Изобретение относится к области радиолокации (РЛ) и может быть использовано для распознавания в многофункциональной радиолокационной станции (РЛС) класса летательного аппарата (ЛА) по принципу «самолет с турбореактивным двигателем (ТРД) - самолет с турбовинтовым двигателем (ТВД) - вертолет - ракета - беспилотный летательный аппарат (БпЛА)» на основе совместного применения калмановской фильтрации и нейронной сети (НС).
Известен способ распознавания типа самолета с ТРД в импульсно-доплеровской РЛС, заключающийся в том, что РЛ сигнал, отраженный от самолета с ТРД, с выхода приемника РЛС на промежуточной частоте подвергается узкополосной доплеровской фильтрации на основе процедуры быстрого преобразования Фурье (БПФ) и преобразуется в амплитудно-частотный спектр (АЧС), спектральные составляющие которого обусловлены отражениями сигнала от планера самолета с ТРД и вращающихся лопаток первой ступени рабочего колеса компрессора низкого давления (КНД) его двигателя. Путем пороговой обработки АЧС сигнала формируют только те отсчеты
общее количество отсчетов доплеровских частот) доплеровских частот с соответствующими амплитудами спектральных составляющих, которые превысили установленный порог. За время Тобс каждого обзора пространства измеряют два значения дальности Д1 и Д2 до самолета с ТРД, по которым предварительно вычисляют частотную позицию доплеровской частоты
обусловленной скоростью сближения РЛС с планером самолета с ТРД, как
(где λ - рабочая длина волны импульсно-доплеровской РЛС). В АЧС сигнала определяют ближайшее к предварительно вычисленной частотной позиции доплеровской частоты
значение доплеровской частоты
с соответствующей амплитудой
спектральной составляющей, превысившей установленный порог, которое окончательно определяет доплеровскую частоту сигнала Fn в его АЧС, обусловленную скоростью сближения импульсно-доплеровской РЛС с планером самолета с ТРД. Определяют в АЧС сигнала позицию доплеровской частоты
на которой находится спектральная составляющая, превысившая установленный порог и имеющая максимальную амплитуду Ag, которая соответствует значению доплеровской частоты Fк, обусловленной скоростью сближения импульсно-доплеровской РЛС с вращающимися лопатками рабочего колеса первой ступени КНД двигателя самолета. Вычисляют разность доплеровских частот ΔFnк=(Fn-Fк). Априорно разбивают диапазон разностей ΔFnк на Q неперекрывающихся поддиапазонов, соответствующего q-му типу цели,
При попадании разности доплеровских частот ΔFnK в q-й поддиапазон принимают решение о q-м типе самолета с ТРД [1].
Недостатком данного способа является невозможность с помощью его распознать класс ЛА по принципу «самолет с ТРД - самолет с ТВД -вертолет - ракета - БпЛА».
Известен способ распознавания класса ЛА на основе калмановской фильтрации и НС, заключающийся в том, что РЛ сигнал, отраженный от ЛА, с выхода приемника импульсно-доплеровской РЛС на промежуточной частоте подвергается узкополосной доплеровской фильтрации на основе процедуры БПФ и преобразуется в АЧС, спектральные составляющие которого обусловлены отражениями сигнала от планеров ЛА. Путем пороговой обработки АЧС сигнала формируют только те отсчеты Fijq (где i=1,…I; I - количество ЛА; q =1,…,Q; Q - количество классов; j=1,…J; J - количество условий полета ЛА) доплеровских частот, на частотных позициях которых амплитуды спектральных составляющих превысили установленный порог. В соответствии с ijq-ми динамическими моделями доплеровских частот
где Fijq и ΔFijq - соответственно детерминированная и флюктуационная составляющая доплеровской частоты для каждого i-го ЛА группы, имеющего q-й класс j-ми условиями полета;
- производная доплеровской частоты для каждого i-го ЛА группы, имеющего q-й класс с j-ми условиями полета;
αijq - величина, обратно пропорциональная времени корреляции доплеровской частоты для каждого i-го ЛА группы, имеющего q-й класс с j-ми условиями полета;
βijq- квадрат собственной частоты автокорреляционной функции (АКФ) доплеровской частоты для каждого i-го ЛА группы, имеющего q-й класс с j-ми условиями полета;
- дисперсия производной доплеровской частоты для каждого i-го ЛА группы, имеющего q-й класс с j-ми условиями полета;
nijq - взаимонезависимые формирующие «белые» гауссовские шумы с нулевыми математическими ожиданиями и единичными интенсивностями для каждого i-го ЛА группы, имеющего q-й класс с j-ми условиями полета; формируются последовательно в дискретном времени отсчеты доплеровских частот в виде
где r=1,…,R - текущий такт формирования доплеровских частот;
R - общее количество тактов формирования доплеровских частот;
Т- значение временного дискрета,
по которым за R тактов осуществляется вычисление значений соответствующей ijq-ой АКФ и по ней - соответствующее значение
дисперсии производной доплеровской частоты для каждого i-го ЛА группы, q-го класса с j-ми условиями полета в соответствии с выражением
где
дисперсия флюктуаций доплеровской частоты для каждого i-го ЛА группы q-го класса с j-ми условиями полета.
Вычисленные значения дисперсии
через первый коммутатор по команде «Обучение» поступают на соответствующие ijq-е входы НС для ее предварительного обучения для каждого i-го ЛА группы, q-го класса с j-ми условиями полета. При этом, архитектура НС представляет собой многослойную НС прямого распространения, состоящую из трех слоев: первого входного слоя НС, на ijq-e входы которой последовательно подают оценки
дисперсии производной доплеровской частоты с выхода соответствующего ijq-го калмановского фильтра, второго скрытого слоя НС в виде слоя с нелинейной функцией активации, третьего выходного слоя сети, на ijq-x выходах которого формируются оценки Pijq вероятностей предварительного распознавания i-го ЛА группы, имеющего q-й класс с j-ми условиями полета.
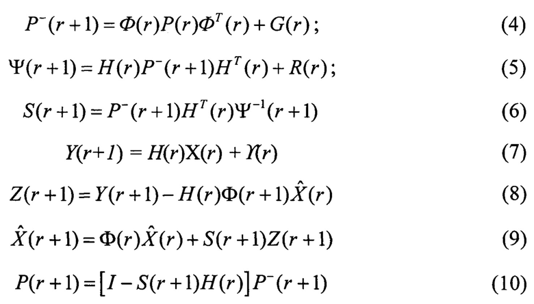
В процессе распознавания класса ЛА по РЛ сигналу, отраженного от ЛА, с помощью каждого ijq-го калмановского фильтра, функционирующего в соответствии с процедурой оптимальной многомерной линейной дискретной калмановской фильтрации, описываемой выражениями
где
ковариационные матрицы ошибок экстраполяции и фильтрации соответственно, размерности n×n, n - размерность вектора Х(r+1) состояния;
Ф(r) - переходная матрица состояния размерности n×n;
G(r) и R(r) - ковариационные матрицы шумов возбуждения и наблюдения размерности n×n и m×m соответственно, m - размерность вектора Y(r+1) наблюдения;
ϒ(r) - вектор-столбец шумов наблюдения, представляющие собой гауссовские «белые» последовательности с нулевыми математическими ожиданиями и матрицами спектральных плотностей Nr(r) размерности m;
H(r) - матрица наблюдения размерности m×n;
Z(r+1) - матрица невязок измерения размерности m;
S(r+l) - матрица весовых коэффициентов размерности n×m;
I- единичная матрица размерности n×n;
«т» - символ транспонирования;
«-1» символ нахождения обратной матрицы;
«∧» - символ нахождения оценки,
с соответствующей динамической моделью (1), осуществляется фильтрация отсчетов доплеровских частот. В результате на выходе каждого ijq-го калмановского фильтра формируется соответствующая оценка
доплеровской частоты, по которой вычисляется соответствующая оценка АКФ и по ней в соответствии с выражением
где
- оценка дисперсии оценки флюктуаций доплеровской частоты для каждого i-го ЛА группы, имеющего q-й класс с j-ми условиями полета;
- оценка величины, обратно пропорциональной времени корреляции оценки доплеровской частоты для каждого i-го ЛА группы, имеющего q-й класс с j-ми условиями полета;
- оценка квадрата собственной частоты АКФ оценки доплеровской частоты для каждого i-го ЛА группы, имеющего q-й класс с j-ми условиями полета;
- оценка
дисперсии производной оценки флюктуаций доплеровской частоты для каждого i-го ЛА группы, имеющего q-й класс с j-ми условиями полета,
которая поступает на соответствующий вход НС для принятия за R тактов работы всех калмановских фильтров предварительного решения о наличии i-го ЛА группы, имеющего q-й класс с j-ми условиями полета с соответствующей вероятностью Pijq, которая сравнивается с пороговым значением Рпор. При выполнении условия Pijq≥Рпор для каждого значения вероятности принимается окончательное решение о том, что i-й ЛА в группе имеет q-й класс с j-ми условиями полета, в противном случае принимается решение об отсутствии ЛА данного класса [2].
Недостатком данного способа распознавания является то, что в нем учитывается только один признак распознавания - дисперсия
производной доплеровской частоты, которая зависит от дисперсии доплеровской частоты, ее времени корреляции и собственной частоты АКФ доплеровской частоты (выражения (3) и (11)). При этом, несмотря на то, что данный признак распознавания хотя и является высокоинформативным, но не достаточно устойчивым, поскольку имеется существенная зависимость дисперсии
производной доплеровской частоты от высоты и скорости полета ЛА, влияния турбулентности атмосферы, что может привести к неправильному принятию решения о классе ЛА (например, одновременное разнонаправленное изменение дисперсии доплеровской частоты, ее времени корреляции и собственной частоты АКФ доплеровской частоты из-за влияния вышеприведенных факторов может привести к тому, что величина
будет характеризовать класс «ЛА с ТРД», в то время, как на самом деле, имеет место ЛА класса с ТВД). Поэтому возникает необходимость в использовании при распознавании класса ЛА дополнительных, наряду с такими признаками распознавания, как высота Hq полета ЛА q-го класса, скорость Vq полета ЛА q-то класса, использовать признаки распознавания, характерные для различного класса ЛА, в виде значений: доплеровской частоты
обусловленной отражением РЛ сигнала от вращающихся лопаток рабочего колеса КНД ЛА классов «самолет с ТРД», «самолет с ТВД»; диапазона доплеровских частот ΔFД, обусловленных отражениями РЛ сигнала от двигателя ЛА класса «вертолет»; диапазона доплеровских частот ΔFЛ, обусловленных отражениями РЛ сигнала от лопастей ЛА класса «вертолет»; диапазона доплеровских частот ΔFB, обусловленных отражениями РЛ сигнала от винтов ЛА класса «самолет с ТВД».
Цель изобретения - по многопризнаковому пространству распознать в многофункциональной радиолокационной станции с вероятностью, не ниже заданной, класс летательного аппарата по принципу «самолет с турбореактивным двигателем - самолет с турбовинтовым двигателем - вертолет - ракета - беспилотный летательный аппарат».
С этой целью, в способе многопризнакого распознавания в многофункциональной РЛС класса ЛА по принципу «самолет с ТРД - самолет с ТВД - вертолет - ракета - БпЛА» на основе совместного применения калмановской фильтрации и НС, заключающегося в том, что РЛ сигнал, отраженный от ЛА, с выхода приемника многофункциональной РЛС на промежуточной частоте подвергается узкополосной доплеровской фильтрации на основе процедуры БПФ и преобразуется в АЧС, спектральные составляющие которого обусловлены отражениями РЛ сигнала от планера ЛА. Путем пороговой обработки АЧС сигнала формируются только те отсчеты Fq, где q=l,…,Q; Q - количество классов ЛА, доплеровских частот, на частотных позициях которых амплитуды спектральных составляющих превысили установленный порог.
В режиме обучения НС в соответствии с q-ми динамическими моделями доплеровских частот
где Fq и AFq - соответственно детерминированная и флюктуационная составляющая доплеровской частоты для ЛА q-го класса;
производная доплеровской частоты для ЛА q-то класса;
αq - величина, обратно пропорциональная времени корреляции доплеровской частоты для ЛА q-го класса;
βq - квадрат собственной частоты АКФ доплеровской частоты для ЛА q-то класса;
дисперсия производной флюктуаций доплеровской частоты для ЛА q-то класса и определяемая, как
где σ2Fq - дисперсия флюктуаций доплеровской частоты для ЛА q-то класса;
nq - взаимонезависимые формирующие «белые» гауссовские шумы с нулевыми математическими ожиданиями и единичными интенсивностями для ЛА q-то класса;
формируются последовательно в дискретном времени отсчеты доплеровских частот в виде
по которым за R тактов осуществляется вычисление значений соответствующей g-й АКФ скоростных флюктуаций доплеровской частоты и по ней определяются параметры АКФ αq, βq и σ2Fq.
В режиме распознавания класса ЛА осуществляется калмановская фильтрация в соответствии с выражениями (4)-(10) реальных отсчетов доплеровской частоты с соответствующей динамической моделью (12), в результате чего, на выходе каждого g-го калмановского фильтра формируется соответствующая оценка
флюктуаций доплеровской частоты.
За R тактов работы всех калмановских фильтров по результатам работы НС принимается предварительное решение о q-м классе ЛА с соответствующей вероятностью Рд, которая сравнивается с пороговым значением Рпор, при выполнении условия для каждого значения вероятности Pq≥Рпор принимается окончательное решение о том, что ЛА имеет q-й класс, в противном случае принимается решение об отсутствии ЛА данного класса.
Дополнительно в режиме обучения НС вычисляются соответствующие значения коэффициентов Kq для ЛА q-то класса в соответствии с выражением
которые совместно с дополнительными признаками распознавания
поступают на соответствующие входные нейроны НС для ее обучения для каждого ЛА q-то класса.
В режиме распознавания класса ЛА по оценкам
флюктуаций доплеровской частоты вычисляется соответствующая оценка АКФ и по ней в соответствии с выражением
- соответствующие оценки коэффициентов
которые с дополнительными признаками
для ЛА q-то класса, поступают на соответствующие входы НС для принятия за R тактов работы всех калмановских фильтров предварительного решения о q-м классе ЛА.
Новыми признаками, обладающими существенными отличиями, являются следующие.
1. Использование НС для принятия решения в многопризнаковом пространстве о классе ЛА по принципу «самолет с ТРД - самолет с ТВД - вертолет - ракета - БпЛА» в многофункциональной РЛС.
2. Архитектура НС представляет собой многослойную НС прямого распространения, состоящую из четырех слоев: первого входного слоя НС, на вход которой последовательно подают при обучении НС значения коэффициентов Кq с шестью дополнительными признаками
а в режиме распознавания класса ЛА - оценки
и шесть дополнительных признаков
второго и третьего скрытого слоев НС в виде слоев с нелинейными функциями активации, и четвертого выходного слоя сети, на q-x выходах которого формируются оценки Pq вероятностей предварительного распознавания q-то класса ЛА.
3. Формирование в дискретном времени доплеровских частот в соответствии с выражением (14), по которым за R тактов осуществляется вычисление значений соответствующих q-x АКФ и по ним -соответствующие значения коэффициента Kq для ЛА q-то класса в соответствии с выражением (15).
4. Предварительное обучение НС по значениям 
5. Формирование на выходе каждого q-то калмановского фильтра, функционирующего в соответствии с процедурой оптимальной многомерной линейной дискретной калмановской фильтрации (4)-(10), оценки
доплеровской частоты, по которой вычисляется соответствующая оценка АКФ и по ней в соответствии с выражением (16) - оценки
для ЛА q-го класса.
6. Принятие решения с помощью НС о q-м классе ЛА по значениям 
Данные признаки обладают существенными отличиями, так как в известных способах не обнаружены.
Применение новых признаков в совокупности с известными позволит по многопризнаковому пространству распознать в многофункциональной РЛС с вероятностью, не ниже заданной, класс ЛА по принципу «самолет с ТРД - самолет с ТВД - вертолет - ракета - БпЛА».
На чертеже приведена блок-схема, поясняющая предлагаемый способ многопризнакого распознавания в многофункциональной РЛС класса ЛА по принципу «самолет с ТРД - самолет с ТВД - вертолет - ракета - БпЛА» на основе совместного применения калмановской фильтрации и НС.
Предлагаемый способ осуществляется следующим образом (чертеж).
В первом блоке 1 формирования отсчетов доплеровских частот в соответствии с q-ми. динамическими моделями вида (12) формируются последовательно в дискретном времени отсчеты доплеровской частоты в виде (14), по которым за R тактов в вычислителе 2 осуществляется вычисление значений соответствующей g-ой АКФ и ее параметров
По данным параметрам в вычислителе 3 осуществляется вычисление соответствующего значения коэффициента Kq для ЛА q-то класса в соответствии с выражением (15). Вычисленное значения коэффициента Kq вместе с дополнительными признаками
поступающие с блока 4 формирователя дополнительных признаков для ЛА q-то класса, через коммутатор 5 по команде «Обучение» поступают на соответствующие входы НС 6 для ее предварительного обучения.
При распознавании класса ЛА РЛ сигнал, отраженный от ЛА, с выхода приемника многофункциональной РЛС на промежуточной частоте в блоке 7 подвергается узкополосной доплеровской фильтрации на основе процедуры БПФ и преобразуется в АЧС, спектральные составляющие которого обусловлены отражениями сигнала от планеров ЛА.
В блоке 8 формирования отсчетов доплеровских частот путем пороговой обработки АЧС сигнала формируются только те отсчеты Fq доплеровских частот, на частотных позициях которых амплитуды спектральных составляющих превысили установленный порог. Сформированные отсчеты Fq доплеровских частот поступают на входы соответствующих q-x калмановских фильтров блока 9, функционирующих в соответствии с процедурой оптимальной многомерной линейной дискретной калмановской фильтрации, описываемой выражениями (4) - (10), с соответствующей динамической моделью (12).
В каждом q-ом калмановском фильтре блока 9 осуществляется фильтрация отсчетов доплеровских частот, в результате чего на выходе каждого q-ro калмановского фильтра формируется соответствующая оценка
доплеровской частоты, по которой в вычислителе 10 вычисляется соответствующая оценка АКФ и ее параметры
и по ним, в соответствии с выражением (16), в вычислителе 11 - оценка коэффициента
для ЛА q-то класса, которая вместе с дополнительными признаками
поступающие с формирователя дополнительных признаков 4, поступают через коммутатор 5 по команде «распознавание» на соответствующие входы НС 6.
За R тактов работы всех калмановских фильтров соответствующая вероятность Pq предварительного распознавания класса ЛА с q-го выхода НС 6 через коммутатор 12 по команде «Распознавание» поступает на соответствующий q-й вход блока 13 пороговых устройств (по команде «Обучение», подаваемой на вход коммутатора 12, с выхода НС 6 значения вероятности распознавания ЛА q-го класса, на входы блока 13 пороговых устройств не поступают), а на их вторые входы поступает единое для всех пороговых устройств значение пороговой вероятности распознавания Рпор класса ЛА.
В каждом q-м пороговом устройстве блока 13 соответствующее значение вероятности Рq сравнивается с пороговым значением Рпор. При выполнении условия для каждого значения Pq≥Рпор принимается окончательное решение о том, что ЛА имеет q-й класс, в противном случае принимается решение об отсутствии ЛА данного класса.
Для оценки работоспособности предлагаемого способа было проведено его имитационное моделирование по РЛ сигналам, отраженным от реальных ЛА, которые были зарегистрированы (с помощью специального регистратора, установленного в приемник современной импульсно-доплеровской РЛС) на промежуточной частоте с выхода линейной части приемника РЛС, работающего в сантиметровом диапазоне волн.
В качестве реальных ЛА, от которых отраженные РЛ сигналы были зарегистрированы, использовались: самолет с ТРД; самолет с ТВД; вертолет; ракета; БпЛА. Осуществлялся стационарный полет ЛА.
При узкополосном спектральном анализе зарегистрированных реальных РЛ сигналов применялся алгоритм БПФ с эквивалентной полосой пропускания одного бина, равной 10 Гц.
В калмановской процедуре фильтрации (4) - (10) для каждого q-то калмановского фильтра элементы матриц имели следующие значения.
В матрице Ф(r), размерности 3x3 (в соответствии с динамической моделью (12)), отличные от нуля элементы имели следующие значения
Ненулевым элементом ковариационной матрицы G(r) шумов возбуждения, размерности 3x3, являлся 
Ненулевыми элементами матрицы наблюдения H(r), имеющей размерность 1x3, являлись h11=h12=l.
Вектор состояния X(t) имел следующий вид (согласно динамической модели (12))
Отсчеты доплеровских частот в блоке 1, (формула (14)) определялись из выражения
Вектор наблюдения имел вид
Элемент вектора невязок измерения имел вид
Элементы вектора оценок имели вид
Архитектура НС 5 представляет из себя многослойную НС прямого распространения, состоящей из четырех слоев.
Первый слой нейронов - это входной слой сети, на входы которой последовательно подавались соответствующие признаки
с выхода вычислителя 10 и формирователя дополнительных признаков 13.
Второй и третий (скрытые) слои НС - это слои с нелинейной функцией активации.
Четвертый слой - это выходной слой НС, на q-x выходах которой формируются оценки Pq вероятностей предварительного распознавания q-то класса ЛА.
Пороговое значение вероятности принималось равным Рпор- 0,9.
Величина дискрета - Т=0,1 с.
В таблице приведены результаты моделирования по оценке вероятности правильного распознавания класса ЛА с доверительной вероятностью 0,95 при отношении сигнал/шум 14дБ, 20 дБ, 24 дБ.
Во всех случаях средняя вероятность ложного распознавания составили порядка 0,0081-0,004.
Таким образом, применение предлагаемого изобретения позволит по многопризнаковому пространству распознать в многофункциональной РЛС с вероятностью, не ниже заданной, класс ЛА по принципу «самолет с ТРД - самолет с ТВД - вертолет - ракета - БпЛА».
ИСТОЧНИКИ ИНФОРМАЦИИ
1. Пат. 2705070 Российская Федерация, МПК G01S 13/52 (2006.01). Способ распознавания типа самолета с турбореактивным двигателем в импульсно-доплеровской радиолокационной станции [Текст] / Богданов А.В., Голубенко В.А., Коваленко А.Г., Корнилов А.А., Кучин А.А., Лобанов А.А., Филонов А.А.; заявитель и патентообладатель Военная академия воздушно-космической обороны имени Маршала Советского Союза Г.К. Жукова (RU). -№ 2019111580; заявл. 16.04.2019; опубл. 05.11.2019, Бюл. № 31 (аналог).
2. Пат. 2802653 Российская Федерация, МПК G01S 13/52 (2006.01). Способ распознавания типового состава групповой воздушной цели различных классов при различных условиях ее полета на основе калмановской фильтрации и нейронной сети [Текст] / Богданов А.В., Голубенко В.А., Коротков С.С, Максимович С.В., Петров С.Г., Пшеницын А.А., Шепранов В.В., Якунина Г.Р.; заявитель и патентообладатель Военная академия воздушно-космической обороны имени Маршала Советского Союза Г.К. Жукова (RU). - № 2022125955; заявл. 04.10.2022; опубл. 30.08.2022, Бюл. № 25 (прототип).
| название | год | авторы | номер документа |
|---|---|---|---|
| Способ распознавания типового состава групповой воздушной цели различных классов при различных условиях ее полета на основе калмановской фильтрации и нейронной сети | 2022 |
|
RU2802653C1 |
| Способ всеракурсного распознавания в радиолокационной станции типового состава групповой воздушной цели при различных условиях полета и воздействии уводящих по скорости помех на основе калмановской фильтрации и нейронной сети | 2023 |
|
RU2816189C1 |
| Способ всеракурсного распознавания типового состава групповой воздушной цели из класса "самолеты с турбореактивными двигателями" на основе калмановской фильтрации и нейронных сетей | 2024 |
|
RU2835772C1 |
| Способ распознавания типового состава групповой воздушной цели из класса "самолеты с турбореактивными двигателями" на основе калмановской фильтрации и нейронной сети | 2022 |
|
RU2786518C1 |
| СПОСОБ СОПРОВОЖДЕНИЯ ВОЗДУШНОЙ ЦЕЛИ ИЗ КЛАССА "САМОЛЁТ С ТУРБОРЕАКТИВНЫМ ДВИГАТЕЛЕМ" ПРИ ВОЗДЕЙСТВИИ УВОДЯЩЕЙ ПО СКОРОСТИ ПОМЕХИ | 2015 |
|
RU2579353C1 |
| Способ распознавания типа самолёта с турбореактивным двигателем в импульсно-доплеровской радиолокационной станции при воздействии имитирующих помех | 2020 |
|
RU2735314C1 |
| Способ распознавания типа воздушной цели из класса "Самолет с турбореактивным двигателем" на основе нейронной сети | 2023 |
|
RU2826233C1 |
| СПОСОБ РАСПОЗНАВАНИЯ ТИПА САМОЛЁТА С ТУРБОРЕАКТИВНЫМ ДВИГАТЕЛЕМ В ИМПУЛЬСНО-ДОПЛЕРОВСКОЙ РАДИОЛОКАЦИОННОЙ СТАНЦИИ | 2020 |
|
RU2731878C1 |
| СПОСОБ РАСПОЗНАВАНИЯ ТИПА ОДИНОЧНОЙ ВОЗДУШНОЙ ЦЕЛИ ИЗ КЛАССА "САМОЛЕТ С ТУРБОРЕАКТИВНЫМ ДВИГАТЕЛЕМ" | 2023 |
|
RU2807510C1 |
| Способ сопровождения в радиолокационной станции групповой воздушной цели из класса "самолёты с турбореактивными двигателями" при воздействии уводящих по скорости помех | 2016 |
|
RU2617110C1 |
Изобретение относится к области радиолокации и может быть использовано для распознавания в многофункциональной радиолокационной станции (РЛС) класса летательного аппарата (ЛА) по принципу «самолет с турбореактивным двигателем (ТРД) - самолет с турбовинтовым двигателем (ТВД) - вертолет - ракета - беспилотный летательный аппарат (БпЛА)» на основе совместного применения калмановской фильтрации и нейронной сети (НС). Технический результат заключается в создании способа, позволяющего по многопризнаковому пространству распознать в многофункциональной РЛС с вероятностью, не ниже заданной, класс ЛА по принципу «самолет с ТРД - самолет с ТВД - вертолет - ракета - БпЛА». Способ заключается в том, что отраженный от ЛА радиолокационный (РЛ) сигнал принимают многофункциональной РЛС и подвергают на промежуточной частоте узкополосной доплеровской фильтрации на основе процедуры быстрого преобразования Фурье (БПФ), преобразуют в амплитудно-частотный спектр (АЧС), спектральные составляющие которого обусловлены отражениями РЛ сигнала от планера ЛА. Путем пороговой обработки АЧС сигнала формируются только те отсчеты Fq доплеровских частот, где q=1,…,Q; Q - количество классов ЛА, на частотных позициях которых амплитуды спектральных составляющих превысили установленный порог. В режиме обучения НС в соответствии с q-ми динамическими моделями доплеровских частот формируют последовательно отсчеты доплеровских частот, по которым за R тактов осуществляют вычисление значений соответствующей q-й автокорреляционной функции (АКФ) скоростных флюктуаций доплеровской частоты. Вычисляют соответствующие значения коэффициентов АКФ для ЛА q-го класса, которые совместно с дополнительными признаками распознавания: высотой и скоростью полета ЛА q-го класса, значением доплеровских частот, обусловленных отражением РЛ сигнала от вращающихся лопаток рабочего колеса компрессора низкого давления ЛА классов «самолет с ТРД», «самолет с ТВД», диапазоном доплеровских частот, обусловленных отражениями РЛ сигнала от двигателя и лопастей ЛА класса «вертолет», от винтов ЛА класса «самолет с ТВД», поступают на соответствующие входные нейроны НС для ее обучения. В режиме распознавания класса ЛА с помощью каждого q-го калмановского фильтра осуществляют фильтрацию отсчетов доплеровских частот. В результате на выходе каждого q-го калмановского фильтра формируется оценка флюктуаций доплеровской частоты, по которой вычисляется оценка АКФ и оценки коэффициентов АКФ, которые с дополнительными признаками для ЛА q-го класса поступают на входы НС для принятия решения о том, что ЛА имеет q-й класс. 1 ил., 1 табл.
Способ многопризнакого распознавания в многофункциональной радиолокационной станции класса летательного аппарата по принципу «самолет с турбореактивным двигателем - самолет с турбовинтовым двигателем - вертолет - ракета - беспилотный летательный аппарат» на основе совместного применения калмановской фильтрации и нейронной сети, заключающийся в том, что радиолокационный сигнал, отраженный от летательного аппарата, с выхода приемника многофункциональной радиолокационной станции на промежуточной частоте подвергается узкополосной доплеровской фильтрации на основе процедуры быстрого преобразования Фурье и преобразуется в амплитудно-частотный спектр, спектральные составляющие которого обусловлены отражениями радиолокационного сигнала от планера летательного аппарата, путем пороговой обработки амплитудно-частотного спектра сигнала формируются только те отсчеты Fq, где q=1,…,Q; Q - количество классов летальных аппаратов, доплеровских частот, на частотных позициях которых амплитуды спектральных составляющих превысили установленный порог, в режиме обучения нейронной сети в соответствии с q-ми динамическими моделями доплеровских частот
где Fq и ΔFq - соответственно детерминированная и флюктуационная составляющая доплеровской частоты для летательного аппарата q-го класса;
- производная доплеровской частоты для летательного аппарата q-го класса;
αq - величина, обратно пропорциональная времени корреляции доплеровской частоты для летательного аппарата q-го класса;
βq - квадрат собственной частоты автокорреляционной функции доплеровской частоты для летательного аппарата q-го класса;
σ2F*q - дисперсия производной флюктуаций доплеровской частоты для летательного аппарата q-то класса, определяемая как
где σ2Fq - дисперсия флюктуаций доплеровской частоты для летательного аппарата q-го класса;
nq - взаимонезависимые формирующие «белые» гауссовские шумы с нулевыми математическими ожиданиями и единичными интенсивностями для летательного аппарата q-го класса;
формируются последовательно в дискретном времени отсчеты доплеровских частот в виде
где r=1,…,R - текущий такт формирования доплеровских частот;
R - общее количество тактов формирования доплеровских частот;
Т- значение временного дискрета,
по которым за R тактов осуществляется вычисление значений соответствующей g-й автокорреляционной функции скоростных флюктуаций доплеровской частоты и по ней определяются параметры автокорреляционной функции αq, βq и σ2Fq, в режиме распознавания класса летательного аппарата осуществляется калмановская фильтрация реальных отсчетов доплеровской частоты в соответствии с выражениями
где Р-(r+1) и Р(r+1) - ковариационные матрицы ошибок экстраполяции и фильтрации соответственно, размерности n×n, n - размерность вектора X(r+1) состояния;
Ф(r) - переходная матрица состояния размерности n×n;
G(r) и R(r) - ковариационные матрицы шумов возбуждения и наблюдения размерности n×n и m×m соответственно, m - размерность вектора Y[r+1) наблюдения;
ϒ(r) - вектор-столбец шумов наблюдения, представляющие собой гауссовские «белые» последовательности с нулевыми математическими ожиданиями и матрицами спектральных плотностей Nr(r) размерности m;
H(r) - матрица наблюдения размерности m×n;
Z(r+1) - матрица невязок измерения размерности m;
S(r+1) - матрица весовых коэффициентов размерности n×m;
I - единичная матрица размерности n×n;
«т» - символ транспонирования;
«-1» - символ нахождения обратной матрицы;
«∧» - символ нахождения оценки,
с соответствующей динамической моделью (1), в результате чего на выходе каждого q-го калмановского фильтра формируется соответствующая оценка
флюктуаций доплеровской частоты, за R тактов работы всех калмановских фильтров по результатам работы нейронной сети принимается предварительное решение о q-м классе летательного аппарата с соответствующей вероятностью Pq, которая сравнивается с пороговым значением Рпор, при выполнении условия для каждого значения вероятности Pq≥Рпор принимается окончательное решение о том, что летательный аппарат имеет q-й класс, в противном случае принимается решение об отсутствии летательного аппарата данного класса, отличающийся тем, что в режиме обучения нейронной сети вычисляются соответствующие значения коэффициентов Kq для летательного аппарата q-го класса в соответствии с выражением
которые совместно с дополнительными признаками распознавания
- высота полета летательного аппарата q-го класса; Vq - скорость полета летательного аппарата q-го класса;
- значения доплеровской частоты, обусловленные отражением радиолокационного сигнала от вращающихся лопаток рабочего колеса компрессора низкого давления летательного аппарата классов «самолет с турбореактивным двигателем», «самолет с турбовинтовым двигателем»; ΔFД - диапазон доплеровских частот, обусловленный отражениями радиолокационного сигнала от двигателя летательного аппарата класса «вертолет»; ΔFЛ - диапазон доплеровских частот, обусловленный отражениями радиолокационного сигнала от лопастей летательного аппарата класса «вертолет»; ΔFB - диапазон доплеровских частот, обусловленный отражениями радиолокационного сигнала от винтов летательного аппарата класса «самолет с турбовинтовым двигателем», поступают на соответствующие входные нейроны нейронной сети для ее обучения для каждого летательного аппарата q-ro класса, в режиме распознавания класса летательного аппарата по оценкам
флюктуаций доплеровской частоты вычисляется соответствующая оценка автокорреляционной функции и по ней в соответствии с выражением
где
оценка дисперсии оценки флюктуаций доплеровской частоты для летательного аппарата q-гo класса;
оценка величины, обратно пропорциональной времени корреляции оценки доплеровской частоты для летательного аппарата q-гo класса;
оценка квадрата собственной частоты автокорреляционной функции оценки доплеровской частоты летательного аппарата q-гo класса; - соответствующие оценки коэффициентов
которые с дополнительными признаками
для летательного аппарата q-гo класса, поступают на соответствующие входы нейронной сети для принятия за R тактов работы всех калмановских фильтров предварительного решения о q-м классе летательного аппарата, при этом архитектура нейронной сети представляет собой многослойную нейронную сеть прямого распространения, состоящую из четырех слоев: первого входного слоя нейронной сети, на вход которой последовательно подают при обучении нейронной сети значения коэффициентов К с шестью дополнительными признаками
а в режиме распознавания класса летательного аппарата - оценки
и шесть дополнительных признаков
второго и третьего скрытого слоев нейронной сети в виде слоев с нелинейными функциями активации, и четвертого выходного слоя сети, на q-x выходах которого формируются оценки Pq вероятностей предварительного распознавания q-гo класса летательного аппарата.
| Способ распознавания типового состава групповой воздушной цели различных классов при различных условиях ее полета на основе калмановской фильтрации и нейронной сети | 2022 |
|
RU2802653C1 |
| БОГДАНОВ А.В., ПЕТРОВ С.Г., КУЧИН А.А., ЛОБАНОВ А.А., ШЕПРАНОВ В.В | |||
| Синтез оптимального алгоритма распознавания типового состава групповой воздушной цели из класса "самолеты с турбореактивными двигателями" на основе калмановской фильтрации и нейронной сети // Журнал Сибирского федерального университета | |||
| Техника и | |||
Авторы
Даты
2024-12-28—Публикация
2024-07-01—Подача