6,7-ДИГИДРО-5H-ПИРИДО[2,3-C]ПИРИДАЗИНОВЫЕ ПРОИЗВОДНЫЕ И РОДСТВЕННЫЕ СОЕДИНЕНИЯ В КАЧЕСТВЕ ИНГИБИТОРОВ БЕЛКОВ BCLXL И ПРОАПОПТОТИЧЕСКИХ СРЕДСТВ ДЛЯ ЛЕЧЕНИЯ ЗЛОКАЧЕСТВЕННЫХ НОВООБРАЗОВАНИЙ Российский патент 2024 года по МПК C07D417/14 C07D471/04 C07D487/04 A61K31/4709 A61K31/427 A61K31/428 A61K31/404 A61K31/538 A61K31/4439 A61K31/437 A61K31/5025 A61K31/4155 A61K31/55 A61P35/00 A61P37/00 A61P37/02 

Описание патента на изобретение RU2832191C2

ОБЛАСТЬ ТЕХНИКИ, К КОТОРОЙ ОТНОСИТСЯ ИЗОБРЕТЕНИЕ

Настоящее изобретение относится к 6,7-дигидро-5Н-пиридо[2,3-с]пиридазин-8-ильным производным, к содержащим их фармацевтическим композициям и их применению в качестве проапоптотических средств. Соединения настоящего изобретения ингибируют активность белка Bcl-xL и могут представлять интерес для лечения злокачественных новообразований, иммунопатологических и аутоиммунных заболеваний.

ПРЕДПОСЫЛКИ СОЗДАНИЯ ИЗОБРЕТЕНИЯ

Апоптоз (запрограммированная гибель клеток) представляет собой эволюционно-консервативный путь, критически важный для гомеостаза тканей, развития и удаления поврежденных клеток. Дерегулирование апоптоза способствует развитию заболеваний человека, включая злокачественные новообразования, нейродегенеративные нарушения, заболевания иммунной системы и аутоиммунные заболевания (Hanahan и Weinberg, Cell. 2011 Mar 4; 144(5):646-74; Marsden и Strasser, Annu Rev Immunol. 2003; 21:71-105; Vaux и Flavell, Curr Opin Immunol. 2000 Dec; 12(6):719-24). Уклонение от апоптоза расценивают как характерный признак злокачественного новообразования, принимающий участие в развитии, а также в устойчивом росте опухолей, и в возникновении резистентности к методам противоопухолевой терапии (Hanahan и Weinberg, Cell. 2000 Jan 7; 100(1):57-70).

Семейство белков Bcl-2 включает ключевые регуляторы жизнеспособности клеток, которые могут подавлять (например, Bcl-2, Bcl-xL, Mcl-1) или стимулировать (например. Bad, Bax) апоптоз (Gross и др., Genes Dev. 1999 Aug 1; 13(15):1899-911, Youle и Strasser, Nat. Rev. Mol. Cell Biol. 2008 Jan; 9(1):47-59).

В свете стрессовых стимулов, выживает ли клетка или подвергается апоптозу, зависит от степени спаривания между членами семейства Bcl-2, которые стимулируют гибель клеток, и членами семейства, которые стимулируют выживаемость клеток. В большинстве случаев, эти взаимодействия вовлекают докинг домена Bcl-2 гомологии 3 (ВН3) членов проапоптотического семейства в бороздку на поверхности членов, способствующих выживанию. Присутствие домена гомологии Bcl-2 (ВН) определяет принадлежность к семейству Bcl-2, которое подразделяется на три основные группы в зависимости от того, какие конкретные домены ВН присутствуют в белке. Способствующие выживанию члены, такие как Bcl-2, Bcl-xL и Mcl-1, содержат ВН домены 1-4, тогда как Вах и Bak, проапоптотические эффекторы пермеабилизации внешней митохондриальной мембраны во время апоптоза, содержат ВН домены 13 (Youle и Strasser, Nat. Rev. Mol. Cell Biol. 2008 Jan; 9(1):47-59).

Сверхэкспрессия способствующих выживанию членов семейства Bcl-2 является отличительным признаком злокачественного новообразования, и было показано, что эти белки играют важную роль в развитии опухолей, их поддержании и резистентности к противоопухолевой терапии (Czabotar и др., Nat. Rev. Mol. Cell Biol. 2014 Jan; 15(1):49-63). Bcl-xL (также называемый BCL2L1, от BCL2-like 1 (BCL2-подобный 1)) часто амплифицируется при злокачественном новообразовании (Beroukhim и др., Nature 2010 Feb 18; 463(7283): 899-905), и было показано, что его экспрессия обратно коррелирует с чувствительностью к более чем 120 противоопухолевым терапевтическим молекулам в репрезентативной панели линий раковых клеток (NCI-60) (Amundson и др., Cancer Res. 2000 Nov 1; 60(21):6101-10).

Кроме того, несколько исследований, в которых использовали модели с трансгенными мышами с нокаутированным геном и трансгенную сверхэкспрессию членов семейства Bcl-2, подчеркнули важность этих белков при заболеваниях иммунной системы и аутоиммунных заболеваниях (для обзора см. Merino и др., Apoptosis 2009 Apr; 14(4):570-83. doi: 10.1007/s10495-008-0308-4.PMID: 19172396). Трансгенная сверхэкспрессия Bcl-xL в Т-клеточном компартменте привела к резистентности к апоптозу, индуцированному глюкокортикоидами, гамма-излучением и перекрестным связыванием CD3, что свидетельствует о том, что сверхэкспрессия трансгенного Bcl-xL может уменьшать апоптоз в покоящихся и активированных Т-клетках (Droin и др., Biochim Biophys Acta 2004 Mar 1; 1644(2-3): 179-88. doi: 10.1016/j.bbamcr.2003.10.011.PMID: 14996502). В образцах, полученных от пациентов, наблюдалась стойкая или высокая экспрессия антиапоптических белков семейства Bcl-2 (Pope и др., Nat Rev Immunol. 2002 Jul; 2(7): 527-35. doi: 10.1038/nri846.PMID: 12094227). В частности, Т-клетки, выделенные из суставов пациентов с ревматоидным артритом; демонстрировали повышенную экспрессию Bcl-xL и были устойчивы к спонтанному апоптозу (Salmon и др., J Clin Invest. 1997 Feb 1; 99(3):439-46. doi: 10.1172/JCI119178.PMID: 9022077). Применение ВН3 миметиков показало пользу на доклинических моделях заболеваний иммунной системы и аутоиммунных заболеваний. Лечение с помощью АВТ-737 (ингибитор Bcl-2, Bcl-xL и Bcl-w) приводило к сильному ингибированию пролиферации лимфоцитов in vitro. Важно отметить, что мыши, получавшие АВТ-737 в исследованиях на животных моделях артрита и волчанки, показали значительное снижение тяжести заболевания (Bardwell и др., 3 Clin Invest. 1997 Feb 1; 99(3):439-46. doi: 10.1172/JCI119178.PMID: 9022077). Кроме того, было показано, что АВТ-737 предотвращал активацию, пролиферацию и цитотоксичность аллогенных Т-клеток in vitro и подавлял аллогенные Т- и В- клеточные ответы после трансплантации кожи с высокой селективностью в отношении лимфоидных клеток (Cippa и др., Transpl Int. 2011 Jul; 24(7):722-32. doi: 10.1111/j.1432-2277.2011.01272.x. Epub 2011 May 25.PMID: 21615547).

Указанные выше результаты исследований послужили толчком к открытию и развитию нового класса лекарственных препаратов, названных ВН3 миметиками. Эти молекулы способны нарушать взаимодействие между проапоптотическими и антиапоптотическими членами семейства Bcl-2 и являются мощными индукторами апоптоза. Этот новый класс лекарственных препаратов включает ингибиторы Bcl-2, Bcl-xL, Bcl-w и Mcl-1. Первыми описанными миметиками ВН3 были АВТ-737 и АВТ-263, нацеленные на Bcl-2, Bcl-xL и Bcl-w (Park и др., 3. Med. Chem. 2008 Nov 13; 51(21):6902-15; Roberts и др., 3. Clin. Oncol. 2012 Feb 10; 30(5):488-96). После этого также были обнаружены селективные ингибиторы Bcl-2 (АВТ-199 и S55746 - Souers и др., Nat Med. 2013 Feb; 19(2):202-8; Casara и др., Oncotarget 2018 Apr 13; 9(28):20075-20088), Bcl-xL (A-1155463 и А-1331852 - Тао и др., ACS Med Chem Lett. 2014 Aug 26; 5(10): 1088-93; Leverson и др., Sci Transi Med. 2015 Mar 18; 7(279):279ra40) и Mcl-1 (A-1210477, S63845, S64315, AMG-176 и AZD-5991 - Leverson и др., Cell Death Dis. 2015 Jan 15; 6:e1590.; Kotschy и др., Nature 2016, 538, 477-482; Maragno и др., AACR 2019, Poster #4482; Kotschy и др., WO 2015/097123; Caenepeel и др., Cancer Discov. 2018 Dec; 8(12): 1582-1597; Tron и др., Nat. Commun. 2018 Dec 17; 9(1):5341). Селективный ингибитор Bcl-2 ABT-199 в настоящее время одобрен для лечения пациентов с CLL и AML в рамках комбинированной терапии, в то время как другие ингибиторы все еще находятся на стадии доклинических или клинических исследований. В доклинических моделях, АВТ-263 продемонстрировал активность при нескольких гематологических злокачественных опухолях и солидных опухолях (Shoemaker и др., Clin. Cancer Res. 2008 Jun 1; 14(11):3268-77; Ackler и др., Cancer Chemother. Pharmacol. 2010 Oct; 66(5):869-80; Chen и др., Mol. Cancer Ther. 2011 Dec; 10(12):2340-9). В клинических исследованиях, АВТ-263 демонстрировал объективную противоопухолевую активность при лимфоидных злокачественных новообразованиях (Wilson и др., Lancet Oncol. 2010 Dec; 11(12): 1149-59; Roberts и др., J. Clin. Oncol. 2012 Feb 10; 30(5):488-96), причем его активность исследуется в комбинации с несколькими методами лечения солидных опухолей. Селективные ингибиторы Bcl-xL, А-1155463 или А-1331852, демонстрировали in vivo активность в доклинических моделях T-ALL (Т-клеточный острый лимфобластный лейкоз) и различных типов солидных опухолей (Тао и др., ACS Med. Chem. Lett. 2014 Aug 26; 5(10):1088-93; Leverson и др., Sci. Transl. Med. 2015 Mar 18; 7(279):279ra40). Селективные ингибиторы Mcl-1 показали многообещающую активность in vivo при нескольких типах гематологических злокачественных опухолей на доклинических моделях, и три из них, ингибиторы S64315, AMG176 и AZD5991, в настоящее время исследуются в клинических испытаниях (Yang и др., Eur. J. Med. Chem. 2019 May 8; 177:63-75). Таким образом, ВН3 миметики представляют чрезвычайно привлекательный подход для разработки новых методов лечения в онкологии, а также в области иммунопатологических и аутоиммунных заболеваний. В частности, существует потребность в малых молекулах, которые селективно ингибируют белок Bcl-xL. Настоящее изобретение удовлетворяет эту потребность.

КРАТКОЕ ИЗЛОЖЕНИЕ СУЩНОСТИ НАСТОЯЩЕГО ИЗОБРЕТЕНИЯ

Настоящее изобретение обеспечивает сильные селективные ингибиторы Bcl-xL формулы (I) согласно приведенному ниже определению. В настоящей заявке показано, что эти соединения способны индуцировать апоптоз раковых клеток in vivo, запуская регресс опухоли у мышей. В связи с их проапоптотическими свойствами, соединения настоящего изобретения могут представлять интерес для лечения патологий с вовлечением дерегулирования апоптоза, таких как, например, злокачественные новообразования, аутоиммунные заболевания и заболевания иммунной системы. Кроме того, эти соединения хорошо переносились мышами без клинически значимой потери массы тела при лечении эффективными дозами, что указывало на допустимый терапевтический интервал в отношении применения этих малых молекул, нацеленных на Bcl-xL, при лечении рака. В полном соответствии с ранее описанной ролью Bcl-xL в регуляции продолжительности жизни тромбоцитов (Zhang и др., Cell Death Differ. 2007 May; 14(5):943-51; Mason и др., Cell. 2007 Mar 23; 128(6): 1173-86), мы наблюдали снижение числа циркулирующих тромбоцитов после лечения мышей данными ингибиторами и его восстановление после прекращения лечения. Принимая во внимание это влияние на выживаемость тромбоцитов, ингибиторы Bcl-xL настоящего изобретения также можно применять для лечения заболеваний или состояний, характеризующихся чрезмерной или дерегулированной активностью тромбоцитов, таких как, например, протромботические состояния.

ПОДРОБНОЕ ОПИСАНИЕ ИЗОБРЕТЕНИЯ

В первом варианте осуществления (Е1), настоящее изобретение обеспечивает соединения формулы (I):

где:

♦ фрагмент Het представляет собой конденсированное ароматическое или неароматическое кольцо, состоящее из 5-7 кольцевых членов, которое может содержать, в дополнение к атому азота, один дополнительный гетероатом или группу, выбранный(-ую) из кислорода, серы и С=O,

♦ А4 и А5 независимо друг от друга представляют собой атом углерода или азота, предпочтительно каждый из А4 и А5 представляет собой атом азота,

♦ Z1 представляет собой связь, -N(R)- или -O-, где R представляет собой водород или линейный или разветвленный C16алкил,

♦ R1 представляет собой группу, выбранную из водорода; линейного или разветвленного C16алкила, необязательно замещенного гидроксильной или C16алкокси группой; С36циклоалкила; трифторметила; линейного или разветвленного C16алкиленгетероциклоалкила, где гетероциклоалкильная группа необязательно замещена линейной или разветвленной C16алкильной группой;

♦ R2 представляет собой водород или метил;

♦ R3 представляет собой группу, выбранную из водорода; линейного или разветвленного С14алкил; -X1-NRaRb; -X1-N+RaRbRc; -X1-O-Rc; -X1-COORc; -X1-PO(OH)2; -X1-SO2(OH); -X1-N3 и

♦ Ra и Rb независимо друг от друга представляют собой группу, выбранную из водорода; гетероциклоалкила; -SO2-фенила, где фенил может быть замещен линейным или разветвленным C16алкилом; линейного или разветвленного C16алкила, необязательно замещенного одной или двумя гидроксильными группами; C16алкилен-SO2OH; C16алкилен-SO2O-; C16алкилен-СООН; C16алкилен-РО(ОН)2; C16алкилен-NRdRe; C16алкилен-N+RdReRf; C16алкиленфенила, где фенил может быть замещен C16алкокси группой;

группы:

или Ra и Rb вместе с несущим их атомом азота образуют цикл B1;

или Ra, Rb и Rc вместе с несущим их атомом азота образуют мостиковый С38 гетероциклоалкил,

♦ Rc, Rd, Re, Rf независимо друг от друга представляют собой водород или линейную или разветвленную C16алкильную группу,

или Rd и Re вместе с несущим их атомом азота образуют цикл B2,

или Rd, Re и Rf вместе с несущим их атомом азота образуют мостиковый С38 гетероциклоалкил;

♦ Het1 представляет собой группу, выбранную из:

♦ Het2 представляет собой группу, выбранную из:

♦ a1 означает -NH-, -N(С13алкил), О, S или Se,

♦ А2 означает N, СН или C(R5),

♦ G выбирают из группы, состоящей из:

-C(O)ORG3, -C(O)NRG1RG2, -C(O)RG2, -NRG1C(O)RG2, -NRG1C(O)NRG1RG2, -OC(O)NRG1RG2, -NRG1C(O)ORG3, -C(=NORG1)NRG1RG2, -NRG1C(=NCN)NRG1RG2, -NRG1S(O)2NRG1RG2, -S(O)2RG3, -S(O)2NRG1RG2, -NRG1S(O)2RG2, -NRG1C(=NRG2)NRG1RG2, -C(=S)NRG1RG2, -C(=NRG1)NRG1RG2, галогена, -NO2 и -CN, где:

- rg1 и RG2 в каждом случае каждый независимо выбирают из группы, состоящей из водорода, C16алкила, необязательно замещенного 1-3 атомами галогена, С26алкенила, С26алкинила, С36циклоалкила, фенила и -(СН2)1-4-фенила;

- RG3 выбирают из группы, состоящей из C16алкила, необязательно замещенного 1-3 атомами галогена, С26алкенила, С26алкинила, С36циклоалкила, фенила и -(СН2)1-4-фенила; или

rg1 и RG2 вместе с атомом, к которому каждый из них присоединен, объединены с образованием С38 гетероциклоалкила; или, в качестве альтернативы, G выбирают из группы, состоящей из:

где RG4 выбирают из C16алкила, необязательно замещенного 1-3 атомами галогена, С26алкенила, С26алкинила и С36циклоалкила,

♦ R4 представляет собой водород, атом фтора, хлора или брома, метильную, гидроксильную или метокси группу,

♦ R5 представляет собой группу, выбранную из C16алкила, необязательно замещенного 1-3 атомами галогена; С26алкенила; С26алкинила; галогена или -CN,

- R6 представляет собой группу, выбранную из:

водорода;

26алкенила;

-X2-O-R7;

-X2-NSO2-R7;

-C=C(R9)-Y1-O-R7;

С36циклоалкила;

С36гетероциклоалкила, необязательно замещенного гидроксильной группой;

С36циклоалкилен-Y2-R7;

группы С36 гетероциклоалкилен-Y2-R7,

группы гетероарилен-R7, необязательно замещенной линейной или разветвленной C16алкильной группой,

♦ R7 представляет собой группу, выбранную из линейной или разветвленной C16алкильной группы; (С36)циклоалкилен-R8; или

где Су представляет собой С38циклоалкил,

♦ R8 представляет собой группу, выбранную из водорода; линейного или разветвленного C16алкила, -NR'aR'b; -NR'a-CO-OR'c; -NR'a-CO-R'c; -N+R'aR'bR'c; -O-R'c; -NH-X'2-N+R'aR'bR'c; -O-X'2-NR'aR'b, -X'2-NR'aR'b; -NR'c-X'2-N3 и

♦ R9 представляет собой группу, выбранную из линейного или разветвленного C16алкила, трифторметила, гидроксила, галогена, C16алкокси,

♦ R10 представляет собой группу, выбранную из водорода, фтора, хлора, брома, -CF3 и метила,

♦ r11 представляет собой группу, выбранную из водорода, галогена, C13алкилен-R8, -О-С13алкилен-R8, -CO-NRhRi и -СН=СН-С14алкилен-NRhRi, -СН-СН-СНО, С38циклоалкилен-СН2-R8, С38гетероциклоалкилен-СН2-R8,

♦ R12 и R13 независимо друг от друга представляют собой атом водорода или метильную группу,

♦ R14 и R15 независимо друг от друга представляют собой водород или метильную группу, или R14 и R15 вместе с несущим их атомом углерода образуют циклогексил,

♦ Rh и Ri независимо друг от друга представляют собой водород или линейную или разветвленную C16алкильную группу,

♦ X1 представляет собой линейную или разветвленную C14алкиленовую группу, необязательно замещенную одной или двумя группами, выбранными из трифторметила, гидроксила, галогена, C16алкокси,

♦ Х2 представляет собой линейную или разветвленную C16алкиленовую группу, необязательно замещенную одной или двумя группами, выбранными из трифторметила, гидроксила, галогена, C16алкокси,

♦ Х'2 представляет собой линейный или разветвленный C16алкилен,

♦ R'a и R'b независимо друг от друга представляют собой группу, выбранную из водорода; гетероциклоалкила; -SO2-фенила, где фенил может быть замещен линейным или разветвленным C16алкилом; линейного или разветвленного C16алкила, необязательно замещенного одной или двумя гидроксильными или C16алкокси группами; C16алкилен-SO2OH; C16алкилен-SO2O-; C16алкилен-СООН; C16алкилен-РО(ОН)2; C16алкилен-NR'dR'e; C16алкилен-N+R'dR'eR'f; C16алкилен-О-C16алкилен-ОН; C16алкиленфенила, где фенил может быть замещен гидроксильной или C16алкокси группа;

группы:

или R'a и R'b вместе с несущим их атомом азота образуют цикл В3, или R'a, R'b и R'c вместе с несущим их атомом азота образуют мостиковый С38 гетероциклоалкил,

♦ R'c, R'd, R'e, R'f независимо друг от друга представляют собой водород или линейную или разветвленную C16алкильную группу,

или R'd и R'e вместе с несущим их атомом азота образуют цикл В4, или R'd, R'e и R'f вместе с несущим их атомом азота образуют мостиковый С38 гетероциклоалкил,

♦ y1 представляет собой линейный или разветвленный С14алкилен,

♦ Y2 представляет собой связь, -O-, -О-СН2-, -O-СО-, -O-SO2-, -CH2-, -СН2-О, -СН2-СО-, -CH2-SO2-,-C2H5-, -CO-, -СО-O-, -СО-СН2-, -CO-NH-CH2-, -SO2-, -SO2-CH2-, -NH-CO-, -NH-SO2-,

♦ m=0, 1 или 2,

♦ р=1, 2, 3 или 4,

♦ B1, B2, В3 и В4 независимо друг от друга представляют собой С38гетероциклоалкильную группу, которая: (i) может представлять собой моно- или бициклическую группу, где бициклическая группа включает конденсированную, мостиковую или спирокольцевую систему, (ii) может содержать, в дополнение к атому азота, один или два гетероатома, независимо выбранных из кислорода, серы и азота, (iii) может быть замещена одной или двумя группами, выбранными из фтора, брома, хлора, линейного или разветвленного C16алкила, гидроксила, -NH2, оксо или пиперидинила, при этом также следует понимать, что:

- "арил" означает фенильную, нафтильную, бифенильную или инденильную группу,

- "гетероарил" означает любую моно- или бициклическую группу, состоящую из 5-10 членов кольца, имеющую по меньшей мере один ароматический фрагмент и содержащую от 1 до 4 гетероатомов, выбранных из кислорода, серы и азота (включая четвертичные атомы азота),

- "циклоалкил" означает любую моно- или бициклическую неароматическую карбоциклическую группу, содержащую от 3 до 10 членов кольца, которая может включать конденсированные, мостиковые или спирокольцевые системы,

- "гетероциклоалкил" означает любую моно- или бициклическую неароматическую карбоциклическую группу, состоящую из 3-10 членов кольца, и содержащую от 1 до 3 гетероатомов, выбранных из кислорода, серы SO, SO2 и азота, при этом следует понимать, что бициклическая группа может быть конденсированного или спирокольцевого типа,

- гетероарилен, циклоалкилен, гетероциклоалкилен означают двухвалентный гетероарил, циклоалкил и гетероциклоалкил,

их энантиомеры и диастереоизомеры, и их соли присоединения с фармацевтически приемлемой кислотой или основанием.

Среди фармацевтически приемлемых кислот можно упомянуть, не подразумевая какого-либо ограничения, хлористоводородную кислоту, бромистоводородную кислоту, серную кислоту, фосфоновую кислоту, уксусную кислоту, трифторуксусную кислоту, молочную кислоту, пировиноградную кислоту, малоновую кислоту, янтарную кислоту, глутаровую кислоту, фумаровую кислоту, винную кислоту, малеиновую кислоту, лимонную кислоту, аскорбиновую кислоту, щавелевую кислоту, метансульфоновую кислоту и камфорную кислоту.

Среди фармацевтически приемлемых оснований можно упомянуть, не подразумевая какого-либо ограничения, гидроксид натрия, гидроксид калия, триэтиламин и трет-бутиламин.

Далее описаны дополнительные пронумерованные варианты осуществления (Е) настоящего изобретения. Следует понимать, что признаки, конкретно указанные в каждом варианте осуществления, можно комбинировать с другими конкретно указанными признаками с обеспечением дополнительных вариантов осуществления настоящего изобретения.

Е2. Соединение в соответствии с вариантом Е1, которое представляет собой соединение формулы (IA)

Е3. Соединение в соответствии с вариантом Е1 или Е2, где Z1 представляет собой -NH- или -O-.

Е4. Соединение в соответствии с любым из вариантов Е1 - Е3, где R3 представляет собой -X1-NRaRb, предпочтительно группу -C2H5-NH-СН3.

Е5. Соединение в соответствии с вариантом Е1 или Е2, которое выбирают из:

Е6. Соединение в соответствии с вариантом Е5, которое представляет собой соединение формулы (IB)

Е7. Соединение в соответствии с вариантом Е6, где Z1 представляет собой связь и R3 представляет собой атом водорода.

Е8. Соединение в соответствии с вариантом Е1, которое представляет собой соединение формулы (IC):

где А3 представляет собой атом кислорода или серы.

Е9. Соединение в соответствии с любым из вариантов Е1 - Е8, где R1 представляет собой атом водорода, метильную или циклопропильную группу, предпочтительно метил.

Е10. Соединение в соответствии с любым из вариантов Е1 - Е9, где Het1 представляет собой

Е11. Соединение в соответствии с любым из вариантов E1 - Е10, где Het2 представляет собой

Е12. Соединение в соответствии с любым из вариантов E1 - Е10, где Het2 представляет собой

Е13. Соединение в соответствии с вариантом Е11, где R6 представляет собой группу X2-O-R7, где Х2 означает пропиленовую группу.

Е14. Соединение в соответствии с вариантом Е13, где R7 представляет собой следующую группу:

Е15. Соединение в соответствии с вариантом Е13, где R7 представляет собой следующую группу:

Е16. Соединение в соответствии с вариантом Е13, где R7 представляет собой следующую группу:

Е17. Соединение в соответствии с любым из вариантов Е14 - Е16, где R8 представляет собой NR'aR'b.

Е18. Соединение в соответствии с любым из вариантов Е14 - Е16, где R8 представляет собой группу, выбранную из диметиламино, диэтиламино, диизопропиламино, диизобутиламино, метиламино, этиламино, этил(метил)амино, 4-метилпиперазин-1-ила, пиперазин-1-ила, пирролидин-1-ила, азетидин-1-ила, 1-пиперидила, 4-морфолинила, 4,4-дифторпиперидин-1-ила, 3,3-дифторпиперидин-1-ила, 3-гидрокси-1-пиперидила, (1S,5R)-3-азабицикло[3.1.0]гексан-3-ила, 4-(1-пиперидил)-1-пиперидила, 3-оксо-2,8-диазаспиро[4.5]декан-8-ила, (1S,5R)-6,6-дифтор-3-азабицикло[3.1.0]гексан-3-ила, 2-(диметиламино)этиламино, 3-пиперазин-1-ила, (3R,5S)-3,5-диметилпиперазин-1-ила, (бут-3-ин-1-ил)амино, (бут-3-ин-1-ил)(метил)амино, (3-азидопропил)амино, (3-азидопропил)(метил)амино, (3-аминопропил)амино, (пент-4-ин-1-ил)амино, метил(пент-4-ин-1-ил)амино, (проп-2-ин-1-ил)амино, (гекс-5-ин-1-ил)амино, 3-[(гекс-5-ин-1-ил)(метил)амино, (4-азидобутил)амино, (4-азидобутил)(метил)амино, [2-(2-гидроксиэтокси)этил](метил)амино и

Е19. Соединение в соответствии с любым из вариантов Е14 - Е16, где R8 представляет собой группу, выбранную из бис[(3S)-3,4-дигидроксибутил]амино, амино, [(3S)-3,4-дигидроксибутил]амино, [(3R)-3,4-дигидроксибутил]амино, ацетил(метил)амино, 3-гидроксипропиламино.

Е20. Соединение в соответствии с вариантом Е13, где R7 представляет собой

где R11 выбирают из 3-(диметиламино)пропила, 3-(метиламино)пропила, аминометила, 2-(диметиламино)этила, 4-(диметиламино)бутила, 2-(метиламино)этила, 4-(метиламино)бутила, 3-(азетидин-1-ил)пропила, 3-(4-метилпиперазин-1-ил)пропила, 3-пирролидин-1-илпропила, 3-морфолинопропила, 3-(1-пиперидил)пропила, 3-[(1R,5S)-6,6-дифтор-3-азабицикло[3.1.0]гексан-3-ила и 3-(3-оксо-2,8-диазаспиро[4.5]декан-8-ил)пропила.

Е21. Соединение в соответствии с вариантом Е13, где R7 представляет собой группу, выбранную из:

E22. Соединение в соответствии с вариантом Е12, где R6 представляет собой

Е23. Соединение в соответствии с вариантом Е22, где R7 представляет собой группу, выбранную из:

где R8 представляет собой -O-X'2-NR'aR'b или -X'2-NR'aR'b.

Е24. Соединение в соответствии с вариантом Е22, где R7 представляет собой группу; выбранную из:

где R8 представляет собой группу, выбранную из водорода, 2-(метиламино)этокси, 2-(диметиламино)этокси, 2-[(2-сульфоэтил)амино]этокси, 2-[метил(2-сульфоэтил)амино]этокси, 4-метилпиперазин-1-ила и

Е25. Соединение в соответствии с вариантом Е22, где R7 представляет собой группу, выбранную из:

где R8 представляет собой группу, выбранную из 2-пирролидин-1-илэтокси, 2-(4-метилпиперазин-1-ил)этокси, 2-[[(3R)-3,4-дигидроксибутил]-метиламино]этокси, 2-(4-гидроксибутиламино)этокси, 2-[[3-гидрокси-2-(гидроксиметил)пропил]амино]этокси, 2-[бис(2-гидроксиэтил)амино]этокси, 2-[[2-гидрокси-1-(гидроксиметил)этил]амино]этокси, 2-[2-(2-гидроксиэтокси)этиламино]этокси, 2-[бис(3-гидроксипропил)амино]этокси, 2-(3-гидроксипропиламино)этокси, 2-[бис(4-гидроксибутил)амино]этокси, 2-морфолиноэтокси, 2-(1-пиперидил)этокси, 2-пиперазин-1-илэтокси, 2-(азепан-1-ил)этокси, 2-(4-изопропилпиперазин-1-ил)этокси, 2-[(4-гидроксифенил)метиламино]этокси, 2-[2-гидроксиэтил(метил)амино]этокси, 2-[3-метоксипропил(метил)амино]этокси, 2-[4-гидроксибутил(метил)амино]этокси, 3-пирролидин-1-илпропила, 3-(диметиламино)пропила, 3-(4-метилпиперазин-1-ил)пропила, 3-морфолинопропила, 3-(3-гидроксипропиламино)пропила, 3-(4-гидроксибутиламино)пропила, 3-[[(3S)-3,4-дигидроксибутил]амино]пропила, 3-гидрокси-2-(гидроксиметил)пропил]амино]пропила, 3-[4-гидроксибутил(метил)амино]пропила, 3-[3-гидроксипропил(метил)амино]пропила, 3-[3-[бис(3-гидроксипропил)амино]пропила, 3-пиперазин-1-илпропила.

Е26. Соединение в соответствии с любым из вариантов Е1, Е2 и Е6, где R3 представляет собой -X1-PO(OH)2, -X1-SO2(OH), -X1-NRaRb; -X1-N+RaRbRc, где Ra или Rb, или оба из них, представляют собой группу, выбранную из C16алкилен-SO2OH, C16алкилен-SO2O- и C16алкилен-РО(ОН)2.

Е27. Соелинение в соответствии с любым из вариантов Е1, Е2 и Е6, где R8 представляет собой -NR'aR'b; -N+R'aR'bR'c; -NH-X'2-N+R'aR'bR'c, где R'a и R'b, или оба из них, представляют собой группу, выбранную из C16алкилен-SO2OH и C16алкилен-РО(ОН)2.

Е28. Соединение в соответствии с вариантом Е1, выбранное из следующей группы соединений:

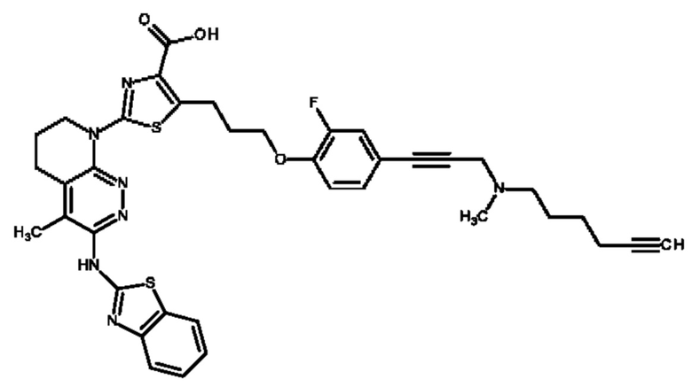
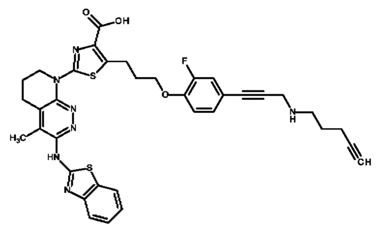
2-[3-(1,3-бензотиазол-2-иламино)-4-метил-6,7-дигидро-5Н-пиридо[2,3-с]пиридазин-8-ил]-5-[3-[4-[3-(диметиламино)проп-1-инил]-2-фторфенокси]пропил]тиазол-4-карбоновая кислота,

2-{3-[(1,3-бензотиазол-2-ил)амино]-4-метил-5Н,6Н,7Н,8Н-пиридо[2,3-с]пиридазин-8-ил}-5-(3-{2-фтор-4-[3-(метиламино)проп-1-ин-1-ил]фенокси}пропил)-1,3-тиазол-4-карбоновая кислота,

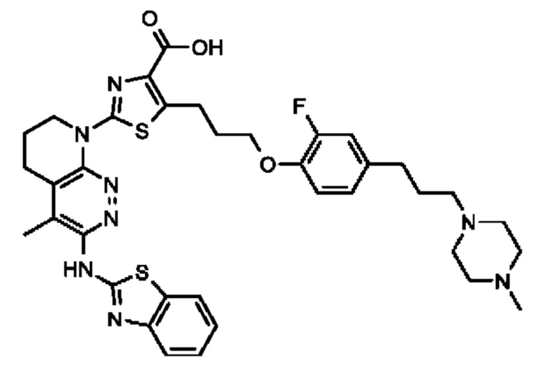
2-{3-[(1,3-бензотиазол-2-ил)амино]-4-метил-5Н,6Н,7Н,8Н-пиридо[2,3-с]пиридазин-8-ил}-5-(3-{4-[3-(диметиламино)пропил]-2-фторфенокси}пропил)-1,3-тиазол-4-карбоновая кислота,

2-[3-(1,3-бензотиазол-2-иламино)-4-метил-6,7-дигидро-5Н-пиридо[2,3-с]пиридазин-8-ил]-5-[3-[2-фтор-4-[3-(4-метилпиперазин-1-ил)бут-1-инил]фенокси]пропил]тиазол-4-карбоновая кислота,

2-[3-(1,3-бензотиазол-2-иламино)-4-метил-6,7-дигидро-5Н-пиридо[2,3-с]пиридазин-8-ил]-5-[3-[2-фтор-4-(3-пирролидин-1-илпроп-1-инил)фенокси]пропил]тиазол-4-карбоновая кислота,

5-(3-{4-[3-(азетидин-1-ил)проп-1-ин-1-ил]-2-фторфенокси}пропил)-2-{3-[(1,3-бензотиазол-2-ил)амино]-4-метил-5Н,6Н,7Н,8Н-пиридо[2,3-с]пиридазин-8-ил}-1,3-тиазол-4-карбоновая кислота,

2-[3-(1,3-бензотиазол-2-иламино)-4-метил-6,7-дигидро-5Н-пиридо[2,3-с]пиридазин-8-ил]-5-[3-[2-фтор-4-[3-(4-метилпиперазин-1-ил)проп-1-инил]фенокси]пропил]тиазол-4-карбоновая кислота,

2-{3-[(1,3-бензотиазол-2-ил)амино]-4-метил-5Н,6Н,7Н,8Н-пиридо[2,3-с]пиридазин-8-ил}-5-(3-{4-[3-(4,4-дифторпиперидин-1-ил)проп-1-ин-1-ил]-2-фторфенокси}пропил)-1,3-тиазол-4-карбоновая кислота;

2-{3-[(1,3-бензотиазол-2-ил)амино]-4-метил-5Н,6Н,7Н,8Н-пиридо[2,3-с]пиридазин-8-ил}-5-(3-{4-[3-(3,3-дифторпиперидин-1-ил)проп-1-ин-1-ил]-2-фторфенокси}пропил)-1,3-тиазол-4-карбоновая кислота,

2-[3-(1,3-бензотиазол-2-иламино)-4-метил-6,7-дигидро-5Н-пиридо[2,3-с]пиридазин-8-ил]-5-[3-[2-фтор-4-[3-(3-оксо-2,8-диазаспиро[4.5]декан-8-ил)проп-1-инил]фенокси]пропил]тиазол-4-карбоновая кислота,

2-[3-(1,3-бензотиазол-2-иламино)-4-метил-6,7-дигидро-5Н-пиридо[2,3-с]пиридазин-8-ил]-5-[3-[4-[3-[(1S,5R)-6,6-дифтор-3-азабицикло[3.1.0]гексан-3-ил]проп-1-инил]-2-фторфенокси]пропил]тиазол-4-карбоновая кислота,

2-[3-(1,3-бензотиазол-2-иламино)-4-метил-6,7-дигидро-5Н-пиридо[2,3-с]пиридазин-8-ил]-5-[3-[2-фтор-4-(3-пиперазин-1-илпроп-1-инил)фенокси]пропил]тиазол-4-карбоновая кислота,

2-[3-(1,3-бензотиазол-2-иламино)-4-метил-6,7-дигидро-5Н-пиридо[2,3-c]пиридазин-8-ил]-5-[3-[4-[3-[(3R,5S)-3,5-диметилпиперазин-1-ил]проп-1-инил]-2-фторфенокси]пропил]тиазол-4-карбоновая кислота,

2-[3-(1,3-бензотиазол-2-иламино)-4-метил-6,7-дигидро-5Н-пиридо[2,3-с]пиридазин-8-ил]-5-[3-[4-[3-(диэтиламино)проп-1-инил]-2-фторфенокси]пропил]тиазол-4-карбоновая кислота,

2-[3-(1,3-бензотиазол-2-иламино)-4-метил-6,7-дигидро-5Н-пиридо[2,3-с]пиридазин-8-ил]-5-[3-[4-[3-(диизопропиламино)проп-1-инил]-2-фторфенокси]пропил]тиазол-4-карбоновая кислота,

2-[3-(1,3-бензотиазол-2-иламино)-4-метил-6,7-дигидро-5Н-пиридо[2,3-с]пиридазин-8-ил]-5-[3-[4-[3-[2-(диметиламино)этиламино]проп-1-инил]-2-фторфенокси]пропил]тиазол-4-карбоновая кислота,

2-{3-[(1,3-бензотиазол-2-ил)амино]-4-метил-6-[2-(метиламино)этокси]-5Н,6Н,7Н,8Н-пиридо[2,3-с]пиридазин-8-ил}-5-(3-{4-[3-(диметиламино)проп-1-ин-1-ил]-2-фторфенокси}пропил)-1,3-тиазол-4-карбоновая кислота,

2-[3-(1,3-бензотиазол-2-иламино)-4-метил-6,7-дигидро-5Н-пиридо[2,3-с]пиридазин-8-ил]-5-[3-[4-[1-[(диметиламино)метил]-3-бицикло[1.1.1]пентанил]-2-фторфенокси]пропил]тиазол-4-карбоновая кислота,

2-[3-(1,3-бензотиазол-2-иламино)-4-метил-6,7-дигидро-5Н-пиридо[2,3-с]пиридазин-8-ил]-5-[3-[2-фтор-4-[3-метил-3-(метиламино)бут-1-инил]фенокси]пропил]тиазол-4-карбоновая кислота,

2-[3-(1,3-бензотиазол-2-иламино)-4-метил-6,7-дигидро-5Н-пиридо[2,3-с]пиридазин-8-ил]-5-[3-[2-фтор-4-[3-(проп-2-иниламино)проп-1-инил]фенокси]пропил]тиазол-4-карбоновая кислота,

6-{3-[(1,3-бензотиазол-2-ил)амино]-4-метил-6,7-дигидропиридо[2,3-с]пиридазин-8(5Н)-ил}-3-[1-({3-[2-(диметиламино)этокси]-5,7-диметиладамантан-1-ил}метил)-5-метил-1Н-пиразол-4-ил]пиридин-2-карбоновая кислота,

6-{3-[(1,3-бензотиазол-2-ил)амино]-4-метил-6,7-дигидропиридо[2,3-с]пиридазин-8(5Н)-ил}-3-[1-({3,5-диметил-7-[2-(метиламино)этокси]адамантан-1-ил}метил)-5-метил-1Н-пиразол-4-ил]пиридин-2-карбоновая кислота,

2-{3-[(1,3-бензотиазол-2-ил)амино]-4-метил-6,7-дигидропиридо[2,3-с]пиридазин-8(5Н)-ил}-5-(3-{4-[3-(этиламино)-3-метилбут-1-ин-1-ил]-2-фторфенокси}пропил)-1,3-тиазол-4-карбоновая кислота,

3-{1-[(адамантан-1-ил)метил]-5-метил-1Н-пиразол-4-ил}-6-{3-[(1,3-бензотиазол-2-ил)амино]-4-метил-5Н,6Н,7Н,8Н-пиридо[2,3-с]пиридазин-8-ил}пиридин-2-карбоновая кислота,

его энантиомеры и диастереоизомеры, и их соли присоединения с фармацевтически приемлемой кислотой или основанием.

Е29. Соединение в соответствии с вариантом Е1, выбранное из следующей группы соединений:

6-{3-[(1,3-бензотиазол-2-ил)амино]-4-метил-6,7-дигидропиридо[2,3-с]пиридазин-8(5Н)-ил}-3-[1-({3-[2-(диметиламино)этокси]-5,7-диметиладамантан-1-ил}метил)-5-метил-1Н-пиразол-4-ил]пиридин-2-карбоновая кислота,

6-[3-(1,3-бензотиазол-2-иламино)-4-метил-6,7-дигидро-5Н-пиридо[2,3-с]пиридазин-8-ил]-3-[1-[[3,5-диметил-7-(2-пирролидин-1-илэтокси)-1-адамантил]метил]-5-метилпиразол-4-ил]пиридин-2-карбоновая кислота,

6-[3-(1,3-бензотиазол-2-иламино)-4-метил-6,7-дигидро-5Н-пиридо[2,3-с]пиридазин-8-ил]-3-[1-[[3,5-диметил-7-[2-(4-метилпиперазин-1-ил)этокси]-1-адамантил]метил]-5-метилпиразол-4-ил]пиридин-2-карбоновая кислота,

6-[3-(1,3-бензотиазол-2-иламино)-4-метил-6,7-дигидро-5Н-пиридо[2,3-с]пиридазин-8-ил]-3-[1-[[3-[2-(3-гидроксипропиламино)этокси]-5,7-диметил-1-адамантил]метил]-5-метилпиразол-4-ил]пиридин-2-карбоновая кислота,

6-[3-(1,3-бензотиазол-2-иламино)-4-метил-6,7-дигидро-5Н-пиридо[2,3-с]пиридазин-8-ил]-3-[1-[[3-[2-(4-гидроксибутиламино)этокси]-5,7-диметил-1-адамантил]метил]-5-метилпиразол-4-ил]пиридин-2-карбоновая кислота,

6-{3-[(1,3-бензотиазол-2-ил)амино]-4-метил-6,7-дигидропиридо[2,3-c]пиридазин-8(5H)-ил}-3-(1-{[3-(2-{[(3S)-3,4-дигидроксибутил]амино}этокси)-5,7-диметиладамантан-1-ил]метил}-5-метил-1Н-пиразол-4-ил)пиридин-2-карбоновая кислота,

6-{3-[(1,3-бензотиазол-2-ил)амино]-4-метил-6,7-дигидропиридо[2,3-с]пиридазин-8(5Н)-ил}-3-(1-{[3-(2-{[(3R)-3,4-дигидроксибутил]амино}этокси)-5,7-диметиладамантан-1-ил]метил}-5-метил-1Н-пиразол-4-ил)пиридин-2-карбоновая кислота,

6-[3-(1,3-бензотиазол-2-иламино)-4-метил-6,7-дигидро-5Н-пиридо[2,3-с]пиридазин-8-ил]-3-[1-[[3-[2-[2-гидроксиэтил(метил)амино]этокси]-5,7-диметил-1-адамантил]метил]-5-метилпиразол-4-ил]пиридин-2-карбоновая кислота,

6-[3-(1,3-бензотиазол-2-иламино)-4-метил-6,7-дигидро-5Н-пиридо[2,3-с]пиридазин-8-ил]-3-[1-[[3-[2-[4-гидроксибутил(метил)амино]этокси]-5,7-диметил-1-адамантил]метил]-5-метилпиразол-4-ил]пиридин-2-карбоновая кислота,

6-[3-(1,3-бензотиазол-2-иламино)-4-метил-6,7-дигидро-5Н-пиридо[2,3-с]пиридазин-8-ил]-3-[1-[[3-[2-[[(3R)-3,4-дигидроксибутил]-метиламино]этокси]-5,7-диметил-1-адамантил]метил]-5-метилпиразол-4-ил]пиридин-2-карбоновая кислота,

6-[3-(1,3-бензотиазол-2-иламино)-4-метил-6,7-дигидро-5Н-пиридо[2,3-с]пиридазин-8-ил]-3-[1-[[3,5-диметил-7-(2-пиперазин-1-илэтокси)-1-адамантил]метил]-5-метилпиразол-4-ил]пиридин-2-карбоновая кислота,

6-{3-[(1,3-бензотиазол-2-ил)амино]-4-метил-6,7-дигидропиридо[2,3-с]пиридазин-8(5Н)-ил}-3-[1-({3,5-диметил-7-[2-(метиламино)этокси]адамантан-1-ил}метил)-5-метил-1Н-пиразол-4-ил]пиридин-2-карбоновая кислота,

6-[3-(1,3-бензотиазол-2-иламино)-4-метил-6,7-дигидро-5Н-пиридо[2,3-с]пиридазин-8-ил]-3-[1-[[3,5-диметил-7-[2-(1-пиперидил)этокси]-1-адамантил]метил]-5-метилпиразол-4-ил]пиридин-2-карбоновая кислота,

3-[1-[[3-[2-(азепан-1-ил)этокси]-5,7-диметил-1-адамантил]метил]-5-метилпиразол-4-ил]-6-[3-(1,3-бензотиазол-2-иламино)-4-метил-6,7-дигидро-5Н-пиридо[2,3-с]пиридазин-8-ил]пиридин-2-карбоновая кислота,

6-[3-(1,3-бензотиазол-2-иламино)-4-метил-6,7-дигидро-5Н-пиридо[2,3-с]пиридазин-8-ил]-3-[1-[[3-[2-(4-изопропилпиперазин-1-ил)этокси]-5,7-диметил-1-адамантил]метил]-5-метилпиразол-4-ил]пиридин-2-карбоновая кислота,

6-[3-(1,3-бензотиазол-2-иламино)-4-метил-6,7-дигидро-5Н-пиридо[2,3-с]пиридазин-8-ил]-3-[1-[[3,5-диметил-7-(2-морфолиноэтокси)-1-адамантил]метил]-5-метилпиразол-4-ил]пиридин-2-карбоновая кислота,

6-[3-(1,3-бензотиазол-2-иламино)-4-метил-6,7-дигидро-5Н-пиридо[2,3-с]пиридазин-8-ил]-3-[1-[[3-[2-[3-метоксипропил(метил)амино]этокси]-5,7-диметил-1-адамантил]метил]-5-метилпиразол-4-ил]пиридин-2-карбоновая кислота,

6-[3-(1,3-бензотиазол-2-иламино)-4-метил-6,7-дигидро-5Н-пиридо[2,3-с]пиридазин-8-ил]-3-[1-[[3-[2-[2-(2-гидроксиэтокси)этиламино]этокси]-5,7-диметил-1-адамантил]метил]-5-метилпиразол-4-ил]пиридин-2-карбоновая кислота,

6-[3-(1,3-бензотиазол-2-иламино)-4-метил-6,7-дигидро-5Н-пиридо[2,3-с]пиридазин-8-ил]-3-[1-[[3-[2-[[2-гидрокси-1-(гидроксиметил)этил]-амино]этокси]-5,7-диметил-1-адамантил]метил]-5-метилпиразол-4-ил]пиридин-2-карбоновая кислота,

6-[3-(1,3-бензотиазол-2-иламино)-4-метил-6,7-дигидро-5Н-пиридо[2,3-с]пиридазин-8-ил]-3-[1-[[3-[2-[[3-гидрокси-2-(гидроксиметил)пропил]-амино]этокси]-5,7-диметил-1-адамантил]метил]-5-метилпиразол-4-ил]пиридин-2-карбоновая кислота,

6-[3-(1,3-бензотиазол-2-иламино)-4-метил-6,7-дигидро-5Н-пиридо[2,3-с]пиридазин-8-ил]-3-[1-[[3-[2-[бис(2-гидроксиэтил)амино]этокси]-5,7-диметил-1-адамантил]метил]-5-метилпиразол-4-ил]пиридин-2-карбоновая кислота,

6-[3-(1,3-бензотиазол-2-иламино)-4-метил-6,7-дигидро-5Н-пиридо[2,3-с]пиридазин-8-ил]-3-[1-[[3-[2-[бис(3-гидроксипропил)амино]этокси]-5,7-диметил-1-адамантил]метил]-5-метилпиразол-4-ил]пиридин-2-карбоновая кислота,

6-[3-(1,3-бензотиазол-2-иламино)-4-метил-6,7-дигидро-5Н-пиридо[2,3-с]пиридазин-8-ил]-3-[1-[[3-[2-[бис(4-гидроксибутил)амино]этокси]-5,7-диметил-1-адамантил]метил]-5-метилпиразол-4-ил]пиридин-2-карбоновая кислота,

6-{3-[(1,3-бензотиазол-2-ил)амино]-4-метил-6,7-дигидропиридо[2,3-с]пиридазин-8(5Н)-ил}-3-{1-[(3,5-диметил-7-{2-[(2-сульфоэтил)амино]этокси}адамантан-1-ил)метил]-5-метил-1Н-пиразол-4-ил}пиридин-2-карбоновая кислота,

6-[3-(1,3-бензотиазол-2-иламино)-4-метил-6,7-дигидро-5Н-пиридо[2,3-с]пиридазин-8-ил]-3-[1-[[3-[2-[(4-гидроксифенил)метиламино]этокси]-5,7-диметил-1-адамантил]метил]-5-метилпиразол-4-ил]пиридин-2-карбоновая кислота,

2-[3-(1,3-бензотиазол-2-иламино)-4-метил-6,7-дигидро-5Н-пиридо[2,3-с]пиридазин-8-ил]-5-[3-[4-[3-(диметиламино)проп-1-инил]-2-фторфенокси]пропил]тиазол-4-карбоновая кислота,

2-[3-(1,3-бензотиазол-2-иламино)-4-метил-6,7-дигидро-5Н-пиридо[2,3-с]пиридазин-8-ил]-5-[3-[4-[3-[[(3S)-3,4-дигидроксибутил]амино]проп-1-инил]-2-фторфенокси]пропил]тиазол-4-карбоновая кислота,

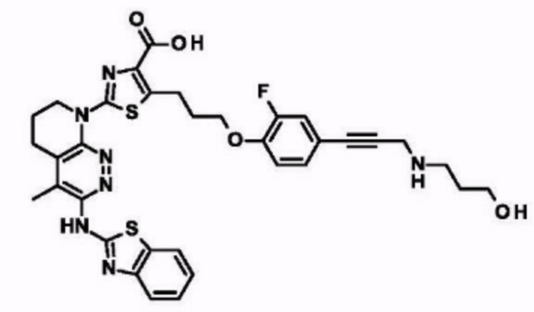
2-[3-(1,3-бензотиазол-2-иламино)-4-метил-6,7-дигидро-5Н-пиридо[2,3-с]пиридазин-8-ил]-5-[3-[2-фтор-4-[3-(3-гидроксипропиламино)проп-1-инил]фенокси]пропил]тиазол-4-карбоновая кислота,

его энантиомеры и диастереоизомеры, и их соли присоединения с фармацевтически приемлемой кислотой или основанием.

Е30. Способ получения соединения формулы (I) в соответствии с вариантом Е6, который отличается тем, что в качестве исходного вещества применяют соединение формулы (II):

причем указанное соединение формулы (II) подвергают реакции введения уходящей группы (предпочтительно с использованием йодирования) с получением соединений формулы (III):

где L.G представляет собой уходящую группу (предпочтительно атом галогена, более предпочтительно йода),

соединение формулы (III) далее подвергают реакции сочетания в водной или органической среде (предпочтительно ацетоне) в присутствии основания (предпочтительно карбоната цезия), с соединением формулы (IV):

где G1 представляет собой C16алкильную группу или (4-метоксифенил)метильную группу и представляет собой защитную группу (предпочтительно трет-бутоксикарбонильную группу),

с получением соединения формулы (V):

с аминогруппы соединения формулы (V) снимают защиту (предпочтительно, с помощью 1,1,1,3,3,3-гексафторизопропанола) с получением соединения формулы (VI):

соединение формулы (VI) подвергают реакции сочетания Сузуки в водной или органической среде в присутствии фосфин-палладиевого комплекса (предпочтительно Pd(AtaPhos)2Cl2), основания (предпочтительно CS2CO3) и соединения формулы (VII):

где R7 является таким, как определено для формулы (I), с получением соединения формулы (VIII):

соединение формулы (VIII) далее подвергают внутримолекулярной реакции сочетания Бухвальда в водной или органической среде в присутствии фосфин-палладиевого комплекса (предпочтительно Pd(AtaPhos)2Cl2) и по меньшей мере одного основания (предпочтительно Cs2CO3 и DIPEA) с получением соединения формулы (IX):

соединение формулы (IX) подвергают реакции Бухвальда в водной или органической среде в присутствии палладиевого катализатора (предпочтительно Pd2(dba)3), основания (предпочтительно DIPEA), фосфина (предпочтительно ксантфоса) и соединения формулы (X):

где R4 и m являются такими, как определено для формулы (I), с получением соединения формулы (XI):

и сложноэфирную функцию соединения формулы (XI) гидролизуют (предпочтительно, с использованием LiOH×H2O или ТФУ) с получением соединения формулы (I),

причем указанное соединение формулы (I) можно очистить согласно обычной методике разделения, можно превратить в его соли присоединения с фармацевтически приемлемой кислотой или основанием и необязательно разделить на его изомеры согласно обычной методике разделения,

при этом следует понимать, что в любое время, признанное подходящим в ходе описанного выше способа, гидрокси, амино, карбоксильные и фосфоно группы реагентов или промежуточных соединений синтеза могут быть защищены и затем лишены защиты в соответствии с требованиями синтеза.

Е31. Способ в соответствии с вариантом Е30, где группу R7 выбирают из:

где R8, R12 и R13 являются такими, как определено для формулы (I).

Е32. Способ получения соединения формулы (I) в соответствии с вариантом Е6, который отличается тем, что в качестве исходного вещества применяют соединение формулы (II):

причем указанное соединение формулы (II) подвергают реакции Мицунобу в присутствии трифенилфосфина в толуоле, подходящего агента сочетания (предпочтительно ди-трет-бутилазодикарбоксилата) и соединения формулы (XII-а) или (XII-b):

где A1, A2 и R6 являются такими, как определено для формулы (I), G1 представляет собой C16алкильную группу или (4-метоксифенил)метильную группу и представляет собой защитную группу (предпочтительно трет-бутоксикарбонильную группу),

с получением соединения формулы (XIII-a) или (XIII-b):

затем с аминогруппы соединения формулы (XIII-a) или (XIII-b) снимают защиту с получением соединения формулы (XIV-a) или (XIV-b):

(i) соединение формулы (XIV-a) далее подвергают внутримолекулярной реакции сочетания в водной или органической среде в присутствии основания (предпочтительно Cs2CO3) с получением соединения формулы (XV-a),

или

(ii) соединение формулы (XIV-b) далее подвергают внутримолекулярной реакции сочетания Бухвальда в водной или органической среде в присутствии фосфин-палладиевого комплекса (предпочтительно Pd(AtaPhos)2Cl2) и по меньшей мере одного основания (предпочтительно Cs2CO3 и DIPEA) с получением соединения формулы (XV-b),

соединение формулы (XV-a) или (XV-b) подвергают реакции Бухвальда в водной или органической среде в присутствии палладиевого катализатора (предпочтительно Pd2(dba)3), основания (предпочтительно DIPEA), фосфина (предпочтительно ксантфоса) и соединения формулы (X):

с получением соединения формулы (XVI-a) или (XVI-b):

и сложноэфирную функцию соединения формулы (XVI-a) или (XVI-b) гидролизуют (предпочтительно, с использованием LiOH×Н2О или ТФУ) с получением соединения формулы (I),

причем указанное соединение формулы (I) можно очистить согласно обычной методике разделения, можно превратить в его соли присоединения с фармацевтически приемлемой кислотой или основанием и необязательно разделить на его изомеры согласно обычной методике разделения,

при этом следует понимать, что в любое время, признанное подходящим в ходе описанного выше способа, гидрокси, амино, карбоксильные и фосфоно группы реагентов или промежуточных соединений синтеза могут быть защищены и затем лишены защиты в соответствии с требованиями синтеза.

Е33. Промежуточное соединение синтеза в соответствии с вариантом Е30 или Е31, выбранное из следующей группы соединений:

где R7 является таким, как определено для формулы (I), и G1 представляет собой C16алкильную группу, предпочтительно метильную группу, или (4-метоксифенил)метильную группу.

Е34. Промежуточное соединение синтеза в соответствии с вариантом Е32, выбранное из следующей группы соединений:

где R6 является таким, как определено для формулы (I), и G1 представляет собой C16алкильную группу, предпочтительно метильную группу, или (4-метоксифенил)метильную группу.

Е35. Соединение в соответствии с вариантом Е1, где R4 представляет собой водород, атом фтора, хлора или брома, метильую или метокси группу.

Е36. Соединение в соответствии с вариантом Е1, где R8 представляет собой группу, выбранную из водорода; линейного или разветвленного C16алкила, -NR'aR'b; -NR'a-CO-OR'c; -N+R'aR'bR'c; -O-R'c; -NH-X'2-N+R'aR'bR'c; -O-X'2-NR'aR'b; -NR'c-X'2-N3 и

E37. Соединение в соответствии с вариантом Е1, где R'a и R'b независимо друг от друга представляют собой группу, выбранную из водорода;

гетероциклоалкила; -SO2-фенила, где фенил может быть замещен линейным или разветвленным C16алкилом; линейного или разветвленного C16алкила, необязательно замещенного одной или двумя гидроксильными группами; C16алкилен-SO2OH; C16алкилен-SO2O-; C16алкилен-СООН; C16алкилен-РО(ОН)2; C16алкилен-NR'dR'е; C16алкилен-N+R'dR'eR'f; C16алкилен-О-C16алкилен-ОН; C16алкиленфенила, где фенил может быть замещен C16алкокси группой;

группы:

или R'a и R'b вместе с несущим их атомом азота образуют цикл В3, или R'a, R'b и R'c вместе с несущим их атомом азота образуют мостиковый С38 гетероциклоалкил.

Е38. Соединение в соответствии с любым из вариантов Е1 - Е27, где m=1.

Фармакологическое исследование соединений настоящего изобретения показало, что они обладают проапоптотическими свойствами. Способность ре активировать апоптотический процесс в клетках представляет большой терапевтический интерес для лечения злокачественных новообразований и иммунопатологических и аутоиммунных заболеваний. В частности, соединения в соответствии с изобретением будут полезны для лечения хемо- или радиорезистентных злокачественных новообразований.

В другом варианте осуществления, соединения настоящего изобретения можно применять для лечения заболеваний или состояний, характеризующихся чрезмерной или дерегулированной активностью тромбоцитов, в особенности, протромботических состояний.

Используемый в настоящей заявке термин "лечить" или "лечение" любого заболевания или нарушения относится в одном варианте осуществления к уменьшению интенсивности заболевания или нарушения (т.е. замедлению или прекращению или уменьшению развития заболевания или по меньшей мере одного из его клинических симптомов). В другом варианте осуществления термин "лечить" или "лечение" относится к смягчению или уменьшению интенсивности по меньшей мере одного физического параметра, включая те, которые могут не ощущаться пациентом. В еще одном варианте осуществления термин "лечить" или "лечение" относится к модуляции заболевания или нарушения, либо физически (например, стабилизация ощутимого симптома), либо физиологически (например, стабилизация физического параметра), либо и тем, и другим.

Среди намеченных в данной заявке вариантов лечения злокачественных новообразований можно упомянуть, не подразумевая какого-либо ограничения, лечение гематологических злокачественных опухолей и солидных опухолей. Гематологические злокачественные опухоли включают миелому, в особенности, множественную миелому, лимфому, в особенности, неходжкинскую лимфому (NHL) и более конкретно, диффузную В-крупноклеточную лимфому (DLBCL), и лейкоз, в особенности, хронический лимфоцитарный лейкоз (CLL), Т-клеточный острый лимфобластный лейкоз (T-ALL), В-клеточный острый лимфобластный лейкоз (B-ALL) и острый миелоцитарный лейкоз (AML). Солидные опухоли включают рак мочевого пузыря, головного мозга, молочной железы, матки, пищевода и печени, колоректальный рак, рак почки, меланому, рак яичников, рак предстательной железы, рак поджелудочной железы и рак легких, в особенности, немелкоклеточный рак легких и мелкоклеточный рак легких.

В частности, T-ALL возникает в результате лейкемической трансформации предшественников клеток тимуса и их блокировки на определенных стадиях дифференциации. Несмотря на ценную информацию, недавно полученную в результате обширных исследований молекулярных и клеточных механизмов, ответственных за возникновение и прогрессирование T-ALL, эти знания не нашли воплощения в эффективных методах таргетной терапии. Текущие клинические методы лечения включают химиотерапию, связанную или не связанную с трансплантацией гематопоэтических стволовых клеток с коэффициентами выживания, остающимися на уровне около 50 и 70% в случае взрослых и детей, соответственно. Как у детей, так и у взрослых, рецидивы демонстрируют очень плохой прогноз, что усиливает необходимость выявления новых терапевтических методов лечения (Passaro и др., Immunol. Rev. 2016 Мау; 271(1): 156-72). Было показано, что двойные ингибиторы Bcl-2/Bcl-xL, подобные АВТ-263 и АВТ-737, обладают многообещающей активностью в моделях ксенотрансплантатов, полученных от пациентов с T-ALL (Van Delft и др. Cancer Cell 2006; 10:389-99; Suryani и др., Clin. Cancer Res. 2014,20:4520-31). В других исследованиях сообщалось о дифференциальной потребности в Bcl-xL или Bcl-2 для выживаемости зрелых в сопоставлении с очень незрелыми (подгруппа ЕТР) клетками T-ALL (Chonghaile и др.. Cancer Discov. 2014; 4:1074-87). Описанный ранее селективный Bcl-xL ингибитор А-1331852, как также было показано, обладает in vitro и in vivo активностью в модели ксенотрансплантата линии зрелых T-ALL клеток Molt-4 (Leverson и др., Sci. Transl. Med. 2015 Mar 18; 7(279):279ra40). В отдельном варианте осуществления, ингибирование роста опухоли также наблюдали в модели ксенотрансплантата MOLT-4 после лечения ингибиторами Bcl-xL настоящего изобретения. Эти данные подтверждают применение соединений в соответствии с настоящим изобретением для лечения T-ALL.

Среди намеченных в данной заявке вариантов лечения аутоиммунных заболеваний можно упомянуть, не подразумевая какого-либо ограничения, лечение ревматоидного артрита (RA) и системной красной волчанки (SLE).

Настоящее изобретение также относится к фармацевтическим композициям, содержащим по меньшей мере одно соединение формулы (I), в качестве активного компонента, в комбинации с одним или несколькими фармацевтически приемлемыми наполнителями. В частности, такие фармацевтические композиции интересны для применения в качестве проапоптотических и/или антипролиферативных средств, в частности, для лечения злокачественных новообразований, а также аутоиммунных заболеваний и заболеваний иммунной системы.

Подходящие наполнители в соответствии с изобретением включают разбавители; смазывающие вещества, связующие вещества, разрыхляющие средства, стабилизаторы, консерванты, абсорбенты, красители, подсластители и ароматизирующие вещества.

В качестве неограничивающего примера могут быть упомянуты:

• в качестве разбавителей: лактоза, декстроза, сахароза, маннит, сорбит, целлюлоза, глицерин,

• в качестве смазывающих веществ: диоксид кремния, тальк, стеариновая кислота и ее магниевые и кальциевые соли, полиэтиленгликоль,

• в качестве связующих веществ: силикат магния-алюминия, крахмал, желатин, трагакант, метилцеллюлоза, натрий-карбоксиметилцеллюлоза и поливинилпирролидон,

• в качестве разрыхлителей: агар, альгиновая кислота и ее натриевая соль, шипучие смеси.

Среди фармацевтических композиций в соответствии с изобретением можно упомянуть более конкретно те, которые являются подходящими для перорального, парентерального, назального, чрес- или транскожного, ректального, перлингвального, офтальмологического или респираторного введения, в особенности, таблетки, драже, сублингвальные таблетки, капсулы, глоссеты, капсулы, пастилки, инъекционные или пригодные для питья препараты, аэрозоли, глазные капли или капли в нос, суппозитории, кремы, мази, гели для кожи.

Фактические уровни дозировки активных компонентов в фармацевтических композициях настоящего изобретения могут варьироваться с возможностью получения количества активного компонента, которое является эффективным для достижения целевого терапевтического ответа в случае конкретного пациента, композиции и способа введения, но не является токсичным для пациента. Выбранный уровень дозировки будет зависеть от ряда факторов, включая активность конкретного соединения, используемого в настоящем изобретении, путь введения, время введения, скорость выведения или метаболизма конкретного применяемого соединения, скорость и степень абсорбции, продолжительность лечения, другие лекарственные препараты, соединения и/или вещества, применяемые в комбинации с конкретным используемым соединением, возраст, пол, вес, состояние, общее состояние здоровья и предшествующий медицинский анамнез пациента, подвергающегося лечению, и подобные факторы, хорошо известные в области медицины.

Подходящая суточная доза соединения настоящего изобретения будет зависеть от описанных выше факторов и может изменяться от 0.01 мг до 2.5 г в сутки за одно или несколько введений.

В другом аспекте, настоящее изобретение также относится к комбинации соединения формулы (I) с противоопухолевым средством, выбранным из генотоксичных средств, митотических ядов, антиметаболитов, ингибиторов протеасом, ингибиторов киназ и антител, а также к фармацевтическим композициям, содержащим такой тип комбинации, и их применению для изготовления лекарственных средств для применения для лечения злокачественного новообразования.

В другом аспекте, для лечения злокачественного новообразования соединения настоящего изобретения можно применять в комбинации с радиотерапией.

Альтернативно, соединения настоящего изобретения могут быть связаны с моноклональными антителами. Конъюгаты антитела с лекарственным препаратом (ADC) представляют собой новый класс терапевтических средств, которые образуются путем химического связывания цитотоксического средства с моноклональным антителом через линкер. Моноклональное антитело из ADC селективно связывается с целевым антигеном клетки (например, раковой клетки) и высвобождает лекарственный препарат в клетку. ADC обладают терапевтическим потенциалом, поскольку они сочетают в себе специфичность антитела и цитотоксический потенциал лекарственного препарата. Тем не менее, разработка ADC в качестве терапевтических средств до сих пор имела лишь ограниченный успех из-за множества факторов, таких как неблагоприятный профиль токсичности, низкая эффективность и плохие фармакологические параметры. Соответственно, все еще существует потребность в новых ADC, которые преодолевают эти проблемы и могут селективно доставлять Bcl-xL в целевые раковые клетки.

В другом аспекте, соединения настоящего изобретения могут быть связаны с фрагментами моноклональных антител или связаны с каркасными белками, которые могут относиться или не относиться к моноклональным антителам. Фрагменты антител следует понимать как фрагменты Fv, scFv, Fab, F(ab')2, F(ab'), scFv-Fc типа или диатела, которые обычно имеют такую же специфичность связывания, что и антитело, из которого они происходят.В соответствии с настоящим изобретением, фрагменты антител настоящего изобретения можно получить исходя из антител с помощью методов, таких как переваривание ферментами, такими как пепсин или папаин, и/или посредством расщепления дисульфидных мостиков с помощью химического восстановления. Другим путем, фрагменты антител, включенных в настоящее изобретение, можно получить с использованием методик генетической рекомбинации, также хорошо известных специалисту в данной области техники, или даже посредством пептидного синтеза с помощью, например, автоматических пептидных синтезаторов, таких как те, которые поставляются компанией Applied Biosystems, и т.д.

Под каркасными белками, которые могут относиться или не относиться к моноклональным антителам, понимают белок, который содержит или не содержит укладку цепи иммуноглобулинов и который обеспечивает способность к связыванию, такую же, как и у моноклонального антитела. Специалисту в данной области техники известно, каким образом выбрать каркас белка. Более конкретно, известно, что должен быть выбран такой каркас, который будет демонстрировать несколько следующих отличительных признаков (Skerra, J. Mol. Recogn. 2000, 13, 167-187): хорошая филогенетическая консервативность, прочная архитектура с хорошо известной трехмерной молекулярной организацией (как, например, на основании кристаллографии или ЯМР), небольшой размер, отсутствие или лишь низкая степень посттрансляционных модификаций, простота получения, экспрессии и очистки. Таким каркасным белком может быть, без ограничения перечисленным, структура, выбранная из группы, состоящей из фибронектина и предпочтительно десятого домена фибронектина типа III (FNfn10), липокалина, антикалина (Skerra, J. Biotechnol. 2001, 74, 257-75), белка Z, являющегося производным из домена В стафилококкового белка А, тиоредоксина А или любого белка с повторяющимся доменом, таким как "анкириновый повтор" (Kohl и др. PNAS 2003, 100, 1700-1705), "армадилло повтор", "богатый лейцином повтор" или "тетратрикопептидный повтор". Также можно упомянуть каркас, производный из токсинов (как, например, токсины скорпиона, насекомых, растений или моллюсков) или белковых ингибиторов нейрональной синтазы оксида азота (PIN).

Следующие Примеры иллюстрируют изобретение, но не ограничивают его каким-либо образом. Все промежуточные соединения для получения соединений Примеров либо доступны для приобретения, либо могут быть получены специалистом в данной области техники с использованием обычных химических реакций, описанных в литературе.

ОБЩАЯ МЕТОДИКА

Все реагенты, полученные из коммерческих источников, использовали без дополнительной очистки. Безводные растворители получали из коммерческих источников и использовали без дополнительной сушки.

Колоночная хроматография

Автоматическую колоночную флэш-хроматографию выполняли на приборе ISCO CombiFlash® Rf 200 или CombiFlash® Rf+ Lumen™, используя колонки RediSep® Rf для флэш-хроматографии на силикагеле с нормальной фазой (35-70 мкм, 60 Å), колонки RediSep Rf Gold® для высокоэффективной хроматографии на силикагеле с нормальной фазой (20-40 мкм, 60 Å), колонки С18 RediSep® Rf для обращенно-фазовой хроматографии (40-63 мкм, 60 Å) или колонки С18 RediSep Rf Gold® для обращенно-фазовой высокоэффективной хроматографии (20-40 мкм, 100 Å).

TCX

Тонкослойную хроматографию проводили на 5 х 10 см пластинах, покрытых силикагелем Merck Type 60 F254.

Реакции в микроволновом реакторе

Нагревание микроволновым излучением выполняли в приборе СЕМ Discover® SP или одномодовом микроволновом реакторе Anton Paar.

ЯМР

1H-ЯМР измерения выполняли на спектрометре Bruker Avance III 500 МГц, спектрометре Bruker Avance III 400 МГц или спектрометре Bruker DPX-400, используя ДМСО-d6 или CDCl3 в качестве растворителя. 1H ЯМР данные представлены в виде дельта-значений, приведенных в миллионных долях (м.д.) с использованием остаточного пика растворителя (2.50 м.д. для ДМСО-d6 и 7.26 м.д. для CDCl3) в качестве внутреннего стандарта. Картины расщепления обозначены в виде: s (синглет), d (дублет), t (триплет), q (квартет), quint (квинтет), sept (септет), m (мультиплет), br s (широкий синглет), dd (дублет дублетов), td (триплет дублетов), dt (дублет триплетов), ddd (дублет дублета дублетов).

Аналитическая ЖХ-МС

Определенные соединения настоящего изобретения характеризовали с помощью высокоэффективной жидкостной хроматографии - масс-спектроскопии (ВЭЖХ-МС) на приборе Agilent HP 1200 с Agilent 6140 квадрупольным ЖХ/МС, работающем с электрораспылительной ионизацией в режиме положительных или отрицательных ионов. Диапазон сканирования молекулярных масс составлял от 100 до 1350. Параллельное УФ-детектирование проводили на длинах волн 210 нм и 254 нм. Образцы вводили в виде 1 мМ раствора в ACN или смеси ТГФ/H2O (1:1) в объеме 5 мкл с помощью петлевого дозатора. ЖХМС анализы выполняли на двух приборах, один из которых работал с основными, а другой с кислыми элюентами.

Основная ЖХМС: Gemini-NX, 3 мкм, С18, 50 мм × 3.00 мм в.д. колонка при 23°С, при скорости потока 1 мл мин-1, используя 5 мМ раствор бикарбоната аммония (Растворитель А) и ацетонитрил (Растворитель В) с градиентом, начиная со 100% Растворителя А и завершая 100% Растворителем В в течение различных/определенных промежутков времени.

Кислая ЖХМС: KINATEX XB-C18-100A, 2.6 мкм, 50 мм*2.1 мм колонка при 40°С, при скорости потока 1 мл мин-1, используя 0.02% об./об. водный раствор муравьиной кислоты (Растворитель А) и 0.02% об./об. раствор муравьиной кислоты в ацетонитриле (Растворитель В) с градиентом, начиная со 100% Растворителя А и завершая 100% Растворителем В в течение различных/определенных промежутков времени.

Определенные другие соединения настоящего изобретения были охарактеризованы с помощью ВЭЖХ-МС с использованием конкретно названных методов, как изложено ниже. В случае всех этих методов УФ-детектирование осуществляли с помощью диодно-матричного детектора на длинах волн 230, 254 и 270 нм. Вводимый объем образца составлял 1 мкл. Операции градиентного элюирования проводили, устанавливая значения скорости потока и процентного содержания компонентов смесей приведенных ниже подвижных фаз, используя растворители с чистотой «для ВЭЖХ»:

Растворитель А: 10 мМ водный раствор формиата аммония + 0.04% (об./об.) муравьиной кислоты.

Растворитель В: ацетонитрил + 5.3% (об./об.) Растворителя А + 0.04% (об./об.) муравьиной кислоты.

Значения времени удержания (RT) в этих названных методах приведено в минутах. Ионизацию регистрировали в режиме определения положительных ионов; отрицательных ионов, или в режиме с переключением определения положительных/отрицательных ионов. Конкретные детали для отдельных методов приведены ниже.

Методы ЖХМС-V-В

Использовали прибор серии Agilent 1200 SL, сопряженный с одиночным квадрупольным детектором Agilent MSD 6140 с многомодовым источником ЭРИ-ХИАД (методы ЖХМС-V-B1 и ЖХМС-V-В2), или использовали прибор серии Agilent 1290 Infinity II, связанный с Agilent TOF 6230 с источником ЭРИ-Jet Stream (метод ЖХМС-V-B1); колонка: Thermo Accucore 2.6 мкм, С18, 50 мм × 2.1 мм при 55°С. Подробные данные касательно градиента для методов ЖХМС-V-B1 и ЖХМС-V-В2:

Метод ЖХМС-V-С

Использовали прибор серии Agilent 1200 SL, сопряженный с одиночным квадрупольным детектором Agilent MSD 6140 с многомодовым источником ЭРИ-ХИАД; колонка: Agilent Zorbax Eclipse plus 3.5 мкм, C18(2), 30 мм × 2.1 мм при 35°С. Подробные данные касательно градиента для метода ЖХМС-V-C:

Препаративная ВЭЖХ

Определенные соединения настоящего изобретения очищали с помощью высокоэффективной жидкостной хроматографии (ВЭЖХ) на системе Armen Spot Liquid Chromatography или Teledyne EZ с Gemini-NX® 10 мкм C18, 250 мм × 50 мм в.д. колонкой, работая при скорости потока 118 мл мин-1 с УФ-детектором на диодной матрице (210-400 нм), и используя 25 мМ водный раствор NH4HCO3 и MeCN или 0.1% ТФУ в воде и MeCN в качестве элюентов.

Определенные другие соединения настоящего изобретения очищали с помощью ВЭЖХ с использованием конкретно названных методов, как изложено ниже:

Методы ВЭЖХ-V-А

Операции выполняли на системе автоочистки Waters FractionLynx MS, с Gemini® 5 мкм С 18(2), 100 мм × 20 мм в.д. колонкой от Phenomenex, работая при скорости потока 20 см3 мин-1 с УФ-детектором на диодной матрице (210-400 нм) и масс-направленным сбором. Масс-спектрометр представлял собой спектрометр Waters Micromass ZQ2000, работающий с электрораспылительной ионизацией в режиме положительных или отрицательных ионов с диапазоном сканирования молекулярных масс от 150 до 1000.

Метод ВЭЖХ-V-A1 (рН 4):

Растворитель А: 10 мМ водный раствор ацетата аммония + 0.08% (об./об.) муравьиной кислоты; Растворитель В: ацетонитрил + 5% (об./об.) Растворителя А + 0.08% (об./об.) муравьиной кислоты.

Метод ВЭЖХ-V-А2 (рН 9):

Растворитель А: 10 мМ водный раствор ацетата аммония + 0.08% (об./об.) конц. раствора аммиака; Растворитель В: ацетонитрил + 5% (об./об.) Растворителя А + 0.08% (об./об.) конц. раствора аммиака.

Методы ВЭЖХ-V-В

Операции выполняли на системе AccQPrep НР125 (Teledyne ISCO) с Gemini® NX 5 мкм C18(2), 150 мм × 21.2 мм в.д. колонкой от Phenomenex, работая при скорости потока 20 см3мин-1 с детектированием на УФ-детекторе (214 и 254 нм) и ИДСР.

Метод ВЭЖХ-V-B1 (pH 4):

Растворитель А: вода + 0.08% (об./об.) муравьиной кислоты; Растворитель В: ацетонитрил + 0.08% (об./об.) муравьиной кислоты. Метод ВЭЖХ-V-В2 (рН 9):

Растворитель А: вода + 0.08% (об./об.) конц. раствора аммиака; Растворитель В: ацетонитрил + 0.08% (об./об.) конц. раствора аммиака.

Метод ВЭЖХ-V-В3 (нейтральный):

Растворитель А: вода; Растворитель В: ацетонитрил.

Аналитическая ГХ-МС

Комбинированную газовую хроматографию - масс-спектрометрию низкого разрешения (ГХ-МС) выполняли на газовом хроматографе Agilent 6850 и масс-спектрометре Agilent 5975С, используя колонку 15 м × 0.25 мм с 0.25 мкм покрытием HP-5MS и гелием в качестве газа-носителя. Источник ионов: ЭИ+, 70 эВ, 230°С, квадруполь: 150°С, интерфейс: 300°С.

МС высокого разрешения

Масс-спектры высокого разрешения получали на времяпролетном масс-спектрометре Agilent 6230, оснащенном электрораспылительным источником ионов Jet Stream, работая в режиме определения положительных ионов. Вводимый объем 0.5 мкл направляли в масс-спектрометр при скорости потока 1.5 мл/мин (программа градиента: 5 мМ формиат аммония в воде и ацетонитрил), используя ВЭЖХ систему Agilent 1290 Infinity. Параметры Jet Stream: скорость потока и температура сушильного газа (N2): 8.0 л/мин и 325°С, соответственно; давление распыляющего газа (N2): 30 фунтов на кв. дюйм; капиллярное напряжение: 3000 В; скорость потока и температура защитного газа: 325°С и 10.0 л/мин; TOFMS параметры: напряжение фрагментора: 100 В; потенциал скиммера: 60 В; ОСТ 1 RF Vpp: 750 В. Масс-спектры при полном сканировании получали в диапазоне m/z 105-1700 при скорости сбора данных 995.6 мс/спектр и обрабатывали с помощью программного обеспечения Agilent MassHunter В.04.00.

Название химических соединений

Предпочтительные названия по номенклатуре IUPAC генерировали, используя ChemAxon's 'Structure to Name' (s2n) функцию в рамках MarvinSketch или JChem for Excel (JChem версий 16.6.13 - 18.22.3), или с помощью функции генерирования названий химических соединений, обеспеченной Biovia® Draw 4.2.

Сокращения

Ahxмономер 6-гексановой кислоты Ahxмономер 6-гексановой кислоты AgOTfтрифторметансульфонат серебра AgOTfтрифторметансульфонат серебра tBuOHтрет-бутанол BuOHтрет-бутанол конц.концентрированный конц.концентрированный СуОНциклогексанол СуОНциклогексанол dba(1Е,4Е)- 1,5-дифенилпента-1,4-диен-3-он, dba(1Е,4Е)- 1,5-дифенилпента-1,4-диен-3-он, дибензилиденацетон ДХМдихлорметан ДХМдихлорметан DIPA N-изопропилпропан-2-амин, диизопропиламин DIPEA N-этил-N-изопропилпропан-2-амин, диизопропилэтиламин DMAP4-диметиламинопиридин DMAP4-диметиламинопиридин ееэнантиомерный избыток ееэнантиомерный избыток экв.эквивалент экв.эквивалент EtOAcэтилацетат EtOAcэтилацетат HF×Pyrфтороводород - пиридин Pyrфтороводород - пиридин hsгомо сапиенс hsгомо сапиенс LDAдиизопропиламид лития LDAдиизопропиламид лития MeCNацетонитрил MeCNацетонитрил МеОНметанол МеОНметанол NMP N-метил-2-пирролидон Pd(AtaPhos)2Cl2 бис(ди-трет-бутил(4-диметиламинофенил)фосфин)-дихлорпалладий(II) к.т.комнатная температура к.т.комнатная температура RTвремя удержания (в минутах) RTвремя удержания (в минутах) в.н.в течение ночи в.н.в течение ночи TBAFфторид тетрабутиламмония TBAFфторид тетрабутиламмония ТВАОНгидроксид тетрабутиламмония ТВАОНгидроксид тетрабутиламмония TBDPS-Cl трет-бутилхлордифенилсилан TBSCl трет-бутилхлордиметилсилан TEA N,N-диэтилэтанамин ТФУ2,2,2-трифторуксусная кислота ТФУ2,2,2-трифторуксусная кислота pTSA4-метилбензолсульфоновая кислота pTSA4-метилбензолсульфоновая кислота ТГФтетрагидрофуран ТГФтетрагидрофуран TMP-MgClраствор комплекса хлорид 2,2,6,6-тетраметил-пиперидинилмагния - хлорид лития TMP-MgClраствор комплекса хлорид 2,2,6,6-тетраметил-пиперидинилмагния - хлорид лития DIADдиизопропилазодикарбоксилат DIADдиизопропилазодикарбоксилат ксантфос4,5-бис(дифенилфосфино)-9,9-диметилксантен ксантфос4,5-бис(дифенилфосфино)-9,9-диметилксантен бреттфос2-(дициклогексилфосфино)-3,6-диметокси-2 бреттфос2-(дициклогексилфосфино)-3,6-диметокси-2',4',6'-триизопропил-1,1'-бифенил джозифос(2R)-1-[(1R)-1-(дициклогексилфосфино)этил]-2-(дифенилфосфино)ферроцен джозифос(2R)-1-[(1R)-1-(дициклогексилфосфино)этил]-2-(дифенилфосфино)ферроцен джозифос Pd G3метансульфонат {( джозифос Pd G3метансульфонат {(R)-1-[(SP)-2-(дициклогексил-фосфино)ферроценил]этилди-трет-бутилфосфин}[2-(2'-амино-1,1'-бифенил)] палладия(II) ксантфос Pd G3метансульфонат [(4,5-бис(дифенилфосфино)-9,9-диметилксантен)-2-(2 ксантфос Pd G3метансульфонат [(4,5-бис(дифенилфосфино)-9,9-диметилксантен)-2-(2'-амино-1,1'-бифенил)]палладия(II) BINAP2,2 BINAP2,2'-бис(дифенилфосфино)-1,1'-бинафтил рац-BINAP Pd G3метансульфонат [(2,2 рац-BINAP Pd G3метансульфонат [(2,2'-бис(дифенилфосфино)-1,1'-бинафтил)-2-(2'-амино-1,1'-бифенил)]палладия(II) Pd(dppf)Cl2.CH2Cl2 [1,1'-бис(дифенилфосфино)ферроцен]дихлор-палладий(II) Pd2(dba)3 трис(дибензилиденацетон)дипалладий(0)

Методики с общеизвестным названием

Ниже приведены репрезентативные экспериментальные методики, которые упоминаются под названиями в следующих Синтезах.

Общая методика проведения реакции Соногаширы

Смесь 1 экв. арилгалогенида, 2 экв. ацетилена, 0.05 экв. Pd(PPh3)2Cl2, 0.05 экв. CuI и DIPA (1 мл/ммоль) в ТГФ (5 мл/ммоль) выдерживали при 60°С. После достижения подходящей степени превращения летучие вещества удаляли при пониженном давлении, и сырое промежуточное соединение очищали с помощью флэш-хроматографии с использованием гептана/EtOAc в качестве элюентов.

Общая методика снятия защиты посредством HFIP

Субстрат в HFIP (10 мл/ммоль) выдерживали при 100-120°С в сосуде для реакций под давлением. После достижения подходящей степени превращения летучие вещества удаляли при пониженном давлении, и сырое промежуточное соединение очищали с помощью флэш-хроматографии с использованием гептана/EtOAc в качестве элюентов.

Общая методика снятия защиты и гидролиза

Смесь 1 экв. субстрата и 100 экв. HFxPyr в MeCN (15 мл/ммоль) перемешивали при 60°С. После достижения подходящей степени превращения, летучие вещества удаляли при пониженном давлении, остаток суспендировали в 1:1 смеси ТГФ - вода (30 мл/ммоль), добавляли 150 экв. LiOH × Н2О, и смесь перемешивали при к.т. После достижения подходящей степени превращения, летучие вещества удаляли при пониженном давлении и сырой продукт очищали с помощью флэш-хроматографии, используя ДХМ и МеОН (содержащий 1.2% NH3) в качестве элюентов.

Общая методика алкилирования

Смесь 1 экв. фенола/карбамата, 1-2 экв. алкил-йодида/бромида и 2-3 экв. Cs2CO3 в ацетоне (5 мл/ммоль) перемешивали при к.т. в случае фенолов и при 55°С в случае карбаматов. После достижения подходящей степени превращения летучие вещества удаляли при пониженном давлении, и сырое промежуточное соединение очищали с помощью флэш-хроматографии с использованием гептана/EtOAc в качестве элюентов.

Общая методика алкилирования тозилатом

Высушенный в сушильном шкафу сосуд оснащали якорем магнитной мешалки с покрытием из ПТФЭ, и в него загружали 1 экв. тозилата и 5 экв. подходящего амина, суспендированных в MeCN (5 мл/ммоль). Реакционную смесь затем нагревали до 50°С и перемешивали при этой температуре до тех пор, пока не перестали наблюдать дальнейшее превращение. Реакционную смесь разбавляли с помощью ДХМ и затем ее вводили в колонку с предварительно кондиционированным ДХМ силикагелем. Затем сырой продукт очищали с помощью флэш-хроматографии, используя ДХМ и МеОН (1.2% NH3) в качестве элюентов.

Общая методика алкилирования силил-защищенных фенолов

Смесь 1 экв. силил-защищенного фенол, 1 экв. алкилйодида и 1.15 экв. TBAF (1M в ТГФ) в ТГФ (2 мл/ммоль) перемешивали при к.т. После достижения подходящей степени превращения летучие вещества удаляли при пониженном давлении, и сырое промежуточное соединение очищали с помощью флэш-хроматографии с использованием гептана/EtOAc в качестве элюентов.

Общая методика I проведения реакции Бухвальда

Смесь 1 экв. хлорсодержащего субстрата, 2 экв. 1,3-бензотиазол-2-амина, 0.1 экв. Pd2(dba)3, 0.2 экв. ксантфоса и 3 экв. DIPEA в СуОН (5 мл/ммоль) выдерживали при 140°С. После достижения подходящей степени превращения, реакционную смесь разбавляли с помощью ДХМ (10 мл/ммоль), вводили в колонку с предварительно кондиционированным силикагелем и очищали с помощью флэш-хроматографии с использованием гептана/EtOAc в качестве элюентов.

Общая методика II проведения реакции Бухвальда

Смесь хлорсодержащего соединения, 2 экв. 1,3-бензотиазол-2-амина, 10 мол.% джозифос Pd (G3) и 3 экв. DIPE, суспендированных в 1,4-диоксане (5 мл/ммоль), перемешивали при нагревании с обратным холодильником до тех пор, пока не перестали наблюдать дальнейшее превращение. К реакционной смеси добавляли целит, и летучие вещества удаляли при пониженном давлении. Затем сырой продукт очищали с помощью флэш-хроматографии на 120 г силикагелевой колонке с использованием гептана-EtOAc или ДХМ-МеОН (1.2% NH3) в качестве элюентов.

Общая методика проведения реакции Мицунобу

К смеси 1 экв. алифатического спирта, 1 экв. карбамата/фенола и 1 экв. трифенилфосфина в толуоле (5 мл/ммоль) добавляли 1 экв. ди-трет-бутилазодикарбоксилата. Смесь перемешивали при 50°С в случае карбамата и при к.т. в случае фенола. После достижения подходящей степени превращения летучие вещества удаляли при пониженном давлении, и сырое промежуточное соединение очищали с помощью флэш-хроматографии с использованием гептана/EtOAc в качестве элюентов.

Общая методика проведения реакция Финкельштайна

Смесь 1 экв. алкилхлорида и 2 экв. Nal в ацетоне (5 мл/ммоль) выдерживали при нагревании с обратным холодильником. После достижения подходящей степени превращения летучие вещества удаляли при пониженном давлении, и сырое промежуточное соединение очищали с помощью флэш-хроматографии с использованием гептана/EtOAc в качестве элюентов.

Общая методика образования четвертичной соли

Высушенный в сушильном шкафу сосуд оснащали якорем магнитной мешалки с покрытием из ПТФЭ, и в него загружали 1 экв. тозилата и 20 экв. подходящего амина, суспендированных в СуОН (5 мл/ммоль). Реакционную смесь затем нагревали до 140°С и перемешивали при этой температуре до тех пор, пока не перестали наблюдать дальнейшее превращение. Реакционную смесь разбавляли с помощью ДХМ и затем ее вводили в колонку с предварительно кондиционированным ДХМ силикагелем. Затем сырой продукт очищали с помощью флэш-хроматографии, используя ДХМ и МеОН (1.2% NH3) в качестве элюентов.

Общая методика снятия защиты с четвертичной соли

К раствору подходящей четвертичной соли в ТГФ (5 мл/ммоль) добавляли 3 экв. TBAF, и затем смесь перемешивали при к.т. до тех пор, пока не перестали наблюдать дальнейшее превращение. Реакционную смесь упаривали досуха при пониженном давлении. К суспензии 1 экв. десилилированной четвертичной соли в сухом MeCN (15 мл/ммоль) добавляли 100 экв. HF х Pyr, и затем смесь перемешивали при 60°С. После достижения подходящей степени превращения, летучие вещества удаляли при пониженном давлении, остаток суспендировали в 1: 1 смеси ТГФ - вода (30 мл/ммоль), добавляли 150 экв. LiOH х H2O, и смесь перемешивали при к.т. После достижения подходящей степени превращения, летучие вещества удаляли при пониженном давлении. Сырой продукт очищали с помощью флэш-хроматографии, используя ДХМ и МеОН (содержащий 1.2% NH3) в качестве элюентов.

Общая методика получения пропаргилового амина

Высушенный в сушильном шкафу сосуд оснащали якорем магнитной мешалки с покрытием из ПТФЭ, и в него загружали 2 экв. PPh3 и 2 экв. имидазола, затем добавляли ДХМ (5 мл/ммоль). К полученной в результате смеси порциями добавляли 2 экв. йода, и затем перемешивали в течение 15 мин при к.т. К полученной в результате смеси добавляли 1 экв. подходящего спирта, растворенного в ДХМ, и перемешивали при к.т. до тех пор, пока не перестали наблюдать дальнейшее превращение. К образовавшемуся йодсодержащему соединению добавляли 20 экв. подходящего амина, и затем смесь перемешивали при к.т. в течение 30 мин - до тех пор, пока не наблюдали полной степени превращения. К реакционной смеси добавляли целит, и летучие вещества удаляли при пониженном давлении. Затем сырой продукт очищали с помощью флэш-хроматографии, используя ДХМ и МеОН (1.2% NH3) в качестве элюентов.

Общая методика катализируемого серебром получения пропаргилового амина

24 мл сосуд оснащали якорем мешалки, и в него загружали 1 экв. 2-[3-(1,3-бензотиазол-2-иламино)-4-метил-6,7-дигидро-5Н-пиридо[2,3-с]пиридазин-8-ил]-5-[3-(4-этинил-2-фторфенокси)пропил]тиазол-4-карбоновой кислоты, 20 экв. параформальдегида в ацетоне и 20 экв. подходящего амина, и смесь перемешивали в сухом этаноле (5 мл/ммоль) в присутствии 20 мол.% тозилата серебра при 80°С до тех пор, пока не перестали наблюдать дальнейшее превращение. К реакционной смеси добавляли целит, и летучие вещества удаляли при пониженном давлении. Затем сырой продукт очищали с помощью флэш-хроматографии, используя ДХМ и МеОН (1.2% NH3) в качестве элюентов.

Общая методика гидролиза

Подходящий сложный метиловый эфир суспендировали в 1: 1 смеси ТГФ - вода (5 мл/ммоль) и добавляли 10 экв. LiOH х Н2О, и смесь перемешивали при 50°С. После достижения подходящей степени превращения летучие вещества удаляли при пониженном давлении и сырой продукт очищали с помощью флэш-хроматографии, используя ДХМ и МеОН (содержащий 1.2% NH3) в качестве элюентов.

Общая методика проведения реакции замещения амина и гидролиза

К продукту любого из Синтезов 12, 13 и 14 в 1: 1 смеси ацетонитрила и N-метил-2-пирролидона (10 мл/ммоль), добавляли подходящий амин (3-10 экв.), и реакционную смесь перемешивали при 50°С в течение 2-24 ч. После очистки продукта замещения с помощью колоночной хроматографии (силикагель, с использованием ДХМ и МеОН в качестве элюентов), продукт растворяли в ТГФ (10 мл/ммоль), и добавляли воду (2 мл/ммоль) и LiOH×Н2О (3-5 экв). Затем реакционную смесь перемешивали при 20-40°С в течение 1-4 ч. Гидролизованный продукт очищали с помощью препаративной ВЭЖХ (с использованием ацетонитрила и 5 мМ водного раствора NH4HCO3 в качестве элюентов) с получением целевого продукта.

Синтезы

Следующие ниже детали экспериментов описывают получение синтетических промежуточных соединений.

Синтез 1а: Метил 2-(трет-бутоксикарбониламино)-5-[3-(2-фтор-4-йодфенокси)пропил]тиазол-4-карбоксилат

Стадия А: метил 2-(трет-бутоксикарбониламино)-5-йодтиазол-4-карбоксилат

50.00 г метил 2-(трет-бутоксикарбониламино)тиазол-4-карбоксилата (193.55 ммоль, 1 экв.) суспендировали в 600 мл сухого MeCN. Добавляли 52.25 г N-йодсукцинимида (232.30 ммоль), и полученную в результате смесь перемешивали в течение ночи при комнатной температуре.

Реакционную смесь разбавляли насыщенным соляным раствором, и затем экстрагировали с помощью EtOAc. Объединенные органические слои экстрагировали 1 М раствором Na2S2O3 и затем снова соляным раствором. Затем сушили над Na2SO4, фильтровали и фильтрат концентрировали при пониженном давлении. Сырой продукт очищали с помощью флэш-хроматографии с использованием гептана в качестве элюента с получением 60 г целевого продукта (156 ммоль, выход 80%).

1H ЯМР (400 МГц, ДМСО-d6): δ м.д. 12.03/11.06 (br s), 3.78 (s, 3Н), 1.47 (s, 9Н); 13С ЯМР (100 МГц, ДМСО-d6) δ м.д. 153.8, 82.5, 77.7, 52.3, 28.3; МСВР-ЭРИ (m/z): [М+Н]+, рассчитано для C10H14IN2O4S: 384.9713; найдено: 384.9708.

Стадия В: метил 2-(трет-бутоксикарбониламино)-5-(3-гидроксипроп-1-инил)тиазол-4-карбоксилат

500 мл высушенную в сушильном шкафу, одногорлую, круглодонную колбу оснащали якорем магнитной мешалки с покрытием из ПТФЭ, и устанавливали обратный холодильник. В нее загружали 9.6 г продукта со Стадии А (25 ммоль, 1 экв.), 2.80 г проп-2-ин-1-ола (2.91 мл, 50 ммоль, 2 экв.) и 36.10 г DIP А (50 мл, 356.8 ммоль, 14.27 экв.), затем добавляли 125 мл сухого ТГФ и систему продували аргоном. После 5 минут перемешивания в инертной атмосфере добавляли 549 мг Pd(PPh3)2Cl2 (1.25 ммоль, 0.05 экв.) и 238 мг CuI (1.25 ммоль, 0.05 экв.). Полученную в результате смесь затем нагревали до 60°С и перемешивали при этой температуре до тех пор, пока не перестали наблюдать дальнейшее превращение. К реакционной смеси добавляли целит, и летучие вещества удаляли при пониженном давлении. Затем сырой продукт очищали с помощью флэш-хроматографии с использованием гептана и EtOAc в качестве элюентов с получением 7.30 г целевого продукта (23 ммоль, выход 93%) в виде желтого твердого вещества.

1H ЯМР (400 МГц, ДМСО-d6): δ м.д. 12.1 (br s, 1Н), 5.45 (t, 1H), 4.36 (d, 2Н), 3.79 (s, 3H), 1.48 (s, 9Н); 13С ЯМР (100 МГц, ДМСО-d6) 5 м.д. 12.1 (br s, 1Н), 5.45 (t, 1H), 4.36 (d, 2H), 3.79 (s, 3H), 1.48 (s, 9H); МСВР-ЭРИ (m/z): [M+H]+, рассчитано для C13H17N2O5S: 313.0852, найдено: 313.0866.

Стадия С: метил 2-(трет-бутоксикарбониламино)-5-(3-гидроксипропил)тиазол-4-карбоксилат

В 1 л высушенный в сушильном шкафу сосуд для реакций под давлением, оснащенный якорем магнитной мешалки с покрытием из ПТФЭ, загружали 44.75 г продукта со Стадии В (143.3 ммоль, 1 экв.) и 7.62 Pd/C (7.17 ммоль, 0.05 экв.) в 340 мл этанола, и затем создавали в нем атмосферу азота, используя систему гидрирования. После этого сосуд заполняли газообразным Н2 при давлении 4 бар, и перемешивали при к.т. в течение ночи. Наблюдали полную степень превращения, однако образовался только олефиновый продукт. После отфильтровывания катализатора через набивку целита, всю процедуру повторяли с 5 мол.% нового катализатора. Полученную в результате смесь перемешивали в течение ночи с обеспечением полной степени превращения. К реакционной смеси добавляли целит, и летучие вещества удаляли при пониженном давлении. Затем сырой продукт очищали с помощью колоночной флэш-хроматографии с использованием гептана и EtOAc в качестве элюентов с получением 31.9 г целевого продукта (101 ммоль, выход 70.4%) в виде светло-желтых кристаллов.

1H ЯМР (500 МГц, ДМСО-d6): δ м.д. 11.61 (br s, 1Н), 4.54 (t, 1H), 3.76 (s, 3H), 3.43 (m, 2Н), 3.09 (t, 2Н), 1.74 (m, 2Н), 1.46 (s, 9Н); 13С ЯМР (125 МГц, ДМСО-d6) δ м.д. 162.8, 143.1, 135.4, 60.3, 51.9, 34.5, 28.3, 23.4; МСВР-ЭРИ (m/z): [М+Н]+, рассчитано для C13H21N2O5S: 317.1165, найдено: 317.1164 (М+Н).

Стадия D: метил 2-(трет-бутоксикарбониламино)-5-[3-(2-фтор-4-йодфенокси)пропил]тиазол-4-карбоксилат

В 250 мл высушенную в сушильном шкафу, одногорлую, круглодонную колбу, оснащенную якорем магнитной мешалки с покрытием из ПТФЭ, загружали 3.40 г 2-фтор-4-йодфенола (14 ммоль, 1 экв.), 5.00 г продукта со Стадии С (16 ммоль, 1.1 экв.) и 4.10 г PPh3 (16 ммоль, 1.1 экв.), растворенных в 71 мл сухого толуола. После 5 мин перемешивания в атмосфере азота, одной порцией добавляли 3.10 мл DIAD (3.20 г, 16 ммоль, 1.1 экв.), нагревая при этом реакционную смесь. Затем реакционную смесь нагревали до 50°С и перемешивали при этой температуре в течение 30 мин, во время чего реакция достигла полной степени превращения.

Реакционную смесь непосредственно вводили в колонку с предварительно кондиционированным силикагелем, и затем сырой продукт очищали с помощью флэш-хроматографии с использованием гептана и EtOAc в качестве элюентов. Сырой продукт кристаллизовали из МеОН с получением 4.64 г целевого продукта (9.24 ммоль, выход 66%).

1H ЯМР (500 МГц, ДМСО-d6) δ м.д. 11.64 (br s, 1H), 7.59 (dd, 1Н), 7.45 (dd, 1H), 6.98 (t, 1H), 4.06 (t, 2H), 3.73 (s, 3H), 3.22 (t, 2H), 2.06 (m, 2H), 1.46 (s, 9H); 13C ЯМР (125 МГц, ДМСО-d6) δ м.д. 134, 124.9, 117.6, 68.2, 51.9, 30.5, 28.3, 23.2; МСВР-ЭРИ (m/z): [M+H]+, рассчитано для C19H23N2O5FSI: 537.0350; найдено: 537.0348.

Синтез 1b: Метил 2-(трет-бутоксикарбониламино)-5-[3-[4-[3-[трет-бутоксикарбонил(метил)амино]проп-1-инил]-2-фторфенокси]пропил]тиазол-4-карбоксилат

500 мл высушенную в сушильном шкафу, одногорлую, круглодонную колбу оснащали якорем магнитной мешалки с покрытием из ПТФЭ, и устанавливали обратный холодильник. В нее загружали 13.41 г продукта Синтеза 1а (25 ммоль, 1 экв.), 8.46 г трет-бутил N-метил-N-проп-2-инилкарбамата (50 ммоль, 2 экв.) и 50 мл DIPA (36.10 г, 50 мл, 356.8 ммоль, 14.27 экв.), затем добавляли 125 мл сухого ТГФ и систему продували аргоном. После 5 минут перемешивания в инертной атмосфере, добавляли 549 мг Pd(PPh3)2Cl2 (1.25 ммоль, 0.05 экв.) и 238 мг CuI (1.25 ммоль, 0.05 экв.). Полученную в результате смесь затем нагревали до 60°С и перемешивали при этой температуре до тех пор, пока не перестали наблюдать дальнейшее превращение. К реакционной смеси добавляли целит, и летучие вещества удаляли при пониженном давлении. Затем сырой продукт очищали с помощью флэш-хроматографии с использованием гептана и EtOAc в качестве элюентов с получением 10.5 г целевого продукта (18.2 ммоль, выход 72.7%).

1H ЯМР (500 МГц, ДМСО-d6) δ м.д. 11.65 (br s, 1H), 7.31 (br d, 1Н), 7.21 (br d, 1Н), 7.14 (t, 1Н), 4.23 (s, 2Н), 4.1 (t, 2Н), 3.73 (s, 3H), 3.23 (t, 2Н), 2.86 (s, 3H), 2.07 (m, 2Н), 1.46/1.41 (s, 18Н); 13С ЯМР (125 МГц, ДМСО-d6) δ м.д. 129.1, 119.2, 115.4, 68.1, 51.9, 38.6, 33.8, 30.5, 23.2; МСВР-ЭРИ (m/z): [М+Н]+, рассчитано для C28H37FN3O7S: 578.2330; найдено: 578.2331.

Синтез 1с: Метил 2-(трет-бутоксикарбониламино)-5-[3-[4-[3-(диметиламино)проп-1-инил]-2-фторфенокси]пропил]тиазол-4-карбоксилат

250 мл высушенную в сушильном шкафу, одногорлую, круглодонную колбу оснащали якорем магнитной мешалки с покрытием из ПТФЭ и устанавливали обратный холодильник. В нее загружали 5.36 г продукта Синтеза 1а (10 ммоль, 1 экв.), 1.66 г N,N-диметилпроп-2-ин-1-амина (20 ммоль, 2 экв.) и 20 мл DIPA (142.7 ммоль, 14.27 экв.), затем добавляли 50 мл сухого ТГФ и систему продували аргоном. После 5 минут перемешивания в инертной атмосфере, добавляли 220 мг Pd(PPh3)2Cl2 (0.5 ммоль, 0.05 экв.) и 95 мг CuI (0.5 ммоль, 0.05 экв.). Полученную в результате смесь затем нагревали до 60°С и перемешивали при этой температуре до тех пор, пока не перестали наблюдать дальнейшее превращение. К реакционной смеси добавляли целит, и летучие вещества удаляли при пониженном давлении. Затем сырой продукт очищали с помощью флэш-хроматографии, используя ДХМ и МеОН (1.2% NH3) в качестве элюентов с получением 4.5 г целевого продукта (7.8 ммоль, выход 78%).

1H ЯМР (500 МГц, ДМСО-d6) δ м.д. 11.66 (s, 1H), 7.29 (dd, 1H), 7.19 (m, 1H), 7.12 (t, 1H), 4.09 (t, 2H), 3.73 (s, 3H), 3.44 (s, 2H), 3.23 (t, 2H), 2.24 (s, 6H), 2.07 (m, 2H), 1.45 (s, 9H); 13C ЯМР (125 МГц, ДМСО-d6) δ м.д. 162.8, 147.3, 129, 119.2, 115.4, 84.3, 68, 51.9, 48.1, 44.2, 30.6, 28.3, 23.2; МСВР-ЭРИ (m/z): [M+H]+, рассчитано для C24H31FN3O5S: 492.1962; найдено: 492.1956 (М+Н).

Синтез 1d: Метил 2-{[(трет-бутокси)карбонил]амино}-5-(3-йодпропил)-1,3-тиазол-4-карбоксилат

К раствору продукта Синтеза 1а, Стадия С (5 г, 15.8 ммоль, 1 экв.), в диэтиловом эфире (175 мл) и ацетонитриле (35 мл) добавляли имидазол (1.57 мл, 23.71 ммоль, 1.5 экв.) с последующим добавлением трифенилфосфина (3.73 г, 14.22 ммоль, 1.5 экв.) и йода (6.02 г, 23.71 ммоль, 1.5 экв.). Смесь перемешивали при температуре окружающей среды в течение 1 ч. Реакционную смесь распределяли между этилацетатом (150 мл) и 10% водным раствором тиосульфата натрия (250 мл), и органическую фазу последовательно промывали водой (200 мл) и соляным раствором (150 мл), сушили (сульфат магния) и концентрировали в вакууме. Остаток растворяли в диэтиловом эфире и оставляли стареть при температуре холодильника в течение ночи. Получающиеся в результате кристаллы удаляли путем фильтрования и фильтрат концентрировали в вакууме. Очистка с помощью автоматической флэш-хроматографии (Combiflash Rf, 80 г силикагелевая колонка RediSep) с элюированием с градиентом 0-50% этилацетата в изогептане приводила к получению целевого продукта (5.77 г, 13.53 ммоль, 85%) в виде белого твердого вещества.

ЖХ/МС (C13H19IN2O4S) 427 [М+Н]+; RT 0.88 (ЖХМС-V-В2)

1H ЯМР (400 МГц, ДМСО-d6) δ 11.67 (s, 1H), 3.79 (s, 3H), 3.29 (t, J=6.8 Гц, 2Н), 3.20-3.12 (m, 2Н), 2.09 (dq, J=8.7, 6.8 Гц, 2Н), 1.48 (s, 9Н).

Синтез 2а: 3-(3,6-Дихлор-5-метилпиридазин-4-ил)пропан-1-ол

Стадия А: [(пент-4-ин-1-илокси)метил]бензол

В высушенную в сушильном шкафу колбу загружали 4-пентин-1-ол (11.1 мл, 119 ммоль, 1 экв.) в ТГФ (100 мл), и раствор охлаждали до 0°С. Порциями добавляли гидрид натрия (60% дисперсия; 7.13 г, 178 ммоль, 1.5 экв.), и смеси давали перемешиваться в течение 30 мин при 0°С, после чего по каплям добавляли бензилбромид (15.6 мл, 131 ммоль, 1.1 экв.). Смеси давали нагреться до температуры окружающей среды и перемешивали в течение 16 ч, затем охлаждали до 0°С, гасили насыщенным водным раствором хлорида аммония (30 мл) и разбавляли водой (30 мл). Смесь экстрагировали этилацетатом (2 × 150 мл) и объединенные органические экстракты последовательно промывали разбавленным водным раствором гидроксида аммония (150 мл) и соляным раствором (100 мл), сушили (сульфат магния) и концентрировали в вакууме. Очистка с помощью автоматической колоночной флэш-хроматографии (CombiFlash Rf, 330 г силикагелевый картридж RediSep™) с элюированием с градиентом 0-10% этилацетата в изогептане приводила к получению целевого продукта в виде желтой жидкости (19.5 г, 112 ммоль, 94%).

ЖХ/МС (С12Н14О) 175 [М+Н]+; RT 1.28 (ЖХМС-V-B1)

1H ЯМР (400 МГц, хлороформ-d) δ 7.37-7.32 (m, 4Н), 7.31-7.27 (m, 1Н), 4.52 (s, 2Н), 3.58 (t, J=6.1 Гц, 2Н), 2.32 (td, J=7.1, 2.6 Гц, 2Н), 1.95 (t, J=2.7 Гц, 1H), 1.83 (tt, J=7.1, 6.2 Гц, 2Н).

Стадия В: [(гекс-4-ин-1-илокси)метил]бензол

В высушенную в сушильном шкафу колбу загружали продукт со Стадии А (19.5 г, 112 ммоль, 1 экв.) и тетрагидрофуран (200 мл), и раствор охлаждали до -78°С. По каплям добавляли н-бутиллитий (66.9 мл, 135 ммоль, 1.2 экв.) в течение 30 мин, реакционную смесь перемешивали в течение 1 ч, затем по каплям добавляли йодметан (10.5 мл, 168 ммоль, 1.5 экв.) и смеси давали нагреться до 0°С в течение 1 ч. Реакционную смесь гасили путем добавления насыщенного водного раствора хлорида аммония (40 мл), разбавляли водой (40 мл), экстрагировали этилацетатом (3 × 100 мл) и объединенные органические экстракты последовательно промывали 2М водным раствором тиосульфата натрия (200 мл) и соляным раствором (200 мл), сушили (сульфат магния) и концентрировали в вакууме. Очистка с помощью автоматической колоночной флэш-хроматографии (CombiFlash Rf, 330 г силикагелевый картридж RediSep™) с элюированием с градиентом 0 - 10% этилацетата в изогептане приводила к получению целевого продукта в виде желтой жидкости (19.2 г, 0.1 моль, 91%).

ЖХ/МС (C13H16O) 189 [М+Н]+; RT 1.34 (ЖХМС-V-B1)

1H ЯМР (400 МГц, ДМСО-d6) δ 7.41-7.23 (m, 5Н), 4.46 (s, 2Н), 3.48 (t, J=6.3 Гц, 2Н), 2.23-2.14 (m, 2Н), 1.72 (s, 3H), 1.70-1.65 (m, 2Н).

Стадия С: 4-[3-(бензилокси)пропил]-3,6-дихлор-5-метилпиридазин

Раствор 3,6-дихлор-1,2,4,5-тетразина (5 г, 33.1 ммоль, 1 экв.) и продукта со Стадии В (7.48 г, 39.8 ммоль, 1.2 экв.) в тетрагидрофуране (30 мл) нагревали при 160°С в течение 19 ч в закупоренной колбе. Реакционной смеси давали охладиться до температуры окружающей среды и затем концентрировали в вакууме. Очистка с помощью автоматической колоночной флэш-хроматографии (CombiFlash Rf, 220 г силикагелевый картридж RediSep™) с элюированием с градиентом 0-30% этилацетата в изогептане приводила к получению целевого продукта в виде оранжевого масла (7.32 г, 23.5 ммоль, 71%).

ЖХ/МС (C15H16Cl2N2O) 311 [М+Н]+; RT 1.35 (ЖХМС-V-B1)

1H ЯМР (400 МГц, ДМСО-d6) δ 7.45-7.18 (m, 5Н), 4.48 (s, 2Н), 3.53 (t, J=5.9 Гц, 2Н), 2.96-2.83 (m, 2Н), 2.42 (s, 3H), 1.88-1.69 (m, 2Н).

Стадия D: 3-(3,6-дихлор-5-метилпиридазин-4-ил)пропан-1-ол

К охлажденному раствору продукта со Стадии С (7.32 г, 23.5 ммоль, 1 экв.) в дихлорметане (100 мл) по каплям добавляли раствор трихлорида бора (1M в дихлорметане; 58.8 мл, 58.8 ммоль, 2.5 экв.), и смеси давали перемешиваться при температуре окружающей среды в течение 1 ч. Реакционную смесь гасили путем добавления метанола и концентрировали в вакууме. Остаток распределяли между дихлорметаном (100 мл) и насыщенным водным раствором бикарбоната натрия (150 мл), и органическую фазу промывали соляным раствором (150 мл), сушили (сульфат магния) и концентрировали в вакууме. Очистка с помощью автоматической колоночной флэш-хроматографии (CombiFlash Rf, 80 г силикагелевый картридж RediSep™) с элюированием с градиентом 0 - 80% этилацетата в изогептане приводила к получению целевого продукта в виде желтого масла (4.19 г, 19 ммоль, 81%).

ЖХ/МС (C8H10Cl2N2O) 221 [М+Н]+; RT 0.84 (ЖХМС-V-B1)

1H ЯМР (400 МГц, ДМСО-d6) δ 4.67 (t, J=5.1 Гц, 1Н), 3.49 (td, J=6.0, 5.1 Гц, 2H), 2.91-2.80 (m, 2H), 2.43 (s, 3H), 1.72-1.59 (m, 2H).

Синтез 2b: 2-[трет-Бутил(дифенил)силил]окси-3-(3,6-дихлор-5-метилпиридазин-4-ил)пропан-1-ол (энантиомерно чистый, из Энантиомера 2 Стадии А)

Стадия А: этил 3-(3,6-дихлор-5-метилпиридазин-4-ил)-2-гидроксипропаноат

К 3,6-дихлор-4,5-диметилпиридазину (26.5 г, 150 ммоль) в сухом ТГФ (375 мл) по каплям добавляли TMP-MgCl х LiCl (165 мл, 165 ммоль, 1.1 экв.) при -78°С, и затем полученную в результате смесь перемешивали в течение 2 ч при 0°С. Образовавшуюся Mg соль переносили в раствор этил 2-оксоацетата (45.9 г, 225 ммоль, 1.5 экв.) в сухом ТГФ (375 мл) при 0°С, и затем смесь перемешивали в течение 30 мин при 0°С. После гашения реакционной смеси насыщенным водным раствором NH4Cl и экстрагирования с помощью EtOAc, объединенные органические слои сушили, фильтровали, концентрировали и очищали с помощью флэш-хроматографии на силикагеле с использованием гептана и EtOAc в качестве элюентов с получением 11 г (26.3%) целевого соединения.

1H ЯМР (500 МГц, ДМСО-d6) δ м.д. 5.85 (d, 1Н), 4.33 (m, 1Н), 4.12 (q, 2Н), 3.19 (d, 2Н), 2.45 (s, 3H), 1.17 (t, 3H); 13С ЯМР (125 МГц, ДМСО-d6) δ м.д. 172.8, 157.6, 157.2, 141.4, 139.3, 68.8, 61.2, 35.2, 17.3, 14.4. МСВР-ЭРИ (m/z): [М+Н]+, рассчитано для C10H13Cl2N2O3: 279.0303, найдено: 279.0301.

Энантиомеры целевого продукта разделяли на хиральной колонке AS-V (100*500 мм, 20 мкм) с использованием смеси 10:90 EtOH-гептан в качестве элюента с получением Энантиомера 1 (элюировался первым) с 99.6% ее и Энантиомера 2 (элюировался последним) с 99.1% ее.

Стадия В: этил 2-[трет-бутил(дифенил)силил]окси-3-(3,6-дихлор-5-метилпиридазин-4-ил)пропаноат

К Энантиомеру 2 со Стадии А (4500 мг, 16 ммоль) и имидазолу (2200 мг, 2.0 экв.) в ТГФ (81 мл) по каплям добавляли TBDPS-C1 (8900 мг, 2.0 экв.), и затем смесь перемешивали при к.т. в течение 18 ч. Продукт очищали с помощью флэш-хроматографии с использованием гептана и EtOAc в качестве элюентов с получением целевого продукта (6200 мг, 74%).

1H ЯМР (400 МГц, ДМСО-d6) δ м.д. 7.52-7.27 (m, ЮН), 4.46 (dd, 1H), 3.83 (m, 2Н), 3.35 (dd, 1H), 3.19 (dd, 1H), 2.34 (s, 3H), 0.93 (t, 3H), 0.87 (s, 9Н).

Стадия С: 2-[трет-бутил(дифенил)силил]окси-3-(3,6-дихлор-5-метилпиридазин-4-ил)пропан-1-ол

К энантиомерно чистому продукту со Стадии В (3600 мг, 6.95 ммоль) в МеОН (35 мл) порциями добавляли NaBH4 (2.63 г, 10 экв.) при 0°С в течение 5 мин, и смесь перемешивали при этой температуре в течение 30 мин. После гашения реакционной смеси путем добавления насыщенного водного раствора NH4Cl, ее дважды экстрагировали с помощью EtOAc. Объединенные органические слои сушили, фильтровали, концентрировали и очищали с помощью флэш-хроматографии на силикагеле с использованием гептана и EtOAc в качестве элюентов с получением целевого продукта (1.6 г, 48%).

1H ЯМР (500 МГц, ДМСО-d6) δ м.д. 7.57-7.3 (m, 10Н), 4.9 (brs, 1Н), 4.05 (m, 1Н), 3.38/3.32 (dd+dd, 2Н), 3.13/3.11 (dd+dd, 2Н), 2.3 (s, 3H), 0.8 (s, 9Н); 13С ЯМР (125 МГц, ДМСО-d6) м.д. 72.7, 65.5, 35.5, 26.9, 17.2; МСВР-ЭРИ (m/z): [М+Н]+, рассчитано для C24H29Cl2N2O2Si: 475.1369, найдено: 475.1362.

Синтез 2 с: 2-(3,6-Дихлор-5-метилпиридазин-4-ил)этанол

Стадия А: 3-(3,6-дихлор-5-метилпиридазин-4-ил)пропан-1,2-диол

К 700 мг (2.5 ммоль) продукта Синтеза 2b, Стадия А, в 3 мл метанола добавляли 285 мг (3 экв.) NaBH4 при 0°С, и смесь перемешивали при 0°С в течение 0.5 ч. После гашения реакционной смеси насыщенным раствором NH4Cl, сырой продукт очищали с помощью флэш-хроматографии на силикагеле с использованием ДХМ и МеОН (1.2% NH3) в качестве элюентов с получением 500 мг (84%) целевого соединения.

1H ЯМР (400 МГц, ДМСО-d6) δ м.д. 4.90 (bd, 1Н), 4.83 (bs, 1Н), 3.75 (m, 1Н), 3.47 (dd, 1H), 3.38 (m, 1H), 3.00 (dd, 1H), 2.87 (dd, 1Н), 2.45 (s, 3H).

Стадия В: 2-(3,6-дихлор-5-метилпиридазин-4-ил)ацетальдегид Раствор 237 мг продукта со Стадии А (1 ммоль) в 5 мл смеси ацетон/Н2О (4:1) охлаждали до 0°С, и затем порциями добавляли 427 мг перйодата натрия (2 ммоль, 2 экв.). После 2 ч перемешивания при к.т., смесь очищали с помощью флэш-хроматографии с использованием гептана и EtOAc в качестве элюентов с получением 200 мг целевого продукта (97%).

1H ЯМР (400 МГц, ДМСО-d6) δ м.д. 9.71 (s, 1H), 4.27 (s, 1Н), 2.35 (s, 3H).

Стадия С: 2-(3,6-дихлор-5-метилпиридазин-4-ил)этанол

К раствору 200 мг продукта со Стадии В (0.97 ммоль) в 3 мл метанола небольшими порциями добавляли 110 мг (2.92 ммоль, 3 экв.) борогидрида натрия при 0°С. После 15 мин перемешивания, реакционную смесь разбавляли насыщенным водным раствором NH4Cl и экстрагировали с помощью EtOAc. Объединенные органические слои сушили, фильтровали, концентрировали и очищали с помощью флэш-хроматографии с использованием гептана и EtOAc в качестве элюентов с получением 180 мг (89%) целевого продукта.

1H ЯМР (500 МГц, ДМСО-d6) δ м.д. 4.9 (t, 1H), 3.65 (m, 2Н), 3 (t, 2Н), 2.45 (s, 3H); 13C ЯМР (125 МГц, ДМСО-d6) δ м.д. 157.5, 157.2, 140.9, 140.7, 59.1, 34, 17.1; МСВР-ЭРИ (m/z): [М+Н]+, рассчитано для C7H9Cl2N2O: 207.0086, найдено: 207.0083.

Синтез 2е: 3-(3,6-Дихлор-5-метилпиридазин-4-ил)пропаналь

В высушенную в сушильном шкафу колбу загружали диметилсульфоксид (3.08 мл, 43.4 ммоль, 2.4 экв.) и дихлорметан (100 мл), и раствор охлаждали до -78°С. По каплям добавляли оксалилхлорид (2М в дихлорметане; 13.6 мл, 27.1 ммоль, 1.5 экв.) и реакционной смеси давали перемешиваться в течение 1 ч. Затем по каплям добавляли раствор продукта Синтеза 2а (4 г, 18.1 ммоль, 1 экв.) в дихлорметане (20 мл), и смеси давали перемешиваться в течение 1 ч. Добавляли триэтиламин (15.1 мл, 109 ммоль, 6 экв.) и реакционной смеси давали нагреться до 0°С в течение 1 ч. Реакционную смесь гасили водой (50 мл), затем распределяли между насыщенным раствором бикарбоната натрия (50 мл) и дихлорметаном (200 мл), водную фазу экстрагировали дихлорметаном (200 мл) и объединенные органические экстракты промывали соляным раствором (100 мл), сушили (сульфат магния) и концентрировали в вакууме. Очистка с помощью автоматической колоночной флэш-хроматографии (CombiFlash Rf, 24 г силикагелевый картридж RediSep™) с элюированием с градиентом 0-50% этилацетата в изогептане приводила к получению целевого продукта в виде не совсем белого твердого вещества (2.27 г, 10.4 ммоль, 57%).

ЖХ/МС (C8H8Cl2N2O) 219 [М+Н]+; RT 0.87 (ЖХМС-V-B1)

1H ЯМР (400 МГц, ДМСО-d6) δ 9.71 (s, 1Н), 3.03 (dd, J=8.7, 7.0 Гц, 2Н), 2.86-2.69 (m, 2Н), 2.44 (s, 3H).

Синтез 3а: Метил 2-(3-хлор-4-метил-6,7-дигидро-5Н-пиридо[2,3-с]пиридазин-8-ил)-5-[3-(2-фтор-4-йодфенокси)пропил]тиазол-4-карбоксилат

Стадия А: метил 2-{[(трет-бутокси)карбонил][3-(3,6-дихлор-5-метилпиридазин-4-ил)пропил]амино}-5-[3-(2-фтор-4-йодфенокси)пропил]-1,3-тиазол-4-карбоксилат

Используя Общую методику проведения реакции Мицунобу, исходя из 4.85 г продукта Синтеза 1а (9.04 ммоль, 1 экв.) в качестве подходящего карбамата и 2 г продукта Синтеза 2а (9.04 ммоль, 1 экв.) в качестве подходящего спирта, получали 4.6 г целевого продукта (выход 69%).

1H ЯМР (500 МГц, ДМСО-d6) δ м.д. 7.56 (dd, 1H), 7.44 (dm, 1H), 7.08 (m, 2Н), 6.96 (t, 1Н), 4.05 (t, 2H), 3.75 (s, 3H), 3.21 (t, 2H), 2.82 (m, 2H), 2.4 (s, 3H), 2.06 (m, 2H), 1.88 (m, 2H), 1.48 (s, 9H); 13C ЯМР (125 МГц, ДМСО-d6) δ м.д. 162.7, 157.6, 156.7, 156.5/153.2, 152.2, 147, 142.1, 139.8, 134, 124.9, 117.6, 84, 82.4, 68.1, 52.1, 46.1, 30.4, 28.1, 27.5, 25.8, 23.1, 16.4; МСВР-ЭРИ (m/z): [М+Н]+, рассчитано для C27H31Cl2FIN4O5S: 739.0415, найдено: 739.0395.

Стадия В: метил 2-[3-(3,6-дихлор-5-метилпиридазин-4-ил)пропиламино]-5-[3-(2-фтор-4-йодфенокси)пропил]тиазол-4-карбоксилат

Используя Общую методику снятия защиты посредством HFIPA, исходя из продукта со Стадии А в качестве подходящего карбамата, получали 3.70 г целевого продукта (выход 97%).

1H ЯМР (500 МГц, ДМСО-d6) δ м.д. 7.71 (t, 1 Н), 7.59 (dd, 1 Н), 7.44 (dm, 1 Н), 6.96 (t, 1 Н), 4.03 (t, 2 Н), 3.7 (s, 3 Н), 3.29 (m, 2 Н), 3.11 (t, 2 Н), 2.84 (m, 2 Н), 2.39 (s, 3 Н), 2 (m, 2 Н), 1.76 (m, 2 Н); 13С ЯМР (125 МГц, ДМСО-d6) δ м.д. 164.6, 163, 152.3, 147.1, 134.1, 124.8, 117.6, 82.4, 68.1, 51.9, 44, 30.7, 28, 26.9, 23.3, 16.4; МСВР-ЭРИ (m/z): [М+Н]+, рассчитано для C22H23Cl2FIN4O3S: 638.9891, найдено: 638.9888.

Стадия С: метил 2-(3-хлор-4-метил-6,7-дигидро-5Н-пиридо[2,3-с]пиридазин-8-ил)-5-[3-(2-фтор-4-йодфенокси)пропил]тиазол-4-карбоксилат

Суспензию 3 г продукта со Стадии В (4.69 ммоль, 1 экв.) и 1.81 г карбоната цезия (9.3853 ммоль, 2 экв.) перемешивали при 80°С в течение 3 ч в 25 мл сухого 1,4-диоксана, достигая полной степени превращения. Реакционную смесь непосредственно упаривали на целите, и затем очищали с помощью флэш-хроматографии с использованием ДХМ и МеОН в качестве элюентов с получением 2.67 г указанного в заголовке соединения (выход 94%).

1H ЯМР (500 МГц, ДМСО-d6) δ м.д. 7.57 (dd, 1Н), 7.43 (dm, 1Н), 6.97 (t, 1Н), 4.23 (t, 2 Н), 4.08 (t, 2 Н), 3.77 (s, 3 Н), 3.22 (t, 2 Н), 2.86 (t, 2 Н), 2.29 (s, 3 Н), 2.08 (m, 2 Н), 2.03 (m, 2 Н);

13С ЯМР (125 МГц, ДМСО-d6) δ м.д. 163.1, 155.4, 152.2, 151.6, 151.2, 147, 142.5, 136, 134.8, 134, 128.9, 124.9, 117.6, 82.3, 68.4, 51.9, 46.3, 30.7, 24.2, 23, 19.7, 15.7; МСВР-ЭРИ (m/z): [М+Н]+, рассчитано для C22H22ClFIN4O3S: 603.0124, найдено: 603.0108.

Синтез 3b: Метил 5-(3-гидроксипропил)-2-[4-метил-3-[(Z)-[3-(2-триметилсилилэтоксиметил)-1,3-бензотиазол-2-илиден]амино]-6,7-дигидро-5Н-пиридо[2,3-с]пиридазин-8-ил]тиазол-4-карбоксилат

Стадия А: метил 2-(трет-бутоксикарбониламино)-5-[3-[трет-бутил(диметил)силил]оксипроп-1-инил]тиазол-4-карбоксилат

В 1 л высушенную в сушильном шкафу, одногорлую, круглодонную колбу, оснащенную якорем магнитной мешалки с покрытием из ПТФЭ, загружали 20 г продукта Синтеза 1а, Стадия А (52.05 ммоль, 1.0 экв.), и 17.73 г трет-бутилдиметилпроп-2-иноксисилана (21 мл, 104.1 ммоль, 2.0 экв.), растворенных в смеси 250 мл сухого ТГФ/25 мл DIPA, и затем в ней создавали атмосферу азота через газовпускной патрубок. Затем в этот раствор загружали 572 мг Pd(PPh3)2Cl2 (1.30 ммоль, 0.025 экв.) и 247 мг CuI (1.30 ммоль, 0.025 экв.). Реакционную смесь затем нагревали до кипения с обратным холодильником и перемешивали при этой температуре до тех пор, пока не перестали наблюдать дальнейшее превращение. К реакционной смеси добавляли целит, и летучие вещества удаляли при пониженном давлении. Затем сырой продукт, разделив его на две порции, очищали с помощью флэш-хроматография с использованием гептана и EtOAc в качестве элюентов с получением 18.00 г целевого продукта (выход 81%).

1H ЯМР (400 МГц, ДМСО-d6) δ м.д. 12.13 (br., 1Н), 4.62 (s, 2Н), 3.79 (s, 3H), 1.48 (s, 9Н), 0.89 (s, 9Н), 0.13 (s, 6Н); 13С ЯМР (100 МГц, ДМСО-d6) δ м.д. 161.2, 52.4, 52.4, 28.3, 26.2, -4.6; МСВР-ЭРИ (m/z): [М+Н]+, рассчитано для C19H31N2O5SSi: 427.1717, найдено: 427.1711.

Стадия В: метил 2-(трет-бутоксикарбониламино)-5-[3-[трет-бутил(диметил)силил]оксипропил]тиазол-4-карбоксилат

13 г продукта со Стадии А (30.42 ммоль, 1.0 экв.) растворяли в 150 мл EtOH и добавляли 3.23 г Pd/C (3.04 ммоль, 0.1 экв.). Данный раствор загружали в высушенный в сушильном шкафу 250 мл автоклав, оснащенный якорем магнитной мешалки с покрытием из ПТФЭ, и затем создавали в нем атмосферу азота, используя систему гидрирования. После этого сосуд заполняли газообразным Н2 при давлении 10 бар. После 2 часов перемешивания при к.т. реакция достигла полной степени превращения. К реакционной смеси добавляли целит, и летучие вещества удаляли при пониженном давлении. Затем сырой продукт очищали с помощью флэш-хроматографии с использованием гептана и EtOAc в качестве элюентов с получением 9.95 г целевого продукта (выход 78%).

1Н ЯМР (500 МГц, ДМСО-d6) δ м.д. 11.62 (br., 1Н), 3.76 (s, 3H), 3.62 (t, 2Н), 3.12 (t, 2Н), 1.78 (quint., 2Н), 1.46 (s, 9Н), 0.86 (s, 9Н), 0.03 (s, 6Н); 13С ЯМР (125 МГц, ДМСО-d6) δ м.д. 162.8, 62, 51.9, 34.3, 28.3, 26.3, 23.3, -4.9; МСВР-ЭРИ (m/z): [М+Н]+, рассчитано для C19H35N2O5SSi: 431.2030, найдено: 431.2025.

Стадия С: метил 2-[трет-бутоксикарбонил-[3-(3,6-дихлор-5-метилпиридазин-4-ил)пропил]амино]-5-[3-[трет-бутил(диметил)силил]-оксипропил]тиазол-4-карбоксилат

Используя Общую методику проведения реакции Мицунобу, исходя из 9.91 г продукта со Стадии В (23.0 ммоль, 1 экв.) в качестве подходящего карбамата и 5.1 г продукта Синтеза 2а (23.0 ммоль, 1 экв.) в качестве подходящего спирта, получали 13.02 г целевого продукта (выход 89%).

1Н ЯМР (500 МГц, ДМСО-d6) δ м.д. 4.09 (t, 2Н), 3.77 (s, 3H), 3.61 (t, 2Н), 3.12 (t, 2Н), 2.82 (t, 2Н), 2.41 (s, 3H), 1.88 (qn, 2Н), 1.79 (qn, 2Н), 1.39 (s, 9Н), 0.85 (s, 9Н), 0.02 (s, 6Н); 13С ЯМР (125 МГц, ДМСО-d6) δ м.д. 162.8, 157.7, 156.3, 156.1, 152.8, 144.5, 142.1, 139.9, 135.3, 79.4, 62.1, 52.1, 46.1, 34.1, 28.6, 27.5, 26.3, 25.9, 23.2, 18.4, 16.4, -4.9; МСВР-ЭРИ (m/z): [М+Н]+, рассчитано для C27H43Cl2N4O5SSi: 633.2095, найдено: 633.2091.

Стадия D: метил 5-[3-[трет-бутил(диметил)силил]оксипропил]-2-[3-(3,6-дихлор-5-метилпиридазин-4-ил)пропиламино]тиазол-4-карбоксилат

Используя Общую методику снятия защиты посредством HFIPA, исходя из продукта со Стадии С в качестве подходящего карбамата, получали 10.4 г целевого продукта (выход 95%).

1H ЯМР (500 МГц, ДМСО-d6) δ м.д. 7.69 (t, 1H), 3.71 (s, 3H), 3.60 (t, 2Н), 3.30 (q, 2Н), 3.01 (t, 2Н), 2.85 (t, 2Н), 2.41 (s, 3H), 1.78 (qn, 2Н), 1.71 (qn, 2Н), 0.86 (s, 9Н), 0.02 (s, 6Н); 13С ЯМР (125 МГц, ДМСО-d6) δ м.д. 164.3, 163.1, 157.7, 156.9, 142.5, 140.0, 137.6, 136.5, 62.0, 51.7, 44.1, 34.4, 28.0, 26.9, 26.3, 23.4, 18.5, 16.5, -4.9; МСВР-ЭРИ (m/z): [М+Н]+, рассчитано для C22H35Cl2N4O3SSi: 533.1570, найдено: 533.1566.

Стадия Е: метил 5-[3-[трет-бутил(диметил)силил]оксипропил]-2-(3-хлор-4-метил-6,7-дигидро-5Н-пиридо[2,3-с]пиридазин-8-ил)тиазол-4-карбоксилат

В 250 мл высушенную в сушильном шкафу одногорлую, круглодонную колбу, оснащенную якорем магнитной мешалки с покрытием из ПТФЭ, загружали 10.4 г продукта со Стадии D (19.57 ммоль, 1.0 экв.), 12.75 г Cs2CO3 (39.13 ммоль, 2.0 экв.) и 100 мл сухого 1,4-диоксана. Реакционную смесь затем нагревали до кипения с обратным холодильником и перемешивали при этой температуре в течение 8 ч. К реакционной смеси добавляли целит, и летучие вещества удаляли при пониженном давлении. Затем сырой продукт очищали с помощью флэш-хроматографии с использованием гептана и EtOAc в качестве элюентов с получением 6.40 г целевого продукта (выход 66%).

1H ЯМР (500 МГц, ДМСО-d6) δ м.д. 4.26 (t, 2Н), 3.79 (s, 3H), 3.65 (t, 2Н), 3.14 (t, 2Н), 2.89 (t, 2Н), 2.32 (s, 3H), 2.04 (m, 2Н), 1.82 (m, 2Н), 0.87 (s, 9Н), 0.04 (s, 6Н); 13С ЯМР (125 МГц, ДМСО-d6) δ м.д. 163.1, 155.3, 151.8, 151.3, 143.4, 136.1, 134.6, 129.0, 62.1, 52.0, 46.3, 34.4, 26.3, 24.2, 23.1, 19.7, 15.7, -4.8; МСВР-ЭРИ (m/z): [М+Н]+, рассчитано для C22H34ClN4O3SSi: 497.1804, найдено: 497.1796.

Стадия F: метил 2-[3-(1,3-бензотиазол-2-иламино)-4-метил-6,7-дигидро-5Н-пиридо[2,3-с]пиридазин-8-ил]-5-[3-[трет-бутил(диметил)силил]-оксипропил]тиазол-4-карбоксилат

250 мл высушенную в сушильном шкафу, одногорлую, круглодонную колбу оснащали якорем магнитной мешалки с покрытием из ПТФЭ и устанавливали обратный холодильник. В нее загружали 6.43 г продукта со Стадии Е (12.94 ммоль, 1.0 экв.), 3.88 г 1,3-бензотиазол-2-амина (25.87 ммоль, 2.0 экв.) и 6.75 мл DIPEA (38.81 ммоль, 3.0 экв.), затем добавляли 65 мл СуОН. Затем систему продували аргоном. После 5 минут перемешивания в инертной атмосфере, добавляли 1.18 г Pd2(dba)3 (1.29 ммоль, 0.1 экв.) и 1.49 г ксантфоса (2.587 ммоль, 0.2 экв.). Полученную в результате смесь затем нагревали до 140°С и перемешивали при этой температуре в течение 1 часа, достигая полной степени превращения. Реакционную смесь разбавляли с помощью ДХМ и непосредственно вводили в колонку с предварительно кондиционированным силикагелем, и затем сырой продукт очищали с помощью флэш-хроматографии с использованием гептана и EtOAc в качестве элюентов с получением 6.85 г целевого продукта (выход 87%).

1Н ЯМР (500 МГц, ДМСО-d6) δ м.д. 7.82 (br., 1H), 7.52 (br., 1Н), 7.37 (t, 1Н), 7.19 (t, 1Н), 4.25 (t, 2Н), 3.80 (s, 3H), 3.66 (t, 2Н), 3.16 (t, 2Н), 2.87 (t, 2Н), 2.33 (s, 3H), 2.04 (m, 2Н), 1.84 (m, 2Н), 0.92 (s, 9Н), 0.07 (s, 6Н); 13С ЯМР (125 МГц, ДМСО-d6) δ м.д. 163.2, 155.6, 148.8, 148.6, 142.3, 134.5, 127.6, 126.5, 122.5, 122, 62.0, 51.9, 46.3, 34.4, 26.4, 23.9, 22.9, 20.3, 12.8, -4.8; МСВР-ЭРИ (m/z): [М+Н]+, рассчитано для C29H39N6O3S2Si: 611.2288, найдено: 611.2284.

Стадия G: метил 5-[3-[трет-бутил(диметил)силил]оксипропил]-2-[4-метил-3-[(Z)-[3-(2-триметилсилилэтоксиметил)-1,3-бензотиазол-2-илиден]амино]-6,7-дигидро-5Н-пиридо[2,3-с]пиридазин-8-ил]тиазол-4-карбоксилат

5.00 г продукта со Стадии F (8.18 ммоль, 1.0 экв.) растворяли в 50 мл сухого ДХМ и добавляли 50 мг DMAP (0.41 ммоль, 0.05 экв.) и 2.85 мл DIPEA (16.37 ммоль, 2.0 экв.) при 0°С. Затем в течение 5 минут добавляли 2.24 мл 2-(хлорметокси)этилтриметилсилана (12.69 ммоль, 1.5 экв.) при 0°С, и полученную в результате смесь ставили на ночь в холодильник - до тех пор, пока не наблюдали полной степени превращения. К реакционной смеси добавляли целит, и летучие вещества удаляли при пониженном давлении. Затем сырой продукт очищали с помощью флэш-хроматографии с использованием гептана и EtOAc в качестве элюентов с получением 3.85 г целевого продукта (выход 63%).

1H ЯМР (500 МГц, ДМСО-d6) δ м.д. 7.6-7.15 (m, 4Н), 5.83 (s, 2Н), 4.42 (t, 2Н), 3.92 (s, 3H), 3.74 (t, 2Н), 3.73 (t, 2Н), 3.24 (t, 2Н), 2.86 (t, 2Н), 2.37 (s, 3H), 2.12 (m, 2Н), 1.97 (m, 2Н), 0.96 (t, 2Н), 0.95 (s, 9Н), 0.1 (s, 6Н), -0.07 (s, 9Н); 13С ЯМР (125 МГц, ДМСО-d6) δ м.д. 163.6, 157.7, 156.4, 154.7, 148.5, 143.7, 137.6, 134.1, 132.6, 126.1, 125.6, 73.2, 66.9, 62.5, 51.9, 46, 34.3, 26.1, 24.2, 23.4, 20.6, 18.0, 12.9, -1.4, -5.2; МСВР-ЭРИ (m/z): [М+Н]+, рассчитано для C35H53N6O4S2Si2: 741.3102, найдено: 741.3098.

Стадия Н: метил 5-(3-гидроксипропил)-2-[4-метил-3-[(Z)-[3-(2-триметилсилилэтоксиметил)-1,3-бензотиазол-2-илиден]амино]-6,7-дигидро-5Н-пиридо[2,3-с]пиридазин-8-ил]тиазол-4-карбоксилат

3.85 г продукта со Стадии G (5.19 ммоль, 1.0 экв.) и 362 мг камфорсульфоновой кислоты (1.56 ммоль, 0.3 экв.) растворяли в 40 мл ДХМ/МеОН (2:1). Реакционную смесь затем нагревали до 50°С и перемешивали при этой температуре в течение ночи. Реакция достигла полной степени превращения. Реакционную смесь охлаждали до комнатной температуры и гасили путем добавления насыщенного водного раствора NaHCO3, и затем два раза экстрагировали с помощью EtOAc. К объединенным органическим слоям добавляли целит, и летучие вещества удаляли при пониженном давлении. Затем сырой продукт очищали с помощью флэш-хроматографии с использованием гептана и EtOAc в качестве элюентов с получением 2.50 г указанного в заголовке соединения (выход 76%).

1H ЯМР (500 МГц, ДМСО-d6) δ м.д. 7.83 (dm, 1H), 7.44 (dm, 1H), 7.42 (m, 1Н), 7.23 (m, 1Н), 5.84 (s, 2Н), 4.57 (brs, 1H), 4.26 (t, 2Н), 3.80 (s, 3H), 3.72 (m, 2Н), 3.48 (t, 2Н), 3.14 (m, 2Н), 2.86 (t, 2Н), 2.36 (s, 3H), 2.04 (m, 2Н), 1.81 (m, 2Н), 0.91 (m, 2Н), -0.11 (s, 9Н); 13С ЯМР (125 МГц, ДМСО-d6) δ м.д. 127.1, 123.3, 123.2, 111.9, 72.9, 66.7, 60.6, 51.9, 46.4, 35.0, 23.8, 23.2, 20.4, 17.8, 13, -1.0; МСВР-ЭРИ (m/z): [М+Н]+, рассчитано для C29H39N6O4S2Si: 627.2237, найдено: 627.2236.

Синтез 3с: 2-[3-(1,3-Бензотиазол-2-иламино)-4-метил-6,7-дигидро-5Н-пиридо[2,3-с]пиридазин-8-ил]-5-[3-(4-этинил-2-фторфенокси)пропил]тиазол-4-карбоновая кислота

Стадия А: метил 2-(3-хлор-4-метил-6,7-дигидро-5Н-пиридо[2,3-с]пиридазин-8-ил)-5-[3-[2-фтор-4-(2-триметилсилилэтинил)фенокси]пропил]тиазол-4-карбоксилат

250 мл высушенную в сушильном шкафу, одногорлую, круглодонную колбу оснащали якорем магнитной мешалки с покрытием из ПТФЭ и устанавливали обратный холодильник. В нее загружали 5 г продукта Синтеза З3а (8.29 ммоль, 1 экв.), 2.34 мл этинил(триметил)силана (16.58 ммоль, 2 экв.) и 10 мл DIPEA, затем добавляли 40 мл сухого ТГФ и систему продували аргоном. После 5 минут перемешивания в инертной атмосфере, добавляли 182 мг Pd(PPh3)2Cl2 (0.41 ммоль, 0.05 экв.) и 79 мг CuI (0.41 ммоль, 0.05 экв.). Полученную в результате смесь затем нагревали до 60°С и перемешивали при этой температуре в течение 2 часов, достигая полной степени превращения. К реакционной смеси добавляли целит, и летучие вещества удаляли при пониженном давлении. Затем сырой продукт очищали с помощью флэш-хроматографии с использованием гептана и EtOAc в качестве элюентов с получением 4.26 г целевого продукта (выход 89%).

1H ЯМР (500 МГц, ДМСО-d6) δ м.д. 7.31 (dd, 1Н), 7.23 (dn, 1Н), 7.13 (t, 1Н), 4.25 (t, 2Н), 4.12 (t, 2Н), 3.77 (s, 3H), 3.24 (t, 2Н), 2.87 (t, 2Н), 2.31 (s, 3H), 2.1 (m, 2Н), 2.03 (m, 2Н), 0.21 (s, 9Н); 13С ЯМР (125 МГц, ДМСО-d6) δ м.д. 163.0, 155.3, 151.7, 151.3, 136.1, 129.4, 129.0, 119.4, 115.3, 104.6, 93.7, 68.2, 51.9, 46.3, 30.7, 24.1, 23.0, 19.7, 15.7, 0.4; МСВР-ЭРИ (m/z): [М]+, рассчитано для C27H30ClFN4O3SSi: 572.1481, найдено: 572.1480.

Стадия В: метил 2-[3-(1,3-бензотиазол-2-иламино)-4-метил-6,7-дигидро-5Н-пиридо[2,3-с]пиридазин-8-ил]-5-[3-[2-фтор-4-(2-триметилсилилэтинил)фенокси]пропил]тиазол-4-карбоксилат

В 100 мл высушенную в сушильном шкафу, одногорлую, круглодонную колбу с якорем магнитной мешалки с покрытием из ПТФЭ, загружали 4.25 г продукта со Стадии А (7.4 ммоль, 1.0 экв.), 2.23 г 1,3-бензотиазол-2-амина (14.8 ммоль, 2.0 экв.) и 3.87 мл DIPEA (2.87 мг, 22.2 ммоль, 3.0 экв.), затем добавляли 40 мл циклогексанола и систему продували аргоном. После 5 минут перемешивания в инертной атмосфере, добавляли 679 мг Pd2(dba)3 (0.74 ммоль, 0.10 экв.) и 858 мг ксантфоса (1.48 ммоль, 0.20 экв.). Полученную в результате смесь затем нагревали до 140°С и перемешивали при этой температуре в течение 30 мин, достигая полной степени превращения. Реакционную смесь разбавляли с помощью ДХМ и непосредственно вводили в колонку с предварительно кондиционированным силикагелем, и затем сырой продукт очищали с помощью флэш-хроматографии с использованием гептана и EtOAc в качестве элюентов. Чистые фракции объединяли и концентрировали при пониженном давлении с получением 3.90 г целевого продукта (выход 77%).

1H ЯМР (500 МГц, ДМСО-d6) δ м.д. 12.27/10.91 (brs, 1Н), 8.1-7.1 (brm, 4Н), 7.34 (dd, 1Н), 7.24 (dm, 1H), 7.16 (t, 1H), 4.25 (t, 2Н), 4.15 (t, 2Н), 3.78 (s, 3H), 3.28 (t, 2Н), 2.87 (t, 2Н), 2.34 (s, 3H), 2.13 (m, 2Н), 2.04 (m, 2Н), 0.19 (s, 9Н); МСВР-ЭРИ (m/z): [М+Н]+, рассчитано для C34H36FN6O3S2Si: 687.2038, найдено: 687.2020.

Стадия С: 2-[3-(1,3-бензотиазол-2-иламино)-4-метил-6,7-дигидро-5Н-пиридо[2,3-с]пиридазин-8-ил]-5-[3-(4-этинил-2-фторфенокси)пропил]тиазол-4-карбоновая кислота

10 мл высушенную в сушильном шкафу, одногорлую, круглодонную колбу оснащали якорем магнитной мешалки с покрытием из ПТФЭ и устанавливали обратный холодильник. В нее загружали 343 мг продукта со Стадии В (0.5 ммоль, 1.0 экв.), растворенного в 2.5 мл ТГФ/Н2О (4:1). Затем добавляли 105 мг LiOH × Н20 (2.50 ммоль, 5.0 экв.), и полученную в результате смесь нагревали до 60°С и перемешивали в течение 4 ч при этой температуре. Реакция достигла полной степени превращения. К реакционной смеси добавляли целит и летучие вещества удаляли при пониженном давлении. Затем сырой продукт очищали с помощью флэш-хроматографии, используя ДХМ и МеОН (1.2% NH3) в качестве элюентов с получением 200 мг указанного в заголовке соединения (выход 66%).

1Н ЯМР (500 МГц, ДМСО-d6) δ м.д. 7.88 (d, 1H), 7.49 (br., 1H), 7.37 (t, 1Н), 7.36 (dd, 1H), 7.25 (dm, 1Н), 7.19 (t, 1Н), 7.16 (t, 1Н), 4.27 (t, 2Н), 4.15 (t, 2Н), 4.11 (s, 1Н), 3.27 (t, 2Н), 2.87 (t, 2Н), 2.33 (s, 3H), 2.14 (m, 2Н), 2.04 (m, 2Н); 13С ЯМР (125 МГц, ДМСО-d6) δ м.д. 164.2, 151.5, 147.9, 129.4, 126.5, 122.5, 122.3, 119.5, 115.5, 114.5, 82.9, 80.5, 68.5, 46.2, 31.0, 23.9, 23.1, 20.3, 12.9; МСВР-ЭРИ (m/z): [М+Н]+, рассчитано для C30H26FN6O3S2: 601.1486, найдено: 601.1498.

Синтез 3d: Метил 2-[3-(1,3-бензотиазол-2-иламино)-4-метил-6,7-дигидро-5Н-пиридо[2,3-с]пиридазин-8-ил]-5-[3-[2-фтор-4-(3-гидроксипроп-1-инил)фенокси]пропил]тиазол-4-карбоксилат

Стадия А: метил 5-[3-[4-[3-[трет-бутил(диметил)силил]оксипроп-1-инил]-2-фторфенокси]пропил]-2-(3-хлор-4-метил-6,7-дигидро-5Н-пиридо[2,3-с]пиридазин-8-ил)тиазол-4-карбоксилат

Используя Общую методику проведения реакции Соногаширы, исходя из 4.00 г продукта Синтеза 3а (6.63 ммоль, 1.0 экв.) и 2.26 г трет-бутилдиметилпроп-2-иноксисилана (13.27 ммоль, 2 экв.) в качестве подходящего ацетилена, получали 2.80 г целевого продукта (выход 65%).

1H ЯМР (500 МГц, ДМСО-d6) δ м.д. 7.27 (dd, 1Н), 7.19 (dd, 1Н), 7.14 (t, 1Н), 4.51 (s, 1H), 4.25 (m, 2Н), 4.12 (t, 2Н), 3.77 (s, 3H), 3.24 (t, 2Н), 2.87 (t, 2Н), 2.3 (s, 3H), 2.1 (quint, 2Н), 2.03 (m, 2Н), 0.88 (s, 9Н), 0.12 (s, 6Н); 13С ЯМР (125 МГц, ДМСО-d6) δ м.д. 163.0, 128.9, 119.1, 115.5, 68.3, 52.1, 51.9, 46.3, 30.7, 26.2, 24.2, 23.0, 19.7, 15.7, -4.6; МСВР-ЭРИ (m/z): [М+Н]+, рассчитано для C31H39ClFN4O4SSi: 645.2128, найдено: 645.2120.

Стадия В: метил 2-[3-(1,3-бензотиазол-2-иламино)-4-метил-6,7-дигидро-5Н-пиридо[2,3-с]пиридазин-8-ил]-5-[3-[4-[3-[трет-бутил(диметил)силил]оксипроп-1-инил]-2-фторфенокси]пропил]тиазол-4-карбоксилат

Используя Общую методику II проведения реакции Бухвальда, исходя из 2.8 г продукта со Стадии А (4.34 ммоль, 1.0 экв.) и 1.30 г 1,3-бензотиазол-2-амина (8.67 ммоль, 2.0 экв.), получали 2.1 г целевого продукта (выход 64%).

1H ЯМР (500 МГц, ДМСО-d6) δ м.д. 12.25/10.91 (brs 1Н), 7.88 (br, 1Н), 7.51 (br, 1Н), 7.37 (t, 1H), 7.29 (dd, 1H), 7.2 (t, 1Н), 7.2 (dd, 1Н), 7.17 (t, 1Н), 4.49 (s, 2Н), 4.25 (t, 2Н), 4.14 (t, 2Н), 3.77 (s, 3H), 3.27 (t, 2Н), 2.86 (t, 2Н), 2.32 (s, 3H), 2.13 (qn, 2H), 2.04 (qn, 2H), 0.87 (s, 9H), 0.1 (s, 6H); 13C ЯМР (125 МГц, ДМСО-d6) δ м.д. 163.2, 155.7, 151.6, 148.5, 147.6, 141.5, 128.9, 127.6, 126.5, 122.5, 122.3, 119.1, 116.9, 115.5, 114.8, 88.2, 84, 68.4, 52.1, 51.9, 46.4, 31, 26.2, 24, 23.1, 20.4, 12.9, -4.6; МСВР-ЭРИ (m/z): [М+Н]+, рассчитано для C38H44FN6O4S2Si: 759.2613, найдено: 759.2609.

Стадия С: метил 2-[3-(1,3-бензотиазол-2-иламино)-4-метил-6,7-дигидро-5Н-пиридо[2,3-с]пиридазин-8-ил]-5-[3-[2-фтор-4-(3-гидроксипроп-1-инил)фенокси]пропил]тиазол-4-карбоксилат

100 мл высушенную в сушильном шкафу, одногорлую, круглодонную колбу оснащали якорем магнитной мешалки с покрытием из ПТФЭ и устанавливали обратный холодильник. В нее загружали 2.10 г продукта со Стадии В (2.76 ммоль, 1.0 экв.), растворенного в 15 мл ТГФ. Затем с помощью шприца по каплям добавляли 3.32 мл TBAF (3.32 ммоль, 1.2 экв., 1M в ТГФ) в течение 2 минут, и перемешивали при данной температуре в течение 30 мин. Реакционную смесь гасили насыщенным раствором NH4Cl, затем непосредственно упаривали на целите и сырой продукт очищали с помощью флэш-хроматографии с использованием гептана и EtOAc в качестве элюентов с получением 1.6 г целевого продукта (выход 90%).

1H ЯМР (500 МГц, ДМСО-d6) δ м.д. 11.14 (brs, 1Н), 7.83 (brd, 1H), 7.49 (brs, 1Н), 7.36 (m, 1H), 7.24 (dd, 1H), 7.19 (m, 1H), 7.18 (dm, 1Н), 7.15 (t, 1H), 5.08 (t, 1Н), 4.28 (m, 2Н), 4.27 (d, 2Н), 4.17 (t, 2Н), 3.8 (s, 3H), 3.29 (m, 2Н), 2.89 (m, 2Н), 2.35 (s, 3H), 2.15 (m, 2Н), 2.07 (m, 2Н); МСВР-ЭРИ (m/z): [М+Н]+, рассчитано для C32H30FN6O4S2: 645.1748, найдено: 645.1738.

Синтез 3е: Метил 2-[3-(1,3-бензотиазол-2-иламино)-4-метил-6,7-дигидро-5Н-пиридо[2,3-с]пиридазин-8-ил]-5-[3-[2-фтор-4-(3-гидроксипропил)фенокси] пропил] тиазол-4-карбоксилат

Стадия А: метил 2-(трет-бутоксикарбониламино)-5-[3-[4-[3-[трет-бутил(диметил)силил]оксипроп-1-инил]-2-фторфенокси]пропил]тиазол-4-карбоксилат

Используя Общую методику проведения реакции Соногаширы, исходя из 4.00 г продукта Синтеза 1а (7.45 ммоль, 1.0 экв.) и 2.54 г трет-бутилдиметилпроп-2-иноксисилана (14.90 ммоль, 2.0 экв.) в качестве подходящего ацетилена, получали 1.70 г целевого продукта (выход 39%).

1H ЯМР (500 МГц, ДМСО-d6) δ м.д. 11.64 (s, 1H), 7.27 (dd, 1Н), 7.19 (dm, 1H), 7.14 (t, 1H), 4.51 (s, 2H), 4.1 (t, 2H), 3.73 (s, 3H), 3.23 (t, 2H), 2.07 (m, 2H), 1.46 (s, 9H), 0.89 (s, 9H), 0.12 (s, 6H); 13C ЯМР (125 МГц, ДМСО-d6) δ м.д. 88.2, 83.8.

Стадия В: метил 2-(трет-бутоксикарбониламино)-5-[3-[4-[3-[трет-бутил(диметил)силил]оксипропил]-2-фторфенокси]пропил]тиазол-4-карбоксилат

Высушенный в сушильном шкафу 50 мл автоклав оснащали якорем магнитной мешалки с покрытием из ПТФЭ. В него загружали 1.70 г продукта со Стадии А (2.9 ммоль, 1.0 экв.), 310 мг Pd/C (0.29 ммоль, 0.10 экв.) и 15 мл этанола, и затем инертизировали, используя вакуум и азот, и в заключение заполняли газообразным водородом при давлении 10 бар. Затем смесь перемешивали при к.т. в течение 3 часов, достигая полной степени превращения. К реакционной смеси добавляли целит, и летучие вещества удаляли при пониженном давлении. Затем сырой продукт очищали с помощью флэш-хроматографии с использованием гептана и EtOAc в качестве элюентов с получением 1.2 г целевого продукта (выход 70%).

1H ЯМР (500 МГц, ДМСО-d6) δ м.д. 11.64 (br., 1Н), 7.02 (t, 1Н), 7.01 (d, 1Н), 6.89 (d, 1H), 4.02 (t, 2Н), 3.74 (s, 3H), 3.54 (t, 2Н), 3.22 (t, 2Н), 2.54 (t, 2Н), 2.04 (quint, 2Н), 1.70 (quint, 2Н), 1.45 (s, 9Н), 0.85 (s, 9Н), 0 (s, 6Н); 13С ЯМР (125 МГц, ДМСО-d6) δ м.д. 162.8, 156.2/153.5, 152.0, 144.7, 141.9, 135.8, 135.5, 124.6, 116.2, 115.5, 68.1, 62.0, 51.9, 34.3, 30.8, 30.8, 28.3, 26.2, 23.2, -4.9.

Стадия С: метил 2-[трет-бутоксикарбонил-[3-(3,6-дихлор-5-метилпиридазин-4-ил)пропил]амино]-5-[3-[4-[3-[трет-бутил(диметил)силил]оксипропил]-2-фторфенокси]пропил]тиазол-4-карбоксилат

Используя Общую методику проведения реакции Мицунобу, исходя из 1.16 г продукта со Стадии В (2.0 ммоль, 1.0 экв.) в качестве подходящего карбамата и 484 мг продукта Синтеза 2а (2.2 ммоль, 1.1 экв.) в качестве подходящего спирта, получали 1.2 г целевого продукта (выход 77%).

1H ЯМР (500 МГц, ДМСО-d6) δ м.д. 7.02 (m, 1H), 6.99 (d, 1H), 6.89 (m, 1Н), 4.08 (t, 2Н), 4.02 (t, 2Н), 3.75 (s, 3H), 3.54 (t, 2Н), 3.22 (t, 2Н), 2.81 (t, 2Н), 2.53 (t, 2Н), 2.40 (s, 3H), 2.05 (quint, 2Н), 1.87 (m, 2Н), 1.70 (quint, 2Н), 1.48 (s, 9Н), 0.85 (s, 9Н), 0.00 (s, 6Н); 13С ЯМР (125 МГц, ДМСО-d6) δ м.д. 162.7, 156.4/153, 152.0, 144.7, 143.6, 142/139.8, 141.9, 135.5, 124.6, 116.2, 115.4, 68.1, 62.0, 52.0, 46.1, 34.2, 30.8, 30.7, 28.0, 27.5, 26.2, 25.8, 23.2, 16.4, -4.9.

Стадия D: метил 5-[3-[4-[3-[трет-бутил(диметил)силил]оксипропил]-2-фторфенокси]пропил]-2-[3-(3,6-дихлор-5-метилпиридазин-4-ил)пропиламино]тиазол-4-карбоксилат

Используя Общую методику снятия защиты посредством HFIPA, исходя из 1.2 г продукта со Стадии С в качестве подходящего карбамата, получали 790 мг целевого продукта (выход 75%).

Стадия Е: метил 5-[3-[4-[3-[трет-бутил(диметил)силил]оксипропил]-2-фторфенокси]пропил]-2-(3-хлор-4-метил-6,7-дигидро-5Н-пиридо[2,3-с]пиридазин-8-ил)тиазол-4-карбоксилат

В 25 мл высушенный в сушильном шкафу сосуд для реакций под давлением, оснащенный якорем магнитной мешалки с покрытием из ПТФЭ, загружали 1.2 г продукта со Стадии D (1.75 ммоль, 1.0 экв.) и 680 мг карбоната цезия (3.50 ммоль, 2.0 экв.), суспендированных в 10 мл 1,4-диоксана. Реакционную смесь затем нагревали до 80°С и перемешивали при этой температуре в течение 3 ч, во время чего реакция достигла полной степени превращения. К реакционной смеси добавляли целит, и летучие вещества удаляли при пониженном давлении. Затем сырой продукт очищали с помощью флэш-хроматографии с использованием ДХМ и МеОН (содержащего 1.2% NH3) в качестве элюентов с получением 1.0 г целевого продукта (выход 88%).

Стадия F: метил 2-[3-(1,3-бензотиазол-2-иламино)-4-метил-6,7-дигидро-5Н-пиридо[2,3-с]пиридазин-8-ил]-5-[3-[4-[3-[трет-бутил(диметил)силил]оксипропил]-2-фторфенокси]пропил]тиазол-4-карбоксилат

Используя Общую методику II проведения реакции Бухвальда, исходя из 630 мг продукта со Стадии Е (0.97 ммоль, 1.0 экв.) и 291 мг 1,3-бензотиазол-2-амина (1.94 ммоль, 2.0 экв.), получали 600 мг целевого продукта (81%).

Стадия G: метил 2-[3-(1,3-бензотиазол-2-иламино)-4-метил-6,7-дигидро-5Н-пиридо[2,3-с]пиридазин-8-ил]-5-[3-[2-фтор-4-(3-гидроксипропил)фенокси]пропил]тиазол-4-карбоксилат

250 мл высушенную в сушильном шкафу круглодонную колбу оснащали якорем магнитной мешалки с покрытием из ПТФЭ. В нее загружали 600 мг продукта со Стадии F (0.78 ммоль, 1.0 экв.), растворенного в 10 мл ТГФ, и затем по каплям добавляли 936 мкл TBAF (0.963 ммоль, 1.2 экв.). После 1 часа перемешивания наблюдали полную степень превращения. Затем реакционную смесь гасили насыщенным водным раствором NH4CI, к смеси добавляли целит, и летучие вещества удаляли при пониженном давлении. Затем сырой продукт очищали с помощью флэш-хроматографии с использованием гептана и EtOAc и МеОН (1,2% NH3) в качестве элюентов с получением 450 мг целевого продукта (выход 89%).

1H ЯМР (500 МГц, ДМСО-d6) δ м.д. 7.87 (br, 1Н), 7.49 (br, 1Н), 7.37 (t, 1Н), 7.19 (t, 1Н), 7.06 (m, 1Н), 7.05 (d, 1Н), 6.92 (dd, 1H), 4.44 (br, 1H), 4.25 (t, 2Н), 4.08 (t, 2Н), 3.78 (s, 3H), 3.36 (t, 2Н), 3.27 (t, 2Н), 2.85 (t, 2Н), 2.52 (t, 2Н), 2.32 (s, 3H), 2.1 (qn, 2Н), 2.04 (qn, 2Н), 1.65 (qn, 2Н); 13С ЯМР (500 МГц, ДМСО-d6) δ м.д. 163.2, 155.6, 152.0, 148.5, 144.7, 141.7, 135.9, 134.8, 127.6, 126.5, 124.7, 122.5, 122.3, 116.3, 116.0, 115.6, 68.6, 60.4, 52.0, 46.4, 34.6, 31.2, 31.0, 23.9, 23.2, 20.4, 12.9.

Синтез 3f: Этил 2-{3-[(1,3-бензотиазол-2-ил)амино]-4-метил-5Н,6Н,7Н,8Н-пиридо[2,3-с]пиридазин-8-ил}-1,3-тиазол-4-карбоксилат

Стадия А: этил 2-[(гекс-4-ин-1-ил)амино]-1,3-тиазол-4-карбоксилат

К раствору этил 2-бром-1,3-тиазол-4-карбоксилата (1.17 г, 4.97 ммоль, 1 экв.) в ацетонитриле (16 мл) добавляли гекс-4-ин-1-амин (725 мг, 7.46 ммоль, 1.5 экв.) и триэтиламин (1.04 мл, 7.46 ммоль, 1.5 экв.), и смесь нагревали при 150°С в течение 4 ч под микроволновым облучением. Реакционную смесь распределяли между этилацетатом и соляным раствором, и органическую фазу сушили (сульфат магния) и концентрировали в вакууме. Очистка с помощью автоматической колоночной флэш-хроматографии (CombiFlash Rf, 40 г силикагелевый картридж RediSep™) с элюированием с градиентом 0-60% этилацетата в изогептане приводила к получению целевого продукта в виде бежевого твердого вещества (741 мг, 2.94 ммоль, 59%).

ЖХ/МС (C12H16N2O2S) 253 [М+Н]+; RT 2.32 (ЖХМС-V-C)

Стадия В: этил 2-{3-хлор-4-метил-5Н,6Н,7Н,8Н-пиридо[2,3-с]пиридазин-8-ил}-1,3-тиазол-4-карбоксилат

К раствору 3,6-дихлор-1,2,4,5-тетразина (443 мг, 2.94 ммоль, 1 экв.) в тетрагидрофуране (15 мл) добавляли продукт со Стадии А (741 мг, 2.94 ммоль, 1 экв.), и смесь нагревали в запаянной трубке при 110°С в течение ночи. Реакционную смесь концентрировали в вакууме и остаток растирали с метанолом, отфильтровывали и сушили в вакууме с получением целевого продукта в виде бежевого твердого вещества (607 мг, 1.79 ммоль, 61%).

ЖХ/МС (C14H15ClN4O2S) 339 [М+Н]+; RT2.41 (ЖХМС-V-C)

1H ЯМР (400 МГц, ДМСО-d6) δ 8.06 (s, 1Н), 4.38-4.25 (m, 4Н), 2.92 (t, J=6.3 Гц, 2Н), 2.34 (s, 3H), 2.14 2.01(m, 2Н), 1.31 (t, J=7.1 Гц, 3H).

Стадия С: этил 2-{3-[(1,3-бензотиазол-2-ил)амино]-4-метил-5Н,6Н,7Н,8Н-пиридо[2,3-с]пиридазин-8-ил}-1,3-тиазол-4-карбоксилат

В высушенный в сушильном шкафу сосуд для микроволновой обработки загружали продукт со Стадии В (607 мг, 1.79 ммоль, 1 экв.), 2-аминобензотиазол (404 мг, 2.69 ммоль, 1.5 экв.), ксантфос (207 мг, 0.36 ммоль, 0.2 экв.), карбонат цезия (1.17 г, 3.58 ммоль, 2 экв.) и 1,4-диоксан (36 мл), и сосуд вакуумировали и продували азотом, затем добавляли трис(дибензилиденацетон)дипалладий(0) (164 мг, 0.18 ммоль, 0.1 экв.), смесь барботировали азотом (10 мин) и затем нагревали при 150°С в течение 4 часов под микроволновым облучением. Реакционную смесь разбавляли этилацетатом и фильтровали через целит, затем промывали соляным раствором, сушили (сульфат магния) и концентрировали в вакууме. Очистка с помощью автоматической колоночной флэш-хроматографии (CombiFlash Rf, 24 г силикагелевый картридж RediSep™) с элюированием с градиентом 0-100% этилацетата в изогептане приводила к получению твердого вещества, которое растирали с диэтиловым эфиром, отфильтровывали и сушили в вакууме с получением целевого продукта в виде желтого твердого вещества (329 мг, 0.73 ммоль, 41%).

ЖХ/МС (C21H20N6O2S2) 453 [М+Н]+; RT 2.73 (ЖХМС-V-C)

1H ЯМР (400 МГц, ДМСО-d6) δ 7.99 (br s+s, 2Н), 7.65 (br s, 1H), 7.43 -7.31 (m, 1H), 7.28 - 7.15 (m, 1H), 4.35 - 4.25 (m, 4H), 2.96 - 2.85 (m, 2H), 2.36 (s, 3H), 2.15 - 2.00 (m, 2H), 1.32 (t, J=7.1 Гц, 3H).

Синтез 3g: Этил 5-(3-гидроксипропил)-2-(4-метил-3-{[(2Z)-3-{[2-(триметилсилил)этокси]метил}-2,3-дигидро-1,3-бензотиазол-2-илиден]амино}-5Н,6Н,7Н,8Н-пиридо[2,3-с]пиридазин-8-ил)-1,3-тиазол-4-карбоксилат

Стадия А: этил 2-(4-метил-3-{[(2Z)-3-{[2-(триметилсилил)этокси]метил}-2,3-дигидро-1,3-бензотиазол-2-илиден]амино}-5Н,6Н,7Н,8Н-пиридо[2,3-с]пиридазин-8-ил)-1,3-тиазол-4-карбоксилат

К раствору продукта Синтеза 3f (11.7 г, 25.8 ммоль, 1 экв.) в диметилформамиде (700 мл) добавляли N,N-диизопропилэтиламин (13.5 мл, 77.4 ммоль, 3 экв.). Через 5 мин смесь охлаждали до 0°С и добавляли 4-(диметиламино)пиридин (630 мг, 5.16 ммоль, 0.2 экв.) и 2-(триметилсилил)этоксиметил хлорид (13.6 мл, 77.4 ммоль, 3 экв.), и смесь перемешивали при температуре окружающей среды в течение ночи. Реакционную смесь концентрировали в вакууме, затем распределяли между дихлорметаном и соляным раствором, и органическую фазу сушили (сульфат магния) и концентрировали в вакууме. Очистка с помощью автоматической колоночной флэш-хроматографии (CombiFlash Rf, 330 г силикагелевый картридж RediSep™) с элюированием с градиентом 0 40% этилацетата в изогептане приводила к получению целевого продукта в виде желтого твердого вещества (9.61 г, 16.5 ммоль, 64%).

ЖХ/МС (C27H34N6O3SiS2) 583 [М+Н]+; RT 2.90 (ЖХМС-V-C)

1H ЯМР (400 МГц, ДМСО-d6) δ 7.99 (s, 1Н), 7.82 (dd, J=7.7, 1.1 Гц, 1Н), 7.49 - 7.38 (m, 2Н), 7.28 - 7.19 (m, 1Н), 5.86 (s, 2Н), 4.38 - 4.23 (m, 4Н), 3.77 -3.67 (m, 2Н), 2.89 (t, J=6.2 Гц, 2Н), 2.38 (s, 3H), 2.13 - 2.01 (m, 2Н), 1.31 (t, J=7.1 Гц, 3H), 0.91 (dd, J=8.5, 7.4 Гц, 2Н), -0.11 (s, 9Н).

Стадия В: этил 5-бром-2-(4-метил-3-{[(2Z)-3-{[2-(триметилсилил)этокси]метил}-2,3-дигидро-1,3-бензотиазол-2-илиден]амино}-5Н,6Н,7Н,8Н-пиридо[2,3-с]пиридазин-8-ил)-1,3-тиазол-4-карбоксилат

К раствору продукта со Стадии А(9.61 г, 16.5 ммоль, 1 экв.) в дихлорметане (400 мл) добавляли N-бромсукцинимид (3.52 г, 19.8 ммоль, 1.2 экв.), и смесь перемешивали при температуре окружающей среды в течение ночи. Реакционную смесь распределяли между дихлорметаном и водой, и органическую фазу промывали соляным раствором, сушили (ПТФЭ фазоразделитель) и концентрировали в вакууме. Очистка с помощью автоматической колоночной флэш-хроматографии (CombiFlash Rf, 220 г силикагелевый картридж RediSep™) с элюированием с градиентом 0-40% этилацетата в изогептане приводила к получению целевого продукта в виде желтого твердого вещества (9.66 г, 14.6 ммоль, 89%).

ЖХ/МС (C27H33BrN6O3SiS2) 663 [М+Н]+; RT 3.13 (ЖХМС-V-C)

1H ЯМР (400 МГц, ДМСО-d6) δ 7.84 (dd, J=7.5, 1.1 Гц, 1H), 7.59 - 7.38 (m, 2H), 7.24 (ddd, J=8.3, 6.7, 1.7 Гц, 1H), 5.85 (s, 2H), 4.37 - 4.23 (m, 4H), 3.72 (dd, J=8.5, 7.4 Гц, 2H), 2.87 (t, J=6.2 Гц, 2H), 2.38 (s, 3H), 2.13 - 2.00 (m, 2H), 1.32 (t, 3H), 0.95 - 0.81 (m, 2H), -0.12 (s, 9H).

Стадия С: этил 5-[(1Е)-3-[(трет-бутилдиметилсилил)окси]проп-1-ен-1-ил]-2-(4-метил-3-{[(2Z)-3-{[2-(триметилсилил)этокси]метил}-2,3-дигидро-1,3-бензотиазол-2-илиден]амино}-5Н,6Н,7Н,8Н-пиридо[2,3-с]пиридазин-8-ил)-1,3-тиазол-4-карбоксилат

В высушенную в сушильном шкафу закупоренную колбу загружали продукт со Стадии В (9.66 г, 14.6 ммоль, 1 экв.), сложный пинаколовый эфир (Е)-3-(трет-бутилдиметилсилилокси)пропен-1-илбороновой кислоты (5.74 мл, 17.5 ммоль, 1.2 экв.), карбонат калия (6.05 г, 43.8 ммоль, 3 экв.), [1,Г-бис(дифенилфосфино)ферроцен]дихлорпалладий(II) (1.19 г, 1.46 ммоль, 0.1 экв.), тетрагидрофуран (360 мл) и воду (120 мл), смесь барботировали азотом (10 мин) и затем нагревали при 120°С в течение 2 ч. Реакционную смесь распределяли между этилацетатом и водой, и органический слой промывали соляным раствором, сушили (сульфат магния) и концентрировали в вакууме. Очистка с помощью автоматической колоночной флэш-хроматографии (CombiFlash Rf, 220 г силикагелевый картридж RediSep™) с элюированием с градиентом 0 30% этилацетата в изогептане приводила к получению целевого продукта в виде желтого твердого вещества (6.46 г, 8.58 ммоль, 59%).

ЖХ/МС (C36H52N6O4Si2S2) 753 [М+Н]+; RT 1.62 (ЖХМС-V-В2)

1H ЯМР (400 МГц, ДМСО-d6) δ 7.80 (dd, J=7.6, 1.0 Гц, 1Н), 7.51 - 7.38 (m, 3H), 7.24 (ddd, J=8.3, 6.8, 1.8 Гц, 1H), 6.28 (dt, J=16.0, 4.3 Гц, 1H), 5.85 (s, 2H), 4.37 (dd, J=4.4, 2.1 Гц, 2H), 4.35 - 4.25 (m, 4H), 3.72 (dd, J=8.5, 7.4 Гц, 2H), 2.88 (t, J=6.3 Гц, 2H), 2.37 (s, 3H), 2.09 - 1.99 (m, 2H), 1.31 (t, J=7.1 Гц, 3H), 0.93 (s, 9H), 0.92 - 0.83 (m, 2H), 0.11 ((s, 6H), -0.11 (s, 9H).

Стадия D: этил 5-{3-[(трет-бутилдиметилсилил)окси]пропил}-2-(4-метил-3-{[(2R)-3-{[2-(триметилсилил)этокси]метил}-2,3-дигидро-1,3-бензотиазол-2-илиден]амино}-5Н,6Н,7Н,8Н-пиридо[2,3-с]пиридазин-8-ил)-1,3-тиазол-4-карбоксилат

К раствору продукта со Стадии С (6.46 г, 8.58 ммоль, 1 экв.) в этилацетате (300 мл) добавляли оксид платины(IV) (390 мг, 1.72 ммоль, 0.2 экв.) в атмосфере азота. Сосуд вакуумировали и снова заполняли азотом (х3), затем вакуумировали, создавали в нем атмосферу водорода и встряхивали в течение 3 дней при температуре окружающей среды. Реакционную смесь фильтровали через целит, элюировали этилацетатом и концентрировали в вакууме с получением целевого продукта в виде коричневой смолы (6.72 г, 8.9 ммоль, >100%).

ЖХ/МС (C36H54N6O4Si2S2) 755 [М+Н]+; RT 1.67 (ЖХМС-V-В2)

1H ЯМР (400 МГц, ДМСО-d6) δ 7.76 (d, 1Н), 7.48 - 7.35 (m, 2Н), 7.24 (ddd, J=8.2, 6.5, 1.9 Гц, 1Н), 5.84 (s, 2Н), 4.33 - 4.22 (m, 4Н), 3.76 - 3.62 (m, 4Н), 3.15 (t, J=7.5 Гц, 2Н), 2.87 (t, J=6.4 Гц, 2Н), 2.37 (s, 3H), 2.10 - 1.98 (m, 3H), 1.91 -1.79 (m, 2Н), 1.31 (t, J=7.1 Гц, 3H), 0.95 - 0.85 (m, 11Н), 0.06 (s, 6Н), -0.12 (s, 9Н).

Стадия Е: этил 5-(3-гидроксипропил)-2-(4-метил-3-{[(2Z)-3-{[2-(триметилсилил)этокси]метил}-2,3-дигидро-1,3-бензотиазол-2-илиден]амино}-5Н,6Н,7Н,8Н-пиридо[2,3-с]пиридазин-8-ил)-1,3-тиазол-4-карбоксилат

К раствору продукта со Стадии D (6.72 г, 8.9 ммоль, 1 экв.) в 1,4-диоксане (400 мл) добавляли хлористоводородную кислоту (4М в диоксане; 67 мл, 267 ммоль, 30 экв.), и смесь перемешивали при температуре окружающей среды в течение 1 ч. Реакционную смесь охлаждали до 0°С и нейтрализовали 1 н. водным раствором гидроксида натрия (300 мл), затем распределяли между этилацетатом и водой, и органическую фазу сушили (сульфат магния) и концентрировали в вакууме. Очистка с помощью автоматической колоночной флэш-хроматографии (CombiFlash Rf, 120 г силикагелевый картридж RediSep™) с элюированием с градиентом 0 - 80% этилацетата в изогептане приводила к получению твердого вещества, которое растирали с диэтиловым эфиром, отфильтровывали и сушили в вакууме с получением целевого продукта в виде белого твердого вещества (3.87 г, 6.04 ммоль, 68%).

ЖХ/МС (C30H40N6O4SiS2) 641 [М+Н]+; RT 2.80 (ЖХМС-V-C)

1H ЯМР (400 МГц, ДМСО-d6) δ 7.83 (dd, J=7.6, 1.1 Гц, 1Н), 7.48 - 7.37 (m, 2H), 7.23 (ddd, J=8.3, 6.7, 1.8 Гц, 1H), 5.85 (s, 2H), 4.56 (t, J=5.1 Гц, 1H), 4.33 -4.22 (m, 4H), 3.72 (dd, J=8.6, 7.3 Гц, 2H), 3.48 (td, J=6.3, 5.1 Гц, 2H), 3.17 - 3.08 (m, 2H), 2.88 (t, J=6.4 Гц, 2H), 2.38 (s, 3H), 2.11 - 1.99 (m, 2H), 1.87 - 1.75 (m, 2H), 1.31 (t, J=7.1 Гц, 3H), 0.96 - 0.86 (m, 2H), -0.11 (s, 9H).

Синтез 4а: 4-[1-[(Диметиламино)метил]-3-бицикло[1.1.1]пентанил]-2-фторфенол

Стадия А: трицикло[1.1.1.01,3]пентан

1 л 3-горлую колбу, оснащенную якорем магнитной мешалки, собирали с дистилляционной головкой, присоединенной к конденсатору и 250 мл колбе для сбора образцов с краном Шленка, 250 мл капельной воронке и термометру [всю стеклянную посуду собирали в горячем состоянии, затем подключали к линии Шленка и давали охладиться в токе азота]. Раствор 1,1-дибром-2,2-бис(хлорметил)циклопропана (59.4 г, 200 ммоль, 1 экв.) в диэтиловом эфире (200 мл) охлаждали до -45°С и добавляли фениллитий (1.9 М в н-бутиловом эфире; 211 мл, 400 ммоль, 2 экв.) в течение 25 мин с помощью капельной воронки. После завершения добавления, смеси давали нагреться до 0°С и перемешивали в течение 2 ч. По прошествии этого времени приемную колбу охлаждали до -78°С, и подключение к коллектору ненадолго закрывали и заменяли на присоединение к вакуумному насосу (с входом для выравнивания давления, присоединенным к коллектору распределения азота). Перед включением насоса капельную воронку и термометр заменяли на предварительно смазанные стеклянные пробки. Насос доводили до давления 200 мбар и затем соединение открывали. В течение 3 минут давление постепенно снижали до 120 мбар и затем реакционный сосуд оставляли нагреваться до температуры окружающей среды. Затем давление осторожно снижали до 45 мбар, и это давление поддерживали в течение 45 минут. По прошествии этого времени вакуум сбрасывали с помощью азота, и получающийся в результате прозрачный бесцветный дистиллят хранили при -20°С. Концентрация целевого продукта была определена с помощью 1Н ЯМР и составляла 0.45 М.

1H ЯМР (400 МГц, хлороформ-d) δ 2.04 (s, 6Н).

Стадия В: бром(3-фтор-4-метоксифенил)магний

В 3-горлую 50 мл колбу, оснащенную якорем магнитной мешалки и обратным холодильником, добавляли магний (681 мг, 28 ммоль, 1.4 экв.), и прибор сильно нагревали (~ 500°С) тепловым феном в течение 5 минут при энергичном перемешивании, и затем давали охладиться до температуры окружающей среды в атмосфере азота. Добавляли диэтиловый эфир (5 мл) с последующим добавлением 1,2-дибромэтана (172 мкл, 2 ммоль, 0.1 экв.). Смесь нагревали до кипения с обратным холодильником 4-5 раз в течение 5 минут, и затем оставляли стоять в течение 10 минут, после чего все еще наблюдали слабое кипение. Смесь доводили до устойчивого кипения ручным нагревом, и затем начинали медленное перемешивание. В этот момент добавляли раствор 4-бром-2-фторанизола (4.1 г, 20 ммоль, 1 экв.) в диэтиловом эфире (10 мл) с такой скоростью, которая позволяла поддерживать постоянное кипение, и скорость перемешивания увеличивали (300 об/мин). Добавление завершали спустя 15 минут. Смеси давали перемешиваться при температуре окружающей среды в течение 0.5 ч, после чего образовывалась прозрачная двухфазная система. Нижний темно-соломенный слой (10.15 мл) переносили в сухую колбу Шленка с помощью шприца через 0.2 мкм ПТФЭ фильтр. Концентрация раствора, определенная путем титрования раствором йода в сухом тетрагидрофуране, была рассчитана на уровне 1.38 М. Раствор продукта непосредственно использовали на следующей стадии без дополнительного определения характеристик.

Стадия С: этил 3-(3-фтор-4-метоксифенил)бицикло[1.1.1]пентан-1-карбоксилат

В высушенный в сушильном шкафу 50 мл сосуд для реакций под давлением АСЕ, оснащенный якорем магнитной мешалки, загружали продукт со Стадии В (1.38М в диэтиловом эфире; 4.83 мл, 6.67 ммоль, 1 экв.) с последующим добавлением продукта со Стадии А (0.45М в диэтиловом эфире, 14.8 мл, 6.67 ммоль, 1 экв.), и сосуд закупоривали тефлоновой завинчивающейся пробкой, снабженной передним уплотнительным кольцом, и помещали в предварительно нагретый нагревательный блок за противовзрывным экраном на 3 ч, поддерживая температуру 105°С. Смеси давали охладиться при температуре окружающей среды в течение 20 минут, и затем на бане с водой со льдом в течение 10 минут. Тефлоновую завинчивающуюся пробку заменяли на Suba-Seal, присоединенную к азотопроводу, и реакционную смесь охлаждали до -78°С. Добавляли этилхлорформиат (5.1 мл, 53.3 ммоль, 4 экв.) и смеси давали нагреться до температуры окружающей среды в течение 1.5 ч. Реакционную смесь распределяли между насыщенным водным раствором хлорида аммония и диэтиловым эфиром, и водную фазу экстрагировали эфиром. Объединенные органические экстракты промывали соляным раствором, сушили (сульфат магния) и концентрировали в вакууме. Очистка с помощью автоматической колоночной флэш-хроматографии (CombiFlash Rf, 80 г силикагелевый картридж RediSep™) с элюированием с градиентом 0 - 10% этилацетата в изогептане приводила к получению целевого продукта в виде бесцветной жидкости, которая представляла собой смесь целевого продукта и побочного продукта. Это вещество дополнительно очищали с помощью автоматической колоночной флэш-хроматографии (CombiFlash Torrent, 200 г силикагелевый картридж RediSep™) с элюированием с градиентом 0 - 80% дихлорметана в гептане с получением целевого продукта (640 мг, 3.78 ммоль, 56%).

1H ЯМР (500 МГц, ДМСО-d6) δ м.д. 7.09 (t, 1 Н), 7.09 (dd, 1 Н), 6.98 (dm, 1 Н), 4.08 (q, 2 Н), 3.8 (s, 3 Н), 2.22 (s, 6 Н), 1.2 (t, 3 Н). 13С ЯМР (500 МГц, ДМСО-d6) δ м.д. 169.8, 151.8, 146.6, 133.0, 122.8, 114.2, 114.2, 60.6, 56.5, 53.2, 41.0, 36.9, 14.6.

МСВР-ЭИ (m/z): М+, рассчитано для C15H17FO3: 264.1162, найдено: 264.1156.

Стадия D: 1-(3-фтор-4-метоксифенил)бицикло[1.1.1]пентан-3-карбоновая кислота

200 мг продукта со Стадии С (0.76 ммоль, 1 экв.) и 159 мг LiOH×Н2О (3.78 ммоль, 5 экв.) смешивали в 1,4-диоксане (2 мл/ммоль) и воде (2 мл/ммоль), и затем перемешивали при к.т.в течение 1 ч, пока не наблюдали полной степени превращения. Реакционную смесь подщелачивали 1:1 раствором HCl, затем выпавший осадок отфильтровали и промывали водой, и затем сушили в вакууме в.н. 170 мг (95%) целевого продукта выделяли в виде белого твердого вещества.

1H ЯМР (500 МГц, ДМСО-d6) δ м.д. 12.41 (s, 1Н), 7.09 (m, 1Н), 7.09 (m, 1Н), 6.97 (dm, 1H), 3.80 (s, 3H), 2.18 (s, 6Н); 13С ЯМР (125 МГц, ДМСО-d6) δ м.д. 171.7, 151.8, 146.6, 133.3, 122.7, 114.2, 114.1, 56.5, 53.1, 40.8, 37.0; ГХ-МС-ЭИ (m/z): [М]+, рассчитано для C13H13FO3: 236.0849, найдено: 236.0840.

Стадия Е: 1-(3-фтор-4-метоксифенил)-N,N-диметил-бицикло[1.1.1]пентан-3-карбоксамид

164 мг продукта со Стадии D (1.04 ммоль, 1 экв.) и 278 мг N,N-диэтилэтанамина (1.39 ммоль, 2 экв.) смешивали в EtOAc (3 мл/ммоль), затем одной порцией добавляли 663 мг 2,4,6-трипропил-1,3,5,2λ^{5},4λ^{5},6λ^{5}-триоксатрифосфинан 2,4,6-триоксида (50 мас. % в EtOAc, 1.04 ммоль, 1.5 экв.), и затем перемешивали при к.т.в течение 40 мин. По истечении времени реакции добавляли 0.52 мл N-метилметанамина (2M в МеОН, 1.04 ммоль, 1.5 экв.), и смесь перемешивали при к.т. до тех пор, пока не наблюдали полной степени превращения (60 мин). Реакционную смесь разбавляли с помощью ДХМ, затем промывали конц. раствором NaHCO3, затем органическую фазу промывали конц. раствором NaCl, сушили над MgSO4, фильтровали, концентрировали и сушили в вакууме с получением 187 мг (колич.) целевого продукта в виде твердого вещества персикового цвета.

1Н ЯМР (500 МГц, ДМСО-d6) δ м.д. 7.14 (m, 2Н), 6.86 (m, 2Н), 3.72 (s, 3H), 3.08 (s, 3H), 2.81 (s, 3H), 2.26 (s, 6Н); 13С ЯМР (125 МГц, ДМСО-d6) δ м.д. 168.9, 158.6, 132.5, 127.6, 114.1, 55.5, 54.2, 42.0, 39.0, 37.4, 35.9; МСВР-ЭРИ (m/z): [М+Н]+, рассчитано для Ci5Hi9FN02: 264.1394, найдено: 264.1389.

Стадия F: 1-[3-(3-фтор-4-метоксифенил)-1-бицикло[1.1.1]пентанил]-N,N-диметилметанамин

182 мг продукта со Стадии Е (0.69 ммоль, 1 экв.) растворяли в ТГФ (5 мл/ммоль), затем добавляли 1.38 мл LiAlH4 (1 М раствор в ТГФ, 1.38 ммоль, 2 экв.) в атмосфере азота при температуре окружающей среды, и смесь перемешивали до достижения полной степени превращения (прибл. 1 ч). Смесь охлаждали до 0°С, затем гасили конц. раствором NH4Cl. После гашения добавляли ~5 мл воды и ~ 10 мл EtOAc, и смесь хорошо встряхивали. Добавляли 2 М раствор HCl и (кислую) водную фазу отделяли, затем органическую фазу экстрагировали дополнительным количеством 2 М раствора HCl. Объединенные водные фазы подщелачивали 2 М раствором NaOH и экстрагировали с помощью ДХМ. Объединенные органические фазы промывали соляным раствором, сушили над MgSO4 и концентрировали и сушили в вакууме. 119 мг (69%) целевого продукта получали в виде вязкого масла.

1H ЯМР (500 МГц, ДМСО-d6) δ м.д. 7.07 (t, 1H), 7.01 (dd, 1H), 6.93 (dm, 1Н), 3.79 (s, 3H), 2.35 (s, 2Н), 2.16 (s, 6Н), 1.90 (s, 6Н); 13С ЯМР (125 МГц, ДМСО-d6) δ м.д. 151.8, 146.2, 134.5, 122.5, 114.1, 114.0, 60.7, 56.5, 52.9, 46.6, 41.7, 38.0; МСВР-ЭРИ (m/z): [М+Н]+, рассчитано для C15H21FNO: 250.1602, найдено: 250.1596.

Стадия G: 4-[1-[(диметиламино)метил]-3-бицикло[1.1.1]пентанил]-2-фторфенол

113 мг продукта со Стадии F (0.45 ммоль, 1 экв.) растворяли в ДХМ (5 мл/ммоль), затем добавляли 1.36 мл BBr3 (1 М раствор в ДХМ, 1.36 ммоль, 3 экв.) в атмосфере азота при 0°С, и смесь перемешивали в течение 15 мин при 0°С и при к.т. до достижения полной степени превращения (прибл. 45 мин). Добавляли ДХМ, затем смесь выливали на раствор NaHCO3, перемешивали несколько минут, затем доводили до нейтральной реакции конц. раствором NH4Cl. Отделяли и промывали соляным раствором, сушили над MgSO4 и концентрировали, и сушили в вакууме. 47 мг (колич.) сырого целевого продукта получали в виде вязкого масла.

1Н ЯМР (400 МГц, CDCl3) δ м.д. 6.95 (t, 1H), 6.90 (dd, 1H), 6.85 (dm, 1Н), 3.84 (s, 2Н), 3.17 (s, 6Н), 2.24 (s, 6Н); 13С ЯМР (100 МГц, CDCl3) δ м.д. 122.4, 117.4, 113.4, 59.5, 54.8, 46.0, 43.8, 34.8; МСВР-ЭРИ (m/z): [М+Н]+, рассчитано для C14H19FNO: 236.1445, 236.1445.

Синтез 4b: 4-[3-(Диметиламино)проп-1-инил]-2-фторфенол

Используя Общую методику проведения реакции Соногаширы, исходя из 10.00 г 2-фтор-4-йодфенола (42.0 ммоль, 1 экв.) в качестве подходящего фенола и 5.24 г N,N-диметилпроп-2-ин-1-амина (63 ммоль, 1.5 экв.) в качестве алкина, получали 7.30 г (90%) целевого продукта.

1H ЯМР (500 МГц, ДМСО-d6) δ м.д. 7.20 (dd, 1H), 7.07 (dm, 1H), 6.91 (m, 1Н), 3.39 (m, 2Н), 2.21 (m, 3H); 13С ЯМР (125 МГц, ДМСО-d6) δ м.д. 150.9, 146.2, 128.9, 119.5, 118.4, 113.6, 84.5, 84.2, 48.2, 44.3; МСВР-ЭРИ (m/z): [М+Н]+, рассчитано для C11H13FNO: 194.0976, найдено: 194.0981.

Синтез 4 с: трет-Бутил N-[3-(3-фтор-4-гидроксифенил)проп-2-инил]-N-метилкарбамат

Используя Общую методику проведения реакции Соногаширы, исходя из 10.00 г 2-фтор-4-йодфенола (42.0 ммоль, 1 экв.) в качестве подходящего фенола и 10.67 г трет-бутил N-метил-N-проп-2-инилкарбамата (63.1 ммоль, 1.5 экв.) в качестве алкина, получали 10.8 г (92%) целевого продукта.

1Н ЯМР (500 МГц, ДМСО-d6) δ м.д. 10.32 (s, 1 Н), 7.22 (brd, 1H), 7.08 (dm, 1Н), 6.92 (dd, 1H), 4.21 (s, 2Н), 2.85 (s, 3H), 1.41 (s, 9Н); 13С ЯМР (125 МГц, ДМСО-d6) δ м.д. 150.8, 146.4, 129.0, 119.6, 118.4, 113.2, 84.4, 82.7, 38.5, 33.8, 28.5; МСВР-ЭРИ (m/z): [М-С4Н8+Н]+, рассчитано для C11H11FNO3: 224.0717, найдено: 224.0720.

Синтез 4d: 4-[3-(Диметиламино)пропил]-2-фторфенол

К раствору продукта Синтеза 4b (1.5 г, 7.76 ммоль, 1 экв.) в этилацетате (54 мл) и этаноле (18 мл) в атмосфере азота добавляли гидрат оксида платины(ГУ) (353 мг, 1.55 ммоль, 0.2 экв.). Сосуд вакуумировали и снова заполняли азотом (х3), затем вакуумировали, создавали в нем атмосферу водорода и встряхивали при температуре окружающей среды в течение ночи. Реакционную смесь фильтровали через целит, элюировали этилацетатом и концентрировали в вакууме. Очистка с помощью автоматической колоночной флэш-хроматографии (CombiFlash Rf, 24 г силикагелевый картридж RediSep™) с элюированием с градиентом 0 - 10% 1 н. метанольного раствора аммиака в дихлорметане приводила к получению целевого продукта (652 мг, 3.31 ммоль, 42%) в виде не совсем белого твердого вещества.

ЖХ/МС (C11H16FNO) 198 [М+Н]+; RT 0.44 (ЖХМС-V-C)

1H ЯМР (400 МГц, ДМСО-d6) δ 9.52 (s, 1H), 6.96 (dd, J=12.5, 1.9 Гц, 1Н), 6.88 - 6.76 (m, 2H), 2.47 (dd, J=8.5, 6.8 Гц, 2H), 2.20 - 2.13 (m, 2H), 2.11 (s, 6H), 1.69 - 1.57 (m, 2H).

Синтез 4е: 4-[2-(Диметиламино)этокси]фенол

Стадия А: 4-(метоксиметокси)фенол

К раствору гидрохинона (0.76 мл, 9.08 ммоль, 1 экв.) в ацетоне (30 мл) добавляли карбонат калия (2.51 г, 18.2 ммоль, 2 экв.) и хлорметилметиловый эфир (0.69 мл, 9.08 ммоль, 1 экв.), и смесь перемешивали при температуре окружающей среды в течение ночи. Реакционную смесь распределяли между этилацетатом и водой, и органическую фазу сушили (сульфат магния) и концентрировали в вакууме. Очистка с помощью автоматической колоночной флэш-хроматографии (CombiFlash Rf, 24 г силикагелевый картридж RediSep™) с элюированием с градиентом 0-20% этилацетата в изогептане приводила к получению целевого продукта в виде коричневого масла (601 мг, 3.9 ммоль, 43%).

1H ЯМР (400 МГц, ДМСО-d6) δ 9.03 (s, 1H), 6.91 - 6.80 (m, 2Н), 6.72 - 6.62 (m, 2Н), 5.05 (s, 2Н), 3.36 (s, 3H).

Стадия В: {2-[4-(метоксиметокси)фенокси]этил}диметиламин

К раствору продукта со Стадии А (400 мг, 2.59 ммоль, 1 экв.) в тетрагидрофуране (20 мл) добавляли N,N-диметилэтаноламин (526 мкл, 5.19 ммоль, 2 экв.), ди-трет-бутилазодикарбоксилат (1.19 г, 5.19 ммоль, 2 экв.) и трифенилфосфин (1.36 г, 5.19 ммоль, 2 экв.), и смесь нагревали при 50°С в течение 3 ч. Реакционную смесь концентрировали в вакууме, распределяли между дихлорметаном и насыщенным водным раствором бикарбоната натрия, и органическую фазу отделяли (ПТФЭ фазоразделитель) и концентрировали в вакууме. Очистка с помощью автоматической колоночной флэш-хроматографии (CombiFlash Rf, 24 г силикагелевый картридж RediSep™) с элюированием с градиентом 0 - 7% метанола в дихлорметане приводила к получению целевого продукта в виде коричневого масла (383 мг, 1.7 ммоль, 66%).

ЖХ/МС (C12H19NO3) 226 [М+Н]+; RT 0.88 (ЖХМС-V-C)

1H ЯМР (400 МГц, ДМСО-d6) δ 6.99 - 6.90 (m, 2Н), 6.94 - 6.82 (m, 2Н), 5.10 (s, 2Н), 3.98 (t, J=5.8 Гц, 2Н), 3.36 (s, 3H), 2.59 (t, J=5.9 Гц, 2Н), 2.20 (s, 6Н).

Стадия С: 4-[2-(диметиламино)этокси]фенол

Раствор продукта со Стадии В (383 мг, 1.7 ммоль, 1 экв.) в хлористоводородной кислоте (4М в 1,4-диоксане; 5 мл, 20 ммоль, 11.7 экв.) перемешивали при температуре окружающей среды в течение 1 ч. Реакционную смесь концентрировали в вакууме, затем растворяли в метаноле, загружали на смоченный метанолом картридж SCX (10 г), промывали метанолом, и элюировали 1.75 н. метанольным раствором аммиака и концентрировали в вакууме с получением целевого продукта в виде коричневого твердого вещества (249 мг, 1.37 ммоль, 812%).

ЖХ/МС (C10H15NO2) 182 [М+Н]+; RT 0.24 (ЖХМС-V-C)

1H ЯМР (400 МГц, ДМСО-d6) δ 8.91 (s, 1H), 6.79 - 6.70 (m, 2Н), 6.70 - 6.62 (m, 2Н), 3.92 (t, J=5.9 Гц, 2Н), 2.57 (t, J=5.9 Гц, 2Н), 2.20 (s, 6Н).

Синтез 4f: 4-[2-(Пирролидин-1-ил)этокси]фенол

Стадия А: 1-{2-[4-(метоксиметокси)фенокси]этил}пирролидин

К раствору продукта Синтеза 4е, Стадия А (525 мг, 3.41 ммоль, 1 экв.) в тетрагидрофуране (20 мл) добавляли 1-(2-гидроксиэтил)пирролидин (0.8 мл, 6.81 ммоль, 2 экв.), ди-трет-бутилазодикарбоксилат (1.57 г, 6.81 ммоль, 2 экв.) и трифенилфосфин (1.79 г, 6.81 ммоль, 2 экв.), и смесь нагревали при 50°С в течение ночи. Реакционную смесь концентрировали в вакууме и распределяли между дихлорметаном и насыщенным водным раствором бикарбоната натрия, и органическую фазу отделяли (ПТФЭ фазоразделитель) и концентрировали в вакууме. Очистка с помощью автоматической колоночной флэш-хроматографии (CombiFlash Rf, 40 г силикагелевый картридж RediSep™) с элюированием с градиентом 0-7% метанола в дихлорметане приводила к получению целевого продукта в виде коричневого масла (556 мг, 2.21 ммоль, 65%).

ЖХ/МС (C14H21NO3) 252 [М+Н]+; RT 1.09 (ЖХМС-V-C)

1H ЯМР (400 МГц, ДМСО-d6) δ 6.98 - 6.91 (m, 2Н), 6.91 - 6.82 (m, 2Н), 5.10 (s, 2Н), 4.00 (t, J=5.9 Гц, 2Н), 3.36 (d, J=6.0 Гц, 3H), 2.75 (t, J=6.0 Гц, 2Н), 2.50 - 2.42 (m, 4Н), 1.74 - 1.61 (m, 4Н).

Стадия В: 4-[2-(пирролидин-1-ил)этокси]фенол

Раствор продукта со Стадии А (556 мг, 2.21 ммоль, 1 экв.) в хлористоводородной кислоте (4М в 1,4-диоксане; 7 мл, 28 ммоль, 12.7 экв.) перемешивали при температуре окружающей среды в течение 30 мин. Реакционную смесь концентрировали в вакууме, затем растворяли в метаноле, загружали на смоченный метанолом картридж SCX (10 г), промывали метанолом, элюировали 1.75 н. метанольным раствором аммиака и концентрировали в вакууме с получением целевого продукта в виде коричневого твердого вещества (453 мг, 2.19 ммоль, 99%).

ЖХ/МС (C12H17NO2) 208 [М+Н]+; RT0.28 (ЖХМС-V-C)

1H ЯМР (400 МГц, ДМСО-d6) δ 8.90 (s, 1H), 6.79 - 6.70 (m, 2Н), 6.70 - 6.62 (m, 2Н), 3.94 (t, J=6.0 Гц, 2Н), 3.17 (d, J=4.3 Гц, 2Н), 2.73 (t, J=6.0 Гц, 2Н), 2.49 (dt, J=4.1, 1.4 Гц, 2Н), 1.74 - 1.60 (m, 4Н).

Синтез 4g: 4- [2-(Диметиламино)этил]-2-фторфенол

Стадия А: 2-фтор-1-метокси-4-[(Е)-2-нитроэтенил]бензол

К раствору 3-фтор-4-метоксибензальдегида (400 мг, 2.6 ммоль, 1 экв.) и нитрометана (339 мкл, 6.23 ммоль, 2.4 экв.) в метаноле (50 мл), охлажденному до 0°С, по каплям добавляли 1М водный раствор гидроксида натрия (20 мл, 20 ммоль, 7.71 экв.), и получающуюся в результате смесь перемешивали при 0°С в течение 1 ч. Смесь порциями добавляли к 8М водному раствору хлористоводородной кислоты (12 мл, 96 ммоль, 37 экв.), охлаждали до 0°С, и получающейся в результате суспензии давали нагреться до температуры окружающей среды и перемешивали в течение 30 мин. Осадок собирали путем фильтрования, промывали водой и сушили в вакууме с получением целевого продукта (393 мг, 1.99 ммоль, 76%) в виде желтого твердого вещества.

1H ЯМР (400 МГц, ДМСО-d6) δ 8.20 (d, J=13.6 Гц, 1H), 8.10 (dd, J=13.5, 1.0 Гц, 1H), 7.88 (dd, J=12.6, 2.1 Гц, 1H), 7.70 (dt, J=8.6, 1.5 Гц, 1H), 7.29 (t, J=8.8 Гц, 1H), 3.92 (s, 3H).

Стадия В: 2-(3-фтор-4-метоксифенил)этан-1-амин

К раствору продукта со Стадии А (393 мг, 1.99 ммоль, 1 экв.) в тетрагидрофуране (12 мл) добавляли алюмогидрид лития (1М в тетрагидрофуране; 5.98 мл, 5.98 ммоль, 3 экв.), и смесь нагревали при 40°С в течение ночи. Реакционную смесь гасили водой (1.2 мл) и концентрировали в вакууме. Остаток растворяли в 2 н. водном растворе хлористоводородной кислоты (20 мл) и промывали этилацетатом (×2). К водной фазе добавляли винную кислоту (2.1 г) и значение рН доводили до рН 11 концентрированным раствором гидроксида аммония. Смесь экстрагировали дихлорметаном (×3) и объединенные органические экстракты отделяли (ПТФЭ фазоразделитель) и концентрировали в вакууме с получением целевого продукта в виде желтого масла (252 мг, 1.49 ммоль, 75%).

ЖХ/МС (C9H12FNO) 170 [М+Н]+; RT 0.14 (ЖХМС-V-B1) 1H ЯМР (400 МГц, ДМСО-d6) δ 7.16 - 7.03 (m, 3Н), 3.80 (s, 3Н), 3.38 - 3.30 (m, 2Н), 2.79 - 2.69 (m, 2Н), 2.62 - 2.54 (m, 2Н).

Стадия С: [2-(3-фтор-4-метоксифенил)этил]диметиламин

К раствору продукта со Стадии В (252 мг, 1.49 ммоль, 1 экв.) в метаноле (5 мл) добавляли формальдегид (13.4М в воде; 123 мкл, 4.47 ммоль, 3 экв.) с последующим добавлением триацетоксиборгидрида натрия (947 мг, 4.47 ммоль, 3 экв.) и ледяной уксусной кислоты (0.05 мл), и смесь перемешивали при температуре окружающей среды в течение 1 ч. Реакционную смесь распределяли между этилацетатом и насыщенным водным раствором бикарбоната натрия, и органическую фазу сушили (сульфат магния) и концентрировали в вакууме. Очистка с помощью автоматической колоночной флэш-хроматографии (CombiFlash Rf, 4 г силикагелевый картридж RediSep™) с элюированием с градиентом 0 - 10% метанола в дихлорметане приводила к получению целевого продукта в виде желтого масла (92 мг, 0.47 ммоль, 31%).

ЖХ/МС (C11H16FNO) 198 [М+Н]+; RT 0.82 (ЖХМС-V-C) 1H ЯМР (400 МГц, ДМСО-d6) δ 7.16 - 6.94 (m, 3Н), 3.80 (s,3Н), 2.64 (dd, J=8.5, 6.7 Гц, 2Н), 2.41 (dd, J=8.5, 6.7 Гц, 2Н), 2.16 (s, 6Н).

Стадия D: 4-[2-(диметиламино)этил]-2-фторфенол

К раствору продукта со Стадии С (92 мг, 0.47 ммоль, 1 экв.) в дихлорметане (3.5 мл), охлажденному до 0°С, добавляли трибромид бора (1М в дихлорметане, 1.4 мл, 1.4 ммоль, 3 экв.), и смесь перемешивали при температуре окружающей среды в течение ночи. Реакционную смесь охлаждали до 0°С, гасили метанолом и затем концентрировали в вакууме. Остаток растворяли в метаноле, загружали на смоченный метанолом картридж SCX (5 г), промывали метанолом, элюировали 1.75 н. метанольным раствором аммиака и концентрировали в вакууме с получением целевого продукта в виде коричневого масла (41 мг, 0.22 ммоль, 48%).

ЖХ/МС (C10H14FNO) 184 [М+Н]+; RT 0.36 (ЖХМС-V-C) 1H ЯМР (400 МГц, ДМСО-d6) δ 9.55 (s, 1H), 7.03 - 6.95 (m, 1Н), 6.88 - 6.78 (m, 2Н), 2.59 (dd, J=8.7, 6.7 Гц, 2Н), 2.38 (dd, J=8.6, 6.7 Гц, 2Н), 2.15 (s, 6Н).

Синтез 4h: 3-[(Диметиламино)метил]-5-фтор-1-метил-1Н-индол-6-ол

Стадия А: 6-(бензилокси)-5-фтор-1Н-индол-2-карбоновая кислота

К перемешиваемому раствору сложного метилового эфира 6-бензилокси-5-фтор-1H-индол-2-карбоновой кислоты (2.5 г, 8.35 ммоль, 1 экв.) в смеси тетрагидрофурана (25 мл) и метанола (25 мл) добавляли раствор гидроксида натрия (4 г, 100 ммоль, 12 экв.) в воде (30 мл), и смесь перемешивали в течение 2.5 ч. Реакционную смесь охлаждали на бане с водой со льдом и подкисляли при перемешивании путем медленного добавления 2 н. водного раствора хлористоводородной кислоты (60 мл), что приводило к выпадению осадка. Добавляли воду (80 мл), и смесь перемешивали в течение 45 мин, затем твердые вещества собирали путем фильтрования, промывали водой и сушили в вакууме с получением целевого продукта (2.25 г, 7.89 ммоль, 94%) в виде не совсем белого твердого вещества.

ЖХ/МС (C16H12FNO3) 284 [М-Н]-; RT 1.16 (ЖХМС-V-B1)

1H ЯМР (400 МГц, ДМСО-d6) δ 12.85 (s, 1H), 11.71 (d, J=2.3 Гц, 1Н), 7.54 - 7.39 (m, 5Н), 7.39 - 7.32 (m, 1H), 7.10 (dd, J=7.4, 0.8 Гц, 1Н), 7.01 (dd, J=2.2, 0.8 Гц, 1Н), 5.19 (s, 2Н).

Стадия В: 6-(бензилокси)-5-фтор-1Н-индол

Смесь продукта со Стадии А (1.25 г, 4.38 ммоль, 1 экв.) и дифенилового эфира (60 мл) нагревали при 290°С (внешнее нагревание) в течение 45 мин. Реакционной смеси давали охладиться до температуры окружающей среды, затем разбавляли гептаном (180 мл) и загружали на смоченную гексаном предварительно заполненную силикагелевую колонку (80 г) в вакууме. Очистка с помощью автоматической флэш-хроматографии (CombiFlash Rf, 80 г силикагелевая колонка RediSep) с элюированием с градиентом 0 - 80% этилацетата в гексане приводила к получению целевого продукта (372 мг, 1.54 ммоль, 35%) в виде бежевого твердого вещества.

ЖХ/МС (C15H12FNO) 242 [М+Н]+; RT 1.26 (ЖХМС-V-B1)

1H ЯМР (400 МГц, ДМСО-d6) δ 11.00 (s, 1H), 7.52 - 7.45 (m, 2Н), 7.49 -7.37 (m, 2Н), 7.41 - 7.30 (m, 2Н), 7.25 (t, J=2.8 Гц, 1H), 7.13 (dd, J=7.3, 0.8 Гц, 1Н), 6.34 (ddd, J=3.0, 2.0, 0.8 Гц, 1H), 5.18 (s, 2Н).

Стадия С: 6-(бензилокси)-5-фтор-1-метил-1Н-индол

К перемешиваемому раствору продукта со Стадии В (365 мг, 1.51 ммоль, 1 экв.) в диметилформамиде (10 мл), охлажденному на бане с водой со льдом, добавляли гидрид натрия (60% дисперсия; 72.6 мг, 3.03 ммоль, 2 экв.), и смесь перемешивали в течение 15 мин. Добавляли йодметан (0.11 мл, 1.82 ммоль, 1.2 экв.), затем смеси давали нагреться до температуры окружающей среды и перемешивали в течение 1 ч. Реакционную смесь охлаждали на льду, затем гасили путем добавления по каплям насыщенного водного раствора хлорида аммония, и медленно выливали на перемешиваемую ледяную воду (40 мл), что приводило к выпадению осадка. Добавляли дополнительное количество льда (20 мл) и после 30 мин перемешивания твердые вещества собирали путем фильтрования, последовательно промывали ледяной водой (2×30 мл) и гексаном (2×10 мл), и сушили в вакууме с получением целевого продукта (259 мг, 1.01 ммоль, 67%) в виде бежевого твердого вещества.

ЖХ/МС (C16H14FNO) 256 [М+Н]+; RT 1.36 (ЖХМС-V-B1)

1H ЯМР (400 МГц, ДМСО-d6) δ 7.55 - 7.48 (m, 2Н), 7.47 - 7.38 (m, 2Н), 7.40 - 7.29 (m, 3Н), 7.25 (d, J=3.1 Гц, 1Н), 6.33 (dd, J=3.1, 0.8 Гц, 1Н), 5.21 (s, 2Н), 3.76 (s, 3Н).

Стадия D: {[6-(бензилокси)-5-фтор-1-метил-1Н-индол-3-ил]метил}диметиламин

К перемешиваемой смеси 1,4-диоксана (5 мл) и ледяной уксусной кислоты (5 мл) добавляли водный формальдегид (37 мас. %; 1.18 мл, 14.54 ммоль, 14.6 экв.) с последующим добавлением водного раствора диметиламина (40 мас. %; 1.42 мл, 12.6 ммоль, 12.6 экв.). Этот раствор (1.6 мл) добавляли к перемешиваемому раствору продукта со Стадии С (255 мг, 1 ммоль, 1 экв.) в 1,4-диоксане (1 мл), и смесь перемешивали при температуре окружающей среды в течение 4 ч. Реакционную смесь концентрировали в вакууме, затем добавляли 2 н. водный раствор гидроксида натрия (4 мл), и получающуюся в результате густую суспензию разбавляли водой (10 мл), перемешивали и охлаждали на ледяной воде в течение 15 мин, затем отфильтровывали, промывали водой (×3) и сушили в вакууме с получением целевого продукта (290 мг, 0.93 ммоль, 93%) в виде кремового твердого вещества.

ЖХ/МС (C19H21FN2O) 268 [M+H-NHMe2]+; RT 0.99 (ЖХМС-V-B1)

1H ЯМР (400 МГц, ДМСО-d6) δ 7.55 - 7.47 (m, 2Н), 7.47 - 7.38 (m, 2Н), 7.40 - 7.31 (m, 2Н), 7.28 (d, J=7.3 Гц, 1H), 7.13 (s, 1Н), 5.20 (s, 2Н), 3.71 (s, 3Н), 3.44 (s, 2Н), 2.12 (s, 6Н).

Стадия Е: 3-[(диметиламино)метил]-5-фтор-1-метил-1Н-индол-6-ол В колбу загружали 10% Pd/C (50 мг, 0.05 экв.), затем ее вакуумировали и продували азотом (×2). Добавляли раствор продукта со Стадии D (285 мг, 0.91 ммоль, 1 экв.) в этаноле (20 мл), и колбу вакуумировали и продували азотом (×3), затем вакуумировали и продували водородом (×3), затем создавали в ней атмосферу водорода и встряхивали в течение 4 ч при температуре окружающей среды. Реакционную смесь фильтровали через картридж HM-N, элюировали этанолом и концентрировали в вакууме. Очистка с помощью обращенно-фазовой автоматической флэш-хроматографии (CombiFlash Rf, С18 50 г колонка Gold RediSep) с элюированием с градиентом 10 - 100% ацетонитрила в воде приводила к получению целевого продукта (69.8 мг, 0.27 ммоль, 29%) в виде не совсем белого твердого вещества (гидрохлорид).

ЖХ/МС (C12H15FN2O) 178 [M+H-NHMe2]+; RT 0.36 (ЖХМС-V-B1)

1H ЯМР (400 МГц, ДМСО-d6) δ 10.08 (s, 1Н), 9.66 (s, 1H), 7.60 (d, J=11.8 Гц, 1H), 7.40 (s, 1H), 6.96 (d, J=7.5 Гц, 1Н), 4.29 (s, 2Н), 3.71 (s, 3Н), 2.66 (s, 6Н), 1.23 (d, J=6.5 Гц, 1Н).

Синтез 4i: 4-[4-(Диметиламино)бутил]-2-фторфенол

Стадия_А: бромид [3-(1,3-диоксо-2,3-дигидро-1Н-изоиндол-2-ил)пропил]трифенилфосфания

N-(3-бромпропил)фталимид (2.75 г, 10.26 ммоль, 1 экв.) и трифенилфосфин (2.69 г, 10.3 ммоль, 1 экв.) перемешивали в толуоле (25 мл) и нагревали с обратным холодильником в течение ночи. Реакционной смеси давали охладиться до температуры окружающей среды и твердые вещества собирали путем фильтрования и сушили в вакууме с получением целевого продукта в виде белого твердого вещества (2.55 г, 4.81 ммоль, 47%).

1H ЯМР (400 МГц, ДМСО-d6) δ 7.95 - 7.85 (m, 7Н), 7.82 - 7.71 (m, 12Н), 3.80 - 3.64 (m, 4Н), 1.99 - 1.90 (m, 2Н).

Стадия В: 2-[(3Е)-4-(3-фтор-4-метоксифенил)бут-3-ен-1-ил]-2,3-дигидро-1Н-изоиндол-1,3-дион

К раствору продукта со Стадии А (2.55 г, 4.81 ммоль, 1 экв.) в толуоле (25 мл) добавляли 3-фтор-4-метоксибензальдегид (741 мг, 4.81 ммоль, 1 экв.) с последующим добавлением 18-краун-6 (108 мкл, 0.48 ммоль, 0.1 экв.), и смесь перемешивали при температуре окружающей среды в течение ночи. Реакционную смесь распределяли между этилацетатом и водой, и органическую фазу сушили (сульфат магния) и концентрировали в вакууме. Очистка с помощью автоматической колоночной флэш-хроматографии (CombiFlash Rf, 24 г силикагелевый картридж RediSep™) с элюированием с градиентом 0 30% этилацетата в изогептане приводила к получению целевого продукта в виде белого твердого вещества (1.48 г, 4.55 ммоль, 95%).

ЖХ/МС (C19H16FNO3) 302 [ПРОЧИЙ]; RT 2.25 (ЖХМС-V-C)

1H ЯМР (400 МГц, ДМСО-d6) δ 7.91 - 7.79 (m, 4Н), 7.13 - 6.98 (m, 3Н), 6.43 - 6.33 (m, 1H), 5.61 (dt, J=11.7, 7.4 Гц, 1H), 3.82 (s, 3Н), 3.70 (t, 2Н), 2.64 (qd, J=7.2, 1.8 Гц, 2Н).

Стадия С: (3Е)-4-(3-фтор-4-метоксифенил)бут-3-ен-1-амин

К раствору продукта со Стадии В (1.48 г, 4.55 ммоль, 1 экв.) в этаноле (60 мл) добавляли метиламин (2М в метаноле; 24 мл, 665 ммоль, 146 экв.), и смесь нагревали с обратным холодильником в течение ночи. Реакционной смеси давали охладиться до температуры окружающей среды и концентрировали в вакууме. Остаток растирали с диэтиловым эфиром, отфильтровывали и сушили в вакууме. Сырое твердое вещество растворяли в этилацетате и экстрагировали 1 н. водным раствором хлористоводородной кислоты (3×100 мл). Объединенные водные экстракты подщелачивали 4М водным раствором гидроксида калия, экстрагировали этилацетатом (×2) и объединенные органические экстракты сушили (сульфат магния) и концентрировали в вакууме с получением целевого продукта в виде розовой смолы (395 мг, 2.02 ммоль, 45%).

ЖХ/МС (C11H14FNO) 196 [М+Н]+; RT 1.25 (ЖХМС-V-C)

1H ЯМР (400 МГц, ДМСО-d6) δ 7.24 - 7.04 (m, 4Н), 6.44 - 6.30 (m, 1H), 5.63 (dt, J=11.6, 7.2 Гц, 1H), 2.65 (t, 2Н), 2.37 (qd, J=7.1, 2.0 Гц, 2H).

Стадия D: 4-(3-фтор-4-метоксифенил)бутан-1-амин

К раствору продукта со Стадии С (395 мг, 2.02 ммоль, 1 экв.) в метаноле (10 мл) добавляли оксид платины(IV) (45.9 мг, 0.2 ммоль, 0.1 экв.) в атмосфере азота. Сосуд вакуумировали и снова заполняли азотом (×3), вакуумировали, затем создавали в нем атмосферу водорода и встряхивали при температуре окружающей среды в течение ночи. Реакционную смесь фильтровали через целит, элюировали метанолом и концентрировали в вакууме. Остаток растворяли в метаноле, загружали на смоченный метанолом картридж SCX (5 г), промывали метанолом, элюировали 1.75 н. метанольным раствором аммиака и концентрировали в вакууме с получением целевого продукта в виде персиковой смолы (219 мг, 1.11 ммоль, 55%).

ЖХ/МС (C11H16FNO) 198 [М+Н]+; RT 1.18 (ЖХМС-V-C)

1H ЯМР (400 МГц, ДМСО-d6) δ 7.10 - 7.01 (m, 2Н), 6.99 - 6.90 (m, 1H), 3.80 (s, 3Н), 2.57 - 2.44 (m, 2Н), 1.61 - 1.42 (m, 4Н), 1.39 - 1.26 (m, 2Н).

Стадия Е: [4-(3-фтор-4-метоксифенил)бутил]диметиламин

К раствору продукта со Стадии D (219 мг, 1.11 ммоль, 1 экв.) в метаноле (5 мл) добавляли водный формальдегид (37 мас. %; 91.8 мкл, 13.4 М, 3.33 ммоль, 3 экв.), триацетоксиборгидрид натрия (706 мг, 3.33 ммоль, 3 экв.) и ледяную уксусную кислоту (6.36 мкл, 0.11 ммоль, 0.1 экв.), и смесь перемешивали при температуре окружающей среды в течение ночи. Реакционную смесь концентрировали в вакууме, затем распределяли между этилацетатом и насыщенным водным раствором бикарбоната натрия, и органическую фазу сушили (сульфат магния) и концентрировали в вакууме. Очистка с помощью автоматической колоночной флэш-хроматографии (CombiFlash Rf, 4 г силикагелевый картридж RediSep™) с элюированием с градиентом 0 - 10% метанола в дихлорметане приводила к получению целевого продукта в виде прозрачного масла (163 мг, 0.72 ммоль, 65%).

ЖХ/МС (C13H20FNO) 226 [М+Н]+; RT 1.30 (ЖХМС-V-C)

1H ЯМР (400 МГц, ДМСО-d6) δ 7.10 - 7.00 (m, 2Н), 6.98 - 6.90 (m, 1H), 3.80 (s, 3Н), 2.56 - 2.47 (m, 2Н), 2.23 - 2.15 (m, 2Н), 2.09 (s, 6Н), 1.59 - 1.47 (m, 2Н), 1.43 - 1.31 (m, 2Н).

Стадия F: 4-[4-(диметиламино)бутил]-2-фторфенол

К раствору продукта со Стадии Е (163 мг, 0.72 ммоль, 1 экв.) в дихлорметане (5 мл), охлажденному до 0°С, добавляли трибромид бора (1М в дихлорметане; 2.17 мл, 2.17 ммоль, 3 экв.), и смесь перемешивали при температуре окружающей среды в течение ночи. Реакционную смесь охлаждали до 0°С, гасили метанолом и концентрировали в вакууме. Остаток растворяли в метаноле, загружали на смоченный метанолом картридж SCX (5 г), промывали метанолом, элюировали 1.75 н. метанольным раствором аммиака и концентрировали в вакууме с получением целевого продукта в виде желтого масла (110 мг, 0.52 ммоль, 72%).

ЖХ/МС (C12H18FNO) 212 [М+Н]+; RT 0.96 (ЖХМС-V-C)

1H ЯМР (400 МГц, ДМСО-d6) δ 9.54 (s, 1H), 6.94 (dd, J=12.5, 2.0 Гц, 1Н), 6.88 - 6.75 (m, 2Н), 2.47 (t, J=7.6 Гц, 2Н), 2.21 - 2.13 (m, 2Н), 2.08 (s, 6Н), 1.56 -1.44 (m, 2Н), 1.42 - 1.30 (m, 2Н).

Синтез 4i: трет-Бутил N-[2-(3-фтор-4-гидроксифенил)этил]-N-метилкарбамат

Стадия А: этил N-[2-(3-фтор-4-метоксифенил)этил]карбамат

К раствору 2-(3-фтор-4-метоксифенил)этан-1-амина (263 мг, 1.55 ммоль, 1 экв.) в дихлорметане (10 мл) добавляли триэтиламин (315 мг, 3.11 ммоль, 2 экв.), и смесь охлаждали до 0°С, после чего добавляли этилхлорформиат (149 мкл, 1.55 ммоль, 1 экв.), и смесь перемешивали при температуре окружающей среды в течение ночи. Реакционную смесь распределяли между дихлорметаном и насыщенным водным раствором бикарбоната натрия, и органическую фазу отделяли (ПТФЭ фазоразделитель) и концентрировали в вакууме. Очистка с помощью автоматической колоночной флэш-хроматографии (CombiFlash Rf, 12 г силикагелевый картридж RediSep™) с элюированием с градиентом 0 1% метанола в дихлорметане приводила к получению целевого продукта в виде белого воска (245 мг, 1.02 ммоль, 65%).

ЖХ/МС (C12H16FNO3) 242 [М+Н]+; RT 1.81 (ЖХМС-V-C)

1H ЯМР (400 МГц, ДМСО-d6) δ 7.13 (t, 1Н), 7.11 - 7.01 (m, 2Н), 6.98 - 6.92 (m, 1H), 3.96 (q, J=7.1 Гц, 2Н), 3.80 (s, 3Н), 3.16 (td, J=7.3, 5.8 Гц, 2Н), 2.64 (t, J=7.3 Гц, 2Н), 1.13 (t, J=7.1 Гц, 3Н).

Стадия В: [2-(3-фтор-4-метоксифенил)этил](метил)амин

Раствор продукта со Стадии А (245 мг, 1.02 ммоль, 1 экв.) в тетрагидрофуране (3 мл) охлаждали до 0°С. Добавляли алюмогидрид лития (1М в тетрагидрофуране, 2.54 мл, 2.54 ммоль, 2.5 экв.), и смесь нагревали с обратным холодильником в течение ночи. Реакционную смесь охлаждали до 0°С и добавляли воду (96 мкл) с последующим добавлением 15% водного раствора гидроксида натрия (96 мкл) и затем воды (288 мкл). Для облегчения перемешивания добавляли дополнительное количество тетрагидрофурана, и смесь перемешивали при температуре окружающей среды в течение 30 мин. Добавляли сульфат магния с последующим добавлением этилацетата, смесь перемешивали в течение 15 мин, затем фильтровали через целит и элюировали этилацетатом. Растворители удаляли в вакууме и сырой продукт очищали с помощью автоматической колоночной флэш-хроматографии (CombiFlash Rf, 4 г силикагелевый картридж RediSep™) с элюированием с градиентом 0 10% метанола в дихлорметане с получением целевого продукта в виде прозрачного масла (89 мг, 0.49 ммоль, 48%).

ЖХ/МС (C10H14FNO) 184 [М+Н]+; RT 0.75 (ЖХМС-V-C)

1H ЯМР (400 МГц, ДМСО-d6) δ 7.15 - 7.01 (m, 2Н), 6.96 (ddd, J=8.3, 2.0, 1.0 Гц, 1Н), 3.80 (s, 3Н), 2.69 - 2.57 (m, 4Н), 2.27 (s, 3Н).

Стадия С: 2-фтор-4-[2-(метиламино)этил]фенол

К раствору продукта со Стадии В (89 мг, 0.49 ммоль, 1 экв.) в дихлорметане (4 мл), охлажденному до 0°С, добавляли трибромид бора (1М в дихлорметане, 1.46 мл, 1.46 ммоль, 3 экв.), и смесь перемешивали при температуре окружающей среды в течение 4 ч. Реакционную смесь охлаждали до 0°С, гасили метанолом и затем концентрировали в вакууме. Остаток растворяли в метаноле, загружали на смоченный метанолом картридж SCX (5 г), промывали метанолом, элюировали 1.75 н. метанольным раствором аммиака и концентрировали в вакууме с получением целевого продукта в виде коричневой смолы (62 мг, 0.37 ммоль, 75%).

ЖХ/МС (C9H12FNO) 170 [М+Н]+; RT 0.24 (ЖХМС-V-C)

1H ЯМР (400 МГц, ДМСО-d6) δ 7.02 - 6.93 (m, 1Н), 6.88 - 6.76 (m, 2Н), 2.67 - 2.53 (m, 4Н), 2.27 (s, 3Н).

Стадия D: трет-бутил N-[2-(3-фтор-4-гидроксифенил)этил]-N-метилкарбамат

К раствору продукта со Стадии С (62 мг, 0.37 ммоль, 1 экв.) в дихлорметане (5 мл) добавляли триэтиламин (153 мкл, 1.1 ммоль, 3 экв.) и 4-(диметиламино)пиридин (4.48 мг, 0.04 ммоль, 0.1 экв.) с последующим добавлением ди-трет-бутил дикарбоната (0.09 мл, 0.44 ммоль, 1.2 экв.), и смесь перемешивали при температуре окружающей среды в течение 3 ч. Реакционную смесь распределяли между дихлорметаном и насыщенным водным раствором бикарбоната натрия, и органическую фазу сушили (ПТФЭ фазоразделитель) и концентрировали в вакууме. Очистка с помощью автоматической колоночной флэш-хроматографии (CombiFlash Rf, 4 г силикагелевый картридж RediSep™) с элюированием с градиентом 0 85% этилацетата в изогептане приводила к получению целевого продукта в виде прозрачного масла (48 мг, 0.18 ммоль, 49%).

ЖХ/МС (C14H20FNO3) 170 [М-Вос+Н] +; RT 2.54 (ЖХМС-V-C)

1H ЯМР (400 МГц, ДМСО-d6) δ 9.60 (s, 1Н), 6.95 (d, J=12.3 Гц, 1H), 6.89 -6.72 (m, 2Н), 3.34- 3.27 (m, 2Н), 2.73 (s, 3Н), 2.64 (t, J=7.1 Гц, 2Н), 1.28 (s, 9Н).

Синтез 4k: трет-Бутил N-[4-(3-фтор-4-гидроксифенил)бутил]-N-метилкарбамат

Стадия А: этил N-[(3Е)-4-(3-фтор-4-метоксифенил)бут-3-ен-1-ил]карбамат

К раствору продукта Синтеза 4i, Стадия С (397 мг, 2.03 ммоль, 1 экв.), в дихлорметане (20 мл) добавляли триэтиламин (0.57 мл, 4.07 ммоль, 2 экв.), и смесь охлаждали до 0°С.Добавляли этилхлорформиат (194 мкл, 2.03 ммоль, 1 экв.) и смеси давали нагреться до температуры окружающей среды и перемешивали в течение ночи. Реакционную смесь распределяли между дихлорметаном и насыщенным водным раствором бикарбоната натрия, и органическую фазу отделяли (ПТФЭ фазоразделитель) и концентрировали в вакууме. Очистка с помощью автоматической колоночной флэш-хроматографии (CombiFlash Rf, 12 г силикагелевый картридж RediSep™) с элюированием с градиентом 0 25% этилацетата в изогептане приводила к получению целевого продукта в виде прозрачного масла (310 мг, 1.16 ммоль, 57%).

ЖХ/МС (C14H18FNO3) 268 [М+Н]+; RT 2.06 (ЖХМС-V-C)

1H ЯМР (400 МГц, ДМСО-d6) δ 7.24 - 7.05 (m, 3Н), 6.42 - 6.33 (m, 1H), 5.57 (dt, J=11.7, 7.2 Гц, 1H), 4.00 (dq, J=26.6, 7.1 Гц, 2H), 3.84 (s, 3H), 3.08 (q, J=6.8 Гц, 2H), 2.42 (qd, J=7.1, 1.9 Гц, 2H), 1.16 (t, 3H).

Стадия В: этил N-[4-(3-фтор-4-метоксифенил)бутил]карбамат

К раствору продукта со Стадии А (310 мг, 1.16 ммоль, 1 экв.) в метаноле (12 мл) добавляли оксид платины(IV) (26.3 мг, 0.12 ммоль, 0.1 экв.) в атмосфере азота. Сосуд вакуумировали и снова заполняли азотом (×3), вакуумировали, создавали в нем атмосферу водорода и встряхивали при температуре окружающей среды в течение ночи. Реакционную смесь фильтровали через целит, элюировали метанолом и концентрировали в вакууме с получением целевого продукта в виде прозрачного масла (275 мг, 1.02 ммоль, 88%). ЖХ/МС (C14H20FNO3) 270 [М+Н]+; RT 2.07 (ЖХМС-V-C)

1H ЯМР (400 МГц, ДМСО-d6) δ 7.12 - 7.00 (m, 3Н), 6.99 - 6.91 (m, 1H), 3.96 (q, J=7.1 Гц, 2Н), 3.80 (s, 3Н), 2.97 (q, J=6.7 Гц, 2Н), 2.52 - 2.45 (m, 2Н), 1.51 (р, J=7.8, 7.4 Гц, 2Н), 1.37 (р, J=7.2 Гц, 2Н), 1.14 (t, J=7.1 Гц, 3Н).

Стадия С: [4-(3-фтор-4-метоксифенил)бутил](метил)амин

К раствору продукта со Стадии В (417 мг, 1.55 ммоль, 1 экв.) в тетрагидрофуране (5 мл), охлажденному до 0°С, добавляли алюмогидрид лития (1М в тетрагидрофуране; 3.87 мл, 3.87 ммоль, 2.5 экв.), и смесь нагревали с обратным холодильником в течение ночи. Реакционную смесь охлаждали до 0°С и добавляли воду (150 мкл) с последующим добавлением 15% водного раствора гидроксида натрия (150 мкл) и воды (450 мкл). Смесь разбавляли тетрагидрофураном и перемешивали в течение 30 мин. Добавляли сульфат магния и этилацетат, и смесь фильтровали через целит и концентрировали в вакууме. Очистка с помощью автоматической колоночной флэш-хроматографии (CombiFlash Rf, 4 г силикагелевый картридж RediSep™) с элюированием с градиентом 0 - 15% метанола в дихлорметане приводила к получению целевого продукта в виде прозрачного масла (222 мг, 1.05 ммоль, 68%). ЖХ/МС (C12H18FNO) 212 [М+Н]+; RT 1.28 (ЖХМС-V-C)

1H ЯМР (400 МГц, ДМСО-d6) δ 7.09 - 6.99 (m, 2Н), 6.94 (dd, 1Н), 3.80 (s, 3Н), 2.51 - 2.48 (m, 2Н), 2.44 (t, 2Н), 2.24 (s, 3Н), 1.61 - 1.47 (m, 2Н), 1.47 - 1.31 (m, 2Н).

Стадия D: 2-фтор-4-[4-(метиламино)бутил]фенол

К раствору продукта со Стадии С (222 мг, 1.05 ммоль, 1 экв.) в дихлорметане (10 мл), охлажденному до 0°С, добавляли трибромид бора (1M в дихлорметане, 3.15 мл, 3.15 ммоль, 3 экв.), и смесь перемешивали при температуре окружающей среды в течение 3 ч. Реакционную смесь охлаждали до 0°С, гасили метанолом и концентрировали в вакууме. Остаток растворяли в метаноле, загружали на смоченный метанолом картридж SCX (5 г), промывали метанолом, элюировали 1.4 н. метанольным раствором аммиака и концентрировали в вакууме с получением целевого продукта в виде коричневой смолы (63 мг, 0.32 ммоль, 30%).

ЖХ/МС (C11H16FNO) 198 [М+Н]+; RT 1.01 (ЖХМС-V-C)

1H ЯМР (400 МГц, ДМСО-d6) δ 7.00 - 6.91 (m, 1Н), 6.88 - 6.75 (m, 2Н), 2.49 - 2.40 (m, 4Н), 2.24 (s, 3Н), 1.58 - 1.45 (m, 2Н), 1.43 - 1.33 (m, 2Н).

Стадия Е: трет-бутил N-[4-(3-фтор-4-гидроксифенил)бутил]-N-метилкарбамат

К раствору продукта со Стадии D (63 мг, 0.32 ммоль, 1 экв.) в дихлорметане (5 мл) добавляли триэтиламин (133 мкл, 0.96 ммоль, 3 экв.) и 4-(диметиламино)пиридин (3.9 мг, 0.03 ммоль, 0.1 экв.), и смесь охлаждали до 0°С, добавляли ди-трет-бутил дикарбонат (66 мкл, 0.29 ммоль, 0.9 экв.), и смесь перемешивали при температуре окружающей среды в течение 1 ч. Реакционную смесь распределяли между дихлорметаном и насыщенным водным раствором бикарбоната натрия, и органическую фазу отделяли (ПТФЭ фазоразделитель) и концентрировали в вакууме. Очистка с помощью автоматической колоночной флэш-хроматографии (CombiFlash Rf, 4 г силикагелевый картридж RediSep™) с элюированием с градиентом 0 35% этилацетата в изогептане приводила к получению целевого продукта (33 мг, 0.11 ммоль, 35%).

ЖХ/МС (C16H24FNO3) 198 [М-Вос+Н]+; RT 2.18 (ЖХМС-V-C)

1H ЯМР (400 МГц, ДМСО-d6) δ 9.54 (s, 1H), 6.95 (dd, J=12.4, 2.0 Гц, 1Н), 6.88 - 6.74 (m, 2Н), 3.21 - 3.11 (m, 2Н), 2.74 (s, 3Н), 2.49 - 2.41 (m, 2Н), 1.53 - 1.40 (m, 4Н), 1.37 (s, 9Н).

Синтез 5а: 1-(1-Адамантилметил)-5-метил-4-(4,4,5,5-тетраметил-1,3,2-диоксаборолан-2-ил)пиразол

Стадия А: 1-(1-адамантилметил)-4-йодпиразол

Смесь 35.9 г 1-адамантилметанола (216 ммоль), 73.48 г трифенилфосфина (280 ммоль, 1.3 экв.), 54.25 г 4-йод-1H-пиразола (280 ммоль, 1.3 экв.) и 64.4 г трет-бутил N-(трет-бутоксикарбонилиминометилен)карбамата (266 ммоль, 1.3 экв.) в 1078 мл ТГФ перемешивали при к.т.в течение 48 ч. После добавления дополнительных 10.94 г 4-йод-1H-пиразола (56 ммоль, 0.26 экв.), 12.81 г трет-бутил N-(трет-бутоксикарбонилиминометилен)карбамата (53 ммоль, 0.26 экв.) и 14.69 г трифенилфосфина (56 ммоль, 0.26 экв.), реакционную смесь перемешивали при к.т.в течение 24 ч, затем концентрировали, сырой продукт очищали с помощью колоночной флэш-хроматографии с использованием ДХМ в качестве элюента, растирали в холодном МеОН и отфильтровывали с получением 53.6 г (73%) целевого продукта в виде белого порошка.

Стадия В: 1-(1-адамантилметил)-4-йод-5-метилпиразол

К 9.8 мл диизопропиламина (69.5 ммоль, 1.1 экв.) в 180 мл ТГФ по каплям добавляли 33.4 мл 2.5 М раствора бутиллития (84 ммоль, 1.3 экв.) при -78°С, и смесь перемешивали при -78°С в течение 0.5 ч, обрабатывали посредством 22.0 г продукта со Стадии А (64.28 ммоль, 1 экв.) в 90 мл ТГФ, перемешивали при -78°С в течение 1 ч, обрабатывали 4.67 мл метилйодида (73.3 ммоль, 1.14 экв.) и перемешивали при -78°С в течение 18 ч. После гашения реакционной смеси конц. раствором NH4Cl, ее экстрагировали с помощью EtOAc и объединенные органические фазы промывали соляным раствором, сушили, концентрировали, остаток растирали с МеОН и отфильтровывали с получением 21 г (92%) целевого продукта.

Стадия С: 1-(1-адамантилметил)-5-метил-4-(4,4,5,5-тетраметил-1,3,2-диоксаборолан-2-ил)пиразол

К 21 г продукта со Стадии В (58.95 ммоль, 1 экв.) в 300 мл ТГФ добавляли 28.3 мл 2.5 М раствора бутиллития (70.8 ммоль, 1.2 экв.) при -78°С, и смесь перемешивали при -78°С в течение 0.5 ч, обрабатывали посредством 16.4 г 2-изопропокси-4,4,5,5-тетраметил-1,3,2-диоксаборолана (88.1 ммоль, 1.5 экв.) (добавление осуществляли порциями в течение 40 мин), и выдерживали при -78°С в течение 24 ч. После гашения реакционной смеси конц. NH4Cl при к.т., ее экстрагировали с помощью EtOAc и объединенные органические фазы промывали соляным раствором, сушили, концентрировали, остаток растирали в МеОН и отфильтровывали с получением 19.7 г (94%) целевого продукта в виде не совсем белых кристаллов.

1H ЯМР (500 МГц, ДМСО-d6) δ м.д. 7.45 (s, 1Н), 3.69 (s, 2H), 2.36 (s, 3Н), 1.91 (m, 1H), 1.64/1.54 (m, 6H), 1.50 (m, 6H), 1.24 (s, 12H); 13C ЯМР (500 МГц, ДМСО-d6) δ м.д. 146.9, 144.1, 104.6, 59.7, 40.6, 36.8, 35.4, 28.1, 25.1, 12.1; MCBP-ЭРИ (m/z): [М+Н]+, рассчитано для C21H34BN2O2: 357.2713, найдено: 357.2704.

Синтез 5b: 1-{[1-(3-Метоксипропил)циклооктил]метил}-5-метил-4-(4,4,5,5-тетраметил-1,3,2-диоксаборолан-2-ил)-1Н-пиразол

Стадия А: метил 1-(3-метоксипропил)циклооктанкарбоксилат

К 4.74 г (1.14 экв.) диизопропиламина в 90 мл тетрагидрофурана добавляли 18.8 мл (1.14 экв.) 2.5 М раствора бутиллития при -78°С, и после 0.5 ч выдерживания при -78°С, добавляли 7.0 г (41.1 ммоль) метил циклооктанкарбоксилата в 40 мл тетрагидрофурана в течение 1 ч. После 1 ч выдерживания при -78°С, добавляли 7.2 г (1.14 экв.) 1-бром-3-метоксипропана, и смесь перемешивали в течение 18 ч. После гашения реакционной смеси путем добавления насыщенного раствора NH4Cl, ее экстрагировали с помощью EtOAc и органические фазы сушили над MgSO4 и концентрировали с получением 8.0 г (80%) целевого продукта.

1H ЯМР (400 МГц, CDCl3) δ м.д. 3.66 (s, 3Н), 3.33 (t, 2Н), 3.31 (s, 3Н), 2.03-1.94 (m, 2Н), 1.64-1.38 (m, 16Н).

Стадия В: [1-(3-метоксипропил)циклооктил]метанол

К 9.0 г (37.13 ммоль) продукта со Стадии А в 93 мл диэтилового эфира порциями добавляли 1.76 г (1.25 экв.) алюмогидрида лития при 0°С. После перемешивания при к.т.в течение 2 ч, реакционную смесь гасили путем добавления ледяной воды, и добавляли EtOAc и 10% раствор NaOH. Смесь экстрагировали с помощью EtOAc, сушили и концентрировали с получением 7.4 г (93%) целевого продукта.

1H ЯМР (400 МГц, CDCl3) δ м.д. 3.37 (t, 2Н), 3.34 (s, 3Н), 3.30 (s, 2Н), 1.61-1.23 (m, 18Н).

Стадия С: 4-йод-1-[[1-(3-метоксипропил)циклооктил]метил]-1Н-пиразол

К 1.39 г (6.5 ммоль) продукта со Стадии В и 1.64 г (1.3 экв.) 4-йод-1Н-пиразола в 33 мл тетрагидрофурана добавляли 2.22 г (1.3 экв.) трифенилфосфина и 1.95 г (1.3 экв.) ди-трет-бутилазодикарбоксилата, и смесь перемешивали при к.т.в течение 67 ч. К смеси добавляли 278 мг 4-йод-1H-пиразола, 444 мг трифенилфосфина и 390 мг ди-трет-бутилазодикарбоксилата, и смесь перемешивали при к.т.в течение 24 ч. После того, как добавление реагентов и перемешивание при к.т.в течение 24 ч повторяли (в общей сложности 115 ч перемешивания), смесь концентрировали и очищали с помощью колоночной флэш-хроматографии (силикагель) с использованием гептана и EtOAc в качестве элюентов с получением 1.24 г (49%) целевого продукта.

1H ЯМР (400 МГц, CDCl3) δ м.д. 7.47 (s, 1H), 7.42 (s, 1Н), 3.93 (s, 2Н), 3.37 (t, 2Н), 3.36 (s, 3Н), 1.68-1.18 (m, 18Н).

Стадия D: 4-йод-1-[[1-(3-метоксипропил)циклооктил]метил]-5-метил-1Н-пиразол

К 1.2 г (3.07 ммоль) продукта со Стадии С в 5 мл тетрагидрофурана добавляли 3.7 мл (1.2 экв.) 1 М раствора LDA при -78°С. После 0.6 ч выдерживания при -78°С, к смеси по каплям добавляли 0.5 мл (1.14 экв.) метилйодида и ей давали нагреться до к.т. в течение 20 ч. Реакционную смесь гасили насыщенным раствором NH4Cl и экстрагировали с помощью EtOAc. Объединенные органические фазы сушили, концентрировали и очищали с помощью колоночной флэш-хроматографии (силикагель) с использованием гептана и EtOAc в качестве элюентов с получением 0.79 г (64%) целевого продукта.

1H ЯМР (400 МГц, CDCl3) δ м.д. 7.43 (s, 1Н), 3.85 (s, 2Н), 3.38 (t, 2Н), 3.35 (s, 3Н), 2.29 (s, 3Н), 1.69-1.24 (m, 18Н).

Стадия Е: 1-[[1-(3-метоксипропил)циклооктил]метил]-5-метил-4-(4,4,5,5-тетраметил-1,3,2-диоксаборолан-2-ил)-1Н-пиразол

К раствору 0.81 г (2 ммоль) продукта со Стадии D в 15 мл тетрагидрофурана по каплям добавляли 0.96 мл (1.2 экв.) 2.5 М раствора бутиллития при -78°С. Через 0.5 ч, добавляли 0.5 мл (1.2 экв.) 2-изопропокси-4,4,5,5-тетраметил-1,3,2-диоксаборолана в течение 20 мин, и смесь выдерживали при -78°С в течение 6 ч и при к.т. в течение 6 ч. После гашения реакционной смеси насыщенным раствором NH4Cl и экстрагирования с помощью EtOAc, объединенные органические фазы промывали соляным раствором, сушили и очищали с помощью колоночной флэш-хроматографии (силикагель) с использованием гептана и EtOAc в качестве элюентов с получением 0.33 г (34%) целевого продукта.

1H ЯМР (500 МГц, ДМСО-d6) δ м.д. 7.46 (s, 1H), 3.75 (s, 2Н), 3.27 (t, 2Н), 3.21 (s, 3Н), 2.36 (s, 3Н), 1.66-1.1 (m, 14Н), 1.57 (m, 2Н), 1.24 (s, 12Н), 1.24 (m, 2H). 13C ЯМР (500 МГц, ДМСО-d6) δ м.д. 147.3, 144.5, 104.5, 73.2, 58.2, 54.4, 40.5, 33.2, 25.1, 23.6, 11.8. IR: 2922, 1556, 1246, 1144, 1055. МСВР-ЭРИ (m/z): [М+Н]+, рассчитано для C23H42O3B: 405.3289, найдено: 405.3329.

Синтез 5с: 1-{[1-(3-Метоксипропил)циклогексил]метил}-5-метил-4-(4,4,5,5-тетраметил-1,3,2-диоксаборолан-2-ил)-1Н-пиразол

Стадия А: метил 1-(3-метоксипропил)циклогексанкарбоксилат К 6.84 г (1.09 экв.) диизопропиламина в 130 мл тетрагидрофурана добавляли 27 мл (1.09 экв.) 2.5 М раствора бутиллития при -78°С, и после 0.5 ч выдерживания при -78°С, добавляли 8.8 г метилциклогексанкарбоксилата в 50 мл тетрагидрофурана в течение 1 ч. После 1 ч выдерживания при -78°С, добавляли 10.7 г (1.13 экв.) 1-бром-3-метоксипропана, и смесь перемешивали в течение 18 ч. После гашения реакционной смеси путем добавления насыщенного раствора NH4Cl, ее экстрагировали с помощью EtOAc и органические фазы сушили над MgSO4 и концентрировали с получением 12 г (92%) целевого продукта.

1H ЯМР (400 МГц, CDCl3) δ м.д. 3.67 (s, 3Н), 3.35 (d, 1Н), 3.32 (d, 1Н), 3.31 (s, 3Н), 2.11-2.03 (m, 2Н), 1.60-1.16 (m, 12Н).

Стадия В: [1-(3-метоксипропил)циклогексил]метанол

К 12 г (56.41 ммоль) продукта со Стадии А в 140 мл диэтилового эфира порциями добавляли 2.68 г (1.25 экв.) алюмогидрида лития при 0°С.После перемешивания при к.т.в течение 2 ч, реакционную смесь гасили путем добавления ледяной воды и добавляли EtOAc и 10% раствор NaOH. Смесь экстрагировали с помощью EtOAc, сушили и концентрировали с получением 9.37 г (89%) целевого продукта.

1H ЯМР (400 МГц, CDCl3) δ м.д. 3.41 (s, 2Н), 3.38 (t, 2Н), 3.35 (s, 3Н), 1.56-1.27 (m, 14Н).

Стадия С: 4-йод-1-[[1-(3-метоксипропил)циклогексил]метил]пиразол К 1.21 г (6.5 ммоль) продукта со Стадии В и 2.58 г (2.05 экв.) 4-йод-1Н-пиразола в 33 мл тетрагидрофурана добавляли 3.5 г (2.05 экв.) трифенилфосфина и 3.07 г (2.05 экв.) ди-трет-бутилазодикарбоксилата, и смесь перемешивали при к.т.в течение 2 ч. К смеси добавляли 140 мг 4-йод-1H-пиразола, 230 мг трифенилфосфина и 200 мг ди-трет-бутилазодикарбоксилата, и смесь перемешивали при к.т.в течение 24 ч. После того, как добавление реагентов и перемешивание при к.т.в течение 24 ч повторяли дважды (в общей сложности 96 ч перемешивания), смесь концентрировали и очищали с помощью колоночной флэш-хроматографии (силикагель) с использованием гептана и EtOAc в качестве элюентов с получением 1.4 г (59.5%) целевого продукта.

1H ЯМР (400 МГц, CDCl3) δ м.д. 7.47 (s, 1H), 7.41 (s, 1Н), 4.00 (s, 2Н), 3.36 (t, 2Н), 3.35 (s, 3Н), 1.62-1.21 (m, 14Н).

Стадия D: 4-йод-1-[[1-(3-метоксипропил)циклогексил]метил]-5-метилпиразол

К 3.7 г (10.21 ммоль) продукта со Стадии С в 15 мл тетрагидрофурана добавляли 12.3 мл (1.2 экв.) 1 М раствора LDA в тетрагидрофуране при -78°С. После 0.6 ч выдерживания при -78°С, к смеси по каплям добавляли 0.73 мл (1.14 экв.) метилйодида и ей давали нагреться до к.т.в течение 20 ч. Реакционную смесь гасили насыщенным раствором NH4Cl и экстрагировали с помощью ЕЮАс.Объединенные органические фазы сушили, концентрировали и очищали с помощью колоночной флэш-хроматографии (силикагель) с использованием гептана и EtOAc в качестве элюентов с получением 2.85 г (74%) целевого продукта.

1H ЯМР (400 МГц, CDCl3) δ м.д. 7.44 (s, 1Н), 3.92 (s, 2Н), 3.38 (t, 2Н), 3.35 (s, 3Н), 2.29 (s, 3Н), 1.58-1.13 (m, 14Н).

Стадия Е: 1-[[1-(3-метоксипропил)циклогексил]метил]-5-метил-4-(4,4,5,5-тетраметил-1,3,2-диоксаборолан-2-ил)пиразол

К раствору 5.0 г (13.3 ммоль) продукта со Стадии D в 71 мл тетрагидрофурана по каплям добавляли 6.38 мл (1.2 экв.) 2.5 М раствора бутиллития при -78°С. Через 0.5 ч, 4.1 мл (1.5 экв.) 2-изопропокси-4,4,5,5-тетраметил-1,3,2-диоксаборолана добавляли в течение 40 мин, и смесь выдерживали при -78°С в течение 6 ч и при к.т. в течение 6 ч. После гашения реакционной смеси насыщенным раствором NH4Cl и экстрагирования с помощью EtOAc, объединенные органические фазы промывали соляным раствором, сушили и очищали с помощью колоночной флэш-хроматографии (силикагель) с использованием гептана и EtOAc в качестве элюентов с получением 2.3 г (46%) целевого продукта.

1H ЯМР (500 МГц, ДМСО-d6) δ м.д. 7.47 (s, 1H), 3.84 (s, 2Н), 3.27 (t, 2Н), 3.2 (s, 3Н), 2.37 (s, 3Н), 1.54-1.07 (m, 10Н), 1.46 (m, 2Н), 1.32 (m, 2Н), 1.24 (s, 12Н). 13С ЯМР (500 МГц, ДМСО-d6) δ м.д. 147.3, 144.4, 104.6, 73.1, 58.2, 55.7, 37.9, 30.6, 25.1, 23.1, 12.0. IR: 2927, 1556, 1257, 1144, 1053. МСВР-ЭРИ (m/z): [М+Н]+, рассчитано для C21H38N2O3B: 376.2897, найдено: 376.3019.

Синтез 6а: Этил 5-бром-2-(4-метил-3-{[(2Z)-3-{[2-(триметилсилил)этокси]метил}-2,3-дигидро-1,3-бензотиазол-2-илиден]амино}-5Н,6Н,7Н-пирроло[2,3-с]пиридазин-7-ил)-1,3-тиазол-4-карбоксилат

Стадия А: этил 2-[(пент-3-ин-1-ил)амино]-1,3-тиазол-4-карбоксилат

К раствору этил 2-бром- 1,3-тиазол-4-карбоксилата (538 мг, 2.28 ммоль, 1 экв.) в ацетонитриле (10 мл) добавляли гидрохлорид пент-3-ин-1-амина (300 мг, 2.51 ммоль, 1.1 экв.) и триэтиламин (0.7 мл, 5.02 ммоль, 2.2 экв.), и смесь нагревали при 150°С в течение 3 ч под микроволновым облучением. Реакционную смесь распределяли между этилацетатом и соляным раствором, и органическую фазу сушили (сульфат магния) и концентрировали в вакууме. Очистка с помощью автоматической колоночной флэш-хроматографии (CombiFlash Rf, 24 г силикагелевый картридж RediSep™) с элюированием с градиентом 0 40% этилацетата в изогептане приводила к получению целевого продукта в виде бежевого твердого вещества (221 мг, 0.93 ммоль, 41%).

ЖХ/МС (C11H14N2O2S) 239 [М+Н]+; RT 2.22 (ЖХМС-V-C)

1H ЯМР (400 МГц, ДМСО-d6) δ 7.93 (t, J=5.7 Гц, 1Н), 7.52 (s, 1Н), 4.22 (q, J=7.1 Гц, 2Н), 3.38 - 3.28 (m, 2Н), 2.44 - 2.33 (m, 2Н), 1.75 (t, J=2.5 Гц, 3Н), 1.27 (t, J=7.1 Гц, 3Н).

Стадия В: этил 2-{3-хлор-4-метил-5Н,6Н,7Н-пирроло[2,3-с]пиридазин-7-ил}-1,3-тиазол-4-карбоксилат

К раствору 3,6-дихлор-1,2,4,5-тетразина (140 мг, 0.93 ммоль, 1 экв.) в тетрагидрофуране добавляли продукт со Стадии А (221 мг, 0.93 ммоль, 1 экв.), и смесь нагревали с обратным холодильником в течение ночи. Реакционную смесь концентрировали в вакууме и остаток растирали с дихлорметаном, отфильтровывали и сушили в вакууме с получением целевого продукта в виде не совсем белого твердого вещества (148 мг, 0.46 ммоль, 49%).

ЖХ/МС (C13H13ClN4O2S) 325 [М+Н]+; RT 2.32 (ЖХМС-V-C)

1H ЯМР (400 МГц, ДМСО-d6) δ 8.11 (s, 1Н), 4.41 (dd, J=8.8, 7.7 Гц, 2H), 4.30 (q, J=7.1 Гц, 2H), 3.34 - 3.24 (m, 2H), 2.29 (d, J=1.1 Гц, 3Н), 1.31 (t, J=7.1 Гц, 3Н).

Стадия С: этил 2-{3-[(1,3-бензотиазол-2-ил)амино]-4-метил-5Н,6Н,7Н-пирроло[2,3-с]пиридазин-7-ил}-1,3-тиазол-4-карбоксилат

В высушенный в сушильном шкафу сосуд для микроволновой обработки загружали продукт со Стадии В (148 мг, 0.46 ммоль, 1 экв.), 2-аминобензотиазол (103 мг, 0.68 ммоль, 1.5 экв.), ксантфос (52.7 мг, 0.09 ммоль, 0.2 экв.), карбонат цезия (297 мг, 0.91 ммоль, 2 экв.) и 1,4-диоксан (20 мл), и сосуд вакуумировали и продували азотом, затем добавляли трис(дибензилиденацетон)дипалладий(0) (41.7 мг, 0.05 ммоль, 0.1 экв.), смесь барботировали азотом (10 мин) и затем нагревали при 150°С в течение 2 ч под микроволновым облучением. Реакционную смесь разбавляли этилацетатом, фильтровали через целит, промывали соляным раствором, сушили (сульфат магния) и концентрировали в вакууме. Очистка с помощью автоматической колоночной флэш-хроматографии (CombiFlash Rf, 24 г силикагелевый картридж RediSep™) с элюированием с градиентом 0 - 10% метанола в дихлорметане приводила к получению целевого продукта в виде желтого твердого вещества (103 мг, 0.23 ммоль, 52%).

ЖХ/МС (C20H18N6O2S2) 439 [М+Н]+; RT 2.67 (ЖХМС-V-C)

1H ЯМР (400 МГц, ДМСО-d6) δ 10.94 (br s, 1Н), 8.06 (s, 1H), 7.95 (br s, 1Н), 7.66 (br s, 1Н), 7.44 - 7.33 (m, 1Н), 7.28 - 7.15 (m, 1Н), 4.42 - 4.34 (m, 2Н), 4.30 (q, 2Н), 3.32 - 3.28 (m, 2Н), 2.34 (s, 3Н), 1.32 (t, J=7.1, 2.4 Гц, 3Н).

Стадия D: этил 2-(4-метил-3-{[(2Z)-3-{[2-(триметилсилил)этокси]метил}-2,3-дигидро-1,3-бензотиазол-2-илиден]амино}-5Н,6Н,7Н-пирроло[2,3-с]пиридазин-7-ил)-1,3-тиазол-4-карбоксилат

К охлажденному раствору продукта Стадии С (103 мг, 0.23 ммоль, 1 экв.) в тетрагидрофуране (15 мл) и диметилформамиде (5 мл) добавляли N,N-диизопропилэтиламин (81.8 мкл, 0.47 ммоль, 2 экв.). Через 5 мин добавляли 4-диметиламинопиридин (5.74 мг, 0.05 ммоль, 0.2 экв.) и [2-(хлорметокси)этил]триметилсилан (103 мкл, 0.59 ммоль, 2.5 экв.), и смесь перемешивали при температуре окружающей среды в течение ночи. Реакционную смесь распределяли между этилацетатом и водой, и органическую фазу сушили (сульфат магния) и концентрировали в вакууме. Очистка с помощью автоматической колоночной флэш-хроматографии (CombiFlash Rf, 24 г силикагелевый картридж RediSep™) с элюированием с градиентом 0 70% этилацетата в изогептане приводила к получению целевого продукта в виде не совсем белого твердого вещества (98 мг, 0.17 ммоль, 73%).

ЖХ/МС (C26H32N6O3SiS2), без ионизации; RT 3.08 (ЖХМС-V-C)

1H ЯМР (400 МГц, ДМСО-d6) δ 8.14 (s, 1H), 7.91 (d, J=7.6 Гц, 1H), 7.60 -7.51 (m, 2Н), 7.39 - 7.30 (m, 1H), 5.96 (s, 2Н), 4.48 (t, J=8.1 Гц, 2Н), 4.40 (q, J=7.1 Гц, 2Н), 3.87 - 3.78 (m, 2Н), 3.48 - 3.36 (m, 2Н), 2.44 (s, 3Н), 1.42 (t, J=7.1 Гц, 3Н), 1.07 - 0.98 (m, 2Н), 0.00 (s, 9Н).

Стадия Е: этил 5-бром-2-(4-метил-3-{[(2Z)-3-{[2-(триметилсилил)этокси]метил}-2,3-дигидро-1,3-бензотиазол-2-илиден]амино}-5Н,6Н,7Н-пирроло[2,3-с]пиридазин-7-ил)-1,3-тиазол-4-карбоксилат

К раствору продукта со Стадии D (98 мг, 0.17 ммоль, 1 экв.) в дихлорметане (15 мл) добавляли N-бромсукцинимид (39.9 мг, 0.22 ммоль, 1.3 экв.), и смесь перемешивали при температуре окружающей среды в течение 3 ч. Очистка с помощью автоматической колоночной флэш-хроматографии (CombiFlash Rf, 12 г силикагелевый картридж RediSep™) с элюированием с градиентом 0 - 50% этилацетата в изогептане приводила к получению целевого продукта в виде не совсем белого твердого вещества (98 мг, 0.15 ммоль, 88%). ЖХ/МС (C26H31BrN6O3SiS2), без ионизации; RT 3.22 (ЖХМС-V-C)

1H ЯМР (400 МГц, ДМСО-d6) δ 7.81 (dd, J=7.6, 1.1 Гц, 1Н), 7.50 - 7.39 (m, 2Н), 7.28 - 7.21 (m, 1Н), 5.85 (s, 2Н), 4.40 - 4.24 (m, 4Н), 3.68 - 3.58 (m, 2Н), 3.27 (t, J=8.0 Гц, 2Н), 2.32 (s, 3Н), 1.31 (t, J=7.1 Гц, 3Н), 1.02 (dd, J=8.5, 7.4 Гц, 2Н), -0.12 (s, 9Н).

Синтез 7: трет-Бутилдифенил-[2-[[3,5-диметил-7-[[5-метил-4-(4,4,5,5-тетраметил-1,3,2-диоксаборолан-2-ил)пиразол-1-ил]метил]-1-адамантил]-окси]этокси]силан

Стадия А: 3-бром-5,7-диметиладамантан-1-карбоновая кислота

После перемешивания железа (6.7 г, 120 ммоль) в броме (30.7 мл, 600 ммоль, 5 экв.) при 0°С в течение 1 ч, добавляли 3,5-диметиладамантан-1-карбоновую кислоту (25 г, 1 экв.), и реакционную смесь перемешивали при к.т.в течение 2 дней. После добавления EtOAc, реакционную смесь осторожно обрабатывали насыщенным раствором тиосульфата натрия при 0°С и перемешивали в течение 15 мин. После фильтрования смеси через набивку целита и промывания с помощью EtOAc, органическую фазу отделяли, промывали насыщенным раствором тиосульфата натрия и соляным раствором, сушили и концентрировали с получением целевого продукта (34.28 г, 74.6%), который использовали без дополнительной очистки.

1H ЯМР (400 МГц, ДМСО-d6): δ м.д. 12.33 (br., 1H), 2.21 (s, 2Н), 1.96/1.91 (d+d, 4Н), 1.50/1.43 (d+d, 4Н), 1.21/1.14 (dm+dm, 2Н), 0.86 (s, 6Н); 13С ЯМР (100 МГц, ДМСО-d6) δ м.д. 176.8, 66.8, 54.0, 48.7, 48.5, 45.7, 43.3, 35.5, 29.4; МСВР-ЭРИ (m/z): [М-Н]-, рассчитано для C13H18BrO2: 285.0496; найдено: 285.0498.

Стадия В: 3-бром-5,7-диметил-1-адамантилметанол

К продукту со Стадии А (34.3 г, 119 ммоль) в ТГФ (77.6 мл) медленно добавляли 1 М раствор ВН3-ТГФ в ТГФ (358 мл, 3 экв.), и реакционную смесь перемешивали в течение 18 ч. После добавления метанола и перемешивания в течение 30 мин, очистка с помощью колоночной хроматографии (силикагель, гептан и МТВЕ в качестве элюентов) приводила к получению целевого продукта (16.19 г, 49.6%).

1H ЯМР (400 МГц, ДМСО-d6): δ м.д. 4.51 (t, 1H), 3.05 (d, 2Н), 1.91 (s, 2Н), 1.91 (s, 4Н), 1.19/1.09 (d+d, 2Н), 1.19/1.05 (d+d, 4Н), 0.85 (s, 6Н) 13С ЯМР (100 МГц, ДМСО-d6) δ м.д. 70.4, 68.9, 54.9, 49.8, 49.3, 43.8, 41.4, 35.7, 29.7; МСВР-ЭРИ (m/z): [М-Br]-, рассчитано для С13Н21О: 193.1598, найдено: 193.1589.

Стадия С: 1-[3-бром-5,7-диметил-1-адамантил]метил]пиразол

К продукту со Стадии В (16.19 г, 59.26 ммоль) и 1Н-пиразолу (4.841 г, 1.2 экв.) в толуоле (178 мл) одной порцией добавляли цианометилентрибутилфосфоран (18.64 мл, 1.2 экв.), и реакционную смесь перемешивали при 90°С в течение 2 ч. Очистка с помощью колоночной хроматографии (силикагель, гептан и МТВЕ в качестве элюентов) приводила к получению целевого продукта (17.88 г, 93%).

1H ЯМР (400 МГц, ДМСО-d6): δ м.д. 7.63 (d, 1Н), 7.43 (d, 1Н), 6.23 (t, 1Н), 3.90 (s, 2Н), 1.92-1.02 (m, 12Н), 0.83 (s, 6Н); 13С ЯМР (100 МГц, ДМСО-d6) δ м.д. 139.0, 131.8, 105.2, 67.7, 61.4, 54.4/48.8/44.6, 50.4, 35.7, 29.6; МСВР-ЭРИ (m/z): [М]+, рассчитано для C16H23BrN2: 322.1045, найдено: 322.1014.

Стадия_D:_5-метил-1-[[-3-бром-5,7-диметил-1-адамантил]-метил]пиразол

К раствору продукта со Стадии С (17.88 г, 55.3 ммоль) в ТГФ (277 мл) добавляли бутиллитий (2.5 М в ТГФ, 66 мл, 3 экв.) при -78°С, затем, через 1 час, добавляли йодметан (17.2 мл, 5 экв.). Через 10 мин реакционную смесь гасили насыщенным раствором NH4Cl, экстрагировали с помощью EtOAc и объединенные органические слои сушили и концентрировали с получением целевого продукта (18.7 г, 100%), который использовали на следующей стадии без дополнительной очистки.

1H ЯМР (400 МГц, ДМСО-d6): δ м.д. 7.31 (d, 1Н), 6.00 (d, 1H), 3.79 (s, 2Н), 2.23 (s, 3Н), 2.01 (s, 2Н), 1.89/1.85 (d+d, 4Н), 1.23/1.15 (d+d, 4Н), 1.16/1.05 (d+d, 2Н), 0.83 (s, 6Н); 13С ЯМР (100 МГц, ДМСО-d6) δ м.д. 139.2, 138.0, 105.2, 67.8, 57.8, 54.4, 50.6, 48.8, 44.8, 41.5, 35.7, 29.6, 11.8; МСВР-ЭРИ (m/z): [М+Н]+, рассчитано для C17H26BrN2: 337.1279, найдено: 337.1289.

Стадия_E: 2-[[-3,5-диметил-7-[(5-метилпиразол-1-ил)метил]-1-адамантил]окси]этанол

Смесь продукта со Стадии D (18.7 г, 55.3 ммоль), этиленгликоля (123 мл, 40 экв.) и DIPEA (48.2 мл, 5 экв.) перемешивали при 120°С в течение 6 ч. Затем реакционную смесь разбавляли водой и экстрагировали с помощью EtOAc, объединенные органические слои сушили и концентрировали с получением целевого продукта (18.5 г, 105%), который использовали на следующей стадии без дополнительной очистки.

1H ЯМР (400 МГц, ДМСО-d6): δ м.д. 7.29 (d, 1Н), 5.99 (d, 1Н), 4.45 (t, 1Н), 3.78 (s, 2Н), 3.39 (q, 2Н), 3.32 (t, 2Н), 2.23 (s, 3Н), 1.34 (s, 2Н), 1.27/1.21 (d+d, 4Н), 1.13/1.07 (d+d, 4Н), 1.04/0.97 (d+d, 2Н), 0.84 (s, 6Н); 13С ЯМР (100 МГц, ДМСО-d6) δ м.д. 139.0, 137.8, 105.1, 74.0, 62.1, 61.5, 58.5, 50.1, 47.0, 46.1, 43.3, 39.7, 33.5, 30.2, 11.9; МСВР-ЭРИ (m/z): [М+Н]+, рассчитано для C19H31N2O2: 319.2386, найдено: 319.2387.

Стадия F: трет-бутилдифенил-[2-[[-3,5-диметил-7-[(5-метилпиразол-1-ил)метил]-1-адамантил]окси]этокси]силан

К смеси продукта со Стадии Е (17.6 г, 55.3 ммоль) и имидазола (5.65 г, 1.5 экв.) в ДХМ (150 мл) добавляли трет-бутилхлордифенилсилан (18.6 г, 1.2 экв.), и реакционную смесь перемешивали в течение 1 ч. Очистка с помощью колоночной хроматографии (силикагель, гептан и МТВЕ в качестве элюентов) приводила к получению целевого продукта (27.0 г, 87.8%).

1H ЯМР (400 МГц, ДМСО-d6): δ м.д. 7.72-7.34 (m, 10Н), 7.29 (d, 1Н), 5.99 (br., 1H), 3.78 (s, 2H), 3.67 (t, 2H), 3.44 (t, 2H), 2.21 (s, 3H), 1.33 (s, 2H), 1.26/1.18 (d+d, 4H), 1.12/1.06 (d+d, 4H), 1.03/0.96 (d+d, 2H), 0.98 (s, 9H), 0.82 (s, 6H); 13C ЯМР (100 МГц, ДМСО-d6) δ м.д. 139.0, 137.8, 105.1, 74.2, 64.4, 61.7, 58.5, 50.0, 46.9, 46.0, 43.4, 39.6, 33.5, 30.1, 27.1, 19.3, 11.9; МСВР-ЭРИ (m/z): [M+H]+, рассчитано для C35H49N2O2Si: 557.3563, найдено: 557.3564.

Стадия G: трет-бутилдифенил-[2-[[3-[(4-йод-5-метилпиразол-1-ил)метил]-5,7-диметил-1-адамантил]окси]этокси]силан

К раствору продукта со Стадии F (27.0 г, 48.56 ммоль) в ДМФА (243 мл) добавляли N-йодсукцинимид (13.6 г, 1.25 экв.), и реакционную смесь перемешивали в течение 2 ч. После разбавления водой, смесь экстрагировали с помощью ДХМ. Объединенные органические слои промывали насыщенным раствором тиосульфата натрия и соляным раствором, сушили и концентрировали с получением целевого продукта (30.1 г, 90%).

1H ЯМР (400 МГц, ДМСО-d6): δ м.д. 7.68-7.37 (m, 10Н), 7.45 (s, 1Н), 3.89 (s, 2Н), 3.67 (t, 2Н), 3.44 (t, 2Н), 2.23 (s, 3Н), 1.30 (s, 2Н), 1.26/1.17 (d+d, 4Н), 1.12/1.05 (d+d, 4Н), 1.00/0.96 (d+d, 2Н), 0.98 (s, 9Н), 0.82 (s, 6Н); 13С ЯМР (100 МГц, ДМСО-d6) δ м.д. 142.5, 140.8, 133.7, 64.4, 61.7, 60.3, 59.9, 49.9, 46.8, 45.9, 43.2, 39.7, 33.5, 30.1, 27.1, 19.3, 12.2; МСВР-ЭРИ (m/z): [М+Н]+, рассчитано для C35H48lN2O2Si: 683.2530, найдено: 683.2533.

Стадия Н: трет-бутилдифенил-[2-[[3,5-диметил-7-[[5-метил-4-(4,4,5,5-тетраметил-1,3,2-диоксаборолан-2-ил)пиразол-1-ил]метил]-1-адамантил]-окси]этокси]силан

К продукту со Стадии G (17.5 г, 25.6 ммоль) в ТГФ (128 мл) добавляли хлор(изопропил)магний-LiCl (1.3 М в ТГФ, 24 мл, 1.2 экв.) при 0°С, смесь перемешивали в течение 40 мин, обрабатывали 2-изопропокси-4,4,5,5-тетраметил-1,3,2-диоксабороланом (15.7 мл, 3 экв.), и реакционную смесь перемешивали в течение 10 мин. После разбавления смеси насыщенным раствором NH4Cl и экстрагирования с помощью EtOAc, объединенные органические фазы концентрировали и очищали с помощью колоночной хроматографии (силикагель, гептан и МТВЕ в качестве элюентов) с получением целевого продукта (15.2 г, 86.9%).

1H ЯМР (400 МГц, ДМСО-d6): δ м.д. 7.65 (dm, 4Н), 7.47 (s, 1H), 7.45 (tm, 2Н), 7.40 (tm, 4Н), 3.80 (s, 2Н), 3.66 (t, 2 Н), 3.44 (t, 2Н), 2.35 (s, 3Н), 1.35-0.94 (m, 12H), 1.24 (s, 12H), 0.97 (s, 9H), 0.83 (s, 6H); 13C ЯМР (100 МГц, ДМСО-d6) δ м.д. 146.9, 144.3, 135.6, 130.2, 128.2, 104.7, 83.0, 74.2, 64.4, 61.7, 58.4, 30.1, 27.1, 25.2, 19.3, 12.0; МСВР-ЭРИ (m/z): [М+Н]+, рассчитано для C41H60BN2O4Si: 683.4415, найдено: 683.4423.

Синтез_8: трет-Бутил-[3-[3,5-диметил-7-[[5-метил-4-(4,4,5,5-тетраметил-1,3,2-диоксаборолан-2-ил)пиразол-1-ил]метил]-1-адамантил]пропокси]-дифенилсилан

Стадия_А: 1-[[3-аллил-5,7-диметил-1-адамантил]метил]-5-метилпиразол

К продукту со Стадии D Синтеза 7 (15.66 г, 46.43 ммоль) и AgOTf (597 мг, 0.05 экв.) в ТГФ (232 мл) добавляли 2 М раствор аллил-Mg-Cl в ТГФ (46.4 мл, 2 экв.), и реакционную смесь перемешивали в течение 0.5 ч. После гашения реакционной смеси насыщенным раствором NH4Cl и экстрагирования с помощью EtOAc, объединенные органические фазы концентрировали и очищали с помощью колоночной хроматографии (силикагель, гептан и МТВЕ в качестве элюентов) с получением целевого продукта (11.32 г, 81.7%).

1H ЯМР (400 МГц, ДМСО-d6): δ м.д. 7.27 (d, 1Н), 5.98 (m, 1H), 5.76 (m, 1Н), 5.01/4.96 (dm+dm, 2Н), 3.73 (s, 2Н), 2.22 (s, 3Н), 1.83 (d, 2Н), 1.15-0.93 (m, 12Н), 0.78 (s, 6Н); 13С ЯМР (100 МГц, ДМСО-d6) δ м.д. 139.0, 137.7, 135.0, 117.7, 105.0, 59.0, 47.8, 44.2, 35.0, 31.8, 30.6, 11.9; МСВР-ЭРИ (m/z): [М+Н]+, рассчитано для C20H31N2: 299.2487, найдено: 299.2485.

Стадия В: 3-[3,5-диметил-7-[(5-метилпиразол-1-ил)метил]-1-адамантил]пропан-1-ол

К продукту со Стадии А (10.2 г, 34.17 ммоль) в ТГФ (85 мл) добавляли 1 М раствор ВН3-ТГФ в ТГФ (85.4 мл, 2 экв.), и реакционную смесь перемешивали в течение 1 ч. После обработки 10 М раствором NaOH (24 мл, 7 экв.) и 33% раствором пероксида водорода (73 мл, 25 экв.) при 0°С, реакционную смесь перемешали при к.т.в течение 1 ч. Затем ее гасили водным раствором HCl, экстрагировали посредством EtOAc, и очищали с помощью колоночной хроматографии (силикагель, гептан и МТВЕ в качестве элюентов) с получением целевого продукта (9.75 г, 90%).

1H ЯМР (400 МГц, ДМСО-d6): δ м.д. 7.28 (d, 1H), 5.98 (m, 1H), 4.33 (t, 1Н), 3.73 (s, 2Н), 3.32 (m, 2Н), 2.22 (brs, 3Н), 1.32 (m, 2Н), 1.12-0.92 (m, 12Н), 1.06 (m, 2Н), 0.78 (s, 6Н); 13С ЯМР (100 МГц, ДМСО-d6) δ м.д. 137.7, 105.0, 62.1, 59.1, 39.7, 30.7, 26.5, 11.9, МСВР-ЭРИ (m/z): [М+Н]+, рассчитано для C20H33N2O: 317.2593, найдено: 317.2590

Стадия С: трет-бутил-[3-[3,5-диметил-7-[(5-метилпиразол-1-ил)метил]-1-адамантил]пропокси]-дифенилсилан

К продукту со Стадии В (9.75 г, 30.8 ммоль) и имидазолу (3.1 г, 1.5 экв.) в ДХМ (92 мл) добавляли трет-бутилхлордифенилсилан (9.45 мл, 1.2 экв.), и реакционную смесь перемешивали в течение 1 ч. Очистка с помощью колоночной хроматографии (силикагель, гептан и МТВЕ в качестве элюентов) приводила к получению целевого продукта (12.5 г, 73%).

1H ЯМР (400 МГц, ДМСО-d6): δ м.д. 7.63-7.39 (m, 10Н), 7.27 (d, 1Н), 5.98 (d, 1Н), 3.72 (s, 2Н), 3.59 (t, 2Н), 2.21 (s, 3Н), 1.42 (m, 2Н), 1.1-0.92 (br., 12Н), 1.09 (m, 2Н), 0.98 (s, 9Н), 0.77 (s, 6Н); 13С ЯМР (100 МГц, ДМСО-d6) δ м.д. 137.7, 105.0, 64.8, 59.1, 39.3, 38.0, 34.2, 31.8, 30.6, 27.2, 26.1, 19.2, 11.9; МСВР-ЭРИ (m/z): [М+Н]+, рассчитано для C36H51N2OSi: 555.3771, найдено: 555.3770.

Стадия D: трет-бутил-[3-[3-[(4-йод-5-метилпиразол-1-ил)метил]-5,7-диметил-1-адамантил]пропокси]-дифенилсилан

К продукту со Стадии С (12.5 г, 22.54 ммоль) в ДМФА (112 мл) добавляли N-йодсукцинимид (6.34 г, 1.25 экв.), и реакционную смесь перемешивали в течение 2 ч. После гашения реакционной смеси насыщенным раствором тиосульфата натрия и экстрагирования с помощью ДХМ, объединенные органические фазы промывали насыщенным раствором тиосульфата натрия и соляным раствором, сушили и упаривали с получением целевого продукта (16.3 г, 105%). ЖХ/МС (C36H50IN2OSi) 681 [М+Н]+.

Стадия_E: трет- бутил-[3-[3,5-диметил-7-[[5-метил-4-(4,4,5,5-тетраметил-1,3,2-диоксаборолан-2-ил)пиразол-1-ил]метил]-1-адамантил]пропокси]-дифенилсилан

К продукту со Стадии D (16.25 г, 23.9 ммоль) в ТГФ (119 мл) добавляли хлор(изопропил)магний-LiCl (1.3 М в ТГФ, 22 мл, 1.2 экв.) при 0°С, смесь перемешивали в течение 40 мин, обрабатывали 2-изопропокси-4,4,5,5-тетраметил-1,3,2-диоксабороланом (14.6 мл, 3 экв.) и перемешивали в течение 10 мин. После разбавления смеси насыщенным раствором NH4Cl и экстрагирования с помощью EtOAc, объединенные органические фазы концентрировали и очищали с помощью колоночной хроматографии (силикагель, гептан и МТВЕ в качестве элюентов) с получением целевого продукта (11.4 г, 70%).

1H ЯМР (400 МГц, ДМСО-d6): δ м.д. 7.59 (d, 4Н), 7.46 (s, 1Н), 7.45 (t, 2Н), 7.43 (t, 4Н), 3.74 (s, 2Н), 3.59 (t, 2Н), 2.35 (s, 3Н), 1.41 (qn, 2Н), 1.24 (s, 12Н), 1.09 (m, 2Н), 1.08 (s, 4Н), 1.05 (s, 2Н), 0.98 (s, 9Н), 0.98 (s, 2Н), 0.94 (s, 4Н), 0.78 (s, 6Н); 13С ЯМР (100 МГц, ДМСО-d6) δ м.д. 146.9, 144.2, 135.5, 133.8, 130.3, 128.3, 104.6, 83.0, 64.7, 64.7, 59.0, 50.6, 48.2, 46.5, 44.1, 39.2, 37.9, 31.8, 30.7, 27.2, 26.1, 25.2, 19.2, 12.0; МСВР-ЭРИ (m/z): [М+Н]+, рассчитано для C42H62BN2O3Si: 681.4623, найдено: 681.4631.

Синтез 9: трет-Бутил-[2-[[3-[[5-метил-4-(4,4,5,5-тетраметил-1,3,2-диоксаборолан-2-ил)пиразол-1-ил]метил]-1-адамантил]окси]этокси]-дифенилсилан

Стадия А: (3-бром-1-адамантил)метанол

К 3-бромадамантан-1-карбоновой кислоте (10.0 г, 38.6 ммоль) в ТГФ (25 мл) медленно добавляли 1 М раствор ВН3-ТГФ в ТГФ (115 мл, 3 экв.), и смесь перемешивали в течение 48 ч. После добавления метанола и перемешивания смеси в течение 30 мин, сырой продукт очищали с помощью колоночной хроматографии (силикагель, гептан и МТВЕ в качестве элюентов) с получением целевого продукта (8.37 г, 88%).

1Н ЯМР (400 МГц, ДМСО-d6): δ м.д. 4.50 (t, 1Н), 3.02 (d, 2Н), 2.28/2.21 (dm+dm, 4Н), 2.11 (m, 2Н), 2.07 (s, 2Н), 1.66/1.56 (dm+dm, 2Н), 1.48/1.39 (dm+dm, 4Н); 13С ЯМР (100 МГц, ДМСО-d6) δ м.д. 70.9, 69.3, 51.3, 49.0, 40.6, 37.3, 35.1, 32.3.

Стадия В: 1-[(3-бром-1-адамантил)метил]пиразол

К продукту со Стадии А (8.37 г, 34.1 ммоль) и 1H-пиразола (2.79 г, 1.2 экв.) в толуоле (100 мл) добавляли (цианометилен)трибутилфосфоран (10.7 мл, 1.2 экв.), и реакционную смесь перемешивали при 90°С в течение 2 ч. Очистка с помощью колоночной хроматографии (силикагель, гептан и МТВЕ в качестве элюентов) приводила к получению целевого продукта (8.50 г, 84%).

1Н ЯМР (400 МГц, ДМСО-d6): δ м.д. 7.63 (dd, 1Н), 7.43 (dd, 1Н), 6.23 (t, 1Н), 3.87 (s, 2Н), 2.24/2.13 (m+m, 4Н), 2.1 (m, 2Н), 2.07 (s, 2Н), 1.63/1.50 (m+m, 2Н), 1.47/1.43 (m+m, 4Н); 13С ЯМР (100 МГц, ДМСО-d6) δ м.д. 138.9, 131.7, 105.1, 68.0, 61.8, 51.8, 48.5, 39.8, 38.3, 34.6, 32.1; МСВР-ЭРИ (m/z): [М+Н]+, рассчитано для C14H20BrN2: 295.0810, найдено: 295.0804.

Стадия С: 1-[(3-бром-1-адамантил)метил]-5-метилпиразол

К продукту со Стадии В (1.70 г, 5.76 ммоль) в ТГФ (30 мл) добавляли бутиллитий (2.5 М в ТГФ, 12 мл, 5 экв.) при -78°С. Через 1 час к смеси добавляли йодметан (7.2 мл, 5 экв.). Через 10 мин реакционную смесь гасили насыщенным раствором NH4Cl, экстрагировали с помощью EtOAc и объединенные органические слои сушили и концентрировали с получением целевого продукта (2.0 г, 112%), который использовали на следующей стадии без дополнительной очистки.

1H ЯМР (400 МГц, ДМСО-d6): δ м.д. 7.31 (d, 1Н), 6.01 (d, 1H), 3.76 (s, 2Н), 2.25/2.15 (d+d, 4Н), 2.24 (s, 3Н), 2.16 (s, 2Н), 2.10 (m, 2Н), 1.63/1.52 (d+d, 2Н), 1.52/1.49 (d+d, 4Н); 13С ЯМР (100 МГц, ДМСО-d6) δ м.д. 139.2, 138.0, 105.2, 68.2, 58.3, 52.1, 48.5, 40.5, 38.4, 34.5, 32.2, 11.8; МСВР-ЭРИ (m/z): [М+Н]+, рассчитано для C15H22BrN2: 309.0966, найдено: 309.0962.

Стадия_D: 2-[[3-[(5-метилпиразол-1-ил)метил]-1-адамантил]-окси]этанол

Смесь продукта со Стадии С (2.00 г, 6.47 ммоль), этиленгликоля (14.4 мл, 40 экв.) и DIPEA (5.6 мл, 5 экв.) перемешивали при 120°С в течение 6 ч. После разбавления смеси водой и экстрагирования с помощью EtOAc, объединенные органические фазы очищали с помощью колоночной хроматографии (силикагель, гептан и МТВЕ в качестве элюентов) с получением целевого продукта (1.62 г, 86.6%).

1H ЯМР (400 МГц, ДМСО-d6): δ м.д. 7.28 (d, 1H), 5.99 (m, 1H), 4.46 (t, 1Н), 3.75 (s, 2Н), 3.40 (m, 2Н), 3.32 (m, 2Н), 2.23 (brs, 3Н), 2.13 (m, 2Н), 1.61/1.52 (m+m, 4Н), 1.47/1.43 (m+m, 2Н), 1.45 (s, 2Н), 1.44-1.35 (m, 4Н); 13С ЯМР (100 МГц, ДМСО-d6) δ м.д. 137.8, 105.1, 61.8, 61.5, 59.0, 44.6, 40.8, 39.6, 35.7, 30.0, 11.9; МСВР-ЭРИ (m/z): [М+Н]+, рассчитано для C17H27N2O2: 291.2073, найдено: 291.2069.

Стадия E: трет-бутил-[2-[[3-[(5-метилпиразол-1-ил)метил]-1-адамантил]окси]этокси]-дифенилсилан

К продукту со Стадии D (6.52 г, 22.5 ммоль) и имидазолу (2.29 г, 1.5 экв.) в ДХМ (67 мл) добавляли трет-бутилхлордифенилсилан (6.9 мл, 1.2 экв.), и реакционную смесь перемешивали в течение 1 ч. Очистка с помощью колоночной хроматографии (силикагель, гептан и МТВЕ в качестве элюентов) приводила к получению целевого продукта (11.0 г, 92.7%). ЖХ/МС (C33H45N2O2Si) 529 [М+Н]+.

Стадия F: трет-бутил-[2-[[3-[(4-йод-5-метилпиразол-1-ил)метил]-1-адамантил]окси]этокси]-дифенилсилан

К продукту со Стадии Е (11.0 г, 20.8 ммоль) в ДМФА (105 мл) добавляли N-йодсукцинимид (5.85 г, 1.25 экв.), и реакционную смесь перемешивали в течение 3 ч. Затем реакционную смесь разбавляли водой и экстрагировали с помощью ДХМ, объединенные органические фазы промывали насыщенным раствором тиосульфата натрия и соляным раствором, сушили и упаривали с получением целевого продукта (11.0 г, 81%).

1H ЯМР (400 МГц, ДМСО-d6): δ м.д. 7.70-7.36 (m, 10Н), 7.44 (s, 1Н), 3.86 (s, 2Н), 3.67 (t, 2Н), 3.45 (t, 2Н), 2.24 (s, 3Н), 2.12 (m, 2Н), 1.66-1.32 (m, 12Н), 0.98 (s, 9Н) 13С ЯМР (100 МГц, ДМСО-d6) δ м.д. 142.4, 140.9, 64.4, 61.4, 60.4, 60.3, 30.0, 27.1, 12.2; МСВР-ЭРИ (m/z): [М+Н]+, рассчитано для C33H44IN2O2Si: 655.2217, найдено: 655.2217.

Стадия G: трет-бутил-[2-[[3-[[5-метил-4-(4,4,5,5-тетраметил-1,3,2-диоксаборолан-2-ил)пиразол-1-ил]метил]-1-адамантил]окси]этокси]-дифенилсилан

К продукту со Стадии F (11.0 г, 16.8 ммоль) в ТГФ (84 мл) добавляли хлор(изопропил)магний-LiCl (1.3 М в ТГФ, 17 мл, 1.2 экв.) при 0°С, и реакционную смесь перемешивали в течение 40 мин, обрабатывали 2-изопропокси-4,4,5,5-тетраметил-1,3,2-диоксабороланом (10.3 мл, 3 экв.) и перемешивали в течение 10 мин. После разбавления смеси насыщенным раствором NH4Cl и экстрагирования с помощью EtOAc, объединенные органические фазы концентрировали и очищали с помощью колоночной хроматографии (силикагель, гептан и МТВЕ в качестве элюентов) с получением целевого продукта (9.0 г, 82%).

1H ЯМР (400 МГц, ДМСО-d6): δ м.д. 7.66 (d, 4Н), 7.47 (s, 1Н), 7.45 (t, 2Н), 7.40 (t, 4Н), 3.77 (s, 2Н), 3.67 (t, 2Н), 3.44 (t, 2Н), 2.36 (s, 3Н), 2.11 (br, 2Н), 1.60/1.48 (d+d, 4Н), 1.44 (d, 2Н), 1.44 (s, 2Н), 1.40 (d, 4Н), 1.23 (s, 12Н), 0.97 (s, 9Н); 13С ЯМР (100 МГц, ДМСО-d6) δ м.д. 146.9, 144.2, 133.8, 130.2, 128.3, 125.7, 104.6, 83.0, 72.5, 64.4, 61.4, 58.9, 44.6, 40.7, 39.6, 38.7, 35.6, 30.0, 27.1, 25.2, 19.3, 12.1; МСВР-ЭРИ (m/z): [М+Н]+, рассчитано для C39H56BN2O4Si: 655.4102, найдено: 655.4108.

Синтез 10: метил 3-бром-6-[3-(3,6-дихлор-5-метилпиридазин-4-1)пропиламино]пиридин-2-карбоксилат

Стадия А: метил 6-[бис(трет-бутоксикарбонил)амино]-3-бромпиридин-2-карбоксилат

К метил 6-амино-3-бромпиридин-2-карбоксилату (25.0 г, 108.2 ммоль) и DMAP (1.3 г, 0.1 экв.) в ДХМ (541 мл) добавляли Boc2O (59.0 г, 2.5 экв.) при 0°С, и реакционную смесь перемешивали в течение 2.5 ч. После добавления насыщенного раствора NaHCO3 и экстрагирования с помощью ДХМ, объединенные органические фазы сушили и концентрировали с получением целевого продукта (45.0 г, 72.3%).

ЖХ/МС (C17H23BrN2O6Na) 453 [M+Na]+.

Стадия В: метил 3-бром-6-(трет-бутоксикарбониламино)пиридин-2-карбоксилат

К продукту со Стадии А (42.7 г, 74.34 ммоль) в ДХМ (370 мл) добавляли ТФУ (17.1 мл, 3 экв.) при 0°С, и реакционную смесь перемешивали в течение 18 ч. После промывания насыщенным раствором NaHCO3 и соляным раствором, объединенные органические фазы сушили, концентрировали и очищали с помощью колоночной хроматографии (силикагель, гептан и EtOAc в качестве элюентов) с получением целевого продукта (28.3 г, 115.2%).

1H ЯМР (400 МГц, ДМСО-d6): δ м.д. 10.29 (s, 1H), 8.11 (d, 1Н), 7.88 (d, 1Н), 3.87 (s, 3Н), 1.46 (s, 9Н) 13С ЯМР (100 МГц, ДМСО-d6) δ м.д. 165.6, 153.1, 151.8/148.3, 143.5, 116.3, 109.2, 53.2, 28.4. ЖХ/МС (C12H15BrN2O4Na) 353 [M+Na]+.

Стадия С: метил 3-бром-6-[трет-бутоксикарбонил-[3-(3,6-дихлор-5-метилпиридазин-4-ил)пропил]амино]пиридин-2-карбоксилат

К продукту со Стадии В (10.0 г, 30.1967 ммоль) в ацетоне (150 мл), добавляли Cs2CO3 (29.5 г, 3 экв.) и 3,6-дихлор-4-(3-йодпропил)-5-метилпиридазин (9.9 г, 1 экв.), и реакционную смесь перемешивали в течение 18 ч. После разбавления смеси водой и экстрагирования с помощью EtOAc, объединенные органические фазы промывали соляным раствором, сушили и концентрировали с получением целевого продукта (17.5 г, 108%).

1H ЯМР (400 МГц, ДМСО-d6): δ м.д. 8.13 (d, 1Н), 7.78 (d, 1H), 3.91 (t, 2H), 3.89 (s, 3H), 2.79 (m, 2H), 2.38 (s, 3H), 1.82 (m, 2H), 1.46 (s, 9H); 13C ЯМР (100 МГц, ДМСО-d6) δ м.д. 165.3, 157.6, 156.6, 153.2, 152.9, 147.2, 143.1, 142.2, 139.7, 122.6, 111.8, 82.2, 53.3, 46.4, 28.1, 27.7, 26.5, 16.3; МСВР-ЭРИ (m/z): [M+Na]+, рассчитано для C20H23BrCl2N4NaO4: 555.0177, найдено: 555.0172.

Стадия D: метил 3-бром-6-[3-(3,6-дихлор-5-метилпиридазин-4-1)пропиламино]пиридин-2-карбоксилат

Продукт со Стадии С (17.5 г, 32.7 ммоль) в 1,1,1,3,3,3-гексафторизопропаноле (330 мл) перемешивали при 110°С в течение 18 ч. Очистка с помощью колоночной хроматографии (силикагель, гептан и EtOAc в качестве элюентов) приводила к получению целевого продукта (9.9 г, 70%).

1H ЯМР (400 МГц, ДМСО-d6): δ м.д. 7.63 (d, 1Н), 7.22 (t, 1H), 6.57 (d, 1Н), 3.83 (s, 3Н), 3.30 (m, 2Н), 2.83 (m, 2Н), 2.37 (s, 3Н), 1.74 (m, 2Н) 13С ЯМР (100 МГц, ДМСО-d6) δ м.д. 166.5, 141.5, 112.6, 52.9, 40.9, 28.0, 27.0, 16.4.

Синтез 11: (4-Метоксифенил)метил 3-бром-6-[3-(3,6-дихлор-5-метилпиридазин-4-ил)пропиламино]пиридин-2-карбоксилат

Стадия_A: 3-бром-6-[3-(3,6-дихлор-5-метилпиридазин-4-ил)пропиламино]пиридин-2-карбоновая кислота

Смесь продукта Синтеза 10 (35.39 г, 81.52 ммоль) и LiOH×H2O (13.68 г, 4 экв.) в 1,4-диоксане (408 мл) и воде (82 мл) перемешивали при 60°С в течение 1 ч. После гашения реакционной смеси 1 М раствором HCl и экстрагирования с помощью EtOAc, объединенные органические фазы сушили, концентрировали и очищали с помощью флэш-хроматографии (силикагель, с использованием ДХМ и МеОН в качестве элюентов) с получением целевого продукта (27.74 г, 81%).

ЖХ/МС (C14H14BrCl2N4O2) 421 [М+Н]+.

Стадия В: (4-метоксифенил)метил 3-бром-6-[3-(3,6-дихлор-5-метилпиридазин-4-ил)пропиламино]пиридин-2-карбоксилат

К продукту со Стадии А (27.7 г, 65.9 ммоль), (4-метоксифенил)метанолу (16.4 мл, 2 экв.) и PPh3 (34.6 г, 2 экв.) в толуоле (660 мл) и ТГФ (20 мл) по каплям добавляли диизопропилазодикарбоксилат (26 мл, 2 экв.), и реакционную смесь перемешивали при 50°С в течение 1 ч. Очистка с помощью флэш-хроматографии (силикагель, с использованием гептана и EtOAc в качестве элюентов) приводила к получению целевого продукта (23.65 г, 66.4%).

1H ЯМР (500 МГц, ДМСО-d6) δ м.д. 7.62 (d, 1H), 7.37 (dn, 2Н), 7.21 (t, 1Н), 6.91 (dm, 2H), 6.56 (d, 1H), 5.25 (s, 2H), 3.74 (s, 3H), 3.30 (q, 2H), 2.81 (m, 2H), 2.33 (s, 3H), 1.73 (m, 2H); 13C ЯМР (500 МГц, ДМСО-d6) δ м.д. 165.9, 159.7, 157.6, 157.5, 156.8, 148.0, 142.7, 141.5, 139.7, 130.6, 127.8, 114.3, 112.6, 101.6, 67.0, 55.6, 40.9, 28.0, 27.1, 16.4; МСВР-ЭРИ (m/z): [M+H]+, рассчитано для C22H22BrCl2N4O3: 539.0252, найдено: 539.0246.

Синтез 12: Метил 6-[3-(1,3-бензотиазол-2-иламино)-4-метил-6,7-дигидро-5Н-пиридо[2,3-с]пиридазин-8-ил]-3-[1-[[3,5-диметил-7-[2-(n-толилсульфонилокси)этокси]-1-адамантил]метил]-5-метилпиразол-4-ил]пиридин-2-карбоксилат

Стадия_А: метил 6-[3-(3,6-дихлор-5-метилпиридазин-4-ил)пропиламино]-3-[5-метил-1-[[3-[2-[трет-бутил(дифенил)силил]-оксиэтокси]-5,7-диметил-1-адамантил]метил]пиразол-4-ил]пиридин-2-карбоксилат

Смесь продукта Синтеза 10 (15.0 г, 34.55 ммоль), продукта Синтеза 7 (30.7 г, 1.3 экв.), Cs2CO3 (33.8 г, 3.0 экв.) и Pd(AtaPhos)2Cl2 (1.53 г, 0.1 экв.) в 1,4-диоксане (207 мл) и H2O (34.5 мл) перемешивали при 80°С в течение 1.5 ч. Очистка с помощью колоночной хроматографии (силикагель, гептан и EtOAc в качестве элюентов) приводила к получению целевого продукта (18.5 г, 58%).

1Н ЯМР (400 МГц, ДМСО-d6): δ м.д. 7.69-7.37 (m, 10Н), 7.32 (d, 1Н), 7.23 (s, 1Н), 6.98 (t, 1H), 6.63 (d, 1Н), 3.82 (s, 2Н), 3.67 (t, 2Н), 3.58 (s, 3Н), 3.46 (t, 2Н), 3.35 (m, 2Н), 2.86 (m, 2Н), 2.40 (s, 3Н), 2.06 (s, 3Н), 1.78 (m, 2Н), 1.35 (s, 2Н), 1.27/1.2 (m+m, 4Н), 1.15/1.09 (m+m, 4Н), 1.05/0.97 (m+m, 2Н), 0.97 (s, 9Н), 0.84 (s, 6Н); МСВР-ЭРИ (m/z): [М+Н]+, рассчитано для Cδ0H63Cl2N6O4Si: 909.4057, найдено: 909.4053.

Стадия В: метил 6-(3-хлор-4-метил-6,7-дигидро-5Н-пиридо[2,3-с]пиридазин-8-ил)-3-[5-метил-1-[[[2-[трет-бутил(дифенил)силил]-оксиэтокси]-5,7-диметил-1-адамантил]метил]пиразол-4-ил]пиридин-2-карбоксилат

Смесь продукта со Стадии А (18.5 г, 20.3 ммоль), Cs2CO3 (13.2 г, 2 экв.), DIPEA (7.1 мл, 2 экв.) и Pd(Ataphos)2Cl2 (900 мг, 0.1 экв.) в 1,4-диоксане (102 мл) перемешивали при 110°С в течение 18 ч. После фильтрования и концентрирования смеси, остаток вносили в ДХМ, промывали водой и очищали с помощью колоночной хроматографии (силикагель, ДХМ и EtOAc в качестве элюентов) с получением целевого продукта (12.6 г, 71%).

1H ЯМР (400 МГц, ДМСО-d6): δ м.д. 7.85 (d, 1H), 7.69 (d, 1Н), 7.66 (dm, 4Н), 7.47-7.36 (m, 6Н), 7.38 (s, 1Н), 3.97 (t, 2Н), 3.87 (s, 2Н), 3.68 (t, 2Н), 3.66 (s, 3Н), 3.47 (t, 2Н), 2.87 (t, 2Н), 2.30 (s, 3Н), 2.14 (s, 3Н), 1.99 (br., 2Н), 1.38 (s, 2Н), 1.32-0.96 (br., 10Н), 0.98 (s, 9Н), 0.85 (s, 6Н); 13С ЯМР (100 МГц, ДМСО-d6) δ м.д. 139.9, 137.6, 120.5, 64.4, 61.7, 58.9, 52.3, 46.0, 43.4, 30.2, 27.1, 24.6, 21.0, 15.5, 10.9; МСВР-ЭРИ (m/z): [М+Н]+, рассчитано для C50H62ClN6O4Si: 873.4290, найдено: 873.4291.

Стадия С: метил 6-(3-хлор-4-метил-6,7-дигидро-5Н-пиридо[2,3-с]пиридазин-8-ил)-3-[1-[[3-(2-гидроксиэтокси)-5,7-диметил-1-адамантил]метил]-5-метилпиразол-4-ил]пиридин-2-карбоксилат

К продукту со Стадии В (8.46 г, 9.68 ммоль) в ТГФ (95 мл) добавляли 1 М раствор TBAF в ТГФ (10.6 мл, 1.1 экв.) при 0°С, и реакционную смесь перемешивали в течение 2 ч. После гашения реакционной смеси насыщенным раствором NH4Cl и экстрагирования с помощью EtOAc, объединенные органические фазы промывали соляным раствором, сушили и очищали с помощью колоночной хроматографии (силикагель, ДХМ и МеОН в качестве элюентов) с получением целевого продукта (5.38 г, 88%).

1H ЯМР (400 МГц, ДМСО-d6): δ м.д. 7.86 (d, 1Н), 7.71 (d, 1H), 7.38 (s, 1Н), 4.46 (t, 1H, 3.97 (t, 2Н), 3.87 (s, 2Н), 3.70 (s, 3Н), 3.40 (m, 2Н), 3.35 (t, 2Н), 2.87 (t, 2Н), 2.30 (s, 3Н), 2.15 (s, 3Н), 1.99 (m, 2Н), 1.42-0.95 (m, 12Н), 0.87 (s, 6Н); МСВР-ЭРИ (m/z): [М+Н]+, рассчитано для C34H44ClN6O4: 635.3113, найдено: 635.3112.

Стадия D: метил 6-[3-(1,3-бензотиазол-2-иламино)-4-метил-6,7-дигидро-5Н-пиридо[2,3-с]пиридазин-8-ил]-3-[1-[[3-(2-гидроксиэтокси)-5,7-диметил-1-адамантил]метил]-5-метилпиразол-4-ил]пиридин-2-карбоксилат

Используя Общую методику I проведения реакции Бухвальда, и осуществляя реакцию при 130°С в течение 1 ч, исходя из 3.7 г продукта со Стадии С (5.78 ммоль) и 1.74 г 1,3-бензотиазол-2-амина (2 экв.) получали 3.1 г целевого продукта (выход 72%).

1H ЯМР (400 МГц, ДМСО-d6): δ м.д. 7.96 (d, 1H), 7.82 (br., 1Н), 7.70 (d, 1Н), 7.50 (br., 1H), 7.38 (s, 1H), 7.35 (t, 1Н), 7.17 (t, 1Н), 4.46 (br., 1H), 4.00 (t, 2Н), 3.88 (s, 2Н), 3.70 (s, 3Н), 3.40 (brt., 2Н), 3.35 (t, 2Н), 2.86 (t, 2Н), 2.32 (s, 3Н), 2.16 (s, 3Н), 2.03-1.94 (m, 2H), 1.42-0.96 (m, 12H), 0.87 (s, 6H); 13C ЯМР (100 МГц, ДМСО-d6) δ м.д. 139.8, 137.5, 126.4, 122.4, 122.1, 119.0, 62.1, 61.5, 59.0, 52.6, 45.4, 30.2, 24.3, 21.7, 12.6, 10.9; МСВР-ЭРИ (m/z): [M+H]+, рассчитано для C41H49N8O4S: 749.3597, найдено: 749.3595.

Стадия Е: метил 6-[3-(1,3-бензотиазол-2-иламино)-4-метил-6,7-дигидро-5Н-пиридо[2,3-с]пиридазин-8-ил]-3-[1-[[3,5-диметил-7-[2-(n-толилсульфонилокси)этокси]-1-адамантил]метил]-5-метилпиразол-4-ил]пиридин-2-карбоксилат

К продукту со Стадии D (3.85 г, 5.14 ммоль) и триэтиламину (2.15 мл, 3 экв.) в ДХМ (50 мл) добавляли n-толилсульфонил 4-метилбензолсульфонат (2.51 г, 1.5 экв.), и реакционную смесь перемешивали в течение 1 ч. Очистка с помощью колоночной хроматографии (силикагель, гептан и EtOAc в качестве элюентов) приводила к получению целевого продукта (3.2 г, 69%).

1H ЯМР (400 МГц, ДМСО-d6): δ м.д. 7.96 (d, 1H), 7.81 (br., 1Н), 7.77 (d, 2Н), 7.70 (d, 1H), 7.50 (br., 1H), 7.46 (d, 2Н), 7.39 (s, 1Н), 7.35 (t, 1H), 7.17 (t, 1Н), 4.06 (t, 2Н), 4.00 (t, 2Н), 3.85 (s, 2Н), 3.69 (s, 3Н), 3.49 (t, 2Н), 2.86 (t, 2Н), 2.40 (s, 3Н), 2.32 (s, 3Н), 2.15 (s, 3Н), 1.99 (m, 2Н), 1.32-0.93 (m, 12Н), 0.84 (s, 6Н); 13С ЯМР (100 МГц, ДМСО-d6) δ м.д. 139.8, 137.6, 130.6, 128.1, 126.4, 122.4, 122.1, 119, 71.5, 58.8, 58.4, 52.6, 45.4, 30.1, 24.3, 21.7, 21.6, 12.6, 10.9; МСВР-ЭРИ (m/z): [М+Н]+, рассчитано для C48H55N8O6S2: 903.3686, найдено: 903.3685.

Синтез 13: (4-Метоксифенил)метил 6-[3-(1,3-бензотиазол-2-иламино)-4-метил-6,7-дигидро-5Н-пиридо[2,3-с]пиридазин-8-ил]-3-[1-[[3,5-диметил-7-[3-(n-толилсульфонилокси)пропил]-1-адамантил]метил]-5-метилпиразол-4-ил]пиридин-2-карбоксилат

Стадия_А: (4-метоксифенил)метил 3-[1-[[3-[3-[трет-бутил(дифенил)силил]оксипропил]-5,7-диметил-1-адамантил]метил]-5-метилпиразол-4-ил]-6-[3-(3,6-дихлор-5-метилпиридазин-4-ил)пропиламино]пиридин-2-карбоксилат

Смесь продукта Синтеза 11 (3.67 г, 6.79 ммоль), продукта Синтеза 8 (5.09 г, 1.1 экв.), Pd(AtaPhos)2Cl2 (301 мг, 0.1 экв.) и Cs2CO3 (6.64 г, 3 экв.) в 1,4-диоксане (41 мл) и H2O (6.8 мл) перемешивали при 80°С в течение 18 ч. Очистка с помощью колоночной хроматографии (силикагель, гептан и EtOAc в качестве элюентов) приводила к получению целевого продукта (4.43 г, 64%).

1H ЯМР (400 МГц, ДМСО-d6): δ м.д. 7.62-7.38 (m, 10Н), 7.32 (d, 1Н), 7.26 (s, 1H), 7.10 (m, 2H), 6.98 (t, 1H), 6.83 (m, 2H), 6.63 (d, 1H), 4.98 (s, 2H), 3.74 (s, 2H), 3.70 (s, 3H), 3.58 (t, 2H), 3.35 (m, 2H), 2.84 (m, 2H), 2.34 (s, 3H), 2.02 (s, 3H), 1.77 (m, 2H), 1.43 (m, 2H), 1.18-0.85 (m, 12H), 1.09 (t, 2H), 0.97 (s, 9H), 0.77 (s, 6H); МСВР-ЭРИ (m/z): [M+H]+, рассчитано для C58H71Cl2N6O4Si: 1013.4683, найдено: 1013.4683;

Стадия_B: (4-метоксифенил)метил 3-[l-[[3-[3-[трет-бутил(дифенил)силил]оксипропил]-5,7-диметил-1-адамантил]метил]-5-метилпиразол-4-ил]-6-(3-хлор-4-метил-6,7-дигидро-5Н-пиридо[2,3-с]пиридазин-8-ил)пиридин-2-карбоксилат

Смесь продукта со Стадии А (4.43 г, 4.37 ммоль), Cs2CO3 (2.84 г, 2 экв.), DIPEA (1.5 мл, 2 экв.) и Pd(Ataphos)2Cl2 (193 мг, 0.1 экв.) в 1,4-диоксане (22 мл) перемешивали при 110°С в течение 18 ч. После гашения реакционной смеси водой и экстрагирования с помощью EtOAc, объединенные органические фазы сушили, концентрировали и очищали с помощью колоночной хроматографии (силикагель, ДХМ и EtOAc в качестве элюентов) с получением целевого продукта (2.83 г, 66%).

1H ЯМР (400 МГц, ДМСО-d6): δ м.д. 7.84 (d, 1H), 7.68 (d, 1Н), 7.59 (d, 4Н), 7.44 (t, 2Н), 7.42 (t, 4Н), 7.38 (s, 1Н), 7.14 (d, 2Н), 6.87 (d, 2Н), 5.07 (s, 2Н), 3.96 (t, 2Н), 3.78 (s, 2Н), 3.71 (s, 3Н), 3.59 (t, 2Н), 2.86 (t, 2Н), 2.29 (s, 3Н), 2.08 (s, 3Н), 1.97 (qn, 2Н), 1.43 (qn, 2Н), 1.12 (s, 4Н), 1.10 (s, 2Н), 1.09 (t, 2Н), 0.97 (s, 9Н), 0.95 (s, 2Н), 0.94/0.91 (d+d, 4Н), 0.78 (s, 6Н); 13С ЯМР (100 МГц, ДМСО-d6) δ м.д. 166.9, 159.6, 156.3, 153.6, 150.8, 147.7, 140.1, 137.5, 137.3, 136.0, 135.5, 133.8, 130.3, 130.1, 129.1, 128.3, 127.6, 123.1, 120.5, 115.5, 114.3, 66.8, 64.8, 64.8, 59.6, 55.6, 50.5, 48.1, 46.4, 46.0, 44.2, 39.3, 38.1, 31.7, 30.6, 27.2, 26.1, 24.6, 21.0, 19.3, 15.5, 10.9; МСВР-ЭРИ (m/z): [М+Н]+, рассчитано для C58H70ClN6O4Si: 977.4916, найдено: 977.4915.

Стадия С: (4-метоксифенил)метил 6-(3-хлор-4-метил-6,7-дигидро-5Н-пиридо[2,3-с]пиридазин-8-ил)-3-[1-[[3-(3-гидроксипропил)-5,7-диметил-1-адамантил]метил]-5-метилпиразол-4-ил]пиридин-2-карбоксилат

К продукту со Стадии В (2.83 г, 2.89 ммоль) в ТГФ (95 мл) добавляли 1 М раствор TBAF в ТГФ (3.2 мл, 1.1 экв.) при 0°С, и реакционную смесь перемешивали в течение 2 ч. После гашения реакционной смеси насыщенным раствором NH4Cl и экстрагирования с помощью EtOAc, объединенные органические фазы промывали соляным раствором, сушили, концентрировали и очищали с помощью колоночной хроматографии (силикагель, ДХМ и МеОН в качестве элюентов) с получением целевого продукта (2.21 г, 103%).

1H ЯМР (400 МГц, ДМСО-d6): δ м.д. 7.85 (d, 1Н), 7.70 (d, 1H), 7.39 (s, 1Н), 7.17 (d, 2Н), 6.90 (d, 2Н), 5.09 (s, 2Н), 4.34 (t, 1Н), 3.96 (t, 2Н), 3.79 (s, 2Н), 3.74 (s, 3Н), 3.32 (q, 2Н), 2.86 (t, 2Н), 2.29 (s, 3Н), 2.09 (s, 3Н), 1.98 (qn, 2Н), 1.34 (qn, 2Н), 1.13 (s, 2Н), 1.13 (s, 4Н), 1.06 (t, 2Н), 0.99/0.95 (d+d, 4Н), 0.97 (s, 2Н), 0.78 (s, 6Н); 13С ЯМР (100 МГц, ДМСО-d6) δ м.д. 166.9, 159.7, 156.4, 153.6, 150.8, 147.7, 140.2, 137.5, 137.3, 136.0, 130.2, 129.1, 127.6, 123.1, 120.4, 115.5, 114.3, 66.8, 66.8, 62.1, 59.7, 55.6, 50.6, 48.2, 46.5, 46.0, 44.3, 39.7, 38.1, 31.8, 30.6, 26.5, 24.6, 21.0, 15.5, 10.9; МСВР-ЭРИ (m/z): [М+Н]+, рассчитано для C42H52ClN6O4: 739.3739, найдено: 739.3739.

Стадия D: (4-метоксифенил)метил 6-[3-(1,3-бензотиазол-2-иламино)-4-метил-6,7-дигидро-5Н-пиридо[2,3-с]пиридазин-8-ил]-3-[1-[[3-(3-гидроксипропил)-5,7-диметил-1-адамантил]метил]-5-метилпиразол-4-ил]пиридин-2-карбоксилат

Смесь продукта со Стадии С (1.71 г, 2.31 ммоль), 1,3-бензотиазол-2-амина (695 мг, 2 экв.), Pd2dba3 (212 мг, 0.1 экв.), ксантфоса (268 мг, 0.2 экв.) и DIPEA (1.2 мл, 3 экв.) в циклогексаноле (14 мл) перемешивали при 130°С в течение 1 ч. Очистка с помощью колоночной хроматографии (силикагель, гептан, ДХМ и MeCN в качестве элюентов) приводила к получению целевого продукта (1.25 г, 63%).

1H ЯМР (400 МГц, ДМСО-d6): δ м.д. 12.08/10.87 (brs/brs, 1Н), 7.95 (d, 1Н), 7.81 (br, 1H), 7.68 (d, 1Н), 7.50 (br, 1Н), 7.39 (s, 1Н), 7.35 (t, 1Н), 7.18 (d, 2Н), 7.17 (t, 1Н), 6.90 (d, 2Н), 5.10 (s, 2Н), 4.34 (t, 1H), 3.99 (t, 2Н), 3.79 (s, 2Н), 3.74 (s, 3Н), 3.33 (q, 2Н), 2.85 (t, 2Н), 2.32 (s, 3Н), 2.11 (s, 3Н), 1.98 (qn, 2Н), 1.34 (qn, 2Н), 1.14 (s, 4Н), 1.14 (s, 2Н), 1.07 (t, 2Н), 1.00/0.95 (d+d, 2Н), 0.99/0.95 (d+d, 4Н), 0.79 (s, 6Н); 13С ЯМР (100 МГц, ДМСО-d6) δ м.д. 140.0, 137.6, 130.2, 126.4, 122.4, 122.0, 119.0, 114.3, 66.7, 62.1, 59.6, 55.6, 50.6, 48.2, 46.5, 45.4, 44.3, 39.7, 30.6, 26.5, 24.3, 21.7, 12.6, 11.0; МСВР-ЭРИ (m/z): [М+Н]+, рассчитано для C49H57N8O4S: 853.4223, найдено: 853.4229.

Стадия Е: (4-метоксифенил)метил 6-[3-(1,3-бензотиазол-2-иламино)-4-метил-6,7-дигидро-5Н-пиридо[2,3-с]пиридазин-8-ил]-3-[1-[[3,5-диметил-7-[3-(n-толилсулъфонилокси)пропил]-1-адамантил]метил]-5-метилпиразол-4-ил]пиридин-2-карбоксилат

К продукту со Стадии D (1.25 г, 1.47 ммоль) и триэтиламину (0.61 мл, 3 экв.) в ДХМ (15 мл) добавляли n-толилсульфонил 4-метилбензолсульфонат (717 мг, 1.5 экв.), и реакционную смесь перемешивали в течение 1 ч. Очистка с помощью колоночной хроматографии (силикагель, гептан и EtOAc в качестве элюентов) приводила к получению 800 мг (54%) целевого продукта.

1H ЯМР (400 МГц, ДМСО-d6): δ м.д. 7.95 (d, 1H), 7.88 (brs, 1Н), 7.77 (m, 2Н), 7.68 (d, 1H), 7.62 (brs, 1Н), 7.47 (m, 2Н), 7.39 (s, 1H), 7.35 (brs, 1H), 7.17 (brs, 1Н), 7.10 (m, 2Н), 6.90 (m, 2Н), 5.09 (s, 2Н), 4.00 (m, 2Н), 3.98 (t, 2Н), 3.77 (s, 2Н), 3.74 (s, 3Н), 2.85 (t, 2Н), 2.40 (s, 3Н), 2.32 (s, 3Н), 2.09 (s, 3Н), 1.98 (m, 2Н), 1.45 (m, 2Н), 1.17-0.8 (m, 12Н), 0.98 (m, 2Н), 0.77 (s, 6Н); МСВР-ЭРИ (m/z): [М+Н]+, рассчитано для C56H63N8O6S2: 1007.4312, найдено: 1007.4318.

Синтез 14: (4-метоксифенил)метил 6-[3-(1,3-бензотиазол-2-иламино)-4-метил-6,7-дигидро-5Н-пиридо[2,3-с]пиридазин-8-ил]-3-[5-метил-1-[[3-[2-(n-толилсульфонилокси)этокси]-1-адамантил]метил]пиразол-4-ил]пиридин-2-карбоксилат

Стадия_A: (4-метоксифенил)метил 3-[1-[[3-[2-[трет-бутил(дифенил)силил]оксиэтокси]-1-адамантил]метил]-5-метилпиразол-4-ил]-6-[3-(3,6-дихлор-5-метилпиридазин-4-ил)пропиламино]пиридин-2-карбоксилат

Смесь продукта Синтеза 11 (3.67 г, 6.79 ммоль), продукта Синтеза 9 (4.89 г, 1.1 экв.), Pd(AtaPhos)2Cl2 (301 мг, 0.1 экв.) и Cs2CO3 (6.64 г, 3 экв.) в 1,4-диоксане (41 мл) и H2O (6.8 мл) перемешивали при 80°С в течение 12 ч. Очистка с помощью колоночной хроматографии (силикагель, гептан и EtOAc в качестве элюентов) приводила к получению целевого продукта (3.0 г, 45%).

1H ЯМР (400 МГц, ДМСО-d6): δ м.д. 7.69-7.37 (m, 10Н), 7.31 (d, 1Н), 7.24 (s, 1Н), 7.12 (m, 2Н), 6.98 (t,1H), 6.83 (m, 2Н), 6.62 (d, 1Н), 4.99 (s, 2Н), 3.76 (s, 2Н), 3.70 (s, 3Н), 3.66 (t, 2Н), 3.45 (t, 2Н), 3.35 (m, 2Н), 2.85 (m, 2Н), 2.34 (s, 3Н), 2.12 (m, 2Н), 2.02 (s, 3Н), 1.77 (m, 2Н), 1.65-1.33 (m, 12Н), 0.97 (s, 9Н); МСВР-ЭРИ (m/z): [М+Н]+, рассчитано для C55H65Cl2N6O5Si: 987.4163, найдено: 987.4158.

Стадия_В: (4-метоксифенил)метил 3-[1-[[3-[2-[трет-бутил(дифенил)силил]оксиэтокси]-1-адамантил]метил]-5-метилпиразол-4-ил]-6-(3-хлор-4-метил-6,7-дигидро-5Н-пиридо[2,3-с]пиридазин-8-ил)пиридин-2-карбоксилат

Смесь продукта со Стадии А (3.00 г, 3.00 ммоль), Cs2CO3 (1.95 г, 2 экв.), DIPEA (1.0 мл, 2 экв.) и Pd(Ataphos)2Cl2 (212 мг, 0.1 экв.) в 1,4-диоксане (15 мл) перемешивали при 110°С в течение 18 ч. Очистка с помощью колоночной хроматографии (силикагель, ДХМ и МеОН в качестве элюентов) приводила к получению целевого продукта (1.74 г, 60%).

1H ЯМР (400 МГц, ДМСО-d6): δ м.д. 7.84 (d, 1Н), 7.68 (d, 1H), 7.68-7.37 (m, 10Н), 7.36 (s, 1Н), 7.16 (m, 2Н), 6.87 (m, 2Н), 5.08 (s, 2Н), 3.96 (m, 2Н), 3.81 (s, 2Н), 3.72 (s, 3Н), 3.67 (t, 2Н), 3.46 (t, 2Н), 2.87 (t, 2Н), 2.29 (s, 3Н), 2.13 (m, 2Н), 2.09 (s, 3Н), 1.98 (m, 2Н), 1.65-1.37 (m, 12Н), 0.97 (s, 9Н); МСВР-ЭРИ (m/z): [М+Н]+, рассчитано для C55H64ClN6O5Si: 951.4396, найдено: 951.4397.

Стадия С: (4-метоксифенил)метил 6-(3-хлор-4-метил-6,7-дигидро-5Н-пиридо[2,3-с]пиридазин-8-ил)-3-[1-[[3-(2-гидроксиэтокси)-1-адамантил]метил]-5-метилпиразол-4-ил]пиридин-2-карбоксилат

К продукту со Стадии В (1.73 г, 1.82 ммоль) в ТГФ (20 мл) добавляли 1 М раствор TBAF в ТГФ (2.0 мл, 1.1 экв.) при 0°С, и реакционную смесь перемешивали в течение 2 ч. Очистка с помощью колоночной хроматографии (силикагель, ДХМ и МеОН в качестве элюентов) приводила к получению целевого продукта (1.06 г, 82%).

1H ЯМР (400 МГц, ДМСО-d6): δ м.д. 7.85 (d, 1Н), 7.71 (d, 1H), 7.36 (s, 1Н), 7.19 (m, 2Н), 6.90 (m, 2Н), 5.10 (s, 2Н), 4.47 (t, 1H), 3.96 (m, 2Н), 3.81 (s, 2Н), 3.75 (s, 3Н), 3.40 (m, 2Н), 3.34 (t, 2Н), 2.87 (t, 2Н), 2.29 (s, 3Н), 2.14 (m, 2Н), 2.10 (s, 3Н), 1.98 (m, 2Н), 1.67-1.36 (m, 12Н); МСВР-ЭРИ (m/z): [М+Н]+, рассчитано для C39H46ClN6O5: 713.3218, найдено: 713.3217.

Стадия D: (4-метоксифенил)метил 6-[3-(1,3-бензотиазол-2-иламино)-4-метил-6,7-дигидро-5Н-пиридо[2,3-с]пиридазин-8-ил]-3-[1-[[3-(2-гидроксиэтокси)-1-адамантил]метил]-5-метилпиразол-4-ил]пиридин-2-карбоксилат

Смесь продукта со Стадии С (1.00 г, 1.40 ммоль), 1,3-бензотиазол-2-амина (421 мг, 2 экв.), Pd2dba3 (128 мг, 0.1 экв.), ксантфоса (162 мг, 0.2 экв.) и DIPEA (0.72 мл, 3 экв.) в циклогексаноле (10 мл) перемешивали при 130°С в течение 1 ч. Очистка с помощью колоночной хроматографии (силикагель, гептан, затем ДХМ и МеОН в качестве элюентов) приводила к получению целевого продукта (600 мг, 53%).

1H ЯМР (400 МГц, ДМСО-d6): δ м.д. 12.18/10.84 (brs/brs, 1Н), 7.94 (d, 1Н), 7.83 (br, 1Н), 7.69 (d, 1H), 7.57 (br, 1Н), 7.36 (s, 1Н), 7.35 (brt, 1H), 7.20 (d, 2Н), 7.17 (brt, 1Н), 6.91 (d, 2Н), 5.11 (s, 2Н), 4.47 (brt, 1H), 4.00 (t, 2Н), 3.81 (s, 2Н), 3.75 (s, 3Н), 3.41 (brq, 2Н), 3.35 (t, 2Н), 2.85 (t, 2Н), 2.32 (s, 3Н), 2.14 (m, 2Н), 2.12 (s, 3Н), 1.99 (qn, 2Н), 1.62/1.53 (d+d, 4Н), 1.53 (s, 2Н), 1.49/1.44 (d+d, 2Н), 1.44 (s, 4Н); 13С ЯМР (100 МГц, ДМСО-d6) δ м.д. 139.9, 137.6, 130.1, 126.4, 122.4, 122.0, 118.9, 114.2, 66.7, 61.9, 61.5, 59.5, 55.6, 45.4, 44.7, 40.8, 39.5, 35.6, 30.1, 24.3, 21.7, 12.6, 10.8; МСВР-ЭРИ (m/z): [М+Н]+, рассчитано для C46H51N8O5S: 827.3703, найдено: 827.3709.

Стадия Е: (4-метоксифенил)метил 6-[3-(1,3-бензотиазол-2-иламино)-4-метил-6,7-дигидро-5Н-пиридо[2,3-с]пиридазин-8-ил]-3-[5-метил-1-[[3-[2-(n-толилсульфонилокси)этокси]-1-адамантил]метил]пиразол-4-ил]пиридин-2-карбоксилат

К продукту со Стадии D (600 мг, 0.726 ммоль) и N,N-диэтилэтанамину (0.31 мл, 3 экв.) в дихлорметане (7 мл) добавляли n-толилсульфонил 4-метилбензолсульфонат (357 мг, 1.5 экв.), и реакционную смесь перемешивали в течение 18 ч. Очистка с помощью флэш-хроматографии (силикагель, с использованием ДХМ и МеОН в качестве элюентов) приводила к получению 354 мг (50%) целевого продукта.

1H ЯМР (500 МГц, ДМСО-d6) δ м.д. 12.22/10.85 (brs/brs, 1H), 7.94 (d, 1Н), 7.81 (br, 1Н), 7.77 (d, 2Н), 7.70 (d, 1Н), 7.52 (br, 1Н), 7.45 (d, 2Н), 7.37 (s, 1Н), 7.35 (t, 1Н), 7.19 (d, 2Н), 7.17 (t, 1H), 6.89 (d, 2Н), 5.10 (s, 2Н), 4.05 (t, 2 Н), 4.00 (t, 2Н), 3.79 (s, 2Н), 3.74 (s, 3Н), 3.49 (t, 2Н), 2.86 (t, 2Н), 2.40 (s, 3Н), 2.32 (s, 3Н), 2.11 (m, 2Н), 2.11 (s, 3Н), 1.99 (qn, 2Н), 1.55-1.36 (m, 12Н); 13С ЯМР (500 МГц, ДМСО-d6) δ м.д. 139.9, 137.6, 130.5, 130.3, 128.1, 126.4, 122.4, 122.0, 118.9, 114.2, 71.4, 66.8, 59.4, 58.2, 55.6, 45.4, 30.0, 24.2, 21.6, 21.6, 12.6, 10.9; МСВР-ЭРИ (m/z): [М+Н]+, рассчитано для C53H57N8O7S2: 981.3792, найдено: 981.3795.

Синтез 15: Этил 2-(3-хлор-4-метил-6,7-дигидро-5Н-пиридо[2,3-с]пиридазин-8-ил)-5-[3-(2-фтор-4-йодфенокси)пропил]тиазол-4-карбоксилат

Стадия А: 2-(3-хлор-4-метил-6,7-дигидро-5Н-пиридо[2,3-с]пиридазин-8-ил)-5-[3-(2-фтор-4-йодфенокси)пропил]тиазол-4-карбоновая кислота

Смесь продукта Синтеза 3а (35.39 г, 81.52 ммоль) и LiOH×H2O (4 экв.) в 1,4-диоксане (408 мл) и воде (82 мл) перемешивали при 60°С в течение 1 ч. После гашения реакционной смеси 1 М раствором НС1 и экстрагирования с помощью EtOAc, объединенные органические фазы сушили, концентрировали и очищали с помощью флэш-хроматографии (силикагель, с использованием ДХМ и МеОН в качестве элюентов) с получением целевого продукта (27.7 г, 81%).

1H ЯМР (500 МГц, ДМСО-d6) δ м.д. 7.56 (dd, 1Н), 7.43 (brd., 1Н), 6.96 (t, 1Н), 4.18 (t, 2Н), 4.05 (t, 2Н), 3.28 (t, 2Н), 2.84 (t, 2Н), 2.29 (s, 3Н), 2.07 (m, 2Н), 1.97 (m, 2Н); 13С ЯМР (500 МГц, ДМСО-d6) δ м.д. 166.4, 154.8, 152.1, 151.8, 151.1, 147.1, 143.9, 135.7, 134.0, 133.8, 129.0, 124.9, 117.6, 82.3, 68.8, 46.3, 31.0, 24.0, 22.5, 19.8, 15.7; МСВР-ЭРИ (m/z): [М+Н]+, рассчитано для C21H20ClFIN4O3S: 588.9973, найдено: 588.9969.

Стадия В: этил 2-(3-хлор-4-метил-6,7-дигидро-5Н-пиридо[2,3-с]пиридазин-8-ил)-5-[3-(2-фтор-4-йодфенокси)пропил]тиазол-4-карбоксилат

К смеси продукта со Стадии А (27.7 г, 65.9 ммоль), этанола (2 экв.) и PPh3 (2 экв.) в толуоле (660 мл) и ТГФ (20 мл) по каплям добавляли диизопропилазодикарбоксилат (2 экв.), и реакционную смесь перемешивали при 50°С в течение 1 ч. Очистка с помощью флэш-хроматографии (силикагель, с использованием гептана и EtOAc в качестве элюентов) приводила к получению целевого продукта (23.65 г, 66.4%).

1Н ЯМР (500 МГц, ДМСО-d6) δ м.д. 7.59 (dd, 1Н), 7.44 (dm, 1Н), 6.98 (t, 1Н), 4.29 (m, 2Н), 4.25 (q, 2Н), 4.08 (t, 2Н), 3.24 (t, 2Н), 2.89 (t, 2Н), 2.32 (s, 3Н), 2.09 (m, 2Н), 2.04 (m, 2Н), 1.28 (t, 3Н); 13С ЯМР (500 МГц, ДМСО-d6) δ м.д. 162.6, 155.4, 152.2, 151.7, 151.3, 147.0, 134.0, 124.9, 117.6, 82.4, 68.3, 60.7, 46.3, 30.8, 24.1, 23.1, 19.7, 15.7, 14.6; МСВР-ЭРИ (m/z): [М+Н]+, рассчитано для C23H24ClFIN4O3S: 617.0286, найдено: 617.0282.

Пример 1: 2-{6-[(1,3-Бензотиазол-2-ил)амино]-1,2,3,4-тетрагидрохинолин-1-ил}-1,3-тиазол-4-карбоновая кислота

Стадия А: этил 2-(6-бром-1,2,3,4-тетрагидрохинолин-1-ил)-1,3-тиазол-4-карбоксилат

К раствору бензоилизотиоцианата (380 мкл, 2.83 ммоль, 1.2 экв.) в ацетоне (10 мл) добавляли 6-бром-1,2,3,4-тетрагидрохинолин (500 мг, 2.36 ммоль, 1 экв.), и смесь нагревали с обратным холодильником в течение 1 ч. Смесь выливали на ледяную воду, и осадок отфильтровывали, промывали водой и сушили с получением бледно-желтого твердого вещества. Твердое вещество добавляли к 1 н. водному раствору гидроксида натрия (10 мл), и суспензию нагревали при 80°С в течение 30 мин, охлаждали до температуры окружающей среды и выливали на холодный 1 н. водный раствор хлористоводородной кислоты. Значение рН доводили до рН 8 насыщенным водным раствором карбоната натрия, и твердые вещества собирали путем фильтрования и промывали водой с получением желтого твердого вещества. Суспензию твердого вещества и этилбромпирувата (296 мкл, 2.36 ммоль, 1 экв.) в этаноле (10 мл) нагревали с обратным холодильником в течение 2 ч. Смеси давали охладиться до температуры окружающей среды, затем распределяли между этилацетатом и водой. Водную фазу экстрагировали этилацетатом (3×50 мл) и объединенные органические экстракты промывали соляным раствором (50 мл), сушили (сульфат магния) и концентрировали в вакууме. Очистка с помощью автоматической колоночной флэш-хроматографии (CombiFlash Rf, 24 г силикагелевый картридж RediSep™) с элюированием с градиентом 0 - 10% этилацетата в изогептане приводила к получению целевого продукта в виде желтой смолы (232 мг, 0.63 ммоль, 27%).

ЖХ/МС (C15H15BrN2O2S) 367 [М+Н]+; RT 1.42 (ЖХМС-V-B1)

1H ЯМР (400 МГц, ДМСО-d6) δ 7.99 (d, 1H), 7.87 (s, 1H), 7.53 - 7.48 (m, 1Н), 7.44 - 7.38 (m, 1Н), 4.27 (q, 2Н), 3.83 (t, 2Н), 2.83 - 2.73 (m, 2Н), 2.00 - 1.90 (m, 2Н), 1.29 (t, 3Н).

Стадия В: этил 2-{6-[(1,3-бензотиазол-2-ил)амино]-1,2,3,4-тетрагидрохинолин-1-ил}-1,3-тиазол-4-карбоксилат

В высушенный в сушильном шкафу сосуд для микроволновой обработки загружали продукт со Стадии А (93.8 мг, 0.26 ммоль, 1 экв.), 2-аминобензотиазол (46.0 мг, 0.31 ммоль, 1.2 экв.), карбонат цезия (166 мг, 0.51 ммоль, 2 экв.) и 1,4-диоксан (4 мл), и смесь барботировали азотом (10 мин), после чего добавляли бреттфос (13.7 мг, 0.03 ммоль, 0.1 экв.) и трис(дибензилиденацетон)дипалладий(0) (23.4 мг, 0.03 ммоль, 0.1 экв.), и смесь нагревали при 120°С в течение 2 ч под микроволновым облучением. Реакционную смесь распределяли между этилацетатом и водой, водную фазу экстрагировали этилацетатом (3×50 мл) и объединенные органические экстракты промывали соляным раствором (50 мл), сушили (сульфат магния) и концентрировали в вакууме. Очистка с помощью автоматической колоночной флэш-хроматографии (CombiFlash Rf, 12 г силикагелевый картридж RediSep™) с элюированием с градиентом 0 - 20% этилацетата в изогептане приводила к получению целевого продукта в виде желтой смолы (85.1 мг, 0.19 ммоль, 76%).

ЖХ/МС (C22H20N4O2S2) 437 [М+Н]+; RT 1.40 (ЖХМС-V-B1)

1H ЯМР (400 МГц, ДМСО-d6) 5 7.87 (d, 1Н), 7.83 - 7.78 (m, 1Н), 7.69 - 7.65 (m, 1H), 7.63 - 7.57 (m, 2Н), 7.36 - 7.29 (m, 1H), 7.18 - 7.13 (m, 1Н), 7.03 - 6.98 (m, 1H, 4.28 (q, J=7.08 Гц, 2Н), 3.92 - 3.84 (m, 2Н), 2.80 (t, J=6.30 Гц, 2Н), 2.00 - 1.89 (m, 2Н), 1.30 (t, J=7.09 Гц, 2Н).

Стадия С: 2-{6-[(1,3-бензотиазол-2-ил)амино]-1,2,3,4-тетрагидрохинолин-1-ил}-1,3-тиазол-4-карбоновая кислота

К раствору продукта со Стадии В (85.1 мг, 0.19 ммоль, 1 экв.) в тетрагидрофуране (2 мл) и метаноле (1 мл), добавляли 1 н. водный раствор гидроксида натрия (0.39 мл, 0.39 ммоль, 2 экв.), и смесь нагревали при 50°С в течение 3 ч. Реакционную смесь распределяли между этилацетатом и водой, водную фазу экстрагировали этилацетатом (3×30 мл) и объединенные органические экстракты промывали соляным раствором (50 мл), сушили (сульфат магния) и концентрировали в вакууме. Очистка с помощью автоматической колоночной флэш-хроматографии (CombiFlash Rf, 12 г силикагелевый картридж RediSep™) с элюированием с градиентом 0 - 6% метанола в дихлорметане приводила к получению вещества, которое дополнительно очищали с помощью препаративной ВЭЖХ (ВЭЖХ-V-А2) с получением целевого продукта в виде кремового твердого вещества (1.2 мг, 1.5%).

МСВР-ЭРИ (m/z) [М+Н]+, рассчитано для C20H17N4O2S2: 409.0793, найдено: 409.0830

Пример 2: 2-{5-[(1,3-Бензотиазол-2-ил)амино]-1Н-индол-1-ил}-1,3-тиазол-4-карбоновая кислота

Стадия А: метил 2-(5-бром-1Н-индол-1-ил)-1,3-тиазол-4-карбоксилат

К охлажденному раствору 5-броминдола (150 мг, 0.77 ммоль, 1 экв.) в диметилформамиде (2 мл) порциями добавляли гидрид натрия (60% дисперсия; 36.7 мг, 1.53 ммоль, 2 экв.), и смесь перемешивали при 0°С в течение 30 мин, после чего добавляли метил 2-хлор-4-тиазолкарбоксилат (272 мг, 1.53 ммоль, 2 экв.), и затем смеси давали нагреться до температуры окружающей среды и перемешивали в течение ночи. Реакционную смесь распределяли между этилацетатом и водой, водную фазу экстрагировали этилацетатом (3×30 мл) и объединенные органические экстракты промывали соляным раствором (3×30 мл), сушили (сульфат магния) и концентрировали в вакууме. Очистка с помощью автоматической колоночной флэш-хроматографии (CombiFlash Rf, 12 г силикагелевый картридж RediSep™) с элюированием с градиентом 0 20% этилацетата в изогептане приводила к получению целевого продукта в виде желтого твердого вещества (72.8 мг, 0.22 ммоль, 28%).

ЖХ/МС (C13H9BrN2O2S) 339 [М+Н]+; RT 1.35 (ЖХМС-V-B1)

1H ЯМР (400 МГц, ДМСО-d6) δ 8.41 - 8.38 (m, 1H), 8.37 (s, 1Н), 8.02 (d, J=3.5 Гц, 1H), 7.93 (d, J=2.0 Гц, 1H), 7.57 (dd, J=8.8, 2.0 Гц, 1H), 6.86 (dd, J=3.5, 0.8 Гц, 1Н), 3.89 (s, 3Н).

Стадия В: метил 2-{5-[(1,3-бензотиазол-2-ил)амино]-1Н-индол-1-ил}-1,3-тиазол-4-карбоксилат

В высушенный в сушильном шкафу сосуд для микроволновой обработки загружали продукт со Стадии А (72.8 мг, 0.22 ммоль, 1 экв.), 2-аминобензотиазол (38.9 мг, 0.26 ммоль, 1.2 экв.), карбонат цезия (141 мг, 0.43 ммоль, 2 экв.) и 1,4-диоксан (2 мл), и смесь барботировали азотом (10 мин), после чего добавляли бреттфос (11.6 мг, 0.02 ммоль, 0.1 экв.) и трис(дибензилиденацетон)дипалладий(0) (19.8 мг, 0.02 ммоль, 0.1 экв.), и затем смесь нагревали при 120°С в течение 2 ч под микроволновым облучением. Реакционную смесь распределяли между этилацетатом и водой, водную фазу экстрагировали этилацетатом (3×30 мл) и объединенные органические экстракты промывали соляным раствором (30 мл), сушили (сульфат магния) и концентрировали в вакууме. Очистка с помощью автоматической колоночной флэш-хроматографии (CombiFlash Rf, 12 г силикагелевый картридж RediSep™) с элюированием с градиентом 0 20% этилацетата в изогептане приводила к получению целевого продукта в виде бледно-желтого твердого вещества (10.5 мг, 0.03 ммоль, 12%).

ЖХ/МС (C20H14N4O2S2) 407 [М+Н]+; RT 1.35 (ЖХМС-V-B1)

1Н ЯМР (400 МГц, ДМСО-d6) δ 8.39 (d, J=8.9 Гц, 1Н), 8.34 (d, J=4.4 Гц, 1H), 7.96 (d, J=3.6 Гц, 1H), 7.84 - 7.78 (m, 1H), 7.67 - 7.57 (m, 2H), 7.39 - 7.30 (m, 2H), 7.20 - 7.12 (m, 1H), 6.92 (d, J=3.7 Гц, 1H), 3.90 (s, 3H).

Стадия С: 2-{5-[(1,3-бензотиазол-2-ил)амино]-1Н-индол-1-ил}-1,3-тиазол-4-карбоновая кислота

К раствору продукта со Стадии В (10.5 мг, 0 моль, 1 экв.) в тетрагидрофуране (2 мл) и метаноле (1 мл) добавляли 1 н. водный раствор гидроксида натрия (0.05 мл, 0.05 ммоль, 2 экв.), и смесь нагревали при 50°С в течение 2 ч. Реакционную смесь распределяли между этилацетатом и водой, водную фазу экстрагировали этилацетатом (3×30 мл) и объединенные органические экстракты промывали соляным раствором (50 мл), сушили (сульфат магния) и концентрировали в вакууме. Очистка с помощью препаративной ВЭЖХ (ВЭЖХ-V-А2) приводила к получению целевого продукта в виде кремового твердого вещества (3.5 мг, 0.01 ммоль, 35%).

МСВР-ЭРИ (m/z) [М+Н]+, рассчитано для C19H13N4O2S2: 393.0480, найдено: 393.0503

Пример 3: 2-{5-[(1,3-Бензотиазол-2-ил)амино]-2,3-дигидро-1Н-индол-1-ил}-1,3-тиазол-4-карбоновая кислота

Стадия А: этил 2-(5-бром-2,3-дигидро-1Н-индол-1-ил)-1,3-тиазол-4-карбоксилат

К раствору бензоилизотиоцианата (0.33 мл, 2.42 ммоль, 1.2 экв.) в ацетоне (10 мл) добавляли 5-броминдолин (400 мг, 2.02 ммоль, 1 экв.), и смесь нагревали с обратным холодильником в течение 1 ч. Реакционную смесь выливали на ледяную воду, и осадок отфильтровывали, промывали водой и сушили с получением бледно-желтого твердого вещества. Твердое вещество добавляли к 1 н. водному раствору гидроксида натрия (10 мл), и суспензию нагревали при 80°С в течение 30 мин, давали охладиться до температуры окружающей среды и выливали на холодный 1 н. водный раствор хлористоводородной кислоты. Значение рН доводили до рН 8 насыщенным водным раствором карбоната натрия, и твердые вещества собирали путем фильтрования и промывали водой с получением желтого твердого вещества. Суспензию твердого вещества и этилбромпирувата (253 мкл, 2.02 ммоль, 1 экв.) в этаноле (10 мл) нагревали с обратным холодильником в течение 2 ч, затем давали охладиться до температуры окружающей среды. Реакционную смесь распределяли между этилацетатом и водой, водную фазу экстрагировали этилацетатом (3 × 50 мл) и объединенные органические экстракты промывали соляным раствором (50 мл), сушили (сульфат магния) и концентрировали в вакууме. Очистка с помощью автоматической колоночной флэш-хроматографии (CombiFlash Rf, 24 г силикагелевый картридж RediSep™) с элюированием с градиентом 0-20% этилацетата в изогептане приводила к получению целевого продукта в виде желтого твердого вещества (377 мг, 1.07 ммоль, 53%).

ЖХ/МС (C14H13BrN2OS) 353 [М+Н]+; RT 1.39 (ЖХМС-V-B1)

1H ЯМР (400 МГц, ДМСО-d6) δ 8.00 (d, J=8.4 Гц, 1H), 7.92 (s, 1H), 7.57 -7.53 (m, 1H), 7.47 - 7.44 (m, 1H), 4.30 (q, J=7.1 Гц, 2H), 4.08 (t, 2H), 3.34 - 3.26 (m, 2H), 1.31 (t, 3H).

Стадия В: этил 2-{5-[(1,3-бензотиазол-2-ил)амино]-2,3-дигидро-1Н-индол-1-ил}-1,3-тиазол-4-карбоксилат

В высушенный в сушильном шкафу сосуд для микроволновой обработки загружали продукт со Стадии А (100 мг, 0.28 ммоль, 1 экв.), 2-аминобензотиазол (51.0 мг, 0.34 ммоль, 1.2 экв.), карбонат цезия (129 мг, 0.4 ммоль, 2 экв.) и 1,4-диоксан (2 мл), и смесь барботировали азотом (10 мин), после чего добавляли бреттфос (10.6 мг, 0.02 ммоль, 0.1 экв.) и трис(дибензилиденацетон)дипалладий(0) (18.2 мг, 0.02 ммоль, 0.1 экв.), и затем смесь нагревали при 120°С в течение 1 ч под микроволновым облучением. Реакционную смесь распределяли между этилацетатом и водой, водную фазу экстрагировали этилацетатом (3 × 50 мл) и объединенные органические экстракты промывали соляным раствором (50 мл), сушили (сульфат магния) и концентрировали в вакууме. Очистка с помощью автоматической колоночной флэш-хроматографии (CombiFlash Rf, 24 г силикагелевый картридж RediSep™) с элюированием с градиентом 0-40% этилацетата в изогептане приводила к получению целевого продукта в виде коричневой смолы (29.8 мг, 0.07 ммоль, 36%).

ЖХ/МС (C21H18N4O2S2) 423 [М+Н]+; RT 1.38 (ЖХМС-V-B1)

1H ЯМР (400 МГц, ДМСО-d6) δ 8.01 (d, 1Н), 7.87 (s, 1H), 7.83 - 7.78 (m, 1Н), 7.61 - 7.57 (m, 1Н), 7.45 (s, 1H), 7.33 - 7.28 (m, 1Н), 7.18 - 7.10 (m, 1Н), 7.00 (td, J=1.24, 7.55 Гц, 1H), 4.31 (q, J=7.12 Гц, 2Н), 4.13 - 4.06 (m, 2Н), 3.43 - 3.34 (m, 2Н), 1.33 (t, J=7.12 Гц, 3H).

Стадия С: 2-{5-[(1,3-бензотиазол-2-ил)амино]-2,3-дигидро-1Н-индол-1-ил}-1,3-тиазол-4-карбоновая кислота

К раствору продукта со Стадии В (29.8 мг, 0.07 ммоль, 1 экв.) в тетрагидрофуране (2 мл) и метаноле (1 мл), добавляли 1 н. водный раствор гидроксида натрия (0.14 мл, 0.14 ммоль, 2 экв.), и смесь нагревали при 50°С в течение 1 ч. Реакционную смесь распределяли между этилацетатом и водой, водную фазу экстрагировали этилацетатом (3 × 30 мл) и объединенные органические экстракты промывали соляным раствором (50 мл), сушили (сульфат магния) и концентрировали в вакууме. Очистка с помощью автоматической колоночной флэш-хроматографии (CombiFlash Rf, 4 г силикагелевый картридж RediSep™) с элюированием с градиентом 0 15% метанола в дихлорметане приводила к получению вещества, которое дополнительно очищали с помощью препаративной ВЭЖХ (ВЭЖХ-V-А2) с получением целевого продукта в виде кремового твердого вещества (3.7 мг, 0.01 ммоль, 13%).

МСВР-ЭРИ (m/z) [М+Н]+, рассчитано для C19H15N4O2S2: 395.0636, найдено: 395.0659

Пример 4: 2-{7-[(1,3-Бензотиазол-2-ил)амино]-3,4-дигидро-2Н-1,4-бензоксазин-4-ил}-1,3-тиазол-4-карбоновая кислота

Стадия А: этил 2-(7-бром-3,4-дигидро-2Н-1,4-бензоксазин-4-ил)-1,3-тиазол-4-карбоксилат

К раствору бензоилизотиоцианата (301 мкл, 2.24 ммоль, 1.2 экв.) в ацетоне (10 мл) добавляли 7-бром-3,4-дигидро-2Н-бензо[b][1,4]оксазин (400 мг, 1.87 ммоль, 1 экв.), и смесь нагревали с обратным холодильником в течение 1 ч. Реакционную смесь выливали на ледяную воду, и осадок отфильтровывали, промывали водой и сушили с получением бледно-желтого твердого вещества. Твердое вещество добавляли к 1 н. раствору гидроксида натрия (10 мл), и суспензию нагревали при 80°С в течение 30 мин, охлаждали до температуры окружающей среды и выливали на холодный 1 н. водный раствор хлористоводородной кислоты. Значение рН доводили до рН 8 насыщенным водным раствором карбоната натрия, твердые вещества собирали путем фильтрования и промывали водой с получением желтого твердого вещества. Суспензию твердого вещества и этилбромпирувата (235 мкл, 1.87 ммоль, 1 экв.) в этаноле (10 мл) нагревали с обратным холодильником в течение 2 ч, затем давали охладиться до температуры окружающей среды. Реакционную смесь распределяли между этилацетатом и водой, водную фазу экстрагировали этилацетатом (3 × 50 мл) и объединенные органические экстракты промывали соляным раствором (50 мл), сушили (сульфат магния) и концентрировали в вакууме. Очистка с помощью автоматической колоночной флэш-хроматографии (CombiFlash Rf, 24 г силикагелевый картридж RediSep™) с элюированием с градиентом 0 20% этилацетата в изогептане приводила к получению целевого продукта в виде желтого твердого вещества (264 мг, 0.71 ммоль, 38%).

ЖХ/МС (C14H13BrN2O3S) 369 [М+Н]+; RT 1.36 (ЖХМС-V-B1)

1H ЯМР (400 МГц, ДМСО-d6) δ 8.14 (d, J=8.76 Гц, 1H), 7.94 (s, 1Н), 7.26 -7.11 (m, 2Н), 4.37 - 4.21 (m, 4Н), 4.07 - 3.99 (m, 2Н), 1.29 (t, 3H).

Стадия В: этил 2-{7-[(1,3-бензотиазол-2-ил)амино]-3,4-дигидро-2Н-1,4-бензоксазин-4-ил}-1,3-тиазол-4-карбоксилат

В высушенный в сушильном шкафу сосуд для микроволновой обработки загружали продукт со Стадии А (173 мг, 0.47 ммоль, 1 экв.), 2-аминобензотиазол (105 мг, 0.7 ммоль, 1.5 экв.), трет-бутоксид калия (105 мг, 0.94 ммоль, 2 экв.) и 1,4-диоксан (5 мл), и смесь барботировали азотом (10 мин), после чего добавляли бреттфос (37.7 мг, 0.07 ммоль, 0.15 экв.) и трис(дибензилиденацетон)дипалладий(0) (42.9 мг, 0.05 ммоль, 0.1 экв.), и затем смесь нагревали при 140°С в течение 1 ч под микроволновым облучением. Реакционную смесь распределяли между этилацетатом и водой, водную фазу экстрагировали этилацетатом (3 × 50 мл) и объединенные органические экстракты промывали соляным раствором (50 мл), сушили (сульфат магния) и концентрировали в вакууме. Очистка с помощью автоматической колоночной флэш-хроматографии (CombiFlash Rf, 12 г силикагелевый картридж RediSep™) с элюированием с градиентом 0 30% этилацетата в изогептане приводила к получению целевого продукта в виде бледно-желтого твердого вещества (91.4 мг, 0.21 ммоль, 45%), которое непосредственно использовали на следующей стадии без дополнительной очистки.

ЖХ/МС (C21H18N4O3S2) 439 [М+Н]+; RT 1.35 (ЖХМС-V-B1)

Стадия С: 2-{7-[(1,3-бензотиазол-2-ил)амино]-3,4-дигидро-2Н-1,4-бензоксазин-4-ил}-1,3-тиазол-4-карбоновая кислота

К раствору продукта со Стадии В (91.4 мг, 0.21 ммоль, 1 экв.) в тетрагидрофуране (3 мл) и метаноле (1 мл), добавляли 1 н. водный раствор гидроксида натрия (0.42 мл, 0.42 ммоль, 2 экв.), и смесь нагревали при 50°С в течение 2 ч. Реакционную смесь распределяли между этилацетатом и водой, водную фазу экстрагировали этилацетатом (3 × 30 мл) и объединенные органические экстракты промывали соляным раствором (50 мл), сушили (сульфат магния) и концентрировали в вакууме. Очистка с помощью препаративной ВЭЖХ (ВЭЖХ-V-A1) приводила к получению целевого продукта в виде кремового твердого вещества (1.5 мг, 2%).

ЖХ/МС (C19H14N4O3S2) 411 [М+Н]+; RT 1.18 (ЖХМС-V-B1)

1H ЯМР (400 МГц, ДМСО-d6) δ 10.51 (s, 1H), 8.02 (d, J=8.9 Гц, 1H), 7.81 (dd, J=7.8, 1.2 Гц, 1H), 7.69 - 7.59 (m, 3H), 7.33 (td, J=7.7, 1.3 Гц, 1Н), 7.24 (dd, J=8.9, 2.5 Гц, 1H), 7.16 (td, J=7.6, 1.2 Гц, 1Н), 4.30 (t, J=4.4 Гц, 2Н), 4.03 (t, J=4.5 Гц, 2Н).

МСВР-ЭРИ (m/z) [М+Н]+, рассчитано для C19H15N4O3S2: 411.0586, найдено: 411.0610

Пример 5: 6-{5-[(1,3-Бензотиазол-2-ил)амино]-1Н-индол-1-ил}пиридин-2-карбоновая кислота

Стадия А: 6-(5-йод-1Н-индол-1-ил)пиридин-2-карбоновая кислота

К перемешиваемому раствору 5-йодиндола (170 мг, 0.7 ммоль, 1 экв.) в смеси 1,4-диоксан (5 мл)/диметилформамид (1 мл) порциями добавляли гидрид натрия (60% дисперсия; 20.1 мг, 0.84 ммоль, 1.2 экв.) в течение 20 минут, затем смесь перемешивали в течение 30 мин, после чего добавляли этил 6-хлорпиколинат (143 мг, 0.77 ммоль, 1.1 экв.) и перемешивали при 70°С в течение ночи. Реакционную смесь распределяли между этилацетатом и водой, водную фазу экстрагировали этилацетатом (3 × 30 мл) и объединенные органические экстракты промывали соляным раствором (3 × 30 мл), сушили (сульфат магния) и концентрировали в вакууме. Очистка с помощью автоматической колоночной флэш-хроматографии (CombiFlash Rf, 12 г силикагелевый картридж RediSep™) с элюированием с градиентом 0 30% этилацетата в изогептане приводила к получению целевого продукта в виде желтого твердого вещества (38.3 мг, 0.11 ммоль, 15%).

ЖХ/МС (C14H9IN2O2) 365 [М+Н]+; RT 1.22 (ЖХМС-V-B1)

1H ЯМР (400 МГц, ДМСО-d6) δ 13.47 (s, 1Н), 8.64 (d, J=8.8 Гц, 1H), 8.20 -8.17 (m, 1Н), 8.16 8.13 (m, 1Н), 8.08 8.02 (m, 2Н), 7.93 (dd, J=7.5, 0.8 Гц, 1Н), 7.59 (dd, J=1.8 Гц, 1H), 6.78 (dd, J=3.6, 0.7 Гц, 1H).

Стадия В: 6-{5-[(1,3-бензотиазол-2-ил)амино]-1Н-индол-1-ил}пиридин-2-карбоновая кислота

В высушенный в сушильном шкафу сосуд для микроволновой обработки загружали продукт со Стадии А (38.3 мг, 0.11 ммоль, 1 экв.), 2-аминобензотиазол (19 мг, 0.13 ммоль, 1.2 экв.), трет-бутоксид натрия (20.2 мг, 0.21 ммоль, 2 экв.) и 1,4-диоксан (2 мл), и смесь барботировали азотом (10 мин), после чего добавляли бреттфос (5.65 мг, 0.01 ммоль, 0.1 экв.) и трис(дибензилиденацетон)дипалладий(0) (9.63 мг, 0.01 ммоль, 0.1 экв.), и затем смесь нагревали при 140°С в течение 4 ч под микроволновым облучением. Реакционную смесь распределяли между этилацетатом и водой, водную фазу экстрагировали этилацетатом (3 × 50 мл) и объединенные органические экстракты промывали соляным раствором (50 мл), сушили (сульфат магния) и концентрировали в вакууме. Очистка с помощью препаративной ВЭЖХ (ВЭЖХ-V-A2) приводила к получению целевого продукта в виде кремового твердого вещества (0.8 мг, 2%).

МСВР-ЭРИ (m/z) [М+Н]+, рассчитано для C21H15N4O2S: 387.0916, найдено: 387.0943

Пример 6: 2-{5-[(1,3-Бензотиазол-2-ил)амино]-1Н-пирроло[2,3-b]пиридин-1-ил}-1,3-тиазол-4-карбоновая кислота

Стадия А: этил 2-{5-бром-1Н-пирроло[2,3-b]пиридин-1-ил}-1,3-тиазол-4-карбоксилат

К раствору 5-бром-1Н-пирроло[2,3-b]пиридина (250 мг, 1.27 ммоль, 1 экв.) в 1,4-диоксане (5 мл) и диметилформамиде (2 мл) порциями добавляли гидрид натрия (60% дисперсия; 36.5 мг, 1.52 ммоль, 1.2 экв.) в течение 20 мин, и смесь перемешивали при температуре окружающей среды в течение 30 мин, после чего добавляли этил 2-бром-1,3-тиазол-4-карбоксилат (449 мг, 1.9 ммоль, 1.5 экв.). Смесь нагревали с обратным холодильником в течение 2 ч, затем давали охладиться до температуры окружающей среды и получающийся в результате осадок собирали путем фильтрования и сушили в вакууме с получением целевого продукта в виде кремового твердого вещества (300 мг, 0.85 ммоль, 67%).

ЖХ/МС (C13H10BrN3O2S) 352 [М+Н]+; RT 1.41 (ЖХМС-V-B1)

1H ЯМР (400 МГц, ДМСО-d6) δ 8.61 (d, J=2.2 Гц, 1Н), 8.48 (d, J=2.2 Гц, 1Н), 8.38 (s, 1H), 8.33 (d, J=3.9 Гц, 1H), 6.88 (d, J=3.8 Гц, 1Н), 4.34 (q, J=7.1 Гц, 2Н), 1.34 (t, J=7.1 Гц, 3H).

Стадия В: этил 2-{5-[(1,3-бензотиазол-2-ил)амино]-1Н-пирроло[2,3-b]пиридин-1-ил}-1,3-тиазол-4-карбоксилат

В высушенный в сушильном шкафу сосуд для микроволновой обработки загружали продукт со Стадии А (200 мг, 0.57 ммоль, 1 экв.), 2-аминобензотиазол (128 мг, 0.85 ммоль, 1.5 экв.), карбонат цезия (370 мг, 1.14 ммоль, 2 экв.) и 1,4-диоксан (3 мл), и смесь барботировали азотом (10 мин), после чего добавляли трис(дибензилиденацетон)дипалладий(0) (52 мг, 0.06 ммоль, 0.1 экв.) и ксантфос (64.8 мг, 0.12 ммоль, 0.2 экв.), и затем смесь нагревали при 120°С в течение 6 ч под микроволновым облучением. Реакционную смесь распределяли между этилацетатом и водой, водную фазу экстрагировали этилацетатом (3 × 30 мл) и объединенные органические экстракты промывали соляным раствором (30 мл), сушили (сульфат магния) и концентрировали в вакууме. Очистка с помощью автоматической колоночной флэш-хроматографии (CombiFlash Rf, 12 г силикагелевый картридж RediSep™) с элюированием с градиентом 0 70% этилацетата в изогептане приводила к получению сырого целевого продукта в виде желтой смолы, которую непосредственно использовали на следующей стадии без дополнительной очистки.

ЖХ/МС (C20H15N5O2S2) 422 [М+Н]+; RT 1.37 (ЖХМС-V-B1)

Стадия С: 2-{5-[(1,3-бензотиазол-2-ил)амино]-1Н-пирроло[2,3-b]пиридин-1-ил}-1,3-тиазол-4-карбоновая кислота

К раствору продукта со Стадии В (61.2 мг, 0.15 ммоль, 1 экв.) в тетрагидрофуране (3 мл) и метаноле (1 мл), добавляли 1 н. водный раствор гидроксида натрия (0.29 мл, 0.29 ммоль, 2 экв.), и смесь нагревали при 50°С в течение 2 ч. Реакционную смесь концентрировали в вакууме и остаток суспендировали в воде и подкисляли до рН 6 с помощью 1 н. водного раствора хлористоводородной кислоты. Смесь распределяли между этилацетатом и водой, водную фазу экстрагировали этилацетатом (3 × 30 мл) и объединенные органические экстракты промывали соляным раствором (50 мл), сушили (сульфат магния) и концентрировали в вакууме. Очистка с помощью обращенно-фазовой автоматической флэш-хроматографии (CombiFlash Rf, С18 5.5 г колонка RediSep) с элюированием с градиентом 5-95% ацетонитрила в воде приводила к получению целевого продукта в виде белого твердого вещества (2.5 мг, 0.01 ммоль, 4%).

МСВР-ЭРИ (m/z) [М+Н]+, рассчитано для C18H12N5O2S2: 394.0432, найдено: 394.0459

Пример 7: 2-{5-[(1,3-Бензотиазол-2-ил)амино]-1Н-пирроло[2,3-с]пиридин-1-ил}-1,3-тиазол-4-карбоновая кислота

Стадия А: этил 2-{5-хлор-1Н-пирроло[2,3-с]пиридин-1-ил}-1,3-тиазол-4-карбоксилат

К раствору 5-хлор-1Н-пирроло[2,3-с]пиридина (300 мг, 1.97 ммоль, 1 экв.) в 1,4-диоксане (5 мл) и диметилформамиде (2 мл) порциями добавляли гидрид натрия (60% дисперсия; 56.6 мг, 2.36 ммоль, 1.2 экв.) в течение 20 мин, и смесь перемешивали при температуре окружающей среды в течение 30 мин, после чего добавляли этил 2-бром-1,3-тиазол-4-карбоксилат (696 мг, 2.95 ммоль, 1.5 экв.) и смесь нагревали с обратным холодильником в течение 2 ч. Реакционной смеси давали охладиться до температуры окружающей среды, и получающийся в результате осадок собирали путем фильтрования и сушили в вакууме с получением целевого продукта в виде бледно-коричневого твердого вещества (518 мг, 1.68 ммоль, 86%).

ЖХ/МС (C13H10ClN3O2S) 308 [М+Н]+; RT 1.19 (ЖХМС-V-B1)

1H ЯМР (400 МГц, ДМСО-d6) δ 9.48 (s, 1Н), 8.39 (s, 1H), 8.33 (d, J=3.5 Гц, 1Н), 7.85 (d, J=0.9 Гц, 1H), 6.93 (dd, J=3.5, 0.8 Гц, 1H), 4.37 (q, J=7.1 Гц, 2Н), 1.36 (t, J=7.1 Гц, 3H).

Стадия В: этил 2-{5-[(1,3-бензотиазол-2-ил)амино]-1Н-пирроло[2,3-с]пиридин-1-ил}-1,3-тиазол-4-карбоксилат

В высушенный в сушильном шкафу сосуд для микроволновой обработки загружали продукт со Стадии А (300 мг, 0.97 ммоль, 1 экв.), 2-аминобензотиазол (220 мг, 1.46 ммоль, 1.5 экв.), карбонат цезия (635 мг, 1.95 ммоль, 2 экв.) и 1,4-диоксан (7 мл), и смесь барботировали азотом (10 мин), после чего добавляли трис(дибензилиденацетон)дипалладий(0) (89.3 мг, 0.1 ммоль, 0.1 экв.) и ксантфос (113 мг, 0.19 ммоль, 0.2 экв.), и затем смесь нагревали при 130°С в течение 8 ч под микроволновым облучением. Реакционную смесь распределяли между этилацетатом и водой, водную фазу экстрагировали этилацетатом (3 × 50 мл) и объединенные органические экстракты промывали соляным раствором (30 мл), сушили (сульфат магния) и концентрировали в вакууме. Очистка с помощью автоматической колоночной флэш-хроматографии (CombiFlash Rf, 12 г силикагелевый картридж RediSep™) с элюированием с градиентом 0 - 70% этилацетата в изогептане приводила к получению целевого продукта в виде желтого твердого вещества (17.3 мг, 0.04 ммоль, 4%).

ЖХ/МС (C20H15N5O2S2) 422 [М+Н]+; RT 1.34 (ЖХМС-V-B1)

1H ЯМР (400 МГц, ДМСО-d6) δ 11.52 (s, 1Н), 9.53 (t, J=0.9 Гц, 1Н), 8.34 (s, 1Н), 8.22 (d, J=3.5 Гц, 1H), 7.87 (d, 1H), 7.61 (d, J=8.1 Гц, 1Н), 7.54 - 7.49 (m, 1H), 7.40 - 7.27 (m, 1Н), 7.21 - 7.14 (m, 1H), 6.94 (dd, J=3.5, 0.7 Гц, 1H), 4.40 (q, J=7.1 Гц, 2Н), 1.38 (t, J=7.1 Гц, 3H).

Стадия С: 2-{5-[(1,3-бензотиазол-2-ил)амино]-1Н-пирроло[2,3-с]пиридин-1-ил}-1,3-тиазол-4-карбоновая кислота

К раствору продукта со Стадии В (17.3 мг, 0.04 ммоль, 1 экв.) в тетрагидрофуране (3 мл) и метаноле (1 мл), добавляли 1 н. водный раствор гидроксида натрия (0.08 мл, 0.08 ммоль, 2 экв.), и смесь нагревали при 50°С в течение 2 ч. Реакционную смесь концентрировали в вакууме и остаток суспендировали в воде и подкисляли до рН 7 с помощью 1 н. водного раствора хлористоводородной кислоты. Твердые вещества собирали путем фильтрования, промывали метанолом, затем диэтиловым эфиром и сушили в вакууме с получением целевого продукта в виде кремового твердого вещества (9.1 мг, 0.02 ммоль, 56%).

МСВР-ЭРИ (m/z) [М+Н]+, рассчитано для C18H12N5O2S2: 394.0432, найдено: 394.0452

Пример 8: 2-{3-[(1,3-Бензотиазол-2-ил)амино]-7Н-пирроло[2,3-с]пиридазин-7-ил}-1,3-тиазол-4-карбоновая кислота

Стадия А: этил 2-{3-хлор-7Н-пирроло[2,3-с]пиридазин-7-ил}-1,3-тиазол-4-карбоксилат

К раствору 3-хлор-7Н-пирроло[2,3-с]пиридазина (285 мг, 1.86 ммоль, 1 экв.) в 1,4-диоксане (5 мл) и диметилформамиде (2 мл) порциями добавляли гидрид натрия (60% дисперсия; 53.4 мг, 2.23 ммоль, 1.2 экв.) в течение 20 мин, затем смесь перемешивали при температуре окружающей среды в течение 30 мин, после чего добавляли этил 2-хлортиазол-4-карбоксилат (533 мг, 2.78 ммоль, 1.5 экв.), и смесь нагревали с обратным холодильником в течение 2 ч. Реакционную смесь распределяли между этилацетатом и водой, водную фазу экстрагировали этилацетатом (3 × 40 мл) и объединенные органические экстракты промывали соляным раствором, сушили (сульфат магния) и концентрировали в вакууме. Очистка с помощью автоматической колоночной флэш-хроматографии (CombiFlash Rf, 24 г силикагелевый картридж RediSep™) с элюированием с градиентом 0-40% этилацетата в изогептане приводила к получению целевого продукта в виде персикового твердого вещества (388 мг, 1.26 ммоль, 68%).

ЖХ/МС (C12H9ClN4O2S) 309 [М+Н]+; RT 1.14 (ЖХМС-V-B1)

1H ЯМР (400 МГц, ДМСО-d6) δ 8.69 (d, J=3.8 Гц, 1H), 8.46 (s, 1H), 8.30 (s, 1Н), 6.97 (d, J=3.8 Гц, 1Н), 4.36 (q, J=7.1 Гц, 2Н), 1.35 (t, J=7.1 Гц, 3H).

Стадия В: этил 2-{3-[(1,3-бензотиазол-2-ил)амино]-7Н-пирроло[2,3-с]пиридазин-7-ил}-1,3-тиазол-4-карбоксилат

В высушенный в сушильном шкафу сосуд для микроволновой обработки загружали продукт со Стадии А (388 мг, 1.26 ммоль, 1 экв.), 2-аминобензотиазол (283 мг, 1.89 ммоль, 1.5 экв.), карбонат цезия (819 мг, 2.51 ммоль, 2 экв.) и 1,4-диоксан (10 мл), и смесь барботировали азотом (10 мин), после чего добавляли трис(дибензилиденацетон)дипалладий(0) (115 мг, 0.13 ммоль, 0.1 экв.) и ксантфос (145 мг, 0.25 ммоль, 0.2 экв.), и затем смесь нагревали при 130°С в течение 6 ч под микроволновым облучением. Реакционную смесь распределяли между этилацетатом и водой, водную фазу экстрагировали этилацетатом (3 × 50 мл) и объединенные органические экстракты промывали соляным раствором (30 мл), сушили (сульфат магния) и концентрировали в вакууме. Очистка с помощью автоматической колоночной флэш-хроматографии (CombiFlash Rf, 24 г силикагелевый картридж RediSep™) с элюированием с градиентом 0-100% этилацетата в изогептане приводила к получению целевого продукта в виде коричневого твердого вещества (112 мг, 0.27 ммоль, 21%).

ЖХ/МС (C19H14N6O2S2) 423 [М+Н]+; RT 1.29 (ЖХМС-V-B1)

1H ЯМР (400 МГц, ДМСО-d6) δ 11.84 (s, 1Н), 8.58 (d, J=3.9 Гц, 1H), 8.41 (s, 1Н), 7.95 (d, J=7.8 Гц, 1H), 7.91 (s, 1Н), 7.71 - 7.63 (m, 1Н), 7.40 (ddd, J=8.2, 7.2, 1.3 Гц, 1H), 7.24 (td, J=7.6, 1.1 Гц, 1H), 6.99 (d, J=3.9 Гц, 1H), 4.36 (q, J=7.1 Гц, 3H), 1.35 (t, J=7.1 Гц, 3H).

Стадия С: 2-{3-[(1,3-бензотиазол-2-ил)амино]-7Н-пирроло[2,3-с]пиридазин-7-ил}-1,3-тиазол-4-карбоновая кислота

К раствору продукта со Стадии В (112 мг, 0.27 ммоль, 1 экв.) в тетрагидрофуране (5 мл) и метаноле (1.5 мл) добавляли 1 н. водный раствор гидроксида натрия (0.53 мл, 0.53 ммоль, 2 экв.), и смесь нагревали при 50°С в течение 2 ч. Реакционную смесь концентрировали в вакууме, остаток суспендировали в воде, и твердые вещества собирали путем фильтрования. Очистка с помощью обращенно-фазовой автоматической флэш-хроматографии (CombiFlash Rf, C18 5.5 г колонка RediSep) с элюированием с градиентом 5-95% ацетонитрила в воде приводила к получению целевого продукта в виде бледно-желтого твердого вещества (4.9 мг, 0.01 ммоль, 5%).

МСВР-ЭРИ (m/z) [М+Н]+, рассчитано для C17H11N6O2S2: 395.0385, найдено: 395.0406

Пример 9: 2-{3-[(1,3-Бензотиазол-2-ил)амино]-7Н-пирроло[2,3-с]пиридазин-7-ил}-5-[3-(2-фторфенокси)пропил]-1,3-тиазол-4-карбоновая кислота

Стадия А: этил 5-бром-2-ацетамидо-1,3-тиазол-4-карбоксилат

К раствору этил 2-амино-5-бромтиазол-4-карбоксилата (4 г, 15.9 ммоль, 1 экв.) в дихлорметане (70 мл) добавляли ангидрид уксусной кислоты (1.65 мл, 17.5 ммоль, 1.1 экв.) и 4-диметиламинопиридин (2.24 г, 18.3 ммоль, 1.15 экв.), и смесь перемешивали при температуре окружающей среды в течение ночи. Реакционной смеси давали охладиться до температуры окружающей среды, затем промывали водой с последующим промыванием соляным раствором, сушили (сульфат магния) и концентрировали в вакууме. Получающееся в результате твердое вещество растирали с диэтиловым эфиром, отфильтровывали и сушили в вакууме с получением целевого продукта в виде не совсем белого твердого вещества (4.15 г, 14.15 ммоль, 89%).

ЖХ/МС (C8H9BrN2O3S) 294 [М+Н]+; RT 0.82 (ЖХМС-V-B1)

1H ЯМР (400 МГц, ДМСО-d6) δ 12.80 (s, 1Н), 4.28 (q, J=7.1 Гц, 2Н), 2.15 (s, 3H), 1.30 (t, J=7.1 Гц, 3H).

Стадия В: этил 2-ацетамидо-5-(3-гидроксипроп-1-ин-1-ил)-1,3-тиазол-4-карбоксилат

Тетракис(трифенилфосфин)палладий(0) (813 мг, 0.7 ммоль, 0.05 экв.) добавляли к раствору продукта со Стадии А (4.13 г, 14.1 ммоль, 1 экв.), пропаргилового спирта (1.64 мл, 28.2 ммоль, 2 экв.), триэтиламина (5.87 мл, 42.2 ммоль, 3 экв.) и йодида меди(1) (0.27 г, 1.41 ммоль, 0.1 экв.) в диметилформамиде (60 мл) в атмосфере азота, и смесь нагревали при 100°С в течение 3 ч. Реакционную смесь концентрировали в вакууме и сырой продукт очищали с помощью автоматической колоночной флэш-хроматографии (CombiFlash Rf, 120 г силикагелевый картридж RediSep™) с элюированием с градиентом 0-10% метанола в дихлорметане с получением целевого продукта в виде кремового твердого вещества (3 г, 11.2 ммоль, 79%).

ЖХ/МС (C11H12N2O4S) 269 [М+Н]+; RT 0.63 (ЖХМС-V-B1)

1H ЯМР (400 МГц, ДМСО-d6) δ 12.80 (s, 1Н), 5.45 (t, J=6.0 Гц, 1Н), 4.37 (d, J=6.0 Гц, 2Н), 4.27 (q, J=7.1 Гц, 2Н), 2.16 (s, 3H), 1.30 (t, J=7.1 Гц, 3H).

Стадия С: этил 2-ацетамидо-5-(3-гидроксипропил)-1,3-тиазол-4-карбоксилат

Этилацетат (30 мл) и метанол (30 мл) загружали в колбу, содержащую продукт со Стадии В (3 г, 11.2 ммоль, 1 экв.) и гидрат оксида платины(IV) (508 мг, 2.23 ммоль, 0.2 экв.) в атмосфере азота. Сосуд вакуумировали и снова заполняли азотом (х3), затем вакуумировали и создавали в нем атмосферу водорода и встряхивали при температуре окружающей среды в течение 24 ч. Реакционную смесь фильтровали через целит (10 г), элюировали метанолом, и растворитель удаляли в вакууме. Очистка с помощью автоматической колоночной флэш-хроматографии (CombiFlash Rf, 80 г силикагелевый картридж RediSep™) с элюированием с градиентом 0 - 10% метанола в дихлорметане приводила к получению целевого продукта в виде коричневого твердого вещества (1.89 г, 6.94 ммоль, 62%).

ЖХ/МС (C11H16N2O4S) 273 [М+Н]+; RT 0.61 (ЖХМС-V-B1)

1H ЯМР (400 МГц, ДМСО-d6) δ 12.38 (s, 1Н), 4.54 (t, J=5.1 Гц, 1Н), 4.25 (q, J=7.1 Гц, 2Н), 3.44 (q, J=6.1 Гц, 2Н), 3.20 - 3.08 (m, 2Н), 2.12 (s, 3H), 1.82 - 1.68 (m, 2Н), 1.29 (t, J=7.1 Гц, 3H).

Стадия D: этил 2-амино-5-(3-гидроксипропил)-1,3-тиазол-4-карбоксилат

К раствору продукта со Стадии С (500 мг, 1.84 ммоль, 1 экв.) в этаноле (15 мл) добавляли хлористоводородную кислоту (4М в 1,4-диоксане; 4.59 мл, 4 М, 18.4 ммоль, 10 экв.), и смесь нагревали при 60°С в течение ночи. Реакционной смеси давали охладиться до температуры окружающей среды и затем концентрировали в вакууме. Очистка с помощью автоматической колоночной флэш-хроматографии (CombiFlash Rf, 12 г силикагелевый картридж RediSep™) с элюированием с градиентом 0 10% метанола в дихлорметане приводила к получению целевого продукта в виде бежевого твердого вещества (422 мг, 1.83 ммоль, 100%).

ЖХ/МС (C9H14N2O3S) 231 [М+Н]+; RT 0.50 (ЖХМС-V-B1)

1H ЯМР (400 МГц, ДМСО-d6) δ 8.04 (br s, 2Н), 4.26 (q, J=7.1 Гц, 2Н), 3.44 (t, J=6.3 Гц, 2Н), 3.05 - 2.96 (m, 2Н), 1.76 - 1.64 (m, 2Н), 1.29 (t, J=7.1 Гц, 3H).

Стадия Е: этил 2-бром-5-(3-гидроксипропил)-1,3-тиазол-4-карбоксилат

трет-Бутил нитрат (0.26 мл, 2.2 ммоль, 1.2 экв.) по каплям добавляли к перемешиваемому раствору бромида меди(II) (491 мг, 2.2 ммоль, 1.2 экв.) в ацетонитриле (6 мл), смесь нагревали до 60°С, и затем медленно добавляли суспензию продукта со Стадии D (422 мг, 1.83 ммоль, 1 экв.) в ацетонитриле (8 мл). Смесь выдерживали при 60°С в течение 2 ч, затем давали охладиться до температуры окружающей среды и гасили путем добавления 2 н. водного раствора гидроксида натрия, и затем экстрагировали этилацетатом. Органический экстракт промывали водой, соляным раствором, сушили (сульфат магния) и концентрировали в вакууме. Очистка с помощью автоматической колоночной флэш-хроматографии (CombiFlash Rf, 12 г силикагелевый картридж RediSep™) с элюированием с градиентом 0-50% этилацетата в изогептане приводила к получению целевого продукта в виде бесцветного масла (271 мг, 0.92 ммоль, 50%).

ЖХ/МС (C9H12BrNO3S) 296 [М+Н]+; RT 0.76 (ЖХМС-V-B1)

1H ЯМР (400 МГц, ДМСО-d6) δ 4.59 (t, J=5.1 Гц, 1H), 4.29 (q, J=7.1 Гц, 2Н), 3.44 (td, J=6.3, 5.1 Гц, 2Н), 3.24 - 3.15 (m, 2Н), 1.81 - 1.69 (m, 2Н), 1.31 (t, J=7.1 Гц, 3H).

Стадия F: этил 2-бром-5-[3-(2-фторфенокси)пропил]-1,3-тиазол-4-карбоксилат

Раствор продукта со Стадии Е (271 мг, 0.92 ммоль, 1 экв.), 2-фторфенола (0.12 мл, 1.38 ммоль, 1.5 экв.) и трифенилфосфина (362 мг, 1.38 ммоль, 1.5 экв.) в тетрагидрофуране (10 мл) охлаждали на ледяной бане, затем медленно добавляли диизопропилазодикарбоксилат (0.27 мл, 1.38 ммоль, 1.5 экв.), и смесь перемешивали при 0°С в течение 30 мин и затем при температуре окружающей среды в течение 3 ч. Реакционную смесь распределяли между этилацетатом и водой, и органическую фазу промывали соляным раствором, сушили (сульфат магния) и концентрировали в вакууме. Очистка с помощью автоматической колоночной флэш-хроматографии (CombiFlash Rf, 40 г силикагелевый картридж RediSep™) с элюированием с градиентом 0 - 60% этилацетата в изогептане приводила к получению целевого продукта в виде оранжевого масла (302 мг, 0.78 ммоль, 85%).

ЖХ/МС (C15H15BrFNO3S) 390 [М+Н]+; RT 1.23 (ЖХМС-V-B1)

1H ЯМР (400 МГц, ДМСО-d6) δ 7.26 - 7.07 (m, 3H), 7.01 - 6.88 (m, 1Н), 4.27 (q, J=7.1 Гц, 2Н), 4.09 (t, J=6.1 Гц, 2Н), 3.39 - 3.29 (m, 2Н), 2.16 - 2.03 (m, 2Н), 1.28 (t, J=7.1 Гц, 3H).

Стадия G: этил 2-{3-хлор-7Н-пирроло[2,3-с]пиридазин-7-ил}-5-[3-(2-фторфенокси)пропил]-1,3-тиазол-4-карбоксилат

К перемешиваемому раствору 3-хлор-7Н-пирроло[2,3-с]пиридазина (179 мг, 1.17 ммоль, 1.5 экв.) в 1,4-диоксане (10 мл) и диметилформамиде (3 мл) порциями добавляли гидрид натрия (60% дисперсия; 22.4 мг, 0.93 ммоль, 1.2 экв.) в течение 20 минут, и смесь перемешивали в течение 30 мин, после чего добавляли продукт со Стадии F (302 мг, 0.78 ммоль, 1 экв.) и перемешивали при температуре окружающей среды в течение 2 ч и при нагревании с обратным холодильником в течение ночи. Реакционную смесь распределяли между этилацетатом и водой, водную фазу экстрагировали этилацетатом (3 × 30 мл) и объединенные органические экстракты промывали соляным раствором, сушили (сульфат магния) и концентрировали в вакууме. Очистка с помощью автоматической колоночной флэш-хроматографии (CombiFlash Rf, 12 г силикагелевый картридж RediSep™) с элюированием с градиентом 0-50% этилацетата в изогептане приводила к получению целевого продукта в виде бледно-желтого твердого вещества (122 мг, 0.27 ммоль, 34%).

ЖХ/МС (C21H18ClFN4O3S) 461 [М+Н]+; RT 1.41 (ЖХМС-V-B1)

1H ЯМР (400 МГц, ДМСО-d6) δ 8.63 (d, J=3.8 Гц, 1Н), 8.28 (s, 1H), 7.26 - 7.07 (m, 3H), 6.99 - 6.87 (m, 2Н), 4.32 (q, J=7.1 Гц, 2Н), 4.15 (t, J=6.1 Гц, 2Н), 3.48 - 3.37 (m, 2Н), 2.28 - 2.14 (m, 2Н), 1.32 (t, J=7.1 Гц, 3H).

Стадия Н: этил 2-{3-[(1,3-бензотиазол-2-ил)амино]-7Н-пирроло[2,3-с]пиридазин-7-ил}-5-[3-(2-фторфенокси)пропил]-1,3-тиазол-4-карбоксилат

В сосуд для микроволновой обработки загружали продукт со Стадии G (122 мг, 0.27 ммоль, 1 экв.), 2-аминобензотиазол (59.7 мг, 0.4 ммоль, 1.5 экв.), карбонат цезия (173 мг, 0.53 ммоль, 2 экв.), трис(дибензилиденацетон)дипалладий(0) (24.3 мг, 0.03 ммоль, 0.1 экв.), ксантфос (15.3 мг, 0.03 ммоль, 0.1 экв.) и 1,4-диоксан (7.5 мл), и смесь нагревали при 120°С в течение 6 ч под микроволновым облучением. Смесь распределяли между этилацетатом и водой, и водную фазу экстрагировали этилацетатом (3 × 40 мл), промывали соляным раствором, сушили (сульфат магния) и концентрировали в вакууме. Очистка с помощью автоматической колоночной флэш-хроматографии (CombiFlash Rf, 12 г силикагелевый картридж RediSep™) с элюированием с градиентом 0-50% этилацетата в изогептане приводила к получению целевого продукта в виде желтого твердого вещества (42.8 мг, 0.07 ммоль, 28%).

ЖХ/МС (C28H23FN6O3S2) 575 [М+Н]+; RT 1.47 (ЖХМС-V-B1)

1H ЯМР (400 МГц, ДМСО-d6) δ 11.80 (br s, 1H), 8.53 (d, J=3.8 Гц, 1Н), 7.95 (d, J=7.7 Гц, 1Н), 7.88 (s, 1H), 7.69 - 7.63 (m, 1H), 7.40 (ddd, J=8.2, 7.3, 1.3 Гц, 1H), 7.26 - 7.16 (m, 3H), 7.15 - 7.11 (m, 1H), 6.98 - 6.91 (m, 2Н), 4.32 (q, J=7.1 Гц, 2Н), 4.17 (t, J=6.1 Гц, 2Н), 3.48 - 3.39 (m, 2Н), 2.28 - 2.17 (m, 2Н), 1.33 (t, J=7.1 Гц, 3H).

Стадия I: 2-{3-[(1,3-бензотиазол-2-ил)амино]-7Н-пирроло[2,3-с]пиридазин-7-ил}-5-[3-(2-фторфенокси)пропил]-1,3-тиазол-4-карбоновая кислота

К раствору продукта со Стадии Н (42.8 мг, 0.07 ммоль, 1 экв.) в 1,4-диоксане (2 мл) добавляли 1.25М водный гидроксид лития (0.12 мл, 0.15 ммоль, 2 экв.), и смесь нагревали с обратным холодильником в течение 2 ч. Реакционную смесь концентрировали в вакууме и очищали с помощью препаративной ВЭЖХ (ВЭЖХ-V-А2) с получением целевого продукта в виде желтого твердого вещества (2.3 мг, 6%).

МСВР-ЭРИ (m/z) [М+Н]+, рассчитано для C26H20FN6O3S2: 547.1022, найдено: 547.1010.

Пример 10: 2-{3-[(1,3-Бензотиазол-2-ил)амино]-5Н,6Н,7Н-пирроло[2,3-с]пиридазин-7-ил}-1,3-тиазол-4-карбоновая кислота

Стадия А: трет-бутил 3-хлор-5Н,6Н,7Н-пирроло[2,3-с]пиридазин-7-карбоксилат

К раствору N-(бут-3-ин-1-ил)-6-хлор-1,2,4,5-тетразин-3-амина (381 мг, 2.08 ммоль, 1 экв.) в тетрагидрофуране (15 мл) добавляли ди-трет-бутил дикарбонат (1.36 г, 6.23 ммоль, 3 экв.) и 4-диметиламинопиридин (12.7 мг, 0.1 ммоль, 0.05 экв.), и смесь перемешивали при температуре окружающей среды в течение ночи. Очистка с помощью автоматической колоночной флэш-хроматографии (CombiFlash Rf, 24 г силикагелевый картридж RediSep™) с элюированием с градиентом 0 70% этилацетата в изогептане приводила к получению целевого продукта в виде красного твердого вещества (89 мг, 0.35 ммоль, 17%).

ЖХ/МС (C11H14ClN3O2) 256 [М+Н]+; RT 2.06 (ЖХМС-V-C)

1H ЯМР (400 МГц, ДМСО-d6) δ 7.62 (t, J=1.6 Гц, 1H), 3.97 (dd, J=8.9, 7.9 Гц, 2Н), 3.10 (ddd, J=9.4, 7.8, 1.6 Гц, 2Н), 1.51 (s, 9Н).

Стадия В: 3-хлор-5Н,6Н,7Н-пирроло[2,3-с]пиридазин

К раствору продукта со Стадии А (89 мг, 0.35 ммоль, 1 экв.) в дихлорметане (3 мл) добавляли трифторуксусную кислоту (1.5 мл), и смесь перемешивали при температуре окружающей среды в течение 1 ч. Реакционную смесь концентрировали в вакууме, затем загружали на смоченный метанолом картридж SCX (5 г), промывали метанолом, и затем элюировали 1.4 н. метанольным раствором аммиака с получением целевого продукта в виде бежевого твердого вещества (51 мг, 0.33 ммоль, 94%).

ЖХ/МС (C6H6ClN3) 156 [М+Н]+; RT 0.37 (ЖХМС-V-C)

1H ЯМР (400 МГц, ДМСО-d6) δ 7.27 (br s, 1H), 7.24 - 7.20 (m, 1Н), 3.55 (td, J=8.2, 1.1 Гц, 2Н), 3.06 (ddd, J=9.7, 7.8, 1.7 Гц, 1Н).

Стадия С: этил 2-{3-хлор-5Н,6Н,7Н-пирроло[2,3-с]пиридазин-7-ил}-1,3-тиазол-4-карбоксилат

В высушенный в сушильном шкафу сосуд для микроволновой обработки загружали продукт со Стадии В (51 мг, 0.33 ммоль, 1 экв.), этил 2-бром-1,3-тиазол-4-карбоксилат (92.9 мг, 0.39 ммоль, 1.2 экв.), транс-N,N'-диметилциклогексан-1,2-диамин (10.3 мкл, 0.07 ммоль, 0.2 экв.), йодид меди(1) (6.24 мг, 0.03 ммоль, 0.1 экв.), ортофосфат калия (139 мг, 0.66 ммоль, 2 экв.) и 1,4-диоксан (3 мл), и сосуд вакуумировали и продували азотом, затем нагревали при 150°С в течение 1 часа под микроволновым облучением. Реакционную смесь разбавляли этилацетатом, фильтровали через целит, затем промывали соляным раствором, сушили (сульфат магния) и концентрировали в вакууме. Очистка с помощью автоматической колоночной флэш-хроматографии (CombiFlash Rf, 12 г силикагелевый картридж RediSep™) с элюированием с градиентом 0-3% метанола в дихлорметане приводила к получению сырого целевого продукта в виде бежевого твердого вещества (19 мг, 0.06 ммоль, 19%), которое непосредственно использовали на следующей стадии без дополнительной очистки.

ЖХ/МС (C12H11ClN4O2S) 311 [М+Н]+; RT2.24 (ЖХМС-V-C)

Стадия D: этил 2-{3-[(1,3-бензотиазол-2-ил)амино]-5Н,6Н,7Н-пирроло[2,3-с]пиридазин-7-ил}-1,3-тиазол-4-карбоксилат

В высушенный в сушильном шкафу сосуд для микроволновой обработки загружали продукт со Стадии С (19 мг, 0.06 ммоль, 1 экв.), 2-аминобензотиазол (13.8 мг, 0.09 ммоль, 1.5 экв.), ксантфос (7.08 мг, 0.01 ммоль, 0.2 экв.), карбонат цезия (39.8 мг, 0.12 ммоль, 2 экв.) и 1,4-диоксан (3 мл), и сосуд вакуумировали и продували азотом, затем добавляли трис(дибензилиденацетон)дипалладий(0) (5.6 мг, 0.01 ммоль, 0.1 экв.), смесь барботировали азотом (10 мин) и затем нагревали при 150°С в течение 1 ч под микроволновым облучением. Реакционную смесь разбавляли этилацетатом и фильтровали через целит, промывали соляным раствором, сушили (сульфат магния) и концентрировали в вакууме. Очистка с помощью автоматической колоночной флэш-хроматографии (CombiFlash Rf, 12 г силикагелевый картридж RediSep™) с элюированием с градиентом 0-10% метанола в дихлорметане приводила к получению целевого продукта в виде коричневого твердого вещества (9 мг, 0.02 ммоль, 35%).

ЖХ/МС (C19H16N6O2S2) 425 [М+Н]+; RT 2.53 (ЖХМС-V-C)

1H ЯМР (400 МГц, ДМСО-d6) δ 7.95 - 7.89 (m, 1H), 7.69 - 7.58 (m, 2Н), 7.41 - 7.35 (m, 1H), 7.33 - 7.29 (m, 1H), 7.25 - 7.15 (m, 1H), 4.40 - 4.26 (m, 4Н), 1.33 (t, 3H).

Стадия Е: 2-{3-[(1,3-бензотиазол-2-ил)амино]-5Н,6Н, 7Н-пирроло[2,3-с]пиридазин-7-ил}-1,3-тиазол-4-карбоновая кислота

К раствору продукта со Стадии D (9 мг, 0.02 ммоль, 1 экв.) в 1,4-диоксане (2 мл) добавляли моногидрат гидроксида лития (3.56 мг, 0.08 ммоль, 4 экв.), и смесь нагревали с обратным холодильником в течение 6 ч. Реакционную смесь концентрировали в вакууме, затем растворяли в метаноле и загружали на смоченный метанолом картридж РЕ-АХ (5 г), промывали метанолом, элюировали 10:1 смесью дихлорметан/муравьиная кислота и концентрировали в вакууме. Сырое вещество растирали с дихлорметаном, отфильтровывали и сушили в вакууме с получением целевого продукта в виде бежевого твердого вещества (2.42 мг, 0.01 ммоль, 29%) в форме соли муравьиной кислоты.

МСВР-ЭРИ (m/z) [М+Н]+, рассчитано для C17H13N6O2S2: 397.0541, найдено: 397.0529.

Пример 11: 2-{3-[(1,3-Бензотиазол-2-ил)амино]-4-метил-5Н,6Н,7Н-пирроло[2,3-с]пиридазин-7-ил}-1,3-тиазол-4-карбоновая кислота

Стадия А: 3-хлор-4-метил-5Н,6Н,7Н-пирроло[2,3-с]пиридазин

К раствору 3,6-дихлор-1,2,4,5-тетразина (600 мг, 3.97 ммоль, 1 экв.) в тетрагидрофуране (16 мл) добавляли гидрохлорид пент-3-ин-1-амина (475 мг, 3.97 ммоль, 1 экв.) и триэтиламин (553 мкл, 3.97 ммоль, 1 экв.), и смесь нагревали при 110°С в запаянной трубке в течение 8 часов. Реакционную смесь разбавляли метанолом, фильтровали через набивку целита, и фильтрат распределяли между дихлорметаном и насыщенным водным раствором бикарбоната натрия, водную фазу экстрагировали дихлорметаном и объединенные органические экстракты сушили (сульфат магния) и концентрировали в вакууме. Очистка с помощью автоматической колоночной флэш-хроматографии (CombiFlash Rf, 40 г силикагелевый картридж RediSep™) с элюированием с градиентом 0 10% метанола в дихлорметане приводила к получению целевого продукта в виде бежевого твердого вещества (96 мг, 0.57 ммоль, 14%).

ЖХ/МС (C7H8ClN3) 170 [М+Н]+; RT 0.54 (ЖХМС-V-C)

1H ЯМР (400 МГц, ДМСО-d6) δ 7.12 (s, 1Н), 3.56 (td, J=8.4, 1.2 Гц, 2Н), 3.04 (ddd, J=9.2, 7.9, 1.3 Гц, 2Н), 2.13 (d, J=1.3 Гц, 3H).

Стадия В: этил 2-{3-хлор-4-метил-5Н,6Н,7Н-пирроло[2,3-с]пиридазин-7-ил}-1,3-тиазол-4-карбоксилат

В высушенный в сушильном шкафу сосуд для микроволновой обработки загружали продукт со Стадии А (96 мг, 0.57 ммоль, 1 экв.), этил 2-бром-1,3-тиазол-4-карбоксилат (187 мг, 0.79 ммоль, 1.4 экв.), транс-N,N'-диметилциклогексан-1,2-диамин (17.9 мкл, 0.11 ммоль, 0.2 экв.), йодид меди(1) (10.8 мг, 0.06 ммоль, 0.1 экв.), ортофосфат калия (240 мг, 1.13 ммоль, 2 экв.) и 1,4-диоксан (8 мл), и сосуд вакуумировали и продували азотом, затем нагревали при 150°С в течение 1 ч под микроволновым облучением. Реакционную смесь разбавляли этилацетатом, фильтровали через целит, промывали соляным раствором, сушили (сульфат магния) и концентрировали в вакууме. Очистка с помощью автоматической колоночной флэш-хроматографии (CombiFlash Rf, 12 г силикагелевый картридж RediSep™) с элюированием с градиентом 0-100% этилацетата в изогептане приводила к получению целевого продукта в виде бежевого твердого вещества (18 мг, 0.06 ммоль, 10%).

ЖХ/МС (C13H13ClN4O2S) 325 [М+Н]+; RT2.32 (ЖХМС-V-C)

1H ЯМР (400 МГц, ДМСО-d6) δ 8.11 (s, 1Н), 4.41 (dd, J=8.8, 7.6 Гц, 2Н), 4.30 (q, J=7.1 Гц, 2Н), 3.34 - 3.27 (m, 2Н), 2.29 (d, J=1.2 Гц, 3H), 1.31 (t, J=7.1 Гц, 3H).

Стадия С: этил 2-{3-[(1,3-бензотиазол-2-ил)амино]-4-метил-5Н,6Н,7Н-пирроло[2,3-с]пиридазин-7-ил}-1,3-тиазол-4-карбоксилат

В высушенный в сушильном шкафу сосуд для микроволновой обработки загружали продукт со Стадии В (27 мг, 0.08 ммоль, 1 экв.), 2-аминобензотиазол (18.7 мг, 0.12 ммоль, 1.5 экв.), ксантфос (9.62 мг, 0.02 ммоль, 0.2 экв.), карбонат цезия (54.2 мг, 0.17 ммоль, 2 экв.) и 1,4-диоксан (4 мл), и сосуд вакуумировали и продували азотом, затем добавляли трис(дибензилиденацетон)дипалладий(0) (7.61 мг, 0.01 ммоль, 0.1 экв.), смесь барботировали азотом (10 мин) и затем нагревали при 150°С в течение 1 ч под микроволновым облучением. Реакционную смесь разбавляли этилацетатом и фильтровали через целит, затем промывали соляным раствором, сушили (сульфат магния) и концентрировали в вакууме. Очистка с помощью автоматической колоночной флэш-хроматографии (CombiFlash Rf, 4 г силикагелевый картридж RediSep™) с элюированием с градиентом 0-100% этилацетата в изогептане приводила к получению целевого продукта в виде желтого твердого вещества (15 мг, 0.03 ммоль, 41%).

ЖХ/МС (C20H18N6O2S2) 439 [М+Н]+; RT 2.67 (ЖХМС-V-C)

1H ЯМР (400 МГц, ДМСО-d6) δ 8.06 (s, 1H), 7.88 (s, 1H), 7.53 (br s, 1Н), 7.38 (t, J=7.5 Гц, 1Н), 7.20 (t, J=7.6 Гц, 1H), 4.38 (t, J=8.0 Гц, 2Н), 4.31 (q, J=7.1 Гц, 2Н), 3.32 - 3.21 (m, 2Н), 2.33 (s, 3H), 1.32 (t, J=7.1 Гц, 3H).

Стадия D: 2-{3-[(1,3-бензотиазол-2-ил)амино]-4-метил-5Н,6Н,7Н-пирроло[2,3-с]пиридазин-7-ил}-1,3-тиазол-4-карбоновая кислота

К раствору продукта со Стадии С (15 мг, 0.03 ммоль, 1 экв.) в 1,4-диоксане (2 мл) добавляли моногидрат гидроксида лития (5.74 мг, 0.14 ммоль, 4 экв.), и смесь нагревали с обратным холодильником в течение 3 ч. Реакционную смесь концентрировали в вакууме, растворяли в метаноле, загружали на смоченный метанолом картридж РЕ-АХ (5 г), промывали метанолом, элюировали 9:1 смесью дихлорметан/муравьиная кислота и концентрировали в вакууме. Остаток растирали с дихлорметаном, отфильтровывали и сушили в вакууме с получением целевого продукта в виде кремового твердого вещества (9.03 мг, 0.02 ммоль, 64%).

МСВР-ЭРИ (m/z) [М+Н]+, рассчитано для C18H15N6O2S2: 411.0698, найдено: 411.0701.

Пример 12: 2-{3-[(1,3-Бензотиазол-2-ил)амино]-5Н,6Н,7Н,8Н-пиридо[2,3-с]пиридазин-8-ил}-1,3-тиазол-4-карбоновая кислота

Стадия А: пент-4-ин-1-ил метансульфонат

К раствору 4-пентин-1-ола (3.32 мл, 35.7 ммоль, 1 экв.) в дихлорметане (60 мл) добавляли триэтиламин (6.45 мл, 46.4 ммоль, 1.3 экв.), и смесь охлаждали до 0°С, после чего по каплям добавляли метансульфонилхлорид (3.31 мл, 42.8 ммоль, 1.2 экв.), и смесь перемешивали при температуре окружающей среды в течение ночи. Реакционную смесь распределяли между дихлорметаном и водой, и органическую фазу последовательно промывали насыщенным раствором бикарбоната натрия и соляным раствором, сушили (сульфат магния) и концентрировали в вакууме с получением целевого продукта в виде янтарного масла (5.8 г, 35.8 ммоль, 100%).

1H ЯМР (400 МГц, ДМСО-d6) δ 4.26 (t, J=6.2 Гц, 2Н), 3.19 (s, 3H), 2.88 (t, J=2.7 Гц, 1H), 2.29 (td, J=7.1, 2.7 Гц, 2Н), 1.91 - 1.80 (m, 2Н).

Стадия В: 5-азидопент-1-ин

К раствору продукта со Стадии А (5.8 г, 35.8 ммоль, 1 экв.) в диметилформамиде (30 мл) добавляли азид натрия (5.81 г, 89.4 ммоль, 2.5 экв.), и смесь нагревали при 70°С в течение 3 ч. Реакционную смесь разбавляли водой, водную фазу экстрагировали диэтиловым эфиром (х3), и объединенную органику сушили (сульфат магния) и концентрировали в вакууме с получением целевого продукта в виде желтого масла (5.65 г, 51.8 ммоль, >100%).

1H ЯМР (400 МГц, ДМСО-d6) δ 3.42 (t, J=6.7 Гц, 2Н), 2.85 (t, J=2.7 Гц, 1Н), 2.25 (td, J=7.0, 2.7 Гц, 2Н), 1.75 - 1.64 (m, 2Н).

Стадия С: пент-4-ин-1-амин

Раствор продукта со Стадии В (3.9 г, 35.7 ммоль, 1 экв.) в диэтиловом эфире (40 мл) охлаждали до 0°С, добавляли трифенилфосфин (14.1 г, 53.6 ммоль, 1.5 экв.), и реакционную смесь перемешивали при 0°С в течение 6 ч. Реакционную смесь гасили путем добавления воды (5 мл) и перемешивали при температуре окружающей среды в течение ночи. Смесь выливали на 4 н. водный раствор хлористоводородной кислоты (300 мл) и экстрагировали диэтиловым эфиром (х3). Водную фаза подщелачивали путем добавления порциями гидроксида натрия и дополнительно экстрагировали диэтиловым эфиром (х2). Объединенные органические экстракты сушили (сульфат магния) и концентрировали в вакууме с получением целевого продукта в виде желтого масла (1.51 г, 18.16 ммоль, 51%).

1H ЯМР (400 МГц, ДМСО-d6) δ 2.73 (t, 1H), 2.58 (t, J=6.7 Гц, 2Н), 2.19 (td, J=7.2, 2.7 Гц, 2Н), 1.55 - 1.44 (m, 2Н).

Стадия D: этил 2-[(пент-4-ин-1-ил)амино]-1,3-тиазол-4-карбоксилат

К раствору этил 2-бром- 1,3-тиазол-4-карбоксилата (750 мг, 3.18 ммоль, 1 экв.) в ацетонитриле (15 мл) добавляли продукт со Стадии С (396 мг, 4.77 ммоль, 1.5 экв.) и триэтиламин (0.66 мл, 4.77 ммоль, 1.5 экв.), и смесь нагревали при 150°С в течение 10 ч под микроволновым облучением. Реакционную смесь распределяли между этилацетатом и соляным раствором, и органическую фазу сушили (MgSO4) и концентрировали в вакууме. Очистка с помощью автоматической колоночной флэш-хроматографии (CombiFlash Rf, 24 г силикагелевый картридж RediSep™) с элюированием с градиентом 0-50% этилацетата в изогептане приводила к получению целевого продукта в виде бесцветного твердого вещества (263 мг, 1.1 ммоль, 35%).

ЖХ/МС (C11H14N2O2S) 239 [М+Н]+; RT 2.20 (ЖХМС-V-C)

1H ЯМР (400 МГц, ДМСО-d6) δ 7.84 (t, J=5.4 Гц, 1Н), 7.51 (s, 1H), 4.22 (q, J=7.1 Гц, 2H), 3.28 (td, J=6.9, 5.4 Гц, 2H), 2.82 (t, J=2.6 Гц, 1H), 2.25 (td, J=7.1, 2.7 Гц, 2H), 1.73 (p, J=7.0 Гц, 2H), 1.26 (t, J=7.1 Гц, 3H).

Стадия E: этил 2-{3-хлор-5Н,6Н,7Н,8Н-пиридо[2,3-с]пиридазин-8-ил}-1,3-тиазол-4-карбоксилат

К раствору 3,6-дихлор-1,2,4,5-тетразина (103 мг, 0.68 ммоль, 1 экв.) в тетрагидрофуране (12 мл) добавляли продукт со Стадии D (163 мг, 0.68 ммоль, 1 экв.), и смесь нагревали при 90°С в течение ночи. Очистка с помощью автоматической колоночной флэш-хроматографии (CombiFlash Rf, 24 г силикагелевый картридж RediSep™) с элюированием с градиентом 0 70% этилацетата в изогептане приводила к получению целевого продукта в виде не совсем белого твердого вещества (141 мг, 0.43 ммоль, 64%).

ЖХ/МС (C13H13ClN4O2S) 325 [М+Н]+; RT 2.42 (ЖХМС-V-C)

1H ЯМР (400 МГц, ДМСО-d6) δ 8.08 (s, 1H), 7.77 - 7.71 (m, 1Н), 4.40 - 4.33 (m, 2Н), 4.30 (q, 2Н), 2.94 (t, J=6.1 Гц, 2Н), 2.11 - 2.00 (m, 2Н), 1.32 (t, J=7.1 Гц, 3H).

Стадия F: этил 2-{3-[(1,3-бензотиазол-2-ил)амино]-5Н,6Н,7Н,8Н-пиридо[2,3-с]пиридазин-8-ил}-1,3-тиазол-4-карбоксилат

В высушенный в сушильном шкафу сосуд для микроволновой обработки загружали продукт со Стадии Е (141 мг, 0.43 ммоль, 1 экв.), 2-аминобензотиазол (97.8 мг, 0.65 ммоль, 1.5 экв.), ксантфос (50.2 мг, 0.09 ммоль, 0.2 экв.), карбонат цезия (283 мг, 0.87 ммоль, 2 экв.) и 1,4-диоксан (15 мл), и сосуд вакуумировали и продували азотом, затем добавляли трис(дибензилиденацетон)дипалладий(0) (39.8 мг, 0.04 ммоль, 0.1 экв.), смесь барботировали азотом (10 мин) и затем нагревали при 150°С в течение 2 ч под микроволновым облучением. Реакционную смесь разбавляли этилацетатом и фильтровали через целит, промывали соляным раствором, сушили (сульфат магния) и концентрировали в вакууме. Очистка с помощью автоматической колоночной флэш-хроматографии (CombiFlash Rf, 12 г силикагелевый картридж RediSep™) с элюированием с градиентом 0-100% этилацетата в изогептане приводила к получению целевого продукта в виде желтого твердого вещества (29 мг, 0.07 ммоль, 15%).

ЖХ/МС (C20H18N6O2S2) 439 [М+Н]+; RT 2.64 (ЖХМС-V-C)

1H ЯМР (400 МГц, ДМСО-d6) δ 11.67 (s, 1H), 8.02 (s, 1H), 7.98 (d, 1Н), 7.66 (d, J=7.9 Гц, 1H), 7.42 (dt, J=15.0, 7.2 Гц, 1H), 7.35 (s, 1H), 7.23 (t, J=7.5 Гц, 1H), 4.41 - 4.24 (m, 4H), 2.96 (t, 2H), 2.12-2.02 (m, 2H), 1.32 (t, J=7.1 Гц, 3H).

Стадия G: 2-{3-[(1,3-бензотиазол-2-ил)амино]-5Н,6Н,7Н,8Н-пиридо[2,3-с]пиридазин-8-ил}-1,3-тиазол-4-карбоновая кислота

К раствору продукта со Стадии F (29 мг, 0.07 ммоль, 1 экв.) в 1,4-диоксане (6 мл) добавляли моногидрат гидроксида лития (13.9 мг, 0.33 ммоль, 5 экв.), и смесь нагревали с обратным холодильником в течение 5 ч. Реакционную смесь концентрировали в вакууме, растворяли в метаноле, затем загружали на смоченный метанолом картридж РЕ-АХ (5 г), промывали метанолом, элюировали 9:1 смесью дихлорметан/муравьиная кислота и концентрировали в вакууме. Остаток растирали с дихлорметаном, отфильтровывали и сушили в вакууме с получением целевого продукта в виде кремового твердого вещества (9.86 мг, 0.02 ммоль, 36%) в форме соли муравьиной кислоты.

МСВР-ЭРИ (m/z) [М+Н]+, рассчитано для C18H15N6O2S2: 411.0698, найдено: 411.0722

Пример 13: 5-{1-[(Адамантан-1-ил)метил]-5-метил-1Н-пиразол-4-ил}-2-{3-[(1,3-бензотиазол-2-ил)амино]-4-метил-5Н,6Н,7Н-пирроло[2,3-с]пиридазин-7-ил}-1,3-тиазол-4-карбоновая кислота

Стадия А: этил 5-{1-[(адамантан-1-ил)метил]-5-метил-1Н-пиразол-4-ил}-2-(4-метил-3-{[(2Z)-3-{[2-(триметилсилил)этокси]метил}-2,3-дигидро-1,3-бензотиазол-2-илиден]амино}-5Н,6Н,7Н-пирроло[2,3-с]пиридазин-7-ил)-1,3-тиазол-4-карбоксилат

В высушенный в сушильном шкафу сосуд для микроволновой обработки загружали продукт Синтеза 6а (98 мг, 0.15 ммоль, 1 экв.), продукт Синтеза 5а (64.7 мг, 0.18 ммоль, 1.2 экв.), карбонат калия (62.7 мг, 0.45 ммоль, 3 экв.), [1,1'-бис(дифенилфосфино)ферроцен]дихлорпалладий(II) (11.1 мг, 0.02 ммоль, 0.1 экв.), тетрагидрофуран (3 мл) и воду (1 мл), смесь барботировали азотом (10 мин) и затем нагревали при 120°С в течение 1 ч под микроволновым облучением. Реакционную смесь распределяли между этилацетатом и водой, и органический слой промывали соляным раствором, сушили (сульфат магния) и концентрировали в вакууме. Очистка с помощью автоматической колоночной флэш-хроматографии (CombiFlash Rf, 12 г силикагелевый картридж RediSep™) с элюированием с градиентом 0 - 50% этилацетата в изогептане приводила к получению целевого продукта в виде кремового твердого вещества (57 мг, 0.07 ммоль, 47%).

1H ЯМР (400 МГц, ДМСО-d6) δ 7.78 (d, 1Н), 7.56 (s, 1H), 7.48 - 7.38 (m, 2Н), 7.27 - 7.20 (m, 1Н), 5.85 (s, 2Н), 4.37 (t, J=8.1 Гц, 2Н), 4.17 (q, J=7.1 Гц, 2Н), 3.79 (s, 2Н), 3.76 - 3.67 (m, 2Н), 3.45 - 3.36 (m, 2Н), 2.34 (s, 3H), 2.23 (s, 3H), 2.02 - 1.90 (m, 3H), 1.73 - 1.52 (m, 12Н), 1.16 (t, 3H), 0.96 - 0.87 (m, 2Н), -0.11 (s, 9Н).

Стадия В: этил 5-{1-[(адамантан-1-ил)метил]-5-метил-1Н-пиразол-4-ил}-2-{3-[(1,3-бензотиазол-2-ил)амино]-4-метил-5Н,6Н,7Н-пирроло[2,3-с]пиридазин-7-ил}-1,3-тиазол-4-карбоксилат

К охлажденному раствору продукта со Стадии А (57 мг, 0.07 ммоль, 1 экв.) в дихлорметане (6 мл) добавляли трифторуксусную кислоту (0.6 мл) и через 10 мин смеси давали нагреться до температуры окружающей среды и перемешивали в течение ночи. Реакционную смесь распределяли между дихлорметаном и насыщенным водным раствором бикарбоната натрия, сушили (ПТФЭ фазоразделитель) и концентрировали в вакууме. Очистка с помощью автоматической колоночной флэш-хроматографии (CombiFlash Rf, 4 г силикагелевый картридж RediSep™) с элюированием с градиентом 0-100% этилацетата в изогептане приводила к получению целевого продукта в виде желтого твердого вещества (17 мг, 0.03 ммоль, 36%).

ЖХ/МС (C35H38N8O2S2) 667 [М+Н]+; RT 1.55 (ЖХМС-V-В2)

1H ЯМР (400 МГц, ДМСО-d6) δ 7.85 (d, J=7.6 Гц, 1H), 7.62 - 7.44 (m, 2Н), 7.42 - 7.31 (m, 1H), 7.20 (t, J=7.6 Гц, 1H), 4.37 (t, J=8.1 Гц, 2Н), 4.18 (q, J=7.1 Гц, 2Н), 3.80 (s, 2Н), 3.34 - 3.24 (m, 2Н), 2.34 (d, J=3.4 Гц, 3H), 2.24 (s, 3H), 2.02 1.93 (m, 3H), 1.74 1.51 (m, 12Н), 1.18 (t, 3H).

Стадия С: 5-{1-[(адамантан-1-ил)метил]-5-метил-1Н-пиразол-4-ил}-2-{3-[(1,3-бензотиазол-2-ил)амино]-4-метил-5Н,6Н,7Н-пирроло[2,3-с]пиридазин-7-ил}-1,3-тиазол-4-карбоновая кислота

К раствору продукта со Стадии В (17 мг, 0.03 ммоль, 1 экв.) в 1,4-диоксане (6 мл) добавляли моногидрат гидроксида лития (10.7 мг, 0.25 ммоль, 10 экв.), и смесь нагревали с обратным холодильником в течение 5 ч. Реакционную смесь концентрировали в вакууме, растворяли в метаноле, загружали на смоченный метанолом картридж РЕ-АХ (5 г), промывали метанолом, элюировали 9:1 смесью дихлорметан/муравьиная кислота и концентрировали в вакууме. Остаток растирали с диэтиловым эфиром и ацетонитрилом, отфильтровывали и сушили в вакууме с получением целевого продукта в виде бежевого твердого вещества (2.4 мг, 3.7 мкмоль, 15%).

МСВР-ЭРИ (m/z) [М+Н]+, рассчитано для C33H35N8O2S2: 639.2324, найдено: 639.2310

Пример 14: 2-{3-[(1,3-Бензотиазол-2-ил)амино]-4-метил-5Н,6Н,7Н-пирроло[2,3-с]пиридазин-7-ил}-5-(1-{[1-(3-метоксипропил)циклооктил]метил}-5-метил-1Н-пиразол-4-ил)-1,3-тиазол-4-карбоновая кислота

Стадия А: этил 5-(1-{[1-(3-метоксипропил)циклооктил]метил}-5-метил-1Н-пиразол-4-ил)-2-(4-метил-3-{[(2Z)-3-{[2-(триметилсилил)этокси]метил}-2,3-дигидро-1,3-бензотиазол-2-илиден]амино}-5Н,6Н,7Н-пирроло[2,3-с]пиридазин-7-ил)-1,3-тиазол-4-карбоксилат

В высушенный в сушильном шкафу сосуд для микроволновой обработки загружали продукт Синтеза 6а (34 мг, 0.05 ммоль, 1 экв.), продукт Синтеза 5b (25.5 мг, 0.06 ммоль, 1.2 экв.), карбонат калия (21.8 мг, 0.16 ммоль, 3 экв.), [1,1'-бис(дифенилфосфино)ферроцен]дихлорпалладий(II) (3.84 мг, 0.01 ммоль, 0.1 экв.), тетрагидрофуран (3 мл) и воду (1 мл), смесь барботировали азотом (10 мин) и затем нагревали при 120°С в течение 1 ч под микроволновым облучением. Реакционную смесь распределяли между этилацетатом и водой, и органический слой промывали соляным раствором, сушили (сульфат магния) и концентрировали в вакууме. Очистка с помощью автоматической колоночной флэш-хроматографии (CombiFlash Rf, 4 г силикагелевый картридж RediSep™) с элюированием с градиентом 0-50% этилацетата в изогептане приводила к получению целевого продукта в виде белого твердого вещества (29 мг, 0.03 ммоль, 65%).

ЖХ/МС (C43H60N8O4SiS2) 845 [М+Н]+; RT 1.79 (ЖХМС-V-В2)

1H ЯМР (400 МГц, ДМСО-d6) δ 7.77 (d,l Н), 7.58 (s, 1H), 7.49 - 7.38 (m, 2Н), 7.27 - 7.19 (m, 1Н), 5.85 (s, 2Н), 4.37 (t, J=8.2 Гц, 2Н), 4.17 (q, J=7.1 Гц, 2Н), 3.85 (s, 2Н), 3.77 - 3.66 (m, 2Н), 3.45 - 3.34 (m, 2Н), 3.31 - 3.26 (m, 4Н), 3.23 (s, 3H), 2.33 (s, 3H), 2.22 (s, 3H), 1.74 - 1.48 (m, 8Н), 1.47 - 1.20 (m, 8Н), 1.18 (t, 3H), 0.96 - 0.87 (m, 2Н), -0.11 (s, 9Н).

Стадия В: этил 2-{3-[(1,3-бензотиазол-2-ил)амино]-4-метил-5Н,6Н,7Н-пирроло[2,3-с]пиридазин-7-ил}-5-(1-{[1-(3-метоксипропил)циклооктил]метил}-5-метил-1Н-пиразол-4-ил)-1,3-тиазол-4-карбоксилат

К охлажденному раствору продукта со Стадии А (29 мг, 0.03 ммоль, 1 экв.) в дихлорметане (5 мл) добавляли трифторуксусную кислоту (0.9 мл) и через 10 мин смеси давали нагреться до температуры окружающей среды и перемешивали в течение ночи. Реакционную смесь распределяли между дихлорметаном и насыщенным водным раствором бикарбоната натрия, сушили (ПТФЭ фазоразделитель) и концентрировали в вакууме с получением целевого продукта в виде желтого твердого вещества (13 мг, 0.02 ммоль, 54%).

ЖХ/МС (C37H46N8O3S2) 715 [М+Н]+; RT 1.59 (ЖХМС-V-В2)

1H ЯМР (400 МГц, ДМСО-d6) δ 7.86 (s, 1H), 7.59 (br s + s, 2Н), 7.37 (t, 1Н), 7.20 (t, J=7.6 Гц, 1H), 4.37 (t, J=8.1 Гц, 2H), 4.19 (q, J=7.0 Гц, 2H), 3.87 (s, 2H), 3.34 - 3.26 (m, 6H), 3.25 (s, 3H), 2.34 (s, 3H), 2.23 (s, 3H), 1.73 - 1.49 (m, 8H), 1.48 - 1.21 (m, 8H), 1.18 (t, 3H).

Стадия С: 2-{3-[(1,3-бензотиазол-2-ил)амино]-4-метил-5Н,6Н,7H-пирроло[2,3-с]пиридазин-7-ил}-5-(1-{[1-(3-метоксипропил)циклооктил]метил}-5-метил-1Н-пиразол-4-ил)-1,3-тиазол-4-карбоновая кислота

К раствору продукта со Стадии В (13 мг, 0.02 ммоль, 1 экв.) в 1,4-диоксане (3 мл) добавляли моногидрат гидроксида лития (11.5 мг, 0.27 ммоль, 15 экв.), и смесь нагревали с обратным холодильником в течение 5 ч. Реакционную смесь концентрировали в вакууме, и остаток растирали с водой, отфильтровывали и сушили в вакууме с получением целевого продукта в виде желтого твердого вещества (5.64 мг, 0.01 ммоль, 45%) в форме соли лития.

МСВР-ЭРИ (m/z) [М+Н]+, рассчитано для C35H43N8O3S2: 687.2900, найдено: 687.2932

Пример 15: 2-{3-[(1,3-Бензотиазол-2-ил)амино]-4-метил-5Н,6Н,7Н,8Н-пиридо[2,3-с]пиридазин-8-ил}-1,3-тиазол-4-карбоновая кислота

Стадия А: 2-{3-[(1,3-бензотиазол-2-ил)амино]-4-метил-5Н,6Н,7Н,8Н-пиридо[2,3-с]пиридазин-8-ил}-1,3-тиазол-4-карбоновая кислота

К раствору продукта Синтеза 3f (24 мг, 0.05 ммоль, 1 экв.) в 1,4-диоксане (6 мл) добавляли моногидрат гидроксида лития (33.4 мг, 0.8 ммоль, 15 экв.), и смесь нагревали с обратным холодильником в течение 7 ч. Реакционную смесь концентрировали в вакууме, затем растворяли в метаноле, загружали на смоченный метанолом картридж РЕ-АХ (5 г), промывали метанолом, элюировали 9:1 смесью дихлорметан/муравьиная кислота и концентрировали в вакууме. Остаток растирали с дихлорметаном, отфильтровывали и сушили в вакууме с получением целевого продукта в виде бежевого твердого вещества (13.5 мг, 0.03 ммоль, 60%) в форме соли муравьиной кислоты.

МСВР-ЭРИ (m/z) [М+Н]+, рассчитано для C19H17N6O2S2: 425.0854, найдено: 425.0845.

Пример 16: 2-{3-[(1,3-Бензотиазол-2-ил)амино]-6-метил-5Н,6Н,7Н-пирроло[2,3-с]пиридазин-7-ил}-1,3-тиазол-4-карбоновая кислота

Стадия А: этил 2-[(пент-4-ин-2-ил)амино]-1,3-тиазол-4-карбоксилат

К раствору этил 2-бром-1,3-тиазол-4-карбоксилата (1.87 г, 7.93 ммоль, 1 экв.) в ацетонитриле (18 мл) добавляли пент-4-ин-2-амин (989 мг, 11.9 ммоль, 1.5 экв.) и триэтиламин (1.66 мл, 11.9 ммоль, 1.5 экв.), и смесь нагревали при 170°С в запаянной трубке в течение ночи. Реакционную смесь распределяли между этилацетатом и соляным раствором, и органическую фазу сушили (сульфат магния) и концентрировали в вакууме. Очистка с помощью автоматической колоночной флэш-хроматографии (CombiFlash Rf, 40 г силикагелевый картридж RediSep™) с элюированием с градиентом 0-50% этилацетата в изогептане приводила к получению целевого продукта в виде желтого масла (555 мг, 2.33 ммоль, 29%).

ЖХ/МС (C11H14N2O2S) 239 [М+Н]+; RT 2.21 (ЖХМС-V-C)

1H ЯМР (400 МГц, ДМСО-d6) δ 7.85 (d, J=7.4 Гц, 1Н), 7.51 (s, 1H), 4.27 (q, 2Н), 3.91 - 3.79 (m, 1Н), 2.89 (t, J=2.6 Гц, 1H), 2.51 - 2.45 (m, 1H), 2.44 - 2.41 (m, 1Н), 1.30 - 1.21 (m, 6Н).

Стадия В: этил 2-{3-хлор-6-метил-5Н,6Н,7Н-пирроло[2,3-с]пиридазин-7-ил}-1,3-тиазол-4-карбоксилат

К раствору 3,6-дихлор-1,2,4,5-тетразина (352 мг, 2.33 ммоль, 1 экв.) в тетрагидрофуране (15 мл) добавляли продукт со Стадии А (555 мг, 2.33 ммоль, 1 экв.), и смесь нагревали с обратным холодильником в течение ночи. Реакционную смесь концентрировали в вакууме и сырой продукт очищали с помощью автоматической колоночной флэш-хроматографии (CombiFlash Rf, 24 г силикагелевый картридж RediSep™) с элюированием с градиентом 0-100% этилацетата в изогептане с получением целевого продукта в виде красного твердого вещества (124 мг, 0.38 ммоль, 16%).

ЖХ/МС (C13H13ClN4O2S) 325 [М+Н]+; RT 2.39 (ЖХМС-V-C)

1H ЯМР (400 МГц, ДМСО-d6) δ 8.12 (s, 1Н), 7.71 (t, J=1.6 Гц, 1H), 5.11 - 4.97 (m, 1Н), 4.31 (q, J=7.1, 1.4 Гц, 2Н), 3.65 - 3.53 (m, 1Н), 3.00 - 2.88 (m, 1Н), 1.50 (d, J=6.3 Гц, 3H), 1.31 (t, 3H).

Стадия С: этил 2-{3-[(1,3-бензотиазол-2-ил)амино]-6-метил-5Н,6Н,7Н-пирроло[2,3-с]пиридазин-7-ил}-1,3-тиазол-4-карбоксилат

В высушенный в сушильном шкафу сосуд для микроволновой обработки загружали продукт со Стадии В (124 мг, 0.38 ммоль, 1 экв.), 2-аминобензотиазол (86 мг, 0.57 ммоль, 1.5 экв.), ксантфос (44.2 мг, 0.08 ммоль, 0.2 экв.), карбонат цезия (249 мг, 0.76 ммоль, 2 экв.) 1,4-диоксан (4 мл) и трис(дибензилиденацетон)дипалладий(0) (35 мг, 0.04 ммоль, 0.1 экв.), смесь барботировали азотом (10 мин) и затем нагревали при 150°С в течение 2 ч под микроволновым облучением. Реакционную смесь разбавляли этилацетатом и фильтровали через целит, затем промывали соляным раствором, сушили (сульфат магния) и концентрировали в вакууме. Очистка с помощью автоматической колоночной флэш-хроматографии (CombiFlash Rf, 24 г силикагелевый картридж RediSep™) с элюированием с градиентом 0-100% этилацетата в изогептане приводила к получению твердого вещества, которое растирали с диэтиловым эфиром, отфильтровывали и сушили в вакууме с получением целевого продукта в виде бежевого твердого вещества (37 мг, 0.08 ммоль, 22%).

ЖХ/МС (C20H18N6O2S2) 439 [М+Н]+; RT 2.62 (ЖХМС-V-C)

1H ЯМР (400 МГц, ДМСО-d6) δ 11.69 (s, 1H), 8.07 (s, 1H), 7.95 (d, J=7.9 Гц, 1Н), 7.66 (d, J=8.1 Гц, 1H), 7.44 - 7.37 (m, 1Н), 7.36 (s, 1Н), 7.23 (td, J=7.6, 1.1 Гц, 1H), 5.07 - 4.95 (m, 1H), 4.31 (q, 2Н), 3.65 - 3.52 (m, 1H), 3.03 - 2.93 (m, 1Н), 1.49 (d, J=6.3 Гц, 3H), 1.32 (t, J=7.1 Гц, 3H).

Стадия D: 2-{3-[(1,3-бензотиазол-2-ил)амино]-6-метил-5Н,6Н,7Н-пирроло[2,3-с]пиридазин-7-ил}-1,3-тиазол-4-карбоновая кислота

К раствору продукта со Стадии С (37 мг, 0.08 ммоль, 1 экв.) в 1,4-диоксане (8 мл) добавляли моногидрат гидроксида лития (53.1 мг, 1.27 ммоль, 15 экв.), и смесь нагревали с обратным холодильником в течение 7 ч. Реакционную смесь концентрировали в вакууме, растворяли в метаноле, затем загружали на смоченный метанолом картридж РЕ-АХ (10 г), промывали метанолом, элюировали 9:1 смесью дихлорметан/муравьиная кислота и концентрировали в вакууме. Остаток растирали с дихлорметаном, отфильтровывали и сушили в вакууме с получением целевого продукта в виде бежевого твердого вещества (24.8 мг, 0.06 ммоль, 72%) в форме соли муравьиной кислоты.

МСВР-ЭРИ (m/z) [М+Н]+, рассчитано для C18H15N6O2S2: 411.0698, найдено: 411.0695.

Пример 17: 2-{3-[(1,3-Бензотиазол-2-ил)амино]-4-метил-5Н,6Н,7Н-пирроло[2,3-с]пиридазин-7-ил}-5-(1-{[1-(3-метоксипропил)циклогексил]метил}-5-метил-1Н-пиразол-4-ил)-1,3-тиазол-4-карбоновая кислота

Стадия А: этил 5-(1-{[1-(3-метоксипропил)циклогексил]метил}-5-метил-1Н-пиразол-4-ил)-2-(4-метил-3-{[(2Z)-3-{[2-(триметилсилил)этокси]метил}-2,3-дигидро-1,3-бензотиазол-2-илиден]амино}-5Н,6Н,7Н-пирроло[2,3-с]пиридазин-7-ил)-1,3-тиазол-4-карбоксилат

В высушенный в сушильном шкафу сосуд для микроволновой обработки загружали продукт Синтеза 6а (37 мг, 0.06 ммоль, 1 экв.), продукт Синтеза 5 с (25.8 мг, 0.07 ммоль, 1.2 экв.), карбонат калия (23.7 мг, 0.17 ммоль, 3 экв.), [1,1'-бис(дифенилфосфино)ферроцен]дихлорпалладий(II) (4.18 мг, 0.01 ммоль, 0.1 экв.), тетрагидрофуран (3 мл) и воду (1 мл), смесь барботировали азотом (10 мин) и затем нагревали при 120°С в течение 1 ч под микроволновым облучением. Реакционную смесь распределяли между этилацетатом и водой, и органическую фазу промывали соляным раствором, сушили (сульфат магния) и концентрировали в вакууме. Очистка с помощью автоматической колоночной флэш-хроматографии (CombiFlash Rf, 4 г силикагелевый картридж RediSep™) с элюированием с градиентом 0-60% этилацетата в изогептане приводила к получению целевого продукта в виде белого твердого вещества (22 мг, 0.03 ммоль, 47%).

ЖХ/МС (C41H56N8O4SiS2) 818 [М+Н]+; RT 3.45 (ЖХМС-V-C)

1H ЯМР (400 МГц, ДМСО-d6) δ 7.79 - 7.74 (m, 1Н), 7.58 (s, 1Н), 7.48 - 7.38 (m, 2Н), 7.27 - 7.20 (m, 1Н), 5.85 (s, 2Н), 4.37 (t, J=8.1 Гц, 2Н), 4.17 (q, J=7.1 Гц, 2Н), 3.93 (s, 2Н), 3.76 - 3.66 (m, 2Н), 3.44 - 3.36 (m, 2Н), 3.34 - 3.25 (m, 2Н), 3.23 (s, 3H), 2.33 (s, 3H), 2.23 (s, 3H), 1.60 - 1.27 (m, 14Н), 1.18 (t, J=7.1 Гц, 3H), 0.98 - 0.85 (m, 2Н), -0.11 (s, 9Н).

Стадия В: этил 2-{3-[(1,3-бензотиазол-2-ил)амино]-4-метил-5Н,6Н,7Н-пирроло[2,3-с]пиридазин-7-ил}-5-(1-{[1-(3-метоксипропил)циклогексил]метил}-5-метил-1Н-пиразол-4-ил)-1,3-тиазол-4-карбоксилат

К охлажденному раствору продукта со Стадии А (22 мг, 0 моль, 1 экв.) в дихлорметане (5 мл) добавляли трифторуксусную кислоту (1.5 мл) и через 10 мин смеси давали нагреться до температуры окружающей среды и перемешивали в течение ночи. Реакционную смесь распределяли между дихлорметаном и насыщенным водным раствором бикарбоната натрия, сушили (ПТФЭ фазоразделитель) и концентрировали в вакууме. Очистка с помощью автоматической колоночной флэш-хроматографии (CombiFlash Rf, 4 г силикагелевый картридж RediSep™) с элюированием с градиентом 0-100% этилацетата в изогептане приводила к получению целевого продукта в виде желтого твердого вещества (10 мг, 0.01 ммоль, 54%).

ЖХ/МС (C35H42N8O3S2) 688 [М+Н]+; RT 3.02 (ЖХМС-V-C)

1H ЯМР (400 МГц, ДМСО-d6) δ 7.91 - 7.79 (m, 1Н), 7.59 (br s + s, 2Н), 7.38 (t, J=7.7 Гц, 1Н), 7.25 - 7.13 (m, 1Н), 4.38 (t, J=8.2 Гц, 2H), 4.19 (q, J=7.0 Гц, 2H), 3.95 (s, 2H), 3.34 - 3.27 (m, 4H), 3.25 (s, 3H), 2.34 (s, 3H), 2.24 (s, 3H), 1.60 -1.45 (m, 6H), 1.44 - 1.29 (m, 6H), 1.28 - 1.22 (m, 2H), 1.18 (t, 3H).

Стадия С: 2-{3-[(1,3-бензотиазол-2-ил)амино]-4-метил-5Н,6Н,7Н-пирроло[2,3-с]пиридазин-7-ил}-5-(1-{[1-(3-метоксипропил)циклогексил]метил}-5-метил-1Н-пиразол-4-ил)-1,3-тиазол-4-карбоновая кислота

К раствору продукта со Стадии В (10 мг, 0.01 ммоль, 1 экв.) в 1,4-диоксане (3 мл) добавляли моногидрат гидроксида лития (12.2 мг, 0.29 ммоль, 20 экв.), и смесь нагревали с обратным холодильником в течение 5 ч. Реакционную смесь концентрировали в вакууме, остаток растирали с водой, отфильтровывали и сушили в вакууме с получением целевого продукта в виде желтого твердого вещества (5.71 мг, 0.01 ммоль, 60%).

МСВР-ЭРИ (m/z) [М+Н]+, рассчитано для C33H39N8O3S2: 659.2587, найдено: 659.2577.

Пример 18: 2-{4-Метил-3-[(1,3-тиазол-2-ил)амино]-5Н,6Н,7Н-пирроло[2,3-с]пиридазин-7-ил}-1,3-тиазол-4-карбоновая кислота

Стадия А: этил 2-{4-метил-3-[(1,3-тиазол-2-ил)амино]-5Н,6Н,7Н-пирроло[2,3-с]пиридазин-7-ил}-1,3-тиазол-4-карбоксилат

В высушенный в сушильном шкафу сосуд для микроволновой обработки загружали продукт Синтеза 6а, Стадия В (100 мг, 0.31 ммоль, 1 экв.), 2-аминотиазол (46.3 мг, 0.46 ммоль, 1.5 экв.), ксантфос (35.6 мг, 0.06 ммоль, 0.2 экв.), карбонат цезия (201 мг, 0.62 ммоль, 2 экв.), 1,4-диоксан (4 мл) и трис(дибензилиденацетон)дипалладий(0) (28.2 мг, 0.03 ммоль, 0.1 экв.), смесь барботировали азотом (10 мин) и затем нагревали при 150°С в течение 1 ч под микроволновым облучением. Реакционную смесь разбавляли этилацетатом, фильтровали через целит, промывали соляным раствором, сушили (сульфат магния) и концентрировали в вакууме. Очистка с помощью автоматической колоночной флэш-хроматографии (CombiFlash Rf, 12 г силикагелевый картридж RediSep™) с элюированием с градиентом 0-10% метанола в дихлорметане приводила к получению твердого вещества, которое растирали с ацетонитрилом, отфильтровывали и сушили в вакууме с получением целевого продукта в виде желтого твердого вещества (23 мг, 0.06 ммоль, 19%).

ЖХ/МС (C16H16N6O2S2) 389 [М+Н]+; RT 2.29 (ЖХМС-V-C)

1H ЯМР (400 МГц, ДМСО-d6) δ 10.57 (br s, 1Н), 8.04 (s, 1H), 7.44 (br s, 1Н), 7.06 (br s, 1Н), 4.40 - 4.32 (m, 2Н), 4.29 (q, 2Н), 3.30 - 3.22 (m, 2Н), 2.31 (s, 3H), 1.32 (t, 3H).

Стадия В: 2-{4-метил-3-[(1,3-тиазол-2-ил)амино]-5Н,6Н,7Н-пирроло[2,3-с]пиридазин-7-ил}-1,3-тиазол-4-карбоновая кислота

К раствору продукта со Стадии А (23 мг, 0.06 ммоль, 1 экв.) в 1,4-диоксане (6 мл) добавляли моногидрат гидроксида лития (37.3 мг, 0.89 ммоль, 15 экв.), и смесь нагревали с обратным холодильником в течение 5 ч. Реакционную смесь концентрировали в вакууме, растворяли в метаноле, загружали на смоченный метанолом картридж РЕ-АХ (5 г), промывали метанолом, элюировали 9:1 смесью дихлорметан/муравьиная кислота и концентрировали в вакууме. Остаток растирали с дихлорметаном и метанолом, отфильтровывали и сушили в вакууме с получением целевого продукта в виде бежевого твердого вещества (8.84 мг, 0.02 ммоль, 41%).

МСВР-ЭРИ (m/z) [М+Н]+, рассчитано для C14H13N6O2S2: 361.0541, найдено: 361.0531.

Пример 19: 2-{3-[(4,5-Диметил-1,3-тиазол-2-ил)амино]-4-метил-5Н,6Н,7Н-пирроло[2,3-с]пиридазин-7-ил}-1,3-тиазол-4-карбоновая кислота

Стадия А: этил 2-{3-[(4,5-диметил-1,3-тиазол-2-ил)амино]-4-метил-5Н,6Н,7Н-пирроло[2,3-с]пиридазин-7-ил}-1,3-тиазол-4-карбоксилат

В высушенный в сушильном шкафу сосуд для микроволновой обработки загружали продукт Синтеза 6а, Стадия В (100 мг, 0.31 ммоль, 1 экв.), 4,5-диметил-1,3-тиазол-2-амин (59.2 мг, 0.46 ммоль, 1.5 экв.), ксантфос (35.6 мг, 0.06 ммоль, 0.2 экв.), карбонат цезия (201 мг, 0.62 ммоль, 2 экв.), 1,4-диоксан (3 мл), затем трис(дибензилиденацетон)дипалладий(0) (28.2 мг, 0.03 ммоль, 0.1 экв.), смесь барботировали азотом (10 мин) и затем нагревали при 150°С в течение 1 ч под микроволновым облучением. Реакционную смесь разбавляли этилацетатом и фильтровали через целит, затем промывали соляным раствором, сушили (сульфат магния) и концентрировали в вакууме. Остаток растирали с метанолом, отфильтровывали и сушили в вакууме с получением целевого продукта в виде желтого твердого вещества (64 мг, 0.15 ммоль, 50%).

ЖХ/МС (C18H20N6O2S2) 417 [М+Н]+; RT 2.42 (ЖХМС-V-C)

1H ЯМР (400 МГц, ДМСО-d6) δ 8.03 (s, 1Н), 4.39 - 4.21 (m, 4Н), 3.25 (t, J=8.0 Гц, 2Н), 2.27 (s, 3H), 2.23 (s, 3H), 2.16 (s, 3H), 1.31 (t, J=7.1 Гц, 3H).

Стадия В: 2-{3-[(4,5-диметил-1,3-тиазол-2-ил)амино]-4-метил-5Н,6Н,7Н-пирроло[2,3-с]пиридазин-7-ил}-1,3-тиазол-4-карбоновая кислота

К раствору продукта со Стадии А (64 мг, 0.15 ммоль, 1 экв.) в 1,4-диоксане (15 мл) добавляли моногидрат гидроксида лития (96.7 мг, 2.3 ммоль, 15 экв.), и смесь нагревали с обратным холодильником в течение 5 ч. Реакционную смесь концентрировали в вакууме, растворяли в метаноле, затем загружали на смоченный метанолом картридж РЕ-АХ (10 г), промывали метанолом, элюировали 9:1 смесью дихлорметан/муравьиная кислота и концентрировали в вакууме. Остаток растирали с метанолом, отфильтровывали и сушили в вакууме с получением целевого продукта в виде бежевого твердого вещества (17.9 мг, 0.05 ммоль, 30%).

МСВР-ЭРИ (m/z) [М+Н]+, рассчитано для C16H17N6O2S2: 389.0854, найдено: 389.0847.

Пример 20: 6-{3-[(1,3-Бензотиазол-2-ил)амино]-4-метил-5Н,6Н,7Н-пирроло[2,3-с]пиридазин-7-ил}пиридин-2-карбоновая кислота

Стадия А: трет-бутил 6-[(пент-3-ин-1-ил)амино]пиридин-2-карбоксилат

К раствору трет-бутил 6-фторпиридин-2-карбоксилата (219 мг, 1.11 ммоль, 1 экв.) в диметилацетамиде (5 мл) добавляли гидрохлорид пент-3-ин-1-амина (133 мг, 1.11 ммоль, 1 экв.) и N,N-диизопропилэтиламин (0.39 мл, 2.22 ммоль, 2 экв.), и смесь нагревали при 120°С в течение ночи в запаянной трубке. Реакционную смесь распределяли между этилацетатом и водой, и органическую фазу сушили (сульфат магния) и концентрировали в вакууме. Очистка с помощью автоматической колоночной флэш-хроматографии (CombiFlash Rf, 12 г силикагелевый картридж RediSep™) с элюированием с градиентом 0-30% этилацетата в изогептане приводила к получению целевого продукта в виде прозрачного масла (48 мг, 0.18 ммоль, 17%).

ЖХ/МС (C15H20N2O2) 261 [М+Н]+; RT 2.42 (ЖХМС-V-C)

1Н ЯМР (400 МГц, ДМСО-d6) δ 7.49 (dd, J=8.4, 7.2 Гц, 1Н), 7.11 (dd, J=7.3, 0.8 Гц, 1H), 6.89 (t, J=5.7 Гц, 1H), 6.66 (dd, J=8.5, 0.8 Гц, 1Н), 3.45 - 3.29 (m, 2Н), 2.44 - 2.35 (m, 2Н), 1.75 (t, J=2.6 Гц, 3H), 1.53 (s, 9Н).

Стадия В: трет-бутил 6-{3-хлор-4-метил-5Н,6Н,7Н-пирроло[2,3-с]пиридазин-7-ил}пиридин-2-карбоксилат

К раствору 3,6-дихлор-1,2,4,5-тетразина (27.8 мг, 0.18 ммоль, 1 экв.) в тетрагидрофуране (3 мл) добавляли продукт со Стадии А (48 мг, 0.18 ммоль, 1 экв.), и смесь нагревали при 110°С в течение 1 ч под микроволновым облучением. Реакционную смесь концентрировали в вакууме и сырой продукт очищали с помощью автоматической колоночной флэш-хроматографии (CombiFlash Rf, 4 г силикагелевый картридж RediSep™) с элюированием с градиентом 0-30% этилацетата в изогептане с получением целевого продукта в виде розового твердого вещества (12 мг, 0.03 ммоль, 19%).

ЖХ/МС (C17H19ClN4O2) 347 [М+Н]+; RT 2.67 (ЖХМС-V-C)

1H ЯМР (400 МГц, ДМСО-d6) δ 8.84 (dd, J=8.6, 0.8 Гц, 1Н), 8.01 (dd, J=8.6, 7.4 Гц, 1H), 7.65 (dd, J=7.4, 0.8 Гц, 1H), 4.36 (dd, J=8.9, 7.8 Гц, 2Н), 3.22 (t, J=8.3 Гц, 2Н), 2.27 (s, 3H), 1.57 (s, 9Н).

Стадия С: трет-бутил 6-{3-[(1,3-бензотиазол-2-ил)амино]-4-метил-5Н,6Н,7Н-пирроло[2,3-с]пиридазин-7-ил}пиридин-2-карбоксилат

В высушенный в сушильном шкафу сосуд для микроволновой обработки загружали продукт со Стадии В (26 мг, 0.07 ммоль, 1 экв.), 2-аминотиазол (16.9 мг, 0.11 ммоль, 1.5 экв.), ксантфос (8.68 мг, 0.01 ммоль, 0.2 экв.), карбонат цезия (48.9 мг, 0.15 ммоль, 2 экв.), 1,4-диоксан (4 мл), затем трис(дибензилиденацетон)дипалладий(0) (6.87 мг, 0.01 ммоль, 0.1 экв.), смесь барботировали азотом (10 мин) и затем нагревали при 150°С в течение 1 ч под микроволновым облучением. Реакционную смесь разбавляли этилацетатом, фильтровали через целит, промывали соляным раствором, сушили (сульфат магния) и концентрировали в вакууме. Очистка с помощью автоматической колоночной флэш-хроматографии (CombiFlash Rf, 4 г силикагелевый картридж RediSep™) с элюированием с градиентом 0-40% этилацетата в изогептане приводила к получению твердого вещества, которое растирали с диэтиловым эфиром, отфильтровывали и сушили в вакууме с получением целевого продукта в виде желтого твердого вещества (7 мг, 0.02 ммоль, 20%).

ЖХ/МС (C24H24N6O2S) 461 [М+Н]+; RT 2.69 (ЖХМС-V-C)

1H ЯМР (400 МГц, ДМСО-d6) δ 8.98 (d, J=8.7 Гц, 1H), 8.01 (t, J=8.0 Гц, 1Н), 7.88 (s, 1H), 7.68 - 7.57 (m, 2Н), 7.38 (t, J=7.5 Гц, 1Н), 7.28 - 7.14 (m, 1Н), 4.32 (t, J=8.2 Гц, 2Н), 3.20 (t, J=8.1 Гц, 2Н), 2.33 (s, 3H), 1.58 (s, 8Н).

Стадия D: 6-{3-[(1,3-бензотиазол-2-ил)амино]-4-метил-5Н,6Н,7Н-пирроло[2,3-с]пиридазин-7-ил}пиридин-2-карбоновая кислота

К раствору продукта со Стадии С (7 мг, 0.02 ммоль, 1 экв.) в 1,4-диоксане (3 мл) добавляли моногидрат гидроксида лития (9.57 мг, 0.23 ммоль, 15 экв.), и смесь нагревали с обратным холодильником в течение 6 ч. Реакционную смесь концентрировали в вакууме, затем растворяли в метаноле, загружали на смоченный метанолом картридж РЕ-АХ (5 г), промывали метанолом, элюировали 9:1 смесью дихлорметан/муравьиная кислота и концентрировали в вакууме. Остаток растирали с дихлорметаном и метанолом, отфильтровывали и сушили в вакууме с получением целевого продукта в виде желтого твердого вещества (2.0 мг, 32%).

МСВР-ЭРИ (m/z) [М+Н]+, рассчитано для C20H17N6O2S: 405.1134, найдено: 405.1122.

Пример 21: 6-{3-[(1,3-Бензотиазол-2-ил)амино]-4-метил-5Н,6Н,7Н,8Н-пиридо[2,3-с]пиридазин-8-ил}пиридин-2-карбоновая кислота

Стадия А: этил 6-{[3-(3,6-дихлор-5-метилпиридазин-4-ил)пропил]-амино}пиридин-2-карбоксилат

К раствору продукта Синтеза 2е (500 мг, 2.28 ммоль, 1 экв.) и этил 6-аминопиколината (455 мг, 2.74 ммоль, 1.2 экв.) в метаноле (18 мл) и уксусной кислоте (6 мл) добавляли триацетоксиборгидрид натрия (968 мг, 4.56 ммоль, 2 экв.), и смесь перемешивали при температуре окружающей среды в течение 16 ч. Реакционную смесь гасили путем добавления 1 н. водного раствора гидроксида натрия (50 мл), экстрагировали этилацетатом (3 × 50 мл) и объединенные органические экстракты последовательно промывали насыщенным водным раствором бикарбоната натрия и соляным раствором, сушили (сульфат магния) и концентрировали в вакууме. Очистка с помощью автоматической колоночной флэш-хроматографии (CombiFlash Rf, 40 г силикагелевый картридж RediSep™) с элюированием с градиентом 0 60% этилацетата в изогептане приводила к получению целевого продукта в виде белого твердого вещества (400 мг, 1.08 ммоль, 47%).

ЖХ/МС (C16H18Cl2N4O2) 369 [М+Н]+; RT 1.19 (ЖХМС-V-B1)

1H ЯМР (400 МГц, ДМСО-d6) δ 7.52 (dd, J=8.4, 7.2 Гц, 1Н), 7.18 (dd, 1Н), 6.99 (t, J=5.7 Гц, 1Н), 6.69 (dd, J=8.5, 0.8 Гц, 1H), 4.27 (q, J=7.1 Гц, 2Н), 3.42 -3.35 (m, 2Н), 2.92 - 2.82 (m, 2Н), 2.41 (s, 3H), 1.87 - 1.74 (m, 2Н), 1.29 (t, J=7.1 Гц, 3H).

Стадия В: метил 6-{3-хлор-4-метил-5Н,6Н,7Н,8Н-пиридо[2,3-с]пиридазин-8-ил}пиридин-2-карбоксилат

К раствору продукта со Стадии А (170 мг, 0.46 ммоль, 1 экв.) в альфа,альфа,альфа-трифтортолуоле (4 мл) добавляли карбонат цезия (300 мг, 0.92 ммоль, 2 экв.), и смесь нагревали в запаянной трубке при 160°С в течение 5 дней. Реакционной смеси давали охладиться до температуры окружающей среды и концентрировали в вакууме. Очистка с помощью автоматической колоночной флэш-хроматографии (CombiFlash Rf, 24 г силикагелевый картридж RediSep™) с элюированием с градиентом 0-10% метанола в дихлорметане приводила к получению целевого продукта в виде кремового твердого вещества (74 мг, 0.23 ммоль, 50%).

ЖХ/МС (C15H15ClN4O2) 319 [М+Н]+; RT 1.10 (ЖХМС-V-B1)

1H ЯМР (400 МГц, ДМСО-d6) δ 7.97 - 7.84 (m, 2Н), 7.75 (dd, J=7.1, 1.2 Гц, 1Н), 4.05 - 3.96 (m, 2Н), 3.89 (s, 3H), 2.92 - 2.81 (m, 2Н), 2.31 (s, 3H), 2.05 - 1.92 (m, 2Н).

Стадия С: метил 6-{3-[(1,3-бензотиазол-2-ил)амино]-4-метил-5Н, 6Н,7Н,8Н-пиридо[2,3-с]пиридазин-8-ил}пиридин-2-карбоксилат

К раствору продукта со Стадии В (74 мг, 0.23 ммоль, 1 экв.), 2-аминобензотиазола (52.3 мг, 0.35 ммоль, 1.5 экв.) и N,N-диизопропилэтиламина (0.12 мл, 0.7 ммоль, 3 экв.) в 1,4-диоксане (5 мл) добавляли ксантфос (13.4 мг, 0.02 ммоль, 0.1 экв.) и трис(дибензилиденацетон)дипалладий(0) (10.6 мг, 0.01 ммоль, 0.05 экв.), и смесь нагревали в запаянной трубке при 150°С в течение 20 ч. Реакционной смеси давали охладиться до температуры окружающей среды, затем распределяли между этилацетатом (20 мл) и соляным раствором (25 мл), и органическую фазу сушили (сульфат магния) и концентрировали в вакууме. Очистка с помощью автоматической колоночной флэш-хроматографии (CombiFlash Rf, 12 г силикагелевый картридж RediSep™) с элюированием с градиентом 0-100% этилацетата в изогептане приводила к получению целевого продукта в виде желтого твердого вещества (20 мг, 0.05 ммоль, 20%).

ЖХ/МС (C22H20N6O2S) 433 [М+Н]+; RT 1.15 (ЖХМС-V-B1)

1H ЯМР (400 МГц, ДМСО-d6) δ 8.03 (dd, J=8.5, 0.9 Гц, 1Н), 7.87 (dd, J=8.5, 7.3 Гц, 1H), 7.83 (br s, 1H), 7.68 (d, J=7.3 Гц, 1Н), 7.53 (br s, 1Н), 7.36 (t, J=7.6 Гц, 1Н), 7.17 (t, J=7.6 Гц, 1H), 4.11 - 3.99 (m, 2Н), 3.90 (s, 3H), 2.86 (t, J=6.5 Гц, 2Н), 2.33 (s, 3H), 2.05 - 1.94 (m, 2Н).

Стадия D: 6-{3-[(1,3-бензотиазол-2-ил)амино]-4-метил-5Н,6Н,7Н,8Н-пиридо[2,3-с]пиридазин-8-ил}пиридин-2-карбоновая кислота

К раствору продукта со Стадии С (15 мг, 0.03 ммоль, 1 экв.) в 1,4-диоксане (2 мл) добавляли моногидрат гидроксида лития (2.91 мг, 0.07 ммоль, 2 экв.), и смесь нагревали с обратным холодильником в течение 1 ч. Реакционной смеси давали охладиться до температуры окружающей среды и концентрировали в вакууме. Очистка с помощью обращенно-фазовой автоматической флэш-хроматографии (CombiFlash Rf, C18 4.3 г колонка RediSep) с элюированием с градиентом 5-95% ацетонитрила в воде приводила к получению целевого продукта в виде кремового твердого вещества (10 мг, 0.02 ммоль, 69%).

МСВР-ЭРИ (m/z) [М+Н]+, рассчитано для C21H19N6O2S: 419.1290, найдено: 419.1287.

Пример 22: 2-{3-[(1,3-Бензотиазол-2-ил)амино]-4-метил-5Н,6Н,7Н-пирроло[2,3-с]пиридазин-7-ил}-5-(3-{4-[3-(диметиламино)проп-1-ин-1-ил]-2-фторфенокси}пропил)-1,3-тиазол-4-карбоновая кислота

Стадия А: этил 5-[(1Е)-3-[(трет-бутилдиметилсилил)окси]проп-1-ен-1-ил]-2-(4-метил-3-{[(2Z)-3-{[2-(триметилсилил)этокси]метил}-2,3-дигидро-1,3-бензотиазол-2-илиден]амино}-5Н,6Н,7Н-пирроло[2,3-с]пиридазин-7-ил)-1,3-тиазол-4-карбоксилат

В высушенную в сушильном шкафу закупоренную колбу загружали продукт Синтеза 6а (3 г, 4.63 ммоль, 1 экв.), сложный пинаколовый эфир (Е)-3-(трет-бутилдиметилсилилокси)пропен-1-илбороновой кислоты (1.82 мл, 5.56 ммоль, 1.2 экв.), карбонат калия (1.92 г, 13.9 ммоль, 3 экв.), [1,1'-бис(дифенилфосфино)ферроцен]дихлорпалладий(II) (339 мг, 0.46 ммоль, 0.1 экв.), тетрагидрофуран (150 мл) и воду (50 мл), смесь барботировали азотом (10 мин) и затем нагревали при 120°С в течение 1.5 ч. Реакционной смеси давали охладиться до температуры окружающей среды, затем распределяли между этилацетатом и водой, и органическую фазу промывали соляным раствором, сушили (сульфат магния) и концентрировали в вакууме. Очистка с помощью автоматической колоночной флэш-хроматографии (CombiFlash Rf, 80 г силикагелевый картридж RediSep™) с элюированием с градиентом 0-70% этилацетата в изогептане приводила к получению целевого продукта в виде кремового твердого вещества (1.86 г, 2.52 ммоль, 54%).

ЖХ/МС (C35H50N6O4Si2S2) 739 [М+Н]+; RT 3.69 (Shortneg2)

1H ЯМР (400 МГц, ДМСО-d6) δ 7.80 (d, J=7.6 Гц, 1H), 7.55 - 7.38 (m, 3H), 7.30 - 7.20 (m, 1Н), 6.30 (dt, J=15.9, 4.3 Гц, 1H), 5.85 (s, 2Н), 4.41 - 4.26 (m, 4Н), 3.77 - 3.67 (m, 2Н), 3.45 - 3.20 (m, 4Н), 2.32 (s, 3H), 1.32 (t, J=7.1 Гц, 3H), 0.93 (s, 9Н), 0.92 - 0.86 (m, 2Н), 0.11 (s, 6Н), -0.11 (s, 9Н).

Стадия В: этил 5-{3-[(трет-бутилдиметилсилил)окси]пропил}-2-(4-метил-3-{[(2Z)-3-{[2-(триметилсилил)этокси]метил}-2,3-дигидро-1,3-бензотиазол-2-илиден]амино}-5Н,6Н,7Н-пирроло[2,3-с]пиридазин-7-ил)-1,3-тиазол-4-карбоксилат

К раствору продукта со Стадии А (900 мг, 1.22 ммоль, 1 экв.) в этилацетате (600 мл) добавляли каталитическое количество оксида платины(IV) в атмосфере азота. Смесь вакуумировали и снова заполняли азотом (х3), затем вакуумировали и заполняли водородом, и встряхивали в течение 3 дней при температуре окружающей среды в атмосфере водорода. Реакционную смесь фильтровали через целит, элюировали этилацетатом и упаривали при пониженном давлении с получением целевого продукта в виде бежевого твердого вещества (950 мг, 1.28 ммоль, >100%%).

ЖХ/МС (C35H52N6O4Si2S2) 741 [М+Н]+; RT 1.88 (ЖХМС-V-В2)

1H ЯМР (400 МГц, ДМСО-d6) δ 7.77 (d, J=7.6 Гц, 1H), 7.50 - 7.39 (m, 2Н), 7.28 - 7.18 (m, 1H), 5.85 (s, 2Н), 4.37 - 4.22 (m, 4Н), 3.77 - 3.62 (m, 4Н), 3.31 -3.14 (m, 4Н), 2.32 (s, 3H), 1.93 - 1.80 (m, 2Н), 1.31 (t, J=7.1 Гц, 3H), 0.96 - 0.80 (m, 11Н), 0.06 (s, 6Н), -0.11 (s, 9Н).

Стадия С: этил 5-(3-гидроксипропил)-2-(4-метил-3-{[(2Z)-3-{[2-(триметилсилил)этокси]метил}-2,3-дигидро-1,3-бензотиазол-2-илиден]амино}-5Н,6Н,7Н-пирроло[2,3-с]пиридазин-7-ил)-1,3-тиазол-4-карбоксилат

К раствору продукта со Стадии В (950 мг, 1.28 ммоль, 1 экв.) в 1,4-диоксане (150 мл) добавляли хлористоводородную кислоту (4М в диоксане; 50 мл, 200 ммоль, 156 экв.), и смесь перемешивали при температуре окружающей среды в течение 1 ч. Реакционную смесь распределяли между этилацетатом и насыщенным водным раствором бикарбоната натрия, сушили (сульфат магния) и концентрировали в вакууме. Очистка с помощью автоматической колоночной флэш-хроматографии (CombiFlash Rf, 40 г силикагелевый картридж RediSep™) с элюированием с градиентом 0 80% этилацетата в изогептане приводила к получению целевого продукта в виде не совсем белого твердого вещества (577 мг, 0.92 ммоль, 72%).

ЖХ/МС (C29H38N6O4SiS2) 627 [М+Н]+; RT 2.68 (ЖХМС-V-C)

1H ЯМР (400 МГц, ДМСО-d6) δ 7.80 (d, J=7.5 Гц, 1H), 7.49 - 7.38 (m, 2Н), 7.28 - 7.19 (m, 1H), 5.85 (s, 2Н), 4.57 (t, J=5.2 Гц, 1H), 4.37 - 4.22 (m, 4Н), 3.76 -3.67 (m, 2Н), 3.53 - 3.44 (m, 2Н), 3.30 - 3.13 (m, 4Н), 2.32 (s, 3H), 1.86 - 1.77 (m, 2Н), 1.31 (t, J=7.1 Гц, 3H), 0.96 - 0.86 (m, 2Н), -0.11 (s, 9Н).

Стадия D: этил 5-(3-хлорпропил)-2-(4-метил-3-{[(2Z)-3-{[2-(триметилсилил)этокси]метил}-2,3-дигидро-1,3-бензотиазол-2-илиден]амино}-5Н,6Н,7Н-пирроло[2,3-с]пиридазин-7-ил)-1,3-тиазол-4-карбоксилат

Продукт со Стадии С (577 мг, 0.92 ммоль, 1 экв.) растворяли в тионилхлориде (30 мл) и перемешивали при температуре окружающей среды в течение 5 ч. Реакционную смесь концентрировали в вакууме, затем распределяли между дихлорметаном и соляным раствором, и органическую фазу сушили (ПТФЭ фазоразделитель) и концентрировали в вакууме. Очистка с помощью автоматической колоночной флэш-хроматографии (CombiFlash Rf, 24 г силикагелевый картридж RediSep™) с элюированием с градиентом 0-50% этилацетата в изогептане приводила к получению целевого продукта в виде бежевого твердого вещества (341 мг, 0.53 ммоль, 57%).

ЖХ/МС (C29H37ClN6O3SiS2) 645 [М+Н]+; RT 2.91 (ЖХМС-V-C)

1H ЯМР (400 МГц, ДМСО-d6) δ 7.80 (d, 1Н), 7.50-7.39 (m, 2Н), 7.29-7.18 (m, 1Н), 5.85 (s, 2Н), 4.38-4.22 (m, 4Н), 3.78-3.67 (m, 4Н), 3.30-3.21 (m, 2Н), 2.32 (s, 3Н), 2.20-2.06 (m, 2Н), 1.31 (t, J=7.1 Гц, 2Н), 0.97-0.86 (m, 2Н), -0.11 (s, 9Н).

Стадия Е: этил 5-(3-{4-[3-(диметиламино)проп-1-ин-1-ил]-2-фторфенокси}пропил)-2-(4-метил-3-{[(2Z)-3-{[2-(триметилсилил)этокси]метил}-2,3-дигидро-1,3-бензотиазол-2-илиден]амино}-5Н,6Н,7Н-пирроло[2,3-с]пиридазин-7-ил)-1,3-тиазол-4-карбоксилат

В высушенную в сушильном шкафу закупоренную колбу загружали продукт Синтеза 4b (133 мг, 0.69 ммоль, 1.3 экв.) в диметилформамиде (70 мл). К раствору добавляли гидрид натрия (60% дисперсия; 52.8 мг, 1.32 ммоль, 2.5 экв.), и смесь перемешивали в течение 2 мин. Добавляли раствор продукта со Стадии D (341 мг, 0.53 ммоль, 1 экв.) в диметилформамиде (30 мл), смесь барботировали азотом (10 мин) и нагревали при 100°С в течение 1 ч. Реакционную смесь распределяли между этилацетатом и водой, и органическую фазу сушили (сульфат магния) и концентрировали в вакууме. Очистка с помощью автоматической колоночной флэш-хроматографии (CombiFlash Rf, 24 г силикагелевый картридж RediSep™) с элюированием с градиентом 0-7% метанола в дихлорметане приводила к получению целевого продукта в виде бежевого твердого вещества (203 мг, 0.25 ммоль, 48%).

ЖХ/МС (C40H48FN7O4SiS2) 802 [М+Н]+; RT 2.59 (ЖХМС-V-C)

1H ЯМР (400 МГц, ДМСО-d6) δ 7.79 (d, 1Н), 7.47-7.38 (m, 2Н), 7.31 (dd, 1Н), 7.27-7.11 (m, 3Н), 5.84 (s, 2Н), 4.36-4.20 (m, 4Н), 4.13 (t, 2Н), 3.75-3.66 (m, 2Н), 3.39 (s, 2Н), 3.31-3.19 (m, 4Н), 2.30 (s, 3Н), 2.19 (s, 6Н), 2.18-2.09 (m, 2Н), 1.28 (t, 3Н), 0.95-0.84 (m, 2Н), -0.11 (s, 9Н).

Стадия F: этил 2-{3-[(1,3-бензотиазол-2-ил)амино]-4-метил-5Н,6Н,7Н-пирроло[2,3-с]пиридазин-7-ил}-5-(3-{4-[3-(диметиламино)проп-1-ин-1-ил]-2-фторфенокси}пропил)-1,3-тиазол-4-карбоксилат

К раствору продукта со Стадии Е (203 мг, 0.25 ммоль, 1 экв.) в дихлорметане (10 мл) добавляли трифторуксусную кислоту (5.0 мл, 65.8 ммоль, 260 экв.), и смесь перемешивали при к.т.в течение 6 ч. Реакционную смесь разбавляли дихлорметаном, охлаждали до 0°С и нейтрализовали путем добавления 2М водного раствора гидроксида натрия. Органическую фазу сушили (ПТФЭ фазоразделитель) и концентрировали в вакууме. Очистка с помощью автоматической колоночной флэш-хроматографии (CombiFlash Rf, 24 г силикагелевый картридж RediSep™) с элюированием с градиентом 0 5% метанола в дихлорметане приводила к получению целевого продукта в виде желтого твердого вещества (114 мг, 0.17 ммоль, 67%).

ЖХ/МС (C34H34FN7O3S2) 672 [М+Н]+; RT 2.04 (ЖХМС-V-C)

1H ЯМР (400 МГц, ДМСО-d6) δ 11.36 (br s, 1H), 7.89 (d, J=7.9 Гц, 1Н), 7.58-7.47 (m, 1Н), 7.43-7.28 (m, 2Н), 7.26-7.12 (m, 3Н), 4.33 (t, 2Н), 4.27 (q, 2Н), 4.15 (t, J=6.1 Гц, 2Н), 3.40 (s, 2Н), 3.34-3.22 (m, 4Н), 2.33 (s, 3Н), 2.21 (s, 6Н), 2.16 (t, 2Н), 1.29 (t, J=7.1 Гц, 3Н).

Стадия G: 2-{3-[(1,3-бензотиазол-2-ил)амино]-4-метил-5Н,6Н,7Н-пирроло[2,3-с]пиридазин-7-ил}-5-(3-{4-[3-(диметиламино)проп-1-ин-1-ил]-2-фторфенокси}пропил)-1,3-тиазол-4-карбоновая кислота

К раствору продукта со Стадии F (114 мг, 0.17 ммоль, 1 экв.) в 1,4-диоксане (15 мл) добавляли моногидрат гидроксида лития (71.2 мг, 1.7 ммоль, 10 экв.), и смесь нагревали с обратным холодильником в течение 7 ч. Реакционную смесь концентрировали в вакууме, и остаток растирали с водой и ацетонитрилом, отфильтровывали и сушили в вакууме с получением целевого продукта в виде желтого твердого вещества (64.7 мг, 0.1 ммоль, 59%) в форме соли лития.

МСВР-ЭРИ (m/z) [М+Н]+, рассчитано для C32H31FN7O3S2: 644.1914, найдено: 644.1908.

Пример 23: 3-{1-[(Адамантан-1-ил)метил]-5-метил-1Н-пиразол-4-ил}-6-{3-[(1,3-бензотиазол-2-ил)амино]-4-метил-7Н-пирроло[2,3-с]пиридазин-7-ил}пиридин-2-карбоновая кислота

Стадия А: трет-бутил N-(пент-3-ин-1-ил)карбамат

К раствору гидрохлорида пент-3-ин-1-амина (5 г, 41.8 ммоль, 1 экв.) в тетрагидрофуране (130 мл) и воде (130 мл) добавляли бикарбонат натрия (10.5 г, 125 ммоль, 3 экв.) с последующим добавлением ди-трет-бутил дикарбоната (9.12 г, 41.8 ммоль, 1 экв.), и смесь перемешивали при температуре окружающей среды в течение ночи. Реакционную смесь разбавляли этилацетатом, последовательно промывали насыщенным водным раствором бикарбоната натрия и соляным раствором, сушили (сульфат магния) и концентрировали в вакууме с получением целевого продукта в виде желтого масла (8.2 г, 44.8 ммоль, >100%).

1H ЯМР (400 МГц, ДМСО-d6) δ 6.89 (t, J=5.9 Гц, 1Н), 2.99 (td, J=7.3, 5.9 Гц, 2Н), 2.25-2.15 (m, 2Н), 1.73 (t, J=2.6 Гц, 3Н), 1.38 (s, 9Н).

Стадия В: этил 3-бром-6-{[(трет-бутокси)карбонил](пент-3-ин-1-ил)амино}пиридин-2-карбоксилат

В высушенную в сушильном шкафу закупоренную колбу загружали продукт со Стадии А (8.2 г, 44.8 ммоль, 1 экв.), этил 3,6-дибромпиколинат (13.8 г, 44.8 ммоль, 1 экв.), ксантфос (2.59 г, 4.47 ммоль, 0.1 экв.), карбонат цезия (29.2 г, 89.5 ммоль, 2 экв.) и 1,4-диоксан (180 мл). Сосуд вакуумировали и продували азотом, затем добавляли трис(дибензилиденацетон)дипалладий(0) (2.05 г, 2.24 ммоль, 0.05 экв.), смесь барботировали азотом (10 мин) и затем нагревали при 130°С в течение 1 ч. Реакционную смесь разбавляли этилацетатом и фильтровали через целит, затем последовательно промывали водой и соляным раствором, сушили (сульфат магния) и концентрировали в вакууме. Очистка с помощью автоматической колоночной флэш-хроматографии (CombiFlash Rf, 330 г силикагелевый картридж RediSep™) с элюированием с градиентом 0 8% этилацетата в изогептане приводила к получению целевого продукта в виде желтого масла (9.95 г, 24.2 ммоль, 54%).

ЖХ/МС (C18H23BrN2O4) 357 [M-tBu]+; RT 2.59 (ЖХМС-V-C)

1H ЯМР (400 МГц, ДМСО-d6) δ 8.14 (d, J=8.9 Гц, 1H), 7.71 (d, J=8.9 Гц, 1H), 4.38 (q, J=7.1 Гц, 2H), 3.96-3.87 (m, 2H), 2.49-2.38 (m, 2H), 1.66 (t, J=2.5 Гц, 3Н), 1.48 (s, 9H), 1.33 (t, J=7.1 Гц, 3Н).

Стадия С: этил 3-бром-6-[(пент-3-ин-1-ил)амино]пиридин-2-карбоксилат

К раствору продукта со Стадии В (9.95 г, 24.2 ммоль, 1 экв.) в дихлорметане (120 мл) добавляли трифторуксусную кислоту (19.9 мл, 260 ммоль, 10.8 экв.), и смесь перемешивали при температуре окружающей среды в течение ночи. Реакционную смесь разбавляли дихлорметаном, охлаждали до 0°С и нейтрализовали путем добавления 4М водного раствора гидроксида натрия. Органическую фазу сушили (фазоразделитель) и концентрировали в вакууме. Очистка с помощью автоматической колоночной флэш-хроматографии (CombiFlash Rf, 220 г силикагелевый картридж RediSep™) с элюированием с градиентом 0-30% этилацетата в изогептане приводила к получению целевого продукта в виде желтого масла (6.68 г, 21.5 ммоль, 89%).

ЖХ/МС (C13H15BrN2O2) 313 [М+Н]+; RT 2.12 (ЖХМС-V-C)

1H ЯМР (400 МГц, ДМСО-d6) δ 7.63 (d, J=9.0 Гц, 1H), 7.20 (t, J=5.8 Гц, 1Н), 6.58 (d, J=9.0 Гц, 1H), 4.32 (q, J=7.1 Гц, 2Н), 3.29 (td, J=7.1, 5.7 Гц, 2Н), 2.41-2.29 (m, 2Н), 1.74 (t, J=2.6 Гц, 3Н), 1.30 (t, J=7.1 Гц, 3Н).

Стадия D: этил 3-бром-6-{3-хлор-4-метил-7Н-пирроло[2,3-с]пиридазин-7-ил}пиридин-2-карбоксилат

К раствору продукта со Стадии С (6.68 г, 21.5 ммоль, 1 экв.) в 1,4-диоксане (220 мл) добавляли 3,6-дихлор-1,2,4,5-тетразин (6.48 г, 42.9 ммоль, 2 экв.), и смесь нагревали в закупоренной колбе при 120°С в течение 72 ч. Реакционную смесь разбавляли метанолом, фильтровали через фазоразделитель и концентрировали в вакууме. Очистка с помощью автоматической колоночной флэш-хроматографии (CombiFlash Rf, 120 г силикагелевый картридж RediSep™) с элюированием с градиентом 0-40% этилацетата в изогептане приводила к получению целевого продукта в виде красного твердого вещества (1.49 г, 3.77 ммоль, 18%).

ЖХ/МС (C15H12BrClN4O2) 397 [М+Н]+; RT 2.36 (ЖХМС-V-C)

1H ЯМР (400 МГц, ДМСО-d6) δ 8.93 (d, J=8.9 Гц, 1Н), 8.63 (d, J=3.9 Гц, 1H), 8.53 (d, J=8.9 Гц, 1H), 7.11 (d, J=3.9 Гц, 1H), 4.45 (q, J=7.1 Гц, 2H), 2.64 (s, 3H), 1.37 (t, 3H).

Стадия E: этил 3-{1-[(адамантан-1-ил)метил]-5-метил-1Н-пиразол-4-ил}-6-{3-хлор-4-метил-7Н-пирроло[2,3-с]пиридазин-7-ил}пиридин-2-карбоксилат

К раствору продукта со Стадии D (1.49 г, 3.77 ммоль, 1 экв.) в тетрагидрофуране (5 мл) и воде (15 мл) добавляли продукт Синтеза 5а (1.48 г, 4.14 ммоль, 1.1 экв.) и карбонат калия (1.56 г, 11.3 ммоль, 3 экв.). Сосуд вакуумировали и продували азотом, затем добавляли Pd(dppf)Cl2⋅CH2Cl2 (308 мг, 0.38 ммоль, 0.1 экв.), смесь барботировали азотом (10 мин) и затем нагревали при 90°С в течение ночи в закупоренной колбе. Реакционную смесь распределяли между этилацетатом и водой, и органическую фазу сушили (сульфат магния) и концентрировали в вакууме. Очистка с помощью автоматической колоночной флэш-хроматографии (CombiFlash Rf, 80 г силикагелевый картридж RediSep™) с элюированием с градиентом 0-40% этилацетата в изогептане приводила к получению целевого продукта в виде белого твердого вещества (1.08 г, 1.98 ммоль, 53%).

ЖХ/МС (C30H33ClN6O2) 545 [М+Н]+; RT 2.72 (ЖХМС-V-C)

1H ЯМР (400 МГц, ДМСО-d6) δ 8.97 (d, J=8.6 Гц, 1Н), 8.69 (d, J=3.9 Гц, 1H), 8.17 (d, J=8.6 Гц, 1H), 7.43 (s, 1H), 7.10 (d, J=3.9 Гц, 1H), 4.22 (q, J=7.1 Гц, 2H), 3.80 (s, 2H), 2.65 (s, 3H), 2.23 (s, 3H), 2.03-1.89 (m, 3H), 1.73-1.50 (m, 12H), 1.16 (t, 3H).

Стадия F: этил 3-{1-[(адамантан-1-ил)метил]-5-метил-1Н-пиразол-4-ил}-6-{3-[(1,3-бензотиазол-2-ил)амино]-4-метил-7Н-пирроло[2,3-с]пиридазин-7-ил}пиридин-2-карбоксилат

В высушенную в сушильном шкафу закупоренную колбу загружали продукт со Стадии Е (1.08 мг, 1.98 ммоль, 1 экв.), 2-аминотиазол (594 мг, 3.96 ммоль, 2 экв.), N,N-диизопропилэтиламин (1.03 мл, 5.93 ммоль, 3 экв.) и 1,4-диоксан (80 мл). Сосуд вакуумировали и продували азотом, затем добавляли джозифос (183 мг, 0.2 ммоль, 0.1 экв.), смесь барботировали азотом (10 мин) и затем нагревали при 150°С в течение 2 дней. Реакционную смесь разбавляли этилацетатом, последовательно промывали водой и соляным раствором, и органическую фазу сушили (сульфат магния) и концентрировали в вакууме. Очистка с помощью автоматической колоночной флэш-хроматографии (CombiFlash Rf, 40 г силикагелевый картридж RediSep™) с элюированием с градиентом 0-70% этилацетата в изогептане приводила к получению целевого продукта в виде оранжевого твердого вещества (510 мг, 0.77 ммоль, 39%).

ЖХ/МС (C37H38N8O2S) 659 [М+Н]+; RT 2.9 (ЖХМС-V-C)

1H ЯМР (400 МГц, ДМСО-d6) δ 9.13 (d, J=8.6 Гц, 1Н), 8.61 (d, J=3.9 Гц, 1Н), 8.16 (d, J=8.6 Гц, 1H), 7.91 (br s, 1H), 7.62 (br s, 1H), 7.44 (s, 1H), 7.41 -7.32 (m, 1Н), 7.27-7.11 (m, 1Н), 6.99 (d, J=3.9 Гц, 1H), 4.22 (q, J=7.1 Гц, 2Н), 3.80 (s, 2H), 2.65 (s, 3Н), 2.23 (s, 3Н), 2.03-1.89 (m, 3Н), 1.76-1.52 (m, 12H), 1.16 (t, 3Н).

Стадия G: 3-{1-[(адамантан-1-ил)метил]-5-метил-1Н-пиразол-4-ил}-6-{3-[(1,3-бензотиазол-2-ил)амино]-4-метил-7Н-пирроло[2,3-с]пиридазин-7-ил}пиридин-2-карбоновая кислота

К раствору продукта со Стадии F (400 мг, 0.61 ммоль, 1 экв.) в 1,4-диоксане (15 мл) добавляли моногидрат гидроксида лития (255 мг, 6.07 ммоль, 10 экв.), и смесь нагревали с обратным холодильником в течение ночи. Реакционную смесь концентрировали в вакууме, и остаток растирали в воде, отфильтровывали и сушили в вакууме. Очистка с помощью автоматической колоночной флэш-хроматографии (CombiFlash Rf, 40 г силикагелевый картридж RediSep™) с элюированием с градиентом 0 14% метанола в дихлорметане приводила к получению бледно-желтого твердого вещества, которое растирали с метанолом, отфильтровывали и сушили в вакууме с получением целевого продукта в виде желтого твердого вещества (154 мг, 0.24 ммоль, 40%).

МСВР-ЭРИ (m/z) [М+Н]+, рассчитано для C35H35N8O2S: 631.2604, найдено: 631.2600.

Пример 24: 3-{1-[(Адамантан-1-ил)метил]-5-метил-1Н-пиразол-4-ил}-6-{3-[(1,3-бензотиазол-2-ил)амино]-4-метил-5Н,6Н,7Н,8Н-пиридо[2,3-с]пиридазин-8-ил}пиридин-2-карбоновая кислота

Стадия А: этил 3-{1-[(адамантан-1-ил)метил]-5-метил-1Н-пиразол-4-ил}-6-аминопиридин-2-карбоксилат

Двухфазный раствор этил 6-амино-3-бромпиколината (5.14 г, 21 ммоль, 1 экв.), продукта Синтеза 5а (7.47 г, 21 ммоль, 1 экв.) и карбоната калия (8.7 г, 62.9 ммоль, 3 экв.) в тетрагидрофуране (100 мл) и воде (20 мл) энергично перемешивали при барботировании азотом (10 мин). Добавляли Pd(dppf)Cl2⋅CH2Cl2 (2.57 г, 3.15 ммоль, 0.15 экв.), и смесь нагревали с обратным холодильником в течение 16 ч. Реакционной смеси давали охладиться до температуры окружающей среды и фильтровали через целит.Фильтрат разбавляли этилацетатом (200 мл), промывали водой (100 мл), и органическую фазу промывали соляным раствором, сушили (сульфат магния) и концентрировали в вакууме. Очистка с помощью автоматической колоночной флэш-хроматографии (CombiFlash Rf, 220 г силикагелевый картридж RediSep™) с элюированием с градиентом 0-90% этилацетата в изогептане приводила к получению целевого продукта в виде кремового твердого вещества (5.28 г, 13.4 ммоль, 64%).

ЖХ/МС (C23H30N4O2) 395 [М+Н]+; RT 1.32 (ЖХМС-V-B1)

1H ЯМР (400 МГц, ДМСО-d6) δ 7032 (d, 1Н), 7.21 (s, 1H), 6.58 (d, 1Н), 6.24 (s, 2Н), 4.05 (q, 2Н), 3.72 (s, 2Н), 2.10 (s, 3Н), 1.98-1.88 (m, 3Н), 1.71-1.47 (m, 12Н), 1.10 (t, J=7.1 Гц, 3Н).

Стадия В: этил 3-{1-[(адамантан-1-ил)метил]-5-метил-1Н-пиразол-4-ил}-6-{[3-(3,6-дихлор-5-метилпиридазин-4-ил)пропил]амино}пиридин-2-карбоксилат

К раствору продукта Синтеза 2е (1.92 г, 8.76 ммоль, 1 экв.) и продукта со Стадии А (3.8 г, 9.64 ммоль, 1.1 экв.) в метаноле (40 мл) порциями добавляли уксусную кислоту (15 мл) и цианоборогидрид натрия (2.75 г, 43.8 ммоль, 5 экв.), и смесь нагревали с обратным холодильником в течение 1 ч. Реакционной смеси давали охладиться до температуры окружающей среды, затем выливали на 1 н. водный раствор гидроксида натрия (50 мл) и экстрагировали этилацетатом (3 × 50 мл). Органическую фазу последовательно промывали насыщенным водным раствором бикарбоната натрия (100 мл) и соляным раствором (100 мл), сушили (сульфат магния) и концентрировали в вакууме. Очистка с помощью автоматической колоночной флэш-хроматографии (CombiFlash Rf, 40 г силикагелевый картридж RediSep™) с элюированием с градиентом 0 70% этилацетата в изогептане приводила к получению целевого продукта в виде белого твердого вещества (3.99 г, 6.68 ммоль, 76%).

ЖХ/МС (C31H38Cl2N6O2) 597 [М+Н]+; RT 1.53 (ЖХМС-V-B1)

1H ЯМР (400 МГц, ДМСО-d6) δ 7.34 (d, J=8.6 Гц, 1Н), 7.22 (s, 1H), 6.95 (t, J=5.7 Гц, 1H), 6.63 (d, J=8.6 Гц, 1H), 4.06 (q, J=7.1 Гц, 2H), 3.72 (s, 2H), 3.41-3.31 (m, 2H), 2.92-2.83 (m, 2H), 2.42 (s, 3H), 2.10 (s, 3H), 1.98-1.89 (m, 3H), 1.86-1.74 (m, 2H), 1.71-1.48 (m, 12H), 1.08 (t, J=7.1 Гц, 3Н).

Стадия С: этил 3-{1-[(адамантан-1-ил)метил]-5-метил-1Н-пиразол-4-ил}-6-{3-хлор-4-метил-5Н,6Н,7Н,8Н-пиридо[2,3-с]пиридазин-8-ил}пиридин-2-карбоксилат

К раствору продукта со Стадии В (3.99 г, 6.68 ммоль, 1 экв.) в альфа,альфа,альфа-трифтортолуоле (150 мл) добавляли карбонат цезия (4.35 г, 13.4 ммоль, 2 экв.), и смесь нагревали в запаянной трубке при 160°С в течение 3 дней. Реакционной смеси давали охладиться до температуры окружающей среды и концентрировали в вакууме. Очистка с помощью автоматической колоночной флэш-хроматографии (CombiFlash Rf, 120 г силикагелевый картридж RediSep™) с элюированием с градиентом 0 70% этилацетата в изогептане приводила к получению целевого продукта в виде белого твердого вещества (0.95 г, 1.69 ммоль, 25%).

ЖХ/МС (C31H37ClN6O2) 561 [М+Н]+; RT 1.55 (ЖХМС-V-B1)

1H ЯМР (400 МГц, ДМСО-d6) δ 7.85 (d, J=8.6 Гц, 1Н), 7.71 (d, J=8.6 Гц, 1Н), 7.35 (s, 1H), 4.15 (q, J=7.1 Гц, 2Н), 4.01-3.92 (m, 2Н), 3.77 (s, 2Н), 2.88 (t, J=6.6 Гц, 2Н), 2.31 (s, 3Н), 2.19 (s, 3Н), 2.04-1.88 (m, 5Н), 1.73-1.50 (m, 12Н), 1.13 (t, J=7.1 Гц, 3Н).

Стадия D: этил 3-{1-[(адамантан-1-ил)метил]-5-метил-1Н-пиразол-4-ил}-6-{3-[(1,3-бензотиазол-2-ил)амино]-4-метил-5Н,6Н,7Н,8Н-пиридо[2,3-с]пиридазин-8-ил}пиридин-2-карбоксилат

К раствору продукта со Стадии С (946 мг, 1.69 ммоль, 1 экв.), 2-аминобензотиазола (380 мг, 2.53 ммоль, 1.5 экв.) и N,N-диизопропилэтиламина (0.88 мл, 5.06 ммоль, 3 экв.) в 1,4-диоксане (30 мл) добавляли ксантфос (97.6 мг, 0.17 ммоль, 0.1 экв.) и трис(дибензилиденацетон)дипалладий(0) (77.2 мг, 0.08 ммоль, 0.05 экв.), и смесь нагревали в закупоренной колбе при 160°С в течение 60 ч. Реакционной смеси давали охладиться до температуры окружающей среды и смесь разбавляли этилацетатом (20 мл), промывали соляным раствором (25 мл), сушили (сульфат магния) и концентрировали в вакууме. Очистка с помощью автоматической колоночной флэш-хроматографии (CombiFlash Rf, 80 г силикагелевый картридж RediSep™) с элюированием с градиентом 0 75% этилацетата в изогептане приводила к получению целевого продукта в виде оранжевого твердого вещества (606 мг, 0.9 ммоль, 53%).

ЖХ/МС (C38H42N8O2S) 675 [М+Н]+; RT 1.61 (ЖХМС-V-B1)

1H ЯМР (400 МГц, ДМСО-d6) δ 7.95 (d, J=9.6 Гц, 1H), 7.83 (br s, 1H), 7.69 (d, 1H), 7.57 (br s, 1H), 7.40-7.31 (m, 2H), 7.18 (t, J=7.5 Гц, 1H), 4.15 (q, J=7.1 Гц, 2H), 4.05-3.97 (m, 2H), 3.77 (s, 2H), 2.86 (t, J=6.5 Гц, 2H), 2.33 (s, 3H), 2.20 (s, 3H), 2.04- 1.89 (m, 5H), 1.72-1.50 (m, 12H), 1.13 (t, 3H).

Стадия E: 3-{1-[(адамантан-1-ил)метил]-5-метил-1Н-пиразол-4-ил}-6-{3-[(1,3-бензотиазол-2-ил)амино]-4-метил-5Н,6Н,7Н,8Н-пиридо[2,3-с]пиридазин-8-ил}пиридин-2-карбоновая кислота

К раствору продукта со Стадии D (600 мг, 0.89 ммоль, 1 экв.) в 1,4-диоксане (10 мл) добавляли моногидрат гидроксида лития (74.6 мг, 1.78 ммоль, 2 экв.), и смесь нагревали с обратным холодильником в течение 1 ч. Реакционной смеси давали охладиться до температуры окружающей среды и концентрировали в вакууме. Остаток вносили в воду, подкисляли до рН 4 и твердые вещества собирали путем фильтрования, промывали водой и сушили. Очистка с помощью автоматической колоночной флэш-хроматографии (CombiFlash Rf, 12 г силикагелевый картридж RediSep™) с элюированием с градиентом 0-10% метанола в дихлорметане приводила к получению целевого продукта в виде желтого твердого вещества (93 мг, 0.14 ммоль, 16%).

МСВР-ЭРИ (m/z) [М+Н]+, рассчитано для C36H39N8O2S: 647.2917, найдено: 647.2913.

Пример 25: 2-{3-[(1,3-Бензотиазол-2-ил)амино]-4-метил-5Н,6Н,7Н,8Н,9Н-пиридазино [3,4-Ь]азепин-9-ил}-1,3-тиазол-4-карбоновая кислота

Стадия А: этил 2-{[(трет-бутокси)карбонил](гепт-5-ин-1-ил)амино}-1,3-тиазол-4-карбоксилат

К этил 2-{[(трет-бутокси)карбонил]амино}-1,3-тиазол-4-карбоксилату (1.62 г, 5.94 ммоль, 1 экв.) в тетрагидрофуране (50 мл) добавляли гепт-5-ин-1-ол (1 г, 8.92 ммоль, 1.5 экв.) и трифенилфосфин (2.34 г, 8.92 ммоль, 1.5 экв.) с последующим добавлением по каплям диэтилазодикарбоксилата (1.62 мл, 8.92 ммоль, 1.5 экв.), и смесь перемешивали при температуре окружающей среды в течение 16 ч. Реакционную смесь распределяли между дихлорметаном и соляным раствором, и органическую фазу сушили (ПТФЭ фазоразделитель) и концентрировали в вакууме. Очистка с помощью автоматической колоночной флэш-хроматографии (CombiFlash Rf, 40 г силикагелевый картридж RediSep™) с элюированием с градиентом 0-15% этилацетата в изогептане приводила к получению целевого продукта в виде желтого масла (1.92 г, 5.24 ммоль, 88%).

ЖХ/МС (C18H26N2O4S) 367 [М+Н]+; RT 2.53 (ЖХМС-V-C)

1H ЯМР (400 МГц, ДМСО-d6) δ 8.07 (s, 1H), 4.27 (q, J=7.1 Гц, 2Н), 4.11-4.00 (m, 2Н), 2.22-2.13 (m, 2Н), 1.79-1.68 (m, 5Н), 1.55 (s, 9Н), 1.48-1.34 (m, 2Н), 1.30 (t, J=7.1 Гц, 2Н).

Стадия В: этил 2-[(гепт-5-ин-1-ил)амино]-1,3-тиазол-4-карбоксилат К раствору продукта со Стадии А (1.97 г, 5.38 ммоль, 1 экв.) в дихлорметане (50 мл) добавляли трифторуксусную кислоту (4.94 мл, 64.5 ммоль, 12 экв.), и смесь перемешивали при температуре окружающей среды в течение ночи. Реакционную смесь охлаждали до 0°С и разбавляли дихлорметаном, подщелачивали 2 н. водным раствором гидроксида натрия, и органическую фазу сушили (ПТФЭ фазоразделитель) и концентрировали в вакууме с получением целевого продукта в виде желтого масла (1.46 г, 5.48 ммоль, >100%).

ЖХ/МС (C13H18N2O2S) 267 [М+Н]+; RT 1.91 (ЖХМС-V-C)

1H ЯМР (400 МГц, ДМСО-d6) δ 7.81 (t, J=5.4 Гц, 1H), 7.49 (s, 1Н), 5.77 (s, 1Н), 4.21 (q, J=7.1 Гц, 2Н), 3.21 (td, J=6.9, 5.3 Гц, 2Н), 2.19-2.07 (m, 2Н), 1.73 (t, J=2.6 Гц, 3Н), 1.67-1.55 (m, 2Н), 1.54-1.41 (m, 2Н), 1.26 (t, J=7.1 Гц, 3Н).

Стадия С: этил 2-{3-хлор-4-метил-5Н,6Н,7Н,8Н,9Н-пиридазино[3,4-b]азепин-9-ил}-1,3-тиазол-4-карбоксилат

К раствору 3,6-дихлор-1,2,4,5-тетразина (827 мг, 5.48 ммоль, 1 экв.) в тетрагидрофуране (20 мл) добавляли продукт со Стадии В (1.46 г, 5.48 ммоль, 1 экв.), и смесь нагревали при 120°С в закупоренной колбе в течение 48 ч. Реакционную смесь концентрировали в вакууме. Очистка с помощью автоматической колоночной флэш-хроматографии (CombiFlash Rf, 40 г силикагелевый картридж RediSep™) с элюированием с градиентом 0-60% этилацетата в изогептане приводила к получению целевого продукта в виде розового твердого вещества (0.92 г, 2.61 ммоль, 48%).

ЖХ/МС (C15H17ClN4O2S) 353 [М+Н]+; RT2.00 (ЖХМС-V-C)

1H ЯМР (400 МГц, ДМСО-d6) δ 7.85 (s, 1Н), 4.28 (q, J=7.1 Гц, 3Н), 4.22 4.13 (m, 2H), 2.95-2.88 (m, 2H), 2.40 (s, 3Н), 2.02-1.89 (m, 2H), 1.84-1.75 (m, 2H), 1.30 (t, J=7.1 Гц, 3Н).

Стадия D: этил 2-{3-[(1,3-бензотиазол-2-ил)амино]-4-метил-5Н,6Н,7Н,8Н,9Н-пиридазино[3,4-b]азепин-9-ил}-1,3-тиазол-4-карбоксилат

В высушенный в сушильном шкафу сосуд для микроволновой обработки загружали продукт со Стадии С (920 мг, 2.61 ммоль, 1 экв.), 2-аминотиазол (470 мг, 3.13 ммоль, 1.2 экв.), ксантфос (151 мг, 0.26 ммоль, 0.1 экв.), N,N-диизопропилэтиламин (1.36 мл, 7.82 ммоль, 3 экв.) и 1,4-диоксан (15 мл). Сосуд вакуумировали и продували азотом, затем добавляли трис(дибензилиденацетон)дипалладий(0) (119 мг, 0.13 ммоль, 0.05 экв.), смесь барботировали азотом (10 мин) и затем нагревали при 150°С в течение 8 ч под микроволновым облучением. Реакционную смесь распределяли между этилацетатом и соляным раствором, и органическую фазу сушили (сульфат магния) и концентрировали в вакууме. Очистка с помощью автоматической колоночной флэш-хроматографии (CombiFlash Rf, 24 г силикагелевый картридж RediSep™) с элюированием с градиентом 0-100% этилацетата в изогептане приводила к получению твердого вещества, которое растирали с ацетонитрилом, отфильтровывали и сушили в вакууме с получением целевого продукта в виде желтого твердого вещества (0.81 г, 1.74 ммоль, 67%).

ЖХ/МС (C22H22N6O2S2) 467 [М+Н]+; RT 2.20 (ЖХМС-V-C)

1H ЯМР (400 МГц, ДМСО-d6) δ 7.88 (br s, 1Н), 7.75 (s, 1Н), 7.49 (br s, 1Н), 7.44-7.34 (m, 1Н), 7.27-7.16 (m, 1Н), 4.28 (q, J=7.1 Гц, 2Н), 4.14-4.01 (s, 2Н), 2.90-2.78 (m, 2Н), 2.42 (s, 3Н), 1.96-1.83 (m, 2Н), 1.82-1.70 (m, 2Н), 1.31 (t, J=7.1 Гц, 3Н).

Стадия Е: 2-{3-[(1,3-бензотиазол-2-ил)амино]-4-метил-5Н,6Н,7Н,8Н,9Н-пиридазино[3,4-Ь]азепин-9-ил}-1,3-тиазол-4-карбоновая кислота

К раствору продукта со Стадии D (30 мг, 0.06 ммоль, 1 экв.) в 1,4-диоксане (6 мл) добавляли моногидрат гидроксида лития (27 мг, 0.64 ммоль, 10 экв.), и смесь нагревали с обратным холодильником в течение 6 ч. Реакционную смесь концентрировали в вакууме, затем растворяли в МеОН, загружали на смоченный метанолом картридж РЕ-АХ (5 г), промывали метанолом, элюировали 9:1 смесью дихлорметан/муравьиная кислота и концентрировали в вакууме. Остаток растирали с дихлорметаном и метанолом, отфильтровывали и сушили в вакууме с получением целевого продукта в виде не совсем белого твердого вещества (22.4 мг, 0.05 ммоль, 79%).

МСВР-ЭРИ (m/z) [М+Н]+, рассчитано для C20H19N6O2S2: 439.1011, найдено: 439.1003.

Пример 26: 3-{3-[(1,3-Бензотиазол-2-ил)амино]-4-метил-5Н,6Н,7Н,8Н-пиридо[2,3-с]пиридазин-8-ил}бензойная кислота

Стадия А: этил 3-{[3-(3,6-дихлор-5-метилпиридазин-4-ил)пропил]-амино}бензоат

К раствору продукта Синтеза 2е (100 мг, 0.46 ммоль, 1 экв.) и этил 3-аминобензоата (79.2 мг, 0.48 ммоль, 1.05 экв.) в метаноле (6 мл) порциями добавляли уксусную кислоту (2 мл) и цианоборогидрид натрия (57.4 мг, 0.91 ммоль, 2 экв.), и смесь перемешивали в течение ночи. Реакционную смесь гасили путем добавления 1 н. водного раствора гидроксида натрия и экстрагировали этилацетатом (3 × 50 мл), и объединенные органические экстракты промывали соляным раствором, сушили (сульфат магния) и концентрировали в вакууме. Очистка с помощью автоматической колоночной флэш-хроматографии (CombiFlash Rf, 12 г силикагелевый картридж RediSep™) с элюированием с градиентом 0-40% этилацетата в изогептане приводила к получению целевого продукта в виде бесцветного масла (88 мг, 0.24 ммоль, 52%).

ЖХ/МС (C17H19Cl2N3O2) 332 [М-HCl+Н]+; RT 1.34 (ЖХМС-V-B1)

1H ЯМР (400 МГц, хлороформ-d) δ 7.40 (dt, J=7.6, 1.3 Гц, 1H), 7.28 (dd, J=2.6, 1.5 Гц, 1H), 7.23 (t, J=7.9 Гц, 1H), 6.78 (ddd, J=8.1, 2.6, 1.0 Гц, 1H), 4.36 (q, J=7.2 Гц, 2Н), 3.32 (t, J=6.7 Гц, 2Н), 2.98-2.86 (m, 2Н), 2.40 (s, 3Н), 1.96-1.83 (m, 2Н), 1.38 (t, J=7.1 Гц, 3Н).

Стадия В: этил 3-{3-хлор-4-метил-5Н,6Н,7Н,8Н-пиридо[2,3-с]пиридазин-8-ил}бензоат

К раствору продукта со Стадии А (88 мг, 0.24 ммоль, 1 экв.) в дихлорметане (3 мл) добавляли трифторуксусную кислоту (0.1 мл), и смесь перемешивали при температуре окружающей среды в течение ночи. Реакционную смесь нейтрализовали путем добавления 1 н. водного раствора гидроксида натрия, и смесь экстрагировали дихлорметаном (2 × 20 мл). Объединенные органические экстракты промывали соляным раствором, сушили (сульфат магния) и концентрировали в вакууме с получением целевого продукта в виде желтого твердого вещества (48 мг, 0.14 ммоль, 61%).

ЖХ/МС (C17H18ClN3O2) 332 [М+Н]+; RT 1.27 (ЖХМС-V-B1)

1H ЯМР (400 МГц, ДМСО-d6) δ 7.90 (t, J=1.9 Гц, 1Н), 7.80 (dt, J=7.6, 1.5 Гц, 1H), 7.66-7.60 (m, 1Н), 7.56 (t, J=7.7 Гц, 1Н), 4.33 (q, J=7.1 Гц, 2Н), 3.76-3.70 (m, 2Н), 2.87 (t, J=6.5 Гц, 2Н), 2.25 (s, 3Н), 2.09-1.97 (m, 2Н), 1.32 (t, J=7.1 Гц, 3Н).

Стадия С: этил 3-{3-[(1,3-бензотиазол-2-ил)амино]-4-метил-5Н,6Н,7Н,8Н-пиридо[2,3-с]пиридазин-8-ил}бензоат

К раствору продукта со Стадии В (80 мг, 0.24 ммоль, 1 экв.), 2-аминобензотиазола (43.5 мг, 0.29 ммоль, 1.2 экв.) и N,N-диизопропилэтиламина (0.13 мл, 0.72 ммоль, 3 экв.) в 1,4-диоксане (5 мл) добавляли ксантфос (14 мг, 0.02 ммоль, 0.1 экв.) и трис(дибензилиденацетон)дипалладий(0) (11 мг, 0.01 ммоль, 0.05 экв.), и смесь нагревали в запаянной трубке при 160°С в течение 24 ч. Реакционной смеси давали охладиться до температуры окружающей среды, затем распределяли между этилацетатом (20 мл) и соляным раствором (25 мл), и органическую фазу сушили (сульфат магния) и концентрировали в вакууме. Очистка с помощью обращенно-фазовой автоматической флэш-хроматографии (CombiFlash Rf, С18 4.3 г колонка RediSep) с элюированием с градиентом 5-95% ацетонитрила в воде приводила к получению сырого целевого продукта в виде желтого стекла (18 мг, 0.04 ммоль, 17%), которое непосредственно использовали на следующей стадии без дополнительной очистки.

ЖХ/МС (C24H23N5O2S) 446 [М+Н]+; RT 1.31 (ЖХМС-V-B1)

Стадия D: 3-{3-[(1,3-бензотиазол-2-ил)амино]-4-метил-5Н,6Н,7Н,8Н-пиридо[2,3-с]пиридазин-8-ил}бензойная кислота

К раствору продукта со Стадии С (18 мг, 0.04 ммоль, 1 экв.) в 1,4-диоксане (5 мл) добавляли моногидрат гидроксида лития (3.39 мг, 0.08 ммоль, 2 экв.), и смесь нагревали с обратным холодильником в течение 1 ч. Реакционной смеси давали охладиться до температуры окружающей среды и концентрировали в вакууме. Остаток вносили в воду, подкисляли 1 н. водным раствором хлористоводородной кислоты и концентрировали в вакууме. Очистка с помощью препаративной ВЭЖХ (ВЭЖХ-V-A1) приводила к получению целевого продукта в виде желтого твердого вещества (10.6 мг, 0.03 ммоль, 63%).

МСВР-ЭРИ (m/z) [М+Н]+, рассчитано для C22H20N5O2S: 418.1338, найдено: 418.1334.

Пример 27: 2-[3-(1,3-Бензотиазол-2-иламино)-4-метил-6,7-дигидро-5Н-пиридо[2,3-с]пиридазин-8-ил]-5-[3-[4-[3-(диметиламино)проп-1-инил]-2-фторфенокси]пропил]тиазол-4-карбоновая кислота

Использовали Общую методику получения пропаргилового амина, исходя из продукта Синтеза 3d и диметиламина в качестве подходящего амина. Затем используя Общую методику гидролиза, исходя из подходящего сложного метилового эфира получали целевой продукт.

МСВР-ЭРИ (m/z): [М+Н]+, рассчитано для C34H35FN7O3S2: 672.2221, найдено: 672.2205.

Пример 28: 2-{3-[(1,3-Бензотиазол-2-ил)амино]-4-циклопропил-5Н,6Н,7Н-пирроло[2,3-с]пиридазин-7-ил}-1,3-тиазол-4-карбоновая кислота

Стадия А: этил 2-{[(трет-бутокси)карбонил](4-йодбут-3-ин-1-ил)амино}-1,3-тиазол-4-карбоксилат

К этил 2-{[(трет-бутокси)карбонил]амино}-1,3-тиазол-4-карбоксилату (3.16 г, 11.6 ммоль, 1 экв.) в тетрагидрофуране (150 мл) добавляли 4-йодбут-3-ин-1-ол (3.41 г, 17.4 ммоль, 1.5 экв.) и трифенилфосфин (4.56 г, 17.4 ммоль, 1.5 экв.) с последующим добавлением по каплям диэтилазодикарбоксилата (2.74 мл, 17.4 ммоль, 1.5 экв.), и смесь перемешивали при температуре окружающей среды в течение 16 ч. Реакционную смесь распределяли между этилацетатом и соляным раствором, и органическую фазу сушили (сульфат магния) и концентрировали в вакууме. Очистка с помощью автоматической колоночной флэш-хроматографии (CombiFlash Rf, 120 г силикагелевый картридж RediSep™) с элюированием с градиентом 0-15% этилацетата в изогептане приводила к получению целевого продукта в виде белого твердого вещества (3.75 г, 8.33 ммоль, 72%).

ЖХ/МС (C15H19IN2O4S) 451 [М+Н]+; RT 2.45 (ЖХМС-V-C)

1H ЯМР (400 МГц, ДМСО-d6) δ 8.09 (s, 1Н), 4.28 (q, J=7.1 Гц, 2Н), 4.16 (t, J=6.7 Гц, 2Н), 2.77 (t, J=6.7 Гц, 2Н), 1.56 (s, 9Н), 1.30 (t, J=7.1 Гц, 3Н). Стадия В: этил 2-[(4-йодбут-3-ин-1-ил)амино]-1,3-тиазол-4-карбоксилат

К раствору продукта со Стадии А (3.75 г, 8.33 ммоль, 1 экв.) в дихлорметане (50 мл) добавляли трифторуксусную кислоту (15.3 мл, 200 ммоль, 24 экв.), и смесь перемешивали при температуре окружающей среды в течение 1 ч. Реакционную смесь охлаждали до 0°С, разбавляли дихлорметаном, подщелачивали 2 н. водным раствором гидроксида натрия, и органическую фазу сушили (ПТФЭ фазоразделитель) и концентрировали в вакууме с получением целевого продукта в виде белого твердого вещества (2.74 г, 7.82 ммоль, 94%).

ЖХ/МС (C10H11IN2O2S) 351 [М+Н]+; RT 1.84 (ЖХМС-V-C)

1H ЯМР (400 МГц, ДМСО-d6) δ 7.98 (t, J=5.7 Гц, 1Н), 7.53 (s, 1H), 4.22 (q, J=7.1 Гц, 2H), 3.40-3.30 (m, 2H), 2.61 (t, J=6.8 Гц, 2H), 1.26 (t, J=7.1 Гц, 3Н).

Стадия С: этил 2-{3-хлор-4-йод-5Н,6Н,7Н-пирроло[2,3-с]пиридазин-7-ил}-1,3-тиазол-4-карбоксилат

К раствору 3,6-дихлор-1,2,4,5-тетразина (1.18 г, 7.82 ммоль, 1 экв.) в тетрагидрофуране (80 мл) добавляли продукт со Стадии В (2.74 г, 7.82 ммоль, 1 экв.), и смесь нагревали с обратным холодильником в течение ночи. Реакционной смеси давали охладиться до температуры окружающей среды и осадок собирали путем фильтрования, промывали тетрагидрофураном и сушили в вакууме с получением целевого продукта в виде не совсем белого твердого вещества (1.06 г, 2.43 ммоль, 31%).

ЖХ/МС (C12H10ClIN4O2S) 437 [М+Н]+; RT 1.99 (ЖХМС-V-C)

1H ЯМР (400 МГц, ДМСО-d6) δ 8.17 (s, 1Н), 4.45 (t, J=8.1 Гц, 2Н), 4.31 (q, J=7.1 Гц, 2Н), 3.46-3.33 (m, 2Н), 1.31 (t, J=7.1 Гц, 3Н).

Стадия D: этил 2-{3-хлор-4-циклопропил-5Н,6Н,7Н-пирроло[2,3-с]пиридазин-7-ил}-1,3-тиазол-4-карбоксилат

В запаиваемую трубку загружали продукт со Стадии С (120 мг, 0.27 ммоль, 1 экв.), циклопропилтрифторборат калия (102 мг, 0.69 ммоль, 2.5 экв.), карбонат калия (114 мг, 0.82 ммоль, 3 экв.), тетрагидрофуран (16 мл) и воду (4 мл). Сосуд вакуумировали и продували азотом, затем добавляли Pd(dppf)Cl2⋅CH2Cl2 (44.9 мг, 0.05 ммоль, 0.2 экв.), смесь барботировали азотом (10 мин) и затем нагревали при 150°С в течение 40 ч под микроволновым облучением. Реакционную смесь распределяли между этилацетатом и соляным раствором, и органическую фазу сушили (сульфат магния) и концентрировали в вакууме. Очистка с помощью автоматической колоночной флэш-хроматографии (CombiFlash Rf, 12 г силикагелевый картридж RediSep™) с элюированием с градиентом 0 90% этилацетата в изогептане приводила к получению целевого продукта в виде белого твердого вещества (40 мг, 0.11 ммоль, 42%).

ЖХ/МС (C15H15ClN4O2S) 351 [М+Н]+; RT2.00 (ЖХМС-V-C)

1H ЯМР (400 МГц, ДМСО-d6) δ 8.12 (d, J=9.9 Гц, 1H), 4.43-4.23 (m, 4Н), 3.42-3.29 (m, 2Н), 2.03-1.94 (m, 1Н), 1.30 (t, 3Н), 1.14-1.04 (m, 2Н), 0.98-0.84 (m, 2Н).

Стадия Е: этил 2-{3-[(1,3-бензотиазол-2-ил)амино]-4-циклопропил-5Н,6Н,7Н-пирроло[2,3-с]пиридазин-7-ил}-1,3-тиазол-4-карбоксилат

В высушенный в сушильном шкафу сосуд для микроволновой обработки загружали продукт со Стадии D (40 мг, 0.11 ммоль, 1 экв.), 2-аминотиазол (25.7 мг, 0.17 ммоль, 1.5 экв.), N,N-диизопропилэтиламин (59.6 мкл, 0.34 ммоль, 3 экв.) и 1,4-диоксан (3 мл). Сосуд вакуумировали и продували азотом, затем добавляли джозифос (10.5 мг, 0.01 ммоль, 0.1 экв.), смесь барботировали азотом (10 мин) и затем нагревали при 150°С в течение 1 ч под микроволновым облучением. Реакционную смесь распределяли между этилацетатом и соляным раствором, и органическую фазу сушили (сульфат магния) и концентрировали в вакууме. Очистка с помощью автоматической колоночной флэш-хроматографии (CombiFlash Rf, 4 г силикагелевый картридж RediSep™) с элюированием с градиентом 0-100% этилацетата в изогептане приводила к получению целевого продукта в виде желтого твердого вещества (18 мг, 0.04 ммоль, 34%).

ЖХ/МС (C22H20N6O2S2) 464 [М+Н]+; RT 2.31 (ЖХМС-V-C)

1H ЯМР (400 МГц, ДМСО-d6) δ 10.58 (br s, 1Н), 8.06 (s, 1H), 8.02-7.89 (m, 1H), 7.76-7.62 (m, 1H), 7.47-7.32 (m, 1H), 7.30-7.13 (m, 1H), 4.42-4.25 (m, 4H), 3.46-3.37 (m, 2H), 2.20-2.01 (m, 1H), 1.32 (t, J=7.1 Гц, 3Н), 1.21-1.06 (m, 2H), 0.93-0.74 (m, 2H).

Стадия F: 2-{3-[(1,3-бензотиазол-2-ил)амино]-4-циклопропил-5Н,6Н,7H-пирроло[2,3-с]пиридазин-7-ил}-1,3-тиазол-4-карбоновая кислота

К раствору продукта со Стадии Е (18 мг, 0.04 ммоль, 1 экв.) в 1,4-диоксане (6 мл) добавляли моногидрат гидроксида лития (16.3 мг, 0.39 ммоль, 10 экв.), и смесь нагревали с обратным холодильником в течение 8 ч. Реакционную смесь концентрировали в вакууме, растворяли в метаноле, затем загружали на смоченный метанолом картридж РЕ-АХ (10 г), промывали метанолом, элюировали 9:1 смесью дихлорметан/муравьиная кислота и концентрировали в вакууме. Остаток последовательно растирали с дихлорметаном и водой, отфильтровывали и сушили в вакууме с получением целевого продукта в виде бежевого твердого вещества (2.44 мг, 0.01 ммоль, 14.43%) в форме соли муравьиной кислоты.

МСВР-ЭРИ (m/z) [М+Н]+, рассчитано для C20H17N6O2S2: 437.0854, найдено: 437.0853.

Пример 29: 3-{1-[(Адамантан-1-ил)метил]-5-метил-1Н-пиразол-4-ил}-6-{3-[(1,3-бензотиазол-2-ил)амино]-4-метил-5Н,6Н,7Н,8Н,9Н-пиридазино[3,4-b]азепин-9-ил}пиридин-2-карбоновая кислота

Стадия А: [(гекс-5-ин-1-илокси)метил]бензол

К перемешиваемому раствору 5-гексин-1-ола (5.36 г, 54.6 ммоль, 1 экв.) в тетрагидрофуране (35 мл), охлажденному до 0°С, порциями добавляли гидрид натрия (60% дисперсия; 3.28 г, 81.9 ммоль, 1.5 экв.), и смеси давали перемешиваться в течение 30 мин. По каплям добавляли бензилбромид (6.49 мл, 54.6 ммоль, 1 экв.) и смеси давали нагреться до температуры окружающей среды и перемешивали в течение 90 ч. Реакционную смесь охлаждали до 0°С, гасили путем добавления насыщенного водного раствора хлорида аммония (30 мл) и затем разбавляли водой (30 мл). Смесь экстрагировали этилацетатом (2 × 150 мл) и объединенные органические экстракты промывали соляным раствором (100 мл), сушили (сульфат магния) и концентрировали в вакууме. Очистка с помощью автоматической колоночной флэш-хроматографии (CombiFlash Rf, 120 г силикагелевый картридж RediSep™) с элюированием с градиентом 0 10% этилацетата в изогептане приводила к получению целевого продукта в виде желтого масла (10.2 г, 54.2 ммоль, 99%).

ЖХ/МС (C13H16O) 189 [М+Н]+; RT2.21 (ЖХМС-V-C)

1H ЯМР (400 МГц, хлороформ-d) δ 7.40-7.24 (m, 5Н), 4.45 (s, 2Н), 3.44 (t, J=6.3 Гц, 2Н), 2.77 (t, J=2.7 Гц, 1Н), 2.17 (td, J=7.0, 2.6 Гц, 2Н), 1.70-1.57 (m, 2Н), 1.56-1.37 (m, 2Н).

Стадия В: [(гепт-5-ин-1-илокси)метил]бензол

Раствор продукта со Стадии А (10.2 г, 54.2 ммоль, 1 экв.) в тетрагидрофуране (90 мл) охлаждали до -78°С и по каплям добавляли н-бутиллитий (2.5М в гексанах; 26 мл, 65 ммоль, 1.2 экв.) в течение 30 мин. После перемешивания в течение 1 ч, по каплям добавляли йодметан (4.05 мл, 65 ммоль, 1.2 экв.) и смеси давали нагреться до 0°С в течение 1 ч. Реакционную смесь гасили водным насыщенным раствором хлорида аммония (40 мл), разбавляли водой (40 мл) и экстрагировали этилацетатом (3 × 100 мл). Объединенные органические экстракты последовательно промывали 2 н. водным раствором тиосульфата натрия (200 мл) и соляным раствором (200 мл), сушили (сульфат магния) и концентрировали в вакууме. Очистка с помощью автоматической колоночной флэш-хроматографии (CombiFlash Rf, 220 г силикагелевый картридж RediSep™) с элюированием с градиентом 0-6% этилацетата в изогептане приводила к получению целевого продукта в виде прозрачного масла (10.4 г, 51.3 ммоль, 95%).

ЖХ/МС (C14H18O) 203 [М+Н]+; RT 2.37 (ЖХМС-V-C)

1H ЯМР (400 МГц, ДМСО-d6) δ 7.40-7.24 (m, 5Н), 4.45 (s, 2Н), 3.43 (t, J=6.4 Гц, 2Н), 2.17-2.08 (m, 2Н), 1.73 (t, J=2.6 Гц, 3Н), 1.67-1.55 (m, 2Н), 1.54 -1.41 (m, 2Н).

Стадия С: 4-[4-(бензилокси)бутил]-3,6-дихлор-5-метилпиридазин Раствор 3,6-дихлор-1,2,4,5-тетразина (3.23 г, 21.4 ммоль, 1 экв.) и продукта со Стадии В (5.2 г, 25.7 ммоль, 1.2 экв.) в толуоле (40 мл) нагревали при 130°С в течение ночи в закупоренной колбе. Реакционной смеси давали охладиться до температуры окружающей среды и концентрировали в вакууме. Очистка с помощью автоматической колоночной флэш-хроматографии (CombiFlash Rf, 120 г силикагелевый картридж RediSep™) с элюированием с градиентом 0-30% этилацетата в изогептане приводила к получению целевого продукта в виде красного масла (3.27 г, 10.1 ммоль, 47%).

ЖХ/МС (C16H18Cl2N2O) 325 [М+Н]+; RT 2.32 (ЖХМС-V-C)

1H ЯМР (400 МГц, ДМСО-d6) δ 7.40-7.24 (m, 5Н), 4.46 (s, 2Н), 3.49 (t, J=6.1 Гц, 2Н), 2.87-2.78 (m, 2Н), 2.41 (s, 3Н), 1.74-1.62 (m, 2Н), 1.61-1.51 (m, 2Н).

Стадия D: 4-(3,6-дихлор-5-метилпиридазин-4-ил)бутан-1-ол

К раствору продукта со Стадии С (3.27 г, 10.1 ммоль, 1 экв.) в дихлорметане (50 мл), охлажденному на бане с водой со льдом, по каплям добавляли трихлорид бора (1М в дихлорметане; 50.3 мл, 50.3 ммоль, 5 экв.), и смеси давали нагреться до температуры окружающей среды и перемешивали в течение 1 ч. Реакционную смесь охлаждали до 0°С, гасили путем добавления метанола и концентрировали в вакууме. Остаток распределяли между дихлорметаном (100 мл) и насыщенным водным раствором бикарбоната натрия (150 мл), и органическую фазу промывали соляным раствором (150 мл), сушили (сульфат магния) и концентрировали в вакууме. Очистка с помощью автоматической колоночной флэш-хроматографии (CombiFlash Rf, 40 г силикагелевый картридж RediSep™) с элюированием с градиентом 0 80% этилацетата в изогептане приводила к получению целевого продукта в виде желтого масла (2.21 г, 9.4 ммоль, 94%).

ЖХ/МС (C9H12Cl2N2O) 235 [М+Н]+; RT 1.36 (ЖХМС-V-C)

1H ЯМР (400 МГц, ДМСО-d6) δ 4.44 (t, J=5.1 Гц, 1H), 3.45 (dd, J=6.0, 5.0 Гц, 2Н), 2.87-2.76 (m, 2Н), 2.43 (s, 3Н), 1.62-1.48 (m, 4Н).

Стадия Е: 4-(3,6-дихлор-5-метилпиридазин-4-ил)бутаналь В высушенную в сушильном шкафу колбу загружали диметилсульфоксид (1.6 мл, 22.6 ммоль, 2.4 экв.) и дихлорметан (60 мл), и смесь охлаждали до -78°С.По каплям добавляли оксалилхлорид (2М в дихлорметане; 7.05 мл, 14.1 ммоль, 1.5 экв.), и смесь перемешивали в течение 1 ч. По каплям добавляли раствор продукта со Стадии D (2.21 г, 9.4 ммоль, 1 экв.) в дихлорметане (20 мл), и смесь перемешивали в течение 1 ч. Добавляли триэтиламин (7.84 мл, 56.4 ммоль, 6 экв.) и смеси давали нагреться до 0°С в течение 1 ч. Реакционную смесь гасили водой (50 мл), разбавляли насыщенным водным раствором бикарбоната натрия (50 мл) и экстрагировали дихлорметаном (2 × 200 мл). Объединенные органические экстракты промывали соляным раствором (100 мл), сушили (сульфат магния) и концентрировали в вакууме. Очистка с помощью автоматической колоночной флэш-хроматографии (CombiFlash Rf, 40 г силикагелевый картридж RediSep™) с элюированием с градиентом 0-70% этилацетата в изогептане приводила к получению целевого продукта в виде желтого масла (6.58 г, 6.78 ммоль, 72%).

ЖХ/МС (C9H10Cl2N2O) 233 [М+Н]+; RT 1.51 (ЖХМС-V-C)

1H ЯМР (400 МГц, ДМСО-d6) δ 9.70 (t, J=1.1 Гц, 1Н), 2.86-2.76 (m, 2Н), 2.63 (td, J=7.0, 1.1 Гц, 2Н), 2.45 (s, 3Н), 1.81-1.68 (m, 2Н).

Стадия F: этил 3-{1-[(адамантан-1-ил)метил]-5-метил-1Н-пиразол-4-ил}-6-{[4-(3,6-дихлор-5-метилпиридазин-4-ил)бутил]амино}пиридин-2-карбоксилат

К раствору продукта со Стадии Е (1.04 г, 4.45 ммоль, 1 экв.) и продукта Примера 24, Стадия А (1.93 г, 4.89 ммоль, 1.1 экв.) в метаноле (30 мл) и уксусной кислоте (10 мл) добавляли цианоборогидрид натрия (559 мг, 8.89 ммоль, 2 экв.), и смесь перемешивали при температуре окружающей среды в течение ночи. Реакционную смесь гасили 1 н. водным раствором гидроксида натрия (50 мл) и экстрагировали этилацетатом (3 × 50 мл). Объединенные органические экстракты последовательно промывали насыщенным водным раствором бикарбоната натрия и соляным раствором, сушили (сульфат магния) и концентрировали в вакууме. Очистка с помощью автоматической колоночной флэш-хроматографии (CombiFlash Rf, 40 г силикагелевый картридж RediSep™) с элюированием с градиентом 0-70% этилацетата в изогептане приводила к получению целевого продукта в виде белой смолы (1.71 г, 2.8 ммоль, 63%).

ЖХ/МС (C32H40Cl2N6O2) 611 [М+Н]+; RT 2.65 (ЖХМС-V-C)

1H ЯМР (400 МГц, ДМСО-d6) δ 7.32 (d, J=8.6 Гц, 1Н), 7.21 (s, 1Н), 6.81 (t, J=5.4 Гц, 1Н), 6.60 (d, J=8.6 Гц, 1Н), 4.05 (q, J=7.1 Гц, 2Н), 3.72 (s, 2Н), 3.32 -3.23 (m, 2Н), 2.90-2.81 (m, 2Н), 2.43 (s, 3Н), 2.10 (s, 3Н), 1.94 (s, 3Н), 1.74-1.48 (m, 16Н), 1.07 (t, J=7.1 Гц, 3Н).

Стадия G: этил 3-{1-[(адамантан-1-ил)метил]-5-метил-1Н-пиразол-4-ил}-6-{3-хлор-4-метил-5Н,6Н,7Н,8Н,9Н-пиридазино[3,4-b]азепин-9-ил}пиридин-2-карбоксилат

К раствору продукта со Стадии F (646 мг, 1.06 ммоль, 1 экв.) в альфа,алъфа,алъфа-трифтортояуоле (6 мл) добавляли карбонат цезия (1.03 г, 3.17 ммоль, 3 экв.) и ксантфос Pd G3 (50.1 мг, 0.05 ммоль, 0.05 экв.), смесь барботировали азотом (10 мин) и затем нагревали при 120°С в течение ночи. Реакционную смесь распределяли между этилацетатом и водой, и органическую фазу сушили (сульфат магния) и концентрировали в вакууме. Очистка с помощью автоматической колоночной флэш-хроматографии (CombiFlash Rf, 12 г силикагелевый картридж RediSep™) с элюированием с градиентом 0-60% этилацетата в изогептане приводила к получению целевого продукта в виде не совсем белого твердого вещества (119 мг, 0.21 ммоль, 20%).

ЖХ/МС (C32H39ClN6O2) 575 [М+Н]+; RT 2.66 (ЖХМС-V-C)

1H ЯМР (400 МГц, ДМСО-d6) δ 7.47 (d, J=8.8 Гц, 1Н), 7.29 (s, 1H), 6.80 (d, J=8.7 Гц, 1Н), 4.22-4.16 (m, 2Н), 4.12 (q, 2Н), 3.73 (s, 2Н), 2.89-2.81 (m, 2Н), 2.45 (s, 3Н), 2.14 (s, 3Н), 2.00-1.89 (m, 3Н), 1.80-1.49 (m, 16Н), 1.10 (t, 3Н).

Стадия Н: этил 3-{1-[(адамантан-1-ил)метил]-5-метил-1Н-пиразол-4-ил}-6-{3-[(1,3-бензотиазол-2-ил)амино]-4-метил-5Н,6Н,7Н, 8Н, 9Н-пиридазино[3,4-b]азепин-9-ил}пиридин-2-карбоксилат

К раствору продукта со Стадии G (119 мг, 0.21 ммоль, 1 экв.), 2-аминобензотиазола (62.2 мг, 0.41 ммоль, 2 экв.) и N,N-диизопропилэтиламина (108 мкл, 0.62 ммоль, 3 экв.) в 1,4-диоксане (8 мл) добавляли джозифос (19.2 мг, 0.02 ммоль, 0.1 экв.), и смесь нагревали в запаянной трубке при 150°С в течение 72 ч. Реакционной смеси давали охладиться до температуры окружающей среды, затем разбавляли этилацетатом (20 мл), промывали соляным раствором (25 мл), сушили (сульфат магния) и концентрировали в вакууме. Очистка с помощью автоматической колоночной флэш-хроматографии (CombiFlash Rf, 12 г силикагелевый картридж RediSep™) с элюированием с градиентом 0 50% этилацетата в изогептане приводила к получению сырого целевого продукта в виде желтой смолы (49 мг, 0.07 ммоль, 34%) которую непосредственно использовали на следующей стадии без дополнительной очистки.

ЖХ/МС (C39H44N8O2S) 690 [М+Н]+; RT 2.81 (ЖХМС-V-C)

Стадия I: 3-{1-[(адамантан-1-ил)метил]-5-метил-1Н-пиразол-4-ил}-6-{3-[(1,3-бензотиазол-2-ил)амино]-4-метил-5Н,6Н,7Н,8Н,9Н-пиридазино[3,4-b]азепин-9-ил}пиридин-2-карбоновая кислота

К раствору продукта со Стадии Н (49 мг, 0.07 ммоль, 1 экв.) в 1,4-диоксане (15 мл) добавляли моногидрат гидроксида лития (44.8 мг, 1.07 ммоль, 15 экв.), и смесь нагревали с обратным холодильником в течение 1 ч. Реакционную смесь охлаждали до температуры окружающей среды и концентрировали в вакууме. Очистка с помощью обращенно-фазовой автоматической флэш-хроматографии (CombiFlash Rf, С18 4.3 г колонка RediSep) с элюированием с градиентом 5 -95% ацетонитрила в воде приводила к получению целевого продукта в виде желтого твердого вещества (6.24 мг, 0.01 ммоль, 13%).

МСВР-ЭРИ (m/z) [М+Н]+, рассчитано для C37H41N8O2S: 661.3073, найдено: 661.3097

Пример 30: 2-{3-[(1,3-Бензотиазол-2-ил)амино]-4-циклопропил-5Н,6Н,7Н,8Н-пиридо[2,3-с]пиридазин-8-ил}-5-(3-{4-[3-(диметиламино)проп-1-ин-1-ил]-2-фторфенокси}пропил)-1,3-тиазол-4-карбоновая кислота

Стадия А: трет-бутил[(5-циклопропилпент-4-ин-1-ил)окси]диметилсилан

К раствору циклопропилацетилена (8 мл, 94.5 ммоль, 1.1 экв.) в тетрагидрофуране (200 мл), охлажденному до -78°С, добавляли н-бутиллитий (2.ОМ в гексанах; 47.3 мл, 94.5 ммоль, 1.1 экв.), и смесь перемешивали при этой температуре в течение 2.5 ч. Добавляли 1,3-диметил-3,4,5,6-тетрагидро-2(1Н)-пиримидинон (12 мл, 98.8 ммоль, 1.15 экв.) и через 15 мин по каплям добавляли (3-бромпропокси)-трет-бутилдиметилсилан (15 мл, 85.9 ммоль, 1 экв.), и смеси давали нагреться до температуры окружающей среды и перемешивали в течение ночи. Реакционную смесь распределяли между этилацетатом и насыщенным водным раствором хлорида аммония, и органическую фазу сушили (сульфат магния) и концентрировали в вакууме. Очистка с помощью автоматической колоночной флэш-хроматографии (CombiFlash Rf, 330 г силикагелевый картридж RediSep™) с элюированием с градиентом 0-6% этилацетата в изогептане приводила к получению сырого целевого продукта в виде прозрачного масла (8.62 г, 36.2 ммоль, 42%) которое непосредственно использовали на следующей стадии без дополнительной очистки.

Стадия В: 5-циклопропилпент-4-ин-1-ол

К раствору продукта со Стадии А (8.62 г, 36.2 ммоль, 1 экв.) в тетрагидрофуране (150 мл) добавляли фторид тетрабутиламмония (1М в тетрагидрофуране; 39.8 мл, 39.8 ммоль, 1.1 экв.), и смесь перемешивали при температуре окружающей среды в течение 1 ч. Реакционную смесь концентрировали в вакууме, распределяли между этилацетатом и водой, и органическую фазу сушили (сульфат магния) и концентрировали в вакууме. Очистка с помощью автоматической колоночной флэш-хроматографии (CombiFlash Rf, 120 г силикагелевый картридж RediSep™) с элюированием с градиентом 0-50% этилацетата в изогептане приводила к получению целевого продукта в виде прозрачного масла (2.14 г, 17.2 ммоль, 48%).

1H ЯМР (400 МГц, ДМСО-d6) δ 4.43 (t, J=5.2 Гц, 1Н), 3.46-3.38 (m, 2Н), 2.12 (td, J=7.1, 2.0 Гц, 2Н), 1.58-1.47 (m, 2Н), 1.29-1.16 (m, 1Н), 0.74-0.65 (m, 2Н), 0.54-0.46 (m, 2Н).

Стадия С: этил 2-{[(трет-бутокси)карбонил](5-циклопропилпент-4-ин-1-ил)амино}-1,3-тиазол-4-карбоксилат

К раствору этил 2-[(трет-бутоксикарбонил)амино]-1,3-тиазол-4-карбоксилата (3.13 г, 11.5 ммоль, 1 экв.) и продукта со Стадии В (2.14 г, 17.2 ммоль, 1.5 экв.) в тетрагидрофуране (80 мл) добавляли трифенилфосфин на полимерной подложке (4.52 г, 17.23 ммоль, 1.5 экв.), смесь охлаждали до 0°С и по каплям добавляли диэтилазодикарбоксилат (2.73 мл, 17.2 ммоль, 1.5 экв.), затем смеси давали нагреться до температуры окружающей среды и перемешивали в течение ночи. Реакционную смесь распределяли между дихлорметаном и водой, разделяли (ПТФЭ фазоразделитель) и концентрировали в вакууме. Очистка с помощью автоматической колоночной флэш-хроматографии (CombiFlash Rf, 80 г силикагелевый картридж RediSep™) с элюированием с градиентом 0-15% этилацетата в изогептане приводила к получению целевого продукта в виде бесцветного твердого вещества (3.86 г, 10.2 ммоль, 89%).

ЖХ/МС (C19H26N2O4S) 379 [М+Н]+; RT 2.60 (ЖХМС-V-C)

1H ЯМР (400 МГц, ДМСО-d6) δ 8.07 (s, 1Н), 4.28 (q, J=7.1 Гц, 2Н), 4.11 (t, J=7.0 Гц, 2Н), 2.21-2.13 (m, 2Н), 1.84-1.75 (m, 2Н), 1.58 (s, 9Н), 1.55 (s, 4Н), 1.29 (t, 3Н), 1.23-1.14 (m, 1Н), 0.73-0.61 (m, 2Н), 0.56-0.45 (m, 2Н).

Стадия D: этил 2-{3-хлор-4-циклопропил-5Н,6Н,7Н,8Н-пиридо[2,3-с]пиридазин-8-ил}-1,3-тиазол-4-карбоксилат

К раствору продукта со Стадии С (3.86 г, 10.2 ммоль, 1 экв.) в толуоле (120 мл) добавляли 3,6-дихлор-1,2,4,5-тетразин (1.54 г, 10.2 ммоль, 1 экв.), и смесь нагревали в закупоренной колбе при 130°С в течение 24 ч. Реакционную смесь концентрировали в вакууме. Очистка с помощью автоматической колоночной флэш-хроматографии (CombiFlash Rf, 80 г силикагелевый картридж RediSep™) с элюированием с градиентом 0-60% этилацетата в изогептане приводила к получению целевого продукта (677 мг, 1.86 ммоль, 18%).

ЖХ/МС (C16H17ClN4O2S) 365 [М+Н]+; RT2.18 (ЖХМС-V-C)

1H ЯМР (400 МГц, с добавлением ТФУ/ДМСО-d6) δ 8.04 (s, 1Н), 4.36-4.22 (m, 4Н), 3.07 (t, J=6.2 Гц, 2Н), 2.11 2.00 (m, 2Н), 1.92-1.81 (m, 1Н), 1.31 (t, J=7.1 Гц, 3Н), 1.20-1.06 (m, 2Н), 0.76-0.67 (m, 2Н).

Стадия Е: этил 2-{3-[(1,3-бензотиазол-2-ил)амино]-4-циклопропил-5Н,6Н,7Н,8Н-пиридо[2,3-с]пиридазин-8-ил}-1,3-тиазол-4-карбоксилат

В высушенную в сушильном шкафу запаиваемую трубку загружали продукт со Стадии D (627 мг, 1.72 ммоль, 1 экв.), 2-аминобензотиазол (387 мг, 2.58 ммоль, 1.5 экв.), N,N-диизопропилэтиламин (0.9 мл, 5.16 ммоль, 3 экв.) и 1,4-диоксан (22 мл), смесь барботировали азотом (10 мин) и затем добавляли джозифос Pd G3 (162 мг, 0.17 ммоль, 0.1 экв.), и смесь нагревали при 150°С в течение 20 ч. Реакционную смесь распределяли между этилацетатом и соляным раствором, и органическую фазу сушили (сульфат магния) и концентрировали в вакууме. Очистка с помощью автоматической колоночной флэш-хроматографии (CombiFlash Rf, 24 г силикагелевый картридж RediSep™) с элюированием с градиентом 0-100% этилацетата в изогептане приводила к получению целевого продукта в виде бежевого твердого вещества (261 мг, 0.55 ммоль, 32%).

ЖХ/МС (C23H22N6O2S2) 479 [М+Н]+; RT 2.44 (ЖХМС-V-C)

1H ЯМР (400 МГц, с добавлением ТФУ/ДМСО-d6) δ 10.45 (s, 1Н), 8.07 -7.92 (m, 2Н), 7.75-7.60 (m, 1Н), 7.40 (t, 1Н), 7.30-7.16 (m, 1Н), 4.38-4.22 (m, 4Н), 3.08 (t, J=6.1 Гц, 2Н), 2.15-2.01 (m, 2Н), 1.98-1.85 (m, 1Н), 1.32 (t, J=7.1 Гц, 3Н), 1.27-1.12 (m, 2Н), 0.74-0.53 (m, 2Н).

Стадия F: этил 2-{3-[(1,3-бензотиазол-2-ил)({[2-(триметилсилил)этокси]метил})амино]-4-циклопропил-5Н,6Н, 7Н,8Н-пиридо[2,3-с]пиридазин-8-ил}-1,3-тиазол-4-карбоксилат

К раствору продукта со Стадии Е (1.47 г, 3.07 ммоль, 1 экв.) в диметилформамиде (240 мл) добавляли N,N-диизопропилэтиламин (1.61 мл, 9.21 ммоль, 3 экв.), и через 5 мин смесь охлаждали до 0°С и добавляли 4-(диметиламино)пиридин (75.1 мг, 0.61 ммоль, 0.2 экв.) и 2-(триметилсилил)этоксиметил хлорид (1.62 мл, 9.21 ммоль, 3 экв.), и смеси давали нагреться до температуры окружающей среды и перемешивали в течение ночи. Реакционную смесь концентрировали в вакууме, затем распределяли между дихлорметаном и соляным раствором, разделяли (ПТФЭ фазоразделитель), и органическую фазу концентрировали в вакууме. Очистка с помощью автоматической колоночной флэш-хроматографии (CombiFlash Rf, 40 г силикагелевый картридж RediSep™) с элюированием с градиентом 0 50% этилацетата в изогептане приводила к получению целевого продукта в виде желтой смолы (1.36 г, 2.23 ммоль, 73%).

ЖХ/МС (C29H36N6O3SiS2) 609 [М+Н]+; RT 2.96 (ЖХМС-V-C)

1H ЯМР (400 МГц, ДМСО-d6) δ 7.97 (s, 1Н), 7.80 (d, 1H), 7.48-7.37 (m, 2Н), 7.22 (ddd, J=8.3, 7.0, 1.5 Гц, 1H), 5.82 (s, 2Н), 4.36-4.21 (m, 4Н), 3.76-3.66 (m, 2Н), 3.06 (t, J=6.2 Гц, 2Н), 2.13-2.02 (m, 2Н), 1.95-1.84 (m, 1Н), 1.31 (t, J=7.1 Гц, 3Н), 1.23-1.15 (m, 2Н), 1.13-1.05 (m, 2Н), 0.93-0.84 (m, 2Н), -0.10 (s, 9Н).

Стадия G: этил 2-{3-[(1,3-бензотиазол-2-ил)({[2-(триметилсилил)этокси]метил})амино]-4-циклопропил-5Н,6Н,7Н,8Н-пиридо[2,3-с]пиридазин-8-ил}-5-бром-1,3-тиазол-4-карбоксилат

К раствору продукта со Стадии F (1.36 г, 2.23 ммоль, 1 экв.) в дихлорметане (40 мл) добавляли N-бромсукцинимид (596 мг, 3.35 ммоль, 1.5 экв.), и смесь перемешивали при температуре окружающей среды в течение ночи. Реакционную смесь распределяли между дихлорметаном и соляным раствором, и органическую фазу сушили (ПТФЭ фазоразделитель) и концентрировали в вакууме. Очистка с помощью автоматической колоночной флэш-хроматографии (CombiFlash Rf, 40 г силикагелевый картридж RediSep™) с элюированием с градиентом 0 40% этилацетата в изогептане приводила к получению целевого продукта в виде желтого твердого вещества (1.43 г, 2.08 ммоль, 93%).

ЖХ/МС (C29H35BrN6O3SiS2) 689 [М+Н]+; RT 3.17 (ЖХМС-V-C)

1H ЯМР (400 МГц, ДМСО-d6) δ 7.86-7.81 (m, 1H), 7.50-7.39 (m, 2Н), 7.27-7.20 (m, 1H), 5.82 (s, 2Н), 4.32 (q, 2Н), 4.29-4.21 (m, 2Н), 3.75-3.66 (m, 2Н), 2.13-2.01 (m, 2Н), 1.98-1.86 (m, 1H), 1.32 (t, 3Н), 1.28-1.16 (m, 2H), 1.15-1.05 (m, 2H), 0.94-0.83 (m, 2H), -0.10 (s, 9H).

Стадия Н: этил 5-[(1Е)-3-[(трет-бутилдиметилсилил)окси]проп-1-ен-1-ил]-2-(4-циклопропил-3-{[(2Z)-3-{[2-(триметилсилил)этокси]метил}-2,3-дигидро-1,3-бензотиазол-2-илиден]амино}-5Н,6Н,7Н,8Н-пиридо[2,3-с]пиридазин-8-ил)-1,3-тиазол-4-карбоксилат

В высушенную в сушильном шкафу закупоренную колбу загружали продукт со Стадии G (1.43 г, 2.08 ммоль, 1 экв.), сложный пинаколовый эфир (Е)-3-(трет-бутилдиметилсилилокси)пропен-1-илбороновой кислоты (0.82 мл, 2.5 ммоль, 1.2 экв.), карбонат калия (862 мг, 6.24 ммоль, 3 экв.), [1,Г-бис(дифенилфосфино)ферроцен]дихлорпалладий(II) (170 мг, 0.21 ммоль, 0.1 экв.), тетрагидрофуран (60 мл) и воду (20 мл), смесь барботировали азотом (10 мин) и затем нагревали при 120°С в течение 1.5 ч. Реакционную смесь распределяли между этилацетатом и водой, и органическую фазу промывали соляным раствором, сушили (сульфат магния) и концентрировали в вакууме. Очистка с помощью автоматической колоночной флэш-хроматографии (CombiFlash Rf, 80 г силикагелевый картридж RediSep™) с элюированием с градиентом 0-30% этилацетата в изогептане приводила к получению целевого продукта в виде желтого твердого вещества (1.05 г, 1.35 ммоль, 65%).

ЖХ/МС (C38H54N6O4Si2S2) 779 [М+Н]+; RT 1.66 (ЖХМС-V-В2)

1H ЯМР (400 МГц, ДМСО-d6) δ 7.79 (d, 1H), 7.51-7.37 (m, 3Н), 7.27-7.18 (m, 1H), 6.27 (dt, J=16.0, 4.3 Гц, 1H), 5.82 (s, 2Н), 4.40-4.34 (m, 2Н), 4.34-4.23 (m, 4Н), 3.75-3.66 (m, 2Н), 3.06 (t, J=6.1 Гц, 2Н), 2.13-2.01 (m, 2Н), 1.96-1.84 (m, 1H), 1.31 (t, J=7.1 Гц, 3Н), 1.22-1.14 (m, 2Н), 1.13-1.04 (m, 2Н), 0.93 (s, 9Н), 0.89-0.82 (m, 2Н), 0.11 (s, 6Н), -0.10 (s, 9Н).

Стадия I: этил 5-{3-[(трет-бутилдиметилсилил)окси]пропил}-2-(4-циклопропил-3-{[(2Z)-3-{[2-(триметилсилил)этокси]метил}-2,3-дигидро-1,3-бензотиазол-2-илиден]амино}-5Н,6Н, 7Н,8Н-пиридо[2,3-с]пиридазин-8-ил)-1,3-тиазол-4-карбоксилат

К раствору продукта со Стадии Н (1.05 г, 1.35 ммоль, 1 экв.) в этилацетате (60 мл) добавляли оксид платины(1У) (91.8 мг, 0.4 ммоль, 0.3 экв.) в атмосфере азота. Сосуд вакуумировали и снова заполняли азотом (х3), затем вакуумировали, создавали в нем атмосферу водорода и встряхивали при температуре окружающей среды в течение 2 дней. Реакционную смесь фильтровали через целит, элюировали этилацетатом и концентрировали в вакууме. Очистка с помощью автоматической колоночной флэш-хроматографии (CombiFlash Rf, 24 г силикагелевый картридж RediSep™) с элюированием с градиентом 0-40% этилацетата в изогептане приводила к получению целевого продукта в виде прозрачной смолы (913 мг, 1.17 ммоль, 87%).

ЖХ/МС (C38H56N6O4Si2S2) 781 [М+Н]+; RT 1.71 (ЖХМС-V-В2)

1H ЯМР (400 МГц, ДМСО-d6) δ 7.74 (d, 1Н), 7.49-7.36 (m, 2Н), 7.27-7.20 (m, 1Н), 5.82 (s, 2Н), 4.34-4.21 (m, 4Н), 3.75-3.62 (m, 4Н), 3.15 (t, J=7.5 Гц, 2Н), 3.05 (t, J=6.3 Гц, 2Н), 2.12-2.00 (m, 2Н), 1.96-1.78 (m, 3Н), 1.31 (t, 3Н), 1.21-1.16 (m, 2H), 1.13-1.05 (m, 2H), 0.91 (s, 9H), 0.87-0.81 (m, 2H), 0.06 (s, 6H), -0.10 (m, 9H).

Стадия J: этил 2-(4-циклопропил-3-{[(2Z)-3-{[2-(триметилсилил)этокси]метил}-2,3-дигидро-1,3-бензотиазол-2-илиден]амино}-5Н,6Н,7Н,8Н-пиридо[2,3-с]пиридазин-8-ил)-5-(3-гидроксипропил)-1,3-тиазол-4-карбоксилат

К раствору продукта со Стадии I (819 мг, 1.05 ммоль, 1 экв.) в 1,4-диоксане (18 мл) добавляли фторид тетрабутиламмония (1М в тетрагидрофуране; 1.15 мл, 1.15 ммоль, 1.1 экв.), и смесь перемешивали при температуре окружающей среды в течение 2 ч. Реакционную смесь распределяли между этилацетатом и водой, и органическую фазу сушили (сульфат магния) и концентрировали в вакууме. Очистка с помощью автоматической колоночной флэш-хроматографии (CombiFlash Rf, 24 г силикагелевый картридж RediSep™) с элюированием с градиентом 0-50% этилацетата в дихлорметане приводила к получению целевого продукта в виде желтой смолы (650 мг, 0.97 ммоль, 93%).

ЖХ/МС (C32H42N6O4SiS2) 667 [М+Н]+; RT 2.85 (ЖХМС-V-C)

1H ЯМР (400 МГц, ДМСО-d6) δ 7.81 (dd, J=7.5, 1.0 Гц, 1Н), 7.48-7.36 (m, 2H), 7.27-7.17 (m, 1H), 5.81 (s, 2H), 4.56 (t, J=5.1 Гц, 1H), 4.34-4.21 (m, 4H), 4.12 (q, J=7.1 Гц, 3Н), 3.75-3.66 (m, 2H), 3.48 (td, J=6.3, 5.1 Гц, 2H), 3.17 -3.08 (m, 2H), 3.05 (t, J=6.3 Гц, 2H), 1.96-1.84 (m, 1H), 1.83-1.74 (m, 2H), 1.31 (t, J=7.1 Гц, 3Н), 1.20-1.15 (m, 2H), 1.13-1.04 (m, 2H), 0.93-0.85 (m, 2H), -0.10 (s, 9H).

Стадия K: этил 5-(3-хлорпропил)-2-(4-циклопропил-3-{[(2Z)-3-{[2-(триметилсилил)этокси]метил}-2,3-дигидро-1,3-бензотиазол-2-илиден]амино}-5Н,6Н,7Н,8Н-пиридо[2,3-с]пиридазин-8-ил)-1,3-тиазол-4-карбоксилат

Продукт со Стадии J (291 мг, 0.44 ммоль, 1 экв.) растворяли в тионилхлориде (10 мл) и перемешивали при температуре окружающей среды в течение 8 ч. Реакционную смесь концентрировали в вакууме, затем распределяли между дихлорметаном и соляным раствором, и органическую фазу сушили (ПТФЭ фазоразделитель) и концентрировали в вакууме. Очистка с помощью автоматической колоночной флэш-хроматографии (CombiFlash Rf, 12 г силикагелевый картридж RediSep™) с элюированием с градиентом 0-40% этилацетата в изогептане приводила к получению целевого продукта в виде оранжевой смолы (147 мг, 0.21 ммоль, 49%).

ЖХ/МС (C32H41lN6OSiS2) 685 [М+Н]+; RT 3.15 (ЖХМС-V-C)

1H ЯМР (400 МГц, ДМСО-d6) δ 7.80 (dd, J=7.4, 1.0 Гц, 1Н), 7.48-7.36 (m, 2Н), 7.27-7.18 (m, 1Н), 5.81 (s, 2Н), 4.34-4.21 (m, 4Н), 3.78-3.64 (m, 4Н), 3.27-3.18 (m, 2Н), 3.05 (t, J=6.2 Гц, 2Н), 2.16 1.96 (m, 4Н), 1.98 1.81 (m, 1Н), 1.32 (t, J=7.1 Гц, 3Н), 1.22-1.14 (m, 2Н), 1.13-1.01 (m, 2Н), 0.95-0.82 (m, 2Н), -0.11 (s, 9Н).

Стадия L: этил 2-(4-циклопропил-3-{[(2Z-3-{[2-(триметилсилил)этокси]метил}-2,3-дигидро-1,3-бензотиазол-2-илиден]амино}-5Н,6Н,7Н,8Н-пиридо[2,3-с]пиридазин-8-ил)-5-(3-{4-[3-(диметиламино)проп-1-ин-1-ил]-2-фторфенокси}пропил)-1,3-тиазол-4-карбоксилат

К раствору продукта Синтеза 4b (53.9 мг, 0.28 ммоль, 1.3 экв.) в диметилформамиде (30 мл) добавляли гидрид натрия (60% дисперсия; 21.5 мг, 0.54 ммоль, 2.5 экв.), и смесь перемешивали в течение 2 мин. Добавляли раствор продукта со Стадии K(147 мг, 0.21 ммоль, 1 экв.) в диметилформамиде (10 мл), и смесь нагревали при 100°С в течение 1.5 ч. Реакционную смесь распределяли между этилацетатом и водой, и органическую фазу сушили (сульфат магния) и концентрировали в вакууме. Очистка с помощью автоматической колоночной флэш-хроматографии (CombiFlash Rf, 24 г силикагелевый картридж RediSep™) с элюированием с градиентом 0-5% метанола в дихлорметане приводила к получению целевого продукта в виде желтой смолы (145 мг, 0.17 ммоль, 80%).

ЖХ/МС (C43H52FN7OSiS2) 842 [М+Н]+; RT 2.76 (ЖХМС-V-C)

1H ЯМР (400 МГц, ДМСО-d6) δ 7.79 (dd, J=7.5, 1.1 Гц, 1Н), 7.48-7.36 (m, 2Н), 7.34-7.27 (m, 1Н), 7.26-7.12 (m, 3Н), 5.81 (s, 2Н), 4.30-4.20 (m, 4Н), 4.14 (t, J=6.1 Гц, 2Н), 3.75-3.66 (m, 2Н), 3.38 (s, 2Н), 3.27 (t, J=6.3 Гц, 2Н), 3.05 (t, 2Н), 2.19 (s, 6Н), 2.17-2.09 (m, 2Н), 2.08-1.99 (m, 2Н), 1.94-1.83 (m, 1Н), 1.29 (t, 3Н), 1.21-1.14 (m, 2Н), 1.13-1.05 (m, 2Н), 0.94-0.82 (m, 2Н), -010 (s, 9Н).

Стадия М: этил 2-{3-[(1,3-бензотиазол-2-ил)амино]-4-циклопропил-5Н,6Н,7Н,8Н-пиридо[2,3-с]пиридазин-8-ил}-5-(3-{4-[3-(диметиламино)проп-1-ин-1-ил]-2-фторфенокси}пропил)-1,3-тиазол-4-карбоксилат

К раствору продукта со Стадии L (175 мг, 0.21 ммоль, 1 экв.) в дихлорметане (6 мл) добавляли трифторуксусную кислоту (6 мл), и смесь перемешивали при температуре окружающей среды в течение 7.5 ч. Реакционную смесь разбавляли дихлорметаном, охлаждали до 0°С и нейтрализовали 2 н. водным раствором гидроксида натрия. Органическую фазу сушили (ПТФЭ фазоразделитель) и концентрировали в вакууме. Очистка с помощью автоматической колоночной флэш-хроматографии (CombiFlash Rf, 12 г силикагелевый картридж RediSep™) с элюированием с градиентом 0-7% метанола в дихлорметане приводила к получению целевого продукта в виде желтой смолы (16 мг, 0.02 ммоль, 11%).

ЖХ/МС (C37H38FN7O3S2) 712 [М+Н]+; RT 2.18 (ЖХМС-V-C)

1H ЯМР (400 МГц, ДМСО-d6) δ 7.94 (d, J=7.7 Гц, 1Н), 7.60 (d, J=8.0 Гц, 1H), 7.43-7.34 (m, 1H), 7.30 (dd, J=11.9, 2.0 Гц, 1H), 7.26-7.10 (m, 3H), 4.30 -4.20 (m, 4H), 4.14 (t, J=6.1 Гц, 2H), 3.36 (s, 2H), 3.30-3.23 (m, 2H), 3.10-3.00 (m, 2H), 2.19 (s, 6H), 2.16-2.09 (m, 2H), 2.08-1.99 (m, 2H), 1.95-1.86 (m, 1H), 1.28 (t, J=7.1 Гц, 3Н), 1.25-1.21 (m, 2H), 1.21-1.13 (m, 2H).

Стадия N: 2-{3-[(1,3-бензотиазол-2-ил)амино]-4-циклопропил-5H,6H,7Н,8Н-пиридо[2,3-с]пиридазин-8-ил}-5-(3-{4-[3-(диметиламино)проп-1-ин-1-ил]-2-фторфенокси}пропил)-1,3-тиазол-4-карбоновая кислота

К раствору продукта со Стадии М (16 мг, 0.02 ммоль, 1 экв.) в 1,4-диоксане (5 мл) добавляли моногидрат гидроксида лития (9.43 мг, 0.22 ммоль, 10 экв.), и смесь нагревали с обратным холодильником в течение ночи. Реакционную смесь концентрировали в вакууме, и остаток растирали в воде, затем в диэтиловом эфире, отфильтровывали и сушили в вакууме с получением целевого продукта в виде желтого твердого вещества (10.4 мг, 0.02 ммоль, 68%) в форме соли лития.

МСВР-ЭРИ (m/z) [М+Н]+, рассчитано для C35H35FN7O3S2: 684.2227, найдено: 684.2223.

Пример 31: 2-{3-[(1,3-Бензотиазол-2-ил)амино]-4-метил-5Н,6Н,7Н,8Н,9Н-пиридазино[3,4-b]азепин-9-ил}-5-(3-{4-[3-(диметиламино)проп-1-ин-1-ил]-2-фторфенокси} пропил)-1,3-тиазол-4-карбоновая кислота

Стадия А: этил 2-(4-метил-3-{[(2Z)-3-{[2-(триметилсилил)этокси]метил}-2,3-дигидро-1,3-бензотиазол-2-илиден]амино}-5Н,6Н, 7Н,8Н,9Н-пиридазино[3,4-Ь]азепин-9-ил)-1,3-тиазол-4-карбоксилат

К раствору соединения Примера 25 (4.97 г, 10.7 ммоль, 1 экв.) в диметилформамиде (180 мл) добавляли N,N-диизопропилэтиламин (5.57 мл, 32 ммоль, 3 экв.). Через 5 мин смесь охлаждали до 0°С и добавляли 4-(диметиламино)пиридин (260 мг, 2.13 ммоль, 0.2 экв.) и 2-(триметилсилил)этоксиметил хлорид (5.61 мл, 32 ммоль, 3 экв.), и смесь перемешивали при температуре окружающей среды в течение ночи. Реакционную смесь концентрировали в вакууме, распределяли между этилацетатом и водой, и органическую фазу сушили (сульфат магния) и концентрировали в вакууме. Очистка с помощью автоматической колоночной флэш-хроматографии (CombiFlash Rf, 120 г силикагелевый картридж RediSep™) с элюированием с градиентом 0-40% этилацетата в изогептане приводила к получению целевого продукта в виде желтой смолы (5.21 г, 8.73 ммоль, 82%).

ЖХ/МС (C28H36N6O3SiS2) 597 [М+Н]+; RT 2.87 (ЖХМС-V-C)

1H ЯМР (400 МГц, ДМСО-d6) δ 7.82 (dd, J=7.7, 1.1 Гц, 1Н), 7.74 (s, 1Н), 7.52-7.39 (m, 2Н), 7.25 (td, J=7.5, 1.4 Гц, 1H), 5.88 (s, 2Н), 4.27 (q, J=7.1 Гц, 2Н), 4.15-4.01 (m, 2Н), 3.72 (dd, J=8.4, 7.4 Гц, 2Н), 2.89-2.81 (m, 2Н), 2.43 (s, 3Н), 1.95-1.83 (m, 2Н), 1.82-1.69 (m, 2Н), 1.29 (t, J=7.1 Гц, 3Н), 0.91 (dd, J=8.5, 7.4 Гц, 2Н), -0.11 (s, 9Н).

Стадия В: этил 5-бром-2-(4-метил-3-{[(2Z)-3-{[2-(триметилсилил)этокси]метил}-2,3-дигидро-1,3-бензотиазол-2-илиден]амино}-5Н,6Н,7Н,8Н,9Н-пиридазино[3,4-b]азепин-9-ил)-1,3-тиазол-4-карбоксилат

К раствору продукта со Стадии А (5.21 г, 8.73 ммоль, 1 экв.) в дихлорметане (100 мл) добавляли N-бромсукцинимид (1.71 г, 9.6 ммоль, 1.1 экв.), и смесь перемешивали при температуре окружающей среды в течение ночи. Реакционную смесь распределяли между дихлорметаном и 10% водным раствором тиосульфата натрия, и органическую фазу промывали соляным раствором, сушили (ПТФЭ фазоразделитель) и концентрировали в вакууме. Очистка с помощью автоматической колоночной флэш-хроматографии (CombiFlash Rf, 120 г силикагелевый картридж RediSep™) с элюированием с градиентом 0-30% этилацетата в изогептане приводила к получению целевого продукта в виде желтой смолы (5.23 г, 7.74 ммоль, 89%).

ЖХ/МС (C28H35BrN6O3SiS2) 677 [М+Н]+; RT 3.08 (ЖХМС-V-C)

1H ЯМР (400 МГц, ДМСО-d6) δ 7.84 (dd, J=7.9, 1.1 Гц, 1Н), 7.52-7.38 (m, 2H), 7.31-7.20 (m, 1H), 5.88 (s, 2H), 4.30 (q, J=7.1 Гц, 2H), 4.18 (dd, J=6.8, 4.6 Гц, 2H), 3.78-3.66 (m, 2H), 2.95-2.85 (m, 2H), 2.44 (s, 3Н), 2.01-1.88 (m, 2H), 1.86-1.72 (m, 2H), 1.31 (t, J=7.1 Гц, 3Н), 0.96-0.87 (m, 2H), -0.10 (s, 9H).

Стадия С: этил 5-[(1Е)-3-[(трет-бутилдиметилсилил)окси]проп-1-ен-1-ил]-2-(4-метил-3-{[(2Z)-3-{[2-(триметилсилил)этокси]метил}-2,3-дигидро-1,3-бензотиазол-2-илиден]амино}-5Н,6Н,7Н,8Н,9Н-пиридазино[3,4-b]азепин-9-ил)-1,3-тиазол-4-карбоксилат

В высушенную в сушильном шкафу закупоренную колбу загружали продукт со Стадии В (5.23 г, 7.74 ммоль, 1 экв.), сложный пинаколовый эфир (Е)-3-(трет-бутилдиметилсилилокси)пропен-1-илбороновой кислоты (3.04 мл, 9.29 ммоль, 1.2 экв.), карбонат калия (3.21 г, 23.2 ммоль, 3 экв.), [1,1'-бис(дифенилфосфино)ферроцен]дихлорпалладий(II) (632 мг, 0.77 ммоль, 0.1 экв.), тетрагидрофуран (150 мл) и воду (50 мл), смесь барботировали азотом (10 мин) и затем нагревали при 120°С в течение 1 ч. Реакционную смесь распределяли между этилацетатом и водой, и органическую фазу промывали соляным раствором, сушили (сульфат магния) и концентрировали в вакууме. Очистка с помощью автоматической колоночной флэш-хроматографии (CombiFlash Rf, 120 г силикагелевый картридж RediSep™) с элюированием с градиентом 0 40% этилацетата в изогептане приводила к получению целевого продукта в виде оранжевого масла (5.17 г, 6.74 ммоль, 87%).

ЖХ/МС (C37H54N6O4Si2S2) 767 [М+Н]+; RT 1.60 (ЖХМС-V-В2)

1H ЯМР (400 МГц, ДМСО-d6) δ 7.82 (dd, J=7.8, 1.2 Гц, 1Н), 7.53-7.35 (m, 3Н), 7.26 (ddd, J=8.3, 7.2, 1.3 Гц, 1H), 6.01 (dt, J=15.9, 4.3 Гц, 1H), 5.88 (s, 2H), 4.36-4.235 (m, 4H), 4.12-3.99 (m, 2H), 3.78-3.67 (m, 2H), 2.89-2.78 (m, 2H), 2.43 (s, 3H), 1.95-1.82 (m, 2H), 1.81-1.68 (m, 2H), 1.30 (t, J=7.1 Гц, 3Н), 0.97 -0.84 (m, 11H), 0.07 (s, 6H), -0.12 (s, 9H).

Стадия D: этил 5-{3-[(трет-бутилдиметилсилил)окси]пропил}-2-(4-метил-3-{[(2Z)-3-{[2-(триметилсилил)этокси]метил}-2,3-дигидро-1,3-бензотиазол-2-илиден]амино}-5Н,6Н,7Н,8Н,9Н-пиридазино[3,4-b]азепин-9-ил)-1,3-тиазол-4-карбоксилат

К раствору продукта со Стадии С (5.17 г, 6.74 ммоль, 1 экв.) в этилацетате (120 мл) добавляли оксид платины(IV) (459 мг, 2.02 ммоль, 0.3 экв.) в атмосфере азота. Сосуд вакуумировали и снова заполняли азотом (х3), затем вакуумировали, создавали в нем атмосферу водорода и встряхивали при температуре окружающей среды в течение 2 дней. Реакционную смесь фильтровали через целит, элюировали этилацетатом и концентрировали в вакууме. Очистка с помощью автоматической колоночной флэш-хроматографии (CombiFlash Rf, 120 г силикагелевый картридж RediSep™) с элюированием с градиентом 0-40% этилацетата в изогептане приводила к получению целевого продукта в виде оранжевого масла (4.46 г, 5.8 ммоль, 86%).

ЖХ/МС (C37H56N6O4Si2S2) 769 [М+Н]+; RT 1.62 (ЖХМС-V-В2)

1H ЯМР (400 МГц, ДМСО-d6) δ 7.79 (dd, J=7.9, 1.2 Гц, 1Н), 7.53-7.40 (m, 2H), 7.31-7.21 (m, 1H), 5.87 (s, 2H), 4.26 (q, J=7.1 Гц, 2H), 4.10-3.97 (m, 2H), 3.77-3.66 (m, 2H), 3.61 (t, J=6.1 Гц, 2H), 3.60 (t, J=7.6 Гц, 2H), 3.11-2.99 (m, 2H), 2.88-2.76 (m, 2H), 2.44 (s, 3Н), 1.96-1.81 (m, 2H), 1.81-1.67 (m, 4H), 1.29 (t, 3Н), 0.91-0.81 (m, 11Н), 0.01 (s, 6H), -0.11 (s, 9H).

Стадия Е: этил 5-(3-гидроксипропил)-2-(4-метил-3-{[(2Z)-3-{[2-(триметилсилил)этокси]метил}-2,3-дигидро-1,3-бензотиазол-2-илиден]амино}-5Н,6Н,7Н,8Н,9Н-пиридазино[3,4-b]азепин-9-ил)-1,3-тиазол-4-карбоксилат

К раствору продукта со Стадии D (4.46 г, 5.8 ммоль, 1 экв.) в тетрагидрофуране (150 мл) добавляли фторид тетрабутиламмония (1М в тетрагидрофуране, 8.7 мл, 8.7 ммоль, 1.5 экв.), и смесь перемешивали при к.т.в течение 1.5 ч. Реакционную смесь распределяли между этилацетатом и водой, и органическую фазу сушили (сульфат магния) и концентрировали в вакууме. Очистка с помощью автоматической колоночной флэш-хроматографии (CombiFlash Rf, 80 г силикагелевый картридж RediSep™) с элюированием с градиентом 0-50% этилацетата в дихлорметане приводила к получению целевого продукта в виде бежевой смолы (2.63 г, 4.02 ммоль, 69%).

ЖХ/МС (C31H42N6O4SiS2) 655 [М+Н]+; RT 2.77 (ЖХМС-V-C)

1H ЯМР (400 МГц, ДМСО-d6) δ 7.83 (dd, J=7.9, 1.2 Гц, 1Н), 7.52-7.39 (m, 2H), 7.25 (ddd, J=8.3, 7.1, 1.3 Гц, 1H), 5.88 (s, 2H), 4.50 (t, J=5.1 Гц, 1H), 4.26 (q, J=7.1 Гц, 2H), 4.07-3.98 (m, 2H), 3.72 (t, J=7.9 Гц, 2H), 3.42 (td, J=6.3, 5.1 Гц, 2H), 3.04 (dd, J=8.9, 6.4 Гц, 2H), 2.90-2.77 (m, 2H), 2.43 (s, 3H), 1.95-1.82 (m, 2H), 1.81-1.65 (m, 4H), 1.29 (t, J=7.1 Гц, 3Н), 0.91 (dd, J=8.4, 7.4 Гц, 2H), -0.12 (s, 9H).

Стадия F: этил 5-(3-хлорпропил)-2-(4-метил-3-{[(2Z)-3-{[2-(триметилсилил)этокси]метил}-2,3-дигидро-1,3-бензотиазол-2-илиден]амино}-5Н,6Н,7Н,8Н,9Н-пиридазино[3,4-b]азепин-9-ил)-1,3-тиазол-4-карбоксилат

Продукт со Стадии Е (1.35 г, 2.06 ммоль, 1 экв.) растворяли в тионилхлориде (20 мл) и перемешивали при температуре окружающей среды в течение 5 ч. Реакционную смесь концентрировали в вакууме, затем распределяли между дихлорметаном и соляным раствором, и органическую фазу сушили (ПТФЭ фазоразделитель) и концентрировали в вакууме. Очистка с помощью автоматической колоночной флэш-хроматографии (CombiFlash Rf, 40 г силикагелевый картридж RediSep™) с элюированием с градиентом 0-50% этилацетата в изогептане приводила к получению целевого продукта в виде желтой смолы (989 мг, 1.47 ммоль, 71%).

ЖХ/МС (C31H41ClN6O3SiS2) 673 [М+Н]+; RT 3.02 (ЖХМС-V-C)

1H ЯМР (400 МГц, ДМСО-d6) δ 7.82 (dd, J=7.8, 1.2 Гц, 1Н), 7.52-7.39 (m, 2H), 7.30-7.21 (m, 1H), 5.87 (s, 2H), 4.27 (q, J=7.1 Гц, 2H), 4.11 3.98 (m, 2H), 3.72 (t, 2H), 3.67 (t, 2H), 3.19-3.09 (m, 2H), 2.88-2.80 (m, 2H), 2.44 (s, 3H), 2.07-1.96 (m, 2H), 1.94-1.83 (m, 2H), 1.82-1.69 (m, 2H), 1.31 (t, J=7.1 Гц, 3Н), 0.91 (dd, J=8.4, 7.4 Гц, 2H), -0.11 (s, 9H).

Стадия G: этил 5-(3-{4-[3-(диметиламино)проп-1-ин-1-ил]-2-фторфенокси}пропил)-2-(4-метил-3-{[(2Z)-3-{[2-(триметилсилил)этокси]метил}-2,3-дигидро-1,3-бензотиазол-2-илиден]амино}-5Н,6Н,7Н,8Н,9Н-пиридазино[3,4-b]азепин-9-ил)-1,3-тиазол-4-карбоксилат

К раствору продукта Синтеза 4b (369 мг, 1.91 ммоль, 1.3 экв.) в диметилформамиде (150 мл) добавляли гидрид натрия (147 мг, 3.67 ммоль, 2.5 экв.), и смесь перемешивали в течение 2 мин. Добавляли раствор продукта со Стадии F (989 мг, 1.47 ммоль, 1 экв.) в диметилформамиде (50 мл), и смесь нагревали при 100°С в течение 1.5 ч. Реакционную смесь распределяли между этилацетатом и водой, и органическую фазу сушили (сульфат магния) и концентрировали в вакууме. Очистка с помощью автоматической колоночной флэш-хроматографии (CombiFlash Rf, 40 г силикагелевый картридж RediSep™) с элюированием с градиентом 0-5% метанола в дихлорметане приводила к получению целевого продукта в виде желтого масла (728 мг, 0.88 ммоль, 60%).

ЖХ/МС (C42H52FN7O4SiS2) 830 [М+Н]+; RT 2.61 (ЖХМС-V-C)

1H ЯМР (400 МГц, ДМСО-d6) δ 7.82 (dd, J=7.7, 1.1 Гц, 1Н), 7.52-7.39 (m, 2Н), 7.31-7.22 (m, 2Н), 7.21-7.15 (m, 1Н), 7.12 (t, J=8.7 Гц, 1Н), 5.88 (s, 2Н), 4.24 (q, J=7.1 Гц, 2Н), 4.10 (t, 2Н), 4.08-3.99 (m, 2Н), 3.77-3.68 (m, 2Н), 3.38 (s, 2Н), 3.18 (t, J=7.6 Гц, 2Н), 2.86-2.77 (m, 2Н), 2.43 (s, 3Н), 2.20 (s, 6Н), 2.11-1.98 (m, 2Н), 1.94-1.83 (m, 2Н), 1.82-1.69 (m, 2Н), 1.27 (t, J=7.1 Гц, 3Н), 0.91 (dd, J=8.4, 7.4 Гц, 2Н), -0.12 (s, 9Н).

Стадия Н: этил 2-{3-[(1,3-бензотиазол-2-ил)амино]-4-метил-5Н,6Н,7Н,8Н,9Н-пиридазино[3,4-b]азепин-9-ил}-5-(3-{4-[3-(диметиламино)проп-1-ин-1-ил]-2-фторфенокси}пропил)-1,3-тиазол-4-карбоксилат

К раствору продукта со Стадии G (728 мг, 0.88 ммоль, 1 экв.) в тетрагидрофуране (18 мл) добавляли этилендиамин (176 мкл, 2.63 ммоль, 3 экв.) и фторид тетрабутиламмония (1М в тетрагидрофуране; 2.64 мл, 2.63 ммоль, 3 экв.), и смесь нагревали при 60°С в течение 24 ч. Реакционную смесь распределяли между этилацетатом и водой и органическую фазу промывали соляным раствором, сушили (сульфат магния) и концентрировали в вакууме. Очистка с помощью автоматической колоночной флэш-хроматографии (CombiFlash Rf, 40 г силикагелевый картридж RediSep™) с элюированием с градиентом 0-7% метанола в дихлорметане приводила к получению целевого продукта в виде желтой смолы (224 мг, 0.32 ммоль, 37%).

ЖХ/МС (C36H38FN7O3S2) 700 [М+Н]+; RT 2.05 (ЖХМС-V-C)

1H ЯМР (400 МГц, ДМСО-d6) δ 11.67 (br s, 1H), 7.87 (d, 1H), 7.51 (d, J=8.0 Гц, 1H), 7.38 (ddd, J=8.2, 7.3, 1.3 Гц, 1H), 7.26 (dd, J=12.0, 2.0 Гц, 1H), 7.23 -7.16 (m, 2H), 7.12 (t, J=8.7 Гц, 1H), 4.24 (q, J=7.1 Гц, 2H), 4.09 (t, 2H), 4.05 -3.97 (m, 2H), 3.38 (s, 2H), 3.17 (t, J=7.6 Гц, 2H), 2.86-2.77 (m, 2H), 2.40 (s, 3H), 2.20 (s, 6H), 2.11-1.96 (m, 2H), 1.92-1.82 (m, 2H), 1.80-1.69 (m, 2H), 1.27 (t, J=7.1 Гц, 3Н).

Стадия I: 2-{3-[(1,3-бензотиазол-2-ил)амино]-4-метил-5Н,6Н,7H,8H,9H-пиридазино[3,4-b]азепин-9-ил}-5-(3-{4-[3-(диметиламино)проп-1-ин-1-ил]-2-фторфенокси}пропил)-1,3-тиазол-4-карбоновая кислота

К раствору продукта со Стадии Н (224 мг, 0.32 ммоль, 1 экв.) в 1,4-диоксане (15 мл) добавляли моногидрат гидроксида лития (134 мг, 3.2 ммоль, 10 экв.), и смесь нагревали с обратным холодильником в течение ночи. Реакционную смесь концентрировали в вакууме, и остаток растирали с водой, отфильтровывали и сушили в вакууме с получением целевого продукта в виде желтого твердого вещества (202 мг, 0.3 ммоль, 94%) в форме соли лития.

МСВР-ЭРИ (m/z) [М+Н]+, рассчитано для C34H35FN7O3S2: 672.2227, найдено: 672.225.

Пример 32: 2-{3-[(1,3-Бетотиазол-2-ил)амино]-4-метил-5Н,6Н,7Н,8Н-пиридо[2,3-с]пиридазин-8-ил}-5-(3-{2-фтор-4-[3-(метиламино)проп-1-ин-1-ил]фенокси}пропил)-1,3-тиазол-4-карбоновая кислота

Стадия А: этил 5-{3-[4-(3-{[(трет-бутокси)карбонил](метил)амино}проп-1-ин-1-ил)-2-фторфенокси]пропил}-2-(4-метил-3-{[(2Z)-3-{[2-(триметилсилил)этокси]метил}-2,3-дигидро-1,3-бензотиазол-2-илиден]амино}-5Н,6Н,7Н,8Н-пиридо[2,3-с]пиридазин-8-ил)-1,3-тиазол-4-карбоксилат

К раствору продукта Синтеза 3g (500 мг, 0.78 ммоль, 1 экв.) в толуоле (15 мл) добавляли продукт Синтеза 4 с (327 мг, 1.17 ммоль, 1.5 экв.) с последующим добавлением трифенилфосфина (307 мг, 1.17 ммоль, 1.5 экв.) и диизопропилазодикарбоксилата (230 мкл, 1.17 ммоль, 1.5 экв.), и смесь нагревали с обратным холодильником в течение ночи. Реакционную смесь распределяли между дихлорметаном и водой, и органическую фазу сушили (ПТФЭ фазоразделитель) и концентрировали в вакууме. Очистка с помощью автоматической колоночной флэш-хроматографии (CombiFlash Rf, 24 г силикагелевый картридж RediSep™) с элюированием с градиентом 0-50% этилацетата в изогептане приводила к получению целевого продукта в виде не совсем белой пены (715 мг, 0.79 ммоль, >100%).

ЖХ/МС (C45H56FN7O6SiS2) 902 [М+Н]+; RT 1.46 (ЖХМС-V-В2)

1H ЯМР (400 МГц, ДМСО-d6) δ 7.82 (dt, J=7.6, 0.9 Гц, 1H), 7.48-7.37 (m, 2Н), 7.33 (d, J=11.6 Гц, 1Н), 7.28-7.13 (m, 3Н), 5.84 (s, 2Н), 4.32-4.17 (m, 6Н), 4.15 (t, J=6.1 Гц, 2Н), 3.72 (dd, J=8.5, 7.4 Гц, 2Н), 3.27 (d, J=15.4 Гц, 2Н), 2.93-2.75 (m, 5Н), 2.36 (s, 3Н), 2.19-2.10 (m, 2Н), 2.10-1.98 (m, 2Н), 1.40 (s, 9Н), 1.28 (t, 3Н), 0.96 0.89 (m, 2Н), -0.11 (s, 9Н).

Стадия В: этил 2-{3-[(1,3-бензотиазол-2-ил)амино]-4-метил-5Н, 6Н,7Н,8Н-пиридо[2,3-с]пиридазин-8-ил}-5-(3-{2-фтор-4-[3-(метиламино)проп-1-ин-1-ил]фенокси}пропил)-1,3-тиазол-4-карбоксилат

К раствору продукта со Стадии А (1.67 г, 1.85 ммоль, 1 экв.) в ацетонитриле (17 мл) добавляли фтороводород-пиридин (3.22 мл, 37 ммоль, 20 экв.), и смесь нагревали при 60°С в течение 2 ч. Реакционную смесь распределяли между 3:1 смесью дихлорметан/изопропанол и 2 н. водным раствором гидроксида натрия, и органическую фазу промывали соляным раствором, сушили (ПТФЭ фазоразделитель) и концентрировали в вакууме. Очистка с помощью автоматической колоночной флэш-хроматографии (CombiFlash Rf, 80 г силикагелевый картридж RediSep™) с элюированием с градиентом 0-7% метанола в дихлорметане приводила к получению целевого продукта в виде желтого твердого вещества (1.02 г, 1.52 ммоль, 82%).

ЖХ/МС (C34H34FN7O3S2) 672 [М+Н]+; RT 2.06 (ЖХМС-V-C)

1H ЯМР (400 МГц, ДМСО-d6) δ 7.89 (dd, J=7.8, 1.2 Гц, 1H), 7.50 (d, J=8.1 Гц, 1H), 7.38 (ddd, J=8.2, 7.3, 1.2 Гц, 1Н), 7.32-7.25 (m, 1Н), 7.23-7.12 (m, 3Н), 4.32-4.21 (m, 4Н), 4.15 (t, J=6.1 Гц, 2Н), 3.45 (s, 2Н), 3.32-3.23 (m, 2Н), 2.89 (t, J=6.4 Гц, 2H), 2.35 (s, 3Н), 2.31 (s, 3Н), 2.20-2.10 (m, 2H), 2.09-1.97 (m, 2H), 1.30 (t, J=7.1 Гц, 3Н).

Стадия С: 2-{3-[(1,3-бензотиазол-2-ил)амино]-4-метил-5Н,6Н,7Н,8Н-пиридо[2,3-с]пиридазин-8-ил}-5-(3-{2-фтор-4-[3-(метиламино)проп-1-ин-1-ил]фенокси}пропил)-1,3-тиазол-4-карбоновая кислота

К раствору продукта со Стадии В (1.02 г, 1.52 ммоль, 1 экв.) в 1,4-диоксане (50 мл) добавляли моногидрат гидроксида лития (637 мг, 15.2 ммоль, 10 экв.), и смесь нагревали при 110°С в течение ночи. Очистка с помощью автоматической колоночной флэш-хроматографии (CombiFlash Rf, 80 г силикагелевый картридж RediSep™) с элюированием с градиентом 0-70% 0.7 н. метанольного раствора аммиака в дихлорметане приводила к получению твердого вещества, которое растирали с ацетонитрилом, отфильтровывали и сушили в вакууме с получением целевого продукта в виде желтого твердого вещества (657 мг, 1.02 ммоль, 67%).

МСВР-ЭРИ (m/z) [М+Н]+, рассчитано для C32H31FN7O3S2: 644.1914, найдено: 644.1930.

Пример 33: 2-[(6R)-3-[(1,3-Бензотиазол-2-ил)амино]-6-гидрокси-4-метил-5Н,6Н,7Н,8Н-пиридо[2,3-с]пиридазин-8-ил]-1,3-тиазол-4-карбоновая кислота

Стадия А: (4S)-3-[2-(бензилокси)ацетил]-4-(пропан-2-ил)-1,3-оксазолидин-2-он

К раствору (8)-4-изопропил-2-оксазолидинона (10 г, 77.4 ммоль, 1 экв.) в тетрагидрофуране (200 мл) медленно добавляли гидрид натрия (60% дисперсия; 3.72 г, 92.9 ммоль, 1.2 экв.) при 0°С. Через 1 час по каплям добавляли бензилоксиацетилхлорид (12.8 мл, 81.3 ммоль, 1.05 экв.), и смесь перемешивали в течение 1 ч. Реакционную смесь гасили путем добавления по каплям насыщенного водного раствора хлорида аммония (20 мл) при 0°С, и экстрагировали этилацетатом (250 мл). Органический экстракт последовательно промывали водой (250 мл) и соляным раствором (2 × 250 мл), сушили (сульфат магния) и концентрировали в вакууме. Твердые вещества суспендировали в гептане (250 мл) и энергично перемешивали в течение 1 ч, затем отфильтровывали, промывали гептаном (2 × 100 мл) и сушили в вакууме с получением целевого продукта в виде белого порошка (19.9 г, 71.7 ммоль, 93%).

ЖХ/МС (C15H19NO4) 278 [М+Н]+; RT 1.19 (ЖХМС-V-B1)

1H ЯМР (400 МГц, ДМСО-d6) δ 7.42-7.35 (m, 4Н), 7.34-7.28 (m, 1Н), 4.64 (d, 2Н), 4.57 (d, J=0.8 Гц, 2Н), 4.42-4.29 (m, 3Н), 2.26-2.15 (m, 1Н), 0.85 (dd, J=20.8, 6.9 Гц, 6Н).

Стадия В: (4S)-3-[(2R)-2-(бензилокси)гекс-4-иноил]-4-(пропан-2-ил)-1,3-оксазолидин-2-он

К раствору продукта со Стадии А (8.7 г, 31.4 ммоль, 1 экв.) в тетрагидрофуране (350 мл), охлажденному до-78°С, по каплям добавляли бис(триметилсилил)амид натрия (1М в тетрагидрофуране; 47.1 мл, 47.1 ммоль, 1.5 экв.), и смесь перемешивали при этой температуре в течение 1 ч. По каплям добавляли раствор 1-йодбут-2-ина (16.9 г, 94.1 ммоль, 3 экв.) в тетрагидрофуране (30 мл), и смеси давали нагреться до -40°С и перемешивали в течение 3 ч. Реакционную смесь гасили насыщенным водным раствором хлорида аммония (200 мл), распределяли между этилацетатом и водой, и органическую фазу последовательно промывали водой и соляным раствором, сушили (сульфат магния) и концентрировали в вакууме. Очистка с помощью автоматической колоночной флэш-хроматографии (CombiFlash Rf, 120 г силикагелевый картридж RediSep™) с элюированием с градиентом 0 25% этилацетата в изогептане приводила к получению целевого продукта в виде желтой смолы (4.17 г, 12.7 ммоль, 40%).

ЖХ/МС (C19H23NO4) 330 [М+Н]+; RT 1.31 (ЖХМС-V-B1PsNeg)

1H ЯМР (400 МГц, ДМСО-d6) δ 7.41-7.34 (m, 4Н), 7.34-7.27 (m, 1Н), 5.13 (t, J=5.7 Гц, 1Н), 4.57 (d, J=11.9 Гц, 1Н), 4.55-4.40 (m, 2Н), 4.39-4.26 (m, 2Н), 2.68-2.56 (m, 2Н), 2.20-2.07 (m, 1Н), 1.71 (t, J=2.6 Гц, 3Н), 0.84 (dd, 6Н).

Стадия С: (2R)-2-(бензилокси)гекс-4-ин-1-ол

К охлажденному раствору продукта со Стадии В (4.17 г, 12.7 ммоль, 1 экв.) в тетрагидрофуране (45 мл) добавляли раствор борогидрида натрия (623 мг, 16.5 ммоль, 1.3 экв.) в воде (12 мл), и смесь перемешивали при температуре окружающей среды в течение 3 ч. Реакционную смесь гасили насыщенным водным раствором хлорида аммония (100 мл) и распределяли между этилацетатом и водой. Органическую фазу последовательно промывали водой и соляным раствором, сушили (сульфат магния) и концентрировали в вакууме. Очистка с помощью автоматической колоночной флэш-хроматографии (CombiFlash Rf, 40 г силикагелевый картридж RediSep™) с элюированием с градиентом 0-30% этилацетата в изогептане приводила к получению целевого продукта в виде бесцветного масла (2.01 г, 9.84 ммоль, 78%).

1H ЯМР (400 МГц, ДМСО-d6) δ 7.41-7.31 (m, 4Н), 7.31-7.23 (m, 1Н), 4.70 (t, J=5.5 Гц, 1H), 4.59 (d, J=1.9 Гц, 2H), 3.57-3.40 (m, 3Н), 2.46-2.27 (m, 2H), 1.75 (t, J=2.6 Гц, 3Н).

Стадия D: {[(2R)-2-(бензилокси)гекс-4-ин-1-ил]окси}(трет-бутил)дифенилсилан

К охлажденному раствору продукта со Стадии С (2.01 г, 9.84 ммоль, 1 экв.) в дихлорметане (50 мл) по каплям добавляли имидазол (1.34 г, 19.7 ммоль, 2 экв.) и трет-бутил(хлор)дифенилсилан (5.12 мл, 19.7 ммоль, 2 экв.), и смеси давали нагреться до температуры окружающей среды и перемешивали в течение 4 ч. Реакционную смесь гасили 2М водным раствором хлорида аммония и распределяли между дихлорметаном и водой. Органическую фазу последовательно промывали водой и соляным раствором, сушили (ПТФЭ фазоразделитель) и концентрировали в вакууме. Очистка с помощью автоматической колоночной флэш-хроматографии (CombiFlash Rf, 80 г силикагелевый картридж RediSep™) с элюированием с градиентом 0 8% этилацетата в изогептане приводила к получению целевого продукта в виде бесцветного масла (3.66 г, 8.27 ммоль, 84%).

ЖХ/МС (C29H34O2Si), слабая ионизация; RT 1.73 (ЖХМС-V-B1POsNeg)

1H ЯМР (400 МГц, ДМСО-d6) δ 7.68-7.61 (m, 4Н), 7.51-7.38 (m, 6Н), 7.37-7.32 (m, 4Н), 7.32-7.25 (m, 1Н), 4.65-4.52 (m, 2Н), 3.83-3.68 (m, 2Н), 3.67-3.56 (m, 1Н), 2.49-2.41 (m, 2Н), 1.71 (t, J=2.5 Гц, 3Н), 1.00 (s, 9Н).

Стадия Е: 4-[(2R)-2-(бензилокси)-3-[(трет-бутилдифен илсилил) окси]проп ил]-3,6-дихлор-5-метилпирид азин

Раствор 3,6-дихлор-1,2,4,5-тетразина (4.99 г, 33.1 ммоль, 4 экв.) и продукта со Стадии D (3.66 г, 8.27 ммоль, 1 экв.) в толуоле (50 мл) нагревали в закупоренной колбе при 150°С в течение ночи. Реакционную смесь концентрировали в вакууме и сырой продукт очищали с помощью автоматической колоночной флэш-хроматографии (CombiFlash Rf, 80 г силикагелевый картридж RediSep™) с элюированием с градиентом 0-15% этилацетата в изогептане с получением целевого продукта в виде ярко-оранжевого масла (3.76 г, 6.65 ммоль, 80%).

ЖХ/МС (C31H34Cl2N2O2Si) 566 [М+Н]+; RT 1.72 (ЖХМС-V-B1)

1H ЯМР (400 МГц, ДМСО-d6) δ 7.72-7.62 (m, 4Н), 7.56-7.40 (m, 6Н), 7.27-7.11 (m, 3Н), 6.93-6.84 (m, 2Н), 4.44 (d, J=12.1 Гц, 1H), 4.10 (d, J=12.1 Гц, 1H), 3.91-3.78 (m, 2Н), 3.76-3.66 (m, 1Н), 3.15 (dd, J=13.8, 10.0 Гц, 1Н), 3.00 (dd, J=13.8, 3.6 Гц, 1Н), 2.27 (s, 3Н), 1.04 (s, 9Н).

Стадия F: (2R)-2-(бензилокси)-3-(3,6-дихлор-5-метилпиридазин-4-ил)пропан-1-ол

К раствору продукта со Стадии Е (3.76 г, 6.65 ммоль, 1 экв.) в тетрагидрофуране (25 мл) добавляли фторид тетрабутиламмония (1М в тетрагидрофуране; 7.31 мл, 7.31 ммоль, 1.1 экв.), и смесь перемешивали при температуре окружающей среды в течение 1 ч. Реакционную смесь разбавляли этилацетатом (100 мл), последовательно промывали водой (150 мл), насыщенным водным раствором бикарбоната натрия (150 мл) и соляным раствором (2 × 100 мл), сушили (сульфат магния) и концентрировали в вакууме. Очистка с помощью автоматической колоночной флэш-хроматографии (CombiFlash Rf, 40 г силикагелевый картридж RediSep™) с элюированием с градиентом 0-80% этилацетата в изогептане приводила к получению целевого продукта в виде оранжевого твердого вещества (1.68 г, 5.14 ммоль, 77%).

ЖХ/МС (C15H16Cl2N2O2) 327 [М+Н]+; RT 1.06 (ЖХМС-V-B1)

1H ЯМР (400 МГц, ДМСО-d6) δ 7.25-7.12 (m, 3Н), 7.01-6.93 (m, 2Н), 4.99 (t, J=5.5 Гц, 1H), 4.53 (d, J=12.1 Гц, 1Н), 4.22 (d, J=12.0 Гц, 1H), 3.69 -3.51 (m, 3Н), 3.08-2.91 (m, 2H), 2.29 (s, 3Н).

Стадия G: этил 2-{[(2R)-2-(бензилокси)-3-(3,6-дихлор-5-метилпиридазин-4-ил)пропил]амино}-1,3-тиазол-4-карбоксилат

К раствору продукта со Стадии F (1.68 г, 5.14 ммоль, 1 экв.) в тетрагидрофуране (55 мл) добавляли трифенилфосфин (2.7 г, 10.3 ммоль, 2 экв.) и этил 2-[(трет-бутоксикарбонил)амино]- 1,3-тиазол-4-карбоксилат (1.68 г, 6.16 ммоль, 1.2 экв.) с последующим добавлением диизопропилазодикарбоксилата (2.02 мл, 10.3 ммоль, 2 экв.), и смесь перемешивали при температуре окружающей среды в течение 2 ч. Реакционную смесь распределяли между этилацетатом и водой, и органическую фазу последовательно промывали водой и соляным раствором (2 х 50 мл), сушили (сульфат магния) и концентрировали в вакууме. Вещество растворяли в дихлорметане (30 мл), добавляли трифторуксусную кислоту (7.87 мл, 103 ммоль, 20 экв.), и смесь перемешивали при температуре окружающей среды в течение ночи. Реакционную смесь разбавляли и нейтрализовали насыщенным водным раствором бикарбоната натрия, слои разделяли и водную фазу экстрагировали дихлорметаном (3 × 100 мл). Объединенные органические экстракты промывали соляным раствором (150 мл), сушили (ПТФЭ фазоразделитель) и концентрировали в вакууме. Очистка с помощью автоматической колоночной флэш-хроматографии (CombiFlash Rf, 40 г силикагелевый картридж RediSep™) с элюированием с градиентом 0 80% этилацетата в изогептане приводила к получению целевого продукта в виде желтого твердого вещества (1.94 г, 4.02 ммоль, 78%).

ЖХ/МС (C21H22Cl2N4O3S) 482 [М+Н]+; RT 1.28 (ЖХМС-V-B1)

1H ЯМР (400 МГц, ДМСО-d6) 5 8.14 (t, J=5.9 Гц, 1Н), 7.57 (s, 1Н), 7.24 -7.06 (m, 3Н), 7.01-6.93 (m, 2Н), 4.54 (d, J=11.9 Гц, 1H), 4.31-4.15 (m, 3Н), 3.97-3.86 (m, 1Н), 3.70-3.59 (m, 1Н), 3.52-3.41 (m, 1Н), 3.06 (dd, J=13.9, 10.2 Гц, 1H), 2.92 (dd, J=13.9, 3.2 Гц, 1H), 2.24 (s, 3Н), 1.27 (t, J=7.1 Гц, 3Н).

Стадия Н: этил 2-[(6R)-6-(бензилокси)-3-хлор-4-метил-5Н,6Н,7Н,8Н-пиридо[2,3-с]пиридазин-8-ил]-1,3-тиазол-4-карбоксилат

К раствору продукта со Стадии G (2.09 г, 4.34 ммоль, 1 экв.) в ацетонитриле (130 мл) добавляли карбонат калия (1.2 г, 8.68 ммоль, 2 экв.) и йодид меди(1) (827 мг, 4.34 ммоль, 1 экв.), и смесь нагревали с обратным холодильником в течение 10 ч. Реакционную смесь разбавляли водой и экстрагировали этилацетатом (3 × 60 мл). Объединенные органические экстракты промывали соляным раствором (2 × 50 мл), сушили (сульфат магния) и концентрировали в вакууме. Очистка с помощью обращенно-фазовой автоматической флэш-хроматографии (CombiFlash Rf, C18 130 г колонка RediSep) с элюированием с градиентом 5 95% ацетонитрила в воде приводила к получению целевого продукта в виде бледно-коричневого твердого вещества (0.7 г, 1.58 ммоль, 36%).

ЖХ/МС (C21H21ClN4O3S) 446 [М+Н]+; RT 1.36 (ЖХМС-V-B1)

1H ЯМР (400 МГц, ДМСО-d6) δ 8.05 (s, 1Н), 7.32-7.17 (m, 5H), 4.99-4.86 (m, 1H), 4.59 (s, 2H), 4.39-4.23 (m, 3H), 4.07 (dd, J=13.6, 2.1 Гц, 1H), 3.29-3.02 (m, 2H), 2.32 (s, 3H), 1.32 (t, J=7.1 Гц, 3H).

Стадия I: этил 2-[(6R)-3-[(1,3-бензотиазол-2-ил)амино]-6-(бензилокси)-4-метил-5Н,6Н, 7Н,8Н-пиридо[2,3-с]пиридазин-8-ил]-1,3-тиазол-4-карбоксилат

В высушенную в сушильном шкафу закупоренную колбу загружали продукт со Стадии Н (700 мг, 1.57 ммоль, 1 экв.), 2-аминобензотиазол (473 мг, 3.15 ммоль, 2 экв.), N,N-диизопропилэтиламин (0.82 мл, 4.72 ммоль, 3 экв.), джозифос Pd G3 (291 мг, 0.31 ммоль, 0.2 экв.) и 1,4-диоксан (17.5 мл), смесь барботировали азотом (10 мин) и затем нагревали при 100°С в течение 3 дней. Реакционную смесь распределяли между насыщенным водным раствором бикарбоната натрия и этилацетатом, водную фазу экстрагировали этилацетатом (3×80 мл) и объединенные органические экстракты промывали соляным раствором (70 мл), сушили (сульфат магния) и концентрировали в вакууме. Очистка с помощью автоматической колоночной флэш-хроматографии (CombiFlash Rf, 40 г силикагелевый картридж RediSep™) с элюированием с градиентом 0-100% этилацетата в изогептане приводила к получению целевого продукта в виде желтого твердого вещества (548 мг, 0.98 ммоль, 62%).

ЖХ/МС (C28H26N6O3S2) 559 [М+Н]+; RT 1.03 (ЖХМС-V-В2)

1H ЯМР (400 МГц, ДМСО-d6) δ 8.00 (s, 1Н), 7.89 (d, J=7.8 Гц, 1Н), 7.50 (br s, 1Н), 7.38 (td, J=7.7, 1.2 Гц, 1Н), 7.33-7.16 (m, 6Н), 4.96-4.85 (m, 1Н), 4.61 (s, 2Н), 4.38-4.25 (m, 3Н), 4.15-4.05 (m, 1Н), 3.25-3.14 (m, 1Н), 3.13-3.02 (m, 1Н), 2.35 (s, 3Н), 1.33 (t, J=7.1 Гц, 3Н).

Стадия J: этил 2-[(6R)-3-[(1,3-бензотиазол-2-ил)амино]-6-гидрокси-4-метил-5Н,6Н, 7Н,8Н-пиридо[2,3-с]пиридазин-8-ил]-1,3-тиазол-4-карбоксилат

К охлажденному раствору продукта со Стадии I (548 мг, 0.98 ммоль, 1 экв.) в дихлорметане (30 мл) по каплям добавляли трихлорид бора (1М в дихлорметане; 4.9 мл, 4.9 ммоль, 5 экв.), и смесь перемешивали при температуре окружающей среды в течение 2 ч. Реакционную смесь охлаждали до 0-5°С и гасили метанолом (5 мл). Добавляли дополнительное количество метанола (5 мл), и смесь нагревали с обратным холодильником в течение 1.5 ч. Реакционную смесь концентрировали в вакууме и очищали с помощью обращенно-фазовой автоматической флэш-хроматографии (CombiFlash Rf, С18 43 г колонка RediSep) с элюированием с градиентом 5-95% ацетонитрила в воде с получением целевого продукта в виде желтого твердого вещества (328 мг, 0.7 ммоль, 71%).

ЖХ/МС (C21H20N6O3S2) 469 [М+Н]+; RT 0.71 (ЖХМС-V-В2)

1H ЯМР (400 МГц, ДМСО-d6) δ 8.01 (d, J=9.3 Гц, 1Н), 7.89 (br s, 1Н), 7.51 (br s, 1Н), 7.38 (t, J=7.5 Гц, 1Н), 7.20 (t, J=7.4 Гц, 1Н), 5.38 (d, J=3.2 Гц, 1Н), 4.47 (dd, J=12.8, 4.8 Гц, 1Н), 4.41-4.34 (m, 1Н), 4.30 (q, J=7.1 Гц, 2Н), 4.19 (dd, J=12.9, 2.5 Гц, 1Н), 3.08-2.88 (m, 2Н), 2.35 (s, 3Н), 1.33 (t, J=7.1 Гц, 3Н).

Стадия K: 2-[(6R-3-[(1,3-бензотиазол-2-ил)амино]-6-гидрокси-4-метил-5Н,6Н,7Н,8Н-пиридо[2,3-с]пиридазин-8-ил]-1,3-тиазол-4-карбоновая кислота

К раствору продукта со Стадии J (60 мг, 0.13 ммоль, 1 экв.) в 1,4-диоксане (10 мл) добавляли раствор моногидрата гидроксида лития (10.8 мг, 0.26 ммоль, 2 экв.) в воде (2 мл), и смесь нагревали с обратным холодильником в течение 2 ч. Очистка с помощью обращенно-фазовой автоматической флэш-хроматографии (CombiFlash Rf, С18 13 г колонка RediSep) с элюированием с градиентом 5-95% ацетонитрила в воде приводила к получению желтого твердого вещества. Вещество растворяли в метаноле, затем загружали на смоченный метанолом картридж РЕ-АХ (10 г), последовательно промывали метанолом и дихлорметаном, элюировали 10% муравьиной кислоты в дихлорметане, и концентрировали в вакууме с получением целевого продукта в виде желтого твердого вещества (11.4 мг, 0.03 ммоль, 20%) в форме соли муравьиной кислоты.

МСВР-ЭРИ (m/z) [М+Н]+, рассчитано для C19H17N6O3S2: 441.0804, найдено: 441.0827.

Пример 34: 2-{3-[(1,3-Бензотиазол-2-ил)амино]-4-метил-5Н,6Н,7Н,8Н-пиридо[2,3-с]пиридазин-8-ил}-5-(3-{2-фтор-4-[3-(метиламино)пропил]фенокси}пропил)-1,3-тиазол-4-карбоновая кислота

Стадия А: этил 5-{3-[4-(3-{[(трет-бутокси)карбонил](метил)амино}пропил)-2-фторфенокси]пропил}-2-(4-метил-3-{[(2Z)-3-{[2-(триметилсилил)этокси]метил}-2,3-дигидро-1,3-бензотиазол-2-илиден]амино}-5Н,6Н,7Н,8Н-пиридо[2,3-с]пиридазин-8-ил)-1,3-тиазол-4-карбоксилат

К раствору соединения Примера 32, Стадия А (447 мг, 0.5 ммоль, 1 экв.), в 1,4-диоксане (11 мл) добавляли оксид платины (IV) (22.5 мг, 0.1 ммоль, 0.2 экв.) в атмосфере азота. Сосуд вакуумировали и снова заполняли азотом (×3), затем вакуумировали, создавали в нем атмосферу водорода и встряхивали при температуре окружающей среды в течение 24 ч. Реакционную смесь фильтровали через целит, элюировали этилацетатом и концентрировали в вакууме. Очистка с помощью автоматической колоночной флэш-хроматографии (CombiFlash Rf, 24 г силикагелевый картридж RediSep™) с элюированием с градиентом изогептан - 50% этилацетата в изогептане приводила к получению целевого продукта в виде желтого твердого вещества (424 мг, 0.47 ммоль, 94%).

ЖХ/МС (C45H60FN7O6SiS2) 906 [М+Н]+; RT 1.45 (ЖХМС-V-В2)

1H ЯМР (400 МГц, ДМСО-d6) δ 7.82 (d, 1Н), 7.48-7.38 (m, 2Н), 7.28-7.20 (m, 1Н), 7.12-7.02 (m, 2Н), 6.98-6.91 (m, 1Н), 5.84 (s, 2Н), 4.33-4.20 (m, 4Н), 4.08 (t, J=6.2 Гц, 2Н), 3.77-3.67 (m, 2Н), 3.27 (t, J=7.6 Гц, 2Н), 3.18-3.04 (m, 2Н), 2.88 (t, J=6.3 Гц, 2Н), 2.72 (s, 3Н), 2.45 (t, J=7.3 Гц, 2Н), 2.37 (s, 3Н), 2.17-1.99 (m, 4Н), 1.78-1.62 (m, 2Н), 1.29 (t, 3Н), 1.24 (s, 9Н), -0.11 (s, 9Н).

Стадия В: этил 2-{3-[(1,3-бензотиазол-2-ил)амино]-4-метил-5Н,6Н,7Н,8Н-пиридо[2,3-с]пиридазин-8-ил}-5-(3-{2-фтор-4-[3-(метиламино)пропил]фенокси}пропил)-1,3-тиазол-4-карбоксилат

К раствору продукта со Стадии А (424 мг, 0.47 ммоль, 1 экв.) в ацетонитриле (6 мл) добавляли фтороводород-пиридин (0.81 мл, 9.36 ммоль, 20 экв.), и смесь нагревали при 60°С в течение 3 ч. Реакционную смесь распределяли между дихлорметаном и 2 н. водным раствором гидроксида натрия, и органическую фазу промывали соляным раствором, сушили (ПТФЭ фазоразделитель) и концентрировали в вакууме. Очистка с помощью автоматической колоночной флэш-хроматографии (CombiFlash Rf, 12 г силикагелевый картридж RediSep™) с элюированием с градиентом 0-15% метанола в дихлорметане приводила к получению целевого продукта в виде желтого твердого вещества (147 мг, 0.22 ммоль, 47%).

ЖХ/МС (C34H38FN7O3S2) 676 [М+Н]+; RT 2.06 (ЖХМС-V-C)

1H ЯМР (400 МГц, ДМСО-d6) δ 7.87 (dd, J=7.9, 1.1 Гц, 1H), 7.53-7.45 (m, 1H), 7.41-7.32 (m, 1H), 7.18 (td, J=7.6, 1.2 Гц, 1H), 7.12-7.01 (m, 2H), 6.97-6.89 (m, 1H), 4.34-4.19 (m, 4H), 4.09 (t, J=6.2 Гц, 2H), 3.32-3.21 (m, 4H), 2.88 (t, J=6.4 Гц, 2H), 2.41 (t, 2H), 2.34 (s, 3H), 2.24 (s, 3H), 2.17-1.99 (m, 4H), 1.69-1.57 (m, 2H), 1.30 (t, J=7.1 Гц, 3H).

Стадия С: 2-{3-[(1,3-бензотиазол-2-ил)амино]-4-метил-5Н,6Н,7Н,8Н-пиридо[2,3-с]пиридазин-8-ил}-5-(3-{2-фтор-4-[3-(метиламино)пропил]фенокси}пропил)-1,3-тиазол-4-карбоновая кислота

К раствору продукта со Стадии В (147 мг, 0.22 ммоль, 1 экв.) в 1,4-диоксане (15 мл) добавляли моногидрат гидроксида лития (91.3 мг, 2.18 ммоль, 10 экв.), и смесь нагревали с обратным холодильником в течение ночи. Очистка с помощью автоматической колоночной флэш-хроматографии (CombiFlash Rf, 4 г силикагелевый картридж RediSep™) с элюированием с градиентом 0-25% 7 н. метанольного раствора аммиака в дихлорметане приводила к получению твердого вещества, которое растирали с ацетонитрилом, отфильтровывали и сушили в вакууме с получением целевого продукта в виде желтого твердого вещества (83.8 мг, 0.13 ммоль, 60%).

МСВР-ЭРИ (m/z) [М+Н]+, рассчитано для C32H35FN7O3S2: 648.2227, найдено: 648.2246.

Пример 35: 5-{3-[4-(Аминометил)-2-фторфенокси]пропил}-2-{3-[(1,3-бензотиазол-2-ил)амино]-4-метил-5Н,6Н,7Н,8Н-пиридо[2,3-с]пиридазин-8-ил}-1,3-тиазол-4-карбоновая кислота

Стадия А: этил 5-[3-(4-циано-2-фторфенокси)пропил]-2-(4-метил-3-{[(2Z)-3-{2-[2-(триметилсилил)этокси]этил}-2,3-дигидро-l,3-бензотиазол-2-илиден]амино}-5Н,6Н,7Н,8Н-пиридо[2,3-с]пиридазин-8-ил)-1,3-тиазол-4-карбоксилат

К раствору продукта Синтеза 3g (200 мг, 0.31 ммоль, 1 экв.) в толуоле (6 мл) добавляли 3-фтор-4-гидроксибензонитрил (64.2 мг, 0.47 ммоль, 1.5 экв.) с последующим добавлением трифенилфосфина (123 мг, 0.47 ммоль, 1.5 экв.) и диизопропилазодикарбоксилата (92.2 мкл, 0.47 ммоль, 1.5 экв.), и смесь нагревали с обратным холодильником в течение ночи. Реакционную смесь распределяли между дихлорметаном и водой, и органическую фазу сушили (ПТФЭ фазоразделитель) и концентрировали в вакууме. Очистка с помощью автоматической колоночной флэш-хроматографии (CombiFlash Rf, 12 г силикагелевый картридж RediSep™) с элюированием с градиентом 0-50% этилацетата в изогептане приводила к получению целевого продукта в виде бежевого твердого вещества (207 мг, 0.27 ммоль, 87%).

ЖХ/МС (C37H42FN7O4SiS2) 760 [М+Н]+; RT 3.00 (ЖХМС-V-C)

1H ЯМР (400 МГц, ДМСО-d6) δ 7.89-7.78 (m, 2Н), 7.70-7.63 (m, 1Н), 7.49-7.38 (m, 2Н), 7.36 (t, J=8.6 Гц, 1Н), 7.28-7.19 (m, 1Н), 5.85 (s, 2Н), 4.33-4.18 (m, 6Н), 3.77-3.68 (m, 2Н), 3.32-3.23 (m, 2Н), 2.88 (t, J=6.2 Гц, 2Н), 2.37 (s, 3Н), 2.22-2.11 (m, 2Н), 2.10-1.99 (m, 2Н), 1.28 (t, J=7.1 Гц, 3Н), 0.96-0.86 (m, 2Н), -0.11 (s, 9Н).

Стадия В: этил 5-{3-[4-(аминометил)-2-фторфенокси]пропил}-2-(4-метил-3-{[(2Z)-3-{2-[2-(триметилсилил)этокси]этил}-2,3-дигидро-1,3-бензотиазол-2-илиден]амино}-5Н,6Н,7Н,8Н-пиридо[2,3-с]пиридазин-8-ил)-1,3-тиазол-4-карбоксилат

Раствор продукта со Стадии А (336 мг, 0.44 ммоль, 1 экв.) в этилацетате (60 мл) гидрировали, используя H-Cube® Pro (ThalesNano) (110°С, 85 бар). Смесь концентрировали в вакууме и сырой продукт очищали с помощью автоматической колоночной флэш-хроматографии (CombiFlash Rf, 12 г силикагелевый картридж RediSep™) с элюированием с градиентом 0-8% метанола в дихлорметане с получением целевого продукта в виде желтой смолы (282 мг, 0.37 ммоль, 84%).

ЖХ/МС (C37H46FN7O4SiS2) 764 [М+Н]+; RT 1.31 (ЖХМС-V-B1)

1H ЯМР (400 МГц, ДМСО-d6) δ 7.84-7.78 (m, 1Н), 7.48-7.37 (m, 2Н), 7.28-7.13 (m, 2Н), 7.12-7.00 (m, 2Н), 5.84 (s, 2Н), 5.87 (s, 2Н), 4.33-4.20 (m, 4Н), 4.09 (td, J=6.2, 1.9 Гц, 2Н), 3.78-3.66 (m, 2Н), 3.31-3.21 (m, 4Н), 2.86 (t, J=6.3 Гц, 2Н), 2.36 (s, 3Н), 2.19-1.97 (m, 4Н), 1.30 (t, J=7.1 Гц, 3Н), 0.95-0.84 (m, 2Н), -0.12 (s, 9Н).

Стадия С: этил 5-{3-[4-(аминометил)-2-фторфенокси]пропил}-2-{3-[(1,3-бензотиазол-2-ил)амино]-4-метил-5Н,6Н,7Н,8Н-пиридо[2,3-с]пиридазин-8-ил}-1,3-тиазол-4-карбоксилат

К раствору продукта со Стадии В (94 мг, 0.12 ммоль, 1 экв.) в тетрагидрофуране (5 мл) добавляли фторид тетрабутиламмония (1М в тетрагидрофуране, 0.74 мл, 0.74 ммоль, 6 экв.) и этилендиамин (49.3 мкл, 0.74 ммоль, 6 экв.), и смесь нагревали при 100°С в течение 1 ч под микроволновым облучением. Реакционную смесь распределяли между этилацетатом и водой, и органическую фазу промывали соляным раствором, сушили (сульфат магния) и концентрировали в вакууме. Очистка с помощью автоматической колоночной флэш-хроматографии (CombiFlash Rf, 4 г силикагелевый картридж RediSep™) с элюированием с градиентом 0-10% метанола в дихлорметане приводила к получению целевого продукта в виде желтого твердого вещества (29 мг, 0.05 ммоль, 37%).

ЖХ/МС (C31H32FN7O3S2) 634 [М+Н]+; RT 1.96 (ЖХМС-V-C)

1H ЯМР (400 МГц, ДМСО-d6) δ 7.84 (d, J=7.6 Гц, 1Н), 7.46 (d, J=7.9 Гц, 1Н), 7.38-7.30 (m, 1Н), 7.26-7.00 (m, 4Н), 4.32-4.21 (m, 4Н), 4.09 (t, J=6.2 Гц, 2Н), 3.32-3.21 (m, 4Н), 2.87 (t, J=6.5 Гц, 2Н), 2.33 (s, 3Н), 2.17-1.98 (m, 4Н), 1.29 (t, J=7.3 Гц, 3Н).

Стадия D: 5-{3-[4-(аминометил)-2-фторфенокси]пропил}-2-{3-[(1,3-бензотиазол-2-ил)амино]-4-метил-5Н,6Н,7Н,8Н-пиридо[2,3-с]пиридазин-8-ил}-1,3-тиазол-4-карбоновая кислота

К раствору продукта со Стадии С (29 мг, 0.05 ммоль, 1 экв.) в 1,4-диоксане (5 мл) добавляли моногидрат гидроксида лития (19.2 мг, 0.46 ммоль, 10 экв.), и смесь нагревали с обратным холодильником в течение ночи. Очистка с помощью автоматической колоночной флэш-хроматографии (CombiFlash Rf, 4 г силикагелевый картридж RediSep™) с элюированием с градиентом 0-25% 7 н. метанольного раствора аммиака в дихлорметане приводила к получению твердого вещества, которое растирали с диэтиловым эфиром, отфильтровывали и сушили в вакууме с получением целевого продукта в виде желтого твердого вещества (3.0 мг, 4.89 мкмоль, 28%).

МСВР-ЭРИ (m/z) [М+Н]+, рассчитано для C29H29FN7O3S2: 606.1757, найдено: 606.1782.

Пример 36: 2-{3-[(1,3-Бензотиазол-2-ил)амино]-4-метил-5Н,6Н,7Н,8Н-пиридо[2,3-с]пиридазин-8-ил}-5-(3-{4-[3-(диметиламино)пропил]-2-фторфенокси}пропил)-1,3-тиазол-4-карбоновая кислота

Стадия А: этил 5-(3-{4-[3-(диметиламино)проп-1-ин-1-ил]-2-фторфенокси}пропил)-2-(4-метил-3-{[(2Z)-3-{[2-(триметилсилил)этокси]метил}-2,3-дигидро-1,3-бензотиазол-2-илиден]амино}-5Н,6Н,7Н,8Н-пиридо[2,3-с]пиридазин-8-ил)-1,3-тиазол-4-карбоксилат

К раствору продукта Синтеза 3g (1 г, 1.56 ммоль, 1 экв.) в толуоле (30 мл) добавляли продукт Синтеза 4b (452 мг, 2.34 ммоль, 1.5 экв.) с последующим добавлением трифенилфосфина (614 мг, 2.34 ммоль, 1.5 экв.) и диизопропилазодикарбоксилата (461 мкл, 2.34 ммоль, 1.5 экв.), и смесь нагревали с обратным холодильником в течение ночи. Реакционную смесь распределяли между дихлорметаном и водой, и органическую фазу сушили (ПТФЭ фазоразделитель) и концентрировали в вакууме. Очистка с помощью автоматической колоночной флэш-хроматографии (CombiFlash Rf, 40 г силикагелевый картридж RediSep™) с элюированием с градиентом 0-100% этилацетата в изогептане приводила к получению целевого продукта в виде коричневой смолы (1.16 г, 1.42 ммоль, 91%).

ЖХ/МС (C41H50FN7O4SiS2) 816 [М+Н]+; RT 2.70 (ЖХМС-V-C)

1H ЯМР (400 МГц, ДМСО-d6) δ 7.84-7.77 (m, 1Н), 7.47-7.37 (m, 2Н), 7.31 (dd, J=12.0, 1.9 Гц, 1Н), 7.27-7.12 (m, 3Н), 5.83 (s, 2Н), 4.32-4.20 (m, 4Н), 4.14 (t, J=6.1 Гц, 2Н), 3.76-3.67 (m, 2Н), 3.37 (s, 2Н), 3.31-3.21 (m, 2Н), 2.86 (t, J=6.3 Гц, 2Н), 2.36 (s, 3Н), 2.19 (s, 6Н), 2.17-2.09 (m, 2Н), 2.07-2.00 (m, 2Н), 1.28 (t, J=7.1 Гц, 3Н), 0.90 (dd, J=8.5, 7.4 Гц, 2Н), -0.11 (s, 9Н).

Стадия В: этил 2-{3-[(1,3-бензотиазол-2-ил)амино]-4-метил-5Н,6Н,7Н,8Н-пиридо[2,3-с]пиридазин-8-ил}-5-(3-{4-[3-(диметиламино)проп-1-ин-1-ил]-2-фторфенокси}пропил)-1,3-тиазол-4-карбоксилат

К раствору продукта со Стадии А (262 мг, 0.32 ммоль, 1 экв.) в 1,4-диоксане (10 мл) добавляли этилендиамин (21.4 мкл, 0.32 ммоль, 1 экв.) и фторид тетрабутиламмония (1М в тетрагидрофуране, 0.96 мл, 0.96 ммоль, 3 экв.), и смесь нагревали при 70°С в течение ночи. Реакционную смесь распределяли между этилацетатом и водой, и органическую фазу сушили (сульфат магния) и концентрировали в вакууме. Очистка с помощью автоматической колоночной флэш-хроматографии (CombiFlash Rf, 12 г силикагелевый картридж RediSep™) с элюированием с градиентом 0-6% метанола в дихлорметане приводила к получению целевого продукта в виде желтой смолы (114 мг, 0.17 ммоль, 52%).

ЖХ/МС (C35H36FN7O3S2) 686 [М+Н]+; RT 2.08 (ЖХМС-V-C)

1H ЯМР (400 МГц, ДМСО-d6) δ 11.43 (br s, 1Н), 7.88 (d, J=7.6 Гц, 1Н), 7.50 (d, J=8.0 Гц, 1Н), 7.42-7.35 (m, 1Н), 7.31 (dd, 1Н), 7.26-7.12 (m, 3Н), 4.32-4.22 (m, 4Н), 4.15 (t, J=6.1 Гц, 2Н), 3.40 (s, 2Н), 3.28 (dd, J=8.6, 6.7 Гц, 2Н), 2.88 (t, J=6.3 Гц, 2Н), 2.35 (s, 3Н), 2.21 (s, 6Н), 2.20-2.10 (m, 2Н), 2.07-2.02 (m, 2Н), 1.30 (t, J=7.1 Гц, 3Н).

Стадия С: этил 2-{3-[(1,3-бензотиазол-2-ил)амино]-4-метил-5Н,6Н,7Н,8Н-пиридо[2,3-с]пиридазин-8-ил}-5-(3-{4-[3-(диметиламино)пропил]-2-фторфенокси}пропил)-1,3-тиазол-4-карбоксилат

К раствору продукта со Стадии В (119 мг, 0.17 ммоль, 1 экв.) в этилацетате (40 мл) добавляли оксид платины (IV) (7.88 мг, 0.03 ммоль, 0.2 экв.) в атмосфере азота, и сосуд вакуумировали и снова заполняли азотом (×3), затем вакуумировали, создавали в нем атмосферу водорода и встряхивали при температуре окружающей среды в течение 3 дней. Реакционную смесь фильтровали через целит, элюировали этилацетатом и концентрировали в вакууме. Очистка с помощью автоматической колоночной флэш-хроматографии (CombiFlash Rf, 4 г силикагелевый картридж RediSep™) с элюированием с градиентом 0-10% метанола в дихлорметане приводила к получению целевого продукта в виде желтой смолы (55 мг, 0.08 ммоль, 46%).

ЖХ/МС (C35H40FN7O3S2) 690 [М+Н]+; RT 2.10 (ЖХМС-V-C)

1Н ЯМР (400 МГц, ДМСО-d6) δ 11.44 (br s, 1Н), 7.88 (dd, J=7.5, 1.1 Гц, 1Н), 7.50 (d, J=8.1 Гц, 1Н), 7.38 (td, J=7.7, 1.3 Гц, 1Н), 7.20 (td, J=7.5, 1.1 Гц, 1H), 7.12-7.02 (m, 2H), 6.97-6.89 (m, 1H), 4.32-4.21 (m, 4H), 4.09 (t, 2H), 3.33-3.22 (m, 4H), 2.89 (t, J=6.3 Гц, 2H), 2.35 (s, 3H), 2.19-2.11 (m, 4H), 2.09 (s, 6H), 2.07-2.01 (m, 2H), 1.63 (p, J=7.4 Гц, 2H), 1.30 (t, J=7.1 Гц, 3Н).

Стадия D: 2-{3-[(1,3-бензотиазол-2-ил)амино]-4-метил-5Н,6Н,7H,8H-пиридо[2,3-с]пиридазин-8-ил}-5-(3-{4-[3-(диметиламино)пропил]-2-фторфенокси}пропил)-1,3-тиазол-4-карбоновая кислота

К раствору продукта со Стадии С (55 мг, 0.08 ммоль, 1 экв.) в 1,4-диоксане (5 мл) добавляли моногидрат гидроксида лития (33.5 мг, 0.8 ммоль, 10 экв.), и смесь нагревали с обратным холодильником в течение ночи. Очистка с помощью автоматической колоночной флэш-хроматографии (CombiFlash Rf, 4 г силикагелевый картридж RediSep™) с элюированием с градиентом 0-20% 7 н. метанольного раствора аммиака в дихлорметане приводила к получению твердого вещества, которое растирали с ацетонитрилом, отфильтровывали и сушили в вакууме с получением целевого продукта в виде желтого твердого вещества (32.8 мг, 0.05 ммоль, 62%).

МСВР-ЭРИ (m/z) [М+Н]+, рассчитано для C33H37FN7O3S2: 662.2383, найдено: 662.2402.

Пример 37: 2-[3-(1,3-Бензотиазол-2-иламино)-4-метил-5,6-дигидропирроло[2,3-с]пиридазин-7-ил]-5-[3-[2-фтор-4-[3-(метиламино)проп-1-инил]фенокси]пропил]тиазол-4-карбоновая кислота

Стадия А: метил 2-[трет-бутоксикарбонил-[2-(3,6-дихлор-5-метилпиридазин-4-ил)этил]амино]-5-[3-(2-фтор-4-йодфенокси)пропил]тиазол-4-карбоксилат

Используя Общую методику проведения реакции Мицунобу, исходя из 5.18 г продукта Синтеза 1а (Стадия D) (9.6 ммоль, 1.0 экв.) в качестве подходящего карбамата и 2.0 г продукта Синтеза 2с (9.6 ммоль, 1.0 экв.) в качестве подходящего спирта, получали 5.6 г целевого продукта (выход 80%).

Стадия В: метил 2-[2-(3,6-дихлор-5-метилпиридазин-4-ил)этиламино]-5-[3-(2-фтор-4-йодфенокси)пропил]тиазол-4-карбоксилат

Используя Общую методику снятия защиты посредством HFIP, исходя из 5.65 г продукта со Стадии А в качестве подходящего карбамата, получали 2.9 г целевого продукта (60%).

1H ЯМР (500 МГц, ДМСО-d6) δ м.д. 7.76 (t, 1Н), 7.59 (dd, 1Н), 7.45 (dm, 1Н), 6.97 (t, 1Н), 4.02 (t, 2Н), 3.71 (s, 3Н), 3.48 (m, 2Н), 3.13 (t, 2Н), 3.1 (m, 2Н), 2.44 (s, 3Н), 1.99 (m, 2Н); 13С ЯМР (125 МГц, ДМСО-d6) δ м.д. 163.1, 134.2, 125, 117.7, 82.4, 67.9, 51.8, 41.6, 30.4, 30.4, 23.2, 16.8; МСВР-ЭРИ (m/z): [М+Н]+, рассчитано для C21H21Cl2FIN4O3S: 624.9734, найдено: 624.9740.

Стадия С: метил 2-(3-хлор-4-метил-5,6-дигидропирроло[2,3-с]пиридазин-7-ил)-5-[3-(2-фтор-4-йодфенокси)пропил]тиазол-4-карбоксилат

Суспензию 3.0 г продукта со Стадии В (4.79 ммоль, 1 экв.) и 1.85 г карбоната цезия (9.59 ммоль, 2 экв.) перемешивали при 80°С в 25 мл сухого 1,4-диоксана в течение 3 ч - до тех пор, пока не наблюдали полной степени превращения. Реакционную смесь непосредственно упаривали на целите, и затем очищали с помощью флэш-хроматографии, используя ДХМ и МеОН в качестве элюентов с получением 2.64 г целевого продукта (выход 93%).

1H ЯМР (400 МГц, ДМСО-d6) δ м.д. 7.6 (dd, 1Н), 7.46 (dm, 1Н), 6.99 (t, 1Н), 4.35 (t, 2Н), 4.1 (t, 2Н), 3.79 (s, 3Н), 3.3 (m, 2Н), 3.3 (m, 2Н), 2.28 (s, 3Н), 2.12 (m, 2Н); 13С ЯМР (100 МГц, ДМСО-d6) δ м.д. 134.2, 125.0, 117.7, 68.1, 52.2, 49.8, 30.7, 24.6, 23.5, 16.0; МСВР-ЭРИ (m/z): [М+Н]+, рассчитано для C21H20ClFIN4O3S: 588.9967, найдено: 588.9959.

Стадия D: метил 5-[3-[4-[3-[трет-бутоксикарбонил(метил)амино]проп-1-инил]-2-фторфенокси]пропил]-2-(3-хлор-4-метил-5,6-дигидропирроло[2,3-с]пиридазин-7-ил)тиазол-4-карбоксилат

100 мл высушенную в сушильном шкафу, одногорлую, круглодонную колбу оснащали якорем магнитной мешалки с покрытием из ПТФЭ и устанавливали обратный холодильник. В нее загружали 2.6 г продукта со Стадии С (4.48 ммоль, 1 экв.), 1.51 г трет-бутил N-метил-N-проп-2-инилкарбамата (8.96 ммоль, 2 экв.) и 4 мл DIPEA, затем добавляли 16 мл сухого ТГФ и систему продували аргоном. После 5 минут перемешивания в инертной атмосфере добавляли 42 мг Pd(PPh3)2Cl2 (0.224 ммоль, 0.05 экв.) и 79 мг CuI (0.224 ммоль, 0.05 экв.). Полученную в результате смесь затем нагревали до 60°С и перемешивали при этой температуре в течение 2 часов, достигая полной степени превращения. К реакционной смеси добавляли целит, и летучие вещества удаляли при пониженном давлении. Затем сырой продукт очищали с помощью флэш-хроматографии с использованием гептана и EtOAc в качестве элюентов с получением 1.88 г целевого продукта (выход 67%).

Стадия Е: метил 2-[3-(1,3-бензотиазол-2-иламино)-4-метил-5,6-дигидропирроло[2,3-с]пиридазин-7-ил]-5-[3-[4-[3-[трет-бутоксикарбонил(метил)амино]проп-1-инил]-2-фторфенокси]пропил]тиазол-4-карбоксилат

В 4 мл высушенный в сушильном шкафу сосуд, оснащенный якорем магнитной мешалки с покрытием из ПТФЭ, загружали 80 мг продукта со Стадии D (0.127 ммоль, 1.0 экв.), 28 мг 1,3-бензотиазол-2-амина (0.19 ммоль, 1.5 экв.) и 113 мкл DIPEA (0.635 ммоль, 5 экв.), суспендированных в 0.5 мл сухого 1,4-диоксана. Полученную в результате смесь продували азотом и затем добавляли 11 мг Pd2(dba)3 (0.012 ммоль, 0.1 экв.) и 14 мг ксантфоса (0.024 ммоль, 0.2 экв.). Реакционную смесь затем нагревали до 120°С и перемешивали при этой температуре в течение 2 ч, во время чего реакция достигла полной степени превращения. Реакционную смесь непосредственно упаривали на целите, и затем очищали с помощью флэш-хроматографии с использованием гептана и EtOAc в качестве элюентов с получением 65 мг целевого продукта (выход 68%).

Стадия F: 2-[3-(1,3-бензотиазол-2-иламино)-4-метил-5,6-дигидропирроло[2,3-с]пиридазин-7-ил]-5-[3-[2-фтор-4-[3-(метиламино)проп-1-инил]фенокси]пропил]тиазол-4-карбоновая кислота

Используя Общую методику снятия защиты и гидролиза, исходя из продукта со Стадии Е в качестве подходящего сложного метилового эфира, получали целевой продукт.

МСВР-ЭРИ (m/z): [М+Н]+, рассчитано для C31H29FN7O3S2: 630.1752, найдено: 630.1755.

Пример 38: 2-[3-(1,3-Бензотиазол-2-иламино)-6-гидрокси-4-метил-6,7-дигидро-5Н-пиридо[2,3-с]пиридазин-8-ил]-5-[3-[2-фтор-4-[3-(метиламино)проп-1-инил]фенокси]пропил]тиазол-4-карбоновая кислота (энантиомерно чистая, из Энантиомера 2 Синтеза 2b, Стадия А)

Стадия А: метил 2-[трет-бутоксикарбонил-[2-[трет-бутил(дифенил)силил]окси-3-(3,6-дихлор-5-метилпиридазин-4-ил)пропил]-амино]-5-[3-[4-[3-[трет-бутоксикарбонил(метил)амино]проп-1-инил]-2-фторфенокси]пропил]тиазол-4-карбоксилат (энантиомерно чистая, из Энантиомера 2 Синтеза 2b, Стадия А)

Используя Общую методику проведения реакции Мицунобу, исходя из 1.91 г продукта Синтеза 1b (3.4 ммоль, 1.0 экв.) в качестве подходящего карбамата и 1.6 г продукта Синтеза 2b (3.4 ммоль, 1.0 экв.) в качестве подходящего спирта, получали 2.2 г целевого продукта (выход 63%).

1H ЯМР (500 МГц, ДМСО-d6) δ м.д. 7.54-7.26 (m, 10Н), 7.29 (m, 1Н), 7.18 (d, 1Н), 7.08 (t, 1Н), 4.76 (m, 1Н), 4.34/3.84 (m, 2Н), 4.06 (t, 2Н), 3.75 (s, 3Н), 3.23 (m, 2Н), 2.96/2.89 (m, 2Н), 2.86 (bs, 3Н), 2.06 (m, 2Н), 2.03 (bs, 3Н), 1.4 (s, 18Н), 1.22 (m, 2Н), 0.81 (s, 9Н); 13С ЯМР (125 МГц, ДМСО-d6) δ м.д. 129.0, 119.2, 115.4, 68.8, 67.9, 52.0, 51.1, 36.1, 33.9, 30.4, 28.0, 26.9, 22.9, 22.7, 19.1, 16.8; МСВР-ЭРИ (m/z): [М+Н]+, рассчитано для C52H63Cl2FN5O8SSi: 1034.3522, найдено: 1034.3519.

Стадия В: метил 5-[3-[4-[3-[трет-бутоксикарбонил(метил)амино]проп-1-инил]-2-фторфенокси]пропил]-2-[[2-[трет-бутил(дифенил)силил]окси-3-(3,6-дихлор-5-метилпиридазин-4-ил)пропил]амино]тиазол-4-карбоксилат (энантиомерно чистый, из Энантиомера 2 Синтеза 2b, Стадия А)

Используя Общую методику снятия защиты посредством HFIPA, исходя из продукта со Стадии А в качестве подходящего карбамата, получали 1.6 г целевого продукта (выход 81%).

1Н ЯМР (500 МГц, ДМСО-d6) δ м.д. 7.76 (t, 1Н), 7.56-7.26 (m, 10Н), 7.31 (d, 1Н), 7.21 (d, 1Н), 7.12 (t, 1Н), 4.46 (m, 1Н), 4.23 (br., 2Н), 4.06 (t, 2Н), 3.68 (s, 3Н), 3.38/3.25 (m+m, 2Н), 3.11 (t, 2Н), 3.05 (m, 2Н), 2.86 (br., 3Н), 2.11 (s, 3Н), 1.98 (quint., 2Н), 1.41 (s, 9Н), 0.85 (s, 9Н); 13С ЯМР (125 МГц, ДМСО-d6) δ м.д. 162.9, 157.4, 157.3, 154.9, 151.5, 140.6, 139.8, 129.1, 119.3, 115.3, 69.9, 67.9, 51.7, 50.1, 38.5, 36.2, 33.8, 30.5, 28.5, 27.1, 23.2, 17.0; МСВР-ЭРИ (m/z): [М+Н]+, рассчитано для C47H55Cl2FN5O6SSi: 934.2997, найдено: 934.2994.

Стадия С: метил 5-[3-[4-[3-[трет-бутоксикарбонил(метил)амино]проп-1-инил]-2-фторфенокси]пропил]-2-[6-[трет-бутил(дифенил)силил]окси-3-хлор-4-метил-6,7-дигидро-5Н-пиридо[2,3-с]пиридазин-8-ил]тиазол-4-карбоксилат (энантиомерно чистый, из Энантиомера 2 Синтеза 2b, Стадия А)

В 40 мл высушенный в сушильном шкафу сосуд, оснащенный якорем магнитной мешалки с покрытием из ПТФЭ, загружали 1.50 г продукта со Стадии В (1.6 ммоль, 1.0 экв.), растворенного в 8 мл 1,4-диоксана, затем добавляли 620 мг карбоната цезия (3.2 ммоль, 2.0 экв.) и 560 мкл DIPEA (410 мг, 3.2 ммоль, 2.0 экв.), и затем в нем создавали инертную атмосферу. После добавления 110 мг Pd(AtaPhos)2Cl2 (0.16 ммоль, 0.10 экв.) реакционную смесь затем нагревали до 80°С и перемешивали при этой температуре в течение 30 мин, во время чего реакция достигла полной степени превращения. К реакционной смеси добавляли целит, и летучие вещества удаляли при пониженном давлении. Затем сырой продукт очищали с помощью флэш-хроматографии с использованием гептана и EtOAc в качестве элюентов с получением 550 мг целевого продукта (выход 38%).

1H ЯМР (500 МГц, ДМСО-d6) δ м.д. 7.47 (dm, 4Н), 7.47/7.43 (tm+tm, 2Н), 7.38/7.33 (tm+tm, 4Н), 7.3 (dm, 1Н), 7.18 (m, 1Н), 7.11 (t, 1Н), 4.72/3.86 (m+m, 2Н), 4.63 (m, 1Н), 4.22 (s, 2Н), 4.11 (t, 2Н), 3.79 (s, 3Н), 3.27 (m, 2Н), 2.95/2.87 (m+m, 2Н), 2.85 (s, 3Н), 2.14 (s, 3Н), 2.12 (m, 2Н), 1.41 (s, 9Н), 0.8 (s, 9Н); 13С ЯМР (125 МГц, ДМСО-d6) δ м.д. 163.0, 156.0, 151.9, 151.6, 151.5, 151.4, 147.5, 142.2, 137.0, 135.6/135.5, 135.0, 133.2/133.1, 130.6/130.5, 129.1, 128.4/128.3, 126.8, 119.4, 115.4, 114.8, 85.3, 82.5, 79.8, 68.3, 63.1, 52.0, 51.8, 38.5, 33.8, 32.6, 30.7, 28.5, 26.8, 23.1, 19.1, 15.5; МСВР-ЭРИ (m/z): [М+Н]+, рассчитано для C47H54ClFN5O6SSi: 898.3231, найдено: 898.3238.

Стадия D: метил 2-[3-(1,3-бензотиазол-2-иламино)-6-[трет-бутил(дифенил)силил]окси-4-метил-6,7-дигидро-5Н-пиридо[2,3-с]пиридазин-8-ил]-5-[3-[4-[3-[трет-бутоксикарбонил(метил)амино]проп-1-инил]-2-фторфенокси]пропил]тиазол-4-карбоксилат (энантиомерно чистый, из Энантиомера 2 Синтеза 2b, Стадия А)

В 4 мл высушенный в сушильном шкафу сосуд, оснащенный якорем магнитной мешалки с покрытием из ПТФЭ, загружали 179 мг продукта со Стадии С (0.2 ммоль, 1.0 экв.), 60 мг 1,3-бензотиазол-2-амина (0.4 ммоль, 2.0 экв.) и 104 мкл DIPEA (0.6 ммоль, 3 экв.), растворенных в 1 мл сухого ДМФА. Полученную в результате смесь продували азотом и затем добавляли 18 мг Pd2(dba)3 (0.02 ммоль, 0.1 экв.) и 23 мг ксантфоса (0.04 ммоль, 0.2 экв.). Реакционную смесь затем нагревали до 140°С и перемешивали при этой температуре в течение 30 мин, во время чего реакция достигла полной степени превращения. Реакционную смесь непосредственно вводили в колонку с предварительно кондиционированным силикагелем, и затем сырой продукт очищали с помощью флэш-хроматографии с использованием гептана и EtOAc в качестве элюентов с получением 50 мг целевого продукта (выход 24%).

Стадия Е: 2-[3-(1,3-Бензотиазол-2-иламино)-6-гидрокси-4-метил-6,7-дигидро-5Н-пиридо[2,3-с]пиридазин-8-ил]-5-[3-[2-фтор-4-[3-(метиламино)проп-1-инил]фенокси]пропил]тиазол-4-карбоновая кислота (энантиомерно чистая, из Энантиомера 2 Синтеза 2b, Стадия А)

Используя Общую методику снятия защиты и гидролиза, исходя из продукта со Стадии D в качестве подходящего сложного метилового эфира, получали целевой продукт.

МСВР-ЭРИ (m/z): [М+Н]+, рассчитано для C32H31FN7O4S2: 660.1857, найдено: 660.1847.

Пример 39: 2-[(6R)-3-[(1,3-Бензотиазол-2-ил)амино]-4-метил-6-{[2-(метиламино)этил]амино}-5Н,6Н,7Н,8Н-пиридо[2,3-с]пиридазин-8-ил]-5-(3-{4-[3-(диметиламино)пропил]-2-фторфенокси}пропил)-1,3-тиазол-4-карбоновая кислота

Стадия А: трет-бутил (4R)-4-(2-гидроксиэтил)-2,2-диметил-1,3-оксазолидин-3-карбоксилат

К раствору трет-бутил N-[(2R)-1,4-дигидроксибутан-2-ил]карбамата (10.5 г, 51.2 ммоль, 1 экв.) в дихлорметане (110 мл) добавляли 2,2-диметоксипропан (12.5 мл, 102 ммоль, 2 экв.) и моногидрат n-толуолсульфоновой кислоты (0.51 мл, 5.12 ммоль, 0.1 экв.), и смесь перемешивали при температуре окружающей среды в течение ночи. Реакционную смесь гасили 0.2 н. водным раствором гидроксида натрия (50 мл), и органическую фазу сушили (ПТФЭ фазоразделитель) и концентрировали в вакууме. Очистка с помощью автоматической колоночной флэш-хроматографии (CombiFlash Rf, 220 г силикагелевый картридж RediSep™) с элюированием с градиентом 0-60% этилацетата в изогептане приводила к получению целевого продукта в виде белого твердого вещества (5.13 г, 20.9 ммоль, 41%).

1H ЯМР (400 МГц, ДМСО-d6) δ 4.49-4.40 (m, 1Н), 3.92-3.82 (m, 2Н), 3.79 (d, J=7.8 Гц, 1Н), 3.48-3.39 (m, 2Н), 1.87-1.69 (m, 1Н), 1.66-1.50 (m, 1Н), 1.47 (s, 3Н), 1.42 (s, 12Н).

Стадия В: трет-бутил (4R)-2,2-диметил-4-(2-оксоэтил)-1,3-оксазолидин-3-карбоксилат

Раствор продукта со Стадии А (5.13 г, 20.9 ммоль, 1 экв.) в дихлорметане (100 мл) охлаждали до 0°С. Добавляли перйодинан Десса-Мартина (9.31 г, 22 ммоль, 1.05 экв.), и смесь перемешивали при температуре окружающей среды в течение 2.5 ч. Реакционную смесь распределяли между дихлорметаном и насыщенным водным раствором бикарбоната натрия, и органическую фазу сушили (ПТФЭ фазоразделитель) и концентрировали в вакууме. Очистка с помощью автоматической колоночной флэш-хроматографии (CombiFlash Rf, 220 г силикагелевый картридж RediSep™) с элюированием с градиентом 0-40% этилацетата в изогептане приводила к получению целевого продукта в виде прозрачного масла (3.23 г, 13.3 ммоль, 64%).

1Н ЯМР (400 МГц, ДМСО-d6) δ 9.65 (d, J=6.7 Гц, 2Н), 4.22 (t, J=6.0 Гц, 2Н), 4.09-3.98 (m, 1Н), 3.71 (t, J=9.0 Гц, 1Н), 2.76-2.61 (m, 2Н), 1.48 (s, 3Н), 1.40 (d, J=8.1 Гц, 12Н).

Стадия С: трет-бутил (4R)-4-(3,3-дибромпроп-2-ен-1-ил)-2,2-диметил-1,3-оксазолидин-3-карбоксилат

К раствору тетрабромметана (4.04 мл, 39.8 ммоль, 3 экв.) в дихлорметане (65 мл) добавляли раствор трифенилфосфина (20.9 г, 79.7 ммоль, 6 экв.) в дихлорметане (100 мл), и смесь перемешивали в течение 10 мин. К раствору продукта со Стадии В (3.23 г, 13.3 ммоль, 1 экв.) в дихлорметане (60 мл) добавляли триэтиламин (16.6 мл, 120 ммоль, 9 экв.), и смесь охлаждали до 0°С. Порциями добавляли первый раствор, и получающуюся в результате смесь перемешивали при 0°С в течение 2 ч. Реакционную смесь распределяли между дихлорметаном и насыщенным водным раствором бикарбоната натрия, и органическую фазу промывали соляным раствором, сушили (ПТФЭ фазоразделитель) и концентрировали в вакууме. Остаток растирали с охлажденным диэтиловым эфиром, твердые вещества собирали путем фильтрования и промывали диэтиловым эфиром. Очистка с помощью автоматической колоночной флэш-хроматографии (CombiFlash Rf, 120 г силикагелевый картридж RediSep™) с элюированием с градиентом 0-15% этилацетата в изогептане приводила к получению целевого продукта в виде прозрачного масла (1.77 г, 4.43 ммоль, 33%).

1H ЯМР (400 МГц, ДМСО-d6) δ 6.61 (t, J=7.5 Гц, 1Н), 4.08-3.87 (m, 2Н), 3.83-3.70 (m, 2Н), 2.45-2.28 (m, 2Н), 1.50 (s, 3Н), 1.41 (d, 12Н).

Стадия D: трет-бутил (4R)-4-(бут-2-ин-1-ил)-2,2-диметил-1,3-оксазолидин-3-карбоксилат

К раствору продукта со Стадии С (1.77 г, 4.43 ммоль, 1 экв.) в тетрагидрофуране (40 мл), охлажденному до -78°С, добавляли н-бутиллитий (2.5М в гексанах; 5.32 мл, 13.3 ммоль, 3 экв.), и смесь перемешивали при этой температуре в течение 1 ч. Добавляли йодметан (1.38 мл, 22.2 ммоль, 5 экв.) и смеси давали нагреться до температуры окружающей среды и перемешивали в течение ночи. Реакционную смесь распределяли между этилацетатом и насыщенным водным раствором хлорида аммония, и органическую фазу сушили (сульфат магния) и концентрировали в вакууме. Очистка с помощью автоматической колоночной флэш-хроматографии (CombiFlash Rf, 24 г силикагелевый картридж RediSep™) с элюированием с градиентом 0-15% этилацетата в изогептане приводила к получению целевого продукта в виде прозрачного масла (1.04 г, 4.11 ммоль, 93%).

1H ЯМР (400 МГц, ДМСО-d6) δ 4.02-3.92 (m, 1Н), 3.90-3.75 (m, 2Н), 2.46 (d, J=15.8 Гц, 1Н), 2.37-2.20 (m, 1Н), 1.75 (t, J=2.6 Гц, 3Н), 1.48 (s, 3Н), 1.41 (dd, J=8.2, 3.8 Гц, 12Н).

Стадия Е: трет-бутил N-[(2R)-1-гидроксигекс-4-ин-2-ил]карбамат

К раствору продукта со Стадии D (1.04 г, 4.11 ммоль, 1 экв.) в метаноле (30 мл) добавляли моногидрат n-толуолсульфоновой кислоты (0.08 мл, 0.82 ммоль, 0.2 экв.), и смесь перемешивали при температуре окружающей среды в течение ночи. Реакционную смесь распределяли между этилацетатом и насыщенным водным раствором бикарбоната натрия, и органическую фазу сушили (сульфат магния) и концентрировали в вакууме. Очистка с помощью автоматической колоночной флэш-хроматографии (CombiFlash Rf, 12 г силикагелевый картридж RediSep™) с элюированием с градиентом 0-60% этилацетата в изогептане приводила к получению целевого продукта в виде прозрачного масла (724 мг, 3.39 ммоль, 83%).

1H ЯМР (400 МГц, ДМСО-d6) δ 6.54 (d, J=8.3 Гц, 1Н), 4.67 (t, J=5.7 Гц, 1Н), 3.53-3.40 (m, 1Н), 3.39-3.26 (m, 2Н), 2.38-2.09 (m, 2Н), 1.73 (t, J=2.6 Гц, 3Н), 1.39 (s, 9Н).

Стадия F: трет-бутил N-[(2R)-1-[(трет-бутилдифенилсилил)окси]гекс-4-ин-2-ил]карбамат

К раствору продукта со Стадии Е (724 мг, 3.39 ммоль, 1 экв.) в дихлорметане (30 мл) добавляли имидазол (0.45 мл, 6.79 ммоль, 2 экв.), и смесь охлаждали до 0°С, затем добавляли трет-бутил(хлор)дифенилсилан (0.93 мл, 3.56 ммоль, 1.05 экв.), и смесь перемешивали при температуре окружающей среды в течение ночи. Реакционную смесь распределяли между дихлорметаном и насыщенным водным раствором хлорида аммония, и органическую фазу отделяли (ПТФЭ фазоразделитель) и концентрировали в вакууме. Очистка с помощью автоматической колоночной флэш-хроматографии (CombiFlash Rf, 12 г силикагелевый картридж RediSep™) с элюированием с градиентом 0-8% этилацетата в изогептане приводила к получению целевого продукта в виде прозрачного масла (1.67 г, 3.7 ммоль, 109%).

ЖХ/МС (C27H37NO3Si) 352 [М-Вос]+; RT 1.28 (ЖХМС-V-В2)

1H ЯМР (400 МГц, ДМСО-d6) δ 7.73-7.59 (m, 4Н), 7.52-7.35 (m, 6Н), 3.67-3.57 (m, 2Н), 2.46-2.14 (m, 2Н), 1.70 (t, J=2.5 Гц, 3Н), 1.39 (s, 9Н), 1.37-1.29 (m, 1Н), 1.00 (s, 9Н).

Стадия G: {[(2R)-2-аминогекс-4-ин-1-ил]окси}(трет-бутил)дифенилсилан

К раствору продукта со Стадии F (1.67 г, 3.7 ммоль, 1 экв.) в дихлорметане (35 мл), охлажденному до 0°С, добавляли трифторуксусную кислоту (8.07 мл, 105 ммоль, 28.5 экв.), и смесь перемешивали при температуре окружающей среды в течение 1 ч. Реакционную смесь распределяли между дихлорметаном и 1 н. водным раствором гидроксида натрия (120 мл), и органическую фазу отделяли (ПТФЭ фазоразделитель) и концентрировали в вакууме. Очистка с помощью автоматической колоночной флэш-хроматографии (CombiFlash Rf, 24 г силикагелевый картридж RediSep™) с элюированием с градиентом 0-70% этилацетата в изогептане приводила к получению целевого продукта в виде прозрачного масла (997 мг, 2.84 ммоль, 77%).

1H ЯМР (400 МГц, ДМСО-d6) δ 7.68-7.61 (m, 4Н), 7.53-7.40 (m, 6Н), 3.54 (d, J=5.7 Гц, 2Н), 2.92-2.81 (m, 1Н), 2.38-2.14 (m, 2Н), 1.73 (t, J=2.6 Гц, 3Н), 1.62-1.44 (m, 2Н), 1.01 (s, 9Н).

Стадия Н: бензил N-(2-{[(2R)-1-[(трет-бутилдифенилсилил)окси]гекс-4-ин-2-ил]амино}этил)-N-метилкарбамат

К раствору продукта со Стадии G (997 мг, 2.84 ммоль, 1 экв.) в тетрагидрофуране (24 мл) добавляли раствор бензил N-метил-N-(2-оксоэтил)карбамата (647 мг, 3.12 ммоль, 1.1 экв.) в тетрагидрофуране (11.9 мл), и смесь охлаждали до 0°С. Добавляли триацетоксиборгидрид натрия (1.8 г, 8.51 ммоль, 3 экв.) и смеси давали нагреться до температуры окружающей среды и перемешивали в течение 4 ч. Реакционную смесь распределяли между этилацетатом и 1 н. водным раствором гидроксида натрия, и органическую фазу сушили (сульфат магния) и концентрировали в вакууме. Очистка с помощью автоматической колоночной флэш-хроматографии (CombiFlash Rf, 24 г силикагелевый картридж RediSep™) с элюированием с градиентом 0-40% этилацетата в изогептане приводила к получению целевого продукта в виде прозрачного масла (1.46 г, 2.69 ммоль, 95%).

ЖХ/МС (C33H42N2O3Si) 543 [М+Н]+; RT 2.34 (ЖХМС-V-C)

1H ЯМР (400 МГц, ДМСО-d6) δ 7.63 (d, J=6.7 Гц, 4Н), 7.52-7.39 (m, 6Н), 7.37-7.24 (m, 5Н), 5.03 (d, J=2.6 Гц, 2Н), 3.64-3.52 (m, 2Н), 3.28 (t, J=6.5 Гц, 2Н), 2.86 (d, J=14.2 Гц, 3Н), 2.74-2.60 (m, 2Н), 2.35-2.23 (m, 2Н), 1.68 (t, 3Н), 1.63-1.50 (m, 1Н), 0.99 (s, 9Н).

Стадия I: бензил N-(2-{[(бензилокси)карбонил](метил)амино}этил)-N-[(2R)-1-[(трет-бутилдифенилсилил)окси]гекс-4-ин-2-ил]карбамат

К раствору продукта со Стадии Н (1.46 г, 2.69 ммоль, 1 экв.) в этилацетате (30 мл) добавляли раствор бикарбоната натрия (497 мг, 5.92 ммоль, 2.2 экв.) в воде (8.5 мл), и смесь охлаждали до 0°С, затем добавляли бензил хлорформиат (0.46 мл, 3.23 ммоль, 1.2 экв.) и смеси давали нагреться до температуры окружающей среды и перемешивали в течение ночи. Реакционную смесь распределяли между этилацетатом и насыщенным водным раствором бикарбоната натрия, и органическую фазу сушили (сульфат магния) и концентрировали в вакууме. Очистка с помощью автоматической колоночной флэш-хроматографии (CombiFlash Rf, 24 г силикагелевый картридж RediSep™) с элюированием с градиентом 0-30% этилацетата в изогептане приводила к получению целевого продукта в виде прозрачного масла (1.75 г, 2.59 ммоль, 96%).

ЖХ/МС (C41H48N2O5Si) 677 [М+Н]+; RT 1.32 (ЖХМС-V-В2)

1H ЯМР (400 МГц, ДМСО-d6) δ 7.67-7.50 (m, 4Н), 7.49-7.22 (m, 16Н), 5.16-4.90 (m, 4Н), 4.19-4.07 (m, 1Н), 3.79-3.51 (m, 2Н), 3.44-3.34 (m, 2Н), 3.28-3.15 (m, 2Н), 2.92-2.71 (m, 3Н), 2.45-2.17 (m, 2Н), 1.64 (s, 3Н), 0.95 (d, J=4.4 Гц, 9Н).

Стадия J: бензил N-(2-{[(бензилокси)карбонил](метил)амино}этил)-N-[(2R)-1-[(трет-бутилдифенилсилил)окси]-3-(3,6-дихлор-5-метилпиридазин-4-ил)пропан-2-ил]карбамат

К раствору продукта со Стадии I (1.75 г, 2.59 ммоль, 1 экв.) в толуоле (35 мл) добавляли 3,6-дихлор-1,2,4,5-тетразин (1.56 г, 10.3 ммоль, 4 экв.), и смесь нагревали при 150°С в закупоренной колбе в течение 3 дней. Реакционную смесь концентрировали в вакууме и сырой продукт очищали с помощью автоматической колоночной флэш-хроматографии (CombiFlash Rf, 40 г силикагелевый картридж RediSep™) с элюированием с градиентом 0-40% этилацетата в изогептане с получением сырого целевого продукта в виде красной смолы (1.2 г, 1.5 ммоль, 58%), которую непосредственно использовали на следующей стадии без дополнительной очистки.

ЖХ/МС (C43H48N4O5SiCl2) 799 [М+Н]+; RT 1.32 (ЖХМС-V-В2)

Стадия K: бензил N-(2-{[(бензилокси)карбонил](метил)амино}этил)-N-[(2R)-1-(3,6-дихлор-5-метилпиридазин-4-ил)-3-гидроксипропан-2-ил]карбамат

К раствору продукта со Стадии J (1.2 г, 1.5 ммоль, 1 экв.) в метаноле (55 мл) добавляли ацетилхлорид (0.54 мл, 7.5 ммоль, 5 экв.), и смесь перемешивали при температуре окружающей среды в течение 3 дней. Реакционную смесь концентрировали в вакууме, затем распределяли между дихлорметаном и водой, и органическую фазу отделяли (ПТФЭ фазоразделитель) и концентрировали в вакууме. Очистка с помощью автоматической колоночной флэш-хроматографии (CombiFlash Rf, 24 г силикагелевый картридж RediSep™) с элюированием с градиентом 0-10% метанола в дихлорметане приводила к получению сырого целевого продукта в виде оранжевой смолы (846 мг, 1.51 ммоль, 100%), которую непосредственно использовали на следующей стадии без дополнительной очистки.

ЖХ/МС (C27H30Cl2N4O5) 561 [М+Н]+; RT 0.80 (ЖХМС-V-В2)

Стадия L: метил 2-{[(трет-бутокси)карбонил]амино}-5-(3-{4-[3-(диметиламино)пропил]-2-фторфенокси}пропил)-1,3-тиазол-4-карбоксилат

К раствору продукта Синтеза 4d (652 мг, 3.31 ммоль, 1.2 экв.) в диметилформамиде (15 мл), охлажденному до 0°С, добавляли гидрид натрия (60% дисперсия; 264 мг, 6.61 ммоль, 2.4 экв.), и смесь перемешивали в течение 30 мин. Добавляли раствор продукта Синтеза 1d (1.17 г, 2.75 ммоль, 1 экв.) в диметилформамиде (15 мл), и смесь перемешивали при температуре окружающей среды в течение 1 ч. Реакционную смесь распределяли между этилацетатом и соляным раствором, и органическую фазу сушили (сульфат магния) и концентрировали в вакууме. Очистка с помощью автоматической колоночной флэш-хроматографии (CombiFlash Rf, 40 г силикагелевый картридж RediSep™) с элюированием с градиентом 0-16% метанола в дихлорметане приводила к получению целевого продукта в виде прозрачной смолы (431 мг, 0.87 ммоль, 32%).

ЖХ/МС (C24H34FN3O5S) 496 [М+Н]+; RT 1.81 (ЖХМС-V-C)

1H ЯМР (400 МГц, ДМСО-d6) δ 11.64 (br s, 1Н), 7.13-7.00 (m, 2H), 6.97-6.89 (m, 1Н), 4.04 (t, J=6.2 Гц, 2H), 3.75 (s, 3Н), 3.28-3.15 (m, 2H), 2.58-2.50 (m, 2H), 2.18 (t, J=7.2 Гц, 2H), 2.12 (s, 6H), 2.12-2.00 (m, 2H), 1.71-1.59 (m, 2H), 1.47 (s, 9H).

Стадия М: метил 2-{[(2R)-2-{[(бензилокси)карбонил](2-{[(бензилокси)карбонил](метил)амино}этил)амино}-3-(3,6-дихлор-5-метилпиридазин-4-ил)пропил][(трет-бутокси)карбонил]амино}-5-(3-{4-[3-(диметиламино)пропил]-2-фторфенокси}пропил)-1,3-тиазол-4-карбоксилат

К раствору продукта со Стадии K (422 мг, 0.75 ммоль, 1 экв.) в толуоле (25 мл) добавляли продукт со Стадии L (431 мг, 0.87 ммоль, 1.16 экв.) с последующим добавлением трифенилфосфина (394 мг, 1.5 ммоль, 2 экв.) и ди-трет-бутилазодикарбоксилата (346 мг, 1.5 ммоль, 2 экв.), и смесь перемешивали при температуре окружающей среды в течение 3 ч. Реакционную смесь распределяли между дихлорметаном и водой, и органическую фазу промывали соляным раствором, отделяли (ПТФЭ фазоразделитель) и концентрировали в вакууме. Очистка с помощью автоматической колоночной флэш-хроматографии (CombiFlash Rf, 24 г силикагелевый картридж RediSep™) с элюированием с градиентом 0 - 10% метанола в дихлорметане приводила к получению целевого продукта в виде оранжевой смолы (517 мг, 0.5 ммоль, 66%).

ЖХ/МС (C51H62Cl2FN7O9S) 1040 [М+Н]+; RT 2.48 (ЖХМС-V-C)

1H ЯМР (400 МГц, ДМСО-d6) δ 7.31 (s, 27Н), 7.24 (s, 2Н), 7.11-6.95 (m, 8Н), 6.90 (d, J=8.6 Гц, 3Н), 5.76 (s, 3Н), 5.22 (s, 1Н), 5.05 (s, 1Н), 4.97 (s, 4Н), 4.78 (s, 1Н), 4.50 (d, J=12.9 Гц, 1Н), 4.00 (s, 7Н), 3.69 (s, 6Н), 2.94 (s, 3Н), 2.82 (s, 3Н), 2.76 (s, 1Н), 2.37 (s, 1Н), 2.30 (s, 1H), 2.20 (s, 7H), 2.13 (s, 17H), 2.09 (s, 1H), 2.05 (s, 3H), 1.96 (s, 5H), 1.64 (d, J=8.1 Гц, 8H), 1.50 (s, 5H), 1.43 (d, J=10.5 Гц, 6H).

Стадия N: метил 2-{[(2R)-2-{[(бензилокси)карбонил](2-{[(бензилокси)карбонил](метил)амино}этил)амино}-3-(3,6-дихлор-5-метилпиридазин-4-ил)пропил]амино}-5-(3-{4-[3-(диметиламино)пропил]-2-фторфенокси}пропил)-1,3-тиазол-4-карбоксилат

К раствору продукта со Стадии М (517 мг, 0.5 ммоль, 1 экв.) в дихлорметане (10 мл) добавляли трифторуксусную кислоту (4 мл, 52.2 ммоль, 105 экв.), и смесь перемешивали при температуре окружающей среды в течение 1 ч. Реакционную смесь разбавляли дихлорметаном и охлаждали до 0°С, гасили 1 н. водным раствором гидроксида натрия (60 мл), и органическую фазу промывали соляным раствором, отделяли (ПТФЭ фазоразделитель) и концентрировали в вакууме. Очистка с помощью автоматической колоночной флэш-хроматографии (CombiFlash Rf, 12 г силикагелевый картридж RediSep™) с элюированием с градиентом 0-8% 1 н. метанольного раствора аммиака в дихлорметане приводила к получению целевого продукта в виде оранжевой смолы (461 мг, 0.49 ммоль, 99%).

ЖХ/МС (C46H54Cl2FN7O7S) 939 [М+Н]+; RT 2.16 (ЖХМС-V-C)

1H ЯМР (400 МГц, ДМСО-d6) 5 7.88 (s, 1Н), 7.48-7.18 (m, 10Н), 7.11-6.88 (m, 3Н), 5.12-4.82 (m, 4Н), 4.06-3.90 (m, 2Н), 3.76-3.58 (m, 4Н), 3.53-3.36 (m, 2Н), 3.29-3.21 (m, 2Н), 3.17-3.03 (m, 4Н), 3.01-2.81 (m, 3Н), 2.79-2.69 (m, 2Н), 2.36-2.24 (m, 4Н), 2.18 (t, 2Н), 2.11 (s, 6Н), 2.00-1.93 (m, 3Н), 1.64 (р, J=7.3 Гц, 2Н).

Стадия О: метил 2-[(6R)-6-{[(бензилокси)карбонил](2-{[(бензилокси)карбонил](метил)амино}этил)амино}-3-хлор-4-метил-5Н,6Н,7Н,8Н-пиридо[2,3-с]пиридазин-8-ил]-5-(3-{4-[3-(диметиламино)пропил]-2-фторфенокси}пропил)-1,3-тиазол-4-карбоксилат

К раствору продукта со Стадии N (461 мг, 0.49 ммоль, 1 экв.) в 1,4-диоксане (10 мл) добавляли карбонат цезия (320 мг, 0.98 ммоль, 2 экв.) и N,N-диизопропилэтиламин (171 мкл, 0.98 ммоль, 2 экв.). Смесь барботировали азотом (10 мин), затем добавляли бис(ди-трет-бутил(4-диметиламинофенил)фосфин)дихлорпалладий (II) (34.8 мг, 0.05 ммоль, 0.1 экв.), и смесь нагревали при 80°С в течение 3 ч под микроволновым облучением. Реакционную смесь распределяли между этилацетатом и водой, и органическую фазу промывали соляным раствором, сушили (сульфат магния) и концентрировали в вакууме. Очистка с помощью автоматической колоночной флэш-хроматографии (CombiFlash Rf, 12 г силикагелевый картридж RediSep™) с элюированием с градиентом 0-12% метанола в дихлорметане приводила к получению целевого продукта в виде оранжевой смолы (285 мг, 0.32 ммоль, 64%).

ЖХ/МС (C46H53ClFN7O7S) 902 [М+Н]+; RT2.32 (ЖХМС-V-C)

1H ЯМР (400 МГц, ДМСО-d6) δ 7.52-7.21 (m, 9Н), 7.15-7.00 (m, 4Н), 5.21-4.91 (m, 4Н), 4.84-4.63 (m, 1Н), 4.39-4.22 (m, 1Н), 4.07 (t, J=6.2 Гц, 2Н), 4.05-3.91 (m, 1Н), 3.77 (s, 3Н), 3.56-3.43 (m, 2Н), 3.41-3.36 (m, 2Н), 3.31 (s, 2Н), 3.30-3.23 (m, 2Н), 3.01-2.75 (m, 4Н), 2.28 (s, 2Н), 2.18 (d, J=6.9 Гц, 4H), 2.11 (s, 6Н), 1.64 (р, J=7.4 Гц, 2Н).

Стадия Р: метил 2-[(6R)-3-[(1,3-бензотиазол-2-ил)амино]-6-{[(бензилокси)карбонил](2-{[(бензилокси)карбонил](метил)амино}этил)амино}-4-метил-5Н,6Н,7Н,8Н-пиридо[2,3-с]пиридазин-8-ил]-5-(3-{4-[3-(диметиламино)пропил]-2-фторфенокси}пропил)-1,3-тиазол-4-карбоксилат

К раствору продукта со Стадии О (117 мг, 0.13 ммоль, 1 экв.) в 1,4-диоксане (5 мл) добавляли 2-аминобензотиазол (39 мг, 0.26 ммоль, 2 экв.), N,N-диизопропилэтиламин (67.9 мкл, 0.39 ммоль, 3 экв.) и джозифос Pd G3 (24 мг, 0.03 ммоль, 0.2 экв.), смесь барботировали азотом (10 мин) и затем нагревали при 140°С в течение 3 ч под микроволновым облучением. Реакционную смесь распределяли между этилацетатом и водой, и органическую фазу промывали соляным раствором, сушили (сульфат магния) и концентрировали в вакууме. Очистка с помощью обращенно-фазовой автоматической флэш-хроматографии (CombiFlash Rf, C18 13 г колонка RediSep) с элюированием с градиентом 5-95% ацетонитрила в воде приводила к получению сырого целевого продукта в виде желтой смолы (23 мг, 0.02 ммоль, 17%), которую непосредственно использовали на следующей стадии без дополнительной очистки.

ЖХ/МС (C53H58FN9O7S2) 1017 [М+Н]+; RT 2.43 (ЖХМС-V-C)

Стадия Q: 2-[(6R)-3-[(1,3-бензотиазол-2-ил)амино]-4-метил-6-{[2-(метиламино)этил]амино}-5Н,6Н,7Н,8Н-пиридо[2,3-с]пиридазин-8-ил]-5-(3-{4-[3-(диметиламино)пропил]-2-фторфенокси}пропил)-1,3-тиазол-4-карбоновая кислота

К раствору продукта со Стадии Р (23 мг, 0.02 ммоль, 1 экв.) в 1,4-диоксане (0.5 мл) добавляли концентрированную хлористоводородную кислоту (1.5 мл), и смесь перемешивали при температуре окружающей среды в течение 3 дней. Реакционную смесь концентрировали в вакууме и сырой продукт очищали с помощью автоматической колоночной флэш-хроматографии (CombiFlash Rf, 4 г силикагелевый картридж RediSep™) с элюированием с градиентом 0-30% 7 н. метанольного раствора аммиака в дихлорметане с получением твердого вещества, которое растирали с диэтиловым эфиром, отфильтровывали и сушили в вакууме с получением целевого продукта в виде желтого твердого вещества (9.5 мг, 0.01 ммоль, 57%).

МСВР-ЭРИ (m/z) [М+Н]+, рассчитано для C36H45FN9O3S2: 734.3071, найдено: 734.3096.

Пример 40: 2-{3-[(1,3-Бензотиазол-2-ил)амино]-4-метил-5Н,6Н,7Н,8Н-пиридо[2,3-с]пиридазин-8-ил}-5-(3-{4-[3-(диметиламино)проп-1-ин-1-ил]-2-(трифторметил)фенокси}пропил)-1,3-тиазол-4-карбоновая кислота

Стадия А: этил 5-{3-[4-бром-2-(трифторметил)фенокси]пропил}-2-(4-метил-3-{[(2Z)-3-{[2-(триметилсилил)этокси]метил}-2,3-дигидро-1,3-бензотиазол-2-илиден]амино}-5Н,6Н,7Н,8Н-пиридо[2,3-с]пиридазин-8-ил)-1,3-тиазол-4-карбоксилат

Диизопропилазодикарбоксилат (0.09 мл, 0.47 ммоль, 1.5 экв.) по каплям добавляли к раствору продукта Синтеза 3g (200 мг, 0.31 ммоль, 1 экв.), 4-бром-2-(трифторметил)фенола (100 мг, 0.41 ммоль, 1.33 экв.) и трифенилфосфина (123 мг, 0.47 ммоль, 1.5 экв.) в толуоле (10 мл). Смесь перемешивали при температуре окружающей среды в течение 18 ч и затем концентрировали в вакууме. Очистка с помощью колоночной флэш-хроматографии (20 г, силикагель) с элюированием с градиентом 0 25% этилацетата в изогептане приводила к получению целевого продукта в виде желтого твердого вещества (265 мг, 0.26 ммоль, 84%).

ЖХ/МС (C37H42BrF3N6O4SiS2) 863 [М+Н]+; RT 1.91 (ЖХМС-V-B1)

1H ЯМР (400 МГц, CDCl3) δ 7.71-7.64 (m, 1Н), 7.62-7.52 (m, 2Н), 7.39-7.34 (m, 2Н), 7.24-7.17 (m, 1Н), 6.88 (d, J=8.9 Гц, 1H), 5.84 (s, 2H), 4.50-4.30 (m, 4H), 4.12 (t, J=6.3 Гц, 2H), 3.82-3.68 (m, 2H), 3.39-3.30 (m, 2H), 2.87 (t, J=6.4 Гц, 2H), 2.38 (s, 3H), 2.33-2.22 (m, 2H), 2.18-2.07 (m, 2H), 1.40 (t, J=7.1 Гц, 3Н), 1.01-0.90 (m, 2H), -0.08 (s, 9H).

Стадия В: этил 5-(3-{4-[3-(диметиламино)проп-1-ин-1-ил]-2-(трифторметил)фенокси}пропил)-2-(4-метил-3-{[(2Z)-3-{[2-(триметилсилил)этокси]метил}-2,3-дигидро-1,3-бензотиазол-2-илиден]амино}-5Н,6Н,7Н,8Н-пиридо[2,3-с]пиридазин-8-ил)-1,3-тиазол-4-карбоксилат

К раствору продукта со Стадии А (265 мг, 0.26 ммоль, 1 экв.) в 2-метилтетрагидрофуране (10 мл) добавляли йодид меди (I) (9.93 мг, 0.05 ммоль, 0.2 экв.), тетракис(трифенилфосфин)палладий (0) (30.1 мг, 0.03 ммоль, 0.1 экв.) и диметил(проп-2-ин-1-ил)амин (0.1 мл, 0.93 ммоль, 3.5 экв.). Добавляли N,N-диизопропилэтиламин (0.14 мл, 0.78 ммоль, 3 экв.), и смесь нагревали при 75°С в течение 96 ч. Реакционной смеси давали охладиться до температуры окружающей среды и концентрировали в вакууме. Очистка с помощью колоночной флэш-хроматографии (20 г, силикагель) с элюированием с градиентом 0-100% этилацетата в изогептане приводила к получению целевого продукта в виде темно-желтой смолы (170 мг, 0.2 ммоль, 75%).

ЖХ/МС (C42H50F3N7O4SiS2) 866 [М+Н]+; RT 1.57 (ЖХМС-V-B1)

1H ЯМР (400 МГц, CDCl3) δ 7.66 (d, J=2.3 Гц, 1Н), 7.59 (dt, J=7.7, 0.9 Гц, 1Н), 7.54-7.50 (m, 1Н), 7.40-7.31 (m, 2Н), 7.23-7.17 (m, 1Н), 6.92 (d, J=8.6 Гц, 1Н), 5.84 (s, 2Н), 4.49-4.32 (m, 4Н), 4.18-4.12 (m, 2Н), 3.80-3.66 (m, 2Н), 3.42 (s, 2Н), 3.35 (dd, J=8.5, 6.6 Гц, 2Н), 2.87 (t, J=6.4 Гц, 2Н), 2.38 (s, 3Н), 2.34 (s, 6Н), 2.31-2.25 (m, 2Н), 2.17-2.08 (m, 2Н), 1.40 (t, J=7.1 Гц, 3Н), 0.99-0.90 (m, 2Н), -0.07 (s, 9Н).

Стадия С: 2-{3-[(1,3-бензотиазол-2-ил)амино]-4-метил-5Н,6Н,7Н,8Н-пиридо[2,3-с]пиридазин-8-ил}-5-(3-{4-[3-(диметиламино)проп-1-ин-1-ил]-2-(трифторметил)фенокси}пропил)-1,3-тиазол-4-карбоновая кислота

К раствору продукта со Стадии В (160 мг, 0.18 ммоль, 1 экв.) в 1,4-диоксане (4.5 мл) при 0°С добавляли трифторуксусную кислоту (0.5 мл, 6.47 ммоль, 35 экв.), и смесь перемешивали в течение 36 ч. Реакционную смесь разбавляли дихлорметаном (50 мл) и последовательно промывали 1М водным раствором аммиака (20 мл), водой (20 мл) и соляным раствором (20 мл), сушили сульфатом магния и концентрировали в вакууме. К суспензии сырого вещества в смеси воды (1.5 мл) и тетрагидрофурана (1.5 мл) добавляли моногидрат гидроксида лития (23.3 мг, 0.55 ммоль, 3 экв.), и смесь перемешивали в течение 72 ч при температуре окружающей среды. Добавляли воду (5 мл), и суспензию нейтрализовали уксусной кислотой. Твердые вещества собирали путем фильтрования, промывали водой (10 мл) и сушили в вакууме с получением целевого продукта в виде желтого твердого вещества (75 мг, 0.11 ммоль, 57%).

МСВР-ЭРИ (m/z) [М+Н]+, рассчитано для C34H33F3N7O3S2: 708.2038, найдено: 708.2058

Пример 41: 2-[3-(1,3-Бензотиазол-2-иламино)-4-метил-6,7-дигидро-5Н-пиридо[2,3-с]пиридазин-8-ил]-5-[3-[2-фтор-4-[3-(4-метилпиперазин-1-ил)бут-1-инил]фенокси]пропил]тиазол-4-карбоновая кислота

Стадия А: метил 2-(3-хлор-4-метил-6,7-дигидро-5Н-пиридо[2,3-с]пиридазин-8-ил)-5-[3-[2-фтор-4-[3-(4-метилпиперазин-1-ил)бут-1-инил]фенокси]пропил]тиазол-4-карбоксилат

24 мл высушенный в сушильном шкафу сосуд оснащали якорем магнитной мешалки с покрытием из ПТФЭ, и в него загружали 250 мг 1-метилпиперазина (2.5 ммоль, 5.0 экв.), растворенного в 2.5 мл сухого ТГФ. Затем с помощью шприца по каплям добавляли 133 мг 3-бромбут-1-ина (1.0 ммоль, 2.0 экв.) в течение 5 минут, и перемешивали при этой температуре в течение 30 мин. К полученной в результате смеси добавляли 301 мг продукта Синтеза 3а (0.50 ммоль, 1.0 экв.), 18.15 мг Pd(PPh3)2Cl2 (0.025 ммоль, 0.05 экв.) и 4.76 CuI (0.025 ммоль, 0.05 экв.), затем смесь нагревали до 60°С и перемешивали в течение 2 ч при этой температуре. Реакция достигла полной степени превращения. К реакционной смеси добавляли целит, и летучие вещества удаляли при пониженном давлении. Затем сырой продукт очищали с помощью флэш-хроматографии, используя ДХМ и МеОН (1.2% NH3) в качестве элюентов с получением 300 мг (выход 95%) целевого продукта.

Стадия В: метил 2-[3-(1,3-бензотиазол-2-иламино)-4-метил-6,7-дигидро-5Н-пиридо[2,3-с]пиридазин-8-ил]-5-[3-[2-фтор-4-[3-(4-метилпиперазин-1-ил)бут-1-инил]фенокси]пропил]тиазол-4-карбоксилат

Используя Общую методику II проведения реакции Бухвальда, исходя из 300 мг продукта со Стадии А (0.47 ммоль, 1.0 экв.) и 140 мг 1,3-бензотиазол-2-амина (0.94 ммоль, 2.0 экв.) получали 150 мг (42%) мг целевого продукта.

Стадия С: 2-[3-(1,3-бензотиазол-2-иламино)-4-метил-6,7-дигидро-5Н-пиридо[2,3-с]пиридазин-8-ил]-5-[3-[2-фтор-4-[3-(4-метилпиперазин-1-ил)бут-1-инил]фенокси]пропил]тиазол-4-карбоновая кислота

Используя Общую методику гидролиза, исходя из продукта со Стадии В в качестве подходящего сложного метилового эфира, получали целевой продукт.

1H ЯМР (500 МГц, ДМСО-d6) δ м.д. 7.87 (d, 1Н), 7.49 (d, 1Н), 7.36 (t, 1Н), 7.26 (dd, 1Н), 7.2 (t, 1Н), 7.16 (dd, 1Н), 7.13 (t, 1Н), 4.27 (t, 2Н), 4.12 (t, 2Н), 3.65 (q, 1Н), 3.27 (t, 2Н), 2.87 (t, 2Н), 2.62-2.21 (brm, 8Н), 2.14 (s, 3Н), 2.13 (qn, 2Н), 2.04 (qn, 2Н), 1.33 (s, 3Н), 1.25 (d, 3Н); 13С ЯМР (125 МГц, ДМСО-d6) δ м.д. 164.3, 155.4, 151.5, 151.4, 148.6, 147.2, 145.1, 140.2, 136.3, 130.2, 129.0, 129.0, 127.6, 126.5, 122.5, 122.3, 119.2, 116.4, 115.5, 115.4, 88.4, 84.1, 68.5, 51.7, 46.3, 46.1, 31, 23.9, 23.0, 20.3, 19.6, 12.9;

МСВР-ЭРИ (m/z) [М+Н]+, рассчитано для C37H40FN8O3S2: 727.2649, найдено: 727.2630

Пример 42: 2-[3-(1,3-Бензотиазол-2-иламино)-4-метил-6,7-дигидро-5Н-пиридо[2,3-с]пиридазин-8-ил]-5-[3-[2-фтор-4-(3-пирролидин-1-илпроп-1-инил)фенокси]пропил]тиазол-4-карбоновая кислота

Стадия А: метил 2-[3-(1,3-бензотиазол-2-иламино)-4-метил-6,7-дигидро-5Н-пиридо[2,3-с]пиридазин-8-ил]-5-[3-[2-фтор-4-(3-пирролидин-1-илпроп-1-инил)фенокси]пропил]тиазол-4-карбоксилат

Используя Общую методику получения пропаргилового амина, исходя из 258 мг продукта Синтеза 3d (0.40 ммоль, 1 экв.) в качестве подходящего пропаргилового спирта и пирролидина (20 экв., 670 мг), получали 120 мг целевого продукта (43%).

Стадия В: 2-[3-(1,3-бензотиазол-2-иламино)-4-метил-6,7-дигидро-5Н-пиридо[2,3-с]пиридазин-8-ил]-5-[3-[2-фтор-4-(3-пирролидин-1-илпроп-1-инил)фенокси]пропил]тиазол-4-карбоновая кислота

Используя Общую методику гидролиза, исходя из продукта со Стадии А в качестве подходящего сложного метилового эфира, получали целевой продукт.

1H ЯМР (500 МГц, ДМСО-d6) δ м.д. 7.88 (d, 1Н), 7.49 (d, 1Н), 7.37 (t, 1Н), 7.29 (dd, 1Н), 7.2 (dd, 1Н), 7.19 (t, 1Н), 7.14 (t, 1Н), 4.27 (t, 2Н), 4.14 (t, 2Н), 3.52 (s, 2Н), 3.27 (t, 2Н), 2.88 (t, 2Н), 2.52 (t, 4Н), 2.34 (s, 3Н), 2.13 (qn, 2Н), 2.04 (qn, 2Н), 1.69 (t, 4Н); 13С ЯМР (125 МГц, ДМСО-d6) δ м.д. 151.5, 151.4, 148.6, 147.3, 145.1, 140.1, 136.7, 130.2, 129.0, 129.0, 127.5, 126.5, 122.5, 122.3, 119.2, 116.5, 115.5, 115.4, 85.9, 83.3, 68.6, 52.3, 46.3, 43.3, 31.1, 23.8, 23.8, 23.0, 20.4, 12.9;

МСВР-ЭРИ (m/z): [М+Н]+, рассчитано для C35H35FN7O3S2: 684.2221, найдено: 684.2209.

Пример 43: 2-[3-(1,3-Бензотиазол-2-иламино)-4-метил-6,7-дигидро-5Н-пиридо[2,3-с]пиридазин-8-ил]-5-[3-[2-фтор-4-(3-пирролидин-1-илбут-1-инил)фенокси]пропил]тиазол-4-карбоновая кислота

Стадия А: метил 2-(3-хлор-4-метил-6,7-дигидро-5Н-пиридо[2,3-с]пиридазин-8-ил)-5-[3-[2-фтор-4-(3-пирролидин-1-илбут-1-инил)фенокси]пропил]тиазол-4-карбоксилат

24 мл высушенный в сушильном шкафу сосуд оснащали якорем магнитной мешалки с покрытием из ПТФЭ, и в него загружали 177 мг пирролидина (2.500 ммоль, 5.0 экв.), растворенного в 2.5 мл сухого ТГФ. Затем с помощью шприца по каплям добавляли 133 мг 3-бромбут-1-ина (1.0 ммоль, 2.0 экв.) в течение 5 минут, и перемешивали при этой температуре в течение 30 мин. К полученной в результате смеси добавляли 301 мг продукта Синтеза 3а (0.50 ммоль, 1.0 экв.), 18.15 мг Pd(PPh3)2Cl2 (0.025 ммоль, 0.05 экв.) и 4.76 CuI (0.025 ммоль, 0.05 экв.), затем смесь нагревали до 60°С и перемешивали в течение 2 ч при этой температуре. Реакция достигла полной степени превращения. К реакционной смеси добавляли целит, и летучие вещества удаляли при пониженном давлении. Затем сырой продукт очищали с помощью флэш-хроматографии, используя ДХМ и МеОН (1.2% NH3) в качестве элюентов с получением 220 мг (выход 73%) целевого продукта.

1H ЯМР (500 МГц, ДМСО-d6) δ м.д. 7.41 (d, 1Н), 7.28 (d, 1Н), 7.18 (t, 1Н), 4.51 (br., 1Н), 4.26 (m, 2Н), 4.13 (t, 2Н), 3.77 (s, 3Н), 3.5-2.97 (br., 4Н), 3.25 (t, 2Н), 2.88 (t, 2Н), 2.32 (s, 3Н), 2.11 (quint., 2Н), 2.04 (m, 2Н), 1.89 (br., 4Н), 1.51 (brd., 3Н); 13С ЯМР (125 МГц, ДМСО-d6) δ м.д. 163.1, 129.4, 119.6, 115.4, 68.3, 52.4/50.2, 52.0, 51.7, 46.3, 30.7, 24.2, 23.6, 23.0, 19.7, 19.3, 15.7.

Стадия В: метил 2-[3-(1,3-бензотиазол-2-иламино)-4-метил-6,7-дигидро-5Н-пиридо[2,3-с]пиридазин-8-ил]-5-[3-[2-фтор-4-(3-пирролидин-1-илбут-1-инил)фенокси]пропил]тиазол-4-карбоксилат

Используя Общую методику II проведения реакции Бухвальда, исходя из 220 мг продукта со Стадии А (0.47 ммоль, 1.0 экв.) и 100 мг 1,3-бензотиазол-2-амина (0.668 ммоль, 2.0 экв.), получали 150 мг (выход 63%) целевого продукта.

Стадия С: 2-[3-(1,3-бензотиазол-2-иламино)-4-метил-6,7-дигидро-5Н-пиридо[2,3-с]пиридазин-8-ил]-5-[3-[2-фтор-4-(3-пирролидин-1-илбут-1-инил)фенокси]пропил]тиазол-4-карбоновая кислота

Используя Общую методику гидролиза, исходя из продукта со Стадии В в качестве подходящего сложного метилового эфира, получали целевой продукт.

МСВР-ЭРИ (m/z): [М+Н]+, рассчитано для C36H37FN7O3S2: 698.2377, найдено: 698.2368.

Пример 44: 2-{3-[(1,3-Бензотиазол-2-ил)амино]-4-метил-5Н,6Н,7Н,8Н-пиридо[2,3-с]пиридазин-8-ил}-5-(3-{4-[2-(диметиламино)этокси]фенокси}пропил)-1,3-тиазол-4-карбоновая кислота

Стадия А: этил 5-(3-{4-[2-(диметиламино)этокси]фенокси}пропил)-2-(4-метил-3-{[(2Z)-3-{[2-(триметилсилил)этокси]метил}-2,3-дигидро-1,3-бензотиазол-2-илиден]амино}-5Н,6Н,7Н,8Н-пиридо[2,3-с]пиридазин-8-ил)-1,3-тиазол-4-карбоксилат

К раствору продукта Синтеза 3g (100 мг, 0.16 ммоль, 1 экв.) и продукта Синтеза 4е (56.6 мг, 0.31 ммоль, 2 экв.) в тетрагидрофуране (5 мл) добавляли трифенилфосфин (81.9 мг, 0.31 ммоль, 2 экв.) и ди-трет-бутилазодикарбоксилат (71.9 мг, 0.31 ммоль, 2 экв.), и смесь нагревали при 50°С в течение 8 ч. Реакционную смесь распределяли между этилацетатом и соляным раствором, и органическую фазу сушили (сульфат магния) и концентрировали в вакууме. Очистка с помощью автоматической колоночной флэш-хроматографии (CombiFlash Rf, 4 г силикагелевый картридж RediSep™) с элюированием с градиентом 0-11% метанола в дихлорметане приводила к получению целевого продукта в виде коричневой смолы (35 мг, 0.04 ммоль, 28%).

ЖХ/МС (C40H53N7O5SiS2) 804 [М+Н]+; RT 2.72 (ЖХМС-V-C)

1Н ЯМР (400 МГц, ДМСО-d6) δ 7.82 (dt, J=7.7, 0.9 Гц, 1Н), 7.48-7.38 (m, 2Н), 7.28-7.20 (m, 1Н), 6.92-6.83 (m, 4Н), 5.85 (s, 2Н), 4.33-4.22 (m, 4Н), 4.03-3.89 (m, 4Н), 3.76-3.66 (m, 2Н), 3.30-3.19 (m, 2Н), 2.88 (t, J=6.2 Гц, 2Н), 2.54 (dt, J=11.9, 5.9 Гц, 2Н), 2.37 (s, 3Н), 2.16 (s, 6Н), 2.14-2.00 (m, 4Н), 1.30 (t, J=7.1 Гц, 3Н), 0.96-0.86 (m, 2Н), -0.11 (s, 9Н).

Стадия В: этил 2-{3-[(1,3-бензотиазол-2-ил)амино]-4-метил-5Н,6Н,7Н,8Н-пиридо[2,3-с]пиридазин-8-ил}-5-(3-{4-[2-(диметиламино)этокси]фенокси}пропил)-1,3-тиазол-4-карбоксилат

К раствору продукта со Стадии А (35 мг, 0.04 ммоль, 1 экв.) в дихлорметане (2.7 мл), охлажденному до 0°С, добавляли трифторуксусную кислоту (0.3 мл, 3.92 ммоль, 90 экв.) и смеси давали нагреться до температуры окружающей среды и перемешивали в течение ночи. Реакционную смесь разбавляли дихлорметаном, охлаждали до 0°С и нейтрализовали водным раствором аммиака, затем органическую фазу отделяли (ПТФЭ фазоразделитель) и концентрировали в вакууме. Очистка с помощью автоматической колоночной флэш-хроматографии (CombiFlash Rf, 4 г силикагелевый картридж RediSep™) с элюированием с градиентом 0-10% метанола в дихлорметане приводила к получению целевого продукта в виде желтого твердого вещества (21 мг, 0.03 ммоль, 72%).

ЖХ/МС (C34H39N7O4S2) 674 [М+Н]+; RT 2.12 (ЖХМС-V-C)

1H ЯМР (400 МГц, ДМСО-d6) δ 11.48 (br s, 1Н), 7.88 (d, J=7.9 Гц, 1Н), 7.50 (d, J=8.0 Гц, 1Н), 7.38 (td, J=8.1, 7.7, 1.3 Гц, 1H), 7.24-7.15 (m, 1H), 6.93-6.82 (m, 4H), 5.77 (s, 1H), 4.33-4.23 (m, 4H), 4.02-3.90 (m, 4H), 3.31-3.23 (m, 2H), 2.89 (t, J=6.3 Гц, 2H), 2.58-2.51 (m, 2H), 2.35 (s, 3H), 2.17 (s, 6H), 2.13-2.01 (m, 4H), 1.31 (t, J=7.1 Гц, 3Н).

Стадия С: 2-{3-[(1,3-бензотиазол-2-ил)амино]-4-метил-5Н,6Н,7Н,8Н-пиридо[2,3-с]пиридазин-8-ил}-5-(3-{4-[2-(диметиламино)этокси]фенокси}пропил)-1,3-тиазол-4-карбоновая кислота

К раствору продукта со Стадии В (21 мг, 0.03 ммоль, 1 экв.) в 1,4-диоксане (2 мл) добавляли моногидрат гидроксида лития (13.1 мг, 0.31 ммоль, 10 экв.), и смесь нагревали с обратным холодильником в течение 15 ч. Реакционной смеси давали охладиться до температуры окружающей среды и концентрировали в вакууме. Очистка с помощью автоматической колоночной флэш-хроматографии (CombiFlash Rf, 4 г силикагелевый картридж RediSep™) с элюированием с градиентом 0-20% 7 н. метанольного раствора аммиака в дихлорметане приводила к получению целевого продукта в виде белого твердого вещества (14.6 мг, 0.02 ммоль, 73%).

МСВР-ЭРИ (m/z) [М+Н]+, рассчитано для C32H36N7O4S2: 646.2270, найдено: 646.2292

Пример 45: 5-(3-{4-[3-(Азетидин-1-ил)проп-1-ин-1-ил]-2-фторфенокси}пропил)-2-{3-[(1,3-бензотиазол-2-ил)амино]-4-метил-5Н,6Н,7Н,8Н-пиридо[2,3-с]пиридазин-8-ил}-1,3-тиазол-4-карбоновая кислота

Стадия А: метил 5-[3-[4-[3-(азетидин-1-ил)проп-1-инил]-2-фторфенокси]пропил]-2-[3-(1,3-бензотиазол-2-иламино)-4-метил-6,7-дигидро-5Н-пиридо[2,3-с]пиридазин-8-ил]тиазол-4-карбоксилат

Используя Общую методику получения пропаргилового амина, исходя из 258 мг продукта Синтеза 3d (0.40 ммоль, 1 экв.) в качестве подходящего пропаргилового спирта и азетидина (456.8 мг, 20 экв.), получали 36 мг целевого продукта (36%).

Стадия В: 5-(3-{4-[3-(азетидин-1-ил)проп-1-ин-1-ил]-2-фторфенокси}пропил)-2-{3-[(1,3-бензотиазол-2-ил)амино]-4-метил-5Н,6Н,7Н,8Н-пиридо[2,3-с]пиридазин-8-ил}-1,3-тиазол-4-карбоновая кислота

Используя Общую методику гидролиза, исходя из продукта со Стадии А в качестве подходящего сложного метилового эфира, получали целевой продукт.

МСВР-ЭРИ (m/z): [М+Н]+, рассчитано для C34H33FN7O3S2: 670.2064, найдено: 670.2065.

Пример 46: 2-[3-(1,3-Бензотиазол-2-иламино)-4-метил-6,7-дигидро-5Н-пиридо[2,3-с]пиридазин-8-ил]-5-[3-[2-фтор-4-[3-(1-пиперидил)проп-1-инил]фенокси]пропил]тиазол-4-карбоновая кислота

Стадия А: метил 2-[3-(1,3-бензотиазол-2-иламино)-4-метил-6,7-дигидро-5Н-пиридо[2,3-с]пиридазин-8-ил]-5-[3-[2-фтор-4-[3-(1-пиперидил)проп-1-инил]фенокси]пропил]тиазол-4-карбоксилат

Используя Общую методику получения пропаргилового амина, исходя из 100 мг продукта Синтеза 3d (0.155 ммоль, 1 экв.) в качестве подходящего пропаргилового спирта и пиперидина (264.2 мг, 20 экв.), получали 55 мг целевого продукта (50%).

Стадия В: 2-[3-(1,3-бензотиазол-2-иламино)-4-метил-6,7-дигидро-5Н-пиридо[2,3-с]пиридазин-8-ил]-5-[3-[2-фтор-4-[3-(1-пиперидил)проп-1-инил]фенокси]пропил]тиазол-4-карбоновая кислота

Используя Общую методику гидролиза, исходя из продукта Стадии А в качестве подходящего сложного метилового эфира, получали целевой продукт.

МСВР-ЭРИ (m/z): [М+Н]+, рассчитано для C36H37FN7O3S2: 698.2377, найдено: 698.2373.

Пример 47: 2-[3-(1,3-Бензотиазол-2-иламино)-4-метил-6,7-дигидро-5Н-пиридо[2,3-с]пиридазин-8-ил]-5-[3-[2-фтор-4-(3-морфолинопроп-1-инил)фенокси]пропил]тиазол-4-карбоновая кислота

Стадия А: метил 2-[3-(1,3-бензотиазол-2-иламино)-4-метил-6,7-дигидро-5Н-пиридо[2,3-с]пиридазин-8-ил]-5-[3-[2-фтор-4-(3-морфолинопроп-1-инил)фенокси]пропил]тиазол-4-карбоксилат

Используя Общую методику получения пропаргилового амина, исходя из 100 мг продукта Синтеза 3d (0.155 ммоль, 1 экв.) в качестве подходящего пропаргилового спирта и морфолина (270.3 мг, 20 экв.), получали 191 мг целевого продукта (86%).

Стадия В: 2-[3-(1,3-бензотиазол-2-иламино)-4-метил-6,7-дигидро-5Н-пиридо[2,3-с]пиридазин-8-ил]-5-[3-[2-фтор-4-(3-морфолинопроп-1-инил)фенокси]пропил]тиазол-4-карбоновая кислота

Используя Общую методику гидролиза, исходя из продукта со Стадии А в качестве подходящего сложного метилового эфира, получали целевой продукт.

МСВР-ЭРИ (m/z): [М+Н]+, рассчитано для C35H35FN7O4S2: 700.2170, найдено: 700.2163.

Пример 48: 2-[3-(1,3-Бензотиазол-2-иламино)-4-метил-6,7-дигидро-5Н-пиридо[2,3-с]пиридазин-8-ил]-5-[3-[2-фтор-4-[3-(4-метилпиперазин-1-ил)проп-1-инил]фенокси]пропил]тиазол-4-карбоновая кислота

Стадия А: метил 2-[3-(1,3-бензотиазол-2-иламино)-4-метил-6,7-дигидро-5Н-пиридо[2,3-с]пиридазин-8-ил]-5-[3-[2-фтор-4-[3-(4-метилпиперазин-1-ил)проп-1-инил]фенокси]пропил]тиазол-4-карбоксилат

Используя Общую методику получения пропаргилового амина, исходя из 100 мг продукта Синтеза 3d (0.155 ммоль, 1 экв.) в качестве подходящего пропаргилового спирта и 1-метилпиперазина (310.7 мг, 20 экв.), получали 150 мг целевого продукта (79%).

Стадия В: 2-[3-(1,3-бензотиазол-2-иламино)-4-метил-6,7-дигидро-5Н-пиридо[2,3-с]пиридазин-8-ил]-5-[3-[2-фтор-4-[3-(4-метилпиперазин-1-ил)проп-1-инил]фенокси]пропил]тиазол-4-карбоновая кислота

Используя Общую методику гидролиза, исходя из продукта со Стадии А в качестве подходящего сложного метилового эфира, получали целевой продукт.

МСВР-ЭРИ (m/z): [М+Н]+, рассчитано для C36H38FN8O3S2: 713.2486, найдено: 713.2474.

Пример 49: 2-{3-[(1,3-Бензотиазол-2-ил)амино]-4-метил-5Н,6Н,7Н,8Н-пиридо[2,3-с]пиридазин-8-ил}-5-(3-{4-[3-(4,4-дифторпиперидин-1-ил)проп-1-ин-1-ил]-2-фторфенокси}пропил)-1,3-тиазол-4-карбоновая кислота

Стадия А: метил 2-[3-(1,3-бензотиазол-2-иламино)-4-метил-6,7-дигидро-5Н-пиридо[2,3-с]пиридазин-8-ил]-5-[3-[4-[3-(4,4-дифтор-1-пиперидил)проп-1-инил]-2-фторфенокси]пропил]тиазол-4-карбоксилат

Используя Общую методику получения пропаргилового амина, исходя из 100 мг продукта Синтеза 3d (0.155 ммоль, 1 экв.) в качестве подходящего пропаргилового спирта и 4,4-дифторпиперидина (20 экв.), получали 120 мг целевого продукта (72%).

Стадия В: 2-{3-[(1,3-бензотиазол-2-ил)амино]-4-метил-5Н,6Н,7Н,8Н-пиридо[2,3-с]пиридазин-8-ил}-5-(3-{4-[3-(4,4-дифторпиперидин-1-ил)проп-1-ин-1-ил]-2-фторфенокси}пропил)-1,3-тиазол-4-карбоновая кислота

Используя Общую методику гидролиза, исходя из продукта со Стадии А в качестве подходящего сложного метилового эфира, получали целевой продукт.

МСВР-ЭРИ (m/z): [М+Н]+, рассчитано для C36H35F3N7O3S2: 734.2189, найдено: 734.2185.

Пример 50: 2-{3-[(1,3-Бензотиазол-2-ил)амино]-4-метил-5Н,6Н,7Н,8Н-пиридо[2,3-с]пиридазин-8-ил}-5-(3-{4-[3-(3,3-дифторпиперидин-1-ил)проп-1-ин-1-ил]-2-фторфенокси}пропил)-1,3-тиазол-4-карбоновая кислота

Стадия А: метил 2-[3-(1,3-бензотиазол-2-иламино)-4-метил-6,7-дигидро-5Н-пиридо[2,3-с]пиридазин-8-ил]-5-[3-[4-[3-(3,3-дифтор-1-пиперидил)проп-1-инил]-2-фторфенокси]пропил]тиазол-4-карбоксилат

Используя Общую методику получения пропаргилового амина, исходя из 100 мг продукта Синтеза 3d (0.155 ммоль, 1 экв.) в качестве подходящего пропаргилового спирта и 3,3-дифторпиперидина в форме соли с хлороводородом (1:1) (488.9 мг, 20 экв.), получали 30 мг целевого продукта (26%).

Стадия В: 2-{3-[(1,3-бензотиазол-2-ил)амино]-4-метил-5Н,6Н,7Н,8Н-пиридо[2,3-с]пиридазин-8-ил}-5-(3-{4-[3-(3,3-дифторпиперидин-1-ил)проп-1-ин-1-ил]-2-фторфенокси}пропил)-1,3-тиазол-4-карбоновая кислота

Используя Общую методику гидролиза, исходя из продукта со Стадии А в качестве подходящего сложного метилового эфира, получали целевой продукт.

МСВР-ЭРИ (m/z): [М+Н]+, рассчитано для C36H35F3N7O3S2: 734.2189, найдено: 734.2186.

Пример 51: 2-{3-[(1,3-Бензотиазол-2-ил)амино]-4-метил-5Н,6Н,7Н,8Н-пиридо[2,3-с]пиридазин-8-ил}-5-(3-{2-хлор-4-[3-(диметиламино)проп-1-ин-1-ил]фенокси}пропил)-1,3-тиазол-4-карбоновая кислота

Стадия А: метил 5-[3-(2-хлор-4-йодфенокси)пропил]-2-(4-метил-3-{[(2Z)-3-{[2-(триметилсилил)этокси]метил}-2,3-дигидро-1,3-бензотиазол-2-илиден]амино}-5Н,6Н,7Н,8Н-пиридо[2,3-с]пиридазин-8-ил)-1,3-тиазол-4-карбоксилат

К раствору продукта Синтеза 3b (225 мг, 0.32 ммоль, 1 экв.) в толуоле (10 мл) добавляли 2-хлор-4-йодфенол (100 мг, 0.39 ммоль, 1.22 экв.) с последующим добавлением трифенилфосфина (127 мг, 0.48 ммоль, 1.5 экв.) и диизопропилазодикарбоксилата (0.1 мл, 0.48 ммоль, 1.5 экв.), и смесь перемешивали при температуре окружающей среды в течение 3 ч. Очистка с помощью колоночной флэш-хроматографии (20 г, силикагель) с элюированием с градиентом 0-30% этилацетата в изогептане приводила к получению целевого продукта в виде желтого твердого вещества (235 мг, 0.23 ммоль, 72%).

ЖХ/МС (C35H40ClIN6O4SiS2) 863 [М+Н]+; RT 1.48 (ЖХМС-V-В2)

1H ЯМР (400 МГц, CDCl3) δ 7.65 (d, J=2.1 Гц, 1Н), 7.59 (dt, J=7.7, 0.9 Гц, 1Н), 7.47 (dd, J=8.6, 2.2 Гц, 1Н), 7.39-7.35 (m, 2Н), 7.24-7.17 (m, 1Н), 6.67 (d, J=8.6 Гц, 1Н), 5.84 (s, 2Н), 4.47-4.35 (m, 2Н), 4.13-4.06 (m, 2Н), 3.90 (s, 3Н), 3.80-3.70 (m, 2Н), 3.43-3.34 (m, 2Н), 2.87 (t, J=6.3 Гц, 2Н), 2.38 (s, 3Н), 2.34-2.22 (m, 2Н), 2.19-2.06 (m, 2Н), 1.02-0.91 (m, 2Н), -0.07 (s, 9Н).

Стадия В: метил 5-(3-{2-хлор-4-[3-(диметиламино)проп-1-ин-1-ил]фенокси}пропил)-2-(4-метил-3-{[(21)-3-{[2-(триметилсилил)этокси]метил}-2,3-дигидро-1,3-бензотиазол-2-илиден]амино}-5Н,6Н,7Н,8Н-пиридо[2,3-с]пиридазин-8-ил)-1,3-тиазол-4-карбоксилат

Диметил(проп-2-ин-1-ил)амин (0.1 мл, 0.93 ммоль, 4.0 экв.) добавляли к раствору продукта со Стадии А (235 мг, 0.23 ммоль, 1 экв.), йодида меди (I) (8.81 мг, 0.05 ммоль, 0.2 экв.) и тетракис(трифенилфосфин)палладия (0) (26.7 мг, 0.02 ммоль, 0.1 экв.) в 2-метилтетрагидрофуране (10 мл), затем добавляли N,N-диизопропилэтиламин (0.15 мл, 0.69 ммоль, 3 экв.), и смесь нагревали при 75°С в течение 18 ч. Реакционной смеси давали охладиться до температуры окружающей среды и очищали с помощью колоночной флэш-хроматографии (20 г, силикагель) с элюированием с градиентом 0-100% этилацетата в изогептане с получением целевого продукта в виде коричневой смолы (75 мг, 0.09 ммоль, 40%).

ЖХ/МС (C40H48ClN7O4SiS2) 818 [М+Н]+; RT 1.56 (ЖХМС-V-B1)

1H ЯМР (400 МГц, CDCl3) δ 7.70-7.63 (m, 1Н), 7.59 (dt, J=7.6, 0.9 Гц, 1Н), 7.48-7.44 (m, 1Н), 7.40-7.35 (m, 2Н), 7.23-7.16 (m, 1Н), 6.84 (d, J=8.6 Гц, 1Н), 5.84 (s, 2Н), 4.46-4.36 (m, 2Н), 4.18-4.05 (m, 2Н), 3.90 (s, 3Н), 3.79-3.69 (m, 2Н), 3.49-3.34 (m, 4Н), 2.87 (t, J=6.5 Гц, 2Н), 2.39 (s, 3Н), 2.35 (s, 6Н), 2.32-2.25 (m, 2Н), 2.18-2.08 (m, 2Н), 1.01-0.93 (m, 2Н), -0.07 (s, 9Н).

Стадия С: 2-{3-[(1,3-бензотиазол-2-ил)амино]-4-метил-5Н,6Н,7Н,8Н-пиридо[2,3-с]пиридазин-8-ил}-5-(3-{2-хлор-4-[3-(диметиламино)проп-1-ин-1-ил]фенокси}пропил)-1,3-тиазол-4-карбоновая кислота

К раствору продукта со Стадии В (75 мг, 0.09 ммоль, 1 экв.) в дихлорметане (1.8 мл), охлажденному до 0°С, добавляли трифторуксусную кислоту (0.2 мл, 2.75 ммоль, 30 экв.), и смесь перемешивали в течение 36 ч. Реакционную смесь разбавляли дихлорметаном (20 мл), последовательно промывали 1М водным раствором аммиака (10 мл), водой (10 мл) и соляным раствором (10 мл), сушили (сульфат магния) и концентрировали в вакууме. Сырое вещество суспендировали в смеси воды (1.5 мл) и метанола (0.5 мл), добавляли моногидрат гидроксида лития (11.5 мг, 0.27 ммоль, 3 экв.), и суспензию нагревали при 80°С в течение 18 ч. Реакционную смесь нейтрализовали уксусной кислотой и твердые вещества собирали путем фильтрования и промывали водой (20 мл). Очистка с помощью препаративной ВЭЖХ (ВЭЖХ-V-А2) приводила к получению целевого продукта в виде бледно-желтого твердого вещества (7 мг, 0.01 ммоль, 11%).

МСВР-ЭРИ (m/z) [М+Н]+, рассчитано для C33H33ClN7O3S2: 674.1775, найдено: 674.1796.

Пример 52: 2-{3-[(1,3-Бензотиазол-2-ил)амино]-4-метил-5Н,6Н,7Н,8Н-пиридо[2,3-с]пиридазин-8-ил}-5-(3-{4-[2-(пирролидин-1-ил)этокси]фенокси}пропил)-1,3-тиазол-4-карбоновая кислота

Стадия А: этил 2-(4-метил-3-{[(2Z)-3-{[2-(триметилсилил)этокси]метил}-2,3-дигидро-1,3-бензотиазол-2-илиден]амино}-5Н,6Н,7Н,8Н-пиридо[2,3-с]пиридазин-8-ил)-5-(3-{4-[2-(пирролидин-1-ил)этокси]фенокси}пропил)-1,3-тиазол-4-карбоксилат

К раствору продукта Синтеза 3g (150 мг, 0.23 ммоль, 1 экв.) и продукта Синтеза 4f (97 мг, 0.47 ммоль, 2 экв.) в толуоле (6 мл) добавляли трифенилфосфин (123 мг, 0.47 ммоль, 2 экв.) и ди-трет-бутилазодикарбоксилат (108 мг, 0.47 ммоль, 2 экв.), и смесь нагревали при 50°С в течение ночи. Реакционную смесь распределяли между дихлорметаном и соляным раствором, и органическую фазу сушили (сульфат магния) и концентрировали в вакууме. Очистка с помощью автоматической колоночной флэш-хроматографии (CombiFlash Rf, 12 г силикагелевый картридж RediSep™) с элюированием с градиентом 0-12% метанола в дихлорметане приводила к получению целевого продукта в виде желтой смолы (165 мг, 0.2 ммоль, 85%).

ЖХ/МС (C42H55N7O5SiS2) 831 [М+Н]+; RT 2.75 (ЖХМС-V-C)

1Н ЯМР (400 МГц, ДМСО-d6) δ 7.82 (d, 1Н), 7.48-7.39 (m, 2Н), 7.28-7.20 (m, 1Н), 6.92-6.82 (m, 4Н), 5.84 (s, 2Н), 4.34-4.21 (m, 4Н), 4.02-3.91 (m, 4Н), 3.76-3.66 (m, 2Н), 3.26 (t, 2Н), 2.87 (t, J=6.2 Гц, 2Н), 2.71 (t, 1Н), 2.48-2.42 (m, 4Н), 2.37 (s, 3Н), 2.13-2.00 (m, 4Н), 1.71-1.60 (m, 4Н), 1.30 (t, J=7.1 Гц, 3Н), 0.95-0.86 (m, 2Н), -0.11 (s, 9Н).

Стадия В: этил 2-{3-[(1,3-бензотиазол-2-ил)амино]-4-метил-5Н,6Н,7Н,8Н-пиридо[2,3-с]пиридазин-8-ил}-5-(3-{4-[2-(пирролидин-1-ил)этокси]фенокси}пропил)-1,3-тиазол-4-карбоксилат

К раствору продукта со Стадии А (165 мг, 0.2 ммоль, 1 экв.) в дихлорметане (8.1 мл), охлажденному до 0°С, добавляли трифторуксусную кислоту (0.91 мл, 11.9 ммоль, 60 экв.), и смесь перемешивали при температуре окружающей среды в течение ночи. Реакционную смесь разбавляли дихлорметаном, охлаждали до 0°С, нейтрализовали водным раствором аммиака и органическую фазу отделяли (ПТФЭ фазоразделитель) и концентрировали в вакууме. Очистка с помощью автоматической колоночной флэш-хроматографии (CombiFlash Rf, 4 г силикагелевый картридж RediSep™) с элюированием с градиентом 0-14% метанола в дихлорметане приводила к получению целевого продукта в виде желтого твердого вещества (84 мг, 0.12 ммоль, 60%).

ЖХ/МС (C36H41N7O4S2) 700 [М+Н]+; RT 2.14 (ЖХМС-V-C)

1H ЯМР (400 МГц, ДМСО-d6) δ 11.48 (br s, 1Н), 7.89 (d, J=7.7 Гц, 1Н), 7.50 (d, J=7.9 Гц, 1Н), 7.42-7.34 (m, 1Н), 7.20 (td, J=7.5, 1.2 Гц, 1Н), 6.94-6.83 (m, 4Н), 4.34-4.21 (m, 4Н), 3.98 (t, J=6.2 Гц, 4Н), 3.32-3.23 (m, 2Н), 2.89 (t, J=6.4 Гц, 2Н), 2.85-2.74 (m, 2Н), 2.65-2.53 (m, 4Н), 2.35 (s, 3Н), 2.16-1.99 (m, 4Н), 1.70 (s, 4Н), 1.31 (t, J=7.1 Гц, 3Н).

Стадия С: 2-{3-[(1,3-бензотиазол-2-ил)амино]-4-метил-5Н,6Н,7Н,8Н-пиридо[2,3-с]пиридазин-8-ил}-5-(3-{4-[2-(пирролидин-1-ил)этокси]фенокси}пропил)-1,3-тиазол-4-карбоновая кислота

К раствору продукта со Стадии В (84 мг, 0.12 ммоль, 1 экв.) в 1,4-диоксане (4 мл) добавляли моногидрат гидроксида лития (50.4 мг, 1.2 ммоль, 10 экв.), и смесь нагревали с обратным холодильником в течение ночи. Реакционной смеси давали охладиться до температуры окружающей среды и концентрировали в вакууме. Очистка с помощью автоматической колоночной флэш-хроматографии (CombiFlash Rf, 4 г силикагелевый картридж RediSep™) с элюированием с градиентом 0-15% 7 н. метанольного раствора аммиака в дихлорметане приводила к получению твердого вещества, которое растирали с диэтиловым эфиром, отфильтровывали и сушили в вакууме с получением целевого продукта в виде желтого твердого вещества (52.9 мг, 0.08 ммоль, 66%).

ЖХ/МС (C34H37N7O4S2) 672 [М+Н]+; RT 1.93 (ЖХМС-V-C)

1H ЯМР (400 МГц, ДМСО-d6) δ 7.89 (dd, J=7.9, 1.2 Гц, 1Н), 7.50 (d, J=8.1 Гц, 1Н), 7.38 (td, J=7.7, 1.3 Гц, 1Н), 7.20 (td, J=7.6, 1.2 Гц, 1Н), 6.94-6.81 (m, 4Н), 4.28 (dd, J=7.3, 4.3 Гц, 2Н), 4.05-3.91 (m, 4Н), 3.35-3.17 (m, 6Н), 2.89 (t, J=6.2 Гц, 2Н), 2.76 (t, J=5.9 Гц, 2Н), 2.35 (s, 3Н), 2.18-1.96 (m, 4Н), 1.73-1.62 (m, 4Н).

МСВР-ЭРИ (m/z) [М+Н]+, рассчитано для C34H38N7O4S2: 672.2427, найдено: 672.2449

Пример 53: 2-{3-[(1,3-Бензотиазол-2-ил)амино]-4-метил-5Н,6Н,7Н,8Н-пиридо[2,3-с]пиридазин-8-ил}-5-(3-{4-[2-(диметиламино)этил]-2-фторфенокси}пропил)-1,3-тиазол-4-карбоновая кислота

Стадия А: метил 5-(3-{4-[2-(диметиламино)этил]-2-фторфенокси}пропил)-2-(4-метил-3-{[(2Z)-3-{[2-(триметилсилил)этокси]метил}-2,3-дигидро-1,3-бензотиазол-2-илиден]амино}-5Н,6Н,7Н,8Н-пиридо[2,3-с]пиридазин-8-ил)-1,3-тиазол-4-карбоксилат

К раствору продукта Синтеза 3b (95 мг, 0.15 ммоль, 1 экв.) и продукта Синтеза 4g (41 мг, 0.22 ммоль, 1.48 экв.) в толуоле (5 мл) добавляли ди-трет-бутилазодикарбоксилат (69.8 мг, 0.3 ммоль, 2 экв.) и трифенилфосфин (79.5 мг, 0.3 ммоль, 2 экв.), и смесь нагревали при 50°С в течение 20 ч. Реакционную смесь распределяли между дихлорметаном и водой, и органическую фазу отделяли (ПТФЭ фазоразделитель) и концентрировали в вакууме. Очистка с помощью автоматической колоночной флэш-хроматографии (CombiFlash Rf, 4 г силикагелевый картридж RediSep™) с элюированием с градиентом 0-5% метанола в дихлорметане приводила к получению целевого продукта в виде желтого масла (83 мг, 0.1 ммоль, 69%).

ЖХ/МС (C39H50FN7O4SiS2) 792 [М+Н]+; RT 2.69 (ЖХМС-V-C)

1H ЯМР (400 МГц, ДМСО-d6) δ 7.82 (dd, J=7.3, 1.1 Гц, 1Н), 7.48-7.38 (m, 2Н), 7.28-7.20 (m, 1Н), 7.14-7.02 (m, 2Н), 6.98-6.92 (m, 1Н), 5.85 (s, 2Н), 4.26 (dd, J=7.2, 4.4 Гц, 2Н), 4.08 (t, J=6.2 Гц, 2Н), 3.79 (s, 3Н), 3.75-3.67 (m, 2Н), 3.31-3.23 (m, 2H), 2.88 (t, J=6.4 Гц, 2H), 2.65-2.56 (m, 2H), 2.46-2.37 (m, 2H), 2.37 (s, 3Н), 2.12 (s, 6H), 2.11-2.07 (m, 2H), 2.07-2.00 (m, 2H), 0.96-0.88 (m, 2H), -0.11 (s, 9H).

Стадия В: метил 2-{3-[(1,3-бензотиазол-2-ил)амино]-4-метил-5Н,6Н,7Н,8Н-пиридо[2,3-с]пиридазин-8-ил}-5-(3-{4-[2-(диметиламино)этил]-2-фторфенокси}пропил)-1,3-тиазол-4-карбоксилат

К раствору продукта со Стадии А (83 мг, 0.1 ммоль, 1 экв.) в дихлорметане (5 мл) добавляли трифторуксусную кислоту (1 мл, 12.99 ммоль, 124 экв.), и смесь перемешивали при температуре окружающей среды в течение ночи. Реакционную смесь разбавляли дихлорметаном, охлаждали до 0°С, нейтрализовали водным раствором аммиака и органическую фазу отделяли (ПТФЭ фазоразделитель) и концентрировали в вакууме. Очистка с помощью автоматической колоночной флэш-хроматографии (CombiFlash Rf, 4 г силикагелевый картридж RediSep™) с элюированием с градиентом 0-8% метанола в дихлорметане приводила к получению целевого продукта в виде желтого твердого вещества (50 мг, 0.08 ммоль, 72%).

ЖХ/МС (C33H36FN7O3S2) 662 [М+Н]+; RT 2.04 (ЖХМС-V-C)

1H ЯМР (400 МГц, ДМСО-d6) δ 11.48 (br s, 1Н), 7.88 (d, J=7.9 Гц, 1Н), 7.49 (d, J=8.0 Гц, 1H), 7.40-7.34 (m, 1H), 7.19 (td, J=7.6, 1.2 Гц, 1H), 7.13-7.02 (m, 2H), 6.98-6.92 (m, 1H), 4.30-4.21 (m, 2H), 4.08 (t, 2H), 3.78 (s, 3H), 3.32-3.24 (m, 2H), 2.87 (t, J=6.3 Гц, 2H), 2.62 (dd, J=8.6, 6.6 Гц, 2H), 2.46-2.38 (m, 2H), 2.34 (s, 3H), 2.14 (s, 6H), 2.13-2.09 (m, 2H), 2.08-2.01 (m, 2H).

Стадия С: 2-{3-[(1,3-бензотиазол-2-ил)амино]-4-метил-5Н,6Н,7H,8H-пиридо[2,3-с]пиридазин-8-ил}-5-(3-{4-[2-(диметиламино)этил]-2-фторфенокси}пропил)-1,3-тиазол-4-карбоновая кислота

К раствору продукта со Стадии В (50 мг, 0.08 ммоль, 1 экв.) в 1,4-диоксане (3 мл) добавляли моногидрат гидроксида лития (31.7 мг, 0.76 ммоль, 10 экв.), и смесь нагревали при 70°С в течение ночи. Реакционной смеси давали охладиться до температуры окружающей среды и концентрировали в вакууме. Очистка с помощью автоматической колоночной флэш-хроматографии (CombiFlash Rf, 4 г силикагелевый картридж RediSep™) с элюированием с градиентом 0-15% 7 н. метанольного раствора аммиака в дихлорметане приводила к получению целевого продукта в виде желтого твердого вещества (24.68 мг, 0.04 ммоль, 50%).

ЖХ/МС (C32H34FN7O3S2) 648 [М+Н]+; RT 1.87 (ЖХМС-V-C)

1Н ЯМР (400 МГц, ДМСО-d6) δ 7.89 (d, J=7.8 Гц, 1Н), 7.50 (d, J=8.1 Гц, 1Н), 7.38 (td, J=8.1, 7.7, 1.3 Гц, 1H), 7.20 (td, J=7.5, 1.2 Гц, 1H), 7.14 - 7.02 (m, 2Н), 6.95 (dt, J=8.4, 1.4 Гц, 1Н), 4.32 - 4.25 (m, 2Н), 4.09 (t, J=6.3 Гц, 2Н), 3.31 -3.23 (m, 2Н), 2.89 (t, J=6.3 Гц, 2Н), 2.63 (t, J=7.6 Гц, 2Н), 2.44 (dd, J=8.5, 6.6 Гц, 2Н), 2.35 (s, 3Н), 2.17 (s, 6Н), 2.15-2.08 (m, 2Н), 2.08 - 2.00 (m, 2Н)

МСВР-ЭРИ (m/z) [М+Н]+, рассчитано для C32H35FN7O3S2: 648.2227, найдено: 648.2269.

Пример 54: 3-[2-[3-[4-[3-[2-[3-(1,3-Бензотиазол-2-иламино)-4-метил-6,7-дигидро-5Н-пиридо [2,3-с]пиридазин-8-ил]-4-карбокситиазол-5-ил]пропокси]-3-фторфенил]проп-2-иниламино]этилдиметиламмонио]пропан-1-сульфонат

Стадия А: 3-[2-[трет-бутоксикарбонил-[3-[4-[3-[2-(3-хлор-4-метил-6,7-дигидро-5Н-пиридо[2,3-с]пиридазин-8-ил)-4-метоксикарбонилтиазол-5-ил]пропокси]-3-фторфенил]проп-2-инил]-амино]этилдиметиламмонио]пропан-1-сульфонат

Смесь 384 мг соединения Примера 76 (Стадия А) (0.55 ммоль, 1 экв.) и 1944 мг оксатиолан 2,2-диоксида (15.92 ммоль, 30 экв.) в ацетонитриле (4 мл/ммоль) и ДМФА (1 мл/ммоль) перемешивали при к.т. После достижения подходящей степени превращения, летучие вещества удаляли при пониженном давлении и очищали с помощью колоночной флэш-хроматографии (SiO2, EtOAc: 0.6 М NH3 в МеОН) с получением 94 мг (29%) целевого продукта.

ЖХ-МС-ЭРИ (m/z): [М+Н]+, рассчитано для C37H49ClFN6O8S2: 823.3, найдено: 823.2.

Стадия В: 3-[2-[3-[4-[3-[2-[3-(1,3-бензотиазол-2-иламино)-4-метил-6,7-дигидро-5Н-пиридо[2,3-с]пиридазин-8-ил]-4-метоксикарбонилтиазол-5-ил]пропокси]-3-фторфенил]проп-2-инил-трет-бутоксикарбониламино]этилдиметиламмонио]пропан-1-сульфонат

Используя Общую методику II проведения реакции Бухвальда, исходя из продукта со Стадии А и 1,3-бензотиазол-2-амина получали целевой продукт.

1H ЯМР (500 МГц, ДМСО-d6) δ м.д. 7.88 (d, 1Н), 7.49 (d, 1H), 7.37 (t, 1Н), 7.35 (d, 1H), 7.25 (dd, 1Н), 7.20 (t, 1H), 7.18 (t, 1H), 4.27 (s, 2Н), 4.26 (t, 2Н), 4.15 (t, 2Н), 3.77 (s, 3Н), 3.69 (t, 2Н), 3.46 (t, 2Н), 3.45 (t, 2Н), 3.28 (t, 2Н), 3.07 (s, 6Н), 2.88 (t, 2Н), 2.46 (t, 2Н), 2.34 (s, 3Н), 2.13 (qn, 2Н), 2.04 (qn, 2Н), 2.02 (qn, 2Н), 1.44 (s, 9Н); 13С ЯМР (125 МГц, ДМСО-d6) δ м.д. 129.2, 126.5, 122.6, 122.4, 119.3, 116.9, 115.5, 85.4, 82.5, 68.4, 63.3, 60.1, 52.0, 50.8, 48.0, 46.4, 40.8, 37.9, 31.0, 28.4, 23.9, 23.2, 20.4, 19.5, 13.0; МСВР-ЭРИ (m/z): [М+Н]+, рассчитано для C44H54FN8O8S3: 937.3205, найдено: 937.3209.

Стадия С: 3-[2-[3-[4-[3-[2-[3-(1,3-бензотиазол-2-иламино)-4-метил-6,7-дигидро-5Н-пиридо[2,3-с]пиридазин-8-ил]-4-карбокситиазол-5-ил]пропокси]-3-фторфенил]проп-2-иниламино]этилдиметиламмонио]пропан-1-сульфонат

Используя Общую методику снятия защиты и гидролиза с последующей повторной очисткой с помощью обращенно-фазовой препаративной хроматографии (С18, 25 мМ NH4HCO3 в воде: MeCN), исходя из продукта со Стадии В получали целевой продукт.

МСВР-ЭРИ (m/z): [М+Н]+, рассчитано для C38H44FN8O6S3: 823.2524, найдено: 823.2523.

Пример 55: 2-[3-(1,3-Бензотиазол-2-иламино)-4-метил-6,7-дигидро-5Н-пиридо[2,3-с]пиридазин-8-ил]-5-[3-[2-фтор-4-[3-(3-гидрокси-1-пиперидил)проп-1-инил]фенокси]пропил]тиазол-4-карбоновая кислота

Стадия А: метил 2-[3-(1,3-бензотиазол-2-иламино)-4-метил-6,7-дигидро-5Н-пиридо[2,3-с]пиридазин-8-ил]-5-[3-[2-фтор-4-[3-(3-гидрокси-1-пиперидил)проп-1-инил]фенокси]пропил]тиазол-4-карбоксилат

Используя Общую методику получения пропаргилового амина, исходя из 100 мг продукта Синтеза 3d (0.155 ммоль, 1 экв.) в качестве подходящего пропаргилового спирта и пиперидин-3-ола (313.8 мг, 20 экв.), получали 70 мг целевого продукта (62%).

Стадия В: 2-[3-(1,3-бензотиазол-2-иламино)-4-метил-6,7-дигидро-5Н-пиридо[2,3-с]пиридазин-8-ил]-5-[3-[2-фтор-4-[3-(3-гидрокси-1-пиперидил)проп-1-инил]фенокси]пропил]тиазол-4-карбоновая кислота

Используя Общую методику гидролиза, исходя из продукта со Стадии А в качестве подходящего сложного метилового эфира, получали целевой продукт.

МСВР-ЭРИ (m/z): [М+Н]+, рассчитано для C36H37FN7O4S2: 714.2327, найдено: 714.2323.

Пример 56: 5-[3-[4-[3-[(1S,5R)-3-Азабицикло[3.1.0]гексан-3-ил]проп-1-инил]-2-фторфенокси]пропил]-2-[3-(1,3-бензотиазол-2-иламино)-4-метил-6,7-дигидро-5Н-пиридо[2,3-с]пиридазин-8-ил]тиазол-4-карбоновая кислота

Стадия А: метил 5-[3-[4-[3-[(1R,5S)-3-азабицикло[3.1.0]гексан-3-ил]проп-1-инил]-2-фторфенокси]пропил]-2-[3-(1,3-бензотиазол-2-иламино)-4-метил-6,7-дигидро-5Н-пиридо[2,3-с]пиридазин-8-ил]тиазол-4-карбоксилат

Используя Общую методику получения пропаргилового амина, исходя из 100 мг продукта Синтеза 3d (0.155 ммоль, 1 экв.) в качестве подходящего пропаргилового спирта и (1R,5S)-3-азабицикло[3.1.0]гексана (20 экв.), получали 150 мг целевого продукта (81%).

Стадия В: 5-[3-[4-[3-[(1S,5R)-3-азабицикло[3.1.0]гексан-3-ил]проп-1-инил]-2-фторфенокси]пропил]-2-[3-(1,3-бензотиазол-2-иламино)-4-метил-6,7-дигидро-5Н-пиридо[2,3-с]пиридазин-8-ил]тиазол-4-карбоновая кислота

Используя Общую методику гидролиза, исходя из продукта со Стадии А в качестве подходящего сложного метилового эфира, получали целевой продукт.

МСВР-ЭРИ (m/z): [М+Н]+, рассчитано для C36H35FN7O3S2: 696.2221, найдено: 696.2227.

Пример 57: 2-[3-(1,3-Бензотиазол-2-иламино)-4-метил-6,7-дигидро-5Н-пиридо[2,3-с]пиридазин-8-ил]-5-[3-[2-фтор-4-[3-[4-(1-пиперидил)-1-пиперидил]проп-1-инил]фенокси]пропил]тиазол-4-карбоновая кислота

Стадия А: метил 2-[3-(1,3-бензотиазол-2-иламино)-4-метил-6,7-дигидро-5Н-пиридо[2,3-с]пиридазин-8-ил]-5-[3-[2-фтор-4-[3-[4-(1-пиперидил)-1-пиперидил]проп-1-инил]фенокси]пропил]тиазол-4-карбоксилат

Используя Общую методику получения пропаргилового амина, исходя из 100 мг продукта Синтеза 3d (0.155 ммоль, 1 экв.) в качестве подходящего пропаргилового спирта и 1-(4-пиперидил)пиперидина в форме соли с хлороводородом (1:2) (748.3 мг, 20 экв.), получали 100 мг целевого продукта (81%).

Стадия В: 2-[3-(1,3-бензотиазол-2-иламино)-4-метил-6,7-дигидро-5Н-пиридо[2,3-с]пиридазин-8-ил]-5-[3-[2-фтор-4-[3-[4-(1-пиперидил)-1-пиперидил]проп-1-инил]фенокси]пропил]тиазол-4-карбоновая кислота

Используя Общую методику гидролиза, исходя из продукта со Стадии А в качестве подходящего сложного метилового эфира, получали целевой продукт.

МСВР-ЭРИ (m/z): [М+Н]+, рассчитано для C41F46FN8O3S2: 781.3112, найдено: 781.3112.

Пример 58: 2-[3-(1,3-Бензотиазол-2-иламино)-4-метил-6,7-дигидро-5Н-пиридо[2,3-с]пиридазин-8-ил]-5-[3-[2-фтор-4-[3-(3-оксо-2,8-диазаспиро[4.5]декан-8-ил)проп-1-инил]фенокси]пропил]тиазол-4-карбоновая кислота

Стадия А: метил 2-[3-(1,3-бензотиазол-2-иламино)-4-метил-6,7-дигидро-5Н-пиридо[2,3-с]пиридазин-8-ил]-5-[3-[2-фтор-4-[3-(3-оксо-2,8-диазаспиро[4.5]декан-8-ил)проп-1-инил]фенокси]пропил]тиазол-4-карбоксилат

Используя Общую методику получения пропаргилового амина, исходя из 100 мг продукта Синтеза 3d (0.155 ммоль, 1 экв.) в качестве подходящего пропаргилового спирта и 2,8-диазаспиро[4.5]декан-3-она (478.4 мг, 20 экв.), получали 125 мг целевого продукта (82%).

Стадия В: 2-[3-(1,3-бензотиазол-2-иламино)-4-метил-6,7-дигидро-5Н-пиридо[2,3-с]пиридазин-8-ил]-5-[3-[2-фтор-4-[3-(3-оксо-2,8-диазаспиро[4.5]декан-8-ил)проп-1-инил]фенокси]пропил]тиазол-4-карбоновая кислота

Используя Общую методику гидролиза, исходя из продукта со Стадии А в качестве подходящего сложного метилового эфира, получали целевой продукт.

МСВР-ЭРИ (m/z): [М+Н]+, рассчитано для C39H40FN8O4S2: 767.2592, найдено: 767.2588.

Пример 59: 2-{3-[(1,3-Бензотиазол-2-ил)амино]-4-метил-5Н,6Н,7Н,8Н-пиридо[2,3-с]пиридазин-8-ил}-5-(3-{2-бром-4-[3-(диметиламино)проп-1-ин-1-ил]фенокси}пропил)-1,3-тиазол-4-карбоновая кислота

Стадия А: метил 5-[3-(2-бром-4-йодфенокси)пропил]-2-(4-метил-3-{[(2Z)-3-{[2-(триметилсилил)этокси]метил}-2,3-дигидро-1,3-бензотиазол-2-илиден]амино}-5Н,6Н,7Н,8Н-пиридо[2,3-с]пиридазин-8-ил)-1,3-тиазол-4-карбоксилат

К раствору продукта Синтеза 3b (350 мг, 0.5 ммоль, 1 экв.) и 2-бром-4-йодфенола (200 мг, 0.67 ммоль, 1.33 экв.) в толуоле (10 мл) добавляли трифенилфосфин (198 мг, 0.75 ммоль, 1.5 экв.) и диизопропилазодикарбоксилат (0.15 мл, 0.75 ммоль, 1.5 экв.), и смесь перемешивали при температуре окружающей среды в течение 18 ч. Реакционную смесь концентрировали в вакууме и очищали с помощью колоночной флэш-хроматографии (20 г, силикагель) с элюированием с градиентом 0 30% этилацетата в изогептане с получением целевого продукта в виде желтого твердого вещества (555 мг, 0.49 ммоль, 97%).

ЖХ/МС (C35H40BrIN6O4SiS2) 907 [М+Н]+; RT 1.50 (ЖХМС-V-В2)

1H ЯМР (400 МГц, CDCl3) δ 7.82 (d, J=2.1 Гц, 1Н), 7.59 (dt, J=7.6, 0.9 Гц, 1Н), 7.50 (dd, J=8.6, 2.1 Гц, 1Н), 7.39 - 7.34 (m, 2Н), 7.24 - 7.16 (m, 1H), 6.65 (d, J=8.7 Гц, 1H), 5.84 (s, 2Н), 4.47 - 4.36 (m, 2Н), 4.17 - 4.05 (m, 2Н), 3.90 (s, 3Н), 3.80 - 3.69 (m, 2Н), 3.39 (dd, J=8.4, 6.6 Гц, 2Н), 2.87 (t, J=6.4 Гц, 2Н), 2.38 (s, 3Н), 2.34 - 2.23 (m, 2Н), 2.18 - 2.07 (m, 2Н), 1.00 - 0.92 (m, 2Н), -0.07 (s, 9Н).

Стадия В: метил 5-(3-{2-бром-4-[3-(диметиламино)проп-1-ин-1-ил]фенокси}пропил)-2-(4-метил-3-{[(2Z)-3-{[2-(триметилсилил)этокси]метил}-2,3-дигидро-1,3-бензотиазол-2-илиден]амино}-5Н,6Н,7Н,8Н-пиридо[2,3-с]пиридазин-8-ил)-1,3-тиазол-4-карбоксилат

К раствору продукта со Стадии А (550 мг, 0.52 ммоль, 1 экв.), йодида меди(I) (18.5 мг, 0.1 ммоль, 0.2 экв.) и тетракис(трифенилфосфин)палладия(0) (56 мг, 0.05 ммоль, 0.1 экв.) в 2-метилтетрагидрофуране (10 мл) добавляли диметил(проп-2-ин-1-ил)амин (0.3 мл, 2.79 ммоль, 5.75 экв.) с последующим добавлением N,N-диизопропилэтиламина (0.3 мл, 1.45 ммоль, 3 экв.), и смесь нагревали при 75°С в течение 3 ч. Реакционной смеси давали охладиться до температуры окружающей среды и концентрировали в вакууме. Очистка с помощью колоночной флэш-хроматографии (20 г, силикагель) с элюированием с градиентом 0 - 100% этилацетата в изогептане приводила к получению целевого продукта в виде темно-оранжевой смолы (220 мг, 0.25 ммоль, 53%).

ЖХ/МС (C40H48BrN7O4SiS2) 862 [М+Н]+; RT 1.54 (ЖХМС-V-В2)

1H ЯМР (400 МГц, CDCl3) δ 7.64 (d, J=2.0 Гц, 1Н), 7.60 (dt, J=7.7, 0.9 Гц, 1Н), 7.38 - 7.37 (m, 2Н), 7.34 - 7.30 (m, 1H), 7.23 - 7.16 (m, 1Н), 6.81 (d, J=8.6 Гц, 1H), 5.84 (s, 2Н), 4.48 - 4.35 (m, 2Н), 4.16 - 4.07 (m, 2Н), 3.90 (s, 3Н), 3.78 -3.69 (m, 2Н), 3.50 - 3.35 (m, 4Н), 2.87 (t, J=6.3 Гц, 2Н), 2.38 (s, 3Н), 2.35 (s, 6Н), 2.33 - 2.26 (m, 2Н), 2.18 - 2.07 (m, 2Н), 1.01 0.88 (m, 2Н), -0.07 (s, 9Н).

Стадия С: 2-{3-[(1,3-бензотиазол-2-ил)амино]-4-метил-5Н,6Н,7Н,8Н-пиридо[2,3-с]пиридазин-8-ил}-5-(3-{2-бром-4-[3-(диметиламино)проп-1-ин-1-ил]фенокси}пропил)-1,3-тиазол-4-карбоновая кислота

К раствору продукта со Стадии В (210 мг, 0.24 ммоль, 1 экв.) в дихлорметане (4.5 мл), охлажденному до 0°С, добавляли трифторуксусную кислоту (0.5 мл, 6.08 ммоль, 25 экв.), и смесь перемешивали в течение 24 ч при температуре окружающей среды. Реакционную смесь разбавляли дихлорметаном (40 мл), последовательно промывали 1М водным раствором аммиака (20 мл), водой (2×20 мл) и соляным раствором (20 мл), сушили (сульфат магния) и концентрировали в вакууме. К раствору сырого продукта в метаноле (1 мл) добавляли воду (2 мл) и моногидрат гидроксида лития (30.6 мг, 0.73 ммоль, 3 экв.), и суспензию нагревали при 75°С в течение 72 ч. Реакционной смеси давали охладиться до температуры окружающей среды, затем нейтрализовали уксусной кислотой и твердые вещества собирали путем фильтрования и промывали водой (2×10 мл). Очистка с помощью препаративной ВЭЖХ (ВЭЖХ-V-А2) приводила к получению целевого продукта в виде зеленого твердого вещества (15 мг, 0.02 ммоль, 9%).

ЖХ/МС (C33H32BrN7O3S2) 718 [М+Н]+; RT 1.18 (ЖХМС-V-B1)

1H ЯМР (400 МГц, ДМСО-d6) δ 7.87 (d, J=7.8 Гц, 1Н), 7.63 (d, J=2.0 Гц, 1H), 7.49 (d, J=8.0 Гц, 1H), 7.42 - 7.33 (m, 2H), 7.20 (td, J=7.6, 1.1 Гц, 1H), 7.09 (d, J=8.6 Гц, 1H), 4.26 (t, J=5.5 Гц, 2H), 4.13 (t, J=6.1 Гц, 2H), 3.34 - 3.25 (m, 2H), 2.86 (t, J=6.1 Гц, 2H), 2.54 (s, 2H), 2.33 (s, 3H), 2.17 (s, 6H), 2.16 - 2.09 (m, 2H), 2.08 - 1.95 (m, 2H).

Пример 60: 2-{3-[(1,3-Бензотиазол-2-ил)амино]-4-метил-5Н,6Н,7Н,8Н-пиридо[2,3-с]пиридазин-8-ил}-5-{3-[2-фтор-4-(4-метилпиперазин-1-ил)фенокси]пропил}-1,3-тиазол-4-карбоновая кислота

Стадия А: метил 5-[3-(2-фтор-4-йодфенокси)пропил]-2-(4-метил-3-{[(2Z)-3-{[2-(триметилсилил)этокси]метил}-2,3-дигидро-1,3-бензотиазол-2-илиден]амино}-5Н,6Н,7Н,8Н-пиридо[2,3-с]пиридазин-8-ил)-1,3-тиазол-4-карбоксилат

К раствору продукта Синтеза 3b (200 мг, 0.32 ммоль, 1 экв.) и 2-фтор-4-йодфенола (152 мг, 0.64 ммоль, 2 экв.) в толуоле (6 мл) добавляли трифенилфосфин (167 мг, 0.64 ммоль, 2 экв.) и диизопропилазодикарбоксилат (147 мг, 0.64 ммоль, 2 экв.), и смесь перемешивали при 50°С в течение 17 ч. Реакционную смесь распределяли между дихлорметаном и водой, и органическую фазу отделяли (ПТФЭ фазоразделитель) и концентрировали в вакууме. Очистка с помощью автоматической колоночной флэш-хроматографии (CombiFlash Rf, 12 г силикагелевый картридж RediSep™) с элюированием с градиентом 0-100% этилацетата в изогептане приводила к получению целевого продукта в виде желтой смолы (161 мг, 0.19 ммоль, 60%).

ЖХ/МС (C35H40FIN6O4SiS2) 847 [М+Н]+; RT 3.33 (ЖХМС-V-C)

1H ЯМР (400 МГц, ДМСО-d6) δ 7.82 (dt, J=7.6, 0.9 Гц, 1Н), 7.61 (dd, J=10.8, 2.1 Гц, 1Н), 7.49 - 7.39 (m, 3Н), 7.24 (ddd, J=8.3, 6.6, 1.9 Гц, 1Н), 7.01 (t, J=8.8 Гц, 1H), 5.85 (s, 2Н), 4.26 (t, J=5.7 Гц, 2Н), 4.11 (t, J=6.2 Гц, 2Н), 3.78 (s, 3Н), 3.76 - 3.67 (m, 2Н), 3.27 (t, 2Н), 2.88 (t, J=6.3 Гц, 2H), 2.37 (s, 3Н), 2.18 -2.09 (m, 2Н), 2.08 - 2.01 (m, 2Н), 0.95 - 0.86 (m, 2Н), -0.12 (s, 9Н).

Стадия В: метил 5-{3-[2-фтор-4-(4-метилпиперазин-1-ил)фенокси]пропил}-2-(4-метил-3-{[(2Z)-3-{[2-(триметилсилил)этокси]метил}-2,3-дигидро-1,3-бензотиазол-2-илиден]амино}-5Н,6Н, 7Н,8Н-пиридо[2,3-с]пиридазин-8-ил)-1,3-тиазол-4-карбоксилат

1-Метилпиперазин (14.5 мкл, 0.13 ммоль, 1.5 экв.) добавляли к раствору продукта со Стадии А (74 мг, 0.09 ммоль, 1 экв.), йодида меди(1) (1.66 мг, 0.01 ммоль, 0.1 экв.), ортофосфата калия (37.1 мг, 0.17 ммоль, 2 экв.) и [(2,6-диметилфенил)карбамоил]муравьиной кислоты (3.38 мг, 0.02 ммоль, 0.2 экв.) в ДМСО (2 мл), и смесь нагревали при 120°С в течение 2 ч под микроволновым облучением. Реакционной смеси давали охладиться до температуры окружающей среды, распределяли между этилацетатом и водой, и органическую фазу промывали соляным раствором, сушили (сульфат магния) и концентрировали в вакууме. Очистка с помощью автоматической колоночной флэш-хроматографии (CombiFlash Rf, 4 г силикагелевый картридж RediSep™) с элюированием с градиентом 0 - 8% метанола в дихлорметане приводила к получению целевого продукта в виде коричневой смолы (30 мг, 0.04 ммоль, 42%).

ЖХ/МС (C40H51FN8O4SiS2) 819 [М+Н]+; RT 2.71 (ЖХМС-V-C)

1H ЯМР (400 МГц, ДМСО-d6) δ 7.82 (d, 1Н), 7.48 - 7.38 (m, 2Н), 7.27 - 7.20 (m, 1H), 7.03 (t, 1Н), 6.84 (dd, 1Н), 6.67 - 6.61 (m, 1Н), 5.84 (s, 2Н), 4.26 (t, J=5.7 Гц, 2Н), 4.02 (t, J=6.2 Гц, 2Н), 3.79 (s, 3Н), 3.76 - 3.66 (m, 2Н), 3.26 (t, 2Н), 3.04 - 2.95 (m, 4Н), 2.92 - 2.82 (m, 2Н), 2.42 - 2.32 (m, 7Н), 2.18 (s, 3Н), 2.12 - 1.99 (m, 4Н), 0.95 - 0.86 (m, 2Н), -0.11 (s, 9Н).

Стадия С: метил 2-{3-[(1,3-бензотиазол-2-ил)амино]-4-метил-5Н,6Н,7Н,8Н-пиридо[2,3-с]пиридазин-8-ил}-5-{3-[2-фтор-4-(4-метилпиперазин-1-ил)фенокси]пропил}-1,3-тиазол-4-карбоксилат

К раствору продукта со Стадии В (116 мг, 0.14 ммоль, 1 экв.) в дихлорметане (7.5 мл), охлажденному до 0°С, добавляли трифторуксусную кислоту (1.52 мл, 19.8 ммоль, 140 экв.), и смесь перемешивали в течение 24 ч при температуре окружающей среды. Реакционную смесь разбавляли дихлорметаном (40 мл), промывали водным раствором аммиака, сушили (ПТФЭ фазоразделитель) и концентрировали в вакууме. Очистка с помощью автоматической колоночной флэш-хроматографии (CombiFlash Rf, 4 г силикагелевый картридж RediSep™) с элюированием с градиентом 0 - 10% метанола в дихлорметане приводила к получению целевого продукта в виде желтой смолы (72 мг, 0.1 ммоль, 74%).

ЖХ/МС (C34H37FN8O3S2) 689 [М+Н]+; RT 2.01 (ЖХМС-V-C)

1H ЯМР (400 МГц, ДМСО-d6) δ 11.46 (br s, 1H), 7.89 (d, J=7.8 Гц, 1Н), 7.56 - 7.44 (m, 1Н), 7.38 (ddd, J=8.3, 7.3, 1.3 Гц, 1H), 7.24 - 7.16 (m, 1Н), 7.04 (dd, J=9.9, 9.0 Гц, 1Н), 6.85 (dd, J=14.6, 2.8 Гц, 1H), 6.69 - 6.61 (m, 1H), 4.27 (t, J=5.8 Гц, 2Н), 4.08 - 3.99 (m, 2Н), 3.80 (s, 3Н), 3.31 - 3.23 (m, 2Н), 3.05 - 2.96 (m, 4Н), 2.89 (t, J=6.3 Гц, 2Н), 2.42 - 2.36 (m, 4Н), 2.35 (s, 3Н), 2.19 (s, 3Н), 2.13 2.00 (m, 4Н).

Стадия D: 2-{3-[(1,3-бензотиазол-2-ил)амино]-4-метил-5Н,6Н,7Н,8Н-пиридо[2,3-с]пиридазин-8-ил}-5-{3-[2-фтор-4-(4-метилпиперазин-1-ил)фенокси]пропил}-1,3-тиазол-4-карбоновая кислота

К раствору продукта со Стадии С (72 мг, 0.1 ммоль, 1 экв.) в 1,4-диоксане (3 мл) добавляли моногидрат гидроксида лития (43.9 мг, 1.05 ммоль, 10 экв.), и смесь нагревали с обратным холодильником в течение 3 ч. Очистка с помощью автоматической колоночной флэш-хроматографии (CombiFlash Rf, 4 г силикагелевый картридж RediSep™) с элюированием с градиентом 0-15% 7 н. метанольного раствора аммиака в дихлорметане приводила к получению твердого вещества, которое растирали с диэтиловым эфиром, отфильтровывали и сушили в вакууме с получением целевого продукта в виде желтого твердого вещества (35 мг, 0.05 ммоль, 50%).

МСВР-ЭРИ (m/z) [М+Н]+, рассчитано для C33H36FN8O3S2: 675.2336, найдено: 675.2364

Пример 61: 2-{3-[(1,3-Бензотиазол-2-ил)амино]-4-метил-5Н,6Н,7Н,8Н-пиридо[2,3-с]пиридазин-8-ил}-5-[3-({3-[(диметиламино)метил]-5-фтор-1-метил-1Н-индол-6-ил}окси)пропил]-1,3-тиазол-4-карбоновая кислота

Стадия А: метил 5-[3-({3-[(диметиламино)метил]-5-фтор-1-метил-1Н-индол-6-ил}окси)пропил]-2-(4-метил-3-{[(2Z)-3-{[2-(триметилсилил)этокси]метил}-2,3-дигидро-1,3-бензотиазол-2-илиден]амино}-5Н,6Н,7Н,8Н-пиридо[2,3-с]пиридазин-8-ил)-1,3-тиазол-4-карбоксилат

Продукт Синтеза 3b (120 мг, 0.19 ммоль, 1 экв.) вносили в толуол (15 мл) и добавляли продукт Синтеза 4h (67 мг, 0.26 ммоль, 1.35 экв.) с последующим добавлением трифенилфосфина (100 мг, 0.38 ммоль, 2 экв.) и ди-трет-бутилазодикарбоксилата (88.2 мг, 0.38 ммоль, 2 экв.), и смесь перемешивали при 50°С в течение ночи. Реакционную смесь распределяли между дихлорметаном и водой, и органическую фазу промывали соляным раствором, сушили (ПТФЭ фазоразделитель) и концентрировали в вакууме. Очистка с помощью автоматической колоночной флэш-хроматографии (CombiFlash Rf, 4 г силикагелевый картридж RediSep™) с элюированием с градиентом 0 - 10% метанола в дихлорметане приводила к получению целевого продукта в виде бежевого твердого вещества (18 мг, 0.02 ммоль, 11%).

ЖХ/МС (C41H51FN8O4SiS2) 831 [М+Н]+; RT 2.73 (ЖХМС-V-C)

1H ЯМР (400 МГц, ДМСО-d6) δ 7.81 (d, J=7.7 Гц, 1H), 7.47 - 7.43 (m, 2Н), 7.40 - 7.33 (m, 1H), 7.28 - 7.21 (m, 1H), 7.15 (d, J=11.6 Гц, 1Н), 6.84 (d, J=7.4 Гц, 1Н), 5.85 (s, 2Н), 4.28 (t, 2Н), 4.16 (t, J=6.3 Гц, 2Н), 3.79 (s, 3Н), 3.76 - 3.71 (m, 2Н), 3.69 (s, 2Н), 3.63 (s, 3Н), 3.48 - 3.41 (m, 4Н), 3.88 (t, 2Н), 2.38 (s, 3Н), 2.08 - 2.00 (m, 2Н), 1.46 (s, 6Н), 1.35 0.95 - 0.86 (m, 2Н), -0.11 (s, 9Н).

Стадия В: 2-{3-[(1,3-бензотиазол-2-ил)амино]-4-метил-5Н,6Н,7Н,8Н-пиридо[2,3-с]пиридазин-8-ил}-5-[3-({3-[(диметиламино)метил]-5-фтор-1-метил-1Н-индол-6-ил}окси)пропил]-1,3-тиазол-4-карбоновая кислота

Раствор продукта со Стадии А (18 мг, 0.02 ммоль, 1 экв.) в дихлорметане (1 мл) охлаждали до 0°С, добавляли трифторуксусную кислоту (1 мл, 13 ммоль, 600 экв.), и смесь перемешивали в течение 4 ч при температуре окружающей среды. Добавляли дихлорметан (10 мл), и раствор охлаждали до 0°С, промывали водным раствором аммиака, сушили (ПТФЭ фазоразделитель) и концентрировали в вакууме. Остаток суспендировали в 1,4-диоксане (2 мл), добавляли моногидрат гидроксида лития (9.1 мг, 0.22 ммоль, 10 экв.), и смесь нагревали при 70°С в течение ночи. Очистка с помощью препаративной ВЭЖХ (ВЭЖХ-V-B1) приводила к получению целевого продукта в виде желтого твердого вещества (4.5 мг, 0.01 ммоль, 30%) в форме соли муравьиной кислоты.

МСВР-ЭРИ (m/z) [М+Н]+, рассчитано для C34H36FN8O3S2: 687.2336, найдено: 687.2362

Пример 62: 2-{3-[(1,3-Бензотиазол-2-ил)амино]-4-метил-5Н,6Н,7Н,8Н-пиридо[2,3-с]пиридазин-8-ил}-5-(3-{4-[4-(диметиламино)бутил]-2-фторфенокси}пропил)-1,3-тиазол-4-карбоновая кислота

Стадия_А: метил 5-(3-{4-[4-(диметиламино)бутил]-2-фторфенокси}пропил)-2-(4-метил-3-{[(2Z)-3-{[2-(триметилсилил)этокси]метил}-2,3-дигидро-1,3-бензотиазол-2-илиден]амино}-5Н,6Н, 7Н,8Н-пиридо[2,3-с]пиридазин-8-ил)-1,3-тиазол-4-карбоксилат

К раствору продукта Синтеза 3b (120 мг, 0.19 ммоль, 1 экв.) в толуоле (5 мл) добавляли продукт Синтез 4i (107 мг, 0.51 ммоль, 2.65 экв.), ди-трет-бутилазодикарбоксилат (88 мг, 0.38 ммоль, 2 экв.) и трифенилфосфин (100 мг, 0.38 ммоль, 2 экв.), и смесь нагревали при 50°С в течение 20 ч. Реакционную смесь распределяли между дихлорметаном и водой, и органическую фазу сушили (ПТФЭ фазоразделитель) и концентрировали в вакууме. Очистка с помощью автоматической колоночной флэш-хроматографии (CombiFlash Rf, 4 г силикагелевый картридж RediSep™) с элюированием с градиентом 0 8% метанола в дихлорметане приводила к получению целевого продукта в виде желтого масла (133 мг, 0.16 ммоль, 85%).

ЖХ/МС (C14H54FN7O4SiS2) 821 [М+Н]+; RT 2.74 (ЖХМС-V-C)

1H ЯМР (400 МГц, ДМСО-d6) δ 7.85 - 7.78 (m, 1Н), 7.48 - 7.38 (m, 2Н), 7.27 - 7.20 (m, 1H), 7.11 - 7.01 (m, 2Н), 6.95 - 6.89 (m, 1H), 5.84 (s, 2Н), 4.26 (t, J=6.0 Гц, 2Н), 4.07 (t, 2Н), 3.78 (s, 3Н), 3.71 (dd, 2Н), 3.28 (dd, J=15.9, 8.4 Гц, 2Н), 2.87 (t, J=6.2 Гц, 2Н), 2.37 (s, 3Н), 2.21 - 2.08 (m, 4Н), 2.08 - 2.01 (m, 8Н), 1.55 - 1.42 (m, 2Н), 1.41 - 1.27 (m, 2Н), 0.95 - 0.87 (m, 2Н), -0.11 (s, 9Н).

Стадия В: метил 2-{3-[(1,3-бензотиазол-2-ил)амино]-4-метил-5Н,6Н, 7Н,8Н-пиридо[2,3-с]пиридазин-8-ил}-5-(3-{4-[4-(диметиламино)бутил]-2-фторфенокси}пропил)-1,3-тиазол-4-карбоксилат

Раствор продукта со Стадии А (133 мг, 0.16 ммоль, 1 экв.) в дихлорметане (6 мл) охлаждали до 0°С, добавляли трифторуксусную кислоту (1.24 мл, 16.2 ммоль, 100 экв.), и смесь перемешивали в течение 24 ч при температуре окружающей среды. Добавляли дихлорметан (40 мл), и раствор промывали насыщенным водным раствором хлорида аммония, сушили (ПТФЭ фазоразделитель) и концентрировали в вакууме. Очистка с помощью автоматической колоночной флэш-хроматографии (CombiFlash Rf, 4 г силикагелевый картридж RediSep™) с элюированием с градиентом 0 14% метанола в дихлорметане приводила к получению целевого продукта в виде желтой смолы (81 мг, 0.12 ммоль, 72%).

ЖХ/МС (C35H40FN7O3S2) 690 [М+Н]+; RT 2.14 (ЖХМС-V-C)

1H ЯМР (400 МГц, ДМСО-d6) δ 7.87 (dd, J=7.8, 1.2 Гц, 1H), 7.49 (d, J=8.0 Гц, 1Н), 7.37 (ddd, J=8.2, 7.2, 1.3 Гц, 1H), 7.19 (td, J=7.5, 1.2 Гц, 1H), 7.09 -7.01 (m, 2Н), 6.94 - 6.87 (m, 1Н), 4.25 (dd, J=7.3, 4.5 Гц, 2Н), 4.07 (t, J=6.2 Гц, 2Н), 3.78 (s, 3Н), 3.27 (t, J=7.7 Гц, 2Н), 2.87 (t, J=6.3 Гц, 2Н), 2.48 - 2.43 (m, 2Н), 2.33 (s, 3Н), 2.18 - 2.07 (m, 4Н), 2.08 - 1.98 (m, 8Н), 1.55 - 1.41 (m, 2Н), 1.40 - 1.26 (m, 2Н).

Стадия С: 2-{3-[(1,3-бензотиазол-2-ил)амино]-4-метил-5Н,6Н,7Н,8Н-пиридо[2,3-с]пиридазин-8-ил}-5-(3-{4-[4-(диметиламино)бутил]-2-фторфенокси}пропил)-1,3-тиазол-4-карбоновая кислота

К раствору продукта со Стадии В (81 мг, 0.12 ммоль, 1 экв.) в 1,4-диоксане (3 мл) добавляли моногидрат гидроксида лития (49.3 мг, 1.17 ммоль, 10 экв.), и смесь нагревали при 70°С в течение ночи. Очистка с помощью автоматической колоночной флэш-хроматографии (CombiFlash Rf, 4 г силикагелевый картридж RediSep™) с элюированием с градиентом 0 - 20% 7 н. метанольного раствора аммиака в дихлорметане приводила к получению целевого продукта в виде желтого твердого вещества (48.3 мг, 0.07 ммоль, 61%).

МСВР-ЭРИ (m/z) [М+Н]+, рассчитано для C34H39FN7O3S2: 676.2540, найдено: 676.2569

Пример 63: 2-[3-(1,3-Бензотиазол-2-иламино)-4-метил-6,7-дигидро-5Н-пиридо[2,3-с]пиридазин-8-ил]-5-[3-[4-[3-[(1S,5R)-6,6-дифтор-3-азабицикло[3.1.0]гексан-3-ил]проп-1-инил]-2-фторфенокси]пропил]тиазол-4-карбоновая кислота

Стадия А: метил 2-[3-(1,3-бензотиазол-2-иламино)-4-метил-6,7-дигидро-5Н-пиридо[2,3-с]пиридазин-8-ил]-5-[3-[4-[3-[(1S,5R)-6,6-дифтор-3-азабицикло[3.1.0]гексан-3-ил]проп-1-инил]-2-фторфенокси]пропил]тиазол-4-карбоксилат

Используя Общую методику получения пропаргилового амина, исходя из 100 мг продукта Синтеза 3d (0.155 ммоль, 1 экв.) в качестве подходящего пропаргилового спирта и (1S,5R)-6,6-дифтор-3-азабицикло[3.1.0]гексана (20 экв.), получали 61 мг целевого продукта (52%).

Стадия В: 2-[3-(1,3-бензотиазол-2-иламино)-4-метил-6,7-дигидро-5Н-пиридо[2,3-с]пиридазин-8-ил]-5-[3-[4-[3-[(1S,5R)-6,6-дифтор-3-азабицикло[3.1.0]гексан-3-ил]проп-1-инил]-2-фторфенокси]пропил]тиазол-4-карбоновая кислота

Используя Общую методику гидролиза, исходя из продукта со Стадии А в качестве подходящего сложного метилового эфира, получали целевой продукт.

МСВР-ЭРИ (m/z): [М+Н]+, рассчитано для C36H33F3N7O3S2: 732.2033, найдено: 732.2023.

Пример 64: 2-{3-[(1,3-Бензотиазол-2-ил)амино]-4-метил-5Н,6Н,7Н,8Н-пиридо[2,3-с]пиридазин-8-ил}-5-(3-{2-фтор-4-[2-(метиламино)этил]фенокси}пропил)-1,3-тиазол-4-карбоновая кислота

Стадия А: метил 5-{3-[4-(2-{[(трет-бутокси)карбонил](метил)амино}этил)-2-фторфенокси]пропил}-2-(4-метил-3-{[(2Z)-3-{[2-(триметилсилил)этокси]метил}-2,3-дигидро-1,3-бензотиазол-2-илиден]амино}-5Н,6Н,7Н,8Н-пиридо[2,3-с]пиридазин-8-ил)-1,3-тиазол-4-карбоксилат

К раствору продукта Синтеза 3b (80 мг, 0.13 ммоль, 1 экв.) в толуоле (5 мл) добавляли продукт Синтеза 4j (48 мг, 0.18 ммоль, 1.4 экв.), ди-трет-бутилазодикарбоксилат (58.8 мг, 0.26 ммоль, 2 экв.) и трифенилфосфин (67 мг, 0.26 ммоль, 2 экв.), и смесь нагревали при 50°С в течение ночи. Реакционную смесь распределяли между дихлорметаном и водой, разделяли (фазоразделитель), и органическую фазу концентрировали в вакууме. Очистка с помощью автоматической колоночной флэш-хроматографии (CombiFlash Rf, 4 г силикагелевый картридж RediSep™) с элюированием с градиентом 0 100% этилацетата в изогептане приводила к получению целевого продукта в виде бесцветной смолы (77 мг, 0.09 ммоль, 69%).

ЖХ/МС (C43H56FN7O6SiS2) 878 [М+Н]+; RT 3.28 (ЖХМС-V-C)

1H ЯМР (400 МГц, ДМСО-d6) δ 7.82 (dt, J=7.6, 0.9 Гц, 1H), 7.48 - 7.38 (m, 2Н), 7.24 (ddd, J=8.3, 6.7, 1.8 Гц, 1Н), 7.13 - 7.01 (m, 2Н), 6.96 - 6.86 (m, 1Н), 5.84 (s, 2Н), 4.27 (t, J=5.7 Гц, 2Н), 4.08 (t, 2Н), 3.78 (s, 2Н), 3.75 - 3.67 (m, 2Н), 3.31 - 3.22 (m, 4H), 2.88 (t, J=6.2 Гц, 2H), 2.71 (s, 3Н), 2.69 - 2.61 (m, 2H), 2.37 (s, 3Н), 2.17 - 2.06 (m, 2H), 2.05 - 2.00 (m, 2H), 1.24 (s, 9H), 0.95 - 0.86 (m, 2H), -0.12 (s, 9H).

Стадия В: метил 2-{3-[(1,3-бензотиазол-2-ил)амино]-4-метил-5Н,6Н,7Н,8Н-пиридо[2,3-с]пиридазин-8-ил}-5-(3-{2-фтор-4-[2-(метиламино)этил]фенокси}пропил)-1,3-тиазол-4-карбоксилат

Раствор продукта со Стадии А (77 мг, 0.09 ммоль, 1 экв.) в дихлорметане (4 мл) охлаждали до 0°С, добавляли трифторуксусную кислоту (0.81 мл, 10.5 ммоль, 120 экв.), и смесь перемешивали в течение 24 ч при температуре окружающей среды. Реакционную смесь разбавляли дихлорметаном, промывали водным раствором аммиака, сушили (ПТФЭ фазоразделитель) и концентрировали в вакууме. Очистка с помощью автоматической колоночной флэш-хроматографии (CombiFlash Rf, 4 г силикагелевый картридж RediSep™) с элюированием с градиентом 0 - 18% метанола в дихлорметане приводила к получению целевого продукта в виде желтого твердого вещества (39 мг, 0.06 ммоль, 69%).

ЖХ/МС (C32H34FN7O3S2) 648 [М+Н]+; RT 2.02 (ЖХМС-V-C)

1H ЯМР (400 МГц, ДМСО-d6) δ 7.91 - 7.84 (m, 1H), 7.49 (d, J=8.0 Гц, 1Н), 7.41 - 7.33 (m, 1H), 7.19 (td, J=7.5, 1.2 Гц, 1Н), 7.12 - 7.03 (m, 2Н), 6.94 (dd, J=8.8, 1.9 Гц, 1H), 4.27 (dd, J=7.1, 4.5 Гц, 2Н), 4.09 (t, J=6.2 Гц, 2Н), 3.79 (s, 3Н), 3.31 - 3.21 (m, 2Н), 2.88 (t, J=6.2 Гц, 2Н), 2.68 - 2.57 (m, 4Н), 2.35 (s, 3Н), 2.25 (s, 3Н), 2.17 - 2.01 (m, 4Н).

Стадия С: 2-{3-[(1,3-бензотиазол-2-ил)амино]-4-метил-5Н,6Н,7Н,8Н-пиридо[2,3-с]пиридазин-8-ил}-5-(3-{2-фтор-4-[2-(метиламино)этил]фенокси}пропил)-1,3-тиазол-4-карбоновая кислота

К раствору продукта со Стадии В (39 мг, 0.06 ммоль, 1 экв.) в 1,4-диоксане (2 мл) добавляли моногидрат гидроксида лития (25.3 мг, 0.6 ммоль, 10 экв.), и смесь нагревали с обратным холодильником в течение 4 ч. Очистка с помощью автоматической колоночной флэш-хроматографии (CombiFlash Rf, 4 г силикагелевый картридж RediSep™) с элюированием с градиентом 0 25% 7 н. метанольного раствора аммиака в дихлорметане приводила к получению твердого вещества, которое суспендировали в этилацетате (2 мл) и добавляли хлористоводородную кислоту (4М в 1,4-диоксане; 68.9 мкл, 0.28 ммоль, 4.58 экв.). Смесь перемешивали в течение 10 минут, после чего твердые вещества собирали путем фильтрования и сушили в вакууме с получением целевого продукта в виде желтого твердого вещества (17.2 мг, 0.03 ммоль, 45%) в форме соли хлористоводородной кислоты.

МСВР-ЭРИ (m/z) [М+Н]+, рассчитано для C31H33FN7O3S2: 634.2070, найдено: 634.2093.

Пример 65: 2-{3-[(1,3-Бензотиазол-2-ил)амино]-4-метил-6-[2-(метиламино)этокси]-5Н,6Н,7Н,8Н-пиридо[2,3-с]пиридазин-8-ил}-5-(3-{4-[3-(диметиламино)проп-1-ин-1-ил]-2-фторфенокси}пропил)-1,3-тиазол-4-карбоновая кислота

Стадия А: 4-метилморфолин-3-он

Раствор 2-(метиламино)этанола (5.32 мл, 66.6 ммоль, 1 экв.) в этаноле (100 мл) и 35% водном растворе гидроксида натрия (6.25 мл) охлаждали до 15-20°С и одновременно при энергичном перемешивании добавляли хлорацетилхлорид (13.3 мл, 166 ммоль, 2.5 экв.) и 35% водный раствор гидроксида натрия (22 мл) в течение 1 ч. Смесь перемешивали в течение 20 мин, затем нейтрализовали водным раствором хлористоводородной кислоты и экстрагировали дихлорметаном (3×100 мл). Объединенные органические экстракты промывали водой, сушили (ПТФЭ фазоразделитель) и концентрировали в вакууме. Очистка с помощью автоматической колоночной флэш-хроматографии (CombiFlash Rf, 80 г силикагелевый картридж RediSep™) с элюированием с градиентом 0-100% этилацетата в изогептане приводила к получению целевого продукта в виде бесцветного масла (4.4 г, 38.2 ммоль, 58%).

1H ЯМР (400 МГц, ДМСО-d6) δ 4.00 (s, 2Н), 3.84 - 3.78 (m, 2Н), 3.36 - 3.29 (m, 2Н), 2.86 (s, 3Н).

Стадия В: 2-(бут-2-ин-1-ил)-4-метилморфолин-3-он

К раствору диизопропиламина (6.45 мл, 45.9 ммоль, 1.2 экв.) в тетрагидрофуране (130 мл), охлажденному до -78°С, по каплям добавляли н-бутиллитий (2.06М в гексанах; 20.4 мл, 42 ммоль, 1.1 экв.). Через 1 минуту по каплям добавляли раствор продукта со Стадии А (4.4 г, 38.2 ммоль, 1 экв.) в тетрагидрофуране (30 мл). Через 15 минут по каплям добавляли раствор 1-бром-2-бутина (4.02 мл, 45.9 ммоль, 1.2 экв.) в тетрагидрофуране (15 мл), и смесь перемешивали при -78°С в течение 1 ч и затем давали нагреться до температуры окружающей среды. Добавляли насыщенный водный раствор хлорида аммония, и смесь экстрагировали этилацетатом (×3) и объединенные органические экстракты сушили (сульфат магния) и концентрировали в вакууме. Очистка с помощью автоматической колоночной флэш-хроматографии (CombiFlash Rf, 80 г силикагелевый картридж RediSep™) с элюированием с градиентом 0 100% этилацетата в изогептане приводила к получению целевого продукта в виде желтого масла (5.15 г, 30.8 ммоль, 81%).

1H ЯМР (400 МГц, ДМСО-d6) δ 4.09 (dd, J=7.6, 3.5 Гц, 1Н), 4.01 - 3.94 (m, 1Н), 3.76 (ddd, J=11.9, 10.0, 3.6 Гц, 1H), 3.52 3.41 (m, 1H), 3.26 3.18 (m, 1Н), 2.86 (s, 3Н), 2.67 - 2.58 (m, 1H), 2.57 - 2.44 (m, 1H), 1.73 (t, J=2.6 Гц, 3Н).

Стадия С: 2-[2-(метиламино)этокси]гекс-4-иновая кислота

К раствору продукта со Стадии В (3.25 г, 19.4 ммоль, 1 экв.) в метаноле (110 мл) добавляли 1М водный раствор гидроксида лития (60.3 мл, 60.3 ммоль, 3.1 экв.), и смесь нагревали с обратным холодильником в течение ночи. Реакционную смесь концентрировали в вакууме с получением целевого продукта в виде оранжевой смолы (5.15 г, 27.8 ммоль, 100%), которую непосредственно использовали на следующей стадии без дополнительного определения характеристик.

Стадия D: 2-[2-({[(9Н-флуорен-9-ил)метокси]карбонил}(метил)амино)этокси]гекс-4-иновая кислота

К раствору продукта со Стадии С (5.15 г, 27.8 ммоль, 1 экв.) в 1,4-диоксане (45 мл) и воде (160 мл) при 0°С добавляли карбонат калия (15.4 г, 111 ммоль, 4 экв.) с последующим добавлением 9Н-флуорен-9-илметил хлорформиата (7.19 г, 27.8 ммоль, 1 экв.) и смеси давали нагреться до температуры окружающей среды и перемешивали в течение 2 ч. Реакционную смесь распределяли между водой и этилацетатом, и водную фазу подкисляли водным раствором хлористоводородной кислоты до рН 2-3 и экстрагировали этилацетатом (3×300 мл). Объединенные органические экстракты промывали соляным раствором, сушили (сульфат магния) и концентрировали в вакууме. Очистка с помощью автоматической колоночной флэш-хроматографии (CombiFlash Rf, 120 г силикагелевый картридж RediSep™) с элюированием с градиентом 0 - 20% метанола в дихлорметане приводила к получению целевого продукта в виде темно-желтой смолы (7.06 г, 17.3 ммоль, 62%).

ЖХ/МС (C24H25NO5) 408 [М+Н]+; RT 0.74 (ЖХМС-V-В2)

1H ЯМР (400 МГц, ДМСО-d6) δ 7.90 (t, J=6.8 Гц, 2Н), 7.65 (dd, J=7.5, 1.1 Гц, 2Н), 7.42 (td, J=7.4, 3.0 Гц, 2Н), 7.34 (td, J=7.4, 1.3 Гц, 2Н), 4.43 - 4.22 (m, 3Н), 3.50 - 3.42 (m, 1Н), 3.39 - 3.28 (m, 1H), 3.26 - 3.15 (m, 3Н), 2.90 - 2.82 (т, 3Н), 2.51 - 2.44 (m, 2Н), 1.71 (dt, J=13.8, 2.5 Гц, 3Н).

Стадия Е: (9Н-флуорен-9-ил)метил N-{2-[(1-гидроксигекс-4-ин-2-ил)окси]этил}-N-метилкарбамат

Раствор продукта со Стадии D (7.06 г, 17.33 ммоль, 1 экв.) в тетрагидрофуране (120 мл) охлаждали до -10°С, затем по каплям добавляли триэтиламин (2.65 мл, 19.1 ммоль, 1.1 экв.) и изобутил хлорформиат (2.7 мл, 20.8 ммоль, 1.2 экв.) в ТГФ (40 мл). Осадок удаляли путем фильтрования и раствор охлаждали до -10°С. По каплям добавляли борогидрид натрия (2.62 г, 69.3 ммоль, 4 экв.) в воде (40 мл), и смесь перемешивали в течение 1 ч при -10°С. Значение рН раствора доводили до рН 5, используя 1 н. водный раствор хлористоводородной кислоты, и затем доводили до рН 10, используя насыщенный водный раствор бикарбоната натрия. Слои разделяли и органическую фазу последовательно промывали водой (100 мл) и соляным раствором (50 мл), сушили (сульфат магния) и концентрировали в вакууме. Очистка с помощью автоматической колоночной флэш-хроматографии (CombiFlash Rf, 80 г силикагелевый картридж RediSep™) с элюированием с градиентом 0 - 100% этилацетата в изогептане приводила к получению целевого продукта в виде бесцветной смолы (4.64 г, 11.8 ммоль, 68%).

ЖХ/МС (C24H27NO4) 394 [М+Н]+; RT 0.77 (ЖХМС-V-В2)

1H ЯМР (400 МГц, ДМСО-d6) δ 7.90 (d, J=7.5 Гц, 2Н), 7.65 (dt, J=7.4, 0.9 Гц, 2Н), 7.43 (t, J=7.4 Гц, 2Н), 7.35 (td, J=7.4, 1.2 Гц, 2Н), 4.68 - 4.60 (m, 1Н), 4.39 (d, J=6.0 Гц, 1H), 4.34 (d, J=6.7 Гц, 1H), 4.28 (t, J=6.4 Гц, 1H), 3.60 - 3.51 (m, 1H), 3.46 - 3.36 (m, 2H), 3.34 - 3.28 (m, 2H), 3.19 (dd, J=16.6, 5.5 Гц, 2H), 2.84 (d, J=10.8 Гц, 3Н), 2.38-2.15 (m, 2H), 1.71 (t, J=2.5 Гц, 3Н).

Стадия F: (9Н-флуорен-9-ил)метил N-[2-({1-[(трет-бутилдифенилсилил)окси]гекс-4-ин-2-ил}окси)этил]-N-метилкарбамат

К охлажденному раствору продукта со Стадии Е (4.64 г, 11.8 ммоль, 1 экв.) и имидазола (1.56 мл, 23.6 ммоль, 2 экв.) в дихлорметане (200 мл) по каплям добавляли трет-бутил(хлор)дифенилсилан (6.13 мл, 23.6 ммоль, 2 экв.) и смеси давали нагреться до температуры окружающей среды и перемешивали в течение ночи. Реакционную смесь гасили 2М водным раствором хлорида аммония и смесь экстрагировали дихлорметаном (3×200 мл). Объединенные органические экстракты промывали соляным раствором, сушили (ПТФЭ фазоразделитель) и концентрировали в вакууме. Очистка с помощью автоматической колоночной флэш-хроматографии (CombiFlash Rf, 120 г силикагелевый картридж RediSep™) с элюированием с градиентом 0 25% этилацетата в изогептане приводила к получению целевого продукта в виде бесцветной смолы (5.86 г, 9.27 ммоль, 79%).

ЖХ/МС (C40H45NO4Si) 632 [М+Н]+; RT 1.38 (ЖХМС-V-В2)

1H ЯМР (400 МГц, ДМСО-d6) δ 7.87 (dd, J=20.0, 7.5 Гц, 2Н), 7.67 - 7.56 (m, 6Н), 7.53 - 7.39 (m, 7Н), 7.39 - 7.22 (m, 3Н), 4.38 (t, J=4.8 Гц, 1H), 4.31 (s, 1Н), 4.24 (t, J=5.7 Гц, 1H), 3.73 - 3.61 (m, 1H), 3.60 - 3.44 (m, 2Н), 3.34 - 3.29 (m, 2Н), 3.29 - 3.18 (m, 1Н), 3.16 - 3.06 (m, 1H), 2.81 (d, J=14.1 Гц, 3Н), 2.43 -2.26 (m, 2Н), 1.69 (t, J=2.4 Гц, 3Н), 0.98 (s, 9Н).

Стадия G: (9Н-флуорен-9-ил)метил N-[2-({1-[(трет-бутилдифенилсилил)окси]-3-(3,6-дихлор-5-метилпиридазин-4-ил)пропан-2-ил}окси)этил]-N-метилкарбамат

Раствор продукта со Стадии F (5.86 г, 9.27 ммоль, 1 экв.) и 3,6-дихлор-1,2,4,5-тетразина (5.6 г, 37.1 ммоль, 4 экв.) в толуоле (130 мл) нагревали при 150°С в течение ночи в закупоренной колбе. Реакционную смесь концентрировали в вакууме и сырой продукт очищали с помощью автоматической колоночной флэш-хроматографии (CombiFlash Rf, 120 г силикагелевый картридж RediSep™) с элюированием с градиентом 0 - 30% этилацетата в изогептане с получением целевого продукта в виде розовой пены (2.99 г, 3.97 ммоль, 43%).

ЖХ/МС (C42H45Cl2N3O4Si) 754 [М+Н]+; RT 1.37 (ЖХМС-V-В2)

1H ЯМР (400 МГц, ДМСО-d6) δ 7.90 (d, J=7.7 Гц, 1Н), 7.78 (d, J=7.4 Гц, 1Н), 7.68 - 7.59 (m, 5Н), 7.57 - 7.50 (m, 1H), 7.47 - 7.41 (m, 6Н), 7.45 - 7.37 (m, 1Н), 7.36 - 7.28 (m, 2Н), 7.23 (t, J=7.5 Гц, 1H), 4.30 (d, J=5.7 Гц, 1Н), 4.27 -4.11 (m, 2Н), 3.81 - 3.60 (m, 3Н), 3.55 - 3.45 (m 1H), 3.20 - 2.98 (m, 4Н), 2.89 -2.77 (m, 1H), 2.58 (d, J=23.0 Гц, 3Н), 2.39 (d, J=13.1 Гц, 3Н), 1.01 (s, 9Н).

Стадия Н: 4-{3-[(трет-бутилдифенилсилил)окси]-2-[2-(метиламино)этокси]пропил}-3,6-дихлор-5-метилпиридазин

Раствор продукта со Стадии G (2.79 г, 3.7 ммоль, 1 экв.) и диэтиламина (0.77 мл, 7.39 ммоль, 2 экв.) в ацетонитриле (60 мл) перемешивали при температуре окружающей среды в течение ночи. Добавляли воду, и смесь экстрагировали этилацетатом (3×70 мл). Объединенные органические экстракты промывали соляным раствором (100 мл), сушили (сульфат магния) и концентрировали в вакууме. Очистка с помощью автоматической колоночной флэш-хроматографии (CombiFlash Rf, 40 г силикагелевый картридж RediSep™) с элюированием с градиентом 0 - 16% метанола в дихлорметане приводила к получению целевого продукта в виде оранжевой/розовой смолы (1.9 г, 3.57 ммоль, 96%).

ЖХ/МС (C27H35Cl2N3O2Si) 532 [М+Н]+; RT 0.84 (ЖХМС-V-В2)

1H ЯМР (400 МГц, ДМСО-d6) δ 7.69 - 7.62 (m, 4Н), 7.54 - 7.41 (m, 6Н), 3.83 - 3.60 (m, 3Н), 3.42 - 3.36 (m, 1H), 3.16 - 2.97 (m, 3Н), 2.45 (s, 3Н), 2.39 -2.23 (m, 2Н), 2.06 (s, 3Н), 1.02 (s, 9Н).

Стадия I: трет-бутил N-[2-({1-[(трет-бутилдифенилсилил)окси]-3-(3,6-дихлор-5-метилпиридазин-4-ил)пропан-2-ил}окси)этил]-N-метилкарбамат

К раствору продукта со Стадии Н (1.9 г, 3.57 ммоль, 1 экв.) в дихлорметане (100 мл) добавляли ди-трет-бутил дикарбонат (1.53 мл, 7.14 ммоль, 2 экв.) с последующим добавлением триэтиламина (1.99 мл, 14.3 ммоль, 4 экв.), и смесь перемешивали при температуре окружающей среды в течение 4 ч. Реакционную смесь распределяли между дихлорметаном и водой, и водную фазу подкисляли до рН 4 и экстрагировали дихлорметаном (3×80 мл). Объединенные органические экстракты промывали соляным раствором, сушили (ПТФЭ фазоразделитель) и концентрировали в вакууме. Очистка с помощью автоматической колоночной флэш-хроматографии (CombiFlash Rf, 40 г силикагелевый картридж RediSep™) с элюированием с градиентом 0-25% этилацетата в изогептане приводила к получению целевого продукта в виде бесцветной смолы (1.83 г, 2.9 ммоль, 81%).

ЖХ/МС (C32H43Cl2N3O4Si) 532 [М-Вос+Н]+; RT 1.33 (ЖХМС-V-В2)

1H ЯМР (400 МГц, ДМСО-d6) δ 7.69 - 7.62 (m, 4Н), 7.54 - 7.41 (m, 6Н), 3.76 (qd, J=10.7, 4.7 Гц, 2Н), 3.66 (d, J=5.5 Гц, 1H), 3.44 (q, J=7.9, 6.3 Гц, 1Н), 3.20 - 3.10 (m, 3Н), 3.04 (dd, J=14.0, 4.1 Гц, 2Н), 2.58 (s, 3Н), 2.44 (s, 3Н), 1.31 (d, J=22.6 Гц, 9Н), 1.02 (s, 9Н).

Стадия J: трет-бутил N-(2-{[1-(3,6-дихлор-5-метилпиридазин-4-ил)-3-гидроксипропан-2-ил]окси}этил)-N-метилкарбамат

Раствор продукта со Стадии I (1.83 г, 2.9 ммоль, 1 экв.) в тетрагидрофуране (75 мл) охлаждали до 0°С, после чего добавляли фторид тетрабутиламмония (1М в тетрагидрофуране; 2.9 мл, 2.9 ммоль, 1 экв.), и смесь перемешивали при 0°С в течение 30 мин и затем при температуре окружающей среды в течение 1 ч. Реакционную смесь распределяли между дихлорметаном и водой, и водную фазу экстрагировали дихлорметаном (×2). Объединенные органические экстракты промывали соляным раствором, сушили (ПТФЭ фазоразделитель) и концентрировали в вакууме. Очистка с помощью автоматической колоночной флэш-хроматографии (CombiFlash Rf, 24 г силикагелевый картридж RediSep™) с элюированием с градиентом 0-100% этилацетата в изогептане приводила к получению целевого продукта в виде бледно-оранжевой смолы (0.73 г, 1.86 ммоль, 64%).

1H ЯМР (400 МГц, ДМСО-d6) δ 4.93 (t, J=5.5 Гц, 1H), 3.62 - 3.44 (m, 4Н), 3.23 (dt, J=9.6, 6.0 Гц, 1H), 3.11 (d, J=23.9 Гц, 2Н), 3.02 (dd, J=6.5, 2.0 Гц, 2Н), 2.60 (d, J=8.1 Гц, 3Н), 2.45 (s, 3Н), 1.35 (d, J=13.0 Гц, 9Н).

Стадия K: метил 2-{[(трет-бутокси)карбонил][2-(2-{[(трет-бутокси)карбонил](метил)амино}этокси)-3-(3,6-дихлор-5-метилпиридазин-4-ил)пропил]амино}-5-(3-{4-[3-(диметиламино)проп-1-ин-1-ил]-2-фторфенокси}пропил)-1,3-тиазол-4-карбоксилат

К раствору продукта со Стадии J (125 мг, 0.32 ммоль, 1 экв.) в толуоле (20 мл) добавляли продукт Синтеза 1с (171 мг, 0.35 ммоль, 1.1 экв.), ди-трет-бутилазодикарбоксилат (146 мг, 0.63 ммоль, 2 экв.) и трифенилфосфин (166 мг, 0.63 ммоль, 2 экв.), и смесь перемешивали при 50°С в течение 1 ч. Реакционную смесь распределяли между дихлорметаном и водой, и водную фазу экстрагировали дихлорметаном (×2) и объединенные органические экстракты промывали соляным раствором, сушили (сульфат магния) и концентрировали в вакууме. Очистка с помощью автоматической колоночной флэш-хроматографии (CombiFlash Rf, 12 г силикагелевый картридж RediSep™) с элюированием с градиентом 0 100% этилацетата в изогептане приводила к получению целевого продукта в виде бледно-желтой смолы (282 мг, 0.32 ммоль, 102%).

ЖХ/МС (C40H53Cl2FN6O8S) 867 [М+Н]+; RT 0.97 (ЖХМС-V-В2)

1H ЯМР (400 МГц, ДМСО-d6) δ 7.30 (dd, 1H), 7.23 - 7.17 (m, 1H), 7.12 (t, 1Н), 4.29 (dd, J=13.9, 5.7 Гц, 1H), 4.10 (t, J=6.0 Гц, 2Н), 3.96 - 3.87 (m, 1Н), 3.74 (s, 3Н), 3.61 - 3.48 (m, 1Н), 3.42 (s, 3Н), 3.32 (s, 2Н), 3.25 (dt, J=7.1, 3.9 Гц, 3Н), 3.16 - 2.99 (m, 2Н), 2.97 -2.89 (m, 1H), 2.58 (d, J=11.6 Гц, 2Н), 2.45 (s, 3Н), 2.23 (s, 6Н), 2.10 (t, J=6.9 Гц, 2Н), 1.52 (s, 9Н), 1.31 (d, J=39.6 Гц, 9Н).

Стадия L: метил 2-{[2-(2-{[(трет-бутокси)карбонил](метил)амино}этокси)-3-(3,6-дихлор-5-метилпиридазин-4-ил)пропил]амино}-5-(3-{4-[3-(диметиламино)проп-1-ин-1-ил]-2-фторфенокси} пропил)-1,3-тиазол-4-карбоксилат

Раствор продукта со Стадии K (275 мг, 0.32 ммоль, 1 экв.) в 1,1,1,3,3,3-гексафтор-2-пропаноле (2.5 мл, 23.7 ммоль, 74.7 экв.) нагревали при 100°С в течение 60 мин под микроволновым облучением. Реакционную смесь концентрировали в вакууме и сырой продукт очищали с помощью автоматической колоночной флэш-хроматографии (CombiFlash Rf, 12 г силикагелевый картридж RediSep™) с элюированием с градиентом 0 - 7% метанола в дихлорметане с получением целевого продукта в виде белого твердого вещества (154 мг, 0.2 ммоль, 63%).

ЖХ/МС (C35H45Cl2FN6O6S) 767 [М+Н]+; RT 0.70 (ЖХМС-V-В2)

1H ЯМР (400 МГц, ДМСО-d6) δ 7.83 (br s, 1H), 7.30 (dd, J=11.9, 2.0 Гц, 1Н), 7.24 - 7.17 (m, 1H), 7.12 (t, J=8.7 Гц, 1Н), 4.08 (t, J=6.1 Гц, 2Н), 3.82 (dt, J=9.0, 4.5 Гц, 1H), 3.70 (s, 3Н), 3.60 - 3.49 (m, 1Н), 3.46 - 3.39 (m, 4Н), 3.33 (s, 2Н), 3.29 - 3.18 (m, 1H), 3.14 (t, 2Н), 3.10 - 3.02 (m, 2Н), 2.98 (dd, J=13.9, 3.8 Гц, 1Н), 2.64 - 2.53 (m, 2Н), 2.44 (s, 3Н), 2.23 (s, 6Н), 2.07 - 1.95 (m, 2Н), 1.32 (d, J=30.8 Гц, 9Н).

Стадия М: метил 2-[6-(2-{[(трет-бутокси)карбонил](метил)амино}этокси)-3-хлор-4-метил-5Н,6Н,7Н,8Н-пиридо[2,3-с]пиридазин-8-ил]-5-(3-{4-[3-(диметиламино)проп-1-ин-1-ил]-2-фторфенокси} пропил)-1,3-тиазол-4-карбоксилат

К раствору продукта со Стадии L (154 мг, 0.2 ммоль, 1 экв.) в 1,4-диоксане (14 мл) добавляли карбонат цезия (131 мг, 0.4 ммоль, 2 экв.), N,N-диизопропилэтиламин (0.07 мл, 0.4 ммоль, 2 экв.) и бис(ди-трет-бутил(4-диметиламинофенил)фосфин) дихлорпалладий(II) (14.2 мг, 0.02 ммоль, 0.1 экв.), и смесь нагревали при 80°С в течение 45 мин. Реакционную смесь распределяли между дихлорметаном и водой, и водную фазу экстрагировали дихлорметаном (×2). Объединенные органические экстракты промывали соляным раствором, сушили (сульфат магния) и концентрировали в вакууме. Очистка с помощью автоматической колоночной флэш-хроматографии (CombiFlash Rf, 12 г силикагелевый картридж RediSep™) с элюированием с градиентом 0 8% метанола в дихлорметане приводила к получению целевого продукта в виде кремового твердого вещества (136 мг, 0.19 ммоль, 93%).

ЖХ/МС (C35H44ClFN6O6S) 731 [М+Н]+; RT 0.75 (ЖХМС-V-В2)

1H ЯМР (400 МГц, ДМСО-d6) δ 7.31 (dt, J=12.0, 1.9 Гц, 1Н), 7.25 - 7.19 (m, 1H), 7.14 (t, 1H), 4.86 (dd, 1H), 4.25 (s, 1H), 4.13 (t, J=6.2 Гц, 2Н), 3.93 (d, J=13.5 Гц, 1Н), 3.78 (s, 3Н), 3.56 (t, J=5.6 Гц, 2Н), 3.42 (s, 3Н), 3.32 (s, 2Н), 3.30 -3.23 (m, 2Н), 3.21 - 3.09 (m, 2Н), 3.08 - 3.00 (m, 1Н), 2.58 - 2.52 (m, 1H), 2.34 (s, 3Н), 2.23 (s, 6Н), 2.12 (р, J=6.7 Гц, 2Н), 1.27 (d, J=28.5 Гц, 9Н).

Стадия N: метил 2-{3-[(1,3-бензотиазол-2-ил)амино]-6-(2-{[(трет-бутокси)карбонил](метил)амино}этокси)-4-метил-5Н,6Н,7Н,8Н-пиридо[2,3-с]пиридазин-8-ил}-5-(3-{4-[3-(диметиламино)проп-1-ин-1-ил]-2-фторфенокси}пропил)-1,3-тиазол-4-карбоксилат

К раствору продукта со Стадии М (136 мг, 0.19 ммоль, 1 экв.) в циклогексаноле (4.5 мл) добавляли 2-аминобензотиазол (55.7 мг, 0.37 ммоль, 2 экв.) и N,N-диизопропилэтиламин (0.1 мл, 0.56 ммоль, 3 экв.), и смесь барботировали азотом (10 мин). Добавляли ксантфос (21.5 мг, 0.04 ммоль, 0.2 экв.) и трис(дибензилиденацетон)дипалладий(0) (17 мг, 0.02 ммоль, 0.1 экв.), и смесь нагревали при 140°С в течение 1 ч под микроволновым облучением. Реакционную смесь распределяли между дихлорметаном и водой, и водную фазу экстрагировали дихлорметаном (3×40 мл). Объединенные органические экстракты промывали соляным раствором, сушили (ПТФЭ фазоразделитель) и концентрировали в вакууме. Очистка с помощью обращенно-фазовой автоматической флэш-хроматографии (CombiFlash Rf, C18 15.5 г колонка Gold RediSep) с элюированием с градиентом 5 95% ацетонитрила в воде приводила к получению целевого продукта в виде желтого твердого вещества (70.8 мг, 0.08 ммоль, 45%).

ЖХ/МС (C42H49FN8O6S2) 845 [М+Н]+; RT 0.86 (ЖХМС-V-В2)

1H ЯМР (400 МГц, ДМСО-d6) δ 11.52 (br s, 1H), 7.88 (d, J=7.8 Гц, 1Н), 7.49 (d, J=8.1 Гц, 1Н), 7.37 (ddd, J=8.2, 7.3, 1.3 Гц, 1Н), 7.31 (dd, J=11.9, 1.9 Гц, 1Н), 7.24 - 7.12 (m, 3Н), 4.80 (dd, 1H), 4.22 (s, 1H), 4.15 (t, J=6.2 Гц, 2Н), 3.94 (d, J=13.4 Гц, 1Н), 3.78 (s, 3Н), 3.56 (t, J=5.7 Гц, 2Н), 3.44 - 3.37 (m, 1Н), 3.31 (s, 2Н), 3.28 (d, 1Н), 3.24 - 3.14 (m, 2Н), 3.12 - 2.97 (m, 2Н), 2.58 (d, J=12.3 Гц, 3Н), 2.33 (s, 3Н), 2.19 (s, 6Н), 2.14 (q, J=7.0 Гц, 2Н), 1.27 (d, 9Н).

Стадия О: метил 2-{3-[(1,3-бензотиазол-2-ил)амино]-4-метил-6-[2-(метиламино)этокси]-5Н,6Н,7Н,8Н-пиридо[2,3-с]пиридазин-8-ил}-5-(3-{4-[3-(диметиламино)проп-1-ин-1-ил]-2-фторфенокси}пропил)-1,3-тиазол-4-карбоксилат

К раствору продукта со Стадии N (70.8 мг, 0.08 ммоль, 1 экв.) в дихлорметане (5 мл) медленно добавляли трифторуксусную кислоту (1 мл), и смесь перемешивали при температуре окружающей среды в течение 1 ч. Реакционную смесь распределяли между дихлорметаном и насыщенным водным раствором бикарбоната натрия, и водную фазу экстрагировали дихлорметаном (3×30 мл). Объединенные органические экстракты промывали соляным раствором, сушили (ПТФЭ фазоразделитель) и концентрировали в вакууме с получением целевого продукта в виде ярко-желтого твердого вещества (59.8 мг, 0.08 ммоль, 96%).

ЖХ/МС (C37H41FN8O4S2) 745 [М+Н]+; RT 1.07 (ЖХМС-V-B1)

1H ЯМР (400 МГц, ДМСО-d6) δ 7.88 (dd, J=7.8, 1.2 Гц, 1H), 7.49 (d, J=8.1 Гц, 1H), 7.37 (ddd, J=8.2, 7.2, 1.3 Гц, 1H), 7.32 (dd, J=11.9, 1.9 Гц, 1Н), 7.24 -7.12 (m, 3Н), 4.79 - 4.69 (m, 1Н), 4.26 - 4.19 (m, 1Н), 4.15 (t, J=6.2 Гц, 2Н), 4.03 (dd, J=13.5, 2.4 Гц, 1H), 3.78 (s, 3Н), 3.60 (t, J=5.5 Гц, 2Н), 3.39 (s, 2Н), 3.32 -3.27 (m, 2Н), 3.15 (d, J=14.6 Гц, 1H), 3.08 - 2.99 (m, 1H), 2.70 (t, J=5.5 Гц, 2Н), 2.38 (s, 3Н), 2.29 (s, 3Н), 2.22 (s, 6Н), 2.17 - 2.08 (m, 2Н).

Стадия Р: 2-{3-[(1,3-бензотиазол-2-ил)амино]-4-метил-6-[2-(метиламино)этокси]-5Н,6Н, 7Н,8Н-пиридо[2,3-с]пиридазин-8-ил}-5-(3-{4-[3-(диметиламино)проп-1-ин-1-ил]-2-фторфенокси}пропил)-1,3-тиазол-4-карбоновая кислота

К раствору продукта со Стадии О (59.8 мг, 0.08 ммоль, 1 экв.) в 1,4-диоксане (2 мл) добавляли 1М водный раствор гидроксида лития (0.24 мл, 0.24 ммоль, 3 экв.), и смесь нагревали при 50°С в течение 2 ч. Твердое вещество собирали путем фильтрования и сушили в вакууме с получением целевого продукта в виде ярко-желтого твердого вещества (43 мг, 0.06 ммоль, 73%) в форме соли лития.

МСВР-ЭРИ (m/z) [М+Н]+, рассчитано для C36H40FN8O4S2: 731.2598, найдено: 731.2623.

Пример 66: 2-{3-[(1,3-Бензотиазол-2-ил)амино]-4-метил-5Н,6Н,7Н,8Н-пиридо[2,3-с]пиридазин-8-ил}-5-{3-[(6-фтор-2-метил-1,2,3,4-тетрагидроизохинолин-7-ил)окси]пропил}-1,3-тиазол-4-карбоновая кислота

Стадия А: метил 5-{3-[(6-фтор-2-метил-1,2,3,4-тетрагидроизохинолин-7-ил)окси]пропил}-2-(4-метил-3-{[(2Z)-3-{[2-(триметилсилил)этокси]метил}-2,3-дигидро-1,3-бензотиазол-2-илиден]амино}-5Н,6Н,7Н,8Н-пиридо[2,3-с]пиридазин-8-ил)-1,3-тиазол-4-карбоксилат

К раствору 6-фтор-2-метил-3,4-дигидро-1Н-изохинолин-7-ола (52 мг, 0.29 ммоль, 1.8 экв.) и продукта Синтеза 3b (100 мг, 0.16 ммоль, 1 экв.) в толуоле (5 мл) добавляли трифенилфосфин (83.7 мг, 0.32 ммоль, 2 экв.) и ди-трет-бутилазодикарбоксилат (73.5 мг, 0.32 ммоль, 2 экв.), и смесь перемешивали при 50°С в течение ночи. Реакционную смесь распределяли между дихлорметаном и водой, и органическую фазу промывали соляным раствором, сушили (ПТФЭ фазоразделитель) и концентрировали в вакууме. Очистка с помощью автоматической колоночной флэш-хроматографии (CombiFlash Rf, 4 г силикагелевый картридж RediSep™) с элюированием с градиентом 0 - 10% метанола в дихлорметане приводила к получению целевого продукта в виде желтого твердого вещества (61 мг, 0.08 ммоль, 48%).

ЖХ/МС (C39H48FN7O4SiS2) 790 [М+Н]+; RT 2.68 (ЖХМС-V-C)

1H ЯМР (400 МГц, ДМСО-d6) δ 7.82 (d, 1H), 7.48 - 7.37 (m, 2Н), 7.28 - 7.19 (m, 1Н), 6.94 (d, J=12.1 Гц, 1H), 6.82 (d, J=8.7 Гц, 1H), 5.84 (s, 2Н), 4.27 (t, J=5.8 Гц, 2Н), 4.05 (t, J=6.2 Гц, 2Н), 3.79 (s, 3Н), 3.76 - 3.68 (m, 2Н), 3.42 - 3.34 (m, 4Н), 3.27 (t, 2Н), 2.88 (t, J=6.2 Гц, 2Н), 2.69 (d, J=6.0 Гц, 2Н), 2.38 (s, 3Н), 2.26 (s, 3Н), 2.17 - 1.99 (m, 4Н), 0.95 - 0.87 (m, 2Н), -.011 (s, 9Н).

Стадия В: метил 2-{3-[(1,3-бензотиазол-2-ил)амино]-4-метил-5Н,6Н,7Н,8Н-пиридо[2,3-с]пиридазин-8-ил}-5-{3-[(6-фтор-2-метил-1,2,3,4-тетрагидроизохинолин-7-ил)окси]пропил}-1,3-тиазол-4-карбоксилат

Раствор продукта со Стадии А (67 мг, 0.08 ммоль, 1 экв.) в дихлорметане (4 мл) охлаждали до 0°С, добавляли трифторуксусную кислоту (1.95 мл, 25.4 ммоль, 300 экв.), и смесь перемешивали в течение 6 ч при температуре окружающей среды. Добавляли дихлорметан (10 мл), и раствор охлаждали до 0°С, промывали водным раствором аммиака и органическую фазу отделяли (фазоразделитель) и концентрировали в вакууме. Очистка с помощью автоматической колоночной флэш-хроматографии (CombiFlash Rf, 4 г силикагелевый картридж RediSep™) с элюированием с градиентом 0 - 10% метанола в дихлорметане приводила к получению целевого продукта в виде желтого твердого вещества (39 мг, 0.06 ммоль, 70%).

ЖХ/МС (C33H34FN7O3S2) 660 [М+Н]+; RT 2.01 (ЖХМС-V-C)

1H ЯМР (400 МГц, ДМСО-d6) δ 7.89 (s, 1Н), 7.51 (br s, 1Н), 7.38 (t, J=7.5 Гц, 1Н), 7.20 (t, J=7.5 Гц, 1Н), 6.95 (d, J=12.1 Гц, 1H), 6.83 (d, J=8.7 Гц, 1Н), 4.27 (t, J=5.7 Гц, 2Н), 4.06 (t, J=6.3 Гц, 2Н), 3.80 (s, 3Н), 3.43 - 3.36 (m, 4Н), 3.29 (t, 2Н), 2.89 (t, J=6.3 Гц, 2Н), 2.73 - 2.66 (m, 2Н), 2.35 (s, 3Н), 2.27 (s, 3Н), 2.17 - 2.10 (m, 2Н), 2.09 - 2.00 (m, 2Н).

Стадия С: 2-{3-[(1,3-бензотиазол-2-ил)амино]-4-метил-5Н,6Н,7Н,8Н-пиридо[2,3-с]пиридазин-8-ил}-5-{3-[(6-фтор-2-метил-1,2,3,4-тетрагидроизохинолин-7-ил)окси]пропил}-1,3-тиазол-4-карбоновая кислота

К раствору продукта со Стадии В (39 мг, 0.06 ммоль, 1 экв.) в 1,4-диоксане (2 мл) добавляли моногидрат гидроксида лития (24.8 мг, 0.59 ммоль, 10 экв.), и смесь нагревали с обратным холодильником в течение ночи. Реакционной смеси давали охладиться до температуры окружающей среды и концентрировали в вакууме. Очистка с помощью автоматической колоночной флэш-хроматографии (CombiFlash Rf, 4 г силикагелевый картридж RediSep™) с элюированием с градиентом 0 - 20% 7 н. метанольного раствора аммиака в дихлорметане приводила к получению целевого продукта в виде не совсем белого твердого вещества (19.4 мг, 0.03 ммоль, 51%)

МСВР-ЭРИ (m/z) [М+Н]+, рассчитано для C32H33FN7O3S2: 646.2070, найдено: 646.2094

Пример 67: 5-[3-[4-[3-(Азетидин-1-ил)пропил]-2-фторфенокси]пропил]-2-[3-(1,3-бензотиазол-2-иламино)-4-метил-6,7-дигидро-5Н-пиридо[2,3-с]пиридазин-8-ил]тиазол-4-карбоновая кислота

Стадия А: метил 5-[3-[4-[3-(азетидин-1-ил)пропил]-2-фторфенокси]пропил]-2-[3-(1,3-бензотиазол-2-иламино)-4-метил-6,7-дигидро-5Н-пиридо[2,3-с]пиридазин-8-ил]тиазол-4-карбоксилат

Используя Общую методику получения пропаргилового амина, исходя из 50 мг продукта Синтеза 3е (0.077 ммоль, 1.0 экв.) в качестве подходящего спирта и азетидина (88.00 мг, 20 экв.), получали 35 мг целевого продукта (75%).

Стадия В: 5-[3-[4-[3-(азетидин-1-ил)пропил]-2-фторфенокси]пропил]-2-[3-(1,3-бензотиазол-2-иламино)-4-метил-6,7-дигидро-5Н-пиридо[2,3-с]пиридазин-8-ил]тиазол-4-карбоновая кислота

Используя Общую методику гидролиза, исходя из продукта со Стадии А в качестве подходящего сложного метилового эфира, получали целевой продукт.

МСВР-ЭРИ (m/z): [М+Н]+, рассчитано для C34H36FN7O3S2: 674.2377, найдено: 674.2386.

Пример 68: 2-[3-(1,3-Бензотиазол-2-иламино)-4-метил-6,7-дигидро-5Н-пиридо[2,3-с]пиридазин-8-ил]-5-[3-[2-фтор-4-[3-(4-метилпиперазин-1-ил)пропил]фенокси]пропил]тиазол-4-карбоновая кислота

Стадия А: метил 2-[3-(1,3-бензотиазол-2-иламино)-4-метил-6,7-дигидро-5Н-пиридо[2,3-с]пиридазин-8-ил]-5-[3-[2-фтор-4-[3-(4-метилпиперазин-1-ил)пропил]фенокси]пропил]тиазол-4-карбоксилат

Используя Общую методику получения пропаргилового амина, исходя из 50 мг продукта Синтеза 3е (0.077 ммоль, 1.0 экв.) в качестве подходящего спирта и 1-метилпиперазина (154.4 мг, 20 экв.), получали 46 мг целевого продукта (73%).

Стадия В: 2-[3-(1,3-бензотиазол-2-иламино)-4-метил-6,7-дигидро-5Н-пиридо[2,3-с]пиридазин-8-ил]-5-[3-[2-фтор-4-[3-(4-метилпиперазин-1-ил)пропил]фенокси]пропил]тиазол-4-карбоновая кислота

Используя Общую методику гидролиза, исходя из продукта со Стадии А в качестве подходящего сложного метилового эфира, получали целевой продукт.

МСВР-ЭРИ (m/z): [М+Н]+, рассчитано для C36H42FN8O3S2: 717.2799, найдено: 717.2808.

Пример 69: 2-[3-(1,3-Бензотиазол-2-иламино)-4-метил-6,7-дигидро-5Н-пиридо[2,3-с]пиридазин-8-ил]-5-[3-[2-фтор-4-(3-пирролидин-1-илпропил)фенокси]пропил]тиазол-4-карбоновая кислота

Стадия А: метил 2-[3-(1,3-бензотиазол-2-иламино)-4-метил-6,7-дигидро-5Н-пиридо[2,3-с]пиридазин-8-ил]-5-[3-[2-фтор-4-(3-пирролидин-1-илпропил)фенокси]пропил]тиазол-4-карбоксилат

Используя Общую методику получения пропаргилового амина, исходя из 50 мг продукта Синтеза 3е (0.077 ммоль, 1.0 экв.) в качестве подходящего спирта и пирролидина (109.6 мг, 20 экв.), получали 53 мг целевого продукта (98%).

Стадия В: 2-[3-(1,3-бензотиазол-2-иламино)-4-метил-6,7-дигидро-5Н-пиридо[2,3-с]пиридазин-8-ил]-5-[3-[2-фтор-4-(3-пирролидин-1-илпропил)фенокси]пропил]тиазол-4-карбоновая кислота

Используя Общую методику гидролиза, исходя из продукта со Стадии А в качестве подходящего сложного метилового эфира, получали целевой продукт.

МСВР-ЭРИ (m/z): [М+Н]+, рассчитано для C35H39FN7O3S2: 688.2534, найдено: 688.2533.

Пример 70: 2-[3-(1,3-Бензотиазол-2-иламино)-4-метил-6,7-дигидро-5Н-пиридо[2,3-с]пиридазин-8-ил]-5-[3-[2-фтор-4-(3-морфолинопропил)фенокси]пропил]тиазол-4-карбоновая кислота

Стадия А: метил 2-[3-(1,3-бензотиазол-2-иламино)-4-метил-6,7-дигидро-5Н-пиридо[2,3-с]пиридазин-8-ил]-5-[3-[2-фтор-4-(3-морфолинопропил)фенокси]пропил]тиазол-4-карбоксилат

Используя Общую методику получения пропаргилового амина, исходя из 50 мг продукта Синтеза 3е (0.077 ммоль, 1.0 экв.) в качестве подходящего спирта и морфолина (134.3 мг, 20 экв.), получали 46 мг целевого продукта (83%).

Стадия В: 2-[3-(1,3-бензотиазол-2-иламино)-4-метил-6,7-дигидро-5Н-пиридо[2,3-с]пиридазин-8-ил]-5-[3-[2-фтор-4-(3-морфолинопропил)фенокси]пропил]тиазол-4-карбоновая кислота

Используя Общую методику гидролиза, исходя из продукта со Стадии А в качестве подходящего сложного метилового эфира, получали целевой продукт.

МСВР-ЭРИ (m/z): [М+Н]+, рассчитано для C35H39FN7O4S2: 704.2483, найдено: 704.2471.

Пример 71: 2-[3-(1,3-Бензотиазол-2-иламино)-4-метил-6,7-дигидро-5Н-пиридо[2,3-с]пиридазин-8-ил]-5-[3-[2-фтор-4-[3-(1-пиперидил)пропил]фенокси]пропил]тиазол-4-карбоновая кислота

Стадия А: метил 2-[3-(1,3-бензотиазол-2-иламино)-4-метил-6,7-дигидро-5Н-пиридо[2,3-с]пиридазин-8-ил]-5-[3-[2-фтор-4-[3-(1-пиперидил)пропил]фенокси]пропил]тиазол-4-карбоксилат

Используя Общую методику получения пропаргилового амина, исходя из 50 мг продукта Синтеза 3е (0.077 ммоль, 1.0 экв.) в качестве подходящего спирта и пиперидина (131.2 мг, 20 экв.), получали 43 мг целевого продукта (83%).

Стадия В: 2-[3-(1,3-бензотиазол-2-иламино)-4-метил-6,7-дигидро-5Н-пиридо[2,3-с]пиридазин-8-ил]-5-[3-[2-фтор-4-[3-(1-пиперидил)пропил]фенокси]пропил]тиазол-4-карбоновая кислота

Используя Общую методику гидролиза, исходя из продукта со Стадии А в качестве подходящего сложного метилового эфира, получали целевой продукт.

МСВР-ЭРИ (m/z): [М+Н]+, рассчитано для C36H41FN7O3S2: 702.2690, найдено: 702.2703.

Пример 72: 2-[3-(1,3-Бензотиазол-2-иламино)-4-метил-6,7-дигидро-5Н-пиридо[2,3-с]пиридазин-8-ил]-5-[3-[4-[3-[(1R,5S)-6,6-дифтор-3-азабицикло[3.1.0]гексан-3-ил]пропил]-2-фторфенокси]пропил]тиазол-4-карбоновая кислота

Стадия А: метил 2-[3-(1,3-бензотиазол-2-иламино)-4-метил-6,7-дигидро-5Н-пиридо[2,3-с]пиридазин-8-ил]-5-[3-[4-[3-[(1S,5R)-6,6-дифтор-3-азабицикло[3.1.0]гексан-3-ил]пропил]-2-фторфенокси]пропил]тиазол-4-карбоксилат

Используя Общую методику получения пропаргилового амина, исходя из 50 мг продукта Синтеза 3е (0.077 ммоль, 1.0 экв.) в качестве подходящего спирта и (1S,5R)-6,6-дифтор-3-азабицикло[3.1.0]гексана (1.54 ммоль, 20 экв.), получали 24 мг целевого продукта (41%).

Стадия В: 2-[3-(1,3-бензотиазол-2-иламино)-4-метил-6,7-дигидро-5Н-пиридо[2,3-с]пиридазин-8-ил]-5-[3-[4-[3-[(1R,5S)-6,6-дифтор-3-азабицикло[3.1.0]гексан-3-ил]пропил]-2-фторфенокси]пропил]тиазол-4-карбоновая кислота

Используя Общую методику гидролиза, исходя из продукта со Стадии А в качестве подходящего сложного метилового эфира, получали целевой продукт.

МСВР-ЭРИ (m/z): [М+Н]+, рассчитано для C36H37F3N7O3S2: 736.2345, найдено: 736.2340.

Пример 73: 2-[3-(1,3-Бензотиазол-2-иламино)-4-метил-6,7-дигидро-5Н-пиридо[2,3-с]пиридазин-8-ил]-5-[3-[2-фтор-4-[3-(3-оксо-2,8-диазаспиро[4.5]декан-8-ил)пропил]фенокси] пропил]тиазол-4-карбоновая кислота

Стадия А: метил 2-[3-(1,3-бензотиазол-2-иламино)-4-метил-6,7-дигидро-5Н-пиридо[2,3-с]пиридазин-8-ил]-5-[3-[2-фтор-4-[3-(3-оксо-2,8-диазаспиро[4.5]декан-8-ил)пропил]фенокси]пропил]тиазол-4-карбоксилат

Используя Общую методику получения пропаргилового амина, исходя из 50 мг продукта Синтеза 3е (0.077 ммоль, 1.0 экв.) в качестве подходящего спирта и 2,8-диазаспиро[4.5]декан-3-она (237.7 мг, 20 экв.), получали 35 мг целевого продукта (58%).

Стадия В: 2-[3-(1,3-бензотиазол-2-иламино)-4-метил-6,7-дигидро-5Н-пиридо[2,3-с]пиридазин-8-ил]-5-[3-[2-фтор-4-[3-(3-оксо-2,8-диазаспиро[4.5]декан-8-ил)пропил]фенокси] пропил]тиазол-4-карбоновая кислота

Используя Общую методику гидролиза, исходя из продукта со Стадии А в качестве подходящего сложного метилового эфира, получали целевой продукт.

МСВР-ЭРИ (m/z): [М+Н]+, рассчитано для C39H44FN8S2: 771.2905, найдено: 771.2922.

Пример 74: 2-{3-[(1,3-Бензотиазол-2-ил)амино]-4-метил-5Н,6Н,7Н,8Н-пиридо[2,3-с]пиридазин-8-ил}-5-{3-[(7-фтор-2-метил-1,2,3,4-тетрагидроизохинолин-6-ил)окси]пропил}-1,3-тиазол-4-карбоновая кислота

Стадия А: метил 5-{3-[(7-фтор-2-метил-1,2,3,4-тетрагидроизохинолин-6-ил)окси]пропил}-2-(4-метил-3-{[(2Z)-3-{[2-(триметилсилил)этокси]метил}-2,3-дигидро-1,3-бензотиазол-2-илиден]амино}-5Н,6Н,7Н,8Н-пиридо[2,3-с]пиридазин-8-ил)-1,3-тиазол-4-карбоксилат

К раствору продукта Синтеза 3b (120 мг, 0.19 ммоль, 1 экв.) в толуоле (5 мл) добавляли 7-фтор-2-метил-3,4-дигидро-1Н-изохинолин-6-ол (69.4 мг, 0.38 ммоль, 2 экв.), трифенилфосфин (100 мг, 0.38 ммоль, 2 экв.) и ди-трет-бутилазодикарбоксилат (88.2 мг, 0.38 ммоль, 2 экв.). Смесь перемешивали при 50°С в течение ночи. Реакционную смесь распределяли между дихлорметаном и водой, и органическую фазу промывали соляным раствором, сушили (ПТФЭ фазоразделитель) и концентрировали в вакууме. Очистка с помощью автоматической колоночной флэш-хроматографии (CombiFlash Rf, 4 г силикагелевый картридж RediSep™) с элюированием с градиентом 0 14% метанола в дихлорметане приводила к получению целевого продукта в виде желтой смолы (111 мг, 0.14 ммоль, 73%).

ЖХ/МС (C39H48FN7O4SiS2) 790 [М+Н]+; RT 2.64 (ЖХМС-V-C)

1H ЯМР (400 МГц, ДМСО-d6) δ 7.82 (dd, J=7.6, 1.2 Гц, 1H), 7.48 - 7.38 (m, 2Н), 7.28 - 7.20 (m, 1Н), 6.94 - 6.84 (m, 2H), 5.85 (s, 2H), 4.27 (t, J=5.8 Гц, 2H), 4.06 (q, J=7.4, 6.8 Гц, 2H), 3.79 (s, 3Н), 3.76 - 3.68 (m, 2H), 3.34 - 3.22 (m, 4H), 2.88 (t, J=6.3 Гц, 2H), 2.73 (t, J=6.0 Гц, 2H), 2.38 (s, 3Н), 2.27 (s, 3Н), 2.17 -1.99 (m, 4H), 0.97- 0.86 (m, 2H), -0.12 (s, 9H).

Стадия В: метил 2-{3-[(1,3-бензотиазол-2-ил)амино]-4-метил-5Н,6Н,7Н,8Н-пиридо[2,3-с]пиридазин-8-ил}-5-{3-[(7-фтор-2-метил-1,2,3,4-тетрагидроизохинолин-6-ил)окси]пропил}-1,3-тиазол-4-карбоксилат

Раствор продукта со Стадии А (111 мг, 0.14 ммоль, 1 экв.) в дихлорметане (5 мл) охлаждали до 0°С, добавляли трифторуксусную кислоту (1.02 мл, 13.4 ммоль, 95 экв.), и смесь перемешивали при температуре окружающей среды в течение ночи. Добавляли дихлорметан (10 мл), и раствор охлаждали до 0°С, промывали водным раствором аммиака, и органическую фазу отделяли (фазоразделитель) и концентрировали в вакууме. Очистка с помощью автоматической колоночной флэш-хроматографии (CombiFlash Rf, 4 г силикагелевый картридж RediSep™) с элюированием с градиентом 0 7% метанола в дихлорметане приводила к получению целевого продукта в виде желтой смолы (79 мг, 0.12 ммоль, 85%).

ЖХ/МС (C33H34FN7O3S2) 660 [М+Н]+; RT 2.01 (ЖХМС-V-C)

1H ЯМР (400 МГц, ДМСО-d6) δ 7.88 (d, J=7.8 Гц, 1H), 7.50 (br s, 1H), 7.42 - 7.33 (m, 1H), 7.20 (t, J=7.7 Гц, 1H), 6.95 - 6.85 (m, 2Н), 4.27 (t, J=5.7 Гц, 2Н), 4.08 (t, J=6.2 Гц, 2Н), 3.79 (s, 3Н), 3.34 - 3.22 (m, 6Н), 2.89 (t, J=6.3 Гц, 2Н), 2.74 (t, J=5.9 Гц, 2Н), 2.35 (s, 3Н), 2.28 (s, 3Н), 2.17 - 2.03 (m, 4Н).

Стадия С: 2-{3-[(1,3-бензотиазол-2-ил)амино]-4-метил-5Н,6Н,7Н,8Н-пиридо[2,3-с]пиридазин-8-ил}-5-{3-[(7-фтор-2-метил-1,2,3,4-тетрагидроизохинолин-6-ил)окси]пропил}-1,3-тиазол-4-карбоновая кислота

К раствору продукта со Стадии В (79 мг, 0.12 ммоль, 1 экв.) в 1,4-диоксане (3 мл) добавляли моногидрат гидроксида лития (50.2 мг, 1.2 ммоль, 10 экв.), и смесь нагревали с обратным холодильником в течение 4.5 ч. Реакционной смеси давали охладиться до температуры окружающей среды и концентрировали в вакууме. Очистка с помощью автоматической колоночной флэш-хроматографии (CombiFlash Rf, 4 г силикагелевый картридж RediSep™) с элюированием с градиентом 0 - 20% 7 н. метанольного раствора аммиака в дихлорметане приводила к получению твердого вещества, которое растирали с диэтиловым эфиром, отфильтровывали, промывали диэтиловым эфиром и сушили в вакууме с получением целевого продукта в виде желтого твердого вещества (44.4 мг, 0.07 ммоль, 57%).

МСВР-ЭРИ (m/z) [М+Н]+, рассчитано для C32H33FN7O3S2: 646.2070, найдено: 646.2103

Пример 75: 2-{3-[(1,3-Бензотиазол-2-ил)амино]-4-метил-5Н,6Н,7Н,8Н-пиридо[2,3-с]пиридазин-8-ил}-5-(3-{2-фтор-4-[4-(метиламино)бутил]фенокси}пропил)-1,3-тиазол-4-карбоновая кислота

Стадия А: метил 5-{3-[4-(4-{[(трет-бутокси)карбонил](метил)амино}бутил)-2-фторфенокси]пропил}-2-(4-метил-3-{[(2Z)-3-{[2-(триметилсилил)этокси]метил}-2,3-дигидро-1,3-бензотиазол-2-илиден]амино}-5Н,6Н,7Н,8Н-пиридо[2,3-с]пиридазин-8-ил)-1,3-тиазол-4-карбоксилат

К раствору продукта Синтеза 3b (50 мг, 0.08 ммоль, 1 экв.) в толуоле (5 мл) добавляли продукт Синтеза 4k (32.7 мг, 0.11 ммоль, 1.38 экв.), ди-трет-бутилазодикарбоксилат (36.7 мг, 0.16 ммоль, 2 экв.) и трифенилфосфин (41.8 мг, 0.16 ммоль, 2 экв.), и смесь нагревали при 50°С в течение ночи. Реакционную смесь распределяли между дихлорметаном и водой, разделяли (ПТФЭ фазоразделитель) и концентрировали в вакууме. Очистка с помощью автоматической колоночной флэш-хроматографии (CombiFlash Rf, 4 г силикагелевый картридж RediSep™) с элюированием с градиентом 0 70% этилацетата в изогептане приводила к получению целевого продукта в виде прозрачной смолы (45 мг, 0.05 ммоль, 62%).

ЖХ/МС (C45H60FN7O6SiS2) 906 [М+Н]+; RT 3.51 (ЖХМС-V-C)

1H ЯМР (400 МГц, ДМСО-d6) δ 7.82 (d, 1Н), 7.48 - 7.38 (m, 2Н), 7.24 (ddd, J=8.3, 6.8, 1.8 Гц, 1Н), 7.11 - 7.01 (m, 2Н), 6.91 (d, J=8.2 Гц, 1H), 5.85 (s, 2Н), 4.27 (t, J=5.8 Гц, 2Н), 4.07 (t, 2Н), 3.78 (s, 3Н), 3.76 - 3.68 (m, 2Н), 3.32 - 23 (m, 4Н), 3.16 - 3.05 (m, 2Н), 2.88 (t, J=6.3 Гц, 2Н), 2.70 (s, 3Н), 2.38 (s, 3Н), 2.17 -2.01 (m, 4Н), 1.51 - 1.39 (m, 4Н), 1.34 (d, J=16.8 Гц, 9Н), 0.95 - 0.86 (m, 2Н), -0.11 (s, 9Н).

Стадия В: метил 2-{3-[(1,3-бензотиазол-2-ил)амино]-4-метил-5Н,6Н,7Н,8Н-пиридо[2,3-с]пиридазин-8-ил}-5-(3-{2-фтор-4-[4-(метиламино)бутил]фенокси}пропил)-1,3-тиазол-4-карбоксилат

Раствор продукта со Стадии А (45 мг, 0.05 ммоль, 1 экв.) в дихлорметане (3 мл) охлаждали до 0°С, добавляли трифторуксусную кислоту (0.61 мл, 7.95 ммоль, 160 экв.), и смесь перемешивали в течение 24 ч при температуре окружающей среды. Добавляли дихлорметан (40 мл), и раствор промывали водным раствором аммиака и концентрировали в вакууме. Очистка с помощью автоматической колоночной флэш-хроматографии (CombiFlash Rf, 4 г силикагелевый картридж RediSep™) с элюированием с градиентом 0-20% метанола в дихлорметане приводила к получению целевого продукта в виде желтого твердого вещества (22 мг, 0.03 ммоль, 66%).

ЖХ/МС (C34H38FN7O3S2) 676 [М+Н]+; RT 1.12 (ЖХМС-V-B1)

1H ЯМР (400 МГц, ДМСО-d6) δ 7.85 (d, J=7.9 Гц, 1Н), 7.47 (d, J=8.0 Гц, 1Н), 7.35 (t, J=7.5 Гц, 1Н), 7.16 (t, J=7.5 Гц, 1H), 7.11 - 7.02 (m, 2Н), 6.93 (d, J=8.8 Гц, 1H), 4.26 (dd, J=6.9, 4.3 Гц, 2Н), 4.09 (t, J=6.1 Гц, 2Н), 3.79 (s, 3Н), 3.32 - 3.24 (m, 4Н), 2.88 (t, J=6.3 Гц, 2Н), 2.42 (t, 2Н), 2.34 (s, 3Н), 2.23 (s, 3Н), 2.19 - 2.09 (m, 2Н), 2.08 - 1.99 (m, 2Н), 1.60 - 1.47 (m, 2Н), 1.41 - 1.30 (m, 2Н).

Стадия С: 2-{3-[(1,3-бензотиазол-2-ил)амино]-4-метил-5Н,6Н,7Н,8Н-пиридо[2,3-с]пиридазин-8-ил}-5-(3-{2-фтор-4-[4-(метиламино)бутил]фенокси}пропил)-1,3-тиазол-4-карбоновая кислота

К раствору продукта со Стадии В (22 мг, 0.03 ммоль, 1 экв.) в 1,4-диоксане (3 мл) добавляли моногидрат гидроксида лития (13.7 мг, 0.33 ммоль, 10 экв.), и смесь нагревали с обратным холодильником в течение ночи. Очистка с помощью автоматической колоночной флэш-хроматографии (CombiFlash Rf, 4 г силикагелевый картридж RediSep™) с элюированием с градиентом 0 25% 7 н. метанольного раствора аммиака в дихлорметане приводила к получению твердого вещества, которое суспендировали в этилацетате (1.5 мл) и добавляли хлористоводородную кислоту (4М в 1,4-диоксане; 54.5 мкл, 0.22 ммоль, 6.7 экв.). Смесь перемешивали в течение 10 мин, затем твердые вещества собирали путем фильтрования и сушили в вакууме с получением целевого продукта в виде желтого твердого вещества (11.4 мг, 0.02 ммоль, 53%) в форме соли хлористоводородной кислоты.

МСВР-ЭРИ (m/z) [М+Н]+, рассчитано для C33H37FN7O3S2: 662.2383, найдено: 662.2414

Пример 76: 2-[3-(1,3-Бензотиазол-2-иламино)-4-метил-6,7-дигидро-5Н-пиридо[2,3-с]пиридазин-8-ил]-5-[3-[4-[3-[2-(диметиламино)этиламино]проп-1-инил]-2-фторфенокси]пропил]тиазол-4-карбоновая кислота

Стадия А: метил 5-[3-[4-[3-[трет-бутоксикарбонил-[2-(диметиламино)этил]амино]проп-1-инил]-2-фторфенокси]пропил]-2-(3-хлор-4-метил-6,7-дигидро-5Н-пиридо[2,3-с]пиридазин-8-ил)тиазол-4-карбоксилат

Используя Общую методику проведения реакции Соногаширы, исходя из 1.00 г продукта Синтеза 3а (1.66 ммоль, 1 экв.) и 413 мг трет-бутил N-[2-(диметиламино)этил]-N-проп-2-инилкарбамата (1.83 ммоль, 1.1 экв.) в качестве подходящего алкина, целевой продукт выделяли в виде желтого твердого вещества.

1H ЯМР (500 МГц, ДМСО-d6) δ м.д. 7.30 (d, 1Н), 7.21 (d, 1H), 7.15 (t, 1Н), 4.27 (brt, 2Н), 4.26 (t, 2Н), 4.12 (t, 2Н), 3.77 (s, 3Н), 3.47 (brt, 2Н), 3.26 (t, 2Н), 2.89 (t, 2Н), 2.82 (brs, 2Н), 2.45 (brs, 6Н), 2.32 (s, 3Н), 2.11 (qn, 2Н), 2.04 (qn, 2Н), 1.43 (s, 9Н); 13С ЯМР (125 МГц, ДМСО-d6) δ м.д. 163.1, 155.4, 151.8, 151.4, 151.4, 147.5, 142.4, 136.2, 135, 129.1, 129.1, 119.2, 115.5, 114.8, 82.3, 80.3, 68.3, 56.3, 52.0, 46.4, 46.4, 44.6, 43.1, 30.7, 28.5, 24.2, 23, 19.7, 15.7; МСВР-ЭРИ (m/z): [М+Н]+, рассчитано для C34H43ClFN6O5S: 701.2683, найдено: 701.2678.

Стадия В: метил 2-[3-(1,3-бензотиазол-2-иламино)-4-метил-6,7-дигидро-5Н-пиридо[2,3-с]пиридазин-8-ил]-5-[3-[4-[3-[трет-бутоксикарбонил-[2-(диметиламино)этил]амино]проп-1-инил]-2-фторфенокси]пропил]тиазол-4-карбоксилат

Используя Общую методику II проведения реакции Бухвальда, исходя из продукта со Стадии А и 1,3-бензотиазол-2-амина получали целевой продукт.

ЖХ-МС-ЭРИ (m/z): [М+Н]+, рассчитано для C41H48FN8O5S2: 815.3, найдено: 815.4.

Стадия С: 2-[3-(1,3-бензотиазол-2-иламино)-4-метил-6,7-дигидро-5Н-пиридо[2,3-с]пиридазин-8-ил]-5-[3-[4-[3-[2-(диметиламино)этиламино]проп-1-инил]-2-фторфенокси]пропил]тиазол-4-карбоновая кислота

Используя Общую методику снятия защиты и гидролиза с последующей повторной очисткой с помощью обращенно-фазовой препаративной хроматографии (С18, 25 мМ NH4HCO3 в воде: MeCN), исходя из продукта со Стадии В получали целевой продукт.

МСВР-ЭРИ (m/z): [М+Н]+, рассчитано для C35H38FN8O3S2: 701.2487, найдено: 701.2483.

Пример 77: 2-[3-(1,3-Бензотиазол-2-иламино)-4-метил-6,7-дигидро-5Н-пиридо[2,3-с]пиридазин-8-ил]-5-[3-(2-фтор-4-йодфенокси)пропил]тиазол-4-карбоновая кислота

Стадия А: метил 5-[3-(2-фтор-4-йодфенокси)пропил]-2-[4-метил-3-[(Z)-[3-(2-триметилсилилэтоксиметил)-1,3-бензотиазол-2-илиден]амино]-6,7-дигидро-5Н-пиридо[2,3-с]пиридазин-8-ил]тиазол-4-карбоксилат

Используя Общую методику проведения реакции Мицунобу, исходя из 2.00 г продукта Синтеза 3b (3.19 ммоль, 1 экв.) и 835 мг 2-фтор-4-йодфенола (3.51 ммоль, 1.1 экв.) в качестве подходящего фенола, получали 2.31 г (выход 85%) целевого продукта.

1H ЯМР (500 МГц, ДМСО-d6) δ м.д. 7.81 (dm, 1H), 7.6 (dd, 1H), 7.45 (dm, 1Н), 7.43 (dm, 1H), 7.41 (m, 1H), 7.23 (m, 1Н), 7 (t, 1H), 5.83 (s, 2Н), 4.25 (t, 2Н), 4.1 (t, 2Н), 3.77 (s, 3Н), 3.71 (m, 2Н), 3.26 (t, 2Н), 2.84 (t, 2Н), 2.34 (s, 3Н), 2.11 (m, 2Н), 2.03 (m, 2Н), 0.9 (m, 2Н), -0.11 (s, 9Н); МСВР-ЭРИ (m/z): [М+Н]+, рассчитано для C35H41FIN6O4S2Si: 847.1423, найдено: 847.1396.

Стадия В: 2-[3-(1,3-бензотиазол-2-иламино)-4-метил-6,7-дигидро-5Н-пиридо[2,3-с]пиридазин-8-ил]-5-[3-(2-фтор-4-йодфенокси)пропил]тиазол-4-карбоновая кислота

Используя Общую методику снятия защиты и гидролиза, исходя из продукта со Стадии А в качестве подходящего карбамата, получали целевой продукт.

МСВР-ЭРИ (m/z): [М+Н]+, рассчитано для C28H25FIN6O3S2: 703.0452, найдено: 703.0427.

Пример 78: 2-[3-(1,3-Бензотиазол-2-иламино)-4-метил-6,7-дигидро-5Н-пиридо[2,3-с]пиридазин-8-ил]-5-[3-[5-[3-(диметиламино)проп-1-инил]-2-фторфенокси]пропил]тиазол-4-карбоновая кислота

Стадия А: метил 5-[3-(2-фтор-5-йодфенокси)пропил]-2-[4-метил-3-[(Z)-[3-(2-триметилсилилэтоксиметил)-1,3-бензотиазол-2-илиден]амино]-6,7-дигидро-5Н-пиридо[2,3-с]пиридазин-8-ил]тиазол-4-карбоксилат

Используя Общую методику проведения реакции Мицунобу, исходя из 390 мг продукта Синтеза 3b (0.622 ммоль, 1 экв.) и 177 мг 2-фтор-5-йодфенола (0.746 ммоль, 1.2 экв.) в качестве подходящего фенола, получали 416 мг (выход 79%) целевого продукта.

1H ЯМР (500 МГц, ДМСО-d6) δ м.д. 7.81 (dm, 1H), 7.46 (dd, 1Н), 7.43 (dm, 1Н), 7.41 (m, 1Н), 7.27 (m, 1Н), 7.23 (m, 1Н), 7.05 (dd, 1H), 5.83 (s, 2Н), 4.26 (t, 2Н), 4.14 (t, 2Н), 3.78 (s, 3Н), 3.71 (m, 2Н), 3.26 (t, 2Н), 2.85 (t, 2Н), 2.34 (s, 3Н), 2.11 (m, 2Н), 2.04 (m, 2Н), 0.91 (m, 2Н), -0.11 (s, 9Н); МСВР-ЭРИ (m/z): [М+Н]+, рассчитано для C28H25FIN6O3S2: 847.1423, найдено: 847.1416.

Стадия В: метил 5-[3-[5-[3-(диметиламино)проп-1-инил]-2-фторфенокси]пропил]-2-[4-метил-3-[(Z)-[3-(2-триметилсилилэтоксиметил)-1,3-бензотиазол-2-илиден]амино]-6,7-дигидро-5Н-пиридо[2,3-с]пиридазин-8-ил]тиазол-4-карбоксилат

Используя Общую методику проведения реакции Соногаширы, исходя из 310 мг продукта со Стадии А (0.366 ммоль, 1.0 экв.) и 91 мг N,N-диметилпроп-2-ин-1-амина (1.10 ммоль, 3 экв.) в качестве подходящего ацетилена, получали 251 мг (выход 85%) целевого продукта.

1H ЯМР (500 МГц, ДМСО-d6) δ м.д. 7.81 (dm, 1H), 7.43 (dm, 1H), 7.41 (m, 1Н), 7.23 (m, 1Н), 7.23 (m, 1Н), 7.22 (dd, 1H), 7.03 (m, 1H), 5.82 (s, 2Н), 4.25 (t, 2Н), 4.15 (t, 2Н), 3.78 (s, 3Н), 3.71 (m, 2Н), 3.50 (s, 2Н), 3.27 (t, 2Н), 2.84 (t, 2Н), 2.33 (s, 3Н), 2.28 (s, 6Н), 2.12 (m, 2Н), 2.03 (m, 2Н), 0.9 (m, 2Н), -0.11 (s, 9Н); МСВР-ЭРИ (m/z): [М+Н]+, рассчитано для C40H49FN7O4S2Si: 802.3035, найдено: 802.3028.

Стадия С: 2-[3-(1,3-бензотиазол-2-иламино)-4-метил-6,7-дигидро-5Н-пиридо[2,3-с]пиридазин-8-ил]-5-[3-[5-[3-(диметиламино)проп-1-инил]-2-фторфенокси]пропил]тиазол-4-карбоновая кислота

Используя Общую методику снятия защиты и гидролиза, исходя из продукта со Стадии В в качестве подходящего карбамата, получали целевой продукт.

МСВР-ЭРИ (m/z): [М+Н]+, рассчитано для C33H33FN7O3S2: 658.2064, найдено: 658.2045.

Пример 79: 2-[3-(1,3-Бензотиазол-2-иламино)-4-метил-6,7-дигидро-5Н-пиридо[2,3-с]пиридазин-8-ил]-5-[3-[2-фтор-4-(3-пиперазин-1-илпроп-1-инил)фенокси]пропил]тиазол-4-карбоновая кислота

Стадия А: 2-[3-(1,3-бензотиазол-2-иламино)-4-метил-6,7-дигидро-5Н-пиридо[2,3-с]пиридазин-8-ил]-5-[3-[4-[3-(4-трет-бутоксикарбонилпиперазин-1-ил)проп-1-инил]-2-фторфенокси]пропил]тиазол-4-карбоновая кислота

Используя Общую методику катализируемого серебром получения пропаргилового амина, исходя из продукта Синтеза 3с, параформальдегида в качестве альдегида и трет-бутил. пиперазин-1-карбоксилата в качестве подходящего вторичного амина, получали целевой продукт.

Стадия В: 2-[3-(1,3-бензотиазол-2-иламино)-4-метил-6,7-дигидро-5Н-пиридо[2,3-с]пиридазин-8-ил]-5-[3-[2-фтор-4-(3-пиперазин-1-илпроп-1-инил)фенокси]пропил]тиазол-4-карбоновая кислота

Смесь продукта со Стадии А (207 мг, 0.25 ммоль) и HFxPyr (2.5 ммоль, 10 экв.) в ацетонитриле (4.3 мл) перемешивали при 60°С в течение 2.5 ч. Продукт очищали с помощью флэш-хроматографии на 24 г силикагелевой колонке с использованием ДХМ и МеОН (NH3) в качестве элюентов с получением 143 мг (79%) целевого продукта.

МСВР-ЭРИ (m/z): [М+Н]+, рассчитано для C35H36FN8O3S2: 699.2330, найдено: 699.2322.

Пример 80: 2-[3-(1,3-Бензотиазол-2-иламино)-4-метил-6,7-дигидро-5Н-пиридо[2,3-с]пиридазин-8-ил]-5-[3-[4-[3-(метиламино)проп-1-инил]фенокси]пропил]тиазол-4-карбоновая кислота

Стадия А: метил 5-[3-(4-йодфенокси)пропил]-2-[4-метил-3-[(Z)-[3-(2-триметилсилилэтоксиметил)-1,3-бензотиазол-2-илиден]амино]-6,7-дигидро-5Н-пиридо[2,3-с]пиридазин-8-ил]тиазол-4-карбоксилат

Используя Общую методику проведения реакции Мицунобу, исходя из 313 мг продукта Синтеза 3b (0.50 ммоль, 1.0 экв.) и 110 мг 4-йодфенола (0.50 ммоль, 1.0 экв.) в качестве подходящего фенола, получали 328 мг (выход 63%) целевого продукта.

1H ЯМР (500 МГц, ДМСО-d6) δ м.д. 7.81 (d, 1H), 7.58 (d, 2Н), 7.43 (d, 1Н), 7.42 (t, 1H), 7.24 (t, 1H), 6.81 (d, 2Н), 5.83 (s, 2Н), 4.25 (t, 2Н), 4.02 (t, 2Н), 3.78 (s, 3Н), 3.71 (t, 2Н), 3.26 (t, 2Н), 2.85 (t, 2Н), 2.35 (s, 3Н), 2.1 (qn, 2Н), 2.04 (qn, 2Н), 0.9 (t, 2Н), -0.11 (s, 9Н); 13С ЯМР (125 МГц, ДМСО-d6) δ м.д. 138.5, 127.1, 123.3, 123.1, 117.8, 111.8, 73, 67.3, 66.7, 52.0, 46.4, 31.1, 23.8, 23.2, 20.4, 17.8, 13.0, -0.9; МСВР-ЭРИ (m/z): [М+Н]+, рассчитано для C35H42IN6O4S2Si: 829.1517, найдено: 829.1517.

Стадия В: метил 5-[3-[4-[3-[трет-бутоксикарбонил(метил)амино]проп-1-инил]фенокси]пропил]-2-[4-метил-3-[(Z)-[3-(2-триметилсилилэтоксиметил)-1,3-бензотиазол-2-илиден]амино]-6,7-дигидро-5Н-пиридо[2,3-с]пиридазин-8-ил]тиазол-4-карбоксилат

Используя Общую методику проведения реакции Соногаширы, исходя из 3304 мг продукта со Стадии А (0.294 ммоль, 1.0 экв.) и 100 мг трет-бутил N-метил-N-проп-2-инилкарбамата (0.588 ммоль, 2 экв.) в качестве подходящего ацетилена, получали 172 мг (выход 67%) целевого продукта.

1H ЯМР (500 МГц, ДМСО-d6) δ м.д. 7.81 (d, 1Н), 7.44 (d, 1Н), 7.42 (t, 1Н), 7.36 (d, 2Н), 7.24 (t, 1Н), 6.96 (d, 2Н), 5.84 (s, 2Н), 4.26 (t, 2Н), 4.2 (brs, 2Н), 4.06 (t, 2Н), 3.78 (s, 3Н), 3.72 (t, 2Н), 3.28 (t, 2Н), 2.86 (t, 2Н), 2.84 (brs, 3Н), 2.36 (s, 3Н), 2.11 (qn, 2Н), 2.04 (qn, 2Н), 1.41 (s, 9Н), 0.91 (t, 2Н), -0.11 (s, 9Н); 13С ЯМР (125 МГц, ДМСО-d6) δ м.д. 133.5, 127.1, 123.3, 123.1, 115.3, 111.8, 72.9, 67.3, 66.7, 52.0, 46.3, 38.6, 33.7, 31.0, 28.5, 23.8, 23.2, 20.3, 17.8, 13.0, -0.9; МСВР-ЭРИ (m/z): [М+Н]+, рассчитано для C44H56N7O6S2Si: 870.3497, найдено: 870.349.

Стадия С: 2-[3-(1,3-бензотиазол-2-иламино)-4-метил-6,7-дигидро-5Н-пиридо[2,3-с]пиридазин-8-ил]-5-[3-[4-[3-(метиламино)проп-1-инил]фенокси]пропил]тиазол-4-карбоновая кислота

Используя Общую методику снятия защиты и гидролиза, исходя из продукта со Стадии В в качестве подходящего карбамата, получали целевой продукт.

МСВР-ЭРИ (m/z): [М+Н]+, рассчитано для C32H32N7O3S2: 626.2002, найдено: 626.2004.

Пример 81: 2-[3-(1,3-Бензотиазол-2-иламино)-4-метил-6,7-дигидро-5Н-пиридо[2,3-с]пиридазин-8-ил]-5-[3-[2-фтор-4-(3-метил-3-пирролидин-1-илбут-1-инил)фенокси]пропил]тиазол-4-карбоновая кислота

Используя Общую методику катализируемого серебром получения пропаргилового амина, исходя из продукта Синтеза 3с, ацетона в качестве кетона и пирролидина в качестве подходящего вторичного амина, получали целевой продукт.

МСВР-ЭРИ (m/z): [М+Н]+, рассчитано для C37H39FN7O3S2: 712.2534, найдено: 712.2522.

Пример 82: 5-[3-[4-[3-(Диметиламино)проп-1-инил]-2-фторфенокси]пропил]-2-[3-[(7-фтор-1,3-бензотиазол-2-ил)амино]-4-метил-6,7-дигидро-5Н-пиридо[2,3-с]пиридазин-8-ил]тиазол-4-карбоновая кислота

Стадия А: метил 2-(3-хлор-4-метил-6,7-дигидро-5Н-пиридо[2,3-с]пиридазин-8-ил)-5-[3-[4-[3-(диметиламино)проп-1-инил]-2-фторфенокси]пропил]тиазол-4-карбоксилат

Используя Общую методику проведения реакции Соногаширы, исходя из 500 мг продукта Синтеза 3а (0.80 ммоль, 1.0 экв.) и 100 мг N,N-диметилпроп-2-ин-1-амина (1.2 ммоль, 1.5 экв.) в качестве подходящего ацетилена, получали 254 мг (выход 50%) целевого продукта.

МСВР-ЭРИ (m/z): [М+Н]+, рассчитано для C27H30ClFN5O3S: 558.1736, найдено: 558.1729.

Стадия В: метил 5-[3-[4-[3-(диметиламино)проп-1-инил]-2-фторфенокси]пропил]-2-[3-[(7-фтор-1,3-бензотиазол-2-ил)амино]-4-метил-6,7-дигидро-5Н-пиридо[2,3-с]пиридазин-8-ил]тиазол-4-карбоксилат

Используя Общую методику II проведения реакции Бухвальда, исходя из 254 мг продукта со Стадии А (0.45 ммоль, 1.0 экв.) и 153 мг 7-фтор-1,3-бензотиазол-2-амина (0.91 ммоль, 2.0 экв.), получали 161 мг (выход 51%) целевого продукта.

1H ЯМР (500 МГц, ДМСО-d6) δ м.д. 11.59 (brs, 1Н), 7.41 (dd, 1Н), 7.4 (t, 1Н), 7.31 (dd, 1Н), 7.21 (dd, 1Н), 7.15 (t, 1Н), 7.08 (t, 1Н), 4.26 (t, 2Н), 4.13 (t, 2Н), 3.78 (s, 3Н), 3.49 (s, 2Н), 3.28 (t, 2Н), 2.87 (t, 2Н), 2.34 (s, 3Н), 2.27 (s, 6Н), 2.13 (qn, 2Н), 2.04 (qn, 2Н); 13С ЯМР (125 МГц, ДМСО-d6) δ м.д. 163.2, 157.0, 155.7, 151.6, 150.4, 149.1, 148.8, 147.5, 141.6, 134.9, 129.0, 128.3, 128.0, 127.9, 119.3, 117.2, 115.5, 115.0, 113.6, 108.4, 84.8, 84.3, 68.3, 51.8, 48.0, 46.4, 43.9, 30.8, 23.9, 22.9, 20.2, 12.8; МСВР-ЭРИ (m/z): [М+Н]+, рассчитано для C34H34F2N7O3S2: 690.2127, найдено: 690.2110.

Стадия С: 5-[3-[4-[3-(диметиламино)проп-1-инил]-2-фторфенокси]пропил]-2-[3-[(7-фтор-1,3-бензотиазол-2-ил)амино]-4-метил-6,7-дигидро-5Н-пиридо[2,3-с]пиридазин-8-ил]тиазол-4-карбоновая кислота

Используя Общую методику снятия защиты и гидролиза, исходя из продукта со Стадии В в качестве подходящего сложного метилового эфира, получали целевой продукт.

МСВР-ЭРИ (m/z): [М+Н]+, рассчитано для C32H31FN7O3S2: 676.1970, найдено: 676.1958.

Пример 83: 2-[3-(1,3-Бензотиазол-2-иламино)-4-метил-6,7-дигидро-5Н-пиридо[2,3-с]пиридазин-8-ил]-5-[3-[4-[3-(диметиламино)-3-метилбут-1-инил]-2-фторфенокси]пропил]тиазол-4-карбоновая кислота

Используя Общую методику катализируемого серебром получения пропаргилового амина, исходя из продукта Синтеза 3с, ацетона в качестве кетона и диметиламина в качестве подходящего вторичного амина, получали целевой продукт.

МСВР-ЭРИ (m/z): [М+Н]+, рассчитано для C35H37FN7O3S2: 686.2377, найдено: 686.2361.

Пример 84: 2-[3-(1,3-Бензотиазол-2-иламино)-4-метил-6,7-дигидро-5Н-пиридо[2,3-с]пиридазин-8-ил]-5-[3-[4-[2-[1-(диметиламино)циклогексил]этинил]-2-фторфенокси]пропил]тиазол-4-карбоновая кислота

Используя Общую методику катализируемого серебром получения пропаргилового амина, исходя из продукта Синтеза 3с, циклогексанона в качестве кетона и диметиламина в качестве подходящего вторичного амина, получали целевой продукт.

МСВР-ЭРИ (m/z): [М+Н]+, рассчитано для C38H41FN7O3S2: 726.2690, найдено: 726.2676.

Пример 85: 2-[3-(1,3-Бензотиазол-2-иламино)-4-метил-6,7-дигидро-5Н-пиридо[2,3-с]пиридазин-8-ил]-5-[3-[4-[3-(диэтиламино)проп-1-инил]-2-фторфенокси]пропил]тиазол-4-карбоновая кислота

Используя Общую методику катализируемого серебром получения пропаргилового амина, исходя из продукта Синтеза 3с, параформальдегида в качестве альдегида и диэтиламина в качестве подходящего вторичного амина, получали целевой продукт.

МСВР-ЭРИ (m/z): [М+Н]+, рассчитано для C35H37FN7O3S2: 686.2377, найдено: 686.2386.

Пример 86: 2-[3-(1,3-Бензотиазол-2-иламино)-4-метил-6,7-дигидро-5Н-пиридо[2,3-с]пиридазин-8-ил]-5-[3-[4-[3-(диизопропиламино)проп-1-инил]-2-фторфенокси]пропил]тиазол-4-карбоновая кислота

Используя Общую методику катализируемого серебром получения пропаргилового амина, исходя из продукта Синтеза 3с, параформальдегида в качестве альдегида и диизопропиламина в качестве подходящего вторичного амина, получали целевой продукт.

МСВР-ЭРИ (m/z): [М+Н]+, рассчитано для C37H41FN7O3S2: 714.2690, найдено: 714.2681.

Пример 87: 2-[3-(1,3-Бензотиазол-2-иламино)-4-метил-6,7-дигидро-5Н-пиридо[2,3-с]пиридазин-8-ил]-5-[3-[4-[3-(диизобутиламино)проп-1-инил]-2-фторфенокси]пропил]тиазол-4-карбоновая кислота

Используя Общую методику катализируемого серебром получения пропаргилового амина, исходя из продукта Синтеза 3с, параформальдегида в качестве альдегида и N-изобутил-2-метилпропан-1-амина в качестве подходящего вторичного амина, получали целевой продукт.

МСВР-ЭРИ (m/z): [М+Н]+, рассчитано для C39H45FN7O3S2: 742.3003, найдено: 742.3001.

Пример 88: 2-[3-(1,3-Бензотиазол-2-иламино)-4-метил-6,7-дигидро-5Н-пиридо[2,3-с]пиридазин-8-ил]-5-[3-[4-[3-[этил(метил)амино]проп-1-инил]-2-фторфенокси]пропил]тиазол-4-карбоновая кислота

Используя Общую методику катализируемого серебром получения пропаргилового амина, исходя из продукта Синтеза 3с, параформальдегида в качестве альдегида и N-метилэтанамина в качестве подходящего вторичного амина, получали целевой продукт.

МСВР-ЭРИ (m/z): [М+Н]+, рассчитано для C34H35FN7O3S2: 672.2221, найдено: 672.2206.

Пример 89: 2-[3-(1,3-Бензотиазол-2-иламино)-4-метил-6,7-дигидро-5Н-пиридо[2,3-с]пиридазин-8-ил]-5-[3-[4-[3-[(3R,5S)-3,5-диметилпиперазин-1-ил]проп-1-инил]-2-фторфенокси]пропил]тиазол-4-карбоновая кислота

Стадия А: 2-[3-(1,3-бензотиазол-2-иламино)-4-метил-6,7-дигидро-5Н-пиридо[2,3-с]пиридазин-8-ил]-5-[3-[4-[3-[(3R,5S)-4-трет-бутоксикарбонил-3,5-диметилпиперазин-1-ил]проп-1-инил]-2-фторфенокси]пропил]тиазол-4-карбоновая кислота

Используя Общую методику катализируемого серебром получения пропаргилового амина, исходя из продукта Синтеза 3с, параформальдегида в качестве альдегида и трет-бутил (2R,6S)-2,6-диметилпиперазин-1-карбоксилата в качестве подходящего вторичного амина, получали 215 мг (выход 62%) целевого продукта.

1Н ЯМР (500 МГц, ДМСО-d6) δ м.д. 7.88 (dm, 1Н), 7.49 (brs, 1Н), 7.37 (m, 1Н), 7.32 (dd, 1Н), 7.2 (dm, 1Н), 7.19 (m, 1Н), 7.15 (t, 1Н), 4.27 (t, 2Н), 4.14 (t, 2Н), 3.98 (m, 1Н), 3.49 (s, 2Н), 3.27 (t, 2Н), 2.88 (t, 2Н), 2.62/2.25 (dd+dd, 4Н), 2.34 (s, 3Н), 2.13 (m, 2Н), 2.04 (m, 2Н), 1.4 (s, 9Н), 1.19 (d, 6Н); МСВР-ЭРИ (m/z): [М+Н]+, рассчитано для C42H48FN8O5S2: 827.3167, найдено: 827.3186.

Стадия В: 2-[3-(1,3-бензотиазол-2-иламино)-4-метил-6,7-дигидро-5Н-пиридо[2,3-с]пиридазин-8-ил]-5-[3-[4-[3-[(3R,5S)-3,5-диметилпиперазин-1-ил]проп-1-инил]-2-фторфенокси]пропил]тиазол-4-карбоновая кислота

Используя Общую методику снятия защиты и гидролиза (без гидролиза с помощью LiOH×Н2О), исходя из продукта со Стадии А в качестве подходящего карбамата, получали целевой продукт.

МСВР-ЭРИ (m/z): [М+Н]+, рассчитано для C37H40FN8O3S2: 727.2643, найдено: 727.2641.

Пример 90: 2-[3-(1,3-Бензотиазол-2-иламино)-4-метил-6,7-дигидро-5Н-пиридо[2,3-с]пиридазин-8-ил]-5-[3-[4-[1-[(диметиламино)метил]-3-бицикло[1.1.1]пентанил]-2-фторфенокси]пропил]тиазол-4-карбоновая кислота

Стадия А: метил 5-[3-[4-[1-[(диметиламино)метил]-3-бицикло[1.1.1]пентанил]-2-фторфенокси]пропил]-2-[4-метил-3-[(Z)-[3-(2-триметилсилилэтоксиметил)-1,3-бензотиазол-2-илиден]амино]-6,7-дигидро-5Н-пиридо[2,3-с]пиридазин-8-ил]тиазол-4-карбоксилат

Используя Общую методику проведения реакции Мицунобу, исходя из продукта Синтеза 4а и продукта Синтеза 3b в качестве подходящего спирта, выделяли сырой целевой продукт, который переносили на следующую стадию без дополнительной очистки.

МСВР-ЭРИ (m/z): [М+Н]+, рассчитано для C43H55FN7O4S2Si: 844.3505, найдено: 844.3485.

Стадия В: 2-[3-(1,3-бензотиазол-2-иламино)-4-метил-6,7-дигидро-5Н-пиридо[2,3-с]пиридазин-8-ил]-5-[3-[4-[1-[(диметиламино)метил]-3-бицикло[1.1.1]пентанил]-2-фторфенокси]пропил]тиазол-4-карбоновая кислота

Используя Общую методику снятия защиты и гидролиза с последующей повторной очисткой с помощью обращенно-фазовой препаративной хроматографии (С18, 25 мМ NH4HCO3 в воде: MeCN), исходя из продукта со Стадии А получали целевой продукт.

МСВР-ЭРИ (m/z): [М+Н]+, рассчитано для C36H39FN7O3S2: 700.2534, найдено: 700.2515.

Пример 91: 2-[3-(1,3-Бензотиазол-2-иламино)-4-метил-6,7-дигидро-5Н-пиридо[2,3-с]пиридазин-8-ил]-5-[3-[2-фтор-4-[3-метил-3-(метиламино)бут-1-инил]фенокси]пропил]тиазол-4-карбоновая кислота

Стадия А: метил 2-(3-хлор-4-метил-6,7-дигидро-5Н-пиридо[2,3-с]пиридазин-8-ил)-5-[3-[2-фтор-4-[3-метил-3-(метиламино)бут-1-инил]фенокси]пропил]тиазол-4-карбоксилат

Используя Общую методику проведения реакции Соногаширы, исходя из продукта Синтеза 3а и N,2-диметилбут-3-ин-2-амина, получали 417 мг целевого продукта.

1H ЯМР (500 МГц, ДМСО-d6) δ м.д. 7.23 (dd, 1Н), 7.16 (dd, 1Н), 7.12 (t, 1Н), 4.26 (t, 2H), 4.11 (t, 2Н), 3.77 (s, 3Н), 3.25 (t, 2Н), 2.89 (t, 2Н), 2.37 (s, 3 Н), 2.32 (s, 3Н), 2.1 (m, 2Н), 2.04 (m, 2Н), 1.34 (s, 6Н); 13С ЯМР (125 МГц, ДМСО-d6) δ м.д. 163.1, 151.3, 136.2, 129.1, 128.9, 119.1, 115.4, 93.7, 81.5, 68.2, 52, 51, 46.4, 30.7, 30.4, 29, 24.2, 23, 19.7, 15.7; МСВР-ЭРИ (m/z): [М+Н]+, рассчитано для C28H32ClFN5O3S: 572.1898; найдено: 572.1888.

Стадия В: метил 2-[3-(1,3-бензотиазол-2-иламино)-4-метил-6,7-дигидро-5Н-пиридо[2,3-с]пиридазин-8-ил]-5-[3-[2-фтор-4-[3-метил-3-(метиламино)бут-1-инил]фенокси]пропил]тиазол-4-карбоксилат

Используя Общую методику II проведения реакции Бухвальда, исходя из продукта со Стадии А и 1,3-бензотиазол-2-амина получали 77 мг целевого продукта.

МСВР-ЭРИ (m/z): [М+Н], рассчитано для C35H37FN7O3S2: 686.2383; найдено: 686.2380

Стадия С: 2-[3-(1,3-бензотиазол-2-иламино)-4-метил-6,7-дигидро-5Н-пиридо[2,3-с]пиридазин-8-ил]-5-[3-[2-фтор-4-[3-метил-3-(метиламино)бут-1-инил]фенокси]пропил]тиазол-4-карбоновая кислота

Используя Общую методику гидролиза, исходя из продукта со Стадии В получали 22 мг целевого продукта.

МСВР-ЭРИ (m/z): [М+Н]+, рассчитано для C34H35FN7O3S2: 672.2227; найдено: 672.2224.

Пример 92: 6-{3-[(1,3-Бензотиазол-2-ил)амино]-4-метил-6,7-дигидропиридо[2,3-с]пиридазин-8(5Н)-ил}-3-(1-{[3-(2-{[(3S)-3,4-дигидроксибутил]амино}этокси)-5,7-диметиладамантан-1-ил]метил}-5-метил-1Н-пиразол-4-ил)пиридин-2-карбоновая кислота

Используя Общую методику проведения реакции замещения амина и гидролиза, исходя из продукта Синтеза 12 и 2-[(4S)-2,2-диметил-1,3-диоксолан-4-ил]этанамина в качестве подходящего амина, получали соединение с дигидрокси-защищенным амином. Гидролиз с помощью 10% раствора HCl (к.т., 1 ч) и очистка с помощью препаративной ВЭЖХ (с использованием ацетонитрила и 5 мМ водного раствора NH4HCO3 в качестве элюентов) приводили к получению целевого продукта.

МСВР-ЭРИ (m/z): [М+Н]+, рассчитано для C44H55N9O5: 822.4125, найдено: 822.4120.

Пример 93: 6-{3-[(1,3-Бензотиазол-2-ил)амино]-4-метил-6,7-дигидропиридо[2,3-с]пиридазин-8(5Н)-ил}-3-(1-{[3-(2-{[(3R)-3,4-дигидроксибутил]амино}этокси)-5,7-диметиладамантан-1-ил]метил}-5-метил-1Н-пиразол-4-ил)пиридин-2-карбоновая кислота

Используя Общую методику проведения реакции замещения амина и гидролиза, исходя из продукта Синтеза 12 и 2-[(4R)-2,2-диметил-1,3-диоксолан-4-ил]этанамина в качестве подходящего амина, получали соединение с дигидрокси-защищенным амином. Гидролиз с помощью 10% раствора HCl (к.т., 1 ч) и очистка с помощью препаративной ВЭЖХ (с использованием ацетонитрила и 5 мМ водного раствора NH4HCO3 в качестве элюентов) приводили к получению целевого продукта.

МСВР-ЭРИ (m/z): [М+Н]+, рассчитано для C44H56N9O5S: 822.4125, найдено: 822.4124.

Пример 94: 6-{3-[(1,3-Бензотиазол-2-ил)амино]-4-метил-6,7-дигидропиридо[2,3-с]пиридазин-8(5Н)-ил}-3-[1-({3,5-диметил-7-[2-(метиламино)этокси]адамантан-1-ил}метил)-5-метил-1Н-пиразол-4-ил]пиридин-2-карбоновая кислота

Используя Общую методику проведения реакции замещения амина и гидролиза, исходя из продукта Синтеза 12 и метиламина в качестве подходящего амина, получали целевой продукт.

МСВР-ЭРИ (m/z): [М+Н]+, рассчитано для C41H50N9O3S: 748.3757, найдено: 748.3746.

Пример 95: 6-{3-[(1,3-Бензотиазол-2-ил)амино]-4-метил-6,7-дигидропиридо[2,3-с]пиридазин-8(5Н)-ил}-3-[1-({3-[2-(диметиламино)этокси]-5,7-диметиладамантан-1-ил}метил)-5-метил-1Н-пиразол-4-ил]пиридин-2-карбоновая кислота

Используя Общую методику проведения реакции замещения амина и гидролиза, исходя из продукта Синтеза 12 и диметиламина в качестве подходящего амина, получали целевой продукт.

МСВР-ЭРИ (m/z): [М+Н]+, рассчитано для C42H52N9O3S: 762.3914, найдено: 762.3912.

Пример 96: 6-{3-[(1,3-Бензотиазол-2-ил)амино]-4-метил-6,7-дигидропиридо[2,3-с]пиридазин-8(5Н)-ил}-3-{1-[(3,5-диметил-7-{2-[(2-сульфоэтил)амино]этокси}адамантан-1-ил)метил]-5-метил-1Н-пиразол-4-ил}пиридин-2-карбоновая кислота

Используя Общую методику проведения реакции замещения амина и гидролиза, исходя из продукта Синтеза 12 и таурина в качестве подходящего амина, и K2CO3 (10 экв.) в качестве основания при проведении стадии замещения, получали целевой продукт.

МСВР-ЭРИ (m/z): [М+Н]+, рассчитано для C42H52N9O6S2: 842.3482, найдено: 842.3487.

Пример 97: 6-{3-[(1,3-Бензотиазол-2-ил)амино]-4-метил-6,7-дигидропиридо[2,3-с]пиридазин-8(5Н)-ил}-3-{1-[(3,5-диметил-7-{2-[метил(2-сульфоэтил)амино]этокси}адамантан-1-ил)метил]-5-метил-1Н-пиразол-4-ил}пиридин-2-карбоновая кислота

Пример 98: 2-{3-[(1,3-Бензотиазол-2-ил)амино]-4-метил-6,7-дигидропиридо[2,3-с]пиридазин-8(5Н)-ил}-5-{3-[4-(3-{[(бут-3-ин-1-ил)амино]метил}бицикло[1.1.1]пентан-1-ил)-2-фторфенокси]пропил}-1,3-тиазол-4-карбоновая кислота

Пример 99: 6-{3-[(1,3-Бензотиазол-2-ил)амино]-4-метил-6,7-дигидропиридо[2,3-с]пиридазин-8(5Н)-ил}-3-[1-({3-[2-(диметиламино)этокси]адамантан-1-ил}метил)-5-метил-1Н-пиразол-4-ил]пиридин-2-карбоновая кислота

Пример 100: 6-{3-[(1,3-Бензотиазол-2-ил)амино]-4-метил-6,7-дигидропиридо[2,3-с]пиридазин-8(5Н)-ил}-3-(1-{[3,5-диметил-7-(4-метилпиперазин-1-ил)адамантан-1-ил]метил}-5-метил-1Н-пиразол-4-ил)пиридин-2-карбоновая кислота

Пример 101: 5-{3-[4-(3-{[(3-Азидопропил)амино]метил}-бицикло[1.1.1]пентан-1-ил)-2-фторфенокси]пропил}-2-{3-[(1,3-бензотиазол-2-ил)амино]-4-метил-6,7-дигидропиридо[2,3-с]пиридазин-8(5Н)-ил}-1,3-тиазол-4-карбоновая кислота

Пример 102: 2-{3-[(1,3-Бензотиазол-2-ил)амино]-4-метил-6,7-дигидропиридо[2,3-с]пиридазин-8(5Н)-ил}-5-(3-{4-[3-(этиламино)-3-метилбут-1-ин-1-ил]-2-фторфенокси}пропил)-1,3-тиазол-4-карбоновая кислота

Стадия А: метил 5-[3-[4-[3-(трет-бутоксикарбониламино)-3-метилбут-1-инил]-2-фторфенокси]пропил]-2-(3-хлор-4-метил-6,7-дигидро-5Н-пиридо[2,3-с]пиридазин-8-ил)тиазол-4-карбоксилат

Используя Общую методику проведения реакции Соногаширы, исходя из 1.00 г продукта Синтеза 3а (1.66 ммоль) и 330 мг (1.1 экв.) трет-бутил N-(1,1-диметилпроп-2-инил)карбамата в качестве подходящего алкина, получали 742 мг (68%) целевого продукта.

1H ЯМР (500 МГц, ДМСО-d6) δ м.д. 7.17 (dd, 1Н), 7.12 (t, 1Н), 7.11 (dd, 1Н), 7.07 (brs, 1Н), 4.26 (t, 2Н), 4.11 (t, 2Н), 3.77 (s, 3Н), 3.25 (t, 2Н), 2.89 (t, 2Н), 2.32 (s, 3Н), 2.1 (qn, 2Н), 2.04 (qn, 2Н), 1.50 (s, 6Н), 1.40 (s, 9Н); 13С ЯМР (125 МГц, ДМСО-d6) δ м.д. 163.1, 155.4, 151.7, 151.5, 151.3, 147.1, 142.5, 136.2, 134.9, 129.1, 128.7, 118.9, 115.7, 115.4, 94.2, 79.3, 78.7, 68.2, 52.0, 47.1, 46.4, 30.7, 29.8, 28.7, 24.2, 23.1, 19.7, 15.7; МСВР-ЭРИ (m/z): [М+Н]+, рассчитано для C32H38ClFN5O5S: 658.2266, найдено: 658.2245

Стадия В: метил 5-[3-[4-(3-амино-3-метилбут-1-инил)-2-фторфенокси]пропил]-2-(3-хлор-4-метил-6,7-дигидро-5Н-пиридо[2,3-с]пиридазин-8-ил)тиазол-4-карбоксилат

Смесь продукта со Стадии А (740 мг, 1.12 ммоль) и HFxPyr (3 экв.) в ацетонитриле (5 мл/ммоль) перемешивали при 50°С в течение 1 ч. После того, как летучие вещества удаляли, очистка с помощью колоночной хроматографии (силикагель, с использованием EtOAc и МеОН (NH3) в качестве элюентов) приводила к получению 560 мг (89%) целевого продукта.

1H ЯМР (500 МГц, ДМСО-d6) δ м.д. 7.18 (dd, 1Н), 7.11 (m, 1Н), 7.11 (m, 1Н), 4.25 (m, 2Н), 4.10 (t, 2Н), 3.77 (s, 3Н), 3.25 (t, 2Н), 2.88 (t, 2Н), 2.31 (s, 3Н), 2.10 (m, 2Н), 2.04 (m, 2Н), 1.35 (s, 6Н); 13С ЯМР (125 МГц, ДМСО-d6) δ м.д. 163.1, 128.6, 118.9, 115.3, 98.1, 78.4, 68.2, 52.0, 46.3, 46.3, 32.3, 30.7, 24.2, 23.1, 19.7, 15.7; МСВР-ЭРИ (m/z): [М+Н]+, рассчитано для C27H30ClFN5S: 558.1742, найдено: 558.1730.

Стадия С: метил 2-(3-хлор-4-метил-6,7-дигидро-5Н-пиридо[2,3-с]пиридазин-8-ил)-5-[3-[4-[3-(этиламино)-3-метилбут-1-инил]-2-фторфенокси]пропил]тиазол-4-карбоксилат

Смесь продукта со Стадии В (550 мг, 0.98 ммоль), N-этил-N-изопропилпропан-2-амина (0.52 мл, 3 экв.) и йодэтана (0.12 мл, 1.5 экв.) в N,N-диметилформамиде (5 мл/ммоль) перемешивали при к.т.в течение 3 ч. После того, как летучие вещества удаляли, сырое промежуточное соединение очищали с помощью колоночной хроматографии (силикагель, с использованием EtOAc и МеОН (NH3) в качестве элюентов) с получением 570 мг (99%) целевого продукта.

1Н ЯМР (500 МГц, ДМСО-d6) δ м.д. 9.07 (brm, 2Н), 7.41 (dd, 1Н), 7.29 (dd, 1Н), 7.20 (t, 1Н), 4.27 (t, 2Н), 4.15 (t, 2Н), 3.78 (s, 3Н), 3.27 (t, 2Н), 3.17 (m, 2Н), 2.90 (t, 2Н), 2.33 (s, 3Н), 2.12 (qn, 2Н), 2.05 (qn, 2Н), 1.64 (s, 6Н), 1.26 (t, 3Н); 13С ЯМР (125 МГц, ДМСО-d6) δ м.д. 163.1, 155.4, 151.7, 151.4, 151.3, 148.2, 142.4, 136.3, 135.0, 129.4, 129.1, 119.5, 115.5, 113.2, 86.8, 85.3, 68.3, 53.8, 52.0, 46.4, 38.2, 30.7, 26.5, 24.2, 23.1, 19.8, 15.7, 12.2; МСВР-ЭРИ (m/z): [М+Н]+, рассчитано для C29H34ClFN5O3S: 586.2055, найдено: 586.2048.

Стадия D: метил 2-[3-(1,3-бензотиазол-2-иламино)-4-метил-6,7-дигидро-5Н-пиридо[2,3-с]пиридазин-8-ил]-5-[3-[4-[3-(этиламино)-3-метилбут-1-инил]-2-фторфенокси]пропил]тиазол-4-карбоксилат

Используя Общую методику I проведения реакции Бухвальда, исходя из 570 мг продукта со Стадии С (0.98 ммоль) и 292 мг (2 экв.) 1,3-бензотиазол-2-амина, получали 420 мг (61%) целевого продукта.

1H ЯМР (500 МГц, ДМСО-d6) δ м.д. 8.98 (m, 2Н), 7.88 (brs, 1Н), 7.53 (brs, 1Н), 7.42 (dd, 1Н), 7.38 (m, 1Н), 7.29 (dm, 1Н), 7.22 (t, 1Н), 7.20 (m, 1Н), 4.26 (t, 2Н), 4.16 (t, 2Н), 3.77 (s, 3Н), 3.29 (t, 2Н), 3.14 (m, 2Н), 2.88 (t, 2Н), 2.34 (s, 3Н), 2.15 (m, 2Н), 2.04 (m, 2Н), 1.60 (s, 6Н), 1.23 (t, 3Н); МСВР-ЭРИ (m/z): [М+Н]+, рассчитано для C36H39FN7O3S2: 700.2540, найдено: 700.2532.

Стадия Е: 2-[3-(1,3-бензотиазол-2-иламино)-4-метил-6,7-дигидро-5Н-пиридо[2,3-с]пиридазин-8-ил]-5-[3-[4-[3-(этиламино)-3-метилбут-1-инил]-2-фторфенокси]пропил]тиазол-4-карбоновая кислота

К продукту со Стадии D (420 мг, 0.60 ммоль) в 2:1 смеси 1,4-диоксана и воды (7.5 мл/ммоль) добавляли 50 мг (2 экв.) LiOH×Н2О, и смесь перемешивали при к.т.в течение 3 ч. После удаления летучих веществ, очистка с помощью обращенно-фазовой препаративной хроматографии (С18, 0.1% ТФУ в воде: MeCN) приводила к получению 33 мг (8%) целевого соединения.

МСВР-ЭРИ (m/z): [М+Н]+, рассчитано для C35H37FN7O3S2: 686.2383, найдено: 686.2378.

Пример 103: 2-{3-[(1,3-Бензотиазол-2-ил)амино]-4-метил-6,7-дигидропиридо[2,3-с]пиридазин-8(5Н)-ил}-5-(3-{2-фтор-4-[3-метил-3-(пиперазин-1-ил)бут-1-ин-1-ил]фенокси}пропил)-1,3-тиазол-4-карбоновая кислота

Пример 104: 5-[3-(4-{3-[(3-Азидопропил)амино]проп-1-ин-1-ил}-2-фторфенокси)пропил]-2-{3-[(1,3-бензотиазол-2-ил)амино]-4-метил-6,7-дигидропиридо[2,3-с]пиридазин-8(5Н)-ил}-1,3-тиазол-4-карбоновая кислота

Пример 105: 5-[3-(4-{3-[(3-Аминопропил)амино]проп-1-ин-1-ил}-2-фторфенокси)пропил]-2-{3-[(1,3-бензотиазол-2-ил)амино]-4-метил-6,7-дигидропиридо[2,3-с]пиридазин-8(5Н)-ил}-1,3-тиазол-4-карбоновая кислота

Пример 106: 2-{3-[(1,3-Бензотиазол-2-ил)амино]-4-метил-6,7-дигидропиридо[2,3-с]пиридазин-8(5Н)-ил}-5-[3-(2-фтор-4-{3-[(пент-4-ин-1-ил)амино]проп-1-ин-1-ил}фенокси)пропил]-1,3-тиазол-4-карбоновая кислота

Пример 107: 2-{3-[(1,3-Бензотиазол-2-ил)амино]-4-метил-6,7-дигидропиридо[2,3-с]пиридазин-8(5Н)-ил}-5-{3-[2-фтор-4-(3-{[2-(2-гидроксиэтокси)этил](метил)амино}проп-1-ин-1-ил)фенокси]пропил}-1,3-тиазол-4-карбоновая кислота

Пример 108: 2-{3-[(1,3-Бензотиазол-2-ил)амино]-4-метил-6,7-дигидропиридо[2,3-с]пиридазин-8(5Н)-ил}-5-[3-(2-фтор-4-{3-метил-3-[(пент-4-ин-1-ил)амино]бут-1-ин-1-ил}фенокси)пропил]-1,3-тиазол-4-карбоновая кислота

Пример 109: 2-{3-[(1,3-Бензотиазол-2-ил)амино]-4-метил-6,7-дигидропиридо[2,3-с]пиридазин-8(5Н)-ил}-5-{3-[2-фтор-4-(3-{[(проп-2-ин-1-ил)амино]метил}бицикло[1.1.1]пентан-1-ил)фенокси]пропил}-1,3-тиазол-4-карбоновая кислота

Пример 110: 2-{3-[(1,3-Бензотиазол-2-ил)амино]-4-метил-6,7-дигидропиридо[2,3-с]пиридазин-8(5Н)-ил}-5-[3-(2-фтор-4-{3-[(гекс-5-ин-1-ил)амино]проп-1-ин-1-ил}фенокси)пропил]-1,3-тиазол-4-карбоновая кислота

Пример 111: 5-[3-(4-{3-[(4-Азидобутил)амино]проп-1-ин-1-ил}-2-фторфенокси)пропил]-2-{3-[(1,3-бензотиазол-2-ил)амино]-4-метил-6,7-дигидропиридо[2,3-с]пиридазин-8(5Н)-ил}-1,3-тиазол-4-карбоновая кислота

Пример 112: 5-[3-(4-{3-[(4-Азидобутил)(метил)амино]проп-1-ин-1-ил}-2-фторфенокси)пропил]-2-{3-[(1,3-бензотиазол-2-ил)амино]-4-метил-6,7-дигидропиридо[2,3-с]пиридазин-8(5Н)-ил}-1,3-тиазол-4-карбоновая кислота

Пример 113: 2-{3-[(1,3-Бензотиазол-2-ил)амино]-4-метил-6,7-дигидропиридо[2,3-с]пиридазин-8(5Н)-ил}-5-[3-(2-фтор-4-{3-[(гекс-5-ин-1-ил)(метил)амино]проп-1-ин-1-ил}фенокси)пропил]-1,3-тиазол-4-карбоновая кислота

Пример 114: 2-{3-[(1,3-Бензотиазол-2-ил)амино]-4-метил-6,7-дигидропиридо[2,3-с]пиридазин-8(5Н)-ил}-5-[3-(2-фтор-4-{3-[метил(пент-4-ин-1-ил)амино]проп-1-ин-1-ил}фенокси)пропил]-1,3-тиазол-4-карбоновая кислота

Пример 115: 5-[3-(4-{3-[(3-Азидопропил)(метил)амино]проп-1-ин-1-ил}-2-фторфенокси)пропил]-2-{3-[(1,3-бензотиазол-2-ил)амино]-4-метил-6,7-дигидропиридо[2,3-с]пиридазин-8(5Н)-ил}-1,3-тиазол-4-карбоновая кислота

Пример 116: 2-{3-[(1,3-Бензотиазол-2-ил)амино]-4-метил-6,7-дигидропиридо[2,3-с]пиридазин-8(5Н)-ил}-5-{3-[2-фтор-4-(3-{[метил(пент-4-ин-1-ил)амино]метил}бицикло[1.1.1]пентан-1-ил)фенокси]пропил}-1,3-тиазол-4-карбоновая кислота

Пример 117: 5-{3-[4-(3-{[(4-Азидобутил)(метил)амино]метил}-бицикло[1.1.1]пентан-1-ил)-2-фторфенокси]пропил}-2-{3-[(1,3-бензотиазол-2-ил)амино]-4-метил-6,7-дигидропиридо[2,3-с]пиридазин-8(5Н)-ил}-1,3-тиазол-4-карбоновая кислота

Пример 118: 2-{3-[(1,3-Бензотиазол-2-ил)амино]-4-метил-6,7-дигидропиридо[2,3-с]пиридазин-8(5Н)-ил}-5-{3-[4-(3-{[(бут-3-ин-1-ил)(метил)амино]метил}бицикло[1.1.1]пентан-1-ил)-2-фторфенокси]пропил}-1,3-тиазол-4-карбоновая кислота

Пример 119: 5-{3-[4-(3-{[(3-Азидопропил)(метил)амино]метил}-бицикло[1.1.1]пентан-1-ил)-2-фторфенокси]пропил}-2-{3-[(1,3-бензотиазол-2-ил)амино]-4-метил-6,7-дигидропиридо[2,3-с]пиридазин-8(5Н)-ил}-1,3-тиазол-4-карбоновая кислота

Пример 120: 5-{3-[4-(3-{[(4-Азидобутил)амино]метил}-бицикло[1.1.1]пентан-1-ил)-2-фторфенокси]пропил}-2-{3-[(1,3-бензотиазол-2-ил)амино]-4-метил-6,7-дигидропиридо[2,3-с]пиридазин-8(5Н)-ил}-1,3-тиазол-4-карбоновая кислота

Пример 121: 2-{3-[(1,3-Бензотиазол-2-ил)амино]-4-метил-6,7-дигидропиридо[2,3-с]пиридазин-8(5Н)-ил}-5-{3-[2-фтор-4-(3-{[(пент-4-ин-1-ил)амино]метил}бицикло[1.1.1]пентан-1-ил)фенокси]пропил}-1,3-тиазол-4-карбоновая кислота

Пример 122: 2-[(6R)-3-[(1,3-бензотиазол-2-ил)амино]-6-(2-гидроксиэтил)-4-метил-6,7-дигидропиридо[2,3-с]пиридазин-8(5Н)-ил]-5-(3-{4-[3-(диметиламино)проп-1-ин-1-ил]-2-фторфенокси}пропил)-1,3-тиазол-4-карбоновая кислота

Пример 123: 2-[(6S)-3-[(1,3-бензотиазол-2-ил)амино]-6-(2-гидроксиэтил)-4-метил-6,7-дигидропиридо[2,3-с]пиридазин-8(5Н)-ил]-5-(3-{4-[3-(диметиламино)проп-1-ин-1-ил]-2-фторфенокси}пропил)-1,3-тиазол-4-карбоновая кислота

Пример 124: 2-[3-(1,3-Бензотиазол-2-иламино)-4-метил-6,7-дигидро-5Н-пиридо[2,3-с]пиридазин-8-ил]-5-[3-[2-фтор-4-[3-(проп-2-иниламино)проп-1-инил]фенокси]пропил]тиазол-4-карбоновая кислота

Стадия А: метил 5-[3-[2-фтор-4-[3-(проп-2-иниламино)проп-1-инил]фенокси]пропил]-2-[4-метил-3-[(Z)-[3-(2-триметилсилилэтоксиметил)-1,3-бензотиазол-2-илиден]амино]-6,7-дигидро-5Н-пиридо[2,3-с]пиридазин-8-ил]тиазол-4-карбоксилат

Используя Общую методику проведения реакции Соногаширы, исходя из продукта Примера 77, Стадия А (2.30 г, 2.71 ммоль, 1.0 экв.), и 1.26 г N-проп-2-инилпроп-2-ин-1-амина (13.58 ммоль, 5 экв.) в качестве подходящего ацетилена, получали 793 мг (36%) целевого продукта.

ЖХ/МС (C41H47FN7O4S2Si) 812 [М+Н]+.

Стадия В: 2-[3-(1,3-бензотиазол-2-иламино)-4-метил-6,7-дигидро-5Н-пиридо[2,3-с]пиридазин-8-ил]-5-[3-[2-фтор-4-[3-(проп-2-иниламино)проп-1-инил]фенокси]пропил]тиазол-4-карбоновая кислота

Используя Общую методику снятия защиты и гидролиза, исходя из продукта со Стадии А (900 мг, 1.10 ммоль) получали 222 мг (30%) целевого продукта.

1H ЯМР (500 МГц, ДМСО-d6) δ м.д. 7.88 (d, 1Н), 7.48 (br., 1Н), 7.37 (t, 1Н), 7.28 (dd, 1Н), 7.19 (d, 1Н), 7.18 (t, 1Н), 7.14 (t, 1Н), 4.27 (br., 2Н), 4.14 (t, 2Н), 3.55 (s, 2Н), 3.39 (d, 2Н), 3.27 (t, 2Н), 3.09 (t, 1Н), 2.87 (t, 2Н), 2.33 (s, 3Н), 2.13 (m, 2Н), 2.03 (m, 2Н); 13С ЯМР (125 МГц, ДМСО-d6) δ м.д. 128.9, 126.5, 122.5, 122.3, 119.2, 115.5, 87.8, 82.8, 82.2, 74.5, 68.5, 46.3, 37.2, 36.6, 31.0, 23.9, 23.1, 20.3, 12.9; МСВР-ЭРИ (m/z): [М+Н]+, рассчитано для C34H31FN7O3S2: 668.1914, найдено: 668.1907.

Пример 125: 2-{3-[(1,3-Бензотиазол-2-ил)амино]-4-метил-6,7-дигидро-5Н,-пиридо[2,3-с]пиридазин-8-ил}-5-{3-[4-(3-{бис[(3S)-3,4-дигидроксибутил]-амино}проп-1-ин-1-ил)-2-фторфенокси]пропил}-1,3-тиазол-4-карбоновая кислота

Стадия А: метил 5-[3-[4-[3-(трет-бутоксикарбониламино)проп-1-инил]-2-фторфенокси]пропил]-2-(3-хлор-4-метил-6,7-дигидро-5Н-пиридо[2,3-с]пиридазин-8-ил)тиазол-4-карбоксилат

Используя Общую методику проведения реакции Соногаширы, исходя из 3.00 г продукта Синтеза 3а (5.0 ммоль) и 1.55 г трет-бутил N-проп-2-инилкарбамата (2 экв.) в качестве подходящего ацетилена, получали 2.79 г целевого продукта (89%).

1H ЯМР (500 МГц, ДМСО-d6) δ м.д. 7.34 (brt, 1Н), 7.26 (dd, 1Н), 7.17 (dm, 1Н), 7.13 (t, 1Н), 4.25 (t, 2Н), 4.11 (t, 2Н), 3.95 (brd, 2Н), 3.77 (s, 3Н), 3.25 (t, 2Н), 2.88 (m, 2Н), 2.31 (s, 3Н), 2.10 (m, 2Н), 2.03 (m, 2Н), 1.39 (s, 9Н); 13С ЯМР (500 МГц, ДМСО-d6) δ м.д. 128.9, 119.1, 115.4, 68.2, 51.9, 46.3, 30.7, 30.5, 28.7, 24.1, 23.0, 19.7, 15.7; МСВР-ЭРИ (m/z): [М+Н]+, рассчитано для C30H34ClFN5O5S: 630.1953, найдено: 630.1945.

Стадия В: метил 5-[3-[4-(3-аминопроп-1-инил)-2-фторфенокси]пропил]-2-(3-хлор-4-метил-6,7-дигидро-5Н-пиридо[2,3-с]пиридазин-8-ил)тиазол-4-карбоксилат

Смесь продукта со Стадии А (2.19 г, 3.47 ммоль), пиридина и фтороводорода (1:1) (3.44 г, 10.0 экв.) в MeCN (17.3 мл) перемешивали при 60°С в течение 1.5 ч. Очистка с помощью флэш-хроматографии (силикагель, ДХМ и МеОН (1.2% NH3) в качестве элюентов) приводила к получению целевого продукта (1.81 г, 98.5%).

1H ЯМР (500 МГц, ДМСО-d6) δ м.д. 7.26 (dd, 1Н), 7.18 (dd, 1Н), 7.14 (t, 1Н), 5.36 (NH3+, br., 3Н), 4.25 (m, 2Н), 4.12 (t, 2Н), 3.77 (s, 3Н), 3.61 (s, 2Н), 3.25 (t, 2H), 2.88 (t, 2H), 2.31 (s, 3Н), 2.10 (m, 2H), 2.04 (m, 2H); 13C ЯМР (500 МГц, ДМСО-d6) δ м.д. 163.1, 155.3, 151.7, 151.5, 151.3, 147.4, 142.5, 136.1, 136.1, 134.9, 128.9, 119.1, 115.5, 115.2, 89.2, 81.9, 68.2, 51.9, 46.3, 31.1, 30.7, 24.2, 23.0, 19.7, 15.7; МСВР-ЭРИ (m/z): [М+Н]+, рассчитано для C25H26ClFN5O3S: 530.1429, найдено: 530.1410.

Стадия С: (4S)-4-(2-йодэтил)-2,2-диметил-1,3-диоксолан

К смеси PPh3 (11.84 г, 2.2 экв.), имидазола (3.07 г, 2.2 экв.) и 2-[(4S)-2,2-диметил-1,3-диоксолан-4-ил]этанола (2.92 мл, 20.52 ммоль) в дихлорметане (103 мл) порциями добавляли йод (11.46 г, 2.2 экв.) при 0°С, и затем перемешивали при к.т.в течение 18 ч. Реакционную смесь затем гасили 100 мл раствора Na2S2O3 и фазы разделяли, органическую фазу промывали соляным раствором, сушили и очищали с помощью флэш-хроматографии (силикагель, гептан и гептан-МТВЕ в качестве элюентов) с получением целевого соединения (2.90 г, 55%).

1H ЯМР (500 МГц, ДМСО-d6) δ м.д. 4.06 (m, 1Н), 4.01/3.45 (dd+dd, 2Н), 3.28/3.21 (dd+dd, 2Н), 2.00/1.97 (m+m, 2Н), 1.31 (s, 3Н), 1.26 (s, 3Н); 13С ЯМР (500 МГц, ДМСО-d6) δ м.д. 108.7, 75.8, 68.3, 37.9, 27.3, 26.0, 3.5; ГХ-МС (ЭИ, М+): 255.79.

Стадия D: метил 5-[3-[4-[3-[бис[2-[(4S)-2,2-диметил-1,3-диоксолан-4-ил]этил]амино]проп-1-инил]-2-фторфенокси]пропил]-2-(3-хлор-4-метил-6,7-дигидро-5Н-пиридо[2,3-с]пиридазин-8-ил)тиазол-4-карбоксилат

Смесь продукта со Стадии В (500 мг, 0.94 ммоль), продукта со Стадии С (483.2 мг, 2.0 экв.) и N-этил-N-изопропилпропан-2-амина (1.0 мл, 6 экв.) в N,N-диметилформамиде (4.7 мл) перемешивали при к.т.в течение 6 ч. Добавляли 10 мл 2 М раствора диметиламина, и реакционную смесь дополнительно перемешивали в течение 1 ч. Смесь разбавляли водой и насыщенным раствором NaHCO3, и экстрагировали с помощью EtOAc. Объединенные органические фазы промывали соляным раствором, сушили, концентрировали и очищали с помощью препаративной ВЭЖХ (MeCN, NH4HCO3) с получением целевого соединения (100 мг, 13%).

1Н ЯМР (500 МГц, ДМСО-d6) δ м.д. 7.28 (dd, 1Н), 7.18 (dm, 1Н), 7.14 (t, 1Н), 4.27 (t, 2Н), 4.11 (t, 2Н), 4.07 (m, 2Н), 3.99/3.46 (dd+dd, 4Н), 3.76 (s, 3Н), 3.56 (s, 2Н), 2.89 (t, 2Н), 2.51 (m, 4Н), 2.33 (s, 3Н), 2.32 (t, 2Н), 2.11 (m, 2Н), 2.04 (m, 2H), 1.64 (m, 4H), 1.30 (s, 6H), 1.24 (s, 6H); МСВР-ЭРИ (m/z): [М+Н]+, рассчитано для C39H50ClFN5O7S: 786.3104, найдено: 786.3111.

Стадия Е: метил 2-[3-(1,3-бензотиазол-2-иламино)-4-метил-6,7-дигидро-5Н-пиридо[2,3-с]пиридазин-8-ил]-5-[3-[4-[3-[бис[2-[(4S)-2,2-диметил-1,3-диоксолан-4-ил]этил] амино]проп-1-инил]-2-фторфенокси]пропил]тиазол-4-карбоксилат

Используя Общую методику I проведения реакции Бухвальда, исходя из 100 мг продукта со Стадии D (0.127 ммоль) и выполняя препаративную ВЭЖХ очистку (MeCN, NH4HCO3) получали 90 мг целевого продукта (78%).

1H ЯМР (500 МГц, ДМСО-d6) δ м.д. 7.90 (brs, 1Н), 7.60 (brs, 1Н), 7.37 (brm, 1Н), 7.29 (dd, 1Н), 7.20 (brm, 1Н), 7.19 (dm, 1Н), 7.16 (t, 1Н), 4.45/3.98 (dd+dd, 4Н), 4.26 (t, 2Н), 4.14 (t, 2Н), 4.05 (dd, 2Н), 3.78 (s, 3Н), 3.53 (s, 2Н), 3.28 (t, 2Н), 2.88 (t, 2Н), 2.5 (m, 4Н), 2.35 (s, 3Н), 2.14 (m, 2Н), 2.05 (m, 2Н), 1.63 (m, 4Н), 1.3 (s, 6Н), 1.24 (s, 6Н); МСВР-ЭРИ (m/z): [М+Н]+, рассчитано для C46H55FN7O7S2: 900.3588, найдено: 900.3591.

Стадия F: 2-[3-(1,3-бензотиазол-2-иламино)-4-метил-6,7-дигидро-5Н-пиридо[2,3-с]пиридазин-8-ил]-5-[3-[4-[3-[бис[(3S)-3,4-дигидроксибутил]-амино]проп-1-инил]-2-фторфенокси]пропил]тиазол-4-карбоновая кислота

Смесь продукта со Стадии Е (90 мг, 0.1 ммоль) и LiOH×Н2О (95 мг, 22.6 экв.) в 1,4-диоксане (1 мл) и воде (1 мл) перемешивали при к.т.в течение 1 ч и при 50°С в течение 2 ч. После обработки хлороводородом (8 ммоль) и перемешивания при к.т.в течение 4 ч, добавляли насыщенный раствор NaHCO3 и 1:1 смесь воды и соляного раствора, и целевой продукт отфильтровывали (33 мг, 40%).

МСВР-ЭРИ (m/z) [М+Н]+, рассчитано для C39H45FN7O7S2: 806.2806, найдено: 806.2803.

Пример 126: Метил 5-[3-[4-(3-аминопроп-1-инил)-2-фторфенокси]пропил]-2-[3-(1,3-бензотиазол-2-иламино)-4-метил-6,7-дигидро-5Н-пиридо[2,3-с]пиридазин-8-ил]тиазол-4-карбоксилат

Стадия А: метил 2-[3-(1,3-бензотиазол-2-иламино)-4-метил-6,7-дигидро-5Н-пиридо[2,3-с]пиридазин-8-ил]-5-[3-[4-[3-(трет-бутоксикарбониламино)проп-1-инил]-2-фторфенокси]пропил]тиазол-4-карбоксилат

Используя Общую методику I проведения реакции Бухвальда, исходя из 4.60 г соединения Примера 125, Стадия А, и 2.20 г (2 экв.) 2-аминобензотиазола с последующей очисткой с помощью колоночной хроматографии (силикагель с использованием гептана, EtOAc и МеОН (1.2% NH3) в качестве элюентов), получали 4.02 г (74%) целевого продукта.

1H ЯМР (500 МГц, ДМСО-d6) δ м.д. 7.90 (br., 1Н), 7.61 (br., 1Н), 7.37 (brt, 1Н), 7.27 (dd, 1Н), 7.19 (br., 1Н), 7.19 (dd, 1Н), 7.15 (t, 1Н), 4.25 (t, 2Н), 4.14 (t, 2Н), 3.94 (d, 2Н), 3.77 (s, 3Н), 3.27 (t, 2Н), 2.86 (t, 2Н), 2.33 (s, 3Н), 2.13 (m, 2Н), 2.04 (m, 2Н), 1.39 (s, 9Н); 13С ЯМР (500 МГц, ДМСО-d6) δ м.д. 163.2, 155.7, 129.0, 126.4, 122.5, 122.2, 119.2, 115.5, 68.4, 51.9, 46.3, 31.0, 30.5, 28.7, 23.9, 23.1, 20.3, 12.9; МСВР-ЭРИ (m/z): [М+Н]+, рассчитано для C37H39FN7O5S2: 744.2438, найдено: 744.2425.

Стадия В: метил 5-[3-[4-(3-аминопроп-1-инил)-2-фторфенокси]пропил]-2-[3-(1,3-бензотиазол-2-иламино)-4-метил-6,7-дигидро-5Н-пиридо[2,3-с]пиридазин-8-ил]тиазол-4-карбоксилат

Смесь продукта со Стадии А (4.00 г, 5.38 ммоль), пиридина и фтороводорода (1:1) (5.33 г, 10 экв.) в MeCN (27 мл) перемешивали при 60 С в течение 16 ч. Очистка с помощью колоночной хроматографии (силикагель, ДХМ и МеОН (NH3) в качестве элюентов) приводила к получению целевого соединения.

МСВР-ЭРИ (m/z): [М+Н]+, рассчитано для C32H31FN7O3S2: 644.1914, найдено: 644.1913.

Пример 127: 6-[3-(1,3-Бензотиазол-2-иламино)-4-метил-6,7-дигидро-5Н-пиридо[2,3-с]пиридазин-8-ил]-3-[1-[[3,5-диметил-7-(2-пирролидин-1-илэтокси)-1-адамантил]метил]-5-метилпиразол-4-ил]пиридин-2-карбоновая кислота

Используя Общую методику проведения реакции замещения амина и гидролиза, исходя из продукта Синтеза 12 и пирролидина в качестве подходящего амина, получали целевой продукт.

МСВР-ЭРИ (m/z): [М+Н]+, рассчитано для C44H54N9O3S: 788,4070, найдено: 788.4068.

Пример 128: 6-[3-(1,3-Бензотиазол-2-иламино)-4-метил-6,7-дигидро-5Н-пиридо[2,3-с]пиридазин-8-ил]-3-[1-[[3,5-диметил-7-[2-(4-метилпиперазин-1-ил)этокси]-1-адамантил]метил]-5-метилпиразол-4-ил]пиридин-2-карбоновая кислота

Используя Общую методику проведения реакции замещения амина и гидролиза, исходя из продукта Синтеза 12 и 1-метилпиперазина в качестве подходящего амина, получали целевой продукт.

МСВР-ЭРИ (m/z): [М+2Н]2+, рассчитано для C45H58N10O3S: 409.2207, найдено: 409.2208.

Пример 129: 2-[3-(1,3-Бензотиазол-2-иламино)-4-метил-6,7-дигидро-5Н-пиридо[2,3-с]пиридазин-8-ил]-5-[3-[4-[3-[[(3S)-3,4-дигидроксибутил]-амино]проп-1-инил]-2-фторфенокси]пропил]тиазол-4-карбоновая кислота

Смесь продукта Синтеза 3с (400 мг, 0.67 ммоль), параформальдегида (400 мг, 20 экв.), (2S)-4-аминобутан-1,2-диола в форме соли с хлороводородом (1:1) (754.3 мг, 8 экв.), триэтиламина (2.3 мл, 25 экв.), CuI (127 мг, 1 экв.) и молекулярных сит (0.5 г) в этаноле (3.3 мл) выдерживали в микроволновом реакторе Anton-Paar при 120°С в течение 1 ч. Очистка с помощью колоночной хроматографии (силикагель, с использованием гептана, EtOAc и MeOH/NH3 (0.6 н.) в качестве элюентов) и ОФ ВЭЖХ (Gemini, с использованием воды с 0.1% ТФУ и ацетонитрила в качестве элюентов) приводила к получению 15.3 мг (3%) целевого продукта.

МСВР-ЭРИ (m/z): [М+Н]+, рассчитано для C35H37FN7O5S2: 718.2282, найдено: 718.2266.

Пример 130: 6-[3-(1,3-Бензотиазол-2-иламино)-4-метил-6,7-дигидро-5Н-пиридо[2,3-с]пиридазин-8-ил]-3-[1-[[3-[2-[[(3R)-3,4-дигидроксибутил]-метиламино]этокси]-5,7-диметил-1-адамантил]метил]-5-метилпиразол-4-ил]пиридин-2-карбоновая кислота

Используя Общую методику проведения реакции замещения амина и гидролиза, исходя из продукта Синтеза 12 и 2-[(4R)-2,2-диметил-1,3-диоксолан-4-ил]-N-метил-этанамина в качестве подходящего амина, получали соединение с дигидрокси-защищенным амином. Гидролиз с помощью 10% раствора HCl (к.т., 1 ч) и очистка с помощью препаративной ВЭЖХ (с использованием ацетонитрила и 5 мМ водного раствора NH4HCO3 в качестве элюентов) приводили к получению целевого продукта.

МСВР-ЭРИ (m/z): [М+2Н]2+, рассчитано для C45H59N9O5S: 418.7180, найдено: 418.7167.

Пример 131: 2-[3-(1,3-Бензотиазол-2-иламино)-4-метил-6,7-дигидро-5Н-пиридо[2,3-с]пиридазин-8-ил]-5-[3-[4-[3-[[(3R)-3,4-дигидроксибутил]-амино]проп-1-инил]-2-фторфенокси]пропил]тиазол-4-карбоновая кислота

Смесь продукта Синтеза 3с (200 мг, 0.33 ммоль), параформальдегида (200 мг, 20 экв.), (2R)-4-аминобутан-1,2-диола в форме соли с хлороводородом (1:1) (471 мг, 10 экв.), триэтиламина (1.2 мл, 25 экв.), CuI (64 мг, 1 экв.) и молекулярных сит (0.25 г) в этаноле (1.6 мл) выдерживали в микроволновом реакторе Anton-Paar при 120°С в течение 1 ч. Очистка с помощью колоночной хроматографии (силикагель, с использованием гептана, EtOAc и MeOH/NH3 (0.6 н.) в качестве элюентов) и ОФ ВЭЖХ (Gemini, с использованием воды с 0.1% ТФУ и ацетонитрила в качестве элюентов) приводила к получению 43 мг (18%) целевого продукта.

МСВР-ЭРИ (m/z): [М+Н]+, рассчитано для C35H37FN7O5S2: 718.2282, найдено: 718.2281.

Пример 132: 6-[3-(1,3-Бензотиазол-2-иламино)-4-метил-6,7-дигидро-5Н-пиридо[2,3-с]пиридазин-8-ил]-3-[1-[[3-[2-(4-гидроксибутиламино)этокси]-5,7-диметил-1-адамантил]метил]-5-метилпиразол-4-ил]пиридин-2-карбоновая кислота

Используя Общую методику проведения реакции замещения амина и гидролиза, исходя из продукта Синтеза 12 и 4-аминобутан-1-ола в качестве подходящего амина, получали целевой продукт.

МСВР-ЭРИ (m/z): [М+Н]+, рассчитано для C44H56N9O4S: 806.4176, найдено: 806.4174.

Пример 133: 6-[3-(1,3-Бензотиазол-2-иламино)-4-метил-6,7-дигидро-5Н-пиридо[2,3-с]пиридазин-8-ил]-3-[1-[[3-[2-[[3-гидрокси-2-(гидроксиметил)пропил]амино]этокси]-5,7-диметил-1-адамантил]метил]-5-метилпиразол-4-ил]пиридин-2-карбоновая кислота

Используя Общую методику проведения реакции замещения амина и гидролиза, исходя из продукта Синтеза 12 и (2,2-диметил-1,3-диоксан-5-ил)метанамина в качестве подходящего амина, получали соединение с дигидрокси-защищенным амином. Гидролиз с помощью 10% раствора HCl (к.т., 1 ч) и очистка с помощью препаративной ВЭЖХ (с использованием ацетонитрила и 5 мМ водного раствора NH4HCO3 в качестве элюентов) приводили к получению целевой продукт.

МСВР-ЭРИ (m/z): [М+Н]+, рассчитано для C44H56N9O5S: 822,4125, найдено: 822.4099.

Пример 134: 6-[3-(1,3-Бензотиазол-2-иламино)-4-метил-6,7-дигидро-5Н-пиридо[2,3-с]пиридазин-8-ил]-3-[1-[[3-[2-[бис(2-гидроксиэтил)амино]этокси]-5,7-диметил-1-адамантил]метил]-5-метилпиразол-4-ил]пиридин-2-карбоновая кислота

Используя Общую методику проведения реакции замещения амина и гидролиза, исходя из продукта Синтеза 12 и 2-(2-гидроксиэтиламино)этанола в качестве подходящего амина, получали целевой продукт.

МСВР-ЭРИ (m/z): [М+Н]+, рассчитано для C44H56N9O5S: 822,4125, найдено: 822.4123.

Пример 135: 6-[3-(1,3-Бензотиазол-2-иламино)-4-метил-6,7-дигидро-5Н-пиридо[2,3-с]пиридазин-8-ил]-3-[1-[[3-[2-[[2-гидрокси-1-(гидроксиметил)этил]амино]этокси]-5,7-диметил-1-адамантил]метил]-5-метилпиразол-4-ил]пиридин-2-карбоновая кислота

Используя Общую методику проведения реакции замещения амина и гидролиза, исходя из продукта Синтеза 12 и 2-аминопропан-1,3-диола в качестве подходящего амина, получали целевой продукт.

МСВР-ЭРИ (m/z): [М+Н]+, рассчитано для C43H54N9O5S: 808.3969, найдено: 808.3965.

Пример 136: 6-[3-(1,3-Бензотиазол-2-иламино)-4-метил-6,7-дигидро-5Н-пиридо[2,3-с]пиридазин-8-ил]-3-[1-[[3-[2-[2-(2-гидроксиэтокси)этиламино]этокси]-5,7-диметил-1-адамантил]метил]-5-метилпиразол-4-ил]пиридин-2-карбоновая кислота

Используя Общую методику проведения реакции замещения амина и гидролиза, исходя из продукта Синтеза 12 и 2-(2-аминоэтокси)этанола в качестве подходящего амина, получали целевой продукт.

МСВР-ЭРИ (m/z): [М+Н]+, рассчитано для C44H56N9O5S: 822.4125, найдено: 822.4116.

Пример 137: 6-[3-(1,3-Бензотиазол-2-иламино)-4-метил-6,7-дигидро-5Н-пиридо[2,3-с]пиридазин-8-ил]-3-[1-[[3-[2-[бис(3-гидроксипропил)амино]этокси]-5,7-диметил-1-адамантил]метил]-5-метилпиразол-4-ил]пиридин-2-карбоновая кислота

Используя Общую методику проведения реакции замещения амина и гидролиза, исходя из продукта Синтеза 12 и 3-(3-гидроксипропиламино)пропан-1-ола в качестве подходящего амина, получали целевой продукт.

МСВР-ЭРИ (m/z): [М+Н]+, рассчитано для C46H60N9O5S: 850.4438, найдено: 850.4436.

Пример 138: 6-[3-(1,3-Бензотиазол-2-иламино)-4-метил-6,7-дигидро-5Н-пиридо[2,3-с]пиридазин-8-ил]-3-[1-[[3-[2-(3-гидроксипропиламино)этокси]-5,7-диметил-1-адамантил]метил]-5-метилпиразол-4-ил]пиридин-2-карбоновая кислота

Используя Общую методику проведения реакции замещения амина и гидролиза, исходя из продукта Синтеза 12 и 3-аминопропан-1-ола в качестве подходящего амина, получали целевой продукт.

МСВР-ЭРИ (m/z): [М+Н]+, рассчитано для C43H54N9O4S: 792.4019, найдено: 792.4012.

Пример 139: 5-[3-[4-[3-[Ацетил(метил)амино]проп-1-инил]-2-фторфенокси]пропил]-2-[3-(1,3-бензотиазол-2-иламино)-4-метил-6,7-дигидро-5Н-пиридо[2,3-с]пиридазин-8-ил]тиазол-4-карбоновая кислота

Стадия А: метил 5-[3-[4-[3-[трет-бутоксикарбонил(метил)амино]проп-1-инил]-2-фторфенокси]пропил]-2-(3-хлор-4-метил-6,7-дигидро-5Н-пиридо[2,3-с]пиридазин-8-ил)тиазол-4-карбоксилат

Используя Общую методику проведения реакции Соногаширы, исходя из 4.00 г продукта Синтеза 3а (6.63 ммоль) и 2.24 г трет-бутил N-метил-N-проп-2-инилкарбамата (13.3 ммоль, 2 экв.) в качестве подходящего ацетилена, получали 2.40 г (55%) целевого продукта.

1Н ЯМР (500 МГц, ДМСО-d6) δ м.д. 7.30 (dd, 1Н), 7.20 (dm, 1Н), 7.13 (t, 1Н), 4.24 (m, 2Н), 4.23 (brs, 2Н), 4.11 (t, 2Н), 3.77 (s, 3Н), 3.24 (t, 2Н), 2.87 (m, 2Н), 2.86 (s, 3Н), 2.30 (s, 3Н), 2.10 (m, 2Н), 2.03 (m, 2Н), 1.41 (s, 9Н); 13С ЯМР (500 МГц, ДМСО-d6) δ м.д. 129.1, 119.3, 115.4, 85.2, 82.4, 68.2, 51.9, 46.3, 38.6, 33.8, 30.7, 28.5, 24.1, 23.0, 19.7, 15.7; МСВР-ЭРИ (m/z): [М+Н]+, рассчитано для C31H36ClFN5O5S: 644.2110, найдено: 644.2094.

Стадия В: метил 2-(3-хлор-4-метил-6,7-дигидро-5Н-пиридо[2,3-с]пиридазин-8-ил)-5-[3-[2-фтор-4-[3-(метиламино)проп-1-инил]фенокси]пропил]тиазол-4-карбоксилат

К 322 мг продукта со Стадии А (0.5 ммоль) в 2.5 мл ацетонитрила добавляли 0.9 мл фтороводорода в пиридине (20 экв.). Реакционную смесь перемешивали при 60°С до тех пор, пока не перестали наблюдать дальнейшее превращение. Очистка с помощью флэш-хроматографии (силикагель, с использованием ДХМ и МеОН (1.2% NH3)) приводила к получению 258 мг (95%) целевого продукта.

1Н ЯМР (500 МГц, ДМСО-d6) δ м.д. 7.25 (dd, 1Н), 7.17 (dd, 1Н), 7.12 (t, 1Н), 4.25 (t, 2Н), 4.11 (t, 2Н), 3.77 (s, 3Н), 3.46 (s, 2Н), 3.25 (t, 2Н), 2.88 (t, 2Н), 2.32 (s, 3Н), 2.31 (s, 3Н), 2.10 (qn, 2Н), 2.03 (qn, 2Н), 1.99 (brs, 1Н); 13С ЯМР (500 МГц, ДМСО-d6) δ м.д. 163.1, 155.4, 151.7, 151.6, 151.3, 147.2, 142.5, 136.2, 134.9, 129.0, 128.8, 119.1, 115.7, 115.4, 88.7, 82.1, 68.3, 52.0, 46.4, 40.5, 35.4, 30.8, 24.2, 23.1, 19.7, 15.7; МСВР-ЭРИ (m/z): [М+Н]+, рассчитано для C26H28ClFN5O3S: 544.1585, найдено: 544.1570.

Стадия С: метил 5-[3-[4-[3-[ацетил(метил)амино]проп-1-инил]-2-фторфенокси]пропил]-2-(3-хлор-4-метил-6,7-дигидро-5Н-пиридо[2,3-с]пиридазин-8-ил)тиазол-4-карбоксилат

К 220 мг продукта со Стадии В (0.41 ммоль) и 0.085 мл TEA (1.5 экв.) в 2 мл дихлорметана добавляли 0.031 мл ацетилхлорида (1.1 экв.). Реакционную смесь перемешивали до тех пор, пока не перестали наблюдать дальнейшее превращение. Очистка с помощью флэш-хроматографии (силикагель, с использованием ДХМ и МеОН (1.2% NH3) в качестве элюентов) приводила к получению 174 мг (73%) целевого продукта.

1H ЯМР (500 МГц, ДМСО-d6) δ м.д. 7.34/7.31 (dd/dd, 1Н), 7.23/7.20 (brd/brd., 1Н), 7.14/7.13 (t/t, 1Н), 4.38/4.34 (s/s, 2Н), 4.25 (m, 2Н), 4.12 (t, 2Н), 3.77 (s, 3Н), 3.25 (t, 2H), 3.05/2.88 (s/s, 3Н), 2.88 (t, 2H), 2.31 (s, 3Н), 2.10 (m, 2H), 2.09/2.02 (s/s, 3Н), 2.03 (m, 2H); 13C ЯМР (500 МГц, ДМСО-d6) δ м.д. 170.2/170.1, 163.0, 155.4, 151.3, 142.4, 134.9, 129.2/129.1, 119.4/119.3, 115.4, 85.3/84.7, 82.9/81.9, 68.2, 51.9, 46.3, 40.6/36.3, 35.4/33.1, 30.7, 24.1, 23.0, 21.9/21.8, 19.7, 15.7. МСВР-ЭРИ (m/z): [М+Н]+, рассчитано для C28H30ClFN5O3S: 586.1691, найдено: 586.1690.

Стадия D: метил 5-[3-[4-[3-[ацетил(метил)амино]проп-1-инил]-2-фторфенокси]пропил]-2-[3-(1,3-бензотиазол-2-иламино)-4-метил-6,7-дигидро-5Н-пиридо[2,3-с]пиридазин-8-ил]тиазол-4-карбоксилат

Используя Общую методику I проведения реакции Бухвальда, исходя из 170 мг (0.29 ммоль) продукта со Стадии С и 87 мг (2 экв.) 1,3-бензотиазол-2-амина, получали 220 мг (98%) целевого продукта.

МСВР-ЭРИ (m/z): [М+Н]+, рассчитано для C35H35FN7O4S2: 700.2176, найдено: 700.2180.

Стадия Е: 5-[3-[4-[3-[ацетил(метил)амино]проп-1-инил]-2-фторфенокси]пропил]-2-[3-(1,3-бензотиазол-2-иламино)-4-метил-6,7-дигидро-5Н-пиридо[2,3-с]пиридазин-8-ил]тиазол-4-карбоновая кислота

Используя Общую методику гидролиза, исходя из продукта со Стадии D в качестве подходящего сложного метилового эфира, получали целевой продукт.

МСВР-ЭРИ (m/z): [М+Н]+, рассчитано для C34H33FN7O4S2: 686.2023, найдено: 686.2019.

Пример 140: 6-[3-(1,3-Бензотиазол-2-иламино)-4-метил-6,7-дигидро-5Н-пиридо[2,3-с]пиридазин-8-ил]-3-[1-[[3-[2-[бис(4-гидроксибутил)амино]этокси]-5,7-диметил-1-адамантил]метил]-5-метилпиразол-4-ил]пиридин-2-карбоновая кислота

Используя Общую методику проведения реакции замещения амина и гидролиза, исходя из продукта Синтеза 12 и 4-(4-гидроксибутиламино)бутан-1-ола в качестве подходящего амина, получали целевой продукт.

МСВР-ЭРИ (m/z): [М+Н]+, рассчитано для C48H64N9O5S: 878.4751, найдено: 878.4752.

Пример 141: 2-[3-(1,3-Бензотиазол-2-иламино)-4-метил-6,7-дигидро-5Н-пиридо[2,3-с]пиридазин-8-ил]-5-[3-[4-[3-(диметиламино)проп-1-инил]фенокси]пропил]тиазол-4-карбоновая кислота

Стадия А: 4-[3-(диметиламино)проп-1-инил]фенол

Используя Общую методику проведения реакции Соногаширы, исходя из 10.0 г 4-йодфенола (45.45 ммоль) и 4.91 г (1.3 экв.) N,N-диметилпроп-2-ин-1-амина получали 3.29 г (41%) целевого продукта.

1H ЯМР (400 МГц, ДМСО-d6) δ м.д. 9.83 (brs, 1Н), 7.25 (d, 2Н), 6.74 (d,2H), 3.44 (s, 2Н), 2.26 (s, 6Н); ЖХ/МС (C11H14NO) 176 [М+Н]+.

Стадия В: метил 2-(трет-бутоксикарбониламино)-5-[3-[трет-бутил(дифенил)силил]оксипропил]тиазол-4-карбоксилат

К продукту Синтеза 1а, Стадия С (77.0 г, 243.7 ммоль), имидазола (33.14 г, 2 экв.) и DMAP (1.49 г, 0.05 экв.) в ДМФА (973 мл) по каплям добавляли трет-бутил(хлор)дифенилсилан (93.5 мл, 1.5 экв.), и реакционную смесь перемешивали при к.т.в течение 16 ч. После удаления летучих веществ, очистка с помощью колоночной хроматографии (силикагель, с использованием гептана и EtOAc в качестве элюентов) приводила к получению 13.56 г (99%) целевого продукта.

1H ЯМР (500 МГц, ДМСО-d6) δ м.д. 11.63 (s, 1Н), 7.60 (d, 4Н), 7.45 (t, 2Н), 7.42 (t, 4Н), 3.74 (s, 3Н), 3.67 (t, 2Н), 3.20 (t, 2Н), 1.87 (qn, 2Н), 1.47 (s, 9Н), 0.99 (s, 9H); 13C ЯМР (125 МГц, ДМСО-d6) δ м.д. 162.8, 156.0, 142.6, 135.6, 135.5, 133.5, 130.3, 128.3, 81.8, 62.9, 51.9, 34.0, 28.3, 27.1, 23.2, 19.2; МСВР-ЭРИ (m/z): [М+Н]+, рассчитано для C29H39N2O5SSi: 555.2349, найдено: 555.2336.

Стадия С: метил 2-[трет-бутоксикарбонил-[3-(3,6-дихлор-5-метилпиридазин-4-ил)пропил]амино]-5-[3-[трет-бутил(дифенил)силил]-оксипропил]тиазол-4-карбоксилат

Используя Общую методику алкилирования, исходя из 34.95 г (63 ммоль) продукта со Стадии В и 25.0 г (1.2 экв.) 3,6-дихлор-4-(3-йодпропил)-5-метилпиридазина в качестве подходящего йодсодержащего соединения, получали 51.0 г (количественный выход) целевого продукта.

1H ЯМР (500 МГц, ДМСО-d6) δ м.д. 7.63-7.37 (m, 10Н), 4.09 (t, 2Н), 3.75 (s, 3Н), 3.67 (t, 2Н), 3.20 (t, 2Н), 2.82 (m, 2Н), 2.40 (s, 3Н), 1.87 (m, 2Н), 1.87 (m, 2Н), 1.50 (s, 9Н), 0.97 (s, 9Н); 13С ЯМР (125 МГц, ДМСО-d6) δ м.д. 62.9, 52.0, 46.1, 33.9, 28.1, 27.5, 27.1, 25.9, 23.8, 16.4; МСВР-ЭРИ (m/z): [М+Н]+, рассчитано для C37H47C12N4O5SSi: 757.2413, найдено: 757.2395.

Стадия D: метил 5-[3-[трет-бутил(дифенил)силил]оксипропил]-2-[3-(3,6-дихлор-5-метилпиридазин-4-ил)пропиламино]тиазол-4-карбоксилат

Используя Общую методику снятия защиты посредством HFIP, исходя из 51.70 г продукта со Стадии С (68 ммоль) получали 36.32 г (81%) целевого продукта.

1Н ЯМР (500 МГц, ДМСО-d6) δ м.д. 7.71 (t, 1Н), 7.63-7.37 (m, 10Н), 3.69 (s, 3Н), 3.67 (t, 2Н), 3.30 (m, 2Н), 3.10 (t, 2Н), 2.85 (m, 2Н), 2.83 (s, 3Н), 1.79 (m, 2Н), 1.78 (m, 2Н), 0.98 (s, 9Н); 13С ЯМР (125 МГц, ДМСО-d6) δ м.д. 62.9, 51.7, 44.1, 34.2, 28.0, 27.1, 27.0, 23.4, 16.4; МСВР-ЭРИ (m/z): [М+Н]+, рассчитано для C32H39Cl2N4O3SSi: 657.1889, найдено: 657.1875.

Стадия Е: метил 5-[3-[трет-бутил(дифенил)силил]оксипропил]-2-(3-хлор-4-метил-6,7-дигидро-5Н-пиридо[2,3-с]пиридазин-8-ил)тиазол-4-карбоксилат

Смесь 36.0 г (54.7 ммоль) продукта со Стадии D и 35.7 г (2 экв.) Cs2CO3 в 1,4-диоксане (383 мл) перемешивали при 90°С в течение 18 ч. После разбавления водой, выпавшее в осадок твердое вещество отфильтровывали, промывали диэтиловым эфиром и сушили с получением 34.0 г (99%) целевого продукта.

1H ЯМР (500 МГц, ДМСО-d6) δ м.д. 7.61 (d, 4Н), 7.43 (t, 2H), 7.42 (t, 4Н), 4.26 (t, 2H), 3.77 (s, 3H), 3.70 (t, 2H), 3.23 (t, 2H), 2.90 (t, 2H), 2.33 (s, 3H), 2.04 (qn, 2H), 1.90 (qn, 2H), 1.00 (s, 9H); 13С ЯМР (125 МГц, ДМСО-d6) δ м.д. 163.1, 155.3, 151.8, 151.4, 143.2, 136.2, 135.5, 134.7, 133.6, 130.3, 129.0, 128.3, 63.1, 51.9, 46.3, 34.1, 27.1, 24.2, 23.1, 19.8, 19.2, 15.7; МСВР-ЭРИ (m/z): [M+H]+, рассчитано для C32H38ClN4O3SSi: 621.2122, найдено: 621.2097.

Стадия F: метил 2-(3-хлор-4-метил-6,7-дигидро-5Н-пиридо[2,3-с]пиридазин-8-ил)-5-(3-гидроксипропил)тиазол-4-карбоксилат

Смесь 23.36 г (37.6 ммоль) продукта со Стадии Е и 45 мл (1.2 экв.) 1 М раствора TBAF в ТГФ (5 мл/ммоль) перемешивали при к.т. в течение 2 ч. После удаления летучих веществ, очистка с помощью колоночной хроматографии (силикагель, с использованием EtOAc и МеОН/NH3 в качестве элюентов) приводила к получению 12.88 г (89%) целевого продукта.

1H ЯМР (500 МГц, ДМСО-d6) δ м.д. 4.54 (br., 1Н), 4.25 (m, 2H), 3.80 (s, 3H), 3.45 (t, 2H), 3.11 (m, 2H), 2.88 (t, 2H), 2.31 (s, 3H), 2.04 (m, 2H), 1.77 (m, 2H); 13С ЯМР (125 МГц, ДМСО-d6) δ м.д. 163.1, 155.2, 151.2, 143.8, 136.1, 134.5, 129.0, 60.5, 52.0, 46.3, 34.6, 24.2, 23.2, 19.7, 15.7; МСВР-ЭРИ (m/z): [M+H]+, рассчитано для C16H20ClN4O3S: 383.0945, найдено: 383.0937.

Стадия G: метил 2-(3-хлор-4-метил-6,7-дигидро-5Н-пиридо[2,3-с]пиридазин-8-ил)-5-[3-[4-[3-(диметиламино)проп-1-инил]фенокси]пропил]тиазол-4-карбоксилат

Используя Общую методику проведения реакции Мицунобу, исходя из 0.65 г (1.2 экв.) продукта со Стадии F и 250 мг (1.43 ммоль) 4-[3-(диметиламино)проп-1-инил]фенола в ТГФ (9 мл/ммоль), получали 0.28 г (37%) целевого продукта.

1H ЯМР (500 МГц, ДМСО-d6) δ м.д. 7.34 (d, 2H), 6.91 (d, 2H), 4.26 (t, 2H), 4.03 (t, 2H), 3.78 (s, 3H), 3.40 (s, 2H), 3.25 (t, 2H), 2.88 (t, 2H), 2.31 (s, 3H), 2.22 (s, 6H), 2.08 (qn, 2H), 2.03 (qn, 2H); 13С ЯМР (125 МГц, ДМСО-d6) δ м.д. 163.1, 158.9, 155.3, 151.7, 151.3, 142.7, 136.2, 134.9, 133.3, 129.0, 115.2, 115.0, 85.2, 84.1, 67.1, 52.0, 48.3, 46.3, 44.3, 30.8, 24.1, 23.1, 19.7, 15.7; МСВР-ЭРИ (m/z): [M+H]+, рассчитано для C27H31ClN5O3S: 540.1836, найдено: 540.1834.

Стадия Н: метил 2-[3-(1,3-бензотиазол-2-иламино)-4-метил-6,7-дигидро-5Н-пиридо[2,3-с]пиридазин-8-ил]-5-[3-[4-[3-(диметиламино)проп-1-инил]фенокси]пропил]тиазол-4-карбоксилат

Используя Общую методику I проведения реакции Бухвальда, исходя из 0.27 г продукта со Стадии G (0.5 ммоль) получали 0.29 г (89%) целевого продукта.

1H ЯМР (500 МГц, ДМСО-d6) δ м.д. 7.83 (dm, 1Н), 7.50 (dm, 1Н), 7.36 (m, 1Н), 7.35 (m, 2H), 7.18 (m, 1Н), 6.94 (m, 2H), 4.28 (m, 2H), 4.09 (t, 2H), 3.80 (s, 3H), 3.39 (s, 2H), 3.29 (t, 2H), 2.88 (t, 2H), 2.35 (s, 3H), 2.23 (s, 6H), 2.13 (m, 2H), 2.07 (m, 2H); МСВР-ЭРИ (m/z): [M+H]+, рассчитано для C34H36N7O3S2: 654.2321, найдено: 654.2322.

Стадия I: 2-[3-(1,3-бензотиазол-2-иламино)-4-метил-6,7-дигидро-5Н-пиридо[2,3-с]пиридазин-8-ил]-5-[3-[4-[3-(диметиламино)проп-1-инил]фенокси]пропил]тиазол-4-карбоновая кислота

К продукту со Стадии Н (280 мг, 0.43 ммоль) в 1:1 смеси ТГФ и воды (10 мл/ммоль) добавляли 90 мг (5 экв.) LiOHxH2O, и реакционную смесь перемешивали при 50°С в течение 18 ч. После удаления летучих веществ, очистка с помощью обращенно-фазовой препаративной хроматографии (С18, 0.1% ТФУ в воде и MeCN в качестве элюентов) приводила к получению 132 мг (48%) целевого соединения.

МСВР-ЭРИ (m/z): [М+Н]+, рассчитано для C33H34N7O3S2: 640.2165, найдено: 640.2160.

Пример 142: 6-[3-(1,3-Бензотиазол-2-иламино)-4-метил-6,7-дигидро-5Н-пиридо[2,3-с]пиридазин-8-ил]-3-[1-[[3,5-диметил-7-(2-морфолиноэтокси)-1-адамантил]метил]-5-метилпиразол-4-ил]пиридин-2-карбоновая кислота

Используя Общую методику проведения реакции замещения амина и гидролиза, исходя из продукта Синтеза 12 и морфолина в качестве подходящего амина, получали целевой продукт.

МСВР-ЭРИ (m/z): [М+Н]+, рассчитано для C44H54N9O4S: 804.4019, найдено: 804.4012.

Пример 143: 6-[3-(1,3-Бензотиазол-2-иламино)-4-метил-6,7-дигидро-5Н-пиридо[2,3-с]пиридазин-8-ил]-3-[1-[[3,5-диметил-7-[2-(1-пиперидил)этокси]-1-адамантил]метил]-5-метилпиразол-4-ил]пиридин-2-карбоновая кислота

Используя Общую методику проведения реакции замещения амина и гидролиза, исходя из продукта Синтеза 12 и пиперидина в качестве подходящего амина, получали целевой продукт.

МСВР-ЭРИ (m/z): [М+Н]+, рассчитано для C45H56N9O3S: 802.4227, найдено: 802.4223.

Пример 144: 6-[3-(1,3-Бензотиазол-2-иламино)-4-метил-6,7-дигидро-5Н-пиридо[2,3-с]пиридазин-8-ил]-3-[1-[[3,5-диметил-7-(2-пиперазин-1-илэтокси)-1-адамантил]метил]-5-метилпиразол-4-ил]пиридин-2-карбоновая кислота

Используя Общую методику проведения реакции замещения амина и гидролиза, исходя из продукта Синтеза 12 и пиперазина в качестве подходящего амина, получали целевой продукт.

МСВР-ЭРИ (m/z): [М+Н]+, рассчитано для C44H55N10O3S: 803.4179, найдено: 803.4177.

Пример 145: 3-[1-[[3-[2-(Азепан-1-ил)этокси]-5,7-диметил-1-адамантил]метил]-5-метилпиразол-4-ил]-6-[3-(1,3-бензотиазол-2-иламино)-4-метил-6,7-дигидро-5Н-пиридо[2,3-с]пиридазин-8-ил]пиридин-2-карбоновая кислота

Используя Общую методику проведения реакции замещения амина и гидролиза, исходя из продукта Синтеза 12 и азепана в качестве подходящего амина, получали целевой продукт.

МСВР-ЭРИ (m/z): [M+H]+, рассчитано для C46H58N9O3S: 816.4383, найдено: 816.4379.

Пример 146: 6-[3-(1,3-Бензотиазол-2-иламино)-4-метил-6,7-дигидро-5Н-пиридо[2,3-с]пиридазин-8-ил]-3-[1-[[3-[2-(4-изопропилпиперазин-1-ил)этокси]-5,7-диметил-1-адамантил]метил]-5-метилпиразол-4-ил]пиридин-2-карбоновая кислота

Используя Общую методику проведения реакции замещения амина и гидролиза, исходя из продукта Синтеза 12 и 1-изопропилпиперазина в качестве подходящего амина, получали целевой продукт.

МСВР-ЭРИ (m/z): [М+Н]+, рассчитано для C47H61N10O3S: 845.4649, найдено: 845.4646.

Пример 147: 2-[3-(1,3-Бензотиазол-2-иламино)-4-метил-6,7-дигидро-5Н-пиридо[2,3-с]пиридазин-8-ил]-5-[3-[2-фтор-4-[3-(3-гидроксипропиламино)проп-1-инил]фенокси]пропил]тиазол-4-карбоновая кислота

Стадия А: 3-[трет-бутил(диметил)силил]окси-N-проп-2-инилпропан-1-амин

Смесь 0.70 мл (3.0 ммоль) 3-бромпропокси-трет-бутилдиметилсилана, 1.9 мл (10 экв.) пропаргилового амина и 1.6 мл (3 экв.) DIPEA в ацетонитриле (15 мл) перемешивали при 50°С до тех пор, пока не перестали наблюдать дальнейшее превращение. Реакционную смесь концентрировали, разбавляли с помощью ДХМ и экстрагировали насыщенным раствором NaHCO3 и соляным раствором. Объединенные органические слои сушили и концентрировали с получением целевого продукта с количественным выходом.

1H ЯМР (500 МГц, ДМСО-d6) δ м.д. 3.62 (t, 2H), 3.27 (d, 2H), 3.02 (t, 1H), 2.59 (t, 2H), 2.19 (brs, 1H), 1.57 (m, 2H), 0.86 (s, 9H), 0.02 (s, 6H); 13С ЯМР (500 МГц, ДМСО-d6) δ м.д. 73.9, 61.5, 45.2, 37.9, 32.7, 26.3, -4.8; МСВР (ЭИ) (m/z): [М-СН3]+, рассчитано для C11H22NOSi: 212.1471, найдено: 212.1467.

Стадия В: этил 5-[3-[4-[3-[3-[трет-бутил(диметил)силил]-оксипропиламино]проп-1-инил]-2-фторфенокси]пропил]-2-(3-хлор-4-метил-6,7-дигидро-5Н-пиридо[2,3-с]пиридазин-8-ил)тиазол-4-карбоксилат

Используя Общую методику проведения реакции Соногаширы, исходя из 1.0 г (1.64 ммоль) продукта Синтеза 15 и 737 мг (2 экв.) продукта со Стадии А в качестве подходящего ацетилена, получали 1.16 г (96%) целевого продукта.

1H ЯМР (500 МГц, ДМСО-d6) δ м.д. 45.2 (t, 2H), 7.24 (dd, 1H), 7.17 (dd, 1H), 7.14 (t, 1H), 4.27 (br., 2H), 4.25 (q, 2H), 4.12 (t, 2H), 3.65 (t, 2H), 3.6 (s, 2H), 3.25 (t, 2H), 2.89 (t, 2H), 2.32 (s, 3H), 2.11 (m, 2H), 2.04 (m, 2H), 1.63 (m, 2H), 1.28 (t, 3H), 0.84 (s, 9H), 0.02 (s, 6H);

13С ЯМР (500 МГц, ДМСО-d6) δ м.д. 128.8, 119.1, 115.4, 68.3, 61.3, 60.7, 46.3, 45.2, 38.4, 32.4, 30.8, 26.3, 24.2, 23.1, 19.7, 15.7, 14.6, -4.8; МСВР-ЭРИ (m/z): [M+H]+, рассчитано для C35H48ClFN5O4SSi: 716.2869, найдено: 716.2868.

Стадия С: этил 2-[3-(1,3-бензотиазол-2-иламино)-4-метил-6,7-дигидро-5Н-пиридо[2,3-с]пиридазин-8-ил]-5-[3-[4-[3-[3-[трет-бутил(диметил)силил]-оксипропиламино]проп-1-инил]-2-фторфенокси]пропил]тиазол-4-карбоксилат

Используя Общую методику I проведения реакции Бухвальда, исходя из 1.16 г (1.57 ммоль) продукта со Стадии В и 730 мг (2 экв.) 1,3-бензотиазол-2-амина, получали 598 мг (45%) целевого продукта.

1H ЯМР (500 МГц, ДМСО-d6) δ м.д. 7.87 (d, 1Н), 7.49 (d, 1H), 7.37 (td, 1H), 7.25 (dd, 1H), 7.19 (t, 1H), 7.17 (t, 1H), 7.17 (m, 1H), 4.26 (br., 2H), 4.25 (q, 2H), 4.14 (t, 2H), 3.63 (t, 2H), 3.57 (s, 2H), 3.27 (t, 2H), 2.87 (t, 2H), 2.69 (t, 2H), 2.34 (s, 3H), 2.13 (m, 2H), 2.04 (m, 2H), 1.61 (m, 2H), 1.28 (t, 3H), 0.84 (s, 9H), 0.02 (s, 6H); 13С ЯМР (500 МГц, ДМСО-d6) δ м.д. 128.9, 126.5, 122.5, 122.3, 119.1, 116.3, 115.5, 68.4, 61.3, 60.6, 46.3, 45.2, 38.4, 32.4, 31.1, 26.3, 23.9, 23.2, 20.3, 14.6, 12.9, -4.9; МСВР-ЭРИ (m/z): [М+Н]+, рассчитано для C42H53FN7O4S2Si: 830.3354, найдено: 830.3347.

Стадия D: 2-[3-(1,3-бензотиазол-2-иламино)-4-метил-6,7-дигидро-5Н-пиридо[2,3-с]пиридазин-8-ил]-5-[3-[2-фтор-4-[3-(3-гидроксипропиламино)проп-1-инил]фенокси]пропил]тиазол-4-карбоновая кислота

Смесь 590 мг (0.71 ммоль) продукта со Стадии С и 298 мг LiOHxH2O (10 экв.) в 7 мл смеси ТГФ/вода (1:1) перемешивали при 60°С до тех пор, пока не перестали наблюдать дальнейшее превращение. Реакционную смесь обрабатывали 0.71 мл (12 экв.) концентрированного раствора хлороводорода при 0°С (рН = 2-3), и перемешивали до тех пор, пока не перестали наблюдать дальнейшее превращение. После того, как реакционную смесь концентрировали для удаления ТГФ и лиофилизации, твердое вещество растворяли в 6 н. растворе NH3 в МеОН и очищали с помощью обращенно-фазовой хроматографии (с использованием 25 мМ NH4HCO3 и MeCN в качестве элюентов) с получением 100 мг (21%) целевого продукта.

МСВР-ЭРИ (m/z): [М+Н]+, рассчитано для C34H35FN7O4S2: 688.2176, найдено: 688.2179.

Пример 148: 2-[3-(1,3-Бензотиазол-2-иламино)-4-метил-6,7-дигидро-5Н-пиридо[2,3-с]пиридазин-8-ил]-5-[3-[4-[3-[[(3S)-3,4-дигидроксибутил]-метиламино]проп-1-инил]-2-фторфенокси]пропил]тиазол-4-карбоновая кислота

Стадия A: 2-[(4S)-2,2-диметил-1,3-диоксолан-4-ил]этил 4-метилбензолсульфонат

К 1.0 г (6.8 ммоль) 2-[(4S)-2,2-диметил-1,3-диоксолан-4-ил]этанола и 3.8 мл (4 экв.) триэтиламина в 34 мл ДХМ добавляли 4.5 г (2 экв.) n-толилсульфонил 4-метилбензолсульфоната при 0°С. Реакционную смесь перемешивали до тех пор, пока не перестали наблюдать дальнейшее превращение, концентрировали и обрабатывали диизопропиловым эфиром. Затем выпавшую в осадок хлористоводородную соль отфильтровали и маточную жидкость концентрировали и очищали с помощью флэш-хроматографии (силикагель, с использованием гептана и EtOAc в качестве элюентов) с получением 1.6 г (81%) целевого продукта.

1H ЯМР (500 МГц, ДМСО-d6) δ м.д. 7.79 (dm, 2H), 7.49 (dm, 2H), 4.08 (m, 2H), 4.00 (m, 1H), 3.91/3.44 (dd+dd, 2H), 2.42 (s, 3Н), 1.83/1.77 (m+m, 2H), 1.24/1.20 (s+s, 6H); 13С ЯМР (500 МГц, ДМСО-d6) δ м.д. 132.7, 132.7, 130.7, 128.1, 108.6, 72.3, 68.7, 68.4, 32.9, 27.2/25.9, 21.6; МСВР-ЭРИ (m/z): [M+H]+, рассчитано для C14H21O5S: 301.1110, найдено: 301.1107.

Стадия В: N-[2-[(4S)-2,2-диметил-1,3-диоксолан-4-ил]этил]проп-2-ин-1-амин

Смесь продукта со Стадии А (7.6 г, 25.3 ммоль), проп-2-ин-1-амина (16 мл, 10 экв.) и DIPEA (13.22 мл, 3 экв.) в 127 мл MeCN перемешивали при 50°С в течение 16 ч. После концентрирования остаток вносили в ДХМ и экстрагировали конц. раствором NaHCO3 и соляным раствором, объединенные органические слои сушили и концентрировали с получением 5.0 г (107%) целевого продукта, который использовали без какой-либо дополнительной очистки.

1H ЯМР (500 МГц, ДМСО-d6) δ м.д. 4.07 (m, 1H), 3.98/3.43 (dd+t, 2H), 3.28 (m, 2H), 3.05 (t, 1H), 2.62/2.55 (m+m, 2H), 2.23 (brs, 1H), 1.63/1.59 (m+m, 2H), 1.30 (s, 3Н), 1.25 (s, 3H);

13С ЯМР (500 МГц, ДМСО-d6) δ м.д. 108.2, 83.4, 74.6, 74.1, 69.2, 45.1, 37.8, 33.6, 27.3, 26.2; МСВР (ЭИ) (m/z): [M]+, рассчитано для C10H17NO2: 183.1259, найдено: 183.1260.

Стадия С: N-[2-[(4S)-2,2-диметил-1,3-диоксолан-4-ил]этил]-N-метилпроп-2-ин-1-амин

К продукту со Стадии В (500 мг, 2.73 ммоль) в N,N-диметилформамиде (14 мл) порциями добавляли гидрид натрия (120 мг, 1.1 экв.) при 0°С. После перемешивания при 0°С в течение 0.5 ч, смесь обрабатывали йодметаном (0.17 мл, 1 экв.) и перемешивали при к.т. в течение 18 ч. После гашения реакционной смеси насыщенным раствором NH4Cl и водой, смесь экстрагировали с помощью Et2O. Объединенные органические фазы сушили и концентрировали с получением целевого продукта (362 мг, 67%). ГХ/МС (C11H19NO2) 197 [M+].

Стадия D: этил 2-(3-хлор-4-метил-6,7-дигидро-5Н-пиридо[2,3-с]пиридазин-8-ил)-5-[3-[4-[3-[2-[(4S)-2,2-диметил-1,3-диоксолан-4-ил]этилметиламино]проп-1-инил]-2-фторфенокси]пропил]тиазол-4-карбоксилат

Используя Общую методику проведения реакции Соногаширы, исходя из 0.548 г (0.89 ммоль) продукта Синтеза 15 и 350 мг (2 экв.) продукта со Стадии С в качестве подходящего ацетилена, получали 510 мг (82%) целевого продукта. ЖХ/МС (C34H42ClFN5O5S) 686 [М+Н]+.

Стадия Е: этил 2-[3-(1,3-бензотиазол-2-иламино)-4-метил-6,7-дигидро-5Н-пиридо[2,3-с]пиридазин-8-ил]-5-[3-[4-[3-[2-[(4S)-2,2-диметил-1,3-диоксолан-4-ил]этилметиламино]проп-1-инил]-2-фторфенокси]пропил]тиазол-4-карбоксилат

Используя Общую методику I проведения реакции Бухвальда, исходя из 510 мг (0.52 ммоль) продукта со Стадии D и 234 мг (3 экв.) 1,3-бензотиазол-2-амина, получали 200 мг (48%) целевого продукта.

1H ЯМР (500 МГц, ДМСО-d6) δ м.д. 7.88 (dm, 1Н), 7.49 (brd, 1Н), 7.37 (m, 1Н), 7.3 (dd, 1Н), 7.20 (dm, 1Н), 7.19 (m, 1Н), 7.16 (t, 1Н), 4.26 (m, 2H), 4.25 (q, 2H), 4.14 (t, 2H), 4.04 (m, 1Н), 3.98/3.45 (dd+dd, 2H), 3.46 (s, 2H), 3.28 (m, 2H), 2.87 (t, 2H), 2.45/2.39 (m+m, 2H), 2.34 (s, 3H), 2.21 (s, 3H), 2.13 (m, 2H), 2.04 (m, 2H), 1.63 (m, 2H), 1.29 (t, 3H), 1.29 (s, 3H), 1.24 (s, 3H); МСВР (ЭРИ) (m/z):

[M+H]+, рассчитано для C41H47FN7O5S2: 800.3064, найдено: 800.3064.

Стадия F: 2-[3-(1,3-бензотиазол-2-иламино)-4-метил-6,7-дигидро-5Н-пиридо[2,3-с]пиридазин-8-ил]-5-[3-[4-[3-[[(3S)-3,4-дигидроксибутил]-метиламино]проп-1-инил]-2-фторфенокси]пропил]тиазол-4-карбоновая кислота

Смесь 200 мг (0.25 ммоль) продукта со Стадии Е и 53 мг LiOHxH2O (5 экв.) в 5 мл смеси ТГФ/вода (1:1) перемешивали при 60°С в течение 18 ч. Реакционную смесь обрабатывали 0.125 мл (6 экв.) концентрированным раствором хлороводорода при 0°С (рН=2-3), и перемешивали при к.т., затем при 60°С в течение 0.5 ч. После того, как реакционную смесь концентрировали для удаления ТГФ и лиофилизации, твердое вещество растворяли в 6 п. растворе NH3 в МеОН, и очищали с помощью обращенно-фазовой хроматографии (с использованием 5 мМ раствора NH4HCO3 и MeCN в качестве элюентов) с получением 47 мг (25%) целевого продукта.

МСВР (ЭРИ) (m/z): [М+Н]+, рассчитано для C36H39FN7O5S2: 732.2438, найдено: 732.2441.

Пример 149: 6-[3-(1,3-Бензотиазол-2-иламино)-4-метил-6,7-дигидро-5Н-пиридо[2,3-с]пиридазин-8-ил]-3-[1-[[3-[2-[(4-гидроксифенил)метиламино]этокси]-5,7-диметил-1-адамантил]метил]-5-метилпиразол-4-ил]пиридин-2-карбоновая кислота

Используя Общую методику проведения реакции замещения амина и гидролиза, исходя из продукта Синтеза 12 и 4-(аминометил)фенола в качестве подходящего амина, получали целевой продукт.

МСВР-ЭРИ (m/z): [M+H]+, рассчитано для C47H54N9O4S: 840.4019, найдено: 840.4016.

Пример 150: 6-[3-(1,3-Бензотиазол-2-иламино)-4-метил-6,7-дигидро-5Н-пиридо[2,3-с]пиридазин-8-ил]-3-[1-[[3-[2-[2-гидроксиэтил(метил)амино]этокси]-5,7-диметил-1-адамантил]метил]-5-метилпиразол-4-ил]пиридин-2-карбоновая кислота

Используя Общую методику проведения реакции замещения амина и гидролиза, исходя из продукта Синтеза 12 и 2-(метиламино)этанола в качестве подходящего амина, получали целевой продукт.

МСВР-ЭРИ (m/z): [М+Н]+, рассчитано для C43H54N9O4S: 792.4019, найдено: 792.4019.

Пример 151: 6-[3-(1,3-Бензотиазол-2-иламино)-4-метил-6,7-дигидро-5Н-пиридо[2,3-с]пиридазин-8-ил]-3-[1-[[3-[2-[3-метоксипропил(метил)амино]этокси]-5,7-диметил-1-адамантил]метил]-5-метилпиразол-4-ил]пиридин-2-карбоновая кислота

Используя Общую методику проведения реакции замещения амина и гидролиза, исходя из продукта Синтеза 12 и 3-метокси-N-метилпропан-1-амина в качестве подходящего амина, получали целевой продукт.

МСВР-ЭРИ (m/z): [М+Н]+, рассчитано для C45H58N9O4S: 820.4332, найдено: 820.4328.

Пример 152: 3-[1-[[3,5-Диметил-7-(2-пирролидин-1-илэтокси)-1-адамантил]метил]-5-метилпиразол-4-ил]-6-[3-[(5-гидрокси-1,3-бензотиазол-2-ил)амино]-4-метил-6,7-дигидро-5Н-пиридо[2,3-с]пиридазин-8-ил]пиридин-2-карбоновая кислота

Стадия А: 5-[трет-бутил(диметил)силил]окси-1,3-бензотиазол-2-амин

К смеси 2-амино-1,3-бензотиазол-5-ола (750 мг, 4.51 ммоль), DMAP (110 мг, 0.2 экв.) и имидазола (399 мг, 1.3 экв.) в ДМФА (23 мл) добавляли трет-бутил(хлор)дифенилсилан (816 мг, 1.2 экв.), и реакционную смесь перемешивали в течение 18 ч. После гашения реакционной смеси водой и экстрагирования с помощью EtOAc, объединенные органические фазы сушили, концентрировали и очищали с помощью колоночной хроматографии (силикагель, гептан и EtOAc в качестве элюентов) с получением целевого продукта (1.07 г, 84.5%).

1H ЯМР (400 МГц, ДМСО-d6): δ м.д. 7.46 (d, 1Н), 7.44 (s, 2H), 6.78 (d, 1H), 6.53 (dd, 1H), 0.95 (s, 9H), 0.17 (s, 6H); 13С ЯМР (100 МГц, ДМСО-d6) δ м.д. 168.1, 154.5, 154.1, 124.0, 121.5, 114.0, 109.6, 26.1, 18.4, -4.0; 15N ЯМР (100 МГц, ДМСО-d6) δ м.д. 237, 79.

Стадия В: метил 6-[3-[[5-[трет-бутил(диметил)силил]окси-1,3-бензотиазол-2-ил]амино]-4-метил-6,7-дигидро-5Н-пиридо[2,3-с]пиридазин-8-ил]-3-[1-[[3-(2-гидроксиэтокси)-5,7-диметил-1-адамантил]метил]-5-метилпиразол-4-ил]пиридин-2-карбоксилат

Используя Общую методику I проведения реакции Бухвальда, и осуществляя реакцию при 130°С в течение 1 ч, исходя из 1.0 г (1.57 ммоль) продукта Синтеза 12, Стадия С, и 883 мг (2 экв.) продукта со Стадии А получали 1.1 г (80%) целевого продукта.

1H ЯМР (400 МГц, ДМСО-d6): δ м.д. 7.95 (d, 1Н), 7.7 (d, 1H), 7.65 (br, 1H), 7.38 (s, 1H), 6.95 (br, 1H), 6.71 (brd, 1H), 4.45 (t, 1H), 4.00 (t, 2H), 3.88 (s, 2H), 3.70 (s, 3H), 3.41 (q, 2H), 3.35 (t, 2H), 2.85 (t, 2H), 2.31 (s, 3H), 2.16 (s, 3H), 1.98 (qn, 2H), 1.39 (s, 2H), 1.32/1.25 (d+d, 4H), 1.18/1.12 (d+d, 4H), 1.08/1.00 (d+d, 4H), 0.97 (s, 9H), 0.87 (s, 6H), 0.21 (s, 6H); 13С ЯМР (100 МГц, ДМСО-d6) δ м.д. 139.9, 137.5, 122.3, 119.1, 115.3, 62.1, 61.5, 58.9, 52.6, 50.1, 47.0, 46.1, 45.4, 43.3, 30.2, 26.1, 24.3, 21.7, 12.6, 10.9, -4.0; МСВР-ЭРИ (m/z): [М+Н]+, рассчитано для C47H63N8O5SSi: 879.4411, найдено: 879.4412.

Стадия С: метил 6-[3-[[5-[трет-бутил(диметил)силил]окси-1,3-бензотиазол-2-ил]амино]-4-метил-6,7-дигидро-5Н-пиридо[2,3-с]пиридазин-8-ил]-3-[1-[[3,5-диметил-7-[2-(п-толилсульфонилокси)этокси]-1-адамантил]метил]-5-метилпиразол-4-ил]пиридин-2-карбоксилат

К продукту со Стадии В (1.1 г, 1.26 ммоль) и триэтиламина (0.53 мл, 3 экв.) в ДХМ (13 мл) добавляли n-толилсульфонил 4-метилбензолсульфонат (618 мг, 1.5 экв.), и реакционную смесь перемешивали в течение 2 ч. Очистка с помощью колоночной хроматографии (силикагель, ДХМ и EtOAc в качестве элюентов) приводила к получению целевого продукта (590 мг, 45%).

1H ЯМР (400 МГц, ДМСО-d6): δ м.д. 7.96 (d, 1H), 7.90-6.40 (brs, 3H), 7.70 (d, 10Н), 7.70 (m, 2H), 7.46 (m, 2H), 7.38 (s, 1H), 4.07 (m, 2H), 4.00 (m, 2H), 3.85 (s, 2H), 3.69 (s, 3H), 3.49 (m, 2H), 2.85 (t, 2H), 2.40 (s, 3H), 2.31 (s, 3H), 2.15 (s, 3H), 1.98 (m, 2H), 1.33-0.91 (m, 12H), 0.97 (s, 9H), 0.84 (s, 6H), 0.21 (s, 6H);

МСВР-ЭРИ (m/z): [M+H]+, рассчитано для C54H69N8O7S2Si: 1033.4500, найдено: 1033.4504.

Стадия D: метил 6-[3-[[5-[трет-бутил(диметил)силил]окси-1,3-бензотиазол-2-ил]амино]-4-метил-6,7-дигидро-5Н-пиридо[2,3-с]пиридазин-8-ил]-3-[1-[[3,5-диметил-7-(2-пирролидин-1-илэтокси)-1-адамантил]метил]-5-метилпиразол-4-ил]пиридин-2-карбоксилат

К продукту со Стадии С (180 мг, 0.17 ммоль) в MeCN (1.7 мл) и NMP (1.0 мл) добавляли пирролидин (0.10 мл, 7 экв.), и реакционную смесь перемешивали при 60°С в течение 18 ч. Очистка с помощью колоночной хроматографии (силикагель, ДХМ и 0.6 М NH3 в МеОН в качестве элюентов) приводила к получению целевого продукта (144 мг, 89%).

1H ЯМР (400 МГц, ДМСО-d6): δ м.д. 11.24 (brs, 1Н), 7.95 (d, 1Н), 7.69 (d, 1Н), 7.63 (d, 1Н), 7.37 (s, 1Н), 6.92 (br, 1Н), 6.70 (dd, 1Н), 4.00 (t, 2H), 3.87 (s, 2H), 3.70 (s, 3H), 3.43 (t, 2H), 2.85 (t, 2H), 2.46 (t, 2H), 2.41 (t, 4H), 2.31 (s, 3H), 2.16 (s, 3H), 1.98 (qn, 2H), 1.63 (t, 4H), 1.38 (s, 2H), 1.30/1.25 (d+d, 4H), 1.19/1.12 (d+d, 4H), 1.08/0.99 (d+d, 2H), 0.97 (s, 9H), 0.86 (s, 6H), 0.21 (s, 6H); 13С ЯМР (100 МГц, ДМСО-d6) δ м.д. 139.8, 137.5, 122.6, 119.0, 115.3, 59.5, 58.9, 56.6, 54.5, 52.6, 50.1, 47.0, 46.0, 46.0, 43.3, 30.2, 26.0, 24.2, 23.6, 21.7, 12.6, 10.9, -4.0;

МСВР-ЭРИ (m/z): [M+H]+, рассчитано для C51H70N9O4SSi: 932.5041, найдено: 932.5014.

Стадия Е: 3-[1-[[3,5-диметил-7-(2-пирролидин-1-илэтокси)-1-адамантил]метил]-5-метилпиразол-4-ил]-6-[3-[(5-гидрокси-1,3-бензотиазол-2-ил)амино]-4-метил-6,7-дигидро-5Н-пиридо[2,3-с]пиридазин-8-ил]пиридин-2-карбоновая кислота

К продукту со Стадии D (70 мг, 0.075 ммоль) в ТГФ (1.2 мл) и воде (0.30 мл) добавляли LiOHxH2O (25.2 мг, 8 экв.), и реакционную смесь перемешивали при 60°С в течение 1.5 ч. Очистка с помощью препаративной обращенно-фазовой ВЭЖХ (С18, 5 мМ NH4HCO3 (водный раствор) и ИПС в качестве элюентов) приводила к получению целевого продукта (45 мг, 74%).

МСВР-ЭРИ (m/z): [М+Н]+, рассчитано для C44H54N9O4S: 804,4019, найдено: 804.4019.

Пример 153: 6-[3-(1,3-Бензотиазол-2-иламино)-4-метил-6,7-дигидро-5Н-пиридо[2,3-с]пиридазин-8-ил]-3-[1-[[3-[2-[4-гидроксибутил(метил)амино]этокси]-5,7-диметил-1-адамантил]метил]-5-метилпиразол-4-ил]пиридин-2-карбоновая кислота

Используя Общую методику проведения реакции замещения амина и гидролиза, исходя из продукта Синтеза 12 и 4-(метиламино)бутан-1-ола в качестве подходящего амина, получали целевой продукт.

МСВР-ЭРИ (m/z): [M+H]+, рассчитано для C45H58N9O4S: 820.4332, найдено: 820.4339.

Пример 154: 6-[3-(1,3-Бензотиазол-2-иламино)-4-метил-6,7-дигидро-5Н-пиридо[2,3-с]пиридазин-8-ил]-3-[1-[[3-[2-(диметиламино)этокси]-1-адамантил]метил]-5-метилпиразол-4-ил]пиридин-2-карбоновая кислота

Используя Общую методику проведения реакции замещения амина и гидролиза, исходя из продукта Синтеза 14 и диметиламина в качестве подходящего амина, получали целевой продукт.

МСВР-ЭРИ (m/z): [М+Н]+, рассчитано для C40H48N9O3S: 734.3601, найдено: 734.3589.

Пример 155: 6-[3-(1,3-Бензотиазол-2-иламино)-4-метил-6,7-дигидро-5Н-пиридо[2,3-с]пиридазин-8-ил]-3-[5-метил-1-[[3-(2-пирролидин-1-илэтокси)-1-адамантил]метил]пиразол-4-ил]пиридин-2-карбоновая кислота

Используя Общую методику проведения реакции замещения амина и гидролиза, исходя из продукта Синтеза 14 и пирролидина в качестве подходящего амина, получали целевой продукт.

МСВР-ЭРИ (m/z): [M+H]+, рассчитано для C42H50N9O3S: 760.3757, найдено: 760.3730.

Пример 156: 6-[3-(1,3-Бензотиазол-2-иламино)-4-метил-6,7-дигидро-5Н-пиридо[2,3-с]пиридазин-8-ил]-3-[5-метил-1-[[3-[2-(4-метилпиперазин-1-ил)этокси]-1-адамантил]метил]пиразол-4-ил]пиридин-2-карбоновая кислота

Используя Общую методику проведения реакции замещения амина и гидролиза, исходя из продукта Синтеза 14 и 1-метилпиперазина в качестве подходящего амина, получали целевой продукт.

МСВР-ЭРИ (m/z): [М+Н]+, рассчитано для C43H53N10O3S: 789.4017, найдено: 789.4023.

Пример 157: 6-[3-(1,3-Бензотиазол-2-иламино)-4-метил-6,7-дигидро-5Н-пиридо[2,3-с]пиридазин-8-ил]-3-[5-метил-1-[[3-(2-морфолиноэтокси)-1-адамантил]метил]пиразол-4-ил]пиридин-2-карбоновая кислота

Используя Общую методику проведения реакции замещения амина и гидролиза, исходя из продукта Синтеза 14 и морфолина в качестве подходящего амина, получали целевой продукт.

МСВР-ЭРИ (m/z): [M+H]+, рассчитано для C42H50N9O4S: 776.3706, найдено: 776.3697.

Пример 158: 6-[3-(1,3-Бензотиазол-2-иламино)-4-метил-6,7-дигидро-5Н-пиридо[2,3-с]пиридазин-8-ил]-3-[1-[[3-[2-(3-гидроксипропиламино)этокси]-1-адамантил]метил]-5-метилпиразол-4-ил]пиридин-2-карбоновая кислота

Используя Общую методику проведения реакции замещения амина и гидролиза, исходя из продукта Синтеза 14 и 3-аминопропан-1-ола в качестве подходящего амина, получали целевой продукт.

МСВР-ЭРИ (m/z): [М+Н]+, рассчитано для C41H50N9O4S: 764.3706, найдено: 764.3700.

Пример 159: 6-[3-(1,3-Бензотиазол-2-иламино)-4-метил-6,7-дигидро-5Н-пиридо[2,3-с]пиридазин-8-ил]-3-[1-[[3-[2-(4-гидроксибутиламино)этокси]-1-адамантил]метил]-5-метилпиразол-4-ил]пиридин-2-карбоновая кислота

Используя Общую методику проведения реакции замещения амина и гидролиза, исходя из продукта Синтеза 14 и 4-аминобутан-1-ола в качестве подходящего амина, получали целевой продукт.

МСВР-ЭРИ (m/z): [M+H]+, рассчитано для C42H52N9O4S: 778.3863, найдено: 778.3859.

Пример 160: 6-[3-(1,3-Бензотиазол-2-иламино)-4-метил-6,7-дигидро-5Н-пиридо[2,3-с]пиридазин-8-ил]-3-[1-[[3-[2-[[(3S)-3,4-дигидроксибутил]-амино]этокси]-1-адамантил]метил]-5-метилпиразол-4-ил]пиридин-2-карбоновая кислота

Используя Общую методику проведения реакции замещения амина и гидролиза, исходя из продукта Синтеза 14 и 2-[(4S)-2,2-диметил-1,3-диоксолан-4-ил]этанамина в качестве подходящего амина, получали целевой продукт.

МСВР-ЭРИ (m/z): [М+Н]+, рассчитано для C42H52N9O5S: 794.3812, найдено: 794.3807.

Пример 161: 6-[3-(1,3-Бензотиазол-2-иламино)-4-метил-6,7-дигидро-5Н-пиридо[2,3-с]пиридазин-8-ил]-3-[1-[[3-[2-[[3-гидрокси-2-(гидроксиметил)пропил]амино]этокси]-1-адамантил]метил]-5-метилпиразол-4-ил]пиридин-2-карбоновая кислота

Используя Общую методику проведения реакции замещения амина и гидролиза, исходя из продукта Синтеза 14 и 2-(аминометил)пропан-1,3-диола в качестве подходящего амина, получали целевой продукт.

МСВР-ЭРИ (m/z): [M+H]+, рассчитано для C42H52N9O5S: 794.3812, найдено: 794.3808.

Пример 162: 6-[3-(1,3-Бензотиазол-2-иламино)-4-метил-6,7-дигидро-5Н-пиридо[2,3-с]пиридазин-8-ил]-3-[1-[[3-[2-[4-гидроксибутил(метил)амино]этокси]-1-адамантил]метил]-5-метилпиразол-4-ил]пиридин-2-карбоновая кислота

Используя Общую методику проведения реакции замещения амина и гидролиза, исходя из продукта Синтеза 14 и 4-(метиламино)бутан-1-ола в качестве подходящего амина, получали целевой продукт.

МСВР-ЭРИ (m/z): [М+Н]+, рассчитано для C43H54N9O4S: 792.4019, найдено: 792.4020.

Пример 163: 6-[3-(1,3-Бензотиазол-2-иламино)-4-метил-6,7-дигидро-5Н-пиридо[2,3-с]пиридазин-8-ил]-3-[1-[[3-[2-[3-гидроксипропил(метил)амино]этокси]-1-адамантил]метил]-5-метилпиразол-4-ил]пиридин-2-карбоновая кислота

Используя Общую методику проведения реакции замещения амина и гидролиза, исходя из продукта Синтеза 14 и 3-(метиламино)пропан-1-ола в качестве подходящего амина, получали целевой продукт.

МСВР-ЭРИ (m/z): [M+H]+, рассчитано для C42H52N9O4S: 778.3863, найдено: 778.3858.

Пример 164: 6-[3-(1,3-Бензотиазол-2-иламино)-4-метил-6,7-дигидро-5Н-пиридо[2,3-с]пиридазин-8-ил]-3-[1-[[3-[2-[бис(3-гидроксипропил)амино]этокси]-1-адамантил]метил]-5-метилпиразол-4-ил]пиридин-2-карбоновая кислота

Используя Общую методику проведения реакции замещения амина и гидролиза, исходя из продукта Синтеза 14 и 3-(3-гидроксипропиламино)пропан-1-ола в качестве подходящего амина, получали целевой продукт.

МСВР-ЭРИ (m/z): [М+Н]+, рассчитано для C44H56N9O5S: 822.4125, найдено: 822.4121.

Пример 165: 6-[3-(1,3-Бензотиазол-2-иламино)-4-метил-6,7-дигидро-5Н-пиридо[2,3-с]пиридазин-8-ил]-3-[5-метил-1-[[3-(2-пиперазин-1-илэтокси)-1-адамантил]метил]пиразол-4-ил]пиридин-2-карбоновая кислота

Используя Общую методику проведения реакции замещения амина и гидролиза, исходя из продукта Синтеза 14 и пиперазина в качестве подходящего амина, получали целевой продукт.

МСВР-ЭРИ (m/z): [M+H]+, рассчитано для C44H56N9O5S: 775.3866, найдено: 775.3859.

Пример 166: 6-[3-(1,3-Бензотиазол-2-иламино)-4-метил-6,7-дигидро-5Н-пиридо[2,3-с]пиридазин-8-ил]-3-[1-[[3,5-диметил-7-(3-пирролидин-1-илпропил)-1-адамантил]метил]-5-метилпиразол-4-ил]пиридин-2-карбоновая кислота

Используя Общую методику проведения реакции замещения амина и гидролиза, исходя из продукта Синтеза 13 и пирролидина в качестве подходящего амина, получали целевой продукт.

МСВР-ЭРИ (m/z): [М+Н]+, рассчитано для C45H56N9O2S: 786.4278, найдено: 786.4273.

Пример 167: 6-[3-(1,3-Бензотиазол-2-иламино)-4-метил-6,7-дигидро-5Н-пиридо[2,3-с]пиридазин-8-ил]-3-[1-[[3-[3-(диметиламино)пропил]-5,7-диметил-1-адамантил]метил]-5-метилпиразол-4-ил]пиридин-2-карбоновая кислота

Используя Общую методику проведения реакции замещения амина и гидролиза, исходя из продукта Синтеза 13 и диметиламина в качестве подходящего амина, получали целевой продукт.

МСВР-ЭРИ (m/z): [M+H]+, рассчитано для C43H54N9O2S: 760.4115, найдено: 760.4121.

Пример 168: 6-[3-(1,3-Бензотиазол-2-иламино)-4-метил-6,7-дигидро-5Н-пиридо[2,3-с]пиридазин-8-ил]-3-[1-[[3,5-диметил-7-[3-(4-метилпиперазин-1-ил)пропил]-1-адамантил]метил]-5-метилпиразол-4-ил]пиридин-2-карбоновая кислота

Используя Общую методику проведения реакции замещения амина и гидролиза, исходя из продукта Синтеза 13 и 1-метилпиперазина в качестве подходящего амина, получали целевой продукт.

МСВР-ЭРИ (m/z): [М+Н]+, рассчитано для C46H59N10O2S: 815.4543, найдено: 815.4534.

Пример 169: 6-[3-(1,3-Бензотиазол-2-иламино)-4-метил-6,7-дигидро-5Н-пиридо[2,3-с]пиридазин-8-ил]-3-[1-[[3,5-диметил-7-(3-морфолинопропил)-1-адамантил]метил]-5-метилпиразол-4-ил]пиридин-2-карбоновая кислота

Используя Общую методику проведения реакции замещения амина и гидролиза, исходя из продукта Синтеза 13 и морфолина в качестве подходящего амина, получали целевой продукт.

МСВР-ЭРИ (m/z): [M+H]+, рассчитано для C45H56N9O3S: 802.4227, найдено: 802.4221.

Пример 170: 6-[3-(1,3-Бензотиазол-2-иламино)-4-метил-6,7-дигидро-5Н-пиридо[2,3-с]пиридазин-8-ил]-3-[1-[[3-[3-(3-гидроксипропиламино)пропил]-5,7-диметил-1-адамантил]метил]-5-метилпиразол-4-ил]пиридин-2-карбоновая кислота

Используя Общую методику проведения реакции замещения амина и гидролиза, исходя из продукта Синтеза 13 и 3-аминопропан-1-ола в качестве подходящего амина, получали целевой продукт.

МСВР-ЭРИ (m/z): [М+Н]+, рассчитано для C44H56N9O3S: 790.4227, найдено: 790.4220.

Пример 171: 6-[3-(1,3-Бензотиазол-2-иламино)-4-метил-6,7-дигидро-5Н-пиридо[2,3-с]пиридазин-8-ил]-3-[1-[[3-[3-(4-гидроксибутиламино)пропил]-5,7-диметил-1-адамантил]метил]-5-метилпиразол-4-ил]пиридин-2-карбоновая кислота

Используя Общую методику проведения реакции замещения амина и гидролиза, исходя из продукта Синтеза 13 и 4-(амино)бутан-1-ола в качестве подходящего амина, получали целевой продукт.

МСВР-ЭРИ (m/z): [M+H]+, рассчитано для C45H58N9O3S: 804.4383, найдено: 804.4377.

Пример 172: 6-[3-(1,3-Бензотиазол-2-иламино)-4-метил-6,7-дигидро-5Н-пиридо[2,3-с]пиридазин-8-ил]-3-[1-[[3-[3-[[(3S)-3,4-дигидроксибутил]-амино]пропил]-5,7-диметил-1-адамантил]метил]-5-метилпиразол-4-ил]пиридин-2-карбоновая кислота

Используя Общую методику проведения реакции замещения амина и гидролиза, исходя из продукта Синтеза 13 и 2-[(4S)-2,2-диметил-1,3-диоксолан-4-ил]этанамина в качестве подходящего амина, получали целевой продукт.

МСВР-ЭРИ (m/z): [М+Н]+, рассчитано для C42H52N9O5S: 820.4332, найдено: 820.4328.

Пример 173: 6-[3-(1,3-Бензотиазол-2-иламино)-4-метил-6,7-дигидро-5Н-пиридо[2,3-с]пиридазин-8-ил]-3-[1-[[3-[3-[[3-гидрокси-2-(гидроксиметил)пропил]амино]пропил]-5,7-диметил-1-адамантил]метил]-5-метилпиразол-4-ил]пиридин-2-карбоновая кислота

Используя Общую методику проведения реакции замещения амина и гидролиза, исходя из продукта Синтеза 13 и 2-(аминометил)пропан-1,3-диола в качестве подходящего амина, получали целевой продукт.

МСВР-ЭРИ (m/z): [M+H]+, рассчитано для C42H52N9O5S: 820.4332, найдено: 820.4329.

Пример 174: 6-[3-(1,3-Бензотиазол-2-иламино)-4-метил-6,7-дигидро-5Н-пиридо[2,3-с]пиридазин-8-ил]-3-[1-[[3-[3-[4-гидроксибутил(метил)амино]пропил]-5,7-диметил-1-адамантил]метил]-5-метилпиразол-4-ил]пиридин-2-карбоновая кислота

Используя Общую методику проведения реакции замещения амина и гидролиза, исходя из продукта Синтеза 13 и 4-(метиламино)бутан-1-ола в качестве подходящего амина, получали целевой продукт.

МСВР-ЭРИ (m/z): [М+Н]+, рассчитано для C43H54N9O4S: 818.4540, найдено: 818.4536.

Пример 175: 6-[3-(1,3-Бензотиазол-2-иламино)-4-метил-6,7-дигидро-5Н-пиридо[2,3-с]пиридазин-8-ил]-3-[1-[[3-[3-[3-гидроксипропил(метил)амино]пропил]-5,7-диметил-1-адамантил]метил]-5-метилпиразол-4-ил]пиридин-2-карбоновая кислота

Используя Общую методику проведения реакции замещения амина и гидролиза, исходя из продукта Синтеза 13 и 3-(метиламино)пропан-1-ола в качестве подходящего амина, получали целевой продукт.

МСВР-ЭРИ (m/z): [M+H]+, рассчитано для C42H52N9O4S: 804.4383, найдено: 804.4380.

Пример 176: 6-[3-(1,3-Бензотиазол-2-иламино)-4-метил-6,7-дигидро-5Н-пиридо[2,3-с]пиридазин-8-ил]-3-[1-[[3-[3-[бис(3-гидроксипропил)амино]пропил]-5,7-диметил-1-адамантил]метил]-5-метилпиразол-4-ил]пиридин-2-карбоновая кислота

Используя Общую методику проведения реакции замещения амина и гидролиза, исходя из продукта Синтез 13 и 3-(3-гидроксипропиламино)пропан-1-ола в качестве подходящего амина, получали целевой продукт.

МСВР-ЭРИ (m/z): [М+Н]+, рассчитано для C44H56N9O5S: 848.4645, найдено: 848.4645.

Пример 177: 6-[3-(1,3-Бензотиазол-2-иламино)-4-метил-6,7-дигидро-5Н-пиридо[2,3-с]пиридазин-8-ил]-3-[1-[[3,5-диметил-7-(3-пиперазин-1-илпропил)-1-адамантил]метил]-5-метилпиразол-4-ил]пиридин-2-карбоновая кислота

Используя Общую методику проведения реакции замещения амина и гидролиза, исходя из продукта Синтеза 13 и пиперазина в качестве подходящего амина, получали целевой продукт.

МСВР-ЭРИ (m/z): [M+H]+, рассчитано для C44H56N9O5S: 801.4387, найдено: 801.4370.

Пример 178: 3-[1-[[3,5-Диметил-7-(2-пирролидин-1-илэтокси)-1-адамантил]метил]-5-метилпиразол-4-ил]-6-[3-[(7-фтор-1,3-бензотиазол-2-ил)амино]-4-метил-6,7-дигидро-5Н-пиридо[2,3-с]пиридазин-8-ил]пиридин-2-карбоновая кислота

Стадия А: метил 6-[3-[(7-фтор-1,3-бензотиазол-2-ил)амино]-4-метил-6,7-дигидро-5Н-пиридо[2,3-с]пиридазин-8-ил]-3-[1-[[3-(2-гидроксиэтокси)-5,7-диметил-1-адамантил]метил]-5-метилпиразол-4-ил]пиридин-2-карбоксилат

Используя Общую методику I проведения реакции Бухвальда и осуществляя реакцию при 130°С в течение 2 ч, исходя из 130 мг (0.2 ммоль) продукта Синтеза 12, Стадия С, и 52 мг (1.5 экв.) 7-фтор-1,3-бензотиазол-2-амина получали 139 мг (88%) целевого продукта.

1H ЯМР (500 МГц, ДМСО-d6) δ м.д. 7.95 (d, 1H), 7.71 (d, 1H), 7.45-7.35 (m, 1H), 7.45-7.35 (br., 1H), 7.38 (s, 1H), 7.05 (m, 1H), 4.46 (br., 1H), 4 (t, 2H), 3.88 (s, 2H), 3.71 (s, 3H), 3.41 (q, 2H), 3.35 (t, 2H), 2.87 (t, 2H), 2.33 (s, 3H), 2.16 (s, 3H), 1.99 (m, 2H), 1.39 (s, 2H), 1.30/1.25 (d+d, 4H), 1.18/1.12 (d+d, 4H), 1.07/1.00 (d+d, 2H), 0.87 (s, 6H); 13С ЯМР (500 МГц, ДМСО-d6) δ м.д. 157.1, 140.0, 137.5, 127.7, 119.3, 108.3, 62.1, 61.5, 59.0, 52.7, 50.1, 47.0, 46.0, 45.5, 43.3, 30.2, 24.3, 21.6, 12.5, 10.9; МСВР-ЭРИ (m/z): [M+H]+, рассчитано для C41H48FN8O4S: 767.3482, найдено: 767.3503.

Стадия В: метил 3-[1-[[3,5-диметил-7-[2-(п-толилсульфонилокси)этокси]-1-адамантил]метил]-5-метилпиразол-4-ил]-6-[3-[(7-фтор-1,3-бензотиазол-2-ил)амино]-4-метил-6,7-дигидро-5Н-пиридо[2,3-с]пиридазин-8-ил]пиридин-2-карбоксилат

К продукту со Стадии А (130 мг, 0.17 ммоль) и триэтиламину (0.071 мл, 3 экв.) в ДХМ (2 мл) добавляли n-толилсульфонил 4-метилбензолсульфонат (83 мг, 1.5 экв.), и реакционную смесь перемешивали в течение 1 ч. Очистка с помощью колоночной хроматографии (силикагель, ДХМ и EtOAc в качестве элюентов) приводила к получению целевого продукта (54 мг, 34%).

1H ЯМР (500 МГц, ДМСО-d6) δ м.д. 7.96 (d, 1Н), 7.77 (d, 2H), 7.71 (d, 1H), 7.63-7.26 (br., 1H), 7.46 (d, 2H), 7.40 (br., 1H), 7.39 (s, 1H), 7.05 (br., 1H), 4.06 (m, 2H), 4.00 (t, 2H), 3.85 (s, 2H), 3.69 (s, 3H), 3.49 (m, 2H), 2.87 (t, 2H), 2.41 (s, 3H), 2.33 (s, 3H), 2.15 (s, 3H), 1.99 (m, 2H), 1.28 (s, 2H), 1.20-1.06 (m, 4H), 1.20-1.06 (m, 4H), 1.02/0.97 (d+d, 2H), 0.84 (s, 6H); 13С ЯМР (500 МГц, ДМСО-d6) δ м.д. 140.0, 137.6, 130.6, 128.1, 127.6, 119.3, 108.3, 71.5, 58.9, 58.4, 52.6, 49.9, 46.6, 45.9, 45.5, 43.0, 30.1, 24.3, 21.6, 21.6, 12.5, 10.9; МСВР-ЭРИ (m/z): [M+H]+, рассчитано для C41H48FN8O4S: 921.3592, найдено: 921.3567.

Стадия С: 3-[1-[[3,5-диметил-7-(2-пирролидин-1-илэтокси)-1-адамантил]метил]-5-метилпиразол-4-ил]-6-[3-[(7-фтор-1,3-бензотиазол-2-ил)амино]-4-метил-6,7-дигидро-5Н-пиридо[2,3-с]пиридазин-8-ил]пиридин-2-карбоновая кислота

Используя Общую методику проведения реакции замещения амина и гидролиза, исходя из продукта со Стадии В и пирролидина в качестве подходящего амина, получали целевой продукт.

МСВР-ЭРИ (m/z): [М+Н]+, рассчитано для C44H53FN9O3S: 806.3976, найдено: 806.3974.

Пример 179: 3-[1-[[3,5-Диметил-7-(2-пирролидин-1-илэтокси)-1-адамантил]метил]-5-метилпиразол-4-ил]-6-[4-метил-3-[(5-метил-1,3-бензотиазол-2-ил)амино]-6,7-дигидро-5Н-пиридо[2,3-с]пиридазин-8-ил]пиридин-2-карбоновая кислота

Стадия А: метил 3-[1-[[3-(2-гидроксиэтокси)-5,7-диметил-1-адамантил]метил]-5-метилпиразол-4-ил]-6-[4-метил-3-[(5-метил-1,3-бензотиазол-2-ил)амино]-6,7-дигидро-5Н-пиридо[2,3-с]пиридазин-8-ил]пиридин-2-карбоксилат

Используя Общую методику I проведения реакции Бухвальда, и осуществляя реакцию при 130°С в течение 1.5 ч, исходя из 140 мг (0.22 ммоль) продукта Синтеза 12, Стадия С, и 54.3 мг (1.5 экв.) 5-метил-1,3-бензотиазол-2-амина получали 126 мг (75%) целевого продукта.

1H ЯМР (500 МГц, ДМСО-d6) δ м.д. 12.08/10.89 (brs/brs, 1Н), 7.95 (d, 1Н), 7.69 (d, 1Н), 7.67 (br, 1Н), 7.38 (s, 1Н), 7.30 (br, 1Н), 7.00 (d, 1Н), 4.46 (brs, 1H), 4.00 (t, 2H), 3.88 (s, 2H), 3.70 (s, 3H), 3.41 (t, 2H), 3.35 (t, 2H), 2.85 (t, 2H), 2.39 (s, 3H), 2.32 (s, 3H), 2.16 (s, 3H), 1.98 (qn, 2H), 1.39 (s, 2H), 1.30/1.25 (d+d, 4H), 1.18/1.12 (d+d. 4H), 1.08/1.02 (d+d, 2H), 0.87 (s, 6H); 13С ЯМР (500 МГц, ДМСО-d6) δ м.д. 139.8, 137.5, 123.6, 121.6, 119.0, 62.1, 61.5, 59.0, 52.7, 50.1, 47.0, 46.0, 45.4, 43.3, 30.2, 24.3, 21.7, 21.6, 12.6, 10.9; МСВР-ЭРИ (m/z): [M+H]+, рассчитано для C42H51N8O4S: 763.3760, найдено: 763.3754.

Стадия В: метил 3-[1-[[3,5-диметил-7-[2-(п-толилсульфонилокси)этокси]-1-адамантил]метил]-5-метилпиразол-4-ил]-6-[4-метил-3-[(5-метил-1,3-бензотиазол-2-ил)амино]-6,7-дигидро-5Н-пиридо[2,3-с]пиридазин-8-ил]пиридин-2-карбоксилат

К продукту со Стадии А (119 мг, 0.16 ммоль) и триэтиламину (0.066 мл, 3 экв.) в ДХМ (2 мл) добавляли n-толилсульфонил 4-метилбензолсульфонат (76 мг, 1.5 экв.), и реакционную смесь перемешивали в течение 1 ч. Очистка с помощью колоночной хроматографии (силикагель, ДХМ и EtOAc в качестве элюентов) приводила к получению целевого продукта (93 мг, 65%).

1H ЯМР (500 МГц, ДМСО-d6) δ м.д. 12.17/10.83 (brs/brs, 1Н), 7.95 (d, 1Н), 7.77 (d, 2H), 7.7 (d, 1Н), 7.69 (br, 1Н), 7.46 (d, 2H), 7.42 (br, 1Н), 7.39 (s, 1Н), 7.00 (d, 1Н), 4.07 (t, 2H), 4 (t, 2H), 3.96 (s, 3H), 3.85 (s, 2H), 3.49 (t, 2H), 2.85 (t, 2H), 2.40 (s, 3H), 2.39 (s, 3H), 2.32 (s, 3H), 2.15 (s, 3H), 1.99 (qn, 2H), 1.29 (s, 2H), 1.17/1.1 (d+d, 4H), 1.12/1.1 (d+d, 4H), 1.02/0.97 (d+d, 2H), 0.84 (s, 6H); 13С ЯМР (500 МГц, ДМСО-d6) δ м.д. 139.8, 137.6, 130.6, 128.1, 123.6, 119.0, 71.5, 58.8, 58.4, 52.7, 49.9, 46.6, 45.9, 45.4, 43.0, 30.1, 24.3, 21.6, 21.6, 21.6, 12.6, 10.9;

МСВР-ЭРИ (m/z): [M+H]+, рассчитано для C49H57N8O6S2: 917.3842, найдено: 917.3840.

Стадия С: 3-[1-[[3,5-диметил-7-(2-пирролидин-1-илэтокси)-1-адамантил]метил]-5-метилпиразол-4-ил]-6-[4-метил-3-[(5-метил-1,3-бензотиазол-2-ил)амино]-6,7-дигидро-5Н-пиридо[2,3-с]пиридазин-8-ил]пиридин-2-карбоновая кислота

Используя Общую методику проведения реакции замещения амина и гидролиза, исходя из продукта со Стадии В и пирролидина в качестве подходящего амина, получали целевой продукт.

МСВР-ЭРИ (m/z): [М+Н]+, рассчитано для C45H56N9O3S: 802.4227, найдено: 802.4220.

Пример 180: 3-[1-[[3,5-Диметил-7-(2-пирролидин-1-илэтокси)-1-адамантил]метил]-5-метилпиразол-4-ил]-6-[3-[(5-метокси-1,3-бензотиазол-2-ил)амино]-4-метил-6,7-дигидро-5Н-пиридо[2,3-с]пиридазин-8-ил]пиридин-2-карбоновая кислота

Стадия А: метил 3-[1-[[3-(2-гидроксиэтокси)-5,7-диметил-1-адамантил]метил]-5-метилпиразол-4-ил]-6-[3-[(5-метокси-1,3-бензотиазол-2-ил)амино]-4-метил-6,7-дигидро-5Н-пиридо[2,3-с]пиридазин-8-ил]пиридин-2-карбоксилат

Используя Общую методику I проведения реакции Бухвальда и осуществляя реакцию при 130°С в течение 2.5 ч, исходя из 140 мг (0.22 ммоль) продукта Синтеза 12, Стадия С, и 60 мг (1.5 экв.) 5-метил-1,3-бензотиазол-2-амина получали 129 мг (75%) целевого продукта.

1H ЯМР (500 МГц, ДМСО-d6) δ м.д. 7.95 (d, 1H), 7.69 (d, 1H), 7.67 (br., 1H), 7.38 (s, 1H), 7.02 (br., 1H), 6.80 (dd, 1H), 4.46 (br., 1H), 4.00 (t, 2H), 3.88 (s, 2H), 3.80 (s, 3H), 3.70 (s, 3H), 3.41 (t, 2H), 3.35 (t, 2H), 2.85 (t, 2H), 2.32 (s, 3H), 2.16 (s, 3H), 1.98 (m, 2H), 1.39 (s, 2H), 1.30/1.25 (d+d, 4H), 1.18/1.12 (d+d, 4H), 1.08/1 (d+d, 2H), 0.87 (s, 6H); 13C ЯМР (500 МГц, ДМСО-d6) δ м.д. 139.8, 137.5, 122.6, 119.0, 110.5, 62.1, 61.5, 58.9, 55.8, 52.6, 50.1, 47.0, 46.0, 45.4, 43.3, 30.2, 24.3, 21.7, 12.6, 10.9; МСВР-ЭРИ (m/z): [M+H]+, рассчитано для C42H51N8O5S: 779.3703, найдено: 779.3687.

Стадия В: метил 3-[1-[[3,5-диметил-7-[2-(п-толилсульфонилокси)этокси]-1-адамантил]метил]-5-метилпиразол-4-ил]-6-[3-[(5-метокси-1,3-бензотиазол-2-ил)амино]-4-метил-6,7-дигидро-5Н-пиридо[2,3-с]пиридазин-8-ил]пиридин-2-карбоксилат

К продукту со Стадии А (122 мг, 0.16 ммоль) и триэтиламину (0.066 мл, 3 экв.) в ДХМ (2 мл) добавляли n-толилсульфонил 4-метилбензолсульфонат (77 мг, 1.5 экв.), и реакционную смесь перемешивали в течение 1 ч. Очистка с помощью колоночной хроматографии (силикагель, ДХМ и EtOAc в качестве элюентов) приводила к получению целевого продукта (79 мг, 54%).

1H ЯМР (500 МГц, ДМСО-d6) δ м.д. 12.17/10.83 (brs/brs, 1H), 7.95 (d, 1H), 7.77 (d, 2H), 7.72 (d, 1H), 7.67 (brd, 1H), 7.46 (d, 2H), 7.39 (s, 1H), 7.02 (br, 1H), 6.80 (d, 1H), 4.07 (t, 2H), 4.00 (t, 2H), 3.86 (s, 2H), 3.80 (s, 3H), 3.69 (s, 3H), 3.49 (t, 2H), 2.86 (t, 2H), 2.41 (s, 3H), 2.33 (s, 3H), 2.15 (s, 3H), 1.99 (qn, 2H), 1.29 (s, 2H), 1.17/1.1 (d+d, 4H), 1.12/1.10 (d+d, 4H), 1.02/0.97 (d+d, 2H), 0.84 (s, 6H); 13С ЯМР (500 МГц, ДМСО-d6) δ м.д. 139.9, 137.6, 130.6, 128.1, 119.0, 110.6, 71.5, 58.8, 58.4, 55.9, 52.6, 49.9, 46.6, 45.9, 45.8, 43.0, 30.1, 24.3, 21.6, 21.6, 12.7, 10.9;

МСВР-ЭРИ (m/z): [M+H]+, рассчитано для C49H57N8O7S2: 933.3792, найдено: 933.3794.

Стадия С: 3-[1-[[3,5-диметил-7-(2-пирролидин-1-илэтокси)-1-адамантил]метил]-5-метилпиразол-4-ил]-6-[3-[(5-метокси-1,3-бензотиазол-2-ил)амино]-4-метил-6,7-дигидро-5Н-пиридо[2,3-с]пиридазин-8-ил]пиридин-2-карбоновая кислота

Используя Общую методику проведения реакции замещения амина и гидролиза, исходя из продукта со Стадии В и пирролидина в качестве подходящего амина, получали целевой продукт.

МСВР-ЭРИ (m/z): [M+H]+, рассчитано для C45H57N9O4S: 818.4176, найдено: 818.4172.

Соединения следующих Примеров 181-219 синтезировали с использованием Общей методики проведения реакции замещения амина и гидролиза, исходя из одного из продуктов Синтеза 12, 13, 14 или аналогов -бензотиазольных производных и подходящего амина.

Пример 181: 3-[1-[[3,5-Диметил-7-[2-(метиламино)этокси]-1-адамантил]метил]-5-метилпиразол-4-ил]-6-[3-[(7-фтор-1,3-бензотиазол-2-ил)амино]-4-метил-6,7-дигидро-5Н-пиридо[2,3-с]пиридазин-8-ил]пиридин-2-карбоновая кислота

Пример 182: 3-[1-[[3-[2-(Диметиламино)этокси]-5,7-диметил-1-адамантил]метил]-5-метилпиразол-4-ил]-6-[3-[(7-фтор-1,3-бензотиазол-2-ил)амино]-4-метил-6,7-дигидро-5Н-пиридо[2,3-с]пиридазин-8-ил]пиридин-2-карбоновая кислота

Пример 183: 3-[1-[[3,5-Диметил-7-[2-(4-метилпиперазин-1-ил)этокси]-1-адамантил]метил]-5-метилпиразол-4-ил]-6-[3-[(7-фтор-1,3-бензотиазол-2-ил)амино]-4-метил-6,7-дигидро-5Н-пиридо[2,3-с]пиридазин-8-ил]пиридин-2-карбоновая кислота

Пример 184: 6-[3-[(7-Фтор-1,3-бензотиазол-2-ил)амино]-4-метил-6,7-дигидро-5Н-пиридо[2,3-с]пиридазин-8-ил]-3-[1-[[3-[2-(3-гидроксипропиламино)этокси]-5,7-диметил-1-адамантил]метил]-5-метилпиразол-4-ил]пиридин-2-карбоновая кислота

Пример 185: 6-[3-[(7-Фтор-1,3-бензотиазол-2-ил)амино]-4-метил-6,7-дигидро-5Н-пиридо[2,3-с]пиридазин-8-ил]-3-[1-[[3-[2-(4-гидроксибутиламино)этокси]-5,7-диметил-1-адамантил]метил]-5-метилпиразол-4-ил]пиридин-2-карбоновая кислота

Пример 186: 3-[1-[[3-[2-[[(3R)-3,4-Дигидроксибутил]амино]этокси]-5,7-диметил-1-адамантил]метил]-5-метилпиразол-4-ил]-6-[3-[(7-фтор-1,3-бензотиазол-2-ил)амино]-4-метил-6,7-дигидро-5Н-пиридо[2,3-с]пиридазин-8-ил]пиридин-2-карбоновая кислота

Пример 187: 3-[1-[[3-[2-[[(3S)-3,4-Дигидроксибутил]амино]этокси]-5,7-диметил-1-адамантил]метил]-5-метилпиразол-4-ил]-6-[3-[(7-фтор-1,3-бензотиазол-2-ил)амино]-4-метил-6,7-дигидро-5Н-пиридо[2,3-с]пиридазин-8-ил]пиридин-2-карбоновая кислота

Пример 188: 3-[1-[[3,5-Диметил-7-(2-пиперазин-1-илэтокси)-1-адамантил]метил]-5-метилпиразол-4-ил]-6-[3-[(7-фтор-1,3-бензотиазол-2-ил)амино]-4-метил-6,7-дигидро-5Н-пиридо[2,3-с]пиридазин-8-ил]пиридин-2-карбоновая кислота

Пример 189: 3-[1-[[3,5-Диметил-7-(2-морфолиноэтокси)-1-адамантил]метил]-5-метилпиразол-4-ил]-6-[3-[(7-фтор-1,3-бензотиазол-2-ил)амино]-4-метил-6,7-дигидро-5Н-пиридо[2,3-с]пиридазин-8-ил]пиридин-2-карбоновая кислота

Пример 190: 6-[3-[(7-Фтор-1,3-бензотиазол-2-ил)амино]-4-метил-6,7-дигидро-5Н-пиридо[2,3-с]пиридазин-8-ил]-3-[1-[[3-[2-[3-гидроксипропил(метил)амино]этокси]-5,7-диметил-1-адамантил]метил]-5-метилпиразол-4-ил]пиридин-2-карбоновая кислота

Пример 191: 6-[3-[(7-Фтор-1,3-бензотиазол-2-ил)амино]-4-метил-6,7-дигидро-5Н-пиридо[2,3-с]пиридазин-8-ил]-3-[1-[[3-[2-[4-гидроксибутил(метил)амино]этокси]-5,7-диметил-1-адамантил]метил]-5-метилпиразол-4-ил]пиридин-2-карбоновая кислота

Пример 192: 6-[3-[(7-фтор-1,3-бензотиазол-2-ил)амино]-4-метил-6,7-дигидро-5Н-пиридо[2,3-с]пиридазин-8-ил]-3-[1-[[3-[2-[[3-гидрокси-2-(гидроксиметил)пропил]амино]этокси]-5,7-диметил-1-адамантил]метил]-5-метилпиразол-4-ил]пиридин-2-карбоновая кислота

Пример 193: 3-[1-[[3-[2-[Бис(3-гидроксипропил)амино]этокси]-5,7-диметил-1-адамантил]метил]-5-метилпиразол-4-ил]-6-[3-[(7-фтор-1,3-бензотиазол-2-ил)амино]-4-метил-6,7-дигидро-5Н-пиридо[2,3-с]пиридазин-8-ил]пиридин-2-карбоновая кислота

Пример 194: 3-[1-[[3,5-Диметил-7-[2-(метиламино)этокси]-1-адамантил]метил]-5-метилпиразол-4-ил]-6-[4-метил-3-[(5-метил-1,3-бензотиазол-2-ил)амино]-6,7-дигидро-5Н-пиридо[2,3-с]пиридазин-8-ил]пиридин-2-карбоновая кислота

Пример 195: 3-[1-[[3-[2-(Диметиламино)этокси]-5,7-диметил-1-адамантил]метил]-5-метилпиразол-4-ил]-6-[4-метил-3-[(5-метил-1,3-бензотиазол-2-ил)амино]-6,7-дигидро-5Н-пиридо[2,3-с]пиридазин-8-ил]пиридин-2-карбоновая кислота

Пример 196: 3-[1-[[3,5-Диметил-7-[2-(4-метилпиперазин-1-ил)этокси]-1-адамантил]метил]-5-метилпиразол-4-ил]-6-[4-метил-3-[(5-метил-1,3-бензотиазол-2-ил)амино]-6,7-дигидро-5Н-пиридо[2,3-с]пиридазин-8-ил]пиридин-2-карбоновая кислота

Пример 197: 3-[1-[[3-[2-(3-Гидроксипропиламино)этокси]-5,7-диметил-1-адамантил]метил]-5-метилпиразол-4-ил]-6-[4-метил-3-[(5-метил-1,3-бензотиазол-2-ил)амино]-6,7-дигидро-5Н-пиридо[2,3-с]пиридазин-8-ил]пиридин-2-карбоновая кислота

Пример 198: 3-[1-[[3-[2-(4-Гидроксибутиламино)этокси]-5,7-диметил-1-адамантил]метил]-5-метилпиразол-4-ил]-6-[4-метил-3-[(5-метил-1,3-бензотиазол-2-ил)амино]-6,7-дигидро-5Н-пиридо[2,3-с]пиридазин-8-ил]пиридин-2-карбоновая кислота

Пример 199: 3-[1-[[3-[2-[[(3R)-3,4-Дигидроксибутил]амино]этокси]-5,7-диметил-1-адамантил]метил]-5-метилпиразол-4-ил]-6-[4-метил-3-[(5-метил-1,3-бензотиазол-2-ил)амино]-6,7-дигидро-5Н-пиридо[2,3-с]пиридазин-8-ил]пиридин-2-карбоновая кислота

Пример 200: 3-[1-[[3-[2-[[(3S)-3,4-Дигидроксибутил]амино]этокси]-5,7-диметил-1-адамантил]метил]-5-метилпиразол-4-ил]-6-[4-метил-3-[(5-метил-1,3-бензотиазол-2-ил)амино]-6,7-дигидро-5Н-пиридо[2,3-с]пиридазин-8-ил]пиридин-2-карбоновая кислота

Пример 201: 3-[1-[[3,5-Диметил-7-(2-пиперазин-1-илэтокси)-1-адамантил]метил]-5-метилпиразол-4-ил]-6-[4-метил-3-[(5-метил-1,3-бензотиазол-2-ил)амино]-6,7-дигидро-5Н-пиридо[2,3-с]пиридазин-8-ил]пиридин-2-карбоновая кислота

Пример 202: 3-[1-[[3,5-Диметил-7-(2-морфолиноэтокси)-1-адамантил]метил]-5-метилпиразол-4-ил]-6-[4-метил-3-[(5-метил-1,3-бензотиазол-2-ил)амино]-6,7-дигидро-5Н-пиридо[2,3-с]пиридазин-8-ил]пиридин-2-карбоновая кислота

Пример 203: 3-[1-[[3-[2-[3-Гидроксипропил(метил)амино]этокси]-5,7-диметил-1-адамантил]метил]-5-метилпиразол-4-ил]-6-[4-метил-3-[(5-метил-1,3-бензотиазол-2-ил)амино]-6,7-дигидро-5Н-пиридо[2,3-с]пиридазин-8-ил]пиридин-2-карбоновая кислота

Пример 204: 3-[1-[[3-[2-[4-Гидроксибутил(метил)амино]этокси]-5,7-диметил-1-адамантил]метил]-5-метилпиразол-4-ил]-6-[4-метил-3-[(5-метил-1,3-бензотиазол-2-ил)амино]-6,7-дигидро-5Н-пиридо[2,3-с]пиридазин-8-ил]пиридин-2-карбоновая кислота

Пример 205: 3-[1-[[3-[2-[[3-Гидрокси-2-(гидроксиметил)пропил]-амино]этокси]-5,7-диметил-1-адамантил]метил]-5-метилпиразол-4-ил]-6-[4-метил-3-[(5-метил-1,3-бензотиазол-2-ил)амино]-6,7-дигидро-5Н-пиридо[2,3-с]пиридазин-8-ил]пиридин-2-карбоновая кислота

Пример 206: 3-[1-[[3-[2-[Бис(3-гидроксипропил)амино]этокси]-5,7-диметил-1-адамантил]метил]-5-метилпиразол-4-ил]-6-[4-метил-3-[(5-метил-1,3-бензотиазол-2-ил)амино]-6,7-дигидро-5Н-пиридо[2,3-с]пиридазин-8-ил]пиридин-2-карбоновая кислота

Пример 207; 3-[1-[[3,5-Диметил-7-[2-(метиламино)этокси]-1-адамантил]метил]-5-метилпиразол-4-ил]-6-[3-[(5-метокси-1,3-бензотиазол-2-ил)амино]-4-метил-6,7-дигидро-5Н-пиридо[2,3-с]пиридазин-8-ил]пиридин-2-карбоновая кислота

Пример 208: 3-[1-[[3-[2-(Диметиламино)этокси]-5,7-диметил-1-адамантил]метил]-5-метилпиразол-4-ил]-6-[3-[(5-метокси-1,3-бензотиазол-2-ил)амино]-4-метил-6,7-дигидро-5Н-пиридо[2,3-с]пиридазин-8-ил]пиридин-2-карбоновая кислота

Пример 209: 3-[1-[[3,5-Диметил-7-[2-(4-метилпиперазин-1-ил)этокси]-1-адамантил]метил]-5-метилпиразол-4-ил]-6-[3-[(5-метокси-1,3-бензотиазол-2-ил)амино]-4-метил-6,7-Дигидро-5Н-пиридо[2,3-с]пиридазин-8-ил]пиридин-2-карбоновая кислота

Пример 210: 3-[1-[[3-[2-(3-Гидроксипропиламино)этокси]-5,7-диметил-1-адамантил]метил]-5-метилпиразол-4-ил]-6-[3-[(5-метокси-1,3-бензотиазол-2-ил)амино]-4-метил-6,7-дигидро-5Н-пиридо[2,3-с]пиридазин-8-ил]пиридин-2-карбоновая кислота

Пример 211: 3-[1-[[3-[2-(4-Гидроксибутиламино)этокси]-5,7-диметил-1-адамантил]метил]-5-метилпиразол-4-ил]-6-[3-[(5-метокси-1,3-бензотиазол-2-ил)амино]-4-метил-6,7-дигидро-5Н-пиридо[2,3-с]пиридазин-8-ил]пиридин-2-карбоновая кислота

Пример 212: 3-[1-[[3-[2-[[(3R)-3,4-Дигидроксибутил]амино]этокси]-5,7-диметил-1-адамантил]метил]-5-метилпиразол-4-ил]-6-[3-[(5-метокси-1,3-бензотиазол-2-ил)амино]-4-метил-6,7-дигидро-5Н-пиридо[2,3-с]пиридазин-8-ил]пиридин-2-карбоновая кислота

Пример 213: 3-[1-[[3-[2-[[(3S)-3,4-Дигидроксибутил]амино]этокси]-5,7-диметил-1-адамантил]метил]-5-метилпиразол-4-ил]-6-[3-[(5-метокси-1,3-бензотиазол-2-ил)амино]-4-метил-6,7-дигидро-5Н-пиридо[2,3-с]пиридазин-8-ил]пиридин-2-карбоновая кислота

Пример 214: 3-[1-[[3,5-Диметил-7-(2-пиперазин-1-илэтокси)-1-адамантил]метил]-5-метилпиразол-4-ил]-6-[3-[(5-метокси-1,3-бензотиазол-2-ил)амино]-4-метил-6,7-дигидро-5Н-пиридо[2,3-с]пиридазин-8-ил]пиридин-2-карбоновая кислота

Пример 215: 3-[1-[[3,5-Диметил-7-(2-морфолиноэтокси)-1-адамантил]метил]-5-метилпиразол-4-ил]-6-[3-[(5-метокси-1,3-бензотиазол-2-ил)амино]-4-метил-6,7-Дигидро-5Н-пиридо[2,3-с]пиридазин-8-ил]пиридин-2-карбоновая кислота

Пример 216: 3-[1-[[3-[2-[3-Гидроксипропил(метил)амино]этокси]-5,7-диметил-1-адамантил]метил]-5-метилпиразол-4-ил]-6-[3-[(5-метокси-1,3-бензотиазол-2-ил)амино]-4-метил-6,7-дигидро-5Н-пиридо[2,3-с]пиридазин-8-ил]пиридин-2-карбоновая кислота

Пример 217: 3-[1-[[3-[2-[4-Гидроксибутил(метил)амино]этокси]-5,7-диметил-1-адамантил]метил]-5-метилпиразол-4-ил]-6-[3-[(5-метокси-1,3-бензотиазол-2-ил)амино]-4-метил-6,7-дигидро-5Н-пиридо[2,3-с]пиридазин-8-ил]пиридин-2-карбоновая кислота

Пример 218: 3-[1-[[3-[2-[[3-Гидрокси-2-(гидроксиметил)пропил]-амино]этокси]-5,7-диметил-1-адамантил]метил]-5-метилпиразол-4-ил]-6-[3-[(5-метокси-1,3-бензотиазол-2-ил)амино]-4-метил-6,7-дигидро-5Н-пиридо[2,3-с]пиридазин-8-ил]пиридин-2-карбоновая кислота

Пример 219: 3-[1-[[3-[2-[Бис(3-гидроксипропил)амино]этокси]-5,7-диметил-1-адамантил]метил]-5-метилпиразол-4-ил]-6-[3-[(5-метокси-1,3-бензотиазол-2-ил)амино]-4-метил-6,7-дигидро-5Н-пиридо[2,3-с]пиридазин-8-ил]пиридин-2-карбоновая кислота

Пример 220: 5-[3-[4-[3-(Диметиламино)проп-1-инил]-2-фторфенокси]пропил]-2-[4-метил-3-[(5-метил-1,3-бензотиазол-2-ил)амино]-6,7-дигидро-5Н-пиридо[2,3-с]пиридазин-8-ил]тиазол-4-карбоновая кислота

Пример 221: 5-[3-[4-[3-(Диметиламино)проп-1-инил]-2-фторфенокси]пронил]-2-[3-[(5-метокси-1,3-бензотиазол-2-ил)амино]-4-метил-6,7-дигидро-5Н-пиридо[2,3-с]пиридазин-8-ил]тиазол-4-карбоновая кислота

ФАРМАКОЛОГИЧЕСКОЕ ИССЛЕДОВАНИЕ

ПРИМЕР А: Данные флуоресцентного поляризационного анализа

Флуоресцентная поляризация обеспечивает измерение вращения флуоресцирующих молекул в растворе, причем чем больше молекула, тем более поляризовано испускание флуоресценции.

Зонд на основе флуоресцентного PUMA (UniProtKB®, основной номер доступа Q9BXH1 - SEQ ID: 01) флуоресцеин-бетаАlа-Ahx-AREIGAQLRRMADDLNAQY-OH от фирмы Biopeptides связывается с GST(1-218)-(FACTOR_XA)-hsBCLXL(2-209). имеющим аминокислотную последовательность (SEQ ID: 02):

(GST UniProtKB®, основной номер доступа P08515, и BCLXL UniProtKB®, основной номер доступа Q07817-1),

что приводит к увеличению анизотропии. Если добавлено соединение, которое конкурентно связывается с тем же сайтом, что и зонд, тем самым высвобождая его, анизотропия уменьшается вследствие увеличения количества свободного зонда.

11-точечные серийные разведения каждого соединения приготавливали в ДМСО, конечная буферная среда была следующей: 10 мМ 4-(2-гидроксиэтил)-1-пиперазинэтансульфоновая кислота [HEPES], 150 мМ NaCl, 0.05% Tween 20, рН 7.4 и 5% ДМСО. Конечная концентрация белка при выполнении анализа составляла 20 нМ с флуоресцентным зондом, присутствующим в концентрации 10 нМ. Пробы инкубировали в течение 2 часов при 23°С, после чего на планшет-ридере Biotek SynergyNeo измеряли флуоресцентную поляризацию (возбуждение 485 им, испускание 525 нм, параллельное и перпендикулярное считывания). Затем строили кривые зависимости «доза-эффект» с помощью программного обеспечения XL-Fit, используя 4-параметрическую логистическую модель (сигмоидальная модель «доза-ответ»), и определяли ингибирующие концентрации, которые приводили к 50%-ному увеличению интенсивности флуоресценции (IC50). Значения KI определяли из значений IC50 в соответствии с Cer и др., Nucleic Acids Res, 2009, Jul 1; 37 (WebServer issue): W441-W445.

Результаты обобщены в Таблице 1. Они показывают, что соединения настоящего изобретения ингибируют взаимодействие между белком Bcl-xL и описанным выше флуоресцентным пептидом.

ПРИМЕР В: Данные анализа гашения

Анализ гашения флуоресценции обеспечивает измерение изменения интенсивности флуоресценции Су5-меченного на С-конце BCL-xL белка His-His-(EK)-hsBCLXL(2-197)[N197C] (UniProtKB®, основной номер доступа Q07817-1), имеющего аминокислотную последовательность (SEQ ID: 03):

который связан в С-концевой области с аминокислотой X, которая соответствует цистеину, меченному на сере посредством Sulfo-Cyanine5 от фирмы Lumiprobe GmbH, каталожный номер 13380,

при связывании меченного на С-конце пептида, полученного из PUMA (UniProtKB®, основной номер доступа Q9BXH1), имеющего аминокислотную последовательность (SEQ ID: 04): [QWAREIGAQLRRMADDLNAQY], который связан в С-концевой области с аминокислотой X', где X' означает цистеин, меченный на сере посредством TQ5WS от фирмы ААТ Bioquest, каталожный номер 2079.

Добавление соединения, которое конкурентно связывается с тем же сайтом, что и пептид, будет приводить к увеличению интенсивности флуоресценции белка вследствие замещения гасителя флуоресценции.

11-точечные серийные разведения каждого соединения приготавливали в ДМСО, конечная буферная среда была следующей: 10 мМ 4-(2-гидроксиэтил)-1-пиперазинэтансульфоновая кислота [HEPES], 150 мМ NaCl, 0.05% Tween 20, рН 7.4 и 5% ДМСО. Конечная концентрация белка при выполнении анализа составляла 1 нМ с пептидом, присутствующим в концентрации 400 нМ. Пробы инкубировали в течение 2 часов при 23°С, после чего интенсивность флуоресценции измеряли на планшет-ридере Biotek SynergyNeo (возбуждение 620 нм, испускание 680 нм). Затем строили кривые зависимости «доза-эффект» с помощью программного обеспечения XL-Fit, используя 4-параметрическую логистическую модель (сигмоидальная модель «доза-ответ»), и определяли ингибирующие концентрации, которые приводили к 50%-ному увеличению интенсивности флуоресценции (IC50). Значения KI определяли из значений IC50 в соответствии с Cer и др., Nucleic Acids Res, 2009, Jul 1; 37(WebServer issue): W441-W445.

Результаты обобщены в Таблице 2.

Результаты Таблиц 1 и 2 показывают, что большинство соединений настоящего изобретения являются сильными ингибиторами белка Bcl-xL.

ПРИМЕР С: Исследование влияния ингибиторов Bcl-xL на выживаемость клеток MOLT-4 или Н146 с использованием анализа МТТ

МТТ колориметрический анализ основан на митохондриальном восстановлении соли тетразолия живыми клетками. Число жизнеспособных клеток пропорционально продуцированию солей формазана, что можно считывать спектрофотометрически на длине волны 540 нм.

Клетки MOLT-4 и H146 приобретали в АТСС и культивировали в RPMI 1640, дополненной 10% инактивированной нагреванием фетальной бычьей сывороткой, пенициллином (100 МЕ/мл), стрептомицином (100 мг/мл) и L-глутамином (2 мМ). Клетки культивировали при 37°С в увлажненной атмосфере, содержащей 5% СО2. Клетки высевали в 96-микролуночные планшеты (150 мкл на лунку) и подвергали воздействию соединений в течение 48 ч (3,16 кратно серийно разведенными; 9 концентраций каждого, в трех повторениях). По истечении времени инкубирования добавляли 15 мкл раствора МТТ (5 мг/мл) на лунку, и клетки инкубировали в течение еще 4 ч. Затем добавляли 100 мкл на лунку 10% раствора додецилсульфата натрия (SDS)/HCl 10 мМ, и планшет инкубировали в течение ночи, после чего осуществляли измерение оптической плотности на длине волны 540 нм. Значения IC50 рассчитывали, используя стандартную четырехпараметрическую подгонку кривой. Значение IC50 определяется как концентрация соединения, при которой сигнал МТТ снижается до 50% относительно сигнала, измеренного для контроля. Результаты представляют собой средние значения по меньшей мере 2-х независимых экспериментов и представлены в Таблице 3 ниже.

Эти данные показывают, что большинство этих соединений активны в клетках и могут индуцировать зависимое от дозы снижение выживаемости клеточных линий Н146 и Molt-4.

ПРИМЕР D: Исследование фармакодинамики и регресса опухоли

Терапевтические и фармакодинамические эффекты in vivo малых молекул, нацеленных на Bcl-xL, определяли на модели MOLT-4 Т-клеточного острого лимфобластного лейкоза (T-ALL) при внутривенном (в/в) или пероральном (п/о) введении.

Материалы и методы

Клетки MOLT-4 (АТСС № CRL-1582) культивировали в RPMI, дополненной 10% FBS. Клетки ресуспендировали в 50% матригеле (BD Biosciences), и 0.1 мл суспензии, содержащей 5×106 клеток, подкожно инокулировали в правый бок самок мышей NOD SCID (Charles River). Для исследований эффективности, после того как опухоли достигли подходящего объема, мышей рандомизировали (7 животных на группу), используя программное обеспечение Easy star. Контрольный носитель (HPBCD/HCl) или соединение Примера 24 (2.5, 5 или 7.5 мг/кг) вводили в/в (два раза в неделю в течение 3 недель - Q3D6). Массу тела мышей контролировали три раза в неделю и размер опухоли измеряли, используя электронный штангенциркуль. Объем опухоли оценивали путем измерения минимального и максимального диаметров опухоли и подсчета по формуле: (минимальный диаметр)2(максимальный диаметр)/2. В последний день, когда в исследовании еще находились не менее половины контрольных животных (31 день), ингибирование роста опухоли рассчитывали по формуле:

Ответ оценивали следующим образом: CR (полный ответ), если размер опухоли составлял ≤25 мм3 по меньшей мере для трех последовательных измерений, PR (частичный ответ), если размер опухоли составлял от 25 мм3 до половины начального размера по меньшей мере для трех последовательных измерений. Мышей умерщвляли при первом измерении, в случае которого объем опухоли превышал 2000 мм3, или при первых признаках ухудшения здоровья животных.

Для исследований фармакодинамики, после того как опухоли достигли подходящего объема, мышей рандомизировали (3 животных на группу), используя программное обеспечение Easy stat. Пример 24 (7.5 мг/кг) дозировали в/в (один раз в сутки - QD) в HPBCD/HCl, или п/о (один раз в сутки - QD) в PEG300/EtOH/Phosal (30/10/60). Образцы опухолей собирали через 6 часов после введения дозы и лизировали (10 мМ HEPES рН 7.4, 142.5 мМ KCl, 5 мМ MgCl2, 1 мМ EDTA, 1% NP40, коктейли ингибиторов протеаз и фосфатаз - Calbiochem). Очищенные лизаты приготовляли для иммунодетекции расщепленных PARP и расщепляющей каспазы 3, используя набор MSD apoptosis panel whole cell lysate kit (MSD), в 96-луночных планшетах в соответствии с инструкциями производителя, и анализировали на приборе QuickPlex SQ 120. Образцы цельной крови анализировали на приборе Hematology Analyzer Coulter Ас⋅Т diff (Beckman Coulter).

Все эксперименты проводились в соответствии с действующими французскими правилами после одобрения этическим комитетом Исследовательского института Сервье (IdRS). Мышей NOD SCID содержали в соответствии с установленными правилами.

Результаты

Эффективность соединения Примера 24 на MOLT-4 ксенотрансплантатах проиллюстрирована на Фигуре 1. Лечение начинали через 12 дней после инокуляции опухолевыми клетками (средний размер: 235 мм3). Носитель (HPBCD/HCl) или соединение Примера 24 (2.5, 5 и 7.5 мг/кг) дозировали в/в каждые 3 дня, выполняя в общей сложности 6 введений.

На 31 день после начала лечения, ингибирование роста опухоли (%TGI), индуцированное Примером 24, составляло 77.1% при дозировке 2.5 мг/кг, 78.7% при дозировке 5 мг/кг и 94.7% при дозировке 7.5 мг/кг (р<0.05), как показано на Фигуре 1 и в Таблице 4. Частичная регрессия (PR) достигалась в 28.6%, 71.4% и 100% случаев, соответственно. Полная регрессия (CR) наблюдалась у 14.3% животных, получающих лечение самой высокой дозой.

Клинически значимой потери массы тела в результате лечения не наблюдали (Фигура 2).

Влияние соединения Примера 24 на индукцию апоптоза в опухолевых клетках MOLT-4 и число циркулирующих тромбоцитов проиллюстрировано в Таблице 5. Лечение начинали через 18 дней после инокуляции опухолевыми клетками (средний размер: 461 мм3). Соединение Примера 24 (7.5 мг/кг) дозировали один раз п/о или в/в и образцы собирали через 6 часов. Соединение показало индукцию маркеров апоптоза, а именно расщепленных PARP (в 24.1 - 38.6-кратном интервале по сравнению с необработанным контролем), и расщепления расщепляющей каспазой 3 (7.2 - 18.9-кратном интервале по сравнению с необработанным контролем), независимо от пути введения. Кроме того, учитывая хорошо описанную роль Bcl-xL в регулировании продолжительности жизни тромбоцитов, оно также вызывало значительное снижение количества тромбоцитов (до 1% от контрольных значений).

В заключение, в данном исследовании показано, что малая молекула, нацеленная на Bcl-xL, которая описана в Примере 24, является активной in vivo после внутривенного или перорального введения. Наблюдали регресс опухоли, индукцию апоптоза в опухолевых клетках и сильное сокращение числа циркулирующих тромбоцитов, что согласуется с ранее описанной ролью Bcl-xL в контроле апоптоза и регуляции продолжительности жизни тромбоцитов (Youle и Strasser, Nat. Rev. Mol. Cell Biol. 2008 Jan; 9(1):47-59; Zhang и др., Cell Death Differ. 2007 May; 14(5):943-51; Mason и др., Cell 2007 Mar 23; 128(6): 1173-86). Кроме того, при лечении эффективными дозами не наблюдалось клинически значимой потери масса тела, а потеря тромбоцитов восстанавливалась после прекращения лечения (данные не показаны). В общем, эти данные указывают на то, что существует допустимый терапевтический интервал для применения этих малых молекул, нацеленных на Bcl-xL, при лечении рака.

ПРИМЕР Е: Фармакодинамический профиль in vivo соединений формулы (I)

Фармакокинетический профиль соединений формулы (I) оценивали на грызунах (мыши, крысы) после введения п/о и/или в/в путем. Состав выбирали на основе физико-химических свойств тестируемого лекарственного препарата, а также пути введения. Однократную дозу лекарственного препарата (<5 мг/кг), приготовленную в адаптированном составе, вводили животным в/в (болюс или 10 минутная инфузия) или п/о (желудочный зонд) путем (3 животных/путь). Образцы крови от каждого животного (до 6 образцов/животное) собирали в течение 24 ч после введения дозы, и концентрации тестируемого соединения в плазме определяли путем экстрагирования с последующим выполнением жидкостной хроматографии в сочетании с тандемным масс-спектрометрическим детектированием (ЖХ/МС-МС).

В некоторых случаях, для определения фармакокинетического профиля соединений настоящего изобретения у крыс породы Вистар использовали следующий экспериментальный протокол:

Лекарственное средство приготавливали в виде препарата, включающего смесь полиэтиленгликоль 300/безводный этанол/NaCl 0.9% (40/10/50 об./об./об.). Препарат вводили в/в путем самцам крыс породы Вистар (3 животных) в дозе 0.75 мг/кг (10 мин инфузия, 5 мл/кг). Образцы крови отбирали у каждого животного в следующие моменты времени: завершение инфузии (10 мин), 0.5 ч, 1 ч, 3 ч, 6 ч и 24 ч после введения дозы. Концентрации тестируемого соединения в плазме определяли путем экстрагирования с последующей жидкостной хроматографией в сочетании с тандемным масс-спектрометрическим детектированием (ЖХ/МС-МС).

Нижний предел количественного определения составлял 2.5 нг/мл.

Результаты позволяют ранжировать соединения настоящего изобретения на основе их концентрации в плазме, константы скорости выведения, клиренса и объема распределения с целью оценки терапевтического диапазона данных соединений в модели на животных.

Похожие патенты RU2832191C2

название год авторы номер документа
3,6-ДИАМИНОПИРИДАЗИН-3-ИЛЬНЫЕ ПРОИЗВОДНЫЕ, СОДЕРЖАЩИЕ ИХ ФАРМАЦЕВТИЧЕСКИЕ КОМПОЗИЦИИ И ИХ ПРИМЕНЕНИЕ В КАЧЕСТВЕ ПРОАПОПТОТИЧЕСКИХ СРЕДСТВ 2020
  • Дейвидсон Джеймс Эдвард Пол
  • Новак Тибор
  • Пацаль Аттила
  • Кочи Андраш
  • Старк Жером-Бенуа
  • Мюррей Джеймс Брук
  • Бедфорд Саймон
  • Шанрион Майя
  • Коллан Фредерик
  • Десо Патрис
  • Додсворт Марк Филип
  • Дункель Петра
  • Хернер Андраш
  • Мадарас Зольтан
  • Мараньо Ана Летисия
  • Мольнар Марк
  • Ньергеш Миклош
  • Парсонс Рэйчел Джейн
  • Рудашова Моника
  • Штрофек Агнеш
  • Сигети Марианна
  • Тимари Матьяш Паль
  • Уэбб Пол
RU2830186C2
3-АМИНОЦИКЛОПЕНТАНКАРБОКСАМИДНЫЕ ПРОИЗВОДНЫЕ 2013
  • Тсаклакидис Христос
  • Штеле Вольфганг
  • Лойтнер Бригитта
  • Чодровски Пауль
RU2641913C2
PROTAC, ЦЕЛЕНАПРАВЛЕННО ВОЗДЕЙСТВУЮЩИЕ НА ТАУ-БЕЛОК, И СВЯЗАННЫЕ С НИМИ СПОСОБЫ ПРИМЕНЕНИЯ 2017
  • Крю, Эндрю, П.
  • Берлин, Михаэль
  • Флэнаган, Джон, Дж.
  • Дун, Ханьцин
  • Ищенко, Алексей
RU2805523C2
ФАРМАЦЕВТИЧЕСКИЕ СОЕДИНЕНИЯ 2020
  • Кокерилл, Джордж Стюарт
  • Гуд, Джеймс
  • Эйвери, Крейг Алекс
  • Кокрейн, Эдвард Джеймс
  • Уорнер, Эндрю Джозеф
RU2840815C2
БИЦИКЛИЧЕСКИЕ ЛАКТАМЫ И СПОСОБЫ ИХ ПРИМЕНЕНИЯ 2016
  • Патель, Снахель
  • Гамильтон, Грегори
  • Стивала, Крейг
  • Чэнь, Хуэйфэнь
  • Чжао, Гуйлин
RU2827714C1
ПРОИЗВОДНЫЕ ИНДАНУКСУСНОЙ КИСЛОТЫ И ФАРМАЦЕВТИЧЕСКАЯ КОМПОЗИЦИЯ 2002
  • Лоу Дерек Б.
  • Викенс Филип Л.
  • Ма Ксин
  • Жанг Мингбао
  • Баллок Виллиам Х.
  • Койш Филип Д.Г.
  • Мугге Инго А.
  • Штолле Андреас
  • Ванг Минг
  • Ванг Ямин
  • Жанг Ченгжи
  • Жанг Хай-Юн
  • Жу Лей
  • Тсутсуми Манами
  • Лайвингстон Джеймс Н.
RU2314298C2
СОЕДИНЕНИЯ ПИРИДАЗИНАМИДА И ИХ ПРИМЕНЕНИЕ В КАЧЕСТВЕ ИНГИБИТОРОВ ТИРОЗИНКИНАЗЫ СЕЛЕЗЕНКИ (SYK) 2013
  • Германн Йоханнес Корнелиус
  • Кеннеди-Смит Джошуа
  • Лукас Мэтью С.
  • Пэдилла Фернандо
  • Сот Майкл
RU2627661C2
МОДУЛЯТОРЫ ПРОТЕОЛИЗА И СООТВЕТСТВУЮЩИЕ СПОСОБЫ ПРИМЕНЕНИЯ 2019
  • Крю, Эндрю, П.
  • Хорнбергер, Кейт, Р.
  • Ван, Цзин
  • Дун, Ханьцин
  • Берлин, Михаэль
  • Крюс, Крэйг М.
RU2805511C2
СПОСОБ ПОДАВЛЕНИЯ РОСТА ОПУХОЛЕВЫХ КЛЕТОК, ОПОСРЕДОВАННОГО КИНАЗОЙ RAF, ГЕТЕРОЦИКЛИЧЕСКИЕ ПРОИЗВОДНЫЕ МОЧЕВИНЫ (ВАРИАНТЫ), ФАРМАЦЕВТИЧЕСКАЯ КОМПОЗИЦИЯ (ВАРИАНТЫ) 1998
  • Вуд Джил Э.
  • Джонсон Джефри
  • Дюма Жак
  • Кайре Юдэй
  • Ли Уэнди
  • Лоуингер Тимоти Бруно
  • Паульсен Хольгер
  • Редмэн Анико
  • Реник Джоуэл
  • Ридль Бернд
  • Сибли Роберт
  • Скотт Уильям Дж.
  • Смит Роджер Э.
  • Хатоум-Мокдад Холия
RU2232015C2
НОВЫЕ АМИНОКИСЛОТНЫЕ ПРОИЗВОДНЫЕ, СПОСОБ ИХ ПОЛУЧЕНИЯ И ФАРМАЦЕВТИЧЕСКИЕ КОМПОЗИЦИИ, СОДЕРЖАЩИЕ ИХ 2016
  • Славик Зольтан
  • Сабо Зольтан
  • Чекей Мартон
  • Пацаль Аттила
  • Кочи Андраш
  • Брюно Ален
  • Женест Оливье
  • Чэнь Ицзэнь
  • Дейвидсон Джеймс Эдуард Пол
  • Мюррей Джеймс Брук
  • Онди Левенте
  • Радич Габор
  • Шипош Сабольч
  • Просеньяк Агнеш
  • Перрон-Сьерра Франсуаз
  • Балинт Балаж
RU2747673C2

Иллюстрации к изобретению RU 2 832 191 C2

Реферат патента 2024 года 6,7-ДИГИДРО-5H-ПИРИДО[2,3-C]ПИРИДАЗИНОВЫЕ ПРОИЗВОДНЫЕ И РОДСТВЕННЫЕ СОЕДИНЕНИЯ В КАЧЕСТВЕ ИНГИБИТОРОВ БЕЛКОВ BCLXL И ПРОАПОПТОТИЧЕСКИХ СРЕДСТВ ДЛЯ ЛЕЧЕНИЯ ЗЛОКАЧЕСТВЕННЫХ НОВООБРАЗОВАНИЙ

Изобретение относится к 6,7-дигидро-5Н-пиридо[2,3-с]пиридазиновым, 1,2,3,4-тетрагидрохинолиновым, 1Н-индольным, 3,4-дигидро-2Н-1,4-бензоксазиновым, 1Н-пирроло[2,3-b]пиридин-1-ильным, 7Н-пирроло[2,3-с]пиридазиновым, 5Н,6Н,7Н,8Н,9Н-пиридазино[3,4-b]азепиновым производным и родственным соединениям формулы (I), где R1, R2, R3, Z, Het1, Het2 определены в формуле изобретения, в качестве ингибиторов белка Bcl-xL для применения в качестве проапоптотических средств для лечения злокачественных новообразований, аутоиммунных заболеваний или заболеваний иммунной системы. 4 н. и 31 з.п. ф-лы, 2 ил., 5 табл., 221 пр.

Формула изобретения RU 2 832 191 C2

1. Соединение формулы (IA):

где:

- n=0, 1 или 2,

- представляет собой одинарную или двойную связь.

- А4 и А5 независимо друг от друга представляют собой атом углерода или азота,

- Z1 представляет собой связь, -N(R)- или -О-, где R представляет собой водород или линейный или разветвленный C16алкил,

- R1 представляет собой группу, выбранную из водорода; линейного или разветвленного C16алкила, необязательно замещенного гидроксильной или C16алкокси группой; С36циклоалкила;

- R2 представляет собой водород или метил;

- R3 представляет собой группу, выбранную из водорода; линейного или разветвленного С14алкила; -X1-NRaRb; -X1-O-Rc;

- Ra, Rb и Rc независимо друг от друга представляют собой группу, выбранную из водорода; C16алкила;

- Het1 представляет собой следующую группу:

- Het2 представляет собой группу, выбранную из:

- A1 означает S,

- А2 означает СН,

- G означает -С(О)ORG3;

- RG3 выбирают из группы, состоящей из водорода или C16алкила;

- R4 представляет собой водород, атом фтора, метальную, гидроксильную или метокси группу,

- R6 представляет собой группу, выбранную из:

водорода;

26алкенила;

-X2-O-R7;

группы гетероарилен-R7, необязательно замещенной линейной или разветвленной C16алкильной группой,

- R7 представляет собой группу, выбранную из линейной или разветвленной C16алкильной группы; (С36)циклоалкилен-R8; или

где Су представляет собой С38циклоалкил,

- R8 представляет собой группу, выбранную из водорода; -NR'aR'b; -NR'a-CO-OR'c; -NH-X'2-N+R'aR'bR'c; -O-X'2-NR'aR'b, -X'2-NR'aR'b; -NR'c-X'2-N3 и

- R10 представляет собой группу, выбранную из водорода, фтора, хлора, брома, -CF3 и метила,

- R11 представляет собой группу, выбранную из водорода, галогена, C13алкилен-Rs, -O-С13алкилен-R8, C38циклоалкилен-CH2-R8,

- R12 и R13 независимо друг от друга представляют собой атом водорода или метальную группу,

- R14 и R15 независимо друг от друга представляют собой водород или метальную группу, или R14 и R15 вместе с несущим их атомом углерода образуют циклогексил,

- X1 представляет собой линейную или разветвленную C14алкиленовую группу,

- Х2 представляет собой линейную или разветвленную C16алкиленовую группу,

- Х'2 представляет собой линейный или разветвленный C16алкилен,

- R'a и R'b независимо друг от друга представляют собой группу, выбранную из водорода; линейного или разветвленного C16алкила, необязательно замещенного одной или двумя гидроксильными или С16алкокси группами; С16алкилен-SO2OH; С16алкилен-О-С16алкилен-ОН; C16алкиленфенила, где фенил может быть замещен гидроксильной группой;

или R'a и R'b вместе с несущим их атомом азота образуют цикл В3,

- R'c представляет собой линейную или разветвленную C16алкильную группу,

- m=0, 1 или 2,

- р=3,

- В3 представляет собой С38гетероциклоалкильную группу, которая:

(i) может представлять собой моно- или бициклическую группу, где бициклическая группа включает конденсированную, мостиковую или спирокольцевую систему,

(ii) может содержать, в дополнение к атому азота, один или два гетероатома, независимо выбранных из кислорода, серы и азота, (iii) может быть замещена одной или двумя группами, выбранными из фтора, линейного или разветвленного C16алкила, гидроксила, оксо или пиперидинила,

его энантиомеры и диастереоизомеры, и их соли присоединения с фармацевтически приемлемой кислотой или основанием,

где гетероциклоалкил означает моно- или бициклическую неароматическую карбоциклическую группу, состоящую из 3-10 членов кольца, и содержащую от 1 до 3 гетероатомов, выбранных из кислорода, серы, SO, SO2 и азота, где бициклическая группа может быть конденсированного или спирокольцевого типа,

гетероарилен означает двухвалентный гетероарил, где гетероарил означает моно- или бициклическую группу, состоящую из 5-10 членов кольца, имеющую по меньшей мере один ароматический фрагмент и содержащую от 1 до 4 гетероатомов, выбранных из кислорода, серы и азота, включая четвертичные атомы азота.

2. Соединение по п. 1, где каждый из А4 и А5 представляет собой атом азота.

3. Соединение по п. 1 или 2, где Z1 представляет собой -NH- или -О-.

4. Соединение по любому из пп. 1-3, где R3 представляет собой -X1-NRaRb, предпочтительно группу -C2H5-NH-CH3.

5. Соединение по п. 1, которое выбирают из:

6. Соединение по п. 5, которое представляет собой соединение формулы (IB):

7. Соединение по любому из пп. 1-6, где R1 представляет собой атом водорода, метальную или циклопропильную группу, предпочтительно метил.

8. Соединение по любому из пп. 1-7, где Het1 представляет собой

9. Соединение по любому из пп. 1-8, где Het2 представляет собой

10. Соединение по любому из пп. 1-8, где Het2 представляет собой

11. Соединение по п. 9, где R6 представляет собой группу X2-O-R7, где Х2 означает пропиленовую группу.

12. Соединение по п. 11, где R7 представляет собой следующую группу:

13. Соединение по п. 11, где R7 представляет собой следующую группу:

14. Соединение по п. 12 или 13, где R8 представляет собой группу, выбранную из диметиламино, диэтиламино, диизопропиламино, диизобутиламино, метиламино, этиламино, этил(метил)амино, 4-метилпиперазин-1-ила, пиперазин-1-ила, пирролидин-1-ила, азетидин-1-ила, 1-пиперидила, 4-морфолинила, 4,4-дифторпиперидин-1-ила, 3,3-дифторпиперидин-1-ила, 3-гидрокси-1-пиперидила, (1S,5R)-3-азабицикло[3.1.0]гексан-3-ила, 4-(1-пиперидил)-1-пиперидила, 3-оксо-2,8-диазаспиро[4.5]декан-8-ила, (1S,5R)-6,6-дифтор-3-азабицикло[3.1.0]гексан-3-ила, 2-(диметиламино)этиламино, 3-пиперазин-1-ила, (3R,5S)-3,5-диметилпиперазин-1-ила, (бут-3-ин-1-ил)амино, (бут-3-ин-1-ил)(метил)амино, (3-азидопропил)амино, (3-азидопропил)(метил)амино, (3-аминопропил)амино, (пент-4-ин-1-ил)амино, метил(пент-4-ин-1-ил)амино, (проп-2-ин-1-ил)амино, (гекс-5-ин-1-ил)амино, 3-[(гекс-5-ин-1-ил)(метил)амино, (4-азидобутил)амино, (4-азидобутил)(метил)амино, [2-(2-гидроксиэтокси)этил](метил)амино

и

15. Соединение по п. 12 или 13, где R8 представляет собой группу, выбранную из бис[(3S)-3,4-дигидроксибутил]амино, амино, [(3S)-3,4-дигидроксибутил]амино, [(3R)-3,4-дигидроксибутил]амино, ацетил(метил)амино, 3-гидроксипропиламино.

16. Соединение по п. 11, где R7 представляет собой

где R11 выбирают из 3-(диметиламино)пропила, 3-(метиламино)пропила, аминометила, 2-(диметиламино)этила, 4-(диметиламино)бутила, 2-(метиламино)этила, 4-(метиламино)бутила, 3-(азетидин-1-ил)пропила, 3-(4-метилпиперазин-1-ил)пропила, 3-пирролидин-1-илпропила, 3-морфолинопропила, 3-(1-пиперидил)пропила, 3-[(1R,5S)-6,6-дифтор-3-азабицикло[3.1.0]гексан-3-ила и 3-(3-оксо-2,8-диазаспиро[4.5]декан-8-ил)пропила.

17. Соединение по п. 11, где R7 представляет собой группу, выбранную из:

18. Соединение по п. 10, где R6 представляет собой

19. Соединение по п. 18, где R7 представляет собой группу, выбранную из:

где R8 представляет собой группу, выбранную из водорода, 2-(метиламино)этокси, 2-(диметиламино)этокси, 2-[(2-сульфоэтил)амино]этокси, 2-[метил(2-сульфоэтил)амино]этокси, 4-метилпиперазин-1-ила и

20. Соединение по п. 18, где R7 представляет собой группу, выбранную из:

где R8 представляет собой группу, выбранную из 2-пирролидин-1-илэтокси, 2-(4-метилпиперазин-1-ил)этокси, 2-[[(3R)-3,4-дигидроксибутил-метиламино]этокси, 2-(4-гидроксибутиламино)этокси, 2-[[3-гидрокси-2-(гидроксиметил)пропил]амино]этокси, 2-[бис(2-гидроксиэтил)амино]этокси, 2-[[2-гидрокси-1-(гидроксиметил)этил]амино]этокси, 2-[2-(2-гидроксиэтокси)этиламино]этокси, 2-[бис(3-гидроксипропил)амино]этокси, 2-(3-гидроксипропиламино)этокси, 2-[бис(4-гидроксибутил)амино]этокси, 2-морфолиноэтокси, 2-(1-пиперидил)этокси, 2-пиперазин-1-илэтокси, 2-(азепан-1-ил)этокси, 2-(4-изопропилпиперазин-1-ил)этокси, 2-[(4-гидроксифенил)метиламино]этокси, 2-[2-гидроксиэтил(метил)амино]этокси, 2-[3-метоксипропил(метил)амино]этокси, 2-[4-гидроксибутил(метил)амино]этокси, 3-пирролидин-1-илпропила, 3-(диметиламино)пропила, 3-(4-метилпиперазин-1-ил)пропила, 3-морфолинопропила, 3-(3-гидроксипропиламино)пропила, 3-(4-гидроксибутиламино)пропила, 3-[[(3S)-3,4-дигидроксибутил]амино] пропила, 3-гидрокси-2-(гидроксиметил)пропил]амино] пропила, 3-[4-гидроксибутил(метил)амино]пропила, 3-[3-гидроксипропил(метил)амино]пропила, 3-[3-[бис(3-гидроксипропил)амино]пропила, 3-пиперазин-1-илпропила.

21. Соединение по любому из пп. 1, 2 и 6, где R3 представляет собой -X1-NRaRb, где Ra и Rb независимо друг от друга представляют собой группу, выбранную из водорода; C16алкила.

22. Соединение по любому из пп. 1, 2 и 6, где R8 представляет собой -NR'aR'b; -NH-X'2-N+R'aR'bR'c, где R'a и R'b представляют собой группу C16алкилен-SO2OH.

23. Соединение по п. 1, выбранное из следующей группы соединений:

-2-[3-(1,3-бензотиазол-2-иламино)-4-метил-6,7-дигидро-5Н-пиридо[2,3-с]пиридазин-8-ил]-5-[3-[4-[3-(диметиламино)проп-1-инил]-2-фторфенокси]пропил]тиазол-4-карбоновая кислота,

-2-{3-[(1,3-бензотиазол-2-ил)амино]-4-метил-5Н,6Н,7Н,8Н-пиридо[2,3-с]пиридазин-8-ил}-5-(3-{2-фтор-4-[3-(метиламино)проп-1-ин-1-ил]фенокси}пропил)-1,3-тиазол-4-карбоновая кислота,

-2-{3-[(1,3-бензотиазол-2-ил)амино]-4-метил-5Н,6Н,7Н,8Н-пиридо[2,3-с]пиридазин-8-ил}-5-(3-{4-[3-(диметиламино)пропил]-2-фторфенокси}пропил)-1,3-тиазол-4-карбоновая кислота,

-2-[3-(1,3-бензотиазол-2-иламино)-4-метил-6,7-дигидро-5Н-пиридо[2,3-с]пиридазин-8-ил]-5-[3-[2-фтор-4-[3-(4-метилпиперазин-1-ил)бут-1-инил]фенокси]пропил]тиазол-4-карбоновая кислота,

-2-[3-(1,3-бензотиазол-2-иламино)-4-метил-6,7-дигидро-5Н-пиридо[2,3-с]пиридазин-8-ил]-5-[3-[2-фтор-4-(3-пирролидин-1-илпроп-1-инил)фенокси]пропил]тиазол-4-карбоновая кислота,

-5-(3-{4-[3-(азетидин-1-ил)проп-1-ин-1-ил]-2-фторфенокси}пропил)-2-{3-[(1,3-бензотиазол-2-ил)амино]-4-метил-5Н,6Н,7Н,8Н-пиридо[2,3-с]пиридазин-8-ил}-1,3-тиазол-4-карбоновая кислота,

-2-[3-(1,3-бензотиазол-2-иламино)-4-метил-6,7-дигидро-5Н-пиридо[2,3-с]пиридазин-8-ил]-5-[3-[2-фтор-4-[3-(4-метилпиперазин-1-ил)проп-1-инил]фенокси]пропил]тиазол-4-карбоновая кислота,

-2-{3-[(1,3-бензотиазол-2-ил)амино]-4-метил-5Н,6Н,7Н,8Н-пиридо[2,3-с]пиридазин-8-ил}-5-(3-{4-[3-(4,4-дифторпиперидин-1-ил)проп-1-ин-1-ил]-2-фторфенокси}пропил)-1,3-тиазол-4-карбоновая кислота,

-2-{3-[(1,3-бензотиазол-2-ил)амино]-4-метил-5Н,6Н,7Н,8Н-пиридо[2,3-с]пиридазин-8-ил}-5-(3-{4-[3-(3,3-дифторпиперидин-1-ил)проп-1-ин-1-ил]-2-фторфенокси}пропил)-1,3-тиазол-4-карбоновая кислота,

-2-[3-(1,3-бензотиазол-2-иламино)-4-метил-6,7-дигидро-5Н-пиридо[2,3-с]пиридазин-8-ил]-5-[3-[2-фтор-4-[3-(3-оксо-2,8-диазаспиро[4.5]декан-8-ил)проп-1-инил]фенокси]пропил]тиазол-4-карбоновая кислота,

-2-[3-(1,3-бензотиазол-2-иламино)-4-метил-6,7-дигидро-5Н-пиридо[2,3-с]пиридазин-8-ил]-5-[3-[4-[3-[(1S,5R)-6,6-дифтор-3-азабицикло[3.1.0]гексан-3-ил]проп-1-инил]-2-фторфенокси]пропил]тиазол-4-карбоновая кислота,

-2-[3-(1,3-бензотиазол-2-иламино)-4-метил-6,7-дигидро-5Н-пиридо[2,3-с]пиридазин-8-ил]-5-[3-[2-фтор-4-(3-пиперазин-1-илпроп-1-инил)фенокси]пропил]тиазол-4-карбоновая кислота,

-2-[3-(1,3-бензотиазол-2-иламино)-4-метил-6,7-дигидро-5Н-пиридо[2,3-с]пиридазин-8-ил]-5-[3-[4-[3-[(3R,5S)-3,5-диметилпиперазин-1-ил]проп-1-инил]-2-фторфенокси]пропил]тиазол-4-карбоновая кислота,

-2-[3-(1,3-бензотиазол-2-иламино)-4-метил-6,7-дигидро-5Н-пиридо[2,3-с]пиридазин-8-ил]-5-[3-[4-[3-(диэтиламино)проп-1-инил]-2-фторфенокси]пропил]тиазол-4-карбоновая кислота,

-2-[3-(1,3-бензотиазол-2-иламино)-4-метил-6,7-дигидро-5Н-пиридо[2,3-с]пиридазин-8-ил]-5-[3-[4-[3-(диизопропиламино)проп-1-инил]-2-фторфенокси]пропил]тиазол-4-карбоновая кислота,

-2-[3-(1,3-бензотиазол-2-иламино)-4-метил-6,7-дигидро-5Н-пиридо[2,3-с]пиридазин-8-ил]-5-[3-[4-[3-[2-(диметиламино)этиламино]проп-1-инил]-2-фторфенокси]пропил]тиазол-4-карбоновая кислота,

-2-{3-[(1,3-бензотиазол-2-ил)амино]-4-метил-6-[2-(метиламино)этокси]-5Н,6Н,7Н,8Н-пиридо[2,3-с]пиридазин-8-ил}-5-(3-{4-[3-(диметиламино)проп-1-ин-1-ил]-2-фторфенокси}пропил)-1,3-тиазол-4-карбоновая кислота,

-2-[3-(1,3-бензотиазол-2-иламино)-4-метил-6,7-дигидро-5Н-пиридо[2,3-с]пиридазин-8-ил]-5-[3-[4-[1-[(диметиламино)метил]-3-бицикло[1.1.1]пентанил]-2-фторфенокси]пропил]тиазол-4-карбоновая кислота,

-2-[3-(1,3-бензотиазол-2-иламино)-4-метил-6,7-дигидро-5Н-пиридо[2,3-с]пиридазин-8-ил]-5-[3-[2-фтор-4-[3-метил-3-(метиламино)бут-1-инил]фенокси]пропил]тиазол-4-карбоновая кислота,

-2-[3-(1,3-бензотиазол-2-иламино)-4-метил-6,7-дигидро-5Н-пиридо[2,3-с]пиридазин-8-ил]-5-[3-[2-фтор-4-[3-(проп-2-иниламино)проп-1-инил]фенокси]пропил]тиазол-4-карбоновая кислота,

-6-{3-[(1,3-бензотиазол-2-ил)амино]-4-метил-6,7-дигидропиридо[2,3-с]пиридазин-8(5Н)-ил}-3-[1-({3-[2-(диметиламино)этокси]-5,7-диметиладамантан-1-ил}метил)-5-метил-1Н-пиразол-4-ил]пиридин-2-карбоновая кислота,

-6-{3-[(1,3-бензотиазол-2-ил)амино]-4-метил-6,7-дигидропиридо[2,3-с]пиридазин-8(5Н)-ил}-3-[1-({3,5-диметил-7-[2-(метиламино)этокси]адамантан-1-ил}метил)-5-метил-1Н-пиразол-4-ил]пиридин-2-карбоновая кислота,

-2-{3-[(1,3-бензотиазол-2-ил)амино]-4-метил-6,7-дигидропиридо[2,3-с]пиридазин-8(5Н)-ил}-5-(3-{4-[3-(этиламино)-3-метилбут-1-ин-1-ил]-2-фторфенокси}пропил)-1,3-тиазол-4-карбоновая кислота,

-3-{1-[(адамантан-1-ил)метил]-5-метил-1Н-пиразол-4-ил}-6-{3-[(1,3-бензотиазол-2-ил)амино]-4-метил-5Н,6Н,7Н,8Н-пиридо[2,3-с]пиридазин-8-ил}пиридин-2-карбоновая кислота,

его энантиомеры и диастереоизомеры, и их соли присоединения с фармацевтически приемлемой кислотой или основанием.

24. Соединение по п. 1, выбранное из следующей группы соединений:

-6-{3-[(1,3-бензотиазол-2-ил)амино]-4-метил-6,7-дигидропиридо[2,3-с]пиридазин-8(5Н)-ил}-3-[1-({3-[2-(диметиламино)этокси]-5,7-диметиладамантан-1-ил}метил)-5-метил-1Н-пиразол-4-ил]пиридин-2-карбоновая кислота,

-6-[3-(1,3-бензотиазол-2-иламино)-4-метил-6,7-дигидро-5Н-пиридо[2,3-с]пиридазин-8-ил]-3-[1-[[3,5-диметил-7-(2-пирролидин-1-илэтокси)-1-адамантил]метил]-5-метилпиразол-4-ил]пиридин-2-карбоновая кислота,

-6-[3-(1,3-бензотиазол-2-иламино)-4-метил-6,7-дигидро-5Н-пиридо[2,3-с]пиридазин-8-ил]-3-[1-[[3,5-диметил-7-[2-(4-метилпиперазин-1-ил)этокси]-1-адамантил]метил]-5-метилпиразол-4-ил]пиридин-2-карбоновая кислота,

-6-[3-(1,3-бензотиазол-2-иламино)-4-метил-6,7-дигидро-5Н-пиридо[2,3-с]пиридазин-8-ил]-3-[1-[[3-[2-(3-гидроксипропиламино)этокси]-5,7-диметил-1-адамантил]метил]-5-метилпиразол-4-ил]пиридин-2-карбоновая кислота,

-6-[3-(1,3-бензотиазол-2-иламино)-4-метил-6,7-дигидро-5Н-пиридо[2,3-с]пиридазин-8-ил]-3-[1-[[3-[2-(4-гидроксибутиламино)этокси]-5,7-диметил-1-адамантил]метил]-5-метилпиразол-4-ил]пиридин-2-карбоновая кислота,

-6-{3-[(1,3-бензотиазол-2-ил)амино]-4-метил-6,7-дигидропиридо[2,3-с]пиридазин-8(5Н)-ил}-3-(1-{[3-(2-{[(3S)-3,4-дигидроксибутил]амино}этокси)-5,7-диметиладамантан-1-ил]метил}-5-метил-1Н-пиразол-4-ил)пиридин-2-карбоновая кислота,

-6-{3-[(1,3-бензотиазол-2-ил)амино]-4-метил-6,7-дигидропиридо[2,3-с]пиридазин-8(5Н)-ил}-3-(1-{[3-(2-{[(3R)-3,4-дигидроксибутил]амино}этокси)-5,7-диметиладамантан-1-ил] метил}-5-метил-1Н-пиразол-4-ил)пиридин-2-карбоновая кислота,

-6-[3-(1,3-бензотиазол-2-иламино)-4-метил-6,7-дигидро-5Н-пиридо[2,3-с]пиридазин-8-ил]-3-[1-[[3-[2-[2-гидроксиэтил(метил)амино]этокси]-5,7-диметил-1-адамантил]метил]-5-метилпиразол-4-ил]пиридин-2-карбоновая кислота,

-6-[3-(1,3-бензотиазол-2-иламино)-4-метил-6,7-дигидро-5Н-пиридо[2,3-с]пиридазин-8-ил]-3-[1-[[3-[2-[4-гидроксибутил(метил)амино]этокси]-5,7-диметил-1-адамантил]метил]-5-метилпиразол-4-ил]пиридин-2-карбоновая кислота,

-6-[3-(1,3-бензотиазол-2-иламино)-4-метил-6,7-дигидро-5Н-пиридо[2,3-с]пиридазин-8-ил]-3-[1-[[3-[2-[[(ЗИ)-3,4-дигидроксибутил]-метиламино]этокси]-5,7-диметил-1-адамантил]метил]-5-метилпиразол-4-ил]пиридин-2-карбоновая кислота,

-6-[3-(1,3-бензотиазол-2-иламино)-4-метил-6,7-дигидро-5Н-пиридо[2,3-с]пиридазин-8-ил]-3-[1-[[3,5-диметил-7-(2-пиперазин-1-илэтокси)-1-адамантил]метил]-5-метилпиразол-4-ил]пиридин-2-карбоновая кислота,

-6-{3-[(1,3-бензотиазол-2-ил)амино]-4-метил-6,7-дигидропиридо[2,3-с]пиридазин-8(5Н)-ил}-3-[1-({3,5-диметил-7-[2-(метиламино)этокси]адамантан-1-ил}метил)-5-метил-1Н-пиразол-4-ил]пиридин-2-карбоновая кислота,

-6-[3-(1,3-бензотиазол-2-иламино)-4-метил-6,7-дигидро-5Н-пиридо[2,3-с]пиридазин-8-ил]-3-[1-[[3,5-диметил-7-[2-(1-пиперидил)этокси]-1-адамантил]метил]-5-метилпиразол-4-ил]пиридин-2-карбоновая кислота,

-3-[1-[[3-[2-(азепан-1-ил)этокси]-5,7-диметил-1-адамантил]метил]-5-метилпиразол-4-ил]-6-[3-(1,3-бензотиазол-2-иламино)-4-метил-6,7-дигидро-5Н-пиридо[2,3-с]пиридазин-8-ил]пиридин-2-карбоновая кислота,

-6-[3-(1,3-бензотиазол-2-иламино)-4-метил-6,7-дигидро-5Н-пиридо[2,3-с]пиридазин-8-ил]-3-[1-[[3-[2-(4-изопропилпиперазин-1-ил)этокси]-5,7-диметил-1-адамантил]метил]-5-метилпиразол-4-ил]пиридин-2-карбоновая кислота,

-6-[3-(1,3-бензотиазол-2-иламино)-4-метил-6,7-дигидро-5Н-пиридо[2,3-с]пиридазин-8-ил]-3-[1-[[3,5-диметил-7-(2-морфолиноэтокси)-1-адамантил]метил]-5-метилпиразол-4-ил]пиридин-2-карбоновая кислота,

-6-[3-(1,3-бензотиазол-2-иламино)-4-метил-6,7-дигидро-5Н-пиридо[2,3-с]пиридазин-8-ил]-3-[1-[[3-[2-[3-метоксипропил(метил)амино]этокси]-5,7-диметил-1-адамантил]метил]-5-метилпиразол-4-ил]пиридин-2-карбоновая кислота,

-6-[3-(1,3-бензотиазол-2-иламино)-4-метил-6,7-дигидро-5Н-пиридо[2,3-с]пиридазин-8-ил]-3-[1-[[3-[2-[2-(2-гидроксиэтокси)этиламино]этокси]-5,7-диметил-1-адамантил]метил]-5-метилпиразол-4-ил]пиридин-2-карбоновая кислота,

-6-[3-(1,3-бензотиазол-2-иламино)-4-метил-6,7-дигидро-5Н-пиридо[2,3-с]пиридазин-8-ил]-3-[1-[[3-[2-[[2-гидрокси-1-(гидроксиметил)этил]амино]этокси]-5,7-диметил-1-адамантил]метил]-5-метилпиразол-4-ил]пиридин-2-карбоновая кислота,

-6-[3-(1,3-бензотиазол-2-иламино)-4-метил-6,7-дигидро-5Н-пиридо[2,3-с]пиридазин-8-ил]-3-[1-[[3-[2-[[3-гидрокси-2-(гидроксиметил)пропил]-амино]этокси]-5,7-диметил-1-адамантил]метил]-5-метилпиразол-4-ил]пиридин-2-карбоновая кислота,

-6-[3-(1,3-бензотиазол-2-иламино)-4-метил-6,7-дигидро-5Н-пиридо[2,3-с]пиридазин-8-ил]-3-[1-[[3-[2-[бис(2-гидроксиэтил)амино]этокси]-5,7-диметил-1-адамантил]метил]-5-метилпиразол-4-ил]пиридин-2-карбоновая кислота,

-6-[3-(1,3-бензотиазол-2-иламино)-4-метил-6,7-дигидро-5Н-пиридо[2,3-с]пиридазин-8-ил]-3-[1-[[3-[2-[бис(3-гидроксипропил)амино]этокси]-5,7-диметил-1-адамантил]метил]-5-метилпиразол-4-ил]пиридин-2-карбоновая кислота,

-6-[3-(1,3-бензотиазол-2-иламино)-4-метил-6,7-дигидро-5Н-пиридо[2,3-с]пиридазин-8-ил]-3-[1-[[3-[2-[бис(4-гидроксибутил)амино]этокси]-5,7-диметил-1-адамантил]метил]-5-метилпиразол-4-ил]пиридин-2-карбоновая кислота,

-6-{3-[(1,3-бензотиазол-2-ил)амино]-4-метил-6,7-дигидропиридо[2,3-с]пиридазин-8(5Н)-ил}-3-{1-[(3,5-диметил-7-{2-[(2-сульфоэтил)амино]этокси}адамантан-1-ил)метил]-5-метил-1Н-пиразол-4-ил}пиридин-2-карбоновая кислота,

-6-[3-(1,3-бензотиазол-2-иламино)-4-метил-6,7-дигидро-5Н-пиридо[2,3-с]пиридазин-8-ил]-3-[1-[[3-[2-[(4-гидроксифенил)метиламино]этокси]-5,7-диметил-1-адамантил]метил]-5-метилпиразол-4-ил]пиридин-2-карбоновая кислота,

-2-[3-(1,3-бензотиазол-2-иламино)-4-метил-6,7-дигидро-5Н-пиридо[2,3-с]пиридазин-8-ил]-5-[3-[4-[3-(диметиламино)проп-1-инил]-2-фторфенокси]пропил]тиазол-4-карбоновая кислота,

-2-[3-(1,3-бензотиазол-2-иламино)-4-метил-6,7-дигидро-5Н-пиридо[2,3-с]пиридазин-8-ил]-5-[3-[4-[3-[[(3S)-3,4-дигидроксибутил]амино]проп-1-инил]-2-фторфенокси]пропил]тиазол-4-карбоновая кислота,

-2-[3-(1,3-бензотиазол-2-иламино)-4-метил-6,7-дигидро-5Н-пиридо[2,3-с]пиридазин-8-ил]-5-[3-[2-фтор-4-[3-(3-гидроксипропиламино)проп-1-инил]фенокси]пропил]тиазол-4-карбоновая кислота,

его энантиомеры и диастереоизомеры, и их соли присоединения с фармацевтически приемлемой кислотой или основанием.

25. Фармацевтическая композиция, обладающая ингибирующей активностью в отношении белка Bc1-xL, содержащая соединение по любому из пп. 1-24 или его соль присоединения с фармацевтически приемлемой кислотой или основанием, в комбинации с одним или несколькими фармацевтически приемлемыми наполнителями.

26. Фармацевтическая композиция по п. 25 для применения в качестве проапоптотических средств.

27. Фармацевтическая композиция по п. 25 для применения для лечения злокачественных новообразований, аутоиммунных заболеваний или заболеваний иммунной системы.

28. Фармацевтическая композиция по п. 27, где злокачественное новообразование представляет собой гематологическую злокачественную опухоль или солидную опухоль.

29. Фармацевтическая композиция по п. 28, где гематологическая злокачественная опухоль представляет собой миелому, в особенности, множественную миелому, лимфому, в особенности, неходжкинскую лимфому (NHL), или лейкоз, в особенности, хронический лимфоцитарный лейкоз (CLL), Т-клеточный острый лимфобластный лейкоз (T-ALL), В-клеточный острый лимфобластный лейкоз (B-ALL) и острый миелоцитарный лейкоз (AML).

30. Фармацевтическая композиция по п. 28, где солидную опухоль выбирают из рака мочевого пузыря, головного мозга, молочной железы, матки, пищевода и печени, колоректального рака, рака почки, меланомы, рака яичников, рака предстательной железы, рака поджелудочной железы и рака легких.

31. Соединение по любому из пп. 1-24 или его соль присоединения с фармацевтически приемлемой кислотой или основанием, для применения для лечения злокачественного новообразования, выбранного из миеломы, в особенности, множественной миеломы, лимфомы, в особенности, неходжкинской лимфомы (NHL), или лейкоза, в особенности, хронического лимфоцитарного лейкоза (CLL), Т-клеточного острого лимфобластного лейкоза (T-ALL), В-клеточного острого лимфобластного лейкоза (B-ALL) и острого миелоцитарного лейкоза (AML), рака мочевого пузыря, головного мозга, молочной железы, матки, пищевода и печени, колоректального рака, рака почки, меланомы, рака яичников, рака предстательной железы, рака поджелудочной железы и рака легких, в особенности, немелкоклеточного рака легких и мелкоклеточного рака легких.

32. Соединение по любому из пп. 1-24, для применения для лечения злокачественных новообразований, требующих проведения радиотерапии.

33. Фармацевтическая композиция по п. 25 для применения для лечения заболеваний или состояний, характеризующихся чрезмерной или дерегулированной активностью тромбоцитов, в особенности, протромботических состояний.

34. Промежуточное соединение синтеза, выбранное из следующей группы соединений:

- где R7 представляет собой группу, выбранную из линейной или

разветвленной С16алкильной группы; (С36)циклоалкилен-R8; или

где Су представляет собой С38циклоалкил, а значения остальных заместителей являются такими, как определено в п. 1,

и G1 представляет собой C16алкильную группу, предпочтительно метальную группу, или (4-метоксифенил)метильную группу.

35. Промежуточное соединение синтеза, выбранное из следующей группы соединений:

- где R6 представляет собой группу, выбранную из:

водорода; -С26алкенила;

-X2-O-R7;

группы гетероарилен-R7, необязательно замещенной линейной или разветвленной C16алкильной группой, где значения остальных заместителей являются такими, как определено в п. 1,

и G1 представляет собой C16алкильную группу, предпочтительно метальную группу, или (4-метоксифенил)метильную группу.

Документы, цитированные в отчете о поиске Патент 2024 года RU2832191C2

WO 2017214233 A1, 14.12.2017
СОЕДИНЕНИЯ И СПОСОБЫ ПРИМЕНЕНИЯ 2009
  • Баэлл Джонатан Байлдон
  • Буй Чинх Тхиен
  • Колмен Питер
  • Дадли Данетт А.
  • Фэйрбразер Уэйн Дж.
  • Флайгэр Джон А.
  • Лессин Гийом Лоран
  • Ндубаку Чуди
  • Николакопулос Джордж
  • Рай Карл Стивен
  • Слибс Брэд Эдмунд
  • Смит Брайан Джон
  • Уотсон Кейт Джеффри
  • Элмор Стивен В.
  • Петрос Эндрю М.
  • Сауэрс Эндрю Дж.
  • Кзаботар Питер
RU2561109C2
WO 2013055897 A1, 18.04.2013
ГЕТЕРОЦИКЛИЧЕСКИЕ СОЕДИНЕНИЯ И СПОСОБЫ ПРИМЕНЕНИЯ 2009
  • Баэлл Джонатан Байлдон
  • Буй Чинх Тхиен
  • Колмен Питер
  • Чаботар Питер
  • Дадли Данетт А.
  • Фэйрбразер Уэйн Дж.
  • Флайгэр Джон А.
  • Лессин Гийом Лоран
  • Ндубаку Чуди
  • Николакопулос Джордж
  • Слибс Брэд Эдмунд
  • Смит Брайан Джон
  • Уотсон Кейт Джеффри
  • Элмор Стивен В.
  • Хасвольд Лиза А.
  • Петрос Эндрю М.
  • Сауэрс Эндрю Дж.
  • Тао Чжи-Фу
  • Ван Лэ
  • Ван Силу
  • Дезей Курт
RU2525116C2

RU 2 832 191 C2

Авторы

Новак Тибор

Дейвидсон Джеймс Эдвард Пол

Пацаль Аттила

Старк Жером-Бенуа

Кочи Андраш

Мюррей Джеймс Брук

Бедфорд Саймон

Шанрион Майя

Коллан Фредерик

Додсворт Марк Филип

Хернер Андраш

Мараньо Ана Летисия

Сандерс Эмма

Тимари Матьяш Паль

Уэбб Пол

Даты

2024-12-23Публикация

2020-07-28Подача