49-3,38 (m, 3Н), 3,29-3,13 (m, 6Н), 3,23-2,87 (m, 6Н), 2,68-2,56 (m, 3Н), 2,50-2,46 (m, 3Н), 2,26-2,18 (m, 8Н), 1,87-1,71 (m, 3Н), 1,70-1,53 (m, 1H), 1,31-1,12 (m, 3Н), 1,01-0,87 (s, 9Н).
[2064] Иллюстративный синтез (3R)-N-(3-(5-(4-(4-((((1r,3r)-3-((2-(2,6-диоксопиперидин-3-ил)-1,3-диоксоизоиндолин-5-ил)окси)циклобутил)(изопропил)амино)метил)пиперидин-1-ил)фенил)-1Н-пирроло[2,3-b]пиридин-3-карбонил)-2,4-дифторфенил)-3-фторпирролидин-1-сульфонамида (иллюстративного соединения 760)
[2065] Стадия 1: получение трет-бутил-((1s,3s)-3-гидроксициклобутил)карбамата
[2066] К раствору трет-бутил-N-(3-оксоциклобутил)карбамата (15,00 г, 80,98 ммоль, 1,00 экв.) в тетрагидрофуране (150 мл) по каплям добавляли борогидрид натрия (1,53 г, 40,49 ммоль, 0,50 экв.) в тетрагидрофуране (100 мл) и воде (100 мл) при -70°С в течение 2 ч. Смесь перемешивали при -70°С в течение 2 ч. Затем к смеси добавляли воду (100 мл) и ее нагревали до 20°С. Смесь экстрагировали этилацетатом (2×200 мл). Объединенные органические слои промывали солевым раствором (2×400 мл), высушивали над безводным сульфатом натрия, фильтровали и концентрировали при пониженном давлении с получением белого твердого вещества. Твердое вещество растворяли с применением раствора петролейный эфир:этилацетат (50 мл, об.:об. = 20:1). Раствор суспензии перемешивали в течение 0,5 ч. и затем фильтровали с получением трет-бутил-N-(3-гидроксициклобутил)карбамата (13,80 г, 73,70 ммоль, выход 91%). 1Н ЯМР (400 МГц, DMSO-d6) δ 7,00 (d, J=7,2 Гц, 1Н), 4,96 (d, J=5,6 Гц, 1H), 3,62-3,82 (m, 1H), 3,33-3,47 (m, 1H), 2,35-2,47 (m, 2H), 1,63-1,76 (m, 2H), 1,36 (s, 9H).
[2067] Стадия 2: получение диметил-4-((1r,3r)-3-((трет-бутоксикарбонил)амино)циклобутокси)фталата
[2068] К раствору диметил-4-гидроксибензол-1,2-дикарбоксилата (17,04 г, 81,07 ммоль, 1,10 экв.), трет-бутил-N-(3-гидроксициклобутил)карбамата (13,80 г, 73,70 ммоль, 1,00 экв.) и трифенилфосфина (25,13 г, 95,82 ммоль, 1,30 экв.) в тетраги дрофу ране (150 мл) добавляли по каплям диизопропилазодикарбоксилат (19,37 г, 95,82 ммоль, 1,30 экв.) при 0°С. Смесь нагревали до 15°С. Смесь перемешивали при 15°С в течение 15 ч. Смесь разбавляли водой (150 мл) и экстрагировали этилацетатом (2×100 мл). Органические слои промывали солевым раствором (2×100 мл), высушивали над безводным сульфатом натрия и концентрировали при пониженном давлении с получением остатка. Остаток очищали с помощью колоночной хроматографии (петролейный эфир:этилацетат = от 10:1 до 3:1) с получением диметил-4-[3-(трет-бутоксикарбониламино)циклобутокси]бензол-1,2-дикарбоксилата (25,50 г, 67,21 ммоль, выход 91%) в виде красного масла. LC/MS (ESI) масса/заряд: 402,1 [М+23]+.
[2069] Стадия 3: получение диметил-4-((1r,3r)-3-аминоциклобутокси)фталата
[2070] К раствору диметил-4-[3-(трет-бутоксикарбониламино)циклобутокси]бензол-1,2-дикарбоксилата (25,50 г, 67,21 ммоль, 1,00 экв.) в дихлорметане (30 мл) добавляли смесь хлористоводородная кислота/этилацетат (4 М, 30 мл, 1,79 экв.) при 20°С. Смесь перемешивали при 20°С в течение 1 ч. Смесь концентрировали при пониженном давлении с получением остатка. Остаток растворяли в воде (60 мл) и экстрагировали этилацетатом (4×50 мл). Водную фазу регулировали до рН=8 с помощью гидроксида аммония и концентрировали при пониженном давлении с получением диметил-4-(3-аминоциклобутокси)бензол-1,2-дикарбоксилата (19,00 г) в виде светло-красного твердого вещества. 1Н ЯМР (400 МГц, DMSO-d6) δ 7,92-8,60 (m, 2Н), 7,75-7,80 (m, 1H), 7,02-7,06 (m, 1H), 6,98-7,01 (m, 1H), 5,09-5,18 (m, 1Н), 3,80-3,84 (m, 1Н), 3,80 (s, 3Н), 3,77 (s, 3Н), 2,58-2,69 (m, 2Н), 2,37-2,46 (m, 2Н).
[2071] Стадия 4: получение диметил-4-((1r,3r)-3-(((1-(трет-бутоксикарбонил)пиперидин-4-ил)метил)амино)циклобутокси)фталата
[2072] В круглодонную колбу объемом 100 мл помещали трет-бутил-4-формилпиперидин-1-карбоксилат (680 мг, 3,18 ммоль, 1,00 экв.), гидрохлорид 1,2-диметил-4-[(1r,3r)-3-аминоциклобутокси]бензол-1,2-дикарбоксилата (1 г, 3,16 ммоль, 0,99 экв.), дихлорметан (40 мл). За этим следовало добавление по каплям DIEA (приблизительно 0,2 мл, регулировали до РН=8~9) при перемешивании при комнатной температуре в 1 ч. К полученному порциями добавляли NaBH(OAc)3 (1,4 г, 6,60 ммоль, 2,1 экв.) при комнатной температуре в течение 5 мин, НОАс (приблизительно 0,4 мл, регулировали до РН=5~6). Полученный раствор перемешивали в течение 1 ч. при комнатной температуре. Затем реакционную смесь гасили путем добавления 30 мл воды. Полученный раствор экстрагировали с помощью 3×30 мл дихлорметана и органические слои объединяли. Полученную смесь промывали с помощью 1×30 мл насыщенного водного раствора хлорида натрия. Смесь высушивали над безводным сульфатом натрия и концентрировали под вакуумом. Остаток обрабатывали с помощью колонки с силикагелем с применением смеси дихлорметан/метанол (9:1). Необходимый продукт получали путем концентрирования под вакуумом. Это обеспечивало получение 1,23 г (81%) 1,2-диметил-4-[(1r,3r)-3-[([1-[(трет-бутокси)карбонил]пиперидин-4-ил]метил)амино]циклобутокси]бензол-1,2-дикарбоксилата в виде светло-желтого масла.
[2073] Стадия 5: получение диметил-4-((1r,3r)-3-(((1-(трет-бутоксикарбонил)пиперидин-4-ил)метил)(изопропил)амино)циклобутокси)фталата
[2074] В круглодонную колбу объемом 100 мл, которую продували азотом и в которой поддерживали инертную атмосферу азота, помещали раствор 1,2-диметил-4-[(1r,3r)-3-[([1-[(трет-бутокси)карбонил]пиперидин-4-ил]метил)амино]циклобутокси]бензол-1,2-дикарбоксилата (1,23 г, 2,44 ммоль, 1,00 экв.) в смеси iPrOH/ацетон (20/20 мл). В полученное добавляли Ti(iPrO)4 (693 мг, 2,44 ммоль, 1,00 экв.) и 10 г 4А MS. В полученное добавляли NaBH3CN (461 мг, 7,32 ммоль, 3,00 экв.) после перемешивания в течение 1 часа при к.т. Полученный раствор перемешивали в течение 20 ч. при 60°С. Реакционную смесь охлаждали. Твердые вещества отфильтровывали. Полученную смесь концентрировали под вакуумом. Остаток обрабатывали с помощью колонки с силикагелем с применением смеси дихлорметан/метанол (10/1). Необходимый продукт получали путем концентрирования под вакуумом. Это обеспечивало получение 841 мг (67%) 1,2-диметил-4-[(1r,3r)-3-[([1-[(трет-бутокси)карбонил]пиперидин-4-ил]метил)(пропан-2-ил)амино]циклобутокси]бензол-1,2-дикарбоксилата в виде желтого твердого вещества. LC/MS (ESI) масса/заряд: 518,30 [М+1]+.
[2075] Стадия 6: получение диметил-4-((1r,3r)-3-(изопропил(пиперидин-4-илметил)амино)циклобутокси)фталата
[2076] В круглодонную колбу объемом 100 мл помещали 1,2-диметил-4-[(1r,3r)-3-[([1-[(трет-бутокси)карбонил]пиперидин-4-ил]метил)(пропан-2-ил)амино]циклобутокси]бензол-1,2-дикарбоксилат (841 мг, 1,62 ммоль, 1,00 экв.), HCl (газ) в 1,4-диоксане (20 мл, 4 моль/л). Полученный раствор перемешивали в течение 1 часа при комнатной температуре. Необходимый продукт получали путем концентрирования под вакуумом. Это обеспечивало получение 863 мг 1,2-диметил-4-[(1r,3r)-3-[[(пиперидин-4-ил)метил](пропан-2-ил)амино]циклобутокси]бензол-1,2-дикарбоксилата с хлороводородом в виде желтого твердого вещества. LC/MS (ESI) масса/заряд: 418,25 [M+1]+.
[2077] Стадия 7: получение диметил-4-((1r,3r)-3-(((1-(4-бромфенил)пиперидин-4-ил)метил)(изопропил)амино)циклобутокси)фталата
[2078] В круглодонную колбу объемом 250 мл помещали 1,2-диметил-4-[(1r,3r)-3-[[(пиперидин-4-ил)метил](пропан-2-ил)амино]циклобутокси]бензол-1,2-дикарбоксилат (2,40 г, 5,734 ммоль, 1,00 экв.), (4-бромфенил)бороновую кислоту (2,30 г, 11,469 ммоль, 2,00 экв.), дихлорметан (100 мл), TEA (2,32 г, 22,937 ммоль, 4,00 экв.), Cu(OAc)2 (2,08 г, 11,469 ммоль, 2,00 экв.). Полученный раствор перемешивали в течение 72 часов при комнатной температуре в атмосфере воздуха. Затем после фильтрации разбавляли водой (100 мл). Полученную смесь экстрагировали дихлорметаном (200 мл × 3), объединенный органический слой высушивали над безводным натрием и концентрировали под вакуумом. Затем элюировали смесью этилацетат/петролейный эфир (1:3). Это обеспечивало получение 880 мг (27%) 1,2-диметил-4-[(1r,3r)-3-([[1-(4-бромфенил)пиперидин-4-ил]метил](пропан-2-ил)амино)циклобутокси]бензол-1,2-дикарбоксилата в виде желтого масла. LC/MS (ESI) масса/заряд: 572,19 [М+1]+.
[2079] Стадия 8: получение диметил-4-((1r,3r)-3-(изопропил((1-(4-(4,4,5,5-тетраметил-1,3,2-диоксаборолан-2-ил)фенил)пиперидин-4-ил)метил)амино)циклобутокси)фталата
[2080] В круглодонную колбу объемом 25 мл, которую продували азотом и в которой поддерживали инертную атмосферу азота, помещали 1,2-диметил-4-[(1r,3r)-3-([[1-(4-бромфенил)пиперидин-4-ил]метил](пропан-2-ил)амино)циклобутокси]бензол-1,2-дикарбоксилат (740,00 мг, 1,290 ммоль, 1,00 экв.), 4,4,5,5-тетраметил-2-(4,4,5,5-тетраметил-1,3,2-диоксаборолан-2-ил)-1,3,2-диоксаборолан (655,30 мг, 2,581 ммоль, 2,00 экв.), диоксан (5,00 мл, 59,020 ммоль, 45,74 экв.), KOAc (253,26 мг, 2,581 ммоль, 2,00 экв.), Pd(dppf)Cl2 (94,41 мг, 0,129 ммоль, 0,10 экв.). Полученный раствор перемешивали в течение 12 часов при 90°C на масляной бане. Реакционную смесь охлаждали до комнатной температуры и высушивали над безводным натрием и концентрировали под вакуумом. Затем элюировали смесью этилацетат/петролейный эфир (1:1). Это обеспечивало получение 590 мг (73%) 1,2-диметил-4-[(1r,3r)-3-[(пропан-2-ил)([1-[4-(4,4,5,5-тетраметил-1,3,2-диоксаборолан-2-ил)фенил]пиперидин-4-ил]метил)амино]циклобутокси]бензол-1,2-дикарбоксилата в виде коричневого масла. LC/MS (ESI) масса/заряд: 620,36 [М+1]+.
[2081] Стадия 9: получение диметил-4-((1r,3r)-3-(((1-(4-(3-(2,6-дифтор-3-(((R)-3-фторпирролидин)-1-сульфонамидо)бензоил)-1Н-пирроло[2,3-b]пиридин-5-ил)фенил)пиперидин-4-ил)метил)(изопропил)амино)циклобутокси)фталата
[2082] В герметичную пробирку объемом 25 мл, которую продували азотом и в которой поддерживали инертную атмосферу азота, помещали 1,2-диметил-4-[(1r,3r)-3-[изопропил([1-[4-(4,4,5-триметил-1,3,2-диоксаборолан-2-ил)фенил]пиперидин-4-ил]метил)амино]циклобутокси]фталат (570,00 мг, 1,1 экв.), (3R)-N-(3-[5-бром-1H-пирроло[2,3-b]пиридин-3-карбонил]-2,4-дифторфенил)-3-фторпирролидин-1-сульфонамид (420 мг, 1,00 экв.), диоксан (5 мл), H2O (1 мл), Na2CO3 (177 мг, 2,0 экв.), Pd(dppf)Cl2 (68 мг, 0,1 экв.). Конечную реакционную смесь подвергали облучению с помощью микроволнового излучения в течение 2 часов при 100°С. Реакционную смесь охлаждали до комнатной температуры и высушивали над безводным натрием и концентрировали под вакуумом. Остаток обрабатывали с помощью колонки с силикагелем с элюированием этилацетатом (100%). Это обеспечивало получение 220 мг (29%) 1,2-диметил-4-[(1r,3r)-3-[[(1-[4-[3-(2,6-дифтор-3-[[(3R)-3-фторпирролидин-1-илсульфонил]амино]бензоил)-1Н-пирроло[2,3-b]пиридин-5-ил]фенил]пиперидин-4-ил)метил](изопропил)амино]циклобутокси]фталата в виде желтого твердого вещества. LC/MS (ESI) масса/заряд: 916,34 [М+1]+.
[2083] Стадия 10: получение 4-((1r,3r)-3-(((1-(4-(3-(2,6-дифтор-3-(((R)-3-фторпирролидин)-1-сульфонамидо)бензоил)-1Н-пирроло[2,3-b]пиридин-5-ил)фенил)пиперидин-4-ил)метил)(изопропил)амино)циклобутокси)фталевой кислоты
[2084] В круглодонную колбу объемом 25 мл помещали 1,2-диметил-4-[(1r,3r)-3-[[(1-[4-[3-(2,6-дифтор-3-[[(3R)-3-фторпирролидин-1-илсульфонил]амино]бензоил)-1Н-пирроло[2,3-b]пиридин-5-ил]фенил]пиперидин-4-ил)метил](изопропил)амино]циклобутокси]фталат (200,00 мг, 0,218 ммоль, 1,00 экв.), MeOH (10,00 мл), H2O (4,00 мл). За этим следовало добавление NaOH (174,47 мг, 4,362 ммоль, 20,00 экв.) при 10°C Полученный раствор перемешивали в течение 20 часов при 50°C на масляной бане. Реакционную смесь охлаждали до комнатной температуры и высушивали над безводным натрием и концентрировали под вакуумом. Это обеспечивало получение 210 мг 4-[(1r,3r)-3-[[(1-[4-[3-(2,6-дифтор-3-[[(3R)-3-фторпирролидин-1-илсульфонил]амино]бензоил)-1Н-пирроло[2,3-b]пиридин-5-ил]фенил]пиперидин-4-ил)метил](изопропил)амино]циклобутокси]бензол-1,2-дикарбоновой кислоты в виде желтого твердого вещества. LC/MS (ESI) масса/заряд: 888,31 [М+1]+.
[2085] Стадия 11: получение (3R)-N-(3-(5-(4-(4-((((1r,3r)-3-((2-(2,6-диоксопиперидин-3-ил)-1,3-диоксоизоиндолин-5-ил)окси)циклобутил)(изопропил)амино)метил)пиперидин-1-ил)фенил)-1H-пирроло[2,3-b]пиридин-3-карбонил)-2,4-дифторфенил)-3-фторпирролидин-1-суль фонамида
[2086] В круглодонную колбу объемом 25 мл помещали 4-[(1r,3r)-3-[[(1-[4-[3-(2,6-дифтор-3-[[(3R)-3-фторпирролидин-1-илсульфонил]амино]бензоил)-1Н-пирроло[2,3-b]пиридин-5-ил]фенил]пиперидин-4-ил)метил](изопропил)амино]циклобутокси]бензол-1,2-дикарбоновую кислоту (190,00 мг, 0,214 ммоль, 1,00 экв.), 3-аминопиперидин-2,6-дион (27,39 мг, 0,214 ммоль, 1,00 экв.), HOAc (10,00 мл), NaOAc (175,33 мг, 2,137 ммоль, 10,00 экв.). Полученный раствор перемешивали в течение 1 часа при 120°C на масляной бане. Реакционную смесь охлаждали до комнатной температуры и высушивали над безводным натрием и концентрировали под вакуумом. Остаток обрабатывали с помощью колонки с силикагелем с элюированием смесью дихлорметан/метанол (15:1). Продукт дополнительно очищали с помощью препаративной HPLC Это обеспечивало получение 23 мг (11%) (3R)-N-[2,4-дифтор-3-(5-[4-[4-([изопропил[(1r,3r)-3-[[2-(2,6-диоксопиперидин-3-ил)-1,3-диоксоизоиндол-5-ил]окси]циклобутил]амино]метил)пиперидин-1-ил]фенил]-1Н-пирроло[2,3-b]пиридин-3-карбонил)фенил]-3-фторпирролидин-1-сульфонамида в виде светло-желтого твердого вещества. LC/MS (ESI) масса/заряд: 981,20 [M+1]+; 1H ЯМР (400 МГц, DMSO-d6) δ 12,89 (s, 1H), 11,10 (s, 1Н), 8,65 (s, 1Н), 8,52 (s, 1H), 8,15 (s, 1Н), 8,06 (s, 1H), 7,83 (d, J=8,4 Гц, 1H), 7,67-7,55 (m, 3Н), 7,31-7,21 (m, 3Н), 7,10-7,03 (m, 2Н), 5,36 (d, J=32,6 Гц, 1H), 5,22-5,20 (m, 1Н), 4,92 (t, J=6,6 Гц, 1H), 3,86-3,74 (m, 4H), 3,69 (t, J=8,1 Гц, 2Н), 2,89-2,86 (m, 2Н), 2,72-2,70 (m, 3Н), 2,59-2,56 (m, 2Н), 2,29-2,28 (m, 3Н), 2,20-2,17 (m, 2Н), 2,13-2,00 (m, 3Н), 1,86 (d, J=12,4 Гц, 2Н), 1,54 (b, 1Н), 1,26-1,13 (m, 3Н), 0,94 (d, J=6,6 Гц, 6Н).
[2087] Иллюстративный синтез (3R)-N-(3-(5-(4-(4-((4-(4-(2,6-диоксопиперидин-3-ил)фенил)пиперазин-1-ил)метил)пиперидин-1-ил)фенил)-1Н-пирроло[2,3-b]пиридин-3-карбонил)-2,4-дифторфенил)-3-фторпирролидин-1-сульфонамида (иллюстративного соединения 761)
[2088] Стадия 1: получение трет-бутил-4-(4-(2-метокси-2-оксоэтил)фенил)пиперазин-1-карбоксилата
[2089] В круглодонную колбу объемом 500 мл, которую продували азотом и в которой поддерживали инертную атмосферу азота, помещали раствор метил-2-(4-бромфенил)ацетата (10,0 г, 43,6 ммоль, 1,0 экв.), трет-бутилпиперазин-1-карбоксилата (8,1 г, 43,6 ммоль, 1,0 экв.), Cs2CO3 (28,5 г, 87,3 ммоль, 2,0 экв.), RuPhos-PdCl-2nd G (3,4 г, 4,3 ммоль, 0,1 экв.) в PhMe (200 мл). Полученный раствор перемешивали в течение 16 часов при 110°C на масляной бане. Полученную смесь концентрировали при пониженном давлении. Остаток обрабатывали с помощью колонки с силикагелем с применением смеси этилацетат/петролейный эфир (1:1). Это обеспечивало получение 6,5 г трет-бутил-4-[4-(2-метокси-2-оксоэтил)фенил]пиперазин-1-карбоксилата в виде твердого вещества. LC/MS (ESI) масса/заряд: 335,00 [М+1]+.
[2090] Стадия 2: получение трет-бутил-4-(4-(2,6-диоксопиперидин-3-ил)фенил)пиперазин-1-карбоксилата
[2091] В круглодонную колбу объемом 250 мл, которую продували азотом и в которой поддерживали инертную атмосферу азота, помещали трет-бутил-4-[4-(2-метокси-2-оксоэтил)фенил]пиперазин-1-карбоксилат (6,5 г, 19,4 ммоль, 1,0 экв.) и t-BuOK (2,4 г, 21,3 ммоль, 1,1 экв.) в THF (60,0 мл). Затем добавляли полиакриламид (1,2 г, 17,4 ммоль, 0,9 экв.). Полученную смесь перемешивали при 50°C в течение ночи на масляной бане. Затем реакционную смесь гасили путем добавления 100 мл воды. Полученный раствор экстрагировали этилацетатом (100 × 3 мл) и концентрировали при пониженном давлении. Остаток обрабатывали с помощью колонки с силикагелем с применением смеси этилацетат/петролейный эфир (2:1). Это обеспечивало получение 2,1 г (30,0%) трет-бутил-4-[4-(2,6-диоксопиперидин-3-ил)фенил]пиперазин-1-карбоксилата в виде твердого вещества. LC/MS (ESI) масса/заряд: 374,05 [M+1]+.
[2092] Стадия 3: получение 3-(4-(пиперазин-1-ил)фенил)пиперидин-2,6-диона
[2093] В круглодонную колбу объемом 50 мл помещали трет-бутил-4-[4-(2,6-диоксопиперидин-3-ил)фенил]пиперазин-1-карбоксилат (2,1 г, 1,0 экв.) в DCM (20,0 мл), к которому добавляли раствор хлороводорода в 1,4-диоксане (4,0 М, 20 мл). Полученную смесь перемешивали в течение 2 часов при комнатной температуре. Полученную смесь концентрировали при пониженном давлении. Это обеспечивало получение 1,1 г 3-[4-(пиперазин-1-ил)фенил]пиперидин-2,6-диона в виде твердого вещества. LC/MS (ESI) масса/заряд: 274,00 [М+1]+.
[2094] Стадия 4: получение (3R)-N-(3-(5-(4-(4-((4-(4-(2,6-диоксопиперидин-3-ил)фенил)пиперазин-1-ил)метил)пиперидин-1-ил)фенил)-1Н-пирроло[2,3-b]пиридин-3-карбонил)-2,4-дифторфенил)-3-фторпирролидин-1-сульфонамида
[2095] В круглодонную колбу объемом 100 мл помещали (3R)-N-(2,4-дифтор-3-[5-[4-(4-формилпиперидин-1-ил)фенил]-1Н-пирроло[2,3-b]пиридин-3-карбонил]фенил)-3-фторпирролидин-1-сульфонамид (150,0 мг, 0,25 ммоль, 1,0 экв.) и 3-[4-(пиперазин-1-ил)фенил]пиперидин-2,6-дион (67,0 мг, 0,25 ммоль, 1,0 экв.) в DCM (15,0 мл). Полученную смесь перемешивали в течение 1 часа и затем добавляли NaBH(OAc)3 (62,3 мг, 0,29 ммоль, 1,2 экв.). Полученную смесь перемешивали в течение 12 часов при комнатной температуре. Затем реакционную смесь гасили путем добавления 50 мл воды. Полученный раствор экстрагировали дихлорметаном (50 мл × 3). Органические слои объединяли и концентрировали при пониженном давлении. Неочищенный продукт очищали с помощью препаративной HPLC Это обеспечивало получение 15,6 мг (7,3%) (3R)-N-[3-(5-[4-[4-([4-[4-(2,6-диоксопиперидин-3-ил)фенил]пиперазин-1-ил]метил)пиперидин-1-ил]фенил]-1Н-пирроло[2,3-b]пиридин-3-карбонил)-2,4-дифторфенил]-3-фторпирролидин-1-сульфонамида в виде твердого вещества. LC/MS (ESI) масса/заряд: 869,15 [M+1]+; 1H ЯМР (400 МГц, DMSO-d6) δ 12,94 (s, 1Н), 10,80 (s, 1Н), 9,86 (s, 1Н), 9,51 (s, 1H), 8,66 (d, J=2,2 Гц, 1Н), 8,55 (s, 1H), 8,07 (d, J=3,0 Гц, 1Н), 7,68-7,57 (m, 3Н), 7,26-7,20 (m, 1H), 7,17-7,08 (m, 4Н), 6,99-6,90 (m, 2Н), 5,40-5,20 (m, 1Н), 3,85-3,72 (m, 5Н), 3,68-3,61 (m, 2Н), 3,51-3,40 (m, 2Н), 3,29-3,16 (m, 5Н), 2,92-2,71 (m, 2Н), 2,72-2,59 (m, 1H), 2,22-2,09 (m, 3Н), 2,12-1,95 (m, 2Н), 1,93-1,84 (m, 2Н), 1,50-1,37 (m, 2Н), 1,25-1,21 (s, 2Н).
[2096] Иллюстративный синтез (2S,4R)-1-((S)-2-(5-(4-((1-(4-(3-(2,6-дифтор-3-(((R)-3-фторпирролидин)-1-сульфонамидо)бензоил)-1Н-пирроло[2,3-b]пиридин-5-ил)фенил)пиперидин-4-ил)метил)пиперазин-1-ил)-1-метил-1Н-пиразол-3-ил)-3-метилбутаноил)-4-гидрокси-N-((S)-1-(4-(4-метилтиазол-5-ил)фенил)этил)пирролидин-2-карбоксамида (иллюстративного соединения 762)
[2097] Стадия 1: получение этил-5-амино-1-метил-1Н-пиразол-3-карбоксилата
[2098] К смеси метилгидразина (13,47 г, 116,92 ммоль, 15,4 мл, 1,1 экв.) в метаноле (150 мл) по каплям добавляли серную кислоту (10,42 г, 106,29 ммоль, 5,6 мл, 1 экв.) при 0°C. Смесь перемешивали при 25°С в течение 0,5 ч., затем добавляли этил-3-циано-2-оксопропаноат (15 г, 106,29 ммоль, 1 экв.) при 25°С и смесь перемешивали при 25°C в течение 20,5 часа. Смесь концентрировали в вакууме. Остаток очищали с помощью колоночной хроматографии на силикагеле (петролейный эфир:этилацетат=20:1-1:2). Продукт, этил-5-амино-1-метилпиразол-3-карбоксилат (11,9 г, 70,34 ммоль, выход 66%), получали в виде коричневого масла. LC/MS (ESI) масса/заряд: 170,2 [M+1]+; 1H ЯМР (400 МГц, CDCl3) δ 6,16-6,05 (m, 1H), 4,47-4,32 (m, 2Н), 3,83-3,68 (m, 3Н), 3,28-3,14 (m, 2Н), 1,44-1,35 (m, 3Н).
[2099] Стадия 2: получение бензил-4-(3-(этоксикарбонил)-1-метил-1Н-пиразол-5-ил)пиперазин-1-карбоксилата
[2100] К раствору бензил-N,N-бис(2-оксоэтил)карбамата (14,8 г, 62,92 ммоль, 1,1 экв.) и этил-5-амино-1-метилпиразол-3-карбоксилата (9,68 г, 57,20 ммоль, 1 экв.) в уксусной кислоте (20 мл) и метаноле (280 мл) добавляли боран-2-метилпиридин (12,24 г, 114,39 ммоль, 2 экв.). Смесь перемешивали при 25°С в течение 1 ч. Затем смесь перемешивали при 25°C в течение 11 ч. В смесь добавляли насыщенный водный раствор бикарбоната натрия (~180 мл) для регулирования рН=8. Водную фазу экстрагировали этилацетатом (300 мл × 3). Объединенную органическую фазу промывали солевым раствором (500 мл × 2), высушивали с помощью безводного сульфата натрия, фильтровали и концентрировали в вакууме. Остаток очищали с помощью хроматографии на силикагеле (петролейный эфир/этилацетат=30/1, 1/1). Масло дополнительно очищали с помощью препаративной HPLC с обращенной фазой. Раствор концентрировали в вакууме. Водную фазу экстрагировали этилацетатом (200 мл × 3). Объединенную органическую фазу промывали солевым раствором (200 мл × 2), высушивали с помощью безводного сульфата натрия, фильтровали и концентрировали в вакууме. Продукт, бензил-4-(5-этоксикарбонил-2-метилпиразол-3-ил)пиперазин-1-карбоксилат (11,55 г, 31,01 ммоль, выход 54%), получали в виде бесцветного масла. LC/MS (ESI) масса/заряд: 373,3 [М+1]+.
[2101] Стадия 3: получение 5-(4-((бензилокси)карбонил)пиперазин-1-ил)-1-метил-1Н-пиразол-3-карбоновой кислоты
[2102] К смеси бензил-4-(5-этоксикарбонил-2-метилпиразол-3-ил)пиперазин-1-карбоксилата (16,18 г, 43,45 ммоль, 1 экв.) в воде (20 мл) и тетрагидрофуране (200 мл) одной порцией добавляли гидроксид натрия (4,34 г, 108,61 ммоль, 2,5 экв.) при 25°С. Смесь перемешивали при 25°С в течение 12 часов. В смесь выливали воду (100 мл) и перемешивали в течение 1 мин. Водную фазу экстрагировали этилацетатом (100 мл). Хлористоводородную кислоту (2 M) добавляли в водную фазу для регулирования рН=3~4. Затем водную фазу экстрагировали этилацетатом (150 мл × 3). Объединенную органическую фазу промывали солевым раствором (200 мл), высушивали с помощью безводного сульфата натрия, фильтровали и концентрировали в вакууме. Продукт, 5-(4-бензилоксикарбонилпиперазин- 1-ил)-1-метилпиразол-3-карбоновую кислоту (13,12 г, 38,10 ммоль, выход 87%), получали в виде красной смолы. LC/MS (ESI) масса/заряд: 345,0 [M+1]+; 1H ЯМР (400 МГц, DMSO-d6) δ 8,69 (s, 1H), 7,67-7,59 (m, 2Н), 7,39 (d, J=8,4 Гц, 2Н), 4,85 (s, 1H), 3,50 (s, 1H), 1,48 (d, J=6,4 Гц, 3Н), 1,44 (s, 9Н).
[2103] Стадия 4: получение бензил-4-(3-(гидроксиметил)-1-метил-1Н-пиразол-5-ил)пиперазин-1-карбоксилата
[2104] К твердому веществу, представляющему собой 5-(4-бензилоксикарбонилпиперазин-1-ил)-1-метилпиразол-3-карбоновую кислоту (5 г, 14,52 ммоль, 1 экв.), в тетрагидрофуране (20 мл) добавляли комплекс боран-диметилсульфид (10 М, 7,3 мл, 5 экв.) при 0°C. Смесь перемешивали при 25°C в течение 1 ч. Смесь по каплям добавляли в метанол (200 мл) при 0°C и перемешивали в течение 1 мин. Смесь концентрировали в вакууме. Остаток очищали с помощью колоночной хроматографии на силикагеле (петролейный эфир:этилацетат=5:1~1:2). Масло растворяли в 100 мл ацетонитрила, добавляли 2 мл трифторуксусной кислоты и смесь перемешивали при 25°С в течение 2 ч. Затем колонку промывали градиентом (дихлорметан:метанол=50:1~25:1) с получением еще одной партии продукта. Продукт, бензил-4-[5-(гидроксиметил)-2-метилпиразол-3-ил]пиперазин-1-карбоксилат (3,8 г, 11,50 ммоль, выход 79%), получали в виде бесцветной смолы.
LC/MS (ESI) масса/заряд: 331,5 [M+1]+; 1H ЯМР (400 МГц, CDCl3) δ 7,44-7,30 (m, 5Н), 5,83 (s, 1Н), 5,17 (s, 2Н), 4,60 (s, 2Н), 3,71 (s, 3Н), 3,68-3,61 (m, 4Н), 2,87 (s, 4Н), 2,05-2,03 (m, 1Н).
[2105] Стадия 5: получение бензил-4-(1-метил-3-(((метилсульфонил)окси)метил)-1Н-пиразол-5-ил)пиперазин-1-карбоксилата
[2106] К смеси бензил-4-[5-(гидроксиметил)-2-метилпиразол-3-ил]пиперазин-1-карбоксилата (2,5 г, 7,57 ммоль, 1 экв.) и триэтиламина (1,53 г, 15,13 ммоль, 2,1 мл, 2 экв.) в дихлорметане (35 мл) добавляли по каплям метансульфонилхлорид (1,30 г, 11,35 ммоль, 1,5 экв.) при 0°C. Смесь перемешивали при 0°C в течение 2 часов. В смесь выливали воду (30 мл) и перемешивали в течение 1 мин. Водную фазу экстрагировали дихлорметаном (30 мл × 2). Объединенную органическую фазу промывали солевым раствором (30 мл × 2), высушивали с помощью безводного сульфата натрия, фильтровали и концентрировали в вакууме. Продукт, бензил-4-[2-метил-5-(метилсульфонилоксиметил)пиразол-3-ил]пиперазин-1-карбоксилат (3 г), получали в виде светло-желтого масла.
[2107] Стадия 6: получение бензил-4-(3-(цианометил)-1-метил-1Н-пиразол-5-ил)пиперазин-1-карбоксилата
[2108] К смеси бензил-4-[2-метил-5-(метилсульфонилоксиметил)пиразол-3-ил]пиперазин-1-карбоксилата (3 г, 7,34 ммоль, 1 экв.) в диметилформамиде (30 мл) одной порцией добавляли цианид натрия (720 мг, 14,69 ммоль, 2 экв.) при 25°C. Смесь перемешивали при 50°C в течение 16 часов. В смесь выливали воду (150 мл) и перемешивали в течение 1 минуты. Водную фазу экстрагировали этилацетатом (100 мл × 3). Объединенную органическую фазу промывали солевым раствором (100 мл × 2), высушивали с помощью безводного сульфата натрия, фильтровали и концентрировали в вакууме. Водную фазу выливали в водный раствор гипохлорита натрия (1500 мл). Остаток очищали с помощью хроматографии на силикагеле (петролейный эфир/этилацетат=3/1, 1/1). Продукт, бензил-4-[5-(цианометил)-2-метилпиразол-3-ил]пиперазин-1-карбоксилат (820 мг, 2,42 ммоль, выход 32,90%), получали в виде светло-желтого масла. LC/MS (ESI) масса/заряд: 340,5 [M+1]+; 1H ЯМР (400 МГц, CDCl3) δ 7,43-7,30 (m, 5Н), 5,85 (s, 1H), 5,17 (s, 2Н), 3,70 (s, 3Н), 3,68-3,62 (m, 6Н), 2,88 (d, J=1,1 Гц, 4Н).
[2109] Стадия 7: получение бензил-4-(3-(1-циано-2-метилпропил)-1-метил-1Н-пиразол-5-ил)пиперазин-1-карбоксилата
[2110] К раствору бензил-4-[5-(цианометил)-2-метилпиразол-3-ил]пиперазин-1-карбоксилата (820 мг, 2,42 ммоль, 1 экв.) в диметилформамиде (15 мл) добавляли трет-бутоксид калия (298 мг, 2,66 ммоль, 1,1 экв.) при 0°С. Смесь перемешивали при 25°С в течение 0,5 ч. Затем к смеси добавляли 2-йодпропан (411 мг, 2,42 ммоль, 1 экв.). Смесь перемешивали при 25°С в течение 2 ч. Выливали воду (50 мл) в смесь и перемешивали в течение 1 мин. Водную фазу экстрагировали этилацетатом (20 мл × 3). Объединенную органическую фазу промывали солевым раствором (20 мл × 3), высушивали с помощью безводного сульфата натрия, фильтровали и концентрировали в вакууме. Остаток очищали с помощью колоночной хроматографии на силикагеле (петролейный эфир/этилацетат=4/1, 1/1). Продукт, бензил-4-[5-(1-циано-2-метилпропил)-2-метилпиразол-3-ил]пиперазин-1-карбоксилат (360 мг, 0,94 ммоль, выход 39%), получали в виде бесцветного масла. LC/MS (ESI) масса/заряд: 382,2 [M+1]+; 1H ЯМР (400 МГц, CDCl3) δ 1,43-1,31 (m, 5Н), 5,89-5,79 (m, 1H), 5,22-5,12 (m, 2Н), 3,72-3,69 (m, 3Н), 3,69-3,68 (m, 1Н), 3,68-3,60 (m, 4Н), 2,90-2,84 (m, 4Н), 2,29-2,12 (m, 1H), 1,14-1,03 (m, 6Н).
[2111] Стадия 8: получение 3-метил-2-(1-метил-5-(пиперазин-1-ил)-1Н-пиразол-3-ил)бутановой кислоты 
[2112] К смеси бензил-4-[5-(1-циано-2-метилпропил)-2-метилпиразол-3-ил]пиперазин-1-карбоксилата (360 мг, 0,94 ммоль, 1 экв.) в диоксане (4 мл) одной порцией добавляли смесь хлористоводородной кислоты (12 М, 4 мл, 50 экв.) при 25°С. Смесь перемешивали при 100°C в течение 12 часов. Смесь концентрировали в вакууме. Продукт, 3-метил-2-(1-метил-5-пиперазин-1-илпиразол-3-ил)бутановую кислоту (250 мг), получали в виде желтого масла. LC/MS (ESI) масса/заряд: 267,2 [M+1]+.
[2113] Стадия 9: получение 2-(5-(4-(трет-бутоксикарбонил)пиперазин-1-ил)-1-метил-1Н-пиразол-3-ил)-3-метилбутановой кислоты
[2114] К смеси 3-метил-2-(1-метил-5-пиперазин-1-илпиразол-3-ил)бутановой кислоты (250 мг, 0,94 ммоль, 1 экв.) в воде (2 мл) и тетрагидрофуране (3 мл) одной порцией добавляли карбонат натрия (497 мг, 4,69 ммоль, 5 экв.), ди-трет-бутилдикарбонат (410 мг, 1,88 ммоль, 2 экв.) при 25°C. Смесь перемешивали при 25°С в течение 2 часов. Выливали воду (20 мл) в смесь и перемешивали в течение 1 мин. Водную фазу экстрагировали этилацетатом (20 мл × 2). Хлористоводородную кислоту (2 M) добавляли в водную фазу для регулирования рН=3~4. Затем водную фазу экстрагировали этилацетатом (20 мл × 3). Объединенную органическую фазу промывали солевым раствором (20 мл), высушивали с помощью безводного сульфата натрия, фильтровали и концентрировали в вакууме. Продукт, 2-[5-(4-трет-бутоксикарбонилпиперазин-1-ил)-1-метилпиразол-3-ил]-3-метилбутановую кислоту (330 мг, 0,79 ммоль, выход 84%, чистота 87%), получали в виде бесцветного масла. LC/MS (ESI) масса/заряд: 367,2 [М+1]+.
[2115] Стадия 10: получение трет-бутил-4-(3-(1-((2S,4R)-4-гидрокси-2-(((S)-1-(4-(4-метилтиазол-5-ил)фенил)этил)карбамоил)пирролидин-1-ил)-3-метил-1-оксобутан-2-ил)-1-метил-1Н-пиразол-5-ил)пиперазин-1-карбоксилата
[2116] К смеси 2-[5-(4-трет-бутоксикарбонилпиперазин-1-ил)-1-метилпиразол-3-ил]-3-метилбутановой кислоты (330 мг, 0,79 ммоль, 1 экв.) в диметилформамиде (5 мл) одной порцией добавляли диизопропилэтиламин (306 мг, 2,37 ммоль, 3 экв.), 1-гидроксибензотриазол (128 мг, 0,95 ммоль, 1,2 экв.) и 1-(3-диметиламинопропил)-3-этилкарбодиимид (227 мг, 1,19 ммоль, 1,5 экв.) при 25°С. Смесь перемешивали при 25°С в течение 10 мин, затем добавляли (2S,4R)-4-гидрокси-N-[(1S)-1-[4-(4-метилтиазол-5-ил)фенил]этил]пирролидин-2-карбоксамид (291 мг, 0,79 ммоль, 1 экв., гидрохлорид), смесь перемешивали при 25°С в течение 11 часов 50 мин. В смесь выливали воду (40 мл) и перемешивали в течение 1 мин. Водную фазу экстрагировали этилацетатом (20 мл × 3). Объединенную органическую фазу промывали солевым раствором (20 мл × 3), высушивали с помощью безводного сульфата натрия, фильтровали и концентрировали в вакууме. Остаток очищали с помощью колоночной хроматографии на силикагеле (дихлорметан/метанол=200/1, 40/1). Продукт, трет-бутил-4-[5-[1-[(2S,4R)-4-гидрокси-2-[[(1S)-1-[4-(4-метилтиазол-5-ил)фенил]этил]карбамоил]пирролидин-1-карбонил]-2-метилпропил]-2-метилпиразол-3-ил]пиперазин-1-карбоксилат (360 мг, 0,44 ммоль, выход 56%, чистота 84%), получали в виде бесцветного масла. LC/MS (ESI) масса/заряд: 680,3 [М+1]+.
[2117] Стадия 11: получение трет-бутил-4-(3-((S)-1-((2S,4R)-4-гидрокси-2-(((S)-1-(4-(4-метилтиазол-5-ил)фенил)этил)карбамоил)пирролидин-1-ил)-3-метил-1-оксобутан-2-ил)-1-метил-1Н-пиразол-5-ил)пиперазин-1-карбоксилата
[2118] трет-Бутил-4-[5-[1-[(2S,4R)-4-гидрокси-2-[[(1S)-1-[4-(4-метилтиазол-5-ил)фенил]этил]карбамоил]пирролидин-1-карбонил]-2-метилпропил]-2-метилпиразол-3-ил]пиперазин-1-карбоксилат (360 мг, 0,44 ммоль, 1 экв.) очищали с помощью хиральной SFC Продукт, трет-бутил-4-[5-[(1S)-1-[(2S,4R)-4-гидрокси-2-[[(1S)-1-[4-(4-метилтиазол-5-ил)фенил]этил]карбамоил]пирролидин-1-карбонил]-2-метилпропил]-2-метилпиразол-3-ил]пиперазин-1-карбоксилат (150 мг, 0,20 ммоль, выход 88%, чистота 89%), получали в виде белого твердого вещества.
[2119] Стадия 12: получение (2S,4R)-4-гидрокси-1-((S)-3-метил-2-(1-метил-5-(пиперазин-1-ил)-1Н-пиразол-3-ил)бутаноил)-N-((S)-1-(4-(4-метилтиазол-5-ил)фенил)этил)пирролидин-2-карбоксамида
[2120] К смеси трет-бутил-4-[5-[(1S)-1-[(2S,4R)-4-гидрокси-2-[[(1S)-1-[4-(4-метилтиазол-5-ил)фенил]этил]карбамоил]пирролидин-1-карбонил]-2-метилпропил]-2-метилпиразол-3-ил]пиперазин-1-карбоксилата (150 мг, 0,20 ммоль, 1 экв.) в дихлорметане (5 мл) одной порцией добавляли хлористоводородную кислоту (4M в диоксане, 5 мл, 100 экв.) при 25°С. Смесь перемешивали при 25°C в течение 2 часов. Смесь концентрировали в вакууме. Продукт, (2S,4R)-4-гидрокси-1-[(2S)-3-метил-2-(1-метил-5-пиперазин-1-илпиразол-3-ил)бутаноил]-N-(1S)-1-[4-(4-метилтиазол-5-ил)фенил]этил]пирролидин-2-карбоксамид (150 мг, гидрохлорид), получали в виде грязно-белого твердого вещества. LC/MS (ESI) масса/заряд: 580,2 [М+1]+.
[2121] Стадия 13: получение (2S,4R)-1-((8)-2-(5-(4-((1-(4-(3-(2,6-дифтор-3-(((R)-3-фторпирролидин)-1-сульфонамидо)бензоил)-1Н-пирроло[2,3-b]пиридин-5-ил)фенил)пиперидин-4-ил)метил)пиперазин-1-ил)-1-метил-1Н-пиразол-3-ил)-3-метилбутаноил)-4-гидрокси-N-((S)-1-(4-(4-метилтиазол-5-ил)фенил)этил)пирролидин-2-карбоксамида
[2122] К смеси (2S,4R)-4-гидрокси-1-[(2S)-3-метил-2-(1-метил-5-пиперазин-1-илпиразол-3-ил)бутаноил]-N-[(1S)-1-[4-(4-метилтиазол-5-ил)фенил]этил]пирролидин-2-карбоксамида (140 мг, 0,23 ммоль, 1 экв., гидрохлорид) в метаноле (5 мл) одной порцией добавляли ацетат натрия (74 мг, 0,91 ммоль, 4 экв.) при 30°С. Смесь перемешивали при 30°C в течение 1 мин, затем добавляли (3R)-N-[2,4-дифтор-3-[5-[4-(4-формил-1-пиперидил)фенил]-1Н-пирроло[2,3-b]пиридин-3-карбонил]фенил]-3-фторпирролидин-1-сульфонамид (104 мг, 0,17 ммоль, 0,75 экв.) в дихлорметане (2 мл). Смесь перемешивали при 30°C в течение еще 1 мин, добавляли уксусную кислоту (0,02 мл) для регулирования рН=4~5. Затем добавляли цианоборогидрид натрия (28 мг, 0,45 ммоль, 2 экв.) и перемешивали при 30°C в течение 58 мин. Смесь концентрировали в вакууме. Добавляли 4 мл диметилформамида. Смесь фильтровали с получением фильтрата. Желтый фильтрат очищали с помощью полупрепаративной HPLC с обращенной фазой. Продукт, (2S,4R)-1-[(28)-2-[5-[4-[[1-[4-[3-[2,6-дифтор-3-[[(3R)-3-фторпирролидин-1-ил]сульфониламино]бензоил]-1Н-пирроло[2,3-b]пиридин-5-ил]фенил]-4-пиперидил]метил]пиперазин-1-ил]-1-метилпиразол-3-ил]-3-метилбутаноил]-4-гидрокси-N-[(1S)-1-[4-(4-метилтиазол-5-ил)фенил]этил]пирролидин-2-карбоксамид (103,38 мг, 0,09 ммоль, выход 38%, чистота 99%, трифторацетат), получали в виде желтого твердого вещества. LC/MS (ESI) масса/заряд: 588,3 [M/2+1]+; 1H ЯМР (400 МГц, DMSO-d6) δ 12,95-12,88 (m, 1H), 9,84 (s, 1Н), 9,43-9,20 (m, 1Н), 9,06-8,95 (m, 1H), 8,66 (d, J=2,0 Гц, 1Н), 8,55 (s, 1H), 8,30 (d, J=8,0 Гц, 1H), 8,13-8,01 (m, 1Н), 7,74-7,56 (m, 3Н), 7,48-7,34 (m, 4Н), 7,27 (t, J=8,8 Гц, 1H), 7,13 (d, J=8,8 Гц, 2Н), 5,83 (s, 1Н), 5,40-5,19 (m, 1Н), 4,99-4,84 (m, 1H), 4,38-4,23 (m, 2Н), 3,85 (d, J=11,6 Гц, 2Н), 3,75-3,69 (m, 2Н), 3,61 (s, 4Н), 3,41 (s, 2Н), 3,32-3,23 (m, 6Н), 3,19-3,14 (m, 2Н), 3,06-2,91 (m, 2Н), 2,83 (t, J=11,7 Гц, 2Н), 2,46 (s, 4Н), 2,18-1,75 (m, 9Н), 1,50-1,30 (m, 5Н), 0,94 (d, J=6,4 Гц, 3Н), 0,69 (d, J=6,4 Гц, 3Н).
[2123] Иллюстративный синтез (2S,4R)-1-((R)-2-(5-(4-((1-(4-(3-(2,6-дифтор-3-(((R)-3-фторпирролидин)-1-сульфонамидо)бензоил)-1Н-пирроло[2,3-b]пиридин-5-ил)фенил)пиперидин-4-ил)метил)пиперазин-1-ил)-1-метил-1Н-пиразол-3-ил)-3-метилбутаноил)-4-гидрокси-N-((S)-1-(4-(4-метилтиазол-5-ил)фенил)этил)пирролидин-2-карбоксамида (иллюстративного соединения 763)
[2124] Стадия 1: получение трет-бутил-4-(3-((R)-1-((2S,4R)-4-гидрокси-2-(((S)-1-(4-(4-метилтиазол-5-ил)фенил)этил)карбамоил)пирролидин-1-ил)-3-метил-1-оксобутан-2-ил)-1-метил-1Н-пиразол-5-ил)пиперазин-1-карбоксилата
[2125] трет-Бутил-4-[5-[1-[(2S,4R)-4-гидрокси-2-[[(1S)-1-[4-(4-метилтиазол-5-ил)фенил]этил]карбамоил]пирролидин-1-карбонил]-2-метилпропил]-2-метилпиразол-3-ил]пиперазин-1-карбоксилат (360 мг, 0,44 ммоль, 1 экв.) очищали с помощью хиральной SFC Продукт, трет-бутил-4-[5-[(1R)-1-[(2S,4R)-4-гидрокси-2-[[(1S)-1-[4-(4-метилтиазол-5-ил)фенил]этил]карбамоил]пирролидин-1-карбонил]-2-метилпропил]-2-метилпиразол-3-ил]пиперазин-1-карбоксилат (150 мг, 0,21 ммоль, выход 93%, чистота 94%), получали в виде белого твердого вещества.
[2126] Стадия 2: получение (2S,4R)-4-гидрокси-1-((R)-3-метил-2-(1-метил-5-(пиперазин-1-ил)-1Н-пиразол-3-ил)бутаноил)-N-((S)-1-(4-(4-метилтиазол-5-ил)фенил)этил)пирролидин-2-карбоксамида
[2127] К смеси трет-бутил-4-[5-[(1R)-1-[(2S,4R)-4-гидрокси-2-[[(1S)-1-[4-(4-метилтиазол-5-ил)фенил]этил]карбамоил]пирролидин-1-карбонил]-2-метилпропил]-2-метилпиразол-3-ил]пиперазин-1-карбоксилата (150 мг, 0,21 ммоль, 1 экв.) в дихлорметане (5 мл) одной порцией добавляли хлористоводородную кислоту (4M в диоксане, 5 мл, 100 экв.) при 25°С. Смесь перемешивали при 25°C в течение 2 часов. Смесь концентрировали в вакууме. Продукт, (2S,4R)-4-гидрокси-1-[(2R)-3-метил-2-(1-метил-5-пиперазин-1-илпиразол-3-ил)бутаноил]-N-[(1S)-1-[4-(4-метилтиазол-5-ил)фенил]этил]пирролидин-2-карбоксамид (150 мг, гидрохлорид), получали в виде грязно-белого твердого вещества. LC/MS (ESI) масса/заряд: 580,2 [М+1]+.
[2128] Стадия 3: получение (2S,4R)-1-((R)-2-(5-(4-((1-(4-(3-(2,6-дифтор-3-(((R)-3-фторпирролидин)-1-сульфонамидо)бензоил)-1Н-пирроло[2,3-b]пиридин-5-ил)фенил)пиперидин-4-ил)метил)пиперазин-1-ил)-1-метил-1Н-пиразол-3-ил)-3-метилбутаноил)-4-гидрокси-N-((S)-1-(4-(4-метилтиазол-5-ил)фенил)этил)пирролидин-2-карбоксамида
[2129] К смеси (2S,4R)-4-гидрокси-1-[(2R)-3-метил-2-(1-метил-5-пиперазин-1-илпиразол-3-ил)бутаноил]-N-[(1S)-1-[4-(4-метилтиазол-5-ил)фенил]этил]пирролидин-2-карбоксамида (140 мг, 0,23 ммоль, 1 экв., гидрохлорид) в метаноле (5 мл) одной порцией добавляли ацетат натрия (74 мг, 0,91 ммоль, 4 экв.) при 30°C. Смесь перемешивали при 30°C в течение 1 мин, затем добавляли (3R)-N-[2,4-дифтор-3-[5-[4-(4-формил-1-пиперидил)фенил]-1Н-пирроло[2,3-b]пиридин-3-карбонил]фенил]-3-фторпирролидин-1-сульфонамид (104 мг, 0,17 ммоль, 0,75 экв.) в дихлорметане (2 мл). Смесь перемешивали при 30°C в течение еще 1 мин, добавляли уксусную кислоту (0,02 мл) для регулирования рН=4~5. Затем добавляли цианоборогидрид натрия (28 мг, 0,45 ммоль, 2 экв.) и перемешивали при 30°C в течение 58 мин. Смесь концентрировали в вакууме. Добавляли 4 мл диметилформамида. Смесь фильтровали с получением фильтрата. Желтый фильтрат очищали с помощью полупрепаративной HPLC с обращенной фазой. Продукт, (2S,4R)-1-[(2R)-2-[5-[4-[[1-[4-[3-[2,6-дифтор-3-[[(3R)-3-фторпирролидин-1-ил]сульфониламино]бензоил]-1Н-пирроло[2,3-b]пиридин-5-ил]фенил]-4-пиперидил]метил]пиперазин-1-ил]-1-метилпиразол-3-ил]-3-метилбутаноил]-4-гидрокси-N-[(1S)-1-[4-(4-метилтиазол-5-ил)фенил]этил]пирролидин-2-карбоксамид (135,5 мг, 0,11 ммоль, выход 50%, чистота 91%, трифторацетат). LC/MS (ESI) масса/заряд: 1175,4 [M+1]+; 1H ЯМР (400 МГц, DMSO-d6) δ 13,03-12,84 (m, 1Н), 9,84 (s, 1Н), 9,50-9,19 (m, 1Н), 8,99 (s, 1H), 8,78 (d, J=8,0 Гц, 1Н), 8,66 (d, J=2,0 Гц, 1Н), 8,61-8,47 (m, 1H), 8,25-8,13 (m, 1Н), 8,07 (d, J=2,4 Гц, 1Н), 7,70-7,57 (m, 3Н), 7,51-7,39 (m, 3Н), 7,38-7,31 (m, 1H), 7,27 (t, J=9,2 Гц, 1Н), 7,19-7,06 (m, 2Н), 5,92-5,75 (m, 1H), 5,41-5,17 (m, 1H), 5,07-5,97 (m, 1H), 4,92-4,77 (m, 1H), 4,69-4,60 (m, 1H), 4,50 4,38 (m, 1Н), 4,29-4,17 (m, 1H), 3,85-3,80 (m, 3Н), 3,49 (s, 3Н), 3,41-3,36 (m, 3Н), 3,32-3,15 (m, 8Н), 2,89-2,77 (m, 2Н), 2,47-2,44 (m, 4Н), 2,20-1,78 (m, 9Н), 1,47-1,32 (m, 5Н), 0,95 (d, J=6,8 Гц, 2Н), 0,84-0,71 (m, 3Н), 0,70-0,64 (m, 1Н).
[2130] Иллюстративный синтез 3-(5-(2-(2-(2-(2-(4-(4-(4-хлор-3-гидроксифенил)-3-(пиридин-4-ил)-1Н-пиразол-1-ил)фенокси)этокси)этокси)этокси)этокси)-1-оксоизоиндолин-2-ил)пиперидин-2,6-диона (иллюстративного соединения 764)
[2131] Стадия 1: получение 4-(4-бром-1-(4-((тетрагидро-2Н-пиран-2-ил)окси)фенил)-1Н-пиразол-3-ил)пиридина
[2132] Смесь 4-(4-бром-1H-пиразол-3-ил)пиридина (4 г, 17,85 ммоль, 1 экв.), (4-тетрагидропиран-2-илоксифенил)бороновой кислоты (3,96 г, 17,85 ммоль, 1 экв.), (4-тетрагидропиран-2-илоксифенил)бороновой кислоты (3,96 г, 17,85 ммоль, 1 экв.) и ацетата меди (4,86 г, 26,78 ммоль, 1,5 экв.) в дихлорметане (80 мл) дегазировали и продували кислородом 3 раза и затем смесь перемешивали при 15°С в течение 12 ч. в атмосфере кислорода. Реакционную смесь разбавляли с помощью 50 мл дихлорметана, промывали гидроксидом аммония (100 мл × 3), высушивали над безводным сульфатом натрия, фильтровали и концентрировали при пониженном давлении. Остаток очищали с помощью флэш-хроматографии на силикагеле. Соединение, 4-[4-бром-1-(4-тетрагидропиран-2-илоксифенил)пиразол-3-ил]пиридин (3,6 г, 8,63 ммоль, выход 48%, чистота 96%), получали в виде светло-желтого твердого вещества. LC/MS (ESI) масса/заряд: 401,9 [M+1]+; 1H ЯМР (400 МГц, CDCl3) δ 8,75-8,65 (m, 2Н), 8,01-7,92 (m, 3Н), 7,67-7,56 (m, 2Н), 7,22-7,10 (m, 2Н), 5,46 (t, J=3,2 Гц, 1Н), 3,91 (ddd, J=3,2, 10,0, 11,2 Гц, 1Н), 3,64 (dtd, J=1,2,4,0, 11,2 Гц, 1Н), 2,05-1,97 (m, 1Н), 1,90 (td, J=3,8, 7,6 Гц, 2Н), 1,75-1,63 (m, 3Н).
[2133] Стадия 2: получение 4-(4-бром-3-(пиридин-4-ил)-1H-пиразол-1-ил)фенола
[2134] К раствору 4-[4-бром-1-(4-тетрагидропиран-2-илоксифенил)пиразол-3-ил]пиридина (3,6 г, 8,45 ммоль, 1 экв.) в дихлорметане (20 мл) добавляли смесь хлороводород/диоксан (4 М, 10,57 мл, 5 экв.). Смесь перемешивали при 15°С в течение 2 ч. Реакционную смесь концентрировали при пониженном давлении с удалением растворителя. Соединение, 4-[4-бром-3-(4-пиридил)пиразол-1-ил]фенол (3,4 г, гидрохлорид), получали в виде желтого твердого вещества. LC/MS (ESI) масса/заряд: 316,1 [M+1]+.
[2135] Стадия 3: получение 2-(2-(2-(2-(4-(4-бром-3-(пиридин-4-ил)-1Н-пиразол-1-ил)фенокси)этокси)этокси)этокси)этан-1-ола
[2136] К раствору 4-[4-бром-3-(4-пиридил)пиразол-1-ил]фенола (880 мг, 2,27 ммоль, 1 экв., гидрохлорид) в N,N-диметилформамиде (20 мл) добавляли карбонат цезия (1,48 г, 4,54 ммоль, 2 экв.) и 2-[2-[2-(2-гидроксиэтокси)этокси]этокси]этил-4-метилбензолсульфонат (790 мг, 2,27 ммоль, 1 экв.). Смесь перемешивали при 80°C в течение 3 ч. Реакционную смесь разбавляли водой 30 мл и экстрагировали этилацетатом (50 мл × 3). Объединенные органические слои промывали солевым раствором (50 мл × 3), высушивали над безводным сульфатом натрия, фильтровали и концентрировали при пониженном давлении. Остаток очищали с помощью хроматографии на силикагеле (петролейный эфир/этилацетат=от 1:1 до 0:1, дихлорметан/метанол=10:1). Соединение, 2-[2-[2-[2-[4-[4-бром-3-(4-пиридил)пиразол- 1-ил]фенокси]этокси]этокси]этокси]этанол (0,85 г, 1,73 ммоль, выход 76%), получали в виде коричневого масла. LC/MS (ESI) масса/заряд: 494,0 [M+1]+.
[2137] Стадия 4: получение трет-бутил-5-амино-4-(5-(2-(2-(2-(2-(4-(4-бром-3-(пиридин-4-ил)-1Н-пиразол-1-ил)фенокси)этокси)этокси)этокси)этокси)-1-оксоизоиндолин-2-ил)-5-оксопентаноата
[2138] К раствору 2-[4-[4-бром-3-(4-пиридил)пиразол-1-ил]фенокси]этанола (880 мг, 1,62 ммоль, 1 экв.) в тетрагидрофуране (15 мл) добавляли трет-бутил-5-амино-4-(5-гидрокси-1-оксоизоиндолин-2-ил)-5-оксопентаноат (527 мг, 1,40 ммоль, 1 экв.), трифенилфосфин (554 мг, 2,11 ммоль, 1,3 экв.) и диизопропилазодиформиат (427 мг, 2,11 ммоль, 1,3 экв.) при 0°C. Смесь перемешивали при 60°C в течение 12 ч.
Реакционную смесь разбавляли водой 20 мл и экстрагировали этилацетатом (30 мл × 3). Объединенные органические слои промывали солевым раствором (50 мл × 3), высушивали над безводным сульфатом натрия, фильтровали и концентрировали при пониженном давлении. Остаток очищали с помощью флэш-хроматографии на силикагеле. Продукт дополнительно очищали с помощью полупрепаративной HPLC с обращенной фазой. Соединение, трет-бутил-5-амино-4-[5-[2-[2-[2-[2-[4-[4-бром-3-(4-пиридил)пиразол-1-ил]фенокси]этокси]этокси]этокси]этокси]-1-оксоизоиндолин-2-ил]-5-оксопентаноат (850 мг, 1,05 ммоль, выход 64%), получали в виде желтой смолы. LC/MS (ESI) масса/заряд: 810,0 [M+1]+; 1H ЯМР (400 МГц, CDCl3) δ 8,75-8,61 (m, 2Н), 8,06-7,90 (m, 3Н), 7,73 (d, J=8,4 Гц, 1H), 7,61 (d, J=9,2 Гц, 2Н), 7,08-6,97 (m, 3Н), 6,95 (s, 1H), 6,36 (s, 1Н), 5,38 (s, 1Н),4,86 (dd, J=6,4, 8,8 Гц, 1Н), 4,52-4,32 (m, 2Н), 4,18 (q, J=4,8 Гц, 4Н), 3,95-3,83 (m, 4Н), 3,79-3,64 (m, 8Н), 2,43-2,07 (m, 4Н), 1,42 (s, 9Н).
[2139] Стадия 5: получение трет-бутил-5-амино-4-(5-(2-(2-(2-(2-(4-(4-(4-хлор-3-гидроксифенил)-3-(пиридин-4-ил)-1Н-пиразол-1-ил)фенокси)этокси)этокси)этокси)этокси)-1-оксоизоиндолин-2-ил)-5-оксопентаноата
[2140] Смесь трет-бутил-5-амино-4-[5-[2-[2-[2-[2-[4-[4-бром-3-(4-пиридил)пиразол-1-ил]фенокси]этокси]этокси]этокси]этокси]-1-оксоизоиндолин-2-ил]-5-оксопентаноата (400 мг, 0,49 ммоль, 1 экв.), (4-хлор-3-гидроксифенил)бороновой кислоты (85 мг, 0,49 ммоль, 1 экв.), ди-трет-бутил(циклопентил)фосфан-дихлорпалладий-железа (32 мг, 0,049 ммоль, 0,1 экв.) и фторида цезия (300 мг, 1,98 ммоль, 4 экв.) в диоксане (1,5 мл) и воде (0,3 мл) дегазировали и продували азотом 3 раза и затем смесь перемешивали при 90°C в течение 3 ч. в атмосфере азота. Реакционную смесь разбавляли водой 10 мл и экстрагировали дихлорметаном (20 мл × 3). Объединенные органические слои высушивали над безводным сульфатом натрия, фильтровали и концентрировали при пониженном давлении. Остаток очищали с помощью флэш-хроматографии на силикагеле. Соединение, трет-бутил-5-амино-4-[5-[2-[2-[2-[2-[4-[4-(4-хлор-3-гидроксифенил)-3-(4-пиридил)пиразол-1-ил]фенокси]этокси]этокси]этокси]этокси]-1-оксоизоиндолин-2-ил]-5-оксопентаноат (230 мг, 0,25 ммоль, выход 51%, чистота 95%), получали в виде коричневой смолы. LC/MS (ESI) масса/заряд: 856,1 [М+1]+.
[2141] Стадия 6: получение 3-(5-(2-(2-(2-(2-(4-(4-(4-хлор-3-гидроксифенил)-3-(пиридин-4-ил)-1H-пиразол-1-ил)фенокси)этокси)этокси)этокси)этокси)-1-оксоизоиндолин-2-ил)пиперидин-2,6-диона
[2142] К раствору трет-бутил-5-амино-4-[5-[2-[2-[2-[2-[4-[4-(4-хлор-3-гидроксифенил)-3-(4-пиридил)пиразол-1-ил]фенокси]этокси]этокси]этокси]этокси]-1-оксоизоиндолин-2-ил]-5-оксопентаноата (230 мг, 0,25 ммоль, 1 экв.) в ацетонитриле (10 мл) добавляли бензолсульфоновую кислоту (80 мг, 0,51 ммоль, 2 экв.). Смесь перемешивали при 80°C в течение 12 ч. Реакционную смесь концентрировали при пониженном давлении. Остаток очищали с помощью полупрепаративной HPLC с обращенной фазой. Соединение, 3-[5-[2-[2-[2-[2-[4-[4-(4-хлор-3-гидроксифенил)-3-(4-пиридил)пиразол-1-ил]фенокси]этокси]этокси]этокси]этокси]-1-оксоизоиндолин-2-ил]пиперидин-2,6-дион (118,4 мг, 0,12 ммоль, выход 49%, чистота 96%, трифторацетат), получали в виде желтого твердого вещества. LC/MS (ESI) масса/заряд: 782,2 [M+1]+; 1H ЯМР (400 МГц, DMSO-d6) δ 10,95 (s, 1H), 10,43-10,21 (m, 1H), 8,96-8,60 (m, 3Н), 7,92-7,84 (m, 2Н), 7,81 (d, J=5,6 Гц, 2Н), 7,60 (d, J=8,4 Гц, 1Н), 7,40 (d, J=8,0 Гц, 1Н), 7,18-7,09 (m, 3Н), 7,04 (dd, J=2,0, 8,4 Гц, 1H), 6,96 (d, J=2,0 Гц, 1H), 6,86 (dd, J=2,0, 8,0 Гц, 1H), 5,05 (dd, J=5,2, 13,3 Гц, 1H), 4,41 4,32 (m, 1H), 4,29-4,21 (m, 1H), 4,20 4,11 (m, 4Н), 3,82-3,74 (m, 6Н), 3,60 (d, J=2,8 Гц, 6Н), 2,96-2,80 (m, 1Н), 2,59 (d, J=2,2 Гц, 1H), 2,42-2,35 (m, 1Н), 2,03-1,90 (m, 1H).
[2143] Иллюстративный синтез 3-(5-((14-(4-(4-(4-хлор-3-гидроксифенил)-3-(пиридин-4-ил)-1Н-пиразол-1-ил)фенокси)-3,6,9,12-тетраоксатетрадецил)окси)-1-оксоизоиндолин-2-ил)пиперидин-2,6-диона (иллюстративного соединения 765)
[2144] Стадия 1: получение 14-гидрокси-3,6,9,12-тетраоксатетрадецил-4-метилбензолсульфоната
[2145] К холодному и перемешиваемому раствору пентаэтиленгликоля (1 экв.) в DCM (количество × 10 мл) добавляли Ag2O (1,5 экв.), TsCl (1,1 экв.) и KI (0,2 экв.). После перемешивания в течение от 30 до 60 мин осажденные соли серебра удаляли путем фильтрации через подушку из целита и тщательно промывали с помощью EtOAc Объединенный фильтрат концентрировали под вакуумом и остаток очищали с помощью хроматографии на силикагеле с получением бесцветного масла, выход 77%. LC/MS (ESI) масса/заряд: 393,2 [M+1]+; 1H ЯМР (400 МГц, CDCl3) δ 2,45 (s, 3Н), 3,59-3,73 (m, 18Н), 4,16 (t, J=4,8 Гц, 2Н), 7,34 (d, J=8,0 Гц, 2Н), 7,80 (d, J=8,0 Гц, 2Н).
[2146] Стадия 2: получение 14-(4-(4-бром-3-(пиридин-4-ил)-1Н-пиразол-1-ил)фенокси)-3,6,9,12-тетраоксатетрадекан-1-ола
[2147] К раствору 4-[4-бром-3-(4-пиридил)пиразол-1-ил]фенола (500 мг, 1,42 ммоль, 1 экв., гидрохлорид) в N,N-диметилформамиде (10 мл) добавляли 2-[2-[2-[2-(2-гидроксиэтокси)этокси]этокси]этокси]этил-4-метилбензолсульфонат (556 мг, 1,42 ммоль, 1 экв.) и карбонат цезия (924 мг, 2,84 ммоль, 2 экв.). Смесь перемешивали при 80°C в течение 2 часов. Смесь разбавляли водой (30 мл) и экстрагировали этилацетатом (30 мл × 3). Объединенные органические слои промывали солевым раствором (50 мл × 3), высушивали с помощью безводного сульфата натрия, фильтровали и концентрировали в вакууме. Неочищенный продукт очищали с помощью колоночной хроматографии (от петролейный эфир: этилацетат=3:1 до дихлорметан:метанол=20:1) с получением 2-[2-[2-[2-[2-[4-[4-бром-3-(4-пиридил)пиразол-1-ил]фенокси]этокси]этокси]этокси]этокси]этанола (500 мг, 0,93 ммоль, выход 65%) в виде светло-желтого масла. LC/MS (ESI) масса/заряд: 538,2 [M+1]+; 1H ЯМР (400 МГц, DMSO-d6) δ 8,86 (s, 1H), 8,75-8,65 (m, 2Н), 7,96-7,88 (m, 2Н), 7,82 (d, J=9,2 Гц, 2Н), 7,11 (d, J=9,2 Гц, 2Н), 4,56 (t, J=5,6 Гц, 1H), 4,19-4,11 (m, 2Н), 3,81-3,73 (m, 2Н), 3,63-3,58 (m, 2Н), 3,57-3,54 (m, 2Н), 3,53-3,49 (m, 8Н), 3,49 3,45 (m, 2Н), 3,43 3,38 (m, 2Н).
[2148] Стадия 3: получение трет-бутил-5-амино-4-(5-((14-(4-(4-бром-3-(пиридин-4-ил)-1Н-пиразол-1-ил)фенокси)-3,6,9,12-тетраоксатетрадецил)окси)-1-оксоизоиндолин-2-ил)-5-оксопентаноата
[2149] К раствору 2-[2-[2-[2-[2-[4-[4-бром-3-(4-пиридил)пиразол-1-ил]фенокси]этокси]этокси]этокси]этокси]этанола (600 мг, 1,12 ммоль, 1 экв.) и трет-бутил-5-амино-4-(5-гидрокси-1-оксоизоиндолин-2-ил)-5-оксопентаноата (374 мг, 1,12 ммоль, 1 экв.) в тетрагидрофуране (12 мл) добавляли трифенилфосфин (352 мг, 1,34 ммоль, 1,2 экв.) и диизопропилазодикарбоксилат (271 мг, 1,34 ммоль, 1,2 экв.) при 0°C в атмосфере азота. Смесь перемешивали при 60°C в течение 12 часов. Смесь разбавляли водой (50 мл) и экстрагировали этилацетатом (30 мл × 3). Объединенные органические слои промывали солевым раствором (50 мл × 3), высушивали с помощью безводного сульфата натрия, фильтровали и концентрировали в вакууме. Неочищенный продукт очищали с помощью колоночной хроматографии (от петролейный эфир:этилацетат=1:1 до дихлорметан:метанол=10:1). Продукт дополнительно очищали с помощью препаративной TLC с обращенной фазой (дихлорметан:метанол=15:1) с получением трет-бутил-5-амино-4-[5-[2-[2-[2-[2-[2-[4-[4-бром-3-(4-пиридил)пиразол-1-ил]фенокси]этокси]этокси]этокси]этокси]этокси]-1-оксоизоиндолин-2-ил]-5-оксопентаноата (300 мг, 0,35 ммоль, выход 31%) в виде светло-желтого твердого вещества. LC/MS (ESI) масса/заряд: 853,7 [M+1]+; 1H ЯМР (400 МГц, DMSO-d6) δ 8,86 (s, 1Н), 8,74-8,65 (m, 2Н), 7,96-7,89 (m, 2Н), 7,85-7,79 (m, 2Н), 7,57 (d, J=8,4 Гц, 1H), 7,54 (s, 1H), 7,15 (s, 2Н), 7,13-7,08 (m, 2Н), 7,01 (dd, J=2,0, 8,4 Гц, 1H), 4,75-4,64 (m, 1H), 4,54 (d, J=17,6 Гц, 1Н), 4,43-4,30 (m, 1Н), 4,15 (td, J=2,8, 5,6 Гц, 4Н), 3,79-3,71 (m, 4Н), 3,61-3,56 (m, 4Н), 3,56-3,53 (m, 4Н), 3,52 (s,4H), 3,17 (d, J=5,2 Гц, 2Н), 2,12-2,06 (m, 1Н), 2,02-1,89 (m, 1Н), 1,32 (s, 9Н).
[2150] Стадия 4: получение трет-бутил-5-амино-4-(5-((14-(4-(4-(4-хлор-3-гидроксифенил)-3-(пиридин-4-ил)-1Н-пиразол-1-ил)фенокси)-3,6,9,12-тетраоксатетрадецил)окси)-1-оксоизоиндолин-2-ил)-5-оксопентаноата
[2151] К раствору трет-бутил-5-амино-4-[5-[2-[2-[2-[2-[2-[4-[4-бром-3-(4-пиридил)пиразол-1-ил]фенокси]этокси]этокси]этокси]этокси]этокси]-1-оксоизоиндолин-2-ил]-5-оксопентаноата (300 мг, 0,35 ммоль, 1 экв.) и (4-хлор-3-гидроксифенил)бороновой кислоты (60 мг, 0,35 ммоль, 1 экв.) в диоксане (6 мл) и воде (1 мл) добавляли фторид цезия (106 мг, 0,70 ммоль, 2 экв.) и ди-трет-бутил(циклопентил)фосфан-дихлорпалладий-железо (23 мг, 0,035 ммоль, 0,1 экв.). Смесь перемешивали при 90°C в течение 2 часов. Смесь разбавляли водой (20 мл) и экстрагировали этилацетатом (15 мл × 3). Объединенные органические слои промывали солевым раствором (30 мл × 2), высушивали с помощью безводного сульфата натрия, фильтровали и концентрировали в вакууме. Неочищенный продукт очищали с помощью препаративной TLC с обращенной фазой (дихлорметан:метанол=10:1) с получением трет-бутил-5-амино-4-[5-[2-[2-[2-[2-[2-[4-[4-(4-хлор-3-гидроксифенил)-3-(4-пиридил)пиразол-1-ил]фенокси]этокси]этокси]этокси]этокси]этокси]-1-оксоизоиндолин-2-ил]-5-оксопентаноата (170 мг, 0,18 ммоль, выход 53%) в виде желтого масла. LC/MS (ESI) масса/заряд: 900,2 [M+1]+.
[2152] Стадия 5: получение 3-(5-((14-(4-(4-(4-хлор-3-гидроксифенил)-3-(пиридин-4-ил)-1Н-пиразол-1-ил)фенокси)-3,6,9,12-тетраоксатетрадецил)окси)-1-оксоизоиндолин-2-ил)пиперидин-2,6-диона
[2153] К раствору трет-бутил-5-амино-4-[5-[2-[2-[2-[2-[2-[4-[4-(4-хлор-3-гидроксифенил)-3-(4-пиридил)пиразол-1-ил]фенокси]этокси]этокси]этокси]этокси]этокси]-1-оксоизоиндолин-2-ил]-5-оксопентаноата (170 мг, 0,18 ммоль, 1 экв.) в ацетонитриле (5 мл) добавляли бензолсульфоновую кислоту (60 мг, 0,37 ммоль, 2 экв.). Смесь перемешивали при 80°C в течение 12 часов. Смесь концентрировали в вакууме. Неочищенный продукт очищали с помощью препаративной HPLC с обращенной фазой с получением 3-[5-[2-[2-[2-[2-[2-[4-[4-(4-хлор-3-гидроксифенил)-3-(4-пиридил)пиразол-1-ил]фенокси]этокси]этокси]этокси]этокси]этокси]-1-оксоизоиндолин-2-ил]пиперидин-2,6-диона (111,8 мг, 0,12 ммоль, выход 66%, чистота 97%), формиат) в виде желтого твердого вещества. LC/MS (ESI) масса/заряд: 826,3 [M+1]+; 1H ЯМР (400 МГц, DMSO-d6) δ 11,07-10,85 (m, 1Н), 8,66 (s, 1Н), 8,61-8,54 (m, 2Н), 8,40 (s, 1H), 7,87-7,82 (m, 2Н), 7,61 (d, J=8,4 Гц, 1H), 7,51-7,45 (m, 2Н), 7,35 (d, J=8,4 Гц, 1Н), 7,15 (d, J=2,0 Гц, 1Н), 7,12-7,08 (m, 2Н), 7,04 (dd, J=2,0, 8,4 Гц, 1Н), 6,95 (d, J=2,0 Гц, 1Н), 6,80 (dd, J=2,0, 8,4 Гц, 1Н), 5,06 (dd, J=5,1, 13,3 Гц, 1Н), 4,41-4,32 (m, 1Н), 4,29-4,21 (m, 1Н), 4,20-4,13 (m, 4Н), 3,78-3,74 (m, 4Н), 3,60-3,57 (m, 4Н), 3,56-3,54 (m, 4Н), 3,52 (s, 4Н), 2,93-2,83 (m, 1Н), 2,62-2,57 (m, 2Н), 2,41-2,33 (m, 1H), 2,02-1,92 (m, 1H).
[2154] Иллюстративный синтез (3R)-N-(3-(5-(4-(3-((4-(2-(2,6-диоксопиперидин-3-ил)-1-оксоизоиндолин-5-ил)пиперазин-1-ил)метил)азетидин-1-ил)фенил)-1Н-пирроло[2,3-b]пиридин-3-карбонил)-2,4-дифторфенил)-3-фторпирролидин-1-сульфонамида (иллюстративного соединения 767)
[2155] Стадия 1: получение азетидин-3-илметанола
[2156] К раствору трет-бутил-3-(гидроксиметил)азетидин-1-карбоксилата (5 г, 26,70 ммоль, 1 экв.) в дихлорметане (60 мл) добавляли три фтор уксусную кислоту (15 мл, 7,59 экв.). Смесь перемешивали при 15°С в течение 0,5 часа. Реакционную смесь концентрировали с получением азетидин-3-илметанола (4,3 г, трифторацетат) в виде светло-желтого масла.
[2157] Стадия 2: получение (1-(4-йодфенил)азетидин-3-ил)метанола
[2158] К раствору азетидин-3-илметанола (4,3 г, 21,38 ммоль, 1 экв., трифторацетат) в диметилсульфоксиде (100 мл) добавляли карбонат калия (14,77 г, 106,89 ммоль, 5 экв.). Смесь перемешивали при 15°С в течение 0,5 часа. Добавляли 1,4-дийодбензол (7,76 г, 23,52 ммоль, 1,1 экв.), L-пролин (984 мг, 8,55 ммоль, 0,4 экв.) и йодид меди (814 мг, 4,28 ммоль, 0,2 экв.), затем смесь перемешивали при 90°C в течение 12 часов. Реакционную смесь разбавляли водой (300 мл) и экстрагировали этилацетатом (150 мл × 2). Объединенную органическую фазу промывали насыщенным солевым раствором (200 мл × 2), высушивали с помощью безводного сульфата натрия, фильтровали и концентрировали. Остаток очищали с помощью колоночной хроматографии (петролейный эфир:этилацетат=от 20:1 до 3:1) с получением [1-(4-йодфенил)азетидин-3-ил]метанола (3,5 г, 12,11 ммоль, выход 56%) в виде белого твердого вещества. LC/MS (ESI) масса/заряд: 290,4 [М+1]+.
[2159] Стадия 3: получение 1-(4-йодфенил)азетидин-3-карбальдегида
[2160] К раствору оксалилхлорида (3,03 г, 23,87 ммоль, 2,1 мл, 2,3 экв.) в дихлорметане (40 мл) добавляли по каплям раствор диметилсульфоксида (3,73 г, 47,73 ммоль, 3,73 мл, 4,6 экв.) в дихлорметане (20 мл) при -70°С. Смесь перемешивали при -70°C в течение 0,5 часа. Раствор [1-(4-йодфенил)азетидин-3-ил]метанола (3 г, 10,38 ммоль, 1 экв.) в дихлорметане (30 мл) добавляли по каплям к смеси и смесь перемешивали при -70°C в течение 0,5 часа. Триэтиламин (5,46 г, 53,96 ммоль, 7,5 мл, 5,2 экв.) добавляли при -70°C и нагревали до 15°С. Смесь перемешивали при 15°С в течение 2 часов. Реакционную смесь разбавляли водой (200 мл) и экстрагировали дихлорметаном (150 мл × 2). Объединенную органическую фазу промывали насыщенным солевым раствором (150 мл × 2), высушивали с помощью безводного сульфата натрия, фильтровали и концентрировали. Остаток очищали с помощью колоночной хроматографии (петролейный эфир:этилацетат=от 20:1 до 5:1) с получением 1-(4-йодфенил)азетидин-3-карбальдегида (870 мг, 3,03 ммоль, выход 29%) в виде желтого масла. LC/MS (ESI) масса/заряд: 320,4 [М+32+1]+.
[2161] Стадия 4: получение 3-(5-(4-((1-(4-йодфенил)азетидин-3-ил)метил)пиперазин-1-ил)-1-оксоизоиндолин-2-ил)пиперидин-2,6-диона
[2162] К раствору 3-(1-оксо-5-пиперазин-1-ил-изоиндолин-2-ил)пиперидин-2,6-диона (1,11 г, 3,03 ммоль, 1 экв., гидрохлорид) в метаноле (20 мл) и диметилформамиде (5 мл) добавляли ацетат натрия (745 мг, 9,09 ммоль, 3 экв.). Смесь перемешивали при 30°C в течение 0,5 часа. Добавляли 1-(4-йодфенил)азетидин-3-карбальдегид (870 мг, 3,03 ммоль, 1 экв.), затем смесь перемешивали при 30°C в течение 12 часов. Добавляли цианоборогидрид натрия (380 мг, 6,06 ммоль, 2 экв.) и смесь перемешивали при 30°C в течение еще 0,5 часа. Реакционную смесь выливали в воду (50 мл) и перемешивали в течение 10 мин. Реакционную смесь фильтровали и осадок на фильтре собирали. Неочищенный продукт растирали с метанолом (30 мл × 3) с получением 3-[5-[4-[[1-(4-йодфенил)азетидин-3-ил]метил]пиперазин-1-ил]-1-оксоизоиндолин-2-ил]пиперидин-2,6-диона (680 мг, 1,13 ммоль, выход 37%) в виде белого твердого вещества. LC/MS (ESI) масса/заряд: 600,1 [М+1]+.
[2163] Стадия 5: получение трет-бутил-3-(2,6-дифтор-3-(((R)-3-фторпирролидин)-1-сульфонамидо)бензоил)-5-(4-(3-((4-(2-(2,6-диоксопиперидин-3-ил)-1-оксоизоиндолин-5-ил)пиперазин-1-ил)метил)азетидин-1-ил)фенил)-1Н-пирроло[2,3-b]пиридин-1-карбоксилата
[2164] Смесь 3-[5-[4-[[1-(4-йодфенил)азетидин-3-ил]метил]пиперазин-1-ил]-1-оксоизоиндолин-2-ил]пиперидин-2,6-диона (500 мг, 0,83 ммоль, 1 экв.), трет-бутил-3-[2,6-дифтор-3-[[(3R)-3-фторпирролидин-1-ил]сульфониламино]бензоил]-5-(4,4,5,5-тетраметил-1,3,2-диоксаборолан-2-ил)пирроло[2,3-b]пиридин-1-карбоксилата (651 мг, 1,00 ммоль, 1,2 экв.), ди-трет-бутил(циклопентил)фосфан-дихлорпалладий-железа (54 мг, 0,083 ммоль, 0,1 экв.), карбоната калия (172 мг, 1,25 ммоль, 1,5 экв.) и воды (2 мл) в диметилформамиде (20 мл) дегазировали и продували азотом 3 раза и затем смесь перемешивали при 90°C в течение 1,5 часа в атмосфере азота. Реакционную смесь разбавляли водой (50 мл) и экстрагировали смесью тетрагидрофуран/этилацетат (об./об.=2:1, 50 мл × 2). Объединенную органическую фазу промывали насыщенным солевым раствором (50 мл × 2), высушивали с помощью безводного сульфата натрия, фильтровали и концентрировали. Остаток очищали с помощью колоночной хроматографии (дихлорметан:метанол=от 100:1 до 10:1) с получением трет-бутил-3-[2,6-дифтор-3-[[(3R)-3-фторпирролидин-1-ил]сульфониламино]бензоил]-5-[4-[3-[[4-[2-(2,6-диоксо-3-пиперидил)-1-оксоизоиндолин-5-ил]пиперазин-1-ил]метил]азетидин-1-ил]фенил]пирроло[2,3-b]пиридин-1-карбоксилата (210 мг, 0,17 ммоль, выход 20%, чистота 82%) в виде желтого твердого вещества. LC/MS (ESI) масса/заряд: 896,2 [М-99]+.
[2165] Стадия 6: получение (3R)-N-(3-(5-(4-(3-((4-(2-(2,6-диоксопиперидин-3-ил)-1-оксоизоиндолин-5-ил)пиперазин-1-ил)метил)азетидин-1-ил)фенил)-1Н-пирроло[2,3-b]пиридин-3-карбонил)-2,4-дифторфенил)-3-фторпирролидин-1-сульфонамида
[2166] К раствору трет-бутил-3-[2,6-дифтор-3-[[(3R)-3-фторпирролидин-1-ил]сульфониламино]бензоил]-5-[4-[3-[[4-[2-(2,6-диоксо-3-пиперидил)-1-оксоизоиндолин-5-ил]пиперазин-1-ил]метил]азетидин-1-ил]фенил]пирроло[2,3-b]пиридин-1-карбоксилата (210 мг, 0,17 ммоль, 1 экв.) в дихлорметане (10 мл) добавляли трифторуксусную кислоту (2,46 мл, 192,18 экв.). Смесь перемешивали при 15°С в течение 0,5 часа. Реакционную смесь концентрировали. Остаток очищали с помощью препаративной HPLC с получением (3R)-N-[3-[5-[4-[3-[[4-[2-(2,6-диоксо-3-пиперидил)-1-оксоизоиндолин-5-ил]пиперазин-1-ил]метил]азетидин-1-ил]фенил]-1Н-пирроло[2,3-b]пиридин-3-карбонил]-2,4-дифторфенил]-3-фторпирролидин-1-сульфонамида (99 мг, 0,10 ммоль, выход 60%, чистота 99%, формиатная соль) в виде желтого твердого вещества. LC/MS (ESI) масса/заряд: 896,3 [M+1]+; 1H ЯМР (400 МГц, DMSO-d6) δ 12,90 (s, 1Н), 10,96 (s, 1Н), 8,62 (d, J=2,0 Гц, 1Н), 8,50 (s, 1Н), 8,15 (s, 1H), 8,06 (s, 1Н), 7,62 (dt, J=6,0, 8,8 Гц, 1Н), 7,54 (dd, J=8,8, 12,0 Гц, 3Н), 7,26 (t, J=8,8 Гц, 1Н), 7,12-7,03 (m, 2Н), 6,57 (d, J=8,8 Гц, 2Н), 5,39-5,19 (m, 1H), 5,05 (dd, J=5,2, 13,2 Гц, 1Н), 4,38-4,29 (m, 1H), 4,25-4,17 (m, 1H), 4,01 (t, J=7,4 Гц, 2Н), 3,58-3,52 (m, 2Н), 3,49-3,45 (М, 2Н), 3,41-3,38 (m, 4Н), 3,05-2,84 (m, 3Н), 2,62-2,58 (m, 1Н), 2,58-2,52 (m, 8Н), 2,43-2,34 (m, 1Н), 2,13-2,04 (m, 1H), 1,99-1,93 (m, 1H).
[2167] Иллюстративный синтез (3R)-N-(3-(5-(4-(4-((4-(3-(2,6-диоксопиперидин-3-ил)фенил)пиперазин-1-ил)метил)пиперидин-1-ил)фенил)-1Н-пирроло[2,3-b]пиридин-3-карбонил)-2,4-дифторфенил)-3-фторпирролидин-1-сульфонамида (иллюстративного соединения 768)
[2168] Стадия 1: получение трет-бутил-4-(3-(2-метокси-2-оксоэтил)фенил)пиперазин-1 -карбоксилата
[2169] В круглодонную колбу объемом 250 мл, которую продували азотом и в которой поддерживали инертную атмосферу азота, помещали метил-2-(3-бромфенил)ацетат (10,0 г, 43,65 ммоль, 1,0 экв.), трет-бутилпиперазин-1-карбоксилат (8,1 г, 43,65 ммоль, 1 экв.), Cs2CO3 (28,5 г, 87,31 ммоль, 2 экв.), RuPhos-PdCl-2nd G (3,4 г, 4,37 ммоль, 0,1 экв.), толуол (150 мл). Полученный раствор перемешивали в течение ночи при 80°C. Полученную смесь концентрировали под вакуумом. Остаток обрабатывали с помощью колонки с силикагелем с применением смеси этилацетат/петролейный эфир (1:19). Это обеспечивало получение 10,1 г (69,2%) трет-бутил-4-[3-(2-метокси-2-оксоэтил)фенил]пиперазин- 1-карбоксилата в виде желтой жидкости. LC/MS (ESI) масса/заряд: 335,19 [М+1]+.
[2170] Стадия 2: получение 5-этил-1-метил-2-(3-(4-(трет-бутоксикарбонил)пиперазин-1-ил)фенил)пентандиоата
[2171] В 3-горлую круглодонную колбу объемом 100 мл, которую продували азотом и в которой поддерживали инертную атмосферу азота, помещали трет-бутил-4-[3-(2-метокси-2-оксоэтил)фенил]пиперазин-1-карбоксилат (3,0 г, 8,97 ммоль, 1,0 экв.), тетрагидрофуран (30 мл) при 0°C на бане с водой/льдом. Полученную смесь перемешивали в течение 30 мин при 0°C и затем в колбу добавляли трет-бутоксинатрий (1,7 г, 17,94 ммоль, 2,0 экв.) и этилакрилат (1,1 г, 10,76 ммоль, 1,2 экв.). Полученный раствор перемешивали в течение ночи при комнатной температуре. Полученную смесь концентрировали под вакуумом. Остаток обрабатывали с помощью колонки с силикагелем с применением смеси этилацетат/петролейный эфир (1:1). Это обеспечивало получение 1,3 г (33,4%) 5-этил-1-метил-2-[3-[4-(трет-бутоксикарбонил)пиперазин-1-ил]фенил]пентандиоата в виде желтого твердого вещества. LC/MS (ESI) масса/заряд: 435,25 [М+1]+.
[2172] Стадия 3: получение трет-бутил-4-(3-(5-амино-1-метокси-1,5-диоксопентан-2-ил)фенил)пиперазин-1-карбоксилата
[2173] В герметичную пробирку объемом 20 мл, которую продували азотом и в которой поддерживали инертную атмосферу азота, помещали 5-этил-1-метил-2-[3-[4-(трет-бутоксикарбонил)пиперазин-1-ил]фенил]пентандиоат (590,0 мг). К вышеуказанному раствору добавляли NH3 (г.) в MeOH (13,00 мл). Полученный раствор перемешивали в течение 20 ч. при 35°C. Полученную смесь концентрировали под вакуумом. Остаток обрабатывали с помощью колонки с силикагелем с применением смеси этилацетат/петролейный эфир (100%). Это обеспечивало получение 220 мг (37,3%) 5-амино-1-метил-2-[3-[4-(трет-бутоксикарбонил)пиперазин-1-ил]фенил]пентандиоата в виде белого твердого вещества. LC/MS (ESI) масса/заряд: 406,15 [М+1]+.
[2174] Стадия 4: получение трет-бутил-4-(3-(2,6-диоксопиперидин-3-ил)фенил)пиперазин-1 -карбоксилата
[2175] В герметичную пробирку объемом 8 мл, которую продували азотом и в которой поддерживали инертную атмосферу азота, помещали трет-бутил-4-[3-(4-карбамоил-1-метокси-1-оксобутан-2-ил)фенил]пиперазин-1-карбоксилат (200,0 мг, 0,49 ммоль, 1,0 экв.), Cs2CO3 (322,4 мг, 0,99 ммоль, 2 экв.), ацетонитрил (5 мл). Полученный раствор перемешивали в течение 8 ч. при 85°C. Полученную смесь концентрировали под вакуумом. Остаток обрабатывали с помощью колонки с силикагелем с применением смеси дихлорметан/метанол (19:1). Это обеспечивало получение 58 мг (31,5%) трет-бутил-4-[3-(2,6-диоксопиперидин-3-ил)фенил]пиперазин-1-карбоксилата в виде желтого твердого вещества. LC/MS (ESI) масса/заряд: 374,25 [M+1]+.
[2176] Стадия 5: получение 3-(3-(пиперазин-1-ил)фенил)пиперидин-2,6-диона
[2177] В круглодонную колбу объемом 25 мл помещали трет-бутил-4-[3-(2,6-диоксопиперидин-3-ил)фенил]пиперазин-1-карбоксилат (58,00 мг, 0,155 ммоль, 1,00 экв.), DCM (3,00 мл, 0,035 ммоль, 0,23 экв.), трифторацетальдегид (0,50 мл, 0,005 ммоль, 0,03 экв.). Полученный раствор перемешивали в течение 1 ч. при комнатной температуре. Полученную смесь концентрировали. Это обеспечивало получение 50 мг (117,78%) 3-[3-(пиперазин-1-ил)фенил]пиперидин-2,6-диона в виде светло-желтого масла.
[2178] Стадия 6: получение (3R)-N(3-(5-(4-(4-((4-(3-(2,6-диоксопиперидин-3-ил)фенил)пиперазин-1-ил)метил)пиперидин-1-ил)фенил)-1Н-пирроло[2,3-b]пиридин-3-карбонил)-2,4-дифторфенил)-3-фторпирролидин-1-сульфонамида
[2179] В круглодонную колбу объемом 100 мл помещали 3-[3-(пиперазин-1-ил)фенил]пиперидин-2,6-дион (40,22 мг, 0,147 ммоль, 1,00 экв.), DCE (15,00 мл), DIEA (0,50 мл, 0,004 ммоль, 0,03 экв.), (3R)-N-(2,4-дифтор-3-[5-[4-(4-формилпиперидин-1-ил)фенил]-1Н-пирроло[2,3-b]пиридин-3-карбонил]фенил)-3-фторпирролидин-1-сульфонамид (90,00 мг, 0,147 ммоль, 1,00 экв.), HOAc (0,50 мл, 0,008 ммоль, 0,06 экв.), после перемешивания при 35°C в течение 3 ч. в раствор добавляли NaBH3CN (27,74 мг, 0,441 ммоль, 3,0 экв.). Полученный раствор перемешивали в течение 16 ч. при 35°C на масляной бане. Полученный раствор экстрагировали дихлорметаном (100 мл). Остаток обрабатывали с помощью колонки с силикагелем с применением смеси дихлорметан/метанол (10/1). Неочищенный продукт очищали с помощью препаративной флэш-HPLC. Это обеспечивало получение 22,7 мг (17,75%) (3R)-N-[3-(5-[4-[4-([4-[3-(2,6-диоксопиперидин-3-ил)фенил]пиперазин-1-ил]метил)пиперидин-1-ил]фенил]-1Н-пирроло[2,3-b]пиридин-3-карбонил)-2,4-дифторфенил]-3-фторпирролидин-1-сульфонамида в виде светло-желтого твердого вещества. LC/MS (ESI) масса/заряд: 869,35 [M+1]+; 1H ЯМР (400 МГц, DMSO-d6) δ 12,90 (s, 1H), 10,80 (s, 1Н), 9,86 (s, 1Н), 8,66 (s, 1H), 8,54 (s, 1Н), 8,07 (s, 1Н), 7,66-7,58 (m, 3Н), 7,30-7,25 (m, 1H), 7,19-7,15 (m, 1H), 7,09-7,07 (d, J=8,0 Гц, 2Н), 6,85-6,82 (m, 1Н), 6,64-6,62 (d, J=8,0 Гц, 1Н), 5,37-5,24 (m, 1H), 3,82-3,75 (m, 3Н), 3,52-3,39 (m, 5Н), 3,15 (m, 4Н), 2,79-2,73 (m, 4Н), 2,65-2,51 (m, 3Н), 2,26-2,03 (m, 3Н), 1,87-1,83 (m, 3Н), 1,27-1,25 (m, 2Н).
[2180] Иллюстративный синтез 5-(6-((1-(4-(3-(2,6-дифтор-3-(((R)-3-фторпирролидин)-1-сульфонамидо)бензоил)-1Н-пирроло[2,3-b]пиридин-5-ил)фенил)пиперидин-4-ил)метил)-2,6-диазаспиро[3.3]гептан-2-ил)-N-(2,6-диоксопиперидин-3-ил)-3,4-дигидро-1,8-нафтиридин-1(2Н)-карбоксамида (иллюстративного соединения 789)
[2181] Стадия 1: получение 3-(3-хлорпропил)-2-фтор-4-йодпиридина
[2182] К раствору 2-фтор-4-йодпиридина (7,70 г, 34,53 ммоль, 1,00 экв.) в тетрагидрофуране (80 мл) добавляли диизопропиламид лития (2 М, 20,72 мл, 1,20 экв.) при -78°С в течение 1,5 ч. Затем к смеси добавляли раствор 1-хлор-3-йодпропана (14,12 г, 69,06 ммоль, 7,43 мл, 2,00 экв.) в тетрагидрофуране (10 мл) при -78°С и перемешивали в течение 0,5 ч. Затем смесь нагревали до 15°C и перемешивали в течение 1 ч. Смесь гасили насыщенным раствором хлорида аммония (80 мл) и экстрагировали этилацетатом (2 × 40 мл). Объединенные органические слои промывали солевым раствором (50 мл), высушивали над сульфатом натрия и концентрировали с получением остатка. Остаток очищали с помощью колоночной хроматографии (петролейный эфир:этил ацетат=от 1:0 до 10:1) с получением 3-(3-хлорпропил)-2-фтор-4-йодпиридина (9,00 г, 30,05 ммоль, выход 87%) в виде светло-желтого масла. 1H ЯМР (400 МГц, CDCl3) δ 7,69 (d, J=5,6 Гц, 1H), 7,61 (d, J=5,2 Гц, 1H), 3,61 (t, J=6,4 Гц, 2Н), 2,90-2,97 (m, 2Н), 2,04-2,08 (m, 1Н), 1,99-2,03 (m, 1Н).
[2183] Стадия 2: получение 1-(2,4-диметоксибензил)-5-йод-1,2,3,4-тетрагидро-1,8-нафтиридина
[2184] К раствору 3-(3-хлорпропил)-2-фтор-4-йодпиридина (3 г, 10,02 ммоль, 1 экв.) и (2,4-диметоксифенил)метанамина (2,01 г, 12,02 ммоль, 1,2 экв.) в N,N-диметилформамиде (30 мл) добавляли йодид калия (2,00 г, 12,02 ммоль, 1,2 экв.), пиридин (475 мг, 6,01 ммоль, 0,6 экв.) и карбонат калия (2,49 г, 18,03 ммоль, 1,8 экв.). Смесь перемешивали при 70°C в течение 12 часов. Смесь разбавляли водой (50 мл) и перемешивали при 15°C в течение 15 мин. Смесь фильтровали и фильтрат экстрагировали этилацетатом (50 мл × 3). Объединенные органические слои промывали солевым раствором (100 мл × 3), высушивали с помощью безводного сульфата натрия, фильтровали и концентрировали в вакууме. Неочищенный продукт растирали с петролейным эфиром и этилацетатом (об.:об.=10:1) с получением 1-[(2,4-диметоксифенил)метил]-5-йод-3,4-дигидро-2Н-1,8-нафтиридина (3 г, 7,31 ммоль, выход 73,01%) в виде коричневого твердого вещества. LC/MS (ESI) масса/заряд: 398,1 [M-12]+.
[2185] Стадия 3: получение трет-бутил-6-(8-(2,4-диметоксибензил)-5,6,7,8-тетрагидро-1,8-нафтиридин-4-ил)-2,6-диазаспиро[3.3]гептан-2-карбоксилата
[2186] К раствору 1-[(2,4-диметоксифенил)метил]-5-йод-3,4-дигидро-2Н-1,8-нафтиридина (1,1 г, 2,68 ммоль, 1 экв.) в 2-метилбутан-2-оле (8,89 г, 100,78 ммоль, 37,60 экв.) добавляли соль щавелевой кислоты и трет-бутил-2,6-диазаспиро[3.3]гептан-2-карбоксилата (912 мг, 1,88 ммоль, 0,7 экв.), трет-бутоксид натрия (2 М, 4,02 мл, 3 экв.) и метансульфонато(2-дициклогексилфосфино-2',6'-диизопропокси-1,1'-бифенил)(2'-амино-1,1'-бифенил-2-ил)палладий(II) (224 мг, 0,26 ммоль, 0,1 экв.) в атмосфере азота. Смесь перемешивали при 90°C в течение 12 часов. Смесь разбавляли водой (50 мл) и экстрагировали этилацетатом (30 мл × 3). Объединенные органические слои промывали солевым раствором (50 мл × 2), высушивали с помощью безводного сульфата натрия, фильтровали и концентрировали в вакууме. Неочищенный продукт очищали с помощью колоночной хроматографии (петролейный эфир:этилацетат=от 10:1 до 5:1) с получением трет-бутил-6-[8-[(2,4-диметоксифенил)метил]-6,7-дигидро-5Н-1,8-нафтиридин-4-ил]-2,6-диазаспиро[3.3]гептан-2-карбоксилата (1 г, 2,08 ммоль, выход 77%) в виде светло-желтого масла. LC/MS (ESI) масса/заряд: 481,3 [М+1]+.
[2187] Стадия 4: получение 5-(2,6-диазаспиро[3.3]гептан-2-ил)-1,2,3,4-тетрагидро-1,8-нафтиридина
[2188] К раствору трет-бутил-6-[8-[(2,4-диметоксифенил)метил]-6,7-дигидро-5Н-1,8-нафтиридин-4-ил]-2,6-диазаспиро[3.3]гептан-2-карбоксилата (Ir, 2,08 ммоль, 1 экв.) в толуоле (10 мл) добавляли три фтору ксусную кислоту (7,70 г, 67,53 ммоль, 32,45 экв.). Смесь перемешивали при 65°C в течение 1 часа. Смесь фильтровали и фильтрат концентрировали в вакууме. Соединение, 5-(2,6-диазаспиро[3.3]гептан-2-ил)-1,2,3,4-тетрагидро-1,8-нафтиридин (500 мг, 1,45 ммоль, выход 69%, трифторацетаты), получали в виде коричневого масла. LC/MS (ESI) масса/заряд: 231,2 [M+1]+.
[2189] Стадия 5: получение трет-бутил-6-(5,6,7,8-тетрагидро-1,8-нафтиридин-4-ил)-2,6-диазаспиро[3.3]гептан-2-карбоксилата
[2190] К раствору 5-(2,6-диазаспиро[3.3]гептан-2-ил)-1,2,3,4-тетрагидро-1,8-нафтиридина (500 мг, 1,45 ммоль, 1 экв., трифторацетаты) в дихлорметане (10 мл) добавляли ди-трет-бутилдикарбонат (380 мг, 1,74 ммоль, 1,2 экв.), триэтиламин (734 мг, 7,26 ммоль, 5 экв.) и 4-диметиламинопиридин (17 мг, 0,14 ммоль, 0,1 экв.). Смесь перемешивали при 15°C в течение 1 часа. Смесь разбавляли водой (20 мл) и экстрагировали этилацетатом (15 мл × 3). Объединенные органические слои промывали солевым раствором (30 мл × 2), высушивали с помощью безводного сульфата натрия, фильтровали и концентрировали в вакууме. Неочищенный продукт очищали с помощью препаративной TLC с обращенной фазой (дихлорметан:метанол=8:1) с получением трет-бутил-6-(5,6,7,8-тетрагидро-1,8-нафтиридин-4-ил)-2,6-диазаспиро[3.3]гептан-2-карбоксилата (380 мг, 1,15 ммоль, выход 79%) в виде светло-желтого твердого вещества. LC/MS (ESI) масса/заряд: 331,5 [M+1]+; 1H ЯМР (400 МГц, DMSO-d6) δ 7,48 (d, J=5,6 Гц, 1Н), 6,06 (s, 1H), 5,66 (d, J=5,9 Гц, 1H), 4,07 (s, 4Н), 3,99 (s, 4Н), 3,16 (s, 2Н), 2,47 (s, 2Н), 1,74-1,65 (m, 2Н), 1,37 (s, 9Н).
[2191] Стадия 6: получение трет-бутил-6-(8-((2,6-диоксопиперидин-3-ил)карбамоил)-5,6,7,8-тетрагидро-1,8-нафтиридин-4-ил)-2,6-диазаспиро[3.3]гептан-2-карбоксилата
[2192] К раствору трет-бутил-6-(5,6,7,8-тетрагидро-1,8-нафтиридин-4-ил)-2,6-диазаспиро[3.3]гептан-2-карбоксилата (380 мг, 1,15 ммоль, 1 экв.) в тетрагидрофуране (10 мл) добавляли триэтиламин (698 мг, 6,90 ммоль, 6 экв.) и бис(трихлорметил)карбонат (341 мг, 1,15 ммоль, 1 экв.) при 0°С. Смесь перемешивали при 25°C в течение 3 часов. Затем к смеси добавляли 3-аминопиперидин-2,6-дион (227,14 мг, 1,38 ммоль, 1,2 экв., гидрохлорид). Смесь перемешивали при 50°C в течение 36 часов. Смесь разбавляли водой (30 мл) и экстрагировали этилацетатом (20 мл × 3). Объединенные органические слои промывали солевым раствором (40 мл × 2), высушивали с помощью безводного сульфата натрия, фильтровали и концентрировали в вакууме. Неочищенный продукт очищали с помощью препаративной TLC с обращенной фазой (дихлорметан:метанол=15:1) с получением трет-бутил-6-[8-[(2,6-диоксо-3-пиперидил)карбамоил]-6,7-дигидро-5Н-1,8-нафтиридин-4-ил]-2,6-диазаспиро[3.3]гептан-2-карбоксилата (220 мг, 0,45 ммоль, выход 39%) в виде белого твердого вещества. LC/MS (ESI) масса/заряд: 485,2 [M+1]+; 1H ЯМР (400 МГц, DMSO-d6) δ 11,19 (d, J=6,4 Гц, 1Н), 10,79 (s, 1Н), 7,80 (d, J=5,6 Гц, 1Н), 6,12 (d, J=5,6 Гц, 1H), 4,58-4,46 (m, 1H), 4,17 (s, 4Н), 4,05 3,97 (m, 4Н), 3,84-3,72 (m, 2Н), 2,80-2,67 (m, 1H), 2,57 (t, J=6,0 Гц, 2Н), 2,20-2,09 (m, 1H), 2,07-1,89 (m, 2Н), 1,81-1,66 (m, 2Н), 1,38 (s, 9Н).
[2193] Стадия 7: получение N-(2,6-диоксопиперидин-3-ил)-5-(2,6-диазаспиро[3.3]гептан-2-ил)-3,4-дигидро-1,8-нафтиридин-1(2Н)-карбоксамида
[2194] К раствору трет-бутил-6-[8-[(2,6-диоксо-3-пиперидил)карбамоил]-6,7-дигидро-5Н-1,8-нафтиридин-4-ил]-2,6-диазаспиро[3.3]гептан-2-карбоксилата (220 мг, 0,45 ммоль, 1 экв.) в дихлорметане (5 мл) добавляли триэтиламин (3,85 г, 33,77 ммоль, 74,37 экв.). Смесь перемешивали при 15°С в течение 1 часа. Смесь концентрировали в вакууме. Соединение, 5-(2,6-диазаспиро[3.3]гептан-2-ил)-N-(2,6-диоксо-3-пиперидил)-3,4-дигидро-2Н-1,8-нафтиридин-1-карбоксамид (220 мг, 0,44 ммоль, выход 97,21%, трифторацетаты), получали в виде светло-желтого твердого вещества. LC/MS (ESI) масса/заряд: 385,3 [М+1]+.
[2195] Стадия 8: получение 5-(6-((1-(4-(3-(2,6-дифтор-3-(((R)-3-фторпирролидин)-1-сульфонамидо)бензоил)-1Н-пирроло[2,3-b]пиридин-5-ил)фенил)пиперидин-4-ил)метил)-2,6-диазаспиро[3.3]гептан-2-ил)-N-(2,6-диоксопиперидин-3-ил)-3,4-дигидро-1,8-нафтиридин-1(2Н)-карбоксамида
[2196] К раствору 5-(2,6-диазаспиро[3.3]гептан-2-ил)-N-(2,6-диоксо-3-пиперидил)-3,4-дигидро-2Н-1,8-нафтиридин-1-карбоксамида (110 мг, 0,22 ммоль, 1 экв., трифторацетаты) в N,N-диметилформамиде (5 мл) добавляли ацетат натрия (90 мг, 1,10 ммоль, 5 экв.). Смесь перемешивали при 15°C в течение 0,5 часа. Затем к смеси добавляли (3R)-N-[2,4-дифтор-3-[5-[4-(4-формил-1-пиперидил)фенил]-1Н-пирроло[2,3-b]пиридин-3-карбонил]фенил]-3-фторпирролидин-1-сульфонамид (134 мг, 0,22 ммоль, 1 экв.) и уксусную кислоту (26 мг,0,44 ммоль, 2 экв.). Смесь перемешивали при 15°С в течение 0,5 часа. Затем к смеси добавляли цианоборогидрид натрия (27 мг, 0,44 ммоль, 2 экв.). Смесь перемешивали при 15°C в течение 2 часов. Смесь фильтровали и фильтрат очищали с помощью препаративной HPLC с получением 5-[6-[[1-[4-[3-[2,6-дифтор-3-[[(3R)-3-фторпирролидин-1-ил]сульфониламино]бензоил]-1Н-пирроло[2,3-b]пиридин-5-ил]фенил]-4-пиперидил]метил]-2,6-диазаспиро[3.3]гептан-2-ил]-N-(2,6-диоксо-3-пиперидил)-3,4-дигидро-2Н-1,8-нафтиридин-1-карбоксамида (44,5 мг, 0,04 ммоль, выход 19%, чистота 98%о, формиат) в виде желтого твердого вещества. LC/MS (ESI) масса/заряд: 981,3 [М+1]+; 1Н ЯМР (400 МГц, DMSO-d6) δ 11,20 (d, J=6,8 Гц, 1Н), 10,79 (s, 1Н), 8,64 (s, 1H), 8,52 (d, J=2,8 Гц, 1H), 8,17 (s, 1H), 8,05 (s, 1H), 7,79 (d, J=5,2 Гц, 1H), 7,66-7,60 (m, 1H), 7,53 (d, J=2,8 Гц, 2Н), 7,24 (t, J=8,4 Гц, 1H), 7,05 (d, J=8,0 Гц, 2Н), 6,13 (d, J=5,6 Гц, 1H), 5,40-5,15 (m, 1Н), 4,58-4,45 (m, 1Н), 4,12 (s, 4H), 3,82-3,74 (m, 4Н), 3,47 (s, 4Н), 3,27-3,26 (m, 4Н), 2,75-2,64 (m, 4Н), 2,54-2,52 (m, 3Н), 2,34-2,31 (m, 2Н), 2,18-2,04 (m, 3Н), 2,04-1,91 (m, 2Н), 1,83-1,71 (m, 4Н), 1,51-1,39 (m, 1Н), 1,30-1,18 (m, 2Н).
[2197] Иллюстративный синтез 4-(6-((1-(4-(3-(2,6-дифтор-3-(((R)-3-фторпирролидин)-1-сульфонамидо)бензоил)-1Н-пирроло[2,3-b]пиридин-5-ил)фенил)пиперидин-4-ил)метил)-2,6-диазаспиро[3.3]гептан-2-ил)-N-(2,6-диоксопиперидин-3-ил)-2-метоксибензамида (иллюстративного соединения 790)
[2198] Стадия 1: получение трет-бутил-6-(3-метокси-4-(метоксикарбонил)фенил)-2,6-диазаспиро[3.3]гептан-2-карбоксилата
[2199] К раствору метил-4-фтор-2-метоксибензоата (500 мг, 2,71 ммоль, 1 экв.) и соли щавелевой кислоты и трет-бутил-2,6-диазаспиро[3.3]гептан-2-карбоксилата (660 мг, 1,36 ммоль, 0,5 экв.) в диметилсульфоксиде (10 мл) добавляли диизопропилэтиламин (701 мг, 5,43 ммоль, 945,80 мкл, 2 экв.). Смесь перемешивали при 120°C в течение 2 ч. В смесь выливали воду (50 мл) и перемешивали в течение 1 минуты. Водную фазу экстрагировали этилацетатом (20 мл × 3). Объединенную органическую фазу промывали солевым раствором (20 мл × 2), высушивали с помощью безводного сульфата натрия, фильтровали и концентрировали в вакууме. Остаток очищали с помощью колоночной хроматографии (петролейный эфир/этилацетат=от 10/1 до 1/1). Соединение, трет-бутил-6-(3-метокси-4-метоксикарбонилфенил)-2,6-диазаспиро[3.3]гептан-2-карбоксилат (250 мг, 0,68 ммоль, выход 25%), получали в виде белого твердого вещества. LC/MS (ESI) масса/заряд: 363,2 [M+1]+.
[2200] Стадия 2: получение 4-(6-(трет-бутоксикарбонил)-2,6-диазаспиро[3.3]гептан-2-ил)-2-метоксибензойной кислоты
[2201] К раствору трет-бутил-6-(3-метокси-4-метоксикарбонилфенил)-2,6-диазаспиро[3.3]гептан-2-карбоксилата (250 мг, 0,68 ммоль, 1 экв.) в тетрагидрофуране (5 мл), метаноле (5 мл) и воде (5 мл) добавляли моногидрат гидроксида лития (115 мг, 2,76 ммоль, 4 экв.). Смесь перемешивали при 20°C в течение 12 ч. В смесь выливали воду (50 мл) и перемешивали в течение 1 минуты. Водную фазу экстрагировали этилацетатом (20 мл × 3). Объединенную органическую фазу промывали солевым раствором (20 мл × 2), высушивали с помощью безводного сульфата натрия, фильтровали и концентрировали в вакууме. Остаток очищали с помощью колоночной хроматографии (дихлорметан:метанол=от 1:0 до 20:1). Соединение, 4-(2-трет-бутоксикарбонил-2,6-диазаспиро[3.3]гептан-6-ил)-2-метоксибензойная кислота (230 мг, 0,66 ммоль, выход 95%), получали в виде белого твердого вещества. LC/MS (ESI) масса/заряд: 349,3 [М+1]+.
[2202] Стадия 3: получение трет-бутил-6-(4-((2,6-диоксопиперидин-3-ил)карбамоил)-3-метоксифенил)-2,6-диазаспиро[3.3]гептан-2-карбоксилата
[2203] К раствору 4-(2-трет-бутоксикарбонил-2,6-диазаспиро[3.3]гептан-6-ил)-2-метоксибензойной кислоты (230 мг, 0,66 ммоль, 1 экв.) в N,N-диметилформамиде (5 мл) добавляли гексафторфосфато-(7-азабензотриазол-1-ил)-N,N,N',N'-тетраметилурония (376 мг, 0,99 ммоль, 1,5 экв.) и 3-аминопиперидин-2,6-дион (108 мг, 0,66 ммоль, 1 экв., гидрохлорид). Смесь перемешивали при 15°C в течение 0,5 ч. Добавляли диизопропилэтиламин (170 мг, 1,32 ммоль, 229,98 мкл, 2 экв.) и смесь перемешивали при 15°С в течение 11,5 ч. В смесь выливали воду (40 мл) и перемешивали в течение 1 минуты. Водную фазу экстрагировали этилацетатом (10 мл × 3). Объединенную органическую фазу промывали солевым раствором (10 мл × 2), высушивали с помощью безводного сульфата натрия, фильтровали и концентрировали в вакууме. Остаток очищали с помощью препаративной TLC (дихлорметан:метанол=10:1). Соединение, трет-бутил-6-[4-[(2,6-диоксо-3-пиперидил)карбамоил]-3-метокси фенил]-2,6-диазаспиро[3.3]гептан-2-карбоксилат (120 мг, 0,26 ммоль, выход 39%), получали в виде белого твердого вещества. LC/MS (ESI) масса/заряд: 459,2 [М+1]+.
[2204] Стадия 4: получение N-(2,6-диоксопиперидин-3-ил)-2-метокси-4-(2,6-диазаспиро[3.3]гептан-2-ил)бензамида
[2205] К раствору трет-бутил-6-[4-[(2,6-диоксо-3-пиперидил)карбамоил]-3-метоксифенил]-2,6-диазаспиро[3.3]гептан-2-карбоксилата (120 мг, 0,26 ммоль, 1 экв.) в дихлорметане (2 мл) добавляли три фтору ксусную кислоту (770 мг, 6,75 ммоль, 0,5 мл, 25,80 экв.). Смесь перемешивали при 20°C в течение 12 ч. Соединение, 4-(2,6-диазаспиро[3.3]гептан-2-ил)-N-(2,6-диоксо-3-пиперидил)-2-метоксибензамид (120 мг, трифторацетат), получали в виде белого твердого вещества. LC/MS (ESI) масса/заряд: 359,2 [М+1]+.
[2206] Стадия 5: получение 4-(6-((1-(4-(3-(2,6-дифтор-3-(((R)-3-фторпирролидин)-1-сульфонамидо)бензоил)-1Н-пирроло[2,3-b]пиридин-5-ил)фенил)пиперидин-4-ил)метил)-2,6-диазаспиро[3.3]гептан-2-ил)-N-(2,6-диоксопиперидин-3-ил)-2-метоксибензамида 
[2207] К раствору 4-(2,6-диазаспиро[3.3]гептан-2-ил)-N-(2,6-диоксо-3-пиперидил)-2-метоксибензамида (120 мг, 0,25 ммоль, 1 экв., трифторацетат) и (3R)-N-[2,4-дифтор-3-[5-[4-(4-формил-1-пиперидил)фенил]-1Н-пирроло[2,3-b]пиридин-3-карбонил]фенил]-3-фторпирролидин-1-сульфонамида (155 мг, 0,25 ммоль, 1 экв.) в 1,2-дихлорэтане (4 мл) добавляли триэтиламин (51 мг, 0,50 ммоль, 70,71 мкл, 2 экв.), смесь перемешивали при 30°С в течение 0,5 ч. К смеси добавляли триацетоксиборогидрид натрия (161 мг, 0,76 ммоль, 3 экв.), смесь перемешивали при 30°С в течение 1,5 ч. Остаток очищали с помощью препаративной HPLC. Реакционную смесь регулировали до рН 8 с помощью насыщенного водного раствора бикарбоната натрия. Водную фазу экстрагировали этилацетатом (20 мл × 3). Объединенную органическую фазу промывали солевым раствором (20 мл × 2), высушивали с помощью безводного сульфата натрия, фильтровали и концентрировали в вакууме. Соединение, 4-[6-[[1-[4-[3-[2,6-дифтор-3-[[3R-3-фторпирролидин-1-ил]сульфониламино]бензоил]-1Н-пирроло[2,3-b]пиридин-5-ил]фенил]-4-пиперидил]метил]-2,6-диазаспиро[3.3]гептан-2-ил]-N-(2,6-диоксо-3-пиперидил)-2-метоксибензамид (71,8 мг, 0,074 ммоль, выход 29%, чистота 98%), получали в виде желтого твердого вещества. LC/MS (ESI) масса/заряд: 954,3 [М+1]+; 1Н ЯМР (400 МГц, DMSO-d6) δ 1,20-1,30 (m, 2 Н), 1,47 (s, 1 Н), 1,77 (d, J=10,8 Гц, 2 Н), 2,02-2,17 (m, 3 Н), 2,52 (s, 4 Н), 2,69-2,83 (m, 2 Н), 3,24-3,30 (m, 4 Н), 3,34-3,42 (m, 6 Н), 3,47 (s, 1 Н), 3,76 (d,J=12,0 Гц, 2 Н), 3,90 (s, 3 Н), 3,99 (s, 3 Н), 4,69 (dt, J=12,4, 6,0 Гц, 1 Н), 5,20-5,41 (m, 1 Н), 6,01 (d,J=1,6 Гц, 1 Н), 6,07 (dd, J=8,8, 1,6 Гц, 1 Н), 7,05 (d,J=8,8 Гц, 2 Н), 7,25 (t,J=8,4 Гц, 1 Н), 7,54-7,66 (m, 3 Н), 7,76 (d,J=8,4 Гц, 1 Н), 8,06 (s, 1 Н), 8,39 (d, J=6,8 Гц, 1 Н), 8,53 (s, 1 Н), 8,64 (d, J=2,0 Гц, 1 Н), 10,85 (s, 1 Н), 12,89 (s, 1 Н).
[2208] Иллюстративный синтез 4-(6-((1-(4-(3-(2,6-дифтор-3-(((R)-3-фторпирролидин)-1-сульфонамидо)бензоил)-1Н-пирроло[2,3-b]пиридин-5-ил)фенил)пиперидин-4-ил)метил)-2,6-диазаспиро[3.3]гептан-2-ил)-N-(2,6-диоксопиперидин-3-ил)-2-фторбензамида (иллюстративного соединения 792)
[2209] Стадия 1: получение трет-бутил-6-(3-фтор-4-(метоксикарбонил)фенил)-2,6-диазаспиро[3.3]гептан-2-карбоксилата
[2210] К раствору метил-2,4-дифторбензоата (500 мг, 2,90 ммоль, 1 экв.) и соли щавелевой кислоты и трет-бутил-2,6-диазаспиро[3.3]гептан-2-карбоксилата (706 мг, 1,45 ммоль, 0,5 экв.) в диметилсульфоксиде (10 мл) добавляли диизопропилэтиламин (750 мг, 5,81 ммоль, 1,01 мл, 2 экв.). Смесь перемешивали при 120°С в течение 2 ч. В смесь выливали воду (50 мл) и перемешивали в течение 1 минуты. Водную фазу экстрагировали этилацетатом (20 мл × 3). Объединенную органическую фазу промывали солевым раствором (30 мл × 2), высушивали с помощью безводного сульфата натрия, фильтровали и концентрировали в вакууме. Остаток очищали с помощью колоночной хроматографии (петролейный эфир/этилацетат = от 20/1 до 3/1). Соединение, трет-бутил-6-(3-фтор-4-метоксикарбонилфенил)-2,6-диазаспиро[3.3]гептан-2-карбоксилат (350 мг, 0,99 ммоль, выход 34%), получали в виде белого твердого вещества. LC/MS (ESI) масса/заряд: 351,5 [М+1]+.
[2211] Стадия 2: получение 4-(6-(трет-бутоксикарбонил)-2,6-диазаспиро[3.3]гептан-2-ил)-2-фторбензойной кислоты
[2212] К раствору трет-бутил-6-(3-фтор-4-метоксикарбонилфенил)-2,6-диазаспиро[3.3]гептан-2-карбоксилата (350 мг, 0,99 ммоль, 1 экв.) в тетрагидрофуране (6 мл), метаноле (6 мл) и воде (6 мл) добавляли гидроксид натрия (159 мг, 4,00 ммоль, 4 экв.). Смесь перемешивали при 40°С в течение 3 ч. Реакционную смесь регулировали до рН 6 с помощью серной кислоты (2 М). В смесь выливали воду (30 мл) и перемешивали в течение 1 минуты. Водную фазу экстрагировали дихлорметаном (10 мл × 3). Объединенную органическую фазу промывали солевым раствором (10 мл × 2), высушивали с помощью безводного сульфата натрия, фильтровали и концентрировали в вакууме. Соединение, 4-(2-трет-бутоксикарбонил-2,6-диазаспиро[3.3]гептан-6-ил)-2-фторбензойную кислоту (300 мг, 0,89 ммоль, выход 89%), получали в виде белого твердого вещества. LC/MS (ESI) масса/заряд: 337,4 [М+1]+.
[2213] Стадия 3: получение трет-бутил-6-(4-((2,6-диоксопиперидин-3-ил)карбамоил)-3-фторфенил)-2,6-диазаспиро[3.3]гептан-2-карбоксилата
[2214] К раствору 4-(2-трет-бутоксикарбонил-2,6-диазаспиро[3.3]гептан-6-ил)-2-фторбензойной кислоты (300 мг, 0,89 ммоль, 1 экв.) в N,N-диметилформамиде (5 мл) добавляли гексафторфосфат о-(7-азабензотриазол-1-ил)-N,N,N',N'-тетраметилурония (508 мг, 1,34 ммоль, 1,5 экв.), смесь перемешивали при 20°С в течение 0,5 ч. Затем к смеси добавляли диизопропилэтиламин (230 мг, 1,78 ммоль, 310,71 мкл, 2 экв.) и 3-аминопиперидин-2,6-дион (146 мг, 0,89 ммоль, 1 экв., гидрохлорид). Смесь перемешивали при 20°С в течение 12 ч. В смесь выливали воду (50 мл) и перемешивали в течение 1 минуты. Водную фазу экстрагировали этилацетатом (20 мл × 3). Объединенную органическую фазу промывали солевым раствором (20 мл × 2), высушивали с помощью безводного сульфата натрия, фильтровали и концентрировали в вакууме. Остаток очищали с помощью колоночной хроматографии (дихлорметан:метанол = от 200:1 до 20:1). Соединение, трет-бутил-6-[4-[(2,6-диоксо-3-пиперидил)карбамоил]-3-фторфенил]-2,6-диазаспиро[3.3]гептан-2-карбоксилат (250 мг, 0,55 ммоль, выход 62%), получали в виде белого твердого вещества. LC/MS (ESI) масса/заряд: 447,2 [М+1]+.
[2215] Стадия 4: получение N-(2,6-диоксопиперидин-3-ил)-2-фтор-4-(2,6-диазаспиро[3.3]гептан-2-ил)бензамида
[2216] К раствору трет-бутил-6-[4-[(2,6-диоксо-3-пиперидил)карбамоил]-3-фторфенил]-2,6-диазаспиро[3.3]гептан-2-карбоксилата (250 мг, 0,55 ммоль, 1 экв.) в дихлорметане (5 мл) добавляли трифторуксусную кислоту (1,54 г, 13,51 ммоль, 1 мл, 24,12 экв.). Смесь перемешивали при 20°С в течение 12 ч. Реакционную смесь концентрировали при пониженном давлении. Соединение, 4-(2,6-диазаспиро[3.3]гептан-2-ил)-N-(2,6-диоксо-3-пиперидил)-2-фторбензамид (250 мг, трифторацетат), получали в виде коричневого масла. LC/MS (ESI) масса/заряд: 347,2 [М+1]+.
[2217] Стадия 5: получение 4-(6-((1-(4-(3-(2,6-дифтор-3-(((R)-3-фторпирролидин)-1-сульфонамидо)бензоил)-1Н-пирроло[2,3-b]пиридин-5-ил)фенил)пиперидин-4-ил)метил)-2,6-диазаспиро[3.3]гептан-2-ил)-N-(2,6-диоксопиперидин-3-ил)-2-фторбензамида
[2218] К раствору 4-(2,6-диазаспиро[3.3]гептан-2-ил)-N-(2,6-диоксо-3-пиперидил)-2-фторбензамида (90 мг, 0,19 ммоль, 1 экв., трифторацетат) и (3R)-N-[2,4-дифтор-3-[5-[4-(4-формил-1-пиперидил)фенил]-1Н-пирроло[2,3-b]пиридин-3-карбонил]фенил]-3-фторпирролидин-1-сульфонамида (120 мг, 0,19 ммоль, 1 экв.) в 1,2-дихлорэтане (3 мл) добавляли триэтиламин (39 мг, 0,39 ммоль, 2 экв.), смесь перемешивали при 30°С в течение 0,5 ч. К смеси добавляли триацетоксиборогидрид натрия (124 мг, 0,58 ммоль, 3 экв.), смесь перемешивали при 30°С в течение 1,5 ч. Остаток очищали с помощью препаративной HPLC. Реакционную смесь регулировали до рН 8 с помощью насыщенного водного раствора бикарбоната натрия. Водную фазу экстрагировали этилацетатом (20 мл × 3). Объединенную органическую фазу промывали солевым раствором (20 мл × 2), высушивали с помощью безводного сульфата натрия, фильтровали и концентрировали в вакууме. Соединение, 4-[6-[[1-[4-[3-[2,6-дифтор-3-[[3R-3-фторпирролидин-1-ил]сульфониламино]бензоил]-1Н-пирроло[2,3-b]пиридин-5-ил]фенил]-4-пиперидил]метил]-2,6-диазаспиро[3.3]гептан-2-ил]-N-(2,6-диоксо-3-пиперидил)-2-фторбензамид (37,7 мг, 0,038 ммоль, выход 19%, чистота 95%), получали в виде желтого твердого вещества. LC/MS (ESI) масса/заряд: 942,3 [М+1]+; 1Н ЯМР (400 МГц, DMSO-d6) δ 1,20-1,30 (m, 2 Н), 1,46 (s, 1 Н), 1,76 (d, J=11,2 Гц, 2 Н), 2,02-2,17 (m, 3 Н), 2,52 (s, 1 Н), 2,64-2,82 (m, 3 Н), 3,26-3,33 (m, 9 Н), 3,39 (d, J=3,2 Гц, 2 Н), 3,47 (s, 1 Н), 3,76 (d, J=12,0 Гц, 2 Н), 3,93-4,06 (m, 4 Н), 4,72 (dt, J=12,8, 6,28 Гц, 1 Н), 5,17-5,41 (m, 1 Н), 6,20-6,31 (m, 2 Н), 7,05 (d,J=8,8 Гц, 2 Н), 7,25 (t, J=8,4 Гц, 1 Н), 7,54-7,66 (m, 4 Н), 7,97 (t,J=7,2 Гц, 1 Н), 8,05 (s, 1 Н), 8,53 (s, 1 Н), 8,64 (d, J=2,0 Гц, 1 Н), 10,82 (s, 1 Н), 12,88 (s, 1 Н).
[2219] Общие схемы синтеза для пролекарств на основе PEG
[2220] Схема для пролекарства 1. Общая схема синтеза для пролекарств на основе PEG, связанных посредством алкоксиацетатной сложноэфирной группы с гидроксипролином лиганда VHL
[2221] Схема для пролекарства 2. Общая схема синтеза для пролекарств на основе PEG, связанных посредством сукцинатной бис-сложноэфирной группы с гидроксипролином лиганда VHL
[2222] Схема для пролекарства 3. Общая схема синтеза для пролекарств на основе PEG, связанных посредством 3-алкоксипропионатной сложноэфирной группы с гидроксипролином лиганда VHL
[2223] Схема для пролекарства 4. Общая схема синтеза для пролекарств на основе PEG, связанных посредством 3-алкоксибутиратной сложноэфирной группы с гидроксипролином лиганда VHL
[2224] Схема для пролекарства 5. Общая схема синтеза для пролекарств на основе PEG, связанных посредством 2-алкоксипропионатной сложноэфирной группы с гидроксипролином лиганда VHL
[2225] Схема для пролекарства 6. Общая схема синтеза для пролекарств на основе PEG, связанных посредством 4-алкоксибутиратной сложноэфирной группы с гидроксипролином лиганда VHL
[2226] Схема для пролекарства 7. Общая схема синтеза для пролекарств на основе PEG, связанных посредством сукцинатной (вторичной) моноамидной сложной моноэфирной группы с гидроксипролином лиганда VHL
[2227] Схема для пролекарства 8. Общая схема синтеза для пролекарств на основе PEG, связанных посредством сукцинатной (третичной) моноамидной сложной моноэфирной группы с гидроксипролином лиганда VHL
[2228] Схема для пролекарства 9. Общая схема синтеза для пролекарств на основе PEG, связанных посредством сукцинатной моноамидной моносложноэфирной группы с бензильной метильной группой лиганда VHL
[2229] Схема для пролекарства 10. Общая схема синтеза для пролекарств на основе PEG, связанных посредством бис-сложноэфирной группы 2,2'-оксидиуксусной кислоты с гидроксипролином лиганда VHL
[2230] Схема для пролекарства 11. Общая схема синтеза для пролекарств на основе PEG, связанных посредством клик-химии с гидроксипролином лиганда VHL
[2231] Схема для пролекарства 12. Общая схема синтеза для пролекарств на основе PEG, связанных посредством метилен карбонатной группы с N имида лиганда церблона
[2232] Схема для пролекарства 13. Общая схема синтеза для пролекарств на основе PEG, связанных посредством метилен-2-пропионатной группы с индолом исходного лекарственного средства
[2233] Схема для пролекарства 14. Общая схема синтеза для пролекарств на основе PEG, связанных посредством метиленацетатной группы с индолом исходного лекарственного средства
[2234] Схема для пролекарства 15. Общая схема синтеза для пролекарств на основе PEG, связанных посредством метиленкарбонатной группы с индолом исходного лекарственного средства
[2235] Иллюстративный синтез (3R,5S)-1-((S)-2-(2-(3-(4-(4-(3-(2,6-дифтор-3-(((R)-3-фторпирролидин)-1-сульфонамидо)бензоил)-1Н-пирроло[2,3-b]пиридин-5-ил)фенил)пиперазин-1-ил)азетидин-1-ил)ацетамидо)-3,3-диметилбутаноил)-5-((4-(4-метилтиазол-5-ил)бензил)карбамоил)пирролидин-3-ил-2,5,8,11,14,17,20,23,26,29,32,35,38,41,44,47,50-гептадекаоксадопентаконтан-52-оата (иллюстративного соединения 797)
[2236] Стадия 1: получение трет-бутил-3-(4-(4-бромфенил)пиперазин-1-ил)азетидин-1-карбоксилата
[2237] В круглодонную колбу объемом 500 мл помещали 1-(4-бромфенил)пиперазин (10,0 г, 36,2 ммоль 1,0 экв.), трет-бутил-3-оксоазетидин-1-карбоксилат (7,0 г, 36,2 ммоль, 1,0 экв.), дихлорметан (300,0 мл), N,N-диизопропилэтиламин (4,67 г, 36,2 ммоль, 1,0 экв.), триацетоксиборогидрид натрия (35,0 г, 0,16 моль, 4 экв.). Полученную смесь перемешивали в течение 24 ч. при комнатной температуре и экстрагировали дихлорметаном (500,0 мл × 2). Органическую фазу концентрировали и это обеспечивало получение 12,0 г трет-бутил-3-(4-(4-бромфенил)пиперазин-1-ил)азетидин-1-карбоксилата в виде твердого вещества. LC/MS (ESI) масса/заряд: 396,25 [М+1]+.
[2238] Стадия 2: получение 1-(азетидин-3-ил)-4-(4-бромфенил)пиперазина
[2239] В круглодонную колбу объемом 1 л помещали трет-бутил-3-[4-(4-бромфенил)пиперазин-1-ил]азетидин-1-карбоксилат (15,0 г, 1 экв.) в 100 мл дихлорметана и затем добавляли раствор хлороводорода в 1,4-диоксане (4,0 М, 100 мл). Полученную смесь перемешивали в течение 2 часов при комнатной температуре. Твердые вещества собирали путем фильтрации и это обеспечивало получение 10,0 г 1-(азетидин-3-ил)-4-(4-бромфенил)пиперазина в виде твердого вещества. LC/MS (ESI) масса/заряд: 296,20 [М+1]+.
[2240] Стадия 3: получение трет-бутил-2-(3-(4-(4-бромфенил)пиперазин-1-ил)азетидин-1-ил)ацетата
[2241] В круглодонную колбу объемом 1 л, которую продували азотом и в которой поддерживали инертную атмосферу азота, помещали 1-(азетидин-3-ил)-4-(4-бромфенил)пиперазин (15,0 г, 50,68 ммоль, 1,0 экв.), оксолан (200,0 мл), водный раствор гидроксида натрия (2,0 М, 100,0 мл), трет-бутил-2-бромацетат (10,0 г, 51,3 ммоль, 1,1 экв.). Полученную смесь перемешивали в течение 2 ч. при 0°С на бане со льдом/солью. Полученный раствор экстрагировали этилацетатом (500,0 мл × 2) и органические слои объединяли, высушивали над безводным сульфатом натрия и концентрировали. Это обеспечивало получение 10,0 г трет-бутил-2-[3-[4-(4-бромфенил)пиперазин-1-ил]азетидин-1-ил]ацетата в виде твердого вещества. LC/MS (ESI) масса/заряд: 410,30 [М+1]+.
[2242] Стадия 4: получение трет-бутил-2-(3-(4-(4-(4,4,5,5-тетраметил-1,3,2-диоксаборолан-2-ил)фенил)пиперазин-1-ил)азетидин-1-ил)ацетата
[2243] В круглодонную колбу объемом 250 мл, которую продували азотом и в которой поддерживали инертную атмосферу азота, помещали трет-бутил-2-[3-[4-(4-бромфенил)пиперазин-1-ил]азетидин-1-ил]ацетат (10,4 г, 25,24 ммоль, 1,0 экв.), 4,4,5,5-тетраметил-2-(тетраметил-1,3,2-диоксаборолан-2-ил)-1,3,2-диоксаборолан (12,8 г, 50,48 ммоль, 2,0 экв.), ацетат калия (4,9 г, 50,48 ммоль, 2,0 экв.), Pd(dppf)Cl2 (2,0 г, 2,52 ммоль, 0,1 экв.) и диоксан (200,0 мл). Полученный раствор перемешивали в течение ночи при 80°С на масляной бане. Полученную смесь концентрировали. Остаток обрабатывали с помощью колонки с силикагелем с элюированием смесью дихлорметан/метанол (10:1). Это обеспечивало получение 10,0 г трет-бутил-2-(3-[4-[4-(тетраметил-1,3,2-диоксаборолан-2-ил)фенил]пиперазин-1-ил]азетидин-1-ил)ацетата в виде твердого вещества. LC/MS (ESI) масса/заряд: 458,35 [М+1]+.
[2244] Стадия 5: получение трет-бутил-(R)-2-(3-(4-(4-(3-(2,6-дифтор-3-((3-фторпирролидин)-1-сульфонамидо)бензоил)-1Н-пирроло[2,3-b]пиридин-5-ил)фенил)пиперазин-1-ил)азетидин-1-ил)ацетата
[2245] В герметичную пробирку объемом 30 мл, которую продували азотом и в которой поддерживали инертную атмосферу азота, помещали (3R)-N-[3-([5-6poM-1H-пирроло[2,3-b]пиридин-3-ил]карбонил)-2,4-дифторфенил]-3-фторпирролидин-1-сульфонамид (1,0 г, 2,0 ммоль, 1,0 экв.), трет-бутил-2-(3-[4-[4-(тетраметил-1,3,2-диоксаборолан-2-ил)фенил]пиперазин-1-ил]азетидин-1-ил)ацетат (1,9 г, 4,15 ммоль, 2,1 экв.), Na2CO3 (0,43 г, 4,0 ммоль, 2,0 экв.), Pd(dppf)Cl2 (163,0 мг, 0,2 ммоль, 0,1 экв.), диоксан (10 мл) и H2O (2 мл). Полученную смесь перемешивали в течение 3 ч. при 105°С в условиях нагревания с помощью микроволнового излучения. Полученную смесь концентрировали и остаток обрабатывали с помощью колонки с силикагелем с элюированием смесью дихлорметан/метанол (10:1). Это обеспечивало получение 0,94 г (62,76%) трет-бутил-2-[3-[4-(4-[3-[(2,6-дифтор-3-[[3R-3-фторпирролидин-1-сульфонил]амино]фенил)карбонил]-1Н-пирроло[2,3-b]пиридин-5-ил]фенил)пиперазин-1-ил]азетидин-1-ил]ацетата в виде твердого вещества. LC/MS (ESI) масса/заряд: 754,45 [М+1]+.
[2246] Стадия 6: получение (R)-2-(3-(4-(4-(3-(2,6-дифтор-3-((3-фторпирролидин)-1-сульфонамидо)бензоил)-1Н-пирроло[2,3-b]пиридин-5-ил)фенил)пиперазин-1-ил)азетидин-1-ил)уксусной кислоты
[2247] В круглодонную колбу объемом 100 мл помещали трет-бутил-2-[3-[4-(4-[3-[(2,6-дифтор-3-[[3R-3-фторпирролидин-1-сульфонил]амино]фенил)карбонил]-1Н-пирроло[2,3-b]пиридин-5-ил]фенил)пиперазин-1-ил]азетидин-1-ил]ацетат (1,0 г), дихлорметан (20 мл) и три фтору ксусную кислоту (10 мл). Полученный раствор перемешивали в течение 12 часов при комнатной температуре. Полученную смесь концентрировали. Это обеспечивало получение 820,0 мг 2-[3-[4-(4-[3-[(2,6-дифтор-3-[[3R-3-фторпирролидин-1-сульфонил]амино]фенил)карбонил]-1Н-пирроло[2,3-b]пиридин-5-ил]фенил)пиперазин-1-ил]азетидин-1-ил]уксусной кислоты в виде коричневого твердого вещества. LC/MS (ESI) масса/заряд: 698,05 [М+1]+.
[2248] Стадия 7: получение (2S,4R)-1-((S)-2-(2-(3-(4-(4-(3-(2,6-дифтор-3-(((R)-3-фторпирролидин)-1-сульфонамидо)бензоил)-1Н-пирроло[2,3-b]пиридин-5-ил)фенил)пиперазин-1-ил)азетидин-1-ил)ацетамидо)-3,3-диметилбутаноил)-4-гидрокси-N-(4-(4-метилтиазол-5-ил)бензил)пирролидин-2-карбоксамида
[2249] В круглодонную колбу объемом 100 мл помещали 2-[3-[4-(4-[3-[(2,6-дифтор-3-[[3R-3-фторпирролидин-1-сульфонил]амино]фенил)карбонил]-1Н-пирроло[2,3-b]пиридин-5-ил]фенил)пиперазин-1-ил]азетидин-1-ил]уксусную кислоту (1,0 г), N,N-диметилформамид (10 мл), (2S,4R)-1-[(2S)-2-амино-3,3-диметилбутаноил]-4-гидрокси-N-[[4-(4-метил-1,3-тиазол-5-ил)фенил]метил]пирролидин-2-карбоксамид (0,61 г), N,N-диизопропилэтиламин (0,55 г), циклический ангидрид пропанфосфоновой кислоты (1,3 г). Полученный раствор перемешивали при комнатной температуре в течение 1 часа. Затем реакционную смесь гасили путем добавления 60 мл воды. Полученный раствор экстрагировали этилацетатом (50 мл × 2) и органическую фазу концентрировали. Неочищенный продукт очищали с помощью препаративной HPLC. Это обеспечивало получение 251,7 мг (2S,4R)-1-[(2S)-2-(2-[3-[4-(4-[3-[(2,6-дифтор-3-[[3R-3-фторпирролидин-1-сульфонил]амино]фенил)карбонил]-1Н-пирроло[2,3-b]пиридин-5-ил]фенил)пиперазин-1-ил]азетидин-1-ил]ацетамидо)-3,3-диметила в виде твердого вещества. LC/MS (ESI) масса/заряд: 1110,15 [М+1]+; 1Н ЯМР (300 МГц, DMSO-d6) δ 12,89 (s, 1Н), 8,94 (s, 1H), 8,70-8,36 (m, 3H), 8,13 (s, 1H), 8,04 (s, 1H), 7,57 (dd, J=9,0, 5,1 Гц, 4H), 7,38 (s, 4H), 7,22 (td, J=8,8, 1,6 Гц, 1H), 7,03 (d, J=8,7 Гц, 2H), 5,26 (d, J=53,1 Гц, 2H), 4,54-4,16 (m, 5H), 3,68-3,50 (m, 3H), 3,42 (d, J=19,4 Гц, 2H), 3,30 (dt, J=25,7, 4,6 Гц, 2H), 3,15 (d, J=18,7 Гц, 7H), 3,01 (s, 3H), 2,40 (d, J=8,0 Гц, 7H), 2,16-1,78 (m, 4H), 1,37 (s, 1H), 0,91 (s, 9H).
[2250] Стадия 8: получение трет-бутил-2,5,8,11,14,17,20,23,26,29,32,35,38,41,44,47,50-гептадекаоксадопентаконтан-52-оата
[2251] В круглодонную колбу объемом 1 л, которую продували азотом и в которой поддерживали инертную атмосферу азота, помещали 2,5,8,11,14,17,20,23,26,29,32,35,38,41,44,47-гексадекаоксанонатетраконтан-49-ол (40,00 г, 54,28 ммоль, 1 экв.) в THF (400 мл). Раствор охлаждали до 0°С на бане с водой/льдом и затем добавляли порциями NaH (3,20 г, 80,01 ммоль, 1,47 экв.). Полученную смесь перемешивали в течение 0,5 ч. при 0°С. Затем добавляли по каплям трет-бутил-2-бромацетат (15,60 г, 79,98 ммоль, 1,47 экв.) при перемешивании. Обеспечивали протекание реакции в полученной смеси при перемешивании в течение дополнительных 14 ч. при комнатной температуре. Затем реакционную смесь гасили путем добавления воды (300 мл). Полученный раствор экстрагировали этилацетатом (130 мл×3). Объединенные органические слои высушивали над безводным сульфатом натрия и концентрировали под вакуумом. Остаток обрабатывали с помощью колонки с силикагелем с применением смеси дихлорметан/метанол (20:1). Это обеспечивало получение 20 г (43,29%) трет-бутил-2,5,8,11,14,17,20,23,26,29,32,35,38,41,44,47,50-гептадекаоксадопентаконтан-52-оата в виде бесцветного масла. 1Н ЯМР (300 МГц, CDCl3) δ 4,02 (s, 2Н), 3,71-3,56 (m, 75Н), 3,38 (s, 3Н), 1,48 (s, 9Н).
[2252] Стадия 9: получение 2,5,8,11,14,17,20,23,26,29,32,35,38,41,44,47,50-гептадекаоксад опентаконтан-52-овой кислоты
[2253] В круглодонную колбу объемом 50 мл помещали трет-бутил-2,5,8,11,14,17,20,23,26,29,32,35,38,41,44,47,50-гептадекаоксадопентаконтан-52-оат (500 мг), DCE (5,0 мл), TFA (1,5 мл). Полученный раствор перемешивали в течение 4 ч. при комнатной температуре. Полученную смесь концентрировали под вакуумом. Неочищенный продукт очищали с помощью препаративной HPLC. Это обеспечивало получение 126,1 мг (27,00%) 2,5,8,11,14,17,20,23,26,29,32,35,38,41,44,47,50-гептадекаоксадопентаконтан-52-овой кислоты в виде светло-желтого масла. LC/MS (ESI) масса/заряд: 398,35 [M/2+l]+; 1H ЯМР (300 МГц, D2O) δ 4,8-4,15 (m, 2H), 3,70-3,55 (m, 77H), 3,30 (s, 3H).
[2254] Стадия 10: получение (3R,5S)-1-((S)-2-(2-(3-(4-(4-(3-(2,6-дифтор-3-(((R)-3-фторпирролидин)-1-сульфонамидо)бензоил)-1Н-пирроло[2,3-b]пиридин-5-ил)фенил)пиперазин-1-ил)азетидин-1-ил)ацетамидо)-3,3-диметилбутаноил)-5-((4-(4-метилтиазол-5-ил)бензил)карбамоил)пирролидин-3-ил-2,5,8,11,14,17,20,23,26,29,32,35,38,41,44,47,50-гептадекаоксадопентаконтан-52-оата
[2255] В круглодонную колбу объемом 100 мл помещали (2S,4R)-1-[(2S)-2-(2-[3-[4-(4-[3-[(2,6-дифтор-3-[[3R-3-фторпирролидин-1-сульфонил]амино]фенил)карбонил]-1Н-пирроло[2,3-b]пиридин-5-ил]фенил)пиперазин-1-ил]азетидин-1-ил]ацетамидо)-3,3-диметил (300,0 мг, 270,51 ммоль, 1,0 экв.), 2-(2-метоксиэтокси)уксусную кислоту (1,074 г, 1,35 ммоль, 5,0 экв.), дихлорметан (20,0 мл), 4-диметиламинопиридин (1,5 г, 2,7 моль, 10 экв.), гидрохлорид N-(3-диметиламинопропил)-N'-этилкарбодиимида (5,71 г, 2,7 моль, 10,0 экв.). Полученный раствор перемешивали в течение 24 ч. при комнатной температуре. Полученную смесь промывали с помощью 300 × мл NH4Cl. Полученный раствор экстрагировали с помощью 2 × 200 мл дихлорметана, высушивали над безводным сульфатом натрия и концентрировали. Полученную смесь концентрировали. Неочищенный продукт очищали с помощью препаративной HPLC. Это обеспечивало получение 31,6 мг (3R,5S)-1-((S)-2-(2-(3-(4-(4-(3-(2,6-дифтор-3-(((R)-3-фторпирролидин)-1-сульфонамидо)бензоил)-1Н-пирроло[2,3-b]пиридин-5-ил)фенил)пиперазин-1-ил)азетидин-1-ил)ацетамидо)-3,3-диметилбутаноил)-5-((4-(4-метилтиазол-5-ил)бензил)карбамоил)пирролидин-3-ил-2,5,8,11,14,17,20,23,26,29,32,35,38,41,44,47,50-гептадекаоксадопентаконтан-52-оата в виде твердого вещества. LC/MS (ESI) масса/заряд: 1887,26 [М+1]+; 1Н ЯМР (400 МГц, DMSO-d6) δ 8,99 (s, 1Н), 8,89-8,44 (m, 2H), 8,17 (s, 3H), 7,62 (dd, J=9,0, 6,8 Гц, 1H), 7,42 (s, 3H), 7,28 (t, J=8,9 Гц, 4H), 7,08 (d, J=8,4 Гц, 2H), 5,31 (d, J=52,8 Гц, 2H), 4,58-4,23 (m, 5H), 4,29-3,68 (m, 6H), 3,78-3,51 (m, 12H), 3,47-2,77 (m, 66H), 2,47 (s, 7H), 2,42-1,88 (m, 5H), 0,97 (s, 9H).
[2256] Иллюстративный синтез (3R,5S)-1-((S)-2-(2-(3-(4-(4-(3-(2,6-дифтор-3-(((R)-3-фторпирролидин)-1-сульфонамидо)бензоил)-1Н-пирроло[2,3-b]пиридин-5-ил)фенил)пиперазин-1-ил)азетидин-1-ил)ацетамидо)-3,3-диметилбутаноил)-5-((4-(4-метилтиазол-5-ил)бензил)карбамоил)пирролидин-3-ил-(65-гидрокси-3,6,9,12,15,18,21,24,27,30,33,36,39,42,45,48,51,54,57,60,63-геникозаоксапентагексаконтил)сукцината (иллюстративного соединения 799)
[2257] Стадия 1: получение 4-(((3R,5S)-1-((S)-2-(2-(3-(4-(4-(3-(2,6-дифтор-3-(((R)-3-фторпирролидин)-1-сульфонамидо)бензоил)-1Н-пирроло[2,3-b]пиридин-5-ил)фенил)пиперазин-1-ил)азетидин-1-ил)ацетамидо)-3,3-диметилбутаноил)-5-((4-(4-метилтиазол-5-ил)бензил)карбамоил)пирролидин-3-ил)окси)-4-оксобутановой кислоты
[2258] В круглодонную колбу объемом 100 мл помещали (2S,4R)-1-[(2S)-2-(2-[3-[4-(4-[3-[(2,6-дифтор-3-[[(3R)-3-фторпирролидин-1-сульфонил]амино]фенил)карбонил]-1Н-пирроло[2,3-b]пиридин-5-ил]фенил)пиперазин-1-ил]азетидин-1-ил]ацетамидо)-3,3-диметилбутаноил]-4-гидрокси-N-[[4-(4-метил-1,3-тиазол-5-ил)фенил]метил]пирролидин-2-карбоксамид (250,0 мг, 0,23 ммоль, 1,00 экв.), дихлорметан (10 мл), 4-диметиламинопиридин (82,50 мг, 0,68 ммоль, 3,00 экв.), триэтиламин (45,53 мг, 0,45 ммоль, 2,00 экв.), после перемешивания в течение 10 мин добавляли оксолан-2,5-дион (45,08 мг, 0,45 ммоль, 2,00 экв.). Полученный раствор перемешивали в течение ночи при комнатной температуре. Полученный раствор экстрагировали дихлорметаном (100 мл) и органические слои объединяли. Полученную смесь промывали с помощью NH4Cl (водн.) (50 мл). Смесь высушивали над безводным сульфатом натрия и концентрировали под вакуумом. Неочищенный продукт очищали с помощью препаративной HPLC. Это обеспечивало получение 38 мг (14%) 4-[[(3R,5S)-1-[(2S)-2-(2-[3-[4-(4-[3-[(2,6-дифтор-3-[[(3R)-3-фторпирролидин-1-сульфонил]амино]фенил)карбонил]-1Н-пирроло[2,3-b]пиридин-5-ил]фенил)пиперазин-1-ил]азетидин-1-ил]ацетамидо)-3,3-диметилбутаноил]-5-([[4-(4-метил-1,3-тиазол-5-ил)фенил]метил]карбамоил)пирролидин-3-ил]окси]-4-оксобутановой кислоты в виде светло-желтого твердого вещества. LC/MS (ESI) масса/заряд: 1210,10 [М+1]+; 1Н ЯМР (400 МГц, CD3OD) δ 8,85 (s, 1H), 8,67 (s, 1H), 8,58 (d, J=2,0 Гц, 1Н), 7,88 (s, 1H), 7,75-7,74 (m, 1Н), 7,58 (d, J=8,8 Гц, 2Н), 7,47-7,40 (m, 4Н), 7,16-7,07 (m, 3Н), 5,35-5,15 (m, 2Н), 4,57-4,53 (m, 3Н), 4,38-4,34 (m, 1H), 4,16-4,13 (m, 1Н), 4,00-3,87 (m, 3Н), 3,59-3,39 (m, 7Н), 3,30-3,24 (m, 6Н), 2,55-2,44 (m, 12Н), 2,20-2,00 (m, 3H), 1,04 (s, 9Н).
[2259] Стадия 2: получение (3R,5S)-1-((S)-2-(2-(3-(4-(4-(3-(2,6-дифтор-3-(((R)-3-фторпирролидин)-1-сульфонамидо)бензоил)-1Н-пирроло[2,3-b]пиридин-5-ил)фенил)пиперазин-1-ил)азетидин-1-ил)ацетамидо)-3,3-диметилбутаноил)-5-((4-(4-метилтиазол-5-ил)бензил)карбамоил)пирролидин-3-ил-(2,5-диоксопирролидин-1-ил)сукцината
[2260] В круглодонную колбу объемом 50 мл помещали 4-[[(3R,5S)-1-[(2S)-2-(2-[3-[4-(4-[3-[(2,6-дифтор-3-[[3R-3-фторпирролидин-1-сульфонил]амино]фенил)карбонил]-1Н-пирроло[2,3-b]пиридин-5-ил]фенил)пиперазин-1-ил]азетидин-1-ил]ацетамидо)-3,3-диметилбутаноил]-5-([[4-(4-метил-1,3-тиазол-5-ил)фенил]метил]карбамоил)пирролидин-3-ил]окси]-4-оксобутановую кислоту (250,0 мг, 0,21 ммоль, 1,00 экв.), дихлорметан (10 мл), 1-гидроксипирролидин-2,5-дион (47,55 мг, 0,41 ммоль, 2,00 экв.), DCC (85,19 мг, 0,41 ммоль, 2,00 экв.). Полученный раствор перемешивали в течение ночи при комнатной температуре. Твердые вещества отфильтровывали. Это обеспечивало получение 270,0 мг (100%) (3R,5S)-1-[(2S)-2-(2-[3-[4-(4-[3-[(2,6-дифгор-3-[[3R-3-фторпирролидин-1-сульфонил]амино]фенил)карбонил]-1Н-пирроло[2,3-b]пиридин-5-ил]фенил)пиперазин-1-ил]азетидин-1-ил]ацетамидо)-3,3-диметилбутаноил]-5-([[4-(4-метил-1,3-тиазол-5-ил)фенил]метил]карбамоил)пирролидин-3-ил-2,5-диоксопирролидин-1-илбутандиоата в виде светло-желтого твердого вещества.
[2261] Стадия 3: получение (3R,5S)-1-((S)-2-(2-(3-(4-(4-(3-(2,6-дифтор-3-(((R)-3-фторпирролидин)-1-сульфонамидо)бензоил)-1Н-пирроло[2,3-b]пиридин-5-ил)фенил)пиперазин-1-ил)азетидин-1-ил)ацетамидо)-3,3-диметилбутаноил)-5-((4-(4-метилтиазол-5-ил)бензил)карбамоил)пирролидин-3-ил-(65-гидрокси-3,6,9,12,15,18,21,24,27,30,33,36,39,42,45,48,51,54,57,60,63-геникозаоксапентагексаконтил)сукцината
[2262] В круглодонную колбу объемом 50 мл, которую продували азотом и в которой поддерживали инертную атмосферу азота, помещали (3R,5S)-1-[(2S)-2-(2-[3-[4-(4-[3-[(2,6-дифтор-3-[[3R-3-фторпирролидин-1-сульфонил]амино]фенил)карбонил]-1Н-пирроло[2,3-b]пиридин-5-ил]фенил)пиперазин-1-ил]азетидин-1-ил]ацетамидо)-3,3-Диметилбутаноил]-5-([[4-(4-метил-1,3-тиазол-5-ил)фенил]метил]карбамоил)пирролидин-3-ил-2,5-диоксопирролидин-1-илбутандиоат (290,0 мг, 0,22 ммоль, 1,00 экв.), дихлорметан (5,0 мл), PEG 1000 (666,0 мг, 3,00 экв.), триэтиламин (67,28 мг, 0,66 ммоль, 3,00 экв.). Полученный раствор перемешивали в течение ночи при комнатной температуре. Полученный раствор экстрагировали дихлорметаном (50 мл × 2) и органические слои объединяли. Полученную смесь промывали с помощью NH4Cl (водн.) (50 мл × 2). Смесь высушивали над безводным сульфатом натрия и концентрировали под вакуумом. Неочищенный продукт очищали с помощью препаративной HPLC. Это обеспечивало получение 59,6 мг (21%) (3R,5S)-1-((S)-2-(2-(3-(4-(4-(3-(2,6-дифтор-3-(((R)-3-фторпирролидин)-1-сульфонамидо)бензоил)-1Н-пирроло[2,3-b]пиридин-5-ил)фенил)пиперазин-1-ил)азетидин-1-ил)ацетамидо)-3,3-диметилбутаноил)-5-((4-(4-метилтиазол-5-ил)бензил)карбамоил)пирролидин-3-ил-(65-гидрокси-3,6,9,12,15,18,21,24,27,30,33,36,39,42,45,48,51,54,57,60,63-геникозаоксапентагексаконтил)сукцината в виде светло-желтого масла. LC/MS (ESI) масса/заряд: 2179,44 [М+1]+; 1Н ЯМР (400 МГц, CD3OD) δ 8,86 (s, 1H), 8,67(s, 1Н), 8,59-8,58 (d, J=2,0 Гц, 1H), 7,89 (s, 1Н), 7,75-7,74 (m, 1H), 7,60-7,58 (d, J=8,8 Гц, 2Н), 7,48-7,41 (m, 4Н), 7,10-7,08 (m, 3H), 5,35-5,15 (m, 2Н), 4,54-4,53 (m, 3H), 4,38-4,34 (m, 1H), 4,23-4,13 (m,3H), 3,90-3,80 (m, 2Н), 3,70-3,53 (m, 99Н), 3,47-3,31 (m, 3H), 3,29-3,26 (m, 4Н), 3,17-3,10 (m, 3H), 2,64 (s, 4Н), 2,56 (s, 4Н), 2,48 (s, 4Н), 2,47-2,35 (m, 1H), 2,25-2,10 (m, 3H), 1,05 (s, 9Н)
[2263] Иллюстративный синтез (3R,5S)-1-((S)-2-(2-(2-(4-(4-(3-(2,6-дифтор-3-(((R)-3-фторпирролидин)-1-сульфонамидо)бензоил)-1Н-пирроло[2,3-b]пиридин-5-ил)фенил)пиперазин-1-ил)этокси)ацетамидо)-3,3-диметилбутаноил)-5-((4-(4-метилтиазол-5-ил)бензил)карбамоил)пирролидин-3-ил-2,5,8,11,14,17,20,23,26,29,32,35,38,41,44,47,50,53,56,59,62,65,68-трикозаоксагенгептаконтан-71-оата (иллюстративного соединения 800)
[2264] Стадия 1: получение трет-бутил-2-(2-(бензилокси)этокси)ацетата
[2265] В круглодонную колбу объемом 1000 мл помещали 2-(бензилокси)этан-1-ол (10,0 г, 65,71 ммоль, 1,00 экв.), трет-бутил-2-бромацетат (19,2 г, 98,43 ммоль, 1,50 экв.), 37% гидроксид натрия (150 мл), хлорид тетрабутиламмония (18,3 г, 65,83 ммоль, 1,00 экв.) в дихлорметане (150 мл). Полученный раствор перемешивали в течение 4 ч. при комнатной температуре на бане с водой/льдом. Полученный раствор экстрагировали дихлорметаном (100 мл × 3) и органические слои объединяли и концентрировали под вакуумом. Остаток обрабатывали с помощью колонки с силикагелем с применением смеси этилацетат/петролейный эфир (1/15). Это обеспечивало получение 15,0 г (86%) трет-бутил-2-[2-(бензилокси)этокси]ацетата в виде желтого масла.
[2266] Стадия 2: получение трет-бутил-2-(2-гидроксиэтокси)ацетата
[2267] В круглодонную колбу объемом 500 мл добавляли палладий на угле (15,0 г, 92,02 ммоль, 10,00 экв.) к раствору трет-бутил-2-[2-(бензилокси)этокси]ацетата (20,9 г, 78,47 ммоль, 1,00 экв.) в метаноле (250 мл) при комнатной температуре в атмосфере азота. Реакционную колбу вакуумировали и обеспечивали баллоном с водородом. Полученный раствор перемешивали в течение 16 ч. при комнатной температуре. Палладий на угле удаляли. Полученную смесь концентрировали под вакуумом. Это обеспечивало получение 9,9 г (72%) трет-бутил-2-(2-гидроксиэтокси)ацетата в виде светло-желтого твердого вещества.
[2268] Стадия 3: получение трет-бутил-2-(2-(тозилокси)этокси)ацетата
[2269] В круглодонную колбу объемом 250 мл помещали раствор трет-бутил-2-(2-гидроксиэтокси)ацетата (4,5 г, 25,54 ммоль, 1,00 экв.), триэтиламина (5,2 г, 51,39 ммоль, 2,01 экв.), 4-метилбензол-1-сульфонилхлорида (5,8 г, 30,42 ммоль, 1,20 экв.) в дихлорметане (50 мл). Полученный раствор перемешивали в течение 8 ч. при комнатной температуре. Затем реакционную смесь гасили путем добавления воды (100 мл). Полученный раствор экстрагировали дихлорметаном (30 мл × 3) и органические слои объединяли. Полученную смесь промывали солевым раствором (20 мл × 1). Смесь высушивали над безводным сульфатом натрия и концентрировали под вакуумом. Остаток обрабатывали с помощью колонки с силикагелем с применением смеси этилацетат/петролейный эфир (1:3). Это обеспечивало получение 6,1 г (72%) трет-бутил-2-(2-[[(4-метилбензол)сульфонил]окси]этокси)ацетата в виде бесцветного масла. LC/MS (ESI) масса/заряд: 275,06 [М-55]+.
[2270] Стадия 4: получение трет-бутил-2-(2-(4-(4-бромфенил)пиперазин-1-ил)этокси)ацетата
[2271] В круглодонную колбу объемом 500 мл помещали гидрохлорид 1-(4-бромфенил)пиперазина (10,0 г, 36,02 ммоль, 1,00 экв.), трет-бутил-2-2-[(4-метилбензолсульфонил)окси]этоксиацетат (14,2 г, 42,98 ммоль, 1,20 экв.), ацетонитрил (200 мл), йодид калия (6,0 г, 1,00 экв.) и карбонат калия (14,9 г, 107,81 ммоль, 3,00 экв.). Полученный раствор перемешивали в течение 10 ч. при 70°С на масляной бане. Твердое вещество отфильтровывали. Фильтрат концентрировали при пониженном давлении. Остаток обрабатывали с помощью колонки с силикагелем с элюированием смесью этилацетат/петролейный эфир (об.:об.=1:1). Это обеспечивало получение 9,6 г (67%) трет-бутил-2-[2-[4-(4-бромфенил)пиперазин-1-ил]этокси]ацетата в виде светло-коричневого твердого вещества. LC/MS (ESI) масса/заряд: 399,10 [М+1]+.
[2272] Стадия 5: получение трет-бутил-2-(2-(4-(4-(4,4,5,5-тетраметил-1,3,2-диоксаборолан-2-ил)фенил)пиперазин-1-ил)этокси)ацетата
[2273] В круглодонную колбу объемом 500 мл, которую продували азотом и в которой поддерживали инертную атмосферу азота, помещали трет-бутил-2-[2-[4-(4-бромфенил)пиперазин-1-ил]этокси]ацетат (9,6 г, 24,04 ммоль, 1 экв.), 4,4,5,5-тетраметил-2-(4,4,5,5-тетраметил-1,3,2-диоксаборолан-2-ил)-1,3,2-диоксаборолан (12,2 г, 48,08 ммоль, 2 экв.), ацетат калия (7,1 г, 72,12 ммоль, 3 экв.), Pd(dppf)Cl2 CH2Cl2 (3,9 г, 4,81 ммоль, 0,2 экв.) и 100 мл диоксана. Полученный раствор перемешивали в течение 5 ч. при 85°С на масляной бане в атмосфере азота. Затем реакционную смесь гасили водой (100 мл) и экстрагировали дихлорметаном (100 мл × 3). Объединенные органические слои промывали солевым раствором (100 мл) и водой (100 мл), высушивали над безводным сульфатом натрия и концентрировали при пониженном давлении. Остаток обрабатывали с помощью колонки с силикагелем с элюированием смесью этилацетат/петролейный эфир (об.:об.=1:1). Это обеспечивало получение 8,2 г (76,41%) трет-бутил-2-(2-[4-[4-(4,4,5,5-тетраметил-1,3,2-диоксаборолан-2-ил)фенил]пиперазин-1-ил]этокси)ацетата в виде светло-коричневого твердого вещества. LC/MS (ESI) масса/заряд: 447,30 [М+1]+.
[2274] Стадия 6: получение трет-бутил-(11)-2-(2-(4-(4-(3-(2,6-дифтор-3-((3-фторпирролидин)-1-сульфонамидо)бензоил)-1Н-пирроло[2,3-b]пиридин-5-ил)фенил)пиперазин-1-ил)этокси)ацетата
[2275] В круглодонную колбу объемом 100 мл, которую продували азотом и в которой поддерживали инертную атмосферу азота, помещали (3R)-N-(3-[5-бром-1H-пирроло[2,3-b]пиридин-3-карбонил]-2,4-дифторфенил)-3-фторпирролидин-1-сульфонамид (5,8 г, 11,52 ммоль, 1 экв.), трет-бутил-2-(2-[4-[4-(4,4,5,5-тетраметил-1,3,2-диоксаборолан-2-ил)фенил]пиперазин-1-ил]этокси)ацетат (6,2 г, 13,83 ммоль, 1,2 экв.), карбонат натрия (3,7 г, 34,57 ммоль, 3 экв.), Pd(dppf)Cl2⋅CH2Cl2 (1,9 г, 2,30 ммоль, 0,2 экв.), диоксан (50 мл) и воду (5 мл). Полученный раствор перемешивали в течение 2 ч. при 105°С на масляной бане. Полученный раствор разбавляли дихлорметаном (100 мл) и экстрагировали дихлорметаном (100 мл × 3). Объединенные органические слои промывали солевым раствором (100 мл) и водой (100 мл), высушивали над безводным сульфатом натрия и концентрировали при пониженном давлении. Остаток обрабатывали с помощью колонки с силикагелем с элюированием смесью дихлорметан/метанол (10:1). Это обеспечивало получение 4,8 г (56,07%) трет-бутил-2-[2-[4-(4-[3-[2,6-дифтор-3-([[3R-3-фторпирролидин-1-ил]сульфонил]амино)бензоил]-1Н-пирроло[2,3-b]пиридин-5-ил]фенил)пиперазин-1-ил]этокси]ацетата в виде желтого масла. LC/MS (ESI) масса/заряд: 743,15 [М+1]+.
[2276] Стадия 7: получение (R)-2-(2-(4-(4-(3-(2,6-дифгор-3-((3-фторпирролидин)-1-сульфонамидо)бензоил)-1Н-пирроло[2,3-b]пиридин-5-ил)фенил)пиперазин-1-ил)этокси)уксусной кислоты
[2277] В круглодонную колбу объемом 250 мл помещали трет-бутил-2-[2-[4-(4-[3-[2,6-дифтор-3-([[3R-3-фторпирролидин-1-ил]сульфонил]амино)бензоил]-1Н-пирроло[2,3-b]пиридин-5-ил]фенил)пиперазин-1-ил]этокси]ацетат (4,8 г, 6,46 ммоль, 1 экв.), дихлорметан (50 мл, 786,50 ммоль, 121,71 экв.) и TFA (10 мл). Полученный раствор перемешивали в течение 3 ч. при комнатной температуре. Полученную смесь концентрировали при пониженном давлении. Это обеспечивало получение 3,8 г (85,64%) 2-[2-[4-(4-[3-[2,6-ди фтор-3-([[3R-3-фторпирролидин-1-ил]сульфонил]амино)бензоил]-1Н-пирроло[2,3-b]пиридин-5-ил]фенил)пиперазин-1-ил]этокси]уксусной кислоты в виде желтого масла. LC/MS (ESI) масса/заряд: 687,35 [М+1]+.
[2278] Стадия 8: получение (2S,4R)-1-((S)-2-(2-(2-(4-(4-(3-(2,6-дифтор-3-(((R)-3-фторпирролидин)-1-сульфонамидо)бензоил)-1Н-пирроло[2,3-b]пиридин-5-ил)фенил)пиперазин-1-ил)этокси)ацетамидо)-3,3-диметилбутаноил)-4-гидрокси-N-(4-(4-метилтиазол-5-ил)бензил)пирролидин-2-карбоксамида
[2279] В круглодонную колбу объемом 100 мл помещали 2-[2-[4-(4-[3-[2,6-дифтор-3-([[(3R)-3-фторпирролидин-1-ил]сульфонил]амино)бензоил]-1Н-пирроло[2,3-b]пиридин-5-ил]фенил)пиперазин-1-ил]этокси]уксусную кислоту (1,1 г, 1,60 ммоль, 1 экв.), N,N-диметилформамид (20 мл), гидрохлорид (2S,4R)-1-[(2S)-2-амино-3,3-диметилбутаноил]-4-гидрокси-N-[[4-(4-метил-1,3-тиазол-5-ил)фенил]метил]пирролидин-2-карбоксамида (748,1 мг, 1,60 ммоль, 1 экв.), N,N-диизопропилэтиламин (621,1 мг, 4,81 ммоль, 3 экв.) и Т3Р (1,526 г, 50% раствор в этилацетате, 2,40 ммоль, 1,5 экв.). Полученный раствор перемешивали в течение 2 ч. при комнатной температуре. Затем реакционную смесь гасили водой (50 мл) и экстрагировали дихлорметаном (50 мл × 3). Объединенные органические слои промывали солевым раствором (50 мл) и водой (50 мл), высушивали над безводным сульфатом натрия и концентрировали при пониженном давлении. Остаток обрабатывали с помощью колонки с силикагелем с элюированием смесью дихлорметан/метанол (об.:об.=10:1). Это обеспечивало получение 256,3 мг (14,56%) (2S,4R)-1-[(2S)-2-(2-[2-[4-(4-[3-[2,6-дифтор-3-([[3R-3-фторпирролидин-1-ил]сульфонил]амино)бензоил]-1Н-пирроло[2,3-b]пиридин-5-ил]фенил)пиперазин-1-ил]этокси]ацетамидо)-3,3-диметилбутаноил]-4-гидрокси-N-[[4-(4-метил-1,3-тиазол-5-ил)фенил]метил]пирролидин-2-карбоксамида в виде желтого твердого вещества. LC/MS (ESI) масса/заряд: 1099,60 [М+1]+; 1Н ЯМР (300 МГц, DMSO-d6) δ 12,94 (s, 1H), 9,81 (s, 1Н), 8,96 (s, 1Н), 8,74-8,60 (m, 2Н), 8,60-8,49 (m, 1Н), 8,08 (s, 1Н), 7,72-7,53 (m, 3H), 7,51-7,33 (m, 5Н), 7,32-7,22 (m, 1Н), 7,04 (d, J=8,5 Гц, 2Н), 5,48-5,11 (m, 2Н), 4,71-4,08 (m, 6Н), 4,08-3,89 (m, 2Н), 3,77-3,48 (m, 4Н), 3,30-3,11 (m, 6Н), 2,72-2,58 (m, 6Н), 2,42 (s, 3H), 2,26-1,84 (m, 5Н), 0,97 (s, 9Н).
[2280] Стадия 9: получение трет-бутил-2,5,8,11,14,17,20,23,26,29,32,35,38,41,44,47,50,53,56,59,62,65,68-трикозаоксагенгептаконтан-71-оата
[2281] К раствору 2,5,8,11,14,17,20,23,26,29,32,35,38,41,44,47,50,53,56,59,62,65-докозаоксагептагексаконтан-67-ола (1,00 г, 1,00 ммоль, 1 экв.) в THF (10 мл) добавляли Na (5,8 мг, 0,25 ммоль, 0,253 экв.) и трет-бутилпроп-2-еноат (640,9 мг, 5,00 ммоль, 5,006 экв.). Реакционную смесь перемешивали в течение 26 ч. при комнатной температуре. Затем реакционную смесь гасили путем добавления воды (30 мл). THF удаляли под вакуумом. Остаток экстрагировали этилацетатом (80 мл × 4). Объединенную органическую фазу промывали солевым раствором (30 мл × 1). Органический слой высушивали над безводным сульфатом натрия. Остаток обрабатывали с помощью колонки с силикагелем с применением смеси дихлорметан/метанол (15:1). Это обеспечивало получение 453,3 мг (40,19%) трет-бутил-2,5,8,11,14,17,20,23,26,29,32,35,38,41,44,47,50,53,56,59,62,65,68-трикозаоксагенгептаконтан-71-оата в виде светло-коричневого полутвердого вещества.
[2282] Стадия 10: получение 2,5,8,11,14,17,20,23,26,29,32,35,38,41,44,47,50,53,56,59,62,65,68-трикозаоксагенгептаконтан-71-овой кислоты
[2283] К раствору трет-бутил-2,5,8,11,14,17,20,23,26,29,32,35,38,41,44,47,50,53,56,59,62,65,68-трикозаоксагенгептаконтан-71-оата (400 мг, 0,35 ммоль, 1 экв.) в 1,2-дихлорэтане (4 мл) добавляли трифторуксусную кислоту (1,2 мл). Реакционный раствор перемешивали в течение 4 ч. при комнатной температуре. Полученный раствор выпаривали до сухого состояния, а затем добавляли 1,2-дихлорэтан и выпаривали до сухого состояния несколько раз с удалением трифторуксусной кислоты. Это обеспечивало получение 380 мг (99,97%) 2,5,8,11,14,17,20,23,26,29,32,35,38,41,44,47,50,53,56,59,62,65,68-трикозаоксагенгептаконтан-71-овой кислоты в виде светло-желтого масла.
[2284] Стадия 11: получение (3R,5S)-1-((S)-2-(2-(2-(4-(4-(3-(2,6-дифтор-3-(((R)-3-фторпирролидин)-1-сульфонамидо)бензоил)-1Н-пирроло[2,3-b]пиридин-5-ил)фенил)пиперазин-1-ил)этокси)ацетамидо)-3,3-диметилбутаноил)-5-((4-(4-метилтиазол-5-ил)бензил)карбамоил)пирролидин-3-ил-2,5,8,11,14,17,20,23,26,29,32,35,38,41,44,47,50,53,56,59,62,65,68-трикозаоксагенгептаконтан-71-оата
[2285] В круглодонную колбу объемом 100 мл помещали (2S,4R)-1-[(2S)-2-(2-[2-[4-(4-[3-[(2,6-дифтор-3-[[3R-3-фторпирролидин-1-сульфонил]амино]фенил)карбонил]-1Н-пирроло[2,3-b]пиридин-5-ил]фенил)пиперазин-1-ил]этокси]ацетамидо)-3,3-диметилбутаноил]-4-гидрокси-N-[[4-(4-метил-1,3-тиазол-5-ил)фенил]метил]пирролидин-2-карбоксамид (330 мг, 0,30 ммоль, 1 экв.), DCM (25 мл). Добавляли 2,5,8,11,14,17,20,23,26,29,32,35,38,41,44,47,50,53,56,59,62,65,68-трикозаоксагенгептаконтан-71-овую кислоту (2,42 г, 2,25 ммоль, 7,511 экв.), DMAP (550 мг, 4,50 ммоль, 14,996 экв.) и EDCI (863 мг, 4,50 ммоль, 14,996 экв.) 5 порциями за 3 ч. Полученный раствор перемешивали в течение 48 ч. при комнатной температуре. Полученный раствор концентрировали и остаток разбавляли с помощью насыщенного раствора NH4Cl (200 мл). Полученную смесь экстрагировали этилацетатом (180 мл × 2) и органические слои объединяли. Объединенный органический слой промывали с помощью насыщенного NH4Cl (200 мл) и высушивали над безводным сульфатом натрия и концентрировали под вакуумом.
Неочищенный продукт очищали с помощью препаративной HPLC. Это обеспечивало получение 162,0 мг (25,05%) (3R,5S)-1-((S)-2-(2-(2-(4-(4-(3-(2,6-дифтор-3-(((R)-3-фторпирролидин)-1-сульфонамидо)бензоил)-1Н-пирроло[2,3-b]пиридин-5-ил)фенил)пиперазин-1-ил)этокси)ацетамидо)-3,3-диметилбутаноил)-5-((4-(4-метилтиазол-5-ил)бензил)карбамоил)пирролидин-3-ил-2,5,8,11,14,17,20,23,26,29,32,35,38,41,44,47,50,53,56,59,62,65,68-трикозаоксагенгептаконтан-71-оата в виде желтого масла. LC/MS (ESI) масса/заряд: 2154,45 [М+1]+; 1Н ЯМР (300 МГц, CDCl3) δ 11,70 (s, 1H), 8,83 (s, 1Н), 8,66 (s, 1Н), 8,57 (s, 1H), 7,76-7,68 (m, 2Н), 7,53 (d, J=8,4 Гц, 2Н), 7,41-7,32 (m, 5Н), 7,23-7,20 (m, 1H), 7,06-6,96 (m, 3H), 5,42 (s, 1Н), 5,23 (d, J=51,0 Гц, 1H), 4,74-4,69 (m, 1H), 4,58-4,51 (m, 2Н), 4,37-4,31 (m, 1H), 4,08-3,94 (m, 3H), 3,87-3,73 (m, 2Н), 3,70-3,61 (m, 93Н), 3,57-3,48 (m, 2Н), 3,37 (s, 3H), 3,29 (m, 4Н), 2,73-2,53 (m, 9Н), 2,49 (s, 3H), 2,27-2,11 (m, 4Н), 0,95 (s, 9Н).
[2286] Иллюстративный синтез (3R,5S)-1-((S)-2-(2-(2-(4-(4-(3-(2,6-дифтор-3-(((R)-3-фторпирролидин)-1-сульфонамидо)бензоил)-1Н-пирроло[2,3-b]пиридин-5-ил)фенил)пиперазин-1-ил)этокси)ацетамидо)-3,3-диметилбутаноил)-5-((4-(4-метилтиазол-5-ил)бензил)карбамоил)пирролидин-3-ил-69-метил-2,5,8,11,14,17,20,23,26,29,32,35,38,41,44,47,50,53,56,59,62,65,68-трикозаоксагенгептаконтан-71-оата (иллюстративного соединения 801)
[2287] Стадия 1: получение трет-бутил-69-метил-2,5,8,11,14,17,20,23,26,29,32,35,38,41,44,47,50,53,56,59,62,65,68-трикозаоксагенгептаконтан-71-оата
[2288] К раствору 2,5,8,11,14,17,20,23,26,29,32,35,38,41,44,47,50,53,56,59,62,65-докозаоксагептагексаконтан-67-ола (20 г, 19,98 ммоль, 1 экв.) в THF (200 мл) добавляли Na (236,6 мг, 10,29 ммоль, 0,515 экв.). Затем следовало добавление трет-бутилбут-3-еноата (65 мл, 400,89 ммоль, 20,069 экв.). Полученный раствор перемешивали в течение 14 ч. при комнатной температуре. Затем реакционную смесь гасили путем добавления воды (20 мл). THF удаляли под вакуумом. Остаток экстрагировали этилацетатом (80 мл × 4). Органический слой промывали солевым раствором (20 мл × 4) и высушивали над безводным сульфатом натрия. Неочищенное вещество обрабатывали с помощью колонки с силикагелем с применением смеси дихлорметан/метанол (15:1). Это обеспечивало получение 14,64 г (64,10%) трет-бутил-69-метил-2,5,8,11,14,17,20,23,26,29,32,35,38,41,44,47,50,53,56,59,62,65,68-трикозаоксагенгептаконтан-71-оата в виде белого полутвердого вещества. 1Н ЯМР (300 МГц, CDCl3) δ 3,90 3,84 (m, 1Н), 3,80 3,53 (m, 90H), 3,38 (m, 3H), 2,56 2,48 (m, 1H), 2,33-2,24 (m, 2H), 1,45 (s, 9H), 1,21-1,19 (m, 3H).
[2289] Стадия 2: получение 69-метил-2,5,8,11,14,17,20,23,26,29,32,35,38,41,44,47,50,53,56,59,62,65,68-трикозаоксагенгептаконтан-71-овой кислоты
[2290] К раствору трет-бутил-69-метил-2,5,8,11,14,17,20,23,26,29,32,35,38,41,44,47,50,53,56,59,62,65,68-трикозаоксагенгептаконтан-71-оата (10 г, 8,75 ммоль, 1 экв.) в DCE (100 мл) добавляли TFA (30 мл, 403,89 ммоль, 46,181 экв.). Полученный раствор перемешивали в течение 5 ч. при комнатной температуре. Затем полученную смесь выпаривали до сухого состояния. Добавляли DCE и раствор снова выпаривали до сухого состояния. Данный способ повторяли 3 раза и затем высушивали под вакуумом с получением светло-коричневого масла. Это обеспечивало получение 9,6 г (100%) 69-метил-2,5,8,11,14,17,20,23,26,29,32,35,38,41,44,47,50,53,56,59,62,65,68-трикозаоксагенгептаконтан-71-овой кислоты в виде светло-коричневого масла.
[2291] Стадия 3: получение (3R,5S)-1-((S)-2-(2-(2-(4-(4-(3-(2,6-дифтор-3-(((R)-3-фторпирролидин)-1-сульфонамидо)бензоил)-1Н-пирроло[2,3-b]пиридин-5-ил)фенил)пиперазин-1-ил)этокси)ацетамидо)-3,3-диметилбутаноил)-5-((4-(4-метилтиазол-5-ил)бензил)карбамоил)пирролидин-3-ил-69-метил-2,5,8,11,14,17,20,23,26,29,32,35,38,41,44,47,50,53,56,59,62,65,68-трикозаоксагенгептаконтан-71-оата
[2292] В круглодонную колбу объемом 100 мл помещали (2S,4R)-1-[(2S)-2-(2-[2-[4-(4-[3-[(2,6-дифтор-3-[[(3R)-3-фторпирролидин-1-сульфонил]амино]фенил)карбонил]-1Н-пирроло[2,3-b]пиридин-5-ил]фенил)пиперазин-1-ил]этокси]ацетамидо)-3,3-Диметилбутаноил]-4-гидрокси-N-[[4-(4-метил-1,3-тиазол-5-ил)фенил]метил]пирролидин-2-карбоксамид (330 мг, 0,30 ммоль, 1 экв.), дихлорметан (25 мл). Добавляли 69-метил-2,5,8,11,14,17,20,23,26,29,32,35,38,41,44,47,50,53,56,59,62,65,68-трикозаоксагенгептаконтан-71-овую кислоту (2,45 г, 2,25 ммоль, 7,506 экв.), DMAP (550 мг, 4,50 ммоль, 14,996 экв.) и EDCI (863 мг, 4,50 ммоль, 14,996 экв.) 5 порциями за 3 ч. Полученный раствор перемешивали в течение 48 ч. при комнатной температуре. Полученный раствор концентрировали и остаток разбавляли с помощью насыщенного раствора NH4Cl (200 мл). Полученную смесь экстрагировали этилацетатом (200 мл × 2) и органические слои объединяли. Органическое вещество промывали с помощью насыщенного NH4Cl (200 мл), высушивали над безводным сульфатом натрия и концентрировали под вакуумом. Неочищенный продукт очищали с помощью препаративной HPLC. Это обеспечивало получение 189,9 мг (29,17%) (3R,5S)-1-((S)-2-(2-(2-(4-(4-(3-(2,6-дифтор-3-(((R)-3-фторпирролидин)-1-сульфонамидо)бензоил)-1Н-пирроло[2,3-b]пиридин-5-ил)фенил)пиперазин-1-ил)этокси)ацетамидо)-3,3-диметилбутаноил)-5-((4-(4-метилтиазол-5-ил)бензил)карбамоил)пирролидин-3-ил-69-метил-2,5,8,11,14,17,20,23,26,29,32,35,38,41,44,47,50,53,56,59,62,65,68-трикозаоксагенгептаконтан-71-оата в виде желтого масла. LC/MS (ESI) масса/заряд: 2168,46 [М+1]+; 1Н ЯМР (300 МГц, CDCl3) S 11,67 (s, 1H), 8,82 (s, 1H), 8,66 (s, 1H), 8,58 (s, 1H), 7,75-7,67 (m, 2H), 7,54 (d,J=8,7 Гц, 2H), 7,40-7,29 (m, 5H), 7,25-7,23 (m, 1H), 7,05-6,96 (m, 3H), 5,40 (s, 1H), 5,21 (d, J=52,2 Гц, 1H), 4,70 (m, 1H), 4,59-4,50 (m, 2H), 4,37-4,30 (m, 1H), 4,07-3,98 (m, 3H), 3,93-3,81 (m, 3H), 3,70-3,42 (m, 92H), 3,37 (s, 3H), 3,27 (m, 4H), 2,73 (m, 6H), 2,62-2,50 (m, 2H), 2,48 (s, 3H), 2,42-2,35 (m, 1H), 2,26-2,09 (m, 4H), 1,98-1,93 (m, 1H), 1,19 (d, J=6,3 Гц, 3H), 0,96 (s, 9H).
[2293] Иллюстративный синтез (ЗИ,5S)-1-((S)-2-(2-(3-(4-(4-(3-(2,6-дифтор-3-(((R)-3-фторпирролидин)-1-сульфонамидо)бензоил)-1Н-пирроло[2,3-b]пиридин-5-ил)фенил)пиперазин-1-ил)азетидин-1-ил)ацетамидо)-3,3-диметилбутаноил)-5-((4-(4-метилтиазол-5-ил)бензил)карбамоил)пирролидин-3-ил-69-метил-2,5,8,11,14,17,20,23,26,29,32,35,38,41,44,47,50,53,56,59,62,65,68-трикозаоксагептаконтан-70-оата (иллюстративного соединения 802)
[2294] Стадия 1: получение трет-бутил-69-метил-2,5,8,11,14,17,20,23,26,29,32,35,38,41,44,47,50,53,56,59,62,65,68-трикозаоксагептаконтан-70-оата
[2295] В круглодонную колбу объемом 100 мл, которую продували азотом и в которой поддерживали инертную атмосферу азота, помещали PEG 1000 (10 г, 10,00 ммоль, 1,00 экв.), тетрагидрофуран (100 мл). За этим следовало добавление несколькими партиями гидрида натрия (1,6 г, 66,67 ммоль, 4,00 экв.) при 0°С, после перемешивания в течение 1 ч. к полученному по каплям добавляли трет-бутил-2-бромпропаноат (4,16 г, 19,90 ммоль, 2,00 экв.) при перемешивании. Полученный раствор перемешивали в течение ночи при комнатной температуре. Затем реакционную смесь гасили путем добавления воды/льда (100 мл). Полученный раствор экстрагировали этилацетатом (200 мл × 2) и органические слои объединяли. Остаток обрабатывали с помощью колонки с силикагелем с применением смеси дихлорметан/метанол (10/1). Это обеспечивало получение 4,63 г трет-бутил-69-метил-2,5,8,11,14,17,20,23,26,29,32,35,38,41,44,47,50,53,56,59,62,65,68-трикозаоксагептаконтан-70-оата в виде бесцветного масла
[2296] Стадия 2: получение 69-метил-2,5,8,11,14,17,20,23,26,29,32,35,38,41,44,47,50,53,56,59,62,65,68-трикозаоксагептаконтан-70-овой кислоты
[2297] В круглодонную колбу объемом 250 мл помещали трет-бутил-2-(2-метоксиэтокси)пропаноат (4,63 г, 4,10 ммоль, 1,00 экв.), диоксан (50 мл), хлороводород (4 М) (20 мл). Полученный раствор перемешивали в течение 16 ч. при комнатной температуре. Полученную смесь концентрировали под вакуумом. Это обеспечивало получение 4,0 г (91%) 69-метил-2,5,8,11,14,17,20,23,26,29,32,35,38,41,44,47,50,53,56,59,62,65,68-трикозаоксагептаконтан-70-овой кислоты в виде светло-желтого масла.
[2298] Стадия 3: получение (3R,5S)-1-((S)-2-(2-(3-(4-(4-(3-(2,6-дифтор-3-(((R)-3-фторпирролидин)-1-сульфонамидо)бензоил)-1Н-пирроло[2,3-b]пиридин-5-ил)фенил)пиперазин-1-ил)азетидин-1-ил)ацетамидо)-3,3-диметилбутаноил)-5-((4-(4-метилтиазол-5-ил)бензил)карбамоил)пирролидин-3-ил-69-метил-2,5,8,11,14,17,20,23,26,29,32,35,38,41,44,47,50,53,56,59,62,65,68-трикозаоксагептаконтан-70-оата
[2299] В круглодонную колбу объемом 100 мл помещали (2S,4R)-1-[(2S)-2-(2-[3-[4-(4-[3-[(2,6-дифтор-3-[[(3R)-3-фторпирролидин-1-сульфонил]амино]фенил)карбонил]-1Н-пирроло[2,3-b]пиридин-5-ил]фенил)пиперазин-1-ил]азетидин-1-ил]ацетамидо)-3,3-диметилбутаноил]-4-гидрокси-N-[[4-(4-метил-1,3-тиазол-5-ил)фенил]метил]пирролидин-2-карбоксамид (300,0 мг, 0,27 ммоль, 1,00 экв.), дихлорметан (10 мл), 4-диметиламинопиридин (165 мг, 1,35 ммоль, 5,00 экв.), 2-(2-метоксиэтокси)пропановую кислоту (581,0 мг, 0,54 ммоль, 2,00 экв.), после перемешивания в течение 10 мин добавляли EDCI (259,0 мг, 1,35 ммоль, 5,00 экв.). Полученный раствор перемешивали в течение 16 ч. при комнатной температуре. Затем добавляли DMAP, перемешивали в течение еще 16 ч. Полученную смесь концентрировали под вакуумом. Полученный раствор экстрагировали этилацетатом (150 мл × 2) и органические слои объединяли. Полученную смесь промывали солевым раствором (50 мл × 2). Неочищенный продукт очищали с помощью препаративной HPLC. Это обеспечивало получение 122,8 мг (37%) (3R,5S)-1-((S)-2-(2-(3-(4-(4-(3-(2,6-дифтор-3-(((R)-3-фторпирролидин)-1-сульфонамидо)бензоил)-1Н-пирроло[2,3-b]пиридин-5-ил)фенил)пиперазин-1-ил)азетидин-1-ил)ацетамидо)-3,3-диметилбутаноил)-5-((4-(4-метилтиазол-5-ил)бензил)карбамоил)пирролидин-3-ил-69-метил-2,5,8,11,14,17,20,23,26,29,32,35,38,41,44,47,50,53,56,59,62,65,68-трикозаоксагептаконтан-70-оата в виде желтого твердого вещества. LC/MS (ESI) масса/заряд: 2165,45 [М+1]+; 1Н ЯМР (400 МГц, CD3OD) δ 8,86 (s, 1H), 8,67 (s, 1H), 8,59 (d, J=2,0 Гц, 1Н), 7,89 (s, 1H), 7,75-7,74 (m, 1Н), 7,59 (d, J=8,8 Гц, 2Н), 7,46-7,43 (m, 4Н), 7,10-7,08 (m, 3H), 5,35-5,15 (m, 2Н), 4,56-4,54 (m, 3H), 4,38-4,34 (m, 1H), 4,23-4,13 (m, 2Н), 3,90-3,80 (m, 2Н), 3,63-3,44 (m, 89Н), 3,34-3,31 (m, 6Н), 3,29-3,16 (m, 11Н), 2,56 (s, 4Н), 2,48 (s, 3H), 2,30-2,25 (m, 1H), 2,20-2,10 (m, 2Н), 1,36-1,34 (m, 3H), 1,05 (s, 9Н).
[2300] Иллюстративный синтез (3R,5S)-1-((S)-2-(2-(2-(4-(4-(3-(2,6-дифтор-3-(((R)-3-фторпирролидин)-1-сульфонамидо)бензоил)-1Н-пирроло[2,3-b]пиридин-5-ил)фенил)пиперазин-1-ил)этокси)ацетамидо)-3,3-диметилбутаноил)-5-((4-(4-метилтиазол-5-ил)бензил)карбамоил)пирролидин-3-ил-2,5,8,11,14,17,20,23,26,29,32,35,38,41,44,47,50,53,56,59,62,65,68-трикозаоксадогептаконтан-72-оата (иллюстративного соединения 803)
[2301] Стадия 1: получение 4-бромбутаноилхлорида
[2302] В круглодонную колбу объемом 250 мл помещали 4-бромбутановую кислоту (10,0 г, 59,88 ммоль, 1,00 экв.), дихлорметан (100 мл), N,N-диметилформамид (0,15 мл). За этим следовало добавление по каплям тионилхлорида (8,5 мл) с перемешиванием при 0°С. Полученный раствор перемешивали в течение 4 ч. при комнатной температуре. Полученную смесь концентрировали под вакуумом. Это обеспечивало получение 11,08 г (100%) 4-бромбутаноилхлорида в виде светло-желтого масла.
[2303] Стадия 2: получение (3-метилоксетан-3-ил)метил-4-бромбутаноата
[2304] В круглодонную колбу объемом 250 мл помещали (3-метилоксетан-3-ил)метанол (6,14 г, 60,12 ммоль, 1,00 экв.), дихлорметан (100 мл), пиридин (5,70 г, 72,06 ммоль, 1,20 экв.). За этим следовало добавление по каплям раствора 4-бромбутаноилхлорида (11,08 г, 59,75 ммоль, 0,99 экв.) в дихлорметане (100 мл) с перемешиванием при 0°С. Полученный раствор перемешивали в течение 16 ч. при комнатной температуре. Полученный раствор экстрагировали дихлорметаном (50 мл × 2) и органические слои объединяли. Полученную смесь промывали солевым раствором (10 мл × 2). Смесь высушивали над безводным сульфатом натрия. Остаток обрабатывали с помощью колонки с силикагелем с применением смеси этилацетат/петролейный эфир (1/3). Это обеспечивало получение 11,4 г (72%) 5-бром-1-[(3-метилоксетан-3-ил)метокси]пентан-2-она в виде светло-желтого масла.
[2305] Стадия 3: получение 1-(3-бромпропил)-4-метил-2,6,7-триоксабицикло[2.2.2]октана
[2306] К раствору 5-бром-1-[(3-метилоксетан-3-ил)метокси]пентан-2-она (9,46 г, 35,68 ммоль, 1 экв.) в дихлорметане (40 мл) добавляли BF3⋅Et2O (1,2 мл, 9,47 ммоль, 0,265 экв.) при 0°С. Затем реакционную смесь перемешивали в течение 4 ч. при 0°С. Затем реакционную смесь гасили путем добавления 5,7 мл Et3N. Полученную смесь перемешивали при к. т. в течение 15 мин и затем концентрировали. Остаток растворяли в Et2O (100 мл), фильтровали и концентрировали. Остаток обрабатывали с помощью колонки с основным Al2O3 с применением смеси дихлорметан/петролейный эфир (1:2). Это обеспечивало получение 4,68 г (52,2%) 1-(3-бромпропил)-4-метил-2,6,7-триоксабицикло[2.2.2]октана в виде бесцветного масла. 1Н ЯМР (300 МГц, CDCl3) δ 3,89 (s, 6Н), 3,48-3,42 (m, 2Н), 2,06-1,99 (m, 2Н), 1,83-1,80 (m, 2Н), 0,80 (s, 3H).
[2307] Стадия 4: получение 1-(2,5,8,11,14,17,20,23,26,29,32,35,38,41,44,47,50,53,56,59,62,65,68-трикозаоксагенгептаконтан-71-ил)-4-метил-2,6,7-триоксабицикло[2.2.2]октана
[2308] В герметичную пробирку объемом 30 мл помещали 2,5,8,11,14,17,20,23,26,29,32,35,38,41,44,47,50,53,56,59,62,65-докозаоксагептагексаконтан-67-ол (1,1967 г, 1,20 ммоль, 1,500 экв.), толуол (2 мл), t-BuOH (1,3 мл), t-BuOK (143,6 мг, 1,28 ммоль, 1,606 экв.), 1-(3-бромпропил)-4-метил-2,6,7-триоксабицикло[2.2.2]октан (200,1 мг, 0,80 ммоль, 1 экв.). Полученную смесь помещали в атмосферу N2 и перемешивали в течение 12 ч. при 70°С. Реакционную смесь охлаждали до комнатной температуры. Смесь фильтровали и растворители отгоняли при пониженном давлении. Полученный раствор экстрагировали этилацетатом (10 мл × 4) и органические слои объединяли. Объединенный органический слой промывали солевым раствором (10 мл × 2) и высушивали над безводным сульфатом натрия. Полученную смесь концентрировали до сухого состояния и высушивали под вакуумом. Это обеспечивало получение 657,5 мг (70,4%) 4-метил-1-(2,5,8,11,14,17,20,23,26,29,32,35,38,41,44,47,50,53,56,59,62,65,68-трикозаоксагенгептаконтан-71-ил)-2,6,7-триоксабицикло[2.2.2]октана в виде светло-желтого полутвердого вещества.
[2309] Стадия 5: получение 2,5,8,11,14,17,20,23,26,29,32,35,38,41,44,47,50,53,56,59,62,65,68-трикозаоксадогептаконтан-72-овой кислоты
[2310] К раствору 4-метил-1-(2,5,8,11,14,17,20,23,26,29,32,35,38,41,44,47,50,53,56,59,62,65,68-трикозаоксагенгептаконтан-71-ил)-2,6,7-триоксабицикло[2.2.2]октана (657,5 мг, 0,56 ммоль, 1 экв.) в воде (2 мл) добавляли Н3РО4 до рН=1. Реакционный раствор перемешивали в течение 1 ч. при комнатной температуре. Затем КОН добавляли для регулирования рН=12. Полученный раствор перемешивали в течение 17 ч. при комнатной температуре и снова добавляли Н3РО4 для регулирования рН=3. Полученную смесь экстрагировали дихлорметаном (20 мл ×4) и органические слои объединяли и высушивали над безводным сульфатом натрия. Остаток обрабатывали с помощью колонки с силикагелем с применением смеси дихлорметан/метанол (10:1). Это обеспечивало получение 555,4 мг (91,0%) 2,5,8,11,14,17,20,23,26,29,32,35,38,41,44,47,50,53,56,59,62,65,68-трикозаоксадогептаконтан-72-овой кислоты в виде светло-желтого полутвердого вещества.
[2311] Стадия 6: получение (3R,5S)-1-((S)-2-(2-(2-(4-(4-(3-(2,6-дифтор-3-(((R)-3-фторпирролидин)-1-сульфонамидо)бензоил)-1Н-пирроло[2,3-b]пиридин-5-ил)фенил)пиперазин-1-ил)этокси)ацетамидо)-3,3-диметилбутаноил)-5-((4-(4-метилтиазол-5-ил)бензил)карбамоил)пирролидин-3-ил-2,5,8,11,14,17,20,23,26,29,32,35,38,41,44,47,50,53,56,59,62,65,68-трикозаоксадогептаконтан-72-оата
[2312] К раствору (2S,4R)-1-[(2S)-2-(2-[2-[4-(4-[3-[(2,6-дифтор-3-[[(3R)-3-фторпирролидин-1-сульфонил]амино]фенил)карбонил]-1Н-пирроло[2,3-b]пиридин-5-ил]фенил)пиперазин-1-ил]этокси]ацетамидо)-3,3-диметилбутаноила (50,3 мг, 0,05 ммоль, 1 экв.) в дихлорметане (4 мл) добавляли 2,5,8,11,14,17,20,23,26,29,32,35,38,41,44,47,50,53,56,59,62,65,68-трикозаоксадогептаконтан-72-овую кислоту (74,6 мг, 0,07 ммоль, 1,4 экв.) и DMAP (17,0 мг, 0,14 ммоль, 2,80 экв.). Смесь перемешивали при комнатной температуре в течение 10 минут. Затем к полученному добавляли EDCI (28,8 мг, 0,15 ммоль, 3,0 экв.). Реакционный раствор перемешивали в течение 1 ч. при комнатной температуре. Дополнительное количество 2,5,8,11,14,17,20,23,26,29,32,35,38,41,44,47,50,53,56,59,62,65,68-трикозаоксадогептаконтан-72-овой кислоты (225 мг, 0,21 ммоль, 4,1 экв.), DMAP (55,1 мг, 0,45 ммоль, 9,0 экв.) и EDCI (87 мг, 0,45 ммоль, 9,1 экв.) разделяли на три порции и вышеуказанный способ повторяли еще три раза. Затем к полученному добавляли DMAP (58,6 мг, 0,48 ммоль, 9,6 экв.). Реакционный раствор перемешивали в течение еще 2 часов. Дихлорметан удаляли под вакуумом. Остаток экстрагировали этилацетатом (30 мл × 3). Полученную смесь промывали с помощью насыщ. раствора NH4Cl (10 мл × 2). Смесь высушивали над безводным сульфатом натрия. Неочищенный продукт очищали с помощью препаративной HPLC. Это обеспечивало получение 16,6 мг (16,7%) (3R,5S)-1-((S)-2-(2-(2-(4-(4-(3-(2,6-дифтор-3-(((R)-3-фторпирролидин)-1-сульфонамидо)бензоил)-1Н-пирроло[2,3-b]пиридин-5-ил)фенил)пиперазин-1-ил)этокси)ацетамидо)-3,3-диметилбутаноил)-5-((4-(4-метилтиазол-5-ил)бензил)карбамоил)пирролидин-3-ил-2,5,8,11,14,17,20,23,26,29,32,35,38,41,44,47,50,53,56,59,62,65,68-трикозаоксадогептаконтан-72-оата в виде светло-желтого масла. LC/MS (ESI) масса/заряд: 2168,45 [М+1]+; 1Н ЯМР (400 МГц, CDCl3) δ 0,95 (s, 9Н), 1,85-1,89 (m, 2Н), 1,92-2,01 (m, 1H), 2,03-2,28 (m, 3H), 2,36-2,38 (m, 2H), 2,48 (s, 4H), 2,66-2,71 (m, 8H), 3,21-3,28 (m, 4H), 3,37 (s, 3H), 3,44-3,49 (m, 4H), 3,53-3,72 (m, 91H), 3,81-3,88 (m, 1H), 3,94-4,12 (m, 3H), 4,25-4,38 (m, 1H), 4,47-4,58 (m, 2H), 4,65-4,73 (m, 1H), 5,08-5,35 (m, 1H), 5,39 (s, 1H), 6,96-7,06 (m, 3H), 7,19-7,24 (m, 1H), 7,32-7,39 (m, 5H), 7,52-7,55 (m, 2H), 7,65-7,79 (m, 2H), 8,57-8,58 (m, 1H), 8,66 (s, 1H), 8,81 (s, 1H).
[2313] Иллюстративный синтез (3R,5S)-1-((S)-2-(2-(4-(4-(4-(3-(2,6-дифтор-3-(((R)-3-фторпирролидин)-1-сульфонамидо)бензоил)-1Н-пирроло[2,3-b]пиридин-5-ил)фенил)пиперазин-1-ил)пиперидин-1-ил)ацетамидо)-3,3-диметилбутаноил)-5-(((S)-1-(4-(4-метилтиазол-5-ил)фенил)этил)карбамоил)пирролидин-3-ил-69-оксо-2,5,8,11,14,17,20,23,26,29,32,35,38,41,44,47,50,53,56,59,62,65-докозаокса-68-азадогептаконтан-72-оата (иллюстративного соединения 828)
[2314] Стадия 1: получение трет-бутил-4-(4-(4-бромфенил)пиперазин-1-ил)пиперидин-1-карбоксилата
[2315] В круглодонную колбу объемом 250 мл помещали раствор гидрохлорида 1-(4-бромфенил)пиперазина (5,0 г, 18,0 ммоль, 1,0 экв.) в дихлорметане (10 мл), трет-бутил-4-оксопиперидин-1-карбоксилат (4,9 г, 24,9 ммоль, 1,4 экв.), ацетилэтанпероксоат-натрийборанилацетат (13,2 г, 62,3 ммоль, 3,5 экв.). Полученный раствор перемешивали в течение ночи при комнатной температуре. Затем реакционную смесь гасили путем добавления 1 мл воды/льда. Полученный раствор экстрагировали дихлорметаном (20 мл × 2) и органические слои объединяли и высушивали над безводным сульфатом натрия и концентрировали под вакуумом. Остаток обрабатывали с помощью колонки с силикагелем с применением смеси этилацетат/петролейный эфир (1:0). Это обеспечивало получение 4,2 г (54%) трет-бутил-4-[4-(4-бромфенил)пиперазин-1-ил]пиперидин-1-карбоксилата в виде белого твердого вещества. LC/MS (ESI) масса/заряд: 426,10 [М+1]+.
[2316] Стадия 2: получение гидрохлорида 1-(4-бромфенил)-4-(пиперидин-4-ил)пиперазина
[2317] В круглодонную колбу объемом 100 мл помещали раствор трет-бутил-4-[4-(4-бромфенил)пиперазин-1-ил]пиперидин-1-карбоксилата (4,2 г, 9,8 ммоль, 1,0 экв.) в дихлорметане (10 мл), хлороводороде (5 мл). Полученный раствор перемешивали в течение 1 ч. при комнатной температуре. Полученную смесь концентрировали под вакуумом. Это обеспечивало получение 3,0 г (85%) гидрохлорида 1-(4-бромфенил)-4-(пиперидин-4-ил)пиперазина в виде белого твердого вещества. LC/MS (ESI)масса/заряд: 325,95 [М+1]+.
[2318] Стадия 3: получение трет-бутил-2-(4-(4-(4-бромфенил)пиперазин-1-ил)пиперидин-1-ил)ацетата
[2319] В круглодонную колбу объемом 100 мл помещали раствор гидрохлорида 1-(4-бромфенил)-4-(пиперидин-4-ил)пиперазина (3,0 г, 8,3 ммоль, 1,0 экв.) в дихлорметане (10 мл), триэтиламин (2,0 г, 19,8 ммоль, 2,4 экв.), трет-бутил-2-бромацетат (2,3 г, 11,8 ммоль, 1,4 экв.). Полученный раствор перемешивали в течение ночи при комнатной температуре. Затем реакционную смесь гасили путем добавления 1 мл воды/льда. Полученный раствор экстрагировали дихлорметаном (20 мл × 2) и органические слои объединяли и высушивали над безводным сульфатом натрия и концентрировали под вакуумом. Остаток обрабатывали с помощью колонки с силикагелем с применением смеси этилацетат/петролейный эфир (1:0). Это обеспечивало получение 2,0 г (53%) трет-бутил-2-[4-[4-(4-бромфенил)пиперазин-1-ил]пиперидин-1-ил]ацетата в виде белого твердого вещества. LC/MS (ESI) масса/заряд: 440,30 [М+1]+.
[2320] Стадия 4: получение трет-бутил-2-(4-(4-(4-(4,4,5,5-тетраметил-1,3,2-диоксаборолан-2-ил)фенил)пиперазин-1-ил)пиперидин-1-ил)ацетата
[2321] В герметичную пробирку объемом 20-30 мл помещали раствор трет-бутил-2-[4-[4-(4-бромфенил)пиперазин-1-ил]пиперидин-1-ил]ацетата (2,0 г, 4,5 ммоль, 1,0 экв.) в диоксане (10 мл), 4,4,5,5-тетраметил-2-(4,4,5,5-тетраметил-1,3,2-диоксаборолан-2-ил)-1,3,2-диоксаборолан (2,3 г, 9,1 ммоль, 2,0 экв.), КОАс (874,6 мг, 8,9 ммоль, 2,0 экв.), Pd(dppf)Cl2 (700,6 мг, 0,9 ммоль, 0,2 экв.). Полученный раствор перемешивали в течение ночи при 85°С на масляной бане. Затем реакционную смесь гасили путем добавления 1 мл воды/льда. Полученный раствор экстрагировали этилацетатом (20 мл × 2) и органические слои объединяли и высушивали над безводным сульфатом натрия и концентрировали под вакуумом. Остаток обрабатывали с помощью колонки с силикагелем с применением смеси этилацетат/петролейный эфир (1:0). Это обеспечивало получение 630,0 мг (29%) трет-бутил-2-(4-[4-[4-(4,4,5,5-тетраметил-1,3,2-диоксаборолан-2-ил)фенил]пиперазин-1-ил]пиперидин-1-ил)ацетата в виде черного твердого вещества. LC/MS (ESI) масса/заряд: 486,25 [М+1]+.
[2322] Стадия 5: получение трет-бутил-(11)-2-(4-(4-(4-(3-(2,6-дифтор-3-((3-фторпирролидин)-1-сульфонамидо)бензоил)-1Н-пирроло[2,3-b]пиридин-5-ил)фенил)пиперазин-1-ил)пиперидин-1-ил)ацетата
[2323] В герметичную пробирку объемом 20-30 мл помещали раствор трет-бутил-2-(4-[4-[4-(4,4,5,5-тетраметил-1,3,2-Диоксаборолан-2-ил)фенил]пиперазин-1-ил]пиперидин-1-ил)ацетата (630,0 мг, 1,3 ммоль, 1,0 экв.) в смеси диоксан/H2O (4:1 мл), (3R)-N-(3-5-бром-1H-пирроло[2,3-b]пиридин-3-карбонил-2,4-дифторфенил)-3-фторпирролидин-1-сульфонамид (300,0 мг, 0,6 ммоль, 0,5 экв.), Pd(dppf)Cl2 (46,9 мг), карбонат натрия (99,2 мг, 0,9 ммоль, 0,7 экв.). Полученный раствор перемешивали в течение 2 ч. при 105°С. Затем реакционную смесь гасили путем добавления 1 мл воды/льда. Полученный раствор экстрагировали этилацетатом (20 мл × 2) и органические слои объединяли и высушивали над безводным сульфатом натрия и концентрировали под вакуумом. Остаток обрабатывали с помощью колонки с силикагелем с применением смеси дихлорметан/метанол (10:1). Это обеспечивало получение 256,0 мг (25%) трет-бутил-2-[4-[4-(4-[3-[2,6-дифтор-3-([[(311)-3-фторпирролидин-1-ил]сульфонил]амино)бензоил]-1Н-пирроло[2,3-b]пиридин-5-ил]фенил)пиперазин-1-ил]пиперидин-1-ил]ацетата в виде желтого твердого вещества. LC/MS (ESI) масса/заряд: 782,05 [М+1]+.
[2324] Стадия 6: получение (R)-2-(4-(4-(4-(3-(2,6-дифтор-3-((3-фторпирролидин)-1-сульфонамидо)бензоил)-1Н-пирроло[2,3-b]пиридин-5-ил)фенил)пиперазин-1-ил)пиперидин-1-ил)уксусной кислоты
[2325] В круглодонную колбу объемом 100 мл помещали раствор трет-бутил-2-[4-[4-(4-[3-[2,6-дифтор-3-([[(3R)-3-фторпирролидин-1-ил]сульфонил]амино)бензоил]-1Н-пирроло[2,3-b]пиридин-5-ил]фенил)пиперазин-1-ил]пиперидин-1-ил]ацетата (256,0 мг, 0,3 ммоль, 1,0 экв.) в дихлорметане (10 мл), трифторуксусной кислоте (2 мл). Полученный раствор перемешивали в течение ночи при комнатной температуре. Полученную смесь концентрировали под вакуумом. Это обеспечивало получение 120,0 мг (50%) 2-[4-[4-(4-[3-[2,6-дифтор-3-([[(3R)-3-фторпирролидин-1-ил]сульфонил]амино)бензоил]-1Н-пирроло[2,3-b]пиридин-5-ил]фенил)пиперазин-1-ил]пиперидин-1-ил]уксусной кислоты в виде желтого твердого вещества. LC/MS (ESI) масса/заряд: 726,15 [М+1]+.
[2326] Стадия 7: получение (2S,4R)-1-((S)-2-(2-(4-(4-(4-(3-(2,6-дифтор-3-(((Я)-3-фторпирролидин)-1-сульфонамидо)бензоил)-1Н-пирроло[2,3-b]пиридин-5-ил)фенил)пиперазин-1-ил)пиперидин-1-ил)ацетамидо)-3,3-диметилбутаноил)-4-гидрокси-N-((S)-1-(4-(4-метилтиазол-5-ил)фенил)этил)пирролидин-2-карбоксамида
[2327] В круглодонную колбу объемом 100 мл помещали раствор 2-[4-[4-(4-[3-[2,6-дифтор-3-([[(3R)-3-фторпирролидин-1-ил]сульфонил]амино)бензоил]-1Н-пирроло[2,3-b]пиридин-5-ил]фенил)пиперазин-1-ил]пиперидин-1-ил]уксусной кислоты (120,0 мг, 0,3 ммоль, 1,0 экв.) в N,N-диметилформамиде (5 мл), (2S,4R)-1-[(2S)-2-амино-3,3-диметилбутаноил]-4-гидрокси-N-[(1S)-1-[4-(4-метил-1,3-тиазол-5-ил)фенил]этил]пирролидин-2-карбоксамид (88,2 мг, 0,4 ммоль, 1,2 экв.), N,N-диизопропилэтиламин (64,1 мг, 1,0 ммоль, 3,0 экв.), гексафторфосфат (бензотриазол-1-илокси)трис(диметиламино)фосфония (87,8 мг). Полученный раствор перемешивали в течение 1 ч. при комнатной температуре. Затем реакционную смесь гасили путем добавления 1 мл воды/льда. Полученный раствор экстрагировали этилацетатом (20 мл × 2) и органические слои объединяли и высушивали над безводным сульфатом натрия и концентрировали под вакуумом. Неочищенный продукт очищали с помощью препаративной HPLC с получением 42,9 мг (23%) (2S,4R)-1-[2S)-2-(2-[4-[4-(4-[3-[2,6-дифтор-3-([[(3R)-3-фторпирролидин-1-ил]сульфонил]амино)бензоил]-1Н-пирроло[2,3-b]пиридин-5-ил]фенил)пиперазин-1-ил]пиперидин-1-ил]ацетамидо)-3,3-диметилбутаноил]-4-гидрокси-N-[1S)-1-[4-(4-метил-1,3-тиазол-5-ил)фенил]этил]пирролидин-2-карбоксамида в виде грязно-белого твердого вещества. LC/MS (ESI) масса/заряд: 1152,20 [М+1]+; 1Н ЯМР (400 МГц, DMSO-d6) δ 12,87 (brs, 1H), 9,96 (brs, 1H), 8,96 (d, J=2,1 Гц, 1H), 8,63 (d, J=2,3 Гц, 1H), 8,51 (s, 1H), 8,40 (d,J=7,6 Гц, 1H), 8,04 (s, 1H), 7,74 (d, J=9,6 Гц, 1H), 7,70-7,60 (m, 3H), 7,47-7,42 (m, 2H), 7,40-7,31 (m, 2H), 7,23 (t,J=8,9 Гц, 1H), 7,05 (d, J=8,5 Гц, 2H), 5,36-5,15 (m, 1H), 5,19 (s, 1H), 4,88 (t, J=7,1 Гц, 1H), 4,54-7,38 (m, 2H), 4,27-5,21 (m, 1H), 3,60-3,52 (m, 2H), 3,47-3,41 (m, 1H), 3,37-3,31 (m, 2H), 3,30-3,24 (m, 5H),3,03 (d,J=16,1 Гц, 1H), 2,89-2,80 (m, 3H), 2,70-2,55 (m, 5H), 2,34-2,03 (m, 7H), 1,87-1,72 (m,3H), 1,47-1,37 (m, 6H), 0,93 (s, 9H).
[2328] Стадия 8: получение 4-(((3R,5S)-1-((S)-2-(2-(4-(4-(4-(3-(2,6-дифтор-3-(((R)-3-фторпирролидин)-1-сульфонамидо)бензоил)-1Н-пирроло[2,3-b]пиридин-5-ил)фенил)пиперазин-1-ил)пиперидин-1-ил)ацетамидо)-3,3-диметилбутаноил)-5-(((S)-1-(4-(4-метилтиазол-5-ил)фенил)этил)карбамоил)пирролидин-3-ил)окси)-4-оксобутановой кислоты
[2329] В круглодонную колбу объемом 50 мл, которую продували азотом и в которой поддерживали инертную атмосферу азота, помещали (2S,4R)-1-[(2S)-2-(2-[4-[4-(4-[3-[2,6-дифтор-3-([[(3R)-3-фторпирролидин-1-ил]сульфонил]амино)бензоил]-1Н-пирроло[2,3-b]пиридин-5-ил]фенил)пиперазин-1-ил]пиперидин-1-ил]ацетамидо)-3,3-диметилбутаноил]-4-гидрокси-N-[(18)-1-[4-(4-метил-1,3-тиазол-5-ил)фенил]этил]пирролидин-2-карбоксамид (467 мг, 0,405 ммоль, 1 экв.), Et3N (123,02 мг, 1,216 ммоль, 3 экв.), DMAP (148,53 мг, 1,216 ммоль, 3 экв.), оксолан-2,5-дион (202,77 мг, 2,026 ммоль, 5 экв.) в дихлорметане (20 мл). Полученный раствор перемешивали в течение 16 ч. при 25°С на масляной бане. Затем реакционную смесь гасили путем добавления воды/льда (10 мл). Полученную смесь экстрагировали дихлорметаном (40 мл × 3) и органические слои объединяли, промывали с помощью насыщ. раствора NH4Cl (40 мл), высушивали над безводным сульфатом натрия и концентрировали под вакуумом. Это обеспечивало получение 353 мг (69,55%) 4-[[(3R,58)-1-[2S)-2-(2-[4-[4-(4-[3-[2,6-дифтор-3-([[(3R)-3-фторпирролидин-1-ил]сульфонил]амино)бензоил]-1Н-пирроло[2,3-b]пиридин-5-ил]фенил)пиперазин-1-ил]пиперидин-1-ил]ацетамидо)-3,3-диметилбутаноил]-5-[[(18)-1-[4-(4-метил-1,3-тиазол-5-ил)фенил]этил]карбамоил]пирролидин-3-ил]окси]-4-оксобутановой кислоты в виде желтого твердого вещества.
[2330] Стадия 9: получение 2,5,8,11,14,17,20,23,26,29,32,35,38,41,44,47,50,53,56,59,62,65-докозаоксагептагексаконтан-67-ил-4-метилбензолсульфоната
[2331] В круглодонную колбу объемом 250 мл помещали PEG1000-OMe (5,0 г, 5,00 ммоль, 1,00 экв.), TsCl (1,9 г, 9,97 ммоль, 2,00 экв.), триэтиламин (1,01 г, 9,98 ммоль, 2,00 экв.), 4-диметиламинопиридин (61,0 мг, 0,50 ммоль, 0,10 экв.). Полученный раствор перемешивали в течение 5 ч. при комнатной температуре. Полученную смесь концентрировали под вакуумом. Остаток обрабатывали с помощью колонки с силикагелем с применением смеси дихлорметан/метанол (15/1). Это обеспечивало получение 7,47 г 2,5,8,11,14,17,20,23,26,29,32,35,38,41,44,47,50,53,56,59,62,65-докозаоксагептагексаконтан-67-ил-4-метилбензолсульфоната в виде светло-желтого твердого вещества.
[2332] Стадия 10: получение трет-бутил-(трет-бутоксикарбонил)(2,5,8,11,14,17,20,23,26,29,32,35,38,41,44,47,50,53,56,59,62,65-докозао ксагептагексаконтан-67-ил)карбамата
[2333] В круглодонную колбу объемом 250 мл помещали 2-метоксиэтил-4-метилбензол-1-сульфонат (7,47 г, 6,47 ммоль, 1,00 экв.), ацетонитрил (150 мл), трет-бутил-N-[(трет-бутокси)карбонил]карбамат (1,40 г, 6,44 ммоль, 1,00 экв.), CS2CO3 (4,20 г, 12,89 ммоль, 2,00 экв.). Полученный раствор перемешивали в течение ночи при 50°С на масляной бане. Твердые вещества отфильтровывали. Полученную смесь концентрировали под вакуумом. Остаток обрабатывали с помощью колонки с силикагелем с применением смеси дихлорметан/метанол (10/1). Это обеспечивало получение 6,6 г (371%) трет-бутил-(трет-бутоксикарбонил)(2,5,8,11,14,17,20,23,26,29,32,35,38,41,44,47,50,53,56,59,62,65-докозаоксагептагексаконтан-67-ил)карбамата в виде светло-желтого твердого вещества
[2334] Стадия 11: получение 2,5,8,11,14,17,20,23,26,29,32,35,38,41,44,47,50,53,56,59,62,65-докозаоксагептагексаконтан-67-амина
[2335] В круглодонную колбу объемом 250 мл помещали трет-бутил-N-[(трет-бутокси)карбонил]-N-етоксиэтил)карбамат (6,6 г, 5,50 ммоль, 1,00 экв.), диоксан (60,0 мл), хлороводород (4 М) (60 мл). Полученный раствор перемешивали в течение 16 ч. при комнатной температуре. Полученную смесь концентрировали под вакуумом. Это обеспечивало получение 5,5 г гидрохлорида 2,5,8,11,14,17,20,23,26,29,32,35,38,41,44,47,50,53,56,59,62,65-докозаоксагептагексаконтан-67-амина в виде светло-желтого твердого вещества
[2336] Стадия 12: получение (3R,5S)-1-((S)-2-(2-(4-(4-(4-(3-(2,6-дифтор-3-(((R)-3-фторпирролидин)-1-сульфонамидо)бензоил)-1Н-пирроло[2,3-b]пиридин-5-ил)фенил)пиперазин-1-ил)пиперидин-1-ил)ацетамидо)-3,3-диметилбутаноил)-5-(((S)-1-(4-(4-метилтиазол-5-ил)фенил)этил)карбамоил)пирролидин-3-ил-69-оксо-2,5,8,11,14,17,20,23,26,29,32,35,38,41,44,47,50,53,56,59,62,65-докозаокса-6S-азадогептаконтан-72-оата
[2337] В круглодонную колбу объемом 50 мл помещали раствор 4-[[(3R,5S)-1-[2S)-2-(2-[4-[4-(4-[3-[2,6-дифтор-3-([[(3R)-3-фторпирролидин-1-ил]сульфонил]амино)бензоил]-1Н-пирроло[2,3-b]пиридин-5-ил]фенил)пиперазин-1-ил]пиперидин-1-ил]ацетамидо)-3,3-диметилбутаноил]-5-[[(1S)-1-[4-(4-метил-1,3-тиазол-5-ил)фенил]этил]карбамоил]пирролидин-3-ил]окси]-4-оксобутановой кислоты (333 мг, 0,266 ммоль, 1 экв.) в DMF (25 мл), к которому добавляли DIPEA (137,45 мг, 1,064 ммоль, 4 экв.), 2,5,8,11,14,17,20,23,26,29,32,35,38,41,44,47,50,53,56,59,62,65-докозаоксагептагексаконтан-67-амин (531,88 мг, 0,532 ммоль, 2,00 экв.), ВОР (176,39 мг, 0,399 ммоль, 1,5 экв.). Полученный раствор перемешивали в течение 3 ч. при 25°С на масляной бане. Затем реакционную смесь гасили путем добавления воды/льда (30 мл). Полученную смесь экстрагировали этилацетатом (40 мл × 3) и органические слои объединяли, промывали солевым раствором (40 мл × 2), высушивали над безводным сульфатом натрия и концентрировали. Неочищенный продукт очищали с помощью препаративной HPLC. Это обеспечивало получение 207 мг (34,84%) (3R,5S)-1-[2S)-2-(2-[4-[4-(4-[3-[2,6-дифтор-3-([[(3R)-3-фторпирролидин-1-ил]сульфонил]амино)бензоил]-1Н-пирроло[2,3-b]пиридин-5-ил]фенил)пиперазин-1-ил]пиперидин-1-ил]ацетамидо)-3,3-диметилбутаноил]-5-[[(18)-1-[4-(4-метил-1,3-тиазол-5-ил)фенил]этил]карбамоил]пирролидин-3-ил-3-[(2,5,8,11,14,17,20,23,26,29,32,35,38,41,44,47,50,53,56,59,62,65-докозаоксагептагексаконтан-67-ил)карбамоил]пропаноата в виде желтого масла. LC/MS (ESI) масса/заряд: 2234,68 [М+1]+; 1Н ЯМР (400 МГц, DMSO-d6) δ 9,01 (s, 1H), 8,75 (s, 1H), 8,65 (s, 1H), 7,95 (s, 1H), 7,78-7,70 (m, 3H), 7,50-7,44 (m, 4H), 7,24-7,17 (m, 3H), 5,32 (s, 2H), 5,19 (s, 1H), 5,06-5,04 (m, 1H), 4,89 (s, 1H), 4,60-4,58 (m, 1H), 4,41-7,32 (m, 2H), 4,30 (s, 5H), 4,14-4,10 (m, 91H), 3,83-3,81 (m, 7H), 3,64-5,63 (m, 5H), 3,56-3,33 (m, 4H), 2,76 (s, 1H), 2,67-2,42 (m, 4H), 2,37-2,34 (m, 4H), 2,21 (m, 3H), 2,16-2,13 (m, 3H), 1,55-l,53(m, 3H), 1,11-1,08 (m, 9H).
[2338] Иллюстративный синтез (3R,5S)-1-((S)-2-(2-(4-((1-(4-(3-(2,6-дифтор-3-(((R)-3-фторпирролидин)-1-сульфонамидо)бензоил)-1Н-пирроло[2,3-b]пиридин-5-ил)фенил)пиперидин-4-ил)метил)пиперазин-1-ил)ацетамидо)-3,3-диметилбутаноил)-5-((4-(4-метилтиазол-5-ил)бензил)карбамоил)пирролидин-3-ил-68-метил-69-оксо-2,5,8,11,14,17,20,23,26,29,32,35,38,41,44,47,50,53,56,59,62,65-докозаокса-68-азадогептаконтан-72-оата (иллюстративного соединения 816)
[2339] Стадия 1: получение (2S,4R)-1-((S)-2-(2-(4-((1-(4-(3-(2,6-дифтор-3-(((R)-3-фторпирролидин)-1-сульфонамидо)бензоил)-1Н-пирроло[2,3-b]пиридин-5-ил)фенил)пиперидин-4-ил)метил)пиперазин-1-ил)ацетамидо)-3,3-диметилбутаноил)-4-гидрокси-]\[-(4-(4-метилтиазол-5-ил)бензил)пирролидин-2-карбоксамида
[2340] В круглодонную колбу объемом 100 мл помещали 2-(4-[[1-(4-[3-[2,6-дифтор-3-([[(3R)-3-фторпирролидин-1-ил]сульфонил]амино)бензоил]-1Н-пирроло[2,3-b]пиридин-5-ил]фенил)пиперидин-4-ил]метил]пиперазин-1-ил)уксусную кислоту (500,0 мг, 0,67 ммоль, 1 экв.), (2S,4R)-1-[2S)-2-амино-3,3-диметилбутаноил]-4-гидрокси-N- [[4-(4-метил-1,3-тиазол-5-ил)фенил]метил]пирролидин-2-карбоксамид (290,0 мг, 0,67 ммоль, 1,00 экв.), DIEA (345,0 мг, 2,68 ммоль, 4,0 экв.), ВОР (450,0 мг, 1,01 ммоль, 1,51 экв.) в DMF (15 мл). Реакционную смесь перемешивали в течение 3 ч. при комнатной температуре и затем гасили путем добавления 50 мл воды. Полученную смесь экстрагировали этилацетатом (50 мл × 2). Объединенный органический слой высушивали над безводным сульфатом натрия и концентрировали при пониженном давлении. Неочищенный продукт очищали с помощью препаративной HPLC. Это обеспечивало получение 193 мг (2S,4R)-1-[(2S)-2-[2-(4-[[1-(4-[3-[2,6-дифтор-3-([[(3R)-3-фторпирролидин-1-ил]сульфонил]амино)бензоил]-1Н-пирроло[2,3-b]пиридин-5-ил]фенил)пиперидин-4-ил]метил]пиперазин-1-ил)ацетамидо]-3,3-диметилбутаноил]-4-гидрокси-N-[[4-(4-метил-1,3-тиазол-5-ил)фенил]метил]пирролидин-2-карбоксамида в виде грязно-белого твердого вещества. LC/MS (ESI) масса/заряд: 1152,45 [М+1]+; 1Н ЯМР (300 МГц, CD3OD) δ 12,90 (brs, 1Н), 9,85 (brs, 1H), 8,98 (s, 1H), 8,67-8,60 (m, 2H), 8,60-8,48 (m, 1H), 8,07 (s, 1H), 7,85-7,76 (m, 1H), 7,68-7,56 (m, 3H), 7,50-7,38 (m, 4H), 7,30-7,22 (m, 1H), 7,12-7,00 (m, 2H), 5,40-5,20 (m, 1H), 5,14 (s, 1H), 4,57-4,47 (m, 1H), 4,47^1,32 (m, 3H), 4,31-4,22 (m, 1H), 3,83-3,70 (m, 2H), 3,70-3,57 (m, 2H), 3,52-3,45 (m, 1H), 3,44-3,35 (m, 2H), 3,31-3,23 (m, 1H), 3,14-2,87 (m, 2H), 2,87-2,67 (m, 2H), 2,63-2,52 (m, 4H), 2,49-2,38 (m, 7H), 2,23-2,14 (m, 2H), 2,14-1,89 (m, 4H), 1,83-1,62 (m, 3Н), 1,87-1,12 (m, 2H), 1,00-0,92 (m, 9H).
[2341] Стадия 2: получение 4-(((3R,5S)-1-((S)-2-(2-(4-((1-(4-(3-(2,6-дифтор-3-(((R)-3-фторпирролидин)-1-сульфонамидо)бензоил)-1Н-пирроло[2,3-b]пиридин-5-ил)фенил)пиперидин-4-ил)метил)пиперазин-1-ил)ацетамидо)-3,3-диметилбутаноил)-5-((4-(4-метилтиазол-5-ил)бензил)карбамоил)пирролидин-3-ил)окси)-4-оксобутановой кислоты
[2342] В герметичную пробирку объемом 30 мл помещали (2S,4R)-1-[(2S)-2-[2-(4-[[1-(4-[3-[2,6-дифтор-3-([[(3R)-3-фторпирролидин-1-ил]сульфонил]амино)бензоил]-1Н-пирроло[2,3-b]пиридин-5-ил]фенил)пиперидин-4-ил]метил]пиперазин-1-ил)ацетамидо]-3,3-диметилбутаноил]-4-гидрокси-N-[[4-(4-метил-1,3-тиазол-5-ил)фенил]метил]пирролидин-2-карбоксамид (576,2 мг, 0,50 ммоль, 1 экв.), Et3N (0,14 мл, 1,01 ммоль, 2,01 экв.), DMAP (183,3 мг, 1,50 ммоль, 3,00 экв.), дихлорметан (16 мл), тетрагидрофуран (4 мл). Смесь перемешивали в течение 10 мин при комнатной температуре, и после этого следовало добавление оксолан-2,5-диона (250,3 мг, 2,50 ммоль, 5,00 экв.). Обеспечивали протекание реакции в полученной смеси при перемешивании в течение дополнительных 16 ч., при этом температуру поддерживали при 35°С на масляной бане. Полученную смесь разбавляли дихлорметаном (300 мл) и промывали с помощью насыщ. водн. раствора NH4Cl (200 мл × 2). Органическое вещество высушивали над безводным сульфатом натрия и концентрировали под вакуумом. Полученную смесь концентрировали под вакуумом. Это обеспечивало получение 620 мг (99,00%) 4-[[(3R,5S)-1-[(2S)-2-[2-(4-[[l-(4-[3-[2,6-дифтор-3-([[(3R)-3-фторпирролидин-1-ил]сульфонил]амино)бензоил]-1Н-пирроло[2,3-b]пиридин-5-ил]фенил)пиперидин-4-ил]метил]пиперазин-1-ил)ацетамидо]-3,3-диметилбутаноил]-5-([[4-(4-метил-1,3-тиазол-5-ил)фенил]метил]карбамоил)пирролидин-3-ил]окси]-4-оксобутановой кислоты в виде темно-желтого твердого вещества. LC/MS (ESI) масса/заряд: 1252,20 [М+1]+.
[2343] Стадия 3: получение 2,5,8,11,14,17,20,23,26,29,32,35,38,41,44,47,50,53,56,59,62,65-докозаоксагептагексаконтан-67-ил-4-метилбензолсульфоната
[2344] В круглодонную колбу объемом 250 мл помещали 2,5,8,11,14,17,20,23,26,29,32,35,38,41,44,47,50,53,56,59,62,65-докозаоксагептагексаконтан-67-ол (5 г, 4,99 ммоль, 1 экв.), Et3N (1,39 мл, 10,00 ммоль, 2,00 экв.), DMAP (61 мг, 0,50 ммоль, 0,10 экв.), DCM (50 мл), TsCl (1,91 г, 10,02 ммоль, 2,01 экв.). Полученный раствор перемешивали в течение 4 ч. при 35°С на масляной бане. Полученную смесь концентрировали под вакуумом. Остаток обрабатывали с помощью колонки с силикагелем с применением смеси дихлорметан/метанол (23:2). Это обеспечивало получение 5,73 г (99,31%) 2,5,8,11,14,17,20,23,26,29,32,35,38,41,44,47,50,53,56,59,62,65-докозаоксагептагексаконтан-67-ил-4-метилбензол-1-сульфоната в виде белого полутвердого вещества. LC/MS (ESI) масса/заряд: 578,30 [М/2+1]+.
[2345] Стадия 4: получение N-метил-2,5,8,11,14,17,20,23,26,29,32,35,38,41,44,47,50,53,56,59,62,65-докозаоксагептагексаконтан-67-амина
[2346] В герметичную пробирку объемом 30 мл, которую продували азотом и в которой поддерживали инертную атмосферу азота, помещали 2,5,8,11,14,17,20,23,26,29,32,35,38,41,44,47,50,53,56,59,62,65-докозаоксагептагексаконтан-67-ил-4-метилбензол-1-сульфонат (1,155 г, 1,00 ммоль, 1 экв.), гидрохлорид метанамина (337,5 мг, 5,00 ммоль, 5,00 экв.), K2CO3 (552,8 мг, 4,00 ммоль, 4,00 экв.), диоксан (20 мл). Полученную смесь перемешивали в течение 16 ч. при 70°С на масляной бане. Реакционную смесь охлаждали до комнатной температуры и объединяли. Смесь разбавляли водой (200 мл). Полученный раствор экстрагировали дихлорметаном (200 мл × 2) и органические слои объединяли, высушивали над безводным сульфатом натрия и концентрировали под вакуумом. Это обеспечивало получение 2,02 г (99,61%)
2,5,8,11,14,17,20,23,26,29,32,35,38,41,44,47,50,53,56,59,62,65-докозаокса-68-азанонагексаконтана в виде светло-желтого полутвердого вещества. LC/MS (ESI) масса/заряд: 507,70 [М/2+1]+.
[2347] Стадия 5: получение (3R,5S)-1-((S)-2-(2-(4-((1-(4-(3-(2,6-дифтор-3-(((R)-3-фторпирролидин)-1-сульфонамидо)бензоил)-1Н-пирроло[2,3-b]пиридин-5-ил)фенил)пиперидин-4-ил)метил)пиперазин-1-ил)ацетамидо)-3,3-диметилбутаноил)-5-((4-(4-метилтиазол-5-ил)бензил)карбамоил)пирролидин-3-ил-68-метил-69-оксо-2,5,8,11,14,17,20,23,26,29,32,35,38,41,44,47,50,53,56,59,62,65-докозаокса-68-азадогептаконтан-72-оата
[2348] В круглодонную колбу объемом 100 мл помещали 4-[[(3R,5S)-1-[(2S)-2-[2-(4-[[1-(4-[3-[2,6-дифтор-3-([[(3R)-3-фторпирролидин-1-ил]сульфонил]амино)бензоил]-1Н-пирроло[2,3-b]пиридин-5-ил]фенил)пиперидин-4-ил]метил]пиперазин-1-ил)ацетамидо]-3,3-диметилбутаноил]-5-([[4-(4-метил-1,3-тиазол-5-ил)фенил]метил]карбамоил)пирролидин-3-ил]окси]-4-оксобутановую кислоту (300 мг, 0,24 ммоль, 1 экв.),
2,5,8,11,14,17,20,23,26,29,32,35,38,41,44,47,50,53,56,59,62,65-докозаокса-68-азанонагексаконтан (971,8 мг, 0,96 ммоль, 4,00 экв.), DIEA (123,8 мг, 0,96 ммоль, 4,00 экв.), ВОР (211,8 мг, 0,48 ммоль, 2,00 экв.), DMF (8 мл). Полученный раствор перемешивали в течение 2 ч. при комнатной температуре. Полученный раствор разбавляли водой (400 мл) и экстрагировали с помощью EtOAc/THF (10/1, 400 мл × 3) и органические слои объединяли. Органическое вещество промывали солевым раствором (400 мл × 2), высушивали над безводным сульфатом натрия и концентрировали под вакуумом. Неочищенный продукт очищали с помощью препаративной HPLC. Это обеспечивало получение 87,7 мг (16,28%) (3R,5S)-1-[(2S)-2-[2-(4-[[1-(4-[3-Р,6-дифтор-3-([[(3R)-3-фторпирролидин-1-ил]сульфонил]амино)бензоил]-1Н-пирроло[2,3-b]пиридин-5-ил]фенил)пиперидин-4-ил]метил]пиперазин-1-ил)ацетамидо]-3,3-диметилбутаноил]-5-([[4-(4-метил-1,3-тиазол-5-ил)фенил]метил]карбамоил)пирролидин-3-ил-3-[(2,5,8,11,14,17,20,23,26,29,32,35,38,41,44,47,50,53,56,59,62,65-докозаоксагептагексаконтан-67-ил)(метил)карбамоил]пропаноата в виде желтого полутвердого вещества. LC/MS (ESI) масса/заряд: 2248,5 [М+1]+; 1Н ЯМР (400 МГц, D2O) δ 9,69 (s, 1Н), 8,44-8,36 (m, 2H), 7,79 (s, 1H), 7,59-7,55 (m, 5H), 7,42-7,37 (m, 4H), 7,05-7,00 (m, 1H), 5,34 (s, 1H), 5,20 (d,J=52,4 Гц, 1H), 4,55-4,51 (m, 1H), 4,41-4,38 (m, 3H), 4,11-4,03 (m, 3H), 3,90-3,88 (m, 1H), 3,37-3,46 (m, 102H), 3,40-3,27 (m, 6H), 3,01-2,99 (m, 2H), 2,84-2,57 (m, 6H), 2,47-2,41 (m, 6H), 2,22- 2,06 (m, 5H), 1,98-1,83 (m, 3H), 0,92 (s, 9H).
[2349] Иллюстративный синтез (R)-2-((2S,4R)-1-((S)-2-(2-(4-((4-(4-(3-(2,6-дифтор-3-(((И)-3-фторпирролидин)-1-сульфонамидо)бензоил)-1Н-пирроло[2,3-b]пиридин-5-ил)фенил)пиперазин-1-ил)метил)пиперидин-1-ил)ацетамидо)-3,3-диметилбутаноил)-4-гидроксипирролидин-2-карбоксамидо)-2-(4-(4-метилтиазол-5-ил)фенил)этил-69-оксо-2,5,8,11,14,17,20,23,26,29,32,35,38,41,44,47,50,53,56,59,62,65-докозаокса-68-азадогептаконтан-72-оата (иллюстративного соединения 827)
[2350] Стадия 1: получение бензил-(2S,4R)-1-[2S)-2-[[(трет-бутокси)карбонил]амино]-3,3-диметилбутаноил]-4-гидроксипирролидин-2-карбоксилата
[2351] В круглодонную колбу объемом 250 мл помещали раствор (2S)-2-{[(трет-бутокси)карбонил]амино}-3,3-диметилбутановой кислоты (8,5 г, 36,75 ммоль, 1,00 экв.) в N,N-диметилформамиде (100 мл). За этим следовало добавление несколькими порциями HATU (15,5 г, 40,76 ммоль, 1,10 экв.) при 0°С. Затем добавляли DIEA (14,24 г, 110,40 ммоль, 3,00 экв.). Полученную смесь перемешивали в течение 20 мин при 0°С и затем по каплям добавляли раствор гидрохлорида бензил-(2S,4R)-4-гидроксипирролидин-2-карбоксилата (9,5 г, 36,86 ммоль, 1,00 экв.) N,N-диметилформамиде (20 мл) при 0°С. Реакционную смесь перемешивали в течение 1 ч. при комнатной температуре и затем гасили путем добавления воды (500 мл). Полученную смесь экстрагировали этилацетатом (100 мл × 3). Органические слои объединяли, промывали водой (100 мл × 2) и солевым раствором (100 мл), высушивали над безводным сульфатом натрия и концентрировали под вакуумом. Остаток обрабатывали с помощью колонки с силикагелем с элюированием смесью этилацетат/петролейный эфир (1:2). Это обеспечивало получение 11,6 г (72%) бензил-(2S,4R)-1-[(2S)-2-[[(трет-бутокси)карбонил]амино]-3,3-диметилбутаноил]-4-гидроксипирролидин-2-карбоксилата в виде светло-желтого твердого вещества. LC/MS (ESI) масса/заряд: 435,15 [М+1]+.
[2352] Стадия 2: получение бензил-(2S,4R)-1-[(2S)-2-[[(трет-бутокси)карбонил]амино]-3,3-диметилбутаноил]-4-[(трет-бутилдиметилсилил)окси]пирролидин-2-карбоксилата
[2353] В круглодонную колбу объемом 150 мл помещали бензил-(2S,4R)-1-[(2S)-2-[[(трет-бутокси)карбонил]амино]-3,3-диметилбутаноил]-4-гидроксипирролидин-2-карбоксилат (7 г, 16,11 ммоль, 1,00 экв.), имидазол (1,6 г, 23,51 ммоль, 1,46 экв.) в дихлорметане (80 мл) при 0°С. За этим следовало добавление порциями TBDMSC1 (3,6 г, 23,89 ммоль, 1,48 экв.) при 0°С. Полученный раствор перемешивали в течение 6 ч. при комнатной температуре. Затем реакционную смесь гасили путем добавления воды (60 мл). Полученную смесь экстрагировали дихлорметаном (50 мл × 3) и органические слои объединяли, промывали солевым раствором (100 мл × 2), высушивали над безводным сульфатом натрия и концентрировали под вакуумом. Остаток обрабатывали с помощью колонки с силикагелем с элюированием смесью этилацетат/петролейный эфир (1:9). Это обеспечивало получение 5,8 г (66%) бензил-(2S,4R)-1-[(2S)-2-[[(трет-бутокси)карбонил]амино]-3,3-диметилбутаноил]-4-[(трет-бутилдиметилсилил)окси]пирролидин-2-карбоксилата в виде светло-желтого масла. LC/MS (ESI) масса/заряд: 549,20 [М+1]+.
[2354] Стадия 3: получение (2S,4R)-1-[(2S)-2-[[(трет-бутокси)карбонил]амино]-3,3-диметилбутаноил]-4-[(трет-бутилдиметилсилил)окси]пирролидин-2-карбоновой кислоты
[2355] В круглодонной колбе объемом 50 мл к раствору бензил-(28,4Я)-1-[2S)-2-[[(трет-бутокси)карбонил]амино]-3,3-диметилбутаноил]-4-[(трет-бутилдиметилсилил)окси]пирролидин-2-карбоксилата (500 мг, 0,91 ммоль, 1,00 экв.) в метаноле (15 мл) добавляли Pd/C (10%, 100 мг) в атмосфере азота. Колбу затем подвергали вакуумированию и продували водородом. Реакционную смесь гидрогенизировали при комнатной температуре в течение 16 ч. в атмосфере водорода с применением баллона с водородом, затем фильтровали через подушку из целита и концентрировали при пониженном давлении. Это обеспечивало получение 273 мг (65%) (2S,4R)-1-[(2S)-2-[[(трет-бутокси)карбонил]амино]-3,3-диметилбутаноил]-4-[(трет-бутилдиметилсилил)окси]пирролидин-2-карбоновой кислоты в виде бесцветного масла. LC/MS (ESI) масса/заряд: 459,30 [М+1]+.
[2356] Стадия 4: получение трет-бутил-N-[(2S)-1-[(2S,4R)-4-[(трет-бутилдиметилсилил)окси]-2-[[(1R)-2-гидрокси-1-[4-(4-метил-1,3-тиазол-5-ил)фенил]этил]карбамоил]пирролидин-1-ил]-3,3-диметил-1-оксобутан-2-ил]карбамата
[2357] В круглодонную колбу объемом 25 мл помещали (2S,4R)-1-[(2S)-2-[[(трет-бутокси)карбонил]амино]-3,3-диметилбутаноил]-4-[(трет-бутилдиметилсилил)окси]пирролидин-2-карбоновую кислоту (930 мг, 1 экв.), гидрохлорид (2R)-2-амино-2-[4-(4-метил-1,3-тиазол-5-ил)фенил]этан-1-ола (550 мг), HATU (930 мг), DIEA (1 г) в DMF (5 мл). Полученный раствор перемешивали в течение 1 ч. при комнатной температуре. Реакционную смесь разбавляли водой (80 мл) и экстрагировали этилацетатом (50 мл × 3). Объединенный органический слой высушивали над безводным сульфатом натрия и концентрировали. Остаток обрабатывали с помощью колонки с силикагелем с элюированием смесью этилацетат/петролейный эфир (1:0). Это обеспечивало получение 460 мг трет-бутил-N-[(2S)-1-[(2S,4R)-4-[(трет-бутилдиметилсилил)окси]-2-[[(1R)-2-гидрокси-1-[4-(4-метил-1,3-тиазол-5-ил)фенил]этил]карбамоил]пирролидин-1-ил]-3,3-диметил-1-оксобутан-2-ил]карбамата в виде светло-желтого масла. LC/MS (ESI) масса/заряд: 675,20 [М+1]+.
[2358] Стадия 5: получение 4-[(2R)-2-[[(2S,4R)-1-[(2S)-2-[[(трет-бутокси)карбонил]амино]-3,3-диметилбутаноил]-4-[(трет-бутилдиметилсилил)окси]пирролидин-2-ил]формамидо]-2-[4-(4-метил-1,3-тиазол-5-ил)фенил]этокси]-4-оксобутановой кислоты
[2359] В круглодонную колбу объемом 50 мл помещали трет-бутил-N-[(2S)-1-[(2S,4R)-4- [(трет-бутилдиметилсилил)окси]-2-[[(1R)-2-гидрокси-1-[4-(4-метил-1,3-тиазол-5-ил)фенил]этил]карбамоил]пирролидин-1-ил]-3,3-диметил-1-оксобутан-2-ил]карбамат (840 мг, 1,24 ммоль, 1 экв.), оксолан-2,5-дион (623 мг, 6,23 ммоль, 5,00 экв.), триэтиламин (380 мг, 3,76 ммоль, 3,02 экв.) в дихлорметане (20 мл). За этим следовало добавление порциями DMAP (460 мг, 3,77 ммоль, 3,03 экв.) при комнатной температуре. Полученный раствор перемешивали в течение 16 ч. при комнатной температуре. Смесь разбавляли водой (30 мл) и экстрагировали дихлорметаном (25 мл × 3). Объединенный органический слой промывали солевым раствором (40 мл), высушивали над безводным сульфатом натрия и концентрировали. Остаток обрабатывали с помощью колонки с силикагелем с применением смеси дихлорметан/метанол (10:1). Это обеспечивало получение 800 мг (82,94%) 4-[(2R)-2-[[(2S,4R)-1-[2S)-2-[[(трет-бутокси)карбонил]амино]-3,3-диметилбутаноил]-4-[(трет-бутилдиметилсилил)окси]пирролидин-2-ил]формамидо]-2-[4-(4-метил-1,3-тиазол-5-ил)фенил]этокси]-4-оксобутановой кислоты в виде светло-желтого масла. LC/MS (ESI) масса/заряд: 775,25 [М+1]+.
[2360] Стадия 6: получение (2R)-2-[[(2S,4R)-1-[(2S)-2-[[трет-бутокси)карбонил]амино]-3,3-диметилбутаноил]-4-[(трет-бутилдиметилсилил)окси]пирролидин-2-ил]формамидо]-2-[4-(4-метил-1,3-тиазол-5-ил)фенил]этил-3-[(2,5,8,11,14,17,20,23,26,29,32,35,38,41,44,47,50,53,56,59,62,65-докозаоксагептагексаконтан-67-ил)карбамоил]пропаноата
[2361] В круглодонную колбу объемом 50 мл помещали 4-[(2R)-2-[[(2S,4R)-1-[2S)-2-[[(трет-бутокси)карбонил]амино]-3,3-Диметилбутаноил]-4-[(трет-бутилдиметилсилил)окси]пирролидин-2-ил]формамидо]-2-[4-(4-метил-1,3-тиазол-5-ил)фенил]этокси]-4-оксобутановую кислоту (800 мг, 1,03 ммоль, 1 экв.), гидрохлорид 2,5,8,11,14,17,20,23,26,29,32,35,38,41,44,47,50,53,56,59,62,65-докозаоксагептагексаконтан-67-амина (2,1 г, 2,03 ммоль, 1,96 экв.), DIEA (540 мг, 4,18 ммоль, 4,05 экв.) в DMF (10 мл). За этим следовало добавление ВОР (900 мг, 2,03 ммоль, 1,97 экв.) при комнатной температуре. Полученный раствор перемешивали в течение 2 ч. при комнатной температуре. Смесь разбавляли водой (30 мл) и экстрагировали этилацетатом (30 мл × 3). Объединенный органический слой промывали солевым раствором (50 мл), высушивали над безводным сульфатом натрия и концентрировали. Остаток обрабатывали с помощью колонки с силикагелем с применением смеси дихлорметан/метанол (10:1). Это обеспечивало получение 1,8 г (99,24%) (2R)-2-[[(2S,4R)-1-[(2S)-2-[[(трет-бутокси)карбонил]амино]-3,3-диметилбутаноил]-4-[(трет-бутилдиметилсилил)окси]пирролидин-2-ил]формамидо]-2-[4-(4-метил-1,3-тиазол-5-ил)фенил]этил-3-[(2,5,8,11,14,17,20,23,26,29,32,35,38,41,44,47,50,53,56,59,62,65-докозаоксагептагексаконтан-67-ил)карбамоил]пропаноата в виде желтого масла.
[2362] Стадия 7: получение гидрохлорида (2R)-2-[[(2S,4R)-1-[2S)-2-амино-3,3-диметилбутаноил]-4-гидроксипирролидин-2-ил]формамидо]-2-[4-(4-метил-1,3-тиазол-5-ил)фенил]этил-3-[(2,5,8,11,14,17,20,23,26,29,32,35,38,41,44,47,50,53,56,59,62,65-докозаоксагептагексаконтан-67-ил)карбамоил]пропаноата
[2363] В круглодонную колбу объемом 100 мл помещали (2R)-2-[[(2S,4R)-1-[2S)-2-[[(трет-бутокси)карбонил]амино]-3,3-диметилбутаноил]-4-[(трет-бутилдиметилсилил)окси]пирролидин-2-ил]формамидо]-2-[4-(4-метил-1,3-тиазол-5-ил)фенил]этил-3-[(2,5,8,11,14,17,20,23,26,29,32,35,38,41,44,47,50,53,56,59,62,65-докозаоксагептагексаконтан-67-ил)карбамоил]пропаноат (1,8 г, 1,02 ммоль, 1 экв.) в диоксане (20 мл). К вышеуказанному добавляли смесь HCl/диоксан (20 мл, 4 моль/л). Полученный раствор перемешивали в течение 1 ч. при комнатной температуре в атмосфере газообразной хлористоводородной кислоты. Смесь концентрировали. Это обеспечивало получение 1,6 г (98,90%) гидрохлорида (2R)-2-[[(2S,4R)-1-[(2S)-2-амино-3,3-диметилбутаноил]-4-гидроксипирролидин-2-ил]формамидо]-2-[4-(4-метил-1,3-тиазол-5-ил)фенил]этил-3-[(2,5,8,11,14,17,20,23,26,29,32,35,38,41,44,47,50,53,56,59,62,65-докозаоксагептагексаконтан-67-ил)карбамоил]пропаноата в виде желтого масла. LC/MS (ESI) масса/заряд: 772,30 [М/2+1]+.
[2364] Стадия 8: получение (R)-2-((2S,4R)-1-((S)-2-(2-(4-((4-(4-(3-(2,6-дифтор-3-(((R)-3-фторпирролидин)-1-сульфонамидо)бензоил)-1H-пирроло[2,3-b]пиридин-5-ил)фенил)пиперазин-1-ил)метил)пиперидин-1-ил)ацетамидо)-3,3-диметилбутаноил)-4-гидроксипирролидин-2-карбоксамидо)-2-(4-(4-метилтиазол-5-ил)фенил)этил-69-оксо-2,5,8,11,14,17,20,23,26,29,32,35,38,41,44,47,50,53,56,59,62,65-докозаокса-68-азадогептаконтан-72-оата
[2365] В круглодонную колбу объемом 25 мл помещали 2-(4-[[4-(4-[3-[2,6-дифтор-3-([[(3R)-3-фторпирролидин-1-ил]сульфонил]амино)бензоил]-1Н-пирроло[2,3-b]пиридин-5-ил]фенил)пиперазин-1-ил]метил]пиперидин-1-ил)уксусную кислоту (280 мг, 0,378 ммоль, 1 экв.), гидрохлорид (2R)-2-[[(2S,4R)-1-[(2S)-2-амино-3,3-диметилбутаноил]-4-гидроксипирролидин-2-ил]формамидо]-2-[4-(4-метил-1,3-тиазол-5-ил)фенил]этил-3-[(2,5,8,11,14,17,20,23,26,29,32,35,38,41,44,47,50,53,56,59,62,65-докозаоксагептагексаконтан-67-ил)карбамоил]пропаноата (600 мг, 0,380 ммоль, 1,00 экв.), DIEA (200 мг, 1,547 ммоль, 4,09 экв.) в DMF (6 мл). За этим следовало добавление ВОР (330 мг, 0,746 ммоль, 1,97 экв.) при комнатной температуре. Полученный раствор перемешивали в течение 2 ч. при комнатной температуре и затем концентрировали. Неочищенный продукт очищали с помощью препаративной HPLC, что обеспечивало получение 114,6 мг (13,37%) (R)-2-((2S,4R)-1-((S)-2-(2-(4-((4-(4-(3-(2,6-дифтор-3-((S)-3-фторпирролидин)-1-сульфонамидо)бензоил)-1Н-пирроло[2,3-b]пиридин-5-ил)фенил)пиперазин-1-ил)метил)пиперидин-1-ил)ацетамидо)-3,3-диметилбутаноил)-4-гидроксипирролидин-2-карбоксамидо)-2-(4-(4-метилтиазол-5-ил)фенил)этил-69-оксо-2,5,8,11,14,17,20,23,26,29,32,35,38,41,44,47,50,53,56,59,62,65-докозаокса-68-азадогептаконтан-72-оата в виде желтого масла. LC/MS (ESI) масса/заряд: 2264,7 [М+1]+;
1Н ЯМР (300 МГц, CD3OD) δ 8,89 (s, 1H), 8,69 (s, 1H), 8,60 (s, 1Н), 7,89 (s, 1H), 7,76-7,74 (m, 1H), 7,62 (d, J=9 Гц, 2Н), 7,48-7,45 (m, 4Н), 7,14-7,11 (m, 3Н), 5,32-5,14 (m, 2Н), 4,64-4,63 (m, 2Н), 4,46^1,44 (m, 2Н), 4,37-4,32 (m, 1Н), 3,88- 3,84 (m, 3Н), 3,68-3,51 (m, 109Н), 3,47-3,36 (m, 5Н), 3,14 (s, 2Н), 3,01-2,97 (m, 2Н), 2,75-2,66 (m, 7Н), 2,54-2,42 (m, 7Н), 2,37-2,10 (m, 5Н), 1,96-1,85 (m, 4Н), 1,75-1,70 (m, 1H), 1,46-1,33 (m, 2Н), 1,06-1,04 (m, 9Н).
[2366] Иллюстративный синтез (R)-2-((2S,4R)-1-((S)-2-(2-(4-((4-(4-(3-(2,6-дифтор-3-(((H)-3-фторпирролидин)-1-сульфонамидо)бензоил)-1Н-пирроло[2,3-b]пиридин-5-ил)фенил)пиперазин-1-ил)метил)пиперидин-1-ил)ацетамидо)-3,3-диметилбутаноил)-4-гидроксипирролидин-2-карбоксамидо)-2-(4-(4-метилтиазол-5-ил)фенил)этил-68-метил-69-оксо-2,5,8,11,14,17,20,23,26,29,32,35,38,41,44,47,50,53,56,59,62,65-докозаокса-68-азадогептаконтан-72-оата (иллюстративного соединения 842)
[2367] Стадия 1: получение (2R)-2-[[(2S,4R)-1-[(2S)-2-[[(трет-бутокси)карбонил]амино]-3,3-диметилбутаноил]-4-[(трет-бутилдиметилсилил)окси]пирролидин-2-ил]формамидо]-2-[4-(4-метил-1,3-тиазол-5-ил)фенил]этил-3-[(2,5,8,11,14,17,20,23,26,29,32,35,38,41,44,47,50,53,56,59,62,65-докозаоксагептагексаконтан-67-ил)(метил)карбамоил]пропаноата
[2368] В круглодонную колбу объемом 100 мл помещали раствор 4-[(2R)-2-[[(2S,4R)-1-[(2S)-2-[[(трет-бутокси)карбонил]амино]-3,3-диметилбутаноил]-4-[(трет-бутилдиметилсилил)окси]пирролидин-2-ил]формамидо]-2-[4-(4-метил-1,3-тиазол-5-ил)фенил]этокси]-4-оксобутановой кислоты (1,11 г, 1,432 ммоль, 1,00 экв.), 2,5,8,11,14,17,20,23,26,29,32,35,38,41,44,47,50,53,56,59,62,65-докозаокса-68-азанонагексаконтана (1,45 г, 1,430 ммоль, 1 экв.), DIEA (0,37 г, 2,863 ммоль, 2,00 экв.), ВОР (0,76 г, 1,718 ммоль, 1,20 экв.) в DMF (50 мл). Полученную смесь перемешивали в течение 1 часа при комнатной температуре. Затем смесь разбавляли с помощью 50 мл воды и экстрагировали дихлорметаном (100 мл × 2). Органические слои объединяли и концентрировали при пониженном давлении. Остаток обрабатывали с помощью колонки с силикагелем с элюированием смесью дихлорметан/метанол (10:1). Это обеспечивало получение 1,56 г (61,60%) (2R)-2-[[(2S,4R)-1-[2S)-2-[[(трет-бутокси)карбонил]амино]-3,3-диметилбутаноил]-4-[(трет-бутилдиметилсилил)окси]пирролидин-2-ил]формамидо]-2-[4-(4-метил-1,3-тиазол-5-ил)фенил]этил-3-[(2,5,8,11,14,17,20,23,26,29,32,35,38,41,44,47,50,53,56,59,62,65-докозаоксагептагексаконтан-67-ил)(метил)карбамоил]пропаноата в виде белого твердого вещества.
[2369] Стадия 2: получение гидрохлорида (2R)-2-[[(2S,4R)-1-[2S)-2-амино-3,3-диметилбутаноил]-4-гидроксипирролидин-2-ил]формамидо]-2-[4-(4-метил-1,3-тиазол-5-ил)фенил]этил-3-[(2,5,8,11,14,17,20,23,26,29,32,35,38,41,44,47,50,53,56,59,62,65-докозаоксагептагексаконтан-67-ил)(метил)карбамоил]пропаноата
[2370] В круглодонную колбу объемом 100 мл помещали раствор (2R)-2-[[(2S,4R)-1-[(2S)-2-[[(трет-бутокси)карбонил]амино]-3,3-диметилбутаноил]-4-[(трет-бутилдиметилсилил)окси]пирролидин-2-ил]формамидо]-2-[4-(4-метил-1,3-тиазол-5-ил)фенил]этил-3-[(2,5,8,11,14,17,20,23,26,29,32,35,38,41,44,47,50,53,56,59,62,65-докозаоксагептагексаконтан-67-ил)(метил)карбамоил]пропаноата (1,0 г, 0,565 ммоль, 1 экв.) в 50 мл диоксана. За этим следовало добавление раствора хлороводорода в 1,4-диоксане (4,0 М, 10 мл). Полученную смесь перемешивали в течение 1 часа при комнатной температуре и затем концентрировали при пониженном давлении. Это обеспечивало получение 850,0 мг (94,49%) гидрохлорида (2R)-2-[[(2S,4R)-1-[(2S)-2-амино-3,3-диметилбутаноил]-4-гидроксипирролидин-2-ил]формамидо]-2-[4-(4-метил-1,3-тиазол-5-ил)фенил]этил-3-[(2,5,8,11,14,17,20,23,26,29,32,35,38,41,44,47,50,53,56,59,62,65-докозаоксагептагексаконтан-67-ил)(метил)карбамоил]пропаноата в виде бесцветного масла.
[2371] Стадия 3: получение (R)-2-((2S,4R)-1-((S)-2-(2-(4-((4-(4-(3-(2,6-дифтор-3-(((R)-3-фторпирролидин)-1-сульфонамидо)бензоил)-1Н-пирроло[2,3-b]пиридин-5-ил)фенил)пиперазин-1-ил)метил)пиперидин-1-ил)ацетамидо)-3,3-диметилбутаноил)-4-гидроксипирролидин-2-карбоксамидо)-2-(4-(4-метилтиазол-5-ил)фенил)этил-68-метил-69-оксо-2,5,8,11,14,17,20,23,26,29,32,35,38,41,44,47,50,53,56,59,62,65-докозаокса-68-азадогептаконтан-72-оата
[2372] В круглодонную колбу объемом 100 мл помещали раствор 2-(4-[[4-(4-[3-[2,6-дифтор-3-([[(3R)-3-фторпирролидин-1-ил]сульфонил]амино)бензоил]-1Н-пирроло[2,3-b]пиридин-5-ил]фенил)пиперазин-1-ил]метил]пиперидин-1-ил)уксусной кислоты (417,9 мг, 0,565 ммоль, 1,00 экв.), гидрохлорида (2R)-2-[[(2S,4R)-1-[(2S)-2-амино-3,3-диметилбутаноил]-4-гидроксипирролидин-2-ил]формамидо]-2-[4-(4-метил-1,3-тиазол-5-ил)фенил]этил-3-[(2,5,8,11,14,17,20,23,26,29,32,35,38,41,44,47,50,53,56,59,62,65-докозаоксагептагексаконтан-67-ил)(метил)карбамоил]пропаноата (900,0 мг, 0,565 ммоль, 1 экв.), DIEA (146,0 мг, 1,130 ммоль, 2,00 экв.), ВОР (299,8 мг, 0,678 ммоль, 1,20 экв.) в DMF (30 мл). Полученную смесь перемешивали в течение 1 часа при комнатной температуре. Затем смесь разбавляли с помощью 50 мл воды и экстрагировали дихлорметаном (100 мл × 2). Органические слои объединяли и концентрировали при пониженном давлении. Неочищенный продукт очищали с помощью препаративной HPLC при следующих условиях: колонка: колонка XSelect CSH OBD 30*150 мм, 5 мкм; подвижная фаза А: вода (0,1% FA), подвижная фаза В: ACN; скорость потока: 60 мл/мин; градиент: от 15% В до 38% В за 11 мин; 254/220 нм; Rt: 10,27 мин. Это обеспечивало получение 200,3 мг (7,23%) (R)-2-((2S,4R)-1-((S)-2-(2-(4-((4-(4-(3-(2,6-дифгор-3-(((R)-3-фторпирролидин)-1-сульфонамидо)бензоил)-1Н-пирроло[2,3-b]пиридин-5-ил)фенил)пиперазин-1-ил)метил)пиперидин-1-ил)ацетамидо)-3,3-диметилбутаноил)-4-гидроксипирролидин-2-карбоксамидо)-2-(4-(4-метилтиазол-5-ил)фенил)этил-68-метил-69-оксо-2,5,8,11,14,17,20,23,26,29,32,35,38,41,44,47,50,53,56,59,62,65-докозаокса-68-азадогептаконтан-72-оата в виде твердого вещества. LC/MS (ESI) масса/заряд: 2278,71 [М+1]+; 1H ЯМР (400 МГц, DMSO-d6) δ 12,91 (s, 1H), 9,85 (brs, 1H), 8,99 (s, 1H), 8,65 (d, J=2,2 Гц, 1H), 6,60-8,53 (m, 2H), 8,07 (s, 1H), 7,88-7,80 (m, 1H), 7,69-7,54 (m, 3H), 7,52-7,45 (m, 4H), 7,31-7,25 (m, 1H), 7,07 (d, J=8,4 Гц, 2H), 5,36-5,23 (m, 1H), 5,21-5,13 (m, 2H), 4,55-4,43 (m, 2H), 4,29-4,22 (m, 3H), 3,72-3,38 (m, 105H), 3,26-3,15 (m, 7H), 3,02-2,95 (m, 2H), 2,85-2,76 (m, 2H), 2,48-2,39 (m, 4H), 2,34-1,91 (m, 6H), 1,77-1,60 (m, 4H), 1,31-1,19 (m, 2H), 0,95 (s, 9H).
[2373] Иллюстративный синтез (3R,5S)-1-((S)-2-(2-(4-((1-(4-(3-(2,6-дифтор-3-(((R)-3-фторпирролидин)-1-сульфонамидо)бензоил)-1Н-пирроло[2,3-b]пиридин-5-ил)фенил)пиперидин-4-ил)метил)пиперазин-1-ил)ацетамидо)-3,3-диметилбутаноил)-5-((4-(4-метилтиазол-5-и)бензил)карбамоил)пирролидин-3-ил-2-((69-оксо-2,5,8,11,14,17,20,23,26,29,32,35,38,41,44,47,50,53,56,59,62,65,68-трикозаоксагептаконтан-70-ил)окси)ацетата (иллюстративного соединения 815)
[2374] Стадия 1: получение (2S,4R)-1-((S)-2-(2-(4-((1-(4-(3-(2,6-дифтор-3-(((К>3-фторпирролидин)-1-сульфонамидо)бензоил)-1Н-пирроло[2,3-b]пиридин-5-ил)фенил)пиперидин-4-ил)метил)пиперазин-1-ил)ацетамидо)-3,3-диметилбутаноил)-4-гидрокси-N-(4-(4-метилтиазол-5-ил)бензил)пирролидин-2-карбоксамида (иллюстративного соединения 227)
[2375] В пробирку объемом 8 мл помещали 2-(4-[[l-(4-[3-[2,6-дифтор-3-([[(3R)-3-фторпирролидин-1-ил]сульфонил]амино)бензоил]-1Н-пирроло[2,3-b]пиридин-5-ил]фенил)пиперидин-4-ил]метил]пиперазин-1-ил)уксусную кислоту (111 мг, 0,15 ммоль, 1 экв.), гидрохлорид (2S,4R)-1-[2S)-2-амино-3,3-диметилбутаноил]-4-гидрокси-N-[[4-(4-метил-1,3-тиазол-5-ил)фенил]метил]пирролидин-2-карбоксамида (84 мг, 0,18 ммоль, 1,20 экв.), DIEA (77,5 мг, 0,60 ммоль, 4,00 экв.), DMF (2 мл), ВОР (79,6 мг, 0,18 ммоль, 1,20 экв.). Полученный раствор перемешивали в течение 1 ч. при комнатной температуре. Полученный раствор разбавляли водой (30 мл) и экстрагировали смесью дихлорметан/метанол (10/1, 50 мл × 2) и органические слои объединяли. Органическое вещество промывали солевым раствором (50 мл × 2), высушивали над безводным сульфатом натрия и концентрировали под вакуумом. Неочищенный продукт очищали с помощью препаративной HPLC, что обеспечивало получение 81,9 мг (47,37%) (2S,4R)-1-((S)-2-(2-(4-((1-(4-(3-(2,6-дифтор-3-(((R)-3-фторпирролидин)-1-сульфонамидо)бензоил)-1Н-пирроло[2,3-b]пиридин-5-ил)фенил)пиперидин-4-ил)метил)пиперазин-1-ил)ацетамидо)-3,3-диметилбутаноил)-4-гидрокси-N-(4-(4-метилтиазол-5-ил)бензил)пирролидин-2-карбоксамида. LC/MS (ESI) масса/заряд: 1152,20 [М+1]+; 1Н ЯМР (300 МГц, CD3OD) S 8,87 (s, 1Н), 8,67 (s, 1H), 8,58 (s, 1H), 7,88 (s, 1H), 7,78-7,70 (m, 1H), 7,56 (d, J=8,7 Гц, 2H), 7,48-7,38 (m, 4H), 7,16-7,06 (m, 3H), 5,21 (d, J=53,7 Гц, 1H), 4,63-6,50 (m, 4H), 4,37-4,32 (m, 1H), 3,91-3,70 (m, 4H), 4,63-3,35 (m, 4H), 3,05 (s, 2H), 2,72-2,46 (m, 13H), 2,27-1,95 (m, 6H), 1,84-1,80 (m, 2H), 1,65 (m, 1H), 1,35-1,24 (m, 2H), 1,04 (m, 9H).
[2376] Стадия 2: получение 69-оксо-2,5,8,11,14,17,20,23,26,29,32,35,38,41,44,47,50,53,56,59,62,65,68,71-тетракозаоксатригептаконтан- 73-овой кислоты
[2377] В круглодонную колбу объемом 1 л помещали 2,5,8,11,14,17,20,23,26,29,32,35,38,41,44,47,50,53,56,59,62,65-докозаоксагептагексаконтан-67-ол (8 г, 7,99 ммоль, 1 экв.), TEA (2,22 мл, 15,97 ммоль, 2,00 экв.), DMAP (2,93 г, 23,98 ммоль, 3,00 экв.), дихлорметан (250 мл), тетраги дрофу ран (30 мл) и смесь перемешивали в течение 10 мин. За этим следовало добавление 1,4-диоксан-2,6-диона (4,64 г, 39,98 ммоль, 5,00 экв.) при перемешивании.
Полученный раствор перемешивали в течение 16 ч. при 35°С на масляной бане. Полученный раствор разбавляли дихлорметаном (800 мл) и промывали с помощью NH4Cl (800 мл × 2). Органическое вещество высушивали над безводным сульфатом натрия и концентрировали под вакуумом. Это обеспечивало получение 8,90 г (99,69%) 69-оксо-2,5,8,11,14,17,20,23,26,29,32,35,38,41,44,47,50,53,56,59,62,65,68,71-тетракозаоксатригептаконтан-73-овой кислоты в виде желтого полутвердого вещества. LC/MS (ESI) масса/заряд: 559,30 [М/2+1]+.
[2378] Стадия 3: получение (3R,5S)-1-((S)-2-(2-(4-((1-(4-(3-(2,6-дифтор-3-(((R)-3-фторпирролидин)-1-сульфонамидо)бензоил)-1Н-пирроло[2,3-b]пиридин-5-ил)фенил)пиперидин-4-ил)метил)пиперазин-1-ил)ацетамидо)-3,3-диметилбутаноил)-5-((4-(4-метилтиазол-5-ил)бензил)карбамоил)пирролидин-3-ил-2-((69-оксо-2,5,8,11,14,17,20,23,26,29,32,35,38,41,44,47,50,53,56,59,62,65,68-трикозаоксагептаконтан-70-ил)окси)ацетата
[2379] В круглодонную колбу объемом 100 мл помещали (2S,4R)-1-((S)-2-(2-(4-((1-(4-(3-(2,6-дифтор-3-(((R)-3-фторпирролидин)-1-сульфонамидо)бензоил)-1Н-пирроло[2,3-b]пиридин-5-ил)фенил)пиперидин-4-ил)метил)пиперазин-1-ил)ацетамидо)-3,3-диметилбутаноил)-4-гидрокси-N-(4-(4-метилтиазол-5-ил)бензил)пирролидин-2-карбоксамид (300 мг, 0,26 ммоль, 1 экв.), дихлорметан (20 мл). К смеси добавляли 69-оксо-2,5,8,11,14,17,20,23,26,29,32,35,38,41,44,47,50,53,56,59,62,65,68,71-тетракозаоксатригептаконтан-73-овую кислоту (1,31 г, 1,17 ммоль, 4,50 экв.), DMAP (285,9 мг, 2,34 ммоль, 9,00 экв.) и EDCI (449 мг, 2,34 ммоль, 9,00 экв.) 3 порциями за 3 ч. Полученный раствор перемешивали в течение 16 ч. при комнатной температуре. За этим следовало добавление остальной части DMAP (636,6 мг, 5,21 ммоль, 20,01 экв.) 4 порциями за 4 ч. Обеспечивали протекание реакции в полученном растворе при перемешивании в течение дополнительных 2 ч. при комнатной температуре. Полученный раствор концентрировали и остаток разбавляли с помощью NH4Cl (300 мл). Смесь экстрагировали с помощью EtOAc/THF (10/1, 300 мл × 2) и органические слои объединяли. Органическое вещество промывали с помощью NH4Cl (300 мл × 2), высушивали над безводным сульфатом натрия и концентрировали под вакуумом. Неочищенный продукт очищали с помощью препаративной HPLC, что обеспечивало получение 125,8 мг (21,46%) (3R,5S)-1-((S)-2-(2-(4-((1-(4-(3-(2,6-дифтор-3-(((R)-3-фторпирролидин)-1-сульфонамидо)бензоил)-1Н-пирроло[2,3-b]пиридин-5-ил)фенил)пиперидин-4-ил)метил)пиперазин-1-ил)ацетамидо)-3,3-диметилбутаноил)-5-((4-(4-метилтиазол-5-ил)бензил)карбамоил)пирролидин-3-ил-2-((69-оксо-2,5,8,11,14,17,20,23,26,29,32,35,38,41,44,47,50,53,56,59,62,65,68-трикозаоксагептаконтан-70-ил)окси)ацетата в виде тем но-желтого полутвердого вещества. LC/MS (ESI) масса/заряд: 2251,46 [М+1]+; 1Н ЯМР (300 МГц, CDCl2) δ 11,49 (s, 1Н), 8,84 (s, 1H), 8,69 (s, 1H), 8,60 (s, 1H), 7,74-7,66 (m, 3H), 7,56 (d, J=8,4 Гц, 2H), 7,45-7,41 (m, 1H), 7,37-7,30 (m, 4H), 7,04-6,99 (m, 3H), 5,43 (s, 1H), 5,21 (d, J=52,5 Гц, 1H), 4,76 4,71 (m, 1H), 4,59-4,52 (m, 1H), 4,35 4,38 (m, 9H), 3,86-3,68 (m, 7H), 3,64-3,62 (m, 78H), 3,55-3,44 (m, 7H), 3,37 (s, 3H), 2,96 (s, 2H), 2,81-2,68 (m, 4H), 2,51-2,43 (m, 11H), 2,26-2,19 (m, 5H), 2,02-1,95 (m, 1H), 1,86- 1,82 (m, 2H), 1,61 (m, 1H), 1,35-1,30 (m, 2H), 0,93 (s, 9H).
[2380] Иллюстративный синтез (3R,5S)-1-((S)-2-(2-(4-((1-(4-(3-(2,6-дифтор-3-(((R)-3-фторпирролидин)-1-сульфонамидо)бензоил)-1Н-пирроло[2,3-b]пиридин-5-ил)фенил)пиперидин-4-ил)метил)пиперазин-1-ил)ацетамидо)-3,3-д иметилбутаноил)-5-((4-(4-мети лтиазол-5-ил)бензил)карбамоил)пирролидин-3-ил-69-оксо-2,5,8,11,14,17,20,23,26,29,32,35,38,41,44,47,50,53,56,59,62,65,71-трикозаокса-68-азатригептаконтан-73-оата (иллюстративного соединения 814)
[2381] Стадия 1: получение 2-(2-[[(3R,5S)-1-[2S)-2-[2-(4-[[1-(4-[3-[2,6-дифтор-3-([[(3R)-3-фторпирролидин-1-ил]сульфонил]амино)бензоил]-1Н-пирроло[2,3-b]пиридин-5-ил]фенил)пиперидин-4-ил]метил]пиперазин-1-ил)ацетамидо]-3,3-диметилбутаноил]-5-([[4-(4-метил-1,3-тиазол-5-ил)фенил]метил]карбамоил)пирролидин-3-ил]окси]-2-оксоэтокси)уксусной кислоты
[2382] В герметичную пробирку объемом 30 мл помещали (2S,4R)-1-[(2S)-2-[2-(4-[[1-(4-[3-[2,6-дифтор-3-([[(3R)-3-фторпирролидин-1-ил]сульфонил]амино)бензоил]-1Н-пирроло[2,3-b]пиридин-5-ил]фенил)пиперидин-4-ил]метил]пиперазин-1-ил)ацетамидо]-3,3-Диметилбутаноил]-4-гидрокси-N-[[4-(4-метил-1,3-тиазол-5-ил)фенил]метил]пирролидин-2-карбоксамид (230 мг, 0,20 ммоль, 1 экв.), Et3N (40,4 мг, 0,40 ммоль, 2,00 экв.), DMAP (73 мг, 0,60 ммоль, 2,99 экв.), дихлорметан (8 мл), тетрагидрофуран (2 мл) и смесь перемешивали в течение 10 мин. За этим следовало добавление 1,4-диоксан-2,6-диона (116,1 мг, 1,00 ммоль, 5,01 экв.) при перемешивании. Полученный раствор перемешивали в течение 16 ч. при 35°С на масляной бане. Полученный раствор разбавляли смесью дихлорметан/метанол (10/1, 200 мл) и промывали с помощью насыщ. водн. раствора NH4Cl (100 мл × 2). Органическое вещество высушивали над безводным сульфатом натрия и концентрировали под вакуумом. Полученную смесь концентрировали под вакуумом. Неочищенный продукт очищали с помощью препаративной HPLC, что обеспечивало получение 79,6 мг (31,44%) 2-(2-[[(3R,5S)-1-[2S)-2-[2-(4-[[1-(4-[3-[2,6-дифгор-3-([[(3R)-3-фторпирролидин-1-ил]сульфонил]амино)бензоил]-1Н-пирроло[2,3-b]пиридин-5-ил]фенил)пиперидин-4-ил]метил]пиперазин-1-ил)ацетамидо]-3,3-диметилбутаноил]-5-([[4-(4-метил-1,3-тиазол-5-ил)фенил]метил]карбамоил)пирролидин-3-ил]окси]-2-оксоэтокси)уксусной кислоты в виде светло-желтого твердого вещества. LC/MS (ESI) масса/заряд: 1268,20 [М+1]+; 1Н ЯМР (300 МГц, CD3OD) δ 8,90 (s, 1Н), 8,69 (s, 1H), 8,62 (m, 1Н), 7,94 (s, 1Н), 7,82- 7,74 (m, 1H), 7,63-7,60 (m, 2Н), 7,49-7,42 (m, 4Н), 7,22-7,14 (m, 3Н), 5,50 (s, 1H), 5,26 (m, 1Н), 4,66-4,56 (m, 7Н), 4,42-4,29 (m, 4Н), 4,13-4,00 (m, 2Н), 3,92-3,79 (m, 3Н), 3,61-3,44 (m, 6Н), 3,17 (m, 3Н), 3,03 (s, 3Н), 2,90-2,79 (m, 4Н), 2,50 (s, 3Н), 2,28-2,22 (m, 2Н), 2,07-1,96 (m, 3Н), 1,49-1,45 (m, 2Н), 1,07 (s, 9Н).
[2383] Стадия 2: получение (3R,5S)-1-((S)-2-(2-(4-((1-(4-(3-(2,6-дифтор-3-(((R)-3-фторпирролидин)-1-сульфонамидо)бензоил)-1Н-пирроло[2,3-b]пиридин-5-ил)фенил)пиперидин-4-ил)метил)пиперазин-1-ил)ацетамидо)-3,3-диметилбутаноил)-5-((4-(4-метилтиазол-5-ил)бензил)карбамоил)пирролидин-3-ил-69-оксо-2,5,8,11,14,17,20,23,26,29,32,35,38,41,44,47,50,53,56,59,62,65,71-трикозаокса-68-азатригептаконтан-73-оата
[2384] В круглодонную колбу объемом 50 мл помещали 2-(2-[[(3R,5S)-1-[(2S)-2-[2-(4-[[1-(4-[3-[2,6-дифтор-3-([[(3R)-3-фторпирролидин-1-ил]сульфонил]амино)бензоил]-1Н-пирроло[2,3-b]пиридин-5-ил]фенил)пиперидин-4-ил]метил]пиперазин-1-ил)ацетамидо]-3,3-диметилбутаноил]-5-([[4-(4-метил-1,3-тиазол-5-ил)фенил]метил]карбамоил)пирролидин-3-ил]окси]-2-оксоэтокси)уксусную кислоту (761 мг, 0,60 ммоль, 1 экв.), гидрохлорид 2,5,8,11,14,17,20,23,26,29,32,35,38,41,44,47,50,53,56,59,62,65-докозаоксагептагексаконтан-67-амина (1,244 г, 1,20 ммоль, 2,00 экв.), DIEA (310 мг, 2,40 ммоль, 4,00 экв.), DMF (15 мл), ВОР (398 мг, 0,90 ммоль, 1,50 экв.). Полученный раствор перемешивали в течение 2 ч при комнатной температуре. Полученный раствор разбавляли водой (200 мл) и экстрагировали этилацетатом/THF (10/1, 300 мл × 2) и органические слои объединяли. Органический слой промывали с помощью NH4Cl (300 мл × 2). Органическое вещество высушивали над безводным сульфатом натрия и концентрировали под вакуумом. Неочищенный продукт очищали с помощью препаративной HPLC, что обеспечивало получение 238,0 мг (17,63%) (3R,5S)-1-((S)-2-(2-(4-((1-(4-(3-(2,6-дифтор-3-(((R)-3-фторпирролидин)-1-сульфонамидо)бензоил)-1Н-пирроло[2,3-b]пиридин-5-ил)фенил)пиперидин-4-ил)метил)пиперазин-1-ил)ацетамидо)-3,3-диметилбутаноил)-5-((4-(4-метилтиазол-5-ил)бензил)карбамоил)пирролидин-3-ил-69-оксо-2,5,8,11,14,17,20,23,26,29,32,35,38,41,44,47,50,53,56,59,62,65,71-трикозаокса-68-азатригептаконтан-73-оата в виде желтого твердого вещества. LC/MS (ESI) масса/заряд: 2250,47 [М+1]+; 1Н ЯМР (400 МГц, CDC3) δ 11,22 (s, 1H), 8,86 (s, 1H), 8,70 (s, 1H), 8,64 (s, 1H), 7,75-7,71 (m, 3H), 7,57 (d, J=8,0 Гц, 2H), 7,47 (m, 1H), 7,338-7,33 (m, 4H), 7,13 (m, 1H), 7,06-7,02 (m, 3H), 5,44 (s, 1H), 5,23 (d, J=54,2 Гц, 1H), 4,9-4,75 (m, 1H), 4,60^,55 (m, 1H), 4,37-4,27 (m, 4H), 4,19-4,07 (m, 3H), 3,82-3,48 (m, 91H), 3,39 (s, 3H), 2,98 (m, 2H), 2,77-2,71 (m, 4H), 2,55-2,46 (m, 11H), 2,27-2,22 (m, 4H), 2,12-2,00 (m, 2H), 1,88-1,85 (m, 3H), 1,64 (m, 1H), 1,36-1,27 (m, 4H), 0,94 (s, 9H).
[2385] Иллюстративный синтез 2-(((2S,4R)-1-((S)-2-(2-(4-((4-(4-(3-(2,6-дифтор-3-(((H)-3-фторпирролидин)-1-сульфонамидо)бензоил)-1Н-пирроло[2,3-b]пиридин-5-ил)фенил)пиперазин-1-ил)метил)пиперидин-1-ил)ацетамидо)-3,3-диметилбутаноил)-4-гидроксипирролидин-2-карбоксамидо)метил)-5-(4-метилтиазол-5-ил)бензил-2,5,8,11,14,17,20,23,26,29,32,35,38,41,44,47,50,53,56,59,62,65,68-трикозаоксагептаконтан-70-оата (иллюстративного соединения 813)
[2386] Стадия 1: получение метил-2-([бис[(трет-бутокси)карбонил]амино]метил)-5-бромбензоата
[2387] В круглодонную колбу объемом 250 мл добавляли метил-5-бром-2-(бромметил)бензоат (3,5 г, 11,36 ммоль, 1 экв.), трет-бутил-N-[(трет-бутокси)карбонил]карбамат (2,65 г, 12,20 ммоль, 1,07 экв.) и метилэтилкетон (120 мл) при комнатной температуре. К перемешиваемой смеси порциями добавляли карбонат цезия (3,7 г, 11,36 ммоль, 1,00 экв.) при комнатной температуре. Полученную смесь перемешивали в течение 16 ч при 70°С. Полученную смесь фильтровали. Фильтрат концентрировали при пониженном давлении. Полученную смесь разбавляли водой (200 мл). Водный слой экстрагировали этилацетатом (60 мл × 3). Полученную смесь концентрировали при пониженном давлении. Остаток очищали с помощью колоночной хроматографии на силикагеле, элюировали смесью этилацетат/петролейный эфир (1:10) с получением метил-2-([бис[(трет-бутокси)карбонил]амино]метил)-5-бромбензоата (4,25 г, 84,16%) в виде желтого масла. LC/MS (ESI) масса/заряд: 465,90 [М+23]+.
[2388] Стадия 2: получение метил-2-([бис[(трет-бутокси)карбонил]амино]метил)-5-(4-метил-1,3-тиазол-5-ил)бензоата
[2389] В круглодонную колбу объемом 250 мл добавляли метил-2-([бис[(трет-бутокси)карбонил]амино]метил)-5-бромбензоат (25 г, 56,27 моль, 1 экв.), 4-метил-1,3-тиазол (12 г, 120 ммоль), DMF (50 мл) и ацетат калия (25 г, 254,73 ммоль, 4,53 экв.) при комнатной температуре. К смеси добавляли Pd(OAc)2 (2,5 г, 0,01 ммоль) при комнатной температуре в атмосфере азота. Полученную смесь перемешивали в течение 2 ч при 100°С в атмосфере азота. Полученную смесь разбавляли водой (50 мл). Водный слой экстрагировали этилацетатом (60 мл × 4). Полученное твердое вещество высушивали. Полученную смесь концентрировали под вакуумом. Остаток очищали с помощью колоночной хроматографии на силикагеле, элюировали смесью этилацетат/петролейный эфир (3:1) с получением метил-2-([бис[(трет-бутокси)карбонил]амино]метил)-5-(4-метил-1,3-тиазол-5-ил)бензоата (15 г, 57,63%) в виде желтого твердого вещества. LC/MS (ESI) масса/заряд: 463,10 [М+1]+.
[2390] Стадия 3: получение трет-бутил-N-[(трет-бутокси)карбонил]-N-[[2-(гидроксиметил)-4-(4-метил-1,3-тиазол-5-ил)фенил]метил]карбамата
[2391] В круглодонную колбу объемом 250 мл добавляли метил-2-([бис[(трет-бутокси)карбонил]амино]метил)-5-(4-метил-1,3-тиазол-5-ил)бензоат (360 мг, 0,78 ммоль, 1 экв.) и дихлорметан (20 мл, 314,60 моль, 404,23 экв.) при комнатной температуре. К вышеуказанной смеси порциями добавляли DIBA1-H (3,3 мл, 19,68 ммоль, 25,28 экв.) в течение 10 мин при -70°С. Полученную смесь перемешивали в течение дополнительного 1 ч при -70°С. Реакционную смесь гасили водным раствором хлорида аммония при комнатной температуре. Полученную смесь экстрагировали дихлорметаном (20 мл × 3). Объединенные органические слои промывали солевым раствором (20 мл × 1), высушивали над безводным сульфатом натрия. После фильтрации фильтрат концентрировали при пониженном давлении. Остаток очищали с помощью колоночной хроматографии на силикагеле, элюировали смесью этилацетат/петролейный эфир (2:1) с получением трет-бутил-N-[(трет-бутокси)карбонил]-N-[[2-(гидроксиметил)-4-(4-метил-1,3-тиазол-5-ил)фенил]метил]карбамата (120 мг, 35,48%) в виде желтого масла. LC/MS (ESI) масса/заряд: 335,00 [М-100]+.
[2392] Стадия 4: получение гидрохлорида [2-(аминометил)-5-(4-метил-1,3-тиазол-5-ил)фенил] метанола
[2393] В круглодонную колбу объемом 250 мл добавляли трет-бутил-К-[(трет-бутокси)карбонил]-N-[[2-(гидроксиметил)-4-(4-метил-1,3-тиазол-5-ил)фенил]метил]карбамат (150 мг, 0,35 ммоль, 1 экв.) и HCl (4 М) в диоксане (10,0 мл, 329,12 ммоль, 953,46 экв.) при комнатной температуре. Полученную смесь перемешивали в течение 2 ч при комнатной температуре. Полученную смесь концентрировали под вакуумом. Это обеспечивало получение гидрохлорида [2-(аминометил)-5-(4-метил-1,3-тиазол-5-ил)фенил]метанола (132 мг, неочищенный) в виде коричневого твердого вещества. LC/MS (ESI) масса/заряд: 234,95 [М+1]+.
[2394] Стадия 5: получение трет-бутил-№[2S)-1-[(2S,4R)-4-[(трет-бутилдиметилсилил)окси]-2-([[2-(гидроксиметил)-4-(4-метил-1,3-тиазол-5-ил)фенил]метил]карбамоил)пирролидин-1-ил]-3,3-диметил-1-оксобутан-2-ил]карбамата
[2395] В круглодонную колбу объемом 50 мл добавляли (2S,4R)-1-[(2S)-2-[[(трет-бутокси)карбонил]амино]-3,3-диметилбутаноил]-4-[(трет-бутилдиметилсилил)окси]пирролидин-2-карбоновую кислоту (750 мг, 1,64 ммоль, 1 экв.), DMF (10 мл, 0,14 ммоль, 0,08 экв.), HATU (750 мг, 1,97 ммоль, 1,21 экв.), DIEA (840 мг, 6,50 ммоль, 3,97 экв.) и гидрохлорид [2-(аминометил)-5-(4-метил-1,3-тиазол-5-ил)фенил]метанола (440 мг, 1,62 ммоль, 0,99 экв.) при комнатной температуре. Полученную смесь перемешивали в течение 1 ч при комнатной температуре. Полученную смесь разбавляли водой (60 мл). Полученную смесь экстрагировали этилацетатом (25 мл × 3). Объединенные органические слои промывали солевым раствором (15 мл), высушивали над безводным Na2SO4. После фильтрации фильтрат концентрировали при пониженном давлении. Остаток очищали с помощью колоночной хроматографии на силикагеле, элюировали смесью этилацетат/петролейный эфир (1:0) с получением 1,34 г (121,41%) трет-бутил-N-[2S)-1-[(2S,4R)-4-[(трет-бутилдиметилсилил)окси]-2-([[2-(гидроксиметил)-4-(4-метил-1,3-тиазол-5-ил)фенил]метил]карбамоил)пирролидин-1-ил]-3,3-диметил-1-оксобутан-2-ил]карбамата в виде оранжевого масла. LC/MS (ESI) масса/заряд: 675,15 [М+1]+.
[2396] Стадия 6: получение [2-([[(2S,4R)-1-[(2S)-2-[[(трет-бутокси)карбонил]амино]-3,3-диметилбутаноил]-4-[(трет-бутилдиметилсилил)окси]пирролидин-2-ил]формамидо]метил)-5-(4-метил-1,3-тиазол-5-ил)фенил]метил-2,5,8,11,14,17,20,23,26,29,32,35,38,41,44,47,50,53,56,59,62,65,68-трикозаоксагептаконтан-70- ата
[2397] В круглодонную колбу объемом 50 мл помещали трет-бутил-N-[2S)-1-[(2S,4R)-4-[(трет-бутилдиметилсилил)окси]-2-([[2-(гидроксиметил)-4-(4-метил-1,3-тиазол-5-ил)фенил]метил]карбамоил)пирролидин-1-ил]-3,3-диметил-1-оксобутан-2-ил]карбамат (570 мг, 0,84 ммоль, 1 экв.), дихлорметан (20 мл). Добавляли 2,5,8,11,14,17,20,23,26,29,32,35,38,41,44,47,50,53,56,59,62,65,68-трикозаоксагептаконтан-70-овую кислоту (1,34 г, 1,27 ммоль, 1,50 экв.), DMAP (309,6 мг, 2,53 ммоль, 3,00 экв.) и EDCI (485,6 мг, 2,53 ммоль, 3,00 экв.). Полученный раствор перемешивали в течение 2 ч при комнатной температуре. Полученный раствор концентрировали и остаток разбавляли с помощью NH4Cl (400 мл). Смесь экстрагировали смесью этилацетат/THF (10/1, 300 мл × 2) и органические слои объединяли. Органическое вещество промывали с помощью насыщ. водн. раствора NH4Cl (300 мл × 2), высушивали над безводным сульфатом натрия и концентрировали под вакуумом. Это обеспечивало получение 910 мг (62,79%) [2-([[(2S,4R)-1-[2S)-2-[[(трет-бутокси)карбонил]амино]-3,3-диметилбутаноил]-4-[(трет-бутилдиметилсилил)окси]пирролидин-2-ил]формамидо]метил)-5-(4-метил-1,3-тиазол-5-ил)фенил]метил-2,5,8,11,14,17,20,23,26,29,32,35,38,41,44,47,50,53,56,59,62,65,68-трикозаоксагептаконтан-70-оата в виде желтого масла.
[2398] Стадия 7: получение гидрохлорида [2-([[(2S,4R)-1-[(2S)-2-амино-3,3-диметилбутаноил]-4-гидроксипирролидин-2-ил]формамидо]метил)-5-(4-метил-1,3-тиазол-5-ил)фенил]метил-2,5,8,11,14,17,20,23,26,29,32,35,38,41,44,47,50,53,56,59,62,65,68-трикозаоксагептаконтан-70-оата
[2399] В круглодонную колбу объемом 100 мл помещали [2-([[(2S,4R)-1-[(2S)-2-[[(трет-бутокси)карбонил]амино]-3,3-диметилбутаноил]-4-[(трет-бутилдиметилсилил)окси]пирролидин-2-ил]формамидо]метил)-5-(4-метил-1,3-тиазол-5-ил)фенил]метил-2,5,8,11,14,17,20,23,26,29,32,35,38,41,44,47,50,53,56,59,62,65,68-трикозаоксагептаконтан-70-оат (950 мг, 0,55 ммоль, 1 экв.), смесь диоксан/HCl (10 мл), (4Mb диоксане). Полученный раствор перемешивали в течение 2 ч при комнатной температуре. Полученную смесь концентрировали под вакуумом. Это обеспечивало получение 850 мг (99,82%) гидрохлорида [2-([[(2S,4R)-1-[(2S)-2-амино-3,3-диметилбутаноил]-4-гидроксипирролидин-2-ил]формамидо]метил)-5-(4-метил-1,3-тиазол-5-ил)фенил]метил-2,5,8,11,14,17,20,23,26,29,32,35,38,41,44,47,50,53,56,59,62,65,68-трикозаоксагептаконтан-70-оата в виде желтого масла.
[2400] Стадия 8: получение 2-(((2S,4R)-1-((S)-2-(2-(4-((4-(4-(3-(2,6-дифтор-3-(((R)-3-фторпирролидин)-1-сульфонамидо)бензоил)-1Н-пирроло[2,3-b]пиридин-5-ил)фенил)пиперазин-1-ил)метил)пиперидин-1-ил)ацетамидо)-3,3-диметилбутаноил)-4-гидроксипирролидин-2-карбоксамидо)метил)-5-(4-метилтиазол-5-ил)бензил-2,5,8,11,14,17,20,23,26,29,32,35,38,41,44,47,50,53,56,59,62,65,68-трикозаоксагептаконтан-70-оата
[2401] В круглодонную колбу объемом 100 мл помещали 2-(4-[[4-(4-[3-[2,6-дифтор-3-([[(3R)-3-фторпирролидин-1-ил]сульфонил]амино)бензоил]-1Н-пирроло[2,3-b]пиридин-5-ил]фенил)пиперазин-1-ил]метил]пиперидин-1-ил)уксусную кислоту (408,8 мг, 0,55 ммоль, 1 экв.), гидрохлорид [2-([[(2S,4R)-1-[(2S)-2-амино-3,3-диметилбутаноил]-4-гидроксипирролидин-2-ил]формамидо]метил)-5-(4-метил-1,3-тиазол-5-ил)фенил]метил-
2,5,8,11,14,17,20,23,26,29,32,35,38,41,44,47,50,53,56,59,62,65,68-трикозаоксагептаконтан-70-оата (850 мг, 0,55 ммоль, 1,00 экв.), DIEA (283,4 мг, 2,19 ммоль, 3,97 экв.), ВОР (293 мг, 0,66 ммоль, 1,20 экв.), DMF (15 мл). Полученный раствор перемешивали в течение 2 ч при комнатной температуре. Полученный раствор разбавляли смесью этилацетат/THF (10/1, 500 мл) и промывали водой (200 мл) и NH4Cl (насыщ. водн., 200 мл). Органическое вещество высушивали над безводным сульфатом натрия и концентрировали под вакуумом. Неочищенный продукт очищали с помощью препаративной HPLC, что обеспечивало получение 280,0 мг (22,79%) 2-(((2S,4R)-1-((S)-2-(2-(4-((4-(4-(3-(2,6-дифтор-3-(((R)-3-фторпирролидин)-1-сульфонамидо)бензоил)-1Н-пирроло[2,3-b]пиридин-5-ил)фенил)пиперазин-1-ил)метил)пиперидин-1-ил)ацетамидо)-3,3-диметилбутаноил)-4-гидроксипирролидин-2-карбоксамидо)метил)-5-(4-метилтиазол-5-ил)бензил-2,5,8,11,14,17,20,23,26,29,32,35,38,41,44,47,50,53,56,59,62,65,68-трикозаоксагептаконтан-70-оата в виде светло-коричневого твердого вещества. LC/MS (ESI) масса/заряд: 2223,44 [М+1]+; 1H ЯМР (400 МГц, CDCl3) δ 11,61 (s, 1Н), 8,84 (s, 1H), 8,70 (s, 1H), 8,59 (s, 1H), 7,90 (m, 1H), 7,76 (s, 1H), 7,73-7,68 (m, 1H), 7,57-7,55 (m, 2H), 7,44-7,33 (m, 4H), 7,04-6,97 (m, 3H), 5,27-5,15 (m, 3H), 4,74 (m, 1H), 4,61-4,44 (m, 4H), 4,20-4,13 (m, 4H), 3,81-3,66 (m, 4H), 3,64-3,62 (m, 81H), 3,58-3,54 (m, 4H), 3,50-3,46 (m, 2H), 3,38 (s, 3H), 3,24 (m, 3H), 2,95-2,77 (m, 4H), 2,55-2,46 (m, 8H), 2,28-1,98 (m, 8H), 1,80-1,72 (m, 2H), 1,52 (m, 1H), 1,27 (s, 1H), 1,17 (m, 2H), 0,97 (s, 9H), 0,88-0,82 (m, 1H).
Контроль уровня белка
[2402] В данном описании также представлены способы контроля уровней белка в клетке. Они основаны на применении соединений, описанных в данном документе, которые, как известно, взаимодействуют с конкретным целевым белком так, что разрушение целевого белка in vivo приведет к контролю количества белка в биологической системе, предпочтительно с конкретной терапевтической пользой.
[2403] Следующие примеры применяют для способствования описанию настоящего изобретения, но не должны рассматриваться как ограничивающие настоящее изобретение каким-либо образом.
[2404] Следующие примеры применяют для способствования описанию настоящего изобретения, но не должны рассматриваться как ограничивающие настоящее изобретение каким-либо образом.
ПРИМЕРЫ
Анализы и данные о деградации
[2405] Протокол для анализа клеток в отношении деградации целевого белка (клетки А375). Клетки А375 культивировали в АТСС DMEM+10% FBS в 12-луночных планшетах и обрабатывали указанным соединением из таблиц 1-41 или контролем, представляющим собой среду-носитель на основе 0,1% DMSO, в течение 16 часов. Клетки собирали в лизирующий буфер Cell Signaling (№ по кат.9803) с добавлением ингибитора протеазы Roche в виде таблеток (№по кат.11873580001) и лизаты очищали посредством микроцентрифугирования. Белки разделяли посредством SDS-PAGE и переносили на нитроцеллюлозные мембраны с применением системы Invitrogen iBlot. Иммуноблоттинг проводили для BRAF (№ по кат.Santa Cruz 9002), CRAF (№по кат.BD 610151) и pErk (№по кат.Cell Signaling 9106). GAPDH (№по кат.) применяли в качестве контроля нагрузки. Количественное определение проводили с применением программного обеспечения BioRad Image Lab 5.
[2406] Протокол для анализа клеток с применением In-Cell Western в отношении деградации целевого белка (клетки А375). Клетки А375 культивировали в АТСС DMEM+10%) FBS в 96-луночных планшетах и обрабатывали указанными соединениями из таблиц-43 или контролем, представляющим собой среду-носитель на основе 0,1% DMSO, в течение 72 часов. Клетки промывали с помощью 1×PBS и прикрепляли к планшету с применением 4% PFA в фосфатно-солевом буферном растворе в течение 15 минут; промывали IX и подвергали пермеабилизации с применением 0,1%) Triton-X-100 в PBS в течение 5 минут; промывали IX и блокировали с помощью блокатора LICOR (№ по кат. 927-50000) в течение 1 часа. Клетки затем инкубировали с антителом к B-Raf (№ по кат. Santa Cruz 9002) и антителом к тубулину (Sigma № Т6074) в блокаторе LICOR в течение 18 часов. До добавления вторичных антител (№ по кат.LICOR 926-32210 и 926-68071) клетки промывали Зх и инкубировали в течение 1 часа. Клетки промывали 3х и визуализировали с применением программного обеспечения LICOR Odyssey.
[2407] Бифункциональные соединения из таблиц 1А, 1В, 1С и 1D (фигуры 2А, 2В, 2С и 2D соответственно) представляют собой примеры бифункциональных соединений, которые описаны в формуле изобретения данной заявки. Некоторые из них подвергали тестированию для того, чтобы увидеть, будут ли они проявлять активность в отношении деградации белка BRAF в клетках, и результаты приведены в колонках DC50 и Dmsjkc. в таблицах 2А, 2В и 2D (фигуры 3А, 3В и 3D). В данном документе DC50 представляет собой концентрацию соединения, при которой уровень концентрации BRAF достигает средней точки между максимальным уровнем и минимальным уровнем на кривой доза-ответ, при этом измеряет концентрацию белка BRAF в клетке как функцию концентрации соединения, добавленного в среду для инкубирования клеток с соединением, и Dmmx. представляет собой максимальный уровень деградации белка, который можно достигнуть посредством изменения концентрации соединения. Для многих соединений в данных таблицах не приведены никакие из значений или диапазонов DC50 и DMaKc, поскольку они или не подвергались тестированию, или не были синтезированы, или они являются предсказанными примерами.
[2408] Протоколы для оценки периода полужизни и процента высвобождения пролекарств. Изомеры по длине цепи незначительно различаются в отношении времени удерживания в ходе процедур хроматографического разделения, что обеспечивает получение смеси, которая обогащена PEG с требуемой длиной цепи. Таким образом, хроматографическое разделение не предусмотрено для выделения продуктов с гомогенными значениями длины цепи. Кроме того, анализ пегилированных образцов посредством LCMS продемонстрирует незначительно различающуюся смесь значений длины цепи в зависимости от момента времени в пределах пика HPLC, для которого приведен сигнал MS, или от интервала, в течение которого массовые сигналы усредняются
[2409] В случае пегилированных соединений, которые представляют собой смеси изомеров по длине цепи, данные MS в таблице 2С указывают на сигнал, который точно совпадает с рассчитанной массой длины цепи конкретного соединения (например, n=22).
[2410] Из-за встречаемости в природе углерода 13 и дейтерия (приблизительно ~ 1% для каждого) органические молекулы с размером пролекарств (MW- 2000) вероятно содержат в своем составе атом углерода-13 или атом дейтерия. Следовательно, наиболее интенсивный сигнал при масс-спектрометрии для этих молекул на одну единицу тяжелее, чем рассчитанная масса для иона [М+Н]+, под которым подразумевается углерод 12 и Н-1. Пик, соответствующий наиболее легкому изотопу (все атомы углерода 12 и Н-1), наблюдается во всех образцах и он приведен в таблицах с данными.
[2411] Крупные молекулы, такие как пролекарства по настоящему изобретению, как правило, и ожидаемо специалистом в данной области техники, демонстрируют сигналы масса/заряд для моно-, би- и трипротонированных ионов. [М+Н]+, [M+2H]2+ и [M+3H]3+. Часто сигнал MS для монозаряженного иона [М+Н]+ слабее, чем для би-и тризаряженных ионов.
[2412] Названия для пегилированных пролекарств из таблицы 1С, полученные с помощью Chemdraw Pro (версия 18.0), являются названиями для формы с длиной цепи, составляющей n=22, и не представляют собой смесь значений длины цепи, и приведены в таблице 2С.
[2413] PEG-пролекарства по настоящему изобретению обрабатывали плазмой крови нескольких видов, стабилизированной гепарином, с исследованием значений скорости высвобождения исходного лекарственного средства.
[2414] Протокол для определения значений скорости высвобождения исходного лекарственного средства из PEG-пролекарств по настоящему изобретению: получали стоковый раствор тестируемого соединения в DMSO и разбавляли до конечной концентрации, составляющей 1 мМ. Получали 1 мМ рабочего раствора ловастатина и пропантелина в DMSO и ацетонитриле соответственно. Пропантелин и ловастатин применяли в качестве положительного контроля. 2,5 мкл данного стокового раствора с концентрацией 1 мМ добавляли к 497,5 мкл плазмы крови с достижением конечной концентрации, составляющей 5 мкМ. Конечная концентрация органических растворителей составляла 0,5%. Анализ проводили в двух повторностях. Реакционные образцы инкубировали при температуре 37°С при примерно 60 об./мин на водяной бане. Для образцов пролекарства отбирали аликвоты объемом 50 мкл из реакционных образцов через 0, 2, 5, 15, 30, 120, 300 и 1440 минут. Для стандарта промежуточного соединения или исходного соединения отбирали аликвоты объемом 50 мкл из реакционных образцов через 0 минут. Значение рН измеряли до и после инкубации.
[2415] Реакцию останавливали посредством добавления 7 объемов холодного ацетонитрила, содержащего внутренние стандарты (IS, 200 нг/мл). В качестве альтернативы применяли метанол с 0,1% муравьиной кислоты для тех соединений, которые были осаждены из ацетонитрила.
[2416] Все образцы встряхивали в течение 2 минут, затем центрифугировали при 3220 g в течение 30 минут с осаждением белков. 100 мкл надосадочной жидкости переносили в новый планшет.Надосадочную жидкость разбавляли сверхчистой водой в соответствии с ответом в виде сигнала LC-MS и формой пика. Образцы анализировали с помощью LC-MS/MS.
[2417] LC-система: Shimadzu Triple Quad 6500+Low Mass от AB Inc (Канада) с ESI-интерфейсом, температура колонки: 40°С, вводимый объем: 10 мкл, колонка: колонка ХР XSelect Hss Т3 2,5ц (2,1 × 30 мм), соединенная с предзащитной колонкой, подвижная фаза: 0,1% муравьиная кислота в ацетонитриле (В) и 0,1% муравьиная кислота в воде (А).
[2418] Все расчеты проводили с применением Microsoft Excel. Оставшееся пролекарство в процентах в каждый момент времени определяли с помощью соотношений площади пиков на хроматограммах с экстрагированными ионами. Наличие промежуточного соединения или исходного соединения (мкМ) рассчитывали с помощью соотношений площади пиков промежуточного соединения или исходного соединения из образцов пролекарства и стандарта промежуточного соединения или исходного соединения соответственно.
[2419] Краткое описание фигур 4, 5, 6А, 6 В, 6С, 7, 8А, 8 В, 9А, 9В и 10.
Бифункциональные соединения, содержащие РТМ-IIa и РТМ-IIb, такие как соединение 512, индуцируют целенаправленную деградацию мутантных форм BRAF, чувствительных (класс 1) и нечувствительных (класс 2 и класс 3) к вемурафенибу.
Деградация мутантной формы BRAF подавляет МАРК и может останавливать рост раковых клеток. BRAF дикого типа защищен от деградации, несмотря на способность взаимодействовать с бифункциональными соединениями по настоящему изобретению и образовывать тройной комплекс; Неэффективным рекрутированием куллина 2 можно объяснить наблюдаемые результаты. Индуцированная деградация может представлять собой стратегию для преодоления устойчивости к вемурафенибу.
Таблица 1А. Иллюстративные целенаправленно воздействующие на белок фрагменты и соединения по настоящему изобретению (см. фиг. 2А).
Таблица 1 В. Иллюстративные целенаправленно воздействующие на белок фрагменты и соединения по настоящему изобретению (см. фиг. 2 В).
Таблица 1С. Иллюстративные целенаправленно воздействующие на белок фрагменты и соединения по настоящему изобретению (см. фиг. 2С).
Таблица 1D. Иллюстративные целенаправленно воздействующие на белок фрагменты и соединения по настоящему изобретению (см. фиг. 2D).
Таблица 2А. Данные о деградации для иллюстративных соединений из таблицы 1А (см. фиг. 3А).
Таблица 2В. Данные о деградации для иллюстративных соединений из таблицы 1В (см. фиг. 3В).
Таблица 2С. Данные о деградации для иллюстративных соединений из таблицы 1С (см. фиг. 3С).
Таблица 2D. Данные о деградации для иллюстративных соединений из таблицы 1D (см. фиг. 3D).
[2420] Конкретные варианты осуществления настоящего изобретения
[2421] Настоящее изобретение охватывает следующие конкретные варианты осуществления. Данные следующие варианты осуществления могут включать все признаки, перечисленные в предыдущем варианте осуществления, как указано. Если применимо, следующие варианты осуществления также могут включать признаки, перечисленные в любом предыдущем варианте осуществления, включительно или в качестве альтернативы.
[2422] В любом аспекте или варианте осуществления в описании предусмотрены следующие иллюстративные бифункциональные молекулы RAF (соединения из таблиц 1А, 1В, 1С, т.е. любое из соединений из таблиц 1А, 1В, 1С или их комбинация), в том числе их соли, пролекарства, полиморфы, аналоги, производные и дейтерированные формы.
[2423] Таким образом, в описании предусмотрены соединение, предусматривающее структуру любого из соединений из таблиц 1А-1С (т.е. любого из соединений из таблиц 1А, 1В, 1С или их комбинации), терапевтические композиции, содержащие его, и способы применения, описанные в данном документе.
| название | год | авторы | номер документа |
|---|---|---|---|
| PROTAC, ЦЕЛЕНАПРАВЛЕННО ВОЗДЕЙСТВУЮЩИЕ НА ТАУ-БЕЛОК, И СВЯЗАННЫЕ С НИМИ СПОСОБЫ ПРИМЕНЕНИЯ | 2017 |
|
RU2805523C2 |
| МОДУЛЯТОРЫ ПРОТЕОЛИЗА И СООТВЕТСТВУЮЩИЕ СПОСОБЫ ПРИМЕНЕНИЯ | 2019 |
|
RU2805511C2 |
| СОЕДИНЕНИЯ, ЦЕЛЕНАПРАВЛЕННО ВОЗДЕЙСТВУЮЩИЕ НА BRM, И СВЯЗАННЫЕ С НИМИ СПОСОБЫ ПРИМЕНЕНИЯ | 2019 |
|
RU2797832C2 |
| ЛИГАНДЫ ЦЕРЕБЛОНА И БИФУНКЦИОНАЛЬНЫЕ СОЕДИНЕНИЯ, СОДЕРЖАЩИЕ ИХ | 2018 |
|
RU2795146C2 |
| ПРОИЗВОДНЫЕ ТЕТРАГИДРОНАФТАЛИНА И ТЕТРАГИДРОИЗОХИНОЛИНА В КАЧЕСТВЕ РАЗРУШИТЕЛЕЙ ЭСТРОГЕНОВОГО РЕЦЕПТОРА | 2017 |
|
RU2797244C2 |
| МОДУЛЯТОРЫ ПРОТЕОЛИЗА ЭСТРОГЕНОВЫХ РЕЦЕПТОРОВ И СВЯЗАННЫЕ С НИМИ СПОСОБЫ ПРИМЕНЕНИЯ | 2018 |
|
RU2797808C2 |
| ЗАМЕЩЕННЫЕ ГЕТЕРОЦИКЛИЧЕСКИЕ СУЛЬФОНАМИДНЫЕ СОЕДИНЕНИЯ, ПОЛЕЗНЫЕ В КАЧЕСТВЕ МОДУЛЯТОРОВ TRPA 1 | 2014 |
|
RU2675792C2 |
| СОЕДИНЕНИЯ И СПОСОБЫ УСИЛЕНИЯ ДЕГРАДАЦИИ БЕЛКОВ-МИШЕНЕЙ И ДРУГИХ ПОЛИПЕПТИДОВ С ПОМОЩЬЮ Е3 УБИКВИТИН ЛИГАЗЫ | 2013 |
|
RU2666530C2 |
| СОЕДИНЕНИЯ И СПОСОБЫ ДЛЯ УЛУЧШЕННОГО РАСЩЕПЛЕНИЯ БЕЛКОВ-МИШЕНЕЙ | 2016 |
|
RU2782063C2 |
| ПРОИЗВОДНЫЕ ПИРАЗОЛОПИРИДИНА В КАЧЕСТВЕ ИНГИБИТОРОВ КИНАЗЫ | 2015 |
|
RU2733400C2 |
Изобретение относится к бифункциональным соединениям, содержащим фрагмент, связывающий целевой белок, и фрагмент, связывающий Е3-убиквитинлигазу. Бифункциональные соединения применяются в качестве модуляторов целенаправленного убиквитинирования в отношении белков быстро ускоренной фибросаркомы B-Raf, которые деградируются и/или иным образом ингибируются с помощью бифункциональных соединений в соответствии с настоящим изобретением. Соединения предназначены для приготовления лекарственного средства, обладающего ингибирующей BRaf активностью. 3 н.п. ф-лы, 10 ил.
1. Соединение, где соединение выбрано из:
или его фармацевтически приемлемая соль.
2. Соединение, где соединение выбрано из:
или его фармацевтически приемлемая соль.
3. Применение соединения по п. 1 или 2 для приготовления лекарственного средства, обладающего ингибирующей BRaf активностью.
| US 20180179183 A1, 28.06.2018 | |||
| WO 2018098280 A1, 31.05.2018 | |||
| WO 2016149668 A1, 22.09.2016 | |||
| US 20150291562 A1, 15.10.2015. |
Авторы
Даты
2024-11-14—Публикация
2019-09-07—Подача