3,6-ДИАМИНОПИРИДАЗИН-3-ИЛЬНЫЕ ПРОИЗВОДНЫЕ, СОДЕРЖАЩИЕ ИХ ФАРМАЦЕВТИЧЕСКИЕ КОМПОЗИЦИИ И ИХ ПРИМЕНЕНИЕ В КАЧЕСТВЕ ПРОАПОПТОТИЧЕСКИХ СРЕДСТВ Российский патент 2024 года по МПК C07D417/12 C07D417/14 A61K31/501 A61K31/502 A61K31/5377 A61P35/00 A61P35/02 

Описание патента на изобретение RU2830186C2

ОБЛАСТЬ ТЕХНИКИ, К КОТОРОЙ ОТНОСИТСЯ ИЗОБРЕТЕНИЕ

Настоящее изобретение относится к 3,6-диаминопиридазин-3-ильным производным, к содержащим их фармацевтическим композициям и их применению в качестве проапоптотических средств. Соединения настоящего изобретения ингибируют активность белка Bcl-xL и могут представлять интерес для лечения злокачественных новообразований, иммунопатологических и аутоиммунных заболеваний.

ПРЕДПОСЫЛКИ СОЗДАНИЯ ИЗОБРЕТЕНИЯ

Апоптоз (запрограммированная гибель клеток) представляет собой эволюционно-консервативный путь, критически важный для гомеостаза тканей, развития и удаления поврежденных клеток. Дерегулирование апоптоза способствует развитию заболеваний человека, включая злокачественные новообразования, нейродегенеративные нарушения, заболевания иммунной системы и аутоиммунные заболевания (Hanahan и Weinberg, Cell. 2011 Маг 4; 144(5):646-74; Marsden и Strasser, Annu Rev Immunol. 2003; 21:71-105; Vaux и Flavell, Curr Opin Immunol. 2000 Dec; 12(6):719-24). Уклонение от апоптоза расценивают как характерный признак злокачественного новообразования, принимающий участие в развитии, а также в устойчивом росте опухолей, и в возникновении резистентности к методам противоопухолевой терапии (Hanahan и Weinberg, Cell. 2000 Jan 7; 100(1):57-70).

Семейство белков Bcl-2 включает ключевые регуляторы жизнеспособности клеток, которые могут подавлять (например, Bcl-2, Bcl-xL, Mcl-1) или стимулировать (например, Bad, Вах) апоптоз (Gross и др., Genes Dev. 1999 Aug 1; 13(15):1899-911, Youle и Strasser, Nat. Rev. Mol. Cell Biol. 2008 Jan; 9(1):47-59).

В свете стрессовых стимулов, выживает ли клетка или подвергается апоптозу, зависит от степени спаривания между членами семейства Bcl-2, которые стимулируют гибель клеток, и членами семейства, которые стимулируют выживаемость клеток. В большинстве случаев, эти взаимодействия вовлекают докинг домена Bcl-2 гомологии 3 (ВН3) членов проапоптотического семейства в бороздку на поверхности членов, способствующих выживанию. Присутствие домена гомологии Bcl-2 (ВН) определяет принадлежность к семейству Bcl-2, которое подразделяется на три основные группы в зависимости от того, какие конкретные домены ВН присутствуют в белке. Способствующие выживанию члены, такие как Bcl-2, Bcl-xL и Mcl-1, содержат ВН домены 1-4, тогда как Вах и Bak, проапоптотические эффекторы пермеабилизации внешней митохондриальной мембраны во время апоптоза, содержат ВН домены 13 (Youle и Strasser, Nat. Rev. Mol. Cell Biol. 2008 Jan; 9(1):47-59).

Сверхэкспрессия способствующих выживанию членов семейства Bcl-2 является отличительным признаком злокачественного новообразования, и было показано, что эти белки играют важную роль в развитии опухолей, их поддержании и резистентности к противоопухолевой терапии (Czabotar и др., Nat. Rev. Mol. Cell Biol. 2014 Jan; 15(1):49-63). Bcl-xL (также называемый BCL2L1, от BCL2-like 1 (BCL2-подобный 1)) часто амплифицируется при злокачественном новообразовании (Beroukhim и др., Nature 2010 Feb 18; 463(7283):899-905), и было показано, что его экспрессия обратно коррелирует с чувствительностью к более чем 120 противоопухолевым терапевтическим молекулам в репрезентативной панели линий раковых клеток (NCI-60) (Amundson и др., Cancer Res. 2000 Nov 1; 60(21):6101-10).

Кроме того, несколько исследований, в которых использовали модели с трансгенными мышами с нокаутированным геном и трансгенную сверхэкспрессию членов семейства Bcl-2, подчеркнули важность этих белков при заболеваниях иммунной системы и аутоиммунных заболеваниях (для обзора см. Merino и др., Apoptosis 2009 Apr; 14(4):570-83. doi: 10.1007/s10495-008-0308-4.PMID: 19172396). Трансгенная сверхэкспрессия Bcl-xL в Т-клеточном компартменте привела к резистентности к апоптозу, индуцированному глюкокортикоидами, гамма-излучением и перекрестным связыванием CD3, что свидетельствует о том, что сверхэкспрессия трансгенного Bcl-xL может уменьшать апоптоз в покоящихся и активированных Т-клетках (Droin и др., Biochim Biophys Acta 2004 Mar 1; 1644(2-3): 179-88. doi: 10.1016/j.bbamcr.2003.10.011.PMID: 14996502). В образцах, полученных от пациентов, наблюдалась стойкая или высокая экспрессия антиапоптических белков семейства Bcl-2 (Pope и др., Nat Rev Immunol. 2002 Jul; 2(7):527-35. doi: 10.1038/nri846.PMID: 12094227). В частности, T-клетки, выделенные из суставов пациентов с ревматоидным артритом, демонстрировали повышенную экспрессию Bcl-xL и были устойчивы к спонтанному апоптозу (Salmon и др., J Clin Invest. 1997 Feb 1; 99(3):439-46. doi: 10.1172/JCI119178.PMID: 9022077). Применение ВН3 миметиков показало пользу на доклинических моделях заболеваний иммунной системы и аутоиммунных заболеваний. Лечение с помощью АВТ-737 (ингибитор Bcl-2, Bcl-xL и Bcl-w) приводило к сильному ингибированию пролиферации лимфоцитов in vitro. Важно отметить, что мыши, получавшие АВТ-737 в исследованиях на животных моделях артрита и волчанки, показали значительное снижение тяжести заболевания (Bardwell и др., J Clin Invest. 1997 Feb 1; 99(3):439-46. doi: 10.1172/JCI119178.PMID: 9022077). Кроме того, было показано, что АВТ-737 предотвращал активацию, пролиферацию и цитотоксичность аллогенных Т-клеток in vitro и подавлял аллогенные Т- и В-клеточные ответы после трансплантации кожи с высокой селективностью в отношении лимфоидных клеток (Cippa и др., Transpl Int. 2011 Jul; 24(7):722-32. doi: 10.1111/j.1432-2277.2011.01272.x. Epub 2011 May 25. PMID: 21615547).

Указанные выше результаты исследований послужили толчком к открытию и развитию нового класса лекарственных препаратов, названных ВН3 миметиками. Эти молекулы способны нарушать взаимодействие между проапоптотическими и антиапоптотическими членами семейства Bcl-2 и являются мощными индукторами апоптоза. Этот новый класс лекарственных препаратов включает ингибиторы Bcl-2, Bcl-xL, Bcl-w и Mcl-1. Первыми описанными миметиками ВН3 были АВТ-737 и АВТ-263, нацеленные на Bcl-2, Bcl-xL и Bcl-w (Park и др., J. Med. Chem. 2008 Nov 13; 51(21):6902-15; Roberts и др., J. Clin. Oncol. 2012 Feb 10; 30(5):488-96). После этого также были обнаружены селективные ингибиторы Bcl-2 (АВТ-199 и S55746 - Souers и др., Nat Med. 2013 Feb; 19(2):202-8; Casara и др., Oncotarget 2018 Apr 13; 9(28):20075-20088), Bcl-xL (A-1155463 и A-1331852 - Tao и др., ACS Med Chem Lett. 2014 Aug 26; 5(10): 1088-93; Leverson и др., Sci Transl Med. 2015 Mar 18; 7(279):279ra40) и Mcl-1 (A-1210477, S63845, S64315, AMG-176 и AZD-5991 - Leverson и др., Cell Death Dis. 2015 Jan 15; 6:e1590.; Kotschy и др., Nature 2016, 538, 477-482; Maragno и др., AACR 2019, Poster #4482; Kotschy и др., WO 2015/097123; Caenepeel и др., Cancer Discov. 2018 Dec; 8(12): 1582-1597; Tron и др., Nat. Commun. 2018 Dec 17; 9(1):5341). Селективный ингибитор Bcl-2 ABT-199 в настоящее время одобрен для лечения пациентов с CLL и AML в рамках комбинированной терапии, в то время как другие ингибиторы все еще находятся на стадии доклинических или клинических исследований. В доклинических моделях, АВТ-263 продемонстрировал активность при нескольких гематологических злокачественных опухолях и солидных опухолях (Shoemaker и др., Clin. Cancer Res. 2008 Jun 1; 14(11):3268-77; Ackler и др., Cancer Chemother. Pharmacol. 2010 Oct; 66(5):869-80; Chen и др., Mol. Cancer Ther. 2011 Dec; 10(12):2340-9). В клинических исследованиях, ABT-263 демонстрировал объективную противоопухолевую активность при лимфоидных злокачественных новообразованиях (Wilson и др., Lancet Oncol. 2010 Dec; 11(12): 1149-59; Roberts и др., J. Clin. Oncol. 2012 Feb 10; 30(5):488-96), причем его активность исследуется в комбинации с несколькими методами лечения солидных опухолей. Селективные ингибиторы Bcl-xL, А-1155463 или А-1331852, демонстрировали in vivo активность в доклинических моделях T-ALL (Т-клеточный острый лимфобластный лейкоз) и различных типов солидных опухолей (Тао и др., ACS Med. Chem. Lett. 2014 Aug 26; 5(10): 1088-93; Leverson и др., Sci. Transl. Med. 2015 Mar 18;7(279):279ra40). Селективные ингибиторы Mcl-1 показали многообещающую активность in vivo при нескольких типах гематологических злокачественных опухолей на доклинических моделях, и три из них, ингибиторы S64315, AMG176 и AZD5991, в настоящее время исследуются в клинических испытаниях (Yang и др., Eur. J. Med. Chem. 2019 May 8; 177:63-75). Таким образом, ВН3 миметики представляют чрезвычайно привлекательный подход для разработки новых методов лечения в онкологии, а также в области иммунопатологических и аутоиммунных заболеваний. В частности, существует потребность в малых молекулах, которые селективно ингибируют белок Bcl-xL. Настоящее изобретение удовлетворяет эту потребность.

КРАТКОЕ ИЗЛОЖЕНИЕ СУЩНОСТИ НАСТОЯЩЕГО ИЗОБРЕТЕНИЯ

Настоящее изобретение обеспечивает сильные селективные ингибиторы Bcl-xL формулы (I) согласно приведенному ниже определению. В настоящей заявке показано, что эти соединения способны индуцировать апоптоз раковых клеток in vivo, запуская регресс опухоли у мышей. В связи с их проапоптотическими свойствами, соединения настоящего изобретения могут представлять интерес для лечения патологий с вовлечением дерегулирования апоптоза, таких как, например, злокачественные новообразования, аутоиммунные заболевания и заболевания иммунной системы. Кроме того, эти соединения хорошо переносились мышами без клинически значимой потери массы тела при лечении эффективными дозами, указывая на допустимый терапевтический интервал в отношении применения этих малых молекул, нацеленных на Bcl-xL, при лечении рака. В полном соответствии с ранее описанной ролью Bcl-xL в регуляции продолжительности жизни тромбоцитов (Zhang и др., Cell Death Differ. 2007 Мау; 14(5):943-51; Mason и др., Cell. 2007 Mar 23; 128(6): 1173-86), мы наблюдали снижение числа циркулирующих тромбоцитов после лечения мышей данными ингибиторами и его восстановление после прекращения лечения. Принимая во внимание это влияние на выживаемость тромбоцитов, ингибиторы Bcl-xL настоящего изобретения также можно применять для лечения заболеваний или состояний, характеризующихся чрезмерной или дерегулированной активностью тромбоцитов, таких как, например, протромботические состояния.

ПОДРОБНОЕ ОПИСАНИЕ ИЗОБРЕТЕНИЯ

В первом варианте осуществления (Е1), настоящее изобретение обеспечивает соединения формулы (I):

где:

R1 и R2 независимо друг от друга представляют собой группу, выбранную из водорода; линейного или разветвленного C16алкила, необязательно замещенного гидроксильной или С16алкокси группой; С36циклоалкила; трифторметила; линейного или разветвленного C16алкиленгетероциклоалкила, где гетероциклоалкильная группа необязательно замещена линейной или разветвленной C16алкильной группой;

или R1 и R2 вместе с несущими их атомами углерода образуют С36циклоалкиленовую группу,

R3 представляет собой группу, выбранную из водорода; С36циклоалкила; линейного или разветвленного C16алкила; -X1-NRaRb; -X1-N+RaRbRc; -X1-O-Rc; -X1-COORc; -X1-PO(OH)2; -X1-SO2(OH); -X1-N3 и

Ra и Rb независимо друг от друга представляют собой группу, выбранную из водорода; гетероциклоалкила; -SO2-фенила, где фенил может быть замещен линейным или разветвленным С16алкилом; линейного или разветвленного C16алкила, необязательно замещенного одной или двумя гидроксильными группами; С16алкилен-SO2OH; С16алкилен-SO2O-; C16алкилен-СООН; С16алкилен-РО(ОН)2; C16алкилен-NRdRc; C16алкилен-N+RdRcRf; C16алкиленфенила, где фенил может быть замещен C16алкокси группой;

группы:

или Ra и Rb вместе с несущим их атомом азота образуют цикл В1;

или Ra, Rb и Rc вместе с несущим их атомом азота образуют мостиковый С38 гетероциклоалкил,

Rc, Rd, Re, Rf независимо друг от друга представляют собой водород или линейную или разветвленную C16алкильную группу,

или Rd и Re вместе с несущим их атомом азота образуют цикл В2,

или Rd, Re и Rf вместе с несущим их атомом азота образуют мостиковый С38гетероциклоалкил,

Het1 представляет собой группу, выбранную из:

Het2 представляет собой группу, выбранную из:

A1 означает -NH-, -NXC13алкил), О, S или Se,

А2 означает N, СН или C(R5),

G выбирают из группы, состоящей из:

-C(O)ORG3, -C(O)NRG1RG2, -C(O)RG2, -NRG1C(O)RG2, -NRG1C(O)NRG1RG2, -OC(O)NRG1RG2, -NRG1C(O)ORG3, -C(=NORG1)NRG1RG2, -NRG1C(=NCN)NRG1RG2, -NRG1S(O)2NRG1RG2, -S(O)2RG3, -S(O)2NRG1RG2, -NRG1S(O)2RG2, -NRG1C(=NRG2)NRG1RG2, -C(=S)NRG1RG2, -C(=NRG1)NRG1RG2, галогена, -NO2 и -CN, где:

- RG1 и RG2 в каждом случае каждый независимо выбирают из группы, состоящей из водорода, C16алкила, необязательно замещенного 1-3 атомами галогена, С26алкенила, С26алкинила, С36циклоалкила, фенила и -(CH2)1-4-фенила;

- RG3 выбирают из группы, состоящей из С16алкила, необязательно замещенного 1-3 атомами галогена, С26алкенила, С26алкинила, С36циклоалкила, фенила и -(СН2)1-4-фенила; или

RG1 и RG2, вместе с атомом, к которому каждый из них присоединен, объединены с образованием С38 гетероциклоалкила; или, в качестве альтернативы, G выбирают из группы, состоящей из:

где RG4 выбирают из С16алкила, необязательно замещенного 1-3 атомами галогена, С26алкенила, С26алкинила и С36циклоалкила,

R4 представляет собой водород, атом фтора, хлора или брома, метальную, гидроксильную или метокси группу,

R5 представляет собой группу, выбранную из C16алкила, необязательно замещенного 1-3 атомами галогена; С26алкенила; С26алкинила; галогена или -CN,

R6 представляет собой группу, выбранную из: водорода;

26алкенила;

-X2-O-R7;

-X2-NSO2-R7;

-C=C(R9)-Y1-O-R7;

С36циклоалкила;

С36гетероциклоалкила, необязательно замещенного гидроксильной группой;

С36циклоалкилен-Y2-R7;

группы С36гетероциклоалкилен-Y2-R7,

группы гетероарилен-R7, необязательно замещенной линейной или разветвленной C16алкильной группой,

R7 представляет собой группу, выбранную из: линейной или разветвленной C16алкильной группы; (С36)циклоалкилен-R8; или:

где Су представляет собой С38циклоалкил,

R8 представляет собой группу, выбранную из водорода; линейного или разветвленного С16алкила, -NR'aR'b; -NR'a-CO-OR'c; -NR'a-CO-R'c; -NR'aR'bR'c; -O-R'c; -NH-X'2-N+R'aR'bR'c; -O-X'2-NR'aR'b, -X'2-NR'aR'b, -NR'c-X'2-N3 и:

R9 представляет собой группу, выбранную из линейного или разветвленного C1-Сбалкила, трифторметила, гидроксила, галогена, C16алкокси,

R10 представляет собой группу, выбранную из водорода, фтора, хлора, брома, -CF3 и метила,

R11 представляет собой группу, выбранную из водорода, C13алкилен-R8, -O-С13алкилен-R8, -CO-NRhRi и -CH=CH-C14алкилен-NRhRi, -СН=СН-СНО, C38циклоалкилен-CH2-R8, С38 гетероциклоалкилен-СН2-R8,

R12 и R13 независимо друг от друга представляют собой атом водорода или метальную группу,

R14 и R15 независимо друг от друга представляют собой водород или метильную группу, или R14 и R15 вместе с несущим их атомом углерода образуют циклогексил,

Rh и Ri независимо друг от друга представляют собой водород или линейную или разветвленную C16алкильную группу,

X1 и Х2 независимо друг от друга представляют собой линейную или разветвленную C16алкиленовую группу, необязательно замещенную одной или двумя группами, выбранными из трифторметила, гидроксила, галогена, C16алкокси,

Х'2 представляет собой линейный или разветвленный C16алкилен,

R'a и R'b независимо друг от друга представляют собой группу, выбранную из водорода; гетероциклоалкила; -SO2-фенила, где фенил может быть замещен линейным или разветвленным C16алкилом; линейного или разветвленного C16алкила, необязательно замещенного одной или двумя гидроксильными или C16алкокси группами; С16алкилен-SO2OH; C16алкилен-SO2O-; C16алкилен-СООН; С16алкилен-РО(ОН)2; C16алкилен-NR'dR'e; C16алкилен-N+R'dR'eR'f; С16алкилен-O-С16алкилен-ОН; C16алкиленфенила, где фенил может быть замещен гидроксильной или C16алкокси группой;

группы:

или R'a и R'b вместе с несущим их атомом азота образуют цикл В3,

или R'a, R'b и R'c вместе с несущим их атомом азота образуют мостиковый С38 гетероциклоалкил,

R'c, R'd, R'e, R'f независимо друг от друга представляет собой водород или линейную или разветвленную C16алкильную группу,

или R'd и R'e вместе с несущим их атомом азота образуют цикл В4,

или R'd, R'e и R'f вместе с несущим их атомом азота образуют мостиковый С38гетероциклоалкил,

Y1 представляет собой линейный или разветвленный С14алкилен,

Y2 представляет собой связь, -О-, -О-СН2-, -О-СО-, -O-SO2-, -СН2-, -СН2-O, -СН2-СО-, -CH2-SO2-, -C2H5-, -СО-, -СО-О-, -СО-СН2-, -CO-NH-CH2-, -SO2-, -SO2-CH2-, -NH-CO-, -NH-SO2-,

m=0, 1 или 2,

р=1, 2, 3 или 4,

B1, В2, В3 и В4 независимо друг от друга представляют собой С38гетероциклоалкильную группу, которая: (i) может представлять собой моно- или бициклическую группу, где бициклическая группа включает конденсированную, мостиковую или спирокольцевую систему, (ii) может содержать, в дополнение к атому азота, один или два гетероатома, независимо выбранных из кислорода, серы и азота, (iii) может быть замещена одной или двумя группами, выбранными из: фтора, брома, хлора, линейного или разветвленного C16алкила, гидроксила, -NH2, оксо или пиперидинила,

при этом также следует понимать, что:

- "арил" означает фенильную, нафтильную, бифенильную или инденильную группу,

- "гетероарил" означает любую моно- или бициклическую группу, состоящую из 5-10 членов кольца, имеющую по меньшей мере один ароматический фрагмент и содержащую от 1 до 4 гетероатомов, выбранных из кислорода, серы и азота (включая четвертичные атомы азота),

- "циклоалкил" означает любую моно- или бициклическую неароматическую карбоциклическую группу, содержащую от 3 до 10 членов кольца, которая может включать конденсированные, мостиковые или спирокольцевые системы,

- "гетероциклоалкил" означает любую моно- или бициклическую неароматическую карбоциклическую группу, состоящую из 3-10 членов кольца, и содержащую от 1 до 3 гетероатомов, выбранных из кислорода, серы SO, SO2 и азота, при этом следует понимать, что бициклическая группа может быть конденсированного или спирокольцевого типа,

- гетероарилен, циклоалкилен, гетероциклоалкилен означают двухвалентный гетероарил, циклоалкил и гетероциклоалкил,

их энантиомеры и диастереоизомеры, и их соли присоединения с фармацевтически приемлемой кислотой или основанием.

Среди фармацевтически приемлемых кислот можно упомянуть, не подразумевая какого-либо ограничения, хлористоводородную кислоту, бромистоводородную кислоту, серную кислоту, фосфоновую кислоту, уксусную кислоту, трифторуксусную кислоту, молочную кислоту, пировиноградную кислоту, малоновую кислоту, янтарную кислоту, глутаровую кислоту, фумаровую кислоту, винную кислоту, малеиновую кислоту, лимонную кислоту, аскорбиновую кислоту, щавелевую кислоту, метансульфоновую кислоту и камфорную кислоту.

Среди фармацевтически приемлемых оснований можно упомянуть, не подразумевая какого-либо ограничения, гидроксид натрия, гидроксид калия, триэтиламин и трет-бутиламин.

Далее описаны дополнительные пронумерованные варианты осуществления (Е) настоящего изобретения. Следует понимать, что признаки, конкретно указанные в каждом варианте осуществления, можно комбинировать с другими конкретно указанными признаками с обеспечением дополнительных вариантов осуществления настоящего изобретения.

Е2. Соединение в соответствии с вариантом Е1, где Het1 представляет собой:

Е3. Соединение в соответствии с вариантом Е1 или Е2, где R1 представляет собой метальную группу и R2 представляет собой атом водорода.

Е4. Соединение в соответствии с вариантом Е1 или Е2, где каждый из R1 и R2 представляет собой метальную группу или атом водорода.

Е5. Соединение в соответствии с вариантом Е1 или Е2, где R1 или R2 представляет собой линейный или разветвленный C16алкил, необязательно замещенный гидроксильной или C16алкокси группой, предпочтительно группу, выбранную из метила, метоксиметила, гидроксиметила, этила и проп-2-ила.

Е6. Соединение в соответствии с вариантом Е1 или Е2, где R1 или R2 представляет собой С36циклоалкильную, предпочтительно циклопропильную группу.

Е7. Соединение в соответствии с вариантом Е1 или Е2, где R1 представляет собой трифторметильную группу.

Е8. Соединение в соответствии с вариантом Е1 или Е2, где R2 представляет собой линейную или разветвленную C16алкиленгетероциклоалкильную, предпочтительно (4-метилпиперазин-1-ил)пропильную группу.

Е9. Соединение в соответствии с вариантом Е1 или Е2, где R1 и R2 вместе с несущими их атомами углерода образуют циклогексеновую или циклопентеновую группу.

Е10. Соединение в соответствии с любым из вариантов E1 - Е9, где R3 представляет собой атом водорода или метальную группу.

Е11. Соединение в соответствии с любым из вариантов E1 - Е9, где R3 представляет собой -X1-PO(OH)2, -X1-SO2(OH), -X1-NRaRb; -X1-N+RaRbRc, где Ra или Rb, или оба из них, представляют собой группу, выбранную из C16алкилен-SO2OH, С16алкилен-SO2O- и С16алкилен-РО(ОН)2.

Е12. Соединение в соответствии с любым из вариантов E1 - Е9, где R8 представляет собой -NR'aR'b; -N+R'aR'bR'c; -NH-X'2-N+R'aR'bR'c, где R'a и R'b, или оба из них, представляют собой группу, выбранную из С16алкилен-SO2OH и С16алкилен-РО(ОН)2.

Е13. Соединение в соответствии с любым из вариантов E1 - Е9, где R3 представляет собой группу, выбранную из этила, пропила; 2-метоксиэтила, 2-(морфолин-4-ил)этила, 3-(морфолин-4-ил)пропила, 3-диэтиламинопропила, 3-метоксипропила, 3-гидроксипропила, 3,4-дигидроксибутила, 4-метокси-3-гидроксибутила, 4-гидрокси-3-метоксибутила, 2,3-дигидроксипропила, 4,5-дигидроксипентила, 4-гидроксибутила, 3-гидрокси-2-морфолинопропила, 5-гидрокси-4-метоксипентила, 5-морфолино-4-гидроксипентила, 3-гидрокси-2-метоксипропила, 5-[2-(диметиламино)этилметиламино]-4-гидроксипентила, 5-гидроксипентила, 5-метокси-4-гидроксипентила, 5-(диметиламино)-4-гидроксипентил, 4-гидрокси-5-(триметиламмонио)пентила, 5-[3-сульфонатпропилдиметиламмонио]-4-гидроксипентила, 4-гидрокси-5-(метиламино)пентила, 3-карбоксипропила, 5-[метил(4-пиперидил)амино]пентила, 5-(2-морфолиноэтиламино)пентила, 5-[2-(4-метилпиперазин-1-ил)этиламино)пентила, 4-[2-(4-метилпиперазин-1-ил)этиламино)бутила, 4-гидрокси-5-[метил-[2-(метиламино)этил]амино]пентила, 5-[2-(диэтиламино)этиламино]-4-гидроксипентила, 5-(4-амино-1-пиперидил)-4-гидроксипентила, 4-гидрокси-5-пиперазин-1-илпентила, 5-[2-(1-пиперид ил)этиламино]пентила, 4-(4-амино-1-пиперидил)бутила, 4-[2-(диэтиламино)этиламино]бутила, 5-(4-амино-1-пиперидил)пентила, 4-[метил-[2-(метиламино)этил]амино] бутила, 4-(2-морфолиноэтиламино)бутила, 4-[2-(4-метилпиперазин-1 -ил)этиламино)бутила, 4-[(1-метил-4-пиперидил)амино]бутила, 5-[2-(диэтиламино)этиламино]пентила, 4-пиперазин-1-илбутила, 4-(метиламино)бутила, 5-пиперазин-1-илпентила, 5-[метил-[2-(метиламино)этила, 5-аминопентила, 4-аминобутила, 5-(метиламино)пентила, 5-[3-(4-метилпиперазин-1-ил)пропиламино]пентила, 4-гидрокси-5-[метил(2-фосфоноэтил)амино]пентила, 6-(диметиламино)гексила, 3-(диметиламино)пропила, 2-(триметиламмонио)этила, 3-(триметиламмонио)пропила, 2-(диметиламино)этила, 4-(диметиламино)бутила, 5-[3-сульфонатпропилдиметиламмонио]пентила, 4-(триметиламмонио)бутила, 4-гидрокси-5-хинуклидин-1-ий-1-илпентила, 4-гидрокси-5-(1-аза-4-азониябицикло[2.2.2]октан-4-ил)пентила, 4-гидрокси-5-(4-метилморфолин-4-ий-4-ил)пентила, 5-(триметиламмонио)пентила, 4-гидрокси-5-(1-метилпиперидин-1-ий-1-ил)пентила, 5-(1,4-диметилпиперазин-1-ий-1-ил)-4-гидроксипентила, 6-(триметиламмонио)гексила, 5-[3-гидроксипропил(диметил)аммонио]пентила, 5-[2-гидроксиэтил(диметил)аммонио]пентила, 5-[карбоксиметил(диметил)аммонио]пентила, 5-[карбоксиметил(диметил)аммонио]пентила, 3-фосфонопропила, 3-[3-сульфонатпропилдиметиламмонио]пропила, 3-сульфопропила, 4-сульфобутила, 4-фосфонобутила, 4-карбоксибутила, 3-аминопропила, 3-азидопропила, пент-4-ин-1-ила, 4-аминобутила, 4-азидобутила, гекс-5-ин-1-ила, 5-азидопентила.

Е14. Соединение в соответствии с любым из вариантов E1 - Е13, где Het2 представляет собой:

Е15. Соединение в соответствии с любым из вариантов E1 - Е13, где Het2 представляет собой:

Е16. Соединение в соответствии с вариантом Е14 или Е15, где R6 представляет собой атом водорода.

Е17. Соединение в соответствии с вариантом Е14, где R6 представляет собой группу -X2-O-R7, где Х2 означает пропиленовую группу.

Е18. Соединение в соответствии с вариантом Е17, где R7 представляет собой следующую группу:

Е19. Соединение в соответствии с вариантом Е17, где R7 представляет собой следующую группу:

Е20. Соединение в соответствии с вариантом Е17, где R7 представляет собой следующую группу:

Е21. Соединение в соответствии с любым из вариантов Е18 - Е20, где R8 представляет собой NR'aR'b.

Е22. Соединение в соответствии с любым из вариантов Е18 - Е20, где R8 представляет собой группу, выбранную из диметиламино, метиламино, метилэтиламино, диэтиламино, метил[2-(метиламино)этил]амино, (2-гидроксиэтил)(метил)амино, 4-морфолинила, пирролидин-1-ила, 1-пиперидила, [(трет-бутокси)карбонил](метил)амино, гидроксила, бис(3-сульфопропил)амино, 3-сульфопропиламино, метил(3-сульфопропил)амино, метил(и-толилсульфонил)амино, (4-метоксифенил)метилметиламино, 2-(диметиламино)этиламино и:

Е23. Соединение в соответствии с любым из вариантов Е18 - Е20, где R8 представляет собой группу, выбранную из: 3-пиперазин-1-ила, 4-метилпиперазин-1-ила, 3-гидроксипропил(метил)амино, [(3S)-3,4-дигидроксибутил]-метиламино, 3-гидроксипропиламино, [(3S)-3,4-дигидроксибутил]амино, 4-гидроксибутил(метил)амино, [(3R)-3,4-дигидроксибутил]-метиламино, 4-гидроксибутиламино, [(3R)-3,4-дигидроксибутил]амино.

Е24. Соединение в соответствии с вариантом Е17, где R7 представляет собой:

где R11 выбирают из диметилкарбамоила, 3-(диметиламино)пропила, 3-(метиламино)пропила, 3-(метиламино)пропила.

Е25. Соединение в соответствии с вариантом Е14, где R6 представляет собой группу С36гетероциклоалкилен-Y2-R7, где гетероциклоалкиленовую группу выбирают из:

Е26. Соединение в соответствии с вариантом Е25, где R7 выбирают из метила, метилэтила, трет-бутила, 2-метилпропила и фенила, предпочтительно фенила.

Е27. Соединение в соответствии с вариантом Е14 или Е15, где R6 представляет собой -C=C(R9)-Y1-O-R7, где Y1 означает метиленовую группу.

Е28. Соединение в соответствии с вариантом Е14 или Е15, где R6 представляет собой:

Е29. Соединение в соответствии с вариантом Е28, где R7 представляет собой группу, выбранную из:

где R8 представляет собой -O-X'2-NR'aR'b или -X'2NR'aR'b, предпочтительно -O-X'2-NR'aR'b.

Е30. Соединение в соответствии с вариантом Е28, где R7 представляет собой группу, выбранную из:

где R8 представляет собой группу, выбранную из водорода, 2-(метиламино)этокси и:

Е31. Соединение в соответствии с вариантом Е28, где R7 представляет собой группу, выбранную из:

где R8 представляет собой группу, выбранную из 2-(диметиламино)этокси, 2-[(2-сульфоэтил)амино]этокси, 2-[метил(2-сульфоэтил)амино]этокси, 2-(3-гидроксипропиламино)этокси, 2-(3-метоксипропиламино)этокси, 2-морфолиноэтокси, 2-(2-карбоксиэтиламино)этокси, 2-[(3-гидроксифенил)метиламино]этокси, 2-(метиламино)этокси, 2-пирролидин-1-илэтокси, 2-(4-метилпиперазин-1-ил)этокси, 2-(4-гидроксибутиламино)этокси, 2-пиперазин-1-илэтокси, 2-[3-гидроксипропил(метил)амино]этокси, 2-[4-гидроксибутил(метил)амино]этокси; 2-[[3-гидрокси-2-(гидроксиметил)пропил]амино]этокси; 2-[бис(3-гидроксипропил)амино]этокси.

Е32. Соединение в соответствии с вариантом Е1, выбранное из следующей группы соединений:

- 2-({6-[(1,3-Бензотиазол-2-ил)амино]-5-метилпиридазин-3-ил}(4-гидроксибутил)амино)-5-(3-{2-фтор-4-[3-(метиламино)проп-1-ин-1-ил]фенокси}пропил)-1,3-тиазол-4-карбоновая кислота,

- 2-[[6-(1,3-Бензотиазол-2-иламино)-5-метилпиридазин-3-ил]-метиламино]-5-[3-[4-[3-(диметиламино)проп-1-инил]-2-фторфенокси]пропил]тиазол-4-карбоновая кислота,

- 2-({6-[(1,3-Бензотиазол-2-ил)амино]-5-метилпиридазин-3-ил}(метил)амино)-5-(3-{2-фтор-4-[3-(метиламино)проп-1-ин-1-ил]фенокси}пропил)-1,3-тиазол-4-карбоновая кислота,

- 2-[[6-(1,3-Бензотиазол-2-иламино)-5-метилпиридазин-3-ил]-(3,4-дигидроксибутил)амино]-5-[3-[2-фтор-4-[3-(метиламино)проп-1-инил]фенокси]пропил]тиазол-4-карбоновая кислота,

- 2-[[6-(1,3-Бензотиазол-2-иламино)-5-метилпиридазин-3-ил]-(3-гидрокси-4-метоксибутил)амино]-5-[3-[2-фтор-4-[3-(метиламино)проп-1-инил]фенокси]пропил]тиазол-4-карбоновая кислота,

- 2-[[6-(1,3-Бензотиазол-2-иламино)-5-метилпиридазин-3-ил]-(2,3-дигидроксипропил)амино]-5-[3-[2-фтор-4-[3-(метиламино)проп-1-инил]фенокси]пропил]тиазол-4-карбоновая кислота,

- 2-[[6-(1,3-Бензотиазол-2-иламино)-5-метилпиридазин-3-ил]-(4,5-дигидроксипентил)амино]-5-[3-[2-фтор-4-[3-(метиламино)проп-1-инил]фенокси]пропил]тиазол-4-карбоновая кислота,

- 2-[[6-(1,3-Бензотиазол-2-иламино)-5-метилпиридазин-3-ил]-(3,4-дигидроксибутил)амино]-5-[3-[4-[3-(диметиламино)проп-1-инил]-2-фторфенокси]пропил]тиазол-4-карбоновая кислота,

- 2-[[6-(1,3-Бензотиазол-2-иламино)-5-метилпиридазин-3-ил]-(3-гидроксипропил)амино]-5-[3-[2-фтор-4-[3-(метиламино)проп-1-инил]фенокси]пропил]тиазол-4-карбоновая кислота,

- 2-[[6-(1,3-Бензотиазол-2-иламино)-5-метилпиридазин-3-ил]-[4-гидрокси-5-(триметиламмонио)пентил]амино]-5-[3-[2-фтор-4-[3-(метиламино)проп-1-инил]фенокси]пропил]тиазол-4-карбоксилат,

- 3-[[5-[[6-(1,3-Бензотиазол-2-иламино)-5-метилпиридазин-3-ил]-[4-карбокси-5-[3-[2-фтор-4-[3-(метиламино)проп-1-инил]фенокси]пропил]тиазол-2-ил]амино]-2-гидроксипентил]-диметиламмонио]пропан-1-сульфонат,

- 2-[[6-(1,3-Бензотиазол-2-иламино)-5-метилпиридазин-3-ил]-(4-гидроксибутил)амино]-5-[3-[2-фтор-4-[3-[метил(3-сульфопропил)амино]проп-1-инил]фенокси]пропил]тиазол-4-карбоновая кислота,

- 5-{1-[(Адамантан-1-ил)метил]-5-метил-1Н-пиразол-4-ил}-2-({6-[(1,3-бензотиазол-2-ил)амино]-5-метилпиридазин-3-ил}(метил)амино)-1,3-тиазол-4-карбоновая кислота,

- 5-{1-[(Адамантан-1-ил)метил]-5-метил-1Н-пиразол-4-ил}-2-({6-[(1,3-бензотиазол-2-ил)амино]-5-циклопропилпиридазин-3-ил}(метил)амино)-1,3-тиазол-4-карбоновая кислота,

- 2-[[6-(1,3-Бензотиазол-2-иламино)-5-метилпиридазин-3-ил]-[5-[2-(диэтиламино)этиламино]-4-гидроксипентил]амино]-5-[3-[4-[3-(диметиламино)проп-1-инил]-2-фторфенокси]пропил]тиазол-4-карбоновая кислота,

- 2-[[6-(1,3-Бензотиазол-2-иламино)-5-метилпиридазин-3-ил]-[5-[2-(4-метилпиперазин-1-ил)этиламино]пентил]амино]-5-[3-[4-[3-(диметиламино)проп-1-инил]-2-фторфенокси]пропил]тиазол-4-карбоновая кислота,

- 2-[[6-(1,3-Бензотиазол-2-иламино)-5-метилпиридазин-3-ил]-(4-гидрокси-5-пиперазин-1-илпентил)амино]-5-[3-[4-[3-(диметиламино)проп-1-инил]-2-фторфенокси]пропил]тиазол-4-карбоновая кислота,

- 2-({6-[(1,3-Бензотиазол-2-ил)амино]-5-метилпиридазин-3-ил}(метил)амино)-5-[(2S)-3-{4-[3-(диметиламино)проп-1-ин-1-ил]-2-фторфенокси}-2-метилпропил]-1,3-тиазол-4-карбоновая кислота,

- 2-[4-Аминобутил-[6-(1,3-бензотиазол-2-иламино)-5-метилпиридазин-3-ил]амино]-5-[3-[4-[3-(диметиламино)проп-1-инил]-2-фторфенокси]пропил]тиазол-4-карбоновая кислота,

- 2-[5-Аминопентил-[6-(1,3-бензотиазол-2-иламино)-5-метилпиридазин-3-ил]амино]-5-[3-[4-[3-(диметиламино)проп-1-инил]-2-фторфенокси]пропил]тиазол-4-карбоновая кислота,

- 2-[[6-(1,3-Бензотиазол-2-иламино)-5-метилпиридазин-3-ил]-[3-(диметиламино)пропил]амино]-5-[3-[2-фтор-4-[3-(метиламино)проп-1-инил]фенокси]пропил]тиазол-4-карбоновая кислота,

- 2-[[6-(1,3-Бензотиазол-2-иламино)-5-метилпиридазин-3-ил]-метиламино]-5-[3-[4-[3-(диметиламино)бут-1-инил]-2-фторфенокси]пропил]тиазол-4-карбоновая кислота,

- 2-[[6-(1,3-Бензотиазол-2-иламино)-5-метилпиридазин-3-ил]-[4-гидрокси-5-(триметиламмонио)пентил]амино]-5-[3-[4-[3-(диметиламино)проп-1-инил]-2-фторфенокси]пропил]тиазол-4-карбоксилат,

- 3-[2-[3-[4-[3-[2-[[6-(1,3-Бензотиазол-2-иламино)-5-метилпиридазин-3-ил]-метиламино]-4-карбокситиазол-5-ил]пропокси]-3-фторфенил]проп-2-иниламино]этилдиметиламмонио] пропан-1-сульфонат,

- 2-[[6-(1,3-Бензотиазол-2-иламино)-5-метилпиридазин-3-ил]-[4-гидрокси-5-(4-метилморфолин-4-ий-4-ил)пентил]амино]-5-[3-[4-[3-(диметиламино)проп-1-инил]-2-фторфенокси]пропил]тиазол-4-карбоксилат,

- 2-[3-[4-[3-[2-[[6-(1,3-Бензотиазол-2-иламино)-5-метилпиридазин-3-ил]-метиламино]-4-карбокситиазол-5-ил]пропокси]-3-фторфенил]проп-2-иниламино]этилтриметиламмоний,

- 2-[[6-(1,3-Бензотиазол-2-иламино)-5-метилпиридазин-3-ил]-[6-(триметиламмонио)гексил]амино]-5-[3-[2-фтор-4-[3-(метиламино)проп-1-инил]фенокси]пропил]тиазол-4-карбоксилат,

- 2-[[6-(1,3-Бензотиазол-2-иламино)-5-метилпиридазин-3-ил]-[5-[2-гидроксиэтил(диметил)аммонио]пентил]амино]-5-[3-[4-[3-(диметиламино)проп-1-инил]-2-фторфенокси]пропил]тиазол-4-карбоксилат,

- 2-[[6-(1,3-Бензотиазол-2-иламино)-5-метилпиридазин-3-ил]-[5-[карбоксиметил(диметил)аммонио]пентил]амино]-5-[3-[4-[3-(диметиламино)проп-1-инил]-2-фторфенокси]пропил]тиазол-4-карбоксилат,

- 3-[[5-[[6-(1,3-Бензотиазол-2-иламино)-5-метилпиридазин-3-ил]-[4-карбокси-5-[3-[2-фтор-4-[(Е)-3-оксопроп-1-енил]фенокси]пропил]тиазол-2-ил]амино]-2-гидроксипентил]-диметиламмонио]пропан-1-сульфонат,

- 2-[[6-(1,3-Бензотиазол-2-иламино)-5-метилпиридазин-3-ил]-метиламино]-5-[3-[4-[3-(диметиламино)проп-1-инил]фенокси]пропил]тиазол-4-карбоновая кислота,

- 2-[[6-(1,3-Бензотиазол-2-иламино)-5-метилпиридазин-3-ил]-метиламино]-5-[3-[4-[1-[(диметиламино)метил]-3-бицикло[1.1.1]пентанил]фенокси]пропил]тиазол-4-карбоновая кислота,

- 2-[[6-(1,3-Бензотиазол-2-иламино)-5-метилпиридазин-3-ил]-(3-фосфонопропил)амино]-5-[3-[2-фтор-4-[3-(метиламино)проп-1-инил]фенокси]пропил]тиазол-4-карбоновая кислота,

- 2-({6-[(1,3-Бензотиазол-2-ил)амино]-5-метилпиридазин-3-ил}(3-карбоксипропил)амино)-5-(3-{4-[3-(диметиламино)проп-1-ин-1-ил]-2-фторфенокси}пропил)-1,3-тиазол-4-карбоновая кислота,

- 2-({6-[(1,3-Бензотиазол-2-ил)амино]-5-метилпиридазин-3-ил}(3-фосфонопропил)амино)-5-(3-{4-[3-(диметиламино)проп-1-ин-1-ил]-2-фторфенокси}пропил)-1,3-тиазол-4-карбоновая кислота,

- 2-({6-[(1,3-Бензотиазол-2-ил)амино]-5-метилпиридазин-3-ил}(3-сульфопропил)амино)-5-(3-{4-[3-(диметиламино)проп-1-ин-1-ил]-2-фторфенокси}пропил)-1,3-тиазол-4-карбоновая кислота,

- 2-({6-[(1,3-Бензотиазол-2-ил)амино]-5-метилпиридазин-3-ил}(4-сульфобутил)амино)-5-(3-{4-[3-(диметиламино)проп-1-ин-1-ил]-2-фторфенокси}пропил)-1,3-тиазол-4-карбоновая кислота,

- 2-({6-[(1,3-Бензотиазол-2-ил)амино]-5-метилпиридазин-3-ил}(4-фосфонобутил)амино)-5-(3-{4-[3-(диметиламино)проп-1-ин-1-ил]-2-фторфенокси}пропил)-1,3-тиазол-4-карбоновая кислота,

- 2-({6-[(1,3-Бензотиазол-2-ил)амино]-5-метилпиридазин-3-ил}(4-карбоксибутил)амино)-5-(3-{4-[3-(диметиламино)проп-1-ин-1-ил]-2-фторфенокси}пропил)-1,3-тиазол-4-карбоновая кислота,

- 2-[{6-[(1,3-Бензотиазол-2-ил)амино]-5-метилпиридазин-3-ил}(пент-4-ин-1-ил)амино]-5-(3-{2-фтор-4-[3-(метиламино)проп-1-ин-1-ил]фенокси}пропил)-1,3-тиазол-4-карбоновая кислота,

- 2-({6-[(1,3-Бензотиазол-2-ил)амино]-5-метилпиридазин-3-ил}(метил)амино)-5-{3-[2-фтор-4-(3-{метил[2-(метиламино)этил]амино}проп-1-ин-1-ил)фенокси]пропил}-1,3-тиазол-4-карбоновая кислота,

- 2-({6-[(1,3-Бензотиазол-2-ил)амино]-5-метилпиридазин-3-ил}(метил)амино)-5-[3-(2-фтор-4-{3-[(2-гидроксиэтил)(метил)амино]проп-1-ин-1-ил}фенокси)пропил]-1,3-тиазол-4-карбоновая кислота,

- 2-({6-[(1,3-Бензотиазол-2-ил)амино]-5-метилпиридазин-3-ил}(метил)амино)-5-{3-[2-фтор-4-(3-гидроксипроп-1-ин-1-ил)фенокси]пропил}-1,3-тиазол-4-карбоновая кислота,

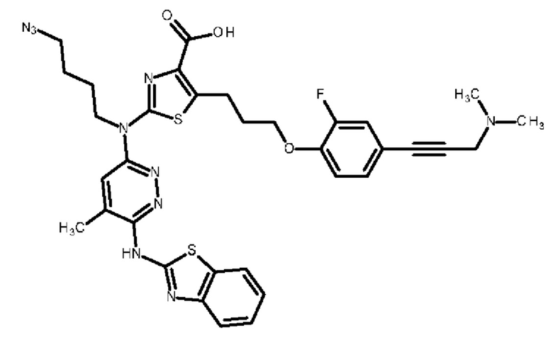
- 2-[5-Азидопентил-[6-[(1,3-бензотиазол-2-ил)амино]-5-метилпиридазин-3-ил]амино]-5-[3-[2-фтор-4-[3-(метиламино)проп-1-инил]фенокси]пропил]-1,3-тиазол-4-карбоновая кислота,

его энантиомеры и диастереоизомеры, и их соли присоединения с фармацевтически приемлемой кислотой или основанием.

Е33. Соединение в соответствии с вариантом Е1, выбранное из следующей группы соединений:

- 6-[{6-[(1,3-Бензотиазол-2-ил)амино]-5-метилпиридазин-3-ил}(метил)амино]-3-[1-({3-[2-(диметиламино)этокси]-5,7-диметиладамантан-1-ил}метил)-5-метил-1Н-пиразол-4-ил]пиридин-2-карбоновая кислота,

- 6-[[6-(1,3-Бензотиазол-2-иламино)-5-метилпиридазин-3-ил]-метиламино]-3-[1-[[3-[2-(3-гидроксипропиламино)этокси]-5,7-диметил-1-адамантил]метил]-5-метилпиразол-4-ил]пиридин-2-карбоновая кислота,

- 6-[[6-(1,3-Бензотиазол-2-иламино)-5-метилпиридазин-3-ил]-метиламино]-3-[1-[[3-[2-(3-метоксипропиламино)этокси]-5,7-диметил-1-адамантил]метил]-5-метилпиразол-4-ил]пиридин-2-карбоновая кислота,

- 6-[{6-[(1,3-Бензотиазол-2-ил)амино]-5-метилпиридазин-3-ил}(метил)амино]-3-(1-{[3-(2-{[(3S)-3,4-дигидроксибутил]амино}этокси)-5,7-диметиладамантан-1-ил]метил}-5-метил-1Н-пиразол-4-ил)пиридин-2-карбоновая кислота,

- 6-[[6-(1,3-Бензотиазол-2-иламино)-5-метилпиридазин-3-ил]-метиламино]-3-[1-[[3,5-диметил-7-(2-морфолиноэтокси)-1-адамантил]метил]-5-метилпиразол-4-ил]пиридин-2-карбоновая кислота,

- 6-[[6-(1,3-Бензотиазол-2-иламино)-5-метилпиридазин-3-ил]-метиламино]-3-[1-[[3-[2-(2-карбоксиэтиламино)этокси]-5,7-диметил-1-адамантил]метил]-5-метилпиразол-4-ил]пиридин-2-карбоновая кислота,

- 6-[[6-(1,3-Бензотиазол-2-иламино)-5-метилпиридазин-3-ил]-метиламино]-3-[1-[[3-[2-[(3-гидроксифенил)метиламино]этокси]-5,7-диметил-1-адамантил]метил]-5-метилпиразол-4-ил]пиридин-2-карбоновая кислота,

- 2-[[6-(1,3-Бензотиазол-2-иламино)-5-метилпиридазин-3-ил]-метиламино]-5-[3-[4-[3-(диметиламино)проп-1-инил]-2-фторфенокси]пропил]тиазол-4-карбоновая кислота,

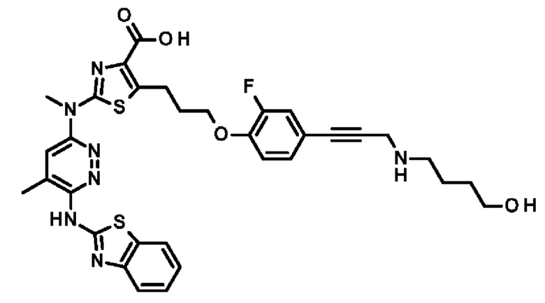
- 2-[[6-(1,3-Бензотиазол-2-иламино)-5-метилпиридазин-3-ил]-(3-гидроксипропил)амино]-5-[3-[2-фтор-4-[3-(метиламино)проп-1-инил]фенокси]пропил]тиазол-4-карбоновая кислота,

- 2-[[6-(1,3-Бензотиазол-2-иламино)-5-метилпиридазин-3-ил]-метиламино]-5-[3-[2-фтор-4-(3-пирролидин-1-илпроп-1-инил)фенокси]пропил]тиазол-4-карбоновая кислота,

его энантиомеры и диастереоизомеры, и их соли присоединения с фармацевтически приемлемой кислотой или основанием.

Е34. Способ получения соединения формулы (I) в соответствии с любым из вариантов E1 - Е33, который отличается тем, что в качестве исходного вещества применяют соединение формулы (II):

где R1 и R2 являются такими, как определено для формулы (I), причем указанное соединение формулы (II) подвергают реакции Бухвальда в водной или органической среде в присутствии палладиевого катализатора (предпочтительно Pd2(dba)3), основания (предпочтительно Cs2CO3 и DIPEA), фосфина (предпочтительно ксантфоса) и соединения формулы (III):

где R4 и m являются такими, как определено для формулы (I),

с получением соединения формулы (IV):

аминную функцию соединения формулы (IV) далее защищают с получением соединения формулы (V):

где представляет собой защитную группу (предпочтительно 2-триметилсилилэтоксиметильную группу),

соединение формулы (V) далее подвергают реакции Бухвальда в водной или органической среде в присутствии палладиевого катализатора (предпочтительно Pd2(dba)3), основания (предпочтительно Cs2CO3 и DIPEA), фосфина (предпочтительно ксантфоса) и соединения формулы (VI):

где A1, R3 и R6 являются такими, как определено для формулы (I), и Alk представляет собой C16алкильную группу,

с получением соединения формулы (VII-а) или (VII-b):

и затем с бензотиазольной группы указанного соединения формулы (VII-a) или (VII-b) снимают защиту (предпочтительно используя HF×Pyr), и сложноэфирную функцию гидролизуют (предпочтительно используя LiOH×H2O) с получением соединения формулы (I),

причем соединение формулы (I) можно очистить согласно обычной методике разделения, можно превратить в его соли присоединения с фармацевтически приемлемой кислотой или основанием, и необязательно разделить на его изомеры согласно обычной методике разделения,

при этом следует понимать, что, в любое время, признанное подходящим в ходе описанного выше способа, гидрокси, амино, карбоксильные и фосфоно группы реагентов или промежуточных соединений синтеза могут быть защищены и затем лишены защиты, как того требует синтез.

Е35. Способ в соответствии с вариантом Е34, где соединение (VI-b) представляет собой:

и где R7 выбирают из группы, состоящей из:

где R8, R12 и R13 являются такими, как определено для формулы (I).

Е36. Способ получения соединения формулы (I) в соответствии с вариантом Е28, где R6 представляет собой:

и R7 является таким, как определено для формулы (I),

который отличается тем, что в качестве исходного вещества применяют соединение формулы (II):

где R1 и R2 являются такими, как определено для формулы (I), причем соединение формулы (II) подвергают реакции Бухвальда в водной или органической среде в присутствии палладиевого катализатора (предпочтительно Pd2(dba)3), основания (предпочтительно Cs2CO3 и DIPEA), фосфина (предпочтительно ксантфоса) и соединения формулы (III):

где R4 и m являются такими, как определено для формулы (I),

с получением соединения формулы (IV):

аминную функцию соединения формулы (IV) далее защищают с получением соединения формулы (V):

где представляет собой защитную группу (предпочтительно 2-триметилсилилэтоксиметильную группу),

соединение формулы (V) далее подвергают реакции Бухвальда в водной или органической среде в присутствии палладиевого катализатора (предпочтительно Pd2(dba)3), основания (предпочтительно Cs2CO3 и DIPEA), фосфина (предпочтительно ксантфоса) и соединения формулы (VF):

где A1 и R3 являются такими, как определено для формулы (I), и Alk представляет собой C16алкильную группу, с получением соединения формулы (VIII):

соединение формулы (VIII) подвергают галогенированию (предпочтительно с использованием N-бромсукцинимида или N-йодсукцинимида) с получением соединения формулы (IX):

где Hal представляет собой атом галогена,

соединение формулы (IX) далее подвергают реакции сочетания Сузуки, в водной или органической среде в присутствии палладиевого катализатора (предпочтительно Pd(dppf)Cl2), основания (предпочтительно карбоната калия), с соединением формулы (X):

с получением соединения формулы (XI):

и затем с бензотиазольной группы указанного соединения формулы (XI) снимают защиту (предпочтительно используя HF×Pyr) и сложноэфирную функцию гидролизуют (предпочтительно используя LiOH×Н2О) с получением соединения формулы (I),

причем соединение формулы (I) можно очистить согласно обычной методике разделения, можно превратить в его соли присоединения с фармацевтически приемлемой кислотой или основанием и необязательно разделить на его изомеры согласно обычной методике разделения,

при этом следует понимать, что, в любое время, признанное подходящим в ходе описанного выше способа, гидрокси, амино, карбоксильные и фосфоно группы реагентов или промежуточных соединений синтеза могут быть защищены и затем лишены защиты, как того требует синтез.

Е37. Промежуточное соединение синтеза в соответствии с вариантом Е34 или Е36, которое представляет собой:

где R4 и m являются такими, как определено для общей формулы (I), предпочтительно R4 представляет собой атом водорода.

Е38. Соединение в соответствии с вариантом Е1, где R4 представляет собой водород, атом фтора, хлора или брома, метильную или метокси группу.

Е39. Соединение в соответствии с вариантом Е1, где R8 представляет собой группу, выбранную из водорода; линейного или разветвленного C16алкила, -NR'aR'b; -NR'a-CO-OR'c; -N+R'aR'bR'c; -O-R'c; -NH-X'2-N+R'aR'bR'c; -O-X'2-NR'aR'b, -NR'c-X'2-N3 и:

E40. Соединение в соответствии с E1, где R'a и R'b независимо друг от друга представляют собой группу, выбранную из водорода; гетероциклоалкила; -SO2-фенила, где фенил может быть замещен линейным или разветвленным C16алкилом; линейного или разветвленного C16алкила, необязательно замещенного одной или двумя гидроксильными группами; С16алкилен-SO2OH; С16алкилен-SO2O-; C16алкилен-СООН; С16алкилен-РО(ОН)2; C16алкилен-NR'dR'e; C16алкилен-N+R'dR'eR'f; С16алкилен-O-С16алкилен-ОН; C16алкиленфенила, где фенил может быть замещен C16алкокси группой;

группы:

или R'a и R'b вместе с несущим их атомом азота образуют цикл В3,

или R'a, R'b и R'c вместе с несущим их атомом азота образуют мостиковый С38 гетероциклоалкил.

Е41. Соединение в соответствии с любым из вариантов E1 - Е31, где m=1.

Фармакологическое исследование соединений настоящего изобретения показало, что они обладают проапоптотическими свойствами. Способность реактивировать апоптотический процесс в клетках представляет большой терапевтический интерес для лечения злокачественных новообразований и иммунопатологических и аутоиммунных заболеваний. В частности, соединения в соответствии с изобретением будут полезны для лечения хемо- или радиорезистентных злокачественных новообразований.

В другом варианте осуществления, соединения настоящего изобретения можно применять для лечения заболеваний или состояний, характеризующихся чрезмерной или дерегулированной активностью тромбоцитов, в особенности, протромботических состояний.

Используемый в настоящей заявке термин "лечить" или "лечение" любого заболевания или нарушения относится в одном варианте осуществления к уменьшению интенсивности заболевания или нарушения (т.е. замедлению или прекращению или уменьшению развития заболевания или по меньшей мере одного из его клинических симптомов). В другом варианте осуществления термин "лечить" или "лечение" относится к смягчению или уменьшению интенсивности по меньшей мере одного физического параметра, включая те, которые могут не ощущаться пациентом. В еще одном варианте осуществления термин "лечить" или "лечение" относится к модуляции заболевания или нарушения, либо физически (например, стабилизация ощутимого симптома), либо физиологически (например, стабилизация физического параметра), либо и тем, и другим.

Среди намеченных в данной заявке вариантов лечения злокачественных новообразований можно упомянуть, не подразумевая какого-либо ограничения, лечение гематологических злокачественных опухолей и солидных опухолей. Гематологические злокачественные опухоли включают миелому, в особенности, множественную миелому, лимфому, в особенности, неходжкинскую лимфому (NHL) и более конкретно, диффузную В-крупноклеточную лимфому (DLBCL), и лейкоз, в особенности, хронический лимфоцитарный лейкоз (CLL), Т-клеточный острый лимфобластный лейкоз (T-ALL), В-клеточный острый лимфобластный лейкоз (B-ALL) и острый миелоцитарный лейкоз (AML). Солидные опухоли включают рак мочевого пузыря, головного мозга, молочной железы, матки, пищевода и печени, колоректальный рак, рак почки, меланому, рак яичников, рак предстательной железы, рак поджелудочной железы и рак легких, в особенности, немелкоклеточный рак легких и мелкоклеточный рак легких.

В частности, T-ALL возникает в результате лейкемической трансформации предшественников клеток тимуса и их блокировки на определенных стадиях дифференциации. Несмотря на ценную информацию, недавно полученную в результате обширных исследований молекулярных и клеточных механизмов, ответственных за возникновение и прогрессирование T-ALL, эти знания не нашли воплощения в эффективных методах таргетной терапии. Текущие клинические методы лечения включают химиотерапию, связанную или не связанную с трансплантацией гематопоэтических стволовых клеток с коэффициентами выживания, остающимися на уровне около 50 и 70% в случае взрослых и детей, соответственно. Как у детей, так и у взрослых, рецидивы демонстрируют очень плохой прогноз, что усиливает необходимость выявления новых терапевтических методов лечения (Passaro и др., Immunol. Rev. 2016 Мау; 271(1): 156-72). Было показано, что двойные ингибиторы Bcl-2/Bcl-xL, подобные АВТ-263 и АВТ-737, обладают многообещающей активностью в моделях ксенотрансплантатов, полученных от пациентов с T-ALL (Van Delft и др. Cancer Cell 2006; 10:389-99; Suryani и др., Clin. Cancer Res. 2014, 20:4520-31). В других исследованиях сообщалось о дифференциальной потребности в Bcl-xL или Bcl-2 для выживаемости зрелых в сопоставлении с очень незрелыми (подгруппа ЕТР) T-ALL (Chonghaile и др., Cancer Discov. 2014; 4:1074-87). Описанный ранее селективный Bcl-xL ингибитор А-1331852, как также было показано, обладает in vitro и in vivo активностью в модели ксенотрансплантата линии зрелых T-ALL клеток MOLT-4 (Leverson и др., Sci. Transl. Med. 2015 Mar 18; (279):279ra40). В отдельном варианте осуществления, ингибирование роста опухоли также наблюдали в модели ксенотрансплантата MOLT-4 после лечения ингибиторами Bcl-xL настоящего изобретения. Эти данные подтверждают применение соединений в соответствии с настоящим изобретением для лечения T-ALL.

Среди намеченных в данной заявке вариантов лечения аутоиммунных заболеваний можно упомянуть, не подразумевая какого-либо ограничения, лечение ревматоидного артрита (RA) и системной красной волчанки (SLE).

Настоящее изобретение также относится к фармацевтическим композициям, содержащим по меньшей мере одно соединение формулы (I), в качестве активного компонента, в комбинации с одним или несколькими фармацевтически приемлемыми наполнителями. В частности, такие фармацевтические композиции интересны для применения в качестве проапоптотических и/или антипролиферативных средств, в частности, для лечения злокачественных новообразований, а также аутоиммунных заболеваний и заболеваний иммунной системы.

Подходящие наполнители в соответствии с изобретением включают разбавители, смазывающие вещества, связующие вещества, разрыхляющие средства, стабилизаторы, консерванты, абсорбенты, красители, подсластители и ароматизирующие вещества.

В качестве неограничивающего примера могут быть упомянуты:

• в качестве разбавителей: лактоза, декстроза, сахароза, маннит, сорбит, целлюлоза, глицерин,

• в качестве смазывающих веществ: диоксид кремния, тальк, стеариновая кислота и ее магниевые и кальциевые соли, полиэтиленгликоль,

• в качестве связующих веществ: силикат магния-алюминия, крахмал, желатин, трагакант, метилцеллюлоза, натрий-карбоксиметилцеллюлоза и поливинилпирролидон,

• в качестве разрыхлителей: агар, альгиновая кислота и ее натриевая соль, шипучие смеси.

Среди фармацевтических композиций в соответствии с изобретением можно упомянуть более конкретно те, которые являются подходящими для перорального, парентерального, назального, чрес- или транскожного, ректального, перлингвального, офтальмологического или респираторного введения, в особенности, таблетки, драже, сублингвальные таблетки, капсулы, глоссеты, капсулы, пастилки, инъекционные или пригодные для питья препараты, аэрозоли, глазные капли или капли в нос, суппозитории, кремы, мази, гели для кожи.

Фактические уровни дозировки активных компонентов в фармацевтических композициях настоящего изобретения могут варьироваться с возможностью получения количества активного компонента, которое является эффективным для достижения целевого терапевтического ответа в случае конкретного пациента, композиции и способа введения, но не является токсичным для пациента. Выбранный уровень дозировки будет зависеть от ряда факторов, включая активность конкретного соединения, используемого в настоящем изобретении, путь введения, время введения, скорость выведения или метаболизма конкретного применяемого соединения, скорость и степень абсорбции, продолжительность лечения, другие лекарственные препараты, соединения и/или вещества, применяемые в комбинации с конкретным используемым соединением, возраст, пол, вес, состояние, общее состояние здоровья и предшествующий медицинский анамнез пациента, подвергающегося лечению, и подобные факторы, хорошо известные в области медицины.

Подходящая суточная доза соединения настоящего изобретения будет зависеть от описанных выше факторов и может изменяться от 0.01 мг до 2.5 г в сутки за одно или несколько введений.

В другом аспекте, настоящее изобретение также относится к комбинации соединения формулы (I) с противоопухолевым средством, выбранным из генотоксичных средств, митотических ядов, антиметаболитов, ингибиторов протеасом, ингибиторов киназ и антител, а также к фармацевтическим композициям, содержащим такой тип комбинации, и их применению для изготовления лекарственных средств для применения для лечения злокачественного новообразования.

В другом аспекте, для лечения злокачественного новообразования соединения настоящего изобретения можно применять в комбинации с радиотерапией.

Альтернативно, соединения настоящего изобретения могут быть связаны с моноклональными антителами. Конъюгаты антитела с лекарственным препаратом (ADC) представляют собой новый класс терапевтических средств, которые образуются путем химического связывания цитотоксического средства с моноклональным антителом через линкер. Моноклональное антитело из ADC селективно связывается с целевым антигеном клетки (например, раковой клетки) и высвобождает лекарственный препарат в клетку. ADC обладают терапевтическим потенциалом, поскольку они сочетают в себе специфичность антитела и цитотоксический потенциал лекарственного препарата. Тем не менее, разработка ADC в качестве терапевтических средств до сих пор имела лишь ограниченный успех из-за множества факторов, таких как неблагоприятный профиль токсичности, низкая эффективность и плохие фармакологические параметры. Соответственно, все еще существует потребность в новых ADC, которые преодолевают эти проблемы и могут селективно доставлять Bcl-xL в целевые раковые клетки.

В другом аспекте, соединения настоящего изобретения могут быть связаны с фрагментами моноклональных антител или связаны с каркасными белками, которые могут относиться или не относиться к моноклональным антителам. Фрагменты антител следует понимать как фрагменты Fv, scFv, Fab, F(ab')2, F(ab'), scFv-Fc типа или диатела, которые обычно имеют такую же специфичность связывания, что и антитело, из которого они происходят. В соответствии с настоящим изобретением, фрагменты антител настоящего изобретения можно получить исходя из антител с помощью методов, таких как переваривание ферментами, такими как пепсин или папаин, и/или посредством расщепления дисульфидных мостиков с помощью химического восстановления. Другим путем, фрагменты антител, включенных в настоящее изобретение, можно получить с использованием методик генетической рекомбинации, также хорошо известных специалисту в данной области техники, или даже посредством пептидного синтеза с помощью, например, автоматических пептидных синтезаторов, таких как те, которые поставляются компанией Applied Biosystems, и т.д.

Под каркасными белками, которые могут относиться или не относиться к моноклональным антителам, понимают белок, который содержит или не содержит укладку цепи иммуноглобулинов и который обеспечивает способность к связыванию, такую же, как и у моноклонального антитела. Специалисту в данной области техники известно, каким образом выбрать каркас белка. Более конкретно, известно, что должен быть выбран такой каркас, который будет демонстрировать несколько следующих отличительных признаков (Skerra, J. Mol. Recogn. 2000, 13, 167-187): хорошая филогенетическая консервативность, прочная архитектура с хорошо известной трехмерной молекулярной организацией (как, например, на основании кристаллографии или ЯМР), небольшой размер, отсутствие или лишь низкая степень посттрансляционных модификаций, простота получения, экспрессии и очистки. Таким каркасным белком может быть, без ограничения перечисленным, структура, выбранная из группы, состоящей из фибронектина и предпочтительно десятого домена фибронектина типа III (FNfn10), липокалина, антикалина (Skerra, J. Biotechnol. 2001, 74, 257-75), белка Z, являющегося производным из домена В стафилококкового белка А, тиоредоксина А или любого белка с повторяющимся доменом, таким как "анкириновый повтор" (Kohl и др. PNAS 2003, 100, 1700-1705), "армадилло повтор", "богатый лейцином повтор" или "тетратрикопептидный повтор". Также можно упомянуть каркас, производный из токсинов (как, например, токсины скорпиона, насекомых, растений или моллюсков) или белковых ингибиторов нейрональной синтазы оксида азота (PIN).

Следующие Примеры иллюстрируют изобретение, но не ограничивают его каким-либо образом. Все промежуточные соединения для получения соединений Примеров либо доступны для приобретения, либо могут быть получены специалистом в данной области техники с использованием обычных химических реакций, описанных в литературе.

ОБЩИЕ МЕТОДИКИ

Все реагенты, полученные из коммерческих источников, использовали без дополнительной очистки. Безводные растворители получали из коммерческих источников и использовали без дополнительной сушки.

Колоночная хроматография

Автоматическую колоночную флэш-хроматографию выполняли на приборе ISCO CombiFlash® Rf 200 или CombiFlash® Rf+Lumen™, используя колонки RediSep® Rf для флэш-хроматографии на силикагеле с нормальной фазой (35-70 мкм, 60 Å), колонки RediSep Rf Gold® для высокоэффективной хроматографии на силикагеле с нормальной фазой (20-40 мкм, 60 Å), колонки С18 RediSep® Rf для обращенно-фазовой хроматографии (40-63 мкм, 60 Å) или колонки С18 RediSep Rf Gold® для обращенно-фазовой высокоэффективной хроматографии (20-40 мкм, 100 Å).

ТСХ

Тонкослойную хроматографию проводили на 5×10 см пластинах, покрытых силикагелем Merck Туре 60 F254.

Реакции в микроволновом реакторе

Нагревание микроволновым излучением выполняли в приборе СЕМ Discover® SP или одномодовом микроволновом реакторе Anton Рааг.ЯМР

1H-ЯМР измерения выполняли на спектрометре Bruker Avance III 500 МГц, спектрометре Bruker Avance III 400 МГц или спектрометре Bruker DPX-400, используя ДМСО-d6 или CDCl3 в качестве растворителя. 1Н ЯМР данные представлены в виде дельта-значений, приведенных в миллионных долях (м.д.) с использованием остаточного пика растворителя (2.50 м.д. для ДМСО-d6 и 7.26 м.д. для CDCl3) в качестве внутреннего стандарта. Картины расщепления обозначены в виде: s (синглет), d (дублет), t (триплет), q (квартет), quint (квинтет), sept (септет), m (мультиплет), br s (широкий синглет), dd (дублет дублетов), td (триплет дублетов), dt (дублет триплетов), ddd (дублет дублета дублетов).

Аналитическая ЖХ-МС

Определенные соединения настоящего изобретения характеризовали с помощью высокоэффективной жидкостной хроматографии - масс-спектроскопии (ВЭЖХ-МС) на приборе Agilent HP 1200 с Agilent 6140 квадрупольным ЖХ/МС, работающем с электрораспылительной ионизацией в режиме положительных или отрицательных ионов. Диапазон сканирования молекулярных масс составлял от 100 до 1350. Параллельное УФ-детектирование проводили на длинах волн 210 нм и 254 нм. Образцы вводили в виде 1 мМ раствора в ACN или смеси ТГФ/Н2О (1:1) в объеме 5 мкл с помощью петлевого дозатора. ЖХМС анализы выполняли на двух приборах, один из которых работал с основными, а другой с кислыми элюентами.

Основная ЖХМС: Gemini-NX, 3 мкм, С18, 50 мм × 3.00 мм в.д. колонка при 23°С, при скорости потока 1 мл мин"1, используя 5 мМ раствор бикарбоната аммония (растворитель А) и ацетонитрил (растворитель В) с градиентом, начиная со 100% растворителя А и завершая 100% растворителем В в течение различных/определенных промежутков времени.

Кислая ЖХМС: KINATEX ХВ-С18-100А, 2.6 мкм, 50 мм*2.1 мм колонка при 40°С, при скорости потока 1 мл мин-1, используя 0.02% об./об. водный раствор муравьиной кислоты (растворитель А) и 0.02% об./об. раствор муравьиной кислоты в ацетонитриле (растворитель В) с градиентом, начиная со 100% растворителя А и завершая 100% растворителем В в течение различных/определенных промежутков времени.

Определенные другие соединения настоящего изобретения были охарактеризованы с помощью ВЭЖХ-МС с использованием конкретно названных методов, как изложено ниже. В случае всех этих методов УФ-детектирование осуществляли с помощью диодно-матричного детектора на длинах волн 230, 254 и 270 нм. Вводимый объем образца составлял 1 мкл. Операции градиентного элюирования проводили, устанавливая значения скорости потока и процентного содержания компонентов смесей приведенных ниже подвижных фаз, используя растворители с чистотой «для ВЭЖХ»:

Растворитель А: 10 мМ водный раствор формиата аммония+0.04% (об./об.) муравьиной кислоты.

Растворитель В: ацетонитрил+5.3% (об./об.) растворителя А+0.04% (об./об.) муравьиной кислоты.

Значения времени удержания (RT) в этих названных методах приведено в минутах. Ионизацию регистрировали в режиме определения положительных ионов, отрицательных ионов, или в режиме с переключением определения положительных/отрицательных ионов. Конкретные детали для отдельных методов приведены ниже.

Методы ЖХМС-V-В

Использовали прибор серии Agilent 1200 SL, сопряженный с одиночным квадрупольным детектором Agilent MSD 6140 с многомодовым источником ЭРИ-ХИАД (методы ЖХМС-V-B1 и ЖХМС-V-В2), или использовали прибор серии Agilent 1290 Infinity II, связанный с Agilent TOF 6230 с источником ЭРИ-Jet Stream (метод ЖХМС-V-B1); колонка: Thermo Accucore 2.6 мкм, С18, 50 мм × 2.1 мм при 55°С. Подробные данные касательно градиента для методов ЖХМС-V-B1 и ЖХМС-V-В2:

Метод ЖХМС-V-C

Использовали прибор серии Agilent 1200 SL, сопряженный с одиночным квадрупольным детектором Agilent MSD 6140 с многомодовым источником ЭРИ-ХИАД; колонка: Agilent Zorbax Eclipse plus 3.5 мкм, C18(2), 30 мм × 2.1 мм при 35°С. Подробные данные касательно градиента для метода ЖХМС-V-C:

Препаративная ВЭЖХ

Определенные соединения настоящего изобретения очищали с помощью высокоэффективной жидкостной хроматографии (ВЭЖХ) на системе Armen Spot Liquid Chromatography или Teledyne EZ с Gemini-NX® 10 мкм C18, 250 мм × 50 мм в.д. колонкой, работая при скорости потока 118 мл мин-1 с УФ-детектором на диодной матрице (210 400 им), и используя 25 мМ водный раствор NH4HCO3 и MeCN или 0.1% ТФУ в воде и MeCN в качестве элюентов.

Определенные другие соединения настоящего изобретения очищали с помощью ВЭЖХ с использованием конкретно названных методов, как изложено ниже:

Методы ВЭЖХ-У-А

Операции выполняли на системе автоочистки Waters FractionLynx MS, с Gemini 5 мкм С18(2), 100 мм × 20 мм в.д. колонкой от Phenomenex, работая при скорости потока 20 см3 мин-1 с УФ-детектором на диодной матрице (210-400 нм) и масс-направленным сбором. Масс-спектрометр представлял собой спектрометр Waters Micromass ZQ2000, работающий с электрораспылительной ионизацией в режиме положительных или отрицательных ионов с диапазоном сканирования молекулярных масс от 150 до 1000.

Метод ВЭЖХ-V-A1 (рН 4):

Растворитель А: 10 мМ водный раствор ацетата аммония+0.08% (об./об.) муравьиной кислоты; Растворитель В: ацетонитрил+5% (об./об.) растворителя А+0.08% (об./об.) муравьиной кислоты.

Метод ВЭЖХ-V-А2 (рН 9):

Растворитель А: 10 мМ водный раствор ацетата аммония+0.08% (об./об.) конц. раствора аммиака; Растворитель В: ацетонитрил+5% (об./об.) растворителя А+0.08% (об./об.) конц. раствора аммиака.

Методы ВЭЖХ-V-В

Операции выполняли на системе AccQPrep HP 125 (Teledyne ISCO) с Gemini® NX 5 мкм C18(2), 150 мм × 21.2 мм в.д. колонкой от Phenomenex, работая при скорости потока 20 см3 мин-1 с детектированием на УФ-детекторе (214 и 254 нм) и ИДСР.

Метод ВЭЖХ-V-B1 (рН 4):

Растворитель А: вода+0.08% (об./об.) муравьиной кислоты; Растворитель В: ацетонитрил+0.08% (об./об.) муравьиной кислоты. Метод ВЭЖХ-V-В2 (pH 9):

Растворитель А: вода+0.08% (об./об.) конц. раствора аммиака; Растворитель В: ацетонитрил+0.08% (об./об.) конц. раствора аммиака. Метод ВЭЖХ-V-В3 (нейтральный): Растворитель А: вода; Растворитель В: ацетонитрил.

Аналитическая ГХ-МС

Комбинированную газовую хроматографию - масс-спектрометрию низкого разрешения (ГХ-МС) выполняли на газовом хроматографе Agilent 6850 и масс-спектрометре Agilent 5975С, используя колонку 15 м × 0.25 мм с 0.25 мкм покрытием HP-5MS и гелием в качестве газа-носителя. Источник ионов: ЭИ+, 70 эВ, 230°С, квадруполь: 150°С, интерфейс: 300°С.

МС высокого разрешения

Масс-спектры высокого разрешения получали на времяпролетном масс-спектрометре Agilent 6230, оснащенном электрораспылительным источником ионов Jet Stream, работая в режиме определения положительных ионов. Вводимый объем 0.5 мкл направляли в масс-спектрометр при скорости потока 1.5 мл/мин (программа градиента: 5 мМ формиат аммония в воде и ацетонитрил), используя ВЭЖХ систему Agilent 1290 Infinity. Параметры Jet Stream: скорость потока и температура сушильного газа (N2): 8.0 л/мин и 325°С, соответственно; распыляющий газ (N2) давление: 30 фунтов на кв. дюйм; капиллярное напряжение: 3000 В; скорость потока и температура защитного газа: 325°С и 10.0 л/мин; TOFMS параметры: напряжение фрагментора: 100 В; потенциал скиммера: 60 В; ОСТ 1 RF Vpp: 750 В. Масс-спектры при полном сканировании получали в диапазоне m/z 105-1700 при скорости сбора данных 995.6 мс/спектр и обрабатывали с помощью программного обеспечения Agilent MassHunter В.04.00.

Название химических соединений

Предпочтительные названия по номенклатуре IUPAC генерировали, используя ChemAxon's 'Structure to Name' (s2n) функцию в рамках MarvinSketch или JChem for Excel (JChem версий 16.6.13 18.22.3), или с помощью функции генерирования названий химических соединений, обеспеченной Biovia® Draw 4.2.

Сокращения

Ahx - мономер 6-гексановой кислоты

Boc - mpem-бутилоксикарбонил

Boc2O - ди-трет-бутил дикарбонат

tBuOH - mpem-бутанол

конц. - концентрированный

СуОН - циклогексанол

dba - (1Е,4Е)-1,5-дифенилпента-1,4-диен-3-он, дибензилиденацетон

ДХМ - дихлорметан

DEA - диэтаноламин

DIAD - диизопропилазодикарбоксилат

DIBAL-H - гидрид диизобутилалюминия

DIPA - N-изопропилпропан-2-амин, диизопропиламин

DIPEA - N-этил-N-изопропилпропан-2-амин, диизопропилэтиламин

EtO2 - диэтиловый эфир

EtOAc - этилацетат

экв. - эквивалент

HF×Pyr - фтороводород-пиридин

hs - гомо сапиенс

LDA - диизопропиламид лития

MeCN - ацетонитрил

МеОН - метанол

МТВЕ - метил трет-бутиловый эфмир

ВН - в течение ночи

Pd\C - палладий на угле

PPh3 - трифенилфосфин

к.т. - комнатная температура

RT - время удержания (в минутах)

TBAF - фторид тетрабутиламмония

ТВАОН - гидроксид тетрабутиламмония

TBSCl - трет-бутилхлордиметилсилан

TEA - N,N-диэтилэтанамин

ТФУ - 2,2,2-трифторуксусная кислота

pTSA - 4-метилбензолсульфоновая кислота

ТГФ - тетрагидрофуран

TIPSCl - хлор(триизопропил)силан

ксантфос - 4,5-бис(дифенилфосфино)-9,9-диметилксантен

ксантфос Pd G3 - метансульфонат [(4,5-бис(дифенилфосфино)-9,9-диметилксантен)-2-(2'-амино-1,1'-бифенил)]палладия(II)

BINAP - 2,2'-бис(дифенилфосфино)-1,1'-бинафтил

рац-BINAP Pd G3 - метансульфонат [(2,2'-бис(дифенилфосфино)-1,1'-бинафтил)-2-(2'-амино-1,1'-бифенил)]палладия(II)

Pd(dppf)Cl2 - CH2Cl2 [1,1'-бис(дифенилфосфино)ферроцен]дихлорпалладий(II)

Pd2(dba)3 - трис(дибензилиденацетон)дипалладий(0)

Pd(PPh3)2Cl2 - хлорид бис(трифенилфосфин)палладия

Pd(AtaPhos)2Cl2 - бис(ди-трет-бутил(4-диметиламинофенил)фосфин)дихлорпалладий(II)

Методики с общеизвестным названием

Ниже приведены репрезентативные экспериментальные методики, которые упоминаются под названиями в следующих Синтезах.

Общая методика проведения реакции Соногаширы

Смесь 1 экв. арилгалогенида, 2 экв. ацетилена, 0.05 экв. Pd(PPh3)2Cl2, 0.05 экв. CuI и DIPA (1 мл/ммоль) в ТГФ (5 мл/ммоль) выдерживали при 60°С. После достижения подходящей степени превращения летучие вещества удаляли при пониженном давлении, и сырое промежуточное соединение очищали с помощью колоночной флэш-хроматографии.

Общая методика снятия защиты посредством HFIP

Субстрат в 1,1,1,3,3,3-гексафторпропан-2-оле (10 мл/ммоль) выдерживали при 100-120°С в сосуде для реакций под давлением. После достижения подходящей степени превращения летучие вещества удаляли при пониженном давлении, и сырое промежуточное соединение очищали с помощью колоночной флэш-хроматографии.

Общая методика алкилирования

Смесь 1 экв. фенола/карбамата, 1-2 экв. алкилйодида или бромида и 2-3 экв. Cs2CO3 в ацетоне (5 мл/ммоль) перемешивали при к.т.в случае фенолов и при 55°С в случае карбаматов. После достижения подходящей степени превращения летучие вещества удаляли при пониженном давлении, и сырое промежуточное соединение очищали с помощью колоночной флэш-хроматографии или обращенно-фазовой колоночной флэш-хроматографии.

Общая методика проведения реакции Мицунобу

К смеси 1.0-1.5 экв. алифатического спирта, 1 экв. карбамата/фенола и 1-2 экв. трифенилфосфина в ТГФ или толуоле (5 мл/ммоль) в виде одной порции добавляли 1-3 экв. ди-трет-бутил азодикарбоксилата / диизопропилазодикарбоксилата. Смесь перемешивали при к.т. или, при необходимости, 50°С в случае карбамата, и при к.т.в случае фенола. После достижения подходящей степени превращения летучие вещества удаляли при пониженном давлении, и сырое промежуточное соединение очищали с помощью колоночной флэш-хроматографии.

Общая методика I проведения реакции Бухвальда

Смесь 1 экв. хлорсодержащего субстрата, 2 экв. 1,3-бензотиазол-2-амина, 0.1 экв. Pd2(dba)3, 0.2 экв. XantPhos и 3 экв. DIPEA в СуОН (5 мл/ммоль) выдерживали при 140°С. После достижения подходящей степени превращения, реакционную смесь разбавляли с помощью ДХМ (10 мл/ммоль), вводили в колонку с предварительно кондиционированным силикагелем и очищали с помощью колоночной флэш-хроматографии.

Общая методика II проведения реакции Бухвальда

Смесь 1 экв. тиазоламина, 1.2-1.5 экв. (Z)-N-(6-хлор-4-метилпиридазин-3-ил)-3-(2-триметилсилилэтоксиметил)-1,3-бензотиазол-2-имина, 3 экв. Cs2CO3, 0.1 экв. Pd2(dba)3, 0.2 экв. XantPhos и 3 экв. DIPEA в 1,4-диоксане (5 мл/ммоль) выдерживали при нагревании с обратным холодильником. После достижения подходящей степени превращения летучие вещества удаляли при пониженном давлении, и сырое промежуточное соединение очищали с помощью колоночной флэш-хроматографии.

Общая методика проведения реакция Финкельштайна Смесь 1 экв. алкилхлорида и 2 экв. NaI в ацетоне (5 мл/ммоль) выдерживали при нагревании с обратным холодильником. После достижения подходящей степени превращения летучие вещества удаляли при пониженном давлении, и сырое промежуточное соединение очищали с помощью колоночной флэш-хроматографии.

Общая методика проведения реакция нуклеофильного замещения Смесь 1 экв. тиазоламина, 1 экв. 3,6-дихлор-4-метилпиридазина и 1.5 экв. Cs2CO3 в толуоле (4 мл/ммоль) выдерживали при 150°С. После достижения подходящей степени превращения летучие вещества удаляли при пониженном давлении, сырое промежуточное соединение очищали с помощью колоночной флэш-хроматографии.

Общая методика алкилирования тозилатом

Высушенный в сушильном шкафу сосуд оснащали якорем магнитной мешалки с покрытием из ПТФЭ, и в него загружали 1 экв. тозилата и 5 экв. подходящего амина, суспендированных в MeCN (5 мл/ммоль). Реакционную смесь затем нагревали до 50°С и перемешивали при такой температуре до тех пор, пока не перестанет наблюдаться протекание превращения. Реакционную смесь разбавляли с помощью ДХМ, и затем ее вводили в колонку с предварительно кондиционированным ДХМ силикагелем. Затем сырой продукт очищали с помощью колоночной флэш-хроматографии, используя ДХМ и МеОН (1.2% NH3) в качестве элюентов.

Общая методика алкилирования образуемым in situ тозилатом

Высушенный в сушильном шкафу сосуд оснащали якорем магнитной мешалки с покрытием из ПТФЭ, и в него загружали 1 экв. гидроксипроизводного, 3 экв. N,N-диэтилэтанамина, каталитическое количество N,N-диметилпиридин-4-амина и ДХМ (5 мл/ммоль), затем в виде одной порции добавляли 2 экв. 4-метилбензолсульфонилхлорида, и смесь перемешивали при к.т.до тех пор, пока не перестанет наблюдаться протекание превращения (типично >90%, 1-5 ч). После упаривания летучих веществ при 40°С с использованием N2, добавляли 30 экв. подходящего первичного, вторичного или третичного амина в ацетонитриле (3 мл/ммоль), и смесь перемешивали при 50°С до тех пор, пока не наблюдали полного превращения в отношении тозильного производного (типично 1-3 ч). Реакционную смесь концентрировали на целите и очищали с помощью колоночной флэш-хроматографии, используя EtOAc и МеОН (1.2% NH3) в качестве элюентов, или с помощью обращенно-фазовой колоночной флэш-хроматографии (0.1% ТФУ в смеси вода: MeCN).

Общая методика алкилирования образованным in situ йодсодержащим соединением

Высушенный в сушильном шкафу сосуд оснащали якорем магнитной мешалки с покрытием из ПТФЭ, в него загружали 2 экв. PPh3 и 2 экв. имидазола, и затем добавляли ДХМ (5 мл/ммоль). К полученной в результате смеси порциями добавляли 2 экв. йода, затем перемешивали в течение 15 мин при к.т. К полученной в результате смеси добавляли 1 экв. подходящего спирта, растворенного в ДХМ, и перемешивали при к.т. до тех пор, пока не перестанет наблюдаться протекание превращения. К образованному йодсодержащему соединению добавляли 5 экв. подходящего амина, и смесь затем перемешивали в течение 30 мин при к.т., во время чего реакция достигла состояния полного превращения. К реакционной смеси добавляли целит, и летучие вещества удаляли при пониженном давлении. Затем сырой продукт очищали с помощью флэш-хроматографии, используя ДХМ и МеОН (1.2% NH3) в качестве элюентов. Общая методика алкилирования силил-защищенных фенолов Смесь 1 экв. силил-защищенного фенола, 1 экв. алкилйодида и 1.15 экв. TBAF (1 M в ТГФ) в ТГФ (2 мл/ммоль) перемешивали при к.т. После достижения подходящей степени превращения летучие вещества удаляли при пониженном давлении, и сырое промежуточное соединение очищали с помощью колоночной флэш-хроматографии.

Общая методика снятия защиты и гидролиза

Смесь 1 экв. субстрата и 100 экв. HF×Pyr в MeCN (15 мл/ммоль) перемешивали при 60°С. После достижения подходящей степени превращения, летучие вещества удаляли при пониженном давлении и остаток суспендировали в 1:1 смеси 1,4-диоксан - вода (30 мл/ммоль), обрабатывали 150 экв. LiOH×Н2О, и перемешивали при 60°С. После достижения подходящей степени превращения, летучие вещества удаляли при пониженном давлении и сырой продукт очищали с помощью колоночной флэш-хроматографии, используя ДХМ и МеОН (содержащий 1.2% NH3) в качестве элюентов.

Общая методика образования четвертичной соли

Высушенный в сушильном шкафу сосуд оснащали якорем магнитной мешалки с покрытием из ПТФЭ, и в него загружали 1 экв. тозилата и 20 экв. подходящего амина, суспендированных в СуОН (5 мл/ммоль). Реакционную смесь затем нагревали до 140°С и перемешивали при такой температуре до тех пор, пока не перестанет наблюдаться протекание превращения. Реакционную смесь разбавляли с помощью ДХМ, и затем ее вводили в колонку с предварительно кондиционированным ДХМ силикагелем. Затем сырой продукт очищали с помощью колоночной флэш-хроматографии, используя ДХМ и МеОН (1.2% NH3) в качестве элюентов.

Общая методика снятия защиты с четвертичной соли

К раствору подходящей четвертичной соли в ТГФ (5 мл/ммоль) добавляли 3 экв. TBAF, и затем смесь перемешивали при к.т.до тех пор, пока не перестанет наблюдаться протекание превращения. Реакционную смесь упаривали досуха при пониженном давлении. К суспензии 1 экв. десилилированной четвертичной соли в сухом MeCN (15 мл/ммоль) добавляли 100 экв. HF×Pyr, и затем смесь перемешивали при 60°С. После достижения подходящей степени превращения, летучие вещества удаляли при пониженном давлении, остаток суспендировали в 1:1 смеси ТГФ - вода (30 мл/ммоль), добавляли 150 экв. LiOH × Н2О, и смесь перемешивали при к.т. После достижения подходящей степени превращения, летучие вещества удаляли при пониженном давлении. Сырой продукт очищали с помощью колоночной флэш-хроматографии, используя ДХМ и МеОН (содержащий 1.2% NH3) в качестве элюентов.

Общая методика алкилирования, снятия защиты и гидролиза

Смесь третичного амина (1 экв.) и алкалирующего агента (10 экв.) в ацетонитриле (3 мл/ммоль) перемешивали при к.т. После достижения подходящей степени превращения, летучие вещества удаляли при пониженном давлении, и сырой продукт очищали с помощью обращенно-фазовой колоночной флэш-хроматографии, если это было необходимо, или же остаток непосредственно растворяли в ацетонитриле (3 мл/ммоль), добавляли HF×Pyr (100 экв.), и смесь перемешивали при 60°С. После достижения подходящей степени превращения, летучие вещества удаляли при пониженном давлении, остаток суспендировали в 1:1 смеси 1,4-диоксана - вода (10 мл/ммоль), добавляли LiOH×H2O (150 экв.), и смесь перемешивали при 60°С. После достижения подходящей степени превращения в целевой продукт, летучие вещества удаляли при пониженном давлении и сырой продукт очищали с помощью обращенно-фазовой колоночной флэш-хроматографии.

Общая методика снятия трет-бутилдиметилсилильной защитной группы

Подходящее TBS-защищенное соединение и [(1S,4R)-7,7-диметил-2-оксонорборнан-1-ил]метансульфоновую кислоту (обычно 0.25 экв., 1.25 экв., если в молекуле присутствует N,N-диметиламино-фрагмент) смешивали в смеси метанола (2.5 мл/ммоль) и дихлорметана (2.5 мл/ммоль) в запаянной трубке, и перемешивали при 50°С до тех пор, пока не наблюдали полного превращения (типично 1-5 ч). По истечении времени реакции смесь выливали в делительную воронку, разбавляли ДХМ и промывали конц. раствором NaHCO3 и водой. Сушили над MgSO4, фильтровали через целит и затем очищали с помощью колоночной флэш-хроматографии.

Общая методика снятия защиты и гидролиза производных фосфоновой кислоты

Раствор диэтилфосфонатного производного в ДХМ (5 мл/ммоль) и MeCN (5 мл/ммоль) продували азотом, затем добавляли 40 экв. TEA, и смесь затем охлаждали до 0°С. В виде одной порции добавляли 20 экв. бром(триметил)силана, и затем смесь перемешивали в течение еще 30 мин при 0°С. Смесь оставляли нагреться до к.т. и перемешивали до достижения полного превращения в отношении сложного этилового эфира (типично 1-5 ч). Вос-защитная(-ые) группа(-ы) обычно отщеплялась(-ись), но только частично, в результате чего получали смесь продуктов. После полного превращения смесь при 0°С гасили несколькими мл МеОН, концентрировали на целите и затем очищали с помощью колоночной флэш-хроматографии, используя EtOAc и МеОН (содержащий 1.2% NH3) в качестве элюентов. Два продукта (с Boc, без Boc) объединяли и переходили к Общей методике снятия защиты и гидролиза.

Общая методика проведения реакции замещения амина и гидролиза

К продукту Синтеза 14 в 1:1 смеси ацетонитрила и N-метил-2-пирролидона (10 мл/ммоль), добавляли подходящий амин (3-10 экв.), и смесь перемешивали при 50°С в течение 2-24 ч. После добавления 70% HF в пиридине (50-100 экв.) при к.т., смесь перемешивали в течение 4-18 ч. После очистки продукта замещения с помощью колоночной хроматографии (силикагель, используя ДХМ и МеОН в качестве элюентов), продукт растворяли в ТГФ (8 мл/ммоль), и добавляли воду (2 мл/ммоль) и LiOH×Н2О (5 экв.), и смесь перемешивали при 20-40°С в течение 1-4 ч. Гидролизованный продукт очищали с помощью препаративной ВЭЖХ (используя ацетонитрил и 5 мкМ водный раствор NH4HCO3 в качестве элюентов) с получением целевого продукта.

Синтезы

Следующие ниже детали экспериментов описывают получение синтетических промежуточных соединений.

Синтез 1a: Метил 2-{[(трет-бутокси)карбонил]амино}-5-[3-(2-фтор-4-йодфенокси)пропил]-1,3-тиазол-4-карбоксилат

Стадия А: метил 2-(трет-бутоксикарбониламино)-5-йодтиазол-4-карбоксилат

50.00 г метил 2-(трет-бутоксикарбониламино)тиазол-4-карбоксилата (193.55 ммоль, 1 экв.) суспендировали в 600 мл сухого MeCN. Добавляли 52.25 г N-йодсукцинимида (232.30 ммоль, 1.2 экв.), и полученную в результате смесь перемешивали в течение ночи при комнатной температуре. Реакционную смесь разбавляли насыщенным соляным раствором, затем ее экстрагировали с помощью EtOAc. Объединенные органические слои экстрагировали 1 М раствором Na2S2O3, затем соляным раствором еще раз. Затем сушили над Na2SO4, фильтровали и фильтрат концентрировали при пониженном давлении. Сырой продукт очищали с помощью колоночной флэш-хроматографии, используя гептан в качестве элюента с получением 60 г (156 ммоль, 80%) целевого продукта.

1Н ЯМР (400 МГц, ДМСО-d6) δ м.д. 12.03/11.06 (br s), 3.78 (s, 3Н), 1.47 (s, 9Н); 13С ЯМР (400 МГц, ДМСО-d6) δ м.д. 153.8, 82.5, 77.7, 52.3, 28.3; МСВР-ЭРИ (m/z): [М+Н]+, рассчитано для C10H14IN2O4S: 384.9713, найдено: 384.9708.

Стадия В: метил 2-(трет-бутоксикарбониламино)-5-(3-гидроксипроп-1-инил)тиазол-4-карбоксилат

500 мл высушенную в сушильном шкафу одногорлую, круглодонную колбу оснащали якорем магнитной мешалки с покрытием из ПТФЭ и устанавливали обратный холодильник. В нее загружали 9.6 г продукта со Стадии А (25 ммоль, 1 экв.), 2.80 г проп-2-ин-1-ола (2.91 мл, 50 ммоль, 2 экв.) и 36.10 г DIPA (50 мл, 356.8 ммоль, 14.27 экв.), затем добавляли 125 мл сухого ТГФ, и систему продували аргоном. После 5 минут перемешивания в инертной атмосфере, добавляли 549 мг Pd(PPh3)2Cl2 (1.25 ммоль, 0.05 экв.) и 238 мг CuI (1.25 ммоль, 0.05 экв.). Полученную в результате смесь затем нагревали до 60°С и перемешивали при такой температуре до тех пор, пока не перестанет наблюдаться протекание превращения. К реакционной смеси добавляли целит, и летучие вещества удаляли при пониженном давлении. Затем сырой продукт очищали с помощью колоночной флэш-хроматографии, используя гептан и EtOAc в качестве элюентов с получением 7.30 г (23 ммоль, 93%) целевого продукта в виде желтого твердого вещества.

1H ЯМР (400 МГц, ДМСО-d6) δ м.д. 12.10 (br s, 1Н), 5.45 (t, 1H), 4.36 (d, 2H), 3.79 (s, 3H), 1.48 (s, 9H); 13C ЯМР (125 МГц, ДМСО-d6) δ м.д. 161.3, 142.4, 118.1, 101.4, 73.9, 52.4, 50.2, 28.3; МСВР-ЭРИ (m/z): [M+H]+, рассчитано для C13H17N2O5S: 313.0853, найдено: 313.0866.

Стадия С: метил 2-(трет-бутоксикарбониламино)-5-(3-гидроксипропил)тиазол-4-карбоксилат

В 1 л высушенный в сушильном шкафу сосуд для реакций под давлением, оснащенный якорем магнитной мешалки с покрытием из ПТФЭ, загружали 44.75 г продукта со Стадии В (143.3 ммоль, 1 экв.) и 7.62 г Pd/C (7.17 ммоль, 0.05 экв.) в 340 мл этанола, и затем в нем создавали атмосферу азота, используя систему гидрирования. После этого сосуд заполняли газообразным Н2 при давлении 4 бар, и реакционную смесь перемешивали при к.т. в течение ночи. Наблюдали полное превращение, однако образовался только олефиновый продукт. После отфильтровывания катализатора через набивку целита, всю процедуру повторяли с 5 мол.% нового катализатора. Полученную в результате смесь перемешивали в течение ночи, что обеспечивало полное превращение. К реакционной смеси добавляли целит, и летучие вещества удаляли при пониженном давлении. Затем сырой продукт очищали с помощью колоночной флэш-хроматографии, используя гептан и EtOAc в качестве элюентов с получением 31.9 г (101 ммоль, 70%) целевого продукта в виде светло-желтых кристаллов.

1H ЯМР (500 МГц, ДМСО-d6) δ м.д. 11.61 (br s, 1Н), 4.54 (t, 1H), 3.76 (s, 3H), 3.43 (m, 2H), 3.09 (t, 2H), 1.74 (m, 2H), 1.46 (s, 9H); 13C ЯМР (125 МГц, ДМСО-d6) δ м.д. 162.8, 143.1, 135.4, 60.3, 51.9, 34.5, 28.3, 23.4; МСВР-ЭРИ (m/z): [M+H]+, рассчитано для C13H21N2O5S: 317.1166, найдено: 317.1164.

Стадия D: метил 2-{[(трет-бутокси)карбонил]амино}-5-[3-(2-фтор-4-йодфенокси)пропил]-1,3-тиазол-4-карбоксилат

В 250 мл высушенную в сушильном шкафу, одногорлую, круглодонную колбу, оснащенную якорем магнитной мешалки с покрытием из ПТФЭ, загружали 3.40 г 2-фтор-4-йодфенола (14 ммоль, 1 экв.), 5.00 г продукта со Стадии С (16 ммоль, 1.1 экв.) и 4.10 г PPh3 (16 ммоль, 1.1 экв.), и 71 мл сухого толуола. После 5 мин перемешивания в атмосфере азота, в виде одной порции добавляли 3.10 мл DIAD (3.20 г, 16 ммоль, 1.1 экв.), нагревая при этом реакционную смесь. Затем реакционную смесь нагревали до 50°С и перемешивали при такой температуре в течение 30 мин, во время чего реакция достигла состояния полного превращения. Реакционную смесь непосредственно вводили в предварительно кондиционированную силикагелевую колонку, и затем сырой продукт очищали с помощью колоночной флэш-хроматографии, используя гептан и EtOAc в качестве элюентов. Сырой продукт кристаллизовали из МеОН с получением 4.64 г (9.24 ммоль, 66%) целевого продукта.

1H ЯМР (500 МГц, ДМСО-d6) δ м.д. 11.64 (br s, 1Н), 7.59 (dd, 1Н), 7.45 (dd, 1Н), 6.98 (t, 1Н), 4.06 (t, 2Н), 3.73 (s, 3Н), 3.22 (t, 2Н), 2.06 (m, 2Н), 1.46 (s, 9Н); 13С ЯМР (125 МГц, ДМСО-d6) δ м.д. 134.0, 124.9, 117.6, 68.2, 51.9, 30.5, 28.3, 23.2; МСВР-ЭРИ (m/z): [М+Н]+, рассчитано для C19H23N2O5FSI: 537.0351, найдено: 537.0348.

Синтез 1b: Метил 2-(трет-бутоксикарбониламино)-5-[3-[4-[3-[трет-бутоксикарбонил(метил)амино]проп-1-инил]-2-фторфенокси]пропил]тиазол-4-карбоксилат

500 мл высушенную в сушильном шкафу одногорлую, круглодонную колбу оснащали якорем магнитной мешалки с покрытием из ПТФЭ и устанавливали обратный холодильник. В нее загружали 13.41 г продукта Синтеза 1а (25 ммоль, 1 экв.), 8.46 г трет-бутил N-метил-N-проп-2-инилкарбамата (50 ммоль, 2 экв.) и 50 мл DIPA (36.10 г, 50 мл, 356.8 ммоль, 14.27 экв.), затем добавляли 125 мл сухого ТГФ и систему продували аргоном. После 5 минут перемешивания в инертной атмосфере, добавляли 549 мг Pd(PPh3)2Cl2 (1.25 ммоль, 0.05 экв.) и 238 мг CuI (1.25 ммоль, 0.05 экв.). Полученную в результате смесь затем нагревали до 60°С и перемешивали при такой температуре до тех пор, пока не перестанет наблюдаться протекание превращения. К реакционной смеси добавляли целит, и летучие вещества удаляли при пониженном давлении. Затем сырой продукт очищали с помощью колоночной флэш-хроматографии, используя гептан и EtOAc в качестве элюентов с получением 10.5 г (18.2 ммоль, 73%) целевого продукта.

1H ЯМР (500 МГц, ДМСО-d6) δ м.д. 11.65 (br s, 1Н), 7.31 (br d, 1Н), 7.21 (br d, 1H), 7.14 (t, 1H), 4.23 (s, 2H), 4.10 (t, 2H), 3.73 (s, 3H), 3.23 (t, 2H), 2.86 (s, 3H), 2.07 (m, 2H), 1.46/1.41 (s, 18H); 13C ЯМР (125 МГц, ДМСО-d6) δ м.д. 129.1, 119.2, 115.4, 68.1, 51.9, 38.6, 33.8, 30.5, 23.2; МСВР-ЭРИ (m/z): [M+H]+, рассчитано для C28H37FN3O7S: 578.2331, найдено: 578.2331.

Синтез 1 с: Метил 2-(трет-бутоксикарбониламино)-5-[3-[4-[3-(диметиламино)проп-1-инил]-2-фторфенокси]пропил]тиазол-4-карбоксилат

250 мл высушенную в сушильном шкафу одногорлую, круглодонную колбу оснащали якорем магнитной мешалки с покрытием из ПТФЭ и устанавливали обратный холодильник. В нее загружали 5.36 г продукта Синтеза 1а (10 ммоль, 1 экв.), 1.66 г N,N-диметилпроп-2-ин-1-амина (20 ммоль, 2 экв.) и 20 мл DIPA (142.7 ммоль, 14.27 экв.), затем добавляли 50 мл сухого ТГФ и систему продували аргоном. После 5 минут перемешивания в инертной атмосфере добавляли 220 мг Pd(PPh3)2Cl2 (0.5 ммоль, 0.05 экв.) и 95 мг CuI (0.5 ммоль, 0.05 экв.). Полученную в результате смесь затем нагревали до 60°С и перемешивали при такой температуре до тех пор, пока не перестанет наблюдаться протекание превращения. К реакционной смеси добавляли целит, и летучие вещества удаляли при пониженном давлении. Затем сырой продукт очищали с помощью колоночной флэш-хроматографии, используя ДХМ и МеОН (1.2% NH3) в качестве элюентов с получением 4.5 г (7.8 ммоль, 78%) целевого продукта.

1H ЯМР (500 МГц, ДМСО-d6) δ м.д. 11.66 (s, 1Н), 7.29 (dd, 1Н), 7.19 (m, 1Н), 7.12 (t, 1Н), 4.09 (t, 2Н), 3.73 (s, 3Н), 3.44 (s, 2Н), 3.23 (t, 2Н), 2.24 (s, 6Н), 2.07 (m, 2Н), 1.45 (s, 9Н); 13С ЯМР (125 МГц, ДМСО-d6) δ м.д. 162.8, 147.3, 129.0, 119.2, 115.4, 84.3, 68.0, 51.9, 48.1, 44.2, 30.6, 28.3, 23.2; МСВР-ЭРИ (m/z): [М+Н]+, рассчитано для C24H31FN3O5S: 492.1963, найдено: 492.1956.

Синтез 2а: 5-[трет-Бутил(диметил)силил]окси-4-[трет-бутил(дифенил)силил]оксипентан-1-ол Стадия А: пент-4-енил бензоат

30.00 г пент-4-ен-1-ола (0.35 моль, 1 экв.) и 58.5 мл N,N-диэтилэтанамина (0.42 моль, 1.2 экв.) смешивали в 200 мл ДХМ, затем охлаждали до 0°С. К смеси при 0°С с помощью капельной воронки добавляли 48.5 мл бензоилхлорида (0.42 моль, 1.2 экв.) в инертной атмосфере. После добавления смесь дополнительно перемешивали при 0°С в течение 30 мин, затем при к.т. ВН. Смесь разбавляли 100 мл ДХМ, затем органическую фазу промывали водой, 1 М NaOH, 1 М HCl и соляным раствором, соответственно. Органическую фазу сушили над MgSO4, фильтровали, концентрировали и очищали с помощью колоночной флэш хроматографии, используя гептан и EtOAc в качестве элюентов с получением 63.19 г (95%) целевого продукта в виде бесцветной жидкости.

1H ЯМР (500 МГц, ДМСО-d6) δ м.д. 7.97 (dd, 2Н), 7.66 (t, 1Н), 7.53 (t, 2Н), 5.91-5.81 (m, 1Н), 5.09-4.97 (m, 2Н), 4.27 (t, 2Н), 2.17 (q, 2Н), 1.81 (qv, 2Н); 13С ЯМР (125 МГц, ДМСО-d6) δ м.д. 166.2, 138.2, 133.8, 130.3, 129.6, 129.2, 115.8, 64.5, 30.1, 27.8; ГХ-МС-ЭИ (m/z): [М]+, рассчитано для C12H14O2: 190.1, найдено: 190.

Стадия В: 4,5-дигидроксипентил бензоат

42.22 г продукта со Стадии А (0.26 моль, 1.0 экв.) и 50.40 г гидрата 4-метил-4-оксидоморфолин-4-ия (0.37 моль, 1.7 экв.) смешивали в 360 мл 2-метилпропан-2-ола и 40 мл воды, затем добавляли 6.57 г тетраоксида осмия (2.5 мас. % в 2-метилпропан-2-оле, 0.64 ммоль, 0.002 экв.), и смесь перемешивали при 60°С в течение 24 ч. Наблюдали полное превращение. Смесь охлаждали до к.т.и добавляли 1 М Na2S2O3, затем перемешивали в течение еще 10 мин при к.т. Добавляли ДХМ и органическую фазу отделяли, промывали водой и соляным раствором, соответственно. Раствор сушили над MgSO4, фильтровали, концентрировали и очищали с помощью колоночной флэш-хроматографии, используя гептан и EtOAc в качестве элюентов с получением 36.9 г (63%) целевого продукта в виде белого твердого вещества.

1Н ЯМР (500 МГц, ДМСО-d6) δ м.д. 7.99-7.50 (m, 5Н), 4.50 (m, 2Н), 4.28 (m, 2Н), 3.45 (m, 1Н), 3.30-3.24 (m+m, 2Н), 1.85-1.72 (m+m, 2Н), 1.59-1.33 (m+m, 2Н); 13С ЯМР (125 МГц, ДМСО-d6) δ м.д. 166.2, 133.8-129.1, 71.2, 66.3, 65.5, 30.3, 25.2; МСВР-ЭРИ (m/z): [M+Na]+, рассчитано для C12H16NaO4: 247.0941, найдено: 247.0941.

Стадия С: 5-[трет-бутил(диметил)силил]окси-4-гидроксипентил] бензоат

24.86 г продукта со Стадии В (0.11 моль, 1 экв.) и 15.09 г имидазола (0.22 моль, 2 экв.) смешивали в 120 мл N,N-диметилформамида и затем охлаждали до -20°С в инертной атмосфере. Медленно в течение периода 30 минут добавляли 16.71 г трет-бутилхлордиметилсилана (0.11 моль, 1 экв.) в 40 мл N,N-диметилформамида, дополняли 10 мл ДХМ, затем оставляли нагреться до к.т.и дополнительно перемешивали ВН. Наблюдали полное превращение. Гасили конц. раствором NH4Cl, затем упаривали большую часть летучих веществ. К остатку добавляли EtOAc и воду, органическую фазу отделяли, затем промывали водой и соляным раствором, сушили над MgSO4, фильтровали, концентрировали и очищали с помощью колоночной флэш-хроматографии, используя гептан и EtOAc в качестве элюентов с получением 33.71 г (90%) целевого продукта в виде бесцветного масла.

1H ЯМР (500 МГц, ДМСО-d6) δ м.д. 7.95 (m, 2Н), 7.66 (m, 1Н), 7.52 (m, 2Н), 4.58 (d, 1Н), 4.29 (m, 2Н), 3.51-3.35 (dd+dd, 2Н), 3.48 (m, 1Н), 1.86-1.74 (m+m, 2Н), 1.67-1.34 (m+m, 2Н), 0.83 (s, 9Н), 0.01 (s, 6Н); 13С ЯМР (125 МГц, ДМСО-d6) δ м.д. 166.2, 133.7, 130.4, 129.5, 129.2, 70.6, 67.7, 65.3, 30.2, 26.3, 24.9, -4.9.

Стадия D: [5-[трет-бутил(диметил)силил]окси-4-[трет-бутил(дифенил)силил]оксипентил] бензоат

33.51 г продукта со Стадии С (0.10 моль, 1 экв.), 16.85 г имидазола (0.25 моль, 2.5 экв.) и 1.21 г N,N-диметилпиридин-4-амина (0.01, 0.1 экв.) смешивали в 230 мл N,N-диметилформамида, затем медленно добавляли 38 мл трет-бутилхлордифенилсилана (0.15 моль, 1.5 экв.), дополняли 20 мл N,N-диметилформамида и затем перемешивали при 50°С в течение ночи. Наблюдали полное превращение. Смесь охлаждали до к.т., гасили конц. раствором NH4Cl, затем упаривали большую часть летучих веществ. К остатку добавляли EtOAc и воду, органическую фазу отделяли, затем промывали водой и соляным раствором, сушили над MgSO4, фильтровали, концентрировали и очищали с помощью колоночной флэш-хроматографии, используя гептан и EtOAc в качестве элюентов с получением 56.43 г (99%) целевого продукта в виде бесцветного вязкого масла.

1Н ЯМР (500 МГц, ДМСО-d6) δ м.д. 7.91-7.37 (m, 15Н), 4.17 (m, 2 Н), 3.76 (m, 1Н), 3.45 (m, 2Н), 1.72 (m, 2Н), 1.66-1.57 (m+m, 2Н), 0.99 (s, 9Н), 0.74 (s, 9Н), -0.12/-0.16 (s+s, 6Н); 13С ЯМР (125 МГц, ДМСО-d6) δ м.д. 166.1, 136.0-128.0, 73.3, 66.0, 65.1, 30.3, 27.3, 26.1, 24.0, -5.1; МСВР-ЭРИ (m/z): [M+Na]+, рассчитано для C34H48NaO4Si2: 599.2983, найдено: 599.2981.

Стадия Е: 5-[трет-бутил(диметил)силил]окси-4-[трет-бутил(дифенил)силил]оксипентан-1-ол

46.10 г продукта со Стадии D (0.08 моль, 1 экв.) растворяли в 227 мл МеОН и 117 мл ТГФ, и затем медленно добавляли 12.79 г NaOH (0.32 моль, 4.0 экв.) в 85 мл воды при охлаждении смеси льдом. После добавления смесь оставляли перемешиваться при к.т. о тех пор, пока не наблюдали полного превращения (прибл. 4 ч). Добавляли EtOAc и воду, затем смесь разделяли и органическую фазу промывали соляным раствором, сушили над MgSO4, фильтровали, концентрировали и очищали с помощью колоночной флэш-хроматографии, используя гептан и EtOAc в качестве элюентов с получением 29.32 г (78%) целевого продукта в виде бесцветного масла.

1Н ЯМР (500 МГц, ДМСО-d6) δ м.д. 7.65-7.37 (m, 10Н), 4.34 (t, 1Н), 3.71 (m, 1Н), 3.42 (m, 2Н), 3.26 (m, 2Н), 1.52 (m, 2Н), 1.42 (m, 2Н), 0.99 (s, 9Н), 0.77 (s, 9Н), -0.13 (s, 6Н); 13С ЯМР (125 МГц, ДМСО-d6) δ м.д. 135.8, 135.8, 134.3, 134.0, 130.3, 130.2, 128.2, 128.0, 74.0, 66.4, 61.4, 30.4, 28.3, 27.3, 26.2, -5.1; МСВР-ЭРИ (m/z): [M+Na]+, рассчитано для C27H44NaO3Si2: 495.2721, найдено: 495.2706.

Синтез 2b: 5-[трет-Бутил(диметил)силил]окси-4-метоксипентан-1-ол

Стадия А: [5-[трет-бутил(диметил)силил]окси-4-метоксипентил] бензоат

3.66 г продукта Синтеза 2а, Стадия С (10.8 ммоль, 1 экв.), 6.95 г N1,N1,N8,N8-тетраметилнафталин-1,8-диамина (32.4 ммоль, 3 экв.) и небольшую порцию молекулярных сит смешивали в 210 мл ДХМ, затем в виде одной порции добавляли 4.00 г тетрафторбората триметилоксония (27.0 ммоль, 2.5 экв.), и смесь перемешивали при к.т. в течение 5 ч. Наблюдали полное превращение. Смесь фильтровали через набивку целита, промывали с помощью ДХМ, затем концентрировали. Остаток повторно растворяли в ДХМ и промывали водой, 1 М CuSO4 и соляным раствором, соответственно. Раствор сушили над MgSO4, фильтровали, концентрировали на целите и очищали с помощью колоночной флэш-хроматографии, используя гептан и EtOAc в качестве элюентов с получением 2.58 г (68%) целевого продукта в виде бесцветного масла.

1Н ЯМР (400 МГц, ДМСО-d6) δ м.д. 7.95 (d, 2Н), 7.65 (t, 1Н), 7.51 (t, 2Н), 4.27 (t, 2Н), 3.56 (ddd, 2Н), 3.30 (s, 3Н), 3.23-3.18 (m, 1Н), 1.84-1.44 (m, 4Н), 0.83 (s, 9Н), 0.02 (s, 6Н); 13С ЯМР (100 МГц, ДМСО-d6) δ м.д. 165.7, 133.2, 129.9, 129.0, 128.7, 80.5, 64.7, 63.9, 57.0, 27.2, 25.7, 24.2, 17.9, -5.5, -5.5.

Стадия В: 5-[трет-бутил(диметил)силил]окси-4-метоксипентан-1-ол 2.54 г продукта со Стадии А (7.20 моль, 1 экв.) растворяли в 54 мл МеОН, затем к смеси медленно добавляли 1.44 г NaOH (36 ммоль, 5.0 экв.) в 18 мл воды. После добавления смесь перемешивали при к.т. о тех пор, пока не наблюдали полного превращения (прибл. 1.5 ч). Добавляли EtOAc и воду, затем смесь разделяли и органическую фазу промывали соляным раствором, сушили над MgSO4, фильтровали и концентрировали с получением 1.76 г (98%) целевого продукта в виде светло-желтого масла.

1Н ЯМР (400 МГц, ДМСО-d6) δ м.д. 4.37 (t, 1Н), 3.58-3.50 (m, 2Н), 3.39-3.32 (m, 2Н), 3.29 (s, 3Н), 3.17-3.10 (m, 1Н), 1.51-1.32 (m, 4Н), 0.86 (s, 9Н), 0.03 (s, 6Н); 13С ЯМР (100 МГц, ДМСО-d6) δ м.д. 81.0, 64.4, 60.9, 57.0, 28.4, 27.2, 25.8, 18.0, -5.4, -5.4; ЖХ-МС-ЭРИ (m/z): [М+Н]+, рассчитано для C12H29O3Si: 249.2, найдено: 249.2.

Синтез 2с: 5-Метокси-4-триизопропилсилилоксипентан-1-ол

Стадия А: [5-[трет-бутил(диметил)силил]окси-4-триизопропилсилилоксипентил] бензоат

2.0 г продукта Синтеза 2а, Стадия С (5.91 ммоль, 1 экв.), и 1.21 г имидазола (17.73 ммоль, 3 экв.) смешивали в 6 мл N,N-диметилформамида, затем в виде одной порции добавляли 1.71 г хлор(триизопропил)силана (8.86 моль, 1.5 экв.), и смесь перемешивали при 60°С в течение 3.5 ч. Добавляли дополнительные количества хлор(триизопропил)силана (0.5 экв.) и имидазола (1 экв.), и перемешивали в течение еще 3 ч. Наблюдали полное превращение. Смесь охлаждали до к.т., затем добавляли EtOAc и воду, органическую фазу отделяли, промывали соляным раствором, сушили над MgSO4, фильтровали, концентрировали на целите и очищали с помощью колоночной флэш-хроматографии, используя гептан и EtOAc в качестве элюентов с получением 2.27 г (99%) целевого продукта в виде бесцветного вязкого масла.

1Н ЯМР (400 МГц, ДМСО-d6) δ м.д. 7.94 (d, 2Н), 7.66 (t, 1Н), 7.52 (t, 2Н), 4.29 (t, 2Н), 3.86 (qv, 1Н), 3.53 (ddd, 2Н), 1.83-1.56 (m, 4Н), 1.02 (m, 21Н), 0.84 (s, 9Н), 0.02 (s, 6Н).

Стадия В: (5-гидрокси-4-триизопропилсилилоксипентил) бензоат Используя Общую методику снятия трет-бутилдиметилсилильной защитной группы, исходя из 2.25 г продукта со Стадии А (4.54 ммоль, 1 экв.) с последующей очисткой с помощью колоночной флэш-хроматографии, используя гептан и EtOAc в качестве элюентов, получали 1.13 г (65%) целевого продукта.

1Н ЯМР (400 МГц, ДМСО-d6) δ м.д. 7.95 (d, 2Н), 7.65 (t, 1Н), 7.52 (t, 2Н), 4.63 (t, 1Н), 4.29 (qv, 2Н), 3.85-3.78 (m, 1Н), 3.45-3.26 (m, 2Н), 1.83-1.54 (m, 4Н), 1.01 (s, 21H); ЖХ-МС-ЭРИ (m/z): [M+H]+, рассчитано для C21H37O4Si: 381.2, найдено: 381.3.

Стадия С: (5-метокси-4-триизопропилсилилоксипентил) бензоат 1.11 г продукта со Стадии В (2.91 ммоль, 1 экв.) и 1.87 г N1,N1,N8,N8-тетраметилнафталин-1,8-диамина (8.7 ммоль, 3 экв.) смешивали в 45 мл ДХМ, затем в виде одной порции добавляли 1.87 г тетрафторбората триметилоксония (8.7 ммоль, 3 экв.), и смесь перемешивали при к.т. в течение 4 ч. Наблюдали полное превращение. Смесь фильтровали через набивку целита, промывали с помощью ДХМ, затем органическую фазу промывали водой, 1 М CuSO4 и соляным раствором, соответственно. Раствор сушили над MgSO4, фильтровали, концентрировали на целите и очищали с помощью колоночной флэш-хроматографии, используя гептан и EtOAc в качестве элюентов с получением 963 мг (84%) целевого продукта в виде бесцветного масла.

1Н ЯМР (400 МГц, ДМСО-d6) δ м.д. 7.95 (d, 2Н), 7.66 (t, 1Н), 7.52 (t, 2Н), 4.28 (t, 2Н), 3.96 (qv, 1Н), 3.31 (d, 2Н), 3.25 (s, 3Н), 1.82-1.54 (m, 4Н), 1.01 (m, 21Н); 13С ЯМР (100 МГц, ДМСО-d6) δ м.д. 165.7, 133.3, 129.8, 129.0, 128.7, 75.9, 70.4, 64.7, 58.4, 30.7, 23.5, 18.0, 17.9, 12.0.

Стадия D: 5-метокси-4-триизопропилсилилоксипентан-1-ол 953 мг продукта со Стадии С (2.41 ммоль, 1 экв.) растворяли в 12 мл МеОН и 6 мл ТГФ, затем медленно добавляли 487 мг NaOH (12.1 ммоль, 5.0 экв.) в 6 мл воды. После добавления смесь оставляли перемешиваться при к.т.до тех пор, пока не наблюдали полного превращения (прибл. 2 ч). Добавляли EtOAc и воду, затем смесь разделяли и органическую фазу промывали соляным раствором, сушили над MgSO4, фильтровали, концентрировали на целите и очищали с помощью колоночной флэш-хроматографии, используя гептан и EtOAc в качестве элюентов с получением 687 мг (78%) целевого продукта в виде бесцветного масла.

1Н ЯМР (500 МГц, ДМСО-d6) δ м.д. 4.39 (t, 1Н), 3.89 (m, 1Н), 3.37 (m, 2Н), 3.27 (d, 2Н), 3.24 (s, 3Н), 1.47 (m, 2Н), 1.47 (m, 2Н), 1.03 (m,21Н); 13С ЯМР (125 МГц, ДМСО-d6) δ м.д. 76.8, 71.4, 61.4, 58.8, 31.4, 28.3, 18.5, 12.5; МСВР-ЭРИ (m/z): [М+Н]+, рассчитано для C15H35O-3Si: 291.2350, найдено: 291.2349.

Синтез 2d: 4-[трет-Бутил(диметил)силил]окси-5-(диметиламино)пентан-1-ол

Стадия А: 3-(оксиран-2-ил)пропил бензоат

19.01 г 3-хлорбензолкарбопероксовой кислоты (77 мас. %, 85.83 ммоль, 1.3 экв.) растворяли в ДХМ (3 мл/ммоль) в делительной воронке, затем органическую фазу (3-4 мл воды отбрасывали) непосредственно добавляли к раствору 12.41 г продукта Синтеза 2а, Стадия А (65.25 ммоль, 1 экв.), в ДХМ (3 мл/ммоль), и перемешивали при к.т. в течение 4 ч. Наблюдали полное превращение. Добавляли 100 мл ДХМ, затем промывали с 2×100 мл конц. раствора NaHCO3 и 1×100 мл соляного раствора, сушили над MgSO4, фильтровали, концентрировали и очищали с помощью колоночной флэш-хроматографии, используя гептан и EtOAc в качестве элюентов с получением 13.92 г (колич.) целевого продукта в виде бесцветного масла.

1H ЯМР (400 МГц, ДМСО-d6) δ м.д. 7.97 (dm, 2Н), 7.66 (tm, 1Н), 7.53 (tm, 2Н), 4.31 (m, 2Н), 2.97 (m, 1Н), 2.68-2.48 (dd+dd, 2Н), 1.84 (m, 2Н), 1.67-1.56 (m+m, 2Н); 13С ЯМР (100 МГц, ДМСО-d6) δ м.д. 166.2, 133.8, 129.6, 129.3, 64.8, 51.7, 46.6, 29.1, 25.4; МСВР-ЭИ (m/z): [М]+, рассчитано для C12H14O3: 206.0943, найдено: 206.0941.

Стадия В: [4-[трет-бутил(диметил)силил]окси-5-(диметиламино)пентил]бензоат

7.01 г продукта со Стадии А (34 ммоль, 1 экв.) и 51 мл раствора диметиламина (2 M в МеОН, 102 ммоль, 3 экв.) смешивали в запаянной трубке и перемешивали при 60°С в течение 1 ч. Наблюдали полное превращение. Реакционную смесь концентрировали и [5-(диметиламино)-4-гидроксипентил]бензоат получали в виде вязкого светло-желтого масла. МСВР-ЭРИ (m/z): [М+Н]+, рассчитано для C14H22NO3: 252.1594, найдено: 252.1597.

Сырой продукт повторно растворяли в N,N-диметилформамиде (2 мл/ммоль), затем добавляли 6.95 г имидазола (102 ммоль, 3 экв.), 208 мг N,N-диметилпиридин-4-амина (1.70 ммоль, 0.05 экв.) и, после просветления смеси, в виде одной порции добавляли раствор 12.8 г трет-бутилхлордиметилсилана (85.0 ммоль, 2.5 экв.). Смесь перемешивали при 60°С в течение 3 ч (наблюдали степень превращения>95%). Смесь охлаждали до к.т., затем добавляли 3-4 мл конц. раствора NH4Cl, перемешивали в течение 5 минут, затем летучие вещества упаривали. Добавляли 300 мл EtOAc, 50 мл воды и 50 мл конц. раствора NaHCO3, и затем органический слой отделяли. Органическую фазу промывали 1×50 мл H2O, 1×50 мл соляного раствора, затем сушили над MgSO4, фильтровали и затем концентрировали. Сырой продукт очищали с помощью колоночной флэш-хроматографии, используя ДХМ и МеОН в качестве элюентов с получением 8.37 г (67%) целевого продукта в виде бесцветного масла.

1H ЯМР (400 МГц, ДМСО-d6) δ м.д. 7.99-7.49 (m, 5Н), 4.29-4.27 (m+m, 2Н), 3.78 (m, 1Н), 2.20-2.17 (dd+dd, 2Н), 2.13 (s, 6Н), 1.80-1.73 (m+m, 2Н), 1.67-1.46 (m+m, 2Н), 0.84 (s, 9Н), 0.05 (s, 3Н), 0.04 (s, 3Н); 13С ЯМР (100 МГц, ДМСО-d6) δ м.д. 166.2, 130.3, 70.0, 66.0, 65.3, 46.6, 32.0, 26.3, 24.5, -3.8, -4.4; МСВР-ЭРИ (m/z): [М+Н]+, рассчитано для C20H36NO3Si: 366.2459, найдено: 366.2463.

Стадия С: 4-[трет-бутил(диметил)силил]окси-5-(диметиламино)пентан-1-ол

3.12 г продукта со Стадии В (8.53 ммоль, 1 экв.) растворяли в 34 мл МеОН и 17 мл ТГФ, затем медленно добавляли 1.36 г NaOH (34 ммоль, 4.0 экв.) в 17 мл воды. После добавления смесь оставляли перемешиваться при к.т. до тех пор, пока не наблюдали полного превращения (прибл. 1.5 ч). Добавляли EtOAc и воду, затем смесь разделяли и органическую фазу промывали соляным раствором, сушили над MgSO4, фильтровали, концентрировали на целите и очищали с помощью колоночной флэш-хроматографии, используя ДХМ и МеОН в качестве элюентов с получением 1.60 г (72%) целевого продукта в виде бесцветного масла.

1Н ЯМР (400 МГц, CDCl3) 3.83-3.76 (m, 1Н), 3.65-3.55 (m, 3Н), 2.31 (ddd, 2Н), 2.22 (s, 6Н), 1.72-1.54 (m, 4Н), 0.87 (s, 9Н), 0.05 (s, 3Н), 0.05 (s, 3Н); 13С ЯМР (100 МГц, CDCl3) δ м.д.; 70.1, 65.2, 62.9, 46.4, 31.9, 27.9, 26.0, 18.2, -4.36, -4.62; МСВР-ЭРИ (m/z): [М+Н]+, рассчитано для C13H32NO2Si: 262.2197, найдено: 262.2197.

Синтез 2е: 4-[трет-Бутил(диметил)силил]окси-5-морфолино-пентан-1-ол

Стадия А: [4-[трет-бутил(диметил)силил]окси-5-морфолинопентил] бензоат

1.50 г продукта Синтеза 2d, Стадия А (7.27 ммоль, 1 экв.), и 1.91 г морфолина (21.87 ммоль, 3 экв.) перемешивали в 15 мл MeCN при 82°С в течение 24 ч. Реакционную смесь концентрировали и (4-гидрокси-5-морфолинопентил) бензоат получали в виде вязкого светло-желтого масла. ЖХ-МС-ЭРИ (m/z): [М+Н]+, рассчитано для C16H24NO4: 294.2, найдено: 294.2.

Сырой продукт повторно растворяли в 7 мл N,N-диметилформамида, затем добавляли 1.19 г имидазола (17.52 ммоль, 3 экв.) и, после просветления смеси, в виде одной порции добавляли раствор 1.76 г трет-бутилхлордиметилсилана (11.68 ммоль, 2 экв.). Смесь перемешивали при 60°С в течение 2 ч. Смесь охлаждали до к.т., затем добавляли EtOAc, и органический слой промывали H2O, соляным раствором, затем сушили над MgSO4, фильтровали и затем концентрировали на целите. Сырой продукт очищали с помощью колоночной флэш-хроматографии, используя гептан и EtOAc в качестве элюентов с получением 2.18 г (92%) целевого продукта в виде бесцветного масла.

1H ЯМР (400 МГц, ДМСО-d6) δ м.д. 7.96 (dd, 2Н), 7.66 (t, 1Н), 7.53 (t, 2Н), 4.29 (t, 2Н), 3.85 (m, 1Н), 3.52 (t, 4Н), 2.42-2.30 (m, 4Н), 2.26 (t, 2Н), 1.85-1.44 (m, 4Н), 0.85 (s, 9Н), 0.07 (s, 3Н), 0.04 (s, 3Н); 13С ЯМР (100 МГц, CDCl3) δ м.д. 165.7, 133.3, 129.9, 129.0, 128.7, 68.7, 66.2, 64.8, 64.7, 54.2, 31.6, 25.8, 24.1, 17.8, -4.2, -4.8; ЖХ-МС-ЭРИ (m/z): [М+Н]+, рассчитано для C22H38NO4Si: 408.3, найдено: 408.3.

Стадия В: 4-[трет-бутил(диметил)силил]окси-5-морфолинопентан-1-ол

2.18 г продукта со Стадии А (8.53 ммоль, 1 экв.) растворяли в 20 мл МеОН и 20 мл ТГФ, затем в виде одной порции добавляли 2.22 г K2CO3 (16.06 ммоль, 3.0 экв.). После добавления смесь оставляли перемешиваться при к.т. до тех пор, пока не наблюдали полного превращения. Большую часть летучих веществ упаривали, затем добавляли EtOAc и воду, смесь разделяли и органическую фазу промывали соляным раствором, сушили над MgSO4, фильтровали и концентрировали. Получали 1.49 г (72%) целевого продукта в виде бесцветного масла.

1H ЯМР (400 МГц, ДМСО-d6) δ м.д. 7.97 (d, 2Н), 7.66 (t, 1Н), 7.53 (t, 2Н), 4.37 (t, 1Н), 3.80-3.72 (m, 1Н), 3.55 (t, 4Н), 3.37 (q, 2Н), 2.44-2.29 (m, 4 Н), 2.22 (ddd, 2Н), 1.56-1.29 (m, 4Н), 0.85 (s, 9Н), 0.06 (s, 3Н), 0.04 (s, 3Н); 13С ЯМР (100 МГц, ДМСО-d6) δ м.д. 69.3, 66.2, 65.3, 61.0, 54.3, 32.1, 28.5, 25.8, 17.9, -4.2, -4.7; ЖХ-МС-ЭРИ (m/z): [М+Н]+, рассчитано для C15H34NO3Si: 304.2, найдено: 304.3.

Синтез 2f: 4-[трет-Бутил(диметил)силил]окси-5-[2-(диметиламино)этилметиламино]пентан-1-ол

Стадия А: [4-[трет-бутил(диметил)силил]окси-5-[2-(диметиламино)этилметиламино]пентил] бензоат

908 мг продукта Синтеза 2d, Стадия А (4.40 ммоль, 1 экв.), и 1.35 г N,N',N'-триметилэтан-1,2-диамина (13.2 ммоль, 3 экв.) перемешивали в 12 мл MeCN при 82°С ВН. Реакционную смесь концентрировали и [5-[2-(диметиламино)этилметиламино]-4-гидроксипентил]бензоат получали в виде вязкого светло-желтого масла. ЖХ-МС-ЭРИ (m/z): [М+Н]+, рассчитано для C17H29N2O3: 309.2, найдено: 309.3.

Сырой продукт повторно растворяли в 4 мл N,N-диметилформамида, затем добавляли 609 мг имидазола (8.95 ммоль, 3 экв.) и, после просветления смеси, в виде одной порции добавляли раствор 898 мг трет-бутилхлордиметилсилана (5.96 ммоль, 2 экв.). Смесь перемешивали при 60°С в течение 2 ч. Смесь охлаждали до к.т., затем добавляли EtOAc, и органический слой промывали H2O, соляным раствором, затем сушили над MgSO4, фильтровали и затем концентрировали на целите. Сырой продукт очищали с помощью колоночной флэш-хроматографии, используя ДХМ и МеОН в качестве элюентов с получением 1.11 г (88%) целевого продукта в виде бесцветного масла.

1Н ЯМР (400 МГц, ДМСО-d6) δ м.д. 7.95 (d, 2Н), 7.66 (t, 1Н), 7.52 (t, 2Н), 4.28 (t, 2Н), 3.81-3.74 (m, 1Н), 2.42-2.36 (m, 2Н), 2.32-2.26 (m, 4Н), 2.16 (s, 3Н), 2.10 (s, 6Н), 1.83-1.40 (m, 4Н), 0.84 (s, 9Н), 0.05 (s, 3Н), 0.04 (s, 3Н); 13С ЯМР (100 МГц, ДМСО-d6) δ м.д. 165.7, 133.3, 129.9, 129.0, 128.7, 69.8, 64.8, 63.9, 57.0, 56.1, 45.4, 43.4, 31.5, 25.8, 24.0, 17.8, -4.3, -4.8; ЖХ-МС-ЭРИ (m/z): [М+Н]+, рассчитано для C23H43N2O3Si: 423.3, найдено: 423.3.

Стадия В: 4-[трет-бутил(диметил)силил]окси-5-[2-(диметиламино)этилметиламино]пентан-1-ол

3.42 г продукта со Стадии А (8.09 ммоль, 1 экв.) растворяли в 40 мл МеОН и 20 мл ТГФ, затем в виде одной порции добавляли 1.62 г NaOH (40.5 ммоль, 5.0 экв.) в 20 мл воды. После добавления смесь перемешивали при к.т. до тех пор, пока не наблюдали полного превращения. Добавляли EtOAc и воду, смесь разделяли и органическую фазу промывали соляным раствором, сушили над MgSO4, фильтровали и концентрировали. Получали 2.60 г (колич.) целевого продукта в виде светло-желтого масла.

1Н ЯМР (500 МГц, ДМСО-d6) δ м.д. 3.69 (m, 1Н), 3.36 (t, 2Н), 2.39 (m, 2Н), 2.30 (m, 2Н), 2.25 (m, 2Н), 2.16 (s, 3Н), 2.13 (s, 6Н), 1.56-1.30 (m+m, 2Н), 1.50-1.40 (m+m, 2H), 0.85 (s, 9H), 0.04 (s, 3Н), 0.03 (s, 3Н); 13C ЯМР (125 МГц, ДМСО-d6) δ м.д. 70.7, 64.8, 61.5, 57.5, 56.7, 46.0, 43.8, 32.3, 29.0, 26.3, -3.8, -4.3; МСВР-ЭРИ (m/z): [М+Н]+, рассчитано для C16H39N2O2Si: 319.2775, найдено: 319.2788.

Синтез 2g: 3-[трет-Бутил(диметил)силил]окси-4-морфолинобутан-1-ол

Стадия А: 2-(оксиран-2-ил)этил бензоат

4.063 г бут-3-енил бензоата (23.06 ммоль, 1 экв.) растворяли в 50 мл CHCl3, затем добавляли 4.97 г 3-хлорбензолкарбопероксовой кислоты (77 мас. %, 28.80 ммоль, 1.25 экв.), и перемешивали при к.т. ВН. Добавляли 60 мл ДХМ, затем промывали конц. раствором NaHCO3 и соляным раствором, сушили над MgSO4, фильтровали, концентрировали и очищали с помощью колоночной флэш-хроматографии, используя гептан и EtOAc в качестве элюентов с получением 3.81 г (86%) целевого продукта в виде бесцветного масла.

1Н ЯМР (400 МГц, ДМСО-d6) δ м.д. 7.98 (d, 2Н), 7.66 (t, 1Н), 7.53 (t, 2Н), 4.39 (t, 2Н), 3.11-3.05 (m, 1Н), 2.73 (t, 1Н), 2.53 (dd, 1Н), 2.03-1.82 (m, 2Н); 13С ЯМР (100 МГц, ДМСО-d6) δ м.д. 165.7, 133.4, 129.7, 129.2, 128.8, 62.0, 49.2, 45.9, 31.4; ЖХ-МС-ЭРИ (m/z): [М+Н]+, рассчитано для С11Н13О3: 193.1, найдено: 193.1.

Стадия В: [3-[трет-бутил(диметил)силил]окси-4-морфолинобутил] бензоат

723 мг продукта со Стадии А (3.76 ммоль, 1 экв.) и 983 мг морфолина (11.28 ммоль, 3 экв.) перемешивали в 10 мл MeCN при 82°С в течение 24 ч. Реакционную смесь концентрировали и (3-гидрокси-4-морфолинобутил) бензоат получали в виде вязкого светло-желтого масла. ЖХ-МС-ЭРИ (m/z): [М+Н]+, рассчитано для C15H22NO4: 280.2, найдено: 280.2.

Сырой продукт повторно растворяли в 5 мл N,N-диметилформамида, затем добавляли 487 мг имидазола (7.15 ммоль, 3 экв.) и, после просветления смеси, в виде одной порции добавляли раствор 719 мг трет-бутилхлордиметилсилана (4.77 ммоль, 2 экв.). Смесь перемешивали при 60°С в течение 2 ч. Охлаждали до к.т., затем добавляли EtOAc, и органический слой промывали H2O, соляным раствором, затем сушили над MgSO4, фильтровали и затем концентрировали на целите. Сырой продукт очищали с помощью колоночной флэш-хроматографии, используя гептан и EtOAc в качестве элюентов с получением 669 мг (71%) целевого продукта в виде бесцветного масла.

1Н ЯМР (400 МГц, ДМСО-d6) δ м.д. 7.96 (d, 2Н), 7.66 (t, 1Н), 7.53 (t, 2Н), 4.42-4.26 (m, 2Н), 4.04-3.97 (m, 1Н), 3.54 (t, 4Н), 2.45-2.27 (m, 6Н), 2.08-1.98 (m, 1Н), 1.82-1.73 (m, 1Н), 0.85 (s, 9Н), 0.07 (s, 3Н), 0.02 (s, 3Н); 13С ЯМР (100 МГц, ДМСО-d6) δ м.д. 165.7, 133.3, 129.8, 129.0, 128.8, 66.3, 66.2, 65.1, 61.7, 54.2, 34.3, 25.8, 17.8, -4.2, -5.1; ЖХ-МС-ЭРИ (m/z): [М+Н]+, рассчитано для C21H36NO4Si: 394.2, найдено: 394.3.

Стадия С: 3-[трет-бутил(диметил)силил]окси-4-морфолинобутан-1-ол

366 мг продукта со Стадии В (0.93 ммоль, 1 экв.) растворяли в 2 мл МеОН и 6.75 мл ТГФ, затем в виде одной порции добавляли 186 мг NaOH (4.65 ммоль, 5.0 экв.) в 2.25 мл воды. После добавления смесь оставляли перемешиваться при к.т.до тех пор, пока не наблюдали полного превращения. Добавляли EtOAc и воду, смесь разделяли и органическую фазу промывали соляным раствором, сушили над MgSO4, фильтровали и концентрировали. Получали 262 мг (97%) целевого продукта в виде бесцветного масла.

1Н ЯМР (400 МГц, ДМСО-d6) δ м.д. 4.42 (br., 1Н), 3.93-3.87 (m, 1Н), 3.55 (t, 4Н), 3.52-3.41 (m, 2Н), 2.37 (dm, 4Н), 2.29-2.20 (m, 2Н), 1.73-1.66 (m, 1Н), 1.52-1.44 (m, 1Н), 0.85 (s, 9Н), 0.06 (s, 3Н), 0.04 (s, 3Н); 13С ЯМР (100 МГц, ДМСО-d6) δ м.д. 66.2, 65.4, 57.4, 54.2, 39.0, 25.8, 17.8, -4.3, -4.8; ЖХ-МС-ЭРИ (m/z): [М+Н]+, рассчитано для C14H32NO3Si: 290.2, найдено: 290.3.

Синтез 2h: 3-[трет-Бутил(диметил)силил]окси-4-метоксибутан-1-ол Стадия А: метил 3-гидрокси-4-метоксибутаноат

К 1.00 г метил 4-метокси-3-оксобутаноата (6.84 ммоль, 1 экв.) в 30 мл МеОН при 0°С порциями добавляли 264 мг NaBH4 (6.98 ммоль, 1 экв.), и смесь перемешивали при 0°С в течение 10 ч. После концентрирования остаток разбавляли водой и экстрагировали с помощью EtOAc. Объединенные органические фазы сушили и концентрировали с получением 0.72 г (71%) целевого продукта.

1Н ЯМР (400 МГц, ДМСО-d6) δ м.д. 4.97 (d, 1Н), 3.97 (m, 1Н), 3.58 (s, 3Н), 3.27 (dd, 1Н), 3.24 (s, 3Н), 3.20 (dd, 1Н), 2.46 (dd, 1Н), 2.27 (dd, 1Н).

Стадия В: метил 3-[трет-бутил(диметил)силил]окси-4-метоксибутаноат

К 8.89 г продукта со Стадии А (60 ммоль, 1 экв.) и 4.3 г имидазола (63.2 ммоль, 1.05 экв.) в 100 мл ДМФА в виде одной порции добавляли 10 г трет-бутилхлордиметилсилана (66.3 ммоль, 1.1 экв.), и смесь перемешивали в течение 18 ч. После разбавления смеси с помощью 300 мл соляного раствора и экстрагирования с помощью EtOAc, объединенные органические фазы сушили, концентрировали и очищали с помощью колоночной флэш-хроматографии, используя гептан и EtOAc в качестве элюентов с получением 11.77 г (75%) целевого продукта.

1Н ЯМР (400 МГц, ДМСО-d6) δ м.д. 4.17 (sx, 1Н), 3.58 (s, 3Н), 3.27 (m. 2Н), 3.26 (s, 3Н), 2.54 (dd, 1Н), 2.32 (dd, 1Н), 0.82 (s, 9Н), 0.03 (d, 6Н).

Стадия С: 3-[трет-бутил(диметил)силил]окси-4-метоксибутан-1-ол

К 10.77 г продукта со Стадии В (41 ммоль, 1 экв.) в 288 мл ДХМ при 0°С медленно добавляли 124 мл DIBAL-H (1 M в ТГФ, 124 ммоль, 3 экв.). Затем смесь перемешивали в течение 2.5 ч при 0°С, последовательно добавляли 5 мл воды, 5 мл 15 мас. % раствора NaOH, 0.5 мл воды и безводный MgSO4. После перемешивания в течение 15 мин, смесь фильтровали и концентрировали с получением 6.73 г (70%) целевого продукта.

1Н ЯМР (500 МГц, ДМСО-d6) δ м.д. 4.34 (t, 1Н), 3.89 (m, 1Н), 3.48/3.44 (m+m, 2Н), 3.24 (s, 3Н), 3.24/3.21 (dd+dd, 2Н), 1.59/1.46 (m+m, 2Н), 0.85 (s, 9Н), 0.04/0.03 (s+s, 6Н); МСВР-ЭРИ (m/z): [М+Н]+, рассчитано для C11H27O3Si: 235.1729, найдено: 235.1725.

Синтез 2i: 4-[трет-Бутил(диметил)силил]окси-3-метоксибутан-1-ол

Стадия А: 3,4-дигидроксибутил бензоат

Смесь 20.1 г бут-3-енил бензоата (113.5 ммоль, 1 экв.), 21.8 г гидрата 4-метил-4-оксидоморфолин-4-ия (161.3 ммоль, 1.42 экв.) и 2.83 г тетраоксида осмия (2.5 мас. % в 2-метилпропан-2-оле, 0.28 ммоль, 0.0025 экв.) в 227 мл 2-метилпропан-2-ола и 27 мл воды перемешивали при 60°С в течение 18 ч. Затем реакционную смесь гасили путем добавления при к.т.270 мл 1 М раствора Na2S2O3, смесь разбавляли с помощью ДХМ и органическую фазу промывали водой и соляным раствором, сушили и концентрировали с получением 22.22 г (93%) 3,4-дигидроксибутил бензоата.

1Н ЯМР (500 МГц, ДМСО-d6) δ м.д. 7.97 (m, 2Н), 7.65 (m, 1Н), 7.53 (m, 2Н), 4.68 (d, 1Н), 4.59 (t, 1Н), 4.39/4.34 (m+m, 2Н), 3.63 (m, 1Н), 3.37/3.30 (m+m, 2Н), 1.93/1.64 (m+m, 2H); 13C ЯМР (125 МГц, ДМСО-d6) δ м.д. 166.2, 133.7, 129.5, 129.2, 68.5, 66.4, 62.5, 33.0; МСВР-ЭРИ (m/z): [М+Н]+, рассчитано для C11H15O4: 211.0970, найдено: 211.0971.

Стадия В: [4-[трет-бутил(диметил)силил]окси-3-гидроксибутил] бензоат

К 10 г продукта со Стадии А (47.6 ммоль, 1 экв.) и 6.52 г имидазола (0.096 моль, 2 экв.) в 100 мл ДМФА в виде одной порции добавляли 7.17 г трет-бутилхлордиметилсилана (47.6 ммоль, 1 экв.), и смесь перемешивали в течение 1 ч. Затем смесь разбавляли EtOAc, органическую фазу промывали конц. NaHCO3, водой и соляным раствором, сушили над MgSO4, фильтровали, и концентрировали с получением 14.1 г (91%) целевого продукта.

1Н ЯМР (400 МГц, ДМСО-d6) δ м.д. 7.95 (m, 2Н), 7.64 (m, 1Н), 7.51 (t, 2Н), 4.76 (s, 1Н), 4.38 (m, 2Н), 3.65 (m, 1Н), 3.56 (dd, 1Н), 3.43 (dd, 1Н), 1.96 (m, 1Н), 1.65 (m, 1Н), 0.84 (s, 9Н), 0.02 (s, 6Н).

Стадия С: [4-[трет-бутил(диметил)силил]окси-3-метоксибутил] бензоат

7.03 г продукта со Стадии В (21.7 ммоль, 1 экв.) и 13.9 г N1,N1,N8,N8-тетраметилнафталин-1,8-диамина (64.9 ммоль, 3 экв.) смешивали в 420 мл ДХМ, затем в виде одной порции добавляли 8.0 г тетрафторбората триметилоксония (54.1 ммоль, 2.5 экв.), и смесь перемешивали при к.т. в течение 18 ч. Наблюдали полное превращение. Смесь фильтровали через набивку целита, промывали с помощью ДХМ, затем органическую фазу промывали водой и соляным раствором, соответственно. Раствор сушили над MgSO4, фильтровали, концентрировали на целите и очищали с помощью колоночной флэш-хроматографии, используя гептан и EtOAc в качестве элюентов с получением 4.03 г (55%) целевого продукта.

1Н ЯМР (400 МГц, ДМСО-d6) δ м.д. 7.97 (m, 2Н), 7.67 (tt, 1Н), 7.52 (t, 2Н), 4.35 (m, 2Н), 3.63 (m, 2Н), 3.35 (m, 1Н), 3.33 (s, 3Н), 1.94 (m, 1Н), 1.80 (m, 1Н), 0.85 (s, 9Н), 0.03 (s, 6Н).

Стадия D: 4-[трет-бутил(диметил)силил]окси-3-метоксибутан-1-ол

К 4.0 г продукта со Стадии С (11.83 ммоль, 1 экв.) в 100 мл 1:1 смеси ТГФ и МеОН при 0°С добавляли 5.1 г K2CO3 (36.96 ммоль, 3 экв.), и смесь перемешивали в течение 3 ч при 0°С и в течение 2 ч при к.т. После добавления конц. раствора NH4Cl и ДХМ при 0°С, органическую фазу промывали конц. раствором NaHCO3, водой и соляным раствором, сушили над MgSO4, фильтровали и концентрировали с получением 4.14 г (94%) 1:1 смеси целевого продукта и метил бензоата.

1Н ЯМР (400 МГц, ДМСО-d6) δ м.д. 4.38 (t, 1Н), 3.57 (dd, 2Н), 3.45 (q, 2Н), 3.29 (s, 3Н), 3.28 (m, 1Н), 1.53 (m, 2Н), 0.87 (s, 9Н), 0.04 (s, 6Н).

Синтез 2j: 3-[трет-Бутил(диметил)силил]окси-2-метоксипропан-1-ол

Стадия А: (2,2-диметил-1,3-диоксолан-4-ил)метил бензоат

К 20 г (2,2-диметил-1,3-диоксолан-4-ил)метанола (151 ммоль, 1 экв.) и 25 мл N,N-диэтилэтанамина (182 ммоль, 1.2 экв.) в 92 мл ДХМ при 0°С добавляли 21 мл бензоилхлорида (182 ммоль, 1.2 экв.), и смесь перемешивали при к.т. в течение 18 ч. Реакционную смесь гасили конц. раствором NaHCO3 и органическую фазу промывали соляным раствором, сушили и концентрировали с получением 37.0 г (98%) целевого продукта.

1H ЯМР (400 МГц, ДМСО-d6) δ м.д. 7.98 (dd, 2Н), 7.67 (m, 1Н), 7.54 (t, 2Н), 4.42 (m, 1Н), 4.37 (dd, 1Н), 4.27 (dd, 1Н), 4.09 (dd, 1Н), 3.82 (dd, 1Н), 1.33 (s, 3Н), 1.29 (s, 3Н).

Стадия В: 2,3-дигидроксипропил бензоат

Смесь 20 г продукта со Стадии А (80 ммоль, 1 экв.), 220 мл 1 н. раствора HCl и 220 мл EtOH перемешивали при к.т.в течение 18 ч. Затем реакционную смесь гасили конц. раствором Na2CO3 и концентрировали, остаток экстрагировали с помощью EtOAc. Объединенные органические фазы промывали соляным раствором и сушили с получением 15.48 г (98.7%) целевого продукта.

1H ЯМР (400 МГц, ДМСО-d6) δ м.д. 8.00 (dd, 2Н), 7.67 (tt, 1Н), 7.54 (t, 2Н), 5.03 (d, 1Н), 4.71 (t, 1Н), 4.30 (dd, 1Н), 4.17 (dd, 1Н), 3.79 (sx, 1Н), 3.45 (m, 2Н).

Стадия С: [3-[трет-бутил(диметил)силил]окси-2-гидроксипропил] бензоат

К 5.62 г продукта со Стадии В (28.7 ммоль, 1 экв.) и 3.47 г имидазола (51.0 моль, 2 экв.) в 50 мл ДМФА в виде одной порции добавляли 4.04 г трет-бутилхлордиметилсилана (26.8 ммоль, 1 экв.), и смесь перемешивали в течение 1 ч. Затем смесь разбавляли EtOAc, органическую фазу промывали конц. раствором NaHCO3, водой и соляным раствором, сушили над MgSO4, фильтровали, концентрировали и очищали с помощью колоночной флэш-хроматографии, используя гептан и EtOAc в качестве элюентов с получением 3.23 г (36%) целевого продукта.

1Н ЯМР (400 МГц, ДМСО-d6) δ м.д. 7.99 (dd, 2Н), 7.66 (tt, 1Н), 7.53 (t, 2Н), 5.13 (d, 1Н), 4.31 (dd, 1Н), 4.19 (dd, 1Н), 3.83 (sx, 1Н), 3.63 (m, 2Н), 0.85 (s, 9Н), 0.03 (s, 6Н).

Стадия D: [3-[трет-бутил(диметил)силил]окси-2-метоксипропил]бензоат

3.0 г продукта со Стадии С (9.6 ммоль, 1 экв.) и 6.2 г N1,N1,N8,N8-тетраметилнафталин-1,8-диамина (28.9 ммоль, 3 экв.) смешивали в 160 мл ДХМ, затем в виде одной порции добавляли 3.54 г тетрафторбората триметилоксония (23.9 ммоль, 2.5 экв.), и смесь перемешивали при к.т. в течение 18 ч. Смесь фильтровали через набивку целита, промывали с помощью ДХМ, затем органическую фазу промывали водой и соляным раствором, соответственно. Раствор сушили над MgSO4, фильтровали, концентрировали на целите и очищали с помощью колоночной флэш-хроматографии, используя гептан и EtOAc в качестве элюентов с получением 1.7 г (55%) целевого продукта.

1Н ЯМР (400 МГц, ДМСО-d6) δ м.д. 7.97 (dd, 2Н), 7.67 (tt, 1Н), 7.54 (t, 2Н), 4.44 (dd, 1Н), 4.26 (dd, 1Н), 3.72 (d, 2Н), 3.57 (m, 1Н), 3.38 (s, 3Н), 0.86 (s, 9Н), 0.05 (s, 3Н), 0.04 (s, 3Н).

Стадия Е: 3-[трет-бутил(диметил)силил]окси-2-метоксипропан-1-ол

К 1.68 г продукта со Стадии D (5.17 ммоль, 1 экв.) в 40 мл 1:1 смеси ТГФ и МеОН при 0°С добавляли 2.19 г K2CO3 (15.85 ммоль, 3 экв.), и смесь перемешивали в течение 3 ч при 0°С и в течение 2 ч при к.т. После добавления конц. раствора NH4Cl и ДХМ при 0°С, органическую фазу промывали конц. раствором NaHCO3, водой и соляным раствором, сушили над MgSO4, фильтровали и концентрировали с получением 1.26 г (колич.) 1:0.25 смеси целевого продукта и метил бензоата.

1Н ЯМР (400 МГц, ДМСО-d6) δ м.д. 4.54 (t, 1Н), 3.63 (dd, 1Н), 3.55 (dd, 1Н), 3.39 (m, 2Н), 3.32 (s, 3Н), 3.15 (m, 1Н), 0.86 (s, 9Н), 0.03 (s, 6Н).

Синтез 2k: 3-[трет-Бутил(диметил)силил]окси-2-морфолинопропан-1-ол

Стадия А: диэтил 2-морфолинопропандиоат

К 16 г морфолина (184 ммоль, 1.6 экв.) и 30 г K2CO3 (217 ммоль, 1.9 экв.) в 50 мл MeCN добавляли 27 г диэтил броммалоната (113 ммоль, 1 экв.) и экзотермическую реакционную смесь перемешивали в течение 0.5 ч. После охлаждения смеси до к.т., ее фильтровали и концентрировали, и сырой продукт очищали с помощью колоночной флэш-хроматографии, используя гептан и EtOAc в качестве элюентов с получением 26.2 г (94%) целевого продукта.

1H ЯМР (400 МГц, ДМСО-d6) δ м.д. 4.27 (s, 1Н), 4.16 (q, 4Н), 3.57 (dd, 4Н), 2.68 (dd, 4Н), 1.20 (s, 6Н).

Стадия В: 2-морфолинопропан-1,3-диол

К 3.0 г LiAlH4 (79 ммоль, 4.8 экв.) в 60 мл ТГФ при 0°С добавляли 4.0 г продукта со Стадии А (16.3 ммоль, 1 экв.) в 25 мл ТГФ, и смесь перемешивали при 60°С в течение 4 ч. После охлаждения до к.т., смесь обрабатывали 10 н. раствором NaOH и образовавшийся осадок отфильтровывали и промывали с помощью ДХМ. Затем фазы разделяли, водную фазу экстрагировали с помощью ДХМ, и объединенные органические фазы промывали соляным раствором, сушили над MgSO4, фильтровали и концентрировали с получением 1.4 г (53%) целевого продукта.

1Н ЯМР (500 МГц, ДМСО-d6) δ м.д. 4.28 (dd, 2Н), 3.52 (m, 4Н), 3.49/3.44 (m+m, 4Н), 2.59 (m, 4Н), 2.40 (qui, 1Н); 13С ЯМР (125 МГц, ДМСО-d6) δ м.д. 67.5, 67.3, 59.1, 50.5; IR: 3373, 2856; МСВР-ЭИ (m/z): [М]+, рассчитано для C7H15NO3: 161.1052, найдено: 161.1053.

Стадия С: 3-[трет-Бутил(диметил)силил]окси-2-морфолино-пропан-1-ол

К 1.32 г продукта со Стадии В (8.22 ммоль, 1 экв.) и 0.56 г имидазола (8.24 ммоль, 1 экв.) в 60 мл ДХМ по каплям добавляли 1.24 г трет-бутилхлордиметилсилана (8.23 ммоль, 1 экв.) в 10 мл ДХМ, и смесь перемешивали при к.т. в течение 0.5 ч. После добавления ДХМ, раствор промывали водой и соляным раствором, сушили, концентрировали и очищали с помощью колоночной флэш-хроматографии, используя гептан и EtOAc в качестве элюентов с получением 0.79 г (35%) целевого продукта.

1Н ЯМР (500 МГц, ДМСО-d6) δ м.д. 4.30 (brt, 1Н), 3.69/3.65 (dd+dd, 2Н), 3.51 (m, 4Н), 3.48/3.43 (m+m, 2Н), 2.64/2.59 (m+m, 4Н), 2.44 (m, 1Н), 0.87 (s, 9Н), 0.04/0.03 (s, 6Н); 13С ЯМР (125 МГц, ДМСО-d6) δ м.д. 67.4, 67.4, 61.2, 59.2, 50.8, 26.3, 18.3, -5.0; IR: 2855; МСВР-ЭИ (m/z): [M-C4H9]+, рассчитано для C9H20NO3Si: 218.1217, найдено: 218.1202.

Синтез 3а: Метил 5-[3-[4-[3-[трет-бутоксикарбонил(метил)амино]проп-1-инил]-2-фторфенокси]пропил]-2-[[5-[трет-бутил(диметил)силил]окси-4-[трет-бутил(дифенил)силил]оксипентил]амино]тиазол-4-карбоксилат

Стадия А: метил 2-[трет-бутоксикарбонил-[5-[трет-бутил(диметил)силил]окси-4-[трет-бутил(дифенил)силил]оксипентил]амино]-5-[3-[4-[3-[трет-бутоксикарбонил(метил)амино]проп-1-инил]-2-фторфенокси]пропил]тиазол-4-карбоксилат

Используя Общую методику проведения реакции Мицунобу, исходя из продукта Синтеза 1b в качестве подходящего карбамата и продукта Синтеза 2а в качестве подходящего спирта, получали 2.5 г (61%) целевого продукта.

1Н ЯМР (500 МГц, ДМСО-d6) δ м.д. 7.60-7.33 (m, 10Н), 7.28 (dd, 1Н), 7.17 (m, 1Н), 7.1 (t, 1Н), 4.22 (s, 2Н), 4.09 (t, 2Н), 3.94 (m, 2Н), 3.71 (s, 3Н), 3.67 (m, 1Н), 3.38 (m, 2Н), 3.22 (t, 2Н), 2.85 (s, 3Н), 2.07 (m, 2Н), 1.65 (m, 2Н), 1.48 (m, 2Н), 1.45/1.40 (s+s, 18Н), 0.93 (s, 9Н), 0.71 (s, 9Н), -0.17/-0.22 (s+s, 6Н); 13С ЯМР (125 МГц, ДМСО-d6) δ м.д. 147.4, 129, 119.3, 115.4, 85.1, 82.3, 73.3, 68.1, 65.6, 51.9, 46.5, 38.4, 33.8, 30.5, 30.5, 28.5/28, 27.2, 26.0, 23.1, 23.0, -5.3; МСВР-ЭРИ (m/z): [М+Н]+, рассчитано для C55H79FN3O9SSi2: 1032.5054, найдено: 1032.5060.

Стадия В: метил 5-[3-[4-[3-[трет-бутоксикарбонил(метил)амино]проп-1-инил]-2-фторфенокси]пропил]-2-[[5-[трет-бутил(диметил)силил]окси-4-[трет-бутил(дифенил)силил]оксипентил]амино]тиазол-4-карбоксилат

Используя Общую методику снятия защиты посредством HFIP, исходя из продукта со Стадии А в качестве подходящего карбамата, получали 1.2 г (53%) целевого продукта.

1Н ЯМР (500 МГц, ДМСО-d6) δ м.д. 7.68-7.35 (m, 10Н), 7.56 (t, 1Н), 7.30 (d, 1Н), 7.20 (d, 1Н), 7.11 (t, 1Н), 4.22 (br., 2Н), 4.07 (t, 2Н), 3.70 (m, 1Н), 3.68 (s, 3Н), 3.42/3.38 (dd+dd, 2Н), 3.11 (t, 2Н), 3.04 (brq., 2Н), 2.86 (br., 3Н), 1.99 (quint., 2Н), 1.54 (m, 2Н), 1.53/1.45 (m+m, 2Н), 1.41 (s, 9Н), 0.97 (s, 9Н), 0.74 (s, 9Н), -0.14/-0.18 (s+s, 6Н); 13С ЯМР (125 МГц, ДМСО-d6) δ м.д. 164.6, 163.0, 154.9, 151.4, 147.5, 136.9, 136.0, 129.1, 119.3, 115.4, 114.8, 85.2, 82.3, 79.8, 73.6, 68.0, 66.2, 51.7, 44.7, 38.5, 33.8, 31.1, 30.6, 28.5, 27.2, 26.2, 24.3, 23.3, 19.4, 18.3, -5.2; МСВР-ЭРИ (m/z): [М+Н]+, рассчитано для C50H71FN3O7SSi2: 932.4530, найдено: 932.4526.

Синтез 3b: Метил 2-[[5-[трет-бутил(диметил)силил]окси-4-[трет-бутил(дифенил)силил]оксипентил]амино]-5-[3-[4-[3-(диметиламино)проп-1-инил]-2-фторфенокси]пропил]тиазол-4-карбоксилат

Стадия А: метил 2-[трет-бутоксикарбонил-[5-[трет-бутил(диметил)силил]окси-4-[трет-бутил(дифенил)силил]оксипентил]амино]-5-[3-[4-[3-(диметиламино)проп-1-инил]-2-фторфенокси]пропил]тиазол-4-карбоксилат

Используя Общую методику проведения реакции Мицунобу, исходя из продукта Синтеза 1с в качестве подходящего карбамата и продукта Синтеза 2а в качестве подходящего спирта, получали 3.2 г (65%) целевого продукта.

1Н ЯМР (500 МГц, ДМСО-d6) δ м.д. 7.60-7.35 (m, 10Н), 7.28 (dd, 1Н), 7.18 (m, 1Н), 7.10 (t, 1Н), 4.10 (t, 2Н), 3.95 (m, 2Н), 3.72 (s, 3Н), 3.68 (m, 1Н), 3.41 (s, 2Н), 3.38 (m, 2Н), 3.22 (t, 2Н), 2.21 (s, 6Н), 2.07 (m, 2Н), 1.66 (m, 2Н), 1.45 (s, 9Н), 1.45 (m, 2Н), 0.94 (s, 9Н), 0.72 (s, 9Н), -0.16/-0.21 (s+s, 6Н); 13С ЯМР (125 МГц, ДМСО-d6) δ м.д. 162.8, 147.2, 128.9, 119.2, 115.4, 84.2, 73.3, 68.1, 65.6, 52.0, 48.2, 46.7, 44.3, 30.7, 30.5, 28.0, 27.2, 26.1, 23.1, 23.0, -5.3; МСВР-ЭРИ (m/z): [М+Н]+, рассчитано для C51H73FN3O7SSi2: 946.4686, найдено: 946.4684.

Стадия В: метил 2-[[5-[трет-бутил(диметил)силил]окси-4-[трет-бутил(дифенил)силил]оксипентил]амино]-5-[3-[4-[3-(диметиламино)проп-1-инил]-2-фторфенокси]пропил]тиазол-4-карбоксилат

Используя Общую методику снятия защиты посредством HFIP, исходя из продукта со Стадии А в качестве подходящего карбамата, получали 2.2 г (55%) целевого продукта.

1Н ЯМР (500 МГц, ДМСО-d6) 5 м.д. 7.64-7.37 (m, 10Н), 7.56 (t, 1Н), 7.28 (dd, 1Н), 7.18 (m, 1Н), 7.10 (t, 1Н), 4.07 (t, 2Н), 3.69 (q, 1Н), 3.69 (s, 3Н), 3.41 (s, 2Н), 3.41 (m, 2Н), 3.11 (t, 2Н), 3.04 (q, 2Н), 2.21 (s, 6Н), 2.00 (m, 2Н), 1.55 (m, 2Н), 1.54/1.45 (m+m, 2Н), 0.97 (s, 9Н), 0.74 (s, 9Н), -0.14/-0.17 (s+s, 6Н); 13С ЯМР (125 МГц, ДМСО-d6) δ м.д. 164.6, 147.2, 129.0, 119.2, 115.4, 73.6, 68.0, 66.2, 51.7, 48.2, 44.8, 44.3, 31.1, 30.7, 27.2, 26.2, 24.4, 23.3, -5.2; МСВР-ЭРИ (m/z): [М+Н]+, рассчитано для C46H66FN3O5SSi2: 846.4162, найдено: 846.4160.

Синтез 3 с: Метил 5-[3-[4-[3-[трет-бутоксикарбонил(метил)амино]проп-1-инил]-2-фторфенокси]пропил]-2-[4-[трет-бутил(диметил)силил]оксибутиламино]тиазол-4-карбоксилат

Стадия А: метил 2-[трет-бутоксикарбонил-[4-[трет-бутил(диметил)силил]оксибутил]амино]-5-[3-(2-фтор-4-йодфенокси)пропил]тиазол-4-карбоксилат

Используя Общую методику алкилирования, исходя из 5.36 г продукта Синтеза 1а (10 ммоль, 1 экв.) и 3.77 г трет-бутил-(4-йодбутокси)-диметилсилана (3.10 мл, 12 ммоль, 1.2 экв.) в качестве подходящего галогенида, получали 6.1 г (84%) целевого продукта.

1H ЯМР (500 МГц, ДМСО-d6) δ м.д. 7.58 (dd, 1Н), 7.45 (m, 1Н), 6.97 (t, 1Н), 4.06 (t, 2Н), 4.01 (t, 2Н), 3.75 (s, 3Н), 3.58 (t, 2Н), 3.21 (t, 2Н), 2.06 (m, 2Н), 1.68 (m, 2Н), 1.50 (s, 9Н), 1.43 (m, 2Н), 0.82 (s, 9Н), -0.01 (s, 6Н); 13С ЯМР (125 МГц, ДМСО-d6) δ м.д. 147.0, 134.0, 124.9, 117.6, 68.2, 62.6, 52.1, 46.4, 30.5, 30.0, 28.1, 26.2, 24.5, 23.2, -4.9; МСВР-ЭРИ (m/z): [М+Н]+, рассчитано для C29H45N2O6FSiSI: 723.1791, найдено: 723.1775.

Стадия В: метил 2-[4-[трет-бутил(диметил)силил]оксибутиламино]-5-[3-(2-фтор-4-йодфенокси)пропил]тиазол-4-карбоксилат

Используя Общую методику снятия защиты посредством HFIP, исходя из 6.0 г продукта со Стадии А (8.30 ммоль) в качестве подходящего карбамата, получали 3.0 г (58%) целевого продукта.

1Н ЯМР (500 МГц, ДМСО-d6) δ м.д. 7.59 (dd, 1Н), 7.58 (t, 1Н), 7.45 (dm, 1Н), 6.97 (t, 1Н), 4.03 (t, 2Н), 3.69 (s, 3Н), 3.58 (t, 2Н), 3.16 (q, 2Н), 3.11 (t, 2Н), 1.98 (m, 2Н), 1.59-1.44 (m, 4Н), 0.84 (s, 9Н), 0.01 (s, 6 Н); 13С ЯМР (125 МГц, ДМСО-d6) δ м.д. 164.7, 163.0, 152.1, 147.0, 136.9, 136.1, 134.0, 124.9, 117.6, 82.4, 68.0, 62.7, 51.7, 44.3, 30.6, 30.6, 26.3, 25.6, 23.3, -4.8; МСВР-ЭРИ (m/z): [М+Н]++, рассчитано для C24H37FIN2O4SSi: 623.1266, найдено: 623.1272.

Стадия С: метил 5-[3-[4-[3-[трет-бутоксикарбонил(метил)амино]проп-1-инил]-2-фторфенокси]пропил]-2-[4-[трет-бутил(диметил)силил]оксибутиламино]тиазол-4-карбоксилат

Используя Общую методику проведения реакции Соногаширы, исходя из 3.00 г продукта со Стадии В (4.82 ммоль, 1 экв.) и 1.63 г трет-бутил N-метил-N-проп-2-инилкарбамата (9.63 ммоль, 2 экв.) в качестве подходящего ацетилена, получали 2.50 г (65%) целевого продукта.

1Н ЯМР (500 МГц, ДМСО-d6) δ м.д. 7.58 (t, 1Н), 7.31 (brd., 1Н), 7.21 (d, 1Н), 7.13 (t, 1Н), 4.23 (br., 2Н), 4.07 (t, 2Н), 3.69 (s, 3Н), 3.58 (t, 2Н), 3.16 (q, 2Н), 3.11 (t, 2Н), 2.86 (br., 3Н), 2 (quint., 2Н), 1.54 (m, 2Н), 1.49 (m, 2Н), 1.41 (s, 9Н), 0.84 (s, 9Н), 0.01 (s, 6Н); 13С ЯМР (125 МГц, ДМСО-d6) δ м.д. 129.1, 119.3, 115.4, 68.0, 62.7, 51.7, 44.3, 38.6, 33.8, 30.6, 30.1, 28.5, 26.3, 25.6, 23.3, -4.8; МСВР-ЭРИ (m/z): [М+Н]+, рассчитано для C33H51FN3O6SSi: 664.3246, найдено: 664.3245.

Синтез 3d: Метил 2-[4-[трет-бутил(диметил)силил]оксибутиламино]-5-[3-[4-[3-(диметиламино)проп-1-инил]-2-фторфенокси]пропил]тиазол-4-карбоксилат

Используя Общую методику проведения реакции Соногаширы, исходя из 3.00 г продукта Синтеза 3 с, Стадия В (4.82 ммоль, 1 экв.), и 801 мг N,N-диметил-N-проп-2-ин-1-амина (9.63 ммоль, 2 экв.) в качестве подходящего ацетилена, получали 2.20 г (79%) целевого продукта.

1Н ЯМР (500 МГц, ДМСО-d6) δ м.д. 7.58 (t, 1Н), 7.30 (dd, 1Н), 7.20 (dm, 1Н), 7.12 (t, 1Н), 4.07 (t, 2Н), 3.69 (s, 3Н), 3.58 (t, 2Н), 3.44 (s, 2Н), 3.16 (q, 2Н), 3.12 (t, 2Н), 2.24 (s, 6Н), 2.00 (m, 2Н), 1.60-1.44 (m, 4Н), 0.84 (s, 9Н), 0.01 (s, 6Н); 13С ЯМР (125 МГц, ДМСО-d6) δ м.д. 129.0, 119.2, 115.4, 84.9, 84.3, 68.0, 62.7, 51.7, 48.1, 44.3, 44.2, 30.6, 30.2, 26.3, 25.6, 23.3, -4.8; МСВР-ЭРИ (m/z): [М+Н]+, рассчитано для C29H45FN3O4SSi: 578.2878, найдено: 578.2865.

Синтез 3е: Этил 5-(3-хлорпропил)-2-(метиламино)тиазол-4-карбоксилат

Суспензию 2.25 г метилтиомочевины (25.0 ммоль, 1 экв.) в 100 мл этанола охлаждали до 0°С, и затем при этой температуре по каплям добавляли 7.46 г этил 3-бром-6-хлор-2-оксогексаноата (27.5 ммоль, 1.1 экв.). После перемешивания в течение 15 мин при 0°С, добавляли 7 мл TEA (5.06 г, 50 ммоль, 2 экв.). Полученную в результате смесь перемешивали в течение ночи при к.т. Наблюдали полное превращение. Летучие вещества удаляли в вакууме, затем полученный в результате остаток распределяли между EtOAc и водой. Слои разделяли, затем органический слой промывали водой с последующим промыванием соляным раствором. Объединенные органические слои сушили над Na2SO4, фильтровали и фильтрат концентрировали при пониженном давлении. Затем сырой продукт очищали с помощью колоночной флэш-хроматографии, используя гептан и EtOAc в качестве элюентов с получением 5 г (76%) целевого продукта.

1Н ЯМР (400 МГц, ДМСО-d6) δ м.д. 7.55 (q, 1Н), 4.21 (q, 2Н), 3.65 (t, 2Н), 3.09 (m, 2Н), 2.78 (d, 3Н), 1.98 (m, 2Н), 1.26 (t, 3Н); 13С ЯМР (125 МГц, ДМСО-d6) δ м.д. 165.6, 162.5, 137.4, 135.5, 60.5, 45.0, 34.1, 31.2, 24.4, 14.7; МСВР-ЭРИ (m/z): [М+Н]+, рассчитано для C10H16ClN2O2S: 263.0616, найдено: 263.0615.

Синтез 3f: Метил 5-[3-[4-[3-[трет-бутоксикарбонил(метил)амино]проп-1-инил]-2-фторфенокси]пропил]-2-[[5-[трет-бутил(диметил)силил]окси-4-метоксипентил]амино]тиазол-4-карбоксилат

Стадия А: метил 2-[трет-бутоксикарбонил-[5-[трет-бутил(диметил)силил]окси-4-[трет-бутил(дифенил)силил]оксипентил]амино]-5-[3-[4-[3-[трет-бутоксикарбонил(метил)амино]проп-1-инил]-2-фторфенокси]пропил]тиазол-4-карбоксилат

Используя Общую методику проведения реакции Мицунобу, исходя из 577 мг продукта Синтеза 1b (1 ммоль) в качестве подходящего карбамата и 496 мг продукта Синтеза 2b (2 ммоль) в качестве подходящего спирта, получали 790 мг (96%) целевого продукта.

Стадия В: метил 5-[3-[4-[3-[трет-бутоксикарбонил(метил)амино]проп-1-инил]-2-фторфенокси]пропил]-2-[[5-[трет-бутил(диметил)силил]окси-4-метоксипентил]амино]тиазол-4-карбоксилат

Используя Общую методику снятия защиты посредством HFIP, исходя из 790 мг продукта со Стадии А (0.95 ммоль) в качестве подходящего карбамата, получали 270 мг (38%) целевого продукта.

1Н ЯМР (500 МГц, ДМСО-d6) δ м.д. 7.58 (t, 1Н), 7.31 (brd, 1Н), 7.21 (dm, 1Н), 7.13 (t, 1Н), 4.23 (brs, 2Н), 4.07 (t, 2Н), 3.69 (s, 3Н), 3.56/3.53 (dd+dd, 2Н), 3.29 (s, 3Н), 3.16 (m, 1Н), 3.15 (m, 2Н), 3.11 (t, 2Н), 2.86 (brs, 3Н), 2.00 (m, 2Н), 1.63-1.43 (m, 4Н), 1.42 (s, 9Н), 0.84 (s, 9Н), 0.02 (s, 6Н); МСВР-ЭРИ (m/z): [М+Н]+, рассчитано для C35H55FN3O7SSi: 708.3508, найдено: 708.3502.

Синтез 3g: Метил 5-[3-[4-[3-(трет-бутоксикарбониламино)проп-1-инил]-2-фторфенокси]пропил]-2- [4-[трет-бутил(диметил)силил]оксибутиламино]тиазол-4-карбоксилат

Используя Общую методику проведения реакции Соногаширы, исходя из 880 мг продукта Синтеза 3 с, Стадия В (1.41 ммоль, 1 экв.), и 438 мг трет-бутил N-проп-2-инилкарбамата (2.82 ммоль, 2 экв.) в качестве подходящего ацетилена, получали 918 мг (85%) целевого продукта.

1Н ЯМР (500 МГц, ДМСО-d6) δ м.д. 7.58 (t, 1Н), 7.34 (t, 1Н), 7.26 (ff, 1Н), 7.17 (m, 1Н), 7.12 (t, 1Н), 4.06 (t, 2Н), 3.95 (d, 2Н), 3.69 (s, 3Н), 3.58 (t, 2Н), 3.17 (q, 2Н), 3.11 (t, 2Н), 2.00 (m, 2Н), 1.54 (m, 2Н), 1.50 (m, 2Н), 1.39 (s, 9Н), 0.85 (s, 9Н), 0.01 (s, 6Н); 13С ЯМР (125 МГц, ДМСО-d6) δ м.д. 164.7, 163.0, 147.4, 136.9, 136.1, 129.0, 119.1, 115.4, 68.0, 62.7, 51.7, 44.3, 30.6, 30.5, 30.2, 28.7, 26.3, 25.6, 23.3, 18.4, -4.8 МСВР-ЭРИ (m/z): [М+Н]+, рассчитано для C32H49FN3O6SSi: 650.3090, найдено: 650.3093.

Синтез 3h: Метил 5-[3-[4-[3-[трет-бутоксикарбонил(метил)амино]проп-1-инил]-2-фторфенокси]пропил]-2-[2-(2,2-диметил-1,3-диоксолан-4-ил)этиламино]тиазол-4-карбоксилат

Стадия А: метил 2-[трет-бутоксикарбонил-[2-(2,2-диметил-1,3-диоксолан-4-ил)этил]амино]-5-[3-(2-фтор-4-йодфенокси)пропил]тиазол-4-карбоксилат

Используя Общую методику проведения реакции Мицунобу, исходя из 2.68 г продукта Синтеза 1а (5 ммоль, 1 экв.) и 1.46 г 2-(2,2-диметил-1,3-диоксолан-4-ил)этанола (1.42 мл, 10 ммоль, 2 экв.) в качестве подходящего спирта, получали 2.8 г (84%) целевого продукта.

1H ЯМР (500 МГц, ДМСО-d6) δ м.д. 7.57 (dd, 1Н), 7.44 (dm, 1Н), 6.96 (t, 1Н), 4.12/4.02 (m+m, 2Н), 4.07 (m, 1Н), 4.05 (t, 2Н), 4.02/3.54 (dd+dd, 2Н), 3.75 (s, 3Н), 3.21 (t, 2Н), 2.06 (m, 2Н), 1.86/1.82 (m+m, 2Н), 1.51 (s, 9Н), 1.29 (s, 3Н), 1.22 (s, 3Н); 13С ЯМР (125 МГц, ДМСО-d6) δ м.д. 134.0, 124.9, 117.6, 73.8, 68.9, 68.1, 52.0, 44.0, 32.2, 30.5, 28.1, 27.3, 25.9, 23.1; МСВР-ЭРИ (m/z): [М+Н]+, рассчитано для C26H35FIN2O7S: 665.1188, найдено: 665.1175.

Стадия В: метил 2-[2-(2,2-диметил-1,3-диоксолан-4-ил)этиламино]-5-[3-(2-фтор-4-йодфенокси)пропил]тиазол-4-карбоксилат

Используя Общую методику снятия защиты посредством HFIP, исходя из 2.5 г продукта со Стадии А (3.80 ммоль) в качестве подходящего карбамата, получали 1.6 г (75%) целевого продукта.

1Н ЯМР (500 МГц, ДМСО-d6) δ м.д. 7.6 (t, 1Н), 7.59 (dd, 1Н), 7.45 (dm, 1Н), 6.97 (dd, 1Н), 4.10 (m, 1Н), 4.03 (t, 2Н), 4.01/3.48 (dd+dd, 2Н), 3.69 (s, 3Н), 3.27/3.19 (m+m, 2Н), 3.11 (t, 2Н), 1.99 (m, 2Н), 1.76/1.72 (m+m, 2Н), 1.31 (s, 3Н), 1.25 (s, 3 Н); МСВР-ЭРИ (m/z): [М+Н]+, рассчитано для C21H27FIN2O5S: 565.0663, найдено: 565.0642.

Стадия С: метил 5-[3-[4-[3-[трет-бутоксикарбонил(метил)амино]проп-1-инил]-2-фторфенокси]пропил]-2-[2-(2,2-диметил-1,3-диоксолан-4-ил)этиламино]тиазол-4-карбоксилат

Используя Общую методику проведения реакции Соногаширы, исходя из 400 мг продукта со Стадии В (0.71 ммоль, 1 экв.) и 240 мг трет-бутил N-метил-N-проп-2-инилкарбамата (1.42 ммоль, 2 экв.) в качестве подходящего ацетилена, получали 300 мг (70%) целевого продукта.

1Н ЯМР (500 МГц, ДМСО-d6) δ м.д. 7.60 (t, 1Н), 7.31 (brd, 1Н), 7.21 (dd, 1Н), 7.13 (t, 1Н), 4.23 (brs, 2Н), 4.09 (m, 1Н), 4.07 (t, 2Н), 4.00/3.48 (dd+dd, 2Н), 3.69 (s, 3Н), 3.27/3.19 (m+m, 2Н), 3.12 (t, 2Н), 2.86 (brs, 3Н), 2.00 (m, 2Н), 1.74 (m, 2Н), 1.41 (s, 9Н), 1.31 (s, 3Н), 1.25 (s, 3Н); 13С ЯМР (125 МГц, ДМСО-d6) δ м.д. 164.5, 136.9, 136.4, 129.1, 119.3, 115.4, 85.2, 82.3, 73.8, 69.0, 68.0, 51.7, 41.4, 38.4, 33.8, 33.2, 30.6, 28.5, 27.3, 26.1, 23.3; МСВР-ЭРИ (m/z): [М+Н]+, рассчитано для C30H41FN3O7S: 606.2644, найдено: 606.2650.

Синтез 3i: Метил 5-[3-[4-[3-(диметил)амино]проп-1-инил]-2-фторфенокси]пропил]-2-[2-(2,2-диметил-1,3-диоксолан-4-ил)этиламино]тиазол-4-карбоксилат

Используя Общую методику проведения реакции Соногаширы, исходя из 400 мг продукта Синтеза 3h, Стадия В (0.71 ммоль, 1 экв.), и 117 мг N,N-диметилпроп-2-ин-1-амина (1.42 ммоль, 2 экв.) в качестве подходящего ацетилена, получали 250 мг (58%) целевого продукта.

1Н ЯМР (500 МГц, ДМСО-d6) δ м.д. 7.61 (t, 1Н), 7.29 (dd, 1Н), 7.2 (dd, 1Н), 7.12 (t, 1Н), 4.1 (m, 1Н), 4.07 (t, 2Н), 4/3.48 (dd+dd, 2Н), 3.69 (s, 3Н), 3.41 (s, 2Н), 3.28/3.19 (m+m, 2Н), 3.12 (t, 2Н), 2.22 (s, 6Н), 2 (qn, 2Н), 1.75/1.72 (m+m, 2Н), 1.31 (s, 3Н), 1.25 (s, 3Н); 13С ЯМР (125 МГц, ДМСО-d6) δ м.д. 164.5, 163, 151.5, 147.3, 136.9, 136.4, 128.9, 119.2, 115.4, 115.3, 108.4, 85.2, 84.2, 73.8, 69.0, 68.0, 51.8, 48.1, 44.3, 41.4, 33.3, 30.6, 27.4, 26.1, 23.4; МСВР-ЭРИ (m/z): [M+H]+, рассчитано для C26H35FN3O5S: 520.2281, найдено: 520.2272.

Синтез 3j: Метил 2-[2-(2,2-диметил-1,3-диоксолан-4-ил)этиламино]-5-[3-[2-фтор-4-[3-[(4-метоксифенил)метилметиламино]проп-1-инил]фенокси]пропил]тиазол-4-карбоксилат

Используя Общую методику проведения реакции Соногаширы, исходя из 400 мг продукта Синтеза 3h, Стадия В (0.71 ммоль, 1 экв.), и 268 мг N-[(4-метоксифенил)метил]-N-метил-проп-2-ин-1-амина (1.42 ммоль, 2 экв.) в качестве подходящего ацетилена, получали 280 мг (63%) целевого продукта.

1H ЯМР (500 МГц, ДМСО-d6) δ м.д. 7.61 (t, 1Н), 7.33 (dd, 1H), 7.24 (dd, 1 H), 7.23 (d, 2H), 7.13 (t, 1H), 6.89 (d, 2H), 4.10 (qn, 1H), 4.07 (t, 2H), 4/3.48 (dd+dd, 2H), 3.73 (s, 3H), 3.7 (s, 3H), 3.49 (s, 2H), 3.44 (s, 2H), 3.28/3.19 (m+m, 2H), 3.13 (t, 2H), 2.24 (s, 3H), 2.01 (qn, 2H), 1.75/1.73 (m+m, 2H), 1.31 (s, 3H), 1.25 (s, 3H); 13C ЯМР (125 МГц, ДМСО-d6) δ м.д. 164.5, 163.0, 158.8, 151.5, 147.3, 136.6, 136.5, 130.8, 130.5, 129.0, 119.3, 115.4, 115.3, 114.1, 108.4, 84.9, 84.5, 73.8, 69.0, 68.0, 59.4, 55.5, 51.8, 45.8, 41.7, 41.4, 33.3, 30.6, 27.3, 26.1, 23.4; МСВР-ЭРИ (m/z): [М+Н]+, рассчитано для C33H41FN3O6S: 626.2694, найдено: 626.2697.

Синтез 3k: Метил 2-[2-(2,2-диметил-1,3-диоксолан-4-ил)этиламино]-5-[3-[2-фтор-4-[3-[метил(n-толилсульфонил)амино]проп-1-инил]фенокси] пропил]тиазол-4-карбоксилат

Используя Общую методику проведения реакции Соногаширы, исходя из 400 мг продукта Синтеза 3h, Стадия В (0.71 ммоль, 1 экв.), и 316 мг N,4-диметил-N-проп-2-инилбензолсульфонамида (1.42 ммоль, 2 экв.) в качестве подходящего ацетилена, получали 260 мг (55%) целевого продукта.

1H ЯМР (500 МГц, ДМСО-d6) δ м.д. 7.72 (d, 2H), 7.61 (t, 1H), 7.4 (d, 2H), 7.07 (t, 1H), 6.88 (dd, 1H), 6.86 (dd, 1H), 4.25 (s, 2H), 4.1 (qn, 1H), 4.05 (t, 2H), 4/3.48 (dd+dd, 2H), 3.69 (s, 3H), 3.27/3.19 (m+m, 2H), 3.11 (t, 2H), 2.79 (s, 3H), 2.33 (s, 3H), 1.99 (qn, 2H), 1.75/1.73 (m+m, 2H), 1.31 (s, 3H), 1.25 (s, 3H); 13С ЯМР (125 МГц, ДМСО-d6) δ м.д. 164.5, 163.0, 151.2, 147.5, 144.0, 136.9, 136.4, 134.4, 130.2, 128.9, 128.2, 119.1, 115.2, 114.2, 108.4, 84.6, 81.9, 73.9, 69.0, 68.1, 51.8, 41.5, 40.4, 34.9, 33.3, 30.6, 27.4, 26.1, 23.4, 21.4; МСВР-ЭРИ (m/z): [M+H]+, рассчитано для C32H39FH3O7S2: 660.22079, найдено: 660.2231.

Синтез 31: Метил 5-[3-[4-[3-[трет-бутоксикарбонил(метил)амино]проп-1-инил]-2-фторфенокси]пропил]-2-[[3-[трет-бутил(диметил)силил]окси-4-метоксибутил]амино]тиазол-4-карбоксилат

Стадия А: метил 2-[трет-бутоксикарбонил-[3-[трет-бутил(диметил)силил]окси-4-метоксибутил]амино]-5-[3-[4-[3-[трет-бутоксикарбонил(метил)амино]проп-1-инил]-2-фторфенокси]пропил]тиаэол-4-карбоксилат

Используя Общую методику проведения реакции Мицунобу, исходя из 577 мг продукта Синтеза 1b (1 ммоль, 1 экв.) в качестве подходящего карбамата и 469 мг продукта Синтеза 2h (2 ммоль, 2 экв.) в качестве подходящего спирта, получали 794 мг (99%) целевого продукта.

Стадия В: метил 5-[3-[4-[3-[трет-бутоксикарбонил(метил)амино]проп-1-инил]-2-фторфенокси]пропил]-2-[[3-[трет-бутил(диметил)силил]окси-4-метоксибутил]амино]тиазол-4-карбоксилат

Используя Общую методику снятия защиты посредством HFIP, исходя из 794 мг продукта со Стадии А (1 ммоль) в качестве подходящего карбамата, получали 320 мг (46%) целевого продукта.

1H ЯМР (400 МГц, ДМСО-d6) δ м.д. 7.54 (t, 1Н), 7.28 (d, 1Н), 7.18 (d, 1Н), 7.09 (t, 1Н), 4.04 (t, 2H), 4.20 (bs, 2H), 3.89-3.81 (m, 1Н), 3.67 (s, 3H), 3.23-3.14 (m, 4H), 3.22 (s, 3H), 3.10 (t, 2H), 2.83 (brs, 3H), 2.03-1.93 (m, 2H), 1.74-1.50 (m, 2H), 1.39 (s, 9H), 0.81 (s, 9H), 0.00 (s, 3H), -0.01 (s, 3H).

Синтез 3m: Метил 5-[3-[4-[3-[трет-бутоксикарбонил(метил)амино]проп-1-инил]-2-фторфенокси]пропил]-2-[5-[трет-бутил(диметил)силил]оксипентиламино]тиазол-4-карбоксилат

Стадия А: метил 2-[трет-бутоксикарбонил-[5-[трет-бутил(диметил)силил]оксипентил]амино]-5-[3-(2-фтор-4-йодфенокси)пропил]тиазол-4-карбоксилат

Используя Общую методику алкилирования, исходя из 5.00 г продукта Синтеза 1а (7.55 ммоль, 1 экв.) и 2.97 г трет-бутил-(5-йодпентокси)-диметилсилана (9.06 ммоль, 1.2 экв.) в качестве подходящего галогенида, получали 4.72 г (85%) целевого продукта.

1H ЯМР (500 МГц, ДМСО-d6) δ м.д. 7.59 (dm, 1H), 7.46 (dm, 1H), 6.99 (t, 1H), 4.07 (t, 2H), 4.01 (t, 2H), 3.76 (s, 3H), 3.56 (t, 2H), 3.21 (t, 2H), 2.07 (m, 2H), 1.64 (m, 2H), 1.52 (s, 9H), 1.48 (m, 2H), 1.30 (m, 2H), 0.82 (s, 9H), -0.02 (s, 6H); 13C ЯМР (125 МГц, ДМСО-d6) δ м.д. 163.1, 156.3/153.2, 151.8, 147.0, 143.2, 135.6, 133.9, 124.9, 117.6, 83.5, 82.3, 67.3, 62.5, 52.0, 46.5, 32.3, 30.5, 28.1, 27.6, 26.3, 22.9, 22.6, 18.1, -4.9; МСВР-ЭРИ (m/z): [M+H]+, рассчитано для C30H47FIN2O6SSi: 737.1947, найдено: 737.1948.

Стадия В: метил 2-[[5-[трет-бутил(диметил)силил]оксипентил]амино]-5-[3-(2-фтор-4-йодфенокси)пропил]тиазол-4-карбоксилат

Использовали Общую методику снятия защиты посредством HFIP, исходя из 2.36 г продукта со Стадии А (3.20 ммоль) в качестве подходящего карбамата. После завершения реакции реакционную смесь упаривали досуха при пониженном давлении, в результате чего получали сырой целевой продукт.

1H ЯМР (400 МГц, ДМСО-d6) s м.д. 7.60-7.54 (m, 2H), 7.44 (d, 1H), 6.96 (t, 1H), 4.03 (t, 2H), 3.69 (s, 3H), 3.56 (t, 2H), 3.18-3.08 (m, 4H), 1.98 (qv., 2H), 1.55-1.42 (m, 4H), 1.37-1.29 (m, 2H), 0.84 (s, 9H), 0.00 (s, 6H).

Стадия С: метил 5-[3-[4-[3-[трет-бутоксикарбонил(метил)амино]проп-1-инил]-2-фторфенокси]пропил]-2-[5-[трет-бутил(диметил)силил]оксипентиламино]тиазол-4-карбоксилат

Используя Общую методику проведения реакции Соногаширы, исходя из сырого продукта со Стадии В и трет-бутил N-метил-N-проп-2-инилкарбамата в качестве подходящего ацетилена, получали 1.92 г (89% за 2 стадии) целевого продукта.

1H ЯМР (500 МГц, ДМСО-d6) δ м.д. 7.57 (br., 1H), 7.31 (d, 1H), 7.21 (d, 1H), 7.12 (t, 1H), 4.23 (br., 2H), 4.07 (t, 2H), 3.69 (s, 3H), 3.56 (t, 2H), 3.14 (m, 2H), 3.11 (t, 2 H), 2.86 (br., 3 H), 2.00 (quint., 2H), 1.51 (m, 2H), 1.45 (m, 2H), 1.41 (s, 9H), 1.33 (m, 2H), 0.84 (s, 9H), 0.00 (s, 6H); 13C ЯМР (125 МГц, ДМСО-d6) δ м.д. 129.1, 119.3, 115.4, 68.0, 62.8, 51.7, 44.5, 38.6, 33.8, 32.4, 30.6, 28.9, 28.5, 26.3, 23.3, 23.2, -4.9; МСВР-ЭРИ (m/z): [М+Н]+, рассчитано для C34H53FN3O6SSi: 678.3403, найдено: 678.3393.

Синтез 3n: Метил 5-[3-[4-[3-[трет-бутоксикарбонил(метил)амино]проп-1-инил]-2-фторфенокси]пропил]-2-[3-[трет-бутил(диметил)силил]оксипропиламино]тиазол-4-карбоксилат

Стадия А: метил 2-[трет-бутоксикарбонил-[3-[трет-бутил(диметил)силил]оксипропил]амино]-5-[3-[4-[3-[трет-бутоксикарбонил(метил)амино]проп-1-инил]-2-фторфенокси]пропил]тиазол-4-карбоксилат

Используя Общую методику проведения реакции Мицунобу, исходя из 577 мг продукта Синтеза 1b (1 ммоль, 1 экв.) в качестве подходящего карбамата и 380 мг 3-[трет-бутил(диметил)силил]оксипропан-1-ола (2 ммоль, 2 экв.) в качестве подходящего спирта, получали 600 мг (80%) целевого продукта.

Стадия В: метил 5-[3-[4-[3-[трет-бутоксикарбонил(метил)амино]проп-1-инил]-2-фторфенокси]пропил]-2-[3-[трет-бутил(диметил)силил]оксипропиламино]тиаэол-4-карбоксилат

Используя Общую методику снятия защиты посредством HFIP, исходя из продукта со Стадии А в качестве подходящего карбамата, получали 310 мг (47%) целевого продукта.

1H ЯМР (400 МГц, ДМСО-d6) δ м.д. 7.50 (t, 1Н), 7.30 (d, 1Н), 7.20 (d, 1Н), 7.11 (t, 1Н), 4.21 (bs, 2H), 4.05 (t, 2H), 3.62 (t, 2H), 3.67 (s, 3H), 3.19 (q, 2H), 3.10 (t, 2H), 2.84 (brs, 3H), 2.04-1.94 (m, 2H), 1.74-1.63 (m, 2H), 1.40 (s, 9H), 0.84 (s, 9H), 0.00 (s, 6H).

Синтез 3о: Метил 5-[3-[4-[3-[трет-бутоксикарбонил(метил)амино]проп-1-инил]-2-фторфенокси]пропил]-2-[(2,2-диметил-1,3-диоксолан-4-ил)метиламино]тиазол-4-карбоксилат

Стадия А: метил 2-[трет-бутоксикарбонил-[(2,2-диметил-1,3-диоксолан-4-ил)метил]амино]-5-[3-[4-[3-[трет-бутоксикарбонил(метил)амино]проп-1-инил]-2-фторфенокси]пропил]тиазол-4-карбоксилат

Используя Общую методику проведения реакции Мицунобу, исходя из 577 мг продукта Синтеза 1b (1 ммоль, 1 экв.) в качестве подходящего карбамата и 264 мг (2,2-диметил-1,3-диоксолан-4-ил)метанола (2 ммоль, 2 экв.) в качестве подходящего спирта, получали 640 мг (92%) целевого продукта.

Стадия В: метил 5-[3-[4-[3-[трет-бутоксикарбонил(метил)амино]проп-1-инил]-2-фторфенокси]пропил]-2-[(2,2-диметил-1,3-диоксолан-4-ил)метиламино]тиазол-4-карбоксилат

Используя Общую методику снятия защиты посредством HFIP, исходя из продукта со Стадии А в качестве подходящего карбамата, получали 282 мг (51%) целевого продукта.

1H ЯМР (400 МГц, ДМСО-d6) δ м.д. 7.73 (t, 1H), 7.31 (d, 1H), 7.21 (d, 1H), 7.13 (t, 1H), 4.23 (bs, 2H), 4.19 (q, 1H), 4.07 (t, 2H), 4.05-3.96 (m, 2H), 3.64 (dd, 1H), 3.69 (s, 3H), 3.31-3.24 (m, 1H), 3.11 (t, 2H), 2.86 (brs, 3H), 2.05-1.95 (m, 2H), 1.41 (s, 9H), 1.33 (s, 3H), 1.26 (s, 3H).

Синтез 3р: Метил 5-[3-[4-[3-(диметиламино)проп-1-инил]-2-фторфенокси]пропил]-2-[(2,2-диметил-1,3-диоксолан-4-ил)метиламино]тиазол-4-карбоксилат

Стадия А: метил 2-[трет-бутоксикарбонил-[(2,2-диметил-1,3-диоксолан-4-ил)метил]амино]-5-[3-[4-[3-(диметиламино)проп-1-инил]-2-фторфенокси]пропил]тиазол-4-карбоксилат

Используя Общую методику проведения реакции Мицунобу, исходя из 491 мг продукта Синтеза 1 с (1 ммоль, 1 экв.) в качестве подходящего карбамата и 292 мг (2,2-диметил-1,3-диоксолан-4-ил)метанола (2 ммоль, 2 экв.) в качестве подходящего спирта, получали 573 мг (92%) целевого продукта.

Стадия В: Метил 5-[3-[4-[3-(диметиламино)проп-1-инил]-2-фторфенокси]пропил]-2-[(2,2-диметил-1,3-диоксолан-4-ил)метиламино]тиазол-4-карбоксилат

Используя Общую методику снятия защиты посредством HFIP, исходя из продукта со Стадии А в качестве подходящего карбамата, получали 378 мг (74%) продукта Синтеза 3р.

1H ЯМР (400 МГц, ДМСО-d6) δ м.д. 7.74 (t, 1Н), 7.30 (dd, 1H), 7.21 (d, 1H), 7.13 (t, 1H), 4.21 (qui, 1H), 4.07 (t, 2H), 4.02-3.96 (m, 2H), 3.70 (s, 3H), 3.65 (dd, 1H), 3.42 (s, 2H), 3.33-3.26 (m, 1H), 3.12 (t, 2H), 2.23 (s, 6H), 2.05-1.96 (m, 2H), 1.34(s, 3H), 1.26 (s, 3H).

Синтез 3q: Метил 5-[3-[4-[3-[трет-бутоксикарбонил(метил)амино]проп-1-инил]-2-фторфенокси]пропил]-2-[[3-[трет-бутил(диметил)силил]окси-2-метоксипропил]амино]тиазол-4-карбоксилат

Стадия А: метил 2-[трет-бутоксикарбонил-[3-[трет-бутил(диметил)силил]окси-2-метоксипропил]амино]-5-[3-[4-[3-[трет-бутоксикарбонил(метил)амино]проп-1-инил]-2-фторфенокси]пропил]тиазол-4-карбоксилат

Используя Общую методику проведения реакции Мипунобу, исходя из 577 мг продукта Синтеза 1b (1 ммоль, 1 экв.) в качестве подходящего карбамата и 440 мг продукта Синтеза 2j (2 ммоль, 2 экв.) в качестве подходящего спирта, получали 780 мг (колич.) целевого продукта.

Стадия В: метил 5-[3-[4-[3-[трет-бутоксикарбонил(метил)амино]проп-1-инил]-2-фторфенокси]пропил]-2-[[3-[трет-бутил(диметил)силил]окси-2-метоксипропил]амино]тиазол-4-карбоксилат

Используя Общую методику снятия защиты посредством HFIP, исходя из продукта со Стадии А в качестве подходящего карбамата, получали 400 мг (58%) целевого продукта.

1H ЯМР (400 МГц, ДМСО-d6) δ м.д. 7.60 (t, 1Н), 7.31 (d, 1Н), 7.21 (d, 1Н), 7.13 (t, 1Н), 4.23 (bs, 2H), 4.07 (t, 2H), 3.69 (s, 3H), 3.67-3.57 (m, 2H), 3.40-3.31 (m, 2H), 3.33 (s, 3H), 3.26-3.18 (m, 1Н), 3.12 (t, 2H), 2.87 (brs, 3H), 2.01 (qui, 2H), 1.42 (s, 9H), 0.86 (s, 9H), 0.03 (s, 3H), 0.02 (s, 3H).

Синтез 3r: Метил 5-[3-[4-[3-[трет-бутоксикарбонил(метил)амино]проп-1-инил]-2-фторфенокси]пропил]-2-[[3-[трет-бутил(диметил)силил]окси-2-морфолинопропил]амино]тиазол-4-карбоксилат

Стадия А: метил 2-[трет-бутоксикарбонил-[3-[трет-бутил(диметил)силил]окси-2-морфолинопропил]амино]-5-[3-[4-[3-[трет-бутоксикарбонил(метил)амино]проп-1-инил]-2-фторфенокси]пропил]тиазол-4-карбоксилат

Используя Общую методику проведения реакции Мицунобу, исходя из 577 мг продукта Синтеза 1b (1 ммоль, 1 экв.) в качестве подходящего карбамата и 413 мг продукта Синтеза 2k (1.5 ммоль, 1.5 экв.) в качестве подходящего спирта, получали 473 мг (56%) целевого продукта.

Стадия В: метил 5-[3-[4-[3-[трет-бутоксикарбонил(метил)амино]проп-1-инил]-2-фторфенокси]пропил]-2-[[3-[трет-бутил(диметил)силил]окси-2-морфолинопропил]амино]тиазол-4-карбоксилат

Используя Общую методику снятия защиты посредством HFIP, исходя из продукта со Стадии А в качестве подходящего карбамата, получали 390 мг (93%) целевого продукта.

1H ЯМР (400 МГц, ДМСО-d6) δ м.д. 7.38 (t, 1Н), 7.32 (d, 1Н), 7.21 (d, 1Н), 7.12 (t, 1Н), 4.23 (bs, 2H), 4.07 (t, 2H), 3.73 (dd, 1Н), 3.69 (s, 3H), 3.64 (dd, 1Н), 3.58-3.46 (m, 4H), 3.25 (t, 2H), 3.13 (t, 2H), 2.87 (brs, 3H), 2.72-2.63 (m, 3H), 2.59-2.53 (m, 2H), 2.01 (qui, 2H), 1.42 (s, 9H), 0.86 (s, 9H), 0.03 (s, 6H).

Синтез 3s: Метил 5-[3-(2-фтор-4-йодфенокси)пропил]-2-(метиламино)тиазол-4-карбоксилат

Стадия А: метил 2-[трет-бутоксикарбонил(метил)амино]-5-[3-(2-фтор-4-йодфенокси)пропил]тиазол-4-карбоксилат

Используя Общую методику алкилирования, исходя из 2.68 г продукта Синтеза 1а (10 ммоль, 1 экв.) и 1.70 г йодметана (12 ммоль, 1.2 экв.) в качестве подходящего алкилгалогенида, получали 2.8 г (77%) целевого продукта.

Стадия В: метил 5-[3-(2-фтор-4-йодфенокси)пропил]-2-(метиламино)тиазол-4-карбоксилат

Используя Общую методику снятия защиты посредством HFIP, исходя из 2.0 г продукта со Стадии А (4.44 ммоль) в качестве подходящего карбамата, получали 1.2 г (73%) целевого продукта.

1H ЯМР (500 МГц, ДМСО-d6) δ м.д. 7.59 (dd, 1Н), 7.50 (q, 1H), 7.45 (m, 1H), 6.97 (t, 1H), 4.03 (t, 2H), 3.70 (s, 3H), 3.12 (t, 2H), 2.77 (d, 3H), 1.99 (m, 2H); 13C ЯМР (125 МГц, ДМСО-d6) δ м.д. 165.4, 163.0, 147.0, 134.0, 124.9, 117.6, 68.0, 51.8, 31.1, 30.6, 23.3; МСВР-ЭРИ (m/z): [M+H]+, рассчитано для C15H17FIN2O3S: 450.9983, найдено: 450.9971.

Синтез 3t: Метил2-[5-[трет-бутил(диметил)силил]оксипентиламино]-5-[3-[4-[3-(диметиламино)проп-1-инил]-2-фторфенокси]пропил]тиазол-4-карбоксилат

Используя Общую методику проведения реакции Соногаширы, исходя из сырого продукта Синтеза 3m, Стадия В, и N,N-диметилпроп-2-ин-1-амина в качестве подходящего ацетилена, получали 3.73 г (колич. за 2 стадии) целевого продукта.

МСВР-ЭРИ (m/z): [M+H]+, рассчитано для C30H47FN3O4SSi: 592.3035, найдено: 592.3033.

Синтез 3u: Этил 2-амино-5-(3-{4-[3-(диметиламино)проп-1-ин-1-ил]-2-фторфенокси}пропил)-1,3-тиазол-4-карбоксилат

Стадия А: этил 3-бром-6-хлор-2-оксогексаноат

К перемешиваемому раствору этил 6-хлор-2-оксогексаноата (5 г, 26.0 ммоль, 1 экв.) в хлороформе (70 мл) добавляли бром (1.6 мл, 31.2 ммоль, 1.2 экв.). Реакционную смесь перемешивали при температуре окружающей среды в течение 6.5 ч, затем разбавляли дихлорметаном и промывали 10% водным раствором тиосульфата натрия с последующим промыванием водой и затем соляным раствором. Органический экстракт сушили (сульфат магния) и растворитель удаляли в вакууме с получением целевого соединения (7 г, 25.8 ммоль, 99%) в виде бесцветного масла.

1H ЯМР (400 МГц, ДМСО-d6) δ 5.25 (dd, J = 9.0, 4.7 Гц, 1Н), 4.30 (q, J = 7.1 Гц, 2Н), 3.72 (t, J = 6.3 Гц, 2Н), 2.24 - 2.10 (m, 1Н), 2.07 - 1.89 (m, 2H), 1.92 -1.76 (m, 1Н), 1.30 (t, J = 7.1 Гц, 3Н).

Стадия В: этил 5-(3-хлорпропил)-2-ацетамидо-1,3-тиазол-4-карбоксилат

К перемешиваемому раствору продукта со Стадии А (7 г, 25.8 ммоль, 1 экв.) в этаноле (150 мл) добавляли N-ацетилтиомочевину (3.05 г, 25.78 ммоль, 1 экв.). Реакционную смесь нагревали с обратным холодильником в течение 6 ч, затем давали охладиться до температуры окружающей среды и растворитель удаляли в вакууме. Остаток растворяли в дихлорметане (150 мл), затем добавляли ангидрид уксусной кислоты (4.74 мл, 50.21 ммоль, 2 экв.) и 4-диметиламинопиридин (6.13 г, 50.21 ммоль, 2 экв.). После перемешивания при температуре окружающей среды в течение 2 ч смесь разбавляли дихлорметаном, затем промывали водой (х2) с последующим промыванием соляным раствором. Органический экстракт сушили (сульфат магния), затем растворитель удаляли в вакууме. Сырое вещество растирали с диэтиловым эфиром и твердое вещество собирали путем фильтрования и промывали диэтиловым эфиром с получением целевого продукта (1.1 г, 3.78 ммоль, 13.9%). Два цикла упаривания фильтрата, повторного растирания и отфильтровывания приводили к получению дополнительных партий продукта (3.42 г, 11.76 г, 43%). В заключение, выполнение упаривания конечного фильтрата и очистки с помощью автоматической колоночной флэш-хроматографии (CombiFlash Rf, 12 г силикагелевый картридж RediSep™) с элюированием с градиентом 0 - 100% этилацетата в изогептане приводило к получению дополнительного количества целевого продукта (1.46 г, 5.02 ммоль, 18.5%) [общий выход: 76%].

ЖХ/МС (C11H15ClN2O3S) 291 [M+H]+; RT 1.08 (ЖХМС-V-B1);

1H ЯМР (400 МГц, ДМСО-d6) δ 12.43 (s, 1H), 4.26 (q, J = 7.1 Гц, 2Н), 3.68 (t, J = 6.4 Гц, 2Н), 3.27 - 3.18 (m, 2Н), 2.13 (s, 3H), 2.19 - 2.00 (m, 2Н), 1.29 (t, J = 7.1 Гц, 3Н).

Стадия С: этил 2-ацетамидо-5-(3-йодпропил)-1,3-тиазол-4-карбоксилат

Раствор продукта со Стадии В (5.84 г, 20.1 ммоль, 1 экв.) и йодида натрия (18.1 г, 0.12 моль, 6 экв.) в ацетонитриле (130 мл) нагревали с обратным холодильником в течение 6 ч. Смесь охлаждали до температуры окружающей среды и растворитель удаляли в вакууме. Смесь разбавляли этилацетатом и промывали водой и соляным раствором. Органический экстракт сушили (сульфат магния) и концентрировали в вакууме. Полученное в результате твердое вещество растирали в диэтиловом эфире, и затем собирали путем фильтрования с получением целевого продукта в виде кремового твердого вещества (6.28 г, 16.4 ммоль, 82%).

ЖХ/МС (C11H15IN2O3S) 383 [М+Н]+; RT 0.96 (ЖХМС-V-B1)

1H ЯМР (400 МГц, ДМСО-d6) δ 12.43 (s, 1H), 4.26 (q, J = 7.1 Гц, 2Н), 3.29 (t, J = 6.7 Гц, 2Н), 3.18 (t, J = 7.4 Гц, 2Н), 2.12 (s, 3Н), 2.16 - 2.04 (m, 2Н), 1.30 (t, J = 7.1 Гц, 3Н).

Стадия D: этил 5-(3-{4-[3-(диметиламино)проп-1-ин-1-ил]-2-фторфенокси}пропил)-2-ацетамидо-1,3-тиазол-4-карбоксилат

К перемешиваемому раствору продукта со Стадии С (1.64 г, 8.46 ммоль, 1.2 экв.) в диметилформамиде (20 мл) добавляли гидрид натрия (60% в минеральном масле) (0.56 г, 14.1 ммоль, 2 экв.). Реакционную смесь перемешивали при температуре окружающей среды в течение 30 мин, затем охлаждали на ледяной бане и медленно добавляли раствор продукта Синтеза 6b (2.7 г, 7.05 ммоль, 1 экв.) в диметилформамиде (20 мл). Спустя 40 мин реакционной смеси давали нагреться до температуры окружающей среды и перемешивали в течение 5 ч. Растворитель удаляли в вакууме, и сырое вещество распределяли между этилацетатом и водой, промывали соляным раствором и сушили (сульфат магния). Растворитель удаляли в вакууме и сырой продукт очищали с помощью автоматической колоночной флэш-хроматографии (CombiFlash Rf, 80 г силикагелевый картридж RediSep™), элюируя с градиентом 0 - 10% метанола в дихлорметане с получением целевого продукта в виде кремового твердого вещества (1.48 г, 3.32 ммоль, 47%).

ЖХ/МС (C22H26FH3O4S) 448 [М+Н]+; RT 0.76 (ЖХМС-V-B1)

1H ЯМР (400 МГц, ДМСО-d6) δ 12.41 (s, 1Н), 7.30 (dd, J = 11.9, 2.3 Гц, 1Н), 7.25 - 7.18 (m, 1Н), 7.17 - 7.10 (m, 1Н), 4.22 (q, J = 7.1 Гц, 2Н), 4.11 (t, J = 6.1 Гц, 2H), 3.42 (s, 2Н), 3.24 (dt, J = 14.7, 7.5 Гц, 2Н), 2.23 (s, 6H), 2.10 (s, 3Н), 2.12 - 2.01 (m, 2Н), 1.27 (t, J = 7.1 Гц, 3Н).

Стадия Е: этил 2-амино-5-(3-{4-[3-(диметиламино)проп-1-ин-1-ил]-2-фторфенокси}пропил)-1,3-тиазол-4-карбоксилат

Раствор продукта со Стадии D (1.49 г, 3.32 ммоль, 1 экв.) и хлористоводородной кислоты (4 М в 1,4-диоксане) (8.3 мл, 0.03 моль, 10 экв.) в этаноле (40 мл) нагревали при 60 °С в течение 18 ч. Реакционной смеси давали охладиться до температуры окружающей среды, затем растворитель удаляли в вакууме. Полученное в результате масло растворяли в небольшом количестве метанола, затем загружали на картридж SCX-2 (50 г, промытый метанолом). Картридж промывали метанолом, и затем элюировали 3.5 н. метанольным аммиаком. Растворитель удаляли в вакууме и полученное в результате масло очищали с помощью автоматической колоночной флэш-хроматографии (CombiFlash Rf, 80 г силикагелевый картридж RediSep™), элюируя с градиентом 0 - 10% метанола в дихлорметане с получением целевого продукта в виде кремового твердого вещества (0.78 г, 1.93 ммоль, 58%).

ЖХ/МС (C20H24FN3O3S) 406 [М+Н]+; RT 0.706 (ЖХМС-V-B1)

1H ЯМР (400 МГц, ДМСО-d6) δ 7.30 (dd, J = 12.0, 2.0 Гц, 1Н), 7.25 - 7.17 (m, 1Н), 7.13 (t, J = 8.7 Гц, 1Н), 7.02 (s, 2Н), 4.16 (q, 2Н), 4.07 (t, 2Н), 3.42 (s, 2H), 3.12 (t, J = 7.5 Гц, 2H), 2.23 (s, 6H), 2.09 - 1.94 (m, 2H), 1.23 (t, J = 7.1 Гц, 3Н).

Синтез 3v: Этил 2-амино-5-(3-феноксипропил)-1,3-тиазол-4-карбоксилат

Стадия А: этил 5-бром-2-ацетамидо-1,3-тиазол-4-карбоксилат

Раствор этил 2-амино-5-бром-1,3-тиазол-4-карбоксилата (2 г, 7.96 ммоль, 1 экв.), ангидрида уксусной кислоты (0.83 мл, 8.76 ммоль, 1.1 экв.) и 4-диметиламинопиридина (1.12 г; 9.16 ммоль, 1.15 экв.) в дихлорметане (30 мл) перемешивали при температуре окружающей среды в течение 3 дней. Реакционную смесь разбавляли дихлорметаном, последовательно промывали водой и соляным раствором, затем сушили (сульфат магния) и растворитель удаляли в вакууме. Полученное в результате твердое вещество растирали с диэтиловым эфиром, отфильтровывали и сушили в вакууме с получением целевого продукта в виде не совсем белого твердого вещества (1.8 г, 6.14 ммоль, 77%).

ЖХ/МС (C8H9BrN2O3S) 293 [М+Н]+; RT 1.01 (ЖХМС-V-B1)

1H ЯМР (400 МГц, ДМСО-d6) δ 12.80 (s, 1H), 4.28 (q, J = 7.1 Гц, 2Н), 2.16 (s, 3H), 1.30(t, J = 7.1 Гц, 3Н).

Стадия В: этил 2-ацетамидо-5-(3-феноксипроп-1-ин-1-ил)-1,3-тиазол-4-карбоксилат

Продукт со Стадии А (200 мг, 0.68 ммоль, 1 экв.), фенилпропаргиловый эфир (0.18 мл, 1.36 ммоль, 2 экв.), триэтиламин (0.28 мл, 2.05 ммоль, 3 экв.), йодид меди(I) (13 мг, 0.07 ммоль, 0.1 экв.) и тетракис(трифенилфосфин)палладий(0) (39.4 мг, 0.03 ммоль, 0.05 экв.) объединяли. Смесь барботировали азотом (10 мин) и затем нагревали при 100°С в течение 1 ч под микроволновым облучением. Реакционную смесь распределяли между этилацетатом и водой, и органику промывали водой с последующим промыванием соляным раствором, и сушили (сульфат магния). Растворитель удаляли в вакууме и сырой продукт очищали с помощью автоматической колоночной флэш-хромато графин (CombiFlash Rf, 12 г силикагелевый картридж RediSep™) с элюированием с градиентом 0 - 100% этилацетата в изогептане с получением целевого продукта в виде не совсем белого твердого вещества (122 мг, 0.35 ммоль, 52%).

ЖХ/МС (C17H16N2O4S) 345 [М+Н]+; RT 1.21 (ЖХМС-V-B1)

1H ЯМР (400 МГц, ДМСО-d6) δ 12.85 (s, 1H), 7.34 (t, J = 7.8 Гц, 2Н), 7.09 - 7.03 (m, 2Н), 7.02 - 6.96 (m, 1H), 5.13 (s, 2Н), 4.24 (q, J = 7.0 Гц, 2Н), 2.16 (s, 3H), 1.27(t, J = 7.1 Гц, 3Н).

Стадия С: этил 2-ацетамидо-5-(3-феноксипропил)-1,3-тиазол-4-карбоксилат

Этилацетат (10 мл) загружали в колбу, содержащую продукт со Стадии В (122 мг, 0.35 ммоль, 1 экв.) и оксид платины(IV) (8.04 мг, 0.04 ммоль, 0.1 экв.) в атмосфере азота. Смесь встряхивали при температуре окружающей среды в атмосфере водорода в течение 6.5 ч. Добавляли дополнительное количество оксида платины(IV) (на кончике шпателя), и реакционную смесь встряхивали в атмосфере водорода в течение еще 18 ч. Смесь фильтровали через смоченную метанолом набивку целита, элюировали метанолом, и растворитель удаляли в вакууме. Очистка с помощью автоматической колоночной флэш-хроматографии (CombiFlash Rf, 12 г силикагелевый картридж RediSep™) с элюированием с градиентом 0 - 100% этилацетата в изогептане приводила к получению целевого продукта в виде кремового твердого вещества (77.2 мг, 0.22 ммоль, 63%).

ЖХ/МС (C17H20N2O4S) 349 [М+Н]+; RT 1.22 (ЖХМС-V-B1)

1H ЯМР (400 МГц, ДМСО-d6) δ 12.41 (s, 1H), 7.36 - 7.24 (m, 2H), 7.03 - 6.88 (m, 3Н), 4.23 (q, J = 7.1 Гц, 2H), 4.00 (t, J = 6.2 Гц, 2H), 3.26 (dd, J = 8.3, 6.8 Гц, 2H), 2.12 (s, 3Н), 2.11 - 2.01 (m, 2H), 1.28 (t, J = 7.1 Гц, 3Н).

Стадия D: этил 2-амино-5-(3-феноксипропил)-1,3-тиазол-4-карбоксилат

Хлористоводородную кислоту (4М в 1,4-диоксане; 0.55 мл, 2.22 ммоль, 10 экв.) добавляли к перемешиваемому раствору продукта со Стадии С (77.2 мг, 0.22 ммоль, 1 экв.) в этаноле (5 мл). Реакционную смесь нагревали при 60 °С в течение 5 ч. Растворитель удаляли в вакууме, затем остаток растворяли в метаноле и загружали на смоченный метанолом картридж SCX-2 (5 г). Картридж промывали метанолом, затем элюировали 3.5 н. метанольным аммиаком, и растворитель удаляли в вакууме. Очистка с помощью автоматической колоночной флэш-хроматографии (CombiFlash Rf, 12 г силикагелевый картридж RediSep™) с элюированием с градиентом 0 - 10% метанола в дихлорметане приводила к получению целевого продукта в виде желтой смолы (48.2 мг, 0.16 ммоль, 71%).

ЖХ/МС (C15H18N2O3S) 307 [М+Н]+; RT 1.16 (ЖХМС-V-B1)

1H ЯМР (400 МГц, ДМСО-d6) δ 7.33 - 7.24 (m, 2H), 7.02 (s, 2H), 6.95 - 6.90 (m, 3Н), 4.16 (q, J = 7.1 Гц, 2H), 3.97 (t, J = 6.2 Гц, 2H), 3.13 (t, 2H), 2.03 - 1.94 (m, 2H), 1.24 (t, J = 7.1 Гц, 3Н).

Синтез 3w: Этил 2-амино-5-(3-метоксипропил)-1,3-тиазол-4-карбоксилат

Стадия А: этил 2-ацетамидо-5-(3-метоксипроп-1-ин-1-ил)-1,3-тиазол-4-карбоксилат

Диметилформамид (10 мл) добавляли к продукту Синтеза 3v, Стадия А (400 мг, 1.36 ммоль, 1 экв.), метилпропаргиловому эфиру (0.23 мл, 2.73 ммоль, 2 экв.), триэтиламину (0.57 мл, 4.09 ммоль, 3 экв.) и йодиду меди(I) (26 мг, 0.14 ммоль, 0.1 экв.), и затем добавляли тетракис(трифенилфосфин)палладий(0) (78.8 мг, 0.07 ммоль, 0.05 экв.). Сосуд барботировали азотом (10 мин) и затем нагревали при 100°С в течение 1 ч под микроволновым облучением. Растворитель удаляли в вакууме и сырой продукт очищали с помощью автоматической колоночной флэш-хроматографии (CombiFlash Rf, 12 г силикагелевый картридж RediSep™) с элюированием с градиентом 0 - 5% метанола в дихлорметане с получением твердого вещества, которое растирали с диэтиловым эфиром с получением целевого продукта в виде кремового твердого вещества (213.7 мг, 0.76 ммоль, 55%). Фильтрат упаривали с получением второй партии целевого продукта в виде оранжевой смолы (94.6 мг, 0.34 ммоль, 24%) [общий выход 79%].

ЖХ/МС (C12H14N2O4S) 283 [М+Н]+; RT 1.00 (ЖХМС-V-B1)

1H ЯМР (400 МГц, ДМСО-d6) δ 12.84 (s, 1Н), 4.41 (s, 2H), 4.28 (q, J = 7.1 Гц, 2H), 3.36 (s, 3Н), 2.16 (s, 3Н), 1.30 (t, J = 7.1 Гц, 3Н).

Стадия В: этил 2-ацетамидо-5-(3-метоксипропил)-1,3-тиазол-4-карбоксилат

Раствор продукта со Стадии А (308 мг, 1.09 ммоль, 1 экв.) в 2:1 смеси этилацетат / метанол (15 мл) загружали в колбу, содержащую каталитическое количество оксида платины(IV) в атмосфере азота. Сосуд вакуумировали и снова заполняли азотом (х3), затем вакуумировали и помещали в атмосферу водорода. После встряхивания при температуре окружающей среды в течение 18 ч, реакционную смесь фильтровали через целит, элюировали метанолом, и растворитель удаляли в вакууме. Очистка с помощью автоматической колоночной флэш-хроматографии (CombiFlash Rf, 12 г силикагелевый картридж RediSep™) с элюированием с градиентом 0 - 100% этилацетата в изогептане приводила к получению целевого продукта в виде кремового твердого вещества (207 мг, 0.72 ммоль, 66%).

ЖХ/МС (C12H18N2O4S) 287 [М+Н]+; RT 0.99 (ЖХМС-V-B1)

1H ЯМР (400 МГц, ДМСО-d6) δ 12.40 (s, 1Н), 4.25 (q, J = 7.1 Гц, 2H), 3.39 - 3.31 (m, 2H), 3.24 (s, 3Н), 3.17 - 3.08 (m, 2H), 2.12 (s, 3Н), 1.89 - 1.77 (m, 2H), 1.29 (t, J = 7.1 Гц, 3Н).

Стадия С: этил 2-амино-5-(3-метоксипропил)-1,3-тиазол-4-карбоксилат

Хлористоводородную кислоту (4М в 1,4-диоксане; 2.1 мл, 8.38 ммоль, 10 экв.) добавляли к перемешиваемому раствору продукта со Стадии В (240 мг, 0.84 ммоль, 1 экв.) в этаноле (10 мл). Смесь нагревали до 60°С в течение 7 ч, затем давали охладиться до температуры окружающей среды и концентрировали в вакууме. Очистка с помощью автоматической колоночной флэш-хроматографии (CombiFlash Rf, 12 г силикагелевый картридж RediSep™) с элюированием с градиентом 0 - 10% метанола в дихлорметане приводила к получению целевого продукта в виде коричневой смолы (219 мг, 0.81 ммоль, 97%).

ЖХ/МС (C10H16N2O3S) 245 [М+Н]+; RT 0.88 (ЖХМС-V-B1)

1H ЯМР (400 МГц, ДМСО-d6) δ 8.00 (br s, 2H), 4.25 (q, J = 7.1 Гц, 2Н), 3.34 (t, J = 6.3 Гц, 2H), 3.23 (s, 3Н), 3.05 - 2.96 (m, 2H), 1.84 - 1.72 (m, 2H), 1.28 (t, J = 7.1 Гц, 3Н).

Синтез 3х: Этил 2-амино-5-[3-(2-фторфенокси)пропил]-1,3-тиазол-4-карбоксилат

Стадия А: этил 2-ацетамидо-5-(3-гидроксипроп-1-ин-1-ил)-1,3-тиазол-4-карбоксилат

К смеси продукта Синтеза 3v, Стадия А (1 г, 3.41 ммоль, 1 экв.), пропаргилового спирта (0.4 мл, 6.82 ммоль, 2 экв.), триэтиламина (1.42 мл, 10.2 ммоль, 3 экв.) и йодида меди(I) (65 мг, 0.34 ммоль, 0.1 экв.) в диметилформамиде (20 мл) добавляли тетракис(трифенилфосфин)палладий(0) (197 мг, 0.17 ммоль, 0.05 экв.). Смесь барботировали азотом (10 мин) и затем нагревали при 100 °С в течение 1 ч под микроволновым облучением. Растворитель удаляли в вакууме; последующая очистка с помощью автоматической колоночной флэш-хроматографии (CombiFlash Rf, 40 г силикагелевый картридж RediSep™) с элюированием с градиентом 0 - 10% метанола в дихлорметане приводила к получению целевого продукта в виде коричневого твердого вещества (1.01 г, 3.75 ммоль, > 100%).

ЖХ/МС (C11H12N2O4S) 269 [М+Н]+; RT 0.82 (ЖХМС-V-B1)

1H ЯМР (400 МГц, ДМСО-d6) δ 12.80 (s, 1Н), 5.45 (t, J = 6.0 Гц, 1Н), 4.37 (d, J = 6.1 Гц, 2H), 4.27 (q, J = 7.1 Гц, 2H), 2.16 (s, 3Н), 1.30 (t, J = 7.1 Гц, 3Н).

Стадия В: этил 2-ацетамидо-5-(3-гидроксипропил)-1,3-тиазол-4-карбоксилат

Раствор продукта со Стадии А (1.01 г, 3.75 ммоль, 1 экв.) в 4:1 смеси этилацетат / метанол (25 мл) загружали в колбу, содержащую гидрат оксида платины(IV) (на кончике шпателя) в атмосфере азота. Реакционную смесь вакуумировали и снова заполняли азотом (х3), затем вакуумировали и помещали в атмосферу водорода. Реакционную смесь встряхивали при температуре окружающей среды в течение 30 ч, затем фильтровали через целит, элюировали метанолом и растворитель удаляли в вакууме. Очистка с помощью автоматической колоночной флэш-хроматографии (CombiFlash Rf, 24 г силикагелевый картридж RediSep™) с элюированием с градиентом 0 - 10% метанола в дихлорметане приводила к получению целевого продукта в виде коричневой смолы (582 мг, 2.14 ммоль, 57%).

ЖХ/МС (C11H16N2O4S) 273 [М+Н]+; RT 0.81 (ЖХМС-V-B1)

1H ЯМР (400 МГц, ДМСО-d6) δ 12.39 (s, 1Н), 4.54 (t, J = 5.1 Гц, 1Н), 4.25 (q, J = 7.1 Гц, 2H), 3.44 (td, J = 6.4, 5.1 Гц, 2H), 3.15 - 3.09 (m, 2H), 2.12 (s, 3Н), 1.81 1.69 (m, 2H), 1.29 (t, J = 7.1 Гц, 3Н).

Стадия С: этил 2-ацетамидо-5-[3-(2-фторфенокси)пропил]-1,3-тиазол-4-карбоксилат

Раствор 2-фторфенола (0.1 мл, 1.1 ммоль, 1.5 экв.), продукта со Стадии В (200 мг, 0.73 ммоль, 1 экв.) и трифенилфосфина (289 мг, 1.1 ммоль, 1.5 экв.) в тетрагидрофуране (10 мл) охлаждали на ледяной бане, затем по каплям добавляли диизопропил азобикарбоксилат (0.22 мл, 1.1 ммоль, 1.5 экв.). Реакционной смеси давали постепенно нагреться до температуры окружающей среды, и затем перемешивали в течение 18 ч. Смесь разбавляли этилацетатом, промывали соляным раствором, и органическую фазу сушили (сульфат магния) и концентрировали в вакууме. Очистка с помощью автоматической колоночной флэш-хроматографии (CombiFlash Rf, 24 г силикагелевый картридж RediSep™) с элюированием с градиентом 0 - 100% этилацетата в гептане приводила к получению целевого продукта в виде белого твердого вещества (162 мг, 0.44 ммоль, 60%).

ЖХ/МС (C17H19FN2O4S) 367 [М+Н]+; RT 1.22 (ЖХМС-V-B1)

1H ЯМР (400 МГц, ДМСО-d6) δ 12.41 (s, 1Н), 7.29 - 7.07 (m, 3Н), 7.00 - 6.89 (m, 1Н), 4.23 (q, J = 7.1 Гц, 2Н), 4.08 (t, J = 6.2 Гц, 2Н), 3.27 (dd, J = 8.2, 6.9 Гц, 2Н), 2.12 (s, 3H), 2.18 - 2.03 (m, 2Н), 1.27 (t, J = 7.1 Гц, 3Н).

Стадия D: этил 2-амино-5-[3-(2-фторфенокси)пропил]-1,3-тиазол-4-карбоксилат

Раствор продукта со Стадии С (217 мг, 0.59 ммоль, 1 экв.) и хлористоводородной кислоты (4М в диоксане; 1.48 мл, 5.92 ммоль, 10 экв.) в этаноле (8 мл) нагревали при 60°С в течение ночи. Смеси давали охладиться до температуры окружающей среды, затем растворитель удаляли в вакууме. Очистка с помощью автоматической колоночной флэш-хроматографии (CombiFlash Rf, 12 г силикагелевый картридж RediSep™) с элюированием с градиентом 0 - 10% метанола в дихлорметане приводила к получению целевого продукта в виде желтой пены (181 мг, 0.56 ммоль, 94%).

ЖХ/МС (C15H17FN2O3S) 325 [М+Н]+; RT 1.16 (ЖХМС-V-B1)

1H ЯМР (400 МГц, ДМСО-d6) δ 7.62 (br s, 2Н), 7.26 - 7.07 (m, 3Н), 6.99 - 6.89 (m, 1H), 4.20 (q, J = 7.1 Гц, 2Н), 4.07 (t, J = 6.1 Гц, 2Н), 3.15 (t, J = 7.5 Гц, 2Н), 2.08 - 1.99 (m, 2Н), 1.25 (t, J = 7.1 Гц, 3Н).

Синтез 3у: Этил 2-амино-5-[3-(4-бром-2-фторфенокси)пропил]-1,3-тиазол-4-карбоксилат

Стадия А: этил 5-[3-(4-бром-2-фторфенокси)пропил]-2-ацетамидо-1,3-тиазол-4-карбоксилат

Раствор продукта Синтеза 3х, Стадия В (248 мг, 0.91 ммоль, 1 экв.), 4-бром-2-фторфенола (0.15 мл, 1.37 ммоль, 1.5 экв.) и трифенилфосфина (358 мг, 1.37 ммоль, 1.5 экв.) в тетрагидрофуране (10 мл) охлаждали на ледяной бане, затем по каплям добавляли диизопропилазодикарбоксилат (0.27 мл, 1.37 ммоль, 1.5 экв.). Реакционную смесь перемешивали на бане со льдом в течение 30 мин, затем перемешивали при температуре окружающей среды в течение 3 ч. Реакционную смесь разбавляли этилацетатом и промывали водой, затем соляным раствором. Органику сушили (сульфат магния) и растворитель удаляли в вакууме. Очистка с помощью автоматической колоночной флэш-хроматографии (CombiFlash Rf, 24 г силикагелевый картридж RediSep™) с элюированием с градиентом 0 - 100% этилацетата в гептане приводила к получению целевого продукта в виде белого твердого вещества (229 мг, 0.51 ммоль, 56%).

ЖХ/МС (C17H18BrFN2O4S) 445 [M+H]+; RT 1.36 (ЖХМС-V-B1)

1H ЯМР (400 МГц, ДМСО-d6) δ 12.42 (s, 1Н), 7.53 (dd, J = 10.9, 2.4 Гц, 1Н), 7.32 (ddd, J = 8.8, 2.4, 1.5 Гц, 1Н), 7.13 (t, J = 9.0 Гц, 1Н), 4.22 (q, J = 7.1 Гц, 2Н), 4.08 (t, J = 6.1 Гц, 2Н), 3.25 (dd, J = 8.4, 6.7 Гц, 2Н), 2.12 (s, 3H), 2.18 - 2.02 (m, 2Н), 1.27 (t, J = 7.1 Гц, 3Н).

Стадия В: этил 2-амино-5-[3-(4-бром-2-фторфенокси)пропил]-1,3-тиазол-4-карбоксилат

Раствор продукта со Стадии А (229 мг, 0.51 ммоль, 1 экв.) и хлористоводородной кислоты (4М в диоксане; 1.29 мл, 5.14 ммоль, 10 экв.) в этаноле (8 мл) нагревали при 60 °С в течение 18 ч. Реакционной смеси давали охладиться до температуры окружающей среды, затем растворитель удаляли в вакууме. Очистка с помощью автоматической колоночной флэш-хроматографии (CombiFlash Rf, 12 г силикагелевый картридж RediSep™) с элюированием с градиентом 0 - 10% метанола в дихлорметане приводила к получению целевого продукта в виде желтой смолы (199 мг, 0.49 ммоль, 96%).

ЖХ/МС (C15H16BrFN2O3S) 405 [М+Н]+; RT 1.30 (ЖХМС-V-B1)

1H ЯМР (400 МГц, ДМСО-d6) δ 7.54 (dd, J = 11.0, 2.4 Гц, 1Н), 7.33 (ddd, J = 8.8, 2.4, 1.5 Гц, 1Н), 7.13 (t, J = 9.0 Гц, 1Н), 4.19 (q, J = 7.1 Гц, 2Н), 4.07 (t, J = 6.1 Гц, 2Н), 3.16 3.10 (m, 2Н), 2.11 1.96 (m, 2Н), 1.24 (t, J = 7.1 Гц, 3Н).

Синтез 3z: Этил 2-[(2-метоксиэтил)амино]-1,3-тиазол-4-карбоксилат

Этилбромпируват (2.5 мл, 17.9 ммоль, 1.07 экв.) в атмосфере азота добавляли к суспензии 2-метоксиэтилтиомочевины (2.25 г, 16.8 ммоль, 1 экв.) в этаноле (40 мл) при 0°С, и смесь перемешивали в течение 1 ч при температуре окружающей среды. Добавляли триэтиламин (4.7 мл, 33.5 ммоль, 2 экв.), и смесь нагревали при 75°С в течение 18 ч. Раствору давали охладиться до температуры окружающей среды и распределяли между этилацетатом (300 мл) и водой (200 мл). Органическую фазу промывали водой (200 мл) и соляным раствором, сушили (сульфат магния) и концентрировали в вакууме. Очистка с помощью колоночной флэш-хроматографии (100 г силикагеля) с элюированием 1:1 смесью этилацетат / гептан приводила к твердому веществу, которое растирали с гептаном (20 мл), отфильтровывали, промывали гептаном (2 × 15 мл) и сушили в вакууме с получением целевого продукта в виде бледно-коричневого твердого вещества (3.15 г, 13.7 ммоль, 82%).

ЖХ/МС (C9H14N2O3S) 231 [М+Н]+; RT 0.88 (ЖХМС-V-B1)

1H ЯМР (400 МГц, CDCl3) δ 7.40 (s, 1H), 5.78 (t, 1H), 4.34 (q, J = 7.1 Гц, 2Н), 3.60 - 3.54 (m, 2Н), 3.48 (td, J = 5.5, 4.4 Гц, 2Н), 3.36 (s, 3Н), 1.36 (t, J = 7.1 Гц, 3Н).

Синтез 3za: Этил 5-[4-(бензилокси)пиперидин-1-ил]-2-(метиламино)-1,3-тиазол-4-карбоксилат

Стадия А: этил 5-[4-(бензилокси)пиперидин-1-ил]-1,3-тиазол-4-карбоксилат

Раствор этил 5-бромтиазол-4-карбоксилата (500 мг, 2.12 ммоль, 1 экв.), гидрохлорида 4-бензилоксипиперидина (579 мг, 2.54 ммоль, 1.2 экв.) и 1,8-диазабицикло[5.4.0]ундец-7-ена (0.64 мл, 4.24 ммоль, 2 экв.) в ацетонитриле (10 мл) нагревали при 100°С в течение 2 ч под микроволновым облучением. Реакционной смеси давали охладиться до температуры окружающей среды, затем концентрировали в вакууме, распределяли между дихлорметаном и водой, и органическую фазу промывали соляным раствором, сушили (сульфат магния) и концентрировали в вакууме. Очистка с помощью автоматической колоночной флэш-хроматографии (CombiFlash Rf, 24 г силикагелевый картридж RediSep™) с элюированием с градиентом 0 - 100% этилацетата в изогептане приводила к получению целевого продукта в виде желтого масла (499 мг, 1.44 ммоль, 68%).

ЖХ/МС (C18H22N2O3S) 347 [М+Н]+; RT 1.08 (ЖХМС-V-B1)

1H ЯМР (400 МГц, ДМСО-d6) δ 8.46 (s, 1H), 7.41 - 7.33 (m, 4H), 7.32 - 7.26 (m, 1H), 4.55 (s, 2Н), 4.25 (q, J = 7.1 Гц, 2Н), 3.62 (tt, J = 7.7, 3.6 Гц, 1Н), 3.42 - 3.30 (m, 2Н), 3.08 - 2.97 (m, 2Н), 2.05 - 1.95 (m, 2Н), 1.81 - 1.66 (m, 2Н), 1.28 (t, J = 7.1 Гц, 3Н).

Стадия В: этил 5-[4-(бензилокси)пиперидин-1-ил]-2-бром-1,3-тиазол-4-карбоксилат

N-Бромсукцинимид (308 мг, 1.73 ммоль, 1.2 экв.) добавляли к перемешиваемому раствору продукта со Стадии А (499 мг, 1.44 ммоль, 1 экв.) в ацетонитриле (20 мл), и смесь перемешивали при температуре окружающей среды в течение ночи. Реакционную смесь разбавляли этилацетатом, промывали водой с последующим промыванием соляным раствором, сушили (сульфат магния) и концентрировали в вакууме. Очистка с помощью автоматической колоночной флэш-хроматографии (CombiFlash Rf, 24 г силикагелевый картридж RediSep™) с элюированием с градиентом 0 - 60% этилацетата в изогептане приводила к получению целевого продукта в виде желтого твердого вещества (454 мг, 1.07 ммоль, 74%).

ЖХ/МС (C18H21BrN2O3S) 427 [М+Н]+; RT 1.26 (ЖХМС-V-B1)

1H ЯМР (400 МГц, ДМСО-d6) δ 7.41 - 7.33 (m, 4H), 7.32 - 7.26 (m, 1Н), 4.54 (s, 2H), 4.24 (q, J = 7.1 Гц, 2Н), 3.62 (tt, J = 7.5, 3.5 Гц, 1Н), 3.43 - 3.28 (m, 2H), 3.07 (ddd, J = 11.8, 8.5, 3.4 Гц, 2Н), 2.06 - 1.88 (m, 2Н), 1.79 - 1.65 (m, 2Н), 1.28 (t, J = 7.1 Гц, 3Н).

Стадия С: этил 5-[4-(бензилокси)пиперидин-1-ил]-2-{[(трет-бутокси)карбонил](метил)амино}-1,3-тиаэол-4-карбоксилат

Продукт со Стадии В (454 мг, 1.07 ммоль, 1 экв.) и трет-бутил метилкарбамат (0.19 мл, 1.28 ммоль, 1.2 экв.) в атмосфере азота добавляли к раствору трис(дибензилиденацетон)дипалладия(0) (48.9 мг, 0.05 ммоль, 0.05 экв.) и ксантфоса (61.8 мг, 0.11 ммоль, 0.1 экв.) в 1,4-диоксане (10 мл). Добавляли карбонат цезия (522 мг, 1.6 ммоль, 1.5 экв.), и смесь нагревали при 100°С в течение ночи. Реакционной смеси давали охладиться до температуры окружающей среды и концентрировали в вакууме. Остаток растворяли в этилацетате, затем промывали водой с последующим промыванием соляным раствором, сушили (сульфат магния) и концентрировали в вакууме. Очистка с помощью автоматической колоночной флэш-хроматографии (CombiFlash Rf, 50 г силикагелевый картридж RediSep™) с элюированием с градиентом 0 50% этилацетата в изогептане приводила к получению целевого продукта в виде кремового твердого вещества (339 мг, 0.71 ммоль, 67%).

ЖХ/МС (C24H33H3O5S) 476 [М+Н]+; RT 1.37 (ЖХМС-V-B1)

1H ЯМР (400 МГц, ДМСО-d6) δ 7.41 - 7.33 (m, 4H), 7.32 - 7.26 (m, 1H), 4.55 (s, 2Н), 4.23 (q, J = 7.1 Гц, 2Н), 3.59 (tt, J = 8.0, 3.7 Гц, 1Н), 3.38 (s, 3H), 3.37 - 3.29 (m, 2Н), 2.97 (ddd, J = 11.6, 8.8, 3.1 Гц, 2Н), 2.06 - 1.91 (m, 2H), 1.76 - 1.62 (m, 2H), 1.52 (s, 9H), 1.28 (t, J = 7.1 Гц, 3Н).

Стадия D: этил 5-[4-(бензилокси)пиперидин-1-ил]-2-(метиламино)-1,3-тиазол-4-карбоксилат

Трифторуксусную кислоту (0.53 мл, 7.11 ммоль, 10 экв.) при 0°С добавляли к перемешиваемому раствору продукта со Стадии С (339 мг, 0.71 ммоль, 1 экв.) в дихлорметане (10 мл), и смеси давали нагреться до температуры окружающей среды и перемешивали в течение ночи. Реакционную смесь распределяли между дихлорметаном и насыщенным водным раствором бикарбоната натрия, и органическую фазу промывали соляным раствором, сушили (сульфат магния) и концентрировали в вакууме. Вещество растирали с диэтиловым эфиром, отфильтровывали и сушили в вакууме с получением целевого продукта в виде белого твердого вещества (213 мг, 0.57 ммоль, 80%).

ЖХ/МС (C19H25N3O3S) 376 [М+Н]+; RT 1.07 (ЖХМС-V-B1)

1H ЯМР (400 МГц, ДМСО-d6) δ 7.38 - 7.33 (m, 3H), 7.32 - 7.23 (m, 2H), 4.53 (s, 2H), 4.18 (q, J = 7.1 Гц, 2H), 3.54 (dt, J = 8.2, 4.3 Гц, 1Н), 3.19 - 3.08 (m, 2H), 2.83 - 2.72 (m, 5H), 2.02 - 1.89 (m, 2H), 1.76 - 1.60 (m, 2H), 1.26 (t, J = 7.1 Гц, 3Н).

Синтез 3zb: Этил 5-{1-[(трет-бутокси)карбонил]азетидин-3-ил}-2-(метиламино)-1,3-тиазол-4-карбоксилат

Стадия А: ({1-[(трет-бутокси)карбонил]азетидин-3-ил}метил)(йод)цинк

В высушенную в сушильном шкафу колбу Шленка загружали цинк (3.3 г, 50.5 ммоль, 1.5 экв.), и сосуд нагревали при 160°С в течение 20 мин в вакууме, затем давали охладиться до температуры окружающей среды и создавали атмосферу азота. Добавляли диметилацетамид (25 мл) с последующим медленным добавлением смеси триметилхлорсилана (0.69 мл, 5.42 ммоль, 0.16 экв.) и 1,2-дибромэтана (0.49 мл, 5.69 ммоль, 0.17 экв.). Полученной в результате смеси давали охладиться до температуры окружающей среды, затем медленно добавляли раствор 1-boc-3-(йодметил)азетидина (10 г, 33.65 ммоль, 1 экв.) в диметилацетамиде (7 мл), и смесь перемешивали в течение ночи. Канюлирование через фильтр (хлопковая вата/целит/хлопковая вата) в сухой 25 мл сосуд Шлепка приводило к получению целевого продукта в виде 0.62 М раствора (как было определено титрованием с помощью 0.5М раствора йода), который использовали без дальнейшего определение характеристик.

Стадия В: трет-бутил 3-(3-этокси-2,3-диоксопропил)азетидин-1-карбоксилат

Раствор йодида меди(I) (3.54 г, 18.6 ммоль, 2 экв.) в тетрагидрофуране (20 мл) охлаждали до -20°С, затем медленно добавляли продукт со Стадии А (0.62М в диметилацетамиде; 30 мл, 18.6 ммоль, 2 экв.), и смесь перемешивали при -20°С в течение 10 мин и затем при 0 °С в течение 20 мин. Смесь охлаждали до -20°С, затем медленно добавляли этил хлорглиоксилат (1.04 мл, 9.3 ммоль, 1 экв.), и смеси давали нагреться до температуры окружающей среды и перемешивали в течение 1 ч. Реакционную смесь гасили путем добавления насыщенного водного раствора хлорида аммония, экстрагировали этилацетатом (х2) и объединенные органические экстракты промывали соляным раствором, сушили (сульфат магния) и концентрировали в вакууме. Очистка с помощью автоматической колоночной флэш-хроматографии (CombiFlash Rf, 40 г силикагелевый картридж RediSep™) с элюированием с градиентом 0 - 30% этилацетата в изогептане приводила к получению целевого продукта в виде бесцветного масла (0.57 г, 2.1 ммоль, 23%).

1H ЯМР (400 МГц, Хлороформ-d) δ 4.33 (q, J = 7.2 Гц, 2Н), 4.13 (t, J = 8.5 Гц, 2Н), 3.57 (dd, J = 8.9, 5.4 Гц, 2Н), 3.20 (d, J = 7.5 Гц, 2Н), 2.99 - 2.84 (m, 1H), 1.43 (s, 9H), 1.37 (t, J = 7.1 Гц, 3Н).

Стадия С: трет-бутил 3-[(1Z)-3-этокси-3-оксо-2-[(триметилсилил)окси]проп-1-ен-1-ил]азетидин-1-карбоксилат

К раствору продукта со Стадии В (570 мг, 2.1 ммоль, 1 экв.) и хлортриметилсилана (0.3 мл, 2.35 ммоль, 1.12 экв.) в тетрагидрофуране (10 мл) медленно добавляли триэтиламин (0.38 мл, 2.73 ммоль, 1.3 экв.), и смесь перемешивали при температуре окружающей среды в течение 3.5 ч. Реакционную смесь распределяли между этилацетатом и водой, и органическую фазу промывали соляным раствором, сушили (сульфат магния) и концентрировали в вакууме с получением целевого продукта в виде бесцветного масла (643 мг, 1.87 ммоль, 89%).

1H ЯМР (400 МГц, Хлороформ-d) δ 6.23 (d, J = 8.9 Гц, 1H), 4.22 (q, J = 7.1 Гц, 2Н), 4.14 (t, J = 8.5 Гц, 2Н), 3.74 (dd, J = 8.4, 6.0 Гц, 2Н), 3.61 - 3.46 (m, 1H), 1.44 (s, 9H), 1.32 (t, J = 7.1 Гц, 3Н), 0.20 (s, 9H).

Стадия D: трет-бутил 3-(1-бром-3-этокси-2,3-диоксопропил)азетидин-1-карбоксилат

Раствор продукта со Стадии С (643 мг, 1.87 ммоль, 1 экв.) и N-бромсукцинимида (367 мг, 2.06 ммоль, 1.1 экв.) в тетрагидрофуране (15 мл) нагревали с обратным холодильником в течение 2.5 ч, и затем давали охладиться до температуры окружающей среды. Реакционную смесь распределяли между этилацетатом и насыщенным водным раствором бикарбоната натрия, и органическую фазу промывали соляным раствором, сушили (сульфат магния) и концентрировали в вакууме. Очистка с помощью автоматической колоночной флэш-хроматографии (CombiFlash Rf, 24 г силикагелевый картридж RediSep™) с элюированием с градиентом 0 - 40% этилацетата в изогептане приводила к получению целевого продукта в виде желтой смолы (507 мг, 1.45 ммоль, 77%).

1H ЯМР (400 МГц, Хлороформ-d) δ 5.25 (d, J = 9.3 Гц, 1Н), 4.40 (q, 2H), 4.14 (t, 1Н), 4.08 (t, J = 8.8 Гц, 1Н), 3.85 (dd, J = 9.1, 5.5 Гц, 1Н), 3.58 (dd, J = 9.3, 5.2 Гц, 1Н), 3.25 - 3.10 (m, 1Н), 1.44 (s, 9H), 1.40 (t, J = 7.2 Гц, 3Н).

Стадия Е: этил 5-(азетидин-3-ил)-2-(метиламино)-1,3-тиазол-4-карбоксилат

Раствор продукта со Стадии D (452 мг, 1.29 ммоль, 1 экв.) и N-метилтиомочевины (140 мг, 1.55 ммоль, 1.2 экв.) в этаноле (8 мл) нагревали с обратным холодильником в течение 4.5 ч, и затем давали охладиться до температуры окружающей среды. Полученный в результате осадок собирали путем фильтрования, промывали этанолом (2 мл), и сушили в вакууме с получением целевого продукта в виде белого твердого вещества (161 мг, 0.5 ммоль, 39%). Фильтрат переносили в сосуд для микроволновой обработки и добавляли хлористоводородную кислоту (4М в 1,4-диоксане, 0.2 мл, 0.8 ммоль), и смесь нагревали при 60°С в течение 40 мин под микроволновым облучением. Реакционную смесь загружали на кондиционированный метанолом картридж SCX-2 (10 г), затем промывали метанолом, и элюировали 3.5 н. метанольным аммиаком. Растворитель удаляли в вакууме и сырой продукт очищали с помощью автоматической колоночной флэш-хроматографии (CombiFlash Rf, 24 г силикагелевый картридж RediSep™) с элюированием с градиентом 0 - 15% 2.33 н. метанольного аммиака в дихлорметане с получением целевого продукта в виде бесцветной смолы (115 мг, 0.48 ммоль, 37%). Две партии продукта объединяли и использовали на следующих стадиях.

ЖХ/МС (C10H15N3O2S) 242 [М+Н]+; RT 0.34 (ЖХМС-V-B1)

1H ЯМР (400 МГц, ДМСО-d6) δ 8.84 (s, 1Н), 8.57 (s, 1Н), 7.83 (q, J = 4.8 Гц, 1Н), 4.76 (р, J = 8.8 Гц, 1Н), 4.32 - 4.17 (m, 4H), 3.95 (q, J = 8.0 Гц, 2Н), 2.82 (d, J = 4.7 Гц, 3Н), 1.28 (t, J = 7.1 Гц, 3Н).

Стадия F: этил 2-{[(трет-бутокси)карбонил](метил)амино}-5-{1-[(трет-бутокси)карбонил]азетидин-3-ил}-1,3-тиазол-4-карбоксилат

К раствору продукта со Стадии Е (298 мг, 1.23 ммоль, 1 экв.) в дихлорметане (10 мл) добавляли ди-трет-бутил дикарбонат (809 мг, 3.7 ммоль, 3 экв.), 4-(диметиламино)пиридин (45.3 мг, 0.37 ммоль, 0.3 экв.) и триэтиламин (0.51 мл, 3.7 ммоль, 3 экв.), и смесь перемешивали при температуре окружающей среды в течение ночи. Реакционную смесь распределяли между дихлорметаном и водой, и органическую фазу промывали соляным раствором, сушили (сульфат магния) и концентрировали в вакууме. Очистка с помощью автоматической колоночной флэш-хроматографии (CombiFlash Rf, 24 г силикагелевый картридж RediSep™) с элюированием с градиентом 0 40% этилацетата в изогептане приводила к получению целевого продукта в виде белой пены (390 мг, 0.88 ммоль, 72%).

ЖХ/МС (C20H31H3O6S) 442 [М+Н]+; RT 1.47 (ЖХМС-V-B1)

1H ЯМР (400 МГц, ДМСО-d6) δ 4.53 (tt, J = 8.6, 5.8 Гц, 1Н), 4.38 - 4.30 (m, 2H), 4.27 (q, 4H), 3.85 - 3.76 (m, 2H), 3.45 (s, 3H), 1.54 (s, 9H), 1.40 (s, 9H), 1.30 (t, J = 7.1 Гц, 3Н).

Стадия G: этил 5-{1-[(трет-бутокси)карбонил]аэетидин-3-ил}-2-(метиламино)-1,3-тиаэол-4-карбоксилат

Раствор продукта со Стадии F (390 мг, 0.88 ммоль, 1 экв.) в 1,1,1,3,3,3-гексафтор-2-пропаноле (3 мл) нагревали при 100°С в течение 55 мин под микроволновым облучением. Смесь концентрировали в вакууме и очищали с помощью автоматической колоночной флэш-хроматографии (CombiFlash Rf, 12 г силикагелевый картридж RediSep™) с элюированием с градиентом 0 - 100% этилацетата в изогептане с получением целевого продукта в виде белого твердого вещества (199 мг, 0.58 ммоль, 66%).

ЖХ/МС (C15H23N3O4S) 342 [М+Н]+; RT 0.98 (ЖХМС-V-B1)

1H ЯМР (400 МГц, ДМСО-d6) δ 7.70 (q, J = 4.7 Гц, 1Н), 4.49 (tt, J = 8.6, 5.9 Гц, 1Н), 4.28 (t, J = 8.6 Гц, 2H), 4.21 (q, J = 7.1 Гц, 2H), 3.73 - 3.65 (m, 2H), 2.81 (d, J = 4.7 Гц, 3H), 1.39 (s, 9H), 1.26 (t, J = 7.1 Гц, 3Н).

Синтез 3zc: Метил 5-(3-{4-[3-(диметиламино)проп-1-ин-1-ил]-2-фторфенокси}-2,2-диметилпропил)-2-(метиламино)-1,3-тиазол-4-карбоксилат

Стадия А: 4-метокси-2,2-диметил-4-оксобутановая кислота

К раствору 2,2-диметилянтарной кислоты (20 г, 137 ммоль, 1 экв.) в метаноле (200 мл), охлажденному до 0°С, добавляли серную кислоту (2 мл), и смесь перемешивали при температуре окружающей среды в течение ночи. Реакционную смесь концентрировали в вакууме, затем гасили путем добавления порциями насыщенного водного раствора бикарбоната натрия (200 мл), и промывали изогептаном (х2). Водную фазу охлаждали до 0°С, подкисляли 6 н. водным раствором хлористоводородной кислоты, и экстрагировали диэтиловым эфиром (х2). Объединенные органические экстракты сушили (сульфат магния) и концентрировали в вакууме с получением целевого продукта в виде прозрачного масла (13.7 г, 85.4 ммоль, 62%).

1H ЯМР (400 МГц, Хлороформ-d) δ 3.67 (s, 3Н), 2.62 (s, 2H), 1.30 (s, 6H).

Стадия В: метил 4-гидрокси-3,3-диметилбутаноат

Раствор продукта со Стадии А (13.7 г, 85.4 ммоль, 1 экв.) в тетрагидрофуране (140 мл) охлаждали до -30 °С, и по каплям добавляли комплекс боран - диметилсульфид (13 г, 16.2 мл, 171 ммоль, 2 экв.). Смесь перемешивали при -30°С в течение 1.5 ч, затем нагревали до 0°С и перемешивали при этой температуре в течение 45 мин. Реакционную смесь гасили медленным добавлением метанола (50 мл), и затем концентрировали в вакууме. Очистка с помощью автоматической колоночной флэш-хроматографии (CombiFlash Rf, 220 г силикагелевый картридж RediSep™) с элюированием с градиентом 0 - 50% этилацетата в изогептане приводила к получению целевого продукта в виде прозрачного масла (8.14 г, 55.7 ммоль, 65%).

1H ЯМР (400 МГц, ДМСО-d6) δ 4.65 (t, J = 5.4 Гц, 1Н), 3.57 (s, 3Н), 3.15 (d, J = 5.4 Гц, 2H), 2.19 (s, 2H), 0.89 (s, 6H).

Стадия С: метил 4-[(трет-бутилдифенилсилил)окси]-3,3-диметилбутаноат

К раствору продукта со Стадии В (8.14 г, 55.7 ммоль, 1 экв.) в диметилформамиде (200 мл) добавляли трет-бутил(хлор)дифенилсилан (17.4 мл, 66.8 ммоль, 1.2 экв.) и имидазол (7.36 мл, 111 ммоль, 2 экв.), и смесь перемешивали при температуре окружающей среды в течение ночи. Реакционную смесь распределяли между гептаном (500 мл) и 2:1 смесью вода / насыщенный водный раствор хлорида аммония (500 мл), и водную фазу экстрагировали гептаном (500 мл). Объединенные органические экстракты сушили (сульфат магния) и очищали с помощью автоматической колоночной флэш-хроматографии (CombiFlash Rf, 330 г силикагелевый картридж RediSep™) с элюированием с градиентом 0 - 10% этилацетата в изогептане с получением целевого продукта в виде прозрачного масла (14.4 г, 37.4 ммоль, 67%).

1H ЯМР (400 МГц, ДМСО-d6) δ 7.65 - 7.58 (m, 4H), 7.53 - 7.40 (m, 6H), 3.56 (s, 3Н), 3.41 (s, 2H), 2.33 (s, 2H), 1.01 (s, 9H), 0.97 (s, 6H).

Стадия D: 4-[(трет-бутилдифенилсилил)окси]-3,3-диметилбутан-1-ол

Раствор продукта со Стадии С (14.4 г, 37.4 ммоль, 1 экв.) в тетрагидрофуране (70 мл) охлаждали до -78°С и добавляли гидрид диизобутилалюминия (1М в тетрагидрофуране; 112 мл, 112 ммоль, 3 экв.), и смесь перемешивали при -78°С в течение 2 ч. Добавляли насыщенный водный раствор хлорида аммония, и смесь перемешивали при -78°С в течение 10 мин, и затем давали нагреться до температуры окружающей среды. Смесь фильтровали через набивку целита, элюируя этилацетатом, и органику сушили (сульфат магния) и концентрировали в вакууме. Очистка с помощью автоматической колоночной флэш-хроматографии (CombiFlash Rf, 220 г силикагелевый картридж RediSep™) с элюированием с градиентом 0 - 15% этилацетата в изогептане приводила к получению целевого продукта в виде прозрачного масла (12.5 г, 35 ммоль, 94%).

ЖХ/МС (C22H32O2Si) 357 [М+Н]+; RT 2.68 (ЖХМС-V-C)

1H ЯМР (400 МГц, ДМСО-d6) δ 7.65 - 7.56 (m, 4H), 7.53 - 7.40 (m, 6H), 4.28 (t, J = 5.0 Гц, 1Н), 3.50 - 3.41 (m, 2H), 3.30 (s, 2H), 1.48 (dd, J = 8.1, 7.1 Гц, 2Н), 1.02 (s, 9H), 0.88 (s, 6H).

Стадия Е: 4-[(трет-бутилдифенилсилил)окси]-3,3-диметилбутил метансульфонат

К перемешиваемому раствору продукта со Стадии D (12.5 г, 35 ммоль, 1 экв.) в дихлорметане (200 мл), охлажденному до 0°С, добавляли триэтиламин (7.31 мл, 52.5 ммоль, 1.5 экв.) и метансульфонилхлорид (3.25 мл, 42 ммоль, 1.2 экв.), и смесь перемешивали при температуре окружающей среды в течение ночи. Реакционную смесь разбавляли дихлорметаном, промывали насыщенным водным раствором бикарбоната натрия, сушили (ПТФЭ фазоразделитель) и концентрировали в вакууме с получением целевого продукта в виде желтого масла (15.1 г, 34.8 ммоль, 99%).

1H ЯМР (400 МГц, ДМСО-d6) δ 7.66 - 7.58 (m, 4H), 7.53 - 7.40 (m, 6H), 4.27 (t, J = 7.4 Гц, 2Н), 3.33 (s, 2Н), 3.15 (s, 3Н), 1.74 (t, J = 7.4 Гц, 2Н), 1.02 (s, 9H), 0.92 (s, 6H).

Стадия F: (4-бром-2,2-диметилбутокси)(трет-бутил)дифенилсилан

К раствору продукта со Стадии Е (15.1 г, 34.8 ммоль, 1 экв.) в тетрагидрофуране (400 мл) порциями добавляли бромид лития (9.07 г, 105 ммоль, 3 экв.), и смесь перемешивали при 70°С в течение 4 ч, и затем давали охладиться до температуры окружающей среды. Реакционную смесь концентрировали в вакууме, затем распределяли между дихлорметаном и соляным раствором, и органическую фазу промывали 10% водным раствором тиосульфата натрия, сушили (ПТФЭ фазоразделитель) и концентрировали в вакууме. Очистка с помощью автоматической колоночной флэш-хроматографии (CombiFlash Rf, 220 г силикагелевый картридж RediSep™) с элюированием с градиентом 0 - 2% этилацетата в изогептане приводила к получению целевого продукта в виде прозрачного масла (12.8 г, 30.5 ммоль, 88%).

1H ЯМР (400 МГц, ДМСО-d6) δ 7.65 - 7.55 (m, 4H), 7.53 - 7.40 (m, 6H), 3.52 - 3.42 (m, 2Н), 3.34 (s, 2Н), 1.96 - 1.86 (m, 2Н), 1.03 (s, 9H), 0.88 (s, 6H).

Стадия G: этил 6-[(трет-бутилдифенилсилил)окси]-5,5-диметил-2-оксогексаноат

В высушенную в сушильном шкафу колбу загружали магний (496 мг, 20.4 ммоль, 1.2 экв.), и твердое вещество энергично перемешивали в атмосфере азота в течение 20 мин. Раствор продукта со Стадии F (7.13 г, 17 ммоль, 1 экв.) в тетрагидрофуране (12 мл) барботировали азотом (10 мин) и аликвоту этого раствора добавляли к магнию (без перемешивания). Смесь кратковременно нагревали с обратным холодильником (тепловой фен) и добавляли кристалл йода. Начинали перемешивание и оставшийся раствор добавляли к суспензии магния с такой скоростью, которая позволяла поддерживать слабую дефлегмацию. После завершения добавления смесь нагревали с обратным холодильником в течение 2 ч, затем давали охладиться до температуры окружающей среды. Перемешиваемый раствор диэтилоксалата (2.31 мл, 17 ммоль, 1 экв.) в тетрагидрофуране (6 мл) барботировали азотом (10 мин) и затем охлаждали до -78°С. К раствору порциями добавляли вышеупомянутый раствор реактива Гриньяра, и затем смеси давали постепенно нагреться до температуры окружающей среды в течение 2 ч. Реакционную смесь распределяли между этилацетатом и насыщенным водным раствором хлорида аммония, и органическую фазу сушили (сульфат магния) и концентрировали в вакууме. Очистка с помощью автоматической колоночной флэш-хроматографии (CombiFlash Rf, 220 г силикагелевый картридж RediSep™) с элюированием с градиентом 0 - 8% этилацетата в изогептане приводила к получению целевого продукта в виде прозрачного масла (3.06 г, 6.95 ммоль, 41%).

1H ЯМР (400 МГц, Хлороформ-d) δ 7.67 - 7.61 (m, 4H), 7.45 - 7.34 (m, 6H), 4.31 (q, J = 7.0 Гц, 2Н), 3.31 (s, 2Н), 2.80 - 2.71 (m, 2Н), 1.67 - 1.58 (m, 2Н), 1.36 (s, 3H),1.05 (s, 9H), 0.88 (s, 6H).

Стадия GH: этил 3-бром-6-[(трет-бутилдифенилсилил)окси]-5,5-диметил-2-оксогексаноат

К перемешиваемой смеси бромида меди(II) (3.1 г, 13.9 ммоль, 2 экв.) в этилацетате (80 мл) порциями добавляли раствор продукта со Стадии G (3.06 г, 6.94 ммоль, 1 экв.) в хлороформе (40 мл), и реакционную смесь нагревали с обратным холодильником в течение 16 ч. Реакционной смеси давали охладиться до температуры окружающей среды, затем фильтровали через набивку целита, элюировали дихлорметаном, и упаривали. Очистка с помощью автоматической колоночной флэш-хроматографии (CombiFlash Rf, 80 г силикагелевый картридж RediSep™) с элюированием с градиентом 0 - 10% этилацетата в изогептане приводила к получению целевого продукта в виде прозрачного масла (2.62 г, 5.04 ммоль, 72%).

ЖХ/МС (C26H35BrO4Si) 441 [M-Ph]+; RT 1.36 (ЖХМС-V-В2)

1H ЯМР (400 МГц, Хлороформ-d) δ 7.69 - 7.61 (m, 4H), 7.50 - 7.34 (m, 6H), 5.28 (dd, J = 8.4, 4.5 Гц, 1Н), 4.36 (qd, J = 7.1, 1.4 Гц, 2Н), 3.33 (d, J = 1.5 Гц, 2Н), 2.56 (dd, J = 14.9, 8.5 Гц, 1Н), 2.11 (dd, J = 14.9, 4.5 Гц, 1Н), 1.38 (t, J = 7.1 Гц, 3Н), 1.07 (s, 9Н), 0.88 (d, J = 3.7 Гц, 6H).

Стадия Н: этил 5-{3-[(трет-бутилдифенилсилил)окси]-2,2-диметилпропил}-2-(метиламино)-1,3-тиазол-4-карбоксилат

К раствору продукта со Стадии GH (2.62 г, 5.04 ммоль, 1 экв.) в этаноле (35 мл) добавляли N-метилтиомочевину (455 мг, 5.04 ммоль, 1 экв.) и триэтиламин (1.4 мл, 10.1 ммоль, 2 экв.), и смесь нагревали при 85°С в течение 4 ч, и затем давали охладиться до температуры окружающей среды. Реакционную смесь распределяли между дихлорметаном и соляным раствором, и органическую фазу сушили (ПТФЭ фазоразделитель) и концентрировали в вакууме. Очистка с помощью автоматической колоночной флэш-хроматографии (CombiFlash Rf, 80 г силикагелевый картридж RediSep™) с элюированием с градиентом 0 - 50% этилацетата в изогептане приводила к получению целевого продукта в виде желтого твердого вещества (1.45 г, 2.84 ммоль, 56%).

ЖХ/МС (C28H38N2O3SiS) 511 [М+Н]+; RT 1.28 (ЖХМС-V-В2)

1H ЯМР (400 МГц, ДМСО-d6) δ 7.66 - 7.58 (m, 4H), 7.52 - 7.40 (m, 6H), 4.15 (q, J = 7.1 Гц, 2H), 3.37 (s, 2H), 3.08 (s, 2H), 2.77 (d, J = 4.8 Гц, 3Н), 1.20 (t, 3Н), 1.04 (s, 9Н), 0.86 (s, 6H).

Стадия I: этил 2-{[(трет-бутокси)карбонил](метил)амино}-5-{3-[(трет-бутилдифенилсилил)окси]-2,2-диметилпропил}-1,3-тиазол-4-карбоксилат

К раствору продукта со Стадии Н (1 г, 1.96 ммоль, 1 экв.) в тетрагидрофуране (20 мл) добавляли 4-(диметиламино)пиридин (23.9 мг, 0.2 ммоль, 0.1 экв.), триэтиламин (0.82 мл, 5.87 ммоль, 3 экв.) и ди-трет-бутил дикарбонат (0.84 мл, 3.92 ммоль, 2 экв.), и смесь перемешивали при температуре окружающей среды в течение 3 ч. Реакционную смесь распределяли между этилацетатом и водой, и органическую фазу сушили (сульфат магния) и концентрировали в вакууме. Очистка с помощью автоматической колоночной флэш-хроматографии (CombiFlash Rf, 24 г силикагелевый картридж RediSep™) с элюированием с градиентом 0 15% этилацетата в изогептане приводила к получению целевого продукта в виде желтого масла (1.19 г, 1.95 ммоль, 100%).

ЖХ/МС (C33H46N2O5Sis) 611 [М+Н]+; RT 1.48 (ЖХМС-V-В2)

1H ЯМР (400 МГц, ДМСО-d6) δ 7.68 - 7.60 (m, 4H), 7.52 - 7.39 (m, 6H), 4.22 (q, J = 7.1 Гц, 2Н), 3.44 (s, 3Н), 3.37 (s, 2H), 3.20 (s, 2H), 1.54 (s, 9H), 1.23 (t, 3H), 1.04 (s, 9H), 0.87 (s, 6H).

Стадия J: 2-{[(трет-бутокси)карбонил](метил)амино}-5-(3-гидрокси-2,2-диметилпропил)-1,3-тиазол-4-карбоновая кислота

К раствору продукта со Стадии I (600 мг, 0.98 ммоль, 1 экв.) в тетрагидрофуране (12 мл) добавляли TBAF (1M в тетрагидрофуране; 2.95 мл, 2.95 ммоль, 3 экв.), и смесь перемешивали при температуре окружающей среды в течение 2 ч. Реакционную смесь распределяли между этилацетатом и водой, и органическую фазу сушили (сульфат магния) и концентрировали в вакууме. Очистка с помощью автоматической колоночной флэш-хроматографии (CombiFlash Rf, 12 г силикагелевый картридж RediSep™) с элюированием с градиентом 0 - 100% этилацетата в изогептане приводила к получению целевого продукта в виде белого твердого вещества (178 мг, 0.52 ммоль, 53%).

ЖХ/МС (C15H24N2O5S) 345 [М+Н]+; RT 1.87 (ЖХМС-V-C)

1H ЯМР (400 МГц, ДМСО-d6) δ 12.69 (br s, 1H), 4.72 (br s, 1H), 3.34 (s, 3H), 3.16 (s, 2H), 3.10 (s, 2H), 1.53 (s, 9H), 0.83 (s, 6H).

Стадия K: метил 2-{[(трет-бутокси)карбонил](метил)амино}-5-(3-гидрокси-2,2-диметилпропил)-1,3-тиазол-4-карбоксилат

К раствору продукта со Стадии J (178 мг, 0.52 ммоль, 1 экв.) в 1:1 смеси дихлорметан / метанол (4 мл), охлажденному до 0°С, добавляли (триметилсилил)диазометан (2М в гексанах; 0.31 мл, 0.62 ммоль, 1.2 экв.), и смесь перемешивали при температуре окружающей среды в течение ночи. Реакционную смесь распределяли между дихлорметаном и водой, и органическую фазу сушили (ПТФЭ фазоразделитель) и концентрировали в вакууме. Очистка с помощью автоматической колоночной флэш-хроматографии (CombiFlash Rf, 4 г силикагелевый картридж RediSep™) с элюированием с градиентом 0 - 50% этилацетата в изогептане приводила к получению целевого продукта в виде белого твердого вещества (119 мг, 0.33 ммоль, 64%).

ЖХ/МС (C16H26N2O5S) 359 [М+Н]+; RT 2.10 (ЖХМС-V-C)

1H ЯМР (400 МГц, ДМСО-d6) δ 4.74 (t, J = 5.1 Гц, 1Н), 3.78 (s, 3H), 3.43 (s, 3Н), 3.16 (d, J = 5.2 Гц, 2Н), 3.10 (s, 2H), 1.53 (s, 9H), 0.82 (s, 6H).

Стадия L: метил 2-{[(трет-бутокси)карбонил](метил)амино}-5-[3-(2-фтор-4-йодфенокси)-2,2-диметилпропил]-1,3-тиазол-4-карбоксилат

К раствору продукта со Стадии K (119 мг, 0.33 ммоль, 1 экв.) в толуоле (2 мл) добавляли 2-фтор-4-йодфенол (158 мг, 0.66 ммоль, 2 экв.), трифенилфосфин (174 мг, 0.66 ммоль, 2 экв.) и диизопропилазодикарбоксилат (131 мкл, 0.66 ммоль, 2 экв.), и смесь нагревали при 120°С в течение 24 ч. Реакционную смесь распределяли между дихлорметаном и водой, и органическую фазу сушили (ПТФЭ фазоразделитель) и концентрировали в вакууме. Очистка с помощью автоматической колоночной флэш-хроматографии (CombiFlash Rf, 4 г силикагелевый картридж RediSep™) с элюированием с градиентом 0 - 20% этилацетата в изогептане приводила к получению целевого продукта в виде прозрачной смолы (136 мг, 0.24 ммоль, 71%).

ЖХ/МС (C22H28FIN2O5S) 579 [М+Н]+; RT 2.76 (ЖХМС-V-C)

1H ЯМР (400 МГц, ДМСО-d6) δ 7.60 (dd, J = 10.7, 2.1 Гц, 1Н), 7.49 - 7.42 (m, 1Н), 3.75 (s, 5H), 3.42 (s, 3H), 3.26 (s, 2H), 1.49 (s, 9H), 1.01 (s, 6H).

Стадия М: метил 2-{[(трет-бутокси)карбонил](метил)амино}-5-(3-{4-[3-(диметиламино)проп-1-ин-1-ил]-2-фторфенокси}-2,2-диметилпропил)-1,3-тиазол-4-карбоксилат

К раствору продукта со Стадии L (136 мг, 0.24 ммоль, 1 экв.) в тетрагидрофуране (6 мл) добавляли 3-диметиламино-1-пропин (38.1 мкл, 0.35 ммоль, 1.5 экв.), йодид меди(I) (4.48 мг, 0.02 ммоль, 0.1 экв.) и N,N-диизопропилэтиламин (81.9 мкл, 0.47 ммоль, 2 экв.). Смесь барботировали азотом (10 мин), затем добавляли дихлорид бис(трифенилфосфин)палладия(II) (16.5 мг, 0.02 ммоль, 0.1 экв.), и смесь нагревали при 70°С в течение ночи. Реакционную смесь распределяли между этилацетатом и соляным раствором, и органическую фазу сушили (сульфат магния) и концентрировали в вакууме. Очистка с помощью автоматической колоночной флэш-хроматографии (CombiFlash Rf, 4 г силикагелевый картридж RediSep™) с элюированием с градиентом 0 - 4% метанола в дихлорметане приводила к получению целевого продукта в виде коричневой смолы (27 мг, 0.05 ммоль, 22%).

ЖХ/МС (C27H36FN3O5S) 534 [М+Н]+; RT 2.053 (ЖХМС-V-C)

1H ЯМР (400 МГц, ДМСО-d6) δ 7.31 (dd, J = 11.9, 2.0 Гц, 1Н), 7.25 - 7.18 (m, 1Н), 7.13 (t, J = 8.7 Гц, 1Н), 3.78 (s, 2H), 3.75 (s, 3H), 3.43 (s, 2H), 3.42 (s, 3H), 3.27 (s, 2H), 2.24 (s, 6H), (s, 9H), 1.02 (s, 6H).

Стадия N: метил 5-(3-{4-[3-(диметиламино)проп-1-ин-1-ил]-2-фторфенокси}-2,2-диметилпропил)-2-(метиламино)-1,3-тиазол-4-карбоксилат

К раствору продукта со Стадии М (27 мг, 0.05 ммоль, 1 экв.) в дихлорметане (5 мл) добавляли трифторуксусную кислоту (1 мл), и смесь перемешивали при температуре окружающей среды в течение 2 ч. Реакционную смесь разбавляли дихлорметаном, затем охлаждали до 0°С и нейтрализовали путем добавления 2 н. водного раствора гидроксида натрия. Слои разделяли и сушили (ПТФЭ фазоразделитель), и концентрировали в вакууме. Очистка с помощью автоматической колоночной флэш-хроматографии (CombiFlash Rf, 4 г силикагелевый картридж RediSep™) с элюированием с градиентом 0 - 7% метанола в дихлорметане приводила к получению целевого продукта в виде коричневого твердого вещества (8 мг, 0.02 ммоль, 37%).

ЖХ/МС (C22H28FN3OS) 434 [М+Н]+; RT 1.62 (ЖХМС-V-C)

1H ЯМР (400 МГц, ДМСО-d6) δ 7.52 - 7.46 (m, 1H), 7.32 (dd, J = 11.8, 2.0 Гц, 1H), 7.24 - 7.19 (m, 1H), 7.13 (t, J = 8.7 Гц, 1H), 3.76 (s, 2H), 3.71 (s, 3H), 3.42 (s, 2H), 3.16 (s, 2H), 2.76 (d, J = 4.8 Гц, 3H), 2.23 (s, 6H), 1.00 (s, 6H).

Синтез 3zd: Метил 5-{[1-({4-[3-(диметиламино)проп-1-ин-1-ил]-2-фторфенокси}метил)циклопропил]метил}-2-(метиламино)-1,3-тиазол-4-карбоксилат

Стадия А: 2-(1-{[(трет-бутилдифенилсилил)окси]метил}циклопропил)ацетонитрил

К раствору 2-[1-(гидроксиметил)циклопропил]ацетонитрила (8 г, 72 ммоль, 1 экв.) в диметилформамиде (200 мл) добавляли трет-бутил(хлор)дифенилсилан (22.5 мл, 86.4 ммоль, 1.2 экв.) и имидазол (9.51 мл, 144 ммоль, 2 экв.), и смесь перемешивали при температуре окружающей среды в течение ночи. Реакционную смесь распределяли между изогептаном (600 мл) и 2:1 смесью вода / насыщенный водный раствор хлорида аммония (600 мл), и водную фазу экстрагировали изогептаном (600 мл). Объединенные органические экстракты сушили (сульфат магния) и концентрировали в вакууме. Очистка с помощью автоматической колоночной флэш-хроматографии (CombiFlash Rf, 330 г силикагелевый картридж RediSep™) с элюированием с градиентом 0 - 6% этилацетата в изогептане приводила к получению целевого продукта в виде прозрачного масла (23 г, 65.7 ммоль, 91%).

1H ЯМР (400 МГц, ДМСО-d6) δ 7.67 - 7.57 (m, 4H), 7.53 - 7.36 (m, 6H), 3.54 (s, 2H), 2.71 (s, 2H), 1.02 (s, 9H), 0.57 - 0.50 (m, 2H), 0.50 - 0.43 (m, 2H).

Стадия В: 2-(1-{[(трет-бутилдифенилсилил)окси]метил}циклопропил)ацетальдегид

К раствору продукта со Стадии А (23 г, 65.7 ммоль, 1 экв.) в дихлорметане (300 мл), охлажденному до 0 °С, порциями добавляли гидрид диизобутилалюминия (1М в гексанах; 72.3 мл, 72.3 ммоль, 1.1 экв.), и смесь перемешивали при 0 °С в течение 1.5 ч. Реакционную смесь гасили путем добавления воды, затем добавляли 2 н. водный раствор хлористоводородной кислоты (100 мл) с последующим добавлением насыщенного водного раствора тартрата калия-натрия (500 мл). Смесь экстрагировали дихлорметаном (2 × 400 мл) и объединенные органические экстракты сушили (сульфат магния) и концентрировали в вакууме. Очистка с помощью автоматической колоночной флэш-хроматографии (CombiFlash Rf, 330 г силикагелевый картридж RediSep™) с элюированием с градиентом 0 - 10% этилацетата в изогептане приводила к получению целевого продукта в виде прозрачного масла (19.6 г, 55.5 ммоль, 85%).

ЖХ/МС (C22H28O2Si) 353 [М+Н]+; RT 1.19 (ЖХМС-V-В2)

1H ЯМР (400 МГц, ДМСО-d6) δ 9.77 (t, J = 2.5 Гц, 1Н), 7.61 - 7.56 (m, 4H), 7.50 - 7.38 (m, 6H), 3.33 (s, 2H), 2.41 (d, J = 2.5 Гц, 2H), 0.97 (s, 9H), 0.57 - 0.50 (m, 2H), 0.47 - 0.40 (m, 2H).

Стадия С: 2-(1-{[(трет-бутилдифенилсилил)окси]метил}циклопропил)этан-1-ол

К раствору продукта со Стадии В (19.6 г, 55.5 ммоль, 1 экв.) в метаноле (200 мл), охлажденному до 0 °С, порциями добавляли борогидрид натрия (2.31 г, 61.1 ммоль, 1.1 экв.), и смесь перемешивали при температуре окружающей среды в течение 3 ч. Реакционную смесь концентрировали в вакууме, затем распределяли между этилацетатом и водой, и органическую фазу сушили (сульфат магния) и концентрировали в вакууме с получением целевого продукта в виде прозрачного масла (18.8 г, 53 ммоль, 96%).

1H ЯМР (400 МГц, ДМСО-d6) δ 7.66 - 7.57 (m, 4H), 7.52 - 7.37 (m, 6H), 4.32 (t, J = 5.1 Гц, 1Н), 3.57 - 3.47 (m, 2H), 3.46 (s, 2H), 1.59 (t, J = 7.3 Гц, 2Н), 1.00 (s, 9H), 0.35 - 0.26 (m, 4H).

Стадия D: 2-(1-{[(трет-бутилдифенилсилил)окси]метил}циклопропил)этил метансульфонат

К раствору продукта со Стадии С (18.8 г, 53 ммоль, 1 экв.) в дихлорметане (300 мл), охлажденному до 0 °С, добавляли триэтиламин (22.1 мл, 159 ммоль, 3 экв.) и метансульфонилхлорид (4.92 мл, 63.6 ммоль, 1.2 экв.), и смесь перемешивали при температуре окружающей среды в течение ночи. Реакционную смесь распределяли между дихлорметаном и насыщенным водным раствором бикарбоната натрия, и органическую фазу отделяли и сушили (ПТФЭ фазоразделитель), и концентрировали в вакууме с получением целевого продукта в виде коричневого масла (23.3 г, 53 ммоль, 100%).

1H ЯМР (400 МГц, ДМСО-d6) δ 7.67 - 7.56 (m, 4H), 7.53 - 7.37 (m, 6H), 4.31 (t, J = 7.1 Гц, 2H), 3.48 (s, 2H), 3.13 (s, 3Н), 1.84 (t, J = 7.1 Гц, 2H), 1.01 (s, 9H), 0.49 - 0.38 (m, 2H), 0.36 - 0.29 (m, 2H).

Стадия Е: {[1-(2-бромэтил)циклопропил]метокси}(трет-бутил)дифенилсилан

К раствору продукта со Стадии D (23.3 г, 53.9 ммоль, 1 экв.) в тетрагидрофуране (600 мл) добавляли бромид лития (14 г, 162 ммоль, 3 экв.), и смесь нагревали при 70 °С в течение 5 ч, затем давали охладиться до температуры окружающей среды и растворитель удаляли в вакууме. Остаток распределяли между дихлорметаном и соляным раствором, и органическую фазу промывали 10% водным раствором тиосульфата натрия, сушили (сульфат магния) и концентрировали в вакууме. Очистка с помощью автоматической колоночной флэш-хроматографии (CombiFlash Rf, 330 г силикагелевый картридж RediSep™) с элюированием с градиентом 0 - 2% диэтилового эфира в изогептане приводила к получению целевого продукта в виде прозрачного масла (17.4 г, 41.6 ммоль, 77%).

1H ЯМР (400 МГц, ДМСО-d6) δ 7.65 - 7.58 (m, 4H), 7.53 - 7.39 (m, 6H), 3.54 (dd, J = 8.6, 7.4 Гц, 2Н), 3.47 (s, 2H), 1.98 (dd, J = 8.6, 7.3 Гц, 2Н), 1.02 (s, 9H), 0.46 - 0.38 (m, 2Н), 0.35 - 0.28 (m, 2H).

Стадия F: этил 4-(1-{[(трет-бутилдифенилсилил)окси]метил}циклопропил)-2-оксобутаноат

В высушенную в сушильном шкафу колбу загружали магний (1.21 г, 49.9 ммоль, 1.2 экв.), и твердое вещество энергично перемешивали в атмосфере азота в течение 20 мин. Раствор продукта со Стадии Е (17.4 г, 41.6 ммоль, 1 экв.) в тетрагидрофуране (30 мл) барботировали азотом (10 мин), затем аликвоту этого раствора добавляли к магнию (без перемешивания), смесь кратковременно нагревали с обратным холодильником и добавляли кристалл йода. Начинали перемешивание и оставшийся раствор добавляли к магнию с такой скоростью, которая позволяла поддерживать слабую дефлегмацию. После завершения добавления смесь нагревали с обратным холодильником в течение 2 ч, затем давали охладиться до температуры окружающей среды. Раствор диэтилоксалата (5.64 мл, 41.6 ммоль, 1 экв.) в тетрагидрофуране (15 мл) барботировали азотом (10 мин) и затем охлаждали до -78 °С. Медленно добавляли вышеупомянутый раствор реактива Гриньяра, и затем смеси давали нагреться до температуры окружающей среды в течение 2 ч. Реакционную смесь распределяли между этилацетатом и насыщенным водным раствором хлорида аммония, и органическую фазу сушили (сульфат магния) и концентрировали в вакууме. Очистка с помощью автоматической колоночной флэш-хроматографии (CombiFlash Rf, 330 г силикагелевый картридж RediSep™) с элюированием с градиентом 0 - 8% этилацетата в изогептане приводила к получению целевого продукта в виде прозрачного масла (10 г, 22.8 ммоль, 55%).

1H ЯМР (400 МГц, ДМСО-d6) δ 7.65 - 7.57 (m, 4H), 7.53 - 7.36 (m, 6H), 4.19 (q, J = 24.7, 7.1 Гц, 2Н), 3.45 (s, 2Н), 2.89 - 2.80 (m, 2Н), 1.67 - 1.59 (m, 2Н), 1.33 -1.17 (m, 5H), 1.05 - 0.96 (s, 11H).

Стадия G: этил 3-бром-4-(1-{[(трет-бутилдифенилсилил)окси]метил}циклопропил)-2-оксобутаноат

Раствор продукта со Стадии F (10 г, 22.8 ммоль, 1 экв.) в хлороформе (125 мл) добавляли к бромиду меди(II) (10.2 г, 45.6 ммоль, 2 экв.) в этилацетате (250 мл), и смесь нагревали при 85°С в течение ночи. Реакционную смесь фильтровали через целит, элюировали дихлорметаном и концентрировали в вакууме. Очистка с помощью автоматической колоночной флэш-хроматографии (CombiFlash Rf, 220 г силикагелевый картридж RediSep™) с элюированием с градиентом 0 - 8% этилацетата в изогептане приводила к получению целевого продукта в виде желтого масла (2.09 г, 4.04 ммоль, 18%).

1H ЯМР (400 МГц, ДМСО-d6) δ 7.68 - 7.59 (m, 4H), 7.53 - 7.40 (m, 6H), 5.52 (dd, J = 8.9, 5.2 Гц, 1Н), 4.28 (q, 2H), 3.68 (d, 1H), 3.37 (s, 1H), 2.44 (dd, J = 15.2, 5.2 Гц, 1H), 2.02 - 1.88 (m, 1H), 1.26 (t, 3H), 1.03 (s, 9H), 0.62 - 0.53 (m, 1H), 0.48 - 0.39 (m, 1H), 0.39 - 0.32 (m, 1H), 0.32 - 0.23 (m, 1H).

Стадия Н: этил 5-[(1-{[(трет-бутилдифенилсилил)окси]метил}циклопропил)метил]-2-(метиламино)-1,3-тиазол-4-карбоксилат

К раствору продукта со Стадии G (2.09 г, 4.04 ммоль, 1 экв.) в этаноле (30 мл) добавляли N-метилтиомочевину (364 мг, 4.04 ммоль, 1 экв.) и триэтиламин (1.12 мл, 8.08 ммоль, 2 экв.), и смесь нагревали при 85 °С в течение ночи. Реакционную смесь распределяли между дихлорметаном и соляным раствором, и органическую фазу сушили (ПТФЭ фазоразделитель) и концентрировали в вакууме. Очистка с помощью автоматической колоночной флэш-хроматографии (CombiFlash Rf, 40 г силикагелевый картридж RediSep™) с элюированием с градиентом 0 - 50% этилацетата в изогептане приводила к получению целевого продукта в виде оранжевого твердого вещества (1.8 г, 3.53 ммоль, 88%).

ЖХ/МС (C28H36N2O3SiS) 509 [М+Н]+; RT 2.69 (ЖХМС-V-C)

1H ЯМР (400 МГц, ДМСО-d6) δ 7.59 - 7.51 (m, 4H), 7.46 - 7.36 (m, 6H), 4.16 (q, J = 7.1 Гц, 2H), 3.44 (s, 2H), 3.22 (s, 2H), 2.79 (d, J = 4.8 Гц, 3Н), 1.20 (t, 3H), 0.96 (s, 9H), 0.55 - 0.48 (m, 2H), 0.48 - 0.41 (m, 2H).

Стадия I: этил 2-{[(трет-бутокси)карбонил](метил)амино}-5-[(1-{[(трет-бутилдифенилсилил)окси]метил}циклопропил)метил]-1,3-тиазол-4-карбоксилат

К раствору продукта со Стадии Н (1.8 г, 3.54 ммоль, 1 экв.) в тетрагидрофуране (40 мл) добавляли 4-(диметиламино)пиридин (43.2 мг, 0.35 ммоль, 0.1 экв.), триэтиламин (1.48 мл, 10.6 ммоль, 3 экв.) и ди-трет-бутил дикарбонат (1.51 мл, 7.08 ммоль, 2 экв.), и смесь перемешивали при температуре окружающей среды в течение ночи. Реакционную смесь распределяли между этилацетатом и водой, и органическую фазу сушили (сульфат магния) и концентрировали в вакууме. Очистка с помощью автоматической колоночной флэш-хроматографии (CombiFlash Rf, 40 г силикагелевый картридж RediSep™) с элюированием с градиентом 0 15% этилацетата в изогептане приводила к получению целевого продукта в виде желтого масла (2.03 г, 3.33 ммоль, 94%).

ЖХ/МС (C33H44N2O5SiS) 609 [М+Н]+; RT 1.98 (ЖХМС-V-C)

1H ЯМР (400 МГц, ДМСО-d6) δ 7.56 - 7.48 (m, 4H), 7.46 - 7.34 (m, 6H), 4.23 (q, J = 7.1 Гц, 2H), 3.48 - 3.42 (m, 5H), 3.32 (s, 2H), 1.53 (s, 9H), 1.24 (t, 3Н), 0.94 (s, 9H), 0.62 - 0.55 (m, 1H), 0.55 - 0.46 (m, 1H).

Стадия J: 2-{[(трет-бутокси)карбонил](метил)амино}-5-{[1-(гидроксиметил)циклопропил]метил}-1,3-тиаэол-4-карбоновая кислота

К раствору продукта со Стадии I (2.03 г, 3.33 ммоль, 1 экв.) в тетрагидрофуране (35 мл) добавляли фторид тетрабутиламмония (1М в тетрагидрофуране; 10 мл, 10 ммоль, 3 экв.), и смесь перемешивали при 70 °С в течение 2.5 ч. Реакционную смесь распределяли между этилацетатом и водой, и органическую фазу сушили (сульфат магния) и концентрировали в вакууме. Очистка с помощью автоматической колоночной флэш-хроматографии (CombiFlash Rf, 24 г силикагелевый картридж RediSep™) с элюированием с градиентом 0 100% этилацетата в изогептане приводила к получению целевого продукта в виде желтого твердого вещества (460 мг, 1.34 ммоль, 40%).

ЖХ/МС (C15H22N2O5S) 343 [М+Н]+; RT 1.77 (ЖХМС-V-C)

1H ЯМР (400 МГц, ДМСО-d6) δ 4.54 (br s, 1H), 3.44 (s, 3Н), 3.22 (s, 2H), 3.19 (s, 2H), 1.53 (s, 9H), 0.50 - 0.42 (m, 4H).

Стадия K: метил 2-{[(трет-бутокси)карбонил](метил)амино}-5-{[1-(гидроксиметил)циклопропил]метил}-1,3-тиазол-4-карбоксилат

К раствору продукта со Стадии J (460 мг, 1.34 ммоль, 1 экв.) в 1:1 смеси дихлорметан / метанол (12 мл), охлажденной до 0 °С, добавляли (триметилсилил)диазометан (2М в гексанах; 0.87 мл 1.75 ммоль, 1.3 экв.), и смесь перемешивали при температуре окружающей среды в течение ночи. Реакционную смесь распределяли между дихлорметаном и водой, и органическую фазу сушили (ПТФЭ фазоразделитель) и концентрировали в вакууме. Очистка с помощью автоматической колоночной флэш-хроматографии (CombiFlash Rf, 4 г силикагелевый картридж RediSep™) с элюированием с градиентом 0 - 50% этилацетата в изогептане приводила к получению целевого продукта в виде белого твердого вещества (418 мг, 1.17 ммоль, 87%).

ЖХ/МС (C16H24N2O5S) 357 [М+Н]+; RT 1.98 (ЖХМС-V-C)

1H ЯМР (400 МГц, ДМСО-d6) δ 4.54 (t, J = 5.5 Гц, 1Н), 3.78 (s, 3H), 3.44 (s, 3Н), 3.22 (d, 2H), 3.20 (s, 2H), 1.53 (s, 9H), 0.51 - 0.44 (m, 4H).

Стадия L: метил 2-{[(трет-бутокси)карбонил](метил)амино}-5-({1-[(2-фтор-4-йодфенокси)метил]циклопропил}метил)-1,3-тиазол-4-карбоксилат

К раствору продукта со Стадии K (418 мг, 1.17 ммоль, 1 экв.) в толуоле (10 мл) добавляли 2-фтор-4-йодфенол (558 мг, 2.35 ммоль, 2 экв.), трифенилфосфин (615 мг, 2.35 ммоль, 2 экв.) и диизопропилазодикарбоксилат (0.46 мл, 2.35 ммоль, 2 экв.), и смесь нагревали при 120 °С в течение ночи, затем давали охладиться до температуры окружающей среды. Реакционную смесь распределяли между дихлорметаном и водой, и органическую фазу отделяли и сушили (ПТФЭ фазоразделитель), и концентрировали в вакууме. Очистка с помощью автоматической колоночной флэш-хроматографии (CombiFlash Rf, 12 г силикагелевый картридж RediSep™) с элюированием с градиентом 0 - 20% этилацетата в изогептане приводила к получению целевого продукта в виде желтого масла (649 мг, 1.13 ммоль, 96%).

ЖХ/МС (C22H26FIN2O5S) 577 [М+Н]+; RT 2.65 (ЖХМС-V-C)

1H ЯМР (400 МГц, ДМСО-d6) δ 7.56 (dd, J = 10.8, 2.1 Гц, 1Н), 7.39 (dt, J = 8.6, 1.7 Гц, 1Н), 6.84 (t, J = 8.8 Гц, 1Н), 3.75 (s, 3Н), 3.42 (s, 3Н), 3.34 (s, 2H), 3.31 (s, 2H), 1.52 (s, 9H), 0.77 - 0.64 (m, 4H).

Стадия М: метил 2-{[(трет-бутокси)карбонил](метил)амино}-5-{[1-({4-[3-(диметиламино)проп-1-ин-1-ил]-2-фторфенокси}метил)циклопропил]метил}-1,3-тиазол-4-карбоксилат

К раствору продукта со Стадии L (649 мг, 1.13 ммоль, 1 экв.) в тетрагидрофуране (12 мл) добавляли 3-диметиламино-1-пропин (182 мкл, 1.69 ммоль, 1.5 экв.), йодид меди(I) (21.4 мг, 0.11 ммоль, 0.1 экв.) и N,N-диизопропилэтиламин (392 мкл, 2.25 ммоль, 2 экв.). Смесь барботировали азотом (10 мин), затем добавляли дихлорид бис(трифенилфосфин)палладия(II) (79 мг, 0.11 ммоль, 0.1 экв.), и смесь нагревали при 80 °С в течение 24 ч. Реакционную смесь распределяли между этилацетатом и соляным раствором, и органическую фазу сушили (сульфат магния) и концентрировали в вакууме. Очистка с помощью автоматической колоночной флэш-хроматографии (CombiFlash Rf, 24 г силикагелевый картридж RediSep™) с элюированием с градиентом 0 - 7% метанола в дихлорметане приводила к получению целевого продукта в виде коричневого твердого вещества (173 мг, 0.33 ммоль, 29%).

ЖХ/МС (C27H34FN3O5S) 532 [M+H]+; RT 2.004 (ЖХМС-V-C)

1H ЯМР (400 МГц, ДМСО-d6) δ 7.27 (dd, J = 11.9, 2.0 Гц, 1Н), 7.18 - 7.10 (m, 1Н), 6.99 (t, J = 8.7 Гц, 1Н), 3.79 (s, 2H), 3.65 (s, 3H), 3.42 (s, 5H), 3.32 (s, 2H), 2.23 (s, 6H), 1.52 (s, 9H), 0.77 - 0.65 (m, 4H).

Стадия N: метил 5-{[1-({4-[3-(диметиламино)проп-1-ин-1-ил]-2-фторфенокси}метил)циклопропил]метил}-2-(метиломино)-1,3-тиазол-4-карбоксилат

К раствору продукта со Стадии М (173 мг, 0.33 ммоль, 1 экв.) в дихлорметане (10 мл) добавляли трифторуксусную кислоту (2 мл), и смесь перемешивали при температуре окружающей среды в течение 2 ч. Реакционную смесь разбавляли дихлорметаном, затем охлаждали до 0 °С и нейтрализовали путем добавления 2 н. водного раствора гидроксида натрия. Органическую фазу отделяли и сушили (ПТФЭ фазоразделитель), и концентрировали в вакууме. Очистка с помощью автоматической колоночной флэш-хроматографии (CombiFlash Rf, 4 г силикагелевый картридж RediSep™) с элюированием с градиентом 0 - 7% метанола в дихлорметане приводила к получению целевого продукта в виде желтого твердого вещества (84 мг, 0.19 ммоль, 60%).

ЖХ/МС (C22H26FN3O3S) 432 [М+Н]+; RT 1.55 (ЖХМС-V-C)

1H ЯМР (400 МГц, ДМСО-d6) δ 7.51 (q, J = 4.7 Гц, 1Н), 7.28 (dd, J = 11.9, 2.0 Гц, 1Н), 7.19 - 7.12 (m, 1H), 7.01 (t, J = 8.7 Гц, 1Н), 3.78 (s, 2H), 3.60 (s, 3H), 3.42 (s, 2H), 3.20 (s, 2H), 2.78 (d, J = 4.7 Гц, 3H), 2.23 (s, 6H), 0.69 - 0.60 (m, 4H).

Синтез 3ze: Этил 2-{[4-(трет-бутокси)-4-оксобутил]амино}-1,3-тиазол-4-карбоксилат

Стадия А: этил 2-{[4-(трет-бутокси)-4-оксобутил][(трет-бутокси)карбонил]амино}-1,3-тиазол-4-карбоксилат

К раствору этил 2-[(трет-бутоксикарбонил)амино]-1,3-тиазол-4-карбоксилата (5.2 г, 19.1 ммоль, 1 экв.) и трет-бутил 4-гидроксибутаноата (4.59 г, 28.6 ммоль, 1.5 экв.) в тетрагидрофуране (150 мл) добавляли трифенилфосфин (7.51 г, 28.6 ммоль, 1.5 экв.) с последующим добавлением по каплям диизопропилазодикарбоксилата (5.64 мл, 28.6 ммоль, 1.5 экв.), и смесь перемешивали при температуре окружающей среды в течение 1 ч. Реакционную смесь распределяли между этилацетатом и водой, водную фазу экстрагировали этилацетатом (3 × 60 мл) и объединенные органические экстракты промывали соляным раствором (100 мл), сушили (сульфат магния) и концентрировали в вакууме. Очистка с помощью автоматической колоночной флэш-хроматографии (CombiFlash Rf, 120 г силикагелевый картридж RediSep™) с элюированием с градиентом 0 - 20% этилацетата в изогептане приводила к получению целевого продукта в виде бесцветного масла (7.7 г, 18.6 ммоль, 97%).

ЖХ/МС (C19H30N2O6S) 415 [М+Н]+; RT 1.49 (ЖХМС-V-B1)

1H ЯМР (400 МГц, ДМСО-d6) δ 8.07 (s, 1Н), 4.27 (q, J = 7.1 Гц, 2H), 4.12 - 4.02 (m, 2H), 2.26 (t, J = 7.2 Гц, 2H), 1.90 (р, J = 7.1 Гц, 2H), 1.54 (s, 9H), 1.37 (s, 9H), 1.30 (t, J = 7.1 Гц, 3H).

Стадия В: этил 2-{[4-(трет-бутокси)-4-оксобутил]амино}-1,3-тиазол-4-карбоксилат

Раствор продукта со Стадии А (7.7 г, 18.6 ммоль, 1 экв.) в 1,1,1,3,3,3-гексафтор-2-пропаноле (40 мл) нагревали в закупоренной колбе при 80 °С в течение 7 ч. Реакционную смесь концентрировали в вакууме и очищали с помощью автоматической колоночной флэш-хроматографии (CombiFlash Rf, 80 г силикагелевый картридж RediSep™) с элюированием с градиентом 0 - 35% этилацетата в изогептане с получением целевого продукта в виде белого твердого вещества (3.61 г, 11.5 ммоль, 62%).

ЖХ/МС (C14H22N2O4S) 315 [М+Н]+; RT 1.20 (ЖХМС-V-B1)

1Н ЯМР (400 МГц, ДМСО-d6) δ 7.82 (t, J=5.4 Гц, 1Н), 7.50 (s, 1H), 4.21 (q, J=7.1 Гц, 2Н), 3.22 (td, J=7.0, 5.4 Гц, 2Н), 2.29 (t, J=7.4 Гц, 2Н), 1.76 (р, J=7.2 Гц, 2Н), 1.40 (s, 9Н), 1.26 (t, J=7.1 Гц, 3Н).

Синтез 3zf: Этил 5-[(2S)-3-{4-[3-(диметиламино)проп-1-ин-1-ил]-2-фторфенокси}-2-метилпропил]-2-(метиламино)-1,3-тиазол-4-карбоксилат

Стадия А: [(2R)-3-бром-2-метилпропокси](трет-бутил)дифенилсилан

К раствору (R)-(-)-3-бром-2-метил-1-пропанола (5 г, 32.68 ммоль, 1 экв.) в диметилформамиде (120 мл) добавляли имидазол (4.32 мл, 65.4 ммоль, 2 экв.) и трет-бутил(хлор)дифенилсилан (11.1 мл, 42.5 ммоль, 1.3 экв.), и смесь перемешивали при температуре окружающей среды в течение ночи. Реакционную смесь распределяли между изогептаном (300 мл) и 2:1 смесью вода / насыщенный водный раствор хлорида аммония (200 мл), водную фазу экстрагировали изогептаном (200 мл) и объединенные органические экстракты сушили (сульфат магния) и концентрировали в вакууме. Очистка с помощью автоматической колоночной флэш-хроматографии (CombiFlash Rf, 220 г силикагелевый картридж RediSep™) с элюированием с градиентом 0 - 2% диэтилового эфира в изогептане приводила к получению целевого продукта в виде прозрачного масла (12.1 г, 30.9 ммоль, 95%).

1Н ЯМР (400 МГц, ДМСО-d6) δ 7.67-7.59 (m, 4Н), 7.53-7.40 (m, 6Н), 3.63 (d, 2Н), 3.61-3.54 (m, 2Н), 2.10-1.98 (m, 1Н), 1.01 (s, 9Н), 0.96 (d, 3Н).

Стадия В: (3S)-4-[(трет-бутилдифенилсилил)окси]-3-метилбутаннитрил

К раствору продукта со Стадии А (12.1 г, 30.9 ммоль, 1 экв.) в диметилсульфоксид (120 мл) добавляли цианид натрия (4.54 г, 92.7 ммоль, 3 экв.), и смесь нагревали при 120°С в течение 5 ч. Реакционную смесь распределяли между диэтиловым эфиром и водой, и органическую фазу сушили (сульфат магния) и концентрировали в вакууме. Очистка с помощью автоматической колоночной флэш-хроматографии (CombiFlash Rf, 220 г силикагелевый картридж RediSep™) с элюированием с градиентом 0 - 3% этилацетата в изогептане приводила к получению целевого продукта в виде прозрачного масла (7.17 г, 21.2 ммоль, 69%).

1H ЯМР (400 МГц, ДМСО-d6) δ 7.67-7.57 (m, 4Н), 7.55-7.40 (m, 6Н), 3.62-3.46 (m, 2Н), 2.68-2.53 (m, 2Н), 2.12-1.96 (m, 1Н), 1.02 (m, 9H), 0.98 (d, 3H).

Стадия С: (3S)-4-[(трет-бутилдифенилсилил)окси]-3-метилбутаналь

К раствору продукта со Стадии В (7.17 г, 21.2 ммоль, 1 экв.) в дихлорметане (100 мл), охлажденному до 0°С, добавляли гидрид диизобутилалюминия (23.4 мл, 23.4 ммоль, 1.1 экв.), и смесь перемешивали в течение ночи. Добавляли воду с последующим добавлением 2 н. водного раствора хлористоводородной кислоты (36 мл) и насыщенного водного раствора тартрата калия-натрия (180 мл). Смесь разбавляли дополнительным количеством воды и дихлорметана, и органическую фазу последовательно промывали водой и соляным раствором, сушили (ПТФЭ фазоразделитель) и концентрировали в вакууме. Очистка с помощью автоматической колоночной флэш-хроматографии (CombiFlash Rf, 220 г силикагелевый картридж RediSep™) с элюированием с градиентом 0 - 6% этилацетата в изогептане приводила к получению целевого продукта в виде прозрачного масла (6.21 г, 18.2 ммоль, 86%).

1Н ЯМР (400 МГц, ДМСО-d6) δ 9.70 (t, J=1.9 Гц, 1Н), 7.66-7.57 (m, 4Н), 7.53-7.40 (m, 6Н), 3.56-3.42 (m, 2Н), 2.57-2.44 (m, 1H), 2.37-2.20 (m, 2Н), 0.99 (s, 9Н), 0.90 (d, J=6.0 Гц, 3Н).

Стадия D: (3S)-4-[(трет-бутилдифенилсилил)окси]-3-метилбутан-1-ол

К раствору продукта со Стадии С (6.21 г, 18.24 ммоль, 1 экв.) в метаноле (80 мл), охлажденному на водяной бане со льдом, добавляли борогидрид натрия (759 мг, 20.1 ммоль, 1.1 экв.), и смеси давали нагреться до температуры окружающей среды и перемешивали в течение 3 ч. Реакционную смесь концентрировали в вакууме, затем распределяли между этилацетатом и водой, и органическую фазу сушили (сульфат магния) и концентрировали в вакууме с получением целевого продукта в виде прозрачного масла (6.36 г, 18.6 ммоль, >100%).

1Н ЯМР (400 МГц, ДМСО-d6) δ 7.66-7.56 (m, 4Н), 7.52-7.39 (m, 6Н), 4.35 (t, J=5.1 Гц, 1Н), 3.56-3.34 (m, 4Н), 1.85-1.70 (m, 1Н), 1.65 1.51 (m, 1H), 1.31-1.21 (m, 1Н), 1.01 (s, 9Н), 0.91 (d, J=6.7 Гц, 3Н).

Стадия Е: (3S)-4-[(трет-бутилдифенилсилил)окси]-3-метилбутил метансульфонат

К охлажденному раствору продукта со Стадии D (6.36 г, 18.6 ммоль, 1 экв.) в дихлорметане (100 мл) добавляли триэтиламин (7.75 мл, 55.7 ммоль, 3 экв.) и метансульфонилхлорид (1.72 мл, 22.3 ммоль, 1.2 экв.), и смесь перемешивали при температуре окружающей среды в течение ночи. Реакционную смесь распределяли между дихлорметаном и насыщенным водным раствором бикарбоната натрия, и органическую фазу отделяли и сушили (ПТФЭ фазоразделитель), и концентрировали в вакууме с получением целевого продукта в виде коричневого масла (8.28 г, 19.7 ммоль, >100%).

1Н ЯМР (400 МГц, ДМСО-d6) δ 7.66-7.58 (m, 4Н), 7.53-7.40 (m, 6Н), 4.25 (t, J=6.6 Гц, 2Н), 3.56-3.46 (m, 2Н), 3.15 (s, 3Н), 1.95-1.76 (m, 2Н), 1.59-1.46 (m, 1Н), 1.01 (s, 9Н), 0.93 (d, J=6.7 Гц, 3Н).

Стадия F: [(2S)-4-бром-2-метилбутокси](трет-бутил)дифенилсилан

К раствору продукта со Стадии Е (8.28 г, 19.7 ммоль, 1 экв.) в тетрагидрофуране (180 мл) добавляли бромид лития (5.13 г, 59.1 ммоль, 3 экв.), и смесь нагревали при 70°С в течение 5 ч. Реакционную смесь концентрировали в вакууме, остаток распределяли между дихлорметаном и соляным раствором, и органическую фазу отделяли и сушили (ПТФЭ фазоразделитель), и концентрировали в вакууме. Очистка с помощью автоматической колоночной флэш-хроматографии (CombiFlash Rf, 120 г силикагелевый картридж RediSep™) с элюированием с градиентом 0 - 2% диэтилового эфира в изогептане приводила к получению целевого продукта в виде прозрачного масла (6.3 г, 15.5 ммоль, 79%).

1Н ЯМР (400 МГц, ДМСО-d6) δ 7.66-7.58 (m, 4Н), 7.53-7.40 (m, 6Н), 3.64-3.47 (m, 4Н), 2.08-1.93 (m, 1H), 1.92-1.79 (m, 1Н), 1.74-1.60 (m, 1H), 1.01 (s, 9Н), 0.90 (d, J=6.8 Гц, 3Н).

Стадия G: этил (5S)-6-[(трет-бутилдифенилсилил)окси]-5-метил-2-оксогексаноат

В высушенную в сушильном шкафу колбу в атмосфере азота загружали магний (453 мг, 18.7 ммоль, 1.2 экв.) и твердое вещество энергично перемешивали в течение 20 мин, и затем перемешивание было остановлено. Приготавливали раствор продукта со Стадии F (6.3 г, 15.5 ммоль, 1 экв.) в тетрагидрофуране (12 мл), и аликвоту добавляли к магнию с последующим добавлением йода (39.4 мг, 0.16 ммоль, 0.01 экв.), и смесь кратковременно нагревали с обратным холодильником. Оставшийся раствор добавляли с такой скоростью, которая позволяла поддерживать слабую дефлегмацию, и по окончании добавления смесь нагревали в течение 2 ч с обратным холодильником и затем давали охладиться до температуры окружающей среды. К перемешиваемому раствору диэтилоксалата (2.11 мл, 15.5 ммоль, 1 экв.) в тетрагидрофуране (6 мл), охлажденному до -78°С, через канюлю добавляли раствор реактива Гриньяра, и смеси давали нагреться до температуры окружающей среды и перемешивали в течение 5 ч. Реакционную смесь распределяли между этилацетатом и насыщенным водным раствором хлорида аммония, и органическую фазу сушили (сульфат магния) и концентрировали в вакууме. Очистка с помощью автоматической колоночной флэш-хроматографии (CombiFlash Rf, 80 г силикагелевый картридж RediSep™) с элюированием с градиентом 0 8% этилацетата в изогептане приводила к получению целевого продукта в виде прозрачного масла (4.13 г, 9.68 ммоль, 62%).

1Н ЯМР (400 МГц, ДМСО-d6) δ 7.65-7.57 (m, 4Н), 7.53-7.38 (m, 6Н), 4.32-4.18 (m, 2Н), 3.53-3.45 (m, 2Н), 2.86-2.74 (m, 1Н), 1.74-1.61 (m, 1H), 1.32-1.14 (m, 6Н), 1.01 (s, 9Н), 0.88 (d, 3Н).

Стадия Н: этил (5S)-3-бром-6-[(трет-бутилдифенилсилил)окси]-5-метил-2-оксогексаноат

К смеси бромида меди(II) (4.14 г, 18.5 ммоль, 2 экв.) в этилацетате (120 мл) добавляли раствор продукта со Стадии G (3.95 г, 9.26 ммоль, 1 экв.) в хлороформе (60 мл), и смесь нагревали при 85°С в течение ночи. Реакционную смесь фильтровали через целит, элюируя дихлорметаном, затем концентрировали в вакууме. Очистка с помощью автоматической колоночной флэш-хроматографии (CombiFlash Rf, 80 г силикагелевый картридж RediSep™) с элюированием с градиентом 0-8% этилацетата в изогептане приводила к получению целевого продукта в виде желтого масла (1.92 г, 3.8 ммоль, 41%), которое непосредственно использовали на следующей стадии без определения характеристик.

Стадия I: этил 5-[(2S)-3-[(трет-бутилдифенилсилил)окси]-2-метилпропил]-2-(метиламино)-1,3-тиазол-4-карбоксилат

К раствору продукта со Стадии Н (1.67 г, 3.3 ммоль, 1 экв.) в этаноле (30 мл) добавляли N-метилтиомочевину (298 мг, 3.3 ммоль, 1 экв.) с последующим добавлением триэтиламина (0.92 мл, 6.61 ммоль, 2 экв.), и смесь нагревали при 80°С в течение 4 ч. Реакционной смеси давали охладиться до температуры окружающей среды и растворитель удаляли путем ротационного упаривания. Сырое вещество распределяли между дихлорметаном и водой, водную фазу экстрагировали дихлорметаном, и объединенную органику промывали соляным раствором, сушили (сульфат магния) и концентрировали в вакууме. Очистка с помощью автоматической колоночной флэш-хроматографии (CombiFlash Rf, 40 г силикагелевый картридж RediSep™) с элюированием с градиентом 0 - 50% этилацетата в изогептане приводила к получению целевого продукта в виде коричневой смолы (914 мг, 1.84 ммоль, 56%).

ЖХ/МС (C27H36N2O3SiS) 497 [М+Н]+; RT 1.46 (ЖХМС-V-B1)

1Н ЯМР (400 МГц, ДМСО-d6) δ 7.64-7.56 (m, 4Н), 7.55-7.36 (m, 6Н), 4.16 (q, J=7.1 Гц, 2Н), 3.60-3.47 (m, 2Н), 3.08 (dd, J=14.4, 6.6 Гц, 1Н), 2.92 (dd, J=14.4, 7.7 Гц, 1Н), 2.78 (d, J=4.8 Гц, 3Н), 1.96-1.84 (m, 1Н), 1.21 (t, J=7.1 Гц, 3Н), 1.01 (s, 9Н), 0.92 (d, J=6.7 Гц, 3Н).

Стадия J: этил 2-{[(трет-бутокси)карбонил](метил)амино}-5-[(2S)-3-[(трет-бутилдифенилсилил)окси]-2-метилпропил]-1,3-тиазол-4-карбоксилат

К раствору продукта со Стадии I (914 мг, 1.84 ммоль, 1 экв.) в тетрагидрофуране (20 мл) добавляли ди-трет-бутил дикарбонат (803 мг, 3.68 ммоль, 2 экв.) с последующим добавлением триэтиламина (0.77 мл, 5.52 ммоль, 3 экв.) и 4-(диметиламино)пиридина (22.5 мг, 0.18 ммоль, 0.1 экв.), и смесь перемешивали при температуре окружающей среды в течение 2 ч. Реакционную смесь распределяли между этилацетатом и водой, и органическую фазу промывали соляным раствором, сушили (сульфат магния) и концентрировали в вакууме. Очистка с помощью автоматической колоночной флэш-хроматографии (CombiFlash Rf, 24 г силикагелевый картридж RediSep™) с элюированием с градиентом 0 20% этилацетата в изогептане приводила к получению целевого продукта в виде коричневой смолы (961 мг, 1.61 ммоль, 88%).

ЖХ/МС (C32H44N2O5SiS) 597 [М+Н]+; RT 1.67 (ЖХМС-V-Bl)

1Н ЯМР (400 МГц, ДМСО-d6) δ 7.64-7.56 (m, 4Н), 7.51-7.37 (m, 6Н), 4.23 (q, J=7.1 Гц, 2Н), 3.60-3.47 (m, 2Н), 3.44 (s, 3Н), 3.19 (dd, J=14.4, 6.8 Гц, 1H), 3.00 (dd, J=14.3, 7.5 Гц, 1H), 2.06-1.94 (m, 1Н), 1.54 (s, 9Н), 1.24 (t, J=7.1 Гц, 3Н), 1.00 (s, 9Н), 0.94 (d, J=6.7 Гц, 3Н).

Стадия K: этил 2-{[(трет-бутокси)карбонил](метил)амино}-5-[(2S)-3-гидрокси-2-метилпропил]-1,3-тиазол-4-карбоксилат

К раствору продукта со Стадии J (961 мг, 1.61 ммоль, 1 экв.) в тетрагидрофуране (20 мл) добавляли фторид тетрабутиламмония (1М в тетрагидрофуране, 4.83 мл, 4.83 ммоль, 3 экв.), и смесь нагревали с обратным холодильником в течение 1.5 ч. Реакционной смеси давали охладиться до температуры окружающей среды, затем распределяли между этилацетатом и водой, и органическую фазу промывали соляным раствором, сушили (сульфат магния) и концентрировали в вакууме. Очистка с помощью автоматической колоночной флэш-хроматографии (CombiFlash Rf, 24 г силикагелевый картридж RediSep™) с элюированием с градиентом 0 - 80% этилацетата в изогептане приводила к получению целевого продукта в виде бесцветной смолы (204 мг, 0.57 ммоль, 35%).

ЖХ/МС (C16H26N2O5S) 359 [М+Н]+; RT 1.07 (ЖХМС-V-B1)

1Н ЯМР (400 МГц, ДМСО-d6) δ 4.59 (t, J=5.2 Гц, 1Н), 4.26 (q, J=7.1 Гц, 2H), 3.43 (s, 3Н), 3.37-3.22 (m, 2H), 3.12 (dd, J=14.3, 6.0 Гц, 1H), 2.91 (dd, J=14.3, 8.2 Гц, 1H), 1.89-1.75 (m, 1H), 1.53 (s, 9H), 1.29 (t, J=7.1 Гц, 3Н), 0.85 (d, J=6.7 Гц, 3Н).

Стадия L: этил 2-{[(трет-бутокси)карбонил](метил)амино}-5-[(2S)-3-(2-фтор-4-йодфенокси)-2-метилпропил]-1,3-тиазол-4-карбоксилат

К раствору продукта со Стадии K (159 мг, 0.44 ммоль, 1 экв.) в толуоле (6 мл) добавляли 2-фтор-4-йодфенол (211 мг, 0.89 ммоль, 2 экв.) с последующим добавлением трифенилфосфина (233 мг, 0.89 ммоль, 2 экв.) и диизопропилазодикарбоксилата (0.17 мл, 0.89 ммоль, 2 экв.), и смесь нагревали при 120°С в течение ночи. Реакционной смеси давали охладиться до температуры окружающей среды и растворитель удаляли путем ротационного упаривания. Полученное в результате масло распределяли между дихлорметаном и водой, и органическую фазу промывали соляным раствором, сушили (сульфат магния) и концентрировали в вакууме. Очистка с помощью автоматической колоночной флэш-хроматографии (CombiFlash Rf, 12 г силикагелевый картридж RediSep™) с элюированием с градиентом 0 - 20% этилацетата в изогептане приводила к получению целевого продукта в виде бесцветной смолы (203 мг, 0.35 ммоль, 79%).

ЖХ/МС (C22H28FIN2O5S) 579 [М+Н]+; RT 1.46 (ЖХМС-V-Bl)

1Н ЯМР (400 МГц, ДМСО-d6) δ 7.59 (dd, J=10.8, 2.1 Гц, 1Н), 7.48-7.42 (m, 1Н), 6.97 (t, J=8.8 Гц, 1Н), 4.24 (q, 2Н), 3.99-3.87 (m, 2Н), 3.43 (s, 3Н), 3.24 (dd, J=14.2, 6.5 Гц, 1Н), 3.08 (dd, J=14.3, 7.9 Гц, 1Н), 2.33-2.20 (m, 1H), 1.51 (s, 9Н), 1.27 (t, J=7.1 Гц, 3Н), 1.01 (d, J=6.7 Гц, 3Н).

Стадия М: этил 2-{[(трет-бутокси)карбонил](метил)амино}-5-[(2S)-3-{4-[3-(диметиламино)проп-1-ин-1-ил]-2-фторфенокси}-2-метилпропил]-1,3-тиазол-4-карбоксилат

К раствору продукта со Стадии L (226 мг, 0.39 ммоль, 1 экв.) в тетрагидрофуране (5 мл) добавляли 3-диметиламино-1-пропин (0.08 мл, 0.78 ммоль, 2 экв.), N,N-диизопропилэтиламин (0.19 мл, 1.17 ммоль, 3 экв.) и йодид меди(I) (7.44 мг, 0.04 ммоль, 0.1 экв.) с последующим добавлением тетракис(трифенилфосфин)палладия(0) (45.2 мг, 0.04 ммоль, 0.1 экв.), и смесь нагревали с обратным холодильником в течение 24 ч. Реакционную смесь распределяли между этилацетатом и водой, и органическую фазу промывали соляным раствором, сушили (сульфат магния) и концентрировали в вакууме. Очистка с помощью автоматической колоночной флэш-хроматографии (CombiFlash Rf, 24 г силикагелевый картридж RediSep™) с элюированием с градиентом 0 - 5% метанола в дихлорметане приводила к получению целевого продукта в виде коричневой смолы (68 мг, 0.13 ммоль, 33%).

ЖХ/МС (C27H36FN3O5S) 534 [М+Н]+; RT 1.07 (ЖХМС-V-B1)

1Н ЯМР (400 МГц, ДМСО-d6) δ 7.30 (dd, J=11.9, 2.0 Гц, 1Н), 7.25-7.17 (m, 1Н), 7.12 (t, J=8.7 Гц, 1Н), 4.24 (q, 2Н), 4.02-3.90 (m, 2Н), 3.43 (s, 3Н), 3.42 (s, 2Н), 3.25 (dd, J=14.2, 6.5 Гц, 1H), 3.09 (dd, J=14.3, 8.0 Гц, 1H), 2.31-2.24 (m, 1Н), 2.23 (s, 6Н), 1.51 (s, 9Н), 1.28 (t, J=7.1 Гц, 3Н), 1.02 (d, J=6.7 Гц, 3Н).

Стадия N: этил 5-[(2S)-3-{4-[3-(диметиламино)проп-1-ин-1-ил]-2-фторфенокси}-2-метилпропил]-2-(метиламино)-1,3-тиазол-4-карбоксилат

К раствору продукта со Стадии М (68 мг, 0.13 ммоль, 1 экв.) в дихлорметане (3 мл) добавляли трифторуксусную кислоту (0.3 мл, 4.03 ммоль, 31.6 экв.), и смесь перемешивали при температуре окружающей среды в течение ночи. Реакционную смесь разбавляли дихлорметаном, охлаждали на бане со льдом, и гасили путем добавления насыщенного водного раствора бикарбоната натрия. Органическую фазу промывали соляным раствором, сушили (сульфат магния) и концентрировали в вакууме. Очистка с помощью автоматической колоночной флэш-хроматографии (CombiFlash Rf, 4 г силикагелевый картридж RediSep™) с элюированием с градиентом 0 - 7% метанола в дихлорметане приводила к получению целевого продукта в виде коричневой смолы (40 мг, 0.09 ммоль, 72%).

ЖХ/МС (C22H28FN3O3S) 434 [М+Н]+; RT 0.82 (ЖХМС-V-B1)

1H ЯМР (400 МГц, ДМСО-d6) δ 7.52 (q, J=4.8 Гц, 1H), 7.30 (dd, J=11.9, 2.0 Гц, 1H), 7.25-7.17 (m, 1H), 7.12 (t, J=8.7 Гц, 1H), 4.19 (q, J=7.1 Гц, 2H), 4.00-3.88 (m, 2H), 3.42 (s, 2H), 3.13 (dd, J=14.5, 6.6 Гц, 1H), 3.02 (dd, J=14.4, 7.8 Гц, 1H), 2.78 (d, J=4.7 Гц, 3H), 2.23 (s, 6H), 2.21-2.12 (m, 1H), 1.25 (t, J=7.1 Гц, 3H), 1.01 (d, J=6.8 Гц, 3H).

Синтез 3zg: Этил 5-(3-{4-[3-(диметиламино)проп-1-ин-1-ил]-2-фторфенокси}-2-(оксан-2-илокси)пропил)-2-(метиламино)-1,3-тиазол-4-карбоксилат

Стадия А: этил 2-{[(трет-бутокси)карбонил](метил)амино}-5-(проп-2-ен-1-ил)-1,3-тиазол-4-карбоксилат

Хлорид изопропилмагния (2М в тетрагидрофуране; 6 мл, 12 ммоль, 1.2 экв.) при -78°С добавляли по каплям к раствору этил 5-бром-2-[(трет-бутоксикарбонил)(метил)амино]-1,3-тиазол-4-карбоксилата (3.65 г, 9.99 ммоль, 1 экв.) в дихлорметане (30 мл), и смесь перемешивали в течение 30 мин. По каплям добавляли раствор хлорида цинка (1.9 М в 2-метилтетрагидрофуране; 8 мл, 15.2 ммоль, 1.52 экв.), и смесь перемешивали в течение 60 мин при -78°С и затем в течение 3 ч при температуре окружающей среды. Раствор охлаждали в воде со льдом, и медленно добавляли комплекс цианид меди(I) - ди(хлорид лития) (1М в тетрагидрофуране; 2 мл, 2 ммоль, 0.2 экв.) и аллилбромид (2 мл, 23.11 ммоль, 2.31 экв.). Смесь перемешивали в течение 60 мин при 0°С и затем при температуре окружающей среды в течение 18 ч. Добавляли дихлорметан (125 мл), и смесь последовательно промывали насыщенным водным раствором хлорида аммония (75 мл), водой (2×75 мл) и соляным раствором (75 мл), сушили (сульфат магния) и концентрировали в вакууме. Очистка с помощью колоночной флэш-хроматографии (50 г силикагеля) с элюированием с градиентом 0 - 10% этилацетата в изогептане приводила к получению целевого продукта в виде бесцветной смолы (1.64 г, 5.02 ммоль, 50%).

ЖХ/МС (C15H22N2O4S) 327 [М+Н]+; RT 1.43 (ЖХМС-V-B1)

1Н ЯМР (400 МГц, ДМСО-d6) δ 6.04-5.90 (m, 1Н), 5.20-5.06 (m, 2Н), 4.37 (q, J=7.1 Гц, 2Н), 3.86 (dt, J=6.6, 1.4 Гц, 2Н), 3.55 (s, 3Н), 1.56 (s, 9Н), 1.39 (t, J=7.1 Гц, 3Н).

Стадия В: этил 5-(3-бром-2-гидроксипропил)-2-{[(трет-бутокси)карбонил](метил)амино}-1,3-тиазол-4-карбоксилат

К раствору продукта со Стадии А (1.29 г, 3.95 ммоль, 1 экв.) в ацетоне (16 мл), охлажденному в воде со льдом, добавляли N-бромсукцинимид (774 мг, 4.35 ммоль, 1.1 экв.), ацетат аммония (30.5 мг, 0.4 ммоль, 0.1 экв.) и воду (4 мл), и полученный в результате раствор перемешивали в течение 45 мин при температуре окружающей среды. Добавляли этилацетат (150 мл), и смесь последовательно промывали водой (2×75 мл) и соляным раствором (75 мл), сушили (сульфат магния) и концентрировали в вакууме. Очистка с помощью колоночной флэш-хроматографии (100 г силикагеля) с элюированием с градиентом 0-25% этилацетата в изогептане приводила к получению целевого продукта в виде бесцветной смолы (960 мг, 2.27 ммоль, 57%).

ЖХ/МС (C15H23BrN2O5S) 425 [М+Н]+; RT 1.29 (ЖХМС-V-B1)

1Н ЯМР (400 МГц, ДМСО-d6) δ 5.59 (d, J=5.4 Гц, 1Н), 4.27 (q, 2Н), 3.95-3.80 (m, 1Н), 3.54-3.45 (m, 3Н), 3.44 (s, 3Н), 3.08 (dd, J=14.7, 8.3 Гц, 1H), 1.53 (s, 9Н), 1.30 (t, J=7.1 Гц, 3Н).

Стадия С: этил 5-[3-бром-2-(оксан-2-илокси)пропил]-2-{[(трет-бутокси)карбонил](метил)амино}-1,3-тиазол-4-карбоксилат

К раствору продукта со Стадии В (1.15 г, 2.72 ммоль, 1 экв.) в дихлорметане (30 мл), охлажденному до 0°С, добавляли 3,4-дигидро-2Н-пиран (1 мл, 11 ммоль, 4 экв.) с последующим добавлением n-толуолсульфоната пиридиния (75 мг, 0.3 ммоль, 0.11 экв.), и смесь перемешивали в течение 30 мин при 0°С и затем в течение 5 ч при температуре окружающей среды. Добавляли дихлорметан (30 мл), и смесь последовательно промывали водой (2×25 мл) и соляным раствором (25 мл), сушили (сульфат магния) и концентрировали в вакууме с получением целевого продукта в виде желтой смолы (1.52 г, 2.7 ммоль, 99%), которую непосредственно использовали на следующей стадии без дальнейшего определение характеристик.

Стадия D: этил 5-[3-(4-бром-2-фторфенокси)-2-(оксан-2-илокси)пропил]-2-{[(трет-бутокси)карбонил](метил)амино}-1,3-тиазол-4-карбоксилат

4-Бром-2-фторфенол (0.4 мл, 3.65 ммоль, 1.35 экв.) добавляли к суспензии трет-бутилата калия (400 мг, 3.56 ммоль, 1.32 экв.) в диметилсульфоксиде (5 мл), и смесь перемешивали. Добавляли раствор продукта со Стадии С (1.52 г, 2.7 ммоль, 1 экв.) в диметилсульфоксиде (10 мл), и смесь перемешивали в течение 60 мин при температуре окружающей среды и затем при 60°С в течение 3 ч. Реакционной смеси давали охладиться до температуры окружающей среды и распределяли между этилацетатом (150 мл) и водой (75 мл), и органическую фазу последовательно промывали водой (2×75 мл) и соляным раствором (75 мл), сушили (сульфат магния) и концентрировали в вакууме. Очистка с помощью колоночной флэш-хроматографии (100 г силикагеля) с элюированием с градиентом 0-25% этилацетата в изогептане приводила к получению целевого продукта в виде бледно-желтой смолы (1.05 г, 1.7 ммоль, 63%).

ЖХ/МС (C26H34BrFN2O7S) 617 [М+Н]+; RT 1.61 (ЖХМС-V-B1)

1Н ЯМР (400 МГц, ДМСО-d6) δ 7.54 (dd, J=10.8, 2.4, 0.8 Гц, 1Н), 7.35-7.28 (m, 1Н), 7.12 (td, J=9.0, 1.1 Гц, 1H), 4.25 (q, 3Н), 4.19-4.08 (m, 2Н), 3.56-3.37 (m, 7Н), 1.77-1.55 (m, 4Н), 1.52 (d, J=2.2 Гц, 9Н), 1.49-1.38 (m, 4Н), 1.27 (t, J=7.1 Гц, 3Н).

Стадия Е: этил 2-{[(трет-бутокси)карбонил](метил)амино}-5-(3-{4-[3-(диметиламино)проп-1-ин-1-ил]-2-фторфенокси}-2-(оксан-2-илокси)пропил)-1,3-тиазол-4-карбоксилат

К раствору продукта со Стадии D (1.05 г, 1.7 ммоль, 1 экв.) в диметилформамиде (10 мл) добавляли диметил(проп-2-ин-1-ил)амин (0.25 мл, 2.32 ммоль, 1.37 экв.), йодид меди(1) (32.4 мг, 0.17 ммоль, 0.1 экв.) и дихлорид бис(трифенилфосфин)палладия(II) (119 мг, 0.17 ммоль, 0.1 экв.). Добавляли N,N-диизопропилэтиламин (0.9 мл, 5.1 ммоль, 3 экв.), и смесь нагревали при 75°С в течение 24 ч. Реакционной смеси давали охладиться до температуры окружающей среды и распределяли между этилацетатом (150 мл) и водой (75 мл), и органическую фазу последовательно промывали водой (75 мл) и соляным раствором (75 мл), сушили (сульфат магния) и концентрировали в вакууме. Очистка с помощью колоночной флэш-хроматографии (50 г силикагеля) с элюированием с градиентом 0 100% этилацетата в изогептане приводила к получению целевого продукта в виде коричневой смолы (395 мг, 0.64 ммоль, 38%).

ЖХ/МС (C31H42FN3O7S) 620 [М+Н]+; RT 1.31 (ЖХМС-V-B1)

Стадия F: этил 5-(3-{4-[3-(диметиламино)проп-1-ин-1-ил]-2-фторфенокси}-2-(оксан-2-илокси)пропил)-2-(метиламино)-1,3-тиазол-4-карбоксилат

Раствор продукта со Стадии Е (390 мг, 0.63 ммоль, 1 экв.) в 1,1,1,3,3,3-гексафторпропан-2-оле (7 мл) нагревали в запаянной трубке при 100°С в течение 60 мин, затем давали охладиться до температуры окружающей среды и концентрировали в вакууме. Очистка с помощью колоночной флэш-хроматографии (20 г силикагеля) с элюированием с градиентом 0-2.5% метанола в дихлорметане приводила к получению целевого продукта в виде коричневой смолы (170 мг, 0.33 ммоль, 52%).

ЖХ/МС (C26H34FN3O5S) 520 [М+Н]+; RT 1.05 (ЖХМС-V-B1)

Синтез 3zh: Этил 5-(2-метокси-3-{[трис(пропан-2-ил)силил]окси}пропил)-2-(метиламино)-1,3-тиазол-4-карбоксилат

Стадия А: этил 2-{[(трет-бутокси)карбонил](метил)амино}-5-(2,3-дигидроксипропил)-1,3-тиазол-4-карбоксилат

К раствору продукта Синтеза 3zg, Стадия А (8.39 г, 25.7 ммоль, 1 экв.), в 9:1 смеси ацетон / вода (250 мл) добавляли 4-метилморфолин-N-оксид (4.75 г, 40.6 ммоль, 1.58 экв.) с последующим добавлением тетраоксида осмия (3.5 мл, 0.28 ммоль, 0.01 экв.), и полученную в результате смесь перемешивали в течение 18 ч при температуре окружающей среды. Добавляли воду (300 мл), и смесь экстрагировали этилацетатом (4×200 мл), и объединенную органику промывали соляным раствором (150 мл), сушили (сульфат магния) и концентрировали в вакууме. Очистка с помощью колоночной флэш-хроматографии (100 г силикагеля) с элюированием с градиентом 0-5% метанола в дихлорметане приводила к получению целевого продукта в виде коричневой смолы (8.66 г, 24 ммоль, 94%).

ЖХ/МС (C15H24N2O6S) 361 [М+Н]+; RT 1.07 (ЖХМС-V-B1)

1Н ЯМР (400 МГц, ДМСО-d6) δ 4.95 (d, J=5.4 Гц, 1Н), 4.66 (t, J=5.6 Гц, 1H), 4.26 (q, J=7.1 Гц, 2Н), 3.69-3.58 (m, 1H), 3.49-3.40 (m, 1Н), 3.38-3.26 (m, 2Н), 2.89 (dd, J=14.9, 8.7 Гц, 1Н), 1.53 (s, 9Н), 1.29 (t, J=7.1 Гц, 3Н).

Стадия В: этил 2-{[(трет-бутокси)карбонил](метил)амино}-5-(2-гидрокси-3-{[трис(пропан-2-ил)силил]окси}пропил)-1,3-тиазол-4-карбоксилат

К раствору продукта со Стадии А (8.65 г, 24 ммоль, 1 экв.) в дихлорметане (100 мл), охлажденному в воде со льдом, добавляли имидазол (3.5 г, 51.4 ммоль, 2.14 экв.) с последующим добавлением по каплям триизопропилсилилхлорида (6 мл, 28 ммоль, 1.17 экв.), и смесь перемешивали в течение 60 мин при 0°С и затем в течение 18 ч при температуре окружающей среды. Реакционную смесь концентрировали в вакууме и очищали с помощью колоночной флэш-хроматографии (100 г силикагеля) с элюированием с градиентом 0-25% этилацетата в изогептане с получением целевого продукта в виде бесцветного масла (12.2 г, 23.5 ммоль, 98%).

ЖХ/МС (C24H44N2O6SiS) 517 [М+Н]+; RT 1.69 (ЖХМС-V-B1)

1Н ЯМР (400 МГц, ДМСО-d6) δ 5.07 (d, J=5.2 Гц, 1Н), 4.24 (q, J=7.1 Гц, 2Н), 3.75-3.61 (m, 2Н), 3.55-3.48 (m, 2Н), 3.42 (s, 3Н), 2.98 (dd, J=15.0, 8.3 Гц, 1Н), 1.53 (s, 9Н), 1.28 (t, J=7.1 Гц, 3Н), 1.09-0.97 (m, 21Н).

Стадия С: этил 2-{[(трет-бутокси)карбонил](метил)амино}-5-(2-метокси-3-{[трис(пропан-2-ил)силил]окси}пропил)-1,3-тиазол-4-карбоксилат

Тетрафторборат триметилоксония (1.5 г, 10.1 ммоль, 2.02 экв.) добавляли к охлажденному раствору продукта со Стадии В (2.6 г, 5.03 ммоль, 1 экв.) и N,N,N',N'-тетраметилнафталин-1,8-диамина (2.2 г, 10.3 ммоль, 2.04 экв.) в дихлорметане (75 мл), и смесь перемешивали при 0°С в течение 60 мин, и затем в течение 24 ч при температуре окружающей среды. Смесь разбавляли дихлорметаном (75 мл) и последовательно промывали 1М водным раствором сульфата меди(II) (2×75 мл), водой (75 мл) и соляным раствором (75 мл), сушили (сульфат магния) и концентрировали в вакууме. Очистка с помощью колоночной флэш-хроматографии (50 г силикагеля) с элюированием с градиентом 0-5% этилацетата в изогептане приводила к получению целевого продукта в виде бесцветной смолы (2.54 г, 4.79 ммоль, 95%).

ЖХ/МС (C25H46N2O6SiS) 531 [М+Н]+; RT 1.80 (ЖХМС-V-B1)

1Н ЯМР (400 МГц, ДМСО-d6) δ 4.37 (q, J=7.1 Гц, 2Н), 3.75 (dd, J=5.0, 2.6 Гц, 2Н), 3.55 (s, 3Н), 3.52-3.44 (m, 2Н), 3.41 (s, 3Н), 3.26-3.14 (m, 1Н), 1.39 (t, J=7.1 Гц, 3Н), 1.09-1.01 (m, 21Н).

Стадия D: этил 5-(2-метокси-3-{[трис(пропан-2-ил)силил]окси}пропил)-2-(метиламино)-1,3-тиазол-4-карбоксилат

Раствор продукта со Стадии С (2.54 г, 4.79 ммоль, 1 экв.) в 1,1,1,3,3,3-гексафторпропан-2-оле (20 мл) нагревали в запаянной трубке при 100°С в течение 5 ч. Раствору давали охладиться до температуры окружающей среды, концентрировали в вакууме и сушили в вакууме с получением целевого продукта в виде белого твердого вещества (1.75 г, 4.06 ммоль, 85%).

1Н ЯМР (400 МГц, ДМСО-d6) δ 5.44 (q, J=5.1 Гц, 1Н), 4.35 (q, J=7.1 Гц, 2Н), 3.79-3.69 (m, 2Н), 3.52 (dd, J=15.0, 4.1 Гц, 1Н), 3.48-3.39 (m, 4Н), 3.13 (dd, J=15.0, 7.8 Гц, 1H), 2.95 (d, J=5.0 Гц, 3Н), 1.37 (t, J=7.1 Гц, 3Н), 1.09 1.01 (m, 21H).

Синтез 4a: N-(6-Хлор-4-метилпиридазин-3-ил)-3-(2-триметилсилилэтоксиметил)-1,3-бензотиазол-2-имин

Стадия А: N-(6-хлор-4-метилпиридазин-3-ил)-1,3-бензотиазол-2-амин

2 л высушенную в сушильном шкафу одногорлую, круглодонную колбу оснащали якорем магнитной мешалки с покрытием из ПТФЭ и устанавливали обратный холодильник. В нее загружали 34.0 г 6-хлор-4-метилпиридазин-3-амина (237 ммоль, 1 экв.), 34 мл 2-хлор-1,3-бензотиазола (44.2 г, 260 ммоль, 1.1 экв.), 124 мл DIPEA (91.8 г, 710 ммоль, 3 экв.) и 137 г Cs2CO3 (710 ммоль, 3 экв.), затем добавляли 1 л ДМФА и систему продували аргоном. После 5 минут перемешивания в инертной атмосфере добавляли 2.01 г Pd2(dba)3 (5.9 ммоль, 0.025 экв.) и 6.85 г XantPhos (11.8 ммоль, 0.05 экв.). Полученную в результате смесь затем нагревали до 75°С и перемешивали при такой температуре в течение 4 часов до достижения полного превращения. Реакционную смесь оставляли охладиться до к.т., затем выливали в 3 л воды при интенсивном перемешивании. Через 30 мин осажденный продукт удаляли путем фильтрования, и затем его 2 раза промывали водой (2×2 л). Продукт сушили в течение ночи в высоком вакууме. Сухой неочищенный продукт перемешивали в 1 л смеси гептан: Et2O (3:2) в течение 30 мин, и затем отфильтровывали с получением 64.5 г (98%) целевого продукта в виде зеленого порошка.

1Н ЯМР (500 МГц, ДМСО-d6) δ м.д. 11.96 (brs, 1Н), 7.86 (d, 1H), 7.65 (s, 1H), 7.51 (d, 1Н), 7.38 (t, 1H), 7.21 (t, 1H), 2.37 (s, 3Н); 13С ЯМР (125 МГц, ДМСО-d6) δ м.д. 130.3, 129.5, 126.6, 122.8, 122.3, 17.2; МСВР-ЭРИ (m/z): [М+Н]+, рассчитано для C12H10ClN4S: 277.0309, найдено: 277.0305.

Стадия В: N-(6-хлор-4-метилпиридазин-3-ил)-3-(2-триметилсилилэтоксиметил)-1,3-бензотиазол-2-имин

В 2 л высушенную в сушильном шкафу одногорлую, круглодонную колбу, оснащенную якорем магнитной мешалки с покрытием из ПТФЭ, загружали 64.5 г продукта со Стадии А (236 ммоль, 1 экв.), 123 мл DIPEA (9.16 г, 708 ммоль, 3 экв.) и 14.43 г N,N-диметилпиридин-4-амина (11.81 ммоль, 0.05 экв.) в 1 л сухого ДХМ, и охлаждали до 0°С в атмосфере N2. При интенсивном механическом перемешивании к смеси по каплям добавляли 46.00 мл 2-(хлорметокси)этилтриметилсилана (43.32 г, 259 ммоль, 1.1 экв.) в течение периода 5 мин. Смесь перемешивали при 0°С в течение 30 мин, во время чего реакция достигла состояния полного превращения. К реакционной смеси добавляли 24.5 мл воды, затем добавляли целит, и летучие вещества удаляли при пониженном давлении. Сырой продукт очищали с помощью колоночной флэш-хроматографии, используя гептан и EtOAc в качестве элюентов с получением 46.62 г (48%) целевого продукта.

1Н ЯМР (500 МГц, ДМСО-d6) δ м.д. 7.85 (dm, 1Н), 7.72 (q, 1Н), 7.53 (dm, 1H), 7.47 (m, 1H), 7.29 (m, 1Н), 5.89 (s, 2Н), 3.70 (m, 2Н), 2.39 (d, 3Н), 0.90 (m, 2Н), -0.12 (s, 9Н); 13С ЯМР (125 МГц, ДМСО-d6) δ м.д. 159.5, 158.5, 150.0, 138.1, 137.4, 129.5, 127.4, 125.5, 123.8, 123.2, 112.4, 73.0, 66.8, 17.7, 17.1, -1.0; МСВР-ЭРИ (m/z): [М+Н]+, рассчитано для C18H24ClN4OSSi: 407.1123, найдено: 407.1120.

Синтез 4b: (2Z)-N-(6-Хлорпиридазин-3-ил)-3-{[2-(триметилсилил)этокси]метил}-2,3-дигидро-1,3-бензотиазол-2-имин

N,N-Диизопропилэтиламин (3 мл, 16.6 ммоль, 3 экв.) в атмосфере азота добавляли к суспензии продукта Синтеза 9b (1.45 г, 5.52 ммоль, 1 экв.) в дихлорметане (75 мл) при 0°С. Добавляли [2-(хлорметокси)этил]триметилсилан (1.2 мл, 6.78 ммоль, 1.23 экв.) и 4-диметиламинопиридин (33.7 мг, 0.28 ммоль, 0.05 экв.), и смесь перемешивали при комнатной температуре в течение 3 ч. Добавляли дихлорметан (75 мл), и смесь промывали водой (2×75 мл) и соляным раствором (75 мл). Раствор сушили (сульфат магния) и концентрировали в вакууме. Растирание с метанолом (20 мл) приводило к твердому веществу, которое отфильтровывали, промывали метанолом (2×10 мл) и сушили в вакууме с получением целевого продукта в виде бледно-коричневого твердого вещества (1.85 г, 4.71 ммоль, 85%).

ЖХ/МС (C17H21ClN4OSiS) 393 [М+Н]+; RT 1.56 (ЖХМС-V-B1).

Синтез 5а: Метил 5-[3-[4-[3-[трет-бутоксикарбонил(метил)амино]проп-1-инил]-2-фторфенокси]пропил]-2-[[4-[трет-бутил(дифенил)силил]окси-5-(n-толилсульфонилокси)пентил]-[5-метил-6-[(Z)-[3-(2-триметилсилилэтоксиметил)-1,3-бензотиазол-2-илиден]амино]пиридазин-3-ил]амино]тиазол-4-карбоксилат

Стадия А: метил 5-[3-[4-[3-[трет-бутоксикарбонил(метил)амино]проп-1-инил]-2-фторфенокси]пропил]-2-[[5-[трет-бутил(диметил)силил]окси-4-[трет-бутил(дифенилсилил]оксипентил]-[5-метил-6-[(Z)-[3-(2-триметилсилилэтоксиметил)-1,3-бензотиазол-2-илиден]амино]пиридазин-3-ил]амино]тиазол-4-карбоксилат

Используя Общую методику II проведения реакции Бухвальда, исходя из 12 г продукта Синтеза За (13 ммоль) и 6.30 г продукта Синтеза 4а (15.6 ммоль) в качестве подходящего галогенида, получали 14 г (83%) целевого продукта.

1Н ЯМР (500 МГц, ДМСО-d6) δ м.д. 7.85-7.23 (m, 14Н), 7.58 (s, 1Н), 7.31 (t, 1H), 7.19 (m, 1H), 7.14 (t, 1Н), 5.86 (s, 2Н), 4.37 (t, 2Н), 4.20 (s, 2Н), 4.15 (t, 2Н), 3.73 (s, 3Н), 3.71 (t, 2Н), 3.67 (m, 1H), 3.39 (m, 2Н), 3.27 (t, 2Н), 2.83 (s, 3Н), 2.41 (s, 3Н), 2.12 (m, 2Н), 1.72 (m, 2Н), 1.52 (m, 2Н), 1.40 (s, 9Н), 0.90 (t, 2Н), 0.89 (s, 9Н), 0.69 (s, 9Н), -0.14 (s, 9Н), -0.19/-0.23 (s+s, 6Н); 13С ЯМР (125 МГц, ДМСО-d6) δ м.д. 147.5, 129.1, 119.3, 117.5, 115.4, 73.4, 72.3, 68.4, 66.8, 65.8, 51.8, 46.6, 38.5, 33.8, 31.0, 30.5, 28.5, 27.1, 26.1, 23.0, 22.6, 17.9, 17.8, -1.0, -5.3; МСВР-ЭРИ (m/z): [М+Н]+, рассчитано для C68H93FN7O8S2Si3: 1302.5813, найдено: 1302.5819.

Стадия В: метил 5-[3-[4-[3-[трет-бутоксикарбонил(метил)амино]проп-1-инил]-2-фторфенокси]пропил]-2-[[4-[трет-бутил(дифенил)силил]окси-5-гидроксипентил]-[5-метил-6-[(Z)-[3-(2-триметилсилилэтоксиметил)-1,3-бензотиазол-2-илиден]амино]пиридазин-3-ил]амино]тиазол-4-карбоксилат

100 мл высушенную в сушильном шкафу одногорлую, кругло донную колбу оснащали якорем магнитной мешалки с покрытием из ПТФЭ и устанавливали обратный холодильник. В нее загружали 1.40 г продукта со Стадии А (1.1 ммоль, 1 экв.) и 12 мг камфорсульфоновой кислоты (0.054 ммоль, 0.05 экв.), 5 мл ДХМ и 1 мл МеОН. Полученную в результате смесь перемешивали в течение ночи при к.т. до достижения полного превращения. Реакционную смесь непосредственно концентрировали на целите, и затем очищали с помощью колоночной флэш-хроматографии, используя гептан и EtOAc в качестве элюентов с получением 700 мг (55%) целевого продукта в виде желтого твердого вещества.

1Н ЯМР (500 МГц, ДМСО-d6) δ м.д. 7.85-7.14 (m, 14Н), 7.56 (s, 1Н), 7.32 (dd, 1Н), 7.20 (m, 1Н), 7.15 (t, 1H), 5.86 (s, 2Н), 4.56 (t, 1Н), 4.33 (m, 2Н), 4.20 (s, 2Н), 4.15 (t, 2Н), 3.74 (s, 3Н), 3.72 (t, 2Н), 3.65 (m, 1Н), 3.27 (t, 2Н), 3.27 (t, 2Н), 2.83 (s, 3Н), 2.41 (s, 3Н), 2.13 (m, 2Н), 1.73/1.64 (m+m, 2Н), 1.52 (m, 2Н), 1.40 (s, 9Н), 0.90 (t, 2Н), 0.86 (s, 9Н), -0.13 (s, 9Н); 13С ЯМР (125 МГц, ДМСО-d6) δ м.д. 154.9, 147.6, 129.1, 119.4, 117.5, 115.4, 82.4, 73.7, 72.9, 68.4, 66.8, 64.5, 51.9, 46.8, 38.5, 33.8, 31.0, 30.6, 28.5, 27.2, 23.1, 22.5, 17.9, 17.8, -1.0; МСВР-ЭРИ (m/z): [М+Н]+, рассчитано для C62H79FN7O8S2Si2: 1188.4949, найдено: 1188.4938.

Стадия С: метил 5-[3-[4-[3-[трет-бутоксикарбонил(метил)амино]проп-1-инил]-2-фторфенокси]пропил]-2-[[4-[трет-бутил(дифенил)силил]окси-5-(n-толилсулъфонилокси)пентил]-[5-метил-6-[(Z)-[3-(2-триметилсилилэтоксиметил)-1,3-бензотиазол-2-илиден]амино]пиридазин-3-ил]амино]тиазол-4-карбоксилат

100 мл высушенную в сушильном шкафу одногорлую, кругло донную колбу оснащали якорем магнитной мешалки с покрытием из ПТФЭ, в нее загружали 700 мг продукта со Стадии В (0.58 ммоль, 1 экв.) и 907 мг хлорида N,N-диметил-1-(n-толилсульфонил)пиридин-1-ий-4-амина (2.9 ммоль, 5 экв., Tetrahedron Lett. 2016, 57, 4620), растворяли их в 35 мл ДХМ и раствор перемешивали в течение ночи при к.т. Реакция достигла состояния полного превращения. Реакционную смесь концентрировали непосредственно на целите, и затем очищали с помощью колоночной флэш-хроматографии, используя гептан и EtOAc в качестве элюентов с получением 450 мг (56%) целевого продукта.

1Н ЯМР (500 МГц, ДМСО-d6) δ м.д. 7.88-7.23 (m, 14Н), 7.58 (m, 2Н), 7.53 (s, 1H), 7.31 (m, 2Н), 7.31 (dd, 1H), 7.19 (m, 1H), 7.15 (t, 1Н), 5.86 (s, 2Н), 4.20 (s, 2Н), 4.16 (t, 2Н), 4.15 (t, 2Н), 3.92 (m, 2Н), 3.84 (m, 1Н), 3.72 (t, 2Н), 3.70 (s, 3Н), 3.27 (t, 2Н), 2.83 (s, 3Н), 2.41 (s, 3Н), 2.33 (s, 3Н), 2.13 (m, 2Н), 1.47 (m, 2Н), 1.47 (m, 2Н), 1.40 (s, 9Н), 0.91 (t, 2Н), 0.86 (s, 9Н), -0.13 (s, 9Н); 13С ЯМР (125 МГц, ДМСО-d6) δ м.д. 147.5, 145.3, 130.4, 129.1, 128.0, 119.3, 117.4, 115.5, 72.9, 72.6, 70.4, 68.4, 66.8, 51.8, 46.2, 38.6, 33.8, 31.0, 30.1, 28.5, 27.0, 23.1, 22.4, 21.5, 17.8, 17.8, -1.0; МСВР-ЭРИ (m/z): [М+Н]+, рассчитано для C69H85FN7O10S3S12: 1342.5037, найдено: 1342.5039.

Синтез 5b: Метил 2-[[4-[трет-бутил(дифенил)силил]окси-5-(n-толилсульфонилокси)пентил]-[5-метил-6-[(Z)-[3-(2-триметилсилилэтоксиметил)-1,3-бензотиазол-2-илиден]амино]пиридазин-3-ил]амино]-5-[3-[4-[3-(диметиламино)проп-1-инил]-2-фторфенокси]пропил]тиазол-4-карбоксилат

Стадия А: метил 2-[[5-[трет-бутил(диметил)силил]окси-4-[трет-бутил(дифенил)силил]оксипентил]-[5-метил-6-[(Z)-[3-(2-триметилсилилэтоксиметил)-1,3-бензотиазол-2-илиден]амино]пиридазин-3-ил]амино]-5-[3-[4-[3-(диметиламино)проп-1-инил]-2-фторфенокси]пропил]тиазол-4-карбоксилат

Используя Общую методику II проведения реакции Бухвальда, исходя из 6.0 г продукта Синтеза 3b (7.1 ммоль, 1 экв.) и 3.46 г продукта Синтеза 4а (8.51 ммоль, 1.2 экв.) в качестве подходящего галогенида, получали 7.0 г (81%) целевого продукта.

1Н ЯМР (500 МГц, ДМСО-d6) δ м.д. 7.84-7.25 (m, 4Н), 7.60-7.11 (m, 10Н), 7.58 (s, 1H), 7.29 (t, 1Н), 7.19 (dd, 1Н), 7.14 (m, 1Н), 5.86 (s, 2Н), 4.37 (t, 2Н), 4.15 (t, 2Н), 3.74 (s, 3Н), 3.71 (t, 2Н), 3.67 (m, 1Н), 3.39 (d, 2Н), 3.38 (s, 2Н), 3.27 (t, 2Н), 2.41 (s, 3Н), 2.19 (s, 6Н), 2.13 (m, 2Н), 1.73 (m, 2Н), 1.51 (m, 2Н), 0.91 (t, 2Н), 0.89 (s, 9Н), 0.69 (s, 9Н), -0.13 (s, 9Н), -0.19/-0.23 (s+s, 6Н); 13С ЯМР (125 МГц, ДМСО-d6) δ м.д. 135.9-111.3, 127.2-112.0, 128.9, 119.2, 117.6, 115.5, 73.4, 72.9, 68.4, 66.8, 65.9, 51.9, 48.1, 46.6, 44.2, 31.0, 30.9, 27.3, 26.0, 23.1, 22.6, 17.9, 17.8, -1.0, -5.3; МСВР-ЭРИ (m/z): [М+Н]+, рассчитано для C64H87FN7O6S2Si3: 1216.5446, найдено: 1216.5425.

Стадия В: метил 2-[[4-[трет-бутил(дифенил)силил]окси-5-гидроксипентил]-[5-метил-6-[(Z)-[3-(2-триметилсилилэтоксиметил)-1,3-бензотиазол-2-илиден]амино]пиридазин-3-ил]амино]-5-[3-[4-[3-(диметиламино)проп-1-инил]-2-фторфенокси]пропил]тиазол-4-карбоксилат

100 мл высушенную в сушильном шкафу одногорлую, круглодонную колбу оснащали якорем магнитной мешалки с покрытием из ПТФЭ, и устанавливали обратный холодильник. В нее загружали 7.0 г продукта со Стадии А (5.75 ммоль, 1 экв.) и 1.60 г камфорсульфоновой кислоты (6.90 ммоль, 1.2 экв.), растворенных в 25 мл ДХМ и 5 мл МеОН. Полученную в результате смесь перемешивали в течение ночи при к.т. до достижения полного превращения. Реакционную смесь концентрировали непосредственно на целите, и очищали с помощью колоночной флэш-хроматографии, используя ДХМ и МеОН (1.2% NH3) в качестве элюентов с получением 3.0 г (47%) целевого продукта в виде желтого твердого вещества.

Стадия С: метил 2-[[4-[трет-бутил(дифенил)силил]окси-5-(n-толилсулъфонилокси)пентил]-[5-метил-6-[(Z)-[3-(2-триметилсилилэтоксиметил)-1,3-бензотиазол-2-илиден]амино]пиридазин-3-ил]амино]-5-[3-[4-[3-(диметиламино)проп-1-инил]-2-фторфенокси]пропил]тиазол-4-карбоксилат

100 мл высушенную в сушильном шкафу одногорлую, кругло донную колбу оснащали якорем магнитной мешалки с покрытием из ПТФЭ, загружали 3.80 г продукта со Стадии В (3.40 ммоль, 1 экв.), 5.40 г хлорида N,N-диметил-1-(n-толилсульфонил)пиридин-1-ий-4-амина (17.0 ммоль, 5 экв., Tetrahedron Lett. 2016, 57, 4620) и 20 мл ДХМ, и затем перемешивали в течение ночи при к.т. Реакция достигла состояния полного превращения. Реакционную смесь непосредственно концентрировали на целите, и затем очищали с помощью колоночной флэш-хроматографии, используя ДХМ и МеОН (1.2% NH3) в качестве элюентов с получением 3.58 г (83%) целевого продукта.

1Н ЯМР (500 МГц, ДМСО-d6) δ м.д. (m, 10Н), 7.85 (d, 1H), 7.59 (d, 2Н), 7.53 (m, 1Н), 7.47 (d, 1Н), 7.44 (t, 1H), 7.32 (d, 2Н), 7.3 (dd, 1Н), 7.26 (t, 1H), 7.20 (d, 1H), 7.15 (t, 1Н), 5.87 (s, 2Н), 4.16 (t, 2Н), 4.16 (br., 2Н), 3.92 (m, 2Н), 3.84 (m, 1H), 3.72 (t, 2Н), 3.70 (s, 3Н), 3.38 (s, 2Н), 3.27 (t, 2Н), 2.42 (s, 3Н), 2.33 (s, 3Н), 2.19 (s, 6Н), 2.13 (m, 2Н), 1.47 (br., 2Н), 1.47 (br., 2Н), 0.91 (t, 2Н), 0.87 (s, 9Н), -0.13 (s, 9Н); 13С ЯМР (125 МГц, ДМСО-d6) δ м.д. 130.5, 128.9, 128.0, 127.2, 123.5, 123.2, 119.2, 117.4, 115.5, 112.0, 72.9, 72.6, 70.4, 68.4, 66.8, 51.8, 48.1, 46.1, 44.2, 31.0, 30.1, 27.0, 23.1, 22.4, 21.5, 17.8, 17.8, -1.0; МСВР-ЭРИ (m/z): [М+Н]+, рассчитано для C65H79FN7O8S3Si2: 1256.4669, найдено: 1256.4677.

Синтез 5 с: Метил 5-[3-[4-[3-[трет-бутоксикарбонил(метил)амино]проп-1-инил]-2-фторфенокси]пропил]-2-[4-гидроксибутил-[5-метил-6-[(Z)-[3-(2-триметилсилилэтоксиметил)-1,3-бензотиазол-2-илиден]амино]пиридазин-3-ил]амино]тиазол-4-карбоксилат

Стадия А: метил 5-[3-[4-[3-[трет-бутоксикарбонил(метил)амино]проп-1-инил]-2-фторфенокси]пропил]-2-[4-[трет-бутил(диметил)силил]оксибутил-[5-метил-6-[(Z)-[3-(2-триметилсилилэтоксиметил)-1,3-бензотиазол-2-илиден]амино]пиридазин-3-ил]амино]тиазол-4-карбоксилат

Используя Общую методику II проведения реакции Бухвальда, исходя из 250 мг продукта Синтеза 3с (0.38 ммоль, 1 экв.) и 250 мг продукта Синтеза 4а (0.38 ммоль, 1 экв.) в качестве подходящего галогенида, получали 295 мг (75%) целевого продукта.

1Н ЯМР (500 МГц, ДМСО-d6) δ м.д. 7.83-7.25 (m, 4Н), 7.64 (s, 1Н), 7.31 (dd, 1H), 7.21 (m, 1H), 7.15 (t, 1Н), 5.85 (s, 2Н), 4.41 (t, 2Н), 4.20 (s, 2Н), 4.14 (t, 2Н), 3.77 (s, 3Н), 3.71 (t, 2Н), 3.61 (t, 2Н), 3.26 (t, 2Н), 2.84 (s, 3Н), 2.44 (s, 3Н), 2.12 (m, 2Н), 1.74 (m, 2Н), 1.51 (m, 2Н), 1.40 (s, 9Н), 0.91 (t, 2Н), 0.79 (s, 9Н), -0.03 (s, 6Н), -0.12 (s, 9Н); 13С ЯМР (125 МГц, ДМСО-d6) δ м.д. 147.5, 137.6, 129.1, 127.2-112, 119.3, 117.7, 115.5, 72.8, 68.4, 66.8, 62.5, 51.9, 46.7, 38.3, 33.8, 31.0, 29.8, 28.5, 26.2, 23.8, 23.1, 17.9, 17.8, -1.0, -4.9; МСВР-ЭРИ (m/z): [М+Н]+, рассчитано для C51H73FN7O7S2Si2: 1034.4530, найдено: 1034.4517.

Стадия В: метил 5-[3-[4-[3-[трет-бутоксикарбонил(метил)амино]проп-1-инил]-2-фторфенокси]пропил]-2-[4-гидроксибутил-[5-метил-6-[(Z)-[3-(2-триметилсилилэтоксиметил)-1,3-бензотиазол-2-илиден]амино]пиридазин-3-ил]амино]тиазол-4-карбоксилат

Используя Общую методику снятия трет-бутилдиметилсилильной защитной группы, исходя из 650 мг продукта со Стадии А (0.63 ммоль, 1 экв.) и 36 мг [(1S,4R)-7,7-диметил-2-оксонорборнан-1-ил]метансульфоновой кислоты (0.16 ммоль, 0.25 экв.), получали 178 мг (31%) целевого продукта.

1Н ЯМР (500 МГц, ДМСО-d6) δ м.д. 7.84 (d, 1Н), 7.68 (s, 1Н), 7.46 (d, 1Н), 7.43 (td, 1Н), 7.32 (brd., 1Н), 7.25 (td, 1Н), 7.22 (d, 1Н), 7.17 (t, 1Н), 5.86 (s, 2Н), 4.39 (t, 2Н), 4.20 (br., 2Н), 4.15 (t, 2Н), 3.76 (s, 3Н), 3.72 (t, 2Н), 3.45 (q, 2Н), 3.26 (t, 2Н), 2.84 (br., 3Н), 2.45 (s, 3Н), 2.12 (m, 2Н), 1.72 (m, 2Н), 1.50 (m, 2Н), 1.40 (s, 9Н), 0.92 (t, 2Н), -0.11 (s, 9Н); 13С ЯМР (125 МГц, ДМСО-d6) δ м.д. 129.1, 127.2, 123.4, 123.2, 119.3, 117.6, 115.5, 111.9, 72.9, 68.4, 66.7, 60.9, 52.0, 46.8, 38.5, 33.8, 31.0, 29.9, 28.5, 24.1, 23.2, 17.9, 17.8, -1.0; МСВР-ЭРИ (m/z): [М+Н]+, рассчитано для C45H59FN7O7S2Si: 920.3665, найдено: 920.3650.

Синтез 5d: Метил 5-[3-[4-[3-(диметиламино)проп-1-инил]-2-фторфенокси] пропил]-2-[4-гидроксибутил-[5-метил-6-[(Z)-[3-(2-триметилсилилэтоксиметил)-1,3-бензотиазол-2-илиден]амино]пиридазин-3-ил]амино]тиазол-4-карбоксилат

Стадия А: метил 2-[4-[трет-бутил(диметил)силил]оксибутил-[5-метил-6-[(Z)-[3-(2-триметилсилилэтоксиметил)-1,3-бензотиазол-2-илиден]амино]пиридазин-3-ил]амино]-5-[3-[4-[3-(диметиламино)проп-1-инил]-2-фторфенокси]пропил]тиазол-4-карбоксилат

Используя Общую методику II проведения реакции Бухвальда, исходя из 1800 мг продукта Синтеза 3d (3.11 ммоль, 1 экв.) и 1267 мг продукта Синтеза 4а (3.11 ммоль, 1 экв.) в качестве подходящего галогенида, получали 2035 мг (69%) целевого продукта.

1Н ЯМР (500 МГц, ДМСО-d6) δ м.д. 7.82 (dm, 1Н), 7.61 (s, 1H), 7.44 (dm, 1H), 7.42 (m, 1H), 7.29 (dd, 1Н), 7.23 (m, 1H), 7.19 (dm, 1H), 7.13 (t, 1H), 5.83 (s, 2Н), 4.40 (t, 2Н), 4.13 (t, 2Н), 3.77 (s, 3Н), 3.70 (m, 2Н), 3.60 (t, 2Н), 3.38 (s, 2Н), 3.25 (m, 2Н), 2.42 (s, 3Н), 2.19 (s, 6Н), 2.11 (m, 2Н), 1.73 (m, 2Н), 1.51 (m, 2Н), 0.90 (m, 2Н), 0.78 (s, 9Н), -0.03 (s, 6Н), -0.13 (s, 9Н); 13С ЯМР (125 МГц, ДМСО-d6) δ м.д. 128.9, 127.1, 123.4, 123.2, 119.2, 117.5, 115.4, 111.9, 72.8, 68.4, 66.7, 62.5, 51.9, 48.1, 46.5, 44.2, 30.9, 29.7, 26.2, 23.7, 23.1, 17.9, 17.8, -1.0, -4.9; МСВР-ЭРИ (m/z): [М+Н]+, рассчитано для C47H67FN7O5S2Si2: 948.4162, найдено: 948.4161.

Стадия В: метил 5-[3-[4-[3-(диметиламино)проп-1-инил]-2-фторфенокси]пропил]-2-[4-гидроксибутил-[5-метил-6-[(Z)-[3-(2-триметилсилилэтоксиметил)-1,3-бензотиазол-2-илиден]амино]пиридазин-3-ил]амино]тиазол-4-карбоксилат

Используя Общую методику снятия mpem-бутилдиметилсилильной защитной группы, исходя из 7.23 г продукта со Стадии А (7.63 ммоль, 1 экв.) и 2.22 г [(1S,4R)-7,7-диметил-2-оксонорборнан-1-ил]метансульфоновой кислоты (9.54 ммоль, 1.25 экв.), получали 5.23 г (82%) целевого продукта.

1Н ЯМР (500 МГц, ДМСО-d6) δ м.д. 7.84 (d, 1Н), 7.69 (s, 1Н), 7.47 (d, 1Н), 7.44 (td, 1H), 7.35 (dd, 1Н), 7.25 (td, 1H), 7.25 (dm, 1H), 7.18 (t, 1H), 5.86 (s, 2Н), 4.46 (t, 1Н), 4.39 (t, 2Н), 4.15 (t, 2Н), 3.78 (s, 3Н), 3.72 (m, 2Н), 3.65 (s, 2Н), 3.45 (q, 2Н), 3.27 (t, 2Н), 2.46 (s, 3Н), 2.39 (s, 6Н), 2.13 (m, 2Н), 1.72 (m, 2Н), 1.50 (m, 2Н), 0.92 (m, 2Н), -0.11 (s, 9Н); 13С ЯМР (125 МГц, ДМСО-d6) δ м.д. 163.2, 129.2, 127.2, 123.4, 123.2, 119.3, 117.6, 115.5, 112.0, 72.9, 68.4, 66.8, 60.9, 52.0, 47.8, 46.8, 43.6, 31.0, 29.9, 24.1, 23.1, 17.9, 17.8, -0.9; МСВР-ЭРИ (m/z): [М+Н]+, рассчитано для C41H53FN7O5S2Si: 834.3297, найдено: 834.3296.

Синтез 5е: Метил 5-[3-[4-[3-[трет-бутоксикарбонил(метил)амино]проп-1-инил]-2-фторфенокси]пропил]-2-[5-гидроксипентил-[5-метил-6-[(Z)-[3-(2-триметилсилилэтоксиметил)-1,3-бензотиазол-2-илиден]амино]пиридазин-3-ил]амино]тиазол-4-карбоксилат

Стадия А: метил 5-[3-[4-[3-[трет-бутоксикарбонил(метил)амино]проп-1-инил]-2-фторфенокси]пропил]-2-[5-[трет-бутил(диметил)силил]оксипентил-[5-метил-6-[(Z)-[3-(2-триметилсилилэтоксиметил)-1,3-бензотиазол-2-илиден]амино]пиридазин-3-ил]амино]тиазол-4-карбоксилат

Используя Общую методику II проведения реакции Бухвальда, исходя из 350 мг продукта Синтеза 3m (0.52 ммоль, 1 экв.) и 210 мг продукта Синтеза 4а (0.52 ммоль, 1 экв.) в качестве подходящего галогенида, получали 481 мг (88%) целевого продукта.

1Н ЯМР (500 МГц, ДМСО-d6) δ м.д. 7.81 (dd, 1H), 7.62 (s, 1Н), 7.45 (dd, 1Н), 7.42 (m, 1H), 7.28 (dd, 1H), 7.24 (m, 1H), 7.19 (m, 1Н), 7.15 (t, 1H), 5.84 (s, 2Н), 4.38 (t, 2Н), 4.20 (s, 2Н), 4.16 (t, 2Н), 3.78 (s, 3Н), 3.73 (t, 2Н), 3.55 (t, 2Н), 3.26 (t, 2Н), 2.85 (s, 3Н), 2.44 (s, 3Н), 2.13 (m, 2Н), 1.71 (m, 2Н), 1.51 (m, 2Н), 1.41 (s, 9Н), 1.40 (m, 2Н), 0.92 (t, 2Н), 0.80 (s, 9Н), -0.04 (s, 6Н), -0.10 (s, 9Н); 13С ЯМР (125 МГц, ДМСО-d6) δ м.д. 163.2, 147.5, 137.6, 129.0, 127.1, 123.5, 123.1, 119.3, 117.7, 115.7, 111.9, 73.0, 68.6, 66.8, 62.7, 51.8, 47.0, 38.6, 33.8, 32.4, 31.0, 28.5, 27.1, 26.2, 23.1, 23.0, 17.9, 17.8, -1.0, -5.0; МСВР-ЭРИ (m/z): [М+Н]+, рассчитано для C52H75FN7O7S2Si2: 1048.4686, найдено: 1048.4692.

Стадия В: метил 5-[3-[4-[3-[трет-бутоксикарбонил(метил)амино]проп-1-инил]-2-фторфенокси]пропил]-2-[5-гидроксипентил-[5-метил-6-[(Z)-[3-(2-триметилсилилэтоксиметил)-1,3-бензотиазол-2-илиден]амино]пиридазин-3-ил]амино]тиазол-4-карбоксилат

Используя Общую методику снятия трет-бутилдиметилсилильной защитной группы, исходя из 2.52 г продукта со Стадии А (2.40 ммоль, 1 экв.) и 0.70 г [(1S,4R)-7,7-диметил-2-оксонорборнан-1-ил]метансульфоновой кислоты (3.00 ммоль, 1.25 экв.), получали 1.19 г (53%) целевого продукта.

1Н ЯМР (500 МГц, ДМСО-d6) δ м.д. 7.84 (d, 1Н), 7.66 (s, 1Н), 7.46 (d, 1Н), 7.43 (t, 1Н), 7.32 (d, 1Н), 7.25 (t, 1Н), 7.22 (d, 1Н), 7.16 (t, 1H), 5.86 (s, 2Н), 4.36 (t, 2Н), 4.20 (s, 2Н), 4.15 (t, 2Н), 3.78 (s, 3Н), 3.72 (t, 2Н), 3.4 (t, 2Н), 3.26 (t, 2Н), 2.84 (s, 3Н), 2.46 (s, 3Н), 2.12 (qn, 2Н), 1.69 (qn, 2Н), 1.49 (m, 2Н), 1.40 (s, 9Н), 1.40 (qn, 2Н), 0.92 (t, 2Н), -0.11 (s, 9Н); 13С ЯМР (125 МГц, ДМСО-d6) δ м.д. 129.1, 127.2, 123.4, 123.2, 119.3, 117.6, 115.5, 112.0, 72.9, 68.4, 66.7, 61.0, 52.0, 47.0, 38.5, 33.9, 32.5, 31.0, 28.5, 27.1, 23.2, 23.1, 17.9, 17.8, -1.0; МСВР-ЭРИ (m/z): [M+Na]+, рассчитано для C46H60FN7NaO7S2Si: 956.3641, найдено: 956.3646.

Синтез 5f: Метил 5-[3-[4-[3-(диметиламино)проп-1-инил]-2-фторфенокси] пропил]-2-[5-гидроксипентил-[5-метил-6-[(Z)-[3-(2-триметилсилилэтоксиметил)-1,3-бензотиазол-2-илиден]амино]пиридазин-3-ил]амино]тиазол-4-карбоксилат

Стадия А: метил 2-[5-[трет-бутил(диметил)силил]оксипентил-[5-метил-6-[(Z)-[3-(2-триметилсилилэтоксиметил)-1,3-бензотиазол-2-илиден]амино]пиридазин-3-ил]амино]-5-[3-[4-[3-(диметиламино)проп-1-инил]-2-фторфенокси]пропил]тиазол-4-карбоксилат

Используя Общую методику II проведения реакции Бухвальда, исходя из 3.68 г продукта Синтеза 3t (6.22 ммоль, 1 экв.) и 3.29 г продукта Синтеза 4а (8.08 ммоль, 1.3 экв.) в качестве подходящего галогенида, получали 3.92 г (65%) целевого продукта.

1Н ЯМР (500 МГц, ДМСО-d6) δ м.д. 7.83 (dm, 1Н), 7.66 (s, 1H), 7.46 (dm, 1H), 7.43 (m, 1H), 7.30 (dd, 1Н), 7.25 (m, 1H), 7.15 (dm, 1H), 5.85 (s, 2Н), 4.40 (t, 2Н), 4.14 (t, 2Н), 4.14 (t, 1H), 3.77 (s, 3Н), 3.71 (m, 2Н), 3.54 (t, 2Н), 3.38 (s, 2Н), 3.26 (t, 2Н), 2.44 (s, 3Н), 2.19 (s, 6Н), 2.12 (m, 2Н), 1.70 (m, 2Н), 1.49 (m, 2Н), 1.37 (m, 2Н), 0.91 (m, 2Н), 0.79 (s, 9Н), -0.06 (s, 6Н), -0.12 (s, 9Н); МСВР-ЭРИ (m/z): [М+Н]+, рассчитано для C48H69FN7O5S2Si2:962.4319, найдено: 962.4301.

Стадия В: метил 5-[3-[4-[3-(диметиламино)проп-1-инил]-2-фторфенокси]пропил]-2-[5-гидроксипентил-[5-метил-6-[(Z)-[3-(2-триметилсилилэтоксиметил)-1,3-бензотиазол-2-илиден]амино]пиридазин-3-ил]амино]тиазол-4-карбоксилат

Используя Общую методику снятия тре/я-бутилдиметилсилильной защитной группы, исходя из 3.91 г продукта со Стадии А (4.06 ммоль, 1 экв.) и 1.18 г [(1S,4R)-7,7-диметил-2-оксонорборнан-1-ил]метансульфоновой кислоты (5.08 ммоль, 1.25 экв.), получали 2.61 г (76%) целевого продукта.

1H ЯМР (500 МГц, ДМСО-d6) δ м.д. 7.84 (dm, 1Н), 7.67 (s, 1H), 7.47 (dm, 1H), 7.42 (td, 1Н), 7.31 (dd, 1Н), 7.25 (td, 1H), 7.21 (dd, 1H), 7.16 (t, 1Н), 5.86 (s, 2Н), 4.37 (m, 1Н), 4.37 (m, 2Н), 4.14 (t, 2Н), 3.78 (s, 3Н), 3.72 (t, 2Н), 3.40 (m, 2Н), 3.38 (s, 2Н), 3.27 (т, 2Н), 2.46 (s, 3Н), 2.20 (s, 6Н), 2.12 (m, 2Н), 1.69 (m, 2Н), 1.49 (m, 2Н), 1.39 (m, 2Н), 0.92 (t, 2Н), -0.11 (s, 9Н); 13С ЯМР (125 МГц, ДМСО-d6) δ м.д. 129.0, 127.2, 123.5, 123.2, 119.2, 117.6, 115.5, 111.9, 72.9, 68.4, 66.7, 61.0, 52.0, 48.1, 47.0, 44.2, 32.5, 31.0, 27.1, 23.1, 23.1, 17.8, 17.8, -0.9; МСВР-ЭРИ (m/z): [М+2Н]2+, рассчитано для C42H56FN7O5S2Si: 424.6764, найдено: 424.6755.

Синтез 5g: Этил 5-(3-йодпропил)-2-[метил-[5-метил-6-[(Z)-[3-(2-триметилсилилэтоксиметил)-1,3-бензотиазол-2-илиден]амино]пиридазин-3-ил]амино]тиазол-4-карбоксилат

Стадия А: этил 5-(3-хлорпропил)-2-[метил-[5-метил-6-[(Z)-[3-(2-триметилсилилэтоксиметил)-1,3-бензотиазол-2-илиден]амино]пиридазин-3-ил]амино]тиазол-4-карбоксилат

Используя Общую методику II проведения реакции Бухвальда, исходя из 3.15 г продукта Синтеза 3е (12 ммоль, 1.2 экв.) и 4.07 г продукта Синтеза 4а (10 ммоль, 1 экв.) в качестве подходящего галогенида, получали 2.6 г (41%) целевого продукта.

1Н ЯМР (500 МГц, ДМСО-d6) δ м.д. 7.84 (d, 1Н), 7.65 (s, 1Н), 7.45 (d, 1Н), 7.43 (tin, 1Н), 7.25 (tin, 1Н), 5.85 (s, 2Н), 4.30 (q, 2Н), 3.77 (s, 3Н), 3.71 (t, 2Н), 3.71 (t, 2Н), 3.22 (t, 2Н), 2.48 (s, 3Н), 2.10 (quin, 2Н), 1.31 (t, 3Н), 0.92 (t, 2Н), -0.11 (s, 9Н); 13С ЯМР (125 МГц, ДМСО-d6) δ м.д. 162.6, 157.4, 156.8, 155.1, 151.7, 140.5, 137.6, 137.1, 135.3, 125.6, 123.5, 123.2, 123.1, 117.6, 111.9, 72.9, 66.7, 60.7, 45.3, 35.4, 34.4, 24.3, 18.0, 17.8, 14.7, -1.0; МСВР-ЭРИ (m/z): [М+Н]+, рассчитано для C28H38ClN6O3S2Si: 633.1899, найдено: 633.1891.

Стадия В: этил 5-(3-йодпропил)-2-[метил-[5-метил-6-[(Z)-[3-(2-триметилсилилэтоксиметил)-1,3-бензотиазол-2-илиден]амино]пиридазин-3-ил]амино]тиазол-4-карбоксилат

100 мл одногорлую, круглодонную колбу оснащали якорем магнитной мешалки с покрытием из ПТФЭ и устанавливали обратный холодильник. В нее загружали 2.6 г продукта со Стадии А (4.10 ммоль, 1 экв.), 1.23 г NaI (8.2 ммоль, 2 экв.) и 20 мл сухого ацетона. Реакционную смесь нагревали до 60°С и перемешивали при такой температуре в течение 3 дней, во время чего реакция достигла состояния полного превращения. Реакционную смесь разбавляли путем добавления воды, и затем осажденный продукт собирали путем фильтрования, промывали водой и затем сушили в высоком вакууме с получением 2.5 г (84%) целевого продукта.

1Н ЯМР (500 МГц, ДМСО-d6) δ 7.82 (d, 1H), 7.61 (s, 1Н), 7.47-7.39 (m, 1Н), 7.47-7.39 (m, 1H), 7.23 (t, 1H), 5.83 (s, 2Н), 4.29 (q, 2Н), 3.75 (s, 3Н), 3.71 (t, 2Н), 3.33 (t, 2Н), 3.16 (t, 2Н), 2.42 (s, 3Н), 2.13 (quint, 2Н), 1.33 (t, 3Н), 0.91 (t, 2Н), -0.12 (s, 9Н); 13С ЯМР (125 МГц, ДМСО-d6) δ м.д. 162.6, 157.3, 156.7, 155.1, 151.6, 140.2, 137.6, 137.1, 135.2, 127.1, 125.4, 123.4, 123.2, 117.5, 111.9, 72.8, 66.7, 60.7, 35.2, 35.2, 27.6, 17.8, 17.8, 14.8, 7.8, -1.0; МСВР-ЭРИ (m/z): [М+Н]+, рассчитано для C28H38IN6O3S2Si: 725.1255, найдено: 725.1248.

Синтез 5h: Этил 5-[3-[4-[3-[трет-бутоксикарбонил-[2-(диметиламино)этил]амино]проп-1-инил]-2-фторфенокси]пропил]-2-[метил-[5-метил-6-[(Z)-[3-(2-триметилсилилэтоксиметил)-1,3-бензотиазол-2-илиден]амино]пиридазин-3-ил]амино]тиазол-4-карбоксилат

Стадия А: трет-бутил N-[2-(диметиламино)этил]-N-проп-2-инилкарбамат

365 мг N',N'-диметил-N-проп-2-инилэтан- 1,2-диамина (1.83 ммоль, 1 экв.) и 22 мг N,N-диметилпиридин-4-амина (0.18 ммоль, 0.1 экв.) смешивали в дихлорметане (2.2 мл/ммоль), затем при к.т. в виде одной порции добавляли 600 мг трет-бутоксикарбонил трет-бутил карбоната (2.75 ммоль, 1.5 экв.), и смесь перемешивали при температуре окружающей среды в течение 3 ч. По истечении времени реакции добавляли прибл. 10 мл ДХМ и прибл. 10 мл конц. NaHCO3, слои разделяли и органический слой сушили над MgSO4, фильтровали и концентрировали. В качестве сырого продукта получали желтоватое масло: 332 мг (77%) целевого продукта.

1Н ЯМР (400 МГц, ДМСО-d6) δ м.д. 4.02 (s, 2Н), 3.29 (t, 2Н), 3.18 (t, 1Н), 2.37 (t, 2Н), 2.15 (s, 6Н), 1.40 (s, 9Н); 13С ЯМР (100 МГц, ДМСО-d6) δ м.д. 149.3, 106.7, 79.2, 57.0, 45.3, 43.7, 38.6, 28.0.

Стадия В: (2-фтор-4-йодфенокси)-триизопропилсилан

100 мл высушенную в сушильном шкафу одногорлую, кругло донную колбу оснащали якорем магнитной мешалки с покрытием из ПТФЭ. В нее загружали 2.38 г 2-фтор-4-йодфенола (10.00 ммоль), 1.98 г K2CO3 (20.00 ммоль, 2 экв.) и ацетонитрил (4 мл/ммоль). К полученной в результате смеси при к.т. при перемешивании, близком к интенсивному, по каплям добавляли 2.31 г хлор(триизопропил)силана (12.00 ммоль, 1.2 экв.). Полученную в результате смесь перемешивали при к.т. в течение 30 мин, во время чего реакция достигла состояния полного превращения. Реакционную смесь фильтровали через набивку целита, затем концентрировали на целите и очищали с помощью колоночной флэш-хроматографии, используя гептан и EtOAc в качестве элюентов с получением 3.70 г (94%) целевого продукта (94%) в виде бесцветного масла.

1Н ЯМР (500 МГц, ДМСО-d6) δ м.д. 7.60 (dd, 1H), 7.40 (dm, 1Н), 6.82 (dd, 1H), 1.24 (sp, 3Н), 1.04 (d, 18Н); 13С ЯМР (125 МГц, ДМСО-d6) δ м.д. 153.9, 143.8, 134.2, 125.5, 124.1, 83.6, 18.0, 12.5; МСВР-ЭИ (m/z): [М]+, рассчитано для C15H24FIOSi: 394.0625, найдено: 394.0616.

Стадия С: трет-бутил N-[2-(диметиламино)этил]-N-[3-(3-фтор-4-триизопропилсилилоксифенил)проп-2-инил]карбамат

Используя Общую методику проведения реакции Соногаширы, исходя из 99 мг продукта со Стадии В (0.25 ммоль, 1 экв.) и 73 мг продукта со Стадии А получали 90 мг (75%) целевого продукта в виде желтого масла.

1Н ЯМР (400 МГц, ДМСО-d6) δ м.д. 7.09 (dd, 1Н), 7.03 (d, 1Н), 6.83 (t, 1Н), 4.40-4.15 (br., 2Н), 3.46 (brt, 2Н), 2.50 (t, 2Н), 2.26 (s, 6Н), 1.47 (s, 9Н), 1.25 (m, 3Н), 1.07 (d, 18Н); 13С ЯМР (100 МГц, ДМСО-d6) δ м.д. 128.1, 121.6, 119.7, 57.5, 45.7, 44.2, 37.8, 36.8, 28.4, 17.7, 12.7; МСВР-ЭРИ (m/z): [М+Н]+, рассчитано для C27H46FN2O3Si: 493.3256, найдено: 493.3264.

Стадия D: этил 5-[3-[4-[3-[трет-бутоксикарбонил-[2-(диметиламино)этил]амино]проп-1-инил]-2-фторфенокси]пропил]-2-[метил-[5-метил-6-[(Z)-[3-(2-триметилсилилэтоксиметил)-1,3-бензотиазол-2-илиден]амино]пиридазин-3-ил]амино]тиазол-4-карбоксилат

Используя Общую методику алкилирования силил-защищенных фенолов, исходя из 147 мг продукта Синтеза 5g, Стадия В (0.20 ммоль, 1 экв.), и 100 мг продукта со Стадии С (0.20 ммоль, 1 экв.) получали 164 мг (87%) целевого продукта в виде коричневого твердого вещества.

1Н ЯМР (500 МГц, ДМСО-d6) δ м.д. 7.84 (d, 1H), 7.66 (s, 1H), 7.45 (m, 1Н), 7.44 (td, 1Н), 7.30 (br, 1H), 7.25 (td, 1H), 7.20 (m, 1H), 7.17 (t, 1Н), 5.86 (s, 2Н), 4.26 (q, 2Н), 4.22 (br, 2Н), 4.15 (t, 2Н), 3.77 (s, 3Н), 3.72 (t, 2Н), 3.37 (m, 2Н), 3.27 (t, 2Н), 2.48 (m, 2Н), 2.45 (s, 3Н), 2.22 (br, 6Н), 2.12 (quin, 2Н), 1.41 (s, 9Н), 1.28 (t, 3Н), 0.92 (t, 2Н), -0.10 (s, 9Н); 13С ЯМР (125 МГц, ДМСО-d6) δ м.д. 171.0, 157.6, 156.7, 155.3, 154.7, 151.7, 151.5, 147.6, 141.2, 137.6, 137.1, 135.3, 129.0, 127.2, 125.4, 123.5, 123.1, 119.2, 117.8, 115.5, 114.7, 111.9, 85.6, 82.1, 79.9, 72.8, 68.7, 66.7, 60.3, 57.0, 45.8, 44.0, 36.9, 35.2, 31.2, 28.5, 23.3, 17.8, 17.5, 14.7, -1.0; МСВР-ЭРИ (m/z): [М+Н]+, рассчитано для C46H62FN8O6S2Si: 933.3982, найдено: 933.3977.

Синтез 5i: Метил 5-[3-[4-[3-(трет-бутоксикарбониламино)проп-1-инил] -2-фторфенокси] пропил]-2-[4-[трет-бутил(диметил)силил]оксибутил-[5-метил-6-[(Z)-[3-(2-триметилсилилэтоксиметил)-1,3-бензотиазол-2-илиден]амино]пиридазин-3-ил]амино]тиазол-4-карбоксилат

Используя Общую методику II проведения реакции Бухвальда, исходя из 780 мг продукта Синтеза 3g (1.20 ммоль, 1 экв.) и 489 мг продукта Синтеза 4а (1.20 ммоль, 1 экв.) в качестве подходящего галогенида, получали 570 мг (47%) целевого продукта.

1Н ЯМР (500 МГц, ДМСО-d6) δ м.д. 7.83 (dd, 1H), 7.64 (s, 1Н), 7.45 (dd, 1Н), 7.43 (m, 1H), 7.33 (t, 1H), 7.27 (dd, 1H), 7.26 (m, 1Н), 7.18 (m, 1Н), 7.15 (t, 1Н), 5.85 (s, 2Н), 4.41 (t, 2Н), 4.14 (t, 2Н), 3.93 (d, 2Н), 3.76 (s, 3Н), 3.71 (t, 2Н), 3.61 (t, 2Н), 3.25 (t, 2Н), 2.44 (s, 3Н), 2.12 (m, 2Н), 1.74 (m, 2Н), 1.51 (m, 2Н), 1.39 (s, 9Н), 0.91 (t, 2Н), 0.79 (s, 9Н), -0.03 (s, 6Н), -0.12 (s, 9Н); 13С ЯМР (125 МГц, ДМСО-d6) δ м.д. 162.2, 147.4, 137.6, 129.0, 127.2, 123.4, 123.2, 119.2, 117.6, 115.4, 111.9, 80.8, 72.8, 68.4, 66.7, 62.5, 51.9, 46.5, 31.1, 30.5, 29.7, 28.7, 26.1, 23.8, 23.1, 17.9, 17.8, -1.0, -4.9; МСВР-ЭРИ (m/z): [М+Н]+, рассчитано для C50H71FN7O7S2Si2: 1020.4373, найдено: 1020.4373.

Синтез 5j: Этил 5-(3-{2-фтор-4-[3-(метиламино)проп-1-ин-1-ил]фенокси}пропил)-2-[метил(5-метил-6-{[(2Z)-3-{[2-(триметилсилил)этокси]метил}-2,3-дигидро-1,3-бензотиазол-2-илиден]амино}пиридазин-3-ил)амино]-1,3-тиазол-4-карбоксилат

Стадия А: этил 5-{3-[4-(3-{[(трет-бутокси)карбонил](метил)амино}проп-1-ин-1-ил)-2-фторфенокси]пропил}-2-[метил(5-метил-6-{[(2Z)-3-{[2-(триметилсилил)этокси]метил}-2,3-дигидро-1,3-бензотиазол-2-илиден]амино}пиридазин-3-ил)амино]-1,3-тиазол-4-карбоксилат

К продукту Синтеза 5g (1.75 г, 2.41 ммоль, 1 экв.) в диметилформамиде (50 мл) добавляли продукт Синтеза 6а (877 мг, 3.14 ммоль, 1.3 экв.) в диметилформамиде (10 мл) и карбонат цезия (2.36 г, 7.24 ммоль, 3 экв.), и смесь нагревали при 80°С в течение 16 ч. Реакционную смесь концентрировали в вакууме, затем распределяли между этилацетатом и соляным раствором, и органическую фазу сушили (сульфат магния) и концентрировали в вакууме. Очистка с помощью автоматической колоночной флэш-хроматографии (CombiFlash Rf, 40 г силикагелевый картридж RediSe™) с элюированием с градиентом 0-50% этилацетата в изогептане приводила к получению целевого продукта в виде желтого масла (1.75 г, 2 ммоль, 83%).

ЖХ/МС (C43H54FN7O6SiS2) 876 [М+Н]+; RT 1.46 (ЖХМС-V-В2)

1Н ЯМР (400 МГц, ДМСО-d6) δ 7.83 (dd, 1Н), 7.65 (d, J=1.1 Гц, 1H), 7.49-7.39 (m, 2Н), 7.35-7.28 (m, 1H), 7.27-7.12 (m, 3Н), 5.86 (s, 2Н), 4.25 (q, J=7.1 Гц, 2Н), 4.19 (s, 2Н), 4.14 (t, J=6.1 Гц, 2Н), 3.77 (s, 3Н), 3.76-3.68 (m, 2Н), 3.26 (t, J=7.7 Гц, 2Н), 2.84 (s, 3Н), 2.45 (s, 3Н), 2.19-2.05 (m, 1H), 1.41 (s, 9Н), 1.30 (t, 3Н), 0.97-0.88 (m, 2Н), -0.12 (s, 9Н).

Стадия В: этил 5-(3-{2-фтор-4-[3-(метиламино)проп-1-ин-1-ил]фенокси}пропил)-2-[метил(5-метил-6-{[(2Z)-3-{[2-(триметилсилил)этокси]метил}-2,3-дигидро-1,3-бензотиазол-2-илиден]амино}пиридазин-3-ил)амино]-1,3-тиазол-4-карбоксилат

Трифторуксусную кислоту (20 мл) добавляли к перемешиваемому раствору продукта со Стадии А (1.5 г, 1.71 ммоль, 1 экв.) в дихлорметане (60 мл), и смесь перемешивали при температуре окружающей среды в течение 5 ч. Реакционную смесь разбавляли дихлорметаном, охлаждали до 0°С и подщелачивали путем добавления 2 н. водного раствора гидроксида натрия. Органическую фазу сушили (сульфат магния) и концентрировали в вакууме. Очистка с помощью автоматической колоночной флэш-хроматографии (CombiFlash Rf, 40 г силикагелевый картридж RediSep™) с элюированием с градиентом 0-10% метанола в дихлорметане приводила к получению целевого продукта в виде желтой смолы (329 мг, 0.42 ммоль, 25%).

ЖХ/МС (C38H46FN7O4SiS2) 776 [М+Н]+; RT 2.58 (ЖХМС-V-C)

1Н ЯМР (400 МГц, ДМСО-d6) δ 7.84 (dd, 1Н), 7.67 (d, J=1.0 Гц, 1H), 7.49-7.40 (m, 2Н), 7.31-7.22 (m, 2Н), 7.21-7.11 (m, 2Н), 5.86 (s, 2Н), 4.26 (q, J=7.1 Гц, 2Н), 4.15 (t, J=6.1 Гц, 2Н), 3.76 (s, 3Н), 3.76-3.67 (m, 2Н), 3.45 (s, 2Н), 3.33-3.22 (m, 2Н), 2.46 (d, J=1.0 Гц, 3Н), 2.30 (s, 3Н), 2.18-2.06 (m, 2Н), 1.29 (t, J=7.1 Гц, 3Н), 0.97-0.88 (m, 2Н), -0.11 (s, 9Н).

Синтез 5k: Этил 2-[метил(5-метил-6-{[(2Z)-3-{[2-(триметилсилил)этокси]метил}-2,3-дигидро-1,3-бензотиазол-2-илиден]амино}пиридазин-3-ил)амино]-5-(пиперидин-4-ил)-1,3-тиазол-4-карбоксилат

Стадия А: бром({1-[(трет-бутокси)карбонил]пиперидин-4-ил})цинк

В 50 мл колбу Шленка, оснащенную якорем магнитной мешалки, загружали цинк (1.96 г, 30 ммоль, 1.5 экв.) и хлорид лития (1.27 г, 30 ммоль, 1.5 экв.), и смесь нагревали тепловым феном в высоком вакууме (<1 мбар) в течение 10 мин при легком перемешивании. Все еще в высоком вакууме смеси давали охладиться до температуры окружающей среды, и затем переносили на линию Шленка, которую заполняли азотом. Добавляли тетрагидрофуран (15 мл) с последующим добавлением 1,2-дибромэтана (0.06 мл, 0.75 ммоль, 0.04 экв.), и смесь нагревали до 60°С в течение 10 мин. Затем нагревание реакционной смеси прекращали, и добавляли триметилхлорсилан (0.02 мл, 0.15 ммоль, 0.01 экв.) с последующим добавлением йода (0.5 М в тетрагидрофуране; 0.15 мл, 0.175 ммоль, 0.05 экв.). Смесь затем нагревали при 60°С в течение 10 мин и затем охлаждали до <35°С. В течение 3 мин добавляли раствор трет-бутил 4-бромпиперидин-1-карбоксилата (5.28 г, 20 ммоль, 1 экв.) в тетрагидрофуране (10 мл), и смесь перемешивали при 50°С в течение 6 ч и затем при температуре окружающей среды в течение ночи. Реакционной смеси давали охладиться до температуры окружающей среды и затем канюлировали через фильтр (хлопковая вата/целит/хлопковая вата) в низком вакууме в сухой 25 мл сосуд Шленка с получением целевого продукта в виде 0.5 М раствора (как было определено титрованием с помощью 0.5 М раствора йода), который использовали без дальнейшего определение характеристик.

Стадия В: трет-бутил 4-[4-(этоксикарбонил)-2-[метил(5-метил-6-{[(2Z)-3-{[2-(триметилсилил)этокси]метил}-2,3-дигидро-1,3-бензотиазол-2-илиден]амино}пиридазин-3-ил)амино]-1,3-тиазол-5-ил]пиперидин-1-карбоксилат

В высушенную в сушильном шкафу колбу загружали продукт Синтеза lib (500 мг, 0.79 ммоль, 1 экв.) и йодид меди(1) (300 мг, 1.57 ммоль, 2 экв.), и смесь вакуумировали и продували азотом (×3). Добавляли диметилацетамид (15 мл), что приводило к коричневой суспензии, которой давали перемешиваться в течение 5 мин. Добавляли продукт со Стадии А (0.5 М в тетрагидрофуране; 9.44 мл, 4.72 ммоль, 6 экв.), и смесь перемешивали при температуре окружающей среды в течение ночи. Реакционную смесь гасили путем добавления насыщенного водного раствора хлорида аммония (25 мл), и затем дополнительно разбавляли 1:1 смесью вода / насыщенный водный раствор хлорида аммония (150 мл). Органику экстрагировали дихлорметаном (×3) и объединенные органические экстракты промывали соляным раствором, сушили (сульфат магния) и концентрировали в вакууме. Очистка с помощью автоматической колоночной флэш-хроматографии (CombiFlash Rf, 40 г силикагелевый картридж RediSep™) с элюированием с градиентом 0-40% этилацетата в изогептане приводила к получению целевого продукта в виде бледно-желтой пены (429 мг, 0.58 ммоль, 74%).

ЖХ/МС (C35H49N7O5SiS2) 740 [М+Н]+; RT 1.40 (ЖХМС-V-В2)

1Н ЯМР (400 МГц, CDCl3) δ 7.63 (dt, J=7.7, 1.0 Гц, 1Н), 7.46-7.34 (m, 2Н), 7.31 (d, J=1.2 Гц, 1H), 7.22 (ddd, J=7.7, 5.8, 2.6 Гц, 1Н), 5.85 (s, 2Н), 4.40 (q, J=7.1 Гц, 2Н), 4.26 (s, 2Н), 3.90 (ddd, J=12.1, 8.5, 3.7 Гц, 1H), 3.85 (s, 3Н), 3.80-3.69 (m, 2Н), 2.85 (s, 2Н), 2.47 (d, J=1.0 Гц, 3Н), 2.04 (d, J=12.8 Гц, 2Н), 1.71 (q, J=12.1 Гц, 2Н), 1.50 (s, 9Н), 1.47 (s, 10Н), 1.44 (t, J=7.1 Гц, 3Н), 1.02-0.93 (m, 2Н), -0.07 (s, 9Н).

Стадия С: этил 2-[метил(5-метил-6-{[(2Z)-3-{[2-(триметилсилил)этокси]метил}-2,3-дигидро-1,3-бензотиазол-2-илиден]амино}пиридазин-3-ил)амино]-5-(пиперидин-4-ил)-1,3-тиазол-4-карбоксилат

Трифторуксусную кислоту (0.5 мл, 6.71 ммоль, 49.7 экв.) медленно добавляли к охлажденному раствору продукта со Стадии В (100 мг, 0.14 ммоль, 1 экв.) в дихлорметане (6 мл), и смесь перемешивали при 0°С в течение 1.5 ч. Реакционную смесь гасили путем добавления насыщенного водного раствора бикарбоната натрия, экстрагировали дихлорметаном, и органический экстракт промывали соляным раствором, сушили (сульфат магния) и концентрировали в вакууме. Очистка с помощью автоматической колоночной флэш-хроматографии (CombiFlash Rf, 12 г силикагелевый картридж RediSep™) с элюированием с градиентом 0-10% метанола в дихлорметане приводила к получению целевого продукта в виде не совсем белого стеклообразного вещества (59 мг, 0.09 ммоль, 68%).

ЖХ/МС (C30H41N7O3SiS2) 640 [М+Н]+; RT 1.23 (ЖХМС-V-B1)

1Н ЯМР (400 МГц, ДМСО-d6) δ 7.85 (dd, J=7.6, 1.1 Гц, 1Н), 7.67 (d, J=1.1 Гц, 1Н), 7.51-7.40 (m, 2Н), 7.25 (ddd, J=8.3, 6.9, 1.5 Гц, 1H), 5.87 (s, 2Н), 4.29 (q, J=7.1 Гц, 2H), 3.90-3.61 (m, 6H), 3.12 (d, J=12.2 Гц, 2H), 2.68 (td, J=12.5, 2.3 Гц, 3Н), 2.46 (d, J=1.0 Гц, 3Н), 2.00-1.89 (m, 2H), 1.71-1.54 (m, 2H), 1.32 (t, J=7.1 Гц, 3Н), 0.92 (dd, J=8.6, 7.4 Гц, 2H), -0.11 (s, 9H).

Синтез 51: Этил 5-(азетидин-3-ил)-2-[метил(5-метил-6-{[(2Z)-3-{[2-(триметилсилил)этокси]метил}-2,3-дигидро-1,3-бензотиазол-2-илиден]амино}пиридазин-3-ил)амино]-1,3-тиазол-4-карбоксилат

Стадия А: этил 5-{1-[(трет-бутокси)карбонил]азетидин-3-ил}-2-[метил(5-метил-6-{[(2Z)-3-{[2-(триметилсилил)этокси]метил}-2,3-дигидро-1,3-бензотиазол-2-илиден]амино}пиридазин-3-ил)амино]-1,3-тиазол-4-карбоксилат

К раствору продукта Синтеза 4а (401 мг, 0.98 ммоль, 2 экв.) в 1,4-диоксане (5 мл) добавляли продукт Синтеза 3zb (168 мг, 0.49 ммоль, 1 экв.), N,N-диизопропилэтиламин (0.24 мл, 1.48 ммоль, 3 экв.), карбонат цезия (481 мг, 1.48 ммоль, 3 экв.) и ксантфос (56.9 мг, 0.1 ммоль, 0.2 экв.), и смесь барботировали азотом (10 мин). Добавляли трис(дибензилиденацетон)дипалладий(0) (45.1 мг, 0.05 ммоль, 0.1 экв.), и смесь нагревали при 120°С в течение 2 ч под микроволновым облучением. Реакционную смесь разбавляли дихлорметаном, затем промывали водой с последующим промыванием соляным раствором, сушили (сульфат магния) и концентрировали в вакууме. Очистка с помощью автоматической колоночной флэш-хроматографии (CombiFlash Rf, 24 г силикагелевый картридж RediSep™) с элюированием с градиентом 0 - 100% этилацетата в изогептане приводила к получению целевого продукта в виде коричневого твердого вещества (99 мг, 0.14 ммоль, 28%).

ЖХ/МС (C33H45N7O5SiS2) 712 [М+Н]+; RT 1.52 (ЖХМС-V-B1)

1Н ЯМР (400 МГц, ДМСО-d6) δ 7.90-7.81 (m, 1Н), 7.70 (d, J=1.1 Гц, 1Н), 7.52-7.39 (m, 2Н), 7.29-7.21 (m, 1H), 5.87 (s, 2Н), 4.59 (tt, J=8.6, 6.0 Гц, 1Н), 4.37 (t, J=8.6 Гц, 2Н), 4.29 (q, J=7.1 Гц, 2Н), 3.89 (t, J=7.3 Гц, 2Н), 3.79 (s, 3Н), 3.76-3.68 (m, 2Н), 2.46 (d, J=1.0 Гц, 3Н), 1.43 (s, 9Н), 1.32 (t, J=7.1 Гц, 3Н), 0.99 0.83 (m, 2Н), -0.11 (s, 9Н).

Стадия В: этил 5-(азетидин-3-ил)-2-[метил(5-метил-6-{[(2Z)-3-{[2-(триметилсилил)этокси]метил}-2,3-дигидро-1,3-бензотиазол-2-илиден]амино}пиридазин-3-ил)амино]-1,3-тиазол-4-карбоксилат

К раствору продукта со Стадии А (78 мг, 0.11 ммоль, 1 экв.) в дихлорметане (6 мл), охлажденному на бане со льдом, медленно добавляли трифторуксусную кислоту (0.5 мл, 6.71 ммоль, 61.2 экв.), и смесь перемешивали при 0°С в течение 5 ч. Реакционную смесь гасили путем добавления насыщенного водного раствора бикарбоната натрия, затем экстрагировали дихлорметаном, промывали соляным раствором, сушили (сульфат магния) и концентрировали в вакууме. Очистка с помощью автоматической колоночной флэш-хроматографии (CombiFlash Rf, 12 г силикагелевый картридж RediSep™) с элюированием с градиентом 0 - 10% метанола в дихлорметане приводила к получению целевого продукта в виде кремового твердого вещества (29.6 мг, 0.05 ммоль, 44%).

ЖХ/МС (C28H37N7O3SiS2) 612 [М+Н]+; RT 1.18 (ЖХМС-V-B1)

1Н ЯМР (400 МГц, ДМСО-d6) δ 7.83 (d, J=7.7 Гц, 1Н), 7.71 (s, 1H), 7.52-7.40 (m, 2H), 7.30-7.23 (m, 1H), 5.87 (s, 2H), 4.76 (p, J=8.2 Гц, 1H), 4.29 (q, J=7.1 Гц, 2H), 4.17 (t, J=9.0 Гц, 2H), 3.91 (t, J=8.5 Гц, 2H), 3.79 (s, 3H), 3.75-3.66 (m, 2H), 2.47 (s, 3H), 1.32 (t, J=7.1 Гц, 3Н), 0.98-0.87 (m, 2H), -0.11 (s, 9H).

Синтез 5m: Этил 5-[(1Е)-3-гидрокси-2-метилпроп-1-ен-1-ил]-2-[метил(5-метил-6-{[(2Z)-3-{[2-(триметилсилил)этокси]метил}-2,3-дигидро-1,3-бензотиазол-2-илиден]амино}пиридазин-3-ил)амино]-1,3-тиазол-4-карбоксилат

Стадия А: трет-бутилдиметил(проп-2-ин-1-илокси)силан

К охлажденному раствору пропаргилового спирта (5.21 мл, 89.2 ммоль, 1 экв.) в дихлорметане (250 мл) добавляли имидазол (8.84 мл, 134 ммоль, 1.5 экв.) и трет-бутилдиметилсилилхлорид (20.2 г, 134 ммоль, 1.5 экв.), и смесь перемешивали при 0°С в течение 90 мин. Реакционную смесь распределяли между дихлорметаном и насыщенным водным раствором хлорида аммония, слои разделяли (ПТФЭ фазоразделитель), и органическую фазу концентрировали в вакууме. Очистка с помощью автоматической колоночной флэш-хроматографии (CombiFlash Rf, 220 г силикагелевый картридж RediSep™) с элюированием с градиентом 0 - 10% этилацетата в изогептане приводила к получению целевого продукта в виде прозрачного масла (4.07 г, 23.9 ммоль, 27%).

1Н ЯМР (400 МГц, ДМСО-d6) δ 4.28 (d, J=2.4 Гц, 2Н), 3.37 (t, J=2.4 Гц, 1H), 0.86 (s, 9Н), 0.08 (s, 6Н).

Стадия В: трет-бутилдиметил{[(2Е)-2-метил-3-(4,4,5,5-тетраметил-1,3,2-диоксаборолан-2-ил)проп-2-ен-1-ил]окси}силан

В высушенную в сушильном шкафу колбу загружали хлорид меди(I) (237 мг, 2.39 ммоль, 0.1 экв.), ксантфос (1.38 г, 2.39 ммоль, 0.1 экв.), бис(пинаколато)дибор (6.67 г, 26.3 ммоль, 1.1 экв.) и тетрагидрофуран (17 мл), и смесь барботировали азотом (10 мин). Добавляли раствор 2-метилпропан-2-олата натрия (2.53 г, 26.3 ммоль, 1.1 экв.) в тетрагидрофуране (14 мл), и смесь перемешивали в течение 5 мин. Добавляли раствор продукта со Стадии А (4.07 г, 23.9 ммоль, 1 экв.) в тетрагидрофуране (14 мл) с последующим добавлением метилйодида (5.95 мл, 95.6 ммоль, 4 экв.), и смесь перемешивали при температуре окружающей среды в течение ночи. Реакционную смесь распределяли между этилацетатом и водой, и органическую фазу сушили (сульфат магния) и концентрировали в вакууме. Очистка с помощью автоматической колоночной флэш-хроматографии (CombiFlash Rf, 80 г силикагелевый картридж RediSep™) с элюированием с градиентом 0 - 5% этилацетата в изогептане приводила к получению целевого продукта в виде прозрачного масла (616 мг, 1.97 ммоль, 8%).

1Н ЯМР (400 МГц, ДМСО-d6) δ 5.34-5.30 (m, 1Н), 4.04-3.97 (m, 2Н), 1.83 (s, 3Н), 1.23-1.16 (m, 12Н), 0.88 (s, 9Н), 0.03 (s, 6Н).

Стадия С: этил 5-[(1Е)-3-[(трет-бутилдиметилсилил)окси]-2-метилпроп-1-ен-1-ил]-2-[метил(5-метил-6-{[(2Z)-3-{[2-(триметилсилил)этокси]метил}-2,3-дигидро-1,3-бензотиазол-2-илиден]амино}пиридазин-3-ил)амино]-1,3-тиазол-4-карбоксилат

К раствору продукта Синтеза 11е (224 мг, 0.33 ммоль, 1 экв.) в тетрагидрофуране (7.5 мл) добавляли продукт со Стадии В (123 мг, 0.39 ммоль, 1.2 экв.) с последующим добавлением воды (2.5 мл) и карбоната калия (136 мг, 0.98 ммоль, 3 экв.). Смесь барботировали азотом (10 мин), после чего добавляли [1,1'-бис(дифенилфосфино)ферроцен]дихлорпалладий(II) (24 мг, 0.03 ммоль, 0.1 экв.), и смесь нагревали при 100°С в течение 1 ч под микроволновым облучением. Реакционную смесь распределяли между этилацетатом и соляным раствором, и органическую фазу сушили (сульфат магния) и концентрировали в вакууме. Очистка с помощью автоматической колоночной флэш-хроматографии (CombiFlash Rf, 12 г силикагелевый картридж RediSep™) с элюированием с градиентом 0 - 40% этилацетата в изогептане приводила к получению целевого продукта в виде белого твердого вещества (192 мг, 0.26 ммоль, 79%).

ЖХ/МС (C35H52N6O4Si2S2) 741 [М+Н]+; RT 1.58 (ЖХМС-V-В2)

1Н ЯМР (400 МГц, ДМСО-d6) δ 7.86-7.79 (m, 1Н), 7.70 (d, J=1.1 Гц, 1H), 7.51-7.40 (m, 2H), 7.29-7.20 (m, 2H), 5.86 (s, 2H), 4.28 (q, 2H), 4.22 (s, 2H), 3.79 (s, 3H), 3.76-3.67 (m, 2H), 2.46 (s, 3H), 1.93 (s, 3H), 1.30 (t, 3H), 0.93 (s, 9H), 0.91-0.83 (m, 2H), 0.11 (s, 6H), -0.12 (s, 9H).

Стадия D: этил 5-[(1Е)-3-гидрокси-2-метилпроп-1-ен-1-ил]-2-[метил(5-метил-6-{[(2Z)-3-{[2-(триметилсилил)этокси]метил}-2,3-дигидро-1,3-бензотиазол-2-илиден]амино}пиридазин-3-ил)амино]-1,3-тиазол-4-карбоксилат

К раствору продукта со Стадии С (192 мг, 0.26 ммоль, 1 экв.) в тетрагидрофуране (6 мл) добавляли фторид тетрабутиламмония (1М в тетрагидрофуране; 0.39 мл, 0.39 ммоль, 1.5 экв.), и смесь перемешивали при температуре окружающей среды в течение 2 ч. Реакционную смесь распределяли между этилацетатом и водой, и органическую фазу сушили (сульфат магния) и концентрировали в вакууме. Очистка с помощью автоматической колоночной флэш-хроматографии (CombiFlash Rf, 4 г силикагелевый картридж RediSep™) с элюированием с градиентом 0-60% этилацетата в изогептане приводила к получению целевого продукта в виде желтого твердого вещества (160 мг, 0.26 ммоль, 99%).

ЖХ/МС (C29H38N6O4SiS2) 627 [М+Н]+; RT 2.71 (ЖХМС-V-C)

1Н ЯМР (400 МГц, ДМСО-d6) δ 7.86-7.80 (m, 1Н), 7.70 (d, J=1.1 Гц, 1H), 7.49-7.39 (m, 2Н), 7.28-7.21 (m, 2Н), 5.86 (s, 2Н), 5.12 (t, J=5.7 Гц, 1Н), 4.29 (q, J=7.1 Гц, 2Н), 4.09-3.98 (m, 2Н), 3.81 (s, 3Н), 3.77-3.67 (m, 2Н), 2.46 (d, J=6.8 Гц, 3Н), 1.94 (s, 3Н), 1.31 (t, J=7.1 Гц, 3Н), 0.97-0.89 (m, 2Н), -0.12 (s, 9Н).

Синтез 6а: трет-Бутил N-[3-(3-фтор-4-гидроксифенил)проп-2-инил]-N-метилкарбамат

Используя Общую методику проведения реакции Соногаширы, исходя из 10.00 г 2-фтор-4-йодфенола (42.0 ммоль, 1 экв.) в качестве подходящего фенола и 10.67 г трет-бутил N-метил-N-проп-2-инилкарбамата (63.1 ммоль, 1.5 экв.) в качестве алкинного реагента, получали 10.8 г (92%) целевого продукта.

1Н ЯМР (500 МГц, ДМСО-d6) δ м.д. 10.32 (s, 1Н), 7.22 (brd, 1Н), 7.08 (dm, 1H), 6.92 (dd, 1H), 4.21 (s, 2Н), 2.85 (s, 3Н), 1.41 (s, 9Н); 13С ЯМР (125 МГц, ДМСО-d6) δ м.д. 150.8, 146.4, 129.0, 119.6, 118.4, 113.2, 84.4, 82.7, 38.5, 33.8, 28.5; МСВР-ЭРИ (m/z): [М-С4Н8+Н]+, рассчитано для C11H11FNO3: 224.0717, найдено: 224.0720.

Синтез 6b: 4-[3-(Диметиламино)проп-1-инил]-2-фторфенол

Используя Общую методику проведения реакции Соногаширы, исходя из 10.00 г 2-фтор-4-йодфенола (42.0 ммоль, 1 экв.) в качестве подходящего фенола и 5.24 г N,N-диметилпроп-2-ин-1-амина (63 ммоль, 1.5 экв.) в качестве алкинного реагента, получали 7.30 г (90%) целевого продукта.

1Н ЯМР (500 МГц, ДМСО-d6) δ м.д. 7.20 (dd, 1H), 7.07 (dm, 1Н), 6.91 (m, 1H), 3.39 (m, 2Н), 2.21 (m, 3Н); 13С ЯМР (125 МГц, ДМСО-d6) δ м.д. 150.9, 146.2, 128.9, 119.5, 118.4, 113.6, 84.5, 84.2, 48.2, 44.3; МСВР-ЭРИ (m/z): [М+Н]+, рассчитано для C11H13FNO: 194.0976, найдено: 194.0981.

Синтез бс: 2-Фтор-4-(3-пирролидин-1-илпроп-1-инил)фенол

Стадия А: 3-(3-фтор-4-триизопропилсилилоксифенил)проп-2-ин-1-ол

В 500 мл высушенную в сушильном шкафу одногорлую, круглодонную колбу, оснащенную якорем магнитной мешалки с покрытием из ПТФЭ, загружали 4.76 г 2-фтор-4-йодфенола (20 ммоль, 1 экв.) и 3.96 г K2CO3 (40 ммоль, 2 экв.), и затем добавляли 100 мл сухого MeCN. К полученной в результате смеси при к.т.при перемешивании, близком к интенсивному, по каплям добавляли 5.13 мл TIPSCl (4.62 г, 24 ммоль, 1.2 экв.). Полученную в результате смесь перемешивали при комнатной температуре в течение 30 мин, во время чего реакция достигла состояния полного превращения. Реакционную смесь фильтровали через набивку целита для удаления твердых частиц, затем к фильтрату добавляли 2.33 мл проп-2-ин-1-ола (2.24 г, 40 ммоль, 2 экв.) и 20 мл DIPA, и через газовпускной патрубок создавали атмосферу азота. После добавления 702 мг Pd(PPh3)2Cl2 (1 ммоль, 0.05 экв.) и 190 мг CuI (1 ммоль, 0.05 экв.) полученную в результате смесь перемешивали при комнатной температуре в течение 30 мин, во время чего реакция достигла состояния полного превращения. К реакционной смеси добавляли целит, и летучие вещества удаляли при пониженном давлении. Затем сырой продукт очищали с помощью колоночной флэш-хроматографии, используя гептан и EtOAc в качестве элюентов с получением 5.2 г (81%) целевого продукта в виде коричневого масла.

1Н ЯМР (500 МГц, ДМСО-d6) δ м.д. 7.26 (dd, 1H), 7.14 (dm, 1Н), 6.96 (t, 1Н), 4.27 (d, 2Н), 1.23 (m, 3Н), 1.03 (d, 18Н); 13С ЯМР (125 МГц, ДМСО-d6) δ м.д. 153.3, 144.1, 128.8, 122.3, 119.6, 116.5, 89.8, 82.8, 49.8, 17.9, 12.5; МСВР-ЭРИ (m/z): [М+Н]+, рассчитано для C18H28FO2Si: 323.1837, найдено: 323.1832.

Стадия В: [2-фтор-4-(3-пирролидин-1-илпроп-1-инил)фенокси]-триизопропилсилан

Используя Общую методику алкилирования образованным in situ йод содержащим соединением, исходя из 322 мг продукта со Стадии А (1 ммоль, 1 экв.) в качестве подходящего спирта и 355 мг пирролидина (5 ммоль, 5 экв.), получали 130 мг (34%) целевого продукта.

1Н ЯМР (500 МГц, ДМСО-d6) δ м.д. 7.29 (dd, 1H), 7.14 (dm, 1Н), 6.97 (t, 1Н), 3.56 (s, 2Н), 2.55 (m, 4Н), 1.71 (m, 4Н), 1.25 (m, 3Н), 1.05 (d, 18Н); 13С ЯМР (125 МГц, ДМСО-d6) δ м.д. 153.2, 144.0, 129.0, 122.3, 119.8, 116.6, 86.2, 83.2, 52.3, 43.3, 23.8, 18.0, 12.5; МСВР-ЭРИ (m/z): [М+Н]+, рассчитано для C22H35FNOSi: 376.2466, найдено: 376.2456.

Стадия С: 2-фтор-4-(3-пирролидин-1-илпроп-1-инил)фенол

В 4 мл высушенный в сушильном шкафу сосуд, оснащенный якорем магнитной мешалки с покрытием из ПТФЭ, загружали 83 мг продукта со Стадии В (0.221 ммоль, 1 экв.) и 1.1 мл сухого ТГФ, затем при к.т. по каплям добавляли 265 мкл TBAF (1 M в ТГФ, 225.9 мг, 0.2652 ммоль, 1.2 экв.). Полученную в результате смесь перемешивали при к.т. в течение 15 мин, во время чего реакция достигла состояния полного превращения. Реакционную смесь гасили путем добавления 200 мкл конц. раствора NH4Cl, и затем к реакционной смеси добавляли целит, и летучие вещества удаляли при пониженном давлении. Затем сырой продукт очищали с помощью колоночной флэш-хроматографии, используя ДХМ и МеОН (1.2% NH3) в качестве элюентов с получением 43 мг (88%) целевого продукта.

1Н ЯМР (500 МГц, ДМСО-d6) δ м.д. 10.30 (brs, 1H), 7.17 (dd, 1Н), 7.04 (dm, 1H), 6.88 (t, 1Н), 3.53 (s, 2Н), 2.54 (m, 4Н), 1.70 (m, 4Н); 13С ЯМР (125 МГц, ДМСО-d6) δ м.д. 151.1, 146.8, 128.9, 119.4, 118.5, 113.1, 84.8, 83.8, 52.3, 43.4, 23.8; МСВР-ЭРИ (m/z): [М+Н]+, рассчитано для C13H15FNO: 220.1132, найдено: 220.1129.

Синтез 6d: 2-Фтор-4-[3-(1-пиперидил)проп-1-инил]фенол

Стадия А: [2-фтор-4-[3-(1-пиперидил)проп-1-инил]фенокси]-триизопропилсилан

Используя Общую методику алкилирования образованным in situ йодсодержащим соединением, исходя из 322 мг продукта Синтеза 6с, Стадия А (1 ммоль, 1 экв.), в качестве подходящего спирта и 425 мг пиперидина (5 ммоль, 5 экв.), получали 250 мг (64%) целевого продукта.

1H ЯМР (500 МГц, ДМСО-d6) δ м.д. 7.3 (dd, 1Н), 7.15 (dm, 1Н), 6.98 (t, 1Н), 3.42 (s, 2Н), 2.46 (br., 4Н), 1.51 (m, 4Н), 1.37 (br., 2Н), 1.26 (m, 3Н), 1.05 (d, 18Н); 13С ЯМР (125 МГц, ДМСО-d6) δ м.д. 153.2, 144.0, 129.0, 122.3, 119.8, 116.6, 85.9, 83.8, 53.1, 48.0, 25.9, 24.0, 18.0, 12.5; МСВР-ЭРИ (m/z): [М+Н]+, рассчитано для C23H37FNOSi: 390.2622, найдено: 390.2608.

Стадия В: 2-фтор-4-[3-(1-пиперидил)проп-1-инил]фенол

В 4 мл высушенный в сушильном шкафу сосуд, оснащенный якорем магнитной мешалки с покрытием из ПТФЭ, загружали 272 мг продукта со Стадии А (0.69 ммоль, 1 экв.), растворенного в 3.5 мл сухого ТГФ, и затем при к.т.по каплям добавляли 698 мкл TBAF (1M в ТГФ, 0.69 ммоль, 1 экв.). Полученную в результате смесь перемешивали при к.т.в течение 15 мин, во время чего реакция достигла состояния полного превращения. Реакционную смесь гасили путем добавления 200 мкл конц. раствора NH4Cl, и затем к реакционной смеси добавляли целит, и летучие вещества удаляли при пониженном давлении. Затем сырой продукт очищали с помощью колоночной флэш-хроматографии, используя ДХМ и МеОН (1.2% NH3) в качестве элюентов с получением 143 мг (87%) целевого продукта.

1Н ЯМР (500 МГц, ДМСО-d6) δ м.д. 10.27 (s, 1Н), 7.20 (dd, 1Н), 7.07 (dm, 1H), 6.90 (t, 1Н), 3.40 (s, 2Н), 2.44 (br, 4Н), 1.51 (m, 4Н), 1.37 (br, 2Н); 13С ЯМР (125 МГц, ДМСО-d6) δ м.д. 150.9, 146.1, 128.9, 119.5, 118.4, 113.7, 84.7, 84.2, 53.1, 48.0, 25.9, 24.1; МСВР-ЭРИ (m/z): [М+Н]+, рассчитано для C14H17FNO: 234.1289, найдено: 234.1292.

Синтез 6е: 2-Фтор-4-(3-морфолинопроп-1-инил)фенол Стадия А: [2-фтор-4-(3-морфолинопроп-1-инил)фенокси]-триизопропилсилан

Используя Общую методику алкилирования образованным in situ йодсодержащим соединением, исходя из 322 мг продукта Синтеза 6 с, Стадия А (1 ммоль, 1 экв.), в качестве подходящего спирта и 435 мг морфолина (5 ммоль, 5 экв.), получали 160 мг (41%) целевого продукта.

1H ЯМР (500 МГц, ДМСО-d6) δ м.д. 7.32 (dd, 1H), 7.16 (dd, 1Н), 6.98 (t, 1Н), 3.6 (t, 4Н), 3.47 (s, 2Н), 2.49 (t, 4Н), 1.25 (m, 3Н), 1.05 (d, 18Н); 13С ЯМР (125 МГц, ДМСО-d6) δ м.д. 153.3, 144.1, 129.0, 122.3, 119.8, 116.4, 85.3, 84.1, 66.6, 52.3, 47.5, 18.0, 12.5; МСВР-ЭРИ (m/z): [М+Н]+, рассчитано для C22H35FNO2Si: 392.2415, найдено: 392.2408.

Стадия В: 2-фтор-4-(3-морфолинопроп-1-инил)фенол

В 4 мл высушенный в сушильном шкафу сосуд, оснащенный якорем магнитной мешалки с покрытием из ПТФЭ, загружали 220 мг продукта со Стадии А (0.56 ммоль, 1 экв.), растворенного в 3.0 мл сухого ТГФ, и затем при к.т.по каплям добавляли 525 мкл TBAF (1M в ТГФ, 0.52 ммоль, 1 экв.). Полученную в результате смесь перемешивали при к.т. в течение 15 мин, во время чего реакция достигла состояния полного превращения. Реакционную смесь гасили путем добавления 200 мкл конц. раствора NH4Cl, и затем к реакционной смеси добавляли целит, и летучие вещества удаляли при пониженном давлении. Сырой продукт очищали с помощью колоночной флэш-хроматографии, используя ДХМ и МеОН (1.2% NH3) в качестве элюентов с получением 120 мг (91%) целевого продукта.

1Н ЯМР (400 МГц, ДМСО-d6) δ м.д. 10.28 (s, 1Н), 7.22 (dd, 1Н), 7.08 (dm, 1H), 6.91 (dd, 1Н), 3.60 (m, 4Н), 3.45 (s, 2Н), 2.48 (m, 4Н); 13С ЯМР (125 МГц, ДМСО-d6) δ м.д. 150.8, 146.2, 128.9, 119.5, 118.4, 113.6, 84.6, 84.1, 66.5, 52.2, 47.5; МСВР-ЭРИ (m/z): [М+Н]+, рассчитано для C13H15FNO2: 236.1081, найдено: 236.1082.

Синтез 6f: 4-[3-(Диметиламино)бут-1-инил]-2-фторфенол

Стадия А: 4-(3-фтор-4-триизопропилсилилоксифенил)бут-3-ин-2-ол

500 мл высушенную в сушильном шкафу одногорлую, круглодонную колбу оснащали якорем магнитной мешалки с покрытием из ПТФЭ. В нее загружали 4.76 г 2-фтор-4-йодфенола (20 ммоль, 1 экв.) и 3.96 г K2CO3 (40 ммоль, 2 экв.), и затем добавляли 100 мл сухого MeCN. К полученной в результате смеси при к.т. при перемешивании, близком к интенсивному, по каплям добавляли 5.13 мл TIPSC1 (4.62 г, 24 ммоль, 1.2 экв.). Полученную в результате смесь перемешивали при комнатной температуре в течение 30 мин, во время чего реакция достигла состояния полного превращения. Реакционную смесь фильтровали через набивку целита для удаления твердых частиц, затем к фильтрату добавляли 3.10 мл бут-3-ин-2-ола (2.81 г, 40 ммоль, 2 экв.) и 20 мл DIPA, и через газовпускной патрубок создавали атмосферу азота. После добавления 702 мг Pd(PPh3)2Cl2 (1 ммоль, 0.05 экв.) и 190 мг CuI (1 ммоль, 0.05 экв.) полученную в результате смесь перемешивали при комнатной температуре в течение 30 мин, во время чего реакция достигла состояния полного превращения. К реакционной смеси добавляли целит, и летучие вещества удаляли при пониженном давлении. Затем сырой продукт очищали с помощью колоночной флэш-хроматографии, используя гептан и EtOAc в качестве элюентов с получением 6.2 г (92%) целевого продукта в виде желтого масла.

1H ЯМР (400 МГц, ДМСО-d6) δ м.д. 7.26 (dd, 1H), 7.12 (dm, 1Н), 6.98 (t, 1Н), 5.44 (d, 1Н), 4.55 (m, 1H), 1.36 (d, 3Н), 1.24 (sp, 1Н), 1.05 (d, 18Н); 13С ЯМР (100 МГц, ДМСО-d6) δ м.д. 153.2, 144.1, 128.8, 122.3, 119.6, 116.5, 93.4, 81.4, 57.1, 25.0, 18.0, 12.5; МСВР-ЭРИ (m/z): [М+Н]+, рассчитано для C19H30FO2Si: 337.1994, найдено: 337.1994.

Стадия В: 4-(3-фтор-4-триизопропилсилилоксифенил)-N,N-диметил-бут-3-ин-2-амин

Используя Общую методику алкилирования образованным in situ йодсодержащим соединением, исходя из 644 мг продукта со Стадии А (2 ммоль, 1 экв.) в качестве подходящего спирта и 5 мл N-метилметанамина (10 ммоль, 5 экв., 2 М раствор в МеОН) получали 360 мг (50%) целевого продукта.

1Н ЯМР (500 МГц, ДМСО-d6) δ м.д. 7.28 (dd, 1H), 7.14 (dm, 1Н), 6.97 (t, 1Н), 3.67 (q, 1Н), 2.19 (s, 6Н), 1.27 (d, 3Н), 1.25 (m, 3Н), 1.05 (d, 18Н); 13С ЯМР (500 МГц, ДМСО-d6) δ м.д. 153.1, 144.0, 129.0, 122.3, 119.8, 116.6, 88.2, 84.1, 52.3, 41.3, 20.1, 18.0, 12.5; МСВР-ЭРИ (m/z): [М+Н]+, рассчитано для C21H35FNOSi: 364.2466, найдено: 364.2470.

Стадия С: 4-[3-(диметиламино)бут-1-инил]-2-фторфенол

В 4 мл высушенный в сушильном шкафу сосуд, оснащенный якорем магнитной мешалки с покрытием из ПТФЭ, загружали 200 мг продукта со Стадии В (0.55 ммоль, 1 экв.), растворенного в 3.0 мл сухого ТГФ, и затем при к.т.по каплям добавляли 660 мкл TBAF (1M в ТГФ, 0.66 ммоль, 1.1 экв.). Полученную в результате смесь перемешивали при к.т. в течение 15 мин, во время чего реакция достигла состояния полного превращения. Реакционную смесь гасили путем добавления 200 мкл конц. раствора NH4Cl, и затем к реакционной смеси добавляли целит, и летучие вещества удаляли при пониженном давлении. Затем сырой продукт очищали с помощью колоночной флэш-хроматографии, используя ДХМ и МеОН (1.2% NH3) в качестве элюентов с получением 80 мг (70%) целевого продукта.

Синтез 6g и 6h: 2-Фтор-4-(3-морфолинобут-1-инил)фенол (энантиомеры 1 и 2)

Стадия А: [2-фтор-4-(3-морфолинобут-1-инил)фенокси]-триизопропилсилан

Используя Общую методику алкилирования образованным in situ йодсодержащим соединением, исходя из 644 мг продукта Синтеза 6f, Стадия А (2 ммоль, 1 экв.), в качестве подходящего спирта и 5 мл морфолина (10 ммоль, 5 экв., 2 Μ раствор в МеОН) получали 370 мг (45%) целевого продукта.

1Н ЯМР (500 МГц, ДМСО-d6) δ м.д. 7.29 (dd, 1H), 7.15 (dm, 1Н), 6.98 (t, 1Н), 3.69 (q, 1H), 3.60 (m, 4Н), 2.6/2.45 (m+m, 4Н), 1.30 (d, 3Н), 1.25 (m, 3Н), 1.05 (d, 18Н); 13С ЯМР (500 МГц, ДМСО-d6) δ м.д. 153.2, 144.0, 129.0, 122.3, 119.8, 116.5, 88.5, 84.1, 66.7, 52.1, 49.5, 19.3, 18.0, 12.5; МСВР-ЭРИ (m/z): [М+Н]+, рассчитано для C23H37FNO2Si: 406.2572, найдено: 406.2579.

Стадия В: 2-фтор-4-(3-морфолинобут-1-инил)фенол

В 4 мл высушенный в сушильном шкафу сосуд, оснащенный якорем магнитной мешалки с покрытием из ПТФЭ, загружали 370 мг продукта со Стадии А (0.90 ммоль, 1 экв.), растворенного в 3.0 мл сухого ТГФ, и затем при к.т. по каплям добавляли 990 мкл TBAF (1 M в ТГФ, 0.99 ммоль, 1.1 экв.). Полученную в результате смесь перемешивали при к.т.в течение 15 мин, во время чего реакция достигла состояния полного превращения. Реакционную смесь гасили путем добавления 200 мкл конц. раствора NH4Cl, и затем к реакционной смеси добавляли целит, и летучие вещества удаляли при пониженном давлении. Затем сырой продукт очищали с помощью колоночной флэш-хроматографии, используя ДХМ и МеОН (1.2% NH3) в качестве элюентов с получением 150 мг (60%) целевого продукта.

Энантиомеры разделяли с помощью хиральной хроматографии. Колонка: AD-Η, элюенты: гептан /EtOH + 0.1% DEA; энантиомер, элюирующийся раньше, собирали в качестве продукта Синтеза 6g с 99.8% ее, и энантиомер, элюирующийся позже, собирали в качестве продукта Синтеза 6h с 99.4% ее.

Синтез 6i: 4-[1-[(Диметиламино)метил]-3-бицикло[1.1.1]пентанил]фенол

Стадия А: 1-(4-метоксифенил)-N,N-диметилбицикло[1.1.1]пентан-3-карбоксамид

300 мг 1-(4-метоксифенил)бицикло[1.1.1]пентан-3-карбоновой кислоты (1.38 ммоль, 1 экв.) и 278 мг Ν,Ν-диэтилэтанамина (2.75 ммоль, 2 экв.) смешивали в EtOAc (3 мл/ммоль), затем в виде одной порции добавляли 1312 мг 2,4,6-трипропил- l,3,5,2λΛ{5},4λΛ{5},6λΛ{5}-триоксатрифосфинан 2,4,6-триоксида (50 мас. % в EtOAc, 2.06 ммоль, 1.5 экв.), и смесь перемешивали при к.т.в течение 40 мин. По истечении времени реакции добавляли 1.03 мл N-метилметанамина (2 M в МеОН, 2.06 ммоль, 1.5 экв.), и смесь перемешивали при к.т.до тех пор, пока не наблюдали полного превращения (30 мин). Реакционную смесь разбавляли с помощью ДХМ, промывали конц. раствором NaHCO3, затем органическую фазу промывали конц. NaCl, сушили над MgSO4, фильтровали, концентрировали, и сушили в вакууме с получением 346 мг (колич.) целевого продукта в виде твердого вещества персикового цвета.

1Н ЯМР (500 МГц, ДМСО-d6) δ м.д. 7.14 (m, 2Н), 6.86 (m, 2Н), 3.72 (s, 3Н), 3.08 (s, 3Н), 2.81 (s, 3Н), 2.26 (s, 6Н); 13С ЯМР (125 МГц, ДМСО-d6) δ м.д. 168.9, 158.6, 132.5, 127.6, 114.1, 55.5, 54.2, 42.0, 39.0, 37.4, 35.9; МСВР-ЭРИ (m/z): [М+Н]+, рассчитано для C15H20NO2: 246.1488, найдено: 246.1495.

Стадия В: 1-[3-(4-метоксифенил)-1-бицикло[1.1.1]пентанил]-N,N-диметилметанамин

289 мг продукта со Стадии А (1.18 ммоль, 1 экв.) растворяли в ТГФ (5 мл/ммоль), затем при температуре окружающей среды в атмосфере азота добавляли 2.36 мл LiAlH4 (1 M в ТГФ, 2.36 ммоль, 2 экв.), и смесь перемешивали до достижения полного превращения (прибл. 1 ч). Смесь охлаждали до 0°С, затем гасили конц. раствором NH4Cl. После гашения добавляли ~5 мл воды и ~ 10 мл EtOAc, и смесь хорошо встряхивали. Добавляли 2 Μ HCl и (кислую) водную фазу отделяли, и органическую фазу затем экстрагировали дополнительным количеством 2 Μ HCl. Объединенные водные фазы подщелачивали 2 Μ раствором NaOH и экстрагировали с помощью ДХМ.

Объединенные органические фазы промывали соляным раствором, сушили над MgSO4, концентрировали и сушили в вакууме. Получали 219 мг (80%) целевого продукта в виде вязкого масла.

1Н ЯМР (500 МГц, ДМСО-d6) δ м.д. 7.10 (m, 2Н), 6.84 (m, 2Н), 3.71 (s, 3Н), 2.35 (s, 2Н), 2.16 (s, 6Н), 1.89 (s, 6Н); 13С ЯМР (125 МГц, ДМСО-d6) δ м.д. 158.4, 133.4, 127.4, 114, 60.8, 55.5, 52.9, 46.6, 41.9, 38.0; МСВР-ЭРИ (m/z): [М+Н]+, рассчитано для C15H22NO: 232.1696, найдено: 232.1700.

Стадия С: 4-[1-[(диметиламино)метил]-3-бицикло[1.1.1]пентанил]фенол

50 мг продукта со Стадии В (0.22 ммоль, 1 экв.) растворяли в ДХМ (5 мл/ммоль), затем в атмосфере азота добавляли 0.65 мл BBr3 (1 M в ДХМ, 0.65 ммоль, 3 экв.) при 0°С, и смесь перемешивали в течение 30 мин п1и 0°С и при к.т.до достижения полного превращения (прибл. 45 мин). Добавляли ДХМ, смесь выливали в раствор NaHCO3, перемешивали несколько минут и затем доводили до нейтральной реакции с помощью конц. раствора NH4Cl. Органическую фазу отделяли и промывали соляным раствором, сушили над MgSO4, концентрировали и сушили в вакууме. Получали 47 мг (колич.) сырого целевого продукта в виде вязкого масла.

1Н ЯМР (400 МГц, CDCl3) δ м.д. 7.07 (d, 2Н), 6.81 (d, 2Н), 5.18 (br. s, 1Н), 3.83 (s, 2Н), 3.17/3.16 (s+s, 6Н), 2.23 (s, 6Н); 13С ЯМР (100 МГц, CDCl3) δ м.д. 155.0, 131.3, 127.3, 115.4, 59.6, 54.7, 53.4, 46.0, 44.1; ЖХ-МС-ЭРИ (m/z): [М+Н]+, рассчитано для C14H20NO: 218.2, найдено: 218.2.

Синтез 6j: N,N-Диметил-3-(4-триизопропилсилилоксифенил)проп-2-ин-1-амин

500 мг 4-йодфенола (2.27 ммоль, 1 экв.) и 628 мг K2CO3 (4.55 ммоль, 2 экв.) смешивали в ацетонитриле (5 мл/ммоль), затем при к.т.добавляли 526 мг хлор(триизопропил)силана (2.73 ммоль, 1.2 экв.), и смесь перемешивали в течение 1 ч. Реакционную смесь фильтровали через набивку целита, затем добавляли 236 мг N,N-диметилпроп-2-ин-1-амина (2.84 ммоль, 1.25 экв.), 50 мг Pd(PPh3)2Cl2 (0.11 ммоль, 0.05 экв.), 22 мг CuI (0.11 ммоль, 0.05 экв.) и 2.27 мл N-изопропилпропан-2-амина (1 мл/ммоль), и затем смесь перемешивали при 50°С в течение 3 ч. Реакционную смесь концентрировали на целите и очищали с помощью колоночной флэш-хроматографии, используя гептан и EtOAc в качестве элюентов с получением 449 мг (60%) целевого продукта в виде желтого масла.

1H ЯМР (500 МГц, ДМСО-d6) δ м.д. 7.32 (dm, 2Н), 6.84 (dm, 2Н), 3.41 (s, 2Н), 2.22 (s, 6Н), 1.24 (m, 3Н), 1.06 (d, 18Н); 13С ЯМР (125 МГц, ДМСО-d6) 156, 133.5, 120.3, 116, 85.1/84.5, 44.3, 18.3, 12.4; МСВР-ЭРИ (m/z): [М+Н]+, рассчитано для C20H34NOSi: 332.2404, найдено: 332.2405.

Синтез 6k: 2-Фтор-4-{3-[(4-метоксифенил)метокси]проп-1-ин-1-ил} фенол

Стадия А: 4-бром-2-фторфенилацетат

К раствору 4-бром-2-фторфенола (2.29 мл, 20.9 ммоль, 1 экв.) в дихлорметане (60 мл) добавляли 4-(диметиламино)пиридин (5.12 г, 41.9 ммоль, 2 экв.) и ангидрид уксусной кислоты (4.94 мл, 52.4 ммоль, 2.5 экв.), и смесь перемешивали при температуре окружающей среды в течение 18 ч. Реакционную смесь концентрировали, затем распределяли между дихлорметаном и водой, промывали соляным раствором, разделяли (фазоразделитель) и концентрировали в вакууме. Очистка с помощью автоматической колоночной флэш-хроматографии (CombiFlash Rf, 80 г силикагелевый картридж RediSep™) с элюированием с градиентом 0 10% этилацетата в изогептане приводила к получению целевого продукта в виде прозрачного масла (5.1 г, 21.9 ммоль, >100%).

1Н ЯМР (400 МГц, ДМСО-d6) δ 7.75 (dd, J=10.0, 2.3 Гц, 1Н), 7.48 (ddd, J=8.6, 2.3, 1.3 Гц, 1H), 7.30 (t, J=8.5 Гц, 1H), 2.41 (s, 3H).

Стадия В: 1-метокси-4-[(проп-2-ин-1-илокси)метил]бензол

К перемешиваемой суспензии гидрида натрия (60% дисперсия; 856 мг, 21.4 ммоль, 1.2 экв.) в тетрагидрофуране (25 мл), охлажденной до 0°С, добавляли раствор пропаргилового спирта (1.04 мл, 17.8 ммоль, 1 экв.) в тетрагидрофуране (10 мл) с последующим добавлением 1-(бромметил)-4-метоксибензола (3.09 мл, 21.4 ммоль, 1.2 экв.), и смесь перемешивали при температуре окружающей среды в течение 18 ч. Реакционную смесь распределяли между этилацетатом и насыщенным водным раствором хлорида аммония, и органическую фазу сушили (сульфат магния), фильтровали и концентрировали в вакууме. Очистка с помощью автоматической колоночной флэш-хроматографии (CombiFlash Rf, 80 г силикагелевый картридж RediSep™) с элюированием с градиентом 0 10% этилацетата в изогептане приводила к получению целевого продукта в виде прозрачного масла (2.44 г, 13.9 ммоль, 78%).

1Н ЯМР (400 МГц, ДМСО-d6) δ 7.31 - 7.18 (m, 2Н), 6.97 - 6.86 (m, 2Н), 4.44 (s, 2Н), 4.13 (d, J=2.4 Гц, 2Н), 3.75 (s, 3Н), 3.48 (t, J=2.4 Гц, 1H).

Стадия С: 2-фтор-4-{3-[(4-метоксифенил)метокси]проп-1-ин-1-ил}фенил ацетат

В высушенную в сушильном шкафу пробирку высокого давления загружали продукт со Стадии А (1.68 г, 7.23 ммоль, 1 экв.), триэтиламин (18 мл), продукт со Стадии В (1.91 г, 10.8 ммоль, 1.5 экв.), йодид меди(I) (275 мг, 1.45 ммоль, 0.2 экв.) и тетракис(трифенилфосфин)палладий(0) (835 мг, 0.72 ммоль, 0.1 экв.), и смесь барботировали азотом (10 мин), после чего пробирку закупоривали и нагревали при 90°С в течение 4 ч. Реакционной смеси давали охладиться до температуры окружающей среды, затем распределяли между дихлорметаном и соляным раствором, и органическую фазу отделяли, сушили (ПТФЭ фазоразделитель) и концентрировали в вакууме. Очистка с помощью автоматической колоночной флэш-хроматографии (CombiFlash Rf, 40 г силикагелевый картридж RediSep™) с элюированием с градиентом 0-30% этилацетата в изогептане приводила к получению целевого продукта в виде оранжевого твердого вещества (2.11 г, 6.43 ммоль, 89%).

1Н ЯМР (400 МГц, ДМСО-d6) δ 7.55 (dd, J=11.1, 1.7 Гц, 1Н), 7.44-7.28 (m, 4H), 6.96-6.91 (m, 2H), 4.53 (s, 2H), 4.39 (s, 2H), 3.76 (s, 3Н), 2.34 (s, 3Н).

Стадия D: 2-фтор-4-{3-[(4-метоксифенил)метокси]проп-1-ин-1-ил}фенол

К раствору продукта со Стадии С (200 мг, 0.61 ммоль, 1 экв.) в метаноле (15 мл) добавляли карбонат калия (253 мг, 1.83 ммоль, 3 экв.), и смесь перемешивали при температуре окружающей среды в течение 3 ч. Реакционную смесь концентрировали в вакууме, распределяли между дихлорметаном и разбавленным водным раствором хлористоводородной кислоты, и органическую фазу отделяли (ПТФЭ фазоразделитель) и концентрировали в вакууме. Очистка с помощью автоматической колоночной флэш-хроматографии (CombiFlash Rf, 12 г силикагелевый картридж RediSep™) с элюированием с градиентом 0-40% этилацетата в изогептане приводила к получению целевого продукта в виде желтой смолы (128 мг, 0.45 ммоль, 73%).

ЖХ/МС (C17H15FO3) 285 [М-Н]-; RT 2.09 (ЖХМС-V-C)

1Н ЯМР (400 МГц, ДМСО-d6) δ 10.37 (s, 1H), 7.32-7.24 (m, 3Н), 7.16-7.10 (m, 1H), 6.98-6.90 (m, 3H), 4.50 (s, 2H), 4.34 (s, 2H), 3.75 (s, 3H).

Синтез 7c: 3,6-Дихлор-4-(пропан-2-ил)пиридазин

3,6-Дихлорпиридазин (5 г, 33.6 ммоль, 1 экв.), нитрат серебра (5.7 г, 33.6 ммоль, 1 экв.) и изомасляную кислоту (2.96 г, 33.6 ммоль, 1 экв.) суспендировали в воде (100 мл). Смесь нагревали до 50°С и добавляли серную кислоту (9.88 г, 101 ммоль, 3 экв.). Смесь нагревали до 60°С и по каплям добавляли 1.6М водный раствор персульфата аммония (62.9 мл, 101 ммоль, 3 экв.), и реакционную смесь нагревали при 70°С в течение 30 мин. Смеси давали охладиться до температуры окружающей среды, затем охлаждали до 0°С и медленно нейтрализовали концентрированным раствором гидроксида аммония до рН 7, и затем рН доводили до 8-9. Образовывался желтый осадок, который отфильтровывали и промывали водой и этилацетатом с получением белого твердого вещества. Фильтраты объединяли, слои разделяли, и водную фазу экстрагировали этилацетатом (100 мл). Объединенную органику промывали соляным раствором (100 мл), сушили (сульфат магния) и концентрировали в вакууме с получением желтого масла. Очистка с помощью автоматической колоночной флэш-хроматографии (CombiFlash Rf, 80 г силикагелевый картридж RediSep™) с элюированием с градиентом 0 5% этилацетата в гептане приводила к получению целевого продукта в виде бесцветного масла (4.61 г, 24.1 ммоль, 72%).

ЖХ/МС (C7H8C12N2) 191 [М+Н]+; RT 1.11 (ЖХМС-V-B1)

1Н ЯМР (400 МГц, ДМСО-d6) δ 8.00 (d, J=0.6 Гц, 1Н), 3.16 (h, 1H), 1.26 (d, J=6.8 Гц, 6H).

Синтез 7е: 3,6-Дихлор-4-метил-5-(пропан-2-ил)пиридазин

Суспензию 3,6-дихлор-4-метилпиридазина (0.5 г, 3.07 ммоль, 1 экв.), изомасляной кислоты (0.28 мл, 3.07 ммоль, 1 экв.) и нитрата серебра (0.52 г, 3.07 ммоль, 1 экв.) в воде (10 мл) нагревали до 50°С. Добавляли серную кислоту (0.49 мл, 9.2 ммоль, 3 экв.), и смесь нагревали до 60°С. По каплям добавляли 1.6 М водный раствор персульфата аммония (5.75 мл, 9.2 ммоль, 3 экв.), и смесь перемешивали в течение 30 мин и затем давали охладиться до температуры окружающей среды. Выполнение нейтрализации гидроксидом аммония, фильтрования через целит и элюирования этилацетатом приводило к получению двухфазной смеси. Слои разделяли, водную фазу экстрагировали этилацетатом, и объединенную органику сушили (сульфат магния) и концентрировали в вакууме. Очистка с помощью автоматической колоночной флэш-хроматографии (CombiFlash Rf, 40 г силикагелевый картридж RediSep™) с элюированием с градиентом 0 15% этилацетата в изогептане приводила к получению целевого продукта в виде белого твердого вещества (476 мг, 2.32 ммоль, 76%).

ЖХ/МС (C8H10Cl2N2) 205 [М+Н]+; RT 1.15 (ЖХМС-V-B1)

1Н ЯМР (400 МГц, ДМСО-d6) δ 3.57 (hept, J=7.2 Гц, 1Н), 2.49 (s, 3Н), 1.35 (d, J=7.2 Гц, 6H).

Синтез 7f: 3,6-Дихлор-4-этил-5-метилпиридазин

К перемешиваемой суспензии 3,6-дихлор-4-метилпиридазина (5 г, 30.7 ммоль, 1 экв.) и пропионовой кислоты (2.75 мл, 36.8 ммоль, 1.2 экв.) в воде (100 мл) добавляли нитрат серебра (5.21 г, 30.7 ммоль, 1 экв.), и смесь нагревали до 50°С. По каплям добавляли серную кислоту (4.91 мл, 92 ммоль, 3 экв.), и реакционную смесь нагревали до 60°С. Затем по каплям добавляли 1.6 М водный раствор персульфата аммония (57.5 мл, 92 ммоль, 3 экв.) в течение 20 мин. Реакционную смесь нагревали до 70°С в течение 30 мин и затем оставляли охладиться до температуры окружающей среды. Смесь подщелачивали до рН 8, используя конц. раствор гидроксида аммония, и продукт экстрагировали этилацетатом (100 мл x 2). Объединенные органические экстракты сушили (сульфат магния) и концентрировали в вакууме. Очистка с помощью автоматической колоночной флэш-хроматографии (CombiFlash Rf, 120 г силикагелевый картридж RediSep™) с элюированием с градиентом 0 25% этилацетата в изогептане приводила к получению целевого продукта в виде белого твердого вещества (4.11 г, 21.5 ммоль, 70%).

ЖХ/МС (C7H8Cl2N2) 191 [М+Н]+; RT 2.17 (ЖХМС-V-C)

1Н ЯМР (400 МГц, ДМСО-d6) δ 2.82 (q, J=7.6 Гц, 2Н), 2.44 (s, 3Н), 1.13 (t, J=7.6 Гц, 3Н).

Синтез 7g: 4-[(Бензилокси)метил]-3,6-дихлор-5-метилпиридазин

К суспензии 3,6-дихлор-4-метилпиридазина (5.1 г, 30.7 ммоль, 1 экв.) и бензилоксиуксусной кислоты (5.61 г, 33.7 ммоль, 1.1 экв.) в воде (100 мл) добавляли нитрат серебра (5.21 г, 30.7 ммоль, 1 экв.), и смесь нагревали до 50°С. Добавляли серную кислоту (4.91 мл, 92 ммоль, 3 экв.), и смесь нагревали до 60°С. По каплям добавляли 1.6 М водный раствор персульфата аммония (57.5 мл, 92 ммоль, 3 экв.), и реакционную смесь нагревали при 70°С в течение 30 мин. Смеси давали охладиться до температуры окружающей среды и подщелачивали до рН 8 конц. водным раствором гидроксида аммония. Смесь экстрагировали этилацетатом (2 x 150 мл) и объединенную органику промывали соляным раствором (200 мл), сушили (сульфат магния) и концентрировали в вакууме. Очистка с помощью автоматической колоночной флэш-хроматографии (CombiFlash Rf, 120 г силикагелевый картридж RediSep™) с элюированием с градиентом 0 25% этилацетата в изогептане приводила к получению целевого продукта в виде желтого масла (4.67 г, 16.5 ммоль, 54%).

ЖХ/МС (C13H12Cl2N2O) 283 [М+Н]+; RT 1.26 (ЖХМС-V-B1)

1Н ЯМР (400 МГц, ДМСО-d6) δ 7.42 - 7.27 (m, 5Н), 4.71 (s, 2Н), 4.60 (s, 2Н), 2.46 (s, 3Н).

Синтез 7h: 3,6-Дихлор-4-циклопропил-5-метилпиридазин

К суспензии 3,6-дихлор-4-метилпиридазина (4.88 г, 29.9 ммоль, 1 экв.) и циклопропанкарбоновой кислоты (2.63 мл, 32.9 ммоль, 1.1 экв.) в воде (100 мл) добавляли нитрат серебра (5.09 г, 29.9 ммоль, 1 экв.), и смесь нагревали до 50°С. К смеси добавляли серную кислоту (4.79 мл, 89.8 ммоль, 3 экв.), и смесь нагревали до 60°С. По каплям в течение 20 мин добавляли 1.6 М водный раствор персульфата аммония (56.1 мл, 89.8 ммоль, 3 экв.), и затем смесь нагревали до 70°С и перемешивали в течение 30 мин. Смеси давали охладиться до температуры окружающей среды и подщелачивали до рН 8 конц. раствором гидроксида аммония. Продукт экстрагировали в органическую фазу, используя этилацетат (2 x 200 мл), и объединенные органические экстракты промывали соляным раствором, сушили (сульфат магния) и концентрировали в вакууме. Очистка с помощью автоматической колоночной флэш-хроматографии (CombiFlash Rf, 120 г силикагелевый картридж RediSep™) с элюированием с градиентом 0 - 30% этилацетата в изогептане приводила к получению целевого продукта в виде белого твердого вещества (3.99 г, 19.7 ммоль, 66%).

ЖХ/МС (C8H8Cl2N2) 203 [М+Н]+; RT 1.09 (ЖХМС-V-B1)

1H ЯМР (400 МГц, ДМСО-d6) δ 2.49 (d, J=0.9 Гц, 3Н), 1.98 - 1.88 (m, 1H), 1.26-1.11 (m, 2H), 0.78-0.67 (m, 2H).

Синтез 71: 3,6-Дихлор-4-циклопропилпиридазин

К суспензии 3,6-дихлорпиридазина (2 г, 13.4 ммоль, 1 экв.) и циклопропанкарбоновой кислоты (1.07 мл, 13.4 ммоль, 1 экв.) в воде (85 мл) добавляли нитрат серебра (2.28 г, 13.4 ммоль, 1 экв.), и смесь нагревали до 50°С. Добавляли серную кислоту (2.15 мл, 40.3 ммоль, 3 экв.), и смесь нагревали до 60°С. По каплям в течение 15 минут добавляли 1.6М водный раствор персульфата аммония (25.2 мл, 40.3 ммоль, 3 экв.), и реакционную смесь затем нагревали при 70°С в течение 30 мин. Смеси давали охладиться до температуры окружающей среды и подщелачивали до рН 10 конц. раствором гидроксида аммония. Продукт экстрагировали в этилацетат (2 x 150 мл), и экстракты промывали соляным раствором, сушили (сульфат магния) и концентрировали в вакууме. Очистка с помощью автоматической колоночной флэш-хроматографии (CombiFlash Rf, 80 г силикагелевый картридж RediSep™) с элюированием с градиентом 0 - 20% этилацетата в изогептане приводила к получению целевого продукта в виде белого твердого вещества (985 мг, 5.21 ммоль, 39%).

ЖХ/МС (C7H6Cl2N2) 189 [М+Н]+; RT 1.00 (ЖХМС-V-B1)

1Н ЯМР (400 МГц, ДМСО-d6) δ 7.61 (d, J=0.6 Гц, 1Н), 2.19-2.09 (m, 1H), 1.25-1.19 (m, 2H), 1.08-1.03 (m, 2H).

Синтез 7m: 4-[3-(Бензилокси)пропил]-3,6-дихлор-5-метилпиридазин Стадия А: [(пент-4-ин-1-илокси)метил]бензол

В высушенную в сушильном шкафу колбу загружали 4-пентин-1-ол (5.53 мл, 59.4 ммоль, 1 экв.) и тетрагидрофуран (50 мл), и раствор охлаждали до 0°С. Порциями добавляли гидрид натрия (60%; 2.85 г, 119 ммоль, 2 экв.), и реакционной смеси давали перемешиваться в течение 30 мин при 0°С. По каплям добавляли бензилбромид (7.42 мл, 62.4 ммоль, 1.05 экв.), и реакционной смеси давали нагреться до температуры окружающей среды и перемешивали в течение 16 ч. Реакционную смесь охлаждали до 0°С и гасили путем добавления насыщенного водного раствора хлорида аммония (20 мл). Добавляли воду (20 мл) и слои разделяли. Водный слой экстрагировали этилацетатом (2 x 50 мл) и объединенную органику промывали соляным раствором (50 мл), сушили (сульфат магния) и концентрировали в вакууме. Очистка с помощью автоматической колоночной флэш-хроматографии (CombiFlash Rf, 120 г силикагелевый картридж RediSep™) с элюированием с градиентом 0 - 10% этилацетата в изогептане приводила к получению целевого продукта в виде желтого масла (8.93 г, 51.3 ммоль, 86%).

ЖХ/МС (С12Н14О) 175 [М+Н]+; RT 1.25 (ЖХМС-V-B1)

1Н ЯМР (400 МГц, CDCl3) δ 7.42 - 7.21 (m, 5Н), 4.52 (s, 2Н), 3.57 (t, J=6.2 Гц, 2Н), 2.32 (td, J=7.1, 2.7 Гц, 2Н), 1.94 (t, J=2.7 Гц, 1H), 1.84 (tt, J=7.1, 6.2 Гц, 2Н).

Стадия В: [(гекс-4-ин-1-илокси)метил]бензол

В высушенную в сушильном шкафу колбу в атмосфере азота загружали раствор продукта со Стадии А (3.9 г, 22.4 ммоль, 1 экв.) в тетрагидрофуране (30 мл). Реакционную смесь охлаждали до -78°С, и в течение 30 мин добавляли н-бутиллитий (2.2 М в гексане; 12.2 мл, 26.9 ммоль, 1.2 экв.), и смесь перемешивали при -78°С в течение 1 ч. По каплям добавляли йодметан (2.09 мл, 33.6 ммоль, 1.5 экв.), и полученной в результате смеси давали нагреться до 0°С в течение 2 ч. Реакционную смесь гасили путем добавления насыщенного водного раствора хлорида аммония (20 мл), затем разбавляли водой (20 мл) и экстрагировали этилацетатом (3x20 мл). Объединенные органические экстракты последовательно промывали 2 М водным раствором тиосульфата натрия (50 мл) и соляным раствором (50 мл), сушили (сульфат магния) и концентрировали в вакууме. Очистка с помощью автоматической колоночной флэш-хроматографии (CombiFlash Rf, 80 г силикагелевый картридж RediSep™) с элюированием с градиентом 0 10% этилацетата в изогептане приводила к получению целевого продукта в виде соломенно-желтой жидкости (3.61 г, 19.2 ммоль, 86%).

ЖХ/МС (C13H16O) без ионизации; RT 1.15 (ЖХМС-V-B1)

1Н ЯМР (400 МГц, ДМСО-d6) δ 7.43-7.19 (m, 5Н), 4.46 (s, 2Н), 3.48 (t, J=6.3 Гц, 2Н), 2.23-2.14 (m, 2Н), 1.72 (t, 3Н), 1.71-1.62 (m, 2Н).

Стадия С: 4-[3-(Бензилокси)пропил]-3,6-дихлор-5-метилпиридазин Раствор дихлор-1,2,4,5-тетразина (2.5 г, 16.6 ммоль, 1 экв.) и продукта со Стадии В (3.74 г, 19.9 ммоль, 1.2 экв.) в толуоле (15 мл) нагревали в запаянной трубке при 160°С в течение 20 ч. Смеси давали охладиться до температуры окружающей среды и концентрировали в вакууме. Очистка с помощью автоматической колоночной флэш-хроматографии (CombiFlash Rf, 80 г силикагелевый картридж RediSep™) с элюированием с градиентом 0-35% этилацетата в изогептане приводила к получению целевого продукта в виде оранжевого масла (3.06 г, 9.83 ммоль, 62%).

ЖХ/МС (C15H16Cl2N2O) 311 [М+Н]+; RT 1.35 (ЖХМС-V-B1)

1Н ЯМР (400 МГц, ДМСО-d6) δ 7.47-7.14 (m, 5Н), 4.48 (s, 2Н), 3.53 (t, J=5.9 Гц, 2H), 2.96-2.81 (m, 2Н), 2.42 (s, 3Н), 1.87-1.72 (m, 2Н).

Синтез 8 са и 8cb: 6-Хлор-5-(пропан-2-ил)пиридазин-3-амин и 6-Хлор-4-(пропан-2-ил)пиридазин-3-амин

Продукт Синтеза 7 с (3.61 г, 18.9 ммоль, 1 экв.) суспендировали в аммиачной воде (20 мл) и нагревали при 150°С в течение 4 ч под микроволновым облучением. Твердые вещества собирали путем фильтрования, промывали водой и сушили с получением 6-хлор-5-(пропан-2-ил)пиридазин-3-амина (2.06 г, 12 ммоль, 64%) в виде не совсем белого твердого вещества [~ 9:1 смесь с другим региоизомером] (продукт Синтеза 8 са).

ЖХ/МС (C7H10ClN3) 172 [М+Н]+; RT 0.81 (ЖХМС-V-B1)

1Н ЯМР (400 МГц, ДМСО-d6) δ 6.76 (d, J=0.7 Гц, 1Н), 6.51 (s, 2H), 3.06-2.82 (m, 1H), 1.18 (d, 6H).

Фильтрат концентрировали в вакууме и сырой твердый остаток экстрагировали дихлорметаном, фильтровали и упаривали с получением 6-хлор-4-изопропилпиридазин-3-амина (447 мг, 2.6 ммоль, 14%) в виде желтого масла [~ 7:3 смесь с другим региоизомером] (продукт Синтеза 8cb).

ЖХ/МС (C7H10ClN3) 172 [М+Н]+; RT 0.79 (ЖХМС-V-B1)

1Н ЯМР (400 МГц, ДМСО-d6) δ 7.23 (s, 1H), 6.53 (s, 2Н), 2.95 - 2.80 (m, 1H), 1.15 (d, 6Н).

Синтез 8d: 6-Хлор-5-метилпиридазин-3-амин и 6-Хлор-4-метилпиридазин-3-амин

Суспензию 3,6-дихлор-4-метилпиридазина (2 г, 12.3 ммоль, 1 экв.) в аммиачной воде (40 мл) нагревали в реакторе высокого давления при 150°С в течение 6 ч, и затем давали охладиться до температуры окружающей среды. Полученный в результате осадок отфильтровывали, промывали водой (10 мл) и сушили с получением целевого продукта в виде тонких коричневых игл (1.31 г, 0.01 моль, 74%) [соотношение региоизомеров ~ 6:4]. Смесь изомеров использовали на следующей стадии без дополнительной очистки.

ЖХ/МС (C5H6ClN3) без ионизации; RT 0.28 (ЖХМС-V-B1)

Синтез 8е: 6-Хлор-4-метил-5-(пропан-2-ил)пиридазин-3-амин и 6-Хлор-5-метил-4-(пропан-2-ил)пиридазин-3-амин

Продукт Синтеза 7е (480 мг, 2.34 ммоль, 1 экв.) вводили в реакционный сосуд высокого давления. Добавляли аммиачную воду (15 мл), сосуд закупоривали, и смесь перемешивали при 160°С в течение 6 ч. Затем реакционной смеси давали охладиться до температуры окружающей среды, сосуд открывали и реакционную смесь концентрировали в вакууме, и смесь изомеров использовали на следующей стадии без очистки.

ЖХ/МС (C8H12ClN3) 186 [М+Н]+; RT 0.88 (ЖХМС-V-B1)

Синтез 8f: 6-Хлор-5-этил-4-метилпиридазин-3-амин и 6-Хлор-4-этил-5-метилпиридазин-3-амин

Суспензию продукта Синтеза 7f (4 г, 21 ммоль, 1 экв.) в аммиачной воде (15 мл) перемешивали при 160°С в закупоренной колбе в течение 24 ч. Смеси давали охладиться до температуры окружающей среды и наблюдали осаждение коричневого твердого вещества. Твердое вещество собирали путем фильтрования, промывали водой и сушили в вакууме с получением целевых продуктов в виде коричневого твердого вещества (1.4 г, 8.16 ммоль, 39%) [2:1 смесь региоизомеров]. Смесь изомеров использовали на следующей стадии без очистки.

ЖХ/МС (C7H10ClN3) 172 [М+Н]+; RT 1.53 (ЖХМС-V-C)

Синтез 8g: 5-[(Бензилокси)метил]-6-хлор-4-метилпиридазин-3-амин и 4-[(Бензилокси)метил]-6-хлор-5-метилпиридазин-3-амин

Продукт Синтеза 7g (600 мг, 2.12 ммоль, 1 экв.) суспендировали в виде масла в аммиачной воде (7 мл) и нагревали при 160°С в течение 5 ч в запаянной трубке. Смеси давали охладиться до температуры окружающей среды и наблюдали осаждение коричневого твердого вещества. Твердое вещество собирали путем фильтрования, промывали водой и сушили в вакууме с получением целевого продукта (455 мг, 1.73 ммоль, 81%) в виде смеси двух региоизомеров, которую непосредственно использовали на следующей стадии.

ЖХ/МС (C13H14ClN3O) 264 [М+Н]+; RT 1.02 (ЖХМС-V-B1)

Синтез 8ha и 8hb: 6-Хлор-5-циклопропил-4-метилпиридазин-3-амин и 6-Хлор-4-циклопропил-5-метилпиридазин-3-амин

Продукт Синтеза 7h (3.99 г, 19.7 ммоль, 1 экв.) суспендировали в аммиачной воде (10 мл) и нагревали в запаянной трубке в течение 20 ч. Смеси давали охладиться до температуры окружающей среды и осажденное твердое вещество собирали путем фильтрования и сушили с получением 6-хлор-5-циклопропил-4-метилпиридазин-3-амина (2.44 г, 13.3 ммоль, 68%) [продукт Синтеза 8ha], который непосредственно использовали на следующей стадии без дополнительной очистки.

ЖХ/МС (C8H10ClN3) 184 [М+Н]+; RT 0.80 (ЖХМС-V-B1)

Фильтрат концентрировали при пониженном давлении и затем упаривали с толуолом (х 3) для удаления остаточной воды с получением сырого вещества (2.00 г, 10.89 ммоль, 55%), содержащего 6-хлор-4-циклопропил-5-метилпиридазин-3-амин, который непосредственно использовали на следующих стадиях без дополнительной очистки [продукт Синтеза 8hb].

ЖХ/МС (C8H10ClN3) 184 [М+Н]+; RT 0.79 (ЖХМС-V-B1)

Синтез 8ia и 8ib: (6-Амино-3-хлор-5-метилпиридазин-4-ил)метанол и (3-Амино-6-хлор-5-метилпиридазин-4-ил)метанол

К охлажденному раствору продукта Синтеза 8g (3.1 г, 11.8 ммоль, 1 экв.) в дихлорметане (100 мл) по каплям добавляли раствор трихлорида бора (58.8 мл, 1 М, 0.06 моль, 5 экв.), и смесь перемешивали при температуре окружающей среды в течение 2 ч. Реакционную смесь охлаждали до 0-5°С и осторожно гасили путем добавления метанола (30 мл). Добавляли дополнительное количество метанола (30 мл), и смесь нагревали с обратным холодильником в течение 30 мин. Растворитель удаляли в вакууме и сырой продукт очищали с помощью автоматической колоночной флэш-хроматографии (CombiFlash Rf, 120 г силикагелевый картридж RediSep™) с элюированием с градиентом 0-17.5% метанола в дихлорметане с получением целевых региоизомерных продуктов:

(3-Амино-6-хлор-5-метилпиридазин-4-ил)метанола в виде бежевого твердого вещества (0.87 г, 5.0 ммоль, 42%) [продукт Синтеза 8ib].

ЖХ/МС (C6H8ClN3O) 174 [М+Н]+; RT 0.26 (ЖХМС-V-B1)

1Н ЯМР (400 МГц, ДМСО-d6) δ 8.13 (s, 2Н), 4.57 (s, 2Н), 2.40 (s, 3Н). (6-Амино-3-хлор-5-метилпиридазин-4-ил)метанола в виде бежевого твердого вещества (1.38 г, 7.9 ммоль, 67%) [продукт Синтеза 8ia].

ЖХ/МС (C6H8ClN3O) 174 [М+Н]+; RT 0.18 (ЖХМС-V-B1)

1Н ЯМР (400 МГц, ДМСО-d6) δ 8.18 (s, 2Н), 4.56 (s, 2Н), 2.31 (s, 3Н).

Синтез 8ja: 6-Хлор-5-(метоксиметил)-4-метилпиридазин-3-амин

Стадия А: 5-(бромметил)-6-хлор-4-метилпиридазин-3-амин

К суспензии продукта Синтеза 8ia (960 мг, 5.53 ммоль, 1 экв.) в дихлорметане (50 мл) добавляли трибромид фосфора (0.62 мл, 6.34 ммоль, 1.2 экв.), и смесь перемешивали в течение 1 ч при температуре окружающей среды. Реакционную смесь гасили путем добавления метанола (20 мл) и концентрировали в вакууме с получением твердого вещества(3.2 г). Вещество непосредственно использовали на следующей стадии без дополнительной очистки.

ЖХ/МС (C6H7BrClN3) 238 [М+Н]+; RT 0.81 (ЖХМС-V-B1)

Стадия В: 6-хлор-5-(метоксиметил)-4-метилпиридазин-3-амин

Раствор сырого продукта со Стадии А (780 мг) в метаноле (10 мл) нагревали при 120°С в течение 1 ч под микроволновым облучением. Смесь концентрировали в вакууме и очищали с помощью автоматической колоночной флэш-хроматографии (CombiFlash Rf, 12 г силикагелевый картридж RediSep™) с элюированием с градиентом 0-10% метанола в дихлорметане с получением целевого продукта в виде коричневого масла (323 мг, 0.90 ммоль, 66% за обе стадии).

ЖХ/МС (C7H10ClN3O) 188 [М+Н]+; RT 0.61 (ЖХМС-V-B1)

Синтез 8jb: 6-Хлор-4-(метоксиметил)-5-метилпиридазин-3-амин

Стадия А: 4-(бромметил)-6-хлор-5-метилпиридазин-3-амин

К суспензии продукта Синтеза 8ib (500 мг, 2.88 ммоль, 1 экв.) в дихлорметане (50 мл) добавляли трибромид фосфора (0.32 мл, 3.46 ммоль, 1.2 экв.), и смесь перемешивали в течение 1 ч при температуре окружающей среды. Реакционную смесь гасили путем добавления метанола (20 мл) и затем летучую органику удаляли в вакууме. Очистка с помощью автоматической колоночной флэш-хроматографии (CombiFlash Rf, 24 г силикагелевый картридж RediSep™) с элюированием с градиентом 0-5% метанола в дихлорметане приводила к получению целевого продукта в виде оранжевого твердого вещества (695 мг, 2.94 ммоль, 100%).

ЖХ/МС (C6H7BrClN3) 238 [М+Н]+; RT 0.82 (ЖХМС-V-B1)

1Н ЯМР (400 МГц, ДМСО-d6) δ 7.84 (br s, включая пик воды), 4.76 (s, 2Н), 2.38 (s, 3Н).

Стадия В: 6-хлор-4-(метоксиметил)-5-метилпиридазин-3-амин

Раствор продукта со Стадии А (430 мг, 1.82 ммоль, 1 экв.) в метаноле (10 мл) нагревали при 120°С в течение 30 мин под микроволновым облучением. Смесь концентрировали в вакууме и очищали с помощью автоматической колоночной флэш-хроматографии (CombiFlash Rf, 24 г силикагелевый картридж RediSep™) с элюированием с градиентом 0-5% метанола в дихлорметане с получением целевого продукта в виде пурпурного кристаллического твердого вещества (91 мг, 0.49 ммоль, 27%).

ЖХ/МС (C7H10ClN3O) 188 [М+Н]+; RT 0.70 (ЖХМС-V-B1)

1Н ЯМР (400 МГц, ДМСО-d6) δ 7.66 (s, 2Н), 4.50 (s, 2Н), 3.32 (s, 3Н), 2.38 (s, 3Н).

Синтез 8ка: 6-Хлор-5-(этоксиметил)-4-метилпиридазин-3-амин

Раствор продукта Синтеза 8ja, Стадия А (500 мг, 2.11 ммоль, 1 экв.), в этаноле (15 мл) нагревали при 120°С в течение 1 ч под микроволновым облучением. Смесь концентрировали в вакууме и очищали с помощью автоматической колоночной флэш-хроматографии (CombiFlash Rf, 24 г силикагелевый картридж RediSep™) с элюированием с градиентом 0-10% метанола в дихлорметане с получением целевого продукта в виде вязкого масла, которое кристаллизовалось при расцарапывании (136 мг, 0.67 ммоль, 32%).

ЖХ/МС (C8H12ClN3O) 202 [М+Н]+; RT 0.63 (ЖХМС-V-B1)

1Н ЯМР (400 МГц, ДМСО-d6) δ 4.56 (s, 2Н), 3.55 (q, J=7.0 Гц, 2Н), 2.28 (s, ЗН), 1.14 (t, J=7.0 Гц, 3Н).

Синтез 8ma и 8mb: 5-[3-(Бензилокси)пропил]-6-хлор-4-метилпиридазин-3-амин и 4-[3-(Бензилокси)пропил]-6-хлор-5-метилпиридазин-3-амин

Продукт Синтеза 7m (3.06 г, 9.83 ммоль, 1 экв.) и аммиачную воду (15 мл) нагревали в закупоренной колбе в течение 48 ч при 160°С. Смеси давали охладиться до температуры окружающей среды и экстрагировали дихлорметаном (2 x 100 мл). Органику промывали соляным раствором (50 мл) и концентрировали в вакууме. Очистка с помощью автоматической колоночной флэш-хроматографии (CombiFlash Rf, 80 г силикагелевый картридж RediSep™) с элюированием с градиентом 0 100% этилацетата в изогептане приводила к получению целевых региоизомерных продуктов:

5-[3-(Бензилокси)пропил]-6-хлор-4-метилпиридазин-3-амина в виде бежевого твердого вещества (1.3 г, 4.46 ммоль, 45%) [продукт Синтеза 8 та].

ЖХ/МС (C15H18ClN3O) 292 [М+Н]+; RT 1.12 (ЖХМС-V-B1)

1Н ЯМР (400 МГц, ДМСО-d6) δ 7.47-7.20 (m, 5Н), 6.33 (s, 2Н), 4.48 (s, 2Н), 3.49 (t, J=6.0 Гц, 2Н), 2.79-2.66 (m, 2Н), 2.08 (s, 3Н), 1.84-1.65 (m, 2Н).

4-[3-(Бензилокси)пропил]-6-хлор-5-метилпиридазин-3-амина в виде бежевого твердого вещества (500 мг, 1.71 ммоль, 17%) [продукт Синтеза 8mb].

ЖХ/МС (C15H18ClN3O) 292 [М+Н]+; RT 1.15 (ЖХМС-V-B1)

1Н ЯМР (400 МГц, ДМСО-d6) δ 7.49-7.15 (m, 5Н), 6.34 (s, 2Н), 4.48 (s, 2Н), 3.47 (t, J=6.2 Гц, 2Н), 2.72-2.54 (m, 2Н), 2.22 (s, 3Н), 1.83-1.61 (m, 2Н).

Синтез 9а: N-(6-Хлор-4,5-диметилпиридазин-3-ил)-1,3-бензотиазол-2-амин

К раствору 3-амино-6-хлор-4,5-диметилпиридазина (450 мг, 2.86 ммоль, 1 экв.) и 2-бром-1,3-бензотиазола (672 мг, 3.14 ммоль, 1.1 экв.) в 1,4-диоксане (20 мл) порциями добавляли гидрид натрия (60% дисперсия; 457 мг, 11.42 ммоль, 4 экв.), и смесь нагревали с обратным холодильником в течение 16 ч. Реакционной смеси давали охладиться до температуры окружающей среды и затем гасили уксусной кислотой. Смесь разбавляли этилацетатом (200 мл) и промывали водным насыщенным раствором бикарбоната натрия (100 мл) и соляным раствором (100 мл). Органический экстракт сушили (сульфат магния) и концентрировали в вакууме. Очистка с помощью автоматической колоночной флэш-хроматографии (CombiFlash Rf, 40 г силикагелевый картридж RediSep™) с элюированием с градиентом 0-3% метанола в дихлорметане приводила к получению целевого продукта в виде желтого твердого вещества (673 мг, 2.32 ммоль, 81%).

ЖХ/МС (C13H11ClN4S) 291 [М+Н]+; RT 1.22 (ЖХМС-V-B1)

1Н ЯМР (400 МГц, ДМСО-d6) δ 11.80 (br s, 1Н), 7.86 (d, J=7.75 Гц, 1H), 7.50 (s, 1H), 7.40 (td, J=1.28, 7.69 Гц, 1H), 7.22 (t, J=7.67 Гц, 1H), 2.37 (s, 3H), 2.33 (s, 3H).

Синтез 9b: N-(6-Хлорпиридазин-3-ил)-1,3-бензотиазол-2-амин

К раствору 3-амино-6-хлорпиридазина (2 г, 15.4 ммоль, 1 экв.) и 2-бром-1,3-бензотиазола (3.64 г, 17.0 ммоль, 1.1 экв.) в 1,4-диоксане (120 мл) порциями добавляли гидрид натрия (60% дисперсия; 2.47 г, 61.8 ммоль, 4 экв.), и смесь нагревали с обратным холодильником в течение 30 мин. Реакционной смеси давали охладиться до температуры окружающей среды, и затем охлаждали на водяной бане со льдом и гасили метанолом. Удаление метанола путем ротационного упаривания вызывало осаждение твердого вещества. Смесь охлаждали в воде со льдом и твердое вещество собирали путем фильтрования, промывали охлажденным посредством льда 1,4-диоксаном (100 мл) и затем диэтиловым эфиром (100 мл). В заключение твердое вещество суспендировали в воде, рН доводили до 7 и твердое вещество собирали путем фильтрования и сушили в вакууме с получением целевого продукта (1.94 г, 7.38 ммоль, 48%).

ЖХ/МС (C11H7ClN4S) 263 [М+Н]+; RT 1.1 (ЖХМС-V-B1)

1Н ЯМР (400 МГц, ДМСО-d6) δ 12.03 (s, 1H), 8.00-7.93 (m, 1Н), 7.82 (d, J=9.3 Гц, 1H), 7.69 (d, J=8.0 Гц, 1H), 7.59 (d, J=9.3 Гц, 1H), 7.46-7.37 (m, 1H), 7.30-7.23 (m, 1H).

Синтез 9ca: N-[6-Хлор-5-(пропан-2-ил)пиридазин-3-ил]-1,3-бензотиазол-2-амин

К суспензии продукта Синтеза 8 са (2.06 г, 12 ммоль, 1 экв.) в 1,4-диоксане (70 мл) добавляли 2-бром-1,3-бензотиазол (2.83 г, 13.2 ммоль, 1.1 экв.) с последующим добавлением порциями гидрида натрия (60% дисперсия; 0.96 г, 24.01 ммоль, 2 экв.), и смесь нагревали при 90°С в течение 30 мин. Затем реакционной смеси давали охладиться до температуры окружающей среды, после чего смесь охлаждали в воде со льдом, гасили путем добавления уксусной кислоты и концентрировали в вакууме. Полученное в результате твердое вещество растирали с водой, отфильтровывали и сушили в вакууме. Очистка с помощью автоматической колоночной флэш-хроматографии (CombiFlash Rf, 120 г силикагелевый картридж RediSep™) с элюированием с градиентом 0-50% этилацетата в изогептане приводила к получению твердого вещества, которое растирали с этилацетатом, отфильтровывали и сушили в вакууме с получением целевого продукта в виде не совсем белого твердого вещества (1.54 г, 5.05 ммоль, 42%).

ЖХ/МС (C14H13ClN4S) 305 [М+Н]+; RT 1.31 (ЖХМС-V-B1)

1Н ЯМР (400 МГц, ДМСО-d6) δ 11.87 (s, 1H), 7.99-7.91 (m, 1H), 7.69 (d, J=8.1 Гц, 1Н), 7.51 (s, 1H), 7.42 (ddd, J=8.3, 7.2, 1.3 Гц, 1H), 7.26 (ddd, J=8.2, 7.3, 1.2 Гц, 1H), 3.25 3.06 (m, 1H), 1.26 (d, J=6.8 Гц, 6H).

Синтез 9cb: N-[6-Хлор-4-(пропан-2-ил)пиридазин-3-ил]-1,3-бензотиазол-2-амин

К раствору продукта Синтеза 8cb (47 мг, 2.6 ммоль, 1 экв.) и 2-бром-1,3-бензотиазола (669 мг, 3.13 ммоль, 1.2 экв.) в 1,4-диоксане (10 мл) порциями добавляли гидрид натрия (60% дисперсия; 208 мг, 5.21 ммоль, 2 экв.), и смесь нагревали с обратным холодильником в течение 1 ч. Смеси давали охладиться до температуры окружающей среды, затем охлаждали до 0°С и гасили путем добавления уксусной кислоты. После упаривания остаток распределяли между этилацетатом и водой, и органическую фазу промывали соляным раствором, сушили (сульфат магния) и концентрировали в вакууме. Очистка с помощью автоматической колоночной флэш-хроматографии (CombiFlash Rf, 24 г силикагелевый картридж RediSep™) с элюированием с градиентом 0 20% этилацетата в изогептане приводила к получению целевого продукта в виде ярко-желтого твердого вещества (367 мг, 1.2 ммоль, 46%).

ЖХ/МС (C14H13ClN4S) 305 [М+Н]+; RT 1.35 (ЖХМС-V-B1)

1Н ЯМР (400 МГц, ДМСО-d6) δ 12.64 (s, 1H), 7.82 (br s, 1Н), 7.61 (s, 1H), 7.40 (br s+1, J=7.3 Гц, 2H), 7.22 (t, J=6.8 Гц, 1H), 3.49 (p, J=6.8 Гц, 1H), 1.25 (d, J=6.9 Гц, 6H).

Синтез 9da и 9db: N-(6-Хлор-5-метилпиридазин-3-ил)-1,3-бензотиазол-2-амин и N-(6-Хлор-4-метилпиридазин-3-ил)-1,3-бензотиазол-2-амин

К суспензии продукта Синтеза 8d (1.31 г, 9.1 ммоль, 1 экв.) и 2-бром-1,3-бензотиазола (2.14 г, 10.01 ммоль, 1.1 экв.) в 1,4-диоксане (50 мл) порциями добавляли гидрид натрия (60% дисперсия; 0.73 г, 18.2 ммоль, 2 экв.), и смесь нагревали с обратным холодильником в течение 1 ч. Реакционной смеси давали охладиться до температуры окружающей среды, гасили уксусной кислотой, затем нейтрализовали водным раствором бикарбоната натрия. Смесь экстрагировали этилацетатом (100 мл х 3) и объединенные органические экстракты промывали соляным раствором, сушили (сульфат магния) и концентрировали в вакууме. Очистка с помощью автоматической колоночной флэш-хроматографии (CombiFlash Rf, 120 г силикагелевый картридж RediSep™) с элюированием с градиентом 0 80% этилацетата в изогептане приводила к получению целевых продуктов:

N-(6-Хлор-4-метилпиридазин-3-ил)-1,3-бензотиазол-2-амина в виде желтого твердого вещества (140 мг, 0.51 ммоль, 5.6%) [продукт Синтеза 9db].

ЖХ/МС (C12H9ClN4S) 277 [М+Н]+; RT 1.18 (ЖХМС-V-B1)

1Н ЯМР (400 МГц, ДМСО-d6) δ 7.90 (s, 1H), 7.71 (s, 1Н), 7.57 (br s, 1H), 7.41 (t, J=7.5 Гц, 1H), 7.24 (t, J=7.5 Гц, 1H), 2.39 (s, 3H).

N-(6-Хлор-5-метилпиридазин-3-ил)-1,3-бензотиазол-2-амина в виде желтого твердого вещества (69 мг, 0.25 ммоль, 2.7%) [продукт Синтеза 9da].

ЖХ/МС (C12H9ClN4S) 277 [М+Н]+; RT 1.15 (ЖХМС-V-B1)

1Н ЯМР (400 МГц, ДМСО-d6) δ 11.92 (s, 1H), 7.96 (d, J=7.7 Гц, 1H), 7.69 (d, J=8.5 Гц, 1H), 7.48 (d, J=1.2 Гц, 1H), 7.42 (ddd, J=8.2, 7.2, 1.3 Гц, 1H), 7.26 (ddd, J=8.2, 7.3, 1.2 Гц, 1Н), 2.38 (d, J=1.0 Гц, 3Н).

Синтез 9еа и 9eb: N-[6-Хлор-4-метил-5-(пропан-2-ил)пиридазин-3-ил]-1,3-бензотиазол-2-амин и N-[6-Хлор-5-метил-4-(пропан-2-ил)пиридазин-3-ил]-1,3-бензотиазол-2-амин

К суспензии продукта Синтеза 8е (434 мг, 2.34 ммоль, 1 экв.) и 2-бром-1,3-бензотиазола (551 мг, 2.57 ммоль, 1.1 экв.) в 1,4-диоксане (10 мл) порциями добавляли гидрид натрия (60% дисперсия; 187 мг, 4.68 ммоль, 2 экв.), и смесь нагревали с обратным холодильником в течение 1 ч. Реакционной смеси давали охладиться до температуры окружающей среды и затем гасили уксусной кислотой. Смесь затем разбавляли водным раствором бикарбоната натрия и продукт экстрагировали дихлорметаном. Органику промывали соляным раствором, сушили (сульфат магния) и концентрировали в вакууме. Очистка с помощью автоматической колоночной флэш-хроматографии (CombiFlash Rf, 40 г силикагелевый картридж RediSep™) с элюированием с градиентом 0 - 30% этилацетата в изогептане приводила к получению целевых региоизомерных продуктов:

N-[6-Хлор-5-метил-4-(пропан-2-ил)пиридазин-3-ил]-1,3-бензотиазол-2-амина в виде желтого твердого вещества (114 мг, 0.36 ммоль, 15%) [продукт Синтеза 9eb].

ЖХ/МС (C15H15ClN4S) 319 [М+Н]+; RT 1.39 (ЖХМС-V-B1)

1Н ЯМР (400 МГц, ДМСО-d6) δ 12.48 (s, 1H), 7.73 (d, J=7.8 Гц, 1H), 7.41-7.32 (m, 1Н), 7.3 7.26 (m, 1H), 7.18 (t, J=7.5 Гц, 1H), 3.76-3.58 (m, 1H), 2.41 (s, 3H), 1.41 (d, J=7.0 Гц, 6H).

N-[6-Хлор-4-метил-5-(пропан-2-ил)пиридазин-3-ил]-1,3-бензотиазол-2-амина в виде оранжевого твердого вещества (300 мг, 0.94 ммоль, 40%) [продукт Синтеза 9еа].

ЖХ/МС (C15H15ClN4S) 319 [М+Н]+; RT 1.36 (ЖХМС-V-B1)

1Н ЯМР (400 МГц, ДМСО-d6) δ 12.64 (br s, 1Н), 7.91-7.78 (m, 1H), 7.46 (br s, 1H), 7.40 (t, 1H), 7.22 (t, 1H), 3.56 (h, 1H), 2.47 (s, 3H), 1.37 (d, J=7.2 Гц, 6H).

Синтез 9fa и 9fb: N-(6-Хлор-5-этил-4-метилпиридазин-3-ил)-1,3-бензотиазол-2-амин и N-(6-хлор-4-этил-5-метилпиридазин-3-ил)-1,3-бензотиазол-2-амин

К суспензии продукта Синтеза 8f (1.4 г, 8.16 ммоль, 1 экв.) и 2-бром-1,3-бензотиазола (2.1 г, 9.79 ммоль, 1.2 экв.) в 1,4-диоксане (50 мл) порциями добавляли гидрид натрия (60% дисперсия; 1.31 г, 32.6 ммоль, 4 экв.). Смесь нагревали с обратным холодильником в течение 1.5 ч, затем давали охладиться до температуры окружающей среды. Реакционную смесь гасили уксусной кислотой и нейтрализовали бикарбонатом натрия. Смесь экстрагировали этилацетатом (х2) и объединенные органические экстракты промывали соляным раствором, сушили (сульфат магния) и концентрировали в вакууме. Очистка с помощью автоматической колоночной флэш-хроматографии (CombiFlash Rf, 120 г силикагелевый картридж RediSep™) с элюированием с градиентом 0-35% этилацетата в изогептане приводила к получению целевых региоизомерных продуктов:

N-(6-Хлор-4-этил-5-метилпиридазин-3-ил)-1,3-бензотиазол-2-амина в виде желтого твердого вещества (330 мг, 1.08 ммоль, 13%) [продукт Синтеза 9fb].

ЖХ/МС (C14H13ClN4S) 305 [М+Н]+; RT 1.31 (ЖХМС-V-B1)

1Н ЯМР (400 МГц, ДМСО-d6) δ 7.82 (br s, 1Н), 7.38 (br s+1, 2H), 7.21 (t, 1H), 2.91 (q, J=7.4 Гц, 2H), 2.38 (s, 3H), 1.12 (t, J=7.5 Гц, 3H).

N-(6-Хлор-5-этил-4-метилпиридазин-3-ил)-1,3-бензотиазол-2-амина в виде желтого твердого вещества (750 мг, 2.46 ммоль, 30%) [продукт Синтеза 9fa].

ЖХ/МС (C14H13ClN4S) 305 [М+Н]+; RT 1.30 (ЖХМС-V-B1)

1Н ЯМР (400 МГц, ДМСО-d6) δ 7.86 (s, 1H), 7.49 (br s, 1Н), 7.40 (t, 1H), 7.22 (t, 1H), 2.79 (q, J=7.5 Гц, 2H), 2.41 (s, 3H), 1.14 (t, J=7.5 Гц, 3H).

Синтез 9ga и 9gb: N-{5-[(Бензилокси)метил]-6-хлор-4-метилпиридазин-3-ил}-1,3-бензотиазол-2-амин и N-{4-[(бензилокси)метил]-6-хлор-5-метилпиридазин-3-ил}-1,3-бензотиазол-2-амин

К раствору продукта Синтеза 8g (1.16 г, 4.4 ммоль, 1 экв.) и 2-бром-1,3-бензотиазола (1.22 г, 5.72 ммоль, 1.3 экв.) в 1,4-диоксане (30 мл) порциями добавляли гидрид натрия (60% дисперсия; 352 мг, 8.8 ммоль, 2 экв.), и реакционную смесь нагревали с обратным холодильником в течение 2 ч. Смеси давали охладиться до температуры окружающей среды, гасили уксусной кислотой и нейтрализовали бикарбонатом натрия. Продукт экстрагировали, используя этилацетат (200 мл x 2), и промывали соляным раствором (100 мл). Органический экстракт сушили (сульфат магния) и концентрировали в вакууме. Очистка с помощью автоматической колоночной флэш-хроматографии (CombiFlash Rf, 120 г силикагелевый картридж RediSep™) с элюированием с градиентом 0-30% этилацетата в изогептане приводила к получению целевых региоизомерных продуктов:

N-{4-[(Бензилокси)метил]-6-хлор-5-метилпиридазин-3-ил}-1,3-бензотиазол-2-амина в виде желтого твердого вещества (250 мг, 0.63 ммоль, 14%) [продукт Синтеза 9gb].

ЖХ/МС (C20H17ClN4OS) 398 [М+Н]+; RT 1.43 (ЖХМС-V-B1)

1Н ЯМР (400 МГц, ДМСО-d6) δ 12.53 (br s, 1Н), 7.84 (d, J=7.6 Гц, 1H), 7.55-7.27 (m, 7H), 7.23 (t, 1H), 4.89 (s, 2H), 4.61 (s, 2H), 2.38 (s, 3H).

N-{5-[(Бензилокси)метил]-6-хлор-4-метилпиридазин-3-ил}-1,3-бензотиазол-2-амина в виде желтого твердого вещества (253 мг, 0.64 ммоль, 14%) [продукт Синтеза 9ga].

ЖХ/МС (C20H17ClN4OS) 398 [М+Н]+; RT 1.39 (ЖХМС-V-B1)

1Н ЯМР (400 МГц, ДМСО-d6) δ 12.71 (br s, 1Н), 7.85 (s, 1H), 7.45-7.27 (m, 7H), 7.26-7.15 (m, 1H), 4.67 (s, 2H), 4.60 (s, 2H), 2.44 (s, 3H).

Синтез 9ha: N-(6-Хлор-5-циклопропил-4-метилпиридазин-3-ил)-1,3-бензотиазол-2-амин

К раствору продукта Синтеза 8ha (2.44 г, 13.3 ммоль, 1 экв.) и 2-бром-1,3-бензотиазола (3.7 г, 17.3 ммоль, 1.3 экв.) в 1,4-диоксане (50 мл) порциями добавляли гидрид натрия (60% дисперсия; 1.06 г, 26.6 ммоль, 2 экв.), и смесь нагревали с обратным холодильником в течение 1 ч. Реакционной смеси давали охладиться до температуры окружающей среды, затем гасили уксусной кислотой и нейтрализовали путем добавления бикарбоната натрия. Полученный в результате осадок собирали путем фильтрования и сушили в вакууме с получением целевого продукта (0.98 г, 3.09 ммоль, 23%).

ЖХ/МС (C15H13ClN4S) 317 [М+Н]+; RT 1.30 (ЖХМС-V-B1)

1Н ЯМР (400 МГц, ДМСО-d6) δ 11.88 (br s, 1Н), 7.82 (d, 1H), 7.47 (d, J=8.0 Гц, 1H), 7.39-7.32 (m, 1H), 7.21-7.13 (m, 1H), 2.47 (d, J=1.0 Гц, 3Н), 1.93-1.79 (m, 1H), 1.23-1.08 (m, 2H), 0.69 (td, J=6.2, 4.4 Гц, 2H).

Синтез 9hb: N-(6-Хлор-4-циклопропил-5-метилпиридазин-3-ил)-1,3-бензотиазол-2-амин

К раствору 2-бром-1,3-бензотиазола (2.8 г, 13.1 ммоль, 1.2 экв.) и продукта Синтеза 8hb (2 г, 10.9 ммоль, 1 экв.) в 1,4-диоксане (50 мл) порциями добавляли гидрид натрия (60% дисперсия; 0.52 г, 21.8 ммоль, 2 экв.), и реакционную смесь нагревали с обратным холодильником в течение 1 ч. Смеси давали охладиться до температуры окружающей среды и концентрировали в вакууме. Остаток вносили в этилацетат, фильтровали, и твердый остаток экстрагировали этилацетатом. Объединенные органические экстракты промывали соляным раствором, сушили (сульфат магния) и концентрировали в вакууме. Очистка с помощью автоматической колоночной флэш-хроматографии (CombiFlash Rf, 40 г силикагелевый картридж RediSep™) с элюированием с градиентом 0 40% этилацетата в изогептане приводила к получению целевого продукта в виде желтого твердого вещества (219 мг, 0.69 ммоль, 6%).

ЖХ/МС (C15H13ClN4S) 317 [М+Н]+; RT 1.28 (ЖХМС-V-B1)

1Н ЯМР (400 МГц, ДМСО-d6) δ 10.74 (br s, 1Н), 8.05-7.85 (m, 1H), 7.78-7.55 (m, 1H), 7.42 (t, 1H), 7.25 (t, 1H), 2.47 (d, J=0.9 Гц, 4H), 2.01-1.89 (m, 1H), 1.14-1.02 (m, 2H), 0.72-0.60 (m, 2H).

Синтез 9ja: N-[6-Хлор-5-(метоксиметил)-4-метилпиридазин-3-ил]-1,3-бензотиазол-2-амин

К раствору продукта Синтеза 8ja (323 мг, 1 экв.) и 2-бром-1,3-бензотиазола (442 мг, 2.07 ммоль, 1.2 экв.) в 1,4-диоксане (10 мл) порциями добавляли гидрид натрия (60% дисперсия; 138 мг, 3.44 ммоль, 2 экв.), и смесь нагревали с обратным холодильником в течение 1.5 ч. Смесь охлаждали до температуры окружающей среды, нейтрализовали уксусной кислотой и концентрировали в вакууме. Сырое вещество распределяли между дихлорметаном и водой, и органическую фазу сушили (сульфат магния) и концентрировали в вакууме. Очистка с помощью автоматической колоночной флэш-хроматографии (CombiFlash Rf, 40 г силикагелевый картридж RediSep™) с элюированием с градиентом 0 50% этилацетата в изогептане приводила к получению целевого продукта в виде ярко-желтого твердого вещества (85 мг, 0.26 ммоль, 15%).

ЖХ/МС (C14H13ClN4OS) 321 [М+Н]+; RT 1.19 (ЖХМС-V-B1)

1Н ЯМР (400 МГц, ДМСО-d6) δ 8.18-6.98 (m, 5Н), 4.58 (s, 2Н), 3.35 (s, 3Н), 2.46 (s, 3Н).

Синтез 9jb: N-[6-Хлор-4-(метоксиметил)-5-метилпиридазин-3-ил]-1,3-бензотиазол-2-амин

К раствору продукта Синтеза 8jb (140 мг, 0.81 ммоль, 1 экв.) и 2-бром-1,3-бензотиазола (224 мг, 1.05 ммоль, 1.3 экв.) в 1,4-диоксане (7 мл) порциями добавляли гидрид натрия (60% дисперсия; 58.1 мг, 2.42 ммоль, 3 экв.), и смесь нагревали с обратным холодильником в течение 30 мин. Реакционную смесь охлаждали до 0°С и медленно гасили водой, разбавляли этилацетатом и промывали бикарбонатом натрия и соляным раствором. Органическую фазу сушили (сульфат магния) и концентрировали в вакууме. Очистка с помощью автоматической колоночной флэш-хроматографии (CombiFlash Rf, 24 г силикагелевый картридж RediSep™) с элюированием с градиентом 0 100% этилацетата в изогептане приводила к получению целевого продукта в виде желтого твердого вещества (169 мг, 0.53 ммоль, 58%).

ЖХ/МС (C14H13ClN4OS) 321 [М+Н]+; RT 1.23 (ЖХМС-V-B1)

1Н ЯМР (400 МГц, ДМСО-d6) δ 12.63 (s, 1H), 7.79 (s, 1Н), 7.54-7.26 (m, 2H), 7.22 (s, 1H), 4.77 (s, 2H), 3.36 (s, 3H), 2.41 (s, 3H).

Синтез 9ka: N-[6-Хлор-5-(этоксиметил)-4-метилпиридазин-3-ил]-1,3-бензотиазол-2-амин

К раствору продукта Синтеза 8ka (136 мг, 0.67 ммоль, 1 экв.) и 2-бром-1,3-бензотиазола (173 мг, 0.81 ммоль, 1.2 экв.) в 1,4-диоксане (10 мл) порциями добавляли гидрид натрия (60% дисперсия; 53.9 мг, 1.35 ммоль, 2 экв.), и смесь нагревали с обратным холодильником в течение 1 ч. Реакционной смеси давали охладиться до температуры окружающей среды и гасили водой. Смесь распределяли между этилацетатом и насыщенным водным раствором бикарбоната натрия, и органическую фазу промывали соляным раствором, затем сушили (сульфат магния) и концентрировали в вакууме. Очистка с помощью автоматической колоночной флэш-хроматографии (CombiFlash Rf, 24 г силикагелевый картридж RediSep™) с элюированием с градиентом 0 40% этилацетата в изогептане приводила к получению целевого продукта в виде желтого твердого вещества (113 мг, 0.34 ммоль, 50%).

ЖХ/МС (C15H15ClN4OS) 335 [М+Н]+; RT 1.28 (ЖХМС-V-B1)

1Н ЯМР (400 МГц, ДМСО-d6) δ 7.86 (s, 1H), 7.46 (br s, 1Н), 7.41 (t, 1H), 7.23 (t, J=7.7 Гц, 1H), 4.61 (s, 2H), 3.56 (q, J=7.0 Гц, 2H), 2.47 (s, 3H), 1.16 (t, J=7.0 Гц, 3Н).

Синтез 9ma: N-{5-[3-(Бензилокси)пропил]-6-хлор-4-метилпиридазин-3-ил}-1,3-бензотиазол-2-амин

К раствору продукта Синтеза 8 та (1.3 г, 4.46 ммоль, 1 экв.) и 2-бром-1,3-бензотиазола (1.14 г, 5.35 ммоль, 1.2 экв.) в 1,4-диоксане (50 мл) порциями добавляли гидрид натрия (60% дисперсия; 356 мг, 8.91 ммоль, 2 экв.), и смесь нагревали с обратным холодильником в течение 1 ч. Реакционной смеси давали охладиться до температуры окружающей среды, затем гасили путем добавления воды и распределяли между этилацетатом (100 мл) и бикарбонатом натрия (50 мл). Органическую фазу промывали соляным раствором (50 мл), сушили (сульфат магния) и концентрировали в вакууме. Очистка с помощью автоматической колоночной флэш-хроматографии (CombiFlash Rf, 80 г силикагелевый картридж RediSep™) с элюированием с градиентом 0-55% этилацетата в изогептане приводила к получению целевого продукта в виде кремового твердого вещества (1.59 г, 3.74 ммоль, 84%).

ЖХ/МС (C22H21ClN4OS) 425 [М+Н]+; RT 1.25 (ЖХМС-V-B1)

1Н ЯМР (400 МГц, ДМСО-d6) δ 7.86 (s, 1H), 7.67-7.11 (m, 8Н), 4.50 (s, 2Н), 3.53 (t, J=6.0 Гц, 2Н), 2.94-2.81 (m, 2Н), 2.41 (s, 3Н), 1.89-1.72 (m, 2Н).

Синтез 10а: 1-(1-Адамантилметил)-5-метил-4-(4,4,5,5-тетраметил-1,3,2-диоксаборолан-2-ил)пиразол

Стадия А: 1-(1-адамантилметил)-4-йодпиразол

Смесь 35.9 г 1-адамантилметанола (216 ммоль), 73.48 г трифенилфосфина (280 ммоль, 1.3 экв.), 54.25 г 4-йод-1Н-пиразола (280 ммоль, 1.3 экв.) и 64.4 г mpem-бутил N-(трет-бутоксикарбонилиминометилен)карбамата (266 ммоль. 1.3 экв.) в 1078 мл ТГФ перемешивали при к.т.в течение 48 ч. После добавления дополнительных 10.94 г 4-йод-1Н-пиразола (56 ммоль, 0.26 экв.), 12.81 г трет-бутил N-(трет-бутоксикарбонилиминометилен)карбамата (53 ммоль, 0.26 экв.) и 14.69 г трифенилфосфина (56 ммоль, 0.26 экв.), реакционную смесь перемешивали при к.т.в течение 24 ч, затем концентрировали, очищали с помощью колоночной флэш-хроматографии, используя ДХМ в качестве элюента, и полученное вещество растирали в холодном МеОН и отфильтровывали с получением 53.6 г (73%) целевого продукта.

Стадия В: 1-(1-адамантилметил)-4-йод-5-метилпиразол

К 9.8 мл диизопропиламина (69.5 ммоль, 1.1 экв.) в 180 мл ТГФ при -78°С по каплям добавляли 33.4 мл 2.5 Μ раствора бутиллития (84 ммоль, 1.3 экв.), и смесь перемешивали при -78°С в течение 0.5 ч, обрабатывали 22.0 г продукта со Стадии А (64.28 ммоль, 1 экв.) в 90 мл ТГФ, перемешивали при -78°С в течение 1 ч, обрабатывали 4.67 мл метилйодида (73.3 ммоль, 1.14 экв.), и перемешивали при -78°С в течение 18 ч. После гашения реакционной смеси конц. раствором NH4Cl, реакционную смесь экстрагировали с помощью EtOAc и объединенные органические фазы промывали соляным раствором, сушили, концентрировали, растирали с МеОН и отфильтровывали с получением 21 г (92%) целевого продукта.

1H ЯМР (400 МГц, CDC13) δ м.д. 7.44 (s, 1Н), 3.77 (s, 2Н), 2.30 (s, ЗН), 1.99 (bs, 3Н), 1.74/1.52 (m, 12Н).

Стадия С: 1-(1-адамантилметил)-5-метил-4-(4,4,5,5-тетраметил-1,3,2-диоксаборолан-2-ил)пиразол

К 21 г продукта со Стадии В (58.95 ммоль, 1 экв.) в 300 мл ТГФ при -78°С добавляли 28.3 мл 2.5 Μ раствора бутиллития (70.8 ммоль, 1.2 экв.), и смесь перемешивали при -78°С в течение 0.5 ч, обрабатывали 16.4 г 2-изопропокси-4,4,5,5-тетраметил-1,3,2-диоксаборолана (88.1 ммоль, 1.5 экв.) (добавляли порциями через 40 мин), и выдерживали при - 78°С в течение 24 ч. После гашения реакционной смеси конц. раствором NH4Cl при к.т., реакционную смесь экстрагировали с помощью EtOAc и объединенные органические фазы промывали соляным раствором, сушили, концентрировали, растирали с МеОН, и отфильтровывали с получением 19.7 г (94%) целевого продукта.

1Н ЯМР (500 МГц, ДМСО-d6) δ м.д. 7.45 (s, 1H), 3.69 (s, 2Н), 2.36 (s, 3Н), 1.91 (m, 1H), 1.64/1.54 (m, 6Н), 1.50 (m, 6Н), 1.24 (s, 12Н); 13С ЯМР (500 МГц,, ДМСО-d6) δ м.д. 146.9, 144.1, 104.6, 59.7, 40.6, 36.8, 35.4, 28.1, 25.1, 12.1; МСВР-ЭРИ (m/z): [М+Н]+, рассчитано для C21H34BN2O2: 357.2713, найдено: 357.2704.

Синтез 10b: 1-{[1-(3-Метоксипропил)циклооктил]метил}-5-метил-4-(4,4,5,5-тетраметил-1,3,2-диоксаборолан-2-ил)-1Н-пиразол

Стадия А: метил 1-(3-метоксипропил)циклооктанкарбоксилат

К 4.74 г (1.14 экв.) диизопропиламина в 90 мл тетрагидрофурана при -78°С добавляли 18.8 мл (1.14 экв.) 2.5 Μ раствора бутиллития и, после выдерживания в течение 0.5 ч при -78°С, добавляли 7.0 г (41.1 ммоль) метил циклооктанкарбоксилата в 40 мл тетрагидрофурана в течение 1 ч. После выдерживания в течение 1 ч при -78°С, добавляли 7.2 г (1.14 экв.) 1-бром-3-метоксипропана, и смесь перемешивали в течение 18 ч. После гашения реакционной смеси путем добавления насыщенного раствора NH4Cl, смесь экстрагировали с помощью EtOAc и органические фазы сушили над MgSO4 и концентрировали с получением 8.0 г (80%) целевого продукта.

1Н ЯМР (400 МГц, CDCl3) δ м.д. 3.66 (s, 3Н), 3.33 (t, 2Н), 3.31 (s, 3Н), 2.03-1.94 (m, 2Н), 1.64-1.38 (m, 16Н).

Стадия В: [1-(3-метоксипропил)циклооктил]метанол

К 9.0 г (37.13 ммоль) продукта со Стадии А в 93 мл диэтилового эфира при 0°С порциями добавляли 1.76 г (1.25 экв.) алюмогидрида лития. После перемешивания при к.т.в течение 2 ч, реакционную смесь гасили путем добавления ледяной воды и EtOAc, и добавляли 10% раствор NaOH. Смесь экстрагировали с помощью EtOAc, сушили и концентрировали с получением 7.4 г (93%) целевого продукта.

1Н ЯМР (400 МГц, CDC13) δ м.д. 3.37 (t, 2Н), 3.34 (s, 3Н), 3.30 (s, 2Н), 1.61-1.23 (m, 18Н).

Стадия С: 4-йод-1-[[1-(3-метоксипропил)циклооктил]метил]пиразол

К 1.39 г (6.5 ммоль) продукта со Стадии В и 1.64 г (1.3 экв.) 4-йод-1H-пиразола в 33 мл тетрагидрофурана добавляли 2.22 г (1.3 экв.) трифенилфосфина и 1.95 г (1.3 экв.) ди-трет-бутил азодикарбоксилата, и смесь перемешивали при к.т.в течение 67 ч. К смеси добавляли 278 мг 4-йод-1Н-пиразола, 444 мг трифенилфосфина, и 390 мг ди-трет-бутил азодикарбоксилата и перемешивали при к.т.в течение 24 ч. После того, как добавления реагентов и перемешивание при к.т.в течение 24 ч повторяли (115 ч перемешивания суммарно), смесь концентрировали и очищали с помощью колоночной флэш-хроматографии (силикагель), используя гептан и EtOAc в качестве элюентов с получением 1.24 г (49%) целевого продукта.

1Н ЯМР (400 МГц, CDCl3) δ м.д. 7.47 (s, 1Н), 7.42 (s, 1Н), 3.93 (s, 2Н), 3.37 (t, 2Н), 3.36 (s, 3Н), 1.68-1.18 (m, 18Н).

Стадия D: 4-йод-1-[[1-(3-метоксипропил)циклооктил]метил]-5-метилпиразол

К 1.2 г (3.07 ммоль) продукта со Стадии С в 5 мл тетрагидрофурана при -78°С добавляли 3.7 мл (1.2 экв.) 1 Μ раствора LDA. После 0.6 ч выдерживания при -78°С, к смеси по каплям добавляли 0.5 мл (1.14 экв.) метилйодида и смеси давали нагреться до к.т.в течение 20 ч. Реакционную смесь гасили насыщенным раствором NH4Cl и экстрагировали с помощью EtOAc. Объединенные органические фазы сушили, концентрировали и очищали с помощью колоночной флэш-хроматографии (силикагель), используя гептан и EtOAc в качестве элюентов с получением 0.79 г (64%) целевого продукта.

1Н ЯМР (400 МГц, CDCl3) δ м.д. 7.43 (s, 1Н), 3.85 (s, 2H), 3.38 (t, 2H), 3.35 (s, 3Н), 2.29 (s, 3Н), 1.69-1.24 (m, 18H).

Стадия Ε: 1-[[1-(3-метоксипропил)циклооктил]метил]-5-метил-4-(4,4,5,5-тетраметил-1,3,2-диоксаборолан-2-ил)пиразол

К раствору 0.81 г (2 ммоль) продукта со Стадии D в 15 мл тетрагидрофурана при -78°С по каплям добавляли 0.96 мл (1.2 экв.) 2.5 Μ раствора бутиллития. Через 0.5 ч в течение 20 мин добавляли 0.5 мл (1.2 экв.) 2-изопропокси-4,4,5,5-тетраметил-1,3,2-диоксаборолана, и смесь выдерживали при -78°С в течение 6 ч и при к.т.также в течение 6 ч. После гашения реакционной смеси насыщенным раствором NH4Cl и экстрагирования с помощью EtOAc объединенные органические фазы промывали соляным раствором, сушили и очищали с помощью колоночной флэш-хроматографии (силикагель), используя гептан и EtOAc в качестве элюентов с получением 0.33 г (34%) целевого продукта.

1Н ЯМР (500 МГц, ДМСО-d6) δ м.д. 7.46 (s, 1Н), 3.75 (s, 2Н), 3.27 (t, 2Н), 3.21 (s, 3Н), 2.36 (s, 3Н), 1.66-1.1 (m, 14Н), 1.57 (m, 2Н), 1.24 (s, 12Н), 1.24 (m, 2Н). 13С ЯМР (500 МГц, ДМСО-d6) δ м.д. 147.3, 144.5, 104.5, 73.2, 58.2, 54.4, 40.5, 33.2, 25.1, 23.6, 11.8. IR: 2922, 1556, 1246, 1144, 1055. МСВР-ЭРИ (m/z): [М+Н]+, рассчитано для C23H42N2O3B: 405.3289, найдено: 404.3334.

Синтез 10 с: 1-{[1-(3-Метоксипропил)циклогексил] метил}-5-метил-4-(4,4,5,5-тетраметил-1,3,2-диоксаборолан-2-ил)-1Н-пиразол

Стадия А: метил 1-(3-метоксипропил)циклогексанкарбоксилат

К 6.84 г (1.09 экв.) диизопропиламина в 130 мл тетрагидрофурана при -78°С добавляли 27 мл (1.09 экв.) 2.5 Μ раствора бутиллития, и через 0.5 ч при -78°С добавляли 8.8 г метил циклогексанкарбоксилата в 50 мл тетрагидрофурана в течение 1 ч. После выдерживания в течение 1 ч при -78°С, добавляли 10.7 г (1.13 экв.) 1-бром-3-метоксипропана, и смесь перемешивали в течение 18 ч. После гашения реакционной смеси путем добавления насыщенного раствора NH4Cl, смесь экстрагировали с помощью EtOAc и органические фазы сушили над MgSO4 и концентрировали с получением 12 г (92%) целевого продукта.

1Н ЯМР (400 МГц, CDCl3) δ м.д. 3.67 (s, 3Н), 3.35 (d, 1H), 3.32 (d, 1Н), 3.31 (s, 3Н), 2.11-2.03 (m, 2Н), 1.60-1.16 (m, 12Н).

Стадия В: [1-(3-метоксипропил)циклогексил]метанол

К 12 г (56.41 ммоль) продукта со Стадии А в 140 мл диэтилового эфира при 0°С порциями добавляли 2.68 г (1.25 экв.) алюмогидрида лития. После перемешивания при к.т.в течение 2 ч, реакционную смесь гасили путем добавления ледяной воды, и добавляли EtOAc и 10% раствор NaOH. Смесь экстрагировали с помощью EtOAc, сушили и концентрировали с получением 9.37 г (89%) целевого продукта.

1Н ЯМР (400 МГц, CDC13) δ м.д. 3.41 (s, 2Н), 3.38 (t, 2Н), 3.35 (s, 3Н), 1.56-1.27 (m, 14Н).

Стадия С: 4-йод-1-[[1-(3-метоксипропил)циклогексил]метил]пиразол

К 1.21 г (6.5 ммоль) продукта со Стадии В и 2.58 г (2.05 экв.) 4-йод-1Н-пиразола в 33 мл тетрагидрофурана добавляли 3.5 г (2.05 экв.) трифенилфосфина и 3.07 г (2.05 экв.) ди-трет-бутил азодикарбоксилата, и смесь перемешивали при к.т.в течение 2 ч. К смеси добавляли 140 мг 4-йод-1H-пиразола, 230 мг трифенилфосфина и 200 мг ди-трет-бутил азодикарбоксилата, и перемешивали при к.т.в течение 24 ч. После того, как добавления реагентов и перемешивания при к.т.в течение 24 ч повторяли два раза (96 ч перемешивания суммарно), смесь концентрировали и очищали с помощью колоночной флэш-хроматографии (силикагель), используя гептан и ЕЮ Ас в качестве элюентов с получением 1.4 г (59.5%) целевого продукта.

1Н ЯМР (400 МГц, CDCl3) δ м.д. 7.47 (s, 1Н), 7.41 (s, 1Н), 4.00 (s, 2Н), 3.36 (t, 2Н), 3.35 (s, ЗН), 1.62-1.21 (m, 14Н).

Стадия D: 4-йод-1-[[1-(3-метоксипропил)циклогексил]метил]-5-метилпиразол

К 3.7 г (10.21 ммоль) продукта со Стадии С в 15 мл тетрагидрофурана при -78°С добавляли 12.3 мл (1.2 экв.) 1 Μ раствора LDA в тетрагидрофуране. После 0.6 ч выдерживания при при -78°С, к смеси по каплям добавляли 0.73 мл (1.14 экв.) метилйодида и смеси давали нагреться до к.т.в течение 20 ч. Реакционную смесь гасили насыщенным раствором NH4Cl и экстрагировали с помощью EtOAc. Объединенные органические фазы сушили, концентрировали и очищали с помощью колоночной флэш-хроматографии (силикагель), используя гептан и EtOAc в качестве элюентов с получением 2.85 г (74%) целевого продукта.

1Н ЯМР (400 МГц, CDCl3) δ м.д. 7.44 (s, 1Н), 3.92 (s, 2H), 3.38 (t, 2H), 3.35 (s, 3Н), 2.29 (s, 3Н), 1.58-1.13 (m, 14H).

Стадия Ε: 1-[[1-(3-метоксипропил)циклогексил]метил]-5-метил-4-(4,4,5,5-тетраметил-1,3,2-диоксаборолан-2-ил)пиразол

К раствору 5.0 г (13.3 ммоль) продукта со Стадии D в 71 мл тетрагидрофурана при -78°С по каплям добавляли 6.38 мл (1.2 экв.) 2.5 Μ раствора бутиллития. Через 0.5 ч добавляли 4.1 мл (1.5 экв.) 2-изопропокси-4,4,5,5-тетраметил-1,3,2-диоксаборолана в течение 40 мин, и смесь выдерживали при -78°С в течение 6 ч и при к.т.в течение 6 ч. После гашения реакционной смеси насыщенным раствором NH4Cl и экстрагирования с помощью EtOAc, объединенные органические фазы промывали соляным раствором, сушили и очищали с помощью колоночной флэш-хроматографии (силикагель), используя гептан и EtOAc в качестве элюентов с получением 2.3 г (46%) целевого продукта.

1H ЯМР (500 МГц, ДМСО-d6) δ м.д. 7.47 (s, 1Н), 3.84 (s, 2Н), 3.27 (t, 2Н), 3.2 (s, 3Н), 2.37 (s, 3Н), 1.54-1.07 (m, 10Н), 1.46 (m, 2Н), 1.32 (m, 2Н), 1.24 (s, 12Н). 13С ЯМР (500 МГц, ДМСО-d6) δ м.д. 147.3, 144.4, 104.6, 73.1, 58.2, 55.7, 37.9, 30.6, 25.1, 23.1, 12.0. IR: 2927, 1556, 1257, 1144, 1053. МСВР-ЭРИ (m/z): [М+Н]+, рассчитано для C21H38N2O3B: 376.2897, найдено: 376.3019.

Синтез 11а: Этил 5-бром-2-[(4,5-диметил-6-{[(2Z)-3-{[2-(триметилсилил)этокси]метил}-2,3-дигидро-1,3-бензотиазол-2-илиден]амино}пиридазин-3-ил)амино]-1,3-тиазол-4-карбоксилат

Стадия А: (2Z)-N-(6-хлор-4,5-диметилпиридазин-3-ил)-3-{[2-(триметилсилил)этокси]метил}-2,3-дигидро-1,3-бензотиазол-2-имин

Ν,Ν-Диизопропилэтиламин (3.6 мл, 20.6 ммоль, 2 экв.) в атмосфере азота добавляли к суспензии продукта Синтеза 9а (3 г, 10.3 ммоль, 1 экв.) в дихлорметане (75 мл) при 0°С. Добавляли [2-(хлорметокси)этил]триметилсилан (2 мл, 11.3 ммоль, 1.1 экв.) и 4-диметиламинопиридин (63.0 мг, 0.52 ммоль, 0.05 экв.), и смесь перемешивали при комнатной температуре в течение 3 ч. Добавляли дихлорметан (75 мл), и смесь промывали водой (2 x 75 мл) и соляным раствором (75 мл). Раствор сушили (сульфат магния) и концентрировали в вакууме. Очистка с помощью колоночной хроматографии на флэш-силикагеле Isolute (20 г) с элюированием дихлорметаном приводила к получению целевого продукта в виде бледно-коричневого твердого вещества (3.95 г, 8.44 ммоль, 82%), которое непосредственно использовали на следующей стадии без дальнейшего определение характеристик.

Стадия В: этил 2-[(4,5-диметил-6-{[(2Z)-3-{[2-(триметилсилил)этокси]метил}-2,3-дигидро-1,3-бензотиазол-2-илиден]амино}пиридазин-3-ил)амино]-1,3-тиазол-4-карбоксилат

Продукт со Стадии А (500 мг, 1.19 ммоль, 1 экв.) и этил 2-амино-1,3-тиазол-4-карбоксилат (245.4 мг, 1.43 ммоль, 1.2 экв.) в атмосфере азота добавляли к раствору карбоната цезия (1.16 г, 3.56 ммоль, 3 экв.), трис(дибензилиденацетон)дипалладия(0) (54.4 мг, 0.06 ммоль, 0.05 экв.) и ксантфоса (68.7 мг, 0.12 ммоль, 0.1 экв.) в альфа,альфа,альфа-трифтортолуоле (10 мл). Смесь барботировали азотом (10 мин) и затем нагревали при 170°С в течение 1 ч под микроволновым облучением. Раствору давали охладиться до температуры окружающей среды и концентрировали в вакууме. Смесь распределяли между этилацетатом и водой, и органическую фазу промывали соляным раствором, сушили (сульфат магния) и растворитель удаляли в вакууме. Очистка с помощью автоматической колоночной флэш-хроматографии (CombiFlash Rf, 24 г силикагелевый картридж RediSep™) с элюированием с градиентом 0 50% этилацетата в изогептане приводила к получению целевого продукта в виде оранжевой пены (301 мг, 0.54 ммоль, 46%).

ЖХ/МС (C25H32N6O3SiS2) 557 [М+Н]+; RT 1.49 (ЖХМС-V-B1)

1Н ЯМР (400 МГц, ДМСО-d6) δ 10.98 (s, 1H), 7.93 (s, 1Н), 7.81 (dd, J=7.6, 1.1 Гц, 1H, 7.48-7.37 (m, 2H), 7.27-7.20 (m, 1H), 5.84 (s, 2H), 4.29 (q, J=7.1 Гц, 2H), 3.71 (dd, J=8.4, 7.5 Гц, 2H), 2.41 (s, 3H), 2.35 (s, 3H), 1.31 (t, J=7.1 Гц, 3Н), 0.97 - 0.86 (m, 2H), -0.12 (s, 9H).

Стадия С: этил 5-бром-2-[(4,5-диметил-6-{[(2Z)-3-{[2-(триметилсилил)этокси]метил}-2,3-дигидро-1,3-бензотиазол-2-илиден]амино}пиридазин-3-ил)амино]-1,3-тиазол-4-карбоксилат

N-Бромсукцинимид (125 мг, 0.7 ммоль, 1.3 экв.) добавляли к перемешиваемому раствору продукта со Стадии В (301 мг, 0.54 ммоль, 1 экв.) в дихлорметане (15 мл). Реакционную смесь перемешивали при температуре окружающей среды в течение 1.5 ч, затем растворитель удаляли в вакууме. Очистка с помощью автоматической колоночной флэш-хроматографии (CombiFlash Rf, 24 г силикагелевый картридж RediSep™) с элюированием с градиентом 0 - 60% этилацетата в изогептане приводила к получению целевого продукта в виде коричневой смолы (198 мг, 0.31 ммоль, 58%).

ЖХ/МС (C25H31BrN6O3SiS2) 637 [М+Н]+; RT 1.57 (ЖХМС-V-B1)

1Н ЯМР (400 МГц, ДМСО-d6) δ 11.31 (s, 1H7.82 (d, 1H), 7.48-7.38 (m, 2H), 7.28-7.20 (m, 1H), 5.84 (s, 2H), 4.30 (q, J=7.1 Гц, 2H), 3.70 (dd, J=8.5, 7.4 Гц, 2H), 2.41 (s, 3H), 2.34 (s, 3H), 1.32 (t, J=7.1 Гц, 3Н), 0.97-0.86 (m, 2H), -0.12 (s, 9H).

Синтез 11b: Этил 5-бром-2-[метил(5-метил-6-{[(2Z)-3-{[2-(триметилсилил)этокси]метил}-2,3-дигидро-1,3-бензотиазол-2-илиден]амино}пиридазин-3-ил)амино]-1,3-тиазол-4-карбоксилат

Стадия А: этил 2-[(6-хлор-5-метилпиридазин-3-ил)(метил)амино]-1,3-тиазол-4-карбоксилат

Раствор 3,6-дихлор-4-метилпиридазина (662 мг, 4.06 ммоль, 1.02 экв.) и этил 2-(метиламино)-1,3-тиазол-4-карбоксилата (742 мг, 3.98 ммоль, 1 экв.) в тетрагидрофуране (20 мл) охлаждали на ледяной бане, затем медленно добавляли гидрид натрия (60% в минеральном масле; 188 мг, 4.7 ммоль, 1.18 экв.). Смесь выдерживали на ледяной бане в течение 1 ч, затем перемешивали при температуре окружающей среды в течение 3 ч. Добавляли насыщенный водный раствор хлорида аммония, и полученный раствор экстрагировали дихлорметаном (х2). Объединенные органические экстракты промывали водой (х2) с последующим промыванием соляным раствором, затем сушили (сульфат магния) и растворитель удаляли в вакууме. Остаток растирали в смеси дихлорметана и метанола, и твердые вещества собирали путем фильтрования и сушили в вакууме с получением целевого продукта в виде кремового твердого вещества (324 мг, 1.04 ммоль, 26%).

ЖХ/МС (C12H13ClN4O2S) 313 [М+Н]+; RT 1.15 (ЖХМС-V-B1)

1Н ЯМР (400 МГц, ДМСО-d6) δ 8.04 (s, 1H), 7.87 (d, J=1.2 Гц, 1H), 4.30 (q, J=7.1 Гц, 2Н), 3.83 (s, 3Н), 2.44 (d, J=1.0 Гц, 3Н), 1.32 (t, J=7.1 Гц, 3Н).

Стадия В: этил 2-({6-[(1,3-бензотиазол-2-ил)амино]-5-метилпиридазин-3-ил} (метил)амино)-1,3-тиазол-4-карбоксилат

Продукт со Стадии А (467 мг, 1.49 ммоль, 1 экв.) и 2-аминобензотиазол (269 мг, 1.79 ммоль, 1.2 экв.) в атмосфере азота добавляли к смеси карбоната цезия (1.46 г, 4.47 ммоль, 3 экв.), трис(дибензилиденацетон)дипалладия(0) (68.3 мг, 0.07 ммоль, 0.05 экв.) и ксантфоса (86.3 мг, 0.15 ммоль, 0.1 экв.) в альфа,альфа,альфа-трифтортолуоле (10 мл). Смесь барботировали азотом (10 мин) и затем нагревали при 170°С в течение 1 ч под микроволновым облучением. Раствору давали охладиться до температуры окружающей среды, фильтровали, элюируя дихлорметаном, и фильтрат концентрировали в вакууме. Очистка с помощью автоматической колоночной флэш-хроматографии (CombiFlash Rf, 24 г силикагелевый картридж RediSep™) с элюированием с градиентом 0-5% метанола в дихлорметане приводила к получению целевого продукта в виде желтого твердого вещества (133 мг, 0.31 ммоль, 21%).

ЖХ/МС (C19H18N6O2S2) 427 [М+Н]+; RT 1.30 (ЖХМС-V-B1)

1Н ЯМР (400 МГц, ДМСО-d6) δ 11.10 (s, 1H), 7.99 (d, J=6.9 Гц, 1H), 7.76-7.67 (m, 1Н), 7.54-7.34 (m, 2H), 7.28-7.17 (m, 1H), 4.30 (q, J=7.2 Гц, 2H), 3.83 (s, 3H), 2.48 (s, 3H), 1.31 (t, 3H).

Стадия С: этил 2-[метил(5-метил-6-{[(2Z)-3-{[2-(триметилсилил)этокси]метил}-2,3-дигидро-1,3-бензотиазол-2-илиден]амино}пиридазин-3-ил)амино]-1,3-тиазол-4-карбоксилат

Раствор продукта со Стадии В (133 мг, 0.31 ммоль, 1 экв.) в дихлорметане (5 мл) охлаждали на ледяной бане, затем добавляли Ν,Ν-диизопропилэтиламин (0.1 мл, 0.62 ммоль, 2 экв.). Через 5 мин добавляли 4-диметиламинопиридин (1.9 мг, 0.02 ммоль, 0.05 экв.) с последующим добавлением 2-(триметилсилил)этоксиметил хлорида (0.06 мл, 0.34 ммоль, 1.1 экв.). Смеси давали медленно нагреться до температуры окружающей среды, и перемешивали в течение ночи. Реакционную смесь разбавляли дихлорметаном, последовательно промывали водой (х2) и соляным раствором, сушили (сульфат магния), и растворитель удаляли в вакууме. Очистка с помощью автоматической колоночной флэш-хроматографии (CombiFlash Rf, 12 г силикагелевый картридж RediSep™) с элюированием с градиентом 0-50% этилацетата в изогептане приводила к получению целевого продукта в виде желтого стеклообразного вещества (56.3 мг, 0.1 ммоль, 32%).

ЖХ/МС (C25H32N6O3SiS2) 557 [М+Н]+; RT 1.64 (ЖХМС-V-B1)

1Н ЯМР (400 МГц, ДМСО-d6) δ 7.97 (s, 1H), 7.85 (dd, J=7.6, 1.0 Гц, 1H, 7.71 (d, J=1.1 Гц, 1Н), 7.50-7.40 (m, 2H), 7.29-7.22 (m, 1H), 5.87 (s, 2H), 4.29 (q, J=7.1 Гц, 2H), 3.83 (s, 3H), 3.78-3.67 (m, 2H), 2.46 (d, J=1.0 Гц, 3Н), 1.31 (t, J=7.1 Гц, 3Н), 0.98-0.87 (m, 2H), -0.12 (s, 9H).

Стадия D: этил 5-бром-2-[метил(5-метил-6-{[(2Z)-3-{[2-(триметилсилил)этокси]метил}-2,3-дигидро-1,3-бензотиазол-2-илиден]амино}пиридазин-3-ил)амино]-1,3-тиазол-4-карбоксилат

N-Бромсукцинимид (23.4 мг, 0.13 ммоль, 1.3 экв.) добавляли к перемешиваемому раствору продукта со Стадии С (56.3 мг, 0.1 ммоль, 1 экв.) в дихлорметане (5 мл). Реакционную смесь перемешивали при температуре окружающей среды в течение 1.5 ч, затем растворитель удаляли в вакууме. Очистка с помощью автоматической колоночной флэш-хроматографии (CombiFlash Rf, 24 г силикагелевый картридж RediSep™) с элюированием с градиентом 0 - 60% этилацетата в изогептане приводила к получению целевого продукта в виде белого твердого вещества (54.7 мг, 0.09 ммоль, 85%).

ЖХ/МС (C25H31BrN6O3SiS2) 635 [М+Н]+; RT 1.73 (ЖХМС-V-B1)

1Н ЯМР (400 МГц, ДМСО-d6) δ 7.86 (dd, J=7.7, 1.0 Гц, 1Н), 7.73 (d, J=1.1 Гц, 1H), 7.52-7.38 (m, 2H), 7.25 (ddd, J=8.3, 7.0, 1.5 Гц, 1H), 5.87 (s, 2H), 4.31 (q, J=7.1 Гц, 2H), 3.78 (s, 3H), 3.76 - 3.66 (m, 2H), 2.46 (d, J=1.0 Гц, 3Н), 1.32 (t, J=7.1 Гц, 3Н), 0.98 - 0.85 (m, 2H), -0.11 (s, 9H).

Синтез 11c: Этил 5-бром-2-[(3-метоксипропил)(5-метил-6-{[(2Z)-3-{[2-(триметилсилил)этокси]метил}-2,3-дигидро-1,3-бензотиазол-2-илиден]амино}пиридазин-3-ил)амино]-1,3-тиазол-4-карбоксилат

Стадия А: этил 2-[(3-метоксипропил)амино]-1,3-тиазол-4-карбоксилат

Аммиак (2М в изопропаноле; 60 мл, 0.12 моль, 3.45 экв.) при 0°С добавляли к раствору 3-метоксипропилизотиоцианата (4.5 г, 34.3 ммоль, 1 экв.) в изопропаноле (15 мл), и смесь перемешивали в течение 1 ч при 0°С и затем в течение 18 ч при температуре окружающей среды. Суспензию концентрировали в вакууме с получением бледно-желтой смолы. Добавляли этанол (60 мл) и этилбромпируват (5 мл, 35.9 ммоль, 1.05 экв.), и смесь перемешивали в течение 1 ч в атмосфере азота. Добавляли триэтиламин (10 мл, 68.6 ммоль, 2 экв.), и смесь перемешивали при температуре окружающей среды в течение 18 ч. Реакционную смесь распределяли между этилацетатом (300 мл) и водой, и органическую фазу последовательно промывали водой (150 мл) и соляным раствором (100 мл), сушили (сульфат магния) и концентрировали в вакууме. Очистка с помощью колоночной флэш-хроматографии (100 г силикагеля) с элюированием 99:1 смесью дихлорметан / метанол приводила к получению темно-желтого масла, которое растирали с гептаном (30 мл), фильтровали, промывали гептаном (20 мл) и сушили в вакууме с получением целевого продукта в виде бледно-коричневого порошка (5.75 г, 23.5 ммоль, 69%).

ЖХ/МС (C10H16N2O3S) 245 [М+Н]+; RT 0.99 (ЖХМС-V-B1)

1H ЯМР (400 МГц, CDC13) δ 7.38 (d, J=0.7 Гц, Ш), 6.03 (t, J=5.6 Гц, 1H), 4.34 (q, J=7.1 Гц, 2H), 3.54-3.42 (m, 2H), 3.40-3.33 (m, 2H), 3.32 (s, 3H), 1.97-1.83 (m, 2H), 1.36 (t, J=7.1 Гц, 3Н).

Стадия В: этил 2-[(6-хлор-5-метилпиридазин-3-ил)(3-метоксипропил)амино]-1,3-тиазол-4-карбоксилат

Гидрид натрия (60% дисперсия; 350 мг, 8.75 ммоль, 1.22 экв.) в атмосфере азота добавляли к раствору продукта со Стадии А (1.75 г, 7.16 ммоль, 1 экв.) и 3,6-дихлор-4-метилпиридазина (1.3 г, 7.98 ммоль, 1.11 экв.) в 1,4-диоксане (30 мл) при 0°С, смесь перемешивали в течение 1 ч при 0°С и затем нагревали при 60°С в течение 6 ч. Реакционной смеси давали охладиться до температуры окружающей среды, затем распределяли между этилацетатом (300 мл) и насыщенным водным раствором хлорида аммония (150 мл). Органическую фазу последовательно промывали водой (2 x 150 мл) и соляным раствором (100 мл), сушили (сульфат магния) и концентрировали в вакууме. Очистка с помощью колоночной флэш-хроматографии (50 г силикагеля) с элюированием 39:1 смесью дихлорметан / метанол приводила к получению коричневого масла, которое растирали с диэтиловым эфиром (10 мл), отфильтровывали, промывали диэтиловым эфиром (10 мл) и сушили в вакууме с получением целевого продукта в виде бледно-коричневого порошка (1.3 г, 3.51 ммоль, 49%).

ЖХ/МС (C15H19ClN4O3S) 371 [М+Н]+; RT 1.28 (ЖХМС-V-B1)

1Н ЯМР (400 МГц, CDCl3) δ 7.81 (s, 1Н), 7.55 (d, J=1.1 Гц, 1H), 4.57-4.44 (m, 2H), 4.37 (q, J=7.1 Гц, 2H), 3.45 (t, J=5.5 Гц, 2H), 3.34 (s, 3H), 2.45 (d, J=0.9 Гц, 3Н), 2.20-2.06 (m, 2H), 1.39 (t, J=7.1 Гц, 3Н).

Стадия С: этил 2-({6-[(1,3-бензотиазол-2-ил)амино]-5-метилпиридазин-3-ил}(3-метоксипропил)амино)-1,3-тиазол-4-карбоксилат

Продукт со Стадии В (1.3 г, 3.51 ммоль, 1 экв.) и 2-аминобензотиазол (600 мг, 3.99 ммоль, 1.14 экв.) в атмосфере азота добавляли к раствору трис(дибензилиденацетон)дипалладия(0) (161 мг, 0.18 ммоль, 0.05 экв.) и ксантфоса (203 мг, 0.35 ммоль, 0.1 экв.) в 1,4-диоксане (20 мл), и смесь перемешивали. Добавляли Ν,Ν-диизопропилэтиламин (1.9 мл, 10.5 ммоль, 3 экв.), и смесь нагревали в запаянной трубке при 150°С в течение 24 ч. Раствору давали охладиться до температуры окружающей среды и концентрировали в вакууме. Очистка с помощью колоночной флэш-хроматографии (50 г силикагеля) с элюированием 99:1 смесью дихлорметан / метанол приводила к получению красной смолы, которую растирали с метанолом (15 мл), отфильтровывали, промывали метанолом (10 мл) и сушили в вакууме с получением целевого продукта в виде желтого твердого вещества (1.35 г, 2.79 ммоль, 80%).

ЖХ/МС (C22H24N6O3S2) 485 [М+Н]+; RT 1.41 (ЖХМС-V-B1)

1Н ЯМР (400 МГц, ДМСО-d6) δ 11.15 (br s, 1Н), 7.97 (s, 1Н), 7.92 (br s, 1H), 7.69 (s, 1H), 7.56 (br s, 1Н), 7.40 (t, J=7.4 Гц, 1H), 7.22 (t, J=7.5 Гц, 1Н), 4.44 (t, J=7.2 Гц, 2Н), 4.29 (q, J=7.1 Гц, 2Н), 3.43 (t, J=6.0 Гц, 2Н), 3.25 (s, 3Н), 2.48 (s, 3Н), 2.05-1.93 (m, 2Н), 1.32 (t, J=7.1 Гц, 3Н).

Стадия D: этил 2-[(3-метоксипропил)(5-метил-6-{[(2Z)-3-{[2-(триметилсилил)этокси]метил}-2,3-дигидро-1,3-бензотиазол-2-илиден]амино}пиридазин-3-ил)амино]-1,3-тиазол-4-карбоксилат

Раствор продукта со Стадии С (860 мг, 1.77 ммоль, 1 экв.) в дихлорметане (30 мл) охлаждали на ледяной бане, затем добавляли Ν,Ν-диизопропилэтиламин (0.59 мл, 3.55 ммоль, 2 экв.). После перемешивания в течение 10 мин, добавляли 2-(триметилсилил)этоксиметил хлорид (0.37 мл, 2.13 ммоль, 1.2 экв.) с последующим добавлением 4-(диметиламино)пиридина (10.8 мг, 0.09 ммоль, 0.05 экв.). Реакционной смеси давали нагреться до температуры окружающей среды и перемешивали в течение 5 ч. Смесь разбавляли дихлорметаном, затем промывали водой с последующим промыванием соляным раствором, сушили (сульфат магния) и концентрировали в вакууме. Очистка с помощью автоматической колоночной флэш-хроматографии (CombiFlash Rf, 24 г силикагелевый картридж RediSep™) с элюированием с градиентом 0 50% этилацетата в изогептане приводила к получению целевого продукта в виде кремовой пены (0.83 г, 1.35 ммоль, 76%).

ЖХ/МС (C28H38N6O4SiS2) 615 [М+Н]+; RT 1.51 (ЖХМС-V-B1)

1Н ЯМР (400 МГц, ДМСО-d6) δ 7.96 (s, 1H), 7.85 (d, 1Н), 7.69 (s, 1H, 7.50-7.40 (m, 2H), 7.30-7.22 (m, 1H), 5.86 (s, 2H), 4.43 (t, J=7.2 Гц, 2H), 4.28 (q, J=7.1 Гц, 2H), 3.78-3.67 (m, 2H), 3.42 (t, J=6.0 Гц, 2H), 3.24 (s, 3Н), 2.46 (d, J=0.9 Гц, 3Н), 2.06-1.92 (m, 2H), 1.31 (t, J=7.1 Гц, 3Н), 0.98-0.86 (m, 2H), -0.12 (s, 9H).

Стадия Ε: этил 5-бром-2-[(3-метоксипропил)(5-метил-6-{[(2Z)-3-{[2-(триметилсилил)этокси]метил}-2,3-дигидро-1,3-бензотиазол-2-илиден]амино}пиридазин-3-ил)амино]-1,3-тиазол-4-карбоксилат

N-Бромсукцинимид (63.7 мг, 0.36 ммоль, 1.1 экв.) добавляли к перемешиваемому раствору продукта со Стадии А (200 мг, 0.33 ммоль, 1 экв.) в дихлорметане (10 мл), и смесь перемешивали в течение 4 ч. Растворитель удаляли в вакууме и сырой продукт очищали с помощью автоматической колоночной флэш-хроматографии (CombiFlash Rf, 12 г силикагелевый картридж RediSep™) с элюированием с градиентом 0 60% этилацетата в изогептане с получением целевого продукта в виде кремовой пены (193 мг, 0.28 ммоль, 85%).

ЖХ/МС (C28H37BrN6O4SiS2) 695 [М+Н]+; RT 1.60 (ЖХМС-V-B1)

1Н ЯМР (400 МГц, ДМСО-d6) δ 7.87 (dd, J=7.6, 1.1 Гц, 1H), 7.72 (d, J=1.2 Гц, 1H), 7.53-7.39 (m, 2H), 7.26 (ddd, J=8.3, 7.0, 1.4 Гц, 1H), 5.87 (s, 2H), 4.43 (t, J=7.1 Гц, 2H), 4.31 (q, J=7.1 Гц, 2H), 3.77-3.67 (m, 2H), 3.41 (t, J=6.0 Гц, 2H), 3.23 (s, 3H), 2.47 (s, 3H), 2.04-1.90 (m, 2H), 1.32 (t, J=7.1 Гц, 3Н), 0.97-0.86 (m, 2H), -0.11 (s, 9H).

Синтез 11d: Этил 5-бром-2-[(5-циклопропил-6-{[(2Z)-3-{[2-(триметилсилил)этокси]метил}-2,3-дигидро-1,3-бензотиазол-2-илиден]амино}пиридазин-3-ил)(метил)амино]-1,3-тиазол-4-карбоксилат

Стадия А: этил 2-[(6-хлор-5-циклопропилпиридазин-3-ил)(метил)амино]-1,3-тиазол-4-карбоксилат

К раствору продукта Синтеза 71 (495 мг, 2.62 ммоль, 1 экв.) и этил 2-(метиламино)-1,3-тиазол-4-карбоксилата (488 мг, 2.62 ммоль, 1 экв.) в тетрагидрофуране (25 мл) в атмосфере азота медленно добавляли гидрид натрия (60% в минеральном масле; 124 мг, 3.09 ммоль, 1.18 экв.) при 0°С. Смесь перемешивали в течение 1 ч при 0°С, затем давали нагреться до температуры окружающей среды и перемешивали в течение 18 ч. Добавляли насыщенный водный раствор хлорида аммония (75 мл), и смесь экстрагировали дихлорметаном (250 мл). Органику последовательно промывали водой (2 x 75 мл) и соляным раствором (75 мл), сушили (сульфат магния) и концентрировали в вакууме. Очистка с помощью автоматической колоночной флэш-хроматографии (CombiFlash Rf, 40 г силикагелевый картридж RediSep™) с элюированием с градиентом 0 60% этилацетата в изогептане приводила к получению целевого продукта в виде белого кристаллического твердого вещества (398 мг, 1.17 ммоль, 45%).

ЖХ/МС (C14H15ClN4O2S) 339 [М+Н]+; RT 1.25 (ЖХМС-V-B1)

1Н ЯМР (400 МГц, ДМСО-d6) δ 8.03 (s, 1H), 7.24 (s, 1Н), 4.30 (q, J=7.1 Гц, 2H), 3.83 (s, ЗН), 2.23-2.12 (m, 1H), 1.32 (t, J=7.1 Гц, 3Н), 1.24-1.16 (m, 2H), 1.13 1.06 (m, 2H).

Стадия В: этил 2-({6-[(1,3-бензотиазол-2-ил)амино]-5-циклопропилпиридазин-3-ил}(метил)амино)-1,3-тиазол-4-карбоксилат

2-Аминобензотиазол (0.21 г, 1.41 ммоль, 1.2 экв.) и продукт со Стадии А (398 мг, 1.17 ммоль, 1 экв.) в атмосфере азота добавляли к раствору ксантфоса (68 мг, 0.12 ммоль, 0.1 экв.) и трис(дибензилиденацетон)дипалладия(0) (53.8 мг, 0.06 ммоль, 0.05 экв.) в 1,4-диоксане (20 мл). Добавляли Ν,Ν-диизопропилэтиламин (0.61 мл, 3.52 ммоль, 3 экв.), и смесь нагревали в запаянной трубке при 150°С в течение 24 ч. Раствору давали охладиться до температуры окружающей среды и концентрировали в вакууме. Очистка с помощью автоматической колоночной флэш-хроматографии (CombiFlash Rf, 40 г силикагелевый картридж RediSep™) с элюированием с градиентом 0-90% этилацетата в изогептане приводила к получению целевого продукта в виде желтого твердого вещества (249 мг, 0.55 ммоль, 47%).

ЖХ/МС (C21H20N6O2S2) 453 [М+Н]+; RT 1.38 (ЖХМС-V-B1)

1Н ЯМР (400 МГц, ДМСО-d6) δ 7.96 (s, 1H), 7.90 (s, 1Н), 7.50 (br s, 1H), 7.39 (t, J=7.6 Гц, 1H), 7.29-7.08 (m, 2H), 4.30 (q, 3H), 3.82 (s, 3H), 1.32 (t, 3H), 1.21-1.07 (m, 2H), 1.06-0.95 (m, 2H).

Стадия С: этил 2-[(5-циклопропил-6-{[(2Z)-3-{[2-(триметилсилил)этокси]метил}-2,3-дигидро-1,3-бензотиазол-2-илиден]амино}пиридазин-3-ил)(метил)амино]-1,3-тиазол-4-карбоксилат

Раствор продукта со Стадии В (221 мг, 0.49 ммоль, 1 экв.) в дихлорметане (10 мл) охлаждали на ледяной бане, затем добавляли Ν,Ν-диизопропилэтиламин (0.16 мл, 0.98 ммоль, 2 экв.), и смесь перемешивали в течение 10 мин. Добавляли 2-(триметилсилил)этоксиметил хлорид (0.1 мл, 0.59 ммоль, 1.2 экв.) с последующим добавлением 4-(диметиламино)пиридина (2.98 мг, 0.02 ммоль, 0.05 экв.), и смесь перемешивали при температуре окружающей среды в течение 7 ч. Реакционную смесь распределяли между дихлорметаном и водой, и органическую фазу промывали водой с последующим промыванием соляным раствором, сушили (сульфат магния) и концентрировали в вакууме. Очистка с помощью автоматической колоночной флэш-хроматографии (CombiFlash Rf, 12 г силикагелевый картридж RediSep™) с элюированием с градиентом 0-50% этилацетата в изогептане приводила к получению целевого продукта в виде кремовой пены (185 мг, 0.32 ммоль, 65%).

ЖХ/МС (C27H34N6O3SiS2) δ83 [М+Н]+; RT 1.45 (ЖХМС-V-B1)

1Н ЯМР (400 МГц, ДМСО-d6) δ 7.95 (s, 1H), 7.84 (dd, J=7.9, 1.1 Гц, 1H), 7.51-7.40 (m, 2Н), 7.29-7.21 (m, 1H), 7.11 (s, 1H), 5.88 (s, 2Н), 4.29 (q, J=7.1 Гц, 2Н), 3.82 (s, 3Н), 3.77-3.65 (m, 2Н), 2.73-2.61 (m, 1Н), 1.31 (t, J=7.1 Гц, 3Н), 1.24 1.12 (m, 2Н), 1.11-1.03 (m, 2Н), 0.96 0.86 (m, 2Н), -0.13 (s, 9Н).

Стадия D: этил 5-бром-2-[(5-циклопропил-6-{[(2Z)-3-{[2-(триметилсилил)этокси]метил}-2,3-дигидро-1,3-бензотиазол-2-илиден]амино}пиридазин-3-ил)(метил)амино]-1,3-тиазол-4-карбоксилат

N-Бромсукцинимид (62.2 мг, 0.35 ммоль, 1.1 экв.) добавляли к перемешиваемому раствору продукта со Стадии С (185 мг, 0.32 ммоль, 1 экв.) в дихлорметане (10 мл). Через 2.5 ч растворитель удаляли в вакууме и сырой продукт очищали с помощью автоматической колоночной флэш-хроматографии (CombiFlash Rf, 12 г силикагелевый картридж RediSep™) с элюированием с градиентом 0 60% этилацетата в изогептане с получением целевого продукта в виде кремового твердого вещества (149 мг, 0.23 ммоль, 71%).

ЖХ/МС (C27H33BrN6O3SiS2) 663 [М+Н]+; RT 1.52 (ЖХМС-V-B1)

1Н ЯМР (400 МГц, ДМСО-d6) δ 7.86 (dd, J=7.8, 1.1 Гц, 1Н), 7.52-7.39 (m, 2Н), 7.30-7.22 (m, 1Н), 7.09 (s, 1H), 5.88 (s, 2Н), 4.31 (q, J=7.1 Гц, 2Н), 3.79 (s, 3Н), 3.75-3.66 (m, 2Н), 2.74-2.61 (m, 1H), 1.33 (t, J=7.1 Гц, 3Н), 1.22-1.13 (m, 2Н), 1.13-1.05 (m, 2Н), 0.95-0.84 (m, 2Н), -0.13 (s, 9Н).

Синтез 11е: Этил 5-йод-2-[метил(5-метил-6-{[(2Z)-3-{[2-(триметилсилил)этокси]метил}-2,3-дигидро-1,3-бензотиазол-2-илиден]амино}пиридазин-3-ил)амино]-1,3-тиазол-4-карбоксилат

Стадия А: этил 2-(метиламино)-1,3-тиазол-4-карбоксилат

К суспензии N-метилтиомочевины (5 г, 55.5 ммоль, 1 экв.) в этаноле (80 мл), охлажденной в воде со льдом, медленно добавляли этилбромпируват (7.45 мл, 59.4 ммоль, 1.07 экв.). Через 10 мин смеси давали нагреться до температуры окружающей среды и перемешивали в течение 1.5 ч. Добавляли триэтиламин (15.4 мл, 111 ммоль, 2 экв.), и смесь перемешивали при температуре окружающей среды в течение 18 ч. Реакционную смесь концентрировали в вакууме, остаток распределяли между этилацетатом и водой, водную фазу экстрагировали этилацетатом (х2) и объединенные органические экстракты сушили (сульфат магния) и концентрировали в вакууме. Очистка с помощью автоматической колоночной флэш-хроматографии (CombiFlash Rf, 80 г силикагелевый картридж RediSep™) с элюированием с градиентом 0-100% этилацетата в изогептане приводила к получению целевого продукта в виде бежевого твердого вещества (5.26 г, 28.2 ммоль, 51%).

ЖХ/МС (C7H10N2O2S) 187 [М+Н]+; RT 0.85 (ЖХМС-V-B1)

1Н ЯМР (400 МГц, ДМСО-d6) δ 7.73 (q, J=4.7 Гц, 1Н), 7.51 (d, J=0.5 Гц, 1H), 4.22 (q, J=7.1 Гц, 2Н), 2.83 (d, J=4.8 Гц, 3Н), 1.27 (t, J=7.1 Гц, 3Н).

Стадия В: этил 2-[(6-хлор-5-метилпиридазин-3-ил)(метил)амино]-1,3-тиазол-4-карбоксилат

Раствор 3,6-дихлор-4-метилпиридазина (4.6 г, 28.2 ммоль, 1 экв.) и продукта со Стадии А (5.26 г, 28.2 ммоль, 1 экв.) в тетрагидрофуране (100 мл) охлаждали на ледяной бане и порциями добавляли гидрид натрия (60% в минеральном масле; 1.24 г, 31.1 ммоль, 1.1 экв.). Смеси давали постепенно нагреться до температуры окружающей среды и перемешивали в течение 18 ч. Добавляли дихлорметан и насыщенный водный раствор хлорида аммония, и наблюдали образование осадка. Твердое вещество собирали путем фильтрования, промывали водой и затем сушили в вакууме при 40°С в течение 12 ч с получением целевого продукта в виде кремового твердого вещества (4.24 г, 13.6 ммоль, 48%).

ЖХ/МС (C12H13ClN4O2S) 313 [М+Н]+; RT 1.19 (ЖХМС-V-B1)

1Н ЯМР (400 МГц, ДМСО-d6) δ 8.04 (s, 1H), 7.87 (d, J=1.1 Гц, 1H), 4.30 (q, J=7.1 Гц, 2Н), 3.83 (s, 3Н), 2.44 (d, J=1.0 Гц, 3Н), 1.32 (t, J=7.1 Гц, 3Н).

Стадия С: этил 2-({6-[(1,3-бензотиазол-2-ил)амино]-5-метилпиридазин-3-ил}(метил)амино)-1,3-тиазол-4-карбоксилат

В закупориваемую колбу, содержащую продукт со Стадии В (4.24 г, 13.6 ммоль, 1 экв.), 2-аминобензотиазол (2.44 г, 16.3 ммоль, 1.2 экв.) и ксантфос (0.78 г, 1.36 ммоль, 0.1 экв.) в 1,4-диоксане (250 мл) в атмосфере азота добавляли трис(дибензилиденацетон)дипалладий(0) (0.62 г, 0.68 ммоль, 0.05 экв.) с последующим добавлением N,N-диизопропилэтиламина (6.74 мл, 40.7 ммоль, 3 экв.), и сосуд закупоривали и нагревали при 150°С в течение 24 ч. Реакционной смеси давали охладиться до температуры окружающей среды и очищали с помощью автоматической колоночной флэш-хроматографии (CombiFlash Rf, 120 г силикагелевый картридж RediSep™) с элюированием с градиентом 0-100% этилацетата в изогептане с получением целевого продукта в виде бежевого твердого вещества (3.05 г, 7.14 ммоль, 53%).

ЖХ/МС (C19H18N6O2S2) 427 [М+Н]+; RT 1.16 (ЖХМС-V-B1)

1Н ЯМР (400 МГц, ДМСО-d6) δ 7.97 (s, 1Н), 7.95-7.82 (m, 1H), 7.71 (s, 1H), 7.55 (br s, 1Н), 7.39 (t, J=7.5 Гц, 1H), 7.22 (t, J=7.5 Гц, 1H), 4.31 (q, 3Н), 3.83 (s, 3Н), 2.48 (s, 3Н), 1.33 (t, 3Н).

Стадия D: этил 2-[метил(5-метил-6-{[(2Z)-3-{[2-(триметилсилил)этокси]метил}-2,3-дигидро-1,3-бензотиазол-2-илиден]амино}пиридазин-3-ил)амино]-1,3-тиазол-4-карбоксилат

К суспензии продукта со Стадии С (3.05 г, 7.15 ммоль, 1 экв.) в дихлорметане (100 мл), охлажденной до 0°С, добавляли N,N-диизопропилэтиламин (2.37 мл, 14.3 ммоль, 2 экв.). Через 10 мин добавляли 2-(триметилсилил)этоксиметил хлорид (1.51 мл, 8.58 ммоль, 1.2 экв.) с последующим добавлением 4-(диметиламино)пиридина (43.7 мг, 0.36 ммоль, 0.05 экв.), и смеси давали нагреться до температуры окружающей среды и перемешивали в течение 6 ч. Реакционную смесь промывали водой с последующим промыванием соляным раствором, затем сушили (сульфат магния) и концентрировали в вакууме. Очистка с помощью автоматической колоночной флэш-хроматографии (CombiFlash Rf, 80 г силикагелевый картридж RediSep™) с элюированием с градиентом 0 50% этилацетата в изогептане приводила к получению целевого продукта в виде белого твердого вещества (1.38 г, 2.47 ммоль, 35%).

ЖХ/МС (C25H32N6O3SiS2) δ57 [М+Н]+; RT 1.65 (ЖХМС-V-B1)

1Н ЯМР (400 МГц, ДМСО-d6) δ 7.96 (s, 1H), 7.84 (dd, 1H), 7.70 (d, J=0.9 Гц, 1Н), 7.51-7.39 (m, 2Н), 7.25 (ddd, J=8.3, 6.9, 1.6 Гц, 1H), 5.86 (s, 2Н), 4.28 (q, J=7.1 Гц, 2Н), 3.83 (s, 3Н), 3.77-3.66 (m, 2Н), 2.46 (d, J=1.0 Гц, 3Н), 1.32 (t, J=7.1 Гц, 3Н), 0.99-0.879 (m, 2Н), -0.10 (s, 9Н).

Стадия Е: этил 5-йод-2-[метил(5-метил-6-{[(2Z)-3-{[2-(триметилсилил)этокси]метил}-2,3-дигидро-1,3-бензотиазол-2-илиден]амино}пиридазин-3-ил)амино]-1,3-тиазол-4-карбоксилат

N-Йодсукцинимид (0.05 мл, 2.25 г/мл, 0.54 ммоль, 1.5 экв.) добавляли к перемешиваемому раствору продукта со Стадии D (200 мг, 0.36 ммоль, 1 экв.) в дихлорметане (6 мл), и смесь перемешивали при температуре окружающей среды в течение 18 ч. Реакционную смесь последовательно промывали водой и соляным раствором, сушили (сульфат магния) и концентрировали в вакууме. Очистка с помощью автоматической колоночной флэш-хроматографии (CombiFlash Rf, 12 г силикагелевый картридж RediSep™) с элюированием с градиентом 0-60% этилацетата в изогептане приводила к получению целевого продукта в виде кремового твердого вещества (180 мг, 0.26 ммоль, 73%).

ЖХ/МС (C25H31IN6O3SiS2) 683 [М+Н]+; RT 1.73 (ЖХМС-V-B1)

1Н ЯМР (400 МГц, ДМСО-d6) δ 7.88 (dd, J=7.5, 1.0 Гц, 1Н), 7.71 (s, 1H), 7.53-7.40 (m, 2Н), 7.31-7.22 (m, 1H), 5.86 (s, 2Н), 4.32 (q, J=7.1 Гц, 2Н), 3.82 (s, 3Н), 3.78-3.69 (m, 2Н), 2.48 (d, J=1.0 Гц, 3Н), 1.34 (t, J=7.1 Гц, 3Н), 0.99-0.89 (m, 2Н), - 0.13 (s, 9Н).

Синтез 11f: Этил 5-бром-2-[(6-{[(2Z)-3-{[2-(триметилсилил)этокси]метил}-2,3-дигидро-1,3-бензотиазол-2-илиден]амино}пиридазин-3-ил)амино]-1,3-тиазол-4-карбоксилат

Стадия А: этил 2-[(6-{[(2Z)-3-{[2-(триметилсилил)этокси]метил}-2,3-дигидро-1,3-бензотиазол-2-илиден]амино}пиридазин-3-ил)амино]-1,3-тиазол-4-карбоксилат

Продукт Синтеза 4b (1 г, 2.54 ммоль, 1 экв.) и этил 2-амино-1,3-тиазол-4-карбоксилат (500 мг, 2.9 ммоль, 1.14 экв.) в атмосфере азота добавляли к раствору трис(дибензилиденацетон)дипалладия(0) (116.5 мг, 0.13 ммоль, 0.05 экв.) и ксантфоса (147.2 мг, 0.25 ммоль, 0.1 экв.) в 1,4-диоксане (20 мл). Добавляли N,N-диизопропилэтиламин (1.5 мл, 7.63 ммоль, 3 экв.), и смесь нагревали при 100°С в течение 18 ч. Раствору давали охладиться до температуры окружающей среды и концентрировали в вакууме. Очистка с помощью колоночной хроматографии (50 г силикагеля) с элюированием 50% этилацетата в гептане приводила к получению темно-желтого твердого вещества. Растирание с гептаном (20 мл) приводило к твердому веществу, которое собирали путем фильтрования, промывали гептаном (2×10 мл) и сушили в вакууме с получением целевого продукта в виде желтого твердого вещества (995 мг, 1.88 ммоль, 74%) [смесь изомеров].

ЖХ/МС (C23H28N6O3SiS2) δ29 [М+Н]+; RT 1.54 (ЖХМС-V-B1)

1Н ЯМР (400 МГц, Хлороформ-d) δ 10.83 (s, 1H), 7.90-7.29 (m, 6Н), 7.26 -7.13 (m, 1Н), 5.95-5.68 (m, 2H), 4.53 -4.19 (m, 2H), 3.85-3.68 (m, 2H), 1.39 -1.19 (m, 3H), 1.06-0.77 (m, 2H), 0.21--0.31 (m, 9H).

Стадия В: этил 5-бром-2-[(6-{[(2Z)-3-{[2-(триметилсилил)этокси]метил}-2,3-дигидро-1,3-бензотиазол-2-илиден]амино}пиридазин-3-ил)амино]-1,3-тиазол-4-карбоксилат

N-Бромсукцинимид (45.2 мг, 0.25 ммоль, 1.3 экв.) добавляли к перемешиваемому раствору продукта со Стадии А (100 мг, 0.19 ммоль, 1 экв.) в дихлорметане (10 мл), и смесь перемешивали при температуре окружающей среды в течение 1 ч. Растворитель удаляли в вакууме и сырой продукт очищали с помощью автоматической колоночной флэш-хроматографии (CombiFlash Rf, 12 г силикагелевый картридж RediSep™) с элюированием с градиентом 0-80% этилацетата в изогептане с получением целевого продукта в виде кремового твердого вещества (64.1 мг, 0.11 ммоль, 56%) [смесь изомеров].

ЖХ/МС (C23H27BrN6O3SiS2) 609 [М+Н]+; RT 1.47(ЖХМС-У-В1)

1Н ЯМР (400 МГц, ДМСО-d6) δ 12.45 (s, 1H), 12.31 (s, 1Н), 8.13-8.04 (m, 1H), 8.04-7.90 (m, 2Н), 7.84-7.71 (m, 1Н), 7.69-7.48 (m, 5Н), 7.46-7.32 (m, 3Н), 5.98 (s, 2Н), 5.92 (s, 2Н), 4.41 (qd, J=7.1, 2.4 Гц, 4Н), 3.87- 3.74 (m, 4Н), 1.43 (td, J=7.1, 1.1 Гц, 6Н), 1.03 (s, 2Н), 1.08-0.98 (m, 2Н), 0.26 - -0.36 (m, 18Н).

Синтез 12: трет-Бутилдифенил-[2-[[3,5-диметил-7-[[5-метил-4-(4,4,5,5-тетраметил-1,3,2-диоксаборолан-2-ил)пиразол-1-ил]метил]-1-адамантил]окси]этокси]силан

Стадия А: 3-бром-5,7-диметиладамантан-1-карбоновая кислота

После перемешивания железа (6.7 г, 120 ммоль) в броме (30.7 мл, 600 ммоль, 5 экв.) при 0°С в течение 1 ч, добавляли 3,5-диметиладамантан-1-карбоновую кислоту (25 г, 1 экв.), и реакционную смесь перемешивали при к.т.в течение 2 дней. После добавления EtOAc, реакционную смесь осторожно обрабатывали насыщенным раствором тиосульфата натрия при 0°С и перемешивали в течение 15 мин. После фильтрования через набивку целита и промывания с помощью EtOAc, органическую фазу отделяли, промывали насыщенным раствором тиосульфата натрия и соляным раствором, сушили, и концентрировали с получением целевого продукта (34.28 г, 74.6%), который использовали без дополнительной очистки.

1Н ЯМР (400 МГц, ДМСО-d6): δ м.д. 12.33 (br., 1H), 2.21 (s, 2Н), 1.96/1.91 (d+d, 4Н), 1.50/1.43 (d+d, 4Н), 1.21/1.14 (dm+dm, 2Н), 0.86 (s, 6Н); 13С ЯМР (100 МГц, ДМСО-d6) δ м.д. 176.8, 66.8, 54.0, 48.7, 48.5, 45.7, 43.3, 35.5, 29.4; МСВР-ЭРИ (m/z): [М-Н]-, рассчитано для C13H18BrO2 : 285.0496; найдено: 285.0498.

Стадия В: 3-бром-5,7-диметил-1-адамантилметанол

К продукту со Стадии А (34.3 г, 119 ммоль) в ТГФ (77.6 мл) медленно добавляли 1 М раствор ВН3-ТГФ в ТГФ (358 мл, 3 экв.), и реакционную смесь перемешивали в течение 18 ч. После добавления метанола и перемешивания в течение 30 мин, очистка с помощью колоночной хроматографии (силикагель, гептан и МТВЕ в качестве элюентов) приводила к получению целевого продукта (16.19 г, 49.6%).

1Н ЯМР (400 МГц, ДМСО-d6): 5 м.д. 4.51 (t, 1Н), 3.05 (d, 2Н), 1.91 (s, 2Н), 1.91 (s, 4Н), 1.19/1.09 (d+d, 2Н), 1.19/1.05 (d+d, 4Н), 0.85 (s, 6Н) 13С ЯМР (100 МГц, ДМСО-d6) δ м.д. 70.4, 68.9, 54.9, 49.8, 49.3, 43.8, 41.4, 35.7, 29.7; МСВР-ЭРИ (m/z): [М-Br]-, рассчитано для C13H21O: 193.1598 найдено: 193.1589.

Стадия С: 1-[3-бром-5, 7-диметил-1-адамантил]метил]пиразол

К продукту со Стадии В (16.19 г, 59.26 ммоль) и 1Н-пиразолу (4.841 г, 1.2 экв.) в толуоле (178 мл), в виде одной порции добавляли (цианометилен)трибутилфосфоран (18.64 мл, 1.2 экв.), и реакционную смесь перемешивали при 90°С в течение 2 ч. Очистка с помощью колоночной хроматографии (силикагель, гептан и МТВЕ в качестве элюентов) приводила к получению целевого продукта (17.88 г, 93%).

1Н ЯМР (400 МГц, ДМСО-d6): δ м.д. 7.63 (d, 1H), 7.43 (d, 1Н), 6.23 (t, 1H), 3.90 (s, 2Н), 1.92-1.02 (m, 12Н), 0.83 (s, 6Н); 13С ЯМР (100 МГц, ДМСО-d6) δ м.д. 139.0, 131.8, 105.2, 67.7, 61.4, 54.4/48.8/44.6, 50.4, 35.7, 29.6; МСВР-ЭРИ (m/z): [М]+, рассчитано для C16H23BrN2: 322.1045 найдено: 322.1014.

Стадия D: 5-метил-1-[[-3-бром-5,7-диметил-1-адамантил]метил]пиразол

К раствору продукта со Стадии С (17.88 г, 55.3 ммоль) в ТГФ (277 мл) при -78°С добавляли бутиллитий (2.5 М в ТГФ, 66 мл, 3 экв.), затем через 1 ч добавляли йодметан (17.2 мл, 5 экв.). Через 10 мин реакционную смесь гасили насыщенным раствором NH4Cl, экстрагировали с помощью EtOAc и объединенные органические слои сушили и концентрировали с получением целевого продукта (18.7 г, 100%), который использовали на следующей стадии без дополнительной очистки.

1Н ЯМР (400 МГц, ДМСО-d6): δ м.д. 7.31 (d, 1H), 6.00 (d, 1H), 3.79 (s, 2Н), 2.23 (s, 3Н), 2.01 (s, 2Н), 1.89/1.85 (d+d, 4Н), 1.23/1.15 (d+d, 4Н), 1.16/1.05 (d+d, 2Н), 0.83 (s, 6Н); 13С ЯМР (100 МГц, ДМСО-d6) δ м.д. 139.2, 138.0, 105.2, 67.8, 57.8, 54.4, 50.6, 48.8, 44.8, 41.5, 35.7, 29.6, 11.8; МСВР-ЭРИ (m/z): [М+Н]+, рассчитано для C17H26BrN2: 337.1279 найдено: 337.1289.

Стадия Е: 2-[[3,5-диметил-7-[(5-метилпиразол-1-ил)метил]-1-адамантил]окси]этанол

Смесь продукта со Стадии D (18.7 г, 55.3 ммоль), этиленгликоля (123 мл, 40 экв.) и DIPEA (48.2 мл, 5 экв.) перемешивали при 120°С в течение 6 ч. После этого реакционную смесь разбавляли водой и экстрагировали с помощью EtOAc, и объединенные органические слои сушили и концентрировали с получением целевого продукта (18.5 г, 105%), который использовали на следующей стадии без дополнительной очистки.

1Н ЯМР (400 МГц, ДМСО-d6): δ м.д. 7.29 (d, 1H), 5.99 (d, 1Н), 4.45 (t, 1H), 3.78 (s, 2Н), 3.39 (q, 2Н), 3.32 (t, 2Н), 2.23 (s, 3Н), 1.34 (s, 2Н), 1.27/1.21 (d+d, 4Н), 1.13/1.07 (d+d, 4Н), 1.04/0.97 (d+d, 2Н), 0.84 (s, 6Н); 13С ЯМР (100 МГц, ДМСО-d6) δ м.д. 139.0, 137.8, 105.1, 74.0, 62.1, 61.5, 58.5, 50.1, 47.0, 46.1, 43.3, 39.7, 33.5, 30.2, 11.9; МСВР-ЭРИ (m/z): [М+Н]+, рассчитано для C19H31N2O2: 319.2386 найдено: 319.2387.

Стадия F: трет-бутилдифенил-[2-[[3,5-диметил-7-[(5-метилпиразол-1-ил)метил]-1-адамантил]окси]этокси]силан

К смеси продукта со Стадии Е (17.6 г, 55.3 ммоль) и имидазола (5.65 г, 1.5 экв.) в ДХМ (150 мл) добавляли трет-бутилхлордифенилсилан (18.6 г, 1.2 экв.), и реакционную смесь перемешивали в течение 1 ч. Очистка с помощью колоночной хроматографии (силикагель, гептан и МТВЕ в качестве элюентов) приводила к получению целевого продукта (27.0 г, 87.8%).

1Н ЯМР (400 МГц, ДМСО-d6): δ м.д. 7.72-7.34 (m, 10Н), 7.29 (d, 1Н), 5.99 (br., 1H), 3.78 (s, 2Н), 3.67 (t, 2Н), 3.44 (t, 2Н), 2.21 (s, 3Н), 1.33 (s, 2Н), 1.26/1.18 (d+d, 4Н), 1.12/1.06 (d+d, 4Н), 1.03/0.96 (d+d, 2Н), 0.98 (s, 9Н), 0.82 (s, 6Н); 13С ЯМР (100 МГц, ДМСО-d6) δ м.д. 139.0, 137.8, 105.1, 74.2, 64.4, 61.7, 58.5, 50.0, 46.9, 46.0, 43.4, 39.6, 33.5, 30.1, 27.1, 19.3, 11.9; МСВР-ЭРИ (m/z): [М+Н]+, рассчитано для C35H49N2O2Si: 557.3563 найдено: 557.3564.

Стадия G: трет-бутилдифенил-[2-[[3-[(4-йод-5-метилпиразол-1-ил)метил]-5,7-диметил-1-адамантил]окси]этокси]силан

К раствору продукта со Стадии F (27.0 г, 48.56 ммоль) в ДМФА (243 мл) добавляли N-йодсукцинимид (13.6 г, 1.25 экв.), и реакционную смесь перемешивали в течение 2 ч. После разбавления водой, смесь экстрагировали с помощью ДХМ. Объединенные органические слои промывали насыщенным раствором тиосульфата натрия и соляным раствором, сушили и концентрировали с получением целевого продукта (30.1 г, 90%).

1Н ЯМР (400 МГц, ДМСО-d6): δ м.д. 7.68-7.37 (m, 10Н), 7.45 (s, 1H), 3.89 (s, 2Н), 3.67 (t, 2Н), 3.44 (t, 2Н), 2.23 (s, 3Н), 1.30 (s, 2Н), 1.26/1.17 (d+d, 4Н), 1.12/1.05 (d+d, 4Н), 1.00/0.96 (d+d, 2Н), 0.98 (s, 9Н), 0.82 (s, 6Н); 13С ЯМР (100 МГц, ДМСО-d6) δ м.д. 142.5, 140.8, 133.7, 64.4, 61.7, 60.3, 59.9, 49.9, 46.8, 45.9, 43.2, 39.7, 33.5, 30.1, 27.1, 19.3, 12.2; МСВР-ЭРИ (m/z): [М+Н]+, рассчитано для C35H48IN2O2Si: 683.2530 найдено: 683.2533.

Стадия Н: трет-бутилдифенил-[2-[[3,5-диметил-7-[[5-метил-4-(4,4,5,5-тетраметил-1,3,2-диоксаборолан-2-ил)пиразол-1-ил]метил]-1-адамантил]окси]этокси]силан

К продукту со Стадии G (17.5 г, 25.6 ммоль) в ТГФ (128 мл) при 0°С добавляли хлор(изопропил)магний-LiCl (1.3 М в ТГФ, 24 мл, 1.2 экв.), перемешивали в течение 40 мин, обрабатывали 2-изопропокси-4,4,5,5-тетраметил-1,3,2-диоксабороланом (15.7 мл, 3 экв.), и реакционную смесь перемешивали в течение 10 мин. После разбавления насыщенным раствором NH4Cl и экстрагирования с помощью EtOAc, объединенные органические фазы концентрировали и очищали с помощью колоночной хроматографии (силикагель, гептан и МТВЕ в качестве элюентов) с получением целевого продукта (15.2 г, 86.9%).

1Н ЯМР (400 МГц, ДМСО-d6): δ5 м.д. 7.65 (dm, 4Н), 7.47 (s, 1Н), 7.45 (tm, 2Н), 7.40 (tm, 4Н), 3.80 (s, 2Н), 3.66 (t, 2Н), 3.44 (t, 2Н), 2.35 (s, 3Н), 1.35-0.94 (m, 12Н), 1.24 (s, 12Н), 0.97 (s, 9Н), 0.83 (s, 6Н); 13С ЯМР (100 МГц, ДМСО-d6) δ м.д. 146.9, 144.3, 135.6, 130.2, 128.2, 104.7, 83.0, 74.2, 64.4, 61.7, 58.4, 30.1, 27.1, 25.2, 19.3, 12.0; МСВР-ЭРИ (m/z): [М+Н]+, рассчитано для C41H60BN2O4Si: 683.4415 найдено: 683.4423.

Синтез 13: Метил 3-бром-6-(метиламино)пиридин-2-карбоксилат

Стадия А: метил 6-[бис(трет-бутоксикарбонил)амино]-3-бром-пиридин-2-карбоксилат

К метил 6-амино-3-бромпиридин-2-карбоксилату (25.0 г, 108.2 ммоль) и DMAP (1.3 г, 0.1 экв.) в ДХМ (541 мл) при 0°С добавляли Вос2О (59.0 г, 2.5 экв.), и реакционную смесь перемешивали в течение 2.5 ч. После добавления насыщенного раствора NaHCO3 и экстрагирования с помощью ДХМ, объединенные органические фазы сушили и концентрировали с получением целевого продукта (45.0 г, 72.3%).

ЖХ/МС (C17H23BrN2O6Na) 453 [М+Н]+.

Стадия В: метил 3-бром-6-(трет-бутоксикарбониламино)пиридин-2-карбоксилат

К продукту со Стадии А (42.7 г, 74.34 ммоль) в ДХМ (370 мл) при 0°С добавляли ТФУ (17.1 мл, 3 экв.), и реакционную смесь перемешивали в течение 18 ч. После промывания насыщенным раствором NaHCO3 и соляным раствором, объединенные органические фазы сушили, концентрировали и очищали с помощью колоночной хроматографии (силикагель, гептан и EtOAc в качестве элюентов) с получением целевого продукта (28.3 г, 115.2%).

1Н ЯМР (400 МГц, ДМСО-d6): δ м.д. 10.29 (s, 1H), 8.11 (d, 1H), 7.88 (d, 1Н), 3.87 (s, 3Н), 1.46 (s, 9Н) 13С ЯМР (100 МГц, ДМСО-d6) δ м.д. 165.6, 153.1, 151.8/148.3, 143.5, 116.3, 109.2, 53.2, 28.4. ЖХ/МС (C12H15Br2O4Na) 353 [М+Н]+.

Стадия С: метил 3-бром-6-[трет-бутоксикарбонил(метил)амино]пиридин-2-карбоксилат

К продукту со Стадии В (2.96 г, 8.93 ммоль) в ацетоне (45 мл) добавляли Cs2CO3 (8.7 г, 3 экв.) и йодметан (0.67 мл, 1.2 экв.), и реакционную смесь перемешивали в течение 3 ч. После разбавления водой и экстрагирования с помощью EtOAc, объединенные органические фазы промывали соляным раствором, сушили и концентрировали с получением целевого продукта (3.5 г, 112%).

1H ЯМР (400 МГц, ДМСО-d6): δ м.д. 8.13 (d, 1H), 7.78 (d, 1H), 3.90 (s, 3Н), 3.27 (s, 3Н), 1.47 (s, 9Н); 13С ЯМР (100 МГц, ДМСО-de) δ м.д. 165.5, 153.6, 153.6, 147.5, 142.8, 122.5, 111.3, 82.0, 53.3, 34.3, 28.2; МСВР-ЭРИ (m/z): [М+Н]+, рассчитано для C13H18BrN2O4: 345.0450 найдено: 345.0429.

Стадия D: метил 3-бром-6-(метиламино)пиридин-2-карбоксилат

Продукт со Стадии С (3.0 г, 8.9 ммоль) в 1,1,1,3,3,3-гексафторизопропаноле (90 мл) перемешивали при 100°С в течение 18 ч. Очистка с помощью колоночной хроматографии (силикагель, гептан и EtOAc в качестве элюентов) приводила к получению целевого продукта (2.1 г, 96%).

1Н ЯМР (400 МГц, ДМСО-d6): δ м.д. 7.63 (d, 1H), 7.04 (q, 1Н), 6.53 (d, 1Н), 3.83 (s, 3Н), 2.73 (d, 3Н); 13С ЯМР (100 МГц, ДМСО-d6) δ м.д. 166.6, 158.2, 148.2, 141.3, 112.1, 101.3, 52.9, 28.3; МСВР-ЭРИ (m/z): [М]+, рассчитано для C8H9BrN2O2: 243.9847 найдено: 243.9843.

Синтез 14: метил 3-[1-[[3,5-диметил-7-[2-[n-толилсульфонилокси)этокси]-1-адамантил]метил]-5-метилпиразол-4-ил]-6-[метил-[5-метил-6-[(Z)-[3-(2-триметилсилилэтоксиметил)-1,3-бензотиазол-2-илиден]амино]пиридазин-3-ил]амино]пиридин-2-карбоксилат

Стадия А: метил 3-[1-[[3-[2-[трет-бутил(дифенил)силил]оксиэтокси]-5,7-диметил-1-адамантил]метил]-5-метилпиразол-4-ил]-6-(метиламино)пиридин-2-карбоксилат

Смесь продукта Синтеза 13 (2.07 г, 8.45 ммоль), продукта Синтеза 12 (6.9 г, 1.2 экв.), Cs2CO3 (8.26 г, 3 экв.) и Pd(AtaPhos)2Cl2 (374 мг, 0.1 экв.) в 1,4-диоксане (51 мл) и воде (8.5 мл) перемешивали при 80°С в течение 1 ч. Очистка с помощью колоночной хроматографии (силикагель, гептан и EtOAc в качестве элюентов) приводила к получению целевого продукта (4.5 г, 74%).

1Н ЯМР (400 МГц, ДМСО-d6): δ м.д. 7.66 (dm, 4Н), 7.47-7.38 (m, 6Н), 7.31 (d, 1H), 7.23 (s, 1Н), 6.78 (q, 1Н), 6.59 (d, 1H), 3.82 (s, 2Н), 3.67 (t, 2Н), 3.58 (s, 3Н), 3.46 (t, 2Н), 2.77 (d, 3Н), 2.06 (s, 3Н), 1.35 (s, 2Н), 1.27/1.20 (d+d, 4Н), 1.14/1.09 (d+d, 4Н), 1.05/0.97 (d+d, 2Н), 0.98 (s, 9Н), 0.84 (s, 6Н); 13С ЯМР (100 МГц, ДМСО-de) δ м.д. 140.1, 137.4, 135.6, 130.2/128.3, 109.8, 74.2, 64.4, 61.7, 58.9, 52.2, 50.0, 46.9, 46.0, 43.4, 39.8, 33.5, 30.1, 28.4, 27.1, 10.8; МСВР-ЭРИ (m/z): [М+Н]+, рассчитано для C43H57N4O4Si: 721.4149 найдено: 721.4148.

Стадия В: метил 3-[1-[[3-[2-[трет-бутил(дифенил)силил]оксиэтокси]-5,7-диметил-1-адамантил]метил]-5-метилпиразол-4-ил]-6-[метил-[5-метил-6-[(Z)-[3-(2-триметилсилилэтоксиметил)-1,3-бензотиазол-2-илиден]амино]пиридазин-3-ил]амино]пиридин-2-карбоксилат

Используя Общую методику II проведения реакции Бухвальда, исходя из продукта со Стадии А и осуществляя реакцию с обратным холодильником в течение 18 ч, получали 4.7 г (86%) целевого продукта.

1Н ЯМР (400 МГц, ДМСО-d6): δ м.д. 7.78 (dm, 1Н), 7.69-7.36 (m, ЮН), 7.63 (q, 1H), 7.63 (d, 1Н), 7.47 (dm, 1Н), 7.44 (m, 1Н), 7.35 (s, 1H), 7.31 (d, 1Н), 7.24 (m, 1Н), 5.86 (s, 2Н), 3.86 (s, 2Н), 3.72 (m, 2Н), 3.67 (t, 2Н), 3.64 (s, 3Н), 3.61 (s, 3Н), 3.46 (t, 2Н), 2.36 (d, 3Н), 2.13 (s, 3Н), 1.40-0.94 (m, 12Н), 0.97 (s, 9Н), 0.92 (m, 2Н), 0.85 (s, 6Н), -0.11 (s, 9Н); МСВР-ЭРИ (m/z): [М+Н]+, рассчитано для C61H79N8O5SSi2: 1091.5433 найдено: 1091.5426.

Стадия С: метил 3-[1-[[3-(2-гидроксиэтокси)-5,7-диметил-1-адамантил]метил]-5-метилпиразол-4-ил]-6-[метил-[5-метил-6-[(Z)-[3-(2-триметилсилилэтоксиметил)-1,3-бензотиазол-2-илиден]амино]пиридазин-3-ил]амино]пиридин-2-карбоксилат

К продукту со Стадии В (1.0 г, 0.916 ммоль) в ТГФ (9 мл) при 0°С добавляли 1 М раствор TBAF в ТГФ (1.0 мл, 1.1 экв.), и реакционную смесь перемешивали в течение 1 ч. После гашения реакционной смеси насыщенным раствором NH4Cl и экстрагирования с помощью EtOAc, объединенные органические фазы сушили, концентрировали и очищали с помощью колоночной хроматографии (силикагель, ДХМ и МеОН в качестве элюентов) с получением целевого продукта (752 мг, 96%).

1Н ЯМР (500 МГц, ДМСО-d6) δ м.д. 7.79 (dm, 1Н), 7.66 (d, 1Н), 7.64 (s, 1H), 7.47 (dm, 1Н), 7.43 (m, 1H), 7.36 (s, 1H), 7.33 (d, 1Н), 7.25 (m, 1Н), 5.87 (s, 2Н), 4.46 (t, 1H), 3.86 (s, 2Н), 3.73 (m, 2Н), 3.68 (s, 3Н), 3.62 (s, 3Н), 3.40 (m, 2Н), 3.35 (t, 2Н), 2.37 (s, 3Н), 2.14 (s, 3Н), 1.42-0.96 (m, 12Н), 0.92 (m, 2Н), 0.86 (s, 6Н), -0.10 (s, 9Н); МСВР-ЭРИ (m/z): [М+Н]+, рассчитано для C45H61N8O5SSi: 853.4255 найдено: 853.4256.

Стадия D: метил 3-[1-[[3,5-диметил-7-[2-(n-толилсульфонилокси)этокси]-1-адамантил]метил]-5-метилпиразол-4-ил]-6-[метил-[5-метил-6-[(Z)-[3-(2-триметилсилилэтоксиметил)-1,3-бензотиазол-2-илиден]амино]пиридазин-3-ил]амино]пиридин-2-карбоксилат

К продукту со Стадии С (752 мг, 0.88 ммоль) и триэтиламину (0.5 мл, 4 экв.) в ДХМ (4.4 мл) добавляли и-толилсульфонил-4-метилбензолсульфонат (575.4 мг, 1.76 ммоль, 2 экв.), и реакционную смесь перемешивали в течение 1 ч. Очистка с помощью колоночной хроматографии (силикагель, гептан и EtOAc в качестве элюентов) приводила к получению целевого продукта (722 мг, 81%).

1Н ЯМР (400 МГц, ДМСО-d6): δ м.д. 7.79 (dm, 1Н), 7.76 (dm, 2Н), 7.68 (d, 1H), 7.64 (s, 1H), 7.47 (m, 1H), 7.46 (dm, 2Н), 7.43 (td, 1Н), 7.36 (s, 1Н), 7.33 (d, 1H), 7.25 (td, 1Н), 5.87 (s, 2Н), 4.06 (m, 2Н), 3.84 (s, 2Н), 3.73 (t, 2Н), 3.66 (s, 3Н), 3.62 (s, 3Н), 3.48 (m, 2Н), 2.40 (s, 3Н), 2.37 (s, 3Н), 2.13 (s, 3Н), 1.31-0.94 (m, 12Н), 0.92 (t, 2Н), 0.83 (s, 6Н), -0.10 (s, 9Н); 13С ЯМР (100 МГц, ДМСО-d6) δ м.д. 141.2, 137.5, 130.6, 128.1, 127.2, 123.4, 123.4, 123.1, 114.7, 112.0, 72.9, 71.5, 66.7, 58.8, 58.4, 52.6, 36.6, 30.1, 21.6, 17.8, 17.4, 10.8, -0.9; МСВР-ЭРИ (m/z): [М+Н]+, рассчитано для C52H67N8O7S2Si: 1007.4343 найдено: 1007.4344.

Пример 1: 2-({6-[(1,3-Бензотиазол-2-ил)амино]-4,5-диметилпиридазин-3-ил}амино)-1,3-тиазол-4-карбоновая кислота

Стадия А: этил 2-({6-[(1,3-бензотиазол-2-ил)амино]-4,5-диметилпиридазин-3-ил}амино)-1,3-тиазол-4-карбоксилат

В высушенный в сушильном шкафу сосуд для микроволновой обработки загружали этил 2-аминотиазол-4-карбоксилат (71 мг, 0.41 ммоль, 1.2 экв.), продукт Синтеза 9а (100 мг, 0.34 ммоль, 1 экв.), ксантфос (19.9 мг, 0.03 ммоль, 0.1 экв.), трис(дибензилиденацетон)дипалладий(0) (15.8 мг, 0.02 ммоль, 0.05 экв.) и карбонат цезия (134.5 мг, 0.41 ммоль, 1.2 экв.). Сосуд вакуумировали и продували азотом (х3), и затем добавляли толуол (6 мл). Смесь барботировали азотом (10 мин) и затем нагревали при 180°С в течение 1.5 ч под микроволновым облучением. Смесь распределяли между этилацетатом (100 мл) и соляным раствором (50 мл), и органическую фазу сушили (сульфат магния) и концентрировали в вакууме. Очистка с помощью автоматической колоночной флэш-хроматографии (CombiFlash Rf, 12 г силикагелевый картридж RediSep™) с элюированием с градиентом 0 100% этилацетата в изогептане приводила к получению целевого продукта (63 мг, 0.15 ммоль, 43%).

ЖХ/МС (C19H18N6O2S2) 427 [М+Н]+; RT 1.32 (ЖХМС-V-B1)

1Н ЯМР (400 МГц, ДМСО-d6) δ 10.99 (s, 1H), 10.87 (br s, 1Н), 7.95 (s, 1H), 7.89 (br s, 1H), 7.57 (br s, 1Н), 7.37 (t, J=7.59 Гц, 1H), 7.20 (t, 1H), 4.30 (q, J=7.10 Гц, 2H), 2.38 (s, 3H), 2.36 (s, 3H), 1.32 (t, J=7.11 Гц, 3Н).

Стадия В: 2-({6-[(1,3-бензотиазол-2-ил)амино]-4,5-диметилпиридазин-3-ил}амино)-1,3-тиазол-4-карбоновая кислота

К раствору продукта со Стадии А (38 мг, 0.09 ммоль, 1 экв.) в 1,4-диоксане (5 мл) добавляли 2 М водный раствор гидроксида лития (90 мкл, 0.18 ммоль, 2 экв.), и смесь перемешивали при температуре окружающей среды в течение 30 мин, затем нагревали при 40°С в течение 1 ч, и в заключение при 80°С в течение 1 ч. Затем реакционной смеси давали охладиться до температуры окружающей среды, реакционную смесь распределяли между этилацетатом (10 мл) и водой (10 мл), и рН доводили до 6. Водную фазу концентрировали в вакууме, и остаток растирали с водой и собирали путем фильтрования. Выполнение промывания водой, диэтиловым эфиром, затем дихлорметаном, и последующей сушки в вакууме приводило к получению целевого продукта в виде оранжевого твердого вещества (14 мг, 0.04 ммоль, 39%).

МСВР-ЭРИ (m/z) [М+Н]+, рассчитано для C17H15N6O2S2: 399.0692, найдено: 399.0729.

Пример 2: 6-({6-[(1,3-Бензотиазол-2-ил)амино]-4,5-диметилпиридазин-3-ил}амино)пиридин-2-карбоновая кислота

Стадия А: этил 6-({6-[(1,3-бензотиазол-2-ил)амино]-4,5-диметилпиридазин-3-ил}амино)пиридин-2-карбоксилат

В высушенный в сушильном шкафу сосуд для микроволновой обработки загружали этил 6-аминопиридин-2-карбоксилат (171 мг, 1.03 ммоль, 1.5 экв.), продукт Синтеза 9а (200 мг, 0.69 ммоль, 1 экв.), ксантфос (39.8 мг, 0.07 ммоль, 0.1 экв.), трис(дибензилиденацетон)дипалладий(0) (31.5 мг, 0.03 ммоль, 0.05 экв.) и карбонат цезия (336 мг, 1.03 ммоль, 1.5 экв.). Сосуд вакуумировали и продували азотом (х3), и затем добавляли толуол (5 мл). Смесь барботировали азотом (10 мин) и затем нагревали при 180°С в течение 3 ч под микроволновым облучением. Смесь разбавляли этилацетатом и водой, и фильтровали через небольшую набивку целита. Органический слой промывали соляным раствором, сушили (сульфат магния), фильтровали и концентрировали в вакууме. Очистка с помощью автоматической колоночной флэш-хроматографии (CombiFlash Rf, 24 г силикагелевый картридж RediSep™) с элюированием с градиентом 0 100% этилацетата в гексане приводила к получению целевого соединения в виде желтого, стеклообразного твердого вещества (55 мг, 0.13 ммоль, 19%).

ЖХ/МС (C21H20N6O2S) 421 [М+Н]+; RT 1.17 (ЖХМС-V-B1)

1Н ЯМР (400 МГц, ДМСО-d6) δ 10.91 (br s, 1Н), 9.17 (s, 1Н), 7.85 (br s, 1H), 7.84 (dd, J=7.32, 8.47 Гц, 1H), 7.66 (d, J=8.47 Гц, 1H), 7.55 (d, J=7.20 Гц, 1H), 7.37 (t, J=7.73 Гц, 1H), 7.19 (s, 1Н), 4.32 (q, J=7.13 Гц, 2Н), 2.38 (s, 3Н), 2.27 (s, 3Н), 1.32 (t, J=7.10 Гц, 3Н).

Стадия В: 6-({6-[1,3-бензотиазол-2-ил)амино]-4,5-диметилпиридазин-3-ил}амино)пиридин-2-карбоновая кислота

К раствору продукта со Стадии А (50 мг, 0.12 ммоль, 1 экв.) в 1,4-диоксане (5 мл) добавляли 2М водный раствор гидроксида лития (0.12 мл, 0.24 ммоль, 2 экв.), и смесь нагревали при 90°С в течение 1 ч. Смесь охлаждали до температуры окружающей среды, растворитель упаривали в вакууме и остаток растирали с водой и собирали путем фильтрования с получением целевого продукта в виде оранжевого твердого вещества (9 мг, 0.02 ммоль, 19%).

МСВР-ЭРИ (m/z) [М+Н]+, рассчитано для C19H17N6O2S: 393.1128, найдено: 393.1163.

Пример 3: 2-({6-[(1,3-Бензотиазол-2-ил)амино]-4,5-диметилпиридазин-3-ил}амино)-5-(3-{4-[3-(диметиламино)проп-1-ин-1-ил]-2-фторфенокси}пропил)-1,3-тиазол-4-карбоновая кислота

Стадия А: этил 2-({6-[(1,3-бензотиазол-2-ил)амино]-4,5-диметилпиридазин-3-ил}амино)-5-(3-{4-[3-(диметиламино)проп-1-ин-1-ил]-2-фторфенокси}пропил)-1,3-тиазол-4-карбоксилат

В высушенный в сушильном шкафу сосуд для микроволновой обработки загружали продукт Синтеза 9а (376 мг, 1.29 ммоль, 1.5 экв.), продукт Синтеза 3u (350 мг, 0.86 ммоль, 1 экв.), карбонат цезия (394 мг, 1.21 ммоль, 1.4 экв.), ксантфос (49.9 мг, 0.09 ммоль, 0.1 экв.) и трис(дибензилиденацетон)дипалладий(0) (39.5 мг, 0.04 ммоль, 0.05 экв.). Сосуд вакуумировали и продували азотом (х3), и затем добавляли трифтортолуол (10 мл). Смесь барботировали азотом (10 мин) и затем нагревали при 180°С в течение 1 ч под микроволновым облучением. Очистка с помощью обращенно-фазовой автоматической флэш-хроматографии (CombiFlash Rf, C18 43 г колонка RediSep) с элюированием 5-95% ацетонитрила в воде приводила к получению целевого продукта в виде ярко-желтого стеклообразного вещества (266 мг, 0.4 ммоль, 47%).

ЖХ/МС (C33H34FN7O3S2) 660 [М+Н]+; RT 1.18 (ЖХМС-V-B1)

1H ЯМР (400 МГц, ДМСО-d6) δ 11.31 (br s, 1H), 10.81 (br s, 1H), 7.88 (d, J=7.8 Гц, 1H), 7.50 (d, J=7.8 Гц, 1H), 7.37 (ddd, J=8.2, 7.3, 1.3 Гц, 1H), 7.31 (dd, J=11.9, 2.0 Гц, 1H), 7.25-7.11 (m, 3H), 4.26 (q, J=7.1 Гц, 2H), 4.16 (t, J=6.2 Гц, 2H), 3.39 (s, 2H), 3.30 (t, J=7.6 Гц, 2H), 2.37 (s, 3H), 2.35 (s, 3H), 2.21 (s, 6H), 2.14 (q, J=7.2, 6.5 Гц, 2H), 1.29 (t, J=7.1 Гц, 3Н).

Стадия В: 2-({6-[(1,3-бензотиазол-2-ил)амино]-4,5-диметилпиридазин-3-ил}амино)-5-(3-{4-[3-(диметиламино)проп-1-ин-1-ил]-2-фторфенокси}пропил)-1,3-тиазол-4-карбоновая кислота

К раствору продукта со Стадии А (266 мг, 0.4 ммоль, 1 экв.) в 1,4-диоксане (10 мл) добавляли 2 М водный раствор гидроксида лития (0.4 мл, 0.81 ммоль, 2 экв.), и смесь перемешивали при нагревании с обратным холодильником в течение 3 ч. Затем реакционной смеси давали охладиться до температуры окружающей среды, смесь концентрировали в вакууме и растирали с водой (10 мл). Твердые вещества собирали путем фильтрования, промывали водой и сушили в вакууме с получением целевого продукта в виде ярко-желтого твердого вещества (209 мг, 0.33 ммоль, 82%) [в виде соли лития].

МСВР-ЭРИ (m/z): [М+Н]+, рассчитано для C31H31FN7O3S2: 632.1908, найдено: 632.1914.

Пример 4: 2-({6-[(1,3-Бензотиазол-2-ил)амино]пиридазин-3-ил}амино)-1,3-тиазол-4-карбоновая кислота

Стадия А: этил 2-({6-[(1,3-бензотиазол-2-ил)амино]пиридазин-3-ил}амино)-1,3-тиазол-4-карбоксилат

В высушенную в сушильном шкафу колбу загружали продукт Синтеза 9b (500 мг, 1.9 ммоль, 1 экв.), этил 2-амино-1,3-тиазол-4-карбоксилат (393 мг, 2.28 ммоль, 1.2 экв.), карбонат цезия (930 мг, 2.85 ммоль, 1.5 экв.), ксантфос (110 мг, 0.19 ммоль, 0.1 экв.) и трис(дибензилиденацетон)дипалладий(0) (87.1 мг, 0.1 ммоль, 0.05 экв.). Колбу вакуумировали и продували азотом (х3) и затем добавляли толуол (20 мл). Смесь затем барботировали азотом (15 мин) и нагревали при 180°С в течение 1.5 ч под микроволновым облучением. Смесь распределяли между дихлорметаном (200 мл) и водой (200 мл), и органическую фазу концентрировали в вакууме. Сырое вещество растирали с дихлорметаном и отфильтровывали, промывали дихлорметаном и сушили с получением целевого продукта в виде желтого твердого вещества (417 мг, 1.05 ммоль, 55%).

ЖХ/МС (C17H14N6O2S2) 397 [М+Н]+; RT 1.20 (ЖХМС-V-B1)

1Н ЯМР (400 МГц, ДМСО-d6) δ 11.86 (s, 2Н), 7.97 (s, 1Н), 7.95 (s, 1Н), 7.65 (d, J=8.1 Гц, 1H), 7.52 (d, J=9.3 Гц, 1H), 7.46-7.32 (m, 2Н), 7.23 (t, 1Н), 4.29 (q, J=7.1 Гц, 2Н), 1.32 (t, J=7.1 Гц, 3Н).

Стадия В: 2-({6-[(1,3-бензотиазол-2-ил)амино]пиридазин-3-ил}амино)-1,3-тиазол-4-карбоновая кислота

К раствору продукта со Стадии А (417 мг, 1.05 ммоль, 1 экв.) в 1,4-диоксане (20 мл) добавляли 2 М водный раствор гидроксида лития (1.05 мл, 2.09 ммоль, 2 экв.), и реакционную смесь нагревали с обратным холодильником в течение 1 ч. Смеси давали охладиться до температуры окружающей среды, затем растворитель удаляли в вакууме и остаток растирали с ацетоном с последующим растиранием с 1:1 смесью изопропанол / вода. Твердое вещество собирали путем фильтрования и сушили в вакууме с получением целевого продукта в виде коричневого твердого вещества (161 мг, 0.43 ммоль, 42%).

МСВР-ЭРИ (m/z) [М+Н]+, рассчитано для C15H11N6O2S2: 371.0379, найдено: 371.0404.

Пример 5: 2-({6-[(1,3-Бензотиазол-2-ил)амино]-5-(пропан-2-ил)пиридазин-3-ил}амино)-1,3-тиазол-4-карбоновая кислота

Стадия А: этил 2-({6-[(1,3-бензотиазол-2-ил)амино]-5-(пропан-2-ил)пиридазин-3-ил}амино)-1,3-тиазол-4-карбоксилат

В высушенный в сушильном шкафу сосуд для микроволновой обработки загружали продукт Синтеза 9cb (367 мг, 1.2 ммоль, 1 экв.), этил 2-амино-1,3-тиазол-4-карбоксилат (249 мг, 1.44 ммоль, 1.2 экв.), карбонат цезия (589 мг, 1.81 ммоль, 1.5 экв.), ксантфос (69.7 мг, 0.12 ммоль, 0.1 экв.) и трис(дибензилиденацетон)дипалладий(0) (55.1 мг, 0.06 ммоль, 0.05 экв.). Сосуд вакуумировали и продували азотом (х3), и затем добавляли толуол (10 мл). Смесь барботировали азотом (15 мин) и затем нагревали при 180°С в течение 1 ч под микроволновым облучением. Смесь распределяли между этилацетатом и водой, и водную фазу экстрагировали этилацетатом. Объединенную органику промывали соляным раствором, сушили (сульфат магния) и концентрировали в вакууме. Очистка с помощью автоматической колоночной флэш-хроматографии (CombiFlash Rf, 40 г силикагелевый картридж RediSep™) с элюированием с градиентом 0-50% этилацетата в изогептане приводила к получению целевого продукта в виде ярко-желтого твердого вещества (303 мг, 0.69 ммоль, 57%).

ЖХ/МС (C20H20N6O2S2) 441 [М+Н]+; RT 1.39 (ЖХМС-V-B1)

1Н ЯМР (400 МГц, ДМСО-d6) δ 12.03 (d, J=233.3 Гц, 1H), 11.72 (s, 1H), 7.94 (s, 1H), 7.85-7.09 (m, 5Н), 4.29 (q, J=7.1 Гц, 2Н), 3.33 (s, 1H), 1.32 (t, J=7.1 Гц, 3Н), 1.25 (d, J=6.8 Гц, 6Н).

Стадия В: 2-({6-[(1,3-бензотиазол-2-ил)амино]-5-(пропан-2-ил)пиридазин-3-ил}амино)-1,3-тиазол-4-карбоновая кислота

К раствору продукта со Стадии А (300 мг, 0.68 ммоль, 1 экв.) в 1,4-диоксане (10 мл) добавляли 2М водный раствор гидроксида лития (0.68 мл, 1.36 ммоль, 2 экв.), и реакционную смесь нагревали при 60°С в течение 18 ч. Смеси давали охладиться до температуры окружающей среды и концентрировали в вакууме. Остаток разбавляли водой и подкисляли 2М водным раствором хлористоводородной кислоты. Полученное в результате твердое вещество собирали путем фильтрования, промывали водой и сушили в вакууме с получением коричневого твердого вещества (130 мг, 0.32 ммоль, 46%) [в виде соли с хлористоводородной кислотой].

МСВР-ЭРИ (m/z) [М+Н]+, рассчитано для C18H17N6O2S2: 413.0849, найдено: 413.0885.

Пример 6: 2-({6-[(1,3-Бензотиазол-2-ил)амино]-4-(пропан-2-ил)пиридазин-3-ил}амино)-1,3-тиазол-4-карбоновая кислота

Стадия А: этил 2-({6-[(1,3-бензотиазол-2-ил)амино]-4-(пропан-2-ил)пиридазин-3-ил}амино)-1,3-тиазол-4-карбоксилат

В высушенную в сушильном шкафу колбу загружали продукт Синтеза 9са (500 мг, 1.64 ммоль, 1 экв.), этил 2-амино-1,3-тиазол-4-карбоксилат (339 мг, 1.97 ммоль, 1.2 экв.), ксантфос (94.9 мг, 0.16 ммоль, 0.1 экв.), карбонат цезия (802 мг, 2.46 ммоль, 1.5 экв.) и трис(дибензилиденацетон)дипалладий(0) (75.1 мг, 0.08 ммоль, 0.05 экв.). Сосуд вакуумировали и продували азотом (х3), и затем добавляли толуол (20 мл). Смесь барботировали азотом (10 мин) и затем нагревали при 200°С в течение 1.5 ч под микроволновым облучением. Добавляли дополнительные количества ксантфоса (94.9 мг, 0.16 ммоль, 0.1 экв.) и трис(дибензилиденацетон)дипалладия(0) (75.1 мг, 0.08 ммоль, 0.05 экв.), смесь барботировали азотом (10 мин) и затем нагревали при 180°С в течение 3 ч под микроволновым облучением. Реакционную смесь распределяли между этилацетатом и водой, водную фазу экстрагировали этилацетатом, и объединенную органику промывали соляным раствором, сушили (сульфат магния) и концентрировали в вакууме. Очистка с помощью автоматической колоночной флэш-хроматографии (CombiFlash Rf, 40 г силикагелевый картридж RediSep™) с элюированием с градиентом 0 55% этилацетата в изогептане приводила к получению целевого продукта в виде оранжевого твердого вещества (147 мг, 0.33 ммоль, 20%).

ЖХ/МС (C20H20N6O2S2) 441 [М+Н]+; RT 1.35 (ЖХМС-V-B1)

Стадия В: 2-({6-[(1,3-бензотиазол-2-ил)амино]-4-(пропан-2-ил)пиридазин-3-ил}амино)-1,3-тиазол-4-карбоновая кислота

К раствору продукта со Стадии А (147 мг, 0.33 ммоль, 1 экв.) в 1,4-диоксане (5 мл) добавляли 2М водный раствор гидроксида лития (0.33 мл, 0.67 ммоль, 2 экв.), и смесь нагревали с обратным холодильником в течение 1 ч. Смесь охлаждали до температуры окружающей среды и концентрировали в вакууме. Остаток вносили в воду и подкисляли до рН 6. Водную фазу экстрагировали этилацетатом, и органику сушили (сульфат магния) и концентрировали в вакууме. Очистка с помощью обращенно-фазовой автоматической флэш-хроматографии (CombiFlash Rf, C18 4.3 г колонка RediSep) с элюированием с градиентом 5 95% ацетонитрила в воде приводила к получению целевого продукта в виде желтого твердого вещества (7 мг, 0.02 ммоль, 5%).

МСВР-ЭРИ (m/z) [М+Н]+, рассчитано для C18H17N6O2S2: 413.0849, найдено: 413.0886.

Пример 7: 2-({6-[(1,3-Бензотиазол-2-ил)амино]-5-метилпиридазин-3-ил}амино)-1,3-тиазол-4-карбоновая кислота

Стадия А: этил 2-({6-[(1,3-бензотиазол-2-ил)амино]-5-метилпиридазин-3-ил}амино)-1,3-тиазол-4-карбоксилат

В высушенный в сушильном шкафу сосуд для микроволновой обработки загружали продукт Синтеза 9db (400 мг, 1.45 ммоль, 1 экв.), этил 2-амино-1,3-тиазол-4-карбоксилат (373 мг, 2.17 ммоль, 1.5 экв.), карбонат цезия (706 мг, 2.17 ммоль, 1.5 экв.), трис(дибензилиденацетон)дипалладий(0) (66.2 мг, 0.07 ммоль, 0.05 экв.) и ксантфос (83.6 мг, 0.14 ммоль, 0.1 экв.). Сосуд вакуумировали и продували азотом (х3), и затем добавляли толуол (15 мл). Смесь барботировали азотом (5 мин) и затем нагревали при 150°С в течение 2 ч под микроволновым облучением. Добавляли дополнительные количества этил 2-амино-1,3-тиазол-4-карбоксилата (375 мг, 2.17 ммоль, 1.5 экв.), ксантфоса (83.6 мг, 0.14 ммоль, 0.1 экв.) и трис(дибензилиденацетон)дипалладия(0) (66.2 мг, 0.07 ммоль, 0.05 экв.), смесь барботировали азотом (5 мин) и затем нагревали при 180°С в течение 1 ч под микроволновым облучением. Смесь концентрировали в вакууме и очищали с помощью обращенно-фазовой автоматической флэш-хроматографии (CombiFlash Rf, C18 4.3 г колонка RediSep) с элюированием с градиентом 5-95% ацетонитрила в воде с получением целевого продукта (169 мг, 0.41 ммоль, 28%).

ЖХ/МС (C18H16N6O2S2) 413 [М+Н]+; RT 1.27 (ЖХМС-V-B1)

1Н ЯМР (400 МГц, ДМСО-d6) δ 11.81 (s, 1H), 11.04 (br s, 1Н), 7.94 (s, 1H), 7.90 (br s, 1H), 7.55 (br s, 1H), 7.39 (t, J=7.6 Гц, 1H), 7.21 (t, J=7.5 Гц, 1H), 7.14 (s, 1H), 4.29 (q, J=7.1 Гц, 2H), 2.40 (s, 3H), 1.32 (t, J=7.1 Гц, 3Н).

Стадия В: 2-({6-[(1,3-бензотиазол-2-ил)амино]-5-метилпиридазин-3-ил}амино)-1,3-тиазол-4-карбоновая кислота

К перемешиваемой суспензии продукта со Стадии А (169 мг, 0.41 ммоль, 1 экв.) в 1,4-диоксане (5 мл) добавляли 2М водный раствор гидроксида лития (0.49 мл, 0.49 ммоль, 1.2 экв.), и смесь перемешивали при 100°С в течение 4.5 ч. Реакционной смеси давали охладиться до температуры окружающей среды и концентрировали в вакууме. Сырой продукт суспендировали в 2:1 смеси изопропанол / вода и перемешивали в течение 30 мин. Твердые вещества собирали путем фильтрования и сушили в вакууме с получением целевого продукта в виде ярко-желтого твердого вещества (17 мг, 0.04 ммоль, 11%) [в виде соли лития].

МСВР-ЭРИ (m/z) [М+Н]+, рассчитано для C16H13N6O2S2: 385.0536, найдено: 385.0567.

Пример 8: 2-({6-[(1,3-Бензотиазол-2-ил)амино]-5-метил-4-(пропан-2-ил)пиридазин-3-ил}амино)-1,3-тиазол-4-карбоновая кислота

Стадия А: этил 2-({6-[(1,3-бензотиазол-2-ил)амино]-5-метил-4-(пропан-2-ил)пиридазин-3-ил}амино)-1,3-тиазол-4-карбоксилат

В высушенный в сушильном шкафу сосуд для микроволновой обработки загружали продукт Синтеза 9еа (300 мг, 0.94 ммоль, 1 экв.), этил 2-амино-1,3-тиазол-4-карбоксилат (243 мг, 1.41 ммоль, 1.5 экв.), карбонат цезия (460 мг, 1.41 ммоль, 1.5 экв.), ксантфос (218 мг, 0.38 ммоль, 0.4 экв.) и трис(дибензилиденацетон)дипалладий(0) (172.4 мг, 0.18 ммоль, 0.2 экв.). Сосуд вакуумировали и продували азотом (х3), и затем добавляли толуол (4 мл). Смесь барботировали азотом (15 мин) и затем нагревали при 180°С в течение 2 ч под микроволновым облучением. Смесь концентрировали в вакууме и остаток адсорбировали на Isolute. Очистка с помощью обращенно-фазовой автоматической флэш-хроматографии (CombiFlash Rf, C18 4.3 г колонка RediSep) с элюированием с градиентом 5-95% ацетонитрила в воде приводила к получению целевого продукта (22 мг, 0.05 ммоль, 5%).

ЖХ/МС (C21H22N602S2) 455 [М+Н]+; RT 1.42 (ЖХМС-V-B1)

1Н ЯМР (400 МГц, ДМСО-d6) δ 10.96 (s, 1H), 7.92 (s, 1Н), 7.87 (br s, 1Н), 7.53 (br s, 1Н), 7.38 (t, J=7.5 Гц, 1Н), 7.20 (t, J=7.6 Гц, 1H), 4.30 (q, J=7.1 Гц, 2Н), 3.66 (р, J=7.0 Гц, 1H), 2.48 (s, 3Н), 1.35 (d, 6Н), 1.32 (t, 3Н).

Стадия В: 2-({6-[(1,3-бензотиазол-2-ил)амино]-5-метил-4-(пропан-2-ил)пиридазин-3-ил}амино)-1,3-тиазол-4-карбоновая кислота

К раствору продукта со Стадии А (22 мг, 0.05 ммоль, 1 экв.) в тетрагидрофуране (2 мл) и метаноле (0.5 мл) добавляли 2М водный раствор гидроксида лития (50 мкл, 0.1 ммоль, 2 экв.), и смесь нагревали при 75°С в течение 1 ч. Реакционной смеси давали охладиться до температуры окружающей среды и концентрировали в вакууме. Полученное в результате твердое вещество переносили снова в воду (2 мл) и рН доводили до 6. Органику экстрагировали этилацетатом (20 мл), сушили (сульфат магния), концентрировали в вакууме и сушили в вакууме с получением целевого продукта в виде светло-оранжевого твердого вещества (19 мг, 0.04 ммоль, 92%).

МСВР-ЭРИ (m/z) [М+Н]+, рассчитано для C19H19N6O2S2: 427.1005, найдено: 427.1043.

Пример 9: 2-({6-[(1,3-Бензотиазол-2-ил)амино]-4,5-диметилпиридазин-3-ил}амино)-5-(3-феноксипропил)-1,3-тиазол-4-карбоновая кислота

Стадия А: этил 2-({6-[(1,3-бензотиазол-2-ил)амино]-4,5-диметилпиридазин-3-ил}амино)-5-(3-феноксипропил)-1,3-тиазол-4-карбоксилат

В высушенный в сушильном шкафу сосуд для микроволновой обработки загружали продукт Синтеза 9а (45.7 мг, 0.16 ммоль, 1 экв.), продукт Синтеза 3v (48.2 мг, 0.16 ммоль, 1 экв.), ксантфос (9.1 мг, 0.02 ммоль, 0.1 экв.), трис(дибензилиденацетон)дипалладий(0) (7.2 мг, 0.01 ммоль, 0.05 экв.) и карбонат цезия (61.5 мг, 0.19 ммоль, 1.2 экв.). Сосуд вакуумировали и продували азотом (х3), и затем добавляли толуол (2 мл). Смесь барботировали азотом (10 мин) и затем нагревали при 180°С в течение 2 ч под микроволновым облучением. Реакционную смесь распределяли между этилацетатом и водой, затем последовательно промывали водой и соляным раствором. Органическую фазу сушили (сульфат магния) и растворитель удаляли в вакууме. Очистка с помощью автоматической колоночной флэш-хроматографии (CombiFlash Rf, 12 г силикагелевый картридж RediSep™) с элюированием с градиентом 0-10% метанола в дихлорметане приводила к получению целевого продукта в виде коричневого стеклообразного вещества (19.2 мг, 0.03 ммоль, 22%).

ЖХ/МС (C28H28N6O3S2) δ61 [М+Н]+; RT 1.51 (ЖХМС-V-B1)

1Н ЯМР (400 МГц, ДМСО-d6) δ 10.81 (br s, 2Н), 7.65 (s, 1Н), 7.38 (s, 1H), 7.31 (t, 2H), 7.21 (s, 2H), 7.00-6.89 (m, 3Н), 4.27 (q, J=7.2 Гц, 2H), 4.06 (t, J=6.2 Гц, 2H), 3.30 (d, J=8.3 Гц, 2H), 2.37 (s, 3Н), 2.35 (s, 3Н), 2.13 (q, 2H), 1.30 (t, J=7.1 Гц, 3Н).

Стадия В: 2-({6-[(1,3-бензотиазол-2-ил)амино]-4,5-диметилпиридазин-3-ил}амино)-5-(3-феноксипропил)-1,3-тиазол-4-карбоновая кислота

К раствору продукта со Стадии А (19 мг, 0.03 ммоль, 1 экв.) в 1,4-диоксане (2 мл) добавляли 2М водный раствор гидроксида лития (14.2 мг, 0.34 ммоль, 10 экв.), и смесь нагревали с обратным холодильником в течение 10 ч. Затем реакционной смеси давали охладиться до температуры окружающей среды, растворитель удаляли в вакууме, остаток растирали с водой и сырой продукт собирали путем фильтрования. Очистка с помощью обращенно-фазовой препаративной ВЭЖХ (метод ВЭЖХ-V-А2) приводила к получению целевого продукта в виде бежевого твердого вещества (3.5 мг, 6.6 мкмоль, 19%).

МСВР-ЭРИ (m/z) [М+Н]+, рассчитано для C26H25N6O3S2: 533.1424, найдено: 533.1460.

Пример 10: 2-({6-[(1,3-Бензотиазол-2-ил)амино]-4-метил-5-(пропан-2-ил)пиридазин-3-ил}амино)-1,3-тиазол-4-карбоновая кислота

Стадия А: этил 2-({6-[(1,3-бензотиазол-2-ил)амино]-4-метил-5-(пропан-2-ил)пиридазин-3-ил}амино)-1,3-тиазол-4-карбоксилат

В высушенный в сушильном шкафу сосуд для микроволновой обработки загружали продукт Синтеза 9eb (114 мг, 0.36 ммоль, 1 экв.), этил 2-амино-1,3-тиазол-4-карбоксилат (92.4 мг, 0.54 ммоль, 1.5 экв.), карбонат цезия (175 мг, 0.54 ммоль, 1.5 экв.), ксантфос (41.4 мг, 0.07 ммоль, 0.2 экв.) и трис(дибензилиденацетон)дипалладий(0) (32.7 мг, 0.04 ммоль, 0.1 экв.). Сосуд вакуумировали и продували азотом (х3), и затем добавляли толуол (4 мл). Смесь барботировали азотом (15 мин) и затем нагревали при 180°С в течение 1 ч под микроволновым облучением. Смесь концентрировали в вакууме и очищали с помощью обращенно-фазовой автоматической флэш-хроматографии (CombiFlash Rf, С18 4.3 г колонка RediSep) с элюированием с градиентом 5-70% ацетонитрила в воде с получением целевого продукта в виде желтого твердого вещества (20 мг, 0.04 ммоль, 12%).

ЖХ/МС (C21H22N6O2S2) 455 [М+Н]+; RT 1.45 (ЖХМС-V-B1).

Стадия В: 2-({6-[(1,3-бензотиазол-2-ил)амино]-4-метил-5-(пропан-2-ил)пиридазин-3-ил}амино)-1,3-тиазол-4-карбоновая кислота

К раствору продукта со Стадии А (20 мг, 0.04 ммоль, 1 экв.) в тетрагидрофуране (2 мл) и метаноле (0.5 мл) добавляли моногидрат гидроксида лития (3.69 мг, 0.09 ммоль, 2 экв.), и реакционную смесь нагревали с обратным холодильником в течение 1 ч. Смеси давали охладиться до температуры окружающей среды и концентрировали в вакууме. Продукт вносили в воду (3 мл), подкисляли до рН 6 с помощью 1М водного раствора хлористоводородной кислоты и экстрагировали 19:1 смесью дихлорметан / изопропанол. Органический экстракт сушили (сульфат магния) и концентрировали в вакууме с получением целевого продукта в виде рассыпчатого желтого твердого вещества (13.5 мг, 0.03 ммоль, 72%).

МСВР-ЭРИ (m/z) [М+Н]+, рассчитано для C19H19N6O2S2: 427.1005, найдено: 427.1043.

Пример 11: 2-({6-[(1,3-Бензотиазол-2-ил)амино]-4-метилпиридазин-3-ил}амино)-1,3-тиазол-4-карбоновая кислота

Стадия А: этил 2-({6-[(1,3-бензотиазол-2-ил)амино]-4-метилпиридазин-3-ил}амино)-1,3-тиазол-4-карбоксилат

В высушенный в сушильном шкафу сосуд для микроволновой обработки загружали продукт Синтеза 9da (240 мг, 0.87 ммоль, 1 экв.), этил 2-амино-1,3-тиазол-4-карбоксилат (224 мг, 1.3 ммоль, 1.5 экв.), карбонат цезия (424 мг, 1.3 ммоль, 1.5 экв.), трис(дибензилиденацетон)дипалладий(0) (39.7 мг, 0.04 ммоль, 0.05 экв.) и ксантфос (50.2 мг, 0.09 ммоль, 0.1 экв.). Сосуд вакуумировали и продували азотом (х3), и затем добавляли толуол (15 мл). Смесь барботировали азотом (5 мин) и затем нагревали при 180°С в течение 3 ч под микроволновым облучением. Смесь концентрировали в вакууме и очищали с помощью обращенно-фазовой автоматической флэш-хроматографии (CombiFlash Rf, С18 26 г колонка RediSep) с элюированием с градиентом 5 95% ацетонитрила в воде с получением целевого продукта в виде коричневого твердого вещества (44 мг, 0.11 ммоль, 12%).

ЖХ/МС (C18H16N6O2S2) 413 [М+Н]+; RT 1.24 (ЖХМС-V-B1)

1H ЯМР (400 МГц, ДМСО-d6) δ 11.61 (br s, 1H), 11.17 (s, 1H), 7.97 (s, 1H), 7.95 (br s, 1H), 7.64 (d, J=8.0 Гц, 1H), 7.39 (ddd, J=8.2, 7.2, 1.3 Гц, 1H), 7.31 (d, J=1.2 Гц, 1H), 7.22 (ddd, J=8.2, 7.3, 1.2 Гц, 1H), 4.30 (q, J=7.1 Гц, 2H), 2.42 (s, 3H), 1.32 (t, J=7.1 Гц, 3Н).

Стадия В: 2-({6-[(1,3-бензотиазол-2-ил)амино]-4-метилпиридазин-3-ил}амино)-1,3-тиазол-4-карбоновая кислота

К раствору продукта со Стадии А (44 мг, 0.11 ммоль, 1 экв.) в 1,4-диоксане (5 мл) добавляли 2М водный раствор гидроксида лития (0.21 мл, 0.21 ммоль, 2 экв.), и реакционную смесь нагревали с обратным холодильником в течение 1 ч. Смеси давали охладиться до температуры окружающей среды, затем концентрировали в вакууме. Твердое вещество растирали с 4:1 смесью изопропанол / вода (4 мл) и перемешивали в течение 30 мин. Твердое вещество собирали путем фильтрования, промывали дополнительным количеством холодного изопропанола (3 мл) и сушили в вакууме с получением целевого продукта в виде коричневого твердого вещества (33 мг, 0.09 ммоль, 80%).

МСВР-ЭРИ (m/z) [М+Н]+, рассчитано для C16H13N6O2S2: 385.0536, найдено: 385.0572.

Пример 12: 2-({6-[(1,3-Бензотиазол-2-ил)амино]-4,5-диметилпиридазин-3-ил}амино)-5-(3-метоксипропил)-1,3-тиазол-4-карбоновая кислота

Стадия А: этил 2-({6-[(1,3-бензотиазол-2-ил)амино]-4,5-диметилпиридазин-3-ил}амино)-5-(3-метоксипропил)-1,3-тиазол-4-карбоксилат

В высушенный в сушильном шкафу сосуд для микроволновой обработки загружали продукт Синтеза 9а (260 мг, 0.89 ммоль, 1 экв.), продукт Синтеза 3w (219 мг, 0.89 ммоль, 1 экв.), ксантфос (51.8 мг, 0.09 ммоль, 0.1 экв.), трис(дибензилиденацетон)дипалладий(0) (41 мг, 0.04 ммоль, 0.05 экв.) и карбонат цезия (350 мг, 1.07 ммоль, 1.2 экв.). Сосуд вакуумировали и продували азотом (хЗ), и затем добавляли толуол (5 мл). Смесь барботировали азотом (10 мин) и затем нагревали при 180°С в течение 1 ч под микроволновым облучением. Реакционную смесь разбавляли этилацетатом, последовательно промывали водой и соляным раствором, затем сушили (сульфат магния) и растворитель удаляли в вакууме. Очистка с помощью обращенно-фазовой автоматической флэш-хроматографии (CombiFlash Rf, С18 13 г колонка RediSep) с элюированием 5-95% ацетонитрила в воде приводила к получению целевого продукта в виде желтого стеклообразного вещества (72.5 мг, 0.15 ммоль, 16%).

ЖХ/МС (C23H26N6O3S2) 499 [М+Н]+; RT 1.38 (ЖХМС-V-B1)

1Н ЯМР (400 МГц, ДМСО-d6) δ 10.76 (br s, 1Н), 7.88 (d, J=7.7 Гц, 1H), 7.50 (br s, 1H), 7.37 (td, J=8.1, 7.7, 1.3 Гц, 1H), 7.20 (t, J=7.7 Гц, 1H), 4.29 (q, J=7.1 Гц, 2H), 3.41 (t, J=6.3 Гц, 1H), 3.27 (s, 3H), 3.21-3.12 (m, 2H), 2.37 (s, 3H), 2.35 (s, 3H), 1.96-1.84 (m, 2H), 1.32 (t, J=7.1 Гц, 3Н).

Стадия В: 2-({6-[(1,3-бензотиазол-2-ил)амино]-4,5-диметилпиридазин-3-ил}амино)-5-(3-метоксипропил)-1,3-тиазол-4-карбоновая кислота

К раствору продукта со Стадии А (72.5 мг, 0.15 ммоль, 1 экв.) в 1,4-диоксане (5 мл) добавляли моногидрат гидроксида лития (12.2 мг, 0.29 ммоль, 2 экв.), и смесь нагревали с обратным холодильником в течение 10 ч. Реакционной смеси давали охладиться до температуры окружающей среды и растворитель удаляли в вакууме. Полученный в результате остаток растирали с водой, затем собирали путем фильтрования, промывали водой и сушили в вакууме с получением целевого продукта в виде коричневого твердого вещества (40.9 мг, 0.09 ммоль, 60%) [в виде соли лития].

МСВР-ЭРИ (m/z) [М+Н]+, рассчитано для C21H23N6O3S2: 471.1268, найдено: 471.1306.

Пример 13: 2-({6-[(1,3-Бензотиазол-2-ил)амино]-4,5-диметилпиридазин-3-ил}амино)-5-[3-(2-фторфенокси)пропил]-1,3-тиазол-4-карбоновая кислота

Стадия А: этил 2-({6-[(1,3-бензотиазол-2-ил)амино]-4,5-диметилпиридазин-3-ил}амино)-5-[3-(2-фторфенокси)пропил]-1,3-тиазол-4-карбоксилат

В высушенный в сушильном шкафу сосуд для микроволновой обработки загружали продукт Синтеза 9а (162 мг, 0.56 ммоль, 1 экв.), продукт Синтеза 3х (181 мг, 0.56 ммоль, 1 экв.), ксантфос (36.0 мг, 0.06 ммоль, 0.11 экв.), трис(дибензилиденацетон)дипалладий(0) (25.6 мг, 0.03 ммоль, 0.05 экв.) и карбонат цезия (243 мг, 0.75 ммоль, 1.34 экв.). Сосуд вакуумировали и продували азотом (х3), и затем добавляли толуол (4 мл) и диметилформамид (1 мл). Смесь барботировали азотом (10 мин) и затем нагревали при 180°С в течение 1 ч под микроволновым облучением. Реакционную смесь разбавляли этилацетатом, последовательно промывали водой и соляным раствором, сушили (сульфат магния) и концентрировали в вакууме. Очистка с помощью обращенно-фазовой автоматической флэш-хроматографии (CombiFlash Rf, CI8 13 г колонка RediSep) с элюированием с градиентом 5 95% ацетонитрила в воде приводила к получению целевого продукта в виде коричневого стеклообразного вещества (76.1 мг, 0.13 ммоль, 24%).

ЖХ/МС (C28H27FN6O3S2) δ79 [М+Н]+; RT 1.49 (ЖХМС-V-B1)

1Н ЯМР (400 МГц, ДМСО-d6) δ 10.78 (br s, 1Н), 7.89 (brs, 1H), 7.42-7.28 (m, 2H), 7.28-7.08 (m, 4H), 7.00-6.86 (m, 1H), 4.26 (q, J=7.1 Гц, 2H), 4.14 (t, J=6.2 Гц, 2H), 3.30 (d, J=6.8 Гц, 2H), 2.37 (s, 3H), 2.35 (s, 3H), 2.21-2.11 (m, 2H), 1.30 (t, J=7.1 Гц, 3Н).

Стадия В: 2-({6-[(1,3-бензотиазол-2-ил)амино]-4,5-диметилпиридазин-3-ил}амино)-5-[3-(2-фторфенокси)пропил]-1,3-тиазол-4-карбоновая кислота

К раствору продукта со Стадии А (76 мг, 0.13 ммоль, 1 экв.) в 1,4-диоксане (5 мл) добавляли моногидрат гидроксида лития (11.02 мг, 0.26 ммоль, 2 экв.), и смесь нагревали с обратным холодильником в течение 8 ч. Смеси давали охладиться до температуры окружающей среды и растворитель удаляли в вакууме. Очистка с помощью обращенно-фазовой автоматической флэш-хроматографии (CombiFlash Rf, С18 13 г колонка RediSep) с элюированием с градиентом 5-95% ацетонитрила в воде приводила к получению вещества, которое дополнительно очищали с помощью обращенно-фазовой препаративной ВЭЖХ (метод ВЭЖХ-У-А2) с получением целевого продукта в виде бежевого твердого вещества (7.2 мг, 0.01 ммоль, 10%).

МСВР-ЭРИ (m/z) [М+Н]+, рассчитано для C26H24FN6O3S2: 551.1330, найдено: 551.1368.

Пример 14: 2-({6-[(1,3-Бензотиазол-2-ил)амино]-4,5-диметилпиридазин-3-ил}амино)-5-{3-[4-(диметилкарбамоил)-2-фторфенокси]пропил}-1,3-тиазол-4-карбоновая кислота

Стадия А: этил 2-({6-[(1,3-бензотиазол-2-ил)амино]-4,5-диметилпиридазин-3-ил}амино)-5-{3-[4-(диметилкарбамоил)-2-фторфенокси]пропил}-1,3-тиазол-4-карбоксилат

В высушенный в сушильном шкафу сосуд для микроволновой обработки загружали продукт Синтеза 9а (143 мг, 0.49 ммоль, 1 экв.), продукт Синтеза 3у (199 мг, 0.49 ммоль, 1 экв.), ксантфос (28.5 мг, 0.05 ммоль, 0.1 экв.), трис(дибензилиденацетон)дипалладий(0) (22.5 мг, 0.02 ммоль, 0.05 экв.) и карбонат цезия (192 мг, 0.59 ммоль, 1.2 экв.). Сосуд вакуумировали и продували азотом (х3), и затем добавляли толуол (4 мл) и диметилформамид (1 мл). Смесь барботировали азотом (10 мин) и затем нагревали при 180°С в течение 1 ч под микроволновым облучением. Реакционную смесь разбавляли этилацетатом, затем промывали водой с последующим промыванием соляным раствором. Органический экстракт сушили (сульфат магния) и растворитель удаляли в вакууме. Очистка с помощью автоматической колоночной флэш-хроматографии (CombiFlash Rf, 12 г силикагелевый картридж RediSep™) с элюированием с градиентом 0-10% метанола в дихлорметане приводила к получению целевого продукта в виде коричневого стеклообразного вещества (60 мг, 0.09 ммоль, 19%).

ЖХ/МС (C31H32FN7O4S2) 650 [М+Н]+; RT 1.36 (ЖХМС-V-B1)

1Н ЯМР (400 МГц, ДМСО-d6) δ 10.77 (br s, 1H), 7.87 (s, 1H), 7.42-7.28 (m, 2Н), 7.26-7.17 (m, 4Н), 4.26 (q, J=7.1 Гц, 2Н), 4.19 (t, J=6.2 Гц, 2Н), 2.97 -2.94 (m, 2Н), 2.93 (s, 6Н), 2.37 (s, 3Н), 2.35 (s, 3Н), 2.18 (q, J=7.3, 6.9 Гц, 2Н), 1.29 (t, 3Н).

Стадия В: 2-({6-[(1,3-бензотиазол-2-ил)амино]-4,5-диметилпиридазин-3-ил}амино)-5-{3-[4-(диметилкарбамоил)-2-фторфенокси]пропил}-1,3-тиазол-4-карбоновая кислота

К раствору продукта со Стадии А (60 мг, 0.09 ммоль, 1 экв.) в 1,4-диоксане добавляли моногидрат гидроксида лития (19.4 мг, 0.46 ммоль, 5 экв.), и смесь нагревали с обратным холодильником в течение 14 ч. Реакционной смеси давали охладиться до температуры окружающей среды и растворитель удаляли в вакууме. Остаток растирали с водой с последующим растиранием с этанолом, и затем очищали с помощью обращенно-фазовой препаративной ВЭЖХ (метод ВЭЖХ-V-А2) с получением целевого продукта в виде коричневого твердого вещества (11.6 мг, 0.02 ммоль, 20%).

МСВР-ЭРИ (m/z) [М+Н]+, рассчитано для C29H29FN7O4S2: 622.1701, найдено: 622.1740.

Пример 15: 2-({6-[(1,3-Бензотиазол-2-ил)амино]-4-этил-5-метилпиридазин-3-ил}амино)-1,3-тиазол-4-карбоновая кислота

Стадия А: этил 2-({6-[(1,3-бензотиазол-2-ил)амино]-4-этил-5-метилпиридазин-3-ил}амино)-1,3-тиазол-4-карбоксилат

В высушенный в сушильном шкафу сосуд для микроволновой обработки загружали продукт Синтеза 9fa (400 мг, 1.31 ммоль, 1 экв.), этил 2-амино-1,3-тиазол-4-карбоксилат (316 мг, 1.84 ммоль, 1.4 экв.), карбонат цезия (599 мг, 1.84 ммоль, 1.4 экв.), ксантфос (75.9 мг, 0.13 ммоль, 0.1 экв.) и трис(дибензилиденацетон)дипалладий(0) (60.1 мг, 0.07 ммоль, 0.05 экв.). Сосуд вакуумировали и продували азотом (х3), и затем добавляли толуол (15 мл). Смесь барботировали азотом (10 мин) и затем нагревали при 200°С в течение 2 ч под микроволновым облучением. Реакционную смесь концентрировали в вакууме и очищали с помощью обращенно-фазовой автоматической флэш-хроматографии (CombiFlash Rf, С18 13 г колонка RediSep) с элюированием с градиентом 5-95% ацетонитрила в воде с получением целевого продукта (70 мг, 0.16 ммоль, 12%).

ЖХ/МС (C20H20N6O2S2) 441 [М+Н]+; RT 1.37 (ЖХМС-V-B1)

1Н ЯМР (400 МГц, ДМСО-d6) δ 11.08 (s, 1H), 10.88 (br s, 1Н), 7.94 (s, 1H), 7.89 (br s, 1H), 7.53 (br s, 1H), 7.38 (t, 1H), 7.20 (t, 1H), 4.30 (q, J=7.1 Гц, 2H), 2.93 (q, J=7.4 Гц, 2H), 2.40 (s, 3H), 1.32 (t, J=7.1 Гц, 3Н), 1.09 (t, J=7.4 Гц, 3Н).

Стадия В: 2-({6-[(1,3-бензотиазол-2-ил)амино]-4-этил-5-метилпиридазин-3-ил}амино)-1,3-тиазол-4-карбоновая кислота

К раствору продукта со Стадии А (70 мг, 0.16 ммоль, 1 экв.) в 1,4-диоксане (4 мл) добавляли моногидрат гидроксида лития (0.32 мл, 0.32 ммоль, 2 экв.), и смесь нагревали с обратным холодильником в течение 1 ч. Реакционной смеси давали охладиться до температуры окружающей среды и концентрировали в вакууме. Остаток затем суспендировали в воде, рН доводили до 6, и затем смесь концентрировали повторно. Твердое вещество растирали с изопропанолом с несколькими каплями воды, затем собирали путем фильтрования, промывали изопропанолом и сушили в вакууме с получением целевого продукта в виде коричневого твердого вещества (38.8 мг, 0.09 ммоль, 59%).

МСВР-ЭРИ (m/z) [М-Н]-, рассчитано для C18H15N6O2S2: 411.0703, найдено: 411.0707.

Пример 16: 2-({6-[(1,3-Бензотиазол-2-ил)амино]-5-этил-4-метилпиридазин-3-ил}амино)-1,3-тиазол-4-карбоновая кислота

Стадия А: этил 2-({6-[(1,3-бензотиазол-2-ил)амино]-5-этил-4-метилпиридазин-3-ил}амино)-1,3-тиазол-4-карбоксилат

В высушенный в сушильном шкафу сосуд для микроволновой обработки загружали продукт Синтеза 9fb (300 мг, 0.98 ммоль, 1 экв.), этил 2-амино-1,3-тиазол-4-карбоксилат (220 мг, 1.28 ммоль, 1.3 экв.), карбонат цезия (449 мг, 1.38 ммоль, 1.4 экв.), ксантфос (57 мг, 0.1 ммоль, 0.1 экв.) и трис(дибензилиденацетон)дипалладий(0) (45.1 мг, 0.05 ммоль, 0.05 экв.). Сосуд вакуумировали и продували азотом (х3), и затем добавляли толуол (15 мл). Смесь барботировали азотом (10 мин) и затем нагревали при 200°С в течение 2 ч под микроволновым облучением. Реакционную смесь концентрировали в вакууме и очищали с помощью обращенно-фазовой автоматической флэш-хроматографии (CombiFlash Rf, С18 13 г колонка RediSep) с элюированием 5 -95% ацетонитрила в воде с получением целевого продукта в виде желтого твердого вещества (54 мг, 0.12 ммоль, 12%).

ЖХ/МС (C20H20N6O2S2) 441 [М+Н]+; RT 1.38 (ЖХМС-V-B1)

1Н ЯМР (400 МГц, ДМСО-d6) δ 10.98 (s, 1H), 7.95 (s, 1H), 7.84 (s, 1Н), 7.43 (br s, 1H), 7.36 (t, J=7.5 Гц, 1H), 7.18 (t, J=7.5 Гц, 1H), 4.30 (q, J=7.1 Гц, 2H), 2.92 (q, J=7.5, 7.1 Гц, 2H), 2.38 (s, 3H), 1.32 (t, J=7.1 Гц, 3Н), 1.11 (t, J=7.4 Гц, 3Н).

Стадия В: 2-({6-[(1,3-бензотиазол-2-ил)амино]-5-этил-4-метилпиридазин-3-ил}амино)-1,3-тиазол-4-карбоновая кислота

К раствору продукта со Стадии А (54 мг, 0.12 ммоль, 1 экв.) в 1,4-диоксане (4 мл) добавляли 2М водный раствор гидроксида лития (0.12 мл, 0.25 ммоль, 2 экв.), и реакционную смесь нагревали с обратным холодильником в течение 2 ч. Смесь концентрировали в вакууме, затем суспендировали в воде и рН доводили до 5-6, после чего смесь концентрировали в вакууме повторно. Сырое твердое вещество растирали с водой, перемешивали в течение 30 мин, затем собирали путем фильтрования, промывали холодной водой и сушили в вакууме с получением целевого продукта в виде желтого твердого вещества (28.9 мг, 0.07 ммоль, 57%).

МСВР-ЭРИ (m/z) [М+Н]+, рассчитано для C18H17N6O2S2: 413.0849, найдено: 413.0848.

Пример 17: 2-[[4-(1,3-Бензотиазол-2-иламино)-5,6,7,8-тетрагидрофталазин-1-ил]амино]тиазол-4-карбоновая кислота

Стадия А: 4-бром-5,6,7,8-тетрагидрофталазин-1-амин

Смесь 4.0 г 1,4-дибром-5,6,7,8-тетрагидрофталазина (13.7 ммоль) в 50 мл 25% раствора NH3 в воде выдерживали при 100°С в течение 18 ч. После концентрирования остаток вносили в метанол, обрабатывали древесным углем, перемешивали, фильтровали, концентрировали, вносили в EtOAc, промывали 10% раствором NaOH, сушили над MgSO4, фильтровали и концентрировали с получением 1.28 г (41%) целевого продукта.

ЖХ-МС-ЭРИ (m/z): [М+Н]+, рассчитано для C8H11BrN3: 228, 230, найдено: 228, 230.

Стадия В: N-(4-бром-5,6,7,8-тетрагидрофталазин-1-ил)-1,3-бензотиазол-2-амин

Смесь 1.05 г продукта со Стадии А (4.6 ммоль, 1 экв.), 1.8 г 2-бром-1,3-бензотиазола (8.4 ммоль, 1.8 экв.) и 736 мг гидрида натрия (60% суспензия, 18.4 ммоль, 3.6 экв.) в 80 мл 1,4-диоксана выдерживали при нагревании с обратным холодильником в течение 0.5 ч. После охлаждения и гашения реакционной смеси метанолом, смесь концентрировали, обрабатывали водой, и продукт отфильтровывали и сушили. Твердое вещество растирали с EtOAc, отфильтровывали и сушили с получением 1.56 г (94%) целевого продукта.

1Н ЯМР (500 МГц, ДМСО-d6) δ м.д. 11.51 (br., 1Н), 7.83 (d, 1Н), 7.53 (brd., 1H), 7.38 (td, 1Н), 7.22 (td, 1H), 2.75/2.62 (m+m, 4Н), 1.79 (m, 4Н); 13С ЯМР (125 МГц, ДМСО-d6) δ м.д. 126.6, 122.9, 122.2, 28.8/24, 21.4/21.1; МСВР-ЭРИ (m/z): [М+Н]+, рассчитано для C15H14BrN4S: 361.0117, найдено: 361.0107.

Стадия С: этил 2-[[4-(1,3-бензотиазол-2-иламино)-5,6, 7,8-тетрагидрофталазин-1-ил]амино]тиазол-4-карбоксилат

Смесь 120 мг продукта со Стадии В (0.33 ммоль, 1 экв.), 57 мг этил 2-аминотиазол-4-карбоксилата (0.33 ммоль, 1 экв.), 12 мг Pd2(dba)3 (0.013 ммоль, 0.04 экв.), 19 мг ксантфоса (0.033 ммоль, 0.1 экв.) и 217 мг Cs2CO3 (0.66 ммоль, 2 экв.) в 10 мл трифторметилбензола выдерживали при 200°С в течение 0.5 ч. Реакционную смесь концентрировали и очищали с помощью препаративной ВЭЖХ с получением 31 мг (21%) целевого продукта.

1Н ЯМР (500 МГц, ДМСО-d6) δ м.д. 7.90 (s, 1Н), 7.86 (br., 1H), 7.55 (br., 1H), 7.36 (t, 1Н), 7.19 (t, 1H), 4.31 (q, 2Н), 2.75 (br., 4Н), 1.81 (br., 4Н), 1.33 (t, 3Н); 13С ЯМР (125 МГц ДМСО-d6) δ м.д. 126.3, 122.5, 121.5; МСВР-ЭРИ (m/z): [М+Н]+, рассчитано для C21H21N6O2S2: 453.1162, найдено: 453.1151.

Стадия D: 2-[[4-(1,3-бензотиазол-2-иламино)-5,6, 7,8-тетрагидрофталазин-1-ил]амино]тиазол-4-карбоновая кислота

Смесь 31 мг продукта со Стадии С (0.069 ммоль, 1 экв.), 5.8 мг LiOH×H2O (2 экв.) и 8 капель воды в 10 мл 1,4-диоксана выдерживали при нагревании с обратным холодильником в течение 2 ч. Реакционную смесь концентрировали и очищали с помощью препаративной ВЭЖХ с получением 24 мг (83%) целевого продукта.

МСВР-ЭРИ (m/z): [М+Н]+, рассчитано для C19H17N6O2S2: 425.0849, найдено: 425.0854.

Пример 18: 2-({6-[(1,3-Бензотиазол-2-ил)амино]-4-(гидроксиметил)-5-метилпиридазин-3-ил}амино)-1,3-тиазол-4-карбоновая кислота

Стадия А: этил 2-({6-[(1,3-бензотиазол-2-ил)амино]-4-[(бензилокси)метил]-5-метилпиридин-3-ил}амино)-1,3-тиазол-4-карбоксилат

В высушенный в сушильном шкафу сосуд для микроволновой обработки загружали продукт Синтеза 9ga (176 мг, 0.44 ммоль, 1 экв.), этил 2-амино-1,3-тиазол-4-карбоксилат (115 мг, 0.67 ммоль, 1.5 экв.), карбонат цезия (202 мг, 0.62 ммоль, 1.4 экв.), трис(дибензилиденацетон)дипалладий(0) (40.6 мг, 0.04 ммоль, 0.1 экв.) и ксантфос (12.8 мг, 0.02 ммоль, 0.05 экв.). Сосуд вакуумировали и продували азотом (х3), и затем добавляли толуол (15 мл). Смесь барботировали азотом (5 мин) и затем нагревали при 180°С в течение 1 ч под микроволновым облучением. Смесь концентрировали в вакууме и очищали с помощью обращенно-фазовой автоматической флэш-хроматографии (CombiFlash Rf, С18 24 г колонка RediSep) с элюированием с градиентом 5 95% ацетонитрила в воде с получением целевого продукта (82 мг, 0.15 ммоль, 35%).

ЖХ/МС (C26H24N6O3S2) δ33 [М+Н]+; RT 1.44 (ЖХМС-V-B1)

1Н ЯМР (400 МГц, ДМСО-d6) δ 10.91 (br s, 1Н), 7.96 (s, 1H), 7.88 (br s, 1H), 7.56 (br s, 1H), 7.43-7.26 (m, 6H), 7.23-7.18 (m, 1H), 4.87 (s, 2H), 4.65 (s, 2H), 4.31 (q, J=7.1 Гц, 2H), 2.40 (s, 3H), 1.33 (t, J=7.1 Гц, 3Н).

Стадия В: этил 2-({6-[(1,3-бензотиазол-2-ил)амино]-4-(гидроксиметил)-5-метилпиридин-3-ил}амино)-1,3-тиазол-4-карбоксилат

Раствор продукта со Стадии А (72 мг, 0.14 ммоль, 1 экв.) в дихлорметане (5 мл) охлаждали до 0°С и по каплям добавляли 1М раствор трихлорида бора (0.68 мл, 0.68 ммоль, 5 экв.). Смеси затем давали нагреться до температуры окружающей среды в течение 2 ч. Реакционную смесь гасили путем добавления метанола и концентрировали в вакууме. Полученное в результате твердое вещество растирали с дихлорметаном, отфильтровывали, промывали дихлорметаном и сушили в вакууме с получением целевого продукта в виде кремового твердого вещества (54 мг, 0.12 ммоль, 90%).

ЖХ/МС (C19H18N6O3S2) 443 [М+Н]+; RT 1.23 (ЖХМС-V-B1)

1Н ЯМР (400 МГц, ДМСО-d6) δ 7.97 (s, 1Н), 7.89 (d, J=7.7 Гц, 1H), 7.51 (d, J=8.0 Гц, 1H), 7.39 (ddd, J=8.2, 7.3, 1.3 Гц, 1Н), 7.22 (td, J=7.5, 1.2 Гц, 1Н), 4.83 (s, 2Н), 4.30 (q, J=7.1 Гц, 2Н), 2.43 (s, 3Н), 1.32 (t, J=7.1 Гц, 3Н).

Стадия С: 2-({6-[(1,3-бензотиазол-2-ил)амино]-4-(гидроксиметил)-5-метилпиридин-3-ил}амино)-1,3-тиазол-4-карбоновая кислота

К раствору продукта со Стадии В (50 мг, 0.11 ммоль, 1 экв.) в 1,4-диоксане (5 мл) добавляли 2М водный раствор гидроксида лития (0.56 мл, 0.56 ммоль, 5 экв.), и смесь нагревали с обратным холодильником в течение 30 мин. Смесь охлаждали до температуры окружающей среды и концентрировали в вакууме. Твердое вещество вносили в воду (5 мл) и нейтрализовали до рН 6 с помощью 1М HCl, и затем концентрировали в вакууме. Твердое вещество затем растирали с 4:1 смесью изопропанол / вода и перемешивали в течение 30 мин. Твердые вещества собирали путем фильтрования и сушили в вакууме с получением целевого продукта в виде оранжевого твердого вещества (30 мг, 0.07 ммоль, 64%).

МСВР-ЭРИ (m/z) [М+Н]+, рассчитано для C17H15N6O3S2: 415.0642, найдено: 415.0638.

Пример 19: 2-({6-[(1,3-Бензотиазол-2-ил)амино]-4-циклопропил-5-метилпиридазин-3-ил}амино)-1,3-тиазол-4-карбоновая кислота

Стадия А: этил 2-({6-[(1,3-бензотиазол-2-ил)амино]-4-циклопропил-5-метилпиридазин-3-ил}амино)-1,3-тиазол-4-карбоксилат

В высушенный в сушильном шкафу сосуд для микроволновой обработки загружали продукт Синтеза 9ha (300 мг, 0.95 ммоль, 1 экв.), этил 2-амино-1,3-тиазол-4-карбоксилат (245 мг, 1.42 ммоль, 1.5 экв.), карбонат цезия (463 мг, 1.42 ммоль, 1.5 экв.), ксантфос (54.8 мг, 0.09 ммоль, 0.1 экв.) и трис(дибензнлиденацетон)дипалладий(0) (43.4 мг, 0.05 ммоль, 0.05 экв.). Сосуд вакуумировали и продували азотом (х3), и затем добавляли альфа,альфа,альфа-трифтортолуол (10 мл). Смесь барботировали азотом (5 мин) и затем нагревали при 180°С в течение 1 ч под микроволновым облучением. Реакционную смесь концентрировали в вакууме и очищали с помощью обращенно-фазовой автоматической флэш-хроматографии (CombiFlash Rf, С18 26 г колонка RediSep) с элюированием с градиентом 5-95% ацетонитрила (с 0.08% муравьиной кислоты в качестве модификатора) в воде (с 0.08% муравьиной кислоты в качестве модификатора) с получением целевого продукта в виде ярко-желтого твердого вещества (67 мг, 0.15 ммоль, 16%).

ЖХ/МС (C21H20N6O2S2) 453 [М+Н]+; RT 1.34 (ЖХМС-V-B1)

1Н ЯМР (400 МГц, ДМСО-d6) δ 11.37 (br s, 1Н), 10.56 (s, 1H), 7.96 (s, 1H), 7.89 (d, J=7.7 Гц, 1H), 7.51 (s, 1H), 7.38 (td, J=7.7, 1.3 Гц, 1H), 7.20 (t, 1H), 4.30 (q, J=7.1 Гц, 2H), 2.49 (s, 3H), 1.90 (q, 1H), 1.31 (t, 3H), 1.27-1.21 (m, 2H), 0.59 (dt, J=5.9, 3.1 Гц, 2H).

Стадия В: 2-({6-[(1,3-бензотиазол-2-ил)амино]-4-циклопропил-5-метилпиридазин-3-ил}амино)-1,3-тиазол-4-карбоновая кислота

К раствору продукта со Стадии А (67 мг, 0.15 ммоль, 1 экв.) в 1,4-диоксане (5 мл) добавляли 2М водный раствор гидроксида лития (0.15 мл, 0.3 ммоль, 2 экв.), и смесь нагревали с обратным холодильником в течение 1 ч. Реакционную смесь концентрировали в вакууме, затем вносили в воду и рН доводили до 6 с помощью 1 н. водного раствора хлористоводородной кислоты, после чего повторно концентрировали в вакууме. Растирание с 5:1 смесью изопропанол / вода (5 мл) приводило к твердому веществу, которое собирали путем фильтрования, промывали изопропанолом и сушили в вакууме с получением целевого продукта в виде желтого твердого вещества (28 мг, 0.07 ммоль, 45%).

МСВР-ЭРИ (m/z) [М+Н]+, рассчитано для C19H17N6O2S2: 425.0849, найдено: 425.0857.

Пример 20: 2-({6-[(1,3-Бензотиазол-2-ил)амино]-5-циклопропил-4-метилпиридазин-3-ил}амино)-1,3-тиазол-4-карбоновая кислота

Стадия А: этил 2-({6-[(1,3-бензотиазол-2-ил)амино]-5-циклопропил-4-метилпиридазин-3-ил}амино)-1,3-тиазол-4-карбоксилат

В высушенный в сушильном шкафу сосуд для микроволновой обработки загружали продукт Синтеза 9hb (219 мг, 0.69 ммоль, 1 экв.), этил 2-амино-1,3-тиазол-4-карбоксилат (179 мг, 1.04 ммоль, 1.5 экв.), карбонат цезия (338 мг, 1.04 ммоль, 1.5 экв.), ксантфос (40 мг, 0.07 ммоль, 0.1 экв.) и трис(дибензилиденацетон)дипалладий(0) (31.7 мг, 0.03 ммоль, 0.05 экв.). Сосуд вакуумировали и продували азотом (х3), и затем добавляли альфа,альфа,альфа-трифтортолуол (15 мл). Смесь барботировали азотом (5 мин) и затем нагревали при 170°С в течение 1 ч под микроволновым облучением. Реакционную смесь концентрировали в вакууме и очищали с помощью обращенно-фазовой автоматической флэш-хроматографии (CombiFlash Rf, С18 24 г колонка RediSep) с элюированием с градиентом 5-95% ацетонитрила (содержащего 0.08% муравьиной кислоты) в воде (содержащей 0.08% муравьиной кислоты) с получением целевого продукта (54 мг, 0.12 ммоль, 17%).

ЖХ/МС (C21H20N6O2S2) 453 [М+Н]+; RT 1.16 (ЖХМС-V-B1)

1Н ЯМР (400 МГц, ДМСО-d6) δ 10.86 (br s, 1Н), 10.56 (s, 1H), 7.96 (s, 1H), 7.87 (s, 1H), 7.55 (br s, 1H), 7.38 (t, J=7.5 Гц, 1H), 7.20 (t, J=7.5 Гц, 1H), 4.30 (q, J=7.1 Гц, 2H), 2.49 (s, 3H), 1.91 (p, J=7.7 Гц, 1H), 1.33 (t, 3H), 1.27-1.21 (m, 2H), 0.59 (dt, J=5.9, 3.1 Гц, 2H).

Стадия В: 2-({6-[(1,3-бензотиазол-2-ил)амино]-5-циклопропил-4-метилпиридазин-3-ил}амино)-1,3-тиазол-4-карбоновая кислота

К раствору продукта со Стадии А (54 мг, 0.12 ммоль, 1 экв.) в 1,4-диоксане (5 мл) добавляли 2М водный раствор гидроксида лития (0.24 мл, 0.24 ммоль, 2 экв.), и смесь нагревали с обратным холодильником в течение 1 ч. Реакционной смеси давали охладиться до температуры окружающей среды и концентрировали в вакууме. Остаток вносили в воду и нейтрализовали до рН 6 с помощью 1М водного раствора хлористоводородной кислоты и затем концентрировали в вакууме. Твердое вещество растирали с 4:1 смесью изопропанол / вода и перемешивали в течение 30 мин. Твердые вещества собирали путем фильтрования, промывали холодным изопропанолом и сушили в вакууме с получением целевого продукта в виде оранжевого твердого вещества (30 мг, 0.07 ммоль, 59%).

МСВР-ЭРИ (m/z) [М+Н]+, рассчитано для C19H17N6O2S2: 425.0849, найдено: 425.0853.

Пример 21: 2-({6-[(1,3-Бензотиазол-2-ил)амино]-5-метилпиридазин-3-ил}(метил)амино)-1,3-тиазол-4-карбоновая кислота

Стадия А: этил 2-[(6-хлор-5-метилпиридазин-3-ил)(метил)амино]-1,3-тиазол-4-карбоксилат

Гидрид натрия (60% дисперсия, 240 мг, 6 ммоль, 1.18 экв.) в атмосфере азота медленно добавляли к раствору 3,6-дихлор-4-метилпиридазина (850 мг, 5.21 ммоль, 1.02 экв.) и этил 2-(метиламино)-1,3-тиазол-4-карбоксилата (950 мг, 5.1 ммоль, 1 экв.) в тетрагидрофуране (25 мл) при 0°С. Смесь перемешивали в течение 1 ч при 0°С и в течение 18 ч при температуре окружающей среды с получением темно-коричневой суспензии. Добавляли насыщенный водный раствор хлорида аммония (75 мл), и смесь экстрагировали дихлорметаном (250 мл). Экстракты промывали водой (2×75 мл) и соляным раствором (75 мл). Раствор сушили (сульфат магния) и концентрировали в вакууме. Очистка с помощью колоночной флэш-хроматографии (100 г силикагеля) с элюированием 1% метанола в дихлорметане приводила к твердому веществу, которое растирали с диэтиловым эфиром (15 мл), отфильтровывали, промывали диэтиловым эфиром (2×10 мл) и сушили в вакууме с получением целевого продукта в виде бледно-коричневого твердого вещество (960 мг, 3.07 ммоль, 60%).

ЖХ/МС (C12H13ClN4O2S) 313 [М+Н]+; RT 1.17 (ЖХМС-V-B1)

1Н ЯМР (400 МГц, ДМСО-d6) δ 8.04 (s, 1Н), 7.86 (s, 1H), 4.30 (q, J=7.1 Гц, 2Н), 3.83 (s, 3Н), 2.43 (s, 3Н), 1.32 (t, J=7.1 Гц, 3Н).

Стадия В: этил 2-({6-[(1,3-бензотиазол-2-ил)амино]-5-метилпиридазин-3-ил}(метил)амино)-1,3-тиазол-4-карбоксилат

2-Аминобензотиазол (245 мг, 1.63 ммоль, 1.16 экв.) и продукт со Стадии А (440 мг, 1.41 ммоль, 1 экв.) в атмосфере азота добавляли к раствору трис(дибензнлиденацетон)дипалладия(0) (64.4 мг, 0.07 ммоль, 0.05 экв.) и ксантфоса (81.4 мг, 0.14 ммоль, 0.1 экв.) в 1,4-диоксане (20 мл), и смесь перемешивали. Добавляли N,N-диизопропилэтиламин (0.75 мл, 4.22 ммоль, 3 экв.), и смесь нагревали в запаянной трубке при 150°С в течение 24 ч. Раствору давали охладиться до температуры окружающей среды и концентрировали в вакууме. Очистка с помощью колоночной флэш-хроматографии (50 г силикагеля), с элюированием этилацетатом приводила к получению желтого твердого вещества, которое растирали с метанолом (10 мл), отфильтровывали, промывали метанолом (15 мл) и сушили в вакууме с получением целевого продукта в виде желтого твердого вещества (315 мг, 0.74 ммоль, 53%).

ЖХ/МС (C19H18N6O2S2) 427 [М+Н]+; RT 1.32 (ЖХМС-V-B1)

1Н ЯМР (400 МГц, ДМСО-d6) δ 11.23 (br s, 1Н), 7.97 (s, 1Н), 7.91 (br s, 1H), 7.70 (s, 1H), 7.54 (br s, 1Н), 7.39 (td, J=7.7, 1.2 Гц, 1H), 7.22 (t, 1H), 4.30 (q, J=7.1 Гц, 2H), 3.82 (s, 3Н), 2.46 (s, 3Н), 1.32 (t, J=7.1 Гц, 3Н).

Стадия С: 2-({6-[(1,3-бензотиазол-2-ил)амино]-5-метилпиридазин-3-ил}(метил)амино)-1,3-тиазол-4-карбоновая кислота

К раствору продукта со Стадии В (200 мг, 0.47 ммоль, 1 экв.) в 1,4-диоксане (3 мл) добавляли моногидрат гидроксида лития (98.4 мг, 2.34 ммоль, 5 экв.), и смесь перемешивали при температуре окружающей среды в течение 3 ч. Добавляли воду (10 мл) и раствор фильтровали через целит, твердые вещества промывали водой (5 мл) и объединенный фильтрат подкисляли уксусной кислотой с получением бледно-желтой суспензии. Твердые вещества собирали путем фильтрования, промывали водой (20 мл) и сушили в вакууме с получением целевого продукта в виде бледно-желтого твердого вещества (150 мг, 0.34 ммоль, 72%).

ЖХ/МС (C17H14N6O2S2) 399 [М+Н]+; RT 1.1 (ЖХМС-V-B1)

1Н ЯМР (400 МГц, ДМСО-d6) δ 12.21 (br s, 2Н), 7.95-7.84 (m, 2Н), 7.71 (s, 1H), 7.54 (d, J=8.0 Гц, 1H), 7.39 (ddd, J=8.2, 7.3, 1.3 Гц, 1Н), 7.22 (td, J=7.6, 1.2 Гц, 1H), 3.82 (s, 3Н), 2.47 (s, 3Н).

Пример 22: 2-({6-[(1,3-Бензотиазол-2-ил)амино]-4,5-диметилпиридазин-3-ил}амино)-5-(3-{4-[3-(диметиламино)пропил]-2-фторфенокси}пропил)-1,3-тиазол-4-карбоновая кислота

Стадия А: этил 5-(3-{4-[(1Е)-3-(диметиламино)проп-1-ен-1-ил]-2-фторфенокси}пропил)-2-ацетамидо-1,3-тиазол-4-карбоксилат

Гидрид натрия (60% в минеральном масле) (1.61 г, 40.3 ммоль, 2.34 экв.) добавляли к перемешиваемому раствору продукта Синтеза 6b (4.65 г, 24.1 ммоль, 1.4 экв.) в диметилформамиде (70 мл). Реакционную смесь перемешивали при температуре окружающей среды в течение 30 мин, затем охлаждали на ледяной бане и медленно добавляли раствор продукта Синтеза 3u, Стадия С (6.57 г, 17.2 ммоль, 1 экв.), в диметилформамиде (30 мл). Спустя 40 мин реакционной смеси давали нагреться до температуры окружающей среды и перемешивали в течение 5 ч. Смесь охлаждали, подкисляли 2 н. водным HCl и органику экстрагировали этилацетатом и затем 3:1 смесью дихлорметан / изопропанол. Объединенную органику сушили (сульфат магния) и растворитель удаляли в вакууме. Очистка с помощью автоматической колоночной флэш-хроматографии (CombiFlash Rf, 80 г силикагелевый картридж RediSep™) с элюированием с градиентом 0-10% метанола в дихлорметане приводила к получению целевого продукта в виде коричневой пены (2.26 г, 5.69 ммоль, 33%) которую использовали на последующих стадиях без дополнительной очистки. Образец вещества дополнительно очищали с помощью препаративной ВЭЖХ (метод ВЭЖХ-V-A1) с получением аналитических данных.

ЖХ/МС (C22H28FN3O4S) 450 [М+Н]+; RT 0.75 (ЖХМС-V-B1)

1Н ЯМР (400 МГц, ДМСО-d6) δ 7.25-7.08 (m, 2Н), 7.05 (dd, J=8.5, 2.0 Гц, 1H), 6.45 (dt, J=12.0, 1.9 Гц, 1Н), 5.69 (dt, J=12.4, 6.4 Гц, 1H), 4.23 (qd, J=7.1, 2.2 Гц, 2Н), 4.09 (t, 2Н), 3.27 (t, J=7.5 Гц, 2Н), 3.11 (dd, J=6.4, 1.9 Гц, 2Н), 2.16 (s, 6Н), 2.12 (s, 3Н), 2.11-2.06 (m, 2Н), 1.27 (t, J=7.1 Гц, 3Н).

Стадия В: этил 2-амино-5-(3-{4-[(1Е)-3-(диметиламино)проп-1-ен-1-ил]-2-фторфенокси}пропил)-1,3-тиазол-4-карбоксилат

К раствору продукта со Стадии А (2.25 г, 4.99 ммоль, 1 экв.) в этаноле (40 мл) добавляли хлористоводородную кислоту (4М в 1,4-диоксане; 12.5 мл, 49.9 ммоль, 10 экв.), и смесь нагревали при 60°С в течение 18 ч. Реакционной смеси давали охладиться до температуры окружающей среды и растворитель удаляли в вакууме. Очистка с помощью автоматической колоночной флэш-хроматографии (CombiFlash Rf, 40 г силикагелевый картридж RediSep™) с элюированием с градиентом 0-20% метанола в дихлорметане приводила к получению сырого продукта. Его растворяли в метаноле и загружали на смоченный метанолом картридж SCX-2 (10 г). Выполнение элюирования метанолом с последующим элюированием 3.5 н. метанольным аммиаком и, после этого, упаривания, приводило к получению целевого продукта в виде коричневой смолы (2.07 г, 5.07 ммоль, 100%).

ЖХ/МС (C20H26FN3O3S) 408 [М+Н]+; RT 0.71 (ЖХМС-V-B1)

1Н ЯМР (400 МГц, ДМСО-d6) δ 7.34 (br s, 2Н), 7.26-7.15 (m, 3Н), 6.74 (d, J=11.9 Гц, 1Н), 5.80 (dt, J=12.5, 6.5 Гц, 1Н), 4.16 (q, 2Н), 4.09 (t, 2Н), 4.03 (dd, 2Н), 3.14 (t, J=7.5 Гц, 2Н), 2.73 (s, 6Н), 2.02 (р, J=6.3 Гц, 2Н), 1.24 (t, 3Н).

Стадия С: этил 2-амино-5-(3-{4-[3-(диметиламино)пропил]-2-фторфенокси}пропил)-1,3-тиазол-4-карбоксилат

Раствор продукта со Стадии В (0.84 г, 2.06 ммоль, 1 экв.) в 1:1 смеси этилацетат / метанол (40 мл) загружали в колбу, содержащую гидрат оксида платины(IV) (на кончике шпателя) в атмосфере азота. Сосуд вакуумировали и снова заполняли азотом (х3), затем вакуумировали, создавали атмосферу водорода, и встряхивали при температуре окружающей среды в течение 72 ч. Смесь фильтровали через целит (10 г предварительно заполненный картридж), элюировали метанолом и растворитель удаляли в вакууме. Очистка с помощью автоматической колоночной флэш-хроматографии (CombiFlash Rf, 40 г силикагелевый картридж RediSep™) с элюированием с градиентом 0-20% метанола (содержащего 20% аммиака) в дихлорметане приводила к получению целевого продукта в виде желтой смолы (519 мг, 1.27 ммоль, 53%).

ЖХ/МС (C20H28FN3O3S) 410 [М+Н]+; RT 0.70 (ЖХМС-V-B1)

1Н ЯМР (400 МГц, ДМСО-d6) δ 7.15-7.03 (m, 2Н), 7.02 (s, 2Н), 6.95 (dt, J=8.3, 1.3 Гц, 1H), 4.16 (q, J=7.1 Гц, 2Н), 4.02 (t, J=6.2 Гц, 2Н), 3.12 (dd, J=8.2, 6.8 Гц, 2Н), 2.63-2.57 (m, 2Н), 2.54 (t, 2Н), 2.44 (s, 6Н), 2.05-1.93 (m, 2Н), 1.79 (р, J=7.9 Гц, 2Н), 1.24 (t, J=7.1 Гц, 3Н).

Стадия D: этил 2-({6-[(1,3-бензотиазол-2-ил)амино]-4,5-диметилпиридазин-3-ил}амино)-5-(3-{4-[3-(диметиламино)пропил]-2-фторфенокси}пропил)-1,3-тиазол-4-карбоксилат

В высушенный в сушильном шкафу сосуд для микроволновой обработки загружали продукт Синтеза 9а (118 мг, 0.41 ммоль, 1 экв.), продукт со Стадии С (200 мг, 0.49 ммоль, 1.2 экв.), карбонат цезия (265 мг, 0.81 ммоль, 2 экв.), ксантфос (23.6 мг, 0.04 ммоль, 0.1 экв.) и трис(дибензилиденацетон)дипалладий(0) (18.6 мг, 0.02 ммоль, 0.05 экв.). Сосуд вакуумировали и продували азотом (х3), и затем добавляли альфа,альфа,альфа-трифтортолуол (4 мл). Смесь барботировали азотом (5 мин) и затем нагревали при 170°С в течение 1 ч под микроволновым облучением. Смесь распределяли между этилацетатом и водой, и органическую фазу сушили (сульфат магния) и концентрировали в вакууме. Очистка с помощью обращенно-фазовой автоматической флэш-хроматографии (CombiFlash Rf, С18 13 г колонка RediSep) с элюированием 5-95% ацетонитрила в воде приводила к получению целевого продукта в виде желтой пены (36 мг, 0.05 ммоль, 13%).

ЖХ/МС (C33H38FN7O3S2) 664 [М+Н]+; RT 1.01 (ЖХМС-V-B1)

1Н ЯМР (400 МГц, ДМСО-d6) δ 10.71 (br s, 1Н), 7.81 (d, J=7.8 Гц, 1H), 7.44 (d, J=8.0 Гц, 1Н), 7.30 (td, 1Н), 7.13 (td, J=7.5, 1.1 Гц, 1Н), 7.05-6.95 (m, 2Н), 6.91-6.82 (m, 1Н), 4.20 (q, J=7.1 Гц, 2Н), 4.03 (t, J=6.2 Гц, 2Н), 3.28-3.19 (m, 4Н), 2.30 (s, 3Н), 2.28 (s, 3Н), 2.15-2.02 (m, 4Н), 2.04 (s, 6Н), 1.57 (р, J=7.4 Гц, 2Н), 1.23 (t, J=7.1 Гц, 3Н).

Стадия Е: 2-({6-[(1,3-бензотиазол-2-ил)амино]-4,5-диметилпиридазин-3-ил}амино)-5-(3-{4-[3-(диметиламино)пропил]-2-фторфенокси}пропил)-1,3-тиазол-4-карбоновая кислота

К раствору продукта со Стадии D (57.1 мг, 0.09 ммоль, 1 экв.) в 1,4-диоксане (5 мл) добавляли моногидрат гидроксида лития (14.4 мг, 0.34 ммоль, 4 экв.), и смесь нагревали с обратным холодильником в течение 5.5 ч. Смеси давали охладиться до температуры окружающей среды и растворитель удаляли в вакууме. Остаток растирали с водой и твердые вещества собирали путем фильтрования. Твердые вещества дополнительно растирали с диэтиловым эфиром, затем собирали путем фильтрования и сушили в вакууме с получением целевого продукта в виде коричневого твердого вещества (19.1 мг, 0.03 ммоль, 35%).

МСВР-ЭРИ (m/z) [М+Н]+, рассчитано для C31H35FN7O3S2: 636.2221, найдено: 636.2224.

Пример 23: 2-[[1-(1,3-Бензотиазол-2-иламино)-6,7-Дигидро-5Н-циклопента[d]пиридазин-4-ил]амино]тиазол-4-карбоновая кислота

Стадия А: 1,4-дибром-6,7-дигидро-5Н-циклопента[d]пиридазин

Смесь 1.86 г 2,3,6,7-тетрагидро-1Н-циклопента[d]пиридазин-1,4(5Н)-диона (12.3 ммоль, 1 экв.) и 10.55 г (36.8 ммоль, 3 экв.) POBr3 в 50 мл 1,2-дихлорэтана выдерживали при нагревании с обратным холодильником в течение 3 ч. После охлаждения до к.т. и концентрирования, остаток обрабатывали 100 г льда, рН доводили до 7 путем добавления конц. NaHCO3, и твердый осадок отфильтровывали с получением 1.88 г (55%) целевого продукта.

Стадия В: 4-бром-6,7-дигидро-5Н-циклопента[d]пиридазин-1-амин

Смесь 1.88 г продукта со Стадии А (6.8 ммоль) в 25 мл 30% раствора NH3 в воде выдерживали при 130°С в течение 18 ч. После концентрирования остаток вносили в EtOAc, промывали 10% раствором NaOH, сушили над MgSO4, фильтровали и концентрировали с получением 1.28 г (88%) целевого продукта.

ЖХ-МС-ЭРИ (m/z): [М+Н]+, рассчитано для C7H9BrN3: 214, 216, найдено: 214, 216.

Стадия С: N-(4-бром-6,7-дигидро-5Н-циклопента[й]пиридазин-1-ил)-1,3-бензотиазол-2-амин

Смесь 214 мг продукта со Стадии В (1 ммоль, 1 экв.), 321 мг 2-бром-1,3-бензотиазола (1.50 ммоль, 1.5 экв.) и 160 мг гидрида натрия (60% суспензия) (4 ммоль, 4 экв.) в 25 мл 1,4-диоксана выдерживали при нагревании с обратным холодильником в течение 1 ч. После охлаждения и гашения реакционной смеси метанолом, смесь концентрировали, обрабатывали водой, продукт отфильтровывали и сушили. Твердое вещество растирали с EtOAc и сушили с получением 275 мг (79%) целевого продукта.

ЖХ-МС-ЭРИ (m/z): [М+Н]+, рассчитано для C14H12BrN4S: 347, 349, найдено: 347, 349.

Стадия D: этил 2-[[1-(1,3-бензотиазол-2-иламино)-6,7-дигидро-5Н-циклопента[d]пиридазин-4-ил]амино]тиазол-4-карбоксилат

Смесь 270 мг продукта со Стадии С (0.778 ммоль, 1 экв.), 134 мг этил 2-аминотиазол-4-карбоксилата (0.78 ммоль, 1 экв.), 29 мг Pd2(dba)3 (0.032 ммоль, 0.04 экв.), 45 мг ксантфоса (0.078 ммоль, 0.1 экв.) и 507 мг Cs2CO3 (1.56 ммоль, 2 экв.) в 10 мл трифторметилбензола выдерживали при 200°С в течение 0.5 ч. Реакционную смесь концентрировали и очищали с помощью препаративной ВЭЖХ с получением 97 мг (28%) целевого продукта.

ЖХ-МС-ЭРИ (m/z): [М+Н]+, рассчитано для C20H19N6O2S2: 439.5, найдено: 439.

Стадия Е: 2-[[1-(1,3-бензотиазол-2-иламино)-6,7-дигидро-5Н-циклопента[(1]пиридазин-4-ил]амино]тиазол-4-карбоновая кислота

Смесь 90 мг продукта со Стадии D (0.22 ммоль, 1 экв.), 18 мг LiOH×H2O (0.43 ммоль, 2 экв.) и 13 капель воды в 5 мл 1,4-диоксана выдерживали при нагревании с обратным холодильником в течение 2 ч. Реакционную смесь концентрировали и очищали с помощью препаративной ВЭЖХ с получением 54 мг (64%) целевого продукта.

МСВР-ЭРИ (m/z): [М+Н]+, рассчитано для C18H15N6O2S2: 411.0697, найдено: 411.0685.

Пример 24: 6-[[4-(1,3-Бензотиазол-2-иламино)-5,6,7,8-тетрагидрофталазин-1-ил]амино]пиридин-2-карбоновая кислота

Стадия А: этил 6-[[4-(1,3-бензотиазол-2-иламино)-5,6,7,8-тетрагидрофталазин-1-ил]амино]пиридин-2-карбоксилат

Смесь 245 мг соединения Примера 17, Стадия В (0.68 ммоль, 1 экв.), 113 мг этил 6-аминопиридин-2-карбоксилата (0.68 ммоль, 1 экв.), 25 мг Pd2(dba)3 (0.027 ммоль, 0.04 экв.), 40 мг ксантфоса (0.069 ммоль, 0.1 экв.) и 443 мг Cs2CO3 (1.36 ммоль, 2 экв.) в 10 мл трифторметилбензола выдерживали при 200°С в течение 1.5 ч. Реакционную смесь концентрировали и очищали с помощью препаративной ВЭЖХ с получением 45 мг (15%) целевого продукта.

ЖХ-МС-ЭРИ (m/z): [М+Н]+, рассчитано для C23H23N6O2S: 447, найдено: 447.

Стадия В: 6-[[4-(1,3-бензотиазол-2-иламино)-5,6,7,8-тетрагидрофталазин-1-ил]амино]пиридин-2-карбоновая кислота

Смесь 45 мг продукта со Стадии А (0.11 ммоль, 1 экв.), 8.5 мг LiOH×H2O (0.20 ммоль, 2 экв.) и 10 капель воды в 10 мл 1,4-диоксана выдерживали при нагревании с обратным холодильником в течение 2 ч. Реакционную смесь концентрировали и очищали с помощью препаративной ВЭЖХ с получением 21 мг (50%) целевого продукта.

МСВР-ЭРИ (m/z): [М+Н]+, рассчитано для C21H19N6O2S: 419.1290, найдено: 419.1294.

Пример 25: 6-[[4-(1,3-Бензотиазол-2-иламино)-6,7-дигидро-5Н-циклопента[d]пиридазин-1-ил]амино]пиридин-2-карбоновая кислота

Стадия А: 6-[[4-(1,3-бензотиазол-2-иламино)-6,7-дигидро-5Н-циклопента[d]пиридазин-1-ил]амино]пиридин-2-карбоксилат

Смесь 290 мг соединения Примера 23, Стадия С (0.84 ммоль, 1 экв.), 139 мг этил 6-аминопиридин-2-карбоксилата (0.84 ммоль, 1 экв.), 31 мг Pd2(dba)3 (0.034 ммоль, 0.04 экв.), 48 мг (0.083 ммоль, 0.1 экв.) ксантфоса и 545 мг Cs2CO3 (1.67 ммоль, 2 экв.) в 10 мл трифторметилбензола выдерживали при 200°С в течение 1.5 ч. Реакционную смесь концентрировали и очищали с помощью препаративной ВЭЖХ с получением 70 мг (19.4%) целевого продукта.

ЖХ-МС-ЭРИ (m/z): [М+Н]+, рассчитано для C22H21N6O2S: 433.5, найдено: 433 и 431 [М-Н]+.

Стадия В: 6-[[4-(1,3-бензотиазол-2-иламино)-6,7-дигидро-5Н-циклопента[d]пиридазин-1-ил]амино]пиридин-2-карбоновая кислота

Смесь 70 мг продукта со Стадии А (0.16 ммоль, 1 экв.), 14 мг LiOH×H2O (0.33 ммоль, 2 экв.) и 10 капель воды в 10 мл 1,4-диоксана выдерживали при нагревании с обратным холодильником в течение 2 ч. Реакционную смесь концентрировали и очищали с помощью препаративной ВЭЖХ с получением 24 мг (31%) целевого продукта.

МСВР-ЭРИ (m/z): [М+Н]+, рассчитано для C20H17N6O2S: 405.1134, найдено: 405.1123.

Пример 26: 2-({6-[(1,3-Бензотиазол-2-ил)амино]-4,5-диметилпиридазин-3-ил}(метил)амино)-1,3-тиазол-4-карбоновая кислота

Стадия А: этил 2-[(6-хлор-4,5-диметилпиридазин-3-ил)(метил)амино]-1,3-тиазол-4-карбоксилат

Гидрид натрия (60% дисперсия, 250 мг, 6.25 ммоль, 1.16 экв.) в атмосфере азота медленно добавляли к раствору 3,6-дихлор-4,5-диметилпиридазина (950 мг, 5.37 ммоль, 1 экв.) и этил 2-(метиламино)-1,3-тиазол-4-карбоксилата (1.2 г, 6.44 ммоль, 1.2 экв.) в 1,4-диоксане (20 мл) при 0°С. Смесь перемешивали в течение 1 ч при температуре окружающей среды, затем при 60°С в течение 2 ч. Добавляли насыщенный водный раствор хлорида аммония (75 мл), и смесь экстрагировали этилацетатом (150 мл). Органический экстракт промывали водой (2×75 мл), соляным раствором (75 мл), сушили (сульфат магния) и концентрировали в вакууме. Очистка с помощью колоночной хроматографии (100 г силикагеля) с элюированием этилацетатом приводила к получению целевого продукта в виде коричневой смолы (715 мг, 2.19 ммоль, 41%).

ЖХ/МС (C13H15ClN4O2S) 327 [М+Н]+; RT 1.09 (ЖХМС-V-B1)

1Н ЯМР (400 МГц, CDCl3) δ 7.56 (s, 1Н), 4.34 (q, J=7.2 Гц, 2Н), 3.66 (s, 3Н), 2.43 (s, 3Н), 2.23 (s, 3Н), 1.36 (t, J=7.2 Гц, 3Н).

Стадия В: этил 2-({6-[(1,3-бензотиазол-2-ил)амино]-4,5-диметилпиридазин-3-ил}(метил)амино)-1,3-тиазол-4-карбоксилат

2-Аминобензотиазол (250 мг, 1.66 ммоль, 1.21 экв.) и продукт со Стадии А (500 мг, 1.38 ммоль, 1 экв.) в атмосфере азота добавляли к раствору трис(дибеизилидеиацетон)дипалладия(0) (63.1 мг, 0.07 ммоль, 0.05 экв.) и ксантфоса (79.7 мг, 0.14 ммоль, 0.1 экв.) в 1,4-диоксане (20 мл), и смесь перемешивали. Добавляли N,N-диизопропилэтиламин (0.75 мл, 4.13 ммоль, 3 экв.), и смесь нагревали в запаянной трубке при 150°С в течение 24 ч. Раствору давали охладиться до температуры окружающей среды и концентрировали в вакууме. Очистка с помощью колоночной флэш-хроматографии (50 г силикагеля) с элюированием 1% метанола в дихлорметане приводила к получению темно-желтой смолы, которую растирали с диэтиловым эфиром (15 мл), отфильтровывали, промывали диэтиловым эфиром (15 мл) и сушили в вакууме с получением целевого продукта в виде бледно-желтого твердого вещества (365 мг, 0.83 ммоль, 60%).

ЖХ/МС (C20H20N6O2S2) 441 [М+Н]+; RT 1.26 (ЖХМС-V-B1)

1Н ЯМР (400 МГц, ДМСО-d6) δ 11.22 (br s, 1Н), 7.87 (br s, 1H), 7.76 (s, 1H), 7.56 (br s, 1H), 7.40 (t, J=7.5 Гц, 1H), 7.23 (t, J=7.7 Гц, 1H), 4.25 (q, J=7.1 Гц, 2H), 3.49 (s, 3H), 2.41 (s, 3H), 2.19 (s, 3H), 1.28 (t, J=7.1 Гц, 3Н).

Стадия С: 2-({6-[(1,3-бензотиазол-2-ил)амино]-4,5-диметилпиридазин-3-ил}(метил)амино)-1,3-тиазол-4-карбоновая кислота

К раствору продукта со Стадии В (200 мг, 0.45 ммоль, 1 экв.) в 1:3 смеси вода / 1,4-диоксан (4 мл) добавляли моногидрат гидроксида лития (95.3 мг, 2.27 ммоль, 5 экв.), и смесь перемешивали при температуре окружающей среды в течение 18 ч. Добавляли воду (10 мл) и раствор фильтровали через целит, твердые вещества промывали водой (5 мл) и объединенный фильтрат подкисляли уксусной кислотой с получением бледно-желтой суспензии. Твердые вещества собирали путем фильтрования, промывали водой (20 мл) и сушили в вакууме с получением целевого продукта в виде бледно-желтого твердого вещества (150 мг, 0.36 ммоль, 80%).

МСВР-ЭРИ (m/z) [М-Н]-, рассчитано для C18H15N6O2S2: 411.0703, найдено: 411.0689.

Пример 27: 2-({6-[(1,3-Бензотиазол-2-ил)амино]-5-(гидроксиметил)-4-метилпиридазин-3-ил}амино)-1,3-тиазол-4-карбоновая кислота

Стадия А: этил 2-({6-[(1,3-бензотиазол-2-ил)амино]-5-(метоксиметил)-4-метилпиридазин-3-ил}амино)-1,3-тиазол-4-карбоксилат

В высушенный в сушильном шкафу сосуд для микроволновой обработки загружали продукт Синтеза 9jb (169 мг, 0.53 ммоль, 1 экв.), этил 2-амино-1,3-тиазол-4-карбоксилат (109 мг, 0.63 ммоль, 1.2 экв.), карбонат цезия (240 мг, 0.74 ммоль, 1.4 экв.), ксантфос (30.5 мг, 0.05 ммоль, 0.1 экв.) и трис(дибензилиденацетон)дипалладий(0) (24.1 мг, 0.03 ммоль, 0.05 экв.). Сосуд вакуумировали и продували азотом (х3), и затем добавляли альфа,альфа,альфа-трифтортолуол (10 мл). Смесь барботировали азотом (10 мин) и затем нагревали при 180°С в течение 1 ч под микроволновым облучением. Смесь концентрировали в вакууме и очищали с помощью автоматической колоночной флэш-хроматографии (CombiFlash Rf, 12 г силикагелевый картридж RediSep™) с элюированием с градиентом 0-5% метанола в дихлорметане с получением целевого продукта (138 мг, 0.30 ммоль, 57%).

ЖХ/МС (C20H20N6O3S2) 457 [М+Н]+; RT 1.17 (ЖХМС-V-B1)

1Н ЯМР (400 МГц, ДМСО-d6) δ 12.25 (br s, 1Н), 11.07 (br s, 1H), 10.63 (br s, 1H), 7.96 (s, 1Н), 7.87 (s, 1H), 7.49 (br s, 1Н), 7.38 (t, J=7.5 Гц, 1H), 7.20 (t, 1H), 4.78 (s, 2H), 4.30 (q, J=7.1 Гц, 2H), 3.38 (s, 3H), 2.43 (s, 3H), 1.33 (t, J=7.1 Гц, 3Н).

Стадия В: этил 2-({6-[(1,3-бензотиазол-2-ил)амино]-5-(гидроксиметил)-4-метилпиридазин-3-ил}амино)-1,3-тиазол-4-карбоксилат

К раствору продукта со Стадии А (55 мг, 0.12 ммоль, 1 экв.) в дихлорметане (2 мл) при 0°С добавляли трибромид бора (0.6 мл, 1 М, 0.6 ммоль, 5 экв.), и смесь перемешивали при температуре окружающей среды в течение 1 ч. Реакционную смесь гасили метанолом и концентрировали в вакууме. Твердое вещество вносили в метанол и нагревали с обратным холодильником в течение 30 мин, затем давали охладиться до температуры окружающей среды. Очистка с помощью обращенно-фазовой автоматической колоночной флэш-хроматографии (CombiFlash Rf, С18 4.3 г колонка RediSep) с элюированием с градиентом 5-95% ацетонитрила приводила к получению сырого продукта (53 мг), которое переносили на следующую стадию без дополнительной очистки.

Стадия С: 2-({6-[(1,3-бензотиазол-2-ил)амино]-5-(гидроксиметил)-4-метилпиридазин-3-ил}амино)-1,3-тиазол-4-карбоновая кислота

К раствору продукта со Стадии В (53.3 мг, 0.12 ммоль, 1 экв.) в 1,4-диоксане (5 мл) добавляли 2М водный раствор гидроксида лития (0.24 мл, 0.24 ммоль, 2 экв.), и смесь нагревали с обратным холодильником в течение 1 ч. Реакционной смеси давали охладиться до температуры окружающей среды и концентрировали в вакууме. Остаток вносили в минимальное количество воды, подкисляли до рН 6 с помощью 1М водного раствора хлористоводородной кислоты и давали перемешиваться в течение 10 минут. Растворитель удаляли в вакууме и остаток растирали с 5:1 смесью изопропанол / вода. Суспензию перемешивали в течение 30 мин, затем твердое вещество собирали путем фильтрования, промывали изопропанолом и сушили в вакууме с получением целевого продукта в виде коричневого твердого вещества (16 мг, 0.04 ммоль, 32%).

МСВР-ЭРИ (m/z) [М-Н]-, рассчитано для C17H13N6O3S2: 413.0496, найдено: 413.0499.

Пример 28: 2-({6-[(1,3-Бензотиазол-2-ил)амино]-5-(метоксиметил)-4-метилпиридазин-3-ил}амино)-1,3-тиазол-4-карбоновая кислота

К раствору продукта из Примера 27, Стадия А (59 мг, 0.13 ммоль, 1 экв.), в 1,4-диоксане (5 мл) добавляли 2М водный раствор гидроксида лития (0.26 мл, 0.26 ммоль, 2 экв.), и смесь нагревали с обратным холодильником в течение 1 ч. Смеси давали охладиться до температуры окружающей среды и концентрировали в вакууме. Остаток вносили в минимальное количество воды, подкисляли до рН 6 с помощью 1М водного раствора хлористоводородной кислоты и давали перемешиваться в течение 10 минут. Растворитель удаляли в вакууме и остаток растирали с 5:1 смесью изопропанол / вода. Суспензию перемешивали в течение 30 мин, затем твердые вещества собирали путем фильтрования, промывали изопропанолом и сушили в вакууме с получением целевого продукта в виде оранжевого твердого вещества (18.5 мг, 0.04 ммоль, 33%).

МСВР-ЭРИ (m/z) [М-Н]-, рассчитано для C18H15N6O3S2: 427.0653, найдено: 427.0650.

Пример 29: 2-({6-[(1,3-Бензотиазол-2-ил)амино]-4-(метоксиметил)-5-метилпиридазин-3-ил}амино)-1,3-тиазол-4-карбоновая кислота

Стадия А: метил 2-({6-[(1,3-бензотиазол-2-ил)амино]-4-(метоксиметил)-5-метилпиридазин-3-ил}амино)-1,3-тиазол-4-карбоксилат

В высушенный в сушильном шкафу сосуд для микроволновой обработки загружали продукт Синтеза 9ja (85 мг, 0.26 ммоль, 1 экв.), этил 2-амино-1,3-тиазол-4-карбоксилат (59.3 мг, 0.34 ммоль, 1.3 экв.), карбонат цезия (121 мг, 0.37 ммоль, 1.4 экв.), ксантфос (7.67 мг, 0.01 ммоль, 0.05 экв.) и трис(дибензилиденацетон)дипалладий(0) (24.3 мг, 0.03 ммоль, 0.1 экв.). Сосуд вакуумировали и продували азотом (х3), и затем добавляли альфа,альфа,альфа-трифтортолуол (10 мл). Смесь барботировали азотом (10 мин) и затем нагревали при 180°С в течение 1 ч под микроволновым облучением. Смесь концентрировали в вакууме и очищали с помощью автоматической колоночной флэш-хроматографии (CombiFlash Rf, 12 г силикагелевый картридж RediSep™) с элюированием с градиентом 0-5% метанола в дихлорметане с получением целевого продукта в виде оранжевого стеклообразного твердого вещества (82.5 мг, 0.18 ммоль, 68%).

ЖХ/МС (C19H18N6O3S2) 443 [М+Н]+; RT 1.26 (ЖХМС-V-B1)

1Н ЯМР (400 МГц, ДМСО-d6) δ 10.78 (br s, 1Н), 7.98 (s, 1H), 7.42-7.34 (m, 2H), 7.25-7.14 (m, 2H), 4.77 (s, 2H), 3.83 (s, 3Н), 3.39 (s, 3Н), 2.44 (s, 3Н).

Стадия В: 2-({6-[(1,3-бензотиазол-2-ил)амино]-4-(метоксиметил)-5-метилпиридазин-3-ил}амино)-1,3-тиазол-4-карбоновая кислота

К раствору продукта со Стадии А (82.5 мг, 0.18 ммоль, 1 экв.) в 1,4-диоксане (5 мл) добавляли 2М водный раствор гидроксида лития (0.18 мл, 0.36 ммоль, 2 экв.), и смесь нагревали с обратным холодильником в течение 1 ч. Реакционной смеси давали охладиться до температуры окружающей среды и концентрировали в вакууме. Остаток вносили в минимальное количество воды, подкисляли до рН 6 с помощью 1М водного раствора хлористоводородной кислоты и давали перемешиваться в течение 10 минут. Растворитель удаляли в вакууме и остаток растирали с 5:1 смесью изопропанол / вода. Твердые вещества собирали путем фильтрования, промывали изопропанолом (2×4 мл) и сушили в вакууме. Очистка с помощью обращенно-фазовой ВЭЖХ (метод ВЭЖХ-V-А2) приводила к получению целевого продукта в виде желтого твердого вещества (22 мг, 0.05 ммоль, 28%).

МСВР-ЭРИ (m/z) [М+Н]+, рассчитано для C18H17N6O3S2: 429.0798, найдено: 429.0800.

Пример 30: 2-({6-[(1,3-Бензотиазол-2-ил)амино]-4-(этоксиметил)-5-метилпиридазин-3-ил}амино)-1,3-тиазол-4-карбоновая кислота

Стадия А: этил 2-({6-[(1,3-бензотиазол-2-ил)амино]-4-(этоксиметил)-5-метилпиридазин-3-ил}амино)-1,3-тиазол-4-карбоксилат

В высушенный в сушильном шкафу сосуд для микроволновой обработки загружали продукт Синтеза 9ka (113 мг, 0.34 ммоль, 1 экв.), этил 2-амино-1,3-тиазол-4-карбоксилат (69.7 мг, 0.4 ммоль, 1.2 экв.), карбонат цезия (154 мг, 0.47 ммоль, 1.4 экв.), ксантфос (19.5 мг, 0.03 ммоль, 0.1 экв.) и трис(дибензнлиденацетон)дипалладий(0) (15.5 мг, 0.02 ммоль, 0.05 экв.). Сосуд вакуумировали и продували азотом (х3), и затем добавляли альфа,альфа,альфа-трифтортолуол (7 мл). Смесь барботировали азотом (10 мин) и затем нагревали при 180°С в течение 1 ч под микроволновым облучением. Смесь концентрировали в вакууме и очищали с помощью автоматической колоночной флэш-хроматографии (CombiFlash Rf, 24 г силикагелевый картридж RediSep™) с элюированием с градиентом 0-100% этилацетата в изогептане с получением целевого продукта (47 мг, 0.1 ммоль, 30%).

ЖХ/МС (C21H22N6O3S2) 471 [М+Н]+; RT 1.36 (ЖХМС-V-B1)

1Н ЯМР (400 МГц, CDCl3) δ 7.82 (s, 1Н), 7.73 (d, J=35.3 Гц, 3Н), 7.43 (m, 1H), 7.28-7.23 (m, 1Н), 4.72 (s, 2Н), 4.45 (q, J=7.1 Гц, 2Н), 3.68 (q, J=7.0 Гц, 2Н), 2.47 (s, 3Н), 1.45 (t, J=7.1 Гц, 3Н), 1.35 (t, J=7.0 Гц, 3Н).

Стадия В: 2-({6-[(1,3-бензотиазол-2-ил)амино]-4-(этоксиметил)-5-метилпиридазин-3-ил}амино)-1,3-тиазол-4-карбоновая кислота

К раствору продукта со Стадии А (49 мг, 0.1 ммоль, 1 экв.) в 1,4-диоксане (5 мл) добавляли 2М водный раствор гидроксида лития (0.1 мл, 0.21 ммоль, 2 экв.), и смесь нагревали с обратным холодильником в течение 2 ч. Смеси давали охладиться до температуры окружающей среды и концентрировали в вакууме. Остаток вносили в минимальное количество воды, подкисляли до рН 6 с помощью 1М водного раствора хлористоводородной кислоты и давали перемешиваться в течение 10 минут. Образец растирали с 5:1 смесью изопропанол / вода и твердые вещества собирали путем фильтрования, промывали изопропанолом и сушили в вакууме с получением целевого продукта в виде коричневого твердого вещества (23.9 мг, 0.05 ммоль, 52%).

МСВР-ЭРИ (m/z) [М-Н]-, рассчитано для C19H17N6O3S2: 441.0809, найдено: 441.0803.

Пример 31: 2-({6-[(1,3-Бензотиазол-2-ил)амино]-5-циклопропилпиридазин-3-ил}(метил)амино)-1,3-тиазол-4-карбоновая кислота

К раствору продукта Синтеза 11d, Стадия В (249 мг, 0.55 ммоль, 1 экв.) в 1,4-диоксане (10 мл) добавляли 2М водный раствор гидроксида лития (0.55 мл, 1.1 ммоль, 2 экв.), и смесь нагревали с обратным холодильником в течение 3 ч. Реакционной смеси давали охладиться до температуры окружающей среды и концентрировали в вакууме. Очистка с помощью обращенно-фазовой автоматической флэш-хроматографии (CombiFlash Rf, С18 43 г колонка RediSep) с элюированием с градиентом 5-95% ацетонитрила в воде приводила к получению целевого продукта в виде желтого порошка (33 мг, 0.08 ммоль, 14%) [в виде соли лития].

МСВР-ЭРИ (m/z) [М+Н]+, рассчитано для C19H17N6O2S2: 425.0849, найдено: 425.0851.

Пример 32: 5-{1-[(Адамантан-1-ил)метил]-5-метил-1Н-пиразол-4-ил}-2-({6-[(1,3-бензотиазол-2-ил)амино]пиридазин-3-ил}амино)-1,3-тиазол-4-карбоновая кислота

Стадия А: этил 5-{1-[(адамантан-1-ил)метил]-5-метил-1Н-пиразол-4-ил}-2-[(6-{[(2Z)-3-{[2-(триметилсилил)этокси]метил}-2,3-дигидро-1,3-бензотиазол-2-илиден]амино}пиридазин-3-ил)амино]-1,3-тиазол-4-карбоксилат

К раствору продукта Синтеза 11f (64 мг, 0.11 ммоль, 1 экв.), продукта Синтеза 10а (45.0 мг, 0.13 ммоль, 1.2 экв.) и карбоната калия (43.7 мг, 0.32 ммоль, 3 экв.) в 3:1 смеси тетрагидрофуран / вода (4 мл) добавляли [1,1'-бис(дифенилфосфино)ферроцен]дихлорпалладий(II) (7.71 мг, 0.01 ммоль, 0.1 экв.). Смесь барботировали азотом (10 мин) и затем нагревали при 120°С в течение 1 ч под микроволновым облучением. Смесь разбавляли этилацетатом, затем последовательно промывали водой и соляным раствором. Органический экстракт сушили (сульфат магния) и растворитель удаляли в вакууме. Очистка с помощью автоматической колоночной флэш-хроматографии (CombiFlash Rf, 12 г силикагелевый картридж RediSep™) с элюированием с градиентом 0-50% этилацетата в изогептане приводила к получению целевого продукта в виде кремового твердого вещества (39.2 мг, 0.05 ммоль, 49%).

ЖХ/МС (C38H48N8O3SiS2) 757 [М+Н]+; RT 1.64 (ЖХМС-V-B1)

Стадия В: этил 5-{1-[(адамантан-1-ил)метил]-5-метил-1Н-пиразол-4-ил}-2-({6-[(1,3-бензотиазол-2-ил)амино]пиридазин-3-ил}амино)-1,3-тиазол-4-карбоксилат

Раствор продукта со Стадии А (39 мг, 0.05 ммоль, 1 экв.) в дихлорметане (2 мл) охлаждали до 0°С и затем добавляли трифторуксусную кислоту (0.3 мл, 4.03 ммоль, 78.1 экв.). Смеси давали нагреться до температуры окружающей среды и перемешивали в течение 18 ч. Смесь разбавляли дихлорметаном и последовательно промывали насыщенным водным раствором бикарбоната натрия, водой и соляным раствором. Органическую фазу сушили (сульфат магния), затем растворитель удаляли в вакууме. Очистка с помощью автоматической колоночной флэш-хроматографии (CombiFlash Rf, 12 г силикагелевый картридж RediSep™) с элюированием с градиентом 0-7% метанола в дихлорметане приводила к получению целевого продукта в виде кремового твердого вещества (10.5 мг, 0.02 ммоль, 33%).

ЖХ/МС (C32H34N8O2S2) 627 [М+Н]+; RT 1.38 (ЖХМС-V-B1)

1Н ЯМР (400 МГц, ДМСО-d6) δ 11.87 (br s, 1Н), 11.67 (br s, 1H), 7.93 (d, J=7.8 Гц, 1H), 7.64 (d, 1Н), 7.57 (s, 1H), 7.51 (d, J=27.8 Гц, 1H), 7.44-7.33 (m, 2Н), 7.21 (t, J=7.6 Гц, 1H), 4.17 (q, J=7.1 Гц, 2Н), 3.80 (s, 2Н), 2.23 (s, 3Н), 1.98 (s, 3Н), 1.72-1.56 (m, 12Н), 1.20 (t, J=7.1 Гц, 3Н).

Стадия С: 5-{1-[(адамантан-1-ил)метил]-5-метил-1Н-пиразол-4-ил}-2-({6-[(1,3-бензотиазол-2-ил)амино]пиридазин-3-ил}амино)-1,3-тиазол-4-карбоновая кислота

К раствору продукта со Стадии В (10.5 мг, 0.02 ммоль, 1 экв.) в 1,4-диоксане (2 мл) добавляли моногидрат гидроксида лития (3.51 мг, 0.08 ммоль, 5 экв.), и смесь нагревали с обратным холодильником в течение ночи. Реакционной смеси давали охладиться до температуры окружающей среды и растворитель удаляли в вакууме. Остаток растирали с водой и твердые вещества собирали путем фильтрования и сушили в вакууме с получением целевого продукта в виде бежевого твердого вещества (7.2 мг, 0.01 ммоль, 71%).

МСВР-ЭРИ (m/z) [М+Н]+, рассчитано для C30H31N8O2S2: 599.2006, найдено: 599.2037.

Пример 33: 5-{1-[(Адамантан-1-ил)метил]-5-метил-1Н-пиразол-4-ил}-2-({6-[(1,3-бензотиазол-2-ил)амино]-4,5-диметилпиридазин-3-ил}амино)-1,3-тиазол-4-карбоновая кислота

Стадия А: этил 5-{1-[(адамантан-1-ил)метил]-5-метил-1Н-пиразол-4-ил}-2-[(4,5-диметил-6-{[(2Z)-3-{[2-(триметилсилил)этокси]метил}-2,3-дигидро-1,3-бензотиазол-2-илиден]амино}пиридазин-3-ил)амино]-1,3-тиазол-4-карбоксилат

К смеси продукта Синтеза 11а (99 мг, 0.16 ммоль, 1 экв.), продукта Синтеза 10а (66.6 мг, 0.19 ммоль, 1.2 экв.) и карбоната калия (64.6 мг, 0 моль, 3 экв.) в 3:1 смеси тетрагидрофуран / вода (4 мл) добавляли [1,1'-бис(дифенилфосфино)ферроцен]дихлорпалладий(II) (11.4 мг, 0.02 ммоль, 0.1 экв.). Смесь барботировали азотом (10 мин) и затем нагревали при 120°С в течение 1 ч под микроволновым облучением. Реакционную смесь разбавляли этилацетатом, затем последовательно промывали водой и соляным раствором. Органический экстракт сушили (сульфат магния), затем растворитель удаляли в вакууме. Очистка с помощью автоматической колоночной флэш-хроматографии (CombiFlash Rf, 12 г силикагелевый картридж RediSep™) с элюированием с градиентом 0-50% этилацетата в изогептане приводила к получению целевого продукта в виде желтого стеклообразного вещества (65.5 мг, 0.08 ммоль, 54%).

ЖХ/МС (C40H52N8O3SiS2) 785 [М+Н]+; RT 1.82 (ЖХМС-V-B1)

1Н ЯМР (400 МГц, ДМСО-d6) δ 10.93 (br s, 1Н), 7.78 (d, J=7.6 Гц, 1H), 7.54 (s, 1H), 7.46-7.38 (m, 2H), 7.21 (dt, 1H), 5.84 (s, 2H), 4.17 (q, J=7.1 Гц, 2H), 3.78 (s, 2H), 3.71 (t, 2H), 2.40 (s, 3Н), 2.36 (s, 3Н), 2.20 (s, 3Н), 1.96 (s, 3Н), 1.71-1.55 (m, 12H), 1.17 (t, 3Н), 0.91 (t, 2H), 0.00 (s, 9H).

Стадия В: этил 5-{1-[(адамантан-1-ил)метил]-5-метил-1Н-пиразол-4-ил}-2-({6-[(1,3-бензотиазол-2-ил)амино]-4,5-диметилпиридазин-3-ил}амино)-1,3-тиазол-4-карбоксилат

Раствор продукта со Стадии А (65.5 мг, 0.08 ммоль, 1 экв.) в дихлорметане (4 мл) охлаждали на ледяной бане и затем добавляли трифторуксусную кислоту (0.4 мл, 5.37 ммоль, 64 экв.). Смеси давали нагреться до температуры окружающей среды и перемешивали в течение 18 ч. Реакционную смесь разбавляли дихлорметаном и последовательно промывали насыщенным водным раствором бикарбоната натрия, водой и соляным раствором. Органику сушили (сульфат магния) и растворитель удаляли в вакууме. Очистка с помощью автоматической колоночной флэш-хроматографии (CombiFlash Rf, 12 г силикагелевый картридж RediSep™) с элюированием с градиентом 0-5% метанола в дихлорметане приводила к получению целевого продукта в виде желтого стеклообразного вещества (34.2 мг, 0.05 ммоль, 63%).

ЖХ/МС (C34H38N8O2S2) 655 [М+Н]+; RT 1.47 (ЖХМС-V-B1)

1Н ЯМР (400 МГц, ДМСО-d6) δ 10.94 (br s, 1Н), 7.88 (br s, 1H), 7.64 (br s, 1H), 7.55 (s, 1H), 7.36 (t, 1H), 7.22-7.13 (m, 1H), 4.18 (q, J=7.1 Гц, 2H), 3.80 (s, 2H), 2.38 (s+s, 6H), 2.21 (s, 3H), 1.99 (d, J=8.2 Гц, 3Н), 1.73-1.54 (m, 12H), 1.18 (t, J=7.1 Гц, 3Н).

Стадия С: 5-{1-[(адамантан-1-ил)метил]-5-метил-1Н-пиразол-4-ил}-2-({6-[(1,3-бензотиазол-2-ил)амино]-4,5-диметилпиридазин-3-ил}амино)-1,3-тиазол-4-карбоновая кислота

К раствору продукта со Стадии В (34.2 мг, 0.05 ммоль, 1 экв.) в 1,4-диоксане (5 мл) добавляли моногидрат гидроксида лития (22 мг, 0.52 ммоль, 10 экв.), и смесь нагревали с обратным холодильником в течение 18 ч. Реакционной смеси давали охладиться до температуры окружающей среды, затем растворитель удаляли в вакууме. Остаток растирали с водой, и твердые вещества собирали путем фильтрования и сушили в вакууме с получением целевого продукта в виде желтого твердого вещества (28 мг, 0.04 ммоль, 86%) [в виде соли лития].

МСВР-ЭРИ (m/z) [М+Н]+, рассчитано для C32H35N8O2S3: 627.2319, найдено: 627.2357.

Пример 34: 2-({6-[(1,3-Бензотиазол-2-ил)амино]-5-(пропан-2-ил)пиридазин-3-ил}(метил)амино)-1,3-тиазол-4-карбоновая кислота

Стадия А: этил 2-{[6-хлор-5-(пропан-2-ил)пиридазин-3-ил](метил)амино}-1,3-тиазол-4-карбоксилат

К раствору продукта Синтеза 7с (300 мг, 1.57 ммоль, 1 экв.) и этил 2-(метиламино)-1,3-тиазол-4-карбоксилата (292 мг, 1.57 ммоль, 1 экв.) в тетрагидрофуране (25 мл) в атмосфере азота медленно добавляли гидрид натрия (60% в минеральном масле; 75.4 мг, 1.88 ммоль, 1.2 экв.) при 0°С, и смесь перемешивали при 0°С в течение 1 ч, затем при температуре окружающей среды в течение 18 ч. Добавляли насыщенный водный раствор хлорида аммония (20 мл), и смесь экстрагировали дихлорметаном (75 мл). Органические экстракты последовательно промывали водой (2×50 мл) и соляным раствором (50 мл), затем сушили (сульфат магния) и концентрировали в вакууме. Очистка с помощью автоматической колоночной флэш-хроматографии (CombiFlash Rf, 24 г силикагелевый картридж RediSep™) с элюированием с градиентом 0 50% этилацетата в изогептане приводила к получению целевого продукта в виде белого кристаллического твердого вещества (340 мг, 1 ммоль, 64%).

ЖХ/МС (C14H17ClN4O2S) 341 [М+Н]+; RT 1.31 (ЖХМС-V-B1)

1Н ЯМР (400 МГц, ДМСО-d6) δ 8.05 (s, 1H), 7.67 (s, 1Н), 4.30 (q, J=7.1 Гц, 2Н), 3.88 (s, 3Н), 3.20 (hept, J=6.9 Гц, 1Н), 1.32 (dt, J=7.1, 3.7 Гц, 9Н).

Стадия В: этил 2-({6-[(1,3-бензотиазол-2-ил)амино]-5-(пропан-2-ил)пиридазин-3-ил}(метил)амино)-1,3-тиазол-4-карбоксилат

К раствору продукта со Стадии А (340 мг, 1 ммоль, 1 экв.) и 2-аминобензотиазола (180 мг, 1.2 ммоль, 1.2 экв.) в 1,4 диоксане (15 мл) в атмосфере азота добавляли ксантфос (115 мг, 0.2 ммоль, 0.2 экв.) и трис(дибеизилиденацетон)дипалладий(0) (91.4 мг, 0.1 ммоль, 0.1 экв.). Добавляли N,N-диизопропилэтиламин (0.52 мл, 2.99 ммоль, 3 экв.), и смесь нагревали в запаянной трубке при 150°С в течение 18 ч. Смеси давали охладиться до температуры окружающей среды и растворитель удаляли в вакууме. Очистка с помощью автоматической колоночной флэш-хроматографии (CombiFlash Rf, 24 г силикагелевый картридж RediSep™) с элюированием с градиентом 0-3% метанола в дихлорметане приводила к получению целевого продукта в виде желтого твердого вещества (110 мг, 0.24 ммоль, 24%).

ЖХ/МС (C21H22N6O2S2) 455 [М+Н]+; RT 1.44 (ЖХМС-V-B1)

1Н ЯМР (400 МГц, ДМСО-d6) δ 12.40 (br s, 1Н), 7.97 (s, 1H), 7.79 (br s, 1H), 7.55 (s, 1H), 7.37 (br s+t, 2H), 7.19 (br s, 1H), 4.30 (q, J=7.1 Гц, 2H), 3.87 (s, 3H), 3.57 (p, J=6.8 Гц, 1H), 1.40-1.27 (m, 9H).

Стадия С: 2-({6-[(1,3-бензотиазол-2-ил)амино]-5-(пропан-2-ил)пиридазин-3-ил}(метил)амино)-1,3-тиазол-4-карбоновая кислота

К перемешиваемому раствору продукта со Стадии В (111 мг, 0.24 ммоль, 1 экв.) в 1,4-диоксане (5 мл) добавляли 2М водный раствор гидроксида лития (0.24 мл, 0.49 ммоль, 2 экв.), и смесь нагревали с обратным холодильником в течение 2 ч. Реакционной смеси давали охладиться до температуры окружающей среды и концентрировали в вакууме. Сырое вещество растирали с диэтиловым эфиром (10 мл) и твердые вещества собирали путем фильтрования, промывали диэтиловым эфиром и сушили в вакууме. Полученное в результате вещество растворяли в воде и подкисляли до рН 5-6 с помощью 1М водного раствора хлористоводородной кислоты и затем концентрировали в вакууме. Твердые вещества растирали с 4:1 смесью изопропанол / вода (5 мл), собирали путем фильтрования и сушили в вакууме с получением целевого продукта в виде желтого твердого вещества (66.7 мг, 0.16 ммоль, 64%).

МСВР-ЭРИ (m/z) [М+Н]+, рассчитано для C19H19N6O2S2: 427.1005, найдено: 427.1042.

Пример 35: 2-({6-[(1,3-Бензотиазол-2-ил)амино]-4,5-диметилпиридазин-3-ил}амино)-5-(1-{[1-(3-метоксипропил)циклооктил]метил}-5-метил-1Н-пиразол-4-ил)-1,3-тиазол-4-карбоновая кислота

Стадия А: этил 2-[(4,5-диметил-6-{[(2Z)-3-{[2-(триметилсилил)этокси]метил}-2,3-дигидро-1,3-бензотиазол-2-илиден]амино}пиридазин-3-ил)амино]-5-(1-{[1-(3-метоксипропил)циклооктил]метил}-5-метил-1Н-пиразол-4-ил)-1,3-тиазол-4-карбоксилат

К смеси продукта Синтеза 11а (99 мг, 0.16 ммоль, 1 экв.), продукта Синтеза 10b (75.6 мг, 0.19 ммоль, 1.2 экв.) и карбоната калия (64.6 мг, 0 моль, 3 экв.) в 3:1 смеси тетрагидрофуран / вода (4 мл) добавляли [1,1'-бис(дифенилфосфино)ферроцен]дихлорпалладий(II) (11.4 мг, 0.02 ммоль, 0.1 экв.). Смесь барботировали азотом (10 мин) и затем нагревали при 120°С в течение 2 ч под микроволновым облучением. Реакционную смесь разбавляли этилацетатом, затем промывали водой с последующим промыванием соляным раствором. Органический экстракт сушили (сульфат магния) и растворитель удаляли в вакууме. Очистка с помощью автоматической колоночной флэш-хроматографии (CombiFlash Rf, 12 г силикагелевый картридж RediSep™) с элюированием с градиентом 0-50% этилацетата в изогептане приводила к получению целевого продукта в виде оранжевого стеклообразного вещества (43.4 мг, 0.05 ммоль, 33%).

ЖХ/МС (C42H60N8O4SiS2) 834 [М+Н]+; RT 1.88 (ЖХМС-V-B1)

1Н ЯМР (400 МГц, ДМСО-d6) δ 10.92 (br s, 1Н), 7.77 (d, J=7.8 Гц, 1H), 7.56 (s, 1H), 7.45-7.37 (m, 2H), 7.21 (t, J=7.0 Гц, 1H), 5.84 (s, 2H), 4.17 (q, J=7.1 Гц, 2H), 3.85 (s, 2H), 3.71 (t, J=8.0 Гц, 2H), 2.67 (q, 3Н), 2.41 (s, 3Н), 2.36 (s, 3Н), 2.33 (q, 2Н), 2.19 (s, 3Н), 1.65-1.52 (m, 6Н), 1.49-1.36 (m, 6Н), 1.34-1.22 (m, 8Н), 1.18 (t, J=7.1 Гц, 3Н), 1.07 (s, 2Н), 0.91 (t, 3Н), -0.11 (s, 9Н).

Стадия В: этил 2-({6-[(1,3-бензотиазол-2-ил)амино]-4,5-диметилпиридазин-3-ил}амино)-5-(1-{[1-(3-метоксипропил)циклооктил]метил}-5-метил-1Н-пиразол-4-ил)-1,3-тиазол-4-карбоксилат

Раствор продукта со Стадии А (43.4 мг, 0.05 ммоль, 1 экв.) в дихлорметане (4 мл) охлаждали на ледяной бане, затем добавляли трифторуксусную кислоту (0.4 мл, 5.37 ммоль, 103 экв.). Смеси давали нагреться до температуры окружающей среды, при которой ее перемешивали в течение 18 ч. Реакционную смесь разбавляли дихлорметаном, затем последовательно промывали насыщенным водным раствором бикарбоната натрия, водой и соляным раствором. Органику сушили (сульфат магния) и растворитель удаляли в вакууме. Очистка с помощью автоматической колоночной флэш-хроматографии (CombiFlash Rf, 12 г силикагелевый картридж RediSep™) с элюированием с градиентом 0 - 5% метанола в дихлорметане приводила к получению целевого продукта в виде желтого стеклообразного вещества (21.3 мг, 0.03 ммоль, 58%).

ЖХ/МС (C36H46N8O3S2) 703 [М+Н]+; RT 1.33 (ЖХМС-V-B1)

1Н ЯМР (400 МГц, ДМСО-d6) δ 10.94 (br s, 1Н), 7.88 (br s, 1H), 7.63 (br s, 1H), 7.57 (s, 1H), 7.40-7.32 (m, 1H), 7.22-7.14 (m, 1H), 4.18 (q, J=7.1 Гц, 2H), 3.86 (s, 2H), 3.25 (s, 3H), 2.38 (s+s, 6H), 2.21 (s, 3H), 1.70-1.51 (m, 9H), 1.50-1.35 (m, 6H), 1.34-1.23 (m, 95), 1.18 (t, 3H).

Стадия С: 2-({6-[(1,3-бензотиазол-2-ил)амино]-4,5-диметилпиридазин-3-ил}амино)-5-(1-{[1-(3-метоксипропил)циклооктил]метил}-5-метил-1Н-пиразол-4-ил)-1,3-тиазол-4-карбоновая кислота

К раствору продукта со Стадии В (21.3 мг, 0.03 ммоль, 1 экв.) в 1,4-диоксане (4 мл) добавляли моногидрат гидроксида лития (12.7 мг, 0.3 ммоль, 10 экв.), и смесь нагревали с обратным холодильником в течение 18 ч. Реакционной смеси давали охладиться до температуры окружающей среды и растворитель удаляли в вакууме. Остаток растирали с водой и твердые вещества собирали путем фильтрования и сушили в вакууме с получением целевого продукта в виде бежевого твердого вещества (13.9 мг, 0.02 ммоль, 68%) [в виде соли лития].

МСВР-ЭРИ (m/z) [М+Н]+, рассчитано для C34H43N8O3S2: 675.2894, найдено: 675.2933.

Пример 36: 2-({6-[(1,3-Бензотиазол-2-ил)амино]-4,5-диметилпиридазин-3-ил}амино)-5-(1-{[1-(3-метоксипропил)циклооктил]метил}-5-метил-1Н-пиразол-4-ил)-1,3-тиазол-4-карбоновая кислота

Стадия А: этил 2-[(4,5-диметил-6-{[(2Z)-3-{[3-(триметилсилил)пропокси]метил}-2,3-дигидро-1,3-бензотиазол-2-илиден]амино}пиридазин-3-ил)амино]-5-(1-{[1-(3-метоксипропил)циклогексил]метил}-5-метил-1Н-пиразол-4-ил)-1,3-тиазол-4-карбоксилат

К смеси продукта Синтеза 11а (110 мг, 0.17 ммоль, 1 экв.), продукта Синтеза 10 с (81 мг, 0.22 ммоль, 1.25 экв.) и карбоната калия (71.4 мг, 0.52 ммоль, 3 экв.) в 3:1 смеси тетрагидрофуран / вода (4 мл) добавляли [1,1'-бис(дифенилфосфино)ферроцен]дихлорпалладий(II) (12.6 мг, 0.02 ммоль, 0.1 экв.). Смесь барботировали азотом (10 мин) и затем нагревали при 120°С в течение 1 ч под микроволновым облучением. Реакционную смесь разбавляли этилацетатом и последовательно промывали водой и соляным раствором. Органику сушили (сульфат магния) и растворитель удаляли в вакууме. Очистка с помощью автоматической колоночной флэш-хроматографии (CombiFlash Rf, 12 г силикагелевый картридж RediSep™) с элюированием с градиентом 0-50% этилацетата в изогептане приводила к получению целевого продукта в виде оранжевой смолы (81.2 мг, 0.1 ммоль, 59%).

ЖХ/МС (C40H56N8O4SiS2) 805 [М+Н]+; RT 1.85 (ЖХМС-V-B1)

1Н ЯМР (400 МГц, ДМСО-d6) δ 10.94 (s, 1H), 7.77 (d, J=7.7 Гц, 1H), 7.56 (s, 1H), 7.47-7.37 (m, 2Н), 7.24-7.19 (m, 1Н), 5.84 (s, 2Н), 4.17 (q, J=7.1 Гц, 2Н), 3.93 (s, 2Н), 3.71 (t, 2Н), 3.24 (s, 3Н), 2.41 (s, 3Н), 2.37 (s, 3Н), 2.21 (s, 3Н), 1.56-1.47 (m, 5Н), 1.42-1.31 (m, 8Н), 1.24-1.14 (m, 6Н), 0.91 (t, 2Н), -0.11 (s, 9Н).

Стадия В: этил 2-({6-[(1,3-бензотиазол-2-ил)амино]-4,5-диметилпиридазин-3-ил}амино)-5-(1-{[1-(3-метоксипропил)циклогексил]метил}-5-метил-1Н-пиразол-4-ил)-1,3-тиазол-4-карбоксилат

Раствор продукта со Стадии А (81.2 мг, 0.1 ммоль, 1 экв.) в дихлорметане (5 мл) охлаждали на ледяной бане и добавляли трифторуксусную кислоту (0.5 мл, 6.71 ммоль, 67 экв.). Смеси давали нагреться до температуры окружающей среды и перемешивали в течение 18 ч. Реакционную смесь разбавляли дихлорметаном, затем последовательно промывали насыщенным водным раствором бикарбоната натрия, водой и соляным раствором. Органику сушили (сульфат магния) и растворитель удаляли в вакууме. Очистка с помощью автоматической колоночной флэш-хроматографии (CombiFlash Rf, 12 г силикагелевый картридж RediSep™) с элюированием с градиентом 0-5% метанола в дихлорметане приводила к получению целевого продукта в виде желтого стеклообразного вещества (49.6 мг, 0.07 ммоль, 73%).

ЖХ/МС (C34H42N8O3S2) 675 [М+Н]+; RT 1.54 (ЖХМС-V-B1)

1Н ЯМР (400 МГц, ДМСО-d6) δ 10.94 (br s, 1Н), 7.88 (br s, 1H), 7.57 (s, 1H), 7.40-7.32 (m, 1H), 7.22-7.13 (m, 1H), 4.18 (q, 2H), 3.95 (s, 2H), 3.25 (s, 3H), 2.37 (s+s, 6H), 2.22 (s, 3H), 1.60-1.45 (m, 6H), 1.44-1.34 (m, 8H), 1.28-1.22 (m, 2H), 1.19 (t, J=7.1 Гц, 3Н).

Стадия С: 2-({6-[(1,3-бензотиазол-2-ил)амино]-4,5-диметилпиридазин-3-ил}амино)-5-(1-{[1-(3-метоксипропил)циклогексил]метил}-5-метил-1Н-пиразол-4-ил)-1,3-тиазол-4-карбоновая кислота

К раствору продукта со Стадии В (49.6 мг, 0.07 ммоль, 1 экв.) в 1,4-диоксане добавляли моногидрат гидроксида лития (14.7 мг, 0.37 ммоль, 5 экв.), и смесь нагревали с обратным холодильником в течение 2 ч. Реакционной смеси давали охладиться до температуры окружающей среды и растворитель удаляли в вакууме. Остаток растирали с водой и твердые вещества собирали путем фильтрования, последовательно промывали 2М водным раствором хлористоводородной кислоты и затем дихлорметаном, и сушили в вакууме с получением целевого продукта в виде бледно-желтого твердого вещества (10.8 мг, 0.02 ммоль, 23%).

МСВР-ЭРИ (m/z) [М+Н]+, рассчитано для C32H39N8O3S2: 647.2581, найдено: 647.2620.

Пример 37: 2-({6-[(1,3-Бензотиазол-2-ил)амино]-5-метилпиридазин-3-ил}(этил)амино)-1,3-тиазол-4-карбоновая кислота

Стадия А: этил 2-[(6-хлор-5-метилпиридазин-3-ил)(этил)амино]-1,3-тиазол-4-карбоксилат

Гидрид натрия (60% дисперсия; 150 мг, 3.75 ммоль, 1.25 экв.) в атмосфере азота добавляли к раствору 3,6-дихлор-4-метилпиридазина (530 мг, 3.25 ммоль, 1.09 экв.) и этил 2-(этиламино)- 1,3-тиазол-4-карбоксилата (600 мг, 3 ммоль, 1 экв.) в 1,4-диоксане (20 мл) при 0°С. Смесь перемешивали в течение 1 ч при 0°С и в течение 18 ч при температуре окружающей среды. Добавляли этилацетат (150 мл), и смесь последовательно промывали насыщенным водным раствором хлорида аммония (75 мл), водой (2×75 мл) и соляным раствором (75 мл), сушили (сульфат магния) и концентрировали в вакууме. Очистка с помощью колоночной флэш-хроматографии (50 г силикагеля) с элюированием дихлорметаном приводила к получению бледно-желтого твердого вещества. Растирание с диэтиловым эфиром (10 мл) приводило к твердому веществу, которое собирали путем фильтрования, промывали диэтиловым эфиром (2×5 мл) и сушили в вакууме с получением целевого продукта в виде не совсем белого твердого вещества (475 мг, 1.45 ммоль, 49%).

ЖХ/МС (C13H15ClN4O2S) 327 [М+Н]+; RT 1.25 (ЖХМС-V-B1)

1Н ЯМР (400 МГц, ДМСО-d6) δ 8.03 (s, 1H), 7.89 (s, 1Н), 4.46 (q, 2Н), 4.30 (q, 2Н), 2.44 (s, 3Н), 1.35-1.26 (m, 6Н).

Стадия В: этил 2-({6-[(1,3-бензотиазол-2-ил)амино]-5-метилпиридазин-3-ил}(этил)амино)-1,3-тиазол-4-карбоксилат

2-Аминобензотиазол (250 мг, 1.66 ммоль, 1.2 экв.) и продукт со Стадии А (450 мг, 1.38 ммоль, 1 экв.) в атмосфере азота добавляли к раствору трис(дибензилиденацетон)дипалладия(0) (63.1 мг, 0.07 ммоль, 0.05 экв.) и ксантфоса (79.7 мг, 0.14 ммоль, 0.1 экв.) в 1,4-диоксане (10 мл). Добавляли N,N-диизопропилэтиламин (0.75 мл, 4.13 ммоль, 3 экв.), и смесь нагревали в запаянной трубке при 150°С в течение 7 ч. Раствору давали охладиться до температуры окружающей среды и концентрировали в вакууме. Очистка с помощью колоночной флэш-хроматографии (50 г силикагеля) с элюированием этилацетатом приводила к получению желтого твердое вещества. Растирание с метанолом (10 мл) приводило к твердому веществу, которое собирали путем фильтрования, промывали метанолом (2×5 мл) и сушили в вакууме с получением целевого продукта в виде желтого твердого вещества (265 мг, 0.6 ммоль, 44%).

ЖХ/МС (C20H20N6O2S2) 441 [М+Н]+; RT 1.37 (ЖХМС-V-B1)

1Н ЯМР (400 МГц, ДМСО-d6) δ 11.12 (br s, 1Н), 7.97 (s, 1H), 7.92 (s, 1H), 7.74 (s, 1H), 7.57 (br s, 1H), 7.39 (t, J=7.5 Гц, 1H), 7.22 (t, J=7.5 Гц, 1H), 4.46 (q, J=6.9 Гц, 2H), 4.30 (q, J=7.1 Гц, 2H), 2.49 (s, 3H), 1.31 (t+t, 6H).

Стадия С: 2-({6-[(1,3-бензотиазол-2-ил)амино]-5-метилпиридазин-3-ил}(этил)амино)-1,3-тиазол-4-карбоновая кислота

К раствору продукта со Стадии В (210 мг, 0.48 ммоль, 1 экв.) в 1:3 смеси вода / 1,4-диоксан (4 мл) добавляли моногидрат гидроксида лития (80.0 мг, 1.91 ммоль, 4 экв.), и смесь перемешивали при температуре окружающей среды в течение ночи. Добавляли воду (5 мл), смесь фильтровали через целит, и твердые вещества промывали водой (10 мл). Объединенный фильтрат подкисляли уксусной кислотой с получением желтой суспензии, и твердые вещества собирали путем фильтрования, промывали водой (30 мл) и сушили в вакууме с получением целевого продукта в виде желтого твердого вещества (170 мг, 0.41 ммоль, 86%).

МСВР-ЭРИ (m/z) [М+Н]+, рассчитано для C18H17N6O2S2: 413.0849, найдено: 413.0882.

Пример 38: 6-({6-[(1,3-Бензотиазол-2-ил)амино]пиридазин-3-ил} (метил)амино)пиридин-2-карбоновая кислота

Стадия А: трет-бутил N-[(трет-бутокси)карбонил]-N-(6-хлорпиридазин-3-ил)карбамат

4-Диметиламинопиридин (122 мг, 1 ммоль, 0.02 экв.) в атмосфере азота добавляли к суспензии 3-амино-6-хлорпиридазина (6.5 г, 50.2 ммоль, 1 экв.) и ди-трет-бутил дикарбоната (25.2 г, 115 ммоль, 2.3 экв.) в диметилформамиде (45 мл). Суспензию нагревали при 50°С в течение 3 ч, затем давали охладиться до температуры окружающей среды и добавляли воду (350 мл). Твердые вещества собирали путем фильтрования, промывали водой (250 мл) затем растворяли в дихлорметане (250 мл) и раствор фильтровали через силикагель (25 г) с элюированием дихлорметаном. Фильтрат концентрировали в вакууме и растирали с гептаном (50 мл) с получением твердого вещества, которое собирали путем фильтрования, промывали гептаном (50 мл) и сушили в вакууме с получением целевого продукта в виде белого твердого вещества (9.85 г, 29.9 ммоль, 60%).

ЖХ/МС (C14H20ClN3O4) 174 [M-Boc-tBu+3H]+; RT 1.28 (ЖХМС-V-B1)

1Н ЯМР (400 МГц, ДМСО-d6) δ 7.53 (d, 2Н), 1.46 (s, 18Н).

Стадия В: метил 6-[(6-{бис[(трет-бутокси)карбонил]амино}пиридазин-3-ил)амино]пиридин-2-карбоксилат

Метил 6-аминопиридин-2-карбоксилат (1.65 г, 10.8 ммоль, 1.1 экв.) и продукт со Стадии А (3.25 г, 9.86 ммоль, 1 экв.) в атмосфере азота добавляли к раствору трис(дибензилиденацетон)дипалладия(0) (451 мг, 0.49 ммоль, 0.05 экв.) и ксантфоса (570 мг, 0.99 ммоль, 0.1 экв.) в 1,4-диоксане (60 мл). Добавляли N,N-диизопропилэтиламин (5.2 мл, 29.6 ммоль, 3 экв.), и смесь нагревали при 100°С в течение 3 ч. Раствору давали охладиться до температуры окружающей среды и концентрировали в вакууме. Остаток распределяли между дихлорметаном (300 мл) и водой (200 мл), и органическую фазу последовательно промывали водой (200 мл) и соляным раствором (150 мл), затем сушили (сульфат магния) и концентрировали в вакууме. Очистка с помощью колоночной флэш-хроматографии (100 г силикагеля) с элюированием 2:3 смесью этилацетат / гептан приводила к получению желтого твердого вещества. Растирание с диэтиловым эфиром (20 мл) приводило к твердому веществу, которое собирали путем фильтрования, промывали диэтиловым эфиром (20 мл) и сушили в вакууме с получением целевого продукта в виде бледно-желтого твердого вещества (3.35 г, 7.52 ммоль, 76%).

ЖХ/МС (C21H27N5O6) 446 [М+Н]+; RT 1.27 (ЖХМС-V-B1)

1Н ЯМР (400 МГц, ДМСО-d6) δ 10.41(s, 1H), 9.02 (d, 1Н), 7.97 (dd, 1H), 7.83-7.73 (m, 2Н), 7.45 (d, 1Н), 4.01 (s, 3Н), 1.46 (s, 9Н).

Стадия С: метил 6-[(6-{бис[(трет-бутокси)карбонил]амино}пиридазин-3-ил)(метил)амино]пиридин-2-карбоксилат

трет-Бутилат калия (750 мг, 6.68 ммоль, 1.32 экв.) в атмосфере азота добавляли к суспензии продукта со Стадии В (2.25 г, 5.05 ммоль, 1 экв.) в диметилсульфоксиде (25 мл), и смесь перемешивали в течение 30 мин. Добавляли метилйодид (0.5 мл, 8.03 ммоль, 1.59 экв.), и суспензию перемешивали в течение 3 ч. Смесь распределяли между этилацетатом (250 мл) и насыщенным водным раствором хлорида аммония (150 мл), промывали водой (2×150 мл) и соляным раствором (100 мл), сушили (сульфат магния) и концентрировали в вакууме. Очистка с помощью колоночной флэш-хроматографии (100 г силикагеля) с элюированием 2:3 смесью этилацетат / гептан приводила к получению целевого продукта в виде желтого твердого вещества (1.4 г, 2.59 ммоль, 51%), которое непосредственно использовали на следующей стадии без дополнительной очистки.

ЖХ/МС (C22H29N5O6) 460 [М+Н]+; RT 1.29 (ЖХМС-V-B1).

Стадия D: метил 6-[(6-аминопиридазин-3-ил)(метил)амино]пиридин-2-карбоксилат

Трифторуксусную кислоту (5 мл, 64.7 ммоль, 25 экв.) при 0°С добавляли к продукту со Стадии С (1.4 г, 2.59 ммоль, 1 экв.) в дихлорметане (35 мл), и раствор перемешивали в течение 1 ч при 0°С и затем в течение 18 ч при температуре окружающей среды. Раствор концентрировали в вакууме и добавляли воду (25 мл) с получением бледно-желтой суспензии, которую нейтрализовали бикарбонатом натрия и твердые вещества собирали путем фильтрования, промывали водой (75 мл) и сушили в вакууме с получением целевого продукта в виде желтого твердого вещества (650 мг, 2.51 ммоль, 97%), которое непосредственно использовали на следующей стадии без дополнительной очистки или определения характеристик.

Стадия Е: метил 6-({6-[(1,3-бензотиазол-2-ил)амино]пиридазин-3-ил}(метил)амино)пиридин-2-карбоксилат

Продукт со Стадии D (650 мг, 2.51 ммоль, 1 экв.) и 2-бром-1,3-бензотиазол (600 мг, 2.8 ммоль, 1.12 экв.) в атмосфере азота добавляли к раствору трис(дибеизилиденацетон)дипалладия(0) (115 мг, 0.13 ммоль, 0.05 экв.) и ксантфоса (145 мг, 0.25 ммоль, 0.1 экв.) в 1,4-диоксане (10 мл). Добавляли N,N-диизопропилэтиламин (1.4 мл, 7.52 ммоль, 3 экв.), и смесь нагревали при 100°С в течение 24 ч. Реакционной смеси давали охладиться до температуры окружающей среды и концентрировали в вакууме. Добавляли воду (20 мл) с получением коричневой суспензии, и твердые вещества собирали путем фильтрования, промывали водой (40 мл) и сушили в вакууме. Очистка с помощью колоночной флэш-хроматографии (50 г силикагеля) с элюированием 39:1 смесью дихлорметан / метанол приводила к твердому веществу, которое растирали с метанолом (10 мл), отфильтровывали, промывали метанолом (10 мл) и сушили в вакууме с получением целевого продукта в виде бледно-коричневого твердого вещества (225 мг, 0.57 ммоль, 23%).

ЖХ/МС (C19H16N6O2S) 393 [М+Н]+; RT 1.14 (ЖХМС-V-B1)

1Н ЯМР (400 МГц, ДМСО-d6) δ 11.73 (br s, 1Н), 7.94 (d, 1H), 7.91-7.85 (m, 1H), 7.80 (d, J=9.5 Гц, 1H), 7.70-7.59 (m, 2H), 7.46 (d, 1H), 7.43-7.35 (m, 2H), 7.28-7.19 (m, 1H), 3.86 (s, 3Н), 3.64 (s, 3Н).

Стадия F: 6-({6-[(1,3-бензотиазол-2-ил)амино]пиридазин-3-ил}(метил)амино)пиридин-2-карбоновая кислота

К раствору продукта со Стадии Е (200 мг, 0.51 ммоль, 1 экв.) в 1:3 смеси вода / 1,4-диоксан (4 мл) добавляли моногидрат гидроксида лития (85.5 мг, 2.04 ммоль, 4 экв.), и смесь перемешивали при температуре окружающей среды в течение 2 ч. Добавляли воду (5 мл), раствор фильтровали через целит, и твердые вещества промывали водой (10 мл). Объединенный фильтрат подкисляли уксусной кислотой с получением твердого вещества, которое собирали путем фильтрования, промывали водой (20 мл) и сушили в вакууме с получением целевого продукта в виде желтого твердого вещества (160 мг, 0.42 ммоль, 83%).

МСВР-ЭРИ (m/z) [М+Н]+, рассчитано для C18H15N6O2S: 379.0972, найдено: 379.0993.

Пример 39: 2-({6-[(1,3-Бензотиазол-2-ил)амино]-5-метилпиридазин-3-ил}(2-метоксиэтил)амино)-1,3-тиазол-4-карбоновая кислота

Стадия А: этил 2-[(6-хлор-5-метилпиридазин-3-ил)(2-метоксиэтил)амино]-1,3-тиазол-4-карбоксилат

Гидрид натрия (60% дисперсия; 650 мг, 16.3 ммоль, 1.2 экв.) в атмосфере азота добавляли к раствору продукта Синтеза 3z (3.15 г, 13.7 ммоль, 1 экв.) и 3,6-дихлор-4-метилпиридазина (2.5 г, 15.3 ммоль, 1.12 экв.) в 1,4-диоксане (50 мл) при 0°С. Смесь перемешивали в течение 1 ч при 0°С, затем нагревали при 60°С в течение 24 ч. Смеси давали охладиться до температуры окружающей среды, затем распределяли между этилацетатом (300 мл) и насыщенным водным раствором хлорида аммония (150 мл), и органическую фазу последовательно промывали водой (2×150 мл) и соляным раствором (100 мл), сушили (сульфат магния) и концентрировали в вакууме. Растирание с диэтиловым эфиром (25 мл) приводило к твердому веществу, которое собирали путем фильтрования, промывали диэтиловым эфиром (15 мл) и сушили в вакууме с получением целевого продукта в виде бледно-розового твердого вещества (2.55 г, 7.15 ммоль, 52%).

ЖХ/МС (C14H17ClN4O3S) 357 [М+Н]+; RT 1.22 (ЖХМС-V-B1)

1Н ЯМР (400 МГц, CDCl3) δ 7.83 (s, 1Н), 7.65 (s, 1H), 4.60 (t, 2Н), 4.39 (q, 2Н), 3.91 (t, 2Н), 3.32 (s, 3Н), 2.46 (s, 3Н), 1.41 (t, 3Н).

Стадия В: этил 2-({6-[(1,3-бензотиазол-2-ил)амино]-5-метилпиридазин-3-ил}(2-метоксиэтил)амино)-1,3-тиазол-4-карбоксилат

2-Аминобензотиазол (1.15 г, 7.66 ммоль, 1.09 экв.) и продукт со Стадии А (2.5 г, 7.01 ммоль, 1 экв.) в атмосфере азота добавляли к раствору трис(дибензилиденацетон)дипалладия(0) (321 мг, 0.35 ммоль, 0.05 экв.) и ксантфоса (405 мг, 0.7 ммоль, 0.1 экв.) в 1,4-диоксане (45 мл). Добавляли N,N-диизопропилэтиламин (3.8 мл, 21.0 ммоль, 3 экв.), и смесь нагревали в закупоренной колбе при 150°С в течение 18 ч. Раствору давали охладиться до температуры окружающей среды, фильтровали через целит, и твердые вещества промывали дихлорметаном. Объединенный фильтрат концентрировали в вакууме и растирали с метанолом (25 мл) с получением твердого вещества, которое собирали путем фильтрования, промывали метанолом (3×15 мл) и сушили в вакууме с получением целевого продукта в виде оранжевого твердого вещества (2.55 г, 5.42 ммоль, 77%).

ЖХ/МС (C21H22N6O3S2) 471 [М+Н]+; RT 1.35 (ЖХМС-V-B1)

1Н ЯМР (400 МГц, CDCl3) δ 7.85-7.80 (m, 1H), 7.79 (s, 1H), 7.77-7.69 (m, 1H), 7.66 (d, J=1.3 Гц, 1H), 7.48-7.36 (m, 1H), 7.31-7.21 (m, 1Н), 4.64-4.48 (m, 2Н), 4.41 (q, J=7.1 Гц, 2Н), 3.94-3.85 (m, 2Н), 3.40-3.31 (m, 3Н), 2.44 (s, 3Н), 1.43 (t, J=7.1 Гц, 3Н).

Стадия С: 2-({6-[(1,3-бензотиазол-2-ил)амино]-5-метилпиридазин-3-ил}(2-метоксиэтил)амино)-1,3-тиазол-4-карбоновая кислота

К раствору продукта со Стадии В (250 мг, 0.53 ммоль, 1 экв.) в 1:3 смеси вода / 1,4-диоксан (4 мл) добавляли моногидрат гидроксида лития (89.2 мг, 2.13 ммоль, 4 экв.), и смесь перемешивали при температуре окружающей среды в течение 18 ч. Добавляли воду (10 мл) и суспензию подкисляли уксусной кислотой. Твердые вещества собирали путем фильтрования, промывали водой (3 х 25 мл) и сушили в вакууме с получением целевого продукта в виде желтого твердого вещества (175 мг, 0.4 ммоль, 74%).

МСВР-ЭРИ (m/z) [М+Н]+, рассчитано для C19H19N6O3S2: 443.0955, найдено: 443.0983.

Пример 40: 5-{1-[(Адамантан-1-ил)метил]-5-метил-1Н-пиразол-4-ил}-2-({6-[(1,3-бензотиазол-2-ил)амино]-5-метилпиридазин-3-ил}(метил)амино)-1,3-тиазол-4-карбоновая кислота

Стадия А: этил 5-{1-[(адамантан-1-ил)метил]-5-метил-1Н-пиразол-4-ил}-2-[метил(5-метил-6-{[(2Z)-3-{[2-(триметилсилил)этокси]метил}-2,3-дигидро-1,3-бензотиазол-2-илиден]амино}пиридазин-3-ил)амино]-1,3-тиазол-4-карбоксилат

К смеси продукта Синтеза 11b (54.7 мг, 0.09 ммоль, 1 экв.), продукта Синтеза 10а (36.8 мг, 0.1 ммоль, 1.2 экв.) и карбоната калия (35.7 мг, 0.26 ммоль, 3 экв.) в 3:1 смеси тетрагидрофуран / вода (4 мл) добавляли [1,1'-бис(дифенилфосфино)ферроцен]дихлорпалладий(II) (6.3 мг, 0.01 ммоль, 0.1 экв.). Смесь барботировали азотом (10 мин) и затем нагревали при 120°С в течение 1 ч под микроволновым облучением. Реакционную смесь распределяли между этилацетатом и водой, и органическую фазу промывали соляным раствором, сушили (сульфат магния) и концентрировали в вакууме. Очистка с помощью автоматической колоночной флэш-хроматографии (CombiFlash Rf, 12 г силикагелевый картридж RediSep™) с элюированием с градиентом 0 50% этилацетата в изогептане приводила к получению целевого продукта в виде коричневого стеклообразного вещества (46.7 мг, 0.06 ммоль, 69%).

ЖХ/МС (C40H52N8O3SiS2) 785 [М+Н]+; RT 1.91 (ЖХМС-V-B1)

1Н ЯМР (400 МГц, ДМСО-d) δ 7.82 (dd, J=7.7, 1.1 Гц, 1Н), 7.71 (d, J=1.1 Гц, 1Н), 7.53 (s, 1H), 7.48-7.39 (m, 2Н), 7.23 (ddd, J=8.3, 7.0, 1.5 Гц, 1H), 5.86 (s, 2Н), 4.16 (q, J=7.1 Гц, 2Н), 3.82 (s, 3Н), 3.78 (s, 2Н), 3.71 (t, 2Н), 2.46 (s, 3Н), 2.18 (s, 3Н), 1.95 (s, 3Н), 1.72-1.54 (m, 12Н), 1.16 (t, J=7.1 Гц, 3Н), 0.92 (t, 3Н), -0.11 (s, 9Н).

Стадия В: этил 5-{1-[(адамантан-1-ил)метил]-5-метил-1Н-пиразол-4-ил}-2-({6-[(1,3-бензотиазол-2-ил)амино]-5-метилпиридазин-3-ил}(метил)амино)-1,3-тиазол-4-карбоксилат

Раствор продукта со Стадии А (46.7 мг, 0.06 ммоль, 1 экв.) в дихлорметане (3 мл) охлаждали на ледяной бане, затем добавляли трифторуксусную кислоту (0.3 мл, 4.03 ммоль, 67.7 экв.), смеси давали нагреться до температуры окружающей среды и перемешивали в течение 18 ч. Реакционную смесь распределяли между дихлорметаном и насыщенным водным раствором бикарбоната натрия, и органическую фазу последовательно промывали водой и соляным раствором, затем сушили (сульфат магния) и растворитель удаляли в вакууме. Очистка с помощью автоматической колоночной флэш-хроматографии (CombiFlash Rf, 12 г силикагелевый картридж RediSep™) с элюированием с градиентом 0-5% метанола в дихлорметане приводила к получению целевого продукта в виде желтого стеклообразного вещества (24.2 мг, 0.04 ммоль, 62%).

ЖХ/МС (C34H38N8O2S2) 655 [М+Н]+; RT 1.53 (ЖХМС-V-В2)

1Н ЯМР (400 МГц, ДМСО-d6) δ 7.90 (br s, 1H), 7.73 (s, 1H), 7.54 (s, 1H), 7.37 (t, J=7.7 Гц, 1H), 7.24-7.15 (m, 1H), 4.17 (q, J=7.1 Гц, 2H), 3.81 (s, 3H), 3.79 (s, 2H), 2.47 (s, 3H), 2.20 (s, 3H), 1.97 (s, 3H), 1.72-1.55 (m, 12H), 1.17 (t, J=7.1 Гц, 3Н).

Стадия С: 5-{1-[(адамантан-1-ил)метил]-5-метил-1Н-пиразол-4-ил}-2-({6-[(1,3-бензотиазол-2-ил)амино]-5-метилпиридазин-3-ил}(метил)амино)-1,3-тиазол-4-карбоновая кислота

К раствору продукта со Стадии В (24.2 мг, 0.04 ммоль, 1 экв.) в 1,4-диоксане (3 мл) добавляли моногидрат гидроксида лития (7.8 мг, 0.18 ммоль, 5 экв.), и смесь нагревали с обратным холодильником в течение 18 ч. Реакционной смеси давали охладиться до температуры окружающей среды, затем растворитель удаляли в вакууме. Остаток растирали с водой, отфильтровывали и сушили в вакууме с получением целевого продукта в виде желтого твердого вещества (16.3 мг, 0.03 ммоль, 70%) [в виде соли лития].

МСВР-ЭРИ (m/z) [М+Н]+, рассчитано для C32H35N8O2S2: 627.2319, найдено: 627.2358.

Пример 41: 2-({6-[(1,3-Бензотиазол-2-ил)амино]-5-метилпиридазин-3-ил}[2-(морфолин-4-ил)этил]амино)-1,3-тиазол-4-карбоновая кислота

Стадия А: этил 2-[(2,2-диметоксиэтил)амино]-1,3-тиазол-4-карбоксилат

Аммиак (2М в изопропаноле; 25 мл, 50 ммоль, 2.1 экв.) в атмосфере азота добавляли к раствору 1,1-диметокси-2-изотиоцианатоэтана (3.5 г, 20 ммоль, 1 экв.) в изопропаноле (15 мл) при 0°С, и смесь перемешивали в течение 1 ч при 0°С и затем в течение 18 ч при температуре окружающей среды. Растворитель удаляли в вакууме и остаток растворяли в этаноле (60 мл) и охлаждали до 0°С. К раствору в атмосфере азота добавляли этилбромпируват (3.6 мл, 25.8 ммоль, 1.09 экв.), и смеси давали нагреться до температуры окружающей среды и перемешивали в течение 1.5 ч. Добавляли триэтиламин (5.6 мл, 39.9 ммоль, 2 экв.), смесь перемешивали в течение 2 ч и затем концентрировали в вакууме. Остаток распределяли между этилацетатом (250 мл) и водой (150 мл), и органическую фазу последовательно промывали водой (150 мл) и соляным раствором (150 мл), сушили (сульфат магния) и концентрировали в вакууме. Очистка с помощью колоночной флэш-хроматографии (100 г силикагеля) с элюированием 2:3 смесью этилацетат / гептан приводила к получению бледно-желтого твердого вещества, которое растирали с гептаном (40 мл), отфильтровывали, промывали гептаном (40 мл) и сушили в вакууме с получением целевого продукта в виде не совсем белого твердого вещества (2.95 г, 11.33 ммоль, 48%).

ЖХ/МС (C10H16N2O4S) 261 [М+Н]+; RT 0.92 (ЖХМС-V-B1)

1Н ЯМР (400 МГц, CDCl3) δ 7.41 (s, 1Н), 5.59 (t, J=5.5 Гц, 1Н), 4.52 (t, J=5.4 Гц, 1H), 4.35 (q, J=7.1 Гц, 2Н), 3.41 (dd+s, 8Н), 1.36 (t, J=7.1 Гц, 3Н).

Стадия В: этил 2-[(6-хлор-5-метилпиридазин-3-ил)(2,2-диметоксиэтил)амино]-1,3-тиазол-4-карбоксилат

Гидрид натрия (60% дисперсия; 500 мг, 12.5 ммоль, 1.25 экв.) в атмосфере азота добавляли к раствору продукта со Стадии А (2.6 г, 9.99 ммоль, 1 экв.) и 3,6-дихлор-4-метилпиридазина (1.85 г, 11.4 ммоль, 1.14 экв.) в 1,4-диоксане (40 мл) при 0°С, и смесь перемешивали в течение 1 ч при 0°С и затем в течение 5 ч при 60°С. Раствору давали охладиться до температуры окружающей среды, затем распределяли между этилацетатом (300 мл) и насыщенным водным раствором хлорида аммония (150 мл). Органическую фазу последовательно промывали водой (2×150 мл) и соляным раствором (150 мл), сушили (сульфат магния) и концентрировали в вакууме. Очистка с помощью колоночной флэш-хроматографии (100 г силикагеля) с элюированием 99:1 смесью дихлорметан / метанол приводила к получению оранжевой смолы, которую растирали с диэтиловым эфиром (15 мл) с получением твердого вещества, которое собирали путем фильтрования, промывали диэтиловым эфиром (20 мл) и сушили в вакууме с получением целевого продукта в виде бледно-розового порошка (1.95 г, 5.04 ммоль, 50%).

ЖХ/МС (C15H19ClN4O4S) 387 [М+Н]+; RT 1.26 (ЖХМС-V-B1)

1Н ЯМР (400 МГц, ДМСО-d6) δ 8.06 (s, 1H), 7.95 (d, J=1.1 Гц, 1H), 4.78 (t, J=5.2 Гц, 1H), 4.51 (d, J=5.2 Гц, 2H), 4.29 (q, J=7.1 Гц, 2H), 3.34 (s, 6H), 2.42 (d, J=0.9 Гц, 3Н), 1.31 (t, J=7.1 Гц, 3Н).

Стадия С: этил 2-({6-[(1,3-бензотиазол-2-ил)амино]-5-метилпиридазин-3-ил}(2,2-диметоксиэтил)амино)-1,3-тиазол-4-карбоксилат

Продукт со Стадии В (1.6 г, 4.14 ммоль, 1 экв.) и 2-аминобензотиазол (700 мг, 4.66 ммоль, 1.13 экв.) в атмосфере азота добавляли к раствору трис(дибензилиденацетон)дипалладия(0) (189 мг, 0.21 ммоль, 0.05 экв.) и ксантфоса (239 мг, 0.41 ммоль, 0.1 экв.) в 1,4-диоксане (20 мл), и смесь перемешивали. Добавляли N,N-диизопропилэтиламин (2.2 мл, 12.4 ммоль, 3 экв.), и смесь нагревали в запаянной трубке при 150°С в течение 18 ч. Раствору давали охладиться до температуры окружающей среды и концентрировали в вакууме. Растирание с диэтиловым эфиром (20 мл) приводило к твердому веществу, которое собирали путем фильтрования, промывали диэтиловым эфиром (2×10 мл) и сушили в вакууме с получением целевого продукта в виде желтого/зеленого твердого вещества (1.9 г, 3.42 ммоль, 83%), которое использовали на следующей стадии без дополнительной очистки.

ЖХ/МС (C22H24N6O4S2) 501 [М+Н]+; RT 1.37 (ЖХМС-V-B1)

1Н ЯМР (400 МГц, ДМСО-d6) δ 11.11 (br s, 1Н), 7.99 (s, 1H), 7.92 (br s, 1H), 7.78 (s, 1H), 7.57 (br s, 2H), 7.40 (t, J=7.6 Гц, 1H), 7.22 (t, J=7.6 Гц, 1H), 4.78 (t, J=5.2 Гц, 1H), 4.48 (d, J=5.2 Гц, 2H), 4.29 (q, J=7.1 Гц, 2H), 3.35 (s, 6H), 2.46 (s, 3H), 1.31 (t, J=7.1 Гц, 3Н).

Стадия D: этил 2-({6-[(1,3-бензотиазол-2-ил)амино]-5-метилпиридазин-3-ил}[2-(морфолин-4-ил)этил]амино)-1,3-тиазол-4-карбоксилат

Муравьиную кислоту (10 мл, 0.27 моль, 177 экв.) добавляли к суспензии продукта со Стадии С (750 мг, 1.5 ммоль, 1 экв.) в воде (5 мл), и смесь нагревали при 85°С в течение 3 ч. Раствору давали охладиться до температуры окружающей среды и концентрировали в вакууме. Добавляли дихлорметан (20 мл) с последующим добавлением морфолина (0.5 мл, 5.78 ммоль, 3.86 экв.) и триацетоксиборогидрида натрия (1.59 г, 7.49 ммоль, 5 экв.), и смесь перемешивали в течение 18 ч. Реакционную смесь распределяли между дихлорметаном (125 мл) и 10% водным раствором карбоната калия (75 мл), и органическую фазу последовательно промывали водой (2×75 мл) и соляным раствором (75 мл), сушили (сульфат магния) и концентрировали в вакууме. Очистка с помощью колоночной флэш-хроматографии (20 г силикагеля) с элюированием 19:1 смесью дихлорметан / метанол приводила к получению желтого твердого вещества, которое растирали с диэтиловым эфиром (15 мл), отфильтровывали, промывали диэтиловым эфиром (15 мл), и сушили в вакууме с получением целевого продукта в виде бледно-оранжевого твердого вещества (375 мг, 0.71 ммоль, 48%).

ЖХ/МС (C24H27N7O3S2) 526 [М+Н]+; RT 1.08 (ЖХМС-V-B1)

1Н ЯМР (400 МГц, ДМСО-d6) δ 11.18 (br s, 1Н), 7.97 (s, 1H), 7.91 (br s, 1H), 7.75 (s, 1H), 7.55 (br s, 1H), 7.39 (t, 1H), 7.22 (t, J=7.6 Гц, 1H), 4.53 (t, J=6.5 Гц, 2H), 4.29 (q, J=7.1 Гц, 2H), 3.48 (t, J=4.5 Гц, 4H), 2.65 (t, J=6.5 Гц, 2H), 2.47 (s, 3H), 1.31 (t, J=7.1 Гц, 3Н).

Стадия E: 2-({6-[(1,3-бензотиазол-2-ил)амино]-5-метилпиридазин-3-ил}[2-(морфолин-4-ил)этил]амино)-1,3-тиазол-4-карбоновая кислота

К раствору продукта со Стадии D (275 мг, 0.52 ммоль, 1 экв.) в 2:3 смеси вода / 1,4-диоксан (5 мл) добавляли моногидрат гидроксида лития (87.8 мг, 2.09 ммоль, 4 экв.), и смесь перемешивали при температуре окружающей среды в течение 18 ч. Добавляли воду (10 мл), и смесь подкисляли уксусной кислотой. Твердые вещества собирали путем фильтрования, промывали водой и сушили в вакууме с получением целевого продукта в виде бледно-оранжевого твердого вещества (215 мг, 0.43 ммоль, 83%).

МСВР-ЭРИ (m/z) [М-Н]-, рассчитано для C22H22N7O3S2: 496.1231, найдено: 496.1232.

Пример 42: 2-({6-[(1,3-Бензотиазол-2-ил)амино]-5-метилпиридазин-3-ил}(метил)амино)-5-(1-{[1-(3-метоксипропил)циклогексил]метил}-5-метил-1Н-пиразол-4-ил)-1,3-тиазол-4-карбоновая кислота

Стадия А: этил 5-(1-{[1-(3-метоксипропил)циклогексил]метил}-5-метил-1Н-пиразол-4-ил)-2-[метил(5-метил-6-{[(2Z)-3-{[2-(триметилсилил)этокси]метил}-2,3-дигидро-1,3-бензотиазол-2-илиден]амино}пиридазин-3-ил)амино]-1,3-тиазол-4-карбоксилат

К смеси продукта Синтеза 11b (110 мг, 0.17 ммоль, 1 экв.), продукта Синтеза 10 с (78.2 мг, 0.21 ммоль, 1.2 экв.) и карбоната калия (71.8 мг, 0.52 ммоль, 3 экв.) в 10:1 смеси тетрагидрофуран (4 мл) / вода (0.4 мл) добавляли [1,1'-бис(дифенилфосфино)ферроцен]дихлорпалладий(II) (12.7 мг, 0.02 ммоль, 0.1 экв.). Смесь барботировали азотом (10 мин) и затем нагревали при 120°С в течение 1 ч под микроволновым облучением. Реакционную смесь распределяли между этилацетатом и водой, и органическую фазу промывали соляным раствором, сушили (сульфат магния), и растворитель удаляли в вакууме. Очистка с помощью автоматической колоночной флэш-хроматографии (CombiFlash Rf, 12 г силикагелевый картридж RediSep™) с элюированием с градиентом 0 50% этилацетата в изогептане приводила к получению целевого продукта в виде желтой пены (56.1 мг, 0.07 ммоль, 40%).

ЖХ/МС (C40H56N8O4SiS2) 805 [М+Н]+; RT 1.74 (ЖХМС-V-В2)

1Н ЯМР (400 МГц, ДМСО-dd) δ 7.92 (dd, J=7.6, 1.0 Гц, 1Н), 7.82 (d, J=1.1 Гц, 1Н), 7.66 (s, 1Н), 7.61-7.47 (m, 2Н), 7.35 (ddd, J=8.3, 7.0, 1.5 Гц, 1H), 5.96 (d, J=9.8 Гц, 2Н), 4.28 (q, J=7.1 Гц, 2Н), 4.05 (s, 2Н), 3.93 (s, 3Н), 3.83 (t, 2Н), 3.35 (s, 3Н), 2.58 (d, J=1.0 Гц, 3Н), 2.31 (s, 3Н), 1.69-1.58 (m, 5Н), 1.52-1.44 (m, 7Н), 1.38-1.32 (s, 4Н), 1.28 (t, J=7.1 Гц, 3Н), 1.03 (t, 2Н), 0.00 (s, 9Н).

Стадия В: этил 2-({6-[(1,3-бензотиазол-2-ил)амино]-5-метилпиридазин-3-ил}(метил)амино)-5-(1-{[1-(3-метоксипропил)циклогексил]метил}-5-метил-1Н-пиразол-4-ил)-1,3-тиазол-4-карбоксилат

Раствор продукта со Стадии А (56.1 мг, 0.07 ммоль, 1 экв.) в дихлорметане (3 мл) охлаждали на ледяной бане и добавляли трифторуксусную кислоту (0.5 мл, 6.71 ммоль, 96 экв.). Смеси давали нагреться до температуры окружающей среды, при которой ее перемешивали в течение ночи. Растворитель удаляли в вакууме и сырой продукт очищали с помощью обращенно-фазовой автоматической флэш-хроматографии (CombiFlash Rf, С18 13 г колонка RediSep) с элюированием с градиентом 5-95% ацетонитрила (рН 4; муравьиная кислота) в воде (рН 4; муравьиная кислота) с получением целевого продукта в виде желтого стеклообразного вещества (34.2 мг, 0.05 ммоль, 73%).

ЖХ/МС (C34H42N8O3S2) 675 [М+Н]+; RT 1.47 (ЖХМС-V-В2)

1Н ЯМР (400 МГц, ДМСО-d6) δ 7.88 (br s, 1H), 7.73 (s, 1H), 7.55 (s, 1H), 7.52 (br s, 1H), 7.37 (t, 1H), 7.19 (t, 1H), 4.17 (q, J=7.1 Гц, 2H), 3.94 (s, 2H), 3.82 (s, 3H), 3.24 (s, 3H), 2.48 (s, 3H), 2.20 (s, 3H), 1.60 - 1.45 (m, 6H), 1.45 - 1.31 (m, 8H), 1.29 - 1.21 (m, 2H), 1.17 (t, 3H).

Стадия С: 2-({6-[(1,3-бензотиазол-2-ил)амино]-5-метилпиридазин-3-ил}(метил)амино)-5-(1-{[1-(3-метоксипропил)циклогексил]метил}-5-метил-1Н-пиразол-4-ил)-1,3-тиазол-4-карбоновая кислота

К раствору продукта со Стадии В (34 мг, 0.05 ммоль, 1 экв.) в 1,4-диоксане (3 мл) добавляли моногидрат гидроксида лития (10.6 мг, 0.25 ммоль, 5 экв.), и смесь нагревали с обратным холодильником в течение ночи. Реакционной смеси давали охладиться до температуры окружающей среды, затем растворитель удаляли в вакууме. Остаток разбавляли водой, подкисляли 2 н. водным раствором хлористоводородной кислоты, и экстрагировали 3:1 смесью дихлорметан / изопропанол. Органические экстракты сушили (сульфат магния), концентрировали в вакууме, и сушили в вакууме с получением целевого продукта в виде кремового твердого вещества (16.7 мг, 0.03 ммоль, 51%).

МСВР-ЭРИ (m/z) [М+Н]+, рассчитано для C32H39N8O3S2: 647.2581, найдено: 647.2591.

Пример 43: 2-({6-[(1,3-Бензотиазол-2-ил)амино]-5-метилпиридазин-3-ил}(метил)амино)-5-(1-{[1-(3-метоксипропил)циклооктил]метил}-5-метил-1Н-пиразол-4-ил)-1,3-тиазол-4-карбоновая кислота

Стадия А: этил 5-(1-{[1-(3-метоксипропил)циклооктил]метил}-5-метил-1Н-пиразол-4-ил)-2-[метил(5-метил-6-{[(2Z)-3-{[2-(триметилсилил)этокси]метил}-2,3-дигидро-1,3-бензотиазол-2-илиден]амино}пиридазин-3-ил)амино]-1,3-тиазол-4-карбоксилат

К смеси продукта Синтеза 11b (106 мг, 0.17 ммоль, 1 экв.), продукта Синтеза 10b (80.9 мг, 0.2 ммоль, 1.2 экв.) и карбоната калия (69.1 мг, 0.5 ммоль, 3 экв.) в 3:1 смеси тетрагидрофуран / вода (4 мл) добавляли [1,1'-бис(дифенилфосфино)ферроцен]дихлорпалладий(II) (12.2 мг, 0.02 ммоль, 0.1 экв.). Смесь барботировали азотом (10 мин) и затем нагревали при 120°С в течение 1 ч под микроволновым облучением. Реакционную смесь распределяли между этилацетатом и водой, и органическую фазу промывали соляным раствором, сушили (сульфат магния), и растворитель удаляли в вакууме. Очистка с помощью автоматической колоночной флэш-хроматографии (CombiFlash Rf, 12 г силикагелевый картридж RediSep™) с элюированием с градиентом 0 - 50% этилацетата в изогептане приводила к получению целевого продукта в виде бесцветной смолы (81.3 мг, 0.1 ммоль, 59%).

ЖХ/МС (C42H60N8O4SiS2) 833 [М+Н]+; RT 1.81 (ЖХМС-V-В2)

1Н ЯМР (400 МГц, ДМСО-d6) δ 7.92 (d, J=7.6 Гц, 1Н), 7.82 (s, 1H), 7.66 (s, 1H), 7.61 - 7.50 (m, 2Н), 7.37 - 7.28 (m, 1Н), 5.98 (s, 2Н), 4.28 (q, J=7.1 Гц, 2Н), 3.96 (s, 2Н), 3.93 (s, 3Н), 3.83 (t, J=8.0 Гц, 2Н), 3.35 (s, 3Н), 2.58 (s, 3Н), 2.29 (s, 3Н), 1.76 - 1.64 (m, 9Н), 1.60 - 1.45 (m, 5Н), 1.46 - 1.33 (m, 6Н), 1.28 (t, J=7.1 Гц, 3Н), 1.03 (t, 3Н), 0.00 (s, 9Н).

Стадия В: этил 2-({6-[(1,3-бензотиазол-2-ил)амино]-5-метилпиридазин-3-ил}(метил) амино)-5-(1-{[1-(3-метоксипропил)циклооктил]метил}-5-метил-1Н-пиразол-4-ил)-1,3-тиазол-4-карбоксилат

Раствор продукта со Стадии А (81.3 мг, 0.1 ммоль, 1 экв.) в дихлорметане (3 мл) охлаждали на ледяной бане, затем добавляли трифторуксусную кислоту (0.3 мл, 4.03 ммоль, 41 экв.), и смесь перемешивали при температуре окружающей среды в течение 18 ч. Растворитель удаляли в вакууме и сырой продукт очищали с помощью автоматической колоночной флэш-хроматографии (CombiFlash Rf, 12 г силикагелевый картридж RediSep™) с элюированием с градиентом 0 - 5% метанола в дихлорметане с получением целевого продукта в виде белого твердого вещества (81.5 мг, 0.12 ммоль, > 100%).

ЖХ/МС (C36H46N8O3S2) 703 [М+Н]+; RT 1.56 (ЖХМС-V-В2)

1Н ЯМР (400 МГц, ДМСО-d6) 7.88 (br s, 1Н), 7.73 (s, 1H), 7.56 (s, 1H), 7.50 (br s, 1Н), 7.38 (t, J=7.5 Гц, 1H), 7.20 (t, J=7.6 Гц, 1Н), 4.17 (q, J=7.1 Гц, 2Н), 3.85 (s, 2H), 3.81 (s, 3Н), 3.33 (t, J=6.5 Гц, 2H), 3.25 (s, 3Н), 2.48 (s, 3Н), 2.19 (s, 3Н), 1.66 - 1.54 (m, 9H), 1.49 - 1.36 (m, 4H), 1.33 - 1.22 (m, 5H), 1.18 (t, J=7.1 Гц, 3Н).

Стадия С: 2-({6-[(1,3-бензотиазол-2-ил)амино]-5-метилпиридазин-3-ил}(метил)амино)-5-(1-{[1-(3-метоксипропил)циклооктил]метил}-5-метил-1Н-пиразол-4-ил)-1,3-тиазол-4-карбоновая кислота

К раствору продукта со Стадии В (81.5 мг, 0.12 ммоль, 1 экв.) в 1,4-диоксане (5 мл) добавляли моногидрат гидроксида лития (24.3 мг, 0.58 ммоль, 5 экв.), и смесь нагревали с обратным холодильником в течение ночи. Реакционной смеси давали охладиться до температуры окружающей среды и растворитель удаляли в вакууме. Остаток разбавляли водой, подкисляли 2 н. водным раствором хлористоводородной кислоты, и экстрагировали 3:1 смесью дихлорметан / изопропанол. Органические экстракты сушили (сульфат магния) и концентрировали при пониженном давлении с получением целевого продукта в виде кремового твердого вещества (53.6 мг, 0.08 ммоль, 69%).

МСВР-ЭРИ (m/z) [М+Н]+, рассчитано для C34H43N8O3S2: 675.2894, найдено: 675.2890.

Пример 44: 2-({6-[(1,3-Бензотиазол-2-ил)амино]-5-метилпиридазин-3-ил}[3-(морфолин-4-ил)пропил]амино)-1,3-тиазол-4-карбоновая кислота

Стадия А: этил 2-{[3-(морфолин-4-ил)пропил]амино}-1,3-тиазол-4-карбоксилат

Этилбромпируват (2.5 мл, 17.9 ммоль, 1.18 экв.) в атмосфере азота добавляли к суспензии 3-(морфолин-4-ил)пропилтиомочевины (3.1 г, 15.3 ммоль, 1 экв.) в этаноле (50 мл) при 0°С, и смесь перемешивали в течение 1 ч при температуре окружающей среды. Добавляли триэтиламин (4.5 мл. 30.5 ммоль, 2 экв.) и смесь нагревали при 85°С в течение 4 ч. Раствору давали охладиться до температуры окружающей среды и концентрировали в вакууме. Добавляли 10% водный раствор карбоната калия (150 мл), и смесь экстрагировали этилацетатом (5 × 100 мл). Объединенные органические экстракты промывали водой (2 × 150 мл) и соляным раствором (100 мл), затем сушили (сульфат магния) и концентрировали в вакууме. Очистка с помощью колоночной флэш-хроматографии (100 г силикагеля) с элюированием 19:1 смесью дихлорметан / метанол (19:1) приводила к твердому веществу, которое растирали с гептаном (50 мл), отфильтровывали, промывали гептаном (50 мл) и сушили в вакууме с получением целевого продукта в виде бледно-коричневого твердого вещества (4 г, 13.4 ммоль, 88%).

ЖХ/МС (C13H21N3O3S) 300 [М+Н]+; RT 0.58 (ЖХМС-V-B1)

1Н ЯМР (400 МГц, CDCl3) δ 7.41 (s, 1H), 6.48 (t, 1H), 4.37 (q, J=7.1 Гц, 2Н), 3.75 (t, J=4.7 Гц, 4Н), 3.42 (q, J=6.0 Гц, 2Н), 2.54 - 2.43 (m, 6Н), 1.83 (р, J=6.4 Гц, 2Н), 1.39 (t, J=7.1 Гц, 3Н).

Стадия В: этил 2-[(6-хлор-5-метилпиридазин-3-ил)[3-(морфолин-4-ил)пропил]амино]-1,3-тиазол-4-карбоксилат

Гидрид натрия (60% дисперсия; 350 мг, 8.75 ммоль, 1.31 экв.) в атмосфере азота добавляли к раствору продукта со Стадии А (2 г, 6.68 ммоль, 1 экв.) и 3,6-дихлор-4-метилпиридазина (1.25 г, 7.67 ммоль, 1.15 экв.) в 1,4-диоксане (30 мл) при 0°С, и смесь перемешивали в течение 1 ч при 0°С и затем в течение 3 ч при 60°С. Раствору давали охладиться до температуры окружающей среды, затем распределяли между этилацетатом (300 мл) и насыщенным водным раствором хлорида аммония (100 мл). Органическую фазу последовательно промывали водой (150 мл) и соляным раствором (100 мл), сушили (сульфат магния) и концентрировали в вакууме. Очистка с помощью колоночной флэш-хроматографии (50 г силикагеля) с элюированием этилацетатом приводила к получению коричневого масла. Растирание с гептаном (15 мл) приводило к твердому веществу, которое собирали путем фильтрования, промывали гептаном (20 мл) и сушили в вакууме с получением целевого продукта в виде бледно-коричневого твердого вещества (1.5 г, 3.52 ммоль, 53%).

ЖХ/МС (C18H24ClN5O3S) 426 [М+Н]+; RT 0.96 (ЖХМС-V-B1)

1H ЯМР (400 МГц, CDCl3) δ 7.83 (s, 1H), 7.56 (d, J=1.1 Гц, 1H), 4.51 (t, 2Н), 4.40 (q, J=7.1 Гц, 2H), 3.75 (t, J=4.6 Гц, 4H), 2.52 - 2.42 (m, 9Н), 2.06 (р, 2Н), 1.41 (t, J=7.1 Гц, 3Н).

Стадия С: этил 2-({6-[(1,3-бензотиазол-2-ил)амино]-5-метилпиридазин-3-ил}[3-(морфолин-4-ил)пропил]амино)-1,3-тиазол-4-карбоксилат

Продукт со Стадии В (900 мг, 2.11 ммоль, 1 экв.) и 2-аминобензотиазол (350 мг, 2.33 ммоль, 1.1 экв.) в атмосфере азота добавляли к раствору трис(дибензилиденацетон)дииалладия(0) (96.8 мг, 0.11 ммоль, 0.05 экв.) и ксантфоса (122 мг, 0.21 ммоль, 0.1 экв.) в 1,4-диоксане (20 мл), и смесь перемешивали. Добавляли N,N-диизопропилэтиламин (1.1 мл, 6.34 ммоль, 3 экв.), и смесь нагревали в запаянной трубке при 150°С в течение 24 ч. Раствору давали охладиться до температуры окружающей среды и концентрировали в вакууме. Очистка с помощью колоночной флэш-хроматографии (50 г силикагеля) с элюированием 10:1 смесью дихлорметан / метанол приводила к получению красной/коричневой смолы. Растирание с диэтиловым эфиром (20 мл) приводило к твердому веществу, которое собирали путем фильтрования, промывали диэтиловым эфиром (2 × 10 мл) и сушили в вакууме с получением целевого продукта в виде бледно-коричневого твердого вещества (875 мг, 1.62 ммоль, 77%).

ЖХ/МС (C25H29N7O3S2) 540 [М+Н]+; RT 1.12 (ЖХМС-V-B1)

1Н ЯМР (400 МГц, ДМСО-d6) δ 11.16 (br s, 1Н), 7.96 (s, 1Н), 7.92 (s, 1H), 7.76 (s, 1H), 7.63 - 7.47 (m, 1Н), 7.39 (t, 1Н), 7.22 (t, J=7.5 Гц, 1Н), 4.43 (t, J=7.4 Гц, 2Н), 4.29 (q, J=7.1 Гц, 2Н), 3.59 (t, J=5.0 Гц, 4Н), 2.48 (s, 3Н), 2.43 - 2.33 (m, 6Н), 1.99 - 1.85 (m, 2Н), 1.32 (t, J=7.1 Гц, 3Н).

Стадия D: 2-({6-[(1,3-бензотиазол-2-ил)амино]-5-метилпиридазин-3-ил}[3-(морфолин-4-ил)пропил]амино)-1,3-тиазол-4-карбоновая кислота

К раствору продукта со Стадии С (300 мг, 0.56 ммоль, 1 экв.) в 3:1 смеси 1,4-диоксан / вода (4 мл) добавляли моногидрат гидроксида лития (93.3 мг, 2.22 ммоль, 4 экв.), и смесь перемешивали при температуре окружающей среды в течение ночи. Добавляли воду (5 мл), и смесь фильтровали через целит и промывали его водой (10 мл). Фильтрат подкисляли уксусной кислотой и перемешивали в течение 15 мин, затем твердые вещества собирали путем фильтрования, промывали водой (10 мл) и сушили в вакууме с получением целевого продукта в виде желтого твердого вещества (180 мг, 0.35 ммоль, 63%).

МСВР-ЭРИ (m/z) [М-Н]-, рассчитано для C23H24N7O3S2: 510.1388, найдено: 510.1406.

Пример 45: 2-({6-[(1,3-Бензотиазол-2-ил)амино]-5-метилпиридазин-3-ил}(пропил)амино)-1,3-тиазол-4-карбоновая кислота

Стадия А: этил 2-(пропиламино)-1,3-тиазол-4-карбоксилат

Этилбромпируват (4 мл, 28.7 ммоль, 1.13 экв.) в атмосфере азота добавляли к раствору пропилтиомочевины (3 г, 25.4 ммоль, 1 экв.) в этаноле (50 мл) при 0°С, и смесь перемешивали в течение 1 ч при температуре окружающей среды. Добавляли триэтиламин (7 мл, 50.8 ммоль, 2 экв.), и смесь перемешивали в течение 18 ч. Реакционную смесь распределяли между этилацетатом (300 мл) и водой (150 мл) и органическую фазу последовательно промывали водой (150 мл) и соляным раствором (100 мл), сушили (сульфат магния) и концентрировали в вакууме. Очистка с помощью колоночной флэш-хроматографии (50 г силикагеля) с элюированием дихлорметаном приводила к получению целевого продукта в виде бледно-коричневого масла, которое отверждалось при стоянии (3.4 г, 15.9 ммоль, 63%).

ЖХ/МС (C9H14N2O2S) 215 [М+Н]+; RT 1.04 (ЖХМС-V-B1)

1Н ЯМР (400 МГц, CDCl3) δ 7.42 (s, 1Н), 5.63 (s, 1Н), 4.37 (q, 2Н), 4.40 (q, J=7.1 Гц, 2Н), 3.24 (q, 2Н), 1.75 - 1.64 (m, 2Н), 1.39 (t, 3Н), 1.00 (t, J=7.1 Гц, 3Н).

Стадия В: этил 2-[(6-хлор-5-метилпиридазин-3-ил)(пропил)амино]-1,3-тиазол-4-карбоксилат

Гидрид натрия (60% дисперсия; 500 мг, 12.5 ммоль, 1.25 экв.) в атмосфере азота добавляли к раствору продукта со Стадии А (2.15 г, 10.0 ммоль, 1 экв.) и 3,6-дихлор-4-метилпиридазина (1.75 г, 10.7 ммоль, 1.07 экв.) в 1,4-диоксане (30 мл) при 0°С, и смесь перемешивали в течение 1 ч при 0°С и затем в течение 18 ч при температуре окружающей среды. Реакционную смесь распределяли между этилацетатом (300 мл) и насыщенным водным раствором хлорида аммония (150 мл), и органическую фазу последовательно промывали водой (2 × 150 мл) и соляным раствором (100 мл), сушили (сульфат магния) и концентрировали в вакууме. Очистка с помощью колоночной флэш-хроматографии (100 г силикагеля) с элюированием дихлорметаном приводила к твердому веществу, которое растирали с гептаном (30 мл), отфильтровывали, промывали гептаном (15 мл) и сушили в вакууме с получением целевого продукта в виде белого твердого вещества (1.3 г, 3.81 ммоль, 38%).

ЖХ/МС (C14H17ClN4O2S) 341 [М+Н]+; RT 1.32 (ЖХМС-V-B1)

1Н ЯМР (400 МГц, CDCl3) δ 7.82 (s, 1H), 7.39 (d, 1Н), 4.47 - 4.35 (m, 4Н), 2.48 (d, J=1.0 Гц, 3Н), 1.93 - 1.78 (m, 2Н), 1.42 (t, J=7.1 Гц, 3Н), 1.05 (t, J=7.4 Гц, 3Н).

Стадия С: этил 2-({6-[(1,3-бензотиазол-2-ил)амино]-5-метилпиридазин-3-ил}(пропил) амино)-1,3-тиазол-4-карбоксилат

Продукт со Стадии В (850 мг, 2.49 ммоль, 1 экв.) и 2-аминобензотиазол (425 мг, 2.83 ммоль, 1.13 экв.) в атмосфере азота добавляли к раствору трис(дибензилиденацетон)дипалладия(0) (114 мг, 0.12 ммоль, 0.05 экв.) и ксантфоса (144 мг, 0.25 ммоль, 0.1 экв.) в 1,4-диоксане (10 мл), и смесь перемешивали. Добавляли N,N-диизопропилэтиламин (1.3 мл, 7.48 ммоль, 3 экв.), и смесь нагревали в запаянной трубке при 150°С в течение 24 ч. Раствору давали охладиться до температуры окружающей среды и концентрировали в вакууме. Очистка с помощью колоночной флэш-хроматографии (50 г силикагеля) с элюированием 39:1 смесью дихлорметан / метанол приводила к получению темно-желтого твердого вещества, которое растирали с метанолом (15 мл), отфильтровывали, промывали метанолом (15 мл) и сушили в вакууме с получением целевого продукта в виде желтого твердого вещества (915 мг, 2.01 ммоль, 81%).

ЖХ/МС (C21H22N6O2S2) 455 [М+Н]+; RT 1.44 (ЖХМС-V-B1)

1Н ЯМР (400 МГц, ДМСО-d6) δ 11.12 (br s, 1Н), 7.96 (s, 1H), 7.92 (br s, 1H), 7.73 (s, 1H), 7.59 (br s, 1H), 7.39 (t, J=7.5 Гц, 1H), 7.22 (t, J=7.3 Гц, 1H), 4.37 (dd, J=9.0, 6.3 Гц, 2H), 4.29 (q, J=7.1 Гц, 2H), 2.48 (s, 3H), 1.74 (q, J=7.5 Гц, 2H), 1.32 (t, J=7.1 Гц, 3Н), 0.96 (t, J=7.4 Гц, 3Н).

Стадия D: 2-({6-[(1,3-бензотиазол-2-ил)амино]-5-метилпиридазин-3-ил}(пропил)амино)-1,3-тиазол-4-карбоновая кислота

К раствору продукта со Стадии С (250 мг, 0.55 ммоль, 1 экв.) в 3:1 смеси 1,4-диоксан / вода (4 мл) добавляли моногидрат гидроксида лития (92.3 мг, 2.2 ммоль, 4 экв.), и смесь перемешивали при температуре окружающей среды в течение 18 ч. Добавляли воду (5 мл), и раствор фильтровали через целит и промывали его водой (10 мл). Фильтрат подкисляли уксусной кислотой с получением суспензии, которую собирали путем фильтрования, сырой продукт промывали водой (10 мл) и сушили в вакууме с получением целевого продукта в виде бледно-желтого твердого вещества (185 мг, 0.43 ммоль, 79%).

МСВР-ЭРИ (m/z) [М-Н]-, рассчитано для C19H17N6O2S2: 425.0860, найдено: 425.0867.

Пример 46: 2-({6-[(1,3-Бензотиазол-2-ил)амино]-5-метилпиридазин-3-ил}[3-(диэтиламино)пропил]амино)-1,3-тиазол-4-карбоновая кислота

Стадия А: этил 2-{[3-(диэтиламино)пропил]амино}-1,3-тиазол-4-карбоксилат

Аммиак (2М в изопропаноле; 60 мл, 0.12 моль, 3.45 экв.) при 0°С добавляли к раствору 3-(диэтиламино)пропил изотиоцианата (6 г, 34.8 ммоль, 1 экв.) в изопропаноле (15 мл), и смесь перемешивали в течение 1 ч при 0°С и затем в течение 18 ч при температуре окружающей среды. Суспензию концентрировали в вакууме, затем растирали с гептаном (50 мл), твердые вещества отфильтровывали и промывали гептаном (2 × 25 мл). Добавляли этанол (150 мл) и этилбромпируват (5 мл, 39.8 ммоль, 1.14 экв.), и смесь перемешивали в атмосфере азота в течение 1 ч. Добавляли триэтиламин (10 мл, 69.7 ммоль, 2 экв.), и смесь нагревали при 85°С в течение 4 ч. Раствору давали охладиться до температуры окружающей среды и концентрировали в вакууме. Очистка с помощью колоночной флэш-хроматографии (100 г силикагеля) с элюированием 19:1 смесью дихлорметан / метанол приводила к получению целевого продукта в виде темно-коричневой смолы (3.95 г, 13.8 ммоль, 40%).

ЖХ/МС (C13H23N3O2S) 286 [М+Н]+; RT 0.78 (ЖХМС-V-B1)

1Н ЯМР (400 МГц, CDCl3) δ 7.39 (s, 1Н), 7.05 (s, 1H), 4.37 (q, J=7.1 Гц, 2Н), 3.42 (td, J=6.2, 3.1 Гц, 2Н), 2.64-2.51 (m, 6Н), 1.84 - 1.76 (m, 2Н), 1.39 (t, J=7.1 Гц, 3Н), 1.06 (t, J=7.1 Гц, 6Н).

Стадия В: этил 2-[(6-хлор-5-метилпиридазин-3-ил)[3-(диэтиламино)пропил]амино]-1,3-тиазол-4-карбоксилат

Гидрид натрия (60% дисперсия; 700 мг, 17.5 ммоль, 1.26 экв.) в атмосфере азота добавляли к раствору продукта со Стадии А (3.95 г, 13.8 ммоль, 1 экв.) и 3,6-дихлор-4-метилпиридазина (2.5 г, 15.3 ммоль, 1.11 экв.) в 1,4-диоксане (50 мл) при 0°С, и смесь перемешивали в течение 1 ч при 0°С и затем в течение 18 ч при температуре окружающей среды. Реакционную смесь распределяли между этилацетатом (300 мл) и водой (150 мл), и органическую фазу последовательно промывали водой (150 мл) и соляным раствором (100 мл), сушили (сульфат магния) и концентрировали в вакууме. Очистка с помощью колоночной флэш-хроматографии (100 г силикагеля) с элюированием 19:1 смесью дихлорметан / метанол приводила к получению целевого продукта в виде коричневой смолы (2.3 г, 5.58 ммоль, 40%).

ЖХ/МС (C18H26ClN5O2S) 412 [М+Н]+; RT 1.00 (ЖХМС-V-B1)

1Н ЯМР (400 МГц, CDCl3) δ 7.80 (s, 1Н), 7.63 (d, J=1.1 Гц, 1Н), 4.47 (q, 2Н), 4.37 (q, J=7.1 Гц, 2Н), 2.64 - 2.54 (m, 6Н), 2.45 (d, J=0.9 Гц, 3Н), 1.98 (q, 2Н), 1.39 (t, J=7.1 Гц, 3Н), 1.06 (t, J=7.1 Гц, 6Н).

Стадия С: этил 2-({6-[(1,3-бензотиазол-2-ил)амино]-5-метилпиридазин-3-ил}[3-(диэтиламино)пропил]амино)-1,3-тиазол-4-карбоксилат

Продукт со Стадии В (2.1 г, 5.1 ммоль, 1 экв.) и 2-аминобензотиазол (850 мг, 5.66 ммоль, 1.11 экв.) в атмосфере азота добавляли к раствору трис(дибензилиденацетон)дипалладия(0) (233 мг, 0.25 ммоль, 0.05 экв.) и ксантфоса (295 мг, 0.51 ммоль, 0.1 экв.) в 1,4-диоксане (20 мл), и смесь перемешивали. Добавляли N,N-диизопропилэтиламин (2.7 мл, 15.3 ммоль, 3 экв.), и смесь нагревали в запаянной трубке при 150°С в течение 24 ч. Раствору давали охладиться до температуры окружающей среды и концентрировали в вакууме. Очистка с помощью колоночной флэш-хроматографии (100 г силикагеля) с элюированием с градиентом 5 10% метанола в дихлорметане приводила к получению темно-желтой смолы, которую растирали с диэтиловым эфиром (10 мл), отфильтровывали, промывали диэтиловым эфиром (10 мл) и сушили в вакууме с получением целевого продукта в виде желтого твердого вещества (240 мг, 0.46 ммоль, 9%).

ЖХ/МС (C25H31N7O2S2) 526 [М+Н]+; RT 1.18 (ЖХМС-V-B1)

1Н ЯМР (400 МГц, ДМСО-d6) δ 11.78 (br s, 1Н), 7.88 - 7.67 (m, 4H), 7.44 -7.34 (m, 1H), 7.26 - 7.18 (m, 1H), 4.49 (s, 2H), 4.36 (q, J=7.1 Гц, 2H), 3.31 - 3.22 (m, 2H), 3.22 - 3.12 (m, 4H), 2.52 - 2.39 (m, 5H), 1.39 (t, J=7.1 Гц, 9H).

Стадия D: 2-({6-[(1,3-бензотиазол-2-ил)амино]-5-метилпиридазин-3-ил}[3-(диэтиламино)пропил]амино)-1,3-тиазол-4-карбоновая кислота

К раствору продукта со Стадии С (200 мг, 0.38 ммоль, 1 экв.) в 3:1 смеси 1,4-диоксан / вода (4 мл) добавляли моногидрат гидроксида лития (63.9 мг, 1.52 ммоль, 4 экв.), и смесь перемешивали при температуре окружающей среды в течение 18 ч. Добавляли воду (5 мл), и смесь фильтровали через целит, промывая водой (10 мл). Фильтрат подкисляли уксусной кислотой с получением твердого вещества, которое собирали путем фильтрования, промывали водой (10 мл) и сушили в вакууме с получением целевого продукта в виде бледно-желтого твердого вещества (105 мг, 0.21 ммоль, 55%).

МСВР-ЭРИ (m/z) [М-Н]-, рассчитано для C23H26N7O2S2: 496.1595, найдено: 496.1614.

Пример 47: 2-({6-[(1,3-Бензотиазол-2-ил)амино]-5-метилпиридазин-3-ил}(3-метоксипропил)амино)-1,3-тиазол-4-карбоновая кислота

К раствору продукта Синтеза 11с, Стадия С (300 мг, 0.62 ммоль, 1 экв.), в 3:1 смеси 1,4-диоксан / вода (4 мл) добавляли моногидрат гидроксида лития (104 мг, 2.48 ммоль, 4 экв.), и смесь перемешивали при температуре окружающей среды в течение ночи. Добавляли воду (15 мл), и смесь подкисляли уксусной кислотой с получением твердого вещества, которое собирали путем фильтрования, промывали водой (25 мл) и сушили в вакууме с получением целевого продукта в виде оранжевого твердого вещества (245 мг, 0.54 ммоль, 87%).

МСВР-ЭРИ (m/z) [М+Н]+, рассчитано для C20H21N6O3S2: 457.1111, найдено: 457.1119.

Пример 48: 2-[[4,5-Диметил-6-[(4-метил-1,3-бензотиазол-2-ил)амино]пиридазин-3-ил]амино]тиазол-4-карбоновая кислота

Стадия А: N-(6-хлор-4,5-диметилпиридазин-3-ил)-4-метил-1,3-бензотиазол-2-амин

К 611 мг 6-хлор-4,5-диметилпиридазин-3-амина (3.9 ммоль, 1 экв.) и 884 мг 2-бром-4-метил-1,3-бензотиазола (3.9 ммоль, 1 экв.) в 13 мл 1,4-диоксана добавляли 1.5 г гидрида натрия (60 мас. %, 37.5 ммоль, 9.6 экв.), и смесь перемешивали при нагревании с обратным холодильником в течение 1 ч. После охлаждения реакционную смесь выливали на воду со льдом и подкисляли 2 н. раствором HCl. Осадок отфильтровывали и промывали раствором NaHCO3, и сушили с получением 810 мг (67%) целевого продукта.

ЖХ-МС-ЭРИ (m/z): [М+Н]+, рассчитано для C14H14ClN4S: 305, найдено: 305.

Стадия В: этил 2-[[4,5-диметил-6-[(4-метил-1,3-бензотиазол-2-ил)амино]пиридазин-3-ил]амино]тиазол-4-карбоксилат

Смесь 600 мг продукта со Стадии А (1.96 ммоль, 1 экв.), 730 мг этил 2-аминотиазол-4-карбоксилата (4.24 ммоль, 2.1 экв.), 78 мг Pd2(dba)3 (0.085 ммоль, 0.04 экв.), 124 мг 4,5-бис(дифенилфосфино)-9,9-диметилксантена (0.21 ммоль, 0.1 экв.) и 2.8 мл DIPEA (8 экв.) в 16 мл 1,4-диоксана перемешивали при 185°С в микроволновом реакторе в течение 1.5 ч. После охлаждения летучие вещества удаляли и сырое промежуточное соединение очищали с помощью колоночной флэш-хроматографии, используя гептан и EtOAc в качестве элюентов с получением 328 мг (38%) целевого продукта.

1H ЯМР (500 МГц, ДМСО-d6) δ м.д. 11.00/10.81 (s+brs, 2Н), 7.94 (s, 1Н), 7.72 (brs, 1H), 7.19 (d, 1H), 7.10 (t, 1Н), 4.29 (q, 2Н), 2.57 (brs, 3Н), 2.39/2.36 (s+s, 6Н), 1.31 (t, 3Н); 13С ЯМР (125 МГц, ДМСО-d6) δ м.д. 126.9, 122.4, 121.7, 119.4, 60.8, 18.4, 14.7; МСВР-ЭРИ (m/z): [М+Н]+, рассчитано для C20H20N6O2S2: 441.1167, найдено: 441.1165.

Стадия С: 2-[[4,5-диметил-6-[(4-метил-1,3-бензотиазол-2-ил)амино]пиридазин-3-ил]амино]тиазол-4-карбоновая кислота

Смесь продукта со Стадии В, LiOH×H2O, воды и 1,4-диоксана перемешивали при нагревании с обратным холодильником в течение 1 ч. После охлаждения и концентрирования добавляли 1 н. HCl, осадок отфильтровывали и дополнительно очищали с помощью обращенно-фазовой препаративной хроматографии с получением целевого продукта.

МСВР-ЭРИ (m/z): [М+Н]+, рассчитано для C18H17N6O2S2: 413.0854, найдено: 413.0855.

Пример 49: 2-({6-[(1,3-Бензотиазол-2-ил)амино]-5-метилпиридазин-3-ил}(3-гидроксипропил)амино)-1,3-тиазол-4-карбоновая кислота

Стадия А: этил 2-[(6-хлор-5-метилпиридазин-3-ил)(3-гидроксипропил)амино]-1,3-тиазол-4-карбоксилат

Трибромид бора (1М в дихлорметане; 16 мл, 16.2 ммоль, 2 экв.) в атмосфере азота добавляли к раствору продукта Синтеза 11с, Стадия В (3 г, 8.09 ммоль, 1 экв.), в дихлорметане (50 мл) при -78°С. Смесь перемешивали в течение 1 ч при -78°С, затем нагревали при 50°С в течение 1 ч. Суспензии давали охладиться до температуры окружающей среды, затем распределяли между дихлорметаном (250 мл) и насыщенным водным раствором гидрокарбоната натрия (150 мл). Органическую фазу последовательно промывали водой (2 × 150 мл) и соляным раствором (100 мл), сушили (сульфат магния) и концентрировали в вакууме. Очистка с помощью колоночной флэш-хроматографии (50 г силикагеля) с элюированием 39:1 смесью дихлорметан / метанол приводила к твердому веществу, которое растирали с диэтиловым эфиром (15 мл), отфильтровывали, промывали диэтиловым эфиром (20 мл) и сушили в вакууме с получением целевого продукта в виде оранжевого твердого вещества (900 мг, 2.52 ммоль, 31%).

ЖХ/МС (C14H17ClN4O3S) 357 [М+Н]+; RT 1.15 (ЖХМС-V-B1)

1Н ЯМР (400 МГц, ДМСО-d6) δ 8.04 (s, 1H), 7.87 (dd, J=18.1, 1.1 Гц, 1Н), 4.71 (td, J=5.4, 1.1 Гц, 1Н), 4.46 (t, 2Н), 4.29 (q, J=7.1 Гц, 2Н), 3.50 (q, J=5.9 Гц, 2Н), 2.43 (dd, J=2.6, 0.9 Гц, 3Н), 1.89 (р, J=6.5 Гц, 2Н), 1.31 (t, J=7.1 Гц, 3Н).

Стадия В: этил 2-({6-[(1,3-бензотиазол-2-ил)амино]-5-метилпиридазин-3-ил}(3-гидроксипропил)амино)-1,3-тиазол-4-карбоксилат

Продукт со Стадии А (500 мг, 1.4 ммоль, 1 экв.) и 2-аминобензотиазол (240 мг, 1.6 ммоль, 1.14 экв.) в атмосфере азота добавляли к раствору трис(дибензилиденацетон)дипалладия(0) (64.2 мг, 0.07 ммоль, 0.05 экв.) и ксантфоса (81.1 мг, 0.14 ммоль, 0.1 экв.) в 1,4-диоксане (10 мл), и смесь перемешивали. Добавляли N,N-диизопропилэтиламин (0.75 мл, 4.2 ммоль, 3 экв.), и смесь нагревали в запаянной трубке при 150°С в течение 24 ч. Раствору давали охладиться до температуры окружающей среды и концентрировали в вакууме. Очистка с помощью колоночной флэш-хроматографии (50 г силикагеля) с элюированием 19:1 смесью дихлорметан / метанол приводила к получению красной/оранжевой смолы, которую растирали с диэтиловым эфиром (15 мл), отфильтровывали, промывали диэтиловым эфиром (2 × 10 мл) и сушили в вакууме с получением целевого продукта в виде оранжевого твердого вещества (490 мг, 0.94 ммоль, 67%).

ЖХ/МС (C21H22N6O3S2) 471 [М+Н]+; RT 1.31 (ЖХМС-V-B1)

1Н ЯМР (400 МГц, ДМСО-d6) δ 11.12 (br s, 1H), 7.98 (s, 1H), 7.92 (br s, 1H), 7.72 (s, 1H), 7.63 (br s, 1H), 7.40 (t, J=7.6 Гц, 1H), 7.23 (t, 1H), 4.74 (t, J=5.4 Гц, 1H), 4.46 (t, J=7.1 Гц, 2H), 4.30 (q, J=7.1 Гц, 2H), 3.54 - 3.46 (m, 2H), 2.48 (s, 3H), 1.90 (p, J=6.5 Гц, 2H), 1.32 (t, J=7.1 Гц, 3Н).

Стадия С: 2-({6-[(1,3-бензотиазол-2-ил)амино]-5-метилпиридазин-3-ил}(3-гидроксипропил)амино)-1,3-тиазол-4-карбоновая кислота

К раствору продукта со Стадии В (275 мг, 0.53 ммоль, 1 экв.) в 3:1 смеси 1,4-диоксан / вода (4 мл) добавляли моногидрат гидроксида лития (88.3 мг, 2.1 ммоль, 4 экв.), и смесь перемешивали при температуре окружающей среды в течение 18 ч. Добавляли воду (15 мл), и смесь фильтровали через целит. Фильтрат подкисляли уксусной кислотой с получением твердого вещества, которое собирали путем фильтрования, промывали водой (30 мл) и сушили в вакууме с получением целевого продукта в виде желтого твердого вещества (190 мг, 0.43 ммоль, 82%).

МСВР-ЭРИ (m/z) [М+Н]+, рассчитано для C19H19N6O3S2: 443.0955, найдено: 443.0996.

Пример 50: 2-[[6-(1,3-Бензотиазол-2-иламино)-5-метилпиридазин-3-ил]-метиламино]-5-[3-[4-[3-(диметиламино)проп-1-инил]-2-фторфенокси]пропил]тиазол-4-карбоновая кислота

Стадия А: этил 5-[3-[4-[3-(диметиламино)проп-1-инил]-2-фторфенокси]пропил]-2-[метил-[5-метил-6-[(Z)-[3-(2-триметилсилилэтоксиметил)-1,3-бензотиазол-2-илиден]амино]пиридазин-3-ил]амино]тиазол-4-карбоксилат

Используя Общую методику алкилирования, исходя из продукта Синтеза 5g и продукта Синтеза 6b в качестве подходящего фенола, получали целевой продукт.

1Н ЯМР (500 МГц, ДМСО-d6) δ м.д. 7.84 (d, 1Н), 7.67 (s, 1Н), 7.47 (d, 1Н), 7.44 (t, 1Н), 7.33 (dd, 1Н), 7.25 (t, 1Н), 7.22 (dd, 1Н), 7.16 (t, 1Н), 5.86 (s, 2Н), 4.26 (q, 2Н), 4.15 (t, 2Н), 3.77 (s, 3Н), 3.72 (t, 2Н), 3.49 (brs, 2Н), 3.27 (t, 2Н), 2.46 (s, 3Н), 2.27 (s, 6Н), 2.13 (qn, 2Н), 1.29 (t, 3Н), 0.92 (t, 2Н), -0.11 (s, 9Н); 13С ЯМР (125 МГц, ДМСО-d6) δ м.д. 129.0, 127.2, 123.5, 123.2, 119.2, 117.7, 115.5, 111.9, 72.8, 68.5, 66.7, 60.7, 48.2, 44.0, 35.3, 31.1, 23.2, 17.9, 17.8, 14.6, -0.9; МСВР-ЭРИ (m/z): [М+Н]+, рассчитано для C39H49FN7O4S2Si: 790.3035, найдено: 790.3023.

Стадия В: 2-[[6-(1,3-бензотиазол-2-иламино)-5-метилпиридазин-3-ил]-метиламино]-5-[3-[4-[3-(диметиламино)проп-1-инил]-2-фторфенокси]пропил]тиазол-4-карбоновая кислота

Используя Общую методику снятия защиты и гидролиза, исходя из продукта со Стадии А в качестве подходящего сложного этилового эфира, получали целевой продукт.

МСВР-ЭРИ (m/z): [М+Н]+, рассчитано для C31H31FN7O3S2: 632.1908, найдено: 632.1913.

Пример 51: 2-({6-[(1,3-Бензотиазол-2-ил)амино]-5-метил-4-[3-(4-метилпиперазин-1-ил)пропил]пиридазин-3-ил}амино)-1,3-тиазол-4-карбоновая кислота

Стадия А: этил 2-({6-[(1,3-бензотиазол-2-ил)амино]-4-[3-(бензилокси)пропил]-5-метилпиридазин-3-ил}амино)-1,3-тиазол-4-карбоксилат

В высушенный в сушильном шкафу сосуд для микроволновой обработки загружали продукт Синтеза 9ma (500 мг, 1.18 ммоль, 1 экв.), этил 2-амино-1,3-тиазол-4-карбоксилат (284 мг, 1.65 ммоль, 1.4 экв.), карбонат цезия (575 мг, 1.76 ммоль, 1.5 экв.), ксантфос (68.1 мг, 0.12 ммоль, 0.1 экв.) и трис(дибензилиденацетон)дипалладий(0) (53.9 мг, 0.06 ммоль, 0.05 экв.). Сосуд вакуумировали и продували азотом (х3), и затем добавляли альфа,альфа,альфа-трифтортолуол (20 мл). Смесь барботировали азотом (10 мин) и затем нагревали при 180°С в течение 1 ч под микроволновым облучением. Реакционную смесь концентрировали в вакууме и очищали с помощью автоматической колоночной флэш-хроматографии (CombiFlash Rf, 40 г силикагелевый картридж RediSep™) с элюированием с градиентом 0-70% этилацетата в изогептане с получением целевого продукта в виде желтого твердого вещества (336 мг, 0.6 ммоль, 51%).

ЖХ/МС (C28H28N6O3S2) 561 [М+Н]+; RT 1.53 (ЖХМС-V-B1)

1Н ЯМР (400 МГц, ДМСО-d6) δ 11.08 (br s, 1H), 7.95 (d, 1H), 7.88 (br s, 1Н), 7.40 - 7.33 (m, 6H), 7.32 - 7.26 (m, 1H), 7.20 (t, 1H), 4.51 (s, 2H), 4.30 (q, J=7.1 Гц, 2H), 3.54 (t, J=6.2 Гц, 2H), 2.96 (t, J=7.8 Гц, 2H), 2.39 (s, 3H), 1.76 (p, 2H), 1.32 (t, J=7.1 Гц, 3Н).

Стадия В: этил 2-({6-[(1,3-бензотиазол-2-ил)амино]-4-(3-гидроксипропил)-5-метилпиридазин-3-ил}амино)-1,3-тиазол-4-карбоксилат

К охлажденному раствору продукта со Стадии А (330 мг, 0.59 ммоль, 1 экв.) в безводном дихлорметане (15 мл) по каплям добавляли трихлорид бора (1М в дихлорметане; 1.18 мл, 1.18 ммоль, 2 экв.), и смесь перемешивали в течение 3 ч. Реакционную смесь охлаждали до 0°С и гасили путем добавления насыщенного водного раствора бикарбоната натрия. Смесь разбавляли дихлорметаном и слои разделяли. Органическую фазу последовательно промывали водой и соляным раствором, сушили (сульфат магния) и концентрировали в вакууме с получением целевого продукта (301 мг, 0.64 ммоль, > 100%) в виде смеси с соответствующим сложным метиловым эфиром, которую непосредственно использовали на следующей стадии без дополнительной очистки.

ЖХ/МС (C21H22N6O3S2) 471 [М+Н]+; RT 1.295 (ЖХМС-V-B1).

Стадия С: этил 2-{[4-(3-гидроксипропил)-5-метил-6-{[(2Z)-3-{[2-(триметилсилил)этокси]метил}-2,3-дигидро-1,3-бензотиазол-2-илиден]амино}пиридазин-3-ил]амино}-1,3-тиазол-4-карбоксилат

К охлажденному раствору продукта со Стадии В (300 мг, 0.64 ммоль, 1 экв.) в дихлорметане (15 мл) добавляли 2-(триметилсилил)этоксиметил хлорид (0.12 мл, 0.7 ммоль, 1.1 экв.), N,N-диизопропилэтиламин (0.22 мл, 1.28 ммоль, 2 экв.) и DMAP (3.89 мг, 0.03 ммоль, 0.05 экв.). Смесь перемешивали в течение 2 ч при температуре окружающей среды, затем охлаждали до 0°С и гасили путем добавления водного раствора бикарбоната натрия. Слои разделяли и органическую фазу промывали водой с последующим промыванием соляным раствором, сушили (сульфат магния) и концентрировали в вакууме. Очистка с помощью автоматической колоночной флэш-хроматографии (CombiFlash Rf, 24 г силикагелевый картридж RediSep™) с элюированием с градиентом 0 - 70% этилацетата в изогептане приводила к получению целевого продукта в виде оранжевого твердого вещества (105 мг, 0.17 ммоль, 27%), которое, как было обнаружено, представляло собой смесь с соответствующим сложным метиловым эфиром. Смесь непосредственно использовали на следующей стадии без дополнительной очистки.

ЖХ/МС (C27H36N6O4SiS2) 601 [М+Н]+; RT 1.59 (ЖХМС-V-B1)

Стадия_D: этил 2-{[5-метил-4-(3-оксопропил)-6-{[(2Z)-3-{[2-(триметилсилил)этокси]метил}-2,3-дигидро-1,3-бензотиазол-2-илиден]амино}пиридазин-3-ил]амино}-1,3-тиазол-4-карбоксилат

В высушенную в сушильном шкафу колбу загружали диметилсульфоксид (29.6 мкл, 0.42 ммоль, 2.5 экв.) в дихлорметане (5 мл), и перемешиваемый раствор охлаждали до -78°С. По каплям добавляли раствор оксалилхлорида (2М; 91.5 мкл, 0.18 ммоль, 1.1 экв.), и смесь перемешивали в течение 1 ч. По каплям добавляли раствор продукта со Стадии С (100 мг, 0.17 ммоль, 1 экв.) в дихлорметане (5 мл), и полученную в результате смесь перемешивали при -78°С в течение 1 ч. Добавляли триэтиламин (0.14 мл, 1 ммоль, 6 экв.), и смеси давали нагреться до 0°С в течение 1 ч. Реакционную смесь гасили водой (10 мл), разбавляли бикарбонатом натрия (10 мл) и экстрагировали дихлорметаном (2 × 50 мл). Объединенные органические экстракты промывали соляным раствором (50 мл), сушили (сульфат магния) и концентрировали в вакууме. Очистка с помощью автоматической колоночной флэш-хроматографии (CombiFlash Rf, 12 г силикагелевый картридж RediSep™) с элюированием с градиентом 0 - 50% этилацетата в изогептане приводила к получению целевого продукта в виде оранжевого стеклообразного вещества (68 мг, 0.11 ммоль, 68%), которое, как было обнаружено, представляло собой смесь с соответствующим сложным метиловым эфиром, которую непосредственно использовали на следующей стадии без дополнительной очистки.

ЖХ/МС (C27H34N6O4SiS2) 599 [М+Н]+; RT 1.62 (ЖХМС-V-B1).

Стадия Е: этил 2-({6-[(1,3-бензотиазол-2-ил)амино]-5-метил-4-[3-(4-метилпиперазин-1-ил)пропил]пиридазин-3-ил}амино)-1,3-тиазол-4-карбоксилат

К раствору продукта со Стадии D (68 мг, 0.11 ммоль, 1 экв.) в 3:1 смеси метанол / уксусная кислота (8 мл) добавляли 1-метилпиперазин (25.2 мкл, 0.23 ммоль, 2 экв.) с последующим добавлением цианоборгидрида натрия (14.3 мг, 0.23 ммоль, 2 экв.), и смесь перемешивали при температуре окружающей среды в течение 40 мин. Реакционную смесь гасили путем добавления 1М водного раствора гидроксида натрия, и смесь экстрагировали дихлорметаном (3 × 50 мл). Объединенные органические экстракты промывали водой с последующим промыванием соляным раствором (50 мл), сушили (сульфат магния) и концентрировали в вакууме. Остаток растворяли в дихлорметане (5 мл), добавляли трифторуксусную кислоту (1 мл), и смесь перемешивали в течение 1 ч. Смесь разбавляли дихлорметаном (20 мл) и промывали 1М водным раствором гидроксида натрия (20 мл). Органическую фазу промывали соляным раствором, сушили (сульфат магния) и концентрировали в вакууме. Очистка с помощью автоматической колоночной флэш-хроматографии (CombiFlash Rf, 12 г силикагелевый картридж RediSep™) с элюированием с градиентом 0 - 20% 7 н. метанольного раствора аммиака в дихлорметане приводила к получению целевого продукта в виде оранжевого стеклообразного вещества (40 мг, 0.07 ммоль, 64%) которое, как было обнаружено, представляло собой смесь с соответствующим сложным метиловым эфиром, которую непосредственно использовали на следующей стадии без дополнительной очистки.

ЖХ/МС (C26H32N8O2S2) 553 [М+Н]+; RT 1.17 (ЖХМС-V-B1).

Стадия F: 2-({6-[(1,3-бензотиазол-2-ил)амино]-5-метил-4-[3-(4-метилпиперазин-1-ил)пропил]пиридазин-3-ил}амино)-1,3-тиазол-4-карбоновая кислота

К раствору продукта со Стадии Е (40 мг, 0.07 ммоль, 1 экв.) в 1,4-диоксане (5 мл) добавляли 2М водный раствор гидроксида лития (0.14 мл, 0.14 ммоль, 2 экв.), и смесь нагревали с обратным холодильником в течение 1 ч. Реакционную смесь концентрировали в вакууме, затем добавляли хлористоводородную кислоту (4М в 1,4-диоксане), и смесь перемешивали в течение 1 ч. Смесь концентрировали в вакууме и растирали с диэтиловым эфиром, отфильтровывали, промывали диэтиловым эфиром и сушили в вакууме с получением целевого продукта в виде темно-желтого твердого вещества (14.4 мг, 0.03 ммоль, 38%) [в виде бис-соли хлористоводородной кислоты].

МСВР-ЭРИ (m/z) [М+Н]+, рассчитано для C24H29N8O2S2: 525.1849, найдено: 525.1888.

Пример 52: 5-{1-[(Адамантан-1-ил)метил]-5-метил-1Н-пиразол-4-ил}-2-({6-[(1,3-бензотиазол-2-ил)амино]-5-метилпиридазин-3-ил}(3-метоксипропил)амино)-1,3-тиазол-4-карбоновая кислота

Стадия А: этил 5-{1-[(адамантан-1-ил)метил]-5-метил-1Н-пиразол-4-ил}-2-[(3-метоксипропил)(5-метил-6-{[(2Z)-3-{[2-(триметилсилил)этокси]метил}-2,3-дигидро-1,3-бензотиазол-2-илиден]амино}пиридазин-3-ил)амино]-1,3-тиазол-4-карбоксилат

К смеси продукта Синтеза 11с (100 мг, 0.14 ммоль, 1 экв.), продукта Синтеза 10а (61.6 мг, 0.17 ммоль, 1.2 экв.) и карбоната калия (59.8 мг, 0.43 ммоль, 3 экв.) в 4:1 смеси тетрагидрофуран / вода (5 мл) добавляли [1,1'-бис(дифенилфосфино)ферроцен]дихлорпалладий(II) (10.6 мг, 0.01 ммоль, 0.1 экв.). Смесь барботировали азотом (10 мин) и затем нагревали при 120°С в течение 1 ч под микроволновым облучением. Реакционную смесь разбавляли этилацетатом, промывали водой с последующим промыванием соляным раствором, сушили (сульфат магния) и концентрировали в вакууме. Очистка с помощью автоматической колоночной флэш-хроматографии (CombiFlash Rf, 12 г силикагелевый картридж RediSep™) с элюированием с градиентом 0 50% этилацетата в изогептане приводила к получению целевого продукта в виде кремовой пены (89.2 мг, 0.11 ммоль, 73%).

ЖХ/МС (C43H58N8O4SiS2) 843 [М+Н]+; RT 1.88 (ЖХМС-V-В2)

1Н ЯМР (400 МГц, ДМСО-d6) δ 7.82 (dd, J=7.7, 1.0 Гц, 1Н), 7.70 (d, J=1.1 Гц, 1Н), 7.52 (s, 1H), 7.48 - 7.40 (m, 2Н), 7.23 (ddd, J=8.3, 7.0, 1.5 Гц, 1H), 5.87 (s, 2Н), 4.44 (t, J=7.2 Гц, 2Н), 4.14 (q, J=7.1 Гц, 2Н), 3.78 (s, 2Н), 3.72 (t, 2Н), 3.44 (t, J=6.0 Гц, 2Н), 3.25 (s, 3Н), 2.45 (s, 3Н), 2.19 (s, 3Н), 2.06 - 1.91 (m, 5Н), 1.72 - 1.54 (m, 12Н), 1.14 (t, J=7.1 Гц, 3Н), 0.91 (t, 2Н), -0.13 (s, 9Н).

Стадия В: этил 5-{1-[(адамантан-1-ил)метил]-5-метил-1Н-пиразол-4-ил}-2-({6-[(1,3-бензотиазол-2-ил)амино]-5-метилпиридазин-3-ил}(3-метоксипропил)амино)-1,3-тиазол-4-карбоксилат

Раствор продукта со Стадии А (89 мг, 0.11 ммоль, 1 экв.) в дихлорметане (5 мл) охлаждали на ледяной бане и добавляли трифторуксусную кислоту (0.5 мл, 6.71 ммоль, 64 экв.). Смеси давали нагреться до температуры окружающей среды и перемешивали в течение ночи. Реакционную смесь разбавляли дихлорметаном, промывали насыщенным водным раствором бикарбоната натрия, сушили (сульфат магния) и концентрировали в вакууме. Очистка с помощью автоматической колоночной флэш-хроматографии (CombiFlash Rf, 12 г силикагелевый картридж RediSep™) с элюированием с градиентом 0 - 5% метанола в дихлорметане приводила к получению целевого продукта в виде желтого стеклообразного вещества (63.2 мг, 0.09 ммоль, 84%).

ЖХ/МС (C37H44N8O3S2) 713 [М+Н]+; RT 1.48 (ЖХМС-V-B1)

1Н ЯМР (400 МГц, ДМСО-d6) δ 11.10 (br s, 1Н), 7.93 (br s, 1H), 7.71 (br s + s, 2H), 7.54 (s, 1H), 7.38 (t, 1H), 7.25 - 7.16 (m, 1H), 4.44 (t, J=7.2 Гц, 2H), 4.16 (q, J=7.1 Гц, 2H), 3.79 (s, 2H), 3.46 (t, J=6.0 Гц, 2H), 3.26 (s, 3H), 2.48 (s, 3H), 2.20 (s, 3H), 2.07- 1.97 (m, 5H), 1.72 - 1.56 (m, 12H), 1.16 (t, J=7.1 Гц, 3Н).

Стадия С: 5-{1-[(адамантан-1-ил)метил]-5-метил-1Н-пиразол-4-ил}-2-({6-[(1,3-бензотиазол-2-ил)амино]-5-метилпиридазин-3-ил}(3-метоксипропил)амино)-1,3-тиазол-4-карбоновая кислота

К раствору продукта со Стадии В (63 мг, 0.09 ммоль, 1 экв.) в 1,4-диоксане (5 мл) добавляли моногидрат гидроксида лития (18.5 мг, 0.44 ммоль, 5 экв.), и смесь нагревали с обратным холодильником в течение ночи. Реакционной смеси давали охладиться до температуры окружающей среды, затем концентрировали в вакууме. Остаток растирали с водой и твердые вещества собирали путем фильтрования, промывали водой и сушили в вакууме с получением целевого продукта в виде желтого твердого вещества (11.5 мг, 0.02 ммоль, 19%) [в виде соли лития].

МСВР-ЭРИ (m/z) [М+Н]+, рассчитано для C35H41N8O3S2: 685.2738, найдено: 685.2753.

Пример 53: 5-{1-[(Адамантан-1-ил)метил]-5-метил-1Н-пиразол-4-ил}-2-({6-[(1,3-бензотиазол-2-ил)амино]-5-циклопропилпиридазин-3-ил}(метил)амино)-1,3-тиазол-4-карбоновая кислота

Стадия А: этил 5-{1-[(адамантан-1-ил)метил]-5-метил-1Н-пиразол-4-ил}-2-[(5-циклопропил-6-{[(2Z)-3-{[2-(триметилсилил)этокси]метил}-2,3-дигидро-1,3-бензотиазол-2-илиден]амино}пиридазин-3-ил)(метил)амино]-1,3-тиазол-4-карбоксилат

К смеси продукта Синтеза 11d (149 мг, 0.23 ммоль, 1 экв.), продукта Синтеза 10а (96.3 мг, 0.27 ммоль, 1.2 экв.) и карбоната калия (93.4 мг, 0.68 ммоль, 3 экв.) в 5:2 смеси тетрагидрофуран / вода (7 мл) добавляли [1,1'-бис(дифенилфосфино)ферроцен]дихлорпалладий(II) (16.5 мг, 0.02 ммоль, 0.1 экв.). Смесь барботировали азотом (10 мин) и затем нагревали при 120°С в течение 1 ч под микроволновым облучением. Реакционную смесь распределяли между этилацетатом и водой, и органическую фазу промывали соляным раствором, сушили (сульфат магния) и концентрировали в вакууме. Очистка с помощью автоматической колоночной флэш-хроматографии (CombiFlash Rf, 12 г силикагелевый картридж RediSep™) с элюированием с градиентом 0 - 50% этилацетата в изогептане приводила к получению целевого продукта в виде белой пены (130 мг, 0.16 ммоль, 71%).

ЖХ/МС (C42H54N8O3SiS2) 811 [М+Н]+; RT 1.64 (ЖХМС-V-B1)

1Н ЯМР (400 МГц, ДМСО-d6) δ 7.81 (dd, J=7.6, 1.0 Гц, 1H), 7.52 (s, 1H), 7.49 - 7.40 (m, 2H), 7.23 (ddd, J=8.3, 7.0, 1.4 Гц, 1H), 7.10 (s, 1H), 5.88 (s, 2H), 4.15 (q, J=7.1 Гц, 2H), 3.80 (s, 3H), 3.79 (s, 2H), 3.70 (t, 2H), 2.72 - 2.62 (m, 1H), 2.18 (s, 3H), 2.01 - 1.92 (m, 3H), 1.71 - 1.54 (m, 12H), 1.21 - 1.13 (m, 5H), 1.12 - 1.07 (m, 2H), 0.90 (t, 3H), -0.13 (s, 9H).

Стадия В: этил 5-{1-[(адамантан-1-ил)метил]-5-метил-1Н-пиразол-4-ил}-2-({6-[(1,3-бензотиазол-2-ил)амино]-5-циклопропилпиридазин-3-ил}(метил)амино)-1,3-тиазол-4-карбоксилат

Трифторуксусную кислоту (1 мл, 13.4 ммоль, 78.9 экв.) добавляли к перемешиваемому раствору продукта со Стадии А (138 мг, 0.17 ммоль, 1 экв.) в дихлорметане (3 мл) и смесь перемешивали в течение 18 ч. Реакционную смесь распределяли между дихлорметаном и насыщенным водным раствором бикарбоната натрия, последовательно промывали водой и соляным раствором, сушили (сульфат магния) и концентрировали в вакууме. Очистка с помощью автоматической колоночной флэш-хроматографии (CombiFlash Rf, 12 г силикагелевый картридж RediSep™) с элюированием с градиентом 0 - 5% метанола в дихлорметане приводила к получению целевого продукта в виде желтого стеклообразного вещества (104 мг, 0.15 ммоль, 90%).

ЖХ/МС (C36H40N8O2S2) 681 [М+Н]+; RT 1.45 (ЖХМС-V-B1)

1Н ЯМР (400 МГц, ДМСО-d6) δ 11.16 (br s, 1Н), 7.76 (br s, 2Н), 7.51 (s, 1Н), 7.41 - 7.33 (m, 1Н), 7.24 - 7.14 (m, 2Н), 4.16 (q, J=7.1 Гц, 2Н), 3.81 (s, 3Н), 3.78 (s, 2Н), 2.18 (s, 3Н), 2.00 - 1.92 (m, 3Н), 1.72 - 1.53 (m, 12Н), 1.20 - 1.12 (m, 5Н), 1.07 - 1.00 (m, 2Н).

Стадия С: 5-{1-[(адамантан-1-ил)метил]-5-метил-1Н-пиразол-4-ил}-2-({6-[(1,3-бензотиазол-2-ил)амино]-5-циклопропилпиридазин-3-ил}(метил)амино)-1,3-тиазол-4-карбоновая кислота

К раствору продукта со Стадии В (104 мг, 0.15 ммоль, 1 экв.) в 1,4-диоксане (5 мл) добавляли моногидрат гидроксида лития (32 мг, 0.76 ммоль, 5 экв.), и смесь нагревали с обратным холодильником в течение ночи. Реакционной смеси давали охладиться до температуры окружающей среды и концентрировали в вакууме. Полученное в результате твердое вещество растирали с водой, отфильтровывали и сушили в вакууме с получением целевого продукта в виде желтого твердого вещества (83.5 мг, 0.13 ммоль, 84%) [в виде соли лития].

МСВР-ЭРИ (m/z) [М+Н]+, рассчитано для C34H37N8O2S2: 653.2475, найдено: 653.2475.

Пример 54: 2-({6-[(1,3-Бензотиазол-2-ил)амино]-5-метилпиридазин-3-ил}(3-метоксипропил)амино)-5-(3-{4-[3-(диметиламино)проп-1-ин-1-ил]-2-фторфенокси}пропил)-1,3-тиазол-4-карбоновая кислота

Стадия А: этил 5-(3-гидроксипроп-1-ин-1-ил)-2-[(3-метоксипропил)(5-метил-6-{[(2Z)-3-{[2-(триметилсилил)этокси]метил}-2,3-дигидро-1,3-бензотиазол-2-илиден]амино}пиридазин-3-ил)амино]-1,3-тиазол-4-карбоксилат

Тетракис(трифенилфосфин)палладий(0) (140.6 мг, 0.12 ммоль, 0.1 экв.) в атмосфере азота добавляли к перемешиваемому раствору продукта Синтеза 11 с (844 мг, 1.22 ммоль, 1 экв.), пропаргилового спирта (0.28 мл, 4.86 ммоль, 4 экв.), триэтиламина (1.02 мл, 7.3 ммоль, 6 экв.) и йодида меди(I) (46.4 мг, 0.24 ммоль, 0.2 экв.) в диметилформамиде (20 мл), и смесь нагревали при 100°С в течение ночи. Реакционной смеси давали охладиться до температуры окружающей среды, затем концентрировали в вакууме. Очистка с помощью автоматической колоночной флэш-хроматографии (CombiFlash Rf, 40 г силикагелевый картридж RediSep™) с элюированием с градиентом 0-100% этилацетата в изогептане приводила к получению целевого продукта в виде коричневой смолы (671 мг, 1 ммоль, 83%).

ЖХ/МС (C31H40N6O5SiS2) 669 [М+Н]+; RT 1.43 (ЖХМС-V-B1)

1Н ЯМР (400 МГц, ДМСО-d6) δ 7.88 (d, 1Н), 7.73 (s, 1Н), 7.50 - 7.41 (m, 2Н), 7.26 (ddd, J=8.3, 7.0, 1.5 Гц, 1Н), 5.88 (s, 2Н), 4.45 (t, 2Н), 4.29 (q, J=7.1 Гц, 2Н), 4.17 (d, 3=6.1 Гц, 2Н), 3.72 (t, 2Н), 3.42 (t, J=5.9 Гц, 2Н), 3.22 (s, 3Н), 2.47 (s, 3Н), 1.98 (р, J=6.7 Гц, 2Н), 1.33 (t, J=7.1 Гц, 3Н), 0.92 (t, 2Н), -0.11 (s, 9Н).

Стадия В: этил 5-(3-гидроксипропил)-2-[(3-метоксипропил)(5-метил-6-{[(2Z)-3-{[2-(триметилсилил)этокси]метил}-2,3-дигидро-1,3-бензотиазол-2-илиден]амино}пиридазин-3-ил)амино]-1,3-тиазол-4-карбоксилат

Суспензию продукта со Стадии А (671 мг, 1 ммоль, 1 экв.) в 1:1 смеси этилацетат / метанол (30 мл) загружали в колбу, содержащую оксид платины(IV) (0.02 г, 0.1 ммоль, 0.1 экв.) в атмосфере азота. Смесь вакуумировали и снова заполняли азотом (х3), затем вакуумировали и помещали в атмосферу водорода. Смесь встряхивали в течение 3.5 ч, затем фильтровали через целит (10 г) и промывали его метанолом. Растворитель удаляли в вакууме и сырой продукт очищали с помощью автоматической колоночной флэш-хроматографии (CombiFlash Rf, 12 г силикагелевый картридж RediSep™) с элюированием с градиентом 0 60% этилацетата в изогептане с получением целевого продукта в виде желтой пены (431 мг, 0.64 ммоль, 64%).

ЖХ/МС (C31H44N6O5SiS2) 673 [М+Н]+; RT 1.43 (ЖХМС-V-B1)

1Н ЯМР (400 МГц, ДМСО-d6) δ 7.86 (d, 1Н), 7.66 (s, 1Н), 7.49 - 7.40 (m, 2Н), 7.28 - 7.22 (m, 1Н), 5.87 (s, 2Н), 4.39 (t, J=7.2 Гц, 2Н), 4.27 (q, J=7.1 Гц, 2Н), 3.72 (t, 2Н), 3.48 (q, 2Н), 3.42 (t, 2Н), 3.24 (s, 3Н), 3.12 (t, 2Н), 2.46 (s, 3Н), 1.96 (р, J=6.2 Гц, 2Н), 1.80 (р, 2Н), 1.30 (t, J=7.1 Гц, 3Н), 0.92 (t, 2Н), -0.11 (s, 9Н).

Стадия С: этил 5-(3-йодпропил)-2-[(3-метоксипропил)(5-метил-6-{[(2Z)-3-{[2-(триметилсилил)этокси]метил}-2,3-дигидро-1,3-бензотиазол-2-илиден]амино}пиридазин-3-ил)амино]-1,3-тиазол-4-карбоксилат

К перемешиваемому раствору продукта со Стадии В (431 мг, 0.64 ммоль, 1 экв.) в 4:1 смеси диэтиловый эфир / ацетонитрил (25 мл) добавляли имидазол (65.4 мг, 0.96 ммоль, 1.5 экв.), трифенилфосфин (252 мг, 0.96 ммоль, 1.5 экв.) и йод (244 мг, 0.96 ммоль, 1.5 экв.), и смесь перемешивали в течение 18 ч. Реакционную смесь разбавляли этилацетатом и последовательно промывали 10% водным раствором тиосульфата натрия, водой и соляным раствором, сушили (сульфат магния) и концентрировали в вакууме. Очистка с помощью автоматической колоночной флэш-хроматографии (CombiFlash Rf, 12 г силикагелевый картридж RediSep™) с элюированием с градиентом 0-60% этилацетата в изогептане приводила к получению целевого продукта в виде желтой смолы (378 мг, 0.48 ммоль, 75%).

ЖХ/МС (C31H43IN6O4SiS2) 783 [М+Н]+; RT 1.78 (ЖХМС-V-B1)

1Н ЯМР (400 МГц, ДМСО-d6) δ 7.85 (d, 1H), 7.67 (s, 1H), 7.49 - 7.40 (m, 2Н), 7.25 (ddd, J=8.2, 6.9, 1.6 Гц, 1H), 5.87 (s, 2Н), 4.38 (t, J=7.2 Гц, 2Н), 4.29 (q, J=7.1 Гц, 2Н), 3.72 (t, 2Н), 3.42 (t, J=6.0 Гц, 2Н), 3.33 (t, 2Н), 3.23 (s, 3Н), 3.21 - 3.14 (m, 2Н), 2.46 (s, 3Н), 2.14 (р, J=6.9 Гц, 2Н), 1.97 (р, J=6.2 Гц, 2Н), 1.32 (t, J=7.1 Гц, 3Н), 0.92 (t, 2Н), -0.11 (s, 9Н).

Стадия D: этил 5-(3-{4-[3-(диметиламино)проп-1-ин-1-ил]-2-фторфенокси}пропил)-2-[(3-метоксипропил)(5-метил-6-{[(2Z)-3-{[2-(триметилсилил)этокси]метил}-2,3-дигидро-1,3-бензотиазол-2-илиден]амино}пиридазин-3-ил)амино]-1,3-тиазол-4-карбоксилат

Гидрид натрия (60% в минеральном масле; 38.6 мг, 0.96 ммоль, 2 экв.) добавляли к раствору продукта Синтеза 6b (103 мг, 0.53 ммоль, 1.1 экв.) в диметилформамиде (8 мл). Через 10 мин реакционную смесь охлаждали до 0°С и добавляли раствор продукта со Стадии С (378 мг, 0.48 ммоль, 1 экв.) в диметилформамиде (8 мл). Смеси давали нагреться до температуры окружающей среды и перемешивали в течение 5 ч. Реакционную смесь гасили водой, подкисляли 2 н. водным раствором хлористоводородной кислоты и экстрагировали этилацетатом (х2). Объединенные органические экстракты промывали соляным раствором, сушили (сульфат магния) и концентрировали в вакууме. Очистка с помощью автоматической колоночной флэш-хроматографии (CombiFlash Rf, 24 г силикагелевый картридж RediSep™) с элюированием с градиентом 0 10% метанола в дихлорметане приводила к получению целевого продукта в виде коричневой пены (115 мг, 0.14 ммоль, 28%).

ЖХ/МС (C42H54FN7O5SiS2) 848 [М+Н]+; RT 1.43 (ЖХМС-V-B1)

1Н ЯМР (400 МГц, ДМСО-d6) δ 7.84 (dd, J=7.5, 1.1 Гц, 1Н), 7.67 (s, 1Н), 7.49 - 7.41 (m, 2Н), 7.39 - 7.34 (m, 1Н), 7.28 - 7.23 (m, 2Н), 7.19 (t, J=8.6 Гц, 1H), 5.86 (s, 2Н), 4.38 (t, J=7.3 Гц, 2Н), 4.24 (q, J=7.1 Гц, 2Н), 4.16 (t, J=6.1 Гц, 2Н), 3.72 (t, J=8.0 Гц, 2Н), 3.41 (t, J=5.9 Гц, 2Н), 3.33 (s, 2Н), 3.31 - 3.25 (m, 2Н), 3.24 (s, 3Н), 2. 35 (s, 2Н), 2.48 - 2.41 (m, 9Н), 2.13 (р, 2Н), 1.97 (р, 2Н), 1.29 (t, J=7.1 Гц, 3Н), 0.92 (t, 2Н), -0.12 (s, 9Н).

Стадия Е: этил 2-({6-[(1,3-бензотиазол-2-ил)амино]-5-метилпиридазин-3-ил}(3-метоксипропил)амино)-5-(3-{4-[3-(диметиламино)проп-1-ин-1-ил]-2-фторфенокси}пропил)-1,3-тиазол-4-карбоксилат

Трифторуксусную кислоту (1 мл, 13.4 ммоль, 99 экв.) добавляли к перемешиваемому раствору продукта со Стадии D (115 мг, 0.14 ммоль, 1 экв.) в дихлорметане (3 мл), и смесь перемешивали в течение 18 ч. Реакционную смесь разбавляли дихлорметаном, промывали насыщенным водным раствором бикарбоната натрия, сушили (сульфат магния) и концентрировали в вакууме. Очистка с помощью автоматической колоночной флэш-хроматографии (CombiFlash Rf, 12 г силикагелевый картридж RediSep™) с элюированием с градиентом 0 10% метанола в дихлорметане приводила к получению целевого продукта в виде желтого стеклообразного вещества (32.2 мг, 0.04 ммоль, 33%).

ЖХ/МС (C36H40FN7O4S2) 718 [М+Н]+; RT 1.32 (ЖХМС-V-B1)

1Н ЯМР (400 МГц, ДМСО-d6) δ 7.91 (d, J=7.6 Гц, 1Н), 7.67 (s, 1Н), 7.54 (d, J=8.2 Гц, 1Н), 7.44 - 7.37 (m, 1Н), 7.31 (dd, 1H), 7.26 - 7.12 (m, 3Н), 4.39 (t, J=7.2 Гц, 2Н), 4.26 (q, J=7.0 Гц, 2Н), 4.16 (t, J=6.1 Гц, 2Н), 3.43 (t, J=6.0 Гц, 2Н), 3.40 (s, 2Н), 3.31 - 3.26 (m, 2Н), 3.25 (s, 3Н), 2.47 (s, 3Н), 2.21 (s, 6Н), 2.17 - 2.10 (m, 2Н), 1.97 (р, 2Н), 1.30 (t, J=7.1 Гц, 3Н).

Стадия F: 2-({6-[(1,3-бензотиазол-2-ил)амино]-5-метилпиридазин-3-ил}(3-метоксипропил)амино)-5-(3-{4-[3-(диметиламино)проп-1-ин-1-ил]-2-фторфенокси}пропил)-1,3-тиазол-4-карбоновая кислота

К раствору продукта со Стадии Е (32.2 мг, 0.04 ммоль, 1 экв.) в 1,4-диоксане (3 мл) добавляли моногидрат гидроксида лития (9.41 мг, 0.22 ммоль, 5 экв.), и смесь нагревали с обратным холодильником в течение ночи. Реакционной смеси давали охладиться до температуры окружающей среды и концентрировали в вакууме. Остаток растирали с водой, затем центрифугировали и растворитель декантировали. К оставшемуся твердому веществу добавляли толуол и смесь обрабатывали ультразвуком, центрифугировали и растворитель декантировали. Сушка в вакууме приводила к получению целевого продукта в виде желтого твердого вещества (29.6 мг, 0.04 ммоль, 96%) [в виде соли лития].

МСВР-ЭРИ (m/z) [М+Н]+, рассчитано для C34H37FN7O4S2: 690.2327, найдено: 690.2318.

Пример 55: 2-[[6-[(4-Фтор-1,3-бензотиазол-2-ил)амино]-4,5-диметилпиридазин-3-ил]амино]тиазол-4-карбоновая кислота

Стадия А: N-(6-хлор-4,5-диметилпиридазин-3-ил)-4-фтор-1,3-бензотиазол-2-амин

К 158 мг 6-хлор-4,5-диметилпиридазин-3-амина (1 ммоль, 1 экв.) и 232 мг 2-бром-4-фтор-1,3-бензотиазола (1 ммоль, 1 экв.) в 8 мл 1,4-диоксана добавляли 160 мг гидрида натрия (60 мас. %, 4 ммоль, 4 экв.), и смесь перемешивали при нагревании с обратным холодильником в течение 1 ч. После охлаждения реакционную смесь гасили водой и смесь экстрагировали с помощью EtOAc. Объединенные и высушенные органические фазы концентрировали с получением 311 мг (101%) целевого продукта.

ЖХ-МС-ЭРИ (m/z): [М+Н]+, рассчитано для C13H11ClFN4S: 309, найдено: 309.

Стадия В: этил 2-[[6-[(4-фтор-1,3-бензотиазол-2-ил)амино]-4,5-диметилпиридазин-3-ил]амино]тиазол-4-карбоксилат

Смесь 300 мг продукта со Стадии А (0.97 ммоль, 1 экв.), 167 мг этил 2-аминотиазол-4-карбоксилата (0.97 ммоль, 1 экв.), 33 мг Pd2(dba)3 (0.036 ммоль, 0.04 экв.), 53 мг 4,5-бис(дифенилфосфино)-9,9-диметилксантена (0.092 ммоль, 0.1 экв.) и 0.23 мл DIPEA (2 экв.) в 8 мл 1,4-диоксана перемешивали при 160°С в микроволновом реакторе в течение 0.75 ч. После охлаждения сырой продукт очищали с помощью обращенно-фазовой препаративной хроматографии с получением 110 мг (26%) целевого продукта.

1Н ЯМР (400 МГц, ДМСО-d6) δ м.д. 11.17 (s, 1Н), 11.05 (s, 1H), 7.96 (s, 1Н), 7.81 (m, 1H), 7.24 (m, 1H), 7.22 (m, 1Н), 4.29 (q, 2Н), 2.39/2.37 (s+s, 6Н), 1.31 (t, 3Н).

Стадия С: 2-[[6-[(4-фтор-1,3-бензотиазол-2-ил)амино]-4,5-диметилпиридазин-3-ил]амино]тиазол-4-карбоновая кислота

Смесь продукта со Стадии В, LiOH×H2O, воды и 1,4-диоксана перемешивали при нагревании с обратным холодильником в течение 9 ч. После охлаждения и концентрирования добавляли 1 н. HCl, и осадок отфильтровывали с получением целевого продукта.

МСВР-ЭРИ (m/z): [М+Н]+, рассчитано для C17H14FN6O2S2: 417.0604, найдено: 417.0595.

Пример 56: 5-({6-[(1,3-Бензотиазол-2-ил)амино]-5-метилпиридазин-3-ил}(метил)амино)тиофен-2-карбоновая кислота

Стадия А: трет-бутил N-[(трет-бутокси)карбонил]-N-(6-хлор-4-метилпиридазин-3-ил)карбамат

К раствору ди-трет-бутил дикарбоната (5.7 г, 26.1 ммоль, 3 экв.) в дихлорметане (40 мл) добавляли 6-хлор-4-метилпиридазин-3-амин (1.25 г, 8.71 ммоль, 1 экв.) с последующим добавлением 4-диметиламинопиридина (53.2 мг, 0.44 ммоль, 0.05 экв.), и смесь перемешивали в течение ночи. Реакционную смесь концентрировали в вакууме и очищали с помощью колоночной флэш-хроматографии (50 г силикагеля) с элюированием 2:3 смесью этилацетат / гептан с получением желтого твердого вещества. Растирание с гептаном (15 мл) приводило к твердому веществу, которое собирали путем фильтрования, промывали гептаном (2 × 15 мл) и сушили в вакууме с получением целевого продукта в виде бледно-желтого твердого вещества (1.85 г, 5.38 ммоль, 62%).

ЖХ/МС (C15H22ClN3O4) 188 [M-Boc-tBu+3H]+; RT 1.28 (ЖХМС-V-B1)

1Н ЯМР (400 МГц, CDCl3) δ 7.43 (d, 1H), 2.27 (d, 3H), 1.40 (s, 9H).

Стадия В: метил 5-[(6-{бис[(трет-бутокси)карбонил]амино}-5-метилпиридазин-3-ил)амино]тиофен-2-карбоксилат

Трис(дибензилиденацетон)дипалладий(0) (107 мг, 0.12 ммоль, 0.05 экв.) в атмосфере азота добавляли к перемешиваемому раствору продукта со Стадии А (800 мг, 2.33 ммоль, 1 экв.), метил 5-аминотиофен-2-карбоксилата (439 мг, 2.79 ммоль, 1.2 экв.), N,N-диизопропилэтиламина (1.16 мл, 6.98 ммоль, 3 экв.) и ксантфоса (135 мг, 0.23 ммоль, 0.1 экв.) в 1,4-диоксане (20 мл), и смесь нагревали при 100°С в течение ночи. Реакционной смеси давали охладиться до температуры окружающей среды и концентрировали в вакууме. Очистка с помощью автоматической колоночной флэш-хроматографии (CombiFlash Rf, 24 г силикагелевый картридж RediSep™) с элюированием с градиентом 0 10% метанола в дихлорметане приводила к получению вещества, которое растирали в диэтиловом эфире, и затем твердые вещества собирали путем фильтрования с получением целевого продукта в виде бежевого твердого вещества (442 мг, 0.95 ммоль, 41%).

ЖХ/МС (C21H28N4O6S) 465 [М+Н]+; RT 1.10 (ЖХМС-V-B1)

1Н ЯМР (400 МГц, ДМСО-d6) δ 11.22 (s, 1H), 7.64 (d, J=4.2 Гц, 1H), 7.17 (s, 1H), 6.74 (d, J=4.3 Гц, 1H), 3.78 (s, 3Н), 2.17 (s, 3Н), 1.39 (s, 18Н).

Стадия С: метил 5-[(6-{бис[(трет-бутокси)карбонил]амино}-5-метилпиридазин-3-ил)(метил)амино]тиофен-2-карбоксилат

Гидрид натрия (60% дисперсия; 60.9 мг, 1.52 ммоль, 1.6 экв.) добавляли к перемешиваемому раствору продукта со Стадии В (442 мг, 0.95 ммоль, 1 экв.) в диметилформамиде (10 мл). Через 15 мин добавляли йодметан (0.12 мл, 1.9 ммоль, 2 экв.), и смесь перемешивали при температуре окружающей среды в течение 5 ч. Реакционную смесь разбавляли этилацетатом, затем промывали водой (х2) с последующим промыванием соляным раствором, сушили (сульфат магния) и концентрировали в вакууме. Очистка с помощью автоматической колоночной флэш-хроматографии (CombiFlash Rf, 24 г силикагелевый картридж RediSep™) с элюированием с градиентом 0 100% этилацетата в изогептане приводила к получению целевого продукта в виде кремового твердого вещества (295 мг, 0.62 ммоль, 65%).

ЖХ/МС (C22H30N4O6S) 479 [М+Н]+; RT 1.23 (ЖХМС-V-B1)

1Н ЯМР (400 МГц, ДМСО-d6) δ 7.73 (s, 1H), 7.69 (d, 1Н), 6.92 (d, J=4.4 Гц, 1H), 3.79 (s, 3Н), 3.66 (s, 3Н), 2.22 (d, J=0.9 Гц, 3Н), 1.40 (s, 18Н).

Стадия D: метил 5-[(6-амино-5-метилпиридазин-3-ил)(метил)амино]тиофен-2-карбоксилат

Раствор продукта со Стадии С (343 мг, 0.72 ммоль, 1 экв.) в дихлорметане (8 мл) охлаждали на ледяной бане, затем добавляли трифторуксусную кислоту (2 мл, 26.8 ммоль, 37 экв.). Смеси давали нагреться до температуры окружающей среды и перемешивали в течение 18 ч. Растворитель удаляли в вакууме, затем остаток растворяли в метаноле и загружали на кондиционированный метанолом картридж SCX-2 (5 г). Картридж промывали метанолом, затем элюировали 3.5 н. метанольным аммиаком. Растворитель удаляли в вакууме и полученное в результате твердое вещество растирали с диэтиловым эфиром и отфильтровывали с получением целевого продукта в виде кремового твердого вещества (142 мг, 0.51 ммоль, 71%).

ЖХ/МС (C12H14N4O2S) 279 [М+Н]+; RT 0.67 (ЖХМС-V-B1)

1Н ЯМР (400 МГц, ДМСО-d6) δ 7.59 (d, J=4.4 Гц, 1Н), 7.35 (s, 1H), 6.58 (d, J=4.4 Гц, 1Н), 6.00 (s, 2Н), 3.75 (s, 3Н), 3.50 (s, 3Н), 2.16 (s, 3Н).

Стадия Е: метил 5-({6-[(1,3-бензотиазол-2-ил)амино]-5-метилпиридазин-3-ил}(метил)амино)тиофен-2-карбоксилат

Трис(дибензилиденацетон)дипалладий(0) (23.4 мг, 0.03 ммоль, 0.05 экв.) в атмосфере азота добавляли к перемешиваемому раствору продукта со Стадии D (142 мг, 0.51 ммоль, 1 экв.), 2-бром-1,3-бензотиазола (131 мг, 0.61 ммоль, 1.2 экв.), N,N-диизопропилэтиламина (0.25 мл, 1.53 ммоль, 3 экв.) и ксантфоса (29.5 мг, 0.05 ммоль, 0.1 экв.) в 1,4-диоксане (5 мл), и смесь нагревали при 100°С в течение 18 ч. Реакционной смеси давали охладиться до температуры окружающей среды и концентрировали в вакууме. Очистка с помощью автоматической колоночной флэш-хроматографии (CombiFlash Rf, 12 г силикагелевый картридж RediSep™) с элюированием с градиентом 0 - 6% метанола в дихлорметане приводила к получению целевого продукта в виде коричневого твердого вещества (158 мг, 0.38 ммоль, 75%).

ЖХ/МС (C19H17N5O2S2) 412 [М+Н]+; RT 1.18 (ЖХМС-V-B1)

1Н ЯМР (400 МГц, ДМСО-d6) δ 11.04 (br s, 1Н), 8.01 (br s, 1H), 7.70 - 7.63 (m, 3H), 7.43 - 7.35 (m, 1H), 7.27 - 7.17 (m, 1H), 6.80 (d, J=4.4 Гц, 1H), 3.81 (s, 3H), 3.63 (s, 3H), 2.46 (s, 3H).

Стадия F: 5-({6-[(1,3-бензотиазол-2-ил)амино]-5-метилпиридазин-3-ил}(метил)амино)тиофен-2-карбоновая кислота

К суспензии продукта со Стадии Е (158 мг, 0.38 ммоль, 1 экв.) в 1,4-диоксане (10 мл) добавляли моногидрат гидроксида лития (161 мг, 3.84 ммоль, 10 экв.), и смесь нагревали с обратным холодильником в течение ночи. Реакционной смеси давали охладиться до температуры окружающей среды и полученную в результате суспензию центрифугировали, декантировали и сушили в вакууме с получением целевого продукта в виде желтого твердого вещества (90.5 мг, 0.23 ммоль, 59%).

МСВР-ЭРИ (m/z) [М-Н]-, рассчитано для C18H14N5O2S2: 396.0594, найдено: 396.0576.

Пример 57: 2-[[6-[(5,6-Дифтор-1,3-бензотиазол-2-ил)амино]-4,5-диметилпиридазин-3-ил]амино]тиазол-4-карбоновая кислота

Стадия А: N-(6-хлор-4,5-диметилпиридазин-3-ил)-5,6-дифтор-1,3-бензотиазол-2-амин

К 158 мг 6-хлор-4,5-диметилпиридазин-3-амина (1 ммоль, 1 экв.) и 250 мг 2-бром-5,6-дифтор-1,3-бензотиазола (1 ммоль, 1 экв.) в 8 мл 1,4-диоксана добавляли 160 мг гидрида натрия (60 мас. %, 4 ммоль, 4 экв.), и смесь перемешивали при нагревании с обратным холодильником в течение 1 ч. После охлаждения реакционную смесь гасили водой и смесь экстрагировали с помощью EtOAc. Объединенные и высушенные органические фазы концентрировали с получением 300 мг (92%) целевого продукта.

ЖХ-МС-ЭРИ (m/z): [М+Н]+, рассчитано для C13H10ClF2N4S: 327, найдено: 327.

Стадия В: этил 2-[[6-[(5,6-дифтор-1,3-бензотиазол-2-ил)амино]-4,5-диметилпиридазин-3-ил]амино]тиазол-4-карбоксилат

Смесь 300 мг продукта со Стадии А (0.9 ммоль, 1 экв.), 155 мг этил 2-аминотиазол-4-карбоксилата (0.9 ммоль, 1 экв.), 33 мг Pd2(dba)3 (0.036 ммоль, 0.04 экв.), 53 мг 4,5-бис(дифенилфосфино)-9,9-диметилксантена (0.092 ммоль, 0.1 экв.) и 0.23 мл DIPEA (2 экв.) в 8 мл 1,4-диоксана перемешивали при 200°С в микроволновом реакторе в течение 1 ч. После охлаждения сырой продукт очищали с помощью обращенно-фазовой препаративной хроматографии с получением 110 мг (26%) целевого продукта.

ЖХ-МС-ЭРИ (m/z): [М+Н]+, рассчитано для C19H17F2N6O2S2: 463, найдено: 463.

Стадия С: 2-[[6-[(5,6-дифтор-1,3-бензотиазол-2-ил)амино]-4,5-диметилпиридазин-3-ил]амино]тиазол-4-карбоновая кислота

Смесь продукта со Стадии В, LiOH×H2O, воды и 1,4-диоксана перемешивали при нагревании с обратным холодильником в течение 9 ч. После охлаждения сырой продукт очищали с помощью обращенно-фазовой препаративной хроматографии с получением целевого продукта.

МСВР-ЭРИ (m/z): [М+Н]+, рассчитано для C17H13F2N6O2S2: 435.0509, найдено: 435.0506.

Пример 58: 2-[[6-[(5-Фтор-1,3-бензотиазол-2-ил)амино]-4,5-диметилпиридазин-3-ил]амино]тиазол-4-карбоновая кислота

Стадия А: N-(6-хлор-4,5-диметилпиридазин-3-ил)-5-фтор-1,3-бензотиазол-2-амин

К 158 мг 6-хлор-4,5-диметилпиридазин-3-амина (1 ммоль, 1 экв.) и 348 мг 2-бром-5-фтор-1,3-бензотиазола (1.5 ммоль, 1.5 экв.) в 20 мл 1,4-диоксана добавляли 160 мг гидрида натрия (60 мас. %, 4 ммоль, 4 экв.), и смесь перемешивали при нагревании с обратным холодильником в течение 1 ч. После охлаждения реакционную смесь гасили с помощью 2 мл EtOH, концентрировали и обрабатывали 20 мл воды. Осажденное твердое вещество отфильтровывали с получением 300 мг (97%) целевого продукта.

1Н ЯМР (500 МГц, ДМСО-d6) δ м.д. 7.81 (dd, 1 Н), 7.29 (dd, 1 Н), 7.00 (td, 1 Н), 2.34 (s, 3 Н), 2.29 (s, 3 Н); 13С ЯМР (125 МГц ДМСО-d6) δ м.д. 162.2, 161.9, 154.1, 152.0, 145.5, 137.4, 131.1, 125.8, 123.3, 110.6, 103.5, 15.7, 13.3; ЖХ-МС-ЭРИ (m/z): [М+Н]+, рассчитано для C13H11ClFN4S: 309.8, найдено: 309 и 307 [М-H]-.

Стадия В: этил 2-[[6-[(5-фтор-1,3-бензотиазол-2-ил)амино]-4,5-диметилпиридазин-3-ил]амино]тиазол-4-карбоксилат

Смесь 300 мг продукта со Стадии А (0.97 ммоль, 1 экв.), 167 мг этил 2-аминотиазол-4-карбоксилата (0.97 ммоль, 1 экв.), 36 мг Pd2(dba)3 (0.039 ммоль, 0.04 экв.), 56 мг 4,5-бис(дифенилфосфино)-9,9-диметилксантена (0.097 ммоль, 0.1 экв.) и 0.34 мл DIPEA (2 экв.) в 10 мл 1,4-диоксана перемешивали при 200°С в микроволновом реакторе в течение 1 ч. После охлаждения сырой продукт очищали с помощью обращенно-фазовой препаративной хроматографии с получением 150 мг (35%) целевого продукта.

ЖХ-МС-ЭРИ (m/z): [М+Н]+, рассчитано для C19H18FN6O2S2: 445.5, найдено: 445 и 443 [М-Н]-.

Стадия С: 2-[[6-[(5-фтор-1,3-бензотиазол-2-ил)амино]-4,5-диметилпиридазин-3-ил]амино]тиазол-4-карбоновая кислота

Смесь 150 мг продукта со Стадии В (0.338 ммоль, 1 экв.), 28 мг LiOH×H2O (0.67 ммоль, 2 экв.) и 10 капель воды в 10 мл 1,4-диоксана перемешивали при нагревании с обратным холодильником в течение 3 ч. После охлаждения и концентрирования сырой продукт очищали с помощью обращенно-фазовой препаративной хроматографии с получением 112 мг (79%) целевого продукта.

МСВР-ЭРИ (m/z): [М+Н]+, рассчитано для C17H14FN6O2S2: 417.0604, найдено: 417.0598.

Пример 59: 2-({6-[(1,3-Бензотиазол-2-ил)амино]-5-метилпиридазин-3-ил}(метил)амино)-5-[3-(2-фторфенокси)пропил]-1,3-тиазол-4-карбоновая кислота

Стадия А: этил 5-[3-(2-фторфенокси)пропил]-2-[метил(5-метил-6-{[(2Z)-3-{[2-(триметилсилил)этокси]метил}-2,3-дигидро-1,3-бензотиазол-2-илиден]амино}пиридазин-3-ил)амино]-1,3-тиазол-4-карбоксилат

Гидрид натрия (60% в минеральном масле; 19.5 мг, 0.49 ммоль, 2 экв.) добавляли к раствору 2-фторфенола (0.03 мл, 0.29 ммоль, 1.2 экв.) в диметилформамиде (4 мл). Через 15 мин реакционную смесь охлаждали до 0°С и добавляли раствор продукта Синтеза 5g (177 мг, 0.24 ммоль, 1 экв.) в диметилформамиде (3 мл). Смеси давали нагреться до температуры окружающей среды и перемешивали в течение 18 ч. Реакционную смесь гасили путем добавления воды, подкисляли 2 н. водным раствором хлористоводородной кислоты и экстрагировали этилацетатом (х2). Объединенные органические экстракты промывали соляным раствором, сушили (сульфат магния) и концентрировали в вакууме. Очистка с помощью автоматической колоночной флэш-хроматографии (CombiFlash Rf, 12 г силикагелевый картридж RediSep™) с элюированием с градиентом 0 - 10% метанола в дихлорметане приводила к получению целевого продукта в виде бежевой пены (144 мг, 0.2 ммоль, 83%).

ЖХ/МС (C34H41FN6O4SiS2) 709 [М+Н]+; RT 1.62 (ЖХМС-V-B1)

1Н ЯМР (400 МГц, ДМСО-d6) δ 7.84 (dd, J=7.6, 1.0 Гц, 1Н), 7.67 (d, J=1.1 Гц, 1H), 7.49 - 7.40 (m, 2Н), 7.28 - 7.08 (m, 4Н), 6.96 - 6.89 (m, 1H), 5.86 (s, 2Н), 4.26 (q, J=7.1 Гц, 2Н), 4.13 (t, J=6.2 Гц, 2Н), 3.77 (s, 3Н), 3.72 (t, 2Н), 3.31 -3.25 (m, 2Н), 2.45 (d, J=1.0 Гц, 3Н), 2.17 - 2.08 (m, 2Н), 1.29 (t, J=7.1 Гц, 3Н), 0.92 (t, 2Н), -0.12 (s, 9Н).

Стадия В: этил 2-({6-[(1,3-бензотиазол-2-ил)амино]-5-метилпиридазин-3-ил}(метил) амино)-5-[3-(2-фторфенокси)пропил]-1,3-тиазол-4-карбоксилат

Трифторуксусную кислоту (1 мл, 13.4 ммоль, 66 экв.) добавляли к перемешиваемому раствору продукта со Стадии А (144 мг, 0.2 ммоль, 1 экв.) в дихлорметане (3 мл), и смесь перемешивали при температуре окружающей среды в течение ночи. Реакционную смесь распределяли между дихлорметаном и насыщенным водным раствором бикарбоната натрия, и органическую фазу промывали соляным раствором, сушили (сульфат магния) и концентрировали в вакууме. Очистка с помощью обращенно-фазовой автоматической флэш-хроматографии (CombiFlash Rf, С18 13 г колонка RediSep) с элюированием с градиентом 5 - 95% ацетонитрила (рН 4; муравьиная кислота) в воде (рН 4; муравьиная кислота) приводила к получению целевого продукта в виде желтого твердого вещества (71 мг, 0.12 ммоль, 61%).

ЖХ/МС (C28H27FN6O3S2) 579 [М+Н]+; RT 1.37 (ЖХМС-V-B1)

1Н ЯМР (400 МГц, ДМСО-d6) δ 11.07 (br s, 1H), 7.92 (s, 1Н), 7.69 (s, 1H), 7.61 (br s, 1H), 7.40 (t, J=7.6 Гц, 1H), 7.32 - 7.08 (m, 4H), 6.98 - 6.90 (m, 1H), 4.27 (q, J=7.1 Гц, 2H), 4.13 (t, J=6.2 Гц, 2H), 3.77 (s, 3H), 3.34 - 3.24 (m, 2H), 2.47 (s, 3H), 2.14 (p, J=6.2 Гц, 2H), 1.30 (t, J=7.1 Гц, 3Н).

Стадия С: 2-({6-[(1,3-бензотиазол-2-ил)амино]-5-метилпиридазин-3-ил}(метил)амино)-5-[3-(2-фторфенокси)пропил]-1,3-тиазол-4-карбоновая кислота

К раствору продукта со Стадии В (71 мг, 0.12 ммоль, 1 экв.) в 1,4-диоксане (4 мл) добавляли моногидрат гидроксида лития (25.7 мг, 0.61 ммоль, 5 экв.), и смесь нагревали с обратным холодильником в течение ночи. Реакционной смеси давали охладиться до температуры окружающей среды и концентрировали в вакууме. Остаток растирали с водой и твердые вещества собирали путем фильтрования. Твердое вещество дополнительно растирали с диэтиловым эфиром, отфильтровывали и сушили в вакууме с получением целевого продукта в виде желтого твердого вещества (49 мг, 0.09 ммоль, 73%) [в виде соли лития].

МСВР-ЭРИ (m/z) [М+Н]+, рассчитано для C26H24FN6O3S2: 551.1330, найдено: 551.1335.

Пример 60: 2-({6-[(1,3-Бензотиазол-2-ил)амино]-5-метилпиридазин-3-ил}(метил)амино)-5-(3-метоксипропил)-1,3-тиазол-4-карбоновая кислота

Стадия А: этил 5-(3-метоксипроп-1-ин-1-ил)-2-[метил(5-метил-6-{[(2Z)-3-{[2-(триметилсилил)этокси]метил}-2,3-дигидро-1,3-бензотиазол-2-илиден]амино}пиридазин-3-ил)амино]-1,3-тиазол-4-карбоксилат

Тетракис(трифенилфосфин)палладий(0) (36.4 мг, 0.04 ммоль, 0.1 экв.) в атмосфере азота добавляли к перемешиваемому раствору продукта Синтеза 11b (200 мг, 0.31 ммоль, 1 экв.), метилпропаргилового эфира (0.06 мл, 0.76 ммоль, 2.4 экв.), триэтиламина (0.26 мл, 1.88 ммоль, 6 экв.) и йодида меди(I) (12 мг, 0.06 ммоль, 0.2 экв.) в диметилформамиде (5 мл), и смесь нагревали при 100°С в течение ночи. Реакционной смеси давали охладиться до температуры окружающей среды, затем концентрировали в вакууме. Очистка с помощью автоматической колоночной флэш-хроматографии (CombiFlash Rf, 12 г силикагелевый картридж RediSep™) с элюированием с градиентом 0 - 100% этилацетата в изогептане приводила к получению целевого продукта в виде кремового твердого вещества (78 мг, 0.12 ммоль, 40%).

ЖХ/МС (C29H36N6O4SiS2) 625 [М+Н]+; RT 1.56 (ЖХМС-V-B1)

1Н ЯМР (400 МГц, ДМСО-d6) δ 7.86 (d, J=7.7 Гц, 1Н), 7.74 (s, 1Н), 7.51 - 7.41 (m, 2Н), 7.26 (td, J=7.6, 1.5 Гц, 1H), 5.87 (s, 2Н), 4.43 (s, 2Н), 4.31 (q, J=7.1 Гц, 2Н), 3.82 (s, 3Н), 3.72 (t, J=8.0 Гц, 2Н), 3.38 (s, 3Н), 2.47 (s, 3Н), 1.32 (t, J=7.1 Гц, 3Н), 0.91 (dd, J=10.7, 5.4 Гц, 2Н), 0.00 (s, 9Н).

Стадия В: этил 5-(3-метоксипропил)-2-[метил(5-метил-6-{[(2Z)-3-{[2-(триметилсилил)этокси]метил}-2,3-дигидро-1,3-бензотиазол-2-илиден]амино}пиридазин-3-ил)амино]-1,3-тиазол-4-карбоксилат

Суспензию продукта со Стадии А (78 мг, 0.12 ммоль, 1 экв.) в 1:1 смеси этилацетат / метанол (8 мл) загружали в колбу, содержащую оксид платины(IV) (2.83 мг, 0.01 ммоль, 0.1 экв.) в атмосфере азота. Сосуд вакуумировали и снова заполняли азотом (х3), затем вакуумировали, создавали атмосферу водорода и встряхивали в течение ночи. Смесь фильтровали через целит (2.5 г), элюировали метанолом, и растворитель удаляли в вакууме. Очистка с помощью автоматической колоночной флэш-хроматографии (CombiFlash Rf, 12 г силикагелевый картридж RediSep™) с элюированием с градиентом 0 - 10% метанола в дихлорметане приводила к получению целевого продукта в виде белой пены (56.1 мг, 0.09 ммоль, 71%).

ЖХ/МС (C29H40N6O4SiS2) 629 [М+Н]+; RT 1.54 (ЖХМС-V-B1)

1Н ЯМР (400 МГц, ДМСО-d6) δ 7.84 (dd, J=7.7, 1.0 Гц, 1Н), 7.66 (d, J=1.1 Гц, 1Н), 7.49 - 7.41 (m, 2Н), 7.25 (ddd, J=8.4, 6.9, 1.6 Гц, 1H), 5.86 (s, 2Н), 4.28 (q, J=7.1 Гц, 2Н), 3.77 (s, 3Н), 3.72 (t, 2Н), 3.38 (t, J=6.3 Гц, 2Н), 3.26 (s, 3Н), 3.189 - 3.09 (m, 2Н), 2.46 (d, J=1.1 Гц, 3Н), 1.86 (р, 1Н), 1.31 (t, J=7.1 Гц, 3Н), 0.97 - 0.87 (m, 2Н), 0.00 (s, 9Н).

Стадия С: этил 2-({6-[(1,3-бензотиазол-2-ил)амино]-5-метилпиридазин-3-ил}(метил) амино)-5-(3-метоксипропил)-1,3-тиазол-4-карбоксилат

Трифторуксусную кислоту (1 мл, 13.4 ммоль, 150 экв.) добавляли к перемешиваемому раствору продукта со Стадии В (56 мг, 0.09 ммоль, 1 экв.) в дихлорметане (3 мл), и смесь перемешивали при температуре окружающей среды в течение ночи. Реакционную смесь распределяли между дихлорметаном и насыщенным водным раствором бикарбоната натрия, и органическую фазу промывали соляным раствором, сушили (сульфат магния) и концентрировали в вакууме. Очистка с помощью автоматической колоночной флэш-хроматографии (CombiFlash Rf, 12 г силикагелевый картридж RediSep™) с элюированием с градиентом 0 - 6% метанола в дихлорметане приводила к получению целевого продукта в виде желтого стеклообразного вещества (40 мг, 0.08 ммоль, 90%).

ЖХ/МС (C23H26N6O3S2) 499 [М+Н]+; RT 1.25 (ЖХМС-V-B1)

1Н ЯМР (400 МГц, ДМСО-d6) δ 11.11 (br s, 1Н), 7.93 (br s, 1H), 7.69 (s, 1H), 7.58 (br s, 1H), 7.39 (t, J=7.5 Гц, 1H), 7.22 (t, 1H), 4.29 (q, J=7.1 Гц, 2H), 3.77 (s, 3H), 3.39 (t, J=6.3 Гц, 2H), 3.27 (s, 3H), 3.18 - 3.10 (m, 2H), 2.47 (s, 3H), 1.94 -1.82 (m, 2H), 1.33 (t, J=7.1 Гц, 3Н).

Стадия D: 2-({6-[(1,3-бензотиазол-2-ил)амино]-5-метилпиридазин-3-ил}(метил)амино)-5-(3-метоксипропил)-1,3-тиазол-4-карбоновая кислота

К раствору продукта со Стадии С (40 мг, 0.08 ммоль, 1 экв.) в 1,4-диоксане (3 мл) добавляли моногидрат гидроксида лития (16.8 мг, 0.4 ммоль, 5 экв.), и смесь нагревали с обратным холодильником в течение 5 ч. Реакционной смеси давали охладиться до температуры окружающей среды, концентрировали в вакууме, растирали с водой и твердые вещества собирали путем фильтрования. Твердое вещество суспендировали в 1,4-диоксане (4 мл) и затем добавляли хлористоводородную кислоту (4М в 1,4-диоксане; 0.5 мл). Суспензию перемешивали при температуре окружающей среды в течение 2 ч, затем центрифугировали и растворитель удаляли декантированием. Твердое вещество промывали 1,4-диоксаном (2×2 мл), затем снова центрифугировали и растворитель удаляли декантированием. Твердое вещество в заключение растирали с водой, отфильтровывали и сушили в вакууме с получением целевого продукта в виде не совсем белого твердого вещества (28.4 мг, 0.06 ммоль, 75%) [в виде соли с хлористоводородной кислотой].

МСВР-ЭРИ (m/z) [М+Н]+, рассчитано для C21H23N6O3S2: 471.1268, найдено: 471.1271.

Пример 61: 2-({6-[(1,3-Бензотиазол-2-ил)амино]-5-метилпиридазин-3-ил}(метил)амино)-5-[3-(циклогексилокси)пропил]-1,3-тиазол-4-карбоновая кислота

Стадия А: этил 5-[3-(циклогексилокси)проп-1-ин-1-ил]-2-[метил(5-метил-6-{[(2Z)-3-{[2-(триметилсилил)этокси]метил}-2,3-дигидро-1,3-бензотиазол-2-илиден]амино}пиридазин-3-ил)амино]-1,3-тиазол-4-карбоксилат

Тетракис(трифенилфосфин)палладий(0) (36.4 мг, 0.04 ммоль, 0.1 экв.) в атмосфере азота добавляли к перемешиваемому раствору продукта Синтеза 11b (200 мг, 0.31 ммоль, 1 экв.), (проп-2-ин-1-илокси)циклогексана (120 мг, 0.86 ммоль, 2.76 экв.), триэтиламина (0.26 мл, 1.88 ммоль, 6 экв.) и йодида меди(I) (12 мг, 0.06 ммоль, 0.2 экв.) в диметилформамиде (6 мл), и смесь нагревали при 100°С в течение ночи. Реакционной смеси давали охладиться до температуры окружающей среды, затем разбавляли этилацетатом, промывали водой (х2) с последующим промыванием соляным раствором, сушили (сульфат магния) и концентрировали в вакууме. Очистка с помощью автоматической колоночной флэш-хроматографии (CombiFlash Rf, 12 г силикагелевый картридж RediSep™) с элюированием с градиентом 0 - 70% этилацетата в изогептане приводила к получению целевого продукта в виде кремового твердого вещества (50 мг, 0.07 ммоль, 23%).

ЖХ/МС (C34H44N6O4SiS2) 693 [М+Н]+; RT 1.66 (ЖХМС-V-B1)

1Н ЯМР (400 МГц, ДМСО-d6) δ 7.85 (d, J=7.7 Гц, 1H), 7.75 (d, J=1.1 Гц, 1H), 7.52 - 7.39 (m, 2Н), 7.25 (td, J=7.5, 1.4 Гц, 1H), 5.88 (s, 2Н), 4.48 (s, 2Н), 4.30 (q, J=7.1 Гц, 2Н), 3.82 (s, 3Н), 3.72 (t, 2Н), 3.57 - 3.49 (m, 1Н), 2.48 (d, J=1.0 Гц, 3Н), 1.95 - 1.86 (m, 2Н), 1.73 - 1.65 (m, 2Н), 1.55 - 1.46 (m, 2Н), 1.32 (t, 3Н), 1.32 - 1.22 (m, 4Н), 0.92 (dd, J=8.5, 7.5 Гц, 2Н), 0.00 (s, 9Н).

Стадия В: этил 5-{3-(циклогексилокси)пропил]-2-[метил(5-метил-6-{[(2Z)-3-{[2-(триметилсилил)этокси]метил}-2,3-дигидро-1,3-бензотиазол-2-илиден]амино}пиридазин-3-ил)амино]-1,3-тиазол-4-карбоксилат

Суспензию продукта со Стадии А (50 мг, 0.07 ммоль, 1 экв.) в 1:1 смеси этилацетат/метанол (6 мл) загружали в колбу, содержащую оксид платины(IV) (21.6 мг, 0.01 ммоль, 0.1 экв.) в атмосфере азота. Сосуд вакуумировали и снова заполняли азотом (х3), затем вакуумировали, создавали атмосферу водорода и встряхивали в течение 18 ч. Реакционную смесь фильтровали через целит (2.5 г), элюировали этилацетатом и метанолом, и растворитель удаляли в вакууме. Очистка с помощью автоматической колоночной флэш-хроматографии (CombiFlash Rf, 12 г силикагелевый картридж RediSep™) с элюированием с градиентом 0-60% этилацетата в изогептане приводила к получению целевого продукта в виде бесцветного стеклообразного вещества (42.2 мг, 0.06 ммоль, 84%).

ЖХ/МС (C34H48N6O4SiS2) 697 [М+Н]+; RT 1.71 (ЖХМС-V-B1)

1H ЯМР (400 МГц, ДМСО-d6) δ 7.82 (d, J=7.5 Гц, 1Н), 7.67 (d, J=1.1 Гц, 1Н), 7.50-7.41 (m, 2H), 7.28-7.23 (m, 1Н), 5.87 (s, 2H), 4.28 (q, J=7.1 Гц, 2Н), 3.77 (s, 3Н), 3.72 (t, 2H), 3.45 (t, J=6.1 Гц, 2H), 3.27-3.20 (m, 1H), 3.18-3.11 (m, 2H), 2.46 (d, J=1.0 Гц, 3Н), 1.90-1.79 (m, 4H), 1.72-1.62 (m, 2H), 1.51-1.42 (m, 2H), 1.31 (t, J=7.1 Гц, 3Н), 1.28-1.17 (m, 5H), 0.96-0.89 (m, 2H), 0.00 (s, 9H).

Стадия С: этил 2-({6-{(1,3-бензотиазол-2-ил)амино]-5-метилпиридазин-3-ил}(метил)амино)-5-[3-(циклогексилокси)пропил]-1,3-тиазол-4-карбоксилат

Трифторуксусную кислоту (0.6 мл, 8.06 ммоль, 134 экв.) добавляли к перемешиваемому раствору продукта со Стадии В (42 мг, 0.06 ммоль, 1 экв.) в дихлорметане (3 мл), и смесь перемешивали при температуре окружающей среды в течение ночи. Реакционную смесь распределяли между дихлорметаном и насыщенным водным раствором бикарбоната натрия, и органическую фазу промывали соляным раствором, сушили (сульфат магния) и концентрировали в вакууме. Очистка с помощью обращенно-фазовой автоматической флэш-хроматографии (CombiFlash Rf, С18 13 г колонка RediSep) с элюированием с градиентом 5-95% ацетонитрила (рН 4; муравьиная кислота) в воде (рН 4; муравьиная кислота) приводила к получению целевого продукта в виде желтого стеклообразного вещества (19.6 мг, 0.03 ммоль, 57%).

ЖХ/МС (C28H34N6O3S2) 567 [М+Н]+; RT 1.43 (ЖХМС-V-B1)

1H ЯМР (400 МГц, ДМСО-d6) δ 11.085 (br s, 1H), 7.90 (s, 1H), 7.68 (s, 1H), 7.60 (br s, 1H), 7.38 (t, 1H), 7.22 (t, 1H), 4.29 (q, J=7.1 Гц, 2H), 3.77 (s, 3H), 3.46 (t, J=6.2 Гц, 2Н), 3.28-3.20 (m, 1H), 3.15 (t, 2H), 2.47 (s, 3H), 1.92-1.81 (m, 4H), 1.73-1.62 (m, 2H), 1.52-1.43 (m, 2H), 1.32 (t, 3H), 1.29-1.15 (m, 4H).

Стадия D: 2-({6-[(1,3-бензотиазол-2-ил)амино]-5-метилпиридазин-3-ил}(метил)амино)-5-{3-(циклогексилокси)пропил]-1,3-тиазол-4-карбоновая кислота

К раствору продукта со Стадии С (19.6 мг, 0.03 ммоль, 1 экв.) в 1,4-диоксане (4 мл) добавляли моногидрат гидроксида лития (7.26 мг, 0.17 ммоль, 5 экв.), и смесь нагревали при 100°С в течение 6.5 ч, затем давали охладиться до температуры окружающей среды и концентрировали в вакууме. Остаток растирали с водой, отфильтровывали и сушили в вакууме с получением целевого продукта в виде желтого твердого вещества (11 мг, 0.02 ммоль, 59%) [в виде соли лития].

МСВР-ЭРИ (m/z) [M+H]+, рассчитано для C26H31N6O3S2: 539.1894, найдено: 539.1895.

Пример 62: 2-({6-[(1,3-Бензотиазол-2-ил)амино]-5-циклопропилпиридазин-3-ил}(метил)амино)-5-(3-{4-[3-(диметиламино)проп-1-ин-1-ил]-2-фторфенокси}пропил)-1,3-тиазол-4-карбоновая кислота

Стадия А: этил 2-[(5-циклопропил-6-{[(2Z)-3-{[2-(триметилсилил)этокси]метил}-2,3-дигидро-1,3-бензотиазол-2-илиден]амино}пиридазин-3-ил)(метил)амино]-5-(3-гидроксипроп-1-ин-1-ил)-1,3-тиазол-4-карбоксилат

Тетракис(трифенилфосфин)палладий(0) (422 мг, 0.36 ммоль, 0.1 экв.) в атмосфере азота добавляли к перемешиваемому раствору продукта Синтеза 11d (2.42 г, 3.65 ммоль, 1 экв.), пропаргилового спирта (0.86 мл, 14.6 ммоль, 4 экв.), триэтиламина (3.04 мл, 21.9 ммоль, 6 экв.) и йодида меди(I) (139 мг, 0.72 ммоль, 0.2 экв.) в диметилформамиде (50 мл), и смесь нагревали при 100°С в течение ночи. Реакционной смеси давали охладиться до температуры окружающей среды, затем концентрировали в вакууме. Очистка с помощью автоматической колоночной флэш-хроматографии (CombiFlash Rf, 80 г силикагелевый картридж RediSep™) с элюированием с градиентом 0-100% этилацетата в изогептане приводила к получению целевого продукта в виде кремового твердого вещества (0.91 г, 1.43 ммоль, 39%).

ЖХ/МС (C30H36N6O4SiS2) 637 [М+Н]+; RT 1.44 (ЖХМС-V-B1)

1H ЯМР (400 МГц, ДМСО-d6) δ 11.18 (br s, 1H), 7.87 (d, 1H), 7.50-7.40 (m, 2H), 7.26 (td, 1H), 7.11 (s, 1H), 6.00 (d, J=10.2 Гц, 2H), 5.88 (s, 2H), 5.43 (t, 1H), 4.39 (d, J=5.9, 0.8 Гц, 2H), 4.30 (q, J=7.1 Гц, 2H), 3.82 (s, 3H), 3.75-3.67 (m, 2H), 2.72-2.62 (m, 1H), 1.32 (t, J=7.1 Гц, 3H), 1.22-1.12 (m, 2H), 1.12-1.06 (m, 2H), 0.94-0.85 (m, 2H), 0.00 (s, 9H).

Стадия В: этил 2-[(5-циклопропил-6-{[(2Z)-3-{[2-(триметилсилил)этокси]метил}-2,3-дигидро-1,3-бензотиазол-2-илиден]амино}пиридазин-3-ил)(метил)амино]-5-(3-гидроксипропил)-1,3-тиазол-4-карбоксилат

Суспензию продукта со Стадии А (913 мг, 1.43 ммоль, 1 экв.) в 1:1 смеси этилацетат/метанол (40 мл) загружали в колбу, содержащую оксид платины(IV) (32.6 мг, 0.14 ммоль, 0.1 экв.) в атмосфере азота. Сосуд вакуумировали и снова заполняли азотом (х3), затем вакуумировали, создавали атмосферу водорода и встряхивали в течение 3.5 ч. Реакционную смесь фильтровали через целит (10 г), элюировали метанолом, и растворитель удаляли в вакууме. Очистка с помощью автоматической колоночной флэш-хроматографии (CombiFlash Rf, 12 г силикагелевый картридж RediSep™) с элюированием с градиентом 0-70% этилацетата в изогептане приводила к получению целевого продукта в виде кремовой пены (762 мг, 1.19 ммоль, 83%).

ЖХ/МС (C30H40N6O4SiS2) 641 [М+Н]+; RT 1.44 (ЖХМС-V-B1)

1H ЯМР (400 МГц, ДМСО-d6) δ 7.85 (dd, J=7.5, 1.0 Гц, 1H), 7.49-7.39 (m, 2H), 7.28-7.22 (m, 1H), 7.07 (s, 1H), 5.87 (s, 2H), 4.56 (t, J=5.1, 3.1 Гц, 1Н), 4.28 (q, J=7.1 Гц, 3H), 3.76 (s, 3H), 3.75-3.66 (m, 2H), 3.48 (q, 2H), 3.17-3.07 (m, 2H), 2.71-2.62 (m, 1H), 1.79 (p, 2H), 1.31 (t, J=7.1 Гц, 3H), 1.19-1.12 (m, 2H), 1.11-1.04 (m, 2H), 0.94-0.86 (m, 2H), 0.00 (s, 9H).

Стадия С: этил 2-[(5-циклопропил-6-{[(2Z)-3-{[2-(триметилсилил)этокси]метил}-2,3-дигидро-1,3-бензотиазол-2-илиден]амино}пиридазин-3-ил)(метил)амино]-5-(3-йодпропил)-1,3-тиазол-4-карбоксилат

К перемешиваемому раствору продукта со Стадии В (762 мг, 1.19 ммоль, 1 экв.) в 10:3 смеси диэтиловый эфир/ацетонитрил (26 мл) добавляли имидазол (122 мг, 1.78 ммоль, 1.5 экв.), трифенилфосфин (468 мг, 1.78 ммоль, 1.5 экв.) и йод (453 мг, 1.78 ммоль, 1.5 экв.), и смесь перемешивали при температуре окружающей среды в течение ночи. Реакционную смесь разбавляли этилацетатом, промывали 10% водным раствором тиосульфата натрия с последующим промыванием водой, затем соляным раствором, сушили (сульфат магния) и концентрировали в вакууме. Очистка с помощью автоматической колоночной флэш-хроматографии (CombiFlash Rf, 40 г силикагелевый картридж RediSep™) с элюированием с градиентом 0-60% этилацетата в изогептане приводила к получению целевого продукта в виде кремовой пены (613 мг, 0.82 ммоль, 69%).

ЖХ/МС (C30H39IN6O3SiS2) 751 [М+Н]+; RT 1.62 (ЖХМС-V-B1)

1H ЯМР (400 МГц, ДМСО-d6) δ 7.84 (dd, J=7.7, 1.0 Гц, 1H), 7.49-7.38 (m, 2H), 7.25 (ddd, J=8.2, 7.0, 1.5 Гц, 1H), 7.07 (s, 1H), 5.88 (s, 2H), 4.30 (q, J=7.1 Гц, 2H), 3.75 (s, 3H), 3.74-3.65 (m, 2H), 3.38-3.29 (m, 2H), 3.17 (t, J=6.8 Гц, 2H), 2.70-2.60 (m, 1H), 2.14 (p, 2H), 1.32 (t, J=7.1 Гц, 3H), 1.20-1.11 (m, 2H), 1.10-1.04 (m, 2H), 0.95-0.85 (m, 2H), 0.00 (s, 9H).

Стадия D: этил 2-[(5-циклопропил-6-{[(2Z)-3-{[2-(триметилсилил)этокси]метил}-2,3-дигидро-1,3-бензотиазол-2-илиден]амино}пиридазин-3-ил)(метил)амино]-5-(3-{4-[3-(диметиламино)проп-1-ин-1-ил]-2-фторфенокси}пропил)-1,3-тиазол-4-карбоксилат

Гидрид натрия (60% в минеральном масле; 65.3 мг, 1.63 ммоль, 2 экв.) добавляли к раствору продукта Синтеза 6b (189 мг, 0.98 ммоль, 1.2 экв.) в диметилформамиде (10 мл). Через 10 мин реакционную смесь охлаждали до 0°С и добавляли раствор продукта со Стадии С (613 мг, 0.82 ммоль, 1 экв.) в диметилформамиде (10 мл). Смеси давали нагреться до температуры окружающей среды и перемешивали в течение 3.5 ч. Реакционную смесь гасили путем добавления воды, подкисляли 2 н. водным раствором хлористоводородной кислоты и экстрагировали дихлорметаном (х2). Объединенные органические экстракты промывали соляным раствором; сушили (сульфат магния) и концентрировали в вакууме. Очистка с помощью автоматической колоночной флэш-хроматографии (CombiFlash Rf, 24 г силикагелевый картридж RediSep™) с элюированием с градиентом 0-10% метанола в дихлорметане приводила к твердому веществу, которое дополнительно очищали с помощью препаративной ВЭЖХ (метод ВЭЖХ-V-A1) с получением целевого продукта в виде не совсем белого твердого вещества (283 мг, 0.35 ммоль, 43%).

ЖХ/МС (C41H50FN7O4SiS2) 816 [М+Н]+; RT 1.41 (ЖХМС-V-B1)

1H ЯМР (400 МГц, ДМСО-d6) δ 8.35 (s, 1Н), 7.82 (d, 1H), 7.48-7.39 (m, 2H), 7.33-7.11 (m, 3Н), 7.06 (s, 1H), 5.86 (s, 2H), 4.25 (q, J=7.1 Гц, 2Н), 4.13 (t, J=6.2 Гц, 2H), 3.75 (s, 3Н), 3.70 (t, 2H), 3.37 (s, 2H), 3.25 (t, J=7.6 Гц, 2Н), 2.69-2.59 (m, 1H), 2.19 (s, 6H), 2.10 (p, J=6.3 Гц, 2H), 1.28 (t, J=7.1 Гц, 3Н), 1.19-1.11 (m, 2H), 1.10-1.02 (m, 2H), 0.89 (dd, J=8.7, 7.4 Гц, 2H), 0.00 (s, 9H).

Стадия Е: этил 2-({6-[(1,3-бензотиазол-2-ил)амино]-5-циклопропилпиридазин-3-ил}(метил)амино)-5-(3-{4-[3-(диметиламино)проп-1-ин-1-ил]-2-фторфенокси}пропил)-1,3-тиазол-4-карбоксилат

Трифторуксусную кислоту (4 мл, 53.7 ммоль, 155 экв.) добавляли к перемешиваемому раствору продукта со Стадии D (283 мг, 0.35 ммоль, 1 экв.) в дихлорметане (10 мл), и смесь перемешивали при температуре окружающей среды в течение ночи. Реакционную смесь распределяли между дихлорметаном и насыщенным водным раствором бикарбоната натрия, промывали соляным раствором, сушили (сульфат магния) и концентрировали в вакууме. Очистка с помощью обращенно-фазовой автоматической флэш-хроматографии (CombiFlash Rf, С18 13 г колонка RediSep) с элюированием с градиентом 5-95% ацетонитрила (рН 4; муравьиная кислота) в воде (рН 4; муравьиная кислота) приводила к получению целевого продукта в виде желтого стеклообразного вещества (56.5 мг, 0.08 ммоль, 24%).

ЖХ/МС (C35H36FN7O3S2) 686 [М+Н]+; RT 1.12 (ЖХМС-V-B1)

1H ЯМР (400 МГц, ДМСО-d6) δ 11.71 (br s, 1Н), 7.89 (d, 1Н), 7.50 (d, J=8.0 Гц, 1Н), 7.39 (ddd, J=8.2, 7.3, 1.3 Гц, 1Н), 7.31 (dd, J=12.0, 2.0 Гц, 1Н), 7.27-7.10 (m, 4H), 4.26 (q, J=7.1 Гц, 2H), 4.15 (t, J=6.2 Гц, 2H), 3.77 (s, 3H), 3.40 (s, 2H), 3.30-3.24 (m, 2H), 2.49-2.45 (m, 1Н), 2.21 (s, 6H), 2.13 (p, J=6.3 Гц, 2Н), 1.30 (t, J=7.1 Гц, 2H), 1.20-1.10 (m, 2H), 1.06-0.99 (m, 2H).

Стадия F: 2-({6-{(1,3-бензотиазол-2-ил)амино]-5-циклопропилпиридазин-3-ил}(метил)амино)-5-(3-{4-[3-(диметиламино)проп-1-ин-1-ил]-2-фторфенокси}пропил)-1,3-тиазол-4-карбоновая кислота

К раствору продукта со Стадии Е (56.5 мг, 0.08 ммоль, 1 экв.) в 1,4-диоксане (4 мл) добавляли моногидрат гидроксида лития (17.3 мг, 0.41 ммоль, 5 экв.), и смесь нагревали при 100°С в течение 6.5 ч. Реакционной смеси давали охладиться до температуры окружающей среды и концентрировали в вакууме. Остаток растирали с водой, отфильтровывали и сушили в вакууме с получением целевого продукта в виде желтого твердого вещества (46.5 мг, 0.07 ммоль, 86%) [в виде соли лития].

МСВР-ЭРИ (m/z) [М+Н]+, рассчитано для C33H33FN7O3S2: 658.2065, найдено: 658.2070.

Пример 63: 2-({6-[(1,3-Бензотиазол-2-ил)амино]-5-метилпиридазин-3-ил}(метил)амино)-5-(3-феноксипропил)-1,3-тиазол-4-карбоновая кислота

Стадия A: этил 2-{метил(5-метил-6-{[(2Z)-3-{{2-(триметилсилил)этокси]метил}-2,3-дигидро-1,3-бензотиазол-2-илиден]амино}пиридазин-3-ил)амино]-5-(3-феноксипроп-1-ин-1-ил)-1,3-тиазол-4-карбоксилат

Тетракис(трифенилфосфин)палладий(0) (85.2 мг, 0.08 ммоль, 0.1 экв.) в атмосфере азота добавляли к перемешиваемому раствору продукта Синтеза 11b (469 мг, 0.74 ммоль, 1 экв.), фенилпропаргилового эфира (0.38 мл, 2.96 ммоль, 4 экв.), триэтиламина (0.62 мл, 4.42 ммоль, 6 экв.) и йодида меди(I) (28.1 мг, 0.14 ммоль, 0.2 экв.) в диметилформамиде (12 мл), и смесь нагревали при 100°С в течение ночи. Реакционной смеси давали охладиться до температуры окружающей среды и концентрировали в вакууме. Очистка с помощью автоматической колоночной флэш-хроматографии (CombiFlash Rf, 40 г силикагелевый картридж RediSep™) с элюированием с градиентом 0-100% этилацетата в изогептане приводила к получению целевого продукта в виде коричневой пены (296 мг, 0.43 ммоль, 58%).

ЖХ/МС (C34H38N6O4SiS2) 687 [М+Н]+; RT 1.57 (ЖХМС-V-B1)

1H ЯМР (400 МГц, ДМСО-d6) δ 7.87 (dd, J=7.8, 1.0 Гц, 1Н), 7.74 (d, J=1.1 Гц, 1Н), 7.51-7.42 (m, 2H), 7.38-7.33 (m, 2H), 7.26 (ddd, J=9.2, 5.5, 1.5 Гц, 1Н), 7.10-7.06 (m, 2H), 7.00 (tt, J=7.4, 1.1 Гц, 1Н), 5.87 (s, 2H), 5.15 (s, 2H), 4.26 (q, J=7.1 Гц, 2H), 3.83 (s, 3H), 3.76-3.70 (m, 2H), 2.47 (d, J=1.0 Гц, 3Н), 1.28 (t, J=7.1 Гц, 3Н), 0.97-0.88 (m, 2H), 0.00 (s, 9H).

Стадия В: этил 2-{метил(5-метил-6-{{(2Z)-3-{{2-(триметилсилил)этокси]метил}-2,3-дигидро-1,3-бензотиазол-2-илиден]амино}пиридазин-3-ил)амино]-5-(3-феноксипропил)-1,3-тиазол-4-карбоксилат

Суспензию продукта со Стадии А (296 мг, 0.43 ммоль, 1 экв.) в 1:1 смеси этилацетат/метанол (10 мл) загружали в колбу, содержащую оксид платины(IV) (9.78 мг, 0.04 ммоль, 0.1 экв.) в атмосфере азота. Сосуд вакуумировали и снова заполняли азотом (х3), затем вакуумировали, создавали атмосферу водорода и встряхивали в течение ночи. Реакционную смесь фильтровали через целит (2.5 г), элюировали метанолом, и растворитель удаляли в вакууме. Очистка с помощью автоматической колоночной флэш-хроматографии (CombiFlash Rf, 12 г силикагелевый картридж RediSep™) с элюированием с градиентом 0-40% этилацетата в изогептане приводила к получению целевого продукта в виде коричневой смолы (148 мг, 0.21 ммоль, 50%).

ЖХ/МС (C34H42N6O4SiS2) 691 [М+Н]+; RT 1.59 (ЖХМС-V-B1)

1H ЯМР (400 МГц, ДМСО-d6) δ 7.84 (d, J=7.7 Гц, 1Н), 7.67 (d, J=1.2 Гц, 1Н), 7.51-7.40 (m, 2H), 7.33-7.22 (m, 3Н), 7.05-6.88 (m, 3Н), 5.76 (s, 2H), 4.26 (q, 2H), 4.04 (t, J=6.2 Гц, 2H), 3.78 (s, H), 3.73 (t, 2H), 3.33-3.22 (m, 2H), 2.46 (s, 3Н), 2.11 (р, 1Н), 1.30 (t, J=7.1 Гц, 3Н), 0.93 (t, J=8.0 Гц, 2H), 0.00 (s, 9H).

Стадия С: этил 2-({6-[(1,3-бензотиазол-2-ил)амино]-5-метилпиридазин-3-ил}(метил)амино)-5-(3-феноксипропил)-1,3-тиазол-4-карбоксилат

Хлористоводородную кислоту (4М в 1,4-диоксане; 3 мл) медленно добавляли к раствору продукта со Стадии В (148 мг, 0.21 ммоль, 1 экв.) в тетрагидрофуране (5 мл), и смесь перемешивали при температуре окружающей среды в течение ночи. Реакционную смесь распределяли между этилацетатом и насыщенным водным раствором бикарбоната натрия, промывали соляным раствором, сушили (сульфат магния) и концентрировали в вакууме. Очистка с помощью обращенно-фазовой автоматической флэш-хроматографии (CombiFlash Rf, С18 13 г колонка RediSep) с элюированием с градиентом 5-95% ацетонитрила (рН 4; муравьиная кислота) в воде (рН 4; муравьиная кислота) приводила к получению целевого продукта в виде желтого стеклообразного вещества (46.7 мг, 0.08 ммоль, 39%).

ЖХ/МС (C28H28N6O3S2) 561 [М+Н]+; RT 1.37 (ЖХМС-V-B1)

1H ЯМР (400 МГц, ДМСО-d6) δ 11.07 (br s, 1H), 8.01-7.81 (m, 2H), 7.69 (s, 1H), 7.39 (t, 1H), 7.35-7.26 (m, 2H), 7.25-7.19 (m, 1H), 7.00-6.88 (m, 3H), 4.28 (q, J=7.1 Гц, 2H), 4.05 (t, J=6.2 Гц, 2H), 3.78 (s, 3H), 3.34-3.24 (m, 2H), 2.47 (s, 3H), 2.21-1.99 (m, 2H), 1.31 (t, J=7.1 Гц, 3Н).

Стадия D: 2-({6-[(1,3-бензотиазол-2-ил)амино]-5-метилпиридазин-3-ил}(метил)амино)-5-(3-феноксипропил)-1,3-тиазол-4-карбоновая кислота

К раствору продукта со Стадии С (46.7 мг, 0.08 ммоль, 1 экв.) в 1,4-диоксане (4 мл) добавляли моногидрат гидроксида лития (17.5 мг, 0.42 ммоль, 5 экв.), и смесь нагревали при 100°С в течение 6 ч. Реакционной смеси давали охладиться до температуры окружающей среды и концентрировали в вакууме. Остаток растирали с водой, отфильтровывали и сушили в вакууме с получением целевого продукта в виде желтого твердого вещества (28.7 мг, 0.05 ммоль, 65%) [в виде соли лития].

МСВР-ЭРИ (m/z) [M-H]-, рассчитано для C26H23N6O3S2: 531.1279, найдено: 531.1285.

Пример 64: 2-({6-[(1,3-Бензотиазол-2-ил)амино]-5-метилпиридазин-3-ил}(3-метоксипропил)амино)-5-(3-метоксипропил)-1,3-тиазол-4-карбоновая кислота

Стадия А: этил 5-(3-метоксипроп-1-ин-1-ил)-2-[(3-метоксипропил)(5-метил-6-{[(2Z)-3-{[2-(триметилсилил)этокси]метил}-2,3-дигидро-1,3-бензотиазол-2-илиден]амино}пиридазин-3-ил)амино]-1,3-тиазол-4-карбоксилат

Тетракис(трифенилфосфин)палладий(0) (83.3 мг, 0.08 ммоль, 0.1 экв.) в атмосфере азота добавляли к перемешиваемому раствору продукта Синтеза 11 с (500 мг, 0.72 ммоль, 1 экв.), метилпропаргилового эфира (0.24 мл, 2.88 ммоль, 4 экв.), триэтиламина (0.6 мл, 4.32 ммоль, 6 экв.) и йодида меди(I) (27.5 мг, 0.14 ммоль, 0.2 экв.) в диметилформамиде (10 мл), и смесь нагревали при 100°С в течение ночи. Реакционной смеси давали охладиться до температуры окружающей среды, затем концентрировали в вакууме. Очистка с помощью автоматической колоночной флэш-хроматографии (CombiFlash Rf, 40 г силикагелевый картридж RediSep™) с элюированием с градиентом 0-80% этилацетата в изогептане приводила к получению целевого продукта в виде коричневой смолы (337 мг, 0.49 ммоль, 68%).

ЖХ/МС (C32H42N6O5SiS2) 683 [М+Н]+; RT 1.57 (ЖХМС-V-B1)

1H ЯМР (400 МГц, ДМСО-d6) δ 7.87 (dd, J=7.4, 1.1 Гц, 1Н), 7.73 (d, J=1.1 Гц, 1Н), 7.51-7.42 (m, 2H), 7.26 (dt, 1Н), 5.87 (s, 2H), 4.51-4.44 (m, 2H), 4.43 (s, 2H), 4.30 (q, J=7.1 Гц, 2H), 3.72 (t, 2H), 3.42 (t, J=5.9 Гц, 2H), 3.37 (s, 3H), 3.23 (s, 3H), 2.48 (d, J=0.9 Гц, 3H), 1.99 (p, J=6.6 Гц, 2H), 1.32 (t, J=7.1 Гц, 3H), 0.92 (t, J=8.6, 7.4 Гц, 2H), 0.00 (s, 9H).

Стадия В: этил 5-(3-метоксипропил)-2-[(3-метоксипропил)(5-метил-6-{[(2Z)-3-{[2-(триметилсилил)этокси]метил}-2,3-дигидро-1,3-бензотиазол-2-илиден]амино}пиридазин-3-ил)амино]-1,3-тиазол-4-карбоксилат

Суспензию продукта со Стадии А (337 мг, 0.49 ммоль, 1 экв.) в 1:1 смеси этилацетат/метанол (10 мл) загружали в колбу, содержащую оксид платины(IV) (11.2 мг, 0.05 ммоль, 0.1 экв.) в атмосфере азота. Сосуд вакуумировали и снова заполняли азотом (х3), затем вакуумировали, создавали атмосферу водорода и встряхивали в течение ночи. Реакционную смесь фильтровали через целит (2.5 г), элюировали этилацетатом, затем метанолом, и растворитель удаляли в вакууме. Очистка с помощью автоматической колоночной флэш-хроматографии (CombiFlash Rf, 12 г силикагелевый картридж RediSep™) с элюированием с градиентом 0-3% метанола в дихлорметане приводила к получению целевого продукта в виде желтой смолы (286 мг, 0.42 ммоль, 84%).

ЖХ/МС (C32H46N6O5SiS2) 687 [М+Н]+; RT 1.58 (ЖХМС-V-B1)

1H ЯМР (400 МГц, ДМСО-d6) δ 7.85 (d, 1Н), 7.66 (s, 1H), 7.49-7.41 (m, 2H), 7.29-7.22 (m, 1H), 5.86 (s, 2H), 4.39 (t, J=7.2 Гц, 2Н), 4.28 (q, J=7.1 Гц, 2Н), 3.77-3.68 (m, 2H), 3.48-3.36 (m, 4H), 3.27 (s, 3H), 3.24 (s, 3H), 3.16-3.09 (m, 2H), 2.46 (s, 3H), 2.02-1.93 (m, 2H), 1.92-1.82 (m, 2H), 1.31 (t, J=7.1 Гц, 3H), 0.97-0.88 (m, 2H), 0.00 (s, 9H).

Стадия С: этил 2-({6-[(1,3-бензотиазол-2-ил)амино]-5-метилпиридазин-3-ил}(3-метоксипропил)амино)-5-(3-метоксипропил)-1,3-тиазол-4-карбоксилат

Хлористоводородную кислоту (4М в 1,4-диоксане; 5 мл, 20 ммоль, 48 экв.) добавляли к перемешиваемому раствору продукта со Стадии В (286 мг, 0.42 ммоль, 1 экв.) в 1,4-диоксане (2 мл), и смесь перемешивали при температуре окружающей среды в течение ночи. Реакционную смесь распределяли между этилацетатом и насыщенным водным раствором бикарбоната натрия, промывали соляным раствором, сушили (сульфат магния) и концентрировали в вакууме. Очистка с помощью обращенно-фазовой автоматической флэш-хроматографии (CombiFlash Rf, C18 13 г колонка RediSep) с элюированием с градиентом 5-95% ацетонитрила (рН 4; муравьиная кислота) в воде (рН 4; муравьиная кислота) приводила к получению целевого продукта в виде желтой пены (162 мг, 0.29 ммоль, 70%).

ЖХ/МС (C26H32N6O4S2) 557 [М+Н]+; RT 1.28 (ЖХМС-V-B1)

1H ЯМР (400 МГц, ДМСО-d6) δ 11.06 (br s, 1H), 7.94 (s, 1H), 7.67 (br s + s, 2H), 7.40 (t, J=7.5 Гц, 1H), 7.22 (s, 1H), 4.39 (t, J=7.2 Гц, 2H), 4.29 (q, J=7.1 Гц, 2H), 3.49-3.37 (m, 4H), 3.28 (s, 3H), 3.25 (s, 3H), 3.14 (dd, J=8.7, 6.7 Гц, 2H), 2.47 (s, 3H), 2.03-1.93 (m, 2H), 1.96-1.82 (m, 2H), 1.32 (t, J=7.1 Гц, 3Н).

Стадия D: 2-({6-{(1,3-бензотиазол-2-ил)амино]-5-метилпиридазин-3-ил}(3-метоксипропил)амино)-5-(3-метоксипропил)-1,3-тиазол-4-карбоновая кислота

К раствору продукта со Стадии С (162 мг, 0.29 ммоль, 1 экв.) в 1,4-диоксане (4 мл) добавляли моногидрат гидроксида лития (60.9 мг, 1.45 ммоль, 5 экв.), и смесь нагревали с обратным холодильником в течение 7 ч. Реакционной смеси давали охладиться до температуры окружающей среды и концентрировали в вакууме, затем растворяли в воде, подкисляли 2 н. водным раствором хлористоводородной кислоты и повторно упаривали. Остаток растирали с водой, отфильтровывали и сушили в вакууме с получением целевого продукта в виде бежевого твердого вещества (87.8 мг, 0.17 ммоль, 57%) [в виде соли с хлористоводородной кислотой].

МСВР-ЭРИ (m/z) [M+H]+, рассчитано для c24h29n6o4s2: 529.1686, найдено: 529.1685.

Пример 65: 2-({6-[(1,3-Бензотиазол-2-ил)амино]-5-метилпиридазин-3-ил}(3-метоксипропил)амино)-5-(3-феноксипропил)-1,3-тиазол-4-карбоновая кислота

Стадия А: этил 2-[(3-метоксипропил)(5-метил-6-{[(2Z)-3-{[2-(триметилсилил)этокси]метил}-2,3-дигидро-1,3-бензотиазол-2-илиден]амино}пиридазин-3-ил)амино]-5-(3-феноксипроп-1-ин-1-ил)-1,3-тиазол-4-карбоксилат

Тетракис(трифенилфосфин)палладий(0) (83.3 мг, 0.08 ммоль, 0.1 экв.) в атмосфере азота добавляли к перемешиваемому раствору продукта Синтеза 11с (500 мг, 0.72 ммоль, 1 экв.), фенилпропаргилового эфира (0.36 мл, 2.88 ммоль, 4 экв.), триэтиламина (0.6 мл, 4.32 ммоль, 6 экв.) и йодида меди(I) (27.5 мг, 0.14 ммоль, 0.2 экв.) в диметилформамиде (10 мл), и смесь нагревали при 100°С в течение ночи. Реакционной смеси давали охладиться до температуры окружающей среды и концентрировали в вакууме. Очистка с помощью автоматической колоночной флэш-хроматографии (CombiFlash Rf, 24 г силикагелевый картридж RediSep™) с элюированием с градиентом 0-100% этилацетата в изогептане приводила к получению целевого продукта в виде коричневой пены (356 мг, 0.48 ммоль, 66%).

ЖХ/МС (C37H44N6O5SiS2) 745 [М+Н]+; RT 1.67 (ЖХМС-V-B1)

1H ЯМР (400 МГц, ДМСО-d6) δ 7.87 (dd, J=7.9, 1.1 Гц, 1Н), 7.73 (s, 1H), 7.52-7.42 (m, 2H), 7.38-7.32 (m, 2H), 7.30-7.24 (m, 1H), 7.10-7.05 (m, 2H), 7.00 (tt, J=7.4, 1.1 Гц, 1H), 5.88 (s, 2H), 5.15 (s, 2H), 4.45 (t, J=7.1 Гц, 2Н), 4.25 (q, J=7.1 Гц, 2H), 3.77-3.67 (m, 2H), 3.41 (t, J=5.9 Гц, 2H), 3.21 (s, 2H), 2.47 (s, 3H), 1.98 (р, 2H), 1.28 (t, J=7.1 Гц, 3H), 0.92 (dd, J=8.5, 7.5 Гц, 2H), 0.00 (s, 9H).

Стадия В: этил 2-{(3-метоксипропил)(5-метил-6-{{(2Z)-3-{{2-(триметилсилил)этокси]метил}-2,3-дигидро-1,3-бензотиазол-2-илиден]амино}пиридазин-3-ил)амино]-5-(3-феноксипропил)-1,3-тиазол-4-карбоксилат

Суспензию продукта со Стадии А (356 мг, 0.48 ммоль, 1 экв.) в этилацетате (5 мл) загружали в колбу, содержащую оксид платины(IV) (10.8 мг, 0.05 ммоль, 0.1 экв.) в атмосфере азота. Сосуд вакуумировали и снова заполняли азотом (х3), затем вакуумировали, создавали атмосферу водорода и встряхивали в течение ночи. Реакционную смесь фильтровали через целит (2.5 г), элюировали этилацетатом и метанолом, растворитель удаляли в вакууме и сырой продукт очищали с помощью автоматической колоночной флэш-хроматографии (CombiFlash Rf, 12 г силикагелевый картридж RediSep™) с элюированием с градиентом 0-40% этилацетата в изогептане с получением целевого продукта в виде желтой смолы (286 мг, 0.38 ммоль, 80%).

ЖХ/МС (C37H48N6O5SiS2) 749 [М+Н]+; RT 1.66 (ЖХМС-V-B1)

1H ЯМР (400 МГц, ДМСО-d6) δ 7.84 (dd, J=7.7, 1.0 Гц, 1H), 7.66 (s, 1H), 7.50-7.40 (m, 2H), 7.32-7.23 (m, 3H), 6.98-6.88 (m, 3H), 5.88 (s, 2H), 4.40 (t, J=7.3 Гц, 2H), 4.26 (q, 2H), 4.05 (t, J=6.1 Гц, 2H), 3.78-3.68 (m, 2H), 3.42 (t, J=6.0 Гц, 2H), 3.31-3.26 (m, 2H), 3.23 (s, 3H), 2.46 (s, 3H), 2.17-2.06 (m, 2H), 2.03-1.92 (m, 2H), 1.30 (t, J=7.1, 5.2 Гц, 3H), 0.97-0.88 (m, 2H), 0.00 (s, 9H).

Стадия С: этил 2-({6-{(1,3-бензотиазол-2-ил)амино]-5-метилпиридазин-3-ил}(3-метоксипропил)амино)-5-(3-феноксипропил)-1,3-тиазол-4-карбоксилат

Хлористоводородную кислоту (4 М в 1,4-диоксане; 5 мл, 20 ммоль, 52 экв.) медленно добавляли к раствору продукта со Стадии В (286 мг, 0.38 ммоль, 1 экв.) в 1,4-диоксане (2 мл), и смесь перемешивали при температуре окружающей среды в течение ночи. Реакционную смесь распределяли между этилацетатом и насыщенным водным раствором бикарбоната натрия, и органическую фазу промывали соляным раствором, сушили (сульфат магния) и концентрировали в вакууме. Очистка с помощью обращенно-фазовой автоматической флэш-хроматографии (CombiFlash Rf, С18 13 г колонка RediSep) с элюированием с градиентом 5-95% ацетонитрила (рН 4; муравьиная кислота) в воде (рН 4; муравьиная кислота) приводила к получению целевого продукта в виде желтой пены (145 мг, 0.23 ммоль, 62%).

ЖХ/МС (C31H34N6O4S2) 619 [М+Н]+; RT 1.40 (ЖХМС-V-B1)

1H ЯМР (400 МГц, ДМСО-d6) δ 11.07 (br s, 1H), 7.95 (br s, 1H), 7.68 (br s + s, 2H), 7.40 (t, 1H), 7.29 (dd, J=8.8, 7.3 Гц, 2Н), 7.26-7.19 (m, 1H), 7.00-6.89 (m, 3Н), 4.39 (t, J=7.2 Гц, 2H), 4.27 (q, J=7.1 Гц, 2H), 4.05 (t, J=6.2 Гц, 2H), 3.44 (t, J=6.0 Гц, 2H), 3.33-3.27 (m, 2H), 3.25 (s, 3Н), 2.47 (s, 3H), 2.18-2.06 (m, 2H), 2.03-1.93 (m, 2H), 1.31 (t, J=7.1 Гц, 3Н).

Стадия D: 2-({6-{(1,3-бензотиазол-2-ил)амино]-5-метилпиридазин-3-ил}(3-метоксипропил)амино)-5-(3-феноксипропил)-1,3-тиазол-4-карбоновая кислота

К раствору продукта со Стадии С (145 мг, 0.23 ммоль, 1 экв.) в 1,4-диоксане (4 мл) добавляли моногидрат гидроксида лития (49.3 мг, 1.17 ммоль, 5 экв.), и смесь нагревали при 100°С в течение 7 ч. Реакционной смеси давали охладиться до температуры окружающей среды и концентрировали в вакууме, растирали с водой, отфильтровывали и сушили в вакууме с получением целевого продукта в виде коричневого твердого вещества (90.6 мг, 0.15 ммоль, 65%) [в виде соли лития].

МСВР-ЭРИ (m/z) [M+H]+, рассчитано для C29H31N6O4S2: 591.1843, найдено: 591.1843.

Пример 66: 2-({6-[(1,3-Бензотиазол-2-ил)амино]-5-метилпиридазин-3-ил}(3-метоксипропил)амино)-5-[3-(циклогексилокси)пропил]-1,3-тиазол-4-карбоновая кислота

Стадия А: этил 5-[3-(циклогексилокси)проп-1-ин-1-ил]-2-[(3-метоксипропил)(5-метил-6-{{(2Z)-3-{{2-(триметилсилил)этокси]метил}-2,3-дигидро-1,3-бензотиазол-2-илиден]амино}пиридазин-3-ил)амино]-1,3-тиазол-4-карбоксилат

Тетракис(трифенилфосфин)палладий(0) (83.3 мг, 0.08 ммоль, 0.1 экв.) в атмосфере азота добавляли к перемешиваемому раствору продукта Синтеза 11 с (500 мг, 0.72 ммоль, 1 экв.), (проп-2-ин-1-илокси)циклогексана (400 мг, 2.88 ммоль, 4 экв.), триэтиламина (0.60 мл, 4.32 ммоль, 6 экв.) и йодида меди(I) (27.5 мг, 0.14 ммоль, 0.2 экв.) в диметилформамиде (10 мл), и смесь нагревали при 100°С в течение ночи. Реакционной смеси давали охладиться до температуры окружающей среды и концентрировали в вакууме. Очистка с помощью автоматической колоночной флэш-хроматографии (CombiFlash Rf, 40 г силикагелевый картридж RediSep™) с элюированием с градиентом 0-70% этилацетата в изогептане приводила к получению целевого продукта в виде коричневой смолы (330 мг, 0.44 ммоль, 61%).

ЖХ/МС (C37H50N6O5SiS2) 751 [М+Н]+; RT 1.81 (ЖХМС-V-B1)

1H ЯМР (400 МГц, ДМСО-d6) δ 7.86 (d, 1Н), 7.73 (s, 1H), 7.51-7.39 (m, 2H), 7.27 (ddd, J=8.3, 7.1, 1.4 Гц, 1H), 5.88 (s, 2H), 4.50 (s, 2H), 4.46 (t, 2H), 4.30 (q, J=7.1 Гц, 2H), 3.73 (t, 2H), 3.60-3.50 (m, 1H), 3.42 (t, J=6.0 Гц, 2Н), 3.23 (s, 3Н), 2.48 (s, 3H), 1.98 (р, J=6.3 Гц, 2H), 1.94-1.86 (m, 2H), 1.75-1.63 (m, 2H), 1.54-1.45 (m, 2H), 1.36-1.17 (m, 7H), 0.92 (dd, J=8.4, 7.6 Гц, 2H), 0.00 (s, 9H).

Стадия В: этил 5-[3-(циклогексилокси)пропил]-2-[(3-метоксипропил)(5-метил-6-{[(2Z)-3-{[2-(триметилсилил)этокси]метил}-2,3-дигидро-1,3-бензотиазол-2-илиден]амино}пиридазин-3-ил)амино]-1,3-тиазол-4-карбоксилат

Суспензию продукта со Стадии А (330 мг, 0.44 ммоль, 1 экв.) в 1:1 смеси этилацетат/метанол (10 мл) загружали в колбу, содержащую оксид платины(IV) (9.98 мг, 0.04 ммоль, 0.1 экв.) в атмосфере азота. Сосуд вакуумировали и снова заполняли азотом (х3), затем вакуумировали, создавали атмосферу водорода и встряхивали в течение ночи. Реакционную смесь фильтровали через целит (2.5 г), элюировали этилацетатом и метанолом, и растворитель удаляли в вакууме. Очистка с помощью автоматической колоночной флэш-хроматографии (CombiFlash Rf, 12 г силикагелевый картридж RediSep™) с элюированием с градиентом 0-40% этилацетата в изогептане приводила к получению целевого продукта в виде желтой смолы (272 мг, 0.36 ммоль, 82%).

ЖХ/МС (C37H54N6O5SiS2) 755 [М+Н]+; RT 1.79 (ЖХМС-V-B1)

1H ЯМР (400 МГц, ДМСО-d6) δ 7.82 (d, J=7.7 Гц, 1Н), 7.66 (s, 1H), 7.51-7.40 (m, 2H), 7.26 (ddd, J=8.2, 6.9, 1.6 Гц, 1H), 4.38 (t, 2H), 4.27 (q, J=7.0 Гц, 2H), 3.71 (t, 2H), 3.50-3.38 (m, 4H), 3.24 (s, 3Н), 3.23-3.19 (m, 1H), 3.14 (t, J=7.6 Гц, 2H), 2.45 (s, 3Н), 1.97 (р, 2H), 1.91-1.79 (m, 5H), 1.72-1.58 (m, 2H), 1.52-1.39 (m, 2H), 1.31 (t, J=7.1 Гц, 3Н), 1.28-1.14 (m, 4H), 0.92 (t, 2H), 0.00 (s, 9Н).

Стадия С: этил 2-({6-[(1,3-бензотиазол-2-ил)амино]-5-метилпиридазин-3-ил}(3-метоксипропил)амино)-5-{3-(циклогексилокси)пропил]-1,3-тиазол-4-карбоксилат

Хлористоводородную кислоту (4 М в 1,4-диоксане; 4 мл, 16 ммоль, 45 экв.) добавляли к перемешиваемому раствору продукта со Стадии В (272 мг, 0.36 ммоль, 1 экв.) в 1,4-диоксане (4 мл), и смесь перемешивали при температуре окружающей среды в течение ночи. Реакционную смесь распределяли между этилацетатом и насыщенным водным раствором бикарбоната натрия, и органическую фазу промывали соляным раствором, сушили (сульфат магния) и концентрировали в вакууме. Очистка с помощью обращенно-фазовой автоматической флэш-хроматографии (CombiFlash Rf, C18 13 г колонка RediSep) с элюированием с градиентом 5-95% ацетонитрила (рН 4; муравьиная кислота) в воде (рН 4; муравьиная кислота) приводила к получению целевого продукта в виде желтой пены (120 мг, 0.19 ммоль, 53%).

ЖХ/МС (C31H40N6O4S2) 625 [М+Н]+; RT 1.45 (ЖХМС-V-B1)

1H ЯМР (400 МГц, ДМСО-d6) δ 11.09 (br s, 1H), 7.93 (s, 1H), 7.67 (br s + s, 2Н), 7.39 (t, 1H), 7.23 (t, 1H), 4.39 (t, J=7.2 Гц, 2Н), 4.28 (q, J=7.1 Гц, 2Н), 3.45 (dt, J=9.9, 6.1 Гц, 4Н), 3.25 (s, 3Н), 3.24-3.20 (m, 1H), 3.15 (t, J=7.6 Гц, 2Н), 2.47 (s, 3Н), 1.97 (p, J=6.3 Гц, 2Н), 1.94-1.78 (m, 4Н), 1.74-1.62 (m, 2Н), 1.54-1.41 (m, 2Н), 1.32 (t, J=7.1 Гц, 3Н), 1.29-1.16 (m, 4H).

Стадия D: 2-({6-{(1,3-бензотиазол-2-ил)амино]-5-метилпиридазин-3-ил}(3-метоксипропил)амино)-5-[3-(циклогексилокси)пропил]-1,3-тиазол-4-карбоновая кислота

К раствору продукта со Стадии С (120 мг, 0.19 ммоль, 1 экв.) в 1,4-диоксане (4 мл) добавляли моногидрат гидроксида лития (40.3 мг, 0.96 ммоль, 5 экв.), и смесь нагревали при 100°С в течение ночи. Реакционной смеси давали охладиться до температуры окружающей среды и концентрировали в вакууме, растирали с водой, отфильтровывали и сушили в вакууме с получением целевого продукта в виде желтого твердого вещества (98 мг, 0.16 ммоль, 86%) [в виде соли лития].

МСВР-ЭРИ (m/z) [М+Н]+, рассчитано для C29H37N6O4S2: 597.2312, найдено: 597.2314.

Пример 67: 2-({6-[(1,3-Бензотиазол-2-ил)амино]-5-метилпиридазин-3-ил}(3-метоксипропил)амино)-5-[3-(2-фторфенокси)пропил]-1,3-тиазол-4-карбоновая кислота

Стадия А: этил 5-(3-гидроксипроп-1-ин-1-ил)-2-[(3-метоксипропил)(5-метил-6-{{(2Z)-3-{{2-(триметилсилил)этокси]метил}-2,3-дигидро-1,3-бензотиазол-2-илиден]амино}пиридазин-3-ил)амино]-1,3-тиазол-4-карбоксилат

Тетракис(трифенилфосфин)палладий(0) (83.3 мг, 0.08 ммоль, 0.1 экв.) в атмосфере азота добавляли к перемешиваемому раствору продукта Синтеза 11с (500 мг, 0.72 ммоль, 1 экв.), пропаргилового спирта (0.16 мл, 2.88 ммоль, 4 экв.), триэтиламина (0.60 мл, 4.32 ммоль, 6 экв.) и йодида меди(I) (27.5 мг, 0.14 ммоль, 0.2 экв.) в диметилформамиде (10 мл), и смесь нагревали при 100°С в течение ночи. Реакционной смеси давали охладиться до температуры окружающей среды, затем концентрировали в вакууме. Очистка с помощью автоматической колоночной флэш-хроматографии (CombiFlash Rf, 40 г силикагелевый картридж RediSep™) с элюированием с градиентом 0-100% этилацетата в изогептане приводила к получению целевого продукта в виде коричневого твердого вещества (362 мг, 0.54 ммоль, 75%).

ЖХ/МС (C31H40N6O5SiS2) 669 [М+Н]+; RT 1.45 (ЖХМС-V-B1)

1H ЯМР (400 МГц, ДМСО-d6) δ 7.88 (dd, J=7.4, 1.1 Гц, 1Н), 7.72 (s, 1H), 7.51-7.41 (m, 2H), 7.27 (ddd, J=8.3, 7.1, 1.4 Гц, 1H), 5.89 (s, 2H), 5.44 (t, J=6.0 Гц, 1H), 4.45 (t, J=7.2 Гц, 2Н), 4.40 (d, J=5.9 Гц, 2Н), 4.29 (q, J=7.1 Гц, 2Н), 3.77-3.68 (m, 2H), 3.42 (t, J=6.0 Гц, 2H), 3.24 (s, 3H), 2.48 (s, 3H), 1.99 (p, J=6.3 Гц, 2H), 1.33 (t, J=7.1 Гц, 3H), 0.99-0.88 (m, 2H), 0.00 (s, 9H).

Стадия В: этил 5-(3-гидроксипропил)-2-[(3-метоксипропил)(5-метил-6-{{(2Z)-3-{{2-(триметилсилил)этокси]метил}-2,3-дигидро-1,3-бензотиазол-2-илиден]амино}пиридазин-3-ил)амино]-1,3-тиазол-4-карбоксилат

Суспензию продукта со Стадии А (362 мг, 0.54 ммоль, 1 экв.) в 1:1 смеси этилацетат/метанол (10 мл) загружали в колбу, содержащую оксид платины(IV) (12.3 мг, 0.05 ммоль, 0.1 экв.) в атмосфере азота. Сосуд вакуумировали и снова заполняли азотом (х3), затем вакуумировали, создавали атмосферу водорода и встряхивали в течение ночи. Смесь фильтровали через целит (2.5 г), элюировали метанолом и растворитель удаляли в вакууме. Очистка с помощью автоматической колоночной флэш-хроматографии (CombiFlash Rf, 24 г силикагелевый картридж RediSep™) с элюированием с градиентом 0-80% этилацетата в изогептане приводила к получению целевого продукта в виде кремовой пены (230 мг, 0.34 ммоль, 63%).

ЖХ/МС (C31H44N6O5SiS2) 673 [М+Н]+; RT 1.47 (ЖХМС-V-B1)

1H ЯМР (400 МГц, ДМСО-d6) δ 7.86 (dd, J=7.5, 1.1 Гц, 1H), 7.66 (s, 1H), 7.51-7.40 (m, 2H), 7.25 (ddd, J=8.3, 6.9, 1.6 Гц, 1H), 5.87 (s, 2H), 4.57 (t, J=5.1 Гц, 1H), 4.39 (t, J=7.2 Гц, 2H), 4.28 (q, J=7.1 Гц, 2H), 3.72 (dd, J=8.5, 7.5 Гц, 2Н), 3.52-3.44 (m, 2Н), 3.43 (t, 2Н), 3.23 (s, 3Н), 3.16 3.08 (m, 2Н), 2.46 (s, 3Н), 1.96 (p, J=6.4 Гц, 2Н), 1.86-1.75 (m, 2Н), 1.31 (t, J=7.1 Гц, 3Н), 0.92 (dd, J=8.6, 7.4 Гц, 2Н), 0.00 (s, 9H).

Стадия С: этил 5-(3-йодпропил)-2-[(3-метоксипропил)(5-метил-6-{{(2Z)-3-{[2-(триметилсилил)этокси]метил}-2,3-дигидро-1,3-бензотиазол-2-илиден]амино}пиридазин-3-ил)амино]-1,3-тиазол-4-карбоксилат

К перемешиваемому раствору продукта со Стадии В (230 мг, 0.34 ммоль, 1 экв.) в 3:1 смеси диэтиловый эфир/ацетонитрил (16 мл) добавляли имидазол (34.9 мг, 0.51 ммоль, 1.5 экв.), трифенилфосфин (135 мг, 0.51 ммоль, 1.5 экв.) и йод (130 мг, 0.51 ммоль, 1.5 экв.), и смесь перемешивали при температуре окружающей среды в течение ночи. Реакционную смесь разбавляли этилацетатом, промывали 10% водным раствором тиосульфата натрия с последующим промыванием водой, затем соляным раствором, сушили (сульфат магния) и концентрировали в вакууме. Очистка с помощью автоматической колоночной флэш-хроматографии (CombiFlash Rf, 12 г силикагелевый картридж RediSep™) с элюированием с градиентом 0-50% этилацетата в изогептане приводила к получению целевого продукта в виде желтой смолы (129 мг, 0.16 ммоль, 48%).

ЖХ/МС (C31H43IN6O4SiS2) 783 [М+Н]+; RT 1.63 (ЖХМС-V-B1)

1H ЯМР (400 МГц, ДМСО-d6) δ 7.85 (dd, J=7.5, 1.1 Гц, 1Н), 7.67 (s, 1H), 7.49-7.41 (m, 2Н), 7.26 (ddd, J=8.3, 6.9, 1.6 Гц, 1H), 5.87 (s, 2Н), 4.40 (t, J=7.3 Гц, 2Н), 4.29 (q, J=7.1 Гц, 2Н), 3.73 (dd, J=8.6, 7.4 Гц, 2Н), 3.42 (t, J=6.0 Гц, 2Н), 3.40-3.28 (m, 2Н), 3.24 (s, 3Н), 3.21-3.14 (m, 2Н), 2.45 (s, 3Н), 2.14 (р, J=7.0 Гц, 2Н), 2.02-1.95 (m, 2Н), 1.34 (t, J=7.1 Гц, 3Н), 0.92 (dd, J=8.6, 7.4 Гц, 2Н), 0.00 (s, 9H).

Стадия D: этил 5-[3-(2-фторфенокси)пропил]-2-[(3-метоксипропил)(5-метил-6-{[(2Z)-3-{[2-(триметилсилил)этокси]метил}-2,3-дигидро-1,3-бензотиазол-2-илиден]амино}пиридазин-3-ил)амино]-1,3-тиазол-4-карбоксилат

Гидрид натрия (60% в минеральном масле; 13.2 мг, 0.33 ммоль, 2 экв.) добавляли к раствору 2-фторфенола (0.02 мл, 0.2 ммоль, 1.2 экв.) в диметилформамиде (3 мл). Через 15 мин смесь охлаждали до 0°С и добавляли раствор продукта со Стадии С (129 мг, 0.16 ммоль, 1 экв.) в диметилформамиде (3 мл). Смеси давали нагреться до температуры окружающей среды и перемешивали в течение ночи. Реакционную смесь гасили путем добавления воды, подкисляли 2 н. водным раствором хлористоводородной кислоты и экстрагировали этилацетатом (х2). Объединенные органические экстракты промывали соляным раствором, сушили (сульфат магния) и концентрировали в вакууме. Очистка с помощью автоматической колоночной флэш-хроматографии (CombiFlash Rf, 12 г силикагелевый картридж RediSep™) с элюированием с градиентом 0-6% метанола в дихлорметане приводила к получению целевого продукта в виде кремовой смолы (75.6 мг, 0.1 ммоль, 60%).

ЖХ/МС (C37H47FN6O5SiS2) 767 [М+Н]+; RT 1.61 (ЖХМС-V-B1)

1H ЯМР (400 МГц, ДМСО-d6) δ 7.84 (d, 1Н), 7.67 (s, 1H), 7.51-7.40 (m, 2H), 7.30-7.07 (m, 4Н), 6.97-6.89 (m, 1H), 5.87 (s, 2H), 4.40 (t, J=7.2 Гц, 2Н), 4.26 (q, J=7.0 Гц, 2H), 4.13 (t, J=6.1 Гц, 2H), 3.78-3.69 (m, 2H), 3.42 (t, J=6.0 Гц, 2H), 3.31-3.25 (m, 2H), 3.24 (s, 3H), 2.46 (s, 3H), 2.25-2.05 (m, 2H), 1.97 (р, J=6.2 Гц, 2H), 1.29 (t, J=7.1 Гц, 3H), 0.98-0.89 (m, 2H), 0.00 (s, 9H).

Стадия Е: этил 2-({6-[(1,3-бензотиазол-2-ил)амино]-5-метилпиридазин-3-ил}(3-метоксипропил)амино)-5-{3-(2-фторфенокси)пропил]-1,3-тиазол-4-карбоксилат

Хлористоводородную кислоту (4М в 1,4-диоксане; 1 мл, 4 ммоль, 40.6 экв.) добавляли к перемешиваемому раствору продукта со Стадии D (75.6 мг, 0.1 ммоль, 1 экв.) в 1,4-диоксане (2 мл), и смесь перемешивали при температуре окружающей среды в течение ночи. Реакционную смесь распределяли между этилацетатом и насыщенным водным раствором бикарбоната натрия, и органическую фазу промывали соляным раствором, сушили (сульфат магния) и концентрировали в вакууме. Очистка с помощью обращенно-фазовой автоматической флэш-хроматографии (CombiFlash Rf, C18 13 г колонка RediSep) с элюированием с градиентом 5-95% ацетонитрила (рН 4; муравьиная кислота) в воде (рН 4; муравьиная кислота) приводила к получению целевого продукта в виде желтого стеклообразного вещества (36.2 мг, 0.06 ммоль, 58%).

ЖХ/МС (C31H33FN6O4S2) 637 [М+Н]+; RT 1.39 (ЖХМС-V-B1)

1H ЯМР (400 МГц, ДМСО-d6) 7.92 (br s, 1H), 7.67 (br s + s, 2H), 7.39 (t, J=7.5 Гц, 1H), 7.27-7.08 (m, 4Н), 6.99-6.89 (m, 1H), 4.39 (t, J=7.3 Гц, 2Н), 4.26 (q, J=7.1 Гц, 2H), 4.14 (t, J=6.1 Гц, 2H), 3.44 (t, J=6.0 Гц, 2H), 3.34-3.24 (m, 2H), 3.25 (s, 3H), 2.47 (s, 2H), 2.22-2.06 (m, 2H), 1.97 (р, 2H), 1.30 (t, J=7.1 Гц, 3H).

Стадия F: 2-({6-{(1,3-бензотиазол-2-ил)амино]-5-метилпиридазин-3-ил}(3-метоксипропил)амино)-5-[3-(2-фторфенокси)пропил]-1,3-тиазол-4-карбоновая кислота

К раствору продукта со Стадии Е (36.2 мг, 0.06 ммоль, 1 экв.) в 1,4-диоксане (3 мл) добавляли моногидрат гидроксида лития (11.9 мг, 0.28 ммоль, 5 экв.), и смесь нагревали с обратным холодильником в течение ночи. Реакционной смеси давали охладиться до температуры окружающей среды и концентрировали в вакууме. Очистка с помощью обращенно-фазовой автоматической флэш-хроматографии (CombiFlash Rf, C18 13 г колонка RediSep) с элюированием с градиентом 5-95% ацетонитрила (рН 4; муравьиная кислота) в воде (рН 4; муравьиная кислота) приводила к получению целевого продукта в виде бежевого твердого вещества (19.5 мг, 0.03 ммоль, 56%).

МСВР-ЭРИ (m/z) [M+H]+, рассчитано для C29H30FN6O4S2: 609.1749, найдено: 609.1753.

Пример 68: 2-({6-[(1,3-Бензотиазол-2-ил)амино]-5-метилпиридазин-3-ил}(метил)амино)-5-[3-(бензилокси)азетидин-1-ил]-1,3-тиазол-4-карбоновая кислота

Стадия А: этил 5-[3-(бензилокси)азетидин-1-ил]-2-[метил(5-метил-6-{[(2Z)-3-{[2-(триметилсилил)этокси]метил}-2,3-дигидро-1,3-бензотиазол-2-илиден]амино}пиридазин-3-ил)амино]-1,3-тиазол-4-карбоксилат

В высушенный в сушильном шкафу сосуд для микроволновой обработки загружали продукт Синтеза 11b (500 мг, 0.79 ммоль, 1 экв.), гидрохлорид 3-(бензилокси)азетидина (314 мг, 1.57 ммоль, 2 экв.), карбонат цезия (769 мг, 2.36 ммоль, 3 экв.) и 1,4-диоксан (10 мл). Смесь барботировали азотом (10 мин), после чего добавляли ксантфос Pd G3 (74.7 мг, 0.08 ммоль, 0.1 экв.), и смесь нагревали при 140°С в течение 2 ч под микроволновым облучением.

Реакционную смесь разбавляли этилацетатом, затем промывали водой с последующим промыванием соляным раствором, и органическую фазу сушили (сульфат магния) и концентрировали в вакууме. Очистка с помощью автоматической колоночной флэш-хроматографии (CombiFlash Rf, 24 г силикагелевый картридж RediSep™) с элюированием с градиентом 0-50% этилацетата в изогептане приводила к получению целевого продукта в виде желтой пены (380 мг, 0.53 ммоль, 67%).

ЖХ/МС (C35H43N7O4SiS2) 718 [М+Н]+; RT 1.53 (ЖХМС-V-B1)

1H ЯМР (400 МГц, ДМСО-d6) δ 7.82 (d, 1Н), 7.57 (d, J=1.0 Гц, 1Н), 7.50-7.42 (m, 2H), 7.40-7.35 (m, 4H), 7.34-7.28 (m, 1Н), 7.27-7.21 (m, 1H), 5.84 (s, 2H), 4.52 (s, 2H), 4.52-4.44 (m, 1Н), 4.32 (ddd, J=8.9, 6.3, 1.2 Гц, 2H), 4.19 (q, J=7.1 Гц, 2H), 4.03-3.94 (m, 2H), 3.76-3.70 (m, 2H), 3.66 (s, 3H), 2.44 (d, J=1.0 Гц, 3Н), 1.26 (t, J=7.1 Гц, 3H), 0.97-0.88 (m, 2H), 0.00 (s, 9H).

Стадия В: этил 2-({6-{(1,3-бензотиазол-2-ил)амино]-5-метилпиридазин-3-ил}(метил)амино)-5-[3-(бензилокси)азетидин-1-ил]-1,3-тиазол-4-карбоксилат

Трифторуксусную кислоту (1 мл, 13.4 ммоль, 96.3 экв.) добавляли к перемешиваемому раствору продукта со Стадии А (100 мг, 0.14 ммоль, 1 экв.) в дихлорметане (3 мл), и смесь перемешивали при температуре окружающей среды в течение ночи. Реакционную смесь разбавляли дихлорметаном и промывали насыщенным водным раствором бикарбоната натрия, затем соляным раствором, сушили (сульфат магния) и концентрировали в вакууме. Очистка с помощью обращенно-фазовой автоматической флэш-хроматографии (CombiFlash Rf, С18 13 г колонка RediSep) с элюированием с градиентом 5-95% ацетонитрила (рН 4; муравьиная кислота) в воде (рН4; муравьиная кислота) приводила к получению целевого продукта в виде желтого стеклообразного вещества (48 мг, 0.08 ммоль, 59%).

ЖХ/МС (C29H29N7O3S2) 588 [М+Н]+; RT 1.31 (ЖХМС-V-B1)

1H ЯМР (400 МГц, ДМСО-d6) δ 11.02 (br s, 1Н), 7.90 (br s, 1Н), 7.59 (br s + s, 2H), 7.44-7.28 (m, 6H), 7.21 (t, J=7.5 Гц, 1Н), 4.52 (s, 2H), 4.51-4.46 (m, 1Н), 4.37-4.28 (m, 2H), 4.20 (q, J=7.1 Гц, 2H), 4.01-3.96 (m, 2H), 3.66 (s, 3H), 2.45 (s, 3H), 1.27 (t, J=7.1 Гц, 3Н).

Стадия С: 2-({6-{(1,3-бензотиазол-2-ил)амино]-5-метилпиридазин-3-ил}(метил)амино)-5-[3-(бензилокси)азетидин-1-ил]-1,3-тиазол-4-карбоновая кислота

К раствору продукта со Стадии В (48 мг, 0.08 ммоль, 1 экв.) в 1,4-диоксане (4 мл) добавляли моногидрат гидроксида лития (17.1 мг, 0.41 ммоль, 5 экв.), и смесь нагревали при 100°С в течение ночи. Реакционной смеси давали охладиться до температуры окружающей среды и концентрировали в вакууме. Остаток растирали с водой, отфильтровывали и сушили в вакууме с получением целевого продукта в виде бежевого твердого вещества (33.2 мг, 0.06 ммоль, 73%) [в виде соли лития].

МСВР-ЭРИ (m/z) [М+Н]+, рассчитано для C27H26N7O3S2: 560.1533, найдено: 560.1531.

Пример 69: 2-({6-[(1,3-Бензотиазол-2-ил)амино]-5-метилпиридазин-3-ил}(метил)амино)-5-(3-феноксиазетидин-1-ил)-1,3-тиазол-4-карбоновая кислота

Стадия А: этил 2-[метил(5-метил-6-{[(2Z)-3-{{2-(триметилсилил)этокси]метил}-2,3-дигидро-1,3-бензотиазол-2-илиден]амино}пиридазин-3-ил)амино]-5-(3-феноксиазетидин-1-ил)-1,3-тиазол-4-карбоксилат

В высушенный в сушильном шкафу сосуд загружали продукт Синтеза 11b (100 мг, 0.16 ммоль, 1 экв.), гидрохлорид 3-феноксиазетидина (58.4 мг, 0.31 ммоль, 2 экв.), карбонат цезия (154 мг, 0.47 ммоль, 3 экв.) и 1,4-диоксан (4 мл). Смесь барботировали азотом (10 мин) и добавляли рац-BINAP Pd G3 (15.6 мг, 0.02 ммоль, 0.1 экв.), и смесь нагревали при 100°С в течение 24 ч. Реакционную смесь разбавляли этилацетатом, промывали водой с последующим промыванием соляным раствором, сушили (сульфат магния) и концентрировали в вакууме. Очистка с помощью автоматической колоночной флэш-хроматографии (CombiFlash Rf, 12 г силикагелевый картридж RediSep™) с элюированием с градиентом 0-50% этилацетата в изогептане приводила к получению целевого продукта в виде желтого стеклообразного вещества (55.7 мг, 0.08 ммоль, 50%).

ЖХ/МС (C34H41N7O4SiS2) 704 [M+H]+; RT 1.60 (ЖХМС-V-B1)

1H ЯМР (400 МГц, ДМСО-d6) δ 7.82 (d, 1Н), 7.59 (d, J=1.1 Гц, 1Н), 7.51-7.39 (m, 2H), 7.39-7.30 (m, 2H), 7.29-7.20 (m, 1Н), 7.00 (tt, J=7.4, 1.1 Гц, 1Н), 6.91 (dt, J=7.7, 1.1 Гц, 2Н), 5.85 (s, 2H), 5.16 (tt, J=6.6, 3.8 Гц, 1Н), 4.62-4.53 (m, 2H), 4.22 (q, J=7.1 Гц, 2H), 4.18-4.09 (m, 2H), 3.73 (dd, J=8.5, 7.5 Гц, 2Н), 3.69 (s, 3H), 2.45 (d, J=1.0 Гц, 3Н), 1.28 (t, J=7.1 Гц, 3Н), 0.97-0.88 (m, 2H), 0.00 (s, 9H).

Стадия В: этил 2-({6-{(1,3-бензотиазол-2-ил)амино]-5-метилпиридазин-3-ил}(метил)амино)-5-(3-феноксиазетидин-1-ил)-1,3-тиазол-4-карбоксилат

Трифторуксусную кислоту (1 мл, 13.4 ммоль, 170 экв.) добавляли к перемешиваемому раствору продукта со Стадии А (55.7 мг, 0.08 ммоль, 1 экв.) в дихлорметане (3 мл), и смесь перемешивали при температуре окружающей среды в течение ночи. Реакционную смесь разбавляли дихлорметаном, промывали насыщенным водным раствором бикарбоната натрия, затем соляным раствором, сушили (сульфат магния) и концентрировали в вакууме. Очистка с помощью обращенно-фазовой автоматической флэш-хроматографии (CombiFlash Rf, С18 13 г колонка RediSep) с элюированием с градиентом 5-95% ацетонитрила (рН4; муравьиная кислота) в воде (рН 4; муравьиная кислота) приводила к получению целевого продукта в виде желтого стеклообразного вещества (20.4 мг, 0.04 ммоль, 45%).

ЖХ/МС (C28H27N7O3S2) 574 [М+Н]+; RT 1.31 (ЖХМС-V-B1)

1H ЯМР (400 МГц, ДМСО-d6) δ 7.92 (br s, 1Н), 7.60 (br s + s, 2H), 7.41-7.30 (m, 3Н), 7.21 (s, 1Н), 7.01 (tt, J=7.4, 1.1 Гц, 1Н), 6.91 (dt, J=7.8, 1.1 Гц, 2H), 5.16 (tt, J=6.5, 3.7 Гц, 1Н), 4.62-4.53 (m, 2H), 4.22 (q, J=7.1 Гц, 2Н), 4.17-4.10 (m, 2H), 3.68 (s, 3Н), 2.45 (s, 2H), 1.28 (t, J=7.1 Гц, 3Н).

Стадия С: 2-({6-{(1,3-бензотиазол-2-ил)амино]-5-метилпиридазин-3-ил}(метил)амино)-5-(3-феноксиазетидин-1-ил)-1,3-тиазол-4-карбоновая кислота

К раствору продукта со Стадии В (20 мг, 0.03 ммоль, 1 экв.) в 1,4-диоксане (3 мл) добавляли моногидрат гидроксида лития (7.31 мг, 0.17 ммоль, 5 экв.), и смесь нагревали при 100°С в течение ночи. Реакционной смеси давали охладиться до температуры окружающей среды, концентрировали в вакууме, растирали с водой, отфильтровывали и сушили в вакууме с получением целевого продукта в виде бежевого твердого вещества (11.2 мг, 0.02 ммоль, 59%) [в виде соли лития].

МСВР-ЭРИ (m/z) [M+H]+, рассчитано для C26H24N7O3S2: 546.1377, найдено: 546.1381.

Пример 70: 2-({6-[(1,3-Бензотиазол-2-ил)амино]-5-метилпиридазин-3-ил}(метил)амино)-5-(3S)-3-(бензиллокси)пирролидин-1-ил]-1,3-тиазол-4-карбоновая кислота

Стадия А: этил 5-{(3S)-3-(бензилокси)пирролидин-1-ил]-2-[метил(5-метил-6-{[(2Z)-3-{[2-(триметилсилил)этокси]метил}-2,3-дигидро-1,3-бензотиазол-2-илиден]амино}пиридазин-3-ил)амино]-1,3-тиазол-4-карбоксилат

В высушенный в сушильном шкафу сосуд загружали продукт Синтеза 11b (200 мг, 0.31 ммоль, 1 экв.), гидрохлорид (S)-3-бензилоксипирролидина (135 мг, 0.63 ммоль, 2 экв.), карбонат цезия (308 мг, 0.94 ммоль, 3 экв.) и 1,4-диоксан (8 мл). Смесь барботировали азотом (10 мин), после чего добавляли рац-BINAP Pd G3 (15.6 мг, 0.02 ммоль, 0.05 экв.), и смесь нагревали при 100°С в течение 24 ч. Реакционную смесь разбавляли этилацетатом, затем промывали водой с последующим промыванием соляным раствором, сушили (сульфат магния) и концентрировали в вакууме. Очистка с помощью автоматической колоночной флэш-хроматографии (CombiFlash Rf, 12 г силикагелевый картридж RediSep™) с элюированием с градиентом 0-50% этилацетата в изогептане приводила к получению целевого продукта в виде желтой пены (113 мг, 0.15 ммоль, 49%).

ЖХ/МС (C36H45N7O4SiS2) 732 [М+Н]+; RT 1.54 (ЖХМС-V-B1)

1H ЯМР (400 МГц, ДМСО-d6) δ 7.82 (d, 1H), 7.57 (d, 1H), 7.49-7.40 (m, 2H), 7.36-7.31 (m, 4H), 7.31-7.22 (m, 2H), 5.84 (s, 2H), 4.60-4.48 (m, 2H), 4.30-4.26 (m, 1H), 4.25-4.17 (m, 2H), 3.71 (t, 2H), 3.68 (s, 3Н), 3.64-3.52 (m, 2H), 3.48-3.36 (m, 2H), 2.44 (d, J=1.0 Гц, 3Н), 2.14 (s, 2H), 1.29 (t, J=7.1 Гц, 3Н), 0.97-0.88 (m, 2H), 0.00 (s, 9H).

Стадия В: этил 2-({6-{(1,3-бензотиазол-2-ил)амино]-5-метилпиридазин-3-ил}(метил)амино)-5-[(3S)-3-(бензилокси)пирролидин-1-ил]-1,3-тиазол-4-карбоксилат

Хлористоводородную кислоту (4М в 1,4-диоксане; 4 мл, 16 ммоль, 104 экв.) добавляли к перемешиваемому раствору продукта со Стадии А (113 мг, 0.15 ммоль, 1 экв.) в 1,4-диоксане (5 мл), и смесь перемешивали при 40°С в течение ночи. Реакционную смесь разбавляли этилацетатом, промывали насыщенным водным раствором бикарбоната натрия, затем соляным раствором, сушили (сульфат магния) и концентрировали в вакууме. Очистка с помощью автоматической колоночной флэш-хроматографии (CombiFlash Rf, 12 г силикагелевый картридж RediSep™) с элюированием с градиентом 0-5% метанола в дихлорметане приводила к получению целевого продукта в виде желтого стеклообразного вещества (83 мг, 0.14 ммоль, 89%).

ЖХ/МС (C30H31N7O3S2) 602 [М+Н]+; RT 1.32 (ЖХМС-V-B1)

1H ЯМР (400 МГц, ДМСО-d6) δ 10.96 (br s, 1H), 7.96 (br s, 1H), 7.60 (br s + s, 2H), 7.42-7.23 (m, 5H), 7.21 (s, 2H), 4.61-4.48 (m, 2H), 4.33-4.26 (m, 1H), 4.25-4.16 (m, 2H), 3.73 (dd, J=11.4, 4.6 Гц, 1H), 3.67 (s, 3H), 3.64-3.53 (m, 1H), 3.45-3.36 (m, 2H), 2.45 (s, 3H), 2.26-2.05 (m, 2H), 1.29 (t, J=7.1 Гц, 3Н).

Стадия С: 2-({6-{(1,3-бензотиазол-2-ил)амино]-5-метилпиридазин-3-ил}(метил)амино)-5-[(3S)-3-(бензилокси)пирролидин-1-ил]-1,3-тиазол-4-карбоновая кислота

К раствору продукта со Стадии В (83 мг, 0.14 ммоль, 1 экв.) в 1,4-диоксане (8 мл) добавляли моногидрат гидроксида лития (28.9 мг, 0.69 ммоль, 5 экв.), и смесь нагревали при 100°С в течение ночи. Реакционной смеси давали охладиться до температуры окружающей среды и концентрировали в вакууме, растирали с водой, отфильтровывали и сушили в вакууме с получением целевого продукта в виде желтого твердого вещества (65.6 мг, 0.11 ммоль, 83%).

МСВР-ЭРИ (m/z) [M+H]+, рассчитано для C28H28N7O3S2: 574.1690, найдено: 574.1687.

Пример 71: 2-({6-[(1,3-Бензотиазол-2-ил)амино]-5-метилпиридазин-3-ил}(метил)амино)-5-[(3R)-3-(бензилокси)пирролидин-1-ил]-1,3-тиазол-4-карбоновая кислота

Стадия А: этил 5-[(3R)-3-(бензилокси)пирролидин-1-ил]-2-[метил(5-метил-6-{[(2Z)-3-{[2-(триметилсилил)этокси]метил}-2,3-дигидро-1,3-бензотиазол-2-илиден]амино}пиридазин-3-ил)амино]-1,3-тиазол-4-карбоксилат

В высушенный в сушильном шкафу сосуд загружали продукт Синтеза 11b (200 мг, 0.31 ммоль, 1 экв.), гидрохлорид (R)-3-бензилоксипирролидина (135 мг, 0.63 ммоль, 2 экв.), карбонат цезия (308 мг, 0.94 ммоль, 3 экв.) и 1,4-диоксан (8 мл). Смесь барботировали азотом (10 мин), после чего добавляли рац-BINAP Pd G3 (31.2 мг, 0.03 ммоль, 0.1 экв.), и смесь нагревали при 100°С в течение 24 ч. Реакционную смесь разбавляли этилацетатом, промывали водой с последующим промыванием соляным раствором, сушили (сульфат магния) и концентрировали в вакууме. Очистка с помощью автоматической колоночной флэш-хроматографии (CombiFlash Rf, 12 г силикагелевый картридж RediSep™) с элюированием с градиентом 0-50% этилацетата в изогептане приводила к получению целевого продукта в виде желтого стеклообразного вещества (101 мг, 0.14 ммоль, 44%).

ЖХ/МС (C36H45N7O4SiS2) 732 [М+Н]+; RT 1.55 (ЖХМС-V-B1)

1H ЯМР (400 МГц, ДМСО-d6) δ 7.82 (d, 1Н), 7.57 (d, J=1.1 Гц, 1Н), 7.49-7.38 (m, 2H), 7.36-7.31 (m, 4H), 7.30-7.21 (m, 2H), 5.84 (s, 2H), 4.60-4.47 (m, 2H), 4.32-4.25 (m, 1Н), 4.25-4.16 (m, 2H), 3.77-3.68 (m, 2H), 3.67 (s, 3H), 3.62-3.52 (m, 2H), 3.45-3.36 (m, 2H), 2.43 (s, 3H), 2.22-2.09 (m, 2H), 1.29 (t, J=7.1 Гц, 3Н), 0.91 (dd, J=8.4, 7.5 Гц, 2H), 0.00 (s, 9H).

Стадия В: этил 2-({6-{(1,3-бензотиазол-2-ил)амино]-5-метилпиридазин-3-ил}(метил)амино)-5-[(3R)-3-(бензилокси)пирролидин-1-ил]-1,3-тиазол-4-карбоксилат

Хлористоводородную кислоту (4М в 1,4-диоксане; 4 мл, 16 ммоль, 117 экв.) добавляли к перемешиваемому раствору продукта со Стадии А (101 мг, 0.14 ммоль, 1 экв.) в 1,4-диоксане (5 мл), и смесь перемешивали при 40°С в течение ночи. Реакционную смесь разбавляли дихлорметаном, промывали насыщенным водным раствором бикарбоната натрия, затем соляным раствором, сушили (сульфат магния) и концентрировали в вакууме. Очистка с помощью автоматической колоночной флэш-хроматографии (CombiFlash Rf, 12 г силикагелевый картридж RediSep™) с элюированием с градиентом 0-5% метанола в дихлорметане приводила к получению целевого продукта в виде желтой смолы (80 мг, 0.13 ммоль, 97%).

ЖХ/МС (C30H31N7O3S2) 602 [М+Н]+; RT 1.32 (ЖХМС-V-B1)

1H ЯМР (400 МГц, ДМСО-d6) δ 10.98 (br s, 1H), 7.91 (s, 1H), 7.60 (br s + s, 2H), 7.42-7.11 (m, 7H), 4.60-4.48 (m, 2H), 4.33-4.27 (m, 1H), 4.27-4.13 (m, 2H), 3.67 (s, 3H), 3.63-3.55 (m, 2H), 3.42 (td, J=9.3, 8.7, 3.4 Гц, 2Н), 2.46 (s, 3Н), 2.25-2.06 (m, 2H), 1.30 (t, J=7.1 Гц, 3Н).

Стадия С: 2-({6-{(1,3-бензотиазол-2-ил)амино]-5-метилпиридазин-3-ил}(метил)амино)-5-[(3R)-3-(бензилокси)пирролидин-1-ил]-1,3-тиазол-4-карбоновая кислота

К раствору продукта со Стадии В (80 мг, 0.13 ммоль, 1 экв.) в 1,4-диоксане (5 мл) добавляли моногидрат гидроксида лития (28 мг, 0.67 ммоль, 5 экв.), и смесь нагревали при 100°С в течение ночи. Реакционной смеси давали охладиться до температуры окружающей среды и концентрировали в вакууме, растирали с водой, отфильтровывали и сушили в вакууме с получением целевого продукта в виде желтого твердого вещества (50.1 мг, 0.09 ммоль, 65%) [в виде соли лития].

МСВР-ЭРИ (m/z) [М+Н]+, рассчитано для C28H28N7O3S2: 574.1690, найдено: 574.1723.

Пример 72: 2-({6-[(1,3-Бензотиазол-2-ил)амино]-5-метилпиридазин-3-ил}(метил)амино)-5-(3-гидроксиазетидин-1-ил)-1,3-тиазол-4-карбоновая кислота

Стадия А: этил 2-({6-[(1,3-бензотиазол-2-ил)амино]-5-метилпиридазин-3-ил}(метил)амино)-5-(3-гидроксиазетидин-1-ил)-1,3-тиазол-4-карбоксилат

Раствор продукта из Примера 68, Стадия В (94.2 мг, 0.16 ммоль, 1 экв.), в дихлорметане (5 мл) охлаждали до -78°С и медленно добавляли трихлорид бора (1М в дихлорметане; 0.48 мл, 0.48 ммоль, 3 экв.). Смесь выдерживали при -78°С в течение 1 ч, и затем ей давали нагреться до температуры окружающей среды в течение 2 ч. Реакционную смесь гасили путем добавления насыщенного водного раствора бикарбоната натрия, затем экстрагировали дихлорметаном (х2) с последующим экстрагированием 3:1 смесью дихлорметан/изопропанол, и объединенные органические экстракты сушили (сульфат магния) и концентрировали в вакууме. Очистка с помощью автоматической колоночной флэш-хроматографии (CombiFlash Rf, 12 г силикагелевый картридж RediSep™) с элюированием с градиентом 0-6% метанола в дихлорметане приводила к получению целевого продукта в виде желтого твердого вещества (13.4 мг, 0.03 ммоль, 17%).

ЖХ/МС (C22H23N7O3S2) 498 [М+Н]+; RT 1.00 (ЖХМС-V-B1)

1H ЯМР (400 МГц, ДМСО-d6) δ 7.87 (d, J=7.7 Гц, 1H), 7.56 (s, 1H), 7.51 (br s, 1H), 7.41-7.32 (m, 1H), 7.18 (t, J=7.6 Гц, 1H), 5.75 (d, 1H), 4.55 (h, J=6.0 Гц, 1H), 4.40-4.31 (m, 2H), 4.21 (q, J=7.1 Гц, 2Н), 3.88-3.80 (m, 2H), 3.65 (s, 3Н), 2.43 (s, 3Н), 1.28 (t, J=7.1 Гц, 3Н).

Стадия В: 2-({6-[(1,3-бензотиазол-2-ил)амино]-5-метилпиридазин-3-ил}(метил)амино)-5-(3-гидроксиазетидин-1-ил)-1,3-тиазол-4-карбоновая кислота

К раствору продукта со Стадии С (13.4 мг, 0.03 ммоль, 1 экв.) в 1,4-диоксане (5 мл) добавляли моногидрат гидроксида лития (5.65 мг, 0.13 ммоль, 5 экв.), и смесь нагревали при 100°С в течение ночи. Реакционной смеси давали охладиться до температуры окружающей среды и концентрировали в вакууме. Очистка с помощью обращенно-фазовой автоматической флэш-хроматографии (CombiFlash Rf, C18 13 г колонка RediSep) с элюированием с градиентом 5-95% ацетонитрила в воде приводила к получению целевого продукта в виде бежевого твердого вещества (8.1 мг, 0.02 ммоль, 64%).

МСВР-ЭРИ (m/z) [М+Н]+, рассчитано для C20H20N7O3S2: 470.1064, найдено: 470.1072.

Пример 73: 2-({6-[(1,3-Бензотиазол-2-ил)амино]-5-метилпиридазин-3-ил}(метил)амино)-5-(3-{2-фтор-4-[3-(метиламино)проп-1-ин-1-ил]фенокси}пропил)-1,3-тиазол-4-карбоновая кислота

Стадия А: этил 2-({6-[(1,3-бензотиазол-2-ил)амино]-5-метилпиридазин-3-ил}(метил)амино)-5-(3-{2-фтор-4-[3-(метиламино)проп-1-ин-1-ил]фенокси}пропил)-1,3-тиазол-4-карбоксилат

Трифторуксусную кислоту (20 мл) добавляли к перемешиваемому раствору продукта Синтеза 5j, Стадия А (1.5 г, 1.71 ммоль, 1 экв.), в дихлорметане (60 мл), и смесь перемешивали при температуре окружающей среды в течение ночи. Реакционную смесь разбавляли дихлорметаном, охлаждали до 0°С, затем подщелачивали путем добавления 2 н. водного раствора гидроксида натрия, и органическую фазу сушили (сульфат магния) и концентрировали в вакууме. Очистка с помощью автоматической колоночной флэш-хроматографии (CombiFlash Rf, 40 г силикагелевый картридж RediSep™) с элюированием с градиентом 0-10% метанола в дихлорметане приводила к получению целевого продукта в виде желтого твердого вещества (361 мг, 0.56 ммоль, 33%).

ЖХ/МС (C32H32FN7O3S2) 646 [М+Н]+; RT 1.98 (ЖХМС-V-C)

1H ЯМР (400 МГц, ДМСО-d6) δ 7.91 (d, 1H), 7.68 (d, J=1.2 Гц, 1Н), 7.53 (d, J=7.9 Гц, 1H), 7.39 (ddd, J=8.2, 7.2, 1.3 Гц, 1H), 7.32-7.11 (m, 4H), 4.25 (q, J=7.1 Гц, 2Н), 4.15 (t, J=6.2 Гц, 2Н), 3.77 (s, 3H), 3.46 (s, 2H), 3.27 (t, J=7.7 Гц, 2Н), 2.47 (d, J=1.0 Гц, 3Н), 2.31 (s, 3Н), 2.19-2.07 (m, 2Н), 2.23 (s, 1H), 1.30 (t, J=7.1 Гц, 3Н).

Стадия В: 2-({6-{(1,3-бензотиазол-2-ил)амино]-5-метилпиридазин-3-ил}(метил)амино)-5-(3-{2-фтор-4-[3-(метиламино)проп-1-ин-1-ил]фенокси}пропил)-1,3-тиазол-4-карбоновая кислота

К раствору продукта со Стадии В (361 мг, 0.56 ммоль, 1 экв.) в 1,4-диоксане (15 мл) добавляли моногидрат гидроксида лития (352 мг, 8.39 ммоль, 15 экв.), и смесь нагревали при 100°С в течение ночи. Реакционной смеси давали охладиться до температуры окружающей среды и концентрировали в вакууме. Остаток растирали с водой, отфильтровывали, промывали водой, затем диэтиловым эфиром, и сушили в вакууме с получением целевого продукта в виде желтого твердого вещества (286 мг, 0.46 ммоль, 83%) [в виде соли лития].

МСВР-ЭРИ (m/z) [M+H]+, рассчитано для C30H29FN7O3S2: 618.1752, найдено: 618.1767.

Пример 74: 2-({6-[(1,3-Бензотиазол-2-ил)амино]-5-метилпиридазин-3-ил}(метил)амино)-5-{3-[2-фтор-4-(3-{метил[2-(метиламино)этил]амино}проп-1-ин-1-ил)фенокси]пропил}-1,3-тиазол-4-карбоновая кислота

Стадия А: этил 5-[3-(4-{3-[(2-{[(трет-бутокси)карбонил](метил)амино}этил)(метил)амино]проп-1-ин-1-ил}-2-фторфенокси)пропил]-2-[метил(5-метил-6-{[(2Z)-3-{[2-(триметилсилил)этокси]метил}-2,3-дигидро-1,3-бензотиазол-2-илиден]амино}пиридазин-3-ил)амино]-1,3-тиазол-4-карбоксилат

К раствору продукта Синтеза 5j (523 мг, 0.67 ммоль, 1 экв.) в ацетонитриле (30 мл) добавляли N-Вос-(метиламино)ацетальдегид (234 мг, 1.35 ммоль, 2 экв.), триацетоксиборогидрид натрия (343 мг, 1.62 ммоль, 2.4 экв.) и ледяную уксусную кислоту (50 мкл), и смесь перемешивали при температуре окружающей среды в течение 6 ч. Реакционную смесь распределяли между этилацетатом и насыщенным водным раствором бикарбоната натрия, и органическую фазу сушили (сульфат магния) и концентрировали в вакууме. Очистка с помощью автоматической колоночной флэш-хроматографии (CombiFlash Rf, 40 г силикагелевый картридж RediSep™) с элюированием с градиентом 0-50% этилацетата в изогептане приводила к получению целевого продукта в виде желтой смолы (705 мг, 0.76 ммоль, >100%).

ЖХ/МС (C46H61N8O6FSiS2) 933 [М+Н]+; RT 1.39 (ЖХМС-V-В2)

1H ЯМР (400 МГц, ДМСО-d6) δ 7.84 (d, 1Н), 7.67 (d, 1H), 7.51-7.40 (m, 2H), 7.33-7.12 (m, 4H), 5.87 (s, 2H), 4.25 (q, J=7.1 Гц, 2Н), 4.15 (t, J=6.1 Гц, 2H), 3.77 (s, 3H), 3.76-3.68 (m, 2H), 3.49 (s, 2H), 3.31-3.20 (m, 6H), 2.76 (s, 3H), 2.47 (d, J=1.0 Гц, 3H), 2.26 (s, 3H), 2.18-2.07 (m, 2H), 1.37 (s, 9H), 1.28 (t, J=7.1 Гц, 3H), 0.98-0.87 (m, 2H), 0.00 (s, 9H).

Стадия В: этил 2-({6-{(1,3-бензотиазол-2-ил)амино]-5-метилпиридазин-3-ил}(метил)амино)-5-{3-[2-фтор-4-(3-{метил[2-(метиламино)этил]амино}проп-1-ин-1-ил)фенокси]пропил}-1,3-тиазол-4-карбоксилат

Трифторуксусную кислоту (5 мл) добавляли к перемешиваемому раствору продукта со Стадии А (705 мг, 0.76 ммоль, 1 экв.) в дихлорметане (20 мл), и смесь перемешивали при температуре окружающей среды в течение 12 ч. Реакционную смесь разбавляли дихлорметаном, охлаждали до 0°С и подщелачивали путем добавления 2 н. водного раствора гидроксида натрия, и органическую фазу сушили (сульфат магния) и концентрировали в вакууме. Очистка с помощью автоматической колоночной флэш-хроматографии (CombiFlash Rf, 12 г силикагелевый картридж RediSep™) с элюированием с градиентом от дихлорметана до 20% метанола в дихлорметане приводила к получению целевого продукта в виде желтой смолы (123 мг, 0.17 ммоль, 22%).

ЖХ/МС (C35H39FN8O3S2) 703 [М+Н]+; RT 2.07 (ЖХМС-V-C)

1H ЯМР (400 МГц, ДМСО-d6) δ 7.90 (d, 1H), 7.67 (d, J=1.2 Гц, 1H), 7.53 (d, 1H), 7.42-7.36 (m, 1H), 7.34-7.26 (dd, 1H), 7.25-7.12 (m, 3H), 4.27 (q, J=7.1 Гц, 2H), 4.15 (t, J=6.1 Гц, 2H), 3.76 (s, 3H), 3.48 (s, 2H), 3.30-3.20 (m, 2H), 2.60 (dd, J=6.7, 5.2 Гц, 2Н), 2.51-2.46 (m, 2Н), 2.46 (s, 3Н), 2.30 (s, 3Н), 2.23 (s, 3Н), 2.19-2.08 (m, 2Н), 1.30 (t, J=7.1 Гц, 3Н).

Стадия С: 2-({6-{(1,3-бензотиазол-2-ил)амино]-5-метилпиридазин-3-ил}(метил)амино)-5-{3-{2-фтор-4-(3-{метил{2-(метиламино)этил]амино}проп-1-ин-1-ил)фенокси]пропил}-1,3-тиазол-4-карбоновая кислота

К раствору продукта со Стадии В (123 мг, 0.17 ммоль, 1 экв.) в 1,4-диоксане (15 мл) добавляли моногидрат гидроксида лития (110 мг, 2.62 ммоль, 15 экв.), и смесь нагревали при 100°С в течение ночи. Реакционной смеси давали охладиться до температуры окружающей среды и концентрировали в вакууме. Очистка с помощью обращенно-фазовой автоматической флэш-хроматографии (CombiFlash Rf, С18 13 г колонка RediSep) с элюированием с градиентом 5-95% ацетонитрила (рН 9; формиат аммония) в воде (рН 9; формиат аммония) приводила к получению целевого продукта в виде желтого твердого вещества (75.8 мг, 0.11 ммоль, 64%) [в виде соли лития].

МСВР-ЭРИ (m/z) [М+Н]+, рассчитано для C33H36FN8O3S2: 675.2330, найдено: 675.2331.

Пример 75: 2-({6-[(1,3-Бензотиазол-2-ил)амино]-5-метилпиридазин-3-ил}(метил)амино)-5-[4-(бензилокси)пиперидин-1-ил]-1,3-тиазол-4-карбоновая кислота

Стадия А: этил 5-[4-(бензилокси)пиперидин-1-ил]-2-[(6-хлор-5-метилпиридазин-3-ил)(метил)амино]-1,3-тиазол-4-карбоксилат

Гидрид натрия (60% в минеральном масле; 27.2 мг, 0.68 ммоль, 1.2 экв.) добавляли к охлажденному раствору продукта Синтеза 3za (213 мг, 0.57 ммоль, 1 экв.) и 3,6-дихлор-4-метилпиридазина (92.5 мг, 0.57 ммоль, 1 экв.) в тетрагидрофуране (6 мл), и смеси давали нагреться до температуры окружающей среды и перемешивали в течение ночи. Реакционную смесь разбавляли дихлорметаном, промывали насыщенный водным раствором хлорида аммония, затем соляным раствором, сушили (сульфат магния) и концентрировали в вакууме. Очистка с помощью автоматической колоночной флэш-хроматографии (CombiFlash Rf, 24 г силикагелевый картридж RediSep™) с элюированием с градиентом 0-60% этилацетата в изогептане приводила к получению целевого продукта в виде желтого твердого вещества (101 мг, 0.2 ммоль, 35%).

ЖХ/МС (C24H28ClN5O3S) 502 [М+Н]+; RT 1.29 (ЖХМС-V-B1)

1H ЯМР (400 МГц, ДМСО-d6) δ 7.77 (d, J=1.2 Гц, 1Н), 7.40-7.33 (m, 4H), 7.32-7.26 (m, 1Н), 4.56 (s, 2H), 4.25 (q, J=7.1 Гц, 2Н), 3.70 (s, 3H), 3.66-3.56 (m, 1Н), 3.45-3.33 (m, 2H), 3.02 (td, J=10.1, 8.7, 3.0 Гц, 2H), 2.41 (d, J=1.0 Гц, 3H), 2.07-1.93 (m, 2H), 1.79-1.63 (m, 2H), 1.30 (t, J=7.1 Гц, 3Н).

Стадия В: этил 2-({6-{(1,3-бензотиазол-2-ил)амино]-5-метилпиридазин-3-ил}(метил)амино)-5-[4-(бензилокси)пиперидин-1-ил]-1,3-тиазол-4-карбоксилат

Раствор продукта со Стадии А (101 мг, 0.2 ммоль, 1 экв.), 2-аминобензотиазола (36.2 мг, 0.24 ммоль, 1.2 экв.), N,N-диизопропилэтиламина (0.1 мл, 0.6 ммоль, 3 экв.) и ксантфоса (11.6 мг, 0.02 ммоль, 0.1 экв.) в 1,4-диоксане (4 мл) барботировали азотом (10 мин), затем добавляли трис(дибензилиденацетон)дипалладий(0) (9.19 мг, 0.01 ммоль, 0.05 экв.), и смесь нагревали в закупоренной колбе при 150°С в течение ночи. Реакционной смеси давали охладиться до температуры окружающей среды и концентрировали в вакууме. Очистка с помощью обращенно-фазовой автоматической флэш-хроматографии (CombiFlash Rf, С18 13 г колонка RediSep) с элюированием с градиентом 5-95% ацетонитрила (рН 4; муравьиная кислота) в воде (рН 4; муравьиная кислота) приводила к получению целевого продукта в виде желтого стеклообразного вещества (31.2 мг, 0.05 ммоль, 25%).

ЖХ/МС (C31H33N7O3S2) 616 [М+Н]+; RT 1.36 (ЖХМС-V-B1)

1H ЯМР (400 МГц, ДМСО-d6) δ 7.90 (s, 1Н), 7.63 (br s + s, 2H), 7.43-7.32 (m, 5H), 7.32-7.25 (m, 1Н), 7.24-7.16 (m, 1Н), 4.56 (s, 2H), 4.26 (q, J=7.1 Гц, 2H), 3.70 (s, 3H), 3.68-3.57 (m, 1Н), 3.46-3.35 (m, 2H), 3.08-2.97 (m, 2H), 2.46 (s, 3H), 2.08-1.97 (m, 2H), 1.80-1.69 (m, 2H), 1.32 (t, 3H).

Стадия С: 2-({6-{(1,3-бензотиазол-2-ил)амино]-5-метилпиридазин-3-ил}(метил)амино)-5-[4-(бензилокси)пиперидин-1-ил]-1,3-тиазол-4-карбоновая кислота

К раствору продукта со Стадии В (31.2 мг, 0.05 ммоль, 1 экв.) в 1,4-диоксане (3 мл) добавляли моногидрат гидроксида лития (10.6 мг, 0.25 ммоль, 5 экв.), и смесь нагревали при 100°С в течение ночи. Реакционной смеси давали охладиться до температуры окружающей среды и концентрировали в вакууме. Очистка с помощью обращенно-фазовой автоматической флэш-хроматографии (CombiFlash Rf, C18 13 г колонка RediSep) с элюированием с градиентом 5-95% ацетонитрила в воде приводила к получению целевого продукта в виде кремового твердого вещества (12.2 мг, 0.02 ммоль, 41%) [в виде соли лития].

МСВР-ЭРИ (m/z) [М+Н]+, рассчитано для C29H30N7O3S2: 588.1846, найдено: 588.1854.

Пример 76: 2-({6-[(1,3-Бензотиазол-2-ил)амино]-5-метилпиридазин-3-ил}(метил)амино)-5-[3-(2-фтор-4-{3-[(2-гидроксиэтил)(метил)амино]проп-1-ин-1-ил}фенокси)пропил]-1,3-тиазол-4-карбоновая кислота

Стадия А: этил 5-(3-{4-[3-({2-[(трет-бутилдиметилсилил)окси]этил}(метил)амино)проп-1-ин-1-ил]-2-фторфенокси}пропил)-2-[метил(5-метил-6-{{(2Z)-3-{{2-(триметилсилил)этокси]метил}-2,3-дигидро-1,3-бензотиазол-2-илиден]амино}пиридазин-3-ил)амино]-1,3-тиазол-4-карбоксилат

К раствору продукта Синтеза 5j (747 мг, 0.96 ммоль, 1 экв.) в ацетонитриле (50 мл) добавляли (трет-бутилдиметилсилокси)ацетальдегид (367 мкл, 1.93 ммоль, 2 экв.) с последующим добавлением триацетоксиборогидрида натрия (612 мг, 2.89 ммоль, 3 экв.) и ледяной уксусной кислоты (50 мкл), и смесь перемешивали при температуре окружающей среды в течение ночи.

Реакционную смесь распределяли между этилацетатом и насыщенным водным раствором бикарбоната натрия, и органическую фазу сушили (сульфат магния) и концентрировали в вакууме. Очистка с помощью автоматической колоночной флэш-хроматографии (CombiFlash Rf, 24 г силикагелевый картридж RediSep™) с элюированием с градиентом 0-60% этилацетата в изогептане приводила к получению целевого продукта в виде прозрачного масла (907 мг, 0.96 ммоль, 100%).

ЖХ/МС (C46H64FN7O5Si2S2) 934 [М+Н]+; RT 1.47 (ЖХМС-V-В2)

1H ЯМР (400 МГц, ДМСО-d6) δ 7.84 (d, 1H), 7.67 (d, 1H), 7.50-7.40 (m 2Н), 7.31-7.22 (m, 2Н), 7.21-7.12 (m, 2Н), 5.87 (s, 1H), 4.26 (q, J=7.1 Гц, 2Н), 4.14 (t, J=6.1 Гц, 2Н), 3.77 (s, 3Н), 3.75-3.62 (m, 4H), 3.50 (s, 2Н), 2.46 (s, 3H), 2.24 (s, 3H), 2.19-2.06 (m, 2Н), 1.29 (t, 3H), 1.24 (s, 6H), 0.96-0.89 (m, 2H), 0.04 (s, 9H), -0.11 (s, 9H).

Стадия В: этил 2-({6-{(1,3-бензотиазол-2-ил)амино]-5-метилпиридазин-3-ил}(метил)амино)-5-[3-(2-фтор-4-{3-[(2-гидроксиэтил)(метил)амино]проп-1-ин-1-ил}фенокси)пропил]-1,3-тиазол-4-карбоксилат

Трифторуксусную кислоту (13 мл) добавляли к перемешиваемому раствору продукта со Стадии А (907 мг, 0.97 ммоль, 1 экв.) в дихлорметане (40 мл), и смесь перемешивали при температуре окружающей среды в течение 9 ч. Реакционную смесь разбавляли дихлорметаном, охлаждали до 0°С и подщелачивали путем добавления 2 н. водного раствора гидроксида натрия, и органическую фазу сушили (сульфат магния) и концентрировали в вакууме. Очистка с помощью автоматической колоночной флэш-хроматографии (CombiFlash Rf, 12 г силикагелевый картридж RediSep™) с элюированием с градиентом 0-20% метанола в дихлорметане приводила к получению целевого продукта в виде желтого твердого вещества (95 мг, 0.14 ммоль, 14%).

ЖХ/МС (C34H36FN7O4S2) 690 [М+Н]+; RT 1.98 (ЖХМС-V-C)

1H ЯМР (400 МГц, ДМСО-d6) δ 7.91 (d, J=7.9 Гц, 1H), 7.67 (s, 1H), 7.56-7.48 (m, 1H), 7.39 (dt, 1H), 7.29 (dd, J=11.9, 1.9 Гц, 1H), 7.26-7.11 (m, 3H), 4.41 (t, J=5.5 Гц, 1H), 4.26 (q, J=7.1 Гц, 2Н), 4.14 (t, J=6.1 Гц, 2Н), 3.76 (s, 3H), 3.48 (s, 3H), 3.47-3.43 (m, 2Н), 3.31-3.25 (m, 2Н), 2.46 (s, 3H), 2.24 (s, 3H), 2.21-2.09 (m, 2Н), 1.29 (t, J=7.1 Гц, 3Н).

Стадия С: 2-({6-{(1,3-бензотиазол-2-ил)амино]-5-метилпиридазин-3-ил}(метил)амино)-5-[3-(2-фтор-4-{3-[(2-гидроксиэтил)(метил)амино]проп-1-ин-1-ил}фенокси)пропил]-1,3-тиазол-4-карбоновая кислота

К раствору продукта со Стадии В (95 мг, 0.14 ммоль, 1 экв.) в 1,4-диоксане (15 мл) добавляли моногидрат гидроксида лития (57.8 мг, 1.38 ммоль, 10 экв.), и смесь нагревали при 100°С в течение 6 ч. Реакционной смеси давали охладиться до температуры окружающей среды и концентрировали в вакууме. Очистка с помощью обращенно-фазовой автоматической флэш-хроматографии (CombiFlash Rf, С18 13 г колонка RediSep) с элюированием с градиентом 5-95% ацетонитрила (рН 9; ацетат аммония) в воде (рН 9; ацетат аммония) приводила к получению целевого продукта в виде желтого твердого вещества (61.8 мг, 0.09 ммоль, 67%).

МСВР-ЭРИ (m/z) [M+H]+, рассчитано для C32H33FN7O4S2: 662.2014, найдено: 662.2035.

Пример 77: 2-({6-[(1,3-Бензотиазол-2-ил)амино]-5-метилпиридазин-3-ил}(метил)амино)-5-[(3S)-3-феноксипирролидин-1-ил]-1,3-тиазол-4-карбоновая кислота

Стадия А: этил 2-[метил(5-метил-6-{[(2Z)-3-{{2-(триметилсилил)этокси]метил}-2,3-дигидро-1,3-бензотиазол-2-илиден]амино}пиридазин-3-ил)амино]-5-[(3S)-3-феноксипирролидин-1-ил]-1,3-тиазол-4-карбоксилат

В высушенный в сушильном шкафу сосуд загружали продукт Синтеза 11b (200 мг, 0.31 ммоль, 1 экв.), гидрохлорид (3S)-3-феноксипирролидина (0.09 мл, 0.63 ммоль, 2 экв.), карбонат цезия (308 мг, 0.94 ммоль, 3 экв.) и 1,4-диоксан (8 мл). Смесь барботировали азотом (10 мин), затем добавляли рац-BINAP Pd G3 (31.2 мг, 0.03 ммоль, 0.1 экв.), и смесь нагревали при 100°С в течение 6 ч.

Реакционную смесь разбавляли этилацетатом, затем промывали водой с последующим промыванием соляным раствором, сушили (сульфат магния) и концентрировали в вакууме. Очистка с помощью автоматической колоночной флэш-хроматографии (CombiFlash Rf, 12 г силикагелевый картридж RediSep™) с элюированием с градиентом 0-50% этилацетата в изогептане приводила к получению целевого продукта в виде желтой пены (184 мг, 0.26 ммоль, 81%).

ЖХ/МС (C35H43N7O4SiS2) 718 [М+Н]+; RT 1.54 (ЖХМС-V-B1)

1H ЯМР (400 МГц, ДМСО-d6) δ 7.82 (d, 1Н), 7.58 (d, 1Н), 7.48-7.37 (m, 2H), 7.35-7.20 (m, 4H), 7.01-6.91 (m, 3Н), 5.86 (s, 2H), 5.18-5.13 (m, 1Н), 4.21 (qd, J=7.1, 2.3 Гц, 2H), 3.96 (dd, J=11.8, 4.5 Гц, 1Н), 3.77-3.60 (m, 2H), 3.68 (s, 3Н), 3.67-3.61 (m, 1Н), 3.49 (td, J=8.7, 2.9 Гц, 1Н), 3.37-3.32 (m, 1Н), 2.45 (d, J=1.0 Гц, 3Н), 2.37-2.26 (m, 1Н), 2.25-2.15 (m 1Н), 1.27 (t, J=7.1 Гц, 3Н), 0.92 (dd, J=8.4, 7.6 Гц, 2H), 0.00 (s, 9H).

Стадия В: этил 2-({6-[(1,3-бензотиазол-2-ил)амино]-5-метилпиридазин-3-ил}(метил)амино)-5-[(3S)-3-феноксипирролидин-1-ил]-1,3-тиазол-4-карбоксилат

Хлористоводородную кислоту (4М в 1,4-диоксане; 3 мл, 12 ммоль, 47 экв.) добавляли к перемешиваемому раствору продукта со Стадии А (184 мг, 0.26 ммоль, 1 экв.) в 1,4-диоксане (7 мл), и смесь перемешивали при 50°С в течение ночи. Реакционную смесь разбавляли дихлорметаном, промывали насыщенным водным раствором бикарбоната натрия, затем соляным раствором, сушили (сульфат магния) и концентрировали в вакууме. Очистка с помощью обращенно-фазовой автоматической флэш-хроматографии (CombiFlash Rf, С18 13 г колонка RediSep) с элюированием 5 95% ацетонитрила (рН4; муравьиная кислота) в воде (рН 4; муравьиная кислота) приводила к получению целевого продукта в виде желтой смолы (55.8 мг, 0.09 ммоль, 37%).

ЖХ/МС (C29H29N7O3S2) 588 [М+Н]+; RT 1.32 (ЖХМС-V-B1)

1H ЯМР (400 МГц, ДМСО-d6) δ 7.89 (br s, 1Н), 7.59 (br s + s, 2H), 7.38 (t, J=7.5 Гц, 1Н), 7.33-7.26 (m, 2H), 7.19 (t, J=7.6 Гц, 1Н), 7.01-6.91 (m, 3Н), 5.18-5.13 (m, 1Н), 4.21 (qd, J=7.1, 2.3 Гц, 2H), 3.96 (dd, J=11.8, 4.5 Гц, 1Н), 3.66 (s, 3Н), 3.66-3.59 (m, 1Н), 3.48 (td, J=9.2, 8.8, 2.8 Гц, 1Н), 3.38-3.28 (m, 1H), 2.44 (s, 3Н), 2.40-2.26 (m, 1Н), 2.24-2.15 (m, 2H), 1.26 (t, J=7.1 Гц, 3Н).

Стадия С: 2-({6-{(1,3-бензотиазол-2-ил)амино]-5-метилпиридазин-3-ил}(метил)амино)-5-[(3S)-3-феноксипирролидин-1-ил]-1,3-тиазол-4-карбоновая кислота

К раствору продукта со Стадии В (55.8 мг, 0.09 ммоль, 1 экв.) в 1,4-диоксане (5 мл) добавляли моногидрат гидроксида лития (19.9 мг, 0.47 ммоль, 5 экв.), и смесь нагревали при 100°С в течение ночи. Реакционной смеси давали охладиться до температуры окружающей среды, концентрировали в вакууме, и остаток растирали с водой, отфильтровывали и сушили в вакууме с получением целевого продукта в виде желтого твердого вещества (38.5 мг, 0.07 ммоль, 72%) [в виде соли лития].

МСВР-ЭРИ (m/z) [М+Н]+, рассчитано для C27H26N7O3S2: 560.1533, найдено: 560.1541.

Пример 78: 2-({6-[(1,3-Бензотиазол-2-ил)амино]-5-метилпиридазин-3-ил}(метил)амино)-5-циклобутил-1,3-тиазол-4-карбоновая кислота

Стадия А: этил 5-циклобутил-2-[метил(5-метил-6-{[(2Z)-3-{[2-(триметилсилил)этокси]метил}-2,3-дигидро-1,3-бензотиазол-2-илиден]амино}пиридазин-3-ил)амино]-1,3-тиазол-4-карбоксилат

В высушенную в сушильном шкафу колбу загружали продукт Синтеза 11b (500 мг, 0.79 ммоль, 1 экв.) и йодид меди(I) (300 мг, 1.57 ммоль, 2 экв.), и колбу вакуумировали и продували азотом (х3), и затем добавляли диметилацетамид (15 мл). В виде одной порции добавляли бромид циклобутилцинка (0.5М в тетрагидрофуране; 9.44 мл, 4.72 ммоль, 6 экв.), и реакционную смесь перемешивали в течение ночи при температуре окружающей среды. Смесь разбавляли дихлорметаном и затем гасили насыщенным водным раствором бикарбоната натрия, вызывая выпадение осадка. Смесь энергично перемешивали в течение 5 мин, затем фильтровали через смоченную дихлорметаном набивку из целита, и элюировали с помощью дихлорметана и насыщенного водного раствора бикарбоната натрия. Слои разделяли и водную фазу экстрагировали дихлорметаном (х2). Объединенные органические экстракты промывали соляным раствором, сушили (сульфат магния) и концентрировали в вакууме. Очистка с помощью автоматической колоночной флэш-хроматографии (CombiFlash Rf, 24 г силикагелевый картридж RediSep™) с элюированием с градиентом 0-30% этилацетата в изогептане приводила к получению целевого продукта в виде бледно-желтого стекла/пены (313 мг, 0.51 ммоль, 65%).

ЖХ/МС (C29H38N6O3SiS2) 611 [М+Н]+; RT 1.38 (ЖХМС-V-В2)

1Н ЯМР (400 МГц, CDCl3) δ 7.60 (dt, J=7.5, 0.9 Гц, 1H), 7.45-7.32 (m, 3H), 7.21 (ddd, J=7.6, 5.9, 2.5 Гц, 1Н), 5.85 (s, 2H), 4.51-4.28 (m, 3H), 3.84 (s, 3H), 3.81-3.67 (m, 2H), 2.62-2.47 (m, 2H), 2.46 (s, 3H), 2.38-2.16 (m, 2H), 2.15-1.83 (m, 2H), 1.42 (t, J=7.1 Гц, 3H), 1.05-0.93 (m, 2H), -0.07 (s, 9H).

Стадия В: 2-({6-[(1,3-бензотиазол-2-ил)амино]-5-метилпиридазин-3-ил}(метил)амино)-5-циклобутил-1,3-тиазол-4-карбоновая кислота

Трифторуксусную кислоту (5.04 мл, 65.8 ммоль, 130 экв.) добавляли к перемешиваемому раствору продукта со Стадии А (309 мг, 0.51 ммоль, 1 экв.) в дихлорметане (10 мл), и смесь перемешивали при температуре окружающей среды в течение ночи. Реакционную смесь концентрировали в вакууме. При перемешивании добавляли 1,4-диоксан (10 мл) с получением вязкой не совсем белой суспензии, к которой добавляли 1 н. водный раствор гидроксида натрия (5 мл), и смесь нагревали с обратным холодильником в течение 20 мин. Смеси давали охладиться до температуры окружающей среды, затем фильтровали через набивку целита, элюируя с помощью воды и затем диоксана, и концентрировали в вакууме. Остаток распределяли между хлороформом и насыщенным водным раствором бикарбоната натрия, и органическую фазу сушили (сульфат магния) и концентрировали в вакууме. Твердое вещество растирали с диэтиловым эфиром, отфильтровывали и сушили в вакууме с получением целевого продукта в виде желтого порошка (98.5 мг, 0.22 ммоль, 43%).

МСВР-ЭРИ (m/z) [М+Н]+, рассчитано для C21H21N6O2S2: 453.1162, найдено: 453.1172.

Пример 79: 2-({6-[(1,3-Бензотиазол-2-ил)амино]-5-метилпиридазин-3-ил}(метил)амино)-5-[(3R)-3-феноксипирролидин-1-ил]-1,3-тиазол-4-карбоновая кислота

Стадия А: этил 2-[метил(5-метил-6-{[(2Z)-3-{[2-(триметилсилил)этокси]метил}-2,3-дигидро-1,3-бензотиазол-2-илиден]амино}пиридазин-3-ил)амино]-5-[(3R)-3-феноксипирролидин-1-ил]-1,3-тиазол-4-карбоксилат

В высушенную в сушильном шкафу колбу загружали продукт Синтеза 11b (300 мг, 0.44 ммоль, 1 экв.), (R)-3-феноксипирролидин (0.13 мл, 0.88 ммоль, 2 экв.), карбонат цезия (430 мг, 1.32 ммоль, 3 экв.) и 1,4-диоксан (12 мл). Смесь барботировали азотом (10 мин), добавляли рац-BINAP Pd G3 (43.6 мг, 0.04 ммоль, 0.1 экв.) и нагревали при 100°С в течение ночи. Реакционную смесь разбавляли этилацетатом, затем промывали водой с последующим промыванием соляным раствором, сушили (сульфат магния) и концентрировали в вакууме. Очистка с помощью автоматической колоночной флэш-хроматографии (CombiFlash Rf, 12 г силикагелевый картридж RediSep™) с элюированием с градиентом 0-50% этилацетата в изогептане приводила к получению целевого продукта в виде желтой пены (253 мг, 0.35 ммоль, 80%).

ЖХ/МС (C35H43N7O4SiS2) 718 [М+Н]+; RT 1.54 (ЖХМС-V-B1)

1Н ЯМР (400 МГц, ДМСО-d6) δ 7.85-7.78 (m, 1H), 7.57 (d, J=1.1 Гц, 1Н), 7.47-7.38 (m, 2H), 7.35-7.19 (m, 3H), 7.01-6.80 (m, 3H), 5.85 (s, 2H), 5.22-5.10 (m, 1H), 4.21 (qd, J=7.1, 2.4 Гц, 2H), 3.96 (dd, J=11.8, 4.5 Гц, 1H), 3.76-3.59 (m, 3H), 3.49 (td, J=8.6, 2.8 Гц, 1H), 3.33 (s, 4H), 3.36-3.28 (m, 1H), 2.44 (d, J=1.0 Гц, 3H), 2.39-2.28 (m, 1H), 2.26-2.16 (m, 1H), 1.27 (t, J=7.1 Гц, 3H), 0.96-0.83 (m, 2H), -0.11 (s, 9H).

Стадия В: этил 2-({6-[(1,3-бензотиазол-2-ил)амино]-5-метилпиридазин-3-ил}(метил)амино)-5-[(3R)-3-феноксипирролидин-1-ил]-1,3-тиазол-4-карбоксилат

Хлористоводородную кислоту (4М в 1,4-диоксане; 4 мл, 16 ммоль, 45 экв.) добавляли к перемешиваемому раствору продукта со Стадии А (253 мг, 0.35 ммоль, 1 экв.) в 1,4-диоксане (8 мл), и смесь перемешивали при 50°С в течение ночи. Реакционную смесь разбавляли дихлорметаном, промывали насыщенным водным раствором бикарбоната натрия, затем соляным раствором, сушили (сульфат магния) и концентрировали в вакууме. Очистка с помощью автоматической колоночной флэш-хроматографии (CombiFlash Rf, 12 г силикагелевый картридж RediSep™) с элюированием с градиентом 0-5% метанола в дихлорметане приводила к получению целевого продукта в виде желтой пены (189 мг, 0.32 ммоль, 91%).

ЖХ/МС (C29H29N7O3S2) 588 [М+Н]+; RT 1.32 (ЖХМС-V-B1)

1Н ЯМР (400 МГц, ДМСО-d6) δ 10.98 (br s, 1H), 7.94-7.87 (m, 1H), 7.60 (br s+s, 2H), 7.39 (t, J=7.7 Гц, 1H), 7.34-7.27 (m, 2H), 7.25-7.16 (s, 1H), 7.02-6.87 (m, 3H), 5.20-5.13 (m, 1H), 4.21 (qd, J=7.1, 2.2 Гц, 2H), 3.97 (dd, J=11.8, 4.5 Гц, 1H), 3.67 (s, 3H), 3.74-3.60 (m, 1H), 3.55-3.43 (m, 1H), 3.38-3.30 (m, 1H), 2.45 (s, 3H), 2.41-2.27 (m, 1H), 2.26-2.17 (m, 1H), 1.27 (t, J=7.1 Гц, 3H).

Стадия С: 2-({6-[(1,3-бензотиазол-2-ил)амино]-5-метилпиридазин-3-ил}(метил)амино)-5-[(3R)-3-феноксипирролидин-1-ил]-1,3-тиазол-4-карбоновая кислота

К раствору продукта со Стадии В (189 мг, 0.32 ммоль, 1 экв.) в 1,4-диоксане (10 мл) добавляли моногидрат гидроксида лития (67.4 мг, 1.61 ммоль, 5 экв.), и смесь нагревали с обратным холодильником в течение ночи. Реакционной смеси давали охладиться до температуры окружающей среды, затем концентрировали в вакууме, растирали с водой, отфильтровывали и сушили в вакууме с получением целевого продукта в виде бежевого твердого вещества (118 мг, 0.21 ммоль, 65%) [в виде соли лития].

МСВР-ЭРИ (m/z) [М+Н]+, рассчитано для C27H26N7O3S2: 560.1533, найдено: 560.1535.

Пример 80: 2-({6-[(1,3-Бензотиазол-2-ил)амино]-5-метилпиридазин-3-ил}(метил)амино)-5-(пиперидин-1-ил)-1,3-тиазол-4-карбоновая кислота

Стадия А: этил 5-(пиперидин-1-ил)-1,3-тиазол-4-карбоксилат

Раствор этил 5-бромтиазол-4-карбоксилата (500 мг, 2.12 ммоль, 1 экв.), пиперидина (0.25 мл, 2.54 ммоль, 1.2 экв.) и 1,8-диазабицикло[5.4.0]ундец-7-ена (0.64 мл, 4.24 ммоль, 2 экв.) в ацетонитриле (15 мл) нагревали при 80°С в течение ночи. Реакционной смеси давали охладиться до температуры окружающей среды, затем концентрировали в вакууме и очищали с помощью автоматической колоночной флэш-хроматографии (CombiFlash Rf, 24 г силикагелевый картридж RediSep™) с элюированием с градиентом 0-60% этилацетата в изогептане с получением целевого продукта в виде коричневого масла (376 мг, 1.57 ммоль, 74%).

ЖХ/МС (C11H16N2O2S) 241 [М+Н]+; RT 1.12 (ЖХМС-V-B1)

1Н ЯМР (400 МГц, ДМСО-d6) δ 8.45 (s, 1Н), 4.24 (q, J=7.1 Гц, 2H), 3.15-3.07 (m, 4H), 1.67 (p, J=5.6 Гц, 4Н), 1.58-1.49 (m, 2Н), 1.28 (t, J=7.1 Гц, 3H).

Стадия В: этил 2-бром-5-(пиперидин-1-ил)-1,3-тиазол-4-карбоксилат

N-Бромсукцинимид (453 мг, 2.55 ммоль, 1.2 экв.) добавляли к перемешиваемому раствору продукта со Стадии А (510 мг, 2.12 ммоль, 1 экв.) в ацетонитриле (20 мл), и смесь перемешивали при температуре окружающей среды в течение 7 ч. Реакционную смесь распределяли между 10% водным раствором тиосульфата натрия и этилацетатом, и органическую фазу промывали водой с последующим промыванием соляным раствором, сушили (сульфат магния) и концентрировали в вакууме. Очистка с помощью автоматической колоночной флэш-хроматографии (CombiFlash Rf, 24 г силикагелевый картридж RediSep™) с элюированием с градиентом 0-40% этилацетата в изогептане приводила к получению целевого продукта в виде бесцветного масла (482 мг, 1.51 ммоль, 71%).

ЖХ/МС (C11H15BrN2O2S) 273 [M-OEt-]+; RT 1.14 (ЖХМС-V-B1)

1H ЯМР (400 МГц, ДМСО-d6) δ 4.23 (q, J=7.1 Гц, 2H), 3.18-3.10 (m, 4Н), 1.70-1.60 (m, 4Н), 1.59-1.49 (m, 2Н), 1.28 (t, J=7.1 Гц, 3H).

Стадия С: этил 2-{[(трет-бутокси)карбонил](метил)амино}-5-(пиперидин-1-ил)-1,3-тиазол-4-карбоксилат

Продукт со Стадии В (482 мг, 1.51 ммоль, 1 экв.) и трет-бутил метилкарбамат (0.26 мл, 1.81 ммоль, 1.2 экв.) в атмосфере азота добавляли к раствору трис(дибеизилиденацетон)дипалладия(0) (69.1 мг, 0.08 ммоль, 0.05 экв.) и ксантфоса (87.4 мг, 0.15 ммоль, 0.1 экв.) в 1,4-диоксане (10 мл). Добавляли карбонат цезия (738 мг, 2.26 ммоль, 1.5 экв.), и смесь нагревали при 100°С в течение 7.5 ч. Раствору давали охладиться до температуры окружающей среды и концентрировали в вакууме. Смесь разбавляли этилацетатом и промывали водой с последующим промыванием соляным раствором, сушили (сульфат магния) и концентрировали в вакууме. Очистка с помощью автоматической колоночной флэш-хроматографии (CombiFlash Rf, 50 г силикагелевый картридж RediSep™) с элюированием с градиентом 0-50% этилацетата в изогептане приводила к получению целевого продукта в виде желтой смолы (434 мг, 1.17 ммоль, 78%).

ЖХ/МС (C17H27N3O4S) 370 [М+Н]+; RT 1.304 (ЖХМС-V-B1)

1Н ЯМР (400 МГц, ДМСО-d6) δ 4.21 (q, J=7.1 Гц, 2Н), 3.37 (s, 3H), 3.11-3.03 (m, 4Н), 1.64 (p, J=5.6 Гц, 4Н), 1.55-1.51 (m, 2Н), 1.51 (s, 9Н), 1.26 (t, J=7.1 Гц, 3H).

Стадия D: этил 2-(метиламино)-5-(пиперидин-1-ил)-1,3-тиазол-4-карбоксилат

Трифторуксусную кислоту (1.32 мл, 17.6 ммоль, 15 экв.) при 0°С добавляли к перемешиваемому раствору продукта со Стадии С (434 мг, 1.17 ммоль, 1 экв.) в дихлорметане (15 мл), и смеси давали нагреться до температуры окружающей среды и перемешивали в течение ночи. Реакционную смесь распределяли между насыщенным водным раствором бикарбоната натрия и дихлорметаном, и органическую фазу промывали соляным раствором, сушили (сульфат магния) и концентрировали в вакууме. Полученное в результате твердое вещество растирали с диэтиловым эфиром, собирали путем фильтрования и сушили в вакууме с получением целевого продукта в виде белого твердого вещества (197 мг, 0.73 ммоль, 62%).

ЖХ/МС (C12H19N3O2S) 270 [М+Н]+; RT 0.91 (ЖХМС-V-B1)

1H ЯМР (400 МГц, ДМСО-d6) δ 7.26 (q, J=4.8 Гц, 1H), 4.17 (q, J=7.1 Гц, 2H), 2.91-2.84 (m, 4H), 2.75 (d, J=4.8 Гц, 3H), 1.61 (p, J=5.6 Гц, 4Н), 1.52-1.42 (m, 2Н), 1.25 (t, J=7.1 Гц, 3H).

Стадия Е: этил 2-[(6-хлор-5-метилпиридазин-3-ил)(метил)амино]-5-(пиперидин-1-ил)-1,3-тиазол-4-карбоксилат

Гидрид натрия (60% в минеральном масле; 35.2 мг, 0.88 ммоль, 1.2 экв.) добавляли к охлажденному раствору продукта со Стадии D (197 мг, 0.73 ммоль, 1 экв.) и 3,6-дихлор-4-метилпиридазина (119 мг, 0.73 ммоль, 1 экв.) в тетрагидрофуране (8 мл), и смеси давали нагреться до температуры окружающей среды и перемешивали в течение 3.5 ч. Реакционную смесь разбавляли дихлорметаном, промывали насыщенный водным раствором хлорида аммония с последующим промыванием соляным раствором, сушили (сульфат магния) и концентрировали в вакууме. Очистка с помощью автоматической колоночной флэш-хроматографии (CombiFlash Rf, 24 г силикагелевый картридж RediSep™) с элюированием с градиентом 0-60% этилацетата в изогептане приводила к получению целевого продукта в виде желтого твердого вещества (131 мг, 0.33 ммоль, 45%).

ЖХ/МС (C17H22ClN5O2S) 396 [М+Н]+; RT 1.20 (ЖХМС-V-B1)

1Н ЯМР (400 МГц, ДМСО-d6) δ 7.76 (d, J=1.0 Гц, 1H), 4.25 (q, J=7.1 Гц, 2Н), 3.70 (s, 3H), 3.16-3.08 (m, 4Н), 2.41 (d, J=1.0 Гц, 3H), 1.66 (q, J=5.8 Гц, 4Н), 1.60-1.46 (m, 2Н), 1.30 (t, J=7.1 Гц, 3H).

Стадия F: этил 2-({6-[(1,3-бензотиазол-2-ил)амино]-5-метилпиридазин-3-ил}(метил)амино)-5-(пиперидин-1-ил)-1,3-тиазол-4-карбоксилат

Раствор продукта со Стадии E (131 мг, 0.33 ммоль, 1 экв.), 2-аминобензотиазола (74.7 мг, 0.5 ммоль, 1.5 экв.), N,N-диизопропилэтиламина (0.16 мл, 0.99 ммоль, 3 экв.) и ксантфоса (19.2 мг, 0.03 ммоль, 0.1 экв.) в 1,4-диоксане (7 мл) барботировали азотом (10 мин), затем добавляли трис(дибензилиденацетон)дипалладий(0) (15.2 мг, 0.02 ммоль, 0.05 экв.), и смесь нагревали в закупоренной колбе при 150°С в течение ночи. Реакционной смеси давали охладиться до температуры окружающей среды, затем распределяли между этилацетатом и водой, и органическую фазу промывали соляным раствором, сушили (сульфат магния) и концентрировали в вакууме. Очистка с помощью обращенно-фазовой автоматической флэш-хроматографии (CombiFlash Rf, С18 13 г колонка RediSep) с элюированием с градиентом 5-95% ацетонитрила (рН4; муравьиная кислота) в воде (рН 4; муравьиная кислота) приводила к получению целевого продукта в виде желтой пены (64.8 мг, 0.13 ммоль, 38%).

ЖХ/МС (C24H27N7O2S2) 510 [М+Н]+; RT 1.32 (ЖХМС-V-B1)

1Н ЯМР (400 МГц, ДМСО-d6) δ 7.91 (br s, 1H), 7.63 (br s+s, 2H), 7.39 (t, J=7.6 Гц, 1H), 7.22 (t, J=7.5 Гц, 1H), 4.26 (q, 2H), 3.70 (s, 3H), 3.18-3.08 (m, 4H), 2.46 (s, 3H), 1.72-1.61 (m, 4H), 1.59-1.47 (m, 2H), 1.31 (t, J=7.1, 2.7 Гц, 3H).

Стадия G: 2-({6-[(1,3-бензотиазол-2-ил)амино]-5-метилпиридазин-3-ил}(метил)амино)-5-(пиперидин-1-ил)-1,3-тиазол-4-карбоновая кислота

К раствору продукта со Стадии F (64.8 мг, 0.13 ммоль, 1 экв.) в 1,4-диоксане (3 мл) добавляли моногидрат гидроксида лития (26.7 мг, 0.64 ммоль, 5 экв.), и смесь нагревали с обратным холодильником в течение ночи. Реакционной смеси давали охладиться до температуры окружающей среды и концентрировали в вакууме. Очистка с помощью обращенно-фазовой автоматической флэш-хроматографии (CombiFlash Rf, С18 13 г колонка RediSep) с элюированием с градиентом 5-95% ацетонитрила в воде приводила к получению целевого продукта в виде желтого твердого вещества (23 мг, 0.05 ммоль, 38%).

МСВР-ЭРИ (m/z) [М+Н]+, рассчитано для C22H24N7O2S2: 482.1427, найдено: 482.1435.

Пример 81: 2-({6-[(1,3-Бензотиазол-2-ил)амино]-5-метилпиридазин-3-ил}(метил)амино)-5-(4-феноксипиперидин-1-ил)-1,3-тиазол-4-карбоновая кислота

Стадия А: этил 5-(4-феноксипиперидин-1-ил)-1,3-тиазол-4-карбоксилат

Раствор этил 5-бромтиазол-4-карбоксилата (500 мг, 2.12 ммоль, 1 экв.), 4-феноксипиперидина (451 мг, 2.54 ммоль, 1.2 экв.) и 1,8-диазабицикло[5.4.0]ундец-7-ена (0.64 мл, 4.24 ммоль, 2 экв.) в ацетонитриле (15 мл) нагревали при 80°С в течение ночи, затем давали охладиться до температуры окружающей среды и концентрировали в вакууме. Очистка с помощью автоматической колоночной флэш-хроматографии (CombiFlash Rf, 40 г силикагелевый картридж RediSep™) с элюированием с градиентом 0-60% этилацетата в изогептане приводила к получению целевого продукта в виде коричневого масла (424 мг, 1.27 ммоль, 60%).

ЖХ/МС (C17H20N2O3S) 333 [М+Н]+; RT 1.28 (ЖХМС-V-B1)

1Н ЯМР (400 МГц, ДМСО-d6) δ 8.49 (s, 1H), 7.35-7.25 (m, 2Н), 7.05-6.96 (m, 2Н), 6.94 (tt, J=7.3, 1.0 Гц, 1H), 4.61 (tt, J=7.6, 3.6 Гц, 1H), 4.25 (q, J=7.1 Гц, 2Н), 3.45-3.35 (m, 2Н), 3.20-3.08 (m, 2Н), 2.15-2.02 (m, 2Н), 1.88-1.75 (m, 2Н), 1.29 (t, J=7.1 Гц, 3H).

Стадия В: этил 2-бром-5-(4-феноксипиперидин-1-ил)-1,3-тиазол-4-карбоксилат

N-Бромсукцинимид (272 мг, 1.53 ммоль, 1.2 экв.) добавляли к перемешиваемому раствору продукта со Стадии А (424 мг, 1.27 ммоль, 1 экв.) в ацетонитриле (20 мл), и смесь перемешивали при температуре окружающей среды в течение 5.5 ч. Реакционную смесь гасили путем добавления 10% водного раствора тиосульфата натрия, затем экстрагировали этилацетатом, промывали водой с последующим промыванием соляным раствором, сушили (сульфат магния) и концентрировали в вакууме. Очистка с помощью автоматической колоночной флэш-хроматографии (CombiFlash Rf, 12 г силикагелевый картридж RediSep™) с элюированием с градиентом 0-40% этилацетата в изогептане приводила к получению целевого продукта в виде белого твердого вещества (404 мг, 0.98 ммоль, 77%).

ЖХ/МС (C17H19BrN2O3S) 413 [М+Н]+; RT 1.26 (ЖХМС-V-B1)

1Н ЯМР (400 МГц, ДМСО-d6) δ 7.35-7.25 (m, 2Н), 7.04-6.89 (m, 3H), 4.62 (dt, J=7.6, 3.9 Гц, 1Н), 4.25 (q, 2H), 3.46-3.36 (m, 2H), 3.24-3.13 (m, 2H), 2.12-2.01 (m, 2H), 1.87-1.74 (m, 2H), 1.28 (t, 3H).

Стадия С: этил 2-{[(трет-бутокси)карбонил](метил)амино}-5-(4-феноксипиперидин-1-ил)-1,3-тиазол-4-карбоксилат

Продукт со Стадии В (404 мг, 0.98 ммоль, 1 экв.) и трет-бутил метилкарбамат (0.17 мл, 1.18 ммоль, 1.2 экв.) в атмосфере азота добавляли к раствору трис(дибензилиденацетон)дипалладия(0) (45 мг, 0.05 ммоль, 0.05 экв.) и ксантфоса (56.8 мг, 0.1 ммоль, 0.1 экв.) в 1,4-диоксане (10 мл). Добавляли карбонат цезия (480 мг, 1.47 ммоль, 1.5 экв.), и смесь нагревали при 100°С в течение ночи. Реакционной смеси давали охладиться до температуры окружающей среды, затем концентрировали в вакууме. Остаток распределяли между этилацетатом и водой, и органическую фазу промывали соляным раствором, сушили (сульфат магния) и концентрировали в вакууме. Очистка с помощью автоматической колоночной флэш-хроматографии (CombiFlash Rf, 24 г силикагелевый картридж RediSep™) с элюированием с градиентом 0-50% этилацетата в изогептане приводила к получению целевого продукта в виде желтой смолы (285 мг, 0.62 ммоль, 63%).

ЖХ/МС (C23H31N3O5S) 462 [М+Н]+; RT 1.37 (ЖХМС-V-B1)

1Н ЯМР (400 МГц, ДМСО-d6) δ 7.34-7.24 (m, 2Н), 7.02-6.97 (m, 2Н), 6.93 (tt, J=7.2, 1.1 Гц, 1H), 4.58 (dt, J=7.9, 4.1 Гц, 1Н), 4.23 (q, J=7.1 Гц, 2H), 3.38 (s, 3H), 3.37-3.33 (m, 2H), 3.09 (ddd, J=11.8, 8.5, 3.2 Гц, 2H), 2.15-1.99 (m, 2H), 1.79 (dtd, J=12.3, 8.2, 3.6 Гц, 2H), 1.52 (s, 9H), 1.27 (t, J=7.1 Гц, 3H).

Стадия D: этил 2-(метиламино)-5-(4-феноксипиперидин-1-ил)-1,3-тиазол-4-карбоксилат

Трифторуксусную кислоту (0.46 мл, 6.17 ммоль, 10 экв.) при 0°С добавляли к перемешиваемому раствору продукта со Стадии С (285 мг, 0.62 ммоль, 1 экв.) в дихлорметане (8 мл), и смеси давали нагреться до температуры окружающей среды и перемешивали в течение ночи. Реакционную смесь гасили путем добавления насыщенного водного раствора бикарбоната натрия, экстрагировали дихлорметаном, и органический экстракт промывали соляным раствором, сушили (сульфат магния) и концентрировали в вакууме. Полученное в результате твердое вещество растирали со смесью диэтиловый эфир / гептан, отфильтровывали и сушили в вакууме с получением целевого продукта в виде кремового твердого вещества (161 мг, 0.45 ммоль, 72%).

ЖХ/МС (C18H23N3O3S) 362 [М+Н]+; RT 1.08 (ЖХМС-V-B1)

1Н ЯМР (400 МГц, ДМСО-d6) δ 7.35-7.24 (m, 3H), 7.02-6.97 (m, 2Н), 6.93 (tt, J=7.3, 1.1 Гц, 1H), 4.53 (dt, J=7.9, 4.1 Гц, 1Н), 4.19 (q, J=7.1 Гц, 2H), 3.22-3.12 (m, 2H), 2.90 (ddd, J=11.6, 8.6, 3.2 Гц, 2H), 2.76 (d, J=4.7 Гц, 3H), 2.10-1.95 (m, 2H), 1.77 (dtd, J=12.3, 8.2, 3.6 Гц, 2H), 1.26 (t, J=7.1 Гц, 3H).

Стадия E: этил 2-[(6-хлор-5-метилпиридазин-3-ил)(метил)амино]-5-(4-феноксипиперидин-1-ил)-1,3-тиазол-4-карбоксилат

Гидрид натрия (60% в минеральном масле; 21.4 мг, 0.53 ммоль, 1.2 экв.) добавляли к охлажденному раствору продукта со Стадии D (161 мг, 0.45 ммоль, 1 экв.) и 3,6-дихлор-4-метилпиридазина (72.6 мг, 0.45 ммоль, 1 экв.) в тетрагидрофуране (5 мл), и смеси давали нагреться до температуры окружающей среды и перемешивали в течение ночи. Реакционную смесь разбавляли дихлорметаном, затем промывали насыщенным водным раствором хлорида аммония с последующим промыванием соляным раствором, сушили (сульфат магния) и концентрировали в вакууме. Очистка с помощью автоматической колоночной флэш-хроматографии (CombiFlash Rf, 12 г силикагелевый картридж RediSep™) с элюированием с градиентом 0-60% этилацетата в изогептане приводила к получению целевого продукта в виде желтой пены (63.3 мг, 0.13 ммоль, 29%).

ЖХ/МС (C23H26ClN5O3S) 488 [М+Н]+; RT 1.289 (ЖХМС-V-B1)

1Н ЯМР (400 МГц, ДМСО-d6) δ 7.77 (d, J=1.0 Гц, 1Н), 7.34-7.25 (m, 2H), 7.04-6.98 (m, 2H), 6.93 (tt, J=7.4, 1.1 Гц, 1H), 4.59 (dt, J=8.1, 4.1 Гц, 1H), 4.25 (q, J=7.1 Гц, 2H), 3.70 (s, 3H), 3.45-3.35 (m, 2H), 3.13 (ddd, J=11.5, 8.5, 3.2 Гц, 2H), 2.41 (d, J=1.0 Гц, 3H), 2.14-2.01 (m, 2H), 1.81 (dtd, J=12.2, 8.3, 3.5 Гц, 2H), 1.30 (t, J=7.1 Гц, 3H).

Стадия F: этил 2-({6-[(1,3-бензотиазол-2-ил)амино]-5-метилпиридазин-3-ил}(метил)амино)-5-(4-феноксипиперидин-1-ил)-1,3-тиазол-4-карбоксилат

Раствор продукта со Стадии E (63.3 мг, 0.13 ммоль, 1 экв.), 2-аминобензотиазола (29.2 мг, 0.19 ммоль, 1.5 экв.), N,N-диизопропилэтиламина (0.06 мл, 0.39 ммоль, 3 экв.) и ксантфоса (7.51 мг, 0.01 ммоль, 0.1 экв.) в 1,4-диоксане (4 мл) барботировали азотом (10 мин), затем добавляли трис(дибензилиденацетон)дипалладий(0) (5.94 мг, 0.01 ммоль, 0.05 экв.), и смесь нагревали в закупоренной колбе при 150°С в течение ночи. Реакционной смеси давали охладиться до температуры окружающей среды, затем распределяли между этилацетатом и водой, и органическую фазу промывали соляным раствором, сушили (сульфат магния) и концентрировали в вакууме. Очистка с помощью обращенно-фазовой автоматической флэш-хроматографии (CombiFlash Rf, С18 13 г колонка RediSep) с элюированием с градиентом 5-95% ацетонитрила (рН 4; муравьиная кислота) в воде (рН 4; муравьиная кислота) приводила к получению целевого продукта в виде желтой пены (23 мг, 0.04 ммоль, 30%).

ЖХ/МС (C30H31N7O3S2) 602 [М+Н]+; RT 1.37 (ЖХМС-V-B1)

1Н ЯМР (400 МГц, ДМСО-d6) δ 7.92 (br s, 1H), 7.64 (br s+s, 2H), 7.36 (dd, J=31.4, 7.1 Гц, 1H), 7.29 (dd, J=8.6, 7.3 Гц, 2H), 7.25-7.17 (m, 1H), 7.07-6.98 (m, 2H), 6.97-6.89 (m, 1H), 4.61 (dt, 1H), 4.27 (q, 2H), 3.71 (s, 3H), 3.49-3.36 (m, 2H), 3.22-3.09 (m, 3H), 2.46 (s, 3H), 2.18-2.02 (m, 2H), 1.91-1.73 (m, 2H), 1.32 (t, 3H).

Стадия G: 2-({6-[(1,3-бензотиазол-2-ил)амино]-5-метилпиридазин-3-ил}(метил)амино)-5-(4-феноксипиперидин-1-ил)-1,3-тиазол-4-карбоновая кислота

К раствору продукта со Стадии F (23 мг, 0.04 ммоль, 1 экв.) в 1,4-диоксане (3 мл) добавляли моногидрат гидроксида лития (8.02 мг, 0.19 ммоль, 5 экв.), и смесь нагревали с обратным холодильником в течение ночи, затем давали охладиться до температуры окружающей среды и концентрировали в вакууме. Очистка с помощью обращенно-фазовой автоматической флэш-хроматографии (CombiFlash Rf, С18 13 г колонка RediSep) с элюированием с градиентом 5-95% ацетонитрила в воде приводила к получению целевого продукта в виде желтого твердого вещества (3.7 мг, 0.01 ммоль, 17%).

МСВР-ЭРИ (m/z) [М+Н]+, рассчитано для C28H28N7O3S2: 574.1690, найдено: 574.1697.

Пример 82: 2-({6-[(1,3-Бензотиазол-2-ил)амино]-5-метилпиридазин-3-ил}(метил)амино)-5-{3-[4-(3-{[(трет-бутокси)карбонил](метил)амино}проп-1-ин-1-ил)-2-фторфенокси]пропил}-1,3-тиазол-4-карбоновая кислота

Стадия А: этил 2-({6-[(1,3-бензотиазол-2-ил)амино]-5-метилпиридазин-3-ил}(метил)амино)-5-(3-йодпропил)-1,3-тиазол-4-карбоксилат

К раствору продукта Синтеза 5g (176 мг, 0.24 ммоль, 1 экв.) в дихлорметане (5 мл) добавляли трифторуксусную кислоту (5 мл), и смесь перемешивали при температуре окружающей среды в течение 4 ч. Реакционную смесь разбавляли дихлорметаном, промывали 2 н. водным раствором гидроксида натрия, сушили (сульфат магния) и концентрировали в вакууме. Остаток растирали с ацетонитрилом, отфильтровывали и сушили в вакууме с получением целевого продукта в виде белого твердого вещества (93 мг, 0.16 ммоль, 64%).

ЖХ/МС (C22H23IN6O2S2) 595 [М+Н]+; RT 2.63 (ЖХМС-V-C)

1Н ЯМР (400 МГц, ДМСО-d6) δ 7.92 (s, 1Н), 7.69 (s, 1H), 7.54 (br s, 1H), 7.40 (t, J=7.8 Гц, 1H), 7.22 (t, J=7.5 Гц, 1H), 4.31 (q, J=7.1 Гц, 2H), 3.77 (s, 3H), 3.35 (t, J=6.8 Гц, 2H), 3.24-3.16 (m, 2H), 2.47 (s, 3H), 2.20-2.11 (m, 2H), 1.34 (t, J=7.1 Гц, 3H).

Стадия В: этил 2-({6-[(1,3-бензотиазол-2-ил)амино]-5-метилпиридазин-3-ил}(метил)амино)-5-{3-[4-(3-{[(трет-бутокси)карбонил](метил)амино}проп-1-ин-1-ил)-2-фторфенокси]пропил}-1,3-тиазол-4-карбоксилат

К раствору продукта со Стадии А (93 мг, 0.16 ммоль, 1 экв.) в диметилформамиде (5 мл) добавляли продукт Синтеза 6а (56.8 мг, 0.2 ммоль, 1.3 экв.) и карбонат цезия (153 мг, 0.47 ммоль, 3 экв.), и смесь нагревали при 80°С в течение ночи, затем давали охладиться до температуры окружающей среды и концентрировали в вакууме. Остаток распределяли между этилацетатом и соляным раствором, и органическую фазу сушили (сульфат магния) и концентрировали в вакууме. Очистка с помощью автоматической колоночной флэш-хроматографии (CombiFlash Rf, 12 г силикагелевый картридж RediSep™) с элюированием с градиентом 0-100% этилацетата в изогептане приводила к получению целевого продукта в виде желтой смолы (45 мг, 0.06 ммоль, 39%).

ЖХ/МС (C37H40FN7O5S2) 747 [М+Н]+; RT 2.77 (ЖХМС-V-C)

1Н ЯМР (400 МГц, ДМСО-d6) δ 7.91 (d, J=19.8 Гц, 1Н), 7.68 (s, 1H), 7.54 (br s, 1H), 7.39 (t, 1H), 7.33 (d, 1H), 7.26-7.12 (m, 3H), 4.26 (q, 2H), 4.21 (s, 2H), 4.15 (t, 3=6.1 Гц, 2H), 3.77 (s, 2H), 3.31-3.22 (m, 2H), 2.85 (s, 3H), 2.47 (s, 3H), 2.20-2.09 (m, 2H), 1.41 (s, 9H), 1.30 (t, 3H).

Стадия С: 2-({6-[(1,3-бензотиазол-2-ил)амино]-5-метилпиридазин-3-ил}(метил)амино)-5-{3-[4-(3-{[(трет-бутокси)карбонил](метил)амино}проп-1-ин-1-ил)-2-фторфенокси]пропил}-1,3-тиазол-4-карбоновая кислота

К раствору продукта со Стадии В (45 мг, 0.06 ммоль, 1 экв.) в 1,4-диоксане (5 мл) добавляли моногидрат гидроксида лития (25.3 мг, 0.6 ммоль, 10 экв.), и смесь нагревали с обратным холодильником в течение ночи. Реакционной смеси давали охладиться до температуры окружающей среды и концентрировали в вакууме. Очистка с помощью автоматической колоночной флэш-хроматографии (CombiFlash Rf, 4 г силикагелевый картридж RediSep™) с элюированием с градиентом 0-10% метанола в дихлорметане приводила к получению целевого продукта в виде желтого твердого вещества (5.1 мг, 0.01 ммоль, 12%).

МСВР-ЭРИ (m/z) [М+Н]+, рассчитано для C35H37FN7O5S2: 718.2276, найдено: 718.2284.

Пример 83: 2-({6-[(1,3-Бензотиазол-2-ил)амино]-5-метилпиридазин-3-ил}(метил)амино)-5-(пиперидин-4-ил)-1,3-тиазол-4-карбоновая кислота

Стадия А: этил 2-({6-[(1,3-бензотиазол-2-ил)амино]-5-метилпиридазин-3-ил}(метил)амино)-5-(пиперидин-4-ил)-1,3-тиазол-4-карбоксилат

Трифторуксусную кислоту (1 мл, 13.4 ммоль, 166 экв.) добавляли к перемешиваемому раствору продукта Синтеза 5k, Стадия В (60 мг, 0.08 ммоль, 1 экв.) в дихлорметане (4 мл), и смесь перемешивали при температуре окружающей среды в течение ночи. Реакционную смесь загружали на картридж SCX-2 (5 г, предварительно кондиционированный дихлорметаном, затем метанолом) и затем промывали дихлорметаном с последующим промыванием метанолом. Выполнение элюирования 3.5 н. метанольным аммиаком и концентрирования в вакууме приводило к получению целевого продукта в виде желтого твердого вещества (40.9 мг, 0.08 ммоль, 99%).

ЖХ/МС (C24H27N7O2S2) 510 [М+Н]+; RT 0.857 (ЖХМС-V-B1)

1Н ЯМР (400 МГц, ДМСО-d6) δ 7.91 (d, J=7.9, 1.2 Гц, 1H), 7.68 (d, J=1.2 Гц, 1Н), 7.53 (d, J=8.0 Гц, 1H), 7.39 (ddd, J=8.2, 7.3, 1.3 Гц, 1H), 7.21 (td, J=7.6, 1.2 Гц, 1H), 4.29 (q, J=7.1 Гц, 2H), 3.90-3.67 (m, 4H), 3.18-3.09 (m, 2H), 2.75-2.63 (m, 2H), 2.46 (d, J=1.0 Гц, 3H), 2.00-1.92 (m, 2H), 1.63 (qd, J=12.4, 3.9 Гц, 2H), 1.32 (t, J=7.1 Гц, 3H).

Стадия В: 2-({6-[(1,3-бензотиазол-2-ил)амино]-5-метилпиридазин-3-ил}(метил)амино)-5-(пиперидин-4-ил)-1,3-тиазол-4-карбоновая кислота

К раствору продукта со Стадии А (40.9 мг, 0.08 ммоль, 1 экв.) в 1,4-диоксане (3 мл) добавляли моногидрат гидроксида лития (16.8 мг, 0.4 ммоль, 5 экв.), и смесь нагревали с обратным холодильником в течение ночи. Реакционной смеси давали охладиться до температуры окружающей среды, затем концентрировали в вакууме. Очистка с помощью обращенно-фазовой автоматической флэш-хроматографии (CombiFlash Rf, С18 13 г колонка RediSep) с элюированием с градиентом 5-95% ацетонитрила (рН 4; муравьиная кислота) в воде (рН 4; муравьиная кислота) приводила к получению твердого вещества, которое растирали с хлороформ, отфильтровывали и сушили в вакууме с получением целевого продукта в виде желтого твердого вещества (27.4 мг, 0.06 ммоль, 71%).

ЖХ/МС (C22H23N7O2S2) 482 [М+Н]+; RT 0.772 (ЖХМС-V-B1)

1Н ЯМР (400 МГц, ДМСО-d6) δ 7.83 (d, J=7.7 Гц, 1Н), 7.55 (s, 1H), 7.46 (d, J=7.9 Гц, 1H), 7.35-7.27 (m, 1H), 7.16-7.05 (m, 1H), 4.21 (tt, J=12.0, 3.8 Гц, 1H), 3.65 (s, 3H), 3.09-2.95 (m, 2H), 2.62-2.53 (m, 2H), 2.43 (d, J=1.1 Гц, 3H), 1.83 (dd, J=12.9, 9.4 Гц, 2H), 1.47 (qd, J=12.1, 3.9 Гц, 2H)

МСВР-ЭРИ (m/z) [M+H]+, рассчитано для C22H23N7O2S2: 482.1427, найдено: 482.1430.

Пример 84: 2-({6-[(1,3-Бензотиазол-2-ил)амино]-5-метилпиридазин-3-ил}(метил)амино)-5-{1-[(трет-бутокси)карбонил]пиперидин-4-ил}-1,3-тиазол-4-карбоновая кислота

Стадия А: трет-бутил 4-[2-({6-[(1,3-бензотиазол-2-ил)амино]-5-метилпиридазин-3-ил}(метил)амино)-4-(этоксикарбонил)-1,3-тиазол-5-ил]пиперидин-1-карбоксилат

Фторид тетрабутиламмония (1M в тетрагидрофуране, 0.48 мл, 0.48 ммоль, 6 экв.) добавляли к перемешиваемому раствору продукта Синтеза 5k, Стадия В (60 мг, 0.08 ммоль, 1 экв.) в тетрагидрофуране (3 мл), и смесь нагревали при 55°С в течение ночи. Смеси давали охладиться до температуры окружающей среды, распределяли между этилацетатом и насыщенным водным раствором бикарбоната натрия, и органическую фазу сушили (сульфат магния) и концентрировали в вакууме. Очистка с помощью автоматической колоночной флэш-хроматографии (CombiFlash Rf, 12 г силикагелевый картридж RediSep™) с элюированием с градиентом 0-10% метанола в дихлорметане приводила к получению целевого продукта в виде желтого стеклообразного вещества (37.7 мг, 0.06 ммоль, 76%).

ЖХ/МС (C29H35N7O4S2) 610 [М+Н]+; RT 1.356 (ЖХМС-V-B1)

1Н ЯМР (400 МГц, ДМСО-d6) δ 8.00 (br s, 1H), 7.68 (br s+s, 2H), 7.52-7.351 (m, 1H), 7.31-7.14 (m, 1H), 4.31 (q, J=7.1 Гц, 2H), 4.22 (d, J=12.8 Гц, 2H), 3.86-3.70 (m, 4H), 2.97-2.71 (m, 2H), 2.46 (s, 3H), 2.05-1.94 (m, 2H), 1.59-1.46 (m, 2H), 1.44 (s, 9H), 1.35 (t, 3H).

Стадия В: 2-({6-[(1,3-бензотиазол-2-ил)амино]-5-метилпиридазин-3-ил}(метил)амино)-5-{1-[(трет-бутокси)карбонил]пиперидин-4-ил}-1,3-тиазол-4-карбоновая кислота

К раствору продукта со Стадии А (47 мг, 0.08 ммоль, 1 экв.) в 1,4-диоксане (3 мл) добавляли моногидрат гидроксида лития (16.2 мг, 0.39 ммоль, 5 экв.), и смесь нагревали с обратным холодильником в течение ночи. Реакционной смеси давали охладиться до температуры окружающей среды и концентрировали в вакууме. Очистка с помощью обращенно-фазовой автоматической флэш-хроматографии (CombiFlash Rf, С18 13 г колонка RediSep) с элюированием с градиентом 5-95% ацетонитрила (рН 4; муравьиная кислота) в воде (рН 4; муравьиная кислота) приводила к получению целевого продукта в виде желтого твердого вещества (23 мг, 0.04 ммоль, 51%).

МСВР-ЭРИ (m/z) [М+Н]+, рассчитано для C27H31N7O4S2: 582.1952, найдено: 582.1956.

Пример 85: 2-[[6-(1,3-Бензотиазол-2-иламино)-5-метилпиридазин-3-ил]-(3,4-дигидроксибутил)амино]тиазол-4-карбоновая кислота

Стадия А: метил 2-[трет-бутоксикарбонил-[2-(2,2-диметил-1,3-диоксолан-4-ил)этил]амино]тиазол-4-карбоксилат

Используя Общую методику проведения реакции Мицунобу, исходя из метил 2-(трет-бутоксикарбониламино)тиазол-4-карбоксилата и 2-(2,2-диметил-1,3-диоксолан-4-ил)этанола в качестве исходных веществ, получали 3.07 г (99%) целевого продукта.

1H ЯМР (500 МГц, ДМСО-d6) δ м.д. 8.08 (s, 1Н), 4.17/4.07 (m+m, 2Н), 4.08 (m, 1Н), 4.03/3.54 (dd+dd, 2Н), 3.80 (s, 3H), 1.88/1.84 (m+m, 2Н), 1.53 (s, 9Н), 1.28 (s, 3H), 1.22 (s, 3H); МСВР-ЭРИ (m/z): [М+Н]+, рассчитано для C17H26N2O6S: 387.1589, найдено: 387.1585.

Стадия В: метил 2-[2-(2,2-диметил-1,3-диоксолан-4-ил)этиламино]тиазол-4-карбоксилат

Используя Общую методику снятия защиты посредством HFIP, исходя из продукта со Стадии А в качестве подходящего карбамата, получали 1.21 г (60%) целевого продукта.

1Н ЯМР (500 МГц, ДМСО-d6) δ м.д. 7.82 (t, 1Н), 7.53 (s, 1H), 4.11 (m, 1Н), 4.02/3.49 (dd+dd, 2Н), 3.74 (s, 3H), 3.33/3.24 (m+m, 2Н), 1.78/1.75 (m+m, 2Н), 1.32 (s, 3H), 1.26 (s, 3H); МСВР-ЭРИ (m/z): [М+Н]+, рассчитано для C12H18N2O4S: 287.1065, найдено: 287.1055.

Стадия С: метил 2-[(6-хлор-5-метилпиридазин-3-ил)-[2-(2,2-диметил-1,3-диоксолан-4-ил)этил]амино]тиазол-4-карбоксилат

Используя Общую методику проведения реакции нуклеофильного замещения, исходя из продукта со Стадии В в качестве исходного вещества, получали 178 мг (35%) целевого продукта.

1Н ЯМР (500 МГц, ДМСО-d6) δ м.д. 8.07 (s, 1H), 7.85 (d, 1Н), 4.57/4.37 (m+m, 2Н), 4.17 (m, 1Н), 4.03/3.62 (dd+dd, 2Н), 3.82 (s, 3H), 2.43 (d, 3H), 1.96 (m, 2Н), 1.35/1.23 (s+s, 6Н); МСВР-ЭРИ (m/z): [М+Н]+, рассчитано для C17H22ClN4O4S: 413.1045, найдено: 413.1048.

Стадия D: метил 2-[[6-(1,3-бензотиазол-2-иламино)-5-метилпиридазин-3-ил]-[2-(2,2-диметил-1,3-диоксолан-4-ил)этил]амино]тиазол-4-карбоксилат

Используя Общую методику II проведения реакции Бухвальда, исходя из продукта со Стадии С в качестве исходного вещества и осуществляя реакцию в толуоле при 150°С в течение 4 ч, получали 184 мг (81%) целевого продукта.

МСВР-ЭРИ (m/z): [М+Н]+, рассчитано для C24H27N6O4S2: 527.1530, найдено: 527.1512.

Стадия Е: 2-[[6-(1,3-бензотиазол-2-иламино)-5-метилпиридазин-3-ил]-(3,4-дигидроксибутил)амино]тиазол-4-карбоновая кислота

К раствору продукта со Стадии D в 1,4-диоксане добавляли 2 M раствор NaOH, и смесь перемешивали при 80°С в течение 1 ч. После подкисления смеси 1 н. раствором HCl, реакционную смесь перемешивали при 80°С в течение 0.5 ч, затем осадок отфильтровывали и очищали с помощью колоночной флэш-хроматографии с получением целевого продукта.

МСВР-ЭРИ (m/z): [М+Н]+, рассчитано для C20H21N6O4S2: 473.1066, найдено: 473.1055.

Пример 86: 2-({6-[(1,3-Бензотиазол-2-ил)амино]-5-метилпиридазин-3-ил}(метил)амино)-5-(1-бензилпиперидин-4-ил)-1,3-тиазол-4-карбоновая кислота

Стадия А: этил 5-(1-бензилпиперидин-4-ил)-2-[метил(5-метил-6-{[(2Z)-3-{[2-(триметилсилил)этокси]метил}-2,3-дигидро-1,3-бензотиазол-2-илиден]амино}пиридазин-3-ил)амино]-1,3-тиазол-4-карбоксилат

К перемешиваемому раствору продукта Синтеза 5k (65 мг, 0.1 ммоль, 1 экв.) в ацетонитриле (5 мл) добавляли бензальдегид (0.02 мл, 0.2 ммоль, 2 экв.), триацетоксиборогидрид натрия (64.6 мг, 0.3 ммоль, 3 экв.) и ледяную уксусную кислоту (5 мкл), и смесь перемешивали при температуре окружающей среды в течение ночи. Реакционную смесь распределяли между этилацетатом и насыщенным водным раствором бикарбоната натрия, и органическую фазу промывали соляным раствором, сушили (сульфат магния) и концентрировали в вакууме. Очистка с помощью автоматической колоночной флэш-хроматографии (CombiFlash Rf, 12 г силикагелевый картридж RediSep™) с элюированием с градиентом 0-60% этилацетата в изогептане приводила к получению целевого продукта в виде бесцветной смолы (44.7 мг, 0.06 ммоль, 60%).

ЖХ/МС (C37H47N7O3SiS2) 730 [М+Н]+; RT 1.32 (ЖХМС-V-B1)

1Н ЯМР (400 МГц, ДМСО-d6) δ 7.89 (d, 1Н), 7.66 (d, J=1.1 Гц, 1H), 7.51-7.41 (m, 2H), 7.40-7.31 (m, 4H), 7.30-7.22 (m, 2H), 5.86 (s, 2H), 4.29 (q, J=7.1 Гц, 2H), 3.76 (s, 3H), 3.76-3.69 (m, 2H), 3.63 (tt, J=12.3, 3.8 Гц, 1H), 3.51 (s, 2H), 2.94 (d, J=11.1 Гц, 2H), 2.46 (d, J=1.0 Гц, 3H), 2.15-1.89 (m, 4H), 1.67 (qd, J=12.2, 3.6 Гц, 2H), 1.32 (t, J=7.1 Гц, 3H), 0.92 (dd, J=8.6, 7.4 Гц, 2H), -0.11 (s, 9H).

Стадия В: этил 2-({6-[(1,3-бензотиазол-2-ил)амино]-5-метилпиридазин-3-ил}(метил)амино)-5-(1-бензилпиперидин-4-ил)-1,3-тиазол-4-карбоксилат

Хлористоводородную кислоту (4М в 1,4-диоксане; 3 мл, 12 ммоль, 196 экв.) добавляли к перемешиваемому раствору продукта со Стадии А (44.7 мг, 0.06 ммоль, 1 экв.) в 1,4-диоксане (3 мл), и смесь перемешивали при 60°С в течение ночи. Реакционной смеси давали охладиться до температуры окружающей среды, распределяли между дихлорметаном и насыщенным водным раствором бикарбоната натрия, и органическую фазу промывали соляным раствором, сушили (сульфат магния) и концентрировали в вакууме. Очистка с помощью автоматической колоночной флэш-хроматографии (CombiFlash Rf, 12 г силикагелевый картридж RediSep™) с элюированием с градиентом 0-5% метанола в дихлорметане приводила к получению целевого продукта в виде желтой смолы (22 мг, 0.04 ммоль, 60%).

ЖХ/МС (C31H33N7O2S2) 600 [М+Н]+; RT 0.99 (ЖХМС-V-B1)

1Н ЯМР (400 МГц, ДМСО-d6) δ 11.05 (br s, 1H), 7.98 (br s, 1H), 7.68 (br s+s, 2H), 7.43-7.31 (m, 5H), 7.30-7.19 (m, 2H), 4.29 (q, J=7.1 Гц, 2H), 3.76 (s, 3H), 3.63 (tt, J=12.0, 3.8 Гц, 1H), 3.52 (s, 2H), 2.98-2.91 (m, 2H), 2.46 (s, 3H), 2.05 (t, 2H), 2.01-1.94 (m, 2H), 1.67 (qd, J=12.2, 3.6 Гц, 2H), 1.32 (t, J=7.1 Гц, 3H).

Стадия С: 2-({6-[(1,3-бензотиазол-2-ил)амино]-5-метилпиридазин-3-ил}(метил)амино)-5-(1-бензилпиперидин-4-ил)-1,3-тиазол-4-карбоновая кислота

К раствору продукта со Стадии В (22 мг, 0.04 ммоль, 1 экв.) в 1,4-диоксане (3 мл) добавляли моногидрат гидроксида лития (7.7 мг, 0.18 ммоль, 5 экв.), и смесь нагревали с обратным холодильником в течение ночи, затем давали охладиться до температуры окружающей среды и концентрировали в вакууме. Полученное в результате твердое вещество растирали с водой, затем с диэтиловым эфиром, отфильтровывали и сушили в вакууме с получением целевого продукта в виде желтого твердого вещества (9.6 мг, 0.02 ммоль, 46%).

МСВР-ЭРИ (m/z) [М+Н]+, рассчитано для C29H30N7O2S2: 572.1897, найдено: 572.1903.

Пример 87: 2-({6-[(1,3-Бензотиазол-2-ил)амино]-5-метилпиридазин-3-ил}(метил)амино)-5-[1-(2-метилпропил)пиперидин-4-ил]-1,3-тиазол-4-карбоновая кислота

Стадия A: этил 2-[метил(5-метил-6-{[(2Z)-3-{[2-(триметилсилил)этокси]метил}-2,3-дигидро-1,3-бензотиазол-2-илиден]амино}пиридазин-3-ил)амино]-5-[1-(2-метилпропил)пиперидин-4-ил]-1,3-тиазол-4-карбоксилат

К перемешиваемому раствору продукта Синтеза 5k (134 мг, 0.21 ммоль, 1 экв.) в 2:1 смеси ацетонитрил / дихлорметан (6 мл) добавляли изобутиральдегид (0.04 мл, 0.42 ммоль, 2 экв.), триацетоксиборогидрид натрия (133 мг, 0.63 ммоль, 3 экв.) и ледяную уксусной кислоты (10 мкл), и смесь перемешивали при температуре окружающей среды в течение ночи. Реакционную смесь распределяли между дихлорметаном и насыщенным водным раствором бикарбоната натрия, и органическую фазу промывали соляным раствором, сушили (сульфат магния) и концентрировали в вакууме. Очистка с помощью автоматической колоночной флэш-хроматографии (CombiFlash Rf, 12 г силикагелевый картридж RediSep™) с элюированием с градиентом 0-60% этилацетата в изогептане приводила к получению целевого продукта в виде не совсем белого твердого вещества (114 мг, 0.16 ммоль, 79%).

ЖХ/МС (C34H49N7O3SiS2) 696 [М+Н]+; RT 1.30 (ЖХМС-V-B1)

1Н ЯМР (400 МГц, ДМСО-d6) δ 7.92-7.85 (m, 1H), 7.66 (d, J=1.1 Гц, 1Н), 7.50-7.38 (m, 2H), 7.29-7.20 (m, 1H), 5.86 (s, 2H), 4.29 (q, J=7.1 Гц, 2H), 3.76 (s, 3H), 3.75-3.68 (m, 2H), 3.66-3.53 (m, 1H), 2.99-2.90 (m, 2H), 2.46 (d, J=1.0 Гц, 3H), 2.07 (d, J=7.4 Гц, 2H), 2.00-1.88 (m, 4H), 1.79 (hept, J=6.7 Гц, 1H), 1.73-1.59 (m, 2H), 1.32 (t, J=7.1 Гц, 3H), 0.97 -0.85 (m, 8H), -0.11 (s, 9H).

Стадия В: этил 2-({6-[(1,3-бензотиазол-2-ил)амино]-5-метилпиридазин-3-ил}(метил)амино)-5-[1-(2-метилпропил)пиперидин-4-ил]-1,3-тиазол-4-карбоксилат

Трифторуксусную кислоту (1.2 мл, 16.1 ммоль, 98 экв.) добавляли к перемешиваемому раствору продукта со Стадии А (114 мг, 0.16 ммоль, 1 экв.) в дихлорметане (4 мл), и смесь перемешивали при температуре окружающей среды в течение ночи. Реакционной смеси давали охладиться до температуры окружающей среды, затем распределяли между дихлорметаном и насыщенным водным раствором бикарбоната натрия, и органическую фазу промывали соляным раствором, сушили (сульфат магния) и концентрировали в вакууме. Очистка с помощью автоматической колоночной флэш-хроматографии (CombiFlash Rf, 12 г силикагелевый картридж RediSep™) с элюированием с градиентом 0-5% метанола в дихлорметане приводила к получению целевого продукта в виде желтого твердого вещества (76.8 мг, 0.14 ммоль, 83%).

ЖХ/МС (C28H35N7O2S2) 566 [М+Н]+; RT 0.96 (ЖХМС-V-B1)

1Н ЯМР (400 МГц, ДМСО-d6) δ 7.96 (br s, 1H), 7.68 (s, 1H), 7.56 (br s, 1H), 7.39 (t, J=7.6 Гц, 1H), 7.21 (t, J=7.4 Гц, 1H), 4.30 (q, J=7.1 Гц, 2H), 3.76 (s, 3H), 3.67-3.55 (m, 1H), 2.96 (d, J=11.5 Гц, 2H), 2.47 (s, 3H), 2.08 (d, J=7.4 Гц, 2H), 2.02-1.89 (m, 4H), 1.80 (hept, J=6.7 Гц, 1H), 1.66 (td, J=14.3, 13.7, 10.3 Гц, 2H), 1.33 (t, J=7.1 Гц, 3H), 0.90 (d, J=6.5 Гц, 6H).

Стадия С: 2-({6-[(1,3-бензотиазол-2-ил)амино]-5-метилпиридазин-3-ил}(метил)амино)-5-[1-(2-метилпропил)пиперидин-4-ил]-1,3-тиазол-4-карбоновая кислота

К раствору продукта со Стадии В (76.8 мг, 0.14 ммоль, 1 экв.) в 1,4-диоксане (5 мл) добавляли моногидрат гидроксида лития (28.5 мг, 0.68 ммоль, 5 экв.), и смесь нагревали с обратным холодильником в течение ночи. Реакционной смеси давали охладиться до температуры окружающей среды и концентрировали в вакууме. Очистка с помощью обращенно-фазовой автоматической флэш-хроматографии (CombiFlash Rf, С18 13 г колонка RediSep) с элюированием с градиентом 5-95% ацетонитрила в воде приводила к получению целевого продукта в виде желтого твердого вещества (50 мг, 0.09 ммоль, 69%).

МСВР-ЭРИ (m/z) [М+Н]+, рассчитано для C26H32N7O2S2: 538.2053, найдено: 538.2060.

Пример 88: 2-({6-[(1,3-Бензотиазол-2-ил)амино]-5-метилпиридазин-3-ил}(метил)амино)-5-[4-(феноксиметил)пиперидин-1-ил]-1,3-тиазол-4-карбоновая кислота

Стадия А: этил 2-[метил(5-метил-6-{[(2Z)-3-{[2-(триметилсилил)этокси]метил}-2,3-дигидро-1,3-бензотиазол-2-илиден]амино}пиридазин-3-ил)амино]-5-[4-(феноксиметил)пиперидин-1-ил]-1,3-тиазол-4-карбоксилат

К перемешиваемому раствору продукта Синтеза 11b (200 мг, 0.31 ммоль, 1 экв.), гидрохлорида 4-(феноксиметил)пиперидина (143 мг, 0.63 ммоль, 2 экв.) и карбоната цезия (308 мг, 0.94 ммоль, 3 экв.) в 1,4-диоксане (8 мл) в атмосфере азота добавляли рац-BINAP-Pd-G3, (31.2 мг, 0.03 ммоль, 0.1 экв.), и смесь нагревали при 100°С в течение ночи. Реакционной смеси давали охладиться до температуры окружающей среды, затем разбавляли этилацетатом, промывали водой, затем соляным раствором, сушили (сульфат магния) и концентрировали в вакууме с получением целевого продукта в виде желтой пены (153 мг, 0.2 ммоль, 65%).

ЖХ/МС (C37H47N7O4SiS2) 746 [М+Н]+; RT 1.60 (ЖХМС-V-B1)

1Н ЯМР (400 МГц, ДМСО-d6) δ 7.82 (d, 1Н), 7.61 (d, J=1.1 Гц, 1H), 7.50-7.39 (m, 2H), 7.33-7.20 (m, 3H), 6.99-6.90 (m, 3H), 5.85 (s, 2H), 4.25 (q, J=7.1 Гц, 2H), 3.91 (d, 3=6.1 Гц, 2H), 3.79-3.68 (m, 5Н), 3.55 (d, J=11.2 Гц, 2H), 2.88 (td, J=11.6, 2.3 Гц, 2H), 2.44 (d, J=0.9 Гц, 3H), 2.00-1.82 (m, 3H), 1.54 (qd, J=12.0, 3.9 Гц, 2H), 1.31 (t, J=7.1 Гц, 3H), 0.95-0.89 (m, 2Н), -0.11 (s, 9Н).

Стадия В: этил 2-({6-[(1,3-бензотиазол-2-ил)амино]-5-метилпиридазин-3-ил}(метил)амино)-5-[4-(феноксиметил)пиперидин-1-ил]-1,3-тиазол-4-карбоксилат

Хлористоводородную кислоту (4М в 1,4-диоксане; 3 мл, 12 ммоль, 58.7 экв.) добавляли к перемешиваемому раствору продукта со Стадии А (153 мг, 0.2 ммоль, 1 экв.) в дихлорметане (10 мл), и смесь перемешивали при 50°С в течение ночи. Реакционной смеси давали охладиться до температуры окружающей среды, затем распределяли между дихлорметаном и насыщенным водным раствором бикарбоната натрия, и органическую фазу промывали соляным раствором, сушили (сульфат магния) и концентрировали в вакууме. Очистка с помощью автоматической колоночной флэш-хроматографии (CombiFlash Rf, 12 г силикагелевый картридж RediSep™) с элюированием с градиентом 0-5% метанола в дихлорметане приводила к получению целевого продукта в виде желтого стеклообразного вещества (83.8 мг, 0.14 ммоль, 67%).

ЖХ/МС (C31H33N7O3S2) 616 [М+Н]+; RT 1.39 (ЖХМС-V-B1)

1Н ЯМР (400 МГц, ДМСО-d6) δ 11.01 (br s, 1H), 7.94 (br s, 1H), 7.63 (br s+s, 2H), 7.42-7.35 (m, 1H), 7.34-7.26 (m, 2H), 7.23-7.15 (m, 1H), 7.00-6.88 (m, 3H), 4.25 (q, J=7.1 Гц, 2H), 3.91 (d, J=6.1 Гц, 2H), 3.70 (s, 3H), 3.55 (d, J=14.2 Гц, 2H), 2.88 (dd, J=12.2, 9.8 Гц, 2H), 2.45 (s, 3H), 2.02-1.81 (m, 3H), 1.62-1.47 (m, 2H), 1.30 (t, J=7.1 Гц, 3H).

Стадия С: 2-({6-[(1,3-бензотиазол-2-ил)амино]-5-метилпиридазин-3-ил}(метил)амино)-5-[4-(феноксиметил)пиперидин-1-ил]-1,3-тиазол-4-карбоновая кислота

К раствору продукта со Стадии В (83.8 мг, 0.14 ммоль, 1 экв.) в 1,4-диоксане (3 мл) добавляли моногидрат гидроксида лития (28.6 мг, 0.68 ммоль, 5 экв.), и смесь нагревали с обратным холодильником в течение ночи. Реакционной смеси давали охладиться до температуры окружающей среды и концентрировали в вакууме. Очистка с помощью обращенно-фазовой автоматической флэш-хроматографии (CombiFlash Rf, С18 13 г колонка RediSep) с элюированием с градиентом 5-95% ацетонитрила в воде приводила к получению целевого продукта в виде желтого твердого вещества (59.7 мг, 0.1 ммоль, 75%).

МСВР-ЭРИ (m/z) [М+Н]+, рассчитано для C29H30N7O3S2: 588.1846, найдено: 588.1853.

Пример 89: 5-(1-Бензоилпиперидин-4-ил)-2-({6-[(1,3-бензотиазол-2-ил)амино]-5-метилпиридазин-3-ил}(метил)амино)-1,3-тиазол-4-карбоновая кислота

Стадия А: этил 5-(1-бензоилпиперидин-4-ил)-2-[метил(5-метил-6-{[(2Z)-3-{[2-(триметилсилил)этокси]метил}-2,3-дигидро-1,3-бензотиазол-2-илиден]амино}пиридазин-3-ил)амино]-1,3-тиазол-4-карбоксилат

К перемешиваемому раствору продукта Синтеза 5k (88 мг, 0.14 ммоль, 1 экв.) и триэтиламина (0.04 мл, 0.28 ммоль, 2 экв.) в дихлорметане (3 мл) добавляли бензоилхлорид (0.02 мл, 0.17 ммоль, 1.2 экв.), и смесь перемешивали при температуре окружающей среды в течение 4.5 ч и затем концентрировали в вакууме. Очистка с помощью автоматической колоночной флэш-хроматографии (CombiFlash Rf, 12 г силикагелевый картридж RediSep™) с элюированием с градиентом 0-100% этилацетата в изогептане приводила к получению целевого продукта в виде не совсем белой пены (89.6 мг, 0.12 ммоль, 88%).

ЖХ/МС (C37H45N7O4SiS2) 744 [М+Н]+; RT 1.49 (ЖХМС-V-B1)

1H ЯМР (400 МГц, ДМСО-d6) δ 7.88 (d, J=7.7 Гц, 1H), 7.67 (d, J=1.2 Гц, 1H), 7.51-7.40 (m, 7H), 7.25 (ddd, J=8.1, 7.0, 1.5 Гц, 1H), 5.86 (s, 2H), 4.66 (br s, 1H), 4.30 (q, J=7.1 Гц, 2H), 3.97-3.85 (m, 1H), 3.77 (s, 3H), 3.75-3.67 (m, 2H), 3.19 (br s, 1H), 2.88 (br s, 1H), 2.47 (d, J=0.9 Гц, 3H), 2.10-1.87 (m, 2H), 1.77-1.55 (m, 2H), 1.35 (t, J=7.1 Гц, 3H), 0.98-0.88 (m, 2H), -0.07 (s, 9H).

Стадия В: этил 5-(1-бензоилпиперидин-4-ил)-2-({6-[(1,3-бензотиазол-2-ил)амино]-5-метилпиридазин-3-ил}(метил)амино)-1,3-тиазол-4-карбоксилат

Трифторуксусную кислоту (1.2 мл, 16.1 ммоль, 134 экв.) добавляли к перемешиваемому раствору продукта со Стадии А (89.6 мг, 0.12 ммоль, 1 экв.) в дихлорметане (4 мл), и смесь перемешивали при температуре окружающей среды в течение ночи. Реакционную смесь распределяли между дихлорметаном и насыщенным водным раствором бикарбоната натрия, и органическую фазу промывали соляным раствором, сушили (сульфат магния) и концентрировали в вакууме. Очистка с помощью автоматической колоночной флэш-хроматографии (CombiFlash Rf, 12 г силикагелевый картридж RediSep™) с элюированием с градиентом 0-5% метанола в дихлорметане приводила к получению целевого продукта в виде желтого стеклообразного вещества (55 мг, 0.09 ммоль, 74%).

ЖХ/МС (C31H31N7O3S2) 614 [М+Н]+; RT 1.41 (ЖХМС-V-B1)

1Н ЯМР (400 МГц, ДМСО-d6) δ 11.08 (br s, 1H), 7.96 (br s, 1H), 7.69 (br s+s, 2H), 7.64-7.43 (m, 5H), 7.40 (t, J=7.5 Гц, 1H), 7.23 (t, 1H), 4.69 (br s, 1H), 4.31 (q, J=7.1 Гц, 2H), 4.00-3.80 (m, 1H), 3.82-3.66 (m, 4H), 3.30-2.74 (m, 2H), 2.47 (s, 3H), 2.21-1.84 (m, 2H), 1.76-1.57 (m, 2H), 1.33 (t, J=7.1 Гц, 3H).

Стадия С: 5-(1-бензоилпиперидин-4-ил)-2-({6-[(1,3-бензотиазол-2-ил)амино]-5-метилпиридазин-3-ил}(метил)амино)-1,3-тиазол-4-карбоновая кислота

К раствору продукта со Стадии В (55 мг, 0.09 ммоль, 1 экв.) в 1,4-диоксане (4 мл) добавляли моногидрат гидроксида лития (18.8 мг, 0.45 ммоль, 5 экв.), и смесь нагревали с обратным холодильником в течение ночи. Реакционной смеси давали охладиться до температуры окружающей среды и концентрировали в вакууме. Очистка с помощью обращенно-фазовой автоматической флэш-хроматографии (CombiFlash Rf, С18 13 г колонка RediSep) с элюированием с градиентом 5-95% ацетонитрила в воде приводила к получению целевого продукта в виде желтого твердого вещества (35.8 мг, 0.06 ммоль, 68%).

МСВР-ЭРИ (m/z) [М+Н]+, рассчитано для C29H28N7O3S2: 586.1690, найдено: 586.1702.

Пример 90: 3-{1-[(Адамантан-1-ил)метил]-5-метил-1Н-пиразол-4-ил}-6-({6-[(1,3-бензотиазол-2-ил)амино]-5-метилпиридазин-3-ил}(метил)амино)пиридин-2-карбоновая кислота

Стадия А: этил 3-бром-6-{[(трет-бутокси)карбонил](метил)амино}пиридин-2-карбоксилат

Карбонат цезия (4.9 г, 15.1 ммоль, 1.5 экв.) в атмосфере азота добавляли к раствору этил 3,6-дибромпиридин-2-карбоксилата (3.1 г, 10.03 ммоль, 1 экв.), трет-бутил N-метилкарбамата (1.65 г, 12.6 ммоль, 1.25 экв.), трис(дибензнлиденацетон)дипалладия(0) (91.9 мг, 0.1 ммоль, 0.01 экв.) и ксантфоса (116 мг, 0.2 ммоль, 0.02 экв.) в 1,4-диоксане (40 мл), и смесь нагревали при 100°С в течение ночи. Реакционной смеси давали охладиться до температуры окружающей среды и добавляли этилацетат (250 мл). Смесь промывали водой (2 x 100 мл), соляным раствором (100 мл), сушили (сульфат магния) и концентрировали в вакууме. Очистка с помощью колоночной флэш-хроматографии (100 г силикагеля) с элюированием дихлорметаном приводила к получению целевого продукта в виде бледно-зеленого масла (1.78 г, 4.96 ммоль, 49%).

ЖХ/МС (C14H19BrN2O4) 303 [M-tBu+H]+; RT 1.43 (ЖХМС-V-B1)

1H ЯМР (400 МГц, CDCl3) δ 7.85-7.74 (m, 2H), 4.45 (q, J=7.1 Гц, 2H), 3.40 (s, 3H), 1.52 (s, 9H), 1.42 (t, J=7.1 Гц, 3H).

Стадия В: этил 3-бром-6-(метиламино)пиридин-2-карбоксилат

Трифторуксусную кислоту (1.9 мл, 24.8 ммоль, 5 экв.) при 0°С добавляли к раствору продукта со Стадии А (1.78 г, 4.96 ммоль, 1 экв.) в дихлорметане (15 мл), и смеси давали нагреться до температуры окружающей среды и перемешивали в течение ночи. Реакционную смесь распределяли между дихлорметаном (50 мл) и насыщенным водным раствором бикарбоната натрия, и органическую фазу промывали водой (2 x 50 мл) и соляным раствором (50 мл), сушили (сульфат магния) и концентрировали в вакууме с получением целевого продукта в виде желтого масла (1.2 г, 4.63 ммоль, 94%).

ЖХ/МС (C9H11BrN2O2) 260 [М+Н]+; RT 1.11 (ЖХМС-V-B1)

1Н ЯМР (400 МГц, CDCl3) δ 7.61 (d, J=8.9 Гц, 1H), 6.36 (d, J=8.9 Гц, 1H), 4.82 (s, 1H), 4.43 (q, J=7.1 Гц, 2Н), 2.90 (d, J=4.3 Гц, 3H), 1.41 (t, J=7.1 Гц, 3H).

Стадия С: этил 3-бром-6-[(6-хлор-1,2,4,5-тетразин-3-ил)(метил)амино]пиридин-2-карбоксилат

Раствор 3,6-дихлор-1,2,4,5-тетразина (664 мг, 4.4 ммоль, 0.95 экв.) и продукта со Стадии В (1.2 г, 4.63 ммоль, 1 экв.) в ацетонитриле (20 мл) нагревали в закупоренной колбе в течение 18 ч. Реакционной смеси давали охладиться до температуры окружающей среды и концентрировали в вакууме. Очистка с помощью автоматической колоночной флэш-хроматографии (CombiFlash Rf, 40 г силикагелевый картридж RediSep™) с элюированием с градиентом 0-15% этилацетата в изогептане приводила к получению целевого продукта в виде красного твердого вещества (898 мг, 2.4 ммоль, 55%).

ЖХ/МС (C11H10BrClN6O2) 373 [М+Н]+; RT 1.31 (ЖХМС-V-B1)

1Н ЯМР (400 МГц, CDCl3) δ 7.99 (d, J=8.7 Гц, 1H), 7.69 (d, J=8.7 Гц, 1H), 4.49 (q, J=7.1 Гц, 2Н), 3.87 (s, 3H), 1.44 (t, J=7.1 Гц, 3H).

Стадия D: этил 3-бром-6-[(6-хлор-5-метилпиридазин-3-ил)(метил)амино]пиридин-2-карбоксилат

Этил-1-пропениловый эфир (2.64 мл, 23.8 ммоль, 10 экв.) добавляли к раствору продукта со Стадии С (890 мг, 2.38 ммоль, 1 экв.) в 1,4-диоксане (15 мл), и смесь нагревали в запаянной трубке при 100°С в течение 24 ч. Реакционной смеси давали охладиться до температуры окружающей среды и концентрировали в вакууме. Очистка с помощью автоматической колоночной флэш-хроматографии (CombiFlash Rf, 80 г силикагелевый картридж RediSep™) с элюированием с градиентом 0-50% этилацетата в изогептане приводила к получению целевого продукта в виде оранжевого твердого вещества (776 мг, 2.01 ммоль, 85%).

ЖХ/МС (C14H14BrClN4O2) 385 [М+Н]+; RT 1.29 (ЖХМС-V-B1)

1H ЯМР (400 МГц, CDCl3) δ 7.86 (d, J=8.9 Гц, 1H), 7.65 (q, J=1.0 Гц, 1H), 7.15 (d, J=8.8 Гц, 1H), 4.44 (q, J=7.1 Гц, 2H), 3.70 (s, 3H), 2.35 (d, J=1.0 Гц, 3H), 1.42 (t, J=7.1 Гц, 3H).

Стадия E: этил 3-{1-[(адамантан-1-ил)метил]-5-метил-1Н-пиразол-4-ил}-6-[(6-хлор-5-метилпиридазин-3-ил)(метил)амино]пиридин-2-карбоксилат

К суспензии продукта со Стадии D (770 мг, 2 ммоль, 1 экв.) и продукта Синтеза 10а (783 мг, 2.2 ммоль, 1.1 экв.) в тетрагидрофуране (12 мл) добавляли раствор карбоната калия (552 мг, 3.99 ммоль, 2 экв.) в воде (2 мл), и смесь барботировали азотом (10 мин). Добавляли Pd(dppf)Cl2.CH2Cl2 (163 мг, 0.2 ммоль, 0.1 экв.), и смесь нагревали с обратным холодильником в течение ночи. Реакционной смеси давали охладиться до температуры окружающей среды, затем распределяли между этилацетатом и соляным раствором, и органическую фазу сушили (сульфат магния) и концентрировали в вакууме. Очистка с помощью автоматической колоночной флэш-хроматографии (CombiFlash Rf, 40 г силикагелевый картридж RediSep™) с элюированием с градиентом 0-60% этилацетата в изогептане приводила к получению целевого продукта в виде кремового твердого вещества (680 мг, 1.27 ммоль, 64%).

ЖХ/МС (C29H35ClN6O2) 535 [М+Н]+; RT 1.55 (ЖХМС-V-B1)

1Н ЯМР (400 МГц, ДМСО-d6) δ 7.82-7.73 (m, 2Н), 7.50 (d, J=8.6 Гц, 1Н), 7.35 (s, 1H), 4.14 (q, J=7.1 Гц, 2H), 3.77 (s, 2H), 3.63 (s, 3H), 2.32 (d, J=1.0 Гц, 3H), 2.18 (s, 3H), 2.01-1.88 (m, 3H), 1.72-1.62 (m, 3H), 1.61-1.52 (m, 9H), 1.13 (t, J=7.1 Гц, 3H).

Стадия F: этил 3-{1-[(адамантан-1-ил)метил]-5-метил-1Н-пиразол-4-ил}-6-({6-[(1,3-бензотиазол-2-ил)амино]-5-метилпиридазин-3-ил}(метил)амино)пиридин-2-карбоксилат

К раствору продукта со Стадии E (600 мг, 1.12 ммоль, 1 экв.) и 2-аминобензотиазола (253 мг, 1.68 ммоль, 1.5 экв.) в 1,4-диоксане (20 мл) добавляли N,N-диизопропилэтиламин (0.59 мл, 3.36 ммоль, 3 экв.), ксантфос (64.9 мг, 0.11 ммоль, 0.1 экв.) и трис(дибензилиденацетон)дипалладий(0) (51.3 мг, 0.06 ммоль, 0.05 экв.), и смесь нагревали в запаянной трубке в течение 64 ч. Реакционной смеси давали охладиться до температуры окружающей среды, затем разбавляли этилацетатом, промывали соляным раствором и концентрировали в вакууме. Очистка с помощью обращенно-фазовой автоматической флэш-хроматографии (CombiFlash Rf, С18 130 г колонка RediSep) с элюированием с градиентом 30-95% ацетонитрила в воде приводила к получению целевого продукта в виде желтого стеклообразного вещества (513 мг, 0.79 ммоль, 71%).

ЖХ/МС (C36H40N8O2S) 649 [М+Н]+; RT 1.62 (ЖХМС-V-B1)

1Н ЯМР (400 МГц, ДМСО-d6) δ 11.09 (br s, 1H), 7.89 (br s, 1H), 7.74-7.51 (m, 3H), 7.40 (t, 1H), 7.33 (s, 1H), 7.30 (d, 1H), 7.22 (t, 1H), 4.13 (q, J=7.1 Гц, 2H), 3.76 (s, 2H), 3.61 (s, 3H), 2.39 (s, 3H), 2.17 (s, 3H), 1.95 (s, 3H), 1.74-1.62 (m, 3H), 1.62-1.46 (m, 9H), 1.12 (t, J=7.1 Гц, 3H).

Стадия G: 3-{1-[(адамантан-1-ил)метил]-5-метил-1Н-пиразол-4-ил}-6-({6-[(1,3-бензотиазол-2-ил)амино]-5-метилпиридазин-3-ил}(метил)амино)пиридин-2-карбоновая кислота

К раствору продукта со Стадии F (510 мг, 0.79 ммоль, 1 экв.) в 1,4-диоксане (10 мл) добавляли моногидрат гидроксида лития (82.5 мг, 1.97 ммоль, 2.5 экв.), и смесь нагревали с обратным холодильником в течение 1 ч. Реакционной смеси давали охладиться до температуры окружающей среды и концентрировали в вакууме, затем добавляли воду (5 мл) и рН доводили до 3 путем добавления 2М водного раствора хлористоводородной кислоты. Смесь экстрагировали в дихлорметан, и органический экстракт промывали соляным раствором, сушили (сульфат магния) и концентрировали в вакууме. Полученное в результате твердое вещество растирали с метанолом, отфильтровывали, промывали метанолом и сушили в вакууме с получением целевого продукта в виде не совсем белого твердого вещества (362 мг, 0.58 ммоль, 74%).

МСВР-ЭРИ (m/z) [М+Н]+, рассчитано для C34H37N8O2S: 621.2755, найдено: 621.2765.

Пример 91: 2-({6-[(1,3-Бензотиазол-2-ил)амино]-5-метилпиридазин-3-ил}(метил)амино)-5-(1-фенилпиперидин-4-ил)-1,3-тиазол-4-карбоновая кислота

Стадия А: этил 2-[метил(5-метил-6-{[(2Z)-3-{[2-(триметилсилил)этокси]метил}-2,3-дигидро-1,3-бензотиазол-2-илиден]амино}пиридазин-3-ил)амино]-5-(1-фенилпиперидин-4-ил)-1,3-тиазол-4-карбоксилат

Трис(дибензилиденацетон)дипалладий(0) (10.7 мг, 0.01 ммоль, 0.05 экв.) в атмосфере азота добавляли к перемешиваемому раствору продукта Синтеза 5k (150 мг, 0.23 ммоль, 1 экв.), бромбензола (0.04 мл, 0.35 ммоль, 1.5 экв.), карбоната цезия (229 мг, 0.7 ммоль, 3 экв.) и ксантфоса (13.6 мг, 0.02 ммоль, 0.1 экв.) в 1,4-диоксане (5 мл), и смесь нагревали при 100°С в течение ночи. Реакционной смеси давали охладиться до температуры окружающей среды, затем распределяли между дихлорметаном и водой, и органическую фазу промывали водой, затем соляным раствором, сушили (сульфат магния) и концентрировали в вакууме. Очистка с помощью автоматической колоночной флэш-хроматографии (CombiFlash Rf, 12 г силикагелевый картридж RediSep™) с элюированием с градиентом 0-50% этилацетата в изогептане приводила к получению целевого продукта в виде коричневой пены (156 мг, 0.22 ммоль, 93%).

ЖХ/МС (C36H45N7O3SiS2) 716 [М+Н]+; RT 1.68 (ЖХМС-V-B1)

1Н ЯМР (400 МГц, ДМСО-d6) δ 7.84 (d, 1Н), 7.67 (d, J=1.1 Гц, 1H), 7.50 -7.39 (m, 2H), 7.30-7.18 (m, 3H), 7.04-6.96 (m, 2H), 6.79 (t, 1H), 5.86 (s, 2H), 4.31 (q, J=7.1 Гц, 2H), 3.94-3.64 (m, 8H), 2.83-2.68 (m, 2H), 2.46 (d, J=1.0 Гц, 3H), 2.10 (d, J=12.1 Гц, 2H), 1.88-1.71 (m, 2H), 1.34 (t, J=7.1 Гц, 3H), 1.00 -0.86 (m, 2H), -0.11 (s, 9H).

Стадия В: этил 2-({6-[(1,3-бензотиазол-2-ил)амино]-5-метилпиридазин-3-ил}(метил)амино)-5-(1-фенилпиперидин-4-ил)-1,3-тиазол-4-карбоксилат

Трифторуксусную кислоту (1.2 мл, 16.1 ммоль, 74 экв.) добавляли к перемешиваемому раствору продукта со Стадии А (156 мг, 0.22 ммоль, 1 экв.) в дихлорметане (6 мл), и смесь перемешивали при температуре окружающей среды в течение ночи. Реакционную смесь распределяли между дихлорметаном и насыщенным водным раствором бикарбоната натрия, и органическую фазу промывали соляным раствором, сушили (сульфат магния) и концентрировали в вакууме. Полученное в результате твердое вещество растирали с 1:1 смесью дихлорметан / гептан, отфильтровывали и сушили в вакууме с получением целевого продукта в виде желтого твердого вещества (92 мг, 0.16 ммоль, 72%).

ЖХ/МС (C30H31N7O2S2) 586 [М+Н]+; RT 1.40 (ЖХМС-V-B1)

1Н ЯМР (400 МГц, ДМСО-d6) δ 12.44 (br s, 1H), 11.02 (br s, 1H), 7.98 (br s, 1H), 7.81-7.54 (m, 2H), 7.38 (br s, 1H), 7.30-7.12 (m, 3H), 7.05-6.97 (m, 2H), 6.80 (t, 1H), 4.31 (q, J=7.1 Гц, 2H), 3.91-3.69 (m, 6H), 2.82-2.70 (m, 2H), 2.47 (s, 3H), 2.11 (d, J=12.4 Гц, 2H), 1.88-1.69 (m, 2H), 1.33 (t, J=7.1 Гц, 3H).

Стадия С: 2-({6-[(1,3-бензотиазол-2-ил)амино]-5-метилпиридазин-3-ил}(метил)амино)-5-(1-фенилпиперидин-4-ил)-1,3-тиазол-4-карбоновая кислота

К раствору продукта со Стадии В (92 мг, 0.16 ммоль, 1 экв.) в 1,4-диоксане (3 мл) добавляли моногидрат гидроксида лития (33 мг, 0.79 ммоль, 5 экв.), и смесь нагревали с обратным холодильником в течение ночи. Реакционной смеси давали охладиться до температуры окружающей среды, и твердые вещества собирали путем фильтрования, промывали 1,4-диоксаном, затем растирали с водой, отфильтровывали и сушили в вакууме с получением целевого продукта в виде желтого твердого вещества (50.3 мг, 0.09 ммоль, 57%) [в виде соли лития].

МСВР-ЭРИ (m/z) [М+Н]+, рассчитано для C28H28N7O2S2: 558.1740, найдено: 558.1749.

Пример 92: 5-[1-(Бензолсульфонил)пиперидин-4-ил]-2-({6-[(1,3-бензотиазол-2-ил)амино]-5-метилпиридазин-3-ил}(метил)амино)-1,3-тиазол-4-карбоновая кислота

Стадия А: этил 5-[1-(бензолсульфонил)пиперидин-4-ил]-2-[метил(5-метил-6-{[(2Z)-3-{[2-(триметилсилил)этокси]метил}-2,3-дигидро-1,3-бензотиазол-2-илиден]амино}пиридазин-3-ил)амино]-1,3-тиазол-4-карбоксилат

К перемешиваемому раствору продукта Синтеза 5k (200 мг, 0.31 ммоль, 1 экв.) и триэтиламина (0.09 мл, 0.63 ммоль, 2 экв.) в дихлорметане (5 мл) добавляли бензолсульфонилхлорид (0.05 мл, 0.38 ммоль, 1.2 экв.) и каталитическое количество 4-(диметиламино)пиридина, и смесь перемешивали при температуре окружающей среды в течение ночи. Реакционную смесь распределяли между дихлорметаном и водой, и органическую фазу промывали соляным раствором, сушили (сульфат магния) и концентрировали в вакууме. Очистка с помощью автоматической колоночной флэш-хроматографии (CombiFlash Rf, 12 г силикагелевый картридж RediSep™) с элюированием с градиентом 0-60% этилацетата в изогептане приводила к получению целевого продукта в виде кремового твердого вещества (204 мг, 0.26 ммоль, 84%).

ЖХ/МС (C36H45N7O5SiS3) 780 [М+Н]+; RT 1.53 (ЖХМС-V-B1)

1Н ЯМР (400 МГц, ДМСО-d6) δ 7.94-7.87 (m, 1H), 7.85-7.64 (m, 6Н), 7.51-7.40 (m, 2Н), 7.31-7.22 (m, 1H), 5.87 (s, 2Н), 4.24 (q, J=7.1 Гц, 2Н), 3.84 (d, J=11.8 Гц, 2Н), 3.78-3.68 (m, 5Н), 3.61-3.49 (m, 1Н), 2.46 (d, J=0.9 Гц, 3H), 2.39-2.29 (m, 2H), 2.05 (d, J=11.2 Гц, 2H), 1.77-1.61 (m, 2H), 1.25 (t, J=7.1 Гц, 3H), 0.97-0.88 (m, 2H), -0.11 (s, 9H).

Стадия В: этил 5-[1-(бензолсульфонил)пиперидин-4-ил]-2-({6-[(1,3-бензотиазол-2-ил)амино]-5-метилпиридазин-3-ил}(метил)амино)-1,3-тиазол-4-карбоксилат

Трифторуксусную кислоту (1 мл, 13.4 ммоль, 51 экв.) добавляли к перемешиваемому раствору продукта со Стадии А (204 мг, 0.26 ммоль, 1 экв.) в дихлорметане (6 мл), и смесь перемешивали при температуре окружающей среды в течение ночи. Реакционную смесь распределяли между дихлорметаном и насыщенным водным раствором бикарбоната натрия, и органическую фазу промывали соляным раствором, сушили (сульфат магния) и концентрировали в вакууме. Очистка с помощью автоматической колоночной флэш-хроматографии (CombiFlash Rf, 12 г силикагелевый картридж RediSep™) с элюированием с градиентом 0-5% метанола в дихлорметане приводила к получению целевого продукта в виде желтого стеклообразного вещества (121 мг, 0.19 ммоль, 71%).

ЖХ/МС (C30H31N7O4S3) 650 [М+Н]+; RT 1.28 (ЖХМС-V-B1)

1H ЯМР (400 МГц, ДМСО-d6) δ 12.44 (br s, 1H), 11.06 (br s, 1H), 8.14-7.86 (m, 2H), 7.86-7.63 (m, 6H), 7.45-7.34 (m, 1H), 7.28-7.16 (m, 1H), 4.23 (q, J=7.1 Гц, 2H), 3.88-3.80 (m, 2H), 3.75 (s, 3H), 3.62-3.47 (m, 1H), 2.46 (s, 3H), 2.40-2.29 (m, 2H), 2.04 (d, J=12.5 Гц, 2H), 1.75-1.58 (m, 2H), 1.25 (t, J=7.1 Гц, 3H).

Стадия С: 5-[1-(бензолсульфонил)пиперидин-4-ил]-2-({6-[(1,3-бензотиазол-2-ил)амино]-5-метилпиридазин-3-ил}(метил)амино)-1,3-тиазол-4-карбоновая кислота

К раствору продукта со Стадии В (121 мг, 0.19 ммоль, 1 экв.) в 1,4-диоксане (3 мл) добавляли моногидрат гидроксида лития (39.1 мг, 0.93 ммоль, 5 экв.), и смесь нагревали с обратным холодильником в течение ночи. Реакционной смеси давали охладиться до температуры окружающей среды и твердые вещества собирали путем фильтрования и промывали 1,4-диоксаном. Вещество растирали с водой, отфильтровывали и сушили в вакууме с получением целевого продукта в виде желтого твердого вещества (102 мг, 0.16 ммоль, 88%) [в виде соли лития].

МСВР-ЭРИ (m/z) [М+Н]+, рассчитано для C28H28N7O4S3: 622.1359, найдено: 622.1367.

Пример 93: 2-[[6-(1,3-Бензотиазол-2-иламино)-5-метилпиридазин-3-ил]-(3-гидрокси-4-метоксибутил)амино]тиазол-4-карбоновая кислота

Стадия А: метил 2-[трет-бутоксикарбонил-[3-[трет-бутил(диметил)силил]окси-4-метоксибутил]амино]тиазол-4-карбоксилат

Используя Общую методику проведения реакции Мицунобу, исходя из метил 2-(трет-бутоксикарбониламино)тиазол-4-карбоксилата и продукта Синтеза 2h в качестве исходных веществ и осуществляя реакцию в ТГФ при к.т. в течение 1 ч, получали 4.16 г (81%) целевого продукта.

1Н ЯМР (500 МГц, ДМСО-d6) δ м.д. 8.08 (s, 1Н), 4.14/4.07 (m+m, 2Н), 3.86 (m, 1Н), 3.79 (s, 3H), 3.35/3.29 (dd+dd, 2Н), 3.26 (s, 3H), 1.83/1.74 (m+m, 2Н), 1.53 (s, 9Н), 0.85 (s, 9Н), 0.04/0.03 (s+s, 6Н). 13С ЯМР (125 МГц, ДМСО-d6) δ м.д. 161.9, 160.7, 153.0, 141.0, 124.8, 83.8, 76.6, 69.8, 58.9, 52.3, 44.4, 32.7, 28.1, 26.2, 18.3, -4.1/-4.5.

Стадия В: метил 2-[[3-[трет-бутил(диметил)силил]окси-4-метоксибутил]амино]тиазол-4-карбоксилат

Используя Общую методику снятия защиты посредством HFIP, исходя из продукта со Стадии А в качестве подходящего карбамата, получали 3.1 г (55%) целевого продукта.

1Н ЯМР (400 МГц, ДМСО-d6) δ м.д. 7.79 (t, 1H), 7.52 (s, 1H), 3.91 (m, 1Н), 3.74 (s, 3H), 3.29-3.21 (m, 7Н), 1.75(m, 1Н), 1.63 (m, 1Н), 0.86 (s, 9Н), 0.04 (s, 6Н).

Стадия С: метил 2-[[3-[трет-бутил(диметил)силил]окси-4-метоксибутил]-[5-метил-6-[(Z)-[3-(2-триметилсилилэтоксиметил)-1,3-бензотиазол-2-илиден]амино]пиридазин-3-ил]амино]тиазол-4-карбоксилат

Используя Общую методику II проведения реакции Бухвальда, исходя из продукта со Стадии В и продукта Синтеза 4а в качестве подходящего галогенида, получали 118 мг (61%) целевого продукта.

1Н ЯМР (500 МГц, ДМСО-d6) δ м.д. 7.99 (s, 1Н), 7.84 (d, 1H), 7.58 (s, 1Н), 7.47 (d, 1Н), 7.44 (td, 1Н), 7.25 (td, 1H), 5.87 (s, 2Н), 4.52/4.44 (m+m, 2Н), 4.02 (m, 1H), 3.81 (s, 3H), 3.72 (t, 2Н), 3.37 (m, 2Н), 3.29 (s, 3H), 2.46 (s, 3H), 1.93/1.81 (m+m, 2Н), 0.92 (t, 2Н), 0.89 (s, 9Н), 0.09/0.07 (s+s, 6Н), -0.12 (s, 9Н); 13С ЯМР (125 МГц, ДМСО-d6) δ м.д. 162.3, 160.4, 157.7, 155.3, 150.9, 140.5, 137.5, 137.2, 127.2, 125.4, 123.5, 123.2, 123.2, 117.5, 112.0, 76.7, 72.9, 69.6, 66.7, 58.9, 52.2, 44.8, 31.8, 26.3, 17.9, 17.8, -1.0, -4.1/-4.5; ЖХ-МС-ЭРИ (m/z): [М+Н]+, рассчитано для C34H53N6O5S2Si2: 745, найдено: 745.

Стадия D: 2-[[6-(1,3-бензотиазол-2-иламино)-5-метилпиридазин-3-ил]-(3-гидрокси-4-метоксибутил)амино]тиазол-4-карбоновая кислота

Используя Общую методику снятия защиты и гидролиза с последующей повторной очисткой с помощью обращенно-фазовой препаративной хроматографии (С18, 0.1% ТФУ в смеси вода : MeCN), исходя из продукта со Стадии С получали ТФУ-соль целевого продукта.

МСВР-ЭРИ (m/z): [М+Н]+, рассчитано для C21H23N6O4S2: 487.1217, найдено: 487.1222.

Пример 94: 2-({6-[(1,3-Бензотиазол-2-ил)амино]-5-метилпиридазин-3-ил}(метил)амино)-5-(1-метансульфонилпиперидин-4-ил)-1,3-тиазол-4-карбоновая кислота

Стадия А: этил 5-(1-метансульфонилпиперидин-4-ил)-2-[метил(5-метил-6-{[(2Z)-3-{[2-(триметилсилил)этокси]метил}-2,3-дигидро-1,3-бензотиазол-2-илиден]амино}пиридазин-3-ил)амино]-1,3-тиазол-4-карбоксилат

К перемешиваемому раствору продукта Синтеза 5k (150 мг, 0.23 ммоль, 1 экв.) и триэтиламина (0.07 мл, 0.47 ммоль, 2 экв.) в дихлорметане (5 мл) добавляли метансульфонилхлорид (0.02 мл, 0.28 ммоль, 1.2 экв.) с последующим добавлением каталитического количества 4-(диметиламино)пиридина, и смесь перемешивали при температуре окружающей среды в течение ночи. Реакционную смесь разбавляли дихлорметаном, затем промывали водой с последующим промыванием соляным раствором, сушили (сульфат магния) и концентрировали в вакууме. Очистка с помощью автоматической колоночной флэш-хроматографии (CombiFlash Rf, 12 г силикагелевый картридж RediSep™) с элюированием с градиентом 0-60% этилацетата в изогептане приводила к получению целевого продукта в виде белой пены (106 мг, 0.15 ммоль, 63%).

ЖХ/МС (C31H43N7O5SiS3) 718 [М+Н]+; RT 1.45 (ЖХМС-V-B1)

1Н ЯМР (400 МГц, ДМСО-d6) δ 7.89 (dd, J=7.9, 1.1 Гц, 1Н), 7.68 (d, J=1.1 Гц, 1H), 7.51-7.39 (m, 2H), 7.29-7.21 (m, 1H), 5.87 (s, 2H), 4.31 (q, J=7.1 Гц, 2H), 3.77 (s, 3H), 3.76-3.63 (m, 5H), 2.93 (s, 3H), 2.89-2.78 (m, 2H), 2.46 (d, J=1.0 Гц, 3H), 2.12 (d, J=12.3 Гц, 2H), 1.78-1.63 (m, 2H), 1.33 (t, J=7.1 Гц, 3H), 0.97-0.88 (m, 2H), -0.11 (s, 9H).

Стадия В: этил 2-({6-[(1,3-бензотиазол-2-ил)амино]-5-метилпиридазин-3-ил}(метил)амино)-5-(1-метансульфонилпиперидин-4-ил)-1,3-тиазол-4-карбоксилат

Трифторуксусную кислоту (1 мл, 13.4 ммоль, 91 экв.) добавляли к перемешиваемому раствору продукта со Стадии А (106 мг, 0.15 ммоль, 1 экв.) в дихлорметане (5 мл), и смесь перемешивали при температуре окружающей среды в течение ночи. Реакционную смесь распределяли между дихлорметаном и насыщенным водным раствором бикарбоната натрия, и органическую фазу промывали соляным раствором, сушили (сульфат магния) и концентрировали в вакууме. Очистка с помощью автоматической колоночной флэш-хроматографии (CombiFlash Rf, 12 г силикагелевый картридж RediSep™) с элюированием с градиентом 0-5% метанола в дихлорметане приводила к твердому веществу, которое растирали с диэтиловым эфиром, отфильтровывали и сушили в вакууме с получением целевого продукта в виде желтого твердого вещества (75 мг, 0.13 ммоль, 86%).

ЖХ/МС (C25H29N7O4S3) 588 [М+Н]+; RT 1.36 (ЖХМС-V-B1)

1Н ЯМР (400 МГц, ДМСО-d6) δ 7.95 (br s, 1H), 7.68 (s, 1H), 7.53 (br s, 1H), 7.38 (t, J=7.6 Гц, 1H), 7.20 (t, J=7.5 Гц, 1H), 4.30 (q, J=7.1 Гц, 2H), 3.80-3.67 (m, 6H), 2.93 (s, 3H), 2.84 (dd, J=13.0, 10.6 Гц, 2H), 2.46 (s, 3H), 2.12 (d, J=11.9 Гц, 2H), 1.79-1.59 (m, 2H), 1.33 (t, J=7.1 Гц, 3H).

Стадия С: 2-({6-[(1,3-бензотиазол-2-ил)амино]-5-метилпиридазин-3-ил}(метил)амино)-5-(1-метансульфонилпиперидин-4-ил)-1,3-тиазол-4-карбоновая кислота

К раствору продукта со Стадии В (75 мг, 0.13 ммоль, 1 экв.) в 1,4-диоксане (3 мл) добавляли моногидрат гидроксида лития (26.8 мг, 0.64 ммоль, 5 экв.), и смесь нагревали с обратным холодильником в течение ночи. Реакционной смеси давали охладиться до температуры окружающей среды и твердые вещества собирали путем фильтрования и промывали 1,4-диоксаном. Очистка с помощью обращенно-фазовой автоматической флэш-хроматографии (CombiFlash Rf, С18 13 г колонка RediSep) с элюированием с градиентом 5-95% ацетонитрила в воде приводила к получению целевого продукта в виде желтого твердого вещества (37.1 мг, 0.07 ммоль, 52%).

МСВР-ЭРИ (m/z) [М+Н]+, рассчитано для C23H26N7O4S3: 560.1203, найдено: 560.1209.

Пример 95: 2-({6-[(1,3-Бензотиазол-2-ил)амино]-5-метилпиридазин-3-ил}(метил)амино)-5-(1-фенилметансульфонилпиперидин-4-ил)-1,3-тиазол-4-карбоновая кислота

Стадия А: этил 2-[метил(5-метил-6-{[(2Z)-3-{[2-(триметилсилил)этокси]метил}-2,3-дигидро-1,3-бензотиазол-2-илиден]амино}пиридазин-3-ил)амино]-5-(1-фенилметансульфонилпиперидин-4-ил)-1,3-тиазол-4-карбоксилат

К перемешиваемому раствору продукта Синтеза 5к и триэтиламина (0.07 мл, 0.47 ммоль, 2 экв.) в дихлорметане (5 мл) добавляли альфа-толуолсульфонилхлорид (53.6 мг, 0.28 ммоль, 1.2 экв.) с последующим добавлением каталитического количества 4-(диметиламино)пиридина, и смесь перемешивали при температуре окружающей среды в течение ночи. Реакционную смесь разбавляли дихлорметаном, промывали водой с последующим промыванием соляным раствором, сушили (сульфат магния) и концентрировали в вакууме. Очистка с помощью автоматической колоночной флэш-хроматографии (CombiFlash Rf, 12 г силикагелевый картридж RediSep™) с элюированием с градиентом 0-60% этилацетата в изогептане приводила к получению целевого продукта в виде кремовой пены (95 мг, 0.12 ммоль, 51%).

ЖХ/МС (C37H47N7O5SiS3) 794 [М+Н]+; RT 1.50 (ЖХМС-V-B1)

1Н ЯМР (400 МГц, ДМСО-d6) δ 7.81 (dd, J=7.8, 1.1 Гц, 1Н), 7.67 (d, J=1.1 Гц, 1H), 7.53-7.36 (m, 7H), 7.27-7.20 (m, 1H), 5.86 (s, 2H), 4.49 (s, 2H), 4.29 (q, J=7.1 Гц, 2H), 3.77 (s, 3H), 3.77-3.64 (m, 5H), 2.82 (td, J=12.4, 2.3 Гц, 2H), 2.46 (d, J=1.0 Гц, 3H), 2.03-1.95 (m, 2H), 1.62-1.46 (m, 2H), 1.32 (t, J=7.1 Гц, 3H), 0.92 (dd, J=8.6, 7.4 Гц, 2H), -0.11 (s, 9H).

Стадия В: этил 2-({6-[(1,3-бензотиазол-2-ил)амино]-5-метилпиридазин-3-ил}(метил)амино)-5-(1-фенилметансульфонилпиперидин-4-ил)-1,3-тиазол-4-карбоксилат

Трифторуксусную кислоту (0.5 мл, 6.71 ммоль, 56 экв.) добавляли к перемешиваемому раствору продукта со Стадии А (95 мг, 0.12 ммоль, 1 экв.) в дихлорметане (5 мл), и смесь перемешивали при температуре окружающей среды в течение ночи. Реакционную смесь распределяли между дихлорметаном и насыщенным водным раствором бикарбоната натрия, и органическую фазу промывали соляным раствором, сушили (сульфат магния) и концентрировали в вакууме. Полученное в результате твердое вещество растирали в диэтиловом эфире, отфильтровывали и сушили в вакууме с получением целевого продукта в виде желтого твердого вещества (74 мг, 0.11 ммоль, 93%).

ЖХ/МС (C31H33N7O4S3) 664 [М+Н]+; RT 1.27 (ЖХМС-V-B1)

1Н ЯМР (400 МГц, ДМСО-d6) δ 11.03 (br s, 1H), 7.91 (br s, 1H), 7.74-7.65 (m, 1H), 7.53-7.33 (m, 7H), 7.25-7.13 (m, 1H), 4.49 (s, 2H), 4.29 (q, J=7.1 Гц, 2H), 3.76 (s, 3H), 3.74-3.64 (m, 3H), 2.88-2.77 (m, 2H), 2.50-2.44 (m, 3H), 2.03-1.94 (m, 2H), 1.60-1.46 (m, 2H), 1.32 (t, J=7.1 Гц, 3H).

Стадия С: 2-({6-[(1,3-бензотиазол-2-ил)амино]-5-метилпиридазин-3-ил}(метил)амино)-5-(1-фенилметансульфонилпиперидин-4-ил)-1,3-тиазол-4-карбоновая кислота

К раствору продукта со Стадии В (74 мг, 0.11 ммоль, 1 экв.) в 1,4-диоксане (3 мл) добавляли моногидрат гидроксида лития (23.4 мг, 0.56 ммоль, 5 экв.), и смесь нагревали с обратным холодильником в течение 6.5 ч. Реакционной смеси давали охладиться до температуры окружающей среды и очищали с помощью обращенно-фазовой автоматической флэш-хроматографии (CombiFlash Rf, С18 13 г колонка RediSep) с элюированием с градиентом 5-95% ацетонитрила в воде с получением целевого продукта в виде желтого твердого вещества (43.2 мг, 0.07 ммоль, 61%).

МСВР-ЭРИ (m/z) [М+Н]+, рассчитано для C29H30N7O4S3: 636.1516, найдено: 636.1521.

Пример 96: 2-({6-[(1,3-Бензотиазол-2-ил)амино]-5-метилпиридазин-3-ил}(метил)амино)-5-[1-(2-фенилацетил)пиперидин-4-ил]-1,3-тиазол-4-карбоновая кислота

Стадия А: этил 2-[метил(5-метил-6-{[(2Z)-3-{[2-(триметилсилил)этокси]метил}-2,3-дигидро-1,3-бензотиазол-2-илиден]амино}пиридазин-3-ил)амино]-5-[1-(2-фенилацетил)пиперидин-4-ил]-1,3-тиазол-4-карбоксилат

К перемешиваемому раствору продукта Синтеза 5k (150 мг, 0.23 ммоль, 1 экв.) и триэтиламина (0.07 мл, 0.47 ммоль, 2 экв.) в дихлорметане (5 мл) добавляли фенилацетилхлорид (0.04 мл, 0.28 ммоль, 1.2 экв.), и смесь перемешивали при температуре окружающей среды в течение ночи. Реакционную смесь разбавляли дихлорметаном, затем промывали насыщенным водным раствором бикарбоната натрия с последующим промыванием соляным раствором, сушили (сульфат магния) и концентрировали в вакууме. Очистка с помощью автоматической колоночной флэш-хроматографии (CombiFlash Rf, 12 г силикагелевый картридж RediSep™) с элюированием с градиентом 0-60% этилацетата в изогептане приводила к получению целевого продукта в виде не совсем белой пены (122 мг, 0.16 ммоль, 69%).

ЖХ/МС (C38H47N7O4SiS2) 758 [М+Н]+; RT 1.49 (ЖХМС-V-B1)

1Н ЯМР (400 МГц, ДМСО-d6) δ 7.88-7.81 (m, 1H), 7.66 (d, J=1.1 Гц, 1Н), 7.51-7.41 (m, 2H), 7.39-7.32 (m, 2H), 7.30-7.20 (m, 4H), 5.87 (s, 2H), 4.59 (d, J=12.7 Гц, 1H), 4.29 (q, J=7.1 Гц, 2H), 4.10 (d, J=13.6 Гц, 1H), 3.94-3.66 (m, 8H), 3.09 (t, J=12.7 Гц, 1H), 2.72-2.57 (m, 1H), 2.46 (d, J=1.0 Гц, 3H), 2.11 -1.83 (m, 2H), 1.50-1.36 (m, 2H), 1.32 (t, J=7.1 Гц, 3H), 0.97-0.87 (m, 2H), -0.11 (s, 9H).

Стадия В: этил 2-({6-[(1,3-бензотиазол-2-ил)амино]-5-метилпиридазин-3-ил}(метил)амино)-5-[1-(2-фенилацетил)пиперидин-4-ил]-1,3-тиазол-4-карбоксилат

Трифторуксусную кислоту (0.5 мл, 6.71 ммоль, 42 экв.) добавляли к перемешиваемому раствору продукта со Стадии А (122 мг, 0.16 ммоль, 1 экв.) в дихлорметане (5 мл), и смесь перемешивали при температуре окружающей среды в течение ночи. Реакционную смесь распределяли между дихлорметаном и насыщенным водным раствором бикарбоната натрия, и органическую фазу промывали соляным раствором, сушили (сульфат магния) и концентрировали в вакууме. Очистка с помощью автоматической колоночной флэш-хроматографии (CombiFlash Rf, 12 г силикагелевый картридж RediSep™) с элюированием с градиентом 0-5% метанола в дихлорметане приводила к получению целевого продукта в виде желтого твердого вещества (81.8 мг, 0.13 ммоль, 81%).

ЖХ/МС (C32H33N7O3S2) 628 [М+Н]+; RT 1.22 (ЖХМС-V-B1)

1Н ЯМР (400 МГц, ДМСО-d6) δ 11.06 (br s, 1H), 7.98 (br s, 1H), 7.71-7.65 (m, 2Н), 7.43-7.32 (m, 3Н), 7.31-7.14 (m, 4Н), 4.59 (d, J=13.3 Гц, 1Н), 4.29 (q, J=7.1 Гц, 2Н), 4.10 (d, J=13.9 Гц, 1Н), 3.91-3.70 (m, 6Н), 3.09 (t, J=12.4 Гц, 1H), 2.72-2.58 (m, 1H), 2.48-2.43 (m, 3Н), 2.07 (d, J=12.6 Гц, 1Н), 1.91 (d, J=13.0 Гц, 1H), 1.50-1.33 (m, 2Н), 1.32 (t, J=7.1 Гц, 3Н).

Стадия С: 2-({6-[(1,3-бензотиазол-2-ил)амино]-5-метилпиридазин-3-ил}(метил)амино)-5-[1-(2-фенилацетил)пиперидин-4-ил]-1,3-тиазол-4-карбоновая кислота

К раствору продукта со Стадии В (81.8 мг, 0.13 ммоль, 1 экв.) в 1,4-диоксане (3 мл) добавляли моногидрат гидроксида лития (27.3 мг, 0.65 ммоль, 5 экв.), и смесь нагревали с обратным холодильником в течение ночи. Реакционной смеси давали охладиться до температуры окружающей среды и очищали с помощью обращенно-фазовой автоматической флэш-хроматографии (CombiFlash Rf, С18 13 г колонка RediSep) с элюированием с градиентом 5-95% ацетонитрила в воде с получением целевого продукта в виде желтого твердого вещества (54.3 мг, 0.09 ммоль, 70%).

МСВР-ЭРИ (m/z) [М+Н]+, рассчитано для C30H30N7O3S2: 600.1846, найдено: 600.1850.

Пример 97: 5-(1-Ацетилпиперидин-4-ил)-2-({6-[(1,3-бензотиазол-2-ил)амино]-5-метилпиридазин-3-ил}(метил)амино)-1,3-тиазол-4-карбоновая кислота

Стадия А: этил 5-(1-ацетилпиперидин-4-ил)-2-[метил(5-метил-6-{[(2Z)-3-{[2-(триметилсилил)этокси]метил}-2,3-дигидро-1,3-бензотиазол-2-илиден]амино}пиридазин-3-ил)амино]-1,3-тиазол-4-карбоксилат

К перемешиваемому раствору продукта Синтеза 5k и триэтиламина (0.07 мл, 0.47 ммоль, 2 экв.) в дихлорметане (5 мл) добавляли ацетилхлорид (0.02 мл, 0.28 ммоль, 1.2 экв.), и смесь перемешивали при температуре окружающей среды в течение ночи. Реакционную смесь разбавляли дихлорметаном, затем промывали насыщенным водным раствором бикарбоната натрия с последующим промыванием соляным раствором, сушили (сульфат магния) и концентрировали в вакууме. Очистка с помощью автоматической колоночной флэш-хроматографии (CombiFlash Rf, 12 г силикагелевый картридж RediSep™) с элюированием с градиентом 0-100% этилацетата в изогептане приводила к получению целевого продукта в виде бесцветной пены (119 мг, 0.17 ммоль, 74%).

ЖХ/МС (C32H43N7O4SiS2) 682 [М+Н]+; RT 1.44 (ЖХМС-V-B1)

1Н ЯМР (400 МГц, ДМСО-d6) δ 7.90-7.83 (m, 1H), 7.67 (d, J=1.2 Гц, 1Н), 7.50-7.39 (m, 2Н), 7.29-7.21 (m, 1H), 5.86 (s, 2Н), 4.57 (d, J=13.3 Гц, 1H), 4.31 (q, J=7.1 Гц, 2Н), 3.96 (d, J=13.6 Гц, 1H), 3.91-3.82 (m, 1H), 3.77 (s, 3Н), 3.75-3.67 (m, 2Н), 3.14 (t, J=12.2 Гц, 1Н), 2.69-2.54 (m, 1H), 2.45 (d, 3Н), 2.06 (s, 3Н), 2.06-1.95 (m, 2Н), 1.72-1.56 (m, 1Н), 1.54-1.38 (m, 1Н), 1.33 (t, J=7.1 Гц, 3Н), 0.96-0.87 (m, 2Н), -0.11 (s, 9Н).

Стадия В: этил 5-(1-ацетилпиперидин-4-ил)-2-({6-[(1,3-бензотиазол-2-ил)амино]-5-метилпиридазин-3-ил}(метил)амино)-1,3-тиазол-4-карбоксилат

К перемешиваемому раствору продукта со Стадии А (119 мг, 0.17 ммоль, 1 экв.) в тетрагидрофуране (5 мл) добавляли фторид тетрабутиламмония (1М в тетрагидрофуране; 0.07 мл, 0.5 ммоль, 3 экв.) и этилендиамин (0.03 мл, 0.5 ммоль, 3 экв.), и смесь нагревали при 60°С в течение ночи. Реакционной смеси давали охладиться до температуры окружающей среды, затем распределяли между дихлорметаном и насыщенным водным раствором бикарбоната натрия, и органическую фазу промывали соляным раствором, сушили (сульфат магния) и концентрировали в вакууме. Очистка с помощью автоматической колоночной флэш-хроматографии (CombiFlash Rf, 12 г силикагелевый картридж RediSep™) с элюированием с градиентом 0-4% метанола в дихлорметане приводила к получению целевого продукта в виде желтого твердого вещества (40 мг, 0.07 ммоль, 42%).

ЖХ/МС (C26H29N7O3S2) 552 [М+Н]+; RT 1.09 (ЖХМС-V-B1)

1Н ЯМР (400 МГц, ДМСО-d6) δ 11.08 (br s, 1Н), 7.94 (br s, 1H), 7.69 (s, 1Н), 7.57 (br s, 1Н), 7.39 (t, J=7.5 Гц, 1H), 7.23 (t, 1H), 4.58 (d, J=13.3 Гц, 1H), 4.31 (q, J=7.1 Гц, 2Н), 4.02-3.93 (m, 1Н), 3.92-3.82 (m, 1Н), 3.77 (s, 3Н), 3.21-3.09 (m, 1Н), 2.66-2.55 (m, 1Н), 2.47 (s, 3Н), 2.07 (s, 3Н), 2.06-1.96 (m, 2Н), 1.76-1.57 (m, 1Н), 1.54-1.39 (m, 1H), 1.34 (t, J=7.1 Гц, 3Н).

Стадия С: 5-(1-ацетилпиперидин-4-ил)-2-({6-[(1,3-бензотиазол-2-ил)амино]-5-метилпиридазин-3-ил}(метил)амино)-1,3-тиазол-4-карбоновая кислота

К раствору продукта со Стадии В (40 мг, 0.07 ммоль, 1 экв.) в 1,4-диоксане (3 мл) добавляли моногидрат гидроксида лития (15.2 мг, 0.36 ммоль, 5 экв.), и смесь нагревали с обратным холодильником в течение ночи. Реакционной смеси давали охладиться до температуры окружающей среды и очищали с помощью обращенно-фазовой автоматической флэш-хроматографии (CombiFlash Rf, С18 13 г колонка RediSep) с элюированием с градиентом 5-95% ацетонитрила в воде с получением целевого продукта в виде желтого твердого вещества (32.4 мг, 0.06 ммоль, 85%).

МСВР-ЭРИ (m/z) [М+Н]+, рассчитано для C24H26N7O3S2: 524.1533, найдено: 524.1541.

Пример 98: 2-[[6-(1,3-Бензотиазол-2-иламино)-5-метилпиридазин-3-ил]-(4-гидрокси-3-метоксибутил)амино]тиазол-4-карбоновая кислота

Стадия А: метил 2-[трет-бутоксикарбонил-[4-[трет-бутил(диметил)силил]окси-3-метоксибутил]амино]тиазол-4-карбоксилат

Используя Общую методику проведения реакции Мицунобу, исходя из метил 2-(трет-бутоксикарбониламино)тиазол-4-карбоксилата и продукта Синтеза 2i в качестве исходных веществ и осуществляя реакцию в ТГФ при к.т. в течение 3 ч, получали 4.54 г (86%) целевого продукта.

ЖХ-МС-ЭРИ (m/z): [М+Н]+, рассчитано для C21H39N2O6SSi: 475, найдено: 475.

Стадия В: метил 2-[[4-[трет-бутил(диметил)силил]окси-3-метоксибутил]амино]тиазол-4-карбоксилат

Используя Общую методику снятия защиты посредством HFIP, исходя из продукта со Стадии А в качестве подходящего карбамата, получали 2.88 г (55%) целевого продукта.

1Н ЯМР (400 МГц, ДМСО-d6) δ м.д. 7.80 (t, 1H), 7.52 (s, 1H), 3.74 (s, 3Н), 3.59 (m, 2Н), 3.32 (s, 3Н), 3.28 (m, 3Н), 1.76 (m, 1H), 1.61 (m, 1Н), 0.86 (s, 9Н), 0.04 (s, 6Н).

Стадия С: метил 2-[[4-[трет-бутил(диметил)силил]окси-3-метоксибутил]-[5-метил-6-[(Z)-[3-(2-триметилсилилэтоксиметил)-1,3-бензотиазол-2-илиден]амино]пиридазин-3-ил]амино]тиазол-4-карбоксилат

Используя Общую методику II проведения реакции Бухвальда, исходя из продукта со Стадии В и продукта Синтеза 4а в качестве подходящего галогенида, получали 319 мг (70%) целевого продукта.

1Н ЯМР (500 МГц, ДМСО-d6) δ м.д. 7.99 (s, 1H), 7.85 (dm, 1Н), 7.66 (s, 1Н), 7.48 (dm, 1Н), 7.44 (m, 1H), 7.26 (m, 1Н), 5.88 (s, 2Н), 4.60 (m, 1H), 4.47 (m, 1Н), 3.81 (s, 3Н), 3.72 (m, 2Н), 3.66 (dd, 1Н), 3.53 (dd, 1Н), 3.29 (s, 3Н), 3.27 (m, 1Н), 2.46 (s, 3Н), 2.03 (m, 1H), 1.76 (m, 1Н), 0.92 (m, 2Н), 0.77 (s, 9Н), 0.00 (s, 3Н), -0.01 (s, 3Н), -0.12 (s, 9Н).

Стадия D: 2-[[6-(1,3-бензотиазол-2-иламино)-5-метилпиридазин-3-ил]-(4-гидрокси-3-метоксибутил)амино]тиазол-4-карбоновая кислота

Используя Общую методику снятия защиты и гидролиза с последующей повторной очисткой с помощью обращенно-фазовой препаративной хроматографии (С18, 0.1% ТФУ в смеси вода: MeCN), исходя из продукта со Стадии С получали ТФУ-соль целевого продукта.

МСВР-ЭРИ (m/z): [М+Н]+, рассчитано для C21H23N6O4S: 487.1217, найдено: 487.1222.

Пример 99: 2-({6-[(1,3-Бензотиазол-2-ил)амино]-5-метилпиридазин-3-ил}(метил)амино)-5-(1-метилпиперидин-4-ил)-1,3-тиазол-4-карбоновая кислота

Стадия А: этил 2-[метил(5-метил-6-{[(2Z)-3-{[2-(триметилсилил)этокси]метил}-2,3-дигидро-1,3-бензотиазол-2-илиден]амино}пиридазин-3-ил)амино]-5-(1-метилпиперидин-4-ил)-1,3-тиазол-4-карбоксилат

К перемешиваемому раствору продукта Синтеза 5к (150 мг, 0.23 ммоль, 1 экв.) в 1:1 смеси ацетонитрил/дихлорметан (10 мл) добавляли формальдегид (37% в воде; 0.04 мл, 0.47 ммоль, 2 экв.), триацетоксиборогидрид натрия (149 мг, 0.7 ммоль, 3 экв.) и ледяную уксусную кислоту (10 мкл), и смесь перемешивали при температуре окружающей среды в течение ночи. Реакционную смесь распределяли между дихлорметаном и насыщенным водным раствором бикарбоната натрия, и органическую фазу промывали соляным раствором, сушили (сульфат магния) и концентрировали в вакууме. Очистка с помощью автоматической колоночной флэш-хроматографии (CombiFlash Rf, 12 г силикагелевый картридж RediSep™) с элюированием с градиентом 0-100% этилацетата в изогептане приводила к получению целевого продукта в виде не совсем белой пены (76.7 мг, 0.12 ммоль, 50%).

ЖХ/МС (C31H43N7O3SiS2) 654 [М+Н]+; RT 1.24 (ЖХМС-V-B1)

1Н ЯМР (400 МГц, ДМСО-d6) δ 7.88 (dd, J=7.7, 1.0 Гц, 1H), 7.67 (d, J=1.2 Гц, 1H), 7.51-7.39 (m, 2H), 7.28-7.22 (m, 1H), 5.87 (s, 2H), 4.29 (q, J=7.1 Гц, 2H), 3.76 (s, 3H), 3.75-3.67 (m, 2H), 3.64-3.52 (m, 1H), 2.89 (d, J=11.1 Гц, 2H), 2.46 (d, J=1.0 Гц, 3Н), 2.21 (s, 3Н), 2.01-1.90 (m, 4H), 1.75-1.61 (m, 2H), 1.32 (t, J=7.1 Гц, 3Н), 0.99-0.88 (m, 2H), -0.11 (s, 9H).

Стадия В: этил 2-({6-[(1,3-бензотиазол-2-ил)амино]-5-метилпиридазин-3-ил} (метил) амино)-5-(1-метилпиперидин-4-ил)-1,3-тиазол-4-карбоксилат

Трифторуксусную кислоту (1.0 мл, 13.4 ммоль, 114 экв.) добавляли к перемешиваемому раствору продукта со Стадии А (76.7 мг, 0.12 ммоль, 1 экв.) в дихлорметане (4 мл), и смесь перемешивали при температуре окружающей среды в течение ночи. Реакционную смесь распределяли между дихлорметаном и насыщенным водным раствором бикарбоната натрия, и органическую фазу промывали соляным раствором, сушили (сульфат магния) и концентрировали в вакууме. Очистка с помощью автоматической колоночной флэш-хроматографии (CombiFlash Rf, 12 г силикагелевый картридж RediSep™) с элюированием с градиентом 0-10% метанола в дихлорметане приводила к получению целевого продукта в виде желтого стеклообразного вещества (24.1 мг, 0.05 ммоль, 39%).

ЖХ/МС (C25H29N7O2S2) 524 [М+Н]+; RT 0.87 (ЖХМС-V-B1)

1Н ЯМР (400 МГц, ДМСО-d6) δ 8.01-7.90 (m, 1Н), 7.69 (s, 1Н), 7.54 (br s, 1H), 7.44-7.35 (m, 1H), 7.22 (t, J=7.7 Гц, 1Н), 4.30 (q, J=7.1 Гц, 2Н), 3.76 (s, 3Н), 3.64-3.53 (m, 1H), 2.97-2.86 (m, 2Н), 2.47 (s, 3Н), 2.22 (s, 3Н), 2.04-1.89 (m, 4Н), 1.77-1.60 (m, 2Н), 1.33 (t, J=7.1 Гц, 3Н).

Стадия С: 2-({6-[(1,3-бензотиазол-2-ил)амино]-5-метилпиридазин-3-ил}(метил)амино)-5-(1-метилпиперидин-4-ил)-1,3-тиазол-4-карбоновая кислота

К раствору продукта со Стадии В (24 мг, 0.05 ммоль, 1 экв.) в 1,4-диоксане (3 мл) добавляли моногидрат гидроксида лития (9.62 мг, 0.23 ммоль, 5 экв.), и смесь нагревали с обратным холодильником в течение ночи. Реакционной смеси давали охладиться до температуры окружающей среды и концентрировали в вакууме. Очистка с помощью обращенно-фазовой автоматической флэш-хроматографии (CombiFlash Rf, С18 13 г колонка RediSep) с элюированием с градиентом 5-95% ацетонитрила в воде приводила к получению целевого продукта в виде желтого твердого вещества (17.2 мг, 0.03 ммоль, 76%).

МСВР-ЭРИ (m/z) [М+Н]+, рассчитано для C23H26N7O2S2: 496.1584, найдено: 496.1602.

Пример 100: 2-({6-[(1,3-Бензотиазол-2-ил)амино]-5-метилпиридазин-3-ил} (метил)амино)-5-{3-[2-фтор-4-(3-гидроксипроп-1-ин-1-ил)фенокси]пропил}-1,3-тиазол-4-карбоновая кислота

Стадия А: этил 5-[3-(2-фтор-4-{3-[(4-метоксифенил)метокси]проп-1-ин-1-ил}фенокси)пропил]-2-[метил(5-метил-6-{[(2Z)-3-{[2-(триметилсилил)этокси]метил}-2,3-дигидро-1,3-бензотиазол-2-илиден]амино}пиридазин-3-ил)амино]-1,3-тиазол-4-карбоксилат

К раствору продукта Синтеза 5g (249 мг, 0.34 ммоль, 1 экв.) в диметилформамиде (5 мл) добавляли продукт Синтеза 6k (128 мг, 0.45 ммоль, 1.3 экв.) и карбонат цезия (336 мг, 1.03 ммоль, 3 экв.), и смесь нагревали при 80°С в течение ночи. Реакционную смесь распределяли между этилацетатом и водой, и органическую фазу промывали соляным раствором, сушили (сульфат магния) и концентрировали в вакууме. Очистка с помощью автоматической колоночной флэш-хроматографии (CombiFlash Rf, 12 г силикагелевый картридж RediSep™) с элюированием с градиентом 0-50% этилацетата в изогептане приводила к получению целевого продукта в виде желтой смолы (231 мг, 0.26 ммоль, 76%).

ЖХ/МС (C45H51FN6O6SiS2) 883 [М+Н]+; RT 1.41 (ЖХМС-V-В2)

1Н ЯМР (400 МГц, ДМСО-d6) δ 7.84 (d, 1H), 7.67 (d, J=1.1 Гц, 1H), 7.49 -7.40 (m, 2Н), 7.37 (dd, J=11.9, 2.0 Гц, 1Н), 7.31-7.22 (m, 4Н), 7.21-7.14 (m, 1H), 6.94-6.89 (m, 2Н), 5.86 (s, 2Н), 5.87 (s, 2Н), 4.48 (s, 2Н), 4.32 (s, 2Н), 4.26 (t, 2Н), 4.16 (t, J=6.1 Гц, 2Н), 3.78 (s, 3Н), 3.75 (s, 3Н), 3.75-3.68 (m, 2Н), 3.34-3.22 (m, 2H), 2.46 (d, J=1.0 Гц, 3Н), 2.19-2.08 (m, 2H), 1.30 (t, 3Н), 0.97-0.88 (m, 2H), -0.11 (s, 9H).

Стадия В: этил 5-{3-[2-фтор-4-(3-гидроксипроп-1-ин-1-ил)фенокси]пропил}-2-[метил(5-метил-6-{[(2Z)-3-{[2-(триметилсилил)этокси]метил}-2,3-дигидро-1,3-бензотиазол-2-илиден]амино}пиридазин-3-ил)амино]-1,3-тиазол-4-карбоксилат

Трифторуксусную кислоту (1.8 мл) добавляли к раствору продукта со Стадии А (391 мг, 0.44 ммоль, 1 экв.) в дихлорметане (18 мл), и смесь перемешивали при температуре окружающей среды в течение 1 ч. Реакционную смесь разбавляли дихлорметаном, охлаждали до 0°С, и нейтрализовали путем добавления 0.5М водного раствора гидроксида натрия. Слои разделяли и органическую фазу сушили (сульфат магния) и концентрировали в вакууме. Очистка с помощью автоматической колоночной флэш-хроматографии (CombiFlash Rf, 12 г силикагелевый картридж RediSep™) с элюированием с градиентом 0 50% этилацетата в изогептане приводила к получению целевого продукта в виде не совсем белого твердого вещества (121 мг, 0.16 ммоль, 36%).

ЖХ/МС (C37H43FN6O5SiS2) 763 [М+Н]+; RT 1.29 (ЖХМС-V-В2)

1Н ЯМР (400 МГц, ДМСО-d6) δ 7.87-7.81 (m, 1H), 7.67 (s, 1H), 7.50-7.40 (m, 2Н), 7.33-7.13 (m, 4Н), 5.86 (s, 2Н), 5.30 (t, J=6.0 Гц, 1H), 4.34-4.21 (m, 4Н), 4.15 (t, J=6.2 Гц, 2Н), 3.77 (s, 3Н), 3.76-3.67 (m, 2Н), 3.32-3.22 (m, 2Н), 2.46 (d, J=1.0 Гц, 3Н), 2.20-2.06 (m, 2Н), 1.28 (t, 3Н), 0.97-0.88 (m, 2Н), -0.12 (s, 9Н).

Стадия С: этил 2-({6-[(1,3-бензотиазол-2-ил)амино]-5-метилпиридазин-3-ил}(метил)амино)-5-{3-[2-фтор-4-(3-гидроксипроп-1-ин-1-ил)фенокси]пропил}-1,3-тиазол-4-карбоксилат

К раствору продукта со Стадии В (121 мг, 0.16 ммоль, 1 экв.) в тетрагидрофуране (15 мл) добавляли этилендиамин (31.8 мкл, 0.48 ммоль, 3 экв.) и TBAF (476 мкл, 0.48 ммоль, 3 экв.), и смесь нагревали при 65°С в течение ночи. Реакционной смеси давали охладиться до температуры окружающей среды, затем распределяли между этилацетатом и водой, сушили (сульфат магния) и концентрировали в вакууме. Очистка с помощью автоматической колоночной флэш-хроматографии (CombiFlash Rf, 12 г силикагелевый картридж RediSep™) с элюированием с градиентом 0 100% этилацетата в изогептане приводила к получению целевого продукта в виде желтого твердого вещества (43 мг, 0.07 ммоль, 43%).

ЖХ/МС (C31H29FN6O4S2) 633 [М+Н]+; RT 2.43 (ЖХМС-V-C)

1Н ЯМР (400 МГц, ДМСО-d6) δ 11.08 (br s, 1H), 7.92 (br s, 1Н), 7.67 (br s+s, 2Н), 7.39 (t, J=7.5 Гц, 1Н), 7.29 (dd, J=11.9, 1.9 Гц, 1H), 7.25-7.12 (m, 2Н), 5.29 (t, J=5.9 Гц, 1Н), 4.33-4.20 (m, 4Н), 4.14 (t, 2Н), 3.77 (s, 3Н), 3.31-3.21 (m, 1Н), 2.46 (s, 3Н), 2.20-2.07 (m, 2Н), 1.29 (t, J=7.1 Гц, 3Н).

Стадия D: 2-({6-[(1,3-бензотиазол-2-ил)амино]-5-метилпиридазин-3-ил}(метил)амино)-5-{3-[2-фтор-4-(3-гидроксипроп-1-ин-1-ил)фенокси]пропил}-1,3-тиазол-4-карбоновая кислота

К раствору продукта со Стадии С (50 мг, 0.08 ммоль, 1 экв.) в 1,4-диоксане (15 мл) добавляли моногидрат гидроксида лития (33.2 мг, 0.79 ммоль, 10 экв.), и смесь нагревали с обратным холодильником в течение ночи. Реакционной смеси давали охладиться до температуры окружающей среды и концентрировали в вакууме. Очистка с помощью обращенно-фазовой автоматической флэш-хроматографии (CombiFlash Rf, С18 13 г колонка RediSep) с элюированием с градиентом 30-95% ацетонитрила в воде приводила к получению целевого продукта в виде желтого твердого вещества (31.9 мг, 0.05 ммоль, 67%).

МСВР-ЭРИ (m/z) [М-Н]-, рассчитано для C29H24FN6O4S2: 603.1290, найдено: 603.1294.

Пример 101: 3-[3-[4-[3-[2-[[6-(1,3-Бензотиазол-2-иламино)-5-метилпиридазин-3-ил]-метиламино]-4-карбокситиазол-5-ил]пропокси]-3-фторфенил]проп-2-инилдиметиламмонио]пропан-1-сульфонат

Используя Общую методику алкилирования, снятия защиты и гидролиза, исходя из соединения Примера 50, Стадия А, и оксатиолан 2,2-диоксида получали целевой продукт.

МСВР-ЭРИ (m/z): [М+Н]+, рассчитано для C34H37FN7O6S3: 754.1946, найдено: 754.1947.

Пример 102: 2-({6-[(1,3-Бензотиазол-2-ил)амино]-5-метилпиридазин-3-ил}(метил)амино)-5-циклогексил-1,3-тиазол-4-карбоновая кислота

Стадия А: циклогексил(йод)цинк

Цинк (3.03 г, 46.3 ммоль, 3 экв.) и хлорид лития (0.98 г, 23.1 ммоль, 1.5 экв.) добавляли в 50 мл высушенную в сушильном шкафу колбу Шленка, и смесь нагревали при 160°С в течение 20 мин в высоком вакууме, затем давали охладиться до температуры окружающей среды и помещали в атмосферу азота на линии Шленка. Добавляли диметилацетамид (10 мл) с последующим добавлением 1,2-дибромэтана (0.13 мл, 1.54 ммоль, 0.1 экв.), и смесь перемешивали в течение 20 мин. Медленно добавляли йодциклогексан (2 мл, 15.4 ммоль, 1 экв.), и затем смесь нагревали при 40°С в течение ночи. Реакционной смеси давали охладиться до температуры окружающей среды и канюлировали через фильтр (хлопковая вата/целит/хлопковая вата) в низком вакууме в сухой 25 мл сосуд Шленка с получением целевого продукта в виде 1М раствора (как было определено титрованием с помощью 0.5М раствора йода), который использовали без дальнейшего определение характеристик.

Стадия В: этил 5-циклогексил-2-[метил(5-метил-6-{[(2Z)-3-{[2-(триметилсилил)этокси]метил}-2,3-дигидро-1,3-бензотиазол-2-илиден]амино}пиридазин-3-ил)амино]-1,3-тиазол-4-карбоксилат

В высушенную в сушильном шкафу колбу загружали раствор продукта Синтеза 11b (200 мг, 0.31 ммоль, 1 экв.) и йодид меди(I) (112 мг, 0.63 ммоль, 2 экв.). Добавляли диметилацетамид (5 мл), и смесь перемешивали в течение 5 мин, после чего медленно добавляли продукт со Стадии А (1М в диметилацетамиде; 1.42 мл, 1.42 ммоль, 4.5 экв.), и смесь перемешивали при температуре окружающей среды в течение ночи. Реакционную смесь выливали на насыщенный водный хлорид аммония, затем экстрагировали дихлорметаном (х2). Объединенные органические экстракты промывали соляным раствором, сушили (сульфат магния) и концентрировали в вакууме. Очистка с помощью автоматической колоночной флэш-хроматографии (CombiFlash Rf, 12 г силикагелевый картридж RediSep™) с элюированием с градиентом 0-30% этилацетата в изогептане приводила к получению целевого продукта в виде желтой смолы (135 мг, 0.21 ммоль, 67%).

ЖХ/МС (C31H42N6O3S2Si) 639 [М+Н]+; RT 1.68 (ЖХМС-V-B1)

1Н ЯМР (400 МГц, ДМСО-d6) δ 7.85 (dd, J=7.6, 1.0 Гц, 1Н), 7.66 (d, J=1.2 Гц, 1Н), 7.50-7.40 (m, 2Н), 7.29-7.22 (m, 1H), 5.86 (s, 2Н), 4.28 (q, J=7.1 Гц, 2Н), 3.76 (s, 3Н), 3.75-3.69 (m, 2Н), 3.68-3.56 (m, 1Н), 2.45 (s, 3Н), 2.05-1.97 (m, 2Н), 1.87-1.78 (m, 2Н), 1.77-1.68 (m, 2Н), 1.52-1.35 (m, 4Н), 1.32 (t, 3Н), 0.96 0.88 (m, 2Н), -0.11 (s, 9Н).

Стадия С: 2-({6-[(1,3-бензотиазол-2-ил)амино]-5-метилпиридазин-3-ил}(метил)амино)-5-циклогексил-1,3-тиазол-4-карбоновая кислота

Трифторуксусную кислоту (1 мл, 13.4 ммоль, 63.7 экв.) добавляли к перемешиваемому раствору продукта со Стадии В (135 мг, 0.21 ммоль, 1 экв.) в дихлорметане (6 мл), и смесь перемешивали при температуре окружающей среды в течение ночи. Реакционную смесь распределяли между дихлорметаном и насыщенным водным раствором бикарбоната натрия, и органическую фазу промывали соляным раствором, сушили (сульфат магния) и концентрировали в вакууме. Полученное в результате твердое вещество суспендировали в 1,4-диоксане (4 мл), затем добавляли гидроксид лития (44.2 мг, 1.05 ммоль, 5 экв.), и смесь нагревали с обратным холодильником в течение ночи. Реакционной смеси давали охладиться до температуры окружающей среды и концентрировали в вакууме. Очистка с помощью обращенно-фазовой автоматической флэш-хроматографии (CombiFlash Rf, С18 13 г колонка RediSep) с элюированием с градиентом 5-95% ацетонитрила в воде приводила к получению целевого продукта в виде желтого твердого вещества (42 мг, 0.09 ммоль, 41%).

МСВР-ЭРИ (m/z) [М+Н]+, рассчитано для C23H25N6O2S2: 481.1475, найдено: 481.1518.

Пример 103: 2-[[6-(1,3-Бензотиазол-2-иламино)-5-метилпиридазин-3-ил]-(2,3-дигидроксипропил)амино]тиазол-4-карбоновая кислота

Стадия А: метил 2-[трет-бутоксикарбонил-[(2,2-диметил-1,3-диоксолан-4-ил)метил]амино]тиазол-4-карбоксилат

Используя Общую методику проведения реакции Мицунобу, исходя из метил 2-(трет-бутоксикарбониламино)тиазол-4-карбоксилата и (2,2-диметил-1,3-диоксолан-4-ил)метанола в качестве исходных веществ и осуществляя реакцию в ТГФ при к.т.в течение 19 ч, получали 5.09 г (91%) целевого продукта.

1Н ЯМР (500 МГц, ДМСО-d6) δ м.д. 8.10 (s, 1H), 4.40 (m, 1H), 4.26/4.07 (dd+dd, 2Н), 4.01/3.79 (dd+dd, 2Н), 3.80 (s, 3Н), 1.53 (s, 9Н), 1.34 (s, 3Н), 1.23 (s, 3Н); 13С ЯМР (125 МГц, ДМСО-d6) δ м.д. 161.8, 161.1, 153.2, 140.9, 124.9, 73.1, 67.1, 52.4, 49.1, 28.1, 27.1, 25.8; МСВР-ЭРИ (m/z): [М+Н]+, рассчитано для C16H25N2O6S: 373.1433 найдено: 373.1431.

Стадия В: метил 2-[(2,2-диметил-1,3-диоксолан-4-ил)метиламино]тиазол-4-карбоксилат

Используя Общую методику снятия защиты посредством HFIP, исходя из продукта со Стадии А в качестве подходящего карбамата, получали 1.77 г (48%) целевого продукта.

1Н ЯМР (500 МГц, ДМСО-d6) δ м.д. 7.94 (t, 1Н), 7.53 (s,H), 4.23 (m, 1Н), 4.00/3.66 (dd+dd, 2H), 3.74 (s, 3Н), 3.39/3.35 (m+m, 2H), 1.34 (s, 3Н), 1.26 (s, 3Н); 13C ЯМР (125 МГц, ДМСО-d6) δ м.д. 168.7, 162.0, 142.3, 117.6, 74.3, 67.0, 52.1, 47.4, 27.3, 25.8; МСВР-ЭРИ (m/z): [М+Н]+, рассчитано для C11H17N2O4S: 273.0909 найдено: 273.0906.

Стадия С: метил 2-[(2,2-диметил-1,3-диоксолан-4-ил)метил-[5-метил-6-[(Z)-[3-(2-триметилсилилэтоксиметил)-1,3-бензотиазол-2-илиден]амино]пиридазин-3-ил]амино]тиазол-4-карбоксилат

Используя Общую методику II проведения реакции Бухвальда, исходя из продукта со Стадии В и продукта Синтеза 4а в качестве подходящего галогенида, получали 450 мг (33%) целевого продукта.

1Н ЯМР (500 МГц, ДМСО-d6) δ м.д. 8.00 (s, 1Н), 7.84 (d, 1H), 7.83 (s, 1Н), 7.47 (d, 1H), 7.44 (td, 1Н), 7.25 (td, 1Н), 5.87 (s, 2Н), 4.60 (m, 2Н), 4.55 (m, 1Н), 4.09/3.83 (dd+dd, 2Н), 3.82 (s, 3Н), 3.71 (t, 2Н), 2.44 (s, 3Н), 1.27/1.19 (s+s, 6Н), 0.92 (t, 2Н), -0.12 (s, 9Н); 13С ЯМР (125 МГц, ДМСО-d6) δ м.д. 162.2, 161.1, 157.7, 155.4, 151.7, 140.4, 137.5, 136.4, 127.2, 125.4, 123.5, 123.4, 123.2, 119.1, 112.0, 73.9, 72.8, 66.9, 66.7, 52.3, 50.2, 26.6/25.6, 17.8, 17.7, -1.0; МСВР-ЭРИ (m/z): [М+Н]+, рассчитано для C29H39N6O5S2Si: 643.2192 найдено: 643.2184.

Стадия D: 2-[[6-(1,3-бензотиазол-2-иламино)-5-метилпиридазин-3-ил]-(2,3-дигидроксипропил)амино]тиазол-4-карбоновая кислота

Используя Общую методику снятия защиты и гидролиза с последующей повторной очисткой с помощью обращенно-фазовой препаративной хроматографии (С18, 25 мМ NH4HCO3 вода: MeCN), исходя из продукта со Стадии С получали целевой продукт.

МСВР-ЭРИ (m/z): [М+Н]+, рассчитано для C19H19N6O4S2: 459.0909 найдено: 459.0891.

Пример 104: 2-[[6-(1,3-Бензотиазол-2-иламино)-5-метилпиридазин-3-ил]-(4,5-дигидроксипентил)амино]тиазол-4-карбоновая кислота

Стадия А: метил 2-[трет-бутоксикарбонил(пент-4-енил)амино]тиазол-4-карбоксилат

Используя Общую методику проведения реакции Мицунобу, исходя из метил 2-(трет-бутоксикарбониламино)тиазол-4-карбоксилата и 4-пентен-1-ола в качестве исходных веществ и осуществляя реакцию в ТГФ при к.т. в течение 2 ч, получали 4.36 г (89%) целевого продукта.

Стадия В: метил 2-[3-(2,2-диметил-1,3-диоксолан-4-ил)пропиламино]тиазол-4-карбоксилат

К 4.35 г продукта со Стадии А (13.3 ммоль) добавляли 3.6 г гидрата 4-метил-4-оксидоморфолин-4-ия (26.6 ммоль, 2 экв.), 135 мг тетраоксида осмия (2.5 мас. % в 2-метилпропан-2-оле, 0.013 ммоль, 0.001 экв.), 10 мл воды и 100 мл 2-метилпропан-2-ола, и смесь перемешивали при к.т.в течение 18 ч. После добавления 50 мл 1 М Na2S2O3 и удаления tBuOH при пониженном давлении, смесь экстрагировали с помощью ДХМ и объединенные органические фазы сушили и концентрировали с получением 6.25 г (130%) метил 2-[трет-бутоксикарбонил(4,5-дигидроксипентил)амино]тиазол-4-карбоксилата. Сырой продукт вносили в 100 мл EtOH, обрабатывали 20 мл 1 н. HCl при 100°С в течение 24 ч, и концентрировали с получением 5.42 г (157%) метил 2-(4,5-дигидроксипентиламино)тиазол-4-карбоксилата (ЖХ-МС-ЭРИ (m/z): [М+Н]+, рассчитано для C10H17N2O4S: 261, найдено: 261). Затем продукт вносили в 50 мл 2,2-диметоксипропана и добавляли 124 мг 4-метилбензолсульфоновой кислоты (0.72 ммоль, 0.05 экв.), и смесь перемешивали при нагревании с обратным холодильником в течение 3 ч. После концентрирования остаток вносили в ДХМ и промывали конц. NaHCCb с получением 3.66 г (92% за три стадии) целевого продукта.

1Н ЯМР (500 МГц, ДМСО-d6) δ м.д. 7.81 (t, 1H), 7.50 (s, 1H), 4.04 (m, 1Н), 3.98/3.42 (dd+dd, 2Н), 3.73 (s, 3Н), 3.23 (q, 2Н), 1.54 (m, 2Н), 1.54 (m, 2Н), 1.30 (s, 3Н), 1.25 (s, 3Н); 13С ЯМР (125 МГц, ДМСО-d6) δ м.д. 117.0, 75.6, 69.0, 52.0, 44.7, 27.3, 27.3, 26.1, 25.5; МСВР-ЭРИ (m/z): [М+Н]+, рассчитано для C13H21N2O4S: 301.1222 найдено: 301.1217.

Стадия С: метил 2-[3-(2,2-диметил-1,3-диоксолан-4-ил)пропил-[5-метил-6-[(Z)-[3-(2-триметилсилилэтоксиметил)-1,3-бензотиазол-2-илиден]амино]пиридазин-3-ил]амино]тиазол-4-карбоксилат

Используя Общую методику II проведения реакции Бухвальда, исходя из продукта со Стадии В и продукта Синтеза 4а в качестве подходящего галогенида, получали 74 мг (50%) целевого продукта.

1Н ЯМР (500 МГц, ДМСО-d6) δ м.д. 7.99 (s, 1Н), 7.84 (d, 1H), 7.72 (brs., 1H), 7.47 (d, 1Н), 7.44 (td, 1Н), 7.25 (td, 1Н), 5.87 (s, 2Н), 4.49/4.39 (m+m, 2Н), 4.13 (m, 1H), 4.02/3.44 (dd+t, 2H), 3.82 (s, 3Н), 3.72 (m, 2H), 2.47 (s, 3Н), 1.79/1.73 (m+m, 2H), 1.67-1.52 (m, 2H), 1.29/1.26 (s+s, 6H), 0.92 (m, 2H), -0.11 (s, 9H); 13C ЯМР (125 МГц, ДМСО-d6) δ м.д. 162.3, 157.7, 155.3, 150.9, 137.5, 137.2, 127.2, 125.4, 123.5, 123.2, 123.2, 117.7, 112.0, 75.5, 72.9, 69.1, 66.7, 52.3, 47.3, 30.3, 27.4/26.1, 23.7, 17.8, 17.8, -1.0; МСВР-ЭРИ (m/z): [М+Н]+, рассчитано для C31H43N6O5S2Si: 671.2505 найдено: 671.2489.

Стадия D: 2-[[6-(1,3-бензотиазол-2-иламино)-5-метилпиридазин-3-ил]-(4,5-дигидроксипентил)амино]тиазол-4-карбоновая кислота

Используя Общую методику снятия защиты и гидролиза с последующей повторной очисткой с помощью обращенно-фазовой препаративной хроматографии (С18, 25 мМ NH4HCO3 вода: MeCN), исходя из продукта со Стадии С получали целевой продукт.

МСВР-ЭРИ (m/z): [М+Н]+, рассчитано для C21H23N6O4S2: 487.1222, найдено: 487.1212.

Пример 105: 2-({6-[(1,3-Бензотиазол-2-ил)амино]-5-метилпиридазин-3-ил}(метил)амино)-5-циклопентил-1,3-тиазол-4-карбоновая кислота

Стадия А: бром (циклопентил)цинк

Цинк (1.83 г, 28 ммоль, 3 экв.) и хлорид лития (593 мг, 14 ммоль, 1.5 экв.) загружали в высушенную в сушильном шкафу колбу Шленка (50 мл). В колбе создавали вакуум и смесь нагревали при 160°С в течение 20 мин, затем давали охладиться до температуры окружающей среды и помещали в атмосферу азота на линии Шленка. Добавляли диметилацетамид (10 мл) с последующим добавлением 1,2-дибромэтана (0.08 мл, 0.93 ммоль, 0.1 экв.), и смесь перемешивали в течение 20 мин. Медленно добавляли бромциклопентан (1 мл, 9.33 ммоль, 1 экв.), и затем реакционную смесь нагревали при 40°С в течение ночи. Реакционной смеси давали охладиться до температуры окружающей среды и канюлировали через фильтр (хлопковая вата/целит/хлопковая вата) в низком вакууме в сухой 25 мл сосуд Шленка с получением целевого продукта в виде 0.25М раствора (как было определено титрованием с помощью 0.5М раствора йода), который использовали без дальнейшего определение характеристик.

Стадия В: этил 5-циклопентил-2-[метил(5-метил-6-{[(2Z)-3-{[2-(триметилсилил)этокси]метил}-2,3-дигидро-1,3-бензотиазол-2-илиден]амино}пиридазин-3-ил)амино]-1,3-тиазол-4-карбоксилат

В высушенную в сушильном шкафу колбу загружали продукт Синтеза 11b (200 мг, 0.31 ммоль, 1 экв.) и йодид меди(I) (120 мг, 0.63 ммоль, 2 экв.) с последующим добавлением диметилацетамида (5 мл), и смесь перемешивали в течение 5 мин, после чего медленно добавляли продукт со Стадии А (0.25М в диметилацетамиде; 5.66 мл, 1.42 ммоль, 4.5 экв.), и смесь перемешивали в течение ночи. Реакционную смесь выливали на насыщенный водный раствор хлорида аммония и экстрагировали дихлорметаном (х2). Органическую фазу промывали соляным раствором, сушили (сульфат магния) и концентрировали в вакууме. Очистка с помощью автоматической колоночной флэш-хроматографии (CombiFlash Rf, 12 г силикагелевый картридж RediSep™) с элюированием с градиентом 0-50% этилацетата в изогептане приводила к получению твердого вещества, которое растирали с изогептаном, отфильтровывали, промывали диэтиловым эфиром и сушили в вакууме с получением целевого продукта в виде белого твердого вещества (112 мг, 0.18 ммоль, 57%).

ЖХ/МС (C30H40N6O3S2Si) 625 [М+Н]+; RT 1.79 (ЖХМС-V-B1)

1Н ЯМР (400 МГц, ДМСО-d6) δ 7.88-7.80 (m, 1H), 7.66 (d, J=1.1 Гц, 1Н), 7.52-7.39 (m, 2Н), 7.29- 7.21 (m, 1Н), 5.86 (s, 2Н), 4.29 (q, J=7.1 Гц, 2Н), 4.06-3.88 (m, 1H), 3.75 (s, 3Н), 3.74-3.68 (m, 2Н), 2.45 (d, J=1.0 Гц, 3Н), 2.24-2.12 (m, 2Н), 1.90-1.76 (m, 2Н), 1.73-1.49 (m, 2Н), 1.31 (t, J=7.1 Гц, 3Н), 0.96-0.81 (m, 2Н), -0.11 (s, 9Н).

Стадия С: 2-({6-[(1,3-бензотиазол-2-ил)амино]-5-метилпиридазин-3-ил}(метил)амино)-5-циклопентил-1,3-тиазол-4-карбоновая кислота

Трифторуксусную кислоту (0.8 мл, 10.73 ммоль, 60 экв.) добавляли к перемешиваемому раствору продукта со Стадии В (112 мг, 0.18 ммоль, 1 экв.) в дихлорметане (4 мл), и смесь перемешивали при температуре окружающей среды в течение ночи. Реакционную смесь распределяли между дихлорметаном и насыщенным водным раствором бикарбоната натрия, и органическую фазу промывали соляным раствором, сушили (сульфат магния) и концентрировали в вакууме. Полученное в результате твердое вещество суспендировали в 1,4-диоксане (3 мл), затем добавляли гидроксид лития (37.6 мг, 0.9 ммоль, 5 экв.), и смесь нагревали с обратным холодильником в течение ночи. Реакционной смеси давали охладиться до температуры окружающей среды и концентрировали в вакууме. Очистка с помощью обращенно-фазовой автоматической флэш-хроматографии (CombiFlash Rf, С18 13 г колонка RediSep) с элюированием с градиентом 5-95% ацетонитрила в воде приводила к получению целевого продукта в виде коричневого твердого вещества (34.8 мг, 0.07 ммоль, 42%).

МСВР-ЭРИ (m/z) [М-Н]-, рассчитано для C22H21N6O2S2: 465.1173, найдено: 465.1175.

Пример 106: 2-({6-[(1,3-Бензотиазол-2-ил)амино]-5-метилпиридазин-3-ил}(метил)амино)-5-этенил-1,3-тиазол-4-карбоновая кислота

Стадия А: этил 5-этенил-2-[метил(5-метил-6-{[(2Z)-3-{[2-(триметилсилил)этокси]метил}-2,3-дигидро-1,3-бензотиазол-2-илиден]амино}пиридазин-3-ил)амино]-1,3-тиазол-4-карбоксилат

К раствору продукта Синтеза 11b (100 мг, 0.16 ммоль, 1 экв.) в 5:1 смеси тетрагидрофуран/вода (6 мл) добавляли Pd(dppf)Cl2.CH2Cl2 (12.9 мг, 0.02 ммоль, 0.1 экв.), винилтрифторборат калия (31.6 мг, 0.24 ммоль, 1.5 экв.) и карбонат калия (65.2 мг, 0.47 ммоль, 3 экв.), и смесь нагревали с обратным холодильником в течение 3 дней. Реакционной смеси давали охладиться до температуры окружающей среды, затем распределяли между этилацетатом и водой, и органическую фазу промывали соляным раствором, сушили (сульфат магния) и концентрировали в вакууме. Очистка с помощью автоматической колоночной флэш-хроматографии (CombiFlash Rf, 12 г силикагелевый картридж RediSep™) с элюированием с градиентом 0-50% этилацетата в изогептане приводила к получению целевого продукта в виде белого твердого вещества (39.5 мг, 0.07 ммоль, 43%).

ЖХ/МС (C27H34N6O3S2Si) 583 [М+Н]+; RT 1.52 (ЖХМС-V-B1)

1Н ЯМР (400 МГц, ДМСО-d6) δ 7.88-7.80 (m, 1H), 7.71 (d, J=1.1 Гц, 1H), 7.59-7.40 (m, 3Н), 7.28-7.23 (m, 1H), 5.87 (s, 2H), 5.71-5.62 (m, 1H), 5.45-5.37 (m, 1H), 4.32 (q, J=7.1 Гц, 2H), 3.80 (s, 3H), 3.78-3.68 (m, 2H), 2.46 (d, J=1.0 Гц, 3Н), 1.33 (t, J=7.1 Гц, 3Н), 0.97-0.87 (m, 2H), -0.11 (s, 9H).

Стадия В: 2-({6-[(1,3-бензотиазол-2-ил)амино]-5-метилпиридазин-3-ил}(метил)амино)-5-этенил-1,3-тиазол-4-карбоновая кислота

Трифторуксусную кислоту (0.5 мл, 6.71 ммоль, 99 экв.) добавляли к перемешиваемому раствору продукта со Стадии А (39.5 мг, 0.07 ммоль, 1 экв.) в дихлорметане (3 мл), и смесь перемешивали при температуре окружающей среды в течение ночи. Реакционную смесь распределяли между дихлорметаном и насыщенным водным раствором бикарбоната натрия, и органическую фазу промывали соляным раствором, сушили (сульфат магния) и концентрировали в вакууме. Полученное в результате твердое вещество суспендировали в 1,4-диоксане (3 мл), добавляли моногидрат гидроксида лития (14.2 мг, 0.34 ммоль, 5 экв.), и смесь нагревали с обратным холодильником в течение ночи. Реакционной смеси давали охладиться до температуры окружающей среды и концентрировали в вакууме. Очистка с помощью обращенно-фазовой автоматической флэш-хроматографии (CombiFlash Rf, С18 13 г колонка RediSep) с элюированием с градиентом 5-95% ацетонитрила в воде приводила к получению целевого продукта в виде желтого твердого вещества (13.4 мг, 0.03 ммоль, 47%).

МСВР-ЭРИ (m/z) [М-Н]-, рассчитано для C19H15N6O2S2: 423.0703, найдено: 423.0711.

Пример 107: 2-[[6-(1,3-Бензотиазол-2-иламино)-5-метилпиридазин-3-ил]-(3-гидрокси-2-морфолинопропил)амино]тиазол-4-карбоновая кислота

Стадия А: метил 2-[трет-бутоксикарбонил-[3-[трет-бутил(диметил)силил]окси-2-морфолинопропил]амино]тиазол-4-карбоксилат

Используя Общую методику проведения реакции Мицунобу, исходя из метил 2-(трет-бутоксикарбониламино)тиазол-4-карбоксилата и продукта Синтеза 2к в качестве исходных веществ и осуществляя реакцию при к.т. в течение 1 ч, получали 1.29 г (89%) целевого продукта.

1Н ЯМР (500 МГц, ДМСО-d6) δ м.д. 8.08 (s, 1Н), 4.36/3.86 (dd+dd, 2Н), 3.78 (s, 3Н), 3.77/3.67 (dd+dd, 2Н), 3.32/3.21 (m+m, 4Н), 3.01 (m, 1Н), 2.82/2.36 (m+m, 4Н), 1.53 (s, 9Н), 0.86 (s, 9Н), 0.04/0.03 (s, 6Н); 13С ЯМР (125 МГц, ДМСО-d6) δ м.д. 161.8, 161.6, 153.3, 140.7, 124.5, 67.4, 63.8, 61.0, 52.3, 50.1, 45.8, 28.2, 26.2, 18.3, -5.1; IR: 2954, 1703; МСВР-ЭРИ (m/z): [М+Н]+, рассчитано для C23H43N3O6SSi: 516.2564, найдено: 516.2570.

Стадия В: метил 2-[[3-[трет-бутил(диметил)силил]окси-2-морфолинопропил]амино]тиазол-4-карбоксилат

Используя Общую методику снятия защиты посредством HFIP, исходя из продукта со Стадии А в качестве подходящего карбамата, получали 0.71 г (68%) целевого продукта.

1Н ЯМР (500 МГц, ДМСО-d6) δ м.д. 7.58 (t, 1H), 7.51 (s, 1H), 3.74/3.66 (dd+dd, 2Н), 3.73 (s, 3Н), 3.59-3.45 (m, 4Н), 3.32/3.29 (m+m, 2Н), 2.71 (m, 1Н), 2.70/2.56 (m+m, 4Н), 0.87 (s, 9Н), 0.04 (s, 6Н); 13С ЯМР (125 МГц, ДМСО-d6) δ м.д. 168.8, 162.0, 142.5, 117.1, 67.3, 64.5, 61.2, 52.0, 50.1, 43.2, 26.3, 18.3, -5.0; IR: 2854, 1729; МСВР-ЭРИ (m/z): [М-С4Н9]+, рассчитано для C14H24N3O4SSi: 358.1262, найдено: 358.1255.

Стадия С: метил 2-[[3-[трет-бутил(диметил)силил]окси-2-морфолинопропил]-[5-метил-6-[(Z)-[3-(2-триметилсилилэтоксиметил)-1,3-бензотиазол-2-илиден]амино]пиридазин-3-ил]амино]тиазол-4-карбоксилат

Используя Общую методику II проведения реакции Бухвальда, исходя из продукта со Стадии В и продукта Синтеза 4а в качестве подходящего галогенида с последующей очисткой с помощью обращенно-фазовой препаративной хроматографии (С18, 25 мМ NH4HCO3 вода: MeCN), получали 270 мг (70%) целевого продукта.

1Н ЯМР (500 МГц, ДМСО-d6) δ м.д. 7.97 (s, 1Н), 7.84 (d, 1H), 7.74 (s, 1Н), 7.48 (d, 1Н), 7.44 (t, 1Н), 7.26 (t, 1H), 5.89 (s, 2Н), 4.71/4.26 (dd+dd, 2Н), 3.84/3.79 (dd+dd, 2Н), 3.80 (s, 3Н), 3.71 (t, 2Н), 3.27/3.16 (t+t, 4Н), 2.97 (m, 1Н), 2.88/2.39 (t+t, 4Н), 2.45 (s, 3Н), 0.92 (t, 2Н), 0.88 (s, 9Н), 0.06 (s, 6Н), -0.12 (s, 9Н); 13С ЯМР (125 МГц, ДМСО-d6) δ м.д. 127.2, 123.5, 123.2, 122.9, 118.5, 112.0, 72.8, 67.3, 66.7, 64.2, 61.0, 52.3, 50.3, 46.4, 26.3, 17.8, 17.8, -1, -5.1; МСВР-ЭРИ (m/z): [М+Н]+, рассчитано для C36H56N7O5S2Si2: 786.3322, найдено: 786.3312.

Стадия D: 2-[[6-(1,3-бензотиазол-2-иламино)-5-метилпиридазин-3-ил]-(3-гидрокси-2-морфолинопропил)амино]тиазол-4-карбоновая кислота

Используя Общую методику снятия защиты и гидролиза с последующей повторной очисткой с помощью обращенно-фазовой препаративной хроматографии (С18, 25 мМ NH4HCO3 вода: MeCN), исходя из продукта со Стадии С получали целевой продукт.

МСВР-ЭРИ (m/z): [М+Н]+, рассчитано для C23H26N7O4S2: 528.1487, найдено: 528.1489.

Пример 108: 2-[[6-(1,3-Бензотиазол-2-иламино)-5-метилпиридазин-3-ил]-(3,4-дигидроксибутил)амино]-5-[3-[2-фтор-4-[3-(метиламино)проп-1-инил]фенокси]пропил]тиазол-4-карбоновая кислота

Стадия А: метил 5-[3-[4-[3-[трет-бутоксикарбонил(метил)амино]проп-1-инил]-2-фторфенокси]пропил]-2-[2-(2,2-диметил-1,3-диоксолан-4-ил)этил-[5-м ет ил-6-f(Z)-[3-(2-тр им етил сил илэтоксим етил3-бенз отиазол-2-илиден]амино]пиридазин-3-ил]амино]тиазол-4-карбоксилат

Используя Общую методику II проведения реакции Бухвальда, исходя из 350 мг продукта Синтеза 3h (0.57 ммоль, 1 экв.) и 235 мг продукта Синтеза 4а (0.57 ммоль, 1 экв.) в качестве подходящего галогенида, получали 490 мг (87%) целевого продукта.

1Н ЯМР (500 МГц, ДМСО-d6) δ м.д. 7.84 (d, 1H), 7.68 (s, 1Н), 7.47 (d, 1Н), 7.44 (td, 1Н), 7.32 (brd., 1Н), 7.25 (td, 1Н), 7.22 (d, 1Н), 7.16 (t, 1Н), 5.86 (s, 2Н), 4.49/4.33 (m+m, 2Н), 4.20 (br., 2Н), 4.17 (m, 1Н), 4.15 (t, 2Н), 4.04/3.63 (dd+dd, 2Н), 3.77 (s, 3Н), 3.72 (t, 2Н), 3.27 (t, 2Н), 2.84 (br., 3Н), 2.45 (s, 3Н), 2.13 (m, 2Н), 1.75 (m, 2Н), 1.40 (s, 9Н), 1.37/1.24 (s+s, 6Н), 0.92 (t, 2Н), -0.11 (s, 9Н); 13С ЯМР (125 МГц, ДМСО-d6) δ м.д. 129.1, 127.2, 123.5, 123.2, 119.3, 117.5, 115.5, 112.0, 108.6, 73.7, 72.8, 68.9, 68.4, 66.7, 51.9, 44.4, 38.5, 33.8, 30.9, 28.5, 27.3/26.0, 23.3, 23.1, 17.9, 17.8, -1.0; МСВР-ЭРИ (m/z): [М+Н]+, рассчитано для C48H63FN7O8S2Si: 976.3927, найдено: 976.3916.

Стадия В: 2-[[6-(1,3-бензотиазол-2-иламино)-5-метилпиридазин-3-ил]-(3,4-дигидроксибутил)амино]-5-[3-[2-фтор-4-[3-(метиламино)проп-1-инил]фенокси]пропил]тиазол-4-карбоновая кислота

Используя Общую методику снятия защиты и гидролиза, исходя из продукта со Стадии А в качестве подходящего сложного метилового эфира, получали целевой продукт.

МСВР-ЭРИ (m/z): [М+Н]+, рассчитано для C33H35FN7O5S2: 692.2120, найдено: 692.2114.

Пример 109: 2-[[6-(1,3-Бензотиазол-2-иламино)-5-метилпиридазин-3-ил]-(3-гидрокси-4-метоксибутил)амино]-5-[3-[2-фтор-4-[3-(метиламино)проп-1-инил]фенокси]пропил]тиазол-4-карбоновая кислота

Стадия А: метил 5-[3-[4-[3-[трет-бутоксикарбонил(метил)амино]проп-1-инил]-2-фторфенокси]пропил]-2-[[3-[трет-бутил(диметил)силил]окси-4-метоксибутил]-[5-метил-6-[(Z)-[3-(2-триметилсилилэтоксиметил)-1,3-бензотиазол-2-илиден]амино]пиридазин-3-ил]амино]тиазол-4-карбоксилат

Используя Общую методику II проведения реакции Бухвальда, исходя из 320 мг продукта Синтеза 31 (0.46 ммоль, 1 экв.) и 188 мг продукта Синтеза 4а (0.46 ммоль, 1 экв.) в качестве подходящего галогенида, получали 415 мг (84%) целевого продукта.

1Н ЯМР (500 МГц, ДМСО-d6) δ м.д. 7.84 (d, 1H), 7.55 (s, 1Н), 7.47 (d, 1Н), 7.44 (td, 1Н), 7.32 (brd., 1Н), 7.25 (td, 1Н), 7.21 (d, 1Н), 7.16 (t, 1Н), 5.86 (s, 2Н), 4.49/4.37 (m+m, 2Н), 4.20 (br., 2Н), 4.14 (t, 2Н), 4.01 (m, 1Н), 3.76 (s, 3Н), 3.71 (t, 2Н), 3.36 (m, 2Н), 3.28 (s, 3Н), 3.27 (t, 2Н), 2.84 (br., 3Н), 2.45 (s, 3Н), 2.12 (m, 2Н), 1.90/1.79 (m+m, 2Н), 1.40 (s, 9Н), 0.92 (t, 2Н), 0.88 (s, 9Н), 0.08/0.06 (s/s, 6Н), -0.12 (s, 9Н); 13С ЯМР (125 МГц, ДМСО-d6) δ м.д. 129.1, 127.2, 123.4, 123.2, 119.3, 117.3, 115.5, 112.0, 76.6, 72.8, 69.6, 68.4, 66.7, 58.8, 51.9, 44.2, 38.5, 33.8, 31.8, 30.9, 28.5, 26.3, 23.1, 17.8, 17.8, -1.0, -4.1/-4.5; МСВР-ЭРИ (m/z): [М+Н]+, рассчитано для C52H75FN7O8S2Si2: 1064.4636, найдено: 1064.4629.

Стадия В: 2-[[6-(1,3-бензотиазол-2-иламино)-5-метилпиридазин-3-ил]-(3-гидрокси-4-метоксибутил)амино]-5-[3-[2-фтор-4-[3-(метиламино)проп-1-инил]фенокси]пропил]тиазол-4-карбоновая кислота

Используя Общую методику снятия защиты и гидролиза, исходя из продукта со Стадии А в качестве подходящего сложного метилового эфира, получали целевой продукт.

МСВР-ЭРИ (m/z): [М+Н]+, рассчитано для C34H37FN7O5S2: 706.2276, найдено: 706.2285.

Пример 110: 2-[[6-(1,3-Бензотиазол-2-иламино)-5-метилпиридазин-3-ил]-(4-гидроксибутил)амино]тиазол-4-карбоновая кислота

Стадия А: метил 2-[трет-бутоксикарбонил-[4-[трет-бутил(диметил)силил]оксибутил]амино]тиазол-4-карбоксилат

Используя Общую методику проведения реакции Мицунобу, исходя из метил 2-(трет-бутоксикарбониламино)тиазол-4-карбоксилата и 4-[трет-бутил(диметил)силил]оксибутан-1-ола в качестве исходных веществ и осуществляя реакцию в ТГФ при к.т. в течение 1 ч, получали 3.38 г (98%) целевого продукта.

1Н ЯМР (500 МГц, ДМСО-d6) δ м.д. 8.09 (s, 1Н), 4.07 (t, 2Н), 3.79 (s, 3Н), 3.59 (t, 2Н), 1.69 (qn, 2Н), 1.53 (s, 9Н), 1.45 (qn, 2Н), 0.83 (s, 9Н), 0.00 (s, 6Н); 13С ЯМР (125 МГц, ДМСО-d6) δ м.д. 161.9, 160.9, 153.1, 141.0, 124.8, 83.7, 62.5, 52.4, 47, 30.0, 28.1, 26.3, 24.5, 18.3, -4.9; МСВР-ЭРИ (m/z): [М+Н]+, рассчитано для C20H37N2O5SSi: 445.2192 найдено: 445.2193.

Стадия В: метил 2-[трет-бутоксикарбонил-[4-[трет-бутил(диметил)силил]оксибутил]амино]тиазол-4-карбоксилат

Используя Общую методику снятия защиты посредством HFIP, исходя из продукта со Стадии А в качестве подходящего карбамата, получали 2.0 г (80%) целевого продукта.

1Н ЯМР (500 МГц, ДМСО-d6) δ м.д. 7.79 (t, 1H), 7.50 (s, 1H), 3.73 (s, 3Н), 3.59 (t, 2Н), 3.22 (q, 2Н), 1.58 (m, 2Н), 1.51 (m, 2Н), 0.85 (s, 9Н), 0.02 (s, 6Н); 13С ЯМР (125 МГц, ДМСО-d6) δ м.д. 168.7, 162.0, 142.6, 116.9, 62.7, 52.0, 44.7, 30.2, 26.3, 25.6, -4.8; IR: 2929, 1732; МСВР-ЭРИ (m/z): [М+Н]+, рассчитано для C15H29N2O3SSi: 345.1668 найдено: 345.1652.

Стадия С: метил 2-[4-[трет-бутил(диметил)силил]оксибутил-[5-метил-6-[(Z)-[3-(2-триметилсилилэтоксиметил)-1,3-бензотиазол-2-илиден]амино]пиридазин-3-ил]амино]тиазол-4-карбоксилат

Используя Общую методику II проведения реакции Бухвальда, исходя из продукта со Стадии В и продукта Синтеза 4а в качестве подходящего галогенида, получали 451 мг (73%) целевого продукта.

1Н ЯМР (500 МГц, ДМСО-d6) δ м.д. 7.98 (s, 1H), 7.84 (dm, 1Н), 7.69 (s, 1Н), 7.47 (dm, 1H), 7.44 (m, 1H), 7.25 (m, 1Н), 5.87 (s, 2Н), 4.47 (t, 2Н), 3.82 (s, 3Н), 3.72 (m, 2Н), 3.62 (t, 2Н), 2.46 (s, 3Н), 1.76 (m, 2Н), 1.53 (m, 2Н), 0.92 (m, 2Н), 0.80 (s, 9Н), -0.01 (s, 6Н), -0.10 (s, 9Н); 13С ЯМР (125 МГц, ДМСО-d6) δ м.д. 127.2, 123.5, 123.2, 123.1, 117.7, 112.0, 72.9, 66.7, 62.5, 52.2, 47.2, 29.7, 26.2, 23.8, 17.8, 17.8, -1.0, -4.9; IR: 2951, 1732; МСВР-ЭРИ (m/z): [М+Н]+, рассчитано для C33H51N6O4S2Si2: 715.2952 найдено: 715.2963.

Стадия D: 2-[[6-(1,3-бензотиазол-2-иламино)-5-метилпиридазин-3-ил]-(4-гидроксибутил)амино]тиазол-4-карбоновая кислота

Используя Общую методику снятия защиты и гидролиза с последующей повторной очисткой с помощью обращенно-фазовой препаративной хроматографии (С18, 25 мМ NH4HCO3 вода: MeCN), исходя из продукта со Стадии С получали целевой продукт.

МСВР-ЭРИ (m/z): [М+Н]+, рассчитано для C20H21N6O3S2: 457.1117, найдено: 457.1108.

Пример 111: 2-[[6-(1,3-Бензотиазол-2-иламино)-5-метилпиридазин-3-ил]-(3-гидрокси-2-метоксипропил)амино]тиазол-4-карбоновая кислота

Стадия А: метил 2-[трет-бутоксикарбонил-[3-[трет-бутил(диметил)силил]окси-2-метоксипропил]амино]тиазол-4-карбоксилат

Используя Общую методику проведения реакции Мицунобу, исходя из метил 2-(трет-бутоксикарбониламино)тиазол-4-карбоксилата и продукта

Синтеза 2j в качестве исходных веществ и осуществляя реакцию в ТГФ при к.т. в течение 1 ч, получали 683 мг (88%) целевого продукта.

1Н ЯМР (400 МГц, ДМСО-d6) δ м.д. 8.09 (s, 1Н), 4.22 (dd, 1H), 4.06 (dd, 1H), 3.79 (s, 3Н), 3.71-3.55 (m, 3Н), 3.29 (s, 3Н), 1.52 (s, 9Н), 0.84 (s, 9Н), 0.01 (s, 3Н), 0.00 (s, 3Н).

Стадия В: метил 2-[[3-[трет-бутил(диметил)силил]окси-2-метоксипропил]амино]тиазол-4-карбоксилат

Используя Общую методику снятия защиты посредством HFIP, исходя из продукта со Стадии А в качестве подходящего карбамата, получали 514 мг (колич.) целевого продукта.

1Н ЯМР (400 МГц, ДМСО-d6) δ м.д. 7.80 (t, 1H), 7.52 (s, 1H), 3.73 (s, 3Н), 3.34 (s, 3Н), 3.66 (dd, 1Н), 3.62 (dd, 1Н), 3.41 (m. 1H), 3.39 (m, 1Н), 3.26 (m, 1Н), 0.86 (s, 9Н), 0.04 (s, 3Н), 0.03 (s, 3Н); ЖХ-МС-ЭРИ (m/z): [М+Н]+, рассчитано для C15H29N2O4SSi: 361, найдено: 361.

Стадия С: метил 2-[[3-[трет-бутил(диметил)силил]окси-2-метоксипропил]-[5-метил-6-[(Z)-[3-(2-триметилсилилэтоксиметил)-1,3-бензотиазол-2-илиден]амино]пиридазин-3-ил]амино]тиазол-4-карбоксилат

Используя Общую методику II проведения реакции Бухвальда, исходя из продукта со Стадии В и продукта Синтеза 4а в качестве подходящего галогенида, получали 313 мг (70%) целевого продукта.

1Н ЯМР (500 МГц, ДМСО-d6) δ м.д. 7.98 (s, 1Н), 7.84 (d, 1H), 7.75 (s, 1Н), 7.51-7.41 (m, 2Н), 7.26 (tm, 1Н), 5.88 (s, 1H), 5.87 (s, 1Н), 4.53 (dd, 1Н), 4.41 (dd, 1H), 3.81 (s, 3Н), 3.78 (m, 2Н), 3.75-3.65 (m, 3Н), 3.29 (s, 3Н), 2.44 (s, 3Н), 0.92 (t, 2Н), 0.86 (s, 9Н), 0.05 (s, 3Н), 0.04 (s, 3Н), -0.12 (s, 9Н).

Стадия D: 2-[[6-(1,3-бензотиазол-2-иламино)-5-метилпиридазин-3-ил]-(3-гидрокси-2-метоксипропил)амино]тиазол-4-карбоновая кислота

Используя Общую методику снятия защиты и гидролиза с последующей повторной очисткой с помощью обращенно-фазовой препаративной хроматографии (С18, 0.1% ТФУ в смеси вода : MeCN), исходя из продукта со Стадии С получали ТФУ-соль целевого продукта.

МСВР-ЭРИ (m/z): [М+Н]+, рассчитано для C20H21N6O4S2: 473.1066 найдено: 473.1063.

Пример 112: 2-[[6-(1,3-Бензотиазол-2-иламино)-5-метилпиридазин-3-ил]-(5-гидрокси-4-метоксипентил)амино]-5-[3-[2-фтор-4-[3-(метиламино)проп-1-инил]фенокси]пропил]тиазол-4-карбоновая кислота

Стадия А: метил 5-[3-[4-[3-[трет-бутоксикарбонил(метил)амино]проп-1-инил]-2-фторфенокси]пропил]-2-[[5-[трет-бутил(диметил)силил]окси-4-метоксипентил]-[5-метил-6-[(Z)-[3-(2-триметилсилилэтоксиметил)-1,3-бензотиазол-2-илиден]амино]пиридазин-3-ил]амино]тиазол-4-карбоксилат

Используя Общую методику II проведения реакции Бухвальда, исходя из 12 г продукта Синтеза 3f (13 ммоль) и 6.30 г продукта Синтеза 4а (15.6 ммоль) в качестве подходящего галогенида, получали 14 г (83%) целевого продукта.

Стадия В: 2-[[6-(1,3-бензотиазол-2-иламино)-5-метилпиридазин-3-ил]-(5-гидрокси-4-метоксипентил)амино]-5-[3-[2-фтор-4-[3-(метиламино)проп-1-инил]фенокси]пропил]тиазол-4-карбоновая кислота

Используя Общую методику снятия защиты и гидролиза, исходя из продукта со Стадии А в качестве подходящего сложного метилового эфира, получали целевой продукт.

1Н ЯМР (500 МГц, ДМСО-d6) δ м.д. 7.91 (d, 1H), 7.66 (s, 1Н), 7.53 (d, 1Н), 7.39 (td, 1H), 7.26 (dd, 1H), 7.21 (td, 1Н), 7.18 (dd, 1Н), 7.15 (t, 1Н), 4.38 (m, 2Н), 4.14 (t, 2Н), 3.47 (s, 2Н), 3.41/3.36 (dd+dd, 2Н), 3.28 (s, 3Н), 3.26 (t, 2Н), 3.20 (m, 1H), 2.46 (s, 3Н), 2.31 (s, 3Н), 2.13 (m, 2Н), 1.72 (m, 2Н), 1.57/1.49 (m+m, 2Н); 13С ЯМР (125 МГц, ДМСО-d6) δ м.д. 128.9, 126.6, 122.6, 122.3, 119.1, 118.3, 116.9, 115.5, 81.4, 68.5, 62.7, 57.1, 47.0, 40.2, 35.2, 31.0, 28.2, 23.3, 23.1, 17.8 МСВР-ЭРИ (m/z): [М+Н]+, рассчитано для C35H39FN7O5S2: 720.2433, найдено: 720.2437.

Пример 113: 2-[[6-(1,3-Бензотиазол-2-иламино)-5-метилпиридазин-3-ил]-(4-гидрокси-5-морфолинопентил)амино]-5-[3-[2-фтор-4-[3-(метиламино)проп-1-инил]фенокси]пропил]тиазол-4-карбоновая кислота

Стадия А: метил 5-[3-[4-[3-[трет-бутоксикарбонил(метил)амино]проп-1-инил]-2-фторфенокси]пропил]-2-[[4-[трет-бутил(дифенил)силил]окси-5-морфолинопентил]-[5-метил-6-[(Z)-[3-(2-триметилсилилэтоксиметил)-1,3-бензотиазол-2-илиден]амино]пиридазин-3-ил]амино]тиазол-4-карбоксилат

Используя Общую методику алкилирования тозилатом, исходя из продукта Синтеза 5а и морфолина в качестве подходящего амина, получали целевой продукт.

Стадия В: 2-[[6-(1,3-бензотиазол-2-иламино)-5-метилпиридазин-3-ил]-(4-гидрокси-5-морфолинопентил)амино]-5-[3-[2-фтор-4-[3-(метиламино)проп-1-инил]фенокси]пропил]тиазол-4-карбоновая кислота

Используя Общую методику снятия защиты и гидролиза, исходя из продукта со Стадии А в качестве подходящего сложного метилового эфира, получали целевой продукт.

МСВР-ЭРИ (m/z): [М+Н]+, рассчитано для C38H44FN8O5S2: 775.2855, найдено: 775.2851.

Пример 114: 2-({6-[(1,3-Бензотиазол-2-ил)амино]-5-метилпиридазин-3-ил}(4-гидроксибутил)амино)-5-(3-{2-фтор-4-[3-(метиламино)проп-1-ин-1-ил]фенокси}пропил)-1,3-тиазол-4-карбоновая кислота

Используя Общую методику снятия защиты и гидролиза, исходя из подходящего сложного метилового эфира из Синтеза 5с, Стадия А, получали целевой продукт.

МСВР-ЭРИ (m/z): [М+Н]+, рассчитано для C33H35FN7O4S2: 676.2170, найдено: 676.2177.

Пример 115: 2-[[6-(1,3-Бензотиазол-2-иламино)-5-метилпиридазин-3-ил]-(3-гидрокси-2-морфолинопропил)амино]-5-[3-[2-фтор-4-[3-(метиламино)проп-1-инил]фенокси]пропил]тиазол-4-карбоновая кислота

Стадия А: метил 5-[3-[4-[3-[трет-бутоксикарбонил(метил)амино]проп-1-инил]-2-фторфенокси]пропил]-2-[[3-[трет-бутил(диметил)силил]окси-2-морфолинопропил]-[5-метил-6-[(Z)-[3-(2-триметилсилилэтоксиметил)-1,3-бензотиазол-2-илиден]амино]пиридазин-3-ил]амино]тиазол-4-карбоксилат

Используя Общую методику II проведения реакции Бухвальда, исходя из 390 мг продукта Синтеза 3r (0.59 ммоль, 1 экв.) и 216 мг продукта Синтеза 4а (0.59 ммоль, 1 экв.) в качестве подходящего галогенида, получали 500 мг (83%) целевого продукта.

1H ЯМР (500 МГц, ДМСО-d6) δ м.д. 7.84 (dm, 1Н), 7.71 (s, 1H), 7.47 (dm, 1H), 7.44 (m, 1H), 7.31 (brd, 1Н), 7.25 (m, 1Н), 7.21 (brd, 1Н), 7.14 (t, 1Н), 5.88/5.85 (d+d, 2Н), 4.66/4.19 (dd+dd, 2Н), 4.20 (brs, 2Н), 4.14 (t, 2Н), 3.82/3.77 (dd+dd, 2Н), 3.75 (s, 3Н), 3.71 (m, 2Н), 3.29/3.26 (m+m, 2Н), 3.28/3.18 (m+m, 4Н), 2.95 (m, 1Н), 2.89/2.39 (m+m, 4Н), 2.84 (brs, 3Н), 2.43 (s, 3Н), 2.13 (m, 2Н), 1.40 (s, 9Н), 0.92 (m, 2Н), 0.87 (s, 9Н), 0.05 (s, 6Н), -0.12 (s, 9Н); 13С ЯМР (125 МГц, ДМСО-d6) δ м.д. 163.1, 157.4, 156.8/151.5, 141.2, 134.6, 129.0, 127.2, 123.4, 123.1, 119.2, 118.3, 115.4, 111.9, 85.1, 82.2, 72.7, 68.3, 67.3, 66.6, 64.1, 60.9, 51.8, 50.1, 45.9, 38.5, 33.7, 30.9, 28.4, 26.2, 23.0, 17.9, 17.7, -1.1, -5.2; МСВР-ЭРИ (m/z): [М+Н]+, рассчитано для C54H78FN8O8S2Si2: 1105.4901, найдено: 1105.4896.

Стадия В: 2-[[6-(1,3-бензотиазол-2-иламино)-5-метилпиридазин-3-ил]-(3-гидрокси-2-морфолинопропил)амино]-5-[3-[2-фтор-4-[3-(метиламино)проп-1-инил]фенокси]пропил]тиазол-4-карбоновая кислота

Используя Общую методику снятия защиты и гидролиза, исходя из продукта со Стадии А в качестве подходящего сложного метилового эфира, получали целевой продукт.

МСВР-ЭРИ (m/z): [М+Н]+, рассчитано для C36H40FN8O5S2: 747.2542, найдено: 747.2531.

Пример 116: 2-({6-[(1,3-Бензотиазол-2-ил)амино]-5-метилпиридазин-3-ил} (метил)амино)-5-(3-{4-[3-(диметиламино)проп-1-ин-1-ил]-2-фторфенокси}-2-метилпропил)-1,3-тиазол-4-карбоновая кислота

Стадия А: этил 2-[метил(5-метил-6-{[(2Z)-3-{[2-(триметилсилил)этокси]метил}-2,3-дигидро-1,3-бензотиазол-2-илиден]амино}пиридазин-3-ил)амино]-5-(2-метил-3-оксопропил)-1,3-тиазол-4-карбоксилат

К раствору продукта Синтеза 11b (1.2 г, 1.89 ммоль, 1 экв.) в 1,4-диоксане (20 мл) добавляли 2-метил-2-пропен-1-ол (0.48 мл, 5.66 ммоль, 3 экв.), N,N-дициклогексилметиламин (0.81 мл, 3.78 ммоль, 2 экв.) и 2-(ди-трет-бутилфосфино)-1-фенил-1Н-пиррол (54.3 мг, 0.19 ммоль, 0.1 экв.). Смесь барботировали азотом (10 мин) и добавляли трис(дибензилиденацетон)дипалладий(0) (86.4 мг, 0.09 ммоль, 0.05 экв.), и смесь нагревали при 100°С в закупоренной колбе в течение ночи. Реакционную смесь распределяли между этилацетатом и водой, и органическую фазу промывали соляным раствором, сушили (сульфат магния) и концентрировали в вакууме. Очистка с помощью автоматической колоночной флэш-хроматографии (CombiFlash Rf, 40 г силикагелевый картридж RediSep™) с элюированием с градиентом 0-40% этилацетата в изогептане приводила к получению целевого продукта в виде желтого масла (779 мг, 1.24 ммоль, 66%).

ЖХ/МС (C29H38N6O4SiS2) 627 [М+Н]+; RT 2.86 (ЖХМС-V-C)

1Н ЯМР (400 МГц, ДМСО-d6) δ 9.67 (d, J=1.4 Гц, 1Н), 7.88-7.81 (m, 1Н), 7.68-7.63 (m, 1Н), 7.51-7.40 (m, 2Н), 7.29-7.21 (m, 1H), 5.85 (s, 2Н), 4.28 (q, 2Н), 3.77 (s, 3Н), 3.75-3.66 (m, 2Н), 3.49 (dd, J=14.4, 6.7 Гц, 1H), 3.16 (dd, J=14.4, 7.6 Гц, 1Н), 2.86-2.74 (m, 1H), 2.44 (d, 3Н), 1.31 (t, 3Н), 1.08 (d, 3Н), 0.95-0.88 (m, 2Н), -0.12 (s, 9Н).

Стадия В: этил 5-(3-гидрокси-2-метилпропил)-2-[метил(5-метил-6-{[(2Z)-3-{[2-(триметилсилил)этокси]метил}-2,3-дигидро-1,3-бензотиазол-2-илиден]амино}пиридазин-3-ил)амино]-1,3-тиазол-4-карбоксилат

К раствору продукта со Стадии А (779 мг, 1.24 ммоль, 1 экв.) в метаноле (20 мл), охлажденному до 0°С, добавляли борогидрид натрия (51.7 мг, 1.37 ммоль, 1.1 экв.), и смесь перемешивали в течение 20 мин. Реакционную смесь распределяли между этилацетатом и водой, и органическую фазу промывали соляным раствором, сушили (сульфат магния) и концентрировали в вакууме. Очистка с помощью автоматической колоночной флэш-хроматографии (CombiFlash Rf, 24 г силикагелевый картридж RediSep™) с элюированием с градиентом 0-50% этилацетата в изогептане приводила к получению целевого продукта в виде желтой пены (336 мг, 0.53 ммоль, 43%).

ЖХ/МС (C29H40N6O4SiS2) 629 [М+Н]+; RT 2.74 (ЖХМС-V-C)

1Н ЯМР (400 МГц, ДМСО-d6) δ 7.87-7.83 (m, 1H), 7.66 (d, J=1.1 Гц, 1Н), 7.49-7.40 (m, 2H), 7.28-7.21 (m, 1H), 5.85 (s, 2H), 4.62 (t, J=5.2 Гц, 1H), 4.27 (q, J=7.1 Гц, 2H), 3.76 (s, 3H), 3.75-3.66 (m, 3H), 3.42-3.26 (m, 2H), 3.13 (dd, J=14.2, 6.0 Гц, 1H), 2.96 (dd, J=14.2, 8.5 Гц, 1H), 2.45 (d, J=1.0 Гц, 3Н), 1.95-1.83 (m, 1H), 1.31 (t, 3H), 0.95-0.89 (m, 2H), 0.88 (d, 3H), -0.11 (s, 9H).

Стадия С: этил 5-(3-йод-2-метилпропил)-2-[метил(5-метил-6-{[(2Z)-3-{[2-(триметилсилил)этокси]метил}-2,3-дигидро-1,3-бензотиазол-2-илиден]амино}пиридазин-3-ил)амино]-1,3-тиазол-4-карбоксилат

К раствору продукта со Стадии В (469 мг, 0.75 ммоль, 1 экв.) в 6:1 смеси диэтиловый эфир/ацетонитрил (21 мл) добавляли йод (284 мг, 1.12 ммоль, 1.5 экв.), трифенилфосфин (293 мг, 1.12 ммоль, 1.5 экв.) и имидазол (0.07 мл, 1.12 ммоль, 1.5 экв.), и смесь перемешивали при температуре окружающей среды в течение 16 ч. Реакционную смесь распределяли между этилацетатом и 10% водным раствором тиосульфата натрия, и органическую фазу сушили (сульфат магния) и концентрировали в вакууме. Очистка с помощью автоматической колоночной флэш-хроматографии (CombiFlash Rf, 12 г силикагелевый картридж RediSep™) с элюированием с градиентом 0-30% этилацетата в изогептане приводила к получению целевого продукта в виде желтого масла (523 мг, 0.71 ммоль, 95%).

ЖХ/МС (C29H39IN6O3SiS2) 739 [М+Н]+; RT 3.23 (ЖХМС-V-C)

1Н ЯМР (400 МГц, ДМСО-d6) δ 7.87-7.81 (m, 1H), 7.67 (d, J=1.2 Гц, 1Н), 7.52-7.40 (m, 2Н), 7.28-7.22 (m, 1Н), 5.85 (s, 2Н), 4.29 (q, J=7.1 Гц, 2Н), 3.78 (s, 3Н), 3.75-3.67 (m, 2Н), 3.48-3.37 (m, 1Н), 3.35-3.27 (m, 1H), 3.17-3.03 (m, 2Н), 2.45 (d, J=1.0 Гц, 3Н), 1.94-1.78 (m, 1Н), 1.32 (t, J=7.1 Гц, 3Н), 0.97 (d, J=6.5 Гц, 3Н), 0.95-0.87 (m, 2Н), -0.13 (s, 9Н).

Стадия D: этил 5-(3-{4-[3-(диметиламино)проп-1-ин-1-ил]-2-фторфенокси}-2-метилпропил)-2-[метил(5-метил-6-{[(2Z)-3-{[2-(триметилсилил)этокси]метил}-2,3-дигидро-1,3-бензотиазол-2-илиден]амино}пиридазин-3-ил)амино]-1,3-тиазол-4-карбоксилат

К раствору продукта со Стадии С (523 мг, 0.71 ммоль, 1 экв.) в диметилформамиде (20 мл) добавляли продукт Синтеза 6b (178 мг, 0.92 ммоль, 1.3 экв.) и карбонат цезия (692 мг, 2.12 ммоль, 3 экв.), и смесь нагревали при 80°С в течение 3 ч. Реакционную смесь распределяли между этилацетатом и соляным раствором, и органическую фазу сушили (сульфат магния) и концентрировали в вакууме. Очистка с помощью автоматической колоночной флэш-хроматографии (CombiFlash Rf, 24 г силикагелевый картридж RediSep™) с элюированием с градиентом 0-5% метанола в дихлорметане приводила к получению целевого продукта в виде желтого масла (257 мг, 0.32 ммоль, 45%).

ЖХ/МС (C40H50FN7O4SiS2) 804 [М+Н]+; RT 2.66 (ЖХМС-V-C)

1Н ЯМР (400 МГц, ДМСО-d6) δ 7.86-7.80 (m, 1H), 7.66 (d, J=1.1 Гц, 1Н), 7.49-7.40 (m, 2Н), 7.33-7.10 (m, 4Н), 5.85 (s, 2Н), 4.26 (q, 2Н), 4.08-3.95 (m, 2Н), 3.77 (s, 3Н), 3.75-3.65 (m, 2Н), 3.36 (s, 2Н), 3.32-3.25 (m, 1Н), 3.17-3.05 (m, 1Н), 2.44 (d, J=1.0 Гц, 3Н), 2.37-2.24 (m, 1H), 2.18 (s, 6Н), 1.29 (t, J=7.1 Гц, 3Н), 1.04 (d, J=6.7 Гц, 3Н), 0.96-0.85 (m, 2Н), -0.12 (s, 9Н).

Стадия Е: этил 2-({6-[(1,3-бензотиазол-2-ил)амино]-5-метилпиридазин-3-ил}(метил)амино)-5-(3-{4-[3-(диметиламино)проп-1-ин-1-ил]-2-фторфенокси}-2-метилпропил)-1,3-тиазол-4-карбоксилат

К раствору продукта со Стадии D (257 мг, 0.32 ммоль, 1 экв.) в тетрагидрофуране (15 мл) добавляли этилендиамин (64 мкл, 0.96 ммоль, 3 экв.) с последующим добавлением TBAF (1М в тетрагидрофуране; 0.96 мл, 0.96 ммоль, 3 экв.), и смесь нагревали при 60°С в течение 18 ч. Реакционную смесь распределяли между этилацетатом и водой, и органическую фазу сушили (сульфат магния) и концентрировали в вакууме. Очистка с помощью автоматической колоночной флэш-хроматографии (CombiFlash Rf, 12 г силикагелевый картридж RediSep™) с элюированием с градиентом 0-5% метанола в дихлорметане приводила к получению целевого продукта в виде желтого стеклообразного вещества (110 мг, 0.16 ммоль, 51%).

ЖХ/МС (C34H36FN7O3S2) 674 [М+Н]+; RT 2.11 (ЖХМС-V-C)

1Н ЯМР (400 МГц, ДМСО-d6) δ 11.55 (br s, 1Н), 7.92 (d, J=8.0 Гц, 1H), 7.69 (s, 1H), 7.54 (d, J=8.0 Гц, 1H), 7.43-7.36 (m, 1H), 7.31 (dd, J=11.9, 1.9 Гц, 1H), 7.27-7.17 (m, 2H), 7.15 (t, J=8.6 Гц, 1H), 4.26 (q, 2H), 4.08-3.95 (m, 2H), 3.78 (s, 3H), 3.38 (s, 2H), 3.33-3.27 (m, 1H), 3.18-3.07 (m, 1H), 2.47 (d, J=1.0 Гц, 3Н), 2.40-2.27 (m, 1H), 2.20 (s, 6H), 1.31 (t, J=7.1 Гц, 3Н), 1.05 (d, J=6.7 Гц, 3Н).

Стадия F: 2-({6-[(1,3-бензотиазол-2-ил)амино]-5-метилпиридазин-3-ил}(метил)амино)-5-(3-{4-[3-(диметиламино)проп-1-ин-1-ил]-2-фторфенокси}-2-метилпропил)-1,3-тиазол-4-карбоновая кислота

К раствору продукта со Стадии Е (110 мг, 0.16 ммоль, 1 экв.) в 1,4-диоксане (15 мл) добавляли моногидрат гидроксида лития (68.5 мг, 1.63 ммоль, 10 экв.), и смесь нагревали с обратным холодильником в течение 16 ч. Реакционную смесь концентрировали в вакууме и остаток растирали с водой (5 мл), отфильтровывали, промывали водой и сушили в вакууме с получением целевого продукта в виде желтого твердого вещества (91.2 мг, 0.14 ммоль, 87%) [в виде соли лития].

МСВР-ЭРИ (m/z) [М+Н]+, рассчитано для C32H33FN7O3S2: 646.2065, найдено: 646.2091.

Пример 117: 2-[[6-(1,3-Бензотиазол-2-иламино)-5-метилпиридазин-3-ил]-(2,3-дигидроксипропил)амино]-5-[3-[2-фтор-4-[3-(метиламино)проп-1-инил]фенокси]пропил]тиазол-4-карбоновая кислота

Стадия А: метил 5-[3-[4-[3-[трет-бутоксикарбонил(метил)амино]проп-1-инил]-2-фторфенокси]пропил]-2-[(2,2-диметил-1,3-диоксолан-4-ил)метил-[5-метил-6-[(Z)-[3-(2-триметилсилилэтоксиметил)-1,3-бензотиазол-2-илиден]амино]пиридазин-3-ил]амино]тиазол-4-карбоксилат

Используя Общую методику II проведения реакции Бухвальда, исходя из 280 мг продукта Синтеза 3о (0.47 ммоль, 1 экв.) и 193 мг продукта Синтеза 4а (0.47 ммоль, 1 экв.) в качестве подходящего галогенида, получали 400 мг (88%) целевого продукта.

1Н ЯМР (500 МГц, ДМСО-d6) δ м.д. 7.84 (d, 1H), 7.80 (s, 1Н), 7.47 (d, 1Н), 7.44 (td, 1Н), 7.32 (brd., 1Н), 7.26 (td, 1Н), 7.22 (d, 1Н), 7.16 (t, 1Н), 5.87 (s, 2Н), 4.55 (m, 2Н), 4.53 (m, 1H), 4.20 (br., 2Н), 4.15 (t, 2Н), 4.07/3.83 (dd+dd, 2Н), 3.77 (s, 3Н), 3.71 (t, 2Н), 3.27 (t, 2Н), 2.84 (br., 3Н), 2.43 (s, 3Н), 2.13 (m, 2Н), 1.40 (s, 9Н), 1.27/1.20 (s+s, 6Н), 0.92 (t, 2Н), -0.12 (s, 9Н); 13С ЯМР (125 МГц, ДМСО-d6) δ м.д. 129.1, 127.2, 123.2, 123.2, 119.3, 118.9, 115.5, 112.0, 109.2, 74.0, 72.8, 68.4, 66.9, 66.7, 52.0, 49.6, 38.5, 33.8, 30.9, 28.5, 26.6/25.7, 23.1, 17.8, 17.7, -1.0; МСВР-ЭРИ (m/z): [М+Н]+, рассчитано для C47H61FN7O8S2Si: 962.3771, найдено: 962.3767.

Стадия В: 2-[[6-(1,3-бензотиазол-2-иламино)-5-метилпиридазин-3-ил]-(2,3-дигидроксипропил)амино]-5-[3-[2-фтор-4-[3-(метиламино)проп-1-инил]фенокси]пропил]тиазол-4-карбоновая кислота

Используя Общую методику снятия защиты и гидролиза, исходя из продукта со Стадии А в качестве подходящего сложного метилового эфира, получали целевой продукт.

МСВР-ЭРИ (m/z): [М+Н]+, рассчитано для C32H33FN7O5S2: 678.1963, найдено: 678.1965.

Пример 118: 2-[[6-(1,3-Бензотиазол-2-иламино)-5-метилпиридазин-3-ил]-(3-гидрокси-2-метоксипропил)амино]-5-[3-[2-фтор-4-[3-(метиламино)проп-1-инил]фенокси]пропил] тиазол-4-карбоновая кислота

Стадия А: метил 5-[3-[4-[3-[трет-бутоксикарбонил(метил)амино]проп-1-инил]-2-фторфенокси]пропил]-2-[[3-[трет-бутил(диметил)силил]окси-2-метоксипропил]-[5-метил-6-[(Z)-[3-(2-триметилсилилэтоксиметил)-1,3-бензотиазол-2-илиден]амино]пиридазин-3-ил]амино]тиазол-4-карбоксилат

Используя Общую методику II проведения реакции Бухвальда, исходя из 400 мг продукта Синтеза 3q (0.59 ммоль, 1 экв.) и 240 мг продукта Синтеза 4а (0.59 ммоль, 1 экв.) в качестве подходящего галогенида, получали 534 мг (86%) целевого продукта.

1Н ЯМР (500 МГц, ДМСО-d6) δ м.д. 7.84 (dm, 1H), 7.72 (s, 1Н), 7.47 (dm, 1H), 7.44 (m, 1Н), 7.31 (brd, 1Н), 7.25 (m, 1H), 7.21 (dd, 1Н), 7.16 (t, 1H), 5.88/5.85 (d+d, 2Н), 4.48/4.35 (dd+dd, 2Н), 4.20 (brs, 2Н), 4.15 (t, 2Н), 3.77/3.66 (dd+dd, 2Н), 3.76 (m, 1H), 3.76 (s, 3Н), 3.71 (m, 2H), 3.27 (m, 2H), 3.23 (s, 3Н), 2.84 (brs, 3Н), 2.42 (s, 3Н), 2.12 (m, 2H), 1.40 (s, 9H), 0.92 (m, 2H), 0.85 (s, 9H), 0.04 (s, 3Н), 0.03 (s, 3Н), -0.12 (s, 9H); 13C ЯМР (125 МГц, ДМСО-d6) δ м.д. 129.1, 127.2, 123.4, 123.2, 119.3, 118.6, 115.5, 112.0, 79.4, 72.8, 68.4, 66.7, 63.1, 58.2, 51.8, 48.4, 38.3, 33.7, 30.9, 28.4, 26.2, 23.0, 18.0, 17.7, -1.6, -5.1, -5.1; МСВР-ЭРИ (m/z): [М+Н]+, рассчитано для C51H73FN7O8S2Si2: 1050.4479, найдено: 1050.4469.

Стадия В: 2-[[6-(1,3-бензотиазол-2-иламино)-5-метилпиридазин-3-ил]-(3-гидрокси-2-метоксипропил)амино]-5-[3-[2-фтор-4-[3-(метиламино)проп-1-инил]фенокси]пропил]тиазол-4-карбоновая кислота

Используя Общую методику снятия защиты и гидролиза, исходя из продукта со Стадии А в качестве подходящего сложного метилового эфира, получали целевой продукт.

МСВР-ЭРИ (m/z): [М+Н]+, рассчитано для C33H35FN7O5S2: 692.2120, найдено: 692.2117.

Пример 119: 2-[[6-(1,3-Бензотиазол-2-иламино)-5-метилпиридазин-3-ил]-(4,5-дигидроксипентил)амино]-5-[3-[2-фтор-4-[3-(метиламино)проп-1-инил]фенокси]пропил]тиазол-4-карбоновая кислота

Используя Общую методику снятия защиты и гидролиза, исходя из продукта Синтеза 5а, Стадия А, в качестве подходящего сложного метилового эфира, получали целевой продукт.

МСВР-ЭРИ (m/z): [М+Н]+, рассчитано для C34H37FN7O5S2: 706.2276, найдено: 706.2274.

Пример 120: 2-[[6-(1,3-Бензотиазол-2-иламино)-5-метилпиридазин-3-ил]-(3,4-дигидроксибутил)амино]-5-[3-[2-фтор-4-[3-[метил(и-толилсульфонил)амино]проп-1-инил]фенокси] пропил] тиазол-4-карбоновая кислота

Стадия А: метил 2-[2-(2,2-диметил-1,3-диоксолан-4-ил)этил-[5-метил-6-[(Z)-[3-(2-триметилсилилэтоксиметил)-1,3-бензотиазол-2-илиден]амино]пиридазин-3-ил]амино]-5-[3-[2-фтор-4-[3-[метил(п-толилсульфонил)амино]проп-1-инил]фенокси]пропил]тиазол-4-карбоксилат

Используя Общую методику II проведения реакции Бухвальда, исходя из 470 мг продукта Синтеза 3k (0.71 ммоль, 1 экв.) и 290 мг продукта Синтеза 4а (0.71 ммоль, 1 экв.) в качестве подходящего галогенида, получали 660 мг (90%) целевого продукта.

Стадия В: 2-[[6-(1,3-бензотиазол-2-иламино)-5-метилпиридазин-3-ил]-(3,4-дигидроксибутил)амино]-5-[3-[2-фтор-4-[3-[метил(п-толилсульфонил)амино]проп-1-инил]фенокси]пропил]тиазол-4-карбоновая кислота

Используя Общую методику снятия защиты и гидролиза, исходя из продукта со Стадии А в качестве подходящего сложного метилового эфира, получали целевой продукт.

МСВР-ЭРИ (m/z): [М+Н]+, рассчитано для C40H41FN7O7S3: 846.2208, найдено: 846.2201.

Пример 121: 2-[[6-(1,3-Бензотиазол-2-иламино)-5-метилпиридазин-3-ил]-(3,4-дигидроксибутил)амино]-5-[3-[2-фтор-4-[3-[(4-метоксифенил)метилметиламино]проп-1-инил]фенокси]пропил]тиазол-4-карбоновая кислота

Стадия А: метил 2-[2-(2,2-диметил-1,3-диоксолан-4-ил)этил-[5-метил-6-[(Z)-[3-(2-триметилсилилэтоксиметил)-1,3-бензотиазол-2-илиден]амино]пиридазин-3-ил]амино]-5-[3-[2-фтор-4-[3-[(4-метоксифенил)метилметиламино]проп-1-инил]фенокси]пропил]тиазол-4-карбоксилат

Используя Общую методику II проведения реакции Бухвальда, исходя из 625 мг продукта Синтеза 3j (1 ммоль, 1 экв.) и 407 мг продукта Синтеза 4а (1 ммоль, 1 экв.) в качестве подходящего галогенида, получали 550 мг (55%) целевого продукта.

Стадия В: 2-[[6-(1,3-бензотиазол-2-иламино)-5-метилпиридазин-3-ил]-(3,4-дигидроксибутил)амино]-5-[3-[2-фтор-4-[3-[(4-метоксифенил)метилметиламино]проп-1-инил]фенокси]пропил]тиазол-4-карбоновая кислота

Используя Общую методику снятия защиты и гидролиза, исходя из продукта со Стадии А в качестве подходящего сложного метилового эфира, получали целевой продукт.

МСВР-ЭРИ (m/z): [М+Н]+, рассчитано для C41H43FN7O6S2: 812.2695, найдено: 812.2674.

Пример 122: 2-[[6-(1,3-Бензотиазол-2-иламино)-5-метилпиридазин-3-ил]-(2,3-дигидроксипропил)амино]-5-[3-[4-[3-(диметиламино)проп-1-инил]-2-фторфенокси]пропил]тиазол-4-карбоновая кислота

Стадия А: метил 5-[3-[4-[3-(диметиламино)проп-1-инил]-2-фторфенокси]пропил]-2-[(2,2-диметил-1,3-диоксолан-4-ил)метил-[5-метил-6-[(Z)-[3-(2-триметилсилилэтоксиметил)-1,3-6ензотиазол-2-илиден]амино]пиридазин-3-ил]амино]тиазол-4-карбоксилат

Используя Общую методику II проведения реакции Бухвальда, исходя из 380 мг продукта Синтеза 3р (0.75 ммоль, 1 экв.) и 306 мг продукта Синтеза 4а (0.75 ммоль, 1 экв.) в качестве подходящего галогенида, получали 480 мг (72%) целевого продукта.

1Н ЯМР (500 МГц, ДМСО-d6) δ м.д. 7.84 (dm, 1H), 7.78 (s, 1Н), 7.47 (dm, 1H), 7.44 (m, 1H), 7.30 (dd, 1H), 7.26 (m, 1H), 7.21 (m, 1Н), 7.15 (t, 1Н), 5.86 (s, 2Н), 4.57/4.53 (m+m, 2Н), 4.52 (m, 1Н), 4.15 (t, 2Н), 4.07/3.83 (dd+dd, 2Н), 3.77 (s, 3Н), 3.71 (m, 2Н), 3.38 (s, 2Н), 3.27 (m, 2Н), 2.43 (s, 3Н), 2.20 (s, 6Н), 2.13 (m, 2Н), 1.27 (s, 3Н), 1.20 (s, 3Н), 0.92 (m, 2Н), -0.12 (s, 9Н); 13С ЯМР (125 МГц, ДМСО-d6) δ м.д. 163.1, 157.6, 156.8/151.7, 141.5, 137.6, 134.9, 128.9, 127.1, 123.4, 123.2, 119.2, 118.8, 115.4, 111.9, 85.1, 84.1, 73.9, 72.7, 68.3, 66.9, 66.6, 51.9, 49.6, 48.1, 44.2, 30.9, 26.6, 25.6, 23.0, 17.8, 17.7, -1.0; МСВР-ЭРИ (m/z): [М+Н]+, рассчитано для C43H55FN7O6S2Si: 876.3403, найдено: 876.3408.

Стадия В: 2-[[6-(1,3-бензотиазол-2-иламино)-5-метилпиридазин-3-ил]-(2,3-дигидроксипропил)амино]-5-[3-[4-[3-(диметиламино)проп-1-инил]-2-фторфенокси]пропил]тиазол-4-карбоновая кислота

Используя Общую методику снятия защиты и гидролиза, исходя из продукта со Стадии А в качестве подходящего сложного метилового эфира, получали целевой продукт.

МСВР-ЭРИ (m/z): [М+Н]+, рассчитано для C33H35FN7O5S2: 692.2120, найдено: 692.2117.

Пример 123: 2-[[6-(1,3-Бензотиазол-2-иламино)-5-метилпиридазин-3-ил]-(3,4-дигидроксибутил)амино]-5-[3-[4-[3-(диметиламино)проп-1-инил]-2-фторфенокси]пропил]тиазол-4-карбоновая кислота

Стадия А: метил 5-[3-[4-[3-(диметиламино)проп-1-инил]-2-фторфенокси]пропил]-2-[2-(2,2-диметил-1,3-диоксолан-4-ил)этил-[5-метил-6-[(Z)-[3-(2-триметилсилилэтоксиметил)-1,3-бензотиазол-2-илиден]амино]пиридазин-3-ил]амино]тиазол-4-карбоксилат

Используя Общую методику II проведения реакции Бухвальда, исходя из 350 мг продукта Синтеза 3i (0.67 ммоль, 1 экв.) и 275 мг продукта Синтеза 4а (0.67 ммоль, 1 экв.) в качестве подходящего галогенида, получали 510 мг (85%) целевого продукта.

Стадия В: 2-[[6-(1,3-бензотиазол-2-иламино)-5-метилпиридазин-3-ил]-(3,4-дигидроксибутил)амино]-5-[3-[4-[3-(диметиламино)проп-1-инил]-2-фторфенокси]пропил]тиазол-4-карбоновая кислота

Используя Общую методику снятия защиты и гидролиза, исходя из продукта со Стадии А в качестве подходящего сложного метилового эфира, получали целевой продукт.

МСВР-ЭРИ (m/z): [М+Н]+, рассчитано для C34H37FN7O5S2: 706.2276, найдено: 706.2270.

Пример 124: 2-[[6-(1,3-Бензотиазол-2-иламино)-5-метилпиридазин-3-ил]-[5-[2-(диметиламино)этилметиламино]-4-гидроксипентил]амино]-5-[3-[4-[3-(диметиламино)проп-1-инил]-2-фторфенокси]пропил]тиазол-4-карбоновая кислота

Стадия А: метил 2-[[4-[трет-бутил(дифенил)силил]окси-5-[2-(диметиламино)этилметиламино]пентил]-[5-метил-6-[(Z)-[3-(2-триметилсилилэтоксиметил)-1,3-бензотиазол-2-илиден]амино]пиридазин-3-ил]амино]-5-[3-[4-[3-(диметиламино)проп-1-инил]-2-фторфенокси]пропил]тиазол-4-карбоксилат

Используя Общую методику алкилирования тозилатом, исходя из продукта Синтеза 5b и N,N',N'-триметилэтан-1,2-диамина в качестве подходящего амина, получали целевой продукт.

Стадия В: 2-[[6-(1,3-бензотиазол-2-иламино)-5-метилпиридазин-3-ил]-[5-[2-(диметиламино)этилметиламино]-4-гидроксипентил]амино]-5-[3-[4-[3-(диметиламино)проп-1-инил]-2-фторфенокси]пропил]тиазол-4-карбоновая кислота

Используя Общую методику снятия защиты и гидролиза, исходя из продукта со Стадии А в качестве подходящего сложного метилового эфира, получали целевой продукт.

МСВР-ЭРИ (m/z): [М+Н]+, рассчитано для C40H51FN9O4S2: 804.3484, найдено: 804.3487.

Пример 125: 2-[[6-(1,3-Бензотиазол-2-иламино)-5-метилпиридазин-3-ил]-(5-гидроксипентил)амино]тиазол-4-карбоновая кислота

Стадия А: метил 2-[трет-бутоксикарбонил-[5-[трет-бутил(диметил)силил]оксипентил]амино]тиазол-4-карбоксилат

Используя Общую методику проведения реакции Мицунобу, исходя из метил 2-(трет-бутоксикарбониламино)тиазол-4-карбоксилата и 5-[трет-бутил(диметил)силил]оксипентан-1-ола в качестве исходных веществ и осуществляя реакцию в ТГФ при к.т. в течение 2 ч, получали 565 мг (82%) целевого продукта.

1Н ЯМР (400 МГц, ДМСО-d6) δ м.д. 8.08 (s, 1Н), 4.05 (t, 2Н), 3.79 (s, 3Н), 3.56 (t, 2Н), 1.65 (m, 2Н), 1.52 (s, 9Н), 1.48 (m, 2Н), 1.31 (m, 2Н), 0.83 (s, 9Н), -0.02 (s, 6Н).

Стадия В: метил 2-[5-[трет-бутил(диметил)силил]оксипентиламино]тиазол-4-карбоксилат

Используя Общую методику снятия защиты посредством HFIP, исходя из продукта со Стадии А в качестве подходящего карбамата, получали 484 мг (113%) целевого продукта.

1Н ЯМР (400 МГц, ДМСО-d6) δ м.д. 7.78 (t, 1Н), 7.50 (s, 1Н), 3.57 (t, 2Н), 3.73 (s, 3Н), 3.20 (q, 2Н), 1.59-1.42 (m, 4Н), 1.40-1.29 (m, 2Н), 0.85 (s, 9Н), 0.02 (s, 6Н).

Стадия С: метил 2-[5-[трет-бутил(диметил)силил]оксипентил-[5-метил-6-[(Z)-[3-(2-триметилсилилэтоксиметил)-1,3-бензотиазол-2-илиден]амино]пиридазин-3-ил]амино]тиазол-4-карбоксилат

Используя Общую методику II проведения реакции Бухвальда, исходя из продукта со Стадии В и продукта Синтеза 4а в качестве подходящего галогенида, получали 535 мг (61%) целевого продукта.

1Н ЯМР (400 МГц, ДМСО-d6) δ м.д. 7.97 (s, 1Н), 7.84 (d, 1Н), 7.70 (s, 1Н), 7.46 (t, 1Н), 7.43 (t, 1Н), 7.25 (dt, 1Н), 5.86 (s, 2Н), 4.45 (t, 2Н), 3.81 (s, 3Н), 3.72 (t, 2H), 3.55 (t, 2H), 2.46 (s, 3Н), 1.72 (m, 2H), 1.50 (m, 2H), 1.38 (m, 2H), 0.92 (t, 2H), 0.79 (s, 9H), -0.04 (s, 6H), -0.11 (s, 9H).

Стадия D: 2-[[6-(1,3-бензотиазол-2-иламино)-5-метилпиридазин-3-ил]-(5-гидроксипентил)амино]тиазол-4-карбоновая кислота

Используя Общую методику снятия защиты и гидролиза с последующей повторной очисткой с помощью обращенно-фазовой препаративной хроматографии (С18, 25 мМ NH4HCO3 вода: MeCN), исходя из продукта со Стадии С получали целевой продукт.

МСВР-ЭРИ (m/z): [М+Н]+, рассчитано для C21H23N6O3S2: 471.1273, найдено: 471.1271.

Пример 126: 2-[[6-(1,3-Бензотиазол-2-иламино)-5-метилпиридазин-3-ил]-(3-гидроксипропил)амино]-5-[3-[4-[3-(диметиламино)проп-1-инил]-2-фторфенокси]пропил]тиазол-4-карбоновая кислота

Стадия А: этил 3-бром-6-хлор-2-оксогексаноат

К 2 г этил 6-хлор-2-оксогексаноата (10.4 ммоль, 1 экв.) в 20 мл CCl4 по каплям добавляли 0.6 мл брома (11.5 ммоль, 1.1 экв.), и смесь перемешивали при к.т.в течение 1 ч. Затем смесь выливали в 50 мл 1 М водного раствора Na2S2O3 и экстрагировали 2×50 мл этилацетата, и объединенные органические слои промывали соляным раствором, сушили, концентрировали и очищали с помощью хроматографии на силикагеле, используя петролейный эфир и EtOAc в качестве элюентов с получением 2.05 г (73%) целевого продукта.

1Н ЯМР (400 МГц, ДМСО-d6) δ м.д. 5.25 (dd, 1Н), 4.30 (q, 2Н), 3.71 (t, 2Н), 2.21-1.80 (m, 4Н),1.29 (t, 3Н); ГХ/МС-ЭИ: [М]+ = 270.

Стадия В: 3-[трет-бутил(диметил)силил]оксипропан-1-амин

К 8.25 г 3-аминопропан-1-ола (110 ммоль, 1 экв.), 23 мл N,N-диэтилэтанамина (170 ммоль, 1.5 экв.) и 30 мг имидазола (0.44 ммоль, 0.004 экв.) в 200 мл ДХМ добавляли 18.2 г трет-бутилдиметилсилилхлорида (150 ммоль, 1.4 экв.), и смесь перемешивали при к.т. в течение 15 ч. Затем реакционную смесь выливали 250 мл воды и экстрагировали с помощью 2×200 мл ДХМ, объединенные органические слои промывали 50 мл воды и 50 мл соляного раствора, сушили и концентрировали с получением 20.9 г (100%) целевого продукта.

1Н ЯМР (400 МГц, ДМСО-d6) δ м.д. 3.60 (t, 2Н), 2.55 (t, 2Н), 1.50 (quint, 2Н), 0.80 (s, 9Н), 0.10 (s, 6Н); IR: 3000-2900, 1100, 830-770.

Стадия С: 3-[трет-бутил(диметил)силил]оксипропилтиомочевина

К 5.3 г 9-флуоренилметоксикарбонилизотиоцианата (18.9 ммоль, 1 экв.) и 6.4 мл DIPEA (37.6 ммоль, 2 экв.) в 50 мл ДХМ добавляли по каплям раствор 3.5 г продукта со Стадии В (18.5 ммоль, 1 экв.) в 10 мл ДХМ, и смесь перемешивали при к.т. в течение 2 ч. После концентрирования сырой продукт очищали с помощью хроматографии на силикагеле, используя петролейный эфир и EtOAc в качестве элюентов с получением 3.87 г (80%) целевого продукта.

1Н ЯМР (400 МГц, ДМСО-d6) δ м.д. 7.49 (brs, 1Н), 6.83 (brs, 1Н), 7.21 (s, 1Н), 3.57 (t, 2Н), 3.34/3.02 (m, 2Н), 1.61 (m, 2Н), 0.83 (s, 9 Н), 0.02 (s, 6 Н); IR: 3275, 1619.

Стадия D: этил 2-[3-[трет-бутил(диметил) силил] оксипропиламино]-5-(3-хлорпропил)тиазол-4-карбоксилат

Раствор 7.4 г продукта со Стадии С (29.7 ммоль, 1 экв.), 8.1 г продукта со Стадии А (30 ммоль, 1 экв.) и 8.2 мл N,N-диэтилэтанамина (59.4 ммоль, 2 экв.) в 206 мл этанола нагревали с обратным холодильником в течение 18 ч. После концентрирования, сырой остаток вносили в ДХМ, промывали водой, сушили, концентрировали и очищали с помощью хроматографии на силикагеле, используя петролейный эфир и EtOAc в качестве элюентов с получением 10.1 г (81%) целевого продукта.

1H ЯМР (400 МГц, ДМСО-d6) δ м.д. 7.56 (t, 1Н), 4.17 (q, 2Н), 3.62 (2t, 4Н), 3.18 (q, 2Н), 3.06 (t, 2Н), 1.95 (m, 2Н), 1.69 (m, 2Н), 1.23 (t, 3Н), 0.83 (s, 9Н), 0.01 (s, 6Н); IR: 3197, 1716, 1586.

Стадия Е: этил 2-[3-[трет-бутил(диметил)силил]оксипропил-(6-хлорпиридазин-3-ил)амино]-5-(3-хлорпропил)тиазол-4-карбоксилат

К 10 г продукта со Стадии D (23.7 ммоль, 1 экв.) и 5.8 г 3,6-дихлор-4-метилпиридазина (35.6 ммоль, 1.5 экв.) в 120 мл ТГФ порциями добавляли 2.1 г гидрида натрия (52.1 ммоль, 2.2 экв.) при 50°С. Охлажденную смесь выливали на лед и экстрагировали 2×200 мл этилацетата. Объединенные органические слои промывали соляным раствором, сушили, концентрировали и очищали с помощью хроматографии на силикагеле, используя петролейный эфир и EtOAc в качестве элюентов с получением 4.3 г (32%) целевого продукта.

1Н ЯМР (400 МГц, ДМСО-d6) δ м.д. 7.76 (s, 1Н), 4.39 (t, 2Н), 4.26 (q, 2Н), 3.68 (m, 4Н), 3.19 (t, 2Н), 2.39 (s, 3Н), 2.06 (m, 2Н), 1.89 (m, 2Н), 1.29 (t, 3Н), 0.83 (s, 9Н), 0.01 (s, 6Н); IR: 1704, 1592, 1195, 1095+1066, 649.

Стадия F: этил 2-[3-[трет-бутил(диметил)силил]оксипропил-(6-хлор-5-метилпиридазин-3-ил)амино]-5-(3-йодпропил)тиазол-4-карбоксилат

Смесь 4.6 г продукта со Стадии Е (8.42 ммоль, 1 экв.) и 12.6 г йодида натрия (84.2 ммоль, 10 экв.) в 58 мл ацетона выдерживали при 60°С в течение 18 ч. После концентрирования остаток вносили в этилацетат, промывали водой и соляным раствором, сушили и концентрировали с получением целевого продукта, который использовали на следующей стадии без дополнительной очистки.

1Н ЯМР (400 МГц, ДМСО-d6) δ м.д. 7.78 (s, 1Н), 4.41 (t, 2Н), 4.29 (q, 2Н), 3.71 (t, 2Н), 3.31 (t, 2Н), 3.17 (t, 2Н), 2.41 (s, 3Н), 2.12 (m, 2Н), 1.91 (m, 2Н), 1.32 (t, 3Н), 0.84 (s, 9Н), 0.02 (s, 6Н).

Стадия G: этил 2-[3-[трет-бутил(диметил)силил]оксипропил-(6-хлор-5-метилпиридазин-3-ил)амино]-5-[3-[4-[3-(диметиламино)проп-1-инил]-2-фторфенокси]пропил]тиазол-4-карбоксилат

Смесь 800 мг продукта со Стадии F (1.25 ммоль, 1 экв.), 821 мг карбоната цезия (2.5 ммоль, 2 экв.) и 290 мг продукта Синтеза 6b (1.5 ммоль, 1.2 экв.) в 6 мл MeCN нагревали с обратным холодильником в течение 2 ч. После разбавления смеси с помощью 100 мл этилацетата, органический слой промывали 50 мл воды и 50 мл соляного раствора, сушили, концентрировали и очищали с помощью хроматографии на силикагеле, используя ДХМ и МеОН (содержащий 7 н. NH3) в качестве элюентов с получением 500 мг (57%) целевого продукта.

1Н ЯМР (400 МГц, ДМСО-d6) δ м.д. 7.77 (m, 1Н), 7.27 (dd, 1Н), 7.18 (d, 1Н), 7.11 (t, 1Н), 4.40 (t, 2Н), 4.23 (q, 2Н), 4.11 (t, 2Н), 3.69 (t, 2Н), 3.40 (s, 2Н), 3.24 (t, 2Н), 2.40 (s, 3Н), 2.21 (s, 6Н), 2.10 (m, 2Н), 1.89 (m, 2Н), 1.27 (t, 3Н), 0.83 (s, 9Н), 0.00 (s, 6Н); IR: 3600-3100, 2237, 1716, 835, 777.

Стадия Н: этил 2-[[6-(1,3-бензотиазол-2-иламино)-5-метилпиридазин-3-ил]-(3-гидроксипропил)амино]-5-[3-[4-[3-(диметиламино)проп-1-инил]-2-фторфенокси]пропил]тиазол-4-карбоксилат

Смесь 100 мг продукта со Стадии G (0.142 ммоль, 1 экв.), 28 мг 1,3-бензотиазол-2-амина (0.185 ммоль, 1.3 экв.), 10 мг 4,5-бис(дифенилфосфино)-9,9-диметилксантена (0.017 ммоль, 0.12 экв.), 8 мг трис(дибеизилиденацетои)дипалладия(0) (8.52 мкмоль, 0.06 экв.) и 72 мкл DIPEA (0.426 ммоль, 3 экв.) в 0.7 мл N-метил-2-пирролидона выдерживали при 120°С в течение 18 ч. Затем смесь выливали в 50 мл ДХМ, органический слой промывали 10 мл воды и 10 мл насыщенного водного раствора хлорида лития, сушили, концентрировали и очищали с помощью хроматографии на силикагеле, используя ДХМ и МеОН (содержащий 7 н. NH3) в качестве элюентов с получением 40 мг (40%) целевого продукта.

1Н ЯМР (400 МГц, ДМСО-d6) δ м.д. 11.54 (brs, 1Н), 7.91 (d, 1Н), 7.69 (s, 1Н), 7.53 (d, 1Н), 7.39 (t, 1Н), 7.30 (dd, 1Н), 7.22 (dd, 1Н), 7.21 (dd, 1Н), 7.16 (t, 1Н), 4.72 (t, 1Н), 4.41 (t, 2Н), 4.25 (q, 2Н), 4.16 (t, 2Н), 3.48 (q, 2Н), 3.39 (s, 2Н), 3.27 (t, 2Н), 2.46 (s, 3Н), 2.2 (s, 6Н), 2.13 (m, 2Н), 1.87 (m, 2Н), 1.29 (t, 3Н); IR: 3414, 3400-2200, 1709, 1602, 1149/1087.

Стадия I: 2-[[6-(1,3-бензотиазол-2-иламино)-5-метилпиридазин-3-ил]-(3-гидроксипропил)амино]-5-[3-[4-[3-(диметиламино)проп-1-инил]-2-фторфенокси]пропил]тиазол-4-карбоновая кислота

Смесь продукта со Стадии Н и LiOH×H2O (4 экв.) в 1,4-диоксане и воде перемешивали при к.т. в течение 3 ч. После добавления дополнительного 1 экв. LiOH×Н2О в воде, реакционную смесь перемешивали при к.т.в течение 18 ч. После медленного добавления 2 н. раствора HCl, реакционную смесь концентрировали и очищали с помощью обращенно-фазовой препаративной хроматографии (0.2 М NH4CO3 в смеси вода: MeCN) с получением целевого продукта.

МСВР-ЭРИ (m/z): [М+Н]+, рассчитано для C33H35FN7O4S2: 676.2170 найдено: 676.2169.

Пример 127: 2-[[6-(1,3-Бензотиазол-2-иламино)-5-метилпиридазин-3-ил]-(3-гидроксипропил)амино]-5-[3-[2-фтор-4-[3-(метиламино)проп-1-инил]фенокси]пропил]тиазол-4-карбоновая кислота

Стадия А: метил 5-[3-[4-[3-[трет-бутоксикарбонил(метил)амино]проп-1-инил]-2-фторфенокси]пропил]-2-[3-[трет-бутил(диметил)силил]оксипропил-[5-метил-6-[(Z)-[3-(2-триметилсилилэтоксиметил)-1,3-бензотиазол-2-илиден]амино]пиридазин-3-ил]амино]тиазол-4-карбоксилат

Используя Общую методику II проведения реакции Бухвальда, исходя из 300 мг продукта Синтеза 3n (0.46 ммоль, 1 экв.) и 187 мг продукта Синтеза 4а (0.46 ммоль, 1 экв.) в качестве подходящего галогенида, получали 395 мг (83%) целевого продукта.

1Н ЯМР (500 МГц, ДМСО-d6) δ м.д. 7.82 (dd, 1Н), 7.60 (s, 1Н), 7.44 (m, 1Н), 7.44 (dd, 1Н), 7.31 (dd, 1Н), 7.24 (m, 1Н), 7.20 (m, 1Н), 7.15 (t, 1Н), 5.84 (s, 2Н), 4.39 (t, 2Н), 4.20 (s, 2Н), 4.14 (t, 2Н), 3.76 (s, 3Н), 3.70 (t, 2Н), 3.70 (t, 2Н), 3.25 (t, 2Н), 2.84 (s, 3Н), 2.42 (s, 3Н), 2.11 (m, 2Н), 1.91 (m, 2Н), 1.40 (s, 9Н), 0.91 (t, 2Н), 0.85 (s, 9Н), 0.01 (s, 6Н), -0.12 (s, 9Н); 13С ЯМР (125 МГц, ДМСО-d6) δ м.д. 162.2, 147.5, 137.6, 129.1, 127.2, 123.4, 123.2, 119.3, 117.5, 115.4, 112.0, 79.7, 72.8, 68.4, 66.7, 60.5, 51.9, 44.6, 38.1, 33.8, 30.9, 30.4, 28.6, 26.3, 23.1, 17.9, 17.8, -0.9, -5.0; МСВР-ЭРИ (m/z): [М+Н]+, рассчитано для C50H71FN7O7S2Si2: 1020.4373, найдено: 1020.4365.

Стадия В: 2-[[6-(1,3-бензотиазол-2-иламино)-5-метилпиридазин-3-ил]-(3-гидроксипропил)амино]-5-[3-[2-фтор-4-[3-(метиламино)проп-1-инил]фенокси]пропил]тиазол-4-карбоновая кислота

Используя Общую методику снятия защиты и гидролиза, исходя из продукта со Стадии А в качестве подходящего сложного метилового эфира, получали целевой продукт.

МСВР-ЭРИ (m/z): [М+Н]+, рассчитано для C32H33FN7O4S2: 662.2014, найдено: 662.2016.

Пример 128: 2-[[6-(1,3-Бензотиазол-2-иламино)-5-метилпиридазин-3-ил]-(5-гидроксипентил)амино]-5-[3-[2-фтор-4-[3-(метиламино)проп-1-инил]фенокси]пропил]тиазол-4-карбоновая кислота

Используя Общую методику снятия защиты и гидролиза, исходя из подходящего сложного метилового эфира из Синтеза 5е, Стадия А, получали целевой продукт.

МСВР-ЭРИ (m/z): [М+Н]+, рассчитано для C34H37FN7O4S2: 690.2327, найдено: 690.2318.

Пример 130: 3-[3-[4-[3-[2-[[6-(1,3-Бензотиазол-2-иламино)-5-метилпиридазин-3-ил]-(4-гидроксибутил)амино]-4-карбокситиазол-5-ил]пропокси]-3-фторфенил]проп-2-инилдиметиламмонио]пропан-1-сульфонат

Стадия А: 3-[3-[4-[3-[2-[4-[трет-бутил(диметил)силил]оксибутил-[5-метил-6-[(Z)-[3-(2-триметилсилилэтоксиметил)-1,3-бензотиазол-2-илидвн]амино]пиридазин-3-ил]амино]-4-мвтоксикарбонилтиазол-5-ил]пропокси]-3-фторфенил]проп-2-инилдиметиламмонио]пропан-1-сульфонат

К суспензии 660 мг продукта Синтеза 5d, Стадия А (0.7 ммоль, 1 экв.), в 5 мл сухого ацетонитрила в виде одной порции добавляли 257 мг оксатиолан 2,2-диоксида (2.1 ммоль, 3 экв.). Полученную в результате смесь перемешивали в течение ночи при к.т. Сырой продукт очищали с помощью колоночной флэш-хроматографии с получением 550 мг (75%) целевого продукта.

1Н ЯМР (500 МГц, ДМСО-d6) δ м.д. 7.83-7.20 (m, 4Н), 7.62 (s, 1Н), 7.58 (dd, 1Н), 7.41 (m, 1Н), 7.22 (t, 1Н), 5.83 (s, 2Н), 4.55 (s, 2Н), 4.40 (t, 2Н), 4.17 (t, 2Н), 3.77 (s, 3Н), 3.70 (t, 2Н), 3.60 (t, 2Н), 3.57 (t, 2Н), 3.25 (t, 2Н), 3.12 (s, 6Н), 2.52 (t, 2Н), 2.42 (s, 3Н), 2.12 (m, 2Н), 2.12 (m, 2Н), 2.05 (m, 2Н), 1.73 (m, 2Н), 0.90 (t, 2Н), 0.78 (s, 9Н), -0.03 (s, 6Н), -0.13 (s, 9Н); 13С ЯМР (125 МГц, ДМСО-d6) δ м.д. 163.2, 148.5, 137.5, 129.8, 120.0, 117.5, 115.3, 89.6, 72.8, 68.5, 66.7, 63.1, 62.5, 54.6, 51.9, 50.3, 48.2, 46.5, 31.0, 29.7, 26.2, 23.7, 23.2, 19.6, 17.9, 17.7, -1.0, -4.9; МСВР-ЭРИ (m/z): [М+2Н]2+, рассчитано для C50H74FN7O8S3Si2: 535.7136, найдено: 535.7136.

Стадия В: 3-[3-[4-[3-[2-[[6-(1,3-бензотиазол-2-иламино)-5-метилпиридазин-3-ил]-(4-гидроксибутил)амино]-4-карбокситиазол-5-ил]пропокси]-3-фторфенил]проп-2-инилдиметиламмонио]пропан-1-сульфонат

Используя Общую методику снятия защиты и гидролиза, исходя из продукта со Стадии А в качестве подходящего сложного метилового эфира, получали целевой продукт.

МСВР-ЭРИ (m/z): [М+Н]+, рассчитано для C37H43FN7O7S3: 812.2365, найдено: 812.2357.

Пример 131: 2-[[6-(1,3-Бензотиазол-2-иламино)-5-метилпиридазин-3-ил]-(4-гидрокси-5-морфолинопентил)амино]тиазол-4-карбоновая кислота

Стадия А: метил 2-[трет-бутоксикарбонил-[4-[трет-бутил(диметил)силил]окси-5-морфолинопентил]амино]тиазол-4-карбоксилат

Используя Общую методику проведения реакции Мицунобу, исходя из 639 мг метил 2-(трет-бутоксикарбониламино)тиазол-4-карбоксилата (2.47 ммоль, 1.5 экв.) и 500 мг продукта Синтеза 2е (1.65 ммоль, 1 экв.) в качестве подходящего спирта, получали 730 мг (81%) целевого продукта.

1Н ЯМР (400 МГц, ДМСО-d6) δ м.д. 8.08 (s, 1Н), 4.09-4.03 (m, 2Н), 3.79 (s+m, 4Н), 3.51 (t, 4Н), 2.39-2.28 (m, 4Н), 2.21 (ddd, 2Н). 1.85-1.73 (m, 1Н), 1.70-1.59 (m, 1Н), 1.53 (s+m, 10Н), 1.39-1.28 (m, 1Н), 0.79 (s, 9Н), 0.02 (s, 3Н), -0.01 (s, 3Н); 13С ЯМР (100 МГц, ДМСО-d6) 160.3, 140.6, 124.2, 71.2, 68.9, 66.2, 64.7, 59.8, 54.2, 51.8, 46.8, 32.3, 27.6, 25.7, 23.2, 21.8, 21.5, 20.8, 17.7, 14.1, -4.3, -4.9; ЖХ-МС-ЭРИ (m/z): [М+Н]+, рассчитано для C25H46N3O6SSi: 544.3, найдено: 544.3.

Стадия В: метил 2-[[4-[трет-бутил(диметил)силил]окси-5-морфолинопентил]амино]тиазол-4-карбоксилат

Используя Общую методику снятия защиты посредством HFIP, исходя из 304 мг продукта со Стадии А (0.56 ммоль) в качестве подходящего карбамата, получали 231 мг (93%) целевого продукта.

1Н ЯМР (400 МГц, ДМСО-d6) δ м.д. 7.81 (t, 1Н), 7.49 (s, 1Н), 3.79 (brs, 1Н), 3.73 (s, 3Н), 3.53 (t, 4Н), 3.21 (q, 2Н), 2.42-2.23 (m, 4Н), 2.23 (ddd, 2Н), 1.69-1.34 (m, 4Н), 0.84 (s, 9Н), 0.05 (s, 3Н), 0.03 (s, 3Н); 13С ЯМР (100 МГц, ДМСО-d6) 168.3, 161.6, 142.2, 116.3, 66.2, 65.2, 59.8, 54.3, 51.5, 44.5, 32.7, 25.8, 24.5, 17.8, -4.2, -4.8; ЖХ-МС-ЭРИ (m/z): [М+Н]+, рассчитано для C20H38N3O4SSi: 444.2, найдено: 444.3.

Стадия С: метил 2-[[4-[трет-бутил(диметил)силил]окси-5-морфолинопентил]-[5-метил-6-[(Z)-[3-(2-триметилсилилэтоксиметил)-1,3-бензотиазол-2-илиден]амино]пиридазин-3-ил]амино]тиазол-4-карбоксилат

Используя Общую методику II проведения реакции Бухвальда, исходя из 231 мг продукта со Стадии В (0.52 ммоль, 1 экв.) и 315 мг продукта Синтеза 4а (0.77 ммоль, 1.5 экв.) в качестве подходящего галогенида, получали 344 мг (81%) целевого продукта.

1Н ЯМР (500 МГц, ДМСО-d6) δ м.д. 7.97 (s, 1Н), 7.85-7.23 (4Н), 7.69 (s, 1Н), 5.86 (d, 2Н), 4.49 (t, 2Н), 3.81 (m, 1Н), 3.81 (s, 3Н), 3.71 (t, 2Н), 3.50-2.13 (8Н), 2.45 (s, 3Н), 2.20 (m, 2Н), 1.83-1.73 (m+m, 2Н), 1.56-1.41 (m+m, 2Н), 0.91 (t, 2Н), 0.75 (s, 9Н), 0.01-(-0.05) (s+s, 6Н), -0.12 (s, 9Н); 13С ЯМР (125 МГц, ДМСО-d6) δ м.д. 162.3, 160.8, 157.6, 155.3, 123.1, 117.9, 72.9, 69.0, 66.7, 65.4, 52.3, 47.1, 32.4, 26.2, 22.9, 17.9, 17.8, -1.0, -3.8, -4.5; МСВР-ЭРИ (m/z): [М+Н]+, рассчитано для C38H60N7O5S2Si2: 814.3630, найдено: 814.3629.

Стадия D: 2-[[6-(1,3-бензотиазол-2-иламино)-5-метилпиридазин-3-ил]-(4-гидрокси-5-морфолинопентил)амино]тиазол-4-карбоновая кислота

Используя Общую методику снятия защиты и гидролиза с последующей очисткой с помощью обращенно-фазовой препаративной хроматографии (С18, 25 мМ NH4HCO3 в смеси вода: MeCN), исходя из продукта со Стадии С получали целевой продукт.

МСВР-ЭРИ (m/z): [М+Н]+, рассчитано для C25H30N7O4S2: 556.1795, найдено: 556.1807.

Пример 132: 2-[[6-(1,3-Бензотиазол-2-иламино)-5-метилпиридазин-3-ил]-(4-гидрокси-5-метоксипентил)амино]тиазол-4-карбоновая кислота

Стадия А: метил 2-[трет-бутоксикарбонил-(5-метокси-4-триизопропилсилилоксипентил)амино]тиазол-4-карбоксилат

Используя Общую методику проведения реакции Мицунобу, исходя из 284 мг метил 2-(трет-бутоксикарбониламино)тиазол-4-карбоксилата (1.10 ммоль, 1.1 экв.) и 291 мг продукта Синтеза 2 с (1.00 ммоль, 1 экв.) в качестве подходящего спирта, получали 456 мг (86%) целевого продукта.

1Н ЯМР (400 МГц, ДМСО-d6) δ м.д. 8.08 (s, 1Н), 4.07 (dt, 2Н), 3.89 (qv, 1Н), 3.79 (s 3Н), 3.27 (dd, 2Н), 3.23 (s, 3Н), 1.73 (qv, 2Н), 1.52 (s, 9Н), 1.50-1.38 (m, 2Н), 0.96 (s, 21Н); 13С ЯМР (100 МГц, ДМСО-d6) δ м.д. 161.4, 160.3, 140.6, 124.2, 75.7, 70.5, 58.4, 51.9, 46.8, 31.2, 22.5, 17.89, 17.87, 11.9; ЖХ-МС-ЭРИ (m/z): [М+Н]+, рассчитано для C25H47N2O6SSi: 531.3, найдено: 531.4.

Стадия В: метил 2-[(5-метокси-4-триизопропилсилилоксипентил)амино]тиазол-4-карбоксилат

Используя Общую методику снятия защиты посредством HFIP, исходя из 444 мг продукта со Стадии А (0.84 ммоль) в качестве подходящего карбамата, получали 334 мг (93%) целевого продукта.

1Н ЯМР (500 МГц, ДМСО-d6) δ м.д. 7.82 (t, 1Н), 7.50 (s, 1Н), 3.91 (t, 1Н), 3.73 (s, 3Н), 3.28 (d, 2Н), 3.24 (s, 3Н), 3.21 (q, 2Н), 1.61 (m, 2Н), 1.52 (m, 2Н), 1.01 (m, 21Н); 13С ЯМР (125 МГц, ДМСО-d6) δ м.д. 162.0, 116.9, 76.7, 71.2, 58.9, 52.0, 45.0, 32.2, 24.4; МСВР-ЭРИ (m/z): [М+Н]+, рассчитано для C20H39N2O4SSi: 431.2394, найдено: 431.2392.

Стадия С: метил 2-[(5-метокси-4-триизопропилсилилоксипентил)-[5-метил-6-[(Z)-[3-(2-триметилсилилэтоксиметил)-1,3-бензотиазол-2-илиден]амино]пиридазин-3-ил]амино]тиазол-4-карбоксилат

Используя Общую методику II проведения реакции Бухвальда, исходя из 324 мг продукта со Стадии В (0.75 ммоль, 1 экв.) и 337 мг продукта Синтеза 4а (0.83 ммоль, 1.1 экв.) в качестве подходящего галогенида, получали 540 мг (90%) целевого продукта.

1Н ЯМР (400 МГц, ДМСО-d6) δ м.д. 7.97 (s, 1Н), 7.85-7.22 (4Н), 7.68 (s, 1Н), 5.86 (s, 2Н), 4.48 (m, 2Н), 3.88 (m, 1Н), 3.81 (s, 3Н), 3.71 (t, 2Н), 3.26 (d, 2Н), 3.21 (s, 3Н), 2.44 (s, 3Н), 1.79 (m, 2Н), 1.53 (m, 2Н), 0.91 (t, 2Н), 0.91 (m, 21Н), -0.13 (s, 9Н); 13С ЯМР (125 МГц, ДМСО-d6) δ м.д. 162.3, 160.7, 123.1, 117.7, 76.4, 73.0, 71.0, 66.7, 58.8, 52.2, 47.2, 31.4, 22.5, 18.3, 12.3, 17.8, 17.8, -1.0 МСВР-ЭРИ (m/z): [М+Н]+, рассчитано для C38H61N6O5S2Si2: 801.3678, найдено: 801.3671.

Стадия D: 2-[[6-(1,3-бензотиазол-2-иламино)-5-метилпиридазин-3-ил]-(4-гидрокси-5-метоксипентил)амино]тиазол-4-карбоновая кислота

Используя Общую методику снятия защиты и гидролиза с последующей очисткой с помощью обращенно-фазовой препаративной хроматографии (С18, 25 мМ NH4HCO3 в смеси вода: MeCN), исходя из продукта со Стадии С получали целевой продукт.

МСВР-ЭРИ (m/z): [М+Н]+, рассчитано для C22H25N6O4S2: 501.1373, найдено: 501.136.

Пример 133: 2-[[6-(1,3-Бензотиазол-2-иламино)-5-метилпиридазин-3-ил]-(5-гидрокси-4-метоксипентил)амино]тиазол-4-карбоновая кислота

Стадия А: метил 2-[трет-бутоксикарбонил-[5-[трет-бутил(диметил)силил]окси-4-метоксипентил]амино]тиазол-4-карбоксилат

Используя Общую методику проведения реакции Мицунобу, исходя из 571 мг метил 2-(трет-бутоксикарбониламино)тиазол-4-карбоксилата (2.21 ммоль, 1.1 экв.) и 500 мг продукта Синтеза 2b (2.01, 1 экв.) в качестве подходящего спирта, получали 818 мг (83%) целевого продукта.

1Н ЯМР (400 МГц, ДМСО-d6) δ м.д. 8.08 (s, 1Н), 4.06 (t, 2Н), 3.79 (s, 3Н), 3.53 (ddd, 2Н), 3.28 (s, 3Н), 3.20-3.14 (m, 1Н), 1.77-1.63 (m, 2Н), 1.53 (s, 3Н), 1.49-1.33 (m, 2H), 0.82 (s, 9H), -0.01 (s, 6H); 13C ЯМР (100 МГц, ДМСО-d6) δ м.д. 161.4, 160.4, 140.6, 124.3, 80.4, 63.6, 56.9, 51.9, 46.8, 27.4, 27.6, 25.7, 23.4, 17.9 -5.5; ЖХ-МС-ЭРИ (m/z): [М+Н]+, рассчитано для C22H41N2O6SSi: 489.2, найдено: 489.3.

Стадия В: метил 2-[[5-[трет-бутил(диметил)силил]окси-4-метоксипентил]амино]тиазол-4-карбоксилат

Используя Общую методику снятия защиты посредством HFIP, исходя из 306 мг продукта со Стадии А (0.63 ммоль) в качестве подходящего карбамата, получали 234 мг (96%) целевого продукта.

1Н ЯМР (400 МГц, ДМСО-d6) δ м.д. 7.80 (t, 1Н), 7.50 (s, 1Н), 3.73 (s, 3Н), 3.60-3.51 (m, 2Н), 3.30 (s, 3Н), 3.24-3.15 (m, 3Н), 1.64-1.34 (m, 4Н), 0.85 (s, 9Н), 0.03 (s, 6Н); 13С ЯМР (100 МГц, ДМСО-d6) δ м.д. 168.3, 161.6, 142.1, 116.4, 80.7, 64.3, 57.0, 51.6, 44.5, 25.8, 24.6, 17.9, -5.4; ЖХ-МС-ЭРИ (m/z): [М+Н]+, рассчитано для C17H33N2O4SSi: 389.2, найдено: 389.3.

Стадия С: метил 2-[[5-[трет-бутил(диметил)силил]окси-4-метоксипентил]-[5-метил-6-[(Z)-[3-(2-триметилсилилэтоксиметил)-1,3-бензотиазол-2-илиден]амино]пиридазин-3-ил]амино]тиазол-4-карбоксилат

Используя Общую методику II проведения реакции Бухвальда, исходя из 224 мг продукта со Стадии В (0.58 ммоль, 1 экв.) и 349 мг продукта Синтеза 4а (0.86 ммоль, 1.5 экв.) в качестве подходящего галогенида, получали 357 мг (82%) целевого продукта.

1Н ЯМР (500 МГц, ДМСО-d6) δ м.д. 7.98 (s, 1Н), 7.83 (d, 1Н), 7.69 (s, 1Н), 7.46 (d, 1Н), 7.43 (td, 1Н), 7.25 (td, 1Н), 5.86 (s, 2Н), 4.46 (t, 2Н), 3.81 (s, 3Н), 3.72 (t, 2Н), 3.56-3.51 (dd+dd, 2Н), 3.29 (s, 3Н), 3.22 (m, 1Н), 2.45 (s, 3Н), 1.76 (m, 2Н), 1.54-1.47 (m+m, 2Н), 0.91 (t, 2Н), 0.79 (s, 9Н), -0.04 (s, 6Н), -0.12 (s, 9Н); 13С ЯМР (125 МГц, ДМСО-d6) δ м.д. 162.3, 127.2, 123.4, 123.2, 123.1, 117.6, 112.0, 80.9, 72.9, 66.7, 64.2, 57.3, 52.2, 47.4, 28.1, 26.2, 23.3, 17.9, 17.8, -1.0, -5.1; МСВР-ЭРИ (m/z): [М+Н]+, рассчитано для C35H55N6O5S2Si2: 759.3208, найдено: 759.3212.

Стадия D: 2-[[6-(1,3-бензотиазол-2-иламино)-5-метилпиридазин-3-ил]-(5-гидрокси-4-метоксипентил)амино]тиазол-4-карбоновая кислота

Используя Общую методику снятия защиты и гидролиза с последующей очисткой с помощью обращенно-фазовой препаративной хроматографии (С18, 25 мМ NH4HCO3 в смеси вода: MeCN), исходя из продукта со Стадии С получали целевой продукт.

МСВР-ЭРИ (m/z): [М+Н]+, рассчитано для C22H25N6O4S2: 501.1373, найдено: 501.1366.

Пример 134: 2-[[6-(1,3-Бензотиазол-2-иламино)-5-метилпиридазин-3-ил]-(4-гидроксибутил)амино]-5-[3-[4-[3-(диметиламино)проп-1-инил]-2-фторфенокси]пропил]тиазол-4-карбоновая кислота

Используя Общую методику снятия защиты и гидролиза, исходя из подходящего сложного метилового эфира из Синтеза 5d, Стадия А, получали целевой продукт.

МСВР-ЭРИ (m/z): [М+Н]+, рассчитано для C34H37FN7O4S2: 690.2327, найдено: 690.2347.

Пример 135: 2-({6-[(1,3-Бензотиазол-2-ил)амино]-5-метилпиридазин-3-ил}(метил)амино)-5-{1-[(трет-бутокси)карбонил]азетидин-3-ил}-1,3-тиазол-4-карбоновая кислота

Стадия А: этил 2-({6-[(1,3-бензотиазол-2-ил)амино]-5-метилпиридазин-3-ил}(метил)амино)-5-{1-[(трет-бутокси)карбонил]азетидин-3-ил}-1,3-тиазол-4-карбоксилат

К раствору продукта Синтеза 51, Стадия А (122 мг, 0.17 ммоль, 1 экв.), в тетрагидрофуране (6 мл) добавляли фторид тетрабутиламмония (1М в тетрагидрофуране; 0.24 мл, 1.38 ммоль, 8 экв.), и смесь нагревали при 50°С в течение 13 ч. Реакционной смеси давали охладиться до температуры окружающей среды, затем распределяли между дихлорметаном и насыщенным водным раствором бикарбоната натрия, и органическую фазу промывали соляным раствором, сушили (сульфат магния) и концентрировали в вакууме. Очистка с помощью автоматической колоночной флэш-хроматографии (CombiFlash Rf, 24 г силикагелевый картридж RediSep™) с элюированием с градиентом 0 10% метанола в дихлорметане приводила к получению целевого продукта в виде желтого стеклообразного вещества (38 мг, 0.07 ммоль, 38%).

ЖХ/МС (C27H31N7O4S2) δ82 [М+Н]+; RT 1.26 (ЖХМС-V-B1)

1Н ЯМР (400 МГц, ДМСО-d6) δ 11.05 (br s, 1Н), 7.98 (br s, 1Н), 7.81-7.61 (m, 2Н), 7.50-7.33 (m, 1Н), 7.31-7.16 (m, 1Н), 4.65-4.53 (m, 1Н), 4.37 (t, 2Н), 4.29 (q, J=7.1 Гц, 2Н), 3.98-3.84 (m, 2Н), 3.78 (s, 3Н), 2.47 (s, 3Н), 1.43 (s, 9Н), 1.31 (t, 3Н).

Стадия В: 2-({6-[(1,3-бензотиазол-2-ил)амино]-5-метилпиридазин-3-ил}(метил)амино)-5-{1-[(трет-бутокси)карбонил]азетидин-3-ил}-1,3-тиазол-4-карбоновая кислота

К раствору продукта со Стадии А (38 мг, 0.07 ммоль, 1 экв.) в 1,4-диоксане (3 мл) добавляли 2М водный раствор гидроксида натрия (0.5 мл, 1 ммоль, 15 экв.), и смесь нагревали при 100°С в течение 30 мин. Реакционной смеси давали охладиться до температуры окружающей среды и концентрировали в вакууме. Очистка с помощью обращенно-фазовой автоматической флэш-хроматографии (CombiFlash Rf, С18 13 г колонка RediSep) с элюированием с градиентом 5 95% ацетонитрила в воде приводила к получению целевого продукта в виде желтого твердого вещества (21.4 мг, 0.04 ммоль, 59%).

МСВР-ЭРИ (m/z) [М-Н]-, рассчитано для C25H26N7O4S2: 552.1493, найдено: 552.1511.

Пример 136: 5-(1-Бензоилазетидин-3-ил)-2-({6-[(1,3-бензотиазол-2-ил)амино]-5-метилпиридазин-3-ил}(метил)амино)-1,3-тиазол-4-карбоновая кислота

Стадия А: этил 5-(l-бензоилазетидин-3-ил)-2-[метил(5-метил-6-{[(2Z)-3-{[2-(триметилсилил)этокси]метил}-2,3-дигидро-1,3-бензотиазол-2-илиден]амино}пиридазин-3-ил)амино]-1,3-тиазол-4-карбоксилат

К раствору продукта Синтеза 51 (29.6 мг, 0.05 ммоль, 1 экв.) и бензоилхлорида (6.74 мкл, 0.06 ммоль, 1.2 экв.) в дихлорметане (3 мл) добавляли триэтиламин (0.01 мл, 0.1 ммоль, 2 экв.), и смесь перемешивали при температуре окружающей среды в течение 3.5 ч. Очистка с помощью автоматической колоночной флэш-хроматографии (CombiFlash Rf, 12 г силикагелевый картридж RediSep™) с элюированием с градиентом 0-85% этилацетата в изогептане приводила к получению целевого продукта в виде бесцветного стеклообразного вещества (32 мг, 0.04 ммоль, 92%).

ЖХ/МС (C35H41N7O4SiS2) 716 [М+Н]+; RT 1.59 (ЖХМС-V-B1)

1Н ЯМР (400 МГц, ДМСО-d6) δ 7.86 (dd, J=7.6, 1.1 Гц, 1Н), 7.75-7.67 (m, 3Н), 7.58-7.39 (m, 5Н), 7.29-7.22 (m, 1Н), 5.87 (s, 2Н), 4.88-4.77 (m, 1Н), 4.75-4.66 (m, 1Н), 4.65-4.54 (m, 1Н) 4.46-4.34 (m, 1Н), 4.29 (q, J=7.1 Гц, 2Н), 4.22-4.10 (m, 1Н), 3.79 (s, 3Н), 3.76-3.67 (m, 2Н), 2.47 (d, J=1.0 Гц, 3Н), 1.31 (t, J=7.1 Гц, 3Н), 0.97-0.88 (m, 2Н), -0.11 (s, 9Н).

Стадия В: этил 5-(1-бензоилазетидин-3-ил)-2-({6-[(1,3-бензотиазол-2-ил)амино]-5-метилпиридазин-3-ил} (метил) амино)-1,3-тиазол-4-карбоксилат

К раствору продукта со Стадии А (32 мг, 0.04 ммоль, 1 экв.) в дихлорметане (3 мл) добавляли трифторуксусную кислоту (0.45 мл, 6.05 ммоль, 135 экв.), и смесь перемешивали при температуре окружающей среды в течение 5 ч. Реакционную смесь распределяли между дихлорметаном и насыщенным водным раствором бикарбоната натрия, и органическую фазу промывали насыщенным водным раствором бикарбоната натрия, затем соляным раствором, сушили (сульфат магния) и концентрировали в вакууме. Очистка с помощью автоматической колоночной флэш-хроматографии (CombiFlash Rf, 12 г силикагелевый картридж RediSep™) с элюированием с градиентом 0-5% метанола в дихлорметане приводила к получению целевого продукта в виде желтого стеклообразного вещества (17.5 мг, 0.03 ммоль, 67%).

ЖХ/МС (C29H27N7O3S2) δ86 [М+Н]+; RT 1.30 (ЖХМС-V-B1)

1Н ЯМР (400 МГц, ДМСО-d6) δ 7.94 (br s, 1Н), 7.76-7.68 (m, 3Н), 7.60-7.44 (m, 4Н), 7.43-7.32 (m, 1Н), 7.29-7.15 (m, 1Н), 4.86-4.77 (m, 1Н), 4.76-4.67 (m, 1Н), 4.66-4.57 (m, 1Н), 4.43-4.34 (m, 1Н), 4.29 (q, 2Н), 4.21-4.11 (m, 1Н), 3.79 (s, 3Н), 2.47 (s, 3Н), 1.32 (t, J=7.1 Гц, 3Н).

Стадия С: 5-(1-бензоилазетидин-3-ил)-2-({6-[(1,3-бензотиазол-2-ил)амино]-5-метилпиридазин-3-ил} (метил) амино)-1,3-тиазол-4-карбоновая кислота

К раствору продукта со Стадии В (17.5 мг, 0.03 ммоль, 1 экв.) в 1,4-диоксане (3 мл) добавляли 2М водный раствор гидроксида натрия (0.5 мл, 1 ммоль, 33.5 экв.), и смесь нагревали с обратным холодильником в течение 2 ч. Реакционной смеси давали охладиться до температуры окружающей среды и очищали с помощью обращенно-фазовой автоматической флэш-хроматографии (CombiFlash Rf, С18 13 г колонка RediSep) с элюированием с градиентом 5 95% ацетонитрила в воде с получением целевого продукта в виде желтого твердого вещества (16 мг, 0.03 ммоль, 96%) [в виде натриевой соли].

МСВР-ЭРИ (m/z) [М-Н]-, рассчитано для C27H22N7O3S2: 556.1231, найдено: 556.1260.

Пример 137: 2-({6-[(1,3-Бензотиазол-2-ил)амино]-5-метилпиридазин-3-ил}(метил)амино)-5-(3-{4-[3-(диметиламино)проп-1-ин-1-ил]-2-фторфенокси}-2,2-диметилпропил)-1,3-тиазол-4-карбоновая кислота

Стадия А: метил 5-(3-{4-[3-(диметиламино)проп-1-ин-1-ил]-2-фторфенокси}-2,2-диметилпропил)-2-[метил(5-метил-6-{[(2Z)-3-{[2-(триметилсилил)этокси]метил}-2,3-дигидро-1,3-бензотиазол-2-илиден]амино}пиридазин-3-ил)амино]-1,3-тиазол-4-карбоксилат

К раствору продукта Синтеза 3zc (8 мг, 0.02 ммоль, 1 экв.) в 1,4-диоксане (2 мл) добавляли продукт Синтеза 4а (9.76 мг, 0.02 ммоль, 1.3 экв.), ксантфос (2.14 мг, 3.69 мкмоль, 0.2 экв.), карбонат цезия (18 мг, 0.06 ммоль, 3 экв.) и N,N-диизопропилэтиламин (9.64 мкл, 0.06 ммоль, 3 экв.). Смесь барботировали азотом (10 мин), затем добавляли трис(дибензилиденацетон)дипалладий(0) (1.69 мг, 0.1 экв.), и смесь нагревали при 120°С в течение ночи. Реакционную смесь распределяли между этилацетатом и соляным раствором, и органическую фазу сушили (сульфат магния) и концентрировали в вакууме. Очистка с помощью автоматической колоночной флэш-хроматографии (CombiFlash Rf, 4 г силикагелевый картридж RediSep™) с элюированием с градиентом 0 6% метанола в дихлорметане приводила к получению целевого продукта в виде желтого твердого вещества (15 мг, 0.02 ммоль, 100%).

ЖХ/МС (C40H50FN7O4SiS2) 804 [М+Н]+; RT 2.65 (ЖХМС-V-C)

1Н ЯМР (400 МГц, ДМСО-d6) δ 7.83 (d, J=7.9 Гц, 1Н), 7.67 (d, J=1.2 Гц, 1Н), 7.49-7.42 (m, 2Н), 7.35-7.23 (m, 2Н), 7.22-7.13 (m, 2Н), 5.86 (s, 2Н), 3.83 (s, 2Н), 3.79-3.75 (m, 5Н), 3.75-3.67 (m, 2Н), 2.45 (s, 3Н), 2.15 (s, 6Н), 1.05 (s, 6Н), 0.96 -0.88 (m, 2Н), -0.11 (s, 9Н).

Стадия В: 2-({6-[(1,3-бензотиазол-2-ил)амино]-5-метилпиридазин-3-ил}(метил)амино)-5-(3-{4-[3-(диметиламино)проп-1-ин-1-ил]-2-фторфенокси}-2,2-диметилпропил)-1,3-тиазол-4-карбоновая кислота

К раствору продукта со Стадии А (60 мг, 0.07 ммоль, 1 экв.) в тетрагидрофуране (6 мл) добавляли этилендиамин (15 мкл, 0.22 ммоль, 3 экв.) и фторид тетрабутиламмония (1М в тетрагидрофуране, 224 мкл, 0.22 ммоль, 3 экв.), и смесь нагревали при 70°С в течение ночи. Растворитель удаляли в вакууме и сырой продукт очищали с помощью обращенно-фазовой автоматической флэш-хроматографии (CombiFlash Rf, С18 13 г колонка RediSep) с элюированием с градиентом 5 95% ацетонитрила в воде с получением твердого вещества, которое растирали с диэтиловым эфиром, отфильтровывали и сушили в вакууме с получением целевого продукта в виде желтого твердого вещества (13.1 мг, 0.02 ммоль, 27%).

МСВР-ЭРИ (m/z) [М+Н]+, рассчитано для C33H35FN7O3S2: 660.2221, найдено: 660.2264.

Пример 138: 2-({6-[(1,3-Бензотиазол-2-ил)амино]-5-метилпиридазин-3-ил}(метил)амино)-5-[1-(2-фенилацетил)азетидин-3-ил]-1,3-тиазол-4-карбоновая кислота

Стадия А: этил 2-[метил(5-метил-6-{[(2Z)-3-{[2-(триметилсилил)этокси]метил}-2,3-дигидро-1,3-бензотиазол-2-илиден]амино}пиридазин-3-ил)амино]-5-[1-(2-фенилацетил)азетидин-3-ил]-1,3-тиазол-4-карбоксилат

К раствору продукта Синтеза 51 (105 мг, 0.17 ммоль, 1 экв.) в дихлорметане (6 мл) добавляли триэтиламин (0.05 мл, 0.34 ммоль, 2 экв.) и фенилацетилхлорид (0.03 мл, 0.21 ммоль, 1.2 экв.), и смесь перемешивали при температуре окружающей среды в течение 3 ч. Реакционную смесь разбавляли дихлорметаном, затем промывали водой и соляным раствором, сушили (сульфат магния) и концентрировали в вакууме. Очистка с помощью автоматической колоночной флэш-хроматографии (CombiFlash Rf, 12 г силикагелевый картридж RediSep™) с элюированием с градиентом 0-100% этилацетата в изогептане приводила к получению целевого продукта в виде желтой пены (66 мг, 0.09 ммоль, 53%).

ЖХ/МС (C36H43N7O4SiS2) 730 [М+Н]+; RT 1.45 (ЖХМС-V-B1)

1Н ЯМР (400 МГц, ДМСО-d6) δ 7.85 (dd, J=7.8, 1.1 Гц, 1Н), 7.70 (d, J=1.1 Гц, 1Н), 7.52-7.39 (m, 2Н), 7.34-7.25 (m, 5Н), 7.24-7.18 (m, 1Н), 5.87 (s, 2Н), 4.74-4.58 (m, 2Н), 4.39 (t, J=9.1 Гц, 1Н), 4.29 (q, J=7.1 Гц, 2Н), 4.23 (dd, J=8.1, 5.8 Гц, 1Н), 3.96 (dd, J=9.7, 6.1 Гц, 1Н), 3.79 (s, 3Н), 3.77-3.68 (m, 2Н), 3.51 (d, J=2.1 Гц, 2Н), 2.47 (d, J=1.0 Гц, 3Н), 1.32 (t, J=7.1 Гц, 3Н), 0.98-0.87 (m, 2Н), -0.11 (s, 9Н).

Стадия В: этил 2-({6-[(1,3-бензотиазол-2-ил)амино]-5-метилпиридазин-3-ил} (метил) амино)-5-[1-(2-фенилацетил)азетидин-3-ил]-1,3-тиазол-4-карбоксилат

К раствору продукта со Стадии А (66 мг, 0.09 ммоль, 1 экв.) в дихлорметане (3 мл) добавляли трифторуксусную кислоту (1 мл, 13.4 ммоль, 148 экв.), и смесь перемешивали при температуре окружающей среды в течение ночи. Реакционную смесь распределяли между дихлорметаном и насыщенным водным раствором бикарбоната натрия, промывали насыщенным водным раствором бикарбоната натрия, затем соляным раствором, сушили (сульфат магния) и концентрировали в вакууме. Очистка с помощью автоматической колоночной флэш-хроматографии (CombiFlash Rf, 12 г силикагелевый картридж RediSep™) с элюированием с градиентом 0-5% метанола в дихлорметане приводила к получению целевого продукта в виде желтого стеклообразного вещества (39 мг, 0.07 ммоль, 72%).

ЖХ/МС (C30H29N7O3S2) 600 [М+Н]+; RT 1.33 (ЖХМС-V-B1)

1Н ЯМР (400 МГц, ДМСО-d6) δ 11.07 (br s, 1Н), 8.00 (br s, 1Н), 7.72 (br s+s, 2Н), 7.40 (br s, 1Н), 7.37-7.25 (m, 4Н), 7.27-7.18 (m, 1Н), 4.75-4.57 (m, 2Н), 4.40 (t, J=9.1 Гц, 1Н), 4.30 (q, J=7.1 Гц, 2Н), 4.24 (dd, J=8.1, 5.9 Гц, 1Н), 3.96 (dd, J=9.7, 6.1 Гц, 1Н), 3.79 (s, 3Н), 3.52 (s, 2Н), 1.33 (t, J=7.1 Гц, 3Н).

Стадия С: 2-({6-[(1,3-бензотиазол-2-ил)амино]-5-метилпиридазин-3-ил}(метил)амино)-5-[1-(2-фенилацетил)азетидин-3-ил]-1,3-тиазол-4-карбоновая кислота

К раствору продукта со Стадии В (39 мг, 0.07 ммоль, 1 экв.) в 1,4-диоксане (4 мл) добавляли 2М водный раствор гидроксида натрия (1 мл, 2 ммоль, 30.8 экв.), и смесь нагревали с обратным холодильником в течение 1.5 ч. Растворитель удаляли в вакууме и сырой продукт очищали с помощью обращенно-фазовой автоматической флэш-хроматографии (CombiFlash Rf, С18 13 г колонка RediSep) с элюированием с градиентом 5-95% ацетонитрила в воде с получением целевого продукта в виде желтого твердого вещества (28.7 мг, 0.05 ммоль, 77%) [в виде натриевой соли].

МСВР-ЭРИ (m/z) [М-Н]-, рассчитано для C28H24N7O3S2: 570.1388, найдено: 570.1423.

Пример 139: 5-(Азетидин-3-ил)-2-({6-[(1,3-бензотиазол-2-ил)амино]-5-метилпиридазин-3-ил}(метил)амино)-1,3-тиазол-4-карбоновая кислота

При получении соединения Примера 138, Стадия С, 5-(азетидин-3-ил)-2-({6-[(1,3-бензотиазол-2-ил)амино]-5-метилпиридазин-3-ил}(метил)амино)-1,3-тиазол-4-карбоксилат натрия (7.5 мг, 0.02 ммоль, 25%) выделяли в качестве побочного продукта [в виде натриевой соли].

МСВР-ЭРИ (m/z) [М-Н]-, рассчитано для C20H18N7O2S2: 452.0969, найдено: 452.0977.

Пример 140: 2-({6-[(1,3-Бензотиазол-2-ил)амино]-5-метилпиридазин-3-ил}(метил)амино)-5-{[1-({4-[3-(диметиламино)проп-1-ин-1-ил]-2-фторфенокси}метил)циклопропил]метил}-1,3-тиазол-4-карбоновая кислота

Стадия А: метил 5-{[1-({4-[3-(диметиламино)проп-1-ин-1-ил]-2-фторфенокси}метил)циклопропил]метил}-2-[метил(5-метил-6-{[(2Z)-3-{[2-(триметилсилил)этокси]метил}-2,3-дигидро-1,3-бензотиазол-2-илиден]амино}пиридазин-3-ил)амино]-1,3-тиазол-4-карбоксилат

К раствору продукта Синтеза 3zd (84 мг, 0.19 ммоль, 1 экв.) в 1,4-диоксане (6 мл) добавляли продукт Синтеза 4а (103 мг, 0.25 ммоль, 1.3 экв.), ксантфос (22.5 мг, 0.04 ммоль, 0.2 экв.), карбонат цезия (190 мг, 0.58 ммоль, 3 экв.) и N,N-диизопропилэтиламин (102 мкл, 0.58 ммоль, 3 экв.). Смесь барботировали азотом (10 мин), затем добавляли трис(дибензилиденацетон)дииалладий(0) (17.8 мг, 0.02 ммоль, 0.1 экв.), и смесь нагревали при 120°С в течение ночи. Реакционную смесь распределяли между этилацетатом и соляным раствором, и органическую фазу сушили (сульфат магния) и концентрировали в вакууме. Очистка с помощью автоматической колоночной флэш-хроматографии (CombiFlash Rf, 4 г силикагелевый картридж RediSep™) с элюированием с градиентом 0-5% метанола в дихлорметане приводила к получению целевого продукта в виде коричневого твердого вещества (98 мг, 0.12 ммоль, 63%).

ЖХ/МС (C40H48FN7O4SiS2) 802 [М+Н]+; RT 2.63 (ЖХМС-V-C)

1Н ЯМР (400 МГц, ДМСО-d6) δ 7.87-7.80 (m, 1Н), 7.67 (d, 1Н), 7.52-7.40 (m, 2Н), 7.33-7.22 (m, 2Н), 7.18-7.11 (m, 1Н), 7.03 (t, J=8.7 Гц, 1Н), 5.87 (s, 2Н), 3.83 (s, 2Н), 3.76 (s, 3Н), 3.76-3.69 (m, 2Н), 3.66 (s, 3Н), 3.39 (s, 2Н), 3.36 (s, 2Н), 2.46 (d, J=1.0 Гц, 3Н), 2.18 (s, 6Н), 0.97-0.88 (m, 2Н), 0.78-0.65 (m, 4Н), -0.10 (s, 9Н).

Стадия В: метил 2-({6-[(1,3-бензотиазол-2-ил)амино]-5-метилпиридазин-3-ил}(метил)амино)-5-{[1-({4-[3-(диметиламино)проп-1-ин-1-ил]-2-фторфенокси}метил)циклопропил]метил}-1,3-тиазол-4-карбоксилат

К раствору продукта со Стадии А (98 мг, 0.12 ммоль, 1 экв.) в тетрагидрофуране (6 мл) добавляли этилендиамин (24.5 мкл, 0.37 ммоль, 3 экв.) и фторид тетрабутиламмония (1М в тетрагидрофуране; 224 мкл, 0.37 мл, 0.37 ммоль, 3 экв.), и смесь нагревали при 70°С в течение ночи. Реакционную смесь распределяли между водой и 9:1 смесью дихлорметан / метанол, и органическую фазу отделяли и сушили (ПТФЭ фазоразделитель), и концентрировали в вакууме. Очистка с помощью обращенно-фазовой автоматической флэш-хроматографии (CombiFlash Rf, С18 13 г колонка RediSep) с элюированием с градиентом 5 95% ацетонитрила в воде приводила к получению целевого продукта в виде желтого твердого вещества (5.01 мг, 0.01 ммоль, 6%).

ЖХ/МС (C34H34FN7O3S2) 672 [М+Н]+; RT 2.04 (ЖХМС-V-C)

1Н ЯМР (400 МГц, ДМСО-d6) δ 11.52 (br s, 1Н), 7.95-7.88 (m, 1Н), 7.69 (d, J=1.2 Гц, 1Н), 7.54 (d, J=7.9 Гц, 1Н), 7.45-7.35 (m, 1Н), 7.33-7.18 (m, 2Н), 7.19-7.11 (m, 1Н), 7.03 (t, J=8.8 Гц, 1Н), 3.83 (s, 2Н), 3.75 (s, 3Н), 3.67 (s, 3Н), 3.40 (s, 2Н), 3.38 (s, 2Н), 2.47 (d, J=1.1 Гц, 3Н), 2.19 (s, 6Н), 0.78-0.65 (m, 4Н).

Стадия С: 2-({6-[(1,3-бензотиазол-2-ил)амино]-5-метилпиридазин-3-ил}(метил)амино)-5-{[1-({4-[3-(диметиламино)проп-1-ин-1-ил]-2-фторфенокси}метил)циклопропил]метил}-1,3-тиазол-4-карбоновая кислота

К раствору продукта со Стадии В (35 мг, 0.05 ммоль, 1 экв.) в 1,4-диоксане (5 мл) добавляли моногидрат гидроксида лития (21.9 мг, 0.52 ммоль, 10 экв.), и смесь нагревали при 110°С в течение ночи. Реакционную смесь концентрировали в вакууме и остаток растирали с водой, отфильтровывали и сушили в вакууме с получением целевого продукта в виде желтого твердого вещества (23.8 мг, 0.04 ммоль, 70%) [в виде соли лития].

МСВР-ЭРИ (m/z) [М+Н]+, рассчитано для C33H33FN7O3S2: 658.2065, найдено: 658.2109.

Пример 141: 2-[[6-(1,3-Бензотиазол-2-иламино)-5-метилпиридазин-3-ил]-(5-гидроксипентил)амино]-5-[3-[4-[3-(диметиламино)проп-1-инил]-2-фторфенокси]пропил]тиазол-4-карбоновая кислота

Используя Общую методику снятия защиты и гидролиза с последующей повторной очисткой с помощью обращенно-фазовой препаративной хроматографии (С 18, 25 мМ NH4HCO3 в смеси вода: MeCN), исходя из продукта Синтеза 5f получали целевой продукт.

МСВР-ЭРИ (m/z): [М+Н]+, рассчитано для C35H39FN7O4S2: 704.2489 найдено: 704.2483.

Пример 142: 2-[[6-(1,3-Бензотиазол-2-иламино)-5-метилпиридазин-3-ил]-[5-[2-(диметиламино)этилметиламино]-4-гидроксипентил]амино]тиазол-4-карбоновая кислота

Стадия А: метил 2-[трет-бутоксикарбонил-[4-[трет-бутил(диметил)силил]окси-5-[2-(диметиламино)этилметиламино]пентил]амино]тиазол-4-карбоксилат

Используя Общую методику проведения реакции Мицунобу, исходя из 426 мг метил 2-(т/?ет-бутоксикарбониламино)тиазол-4-карбоксилата (1.65 ммоль, 1.1 экв.) и 478 мг продукта Синтеза 2f (1.65 ммоль, 1 экв.) в качестве подходящего спирта, получали 359 мг (43%) целевого продукта.

1Н ЯМР (400 МГц, ДМСО-d6) δ м.д. 8.08 (s, 1Н), 3.79 (s, 3Н), 3.72 (m, 1Н), 2.44-2.20 (m, 8Н), 2.18 (s, 6Н), 2.14 (s, 3Н), 1.85-1.56 (m, 3Н), 1.53 (s, 9Н), 1.39-1.25 (m, 1Н), 0.79 (s, 9Н), 0.01 (s, 3Н), -0.02 (s, 3Н); ЖХ-МС-ЭРИ (m/z): [М+Н]+, рассчитано для C26H51N4O5SSi: 559.3, найдено: 559.4.

Стадия В: метил 2-[[4-[трет-бутил(диметил)силил]окси-5-[2-(диметиламино)этилметиламино]пентил]амино]тиазол-4-карбоксилат

Используя Общую методику снятия защиты посредством HFIP, исходя из 811 мг продукта со Стадии А (1.45 ммоль) в качестве подходящего карбамата, получали 262 мг (39%) целевого продукта.

1Н ЯМР (500 МГц, ДМСО-d6) δ м.д. 7.81 (t, 1Н), 7.50 (s, 1Н), 3.73 (s, 3Н), 3.72 (m, 1Н), 3.20 (m, 2Н), 2.40 (m, 2Н), 2.32 (m, 2Н), 2.27 (d, 2Н), 2.16 (s, 3Н), 2.14 (s, 6Н), 1.63-1.54 (m+m, 2Н), 1.61-1.37 (m+m, 2Н), 0.84 (s, 9Н), 0.04 (s, 3Н), 0.03 (s, 3Н); 13С ЯМР (125 МГц, ДМСО-d6) δ м.д. 168.7, 162.0, 142.6, 116.8, 70.4, 64.6, 57.4, 56.5, 52.0, 45.9, 45.1, 43.8, 33.0, 26.3, 24.9, -3.8, -4.3; ЖХ-МС-ЭРИ (m/z): [М+Н]+, рассчитано для C21H43N4O3SSi: 459.3, найдено: 459.4.

Стадия С: метил 2-[[4-[трет-бутил(диметил)силил]окси-5-[2-(диметиламино)этилметиламино]пентил]-[5-метил-6-[(Z)-[3-(2-триметилсилилэтоксиметил)-1,3-бензотиазол-2-илиден]амино]пиридазин-3-ил]амино]тиазол-4-карбоксилат

Используя Общую методику II проведения реакции Бухвальда, исходя из 255 мг продукта со Стадии В (0.56 ммоль, 1 экв.) и 226 мг продукта Синтеза 4а (0.77 ммоль, 1.0 экв.) в качестве подходящего галогенида, получали 311 мг (67%) целевого продукта.

1Н ЯМР (500 МГц, ДМСО-d6) δ м.д. 7.97 (s, 1Н), 7.83 (dd, 1Н), 7.70 (s, 1Н), 7.46 (dd, 1Н), 7.43 (m, 1Н), 7.25 (m, 1Н), 5.86 (s, 2Н), 4.48 (t, 2Н), 3.81 (s, 3Н), 3.77 (m, 1Н), 3.71 (t, 2Н), 2.65 (m, 2Н), 2.51 (m, 2Н), 2.45 (s, 3Н), 2.38 (brs, 6Н), 2.29 (m, 2Н), 2.15 (s, 3Н), 1.83-1.72 (m+m, 2Н), 1.65-1.43 (m+m, 2Н), 0.91 (t, 2Н), 0.74 (s, 9Н), -0.01 & -0.06 (s+s, 6Н), -0.12 (s, 9Н); 13С ЯМР (125 МГц, ДМСО-d6) δ м.д. 127.2, 123.4, 123.2, 123.1, 117.7, 112.0, 72.9, 69.9, 66.7, 64.0, 55.7, 54.9, 52.2, 47.3, 44.5, 43.2, 32.1, 26.1, 22.8, 17.9, 17.8, -0.9, -3.9, -4.5; МСВР-ЭРИ (m/z): [М+Н]+, рассчитано для C39H65N804S2Si2: 829.4103, найдено: 829.4096.

Стадия D: 2-[[6-(1,3-бензотиазол-2-иламино)-5-метилпиридазин-3-ил]-[5-[2-(диметиламино)этилметиламино]-4-гидроксипентил]амино]тиазол-4-карбоновая кислота

Используя Общую методику снятия защиты и гидролиза с последующей очисткой с помощью обращенно-фазовой препаративной хроматографии (С18, 25 мМ NH4HCO3 в смеси вода: MeCN), исходя из продукта со Стадии С получали целевой продукт.

МСВР-ЭРИ (m/z): [М+Н]+, рассчитано для C26H34N8O3S2: 571.2268, найдено: 571.2270.

Пример 143: 2-[[6-(1,3-Бензотиазол-2-иламино)-5-метилпиридазин-3-ил]-[5-(диметиламино)-4-гидроксипентил]амино]тиазол-4-карбоновая кислота

Стадия А: метил 2-[трет-бутоксикарбонил-[4-[трет-бутил(диметил)силил]окси-5-(диметиламино)пентил]амино]тиазол-4-карбоксилат

Используя Общую методику проведения реакции Мицунобу, исходя из 568 мг метил 2-(трет-бутоксикарбониламино)тиазол-4-карбоксилата (2.2 ммоль, 1.1 экв.) и 523 мг продукта Синтеза 2d (2.0 ммоль, 1 экв.) в качестве подходящего спирта, получали 530 мг (53%) целевого продукта.

1Н ЯМР (500 МГц, ДМСО-d6) δ м.д. 8.08 (s, 1Н), 4.06 (m, 2Н), 3.79 (s, 3Н), 3.72 (m, 1Н), 2.15 (d, 2Н), 2.11 (s, 6Н), 1.79-1.63 (m+m, 2Н), 1.55-1.34 (m+m, 2Н), 1.52 (s, 9Н), 0.79 (s, 9Н), 0.01 & -0.02 (s+s, 6Н); 13С ЯМР (125 МГц, ДМСО-d6) δ м.д. 160.8, 153.3, 124.7, 70.1, 65.9, 52.3, 47.3, 46.6, 32.7, 28.1, 26.2, 23.7, -3.8, -4.5; МСВР-ЭРИ (m/z): [М+Н]+, рассчитано для C23H44N3O5SSi: 502.2765, найдено: 502.2762.

Стадия В: метил 2-[[4-[трет-бутил(диметил)силил]окси-5-(диметиламино)пентил]амино]тиазол-4-карбоксилат

Используя Общую методику снятия защиты посредством HFIP, исходя из 132 мг продукта со Стадии А (0.26 ммоль) в качестве подходящего карбамата, получали 78 мг (74%) целевого продукта.

1Н ЯМР (500 МГц, ДМСО-d6) δ м.д. 7.81 (t, 1Н), 7.50 (s, 1Н), 3.73 (s, 1Н),

3.73 (s, 3Н), 3.21 (q, 2Н), 2.17 (d, 2Н), 2.13 (s, 6Н), 1.63-1.55 (m+m, 2Н), 1.60-1.37 (m+m, 2Н), 0.84 (s, 9Н), 0.04 & 0.03 (s+s, 6Н); 13С ЯМР (125 МГц, ДМСО-dg) δ м.д. 168.7, 162.0, 116.9, 70.3, 66.3, 52.0, 46.6, 45.0, 33.1, 26.3, 25.0, -3.8, -4.3; МСВР-ЭРИ (m/z): [М+Н]+, рассчитано для C18H36N3O3SSi: 402.2241, найдено: 402.2249.

Стадия С: метил 2-[[4-[трет-бутил(диметил)силил]окси-5-(диметиламино)пентил]-[5-метил-6-[(Z)-[3-(2-триметилсилилэтоксиметил)-1,3-бензотиазол-2-илиден]амино]пиридазин-3-ил]амино]тиазол-4-карбоксилат

Используя Общую методику II проведения реакции Бухвальда, исходя из 72 мг продукта со Стадии В (0.18 ммоль, 1 экв.) и 73 мг продукта Синтеза 4а (0.18 ммоль, 1.5 экв.) в качестве подходящего галогенида, получали 126 мг (91%) целевого продукта.

1Н ЯМР (500 МГц, ДМСО-d6) δ м.д. 7.86-7.23 (4Н), 7.97 (s, 1 Н), 7.69 (s, 1Н), 5.87 (dd, 2Н), 4.48 (m, 2Н), 3.81 (s, 3Н), 3.74 (m, 1Н), 3.72 (t, 2Н), 3.72 (t, 2Н), 2.45 (s, 3Н), 2.10 (brs, 6Н), 1.83-1.71 (m+m, 2Н), 1.59-1.41 (m+m, 2Н), 0.92 (t, 2Н), 0.74 (s, 9Н), -0.01 & -0.06 (s+s, 6Н), -0.12 (s, 9Н); 13С ЯМР (125 МГц, ДМСО-d6) δ м.д. 123.1, 117.9, 72.9, 69.9, 66.8, 66.7, 52.2, 47.3, 46.6, 32.4, 26.2, 22.9, 17.8, 17.8, -1.0, -4.5; МСВР-ЭРИ (m/z): [М+Н]+, рассчитано для C36H57N7O4S2Si2: 772.3525, найдено: 772.3521.

Стадия D: 2-[[6-(1,3-бензотиазол-2-иламино)-5-метилпиридазин-3-ил]-[5-(диметиламино)-4-гидроксипентил]амино]тиазол-4-карбоновая кислота

Используя Общую методику снятия защиты и гидролиза с последующей очисткой с помощью обращенно-фазовой препаративной хроматографии (С18, 25 мМ NH4HCO3 в смеси вода: MeCN), исходя из продукта со Стадии С получали целевой продукт.

МСВР-ЭРИ (m/z): [М+Н]+, рассчитано для C23H28/N7O3S2: 514.1690, найдено: 514.1694.

Пример 144: 2-[[6-(1,3-Бензотиазол-2-иламино)-5-метилпиридазин-3-ил]-[4-гидрокси-5-(триметиламмонио)пентил]амино]-5-[3-[2-фтор-4-[3-(метиламино)проп-1-инил]фенокси]пропил]тиазол-4-карбоксилат

Стадия А: метил 5-[3-[4-[3-[трет-бутоксикарбонил(метил)амино]проп-1-инил]-2-фторфенокси]пропил]-2-[[4-[трет-бутил(дифенил)силил]окси-5-(диметиламино)пентил]-[5-метил-6-[(Z)-[3-(2-триметилсилилэтоксиметил)-1,3-бензотиазол-2-илиден]амино]пиридазин-3-ил]амино]тиазол-4-карбоксилат

Используя Общую методику алкилирования тозилатом, исходя из продукта Синтеза 5а и N-метилметанамина в качестве подходящего амина, получали целевой продукт.

МСВР-ЭРИ (m/z): [М+Н]+, рассчитано для C64H84FN8O7S2Si2: 1215.5421, найдено: 1215.5389.

Стадия В: 2-[[6-(1,3-бензотиазол-2-иламино)-5-метилпиридазин-3-ил]-[4-гидрокси-5-(триметиламмонио)пентил]амино]-5-[3-[2-фтор-4-[3-(метиламино)проп-1-инил]фенокси]пропил]тиазол-4-карбоксилат

Продукт со Стадии А растворяли в смеси ацетонитрила (4 мл/ммоль) и N,N-диметилформамида (1 мл/ммоль) затем добавляли йодметан (5 экв.), и смесь перемешивали при к.т. до тех пор, пока не наблюдали полного превращения (прибл. 1 ч). Реакционную смесь концентрировали. Сырую смесь, которая содержала [5-[[5-[3-[4-[3-[трет-бутоксикарбонил(метил)амино]проп-1-инил]-2-фторфенокси]пропил]-4-метоксикарбонилтиазол-2-ил]-[5-метил-6-[^)-[3-(2-триметилсилилэтоксиметил)-1,3-бензотиазол-2-илиден]амино]пиридазин-3-ил]амино]-2-[трет-бутил(дифенил)силил]оксипентил]-триметиламмоний (ЖХ-МС-ЭРИ (m/z): [М]+, рассчитано для C65H86FN8O7S2Si2: 1229.6, найдено: 1229.4), вводили в следующую реакционную стадию, используя Общую методику снятия защиты с четвертичной соли, с получением целевого продукта.

МСВР-ЭРИ (m/z): [М+Н]+, рассчитано для C37H44FN8O4S2: 747.2905, найдено: 747.2900.

Пример 145: 2-({6-[(1,3-Бензотиазол-2-ил)амино]-5-метилпиридазин-3-ил} (метил)амино)-5-(1-бензилазетидин-3-ил)-1,3-тиазол-4-карбоновая кислота

Стадия А: этил 5-(1-бензилазетидин-3-ил)-2-[метил(5-метил-6-{[(2Z)-3-{[2-(триметилсилил)этокси]метил}-2,3-дигидро-1,3-бензотиазол-2-илиден]амино}пиридазин-3-ил)амино]-1,3-тиазол-4-карбоксилат

К раствору продукта Синтеза 51 (36.3 мг, 0.06 ммоль, 1 экв.) в ацетонитриле (3 мл) добавляли бензальдегид (12.1 мкл, 0.12 ммоль, 2 экв.), триацетоксиборогидрид натрия (37.7 мг, 0.18 ммоль, 3 экв.) и ледяную уксусную кислоту (две капли), и смесь перемешивали при температуре окружающей среды в течение ночи. Реакционную смесь разбавляли этилацетатом и промывали насыщенным водным раствором бикарбоната натрия, затем соляным раствором, сушили (сульфат магния) и концентрировали в вакууме. Очистка с помощью автоматической колоночной флэш-хроматографии (CombiFlash Rf, 12 г силикагелевый картридж RediSep™) с элюированием с градиентом 0-70% этилацетата в изогептане приводила к получению целевого продукта в виде бесцветной смолы (28.6 мг, 0.04 ммоль, 69%).

ЖХ/МС (C35H43N7O3SiS2) 702 [М+Н]+; RT 1.49 (ЖХМС-V-B1)

1Н ЯМР (400 МГц, ДМСО-d6) δ 7.78 (dd, J=7.7, 1.1 Гц, 1Н), 7.69 (d, J=1.1 Гц, 1Н), 7.52-7.41 (m, 2Н), 7.40-7.30 (m, 4Н), 7.29-7.20 (m, 2Н), 5.88 (s, 2Н), 4.46-4.35 (m, 1Н), 4.27 (q, J=7.1 Гц, 2Н), 3.78 (s, 3Н), 3.77-3.65 (m, 6Н), 3.18 (dd, J=7.0, 5.9 Гц, 2Н), 2.47 (d, J=1.0 Гц, 3Н), 1.30 (t, J=7.1 Гц, 3Н), 0.93 (dd, J=8.6, 7.4 Гц, 2Н), -0.10 (s, 9Н).

Стадия В: этил 2-({6-[(1,3-бензотиазол-2-ил)амино]-5-метилпиридазин-3-ил} (метил) амино)-5-(1-бензилазетидин-3-ил)-1,3-тиазол-4-карбоксилат

К раствору продукта со Стадии А (28.6 мг, 0.04 ммоль, 1 экв.) в дихлорметане (3 мл) добавляли трифторуксусную кислоту (0.3 мл, 4.03 ммоль, 99 экв.), и смесь перемешивали при температуре окружающей среды в течение ночи. Реакционную смесь распределяли между дихлорметаном и насыщенным водным раствором бикарбоната натрия, и органическую фазу промывали насыщенным водным раствором бикарбоната натрия, затем соляным раствором, сушили (сульфат магния) и концентрировали в вакууме. Очистка с помощью автоматической колоночной флэш-хроматографии (CombiFlash Rf, 4 г силикагелевый картридж RediSep™) с элюированием с градиентом 0-5% метанола в дихлорметане приводила к получению целевого продукта в виде желтого стеклообразного вещества (17 мг, 0.03 ммоль, 73%).

ЖХ/МС (C29H29N7O2S2) 572 [М+Н]+; RT 1.14 (ЖХМС-V-B1)

1Н ЯМР (400 МГц, ДМСО-d6) δ 7.86 (br s, 1Н), 7.71 (br s+s, 2H), 7.45 -7.31 (m, 5H), 7.30-7.18 (m, 2H), 4.47-4.36 (m, 1H), 4.27 (q, J=7.1 Гц, 2H), 3.78 (s, 3H), 3.73-3.61 (m, 4H), 3.19 (t, J=6.3 Гц, 2H), 2.48 (s, 3H), 1.31 (t, J=7.1 Гц, 3Н).

Стадия С: 2-({6-[(1,3-бензотиазол-2-ил)амино]-5-метилпиридазин-3-ил}(метил)амино)-5-(1-бензилазетидин-3-ил)-1,3-тиазол-4-карбоновая кислота

К раствору продукта со Стадии В (17 мг, 0.03 ммоль, 1 экв.) в 1,4-диоксане (3 мл) добавляли 2М водный раствор гидроксида натрия (0.5 мл, 1 ммоль, 33.6 экв.), и смесь нагревали с обратным холодильником в течение 2 ч. Реакционной смеси давали охладиться до температуры окружающей среды и растворитель удаляли в вакууме. Очистка с помощью обращенно-фазовой автоматической флэш-хроматографии (CombiFlash Rf, CI 8 13 г колонка RediSep) с элюированием с градиентом 5-95% ацетонитрила в воде приводила к получению целевого продукта в виде желтого твердого вещества (13.9 мг, 0.03 ммоль, 86%) [в виде натриевой соли].

МСВР-ЭРИ (m/z) [М+Н]+, рассчитано для C27H26N7O2S2: 544.1584, найдено: 544.1616.

Пример 146: 3-[[5-[[6-(1,3-Бензотиазол-2-иламино)-5-метилпиридазин-3-ил]-[4-карбокси-5-[3-[2-фтор-4-[3-(метиламино)проп-1-инил]фенокси]пропил]тиазол-2-ил]амино]-2-гидроксипентил]-диметиламмонио]пропан-1-сульфонат

Соединение Примера 144, Стадия А, суспендировали в MeCN (5 мл/ммоль), затем добавляли оксатиолан 2,2-диоксид (10 экв.), и смесь перемешивали при 60°С ВН (наблюдали полное превращение). Реакционную смесь концентрировали. Сырую смесь, которая содержала 3-[[5-[[5-[3-[4-[3-[трет-бутоксикарбонил(метил)амино]проп-1-инил]-2-фторфенокси]пропил]-4-метоксикарбонилтиазол-2-ил]-[5-метил-6-[(Z)-[3-(2-триметилсилилэтоксиметил)-1,3-бензотиазол-2-илиден]амино]пиридазин-3-ил]амино]-2-[трет-бутил(дифенил)силил]оксипентил]-диметиламмонио]пропан-1-сульфонат (ЖХ-МС-ЭРИ (m/z): [М+Н]+, рассчитано для C67H90FN8O10S3Si2: 1337.5, найдено: 1337.6) непосредственно вводили в следующую реакционную стадию, используя Общую методику снятия защиты с четвертичной соли, с получением целевого продукта.

МСВР-ЭРИ (m/z): [М+Н]+, рассчитано для C39H48FN8O7S3: 855.2787, найдено: 855.2786.

Пример 147: 2-({6-[(1,3-Бензотиазол-2-ил)амино]-5-метилпиридазин-3-ил}(4-гидроксибутил)амино)-5-[3-(4-{3-[бис(3-сульфопропил)амино]проп-1-ин-1-ил}-2-фторфенокси)пропил]-1,3-тиазол-4-карбоновая кислота

Пример 147 выделяли в качестве побочного продукта при проведении реакции Примера 148, Стадия В.

МСВР-ЭРИ (m/z): [М+Н]+, рассчитано для C38H44FN7O10S4: 906.2089, найдено: 906.2098.

Пример 148: 2-[[6-(1,3-Бензотиазол-2-иламино)-5-метилпиридазин-3-ил]-(4-гидроксибутил)амино]-5-[3-[2-фтор-4-[3-(3-сульфопропиламино)проп-1-инил]фенокси]пропил]тиазол-4-карбоновая кислота

Стадия А: 5-[3-[4-(3-аминопроп-1-инил)-2-фторфенокси]пропил]-2-[[6-(1,3-бензотиазол-2-иламино)-5-метилпиридазин-3-ил]-(4-гидроксибутил)амино]тиазол-4-карбоновая кислота

Используя Общую методику снятия защиты и гидролиза, исходя из 370 мг продукта Синтеза 5i, Стадия А (0.36 ммоль, 1 экв.) получали 150 мг (62%) целевого продукта.

1Н ЯМР (500 МГц, ДМСО-d6) δ м.д. 7.88 (d, 1Н), 7.66 (s, 1Н), 7.53 (d, 1Н), 7.38 (t, 1Н), 7.22 (dd, 1Н), 7.22 (t, 1Н), 7.16 (dd, 1Н), 7.14 (t, 1Н), 4.39 (t, 2Н), 4.15 (t, 2Н), 3.51 (s, 2Н), 3.47 (t, 2Н), 3.27 (t, 2Н), 2.47 (s, 3Н), 2.14 (m, 2Н), 1.74 (m, 2Н), 1.52 (m, 2Н); 13С ЯМР (125 МГц, ДМСО-d6) δ м.д. 126.7, 126.5, 122.6, 122.2, 119.1, 118.6, 116.8, 115.9, 91.0, 81.1, 68.8, 60.9, 47.2, 31.6, 31.0, 29.9, 24.2, 23.2, 17.7; МСВР-ЭРИ (m/z): [М+Н]+, рассчитано для C32H33FN7O4S2: 662.2014, найдено: 662.2011.

Стадия В: 2-[[6-(1,3-бензотиазол-2-иламино)-5-метилпиридазин-3-ил]-(4-гидроксибутил)амино]-5-[3-[2-фтор-4-[3-(3-сульфопропиламино)проп-1-инил]фенокси]пропил]тиазол-4-карбоновая кислота

К суспензии продукта со Стадии А в сухом ацетонитриле в виде одной порции добавляли оксатиолан 2,2-диоксид. Полученную в результате смесь перемешивали в течение ночи при к.т., причем также образовывался дизамещенный продукт (Пример 147). Сырой продукт растворяли в ДМСО и затем очищали с помощью обращенно-фазовой препаративной хроматографии (25 мМ NH4HCO3 в смеси вода: MeCN) с получением целевого продукта.

МСВР-ЭРИ (m/z): [М+Н]+, рассчитано для C35H39FN7O7S3: 784.2052, найдено: 784.2052.

Пример 149: 2-({6-[(1,3-Бензотиазол-2-ил)амино]-5-метилпиридазин-3-ил} (метил)амино)-5-(1-метансульфонилазетидин-3-ил)-1,3-тиазол-4-карбоновая кислота

Стадия А: этил 5-(1-метансульфонилазетидин-3-ил)-2-[метил(5-метил-6-{[(2Z)-3-{[2-(триметилсилил)этокси]метил}-2,3-дигидро-1,3-бензотиазол-2-илиден]амино}пиридазин-3-ил)амино]-1,3-тиазол-4-карбоксилат

К раствору продукта Синтеза 51 (24.6 мг, 0.04 ммоль, 1 экв.) в дихлорметане (3 мл) добавляли метансульфонилхлорид (3.73 мкл, 0.05 ммоль, 1.2 экв.) с последующим добавлением каталитического количества 4-(диметиламино)пиридина и триэтиламина (0.01 мл, 0.08 ммоль, 2 экв.), и смесь перемешивали при температуре окружающей среды в течение ночи. Реакционную смесь распределяли между дихлорметаном и насыщенным водным раствором бикарбоната натрия, и органическую фазу промывали соляным раствором, сушили (сульфат магния) и концентрировали в вакууме. Очистка с помощью автоматической колоночной флэш-хроматографии (CombiFlash Rf, 4 г силикагелевый картридж RediSep™) с элюированием с градиентом 0 100% этилацетата в изогептане приводила к получению целевого продукта в виде не совсем белого твердого вещества (16.4 мг, 0.02 ммоль, 59%).

ЖХ/МС (C29H39N7O5SiS3) 690 [М+Н]+; RT 1.41 (ЖХМС-V-B1)

1Н ЯМР (400 МГц, ДМСО-d6) δ 7.87 (dd, J=7.6, 1.1 Гц, 1Н), 7.71 (d, J=1.1 Гц, 1Н), 7.51-7.39 (m, 2Н), 7.29-7.22 (m, 1Н), 5.87 (s, 2Н), 4.61 (tt, J=8.4, 6.5 Гц, 1Н), 4.39 (t, J=8.5 Гц, 2Н), 4.30 (q, J=7.1 Гц, 2Н), 3.93 (dd, J=8.3, 6.4 Гц, 2Н), 3.80 (s, 3Н), 3.76-3.67 (m, 2Н), 3.10 (s, 3Н), 2.47 (d, J=1.0 Гц, 3Н), 1.32 (t, J=7.1 Гц, 3Н), 1.00-0.88 (m, 2Н), -0.11 (s, 9Н).

Стадия В: этил 2-({6-[(1,3-бензотиазол-2-ил)амино]-5-метилпиридазин-3-ил} (метил) амино)-5-(1-метансульфонилазетидин-3-ил)-1,3-тиазол-4-карбоксилат

К раствору продукта со Стадии А (16.4 мг, 0.02 ммоль, 1 экв.) в дихлорметане (3 мл) добавляли трифторуксусную кислоту (0.2 мл, 2.68 ммоль, 113 экв.), и смесь перемешивали при температуре окружающей среды в течение ночи. Реакционную смесь разбавляли дихлорметаном, промывали насыщенным водным раствором бикарбоната натрия (×2), затем соляным раствором, сушили (сульфат магния) и концентрировали в вакууме. Очистка с помощью автоматической колоночной флэш-хроматографии (CombiFlash Rf, 4 г силикагелевый картридж RediSep™) с элюированием с градиентом 0 10% метанола в дихлорметане приводила к получению целевого продукта в виде бежевого твердого вещества (10 мг, 0.02 ммоль, 75%).

ЖХ/МС (C23H25N7O4S3) δ60 [М+Н]+; RT 1.24 (ЖХМС-V-B1)

1Н ЯМР (400 МГц, ДМСО-d6) δ 7.92 (br s, 1Н), 7.72 (s, 1Н), 7.51-7.42 (m, 1Н), 7.40-7.34 (m, 1Н), 7.27-7.15 (m, 1Н), 4.68-4.54 (m, 1Н), 4.49 (td, J=8.5, 2.9 Гц, 2Н), 4.40 (t, 2Н), 4.28 (q, 2Н), 4.04 (dd, J=8.2, 6.5 Гц, 2Н), 3.78 (s, 3Н), 3.11 (s, 3Н), 2.48 (s, 3Н), 1.32 (t, J=7.1 Гц, 3Н).

Стадия С: 2-({6-[(1,3-бензотиазол-2-ил)амино]-5-метилпиридазин-3-ил}(метил)амино)-5-(1-метансульфонилазетидин-3-ил)-1,3-тиазол-4-карбоновая кислота

К раствору продукта со Стадии В (10 мг, 0.02 ммоль, 1 экв.) в 1,4-диоксане (2 мл) добавляли 2М водный раствор гидроксида натрия (0.2 мл, 0.4 ммоль, 22.4 экв.), и смесь нагревали при 60°С в течение 1.5 ч. Очистка с помощью обращенно-фазовой автоматической флэш-хроматографии (CombiFlash Rf, С18 13 г колонка RediSep) с элюированием с градиентом 5 95% ацетонитрила в воде приводила к получению целевого продукта в виде желтого твердого вещества (7.6 мг, 0.01 ммоль, 80%) [в виде натриевой соли].

МСВР-ЭРИ (m/z) [М+Н]+, рассчитано для C21H22N7O4S3: 532.0890, найдено: 532.0894.

Пример 150: 2-[[6-(1,3-Бензотиазол-2-иламино)-5-метилпиридазин-3-ил]-[4-гидрокси-5-(метиламино)пентил]амино]-5-[3-[4-[3-(диметиламино)проп-1-инил]-2-фторфенокси]пропил]тиазол-4-карбоновая кислота

Использовали Общую методику алкилирования тозилатом, исходя из продукта Синтеза 5b и метанамина в качестве подходящего амина, причем промежуточное соединение метил 2-[[4-[трет-бутил(дифенил)силил]окси-5-(метиламино)пентил]-[5-метил-6-[(7)-[3-(2-триметилсилилэтоксиметил)-1,3-бензотиазол-2-илиден]амино]пиридазин-3-ил]амино]-5-[3-[4-[3-(диметиламино)проп-1-инил]-2-фторфенокси]пропил]тиазол-4-карбоксилат не выделяли, а после упаривания летучих веществ использовали Общую методику снятия защиты и гидролиза с получением целевого продукта.

МСВР-ЭРИ (m/z): [М+2Н]2+, рассчитано для C36H43FN8O4S2: 367.1411, найдено: 367.1413.

Пример 151: 2-[[6-(1,3-Бензотиазол-2-иламино)-5-метилпиридазин-3-ил]-(4-гидроксибутил)амино]-5-[3-[2-фтор-4-[3-[метил(3-сульфопропил)амино]проп-1-инил]фенокси]пропил]тиазол-4-карбоновая кислота

Стадия А: 3-[метил(проп-2-инил)амино]пропан-1-сульфоновая кислота

К 0.34 мл N-метилпропаргиламина (4 ммоль, 1 экв.) в 1 мл MeCN добавляли 244 мг оксатиолан 2,2-диоксида (2 ммоль, 0.5 экв.), и смесь перемешивали при 60°С в течение 3 ч. После концентрирования остаток очищали с помощью колоночной флэш-хроматографии, используя ДХМ и МеОН в качестве элюентов с получением 299 мг (78%) целевого продукта.

1Н ЯМР (400 МГц, ДМСО-d6) δ м.д. 10.10 (br, 1Н), 4.01 (s, 2Н), 3.75 (s, 1Н), 3.12 (m, 2Н), 2.72 (s, 3Н), 2.59 (t, 2Н), 1.94 (qui, 2Н).

Стадия В: 3-[3-[4-[3-[2-[трет-бутоксикарбонил-[4-[трет-бутил(диметил)силил]оксибутил]амино]-4-метоксикарбонилтиазол-5-ил]пропокси]-3-фторфенил]проп-2-инилметиламино]пропан-1-сульфоновая кислота

Используя Общую методику проведения реакции Соногаширы, исходя из продукта со Стадии А и продукта Синтеза 3с, Стадия А, в качестве исходных веществ, получали 303 мг (56%) целевого продукта.

1Н ЯМР (400 МГц, ДМСО-d6) δ м.д. 12.45 (vbrs, 1Н), 7. 45 (dd, 1Н), 7.33 (dm, 1Н), 7.18 (t, 1Н), 4. 24 (brs, 2Н), 4.16-4.06 (m, 4Н), 4.02 (t, 2Н), 3.75 (s, 3Н), 3.58 (t, 2H), 3.22 (t, 2H), 2.80 (brs, 3H), 2.61 (brt, 2H), 2.08 (m, 2H), 1.97 (m, 2H), 1.68 (m, 2H), 1.57 (s, 9H), 1.43 (m, 2H), 0.82 (s, 9H), -0.01 (s, 6H).

Стадия С: 3-[3-[4-[3-[2-[4-[трет-бутил(диметил)силил]оксибутиламино]-4-метоксикарбонилтиазол-5-ил]пропокси]-3-фторфенил]проп-2-инилметиламино]пропан-1-сульфоновая кислота

Используя Общую методику снятия защиты посредством HFIP, исходя из продукта со Стадии В в качестве подходящего карбамата, получали 200 мг (81%) целевого продукта.

1Н ЯМР (500 МГц, ДМСО-d6) δ м.д. 10.38 (s, 1Н), 7.59 (t, 1H), 7.47 (dd, 1Н), 7.33 (m, 1H), 7.18 (t, 1H), 4.28 (brs, 2Н), 4.09 (t, 2Н), 3.67 (s, 3H), 3.59 (t, 2Н), 3.27 (brs, 2Н), 3.17 (q, 2Н), 3.12 (t, 2Н), 2.82 (s, 3H), 2.62 (t, 2Н), 2.00 (q, 2Н), 2.00 (m, 2Н), 1.54 (m, 2Н), 1.49 (m, 2Н), 0.84 (s, 9Н), 0.02 (s, 6Н); 13С ЯМР (125 МГц, ДМСО-d6) δ м.д. 148.2, 129.6, 119.7, 115.4, 68.1, 62.6, 55.2, 51.7, 49.3, 45.8, 44.4, 40.0, 30.6, 30.2, 26.3, 25.6, 23.3, 21.0, -4.8.

Стадия D: 3-[3-[4-[3-[2-[4-[трет-бутил(диметил)силил]оксибутил-[5-метил-6-[(Z)-[3-(2-триметилсилилэтоксиметил)-1,3-бензотиазол-2-илиден]амино]пиридазин-3-ил]амино]-4-метоксикарбонилтиазол-5-ил]пропокси]-3-фторфенил]проп-2-инилметиламино]пропан-1-сульфоновая кислота

Используя Общую методику II проведения реакции Бухвальда, исходя из продукта со Стадии С и продукта Синтеза 4а в качестве подходящего галогенида, получали 270 мг (88%) целевого продукта.

1Н ЯМР (500 МГц, ДМСО-d6) δ м.д. 7.84 (d, 1H), 7.66 (s, 1Н), 7.47 (dm, 1Н), 7.47 (dd, 1Н), 7.44 (t, 1Н), 7.33 (d, 1Н), 7.26 (td, 1Н), 7.21 (t, 1Н), 5.86 (s, 2Н), 4.42 (t, 2Н), 4.24 (br., 2Н), 4.17 (t, 2Н), 3.77 (s, 3H), 3.72 (t, 2Н), 3.61 (t, 2Н), 3.29 (br., 2Н), 3.27 (t, 2Н), 2.79 (br., 3H), 2.60 (br., 2Н), 2.45 (s, 3H), 2.13 (m, 2Н), 1.97 (br., 2Н), 1.74 (m, 2Н), 1.52 (m, 2Н), 0.92 (t, 2Н), 0.79 (s, 9Н), -0.02 (s, 6Н), -0.12 (s, 9Н); 13С ЯМР (125 МГц, ДМСО-d6) δ м.д. 129.5, 127.2, 123.5, 123.2, 119.7, 117.6, 115.4, 112.0, 72.9, 68.5, 66.7, 62.5, 51.9, 49.3, 46.5, 45.7, 40.0, 31.0, 29.7, 26.2, 23.8, 23.1, 21.1, 17.9, 17.8, -1.0, -4.9.

Стадия Е: 2-[[6-(1,3-бензотиазол-2-иламино)-5-метилпиридазин-3-ил]-(4-гидроксибутил)амино]-5-[3-[2-фтор-4-[3-[метил(3-сульфопропил)амино]проп-1-инил]фенокси]пропил]тиазол-4-карбоновая кислота

Продукт со Стадии D и LiOH×H2O (10 экв.) в 1:1 смеси ТГФ и воды выдерживали при 50°С в течение 18 ч. После обработки реакционной смеси посредством 2 мл конц. HCl при 0°С, реакционную смесь выдерживали при 50°С в течение 1 ч. Затем реакционную смесь выливали на холодный раствор аммиака, и осажденное вещество отфильтровывали и очищали с помощью обращенно-фазовой препаративной хроматографии (25 мМ NH4HCO3 в смеси вода: MeCN) с получением целевого продукта.

МСВР-ЭРИ (m/z): [М+Н]+, рассчитано для C36H41FN7O7S3: 798.2214 найдено: 798.2204.

Пример 152: 5-(1-Ацетилазетидин-3-ил)-2-({6-[(1,3-бензотиазол-2-ил)амино]-5-метилпиридазин-3-ил}(метил)амино)-1,3-тиазол-4-карбоновая кислота

Стадия А: этил 5-(1-ацетилазетидин-3-ил)-2-[метил(5-метил-6-{[(2Z)-3-{[2-(триметилсилил)этокси]метил}-2,3-дигидро-1,3-бензотиазол-2-илиден]амино}пиридазин-3-ил)амино]-1,3-тиазол-4-карбоксилат

К раствору продукта Синтеза 51 (100 мг, 0.16 ммоль, 1 экв.) в дихлорметане (5 мл) добавляли ацетилхлорид (14 мкл, 0.2 ммоль, 1.2 экв.) и триэтиламин (0.05 мл, 0.33 ммоль, 2 экв.), и смесь перемешивали при температуре окружающей среды в течение 4 ч. Реакционную смесь распределяли между дихлорметаном и насыщенным водным раствором бикарбоната натрия, и органическую фазу промывали соляным раствором, сушили (сульфат магния) и концентрировали в вакууме. Очистка с помощью автоматической колоночной флэш-хроматографии (CombiFlash Rf, 4 г силикагелевый картридж RediSep™) с элюированием с градиентом 0 - 100% этилацетата в изогептане приводила к получению целевого продукта в виде кремовой пены (67.7 мг, 0.1 ммоль, 63%).

ЖХ/МС (C30H39N7O4SiS2) 654 [М+Н]+; RT 1.37 (ЖХМС-V-B1)

1Н ЯМР (400 МГц, ДМСО-d6) δ 7.87 (dd, J=7.7, 1.1 Гц, 1H), 7.70 (d, J=1.2 Гц, 1H), 7.51 - 7.39 (m, 2H), 7.29 - 7.22 (m, 1H), 5.87 (s, 2H), 4.69 - 4.56 (m, 2H), 4.43 - 4.33 (m, 1H), 4.29 (q, 2H), 4.22 - 4.12 (m, 1H), 3.92 (dd, J=9.8, 5.3 Гц, 1H), 3.79 (s, 3H), 3.76 - 3.67 (m, 2H), 2.47 (d, J=1.0 Гц, 3H), 1.82 (s, 3H), 1.33 (t, J=7.1 Гц, 3H), 0.97 - 0.88 (m, 2H), -0.11 (s, 9H).

Стадия В: этил 5-(1-ацетилазетидин-3-ил)-2-({6-[(1,3-бензотиазол-2-ил)амино]-5-метилпиридазин-3-ил} (метил) амино)-1,3-тиазол-4-карбоксилат

К раствору продукта со Стадии А (67.7 мг, 0.1 ммоль, 1 экв.) в тетрагидрофуране (3 мл) добавляли фторид тетрабутиламмония (1М в тетрагидрофуране; 0.04 мл, 0.31 ммоль, 3 экв.) и этилендиамин (0.02 мл, 0.31 ммоль, 3 экв.), и смесь перемешивали при 60°С в течение ночи. Реакционной смеси давали охладиться до температуры окружающей среды, затем распределяли между дихлорметаном и насыщенным водным раствором бикарбоната натрия, и органическую фазу промывали соляным раствором, сушили (сульфат магния) и концентрировали в вакууме. Очистка с помощью автоматической колоночной флэш-хроматографии (CombiFlash Rf, 12 г силикагелевый картридж RediSep™) с элюированием с градиентом 0 - 5% метанола в дихлорметане приводила к получению целевого продукта в виде желтого стеклообразного вещества (10.5 мг, 0.02 ммоль, 19%).

ЖХ/МС (C24H25N7O3S2) δ24 [М+Н]+; RT 0.97 (ЖХМС-V-B1)

1Н ЯМР (400 МГц, ДМСО-d6) δ 7.94 (br s, 1Н), 7.72 (s, 1Н), 7.55 (br s, 1Н), 7.39 (t, J=7.5 Гц, 1Н), 7.21 (t, J=7.6 Гц, 1Н), 4.69 - 4.56 (m, 2Н), 4.41 - 4.33 (m, 1H), 4.31 (q, 2Н), 4.23 - 4.14 (m, 1Н), 3.92 (dd, J=9.9, 5.3 Гц, 1Н), 3.79 (s, 3H), 2.48 (s, 3H), 1.83 (s, 3H), 1.33 (t, J=7.1 Гц, 3H).

Стадия С: 5-(1-ацетилазетидин-3-ил)-2-({6-[(1,3-бензотиазол-2-ил)амино]-5-метилпиридазин-3-ил} (метил) амино)-1,3-тиазол-4-карбоновая кислота

К раствору продукта со Стадии В (10.5 мг, 0.02 ммоль, 1 экв.) в 1,4-диоксане (3 мл) добавляли 1М водный раствор гидроксида лития (0.1 мл, 0.1 ммоль, 5 экв.), и смесь нагревали при 100°С в течение ночи. Очистка с помощью обращенно-фазовой автоматической флэш-хроматографии (CombiFlash Rf, С18 13 г колонка RediSep) с элюированием с градиентом 5-95% ацетонитрила в воде приводила к получению целевого продукта в виде белого твердого вещества (2 мг, 4.04 мкмоль, 20%).

МСВР-ЭРИ (m/z) [М+Н]+, рассчитано для C22H22N703S2: 496.1220, найдено: 496.1252.

Пример 153: 2-({6-[(1,3-Бензотиазол-2-ил)амино]-5-метилпиридазин-3-ил} (метил)амино)-5-(1-фенилазетидин-3-ил)-1,3-тиазол-4-карбоновая кислота

Стадия А: этил 2-[метил(5-метил-6-{[(2Z)-3-{[2-(триметилсилил)этокси]метил}-2,3-дигидро-1,3-бензотиазол-2-илиден]амино}пиридазин-3-ил)амино]-5-(1-фенилазетидин-3-ил)-1,3-тиазол-4-карбоксилат

К раствору продукта Синтеза 51 (100 мг, 0.16 ммоль, 1 экв.) в 1,4-диоксане (3 мл) добавляли бромбензол (20.6 мкл, 0.2 ммоль, 1.2 экв.), карбонат цезия (160 мг, 0.49 ммоль, 3 экв.)-N,N-диизопропилэтиламин (0.08 мл, 0.49 ммоль, 3 экв.), ксантфос (18.9 мг, 0.03 ммоль, 0.2 экв.) и трис(дибензилиденацетон)дипалладий(0) (15 мг, 0.02 ммоль, 0.1 экв.), и смесь нагревали с обратным холодильником в течение ночи. Реакционную смесь распределяли между дихлорметаном и водой, и органическую фазу промывали соляным раствором, сушили (сульфат магния) и концентрировали в вакууме. Очистка с помощью автоматической колоночной флэш-хроматографии (CombiFlash Rf, 12 г силикагелевый картридж RediSep™) с элюированием с градиентом 0 50% этилацетата в изогептане приводила к получению целевого продукта в виде желтого твердого вещества (44.2 мг, 0.06 ммоль, 39%).

ЖХ/МС (C34H41N7O3SiS2) 688 [М+Н]+; RT 1.58 (ЖХМС-V-B1)

1Н ЯМР (400 МГц, ДМСО-d6) δ 7.82 (dd, J=7.7, 1.1 Гц, 1Н), 7.69 (d, J=1.1 Гц, 1H), 7.49 - 7.35 (m, 2Н), 7.28 - 7.17 (m, 3H), 6.74 (tt, J=7.4, 1.1 Гц, 1Н), 6.64 - 6.49 (m, 2Н), 5.85 (s, 2Н), 4.81 - 4.69 (m, 1Н), 4.38 - 4.23 (m, 4Н), 3.86 (dd, J=7.3, 5.8 Гц, 2Н), 3.79 (s, 3H), 3.76 - 3.67 (m, 2Н), 2.45 (d, J=1.0 Гц, 3H), 1.34 (t, J=7.1 Гц, 3H), 0.96 - 0.87 (m, 2Н), -0.12 (s, 9Н).

Стадия В: этил 2-({6-[(1,3-бензотиазол-2-ил)амино]-5-метилпиридазин-3-ил} (метил) амино)-5-(1-фенилазетидин-3-ил)-1,3-тиазол-4-карбоксилат

К раствору продукта со Стадии А (44 мг, 0.06 ммоль, 1 экв.) в дихлорметане (5 мл) добавляли трифторуксусную кислоту (0.5 мл, 6.71 ммоль, 105 экв.), и смесь перемешивали при температуре окружающей среды в течение ночи. Реакционную смесь разбавляли дихлорметаном и промывали насыщенным водным раствором бикарбоната натрия (х2), затем соляным раствором, сушили (сульфат магния) и концентрировали в вакууме. Очистка с помощью автоматической колоночной флэш-хроматографии (CombiFlash Rf, 4 г силикагелевый картридж RediSep™) с элюированием с градиентом 0 - 5% метанола в дихлорметане приводила к получению целевого продукта в виде желтого стеклообразного вещества (18 мг, 0.03 ммоль, 51%).

ЖХ/МС (C28H27N7O2S2) δ58 [М+Н]+; RT 1.49 (ЖХМС-V-B1)

1Н ЯМР (400 МГц, ДМСО-d6) δ 7.83 (br s, 1Н), 7.70 (s, 1H), 7.52 (br s, 1H), 7.39 - 7.31 (m, 1H), 7.27 - 7.16 (m, 3H), 6.78 - 6.70 (m, 1H), 6.60 - 6.51 (m, 2H), 4.82 - 4.68 (m, 1H), 4.39 - 4.25 (m, 4H), 3.93 - 3.81 (m, 2H), 3.79 (s, 3H), 2.47 (s, 3H), 1.34 (t, J=7.1 Гц, 3H).

Стадия С: 2-({6-[(1,3-бензотиазол-2-ил)амино]-5-метилпиридазин-3-ил}(метил)амино)-5-(1-фенилазетидин-3-ил)-1,3-тиазол-4-карбоновая кислота

К раствору продукта со Стадии В (18 мг, 0.03 ммоль, 1 экв.) в 1,4-диоксане (3 мл) добавляли 1М водный раствор гидроксида лития (0.16 мл, 0.16 ммоль, 5 экв.), и смесь нагревали с обратным холодильником в течение 6 ч. Очистка с помощью обращенно-фазовой автоматической флэш-хроматографии (CombiFlash Rf, С18 13 г колонка RediSep) с элюированием с градиентом 5 - 95% ацетонитрила в воде приводила к получению целевого продукта в виде желтого твердого вещества (9.5 мг, 0.02 ммоль, 56%) [в виде соли лития].

МСВР-ЭРИ (m/z) [М+Н]+, рассчитано для C26H24N7O2S2: 530.1427, найдено: 530.1455.

Пример 154: 5-[1-(Бензолсульфонил)азетидин-3-ил]-2-({6-[(1,3-бензотиазол-2-ил)амино]-5-метилпиридазин-3-ил}(метил)амино)-1,3-тиазол-4-карбоновая кислота

Стадия А: этил 5-[1-(бензолсульфонил)азетидин-3-ил]-2-[метил(5-метил-6-{[(21)-3-{[2-(триметилсилил)этокси]метил}-2,3-дигидро-1,3-бензотиазол-2-илиден]амино}пиридазин-3-ил)амино]-1,3-тиазол-4-карбоксилат

К раствору продукта Синтеза 51 (46.7 мг, 0.08 ммоль, 1 экв.) в дихлорметане (3 мл) добавляли бензолсульфонилхлорид (11.7 мкл, 0.09 ммоль, 1.2 экв.) с последующим добавлением 4-(диметиламино)пиридина (2 мг, 0.02 ммоль, 0.21 экв.) и триэтиламина (0.02 мл, 0.15 ммоль, 2 экв.), и смесь перемешивали при температуре окружающей среды в течение ночи. Реакционную смесь разбавляли дихлорметаном и промывали насыщенным водным раствором бикарбоната натрия, затем соляным раствором, затем сушили (сульфат магния) и концентрировали в вакууме. Очистка с помощью автоматической колоночной флэш-хроматографии (CombiFlash Rf, 4 г силикагелевый картридж RediSep™) с элюированием с градиентом 0 - 67% этилацетата в изогептане приводила к получению целевого продукта в виде желтого стеклообразного вещества (40.3 мг, 0.05 ммоль, 70%).

ЖХ/МС (C34H41N7O5SiS3) 752 [М+Н]+; RT 1.47 (ЖХМС-V-B1)

1Н ЯМР (400 МГц, ДМСО-d6) δ 7.97 - 7.86 (m, 3H), 7.81 - 7.72 (m, 2Н), 7.70 - 7.60 (m, 2Н), 7.54 - 7.41 (m, 2Н), 7.31 - 7.25 (m, 1H), 5.89 (s, 2Н), 4.52 -4.39 (m, 1Н), 4.29 - 4.18 (m, 4Н), 3.79 - 3.67 (m, 7Н), 2.47 (d, J=1.0 Гц, 3H), 1.27 (t, J=7.1 Гц, 3H), 0.98 - 0.89 (m, 2Н), -0.10 (s, 9Н).

Стадия В: этил 5-[1-(бензолсульфонил)азетидин-3-ил]-2-({6-[(1,3-бензотиазол-2-ил)амино]-5-метилпиридазин-3-ил} (метил) амино)-1,3-тиазол-4-карбоксилат

К раствору продукта со Стадии А (40.3 мг, 0.05 ммоль, 1 экв.) в дихлорметане (5 мл) добавляли трифторуксусную кислоту (0.5 мл, 6.71 ммоль, 125 экв.), и смесь перемешивали при температуре окружающей среды в течение ночи. Реакционную смесь разбавляли дихлорметаном и промывали насыщенным водным раствором бикарбоната натрия (х2), затем соляным раствором, сушили (сульфат магния) и концентрировали в вакууме. Очистка с помощью автоматической колоночной флэш-хроматографии (CombiFlash Rf, 4 г силикагелевый картридж RediSep™) с элюированием с градиентом 0 - 6% метанола в дихлорметане приводила к получению целевого продукта в виде желтого твердого вещества (20 мг, 0.03 ммоль, 60%).

ЖХ/МС (C28H27N7O4S3) 622 [М+Н]+; RT 1.37 (ЖХМС-V-B1)

1Н ЯМР (400 МГц, ДМСО-d6) δ 8.00 (br s, 1Н), 7.94 - 7.88 (m, 2Н), 7.77 (t, J=7.6 Гц, 2Н), 7.72 - 7.64 (m, 2Н), 7.56 (br s, 1H), 7.40 (t, 1H), 7.24 (t, J=7.6 Гц, 1H), 4.46 (р, J=7.6 Гц, 1H), 4.30 - 4.18 (m, 4Н), 3.81 - 3.66 (m, 5Н), 2.45 (s, 3H), 1.26 (t, 3H).

Стадия С: 5-[1-(бензолсульфонил)азетидин-3-ил]-2-({6-[(1,3-бензотиазол-2-ил)амино]-5-метилпиридазин-3-ил} (метил) амино)-1,3-тиазол-4-карбоновая кислота

К раствору продукта со Стадии В (20 мг, 0.03 ммоль, 1 экв.) в 1,4-диоксане (3 мл) добавляли 1М водный раствор гидроксида лития (0.16 мл, 0.16 ммоль, 5 экв.), и смесь нагревали при 100°С в течение ночи. Очистка с помощью обращенно-фазовой автоматической флэш-хроматографии (CombiFlash Rf, С18 15.5 г колонка Gold RediSep) с элюированием с градиентом 5 - 95% ацетонитрила в воде приводила к получению целевого продукта в виде кремового твердого вещества (4.9 мг, 0.01 ммоль, 26%).

МСВР-ЭРИ (m/z) [М+Н]+, рассчитано для C26H24N7O4S3: 594.1046, найдено: 594.1060.

Пример 155: 5-(1-Бензолсульфонамидо-3-гидроксипропан-2-ил)-2-({6-[(1,3-бензотиазол-2-ил)амино]-5-метилпиридазин-3-ил} (метил)амино)-1,3-тиазол-4-карбоновая кислота

5-(1-Бензолсульфонамидо-3-гидроксипропан-2-ил)-2-({6-[(1,3-бензотиазол-2-ил)амино]-5-метилпиридазин-3-ил}(метил)амино)-1,3-тиазол-4-карбоновую кислоту (2.9 мг, 4.74 мкмоль, 15%) выделяли в качестве побочного продукта во время очистки Примера 154, Стадия С.

МСВР-ЭРИ (m/z) [М+Н]+, рассчитано для C26H26N7O5S3: 612.1152, найдено: 612.1154

Пример 156: 2-({6-[(1,3-Бензотиазол-2-ил)амино]-5-метилпиридазин-3-ил} (метил)амино)-5-[1-(2-метилпропил)азетидин-3-ил]-1,3-тиазол-4-карбоновая кислота

Стадия А: этил 2-[метил(5-метил-6-{[(2Z)-3-{[2-(триметилсилил)этокси]метил}-2,3-дигидро-1,3-бензотиазол-2-илиден]амино}пиридазин-3-ил)амино]-5-[1-(2-метилпропил)азетидин-3-ил]-1,3-тиазол-4-карбоксилат

К раствору продукта Синтеза 51 (134 мг, 0.22 ммоль, 1 экв.) в 2:1 смеси ацетонитрил / дихлорметан (6 мл) добавляли изобутиральдегид (0.04 мл, 0.44 ммоль, 2 экв.) с последующим добавлением триацетоксиборогидрида натрия (139 мг, 0.66 ммоль, 3 экв.) и ледяной уксусной кислоты (10 мкл), и смесь перемешивали при температуре окружающей среды в течение 4.5 ч. Реакционную смесь распределяли между дихлорметаном и насыщенным водным раствором бикарбоната натрия, и органическую фазу промывали соляным раствором, сушили (сульфат магния) и концентрировали в вакууме. Очистка с помощью автоматической колоночной флэш-хроматографии (CombiFlash Rf, 12 г силикагелевый картридж RediSep™) с элюированием с градиентом 0 60% этилацетата в изогептане приводила к получению целевого продукта в виде кремовой пены (81.5 мг, 0.12 ммоль, 56%).

ЖХ/МС (C32H45N7O3SiS2) 668 [М+Н]+; RT 1.25 (ЖХМС-V-B1)

1Н ЯМР (400 МГц, ДМСО-d6) δ 7.85 - 7.76 (m, 1Н), 7.68 (d, 1H), 7.51 - 7.39 (m, 2Н), 7.29 - 7.23 (m, 1Н), 5.87 (s, 2Н), 4.44 - 4.32 (m, 1Н), 4.27 (q, J=7.1 Гц, 2Н), 3.77 (s, 3H), 3.75 - 3.70 (m, 2Н), 3.64 (t, J=7.0 Гц, 2Н), 3.09 (t, J=6.4 Гц, 2Н), 2.46 (d, J=1.0 Гц, 3H), 2.26 (d, J=7.1 Гц, 2Н), 1.58 (hept, J=6.8 Гц, 1Н), 1.31 (t, J=7.1 Гц, 3H), 0.98 0.86 (m, 8Н), -0.11 (s, 9Н).

Стадия В: этил 2-({6-[(1,3-бензотиазол-2-ил)амино]-5-метилпиридазин-3-ил} (метил) амино)-5-[1-(2-метилпропил)азетидин-3-ил]-1,3-тиазол-4-карбоксилат

К охлажденному раствору продукта со Стадии А (81.5 мг, 0.12 ммоль, 1 экв.) в дихлорметане (5 мл) добавляли трифторуксусную кислоту (0.5 мл, 6.71 ммоль, 55 экв.), и смесь перемешивали при температуре окружающей среды в течение ночи. Реакционную смесь гасили путем добавления насыщенного водного раствора бикарбоната натрия, затем экстрагировали дихлорметаном и органический экстракт промывали соляным раствором, сушили (сульфат магния) и концентрировали в вакууме. Очистка с помощью автоматической колоночной флэш-хроматографии (CombiFlash Rf, 12 г силикагелевый картридж RediSep™) с элюированием с градиентом 0 - 5% метанола в дихлорметане приводила к получению целевого продукта в виде желтого твердого вещества (50 мг, 0.09 ммоль, 76%).

ЖХ/МС (C26H31N7O2S2) δ38 [М+Н]+; RT 0.91 (ЖХМС-V-B1)

1Н ЯМР (400 МГц, ДМСО-d6) δ 7.87 (s, 1Н), 7.70 (s, 1H), 7.52 (br s, 1Н), 7.40 (t, J=7.6 Гц, 1Н), 7.22 (t, J=7.5 Гц, 1Н), 4.44 - 4.33 (m, 1H), 4.28 (q, J=7.1 Гц, 2Н), 3.77 (s, 3H), 3.64 (t, J=7.0 Гц, 2Н), 3.10 (t, J=6.3 Гц, 2Н), 2.47 (s, 3H), 2.27 (d, J=7.0 Гц, 2Н), 1.66 - 1.51 (m, 1Н), 1.32 (t, J=7.1 Гц, 3H), 0.93 (d, J=6.6 Гц, 6Н).

Стадия С: 2-({6-[(1,3-бензотиазол-2-ил)амино]-5-метилпиридазин-3-ил}(метил)амино)-5-[1-(2-метилпропил)азетидин-3-ил]-1,3-тиазол-4-карбоновая кислота

К раствору продукта со Стадии В (50 мг, 0.09 ммоль, 1 экв.) в 1,4-диоксане (3 мл) добавляли 1М водный раствор гидроксида лития (0.46 мл, 0.46 ммоль, 5 экв.), и смесь нагревали при 100°С в течение ночи. Очистка с помощью обращенно-фазовой автоматической флэш-хроматографии (CombiFlash Rf, С18 13 г колонка RediSep) с элюированием с градиентом 5 95% ацетонитрила в воде приводила к получению целевого продукта в виде желтого твердого вещества (34.2 мг, 0.07 ммоль, 72%).

МСВР-ЭРИ (m/z) [М+Н]+, рассчитано для C24H28N7O2S2: 510.1740, найдено: 510.1776.

Пример 157: 2-({6-[(1,3-Бензотиазол-2-ил)амино]-5-метилпиридазин-3-ил} (метил)амино)-5-(1-метилазетидин-3-ил)-1,3-тиазол-4-карбоновая кислота

Стадия А: этил 2-[метил(5-метил-6-{[(2Z)-3-{[2-(триметилсилил)этокси]метил}-2,3-дигидро-1,3-бензотиазол-2-илиден]амино}пиридазин-3-ил)амино]-5-(1-метилазетидин-3-ил)-1,3-тиазол-4-карбоксилат

К раствору продукта Синтеза 51 (134 мг, 0.22 ммоль, 1 экв.) в 2:1 смеси ацетонитрил / дихлорметан (6 мл) добавляли формальдегид (37% в воде; 0.03 мл, 0.44 ммоль, 2 экв.) с последующим добавлением триацетоксиборогидрида натрия (139 мг, 0.66 ммоль, 3 экв.) и ледяной уксусной кислоты (10 мкл), и смесь перемешивали при температуре окружающей среды в течение 4.5 ч. Реакционную смесь разбавляли дихлорметаном, затем промывали насыщенным водным раствором бикарбоната натрия с последующим промыванием соляным раствором, сушили (сульфат магния) и концентрировали в вакууме. Очистка с помощью автоматической колоночной флэш-хроматографии (CombiFlash Rf, 12 г силикагелевый картридж RediSep™) с элюированием с градиентом 0 - 100% этилацетата в изогептане приводила к получению целевого продукта в виде кремового твердого вещества (65 мг, 0.1 ммоль, 47%).

ЖХ/МС (C29H39N7O3SiS2) 626 [М+Н]+; RT 1.18 (ЖХМС-V-B1)

1Н ЯМР (400 МГц, ДМСО-d6) δ 7.89 - 7.82 (m, 1H), 7.68 (d, J=1.2 Гц, 1Н), 7.53 - 7.39 (m, 2Н), 7.28 - 7.22 (m, 1Н), 5.86 (s, 2Н), 4.42 - 4.30 (m, 1Н), 4.27 (q, J=7.1 Гц, 2Н), 3.77 (s, 3H), 3.76 - 3.69 (m, 2Н), 3.65 (t, J=7.2 Гц, 2Н), 3.18 - 3.10 (m, 2Н), 2.46 (d, J=1.0 Гц, 3H), 2.29 (s, 3H), 1.31 (t, J=7.1 Гц, 3H), 0.97 - 0.86 (m, 2Н), -0.11 (s, 9Н).

Стадия В: этил 2-({6-[(1,3-бензотиазол-2-ил)амино]-5-метилпиридазин-3-ил} (метил) амино)-5-(1-метилазетидин-3-ил)-1,3-тиазол-4-карбоксилат

К охлажденному раствору продукта со Стадии А (65 мг, 0.1 ммоль, 1 экв.) в дихлорметане (3 мл) добавляли трифторуксусную кислоту (0.3 мл, 4.03 ммоль, 38.8 экв.), и смесь перемешивали при температуре окружающей среды в течение ночи. Реакционную смесь гасили путем добавления насыщенного водного раствора бикарбоната натрия, затем экстрагировали дихлорметаном и органический экстракт промывали соляным раствором, сушили (сульфат магния) и концентрировали в вакууме. Очистка с помощью автоматической колоночной флэш-хроматографии (CombiFlash Rf, 12 г силикагелевый картридж RediSep™) с элюированием с градиентом 0 - 10% метанола в дихлорметане приводила к получению целевого продукта в виде желтого твердого вещества (40 мг, 0.08 ммоль, 78%).

ЖХ/МС (C23H25N7O2S2) 496 [М+Н]+; RT 0.80 (ЖХМС-V-B1)

1Н ЯМР (400 МГц, ДМСО-d6) δ 7.92 (d, J=7.8 Гц, 1H), 7.69 (d, J=1.2 Гц, 1H), 7.53 (s, 1Н), 7.44 - 7.32 (m, 1Н), 7.25 - 7.16 (m, 1H), 4.42 - 4.30 (m, 1Н), 4.27 (q, J=7.1 Гц, 2Н), 3.76 (s, 3H), 3.65 (t, J=7.2 Гц, 2Н), 3.15 (t, 2Н), 2.47 (d, J=1.0 Гц, 3H), 2.29 (s, 3H), 1.31 (t, J=7.1 Гц, 3H).

Стадия С: 2-({6-[(1,3-бензотиазол-2-ил)амино]-5-метилпиридазин-3-ил}(метил)амино)-5-(1-метилазетидин-3-ил)-1,3-тиазол-4-карбоновая кислота

К раствору продукта со Стадии В (40 мг, 0.08 ммоль, 1 экв.) в 1,4-диоксане (3 мл) добавляли 1М водный раствор гидроксида лития (0.4 мл, 0.4 ммоль, 5 экв.), и смесь нагревали при 100°С в течение ночи. Очистка с помощью обращенно-фазовой автоматической флэш-хроматографии (CombiFlash Rf, С18 13 г колонка RediSep) с элюированием с градиентом 5 95% ацетонитрила в воде приводила к получению целевого продукта в виде желтого твердого вещества (15.5 мг, 0.03 ммоль, 41%).

МСВР-ЭРИ (m/z) [М+Н]+, рассчитано для C21H22N7O2S2: 468.1271, найдено: 468.1301.

Пример 158: 2-({6-[(1,3-Бензотиазол-2-ил)амино]-5-метилпиридазин-3-ил}(3-карбоксипропил)амино)-1,3-тиазол-4-карбоновая кислота

Стадия А: этил 2-{[4-(трет-бутокси)-4-оксобутил](5-метил-6-{[(2Z)-3-{[2-(триметилсилил)этокси]метил}-2,3-дигидро-1,3-бензотиазол-2-илиден]амино}пиридазин-3-ил)амино}-1,3-тиазол-4-карбоксилат

К раствору продукта Синтеза 3ze (1.74 г, 5.53 ммоль, 1.5 экв.) в 1,4-диоксане (60 мл) добавляли продукт Синтеза 4а (1.5 г, 3.69 ммоль, 1 экв.), N,N-диизопропилэтиламин (1.93 мл, 11.1 ммоль, 3 экв.), карбонат цезия (3.6 г, 11.1 ммоль, 3 экв.) и ксантфос (427 мг, 0.74 ммоль, 0.2 экв.), и смесь барботировали азотом (10 мин). Добавляли трис(дибензилиденацетон)дипалладий(0) (338 мг, 0.37 ммоль, 0.1 экв.), и смесь нагревали в закупоренной колбе при 140°С в течение 2 ч. Реакционной смеси давали охладиться до температуры окружающей среды, затем распределяли между водой и этилацетатом, водную фазу экстрагировали этилацетатом (3×80 мл) и объединенные органические экстракты промывали соляным раствором, сушили (сульфат магния) и концентрировали в вакууме. Очистка с помощью автоматической колоночной флэш-хроматографии (CombiFlash Rf, 40 г силикагелевый картридж RediSep™) с элюированием с градиентом 0 - 25% этилацетата в изогептане приводила к получению целевого продукта в виде бледно-желтого твердого вещества (0.93 г, 1.36 ммоль, 37%).

ЖХ/МС (C32H44N6O5SiS2) 685 [М+Н]+; RT 1.75 (ЖХМС-V-B1)

1H ЯМР (400 МГц, ДМСО-d6) δ 7.96 (s, 1Н), 7.87 - 7.92 (m, 1H), 7.76 (d, J=1.2 Гц, 1H), 7.47 - 7.40 (m, 2H), 7.28 - 7.22 (m, 1H), 5.878 (s, 2H), 4.42 (t, J=7.4 Гц, 2H), 4.28 (q, J=7.1 Гц, 2H), 3.79 - 3.67 (m, 2H), 2.47 (d, J=1.0 Гц, 3H), 2.36 (t, J=7.3 Гц, 2H), 1.95 (p, J=7.4 Гц, 2H), 1.37 (s, 9H), 1.31 (t, J=7.1 Гц, 3H), 0.96 0.88 (m, 2H), -0.11 (s, 9H).

Стадия В: 4-({6-[(1,3-бензотиазол-2-ил)амино]-5-метилпиридазин-3-ил}[4-(этоксикарбонил)-1,3-тиазол-2-ил]амино)бутановая кислота

К раствору продукта со Стадии А (929 мг, 1.36 ммоль, 1 экв.) в дихлорметане (45 мл) добавляли трифторуксусную кислоту (8.31 мл, 109 ммоль, 80 экв.), и смесь перемешивали при температуре окружающей среды в течение 4 ч. Реакционную смесь гасили путем добавления насыщенного водного раствора бикарбоната натрия, затем экстрагировали дихлорметаном (3×40 мл) и объединенные органические экстракты промывали соляным раствором, сушили (сульфат магния) и концентрировали в вакууме. Очистка с помощью автоматической колоночной флэш-хроматографии (CombiFlash Rf, 24 г силикагелевый картридж RediSep™) с элюированием с градиентом 0 20% метанола в дихлорметане приводила к получению целевого продукта в виде желтого твердого вещества (186.8 мг, 0.37 ммоль, 28%).

ЖХ/МС (C22H22N6O4S2) 499 [М+Н]+; RT 1.27 (ЖХМС-V-B1)

1Н ЯМР (400 МГц, ДМСО-d6) δ 9.23 (br s, 2Н), 7.97 (s, 1H), 7.95 - 7.87 (m, 1H), 7.82 (s, 1Н), 7.54 (br s, 1H), 7.42 - 7.36 (m, 1H), 7.25 - 7.18 (m, 1H), 4.39 (t, J=7.7 Гц, 2H), 4.29 (q, J=7.1 Гц, 2H), 2.47 (s, 3H), 2.39 (t, J=7.2 Гц, 2H), 2.01 -1.98 (m, 2H), 1.31 (t, J=7.1 Гц, 2H).

Стадия С: 2-({6-[(1,3-бензотиазол-2-ил)амино]-5-метилпиридазин-3-ил}(3-карбоксипропил)амино)-1,3-тиазол-4-карбоновая кислота

К раствору продукта со Стадии В (80 мг, 0.16 ммоль, 1 экв.) в 1,4-диоксане (10 мл) добавляли моногидрат гидроксида лития (13.5 мг, 0.32 ммоль, 2 экв.), и смесь нагревали с обратным холодильником в течение 2 ч. Реакционную смесь концентрировали в вакууме и очищали с помощью обращенно-фазовой автоматической флэш-хроматографии (CombiFlash Rf, С18 13 г колонка RediSep) с элюированием 5 - 95% ацетонитрила в воде с получением сырого продукта. Его растворяли в метаноле с несколькими каплями триэтиламина и затем загружали на кондиционированный метанолом картридж РЕ-АХ, последовательно промывали метанолом и дихлорметаном, затем элюировали 10% муравьиной кислотой в дихлорметане и концентрировали в вакууме с получением целевого продукта в виде желтого твердого вещества (28.9 мг, 0.06 ммоль, 38%).

МСВР-ЭРИ (m/z) [М+Н]+, рассчитано для C20H19N6O4S2: 471.0904, найдено: 471.0915.

Пример 159: 2-({6-[(1,3-Бензотиазол-2-ил)амино]-5-метилпиридазин-3-ил} (метил)амино)-5-[1-(бензилкарбамоил)азетидин-3-ил]-1,3-тиазол-4-карбоновая кислота

Стадия А: этил 5-[1-(бензилкарбамоил)азетидин-3-ил]-2-[метил(5-метил-6-{[(2Z)-3-{[2-(триметилсилил)этокси]метил}-2,3-дигидро-1,3-бензотиазол-2-илиден]амино}пиридазин-3-ил)амино]-1,3-тиазол-4-карбоксилат

К раствору продукта Синтеза 51 (150 мг, 0.25 ммоль, 1 экв.) в дихлорметане (5 мл) добавляли бензил изоцианат (0.04 мл, 0.29 ммоль, 1.2 экв.) с последующим добавлением триэтиламина (0.07 мл, 0.49 ммоль, 2 экв.), и смесь перемешивали при температуре окружающей среды в течение ночи. Реакционную смесь распределяли между дихлорметаном и насыщенным водным раствором хлорида аммония, и органическую фазу промывали соляным раствором, сушили (сульфат магния) и концентрировали в вакууме. Очистка с помощью автоматической колоночной флэш-хроматографии (CombiFlash Rf, 12 г силикагелевый картридж RediSep™) с элюированием с градиентом 0 100% этилацетата в изогептане приводила к получению целевого продукта в виде желтого твердого вещества (125 мг, 0.17 ммоль, 68%).

ЖХ/МС (C36H44N8O4SiS2) 745 [М+Н]+; RT 1.43 (ЖХМС-V-B1)

1Н ЯМР (400 МГц, ДМСО-d6) δ 7.84 (dd, J=7.5, 1.1 Гц, 1Н), 7.70 (d, J=1.2 Гц, 1Н), 7.51 - 7.39 (m, 2Н), 7.35 - 7.20 (m, 5Н), 7.19 (td, J=6.3, 2.8 Гц, 1Н), 7.08 (t, J=6.0 Гц, 1H), 5.87 (s, 2Н), 4.64 - 4.51 (m, 1Н), 4.36 (t, J=8.4 Гц, 2Н), 4.29 (q, J=7.1 Гц, 2H), 4.24 (d, J=6.0 Гц, 2H), 3.88 (dd, J=8.2, 6.0 Гц, 2H), 3.79 (s, 3H), 3.76 - 3.69 (m, 2Н), 2.47 (d, J=1.0 Гц, 3H), 1.32 (t, J=7.1 Гц, 3H), 0.97 - 0.88 (m, 2Н), -0.11 (s, 9Н).

Стадия В: этил 2-({6-[(1,3-бензотиазол-2-ил)амино]-5-метилпиридазин-3-ил} (метил) амино)-5-[1-(бензилкарбамоил)азетидин-3-ил]-1,3-тиазол-4-карбоксилат

К раствору продукта со Стадии А (125 мг, 0.17 ммоль, 1 экв.) в дихлорметане (5 мл) добавляли трифторуксусную кислоту (0.7 мл, 9.39 ммоль, 56 экв.), и смесь перемешивали при температуре окружающей среды в течение ночи. Реакционную смесь гасили путем добавления насыщенного водного раствора бикарбоната натрия, затем экстрагировали дихлорметаном, и органический экстракт промывали соляным раствором, сушили (сульфат магния) и концентрировали в вакууме. Очистка с помощью автоматической колоночной флэш-хроматографии (CombiFlash Rf, 12 г силикагелевый картридж RediSep™) с элюированием с градиентом 0 - 9% метанола в дихлорметане приводила к получению целевого продукта в виде желтого стеклообразного вещества (87.6 мг, 0.14 ммоль, 85%).

ЖХ/МС (C30H30N8O3S2) 615 [М+Н]+; RT 1.10 (ЖХМС-V-B1)

1Н ЯМР (400 МГц, ДМСО-d6) δ 11.04 (br s, 1Н), 7.95 (br s, 1H), 7.73 - 7.62 (m, 1H), 7.50 - 7.34 (m, 1H), 7.34 - 7.15 (m, 7H), 7.07 (t, J=6.0 Гц, 1H), 4.62 - 4.52 (m, 1H), 4.36 (t, 2H), 4.29 (q, 2H), 4.24 (d, 2H), 3.94 - 3. 83 (m, 2H), 3.77 (s, 3H), 2.47 (d, 3H), 1.32 (t, J=7.1 Гц, 3H).

Стадия С: 2-({6-[(1,3-бензотиазол-2-ил)амино]-5-метилпиридазин-3-ил}(метил)амино)-5-[1-(бензилкарбамоил)азетидин-3-ил]-1,3-тиазол-4-карбоновая кислота

К раствору продукта со Стадии В (87.6 мг, 0.14 ммоль, 1 экв.) в 1,4-диоксане (5 мл) добавляли 1М водный раствор гидроксида лития (0.71 мл, 0.71 ммоль, 5 экв.), и смесь нагревали при 100°С в течение ночи. Очистка с помощью обращенно-фазовой автоматической флэш-хроматографии (CombiFlash Rf, С18 13 г колонка RediSep) с элюированием с градиентом 5 95% ацетонитрила в воде приводила к получению целевого продукта в виде желтого твердого вещества (25.6 мг, 0.04 ммоль, 31%).

МСВР-ЭРИ (m/z) [М+Н]+, рассчитано для C28H27N8O3S2: 587.1642, найдено: 587.1669.

Пример 160: 2-({6-[(1,3-Бензотиазол-2-ил)амино]-5-метилпиридазин-3-ил} (метил)амино)-5-[1-(этилкарбамоил)азетидин-3-ил]-1,3-тиазол-4-карбоновая кислота

Стадия А: этил 5-[1-(этилкарбамоил)азетидин-3-ил]-2-[метил(5-метил-6-{[(2Z)-3-{[2-(триметилсилил)этокси]метил}-2,3-дигидро-1,3-бензотиазол-2-илиден]амино}пиридазин-3-ил)амино]-1,3-тиазол-4-карбоксилат

К раствору продукта Синтеза 51 (100 мг, 0.16 ммоль, 1 экв.) в дихлорметане (3 мл) добавляли этилизоцианат (0.02 мл, 0.2 ммоль, 1.2 экв.) с последующим добавлением триэтиламина (0.03 мл, 0.25 ммоль, 1.5 экв.), и смесь перемешивали при температуре окружающей среды в течение ночи. Реакционную смесь распределяли между дихлорметаном и насыщенным водным раствором хлорида аммония, и органическую фазу промывали соляным раствором, сушили (сульфат магния) и концентрировали в вакууме. Очистка с помощью автоматической колоночной флэш-хроматографии (CombiFlash Rf, 4 г силикагелевый картридж RediSep™) с элюированием с градиентом 0 - 100% этилацетата в изогептане приводила к получению целевого продукта в виде кремового твердого вещества (78 мг, 0.11 ммоль, 70%).

ЖХ/МС (C31H42N8O4SiS2) 683 [М+Н]+; RT 1.38 (ЖХМС-V-B1)

1Н ЯМР (400 МГц, ДМСО-d6) δ 7.86 (dd, J=7.6, 1.1 Гц, 1Н), 7.69 (d, J=1.1 Гц, 1Н), 7.51 - 7.39 (m, 2Н), 7.29 - 7.20 (m, 1H), 6.46 (t, J=5.6 Гц, 1H), 5.87 (s, 2Н), 4.61 - 4.49 (m, 1Н), 4.35 - 4.23 (m, 4Н), 3.82 (dd, J=8.2, 6.0 Гц, 2Н), 3.79 (s, 3H), 3.77 - 3.68 (m, 2Н), 3.09 - 3.01 (m, 2Н), 2.47 (d, J=1.0 Гц, 3H), 1.32 (t, J=7.1 Гц, 3H), 1.03 (t, J=7.1 Гц, 3H), 1.00 -0.88 (m, 2Н), -0.11 (s, 9Н).

Стадия В: этил 2-({6-[(1,3-бензотиазол-2-ил)амино]-5-метилпиридазин-3-ил} (метил) амино)-5-[1-(этилкарбамоил)азетидин-3-ил]-1,3-тиазол-4-карбоксилат

К раствору продукта со Стадии А (78 мг, 0.11 ммоль, 1 экв.) в дихлорметане (3 мл) добавляли трифторуксусную кислоту (0.4 мл, 5.37 ммоль, 47 экв.), и смесь перемешивали при температуре окружающей среды в течение ночи. Реакционную смесь гасили путем добавления насыщенного водного раствора бикарбоната натрия и экстрагировали дихлорметаном, и органический экстракт промывали соляным раствором, сушили (сульфат магния) и концентрировали в вакууме. Очистка с помощью автоматической колоночной флэш-хроматографии (CombiFlash Rf, 4 г силикагелевый картридж RediSep™) с элюированием с градиентом 0 - 10% метанола в дихлорметане приводила к получению целевого продукта в виде желтого стеклообразного вещества (44 мг, 0.08 ммоль, 70%).

ЖХ/МС (C25H28N8O3S2) 553 [М+Н]+; RT 1.00 (ЖХМС-V-B1)

1Н ЯМР (400 МГц, ДМСО-d6) δ 11.18 (br s, 1Н), 7.93 (br s, 1H), 7.70 (s, 1Н), 7.46 (br s, 1H), 7.43 - 7.34 (m, 1Н), 7.27 - 7.14 (m, 1H), 6.46 (t, J=5.6 Гц, 1Н), 4.62 - 4.48 (m, 1H), 4.36 - 4.22 (m, 4Н), 3.87 - 3.79 (m, 2Н), 3.77 (s, 3H), 3.11 -2.98 (m, 2Н), 2.47 (s, 3H), 1.32 (t, J=7.1 Гц, 3H), 1.02 (t, 3H).

Стадия С: 2-({6-[(1,3-бензотиазол-2-ил)амино]-5-метилпиридазин-3-ил}(метил)амино)-5-[1-(этилкарбамоил)азетидин-3-ил]-1,3-тиазол-4-карбоновая кислота

К раствору продукта со Стадии В (44 мг, 0.08 ммоль, 1 экв.) в 1,4-диоксане (3 мл) добавляли 1М водный раствор гидроксида лития (0.4 мл, 0.4 ммоль, 5 экв.), и смесь нагревали при 100°С в течение 4.5 ч. Очистка с помощью обращенно-фазовой автоматической флэш-хроматографии (CombiFlash Rf, С18 13 г колонка RediSep) с элюированием с градиентом 5 95% ацетонитрила в воде приводила к получению целевого продукта в виде желтого твердого вещества (27.4 мг, 0.05 ммоль, 66%) [в виде соли лития].

МСВР-ЭРИ (m/z) [М+Н]+, рассчитано для C23H25N8O3S2: 525.1486, найдено: 525.1516.

Пример 161: 2-({6-[(1,3-Бензотиазол-2-ил)амино]-5-метилпиридазин-3-ил} (метил)амино)-5-[(2S)-3-{4-[3-(диметиламино)проп-1-ин-1-ил]-2-фторфенокси}-2-метилпропил]-1,3-тиазол-4-карбоновая кислота

Стадия А: этил 5-[(2S)-3-{4-[3-(диметиламино)проп-1-ин-1-ил]-2-фторфенокси}-2-метилпропил]-2-[метил(5-метил-6-{[(2Z)-3-{[2-(триметилсилил)этокси]метил}-2,3-дигидро-1,3-бензотиазол-2-илиден]амино}пиридазин-3-ил)амино]-1,3-тиазол-4-карбоксилат

К раствору продукта Синтеза 3zf (40 мг, 0.09 ммоль, 1 экв.) в 1,4-диоксане (3 мл) добавляли продукт Синтеза 4а (37.6 мг, 0.09 ммоль, 1 экв.), N,N-диизопропилэтиламин (0.05 мл, 0.28 ммоль, 3 экв.), карбонат цезия (90.2 мг, 0.28 ммоль, 3 экв.) и ксантфос (10.7 мг, 0.02 ммоль, 0.2 экв.) с последующим добавлением трис(дибензилиденацетон)дипалладия(0) (8.45 мг, 0.01 ммоль, 0.1 экв.), и смесь нагревали при 100°С в течение 24 ч, и затем давали охладиться до температуры окружающей среды. Реакционную смесь распределяли между дихлорметаном и водой, и органическую фазу промывали соляным раствором, сушили (сульфат магния) и концентрировали в вакууме. Очистка с помощью автоматической колоночной флэш-хроматографии (CombiFlash Rf, 4 г силикагелевый картридж RediSep™) с элюированием с градиентом 0 - 7% метанола в дихлорметане приводила к получению целевого продукта в виде коричневого стеклообразного вещества (30.7 мг, 0.04 ммоль, 41%).

ЖХ/МС (C40H50FN7O4SiS2) 804 [М+Н]+; RT 1.59 (ЖХМС-V-B1)

1Н ЯМР (400 МГц, ДМСО-d6) δ 7.88 - 7.81 (m, 1H), 7.67 (d, J=1.1 Гц, 1Н), 7.51 - 7.39 (m, 2Н), 7.34 - 7.23 (m, 2Н), 7.22 -7.11 (m, 2Н), 5.86 (s, 2Н), 4.26 (q, J=7.1 Гц, 2Н), 4.07 - 3.94 (m, 2Н), 3.78 (s, 2Н), 3.76 - 3.68 (m, 2Н), 3.37 (s, 3H), 3.32 - 3.26 (m, 1H), 3.18 - 3.06 (m, 1H), 2.60 - 2.52 (m, 1Н), 2.46 (d, J=1.0 Гц, 3H), 2.19 (s, 6Н), 1.30 (t, J=7.1 Гц, 3H), 1.04 (d, J=6.7 Гц, 3H), 0.97 - 0.88 (m, 2Н), -0.11 (s, 9Н).

Стадия В: этил 2-({6-[(1,3-бензотиазол-2-ил)амино]-5-метилпиридазин-3-ил} (метил) амино)-5-[(2S)-3-{4-[3-(диметиламино)проп-1-ин-1-ил]-2-фторфенокси}-2-метилпропил]-1,3-тиазол-4-карбоксилат

К раствору продукта со Стадии А (30.7 мг, 0.04 ммоль, 1 экв.) в тетрагидрофуране (5 мл) добавляли фторид тетрабутиламмония (1М в тетрагидрофуране, 0.22 мл, 0.22 ммоль, 6 экв.) и этилендиамин (0.02 мл, 0.22 ммоль, 6 экв.) в тетрагидрофуране (5 мл), и смесь нагревали с обратным холодильником в течение ночи. Реакционную смесь распределяли между этилацетатом и водой, водную фазу экстрагировали этилацетатом (×2) и затем дихлорметаном (х2), и объединенные органические экстракты сушили (сульфат магния) и концентрировали в вакууме с получением целевого продукта, который непосредственно использовали на следующей стадии без дополнительной очистки.

Стадия С: 2-({6-[(1,3-бензотиазол-2-ил)амино]-5-метилпиридазин-3-ил}(метил)амино)-5-[(2S)-3-{4-[3-(диметиламино)проп-1-ин-1-ил]-2-фторфенокси}-2-метилпропил]-1,3-тиазол-4-карбоновая кислота

К раствору продукта со Стадии В (38 мг, 0.06 ммоль, 1 экв.) в 1,4-диоксане (3 мл) добавляли 1М водный раствор гидроксида лития (0.56 мл, 0.56 ммоль, 10 экв.), и смесь нагревали при 100°С в течение 2.5 ч. Реакционной смеси давали охладиться до температуры окружающей среды и очищали с помощью обращенно-фазовой автоматической флэш-хроматографии (CombiFlash Rf, С18 13 г колонка RediSep) с элюированием с градиентом 5 95% ацетонитрила в воде с получением коричневого стекла. Вещество растворяли в смеси дихлорметана и метанола, и наносили на 2 г картридж РЕ-AX (предварительно кондиционированный дихлорметаном, затем метанолом). Картридж промывали дихлорметаном с последующим промыванием метанолом, затем элюировали 10% муравьиной кислотой в дихорметане, и растворитель удаляли и сушили в вакууме с получением целевого продукта в виде коричневого стеклообразного вещества (6.4 мг, 0.01 ммоль, 18%) [в виде соли муравьиной кислоты].

МСВР-ЭРИ (m/z) [М+Н]+, рассчитано для C32H33FN7O3S2: 646.2065, найдено: 646.2110.

Пример 162: 2-({6-[(1,3-Бензотиазол-2-ил)амино]-5-метилпиридазин-3-ил} (метил)амино)-5-[(1Е)-2-метил-3-феноксипроп-1-ен-1-ил]-1,3-тиазол-4-карбоновая кислота

Стадия А: этил 2-[метил(5-метил-6-{[(2Z)-3-{[2-(триметилсилил)этокси]метил}-2,3-дигидро-1,3-бензотиазол-2-илиден]амино}пиридазин-3-ил)амино]-5-[(1Е)-2-метил-3-феноксипроп-1-ен-1-ил]-1,3-тиазол-4-карбоксилат

К раствору продукта Синтеза 5 т (160 мг, 0.26 ммоль, 1 экв.) в толуоле (3 мл) добавляли фенол (34 мкл, 0.38 ммоль, 1.5 экв.), трифенилфосфин (100 мг, 0.38 ммоль, 1.5 экв.) и диизопропилазодикарбоксилат (75 мкл, 0.38 ммоль, 1.5 экв.), и смесь нагревали при 120°С в течение 1 ч под микроволновым облучением. Реакционную смесь распределяли между дихлорметаном и водой, и органическую фазу отделяли и сушили (ПТФЭ фазоразделитель), и концентрировали в вакууме. Очистка с помощью автоматической колоночной флэш-хроматографии (CombiFlash Rf, 4 г силикагелевый картридж RediSep™) с элюированием с градиентом 0 60% этилацетата в изогептане приводила к получению целевого продукта в виде желтой смолы (100 мг, 0.14 ммоль, 56%).

ЖХ/МС (C35H42N6O4SiS2) 703 [М+Н]+; RT 3.12 (ЖХМС-V-C)

1Н ЯМР (400 МГц, ДМСО-d6) δ 7.86 - 7.81 (m, 1H), 7.72 (d, 1H), 7.51 - 7.40 (m, 2Н), 7.36 - 7.21 (m, 4Н), 7.06 - 7.00 (m, 2Н), 6.99 - 6.93 (m, 1H), 5.87 (s, 2Н), 4.68 (s, 2Н), 4.26 (q, J=7.1 Гц, 1Н), 3.81 (s, 3H), 3.76 - 3.68 (m, 2Н), 2.46 (s, 3H), 2.06 (s, 3H), 1.28 (t, 3H), 0.97 - 0.88 (m, 2Н), -0.11 (s, 9Н).

Стадия В: этил 2-({6-[(1,3-бензотиазол-2-ил)амино]-5-метилпиридазин-3-ил} (метил) амино)-5-[(1Е)-2-метил-3-феноксипроп-1-ен-1-ил]-1,3-тиазол-4-карбоксилат

К раствору продукта со Стадии А (496 мг, 0.71 ммоль, 1 экв.) в тетрагидрофуране (15 мл) добавляли этилендиамин (141 мкл, 2.12 ммоль, 3 экв.) и фторид тетрабутиламмония (1М в тетрагидрофуране; 2.12 мл, 2.12 ммоль, 3 экв.), и смесь нагревали при 70°С в течение ночи. Реакционную смесь распределяли между этилацетатом и водой, и органическую фазу сушили (сульфат магния) и концентрировали в вакууме. Очистка с помощью автоматической колоночной флэш-хроматографии (CombiFlash Rf, 24 г силикагелевый картридж RediSep™) с элюированием с градиентом 0 100% этилацетата в изогептане приводила к получению целевого продукта в виде желтого твердого вещества (37 мг, 0.06 ммоль, 9%).

ЖХ/МС (C29H28N6O3S2) δ73 [М+Н]+; RT 2.65 (ЖХМС-V-C).

1Н ЯМР (400 МГц, ДМСО-d6) δ 7.91 (br s, 1H), 7.73 (s, 1H), 7.43 - 7.35 (m, 2Н), 7.34 - 7.28 (m, 3H), 7.25 - 7.16 (m, 1H), 7.06 - 7.00 (m, 2Н), 6.99 - 6.93 (m, 1H), 4.67 (s, 2Н), 4.26 (q, J=7.1 Гц, 2Н), 3.80 (s, 3H), 2.47 (s, 3H), 2.05 (s, 3H), 1.28 (t, J=7.1 Гц, 3H).

Стадия С: 2-({6-[(1,3-бензотиазол-2-ил)амино]-5-метилпиридазин-3-ил}(метил)амино)-5-[(1Е)-2-метил-3-феноксипроп-1-ен-1-ил]-1,3-тиазол-4-карбоновая кислота

К раствору продукта со Стадии В (37 мг, 0.06 ммоль, 1 экв.) в 1,4-диоксане (4 мл) добавляли моногидрат гидроксида лития (27.1 мг, 0.65 ммоль, 10 экв.), и смесь нагревали при 110°С в течение ночи. Реакционной смеси давали охладиться до температуры окружающей среды и очищали с помощью автоматической колоночной флэш-хроматографии (CombiFlash Rf, 4 г силикагелевый картридж RediSep™) с элюированием с градиентом 0 - 10% 7 н. метанольного раствора аммиака в дихлорметане с получением темно-желтого твердого вещества. Твердое вещество растирали с ацетонитрилом, отфильтровывали и сушили в вакууме с получением целевого продукта в виде желтого твердого вещества (12.1 мг, 0.02 ммоль, 34%).

МСВР-ЭРИ (m/z) [М+Н]+, рассчитано для C27H25N6O3S2: 545.1424, найдено: 545.1426.

Пример 163: 2-({6-[(1,3-Бензотиазол-2-ил)амино]-5-метилпиридазин-3-ил} (метил)амино)-5-[(1Е)-3-{4-[3-(диметиламино)проп-1-ин-1-ил]-2-фторфенокси}-2-метилпроп-1-ен-1-ил]-1,3-тиазол-4-карбоновая кислота

Стадия А: этил 5-[(1Е)-3-{4-[3-(диметиламино)проп-1-ин-1-ил]-2-фторфенокси}-2-метилпроп-1-ен-1-ил]-2-[метил(5-метил-6-{[(2Z)-3-{[2-(триметилсилил)этокси]метил}-2,3-дигидро-1,3-бензотиазол-2-илиден]амино}пиридазин-3-ил)амино]-1,3-тиазол-4-карбоксилат

К раствору продукта Синтеза 5 т (618 мг, 0.99 ммоль, 1 экв.) в толуоле (18 мл) добавляли продукт Синтеза 6b (286 мг, 1.48 ммоль, 1.5 экв.), трифенилфосфин (388 мг, 1.48 ммоль, 1.5 экв.) и диизопропилазодикарбоксилат (291 мкл, 1.48 ммоль, 1.5 экв.), и смесь нагревали при 120°С в течение 1 ч под микроволновым облучением. Реакционную смесь распределяли между дихлорметаном и водой, и органическую фазу отделяли и сушили (ПТФЭ фазоразделитель), и концентрировали в вакууме. Очистка с помощью автоматической колоночной флэш-хроматографии (CombiFlash Rf, 24 г силикагелевый картридж RediSep™) с элюированием с градиентом 0 100% этилацетата в изогептане приводила к получению целевого продукта в виде коричневого масла (406 мг, 0.51 ммоль, 51%).

ЖХ/МС (C40H48FN7O4SiS2) 802 [М+Н]+; RT 2.68 (ЖХМС-V-C)

1Н ЯМР (400 МГц, ДМСО-d6) δ 7.86 - 7.80 (m, 1Н), 7.70 (s, 1H), 7.50 - 7.39 (m, 2H), 7.38 - 7.21 (m, 5H), 5.86 (s, 2H), 4.78 (s, 2H), 4.25 (q, J=7.2 Гц, 2H), 3.81 (s, 3H), 3.76 - 3.67 (m, 2H), 3.41 (s, 2H), 2.46 (d, J=1.0 Гц, 3H), 2.22 (s, 6H), 2.05 (s, 3H), 1.28 (t, J=7.1 Гц, 3H), 0.97 -0.85 (m, 2H), -0.11 (s, 9H).

Стадия В: этил 2-({6-[(1,3-бензотиазол-2-ил)амино]-5-метилпиридазин-3-ил} (метил) амино)-5-[(1Е)-3-{4-[3-(диметиламино)проп-1-ин-1-ил]-2-фторфенокси}-2-метилпроп-1-ен-1-ил]-1,3-тиазол-4-карбоксилат

К раствору продукта со Стадии А (406 мг, 0.51 ммоль, 1 экв.) в ацетонитриле (5 мл) добавляли полифтороводород-пиридиний (0.88 мл, 10.1 ммоль, 20 экв.), и смесь нагревали при 60°С в течение ночи. Реакционной смеси давали охладиться до температуры окружающей среды, затем распределяли между дихлорметаном и 2 н. водным раствором гидроксида натрия (25 мл), и органическую фазу отделяли и сушили (ПТФЭ фазоразделитель), и концентрировали в вакууме. Очистка с помощью автоматической колоночной флэш-хроматографии (CombiFlash Rf, 24 г силикагелевый картридж RediSep™) с элюированием с градиентом 0 - 5% метанола в дихлорметане приводила к получению целевого продукта в виде желтого твердого вещества (139 мг, 0.21 ммоль, 41%).

ЖХ/МС (C34H34FN7O3S2) 672 [М+Н]+; RT 2.07 (ЖХМС-V-C)

1Н ЯМР (400 МГц, ДМСО-d6) δ 11.56 (br s, 1Н), 7.90 (d, J=7.6 Гц, 1H), 7.72 (s, 1H), 7.57 - 7.50 (m, 1H), 7.44 - 7.28 (m, 3H), 7.27 - 7.17 (m, 3H), 4.79 (s, 2H), 4.27 (q, J=7.2 Гц, 2H), 3.81 (s, 3H), 3.43 (s, 2H), 2.47 (s, 3H), 2.23 (s, 6H), 2.06 (s, 3H), 1.29 (t, J=7.1 Гц, 3H).

Стадия С: 2-({6-[(1,3-бензотиазол-2-ил)амино]-5-метилпиридазин-3-ил}(метил)амино)-5-[(1Е)-3-{4-[3-(диметиламино)проп-1-ин-1-ил]-2-фторфенокси}-2-метилпроп-1-ен-1-ил]-1,3-тиазол-4-карбоновая кислота

К раствору продукта со Стадии В (139 мг, 0.21 ммоль, 1 экв.) в 1,4-диоксане (10 мл) добавляли моногидрат гидроксида лития (86.8 мг, 2.07 ммоль, 10 экв.), и смесь нагревали при 110°С в течение 4 ч. Реакционной смеси давали охладиться до температуры окружающей среды и растворитель удаляли путем ротационного упаривания. Очистка с помощью автоматической колоночной флэш-хроматографии (CombiFlash Rf, 12 г силикагелевый картридж RediSep™) с элюированием с градиентом 0 - 25% 7 н. метанольного раствора аммиака в дихлорметане приводила к получению твердого вещества. Вещество растирали с ацетонитрилом, отфильтровывали и сушили в вакууме с получением целевого продукта в виде желтого твердого вещества (77.9 мг, 0.12 ммоль, 59%).

МСВР-ЭРИ (m/z) [М+Н]+, рассчитано для C32H31FN7O3S2: 644.1908, найдено: 644.1908.

Пример 164: 2-({6-[(1,3-Бензотиазол-2-ил)амино]-5-метилпиридазин-3-ил} (метил)амино)-5-(3-{4-[3-(диметиламино)проп-1-ин-1-ил]-2-фторфенокси}-2-гидроксипропил)-1,3-тиазол-4-карбоновая кислота

Стадия А: этил 5-(3-{4-[3-(диметиламино)проп-1-ин-1-ил]-2-фторфенокси}-2-(оксан-2-илокси)пропил)-2-[метил(5-метил-6-{[(2Z)-3-{[2-(триметилсилил)этокси]метил}-2,3-дигидро-1,3-бензотиазол-2-илиден]амино}пиридазин-3-ил)амино]-1,3-тиазол-4-карбоксилат

Продукт Синтеза 4а (150 мг, 0.37 ммоль, 1.16 экв.) и продукт Синтеза 3zg (165 мг, 0.32 ммоль, 1 экв.) добавляли к раствору трис(дибензилиденацетон)днпалладня(0) (29.1 мг, 0.03 ммоль, 0.1 экв.) и ксантфоса (36.8 мг, 0.06 ммоль, 0.2 экв.) в 1,4-диоксане (8 мл). Добавляли карбонат цезия (310 мг, 0.95 ммоль, 3 экв.) и N,N-диизопропилэтиламин (0.2 мл, 0.95 ммоль, 3 экв.), и смесь нагревали в запаянной трубке при 125°С в течение 18 ч. Суспензии давали охладиться и смесь фильтровали через целит, твердые вещества промывали этилацетатом (30 мл) и фильтрат концентрировали в вакууме. Очистка с помощью колоночной флэш-хроматографии (20 г силикагеля) с элюированием с градиентом 0 - 2.5% метанола в дихлорметане приводила к получению целевого продукта в виде темно-коричневой смолы (230 мг, 0.26 ммоль, 81%).

ЖХ/МС (C44H56FN7O6SiS2) 890 [М+Н]+; RT 1.59 (ЖХМС-V-B1)

Стадия В: этил 2-({6-[(1,3-бензотиазол-2-ил)амино]-5-метилпиридазин-3-ил} (метил) амино)-5-(3-{4-[3-(диметиламино)проп-1-ин-1-ил]-2-фторфенокси}-2-гидроксипропил)-1,3-тиазол-4-карбоксилат

К раствору продукта со Стадии А (225 мг, 0.25 ммоль, 1 экв.) в хлороформе (4.5 мл), охлажденному в воде со льдом, добавляли трифторуксусную кислоту (0.5 мл, 6.32 ммоль, 25 экв.), и смесь перемешивали в течение 1 ч при 0°С и в течение 18 ч при температуре окружающей среды. Добавляли дихлорметан (50 мл), и смесь последовательно промывали насыщенным водным раствором бикарбоната натрия (30 мл), водой (2×30 мл) и соляным раствором (30 мл), сушили (сульфат магния) и концентрировали в вакууме. Очистка с помощью колоночной флэш-хроматографии (20 г силикагеля) с элюированием с градиентом 0 - 5% метанола в дихлорметане приводила к получению целевого продукта в виде темно-желтого твердого вещества (98 мг, 0.15 ммоль, 57%).

ЖХ/МС (C33H34FN7O4S2) 676 [М+Н]+; RT 1.15 (ЖХМС-V-B1)

1H ЯМР (400 МГц, ДМСО-d6) δ 7.86 - 7.63 (m, 2Н), 7.48 - 7.31 (m, 2Н), 7.30 - 7.21 (m, 1Н), 7.20 - 7.11 (m, 2Н), 6.96 - 6.85 (m, 1Н), 4.46 - 4.31 (m, 3H), 4.16 - 4.01 (m, 2Н), 3.92 - 3.76 (m, 3H), 3.64 - 3.53 (m, 1Н), 3.51 - 3.44 (m, 1Н), 3.42 (s, 3H), 2.44 (s, 3H), 2.34 (s, 6Н), 1.43 (t, J=7.1 Гц, 3H).

Стадия С: 2-({6-[(1,3-бензотиазол-2-ил)амино]-5-метилпиридазин-3-ил}(метил)амино)-5-(3-{4-[3-(диметиламино)проп-1-ин-1-ил]-2-фторфенокси}-2-гидроксипропил)-1,3-тиазол-4-карбоновая кислота

К раствору продукта со Стадии В (90 мг, 0.13 ммоль, 1 экв.) в 1:3 смеси 1,4-диоксан / вода (2 мл) добавляли моногидрат гидроксида лития (11.2 мг, 0.27 ммоль, 2 экв.) и суспензию нагревали при 40°С в течение 7 ч. Реакционной смеси давали охладиться и полученный в результате раствор подкисляли уксусной кислотой до рН 5 с получением желтого осадка. Твердые вещества собирали путем фильтрования, промывали водой и сушили в вакууме с получением целевого продукта в виде желтого твердого вещества (54 мг, 0.08 ммоль, 63%).

МСВР-ЭРИ (m/z) [М+Н]+, рассчитано для C31H31FN7O4S2: 648.1857, найдено: 648.1888.

Пример 165: 2-[[6-(1,3-Бензотиазол-2-иламино)-5-метилпиридазин-3-ил]-[5-[метил(4-пиперидил)амино]пентил]амино]-5-[3-[4-[3-(диметиламино)проп-1-инил]-2-фторфенокси] пропил]тиазол-4-карбоновая кислота

Стадия А: метил 2-[5-[(1-трет-бутоксикарбонил-4-пиперидил)-метиламино]пентил-[5-метил-6-[(Z)-[3-(2-триметилсилилэтоксиметил)-1,3-бензотиазол-2-илиден]амино]пиридазин-3-ил]амино]-5-[3-[4-[3-(диметиламино)проп-1-инил]-2-фторфенокси]пропил]тиазол-4-карбоксилат

Используя Общую методику алкилирования образуемым in situ тозилатом, исходя из продукта Синтеза 5f и трет-бутил 4-(метиламино)пиперидин-1-карбоксилата в качестве подходящего амина, получали целевой продукт.

МСВР-ЭРИ (m/z): [М+2Н]2+, рассчитано для C53H74FN9O6S2Si: 522.7551, найдено: 522.7542.

Стадия В: 2-[[6-(1,3-бензотиазол-2-иламино)-5-метилпиридазин-3-ил]-[5-[метил(4-пиперидил)амино]пентил]амино]-5-[3-[4-[3-(диметиламино)проп-1-инил]-2-фторфенокси]пропил]тиазол-4-карбоновая кислота

Используя Общую методику снятия защиты и гидролиза с последующей повторной очисткой с помощью обращенно-фазовой препаративной хроматографии (С 18, 0.1% ТФУ в смеси вода: MeCN), исходя из продукта со Стадии А получали ТФУ-соль целевого продукта.

МСВР-ЭРИ (m/z): [М+2Н]2+, рассчитано для C41H52FN9O3S2: 400.6804, найдено: 400.6803.

Пример 166: 2-[[6-(1,3-Бензотиазол-2-иламино)-5-метилпиридазин-3-ил]-[5-(2-морфолиноэтиламино)пентил]амино]-5-[3-[4-[3-(диметиламино)проп-1-инил]-2-фторфенокси] пропил]тиазол-4-карбоновая кислота

Стадия А: метил 5-[3-[4-[3-(диметиламино)проп-1-инил]-2-фторфенокси]пропил]-2-[[5-метил-6-[(Z)-[3-(2-триметилсилилэтоксиметил)-1,3-бензотиазол-2-илиден]амино]пиридазин-3-ил]-[5-(2-морфолиноэтиламино)пентил]амино]тиазол-4-карбоксилат

Используя Общую методику алкилирования образуемым in situ тозилатом, исходя из продукта Синтеза 5f и 2-морфолиноэтанамина в качестве подходящего амина, получали целевой продукт.

1Н ЯМР (500 МГц, ДМСО-d6) δ м.д. 7.84 (dm, 1H), 7.66 (s, 1Н), 7.47 (dm, 1H), 7.44 (m, 1H), 7.30 (dd, 1Н), 7.25 (m, 1Н), 7.21 (dd, 1H), 7.16 (t, 1Н), 5.86 (s, 2Н), 4.37 (t, 2Н), 4.14 (t, 2Н), 3.78 (s, 3H), 3.72 (m, 2Н), 3.52 (m, 4Н), 3.38 (s, 2Н), 3.26 (m, 2Н), 2.56 (t, 2Н), 2.49 (t, 2Н), 2.46 (s, 3H), 2.32 (t, 2Н), 2.31 (m, 4Н), 2.19 (s, 6Н), 2.12 (m, 2Н), 1.69 (m, 2Н), 1.47 (m, 2Н), 1.37 (m, 2Н), 0.92 (m, 2Н), -0.11 (s, 9Н); МСВР-ЭРИ (m/z): [М+2Н]2+, рассчитано для C48H68FN9O5S2Si: 480.7269, найдено: 480.7264.

Стадия В: 2-[[6-(1,3-бензотиазол-2-иламино)-5-метилпиридазин-3-ил]-[5-(2-морфолиноэтиламино)пентил]амино]-5-[3-[4-[3-(диметиламино)проп-1-инил]-2-фторфенокси]пропил]тиазол-4-карбоновая кислота

Используя Общую методику снятия защиты и гидролиза с последующей повторной очисткой с помощью обращенно-фазовой препаративной хроматографии (С 18, 0.1% ТФУ в смеси вода: MeCN), исходя из продукта со Стадии А получали ТФУ-соль целевого продукта.

МСВР-ЭРИ (m/z): [М+2Н]2+, рассчитано для C41H52FN9O4S2: 408.6779, найдено: 408.6769.

Пример 167: 2-[[6-(1,3-Бензотиазол-2-иламино)-5-метилпиридазин-3-ил]-[5-[2-(4-метилпиперазин-1-ил)этиламино]пентил]амино]-5-[3-[4-[3-(диметиламино)проп-1-инил]-2-фторфенокси] пропил]тиазол-4-карбоновая кислота

Стадия А: метил 5-[3-[4-[3-(диметиламино)проп-1-инил]-2-фторфенокси]пропил]-2-[5-[2-(4-метилпиперазин-1-ил)этиламино]пентил-[5-м ет ил-6-f(Z)-[3-(2-тр им етил сил илэтоксим етил)-1,3-бенз отиазол-2-илиден]амино]пиридазин-3-ил]амино]тиазол-4-карбоксилат

Используя Общую методику алкилирования образуемым in situ тозилатом, исходя из продукта Синтеза 5f и 2-(4-метилпиперазин-1-ил)этанамина в качестве подходящего амина, получали целевой продукт.

1Н ЯМР (500 МГц, ДМСО-d6) δ м.д. 7.84 (dm, 1H), 7.67 (s, 1Н), 7.47 (dm, 1H), 7.44 (m, 1H), 7.30 (dd, 1Н), 7.26 (m, 1Н), 7.21 (dd, 1H), 7.15 (t, 1Н), 5.86 (s, 2Н), 4.36 (t, 2Н), 4.14 (t, 2Н), 3.78 (s, 3H), 3.72 (m, 2Н), 3.38 (s, 2Н), 3.26 (m, 2Н), 2.53 (t, 2Н), 2.50-2.10 (brs, 4Н), 2.50-2.10 (brs, 4Н), 2.48 (t, 2Н), 2.46 (s, 3H), 2.30 (t, 2Н), 2.20 (s, 6Н), 2.13 (m, 2Н), 2.10 (s, 3H), 1.69 (m, 2Н), 1.45 (m, 2Н), 1.37 (m, 2Н), 0.92 (m, 2Н), -0.11 (s, 9Н); МСВР-ЭРИ (m/z): [М+2Н]2+, рассчитано для C49H71FN10O4S2Si: 487.2422, найдено: 487.2422.

Стадия В: 2-[[6-(1,3-бензотиазол-2-иламино)-5-метилпиридазин-3-ил]-[5-[2-(4-метилпиперазин-1-ил)этиламино]пентил]амино]-5-[3-[4-[3-(диметиламино)проп-1-инил]-2-фторфенокси]пропил]тиазол-4-карбоновая кислота

Используя Общую методику снятия защиты и гидролиза с последующей повторной очисткой с помощью обращенно-фазовой препаративной хроматографии (С 18, 0.1% ТФУ в смеси вода: MeCN), исходя из продукта со Стадии А получали ТФУ-соль целевого продукта.

МСВР-ЭРИ (m/z): [М+2Н]2+, рассчитано для C42H55FN10O3S2: 415.19366, найдено: 415.1939.

Пример 168: 2-[[6-(1,3-Бензотиазол-2-иламино)-5-метилпиридазин-3-ил]-[4-[2-(4-метилпиперазин-1-ил)этиламино]бутил]амино]-5-[3-[4-[3-(диметиламино)проп-1-инил]-2-фторфенокси]пропил]тиазол-4-карбоновая кислота

Стадия А: метил 5-[3-[4-[3-(диметиламино)проп-1-инил]-2-фторфенокси]пропил]-2-[4-[2-(4-метилпиперазин-1-ил)этиламино]бутил-[5-метил-6-[(Z)-[3-(2-триметилсилилэтоксиметил)-1,3-бензотиазол-2-илиден]амино]пиридазин-3-ил]амино]тиазол-4-карбоксилат

Используя Общую методику алкилирования образуемым in situ тозилатом, исходя из продукта Синтеза 5d и 2-(4-метилпиперазин-1-ил)этанамина в качестве подходящего амина, получали целевой продукт.

1Н ЯМР (500 МГц, ДМСО-dg) δ м.д. 2.50-2.00 (brs, 8Н), 7.84 (dm, 1H), 7.72 (s, 1H), 7.47 (dm, 1H), 7.43 (m, 1H), 7.30 (dd, 1Н), 7.25 (m, 1Н), 7.21 (dd, 1Н), 7.16 (t, 1Н), 5.86 (s, 2Н), 4.38 (t, 2Н), 4.15 (t, 2Н), 3.78 (s, 3H), 3.72 (m, 2Н), 3.39 (s, 2Н), 3.27 (t, 2Н), 2.56 (t, 2Н), 2.54 (t, 2Н), 2.46 (s, 3H), 2.31 (t, 2Н), 2.20 (brs, 6Н), 2.13 (m, 2Н), 2.06 (s, 3H), 1.71 (m, 2Н), 1.47 (m, 2Н), 0.92 (m, 2Н), -0.11 (s, 9Н); МСВР-ЭРИ (m/z): [М+2Н]2+, рассчитано для C48H69FN10O4S2Si: 480.2344, найдено: 480.2340.

Стадия В: 2-[[6-(1,3-бензотиазол-2-иламино)-5-метилпиридазин-3-ил]-[4-[2-(4-метилпиперазин-1-ил)этиламино]бутил]амино]-5-[3-[4-[3-(диметиламино)проп-1-инил]-2-фторфенокси]пропил]тиазол-4-карбоновая кислота

Используя Общую методику снятия защиты и гидролиза с последующей повторной очисткой с помощью обращенно-фазовой препаративной хроматографии (С 18, 0.1% ТФУ в смеси вода: MeCN), исходя из продукта со Стадии А получали ТФУ-соль целевого продукта.

МСВР-ЭРИ (m/z): [М+2Н]2+, рассчитано для C41H53FN10O3S2: 408.1858, найдено: 408.1857.

Пример 169: 2-[[6-(1,3-Бензотиазол-2-иламино)-5-метилпиридазин-3-ил]-[4-гидрокси-5-[метил- [2-(метиламино)этил]амино]пентил]амино]-5-[3-[4-[3-(диметиламино)проп-1 -инил] -2-фторфенокси] пропил] тиазол-4-карбоновая кислота

Стадия А: метил 2-[[5-[2-[трет-бутоксикарбонил(метил)амино]этилметиламино]-4-[трет-бутил(дифенил)силил]оксипентил]-[5-метил-6-[(Z)-[3-(2-триметилсилилэтоксиметил)-1,3-бензотиазол-2-илиден]амино]пиридазин-3-ил]амино]-5-[3-[4-[3-(диметиламино)проп-1-инил]-2-фторфенокси]пропил]тиазол-4-карбоксилат

Используя Общую методику алкилирования тозилатом, исходя из продукта Синтеза 5b и трет-бутил N-метил-N-[2-(метиламино)этил]карбамата в качестве подходящего амина, получали целевой продукт.

Стадия В: 2-[[6-(1,3-бензотиазол-2-иламино)-5-метилпиридазин-3-ил]-[4-гидрокси-5-[метил-[2-(метиламино)этил]амино]пентил]амино]-5-[3-[4-[3-(диметиламино)проп-1-инил]-2-фторфенокси]пропил]тиазол-4-карбоновая кислота

Используя Общую методику снятия защиты и гидролиза, исходя из продукта со Стадии А в качестве подходящего сложного метилового эфира, получали целевой продукт.

МСВР-ЭРИ (m/z): [М+Н]+, рассчитано для C39H49FN9O4S2: 790.3327, найдено: 790.3317.

Пример 170: 2-[[6-(1,3-Бензотиазол-2-иламино)-5-метилпиридазин-3-ил]-[5-[2-(диэтиламино)этиламино]-4-гидроксипентил]амино]-5-[3-[4-[3-(диметиламино)проп-1-инил]-2-фторфенокси] пропил]тиазол-4-карбоновая кислота

Стадия А: метил 2-[[4-[трет-бутил(дифенил)силил]окси-5-[2-(диэтиламино)этиламино]пентил]-[5-метил-6-[(Z)-[3-(2-триметилсилилэтоксиметил)-1,3-бензотиазол-2-илиден]амино]пиридазин-3-ил]амино]-5-[3-[4-[3-(диметиламино)проп-1-инил]-2-фторфенокси]пропил]тиазол-4-карбоксилат

Используя Общую методику алкилирования тозилатом, исходя из продукта Синтеза 5b и N,'N'-диэтилэтан-1,2-диамина в качестве подходящего амина, получали целевой продукт.

Стадия В: 2-[[6-(1,3-бензотиазол-2-иламино)-5-метилпиридазин-3-ил]-[5-[2-(диэтиламино)этиламино]-4-гидроксипентил]амино]-5-[3-[4-[3-(диметиламино)проп-1-инил]-2-фторфенокси]пропил]тиазол-4-карбоновая кислота

Используя Общую методику снятия защиты и гидролиза, исходя из продукта со Стадии А в качестве подходящего сложного метилового эфира, получали целевой продукт.

МСВР-ЭРИ (m/z): [М+Н]+, рассчитано для C41H53FN9O4S2: 818.3640, найдено: 818.3613.

Пример 171: 2-[[5-(4-Амино-1-пиперидил)-4-гидроксипентил]-[6-(1,3-бензотиазол-2-иламино)-5-метилпиридазин-3-ил]амино]-5-[3-[4-[3-(диметиламино)проп-1-инил]-2-фторфенокси] пропил]тиазол-4-карбоновая кислота

Стадия А: метил 2-[[5-[4-(трет-бутоксикарбониламино)-1-пиперидил]-4-[трет-бутил(дифенил)силил]оксипентил]-[5-метил-6-[(Z)-[3-(2-триметилсилилэтоксиметил)-1,3-бензотиазол-2-илиден]амино]пиридазин-3-ил]амино]-5-[3-[4-[3-(диметиламино)проп-1-инил]-2-фторфенокси]пропил]тиазол-4-карбоксилат

Используя Общую методику алкилирования тозилатом, исходя из продукта Синтеза 5b и трет-бутил N-(4-пиперидил)карбамата в качестве подходящего амина, получали целевой продукт.

Стадия В: 2-[[5-(4-амино-1-пиперидил)-4-гидроксипентил]-[6-(1,3-бензотиазол-2-иламино)-5-метилпиридазин-3-ил]амино]-5-[3-[4-[3-(диметиламино)проп-1-инил]-2-фторфенокси]пропил]тиазол-4-карбоновая кислота

Используя Общую методику снятия защиты и гидролиза, исходя из продукта со Стадии А в качестве подходящего сложного метилового эфира, получали целевой продукт.

МСВР-ЭРИ (m/z): [М+Н]+, рассчитано для C40H49FN9O4S2: 802.3327, найдено: 802.3324.

Пример 172: 2-[[6-(1,3-Бензотиазол-2-иламино)-5-метилпиридазин-3-ил]-(4-гидрокси-5-пиперазин-1-илпентил)амино]-5-[3-[4-[3-(диметиламино)проп-1-инил]-2-фторфенокси] пропил]тиазол-4-карбоновая кислота

Стадия А: метил 2-[[5-(4-трет-бутоксикарбонилпиперазин-1-ил)-4-[трет-бутил(дифенил)силил]оксипентил]-[5-метил-6-[(Z)-[3-(2-триметилсилилэтоксиметил)-1,3-бензотиазол-2-илиден]амино]пиридазин-3-ил]амино]-5-[3-[4-[3-(диметиламино)проп-1-инил]-2-фторфенокси]пропил]тиазол-4-карбоксилат

Используя Общую методику алкилирования тозилатом, исходя из продукта Синтеза 5b и трет-бугил пиперазин-1-карбоксилата в качестве подходящего амина, получали целевой продукт.

Стадия В: 2-[[6-(1,3-бензотиазол-2-иламино)-5-метилпиридазин-3-ил]-(4-гидрокси-5-пиперазин-1-илпентил)амино]-5-[3-[4-[3-(диметиламино)проп-1-инил]-2-фторфенокси]пропил]тиазол-4-карбоновая кислота

Используя Общую методику снятия защиты и гидролиза, исходя из продукта со Стадии А в качестве подходящего сложного метилового эфира, получали целевой продукт.

МСВР-ЭРИ (m/z): [М+2Н]2+, рассчитано для C39H48FN9O4S2: 394.6622, найдено: 394.6614.

Пример 173: 2-[[6-(1,3-Бензотиазол-2-иламино)-5-метилпиридазин-3-ил]-[4-гидрокси-5-[2-(1-пиперидил)этиламино]пентил]амино]-5-[3-[4-[3-(диметиламино)проп-1-инил]-2-фторфенокси] пропил]тиазол-4-карбоновая кислота

Стадия А: метил 2-[[4-[трет-бутил(дифенил)силил]окси-5-[2-(1-пиперидил)этиламино]пентил]-[5-метил-6-[(Z)-[3-(2-триметилсилилэтоксиметил)-1,3-бензотиазол-2-илиден]амино]пиридазин-3-ил]амино]-5-[3-[4-[3-(диметиламино)проп-1-инил]-2-фторфенокси]пропил]тиазол-4-карбоксилат

Используя Общую методику алкилирования тозилатом, исходя из продукта Синтеза 5b и 2-(1-пиперидил)этанамина в качестве подходящего амина, получали целевой продукт.

Стадия В: 2-[[6-(1,3-бензотиазол-2-иламино)-5-метилпиридазин-3-ил]-[4-гидрокси-5-[2-(1-пиперидил)этиламино]пентил]амино]-5-[3-[4-[3-(диметиламино)проп-1-инил]-2-фторфенокси] пропил]тиазол-4-карбоновая кислота

Используя Общую методику снятия защиты и гидролиза, исходя из продукта со Стадии А в качестве подходящего сложного метилового эфира, получали целевой продукт.

МСВР-ЭРИ (m/z): [М+2Н]2+, рассчитано для C42H54FN9O4S2: 415.6857, найдено: 415.6853.

Пример 174: 2-({6-[(1,3-Бензотиазол-2-ил)амино]-5-метилпиридазин-3-ил} (метил)амино)-5-[(1Е)-3-{2-фтор-4-[3-(метиламино)проп-1-ин-1-ил]фенокси}-2-метилпроп-1-ен-1-ил]-1,3-тиазол-4-карбоновая кислота

Стадия А: этил 5-[(1Е)-3-[4-(3-{[(трет-бутокси)карбонил](метил)амино}проп-1-ин-1-ил)-2-фторфенокси]-2-метилпроп-1-ен-1-ил]-2-[метил(5-метил-6-{[(2Z)-3-{[2-(триметилсилил)этокси]метил}-2,3-дигидро-1,3-бензотиазол-2-илиден]амино}пиридазин-3-ил)амино]-1,3-тиазол-4-карбоксилат

К раствору продукта Синтеза 5 т (641 мг, 1.02 ммоль, 1 экв.) в толуоле (18 мл) добавляли продукт Синтеза 6а (428 мг, 1.53 ммоль, 1.5 экв.), трифенилфосфин (402 мг, 1.53 ммоль, 1.5 экв.) и диизопропилазодикарбоксилат (0.3 мл, 1.53 ммоль, 1.5 экв.), и смесь нагревали при 120°С в течение 1 ч. Реакционную смесь распределяли между дихлорметаном и водой, и органическую фазу отделяли и сушили (ПТФЭ фазоразделитель), и концентрировали в вакууме. Очистка с помощью автоматической колоночной флэш-хроматографии (CombiFlash Rf, 24 г силикагелевый картридж RediSep™) с элюированием с градиентом 0 40% этилацетата в изогептане приводила к получению целевого продукта в виде желтого твердого вещества (380 мг, 0.43 ммоль, 42%).

ЖХ/МС (C44H54FN7O6SiS2) 888 [М+Н]+; RT 1.43 (ЖХМС-V-В2)

1Н ЯМР (400 МГц, ДМСО-d6) δ 7.86 - 7.81 (m, 1H), 7.71 (d, 1Н), 7.51 - 7.40 (m, 2Н), 7.39 - 7. 32 (m, 1H), 7.32 - 7.21 (m, 4Н), 5.86 (s, 2Н), 4.79 (s, 2Н), 4.32 -4.17 (m, 4Н), 3.81 (s, 3H), 3.78 - 3.66 (m, 2Н), 2.86 (s, 3H), 2.46 (s, 3H), 2.06 (m, 3H), 1.41 (s, 9Н), 1.28 (t, 3H), 0.97 - 0.88 (m, 2Н), -0.11 (s, 9Н).

Стадия В: этил 2-({6-[(1,3-бензотиазол-2-ил)амино]-5-метилпиридазин-3-ил} (метил) амино)-5-[(1Е)-3-{2-фтор-4-[3-(метиламино)проп-1-ин-1-ил]фенокси}-2-метилпроп-1-ен-1-ил]-1,3-тиазол-4-карбоксилат

К раствору продукта со Стадии А (380 мг, 0.43 ммоль, 1 экв.) в ацетонитриле (5 мл) добавляли полифтороводород-пиридиний (744 мкл, 8.56 ммоль, 20 экв.), и смесь нагревали при 60°С в течение 3 ч. Реакционной смеси давали охладиться до температуры окружающей среды, затем распределяли между дихлорметаном и 2 н. водным раствором гидроксида натрия, водную фазу экстрагировали 1:3 смесью изопропанол / дихлорметан, и объединенную органику сушили (ПТФЭ фазоразделитель) и концентрировали в вакууме. Очистка с помощью автоматической колоночной флэш-хроматографии (CombiFlash Rf, 12 г силикагелевый картридж RediSep™) с элюированием с градиентом 0 - 6% метанола в дихлорметане приводила к получению целевого продукта в виде желтого твердого вещества (133 мг, 0.2 ммоль, 47%).

ЖХ/МС (C33H32FN7O3S2) 658 [М+Н]+; RT 2.02 (ЖХМС-V-C)

1Н ЯМР (400 МГц, ДМСО-d6) δ 7.90 (d, J=7.8 Гц, 1Н), 7.73 (s, 1Н), 7.54 (d, J=8.0 Гц, 1Н), 7.44 - 7.36 (m, 1H), 7.35 - 7.28 (m, 2Н), 7.27 - 7.18 (m, 3H), 4.79 (s, 2Н), 4.27 (q, J=7.1 Гц, 2Н), 3.81 (s, 3H), 3.49 (s, 2Н), 2.48 (d, J=1.0 Гц, 3H), 2.34 (s, 3H), 2.07 (s, 3H), 1.29 (t, 3H).

Стадия С: 2-({6-[(1,3-бензотиазол-2-ил)амино]-5-метилпиридазин-3-ил}(метил)амино)-5-[(1Е)-3-{2-фтор-4-[3-(метиламино)проп-1-ин-1-ил]фенокси}-2-метилпроп-1-ен-1-ил]-1,3-тиазол-4-карбоновая кислота

К раствору продукта со Стадии В (133 мг, 0.2 ммоль, 1 экв.) в 1,4-диоксане (6 мл) добавляли моногидрат гидроксида лития (84.9 мг, 2.02 ммоль, 10 экв.), и смесь нагревали при 110°С в течение 4 ч. Реакционной смеси давали охладиться до температуры окружающей среды и очищали с помощью автоматической колоночной флэш-хроматографии (CombiFlash Rf, 12 г силикагелевый картридж RediSep™) с элюированием с градиентом 0 - 25% 7 н. метанольного раствора аммиака в дихлорметане с получением твердого вещества. Твердое вещество растирали с ацетонитрилом, отфильтровывали и сушили в вакууме с получением целевого продукта в виде желтого твердого вещества (4.32 мг, 0.01 ммоль, 3%).

МСВР-ЭРИ (m/z): [М+Н]+, рассчитано для C31H29FN7O3S2: 630.1752, найдено: 630.1781.

Пример 175: 2-[4-(4-Амино-1-пиперидил)бутил-[6-(1,3-бензотиазол-2-иламино)-5-метилпиридазин-3-ил]амино]-5-[3-[4-[3-(диметиламино)проп-1-инил]-2-фторфенокси]пропил]тиазол-4-карбоновая кислота

Стадия А: метил 2-[4-[4-(трет-бутоксикарбониламино)-1-пиперидил]бутил-[5-метил-6-[(Z)-[3-(2-триметилсилилэтоксиметил)-1,3-бензотиазол-2-илиден]амино]пиридазин-3-ил]амино]-5-[3-[4-[3-(диметиламино)проп-1-инил]-2-фторфенокси]пропил]тиазол-4-карбоксилат

Используя Общую методику алкилирования образуемым in situ тозилатом, исходя из продукта Синтеза 5d и трет-бутил N-(4-пиперидил)карбамата в качестве подходящего амина, получали целевой продукт.

1Н ЯМР (500 МГц, ДМСО-d6) δ м.д. 7.65 (q, 1H), 7.33 (dd, 1H), 7.26 (dd, 1H), 7.18 (t, 1H), 6.80 (brs, 1H), 5.86 (s, 2Н), 4.40 (t, 2Н), 4.20 (t, 2Н), 3.82 (s, 3H), 3.79 (s, 2Н), 3.77 (m, 2Н), 3.54 (brs, 1H), 3.36/3.00 (brs, 4Н), 3.29 (t, 2Н), 3.14 (t, 2Н), 2.52 (brs, 6Н), 2.48 (d, 3H), 2.15 (m, 2Н), 1.94/1.66 (т+т, 4Н), 1.79 (m, 2Н), 1.76 (m, 2Н), 1.40 (s, 9Н), 0.94 (m, 2Н), -0.07 (s, 9Н); МСВР-ЭРИ (m/z): [М+Н]+, рассчитано для C51H71FN9O6S2Si: 1016.4716, найдено: 1016.4704.

Стадия В: 2-[4-(4-амино-1-пиперидил)бутил-[6-(1,3-бензотиазол-2-иламино)-5-метилпиридазин-3-ил]амино]-5-[3-[4-[3-(диметиламино)проп-1-инил]-2-фторфенокси]пропил]тиазол-4-карбоновая кислота

Используя Общую методику снятия защиты и гидролиза с последующей повторной очисткой с помощью обращенно-фазовой препаративной хроматографии (С 18, 0.1% ТФУ в смеси вода: MeCN), исходя из продукта со Стадии А получали ТФУ-соль целевого продукта.

МСВР-ЭРИ (m/z): [М+Н]+, рассчитано для C39H46FN9O3S2: 772.3222, найдено: 772.3228.

Пример 176: 2-[[6-(1,3-Бензотиазол-2-иламино)-5-метилпиридазин-3-ил]-[4-[2-(диэтиламино)этиламино]бутил]амино]-5-[3-[4-[3-(диметиламино)проп-1-инил]-2-фторфенокси] пропил]тиазол-4-карбоновая кислота

Стадия А: метил 2-[4-[2-(диэтиламино)этиламино]бутил-[5-метил-6-[(Z)-[3-(2-триметилсилилэтоксиметил)-1,3-бензоти аз ол-2-илиден]амино]пиридазин-3-ил]амино]-5-[3-[4-[3-(диметиламино)проп-1-инил]-2-фторфенокси]пропил]тиазол-4-карбоксилат

Используя Общую методику алкилирования образуемым in situ тозилатом, исходя из продукта Синтеза 5d и N',N'-диэтилэтан-1,2-диамина в качестве подходящего амина, получали целевой продукт.

1Н ЯМР (500 МГц, ДМСО-d6) δ м.д. 7.84 (dm, 1H), 7.71 (s, 1Н), 7.47 (dm, 1H), 7.44 (m, 1H), 7.30 (dd, 1Н), 7.25 (m, 1Н), 7.21 (dd, 1H), 7.16 (t, 1Н), 5.86 (s, 2Н), 4.39 (t, 2Н), 4.15 (t, 2Н), 3.78 (s, 3H), 3.72 (m, 2Н), 3.38 (s, 2Н), 3.27 (t, 2Н), 2.57 (t, 2Н), 2.51 (t, 2Н), 2.46 (s, 3H), 2.41 (t, 2Н), 2.40 (q, 4Н), 2.19 (s, 6Н), 2.12 (m, 2Н), 1.71 (m, 2Н), 1.48 (m, 2Н), 0.92 (m, 2Н), 0.89 (t, 6Н), -0.11 (s, 9Н); МСВР-ЭРИ (m/z): [М+Н]+, рассчитано для C47H67FN9O4S2Si: 932.4505, найдено: 932.4489.

Стадия В: 2-[[6-(1,3-бензотиазол-2-иламино)-5-метилпиридазин-3-ил]-[4-[2-(диэтиламино)этиламино]бутил]амино]-5-[3-[4-[3-(диметиламино)проп-1-инил]-2-фторфенокси]пропил]тиазол-4-карбоновая кислота

Используя Общую методику снятия защиты и гидролиза с последующей повторной очисткой с помощью обращенно-фазовой препаративной хроматографии (С 18, 0.1% ТФУ в смеси вода: MeCN), исходя из продукта со Стадии А получали ТФУ-соль целевого продукта.

МСВР-ЭРИ (m/z): [М+2Н]2+, рассчитано для C40H52FN9O3S2: 394.6804, найдено: 394.6802.

Пример 177: 2-[5-(4-Амино-1-пиперидил)пентил-[6-(1,3-бензотиазол-2-иламино)-5-метилпиридазин-3-ил]амино]-5-[3-[4-[3-(диметиламино)проп-1-инил]-2-фторфенокси]пропил]тиазол-4-карбоновая кислота

Стадия А: метил 2-[5-[4-(трет-бутоксикарбониламино)-1-пиперидил]пентил-[5-метил-6-[(Z)-[3-(2-триметилсилилэтоксиметил)-1,3-бензотиазол-2-илиден]амино]пиридазин-3-ил]амино]-5-[3-[4-[3-(диметиламино)проп-1-инил]-2-фторфенокси]пропил]тиазол-4-карбоксилат

Используя Общую методику алкилирования образуемым in situ тозилатом, исходя из продукта Синтеза 5f и трет-бутил N-(4-пиперидил)карбамата в качестве подходящего амина, получали целевой продукт.

1Н ЯМР (500 МГц, ДМСО-d6) δ м.д. 7.91-7.18 (m, 4Н), 7.70 (s, 1Н), 7.33 (dd, 1Н), 7.24 (dd, 1Н), 7.17 (t, 1Н), 7.04 (d, 1Н), 5.87 (s, 2Н), 4.16 (t, 2Н), 3.79 (s, 3Н), 3.72 (t, 2Н), 3.53 (s, 2Н), 3.49/3.31 (m+m, 4Н), 3.27 (t, 2Н), 2.94 (t, 2Н), 2.91 (m, 1Н), 2.47 (s, 3Н), 2.30 (s, 6Н), 2.13 (m, 2Н), 1.89/1.60 (m+m, 4Н), 1.73 (m, 2Н), 1.70 (m, 2Н), 1.38 (m, 2Н), 1.38 (m, 2Н), 1.38 (s, 9Н), 0.92 (t, 2Н), -0.11 (s, 9Н); МСВР-ЭРИ (m/z): [М+2Н]2+, рассчитано для C52H74FN9O6S2Si: 515.7473, найдено: 515.74725.

Стадия В: 2-[5-(4-амино-1-пиперидил)пентил-[6-(1,3-бензотиазол-2-иламино)-5-метилпиридазин-3-ил]амино]-5-[3-[4-[3-(диметиламино)проп-1-инил]-2-фторфенокси]пропил]тиазол-4-карбоновая кислота

Используя Общую методику снятия защиты и гидролиза с последующей повторной очисткой с помощью обращенно-фазовой препаративной хроматографии (С18, 0.1% ТФУ в смеси вода : MeCN), исходя из продукта со Стадии А получали ТФУ-соль целевого продукта.

МСВР-ЭРИ (m/z): [М+2Н]2+, рассчитано для C40H50FN9O3S2: 393.6726, найдено: 393.6723.

Пример 178: 2-[[6-(1,3-Бензотиазол-2-иламино)-5-метилпиридазин-3-ил]-[4-[метил-[2-(метиламино)этил]амино]бутил]амино]-5-[3-[4-[3-(диметиламино)проп-1-инил]-2-фторфенокси]пропил]тиазол-4-карбоновая кислота

Стадия А: метил 2-[4-[2-[трет-бутоксикарбонил(метил)амино]этилметиламино]бутил-[5-метил-6-[(Z)-[3-(2-триметилсилилэтоксиметил)-1,3-бензотиазол-2-илиден]амино]пиридазин-3-ил]амино]-5-[3-[4-[3-(диметиламино)проп-1-инил]-2-фторфенокси]пропил]тиазол-4-карбоксилат

Используя Общую методику алкилирования образуемым in situ тозилатом, исходя из продукта Синтеза 5d и трет-бутил N-метил-N-[2-(метиламино)этил]карбамата в качестве подходящего амина, получали целевой продукт.

1Н ЯМР (500 МГц, ДМСО-d6) δ м.д. 7.84 (dm, 1Н), 7.68 (s, 1Н), 7.46 (dm, 1Н), 7.44 (m, 1Н), 7.30 (dd, 1Н), 7.25 (m, 1Н), 7.20 (dd, 1Н), 7.15 (t, 1Н), 5.86 (s, 2Н), 4.38 (t, 2Н), 4.14 (t, 2Н), 3.77 (s, 3Н), 3.72 (m, 2Н), 3.38 (s, 2Н), 3.26 (t, 2Н), 3.19 (brm, 2Н), 2.71 (brs, 3Н), 2.46 (s, 3Н), 2.37 (t, 2Н), 2.36 (t, 2Н), 2.19 (s, 6Н), 2.15 (s, 3Н), 2.12 (m, 2Н), 1.69 (m, 2Н), 1.48 (m, 2Н), 1.31 (brs, 9Н), 0.92 (m, 2Н), -0.11 (s, 9Н); МСВР-ЭРИ (m/z): [М+Н]+, рассчитано для C50H71FN9O6S2Si: 1004.4716, найдено: 502.73931.

Стадия В: 2-[[6-(1,3-бензотиазол-2-иламино)-5-метилпиридазин-3-ил]-[4-[метил-[2-(метиламино)этил]амино]бутил]амино]-5-[3-[4-[3-(диметиламино)проп-1-инил]-2-фторфенокси]пропил]тиазол-4-карбоновая кислота

Используя Общую методику снятия защиты и гидролиза с последующей повторной очисткой с помощью обращенно-фазовой препаративной хроматографии (С18, 0.1% ТФУ в смеси вода : MeCN), исходя из продукта со Стадии А получали ТФУ-соль целевого продукта.

МСВР-ЭРИ (m/z): [М+2Н]2+, рассчитано для C38H48FN9O3S2: 380.6647, найдено: 380.6640.

Пример 179: 2-[[6-(1,3-Бензотиазол-2-иламино)-5-метилпиридазин-3-ил]-[4-[2-(1-пиперид ил)этиламино] бутил] амино]-5-[3-[4-[3-(диметиламино)проп-1-инил]-2-фторфенокси] пропил]тиазол-4-карбоновая кислота

Стадия А: метил 5-[3-[4-[3-(диметиламино)проп-1-инил]-2-фторфенокси]пропил]-2-[[5-метил-6-[(Z)-[3-(2-триметилсилилэтоксиметил)-1,3-бензотиазол-2-илиден]амино]пиридазин-3-ил]-[4-[2-(1-пиперидил)этиламино]бутил]амино]тиазол-4-карбоксилат

Используя Общую методику алкилирования образуемым in situ тозилатом, исходя из продукта Синтеза 5d и 2-(1-пиперидил)этанамина в качестве подходящего амина, получали целевой продукт.

1Н ЯМР (500 МГц, ДМСО-d6) δ м.д. 7.79 (dm, 1Н), 7.68 (s, 1Н), 7.48 (dm, 1Н), 7.44 (m, 1Н), 7.30 (dd, 1Н), 7.26 (m, 1Н), 7.24 (dd, 1Н), 7.17 (t, 1Н), 5.86 (s, 2Н), 4.42 (t, 2Н), 4.19 (t, 2Н), 3.82 (s, 3Н), 3.77 (m, 2Н), 3.63 (brs, 2Н), 3.28 (t, 2Н), 3.07 (t, 2H), 3.04 (t, 2H), 2.76 (t, 2H), 2.60 (brm, 4H), 2.48 (s, 3Н), 2.41 (brs, 6H), 2.14 (m, 2H), 1.83 (m, 2H), 1.73 (m, 2H), 1.58 (m, 4H), 1.43 (m, 2H), 0.94 (m, 2H), -0.07 (s, 9H); МСВР-ЭРИ (m/z): [М+Н]+, рассчитано для C48H67FN9O4S2Si: 944.4505, найдено: 944.44978.

Стадия В: 2-[[6-(1,3-бензотиазол-2-иламино)-5-метилпиридазин-3-ил]-[4-[2-(1-пиперидил)этиламино]бутил]амино]-5-[3-[4-[3-(диметиламино)проп-1-инил]-2-фторфенокси]пропил]тиазол-4-карбоновая кислота

Используя Общую методику снятия защиты и гидролиза с последующей повторной очисткой с помощью обращенно-фазовой препаративной хроматографии (С18, 0.1% ТФУ в смеси вода : MeCN), исходя из продукта со Стадии А получали ТФУ-соль целевого продукта.

МСВР-ЭРИ (m/z): [М+Н]+, рассчитано для C41H51FN9O3S2: 800.3535, найдено: 800.3540.

Пример 180: 2-[[6-(1,3-Бензотиазол-2-иламино)-5-метилпиридазин-3-ил]-[4-(2-морфолиноэтиламино)бутил]амино]-5-[3-[4-[3-(диметиламино)проп-1-инил]-2-фторфенокси]пропил]тиазол-4-карбоновая кислота

Стадия А: метил 5-[3-[4-[3-(диметиламино)проп-1-инил]-2-фторфенокси]пропил]-2-[[5-метил-6-[(Z)-[3-(2-триметилсилилэтоксиметил)-1,3-бензотиазол-2-илиден]амино]пиридазин-3-ил]-[4-(2-морфолиноэтиламино)бутил]амино]тиазол-4-карбоксилат

Используя Общую методику алкилирования образуемым in situ тозилатом, исходя из продукта Синтеза 5d и 2-морфолиноэтанамина в качестве подходящего амина, получали целевой продукт.

1H ЯМР (500 МГц, ДМСО-d6) δ м.д. 7.81 (dm, 1Н), 7.76 (s, 1Н), 7.48 (dm, 1Н), 7.44 (m, 1Н), 7.40 (dd, 1H), 7.28 (dm, 1H), 7.27 (m, 1H), 7.20 (t, 1H), 5.87 (s, 2H), 4.42 (t, 2H), 4.17 (t, 2H), 3.85 (brs, 2H), 3.79 (s, 3H), 3.72 (m, 2H), 3.56 (m, 4H), 3.27 (t, 2H), 3.01 (t, 2H), 2.99 (t, 2H), 2.58 (brm, 2H), 2.51 (brs, 6H), 2.47 (s, 3H), 2.39 (brm, 4H), 2.13 (m, 2H), 1.84-1.68 (m, 4H), 0.92 (m, 2H), -0.11 (s, 9H); МСВР-ЭРИ (m/z): [M+2H]2+, рассчитано для C47H66FN9O5S2Si: 473.7186, найдено: 473.7183.

Стадия В: -[[6-(1,3-бензотиазол-2-иламино)-5-метилпиридазин-3-ил]-[4-(2-морфолиноэтиламино)бутил]амино]-5-[3-[4-[3-(диметиламино)проп-1-инил]-2-фторфенокси]пропил]тиазол-4-карбоновая кислота

Используя Общую методику снятия защиты и гидролиза с последующей повторной очисткой с помощью обращенно-фазовой препаративной хроматографии (С18, 0.1% ТФУ в смеси вода : MeCN), исходя из продукта со Стадии А получали ТФУ-соль целевого продукта.

МСВР-ЭРИ (m/z): [М+2Н]2+, рассчитано для C40H50FN9O4S2: 401.6700, найдено: 401.6697.

Пример 181: 2-[[6-(1,3-Бензотиазол-2-иламино)-5-метилпиридазин-3-ил]-[4-[(1-метил-4-пиперидил)амино]бутил]амино]-5-[3-[4-[3-(диметиламино)проп-1-инил]-2-фторфенокси]пропил]тиазол-4-карбоновая кислота

Стадия А: метил 5-[3-[4-[3-(диметиламино)проп-1-инил]-2-фторфенокси]пропил]-2-[4-[(1-метил-4-пиперидил)амино]бутил-[5-метил-6-[(Z)-[3-(2-триметилсилилэтоксиметил)-1,3-бензотиазол-2-илиден]амино]пиридазин-3-ил]амино]тиазол-4-карбоксилат

Используя Общую методику алкилирования образуемым in situ тозилатом, исходя из продукта Синтеза 5d и 1-метилпиперидин-4-амина в качестве подходящего амина, получали целевой продукт.

1Н ЯМР (500 МГц, ДМСО-d6) δ м.д. 7.84 (dm, 1Н), 7.70 (s, 1Н), 7.47 (dm, 1Н), 7.43 (m, 1Н), 7.30 (dd, 1Н), 7.25 (m, 1Н), 7.21 (dm, 1Н), 7.15 (t, 1Н), 5.86 (s, 2Н), 4.39 (t, 2Н), 4.14 (t, 2Н), 3.77 (s, 3Н), 3.72 (m, 2Н), 3.38 (s, 2Н), 3.26 (t, 2Н), 2.65/1.84 (m+m, 4Н), 2.56 (t, 2Н), 2.46 (s, 3Н), 2.27 (m, 1Н), 2.19 (s, 6Н), 2.12 (m, 2Н), 2.09 (s, 3Н), 1.72 (m, 2Н), 1.7/1.19 (m+m, 4Н), 1.46 (m, 2Н), 0.92 (m, 2Н), -0.11 (s, 9Н); МСВР-ЭРИ (m/z): [М+2Н]2+, рассчитано для C47H64FN9O4S2Si: 465.7211, найдено: 465.7210.

Стадия В: 2-[[6-(1,3-бензотиазол-2-иламино)-5-метилпиридазин-3-ил]-[4-[(1-метил-4-пиперидил)амино]бутил]амино]-5-[3-[4-[3-(диметиламино)проп-1-инил]-2-фторфенокси]пропил]тиазол-4-карбоновая кислота

Используя Общую методику снятия защиты и гидролиза с последующей повторной очисткой с помощью обращенно-фазовой препаративной хроматографии (С18, 0.1% ТФУ в смеси вода : MeCN), исходя из продукта со Стадии А получали ТФУ-соль целевого продукта.

МСВР-ЭРИ (m/z): [М+2Н]2+, рассчитано для C40H48FN9O3S2: 393.6726, найдено: 393.6735.

Пример 182: 2-[[6-(1,3-Бензотиазол-2-иламино)-5-метилпиридазин-3-ил]-[5-[2-(диэтиламино)этиламино]пентил]амино]-5-[3-[4-[3-(диметиламино)проп-1-инил]-2-фторфенокси] пропил]тиазол-4-карбоновая кислота

Стадия А: метил 2-[5-[2-(диэтиламино)этиламино]пентил-[5-метил-6-[(Z)-[3-(2-триметилсилилэтоксиметил)-1,3-бензотиазол-2-илиден]амино]пиридазин-3-ил]амино]-5-[3-[4-[3-(диметиламино)проп-1-инил]-2-фторфенокси]пропил]тиазол-4-карбоксилат

Используя Общую методику алкилирования образуемым in situ тозилатом, исходя из продукта Синтеза 5f и N',N'-диэтилэтан-1,2-диамина в качестве подходящего амина, получали целевой продукт.

МСВР-ЭРИ (m/z): [М+2Н]2+, рассчитано для C48H70FN9O4S2Si: 473.7367, найдено: 473.7360.

Стадия В: 2-[[6-(1,3-бензотиазол-2-иламино)-5-метилпиридазин-3-ил]-[5-[2-(диэтиламино)этиламино]пентил]амино]-5-[3-[4-[3-(диметиламино)проп-1-инил]-2-фторфенокси]пропил]тиазол-4-карбоновая кислота

Используя Общую методику снятия защиты и гидролиза с последующей повторной очисткой с помощью обращенно-фазовой препаративной хроматографии (С18, 0.1% ТФУ в смеси вода : MeCN), исходя из продукта со Стадии А получали ТФУ-соль целевого продукта.

МСВР-ЭРИ (m/z): [М+Н]+, рассчитано для C41H53FN9O3S2: 802.3691, найдено: 802.3702.

Пример 183: 2-({6-[(1,3-Бензотиазол-2-ил)амино]-5-метилпиридазин-3-ил}(метил)амино)-5-(3-{4-[3-(диметиламино)проп-1-ин-1-ил]-2-фторфенокси}-2-метоксипропил)-1,3-тиазол-4-карбоновая кислота

Стадия А: этил 5-(2-метокси-3-{[трис(пропан-2-ил)силил]окси}пропил)-2-[метил(5-метил-6-{[(2Z)-3-{[2-(триметилсилил)этокси]метил}-2,3-дигидро-1,3-бензотиазол-2-илиден]амино}пиридазин-3-ил)амино]-1,3-тиазол-4-карбоксилат

Продукт Синтеза 4а (1.6 г, 3.93 ммоль, 1 экв.) и продукт Синтеза 3zh (1.75 г, 4.06 ммоль, 1.03 экв.) добавляли к раствору трис(дибензилиденацетон)дипалладия(0) (180 мг, 0.2 ммоль, 0.05 экв.) и ксантфоса (228 мг, 0.39 ммоль, 0.1 экв.) в 1,4-диоксане (40 мл). Добавляли карбонат цезия (3.84 г, 11.8 ммоль, 3 экв.) и N,N-диизопропилэтиламин (2.1 мл, 11.8 ммоль, 3 экв.), и смесь нагревали в запаянной трубке при 125°С в течение 24 ч. Суспензии давали охладиться и смесь фильтровали через целит, твердые вещества промывали 1,4-диоксаном (30 мл) и фильтрат концентрировали в вакууме. Очистка с помощью колоночной флэш-хроматографии (100 г силикагеля) с элюированием с градиентом 0-25% этилацетата в изогептане приводила к получению целевого продукта в виде бледно-желтого твердого вещества (2.49 г, 3.11 ммоль, 79%).

ЖХ/МС (C38H60N6O5Si2S2) 801 [М+Н]+; RT 1.74 (ЖХМС-V-В2)

1Н ЯМР (400 МГц, ДМСО-d6) δ 7.58 (dt, J=7.6, 0.9 Гц, 1Н), 7.42 (d, J=1.2 Гц, 1Н), 7.40-7.36 (m, 2Н), 7.24-7.17 (m, 1Н), 5.85 (s, 2Н), 4.39 (q, J=7.1 Гц, 2Н), 3.85 (s, 3Н), 3.80 (dd, J=4.8, 2.4 Гц, 2Н), 3.78-3.72 (m, 2Н), 3.60-3.49 (m, 2Н), 3.45 (s, 3Н), 3.32-3.15 (m, 1Н), 2.46 (d, J=1.0 Гц, 3Н), 1.42 (t, J=7.1 Гц, 3Н), 1.16 1.02 (m, 21Н), 1.01 0.92 (m, 2Н), -0.07 (s, 9Н).

Стадия В: этил 5-(3-гидрокси-2-метоксипропил)-2-[метил(5-метил-6-{[(2Z)-3-{[2-(триметилсилил)этокси]метил}-2,3-дигидро-1,3-бензотиазол-2-илиден]амино}пиридазин-3-ил)амино]-1,3-тиазол-4-карбоксилат

К раствору продукта со Стадии А (2.45 г, 3.06 ммоль, 1 экв.) в тетрагидрофуране (15 мл), охлажденному в воде со льдом, добавляли фторид тетрабутиламмония (1М в тетрагидрофуране; 10 мл, 9.17 ммоль, 3 экв.), и смесь перемешивали в течение 60 мин при 0°С. Реакционную смесь распределяли между водой (75 мл) и этилацетатом (150 мл), и органическую фазу последовательно промывали водой (2×75 мл) и соляным раствором (75 мл), сушили (сульфат магния) и концентрировали в вакууме. Очистка с помощью колоночной флэш-хроматографии (50 г силикагеля) с элюированием с градиентом 0-50% этилацетата в изогептане приводила к получению целевого продукта в виде бледно-желтой / зеленой пены (1.83 г, 2.84 ммоль, 93%).

ЖХ/МС (C29H40N6O5SiS2) 645 [М+Н]+; RT 1.56 (ЖХМС-V-B1)

1Н ЯМР (400 МГц, ДМСО-d6) δ 7.59 (dt, J=7.6, 0.9 Гц, 1Н), 7.40-7.36 (m, 2Н), 7.33 (d, J=1.1 Гц, 1Н), 7.24-7.18 (m, 1Н), 5.84 (s, 2Н), 4.41 (q, J=7.1 Гц, 2Н), 3.85 (s, 3Н), 3.79-3.70 (m, 2Н), 3.47-3.36 (m, 2Н), 2.66 (t, J=6.6 Гц, 1Н), 2.46 (d, J=1.0 Гц, 3Н), 1.43 (t, 3Н), 1.03-0.90 (m, 2Н), -0.07 (s, 9Н).

Стадия С: этил 5-[3-(2-фтор-4-йодфенокси)-2-метоксипропил]-2-[метил(5-метил-6-{[(2Z)-3-{[2-(триметилсилил)этокси]метил}-2,3-дигидро-1,3-бензотиазол-2-илиден]амино}пиридазин-3-ил)амино]-1,3-тиазол-4-карбоксилат

К раствору продукта со Стадии В (750 мг, 1.16 ммоль, 1 экв.) в толуоле (15 мл) добавляли диизопропилазодикарбоксилат (0.5 мл, 2.33 ммоль, 2 экв.), 2-фтор-4-йодфенол (500 мг, 2.1 ммоль, 1.81 экв.) и трифенилфосфин (610 мг, 2.33 ммоль, 2 экв.), и смесь нагревали при 100°С в течение 18 ч, затем давали охладиться до температуры окружающей среды и концентрировали в вакууме. Очистка с помощью колоночной флэш-хроматографии (100 г силикагеля) с элюированием с градиентом 0-35% этилацетата в изогептане приводила к получению целевого продукта в виде оранжевой смолы (1.2 г, 1.04 ммоль, 90%).

ЖХ/МС (C35H42FIN6O5SiS2) 865 [М+Н]+; RT 1.78 (ЖХМС-V-B1)

1Н ЯМР (400 МГц, ДМСО-d6) δ 7.60 (d, 1Н), 7.42-7.30 (m, 5Н), 7.25-7.19 (m, 1Н), 6.72 (t, J=8.6 Гц, 1Н), 5.85 (s, 2Н), 4.40 (q, J=7.1 Гц, 2Н), 4.16-4.10 (m, 1Н), 4.08-4.01 (m, 1Н), 3.98-3.89 (m, 1Н), 3.86 (s, 3Н), 3.80-3.68 (m, 2Н), 3.59-3.49 (m, 4Н), 3.48-3.39 (m, 1Н), 2.47 (s, 3Н), 1.42 (t, J=7.1 Гц, 3Н), 1.01-0.92 (m, 2Н), -0.07 (s, 9Н).

Стадия D: этил 5-(3-{4-[3-(диметиламино)проп-1-ин-1-ил]-2-фторфенокси}-2-метоксипропил)-2-[метил(5-метил-6-{[(2Z)-3-{[2-(триметилсилил)этокси]метил}-2,3-дигидро-1,3-бензотиазол-2-илиден]амино}пиридазин-3-ил)амино]-1,3-тиазол-4-карбоксилат

К раствору продукта со Стадии С (1.2 г, 1.04 ммоль, 1 экв.) в диметилформамиде (15 мл) добавляли йодид меди(I) (19.8 мг, 0.1 ммоль, 0.1 экв.), дихлорид бис(трифенилфосфин)палладия(II) (73 мг, 0.1 ммоль, 0.1 экв.) и диметил(проп-2-ин-1-ил)амин (0.25 мл, 2.32 ммоль, 2.23 экв.). Добавляли N,N-диизопропилэтиламин (0.55 мл, 3.12 ммоль, 3 экв.), и смесь нагревали при 80°С в течение 90 мин. Раствору давали охладиться до температуры окружающей среды и распределяли между этилацетатом (100 мл) и водой (75 мл), и органическую фазу последовательно промывали водой (2×75 мл) и соляным раствором (75 мл), сушили (сульфат магния) и концентрировали в вакууме. Очистка с помощью колоночной флэш-хроматографии (50 г силикагеля) с элюированием с градиентом 0-100% этилацетата в изогептане приводила к получению целевого продукта в виде коричневой смолы (460 мг, 0.56 ммоль, 54%).

ЖХ/МС (C40H50FN7O5SiS2) 820 [М+Н]+; RT 1.52 (ЖХМС-V-B1)

1Н ЯМР (400 МГц, ДМСО-d6) δ 7.70-7.64 (m, 1Н), 7.63-7.58 (m, 1Н), 7.42-7.34 (m, 2Н), 7.24-7.19 (m, 1Н), 7.17-7.09 (m, 2Н), 6.88 (t, J=8.7 Гц, 1Н), 5.85 (s, 2Н), 4.40 (q, J=7.1 Гц, 2Н), 4.19-4.06 (m, 2Н), 4.01-3.89 (m, 1Н), 3.86 (s, 3Н), 3.80-3.68 (m, 2Н), 3.61-3.49 (m, 4Н), 3.49-3.37 (m, 3Н), 2.47 (t, J=0.9 Гц, 3Н), 2.34 (s, 6Н), 1.43 (t, 3Н), 1.01-0.92 (m, 2Н), -0.07 (d, J=0.7 Гц, 9Н).

Стадия Е: этил 2-({6-[(1,3-бензотиазол-2-ил)амино]-5-метилпиридазин-3-ил}(метил)амино)-5-(3-{4-[3-(диметиламино)проп-1-ин-1-ил]-2-фторфенокси}-2-метоксипропил)-1,3-тиазол-4-карбоксилат

К раствору продукта со Стадии D (460 мг, 0.56 ммоль, 1 экв.) в дихлорметане (4 мл) добавляли трифторуксусную кислоту (1.1 мл, 14 ммоль, 25 экв.), и смесь перемешивали в течение 72 ч при температуре окружающей среды. Добавляли дихлорметан (150 мл), и смесь последовательно промывали 10% водным раствором карбоната калия (75 мл), водой (2×75 мл) и соляным раствором (75 мл), сушили (сульфат магния) и концентрировали в вакууме. Растирание с диэтиловым эфиром (10 мл) приводило к твердому веществу, которое собирали путем фильтрования, промывали диэтиловым эфиром (2×10 мл) и сушили в вакууме с получением целевого продукта в виде зеленого порошка (250 мг, 0.33 ммоль, 58%).

ЖХ/МС (C34H36FN7O4S2) 690 [М+Н]+; RT 1.23 (ЖХМС-V-B1)

1Н ЯМР (400 МГц, ДМСО-d6) δ 7.83-7.69 (m, 2Н), 7.62-7.53 (m, 1Н), 7.51-7.39 (m, 1Н), 7.32-7.25 (m, 1Н), 7.25-7.16 (m, 2Н), 6.94 (t, J=8.7 Гц, 1Н), 4.47 (q, J=7.1 Гц, 2Н), 4.28-4.06 (m, 2Н), 4.05-3.95 (m, 1Н), 3.95-3.82 (m, 3Н), 3.72-3.64 (m, 1Н), 3.60 (s, 3Н), 3.57-3.52 (m, 1Н), 3.50 (s, 2Н), 2.51 (s, 3Н), 2.41 (s, 6Н), 1.49 (t, J=7.1 Гц, 3Н).

Стадия F: 2-({6-[(1,3-бензотиазол-2-ил)амино]-5-метилпиридазин-3-ил}(метил)амино)-5-(3-{4-[3-(диметиламино)проп-1-ин-1-ил]-2-фторфенокси}-2-метоксипропил)-1,3-тиазол-4-карбоновая кислота

К раствору продукта со Стадии Е (240 мг, 0.31 ммоль, 1 экв.) в 1:2 смеси 1,4-диоксана (6 мл) добавляли моногидрат гидроксида лития (131 мг, 3.13 ммоль, 10 экв.) и суспензию нагревали при 60°С в течение 1 ч. Реакционной смеси давали охладиться и фильтровали через целит и твердые вещества промывали водой (4 мл). Фильтрат подкисляли уксусной кислотой до рН 6 с получением суспензии, и твердые вещества собирали путем фильтрования, промывали водой (20 мл) и сушили в вакууме с получением целевого продукта в виде твердого зеленого вещества (110 мг, 0.17 ммоль, 53%).

МСВР-ЭРИ (m/z) [М+Н]+, рассчитано для C32H33FN7O4S2: 662.2014, найдено: 662.2052.

Пример 184: 2-[[6-(1,3-Бензотиазол-2-иламино)-5-метилпиридазин-3-ил]-(4-пиперазин-1-илбутил)амино]-5-[3-[4-[3-(диметиламино)проп-1-инил]-2-фторфенокси]пропил]тиазол-4-карбоновая кислота

Стадия А: метил 2-[4-(4-трет-бутоксикарбонилпиперазин-1-ил)бутил-[5-метил-6-[(Z)-[3-(2-триметилсилилэтоксиметил)-1,3-бензотиазол-2-илиден]амино]пиридазин-3-ил]амино]-5-[3-[4-[3-(диметиламино)проп-1-инил]-2-фторфенокси]пропил]тиазол-4-карбоксилат

Используя Общую методику алкилирования образуемым in situ тозилатом, исходя из продукта Синтеза 5d и трет-бутил пиперазин-1-карбоксилата в качестве подходящего амина, получали целевой продукт.

МСВР-ЭРИ (m/z): [М+Н]+, рассчитано для C50H69FN9O6S2Si: 1002.4560, найдено: 1002.4544.

Стадия В: 2-[[6-(1,3-бензотиазол-2-иламино)-5-метилпиридазин-3-ил]-(4-пиперазин-1-илбутил)амино]-5-[3-[4-[3-(диметиламино)проп-1-инил]-2-фторфенокси]пропил]тиазол-4-карбоновая кислота

Используя Общую методику снятия защиты и гидролиза с последующей повторной очисткой с помощью обращенно-фазовой препаративной хроматографии (С18, 0.1% ТФУ в смеси вода : MeCN), исходя из продукта со Стадии А получали ТФУ-соль целевого продукта.

МСВР-ЭРИ (m/z): [М+2Н]2+, рассчитано для C38H46FN9O3S2: 379.6569, найдено: 379.6565.

Пример 185: 2-[[6-(1,3-Бензотиазол-2-иламино)-5-метилпиридазин-3-ил]-(4-гидроксибутил)амино]-5-[3-[2-фтор-4-[(Е)-3-(метиламино)проп-1-енил]фенокси]пропил]тиазол-4-карбоновая кислота

Стадия А: трет-бутил N-метил-N-[(Е)-3-(4,4,5,5-тетраметил-1,3,2-диоксаборолан-2-ил)аллил]карбамат

Смесь 1.50 г трет-бутил N-метил-N-проп-2-инилкарбамата (8.86 ммоль, 1 экв.), 1.70 г 4,4,5,5-тетраметил-1,3,2-диоксаборолана (13.30 ммоль, 1.5 экв.), 90 мг N,N-диэтилэтанамина (0.89 ммоль, 0.1 экв.) и 229 мг хлоридобис(η5-циклопентадиенил)гидридоциркония (реагент Шварца) (0.89 ммоль, 0.1 экв.) перемешивали при 65°С в течение ночи. После завершения реакции добавляли EtOAc и конц. раствор NH4Cl, органический слой отделяли и промывали с помощью конц. NaHCO3, конц. NaCl, сушили над MgSO4, фильтровали и затем концентрировали на целите. Сырой продукт очищали с помощью колоночной флэш-хроматографии, используя гептан и EtOAc в качестве элюентов с получением 1347 мг (51%) целевого продукта в виде бесцветного вязкого масла.

1Н ЯМР (500 МГц, ДМСО-d6) δ м.д. 6.38 (dt, 1Н), 5.35 (dt, 1Н), 3.84 (dd, 2Н), 2.75 (s, 3Н), 1.39 (s, 9Н), 1.21 (s, 12Н); 13С ЯМР (125 МГц, ДМСО-d6) δ м.д. 155.3, 148.9, 119.1, 83.4, 79.1, 52.2, 34.5, 28.5, 25.1; МСВР-ЭИ (m/z): [М-tBu+H]+, рассчитано для C11H20BNO4: 241.1480, найдено: 241.1597.

Стадия В: метил 5-[3-[4-[(Е)-3-[трет-бутоксикарбонил(метил)амино]проп-1-енил]-2-фторфенокси]пропил]-2-[4-[трет-бутил(диметил)силил]оксибутиламино]тиазол-4-карбоксилат

1.00 г продукта Синтеза 3с, Стадия В (1.61 ммоль, 1 экв.), 716 мг продукта со Стадии А (2.41 ммоль, 1.5 экв.), 93 мг Pd(PPh3)4 (0.08 ммоль, 0.05 экв.) и 666 мг K2CO3 (4.82 ммоль, 3 экв.) смешивали в 15 мл 1,2-диметоксиэтана и 1.9 мл воды в MB сосуде и облучали при 110°С в течение 1 ч. Наблюдали полное превращение. Добавляли EtOAc и воду, органический слой отделяли и промывали с помощью конц. NaCl, сушили над MgSO4, фильтровали и затем концентрировали на целите. Сырой продукт очищали с помощью колоночной флэш-хроматографии, используя гептан и EtOAc в качестве элюентов с получением 708 мг (66%) целевого продукта в виде бесцветного вязкого масла.

1Н ЯМР (500 МГц, ДМСО-d6) δ м.д. 7.46 (t, 1Н), 7.33 (dd, 1Н), 7.14 (dd, 1Н), 7.07 (t, 1Н), 6.39 (brd, 1Н), 6.13 (dt, 1Н), 4.06 (t, 2Н), 3.90 (brd, 2Н), 3.71 (s, 3Н), 3.60 (t, 2Н), 3.18 (m, 2Н), 3.12 (t, 2Н), 2.79 (s, 3Н), 2.00 (m, 2Н), 1.57 (m, 2Н), 1.51 (m, 2Н), 1.41 (s, 9Н), 0.86 (s, 9Н), 0.02 (s, 6Н); 13С ЯМР (125 МГц, ДМСО-d6) δ м.д. 164.8, 163.0, 155.3, 152.5, 146.3, 137.0, 136.1, 130.7, 130.5, 125.3, 123.4, 115.7, 113.8, 79.1, 68.4, 62.7, 51.6, 50.5, 44.5, 34.1, 30.9, 30.2, 28.6, 26.3, 25.7, 23.4, 18.4, -4.8; МСВР-ЭРИ (m/z): [М+Н]+, рассчитано для C33H53FN3O6SSi: 666.3403, найдено: 666.3409.

Стадия С: метил 5-[3-[4-[(Е)-3-[трет-бутоксикарбонил(метил)амино]проп-1-енил]-2-фторфенокси]пропил]-2-[4-[трет-бутил(диметил)силил]оксибутил-[5-метил-6-[(Z)-[3-(2-триметилсилилэтоксиметил)-1,3-бензотиазол-2-илиден]амино]пиридазин-3-ил]амино]тиазол-4-карбоксилат

Используя Общую методику II проведения реакции Бухвальда, исходя из 138 мг продукта со Стадии В (0.21 ммоль, 1 экв.) и 101 мг продукта Синтеза 4а (0.25 ммоль, 1.2 экв.) в качестве подходящего галогенида, получали 102 мг (48%) целевого продукта.

1Н ЯМР (500 МГц, ДМСО-d6) δ м.д. 7.81 (dm, 1Н), 7.62 (brs, 1Н), 7.46 (dm, 1Н), 7.43 (m, 1Н), 7.33 (ddd, 1Н), 7.25 (m, 1Н), 7.15 (dm, 1Н), 7.10 (t, 1Н), 6.38 (d, 1Н), 6.10 (dt, 1Н), 5.86 (s, 2Н), 4.42 (t, 2Н), 4.14 (t, 2Н), 3.88 (d, 2Н), 3.79 (s, 3Н), 3.75 (m, 2Н), 3.63 (t, 2Н), 3.27 (t, 2Н), 2.77 (s, 3Н), 2.45 (d, 3Н), 2.12 (m, 2Н), 1.77 (m, 2Н), 1.54 (m, 2Н), 1.40 (s, 9Н), 0.92 (m, 2Н), 0.81 (s, 3Н), -0.01 (s, 6Н), -0.09 (s, 9Н); МСВР-ЭРИ (m/z): [М+Н]+, рассчитано для C51H75FN7O7S2Si2: 1036.4686, найдено: 1036.4706.

Стадия D: 2-[[6-(1,3-бензотиазол-2-иламино)-5-метилпиридазин-3-ил]-(4-гидроксибутил)амино]-5-[3-[2-фтор-4-[(Е)-3-(метиламино)проп-1-енил]фенокси]пропил]тиазол-4-карбоновая кислота

Используя Общую методику снятия защиты и гидролиза с последующей повторной очисткой с помощью обращенно-фазовой препаративной хроматографии (С18, 0.1% ТФУ в смеси вода : MeCN), исходя из продукта со Стадии С получали ТФУ-соль целевого продукта с изомерным соотношением прибл. 82% Е и 18% Z (на основании данных ЯМР).

МСВР-ЭРИ (m/z): [М+Н]+, рассчитано для C33H37FN7O4S2: 678.2327, найдено: 678.2326.

Пример 186: 2-[[6-(1,3-Бензотиазол-2-иламино)-5-метилпиридазин-3-ил]-(4-гидроксибутил)амино]-5-[3-[2-фтор-4-[3-(метиламино)пропил]фенокси]пропил]тиазол-4-карбоновая кислота

Стадия А: метил 5-[3-[4-[3-[трет-бутоксикарбонил(метил)амино]пропил]-2-фторфенокси]пропил]-2-[4-[трет-бутил(диметил)силил]оксибутиламино]тиазол-4-карбоксилат

В 20 мл высушенный в сушильном шкафу сосуд для реакций под давлением, оснащенный якорем магнитной мешалки с покрытием из ПТФЭ, загружали 400 мг соединения Примера 185, Стадия В (0.60 ммоль, 1 экв.), 64 мг 10 мас. % Pd/C (0.06 ммоль, 0.1 экв.) в 6 мл метанола, и затем в нем создавали атмосферу азота, используя систему гидрирования. После этого сосуд заполняли газообразным Н2 при давлении 4 бар, и реакционную смесь перемешивали при к.т. в течение 3 ч. Наблюдали полное превращение, к реакционной смеси добавляли целит, и летучие вещества удаляли при пониженном давлении. Затем сырой продукт очищали с помощью колоночной флэш-хроматографии, используя гептан и EtOAc в качестве элюентов с получением 381 мг (95%) целевого продукта в виде бесцветного масла.

1Н ЯМР (500 МГц, ДМСО-d6) δ м.д. 7.57 (t, 1Н), 7.07 (dd, 1Н), 7.02 (t, 1Н), 6.93 (d, 1Н), 4.01 (t, 2Н), 3.69 (s, 3Н), 3.59 (t, 2Н), 3.17 (q, 2Н), 3.13 (m, 2Н), 3.11 (t, 2Н), 2.75 (brs, 3Н), 2.47 (t, 2Н), 1.98 (quin, 2Н), 1.72 (br, 2Н), 1.54 (m, 2Н), 1.50 (m, 2Н), 1.38/1.33 (brs+brs, 9Н), 0.85 (s, 9Н), 0.01 (s, 6Н); 13С ЯМР (125 МГц, ДМСО-d6) δ м.д. 164.6, 163.1, 155.2, 152.0, 144.7, 136.5, 135.3, 124.6, 116.2, 115.3, 79.0, 68.1, 62.7, 51.7, 47.9, 44.4, 34.1, 31.7, 30.9, 30.1, 29.3, 28.6, 26.3, 25.7, 23.4, 18.5, -4.9; МСВР-ЭРИ (m/z): [М+Н]+, рассчитано для C33H55FN3O6SSi: 668.3559, найдено: 668.3544.

Стадия В: метил 5-[3-[4-[3-[трет-бутоксикарбонил(метил)амино]пропил]-2-фторфенокси]пропил]-2-[4-[трет-бутил(диметил)силил]оксибутил-[5-метил-6-[(Z)-[3-(2-триметилсилилэтоксиметил)-1,3-бензотиазол-2-илиден]амино]пиридазин-3-ил]амино]тиазол-4-карбоксилат

Используя Общую методику II проведения реакции Бухвальда, исходя из 375 мг продукта со Стадии А (0.56 ммоль, 1 экв.) и 274 мг продукта Синтеза 4а (0.67 ммоль, 1.2 экв.) в качестве подходящего галогенида, получали 479 мг (82%) целевого продукта.

1Н ЯМР (500 МГц, ДМСО-d6) δ м.д. 7.80 (dm, 1Н), 7.65/7.61 (s/s, 1Н), 7.46 (dd, 1Н), 7.43 (td, 1Н), 7.24 (td, 1Н), 7.05 (t, 1Н), 7.04 (m, 1Н), 6.93 (dm, 1Н), 5.85 (s, 2Н), 4.41 (t, 2Н), 4.10 (t, 2Н), 3.80/3.79 (s/s, 3Н), 3.74 (m, 2Н), 3.63/3.47 (t, 2Н), 3.26 (m, 2Н), 3.13 (t, 2Н), 2.74 (s, 3Н), 2.47 (t, 2Н), 2.46/2.45 (s/s, 3Н), 2.11 (m, 2Н), 1.77 (m, 2Н), 1.72 (m, 2Н), 1.54 (m, 2Н), 1.35 (br., 9Н), 0.92 (m, 2Н), 0.85/0.81 (s/s, 9Н), -0.01/-0.03 (s, 6Н), -0.09/-0.1 (s, 9Н); 13С ЯМР (125 МГц, ДМСО-d6) δ м.д. 155.4/155.3, 127.1, 124.6, 123.4, 123.1, 117.8, 116.2, 116.1, 111.9, 78.7, 73.1, 68.9, 66.8, 62.6/61, 51.8, 48.0, 46.9, 34.2, 31.8, 31.2, 29.8, 29.2, 28.5, 26.3/26.2, 23.9, 23.2, 17.9, 17.7, -1.0, -2.7/-4.9; МСВР-ЭРИ (m/z): [М+Н]+, рассчитано для C51H77FN7O7S2Si2: 1038.4843, найдено: 1038.4837.

Стадия С: 2-[[6-(1,3-бензотиазол-2-иламино)-5-метилпиридазин-3-ил]-(4-гидроксибутил)амино]-5-[3-[2-фтор-4-[3-(метиламино)пропил]фенокси]пропил]тиазол-4-карбоновая кислота

Используя Общую методику снятия защиты и гидролиза с последующей повторной очисткой с помощью обращенно-фазовой препаративной хроматографии (С18, 0.1% ТФУ в смеси вода : MeCN), исходя из продукта со Стадии В получали ТФУ-соль целевого продукта.

МСВР-ЭРИ (m/z): [М+Н]+, рассчитано для C33H39FN7O4S2: 680.2483, найдено: 680.2469.

Пример 187: 2-[[6-(1,3-Бензотиазол-2-иламино)-5-метилпиридазин-3-ил]-[5-[2-(1-пиперидил)этиламино]пентил]амино]-5-[3-[4-[3-(диметиламино)проп-1-инил]-2-фторфенокси]пропил]тиазол-4-карбоновая кислота

Стадия А: метил 5-[3-[4-[3-(диметиламино)проп-1-инил]-2-фторфенокси]пропил]-2-[[5-метил-6-[(Z)-[3-(2-триметилсилилэтоксиметил)-1,3-бензотиазол-2-илиден]амино]пиридазин-3-ил]-[5-[2-(1-пиперидил)этиламино]пентил]амино]тиазол-4-карбоксилат

Используя Общую методику алкилирования образуемым in situ тозилатом, исходя из продукта Синтеза 5f и 2-(1-пиперидил)этанамина в качестве подходящего амина, получали целевой продукт.

МСВР-ЭРИ (m/z): [М+2Н]2+, рассчитано для C49H70FN9O4S2Si: 479.7367, найдено: 479.7353.

Стадия В: 2-[[6-(1,3-бензотиазол-2-иламино)-5-метилпиридазин-3-ил]-[5-[2-(1-пиперидил)этиламино]пентил]амино]-5-[3-[4-[3-(диметиламино)проп-1-инил]-2-фторфенокси]пропил]тиазол-4-карбоновая кислота

Используя Общую методику снятия защиты и гидролиза с последующей повторной очисткой с помощью обращенно-фазовой препаративной хроматографии (С18, 0.1% ТФУ в смеси вода : MeCN), исходя из продукта со Стадии А получали ТФУ-соль целевого продукта.

МСВР-ЭРИ (m/z): [М+Н]+, рассчитано для C42H53FN9O3S2: 814.3691, найдено: 814.3670.

Пример 188: 2-[[6-(1,3-Бензотиазол-2-иламино)-5-метилпиридазин-3-ил]-[4-(метиламино)бутил]амино]-5-[3-[4-[3-(диметиламино)проп-1-инил]-2-фторфенокси]пропил]тиазол-4-карбоновая кислота

Стадия А: метил 5-[3-[4-[3-(диметиламино)проп-1-инил]-2-фторфенокси]пропил]-2-[4-(метиламино)бутил-[5-метил-6-[(Z)-[3-(2-триметилсилилэтоксиметил)-1,3-бензотиазол-2-илиден]амино]пиридазин-3-ил]амино]тиазол-4-карбоксилат

Используя Общую методику алкилирования образуемым in situ тозилатом, исходя из продукта Синтеза 5d и метанамина в качестве подходящего амина, получали целевой продукт.

1Н ЯМР (500 МГц, ДМСО-d6) δ м.д. 7.84 (dm, 1Н), 7.72 (s, 1Н), 7.47 (dm, 1Н), 7.44 (m, 1Н), 7.31 (dd, 1 И), 7.25 (m, 1Н), 7.21 (dm, 1Н), 7.16 (t, 1Н), 5.86 (s, 2Н), 4.37 (t, 2Н), 4.15 (t, 2Н), 3.78 (s, 3Н), 3.72 (m, 2Н), 3.38 (s, 2Н), 3.27 (t, 2Н), 2.52 (t, 2Н), 2.46 (s, 3Н), 2.26 (s, 3Н), 2.19 (s, 6Н), 2.13 (m, 2Н), 1.71 (m, 2Н), 1.49 (m, 2Н), 0.92 (m, 2Н), -0.11 (s, 9Н); МСВР-ЭРИ (m/z): [М+Н]+, рассчитано для C42H56FN8O4S2Si: 847.3614, найдено: 847.3594.

Стадия В: 2-[[6-(1,3-бензотиазол-2-иламино)-5-метилпиридазин-3-ил]-[4-(метиламино)бутил]амино]-5-[3-[4-[3-(диметиламино)проп-1-инил]-2-фторфенокси]пропил]тиазол-4-карбоновая кислота

Используя Общую методику снятия защиты и гидролиза с последующей повторной очисткой с помощью обращенно-фазовой препаративной хроматографии (С18, 0.1% ТФУ в смеси вода : MeCN), исходя из продукта со Стадии А получали ТФУ-соль целевого продукта.

МСВР-ЭРИ (m/z): [М+2Н]2+, рассчитано для C35H41FN8O3S2: 352.1358, найдено: 352.1361.

Пример 189: 2-[[6-(1,3-Бензотиазол-2-иламино)-5-метилпиридазин-3-ил]-(5-пиперазин-1-илпентил)амино]-5-[3-[4-[3-(диметиламино)проп-1-инил]-2-фторфенокси]пропил]тиазол-4-карбоновая кислота

Стадия А: метил 2-[5-(4-трет-бутоксикарбонилпиперазин-1-ил)пентил-[5-метил-6-[(Z)-[3-(2-триметилсилилэтоксиметил)-1,3-бензотиазол-2-илиден]амино]пиридазин-3-ил]амино]-5-[3-[4-[3-(диметиламино)проп-1-инил]-2-фторфенокси]пропил]тиазол-4-карбоксилат

Используя Общую методику алкилирования образуемым in situ тозилатом, исходя из продукта Синтеза 5f и трет-бутил пиперазин-1-карбоксилата в качестве подходящего амина, получали целевой продукт.

МСВР-ЭРИ (m/z): [М+Н]+, рассчитано для C51H71FN9O6S2Si: 1016.4716, найдено: 1016.4710.

Стадия В: 2-[[6-(1,3-бензотиазол-2-иламино)-5-метилпиридазин-3-ил]-(5-пиперазин-1-илпентил)амино]-5-[3-[4-[3-(диметиламино)проп-1-инил]-2-фторфенокси]пропил]тиазол-4-карбоновая кислота

Используя Общую методику снятия защиты и гидролиза с последующей повторной очисткой с помощью обращенно-фазовой препаративной хроматографии (С18, 0.1% ТФУ в смеси вода : MeCN), исходя из продукта со Стадии А получали ТФУ-соль целевого продукта.

МСВР-ЭРИ (m/z): [М+2Н]2+, рассчитано для C39H48FN9O3S2: 386.6647, найдено: 386.6642.

Пример 190: 2-[[6-(1,3-Бензотиазол-2-иламино)-5-метилпиридазин-3-ил]-[5-[метил-[2-(метиламино)этил]амино]пентил]амино]-5-[3-[4-[3-(диметиламино)проп-1-инил]-2-фторфенокси]пропил]тиазол-4-карбоновая кислота

Стадия А: метил 2-[5-[2-[трет-бутоксикарбонил(метил)амино]этилметиламино]пентил-[5-метил-6-[(Z)-[3-(2-триметилсилилэтоксиметил)-1,3-бензотиазол-2-илиден]амино]пиридазин-3-ил]амино]-5-[3-[4-[3-(диметиламино)проп-1-инил]-2-фторфенокси]пропил]тиазол-4-карбоксилат

Используя Общую методику алкилирования образуемым in situ тозилатом, исходя из продукта Синтеза 5f и трет-бутил N-метил-N-[2-(метиламино)этил]карбамата в качестве подходящего амина, получали целевой продукт.

1Н ЯМР (500 МГц, ДМСО-d6) δ м.д. 7.84 (d, 1Н), 7.66 (s, 1Н), 7.47 (d, 1Н), 7.43 (td, 1Н), 7.3 (dd, 1Н), 7.25 (td, 1Н), 7.20 (dd, 1Н), 7.15 (t, 1Н), 5.86 (s, 2Н), 4.37 (t, 2Н), 4.14 (t, 2Н), 3.77 (s, 3Н), 3.72 (m, 2Н), 3.38 (s, 2Н), 3.26 (t, 2Н), 3.16 (br., 2Н), 2.73 (s, 3Н), 2.45 (s, 3Н), 2.35 (br., 2Н), 2.28 (brt., 2Н), 2.19 (s, 6Н), 2.13 (s, 3Н), 2.12 (m, 2Н), 1.68 (m, 2Н), 1.45 (m, 2Н), 1.35 (m, 2Н), 1.33 (s, 9Н), 0.92 (m, 2Н), -0.11 (s, 9Н); 13С ЯМР (125 МГц, ДМСО-d6) δ м.д. 129.0, 127.2, 123.4, 123.2, 119.2, 117.6, 115.5, 112.0, 72.9, 68.4, 66.7, 57.4, 55.2, 51.9, 48.1, 46.8, 46.4, 44.2, 42.6, 34.5, 31.0, 28.5, 27.0, 26.8, 24.1, 23.1, 17.8, 17.8, -1.0; МСВР-ЭРИ (m/z): [М+Н]+, рассчитано для C51H73FN9O6S2Si: 1018.4873, найдено: 1018.4869.

Стадия В: 2-[[6-(1,3-бензотиазол-2-иламино)-5-метилпиридазин-3-ил]-[5-[метил-[2-(метиламино)этил]амино]пентил]амино]-5-[3-[4-[3-(диметиламино)проп-1-инил]-2-фторфенокси]пропил]тиазол-4-карбоновая кислота

Используя Общую методику снятия защиты и гидролиза с последующей повторной очисткой с помощью обращенно-фазовой препаративной хроматографии (С18, 0.1% ТФУ в смеси вода : MeCN), исходя из продукта со Стадии А получали ТФУ-соль целевого продукта.

МСВР-ЭРИ (m/z): [М+2Н]2+, рассчитано для C39H50FN9O3S2: 387.6726, найдено: 387.6731.

Пример 191: 2-[5-Аминопентил-[6-(1,3-бензотиазол-2-иламино)-5-метилпиридазин-3-ил]амино]-5-[3-[4-[3-(диметиламино)проп-1-инил]-2-фторфенокси]пропил]тиазол-4-карбоновая кислота

Стадия А: метил 2-[трет-бутоксикарбонил-[5-(трет-бутоксикарбониламино)пентил]амино]-5-[3-[4-[3-(диметиламино)проп-1-инил]-2-фторфенокси]пропил]тиазол-4-карбоксилат

Используя Общую методику проведения реакции Мицунобу, исходя из 250 мг продукта Синтеза 1 с (0.51 ммоль, 1 экв.) и 207 мг трет-бутил N-(5-гидроксипентил)карбамата (1.02 ммоль, 2 экв.) в качестве подходящего спирта, получали 189 мг (55%) целевого продукта.

1Н ЯМР (400 МГц, ДМСО-d6) δ м.д. 7.29 (dd, 1Н), 7.21 (d, 1Н), 7.13 (t, 1Н), 6.75 (t, 1Н), 4.10 (t, 2Н), 3.97 (t, 2Н), 3.75 (s, 3Н), 3.49 (br.s, 2Н), 3.22 (t, 2Н), 2.90 (q, 2Н), 2.08 (qv, 2Н), 1.99 (s, 6Н), 1.66-1.56 (m, 2Н), 1.50 (s, 9Н), 1.44-1.36 (m, 2Н), 1.35 (s, 9Н), 1.28-1.20 (m, 2Н); ЖХ-МС-ЭРИ (m/z): [М+Н]+, рассчитано для C34H50FN4O7S: 677.3, найдено: 677.4.

Стадия В: метил 2-[5-(трет-бутоксикарбониламино)пентиламино]-5-[3-[4-[3-(диметиламино)проп-1-инил]-2-фторфенокси]пропил]тиазол-4-карбоксилат

Используя Общую методику снятия защиты посредством HFIP, исходя из 182 мг продукта со Стадии А (0.27 ммоль, 1 экв.) в качестве подходящего Вос-защищенного амина, получали 106 мг (68%) целевого продукта.

1H ЯМР (400 МГц, ДМСО-d6) δ м.д. 7.56 (t, 1Н), 7.30 (dd, 1Н), 7.21 (d, 1H), 7.12 (t, 1H), 6.77 (t, 1H), 4.07 (t, 2H), 3.69 (s, 3H), 3.44 (s, 2H), 3.16-3.09 (m, 4H), 2.92-2.86 (m, 2H), 2.25 (s, 6H), 2.04-1.97 (m, 2H), 1.53-1.45 (m, 2H), 1.40-1.33 (m, 2H), 1.36 (s, 9H), 1.31-1.24 (m, 2H); ЖХ-МС-ЭРИ (m/z): [M+H]+, рассчитано для C29H42FN4O5S: 577.3, найдено: 577.4.

Стадия С: метил 2-[5-(трет-бутоксикарбониламино)пентил-[5-метил-6-[(Z)-[3-(2-триметилсилилэтоксиметил)-1,3-бензотиазол-2-илиден]амино]пиридазин-3-ил]амино]-5-[3-[4-[3-(диметиламино)проп-1-инил]-2-фторфенокси]пропил]тиазол-4-карбоксилат

Используя Общую методику II проведения реакции Бухвальда, исходя из 102 мг продукта со Стадии В (0.18 ммоль, 1 экв.) и 90 мг продукта Синтеза 4а (0.22 ммоль, 1.25 экв.) в качестве подходящего галогенида, получали 102 мг (61%) целевого продукта.

1Н ЯМР (500 МГц, ДМСО-d6) δ м.д. 7.84 (d, 1Н), 7.67 (s, 1Н), 7.47 (d, 1Н), 7.44 (td, 1Н), 7.31 (dd, 1Н), 7.25 (td, 1Н), 7.21 (dm, 1Н), 7.16 (t, 1Н), 6.77 (t, 1Н), 5.86 (s, 2Н), 4.34 (t, 2Н), 4.15 (t, 2Н), 3.78 (s, 3Н), 3.72 (t, 2Н), 3.39 (s, 2Н), 3.27 (t, 2Н), 2.92 (q, 2Н), 2.47 (s, 3Н), 2.21 (s, 6Н), 2.13 (m, 2Н), 1.69 (m, 2Н), 1.44 (m, 2Н), 1.35 (s, 18Н), 1.34 (m, 2Н), 0.92 (t, 2Н), -0.11 (s, 9Н); МСВР-ЭРИ (m/z): [М+Н]+, рассчитано для C47H64FN8O6S2Si: 947.4138, найдено: 947.4133.

Стадия D: 2-[5-аминопентил-[6-(1,3-бензотиазол-2-иламино)-5-метилпиридазин-3-ил]амино]-5-[3-[4-[3-(диметиламино)проп-1-инил]-2-фторфенокси]пропил]тиазол-4-карбоновая кислота

Используя Общую методику снятия защиты и гидролиза, исходя из продукта со Стадии С получали целевой продукт.

МСВР-ЭРИ (m/z): [М+2Н]2+, рассчитано для C35H41FN8O3S2: 352.1364, найдено: 352.1370.

Пример 192: 2-[4-Аминобутил-[6-(1,3-бензотиазол-2-иламино)-5-метилпиридазин-3-ил]амино]-5-[3-[4-[3-(диметиламино)проп-1-инил]-2-фторфенокси]пропил]тиазол-4-карбоновая кислота

Стадия А: метил 2-[трет-бутоксикарбонил-[4-(трет-бутоксикарбониламино)бутил]амино]-5-[3-[4-[3-(диметиламино)проп-1-инил]-2-фторфенокси]пропил]тиазол-4-карбоксилат

Используя Общую методику проведения реакции Мицунобу, исходя из 250 мг продукта Синтеза 1 с (0.51 ммоль, 1 экв.) и 193 мг трет-бутил N-(4-гидроксибутил)карбамата (1.02 ммоль, 2 экв.) в качестве подходящего спирта, получали 220 мг (65%) целевого продукта.

1Н ЯМР (400 МГц, ДМСО-d6) δ м.д. 7.30 (dd, 1Н), 7.21 (d, 1Н), 7.13 (t, 1Н), 6.80 (t, 1Н), 4.10 (t, 2Н), 4.01-3.95 (m, 2Н), 3.75 (s, 3Н), 3.45 (s, 2Н), 3.22 (t, 2Н), 2.91 (q, 2Н), 2.25 (s, 6Н), 2.08 (qv, 2Н), 1.63-1.54 (m, 2Н), 1.50 (s, 9Н), 1.40-1.35 (m, 2Н), 1.35 (s, 9Н); ЖХ-МС-ЭРИ (m/z): [М+Н]+, рассчитано для C33H48FN4O7S: 663.3, найдено: 663.4.

Стадия В: метил 2-[4-(трет-бутоксикарбониламино)бутиламино]-5-[3-[4-[3-(диметиламино)проп-1-инил]-2-фторфенокси]пропил]тиазол-4-карбоксилат

Используя Общую методику снятия защиты посредством HFIP, исходя из 215 мг продукта со Стадии А (0.33 ммоль, 1 экв.) в качестве подходящего Вос-защищенного амина, получали 137 мг (75%) целевого продукта.

1Н ЯМР (400 МГц, ДМСО-d6) δ м.д. 7.57 (t, 1Н), 7.30 (d, 1Н), 7.21 (d, 1Н), 7.12 (t, 1Н), 6.81 (t, 1Н), 4.07 (t, 2Н), 3.69 (s, 3Н), 3.42 (s, 2Н), 3.17-3.09 (m, 4Н), 2.94-2.88 (m, 2Н), 2.23 (s, 6Н), 2.04-2.00 (m, 2Н), 1.53-1.37 (m, 4Н), 1.36 (s, 9Н); ЖХ-МС-ЭРИ (m/z): [М+Н]+, рассчитано для C28H40FN4O5S: 563.3, найдено: 563.2.

Стадия С: метил 2-[4-(трет-бутоксикарбониламино)бутил-[5-метил-6-[(Z)-[3-(2-триметилсилилэтоксиметил)-1,3-бензотиазол-2-илиден]амино]пиридазин-3-ил]амино]-5-[3-[4-[3-(диметиламино)проп-1-инил]-2-фторфенокси]пропил]тиазол-4-карбоксилат

Используя Общую методику II проведения реакции Бухвальда, исходя из 133 мг продукта со Стадии В (0.24 ммоль, 1 экв.) и 120 мг продукта Синтеза 4а (0.29 ммоль, 1.25 экв.) в качестве подходящего галогенида, получали 220 мг (98%) целевого продукта.

1Н ЯМР (500 МГц, ДМСО-d6) δ м.д. 7.84 (d, 1Н), 7.69 (s, 1Н), 7.47 (d, 1Н), 7.44 (td, 1Н), 7.31 (dd, 1Н), 7.25 (td, 1Н), 7.21 (dm, 1Н), 7.16 (t, 1Н), 6.82 (t, 1Н), 5.86 (s, 2Н), 4.36 (t, 2Н), 4.15 (t, 2Н), 3.78 (s, 3Н), 3.72 (t, 2Н), 3.38 (s, 2Н), 3.27 (t, 2Н), 2.98 (q, 2Н), 2.46 (s, 3Н), 2.19 (s, 6Н), 2.13 (m, 2Н), 1.67 (m, 2Н), 1.46 (m, 2Н), 1.34 (s, 9Н), 0.92 (t, 2Н), -0.11 (s, 9Н); 13С ЯМР (125 МГц, ДМСО-d6) δ м.д. 156.1, 128.9, 127.2, 123.5, 123.2, 119.2, 117.6, 115.5, 112.0, 72.9, 68.4, 66.7, 52.0, 48.1, 46.7, 44.2, 39.8, 31.0, 28.7, 27.2, 24.7, 23.1, 17.9, 17.8, -1.0; МСВР-ЭРИ (m/z): [М+Н]+, рассчитано для C46H62FN8O6S2Si: 933.3982, найдено: 933.3995.

Стадия D: 2-[4-аминобутил-[6-(1,3-бензотиазол-2-иламино)-5-метилпиридазин-3-ил]амино]-5-[3-[4-[3-(диметиламино)проп-1-инил]-2-фторфенокси]пропил]тиазол-4-карбоновая кислота

Используя Общую методику снятия защиты и гидролиза с последующей повторной очисткой с помощью обращенно-фазовой препаративной хроматографии (С18, 0.1% ТФУ в смеси вода : MeCN), исходя из продукта со Стадии С получали ТФУ-соль целевого продукта.

МСВР-ЭРИ (m/z): [М+2Н]2+, рассчитано для C34H39FN8O3S2: 345.1280, найдено: 345.1281.

Пример 193: 2-[[6-(1,3-Бензотиазол-2-иламино)-5-метилпиридазин-3-ил]-[5-(диметиламино)-4-гидроксипентил]амино]-5-[3-[2-фтор-4-[3-(метиламино)проп-1-инил]фенокси]пропил]тиазол-4-карбоновая кислота

Используя Общую методику снятия защиты с четвертичной соли, исходя из соединения Примера 144, Стадия А, получали целевой продукт.

МСВР-ЭРИ (m/z): [М+Н]+, рассчитано для C36H42FN8O4S2: 733.2749, найдено: 733.2745.

Пример 194: 2-[[6-(1,3-Бензотиазол-2-иламино)-5-метилпиридазин-3-ил]-[5-(метиламино)пентил]амино]-5-[3-[4-[3-(диметиламино)проп-1-инил]-2-фторфенокси]пропил]тиазол-4-карбоновая кислота

Стадия А: метил 5-[3-[4-[3-(диметиламино)проп-1-инил]-2-фторфенокси]пропил]-2-[5-(метиломино)пентил-[5-метил-6-[(Z)-[3-(2-триметилсилилэтоксиметил)-1,3-бензотиазол-2-илиден]амино]пиридазин-3-ил]амино]тиазол-4-карбоксилат

Используя Общую методику алкилирования образуемым in situ тозилатом, исходя из продукта Синтеза 5f и метанамина в качестве подходящего амина, целевой продукт получали после концентрирования и непосредственно переносили на следующую стадию без какой-либо дополнительной очистки.

Стадия В: 2-[[6-(1,3-бензотиазол-2-иламино)-5-метилпиридазин-3-ил]-[5-(метиламино)пентил]амино]-5-[3-[4-[3-(диметиламино)проп-1-инил]-2-фторфенокси]пропил]тиазол-4-карбоновая кислота

Используя Общую методику снятия защиты и гидролиза с последующей повторной очисткой с помощью обращенно-фазовой препаративной хроматографии (С18, 0.1% ТФУ в смеси вода : MeCN), исходя из сырого продукта со Стадии А получали ТФУ-соль целевого продукта.

МСВР-ЭРИ (m/z): [М+Н]+, рассчитано для C36H42FN8O3S2: 717.2800, найдено: 717.2785.

Пример 195: 2-[[6-(1,3-Бензотиазол-2-иламино)-5-метилпиридазин-3-ил]-[5-[3-(4-метилпиперазин-1-ил)пропиламино]пентил]амино]-5-[3-[4-[3-(диметиламино)проп-1-инил]-2-фторфенокси] пропил]тиазол-4-карбоновая кислота

Стадия А: метил 5-[3-[4-[3-(диметиламино)проп-1-инил]-2-фторфенокси]пропил]-2-[5-[3-(4-метилпиперазин-1-ил)пропиламино]пентил-[5-метил-6-[(Z)-[3-(2-триметилсилилэтоксиметил)-1,3-бензотиазол-2-илиден]амино]пиридазин-3-ил]амино]тиазол-4-карбоксилат

Используя Общую методику алкилирования образуемым in situ тозилатом, исходя из продукта Синтеза 5f и 3-(4-метилпиперазин-1-ил)пропан-1-амина в качестве подходящего амина, получали целевой продукт.

1Н ЯМР (400 МГц, ДМСО-d6) δ м.д. 7.83 (dm, 1Н), 7.65 (s, 1Н), 7.42-7.46 (m, 2Н), 7.36-7.08 (m, 4Н), 5.85 (s, 2Н), 4.36 (t, 2Н), 4.14 (t, 2Н), 3.78 (s, 3Н), 3.72 (t, 2Н), 3.26 (t, 2Н), 2.70-2.00 (m, 26Н), 2.45 (s, 3Н), 1.80-1.30 (m, 8Н), 0.91 (t, 2Н), -0.12 (s, 9Н); ЖХ-МС-ЭРИ (m/z): [М+Н]+, рассчитано для C50H72FN10O4S2Si: 987.5, найдено: 987.4.

Стадия В: 2-[[6-(1,3-бензотиазол-2-иламино)-5-метилпиридазин-3-ил]-[5-[3-(4-метилпиперазин-1-ил)пропиламино]пентил]амино]-5-[3-[4-[3-(диметиламино)проп-1-инил]-2-фторфенокси]пропил]тиазол-4-карбоновая кислота

Используя Общую методику снятия защиты и гидролиза с последующей повторной очисткой с помощью обращенно-фазовой препаративной хроматографии (С18, 0.1% ТФУ в смеси вода : MeCN), исходя из продукта со Стадии А получали ТФУ-соль целевого продукта.

МСВР-ЭРИ (m/z): [М+Н]+, рассчитано для C43H56FN10O3S2: 843.3962 найдено: 843.3943.

Пример 196: 2-[[6-(1,3-Бензотиазол-2-иламино)-5-метилпиридазин-3-ил]-[4-гидрокси-5-[метил(2-фосфоноэтил)амино]пентил]амино]-5-[3-[2-фтор-4-[3-(метиламино)проп-1-инил]фенокси] пропил]тиазол-4-карбоновая кислота

Стадия А: 2-диэтоксифосфорил-N-метилэтанамин

3.28 г 1-[этокси(винил)фосфорил]оксиэтана (20 ммоль, 1.0 экв.) и 25 мл метанамина (33 мас. % в EtOH, 200 ммоль, 100 экв.) смешивали в запаянной трубке и перемешивали при к.т.в течение 20 ч. Наблюдали полное превращение. Реакционную смесь концентрировали и получали 3.87 г (99%) сырого целевого продукта.

1Н ЯМР (400 МГц, ДМСО-d6) δ м.д. 4.04-3.90 (m, 4Н), 2.67-2.58 (m, 2Н), 2.25 (s, 3Н), 2.18-1.95 (brs, 1Н), 1.93-1.82 (m, 2Н), 1.22 (t, 6Н); 13С ЯМР (100 МГц, ДМСО-d6) δ м.д. 60.9, 60.8, 45.03, 45.01, 35.6, 26.1, 24.7, 16.32, 16.26; GC-TOF (ЭИ) (m/z): [М]+, рассчитано для C7H18NO3P: 195.1024, найдено: 195.1009.

Стадия В: метил 5-[3-[4-[3-[трет-бутоксикарбонил(метил)амино]проп-1-инил]-2-фторфенокси]пропил]-2-[[4-[трет-бутил(дифенил)силил]окси-5-[2-диэтоксифосфорилэтил(метил)амино]пентил]-[5-метил-6-[(Z)-[3-(2-триметилсилилэтоксиметил)-1,3-бензотиазол-2-илиден]амино]пиридазин-3-ил]амино]тиазол-4-карбоксилат

Используя Общую методику алкилирования тозилатом, исходя из продукта Синтеза 5а и продукта со Стадии А в качестве подходящего амина, получали целевой продукт.

МСВР-ЭРИ (m/z): [М+Н]+, рассчитано для C69H95FN8O10PS2Si2: 1365.5867, найдено: 1365.5916.

Стадия С: 2-[[6-(1,3-бензотиазол-2-иламино)-5-метилпиридазин-3-ил]-[4-гидрокси-5-[метил(2-фосфоноэтил)амино]пентил]амино]-5-[3-[2-фтор-4-[3-(метиламино)проп-1-инил]фенокси]пропил]тиазол-4-карбоновая кислота

Используя Общую методику снятия защиты и гидролиза производных фосфоновой кислоты, исходя из продукта со Стадии В получали целевой продукт.

МСВР-ЭРИ (m/z): [М+Н]+, рассчитано для C37H45FN8O7PS2: 827.2569, найдено: 827.2561.

Пример 197: 2-({6-[(1,3-Бензотиазол-2-ил)амино]-5-метилпиридазин-3-ил}(метил)амино)-5-[3-({4-фтор-6-[3-(метиламино)проп-1-ин-1-ил]пиридин-3-ил}окси)пропил]-1,3-тиазол-4-карбоновая кислота

Стадия А: 2-хлор-4-фтор-5-(4,4,5,5-тетраметил-1,3,2-диоксаборолан-2-ил)пиридин

К раствору 2-хлор-4-фторпиридина (2.5 г; 19.01 ммоль) в тетрагидрофуране (30 мл) последовательно добавляли бис(пинаколато)дибор (2.41 г; 9.50 ммоль; 0.5 экв.), 4,4'-ди-трет-бутил-2,2'-дипиридил (51.0 мг; 0.190 ммоль; 0.01 экв.) и димер (1,5-циклооктадиен)(метокси)иридия(1) (63.0 мг; 0.095 ммоль; 0.005 экв.). Реакционную смесь продували аргоном и перемешивали при 80°С в течение 16 ч, и затем концентрировали досуха. Полученный в результате остаток очищали с помощью колоночной хроматографии на силикагеле, используя смесь циклогексан/этилацетат в качестве элюента с получением целевого соединения (3.64 г; 74%).

1Н ЯМР (ДМСО-d6) δ м.д. 1.33 (s, 12Н), 7.58 (d, 1Н, J=8.8 Гц), 8.55 (d, 1H, J=9.2 Гц).

Стадия В: 6-хлор-4-фторпиридин-3-ол

К раствору продукта со Стадии А (2.00 г; 7.77 ммоль) в тетрагидрофуране (16 мл) при 0°С последовательно добавляли гидроксид натрия (311 мг; 7.77 ммоль; 1.0 экв.) и 33% водный раствор пероксида водорода (2.38 мл; 23.3 ммоль; 3.0 экв.). Реакционную смесь перемешивали при 0°С в течение 3 ч и при к.т. в течение 16 ч. Реакционную смесь разбавляли водой (50 мл) и подкисляли 1 н. водным раствором хлористоводородной кислоты до рН=1. Водный слой экстрагировали дихлорметаном (3×100 мл) и объединенные органические слои сушили над сульфатом натрия, фильтровали и концентрировали досуха. Полученный в результате остаток очищали с помощью колоночной хроматографии на силикагеле, используя смесь циклогексан/этилацетат в качестве элюента с получением целевого соединения (640 мг; 56%).

1Н ЯМР (ДМСО-d6) δ м.д. 7.53 (d, 1H, J=10.4 Гц), 8.06 (d, 1Н, J=10.8 Гц), 10.76 (s, 1Н).

Стадия С: трет-бутил N-[3-(4-фтор-5-гидрокси-2-пиридил)проп-2-инил]-N-метилкарбамат

К раствору продукта со Стадии В (300 мг; 2.03 ммоль) в ацетонитриле (12 мл) последовательно добавляли трет-бутил N-метил-N-проп-2-инилкарбамат (688 мг; 4.07 ммоль; 2.0 экв.), карбонат цезия (1.66 г; 5.08 ммоль; 2.5 экв.), Xphos (145.4 мг; 0.305 ммоль; 0.15 экв.) и хлорид бис(ацетонитрил)палладия(II) (29.43 мг; 0.102 ммоль; 0.05 экв.). Реакционную смесь продували аргоном и перемешивали в течение 16 ч при 70°С. Реакционную смесь разбавляли водой (50 мл) и подкисляли 1 н. водным раствором хлористоводородной кислоты до рН=1. Водный слой экстрагировали дихлорметаном (3×100 мл) и объединенные органические слои сушили над сульфатом натрия, фильтровали и концентрировали досуха. Полученный в результате остаток очищали с помощью колоночной хроматографии на силикагеле, используя смесь циклогексан/этилацетат в качестве элюента с получением целевого соединения (257 мг; 45%).

1Н ЯМР (ДМСО): 1.41 (s, 9Н), 2.86 (s, 3Н), 4.25 (s, 2Н), 7.45 (d, 1Н, J=11.6 Гц), 8.20 (d, 1H, J=11.2 Гц), 10.87 (s, 1Н); 13С ЯМР (ДМСО): 28.01, 33.45, 37.80, 79.41, 82.10, 82.13, 83.56, 115.42, 115.53, 115.58, 133.79, 133.87, 140.96, 141.00, 142.56, 142.65, 154.13, 154.47, 156.69; ЖХ/МС [M-tBu]+: 225.02.

Стадия D: этил 2-[[6-(1,3-бензотиазол-2-иламино)-5-метилпиридазин-3-ил]-метиламино]-5-[3-[[6-[3-[трет-бутоксикарбонил(метил)амино]проп-1-инил]-4-фтор-3-пиридил]окси]пропил]тиазол-4-карбоксилат

Используя Общую методику алкилирования, исходя из продукта Синтеза 5g и продукта со Стадии С в качестве подходящего фенола, получали целевое соединение.

1Н ЯМР (500 МГц, ДМСО-d6) δ м.д. 8.46 (d, 1Н), 7.91 (br., 1Н), 7.67 (s, 1Н), 7.55 (d, 1Н), 7.53 (br., 1Н), 7.38 (t, 1Н), 7.21 (t, 1Н), 4.28 (t, 2Н), 4.25 (q, 2Н), 4.24 (br., 2Н), 3.76 (s, 3Н), 3.27 (t, 2Н), 2.85 (br., 3Н), 2.46 (s, 3Н), 2.14 (m, 2Н), 1.41 (s, 9Н), 1.29 (t, 3Н); 13С ЯМР (125 МГц, ДМСО-d6) δ м.д. 138.8, 126.6, 122.6, 122.3, 118.4, 115.7, 69.3, 60.7, 38.4, 35.3, 33.9, 31.0, 28.4, 23.1, 17.8, 14.6; МСВР-ЭРИ (m/z): [М+Н]+, рассчитано для C36H40FN8O5S2: 747.2541, найдено: 747.2526.

Стадия Е: 2-({6-[(1,3-бензотиазол-2-ил)амино]-5-метилпиридазин-3-ил}(метил)амино)-5-[3-({4-фтор-6-[3-(метиламино)проп-1-ин-1-ил]пиридин-3-ил}окси)пропил]-1,3-тиазол-4-карбоновая кислота

Используя Общую методику снятия защиты и гидролиза, исходя из продукта со Стадии D в качестве подходящего сложного этилового эфира, получали целевой продукт.

1Н ЯМР (500 МГц, ДМСО-d6) δ м.д. 8.44 (d, 1Н), 7.91 (d, 1Н), 7.67 (s, 1Н), 7.53 (d, 1Н), 7.48 (d, 1Н), 7.39 (tm, 1Н), 7.21 (tm, 1Н), 4.27 (t, 2Н), 3.76 (s, 3Н), 3.48 (s, 2Н), 3.27 (t, 2Н), 2.46 (s, 3Н), 2.31 (s, 3Н), 2.14 (quin, 2Н); 13С ЯМР (125 МГц, ДМСО-d6) δ м.д. 164.1, 156.8, 156.7, 151.9, 151.9, 145.5, 143.8, 140.2, 138.8, 137.0, 136.0, 133.1, 130.3, 126.6, 122.6, 122.4, 118.4, 116.8, 115.4, 88.2, 82.4, 69.4, 40.0, 35.3, 35.3, 30.9, 23.1, 17.7; МСВР-ЭРИ (m/z): [М+Н]+, рассчитано для C29H28FN8O3S2: 619.1704, найдено: 619.1698.

Пример 198: 2-[[6-(1,3-Бензотиазол-2-иламино)-5-метилпиридазин-3-ил]-метиламино]-5-[3-[2-фтор-4-(3-морфолинопроп-1-инил)фенокси]пропил]тиазол-4-карбоновая кислота

Стадия А: этил 5-[3-[2-фтор-4-(3-морфолинопроп-1-инил)фенокси]пропил]-2-[метил-[5-метил-6-[(Z)-[3-(2-триметилсилилэтоксиметил)-1,3-бензотиазол-2-илиден]амино]пиридазин-3-ил]амино]тиазол-4-карбоксилат

Используя Общую методику алкилирования, исходя из продукта Синтеза 5g и продукта Синтеза 6е в качестве подходящего фенола, получали целевой продукт.

1Н ЯМР (400 МГц, ДМСО-d6) δ м.д. 7.84 (brd, 1Н), 7.64 (d, 1Н), 7.45 (dm, 1Н), 7.42 (tm, 1Н), 7.32 (dd, 1Н), 7.25 (tm, 1Н), 7.21 (dm, 1Н), 7.15 (t, 1Н), 5.85 (s, 2Н), 4.25 (q, 2Н), 4.15 (t, 2Н), 3.77 (s, 3Н), 3.71 (t, 2Н), 3.58 (t, 4Н), 3.44 (s, 2Н), 3.26 (t, 2Н), 2.48 (br, 4Н), 2.44 (s, 3Н), 2.12 (quin, 2Н), 1.29 (t, 3Н), 0.82 (t, 2Н), -0.11 (s, 9Н); 13С ЯМР (100 МГц, ДМСО-d6) δ м.д. 162.6, 157.4, 156.7, 155.1, 151.7, 151.6, 147.3, 141.0, 137.6, 137.0, 135.2, 129.0, 127.2, 125.6, 123.5, 123.2, 119.2, 117.6, 115.4, 115.2, 111.9, 85.0, 84.3, 72.8, 68.4, 66.7, 66.5, 60.6, 52.2, 47.4, 35.3, 31.1, 23.3, 17.8, 17.8, 14.6, -1.0; МСВР-ЭРИ (m/z): [М+Н]+, рассчитано для C41H51FN7O5S2Si: 832.3141, найдено: 832.3146.

Стадия В: 2-[[6-(1,3-бензотиазол-2-иламино)-5-метилпиридазин-3-ил]-метиламино]-5-[3-[2-фтор-4-(3-морфолинопроп-1-инил)фенокси]пропил]тиазол-4-карбоновая кислота

Используя Общую методику снятия защиты и гидролиза, исходя из продукта со Стадии А в качестве подходящего сложного этилового эфира, получали целевой продукт.

МСВР-ЭРИ (m/z): [М+Н]+, рассчитано для C33H33FN7O4S2: 674.2014, найдено: 674.2006.

Пример 199: 2-[[6-(1,3-Бензотиазол-2-иламино)-5-метилпиридазин-3-ил]-[6-(диметиламино)гексил]амино]-5-[3-[2-фтор-4-[3-(метиламино)проп-1-инил]фенокси]пропил]тиазол-4-карбоновая кислота

Стадия А: метил 2-[трет-бутоксикарбонил-[6-(диметиламино)гексил]амино]-5-[3-[4-[3-[трет-бутоксикарбонил(метил)амино]проп-1-инил]-2-фторфенокси]пропил]тиазол-4-карбоксилат

Используя Общую методику проведения реакции Мицунобу, исходя из продукта Синтеза 1b и 6-(диметиламино)гексан-1-ола, получали 1.51 г (колич., содержащий прибл. 40 мол./мол. % DIAD-2H) целевого продукта.

1Н ЯМР (400 МГц, ДМСО-d6) δ м.д. 7.30 (dd, 1Н), 7.21 (dm, 1Н), 7.13 (t, 1Н), 4.23 (s, 2Н), 4.10 (t, 2Н), 3.98 (t, 2Н), 3.75 (s, 3Н), 3.22 (t, 2Н), 2.86 (s, 3Н), 2.13 (t, 2Н), 2.07 (s, 6Н), 1.70-1.20 (m, 8Н), 1.61 (m, 2Н), 1.50/1.41 (s, 18Н); МСВР-ЭРИ (m/z): [М+Н]+, рассчитано для C36H54FN4O7S: 705.3697, найдено: 705.3699.

Стадия В: метил 5-[3-[4-[3-[трет-бутоксикарбонил(метил)амино]проп-1-инил]-2-фторфенокси]пропил]-2-[6-(диметиламино)гексиламино]тиазол-4-карбоксилат

Используя Общую методику снятия защиты посредством HFIP, исходя из продукта со Стадии А получали 650 мг (50%) целевого продукта.

1Н ЯМР (500 МГц, ДМСО-d6) δ м.д. 7.56 (t, 1Н), 7.31 (d, 1Н), 7.21 (d, 1Н), 7.13 (t, 1Н), 4.23 (br., 2Н), 4.07 (t, 2Н), 3.69 (s, 3Н), 3.14 (m, 2Н), 3.11 (t, 2Н), 2.86 (br., 3Н), 2.17 (m, 2Н), 2.10 (s, 6Н), 2.00 (quint., 2Н), 1.50 (m, 2Н), 1.41 (s, 9Н), 1.37 (m, 2Н), 1.34-1.21 (m, 2Н), 1.34-1.21 (m, 2Н); 13С ЯМР (125 МГц, ДМСО-d6) δ м.д. 129.1, 119.3, 115.4, 68.0, 60.6, 51.7, 45.6, 44.5, 38.6, 33.9, 30.6, 29.1, 28.5, 27.4, 27.0, 26.8, 23.3; МСВР-ЭРИ (m/z): [М+Н]+, рассчитано для C31H46FN4O5S: 605.3173, найдено: 605.3160.

Стадия С: метил 5-[3-[4-[3-[трет-бутоксикарбонил(метил)амино]проп-1-инил]-2-фторфенокси]пропил]-2-[6-(диметиламино)гексил-[5-метил-6-[(Z)-[3-(2-триметилсилилэтоксиметил)-1,3-бензотиазол-2-илиден]амино]пиридазин-3-ил]амино]тиазол-4-карбоксилат

Используя Общую методику II проведения реакции Бухвальда, исходя из продукта со Стадии В и продукта Синтеза 4а получали 1.06 г (98%) целевого продукта.

1Н ЯМР (500 МГц, ДМСО-d6) δ м.д. 7.84 (d, 1Н), 7.66 (s, 1Н), 7.47 (d, 1Н), 7.44 (td, 1Н), 7.32 (d, 1Н), 7.25 (td, 1Н), 7.22 (d, 1Н), 7.16 (t, 1Н), 5.86 (s, 2Н), 4.37 (t, 2Н), 4.20 (m, 2Н), 4.15 (t, 2Н), 3.77 (s, 3Н), 3.72 (t, 2Н), 3.26 (t, 2Н), 2.84 (s, 3Н), 2.46 (s, 3Н), 2.13 (m, 2Н), 2.13 (m, 2Н), 2.06 (s, 6Н), 1.62-1.32 (m, 8Н), 1.40 (s, 9Н), 0.92 (t, 2Н), -0.11 (s, 9Н); 13С ЯМР (125 МГц, ДМСО-d6) δ м.д. 163.2, 129.1, 127.2, 123.4, 123.2, 119.2, 117.6, 115.5, 112.0, 79.5, 72.8, 68.4, 66.7, 59.5, 51.9, 46.8, 45.6, 38.6, 33.8, 31.0, 28.5, 23.1, 17.8, 17.7, -0.96; МСВР-ЭРИ (m/z): [М+Н]+, рассчитано для C49H68FN8O6S2Si: 975.4457, найдено: 975.4437.

Стадия D: 2-[[6-(1,3-бензотиазол-2-иламино)-5-метилпиридазин-3-ил]-[6-(диметиламино)гексил]амино]-5-[3-[2-фтор-4-[3-(метиламино)проп-1-инил]фенокси]пропил]тиазол-4-карбоновая кислота

Используя Общую методику снятия защиты и гидролиза с последующей повторной очисткой с помощью обращенно-фазовой препаративной хроматографии (С18, 0.1% ТФУ в смеси вода : MeCN), исходя из продукта со Стадии С получали ТФУ-соль целевого продукта.

МСВР-ЭРИ (m/z): [М+Н]+, рассчитано для C37H44FN8O3S2: 731.2962, найдено: 731.2968.

Пример 200: 2-[[6-(1,3-Бензотиазол-2-иламино)-5-метилпиридазин-3-ил]-[3-(диметиламино)пропил]амино]-5-[3-[2-фтор-4-[3-(метиламино)проп-1-инил]фенокси]пропил]тиазол-4-карбоновая кислота

Стадия А: метил 2-[трет-бутоксикарбонил-[3-(диметиламино)пропил]амино]-5-[3-[4-[3-[трет-бутоксикарбонил(метил)амино]проп-1-инил]-2-фторфенокси]пропил]тиазол-4-карбоксилат

Используя Общую методику проведения реакции Мицунобу, исходя из продукта Синтеза 1b и 3-(диметиламино)пропан-1-ола, получали 1.40 г (колич., образец содержал прибл. 35 мол./мол. % DIAD-2H) целевого продукта.

1Н ЯМР (400 МГц, ДМСО-d6) δ м.д. 7.30 (dd, 1Н), 7.21 (dm, 1Н), 7.13 (t, 1Н), 4.23 (s, 2Н), 4.10 (t, 2Н), 4.01 (t, 2Н), 3.74 (s, 3Н), 3.22 (t, 2Н), 2.86 (s, 3Н), 2.24 (t, 2Н), 2.12 (s, 6Н), 2.08 (m, 2Н), 1.74 (m, 2Н), 1.51/1.41 (s, 18Н); МСВР-ЭРИ (m/z): [М+Н]+, рассчитано для C33H48FN4O7S: 663.3228, найдено: 663.3218.

Стадия В: метил 5-[3-[4-[3-[трет-бутоксикарбонил(метил)амино]проп-1-инил]-2-фторфенокси]пропил]-2-[3-(диметиламино)пропиламино]тиазол-4-карбоксилат

Используя Общую методику снятия защиты посредством HFIP, исходя из продукта со Стадии А получали 0.95 г (80%) целевого продукта.

1Н ЯМР (500 МГц, ДМСО-d6) δ м.д. 7.57 (t, 1Н), 7.31 (d, 1Н), 7.21 (d, 1Н), 7.13 (t, 1Н), 4.23 (br., 2Н), 4.07 (t, 2Н), 3.69 (s, 3Н), 3.17 (q, 2Н), 3.12 (t, 2Н), 2.86 (br., 3Н), 2.24 (t, 2Н), 2.11 (s, 6Н), 2.00 (quint., 2Н), 1.63 (m, 2Н), 1.41 (s, 9Н); 13С ЯМР (125 МГц, ДМСО-d6) δ м.д. 129.1, 119.3, 115.4, 68, 57.0, 51.7, 45.6, 42.8, 38.6, 33.8, 30.6, 28.5, 27.0, 23.3; МСВР-ЭРИ (m/z): [М+Н]+, рассчитано для C28H40FN4O5S: 563.2703, найдено: 563.2694.

Стадия С: метил 5-[3-[4-[3-[трет-бутоксикарбонил(метил)амино]проп-1-инил]-2-фторфенокси]пропил]-2-[3-(диметиламино)пропил-[5-метил-6-[(Z)-[3-(2-триметилсилилэтоксиметил)-1,3-бензотиазол-2-илиден]амино]пиридазин-3-ил]амино]тиазол-4-карбоксилат

Используя Общую методику II проведения реакции Бухвальда, исходя из продукта со Стадии В и продукта Синтеза 4а получали 0.79 г (51%) целевого продукта.

1Н ЯМР (500 МГц, ДМСО-d6) δ м.д. 7.84 (d, 1Н), 7.73 (s, 1Н), 7.46 (dd, 1Н), 7.43 (td, 1Н), 7.31 (brd., 1Н), 7.25 (td, 1Н), 7.21 (d, 1Н), 7.16 (t, 1Н), 5.86 (s, 2Н), 4.35 (t, 2Н), 4.20 (br., 2Н), 4.15 (t, 2Н), 3.76 (s, 3Н), 3.72 (t, 2Н), 3.27 (t, 2Н), 2.84 (br., 3Н), 2.45 (s, 3Н), 2.32 (t, 2Н), 2.18 (s, 6Н), 2.13 (m, 2Н), 1.86 (m, 2Н), 1.40 (s, 9Н), 0.92 (t, 2Н), -0.11 (s, 9Н); 13С ЯМР (125 МГц, ДМСО-d6) δ м.д. 129.1, 127.2, 123.4, 123.2, 119.3, 117.6, 115.4, 111.9, 72.8, 68.4, 66.7, 56.4, 51.9, 45.7, 45.5, 38.5, 33.8, 31.0, 28.5, 25.0, 23.1, 17.9, 17.8, -1.0; МСВР-ЭРИ (m/z): [М+Н]+, рассчитано для C46H62FN8O6S2Si: 933.3987, найдено: 933.3990.

Стадия D: 2-[[6-(1,3-бензотиазол-2-иламино)-5-метилпиридазин-3-ил]-[3-(диметиламино)пропил]амино]-5-[3-[2-фтор-4-[3-(метиламино)проп-1-инил]фенокси]пропил]тиазол-4-карбоновая кислота

Используя Общую методику снятия защиты и гидролиза с последующей повторной очисткой с помощью обращенно-фазовой препаративной хроматографии (С18, 0.1% ТФУ в смеси вода : MeCN), исходя из продукта со Стадии С получали ТФУ-соль целевого продукта.

МСВР-ЭРИ (m/z): [М+2Н]2+, рассчитано для C34H39FN8O3S2: 345.1280, найдено: 345.1265.

Пример 201: 2-[[6-(1,3-Бензотиазол-2-иламино)-5-метилпиридазин-3-ил]-[2-(триметиламмонио)этил]амино]-5-[3-[2-фтор-4-[3-(метиламино)проп-1-инил]фенокси]пропил]тиазол-4-карбоксилат

Используя Общую методику алкилирования, снятия защиты и гидролиза, исходя из соединения Примера 207, Стадия С, и йодметана получали ТФУ-соль целевого продукта.

МСВР-ЭРИ (m/z): [М+2Н]2+, рассчитано для C34H39FN8O3S2: 345.1280, найдено: 345.1279.

Пример 202: 2-[[6-(1,3-Бензотиазол-2-иламино)-5-метилпиридазин-3-ил]-[3-(триметиламмонио)пропил]амино]-5-[3-[2-фтор-4-[3-(метиламино)проп-1-инил]фенокси]пропил]тиазол-4-карбоксилат

Используя Общую методику алкилирования, снятия защиты и гидролиза, исходя из соединения Примера 200, Стадия С, и йодметана получали ТФУ-соль целевого продукта.

МСВР-ЭРИ (m/z): [М+2Н]2+, рассчитано для C35H41FN8O3S2: 352.1358, найдено: 352.1365.

Пример 203: 2-[[6-(1,3-Бензотиазол-2-иламино)-5-метилпиридазин-3-ил]-метиламино]-5-[3-[2-фтор-4-(3-пирролидин-1-илпроп-1-инил)фенокси]пропил]тиазол-4-карбоновая кислота

Стадия А: этил 5-[3-[2-фтор-4-(3-пирролидин-1-илпроп-1-инил)фенокси]пропил]-2-[метил-[5-метил-6-[(Z)-[3-(2-триметилсилилэтоксиметил)-1,3-бензотиазол-2-илиден]амино]пиридазин-3-ил]амино]тиазол-4-карбоксилат

Используя Общую методику алкилирования, исходя из продукта Синтеза 5g и продукта Синтеза 6 с в качестве подходящего фенола, получали целевой продукт.

1Н ЯМР (400 МГц, ДМСО-d6) δ м.д. 7.83 (dm, 1Н), 7.66 (q, 1Н), 7.46 (dm, 1Н), 7.43 (m, 1Н), 7.31 (dd, 1Н), 7.25 (m, 1Н), 7.21 (dm, 1Н), 7.15 (t, 1Н), 5.85 (s, 2Н), 4.25 (q, 2Н), 4.14 (t, 2Н), 3.77 (s, 3Н), 3.72 (m, 2Н), 3.64 (s, 2Н), 3.26 (t, 2Н), 2.64 (brm, 4Н), 2.45 (d, 3Н), 2.12 (m, 2Н), 1.72 (m, 4Н), 1.29 (t, 3Н), 0.92 (m, 2Н), -0.11 (s, 9Н); МСВР-ЭРИ (m/z): [М+Н]+, рассчитано для C41H51FN7O4S2Si: 816.3192, найдено: 816.3189.

Стадия В: 2-[[6-(1,3-бензотиазол-2-иламино)-5-метилпиридазин-3-ил]-метиламино]-5-[3-[2-фтор-4-(3-пирролидин-1-илпроп-1-инил)фенокси]пропил]тиазол-4-карбоновая кислота

Используя Общую методику снятия защиты и гидролиза, исходя из продукта со Стадии А в качестве подходящего сложного этилового эфира, получали целевой продукт.

МСВР-ЭРИ (m/z): [М+Н]+, рассчитано для C33H33FN7O3S2: 658.2065, найдено: 658.2060.

Пример 204: 2-[[6-(1,3-Бензотиазол-2-иламино)-5-метилпиридазин-3-ил]-метиламино]-5-[3-[2-фтор-4-[3-(1-пиперидил)проп-1-инил]фенокси]пропил]тиазол-4-карбоновая кислота

Стадия А: этил 5-[3-[2-фтор-4-[3-(1-пиперидил)проп-1-инил]фенокси]пропил]-2-[метил-[5-метил-6-[(Z)-[3-(2-триметилсилилэтоксиметил)-1,3-бензотиазол-2-илиден]амино]пиридазин-3-ил]амино]тиазол-4-карбоксилат

Используя Общую методику алкилирования, исходя из продукта Синтеза 5g и продукта Синтеза 6d в качестве подходящего фенола, получали целевой продукт.

1Н ЯМР (400 МГц, ДМСО-d6) δ м.д. 7.83 (dm, 1Н), 7.64 (q, 1Н), 7.45 (dm, 1Н), 7.43 (m, 1Н), 7.30 (dd, 1Н), 7.25 (m, 1Н), 7.19 (dm, 1Н), 7.14 (t, 1Н), 5.85 (s, 2Н), 4.25 (q, 2Н), 4.14 (t, 2Н), 3.76 (s, 3Н), 3.71 (m, 2Н), 3.39 (s, 2Н), 3.25 (t, 2Н), 2.44 (d, 3Н), 2.42 (brm, 4Н), 2.12 (m, 2Н), 1.50 (m, 4Н), 1.35 (m, 2Н), 1.29 (t, 3Н), 0.92 (m, 2Н), -0.12 (s, 9Н); МСВР-ЭРИ (m/z): [М+Н]+, рассчитано для C42H53FN7O4S2Si: 830.3348, найдено: 830.3347.

Стадия В: 2-[[6-(1,3-бензотиазол-2-иламино)-5-метилпиридазин-3-ил]-метиламино]-5-[3-[2-фтор-4-[3-(1-пиперидил)проп-1-инил]фенокси]пропил]тиазол-4-карбоновая кислота

Используя Общую методику снятия защиты и гидролиза, исходя из продукта со Стадии А в качестве подходящего сложного этилового эфира, получали целевой продукт.

МСВР-ЭРИ (m/z): [М+Н]+, рассчитано для C34H35FN7O3S2: 672.2221, найдено: 672.2217.

Пример 205: 2-[[6-(1,3-Бензотиазол-2-иламино)-5-метилпиридазин-3-ил]-метиламино]-5-[3-[4-[3-(диметиламино)бут-1-инил]-2-фторфенокси]пропил]тиазол-4-карбоновая кислота

Стадия А: этил 5-[3-[4-[3-(диметиламино)бут-1-инил]-2-фторфенокси]пропил]-2-[метил-[5-метил-6-[(Z)-[3-(2-триметилсилилэтоксиметил)-1,3-бензотиазол-2-илиден]амино]пиридазин-3-ил]амино]тиазол-4-карбоксилат

Используя Общую методику алкилирования, исходя из продукта Синтеза 5g и продукта Синтеза 6f в качестве подходящего фенола, получали целевой продукт.

Стадия В: 2-[[6-(1,3-бензотиазол-2-иламино)-5-метилпиридазин-3-ил]-метиламино]-5-[3-[4-[3-(диметиламино)бут-1-инил]-2-фторфенокси]пропил]тиазол-4-карбоновая кислота

Используя Общую методику снятия защиты и гидролиза, исходя из продукта со Стадии А в качестве подходящего сложного этилового эфира, получали целевой продукт.

МСВР-ЭРИ (m/z): [М+Н]+, рассчитано для C32H33FN7O3S2: 646.2065, найдено: 646.2057.

Пример 206: 2-[[6-(1,3-Бензотиазол-2-иламино)-5-метилпиридазин-3-ил]-метиламино]-5-[3-[2-фтор-4-((3R или 3S)-морфолинобут-1-инил)фенокси]пропил]тиазол-4-карбоновая кислота (энантиомер 2)

Стадия А: этил 5-[3-[2-фтор-4-((3R или 3S)-морфолинобут-1-инил)фенокси]пропил]-2-[метил-[5-метил-6-[(Z)-[3-(2-триметилсилилэтоксиметил)-1,3-бензотиазол-2-илиден]амино]пиридазин-3-ил]амино]тиазол-4-карбоксилат (энантиомер 2)

Используя Общую методику алкилирования, исходя из продукта Синтеза 5g и продукта Синтеза 6h в качестве подходящего фенола, получали целевой продукт.

1Н ЯМР (400 МГц, ДМСО-d6) δ м.д. 7.84 (d, 1Н), 7.66 (s, 1Н), 7.46 (d, 1Н), 7.43 (td, 1Н), 7.29 (dd, 1Н), 7.25 (td, 1Н), 7.20 (dd, 1Н), 7.15 (t, 1Н), 5.86 (s, 2Н), 4.26 (q, 2Н), 4.14 (t, 2Н), 3.77 (s, 3Н), 3.72 (t, 2Н), 3.66 (q, 1Н), 3.59 (br., 4Н), 3.27 (t, 2Н), 2.57/2.43 (m+m, 4Н), 2.45 (s, 3Н), 2.13 (quint, 2Н), 1.30 (t, 3Н), 1.28 (d, 3Н), 0.92 (t, 2Н), -0.11 (s, 9Н); 13С ЯМР (100 МГц, ДМСО-d6) δ м.д. 129.0, 127.2, 123.4, 123.2, 119.2, 117.6, 115.5, 111.9, 88.1, 84.2, 72.8, 68.4, 66.7, 66.7, 60.7, 52.1, 49.5, 35.3, 31.1, 23.2, 19.3, 17.8, 17.8, 14.6, -1.0; МСВР-ЭРИ (m/z): [М+Н]+, рассчитано для C42H53FN7O5S2Si: 846.3297, найдено: 846.3283.

Стадия В: 2-[[6-(1,3-бензотиазол-2-иламино)-5-метилпиридазин-3-ил]-метиламино]-5-[3-[2-фтор-4-((3R или 3S)-морфолинобут-1-инил)фенокси]пропил]тиазол-4-карбоновая кислота (энантиомер 2)

Используя Общую методику снятия защиты и гидролиза, исходя из продукта со Стадии А в качестве подходящего сложного этилового эфира, получали целевой продукт.

МСВР-ЭРИ (m/z): [М+Н]+, рассчитано для C34H35FN7O4S2: 688.2176, найдено: 688.2171.

Пример 207: 2-[[6-(1,3-Бензотиазол-2-иламино)-5-метилпиридазин-3-ил]-[2-(диметиламино)этил]амино]-5-[3-[2-фтор-4-[3-(метиламино)проп-1-инил]фенокси]пропил]тиазол-4-карбоновая кислота

Стадия А: метил 2-[трет-бутоксикарбонил-[2-(диметиламино)этил]амино]-5-[3-[4-[3-[трет-бутоксикарбонил(метил)амино]проп-1-инил]-2-фторфенокси]пропил]тиазол-4-карбоксилат

Используя Общую методику проведения реакции Мицунобу, исходя из продукта Синтеза 1b и 2-(диметиламино)этанола получали 0.90 г (70%) целевого продукта.

1Н ЯМР (500 МГц, ДМСО-d6) δ м.д. 7.30 (brd, 1Н), 7.21 (dm, 1Н), 7.13 (t, 1Н), 4.22 (brs, 2Н), 4.10 (t, 2Н), 4.07 (t, 2Н), 3.75 (s, 3Н), 3.22 (t, 2Н), 2.86 (brs, 3Н), 2.46 (t, 2Н), 2.17 (s, 6Н), 2.08 (m, 2Н), 1.50/1.41 (s, 18Н); 13С ЯМР (125 МГц, ДМСО-d6) δ м.д. 129.1, 119.3, 115.4, 85.2, 82.4, 68.1, 57, 52.0, 46.0, 44.3, 38.6, 33.8, 30.5, 23.2; МСВР-ЭРИ (m/z): [М+Н]+, рассчитано для C32H46FN4O7S: 649.3071, найдено: 649.3059.

Стадия В: метил 5-[3-[4-[3-[трет-бутоксикарбонил(метил)амино]проп-1-инил]-2-фторфенокси]пропил]-2-[2-(диметиламино)этиламино]тиазол-4-карбоксилат

Используя Общую методику снятия защиты посредством HFIP, исходя из продукта со Стадии А получали 0.68 г (89%) целевого продукта.

1Н ЯМР (500 МГц, ДМСО-d6) δ м.д. 7.50 (t, 1Н), 7.31 (d, 1Н), 7.21 (d, 1Н), 7.13 (t, 1Н), 4.23 (br., 2Н), 4.07 (t, 2Н), 3.69 (s, 3Н), 3.26 (q, 2Н), 3.11 (t, 2Н), 2.86 (br., 3Н), 2.37 (t, 2Н), 2.15 (s, 6Н), 2.00 (quint, 2Н), 1.41 (s, 9Н); 13С ЯМР (125 МГц, ДМСО-d6) δ м.д. 129.1, 119.3, 115.4, 68.0, 58.2, 51.7, 45.7, 42.4, 38.6, 33.8, 30.6, 28.5, 23.3; МСВР-ЭРИ (m/z): [М+Н]+, рассчитано для C27H38FN4O5S: 549.2547, найдено: 549.2543.

Стадия С: метил 5-[3-[4-[3-[трет-бутоксикарбонил(метил)амино]проп-1-инил]-2-фторфенокси]пропил]-2-[2-(диметиламино)этил-[5-метил-6-[(Z)-[3-(2-триметилсилилэтоксиметил)-1,3-бензотиазол-2-илиден]амино]пиридазин-3-ил]амино]тиазол-4-карбоксилат

Используя Общую методику II проведения реакции Бухвальда, исходя из продукта со Стадии В и продукта Синтеза 4а получали 0.57 г (50%) целевого продукта.

1Н ЯМР (500 МГц, ДМСО-d6) δ м.д. 7.84 (d, 1Н), 7.66 (s, 1Н), 7.47 (dd, 1Н), 7.44 (td, 1Н), 7.31 (brd., 1Н), 7.25 (t, 1Н), 7.22 (d, 1Н), 7.16 (t, 1Н), 5.86 (s, 2Н), 4.46 (t, 2Н), 4.20 (br., 2Н), 4.15 (t, 2Н), 3.77 (s, 3Н), 3.72 (t, 2Н), 3.26 (t, 2Н), 2.84 (br., 3Н), 2.56 (t, 2Н), 2.45 (s, 3Н), 2.23 (s, 6Н), 2.12 (m, 2Н), 1.40 (s, 9Н), 0.92 (t, 2Н), -0.11 (s, 9Н); 13С ЯМР (125 МГц, ДМСО-d6) δ м.д. 163.1, 129.1, 127.2, 123.5, 123.2, 119.3, 117.8, 115.4, 112.0, 72.9, 68.4, 66.7, 56.6, 51.9, 46.1, 45.3, 38.6, 33.8, 31.0, 28.5, 23.1, 17.9, 17.8, -1.0; МСВР-ЭРИ (m/z): [М+Н]+, рассчитано для C45H60FN8O6S2Si: 919.3831, найдено: 919.3829.

Стадия D: 2-[[6-(1,3-бензотиазол-2-иламино)-5-метилпиридазин-3-ил]-[2-(диметиламино)этил]амино]-5-[3-[2-фтор-4-[3-(метиламино)проп-1-инил]фенокси]пропил]тиазол-4-карбоновая кислота

Используя Общую методику снятия защиты и гидролиза с последующей повторной очисткой с помощью обращенно-фазовой препаративной хроматографии (С 18, 0.1% ТФУ в смеси вода: MeCN), исходя из продукта со Стадии С получали ТФУ-соль целевого продукта.

МСВР-ЭРИ (m/z): [М+Н]+, рассчитано для C33H36FN8O3S2: 675.2336, найдено: 675.2323.

Пример 208: 2-[[6-(1,3-Бензотиазол-2-иламино)-5-метилпиридазин-3-ил]-метиламино]-5-[3-[2-фтор-4-((3S или 3R)-морфолинобут-1-инил)фенокси]пропил]тиазол-4-карбоновая кислота (энантиомер 1)

Стадия А: этил 5-[3-[2-фтор-4-((3S или 3R-морфолинобут-1-инил)фенокси]пропил]-2-[метил-[5-метил-6-[(Z)-[3-(2-триметилсилилэтоксиметил)-1,3-бензотиазол-2-илиден]амино]пиридазин-3-ил]амино]тиазол-4-карбоксилат (энантиомер 1)

Используя Общую методику алкилирования, исходя из продукта Синтеза 5g и продукта Синтеза 6g в качестве подходящего фенола, получали целевой продукт.

1Н ЯМР (400 МГц, ДМСО-d6) δ м.д. 7.84 (d, 1Н), 7.66 (s, 1Н), 7.46 (d, 1Н), 7.43 (td, 1Н), 7.29 (dd, 1Н), 7.25 (td, 1Н), 7.20 (dd, 1Н), 7.15 (t, 1Н), 5.86 (s, 2Н), 4.26 (q, 2Н), 4.14 (t, 2Н), 3.77 (s, 3Н), 3.72 (t, 2Н), 3.66 (q, 1Н), 3.59 (br., 4Н), 3.27 (t, 2Н), 2.57/2.43 (m+m, 4Н), 2.45 (s, 3Н), 2.13 (quint, 2Н), 1.30 (t, 3Н), 1.28 (d, 3Н), 0.92 (t, 2Н), -0.11 (s, 9Н); 13С ЯМР (100 МГц, ДМСО-d6) δ м.д. 129.0, 127.2, 123.4, 123.2, 119.2, 117.6, 115.5, 111.9, 88.1, 84.2, 72.8, 68.4, 66.7, 66.7, 60.7, 52.1, 49.5, 35.3, 31.1, 23.2, 19.3, 17.8, 17.8, 14.6, -1.0; МСВР-ЭРИ (m/z): [М+Н]+, рассчитано для C42H53FN7O5S2Si: 846.3297, найдено: 846.3288.

Стадия В: 2-[[6-(1,3-бензотиазол-2-иламино)-5-метилпиридазин-3-ил]-метиламино]-5-[3-[2-фтор-4-((3S или 3R-морфолинобут-1-инил)фенокси]пропил]тиазол-4-карбоновая кислота (энантиомер 1)

Используя Общую методику снятия защиты и гидролиза, исходя из продукта со Стадии А в качестве подходящего сложного этилового эфира, получали целевой продукт.

МСВР-ЭРИ (m/z): [М+Н]+, рассчитано для C34H35FN7O4S2: 688.2170, найдено: 688.2166.

Пример 209: 2-[[6-(1,3-Бензотиазол-2-иламино)-5-(трифторметил)пиридазин-3-ил]-метиламино]-5-[3-[2-фтор-4-[3-(метиламино)проп-1-инил]фенокси]пропил]тиазол-4-карбоновая кислота

Стадия А: метил 2-[[6-хлор-5-(трифторметил)пиридазин-3-ил]-метиламино]-5-[3-(2-фтор-4-йодфенокси)пропил] тиазол-4-карбоксилат

50 мл высушенную в сушильном шкафу одногорлую, круглодонную колбу оснащали якорем магнитной мешалки с покрытием из ПТФЭ, и устанавливали обратный холодильник. В нее загружали 991 мг продукта Синтеза 3s (2.20 ммоль, 1.1 экв.), растворенного в 10 мл сухого ТГФ, затем смесь охлаждали до 0°С и порциями добавляли 96 мг NaH (2.40 ммоль, 1.2 экв., 60% в минеральном масле) в течение периода 5 мин. После перемешивания в течение 15 мин при 0°С в виде одной порции добавляли 434 мг 3,6-дихлор-4-(трифторметил)пиридазина (2 ммоль, 1 экв.), и перемешивали при такой температуре в течение 1 ч, во время чего реакция достигла состояния полного превращения. Реакционную смесь гасили путем добавления конц. раствора NH4Cl и экстрагировали с помощью EtOAc. Объединенные органические слои сушили над Na2SO4, фильтровали и концентрировали при пониженном давлении. Сырой продукт растворяли в ДХМ, затем добавляли целит, и летучие вещества удаляли при пониженном давлении. Сырой продукт очищали с помощью колоночной флэш-хроматографии, используя гептан и EtOAc в качестве элюентов с получением 500 мг (39%) целевого продукта в виде желтого твердого вещества.

1Н ЯМР (500 МГц, ДМСО-d6) δ м.д. 8.16 (s, 1Н), 7.58 (dd, 1Н), 7.45 (m, 1Н), 6.98 (t, 1Н), 4.09 (t, 2Н), 3.87 (s, 3Н), 3.80 (s, 3Н), 3.28 (t, 2Н), 2.11 (quin, 2Н); 13С ЯМР (125 МГц, ДМСО-d6) δ м.д. 162.7, 156.2, 155.3, 152.2, 147.0, 144.2, 143.2, 135.1, 134, 128.5, 124.9, 121.4, 117.9, 117.6, 82.4, 68.2, 52.1, 35.9, 30.6, 23.5; МСВР-ЭРИ (m/z): [М+Н]+, рассчитано для C20H17ClF4IN4O3S: 630.9685, найдено: 630.9679.

Стадия В: метил 5-[3-[4-[3-[трет-бутоксикарбонил(метил)амино]проп-1-инил]-2-фторфенокси]пропил]-2-[[6-хлор-5-(трифторметил)пиридазин-3-ил]-метиламино]тиазол-4-карбоксилат

В 12 мл высушенный в сушильном шкафу сосуд, оснащенный якорем магнитной мешалки с покрытием из ПТФЭ, загружали 330 мг продукта со Стадии А (0.52 ммоль, 1 экв.), 177 мг трет-бутил N-метил-N-проп-2-инилкарбамата (1.04 ммоль, 2 экв.), 2.5 мл сухого ТГФ и 0.5 мл DIPA, и затем в нем создавали инертную атмосферу через газовпускной патрубок. После добавления 11.5 мг Pd(PPh3)2Cl2 (0.026 ммоль, 0.05 экв.) и 4.98 мг CuI (0.026 ммоль, 0.05 экв.) реакционную смесь нагревали до 60°С и перемешивали при такой температуре в течение 1 ч, во время чего реакция достигла состояния полного превращения. К реакционной смеси добавляли целит, и летучие вещества удаляли при пониженном давлении. Затем сырой продукт очищали с помощью колоночной флэш-хроматографии, используя гептан и EtOAc с получением 271 мг (69%) целевого продукта.

1Н ЯМР (500 МГц, ДМСО-d6) δ м.д. 8.15 (s, 1Н), 7.31 (brd, 1Н), 7.21 (dm, 1Н), 7.14 (t, 1Н), 4.23 (brs, 2Н), 4.12 (t, 2Н), 3.87 (s, 3Н), 3.79 (s, 3Н), 3.28 (t, 2Н), 2.86 (brs, 3Н), 2.12 (m, 2Н), 1.41 (s, 9Н); 13С ЯМР (125 МГц, ДМСО-d6) δ м.д. 144.2, 129.1, 121.6, 119.3, 117.8, 115.4, 85.2, 82.3, 68.2, 52.1, 38.6, 38.6, 35.8, 30.6, 28.5, 23.1; МСВР-ЭРИ (m/z): [М+Н]+, рассчитано для C29H31ClF4N5O5S: 672.1665, найдено: 672.1651.

Стадия С: метил 2-[[6-(1,3-бензотиазол-2-иламино)-5-(трифторметил)пиридазин-3-ил]-метиламино]-5-[3-[4-[3-[трет-бутоксикарбонил(метил)амино]проп-1-инил]-2-фторфенокси]пропил]тиазол-4-карбоксилат

В 4 мл высушенный в сушильном шкафу сосуд, оснащенный якорем магнитной мешалки с покрытием из ПТФЭ, загружали 130 мг продукта со Стадии В (0.19 ммоль, 1 экв.), 87 мг 1,3-бензотиазол-2-амина (0.58 ммоль, 3 экв.) и 168 мкл DIPEA (125 мг, 0.96 ммоль, 5 экв.), суспендированных в 1 мл СуОН, и затем в нем создавали инертную атмосферу, промывая сосуд аргоном. После 2 мин перемешивания в инертной атмосфере, добавляли 18 мг Pd2(dba)3 (0.019 ммоль, 0.1 экв.) и 23 мг XantPhos (0.038 ммоль, 0.2 экв.). Полученную в результате смесь затем нагревали до 140°С и перемешивали при такой температуре в течение 4 ч, во время чего реакция достигла состояния полного превращения. Реакционную смесь разбавляли 1 мл ДХМ и очищали с помощью колоночной флэш-хроматографии, используя гептан и EtOAc в качестве элюентов с получением 85 мг (56%) целевого продукта.

1Н ЯМР (500 МГц, ДМСО-d6) δ м.д. 9.19 (br., 1Н), 7.95 (s, 1Н), 7.82 (d, 1Н), 7.39 (t, 1Н), 7.32 (d, 1Н), 7.32 (d, 1Н), 7.22 (d, 1Н), 7.21 (t, 1Н), 7.16 (t, 1Н), 4.20 (br., 3Н), 4.14 (t, 2Н), 3.84 (s, 3Н), 3.29 (t, 2Н), 2.84 (br., 2Н), 2.13 (quint., 2Н), 1.40 (s, 9Н); 13С ЯМР (125 МГц, ДМСО-d6) δ м.д. 163.0, 160.0, 156.8, 151.7, 151.1, 141.7, 137.0, 135.1, 129.1, 127.3, 126.6, 123.2, 122.9, 122.7, 119.1, 116.4, 115.5, 112.1, 68.3, 38.5, 35.6, 33.8, 30.9, 28.5, 23.1; МСВР-ЭРИ (m/z): [М+Н]+, рассчитано для C36H36F4N7O5S2: 786.2150, найдено: 786.2148.

Стадия D: 2-[[6-(1,3-бензотиазол-2-иламино)-5-(трифторметил)пиридазин-3-ил]-метиламино]-5-[3-[2-фтор-4-[3-(метиламино)проп-1-инил]фенокси]пропил]тиазол-4-карбоновая кислота

Используя Общую методику снятия защиты и гидролиза, исходя из продукта со Стадии С в качестве подходящего сложного метилового эфира, получали целевой продукт.

МСВР-ЭРИ (m/z): [М+Н]+, рассчитано для C30H26F4N7O3S2: 672.1469, найдено: 672.1458.

Пример 210: 2-[[6-(1,3-Бензотиазол-2-иламино)-5-метилпиридазин-3-ил]-[4-(диметиламино)бутил]амино]-5-[3-[2-фтор-4-[3-(метиламино)проп-1-инил]фенокси]пропил]тиазол-4-карбоновая кислота

Стадия А: метил 2-[трет-бутоксикарбонил-[4-(диметиламино)бутил]амино]-5-[3-(2-фтор-4-йодфенокси)пропил]тиазол-4-карбоксилат

Используя Общую методику проведения реакции Мицунобу, исходя из продукта Синтеза 1а и 4-(диметиламино)бутан-1-ола получали 401 мг (колич.) целевого продукта.

1Н ЯМР (400 МГц, ДМСО-d6) δ м.д. 7.60 (dd, 1Н), 7.47 (dm, 1Н), 6.99 (t, 1Н), 4.08 (t, 2Н), 4.03 (t, 2Н), 3.76 (s, 3Н), 3.23 (t, 2Н), 3.13 (t, 2Н), 2.74 (s, 6Н), 2.07 (m, 2Н), 1.66 (m, 2Н), 1.65 (m, 2Н), 1.53 (s, 9Н); 13С ЯМР (100 МГц, ДМСО-d6) δ м.д. 162.8, 152.7, 147.0, 143.6, 135.5, 134.1, 125.0, 117.7, 84.0, 82.4, 68.2, 56.8, 52.1, 46.0, 42.6, 30.5, 28.2, 25.2, 23.2, 21.7; МСВР-ЭРИ (m/z): [М+Н]+, рассчитано для C25H36FIN3O5S: 636.1399, найдено: 636.1400.

Стадия В: метил 5-[3-[4-[3-[трет-бутоксикарбонил(метил)амино]проп-1-инил]-2-фторфенокси]пропил]-2-[4-(диметиламино)бутиламино]тиазол-4-карбоксилат

Используя Общую методику снятия защиты посредством HFIP, исходя из продукта со Стадии А и после выполнения концентрирования получали сырой метил 2-[4-(диметиламино)бутиламино]-5-[3-(2-фтор-4-йодфенокси)пропил]тиазол-4-карбоксилат (ЖХ-МС-ЭРИ (m/z): [М+Н]+, рассчитано для C20H28FIN3O3S: 536.1, найдено: 536.2), который затем путем использования Общей методики проведения реакции Соногаширы с трет-бутил N-метил-N-проп-2-инилкарбаматом в качестве алкинного реагента приводил к получению 240 мг (67%) целевого продукта.

1Н ЯМР (500 МГц, ДМСО-d6) δ м.д. 7.59 (t, 1Н), 7.31 (d, 1Н), 7.21 (d, 1Н), 7.13 (t, 1Н), 4.23 (br., 2Н), 4.07 (t, 2Н), 3.69 (s, 3Н), 3.15 (q, 2Н), 3.11 (t, 2Н), 2.86 (br., 3Н), 2.18 (t, 2Н), 2.09 (s, 6Н), 2.00 (quint., 2Н), 1.50 (m, 2Н), 1.43 (m, 2Н), 1.41 (s, 9Н); 13С ЯМР (125 МГц, ДМСО-d6) δ м.д. 129.1, 119.3, 115.4, 68.0, 59.2, 51.7, 45.6, 44.5, 38.6, 33.9, 30.6, 28.5, 27.0, 24.9, 23.3; МСВР-ЭРИ (m/z): [М+Н]+, рассчитано для C29H42FN4O5S: 577.2854, найдено: 577.2854.

Стадия С: метил 5-[3-[4-[3-[трет-бутоксикарбонил(метил)амино]проп-1-инил]-2-фторфенокси]пропил]-2-[4-(диметиламино)бутил-[5-метил-6-[(Z)-[3-(2-триметилсилилэтоксиметил)-1,3-бензотиазол-2-илиден]амино]пиридазин-3-ил]амино]тиазол-4-карбоксилат

Используя Общую методику II проведения реакции Бухвальда, исходя из 235 мг продукта со Стадии В (0.41 ммоль, 1 экв.) и 249 мг продукта Синтеза 4а (0.61 ммоль, 1.5 экв.) в качестве подходящего галогенида, получали 353 мг (90%) целевого продукта.

1H ЯМР (500 МГц, ДМСО-d6) δ м.д. 7.84 (d, 1Н), 7.73 (s, 1Н), 7.47 (dm, 1H), 7.44 (t, 1H), 7.33 (brd, 1H), 7.26 (t, 1H), 7.22 (dm, 1H), 7.17 (t, 1H), 5.86 (s, 2H), 4.39 (br, 2H), 4.21 (br, 2H), 4.14 (t, 2H), 3.80 (s, 3H), 3.72 (t, 2H), 3.28 (t, 2H), 3.13 (br, 2H), 2.85 (brs, 3H), 2.70 (s, 6H), 2.47 (s, 3H), 2.14 (quin, 2H), 1.75 (brm, 4H), 1.42 (s, 9H), 0.92 (t, 2H), -0.10 (s, 9H); 13C ЯМР (125 МГц, ДМСО-d6) δ м.д. 163.1, 157.6, 155.3, 151.5, 147.6, 147.4, 141.5, 137.6, 137.5, 135.0, 129.1, 127.2, 123.5, 123.2, 119.4, 117.5, 115.5, 114.8, 112.0, 85.3, 82.3, 72.9, 68.5, 66.9, 56.5, 52.1, 46.2, 42.7, 38.4, 34.0, 31.1, 28.4, 24.5/21.5, 23.2, 17.9, 17.8, -1.1; МСВР-ЭРИ (m/z): [M+H]+, рассчитано для C47H64FN8O6S2Si: 947.4138, найдено: 947.4144.

Стадия D: 2-[[6-(1,3-бензотиазол-2-иламино)-5-метилпиридазин-3-ил]-[4-(диметиламино)бутил]амино]-5-[3-[2-фтор-4-[3-(метиламино)проп-1-инил]фенокси]пропил]тиазол-4-карбоновая кислота

Используя Общую методику снятия защиты и гидролиза с последующей повторной очисткой с помощью обращенно-фазовой препаративной хроматографии (С 18, 0.1% ТФУ в смеси вода: MeCN), исходя из продукта со Стадии С получали ТФУ-соль целевого продукта.

МСВР-ЭРИ (m/z): [М+Н]+, рассчитано для C35H40FN8O3S2: 703.2649, найдено: 703.2637.

Пример 211: 2-[[6-(1,3-Бензотиазол-2-иламино)-5-метилпиридазин-3-ил]-[4-гидрокси-5-(триметиламмонио)пентил]амино]-5-[3-[4-[3-(диметиламино)проп-1-инил]-2-фторфенокси]пропил]тиазол-4-карбоксилат

Стадия А: [2-[трет-бутил(дифенил)силил]окси-5-[[5-[3-[4-[3-(диметиламино)проп-1-инил]-2-фторфенокси]пропил]-4-метоксикарбонилтиазол-2-ил]-[5-метил-6-[(Z)-[3-(2-триметилсилилэтоксиметил)-1,3-бензотиазол-2-илиден]амино]пиридазин-3-ил]амино]пентил]-триметиламмоний

Используя Общую методику образования четвертичной соли, исходя из продукта Синтеза 5b и N,N-диметилметанамина в качестве подходящего третичного амина, получали целевой продукт.

Стадия В: 2-[[6-(1,3-бензотиазол-2-иламино)-5-метилпиридазин-3-ил]-[4-гидрокси-5-(триметиламмонио)пентил]амино]-5-[3-[4-[3-(диметиламино)проп-1-инил]-2-фторфенокси]пропил]тиазол-4-карбоксилат

Используя Общую методику снятия защиты с четвертичной соли, исходя из продукта со Стадии А в виде четвертичной соли, получали целевой продукт.

МСВР-ЭРИ (m/z): [М+Н]+, рассчитано для C38H46FN8O4S2: 761.3062, найдено: 761.3057.

Пример 212: 3-[5-[[6-(1,3-Бензотиазол-2-иламино)-5-метилпиридазин-3-ил]-[4-карбокси-5-[3-[2-фтор-4-[3-(метиламино)проп-1-инил]фенокси]пропил]тиазол-2-ил]амино]пентилдиметиламмонио]пропан-1-сульфонат

Используя Общую методику алкилирования, снятия защиты и гидролиза, исходя из соединения Примера 213, Стадия С, и оксатиолан 2,2-диоксида получали ТФУ-соль целевого продукта.

МСВР-ЭРИ (m/z): [М+Н]+, рассчитано для C51H72FN8O9S3Si: 839.2843, найдено: 839.2823.

Пример 213: 2-[[6-(1,3-Бензотиазол-2-иламино)-5-метилпиридазин-3-ил]-[5-(диметиламино)пентил]амино]-5-[3-[2-фтор-4-[3-(метиламино)проп-1-инил]фенокси]пропил]тиазол-4-карбоновая кислота

Стадия А: метил 2-[трет-бутоксикарбонил-[5-(диметиламино)пентил]амино]-5-[3-[4-[3-[трет-бутоксикарбонил(метил)амино]проп-1-инил]-2-фторфенокси]пропил]тиазол-4-карбоксилат

Используя Общую методику проведения реакции Мицунобу, исходя из продукта Синтеза 1b и 5-(диметиламино)пентан-1-ола, получали 1.47 г (колич.) целевого продукта.

1Н ЯМР (500 МГц, ДМСО-d6) δ м.д. 7.30 (d, 1Н), 7.21 (d, 1Н), 7.13 (t, 1Н), 4.22 (m, 2Н), 4.10 (t, 2Н), 3.99 (t, 2Н), 3.75 (s, 3Н), 3.22 (m, 2Н), 2.86 (bs, 3Н), 2.35 (bs, 2Н), 2.24 (bs, 6Н), 2.08 (m, 2Н), 1.62-1.13 (m, 6Н), 1.51 (s, 9Н), 1.42 (s, 9Н); 13С ЯМР (125 МГц, ДМСО-d6) δ м.д. 129.1, 119.2, 115.4, 85.2, 79.8, 68.1, 58.8, 52.0, 46.4, 45.0, 38.3, 33.8, 30.5, 28.5, 28.1, 23.2; МСВР-ЭРИ (m/z): [М+Н]+, рассчитано для C35H52FN4O7S: 691.3541, найдено: 691.3524.

Стадия В: метил 5-[3-[4-[3-[трет-бутоксикарбонил(метил)амино]проп-1-инил]-2-фторфенокси]пропил]-2-[5-(диметиламино)пентиламино]тиазол-4-карбоксилат

Используя Общую методику снятия защиты посредством HFIP, исходя из продукта со Стадии А получали 0.66 г (52%) целевого продукта.

1Н ЯМР (500 МГц, ДМСО-d6) δ м.д. 7.58 (t, 1Н), 7.32 (brd., 1Н), 7.21 (d, 1Н), 7.13 (t, 1Н), 4.23 (br., 2Н), 4.07 (t, 2Н), 3.69 (s, 3Н), 3.15 (m, 2Н), 3.11 (t, 2Н), 2.87 (br., 3Н), 2.35 (br., 2Н), 2.24 (brs., 6Н), 2.00 (quint, 2Н), 1.51 (m, 2Н), 1.44 (m, 2Н), 1.41 (s, 9Н), 1.30 (m, 2Н); 13С ЯМР (125 МГц, ДМСО-d6 δ м.д. 129.1, 119.3, 115.4, 68.0, 58.9, 51.7, 45.0, 44.4, 38.6, 33.8, 30.6, 28.9, 28.5, 26.4, 24.5, 23.3; МСВР-ЭРИ (m/z): [М+Н]+, рассчитано для C30H44FN4O5S: 591.3016, найдено: 591.3005.

Стадия С: метил 5-[3-[4-[3-[трет-бутоксикарбонил(метил)амино]проп-1-инил]-2-фторфенокси]пропил]-2-[5-(диметиламино)пентил-[5-метил-6-[(Z)-[3-(2-триметилсилилэтоксиметил)-1,3-бензотиазол-2-илиден]амино]пиридазин-3-ил]амино]тиазол-4-карбоксилат

Используя Общую методику II проведения реакции Бухвальда, исходя из продукта со Стадии В и продукта Синтеза 4а получали 0.43 г (40%) целевого продукта.

1Н ЯМР (500 МГц, ДМСО-d6) δ м.д. 7.84 (d, 1Н), 7.69 (s, 1Н), 7.47 (d, 1Н), 7.44 (td, 1Н), 7.32 (brd., 1Н), 7.25 (td, 1Н), 7.22 (d, 1Н), 7.15 (t, 1Н), 5.86 (s, 2Н), 4.38 (t, 2Н), 4.20 (br., 2Н), 4.15 (t, 2Н), 3.78 (s, 3Н), 3.72 (t, 2Н), 3.26 (t, 2Н), 2.84 (br., 3Н), 2.57 (br., 2Н), 2.46 (s, 3Н), 2.39 (br., 6Н), 2.12 (m, 2Н), 1.71 (m, 2Н), 1.58 (m, 2Н), 1.40 (s, 9Н), 1.37 (m, 2Н), 0.92 (t, 2Н), -0.11 (s, 9Н); 13С ЯМР (125 МГц, ДМСО-d6) δ м.д. 129.1, 127.2, 123.5, 123.2, 119.3, 117.6, 115.5, 112, 72.9, 68.4, 66.7, 58.2, 52.0, 46.7, 44.2, 38.4, 33.8, 31.0, 28.5, 26.8, 25.4, 23.8, 23.2, 17.9, 17.8, -1.0; МСВР-ЭРИ (m/z): [М+Н]+, рассчитано для C48H66FN8O6S2Si: 961.4300, найдено: 461.4293.

Стадия D: 2-[[6-(1,3-бензотиазол-2-иламино)-5-метилпиридазин-3-ил]-[5-(диметиламино)пентил]амино]-5-[3-[2-фтор-4-[3-(метиламино)проп-1-инил]фенокси]пропил]тиазол-4-карбоновая кислота

Используя Общую методику снятия защиты и гидролиза с последующей повторной очисткой с помощью обращенно-фазовой препаративной хроматографии (С 18, 0.1% ТФУ в смеси вода: MeCN), исходя из продукта со Стадии С получали ТФУ-соль целевого продукта.

МСВР-ЭРИ (m/z): [М+Н]+, рассчитано для C36H42FN8O3S2: 717.2805, найдено: 717.2779.

Пример 214: 2-[[6-(1,3-Бензотиазол-2-иламино)-5-метилпиридазин-3-ил]-метиламино]-5-[3-[4-[3-(диметиламино)пропил]-2-фторфенокси]пропил]тиазол-4-карбоновая кислота

Стадия А: этил 5-[3-[4-[3-(диметиламино)пропил]-2-фторфенокси]пропил]-2-[метил-[5-метил-6-[(Е)-[3-(2-триметилсилилэтоксиметил)-1,3-бензотиазол-2-илиден]амино]пиридазин-3-ил]амино]тиазол-4-карбоксилат

Смесь 59 мг соединения Примера 50, Стадия А (0.075 ммоль, 1 экв.), и 6 мг 10% палладия на древесном угле (0.076 экв.) в 5 мл этанола выдерживали под давлением водорода 4 бар при к.т.в течение 18 ч. После фильтрования через целит, продукт концентрировали с получением 59 мг (99%) целевого продукта.

1Н ЯМР (500 МГц, ДМСО-d6) δ м.д. 9.30 (brs, 1Н), 7.84 (dm, 1Н), 7.68 (q, 1Н), 7.48 (dm, 1Н), 7.44 (m, 1Н), 7.25 (m, 1Н), 7.13 (dd, 1Н), 7.10 (m, 1Н), 6.97 (dm, 1Н), 4.27 (q, 2Н), 4.10 (t, 2Н), 3.78 (s, 3Н), 3.72 (m, 2Н), 3.27 (t, 2Н), 2.99 (m, 2Н), 2.75 (d, 6Н), 2.55 (t, 2Н), 2.46 (d, 3Н), 2.12 (m, 2Н), 1.88 (m, 2Н), 1.30 (t, 3Н), 0.92 (m, 2Н), -0.11 (s, 9Н); МСВР-ЭРИ (m/z): [М+Н]+, рассчитано для C39H53FN7O4S2Si: 794.3354 найдено: 794.3356.

Стадия В: 2-[[6-(1,3-бензотиазол-2-иламино)-5-метилпиридазин-3-ил]-метиламино]-5-[3-[4-[3-(диметиламино)пропил]-2-фторфенокси]пропил]тиазол-4-карбоновая кислота

К смеси 59 мг продукта со Стадии А (0.076 ммоль, 1 экв.) в 5 мл 1,4-диоксана добавляли 1.5 мл 4 н. раствора HCl (6.0 ммоль) и перемешивали при к.т.в течение 18 ч. После добавления 510 мг LiOH×Н2О (12.14 ммоль, 160 экв.) смесь перемешивали при 60°С в течение 2 ч. После концентрирования сырой продукт очищали с помощью колоночной флэш-хроматографии, используя ДХМ и МеОН (содержащий 1.2% NH3) в качестве элюентов, и затем с помощью обращенно-фазовой препаративной хроматографии (С18, 25 мМ NH4HCO3 в смеси вода: MeCN) с получением 3 мг (6%) целевого продукта.

МСВР-ЭРИ (m/z): [М+Н]+, рассчитано для C31H35FN7O3S2: 636.2226 найдено: 636.2221.

Пример 215: 2-[[6-(1,3-Бензотиазол-2-иламино)-5-метилпиридазин-3-ил]-(4-гидрокси-5-хинуклидин-1-ий-1-илпентил)амино]-5-[3-[4-[3-(диметиламино)проп-1-инил]-2-фторфенокси]пропил]тиазол-4-карбоксилат

Стадия А: метил 2-[[4-[трет-бутил(дифенил)силил]окси-5-хинуклидин-1-ий-1-илпентил]-[5-метил-6-[(Z)-[3-(2-триметилсилилэтоксиметил)-1,3-бензотиазол-2-илиден]амино]пиридазин-3-ил]амино]-5-[3-[4-[3-(диметиламино)проп-1-инил]-2-фторфенокси]пропил]тиазол-4-карбоксилат

Используя Общую методику образования четвертичной соли, исходя из продукта Синтеза 5b и хинуклидина в качестве подходящего третичного амина, получали целевой продукт.

Стадия В: 2-[[6-(1,3-бензотиазол-2-иламино)-5-метилпиридазин-3-ил]-(4-гидрокси-5-хинуклидин-1-ий-1-илпентил)амино]-5-[3-[4-[3-(диметиламино)проп-1-инил]-2-фторфенокси]пропил]тиазол-4-карбоксилат

Используя Общую методику снятия защиты с четвертичной соли, исходя из продукта со Стадии А в виде четвертичной соли, получали целевой продукт.

МСВР-ЭРИ (m/z): [М+2Н]2+, рассчитано для C42H51FN8O4S2: 407.1724, найдено: 407.1724.

Пример 216: 2-[[5-(1-Аза-4-азониябицикло[2.2.2]октан-4-ил)-4-гидроксипентил]-[6-(1,3-бензотиазол-2-иламино)-5-метилпиридазин-3-ил]амино]-5-[3-[4-[3-(диметиламино)проп-1-инил]-2-фторфенокси]пропил]тиазол-4-карбоксилат

Стадия А: метил 2-[[5-(1-аза-4-азониябицикло[2.2.2]октан-4-ил)-4-[трет-бутил(дифенил)силил]оксипентил]-[5-метил-6-[(Z)-[3-(2-триметилсилилэтоксиметил)-1,3-бензотиазол-2-илиден]амино]пиридазин-3-ил]амино]-5-[3-[4-[3-(диметиламино)проп-1-инил]-2-фторфенокси]пропил]тиазол-4-карбоксилат

Используя Общую методику образования четвертичной соли, исходя из продукта Синтеза 5b и 1,4-диазабицикло[2.2.2]октана в качестве подходящего третичного амина, получали целевой продукт.

Стадия_В_: 2-[[5-(1-аза-4-азониябицикло[2.2.2]октан-4-ил)-4-гидроксипентил]-[6-(1,3-бензотиазол-2-иламино)-5-метилпиридазин-3-ил]амино]-5-[3-[4-[3-(диметиламино)проп-1-инил]-2-фторфенокси]пропил]тиазол-4-карбоксилат

Используя Общую методику снятия защиты с четвертичной соли, исходя из продукта со Стадии А в виде четвертичной соли, получали целевой продукт.

МСВР-ЭРИ (m/z): [М+2Н]2+, рассчитано для C41H50FN9O4S2: 407.6700, найдено: 407.6699.

Пример 217: 2-[[6-(1,3-Бензотиазол-2-иламино)-5-метилпиридазин-3-ил]-[4-гидрокси-5-(4-метилморфолин-4-ий-4-ил)пентил]амино]-5-[3-[4-[3-(диметиламино)проп-1-инил]-2-фторфенокси]пропил]тиазол-4-карбоксилат

Стадия А: метил 2-[[4-[трет-бутил(дифенил)силил]окси-5-(4-метилморфолин-4-ий-4-ил)пентил]-[5-метил-6-[(Z)-[3-(2-триметилсилилэтоксиметил)-1,3-бензотиазол-2-илиден]амино]пиридазин-3-ил]амино]-5-[3-[4-[3-(диметиламино)проп-1-инил]-2-фторфенокси]пропил]тиазол-4-карбоксилат

Используя Общую методику образования четвертичной соли, исходя из продукта Синтеза 5b и 4-метилморфолина в качестве подходящего третичного амина, получали целевой продукт.

Стадия В: 2-[[6-(1,3-бензотиазол-2-иламино)-5-метилпиридазин-3-ил]-[4-гидрокси-5-(4-метилморфолин-4-ий-4-ил)пентил]амино]-5-[3-[4-[3-(диметиламино)проп-1-инил]-2-фторфенокси]пропил]тиазол-4-карбоксилат

Используя Общую методику снятия защиты с четвертичной соли, исходя из продукта со Стадии А в виде четвертичной соли, получали целевой продукт.

МСВР-ЭРИ (m/z): [М+Н]+, рассчитано для C40H48FN8O5S2: 803.3168, найдено: 803.3165.

Пример 218: 3-[2-[3-[4-[3-[2-[[6-(1,3-Бензотиазол-2-иламино)-5-метилпиридазин-3-ил]-метиламино]-4-карбокситиазол-5-ил]пропокси]-3-фторфенил]проп-2-иниламино]этилдиметиламмонио]пропан-1-сульфонат

Стадия А: 3-[2-[трет-бутоксикарбонил-[3-[4-[3-[4-этоксикарбонил-2-[метил-[5-метил-6-[(Z)-[3-(2-триметилсилилэтоксиметил)-1,3-бензотиазол-2-илиден]амино]пиридазин-3-ил]амино]тиазол-5-ил]пропокси]-3-фторфенил]проп-2-инил]амино]этилдиметиламмонио]пропан-1-сульфонат

159 мг продукта Синтеза 5h (0.17 ммоль, 1 экв.) и 208 мг оксатиолан 2,2-диоксида (1.70 ммоль, 10 экв.) смешивали в ацетонитриле (6 мл/ммоль), и реакционную смесь перемешивали при 60°С в течение 2.5 ч, во время чего степень превращения достигла значения>90%. Смесь концентрировали на целите и очищали с помощью колоночной флэш-хроматографии, используя EtOAc и МеОН (1.2% NH3) в качестве элюентов с получением 126 мг (70%) целевого продукта в виде желтого твердого вещества.

1Н ЯМР (500 МГц, ДМСО-d6) δ м.д. 7.84 (d, 1Н), 7.67 (s, 1Н), 7.46 (d, 1Н), 7.44 (t, 1Н), 7.35 (br., 1Н), 7.25 (t, 1Н), 7.25 (br., 1Н), 7.18 (t, 1Н), 5.86 (s, 2Н), 4.28 (br., 2Н), 4.26 (q, 2Н), 4.15 (t, 2Н), 3.77 (s, 3Н), 3.72 (t, 2Н), 3.70 (brt., 2Н), 3.46 (br., 2Н), 3.46 (br., 2Н), 3.27 (t, 2Н), 3.08 (brs., 6Н), 2.46 (s, 3Н), 2.46 (t, 2Н), 2.13 (quint., 2Н), 2.02 (br., 2Н), 1.44 (brs., 9Н), 1.29 (t, 3Н), 0.92 (t, 2Н), -0.11 (s, 9Н); 13С ЯМР (125 МГц, ДМСО-d6) δ м.д. 154.4, 129.2, 127.2, 123.4, 123.2, 119.3, 117.6, 115.5, 111.9, 72.8, 68.4, 66.7, 63.3, 60.7, 59.9, 50.7, 48.0, 40.7, 37.8, 35.3, 31.1, 28.3, 23.2, 19.4, 17.8, 17.8, 14.6, -1.0; МСВР-ЭРИ (m/z): [М+Н]+, рассчитано для C49H68FN8O9S3Si: 1055.4019, найдено: 1055.4026.

Стадия В: 3-[2-[3-[4-[3-[2-[[6-(1,3-бензотиазол-2-иломино)-5-метилпиридазин-3-ил]-метиламино]-4-карбокситиазол-5-ил]пропокси]-3-фторфенил]проп-2-иниламино]этилдиметиламмонио]пропан-1-сульфонат

Используя Общую методику снятия защиты и гидролиза с последующей повторной очисткой с помощью обращенно-фазовой препаративной хроматографии (С 18, 25 мМ NH4HCO3 в смеси вода: MeCN), исходя из продукта со Стадии А получали ТФУ-соль целевого продукта.

МСВР-ЭРИ (m/z): [М+Н]+, рассчитано для C36H42FN8O6S3: 797.2368, найдено: 797.2343.

Пример 219: 2-[[6-(1,3-Бензотиазол-2-иламино)-5-метилпиридазин-3-ил]-[5-(триметиламмонио)пентил]амино]-5-[3-[2-фтор-4-[3-(метиламино)проп-1-инил]фенокси]пропил]тиазол-4-карбоксилат

Используя Общую методику алкилирования, снятия защиты и гидролиза, исходя из соединения Примера 213, Стадия С, и йодметана получали ТФУ-соль целевого продукта.

МСВР-ЭРИ (m/z): [М+Н]+, рассчитано для C37H44FN8O3S2: 731.2956, найдено: 731.2967.

Пример 220: 2-[[6-(1,3-Бензотиазол-2-иламино)-5-метилпиридазин-3-ил]-[4-гидрокси-5-(1-метилпиперидин-1-ий-1-ил)пентил]амино]-5-[3-[4-[3-(диметиламино)проп-1-инил]-2-фторфенокси]пропил]тиазол-4-карбоксилат

Стадия А: метил 2-[[4-[трет-бутил(дифенил)силил]окси-5-(1-метилпиперидин-1-ий-1-ил)пентил]-[5-метил-6-[(Z)-[3-(2-триметилсилилэтоксиметил)-1,3-бензотиазол-2-илиден]амино]пиридазин-3-ил]амино]-5-[3-[4-[3-(диметиламино)проп-1-инил]-2-фторфенокси]пропил]тиазол-4-карбоксилат

Используя Общую методику образования четвертичной соли, исходя из продукта Синтеза 5b и 1-метилпиперидина в качестве подходящего третичного амина, получали целевой продукт.

Стадия В: 2-[[6-(1,3-бензотиазол-2-иламино)-5-метилпиридазин-3-ил]-[4-гидрокси-5-(1-метилпиперидин-1-ий-1-ил)пентил]амино]-5-[3-[4-[3-(диметиламино)проп-1-инил]-2-фторфенокси]пропил]тиазол-4-карбоксилат

Используя Общую методику снятия защиты с четвертичной соли, исходя из продукта со Стадии А в виде четвертичной соли, получали целевой продукт.

МСВР-ЭРИ (m/z): [М+Н]+, рассчитано для C41H50FN8O4S2: 801.3375, найдено: 801.3378.

Пример 221: 2-[[6-(1,3-Бензотиазол-2-иламино)-5-метилпиридазин-3-ил]-[5-(1,4-диметилпиперазин-1-ий-1-ил)-4-гидроксипентил]амино]-5-[3-[4-[3-(диметиламино)проп-1-инил]-2-фторфенокси]пропил]тиазол-4-карбоксилат

Стадия А: метил 2-[[4-[трет-бутил(дифенил)силил]окси-5-(1,4-диметилпиперазин-1-ий-1-ил)пентил]-[5-метил-6-[(Z)-[3-(2-триметилсилилэтоксиметил)-1,3-бензотиазол-2-илиден]амино]пиридазин-3-ил]амино]-5-[3-[4-[3-(диметиламино)проп-1-инил]-2-фторфенокси]пропил]тиазол-4-карбоксилат

Используя Общую методику образования четвертичной соли, исходя из продукта Синтеза 5b и 1,4-диметилпиперазина в качестве подходящего третичного амина, получали целевой продукт.

Стадия В: 2-[[6-(1,3-бензотиазол-2-иламино)-5-метилпиридазин-3-ил]-[5-(1,4-диметилпиперазин-1-ий-1-ил)-4-гидроксипентил]амино]-5-[3-[4-[3-(диметиламино)проп-1-инил]-2-фторфенокси]пропил]тиазол-4-карбоксилат

Используя Общую методику снятия защиты с четвертичной соли, исходя из продукта со Стадии А в виде четвертичной соли, получали целевой продукт.

МСВР-ЭРИ (m/z): [М+Н]+, рассчитано для C41H51FN9O4S2: 816.3484, найдено: 816.3489.

Пример 222: 2-[3-[4-[3-[2-[[6-(1,3-Бензотиазол-2-иламино)-5-метилпиридазин-3-ил]-метиламино]-4-карбокситиазол-5-ил]пропокси]-3-фторфенил]проп-2-иниламино]этилтриметиламмоний

Стадия А: 2-[трет-бутоксикарбонил-[3-[4-[3-[4-этоксикарбонил-2-[метил-[5-метил-6-[(Z)-[3-(2-триметилсилилэтоксиметил)-1,3-бензотиазол-2-илиден]амино]пиридазин-3-ил]амино]тиазол-5-ил]пропокси]-3-фторфенил]проп-2-инил]амино]этилтриметиламмоний

200 мг продукта Синтеза 5h (0.21 ммоль, 1 экв.) растворяли в ацетонитриле (4 мл/ммоль), затем добавляли 152 мг йодметана (1.07 ммоль, 5 экв.) и перемешивали при к.т.в течение 1.5 ч. Реакция не шла дальше, поэтому в этот момент процесс останавливали, наблюдая частичное превращение. Летучие вещества упаривали и сырую смесь (содержащую продукт Синтеза 5h и целевой продукт) непосредственно переносили на следующую стадию.

ЖХ-МС-ЭРИ (m/z): [М]+, рассчитано для C47H64FN8O6S2Si: 947.4, найдено: 947.4.

Стадия В: 2-[3-[4-[3-[2-[[6-(1,3-бензотиазол-2-иламино)-5-метилпиридазин-3-ил]-метиламино]-4-карбокситиазол-5-ил]пропокси]-3-фторфенил]проп-2-иниламино]этилтриметиламмоний

Используя Общую методику снятия защиты и гидролиза с последующей повторной очисткой с помощью обращенно-фазовой препаративной хроматографии (С 18, 25 мМ NH4HCO3 в смеси вода: MeCN), исходя из продукта со Стадии А, отделяли и выделяли целевой продукт и соединение Примера 223.

МСВР-ЭРИ (m/z): [М+Н]+, рассчитано для C34H38FN8O3S2: 689.2487, найдено: 689.2481.

Пример 223: 2-[[6-(1,3-Бензотиазол-2-иламино)-5-метилпиридазин-3-ил]-метиламино]-5-[3-[4-[3-[2-(диметиламино)этиламино]проп-1-инил]-2-фторфенокси]пропил]тиазол-4-карбоновая кислота

Пример 223 выделяли в качестве побочного продукта при получении соединения Примера 222, Стадия В.

МСВР-ЭРИ (m/z): [М+Н]+, рассчитано для C33H36FN8O3S2: 675.2330, найдено: 675.2324.

Пример 224: 2-[[6-(1,3-Бензотиазол-2-иламино)-5-метилпиридазин-3-ил]-[6-(триметиламмонио)гексил]амино]-5-[3-[2-фтор-4-[3-(метиламино)проп-1-инил]фенокси]пропил]тиазол-4-карбоксилат

Используя Общую методику алкилирования, снятия защиты и гидролиза, исходя из соединения Примера 199, Стадия С, и йодметана получали ТФУ-соль целевого продукта.

1H ЯМР (500 МГц, ДМСО-d6) δ м.д. 7.90 (d, 1Н), 7.64 (s, 1Н), 7.53 (brd, 1Н), 7.39 (t, 1Н), 7.26 (dd, 1Н), 7.21 (t, 1Н), 7.18 (m, 1Н), 7.15 (t, 1Н), 4.37 (t, 2Н), 4.13 (t, 2Н), 3.44 (brs, 2Н), 3.30 (t, 2Н), 3.24 (t, 2Н), 3.03 (s, 9Н), 2.45 (s, 3Н), 2.31 (s, 3Н), 2.11 (quin, 2Н), 1.72-1.39 (m, 8Н); 13С ЯМР (125 МГц, ДМСО-d6) δ м.д. 151.5, 147.1, 128.8, 126.6, 122.6, 122.3, 119.1, 118.4, 117.0, 115.5, 88.5, 82.0, 69.0, 65.8, 52.6, 46.6, 40.3, 35.4, 31.2, 26.6-22.2, 23.2, 18.0; МСВР-ЭРИ (m/z): [М+Н]+, рассчитано для C38H44FN8O3S2: 745.3118, найдено: 745.3110.

Пример 225: 2-[[6-(1,3-Бензотиазол-2-иламино)-5-метилпиридазин-3-ил]-[5-[3-гидроксипропил(диметил)аммонио]пентил]амино]-5-[3-[4-[3-(диметиламино)проп-1-инил]-2-фторфенокси]пропил]тиазол-4-карбоксилат

Стадия А: 5-[[5-[3-[4-[3-(диметиламино)проп-1-инил]-2-фторфенокси]пропил]-4-метоксикарбонилтиазол-2-ил]-[5-метил-6-[(Z)-[3-(2-триметилсилилэтоксиметил)-1,3-бензотиазол-2-илиден]амино]пиридазин-3-ил]амино]пентил-(3-гидроксипропил)-диметиламмоний

Используя Общую методику алкилирования образуемым in situ тозилатом с последующей очисткой с помощью обращенно-фазовой колоночной флэш-хроматографии (С18, 0.1% ТФУ в смеси вода: MeCN), исходя из продукта Синтеза 5f и 3-(диметиламино)пропан-1-ола в качестве подходящего амина, получали целевой продукт.

1Н ЯМР (500 МГц, ДМСО-d6) δ м.д. 10.35 (brs, 1Н), 7.84 (dm, 1Н), 7.72 (s, 1Н), 7.48 (dd, 1Н), 7.48 (dm, 1Н), 7.46 (m, 1Н), 7.35 (dm, 1Н), 7.26 (m, 1Н), 7.24 (t, 1Н), 5.87 (s, 2Н), 4.79 (brs, 1Н), 4.42 (t, 2Н), 4.29 (s, 2Н), 4.19 (t, 2Н), 3.79 (s, 3Н), 3.73 (m, 2Н), 3.46 (m, 2Н), 3.30 (m, 2Н), 3.27 (t, 2Н), 3.25 (t, 2Н), 3.00 (s, 6Н), 2.86 (s, 6Н), 2.47 (s, 3Н), 2.14 (m, 2Н), 1.8 (m, 2Н), 1.76 (m, 2Н), 1.75 (m, 2Н), 1.38 (m, 2Н), 0.92 (m, 2Н), -0.98 (s, 9Н); МСВР-ЭРИ (m/z): [М]+, рассчитано для C47H66FN8O5S2Si: 933.4346, найдено: 933.4342.

Стадия В: 2-[[6-(1,3-бензотиазол-2-иламино)-5-метилпиридазин-3-ил]-[5-[3-гидроксипропил(диметил)аммонио]пентил]амино]-5-[3-[4-[3-(диметиламино)проп-1-инил]-2-фторфенокси]пропил]тиазол-4-карбоксилат

Используя Общую методику снятия защиты и гидролиза с последующей повторной очисткой с помощью обращенно-фазовой препаративной хроматографии (С 18, 0.1% ТФУ в смеси вода: MeCN), исходя из продукта со Стадии А получали ТФУ-соль целевого продукта.

МСВР-ЭРИ (m/z): [М+Н]+, рассчитано для C40H50FN8O4S2: 789.3375, найдено: 789.3376.

Пример 226: 2-[[6-(1,3-Бензотиазол-2-иламино)-5-метилпиридазин-3-ил]-[5-[2-гидроксиэтил(диметил)аммонио]пентил]амино]-5-[3-[4-[3-(диметиламино)проп-1-инил]-2-фторфенокси]пропил]тиазол-4-карбоксилат

Стадия А: 5-[[5-[3-[4-[3-(диметиламино)проп-1-инил]-2-фторфенокси]пропил]-4-метоксикарбонилтиазол-2-ил]-[5-метил-6-[(Z)-[3-(2-триметилсилилэтоксиметил)-1,3-бензотиазол-2-илиден]амино]пиридазин-3-ил]амино]пентил-(2-гидроксиэтил)-диметиламмоний

Используя Общую методику алкилирования образуемым in situ тозилатом с последующей очисткой с помощью обращенно-фазовой колоночной флэш-хроматографии (С18, 0.1% ТФУ в смеси вода: MeCN), исходя из продукта Синтеза 5f и 2-(диметиламино)этанола в качестве подходящего амина, получали целевой продукт.

1Н ЯМР (500 МГц, ДМСО-d6) δ м.д. 7.84 (d, 1Н), 7.72 (s, 1Н), 7.48 (d, 1Н), 7.47 (dd, 1Н), 7.45 (t, 1Н), 7.35 (d, 1Н), 7.26 (t, 1Н), 7.24 (t, 1Н), 5.87 (s, 2Н), 5.29 (br., 1Н), 4.42 (t, 2Н), 4.28 (s, 2Н), 4.19 (t, 2Н), 3.81 (brt, 2Н), 3.79 (s, 3Н), 3.73 (t, 2Н), 3.36 (m, 2Н), 3.31 (m, 2Н), 3.27 (t, 2Н), 3.05 (s, 6Н), 2.86 (s, 6Н), 2.47 (s, 3Н), 2.14 (m, 2Н), 1.76 (m, 2Н), 1.76 (m, 2Н), 1.37 (m, 2Н), 0.92 (t, 2Н), -0.10 (s, 9Н); 13С ЯМР (125 МГц, ДМСО-d6) δ м.д. 129.6, 127.3, 123.5, 123.2, 119.7, 117.6, 115.5, 112.0, 72.9, 68.6, 66.8, 65.1, 64.4, 55.4, 52.0, 51.2, 46.9, 46.4, 42.2, 31.1, 26.7, 23.2, 23.2, 21.9, 17.9, 17.8, -0.9; МСВР-ЭРИ (m/z): [М]+, рассчитано для C46H64FN8O5S2Si: 919.4189, найдено: 919.4192.

Стадия В: 2-[[6-(1,3-бензотиазол-2-иламино)-5-метилпиридазин-3-ил]-[5-[2-гидроксиэтил(диметил)аммонио]пентил]амино]-5-[3-[4-[3-(диметиламино)проп-1-инил]-2-фторфенокси]пропил]тиазол-4-карбоксилат

Используя Общую методику снятия защиты и гидролиза с последующей повторной очисткой с помощью обращенно-фазовой препаративной хроматографии (С 18, 0.1% ТФУ в смеси вода: MeCN), исходя из продукта со Стадии А получали ТФУ-соль целевого продукта.

МСВР-ЭРИ (m/z): [М+2Н]2+, рассчитано для C39H49FN8O4S2: 388.16455, найдено: 388.1639.

Пример 227: 2-[[6-(1,3-Бензотиазол-2-иламино)-5-метилпиридазин-3-ил]-[5-[карбоксиметил(диметил)аммонио]пентил]амино]-5-[3-[4-[3-(диметиламино)проп-1-инил]-2-фторфенокси]пропил]тиазол-4-карбоксилат

Стадия А: 5-[[5-[3-[4-[3-(диметиламино)проп-1-инил]-2-фторфенокси]пропил]-4-метоксикарбонилтиазол-2-ил]-[5-метил-6-[(1)-[3-(2-триметилсилилэтоксиметил)-1,3-бензотиазол-2-илиден]амино]пиридазин-3-ил]амино]пентил-(2-этокси-2-оксоэтил)-диметиламмоний

Используя Общую методику алкилирования образуемым in situ тозилатом с последующей очисткой с помощью обращенно-фазовой колоночной флэш-хроматографии (С18, 0.1% ТФУ в смеси вода: MeCN), исходя из продукта Синтеза 5f и этил 2-(диметиламино)ацетата в качестве подходящего амина, получали целевой продукт.

1Н ЯМР (500 МГц, ДМСО-d6) δ м.д. 10.33 (brs, 1Н), 7.84 (dm, 1Н), 7.72 (s, 1Н), 7.48 (dd, 1Н), 7.48 (dm, 1Н), 7.46 (m, 1Н), 7.35 (dm, 1Н), 7.27 (m, 1Н), 7.24 (t, 1Н), 5.87 (s, 2Н), 4.42 (t, 2Н), 4.38 (s, 2Н), 4.29 (s, 2Н), 4.21 (q, 2Н), 4.19 (t, 2Н), 3.79 (s, 3Н), 3.73 (m, 2Н), 3.46 (m, 2Н), 3.27 (t, 2Н), 3.18 (s, 6Н), 2.87 (s, 6Н), 2.47 (s, 3Н), 2.14 (m, 2Н), 1.79 (m, 2Н), 1.75 (m, 2Н), 1.37 (m, 2Н), 1.22 (t, 3Н), 0.92 (m, 2Н), -0.10(s, 9Н); МСВР-ЭРИ (m/z): [М]+, рассчитано для C48H66FN8O6S2Si: 961.4294, найдено: 961.4293.

Стадия В: 2-[[6-(1,3-бензотиазол-2-иламино)-5-метилпиридазин-3-ил]-[5-[карбоксиметил(диметил)аммонио]пентил]амино]-5-[3-[4-[3-(диметиламино)проп-1-инил]-2-фторфенокси]пропил]тиазол-4-карбоксилат

Используя Общую методику снятия защиты и гидролиза с последующей повторной очисткой с помощью обращенно-фазовой препаративной хроматографии (С 18, 0.1% ТФУ в смеси вода: MeCN), исходя из продукта со Стадии А получали ТФУ-соль целевого продукта.

МСВР-ЭРИ (m/z): [М+Н]+, рассчитано для C39H46FN8O5S2: 789.3011, найдено: 789.2995.

Пример 228: 3-[[5-[[6-(1,3-Бензотиазол-2-иламино)-5-метилпиридазин-3-ил]-[4-карбокси-5-[3-[2-фтор-4-[(Е)-3-оксопроп-1-енил]фенокси]пропил]тиазол-2-ил]амино]-2-гидроксипентил]-диметиламмонио]пропан-1-сульфонат

Пример 228 выделяли в качестве побочного продукта при получении соединения Примера 146.

МСВР-ЭРИ (m/z): [М+Н]+, рассчитано для C38H45FN7O8S3: 842.2470 найдено: 842.2494.

Пример 229: 2-[[6-(1,3-Бензотиазол-2-иламино)-5-метилпиридазин-3-ил]-[5-[2-гидроксиэтил(диметил)аммонио]пентил]амино]-5-[3-[2-фтор-4-[3-(метиламино)проп-1-инил]фенокси]пропил]тиазол-4-карбоксилат

Стадия А: 5-[[5-[3-[4-[3-[трет-бутоксикарбонил(метил)амино]проп-1-инил]-2-фторфенокси]пропил]-4-метоксикарбонилтиазол-2-ил]-[5-метил-6-[(Z)-[3-(2-триметилсилилэтоксиметил)-1,3-бензотиазол-2-илиден]амино]пиридазин-3-ил]амино]пентил-(2-гидроксиэтил)-диметиламмоний

Используя Общую методику алкилирования образуемым in situ тозилатом с последующей очисткой с помощью обращенно-фазовой колоночной флэш-хроматографии (С18, 0.1% ТФУ в смеси вода: MeCN), исходя из продукта Синтеза 5е и 2-(диметиламино)этанола в качестве подходящего амина, получали целевой продукт.

1Н ЯМР (500 МГц, ДМСО-d6) δ м.д. 7.84 (dm, 1Н), 7.71 (s, 1Н), 7.48 (dm, 1Н), 7.45 (m, 1Н), 7.33 (dd, 1Н), 7.26 (m, 1Н), 7.23 (dm, 1Н), 7.17 (t, 1Н), 5.87 (s, 2Н), 5.28 (brs, 1Н), 4.42 (t, 2Н), 4.20 (brs, 2Н), 4.16 (t, 2Н), 3.81 (m, 2Н), 3.78 (s, 3Н), 3.73 (m, 2Н), 3.36 (t, 2Н), 3.31 (t, 2Н), 3.27 (t, 2Н), 3.04 (s, 6Н), 2.84 (brs, 3Н), 2.46 (s, 3Н), 2.13 (m, 2Н), 1.77 (m, 2Н), 1.75 (m, 2Н), 1.41 (s, 9Н), 1.37 (m, 2Н), 0.92 (m, 2Н), -0.11 (s, 9Н); МСВР-ЭРИ (m/z): [М]+, рассчитано для C50H70FN8O7S2Si: 1005.4557, найдено: 1005.4554.

Стадия В: 2-[[6-(1,3-бензотиазол-2-иламино)-5-метилпиридазин-3-ил]-[5-[2-гидроксиэтил(диметил)аммонио]пентил]амино]-5-[3-[2-фтор-4-[3-(метиламино)проп-1-инил]фенокси]пропил]тиазол-4-карбоксилат

Используя Общую методику снятия защиты и гидролиза с последующей повторной очисткой с помощью обращенно-фазовой препаративной хроматографии (С 18, 0.1% ТФУ в смеси вода: MeCN), исходя из продукта со Стадии А получали ТФУ-соль целевого продукта.

МСВР-ЭРИ (m/z): [М+Н]+, рассчитано для C38H46FN8O4S2: 761.3062, найдено: 761.3057.

Пример 230: 2-[[6-(1,3-Бензотиазол-2-иламино)-5-метилпиридазин-3-ил]-[5-[3-гидроксипропил(диметил)аммонио]пентил]амино]-5-[3-[2-фтор-4-[3-(метиламино)проп-1-инил]фенокси]пропил]тиазол-4-карбоксилат

Стадия А: 5-[[5-[3-[4-[3-[трет-бутоксикарбонил(метил)амино]проп-1-инил]-2-фторфенокси]пропил]-4-метоксикарбонилтиазол-2-ил]-[5-метил-6-[(Z)-[3-(2-триметилсилилэтоксиметил)-1,3-бензотиазол-2-илиден]амино]пиридазин-3-ил]амино]пентил-(3-гидроксипропил)-диметиламмоний

Используя Общую методику алкилирования образуемым in situ тозилатом с последующей очисткой с помощью обращенно-фазовой колоночной флэш-хроматографии (С18, 0.1% ТФУ в смеси вода: MeCN), исходя из продукта Синтеза 5е и 3-(диметиламино)пропан-1-ола в качестве подходящего амина, получали целевой продукт.

1Н ЯМР (500 МГц, ДМСО-d6) δ м.д. 7.84 (dm, 1Н), 7.71 (s, 1Н), 7.48 (dm, 1Н), 7.45 (m, 1Н), 7.33 (dd, 1Н), 7.26 (m, 1Н), 7.23 (dm, 1Н), 7.18 (t, 1Н), 5.87 (s, 2Н), 4.78 (brs, 1Н), 4.42 (t, 2Н), 4.21 (s, 2Н), 4.15 (t, 2Н), 3.78 (s, 3Н), 3.72 (m, 2Н), 3.46 (m, 2Н), 3.30 (t, 2Н), 3.27 (t, 2Н), 3.25 (t, 2Н), 2.99 (s, 6Н), 2.85 (brs, 3Н), 2.47 (s, 3Н), 2.12 (m, 2Н), 1.80 (m, 2Н), 1.76 (m, 2Н), 1.76 (m, 2Н), 1.41 (s, 9Н), 1.38 (m, 2Н), 0.92 (m, 2Н), -0.11 (s, 9Н); МСВР-ЭРИ (m/z): [М]+, рассчитано для C51H72FN8O7S2Si: 1019.4713, найдено: 1019.4713.

Стадия В: 2-[[6-(1,3-бензотиазол-2-иламино)-5-метилпиридазин-3-ил]-[5-[3-гидроксипропил(диметил)аммонио]пентил]амино]-5-[3-[2-фтор-4-[3-(метиламино)проп-1-инил]фенокси]пропил]тиазол-4-карбоксилат

Используя Общую методику снятия защиты и гидролиза с последующей повторной очисткой с помощью обращенно-фазовой препаративной хроматографии (С 18, 0.1% ТФУ в смеси вода: MeCN), исходя из продукта со Стадии А получали ТФУ-соль целевого продукта.

МСВР-ЭРИ (m/z): [М+Н]+, рассчитано для C39H48FN8O4S2: 775.3218, найдено: 775.3213.

Пример 231: 2-[[6-(1,3-Бензотиазол-2-иламино)-5-метилпиридазин-3-ил]-[5-[карбоксиметил(диметил)аммонио]пентил]амино]-5-[3-[2-фтор-4-[3-(метиламино)проп-1-инил]фенокси]пропил]тиазол-4-карбоксилат

Стадия А: 5-[[5-[3-[4-[3-[трет-бутоксикарбонил(метил)амино]проп-1-инил]-2-фторфенокси]пропил]-4-метоксикарбонилтиазол-2-ил]-[5-метил-6-[(Z)-[3-(2-триметилсилилэтоксиметил)-1,3-бензотиазол-2-илиден]амино]пиридазин-3-ил]амино]пентил-(2-этокси-2-оксоэтил)-диметиламмоний

Используя Общую методику алкилирования образуемым in situ тозилатом с последующей очисткой с помощью обращенно-фазовой колоночной флэш-хроматографии (С18, 0.1% ТФУ в смеси вода: MeCN), исходя из продукта Синтеза 5е и этил 2-(диметиламино)ацетата в качестве подходящего амина, получали целевой продукт.

1Н ЯМР (500 МГц, ДМСО-d6) δ м.д. 7.84 (dm, 1Н), 7.71 (q, 1Н), 7.48 (dm, 1Н), 7.44 (m, 1Н), 7.33 (dd, 1Н), 7.26 (m, 1Н), 7.23 (dm, 1Н), 7.17 (t, 1Н), 5.87 (s, 2Н), 4.42 (t, 2Н), 4.37 (s, 2Н), 4.21 (q, 2Н), 4.21 (brs, 2Н), 4.16 (t, 2Н), 3.78 (s, 3Н), 3.72 (m, 2Н), 3.46 (m, 2Н), 3.27 (t, 2Н), 3.18 (s, 6Н), 2.84 (brs, 3Н), 2.47 (d, 3Н), 2.12 (m, 2Н), 1.79 (m, 2Н), 1.75 (m, 2Н), 1.41 (s, 9Н), 1.37 (m, 2Н), 1.22 (t, 3Н), 0.92 (m, 2Н), -0.10 (s, 9Н); МСВР-ЭРИ (m/z): [М]+, рассчитано для C52H72FN8O8S2Si: 1047.4662, найдено: 1047.468.

Стадия В: 2-[[6-(1,3-бензотиазол-2-иламино)-5-метилпиридазин-3-ил]-[5-[карбоксиметил(диметил)аммонио]пентил]амино]-5-[3-[2-фтор-4-[3-(метиламино)проп-1-инил]фенокси]пропил]тиазол-4-карбоксилат

Используя Общую методику снятия защиты и гидролиза с последующей повторной очисткой с помощью обращенно-фазовой препаративной хроматографии (С 18, 0.1% ТФУ в смеси вода: MeCN), исходя из продукта со Стадии А получали ТФУ-соль целевого продукта.

МСВР-ЭРИ (m/z): [М+Н]+, рассчитано для C38H44FN8O5S2: 775.2855, найдено: 775.2857.

Пример 232: 2-[[6-(1,3-Бензотиазол-2-иламино)-5-метилпиридазин-3-ил]-[4-(триметиламмонио)бутил]амино]-5-[3-[2-фтор-4-[3-(метиламино)проп-1-инил]фенокси]пропил]тиазол-4-карбоксилат

Стадия А: 4-[[5-[3-[4-[3-[трет-бутоксикарбонил(метил)амино]проп-1-инил]-2-фторфенокси]пропил]-4-метоксикарбонилтиазол-2-ил]-[5-метил-6-[(Z)-[3-(2-триметилсилилэтоксиметил)-1,3-бензотиазол-2-илиден]амино]пиридазин-3-ил]амино]бутилтриметиламмоний

Используя Общую методику алкилирования образуемым in situ тозилатом, исходя из продукта Синтеза 5 с и N,N-диметилметанамина в качестве подходящего амина, получали ТФУ-соль целевого продукта.

1Н ЯМР (500 МГц, ДМСО-d6) δ м.д. 7.84 (d, 1Н), 7.71 (s, 1Н), 7.48 (d, 1Н), 7.45 (t, 1Н), 7.33 (brd, 1Н), 7.26 (t, 1Н), 7.22 (dm, 1Н), 7.17 (t, 1Н), 5.87 (s, 2Н), 4.40 (t, 2), 4.20 (brs, 2Н), 4.15 (t, 2Н), 3.79 (s, 3Н), 3.73 (t, 2Н), 3.46 (t, 2Н), 3.27 (t, 2Н), 3.06 (s, 9Н), 2.84 (brs, 3Н), 2.46 (s, 3Н), 2.12 (m, 2Н), 1.82 (m, 2Н), 1.75 (m, 2Н), 1.40 (s, 9Н), 0.92 (t, 2Н), -0.10 (s, 9Н); 13С ЯМР (125 МГц, ДМСО-d6) δ м.д. 129.1, 127.2, 123.6, 123.2, 119.3, 117.5, 115.5, 112.1, 72.9, 68.4, 66.7, 65.4, 52.8, 52.1, 46.3, 38.8, 33.8, 31.0, 28.5, 24.4, 23.3, 19.8, 18.0, 17.8, -1.0; МСВР-ЭРИ (m/z): [М]+, рассчитано для C48H66FN8O6S2Si: 961.4294, найдено: 961.4312.

Стадия В: 2-[[6-(1,3-бензотиазол-2-иламино)-5-метилпиридазин-3-ил]-[4-(триметиламмонио)бутил]амино]-5-[3-[2-фтор-4-[3-(метиламино)проп-1-инил]фенокси]пропил]тиазол-4-карбоксилат

Используя Общую методику снятия защиты и гидролиза с последующей повторной очисткой с помощью обращенно-фазовой препаративной хроматографии (С 18, 0.1% ТФУ в смеси вода: MeCN), исходя из продукта со Стадии А получали ТФУ-соль целевого продукта.

МСВР-ЭРИ (m/z): [М]+, рассчитано для C36H42FN8O3S2: 717.2800, найдено: 717.2800.

Пример 233: 2-[[6-(1,3-Бензотиазол-2-иламино)-5-метилпиридазин-3-ил]-метиламино]-5-[3-[4-[3-(диметиламино)проп-1-инил]фенокси]пропил]тиазол-4-карбоновая кислота

Стадия А: этил 5-[3-[4-[3-(диметиламино)проп-1-инил]фенокси]пропил]-2-[метил-[5-метил-6-[(Z)-[3-(2-триметилсилилэтоксиметил)-1,3-бензотиазол-2-илиден]амино]пиридазин-3-ил]амино]тиазол-4-карбоксилат

Используя Общую методику алкилирования силил-защищенных фенолов, исходя из 219 мг продукта Синтеза 5g (0.30 ммоль, 1 экв.) и 100 мг продукта Синтеза 6j (0.30 ммоль, 1 экв.) с последующей очисткой с помощью колоночной флэш-хроматографии, используя EtOAc и МеОН (содержащий 1.2% NH3) в качестве элюентов, получали 37 мг (12%) целевого продукта в виде темно-желтого липкого соединения.

1Н ЯМР (500 МГц, ДМСО-d6) δ м.д. 7.83 (dm, 1Н), 7.66 (q, 1Н), 7.47 (dm, 1Н), 7.44 (m, 1Н), 7.35 (m, 2Н), 7.25 (m, 1Н), 6.94 (m, 2Н), 5.86 (s, 2Н), 4.26 (q, 2Н), 4.05 (t, 2Н), 3.77 (s, 3Н), 3.72 (m, 2Н), 3.38 (s, 2Н), 3.26 (m, 2Н), 2.45 (d, 3Н), 2.19 (s, 6Н), 2.10 (m, 2Н), 1.30 (t, 3Н), 0.92 (m, 2Н), -0.11 (s, 9Н); МСВР-ЭРИ (m/z): [М+Н]+, рассчитано для C39H50N7O4S2Si: 772.3129, найдено: 772.3119.

Стадия В: 2-[[6-(1,3-бензотиазол-2-иламино)-5-метилпиридазин-3-ил]-метиламино]-5-[3-[4-[3-(диметиламино)проп-1-инил]фенокси]пропил]тиазол-4-карбоновая кислота

Используя Общую методику снятия защиты и гидролиза с последующей повторной очисткой с помощью обращенно-фазовой препаративной хроматографии (С 18, 0.1% ТФУ в смеси вода: MeCN), исходя из продукта со Стадии А получали ТФУ-соль целевого продукта.

МСВР-ЭРИ (m/z): [М+Н]+, рассчитано для C31H32N7O3S2: 614.2002, найдено: 614.1998.

Пример 234: 2-[[6-(1,3-Бензотиазол-2-иламино)-5-метилпиридазин-3-ил]-метиламино]-5-[3-[4-[1-[(диметиламино)метил]-3-бицикло[1.1.1]пентанил]фенокси]пропил]тиазол-4-карбоновая кислота

Стадия А: этил 5-[3-[4-[1-[(диметиламино)метил]-3-бицикло[1.1.1]пентанил]фенокси]пропил]-2-[метил-[5-метил-6-[(Z)-[3-(2-триметилсилилэтоксиметил)-1,3-бензотиазол-2-илиден]амино]пиридазин-3-ил]амино]тиазол-4-карбоксилат

Используя Общую методику алкилирования, исходя из 47 мг продукта Синтеза 6i (0.22 ммоль, 1 экв.) и 157 мг продукта Синтеза 5g (0.22 ммоль, 1 экв.) с последующей очисткой с помощью колоночной флэш-хроматографии, используя EtOAc и МеОН (содержащий 1.2% NH3) в качестве элюентов, получали 130 мг (74%) целевого продукта в виде желтого твердого вещества.

1Н ЯМР (500 МГц, ДМСО-d6) δ м.д. 10.62 (brs, 1Н), 7.83 (dm, 1Н), 7.65 (q, 1Н), 7.46 (dm, 1Н), 7.43 (m, 1Н), 7.25 (m, 1Н), 7.11 (m, 2Н), 6.89 (m, 2Н), 5.85 (s, 2Н), 4.26 (q, 2Н), 4.01 (t, 2Н), 3.76 (s, 3Н), 3.72 (m, 2Н), 3.24 (s, 2Н), 3.24 (t, 2Н), 2.74 (s, 6Н), 2.44 (d, 3Н), 2.08 (m, 2Н), 2.07 (s, 6Н), 1.29 (t, 3Н), 0.91 (m, 2Н), -0.12 (s, 9Н); МСВР-ЭРИ (m/z): [М+Н]+, рассчитано для C42H56N7O4S2Si: 814.3599, найдено: 814.3592.

Стадия В: 2-[[6-(1,3-бензотиазол-2-иламино)-5-метилпиридазин-3-ил]-метиламино]-5-[3-[4-[1-[(диметиламино)метил]-3-бицикло[1.1.1]пентанил]фенокси]пропил]тиазол-4-карбоновая кислота

Используя Общую методику снятия защиты и гидролиза с последующей повторной очисткой с помощью обращенно-фазовой препаративной хроматографии (С 18, 0.1% ТФУ в смеси вода: MeCN), исходя из продукта со Стадии А получали ТФУ-соль целевого продукта.

МСВР-ЭРИ (m/z): [М+Н]+, рассчитано для C34H38N7O3S2: 656.2472, найдено: 656.2467.

Пример 235: 3-[3-[[6-(1,3-Бензотиазол-2-иламино)-5-метилпиридазин-3-ил]-[4-карбокси-5-[3-[2-фтор-4-[3-(метиламино)проп-1-инил]фенокси]пропил]тиазол-2-ил]амино]пропилдиметиламмонио]пропан-1-сульфонат

Использовали Общую методику алкилирования, снятия защиты и гидролиза, исходя из соединения Примера 200, Стадия С, и оксатиолан 2,2-диоксида. После алкилирования выделяли сульфонированное промежуточное соединение (МСВР-ЭРИ (m/z): [М+Н]+, рассчитано для C49H68FN8O9S3Si: 1055.4025, найдено: 1055.4028), которое затем подвергали реакции с НР×пиридином (МСВР-ЭРИ (m/z): [М+Н]+, рассчитано для C38H45FN8O6S3: 825.2686, найдено: 825.2675) и в заключение гидролизовали с помощью LiOH×Н2О. Очистка приводила к ТФУ-соли целевого продукта.

МСВР-ЭРИ (m/z): [М+Н]+, рассчитано для C37H44FN8O6S3: 811.2530, найдено: 811.2525.

Пример 236: 2-({6-[(1,3-Бензотиазол-2-ил)амино]-5-метилпиридазин-3-ил}(метил)амино)-5-[3-(2-фтор-4-{3-[метил({4-[3-(трифторметил)-3Н-диазирин-3-ил]фенил}метил)амино]проп-1-ин-1-ил}фенокси)пропил]-1,3-тиазол-4-карбоновая кислота

Стадия А: этил 5-[3-(2-фтор-4-{3-[метил({4-[3-(трифторметил)-3Н-диазирин-3-ил]фенил}метил)амино]проп-1-ин-1-ил}фенокси)пропил]-2-[метил(5-метил-6-{[(2Z)-3-{[2-(триметилсилил)этокси]метил}-2,3-дигидро-1,3-бензотиазол-2-илиден]амино}пиридазин-3-ил)амино]-1,3-тиазол-4-карбоксилат

К раствору продукта Синтеза 5j (20 мг, 25.8 мкмоль, 1 экв.) в сухом диметилформамиде (1 мл) добавляли карбонат калия (3.9 мг, 28.4 мкмоль, 1.1 экв.) с последующим добавлением 3-[4-(бромметил)фенил]-3-(трифторметил)диазирина (7.9 мг, 28.4 мкмоль, 1.1 экв.), и смесь перемешивали в течение 16 ч при температуре окружающей среды. Реакционную смесь разбавляли 5% водным раствором гидроксида аммония (10 мл), экстрагировали этилацетатом (2×10 мл) и объединенные органические экстракты последовательно промывали 5% водным раствором гидрофторида аммония (10 мл) и соляным раствором (10 мл), сушили (сульфат магния) и концентрировали в вакууме. Очистка с помощью автоматической колоночной флэш-хроматографии (CombiFlash Rf, 4 г силикагелевый картридж RediSep™) с элюированием с градиентом 0-50% этилацетата в изогептане приводила к получению целевого продукта в виде белого твердого вещества (27.4 мг), которое непосредственно использовали на следующей стадии без дальнейшего определение характеристик.

Стадия В: этил 2-({6-[(1,3-бензотиазол-2-ил)амино]-5-метилпиридазин-3-ил}(метил)амино)-5-[3-(2-фтор-4-{3-[метил({4-[3-(трифторметил)-3Н-диазирин-3-ил]фенил}метил)амино]проп-1-ин-1-ил}фенокси)пропил]-1,3-тиазол-4-карбоксилат

К раствору продукта со Стадии А (27.4 мг, 28 мкмоль, 1 экв.) в ацетонитриле (1 мл) добавляли полифтороводород-пиридиний (101 мкл, 0.78 ммоль, 28 экв.), и смесь нагревали при 60°С в течение 20 ч. Реакционную смесь разбавляли 5% водным раствором гидроксида аммония (10 мл), экстрагировали этилацетатом (2×10 мл) и объединенные органические экстракты сушили (сульфат магния) и концентрировали в вакууме. Очистка с помощью обращенно-фазовой автоматической флэш-хроматографии (CombiFlash Rf, колонка С18 5.5 г RediSep aq Gold) с элюированием с градиентом 5-95% ацетонитрила в воде приводила к получению целевого продукта в виде желтого твердого вещества (6.7 мг, 0.01 ммоль, 28%).

ЖХ/МС (C41H37F4N9O3S2) 844 [М+Н]+; RT 1.64 (ЖХМС-V-B1)

Стадия С: 2-({6-[(1,3-бензотиазол-2-ил)амино]-5-метилпиридазин-3-ил}(метил)амино)-5-[3-(2-фтор-4-{3-[метил({4-[3-(трифторметил)-3Н-диазирин-3-ил]фенил}метил)амино]проп-1-ин-1-ил}фенокси)пропил]-1,3-тиазол-4-карбоновая кислота

К раствору продукта со Стадии В (6.7 мг, 0.01 ммоль, 1 экв.) в 1:1 смеси тетрагидрофуран / метанол (0.5 мл) добавляли 2М водный раствор гидроксида натрия (79.4 мкл, 0.16 ммоль, 20 экв.), и смесь перемешивали при температуре окружающей среды в течение 4 ч, и затем концентрировали в вакууме. Остаток разбавляли водой (0.2 мл) и доводили до рН 5 посредством 2М водного раствора хлористоводородной кислоты. Очистка с помощью обращенно-фазовой автоматической флэш-хроматографии (CombiFlash Rf, колонка С18 5.5 г RediSep aq Gold) с элюированием с градиентом 5 95% ацетонитрила в воде приводила к получению целевого продукта в виде оранжевого / коричневого твердого вещества (3.5 мг, 4.29 мкмоль, 54%).

ЖХ/МС (C39H33F4N9O3S2) 816 [М+Н]+; RT 1.53 (ЖХМС-V-B1)

Пример 237: 2-[[6-(1,3-Бензотиазол-2-иламино)-5-метилпиридазин-3-ил]-(3-фосфонопропил)амино]-5-[3-[2-фтор-4-[3-(метиламино)проп-1-инил]фенокси]пропил]тиазол-4-карбоновая кислота

Стадия А: метил 2-[трет-бутоксикарбонил(3-диэтоксифосфорилпропил)амино]-5-[3-[4-[3-[трет-бутоксикарбонил(метил)амино]проп-1-инил]-2-фторфенокси]пропил]тиазол-4-карбоксилат

Используя Общую методику алкилирования, исходя из 500 мг продукта Синтеза 1b (0.87 ммоль, 1 экв.) и 336 мг 1-бром-3-диэтоксифосфорилпропана (1.30 ммоль, 1.5 экв.) в качестве подходящего галогенида, получали 517 мг (79%) целевого продукта.

1Н ЯМР (500 МГц, ДМСО-d6) δ м.д. 7.30 (dd, 1Н), 7.21 (dm, 1Н), 7.13 (t, 1Н), 4.23 (brs, 2Н), 4.10 (t, 2Н), 4.04 (t, 2Н), 4.03-3.90 (m, 4Н), 3.75 (s, 3Н), 3.22 (t, 2Н), 2.86 (brs, 3Н), 2.08 (m, 2Н), 1.83 (m, 2Н), 1.73 (m, 2Н), 1.51/1.41 (s, 18Н), 1.2 (t, 6Н); МСВР-ЭРИ (m/z): [М+Н]+, рассчитано для C35H52FN3O10PS: 756.3090, найдено: 756.3095.

Стадия В: метил 5-[3-[4-[3-[трет-бутоксикарбонил(метил)амино]проп-1-инил]-2-фторфенокси]пропил]-2-(3-диэтоксифосфорилпропиламино)тиазол-4-карбоксилат

Используя Общую методику снятия защиты посредством HFIP, исходя из 512 мг продукта со Стадии А (0.68 ммоль, 1 экв.) получали 210 мг (47%) целевого продукта.

1Н ЯМР (500 МГц, ДМСО-d6) δ м.д. 7.64 (brt, 1Н), 7.31 (brd, 1Н), 7.21 (dm, 1Н), 7.13 (t, 1Н), 4.23 (brs, 2Н), 4.07 (t, 2Н), 3.97 (m, 4Н), 3.69 (s, 3Н), 3.23 (m, 2Н), 3.12 (t, 2Н), 2.86 (brs, 3Н), 2.00 (m, 2Н), 1.84-1.63 (m, 4Н), 1.41 (s, 3Н), 1.21 (t, 6Н); 13С ЯМР (125 МГц, ДМСО-d6) δ м.д. 129.1, 119.3, 115.4, 68.0, 61.4, 51.8, 44.7, 38.6, 33.8, 30.6, 28.5, 23.3, 16.7; МСВР-ЭРИ (m/z): [М+Н]+, рассчитано для C30H44FN3O8PS: 656.2565, найдено: 656.2555.

Стадия С: метил 5-{3-{4-{3-{трет-бутоксикарбонил(метил)амино]проп-1-инил]-2-фторфенокси]пропил]-2-[3-диэтоксифосфорилпропил-[5-метил-6-{(2)-[3-(2-триметилсилилэтоксиметил)-1,3-бензотиазол-2-илиден]амино]пиридазин-3-ил]амино]тиазол-4-карбоксилат

Используя Общую методику II проведения реакции Бухвальда, исходя из 450 мг продукта со Стадии В (0.69 ммоль, 1 экв.) и 363 мг продукта Синтеза 4а (0.89 ммоль, 1.3 экв.) в качестве подходящего галогенида, получали 540 мг (77%) целевого продукта.

МСВР-ЭРИ (m/z): [М+Н]+, рассчитано для C48H66FN7O9PS2Si: 1026.3849, найдено: 1026.3849.

Стадия D: 2-{{6-(1,3-бензотиазол-2-иламино)-5-метилпиридазин-3-ил]-(3-фосфонопропил)амино]-5-[3-[2-фтор-4-[3-(метиламино)проп-1-инил]фенокси]пропил]тиазол-4-карбоновая кислота

Используя Общую методику снятия защиты и гидролиза производных фосфоновой кислоты с последующей повторной очисткой с помощью обращенно-фазовой препаративной хроматографии (С18, 0.1% ТФУ в смеси вода : MeCN), исходя из продукта со Стадии С получали ТФУ-соль целевого продукта.

МСВР-ЭРИ (m/z): [М+Н]+, рассчитано для C32H34FN7O6PS2: 726.1728, найдено: 726.1707.

Пример 238: 2-({6-[(1,3-Бензотиазол-2-ил)амино]-5-метилпиридазин-3-ил}(3-карбоксипропил)амино)-5-(3-{4-[3-(диметиламино)проп-1-ин-1-ил]-2-фторфенокси}пропил)-1,3-тиазол-4-карбоновая кислота

Стадия A: метил 2-{трет-бутоксикарбонил-(4-этокси-4-оксобутил)амино]-5-[3-[4-[3-(диметиламино)проп-1-инил]-2-фторфенокси]пропил]тиазол-4-карбоксилат

Используя Общую методику алкилирования, исходя из продукта Синтеза 1 с и этил 4-бромбутаноата получали 0.48 г (77%) целевого продукта.

1H ЯМР (500 МГц, ДМСО-d6) δ м.д. 7.28 (dd, 1H), 7.20 (dm, 1H), 7.12 (t, 1H), 4.10 (t, 2H), 4.04 (t, 2H), 4.00 (q, 2H), 3.75 (s, 3H), 3.41 (s, 2H), 3.22 (t, 2H), 2.31 (t, 2H), 2.22 (s, 6H), 2.08 (m, 2H), 1.91 (m, 2H), 1.50 (s, 9H), 1.13 (t, 3H); 13C ЯМР (125 МГц, ДМСО-d6) δ м.д. 128.9, 119.2, 115.4, 68.1, 60.3, 52.1, 48.2, 46.0, 44.3, 31.2, 30.5, 28.0, 23.2, 23.2, 14.5; МСВР-ЭРИ (m/z): [М+Н]+, рассчитано для C30H41FN3O7S: 606.2649, найдено: 606.2640.

Стадия В: метил 5-[3-[4-[3-(диметиламино)проп-1-инил]-2-фторфенокси]пропил]-2-[(4-этокси-4-оксобутил)амино]тиазол-4-карбоксилат

Используя Общую методику снятия защиты посредством HFIP, исходя из продукта со Стадии А получали 0.32 г (83%) целевого продукта.

1H ЯМР (400 МГц, ДМСО-d6) δ м.д. 7.61 (t, 1H), 7.30 (dd, 1H), 7.20 (dm, 1H), 7.12 (t, 1H), 4.07 (t, 2H), 4.04 (q, 2H), 3.69 (s, 3H), 3.42 (s, 2H), 3.12 (t, 2H), 3.118 (q, 2H), 2.35 (t, 2H), 2.23 (s, 6H), 2.00 (m, 2H), 1.76 (m, 2H), 1.17 (t, 3H); 13С ЯМР (100 МГц, ДМСО-d6) δ м.д. 173.1, 164.6, 163, 128.9, 119.2, 115.4, 68.0, 60.3, 51.7, 48.2, 44.3, 43.7, 31.3, 30.6, 24.5, 23.3, 14.6; МСВР-ЭРИ (m/z): [M+H]+, рассчитано для C25H33FN3O5S: 506.2125, найдено: 506.2114.

Стадия С: метил 5-[3-[4-[3-(диметиламино)проп-1-инил]-2-фторфенокси]пропил]-2-[(4-этокси-4-оксобутил)-[5-метил-6-[(Z)-[3-(2-триметилсилилэтоксиметил)-1,3-бензотиазол-2-илиден]амино]пиридазин-3-ил]амино]тиазол-4-карбоксилат

Используя Общую методику II проведения реакции Бухвальда, исходя из продукта со Стадии В и соединения Синтез 4а получали 0.26 г (48%) целевого продукта.

1H ЯМР (500 МГц, ДМСО-d6) δ м.д. 7.84 (d, 1H), 7.73 (s, 1H), 7.47 (dd, 1H), 7.44 (td, 1H), 7.30 (dd, 1H), 7.25 (td, 1H), 7.21 (dd, 1H), 7.15 (t, 1H), 5.86 (s, 2H), 4.38 (br., 2H), 4.14 (t, 2H), 4.02 (q, 2H), 3.78 (s, 3H), 3.72 (t, 2H), 3.38 (s, 2H), 3.26 (t, 2H), 2.46 (s, 3H), 2.44 (m, 2H), 2.19 (s, 6H), 2.13 (m, 2H), 1.97 (m, 2H), 1.14 (t, 3H), 0.92 (t, 2H), -0.11 (s, 9H); МСВР-ЭРИ (m/z): [M+H]+, рассчитано для C43H55FN7O6S2Si: 876.3409, найдено: 876.3403; МСВР-ЭРИ (m/z): [M+H]+, рассчитано для C42H53FN7O6S2Si (двойной сложный Ме-эфир): 862.3252, найдено: 862.3237.

Стадия D: 2-({6-{(1,3-бензотиазол-2-ил)амино]-5-метилпиридазин-3-ил}(3-карбоксипропил)амино)-5-(3-{4-[3-(диметиламино)проп-1-ин-1-ил]-2-фторфенокси}пропил)-1,3-тиазол-4-карбоновая кислота

Используя Общую методику снятия защиты и гидролиза с последующей повторной очисткой с помощью обращенно-фазовой препаративной хроматографии (С18, 0.1% ТФУ в смеси вода : MeCN), исходя из продукта со Стадии С получали ТФУ-соль целевого продукта.

МСВР-ЭРИ (m/z): [М+Н]+, рассчитано для C34H35FN7O5S2: 704.2125, найдено: 704.2116.

Пример 239: 2-({6-[(1,3-Бензотиазол-2-ил)амино]-5-метилпиридазин-3-ил}(3-фосфонопропил)амино)-5-(3-{4-[3-(диметиламино)проп-1-ин-1-ил]-2-фторфенокси}пропил)-1,3-тиазол-4-карбоновая кислота

Стадия А: метил 2-[трет-бутоксикарбонил(3-диэтоксифосфорилпропил)амино]-5-[3-[4-[3-(диметиламино)проп-1-инил]-2-фторфенокси]пропил]тиазол-4-карбоксилат

Используя Общую методику алкилирования, исходя из продукта Синтеза 1с и 1-бром-3-диэтоксифосфорилпропана в качестве подходящего галогенида, получали 0.52 г (77%) целевого продукта.

1H ЯМР (500 МГц, ДМСО-d6) δ м.д. 7.29 (dd, 1H), 7.20 (dm, 1H), 7.12 (t, 1H), 4.10 (t, 2H), 4.04 (t, 2H), 3.97 (m, 4H), 3.75 (s, 3H), 3.43 (s, 2H), 3.22 (t, 2H), 2.23 (s, 6H), 2.08 (m, 2H), 1.83 (m, 2H), 1.73 (m, 2H), 1.51 (s, 9H), 1.21 (t, 6H); 13C ЯМР (125 МГц, ДМСО-d6) δ м.д. 156.5/153.0, 128.9, 119.2, 115.4, 68.1, 61.4, 52.1, 48.1, 46.9, 44.2, 30.5, 28.1, 23.2, 22.5, 21.3, 16.7; МСВР-ЭРИ (m/z): [M+H]+, рассчитано для C31H46FN3O8PS: 670.2727, найдено: 670.2716.

Стадия В: метил 2-(3-диэтоксифосфорилпропиламино)-5-{3-[4-[3-(диметиламино)проп-1-инил]-2-фторфенокси]пропил]тиазол-4-карбоксилат

Используя Общую методику снятия защиты посредством HFIP, исходя из продукта со Стадии А получали 0.37 г (86%) целевого продукта.

1H ЯМР (500 МГц, ДМСО-d6) δ м.д. 7.64 (t, 1H), 7.30 (dd, 1H), 7.21 (dm, 1H), 7.12 (t, 1H), 4.07 (t, 2H), 3.99/3.95 (m+m, 4H), 3.69 (s, 3H), 3.43 (s, 2H), 3.23 (m, 2H), 3.12 (t, 2H), 2.23 (s, 6H), 2.00 (m, 2H), 1.84-1.64 (m, 4H), 1.21 (t, 6H);

МСВР-ЭРИ (m/z): [M+H]+, рассчитано для C26H38FN3O6PS: 570.2203, найдено: 570.2183.

Стадия С: метил 2-[3-диэтоксифосфорилпропил-[5-метил-6-[(Z)-[3-(2-триметилсилилэтоксиметил)-1,3-бензотиазол-2-илиден]амино]пиридазин-3-ил]амино]-5-[3-{4-{3-(диметиламино)проп-1-инил]-2-фторфенокси]пропил]тиазол-4-карбоксилат

Используя Общую методику II проведения реакции Бухвальда, исходя из продукта со Стадии В и продукта Синтеза 4а в качестве подходящего галогенида, получали 0.51 г (87%) целевого продукта.

1H ЯМР (500 МГц, ДМСО-d6) δ м.д. 7.84 (d, 1H), 7.76 (s, 1H), 7.47 (dd, 1H), 7.44 (td, 1H), 7.30 (dd, 1H), 7.25 (td, 1H), 7.21 (dd, 1H), 7.15 (t, 1H), 5.86 (s, 2H), 4.40 (brt., 2H), 4.14 (t, 2H), 3.99 (m, 4H), 3.77 (s, 3H), 3.72 (t, 2H), 3.38 (br., 2H), 3.27 (t, 2H), 2.46 (s, 3H), 2.19 (s, 6H), 2.13 (m, 2H), 1.90 (m, 2H), 1.89 (m, 2H), 1.20 (t, 6H), 0.92 (t, 2H), -0.11 (s, 9H); 13С ЯМР (125 МГц, ДМСО-d6) δ м.д. 163.1, 128.9, 127.2, 123.5, 123.2, 119.2, 117.4, 115.5, 112.0, 72.9, 68.5, 66.7, 61.5, 52.0, 48.1, 48.1, 44.2, 30.9, 23.1, 22.1, 20.5, 17.8, 17.8, 16.7, -1.0; МСВР-ЭРИ (m/z): [М+Н]+, рассчитано для C44H60FN7O7PS2Si: 940.3487, найдено: 940.3471.

Стадия D: 2-({6-[(1,3-бензотиазол-2-ил)амино]-5-метилпиридазин-3-ил}(3-фосфонопропил)амино)-5-(3-{4-[3-(диметиламино)проп-1-ин-1-ил]-2-фторфенокси}пропил)-1,3-тиазол-4-карбоновая кислота

Используя Общую методику снятия защиты и гидролиза производных фосфоновой кислоты с последующей повторной очисткой с помощью обращенно-фазовой препаративной хроматографии (С18, 0.1% ТФУ в смеси вода : MeCN), исходя из продукта со Стадии С получали ТФУ-соль целевого продукта.

МСВР-ЭРИ (m/z): [М+Н]+, рассчитано для C33H36FN7O6PS: 740.1890, найдено: 740.1871.

Пример 240: 2-({6-[(1,3-Бензотиазол-2-ил)амино]-5-метилпиридазин-3-ил}(3-сульфопропил)амино)-5-(3-{4-[3-(диметиламино)проп-1-ин-1-ил]-2-фторфенокси}пропил)-1,3-тиазол-4-карбоновая кислота

Стадия А: 3-[трет-бутоксикарбонил-[5-[3-[4-[3-(диметиламино)проп-1-инил]-2-фторфенокси]пропил]-4-метоксикарбонилтиазол-2-ил]амино]пропан-1-сульфоновая кислота

Используя Общую методику алкилирования, исходя из продукта Синтеза 1с и 3-бромпропан-1-сульфоната натрия в качестве подходящего галогенида, получали 0.50 г (77%) целевого продукта.

1H ЯМР (500 МГц, ДМСО-d6) δ м.д. 7.33 (dd, 1H), 7.23 (dm, 1H), 7.15 (t, 1H), 4.10 (t, 2H), 4.04 (t, 2H), 3.76 (s, 3H), 3.62 (s, 2H), 3.23 (t, 2H), 2.37 (s, 6H), 2.36 (m, 2H), 2.09 (m, 2H), 1.92 (m, 2H), 1.51 (s, 9H); 13C ЯМР (125 МГц, ДМСО-d6) δ м.д. 129.1, 119.3, 115.4, 68.1, 52.0, 49.6, 47.9, 46.1, 43.8, 30.4, 28.1, 24.7, 23.1; МСВР-ЭРИ (m/z): [М+Н]+, рассчитано для C27H37FN3O8S2: 614.2006, найдено: 614.1993.

Стадия В: 3-{{5-{3-{4-{3-(диметиламино)проп-1-инил]-2-фторфенокси]пропил]-4-метоксикарбонилтиазол-2-ил]амино]пропан-1-сульфоновая кислота

Используя Общую методику снятия защиты посредством HFIP, исходя из продукта со Стадии А получали 0.26 г (63%) целевого продукта.

1H ЯМР (500 МГц, ДМСО-d6) δ м.д. 7.61 (t, 1Н), 7.33 (dd, 1H), 7.24 (dd, 1H), 7.14 (t, 1H), 4.07 (t, 2H), 3.69 (s, 3H), 3.65 (s, 2H), 3.21 (q, 2H), 3.12 (t, 2H), 2.46 (t, 2H), 2.39 (s, 6H), 2.00 (qn, 2H), 1.80 (qn, 2H); 13C ЯМР (125 МГц, ДМСО-d6) δ м.д. 164.7, 163.0, 151.5, 147.6, 136.9, 136.2, 129.1, 119.3, 115.5, 114.8, 85.2, 83.4, 68.1, 51.7, 49.6, 47.9, 44.1, 43.8, 30.6, 25.5, 23.3; МСВР-ЭРИ (m/z): [M+Na]+, рассчитано для C22H28FN3NaO6S2: 536.1301, найдено: 536.1293.

Стадия С: 3-{{5-{3-{4-{3-(диметиламино)проп-1-инил]-2-фторфенокси]пропил]-4-метоксикарбонилтиазол-2-ил]-[5-метил-6-[(Z)-[3-(2-триметилсилилэтоксиметил)-1,3-бензотиазол-2-илиден]амино]пиридазин-3-ил]амино]пропан-1-сульфоновая кислота

Используя Общую методику II проведения реакции Бухвальда, исходя из продукта со Стадии В и продукта Синтеза 4а в качестве подходящего галогенида, получали 0.27 г (66%) целевого продукта.

1H ЯМР (500 МГц, ДМСО-d6) δ м.д. 7.95 (s, 1Н), 7.84 (d, 1H), 7.46 (d, 1H), 7.43 (t, 1H), 7.40 (dd, 1H), 7.28 (d, 1H), 7.25 (t, 1H), 7.19 (t, 1H), 5.86 (s, 2H), 4.48 (t, 2H), 4.16 (t, 2H), 3.90 (br., 2H), 3.78 (s, 3H), 3.72 (t, 2H), 3.27 (t, 2H), 2.57 (br., 6H), 2.53 (t, 2H), 2.45 (s, 3H), 2.14 (m, 2H), 2.00 (m, 2H), 0.92 (t, 2H), -0.11 (s, 9H); 13С ЯМР (125 МГц, ДМСО-d6) δ м.д. 163.2, 156.1, 134.9, 129.4, 127.2, 123.4, 123.2, 119.4, 117.8, 115.5, 111.9, 72.9, 68.5, 66.7, 52.0, 48.7, 47.3, 46.2, 42.9, 30.9, 23.6, 23.1, 17.9, 17.8, -0.9; МСВР-ЭРИ (m/z): [М+Н]+, рассчитано для C40H51FN7O7S3Si: 884.2765, найдено: 884.2757.

Стадия D: 2-({б-{(1,3-бензотиазол-2-ил)амино]-5-метилпиридазин-3-ил}(3-сульфопропил)амино)-5-(3-{4-[3-(диметиламино)проп-1-ин-1-ил]-2-фторфенокси}пропил)-1,3-тиазол-4-карбоновая кислота

Используя Общую методику снятия защиты и гидролиза с последующей повторной очисткой с помощью обращенно-фазовой препаративной хроматографии (С18, 0.1% ТФУ в смеси вода : MeCN), исходя из продукта со Стадии С получали ТФУ-соль целевого продукта.

МСВР-ЭРИ (m/z): [М+Н]+, рассчитано для C33H35FN7O6S3: 740.1795, найдено: 740.1786.

Пример 241: 2-({6-[(1,3-Бензотиазол-2-ил)амино]-5-метилпиридазин-3-ил}(4-сульфобутил)амино)-5-(3-{4-[3-(диметиламино)проп-1-ин-1-ил]-2-фторфенокси}пропил)-1,3-тиазол-4-карбоновая кислота

Стадия А: 4-[трет-бутоксикарбонил-[5-[3-[4-[3-(диметиламино)проп-1-инил]-2-фторфенокси]пропил]-4-метоксикарбонилтиазол-2-ил]амино]бутан-1-сульфоновая кислота

Используя Общую методику алкилирования, исходя из оксатиан 2,2-диоксида и продукта Синтеза 1с получали 0.29 г целевого продукта.

1H ЯМР (500 МГц, ДМСО-d6) δ м.д. 7.34 (dd, 1Н), 7.24 (dd, 1Н), 7.14 (t, 1Н), 4.10 (t, 2H), 3.98 (t, 2H), 3.75 (s, 3H), 3.74 (s, 2H), 3.22 (t, 2H), 2.46 (s, 6H), 2.42 (t, 2H), 2.09 (qn, 2H), 1.65 (qn, 2H), 1.56 (qn, 2H), 1.51 (s, 9H); 13С ЯМР (125 МГц, ДМСО-d6) δ м.д. 129.1, 119.3, 115.5, 68.2, 52.0, 51.7, 47.7, 46.4, 43.5, 30.4, 28.2, 27.4, 23.2, 22.9; МСВР-ЭРИ (m/z): [М+Na]+, рассчитано для C28H38FN3NaO8S2: 650.1982, найдено: 650.1974.

Стадия В: 4-{{5-{3-{4-{3-(диметиламино)проп-1-инил]-2-фторфенокси]пропил]-4-метоксикарбонилтиазол-2-ил]амино]бутан-1-сульфоновая кислота

Используя Общую методику снятия защиты посредством HFIP, исходя из продукта со Стадии А получали 0.12 г целевого продукта.

МСВР-ЭРИ (m/z): [М+Н]+, рассчитано для C23H31FN3O6S2: 528.1638, найдено: 528.1632.

Стадия С: 4-{{5-{3-{4-{3-(диметиламино)проп-1-инил]-2-фторфенокси]пропил]-4-метоксикарбонилтиазол-2-ил]-[5-метил-6-[(Z)-[3-(2-триметилсилилэтоксиметил)-1,3-бензотиазол-2-илиден]амино]пиридазин-3-ил]амино]бутан-1-сульфоновая кислота

Используя Общую методику II проведения реакции Бухвальда, исходя из продукта со Стадии В и продукта Синтеза 4а получали 0.16 г целевого продукта.

1H ЯМР (500 МГц, ДМСО-d6) δ м.д. 7.83 (d, 1Н), 7.79 (s, 1Н), 7.46 (d, 1Н), 7.44 (t, 1Н), 7.43 (dd, 1Н), 7.31 (dm, 1Н), 7.25 (td, 1Н), 7.18 (t, 1Н), 5.86 (s, 2H), 4.34 (t, 2H), 4.28 (s, 2H), 4.17 (t, 2H), 3.76 (s, 3H), 3.73 (t, 2H), 3.28 (t, 2H), 2.86 (s, 6H), 2.51 (m, 2H), 2.46 (s, 3H), 2.15 (m, 2H), 1.73 (m, 2H), 1.67 (m, 2H), 0.92 (t, 2H), -0.11 (s, 9H); 13C ЯМР (125 МГц, ДМСО-d6) δ м.д. 129.6, 127.2, 123.4, 123.2, 119.6, 117.8, 115.4, 111.9, 72.9, 68.4, 66.8, 51.9, 51.3, 47.0, 47.0, 42.2, 30.7, 26.2, 23.1, 22.9, 17.8, 17.8, -0.9; МСВР-ЭРИ (m/z): [M+H]+, рассчитано для C41H53FN7O7S3Si: 898.2922, найдено: 898.2907.

Стадия D: 2-({б-[(1,3-бензотиазол-2-ил)амино]-5-метилпиридазин-3-ил}(4-сульфобутил)амино)-5-(3-{4-[3-(диметиламино)проп-1-ин-1-ил]-2-фторфенокси}пропил)-1,3-тиазол-4-карбоновая кислота

Используя Общую методику снятия защиты и гидролиза, исходя из продукта со Стадии С получали 64 мг целевого продукта.

МСВР-ЭРИ (m/z): [М+Н]+, рассчитано для C34H37FN7O6S3: 754.1951, найдено: 754.1930.

Пример 242: 2-({6-[(1,3-Бензотиазол-2-ил)амино]-5-метилпиридазин-3-ил}(4-фосфонобутил)амино)-5-(3-{4-[3-(диметиламино)проп-1-ин-1-ил]-2-фторфенокси} пропил)-1,3-тиазол-4-карбоновая кислота

Стадия А: метил 2-[трет-бутоксикарбонил(4-диэтоксифосфорилбутил)амино]-5-[3-[4-[3-(диметиламино)проп-1-инил]-2-фторфенокси]пропил]тиазол-4-карбоксилат

Используя Общую методику алкилирования, исходя из 1-бром-4-диэтоксифосфорилбутана и продукта Синтеза 1с получали 1.28 г целевого продукта.

1H ЯМР (500 МГц, ДМСО-d6) δ м.д. 7.29 (dd, 1Н), 7.20 (dm, 1H), 7.13 (t, 1H), 4.10 (t, 2H), 4.01 (t, 2H), 3.93 (m, 4H), 3.75 (s, 3H), 3.42 (s, 2H), 3.22 (t, 2H), 2.23 (s, 6H), 2.08 (m, 2H), 1.78 (m, 2H), 1.71 (m, 2H), 1.51 (s, 9H), 1.45 (m, 2H), 1.18 (t, 6H); 13С ЯМР (125 МГц, ДМСО-d6) δ м.д. 128.9, 119.2, 115.4, 68.1, 61.2, 52.0, 48.1, 45.9, 44.2, 30.5, 28.8, 28.0, 24.5, 23.2, 19.9, 16.7; МСВР-ЭРИ (m/z): [М+Н]+, рассчитано для C32H48FN3O8PS: 684.2884, найдено: 684.2859.

Стадия В: метил 2-(4-диэтоксифосфорилбутиламино)-5-[3-[4-[3-(диметиламино)проп-1-инил]-2-фторфенокси]пропил]тиазол-4-карбоксилат

Используя Общую методику снятия защиты посредством HFIP, исходя из продукта со Стадии А получали 0.92 г целевого продукта.

1H ЯМР (500 МГц, ДМСО-d6) δ м.д. 7.61 (t, 1H), 7.32 (dd, 1H), 7.22 (dm, 1H), 7.13 (t, 1H), 4.07 (t, 2H), 3.95 (m, 4H), 3.69 (s, 3H), 3.52 (brs., 2H), 3.17 (q, 2H), 3.12 (t, 2H), 2.30 (s, 6H), 2.00 (m, 2H), 1.73 (m, 2H), 1.58 (m, 2H), 1.50 (m, 2H), 1.21 (t, 6H); 13С ЯМР (125 МГц, ДМСО-d6) δ м.д. 163.0, 129.0, 119.2, 115.4, 68.0, 61.2, 51.7, 48.0, 44.0, 43.8, 30.6, 29.8, 24.6, 23.3, 20.1, 16.8; МСВР-ЭРИ (m/z): [М+Н]+, рассчитано для C27H40FN3O6PS: 584.2359, найдено: 584.2340.

Стадия С: метил 2-[4-диэтоксифосфорилбутил-[5-метил-6-[(Z)-[3-(2-триметилсилилэтоксиметил)-1,3-бензотиазол-2-илиден]амино]пиридазин-3-ил]амино]-5-[3-{4-{3-(диметиламино)проп-1-инил]-2-фторфенокси]пропил]тиазол-4-карбоксилат

Используя Общую методику II проведения реакции Бухвальда, исходя из продукта со Стадии В и продукта Синтеза 4а получали 0.69 г целевого продукта.

1H ЯМР (500 МГц, ДМСО-d6) δ м.д. 7.84 (dm, 1H), 7.72 (s, 1H), 7.47 (dm, 1H), 7.44 (m, 1H), 7.31 (dd, 1H), 7.26 (m, 1H), 7.21 (dm, 1H), 7.16 (t, 1H), 5.86 (s, 2H), 4.41 (t, 2H), 4.15 (t, 2H), 3.94/3.91 (m+m, 4H), 3.78 (s, 3H), 3.72 (m, 2H), 3.38 (s, 2H), 3.27 (t, 2H), 2.46 (s, 3H), 2.20 (s, 6H), 2.12 (m, 2H), 1.86 (m, 2H), 1.78 (m, 2H), 1.54 (m, 2H), 1.18 (t, 6H), 0.91 (m, 2H), -0.11 (s, 9H); МСВР-ЭРИ (m/z): [M+H]+, рассчитано для C45H62FN7O7PS2Si: 954.3643, найдено: 954.3627.

Стадия D: 2-({6-[(1,3-бензотиазол-2-ил)амино]-5-метилпиридазин-3-ил}(4-фосфонобутил)амино)-5-(3-{4-[3-(диметиламино)проп-1-ин-1-ил]-2-фторфенокси}пропил)-1,3-тиазол-4-карбоновая кислота

Используя Общую методику снятия защиты и гидролиза производных фосфоновой кислоты, исходя из продукта со Стадии С получали 288 мг целевого продукта.

МСВР-ЭРИ (m/z): [M+H]+, рассчитано для C34H38FN7O6PS2: 754.2047. найдено: 754.2036.

Пример 243: 2-({6-[(1,3-Бензотиазол-2-ил)амино]-5-метилпиридазин-3-ил}(4-карбоксибутил)амино)-5-(3-{4-[3-(диметиламино)проп-1-ин-1-ил]-2-фторфенокси}пропил)-1,3-тиазол-4-карбоновая кислота

Стадия А: метил 2-[трет-бутоксикарбонил-(5-метокси-5-оксопентил)амино]-5-{3-[4-[3-(диметиламино)проп-1-инил]-2-фторфенокси]пропил]тиазол-4-карбоксилат

Используя Общую методику алкилирования, исходя из метил 5-бромпентаноата и продукта Синтеза 1 с получали 0.99 г целевого продукта.

1H ЯМР (500 МГц. ДМСО-d6) δ м.д. 7.28 (dd, 1Н), 7.20 (dm. 1Н), 7.13 (t, 1Н), 4.10 (t, 2H), 4.00 (t, 2H), 3.75 (s, 3H), 3.56 (s, 3H), 3.41 (s, 2H), 3.22 (t, 2H), 2.37 (t. 2H). 2.22 (s. 6H), 2.08 (m, 2H), 1.63 (m, 2H), 1.51 (m, 2H), 1.51 (s, 9H); 13С ЯМР (125 МГц, ДМСО-d6) δ м.д. 128.9, 119.2, 115.4, 68.1, 52.1, 51.7, 48.2, 46.0, 44.3, 33.2, 30.5, 28.1, 27.3, 23.1, 22.0; МСВР-ЭРИ (m/z): [М+Н]+, рассчитано для C30H41FN3O7S: 606.2649, найдено: 606.2644.

Стадия В: метил 5-{3-{4-[3-(диметиламино)проп-1-инил]-2-фторфенокси]пропил]-2-[(5-метокси-5-оксопентил)амино]тиазол-4-карбоксилат

Используя Общую методику снятия защиты посредством HFIP, исходя из продукта со Стадии А получали 0.72 г целевого продукта.

1H ЯМР (500 МГц, ДМСО-d6) δ м.д. 7.59 (t, 1H), 7.29 (dd, 1H), 7.20 (dm, 1H), 7.12 (t, 1H), 4.07 (t, 2H), 3.69 (s, 3H), 3.58 (s, 3H), 3.41 (s, 2H), 3.16 (q, 2H), 3.12 (t, 2H), 2.33 (t, 2H), 2.22 (s, 6H), 2.00 (m, 2H), 1.56 (m, 2H), 1.51 (m, 2H); 13C ЯМР (125 МГц, ДМСО-d6) δ м.д. 173.7, 164.6, 163.0, 128.9, 119.2, 115.4, 85.1, 84.1, 68.0, 51.7, 51.7, 48.2, 44.3, 44.0, 33.4, 30.6, 28.5, 23.3, 22.4; МСВР-ЭРИ (m/z): [M+H]+, рассчитано для C25H33FN3O5S: 506.2125, найдено: 506.2123.

Стадия С: метил 5-[3-[4-[3-(диметиламино)проп-1-инил]-2-фторфен окси]пропил]-2-[(5-метокси-5-оксопентил)-[5-метил-6-[(Z)-[3-(2-триметилсилилэтоксиметил)-1,3-бензотиазол-2-илиден]амино]пиридазин-3-ил]амино]тиазол-4-карбоксилат

Используя Общую методику II проведения реакции Бухвальда, исходя из продукта со Стадии В и продукта Синтеза 4а получали 0.79 г целевого продукта.

1H ЯМР (500 МГц, ДМСО-d6) δ м.д. 7.83 (dm, 1H), 7.65 (s, 1H), 7.45 (dm, 1H), 7.43 (m, 1H), 7.30 (dd, 1H), 7.25 (m, 1H), 7.20 (dm, 1H), 7.15 (t, 1H), 5.85 (s, 2H), 4.37 (t, 2H), 4.14 (t, 2H), 3.77 (s, 3H), 3.71 (m, 2H), 3.56 (s, 3H), 3.39 (s, 2H), 3.26 (t, 2H), 2.45 (s, 3H), 2.43 (t, 2H), 2.20 (s, 6H), 2.12 (m, 2H), 1.71 (m, 2H), 1.60 (m, 2H), 0.91 (m, 2H), -0.11 (s, 9H); МСВР-ЭРИ (m/z): [M+H]+, рассчитано для C43H55FN7O6S2Si: 876.3409, найдено: 876.3378.

Стадия D: 2-({6-[(1,3-бензотиазол-2-ил)амино]-5-метилпиридазин-3-ил}(4-карбоксибутил)амино)-5-(3-{4-[3-(диметиламино)проп-1-ин-1-ил]-2-фторфенокси}пропил)-1,3-тиазол-4-карбоновая кислота

Используя Общую методику снятия защиты и гидролиза, исходя из продукта со Стадии С получали 296 мг целевого продукта.

МСВР-ЭРИ (m/z): [М+Н]+, рассчитано для C35H37FN7O5S2: 718.2282, найдено: 718.2263.

Пример 244: 2-[(3-Аминопропил){6-[(1,3-бензотиазол-2-ил)амино]-5-метилпиридазин-3-ил}амино]-5-(3-{2-фтор-4-[3-(метиламино)проп-1-ин-1-ил]фенокси}пропил)-1,3-тиазол-4-карбоновая кислота

Пример 245: 2-[(3-Азидопропил){6-[(1,3-бензотиазол-2-ил)амино]-5-метилпиридазин-3-ил}амино]-5-(3-{2-фтор-4-[3-(метиламино)проп-1-ин-1-ил]фенокси}пропил)-1,3-тиазол-4-карбоновая кислота

Пример 246: 2-[{6-[(1,3-Бензотиазол-2-ил)амино]-5-метилпиридазин-3-ил}(метил)амино]-5-[3-(4-{3-[(диметиламино)метил]бицикло[1.1.1]пентан-1-ил}-2-фторфенокси)пропил]-1,3-тиазол-4-карбоновая кислота

Пример 247: 6-[{6-[(1,3-Бензотиазол-2-ил)амино]-5-метилпиридазин-3-ил}(метил)амино]-3-(1-{[3-(2-{[(3S)-3,4-дигидроксибутил]амино}этокси)-5,7-диметиладамантан-1-ил]метил}-5-метил-1Н-пиразол-4-ил)пиридин-2-карбоновая кислота

Используя Общую методику проведения реакции замещения амина и гидролиза, исходя из продукта Синтеза 14 и 2-[(4S)-2,2-диметил-1,3-диоксолан-4-ил]этанамина в качестве подходящего амина, получали целевой продукт.

МСВР-ЭРИ (m/z): [M+H]+, рассчитано для C42H54N9O5S: 796.3969. найдено: 796.3965.

Пример 249: 6-[{6-[(1,3-Бензотиазол-2-ил)амино]-5-метилпиридазин-3-ил}(метил)амино]-3-[1-({3,5-диметил-7-[2-(метиламино)этокси]адамантан-1-ил}метил)-5-метил-1Н-пиразол-4-ил]пиридин-2-карбоновая кислота

Пример 250: 6-[{6-[(1,3-Бензотиазол-2-ил)амино]-5-метилпиридазин-3-ил}(метил)амино]-3-[1-({3-[2-(диметиламино)этокси]-5,7-диметиладамантан-1-ил}метил)-5-метил-1Н-пиразол-4-ил]пиридин-2-карбоновая кислота

Используя Общую методику проведения реакции замещения амина и гидролиза, исходя из продукта Синтеза 14 и диметиламина в качестве подходящего амина; получали целевой продукт.

МСВР-ЭРИ (m/z): [M+H]+, рассчитано для C40H50N9O3S: 736.3757, найдено: 736.3751.

Пример 251: 6-[{6-[(1,3-Бензотиазол-2-ил)амино]-5-метилпиридазин-3-ил}(метил)амино]-3-{1-[(3,5-диметил-7-{2-[(2-сульфоэтил)амино]этокси}адамантан-1-ил)метил]-5-метил-1Н-пиразол-4-ил}пиридин-2-карбоновая кислота

Пример 252: 6-[{6-[(1,3-Бензотиазол-2-ил)амино]-5-метилпиридазин-3-ил}(метил)амино]-3-{1-[(3,5-диметил-7-{2-[метил(2-сульфоэтил)амино]этокси}адамантан-1-ил)метил]-5-метил-1Н-пиразол-4-ил}пиридин-2-карбоновая кислота

Пример 253: 2-[{6-[(1,3-Бензотиазол-2-ил)амино]-5-метилпиридазин-3-ил}(пент-4-ин-1-ил)амино]-5-(3-{2-фтор-4-[3-(метиламино)проп-1-ин-1-ил]фенокси}пропил)-1,3-тиазол-4-карбоновая кислота

Стадия А: метил 2-{трет-бутоксикарбонил(5-триметилсилилпент-4-инил)амино]-5-[3-(2-фтор-4-йодфенокси)пропил]-1,3-тиазол-4-карбоксилат

Используя Общую методику проведения реакции Мицунобу, исходя из продукта Синтеза 1а (10 ммоль) в качестве подходящего карбамата и 5-триметилсилилпент-4-ин-1-ола (2 экв.) в качестве подходящего спирта, получали 6.0 г (89%) целевого продукта.

1H ЯМР (500 МГц, ДМСО-d6) δ м.д. 7.91 (dm, 1H), 7.69 (s, 1H), 7.53 (dm, 1H), 7.39 (m, 1H), 7.34 (dd, 1H), 7.25 (dm, 1H), 7.21 (m, 1H), 7.19 (t, 1H), 4.38 (t, 2H), 4.16 (t, 2H), 3.87 (s, 2H), 3.27 (t, 2H), 2.88 (t, 1H), 2.51 (s, 3H), 2.46 (s, 3H), 2.31 (m, 2H), 2.14 (m, 2H), 1.91 (m, 2H); МСВР-ЭРИ (m/z): [M+H]+, рассчитано для C34H33FN7O3S2: 670.2070, найдено: 670.2052.

Стадия В: метил 5-[3-(2-фтор-4-йодфенокси)пропил]-2-(5-триметилсилилпент-4-иниламино)-1,3-тиазол-4-карбоксилат

Используя Общую методику снятия защиты посредством HFIP, исходя из продукта со Стадии А (6.0 г, 8.9 ммоль, 1 экв.) в качестве подходящего Вос-защищенного амина, получали 4.46 г (87%) целевого продукта.

1H ЯМР (500 МГц, ДМСО-d6) δ м.д. 7.61 (t, 1H), 7.59 (dd, 1H), 7.45 (dm, 1H), 6.97 (t, 1H), 4.03 (t, 2H), 3.69 (s, 3H), 3.22 (m, 2H), 3.11 (t, 2H), 2.28 (t, 2H), 1.99 (m, 2H), 1.68 (m, 2H), 0.11 (s, 9H); 13С ЯМР (125 МГц, ДМСО-d6) δ м.д. 134.0, 124.9, 117.6, 107.8, 85.1, 68.1, 51.7, 43.5, 30.6, 28.0, 23.3, 17.1, 0.6; МСВР-ЭРИ (m/z): [М+Н]+, рассчитано для C22H29FIN2O3SSi: 575.0697, найдено: 575.0695.

Стадия С: метил 5-{3-{4-{3-{трет-бутоксикарбонил(метил)амино]проп-1-инил]-2-фторфенокси]пропил]-2-(5-триметилсилилпент-4-иниламино)-1,3-тиазол-4-карбоксилат

Используя Общую методику проведения реакции Соногаширы, исходя из продукта со Стадии В (4.46 г, 7.76 ммоль, 1 экв.) и трет-бутил N-метил-N-проп-2-инилкарбамата (2.62 г, 15.53 ммоль, 2 экв.) в качестве подходящего ацетилена, получали 4.44 г (93%) целевого продукта.

1H ЯМР (500 МГц, ДМСО-d6) δ м.д. 7.61 (t, 1H), 7.30 (brd, 1H), 7.21 (dm, 1H), 7.12 (t, 1H), 4.23 (brs, 2H), 4.07 (t, 2H), 3.69 (s, 3H), 3.22 (m, 2H), 3.12 (t, 2H), 2.87 (brs, 3H), 2.28 (t, 2H), 2.00 (m, 2H), 1.68 (m, 2H), 1.41 (s, 9H), 0.11 (s, 9H); МСВР-ЭРИ (m/z): [М+Н]+, рассчитано для C31H43FN3O5SSi: 616.2677, найдено: 616.2659.

Стадия D: метил 5-{3-{4-[3-[трет-бутоксикарбонил(метил)амино]проп-1-инил]-2-фторфенокси]пропил]-2-[{5-метил-6-{(Z)-{3-(2-триметилсилилэтоксиметил)-1,3-бензотиазол-2-илиден]амино]пиридазин-3-ил]-(5-триметилсилилпент-4-инил)амино]-1,3-тиазол-4-карбоксилат

Используя Общую методику I проведения реакции Бухвальда, исходя из продукта со Стадии С (4.44 г, 7.2 ммоль) в качестве исходного вещества и осуществляя реакцию в 1,4-диоксане при 120°С получали 3.85 г (54%) целевого продукта.

1H ЯМР (500 МГц, ДМСО-d6) δ м.д. 7.83 (d, 1Н), 7.64 (s, 1Н), 7.45 (dd, 1Н), 7.42 (td, 1Н), 7.31 (brd., 1Н), 7.24 (td, 1Н), 7.21 (d, 1Н), 7.15 (t, 1Н), 5.85 (s, 2H), 4.37 (t, 2H), 4.20 (br., 2H), 4.14 (t, 2H), 3.77 (s, 3H), 3.71 (t, 2H), 3.25 (t, 2H), 2.84 (br., 3H), 2.44 (s, 3H), 2.37 (t, 2H), 2.12 (m, 2H), 1.91 (m, 2H), 1.4 (s, 9H), 0.91 (t, 2H), 0.09 (s, 9H), -0.12 (s, 9H); 13С ЯМР (125 МГц, ДМСО-d6) δ м.д. 163.1, 157.5, 155.2, 150.9, 137.6, 129.1, 127.2, 125.4, 123.4, 123.2, 119.3, 117.4, 115.4, 111.9, 107.5, 85.2, 72.9, 68.4, 66.7, 52.0, 46.5, 38.6, 33.8, 31.0, 28.5, 26.2, 23.2, 17.9, 17.8, 17.1, 0.5, -1.0; МСВР-ЭРИ (m/z): [M+H]+, рассчитано для C49H65FN7O6S2Si2: 986.3960, найдено: 986.3932.

Стадия Е: 2-[[6-(1,3-бензотиазол-2-иламино)-5-метилпиридазин-3-ил]-пент-4-иниламино]-5-[3-[2-фтор-4-[3-(метиламино)проп-1-инил]фенокси]пропил]-1,3-тиазол-4-карбоновая кислота

Используя Общую методику снятия защиты и гидролиза, исходя из продукта со Стадии D с последующей очисткой с помощью обращенно-фазовой препаративной хроматографии (С18, 25 мМ NH4HCO3 в смеси вода : MeCN) получали целевой продукт.

МСВР-ЭРИ (m/z): [М+Н]+, рассчитано для C34H33FN7O3S2: 670.2070, найдено: 670.2052.

Пример 254: 2-[(4-Аминобутил){6-[(1,3-бензотиазол-2-ил)амино]-5-метилпиридазин-3-ил}амино]-5-(3-{4-[3-(диметиламино)проп-1-ин-1-ил]-2-фторфенокси}пропил)-1,3-тиазол-4-карбоновая кислота

Пример 255: 2-[(4-Азидобутил){6-[(1,3-бензотиазол-2-ил)амино]-5-метилпиридазин-3-ил}амино]-5-(3-{4-[3-(диметиламино)проп-1-ин-1-ил]-2-фторфенокси}пропил)-1,3-тиазол-4-карбоновая кислота

Пример 256: 2-[{6-[(1,3-Бензотиазол-2-ил)амино]-5-метилпиридазин-3-ил}(гекс-5-ин-1-ил)амино]-5-(3-{4-[3-(диметиламино)проп-1-ин-1-ил]-2-фторфенокси}пропил)-1,3-тиазол-4-карбоновая кислота

Пример 257: 2-[{6-[(1,3-Бензотиазол-2-ил)амино]-5-метилпиридазин-3-ил}(пент-4-ин-1-ил)амино]-5-(3-{4-[3-(диметиламино)проп-1-ин-1-ил]-2-фторфенокси}пропил)-1,3-тиазол-4-карбоновая кислота

Пример 258: 2-[(3-Азидопропил){6-[(1,3-бензотиазол-2-ил)амино]-5-метилпиридазин-3-ил}амино]-5-(3-{4-[3-(диметиламино)проп-1-ин-1-ил]-2-фторфенокси}пропил)-1,3-тиазол-4-карбоновая кислота

Пример 259: 2-[(3-Аминопропил){6-[(1,3-бензотиазол-2-ил)амино]-5-метилпиридазин-3-ил}амино]-5-(3-{4-[3-(диметиламино)проп-1-ин-1-ил]-2-фторфенокси}пропил)-1,3-тиазол-4-карбоновая кислота

Пример 260: 2-[(4-Аминобутил){6-[(1,3-бензотиазол-2-ил)амино]-5-метилпиридазин-3-ил}амино]-5-(3-{2-фтор-4-[3-(метиламино)проп-1-ин-1-ил]фенокси}пропил)-1,3-тиазол-4-карбоновая кислота

Пример 261: 2-[(4-Азидобутил){6-[(1,3-бензотиазол-2-ил)амино]-5-метилпиридазин-3-ил}амино]-5-(3-{2-фтор-4-[3-(метиламино)проп-1-ин-1-ил]фенокси}пропил)-1,3-тиазол-4-карбоновая кислота

Пример 262: 2-[{6-[(1,3-Бензотиазол-2-ил)амино]-5-метилпиридазин-3-ил}(гекс-5-ин-1-ил)амино]-5-(3-{2-фтор-4-[3-(метиламино)проп-1-ин-1-ил]фенокси}пропил)-1,3-тиазол-4-карбоновая кислота

Пример 263: 2-[(4-Аминобутил){6-[(1,3-бензотиазол-2-ил)амино]-5-метилпиридазин-3-ил}амино]-5-(3-{2-фтор-4-[3-(метиламино)пропил]фенокси}пропил)-1,3-тиазол-4-карбоновая кислота

Пример 264: 2-[(4-Азидобутил){6-[(1,3-бензотиазол-2-ил)амино]-5-метилпиридазин-3-ил}амино]-5-(3-{2-фтор-4-[3-(метиламино)пропил]фенокси}пропил)-1,3-тиазол-4-карбоновая кислота

Пример 265: 2-[{6-[(1,3-Бензотиазол-2-ил)амино]-5-метилпиридазин-3-ил}(гекс-5-ин-1-ил)амино]-5-(3-{2-фтор-4-[3-(метиламино)пропил]фенокси}пропил)-1,3-тиазол-4-карбоновая кислота

Пример 266: 5-[3-[4-[3-[трет-Бутоксикарбонил(метил)амино]проп-1-инил]-2-фторфенокси]пропил]-2-[[5-метил-6-[(Z)-[3-(2-триметилсилилэтоксиметил)-1,3-бензотиазол-2-илиден]амино]пиридазин-3-ил]-пент-4-иниламино]тиазол-4-карбоновая кислота

Смесь 500 мг продукта из Примера 253, Стадия D, и 106 мг (2.5 ммоль, 5 экв.) LiOH*H2O в смеси 5 мл ТГФ и 2 мл воды перемешивали при 40°С в течение 16 ч, и затем очищали с помощью кристаллизации из Et2O с получением 356 мг (78%) целевого продукта.

МСВР-ЭРИ (m/z): [M+H]+, рассчитано для C45H55FN7O6S2Si: 900.3409, найдено: 900.3383

Пример 267: 2-[5-Азидопентил-[6-[(1,3-бензотиазол-2-ил)амино]-5-метилпиридазин-3-ил]амино]-5-[3-[2-фтор-4-[3-(метиламино)проп-1-инил]фенокси]пропил]-1,3-тиазол-4-карбоновая кислота

Стадия A: метил 2-[трет-бутоксикарбонил-[5-[трет-бутил(диметил)силил]оксипентил]амино]-5-[3-[4-[3-[трет-бутоксикарбонил(метил)амино]проп-1-инил]-2-фторфенокси]пропил]-1,3-тиазол-4-карбоксилат

Используя Обитую методику проведения реакции Мицунобу, исходя из продукта Синтеза 1b (0.7 ммоль) в качестве подходящего карбамата и 5-[трет-бутил(диметил)силил]оксипентан-1-ола (1.5 экв.) в качестве подходящего спирта, получали 494 мг (91%) целевого продукта.

ЖХ/МС (C39H60FN3O8SSiNa) 800 [M+Na]+.

Стадия В: метил 5-{3-{4-{3-{трет-бутоксикарбонил(метил)амино]проп-1-инил]-2-фторфенокси]пропил]-2-[5-[трет-бутил(диметил)силил]оксипентиламино]-1,3-тиазол-4-карбоксилат

Используя Общую методику снятия защиты посредством HFIP, исходя из продукта со Стадии А (490 мг, 0.63 ммоль, 1 экв.) в качестве подходящего Вос-защищенного амина, получали 240 мг (56%) целевого продукта.

1H ЯМР (500 МГц, ДМСО-d6) δ м.д. 7.57 (br., 1H), 7.31 (d, 1H), 7.21 (d, 1H), 7.12 (t, 1H), 4.23 (br., 2H), 4.07 (t, 2H), 3.69 (s, 3H), 3.56 (t, 2H), 3.14 (m, 2H), 3.11 (t, 2H), 2.86 (br., 3H), 2.00 (quint., 2H), 1.51 (m, 2H), 1.45 (m, 2H), 1.41 (s, 9H), 1.33 (m, 2H), 0.84 (s, 9H), 0 (s, 6H); 13C ЯМР (125 МГц, ДМСО-d6) δ м.д. 129.1, 119.3, 115.4, 68.0, 62.8, 51.7, 44.5, 38.6, 33.8, 32.4, 30.6, 28.9, 28.5, 26.3, 23.3, 23.2, -4.9; МСВР-ЭРИ (m/z): [М+Н]+, рассчитано для C34H53FN3O6SSi: 678.3408, найдено: 678.3393.

Стадия С: метил 5-[3-[4-[3-[трет-бутоксикарбонил(метил)амино]проп-1-инил]-2-фторфенокси]пропил]-2-[5-{трет-бутил(диметил)силил]оксипентил-[5-метил-6-[(Z)-[3-(2-триметилсилилэтоксиметил)-1,3-бензотиазол-2-илиден]амино]пиридазин-3-ил]амино]-1,3-тиазол-4-карбоксилат

Используя Общую методику I проведения реакции Бухвальда, исходя из продукта со Стадии В (235 мг) в качестве исходного вещества и осуществляя реакцию в 1,4-диоксане при 120°С получали 220 мг (60%) целевого продукта.

1H ЯМР (500 МГц, ДМСО-d6) δ м.д. 7.81 (dd, 1H), 7.62 (s, 1H), 7.45 (dd, 1H), 7.42 (m, 1H), 7.28 (dd, 1H), 7.24 (m, 1H), 7.19 (m, 1H), 7.15 (t, 1H), 5.84 (s, 2H), 4.38 (t, 2H), 4.20 (s, 2H), 4.16 (t, 2H), 3.78 (s, 3H), 3.73 (t, 2H), 3.55 (t, 2H), 3.26 (t, 2H), 2.85 (s, 3H), 2.44 (s, 3H), 2.13 (m, 2H), 1.71 (m, 2H), 1.51 (m, 2H), 1.41 (s, 9H), 1.40 (m, 2H), 0.92 (t, 2H), 0.80 (s, 9H), -0.04 (s, 6H), -0.10 (s, 9H); 13С ЯМР (125 МГц, ДМСО-d6) δ м.д. 163.2, 147.5, 137.6, 129, 127.1, 123.5, 123.1, 119.3, 117.7, 115.7, 111.9, 73.0, 68.6, 66.8, 62.7, 51.8, 47.0, 38.6, 33.8, 32.4, 31.0, 28.5, 27.1, 26.2, 23.1, 23.0, 17.9, 17.8, -1.0, -5.0; МСВР-ЭРИ (m/z): [M+H]+, рассчитано для C52H75FN7O7S2Si2: 1048.4692, найдено: 1048.4692.

Стадия D: метил 5-[3-[4-[3-[трет-бутоксикарбонил(метил)амино]проп-1-инил]-2-фторфенокси]пропил]-2-[5-гидроксипентил-[5-метил-6-[(Z)-{3-(2-триметилсилилэтоксиметил)-1,3-бензотиазол-2-илиден]амино]пиридазин-3-ил]амино]-1,3-тиазол-4-карбоксилат

Смесь продукта со Стадии С (0.3 ммоль) и 18 мг камфорсульфоновой кислоты (0.07 ммоль, 0.25 экв.) в 2 мл 1:1 смеси ДХМ и МеОН перемешивали при 60°С в течение 1.5 ч. Продукт очищали с помощью колоночной флэш-хроматографии, используя гептан и EtOAc в качестве элюентов с получением 195 мг (66%) целевого продукта.

1H ЯМР (500 МГц, ДМСО-d6) δ м.д. 7.84 (d, 1H), 7.66 (s, 1H), 7.46 (d, 1H), 7.43 (t, 1H), 7.32 (d, 1H), 7.25 (t, 1H), 7.22 (d, 1H), 7.16 (t, 1H), 5.86 (s, 2H), 4.36 (t, 2H), 4.20 (s, 2H), 4.15 (t, 2H), 3.78 (s, 3H), 3.72 (t, 2H), 3.40 (t, 2H), 3.26 (t, 2H), 2.84 (s, 3H), 2.46 (s, 3H), 2.12 (qn, 2H), 1.69 (qn, 2H), 1.49 (m, 2H), 1.40 (s, 9H), 1.4 (qn, 2H), 0.92 (t, 2H), -0.11 (s, 9H); 13C ЯМР (125 МГц, ДМСО-d6) δ м.д. 129.1, 127.2, 123.4, 123.2, 119.3, 117.6, 115.5, 112.0, 72.9, 68.4, 66.7, 61.0, 52.0, 47.0, 38.5, 33.9, 32.5, 31.0, 28.5, 27.1, 23.2, 23.1, 17.9, 17.8, -1.0; МСВР-ЭРИ (m/z): [M+Na]+, рассчитано для C46H60FN7NaO7S2SiNa: 956.3641, найдено: 956.3646.

Стадия Е: метил 2-[5-азидопентил-[5-метил-6-[(Z)-[3-(2-триметилсилилэтоксиметил)-1,3-бензотиазол-2-илиден]амино]пиридазин-3-ил]амино]-5-[3-[4-[3-[трет-бутоксикарбонил(метил)амино]проп-1-инил]-2-фторфенокси]пропил]-1,3-тиазол-4-карбоксилат

Смесь 158 мг продукта со Стадии D, 70 мкл триэтиламина (0.50 ммоль, 3 экв.) и 83 мг п-толилсульфонил 4-метилбензолсульфоната (0.25 ммоль, 1.5 экв.) в 1 мл ДХМ перемешивали в течение 5 ч. После концентрирования остаток растворяли в 1 мл ацетонитрила и добавляли 133 мг азида натрия (2.0 ммоль, 12 экв.), и полученную в результате смесь перемешивали при 80°С в течение 0.5 ч. Продукт очищали с помощью колоночной флэш-хроматографии, используя гептан и EtOAc в качестве элюентов с получением 120 мг (73%) целевого продукта.

1H ЯМР (500 МГц, ДМСО-d6) δ м.д. 7.84 (dm, 1H), 7.69 (s, 1H), 7.47 (dm, 1H), 7.44 (m, 1H), 7.32 (brd, 1H), 7.26 (m, 1H), 7.22 (dm, 1H), 7.17 (t, 1H), 5.86 (s, 2H), 4.37 (t, 2H), 4.20 (brs, 2H), 4.15 (t, 2H), 3.78 (s, 3H), 3.72 (m, 2H), 3.36 (t, 2H), 3.27 (t, 2H), 2.84 (brs, 3H), 2.46 (s, 3H), 2.13 (m, 2H), 1.72 (m, 2H), 1.64 (m, 2H), 1.43 (m, 2H), 1.40 (s, 9H), 0.92 (m, 2H), -0.11 (s, 9H); МСВР-ЭРИ (m/z): [M+H]+, рассчитано для C46H60FN10O6S2Si: 959.3892, найдено: 959.3892.

Стадия F: 2-[5-аэидопентил-[6-[(1,3-бензотиазол-2-ил)амино]-5-метилпиридазин-3-ил]амино]-5-{3-[2-фтор-4-{3-(метиламино)проп-1-инил]фенокси]пропил]-1,3-тиазол-4-карбоновая кислота

Используя Общую методику снятия защиты и гидролиза, исходя из продукта со Стадии Е с последующей очисткой с помощью обращенно-фазовой препаративной хроматографии (С18, 0.1% ТФУ в смеси вода : MeCN) получали целевой продукт.

МСВР-ЭРИ (m/z): [М+H]+, рассчитано для C34H36FN10O3S2: 715.2397, найдено: 715.2391.

Пример 268: 6-[[6-(1,3-Бензотиазол-2-иламино)-5-метилпиридазин-3-ил]-метиламино]-3-[1-[[3-[2-(3-гидроксипропиламино)этокси]-5,7-диметил-1-адамантил]метил]-5-метилпиразол-4-ил]пиридин-2-карбоновая кислота

Используя Общую методику проведения реакции замещения амина и гидролиза, исходя из продукта Синтеза 14 и 3-аминопропан-1-ола в качестве подходящего амина, получали целевой продукт.

МСВР-ЭРИ (m/z): [M+H]+, рассчитано для C41H52N9O4S: 766.3863, найдено: 766.3860.

Пример 269: 6-[[6-(1,3-Бензотиазол-2-иламино)-5-метилпиридазин-3-ил]-метиламино]-3-[1-[[3-[2-(3-метоксипропиламино)этокси]-5,7-диметил-1-адамантил]метил]-5-метилпиразол-4-ил]пиридин-2-карбоновая кислота

Используя Общую методику проведения реакции замещения амина и гидролиза, исходя из продукта Синтеза 14 и 3-метоксипропан-1-амина в качестве подходящего амина, получали целевой продукт.

МСВР-ЭРИ (m/z): [M+H]+, рассчитано для C42H54N9O4S: 780.4019, найдено: 780.4019.

Пример 270: 6-[[6-(1,3-Бензотиазол-2-иламино)-5-метилпиридазин-3-ил]-метиламино]-3-[1-[[3,5-диметил-7-(2-морфолиноэтокси)-1-адамантил]метил]-5-метилпиразол-4-ил]пиридин-2-карбоновая кислота

Используя Общую методику проведения реакции замещения амина и гидролиза, исходя из продукта Синтеза 14 и морфолина в качестве подходящего амина, получали целевой продукт.

МСВР-ЭРИ (m/z): [М+Н]+, рассчитано для C42H52N9O4S: 778.3863, найдено: 778.3858.

Пример 271: 6-[[6-(1,3-Бензотиазол-2-иламино)-5-метилпиридазин-3-ил]-метиламино]-3-[1-[[3-[2-(2-карбоксиэтиламино)этокси]-5,7-диметил-1-адамантил]метил]-5-метилпиразол-4-ил]пиридин-2-карбоновая кислота

Используя Общую методику проведения реакции замещения амина и гидролиза, исходя из продукта Синтеза 14, 3-аминопропановой кислоты в качестве подходящего амина и 10 экв. K2CO3 в качестве основания получали целевой продукт.

МСВР-ЭРИ (m/z): [М+Н]+, рассчитано для C41H50N9O5S: 780.3656, найдено: 780.3658.

Пример 272: 6-[[6-(1,3-Бензотиазол-2-иламино)-5-метилпиридазин-3-ил]-метиламино]-3-[1-[[3-[2-[(3-гидроксифенил)метиламино]этокси]-5,7-диметил-1-адамантил]метил]-5-метилпиразол-4-ил]пиридин-2-карбоновая кислота

Используя Общую методику проведения реакции замещения амина и гидролиза, исходя из продукта Синтеза 14 и 3-(аминометил)фенола в качестве подходящего амина, получали целевой продукт.

МСВР-ЭРИ (m/z): [М+Н]+, рассчитано для C45H52N9O4S: 814.3863, найдено: 814.3861.

Соединения следующих Примеров 273-280 синтезировали, используя Общую методику проведения реакции замещения амина и гидролиза, исходя из продукта Синтеза 14 и подходящего амина.

Пример 273: 6-[[6-(1,3-Бензотиазол-2-иламино)-5-метилпиридазин-3-ил]-метиламино]-3-[1-[[3,5-диметил-7-(2-пирролидин-1-илэтокси)-1-адамантил]метил]-5-метилпиразол-4-ил]пиридин-2-карбоновая кислота

Пример 274: 6-[[6-(1,3-Бензотиазол-2-иламино)-5-метилпиридазин-3-ил]-метиламине]-3-[1-[[3,5-диметил-7-[2-(4-метилпиперазин-1-ил)этокси]-1-адамантил]метил]-5-метилпиразол-4-ил]пиридин-2-карбоновая кислота

Пример 275: 6-[[6-(1,3-Бензотиазол-2-иламино)-5-метилпиридазин-3-ил]-метиламино]-3-[1-[[3-[2-(4-гидроксибутиламино)этокси]-5,7-диметил-1-адамантил]метил]-5-метилпиразол-4-ил]пиридин-2-карбоновая кислота

Пример 276: 6-[[6-(1,3-Бензотиазол-2-иламино)-5-метилпиридазин-3-ил]-метиламине]-3-[1-[[3,5-диметил-7-(2-пиперазин-1-илэтокси)-1-адамантил]метил]-5-метилпиразол-4-ил]пиридин-2-карбоновая кислота

Пример 277: 6-[[6-(1,3-Бензотиазол-2-иламино)-5-метилпиридазин-3-ил]-метиламино]-3-[1-[[3-[2-[3-гидроксипропил(метил)амино]этокси]-5,7-диметил-1-адамантил]метил]-5-метилпиразол-4-ил]пиридин-2-карбоновая кислота

Пример 278: 6-[[6-(1,3-Бензотиазол-2-иламино)-5-метилпиридазин-3-ил]-метиламине]-3-[1-[[3-[2-[4-гидроксибутил(метил)амино]этокси]-5,7-диметил-1-адамантил]метил]-5-метилпиразол-4-ил]пиридин-2-карбоновая кислота

Пример 279: 6-[[6-(1,3-Бензотиазол-2-иламино)-5-метилпиридазин-3-ил]-метиламино]-3-[1-[[3-[2-[[3-гидрокси-2-(гидроксиметил)пропил]амино]этокси]-5,7-диметил-1-адамантил]метил]-5-метилпиразол-4-ил]пиридин-2-карбоновая кислота

Пример 280: 6-[[6-(1,3-Бензотиазол-2-иламино)-5-метилпиридазин-3-ил]-метиламине]-3-[1-[[3-[2-[бис(3-гидроксипропил)амино]этокси]-5,7-диметил-1-адамантил]метил]-5-метилпиразол-4-ил]пиридин-2-карбоновая кислота

Пример 281: 2-[[6-(1,3-Бензотиазол-2-иламино)-5-метилпиридазин-3-ил]-метиламине]-5-[3-[2-фтор-4-(3-пиперазин-1-илпроп-1-инил)фенокси]пропил]тиазол-4-карбоновая кислота

Пример 282: 2-[[6-(1,3-Бензотиазол-2-иламино)-5-метилпиридазин-3-ил]-метиламино]-5-[3-[2-фтор-4-[3-(4-метилпиперазин-1-ил)проп-1-инил]фенокси]пропил]тиазол-4-карбоновая кислота

Пример 283: 2-[[6-(1,3-Бензотиазол-2-иламино)-5-метилпиридазин-3-ил]-метиламине]-5-[3-[2-фтор-4-[3-[3-гидроксипропил(метил)амино]проп-1-инил]фенокси]пропил]тиазол-4-карбоновая кислота

Пример 284: 2-[[6-(1,3-Бензотиазол-2-иламино)-5-метилпиридазин-3-ил]-метиламино]-5-[3-[4-[3-[[(3S)-3,4-дигидроксибутил]-метиламино]проп-1-инил]-2-фторфенокси]пропил]тиазол-4-карбоновая кислота

Пример 285: 2-[[6-(1,3-Бензотиазол-2-иламино)-5-метилпиридазин-3-ил]-метиламино]-5-[3-[2-фтор-4-[3-(3-гидроксипропиламино)проп-1-инил]фенокси]пропил]тиазол-4-карбоновая кислота

Пример 286: 2-[[6-(1,3-Бензотиазол-2-иламино)-5-метилпиридазин-3-ил]-метиламине]-5-[3-[4-[3-[[(3S)-3,4-дигидроксибутил]амино]проп-1-инил]-2-фторфенокси]пропил]тиазол-4-карбоновая кислота

Пример 287: 2-[[6-(1,3-Бензотиазол-2-иламино)-5-метилпиридазин-3-ил]-метиламино]-5-[3-[2-фтор-4-[3-[4-гидроксибутил(метил)амино]проп-1-инил]фенокси]пропил]тиазол-4-карбоновая кислота

Пример 288: 2-[[6-(1,3-Бензотиазол-2-иламино)-5-метилпиридазин-3-ил]-метиламине]-5-[3-[4-[3-[[(3R)-3,4-дигидроксибутил]-метиламине]проп-1-инил]-2-фторфенокси]пропил]тиазол-4-карбоновая кислота

Пример 289: 2-[[6-(1,3-Бензотиазол-2-иламино)-5-метилпиридазин-3-ил]-метиламино]-5-[3-[2-фтор-4-[3-(4-гидроксибутиламино)проп-1-инил]фенокси]пропил]тиазол-4-карбоновая кислота

Пример 290: 2-[[6-(1,3-Бензотиазол-2-иламино)-5-метилпиридазин-3-ил]-метиламино]-5-[3-[4-[3-[[(3R)-3,4-дигидроксибутил]амино]проп-1-инил]-2-фторфенокси]пропил]тиазол-4-карбоновая кислота

ФАРМАКОЛОГИЧЕСКОЕ ИССЛЕДОВАНИЕ

ПРИМЕР А: Данные флуоресцентного поляризационного анализа

Флуоресцентная поляризация обеспечивает измерение вращения флуоресцирующих молекул в растворе, причем чем больше молекула, тем более поляризовано испускание флуоресценции.

Зонд на основе флуоресцентного PUMA (UniProtKB®, основной номер доступа Q9BXH1 - SEQ ID:01) флуоресцеин-бетаАlа-Ahx-AREIGAQLRRMADDLNAQY-OH от фирмы Biopeptides связывается с GST(1-218)-(FACTOR_XA)-hsBCLXL(2-209). имеющим аминокислотную последовательность (SEQ ID:02):

что приводит к увеличению анизотропии. Если добавлено соединение, которое конкурентно связывается с тем же сайтом, что и зонд, тем самым высвобождая его, анизотропия уменьшается вследствие увеличения количества свободного зонда.

11-точечные серийные разведения каждого соединения приготавливали в ДМСО, конечная буферная среда была следующей: 10 мМ 4-(2-гидроксиэтил)-1-пиперазинэтансульфоновая кислота [HEPES], 150 мМ NaCl, 0.05% Tween 20, рН 7.4 и 5% ДМСО. Конечная концентрация белка при выполнении анализа составляла 20 нМ с флуоресцентным зондом, присутствующим в концентрации 10 нМ. Пробы инкубировали в течение 2 часов при 23°С, после чего на планшет-ридере Biotek SynergyNeo измеряли флуоресцентную поляризацию (возбуждение 485 нм, испускание 525 нм, параллельное и перпендикулярное считывания). Затем строили кривые зависимости «доза-эффект» с помощью программного обеспечения XL-Fit, используя 4-параметрическую логистическую модель (сигмоидальная модель «доза-ответ»), и определяли ингибирующие концентрации, которые приводили к 50%-ному увеличению интенсивности флуоресценции (IC50). Значения KI определяли из значений IC50 в соответствии с Cer и др., Nucleic Acids Res, 2009, Jul 1; 37(WebServer issue): W441-W445.

Результаты обобщены в Таблице 1. Они показывают, что соединения настоящего изобретения ингибируют взаимодействие между белком Bcl-xL и описанным выше флуоресцентным пептидом.

ПРИМЕР В: Данные анализа AlphaLISA

Анализ AlphaLISA обеспечивает измерение увеличения альфа-сигнала при связывании биотинилированного GST(1-218)-(FACTOR XA)-hsBCLXL(2-209) (SEQ ID:02 - GST UniProtKB®, основной номер доступа P08515, и BCLXL UniProtKB®, основной номер доступа Q07817-1), присоединенного к меченной стрептавидином альфа-донорной грануле, с меченным на N-конце пептидом, полученным из BIM (флуоресцеин-бетаАlа-Ahx- SEQ ID: 05, где SEQ ID: 05 означает DMRPEIWIAQELRRIGDEANAYYARR), присоединенным к анти-FTIC AlphaLISA акцепторной грануле.

GST(1-218)-(FACTOR_XA)-hsBCLXL(2-209) биотинилировали в 50 мМ фосфатном буфере, используя 20-кратный избыток EZ Link NHS-LC-биотина (thermoFisher, каталожный номер 21336) в течение ночи при 4°С.

Добавление соединения, которое конкурентно связывается с тем же сайтом, что и пептид, будет приводить к снижению альфа-сигнала доступного комплекса донорная гранула-белок-пептид-акцепторная гранула вследствие замещения пептида.

11-точечные серийные разведения каждого соединения приготавливали в ДМСО, конечная буферная среда была следующей: 10 мМ 4-(2-гидроксиэтил)-1-пиперазинэтансульфоновая кислота [HEPES], 150 мМ NaCl, 0.05% Tween 20, рН 7.4 и 4% ДМСО. Конечная концентрация белка при выполнении анализа составляла 20 пМ с пептидом, присутствующим в концентрации 1 нМ. Альфа гранулы использовали в конечной концентрации 5 мкг/мл. Пробы инкубировали в течение ночи при 23°С после добавления акцепторных гранул. В заключение добавляли донорные гранулы и инкубировали в течение 2 часов при 23°С, после чего на планшет-ридере Biotek Synergy2 измеряли альфа-сигнал (возбуждение 680 нм, испускание 615 нм). Затем строили кривые зависимости «доза-эффект» с помощью программного обеспечения XL-Fit, используя 4-параметрическую логистическую модель (сигмоидальная модель «доза-ответ»), и определяли ингибирующие концентрации, которые приводили к 50%-ному увеличению интенсивности флуоресценции (IC50).

Результаты обобщены в Таблице 2.

ПРИМЕР С: Данные анализа гашения

Анализ гашения флуоресценции обеспечивает измерение изменения интенсивности флуоресценции Су5-меченного на С-конце BCL-xL белка His His-(EK)-hsBCLXL(2-197)[N197C] (UniProtKB®, основной номер доступа Q07817-1), имеющего аминокислотную последовательность (SEQ ID: 03):

который связан в С-концевой области с аминокислотой X, которая соответствует цистеину, меченному на сере посредством Sulfo-Cyanine5 от фирмы Lumiprobe GmbH, каталожный номер 13380,

при связывании меченного на С-конце пептида, полученного из PUMA (UniProtKB®, основной номер доступа Q9BXH1), имеющего аминокислотную последовательность (SEQ ID: 04): [QWAREIGAQLRRMADDLNAQY], который связан в С-концевой области с аминокислотой X', где X' означает цистеин, меченный на сере посредством TQ5WS от фирмы ААТ Bioquest, каталожный номер 2079.

Добавление соединения, которое конкурентно связывается с тем же сайтом, что и пептид, будет приводить к увеличению интенсивности флуоресценции белка вследствие замещения гасителя флуоресценции.

11-точечные серийные разведения каждого соединения приготавливали в ДМСО, конечная буферная среда была следующей: 10 мМ 4-(2-гидроксиэтил)-1-пиперазинэтансульфоновая кислота [HEPES], 150 мМ NaCl, 0.05% Tween 20, рН 7.4 и 5% ДМСО. Конечная концентрация белка при выполнении анализа составляла 1 нМ с пептидом, присутствующим в концентрации 400 нМ. Пробы инкубировали в течение 2 часов при 23°С, после чего интенсивность флуоресценции измеряли на планшет-ридере Biotek SynergyNeo (возбуждение 620 нм, испускание 680 нм). Затем строили кривые зависимости «доза-эффект» с помощью программного обеспечения XL-Fit, используя 4-параметрическую логистическую модель (сигмоидальная модель «доза-ответ»), и определяли ингибирующие концентрации, которые приводили к 50%-ному увеличению интенсивности флуоресценции (IC50). Значения KI определяли из значений IC50 в соответствии с Cer и др., Nucleic Acids Res, 2009, Jul 1; 37(WebServer issue): W441-W445.

Результаты обобщены в Таблице 3.

Результаты Таблиц 1-3 показывают, что соединения настоящего изобретения являются сильными ингибиторами белка Bcl-xL.

ПРИМЕР D: Исследование влияния ингибиторов Bcl-xL на выживаемость клеток MOLT-4 или Н146 с использованием анализа МТТ

МТТ колориметрический анализ основан на митохондриальном восстановлении соли тетразолия живыми клетками. Число жизнеспособных клеток пропорционально продуцированию солей формазана, что можно считывать спектрофотометрически на длине волны 540 нм.

Клетки MOLT-4 и Н146 приобретали в АТСС и культивировали в RPMI 1640, дополненной 10% инактивированной нагреванием фетальной бычьей сывороткой, пенициллином (100 МЕ/мл), стрептомицином (100 мг/мл) и L-глутамином (2 мМ). Клетки культивировали при 37°С в увлажненной атмосфере, содержащей 5% СО2. Клетки высевали в 96-микролуночные планшеты (150 мкл на лунку) и подвергали воздействию соединений в течение 48 ч (3,16 кратно серийно разведенными; 9 концентраций каждого, в трех повторениях). По истечении времени инкубирования добавляли 15 мкл раствора МТТ (5 мг/мл) на лунку, и клетки инкубировали в течение еще 4 ч. Затем добавляли 100 мкл на лунку 10% раствора додецилсульфата натрия (SDS)/HCl 10 мМ, и планшет инкубировали в течение ночи, после чего осуществляли измерение оптической плотности на длине волны 540 нм. Значения IC50 рассчитывали, используя стандартную четырехпараметрическую подгонку кривой. Значение IC50 определяется как концентрация соединения, при которой сигнал МТТ снижается до 50% относительно сигнала, измеренного для контроля. Результаты представляют собой средние значения по меньшей мере 2-х независимых экспериментов и представлены в Таблице 4 ниже.

Эти данные показывают, что большинство этих соединений активны в клетках и могут индуцировать зависимое от дозы снижение выживаемости клеточных линий H146 и Molt-4.

ПРИМЕР Е: Исследование фармакодинамики и регресса опухоли

Терапевтические и фармакодинамические эффекты in vivo малых молекул, нацеленных на Bcl-xL, определяли на модели MOLT-4 Т-клеточного острого лимфобластного лейкоза (T-ALL) при внутривенном (в/в) введении. Тестируемые соединения были приготовлены в виде состава с 20% гидроксипропил-β-циклодекстрином/25 мМ хлороводородом (HPBCD/HCl).

Материалы и методы

Клетки MOLT-4 (АТСС №CRL-1582) культивировали в RPMI, дополненной 10% FBS. Клетки ресуспендировали в 50% матригеле (BD Biosciences), и 0.1 мл суспензии, содержащей 5×106 клеток, подкожно инокулировали в правый бок самок мышей NOD SCID (Charles River). Для исследований эффективности, после того как опухоли достигли подходящего объема, мышей рандомизировали (8 животных на группу), используя программное обеспечение Easy stat. Контрольный носитель (HPBCD/HCl), соединение Примера 73 (3.75 или 7.5 мг/кг) или соединение Примера 100 (3.75 мг/кг) вводили в/в (два раза в неделю в течение 3 недель - Q3D6). Массу тела мышей контролировали три раза в неделю и размер опухоли измеряли, используя электронный штангенциркуль. Объем опухоли оценивали путем измерения минимального и максимального диаметров опухоли и подсчета по формуле: (минимальный диаметр)2(максимальный диаметр)/2. В конце цикла лечения (17 день), ингибирование роста опухоли рассчитывали по формуле:

Ответ оценивали следующим образом: CR (полный ответ), если размер опухоли составлял ≤25 мм3 по меньшей мере для трех последовательных измерений, PR (частичный ответ), если размер опухоли составлял от 25 мм3 до половины начального размера по меньшей мере для трех последовательных измерений. Мышей умерщвляли при первом измерении, в случае которого объем опухоли превышал 2000 мм3, или при первых признаках ухудшения здоровья животных.

Для исследований фармакодинамики, после того как опухоли достигли подходящего объема, мышей рандомизировали (3 животных на группу), используя программное обеспечение Easy stat. Контрольный носитель (HPBCD/HCl) или малые молекулы, нацеленные на Bcl-xL, вводили в/в (один раз в сутки - QD) в дозе 7.5 мг/кг. Образцы опухолей собирали через 6 часов после введения дозы и лизировали (10 мМ HEPES рН 7.4, 142.5 мМ KCl, 5 мМ MgCl2, 1 мМ EDTA, 1% NP40, коктейли ингибиторов протеаз и фосфатаз - Calbiochem). Очищенные лизаты приготовляли для иммунодетекции расщепленных PARP и расщепляющей каспазы 3, используя набор MSD apoptosis panel whole cell lysate kit (MSD), в 96-луночных планшетах в соответствии с инструкциями производителя, и анализировали на приборе QuickPlex SQ 120. Образцы цельной крови анализировали на приборе Hematology Analyzer Coulter Ас⋅Т diff (Beckman Coulter).

Все эксперименты проводились в соответствии с действующими французскими правилами после одобрения этическим комитетом Исследовательского института Сервье (IdRS). Мышей NOD SCID содержали в соответствии с установленными правилами.

Результаты

Эффективность соединения Примера 73 и соединения Примера 100 на MOLT-4 ксенотрансплантатах проиллюстрирована в Таблице 5. Лечение начинали через 12 дней после инокуляции опухолевыми клетками (средний размер: 214 мм3). Носитель (HPBCD/HCl), соединение Примера 73 (3.75 и 7.5 мг/кг) или соединение Примера 100 (3.75 мг/кг) дозировали в/в каждые 3 дня, выполняя в общей сложности 6 введений.

На 17 день после начала лечения, ингибирование роста опухоли (%TGI) для соединения Примера 73 составляло 56.9% при дозировке 3.75 мг/кг и 83.3% при дозировке 7.5 мг/кг (р<0.05), как показано в Таблице 5. В тот же момент времени %TGI, индуцированное соединением Примера 100 в дозировке 3.75 мг/кг, составляло 64.6% (р<0.05).

Клинически значимой потери массы тела в результате лечения не наблюдали.

Влияние малых молекул, нацеленных на Bcl-xL, на индукцию апоптоза в опухолевых клетках MOLT-4 и число циркулирующих тромбоцитов проиллюстрировано в Таблице 6. Лечение начинали через 18 дней после инокуляции опухолевыми клетками (средний размер: 349 мм). Носитель (HPBCD/HCl), соединения Примера 74, Примера 76 и Примера 73 (7.5 мг/кг) дозировали один раз в/в, а образцы собирали через 6 часов. Все соединения показали индукцию маркеров апоптоза, а именно расщепленных PARP (в 14.2 - 26.6-кратном интервале по сравнению с контролем), и расщепления расщепляющей каспазой 3 (в 4.7 - 5.1-кратном интервале по сравнению с контролем). Кроме того, учитывая хорошо описанную роль Bcl-xL в регулировании продолжительности жизни тромбоцитов, все тестируемые соединения вызывали значительное снижение количества тромбоцитов (до 2 -4% от контрольных значений).

В заключение, в данном исследовании показано, что малые молекулы, нацеленные на Bcl-xL, которые описаны в Примерах 73, 74, 76 и 100, являются активными in vivo после внутривенного введения. Наблюдали регресс опухоли, индукцию апоптоза в опухолевых клетках и сильное сокращение числа циркулирующих тромбоцитов, что согласуется с ранее описанной ролью Bcl-xL в контроле апоптоза и регуляции продолжительности жизни тромбоцитов (Youle и Strasser, Nat. Rev. Mol. Cell Biol. 2008 Jan; 9(1):47-59; Zhang и др., Cell Death Differ. 2007 May; 14(5):943-51; Mason и др., Cell 2007 Mar 23; 128(6): 1173-86). Кроме того, при лечении эффективными дозами не наблюдалось клинически значимой потери масса тела, а потеря тромбоцитов восстанавливалась после прекращения лечения (данные не показаны). В общем, эти данные указывают на то, что существует допустимый терапевтический интервал для применения этих малых молекул, нацеленных на Bcl-xL, при лечении рака.

ПРИМЕР F: Фармакодинамический профиль in vivo соединений формулы (I)

Фармакокинетический профиль соединений формулы (I) оценивали на грызунах (мыши, крысы) после введения п/о и/или в/в путем. Состав выбирали на основе физико-химических свойств тестируемого лекарственного препарата, а также пути введения. Однократную дозу лекарственного препарата (<5 мг/кг), приготовленную в адаптированном составе, вводили животным в/в (болюс или 10 минутная инфузия) или п/о (желудочный зонд) путем (3 животных/путь). Образцы крови от каждого животного (до 6 образцов/животное) собирали в течение 24 ч после введения дозы, и концентрации тестируемого соединения в плазме определяли путем экстрагирования с последующим выполнением жидкостной хроматографии в сочетании с тандемным масс-спектрометрическим детектированием (ЖХ/МС-МС).

В некоторых случаях, для определения фармакокинетического профиля соединений настоящего изобретения у крыс породы Вистар использовали следующий экспериментальный протокол:

Лекарственное средство приготавливали в виде препарата, включающего смесь полиэтиленгликоль 300/безводный этанол/NaCl 0.9% (40/10/50 об./об./об.). Препарат вводили в/в путем самцам крыс породы Вистар (3 животных) в дозе 0.75 мг/кг (10 мин инфузия, 5 мл/кг). Образцы крови отбирали у каждого животного в следующие моменты времени: завершение инфузии (10 мин), 0.5 ч, 1 ч, 3 ч, 6 ч и 24 ч после введения дозы. Концентрации тестируемого соединения в плазме определяли путем экстрагирования с последующей жидкостной хроматографией в сочетании с тандемным масс-спектрометрическим детектированием (ЖХ/МС-МС).

Нижний предел количественного определения составлял 2.5 нг/мл.

Результаты позволяют ранжировать соединения настоящего изобретения на основе их концентрации в плазме, константы скорости выведения, клиренса и объема распределения с целью оценки терапевтического диапазона данных соединений в модели на животных.

--->

ПЕРЕЧЕНЬ ПОСЛЕДОВАТЕЛЬНОСТЕЙ

<110> Les Laboratoires Servier and Vernalis (R&D) Limited

<120> 3,6-диаминопиридазин-3-ильные производные, cодержащие их

фармацевтические композиции и их применение в

качестве проапоптотических средств

<130> XLPAT1

<160> 5

<170> PatentIn version 3.5

<210> 1

<211> 19

<212> белок

<213> человек

<400> 1

Ala Arg Glu Ile Gly Ala Gln Leu Arg Arg Met Ala Asp Asp Leu Asn

1 5 10 15

Ala Gln Tyr

<210> 2

<211> 440

<212> белок

<213> человек

<400> 2

Met Ser Pro Ile Leu Gly Tyr Trp Lys Ile Lys Gly Leu Val Gln Pro

1 5 10 15

Thr Arg Leu Leu Leu Glu Tyr Leu Glu Glu Lys Tyr Glu Glu His Leu

20 25 30

Tyr Glu Arg Asp Glu Gly Asp Lys Trp Arg Asn Lys Lys Phe Glu Leu

35 40 45

Gly Leu Glu Phe Pro Asn Leu Pro Tyr Tyr Ile Asp Gly Asp Val Lys

50 55 60

Leu Thr Gln Ser Met Ala Ile Ile Arg Tyr Ile Ala Asp Lys His Asn

65 70 75 80

Met Leu Gly Gly Cys Pro Lys Glu Arg Ala Glu Ile Ser Met Leu Glu

85 90 95

Gly Ala Val Leu Asp Ile Arg Tyr Gly Val Ser Arg Ile Ala Tyr Ser

100 105 110

Lys Asp Phe Glu Thr Leu Lys Val Asp Phe Leu Ser Lys Leu Pro Glu

115 120 125

Met Leu Lys Met Phe Glu Asp Arg Leu Cys His Lys Thr Tyr Leu Asn

130 135 140

Gly Asp His Val Thr His Pro Asp Phe Met Leu Tyr Asp Ala Leu Asp

145 150 155 160

Val Val Leu Tyr Met Asp Pro Met Cys Leu Asp Ala Phe Pro Lys Leu

165 170 175

Val Cys Phe Lys Lys Arg Ile Glu Ala Ile Pro Gln Ile Asp Lys Tyr

180 185 190

Leu Lys Ser Ser Lys Tyr Ile Ala Trp Pro Leu Gln Gly Trp Gln Ala

195 200 205

Thr Phe Gly Gly Gly Asp His Pro Pro Lys Ser Asp Leu Ile Glu Gly

210 215 220

Arg Gly Ile Pro Glu Phe Glu Phe Ser Gln Ser Asn Arg Glu Leu Val

225 230 235 240

Val Asp Phe Leu Ser Tyr Lys Leu Ser Gln Lys Gly Tyr Ser Trp Ser

245 250 255

Gln Phe Ser Asp Val Glu Glu Asn Arg Thr Glu Ala Pro Glu Gly Thr

260 265 270

Glu Ser Glu Met Glu Thr Pro Ser Ala Ile Asn Gly Asn Pro Ser Trp

275 280 285

His Leu Ala Asp Ser Pro Ala Val Asn Gly Ala Thr Gly His Ser Ser

290 295 300

Ser Leu Asp Ala Arg Glu Val Ile Pro Met Ala Ala Val Lys Gln Ala

305 310 315 320

Leu Arg Glu Ala Gly Asp Glu Phe Glu Leu Arg Tyr Arg Arg Ala Phe

325 330 335

Ser Asp Leu Thr Ser Gln Leu His Ile Thr Pro Gly Thr Ala Tyr Gln

340 345 350

Ser Phe Glu Gln Val Val Asn Glu Leu Phe Arg Asp Gly Val Asn Trp

355 360 365

Gly Arg Ile Val Ala Phe Phe Ser Phe Gly Gly Ala Leu Cys Val Glu

370 375 380

Ser Val Asp Lys Glu Met Gln Val Leu Val Ser Arg Ile Ala Ala Trp

385 390 395 400

Met Ala Thr Tyr Leu Asn Asp His Leu Glu Pro Trp Ile Gln Glu Asn

405 410 415

Gly Gly Trp Asp Thr Phe Val Glu Leu Tyr Gly Asn Asn Ala Ala Ala

420 425 430

Glu Ser Arg Lys Gly Gln Glu Arg

435 440

<210> 3

<211> 249

<212> белок

<213> человек

<400> 3

Met His His His His His His His His Gly Ala Thr Gly Ser Thr Ala

1 5 10 15

Gly Ser Gly Thr Ala Gly Ser Thr Gly Ala Ser Gly Ala Ser Thr Gly

20 25 30

Gly Thr Gly Ala Thr His His His His His His His His Asp Asp Asp

35 40 45

Asp Lys Ser Pro Met Gly Ser Gln Ser Asn Arg Glu Leu Val Val Asp

50 55 60

Phe Leu Ser Tyr Lys Leu Ser Gln Lys Gly Tyr Ser Trp Ser Gln Phe

65 70 75 80

Ser Asp Val Glu Glu Asn Arg Thr Glu Ala Pro Glu Gly Thr Glu Ser

85 90 95

Glu Met Glu Thr Pro Ser Ala Ile Asn Gly Asn Pro Ser Trp His Leu

100 105 110

Ala Asp Ser Pro Ala Val Asn Gly Ala Thr Gly His Ser Ser Ser Leu

115 120 125

Asp Ala Arg Glu Val Ile Pro Met Ala Ala Val Lys Gln Ala Leu Arg

130 135 140

Glu Ala Gly Asp Glu Phe Glu Leu Arg Tyr Arg Arg Ala Phe Ser Asp

145 150 155 160

Leu Thr Ser Gln Leu His Ile Thr Pro Gly Thr Ala Tyr Gln Ser Phe

165 170 175

Glu Gln Val Val Asn Glu Leu Phe Arg Asp Gly Val Asn Trp Gly Arg

180 185 190

Ile Val Ala Phe Phe Ser Phe Gly Gly Ala Leu Cys Val Glu Ser Val

195 200 205

Asp Lys Glu Met Gln Val Leu Val Ser Arg Ile Ala Ala Trp Met Ala

210 215 220

Thr Tyr Leu Asn Asp His Leu Glu Pro Trp Ile Gln Glu Asn Gly Gly

225 230 235 240

Trp Asp Thr Phe Val Glu Leu Tyr Gly

245

<210> 4

<211> 21

<212> белок

<213> человек

<400> 4

Gln Trp Ala Arg Glu Ile Gly Ala Gln Leu Arg Arg Met Ala Asp Asp

1 5 10 15

Leu Asn Ala Gln Tyr

20

<210> 5

<211> 26

<212> белок

<213> человек

<400> 5

Asp Met Arg Pro Glu Ile Trp Ile Ala Gln Glu Leu Arg Arg Ile Gly

1 5 10 15

Asp Glu Ala Asn Ala Tyr Tyr Ala Arg Arg

20 25

<---

Похожие патенты RU2830186C2

название год авторы номер документа
6,7-ДИГИДРО-5H-ПИРИДО[2,3-C]ПИРИДАЗИНОВЫЕ ПРОИЗВОДНЫЕ И РОДСТВЕННЫЕ СОЕДИНЕНИЯ В КАЧЕСТВЕ ИНГИБИТОРОВ БЕЛКОВ BCLXL И ПРОАПОПТОТИЧЕСКИХ СРЕДСТВ ДЛЯ ЛЕЧЕНИЯ ЗЛОКАЧЕСТВЕННЫХ НОВООБРАЗОВАНИЙ 2020
  • Новак Тибор
  • Дейвидсон Джеймс Эдвард Пол
  • Пацаль Аттила
  • Старк Жером-Бенуа
  • Кочи Андраш
  • Мюррей Джеймс Брук
  • Бедфорд Саймон
  • Шанрион Майя
  • Коллан Фредерик
  • Додсворт Марк Филип
  • Хернер Андраш
  • Мараньо Ана Летисия
  • Сандерс Эмма
  • Тимари Матьяш Паль
  • Уэбб Пол
RU2832191C2
НОВЫЕ БИЦИКЛИЧЕСКИЕ ПРОИЗВОДНЫЕ, СПОСОБ ИХ ПОЛУЧЕНИЯ И ФАРМАЦЕВТИЧЕСКИЕ КОМПОЗИЦИИ, СОДЕРЖАЩИЕ ИХ 2016
  • Балинт Балаж
  • Чекей Мартон
  • Сабо Зольтан
  • Славик Зольтан
  • Кочи Андраш
  • Шанрион Майя
  • Женест Оливье
  • Чэнь Ицзэнь
  • Дейвидсон Джеймс Эдуард Пол
  • Мюррей Джеймс Брук
  • Шипош Сабольч
  • Онди Левенте
  • Просеньяк Агнеш
RU2760554C1
НОВЫЕ АМИНОКИСЛОТНЫЕ ПРОИЗВОДНЫЕ, СПОСОБ ИХ ПОЛУЧЕНИЯ И ФАРМАЦЕВТИЧЕСКИЕ КОМПОЗИЦИИ, СОДЕРЖАЩИЕ ИХ 2016
  • Славик Зольтан
  • Сабо Зольтан
  • Чекей Мартон
  • Пацаль Аттила
  • Кочи Андраш
  • Брюно Ален
  • Женест Оливье
  • Чэнь Ицзэнь
  • Дейвидсон Джеймс Эдуард Пол
  • Мюррей Джеймс Брук
  • Онди Левенте
  • Радич Габор
  • Шипош Сабольч
  • Просеньяк Агнеш
  • Перрон-Сьерра Франсуаз
  • Балинт Балаж
RU2747673C2
НОВЫЕ ГИДРОКСИКИСЛОТНЫЕ ПРОИЗВОДНЫЕ, СПОСОБ ИХ ПОЛУЧЕНИЯ И ФАРМАЦЕВТИЧЕСКИЕ КОМПОЗИЦИИ, СОДЕРЖАЩИЕ ИХ 2016
  • Славик Зольтан
  • Пацаль Аттила
  • Балинт Балаж
  • Кочи Андраш
  • Шанрион Майя
  • Женест Оливье
  • Дейвидсон Джеймс Эдуард Пол
  • Мюррей Джеймс Брук
  • Шипош Сабольч
  • Просеньяк Агнеш
RU2745430C1
НОВЫЕ ТИЕНОПИРИМИДИНОВЫЕ ПРОИЗВОДНЫЕ, СПОСОБ ИХ ПОЛУЧЕНИЯ И ФАРМАЦЕВТИЧЕСКИЕ КОМПОЗИЦИИ, СОДЕРЖАЩИЕ ИХ 2014
  • Котчи Андраш
  • Славик Золтан
  • Секей Мартон
  • Пацаль Аттила
  • Сабо Зольтан
  • Шипош Сабольч
  • Радич Габор
  • Просениак Агнеш
  • Балинт Балаж
  • Брюно Ален
  • Женесте Оливье
  • Дейвидсон Джеймс Эдуард Пол
  • Марри Джеймс Брук
  • Чэнь Ицзень
  • Перрон-Сьерра Франсуаз
RU2605403C2
НОВЫЕ ГИДРОКСИСЛОЖНОЭФИРНЫЕ ПРОИЗВОДНЫЕ, СПОСОБ ИХ ПОЛУЧЕНИЯ И ФАРМАЦЕВТИЧЕСКИЕ КОМПОЗИЦИИ, СОДЕРЖАЩИЕ ИХ 2016
  • Славик Зольтан
  • Кочи Андраш
  • Шанрион Майя
  • Демарль Дидье
  • Женест Оливье
  • Дейвидсон Джеймс Эдуард Пол
  • Мюррей Джеймс Брук
  • Шипош Сабольч
  • Пацаль Аттила
  • Балинт Балаж
RU2734418C2
Соединения формул (I) и (A), фармацевтическая композиция, лекарственное средство, применение и способ получения соединения формулы (I) 2018
  • Кросиньяни, Стефано
  • Гомес, Бруно
  • Хаутхейс, Эрика
RU2822758C2
МОДУЛЯТОРЫ КАЛЬПАИНА И ИХ ТЕРАПЕВТИЧЕСКОЕ ПРИМЕНЕНИЕ 2017
  • Бакмен, Брэд Оуэн
  • Николас, Джон Бимонд
  • Юань, Шэньдун
  • Адлер, Марк
  • Эмаян, Кумарасвами
  • Ма, Цзинъюан
RU2773288C2
ПРОИЗВОДНЫЕ ИНДАНУКСУСНОЙ КИСЛОТЫ И ФАРМАЦЕВТИЧЕСКАЯ КОМПОЗИЦИЯ 2002
  • Лоу Дерек Б.
  • Викенс Филип Л.
  • Ма Ксин
  • Жанг Мингбао
  • Баллок Виллиам Х.
  • Койш Филип Д.Г.
  • Мугге Инго А.
  • Штолле Андреас
  • Ванг Минг
  • Ванг Ямин
  • Жанг Ченгжи
  • Жанг Хай-Юн
  • Жу Лей
  • Тсутсуми Манами
  • Лайвингстон Джеймс Н.
RU2314298C2
КОМПОЗИЦИИ И СПОСОБЫ ЛЕЧЕНИЯ НЕЙРОДЕГЕНЕРАТИВНЫХ ЗАБОЛЕВАНИЙ 2008
  • Скотт Йен Л.
  • Кукса Владимир А.
  • Орме Марк В.
  • Литтл Томас
  • Гэлл Анна
  • Хонг Фенг
RU2541430C2

Реферат патента 2024 года 3,6-ДИАМИНОПИРИДАЗИН-3-ИЛЬНЫЕ ПРОИЗВОДНЫЕ, СОДЕРЖАЩИЕ ИХ ФАРМАЦЕВТИЧЕСКИЕ КОМПОЗИЦИИ И ИХ ПРИМЕНЕНИЕ В КАЧЕСТВЕ ПРОАПОПТОТИЧЕСКИХ СРЕДСТВ

Изобретение относится к соединению формулы (I) или его энантиомерам и диастереоизомерам и их солям присоединения с фармацевтически приемлемой кислотой или основанием, которые обладают ингибирующей активностью в отношении белка Bcl-xL и могут найти применение для лечения злокачественных новообразований, аутоиммунных заболеваний или заболеваний иммунной системы. В формуле (I) R1 и R2 независимо друг от друга представляют собой группу, выбранную из водорода; линейного или разветвленного C16алкила, необязательно замещенного гидроксильной или С16алкоксигруппой; С36циклоалкила; трифторметила и т.д., R3 представляет собой группу, выбранную из водорода; С36циклоалкила; линейного или разветвленного C16алкила и т.д., Het1 представляет собой группу, выбранную из указанной ниже, Het2 представляет собой группу, выбранную из указанных ниже, A1 означает S, А2 означает СН, G выбирают из группы, состоящей из -C(O)ORG3, -C(O)NRG1RG2, -C(O)RG2, -NRG1C(O)RG2 и т.д., RG1 и RG2 в каждом случае каждый независимо выбирают из группы, состоящей из водорода, C16алкила, необязательно замещенного 1-3 атомами галогена, С26алкенила, С26алкинила, С36циклоалкила, фенила и -(CH2)1-4-фенила; RG3 выбирают из группы, состоящей из C16алкила, необязательно замещенного 1-3 атомами галогена, С26алкенила, С26алкинила, С36циклоалкила, фенила и -(СН2)1-4-фенила, R4 представляет собой атом фтора, хлора или брома, метильную, гидроксильную или метоксигруппу, R6 представляет собой группу, выбранную из водорода, -С26алкенила и т.д., m=0, 1 или 2. Изобретение относится также к фармацевтической композиции, содержащей указанное соединение, и к промежуточному соединению синтеза. 3 н. и 42 з.п. ф-лы, 6 табл., 290 пр.

Формула изобретения RU 2 830 186 C2

1. Соединение формулы (I)

где R1 и R2 независимо друг от друга представляют собой группу, выбранную из водорода; линейного или разветвленного C16алкила, необязательно замещенного гидроксильной или С16алкоксигруппой; С36циклоалкила; трифторметила; линейного или разветвленного C16алкиленгетероциклоалкила, где гетероциклоалкильная группа необязательно замещена линейной или разветвленной C16алкильной группой;

или R1 и R2 вместе с несущими их атомами углерода образуют С36циклоалкиленовую группу,

R3 представляет собой группу, выбранную из водорода; С36циклоалкила; линейного или разветвленного C16алкила; -X1-NRaRb; -X1-N+RaRbRc; -X1-O-Rc; -X1-COORc; -X1-PO(OH)2; -X1-SO2(OH); -X1-N3 и

Ra и Rb независимо друг от друга представляют собой группу, выбранную из водорода; гетероциклоалкила; линейного или разветвленного С16алкила, необязательно замещенного одной или двумя гидроксильными группами; С16алкилен-SO2OH; С16алкилен-SO2O-; С16алкилен-СООН; С16алкилен-РО(ОН)2; Cl6алкилен-NRdRe; C16алкилен-N+RdReRf; группы

или Ra и Rb вместе с несущим их атомом азота образуют цикл В1;

или Ra, Rb и Rc вместе с несущим их атомом азота образуют мостиковый С38гетероциклоалкил,

Rc, Rd, Re, Rf независимо друг от друга представляют собой водород или линейную или разветвленную C16алкильную группу,

или Rd и Re вместе с несущим их атомом азота образуют цикл В2,

или Rd, Re и Rf вместе с несущим их атомом азота образуют мостиковый С38гетероциклоалкил,

Het1 представляет собой группу, выбранную из

Het2 представляет собой группу, выбранную из

A1 означает S,

А2 означает СН,

G выбирают из группы, состоящей из -C(O)ORG3, -C(O)NRG1RG2, -C(O)RG2, -NRG1C(O)RG2, где

RG1 и RG2 в каждом случае каждый независимо выбирают из группы, состоящей из водорода, C16алкила, необязательно замещенного 1-3 атомами галогена, С26алкенила, С26алкинила, С36циклоалкила, фенила и -(CH2)1-4-фенила;

RG3 выбирают из группы, состоящей из C16алкила, необязательно замещенного 1-3 атомами галогена, С26алкенила, С26алкинила, С36циклоалкила, фенила и -(СН2)1-4-фенила; или

RG1 и RG2 вместе с атомом, к которому каждый из них присоединен, объединены с образованием С38гетероциклоалкила; или в качестве альтернативы G выбирают из группы, состоящей из

где RG4 выбирают из С16алкила, необязательно замещенного 1-3 атомами галогена, С26алкенила, С26алкинила и С36циклоалкила,

R4 представляет собой атом фтора, хлора или брома, метильную, гидроксильную или метоксигруппу,

R6 представляет собой группу, выбранную из:

водорода;

26алкенила;

-X2-O-R7;

-X2-NSO2-R7;

-C=C(R9)-Y1-O-R7;

С36циклоалкила;

С36гетероциклоалкила, необязательно замещенного гидроксильной группой;

С36циклоалкилен-Y2-R7;

группы С36гетероциклоалкилен-Y2-R7,

группы гетероарилен-R7, необязательно замещенной линейной или разветвленной C16алкильной группой,

R7 представляет собой группу, выбранную из линейной или разветвленной С16алкильной группы; (С36)циклоалкилен-R8; или

где Сy представляет собой С38циклоалкил,

R8 представляет собой группу, выбранную из водорода; линейного или разветвленного C16алкила, -NR'aR'b; -NR'a-CO-OR'c; -NR'a-CO-R'c; -N+R'aR'bR'c; -O-R'c; -NH-X'2-N+R'aR'bR'c; -O-X'2-NR'aR'b, -X'2-NR'aR'b, -NR'c-X'2-N3 и

R9 представляет собой группу, выбранную из линейного или разветвленного C16алкила, трифторметила, гидроксила, галогена, C16алкокси,

R10 представляет собой группу, выбранную из водорода, фтора, хлора, брома, -CF3 и метила,

R11 представляет собой группу, выбранную из водорода, C13алкилен-R8, -O-С13алкилен-R8, -CO-NRhRi и -СН=СН-С14алкилен-NRhRi, -СН=СН-СНО, C3-C8циклoaлкилeн-CH2-R8, C3-C8 гетероциклоалкилен-CH2-R8,

R12 и R13 независимо друг от друга представляют собой атом водорода или метильную группу,

R14 и R15 независимо друг от друга представляют собой водород или метильную группу или R14 и R15 вместе с несущим их атомом углерода образуют циклогексил,

Rh и Ri независимо друг от друга представляют собой водород или линейную или разветвленную C16алкильную группу,

X1 и Х2 независимо друг от друга представляют собой линейную или разветвленную C16алкиленовую группу, необязательно замещенную одной или двумя группами, выбранными из трифторметила, гидроксила, галогена, C16алкокси,

Х'2 представляет собой линейный или разветвленный C16алкилен,

R'a и R'b независимо друг от друга представляют собой группу, выбранную из водорода; гетероциклоалкила; -SO2-фенила, где фенил может быть замещен линейным или разветвленным C16алкилом; линейный или разветвленный C16алкил, необязательно замещенный одной или двумя гидроксильными или С16алкоксигруппами; С16алкилен-SO2OH; С16алкилен-SO2O-; C16алкилен-СООН; С16алкилен-РО(ОН)2; C16алкилен-NR'dR'e; C16алкилен-N+R'dR'eR'f; С16алкилен-О-С16алкилен-ОН; C16алкиленфенила, где фенил может быть замещен гидроксильной или C16алкоксигруппой;

группы

или R'a и R'b вместе с несущим их атомом азота образуют цикл В3,

или R'a, R'b и R'c вместе с несущим их атомом азота образуют мостиковый С38гетероциклоалкил,

R'c, R'd, R'e, R'f независимо друг от друга представляют собой водород или линейную или разветвленную C16алкильную группу,

или R'd и R'e вместе с несущим их атомом азота образуют цикл В4,

или R'd, R'e и R'f вместе с несущим их атомом азота образуют мостиковый С38гетероциклоалкил,

Y1 представляет собой линейный или разветвленный С14алкилен,

Y2 представляет собой связь, -О-, -О-СН2-, -О-СО-, -O-SO2-, -СН2-, -СН2-O, -СН2-СО-, -CH2-SO2-, -С2Н5-, -СО-, -СО-О-, -СО-СН2-, -CO-NH-CH2-, -SO2-, -SO2-CH2-, -NH-CO-, -NH-SO2-,

m=0, 1 или 2,

р=1, 2, 3 или 4,

B1, В2, В3 и В4 независимо друг от друга представляют собой С38гетероциклоалкильную группу, которая: (i) может представлять собой моно- или бициклическую группу, где бициклическая группа включает конденсированную, мостиковую или спирокольцевую систему, (ii) может содержать в дополнение к атому азота один или два гетероатома, независимо выбранных из кислорода, серы и азота, (iii) может быть замещена одной или двумя группами, выбранными из фтора, брома, хлора, линейного или разветвленного C16алкила, гидроксила, -NH2, оксо или пиперидинила,

его энантиомеры и диастереоизомеры и их соли присоединения с фармацевтически приемлемой кислотой или основанием,

где гетероциклоалкилен означает двухвалентный гетероциклоалкил, где гетероциклоалкил означает моно- или бициклическую неароматическую карбоциклическую группу, состоящую из 3-10 членов кольца и содержащую от 1 до 3 гетероатомов, выбранных из кислорода, серы, SO, SO2 и азота, при этом бициклическая группа может быть конденсированного или спирокольцевого типа,

гетероарилен означает двухвалентный гетероарил, где гетероарил означает моно- или бициклическую группу, состоящую из 5-10 членов кольца, имеющую по меньшей мере один ароматический фрагмент и содержащую от 1 до 4 гетероатомов, выбранных из кислорода, серы и азота.

2. Соединение по п. 1, где Het1 представляет собой

3. Соединение по п. 1 или 2, где R1 представляет собой метильную группу и R2 представляет собой атом водорода.

4. Соединение по п. 1 или 2, где каждый из R1 и R2 представляет собой метильную группу или атом водорода.

5. Соединение по п. 1 или 2, где R1 или R2 представляет собой линейный или разветвленный C16алкил, необязательно замещенный гидроксильной или C16алкоксигруппой.

6. Соединение по п. 5, где R1 или R2 представляет собой группу, выбранную из метила, метоксиметила, гидроксиметила, этила и проп-2-ила.

7. Соединение по п. 1 или 2, где R1 или R2 представляет собой С36циклоалкильную группу.

8. Соединение по п. 7, где R1 или R2 представляет собой циклопропильную группу.

9. Соединение по п. 1 или 2, где R1 представляет собой трифторметильную группу.

10. Соединение по п. 1 или 2, где R2 представляет собой линейную или разветвленную C16алкиленгетероциклоалкильную группу.

11. Соединение по п. 10, где R2 представляет собой (4-метилпиперазин-1-ил)пропильную группу.

12. Соединение по п. 1 или 2, где R1 и R2 вместе с несущими их атомами углерода образуют циклогексеновую или циклопентеновую группу.

13. Соединение по любому из пп. 1-12, где R3 представляет собой атом водорода или метильную группу.

14. Соединение по любому из пп. 1-12, где R3 представляет собой -X1-PO(OH)2, -X1-SO2(OH), -X1-NRaRb; -X1-N+RaRbRc, где Ra или Rb или оба из них представляют собой группу, выбранную из С16алкилен-SO2OH, С16алкилен-SO2O- и С16алкилен-РО(ОН)2.

15. Соединение по любому из пп. 1-12, где R8 представляет собой -NR'aR'b; -N+R'aR'bR'c; -NH-X'2-N+R'aR'bR'c, где R'a и R'b или оба из них представляют собой группу, выбранную из С16алкилен-SO2OH и C16алкилен-РО(ОН)2.

16. Соединение по любому из пп. 1-12, где R3 представляет собой группу, выбранную из этила, пропила; 2-метоксиэтила, 2-(морфолин-4-ил)этила, 3-(морфолин-4-ил)пропила, 3-диэтиламинопропила, 3-метоксипропила, 3-гидроксипропила, 3,4-дигидроксибутила, 4-метокси-3-гидроксибутила, 4-гидрокси-3-метоксибутила, 2,3-дигидроксипропила, 4,5-дигидроксипентила, 4-гидроксибутила, 3-гидрокси-2-морфолинопропила, 5-гидрокси-4-метоксипентила, 5-морфолино-4-гидроксипентила, 3-гидрокси-2-метоксипропила, 5-[2-(диметиламино)этилметиламино]-4-гидроксипентила, 5-гидроксипентила, 5-метокси-4-гидроксипентила, 5-(диметиламино)-4-гидроксипентила, 4-гидрокси-5-(триметиламмонио)пентила, 5-[3-сульфонатпропилдиметиламмонио]-4-гидроксипентила, 4-гидрокси-5-(метиламино)пентила, 3-карбоксипропила, 5-[метил(4-пиперидил)амино]пентила, 5-(2-морфолиноэтиламино)пентила, 5-[2-(4-метилпиперазин-1-ил)этиламино]пентила, 4-[2-(4-метилпиперазин-1-ил)этиламино]бутила, 4-гидрокси-5-[метил-[2-(метиламино)этил]амино]пентила, 5-[2-(диэтиламино)этиламино]-4-гидроксипентила, 5-(4-амино-1-пиперидил)-4-гидроксипентила, 4-гидрокси-5-пиперазин-1-илпентила, 5-[2-(1-пиперидил)этиламино]пентила, 4-(4-амино-1-пиперидил)бутила, 4-[2-(диэтиламино)этиламино]бутила, 5-(4-амино-1-пиперидил)пентила, 4-[метил-[2-(метиламино)этил]амино]бутила, 4-(2-морфолиноэтиламино)бутила, 4-[2-(4-метилпиперазин-1-ил)этиламино]бутила, 4-[(1-метил-4-пиперидил)амино]бутила, 5-[2-(диэтиламино)этиламино]пентила, 4-пиперазин-1-илбутила, 4-(метиламино)бутила, 5-пиперазин-1-илпентила, 5-метил-2-(метиламино)этила, 5-аминопентила, 4-аминобутила, 5-(метиламино)пентила, 5-[3-(4-метилпиперазин-1-ил)пропиламино]пентила, 4-гидрокси-5-[метил(2-фосфоноэтил)амино]пентила, 6-(диметиламино)гексила, 3-(диметиламино)пропила, 2-(триметиламмонио)этила, 3-(триметиламмонио)пропила, 2-(диметиламино)этила, 4-(диметиламино)бутила, 5-[3-сульфонатпропилдиметиламмонио]пентила, 4-(триметиламмонио)бутила, 4-гидрокси-5-хинуклидин-1-ий-1-илпентила, 4-гидрокси-5-(1-аза-4-азониябицикло[2.2.2]октан-4-ил)пентила, 4-гидрокси-5-(4-метилморфолин-4-ий-4-ил)пентила, 5-(триметиламмонио)пентила, 4-гидрокси-5-(1-метилпиперидин-1-ий-1-ил)пентила, 5-(1,4-диметилпиперазин-1-ий-1-ил)-4-гидроксипентила, 6-(триметиламмонио)гексила, 5-[3-гидроксипропил(диметил)аммонио]пентила, 5-[2-гидроксиэтил(диметил)аммонио]пентила, 5-[карбоксиметил(диметил)аммонио]пентила, 5-[карбоксиметил(диметил)аммонио]пентила, 3-фосфонопропила, 3-[3-сульфонатпропилдиметиламмонио]пропила, 3-сульфопропила, 4-сульфобутила, 4-фосфонобутила, 4-карбоксибутила, 3-аминопропила, 3-азидопропила, пент-4-ин-1-ила, 4-аминобутила, 4-азидобутила, гекс-5-ин-1-ила, 5-азидопентила.

17. Соединение по любому из пп. 1-16, где Het2 представляет собой

18. Соединение по любому из пп. 1-16, где Het2 представляет собой

19. Соединение по п. 17 или 18, где R6 представляет собой атом водорода.

20. Соединение по п. 17, где R6 представляет собой группу -X2-O-R7, где Х2 означает пропиленовую группу.

21. Соединение по п. 20, где R7 представляет собой следующую группу:

22. Соединение по п. 20, где R7 представляет собой следующую группу:

23. Соединение по п. 21 или 22, где R8 представляет собой группу, выбранную из диметиламино, метиламино, метилэтиламино, диэтиламино, метил[2-(метиламино)этил]амино, (2-гидроксиэтил)(метил)амино, 4-морфолинила, пирролидин-1-ила, 1-пиперидила, [(трет-бутокси)карбонил](метил)амино, гидроксила, бис(3-сульфопропил)амино, 3-сульфопропиламино, метил(3-сульфопропил)амино, метил(п-толилсульфонил)амино, (4-метоксифенил)метилметиламино, 2-(диметиламино)этиламино и

24. Соединение по п. 21 или 22, где R8 представляет собой группу, выбранную из 3-пиперазин-1-ила, 4-метилпиперазин-1-ила, 3-гидроксипропил(метил)амино, [(3S)-3,4-дигидроксибутил]метиламино, 3-гидроксипропиламино, [(3S)-3,4-дигидроксибутил]амино, 4-гидроксибутил(метил)амино, [(3R)-3,4-дигидроксибутил]метиламино, 4-гидроксибутиламино, [(3R)-3,4-дигидроксибутил]амино.

25. Соединение по п. 20, где R7 представляет собой

где R11 выбирают из диметилкарбамоила, 3-(диметиламино)пропила, 3-(метиламино)пропила, 3-(метиламино)пропила.

26. Соединение по п. 17, где R6 представляет собой группу С36гетероциклоалкилен-Y2-R7, где гетероциклоалкиленовую группу выбирают из

27. Соединение по п. 26, где R7 выбирают из метила, метилэтила, трет-бутила, 2-метилпропила и фенила.

28. Соединение по п. 27, где R7 представляет собой фенил.

29. Соединение по п. 17 или 18, где R6 представляет собой -C=C(R9)-Y1-O-R7, где Y1 означает метиленовую группу.

30. Соединение по п. 17 или 18, где R6 представляет собой

31. Соединение по п. 30, где R7 представляет собой группу, выбранную из

где R8 представляет собой группу, выбранную из водорода, 2-(метиламино)этокси и

32. Соединение по п. 30, где R7 представляет собой группу, выбранную из

где R8 представляет собой группу, выбранную из 2-(диметиламино)этокси, 2-[(2-сульфоэтил)амино]этокси, 2-[метил(2-сульфоэтил)амино]этокси, 2-(3-гидроксипропиламино)этокси, 2-(3-метоксипропиламино)этокси, 2-морфолиноэтокси, 2-(2-карбоксиэтиламино)этокси, 2-[(3-гидроксифенил)метиламино]этокси, 2-(метиламино)этокси, 2-пирролидин-1-илэтокси, 2-(4-метилпиперазин-1-ил)этокси, 2-(4-гидроксибутиламино)этокси, 2-пиперазин-1-илэтокси, 2-[3-гидроксипропил(метил)амино]этокси, 2-[4-гидроксибутил(метил)амино]этокси; 2-[[3-гидрокси-2-(гидроксиметил)пропил]амино]этокси; 2-[бис(3-гидроксипропил)амино]этокси.

33. Соединение по п. 1, выбранное из следующей группы соединений:

2-({6-[(1,3-бензотиазол-2-ил)амино]-5-метилпиридазин-3-ил}(4-гидроксибутил)амино)-5-(3-{2-фтор-4-[3-(метиламино)проп-1-ин-1-ил]фенокси}пропил)-1,3-тиазол-4-карбоновая кислота,

2-[[6-(1,3-бензотиазол-2-иламино)-5-метилпиридазин-3-ил]метиламино]-5-[3-[4-[3-(диметиламино)проп-1-инил]-2-фторфенокси]пропил]тиазол-4-карбоновая кислота,

2-({6-[(1,3-бензотиазол-2-ил)амино]-5-метилпиридазин-3-ил}(метил)амино)-5-(3-{2-фтор-4-[3-(метиламино)проп-1-ин-1-ил]фенокси}пропил)-1,3-тиазол-4-карбоновая кислота,

2-[[6-(1,3-бензотиазол-2-иламино)-5-метилпиридазин-3-ил]-(3,4-дигидроксибутил)амино]-5-[3-[2-фтор-4-[3-(метиламино)проп-1-инил]фенокси]пропил]тиазол-4-карбоновая кислота,

2-[[6-(1,3-бензотиазол-2-иламино)-5-метилпиридазин-3-ил]-(3-гидрокси-4-метоксибутил)амино]-5-[3-[2-фтор-4-[3-(метиламино)проп-1-инил]фенокси]пропил]тиазол-4-карбоновая кислота,

2-[[6-(1,3-бензотиазол-2-иламино)-5-метилпиридазин-3-ил]-(2,3-дигидроксипропил)амино]-5-[3-[2-фтор-4-[3-(метиламино)проп-1-инил]фенокси]пропил]тиазол-4-карбоновая кислота,

2-[[6-(1,3-бензотиазол-2-иламино)-5-метилпиридазин-3-ил]-(4,5-дигидроксипентил)амино]-5-[3-[2-фтор-4-[3-(метиламино)проп-1-инил]фенокси]пропил]тиазол-4-карбоновая кислота,

2-[[6-(1,3-бензотиазол-2-иламино)-5-метилпиридазин-3-ил]-(3,4-дигидроксибутил)амино]-5-[3-[4-[3-(диметиламино)проп-1-инил]-2-фторфенокси]пропил]тиазол-4-карбоновая кислота,

2-[[6-(1,3-бензотиазол-2-иламино)-5-метилпиридазин-3-ил]-(3-гидроксипропил)амино]-5-[3-[2-фтор-4-[3-(метиламино)проп-1-инил]фенокси]пропил]тиазол-4-карбоновая кислота,

2-[[6-(1,3-бензотиазол-2-иламино)-5-метилпиридазин-3-ил]-[4-гидрокси-5-(триметиламмонио)пентил]амино]-5-[3-[2-фтор-4-[3-(метиламино)проп-1-инил]фенокси]пропил]тиазол-4-карбоксилат,

3-[[5-[[6-(1,3-бензотиазол-2-иламино)-5-метилпиридазин-3-ил]-[4-карбокси-5-[3-[2-фтор-4-[3-(метиламино)проп-1-инил]фенокси]пропил]тиазол-2-ил]амино]-2-гидроксипентил]-диметиламмонио]пропан-1-сульфонат,

2-[[6-(1,3-бензотиазол-2-иламино)-5-метилпиридазин-3-ил]-(4-гидроксибутил)амино]-5-[3-[2-фтор-4-[3-[метил(3-сульфопропил)амино]проп-1-инил]фенокси]пропил]тиазол-4-карбоновая кислота,

5-{1-[(адамантан-1-ил)метил]-5-метил-1Н-пиразол-4-ил}-2-({6-[(1,3-бензотиазол-2-ил)амино]-5-метилпиридазин-3-ил}(метил)амино)-1,3-тиазол-4-карбоновая кислота,

5-{1-[(адамантан-1-ил)метил]-5-метил-1Н-пиразол-4-ил}-2-({6-[(1,3-бензотиазол-2-ил)амино]-5-циклопропилпиридазин-3-ил}(метил)амино)-1,3-тиазол-4-карбоновая кислота,

2-[[6-(1,3-бензотиазол-2-иламино)-5-метилпиридазин-3-ил]-[5-[2-(диэтиламино)этиламино]-4-гидроксипентил]амино]-5-[3-[4-[3-(диметиламино)проп-1-инил]-2-фторфенокси]пропил]тиазол-4-карбоновая кислота,

2-[[6-(1,3-бензотиазол-2-иламино)-5-метилпиридазин-3-ил]-[5-[2-(4-метилпиперазин-1-ил)этиламино]пентил]амино]-5-[3-[4-[3-(диметиламино)проп-1-инил]-2-фторфенокси]пропил]тиазол-4-карбоновая кислота,

2-[[6-(1,3-бензотиазол-2-иламино)-5-метилпиридазин-3-ил]-(4-гидрокси-5-пиперазин-1-илпентил)амино]-5-[3-[4-[3-(диметиламино)проп-1-инил]-2-фторфенокси]пропил]тиазол-4-карбоновая кислота,

2-({6-[(1,3-бензотиазол-2-ил)амино]-5-метилпиридазин-3-ил}(метил)амино)-5-[(2S)-3-{4-[3-(диметиламино)проп-1-ин-1-ил]-2-фторфенокси}-2-метилпропил]-1,3-тиазол-4-карбоновая кислота,

2-[4-аминобутил-[6-(1,3-бензотиазол-2-иламино)-5-метилпиридазин-3-ил]амино]-5-[3-[4-[3-(диметиламино)проп-1-инил]-2-фторфенокси]пропил]тиазол-4-карбоновая кислота,

2-[5-аминопентил-[6-(1,3-бензотиазол-2-иламино)-5-метилпиридазин-3-ил]амино]-5-[3-[4-[3-(диметиламино)проп-1-инил]-2-фторфенокси]пропил]тиазол-4-карбоновая кислота,

2-[[6-(1,3-бензотиазол-2-иламино)-5-метилпиридазин-3-ил]-[3-(диметиламино)пропил]амино]-5-[3-[2-фтор-4-[3-(метиламино)проп-1-инил]фенокси]пропил]тиазол-4-карбоновая кислота,

2-[[6-(1,3-бензотиазол-2-иламино)-5-метилпиридазин-3-ил]-метиламино]-5-[3-[4-[3-(диметиламино)бут-1-инил]-2-фторфенокси]пропил]тиазол-4-карбоновая кислота,

2-[[6-(1,3-бензотиазол-2-иламино)-5-метилпиридазин-3-ил]-[4-гидрокси-5-(триметиламмонио)пентил]амино]-5-[3-[4-[3-(диметиламино)проп-1-инил]-2-фторфенокси]пропил]тиазол-4-карбоксилат,

3-[2-[3-[4-[3-[2-[[6-(1,3-бензотиазол-2-иламино)-5-метилпиридазин-3-ил]метиламино]-4-карбокситиазол-5-ил]пропокси]-3-фторфенил]проп-2-иниламино]этилдиметиламмонио]пропан-1-сульфонат,

2-[[6-(1,3-бензотиазол-2-иламино)-5-метилпиридазин-3-ил]-[4-гидрокси-5-(4-метилморфолин-4-ий-4-ил)пентил]амино]-5-[3-[4-[3-(диметиламино)проп-1-инил]-2-фторфенокси]пропил]тиазол-4-карбоксилат,

2-[3-[4-[3-[2-[[6-(1,3-бензотиазол-2-иламино)-5-метилпиридазин-3-ил]метиламино]-4-карбокситиазол-5-ил]пропокси]-3-фторфенил]проп-2-иниламино]этилтриметиламмоний,

2-[[6-(1,3-бензотиазол-2-иламино)-5-метилпиридазин-3-ил]-[6-(триметиламмонио)гексил]амино]-5-[3-[2-фтор-4-[3-(метиламино)проп-1-инил]фенокси]пропил]тиазол-4-карбоксилат,

2-[[6-(1,3-бензотиазол-2-иламино)-5-метилпиридазин-3-ил]-[5-[2-гидроксиэтил(диметил)аммонио]пентил]амино]-5-[3-[4-[3-(диметиламино)проп-1-инил]-2-фторфенокси]пропил]тиазол-4-карбоксилат,

2-[[6-(1,3-бензотиазол-2-иламино)-5-метилпиридазин-3-ил]-[5-[карбоксиметил(диметил)аммонио]пентил]амино]-5-[3-[4-[3-(диметиламино)проп-1-инил]-2-фторфенокси]пропил]тиазол-4-карбоксилат,

3-[[5-[[6-(1,3-бензотиазол-2-иламино)-5-метилпиридазин-3-ил]-[4-карбокси-5-[3-[2-фтор-4-[(Е)-3-оксопроп-1-енил]фенокси]пропил]тиазол-2-ил]амино]-2-гидроксипентил]-диметиламмонио]пропан-1-сульфонат,

2-[[6-(1,3-бензотиазол-2-иламино)-5-метилпиридазин-3-ил]метиламино]-5-[3-[4-[3-(диметиламино)проп-1-инил]фенокси]пропил]тиазол-4-карбоновая кислота,

2-[[6-(1,3-бензотиазол-2-иламино)-5-метилпиридазин-3-ил]метиламино]-5-[3-[4-[1-[(диметиламино)метил]-3-бицикло[1.1.1]пентанил]фенокси]пропил]тиазол-4-карбоновая кислота,

2-[[6-(1,3-бензотиазол-2-иламино)-5-метилпиридазин-3-ил]-(3-фосфонопропил)амино]-5-[3-[2-фтор-4-[3-(метиламино)проп-1-инил]фенокси]пропил]тиазол-4-карбоновая кислота,

2-({6-[(1,3-бензотиазол-2-ил)амино]-5-метилпиридазин-3-ил}(3-карбоксипропил)амино)-5-(3-{4-[3-(диметиламино)проп-1-ин-1-ил]-2-фторфенокси}пропил)-1,3-тиазол-4-карбоновая кислота,

2-({6-[(1,3-бензотиазол-2-ил)амино]-5-метилпиридазин-3-ил}(3-фосфонопропил)амино)-5-(3-{4-[3-(диметиламино)проп-1-ин-1-ил]-2-фторфенокси}пропил)-1,3-тиазол-4-карбоновая кислота,

2-({6-[(1,3-бензотиазол-2-ил)амино]-5-метилпиридазин-3-ил}(3-сульфопропил)амино)-5-(3-{4-[3-(диметиламино)проп-1-ин-1-ил]-2-фторфенокси}пропил)-1,3-тиазол-4-карбоновая кислота,

2-({6-[(1,3-бензотиазол-2-ил)амино]-5-метилпиридазин-3-ил}(4-сульфобутил)амино)-5-(3-{4-[3-(диметиламино)проп-1-ин-1-ил]-2-фторфенокси}пропил)-1,3-тиазол-4-карбоновая кислота,

2-({6-[(1,3-бензотиазол-2-ил)амино]-5-метилпиридазин-3-ил}(4-фосфонобутил)амино)-5-(3-{4-[3-(диметиламино)проп-1-ин-1-ил]-2-фторфенокси}пропил)-1,3-тиазол-4-карбоновая кислота,

2-({6-[(1,3-бензотиазол-2-ил)амино]-5-метилпиридазин-3-ил}(4-карбоксибутил)амино)-5-(3-{4-[3-(диметиламино)проп-1-ин-1-ил]-2-фторфенокси}пропил)-1,3-тиазол-4-карбоновая кислота,

2-[{6-[(1,3-бензотиазол-2-ил)амино]-5-метилпиридазин-3-ил}(пент-4-ин-1-ил)амино]-5-(3-{2-фтор-4-[3-(метиламино)проп-1-ин-1-ил]фенокси}пропил)-1,3-тиазол-4-карбоновая кислота,

2-({6-[(1,3-бензотиазол-2-ил)амино]-5-метилпиридазин-3-ил}(метил)амино)-5-{3-[2-фтор-4-(3-{метил[2-(метиламино)этил]амино}проп-1-ин-1-ил)фенокси]пропил}-1,3-тиазол-4-карбоновая кислота,

2-({6-[(1,3-бензотиазол-2-ил)амино]-5-метилпиридазин-3-ил}(метил)амино)-5-[3-(2-фтор-4-{3-[(2-гидроксиэтил)(метил)амино]проп-1-ин-1-ил}фенокси)пропил]-1,3-тиазол-4-карбоновая кислота,

2-({6-[(1,3-бензотиазол-2-ил)амино]-5-метилпиридазин-3-ил}(метил)амино)-5-{3-[2-фтор-4-(3-гидроксипроп-1-ин-1-ил)фенокси]пропил}-1,3-тиазол-4-карбоновая кислота,

2-[5-азидопентил-[6-[(1,3-бензотиазол-2-ил)амино]-5-метилпиридазин-3-ил] амино]-5-[3-[2-фтор-4-[3-(метиламино)проп-1-инил]фенокси]пропил]-1,3-тиазол-4-карбоновая кислота,

его энантиомеры и диастереоизомеры и их соли присоединения с фармацевтически приемлемой кислотой или основанием.

34. Соединение по п. 1, выбранное из следующей группы соединений:

6-[{6-[(1,3-бензотиазол-2-ил)амино]-5-метилпиридазин-3-ил}(метил)амино]-3-[1-({3-[2-(диметиламино)этокси]-5,7-диметиладамантан-1-ил}метил)-5-метил-1Н-пиразол-4-ил]пиридин-2-карбоновая кислота,

6-[[6-(1,3-бензотиазол-2-иламино)-5-метилпиридазин-3-ил]метиламино]-3-[1-[[3-[2-(3-гидроксипропиламино)этокси]-5,7-диметил-1-адамантил]метил]-5-метилпиразол-4-ил]пиридин-2-карбоновая кислота,

6-[[6-(1,3-бензотиазол-2-иламино)-5-метилпиридазин-3-ил]метиламино]-3-[1-[[3-[2-(3-метоксипропиламино)этокси]-5,7-диметил-1-адамантил]метил]-5-метилпиразол-4-ил]пиридин-2-карбоновая кислота,

6-[{6-[(1,3-бензотиазол-2-ил)амино]-5-метилпиридазин-3-ил}(метил)амино]-3-(1-{[3-(2-{[(3S)-3,4-дигидроксибутил]амино}этокси)-5,7-диметиладамантан-1-ил]метил}-5-метил-1Н-пиразол-4-ил)пиридин-2-карбоновая кислота,

6-[[6-(1,3-бензотиазол-2-иламино)-5-метилпиридазин-3-ил]метиламино]-3-[1-[[3,5-диметил-7-(2-морфолиноэтокси)-1-адамантил]метил]-5-метилпиразол-4-ил]пиридин-2-карбоновая кислота,

6-[[6-(1,3-бензотиазол-2-иламино)-5-метилпиридазин-3-ил]метиламино]-3-[1-[[3-[2-(2-карбоксиэтиламино)этокси]-5,7-диметил-1-адамантил]метил]-5-метилпиразол-4-ил]пиридин-2-карбоновая кислота,

6-[[6-(1,3-бензотиазол-2-иламино)-5-метилпиридазин-3-ил]метиламино]-3-[1-[[3-[2-[(3-гидроксифенил)метиламино]этокси]-5,7-диметил-1-адамантил]метил]-5-метилпиразол-4-ил]пиридин-2-карбоновая кислота,

2-[[6-(1,3-бензотиазол-2-иламино)-5-метилпиридазин-3-ил]метиламино]-5-[3-[4-[3-(диметиламино)проп-1-инил]-2-фторфенокси]пропил]тиазол-4-карбоновая кислота,

2-[[6-(1,3-бензотиазол-2-иламино)-5-метилпиридазин-3-ил]-(3-гидроксипропил)амино]-5-[3-[2-фтор-4-[3-(метиламино)проп-1-инил]фенокси]пропил]тиазол-4-карбоновая кислота,

2-[[6-(1,3-бензотиазол-2-иламино)-5-метилпиридазин-3-ил]метиламино]-5-[3-[2-фтор-4-(3-пирролидин-1-илпроп-1-инил)фенокси]пропил]тиазол-4-карбоновая кислота,

его энантиомеры и диастереоизомеры и их соли присоединения с фармацевтически приемлемой кислотой или основанием.

35. Фармацевтическая композиция, обладающая ингибирующей активностью в отношении белка Bcl-xL, содержащая соединение по любому из пп. 1-34 или его соль присоединения с фармацевтически приемлемой кислотой или основанием в комбинации с одним или несколькими фармацевтически приемлемыми наполнителями.

36. Фармацевтическая композиция по п. 35 для применения в качестве проапоптотических средств.

37. Фармацевтическая композиция по п. 35 для применения для лечения злокачественных новообразований, аутоиммунных заболеваний или заболеваний иммунной системы.

38. Фармацевтическая композиция по п. 37, где злокачественное новообразование представляет собой гематологическую злокачественную опухоль или солидную опухоль.

39. Фармацевтическая композиция по п. 38, где гематологическая злокачественная опухоль представляет собой миелому, в особенности множественную миелому, лимфому, в особенности неходжкинскую лимфому (NHL), или лейкоз, в особенности хронический лимфоцитарный лейкоз (CLL), Т-клеточный острый лимфобластный лейкоз (T-ALL), В-клеточный острый лимфобластный лейкоз (B-ALL) и острый миелоцитарный лейкоз (AML).

40. Фармацевтическая композиция по п. 38, где солидную опухоль выбирают из рака мочевого пузыря, головного мозга, молочной железы, матки, пищевода и печени, колоректального рака, рака почки, меланомы, рака яичников, рака предстательной железы, рака поджелудочной железы и рака легких.

41. Соединение по любому из пп. 1-34 или его соль присоединения с фармацевтически приемлемой кислотой или основанием для применения для лечения злокачественного новообразования, выбранного из миеломы, в особенности множественной миеломы, лимфомы, в особенности неходжкинской лимфомы (NHL), или лейкоза, в особенности хронического лимфоцитарного лейкоза (CLL), Т-клеточного острого лимфобластного лейкоза (T-ALL), В-клеточного острого лимфобластного лейкоза (B-ALL) и острого миелоцитарного лейкоза (AML), рака мочевого пузыря, головного мозга, молочной железы, матки, пищевода и печени, колоректального рака, рака почки, меланомы, рака яичников, рака предстательной железы, рака поджелудочной железы и рака легких, в особенности немелкоклеточного рака легких и мелкоклеточного рака легких.

42. Соединение по любому из пп. 1-34 для применения для лечения злокачественных новообразований, требующих проведения радиотерапии.

43. Фармацевтическая композиция по п. 35 для применения для лечения заболеваний или состояний, характеризующихся чрезмерной или дерегулированной активностью тромбоцитов, в особенности протромботических состояний.

44. Промежуточное соединение синтеза, которое представляет собой

где R4 и m являются такими, как определено для общей формулы (I) по п. 1.

45. Промежуточное соединение синтеза по п. 44, где R4 представляет собой атом водорода.

Документы, цитированные в отчете о поиске Патент 2024 года RU2830186C2

Переносная печь для варки пищи и отопления в окопах, походных помещениях и т.п. 1921
  • Богач Б.И.
SU3A1
Колосоуборка 1923
  • Беляков И.Д.
SU2009A1
СОЕДИНЕНИЯ И СПОСОБЫ ПРИМЕНЕНИЯ 2009
  • Баэлл Джонатан Байлдон
  • Буй Чинх Тхиен
  • Колмен Питер
  • Дадли Данетт А.
  • Фэйрбразер Уэйн Дж.
  • Флайгэр Джон А.
  • Лессин Гийом Лоран
  • Ндубаку Чуди
  • Николакопулос Джордж
  • Рай Карл Стивен
  • Слибс Брэд Эдмунд
  • Смит Брайан Джон
  • Уотсон Кейт Джеффри
  • Элмор Стивен В.
  • Петрос Эндрю М.
  • Сауэрс Эндрю Дж.
  • Кзаботар Питер
RU2561109C2

RU 2 830 186 C2

Авторы

Дейвидсон Джеймс Эдвард Пол

Новак Тибор

Пацаль Аттила

Кочи Андраш

Старк Жером-Бенуа

Мюррей Джеймс Брук

Бедфорд Саймон

Шанрион Майя

Коллан Фредерик

Десо Патрис

Додсворт Марк Филип

Дункель Петра

Хернер Андраш

Мадарас Зольтан

Мараньо Ана Летисия

Мольнар Марк

Ньергеш Миклош

Парсонс Рэйчел Джейн

Рудашова Моника

Штрофек Агнеш

Сигети Марианна

Тимари Матьяш Паль

Уэбб Пол

Даты

2024-11-14Публикация

2020-07-28Подача