Область техники, к которой относится изобретение
[0001] Настоящее изобретение обеспечивает соединения формулы I в качестве антагонистов толл-подобных рецепторов 7/8 (TLR7/8) и их применение для лечения иммунологических нарушений и других заболеваний, связанных со сверхэкспрессией TLR7/8.
Предпосылки создания изобретения
[0002] Толл-подобные рецепторы (TLR), в настоящее время включающие семейство генов из 10 рецепторов с различными специфичностями, являются частью системы распознавания паттернов клеточного патогена, которая была сформирована для защиты от различных инфекций (бактерий, вирусов, грибков). Активация TLR приводит к цитокиновым ответным реакциям, например, с высвобождением интерферонов и активацией определенных иммунных клеток. Функциональная экспрессия отобранных TLR в тканях сильно отличается. Некоторые рецепторы, например, TLR4 (стимулируемые посредством липополисахарида ЛПС Е. coli), локализованы на поверхности клеток, например, на эпителиальных клетках, а рецепторы TLR3, 7, 8 и 9 локализованы на эндосомальных мембранах в определенных иммунных клетках. Последние все активируются нуклеиновыми кислотами, но распознают различные типы из них. Например, TLR9 активируется одноцепочечной ДНК, содержащей CpG подпоследовательности, TLR7 и 8 активируются одноцепочечной РНК, и TLR3 активируется двухцепочечной РНК.
[0003] TLR вовлечены в различные аутоиммунные и воспалительные заболевания, причем наиболее ярким примером является роль, которую играет TLR7 в патогенезе системной красной волчанки (Barrat и Coffman, Immunol Rev, 223:271-283, 2008). Кроме того, полиморфизм TLR8 связан с ревматоидным артритом (Enevold и др., J Rheumatol, 37:905-10, 2010). Несмотря на то, что были описаны различные ингибиторы TLR7, TLR8 и TLR9, востребованы дополнительные ингибиторы TLR. В частности, полинуклеотиды, содержащие ингибирующие мотивы для одного или нескольких из TLR7, TLR8 и TLR9, необходимы для точного ингибирования иммунного ответа у субъекта (например, пациента с аутоиммунным заболеванием или воспалительным нарушением).
[0004] В течение нескольких лет во всем мире предпринимаются активные попытки использовать сильную иммунную активацию, индуцированную агонистами TLR7, 8 или 9, для лечения злокачественного новообразования. Тем не менее, иммунотерапия злокачественного новообразования имеет продолжительный опыт неудач. Однако, вследствие этого знания об иммунном надзоре в отношении злокачественного новообразования и о функционировании подмножеств иммунных клеток в последние годы значительно улучшились. Агонисты TLR7 или TLR9 находятся на стадии клинических испытаний на предмет применения в методиках моно- или комбинированной терапии злокачественных новообразований или в качестве адъювант-вакцины. Подход с использованием агонистов TLR для иммунотерапии злокачественного новообразования отличается от более ранних попыток применения, например, цитокинов, интерферонов или моновалентных вакцин. Иммунная активация, опосредованная агонистами TLR, является плейотропной, проходящей через определенные иммунные клетки (в первую очередь дендритные клетки и В-клетки, а затем и другие клетки), которые генерируют врожденный и адаптивный иммунные ответы. Более того, индуцируется не только один интерферон, но и множество различных изоформ в целом, и не только типа I (альфа, бета), но также (косвенно) и типа II (гамма, NK-клетки).
Краткое изложение сущности изобретения
[0005] В одном аспекте изобретение обеспечивает соединения формулы I
и их фармацевтически приемлемые производные, сольваты, соли, гидраты и стереоизомеры.
[0006] В другом аспекте, изобретение обеспечивает соединения формулы I, которые являются двойными антагонистами TLR7 и TLR8. В другом аспекте, изобретение обеспечивает соединения формулы I, которые пригодны для лечения и/или предотвращения нарушений, связанных с TLR7/8. В другом аспекте, изобретение обеспечивает соединения, которые способны модулировать, в особенности, ингибировать активности или функционирование TLR7/8 при болезненных состояниях у млекопитающих, в особенности, у людей. В определенных вариантах осуществления соединения являются соединениями, не проникающими в головной мозг. В определенных вариантах осуществления соединения являются соединениями, не проникающими в головной мозг, вследствие структуры соединений изобретения.
[0007] В соответствии с другим аспектом изобретения обеспечены способы лечения и/или предотвращения аутоиммунных нарушений.
[0008] В соответствии с другим аспектом, настоящее изобретение обеспечивает соединения формулы I, которые являются селективными в отношении TLR7 или TLR8.
[0009] В соответствии с другим аспектом, настоящее изобретение обеспечивает соединения формулы I, которые являются селективными в отношении TLR7 и TLR8.
Подробное описание некоторых вариантов осуществления
1. Общее описание соединений изобретения
[0010] В определенных аспектах настоящее изобретение обеспечивает антагонисты TLR7/8. В некоторых вариантах осуществления такие соединения включают соединения формул, описанных в данной заявке, или их фармацевтически приемлемые соли, где каждая переменная является такой, как определено и описано в данной заявке.
2. Соединения и определения
[0011] Соединения данного изобретения включают соединения, в общем описанные выше и дополнительно проиллюстрированные классами, подклассами и типами, раскрытыми в настоящей заявке. В контексте настоящей заявки, применяют следующие определения, если не указано иное. Для целей данного изобретения, химические элементы идентифицированы в соответствии с Периодической таблицей элементов, версия CAS, Handbook of Chemistry and Physics, 75-е изд. Кроме того, общие принципы органической химии описаны в "Organic Chemistry", Thomas Sorrell, University Science Books, Sausalito: 1999, и "March's Advanced Organic Chemistry", 5-е изд., издатель: Smith, M.B. и March, J., John Wiley & Sons, New York: 2001, полное содержание которых включено в настоящую заявку посредством ссылки.
[0012] Термин "алифатический фрагмент" или "алифатическая группа" в контексте настоящей заявки означает прямоцепочечную (т.е. неразветвленную) или разветвленную, замещенную или незамещенную углеводородную цепь, которая является полностью насыщенной или которая содержит одну или несколько единиц ненасыщенности, или моноциклический углеводород или бициклический углеводород, который является полностью насыщенным или который содержит одну или несколько единиц ненасыщенности, но который не является ароматическим (также называемый в настоящей заявке "карбоциклом" "циклоалифатическим фрагментом" или "циклоалкилом"), которая(-ый) имеет одну точку присоединения к остальной части молекулы. Если не указано иное, алифатические группы содержат 1-6 алифатических атомов углерода. В некоторых вариантах осуществления алифатические группы содержат 1-5 алифатических атомов углерода. В других вариантах осуществления алифатические группы содержат 1-4 алифатических атома углерода. В еще одних вариантах осуществления алифатические группы содержат 1-3 алифатических атома углерода, и в еще других вариантах осуществления алифатические группы содержат 1-2 алифатических атома углерода. В некоторых вариантах осуществления "циклоалифатический фрагмент" (или "карбоцикл" или "циклоалкил") относится к моноциклическому С3-С6 углеводороду, который является полностью насыщенным или который содержит одну или несколько единиц ненасыщенности, но который не является ароматическим, и который имеет одну точку присоединения к остальной части молекулы. Иллюстративными алифатическими группами являются линейные или разветвленные, замещенные или незамещенные C1-C8 алкильные, С2-C8 алкенильные, С2-C8 алкинильные группы и их гибриды, такие как (циклоалкил)алкил, (циклоалкенил)алкил или (циклоалкил)алкенил.
[0013] Термин "низший алкил" относится к С1-4 прямоцепочечной или разветвленной алкильной группе. Иллюстративными низшими алкильными группами являются метил, этил, пропил, изопропил, бутил, изобутил и трет-бутил.
[0014] Термин "низший галогеналкил" относится к С1-4 прямоцепочечной или разветвленной алкильной группе, которая замещена одним или несколькими атомами галогена.
[0015] Термин "гетероатом" означает один или несколько атомов, выбранных из кислорода, серы, азота или фосфора (включая, любую окисленную форму азота, серы или фосфора; кватернизованную форму любого основного азота; или замещаемый азот гетероциклического кольца, например N (как в 3,4-дигидро-2H-пирролиле), NH (как в пирролидиниле) или NR (как в N-замещенном пирролидиниле)).
[0016] Термин "ненасыщенный" в контексте настоящей заявки означает, что фрагмент имеет одну или несколько единиц ненасыщенности.
[0017] В контексте настоящей заявки термин "двухвалентная C1-8 (или C1-6) насыщенная или ненасыщенная, прямоцепочечная или разветвленная углеводородная цепь" относится к двухвалентным алкиленовым, алкениленовым и алкиниленовым цепям, которые являются прямоцепочечными или разветвленными в соответствии с определением в настоящей заявке.
[0018] Термин "алкилен" относится к двухвалентной алкильной группе. "Алкиленовая цепь" представляет собой полиметиленовую группу, т.е., -(СН2)n-, где n означает целое положительное число, предпочтительно от 1 до 6, от 1 до 4, от 1 до 3, от 1 до 2 или от 2 до 3. Замещенная алкиленовая цепь представляет собой полиметиленовую группу, в которой один или несколько метиленовых атомов водорода заменены на заместитель. Подходящие заместители включают заместители, описанные ниже для замещенной алифатической группы.
[0019] Термин "алкенилен" относится к двухвалентной алкенильной группе. Замещенная алкениленовая цепь представляет собой полиметиленовую группу, которая содержит по меньшей мере одну двойную связь, в которой один или несколько атомов водорода заменены на заместитель. Подходящие заместители включают заместители, описанные ниже для замещенной алифатической группы.
[0020] Термин "галоген" означает F, Cl, Br или I.
[0021] Термин "арил", используемый отдельно или как часть большего фрагмента, как в случае "аралкила", "аралкокси" или "арилоксиалкила", относится к моноциклическим и бициклическим кольцевым системам, содержащим в общей сложности от пяти до четырнадцати кольцевых членов, где по меньшей мере одно кольцо в системе является ароматическим, и где каждое кольцо в системе содержит от трех до семи кольцевых членов. Термин "арил" используют взаимозаменяемо с термином "арильное кольцо". В определенных вариантах осуществления настоящего изобретения, "арил" относится к ароматической кольцевой системе. Иллюстративными арильными группами являются фенил, бифенил, нафтил, антрацил и т.п., которые необязательно включают один или несколько заместителей. Также в объем термина "арил", как его используют в настоящей заявке, включена группа, в которой ароматическое кольцо конденсировано с одним или несколькими неароматическими кольцами, такая как инданил, фталимидил, нафтимидил, фенантридинил или тетрагидронафтил, и т.п.
[0022] Термины "гетероарил" и "гетероар-", используемые отдельно или как часть большего фрагмента, например, "гетероаралкила" или "гетероаралкокси", относятся к группам, содержащим от 5 до 10 кольцевых атомов, предпочтительно 5, 6 или 9 кольцевых атомов; содержащим 6, 10 или 14 π электронов, распределенных по циклической структуре; и содержащим, в дополнение к атомам углерода, от одного до пяти гетероатомов. Термин "гетероатом" относится к азоту, кислороду или сере, и включает любую окисленную форму азота или серы, и любую кватернизованную форму основного азота. Гетероарильные группы включают, без ограничения, тиенил, фуранил, пирролил, имидазолил, пиразолил, триазолил, тетразолил, оксазолил, изоксазолил, оксадиазолил, тиазолил, изотиазолил, тиадиазолил, пиридил, пиридазинил, пиримидинил, пиразинил, индолизинил, пуринил, нафтиридинил и птеридинил. Термины "гетероарил" и "гетероар-" в контексте настоящей заявки также включают группы, в которых гетероароматическое кольцо конденсировано с одним или несколькими арильными, циклоалифатическими или гетероциклильными кольцами, где радикал или точка присоединения находится на гетероароматическом кольце. Неограничивающие примеры включают индолил, изоиндолил, бензотиенил, бензофуранил, дибензофуранил, индазолил, бензимидазолил, бензтиазолил, хинолил, изохинолил, циннолинил, фталазинил, хиназолинил, хиноксалинил, 4H-хинолизинил, карбазолил, акридинил, феназинил, фенотиазинил, феноксазинил, тетрагидрохинолинил, тетрагидроизохинолинил, и пиридо[2,3-b]-1,4-оксазин-3(4Н)-он. Гетероарильная группа необязательно является моно- или бициклической. Термин "гетероарил" используют взаимозаменяемо с терминами "гетероарильное кольцо", "гетероарильная группа" или "гетероароматический фрагмент", причем любой из этих терминов включает кольца, которые являются необязательно замещенными. Термин "гетероаралкил" относится к алкильной группе, замещенной гетероарилом, где алкильная и гетероарильная части независимо являются необязательно замещенными.
[0023] В контексте настоящей заявки, термины "гетероцикл", "гетероциклил", "гетероциклический радикал" и "гетероциклическое кольцо" используются взаимозаменяемо и относятся к стабильному 5-7-членному моноциклическому или 7-10-членному бициклическому гетероциклическому фрагменту, который является либо насыщенным, либо частично ненасыщенным, и содержит, в дополнение к атомам углерода, один или несколько, предпочтительно от одного до четырех, гетероатомов согласно вышеприведенному определению. При использовании в отношении кольцевого атома гетероцикла, термин "азот" включает замещенный азот. В качестве примера, в насыщенном или частично ненасыщенном кольце, содержащем 0-3 гетероатома, выбранных из кислорода, серы или азота, азот представляет собой N (как в 3,4-дигидро-2H-пирролиле), NH (как в пирролидиниле) или +NR (как в N-замещенном пирролидиниле).
[0024] Гетероциклическое кольцо может быть присоединено к его боковой группе через любой гетероатом или атом углерода, что приводит к стабильной структуре, и любой из кольцевых атомов может быть необязательно замещенным. Примеры таких насыщенных или частично ненасыщенных гетероциклических радикалов включают, без ограничения, тетрагидрофуранил, тетрагидротиофенил пирролидинил, пиперидинил, пирролинил, тетрагидрохинолинил, тетрагидроизохинолинил, декагидрохинолинил, оксазолидинил, пиперазинил, диоксанил, диоксоланил, диазепинил, оксазепинил, тиазепинил, морфолинил и хинуклидинил. Термины "гетероцикл", "гетероциклил", "гетероциклильное кольцо", "гетероциклическая группа", "гетероциклический фрагмент" и "гетероциклический радикал" используются в настоящей заявке взаимозаменяемо, а также включают группы, в которых гетероциклильное кольцо конденсировано с одним или несколькими арильными, гетероарильными или циклоалифатическими кольцами, такие как индолинил, 3H-индолил, хроманил, фенантридинил или тетрагидрохинолинил, где радикал или точка присоединения находится на гетероциклильном кольце. Гетероциклильная группа необязательно является моно- или бициклической. Термин "гетероциклилалкил" относится к алкильной группе, замещенной гетероциклилом, где алкильные и гетероциклильные части независимо являются необязательно замещенными.
[0025] В контексте настоящей заявки термин "частично ненасыщенное" относится к кольцевому фрагменту, который включает по меньшей мере одну двойную или тройную связь. Термин "частично ненасыщенное", как подразумевается, охватывает кольца, содержащие несколько центров ненасыщенности, но не предназначен для включения арильных или гетероарильных фрагментов, как определено в настоящей заявке.
[0026] Согласно настоящему описанию, определенные соединения изобретения содержат "необязательно замещенные" фрагменты. В общем, термин "замещенный", независимо от того, предшествует ли он термину "необязательно" или нет, означает что один или несколько атомов водорода указанного фрагмента заменены на подходящий заместитель. "Замещенный" относится к одному или нескольким атомам водорода, присутствие которых либо явным, либо неявным образом вытекает из структуры (например,
относится к по меньшей мере
и
относится к по меньшей мере
или
Если не указано иное, "необязательно замещенная" группа содержит подходящий заместитель в каждом замещаемом положении группы, и когда более чем одно положение в любой данной структуре замещено более чем одним заместителем, выбранным из указанной группы, заместители являются либо одинаковыми, либо разными в каждом положении. Комбинации заместителей, предусмотренные данным изобретением, предпочтительно представляют собой комбинации, которые приводят к образованию стабильных или химически возможных соединений. Термин "стабильный" в контексте настоящей заявки относится к соединениям, которые практически не изменяются, когда подвергаются условиям, обеспечивающим их получение, обнаружение, и, в определенных вариантах осуществления, их извлечение, очистку и применение для одной или нескольких целей, раскрытых в настоящей заявке.
[0027] Подходящими одновалентными заместителями на замещаемом атоме углерода "необязательно замещенной" группы независимо являются дейтерий; галоген; -(CH2)0-4R°; -(CH2)0-4OR°; -O(CH2)0-4R°, -O-(CH2)0-4C(O)OR°; -(CH2)0-4CH(OR°)2; -(CH2)0-4SR°; -(CH2)0-4Ph, которые необязательно замещены посредством R°; -(CH2)0-4O(CH2)0-1Ph, который необязательно замещен посредством R°; -CH=CHPh, который необязательно замещен посредством R°; -(СН2)0-4O(СН2)0-1-пиридил, который необязательно замещен посредством R°; -NO2; -CN; -N3; -(CH2)0-4N(R°)2; -(CH2)0-4N(R°)C(O)R°; -N(R°)C(S)R°; -(CH2)0-4N(R°)C(O)NR°2; -N(R°)C(S)NR°2; -(CH2)0-4N(R°)C(O)OR°; -N(R°)N(R°)C(O)R°; -N(R°)N(R°)C(O)NR°2; -N(R°)N(R°)C(O)OR°; -(CH2)0-4C(O)R°;
-C(S)R°; -(CH2)0-4C(O)OR°; -(CH2)0-4C(O)SR°; -(CH2)0-4C(O)OSiR°3; -(CH2)0-4OC(O)R°; -OC(O)(CH2)0-4SR°, SC(S)SR°; -(CH2)0-4SC(O)R°; -(CH2)0-4C(O)NR°2; -C(S)NR°2; -C(S)SR°; -SC(S)SR°, -(CH2)0-4OC(O)NR°2; -C(O)N(OR°)R°; -C(O)C(O)R°; -C(O)CH2C(O)R°; -C(NOR°)R°; -(CH2)0-4SSR°; -(CH2)0-4S(O)2R°; -(CH2)0-4S(O)2OR°;
-(CH2)0-4OS(O)2R°; -S(O)2NR°2; -(CH2)0-4S(O)R°; -N(R°)S(O)2NR°2; -N(R°)S(O)2R°; -N(OR°)R°; -C(NH)NR°2; -P(O)2R°; -P(O)R°2; -OP(O)R°2; -OP(O)(OR°)2; SiR°3; -(C1-4 прямоцепочечный или разветвленный алкилен)O-N(Ro)2; или -(C1-4 прямоцепочечный или разветвленный алкилен)C(O)O-N(Ro)2, где каждый R° необязательно замещен согласно приведенному ниже определению и независимо означает водород, C1-6 алифатический фрагмент, -CH2Ph, -O(CH2)0-1Ph, -СН2-(5-6 членное гетероарильное кольцо), или 5-6-членное насыщенное, частично ненасыщенное или арильное кольцо, содержащее 0-4 гетероатома, независимо выбранных из азота, кислорода или серы, или, несмотря на приведенное выше определение, два R°, в случае их независимого присутствия, взятых вместе с их промежуточным(-и) атомом(-ами), образуют 3-12-членное насыщенное, частично ненасыщенное или арильное моно- или бициклическое кольцо, содержащее 0-4 гетероатома, независимо выбранных из азота, кислорода или серы, которое необязательно замещено согласно приведенному ниже определению.
[0028] Подходящими одновалентными заместителями на R° (или кольце, образованном с помощью двух R°, в случае их независимого присутствия, вместе с их промежуточными атомами), независимо являются дейтерий, галоген, -(CH2)0-2R•, -(галогенR•-), -(СН2)0-2ОН, -(CH2)0-2OR•, -(СН2)0-2CH(OR•)2; -O(галогенR•), -CN, -N3, -(CH2)0-2C(O)R•, -(CH2)0-2C(O)OH, -(CH2)0-2C(O)OR•, -(CH2)0-2SR•, -(CH2)0-2SH, -(CH2)0-2NH2, -(CH2)0-2NHR•, -(CH2)0-2NR•2, -NO2, -SiR•3, -OSiR•3, -C(O)SR•, -(C1-4 прямоцепочечный или разветвленный алкилен)С(O)OR• или -SSR•, где каждый R• не замещен или, в случае, когда предшествует "галоген", замещен только одним или несколькими галогенами, и независимо выбран из C1-4 алифатического фрагмента, -CH2Ph, -O(CH2)0-1Ph, или 5-6-членного насыщенного, частично ненасыщенного или арильного кольца, содержащего 0-4 гетероатома, независимо выбранных из азота, кислорода или серы. Подходящие двухвалентные заместители на насыщенном атоме углерода группы R° включают =O и =S.
[0029] Подходящие двухвалентные заместители на насыщенном атоме углерода "необязательно замещенной" группы включают следующие: =O, =S, =NNR*2, =NNHC(O)R*, =NNHC(O)OR*, =NNHS(O)2R*, =NR*, =NOR*, -O(C(R*2))2-3О- или -S(C(R*2))2-3S-, где каждый из R*, в случае их независимого присутствия, выбирают из водорода, C1-6 алифатического фрагмента, который замещен согласно приведенному ниже определению, или незамещенного 5-6-членного насыщенного, частично ненасыщенного или арильного кольца, содержащего 0-4 гетероатома, независимо выбранных из азота, кислорода или серы. Подходящие двухвалентные заместители, которые присоединены к вицинальным замещаемым атомам углерода "необязательно замещенной" группы, включают: -O(CR*2)2-3O-, где каждый из R*, в случае их независимого присутствия, выбирают из водорода, C1-6 алифатического фрагмента, который необязательно замещен согласно приведенному ниже определению, или незамещенного 5-6-членного насыщенного, частично ненасыщенного или арильного кольца, содержащего 0-4 гетероатома, независимо выбранных из азота, кислорода или серы.
[0030] Подходящие заместители на алифатической группе радикала R* включают галоген, -R•, -(галогенR•), -ОН, -OR•, -О(галогенR•), -CN, -С(O)ОН, -C(O)OR•, -NH2, -NHR•, -NR•2 или -NO2, где каждый R• не замещен или, в случае, когда предшествует "галоген" замещен только одним или несколькими галогенами, и независимо означает С1-4 алифатический фрагмент, -CH2Ph, -O(CH2)0-1Ph или 5-6-членное насыщенное, частично ненасыщенное или арильное кольцо, содержащее 0-4 гетероатома, независимо выбранных из азота, кислорода или серы.
[0031] Подходящие заместители на замещаемом азоте "необязательно замещенной" группы включают
или
где каждый
независимо означает водород, C1-6 алифатический фрагмент, который необязательно замещен согласно приведенному ниже определению, незамещенный -OPh, или незамещенное 5-6-членное насыщенное, частично ненасыщенное или арильное кольцо, содержащее 0-4 гетероатома, независимо выбранных из азота, кислорода или серы, или, несмотря на приведенное выше определение, два
, в случае их независимого присутствия, взятых вместе с их промежуточным(-и) атомом(-ами), образуют незамещенное 3-12-членное насыщенное, частично ненасыщенное или арильное моно- или бициклическое кольцо, содержащее 0-4 гетероатома, независимо выбранных из азота, кислорода или серы.
[0032] Подходящими заместителями на алифатической группе радикала
независимо являются галоген, -R•, -(гaлoгeнR•), -ОН, -OR•, -O(гaлoгeнR•), -CN, -С(O)ОН, -C(O)OR•, -NH2, -NHR•, -NR•2 или -NO2, где каждый R• не замещен или, в случае, когда предшествует "галоген" замещен только одним или несколькими галогенами, и независимо означает С1-4 алифатический фрагмент, -CH2Ph, -O(CH2)0-1Ph или 5-6-членное насыщенное, частично ненасыщенное или арильное кольцо, содержащее 0-4 гетероатома, независимо выбранных из азота, кислорода или серы.
[0033] В определенных вариантах осуществления термины "необязательно замещенный", "необязательно замещенный алкил", "необязательно замещенный алкенил," "необязательно замещенный алкинил", "необязательно замещенный карбоциклический фрагмент", "необязательно замещенной арил", " необязательно замещенной гетероарил", "необязательно замещенной гетероциклический фрагмент" и любая другая необязательно замещенная группа в контексте настоящей заявки относятся к группам, которые являются замещенными или незамещенными независимой заменой одного, двух или трех, или большего числа атомов водорода на них типичными заместителями, включая, но не ограничиваясь ими:
-F, -Cl, -Br, -I, дейтерий,
-ОН, защищенный гидрокси, алкокси, оксо, тиооксо,
-NO2, -CN, CF3, N3,
-NH2, защищенный амино, -NH-алкил, -NH-алкенил, -NH-алкинил, -NH-циклоалкил, -NH-арил, -NH-гетероарил, -NH-гетероциклический фрагмент, -диалкиламино, -диариламино, -дигетероариламино,
-О-алкил, -О-алкенил, -О-алкинил, -О-циклоалкил, -О-арил, -О-гетероарил, -О-гетероциклический фрагмент,
-С(O)-алкил, -С(O)-алкенил, -С(O)-алкинил, -С(O)-карбоциклил, -С(О)-арил,
-С(O)-гетероарил, -С(O)-гетероциклил,
-CONH2, -CONH-алкил, -CONH-алкенил, -CONH-алкинил, -CONH-карбоциклил, -CONH-арил, -CONH-гетероарил, -CONH-гетероциклил,
-OCO2-алкил, -ОСО2-алкенил, -OCO2-алкинил, -OCO2-карбоциклил, -ОСО2-арил, -OCO2-гетероарил, -OCO2-гетероциклил, -OCONH2, -OCONH-алкил, -OCONH-алкенил, -OCONH-алкинил, -OCONH-карбоциклил, -OCONH-арил, -OCONH-гетероарил, -OCONH-гетероциклил,
-NHC(O)-алкил, -NHC(O)-алкенил, -NHC(O)-алкинил, -NHC(O)-карбоциклил,
-NHC(O)-арил, -NHC(O)-гетероарил, -NHC(O)-гетероциклил, -NHCO2-алкил, -NHCO2-алкенил, - NHCO2-алкинил, - NHCO2-карбоциклил, - NHCO2-арил, - NHCO2-гетероарил, - NHCO2-гетероциклил, -NHC(O)NH2, -NHC(O)NH-алкил, -NHC(O)NH-алкенил, -NHC(O)NH-алкенил, -NHC(O)NH-карбоциклил,
-NHC(O)NH-арил, -NHC(O)NH-гетероарил, -NHC(O)NH-гетероциклил, NHC(S)NH2, -NHC(S)NH-алкил, -NHC(S)NH-алкенил, -NHC(S)NH-алкинил, -NHC(S)NH-карбоциклил, -NHC(S)NH-арил, -NHC(S)NH-гетероарил, NHC(S)NH-гетероциклил, -NHC(NH)NH2, -NHC(NH)NH-алкил, -NHC(NH)NH- -алкенил, -NHC(NH)NH-алкенил, -NHC(NH)NH-карбоциклил, -NHC(NH)NH-арил, -NHC(NH)NH-гетероарил, -NHC(NH)NH-гетероциклил, -NHC(NH)-алкил, -NHC(NH)-алкенил, -NHC(NH)-алкенил, -NHC(NH)-карбоциклил, -NHC(NH)-арил, -NHC(NH)-гетероарил, -NHC(NH)-гетероциклил,
-С(NH)NH-алкил, -С(NH)NH-алкенил, -С(NH)NH-алкинил, -C(NH)NH-карбоциклил, -C(NH)NH-арил, -С(NH)]NH-гетероарил, -С(NH)NH-гетероциклил,
-S(O)-алкил, -S(O)-алкенил, -S(O)-алкинил, -S(O)-карбоциклил, -S(O)-арил,
-S(O)-гетероарил, -S(O)-гетероциклил -SO2NH2, -SO2NH-алкил, -SO2NH-алкенил, - SO2NH-алкинил, - SO2NH-карбоциклил, - SO2NH-арил, - SO2NH-гетероарил, - SO2NH-гетероциклил,
-NHSO2-алкил, - NHSO2-алкенил, - NHSO2-алкинил, - NHSO2-карбоциклил, - NHSO2-арил, - NHSO2-гетероарил, - NHSO2-гетероциклил,
-CH2NH2, -CH2SO2CH3,
-моно-, ди- или три-алкил силил,
-алкил, -алкенил, -алкинил, -арил, -арилалкил, -гетероарил, -гетероарилалкил, -гетероциклоалкил, -циклоалкил, -карбоциклический фрагмент,
-гетероциклический фрагмент, полиалкоксиалкил, полиалкокси, метоксиметокси,
-метоксиэтокси, -SH, -S-алкил, -S-алкенил, -S-алкинил, -S-карбоциклил, -S-арил, -S-гетероарил, -S-гетероциклил или метилтиометил.
[0034] В контексте настоящей заявки термин "фармацевтически приемлемая соль" относится к тем солям, которые, в рамках здравого медицинского суждения, являются подходящими для применения в контакте с тканями людей и низших животных без чрезмерной токсичности, раздражения, аллергического ответа и т.п., и находятся в соответствии с разумным соотношением польза/риск. Фармацевтически приемлемые соли хорошо известны в данной области техники. Например, S.М. Berge и др. подробно описывают фармацевтически приемлемые соли в J. Pharmaceutical Sciences, 1977, 66, 1-19, который включен в настоящую заявку посредством ссылки. Фармацевтически приемлемые соли соединений данного изобретения включают соли, полученные из подходящих неорганических и органических кислот и оснований. Примерами фармацевтически приемлемых, нетоксических солей присоединения кислоты являются соли по аминогруппе, образованные с неорганическими кислотами, такими как хлористоводородная кислота, бромистоводородная кислота, фосфорная кислота, серная кислота и перхлорная кислота, или с органическими кислотами, такими как уксусная кислота, щавелевая кислота, малеиновая кислота, винная кислота, лимонная кислота, янтарная кислота или малоновая кислота, или с использованием других методов, используемых в данной области, таких как ионный обмен. Другие фармацевтически приемлемые соли включают адипат, альгинат, аскорбат, аспартат, бензолсульфонат, бензоат, бисульфат, борат, бутират, камфорат, камфорсульфонат, цитрат, циклопентанпропионат, диглюконат, додецилсульфат, этансульфонат, формиат, фумарат, глюкогептонат, глицерофосфат, глюконат, гемисульфат, гептаноат, гексаноат, гидройодид, 2-гидроксиэтансульфонат, лактобионат, лактат, лаурат, лаурилсульфат, малат, малеат, малонат, метансульфонат, 2-нафталинсульфонат, никотинат, нитрат, олеат, оксалат, пальмитат, памоат, пектинат, персульфат, 3-фенилпропионат, фосфат, пивалат, пропионат, стеарат, сукцинат, сульфат, тартрат, тиоцианат, п-толуолсульфонат, ундеканоат, валерат и т.п.
[0035] Соли, полученные из подходящих оснований, включают соли щелочных металлов, щелочноземельных металлов, аммония и N+(С1-4алкила)4. Репрезентативные соли щелочных или щелочноземельных металлов включают соли натрия, лития, калия, кальция, магния и т.п. Дальнейшие фармацевтически приемлемые соли включают, при необходимости, соли нетоксичных катионов аммония, четвертичного аммония и аминов, образованные с использованием противоионов, таких как галогенид, гидроксид, карбоксилат, сульфат, фосфат, нитрат, низший алкилсульфонат и арилсульфонат.
[0036] Если не указано иное, структуры, изображенные в настоящей заявке, также подразумевают включение всех изомерных (например, энантиомерных, диастереомерных и геометрических (или конформационных)) форм структуры; например, R и S конфигураций для каждого асимметричного центра, Z и Е изомеров по двойной связи, и Z и Е конформационных изомеров. Следовательно, отдельные стереохимические изомеры, а также энантиомерные, диастереомерные и геометрические (или конформационные) смеси данных соединений находятся в пределах объема настоящего изобретения. Если не указано иное, все таутомерные формы соединений изобретения находятся в пределах объема настоящего изобретения.
[0037] Кроме того, если не указано иное, структуры, изображенные в настоящей заявке, также подразумевают включение соединений, которые отличаются только присутствием одного или нескольких изотопно обогащенных атомов. Например, соединения, имеющие настоящие структуры, включая замену водорода на дейтерий или тритий, или замену углерода на 13С- или 14С-обогащенный углерод, находятся в пределах объема данного изобретения. В некоторых вариантах осуществления определенная группа содержит один или несколько атомов дейтерия.
[0038] Кроме того, также подразумевают, что соединение формулы I включает его изотопно-меченые формы. Изотопно-меченная форма соединения формулы I является идентичной указанному соединению, за исключением того факта, что один или несколько атомов указанного соединения были заменены на атом или атомы, которые имеют атомную массу или атомное число, отличающееся от атомной массы или атомного числа указанного атома, который обычно встречается в природе. Примеры изотопов, которые являются легкодоступными коммерчески и которые могут быть введены в соединение формулы I хорошо известными методами, включают изотопы водорода, углерода, азота, кислорода, фосфора, фтора и хлора, например, 2Н, 3Н, 13С, 14С, 15N, 18O, 17O, 31Р, 32Р, 35S, 18F и 36CI, соответственно. Соединение формулы I, его пролекарственная форма или фармацевтически приемлемая соль, которые содержат один или несколько указанных выше изотопов и/или другие изотопы других атомов, как подразумевается, входят в объем настоящего изобретения. Меченое изотопом соединение формулы I можно применять в ряде полезных способов. Например, меченое изотопом соединение формулы I, например, в которое введен радиоактивный изотоп, такой, как 3Н или 14С, является подходящим для анализов распределения лекарственного средства и/или субстрата в тканях. Эти радиоактивные изотопы, т.е. тритий (3Н) и углерод-14 (14С), являются особенно предпочтительными вследствие простоты получения и превосходной способности к выявлению. Введение более тяжелых изотопов, например, дейтерия (2Н), в соединение формулы I, имеет терапевтические преимущества благодаря большей метаболической стабильности указанного соединения, меченного изотопами. Более высокая метаболическая стабильность проявляется непосредственно в увеличении времени полураспада in vivo или снижении требуемой дозы, что при большинстве условий будет представлять предпочтительный вариант осуществления настоящего изобретения. Как правило, меченое изотопом соединение формулы I, может быть получено путем осуществления методик, раскрытых в схемах синтеза и в относящемся к ним описании, в разделах настоящего документа, касающихся примеров и способов получения, путем замены немеченого изотопом реагента соответствующим легко доступным реагентом, меченым изотопом.
[0039] Дейтерий (2H) также может быть введен в соединение формулы I с целью управления окислительным метаболизмом соединения путем первичного кинетического изотопного эффекта. Первичный кинетический изотопный эффект представляет собой изменение скорости химической реакции, которое происходит по причине обмена изотопных ядер, что в свою очередь, вызывается изменением энергий основного состояния, необходимым для образования ковалентной связи после указанного изотопного замещения. Замещение более тяжелым изотопом обычно приводит к снижению энергии основного состояния для химической связи, вызывая, таким образом, уменьшение скорости скорость-лимитирующей стадии разрушения связи. Когда происходит разрушение связи в или вблизи участка седлообразной конфигурации вдоль координаты реакции образования нескольких продуктов, то коэффициент распределения продуктов может существенно изменяться. Для объяснения: в случае, если дейтерий присоединяется к атому углерода в положении, в котором не происходит обмен, различия скорости kM/kD=2-7 являются типичными. Если такое отличие в скорости с успехом применяется к соединению формулы I, чувствительному к окислению, то профиль этого соединения in vivo может быть изменен радикальным образом и приводить к улучшению фармакокинетических свойств.
[0040] В процессе обнаружения и усовершенствования терапевтических средств, специалист в данной области техники способен оптимизировать фармакокинетические параметры наряду с сохранением желаемых свойств in vitro. Разумно предположить, что многие соединения со слабыми фармакокинетическими профилями чувствительны к окислительному метаболизму. Доступные в настоящее время анализы in vitro с микросомами печени обеспечивают ценную информацию о ходе окислительного метаболизма такого типа, что, в свою очередь, позволяет получить рациональную модель меченых дейтерием соединений формулы I с улучшенной стабильностью благодаря устойчивости к такому окислительному метаболизму. Таким образом, получают значительные улучшения фармакокинетических профилей соединений формулы I, что может быть выражено количественно в величинах увеличения периода полувыведения in vivo (t/2), концентрации при максимальном терапевтическом эффекте (Cmax), площади под кривой ответа на определенную дозу (AUC) и F; в величинах уменьшения клиренса, дозы и материальных затрат.
[0041] Приведенное в дальнейшем предназначено для пояснения указанного выше: соединение формулы I, которое имеет многочисленные потенциальные сайты для окислительного метаболизма, например, бензильные атомы водорода и атомы водорода, соединенные с атомом азота, получают в виде серии аналогов, в которых различные комбинации атомов водорода заменены атомами дейтерия так, что некоторые, большинство или все из указанных атомов водорода были заменены на атомы дейтерия. Определения периода полураспада обеспечивают благоприятное и точное определение степени улучшения устойчивости к окислительному метаболизму. Таким способом определяют, что период полураспада исходного соединения может быть продлен вплоть до 100% как результат такого обмена водорода на дейтерий.
[0042] Обмен водорода на дейтерий в соединении формулы I можно также применять для достижения благоприятного изменения спектра метаболитов исходного соединения с целью уменьшения или устранения нежелательных токсических метаболитов. Например, если токсический метаболит возникает при окислительном расщеплении углерод-водородной связи (С-Н), то с достаточной вероятностью предполагается, что меченый дейтерием аналог значительно уменьшит или устранит выработку нежелательного метаболита, даже в случае, когда отдельное окисление не является скорость-лимитирующей стадией. Дополнительная информация, относящаяся к уровню техники в отношении обмена водорода на дейтерий, может быть найдена, например, в работе Hanzlik и др., J. Org. Chem. 55, 3992-3997, 1990, Reider и др., J. Org. Chem. 52, 3326-3334, 1987, Foster, Adv. Drug Res. 14, 1-40, 1985, Gillette и др., Biochemistry 33(10) 2927-2937, 1994, и Jarman и др. Carcinogenesis 16(4), 683-688, 1993.
[0043] В контексте настоящей заявки термин "модулятор" определяют как соединение, которое связывается с и/или ингибирует мишень с измеримым сродством. В определенных вариантах осуществления модулятор обладает IC50 и/или константой связывания менее чем приблизительно 50 мкМ, менее чем приблизительно 1 мкМ, менее чем приблизительно 500 нМ, менее чем приблизительно 100 нМ или менее чем приблизительно 10 нМ.
[0044] Термины "измеримое сродство" и "измеримо ингибировать" в контексте настоящей заявки означают измеримое изменение активности TLR7/8 между образцом, содержащим соединение настоящего изобретения или его композицию, и TLR7/8, и эквивалентным образцом, содержащим TLR7/8 в отсутствие указанного соединения или его композиции.
[0045] Комбинации заместителей и переменных, предусмотренные данным изобретением, представляют собой только те, которые приводят к образованию стабильных соединений. Термин "стабильный" в контексте настоящей заявки относится к соединениям, которые обладают стабильностью, достаточной для обеспечения возможности производства, и которая позволяет сохранить целостность соединения в течение достаточного периода времени, чтобы быть пригодным для целей, подробно описанных в настоящей заявке (например, терапевтическое или профилактическое введение субъекту).
[0046] Изложение перечня химических групп в любом определении переменной в данной заявке включает определения этой переменной как любой отдельной группы или комбинации перечисленных групп. Изложение варианта осуществления для переменной в данной заявке включает этот вариант осуществления в качестве любого отдельного варианта осуществления или в комбинации с любыми другими вариантами осуществления или их частями.
3. Описание иллюстративных соединений
[0047] В соответствии с одним аспектом, настоящее изобретение обеспечивает соединение формулы I
или его фармацевтически приемлемую соль, где:
Кольцо А означает арил или гетероарил, содержащий 1-4 гетероатома, независимо выбранных из азота, кислорода или серы; каждый из которых является необязательно замещенным;
Кольцо В означает арил или гетероарил, содержащий 1-4 гетероатома, независимо выбранных из азота, кислорода или серы; каждый из которых является необязательно замещенным;
R1 означает -Me, -CF3, -ОМе, -OEt или -CN;
каждый R2 независимо означает -Н, -R, галоген, -галогеналкил, -OR, -SR, -CN, -NO2, -SO2R, -SOR, -C(O)R, -CO2R, -C(O)N(R)2, -NRC(O)R, -NRC(O)N(R)2, -NRSO2R или -N(R)2;
каждый R3 независимо означает -H, -R, галоген, -галогеналкил, -OR, -SR, -CN, -NO2, -SO2R, -SOR, -C(O)R, -CO2R, -C(O)N(R)2, -NRC(O)R, -NRC(O)N(R)2, -NRSO2R или -N(R)2;
X означает C(R4)2, O, NR4, S, S(R4) или S(R4)2;
каждый R4 независимо означает -H, -R, галоген, -галогеналкил, -OR, -SR, -CN, -NO2, -SO2R, -SOR, -C(O)R, -CO2R, -C(O)N(R)2, -NRC(O)R, -NRC(O)N(R)2, -NRSO2R или -N(R)2;
каждый R5 независимо означает -H, -R, галоген, -галогеналкил, -OR, -SR, -CN, -NO2, -SO2R, -SOR, -C(O)R, -CO2R, -C(O)N(R)2, -NRC(O)R, -NRC(O)N(R)2, -NRSO2R или -N(R)2;
каждый R независимо означает водород, C1-6 алифатический фрагмент, С3-10 арил, 3-8 членное насыщенное или частично ненасыщенное карбоциклическое кольцо, 3-7 членное гетероциклическое кольцо, содержащее 1-4 гетероатома, независимо выбранных из азота, кислорода или серы, или 5-6 членное моноциклическое гетероарильное кольцо, содержащее 1-4 гетероатома, независимо выбранных из азота, кислорода или серы; каждый(-ое) из которых является необязательно замещенным; или
две группы R на одном и том же атоме взяты вместе с атомом, к которому они присоединены, с образованием С3-10 арила, 3-8 членного насыщенного или частично ненасыщенного карбоциклического кольца, 3-7 членного гетероциклического кольца, содержащего 1-4 гетероатома, независимо выбранных из азота, кислорода или серы, или 5-6 членного моноциклического гетероарильного кольца, содержащего 1-4 гетероатома, независимо выбранных из азота, кислорода или серы; каждый(-ое) из которых является необязательно замещенным;
k означает 0 или 1;
n означает 0, 1 или 2;
р означает 0, 1 или 2;
r означает 0, 1 или 2; и
t означает 0, 1 или 2.
[0048] В определенных вариантах осуществления R1 означает -Me.
[0049] В определенных вариантах осуществления R1 означает -CF3.
[0050] В определенных вариантах осуществления R1 означает -ОМе.
[0051] В определенных вариантах осуществления R1 означает -OEt.
[0052] В определенных вариантах осуществления R1 означает -CN.
[0053] В определенных вариантах осуществления Кольцо А означает С6 арил или 6 членный моноциклический гетероарил, содержащий 1-4 гетероатома, независимо выбранных из азота, кислорода или серы; каждый из которых является необязательно замещенным.
[0054] В определенных вариантах осуществления Кольцо А означает фенил, пиридил, пиримидинил, пиразинил, пиридазинил или триазинил; каждый из которых является необязательно замещенным.
[0055] В определенных вариантах осуществления Кольцо А означает фенил, пиридил или пиримидинил; каждый из которых является необязательно замещенным.
[0056] В определенных вариантах осуществления Кольцо В означает С6 арил или 5-6 членный моноциклический гетероарил, содержащий 1-4 гетероатома, независимо выбранных из азота, кислорода или серы; каждый из которых является необязательно замещенным.
[0057] В определенных вариантах осуществления Кольцо В означает фенил, пиридил, пиримидинил, пиразинил, пиридазинил, триазинил, пиррол, имидазол, изоксазол, оксазол или тиазол; каждый из которых является необязательно замещенным.
[0058] В определенных вариантах осуществления Кольцо А и Кольцо В означают
[0059] В определенных вариантах осуществления Кольцо А и Кольцо В означают
[0060] В определенных вариантах осуществления Кольцо А и Кольцо В означают
[0061] В определенных вариантах осуществления Кольцо А и Кольцо В означают
[0062] В определенных вариантах осуществления Кольцо А и Кольцо В означают
[0063] В определенных вариантах осуществления Кольцо А и Кольцо В означают
[0064] В определенных вариантах осуществления Кольцо А и Кольцо В означают
[0065] В определенных вариантах осуществления каждый R2 независимо означает -Н.
[0066] В определенных вариантах осуществления каждый R2 независимо означает C1-6 алифатический фрагмент, С3-10 арил, 3-8 членное насыщенное или частично ненасыщенное карбоциклическое кольцо, 3-7 членное гетероциклическое кольцо, содержащее 1-4 гетероатома, независимо выбранных из азота, кислорода или серы, или 5-6 членное моноциклическое гетероарильное кольцо, содержащее 1-4 гетероатома, независимо выбранных из азота, кислорода или серы; каждый(-ое) из которых является необязательно замещенным.
[0067] В определенных вариантах осуществления каждый R2 независимо означает метил, этил, пропил, изопропил, бутил, втор-бутил, трет-бутил, прямоцепочечный или разветвленный пентил, или прямоцепочечный или разветвленный гексил; каждый из которых является необязательно замещенным.
[0068] В определенных вариантах осуществления каждый R2 независимо означает фенил, нафтил, циклопропил, циклобутил, циклопентил, циклогексил, циклогептил, адамантил, циклооктил, [3.3.0]бициклооктанил, [4.3.0]бициклононанил, [4.4.0]бициклодеканил, [2.2.2]бициклооктанил, флуоренил, инданил, тетрагидронафтил, акридинил, азоцинил, бензимидазолил, бензофуранил, бензотиофуранил, бензотиофенил, бензоксазолил, бензтиазолил, бензтриазолил, бензтетразолил, бензизоксазолил, бензизотиазолил, бензимидазолинил, карбазолил, NH-карбазолил, карболинил, хроманил, хроменил, циннолинил, декагидрохинолинил, 2H,6H-1,5,2-дитиазинил, дигидрофуро[2,3-b]тетрагидрофуран, фуранил, фуразанил, имидазолидинил, имидазолинил, имидазолил, 1Н-индазолил, индоленил, индолинил, индолизинил, индолил, 3H-индол ил, изоиндолинил, изоиндоленил, изобензофуранил, изохроманил, изоиндазолил, изоиндолинил, изоиндолил, изохинолинил, изотиазолил, изоксазолил, морфолинил, нафтиридинил, октагидроизохинолинил, оксадиазолил, 1,2,3-оксадиазолил, 1,2,4-оксадиазолил; 1,2,5оксадиазолил, 1,3,4-оксадиазолил, оксазолидинил, оксазолил, оксазолидинил, пиримидинил, фенантридинил, фенантролинил, феназинил, фенотиазинил, феноксатиинил, феноксазинил, фталазинил, пиперазинил, пиперидинил, птеридинил, пуринил, пиранил, пиразинил, пиразолидинил, пиразолинил, пиразолил, пиридазинил, пиридооксазол, пиридоимидазол, пиридотиазол, пиридинил, пиридил, пиримидинил, пирролидинил, пирролинил, 2H-пирролил, пирролил, хиназолинил, хинолинил, 4Н-хинолизинил, хиноксалинил, хинуклидинил, тетрагидрофуранил, тетрагидроизохинолинил, тетрагидрохинолинил, 6H-1,2,5-тиадиазинил, 1,2,3-тиадиазолил, 1,2,4-тиадиазолил, 1,2,5-тиадиазолил, 1,3,4-тиадиазолил, тиантренил, тиазолил, тиенил, тиенотиазолил, тиенооксазолил, тиеноимидазолил, тиофенил, триазинил, 1,2,3-триазолил, 1,2,4-триазолил, 1,2,5-триазолил, 1,3,4-триазолил, оксетанил, азетидинил или ксантенил; каждый из которых является необязательно замещенным.
[0069] В определенных вариантах осуществления каждый R2 независимо означает галоген, -галогеналкил, -OR, -SR, -CN, -NO2, -SO2R, -SOR, -C(O)R, -CO2R, -C(O)N(R)2, -NRC(O)R, -NRC(O)N(R)2, -NRSO2R или -N(R)2.
[0070] В определенных вариантах осуществления каждый R2 независимо означает -F.
[0071] В определенных вариантах осуществления каждый R3 независимо означает -Н.
[0072] В определенных вариантах осуществления каждый R3 независимо означает C1-6 алифатический фрагмент, С3-10 арил, 3-8 членное насыщенное или частично ненасыщенное карбоциклическое кольцо, 3-7 членное гетероциклическое кольцо, содержащее 1-4 гетероатома, независимо выбранных из азота, кислорода или серы, или 5-6 членное моноциклическое гетероарильное кольцо, содержащее 1-4 гетероатома, независимо выбранных из азота, кислорода или серы; каждый(-ое) из которых является необязательно замещенным.
[0073] В определенных вариантах осуществления каждый R3 независимо означает метил, этил, пропил, изопропил, бутил, втор-бутил, трет-бутил, прямоцепочечный или разветвленный пентил, или прямоцепочечный или разветвленный гексил; каждый из которых является необязательно замещенным.
[0074] В определенных вариантах осуществления каждый R3 независимо означает метил.
[0075] В определенных вариантах осуществления каждый R3 независимо означает фенил, нафтил, циклопропил, циклобутил, циклопентил, циклогексил, циклогептил, адамантил, циклооктил, [3.3.0]бициклооктанил, [4.3.0]бициклононанил, [4.4.0]бициклодеканил, [2.2.2]бициклооктанил, флуоренил, инданил, тетрагидронафтил, акридинил, азоцинил, бензимидазолил, бензофуранил, бензотиофуранил, бензотиофенил, бензоксазолил, бензтиазолил, бензтриазолил, бензтетразолил, бензизоксазолил, бензизотиазолил, бензимидазолинил, карбазолил, NH-карбазолил, карболинил, хроманил, хроменил, циннолинил, декагидрохинолинил, 2H,6H-1,5,2-дитиазинил, дигидрофуро[2,3-b]тетрагидрофуран, фуранил, фуразанил, имидазолидинил, имидазолинил, имидазолил, 1Н-индазолил, индоленил, индолинил, индолизинил, индолил, 3H-индолил, изоиндолинил, изоиндоленил, изобензофуранил, изохроманил, изоиндазолил, изоиндолинил, изоиндолил, изохинолинил, изотиазолил, изоксазолил, морфолинил, нафтиридинил, октагидроизохинолинил, оксадиазолил, 1,2,3-оксадиазолил, 1,2,4-оксадиазолил; 1,2,5-оксадиазолил, 1,3,4-оксадиазолил, оксазолидинил, оксазолил, оксазолидинил, пиримидинил, фенантридинил, фенантролинил, феназинил, фенотиазинил, феноксатиинил, феноксазинил, фталазинил, пиперазинил, пиперидинил, птеридинил, пуринил, пиранил, пиразинил, пиразолидинил, пиразолинил, пиразолил, пиридазинил, пиридооксазол, пиридоимидазол, пиридотиазол, пиридинил, пиридил, пиримидинил, пирролидинил, пирролинил, 2H-пирролил, пирролил, хиназолинил, хинолинил, 4Н-хинолизинил, хиноксалинил, хинуклидинил, тетрагидрофуранил, тетрагидроизохинолинил, тетрагидрохинолинил, 6H-1,2,5-тиадиазинил, 1,2,3-тиадиазолил, 1,2,4-тиадиазолил, 1,2,5-тиадиазолил, 1,3,4-тиадиазолил, тиантренил, тиазолил, тиенил, тиенотиазолил, тиенооксазолил, тиеноимидазолил, тиофенил, триазинил, 1,2,3-триазолил, 1,2,4-триазолил, 1,2,5-триазолил, 1,3,4-триазолил, оксетанил, азетидинил или ксантенил; каждый из которых является необязательно замещенным.
[0076] В определенных вариантах осуществления каждый R3 независимо означает галоген, -галогеналкил, -OR, -SR, -CN, -NO2, -SO2R, -SOR, -C(O)R, -CO2R, -C(O)N(R)2, -NRC(O)R, -NRC(O)N(R)2, -NRSO2R или -N(R)2.
[0077] В определенных вариантах осуществления каждый R3 независимо означает -F.
[0078] В определенных вариантах осуществления X означает C(R4)2 или О.
[0079] В определенных вариантах осуществления X означает C(R4)2. В определенных вариантах осуществления X означает СН2.
[0080] В определенных вариантах осуществления X означает О.
[0081] В определенных вариантах осуществления каждый R4 независимо означает -Н.
[0082] В определенных вариантах осуществления каждый R4 независимо означает C1-6 алифатический фрагмент, С3-10 арил, 3-8 членное насыщенное или частично ненасыщенное карбоциклическое кольцо, 3-7 членное гетероциклическое кольцо, содержащее 1-4 гетероатома, независимо выбранных из азота, кислорода или серы, или 5-6 членное моноциклическое гетероарильное кольцо, содержащее 1-4 гетероатома, независимо выбранных из азота, кислорода или серы; каждый(-ое) из которых является необязательно замещенным.
[0083] В определенных вариантах осуществления каждый R4 независимо означает метил, этил, пропил, изопропил, бутил, втор-бутил, трет-бутил, прямоцепочечный или разветвленный пентил, или прямоцепочечный или разветвленный гексил; каждый из которых является необязательно замещенным.
[0084] В определенных вариантах осуществления каждый R4 независимо означает фенил, нафтил, циклопропил, циклобутил, циклопентил, циклогексил, циклогептил, адамантил, циклооктил, [3.3.0]бициклооктанил, [4.3.0]бициклононанил, [4.4.0]бициклодеканил, [2.2.2]бициклооктанил, флуоренил, инданил, тетрагидронафтил, акридинил, азоцинил, бензимидазолил, бензофуранил, бензотиофуранил, бензотиофенил, бензоксазолил, бензтиазолил, бензтриазолил, бензтетразолил, бензизоксазолил, бензизотиазолил, бензимидазолинил, карбазолил, NH-карбазолил, карболинил, хроманил, хроменил, циннолинил, декагидрохинолинил, 2H,6H-1,5,2-дитиазинил, дигидрофуро[2,3-b]тетрагидрофуран, фуранил, фуразанил, имидазолидинил, имидазолинил, имидазолил, 1Н-индазолил, индоленил, индолинил, индолизинил, индолил, 3H-индол ил, изоиндолинил, изоиндоленил, изобензофуранил, изохроманил, изоиндазолил, изоиндолинил, изоиндолил, изохинолинил, изотиазолил, изоксазолил, морфолинил, нафтиридинил, октагидроизохинолинил, оксадиазолил, 1,2,3-оксадиазолил, 1,2,4-оксадиазолил; 1,2,5-оксадиазолил, 1,3,4-оксадиазолил, оксазолидинил, оксазолил, оксазолидинил, пиримидинил, фенантридинил, фенантролинил, феназинил, фенотиазинил, феноксатиинил, феноксазинил, фталазинил, пиперазинил, пиперидинил, птеридинил, пуринил, пиранил, пиразинил, пиразолидинил, пиразолинил, пиразолил, пиридазинил, пиридооксазол, пиридоимидазол, пиридотиазол, пиридинил, пиридил, пиримидинил, пирролидинил, пирролинил, 2H-пирролил, пирролил, хиназолинил, хинолинил, 4Н-хинолизинил, хиноксалинил, хинуклидинил, тетрагидрофуранил, тетрагидроизохинолинил, тетрагидрохинолинил, 6H-1,2,5-тиадиазинил, 1,2,3-тиадиазолил, 1,2,4-тиадиазолил, 1,2,5-тиадиазолил, 1,3,4 тиадиазолил, тиантренил, тиазолил, тиенил, тиенотиазолил, тиенооксазолил, тиеноимидазолил, тиофенил, триазинил, 1,2,3-триазолил, 1,2,4-триазолил, 1,2,5-триазолил, 1,3,4-триазолил, оксетанил, азетидинил или ксантенил; каждый из которых является необязательно замещенным.
[0085] В определенных вариантах осуществления каждый R4 независимо означает галоген, -галогеналкил, -OR, -SR, -CN, -NO2, -SO2R, -SOR, -C(O)R, -CO2R, -C(O)N(R)2, -NRC(O)R, -NRC(O)N(R)2, -NRSO2R или -N(R)2.
[0086] В определенных вариантах осуществления каждый R4 независимо означает -Н, С1-6 алифатический фрагмент, -OR, -C(O)R, -CO2R, -C(O)N(R)2, -NRC(O)R, -NRC(O)N(R)2, -NRSO2R или -N(R)2; каждый из которых является необязательно замещенным.
[0087] В определенных вариантах осуществления каждый R4 независимо означает -Н, C1-6 алифатический фрагмент, -C(O)N(R)2, -NRC(O)R или -N(R)2; каждый из которых является необязательно замещенным.
[0088] В определенных вариантах осуществления каждый R4 независимо означает
[0089] В определенных вариантах осуществления каждый R независимо означает
[0090] В определенных вариантах осуществления каждый R5 независимо означает -Н.
[0091] В определенных вариантах осуществления каждый R5 независимо означает C1-6 алифатический фрагмент, С3-10 арил, 3-8 членное насыщенное или частично ненасыщенное карбоциклическое кольцо, 3-7 членное гетероциклическое кольцо, содержащее 1-4 гетероатома, независимо выбранных из азота, кислорода или серы, или 5-6 членное моноциклическое гетероарильное кольцо, содержащее 1-4 гетероатома, независимо выбранных из азота, кислорода или серы; каждый(-ое) из которых является необязательно замещенным.
[0092] В определенных вариантах осуществления каждый R5 независимо означает метил, этил, пропил, изопропил, бутил, втор-бутил, трет-бутил, прямоцепочечный или разветвленный пентил, или прямоцепочечный или разветвленный гексил; каждый из которых является необязательно замещенным.
[0093] В определенных вариантах осуществления каждый R5 независимо означает фенил, нафтил, циклопропил, циклобутил, циклопентил, циклогексил, циклогептил, адамантил, циклооктил, [3.3.0]бициклооктанил, [4.3.0]бициклононанил, [4.4.0]бициклодеканил, [2.2.2]бициклооктанил, флуоренил, инданил, тетрагидронафтил, акридинил, азоцинил, бензимидазолил, бензофуранил, бензотиофуранил, бензотиофенил, бензоксазолил, бензтиазолил, бензтриазолил, бензтетразолил, бензизоксазолил, бензизотиазолил, бензимидазолинил, карбазолил, NH-карбазолил, карболинил, хроманил, хроменил, циннолинил, декагидрохинолинил, 2H,6H-1,5,2-дитиазинил, дигидрофуро[2,3-b]тетрагидрофуран, фуранил, фуразанил, имидазолидинил, имидазолинил, имидазолил, 1Н-индазолил, индоленил, индолинил, индолизинил, индолил, 3H-индол ил, изоиндолинил, изоиндоленил, изобензофуранил, изохроманил, изоиндазолил, изоиндолинил, изоиндолил, изохинолинил, изотиазолил, изоксазолил, морфолинил, нафтиридинил, октагидроизохинолинил, оксадиазолил, 1,2,3-оксадиазолил, 1,2,4-оксадиазолил; 1,2,5-оксадиазолил, 1,3,4-оксадиазолил, оксазолидинил, оксазолил, оксазолидинил, пиримидинил, фенантридинил, фенантролинил, феназинил, фенотиазинил, феноксатиинил, феноксазинил, фталазинил, пиперазинил, пиперидинил, птеридинил, пуринил, пиранил, пиразинил, пиразолидинил, пиразолинил, пиразолил, пиридазинил, пиридооксазол, пиридоимидазол, пиридотиазол, пиридинил, пиридил, пиримидинил, пирролидинил, пирролинил, 2H-пирролил, пирролил, хиназолинил, хинолинил, 4Н-хинолизинил, хиноксалинил, хинуклидинил, тетрагидрофуранил, тетрагидроизохинолинил, тетрагидрохинолинил, 6H-1,2,5-тиадиазинил, 1,2,3-тиадиазолил, 1,2,4-тиадиазолил, 1,2,5-тиадиазолил, 1,3,4-тиадиазолил, тиантренил, тиазолил, тиенил, тиенотиазолил, тиенооксазолил, тиеноимидазолил, тиофенил, триазинил, 1,2,3-триазолил, 1,2,4-триазолил, 1,2,5-триазолил, 1,3,4-триазолил, оксетанил, азетидинил или ксантенил; каждый из которых является необязательно замещенным.
[0094] В определенных вариантах осуществления каждый R5 независимо означает галоген, -галогеналкил, -OR, -SR, -CN, -NO2, -SO2R, -SOR, -C(O)R, -CO2R, -C(O)N(R)2, -NRC(O)R, -NRC(O)N(R)2, -NRSO2R или -N(R)2.
[0095] В определенных вариантах осуществления каждый R5 независимо означает метил, циклопропил, -F или -CF3.
[0096] В определенных вариантах осуществления каждый R5 независимо означает
-F или -CF3.
[0097] В определенных вариантах осуществления k=1. В определенных вариантах осуществления r=1. В определенных вариантах осуществления t=1. В определенных вариантах осуществления n=0. В определенных вариантах осуществления р=0. В определенных вариантах осуществления как n=0, так и р=0. В определенных вариантах осуществления r=1 и t=1. В определенных вариантах осуществления r=1 и t=1, и k=1. В определенных вариантах осуществления r=1 и t=1, и k=1, и n=0, и р=0.
[0098] В определенных вариантах осуществления каждый(-ое) из X, Кольца А, Кольца В, R1, R2, R3, R4, R5, k, m, n, р, r и t имеет приведенное выше определение и описан(-о) в вариантах осуществления, классах и подклассах выше и здесь, отдельно или в комбинации.
[0099] В определенных вариантах осуществления настоящее изобретение обеспечивает соединение формулы I-а
или его фармацевтически приемлемую соль, где каждый из R1, R4, R5, r и t имеет приведенное выше определение и описан в вариантах осуществления, классах и подклассах выше и здесь, отдельно или в комбинации.
[00100] В определенных вариантах осуществления R1 означает -Me, -CF3, -ОМе или -CN. В определенных вариантах осуществления R1 означает -CF3 или -ОМе. В определенных вариантах осуществления R1 означает -CF3. В определенных вариантах осуществления R1 означает -ОМе.
[00101] В определенных вариантах осуществления каждый R4 независимо означает -Н, C1-6 алифатический фрагмент, -C(O)N(R)2, -NRC(O)R или -N(R)2; каждый из которых является необязательно замещенным. В определенных вариантах осуществления каждый R4 означает -N(R)2. В определенных вариантах осуществления каждый R4 независимо означает
В определенных вариантах осуществления каждый R4 независимо означает 
[00102] В определенных вариантах осуществления каждый R5 независимо означает метил, -F или -CF3. В определенных вариантах осуществления каждый R5 независимо означает метил.
[00103] В определенных вариантах осуществления, т.е. вариантах осуществления с одним заместителем R4 и одним заместителем R5, r=1 и t=1. В определенных вариантах осуществления эти одиночные заместители R4 и R5 имеют цис-конфигурацию относительно друг друга, т.е. их ориентация соответствует либо
и
либо
и
В некоторых вариантах осуществления их ориентация соответствует
и 
[00104] В определенных вариантах осуществления соединение формулы I-а представляет собой соединение формулы I-аа
или его фармацевтически приемлемую соль, где каждый из R1, R4 и R5 имеет приведенное выше определение и описан в вариантах осуществления, классах и подклассах выше и здесь, отдельно или в комбинации.
[00105] В определенных вариантах осуществления R1 означает -Me, -CF3, -ОМе или -CN. В определенных вариантах осуществления R1 означает -CF3 или -ОМе. В определенных вариантах осуществления R1 означает -CF3. В определенных вариантах осуществления R1 означает -ОМе.
[00106] В определенных вариантах осуществления R4 означает С1-6 алифатический фрагмент, -C(O)N(R)2, -NRC(O)R или -N(R)2; каждый из которых является необязательно замещенным. В определенных вариантах осуществления R4 означает -N(R)2. В определенных вариантах осуществления R4 означает
В определенных вариантах осуществления R4 означает 
[00107] В определенных вариантах осуществления R5 означает метил, -F или -CF3. В определенных вариантах осуществления R5 означает метил.
[00108] В определенных вариантах осуществления заместители R4 и R5 имеют цис-конфигурацию относительно друг друга, т.е. их ориентация соответствует либо
и
либо
и
В некоторых вариантах осуществления их ориентация соответствует
и 
[00109] В определенных вариантах осуществления настоящее изобретение обеспечивает соединение формулы I-b
или его фармацевтически приемлемую соль, где каждый из R1, R4, R5, r и t, имеет приведенное выше определение и описан в вариантах осуществления, классах и подклассах выше и здесь, отдельно или в комбинации.
[00110] В определенных вариантах осуществления R1 означает -Me, -CF3, -ОМе или -CN. В определенных вариантах осуществления R1 означает -ОМе.
[00111] В определенных вариантах осуществления каждый R4 независимо означает -Н, C1-6 алифатический фрагмент, -C(O)N(R)2, -NRC(O)R или -N(R)2; каждый из которых является необязательно замещенным. В определенных вариантах осуществления каждый R4 означает -N(R)2. В определенных вариантах осуществления каждый R4 независимо означает
В определенных вариантах осуществления каждый R4 независимо означает 
[00112] В определенных вариантах осуществления каждый R5 независимо означает метил, -F или -CF3. В определенных вариантах осуществления каждый R5 независимо означает метил.
[00113] В определенных вариантах осуществления т.е. вариантах осуществления с одним заместителем R4 и одним заместителем R5, r=1 и t=1. В определенных вариантах осуществления эти одиночные заместители R4 и R5 имеют z/wc-конфигурацию относительно друг друга, т.е. их ориентация соответствует либо
и
либо
и
В некоторых вариантах осуществления их ориентация соответствует
и 
[00114] В определенных вариантах осуществления соединение формулы I-b означает соединение формулы I-ba
или его фармацевтически приемлемую соль, где каждый из R1, R4 и R5 имеет приведенное выше определение и описан в вариантах осуществления, классах и подклассах выше и здесь, отдельно или в комбинации.
[00115] В определенных вариантах осуществления R1 означает -Me, -CF3, -ОМе или -CN. В определенных вариантах осуществления R1 означает -ОМе.
[00116] В определенных вариантах осуществления R4 означает C1-6 алифатический фрагмент, -C(O)N(R)2, -NRC(O)R или -N(R)2; каждый из которых является необязательно замещенным. В определенных вариантах осуществления R4 означает -N(R)2. В определенных вариантах осуществления R4 означает
В определенных вариантах осуществления R4 означает 
[00117] В определенных вариантах осуществления R5 означает метил, -F или -CF3. В определенных вариантах осуществления R5 означает метил.
[00118] В определенных вариантах осуществления R4 и R5 имеют цис-конфигурацию относительно друг друга, т.е. их ориентация соответствует либо
и
либо
и
В некоторых вариантах осуществления их ориентация соответствует
и 
[00119] В определенных вариантах осуществления настоящее изобретение обеспечивает соединение формулы I-c
или его фармацевтически приемлемую соль, где каждый из R1, R4, R5, r и t, имеет приведенное выше определение и описан в вариантах осуществления, классах и подклассах выше и здесь, отдельно или в комбинации.
[00120] В определенных вариантах осуществления R1 означает -Me, -CF3, -ОМе или -CN. В определенных вариантах осуществления R1 означает -CN.
[00121] В определенных вариантах осуществления каждый R4 независимо означает -Н, C1-6 алифатический фрагмент, -C(O)N(R)2, -NRC(O)R или -N(R)2; каждый из которых является необязательно замещенным. В определенных вариантах осуществления каждый R4 означает NRC(O)R или -N(R)2. В определенных вариантах осуществления каждый R4 означает NRC(O)R.
[00122] В определенных вариантах осуществления каждый R4 независимо означает 
[00123] В определенных вариантах осуществления каждый R5 независимо означает метил, -F или -CF3. В определенных вариантах осуществления каждый R5 независимо означает метил.
[00124] В определенных вариантах осуществления т.е. вариантах осуществления с одним заместителем R4 и одним заместителем R5, r=1 и t=1. В определенных вариантах осуществления эти одиночные заместители R4 и R5 имеют цис-конфигурацию относительно друг друга, т.е. их ориентация соответствует либо
и
либо
и
В некоторых вариантах осуществления их ориентация соответствует
и 
[00125] В определенных вариантах осуществления соединение формулы I-c означает соединение формулы I-са
или его фармацевтически приемлемую соль, где каждый из R1, R4 и R5 имеет приведенное выше определение и описан в вариантах осуществления, классах и подклассах выше и здесь, отдельно или в комбинации.
[00126] В определенных вариантах осуществления R1 означает -Me, -CF3, -ОМе или -CN. В определенных вариантах осуществления R1 означает -CN.
[00127] В определенных вариантах осуществления R4 означает С1-6 алифатический фрагмент, -C(O)N(R)2, -NRC(O)R или -N(R)2; каждый из которых является необязательно замещенным. В определенных вариантах осуществления R4 означает NRC(O)R или -N(R)2. В определенных вариантах осуществления R4 означает NRC(O)R.
[00128] В определенных вариантах осуществления R4 независимо означает 
[00129] В определенных вариантах осуществления R5 означает метил, -F или -CF3. В определенных вариантах осуществления R5 означает метил.
[00130] В определенных вариантах осуществления заместители R4 и R5 имеют цис-конфигурацию относительно друг друга, т.е. их ориентация соответствует либо
и
либо
и
В некоторых вариантах осуществления их ориентация соответствует
и 
[00131] В определенных вариантах осуществления настоящее изобретение обеспечивает соединение формулы I-d
или его фармацевтически приемлемую соль, где каждый из R1, R4, R5, r и t, имеет приведенное выше определение и описан в вариантах осуществления, классах и подклассах выше и здесь, отдельно или в комбинации.
[00132] В определенных вариантах осуществления R1 означает -Me, -CF3, -ОМе или -CN. В определенных вариантах осуществления R1 означает -CN.
[00133] В определенных вариантах осуществления каждый R4 независимо означает -Н, C1-6 алифатический фрагмент, -C(O)N(R)2, -NRC(O)R или -N(R)2; каждый из которых является необязательно замещенным. В определенных вариантах осуществления каждый R4 означает -C(O)N(R)2.
[00134] В определенных вариантах осуществления каждый R4 независимо означает 
[00135] В определенных вариантах осуществления каждый R5 независимо означает метил, -F или -CF3. В определенных вариантах осуществления каждый R5 независимо означает метил.
[00136] В определенных вариантах осуществления т.е. вариантах осуществления с одним заместителем R4 и одним заместителем R5, r=1 и t=1. В определенных вариантах осуществления эти одиночные заместители R4 и R5 имеют цис-конфигурацию относительно друг друга, т.е. их ориентация соответствует либо
и
либо
и
В некоторых вариантах осуществления их ориентация соответствует
и 
[00137] В определенных вариантах осуществления соединение формулы I-d означает соединение формулы I-da
или его фармацевтически приемлемую соль, где каждый из R1, R4 и R5 имеет приведенное выше определение и описан в вариантах осуществления, классах и подклассах выше и здесь, отдельно или в комбинации.
[00138] В определенных вариантах осуществления R1 означает -Me, -CF3, -ОМе или -CN. В определенных вариантах осуществления R1 означает -CN.
[00139] В определенных вариантах осуществления R4 означает С1-6 алифатический фрагмент, -C(O)N(R)2, -NRC(O)R или -N(R)2; каждый из которых является необязательно замещенным. В определенных вариантах осуществления R4 означает -C(O)N(R)2.
[00140] В определенных вариантах осуществления R4 означает 
[00141] В определенных вариантах осуществления R5 означает метил, -F или -CF3. В определенных вариантах осуществления R5 означает метил.
[00142] В определенных вариантах осуществления R4 и R5 имеет цис-конфигурацию относительно друг друга, т.е. их ориентация соответствует либо
и
либо
и
В некоторых вариантах осуществления их ориентация соответствует
и 
[00143] В некоторых вариантах осуществления настоящее изобретение обеспечивает соединение, выбранное из изображенных выше, или его фармацевтически приемлемую соль.
[00144] Различные структурные изображения могут показывать гетероатом без присоединенной группы, радикала, заряда или противоиона. Специалисты в данной области техники осведомлены, что такие изображения предназначены для указания того, что гетероатом присоединен к водороду (например,
понимают как
).
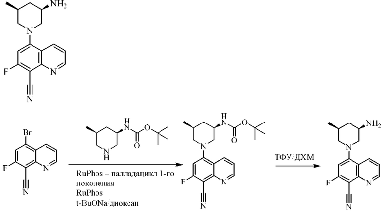
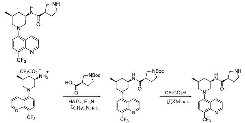
[00145] В определенных вариантах осуществления соединения изобретения синтезировали в соответствии со схемами, приведенными в Примерах ниже.
4. Применение, составы и введение
Фармацевтически приемлемые композиции
[00146] В соответствии с другим вариантом осуществления, изобретение обеспечивает композицию, содержащую соединение данного изобретения или его фармацевтически приемлемое производное и фармацевтически приемлемый носитель, адъювант или основу лекарственной формы. Количество соединения в композициях данного изобретения является таким, что оно эффективно для измеримого ингибирования TLR7/8 или его мутанта в биологическом образце или у пациента. В определенных вариантах осуществления количество соединения в композициях данного изобретения является таким, что оно эффективно для измеримого ингибирования TLR7/8 или его мутанта в биологическом образце или у пациента. В определенных вариантах осуществления композицию данного изобретения составляют для введения пациенту, нуждающемуся в такой композиции.
[00147] Термин "пациент" или "субъект" в контексте настоящей заявки означает животное, предпочтительно млекопитающее, и наиболее предпочтительно человека.
[00148] Термин "фармацевтически приемлемый носитель, адъювант или основа лекарственной формы" относится к нетоксичному носителю, адъюванту или основе лекарственной формы, которые не нейтрализуют фармакологическую активность соединения, с которым они введены в состав. Фармацевтически приемлемые носители, адъюванты или основы лекарственной формы, которые используют в композициях данного изобретения, включают, но не ограничиваются ими, ионообменники, оксид алюминия, стеарат алюминия, лецитин, сывороточные белки, такие как человеческий сывороточный альбумин, буферные вещества, такие как фосфаты, глицин, сорбиновую кислоту, сорбат калия, частичные глицеридные смеси насыщенных растительных жирных кислот, воду, соли или электролиты, такие как сульфат протамина, гидрофосфат динатрия, гидрофосфат калия, хлорид натрия, соли цинка, коллоидный диоксид кремния, трисиликат магния, поливинилпирролидон, вещества на основе целлюлозы, полиэтиленгликоль, натрий-карбоксиметилцеллюлозу, полиакрилаты, воски, блок-полимеры полиэтилен-полиоксипропилена, полиэтиленгликоль и шерстяной жир.
[00149] "Фармацевтически приемлемое производное" означает любую нетоксичную соль, сложный эфир, соль сложного эфира или другое производное соединения данного изобретения, которое при введении реципиенту способно обеспечить, прямо или косвенно, соединение данного изобретения или его ингибиторно активный метаболит или остаток.
[00150] Композиции настоящего изобретения вводят перорально, парентерально, посредством ингаляционного спрея, местно, ректально, назально, буккально, вагинально или через имплантированный резервуар. Термин "парентеральный" в контексте настоящей заявки включает методики подкожной, внутривенной, внутримышечной, внутрисуставной, внутрисиновиальной, интрастернальной, интратекальной, внутрипеченочной, внутриочаговой и внутричерепной инъекций или инфузий. Предпочтительно композиции вводят перорально, внутрибрюшинно или внутривенно. Стерильные инъекционные формы композиций данного изобретения включают водную или масляную суспензию. Эти суспензии составляют в соответствии с методиками, известными в данной области техники, используя подходящие диспергирующие или смачивающие средства и суспендирующие средства. Стерильный инъекционный препарат также может представлять собой стерильный инъекционный раствор или суспензию в нетоксичном парентерально приемлемом разбавителе или растворителе, как, например, раствор в 1,3-бутандиоле. К числу применяемых приемлемых основ лекарственной формы и растворителей относят воду, раствор Рингера и изотонический раствор хлорида натрия. Кроме того, в качестве растворителя или суспендирующей среды обычно используют стерильные нелетучие масла.
[00151] Для этой цели любое используемое легкое нелетучее масло включает синтетические моно- или диглицериды. Для приготовления инъекционных препаратов пригодны жирные кислоты, такие как олеиновая кислота и ее глицеридные производные, а также натуральные фармацевтически приемлемые масла, такие как оливковое масло или касторовое масло, особенно в их полиоксиэтилированных вариантах. Эти масляные растворы или суспензии также содержат спиртовой разбавитель или диспергатор с длинной цепью, такой как карбоксиметилцеллюлоза, или подобные диспергирующие средства, которые обычно используют при составлении фармацевтически приемлемых лекарственных форм, включая эмульсии и суспензии. Другие обычно используемые поверхностно-активные вещества, такие как Tweens, Spans, и другие эмульгирующие средства или усилители биодоступности, которые обычно используют при изготовлении фармацевтически приемлемых твердых, жидких или других лекарственных форм, также могут быть применены для целей приготовления.
[00152] Фармацевтически приемлемые композиции данного изобретения вводят перорально в любой перорально приемлемой лекарственной форме. Иллюстративными пероральными лекарственными формами являются капсулы, таблетки, водные суспензии или растворы. В случае таблеток для перорального применения, обычно используемые носители включают лактозу и кукурузный крахмал. Также обычно добавляют смазывающие средства, такие как стеарат магния. Для перорального введения в форме капсул, пригодные разбавители включают лактозу и высушенный кукурузный крахмал. Когда водные суспензии необходимы для перорального применения, то активный компонент объединяют с эмульгирующими и суспендирующими средствами. При необходимости также необязательно добавляют определенные подсластители, вкусовые добавки или красители.
[00153] Альтернативно, фармацевтически приемлемые композиции данного изобретения вводят в форме суппозиториев для ректального введения. Они могут быть получены путем смешивания средства с подходящим нераздражающим наполнителем, который является твердым веществом при комнатной температуре, но жидким при ректальной температуре и, следовательно, будет плавиться в прямой кишке с высвобождением лекарственного средства. Такие вещества включают какао-масло, пчелиный воск и полиэтиленгликоли.
[00154] Фармацевтически приемлемые композиции данного изобретения также вводят местно, в особенности, когда цель лечения включает области или органы, легкодоступные для местного применения, включая заболевания глаз, кожи или нижнего отдела кишечного тракта. Подходящие составы для местного применения легко приготовить для каждой(-го) из этих областей или органов.
[00155] Местное применение для нижнего отдела кишечного тракта может быть осуществлено в виде состава ректального суппозитория (см. выше) или в виде подходящего состава для клизмы. Также используют местные трансдермальные пластыри.
[00156] Для местного применения обеспеченные фармацевтически приемлемые композиции составляют в виде подходящей мази, содержащей активный компонент, суспендированный или растворенный в одном или нескольких носителях. Иллюстративными носителями для местного применения соединений данного изобретения являются минеральное масло, жидкий вазелин, белый вазелин, пропиленгликоль, полиоксиэтилен, полиоксипропиленовое соединение, эмульгирующий воск и вода. Альтернативно, обеспеченные фармацевтически приемлемые композиции могут быть составлены в виде подходящего лосьона или крема, содержащего активные компоненты, суспендированные или растворенные в одном или нескольких фармацевтически приемлемых носителях. Подходящие носители включают, но не ограничиваются ими, минеральное масло, сорбитан моностеарат, полисорбат 60, воск цетиловых эфиров, цетеариловый спирт, 2-октилдодеканол, бензиловый спирт и воду.
[00157] Фармацевтически приемлемые композиции данного изобретения необязательно вводят с помощью назального аэрозоля или ингаляции. Такие композиции приготавливают в соответствии с методиками, хорошо известными в области фармацевтических составов, и получают в виде растворов в солевом растворе, используя бензиловый спирт или другие подходящие консерванты, промоторы абсорбции для усиления биодоступности, фторуглероды и/или другие обычные солюбилизирующие или диспергирующие средства.
[00158] Наиболее предпочтительно, фармацевтически приемлемые композиции данного изобретения составляют для перорального введения. Такие составы могут быть введены с пищей или без приема пищи. В некоторых вариантах осуществления фармацевтически приемлемые композиции данного изобретения вводят без приема пищи. В других вариантах осуществления фармацевтически приемлемые композиции данного изобретения вводят с пищей.
[00159] Количество соединений настоящего изобретения, которые необязательно объединяют с веществами - носителями для получения композиции в единичной лекарственной форме, будет варьироваться в зависимости от реципиента, подлежащего лечению, и конкретного способа введения. Предпочтительно, предлагаемые композиции должны быть составлены таким образом, чтобы пациенту, получающему эти композиции, можно было вводить дозу соединения в диапазоне от 0.01 до 100 мг/кг массы тела/сутки.
[00160] Следует также понимать, что конкретная дозировка и режим лечения для любого конкретного пациента будут зависеть от множества факторов, включая активность конкретного используемого соединения, возраст, массу тела, общее состояние здоровья, пол, режим питания, время введения, скорость выведения, комбинацию лекарственных средств и мнение лечащего врача, а также тяжесть конкретного заболевания, подлежащего лечению. Количество соединения настоящего изобретения в композиции также будет зависеть от конкретного соединения в композиции.
Применение соединений и фармацевтически приемлемых композиций
[00161] Более того, настоящее изобретение относится к способу лечения субъекта, страдающего от связанного с TLR7/8 нарушения, включающему введение указанному субъекту эффективного количества соединения формулы I и родственных формул.
[00162] Соединения настоящего изобретения являются пригодными в качестве противораковых средств для лечения злокачественных новообразований, которые реагируют на активацию TLR7. В определенных вариантах осуществления злокачественные новообразования включают, но не ограничиваются ими, рак молочной железы, мочевого пузыря, костей, головного мозга, центральной и периферической нервной системы, ободочной кишки, эндокринных желез, пищевода, эндометрия, злокачественное новообразование из первичных половых клеток, рак головы и шеи, почки, печени, легкого, гортани и гортаноглотки, мезотелиому, саркому, рак яичников, поджелудочной железы, предстательной железы, прямой кишки, почечно-клеточный рак, рак тонкого кишечника, мягких тканей, яичка, желудка, кожи, мочеточника, влагалища и вульвы; наследственные злокачественные новообразования, ретинобластому и опухоль Вильмса; лейкоз, лимфому, неходжкинскую болезнь, хронический и острый миелолейкоз, острый лимфобластный лейкоз, ходжкинскую болезнь, множественную миелому и Т-клеточную лимфому; миелодиспластический синдром, неоплазию плазматических клеток, паранеопластический синдром, злокачественные новообразования без выявленного первичного очага и СПИД-связанные злокачественные новообразования.
[00163] В определенных вариантах осуществления соединения изобретения применяют для лечения злокачественных новообразований кожи или почки. Чувствительность данного злокачественного новообразования к активации TLR7 может быть оценена на основании, но не ограничиваясь перечисленным, измерения снижения первичной или метастатической опухолевой нагрузки (незначительная, частичная или полная регрессия), изменений в гемограмме, измененных концентраций гормонов или цитокинов в крови, подавления дальнейшего увеличения опухолевой нагрузки, стабилизации заболевания у пациента, оценки биомаркеров или суррогатных маркеров, имеющих отношение к заболеванию, пролонгированной общей выживаемости пациента, увеличенного времени до прогрессирования заболевания у пациента, пролонгированной выживаемости пациента без прогрессирования, пролонгированной выживаемости пациента без заболевания, улучшенного качества жизни пациента, или модуляции сопутствующей заболеванию патологии (как, например, но не ограничиваясь перечисленным, боль, кахексия, мобилизация, госпитализация, измененная гемограмма, снижение массы тела, заживление ран, лихорадка).
[00164] Кроме того, соединения в соответствии с настоящим изобретением могут быть пригодны в качестве модификаторов иммунного ответа, которые могут модулировать иммунный ответ различными путями, что делает их пригодными для лечения различных заболеваний.
[00165] В настоящей заявке обеспечены способы ингибирования иммунного ответа у индивидуума, включающие введение индивидууму эффективного количества ингибитора TLR7 и/или TLR8 (например, ингибитора TLR), используя соединения согласно настоящему описанию. В некоторых вариантах осуществления ингибитор TLR ингибирует TLR7-зависимый иммунный ответ. В некоторых вариантах осуществления ингибитор TLR ингибирует TLR8-зависимый иммунный ответ. В некоторых вариантах осуществления ингибитор TLR ингибирует TLR7-зависимый и TLR8-зависимый иммунный ответ. В некоторых вариантах осуществления ингибитор TLR ингибирует TLR7-зависимый, TLR8-зависимый и другой TLR-зависимый иммунный ответ. Если не указано иное, термин ингибитор TLR относится к любому из ингибиторов TLR, раскрытых в данной заявке. В некоторых предпочтительных вариантах осуществления индивидуумом является пациент - человек.
[00166] Настоящим раскрытием обеспечены способы иммунорегуляции, включая способы, которые обеспечивают супрессию и/или ингибирование иммунного ответа, причем включая, но не ограничиваясь иммунным ответом. Настоящее раскрытие также обеспечивает способы ослабления симптомов, связанных с нежелательной активацией иммунной системы, включая, но не ограничиваясь ими, симптомы, связанные с аутоиммунитетом. Супрессию и/или ингибирование иммунного ответа в соответствии со способами, описанными в настоящей заявке, можно применять на практике на индивидуумах, включая индивидуумов, страдающих от нарушений, связанных с нежелательной активацией иммунного ответа. Настоящее раскрытие также обеспечивает способы ингибирования ответа, индуцированного TLR7 и/или TLR8 (например, in vitro или in vivo). В некоторых вариантах осуществления клетку вводят в контакт с ингибитором TLR в количестве, эффективном для ингибирования ответа клетки, который способствует иммунному ответу.
[00167] Ингибирование TLR7 и/или TLR8 пригодно для лечения и/или предотвращения ряда заболеваний или нарушений, которые реагируют на цитокины. Состояния, при которых ингибиторы TLR7 и/или TLR8 можно применять в качестве средств для лечения, включают, но не ограничиваются ими, аутоиммунные заболевания и воспалительные нарушения. В настоящей заявке обеспечены способы лечения или предотвращения заболевания или нарушения у индивидуума, включающие введение индивидууму эффективного количества ингибитора TLR7 и/или TLR8. Кроме того, обеспечены способы ослабления симптомов, связанных с заболеванием или нарушением, включающие введение эффективного количества ингибитора TLR7 и/или TLR8 индивидууму, имеющему данное заболевание или нарушение. В данной заявке также обеспечены способы предотвращения или задержки развития заболевания или нарушения, включающие введение эффективного количества ингибитора одного или более из TLR7 и/или TLR8 индивидууму, имеющему данное заболевание или нарушение. В определенных вариантах осуществления ингибитор представляет собой соединение согласно настоящему описанию.
[00168] В настоящей заявке обеспечены способы ингибирования иммунного ответа у индивидуума, которые включают введение индивидууму по меньшей мере одного ингибитора TLR, раскрытого в данной заявке, в количестве, эффективном для ингибирования иммунного ответа у индивидуума. В некоторых вариантах осуществления иммунный ответ связан с аутоиммунным заболеванием. В дополнительных аспектах ингибирование иммунного ответа способствует ослаблению одного или нескольких симптомов аутоиммунного заболевания. В дальнейших аспектах ингибирование иммунного ответа обеспечивает лечение аутоиммунного заболевания. В других дополнительных аспектах ингибирование иммунного ответа предотвращает или задерживает развитие аутоиммунного заболевания. В некоторых вариантах осуществления ингибитор TLR ингибирует TLR7-зависимый иммунный ответ. В некоторых вариантах осуществления ингибитор TLR ингибирует TLR8-зависимый иммунный ответ. В некоторых вариантах осуществления ингибитор TLR ингибирует TLR7-зависимый и TLR8-зависимый иммунный ответ. В некоторых аспектах по меньшей мере один TLR ингибитор вводят в количестве, эффективном для ингибирования иммунного ответа у индивидуума.
[00169] В настоящей заявке также обеспечены способы лечения или предотвращения аутоиммунного заболевания у индивидуума, включающие введение индивидууму эффективного количества ингибитора TLR7 и/или TLR8. В некоторых аспектах аутоиммунное заболевание характеризуется болью в суставах, положительным результатом анализа на антинуклеарные антитела, сыпью в форме бабочки или дискоидной сыпью. В некоторых аспектах аутоиммунное заболевание связано с кожей, мышечной тканью и/или соединительной тканью. В некоторых вариантах осуществления аутоиммунное заболевание не подтверждается у индивидуума симптомами, связанными с кожей, мышечной тканью и/или соединительной тканью. В некоторых вариантах осуществления аутоиммунное заболевание является системным. Аутоиммунные заболевания включают, без ограничения ими, ревматоидный артрит (RA), аутоиммунный панкреатит (AIP), системную красную волчанку (SLE), сахарный диабет 1 типа, рассеянный склероз (МС), антифосфолипидный синдром (APS), склерозирующий холангит, артрит с системным началом, заболевание раздраженного кишечника (IBD), склеродермию, синдром Сегрена, витилиго, полимиозит, вульгарную пузырчатку, листовидную пузырчатку, воспалительное заболевание кишечника, включая болезнь Крона и язвенный колит, аутоиммунный гепатит, гипопитуитаризм, реакцию «трансплантат против хозяина» (GvHD), аутоиммунные кожного заболевания, увеит, пернициозную анемию и гипопаратиреоз. Аутоиммунные заболевания также могут включать, без ограничения ими, перекрестный синдром полиангиита, синдром Кавасаки, саркоидоз, гломерулонефрит и криопатии.
[00170] В некоторых аспектах аутоиммунное заболевание выбирают из группы, состоящей из артрита, панкреатита, смешанного заболевания соединительной ткани (MCTD), волчанки, антифосфолипидного синдрома (APS), артрита с системным началом и синдрома раздраженного кишечника.
[00171] В других аспектах аутоиммунное заболевание выбирают из группы, состоящей из системной красной волчанки (SLE), ревматоидного артрита, аутоиммунного кожного заболевания и рассеянного склероза.
[00172] В других аспектах аутоиммунное заболевание выбирают из группы, состоящей из панкреатита, гломерулонефрита, пиелита, склерозирующего холангита и сахарного диабета 1 типа. В некоторых аспектах аутоиммунное заболевание представляет собой ревматоидный артрит. В некоторых аспектах аутоиммунное заболевание представляет собой аутоиммунный панкреатит (AIP). В некоторых аспектах аутоиммунное заболевание представляет собой гломерулонефрит. В некоторых аспектах аутоиммунное заболевание представляет собой пиелит. В некоторых аспектах аутоиммунное заболевание представляет собой склерозирующий холангит. В некоторых аспектах аутоиммунное нарушение представляет собой псориаз. В некоторых аспектах аутоиммунное заболевание представляет собой ревматоидное заболевание или нарушение. В некоторых аспектах ревматоидное заболевание или нарушение представляет собой ревматоидный артрит. В некоторых аспектах заболевание представляет собой сахарный диабет и/или связанное с диабетом заболевание или нарушение. В некоторых аспектах аутоиммунное заболевание связано с РНК-содержащими иммунными комплексами. В некоторых аспектах аутоиммунное заболевание представляет собой синдром Сегрена.
[00173] В настоящей заявке обеспечены способы ингибирования иммунного ответа у индивидуума, которые включают введение индивидууму по меньшей мере одного ингибитора TLR, раскрытого в данной заявке, в количестве, эффективном для ингибирования иммунного ответа у индивидуума. В некоторых вариантах осуществления иммунный ответ связан с воспалительным нарушением. В контексте настоящей заявки термин "воспалительное нарушение" охватывает аутоиммунные заболевания, а также воспалительные состояния без известного аутоиммунного компонента (например, атеросклероз, астма и т.д.). В дополнительных аспектах ингибирование иммунного ответа способствует ослаблению одного или нескольких симптомов воспалительного нарушения. В дальнейших аспектах ингибирование иммунного ответа обеспечивает лечение воспалительного нарушения. В других дополнительных аспектах ингибирование иммунного ответа предотвращает или задерживает развитие воспалительного нарушения. В некоторых аспектах воспалительное нарушение выбирают из группы, состоящей из неревматоидного артрита, фиброза почек и фиброза печени. В некоторых аспектах воспалительное нарушение представляет собой пограничный дерматит. В некоторых дополнительных аспектах пограничный дерматит выбирают из группы, состоящей из красного плоского лишая, лихеноидной сыпи, кератоза, подобного красному плоскому лишаю, линейного лихена, хронического лихеноидного кератоза, мультиформной эритемы, локальной лекарственной сыпи, парапсориаза лихеноидного, фототоксического дерматита, радиационного дерматита, вирусных экзантем, дерматомиозита, вторичного сифилиса, склероатрофического лишая, фунгоидного микоза, буллезного пемфигоида, золотистого лишая, порокератоза, атрофического хронического акродерматита и регрессирующей меланомы. В некоторых аспектах воспалительное состояние представляет собой заболевание кожи, такое как атопический дерматит (экзему). В некоторых аспектах воспалительным нарушение представляет собой асептическое воспалительное состояние, такое как лекарственный гепатит и/или панкреатит. В некоторых дополнительных аспектах воспалительное заболевание представляет собой гепатит. В некоторых других дополнительных аспектах воспалительное заболевание представляет собой панкреатит.
[00174] В настоящей заявке обеспечены способы ингибирования иммунного ответа у индивидуума, которые включают введение индивидууму по меньшей мере одного ингибитора TLR, раскрытого в данной заявке, в количестве, эффективном для ингибирования иммунного ответа у индивидуума. В некоторых вариантах осуществления иммунный ответ связан с хронической патогенной стимуляцией. В некоторых вариантах осуществления иммунный ответ связан с инфицированием ВИЧ. В дополнительных аспектах ингибирование иммунного ответа способствует ослаблению одного или нескольких симптомов вирусного заболевания или нарушения, возникшего в результате инфицирования ВИЧ. В дальнейших аспектах ингибирование иммунного ответа обеспечивает лечение вирусного заболевания или нарушения, возникшего в результате инфицирования ВИЧ. В других дополнительных аспектах ингибирование иммунного ответа предотвращает или задерживает развитие вирусного заболевания или нарушения, возникшего в результате инфицирования ВИЧ. Другие варианты, обеспеченные в настоящей заявке, относятся к иммуноингибирующей терапии индивидуумов, которые подверглись воздействию или были инфицированы ВИЧ. Введение ингибитора TLR индивидууму, который подвергся воздействию или был инфицирован ВИЧ, приводит к супрессии индуцированной ВИЧ выработки цитокинов. В некоторых аспектах по меньшей мере один ингибитор TLR вводят в количестве, эффективном для супрессии индуцированной ВИЧ выработки цитокинов у индивидуума, который подвергся воздействию или был инфицирован ВИЧ.
[00175] В настоящей заявке обеспечены способы ингибирования TLR7 и/или TLR8-зависимого иммунного ответа у индивидуума, которые включают введение индивидууму ингибитора TLR в количестве, эффективном для ингибирования иммунного ответа у индивидуума. В некоторых вариантах осуществления иммунный ответ связан с аутоиммунным заболеванием. В некоторых аспектах аутоиммунное заболевание представляет собой ревматоидный артрит. В некоторых аспектах ингибитор TLR является эффективным для супрессии одного или нескольких симптомов ревматоидного артрита. В некоторых аспектах аутоиммунное заболевание представляет собой рассеянный склероз. В некоторых аспектах ингибитор TLR является эффективным для супрессии одного или нескольких симптомов рассеянного склероза. В некоторых аспектах аутоиммунное заболевание представляет собой волчанку. В некоторых аспектах ингибитор TLR является эффективным для супрессии одного или нескольких симптомов волчанки. В некоторых аспектах аутоиммунное заболевание представляет собой панкреатит. В некоторых аспектах ингибитор TLR является эффективным для супрессии одного или нескольких симптомов панкреатита. В некоторых аспектах аутоиммунное заболевание представляет собой сахарный диабет. В некоторых аспектах ингибитор TLR является эффективным для супрессии одного или нескольких симптомов сахарного диабета. В некоторых аспектах заболевание представляет собой синдром Сегрена. В некоторых аспектах ингибитор TLR является эффективным для супрессии одного или нескольких симптомов синдрома Сегрена. В некоторых вариантах осуществления иммунный ответ связан с воспалительным нарушением. В некоторых аспектах ингибитор TLR является эффективным для супрессии одного или нескольких симптомов воспалительного нарушения. В некоторых вариантах осуществления иммунный ответ связан с хронической патогенной стимуляции. В некоторых аспектах ингибитор TLR является эффективным для супрессии одного или нескольких симптомов хронической патогенной стимуляции. В некоторых вариантах осуществления иммунный ответ связан с вирусным заболеванием в результате инфицирования ВИЧ. В некоторых аспектах ингибитор TLR является эффективным для супрессии одного или нескольких симптомов вирусного заболевания, возникшего в результате инфицирования ВИЧ. В любом варианте, ингибитор TLR представляет собой полинуклеотид, содержащий ингибиторный мотив для одного или нескольких из TLR7, TLR8 и TLR9.
[00176] В некоторых вариантах осуществления любого из способов, включающих введение ингибитора TLR индивидууму (например, способов ингибирования иммунного ответа, лечения или предотвращения аутоиммунного заболевания или воспалительного нарушения и т.д.), ингибитор TLR обладает терапевтически приемлемым профилем безопасности. Например, ингибитор TLR может иметь терапевтически приемлемый гистологический профиль, включая приемлемо низкую, если таковая вообще имеется, токсичность для печени, почек, поджелудочной железы или других органов. Иногда полинуклеотиды связывают с токсичностью для некоторых органов, таких как печень, почки и поджелудочная железа. В некоторых вариантах осуществления ингибитор TLR имеет профиль безопасности, который является неожиданным и выгодным. В некоторых вариантах осуществления профиль безопасности включает оценку токсичности, гистологического профиля и/или некроза (например, печени, почек и/или сердца). В некоторых вариантах осуществления ингибитор TLR обладает терапевтически приемлемым уровнем токсичности. В некоторых вариантах осуществления ингибитор TLR обладает пониженным уровнем токсичности по сравнению с другим ингибитором TLR. В некоторых вариантах осуществления ингибитор TLR вызывает терапевтически приемлемое снижение массы тела по сравнению с начальной массой тела индивидуума, которого подвергают лечению. В некоторых вариантах осуществления ингибитор TLR вызывает снижение общей массы тела менее чем на 5%, 7.5%, 10%, 12.5 или 15%. В некоторых вариантах осуществления ингибитор TLR обладает терапевтически приемлемым гистологическим профилем. В некоторых вариантах осуществления ингибитор TLR имеет лучший (например, более низкую оценку тяжести) гистологический профиль, например, по сравнению с эталонным ингибитором TLR. В некоторых вариантах осуществления ингибитор TLR имеет лучший (например, более низкую оценку тяжести) гистологический профиль, например, при оценке печени, почек и/или сердца. В некоторых вариантах осуществления ингибитор TLR обладает терапевтически приемлемым показателем некроза. В некоторых вариантах осуществления ингибитор TLR имеет пониженный показатель некроза и/или лучший (например, более низкий) показатель некроза, например, по сравнению с эталонным ингибитором TLR. В некоторых вариантах осуществления ингибитор TLR имеет пониженный показатель почечного и/или гепатоцеллюлярного некроза и/или лучший показатель почечного и/или гепатоцеллюлярного некроза, например, по сравнению с эталонным ингибитором TLR.
[00177] В некоторых вариантах осуществления определенные ингибиторы TLR настоящего изобретения представляют собой соединения, которые не проникают в головной мозг. Такие ингибиторы TLR могут быть пригодны для предотвращения и/или лечения нарушений или состояний у пациента, которые не обязательно требуют или которые не улучшаются от проникновения ингибитора TLR через гематоэнцефалический барьер (ВВВ) или для которых проникновение через ВВВ может быть нежелательным.
[00178] Соответственно, изобретение обеспечивает способ активации TLR7 у животного, в особенности млекопитающего, предпочтительно человека, включающий введение эффективного количества соединения формулы I животному. Как и во всех композициях для ингибирования иммунного ответа, эффективные количества и способ введения конкретной композиции ингибитора TLR могут варьироваться в зависимости от индивидуума, состояния, подлежащего лечению и других факторов, очевидных для специалиста в данной области. Эффективное количество соединения будет варьироваться в зависимости от факторов, известных в данной области, но предполагают, что оно будет представлять собой дозу приблизительно от 0.1 до 10 мг/кг, от 0.5 до 10 мг/кг, от 1 до 10 мг/кг, от 0.1 до 20 мг/кг, от 0.1 до 20 мг/кг или от 1 до 20 мг/кг.
[00179] Изобретение также обеспечивает способ лечения вирусной инфекции у животного, включающий введение животному эффективного количества соединения формулы I. Количество, эффективное для лечения или подавления вирусной инфекции, представляет собой количество, которое будет вызывать ослабление одного или нескольких проявлений вирусной инфекции, таких как вирусные поражения, вирусная нагрузка, скорость продуцирования вируса и смертность по сравнению с контрольными животными, которые не подвергались такому лечению. Точное количество будет варьироваться в зависимости от факторов, известных в данной области техники, но ожидается, что это будет доза, указанная выше в отношении активации TLR7, или доза от приблизительно 100 нг/кг до приблизительно 50 мг/кг, предпочтительно от приблизительно 10 мкг/кг до приблизительно 5 мг/кг.
[00180] В различные вариантах осуществления, соединения формулы I и родственных формул демонстрируют IC50 для связывания с TLR7/8 менее чем приблизительно 5 мкМ, предпочтительно менее чем приблизительно 1 мкМ и еще более предпочтительно менее чем приблизительно 0.100 мкМ.
[00181] Способ изобретения может быть осуществлен либо in-vitro, либо in-vivo. Восприимчивость конкретной клетки к обработке соединениями в соответствии с изобретением, в частности, может быть определена тестами in-vitro, будь то в ходе исследований или клинического применения. Обычно культуру клетки объединяют с соединением в соответствии с изобретением при различных концентрациях в течение периода времени, достаточного для того, чтобы активные агенты ингибировали активность TLR7/8, обычно от одного часа до одной недели. Обработку in vitro можно осуществлять, используя культивируемые клетки из образца биопсии или клеточной линии.
[00182] Реципиент или пациент может принадлежать к любому виду млекопитающих, например, виду приматов, в частности, людей; грызунов, включая мышей, крыс и хомяков; кроликов; лошадей, коров, собак, кошек и т.д. Животные модели представляют интерес для экспериментальных исследований, обеспечивая модель для лечения заболеваний человека.
[00183] Для идентификации пути передачи сигнала и для обнаружения взаимодействий между различными путями передачи сигнала, разные ученые разработали подходящие модели или модельные системы, например, модели клеточных культур и модели трансгенных животных. Для определения некоторых стадий в каскаде передачи сигналов могут быть использованы взаимодействующие соединения, чтобы модулировать сигнал. Соединения в соответствии с изобретением можно также использовать в качестве реагентов для тестирования TLR7/8-зависимых путей передачи сигнала на животных и/или моделях клеточных культур, или при клинических заболеваниях, упомянутых в настоящей заявке.
[00184] Кроме того, последующая идея настоящего описания, касающаяся применения соединений в соответствии с формулой I и их производных для изготовления лекарственного средства для профилактического или терапевтического лечения и/или мониторинга, считается действительной и применимой без ограничений на применение соединения для ингибирования активности TLR7/8, если это целесообразно.
[00185] Изобретение также относится к применению соединений в соответствии с формулой I и/или их физиологически приемлемых солей для профилактического или терапевтического лечения и/или мониторинга заболеваний, которые вызваны, опосредованы и/или распространяются активностью TLR7/8. Кроме того, изобретение относится к применению соединений в соответствии с формулой I и/или их физиологически приемлемых солей для изготовления лекарственного средства для профилактического или терапевтического лечения и/или мониторинга заболеваний, которые вызваны, опосредованы и/или распространяются активностью TLR7/8. В некоторых вариантах осуществления изобретение обеспечивает применение соединения в соответствии с формулой I или его физиологически приемлемых солей для изготовления лекарственного средства для профилактического или терапевтического лечения нарушения, опосредованного TLR7/8.
[00186] Кроме того, соединения формулы I и/или их физиологически приемлемые соли могут быть использованы в качестве промежуточного соединения для получения других активных лекарственных компонентов. Лекарственное средство предпочтительно получают нехимическим способом, например, путем объединения активного компонента с по меньшей мере одним твердым, жидким и/или полужидким носителем или наполнителем, необязательно в сочетании с одним или несколькими другими активными веществами, в подходящей лекарственной форме.
[00187] Соединения формулы I в соответствии с изобретением могут быть введены до или после начала заболевания один или несколько раз, действуя в качестве терапии. Вышеупомянутые соединения и медицинские продукты для применения в соответствии с изобретением, в частности, применяют для терапевтического лечения. Терапевтически релевантный эффект в некоторой степени ослабляет один или несколько симптомов нарушения или возвращает к норме, частично или полностью, один или несколько физиологических или биохимических параметров, связанных с или являющихся причиной болезни или патологического состояния. Мониторинг рассматривается как вид лечения при условии, что соединения вводят через четкие интервалы, например, чтобы усилить ответную реакцию и устранить патогенов и/или симптомы заболевания полностью. Можно применять либо идентичное соединение, либо разные соединения. Способы изобретения также можно применять для уменьшения вероятности развития нарушения или даже для предотвращения начала нарушений, связанных с активностью TLR7/8, заблаговременно, или для лечения возникающих и продолжающихся симптомов.
[00188] В смысле изобретения профилактическое лечение целесообразно, если у субъекта имеются какие-либо предварительные состояния вышеупомянутых физиологических или патологических состояний, такие как семейная предрасположенность, генетический дефект или ранее перенесенное заболевание.
[00189] Кроме того, изобретение относится к лекарственному средству, содержащему по меньшей мере одно соединение в соответствии с изобретением и/или его фармацевтически приемлемые производные, соли, сольваты и стереоизомеры, включая их смеси во всех соотношениях. В определенных вариантах осуществления изобретение относится к лекарственному средству, содержащему по меньшей мере одно соединение в соответствии с изобретением и/или его физиологически приемлемые соли.
[00190] "Лекарственное средство" в значении изобретения означает любое средство в области медицины, которое содержит одно или несколько соединений формулы I или его препараты (например, фармацевтическую композицию или фармацевтический состав) и может применяться для профилактики, терапии, последующего наблюдения или реабилитации пациентов, которые страдают от заболеваний, связанных с активностью TLR7/8, таким образом, чтобы патогенная модификация их общего состояния или состояния определенных областей организма могла быть налажена по меньшей мере временно.
[00191] В различных вариантах осуществления активный компонент можно вводить отдельно или в сочетании с другими видами лечения. Синергетический эффект может быть достигнут путем применения в фармацевтической композиции более чем одного соединения, т.е. соединение формулы I комбинируют по меньшей мере с одним другим средством в качестве активного компонента, которое представляет собой или другое соединение формулы I, или соединение, отличающегося структурного скелета. Активные компоненты могут быть применены либо одновременно, либо последовательно.
[00192] Ингибиторы TLR настоящего раскрытия могут быть введены в комбинации с одним или несколькими дополнительными терапевтическими средствами. Согласно настоящему описанию, ингибиторы TLR можно комбинировать с физиологически приемлемым носителем. Способы, описанные в настоящей заявке, можно применять на практике в комбинации с другими методами лечения, которые составляют стандарт лечения нарушения, такими как введение противовоспалительных средств.
[00193] В некоторых вариантах осуществления ингибитор TLR согласно настоящему описанию вводят в комбинации с кортикостероидом. В некоторых вариантах осуществления кортикостероид представляет собой гликокортикостероид. В некоторых вариантах осуществления кортикостероид представляет собой минералокортикоид. Кортикостероиды включают, но не ограничиваются ими, кортикостерон и его производные, пролекарства, изомеры и аналоги, кортизон и его производные, пролекарства, изомеры и аналоги (такие как кортон), альдостерон и его производные, пролекарства, изомеры и аналоги, дексаметазон и его производные, пролекарства, изомеры и аналоги (такие как декадрон), преднизон и его производные, пролекарства, изомеры и аналоги (такие как прелон), флудрокортизон и его производные, пролекарства, изомеры и аналоги, гидрокортизон и его производные, пролекарства, изомеры и аналоги (такие как кортизол или кортеф), гидроксикортизон и его производные, пролекарства, изомеры и аналоги, бетаметазон и его производные, пролекарства, изомеры и аналоги (такие как целестон), будесонид и его производные, пролекарства, изомеры и аналоги (такие как энтокорт ЕС), метилпреднизолон и его производные, пролекарства, изомеры и аналоги (такие как медрол), преднизолон и его производные, пролекарства, изомеры и аналоги (такие как дельтазон, кртан, метикортен, оразон или стерапред), триамцинолон и его производные, пролекарства, изомеры и аналоги (такие как кенакорт или кеналог), и т.п.В некоторых вариантах осуществления кортикостероид представляет собой флудрокортизон или его производное, пролекарство, изомер или аналог.В некоторых вариантах осуществления кортикостероид представляет собой флудрокортизон. В некоторых вариантах осуществления кортикостероид представляет собой гидроксикортизон или его производное, пролекарство, изомер или аналог.В некоторых вариантах осуществления кортикостероид представляет собой гидроксикортизон.
[00194] В некоторых вариантах осуществления кортикостероид вводят в любом из количеств в диапазоне приблизительно от 0.001 мг до 1 мг, от 0.5 мг до 1 мг, от 1 мг до 2 мг, от 2 мг до 20 мг, от 20 мг до 40 мг, от 40 до 80 мг, от 80 до 120 мг, от 120 мг до 200 мг, от 200 мг до 500 мг или от 500 мг до 1000 мг в сутки. В некоторых вариантах осуществления кортикостероид вводят в любом из количеств, в диапазоне приблизительно от 0.1 мг/кг до 0.5 мг/кг, от 0.5 мг/кг до 1 мг/кг, от 1 мг/кг до 2 мг/кг, от 2 мг/кг до 5 мг/кг, от 5 мг/кг до 10 мг/кг, от 10 мг/кг до 15 мг/кг, от 15 мг/кг до 20 мг/кг, от 20 мг/кг до 25 мг/кг, от 25 мг/кг до 35 мг/кг или от 35 мг/кг до 50 мг/кг в сутки.
[00195] В некоторых вариантах осуществления ингибитор TLR, применяемый в комбинированной терапии, в перерасчете на количества доставленного ингибитора TLR, может, например, быть взят в любом из количеств в диапазоне приблизительно от 0.1 до 10 мг/кг, от 0.5 до 10 мг/кг, от 1 до 10 мг/кг, от 0.1 до 20 мг/кг, от 0.1 до 20 мг/кг или от 1 до 20 мг/кг.
[00196] В некоторых вариантах осуществления ингибитор TLR вводят одновременно с одним или несколькими дополнительными терапевтическими средствами, включая, но не ограничиваясь ими, кортикостероид (одновременное введение). В некоторых вариантах осуществления ингибитор TLR вводят последовательно с дополнительным терапевтическим средством, включая, но не ограничиваясь ими, кортикостероид (последовательное введение). В некоторых вариантах осуществления последовательное введение включает введение ингибитора TLR или дополнительного терапевтического средства, осуществляемое в рамках любого времени, выбранного из приблизительно одной минуты, пяти минут, 30 минут, одного часа, пяти часов, 24 часов, 48 часов или одной недели. В некоторых вариантах осуществления ингибитор TLR вводят тем же самым путем введения, что и дополнительное терапевтическое средство. В некоторых вариантах осуществления ингибитор TLR вводят другим путем, чем дополнительное терапевтическое средство. В некоторых вариантах осуществления дополнительное терапевтическое средство вводят парентерально (например, через центральный венозный катетер, путем внутриартериальной, внутривенной, внутримышечной, внутрибрюшинной, внутрикожной или подкожной инъекции), перорально, гастроинтестинально, местно, назофарингеально и пульмонально (например, путем ингаляции или интраназально). В некоторых вариантах осуществления дополнительное терапевтическое средство представляет собой кортикостероид.
[00197] Раскрытые соединения формулы I могут быть введены в комбинации с другими известными терапевтическими средствами, включая противораковые средства. В данном контексте, термин "противораковое средство" относится к любому средству, которое вводят пациенту, имеющему злокачественное новообразование, с целью его лечения.
[00198] Противораковое лечение, определенное выше, может применяться в виде монотерапии или может включать, в дополнение к раскрываемым в данной заявке соединениям формулы I, обычные хирургические методы или радиотерапию, или лекарственную терапию. Такая лекарственная терапия, например, химиотерапия или таргетная терапия, может включать применение одного или нескольких, но предпочтительно одного, следующих противоопухолевых средств:
Алкилирующие агенты: такие как алтретамин, бендамустин, бусульфан, кармустин, хлорамбуцил, хлорметин, циклофосфамид, дакарбазин, ифосфамид, импросульфан, тозилат, ломустин, мельфалан, митобронитол, митолактол, нимустин, ранимустин, темозоломид, тиотепа, треосульфан, мехлорэтамин, карбоквон; апазиквон, фотемустин, глуфосфамид, палифосфамид, пипоброман, трофосфамид, урамустин ТН-3024, VAL-0834;
Соединения платины: такие как карбоплатин, цисплатин, эптаплатин, мириплатин гидрат, оксалиплатин, лобаплатин, недаплатин, пикоплатин, сатраплатин; лобаплатин, недаплатин, пикоплатин, сатраплатин;
Средства, изменяющие ДНК: такие как амрубицин, бисантрен, децитабин, митоксантрон, прокарбазин, трабектедин, клофарабин; амсакрин, бросталлицин, пиксантрон, ларомустин1,3;
Ингибиторы топоизомеразы: такие как этопозид, иринотекан, разоксан, собузоксан, тенипозид, топотекан; амонафид, белотекан, эллиптиния ацетат, ворелоксин;
Модификаторы микротрубочек: такие как кабазитаксел, доцетаксел, эрибулин, иксабепилон, паклитаксел, винбластин, винкристин, винорелбин, виндезин, винфлунин; фосбретабулин, тезетаксел;
Антиметаболиты: такие как аспарагиназа3, азацитидин, левофолинат кальция, капецитабин, кладрибин, цитарабин, эноцитабин, флоксуридин, флударабин, фторурацил, гемцитабин, меркаптопурин, метотрексат, неларабин, пеметрексед, пралатрексат, азатиоприн, тиогуанин, кармофур; доксифлуридин, элацитарабин, ралтитрексед, сапацитабин, тегафур2,3, триметрексат;
Противораковые антибиотики: такие как блеомицин, дактиномицин, доксорубицин, эпирубицин, идарубицин, левамизол, милтефозин, митомицин С, ромидепсин, стрептозоцин, валрубицин, зиностатин, зорубицин, даунуробицин, пликамицин; акларубицин, пепломицин, пирарубицин;
Гормоны/антагонисты: такие как абареликс, абиратерон, бикалутамид, бусерелин, калустерон, хлортрианизен, дегареликс, дексаметазон, эстрадиол, флуокортолон, флуоксиместерон, флутамид, фулвестрант, гозерелин, гистрелин, лейпрорелин, мегестрол, митотан, нафарелин, нандролон, нилутамид, октреотид, преднизолон, ралоксифен, тамоксифен, тиротропин альфа, торемифен, трилостан, трипторелин, диэтилстильбэстрол; аколбифен, даназол, деслорелин, эпитиостанол, ортеронел, энзалутамид1,3;
Ингибиторы ароматазы: такие как аминоглутетимид, анастрозол, эксеместан, фадрозол, летрозол, тестолактон; форместан;
Низкомолекулярные ингибиторы киназ: такие как кризотиниб, дазатиниб, эрлотиниб, иматиниб, лапатиниб, нилотиниб, пазопаниб, регорафениб, руксолитиниб, сорафениб, санитиниб, вандетаниб, вемурафениб, босутиниб, гефитиниб, акситиниб; афатиниб, алисертиб, дабрафениб, дакомитиниб, динациклиб, довитиниб, энзастаурин, нинтеданиб, ленватиниб, линифаниб, линситиниб, маситиниб, мидостаурин, мотесаниб, нератиниб, орантиниб, перифосин, понатиниб, радотиниб, ригосертиб, типифарниб, тивантиниб, тивозаниб, траметиниб, пимазертиб, бриваниб аланинат, седираниб, апатиниб4, кабозантиниб S-малат1,3, ибрутиниб1,3, икотиниб4, бупарлисиб2, ципатиниб4, кобиметиниб1,3, иделалисиб1,3, федратиниб1, XL-6474;
Фотосенсибилизаторы: такие как метоксален3; порфимер натрия, талапорфин, темопорфин;
Антитела: такие как алемтузумаб, бесилесомаб, брентуксимаб ведотин, цетуксимаб, деносумаб, ипилимумаб, офатумумаб, панитумумаб, ритуксимаб, тозитумомаб, трастузумаб, бевацизумаб, пертузумаб2,3; катумаксомаб, элотузумаб, эпратузумаб, фарлетузумаб, могамулизумаб, нецитумумаб, нимотузумаб, обинутузумаб, окаратузумаб, ореговомаб, рамуцирумаб, рилотумумаб, силтуксимаб, тоцилизумаб, залутумумаб, занолимумаб, матузумаб, далотузумаб1,2,3, онартузумаб1,3, ракотумомаб1, табалумаб1,3, EMD-5257974, ниволумаб1,3;
Цитокины: такие как альдеслейкин, интерферон альфа2, интерферон альфа2а3, интерферон альфа2b2,3; целмолейкин, тазонермин, тецелейкин, опрелвекин1,3, рекомбинантный интерферон бета-1а4;
Конъюгаты лекарственных средств: такие как денилейкин дифтитокс, ибритумомаб тиуксетан, йобенгуан 1123, преднимустин, трастузумаб эмтансин, эстрамустин, гемтузумаб, озогамицин, афлиберцепт; цинтредекин бесудотокс, эдотреотид, инотузумаб озогамицин, наптумомаб эстафенатокс, опортузумаб монатокс, технеций (99 mTc) арцитумомаб1,3, винтафолид1,3;
Вакцины: такие как сипулейцел3, витеспен3, эмепепимут-S3, онковакс4, риндопепимут3, тровакс4, MGN-16014, MGN-17034; и
Прочие препараты: алитретиноин, бексаротен, бортезомиб, эверолимус, ибандроновая кислота, имиквимод, леналидомид, лентинан, метирозин, мифамуртид, памидроновая кислота, пэгаспаргаза, пентостатин, сипулейцел3, сизофиран, тамибаротен, темсиролимус, талидомид, третиноин, висмодегиб, золедроновая кислота, вориностат; целекоксиб, циленгитид, энтиностат, этанидазол, ганетеспиб, идроноксил, инипариб, иксазомиб, лонидамин, ниморазол, панобиностат, перетиноин, плитидепсин, помалидомид, прокодазол, ридафоролимус, тасквинимод, телотристат, тимальфазин, тирапазамин, тоседостат, трабедерсен, убенимекс, вальсподар, гендицин4, пицибанил4, реолизин4, гидрохлорид ретаспимицина1,3, требананиб2,3, вирулизин4, карфилзомиб1,3, эндостатин4, иммукотел4, белиностат3, MGN-17034.
(1 Предл. МНН (предложенное международное непатентованное название); 2 Рекоменд. МНН (рекомендуемое международное непатентованное название); 3 Название в США (наименование препарата по Справочнику национальных непатентованных названий США); 4 нет МНН).
[00199] В некоторых вариантах осуществления комбинация ингибитора TLR с одним или несколькими дополнительными терапевтическими средствами позволяет снизить вводимое эффективное количество (включая, но не ограничиваясь ими, объем дозы, концентрацию дозы и/или общую введенную дозу лекарственного средства) ингибитора TLR и/или одного или нескольких дополнительных терапевтических средств при достижении того же результата, по сравнению с эффективным количеством, вводимым в случае, когда ингибитор TLR или дополнительное терапевтическое средство вводят отдельно. В некоторых вариантах осуществления комбинация ингибитора TLR с кортикостероидом позволяет снизить вводимое эффективное количество кортикостероида по сравнению с кортикостероидом, вводимым отдельно. В некоторых вариантах осуществления комбинация ингибитора TLR с дополнительными терапевтическими средствами позволяет снизить частоту введений терапевтического средства по сравнению с введением дополнительного терапевтического средства отдельно. В некоторых вариантах осуществления комбинация ингибитора TLR с дополнительным терапевтическим средством позволяет снизить общую продолжительность лечения по сравнению с введением дополнительного терапевтического средства отдельно. В некоторых вариантах осуществления комбинация ингибитора TLR с дополнительным терапевтическим средством позволяет уменьшить побочные эффекты, связанные с введением дополнительного терапевтического средства отдельно. В некоторых вариантах осуществления дополнительное терапевтическое средство представляет собой кортикостероид. В некоторых вариантах осуществления кортикостероид представляет собой флудрокортизон или его производное, пролекарство, изомер или аналог.В некоторых вариантах осуществления кортикостероид представляет собой флудрокортизон. В некоторых вариантах осуществления комбинация эффективного количества ингибитора TLR с дополнительным терапевтическим средством является более эффективной по сравнению с эффективным количеством ингибитора TLR или дополнительного терапевтического средства отдельно.
[00200] Ингибиторы TLR также могут быть пригодны в качестве адъювант вакцины для применения в сочетании с любым веществом, которое модулирует гуморальный и/или клеточно-опосредованный иммунный ответ, таким как, например, живые вирусные, бактериальные или паразитические иммуногены; инактивированные вирусные, полученные из опухолевых клеток, протозойные, полученные из организмов, грибковые или бактериальные иммуногены, токсоиды, токсины; собственные антигены; полисахариды; белки; гликопротеины; пептиды; клеточные вакцины; ДНК вакцины; рекомбинантные белки; гликопротеины; пептиды; и т.п.В некоторых аспектах комбинированную терапию, включающую, но не ограничивающуюся ею, комбинацию ингибитора TLR и вакцины, применяют для лечения аутоиммунного заболевания или воспалительного нарушения. В некоторых аспектах комбинированную терапию, включающую, но не ограничивающуюся ею, комбинацию ингибитора TLR и вакцины, применяют для лечения инфекционного заболевания.
[00201] В некоторых вариантах осуществления комбинированную терапию, включающую, но не ограничивающуюся ею, комбинацию ингибитора TLR и кортикостероида, применяют для лечения аутоиммунного заболевания или воспалительного нарушения. В некоторых вариантах осуществления аутоиммунное заболевание выбирают, но не ограничиваются ими, из ревматоидного артрита, системной красной волчанки, аутоиммунного кожного заболевания, рассеянного склероза, панкреатита, гломерулонефрита, пиелита, склерозирующего холангита и сахарного диабета 1 типа. В некоторых вариантах осуществления аутоиммунное заболевание представляет собой синдром Сегрена.
[00202] Также в настоящей заявке обеспечены наборы, содержащие ингибитор TLR, как предложено в настоящей заявке, и инструкции по применению в способах ингибирования TLR7- и/или TLRS-зависимого иммунного ответа.
[00203] Наборы могут содержать один или несколько контейнеров, содержащих ингибитор TLR (или состав, содержащий ингибитор TLR) согласно настоящему описанию, и ряд инструкций, обычно письменных инструкций, хотя электронные носители (например, магнитная дискета или оптический диск), содержащие инструкции, являются также приемлемыми, в отношении применения и дозировки ингибитора TLR или состава для предполагаемого лечения (например, супрессии ответа на агонисты TLR7 и/или TLR8, супрессии TLR7 и/или TLRS-зависимого иммунного ответа, ослабления одного или нескольких симптомов аутоиммунного заболевания, ослабления симптома хронического воспалительного заболевания, снижения выработки цитокинов в ответ на вирус, и/или лечения и/или предотвращения одного или нескольких симптомов заболевания или нарушения, опосредованного TLR7 и/или TLR8). Инструкции, включенные в набор, как правило, содержат информацию о дозировке, схеме приема препарата и пути введения для предполагаемого лечения. Контейнеры для ингибитора TLR (или составов, содержащих ингибитор TLR) могут представлять собой однократные дозы, многодозовые упаковки (например, упаковки лекарственных средств для многократного приема) или субъединичные дозы. Наборы могут дополнительно содержать контейнер, содержащий адъювант.
[00204] В другом аспекте, изобретение обеспечивает набор, состоящий из отдельных упаковок эффективного количества соединения в соответствии с изобретением и/или его фармацевтически приемлемых солей, производных, сольватов и стереоизомеров, включая их смеси во всех соотношениях, и, необязательно, эффективного количества дополнительного активного компонента. Набор включает подходящие контейнеры, такие как коробки, отдельные бутылки, пакеты или ампулы. Набор может включать, например, отдельные ампулы, каждая из которых содержит эффективное количество соединения в соответствии с изобретением и/или его фармацевтически приемлемых солей, производных, сольватов и стереоизомеров, включая их смеси во всех соотношениях, и эффективное количество дополнительного активного компонента в растворенной или лиофилизированной форме.
[00205] В контексте настоящей заявки, термины "лечение" и " осуществление лечения" относятся к регрессии, ослаблению, задержке начала развития или подавлению прогрессирования заболевания или нарушения, или одного или нескольких их симптомов, согласно настоящему описанию. В некоторых вариантах осуществления лечение осуществляют после развития одного или нескольких симптомов. В других вариантах осуществления лечение осуществляют при отсутствии симптомов. Например, лечение осуществляют восприимчивому индивидууму до появления симптомов (например, в свете истории симптомов и/или в свете генетических или других факторов восприимчивости). Лечение также продолжают после устранения симптомов, например, для предотвращения или отсрочки их рецидива.
[00206] Соединения и композиции в соответствии со способом настоящего изобретения вводят с использованием любого количества и любого пути введения, эффективных для лечения или уменьшения тяжести указанного выше нарушения. Точное требуемое количество будет варьироваться от субъекта к субъекту, в зависимости от вида, возраста и общего состояния субъекта, серьезности инфекции, конкретного средства, способа его введения и т.п.Соединения изобретения предпочтительно приготовляют в виде единичной дозированной формы для простоты введения и однородности дозировки. Выражение "единичная дозированная форма" в контексте настоящей заявки относится к физически отдельной единице средства, подходящей для пациента, подвергаемому лечению. Тем не менее, будет понятно, что общее суточное применение соединений и композиций настоящего изобретения будет зависеть от решения лечащего врача в рамках здравого медицинского суждения. Конкретный эффективный уровень дозы для любого конкретного пациента или организма будет зависеть от множества факторов, включая нарушение, подлежащее лечению, и степень тяжести нарушения; активность конкретного используемого соединения; конкретную используемую композицию; возраст, массу тела, общее состояние здоровья, пол и режим питания пациента; время введения, путь введения и скорость выведения конкретного используемого соединения; продолжительность лечения; лекарственные средства, используемые в комбинации или совместно с конкретным применяемым соединением, и подобные факторы, хорошо известные в области медицины.
[00207] Фармацевтически приемлемые композиции данного изобретения можно вводить людям и другим животным перорально, ректально, парентерально, интрацистернально, интравагинально, внутрибрюшинно, местно (например, в виде порошков, мазей или капель), буккально, в виде перорального или назального спрея, или т.п., в зависимости от тяжести инфекции, подлежащей лечению. В определенных вариантах осуществления, соединения изобретения вводят перорально или парентерально один или несколько раз в сутки в дозах от приблизительно 0.01 мг/кг до приблизительно 100 мг/кг и предпочтительно от приблизительно 1 мг/кг до приблизительно 50 мг/кг массы тела субъекта в сутки для получения желаемого терапевтического эффекта.
[00208] В определенных вариантах осуществления терапевтически эффективное количество соединения формулы I и родственных формул и другого активного компонента зависит от ряда факторов, включая, например, возраст и массу животного, точное состояние заболевания, которое требует лечения, и его тяжесть, природу состава и способ введения, и в конечном итоге определяется лечащим врачом или ветеринаром. Тем не менее, эффективное количество соединения, как правило, находится в диапазоне от 0.1 до 100 мг/кг массы тела реципиента (млекопитающего) в сутки и, в частности, обычно в диапазоне от 1 до 10 мг/кг массы тела в сутки. Таким образом, фактическое количество в сутки для взрослого млекопитающего массой 70 кг обычно составляет от 70 и 700 мг, причем это количество можно вводить в виде отдельной дозы в сутки или обычно в виде ряда частичных доз (таких как, например, две, три, четыре, пять или шесть) в сутки, с тем расчетом, чтобы общая суточная доза оставалась такой же. Эффективное количество соли или сольвата или физиологически функционального производного соединения формулы I может быть определено как доля эффективного количества соединения как такового.
[00209] В определенных вариантах осуществления фармацевтические составы можно вводить в форме единиц дозирования, которые содержат заранее определенное количество активного компонента на единицу дозирования. Такая единица может содержать, например, от 0.5 мг до 1 г, предпочтительно от 1 мг до 700 мг, особенно предпочтительно от 5 мг до 100 мг, соединения в соответствии с изобретением, в зависимости от подвергаемого лечению болезненного состояния, способа введения и возраста, массы и состояния пациента, или фармацевтические составы можно вводить в форме единиц дозирования, которые содержат заранее определенное количество активного компонента на единицу дозирования. Предпочтительными единичными дозированными составами являются те, которые содержат суточную дозу или частичную дозу, как указано выше, или соответствующую их долю активного компонента. Кроме того, фармацевтические составы этого типа могут быть получены с использованием способа, который обычно известен в области фармацевтики.
[00210] Жидкие лекарственные формы для перорального введения включают, но не ограничиваются ими, фармацевтически приемлемые эмульсии, микроэмульсии, растворы, суспензии, сиропы и эликсиры. В дополнение к активным соединениям жидкие лекарственные формы необязательно содержат инертные разбавители, обычно используемые в данной области техники, такие как, например, вода или другие растворители, солюбилизирующие агенты и эмульгаторы, такие как этиловый спирт, изопропиловый спирт, этилкарбонат, этилацетат, бензиловый спирт, бензилбензоат, пропиленгликоль, 1,3-бутиленгликоль, диметилформамид, масла (в частности, хлопковое масло, арахисовое, кукурузное, масло из зародышей, оливковое, касторовое и кунжутное масла), глицерин, тетрагидрофурфуриловый спирт, полиэтиленгликоли и эфиры жирных кислот с сорбитаном, и их смеси. Помимо инертных разбавителей пероральные композиции могут также включать адъюванты, такие как смачивающие средства, эмульгирующие и суспендирующие средства, подсластители, вкусовые и ароматизирующие добавки.
[00211] Инъекционные препараты, например, стерильные инъекционные водные или масляные суспензии, составляют в соответствии с известным уровнем техники, используя подходящие диспергирующие или смачивающие средства и суспендирующие средства. Стерильные инъекционные препараты также представляют собой стерильные инъекционные растворы, суспензии или эмульсии в нетоксичном парентерально приемлемом разбавителе или растворителе, например, раствор в 1,3-бутандиоле. В число приемлемых основ лекарственной формы и растворителей, которые можно использовать, входит вода, раствор Рингера, U.S.Р. и изотонический раствор хлорида натрия. Кроме того, в качестве растворителя или суспендирующей среды обычно используют стерильные нелетучие масла. Для этой цели можно использовать любое легкое нелетучее масло, включая синтетические моно- или диглицериды. Кроме того, при приготовлении инъекционных препаратов используют жирные кислоты, такие как олеиновая кислота.
[00212] Инъекционные составы могут быть стерилизованы, например, путем фильтрования через удерживающий бактерии фильтр или путем включения стерилизующих агентов в форме стерильных твердых композиций, которые перед применением могут быть растворены или диспергированы в стерильной воде или другой стерильной среде для инъекций.
[00213] Чтобы продлить действие соединения настоящего изобретения, часто желательно замедлить всасывание соединения при подкожной или внутримышечной инъекции. Этого достигают использованием жидкой суспензии кристаллического или аморфного вещества с плохой растворимостью в воде. Скорость всасывания соединения в таком случае зависит от скорости его растворения, которая, в свою очередь, может зависеть от размера кристалла и кристаллической формы. Альтернативно, отсроченное всасывание парентерально вводимой формы соединения осуществляют путем растворения или суспендирования соединения в масляной основе лекарственной формы. Инъекционные депо-формы получают путем формирования микрокапсульных матриц соединения в биоразлагаемых полимерах, таких как полилактид-полигликолид. В зависимости от соотношения соединения к полимеру и природы конкретного используемого полимера, можно контролировать скорость высвобождения соединения. Примеры других биоразлагаемых полимеров включают поли(ортоэфиры) и поли(ангидриды). Инъекционные депо-составы также получают путем включения соединения в липосомы или микроэмульсии, которые совместимы с тканями организма.
[00214] Композиции для ректального или вагинального введения предпочтительно представляют собой суппозитории, которые могут быть приготовлены путем смешивания соединений данного изобретения с подходящими нераздражающими наполнителями или носителями, такими как масло какао, полиэтиленгликоль или воск для суппозиториев, которые являются твердыми веществами при температуре окружающей среды, но жидкими при температуре тела и, следовательно, тают в прямой кишке или полости влагалища и выделяют активное соединение.
[00215] Твердые лекарственные формы для перорального введения включают капсулы, таблетки, пилюли, порошки и гранулы. В таких твердых лекарственных формах активное соединение смешивают по меньшей мере с одним инертным фармацевтически приемлемым наполнителем или носителем, таким как цитрат натрия или фосфат дикальция и/или а) филлерами или сухими разбавителями, такими как крахмалы, лактоза, сахароза, глюкоза, маннит и кремниевая кислота, б) связующими веществами, такими как, например, карбоксиметилцеллюлоза, альгинаты, желатин, поливинилпирролидон, сахароза и акация, в) увлажнителями, такими как глицерин, г) разрыхлителями, такими как агар-агар, карбонат кальция, картофельный крахмал или крахмал тапиоки, альгиновая кислота, определенные силикаты и карбонат натрия, д) замедляющими растворение веществами, такими как парафин, е) ускорителями абсорбции, такими как четвертичные аммониевые соединения, ж) смачивающими агентами, такими как, например, цетиловый спирт и моностеарат глицерина, з) абсорбентами, такими как каолин и бентонитовая глина, а также и) смазывающими веществами, такими как тальк, стеарат кальция, стеарат магния, твердые полиэтиленгликоли, лаурилсульфат натрия и их смеси. В случае капсул, таблеток и пилюль лекарственная форма также необязательно содержит буферные агенты.
[00216] Твердые композиции подобного типа также используют в качестве филлеров в мягких и твердых желатиновых капсулах с использованием таких наполнителей, как лактоза или молочный сахар, а также высокомолекулярные полиэтиленгликоли и т.п.Твердые лекарственные формы таблеток, драже, капсул, пилюль и гранул могут быть приготовлены с покрытиями и оболочками, такими как энтеросолюбильные покрытия и другие покрытия, хорошо известные в области фармацевтики. Необязательно они содержат матирующие агенты и могут также представлять собой композицию, которая высвобождает активный компонент (компоненты) только или предпочтительно в определенной части кишечного тракта, необязательно, отсроченным образом. Примеры капсулирующих композиций, которые можно применять, включают полимерные вещества и воски. Твердые композиции подобного типа также используют в качестве филлеров в мягких и твердых желатиновых капсулах с использованием таких наполнителей, как лактоза или молочный сахар, а также высокомолекулярные полиэтиленгликоли и т.п.
[00217] Активные соединения также могут находиться в микроинкапсулированной форме с одним или несколькими наполнителями, как указано выше. Твердые лекарственные формы таблеток, драже, капсул, пилюль и гранул могут быть приготовлены с покрытиями и оболочками, такими как энтеросолюбильные покрытия, покрытия, контролирующие высвобождение, и другие покрытия, хорошо известные в области фармацевтики. В таких твердых лекарственных формах активное соединение может быть смешано по меньшей мере с одним инертным разбавителем, таким как сахароза, лактоза или крахмал. Такие лекарственные формы также содержат, как это принято в обычной практике, дополнительные вещества, отличные от инертных разбавителей, например, смазки для таблетирования и другие вспомогательные средства для таблетирования, такие как стеарат магния и микрокристаллическая целлюлоза. В случае капсул, таблеток и пилюль лекарственные формы необязательно также содержат буферные агенты. Необязательно они содержат матирующие агенты и могут также представлять собой композицию, которая высвобождает активный компонент (компоненты) только или предпочтительно, в определенной части кишечного тракта, необязательно, с задержкой. Примеры капсулирующих композиций, которые можно использовать, включают полимерные вещества и воски.
[00218] Лекарственные формы для местного или трансдермального введения соединения данного изобретения включают мази, пасты, кремы, лосьоны, гели, порошки, растворы, спреи, вещества для ингаляций или пластыри. Активный компонент смешивают в стерильных условиях с фармацевтически приемлемым носителем и по мере необходимости любыми необходимыми консервантами или буферами. Составы для глаз, капли в уши и глазные капли также рассматриваются как входящие в объем данного изобретения. Кроме того, настоящее изобретение предусматривает применение трансдермальных пластырей, которые обладают дополнительным преимуществом, заключающимся в обеспечении контролируемой доставки соединения в организм. Такие лекарственные формы могут быть получены путем растворения или диспергирования соединения в надлежащей среде. Для увеличения поступления соединения через кожу также могут быть использованы усилители адсорбции. Скорость такого поступления можно контролировать или посредством наличия контролирующей скорость мембраны, или диспергированием активного соединения в полимерной матрице или геле.
[00219] В соответствии с одним вариантом осуществления, изобретение относится к способу ингибирования активности TLR7/8 в биологическом образце, включающему стадию приведения в контакт указанного биологического образца с соединением данного изобретения или композицией, содержащей указанное соединение.
[00220] В соответствии с другим вариантом осуществления, изобретение относится к способу ингибирования активности TLR7/8 или его мутанта в биологическом образце положительным образом, включающему стадию приведения в контакт указанного биологического образца с соединением данного изобретения или композицией, содержащей указанное соединение.
[00221] Соединения изобретения пригодны в исследованиях in vitro в качестве уникальных инструментов для понимания биологической роли TLR7/8, включая оценивание многих факторов, которые, как предполагают, влияют на и находятся под влиянием выработки TLR7/8 и взаимодействия TLR7/8. Данные соединения также пригодны для разработки других соединений, которые взаимодействуют с TLR7/8, поскольку соединения данного изобретения предоставляют важную информацию о взаимосвязи структура-активность (SAR), которая облегчает такую разработку. Соединения настоящего изобретения, которые связываются с TLR7/8, можно использовать в качестве реагентов для обнаружения TLR7/8 в живых клетках, фиксированных клетках, в биологических жидкостях, в гомогенатах тканей, в очищенных, природных биологических материалах и т.д. Например, путем введения метки в такие соединения, можно идентифицировать клетки, экспрессирующие TLR7/8. Кроме того, исходя из их способности связывать TLR7/8, соединения настоящего изобретения можно использовать для окрашивания in situ, FACS (сортировка клеток с активированной флуоресценцией), электрофореза в полиакриламидном геле в присутствии додецилсульфата натрия (SDS-PAGE), ELISA (ферментный иммуносорбентный анализ) и т.д., очистки ферментов или очистки клеток, экспрессирующих TLR7/8 внутри клеток с нарушенной проницаемостью мембраны. Соединения изобретения также могут быть использованы в качестве коммерческих исследовательских реагентов для различных медицинских исследований и диагностических применений. Такие применения могут включать, но не ограничиваются ими: применение в качестве калибровочного стандарта для количественной оценки активности возможных ингибиторов TLR7/8 в различных функциональных анализах; применение в качестве блокирующих реагентов при случайном скрининге соединений, т.е. при поиске новых семейств лигандов TLR7/8 соединений, которые могут быть использованы для блокирования восстановления заявляемых в настоящем документе TLR7/8 соединений; применение в совместной кристаллизации с TLR7/8, т.е. соединения настоящего изобретения позволят образовать кристаллы соединений, связанных с TLR7/8, что позволит определить структуру фермент/соединение с помощью рентгеновской кристаллографии; другие исследовательские и диагностические применения, в которых предпочтительно активируется TLR7/8 или такая активация легко калибруется в отношении известного количества ингибитора TLR7/8 и т.д.; применение в анализах в качестве зондов для определения экспрессии TLR7/8 в клетках; и разработка анализов для обнаружения соединений, которые связываются с тем же сайтом, что и лиганды, связывающие TLR7/8.
[00222] Соединения изобретении можно применять или сами по себе и/или в комбинации с измерениями физических параметров для диагностики эффективности лечения. Фармацевтические композиции, содержащие указанные соединения и применение указанных соединений для лечения состояний, опосредованных TLR7/8, представляют собой многообещающий, новый подход для широкого спектра методов лечения, вызывающих явное и немедленное улучшение состояния здоровья человека или животного. Перорально биодоступные и активные новые химические вещества в соответствии с изобретением улучшают как удобство для пациентов, так и соблюдение предписанного врачами режима терапии.
[00223] Соединения формулы I, их соли, изомеры, таутомеры, энантиомерные формы, диастереомеры, рацематы, производные, пролекарства и/или метаболиты отличаются высокой специфичностью и стабильностью, низкими производственными затратами и удобным обращением. Эти признаки формируют основу для воспроизводимого действия, в которое входит отсутствие перекрестной реактивности, и для надежного и безопасного взаимодействия с целевой структурой.
[00224] Термин "биологический образец" в контексте настоящей заявки включает, без ограничения, клеточные культуры или их экстракты; биопсийный материал, полученный от млекопитающего, или его экстракты; а также кровь, слюну, мочу, кал, сперму, слезы или другие жидкости организма или их экстракты.
[00225] Модуляция активности TLR7/8 или его мутанта в биологическом образце пригодна для множества целей, которые известны специалисту в данной области. Примеры таких целей включают, но не ограничиваются ими, переливание крови, трансплантацию органов, хранение биологических образцов и биологические анализы.
Пояснение на примерах [00226] Как изображено в Примерах ниже, в определенных иллюстративных вариантах осуществления соединения получают в соответствии со следующими общими методиками. Следует принимать во внимание, что хотя общие способы отражают синтез определенных соединений настоящего изобретения, следующие общие способы и другие способы, известные среднему специалисту в данной области, могут быть применены ко всем соединениям и подклассам и молекулам каждого из этих соединений, которые описаны в данной заявке.
[00227] Символы и условные обозначения, используемые в следующих описаниях способов, схемах и примерах, находятся в соответствии с символами и условными обозначениями, используемыми в современной научной литературе, например, в Journal of the American Chemical Society или the Journal of Biological Chemistry.
[00228] Если не указано иное, все температуры выражены в °С (градусах Цельсия).
[00229] Все используемые растворители были коммерчески доступными и использовались без дополнительной очистки. Реакции обычно проводили с использованием безводных растворителей в инертной атмосфере азота. Колоночную флэш-хроматографию обычно проводили с использованием силикагеля Silica gel 60 (размер частиц 0.035-0.070 мм).
[00230] Все ЯМР эксперименты были зарегистрированы либо на спектрометре Bruker Mercury Plus 400 NMR, оснащенном датчиком Bruker 400 BBFO, на частоте 400 МГц для протонного ЯМР, либо на спектрометре Bruker Mercury Plus 300 NMR, оснащенном датчиком Bruker 300 BBFO, на частоте 300 МГц для протонного ЯМР. Все дейтерированные растворители обычно содержали от 0.03% до 0.05% об./об. тетраметилсилана, который использовали для получения эталонного сигнала (установленного на δ 0.00 для обоих, 1Н и 13С).
[00231] ЖХ-МС анализы выполняли на приборе SHIMADZU LC-MS, состоящем из системы UFLC 20-AD и МС детектора LCMS 2020. Используемая колонка представляла собой Shim-pack XR-ODS, 2.2 мкм, 3.0 × 50 мм. Применяли линейный градиент, начиная при 95% А (А: 0.05% ТФУ в воде) и заканчивая при 100% В (В: 0.05% ТФУ в ацетонитриле) за 2.2 мин с общим временем выполнения операции 3.6 мин. Температура колонки была равна 40°С при скорости потока 1.0 мл/мин. Сканирование с использованием детектора на диодной матрице выполняли в диапазоне 200-400 нм. Масс-спектрометр был оснащен электрораспылительным источником ионов (ES), работающим в режиме положительной или отрицательной ионизации. Сканирование с использованием масс-спектрометра выполняли в диапазоне m/z 90-900 при времени сканирования 0.6 с.
[00232] В общем, соединения в соответствии с формулой I и родственными формулами данного изобретения можно получить из легкодоступных исходных веществ. Если такие исходные вещества коммерчески недоступны, их можно получить с помощью стандартных методик синтеза. В общем, пути синтеза любого индивидуального соединения формулы I и родственных формул будут зависеть от конкретных заместителей в каждой молекуле, причем такие факторы понятны средним специалистам в данной области. Следующие общие способы и методики, описанные в дальнейшем в данном документе в примерах, можно использовать для получения соединений формулы I и родственных формул. Условия протекания реакций, отраженные на следующих схемах, такие как температуры, растворители или сореагенты, приведены только в качестве примеров и не являются ограничивающими. Следует принимать во внимание, что в том случае, когда приведены типичные или предпочтительные экспериментальные условия (то есть температуры реакции, продолжительность, число молей реагентов, растворители и т.д.), также можно использовать другие экспериментальные условия, если не указано иное. Оптимальные условия протекания реакций могут варьироваться в зависимости от конкретных используемых реагентов или растворителей, но такие условия могут быть определены специалистом в данной области с использованием обычных методик оптимизации. В отношении всех способов введения и снятия защитных групп, см. Philip J. Kocienski, в "Protecting Groups", Georg Thieme Verlag Stuttgart, New York, 1994, и Theodora W. Greene и Peter G. M. Wuts в "Protective Groups in Organic Synthesis", Wiley Interscience, 3-e изд. 1999.
Получение промежуточных соединений
Промежуточное соединение 1: 8-[цис-3-гидрокси-5-метилпиперидин-1-ил]хиноксалин-5-карбонитрил
[00233] 5-Метилпиперидин-3-ол: При комнатной температуре 5-метилпиридин-3-ол (9.50 г, 87.06 ммоль), PtO2 (2767 мг, 12.19 ммоль) и Rh/C (2866 мг, 27.86 ммоль) добавляли в 500 мл емкость высокого давления с последующим добавлением АсОН (200 мл). Емкость вакуумировали и продували водородом. Реакционную смесь гидрировали в течение 16 ч при 60°С в атмосфере водорода при давлении 30 атм. После завершения реакции реакционную смесь фильтровали через набивку целита и фильтрат концентрировали при пониженном давлении с получением указанного в заголовке соединения в виде коричневого масла (6.80 г, 68%). МС: 116 [М+Н]+.
[00234] 8-[Цис-3-гидрокси-5-метил пиперидин- 1-ил]хиноксал ин-5-карбонитрил: К раствору 8-бромхиноксалин-5-карбонитрила (450 мг, 1.92 ммоль) в ДМФА (15 мл) добавляли 5-метилпиперидин-3-ол (246 мг, 2.13 ммоль) и DIEA (593 мг, 4.60 ммоль) при комнатной температуре. Полученную в результате смесь перемешивали в течение 3 ч при 130°С. После охлаждения до комнатной температуры, реакционную смесь гасили путем добавления воды (50 мл). Полученную в результате смесь экстрагировали дихлорметаном (100 мл × 3). Органические фазы объединяли, промывали солевым раствором и сушили над Na2SO4. Растворитель удаляли при пониженном давлении и остаток очищали с помощью флэш-хроматографии, элюируя этилацетатом в гексане (градиент от 0 % до 60%), с разделением цис/транс-изомеров и получением 8-[цис-3-гидрокси-5-метилпиперидин-1-ил]хиноксалин-5-карбонитрила в виде желтого твердого вещества (270 мг, 52%). МС: 269 [М+Н]+.
Промежуточное соединение 2: цис-5-метил-1-[8-(трифторметил)хинолин-5-ил]пиперидин-3-ол
[00235] К раствору 5-бром-8-(трифторметил)хинолина (950 мг, 3.44 ммоль) в ДМФА (10 мл) добавляли 5-метилпиперидин-3-ол (600 мг, 5.21 ммоль), K3PO4 (4161 мг, 19.60 ммоль), Pd2(dba)3CHCl3 (676 мг, 0.65 ммоль) и DavePhos (518 мг, 1.32 ммоль) при комнатной температуре в атмосфере азота. Полученную в результате смесь перемешивали в течение 3 ч при 130°С в атмосфере азота. После завершения реакции реакционную смесь гасили путем добавления воды (20 мл). Полученную в результате смесь экстрагировали этилацетатом (50 мл × 3). Органические фазы объединяли, промывали солевым раствором и сушили над Na2SO4. Растворитель удаляли при пониженном давлении и остаток очищали с помощью обращенно-фазовой флэш-хроматографии, элюируя ацетонитрилом в воде (градиент от 5% до 90% за 40 мин) с получением цис-5-метил-1-[8-(трифторметил)хинолин-5-ил]пиперидин-3-ола в виде желтого твердого вещества (638 мг, 60%). МС: 311 [М+Н]+.
Промежуточное соединение 3: 5-бром-7-фтор-8-метилхинолин
[00236] К 5-бром-3-фтор-2-метилфениламину (10.0 г; 49.01 ммоль) в 200 мл колбе добавляли глицерин (14.44 мл; 196.04 ммоль), гептагидрат сульфата железа(II) (2.73 г; 9.80 ммоль) и серную кислоту (16 мл; 294.06 ммоль). Смесь перемешивали при 125°С в течение 4 ч. После завершения реакции смесь охлаждали до комнатной температуры и разбавляли с помощью 200 мл ДХМ. К смеси, охлажденной на ледяной бане, медленно добавляли 2 н. гидроксид натрия (269 мл; 539.11 ммоль) с последующим добавлением еще 100 мл ДХМ. Смесь перемешивали в течение 30 минут при к.т. Отделенный органический слой промывали солевым раствором, сушили и концентрировали. Сырое коричневое масло очищали с помощью силикагелевой колонки Biotage (340 г, элюирование смесями ЭА/гексан 10-35%) с получением указанного в заголовке соединения в виде белого твердого вещества (6.0 г, выход 51%). МС: 241 [М+Н]+.
Промежуточное соединение 4: 5-бром-7-фторхинолин-8-карбонитрил
[00237] 5-Бром-8-дибромметил-7-фторхинолин: К 5-бром-7-фтор-8-метилхинолину (2000 мг; 8.33 ммоль) и N-бромсукцинимиду (3744 мг; 20.83 ммоль) добавляли 60 мл ССЦ с последующим добавлением 2,2'-азобис(2-метилпропионитрила) (205 мг; 1.25 ммоль). Смесь перемешивали при 80°С в течение ночи. Реакционную смесь охлаждали до к.т.и фильтровали для удаления твердого вещества. Фильтрат концентрировали с получением указанного в заголовке соединения в виде белого твердого вещества (2800 мг, выход 84.5%). МС: 397/399 [М+Н]+.
[00238] 5-Бром-7-фторхинолин-8-карбальдегид: К перемешиваемому раствору 5-бром-8-дибромметил-7-фторхинолина (11.0 г; 27.65 ммоль) в ацетоне (200 мл) и воде (40 мл) добавляли AgNO3 (11.74 г; 69.12 ммоль) при к.т.Смесь перемешивали при к.т.в течение 15 мин. Осадок удаляли путем фильтрования и промывали ДХМ (100 мл). Фильтрат концентрировали до 1/3 объема и затем экстрагировали с помощью ДХМ (100 мл × 2). Объединенные органические фазы концентрировали с получением указанного в заголовке соединения в виде желтого твердого вещества (7.0 г, 99%), которое использовали непосредственно на следующей реакционной стадии. МС: 255 [М+Н]+.
[00239] Оксим 5-бром-7-фторхинолин-8-карбальдегида: К 5-бром-7-фторхинолин-8-карбальдегиду (7.0 г; 27.55 ммоль) в этаноле (300 мл) добавляли NaOAc (4.52 г; 55.11 ммоль) с последующим добавлением NH2OH.HCl (2.30 г; 33.06 ммоль). Смесь перемешивали при 70°С в течение 2 ч. После завершения реакции смесь охлаждали и фильтровали для удаления твердого вещества, промывая его этанолом. Фильтрат концентрировали с получением указанного в заголовке соединения в виде светло-желтого твердого вещества (7.2 г, выход 97%), которое использовали непосредственно на следующей реакционной стадии. МС: 270 [М+Н]+.
[00240] 5-Бром-7-фторхинолин-8-карбонитрил: К оксиму 5-бром-7-фторхинолин-8-карбальдегида (6.0 г; 22.30 ммоль) в ACN (20 мл) добавляли Cu(ОАс)2 (1.01 г; 5.57 ммоль) и СН3СООН (1.28 мл; 22.30 ммоль). Смесь нагревали с обратным холодильником в течение 2 ч. ЖХМС показывала образование целевого продукта (-60%) и побочного продукта. Реакционную смесь охлаждали и концентрировали. Остаток растворяли в 100 мл ЭА и 30 мл 5% водн. NaHCO3. Отделенный водный слой экстрагировали с помощью 50 мл ЭА. Объединенные органические слои промывали солевым раствором, сушили и концентрировали. Сырой продукт очищали с помощью силикагелевой колонки Biotage (200 г, элюируя смесями ЭА/гексан 0-60%) с получением указанного в заголовке соединения (1230 мг, выход 22%). МС: 252 [М+Н]+.
Промежуточное соединение 5: 5-бром-1,7-нафтиридин-8-карбонитрил
[00241] 5-Бром-8-йод-[1,7]нафтиридин: К раствору 5-бром-8-хлор-1,7-нафтиридина (4581 мг; 18.81 ммоль; 1.0 экв.) и йодида натрия (8.46 г; 56.44 ммоль; 3.0 экв.) в 10 мл ACN добавляли TMSC1 (2.39 мл; 18.81 ммоль; 1.0 экв.). Суспензию нагревали с обратным холодильником в течение 2 ч. Суспензию бронзового цвета охлаждали до комнатной температуры, выливали в воду (70 мл), и коричневую суспензию перемешивали при комнатной температуре в течение 1 ч. Бежевое твердое вещество отфильтровывали, промывали водой и затем сушили в вакууме с обеспечением указанного в заголовке соединения с количественным выходом. МС:335 [М+Н]+.
[00242] 5-Бром-1,7-нафтиридин-8-карбонитрил: В сосуд для микроволновой обработки с 5-бром-8-йод-[1,7]нафтиридином (3.07 г; 9.17 ммоль; 1.0 экв.) добавляли цианид меди(1) (0.99 г; 11.0 ммоль; 1.20 экв.) и MeCN (8.0 мл). Смесь перемешивали при 90°С в микроволновой печи в течение 1 ч. Смесь разбавляли с помощью EtOAc (50 мл), фильтровали, концентрировали, и остаток использовали непосредственно на следующей стадии. МС: 234 [М+Н]+Промежуточное соединение 6: 5-бром-8-трифторметил-[1,7]нафтиридин
[00243] К раствору 5-бром-8-йод-[1,7]нафтиридина (1200 мг; 3.58 ммоль; 1.0 экв.), фторида цезия (1088 мг; 7.17 ммоль; 2.0 экв.) и йодида меди (1365 мг, 7.17 ммоль, 2 экв) в ДМФА (10 мл) добавляли триметилтрифторметилсилан (2.ОМ в ТГФ) (3.58 мл; 7.17 ммоль; 2.0 экв.), и смесь перемешивали при к.т.в течение 2 ч до завершения реакции. Реакционную смесь разбавляли с помощью ЭА, фильтровали через целит, фильтрат концентрировали и остаток наносили на силикагелевую колонку для очистки (элюирование 0-50% ЭА/гексан) с получением указанного в заголовке соединения в виде белого твердого вещества (900 мг, выход 90.7%). ЖХ-МС (М+1)=278/280.
Промежуточное соединение 7: 8-бромпиридо[3,4-b]пиразин-5-карбонитрил
[00244] 5,8-Дибромпиридо[3,4-b]пиразин: В 100 мл круглодонной колбе 2,5-дибромпиридин-3,4-диамин (2.0 г; 7.493 ммоль) суспендировали в 1-бутаноле (50.0 мл) и добавляли 40% раствор глиоксаля (2.1 мл; 18.7 ммоль) в воде. Суспензию бронзового цвета нагревали до 80°С и желтый раствор перемешивали при 80°С в течение 1 ч 30 мин. Оранжевый раствор охлаждали до комнатной температуры. Бежевую суспензию фильтровали, бежевое твердое вещество промывали водой и гексанами и сушили в вакууме с получением 1.32 г 5,8-дибромпиридо[3,4-b]пиразина (1.32 г; 59.1%). МС:290 [М+Н]+.
[00245] 8-Бром-5-йодпиридо[3,4-b]пиразин: В 50 мл круглодонной колбе, оснащенной холодильником, и под азотом 5,8-дибромпиридо[3,4-Ь]пиразин (750.0 мг; 2.518 ммоль), йодид натрия (1.1 г; 7.554 ммоль) и хлортриметилсилан (319.6 мкл; 2.518 ммоль) добавляли к безводному MeCN (5.0 мл). Коричневую суспензию нагревали с обратным холодильником и суспензию бронзового цвета перемешивали при нагревании с обратным холодильником в течение 2 ч. Суспензию бронзового цвета охлаждали до комнатной температуры, выливали в воду (70 мл), и коричневую суспензию перемешивали при комнатной температуре в течение 30 мин. Бежевое твердое вещество отфильтровывали и твердое вещество растворяли в ДХМ и МеОН, адсорбировали на 10 г целитной колонке PuriFlash и очищали с помощью хроматографии на 40 г 30 мкм колонке PuriFlash (ДХМ для 20 объемов колонки). Основной продукт элюировался между 0.9 и 3.9 объемами колонки. Чистые фракции концентрировали при пониженном давлении и коричневое твердое вещество сушили в вакууме с получением 492 мг коричневого твердого вещества в качестве указанного в заголовке соединения (492.0 мг; 56.1%). МС:336 [М+Н]+.
[00246] 8-Бромпиридо[3,4-b]пиразин-5-карбонитрил: В 10 мл сосуде для микроволновой обработки 8-бром-5-йодпиридо[3,4-b]пиразин (200.0 мг; 0.575 ммоль) и цианид меди(1) (61.7 мг; 0.689 ммоль) под азотом суспендировали в безводном MeCN (5.0 мл). Сосуд закупоривали и продували азотом в течение 10 мин и суспензию бронзового цвета нагревали в микроволновой печи при 80°С в течение 8 часов. Реакционную смесь концентрировали при пониженном давлении, остаток суспендировали в ДХМ, фильтровали через целит и концентрировали при пониженном давлении. Остаток суспендировали в ДХМ, абсорбировали на 2 г целитной колонке PuriFlash и очищали с помощью хроматографии на 12 г 30 мкм колонке PuriFlash (гексаны-AcOEt 20%, 5 объемов колонки, гексаны-AcOEt 20-80%, 15 объемов колонки). Основной продукт элюировали с помощью AcOEt 20-39% (лямбда макс.245 нм). Чистые фракции концентрировали при пониженном давлении и не совсем белое твердое вещество сушили в вакууме с получением 84 мг кремового твердого вещества в качестве указанного в заголовке соединения (84.0 мг; 54.5%). МС:235 [М+Н]+.
Промежуточное соединение 8: 8-бром-5-метоксипиридо[3,4-b]пиразин
[00247] В 100 мл круглодонной колбе под азотом 5,8-дибромпиридо[3,4-b]пиразин (500.0 мг; 1.731 ммоль) растворяли в безводном метаноле (50.0 мл). К бежевому раствору добавляли 0.5М раствор метилата натрия (5.2 мл; 2.596 ммоль) в метаноле. Бежевую суспензия нагревали до 60°С и раствор бронзового цвета перемешивали при 60°С в течение 30 мин. Раствор бронзового цвета охлаждали до комнатной температуры, гасили водой (10 мл) и концентрировали при пониженном давлении. Остаток суспендировали в воде (50 мл). Бежевую суспензия перемешивали при комнатной температуре в течение 30 мин. Бежевое твердое вещество отфильтровывали, промывали водой и сушили в вакууме с получением 331 мг бежевого твердого вещества в качестве указанного в заголовке соединения (331.0 мг; 79.7%). МС:240 [М+Н]+.
Промежуточное соединение 9: [цис-6-(трифторметил)морфолин-2-ил]метанол
[00248] 3-(Бензилокси)-2-хлорпропановая кислота: При 0°С к раствору (2R)-3-(бензилокси)-2-[[(трет-бутокси)карбонил]амино]пропановой кислоты (17.0 г, 57.90 ммоль) в водном растворе хлороводорода (12 н., 160 мл, 1.92 моль) по каплям добавляли раствор NaNO2 (15 г, 206.52 ммоль) в воде (20 мл) в течение периода 0.5 ч. Полученную в результате смесь перемешивали в течение 15 мин при комнатной температуре. После завершения реакции реакционную смесь экстрагировали этилацетатом (500 мл × 3). Объединенные органические фазы концентрировали при пониженном давлении и остаток разбавляли водой (300 мл). Значение рН полученной в результате смеси доводили до 8 раствором гидроксида натрия (2 М). Смесь экстрагировали этилацетатом (300 мл × 3) и водный слой доводили до рН=3 с помощью раствора НС1 (3 н.). Полученную в результате смесь снова экстрагировали этилацетатом (300 мл × 3). Органические слои объединяли и сушили над безводным сульфатом натрия и концентрировали в вакууме с получением 3-(бензилокси)-2-хлорпропановой кислоты в виде светло-коричневого масла (8.0 г, 64%). МС: 213 [М+Н]+.
[00249] 3-(Бензиламино)-1,1,1-трифторпропан-2-ол: При -10°С к раствору трифторметансульфоната лития (855 мг, 5.48 ммоль) в ацетонитриле (25 мл) медленно добавляли 2-(трифторметил)оксиран (6.17 г, 55.11 ммоль). Затем по каплям добавляли фенилметанамин (5.57 г, 52.13 ммоль) при -10°С.Полученную в результате смесь перемешивали в течение 16 ч при комнатной температуре. После завершения реакции реакционную смесь концентрировали при пониженном давлении и остаток очищали с помощью флэш-хроматографии, элюируя этилацетатом в гексане (градиент от 0% до 10%), с получением 3-(бензиламино)-1,1,1-трифторпропан-2-ола в виде белого твердого вещества (7.89 г, 41%). МС: 220 [М+Н]+.
[00250] Анти-2-N-бензил-3-(бензилокси)-2-хлор-N-[(2)-3,3,3-трифтор-2-гидроксипропил]пропанамид: К раствору 3-(бензилокси)-2-хлорпропановой кислоты (6.20 г, 28.89 ммоль) в дихлорметане (500 мл) последовательно добавляли DIE А (13.96 г, 108.05 ммоль), HATU (12.35 г, 32.48 ммоль) и 3-(бензиламино)-1,1,1-трифторпропан-2-ол (4.93 г, 22.49 ммоль) при комнатной температуре. Полученный в результате раствор перемешивали в течение 16 ч при комнатной температуре. После завершения реакции реакционную смесь гасили путем добавления воды (300 мл). Полученную в результате смесь экстрагировали этилацетатом (500 мл × 3). Органические фазы объединяли, промывали солевым раствором и сушили над Na2SO4. Растворитель удаляли при пониженном давлении и остаток очищали с помощью флэш-хроматографии, элюируя этилацетатом в гексане (градиент от 0% до 10%), с получением анти-2-N-бензил-3-(бензилокси)-2-хлор-N-[(2)-3,3,3-трифтор-2-гидроксипропил]пропанамида в виде желтого твердого вещества (1.59 г, 17%). МС: 416 [М+Н]+.
[00251] Цис-4-бензил-2-(бензилоксиметил)-6-(трифторметил)морфолин-3-он: При -30°С к раствору анти-2-N-бензил-3-(бензилокси)-2-хлор-N-[(2)-3,3,3-трифтор-2-гидроксипропил]пропанамида (883 мг, 2.12 ммоль) в ТГФ (150 мл) отдельными порциями добавляли гидрид натрия (600 мг, 25.0 ммоль). Полученную в результате смесь перемешивали в течение 4 ч при -30°С.После завершения реакции реакционную смесь гасили путем добавления ледяной воды (200 мл). Полученную в результате смесь экстрагировали этилацетатом (300 мл × 3). Органические фазы объединяли, промывали солевым раствором и сушили над Na2SO4. Растворитель удаляли при пониженном давлении и остаток очищали с помощью флэш-хроматографии, элюируя этилацетатом в гексане (градиент от 0% до 10%), с получением цис-А-бензил-2-[(бензилокси)метил]-6-(трифторметил)морфолин-3-она в виде светло-красного масла (639 мг, 79%). МС: 380 [М+Н]+.
[00252] Цис-4-бензил-2-[(бензил окси)метил]-6-(трифторметил)морфолин: К раствору цис-4-бензил-2-[(бензилокси)метил]-6-(трифторметил)морфолин-3-она (639 мг, 1.68 ммоль) в ТГФ (20 мл) добавляли раствор ВН3 в ТГФ (1 н., 12 мл, 12 ммоль) при комнатной температуре. Полученную в результате смесь перемешивали в течение 3 ч при комнатной температуре. После завершения реакции реакционную смесь гасили путем добавления EtOH (40 мл). Полученную в результате смесь концентрировали при пониженном давлении и остаток очищали с помощью флэш-хроматографии, элюируя этилацетатом в гексане (градиент от 0% до 15%), с получением цис-А-бензил-2-[(бензилокси)метил]-6-(трифторметил)морфолина в виде светло-желтого масла (354 мг, 58%).
[00253] [Цис-6-(трифторметил)морфолин-2-ил]метанол: При комнатной температуре к раствору цис-4-бензил-2-[(бензилокси)метил]-6-(трифторметил)морфолина (177 мг, 0.48 ммоль) в метаноле (10 мл) добавляли палладий на угле (87 мг, 0.82 ммоль) и раствор хлороводорода (0.5 мл, 6 ммоль, 12 н.) в атмосфере азота. Реакционную колбу вакуумировали и продували водородом. Реакционную смесь гидрировали в течение 12 ч при комнатной температуре в атмосфере водорода, используя водород из баллона. После завершения реакции реакционную смесь фильтровали через набивку целита и фильтрат концентрировали при пониженном давлении с получением [цис-6-(трифторметил)морфолин-2-ил]метанола в виде светло-желтого твердого вещества (88 мг, 98%). МС: 186 [М+Н]+.
Промежуточное соединение 10: 8-[цис-2-(гидроксиметил)-6-(трифторметил)морфолин-4-ил]хиноксалин-5-карбонитрил
[00254] К раствору 8-бромхиноксалин-5-карбонитрила (221 мг, 0.96 ммоль) в ДМФА (25 мл) добавляли [цис-6-(трифторметил)морфолин-2-ил]метанол (260 мг, 1.36 ммоль) и DIEA (629 мг, 4.8 ммоль) при комнатной температуре. Полученную в результате смесь перемешивали в течение 16 ч при 130°С. После завершения реакции реакционную смесь разбавляли водой (20 мл). Полученную в результате смесь экстрагировали этилацетатом (50 мл × 3). Органические фазы объединяли, промывали солевым раствором и сушили над Na2SO4. Растворитель удаляли при пониженном давлении и остаток очищали с помощью флэш-хроматографии, элюируя этилацетатом в гексане (градиент от 0% до 30%), с получением 8-[цис-2-(гидроксиметил)-6-(трифторметил)морфолин-4-ил]хиноксалин-5-карбонитрила в виде светло-желтого масла (100 мг, 31%). МС: 339 [М+Н]+.
Промежуточное соединение 11: 5-[цис-2-(гидроксиметил)-6-(трифторметил)морфолин-4-ил]хинолин-8-карбонитрил
[00255] К раствору 5-бромхинолин-8-карбонитрила (600 мг, 2.57 ммоль) в диоксане (30 мл) в атмосфере азота при комнатной температуре добавляли [цис-6-(трифторметил)морфолин-2-ил]метанол (540 мг, 2.92 ммоль), SPhos (210 мг, 0.51 ммоль), палладацикл 3-го поколения SPhos (399 мг, 0.51 ммоль) и CS2CO3 (2510 мг, 7.71 ммоль). Полученную в результате смесь перемешивали в течение 13 ч при 90°С в атмосфере азота. После завершения реакции реакционную смесь разбавляли водой (50 мл). Полученную в результате смесь экстрагировали этилацетатом (150 мл × 3). Органические фазы объединяли, промывали солевым раствором и сушили над Na2SO4. Растворитель удаляли при пониженном давлении и остаток очищали с помощью флэш-хроматографии, элюируя с помощью EtOAc в гексане (градиент от 0% до 40%), с получением 5-[цис-2-(гидроксиметил)-6-(трифторметил)морфолин-4-ил]хинолин-8-карбонитрила в виде желтого твердого вещества (300 мг, 34%). МС: 338 [М+Н]+.
Промежуточное соединение 12: 5-[цис-2-(гидроксиметил)-6-(трифторметил)морфолин-4-ил]-1,7-нафтиридин-8-карбонитрил
[00256] Указанное в заголовке соединение получали из 5-бром-1,7-нафтиридин-8-карбонитрила и [цис-6-(трифторметил)морфолин-2-ил]метанола, используя тот же метод, что и для Промежуточного соединения 11, в виде желтого твердого вещества (выход 60%). МС: 339 [М+Н]+.
Промежуточное соединение 13: [(2R,6R)-4-(7-фтор-8-метилхинолин-5-ил)-6-метилморфолин-2-ил]-метанол
[00257] В 5 мл сосуде для микроволновой обработки 5-бром-7-фтор-8-метилхинолин (200.0 мг; 0.83 ммоль; 1.0 экв.), ((2R,6R)-6-метилморфолин-2-ил)-метанол (109.28 мг; 0.83 ммоль; 1.0 экв.), RuPhos Pd (34.84 мг; 0.04 ммоль; 0.05 экв.), RuPhos (38.87 мг; 0.08 ммоль; 0.10 экв.) и карбонат калия (345.41 мг; 2.50 ммоль; 3.0 экв.) растворяли в безводном диоксане (20 мл). Сосуд закупоривали и продували азотом в течение 5 минут и суспензию нагревали в микроволновой печи при 100°С в течение 8 ч. Реакционную смесь фильтровали через целит.Фильтрат концентрировали при пониженном давлении и повторно растворяли в ДХМ. Раствор абсорбировали на 5 г целитной колонке PuriFlash и очищали с помощью хроматографии на 12 г 30 мкм колонке PuriFlash (гексаны-AcOEt 10%, 5 объемов колонки, гексаны-AcOEt 40-60% в течение 18 минут. Чистые фракции концентрировали при пониженном давлении и желтую смолу сушили в вакууме с получением указанного в заголовке соединения (45.0 мг; 017%). МС: 291 [М+Н]+.
Промежуточное соединение 14: [(2R,6R)-6-метил-4-(8-метилхинолин-5-ил)морфолин-2-ил] метанол:
[00258] В сосуд для микроволновой обработки добавляли 5-бром-8-метилхинолин (532.0 мг; 2.40 ммоль; 1.0 экв.), гидрохлорид ((2R,6R)-6-метилморфолин-2-ил)-метанола (401.57 мг; 2.40 ммоль; 1.0 экв.), аддукт хлор-(2-дициклогексилфосфино-2',6'-диизопропокси-1,1'-бифенил)[2-(2-аминоэтил)фенил]палладия(П) с метил-трет-бутиловым эфиром (58.7 мг; 0.07 ммоль; 0.03 экв.), 2-дициклогексилфосфино-2',6'-диизопропокси-1,1'-бифенил (33.54 мг; 0.07 ммоль; 0.03 экв.), карбонат цезия (1951.27 мг; 5.99 ммоль; 2.50 экв.) и tBuOH (12.0 мл). Смесь нагревали до 100°С в микроволновой печи в течение 4.5 ч. Смесь разбавляли с помощью EtOAc и фильтровали. Фильтрат промывали водой и солевым раствором, сушили и концентрировали. Остаток очищали с помощью Biotage с получением указанного в заголовке соединения в виде белого твердого вещества (103 мг, 15%). МС: 273 [М+Н]+.
Промежуточное соединение 15: 5-[(2R,6R)-2-(гидроксиметил)-6-метилморфолин-4-ил]-1,7-нафтиридин-8-карбонитрил
[00259] В сосуд для микроволновой обработки с 5-бром-[1,7]нафтиридин-8-карбонитрилом (1.07 г; 4.44 ммоль; 1.0 экв.) добавляли гидрохлорид ((2R,6R)-6-метилморфолин-2-ил)-метанола (0.74 г; 4.44 ммоль; 1.0 экв.), триэтиламин (1.25 мл; 8.89 ммоль; 2.0 экв.) и ДМФА (10 мл). Смесь перемешивали в микроволновой печи при 100°С в течение 2 ч. Смесь разбавляли с помощью EtOAc и фильтровали. Фильтрат промывали водой и солевым раствором, сушили и концентрировали. Остаток очищали с помощью флэш-хроматографии (гексаны в EtOAc) с получением указанного в заголовке соединения в виде бледно-желтого твердого вещества (29.5 мг, 41%). МС: 285 [М+Н]+.
Промежуточное соединение 16: 5-((2R,6R)-2-гидроксиметил-6-метилморфолин-4-ил)-хиназолин-8-карбонитрил
[00260] В 25 мл сосуде для микроволновой обработки ((2R,6R)-6-метилморфолин-2-ил)-метанол (1.0 г; 5.97 ммоль; 1.0 экв.), 5-бромхиназолин-8-карбонитрил (1.40 г; 5.97 ммоль; 1.0 экв.) и DIEA (2.96 мл; 17.90 ммоль; 3.0 экв.) растворяли в безводном ДМФА (10.0 мл). Сосуд закупоривали и желтый раствор нагревали в микроволновой печи при 120°С в течение 5 ч. Желтый раствор концентрировали при пониженном давлении. К остатку добавляли воду (50 мл), затем суспензию твердых веществ фильтровали и остаток сушили с получением 5-((2R,6R)-2-гидроксиметил-6-метилморфолин-4-ил)-хиназолин-8-карбонитрила (1280.0 мг; 75%) в виде коричневого твердого вещества. МС: 285 [М+Н]+.
Промежуточное соединение 17: [(2R,6R)-6-метил-4-(8-трифторметилхинолин-5-ил)-морфолин-2-ил]-метанол
[00261] В 25 мл сосуде для микроволновой обработки 5-бром-8-трифторметилхинолин (500.0 мг; 1.81 ммоль; 1.0 экв.), ((2R,6R)-6-метилморфолин-2-ил)-метанол (285.10 мг; 2.17 ммоль; 1.20 экв.), метансульфонато(2-дициклогексилфосфино-2',6'-диизопропокси-1,Г-бифенил)(2'-амино-1,1'-бифенил-2-ил)палладий(II) (75.74 мг; 0.09 ммоль; 0.05 экв.), 2-дициклогексилфосфино-2',6'-диизопропокси-1,1'-бифенил (84.52 мг; 0.18 ммоль; 0.10 экв.) и карбонат калия (750.98 мг; 5.43 ммоль; 3.0 экв.) растворяли в безводном диоксане (10.0 мл). Сосуд закупоривали и продували азотом в течение 5 минут, и суспензию нагревали в микроволновой печи при 100°С в течение 8 ч. Реакционную смесь фильтровали через целит.Фильтрат концентрировали при пониженном давлении и повторно растворяли в ДХМ. Раствор абсорбировали на 5 г целитной колонке PuriFlash и очищали с помощью хроматографии на 10 г 30 мкм колонке PuriFlash (гексаны-AcOEt 10%, 5 объемов колонки, гексаны-AcOEt 40-60% в течение 18 минут. Чистые фракции концентрировали при пониженном давлении и светло-желтое масло сушили в вакууме с получением [(2R,6R)-6-метил-4-(8-трифторметилхинолин-5-ил)-морфолин-2-ил]-метанола (245.0 мг; 41%). МС:327 [М+Н]+.
Промежуточное соединение 18: (2R,6R)-4-(7-фтор-8-метилхинолин-5-ил)-6-метилморфолин-2-карбоновая кислота
[00262] В 50 мл круглодонную колбу помещали [(2R,6R)-4-(7-фтор-8-метилхинолин-5-ил)-6-метилморфолин-2-ил]-метанол (140.0 мг; 0.48 ммоль; 1.0 экв.) и ДХМ (15.0 мл). Полученный в результате раствор перемешивали в течение 5 минут при 0°С на водяной/ледяной бане, затем добавляли (диацетоксийод)бензол (0.31 г; 0.96 ммоль; 2.0 экв.). После повышения температуры до 10°С добавляли tempo (15.07 мг; 0.10 ммоль; 0.20 экв.) и воду (0.60 мл). Полученный в результате раствор перемешивали в течение дополнительных 20 минут при поддержании температуры при 10°С на водяной/ледяной бане. Реакционный раствор перемешивали в течение дополнительных 2 ч при 25°С, после чего желтая суспензия твердых веществ становилась коричневым раствором. ЖХ/МС показывала, что реакция завершилась. Затем реакционную смесь гасили путем добавления 0.5 мл 10% (водн.) тиосульфата натрия, и перемешивали в течение еще 45 минут. Полученную в результате смесь концентрировали в вакууме. Остаток диспергировали в смеси 1:1 ДХМ/метанол, фильтровали и фильтрат упаривали с получением (2R,6R)-4-(7-фтор-8-метилхинолин-5-ил)-6-метилморфолин-2-карбоновой кислоты (106.0 мг; сырая) в виде желтого твердого вещества. МС: 305 [М+Н]+.
Промежуточное соединение 19: цис-4-(8-циано-1,7-нафтиридин-5-ил)-6-(трифторметил)морфолин-2-карбоновая кислота
[00263] При 0°С к смеси 5-[цис-2-(гидроксиметил)-6-(трифторметил)морфолин-4-ил]-1,7-нафтиридин-8-карбонитрила (313 мг, 0.93 ммоль) в дихлорметане (38 мл) и воде (19 мл) добавляли (диацетоксийод)бензол (686 мг, 2.13 ммоль) и TEMPO (36 мг, 0.23 ммоль). Полученную в результате смесь перемешивали в течение 8 ч при 0°С.После завершения реакции реакционную смесь гасили путем добавления МеОН (10 мл). Реакционную смесь концентрировали при пониженном давлении и затем подвергали азеотропной перегонке с толуолом для удаления большей части растворителя. Остаток очищали с помощью флэш-хроматографии, элюируя посредством МеОН в ДХМ (градиент от 0% до 15%), с получением цис-4-(8-циано-1,7-нафтиридин-5-ил)-6-(трифторметил)морфолин-2-карбоновой кислоты в виде коричневого масла (134 мг, 78%). МС: 353 [М+Н]+.
Промежуточное соединение 20: цис-4-(8-цианохинолин-5-ил)-6-(трифторметил)морфолин-2-карбоновая кислота
[00264] Указанное в заголовке соединение получали из 5-[цис-2-(гидроксиметил)-6-(трифторметил)морфолин-4-ил]хинолин-8-карбонитрила, используя тот же метод, что и для Промежуточного соединения 19, в виде желтого масла (выход 48%). МС: 352 [М+Н]+.
Промежуточное соединение 21: транс-5-метилпиперидин-3-ил 4-нитробензоат:
[00265] 5-Метилпиперидин-3-ол: При комнатной температуре к раствору 5-метилпиридин-3-ола (4.90 г, 44.90 ммоль) в уксусной кислоте (200 мл) добавляли Rh/C (1.42 г, 13.85 ммоль) и PtO2 (1.42 г, 6.28 ммоль) в атмосфере азота. Реакционную емкость вакуумировали и продували водородом. Реакционную смесь гидрировали в течение 12 ч при комнатной температуре в атмосфере водорода (15 атм). После завершения реакции реакционную смесь фильтровали через набивку целита и фильтрат концентрировали при пониженном давлении с получением 5-метилпиперидин-3-ола в виде коричневого масла (4.50 г, цис/транс=4:1, 87%). МС: 116.2 [М+Н]+.
[00266] Цис-трет-бутил 3-гидрокси-5-метилпиперидин-1-карбоксилат: При 0°С к раствору 5-метилпиперидин-3-ола (4.0 г, 34.73 ммоль) в тетрагидрофуране (100 мл) добавляли водный раствор гидроксида натрия (2 н., 30 мл, 60.0 ммоль). К вышеуказанному перемешиваемому раствору при комнатной температуре по каплям добавляли раствор (Вос)2О (10.29 г, 47.15 ммоль) в тетрагидрофуране (50 мл) в течение периода 15 мин. Реакционную смесь перемешивали в течение 2 ч при комнатной температуре. После завершения реакции реакционную смесь разбавляли водой (300 мл) и экстрагировали этилацетатом (300 мл × 3). Органические фазы объединяли, промывали солевым раствором и сушили над Na2SO4. Растворитель удаляли при пониженном давлении и остаток очищали с помощью флэш-хроматографии, элюируя с помощью EtOAc в гексане (градиент от 0% до 40%), с получением цис-трет-бутил 3-гидрокси-5-метилпиперидин-1-карбоксилата в виде желтого твердого вещества (4.50 г, 60%). МС: 160.3 [М+Н]+.
[00267] Транс-трет-бутил 3-метил-5-[(4-нитрофенил)карбонилокси]пиперидин-1-карбоксилат: К раствору транс-трет-бутил 3-гидрокси-5-метилпиперидин-1-карбоксилата (2.70 г, 12.54 ммоль) в тетрагидрофуране (60 мл) добавляли 4-нитробензойную кислоту (3.52 г, 21.06 ммоль), PPh3 (5.85 г, 22.31 ммоль) и DIAD (4.48 г, 22.18 ммоль) при комнатной температуре. Полученную в результате смесь перемешивали в течение 4 ч при комнатной температуре. После завершения реакции реакционную смесь гасили путем добавления насыщ. раствора NH4CI (200 мл). Полученную в результате смесь экстрагировали этилацетатом (300 мл × 3). Органические фазы объединяли, промывали солевым раствором и сушили над Na2SO4. Растворитель удаляли при пониженном давлении и остаток очищали с помощью флэш-хроматографии, элюируя с помощью EtOAc в гексане (градиент от 0% до 50%), с получением транс-трет-бутил 3-метил-5-[(4-нитрофенил)карбонилокси]пиперидин-1-карбоксилата в виде желтого твердого вещества (4.0 г, 92%). МС: 308.9 [М+Н]+.
[00268] Транс-5-метилпиперидин-3-ил 4-нитробензоат: К раствору транс-трет-бутил 3-метил-5-[(4-нитрофенил)карбонилокси]пиперидин-1-карбоксилата (4.0 г, 10.97 ммоль) в диоксане (150 мл) добавляли водный раствор хлороводорода (6 н., 15 мл, 90.0 ммоль) при комнатной температуре. Полученную в результате смесь перемешивали в течение 3 ч при комнатной температуре. После завершения реакции значение рН смеси доводили до 10 с помощью насыщ. раствора карбоната натрия, и полученную в результате смесь концентрировали в вакууме для удаления органического растворителя. Оставшуюся смесь экстрагировали этилацетатом (100 мл × 3). Органические фазы объединяли, промывали солевым раствором и сушили над Na2SO4. Растворитель удаляли при пониженном давлении с получением транс-5-метилпиперидин-3-ил 4-нитробензоата в виде желтого твердого вещества (3.70 г, сырое). МС: 265.0 [М+Н]+.
Промежуточное соединение 22: транс-1-(8-цианохиноксалин-5-ил)-5-метилпиперидин-3-ил 4-нитробензоат
[00269] К раствору транс-5-метилпиперидин-3-ил 4-нитробензоата (3.70 г, сырой) в N,N-диметилформамиде (100 мл) добавляли 8-бромхиноксалин-5-карбонитрил (3.08 г, 13.15 ммоль) и DIEA (5.14 г, 39.77 ммоль) при комнатной температуре. Полученную в результате смесь перемешивали в течение 3 ч при 120°С. После завершения реакции реакционную смесь концентрировали при пониженном давлении и остаток очищали с помощью флэш-хроматографии, элюируя с помощью ЕЮ Ас в гексане (градиент от 0% до 10%), с получением транс- 1-(8-цианохиноксалин-5-ил)-5-метилпиперидин-3-ил 4-нитробензоата в виде желтого твердого вещества (2.62 г, 57% за 2 стадии). МС: 418.0 [М+Н]+.
Промежуточное соединение 23: транс-5-метил-1-[8-(трифторметил)хиноксалин-5-ил]пиперидин-3-ил 4-нитробензоат
[00270] В 50 мл закупоренном сосуде к раствору 5-бром-8-(трифторметил)хиноксалина (450 мг, 1.62 ммоль) в диоксане (15 мл) добавляли транс-5-метилпиперидин-3-ил 4-нитробензоат (867 мг, 3.25 ммоль), предкатализатор SPhos 3-го поколения (253 мг, 0.32 ммоль), SPhos (373 мг, 0.91 ммоль) и Cs2CO3 (1085 мг, 3.33 ммоль) при комнатной температуре в атмосфере азота. Полученную в результате смесь перемешивали в течение 12 ч при 90°С в атмосфере азота. После завершения реакции реакционную смесь концентрировали при пониженном давлении и остаток очищали с помощью флэш-хроматографии, элюируя посредством МеОН в ДХМ (градиент от 0% до 10%), с получением транс-5-метил-1-[8-(трифторметил)хиноксалин-5-ил]пиперидин-3-ил 4-нитробензоата в виде желтого твердого вещества (144 мг, 19%). МС: 461.0 [М+Н]+.
Получение Примеров
[00271] Примеры получали в соответствии с методами, описанными ниже, используя промежуточные соединения, упомянутые выше, или промежуточные соединения, упомянутые в WO 2017/106607А1, и коммерчески доступные реагенты.
Пример 1: 8-[(3S,5R)-3-метил-5-[2-(4-метилпиперазин-1-ил)этокси]пиперидин-1-ил]хиноксалин-5-карбонитрил
[00272] Трет-бутил 4-(2-[[цис-1-(8-цианохиноксалин-5-ил)-5-метилпиперидин-3-ил]окси]этил)пиперазин-1-карбоксилат: К раствору 8-[цис-3-гидрокси-5-метилпиперидин-1-ил]хиноксалин-5-карбонитрила (300 мг, 1.01 ммоль, 1.0 экв.) в ДМФА (20.0 мл) добавляли гидрид натрия (804 мг, 33.50 ммоль) при комнатной температуре. Полученную в результате смесь перемешивали в течение 20 мин при комнатной температуре, и затем добавляли трет-бутил 4-(2-хлорэтил)пиперазин-1-карбоксилат (788 мг, 3.17 ммоль). Реакционную смесь перемешивали в течение 16 ч при комнатной температуре. После завершения реакции реакционную смесь гасили путем добавления воды (10 мл). Полученную в результате смесь экстрагировали этилацетатом (30 мл × 3). Органические фазы объединяли, промывали солевым раствором и сушили над Na2SO4. Растворитель удаляли при пониженном давлении и остаток очищали с помощью флэш-хроматографии, элюируя посредством МеОН в ДХМ (градиент от 0% до 40%), с получением указанного в заголовке соединения в виде желтого твердого вещества (170 мг, 35%). МС: 481 [М+Н]+.
[00273] Гидрохлорид 8-[цис-3-метил-5-[2-(пиперазин-1-ил)этокси]пиперидин-1-ил]хиноксалин-5-карбонитрила: К раствору трет-бутил 4-(2-[[цис-1-(8-цианохиноксалин-5-ил)-5-метилпиперидин-3-ил]окси]этил)пиперазин-1-карбоксилата (145 мг, 0.30 ммоль) в диоксане (50.0 мл) добавляли раствор хлороводорода (12 н., 1 мл, 12 ммоль) при комнатной температуре. Полученную в результате смесь перемешивали в течение 3 ч при комнатной температуре и затем концентрировали при пониженном давлении с получением указанного в заголовке соединения в виде желтого твердого вещества (85 мг, 74%). МС: 381 [М+Н]+.
[00274] 8-[цис-3-метил-5-[2-(4-метилпиперазин-1-ил)этокси]пиперидин-1-ил]хиноксалин-5-карбонитрил: При комнатной температуре к раствору гидрохлорида 8-[цис-3-метил-5-[2-(пиперазин-1-ил)этокси]пиперидин-1-ил]хиноксалин-5-карбонитрила (53 мг, 0.13 ммоль) в метаноле (10 мл) последовательно добавляли NaOAc (308 мг, 3.75 ммоль), (НСНО)n (108 мг, 1.20 ммоль) и NaBH4 (33 мг, 0.87 ммоль). Полученную в результате смесь перемешивали в течение 16 ч при комнатной температуре. После завершения реакции реакционную смесь гасили путем добавления воды (10 мл). Полученную в результате смесь экстрагировали этилацетатом (30 мл × 3). Органические фазы объединяли, промывали солевым раствором и сушили над Na2SO4. Растворитель удаляли при пониженном давлении и остаток очищали с помощью преп. ВЭЖХ при следующих условиях: колонка, XBridge Shield RP18 OBD Column, 19 × 150 мм, 5 мкм; ацетонитрил в воде (с 10 ммоль/л NH4HCO3 и 0.1% NH3.H2O), градиент от 35% до 65% за 10 мин; детектор, УФ 254 нм. Указанное в заголовке соединение получали в виде светло-желтого твердого вещества (11 мг, 21%). МС: 395 [М+Н]+. 1H ЯМР (400 МГц, Метанол-d4, м.д.) δ 8.95 (d, J=1.8 Гц, 1 Н), 8.90 (d, J=1.7 Гц, 1 Н), 8.10 (d, J=8.4 Гц, 1 Н), 7.24 (d, J=8.4 Гц, 1 Н), 4.64 - 4.56 (m, 1 Н), 4.12 - 4.04 (m, 1 Н), 3.85 - 3.70 (m, 3 Н), 2.81 - 2.46 (m 12 Н), 2.35 - 2.31 (m, 1 Н), 2.29 (s, 3 Н), 2.06 - 2.01 (m, 1 Н), 1.16 - 1.04 (m, 1 Н), 1.05 (d, J=6.6 Гц, 3 Н).
[00275] Следующие соединения синтезировали аналогичным образом.
Пример 2: 5-[цис-3-метил-5-[2-(4-метилпиперазин-1-ил)этокси]пиперидин-1-ил]-8-(трифторметил)хинолин
[00276] Указанное в заголовке соединение получали из цис-5-метил-1-[8-(трифторметил)хинолин-5-ил]пиперидин-3-ола и трет-бутил 4-(2-хлорэтил)пиперазин-1-карбоксилата. МС: 437 [М+Н]+. 1Н ЯМР (400 МГц, Метанол-d4, м.д.) δ 8.95 (dd, J=4.2, 1.7 Гц, 1 Н), 8.60 (dd, J=8.6, 1.8 Гц, 1 Н), 8.05 (d, J=8.0 Гц, 1 Н), 7.62 (dd, J=8.6, 4.2 Гц, 1 Н), 7.25 (d, J=8.0 Гц, 1 Н), 3.87 - 3.62 (m, 4 Н), 3.39 - 3.33 (m, 1 Н), 2.84 - 2.22 (m, 16 Н), 2.17 - 2.06 (m, 1 Н), 1.16-1.06 (m, 1 Н), 1.04 (d, J=6.6 Гц, 3 Н).
Пример 3: 5-[цис-3-метил-5-[2-(пиперидин-1-ил)этокси]пиперидин-1-ил]-8-(трифторметил)хинолон
[00277] К раствору цис-5-метил-1-[8-(трифторметил)хинолин-5-ил]пиперидин-3-ола (85 мг, 0.27 ммоль) в ДМФА (5 мл) добавляли гидрид натрия (232 мг, 9.68 ммоль) при комнатной температуре. Полученную в результате смесь перемешивали в течение 10 мин при комнатной температуре и затем добавляли гидрохлорид 1-(2-хлорэтил)пиперидина (113 мг, 0.61 ммоль) при комнатной температуре. Реакционную смесь перемешивали в течение 16 ч при комнатной температуре. После завершения реакции реакционную смесь гасили путем добавления воды (10 мл). Полученную в результате смесь экстрагировали с помощью ДХМ (30 мл × 3). Органические фазы объединяли, промывали солевым раствором и сушили над Na2SO4. Растворитель удаляли при пониженном давлении и остаток очищали с помощью преп. ВЭЖХ при следующих условиях: колонка, XBridge Shield RP18 OBD, 150 × 190 мм, 5 мкм; ацетонитрил в воде (с 10 ммоль/л NH4HCO3 и 0.1% NH3.H2O), градиент от 45% до 75% за 8 мин; детектор, УФ 254 нм. 5-[цис-3-метил-5-[2-(пиперидин-1-ил)этокси]пиперидин-1-ил]-8-(трифторметил)хинолон получали в виде желтого твердого вещества (28 мг, 24%). МС: 422 [М+Н]+. 1Н ЯМР (400 МГц, Метанол-d4, м.д.) δ 8.95 (dd, J=4.2, 1.8 Гц, 1 Н), 8.60 (dd, J=8.6, 1.8 Гц, 1 Н), 8.05 (d, J=8.1 Гц, 1 Н), 7.62 (dd, J=8.6, 4.2 Гц, 1 Н), 7.25 (d, J=8.0 Гц, 1 Н), 3.89 - 3.59 (m, 4 Н), 3.39 - 3.33 (m, 1 Н), 2.64 - 2.39 (m, 8 Н), 2.38 - 2.28 (m, 1 Н), 2.16 - 2.06 (m, 1 Н), 1.67 - 1.57 (m, 4 Н), 1.53 - 1.46 (m, 2 Н), 1.16 - 1.06 (m, 1 Н), 1.04 (d, J=6.6 Гц, 3 Н).
[00278] Следующее соединение синтезировали аналогичным образом.
Пример 4: диэтил(2-[[цис-5-метил-1-[8-(трифторметил)хинолин-5-ил]пиперидин-3-ил]окси]этил)амин
[00279] Указанное в заголовке соединение получали из (3S,5R)-5-метил-1-[8-(трифторметил)хинолин-5-ил]пиперидин-3-ола и гидрохлорида (2-хлорэтил)диэтиламина. МС: 410 [М+Н]+. 1Н ЯМР (300 МГц, Метанол-d4, м.д.) 8 8.90 (dd, J=4.2, 1.8 Гц, 1 Н), 8.55 (dd, J=8.6, 1.8 Гц, 1 Н), 8.0 (d, J=8.0 Гц, 1 Н), 7.57 (dd, J=8.6, 4.2 Гц, 1 Н), 7.20 (d, J=8.0 Гц, 1 Н), 3.85 - 3.56 (m, 4 Н), 3.36 - 3.28 (m, 1 Н), 2.72 - 2.48 (m, 7 Н), 2.45 - 2.24 (m, 2 Н), 2.11 - 2.05 (m, 1 Н), 1.08 - 0.95 (m, 10 Н).
Пример 5: 8-[(3S,5R)-3-метил-5-[2-(пиперидин-1-ил)этокси]пиперидин-1-ил]хиноксалин-5-карбонитрил
[00280] 8-[(3S,5R)-3-гидрокси-5-метилпиперидин-1-ил]хиноксалин-5-карбонитрил: При 0°С к раствору 8-[(3S,5R)-3-амино-5-метилпиперидин-1-ил]хиноксалин-5-карбонитрила (178 мг, 0.67 ммоль) в АсОН (5 мл) по каплям добавляли раствор NaNO2 (229 мг, 3.33 ммоль) в воде (1 мл). Полученный в результате раствор перемешивали в течение 10 ч при комнатной температуре. После завершения реакции реакционную смесь концентрировали при пониженном давлении и остаток очищали с помощью преп. ВЭЖХ при следующих условиях: колонка, XBridge ВЕН130 Prep С18 OBD Column, 19 × 150 мм, 5 мкм, 13 нм; подвижная фаза, МеОН в воде (с 10 ммоль/л NH4HCO3), градиент от 30% до 80% за 10 мин; детектор, УФ 254 нм. 8-[(3R,5S)-3-гидрокси-5-метилпиперидин-1-ил]хиноксалин-5-карбонитрил получали в виде желтого твердого вещества (30 мг, 17%). МС: 269 [М+Н]+.
[00281] 8-[(3R,5S)-3-метил-5-[2-(пиперидин-1-ил)этокси]пиперидин-1-ил]хиноксалин-5-карбонитрил: При 0°С к раствору 8-[(3S,5R)-3-гидрокси-5-метилпиперидин-1-ил]хиноксалин-5-карбонитрила (27 мг, 0.10 ммоль) в ДМФА (5 мл) добавляли гидрид натрия (5 мг, 0.20 ммоль). Полученную в результате смесь перемешивали в течение 15 мин при 0°С, и затем добавляли 1-(2-хлорэтил)пиперидин (38 мг, 0.21 ммоль). Реакционную смесь перемешивали в течение 16 ч при комнатной температуре. После завершения реакции реакционную смесь гасили путем добавления воды (20 мл). Полученную в результате смесь экстрагировали с помощью ДХМ (30 мл × 3). Органические фазы объединяли, промывали солевым раствором и сушили над Na2SO4. Растворитель удаляли при пониженном давлении и остаток очищали с помощью преп. ВЭЖХ при следующих условиях: колонка, XBridge Shield RP18 OBD Column, 19 × 150 мм, 5 мкм; ацетонитрил в воде (с 10 ммоль/л nh4hco3 и 0.1% nh3.h2o), градиент от 40% до 70% за 10 мин; детектор, УФ 254 нм. 8-[(3S,5R)-3-метил-5-[2-(пиперидин-1-ил)этокси]пиперидин-1-ил]хиноксалин-5-карбонитрил получали в виде светло-желтого твердого вещества (14 мг, 36%). МС: 380 [М+Н]+. 1Н ЯМР (400 МГц, Метанол-d4, м.д.) δ 8.94 (d, J=1.8 Гц, 1 Н), 8.90 (d, J=1.8 Гц, 1 Н), 8.10 (d, J=8.4 Гц, 1 Н), 7.23 (d, J=8.4 Гц, 1 Н), 4.65 -4.55 (m, 1 Н), 4.12 - 4.03 (m, 1 Н), 3.85 - 3.71 (m, 3 Н), 2.79 - 2.45 (m, 8 Н), 2.35 -2.27 (m, 1 Н), 2.05 - 2.01 (m, 1 Н), 1.68 - 1.55 (m, 4 Н), 1.54 - 1.45 (m, 2 Н), 1.21 -1.09 (m, 1 Н), 1.05 (d, J=6.7 Гц, 3 Н).
[00282] Следующее соединение синтезировали аналогичным образом.
Пример 6: 8-[(3S,5R)-3-[2-(диэтиламино)этокси]-5-метилпиперидин-1-ил]хиноксалин-5-карбонитрил
[00283] Указанное в заголовке соединение получали из 8-[(3R,5S)-3-гидрокси-5-метилпиперидин-1-ил]хиноксалин-5-карбонитрила и гидрохлорида (2-хлорэтил)диэтиламина. МС: 368 [М+Н]+. 1Н ЯМР (400 МГц, Метанол-d4, м.д.) δ 8.94 (d, J=1.8 Гц, 1 Н), 8.90 (d, J=1.8 Гц, 1 Н), 8.10 (d, J=8.4 Гц, 1 Н), 7.23 (d, J=8.4 Гц, 1 Н), 4.66 - 4.56 (m, 1 Н), 4.12 - 4.03 (m, 1 Н), 3.82 - 3.68 (m, 3 Н), 2.77 - 2.57 (m, 8 Н), 2.35 - 2.27 (m, 1 Н), 2.06 - 2.0 (m, 1 Н), 1.21 - 1.02 (m, 10 Н).
Пример 7: гидрохлорид (3S,5R)-5-метил-1-(8-трифторметил-[1,7]нафтиридин-5-ил)-пиперидин-3-иламина
[00284] Сложный трет-бутиловый эфир [(3S,5R)-5-метил-1-(8-трифторметил-[1,7]нафтиридин-5-ил)-пиперидин-3-ил]-карбаминовой кислоты: Раствор 5-бром-8-трифторметил-[1,7]нафтиридина (800 мг; 2.89 ммоль; 1.0 экв.), сложного трет-бутилового эфира ((3S,5R)-5-метилпиперидин-3-ил)-карбаминовой кислоты (680 мг; 3.18 ммоль; 1.10 экв.) и RuPhos (67.37 мг; 0.14 ммоль; 0.05 экв.) в диоксане (10 мл) дегазировали, и затем добавляли 2-метилпропан-2-ол-натрий (305 мг; 3.18 ммоль; 1.10 экв.) и 6ис(три-трет-бутилфосфин)палладий(О) (74 мг; 0.14 ммоль; 0.05 экв.) Полученную в результате смесь перемешивали при 100°С в течение 2 ч. После завершения реакции сырой продукт очищали с помощью хроматографии на силикагелевой колонке, элюируя смесями 0-55% ЭА/гексан, с получением указанного в заголовке соединения (700 мг, выход 59%). ЖХ-МС (М+1)=411.
[00285] Гидрохлорид (3S,5R)-5-метил-1-(8-трифторметил-[1,7]нафтиридин-5-ил)-пиперидин-3-иламина: К раствору сложного трет-бутилового эфира [(3S,5R)-5-метил-1-(8-трифторметил-[1,7]нафтиридин-5-ил)-пиперидин-3-ил]-карбаминовой кислоты (20 мг; 0.05 ммоль; 1.0 экв.) в 1 мл метанола добавляли хлороводород (4.0 М в диоксане) (0.60 мл; 2.40 ммоль; 49.25 экв.). Полученную в результате смесь перемешивали при к.т.в течение 1 ч до завершения реакции. Реакционную смесь концентрировали. Остаток суспендировали в эфире и затем отфильтровывали с получением указанного в заголовке соединения в виде желтого твердого вещества (16 мг, 94%). ЖХ-МС (М+1)=311. 1Н ЯМР (400 МГц, Метанол-d4) δ 9.12 (d, J=3.9 Гц, 1Н), 8.60 (d, J=8.6 Гц, 1H), 8.33 (s, 1H), 7.86 (dd, J=8.8, 4.1 Гц, 1H), 3.73 (dd, J=39.3, 11.4 Гц, 2Н), 3.53 (d, J=12.0 Гц, 1H), 2.94 (t, J=10.8 Гц, 1H), 2.62 (t, J=11.5 Гц, 1H), 2.40 - 2.11 (m, 2Н), 1.30 (q, J=12.0 Гц, 1H), 1.10 (d, J=6.4 Гц, 3Н).
Пример 8: гидрохлорид 5-((3S,5R)-3-амино-5-метилпиперидин-1-ил)-[1,7]нафтиридин-8-карбонитрила
[00286] Сложный трет-бутиловый эфир [(3R,5S)-1-(8-циано-[1,7]нафтиридин-5-ил)-5-метилпиперидин-3-ил]-карбаминовой кислоты: В 30 мл сосуд для микроволновой обработки добавляли 5-бром-[1,7]нафтиридин-8-карбонитрил (470 мг; 2.01 ммоль; 1.0 экв.), сложный трет-бутиловый эфир ((3S,5R)-5-метилпиперидин-3-ил)-карбаминовой кислоты (451 мг; 2.11 ммоль; 1.05 экв.), триэтиламин (0.56 мл; 4.02 ммоль; 2.0 экв.) и ДМФА (4.7 мл). Сосуд закупоривали и нагревали в микроволновой печи при 130°С в течение 3 ч до завершения реакции. Растворитель удаляли и остаток очищали с помощью хроматографии на силикагелевой колонке, элюируя смесями 0-55% ЭА/гексан, с обеспечением указанного в заголовке соединения (610 мг, 82.7%) ЖХ-МС (М+1)=368.
[00287] Гидрохлорид (2) 5-((3S,5R)-3-амино-5-метилпиперидин-1-ил)-[1,7]нафтиридин-8-карбонитрила: К раствору сложного трет-бутилового эфира [(3S,5R)-1-(8-циано-[1,7]нафтиридин-5-ил)-5-метилпиперидин-3-ил]-карбаминовой кислоты (20 мг; 0.05 ммоль; 1.0 экв.) в 1 мл метанола добавляли хлороводород (4.ОМ в диоксане) (0.27 мл; 1.09 ммоль; 20.0 экв.), и реакционную смесь перемешивали при к.т.в течение 3 ч до завершения реакции. Растворитель удаляли с обеспечением желтого продукта в качестве указанного в заголовке соединения с количественным выходом. ЖХ-МС (М+1)=268. 1Н ЯМР (400 МГц, Метанол-d4) δ 9.15 (dd, J=4.1, 1.2 Гц, 1H), 8.66 - 8.56 (m, 1H), 8.41 (s, 1H), 7.87 (dd, J=8.6, 4.1 Гц, 1H), 3.87 (dd, J=11.1, 3.1 Гц, 1H), 3.80 - 3.72 (m, 1H), 3.67 (s, 1H), 3.64 - 3.54 (m, 2Н), 3.37 (s, 1H), 2.99 (t, J=11.0 Гц, 1H), 2.68 (t, J=11.6 Гц, 1H), 2.40 - 2.14 (m, 2Н), 1.36 - 1.23 (m, 2Н), 1.10 (d, J=6.5 Гц, 3Н).
Пример 9: 5-((3S,5R)-3-амино-5-трифторметилпиперидин-1-ил)-[1,7]нафтиридин-8-карбонитрил
[00288] Сложный трет-бутиловый эфир [(3S,5R)-1-(8-хлор-[1,7]нафтиридин-5-ил)-5-трифторметилпиперидин-3-ил]-карбаминовой кислоты: В 20 мл сосуд для микроволновой обработки помещали 5-бром-8-хлор-[1,7]нафтиридин (560 мг; 2.30 ммоль; 1.0 экв.), сложный трет-бутиловът эфир ((3S,5R)-5-трифторметилпиперидин-3-ил)-карбаминовой кислоты (617 мг; 2.30 ммоль; 1.0 экв.), RuPhos (53 мг; 0.11 ммоль; 0.05 экв.) и диоксан (10 мл). Смесь дегазировали, затем добавляли 2-метилпропан-2-ол-натрий (243 мг; 2.53 ммоль; 1.10 экв.) и бис(три-трет-бутилфосфин)палладий(0) (58.8 мг; 0.11 ммоль; 0.05 экв.). Полученную в результате смесь перемешивали при 90°С в течение 4 ч до завершения реакции. Сырой продукт очищали с помощью хроматографии на силикагелевой колонке с получением указанного в заголовке соединения (300 мг, выход 30%). ЖХ-МС (М+1)=431/433.
[00289] 5-((3S,5R)-3-амино-5-трифторметилпиперидин-1-ил)-[1,7]нафтиридин-8-карбонитрил: В 10 мл сосуде для микроволновой обработки к раствору сложного трет-бутшюъото эфира [(3R,5S)-1-(8-хлор-[1,7]нафтиридин-5-ил)-5-трифторметилпиперидин-3-ил]-карбаминовой кислоты (170 мг; 0.39 ммоль; 1.0 экв.) в ДМФА (1 мл) добавляли цианид цинка (92 мг; 0.79 ммоль; 2.0 экв.), и 1,1'-бис(дифенилфосфино)ферроцен (22 мг; 0.04 ммоль; 0.10 экв.). Смесь дегазировали, и затем добавляли бис(три-трет-бутилфосфин)палладий(0) (10 мг; 0.02 ммоль; 0.05 экв.). Сосуд закупоривали и нагревали в микроволновой печи при 150°С в течение 2 ч до завершения реакции. Сырой продукт очищали с помощью преп. ВЭЖХ, элюируя смесями 20-70% ACN/вода (с содержанием аммиака 0.1%), с обеспечением указанного в заголовке соединения. ЖХ-МС (М+1)=322. 1Н ЯМР (400 МГц, Метанол-d4) δ 9.15 (dd, J=4.2, 1.6 Гц, 1H), 8.59 (dd, J=8.7, 1.6 Гц, 1H), 8.42 (s, 1H), 7.86 (dd, J=8.7, 4.2 Гц, 1H), 4.56 (s, 1H), 3.81 - 3.64 (m, 2Н), 3.25 (td, J=10.9, 5.4 Гц, 1H), 3.07 - 2.90 (m, 1H), 2.72 (dd, J=11.7, 10.7 Гц, 1H), 2.38 (d, J=13.0 Гц, 1H), 1.43 (dd, J=12.3, 4.9 Гц, 2Н), 1.36 - 1.21 (m, 1Н).
Пример 10: (3S,5R)-1-(8-этокси-[1,7]нафтиридин-5-ил)-5-трифторметилпиперидин-3-иламин
[00290] К раствору сложного трет-бутилового эфира [(3R,5S)-1-(8-хлор-[1,7]нафтиридин-5-ил)-5-трифторметилпиперидин-3-ил]-карбаминовой кислоты (300 мг; 0.01 ммоль; 1.0 экв.) в этаноле (0.4 мл) добавляли гидроксид натрия (2.0 М водный раствор) (1.0 мл; 2.0 ммоль; 287.23 экв). Полученную в результате смесь перемешивали при 130°С в течение 24 ч до завершения реакции. Сырой продукт очищали с помощью преп. ВЭЖХ, элюируя смесями 20-70% ACN/вода (с содержанием аммиака 0.1%), с обеспечением указанного в заголовке соединения. ЖХ-МС (М+1)=341. 1Н ЯМР (400 МГц,) δ 8.11 (dd, J=4.2, 1.7 Гц, 1H), 7.73 (dd, J=8.5, 1.7 Гц, 1H), 7.05 (s, 1H), 7.03 - 6.97 (m, 1H), 3.81 (q, J=7.1 Гц, 2Н), 2.66 - 2.54 (m, 2Н), 2.52 (р, J=1.6 Гц, 2Н), 2.38 (ddd, J=15.2, 10.6, 4.2 Гц, 1H), 2.16 - 2.01 (m, 2Н), 1.74 (t, J=10.8 Гц, 1H), 1.52 (d, J=12.7 Гц, 1H), 0.73 (td, J=7.1, 1.8 Гц, 3Н), 0.63 - 0.48 (m, 1Н).
Пример 11: 4-{[(3S,5R)-5-метил-1-(8-трифторметил-[1,7]нафтиридин-5-ил)-пиперидин-3-иламино]-метил}-тетрагидропиран-4-ол
[00291] Смесь (3S,5R)-5-метил-1-(8-трифторметил-[1,7]нафтиридин-5-ил)-пиперидин-3-иламина (50 мг; 0.16 ммоль; 1.0 экв.), 4-бромметилтетрагидропиран-4-ола (47 мг; 0.24 ммоль; 1.50 экв.), карбоната калия (33 мг; 0.24 ммоль; 1.50 экв.) в ДМСО (1 мл) перемешивали при 80°С в течение 24 ч. Реакционную смесь охлаждали до к.т.Сырой продукт очищали с помощью преп. ВЭЖХ, элюируя смесями 20-70% ACN в воде (с содержанием аммиака 0.1%), с получением указанного в заголовке соединения. ЖХ-МС (М+1)=425. 1Н ЯМР (400 МГц, ДМСО-d6) δ 9.10 (d, J=3.9 Гц, 1H), 8.55 (d, J=8.6 Гц, 1H), 8.20 (s, 1H), 7.86 (dd, J=8.8, 4.1 Гц, 1H), 4.29 (d, J=12.2 Гц, 2Н), 4.04 (dd, J=11.7, 3.4 Гц, 1H), 3.66 - 3.49 (m, 4Н), 2.81 (dd, J=13.5, 8.2 Гц, 1H), 2.57 (d, J=4.5 Гц, 2Н), 2.08 (d, J=12.1 Гц, 2Н), 1.91 (s, 1H), 1.64 - 1.51 (m, 3Н), 1.39 (d, J=13.3 Гц, 2Н), 0.93 (m, J=7.3 Гц, 4Н).
[00292] Следующее соединение синтезировали аналогичным образом.
Пример 12: 8-[(3S,5R)-3-(1,1-диоксо-1 лямбда6-тиетан-3-иламино)-5-метилпиперидин-1-ил]-хиноксалин-5-карбонитрил
[00293] Указанное в заголовке соединение получали из гидрохлорида (2) 8-((3S,5R)-3-амино-5-метилпиперидин-1-ил)-хиноксалин-5-карбонитрила и 1,1-диоксида 3-бромтиетана. ЖХ-МС (М+1)=372. 1Н ЯМР (400 МГц, ДМСО-d6) δ 9.0 (dd, J=27.4, 1.7 Гц, 2Н), 8.17 (d, J=8.4 Гц, 1H), 7.21 (d, J=8.5 Гц, 1H), 4.52 - 4.24 (m, 3Н), 4.13 (d, J=12 А Гц, 1H), 3.92 (dt, J=13.0, 6.1 Гц, 2Н), 3.76 (h, J=7.1 Гц, 1H), 2.89 - 2.69 (m, 1H), 2.59 (dp, J=11.7, 5.5 Гц, 3Н), 2.10 - 1.98 (m, 1H), 1.88 (d, J=6.6 Гц, 1H), 1.04 - 0.73 (m, 4Н).
Пример 13: (1,1-диоксо-1лямбда6-тиетан-3-ил)-[(3S,5R)-5-метил-1-(8-трифторметилхинолин-5-ил)-пиперидин-3-ил]-амин
[00294] Указанное в заголовке соединение получали из (3S,5R)-5-метил-1-(8-трифторметилхинолин-5-ил)-пиперидин-3-иламина и 1,1-диоксида 3-бромтиетана. ЖХ-МС (М+1)=414. 1Н ЯМР (400 МГц, ДМСО-d6) δ 9.01 (d, J=4.2 Гц, 1H), 8.47 (d, J=8.6 Гц, 1H), 8.05 (d, J=8.0 Гц, 1H), 7.67 (dd, J=8.7, 4.2 Гц, 1H), 7.20 (d, J=8.1 Гц, 1H), 4.32 (dt, J=21.0, 10.3 Гц, 2Н), 3.99 - 3.87 (m, 2Н), 3.75 (q, J=7.3 Гц, 1H), 3.51 (d, J=11.2 Гц, 1H), 2.95 (d, J=32.9 Гц, 1H), 2.59 (t, J=6.8 Гц, 1H), 2.38 (q, J=12.3, 11.8 Гц, 2Н), 2.13 - 1.84 (m, 2Н), 0.90 (dd, J=26.8, 9.1 Гц, 3Н). 0.85-0.9 (m, 1Н).
Пример 14: 8-{(3S,5R)-3-[(4-гидрокситетрагидропиран-4-илметил)-амино]-5-метилпиперидин-1-ил}-хиноксалин-5-карбонитрил
[00295] Указанное в заголовке соединение получали из 8-((3R,5S)-3-амино-5-метилпиперидин-1-ил)-хиноксалин-5-карбонитрила и 4-бромметилтетрагидропиран-4-ола. ЖХ-МС (М+1)=382. 1Н ЯМР (400 МГц, ДМСО-d6) δ 8.98 (dd, J=34.5, 1.7 Гц, 2Н), 8.16 (d, J=8.4 Гц, 1H), 7.19 (d, J=8.5 Гц, 1H), 4.44 (d, J=12.0 Гц, 1H), 4.18 (d, J=14.2 Гц, 2Н), 3.60 (d, J=12.6 Гц, 3Н), 2.77 (s, 1H), 2.68 - 2.55 (m, 2Н), 2.07 (d, J=13.0 Гц, 1H), 1.88 (s, 2Н), 1.57 (d, J=13.0 Гц, 2Н), 1.39 (d, J=13.3 Гц, 2Н), 1.01 - 0.83 (m, 3Н).
Пример 15: 3-[(3S,5R)-1-(8-цианохиноксалин-5-ил)-5-метилпиперидин-3-иламино]-2-фтор-2-метилпропионовая кислота
[00296] Указанное в заголовке соединение получали из гидрохлорида 8-((3S,5R)-3-амино-5-метилпиперидин-1-ил)-хиноксалин-5-карбонитрила и
сложного метилового эфира 3-бром-2-фтор-2-метилпропионовой кислоты. ЖХ-МС (М+1)=372. 1Н ЯМР (400 МГц, Метанол-d6) δ 8.92 (dd, J=12.8, 1.8 Гц, 2Н), 8.10 (d, J=8.4 Гц, 1H), 7.30 (d, J=8.4 Гц, 1H), 4.39 - 4.14 (m, 3Н), 4.07 - 3.62 (m, 3Н), 2.97 (dd, J=11.7, 9.9 Гц, 1H), 2.74 (dd, J=12.4, 10.3 Гц, 1H), 2.19 - 2.0 (m, 2Н), 1.63 - 1.37 (m, 4Н), 1.04 (d, J=6.4 Гц, 3Н).
Пример 16: 8-[(3S,5R)-3-(2-гидрокси-2-метилпропиламино)-5-метилпиперидин-1-ил]-хиноксалин-5-карбонитрил, муравьиная кислота
[00297] Указанное в заголовке соединение получали из гидрохлорида 8-((3S,5R)-3-амино-5-метилпиперидин-1-ил)-хиноксалин-5-карбонитрила и 1-бром-2-метилпропан-2-ола. ЖХ-МС (М+1)=340. 1H ЯМР (400 МГц, ДМСО-d6) δ 9.02 (d, J=1.8 Гц, 1H), 8.94 (d, J=1.8 Гц, 1H), 8.24 (s, 1H), 8.17 (d, J=8.5 Гц, 1H), 7.20 (d, J=8.5 Гц, 1H), 4.45 (dd, J=11.8, 2.7 Гц, 1H), 4.18 (dd, J=13.1, 3.5 Гц, 1H), 2.79 (dq, J=10.8, 5.3, 3.8 Гц, 1H), 2.62 (td, J=11.7, 4.9 Гц, 2Н), 2.55 -2.52 (m, 2Н), 2.07 (d, J=12.3 Гц, 1H), 1.88 (dq, J=10.8, 7.0 Гц, 1H), 1.09 (s, 6Н), 1.0 - 0.80 (m, 4Н).
Пример 17: 2-метил-1-[(3S,5R)-5-метил-1-(8-трифторметилхинолин-5-ил)-пиперидин-3-иламино]-пропан-2-ол
[00298] Указанное в заголовке соединение получали из гидрохлорида (3S,5R)-5-метил-1-(8-трифторметилхинолин-5-ил)-пиперидин-3-иламина и 1-бром-2-метилпропан-2-ола. ЖХ-МС (М+1)=382. 1H ЯМР (400 МГц, ДМСО-d6) δ 9.01 (dd, J=4.1, 1.7 Гц, 1H), 8.48 (dd, J=8.6, 1.8 Гц, 1H), 8.05 (d, J=8.1 Гц, 1H), 7.66 (dd, J=8.6, 4.1 Гц, 1H), 7.20 (d, J=8.0 Гц, 1H), 4.12 (s, 1H), 3.54 (d, J=10.9 Гц, 1H), 2.88 (d, J=10.8 Гц, 1H), 2.64 - 2.22 (m, 5Н), 2.18 - 1.93 (m, 2Н), 1.52 (s, 1H), 1.07 (s, 6Н), 1.03 - 0.55 (m, 4Н).
Пример 18: 2-{[(3S,5R)-5-метил-1-[8-(трифторметил)хинолин-5-ил]пиперидин-3-ил]амино}-1-(морфолин-4-ил)этан-1-он
[00299] Указанное в заголовке соединение получали из трифторацетата (3S,5R)-5-метил-1-[8-(трифторметил)хинолин-5-ил]пиперидин-3-аминия и 4-(бромацетил)морфолина. МС: 437 [М+Н]+. 1Н ЯМР (400 МГц, CDCl3) δ 9.04 (dd, J=4.2, 1.7 Гц, 1H), 8.42 (dd, J=8.6, 1.8 Гц, 1H), 7.97 (d, J=8.0 Гц, 1H), 7.47 (dd, J=8.6, 4.2 Гц, 1H), 7.08 (d, J=7.9 Гц, 1H), 3.73 - 3.60 (m, 6H), 3.55 - 3.52 (m, 3H), 3.40 (t, J=4.8 Гц, 2H), 3.36 - 3.30 (m, 1H), 3.10 - 3.02 (m, 1H), 2.66 (dd, J=10.6, 7.6 Гц, 1H), 2.37 (t, J=11.4 Гц, 1H), 2.25 - 2.17 (m, 1H), 1.09 (q, J=11.9 Гц, 1H), 1.0 (d, J=6.6 Гц, 3Н).
Пример 19:N-(2-{[(3S,5R)-5-метил-1-[8-(трифторметил)хинолин-5-ил]пиперидин-3-ил]амино}этил)аминосульфонамид
[00300] Указанное в заголовке соединение получали из трифторацетата (3S,5R)-5-метил-1-[8-(трифторметил)хинолин-5-ил]пиперидин-3-аминия и [(2-бромэтил)сульфамоил]амина. МС: 432 [М+Н]+. 1Н ЯМР (400 МГц, CDCl3) δ 9.04 (d, J=4.1 Гц, 1H), 8.44 (d, J=8.6 Гц, 1H), 7.96 (d, J=7.9 Гц, 1H), 7.49 (dd, J=8.6, 4.2 Гц, 1H), 7.05 (d, J=8.0 Гц, 1H), 3.81 - 3.74 (m, 2H), 3.31 (d, J=11.6 Гц, 1H), 3.13 - 3.07 (m, 2H), 2.93 - 2.84 (m, 2H), 2.53 (d, J=12.0 Гц, 1H), 2.37 (t, J=11.3 Гц, 1H), 2.28 (d, J=12.4 Гц, 1H), 2.18 - 2.08 (m, 1H), 1.12 - 0.94 (m, 4H).
Пример 20: N-(2-{[(3S,5R)-5-метил-1-[8-(трифторметил)хинолин-5-ил]пиперидин-3-ил]амино}этил)метансульфонамид
[00301] Указанное в заголовке соединение получали из трифторацетата (3S,5R)-5-метил-1-[8-(трифторметил)хинолин-5-ил]пиперидин-3-аминия и N-(2-бромэтил)метансульфонамида. МС: 431 [М+Н]+. 1Н ЯМР (400 МГц, CDCl3) δ 9.09 - 9.01 (m, 1H), 8.43 (dd, J=8.5, 1.5 Гц, 1H), 7.97 (d, J=8.0 Гц, 1H), 7.48 (dd, J=8.6, 4.2 Гц, 1H), 7.07 (d, J=7.9 Гц, 1H), 3.56 (d, J=11.2 Гц, 1H), 3.33 (d, J=11.7 Гц, 1H), 3.21 (t, J=5.6 Гц, 2H), 3.10 - 2.83 (m, 6H), 2.44 (t, J=10.7 Гц, 1H), 2.36 (t, J=11.3 Гц, 1H), 2.19 (d, J=12.7 Гц, 1H), 2.13 - 2.03 (m, 1H), 0.99 (d, J=6.6 Гц, 3H), 0.98 - 0.87 (m, 1H).
Пример 21: 8-[(3S,5R)-3-[(3-метансульфонилпропил)амино]-5-метилпиперидин-1-ил]хиноксалин-5-карбонитрил, метансульфонамид
[00302] Указанное в заголовке соединение получали из трифторацетата (3S,5R)-5-метил-1-[8-(трифторметил)хинолин-5-ил]пиперидин-3-аминия и 1-бром-3-метансульфонилпропана. МС: 388 [М+Н]+. 1Н ЯМР (400 МГц, ДМСО-d6) δ 9.02 (d, J=1.8 Гц, 1H), 8.94 (d, J=1.8 Гц, 1H), 8.16 (d, J=8.4 Гц, 1H), 7.19 (d, J=8.5 Гц, 1H), 4.46 (d, J=11.7 Гц, 1H), 4.14 (d, J=12.2 Гц, 1H), 3.30 (d, J=1.2 Гц, 2Н), 3.16 (dd, J=6.4, 4.0 Гц, 2Н), 2.96 (s, 3Н), 2.86 - 2.67 (m, 2Н), 2.65 - 2.52 (m, 2Н), 2.50 (р, J=1.8 Гц, 4Н), 2.05 (d, J=12.5 Гц, 1H), 1.95 - 1.66 (m, 3Н), 0.93 (t, J=6.6 Гц, 4Н).
Пример 22: 3-[(3S,5R)-5-метил-1-(8-трифторметилхиноксалин-5-ил)-пиперидин-3-иламино]-пропионамид
[00303] Указанное в заголовке соединение получали из гидрохлорида (3S,5R)-5-метил-1-(8-трифторметилхиноксалин-5-ил)-пиперидин-3-иламина и 3-бромпропионамида. ЖХ-МС (М+1)=382. 1Н ЯМР (400 МГц, ДМСО-d6) δ 8.98 (dd, J=21.1, 1.8 Гц, 2Н), 8.04 (d, J=8.4 Гц, 1H), 7.34 (s, 1H), 7.20 (d, J=8.4 Гц, 1H), 6.73 (s, 1H), 4.28 (d, J=11.4 Гц, 1H), 4.02 (d, J=11.8 Гц, 1H), 2.80 (d, J=6.4 Гц, 3Н), 2.48 - 2.43 (m, 1H), 2.21 (t, J=6.8 Гц, 2Н), 2.05 (d, J=12.5 Гц, 1H), 1.91 (s, 1H), 1.64 (d, J=6.5 Гц, 1H), 1.01 - 0.76 (m, 4Н).
Пример 23:N-{2-[(3S,5R)-5-метил-1-(8-трифторметилхиноксалин-5-ил)-пиперидин-3-иламино]-этил}-метансульфонамид
[00304] Указанное в заголовке соединение получали из гидрохлорида (3S,5R)-5-метил-1-(8-трифторметилхиноксалин-5-ил)-пиперидин-3-иламина и N-(2-бромэтил)-метансульфонамида. ЖХ-МС (М+1)=432. 1Н ЯМР (400 МГц, ДМСО-d6) δ 8.98 (dd, J=21.3, 1.8 Гц, 2Н), 8.04 (d, J=8.4 Гц, 1H), 7.19 (dd, J=8.5, 4.1 Гц, 1H), 6.92 (s, 1H), 4.30 (d, J=11.0 Гц, 1H), 4.07 - 3.92 (m, 1H), 3.03 (t, J=6.5 Гц, 2Н), 2.91 (s, 3Н), 2.83 (d, J=10.7 Гц, 1H), 2.74 (t, J=5.7 Гц, 2Н), 2.48 - 2.43 (m, 2Н), 2.06 (d, J=13.1 Гц, 1H), 1.99 - 1.83 (m, 1H), 1.75 (s, 1H), 1.0 - 0.80 (m, 4Н).
Пример 24: N-{2-[(3S,5R)-5-метил-1-(8-трифторметилхиноксалин-5-ил)-пиперидин-3-иламино]-этил}-метансульфонамид
[00305] Указанное в заголовке соединение получали из гидрохлорида (3S,5R)-5-метил-1-(8-трифторметилхиноксалин-5-ил)-пиперидин-3-иламина и N-(2-бромэтил)этан-1-сульфонамида. ЖХ-МС (М+1)=446. 1Н ЯМР (400 МГц, ДМСО-d6) δ 8.99 (d, J=22.3 Гц, 2Н), 8.04 (d, J=8.3 Гц, 1H), 7.20 (d, J=8.4 Гц, 1H), 6.96 (s, 1H), 4.31 (d, J=11.7 Гц, 1H), 4.0 (d, J=11.9 Гц, 1H), 3.08 - 2.93 (m, 4Н), 2.83 (d, J=11.2 Гц, 1H), 2.72 (s, 2Н), 2.45 (d, J=11.1 Гц, 2Н), 2.05 (d, J=12.2 Гц, 1H), 1.91 (s, 1H), 1.75 (s, 1H), 1.19 (td, J=7.3, 2.0 Гц, 3Н), 1.01 - 0.78 (m, 4Н).
Пример 25:N-{2-[(3S,5R)-5-метил-1-(8-трифторметилхиноксалин-5-ил)-пиперидин-3-иламино]-этил}-ацетамид, муравьиная кислота
[00306] Указанное в заголовке соединение получали из гидрохлорида (3S,5R)-5-метил-1-(8-трифторметилхиноксалин-5-ил)-пиперидин-3-иламина и N-(2-хлорэтил)-ацетамида. ЖХ-МС (М+1)=442. 1Н ЯМР (400 МГц, Метанол-d6) δ 9.0 - 8.87 (m, 2Н), 8.54 (s, 1H), 8.08 (t, J=6.5 Гц, 1H), 7.30 (t, J=9.6 Гц, 1H), 4.31 (d, J=11.8 Гц, 1H), 4.17 (q, J=12.3 Гц, 1H), 3.97 (d, J=12.0 Гц, 1H), 3.84 (d, J=12.3 Гц, 1H), 3.77 (dt, J=10.7, 5.2 Гц, 2Н), 3.57 (d, J=5.4 Гц, 1H), 3.45 (d, J=5.6 Гц, 1H), 2.79 (t, J=11.1 Гц, 1H), 2.74 - 2.59 (m, 1H), 2.37 (d, J=2.2 Гц, 2Н), 2.23 (q, J=31.3, 22.4 Гц, 2Н), 1.46 (q, J=11.9 Гц, 1H), 1.30 (q, J=11.9 Гц, 1Н), 1.16 - 0.99 (m, 3Н).
Пример 26: 4-{[(3S,5R)-5-метил-1-(8-трифторметилхиноксалин-5-ил)-пиперидин-3-иламино]-метил}-тетрагидропиран-4-ол
[00307] Указанное в заголовке соединение получали из гидрохлорида (3S,5R)-5-метил-1-(8-трифторметилхиноксалин-5-ил)-пиперидин-3-иламина и N-(2-хлорэтил)-ацетамида. ЖХ-МС (М+1)=425. 1Н ЯМР (400 МГц, ДМСО-d6) δ 8.98 (d, J=22.3 Гц, 2Н), 8.05 (d, J=8.4 Гц, 1H), 7.20 (d, J=8.4 Гц, 1H), 4.29 (d, J=12.2 Гц, 2Н), 4.04 (dd, J=11.7, 3.4 Гц, 1H), 3.69 - 3.48 (m, 4Н), 2.81 (dd, J=13.5, 8.2 Гц, 2Н), 2.57 (d, J=4.5 Гц, 2Н), 2.08 (d, J=12.1 Гц, 1H), 1.91 (s, 1H), 1.61 - 1.45 (m, 2Н), 1.39 (d, J=13.3 Гц, 2Н), 0.93 (t, J=7.3 Гц, 4Н).
Пример 27: 1-{2-[(3S,5R)-5-метил-1-(8-трифторметилхинолин-5-ил)-пиперидин-3-иламино]-этил}-имидазолидин-2-он
[00308] Указанное в заголовке соединение получали из гидрохлорида (3S,5R)-5-метил-1-(8-трифторметилхинолин-5-ил)-пиперидин-3-иламина и 1-(2-бромэтил)-имидазолидин-2-она. ЖХ-МС (М+1)=422. 1Н ЯМР (400 МГц, ДМСО-d6) δ 9.0 (d, J=4.1 Гц, 1H), 8.49 (d, J=8.6 Гц, 1H), 8.04 (d, J=8.0 Гц, 1H), 7.67 (dd, J=8.6, 4.2 Гц, 1H), 7.20 (d, J=8.1 Гц, 1H), 6.22 (s, 1H), 3.60 - 3.47 (m, 1H), 3.34 (dd, J=8.9, 6.5 Гц, 2H), 3.20 (t, J=7.9 Гц, 2H), 3.09 (hept, J=6.6 Гц, 2H), 2.95 (s, 1H), 2.69 (s, 2H), 2.37 (td, J=11.1, 7.1 Гц, 2H), 2.14 - 1.85 (m, 2H), 1.62 (s, 1H), 0.94 (d, J=6.5 Гц, 3Н), 0.84 (t, J=11.7 Гц, 1H).
Пример 28: 5-{[(3S,5R)-5-метил-1-(8-трифторметилхиноксалин-5-ил)-пиперидин-3-иламино]-метил}-пирролидин-2-он
[00309] Указанное в заголовке соединение получали из гидрохлорида (3S,5R)-5-метил-1-(8-трифторметилхиноксалин-5-ил)-пиперидин-3-иламина и 5-бромметилпирролидин-2-она. ЖХ-МС (М+1)=408. 1Н ЯМР (400 МГц, Метанол-d4) δ 9.05 - 8.89 (m, 2Н), 8.42 (s, 1H), 8.08 (t, J=8.5 Гц, 1H), 7.29 (d, J=8.6 Гц, 1H), 4.50 (d, J=11.2 Гц, 1H), 3.94 (d, J=14.0 Гц, 2H), 3.75 (m, 1H), 3.37 (d, J=11.7 Гц, 1H), 3.13 (d, J=4.7 Гц, 1H), 2.99 (dd, J=13.0, 7.6 Гц, 1H), 2.71 (t, J=11.0 Гц, 1H), 2.61 (q, J=11.9 Гц, 1H), 2.37 (td, J=23.1, 19.0, 10.1 Гц, 3Н), 2.13 (s, 1H), 1.91 (d, J=11.4 Гц, 1H), 1.25 (dt, J=46.9, 12.0 Гц, 1H), 1.09 (dd, J=9.7, 7.2 Гц, 3Н).
Пример 29: 3-{2-[(3S,5R)-5-метил-1-(8-трифторметилхинолин-5-ил)-пиперидин-3-иламино]-этил}-оксазолидин-2-он
[00310] Указанное в заголовке соединение получали из гидрохлорида (3S,5R)-5-метил-1-(8-трифторметилхинолин-5-ил)-пиперидин-3-иламина и 3-(2-бромэтил)-оксазолидин-2-она. ЖХ-МС (М+1)=423. 1Н ЯМР (400 МГц, ДМСО-d6) δ 9.01 (d, J=3.9 Гц, 1H), 8.49 (dd, J=8.6, 1.6 Гц, 1H), 8.05 (d, J=8.1 Гц, 1H), 7.66 (dd, J=8.6, 4.2 Гц, 1H), 7.20 (d, J=8.0 Гц, 1H), 4.23 (t, J=8.0 Гц, 2H), 3.55 (q, J=7.0, 5.7 Гц, 2H), 3.29 (s, 1H), 3.22 (td, J=6.5, 2.9 Гц, 2H), 2.95 (s, 1H), 2.82 - 2.65 (m, 2H), 2.38 (td, J=11.1, 5.2 Гц, 2H), 2.06 (dd, J=32.7, 11.4 Гц, 2H), 1.75 (d, J=6.6 Гц, 1H), 0.99 - 0.87 (m, 3H), 0.83 (d, J=11.7 Гц, 1H).
Пример 30: 3-{2-[(3S,5R)-5-метил-1-(8-трифторметилхинолин-5-ил)-пиперидин-3-иламино]-этил}-пирролидин-2-он
[00311] Указанное в заголовке соединение получали из гидрохлорида (3S,5R)-5-метил-1-(8-трифторметилхинолин-5-ил)-пиперидин-3-иламина и 3-(2-бромэтил)-пирролидин-2-она. ЖХ-МС (М+1)=421. 1Н ЯМР (400 МГц, ДМСО-d6) δ 9.01 (d, J=4.1 Гц, 1H), 8.48 (d, J=8.4 Гц, 1H), 8.05 (d, J=8.1 Гц, 1H), 7.66 (dd, J=8.6, 4.2 Гц, 1H), 7.49 (s, 1H), 7.20 (d, J=8.1 Гц, 1H), 3.53 (d, J=11.3 Гц, 1H), 3.21 - 3.04 (m, 2H), 2.92 (s, 1H), 2.64 (s, 2H), 2.44 - 2.30 (m, 2H), 2.25 (dd, J=9.1, 4.6 Гц, 1H), 2.21 - 1.91 (m, 3H), 1.89 - 1.73 (m, 1H), 1.61 (d, J=9.7 Гц, 2H), 1.32 (dt, J=14.2, 7.9 Гц, 1H), 0.94 (d, J=6.5 Гц, 3Н), 0.89 - 0.76 (m, 1H).
Пример 31: 3-{2-[(3S,5R)-5-метил-1-(8-трифторметилхиноксалин-5-ил)-пиперидин-3-иламино]-этил}-оксазолидин-2-он, муравьиная кислота
[00312] Указанное в заголовке соединение получали из гидрохлорида (3S,5R)-5-метил-1-(8-трифторметилхиноксалин-5-ил)-пиперидин-3-иламина и 3-(2-бромэтил)-оксазолидин-2-она. ЖХ-МС (М+1)=424. 1Н ЯМР (400 МГц, Метанол-d6) δ 8.94 (d, J=6.4 Гц, 2Н), 8.47 (s, 1H), 8.07 (d, J=8.4 Гц, 1H), 7.29 (d, J=8.3 Гц, 1H), 4.51 (d, J=11.6 Гц, 1H), 4.41 (t, J=8.1 Гц, 2Н), 3.94 (d, J=11.8 Гц, 1H), 3.71 (t, J=8.3 Гц, 2Н), 3.57 (s, 2Н), 3.46 (s, 1H), 3.19 (d, J=6.2 Гц, 2Н), 2.74 (t, J=11.0 Гц, 1H), 2.61 (t, J=11.5 Гц, 1H), 2.31 (d, J=12.5 Гц, 1H), 2.12 (s, 1H), 1.18 (q, J=12.0 Гц, 1H), 1.08 (d, J=6.5 Гц, 3Н).
Пример 32: метиламид 3-[(3S,5R)-5-метил-1-(8-трифторметилхинолин-5-ил)-пиперидин-3-иламино]-пропан-1-сульфоновой кислоты
[00313] Указанное в заголовке соединение получали из (3S,5R)-5-метил-1-(8-трифторметилхинолин-5-ил)-пиперидин-3-иламина и метиламида 3-хлорпропан-1-сульфоновой кислоты. ЖХ-МС (М+1)=445. 1Н ЯМР (400 МГц, ДМСО-d6) δ 9.01 (s, 1H), 8.48 (d, J=8.6 Гц, 1H), 8.05 (d, J=8.1 Гц, 1H), 7.66 (d, J=10.3 Гц, 1H), 7.20 (d, J=7.9 Гц, 1H), 6.86 (s, 1H), 3.53 (d, J=11.2 Гц, 1H), 3.04 (t, J=7.9 Гц, 1H), 2.90 (s, 1H), 2.68 (s, 2Н), 2.56 (t, J=2.7 Гц, 2Н), 2.38 (d, J=9.2 Гц, 3Н), 2.17 - 1.90 (m, 3Н), 1.87 (s, 1H), 1.83 - 1.64 (m, 2Н), 1.03 - 0.91 (m, 3Н), 0.91 - 0.79 (m, 1Н).
Пример 33: 2-метил-4-[(3S,5R)-5-метил-1-(8-трифторметилхинолин-5-ил)-пиперидин-3-иламино]-бутан-2-ол
[00314] Указанное в заголовке соединение получали из гидрохлорида (3S,5R)-5-метил-1-(8-трифторметилхинолин-5-ил)-пиперидин-3-иламина и 4-бром-2-метилбутан-2-ола. ЖХ-МС (М+1)=396. !Н ЯМР (400 МГц, Метанол-d6) δ 9.0 - 8.83 (m, 1H), 8.61 (d, J=8.6 Гц, 1H), 8.05 (d, J=8.1 Гц, 1H), 7.61 (dt, J=6.4, 3.0 Гц, 1H), 7.25 (d, J=8.2 Гц, 1H), 3.64 (d, J=11.3 Гц, 1H), 3.40 (s, 1H), 3.08 (d, J=11.3 Гц, 1H), 2.87 (р, J=9.8, 8.3 Гц, 2Н), 2.48 (dt, J=23.2, 11.1 Гц, 2Н), 2.24 (d, J=12.7 Гц, 1H), 2.13 (s, 2Н), 1.70 (t, J=7.6 Гц, 2Н), 1.23 (s, 6Н), 1.08 - 0.77 (m, 4Н).
Пример 34: амид 3-[(3S,5R)-1-(8-цианохиноксалин-5-ил)-5-метилпиперидин-3-иламино]-пропан-1-сульфоновой кислоты
[00315] В 10 мл сосуд для микроволновой обработки помещали 8-((3S,5R)-3-амино-5-метилпиперидин-1-ил)-хиноксалин-5-карбонитрил (50 мг; 0.19 ммоль; 1.0 экв.), амид 3-бромпропан-1-сульфоновой кислоты (56 мг; 0.28 ммоль; 1.50 экв.), этилдиизопропиламин (0.08 мл; 0.47 ммоль; 2.50 экв.) и NMP (1 мл). Смесь перемешивали при 80°С в течение 4 ч. Сырой продукт очищали с помощью преп. ВЭЖХ, элюируя смесями 10-60% ACN/вода (с содержанием аммиака 0.1%), с обеспечением указанного в заголовке соединения (33 мг, выход: 45%). ЖХ-МС (М+1)=389. 1Н ЯМР (400 МГц, ДМСО-d6) δ 8.98 (dd, J=31.1, 1.9 Гц, 2Н), 8.16 (d, J=8.3 Гц, 1H), 7.18 (d, J=8.4 Гц, 1H), 6.75 (s, 2Н), 4.50 - 4.36 (m, 1H), 4.20 - 4.09 (m, 1H), 3.03 (dd, J=9.1, 6.5 Гц, 2Н), 2.85 - 2.63 (m, 3Н), 2.58 (dt, J=15.5, 11.4 Гц, 2Н), 2.05 (d, J=12.6 Гц, 1H), 1.83 (р, J=7.0 Гц, 3Н), 1.01 - 0.85 (m, 3Н).
[00316] Следующее соединение синтезировали аналогичным образом.
Пример 35: 5-[(3S,5R)-3-(2,3-дигидроксипропиламино)-5-метилпиперидин-1-ил]-[1,7]нафтиридин-8-карбонитрил
[00317] Указанное в заголовке соединение получали из 5-((3R,5S)-3-амино-5-метилпиперидин-1-ил)-[1,7]нафтиридин-8-карбонитрила и 3-бромпропан-1,2-диола. МС: 342.3 [М+Н]+. 1Н ЯМР (400 МГц, ДМСО-d6) δ 9.17 (d, J=4.1 Гц, 1H), 8.48 (d, J=8.6 Гц, 1H), 8.36 (s, 1H), 7.86 (dd, J=8.7, 4.2 Гц, 1H), 5.75 (s, 3Н), 3.81 - 3.72 (m, 2Н), 3.57 - 3.48 (m, 3Н), 2.92 (s, 1H), 2.73 (dd, J=11.9, 4.5 Гц, 1H), 2.60 (q, J=10.6 Гц, 2H), 2.54 (s, 1H), 2.09 (d, J=12.6 Гц, 1H), 1.99 (s, 1H), 0.95 (d, J=6.6 Гц, 3Н).
Пример 36:N-гидрокси-3-[(3S,5R)-5-метил-1-(8-трифторметилхинолин-5-ил)-пиперидин-3-иламино]-пропионамид
[00318] Смесь (3S,5R)-5-метил-1-(8-трифторметилхинолин-5-ил)-пиперидин-3-иламина (55.0 мг; 0.18 ммоль; 1.0 экв.), 3-хлор-N-гидроксипропионамида (32.95 мг; 0.27 ммоль; 1.50 экв.) и триэтиламина (44.98 мг; 0.44 ммоль; 2.50 экв.) в ДМСО (1 мл) перемешивали при 80°С в течение ночи. После завершения перемешивания реакционную смесь очищали с помощью преп. ВЭЖХ, используя градиент ацетонитрил/вода (с модифицированием 0.1% NH4OH), с получением указанного в заголовке соединения (4.50 мг; 0.01 ммоль; 6.4%). МС: 397.1 [М+Н]+. 1Н ЯМР (400 МГц, ДМСО-d6) δ 9.01 (dd, J=4.1, 1.7 Гц, 1H), 8.48 (dt, J=10.1, 3.1 Гц, 1H), 8.08 -8.02 (m, 1H), 7.68 - 7.63 (m, 1H), 7.34 (s, 1H), 7.19 (d, J=8.1 Гц, 1H), 3.57 - 3.48 (m, 1H), 3.32 (s, 2H), 2.99 - 2.89 (m, 1H), 2.85 - 2.72 (m, 1H), 2.37 (td, J=10.9, 4.7 Гц, 2H), 2.20 (t, J=6.8 Гц, 1H), 2.12 - 1.95 (m, 2H), 0.93 (dd, J=6.5, 3.5 Гц, 3Н), 0.86 (q, J=11.5 Гц, 1H).
Пример 37:N-{2-[(3S,5R)-5-метил-1-(8-трифторметилхинолин-5-ил)-пиперидин-3-иламино]-этил}-ацетамид, муравьиная кислота
[00319] В 10 мл сосуде для микроволновой обработки смесь гидрохлорида (3S,5R)-5-метил-1-(8-трифторметилхинолин-5-ил)-пиперидин-3-иламина (300 мг; 0.87 ммоль; 1.0 экв.),N[-(2-хлорэтил)-ацетамида (166 мг; 1.30 ммоль; 1.50 экв.), йодида натрия (39.01 мг; 0.26 ммоль; 0.30 экв.) и триэтиламина (0.30 мл; 2.17 ммоль; 2.50 экв.) в ACN (3 мл) перемешивали при 80°С в течение 72 ч до завершения реакции. Реакционную смесь охлаждали до к.т. Сырой продукт очищали с помощью преп. ВЭЖХ, элюируя смесями 20-60% CAN/вода (с содержанием аммиака 0.1%), с получением указанного в заголовке соединения (150 мг, выход 39%). ЖХ-МС (М+1)=372. 1Н ЯМР (400 МГц, ДМСО-d6) δ 9.03 (d, J=4.1 Гц, 1H), 8.58 (dd, J=24.6, 8.7 Гц, 1H), 8.42 (s, 1H), 8.09 (d, J=8.1 Гц, 1H), 7.68 (dd, J=8.7, 4.2 Гц, 1H), 7.24 (d, J=8.1 Гц, 1H), 4.18 (d, J=25.1 Гц, 1H), 4.0 (s, 1H), 3.69 - 3.46 (m, 4Н), 2.79 (t, J=10.9 Гц, 1H), 2.64 (d, J=10.4 Гц, 1H), 2.40 (t, J=9.8 Гц, 1H), 2.33 (s, 1H), 2.24 (s, 1H), 2.20 - 2.06 (m, 2Н), 1.33 (d, J=12.4 Гц, 1H), 1.16 (q, J=13.2, 12.3 Гц, 1H), 0.97 (d, J=6.3 Гц, 3Н).
[00320] Следующее соединение синтезировали аналогичным образом.
Пример 38: амид 3-[(3S,5R)-1-(8-цианохинолин-5-ил)-5-трифторметилпиперидин-3-иламино]-пропан-1-сульфоновой кислоты
[00321] Указанное в заголовке соединение получали из 5-((3R,5S)-3-амино-5-трифторметилпиперидин-1-ил)-хинолин-8-карбонитрила и амида 3-бромпропан-1-сульфоновой кислоты. ЖХ-МС (М+1)=442. 1Н ЯМР (400 МГц, ДМССМ6) δ 9.06 (d, J=4.2 Гц, 1H), 8.51 (d, J=8.5 Гц, 1H), 8.25 (d, J=8.0 Гц, 1H), 7.71 (dd, J=8.9, 4.2 Гц, 1H), 7.31 (d, J=8.1 Гц, 1H), 6.74 (s, 2Н), 3.57 (t, J=13.5 Гц, 3Н), 3.02 (dd, J=9.1, 6.7 Гц, 4Н), 2.88 (t, J=11.4 Гц, 1H), 2.70 (d, J=6.8 Гц, 2Н), 2.29 (d, J=12.2 Гц, 1H), 2.03 (d, J=47.9 Гц, 1H), 1.81 (t, J=7.8 Гц, 2Н), 1.25 (q, J=12.0 Гц, 1H), 0.95 (d, J=6.6 Гц, 1Н).
Пример 39: амид 3-[(3R,5S)-5-метил-1-(8-трифторметилхинолин-5-ил)-пиперидин-3-иламино]-пропан-1-сульфоновой кислоты
[00322] Указанное в заголовке соединение получали из (3R,5S)-5-метил-1-(8-трифторметилхинолин-5-ил)-пиперидин-3-иламина и амида 3-бромпропан-1-сульфоновой кислоты. ЖХ-МС (М+1)=431. 1H ЯМР (400 МГц, ДМСО-d6) δ 9.01 (dd, J=4.1, 1.9 Гц, 1H), 8.56 - 8.45 (m, 1H), 8.05 (d, J=8.0 Гц, 1H), 7.66 (dd, J=8.8, 4.2 Гц, 1H), 7.19 (d, J=8.0 Гц, 1H), 6.74 (s, 2H), 3.53 (d, J=11.7 Гц, 1H), 3.02 (dd, J=9.2, 6.4 Гц, 2H), 2.91 (s, 1H), 2.69 (h, J=5.2 Гц, 2H), 2.37 (td, J=11.3, 4.0 Гц, 2H), 2.15 - 1.90 (m, 2H), 1.82 (q, J=7.3 Гц, 2H), 0.94 (d, J=6.4 Гц, 3H), 0.86 (q,J=11.9 Гц, 1H).
Пример 40: {2-[(3R,5S)-1-(8-цианохинолин-5-ил)-5-трифторметилпиперидин-3-иламино]-этил}-мочевина
[00323] Указанное в заголовке соединение получали из 5-((3R,5S)-3-амино-5-трифторметилпиперидин-1-ил)-хинолин-8-карбонитрила и (2-хлорэтил)-мочевины. ЖХ-МС (М+1)=407. 1H ЯМР (400 МГц, ДМСО-d6) δ 9.10 - 8.99 (m, 1H), 8.52 (d, J=8.5 Гц, 1H), 8.24 (d, J=8.0 Гц, 1H), 7.72 (dd, J=8.6, 4.2 Гц, 1H), 7.31 (d, J=8.1 Гц, 1H), 5.89 (d, J=5.9 Гц, 1H), 5.42 (s, 2H), 3.57 (t, J=12.6 Гц, 2H), 3.03 (q, J=6.4 Гц, 3H), 2.88 (t, J=11.4 Гц, 1H), 2.63 (d, J=6.5 Гц, 2H), 2.29 (d, J=12.5 Гц, 1H), 1.87 (s, 1H), 1.25 (q, J=12.0 Гц, 1H).
Пример 41: [N-{2-[(3R,5S)-1-(8-цианохиноксалин-5-ил)-5-метилпиперидин-3-иламино]-этил}-метансульфонамид
[00324] Указанное в заголовке соединение получали из гидрохлорида (2) 8-((3R,5S)-3-амино-5-метилпиперидин-1-ил)-хиноксалин-5-карбонитрила и N-(2-бромэтил)-метансульфонамида. ЖХ-МС (М+1)=389. 1Н ЯМР (400 МГц, ДМСО-d6) δ 8.98 (dd, J=32.5, 1.7 Гц, 2H), 8.17 (d, J=8.4 Гц, 1H), 7.20 (d, J=8.5 Гц, 1H), 6.92 (s, 1H), 4.46 (d, J=12.3 Гц, 1H), 4.14 (d, J=12.2 Гц, 1H), 3.02 (t, J=6.5 Гц, 2H), 2.91 (s, 3H), 2.83 - 2.67 (m, 2H), 2.59 (dt, J=17.0, 11.3 Гц, 3H), 2.05 (d, J=12.4 Гц, 1H), 1.82 (d, J=44.5 Гц, 2H), 1.04 - 0.84 (m, 3H).
Пример 42: 8-{(3R,5S)-3-[(1,1-диоксотетрагидро-1 лямбдаб-тиофен-3-илметил)-амино]-5-метилпиперидин-1-ил}-хиноксалин-5-карбонитрил
[00325] Указанное в заголовке соединение получали из гидрохлорида (2) 8-((3R,5S)-3-амино-5-метилпиперидин-1-ил)-хиноксалин-5-карбонитрила и 1,1-диоксида 3-бромметилтетрагидротиофена. ЖХ-МС (М+1)=400. 1Н ЯМР (400 МГц, ДМСО-d6) δ 9.10 - 8.86 (m, 2Н), 8.16 (d, J=8.4 Гц, 1H), 7.19 (d, J=8.5 Гц, 1H), 4.44 (d, J=11.7 Гц, 1H), 4.15 (d, J=12.4 Гц, 1H), 3.26 - 3.10 (m, 2H), 3.04 (q, J=12.2, 10.6 Гц, 1H), 2.86 - 2.65 (m, 3H), 2.65 - 2.54 (m, 2H), 2.22 (s, 1H), 2.05 (d, J=13.1 Гц, 1H), 1.94 - 1.70 (m, 3H), 0.93 (d, J=6.8 Гц, 4H).
Пример 43: 8-{(3R,5S)-3-[2-(1,1-диоксо-1 лямбда6-тиетан-3-ил)-этиламино]-5-метилпиперидин-1-ил}-хиноксалин-5-карбонитрил
[00326] Указанное в заголовке соединение получали из гидрохлорида (2) 8-((3R,5S)-3-амино-5-метилпиперидин-1-ил)-хиноксалин-5-карбонитрила и 1,1-диоксида 3-(2-бромэтил)-тиетана. ЖХ-МС (М+1)=400. 1Н ЯМР (400 МГц, Метанол-d4) δ 8.92 (d, J=17.1 Гц, 2Н), 8.10 (d, J=8.4 Гц, 1H), 7.23 (d, J=8.4 Гц, 1H), 4.58 (d, J=11.9 Гц, 1H), 4.26 (dd, J=14.1, 9.6 Гц, 2H), 4.21 - 4.07 (m, 1H), 3.86 (dd, J=14.2, 6.6 Гц, 2H), 3.02 (t, J=10.9 Гц, 1H), 2.73 (q, J=6.6 Гц, 1H), 2.63 (dt, J=13.5, 6.6 Гц, 2H), 2.20 (d, J=12.5 Гц, 1H), 1.93 (q, J=7.4 Гц, 2H), 1.04 (d, J=6.8 Гц, 3H).
Пример 44: N-{2-[(3R,5S)-1-(8-цианохинолин-5-ил)-5-трифторметилпиперидин-3-иламино]-этил}-ацетамид
[00327] Указанное в заголовке соединение получали из 5-((3R,5S)-3-амино-5-трифторметилпиперидин-1-ил)-хинолин-8-карбонитрила и N-(2-хлорэтил)-ацетамида. ЖХ-МС (М+1)=406. 1H ЯМР (400 МГц, ДМСО-d6) δ 9.05 (d, J=4.3 Гц, 1H), 8.70 - 8.52 (m, 1H), 8.22 (d, J=8.0 Гц, 1H), 7.70 (dd, J=8.5, 4.2 Гц, 1H), 7.32 (d, J=8.1 Гц, 1H), 6.37 (s, 1H), 4.02 (s, 1H), 3.69 (s, 1H), 3.56 (d, J=11.1 Гц, 1H), 3.44 (s, 2H), 3.13 (s, 3H), 2.93 (s, 1H), 2.68 (s, 1H), 2.01 (d, J=19.4 Гц, 1H), 1.96 - 1.66 (m, 3H), 1.60 - 1.30 (m, 1H).
Пример 45: {2-[(3R,5S)-5-метил-1-(8-трифторметилхинолин-5-ил)-пиперидин-3-иламино]-этил}-мочевина
[00328] Указанное в заголовке соединение получали из (3R,5S)-5-метил-1-(8-трифторметилхинолин-5-ил)-пиперидин-3-иламина и (2-хлорэтил)-мочевины. ЖХ-МС (М+1)=396. 1H ЯМР (400 МГц, ДМСО-d6) δ 9.01 (d, J=4.2 Гц, 1H), 8.54 - 8.42 (m, 1H), 8.05 (d, J=8.1 Гц, 1H), 7.67 (dd, J=8.6, 4.2 Гц, 1H), 7.20 (d, J=8.1 Гц, 1H), 5.94 (d, J=34.6 Гц, 1H), 5.45 (d, J=22.7 Гц, 2H), 3.53 (d, J=11.1 Гц, 1H), 3.03 (q, J=6.1 Гц, 2H), 2.92 (s, 1H), 2.67 - 2.54 (m, 2H), 2.37 (q, J=10.2, 9.5 Гц, 2H), 2.18 - 1.89 (m, 2H), 1.65 (s, 1H), 0.94 (d, J=6.5 Гц, 3H), 0.86 (q, J=11.8 Гц, 1H).
Пример 46: {2-[(3R,5S)-1-(8-цианохиноксалин-5-ил)-5-метилпиперидин-3-иламино]-этил}-амид этансульфоновой кислоты
[00329] Указанное в заголовке соединение получали из 8-((3R,5S)-3-амино-5-метилпиперидин-1-ил)-хиноксалин-5-карбонитрила и (2-бромэтил)-амида этансульфоновой кислоты. ЖХ-МС (М+1)=403. 1H ЯМР (400 МГц, ДМСО-d6) δ 8.98 (d, J=33.6 Гц, 2Н), 8.16 (d, J=8.3 Гц, 1H), 7.19 (d, J=8.6 Гц, 1H), 6.95 (s, 1H), 4.46 (d, J=11.8 Гц, 1H), 4.13 (d, J=12.3 Гц, 1H), 3.01 (q, J=7.4 Гц, 3H), 2.76 (d, J=36.2 Гц, 3H), 2.59 (dd, J=20.2, 10.9 Гц, 1H), 2.04 (d, J=12.7 Гц, 1H), 1.83 (d, J=41.6 Гц, 2H), 1.25 - 1.11 (m, 2H), 0.93 (t, J=7.5 Гц, 3H).
Пример 47: 8-{(3S,5R)-3-метил-5-[(оксетан-3-илметил)-амино]-пиперидин-1-ил}-хиноксалин-5-карбонитрил
[00330] Указанное в заголовке соединение получали из 8-((3R,5S)-3-амино-5-метилпиперидин-1-ил)-хиноксалин-5-карбонитрила и 3-бромметилоксетана. ЖХ-МС (М+1)=338. 1H ЯМР (400 МГц, ДМСО-d6) δ 8.98 (d, J=31.1 Гц, 2Н), 8.16 (d, J=8.4 Гц, 1H), 7.19 (d, J=8.5 Гц, 1H), 4.62 (t, J=6.9 Гц, 2H), 4.44 (d, J=12.5 Гц, 1H), 4.27 (s, 2H), 4.16 (d, J=12.7 Гц, 1H), 3.0 (p, J=7.0 Гц, 1H), 2.88 (d, J=7.4 Гц, 2H), 2.77 (s, 1H), 2.58 (q, J=11.2, 10.8 Гц, 2H), 2.06 (d, J=12.6 Гц, 1H), 1.88 (s, 1H), 1.69 (s, 1H), 0.99 - 0.84 (m, 3H).
Пример 48: 5-{[(3R,5S)-5-метил-1-(8-трифторметилхинолин-5-ил)-пиперидин-3-иламино]-метил}-пирролидин-2-он
[00331] Указанное в заголовке соединение получали из гидрохлорида (3R,5S)-5-метил-1-(8-трифторметилхинолин-5-ил)-пиперидин-3-иламина и 5-бромметилпирролидин-2-она. ЖХ-МС (М+1)=407. 1Н ЯМР (400 МГц, ДМСО-d6) δ 9.01 (dd, J=4.1, 1.7 Гц, 1H), 8.48 (dd, J=8.6, 1.8 Гц, 1H), 8.05 (d, J=8.1 Гц, 1H), 7.67 (dd, J=8.6, 4.2 Гц, 1H), 7.60 (s, 1H), 7.20 (d, J=8.1 Гц, 1H), 3.63 -3.46 (m, 3H), 2.93 (s, 1H), 2.58 (tt, J=11.8, 6.9 Гц, 2H), 2.38 (t, J=10.9 Гц, 2H), 2.19 - 1.89 (m, 4H), 1.81 - 1.56 (m, 2H), 0.94 (d, J=6.5 Гц, 3H), 0.84 (t, J=11.8 Гц, 1H).
Пример 49: N-{2-[(3R,5S)-1-(8-цианохиноксалин-5-ил)-5-метилпиперидин-3-иламино]-этил}-ацетамид
[00332] Указанное в заголовке соединение получали из гидрохлорида 8-((3R,5S)-3-амино-5-метилпиперидин-1-ил)-хиноксалин-5-карбонитрила и N-(2-хлорэтил)-ацетамида. ЖХ-МС (М+1)=353. 1Н ЯМР (400 МГц, Метанол-d4) δ 8.92 (dd, J=15.3, 1.8 Гц, 2Н), 8.10 (d, J=8.4 Гц, 1H), 7.22 (d, J=8.4 Гц, 1H), 4.66 - 4.52 (m, 1H), 4.21 - 4.04 (m, 1H), 3.36 (t, J=6.5 Гц, 2H), 3.10 - 2.98 (m, 1H), 2.85 (td, J=6.5, 2.4 Гц, 2H), 2.70 - 2.54 (m, 2H), 2.19 (d, J=12.8 Гц, 1H), 2.12 -2.01 (m, 1H), 1.97 (s, 3H), 1.15 (t, J=7.3 Гц, 1H), 1.11 - 0.99 (m, 3H).
Пример 50: 4-{[(3R,5S)-5-метил-1-(8-трифторметилхинолин-5-ил)-пиперидин-3-иламино]-метил}-тетрагидропиран-4-ол
[00333] Указанное в заголовке соединение получали из гидрохлорида (3R,5S)-5-метил-1-(8-трифторметилхинолин-5-ил)-пиперидин-3-иламина и 4-бромметилтетрагидропиран-4-ола. ЖХ-МС (М+1)=424. 1H ЯМР (400 МГц, ДМСО-d6) δ 9.01 (dd, J=4.1, 1.7 Гц, 1H), 8.53 - 8.44 (m, 1H), 8.06 (d, J=8.2 Гц, 1H), 7.66 (dd, J=8.6, 4.1 Гц, 1H), 7.20 (d, J=8.0 Гц, 1H), 4.19 (s, 1H), 3.59 (q, J=13.3, 11.9 Гц, 4H), 2.90 (s, 1H), 2.55 (s, 3H), 2.39 (t, J=11.6 Гц, 2H), 2.17 - 1.96 (m, 2H), 1.53 (dd, J=17.0, 7.6 Гц, 2H), 1.37 (d, J=13.4 Гц, 2H), 1.04 - 0.82 (m, 4H).
Пример 51: 1-(3-гидроксиазетидин-1-ил)-2-[(3R,5S)-5-метил-1-(8-трифторметилхинолин-5-ил)-пиперидин-3-иламино]-этанон
[00334] Сложный метиловый эфир {трет-бутоксикарбонил-[(3R,5S)-5-метил-1-(8-трифторметилхинолин-5-ил)-пиперидин-3-ил]-амино}-уксусной кислоты: Смесь гидрохлорида (3R,5S)-5-метил-1-(8-трифторметилхинолин-5-ил)-пиперидин-3-иламина (220 мг; 0.64 ммоль; 1.0 экв.), сложного метилового эфира бромуксусной кислоты (146 мг; 0.95 ммоль; 1.50 экв.), триэтиламина (0.27 мл; 1.91 ммоль; 3.0 экв.) и ACN (3 мл) в 10 мл сосуде для микроволновой обработки перемешивали при 80°С в течение 7 ч до завершения реакции. Реакционную смесь охлаждали до к.т. и затем добавляли трет-бутоксикарбонил трет-бутилкарбонат (208 мг; 0.95 ммоль; 1.50 экв.). Смесь перемешивали при к.т. в течение ночи до завершения реакции. Растворитель удаляли и остаток загружали на 25 г силикагелевую колонку, элюируя смесями 0-50% гексан/ЭА, с получением указанного в заголовке соединения (128 мг, выход: 42%). ЖХ-МС (М+1)=482.
[00335] Литиевая соль {трет-бутоксикарбонил-[(3R,5S)-5-метил-1-(8-трифторметилхинолин-5-ил)-пиперидин-3-ил]-амино}-уксусной кислоты: Смесь сложного метилового эфира {трет-бутоксикарбонил-[(3R,5S)-5-метил-1-(8-трифторметилхинолин-5-ил)-пиперидин-3-ил]-амино}-уксусной кислоты (128 мг; 0.27 ммоль; 1.0 экв.) и гидрата гидроксида лития (22 мг; 0.53 ммоль; 2.0 экв.) в ТГФ (2 мл) и воде (2 мл) перемешивали при к.т. в течение ночи. Растворители удаляли с получением желтого твердого вещества в качестве указанного в заголовке соединения. ЖХ-МС (М+1)=467.
[00336] 1-(3-Гидроксиазетидин-1-ил)-2-[(3R,5S)-5-метил-1-(8-трифторметилхинолин-5-ил)-пиперидин-3-иламино]-этанон: К раствору литиевой соли {трет-бутоксикарбонил-[(3R,5S)-5-метил-1-(8-трифторметилхинолин-5-ил)-пиперидин-3-ил]-амино}-уксусной кислоты (50 мг; 0.11 ммоль; 1.0 экв.) в ДМФА (1 мл) добавляли HATU (60 мг; 0.16 ммоль; 1.50 экв.). Полученную в результате смесь перемешивали при к.т. в течение 20 мин, и затем добавляли этилдиизопропиламин (0.03 мл; 0.16 ммоль; 1.50 экв.) и азетидин-3-ол (0.02 мл; 0.21 ммоль; 2.0 экв.). Смесь перемешивали в течение дополнительного 1 часа при к.т. до завершения реакции. Реакционную смесь разбавляли водой (30 мл), экстрагировали с помощью ЭА (30 мл X 2). Объединенные органические слои промывали 10% раствором лимонной кислоты, солевым раствором, 5% NaHCO3, затем солевым раствором, сушили над Na2SO4 и концентрировали. Остаток растворяли в 1 мл метанола и добавляли хлороводород (4.0М в диоксане) (0.18 мл; 0.74 ммоль; 7.0 экв.), и смесь перемешивали при к.т. в течение 2 ч до завершения реакции. Растворители удаляли и остаток очищали с помощью преп. ВЭЖХ, элюируя смесями 0-60% CAN/вода (с содержанием аммиака 0.1%), с обеспечением указанного в заголовке соединения (18 мг, выход: 40%). ЖХ-МС (М+1)=423. 1Н ЯМР (400 МГц, Метанол-d4) δ 9.03 - 8.83 (m, 1H), 8.58 (d, J=8.7 Гц, 1H), 8.05 (d, J=8.1 Гц, 1H), 7.63 (d, J=5.0 Гц, 1H), 7.25 (d, J=8.1 Гц, 1H), 4.60 (d, J=6.3 Гц, 1H), 4.40 (s, 1H), 4.24 (s, 1H), 4.02 - 3.88 (m, 1H), 3.80 (s, 1H), 3.61 (d, J=11.5 Гц, 1H), 3.33 (s, 1H), 3.07 (d, J=11.4 Гц, 1H), 2.48 (dt, J=31.4, 11.2 Гц, 2H), 2.29 - 1.96 (m, 2H), 1.12 - 0.85 (m, 4H).
[00337] Следующее соединение синтезировали аналогичным образом.
Пример 52: N-метокси-4-[(3R,5S)-5-метил-1-(8-трифторметилхиноксалин-5-ил)-пиперидин-3-иламино]-бутирамид
[00338] Указанное в заголовке соединение получали из литиевой соли 4-{трет-бутоксикарбонил-[(3R,5S)-5-метил-1-(8-трифторметилхиноксалин-5-ил)-пиперидин-3-ил]-амино}-масляной кислоты и гидрохлорида О-метилгидроксиламина. ЖХ-МС (М+1)=426. 1H ЯМР (400 МГц, Метанол-d4) δ 8.92 (d, J=4.4 Гц, 2Н), 8.04 (d, J=8.1 Гц, 1H), 7.24 (d, J=8.4 Гц, 1H), 5.50-5.31 (m, 1H), 4.40 (d, J=11.8 Гц, 1H), 4.06 - 3.91 (m, 1H), 3.70 (s, 3H), 3.09 (s, 2H), 2.86 - 2.67 (m, 2H), 2.54 (t, J=11.3 Гц, 2H), 2.17 (d, J=8.2 Гц, 2H), 2.07 (s, 1H), 1.87 (s, 2H), 1.17 (s, 1H), 1.04 (d, J=6.2 Гц, 3H).
Пример 53: 1-(3-гидроксиазетидин-1-ил)-3-[(3R,5S)-5-метил-1-(8-трифторметилхинолин-5-ил)-пиперидин-3-иламино]-пропан-1-он
[00339] Указанное в заголовке соединение получали из литиевой соли 3-{трет-бутоксикарбонил-[(3R,5S)-5-метил-1-(8-трифторметилхинолин-5-ил)-пиперидин-3-ил]-амино}-пропионовой кислоты и азетидин-3-ола. ЖХ-МС (М+1)=437. 1Н ЯМР (400 МГц, ДМСО-d6) δ 9.01 (dd, J=4.1, 1.9 Гц, 1H), 8.49 (dd, J=8.7, 2.1 Гц, 1H), 8.05 (d, J=8.1 Гц, 1H), 7.66 (dd, J=8.7, 3.9 Гц, 1H), 7.20 (d, J=8.1 Гц, 1H), 5.68 (d, J=6.2 Гц, 1H), 4.43 (d, J=6.3 Гц, 1H), 4.27 (t, J=7.9 Гц, 1H), 4.0 (t, J=8.6 Гц, 1H), 3.82 (d, J=8.3 Гц, 1H), 3.55 (d, J=5.0 Гц, 2H), 3.18 (s, 1H), 2.96 (s, 1H), 2.80 (s, 2H), 2.38 (d, J=9.3 Гц, 2H), 2.18 (d, J=8.0 Гц, 2H), 2.13 - 1.83 (m, 2H), 0.94 (d, J=6.1 Гц, 3H), 0.86 (d, J=12.0 Гц, 1H).
Пример 54: N-(1,1-диоксо-1 лямбда6-тиетан-3-ил)-3-[(3R,5S)-5-метил-1-(8-трифторметилхинолин-5-ил)-пиперидин-3-иламино]-пропионамид
[00340] Указанное в заголовке соединение получали из литиевой соли 3-{трет-бутоксикарбонил-[(3R,5S)-5-метил-1-(8-трифторметилхинолин-5-ил)-пиперидин-3-ил]-амино}-пропионовой кислоты и 1,1-диоксо-1 лямбда6-тиетан-3-иламина. ЖХ-МС (М+1)=485. 1H ЯМР (400 МГц, ДМСО-D6) δ 9.11 - 8.96 (m, 1H), 8.77 (s, 1H), 8.50 (d, J=8.9 Гц, 1H), 8.22 - 8.0 (m, 2H), 7.68 (s, 1H), 7.22 (d, J=8.6 Гц, 1H), 4.52 (t, J=11.3 Гц, 2H), 4.34 (d, J=7.9 Гц, 1H), 4.03 (d, J=11.8 Гц, 3H), 3.59 (d, J=11.4 Гц, 2H), 3.13 (s, 1H), 2.95 (s, 2H), 2.35 (s, 2H), 2.10 (dd, J=37.0, 14.6 Гц, 2H), 0.96 (d, J=6.9 Гц, 3H).
Пример 55: N-метокси-3-[(3R,5S)-5-метил-1-(8-трифторметилхинолин-5-ил)-пиперидин-3-иламино]-пропионамид
[00341] Указанное в заголовке соединение получали из литиевой соли 3-{трет-бутоксикарбонил-[(3R,5S)-5-метил-1-(8-трифторметилхинолин-5-ил)-пиперидин-3-ил]-амино}-пропионовой кислоты и гидрохлорида О-метилгидроксиламина. ЖХ-МС (М+1)=411. 1H ЯМР (400 МГц, ДМСО-d6) δ 9.04 (d, J=4.1 Гц, 1H), 8.53 (t, J=7.2 Гц, 1H), 8.16 - 8.03 (m, 1H), 7.69 (dd, J=8.8, 4.0 Гц, 1H), 7.26 (d, J=8.0 Гц, 1H), 3.60 (s, 4H), 3.13 (s, 1H), 2.82 - 2.57 (m, 2H), 2.40 - 2.15 (m, 2H), 2.06 (s, 1H), 1.22 - 1.02 (m, 1H), 0.98 (d, J=6.5 Гц, 2H).
Пример 56: N-метил-3-[(3R,5S)-5-метил-1-(8-трифторметилхинолин-5-ил)-пиперидин-3-иламино]-пропионамид
[00342] Указанное в заголовке соединение получали из литиевой соли 3-{трет-бутоксикарбонил-[(3R,5S)-5-метил-1-(8-трифторметилхинолин-5-ил)-пиперидин-3-ил]-амино}-пропионовой кислоты и гидрохлорида метанамина. ЖХ-МС (М+1)=395. 1H ЯМР (400 МГц, Метанол-d4) δ 8.97 (s, 1Н), 8.61 (d, J=8.2 Гц, 1H), 8.07 (d, J=7.5 Гц, 1H), 7.64 (s, 1H), 7.30 (d, J=7.9 Гц, 1H), 3.72 (s, 1H), 3.56 - 3.37 (m, 2H), 3.23 (s, 2H), 2.76 (s, 3H), 2.63 - 2.42 (m, 2H), 2.35 (d, J=12.5 Гц, 1H), 2.20 (s, 1H), 1.17 (d, J=12.2 Гц, 1H), 1.14 - 0.93 (m, 3H).
Пример 57: 5-((3R,5S)-3-амино-5-метилпиперидин-1-ил)-7-фторхинолин-8-карбонитрил
[00343] Сложный трет-бутиловый эфир [(3R,5S)-l-(8-циано-7-фторхинолин-5-ил)-5-метилпиперидин-3-ил]-карбаминовой кислоты: Смесь 5-бром-7-фторхинолин-8-карбонитрила (100 мг; 0.40 ммоль; 1.0 экв.), сложного трет-бутилового эфира ((3R,5S)-5-метилпиперидин-3-ил)-карбаминовой кислоты (85 мг; 0.40 ммоль; 1.0 экв.), аддукта хлор(2-дициклогексилфосфино-2',6'-диизопропокси-1,1'-бифенил)[2-(2-аминоэтилфенил)]палладия(П) с метил-трет-бутиловым эфиром (16 мг; 0.02 ммоль; 0.05 экв.), 2-дициклогексилфосфино-2',6'-диизопропокси-1,1'-бифенила (9 мг, 0.02 ммоль, 0.05 экв.), трет-бутоксида натрия (42 мг, 0.44 ммоль, 1.1 экв.) и диоксана (2 мл) в 5 мл сосуде для микроволновой обработки дегазировали, и затем нагревали в микроволновой печи при 100°С в течение 60 минут. ЖХМС показывала, что реакция завершилась. Реакционную смесь концентрировали при пониженном давлении. Остаток очищали с помощью хроматографии на 50 г силикагелевой колонке, элюируя смесями ЭА/гексан 20-80%, с получением указанного в заголовке соединения, которое использовали непосредственно на следующей реакционной стадии. ЖХ-МС (М+1)=385.
[00344] 5-((3R,5S)-3-амино-5-метилпиперидин-1-ил)-7-фторхинолин-8-карбонитрил: К сложному трет-бутиловому эфиру [(3R,5S)-1-(8-циано-7-фторхинолин-5-ил)-5-метилпиперидин-3-ил]-карбаминовой кислоты (110 мг; 0.29 ммоль; 1.0 экв) в ДХМ (0.6 мл) добавляли трифторуксусную кислоту (652 мг; 5.72 ммоль; 20.0 экв.). Смесь перемешивали при к.т. в течение 10 мин до завершения реакции. Растворитель удаляли и остаток очищали с помощью преп.Waters, элюируя смесями 10-50% ACN/вода (с содержанием аммиака 0.1%), с получением указанного в заголовке соединения. ЖХ-МС (М+1)=285. 1H ЯМР (400 МГц, ДМСО-d6) δ 9.05 (ddd, J=15.7, 4.2, 1.6 Гц, 1H), 8.43 (dd, J=8.6, 1.7 Гц, 1H), 7.63 (dd, J=8.6, 4.3 Гц, 1H), 7.15 (d, J=12.4 Гц, 1H), 3.57 (d, J=13.0 Гц, 1H), 3.44 (d, J=12.1 Гц, 1H), 3.0 (td, J=10.7, 5.4 Гц, 2H), 2.50-2.54 (m, 1H), 2.05 - 1.86 (m, 2H), 1.60 (s, 2H), 0.93 (d, J=6.4 Гц, 3H), 0.85 (d, J=12.3 Гц, 1H).
Пример 58: N-[(3R,5S)-1-(8-циано-7-фторхинолин-5-ил)-5-метилпиперидин-3-ил]-2-(1-метил-1Н-пиразол-4-ил)-ацетамид
[00345] К раствору 5-((3R,5S)-3-амино-5-метилпиперидин-1-ил)-7-фторхинолин-8-карбонитрила (40. мг; 0.14 ммоль; 1.0 экв.), (1-метил-1Н-пиразол-4-ил)-уксусной кислоты (29 мг; 0.21 ммоль; 1.50 экв.) и DIPEA (0.05 мл; 0.28 ммоль; 2.0 экв.) в ДМСО (2 мл) добавляли гексафторфосфат бензотриазол-1-илокси-трис(диметиламино)фосфония (93 мг; 0.21 ммоль; 1.50 экв.). Полученную в результате смесь перемешивали при к.т. в течение 1 ч до завершения реакции. Сырой продукт очищали с помощью преп. ВЭЖХ, элюируя смесями 20-60%ACN/вода (с содержанием аммиака 0.1%), с получением указанного в заголовке соединения. ЖХ-МС (М+1)=407. 1H ЯМР (400 МГц, Метанол-d4) δ 9.04 - 8.91 (m, 1H), 8.59 (dd, J=8.6, 1.6 Гц, 1H), 7.61 (dd, J=8.6, 4.3 Гц, 1H), 7.50 (s, 1H), 7.38 (s, 1H), 7.10 (d, J=11.8 Гц, 1H), 4.19 (t, J=11.3 Гц, 1H), 3.85 (s, 3H), 3.79 (d, J=11.8 Гц, 1H), 3.52 (d, J=12.1 Гц, 1H), 3.38 (s, 2H), 2.58 (q, J=11.0 Гц, 2H), 2.13 (d, J=11.6 Гц, 1H), 1.22 (q, J=12.5 Гц, 2H), 1.05 (d, J=6.3 Гц, 3H).
Пример 59: N-[(3R,5S)-1-(8-циано-7-фторхинолин-5-ил)-5-метилпиперидин-3-ил]-2-(1-метилазетидин-3-ил)-ацетамид
[00346] К раствору 5-((3R,5S)-3-амино-5-метилпиперидин-1-ил)-7-фторхинолин-8-карбонитрила (20 мг; 0.07 ммоль; 1.0 экв.) в ДМФА (1 мл) добавляли HATU (45 мг; 0.12 ммоль; 1.70 экв.). После перемешивания в течение 10 минут при к.т., добавляли этилизопропиламин (0.04 мл; 0.21 ммоль; 3.0 экв.) и 5-((3R,5S)-3-амино-5-метилпиперидин-1-ил)-7-фторхинолин-8-карбонитрил (20 мг; 0.07 ммоль; 1.0 экв.). Полученную в результате смесь перемешивали при к.т. в течение 1 ч до завершения реакции. Растворитель удаляли и остаток очищали с помощью преп. ВЭЖХ, элюируя смесями 20-60 %ACN/вода (с содержанием аммиака 0.1%), с получением указанного в заголовке соединения. ЖХ-МС (М+1)=396. 1Н ЯМР (400 МГц, Метанол-d4) δ 8.97 (dd, J=4.3, 1.6 Гц, 1H), 8.59 (dd, J=8.6, 1.7 Гц, 1H), 7.62 (dd, J=8.6, 4.3 Гц, 1H), 7.11 (d, J=11.8 Гц, 1H), 4.24 -4.11 (m, 1H), 3.78 (d, J=12.3 Гц, 1H), 3.51 (q, J=7.4 Гц, 2H), 3.05 - 2.92 (m, 3H), 2.80 (p, J=7.5 Гц, 1H), 2.61 - 2.50 (m, 2H), 2.47 (dd, J=7.7, 2.1 Гц, 2H), 2.32 (d, J=3.9 Гц, 3H), 2.18 - 2.02 (m, 2H), 1.22 (t, J=12.6 Гц, 1H), 1.05 (d, J=6.4 Гц, 3H).
[00347] Следующее соединение синтезировали аналогичным образом.
Пример 60: N-[(3R,5S)-1-(8-цианохинолин-5-ил)-5-трифторметилпиперидин-3-ил]-2,3-дигидроксипропионамид
[00348] Указанное в заголовке соединение получали из трифторацетата 5-((3R,5S)-3-амино-5-трифторметилпиперидин-1-ил)-хинолин-8-карбонитрила и 2,3-дигидроксипропионовой кислоты. МС: 409 [М+Н]+. 1Н ЯМР (400 МГц, Метанол-d4) d 8.99 (s, 1H), 8.65 (d, J=7.9 Гц, 1H), 8.14 (d, J=8.1 Гц, 1H), 7.68 (dd, J=8.1, 3.9 Гц, 1H), 7.30 (dd, J=8.2, 2.5 Гц, 1H), 4.44 - 4.29 (m, 1H), 4.09 (p, J=4.3 Гц, 1H), 3.82 - 3.61 (m, 4H), 3.0 (q, J=13.7, 11.3 Гц, 2H), 2.72 (q, J=10.9 Гц, 1H), 2.36 (d, J=12.5 Гц, 1H), 1.77 - 1.62 (m, 1H).
Пример 61: [(3R,5S)-1-(8-цианохинолин-5-ил)-5-трифторметилпиперидин-3-ил]-амид 1-метилпиперидин-4-карбоновой кислоты
[00349] Указанное в заголовке соединение получали из трифторацетата 5-((3R,5S)-3-амино-5-трифторметилпиперидин-1-ил)-хинолин-8-карбонитрила и 1-метилпиперидин-4-карбоновой кислоты. МС: 446 [М+Н]+. 1Н ЯМР (400 МГц, Метанол-d4) δ 9.0 (dd, J=4.3, 1.5 Гц, 1H), 8.66 (dd, J=8.7, 1.6 Гц, 1H), 8.15 (d, J=8.0 Гц, 1H), 7.70 (dd, J=8.6, 4.2 Гц, 1H), 7.31 (d, J=8.0 Гц, 1H), 4.39 - 4.23 (m, 1H), 3.75 - 3.60 (m, 2H), 3.14 - 2.89 (m, 4H), 2.60 (t, J=11.2 Гц, 1H), 2.35 (d, J=12.6 Гц, 1H), 2.28 (s, 3H), 2.24 - 2.15 (m, 1H), 2.06 (ddd, J=14.9, 11.6, 7.0 Гц, 2H), 1.93 - 1.68 (m, 4H), 1.60 (q, J=12.1 Гц, 1H).
Пример 62: N-[(3R,5S)-1-(8-цианохинолин-5-ил)-5-трифторметилпиперидин-3-ил]-2-гидроксиацетамид
[00350] Указанное в заголовке соединение получали из трифторацетата 5-((3R,5S)-3-амино-5-трифторметилпиперидин-1-ил)-хинолин-8-карбонитрила и гликолевой кислоты. МС: 379 [М+Н]+. 1Н ЯМР (400 МГц, Метанол-d4) δ 8.99 (dd, J=4.2, 1.4 Гц, 1H), 8.73 - 8.57 (m, 1H), 8.14 (d, J=8.0 Гц, 1H), 7.68 (dd, J=8.6, 4.2 Гц, 1H), 7.31 (d, J=8.0 Гц, 1H), 4.46 - 4.32 (m, 1H), 4.02 (s, 2H), 3.66 (d, J=8.5 Гц, 2H), 3.14 - 2.92 (m, 2H), 2.74 (t, J=11.3 Гц, 1H), 2.35 (d, J=12.2 Гц, 1H), 1.73 (q, J=12.2 Гц, 1H), 1.41 - 1.27 (m, 1H).
Пример 63: 2-(4-гидрокси-1-метилпиперидин-4-ил)-N-[(3R,5S)-5-(трифторметил)-1-[8-(трифторметил)хиноксалин-5-ил]пиперидин-3-ил]ацетамид
[00351] Указанное в заголовке соединение получали из хлороводородной соли цис-5-(трифторметил)-1-[8-(трифторметил)хиноксалин-5-ил]пиперидин-3-амина и 2-(4-гидрокси-1-метилпиперидин-4-ил)уксусной кислоты. МС: 520 [М+Н]+. 1H ЯМР (400 МГц, Метанол-d4, м.д.) δ 8.98 - 8.91 (m, 2 Η), 8.08 (d, J=8.3 Гц, 1 Η), 7.35 (d, J=8.3 Гц, 1 Η), 4.50 - 4.44 (m, 1 Η), 4.33 - 4.21 (m, 1 Η), 4.20 - 4.11 (m, 1 Η), 3.0 - 2.90 (m, 2 Η), 2.80 (t, J=11.2 Гц, 1 Η), 2.68 - 2.60 (m, 2 Η), 2.54 - 2.42 (m, 2 Η), 2.39 (s).
Пример 64: 3-(диметиламино)-N-[(3R,5S)-5-(трифторметил)-1-[8-(трифторметил)хинолин-5-ил]пиперидин-3-ил]пропанамид
Указанное в заголовке соединение получали из (3R,5S)-5-(трифторметил)-1-[8-(трифторметил)хинолин-5-ил]пиперидин-3-амина и 3-(диметиламино)пропановой кислоты. МС: 463 [М+Н]+. 1H ЯМР (400 МГц, Метанол-d4, м.д.) δ 8.97 (dd, J=4.2, 1.7 Гц, 1 Η), 8.69 (dd, J=8.6, 1.8 Гц, 1 Η), 8.08 (d, J=8.0 Гц, 1 Η), 7.67 (dd, J=8.6, 4.2 Гц, 1 Η), 7.32 (d, J=8.1 Гц, 1 Η), 4.39 - 4.26 (m, 1 Η), 3.71 - 3.58 (m, 2 Η), 3.12 - 2.90 (m, 2 Η), 2.71 - 2.62 (m, 2 Η), 2.58 (t, J=11.1 Гц, 1 Η), 2.49 - 2.33 (m, 3 Η), 2.28 (s, 6 Η), 1.63 - 1.50 (m, 1 Η).
Пример 65: N-[(3R,5S)-1-(8-цианохинолин-5-ил)-5-(трифторметил)пиперидин-3-ил]-3-(диметиламино)пропанамид
[00352] Указанное в заголовке соединение получали из 5-((3R,5S)-3-амино-5-трифторметилпиперидин-1-ил)-хинолин-8-карбонитрила и 3-(диметиламино)пропановой кислоты. МС: 420 [М+Н]+. 1H ЯМР (400 МГц, Метанол-d4, м.д.) δ 9.01 (dd, J=4.2, 1.6 Гц, 1 Η), 8.68 (dd, J=8.6, 1.7 Гц, 1 Η), 8.17 (d, J=8.0 Гц, 1 Η), 7.70 (dd, J=8.6, 4.2 Гц, 1 Η), 7.33 (d, J=8.0 Гц, 1 Η), 4.38 - 4.26 (m, 1 Η), 3.80 - 3.64 (m, 2 Η), 3.14 - 2.96 (m, 2 Η), 2.74 - 2.66 (m, 2 Η), 2.61 (t, J=11.2 Гц, 1 Η), 2.48 - 2.35 (m, 3 Η), 2.31 (s, 6 Η), 1.65 - 1.52 (m, 1 Η).
Пример 66: 2-(4-метилпиперазин-1-ил)-N-[(3R,5S)-5-(трифторметил)-1-[8-(трифторметил)хинолин-5-ил]пиперидин-3-ил]ацетамид
[00353] Указанное в заголовке соединение получали из (3R,5S)-5-(трифторметил)-1-[8-(трифторметил)хинолин-5-ил]пиперидин-3-амина и 2-(4-метилпиперазин-1-ил)уксусной кислоты. МС: 504 [М+Н]+. 1H ЯМР (400 МГц, Метанол-d4, м.д.) δ 9.0 - 8.94 (m, 1 Η), 8.69 (dd, J=8.6, 1.8 Гц, 1 Η), 8.08 (d, J=8.0 Гц, 1 Η), 7.66 (dd, J=8.6, 4.2 Гц, 1 Η), 7.32 (d, J=8.0 Гц, 1 Η), 4.40 - 4.35 (m, 1 Η), 3.65 - 3.57 (m, 2 Η), 3.09 - 3.06 (m, 3 Η), 3.02 - 2.91 (m, 1 Η), 2.75 - 2.39 (m, 9 Η), 2.39 - 2.32 (m, 1 Η), 2.32 (s, 3 Η), 1.75 - 1.61 (m, 1 Η).
Пример 67: 2-(4-гидрокси-1-метилпиперидин-4-ил)-N-[(3R,5S)-5-(трифторметил)-1-[8-(трифторметил)хинолин-5-ил]пиперидин-3-ил]ацетамид
[00354] Указанное в заголовке соединение получали из (3R,5S)-5-(трифторметил)-1-[8-(трифторметил)хинолин-5-ил]пиперидин-3-амина и 2-(4-гидрокси-1-метилпиперидин-4-ил)уксусной кислоты. МС: 519 [М+Н]+. 1H ЯМР (400 МГц, Метанол-d4, м.д.) δ 8.97 (dd, J=4.2, 1.7 Гц, 1 Η), 8.68 (dd, J=8.7, 1.8 Гц, 1 Η), 8.07 (d, J=8.0 Гц, 1 Η), 7.66 (dd, J=8.6, 4.2 Гц, 1 Η), 7.31 (d, J=8.0 Гц, 1 Η), 4.40 - 4.28 (m, 1 Η), 3.73 - 3.55 (m, 2 Η), 3.14 - 2.88 (m, 2 Η), 2.64 - 2.54 (m, 3 Η), 2.52 - 2.38 (m, 3 Η), 2.36 (s, 2 Η), 2.29 (s, 3 Η), 1.78 - 1.64 (m, 4 Η), 1.63-1.56 (m, 1 Η).
Пример 68: гидрохлорид (3R,5S)-1-(7-фтор-8-метилхинолин-5-ил)-5-(трифторметил)пиперидин-3-амина
[00355] Указанное в заголовке соединение получали из (3R,5S)-1-(7-фтор-8-метилхинолин-5-ил)-5-(трифторметил)пиперидин-3-амина и 2-(4-гидрокси-1-метилпиперидин-4-ил)уксусной кислоты. МС: 483 [М+Н]+. 1H ЯМР (400 МГц, Метанол-d4, м.д.) δ 9.43 - 9.37 (m, 1 Η), 9.20 - 9.15 (m, 1 Η), 8.14 - 8.07 (m, 1 Η), 7.51 (d, J=11.1 Гц, 1 Η), 4.40 - 4.28 (m, 1 Η), 3.68 - 3.55 (m, 2 Η), 3.36 -3.32 (m, 2 Η), 3.32 - 3.27 (m, 2 Η), 3.15 - 2.96 (m, 2 Η), 2.86 (s, 3 Η), 2.76 - 2.66 (m, 4 Η), 2.46 (s, 2 Η), 2.43 - 2.33 (m, 1 Η), 2.07 - 1.88 (m, 4 Η), 1.71 - 1.57 (m, 1 Η).
Пример 69: N-[(3R,5S)-1-(7-фтор-8-метилхинолин-5-ил)-5-метилпиперидин-3-ил]-2-(4-гидрокси-1-метилпиперидин-4-ил)ацетамид
[00356] Указанное в заголовке соединение получали из (3R,5S)-l-(7-фтор-8-метилхинолин-5-ил)-5-метилпиперидин-3-амина и 2-(4-гидрокси-1-метилпиперидин-4-ил)уксусной кислоты. МС: 429 [М+Н]+. 1Н ЯМР (400 МГц, Метанол-d4, м.д.) δ 9.36 (dd, J=8.5, 1.5 Гц, 1 Η), 9.13 (dd, J=5.5, 1.6 Гц, 1 Η), 8.07 (dd, J=8.5, 5.5 Гц, 1 Η), 7.38 (d, J=11.5 Гц, 1 Η), 4.27 - 4.23 (m, 1 Η), 3.69 - 3.62 (m, 1 Η), 3.43 - 3.35 (m, 3 Η), 3.32 - 3.24 (m, 2 Η), 2.87 (s, 3 Η), 2.65 (s, 3 Η), 2.63 - 2.53 (m, 2 Η), 2.45 (s, 2 Η), 2.19 - 2.11 (m, 2 Η), 2.04 - 1.87 (m, 4 Η), 1.33 - 1.15 (m, 1 Η), 1.06 (d, J=6.4 Гц, 3 Η).
Пример 70: N-[(3R,5S)-1-(8-метил-1,7-нафтиридин-5-ил)-5-(трифторметил)пиперидин-3-ил]-2-(4-метилпиперазин-1-ил)ацетамид
[00357] Указанное в заголовке соединение получали из (3R,5S)-l-(8-метил-1,7-нафтиридин-5-ил)-5-(трифторметил)пиперидин-3-амина и 2-(4-метилпиперазин-1-ил)уксусной кислоты. МС: 451 [М+Н]+. 1Н ЯМР (300 МГц, Хлороформ-d, м.д.) δ 9.01 (dd, J=4.2, 1.7 Гц, 1 Η), 8.42 (dd, J=8.5, 1.8 Гц, 1 Η), 8.16 (s, 1 Η), 7.65 (dd, J=8.5, 4.1 Гц, 1 Η), 7.19 (d, J=8.6 Гц, 1 Η), 4.42 - 4.31 (m, 1 Η), 3.62 - 3.46 (m, 2 Η), 3.19 - 2.69 (m, 7 Η), 2.65 - 2.33 (m, 9 Η), 2.37 - 2.34 (m, 1 Η), 2.29 (s, 3 Η), 1.75 - 1.65 (m, 1 Η).
Пример 71: N-[(3R,5S)-1-(8-цианохиназолин-5-ил)-5-(трифторметил)пиперидин-3-ил]-2-(4-фтор-1-метилпиперидин-4-ил)ацетамид
[00358] Указанное в заголовке соединение получали из 5-[(3R,5S)-3-амино-5-(трифторметил)пиперидин-1-ил]хиназолин-8-карбонитрила и 2-(4-фтор-1-метилпиперидин-4-ил)уксусной кислоты. МС: 479 [М+Н]+. 1Н ЯМР (400 МГц, Метанол-d4, м.д.) δ 9.73 (s, 1 Η), 9.32 (s, 1 Η), 8.31 (d, J=8.2 Гц, 1 Η), 7.37 (d, J=8.2 Гц, 1 Η), 4.38 - 4.26 (m, 1 Η), 3.90 - 3.77 (m, 2 Η), 3.17 - 3.06 (m, 2 Η), 2.83 -2.65 (m, 3 Η), 2.59 - 2.50 (m, 2 Η), 2.41 - 2.30 (m, 3 Η), 2.28 (s, 3 Η), 1.99 - 1.76 (m, 4 Η), 1.72 - 1.57 (m, 1 Η).
Пример 72: гидрохлорид N-[(3R,5S)-1-(8-цианохиноксалин-5-ил)-5-метилпиперидин-3-ил]-2-(4-гидрокси-1-метилпиперидин-4-ил)ацетамида
[00359] Указанное в заголовке соединение получали из 8-[(3R,5S)-3-амино-5-метилпиперидин-1-ил]хиноксалин-5-карбонитрила и 2-(4-гидрокси-1-метилпиперидин-4-ил)уксусной кислоты. МС: 423 [М+Н]+. 1Н ЯМР (300 МГц, Метанол-d4, м.д.) δ 8.93 (d, J=1.8 Гц, 1 Η), 8.88 (d, J=1.8 Гц, 1 Η), 8.09 (d, J=8.4 Гц, 1 Η), 7.29 (d, J=8.4 Гц, 1 Η), 4.43 - 4.26 (m, 2 Η), 4.23 - 4.06 (m, 1 Η), 3.39 - 3.31 (m, 2 Η), 2.88 (s, 3 Η), 2.84 - 2.62 (m, 2 Η), 2.45 (s, 2 Η), 2.17 - 1.78 (m, 7 Η), 1.40-1.14 (m, 2 Η), 1.01 (d, J=6.4 Гц, 3 Η).
Пример 73: N-[(3R,5S)-1-(8-цианохинолин-5-ил)-5-(трифторметил)пиперидин-3-ил]-2-(4-гидрокси-1-метилпиперидин-4-ил)ацетамид
[00360] Указанное в заголовке соединение получали из 8-[(3R,5S)-3-амино-5-трифторметилпиперидин-1-ил]хиноксалин-5-карбонитрила и 2-(4-гидрокси-1-метилпиперидин-4-ил)уксусной кислоты. МС: 467 [М+Н]+. ЯМР (400 МГц, Метанол-d4, м.д.) δ 9.05 - 8.98 (m, 1 Η), 8.67 (dd, J=8.6, 1.7 Гц, 1 Η), 8.16 (d, J=8.0 Гц, 1 Η), 7.70 (dd, J=8.6, 4.2 Гц, 1 Η), 7.32 (d, J=8.0 Гц, 1 Η), 4.39 - 4.27 (m, 1 Η), 3.80 - 3.70 (m, 1 Η), 3.70 - 3.63 (m, 1 Η), 3.13 - 2.92 (m, 2 Η), 2.68 - 2.53 (m, 3 Η), 2.48 - 2.37 (m, 2 Η), 2.36 (s, 3 Η), 2.28 (s, 3 Η), 1.78 - 1.53 (m, 5 Η).
Пример 74: N-[(3R,5S)-1-(8-цианохиноксалин-5-ил)-5-метилпиперидин-3-ил]-2-(3-метил-1,2-оксазол-5-ил)ацетамид
[00361] Указанное в заголовке соединение получали из 8-[(3R,5S)-3-амино-5-метилпиперидин-1-ил]хиноксалин-5-карбонитрила и 2-(3-метил-1,2-оксазол-5-ил)уксусной кислоты. МС: 391 [М+Н]+. 1Н ЯМР (300 МГц, ДМСО-d6, м.д.) δ 9.04 (d, J=1.8 Гц, 1 Η), 8.96 (d, J=1.8 Гц, 1 Η), 8.33 (d, J=7.3 Гц, 1 Η), 8.21 (d, J=8.4 Гц, 1 Η), 7.29 (d, J=8.5 Гц, 1 Η), 6.21 (s, 1 Η), 4.44 - 4.21 (m, 2 Η), 3.95 - 3.89 (m, 1 Η), 3.67 (s, 2 Η), 2.85 - 2.64 (m, 2 Η), 2.21 (s, 3 Η), 2.06 - 1.82 (m, 2 Η), 1.27 - 1.09 (m, 1 Η), 0.94 (d, J=6.5 Гц, 3 Η).
Пример 75: N-[(3R,5S)-1-(8-цианохиноксалин-5-ил)-5-(трифторметил)пиперидин-3-ил]-3-(диметиламино)пропенамид
[00362] Указанное в заголовке соединение получали из 8-[(3R,5S)-3-амино-5-метилпиперидин-1-ил]хиноксалин-5-карбонитрила и 3-(диметиламино)пропановой кислоты. МС: 421 [М+Н]+. 1H ЯМР (400 МГц, Метанол-d4, м.д.) δ 8.96 - 8.91 (m, 2 Η), 8.14 (d, J=8.3 Гц, 1 Η), 7.35 (d, J=8.4 Гц, 1 Η), 4.72 - 4.55 (m, 1 Η), 4.36 - 4.16 (m, 2 Η), 3.12 - 2.80 (m, 3 Η), 2.68 (t, J=7.3 Гц, 2 Η), 2.43 (t, J=7.6, 6.5 Гц, 2 Η), 2.39 - 2.32 (m, 1 Η), 2.30 (s, 6 Η), 1.69 -1.55 (m, 1 Η).
Пример 76: N-[(3R,5S)-1-(8-цианохиноксалин-5-ил)-5-(трифторметил)пиперидин-3-ил]-2-(4-гидрокси-1-метилпиперидин-4-ил)ацетамид
[00363] Указанное в заголовке соединение получали из 8-[(3R,5S)-3-амино-5-трифторметилпиперидин-1-ил]хиноксалин-5-карбонитрила и 2-(4-гидрокси-1-метилпиперидин-4-ил)уксусной кислоты. МС: 477 [М+Н]+. 1Н ЯМР (400 МГц, Метанол-d4, м.д.) δ 8.96 (d, J=1.8 Гц, 1 Η), 8.92 (d, J=1.8 Гц, 1 Η), 8.13 (d, J=8.3 Гц, 1 Η), 7.34 (d, J=8.4 Гц, 1 Η), 4.71 - 4.63 (m, 1 Η), 4.31- 4.16 (m, 2 Η), 3.16 - 2.82 (m, 3 Η), 2.69 - 2.62 (m, 2 Η), 2.57 - 2.46 (m, 2 Η), 2.39 (s, 2 Η), 2.37 - 2.35 (m, 1 Η), 2.34 (s, 3 Η), 1.83- 1.68 (m, 4 Η), 1.71 - 1.57 (m, 1 Η).
Пример 77: 2-(4-фтор-1-метилпиперидин-4-ил)-N-[(3R,5S)-5-метил-1-[8-(трифторметил)хинолин-5-ил]пиперидин-3-ил]ацетамид
[00364] Указанное в заголовке соединение получали из 8-[(3R,5S)-3-амино-5-метилпиперидин-1-ил]хиноксалин-5-карбонитрила и 2-(4-фтор-1-метилпиперидин-4-ил)уксусной кислоты. МС: 479 [М+Н]+. 1Н ЯМР (400 МГц, Метанол-d4, м.д.) δ 8.96 (d, J=1.8 Гц, 1 Η), 8.92 (d, J=1.8 Гц, 1 Η), 8.13 (d, J=8.3 Гц, 1 Η), 7.33 (d, J=8.3 Гц, 1 Η), 4.69 - 4.61 (m, 1 Η), 4.34 - 4.16 (m, 2 Η), 3.06 (t, J=11.7 Гц, 1 Η), 2.99 - 2.82 (m, 3 Η), 2.70 - 2.55 (m, 4 Η), 2.49 (s, 3 Η), 2.40 - 2.31 (m, 1 Η), 2.13 - 1.89 (m, 4 Η), 1.71 - 1.57 (m, 1 Η), 1.49 - 1.40 (m, 1 Η).
Пример 78: 3-(диметиламино)-N-[(3R,5S)-5-метил-1-[8-(трифторметил)хиноксалин-5-ил]пиперидин-3-ил]пропенамид
[00365] Указанное в заголовке соединение получали из (3R,5S)-5-метил-1-[8-(трифторметил)хиноксалин-5-ил]пиперидин-3-амина и 3-(диметиламино)пропановой кислоты. МС: 410 [М+Н]+. 1H ЯМР (400 МГц, Метанол-d4, м.д.) δ 8.94 - 8.87 (m, 2 Η), 8.04 (d, J=8.4 Гц, 1 Η), 7.29 (d, J=8.3 Гц, 1 Η), 4.59 (br s, 1 Η), 4.28 - 4.07 (m, 3 Η), 2.71 - 2.62 (m, 3 Η), 2.62 - 2.52 (m, 1 Η), 2.45 - 2.37 (m, 2 Η), 2.29 (s, 6 Η), 2.17 - 2.02 (m, 2 Η), 1.23-1.10 (m, 1 Η), 1.02 (d, J=6.4 Гц, 3 Η).
Пример 79: N-((3R,5S)-1-(8-цианохиноксалин-5-ил)-5-метилпиперидин-3-ил)-3-(диметиламино)пропенамид
[00366] Указанное в заголовке соединение получали из 8-[(3R,5S)-3-амино-5-метилпиперидин-1-ил]хиноксалин-5-карбонитрила и 3-(диметиламино)пропановой кислоты. МС: 367 [М+Н]+. 1H ЯМР (300 МГц, Метанол-d4, м.д.) δ 8.93 - 8.88 (m, 2 Η), 8.09 (d, J=8.4 Гц, 1 Η), 7.29 (d, J=8.4 Гц, 1 Η), 4.35 (dd, J=23.1, 10.0 Гц, 2 Η), 4.17-4.11 (m, 1 Η), 2.81 - 2.60 (m, 4 Η), 2.46 - 2.35 (m, 2 Η), 2.29 (s, 6 Η), 2.16 - 2.0 (m, 2 Η), 1.33 - 1.11 (m, 1 Η), 1.01 (d, J=6.5 Гц, 3 Η).
Пример 80: гидрохлорид 2-(4-гидрокси-1-метилпиперидин-4-ил)-N-[(3R,5S)-5-метил-1-[8-(трифторметил)хиноксалин-5-ил]пиперидин-3-ил]ацетамида
[00367] Указанное в заголовке соединение получали из (3R,5S)-5-метил-1-[8-(трифторметил)хиноксалин-5-ил] пиперидин-3-амина и 2-(4-гидрокси-1-метилпиперидин-4-ил)уксусной кислоты. МС: 466 [М+Н]+. 1H ЯМР (300 МГц, Метанол-d4, м.д.) δ 9.10 - 9.0 (m, 2 Η), 8.22 (d, J=8.3 Гц, 1 Η), 7.84 (d, J=8.3 Гц, 1 Η), 4.47 - 4.32 (m, 1 Η), 4.19 - 4.09 (m, 1 Η), 4.04 - 3.95 (m, 1 Η), 3.57-3.42 (m, 2 Η), 3.36 - 3.30 (m, 1 Η), 3.21 - 2.98 (m, 3 Η), 2.85 (s, 3 Η), 2.45 (s, 2 Η), 2.32 -2.23 (m, 1 Η), 2.21 - 2.11 (m, 1 Η), 2.05 - 1.84 (m, 4 Η), 1.43 - 1.30 (m, 1 Η), 1.07 (d, J=6.6 Гц, 3 Η).
Пример 81: N-[(3R,5S)-1-(8-цианохинолин-5-ил)-5-(трифторметил)пиперидин-3-ил]-2-(4-гидрокси-1-метилпиперидин-4-ил)ацетамид
[00368] Указанное в заголовке соединение получали из 5-[(3R,5S)-3-амино-5-(трифторметил)пиперидин-1 -ил]хинолин-8-карбонитрила и 2-(4-гидрокси-1-метилпиперидин-4-ил)уксусной кислоты. МС: 467 [М+Н]+. 1H ЯМР (400 МГц, Метанол-d4, м.д.) δ 9.05 - 8.98 (m, 1 Η), 8.67 (dd, J=8.6, 1.7 Гц, 1 Η), 8.16 (d, J=8.0 Гц, 1 Η), 7.70 (dd, J=8.6, 4.2 Гц, 1 Η), 7.32 (d, J=8.0 Гц, 1 Η), 4.39 - 4.27 (m, 1 Η), 3.80 - 3.70 (m, 1 Η), 3.70 - 3.63 (m, 1 Η), 3.13 - 2.92 (m, 2 Η), 2.68 - 2.53 (m, 3 Η), 2.48 - 2.37 (m, 2 Η), 2.36 (s, 3 Η), 2.28 (s, 3 Η), 1.78 - 1.53 (m, 5 Η).
Пример 82: N-((3R,5S)-1-(8-цианохинолин-5-ил)-5-(трифторметил)пиперидин-3-ил)-2-(4-метилпиперазин-1-ил)ацетамид
[00369] Указанное в заголовке соединение получали из 5-[(3R,5S)-3-амино-5-(трифторметил)пиперидин-1-ил]хинолин-8-карбонитрила и 2-(4-метилпиперазин-1-ил)уксусной кислоты. МС: 461 [М+Н]+. 1Н ЯМР (400 МГц, Метанол-d4, м.д.) δ 9.01 (dd, J=4.3, 1.7 Гц, 1 Η), 8.68 (dd, J=8.6, 1.7 Гц, 1 Η), 8.17 (d, J=8.0 Гц, 1 Η), 7.70 (dd, J=8.6, 4.3 Гц, 1 Η), 7.33 (d, J=8.0 Гц, 1 Η), 4.42 - 4.31 (m, 1 Η), 3.70 - 3.65 (m, 2 Η), 3.07 (s, 2 Η), 3.05 - 2.95 (m, 2 Η), 2.78 - 2.43 (m, 9 Η), 2.39 - 2.32 (m, 1 Η), 2.30 (s, 3 Η), 1.77 - 1.63 (m, 1 Η).
Пример 83: 2-(4-фтор-1-метилпиперидин-4-ил)-N-[(3R,5S)-5-метил-1-[8-(трифторметил)хинолин-5-ил]пиперидин-3-ил]ацетамид
[00370] Указанное в заголовке соединение получали из (3R,5S)-5-метил-1-[8-(трифторметил)хинолин-5-ил]пиперидин-3-амина и 2-(4-фтор-1-метилпиперидин-4-ил)уксусной кислоты. МС: 468 [М+Н]+. 1Н ЯМР (400 МГц, Метанол-d4, м.д.) δ 8.97 - 8.91 (m, 1 Η), 8.66 (dd, J=8.6, 1.8 Гц, 1 Η), 8.04 (d, J=8.0 Гц, 1 Η), 7.63 (dd, J=8.6, 4.2 Гц, 1 Η), 7.23 (d, J=8.0 Гц, 1 Η), 4.26 - 4.22 (m, 1 Η), 3.68 - 3.60 (m, 1 Η), 3.43 - 3.36 (m, 1 Η), 2.73 - 2.65 (m, 2 Η), 2.58 - 2.44 (m, 4 Η), 2.35 - 2.31 (m, 2 Η), 2.29 (s, 3 Η), 2.22 - 2.08 (m, 2 Η), 2.0 - 1.77 (m, 4 Η), 1.24-1.10 (m, 1 Η), 1.05 (d, J=6.4 Гц, 3 Η).
Пример 84: 2-(4-гидрокси-1-метилпиперидин-4-ил)-N-[(3R,5S)-5-метил-1-[8-(трифторметил)хинолин-5-ил]пиперидин-3-ил]ацетамид
[00371] Указанное в заголовке соединение получали из (3R,5S)-5-метил-1-[8-(трифторметил)хинолин-5-ил]пиперидин-3-амина и 2-(4-гидрокси-1-метилпиперидин-4-ил)уксусной кислоты. МС: 465 [М+Н]+. 1Н ЯМР (400 МГц, Метанол-d4, м.д.) δ 8.94 (dd, J=4.2, 1.8 Гц, 1 Η), 8.66 (dd, J=8.6, 1.8 Гц, 1 Η), 8.04 (d, J=8.1 Гц, 1 Η), 7.63 (dd, J=8.6, 4.2 Гц, 1 Η), 7.23 (d, J=8.0 Гц, 1 Η), 4.30 - 4.19 (m, 1 Η), 3.70 - 3.62 (m, 1 Η), 3.43 - 3.36 (m, 1 Η), 2.64 - 2.56 (m, 2 Η), 2.56 - 2.40 (m, 4 Η), 2.35 (s, 2 Η), 2.29 (s, 3 Η), 2.25 - 2.11 (m, 2 Η), 1.78 - 1.62 (m, 4 Η), 1.24-1.10 (m, 1 Η), 1.08 - 1.02 (m, 3 Η).
Пример 85: гидрохлорид 2-(4-гидрокси-1-метилпиперидин-4-ил)-N-[(3R,5S)-5-метил-1-(8-метилхинолин-5-ил)пиперидин-3-ил]ацетамида
[00372] Указанное в заголовке соединение получали из (3R,5S)-5-метил-1-(8-метилхинолин-5-ил)пиперидин-3-амина и 2-(4-гидрокси-1-метилпиперидин-4-ил)уксусной кислоты. МС: 411 [М+Н]+. 1H ЯМР (400 МГц, ДМСО-d6, м.д.) δ 10.15 (br s, 1 Η), 9.19 - 9.13 (m, 1 Η), 9.09 - 9.02 (m, 1 Η), 8.18 (d, J=7.4 Гц, 1 Η), 8.03 - 7.95 (m, 1 Η), 7.82 (d, J=7.7 Гц, 1 Η), 7.37 (d, J=8.1 Гц, 1 Η), 4.07 (d, J=10.6 Гц, 1 Η), 3.45 - 3.37 (m, 1 Η), 3.26 - 3.17 (m, 3 Η), 3.15 - 3.01 (m, 2 Η), 2.76 -2.68 (m, 6 Η), 2.51 - 2.36 (m, 2 Η), 2.31 (s, 2 Η), 2.17 - 1.82 (m, 4 Η), 1.73 - 1.65 (m, 2 Η), 1.18 - 1.03 (m, 1 Η), 0.95 (d, J=6.4 Гц, 3 Η).
Пример 86: N-[(3R,5S)-5-метил-1-(8-метилхинолин-5-ил)пиперидин-3-ил]-2-(4-метилпиперазин-1-ил)ацетамид
[00373] Указанное в заголовке соединение получали из (3R,5S)-5-метил-1-(8-метилхинолин-5-ил)пиперидин-3-амина и 2-(4-метилпиперазин-1-ил)уксусной кислоты. МС: 396 [М+Н]+. 1Н ЯМР (300 МГц, ДМСО-d6, м.д.) δ 8.90 (dd, J=4.1, 1.8 Гц, 1 Η), 8.46 (dd, J=8.5, 1.8 Гц, 1 Η), 7.62 - 7.46 (m, 3 Η), 7.08 (d, J=7.6 Гц, 1 Η), 4.11 - 4.03 (m, 1 Η), 3.33 - 3.23 (m, 1 Η), 3.20 - 3.10 (m, 1 Η), 2.89 (s, 2 Η), 2.64 (s, 3 Η), 2.47 - 2.24 (m, 10 Η), 2.14 (s, 3 Η), 2.09 - 1.86 (m, 2 Η), 1.22 - 1.04 (m, 1 Η), 0.94 (d, J=6.5 Гц, 3 Η).
Пример 87: 2-(4-гидрокси-1-метилпиперидин-4-ил)-N-[(3R,5S)-1-(8-метилхинолин-5-ил)-5-(трифторметил)пиперидин-3-ил]ацетамид
[00374] Указанное в заголовке соединение получали из (3R,5S)-l-(8-метилхинолин-5-ил)-5-(трифторметил)пиперидин-3-амина и 2-(4-гидрокси-1-метилпиперидин-4-ил)уксусной кислоты. МС: 465 [М+Н]+. 1H ЯМР (300 МГц, Метанол-d4, м.д.) δ 8.86 (dd, J=4.3, 1.7 Гц, 1 Η), 8.65 (dd, J=8.6, 1.7 Гц, 1 Η), 7.61 - 7.49 (m, 2 Η), 7.19 (d, J=7.6 Гц, 1 Η), 4.35 - 4.22 (m, 1 Η), 3.52 - 3.37 (m, 2 Η), 3.04 - 2.93 (m, 2 Η), 2.89 - 2.75 (m, 1 Η), 2.69 (s, 3 Η), 2.62 - 2.29 (m, 7 Η), 2.25 (s, 3 Η), 1.78 - 1.63 (m, 4 Η), 1.59 - 1.41 (m, 1 Η).
Пример 88: N-[(3R,5S)-1-(8-цианохиназолин-5-ил)-5-метилпиперидин-3-ил]-2-(4-фтор-1-метилпиперидин-4-ил)ацетамид
[00375] Указанное в заголовке соединение получали из 5-[(3R,5S)-3-амино-5-метилпиперидин-1-ил]хиназолин-8-карбонитрила и 2-(4-фтор-1-метилпиперидин-4-ил)уксусной кислоты. МС: 425 [М+Н]+. 1Н ЯМР (400 МГц, Метанол-d4, м.д.) δ 9.68 (s, 1 Η), 9.30 (s, 1 Η), 8.28 (d, J=8.3 Гц, 1 Η), 7.30 (d, J=8.3 Гц, 1 Η), 4.26 - 4.14 (m, 1 Η), 3.95 - 3.87 (m, 1 Η), 3.70 - 3.63 (m, 1 Η), 3.10 -3.06 (m, 2 Η), 2.93 - 2.67 (m, 4 Η), 2.65 - 2.56 (m, 5 Η), 2.24 - 1.84 (m, 6 Η), 1.31 -1.17 (m, 1 Η), 1.05 (d, J=6.4 Гц, 3 Η).
Пример 89: N-[(3R,5S)-1-(8-цианохиназолин-5-ил)-5-метилпиперидин-3-ил]-2-(4-метилпиперазин-1-ил)ацетамид
[00376] Указанное в заголовке соединение получали из 5-[(3R,5S)-3-амино-5-метилпиперидин-1-ил]хиназолин-8-карбонитрила и 2-(4-метилпиперазин-1 -ил)уксусной кислоты. МС: 408 [М+Н]+. 1H ЯМР (400 МГц, ДМСО-d6, м.д.) δ 9.60 (s, 1 Η), 9.37 (s, 1 Η), 8.37 (d, J=8.3 Гц, 1 Η), 7.77 (d, J=7.7 Гц, 1 Η), 7.25 (d, J=8.4 Гц, 1 Η), 4.07 - 4.03 (m, 1 Η), 3.79 - 3.72 (m, 1 Η), 3.66 - 3.59 (m, 1 Η), 2.97 (s, 2 Η), 2.82 - 2.52 (m, 9 Η), 2.38 - 2.34 (m, 3 Η), 2.13 - 1.91 (m, 2 Η), 1.33 - 1.20 (m, 2 Η), 0.95 (d, J=6.5 Гц, 3 Η).
Пример 90: (2R)-N-[(3R,5S)-1-(8-цианохиноксалин-5-ил)-5-метилпиперидин-3-ил]-2-(4-метилпиперазин-1-ил)пропанамид & Пример 91: (2S)-N-[(3R,5S)-1-(8-цианохиноксалин-5-ил)-5-метилпиперидин-3-ил]-2-(4-метилпиперазин-1-ил)пропанамид
[00377] Указанные в заголовке соединения получали из 8-[(3R,5S)-3-амино-5-метилпиперидин-1-ил]хиноксалин-5-карбонитрила и 2-(4-метилпиперазин-1-ил)пропановой кислоты с последующим разделением с помощью хиральной ВЭЖХ при следующих условиях: колонка Repaired CHIRALPAK IC-3, 0.46×10 см, 3 мкм; подвижная фаза, MtBE (с 0.1% DEA) в EtOH, 70%, изократический режим в течение 20 мин; детектор, УФ 220 нм. (хиральность 2-(4-метилпиперазин-1-ил)пропанамида устанавливали произвольно).
Пример 90: МС: 422 [М+Н]+. 1Н ЯМР (300 МГц, Метанол-d4, м.д.) δ 8.92 (d, J=1.8 Гц, 1 Η), 8.88 (d, J=1.8 Гц, 1 Η), 8.08 (d, J=8.4 Гц, 1 Η), 7.28 (d, J=8.4 Гц, 1 Η), 4.69 - 4.52 (m, 1 Η), 4.34 - 4.23 (m, 2 Η), 4.21 - 4.05 (m, 1 Η), 3.08 - 2.96 (m, 1 Η), 2.88 - 2.75 (m, 1 Η), 2.76 - 2.39 (m, 8 Η), 2.28 (s, 3 Η), 2.15 - 1.94 (m, 2 Η), 1.35 - 1.16 (m, 4 Η), 1.01 (d, J=6.4 Гц, 3 Η).
Пример 91: МС: 422 [М+Н]+. 1Н ЯМР (400 МГц, Метанол-d4, м.д.) δ 8.91 (d, J=1.8 Гц, 1 Η), 8.88 (d, J=1.8 Гц, 1 Η), 8.10 (d, J=8.4 Гц, 1 Η), 7.30 (d, J=8.4 Гц, 1 Η), 4.62 - 4.58 (m, 1 Η), 4.40 - 4.25 (m, 2 Η), 4.21 - 4.09 (m, 1 Η), 3.09 - 2.99 (m, 1 Η), 2.88 - 2.78 (m, 1 Η), 2.76 - 2.44 (m, 8 Η), 2.29 (s, 3 Η), 2.14 - 1.92 (m, 2 Η), 1.34 - 1.21 (m, 4 Η), 1.03 (d, J=6.5 Гц, 3 Η).
Пример 92: (2R)-N-[(3R,5S)-5-метил-1-[8-(трифторметил)хинолин-5-ил]пиперидин-3-ил]-2-(4-метилпиперазин-1-ил)пропанамид & Пример 93: (2S)-N-[(3R,5S)-5-метил-1-[8-(трифторметил)хинолин-5-ил]пиперидин-3-ил]-2-(4-метилпиперазин-1-ил)пропанамид
[00378] Указанные в заголовке соединения получали из (3R,5S)-5-метил-1-[8-(трифторметил)хинолин-5-ил]пиперидин-3-амина и 2-(4-метилпиперазин-1-ил)пропановой кислоты с последующим разделением с помощью хиральной ВЭЖХ при следующих условиях: колонка, CHIRALPAK ADH, 0.46×10 см, 3 мкм; подвижная фаза, гексан (с 0.1% DEA) в EtOH, 90%, изократический режим в течение 20 мин; детектор, УФ 220 нм. (хиральность 2-(4-метилпиперазин-1-ил)пропанамида устанавливали произвольно).
Пример 92: МС: 464 [М+Н]+. 1H ЯМР (400 МГц, Метанол-d4, м.д.) δ 8.94 (dd, J=4.3, 1.8 Гц, 1 Η), 8.67 (dd, J=8.6, 1.8 Гц, 1 Η), 8.04 (d, J=8.2 Гц, 1 Η), 7.63 (dd, J=8.6, 4.3 Гц, 1 Η), 7.24 (d, J=8.0 Гц, 1 Η), 4.26 - 4.22 (m, 1 Η), 3.67 -3.60 (m, 1 Η), 3.43 - 3.36 (m, 1 Η), 3.09 - 3.0 (m, 1 Η), 2.76 - 2.38 (m, 10 Η), 2.29 (s, 3 Η), 2.23 - 2.04 (m, 2 Η), 1.28-1.14 (m, 4 Η), 1.06 (d, J=6.5 Гц, 3 Η).
Пример 93: МС: 464 [М+Н]+. 1H ЯМР (400 МГц, Метанол-d4, м.д.) δ 8.94 (dd, J=4.3, 1.8 Гц, 1 Η), 8.67 (dd, J=8.6, 1.8 Гц, 1 Η), 8.04 (d, J=8.2 Гц, 1 Η), 7.62 (dd, J=8.6, 4.3 Гц, 1 Η), 7.24 (d, J=8.0 Гц, 1 Η), 4.26 - 4.22 (m, 1 Η), 3.67 -3.60 (m, 1 Η), 3.43 - 3.36 (m, 1 Η), 3.09 - 3.0 (m, 1 Η), 2.76 - 2.38 (m, 10 Η), 2.29 (s, 3 Η), 2.23 - 2.04 (m, 2 Η), 1.28-1.14 (m, 4 Η), 1.05 (d, J=6.5 Гц, 3 Η).
Пример 94: (2R)-2-(4-метилпиперазин-1-ил)-N-[(3R,5S)-5-(трифторметил)-1-[8-(трифторметил)хинолин-5-ил]пиперидин-3-ил]пропанамид & Пример 95: (2S)-2-(4-метилпиперазин-1-ил)-N-[(3R,5S)-5-(трифторметил)-1-[8-(трифторметил)хинолин-5-ил]пиперидин-3-ил]пропанамид
[00379] Указанные в заголовке соединения получали из (3R,5S)-5-(трифторметил)-1-[8-(трифторметил)хинолин-5-ил]пиперидин-3-амина и 2-(4-метилпиперазин-1-ил)пропановой кислоты с последующим разделением с помощью хиральной ВЭЖХ при следующих условиях: колонка, CHIRALPAK IC-3, 0.46×5 см, 3 мкм; подвижная фаза, гексан (с 0.1% DEA) в EtOH, 93%, изократический режим в течение 20 мин; детектор, УФ 254 нм. (хиральность 2-(4-метилпиперазин-1-ил)пропанамида устанавливали произвольно).
Пример 94: МС: 518 [М+Н]+. 1H ЯМР (400 МГц, Метанол-d4, м.д.) δ 8.97 (dd, J=4.3, 1.7 Гц, 1H), 8.68 (dd, J=8.6, 1.8 Гц, 1H), 8.08 (d, J=8.2 Гц, 1H), 7.67 (dd, J=8.6, 4.2 Гц, 1H), 7.32 (d, J=8.0 Гц, 1H), 4.34 (m, J=15.5, 10.8, 4.2 Гц, 1H), 3.60 (d, J=11.1 Гц, 2H), 3.06 (m, J=6.9 Гц, 2H), 2.96 (m, J=11.2 Гц, 1H), 2.84-2.17 (m, 13H), 1.65 (m, J=12.3 Гц, 1H), 1.24 (d, J=6.9 Гц, 3H).
Пример 95: МС: 518 [M+H]+. 1H ЯМР (400 МГц, Метанол-d4, м.д.) δ 9.0 - 8.94 (m, 1 Η), 8.68 (dd, J=8.6, 1.8 Гц, 1 Η), 8.08 (d, J=8.1 Гц, 1 Η), 7.67 (dd, J=8.6, 4.2 Гц, 1 Η), 7.32 (d, J=8.0 Гц, 1 Η), 4.41 - 4.28 (m, 1 Η), 3.64 - 3.57 (m, 2 Η), 3.14 - 3.0 (m, 2 Η), 2.96 (t, J=11.2 Гц, 1 Η), 2.76 - 2.45 (m, 9 Η), 2.40 -2.35 (m, 1 Η), 2.34 (s, 3 Η), 1.72 - 1.59 (m, 1 Η), 1.24 (d, J=6.9 Гц, 3 Η).
Пример 96: (2R)-N-[(3R,5S)-5-амино-1-(8-цианохиназолин-5-ил)пиперидин-3-ил]-2-(4-метилпиперазин-1-ил)пропанамид & Пример 97: (2S)-N-[(3R,5S)-5-амино-1-(8-цианохиназолин-5-ил)пиперидин-3-ил]-2-(4-метилпиперазин-1-ил)пропанамид
[00380] Указанные в заголовке соединения получали из 5-[(3R,5S)-3-амино-5-метилпиперидин-1-ил]хиназолин-8-карбонитрила и 2-(4-метилпиперазин-1-ил)пропановой кислоты с последующим разделением с помощью хиральной ВЭЖХ при следующих условиях: колонка, Repaired Chiral Cellulose-SB, 0.46×10 см, 3 мкм; подвижная фаза, гексан (20 ммоль ΝΗ3) в EtOH, 70%, изократический режим в течение 20 мин; детектор, УФ 254 нм. (хиральность 2-(4-метилпиперазин-1-ил)пропанамида устанавливали произвольно).
Пример 96: МС: 422 [М+Н]+. 1H ЯМР (400 МГц, ДМСО-d6, м.д.) δ 9.61 (s, 1 Η), 9.37 (s, 1 Η), 8.38 (d, J=8.3 Гц, 1 Η), 7.72 (d, J=7.5 Гц, 1 Η), 7.25 (d, J=8.4 Гц, 1 Η), 4.07 - 3.99 (m, 1 Η), 3.81 - 3.73 (m, 1 Η), 3.66 - 3.58 (m, 1 Η), 3.06 - 2.96 (m, 1 Η), 2.80 - 2.66 (m, 2 Η), 2.49 - 2.19 (m, 8 Η), 2.13 (s, 3 Η), 2.09 - 1.89 (m, 2 Η), 1.32 - 1.18 (m, 1 Η), 1.08 (d, J=6.9 Гц, 3 Η), 0.95 (d, J=6.5 Гц, 3 Η).
Пример 97: МС: 422 [М+Н]+. 1H ЯМР (400 МГц, ДМСО-d6, м.д.) δ 9.61 (s, 1H), 9.36 (s, 1H), 8.37 (d, J=8.3 Гц, 1H), 7.71 (d, J=7.6 Гц, 1H), 7.25 (d, J=8.4 Гц, 1H), 4.08-3.98 (m, 1H), 3.75 (d, J=12.7 Гц, 1H), 3.63 (d, J=11.7 Гц, 1H), 3.01 (q, J=6.9 Гц, 1H), 2.72 (dt, J=23.2, 11.5 Гц, 2H), 2.44 (d, J=14.7 Гц, 4H), 2.33 (s, 4H), 2.15 (s, 3H), 2.05 (s, 1H), 1.97 (d, J=12.8 Гц, 1H), 1.25 (q, J=12.0 Гц, 1H), 1.08 (d, J=6.9 Гц, 3H), 0.95 (d, J=6.5 Гц, 3H).
Пример 98: (2R)-N-[(3R,5S)-1-(8-цианохиноксалин-5-ил)-5-(трифторметил)пиперидин-3-ил]-2-(4-метилпиперазин-1-ил)пропанамид & Пример 99: (2S)-N-[(3R,5S)-1-(8-цианохиноксалин-5-ил)-5-(трифторметил)пиперидин-3-ил]-2-(4-метилпиперазин-1-ил)пропенамид
[00381] Указанные в заголовке соединения получали из 8-[(3R,5S)-3-амино-5-(трифторметил)пиперидин-1-ил]хиноксалин-5-карбонитрила и 2-(4-метилпиперазин-1-ил)пропановой кислоты с последующим разделением с помощью хиральной ВЭЖХ при следующих условиях: колонка, Repaired Chiral-ADH, 0.46×10 см, 3 мкм; подвижная фаза, гексан (0.2% IPA) в EtOH, 85%, изократический режим в течение 20 мин; детектор, УФ 220 нм. (хиральность 2-(4-метилпиперазин-1-ил)пропанамида устанавливали произвольно).
Пример 98: МС: 476 [М+Н]+. 1H ЯМР (400 МГц, Метанол-d4, м.д.) δ 9.0 -8.91 (m, 2 Η), 8.15 (d, J=8.3, 1.1 Гц, 1 Η), 7.35 (d, J=8.4 Гц, 1 Η), 4.68 - 4.60 (m, 1 Η), 4.30 - 4.18 (m, 2 Η), 3.16 - 3.03 (m, 2 Η), 2.98 - 2.87 (m, 2 Η), 2.69 - 2.64 (m, 8 Η), 2.40 (s, 3 Η), 2.37 - 2.29 (m, 1 Η), 1.78 - 1.65 (m, 1 Η), 1.27 (d, J=6.9 Гц, 3 Η).
Пример 99: МС: 476 [М+Н]+. 1H ЯМР (400 МГц, Метанол-d4, м.д.) δ 8.97-8.91 (m, 2 Η), 8.14 (d, J=8.2 Гц, 1 Η), 7.35 (d, J=8.4 Гц, 1 Η), 4.69 - 4.61 (m, 1 Η), 4.26 - 4.19 (m, 2 Η), 3.15 - 3.03 (m, 2 Η), 2.98 - 2.87 (m, 2 Η), 2.80 - 2.52 (m, 8 Η), 2.42 (s, 3 Η), 2.36 - 2.29 (m, 1 Η), 1.79 - 1.66 (m, 1 Η), 1.28 (d, J=6.9 Гц, 3 Η).
Пример 100: (2R)-N-[(3R,5S)-1-(8-цианохинолин-5-ил)-5-(трифторметил)пиперидин-3-ил]-2-(4-метилпиперазин-1-ил)пропанамид & Пример 101: (2S)-N-[(3R,5S)-1-(8-цианохинолин-5-ил)-5-(трифторметил)пиперидин-3-ил]-2-(4-метилпиперазин-1-ил)пропенамид
[00382] Указанные в заголовке соединения получали из 5-[(3R,5S)-3-амино-5-(трифторметил)пиперидин-1-ил]хинолин-8-карбонитрила и 2-(4-метилпиперазин-1-ил)пропановой кислоты с последующим разделением с помощью хиральной ВЭЖХ при следующих условиях: колонка Repaired ADH, 0.46×10 см, 3 мкм; подвижная фаза, гексан (с 0.1% DEA) в EtOH, 90%, изократический режим в течение 20 мин; детектор, УФ 220 нм. (хиральность 2-(4-метилпиперазин-1-ил)пропанамида устанавливали произвольно).
Пример 100: МС: 475 [М+Н]+. 1Н ЯМР (400 МГц, Метанол-d4, м.д.) δ 9.04 -8.98 (m, 1 Η), 8.68 (dd, J=8.6, 1.7 Гц, 1 Η), 8.16 (d, J=8.0 Гц, 1 Η), 7.70 (dd, J=8.6, 4.3 Гц, 1 Η), 7.33 (d, J=8.0 Гц, 1 Η), 4.39 - 4.27 (m, 1 Η), 3.74 - 3.63 (m, 2 Η), 3.11 - 2.95 (m, 3 Η), 2.73 - 2.41 (m, 9 Η), 2.38 - 2.31 (m, 1 Η), 2.30 (s, 3 Η), 1.74 -1.61 (m, 1 Η), 1.25 (d, J=6.9 Гц, 3 Η).
Пример 101: МС: 475 [М+Н]+. 1Н ЯМР (400 МГц, Метанол-d4, м.д.) δ 9.04 -8.98 (m, 1 Η), 8.68 (dd, J=8.6, 1.7 Гц, 1 Η), 8.16 (d, J=8.0 Гц, 1 Η), 7.70 (dd, J=8.6, 4.3 Гц, 1 Η), 7.33 (d, J=8.0 Гц, 1 Η), 4.39 - 4.27 (m, 1 Η), 3.74 - 3.63 (m, 2 Η), 3.11 - 2.95 (m, 3 Η), 2.73 - 2.41 (m, 9 Η), 2.38 - 2.31 (m, 1 Η), 2.30 (s, 3 Η), 1.74 -1.61 (m, 1 Η), 1.25 (d, J=6.9 Гц, 3 Η).
Пример 102: (2S)-N-[(3R,5S)-1-(8-цианохиноксалин-5-ил)-5-метилпиперидин-3-ил]-2-(4-гидроксипиперидин-1-ил)пропанамид & Пример 103: (2R)-N-[(3R,5S)-1-(8-цианохиноксалин-5-ил)-5-метилпиперидин-3-ил]-2-(4-гидроксипиперидин-1-ил)пропанамид
[00383] Указанные в заголовке соединения получали из 8-[(3R,5S)-3-амино-5-метилпиперидин-1-ил]хиноксалин-5-карбонитрила и 2-(4-гидроксипиперидин-1-ил)пропановой кислоты с последующим разделением с помощью хиральной ВЭЖХ при следующих условиях: колонка, CHIRALPAK IE-3, 0.46×10 см, 3 мкм; подвижная фаза, гексан (с 0.1% DEA) в EtOH, 90%, изократический режим в течение 20 мин; детектор, УФ 254 нм. (хиральность 2-(4-гидроксипиперидин-1-ил)пропенамида устанавливали произвольно).
Пример 102: МС: 423 [М+Н]+. 1Н ЯМР (400 МГц, Метанол-d4, м.д.) δ 8.93 - 8.88 (m, 2 Η), 8.10 (d, J=8.4 Гц, 1 Η), 7.29 (d, J=8.4 Гц, 1 Η), 4.86 (br s, 1 Η), 4.41 - 4.23 (m, 2 Η), 4.18 - 4.13 (m, 1 Η), 3.66 - 3.57 (m, 1 Η), 3.14 - 3.05 (m, 1 Η), 2.89 - 2.79 (m, 2 Η), 2.71 (t, J=11.7 Гц, 1 Η), 2.45 - 2.35 (m, 1 Η), 2.33 - 2.23 (m, 1 Η), 2.14 - 2.03 (m, 3 Η), 1.91 - 1.85 (m, 2 Η), 1.65 - 1.51 (m, 2 Η), 1.37 - 1.21 (m, 4 Η), 1.03 (d, J=6.4 Гц, 3 Η).
Пример 103: МС: 423 [М+Н]+. 1H ЯМР (400 МГц, Метанол-d4, м.д.) δ 8.94-8.87 (m, 2Н), 8.10 (d, J=8.4 Гц, 1H), 7.30 (d, J=8.4 Гц, 1H), 4.60 (s, 1H), 4.32 (dd, J=22.5, 12.3 Гц, 2H), 4.14 (m, J=8.4, 5.7, 4.1 Гц, 1H), 3.62 (m, J=9.2, 4.8 Гц, 1H), 3.05 (t, J=6.9 Гц, 1H), 2.87 -2.78 (m, 2H), 2.78 - 2.69 (m, 1H), 2.37 (t, J=10.6 Гц, 1H), 2.27 (t, J=10.7 Гц, 1H), 2.15 -2.05 (m, 2H), 1.96 - 1.77 (m, 2H), 1.59 (t, J=11.0 Гц, 2H), 1.33- 1.28 (m, 1H), 1.24 (s, 3H), 1.03 (d, J=6.4 Гц, 3H).
Пример 104: (2S)-2-(4-гидроксипиперидин-1-ил)-N-[(3R,5S)-5-метил-1-[8-(трифторметил)хинолин-5-ил]пиперидин-3-ил]пропанамид & Пример 105: (2R)-2-(4-гидроксипиперидин-1-ил)-N-[(3R,5S)-5-метил-1-[8-(трифторметил)хинолин-5-ил]пиперидин-3-ил]пропанамид
[00384] Указанные в заголовке соединения получали из (3R,5S)-5-метил-1-[8-(трифторметил)хинолин-5-ил]пиперидин-3-амина и 2-(4-гидроксипиперидин-1-ил)пропановой кислоты с последующим разделением с помощью хиральной ВЭЖХ при следующих условиях: колонка, CHIRALPAK ΙΕ-3, 0.46×5 см, 3 мкм; подвижная фаза, гексан (20 ммоль ΝΗ3) в EtOH, 85%, изократический режим в течение 20 мин; детектор, УФ 254 нм. (хиральность 2-(4-гидроксипиперидин-1-ил)пропенамида устанавливали произвольно).
Пример 104: МС: 465 [М+Н]+. 1H ЯМР (400 МГц, Метанол-d4, м.д.) δ 8.94 (dd, J=4.2, 1.8 Гц, 1 Η), 8.66 (dd, J=8.6, 1.8 Гц, 1 Η), 8.03 (d, J=8.0 Гц, 1 Η), 7.63 (dd, J=8.6, 4.2 Гц, 1 Η), 7.23 (d, J=8.0 Гц, 1 Η), 4.31 - 4.18 (m, 1 Η), 3.68 -3.56 (m, 2 Η), 3.43 - 3.35 (m, 1 Η), 3.13 - 3.04 (m, 1 Η), 2.88 - 2.76 (m, 2 Η), 2.60 -2.45 (m, 2 Η), 2.46 - 2.24 (m, 2 Η), 2.22 - 2.09 (m, 2 Η), 1.91 - 1.87 (m, 2 Η), 1.65 -1.52 (m, 2 Η), 1.26-1.14 (m, 4 Η), 1.05 (d, J=6.5 Гц, 3 Η).
Пример 105: МС: 465 [М+Н]+. 1H ЯМР (400 МГц, Метанол-d4, м.д.) δ 8.94 (dd, J=4.2, 1.8 Гц, 1H), 8.66 (dd, J=8.6, 1.8 Гц, 1H), 8.03 (d, J=8.1 Гц, 1H), 7.63 (dd, J=8.6, 4.2 Гц, 1H), 7.23 (d, J=8.0 Гц, 1H), 4.31-4.18 (m, 1H), 3.62 (m, J=12.8, 11.2, 4.4 Гц, 2H), 3.43-3.35 (m, 1H), 3.09 (m, J=6.9 Гц, 1H), 2.82 (m, J=12.2, 5.7 Гц, 2H), 2.53 (m, J=22.2, 11.1 Гц, 2H), 2.35 (m, J=46.2, 10.7 Гц, 2H), 2.21-2.09 (m, 2H), 1.87 (d, J=13.3 Гц, 2H), 1.59 (m, J=12.6, 8.0, 3.3 Гц, 2H), 1.27-1.14 (m, 4H), 1.05 (d, J=6.5 Гц, 3H).
Пример 106: N-[(3R,5S)-5-метил-1-[8-(трифторметил)хинолин-5-ил]пиперидин-3-ил]-2-[(1К,58,б8)-3-метил-3-азабицикло[3.1Л]гептан-6-ил]ацетамид & Пример 107: N-((3S,5R)-5-метил-1-(8-(трифторметил)хинолин-5-ил)пиперидин-3-ил)-2-((1R,5S,6r)-3-метил-3-азабицикло[3.1.1]гептан-6-ил)ацетамид
[00385] Указанные в заголовке соединения получали из (3R,5S)-5-метил-1-[8-(трифторметил)хинолин-5-ил]пиперидин-3-амина и 2-(4-гидроксипиперидин-1-ил)пропановой кислоты с последующим разделением на преп. ВЭЖХ при следующих условиях: колонка, XBridge Prep C18 OBD Column, 150×19 мм, 5 мкм; подвижная фаза, ацетонитрил в воде (с 10 ммоль/л NH4HCO3 и 0.1% NH3.H2O), градиент от 32% до 68% за 8 мин; детектор, УФ 254 нм.
Пример 106: МС: 461 [М+Н]+. 1H ЯМР (300 МГц, ДМСО-d6, м.д.) δ 9.01 (dd, J=4.2, 1.7 Гц, 1 Η), 8.52 (dd, J=8.6, 1.8 Гц, 1 Η), 8.05 (d, J=8.1 Гц, 1 Η), 7.88 (d, J=7.4 Гц, 1 Η), 7.66 (dd, J=8.6, 4.2 Гц, 1 Η), 7.19 (d, J=8.1 Гц, 1 Η), 4.06 - 4.0 (m, 1 Η), 3.54 - 3.45 (m, 1 Η), 3.37 - 3.32 (m, 1 Η), 2.99 - 2.83 (m, 2 Η), 2.71 - 2.58 (m, 2 Η), 2.48 - 2.22 (m, 6 Η), 2.18 - 2.12 (m, 1 Η), 2.05 - 1.93 (m, 5 Η), 1.54 - 1.48 (m, 1 Η), 1.27 - 1.21 (m, 1 Η), 1.12 - 1.05 (m, 1 Η), 0.94 (d, J=6.4 Гц, 3 Η).
Пример 107: МС: 461 [М+Н]+. 1H ЯМР (300 МГц, ДМСО-d6, м.д.) δ 8.95 (dd, J=4.3, 1.7 Гц, 1H), 8.66 (dd, J=8.6, 1.8 Гц, 1H), 8.05 (d, J=8.0 Гц, 1H), 7.64 (dd, J=8.6, 4.2 Гц, 1H), 7.24 (d, J=8.0 Гц, 1H), 4.23 (s, 1H), 3.64 (d, J=11.4 Гц, 2H), 3.45 (m, 1H), 3.16 (d, J=11.6 Гц, 2H), 2.67 (d, J=25.2 Гц, 4H), 2.58-2.31 (m, 6H), 2.16 (s, 3H), 1.81 (d, J=9.9 Гц, 1H), 1.39-1.02 (m, 5H).
Пример 108: 2-(1-изопропилпиперидин-4-ил)-N-[(3R,5S)-5-метил-1-(8-метилхинолин-5-ил)-пиперидин-3-ил]-ацетамид
[00386] Указанное в заголовке соединение синтезировали из гидрохлорида (2) (3R,5S)-5-метил-1-(8-метилхинолин-5-ил)-пиперидин-3-иламина и (1-изопропилпиперидин-4-ил)-уксусной кислоты. МС: 423.6 [М+Н]+. Η ЯМР (400 МГц, ДМСО-d6) δ 8.91 (dd, J=4.1, 1.8 Гц, 1H), 8.47 (dd, J=8.5, 1.8 Гц, 1H), 7.79 (d, J=7.6 Гц, 1H), 7.55 (dd, J=8.5, 4.1 Гц, 1H), 7.51 (dd, J=7.6, 1.1 Гц, 1H), 7.08 (d, J=7.6 Гц, 1H), 4.10 - 3.98 (m, 1H), 3.16 (d, J=10.6 Гц, 1H), 2.75 - 2.65 (m, 3H), 2.65 (d, J=1.0 Гц, 3H), 2.64 - 2.58 (m, 1H), 2.32 (dt, J=18.3, 10.9 Гц, 2H), 2.08 - 1.99 (m, 3H), 1.97 (d, J=6.8 Гц, 3H), 1.56 (t, J=12.8 Гц, 3H), 1.06 (dq, J=24.1, 11.9 Гц, 4H), 0.93 (dd, J=6.5, 3.5 Гц, 9H).
Пример 109: 2-(1-изопропилпиперидин-4-ил)-N-[(3R,5S)-1-(8-метилхинолин-5-ил)-5-трифторметилпиперидин-3-ил]-ацетамид
[00387] Указанное в заголовке соединение синтезировали из гидрохлорида (2) (3R,5S)-1-(8-метилхинолин-5-ил)-5-трифторметилпиперидин-3-иламина и (1-изопропилпиперидин-4-ил)-уксусной кислоты. МС: 477.6. [М+Н]+. 1Н ЯМР (400 МГц, ДМСО-d6) δ 8.93 (dd, J=4.1, 1.8 Гц, 1H), 8.53 (dd, J=8.5, 1.8 Гц, 1H), 7.93 (d, J=7.5 Гц, 1H), 7.58 (dd, J=8.5, 4.1 Гц, 1H), 7.54 (dd, J=7.5, 1.1 Гц, 1H), 7.19 (d, J=7.6 Гц, 1H), 4.13 (s, 1H), 3.14 (s, 1H), 2.76 (t, J=11.4 Гц, 1H), 2.70 (s, 2H), 2.61 (q, J=6.6 Гц, 1H), 2.16 (d, J=12.2 Гц, 1H), 2.08 - 1.99 (m, 2H), 1.97 (s, 2H), 1.57 (t, J=12.5 Гц, 3H), 1.44 (q, J=12.3 Гц, 1H), 1.08 (s, 2H), 0.93 (d, J=6.6 Гц, 6H).
Пример 110: N-[(R)-5,5-дифтор-1-(8-метилхинолин-5-ил)-пиперидин-3-ил]-2-(1-изопропилпиперидин-4-ил)-ацетамид & Пример 111: N-[(S)-5,5-дифтор-1-(8-метилхинолин-5-ил)-пиперидин-3-ил]-2-(1-изопропилпиперидин-4-ил)-ацетамид
[00388] Указанные в заголовке соединения синтезировали из гидрохлорида 5,5-дифтор-1-(8-метилхинолин-5-ил)-пиперидин-3-иламина и (1-изопропилпиперидин-4-ил)-уксусной кислоты с последующим разделением с помощью хиральной СКЖХ при следующих условиях: колонка, ΙΑ, Prep SFC-Р100; подвижная фаза, 0.5% диметилэтиламин (DMEA) в этаноле, 40°С / 80 бар, 70 г/мин; длина волны: 240 нм.
Пример 110: МС: 44.6 [М+Н]+. 1Н ЯМР (400 МГц, ДМСО-d6) δ 8.94 (dd, J=4.1, 1.8 Гц, 1H), 8.51 (dd, J=8.5, 1.8 Гц, 1H), 7.97 (d, J=7.5 Гц, 1H), 7.59 (dd, J=8.5, 4.1 Гц, 1H), 7.55 (dd, J=7.6, 1.1 Гц, 1H), 7.20 (d, J=7.6 Гц, 1H), 4.24 (d, J=5.7 Гц, OH), 2.70 (d, J=9.9 Гц, 2H), 2.67 (d, J=0.9 Гц, 3H), 2.61 (ρ, J=6.7 Гц, 1H), 2.44 (d, J=11.5 Гц, 1H), 2.06 - 1.95 (m, 5H), 1.57 (s, 3H), 1.16 - 1.02 (m, 2H), 0.92 (d, J=6.6 Гц, 6H).
Пример 111: МС: 445.6 [M+H]+. 1H ЯМР (400 МГц, ДМСО-d6) δ 8.94 (dd, J=4.1, 1.8 Гц, 1H), 8.51 (dd, J=8.5, 1.8 Гц, 1H), 7.97 (d, J=7.5 Гц, 1H), 7.59 (dd, J=8.5, 4.1 Гц, 1H), 7.55 (dd, J=7.6, 1.1 Гц, 1H), 7.20 (d, J=7.6 Гц, 1H), 4.23 (d, J=5.7 Гц, 0H), 2.70 (d, J=9.9 Гц, 2H), 2.67 (d, J=0.9 Гц, 3H), 2.61 (ρ, J=6.7 Гц, 1H), 2.44 (d, J=11.5 Гц, 1H), 2.06 - 1.95 (m, 5H), 1.56 (s, 3H), 1.16 - 1.02 (m, 2H), 0.92 (d, J=6.6 Гц, 6H).
Пример 112: N-[(3R,5S)-1-(7-фтор-8-метилхинолин-5-ил)-5-метилпиперидин-3-ил]-2-(3-метил-3-азабицикло[3.1Л]гепт-6-ил)-ацетамид
[00389] Указанное в заголовке соединение синтезировали из гидрохлорида (3R,5S)-1-(7-фтор-8-метилхинолин-5-ил)-5-метилпиперидин-3-иламина и (3-метил-3-азабицикло[3.1.1]гепт-6-ил)-уксусной кислоты. МС: 425.6 [М+Н]+. 1Н ЯМР (400 МГц, ДМСО-:с) δ 8.93 (dd, J=4.2, 1.7 Гц, 1H), 8.44 (dt, J=8.4, 1.6 Гц, 1H), 7.81 (dd, J=23.9, 7.5 Гц, 1H), 7.52 (dd, J=8.5, 4.2 Гц, 1H), 7.04 (d, J=11.5 Гц, 1H), 4.08 - 3.93 (m, 1H), 3.20 (d, J=11.4 Гц, 1H), 2.90 - 2.71 (m, 4H), 2.64 - 2.58 (m, 1H), 2.53 (d, J=2.3 Гц, 3H), 2.41 - 2.31 (m, 3H), 2.29 (d, J=6.4 Гц, 3H), 2.25 - 2.12 (m, 3H), 2.04 - 1.92 (m, 3H), 1.57 - 1.48 (m, 1H), 1.05 (q, J=12.0 Гц, 1H), 0.94 (d, J=6.5 Гц, 3H).
Пример 113: N-[(3R,5S)-1-(7-фтор-8-метилхинолин-5-ил)-5-трифторметилпиперидин-3-ил]-2-(3-метил-3-азабицикло[3.1.1]гепт-6-ил)-ацетамид
[00390] Указанное в заголовке соединение синтезировали из (3R,5S)-l-(7-фтор-8-метилхинолин-5-ил)-5-трифторметилпиперидин-3-иламина и (3-метил-3-азабицикло[3.1.1]гепт-6-ил)-уксусной кислоты. МС: 479.5 [М+Н]+. 1Н ЯМР (400 МГц, ДМСО-d6) δ 8.95 (dd, J=4.2, 1.7 Гц, 1H), 8.49 (dd, J=8.5, 1.7 Гц, 1H), 7.92 (d, J=7.5 Гц, 1H), 7.55 (dd, J=8.5, 4.2 Гц, 1H), 7.20 (d, J=11.3 Гц, 1H), 4.11 (dd, J=10.8, 5.0 Гц, 2H), 3.14 (s, 1H), 2.90 - 2.70 (m, 5H), 2.62 (d, J=13.4 Гц, 1H), 2.55 (d, J=2.4 Гц, 3H), 2.48 - 2.34 (m, 2H), 2.29 (s, 2H), 2.25 - 2.09 (m, 4H), 1.77 - 1.70 (m, 1H), 1.53 (d, J=8.3 Гц, 1H), 1.45 (q, J=12.3 Гц, 1H).
Пример 114: N-[(3R,5S)-1-(8-цианохиноксалин-5-ил)-5-метилпиперидин-3-ил]-2-(4-фторпиперидин-4-ил)ацетамид
[00391] трет-Бутнл 4-([[(3R)-1-(8-цианохиноксалин-5-ил)-5-метил-1,2,3,6-тетрагидропиридин-3-ил]карбамоил]метил)-4-фторпиперидин-1-карбоксилат: К раствору 8-[(3R)-3-амино-5-метил-1,2,3,6-тетрагидропиридин-1-ил]хиноксалин-5-карбонитрила (61 мг, 0.23 ммоль) в ДМФА (3 мл) добавляли 2-[1-[(трет-бутокси)карбонил]-4-фторпиперидин-4-ил]уксусную кислоту (211 мг, 0.81 ммоль), DIEA (184 мг, 1.43 ммоль) и HATU (361 мг, 0.95 ммоль) при комнатной температуре. Полученную в результате смесь перемешивали в течение 3 ч при комнатной температуре. После завершения реакции реакционную смесь гасили путем добавления воды (10 мл). Полученную в результате смесь экстрагировали этилацетатом (30 мл × 3). Органические фазы объединяли, промывали солевым раствором и сушили над Na2SO4. Растворитель удаляли при пониженном давлении с получением N-[(3R,5S)-l-(8-цианохиноксалин-5-ил)-5-метилпиперидин-3-ил]-2-(4-фторпиперидин-4-ил)ацетамида в виде желтого твердого вещества (60 мг, сырое), которое использовали на следующей стадии без дополнительной очистки.
[00392] N-[(3R,5S)-1-(8-цианохиноксалин-5-ил)-5-метилпиперидин-3-ил]-2-(4-фторпиперидин-4-ил)ацетамид: К раствору трет-бутил 4-([[(3R,5S)-1-(8-цианохиноксалин-5-ил)-5-метилпиперидин-3-ил]карбамоил]метил)-4-фторпиперидин-1-карбоксилата (60 мг, сырой) в метаноле (3 мл) добавляли водный раствор хлороводорода (6 н., 1 мл, 6.0 ммоль) при комнатной температуре. Полученную в результате смесь перемешивали в течение 3 ч при комнатной температуре. После завершения реакции реакционную смесь гасили путем добавления воды (10 мл). Полученную в результате смесь экстрагировали этилацетатом (30 мл × 3). Органические фазы объединяли, промывали солевым раствором и сушили над Na2SO4. Растворитель удаляли при пониженном давлении и остаток очищали с помощью преп. ВЭЖХ при следующих условиях: колонка, XBridge Prep C18 OBD, 150×19 мм, 5 мкм; подвижная фаза, ацетонитрил в воде (с 10 ммоль/л NH4HCO3 и 0.1% NH3.H2O), градиент от 15% до 45% за 8 мин; детектор, УФ 254 нм. N-[(3R,5S)-l-(8-цианохино?салин-5-ил)-5-метилпиперидин-3-ил]-2-(4-фторпиперидин-4-ил)ацетамид получали в виде желтого твердого вещества (26 мг, 30% за 2 стадии). МС: 411 [М+Н]+. 1Н ЯМР (400 МГц, Метанол-d4, м.д.) δ 8.93 (d, J=1.8 Гц, 1 Η), 8.89 (d, J=1.8 Гц, 1 Η), 8.10 (d, J=8.4 Гц, 1 Η), 7.29 (d, J=8.4 Гц, 1 Η), 4.44 - 4.27 (m, 2 Η), 4.17 - 4.12 (m, 1 Η), 2.93 - 2.86 (m, 4 Η), 2.78 (t, J=11.3 Гц, 1 Η), 2.68 (t, J=11.6 Гц, 1 Η), 2.53 (d, J=16.0 Гц, 2 Η), 2.17 - 1.67 (m, 6 Η), 1.33-1.16 (m, 1 Η), 1.02 (d, J=6.5 Гц, 3 Η).
[00393] Следующее соединение синтезировали аналогичным образом.
Пример 115: (2S)-N-[(3R,5S)-1-(7-фтор-8-метилхинолин-5-ил)-5-(трифторметил)пиперидин-3-ил]пирролидин-2-карбоксамид
[00394] Указанное в заголовке соединение получали из (3R,5S)-l-(7-фтор-8-метилхинолин-5-ил)-(трифторметил)пиперидин-3-амина и (2S)-1-[(трет-бутокси)карбонил]пирролидин-2-карбоновой кислоты. МС: 425 [М+Н]+. 1H ЯМР (400 МГц, ДМСО-d6, м.д.) δ 8.98 - 8.93 (m, 1 Η), 8.50 (dd, J=8.4, 1.8 Гц, 1 Η), 8.04 (d, J=8.1 Гц, 1 Η), 7.55 (dd, J=8.5, 4.2 Гц, 1 Η), 7.21 (d, J=11.3 Гц, 1 Η), 4.17 - 4.12 (m, 1 Η), 3.54 -3.46 (m, 1 Η), 3.27 - 3.06 (m, 3 Η), 2.87 - 2.75 (m, 3 Η), 2.66 - 2.57 (m, 1 Η), 2.55 (d, J=2.3 Гц, 3 Η), 2.17 - 2.09 (m, 1 Η), 2.02 - 1.87 (m, 1 Η), 1.72 - 1.51 (m, 4 Η).
Пример 116: (2S,4S)-N-[(3R,5S)-1-(8-цианохиноксалин-5-ил)-5-метилпиперидин-3-ил]-4-гидроксипирролидин-2-карбоксамид
[00395] Указанное в заголовке соединение получали из 8-[(3R,5S)-3-амино-5-метилпиперидин-1-ил]хиноксалин-5-карбонитрила и (2S,4S)-l-[(трет-бутокси)карбонил]-4-гидроксипирролидин-2-карбоновой кислоты. МС: 381 [М+Н]+. 1H ЯМР (300 МГц, Метанол-d4, м.д.) δ 8.91 - 8.87 (m, 2 Η), 8.09 (d, J=8.4 Гц, 1 Η), 7.28 (d, J=8.5 Гц, 1 Η), 4.45 - 4.23 (m, 3 Η), 4.15 - 4.09 (m, 1 Η), 3.71 - 3.61 (m, 1 Η), 3.05 - 2.90 (m, 2 Η), 2.86 - 2.57 (m, 2 Η), 2.40 - 2.25 (m, 1 Η), 2.16 - 2.01 (m, 2 Η), 1.91 - 1.81 (m, 1 Η), 1.37 -1.23 (m, 1 Η), 1.02 (d, J=6.4 Гц, 3 Η).
Пример 117: 2-(4-фторпиперидин-4-ил)-N-[(3R,5S)-5-(трифторметил)-1-[8-(трифторметил)хинолин-5-ил]пиперидин-3-ил]ацетамид
[00396] Указанное в заголовке соединение получали из трет-бутил 4-фтор-4-({[(3R,5S)-5-(трифторметил)-1-[8-(трифторметил)хинолин-5-ил]пиперидин-3-ил]карбамоил}метил)пиперидин-1-карбоксилата и хлороводорода в диоксане. МС: 507 [М+Н]+.1Ή ЯМР (400 МГц, ДМСО-d6, м.д.) δ 9.07 - 9.01 (m, 1 Η), 8.60 (dd, J=8.6, 1.8 Гц, 1 Η), 8.11 (dd, J=16.0, 7.7 Гц, 2 Η), 7.71 (dd, J=8.6, 4.2 Гц, 1 Η), 7.32 (d, J=8.1 Гц, 1 Η), 4.22-4.05 (m, 1 Η), 3.54 -3.47 (m, 2 Η), 3.24 - 3.20 (m, 2 Η), 2.89 (t, J=11.5 Гц, 1 Η), 2.79 - 2.55 (m, 5 Η), 2.43 (d, J=18.7 Гц, 2 Η), 2.22 - 2.14 (m, 1 Η), 1.78 - 1.45 (m, 5 Η).
Пример 118: N-[(3R,5S)-1-(8-цианохиноксалин-5-ил)-5-(трифторметил)пиперидин-3-ил]-2-(4-фторпиперидин-4-ил)ацетамид
[00397] Указанное в заголовке соединение получали из трет-бутил 4-({[(3R,5S)-1-(8-цианохиноксалин-5-ил)-5-(трифторметил)пиперидин-3-ил]карбамоил}метил)-4-фторпиперидин-1-карбоксилата и хлороводорода в диоксане. МС: 465 [М+Н]+. 1H ЯМР (300 МГц, ДМСО-d6, м.д.) δ 9.04 (d, J=1.8 Гц, 1 Η), 8.96 (d, J=1.8 Гц, 1 Η), 8.24 (d, J=8.4 Гц, 1 Η), 8.14 (d, J=7.2 Гц, 1 Η), 7.34 (d, J=8.4 Гц, 1 Η), 4.71 - 4.61 (m, 1 Η), 4.17 - 3.90 (m, 2 Η), 3.10 (t, J=11.9 Гц, 1 Η), 2.99 - 2.93 (m, 1 Η), 2.84 (t, J=11.5 Гц, 1 Η), 2.76 - 2.59 (m, 4 Η), 2.51-2.40 (m, 2 Η), 2.17 - 2.08 (m, 2 Η), 1.80 - 1.45 (m, 5 Η).
Пример 119: 2-(1-аминоциклопропил)-N-[(3R,5S)-1-(8-цианохиноксалин-5-ил)-5-(трифторметил)пиперидин-3-ил]ацетамид
[00398] Указанное в заголовке соединение получали из трет-бутил N-[1-({[(3R,5S)-1-(8-цианохиноксалин-5-ил)-5-(трифторметил)пиперидин-3-ил]карбамоил}метил)циклопропил]карбамата и хлороводорода в диоксане. МС: 419 [М+Н]+. 1H ЯМР (400 МГц, Метанол-d4, м.д.) δ 9.0 - 8.91 (m, 2 Η), 8.14 (d, J=8.4, 1.8 Гц, 1 Η), 7.35 (d, J=8.4, 1.5 Гц, 1 Η), 4.67 (d, J=11.7 Гц, 1 Η), 4.31 -4.17 (m, 2 Η), 3.15 - 2.78 (m, 3 Η), 2.37 - 2.33 (m, 3 Η), 1.66 - 1.57 (m, 1 Η), 0.70 -0.63 (m, 2 Η), 0.63 - 0.53 (m, 2 Η).
Пример 120: 2-(1-аминоциклопропил)-N-[(3R,5S)-1-(8-цианохиноксалин-5-ил)-5-метилпиперидин-3-ил]ацетамид
[00399] Указанное в заголовке соединение получали из трет-бутил N-[1-({[(3R,5S)-1-(8-цианохиноксалин-5-ил)-5-метилпиперидин-3-ил]карбамоил}метил)циклопропил]карбамата и хлороводорода в диоксане. МС: 365 [М+Н]+. 1H ЯМР (400 МГц, Метанол-d4, м.д.) δ 9.02 - 8.86 (m, 2 Η), 8.10 (d, J=8.4 Гц, 1 Η), 7.30 (d, J=8.4 Гц, 1 Η), 4.43 - 4.29 (m, 2 Η), 4.23 - 4.11 (m, 1 Η), 2.85 - 2.61 (m, 2 Η), 2.57 (s, 2 Η), 2.16 - 2.03 (m, 2 Η), 1.26 - 1.16 (m, 1 H),1.08 -0.96 (m, 5 Η), 0.95 -0.82 (m, 2 Η).
Пример 121: 2-(1-аминоциклопропил)-N-[(3R,5S)-5-метил-1-(8-метил-1,7-нафтиридин-5-ил)пиперидин-3-ил]ацетамид
[00400] Указанное в заголовке соединение получали из бутил N-[1-({[(3R,5S)-5-метил-1-(8-метил-1,7-нафтиридин-5-ил)пиперидин-3-ил]карбамоил}метил)циклопропил]карбамата и хлороводорода в диоксане. МС: 354 [М+Н]+. 1Н ЯМР (400 МГц, Метанол-d4, м.д.) δ 9.02 (dd, J=4.1, 1.7 Гц, 1 Η), 8.61 (dd, J=8.6, 1.7 Гц, 1 Η), 8.05 (s, 1 Η), 7.79 (dd, J=8.6, 4.2 Гц, 1 Η), 4.30 -4.17 (m, 1 Η), 3.62 - 3.54 (m, 1 Η), 3.33 - 3.29 (m, 1 Η), 2.96 (s, 3 Η), 2.58 - 2.42 (m, 2 Η), 2.33 (s, 2 Η), 2.22 - 2.07 (m, 2 Η), 1.25 - 1.11 (m, 1 Η), 1.05 (d, J=6.4 Гц, 3 Η), 0.66 - 0.61 (m, 2 Η), 0.59 - 0.49 (m, 2 Η).
Пример 122: (2S)-N-[(3R,5S)-5-метил-1-(8-метилхинолин-5-ил)пиперидин-3-ил]пирролидин-2-карбоксамид
[00401] Указанное в заголовке соединение получали из бутил (2S)-2-{[(3R,5S)-5-метил-1-(8-метилхинолин-5-ил)пиперидин-3-ил]карбамоил}пирролидин-1-карбоксилата и хлороводорода в диоксане. МС: 353 [М+Н]+. 1Н ЯМР (400 МГц, ДМСО-d6, м.д.) δ 8.91 (dd, J=4.1, 1.8 Гц, 1 Η), 8.47 (dd, J=8.5, 1.8 Гц, 1 Η), 7.84 (d, J=8.1 Гц, 1 Η), 7.59 - 7.48 (m, 2 Η), 7.09 (d, J=7.6 Гц, 1 Η), 4.03 - 3.98 (m, 1 Η), 3.51 - 3.43 (m, 1 Η), 3.30 - 3.23 (m, 1 Η), 3.19 -3.12 (m, 1 Η), 2.85 - 2.72 (m, 3 Η), 2.64 (s, 3 Η), 2.44 (t, J=10.7 Гц, 1 Η), 2.30 (t, J=11.2 Гц, 1 Η), 2.12 - 1.86 (m, 2 Η), 1.68 - 1.50 (m, 3 Η), 1.18 - 1.05 (m, 1 Η), 0.94 (d, J=6.5 Гц, 3 Η).
Пример 123: (2S)-N-[(3R,5S)-5-(трифторметил)-1-[8-(трифторметил)хинолин-5-ил]пиперидин-3-ил]пирролидин-2-карбоксамид
[00402] Указанное в заголовке соединение получали из бутил (2S)-2-{[(3R,5S)-5-(трифторметил)-1-[8-(трифторметил)хинолин-5-ил]пиперидин-3-ил]карбамоил}пирролидин-1-карбоксилата и хлороводорода в диоксане. МС: 461 [М+Н]+. 1H ЯМР (400 МГц, Метанол-d4, м.д.) δ 9.0 - 8.94 (m, 1 Η), 8.69 (dd, J=8.6, 1.8 Гц, 1 Η), 8.08 (d, J=8.0 Гц, 1 Η), 7.67 (dd, J=8.6, 4.2 Гц, 1 Η), 7.32 (d, J=8.0 Гц, 1 Η), 4.37 - 4.26 (m, 1 Η), 3.67 - 3.57 (m, 3 Η), 3.19 - 2.80 (m, 4 Η), 2.65 (t, J=11.1 Гц, 1 Η), 2.40 - 2.32 (m, 1 Η), 2.21 - 2.09 (m, 1 Η), 1.85 - 1.70 (m, 3 Η), 1.70 - 1.56 (m, 1 Η).
Пример 124: (2S)-N-[(3R,5S)-1-(8-цианохиноксалин-5-ил)-5-(трифторметил)пиперидин-3-ил]пирролидин-2-карбоксамид
[00403] Указанное в заголовке соединение получали из бутил (2S)-2-{[(3R,5S)-5-(трифторметил)-1-[8-(трифторметил)хинолин-5-ил]пиперидин-3-ил]карбамоил}пирролидин-1-карбоксилата и хлороводорода в диоксане. МС: 419 [М+Н]+. 1Н ЯМР (400 МГц, Метанол-d4, м.д.) δ 8.94 (dd, J=16.6, 1.8 Гц, 2 Η), 8.13 (d, J=8.3 Гц, 1 Η), 7.33 (d, J=8.4 Гц, 1 Η), 4.67 -4.59 (m, 1 Η), 4.27 - 4.15 (m, 2 Η), 3.71 - 3.63 (m, 1 Η), 3.11 - 2.82 (m, 5 Η), 2.37 - 2.30 (m, 1 Η), 2.25 - 2.09 (m, 1 Η), 1.88 - 1.57 (m, 4 Η).
Пример 125: (2S)-N-[(3R,5S)-1-(8-цианохинолин-5-ил)-5-(трифторметил)пиперидин-3-ил]пирролидин-2-карбоксамид
[00404] Указанное в заголовке соединение получали из трет-бутил (2S)-2-{[(3R,5S)-1-(8-цианохинолин-5-ил)-5-(трифторметил)пиперидин-3-ил]карбамоил}пирролидин-1-карбоксилата и хлороводорода в диоксане. МС: 418 [М+Н]+. 1Н ЯМР (300 МГц, Метанол-d4, м.д.) δ 8.99 (dd, J=4.3, 1.7 Гц, 1 Η), 8.66 (dd, J=8.6, 1.7 Гц, 1 Η), 8.15 (d, J=8.0 Гц, 1 Η), 7.68 (dd, J=8.6, 4.3 Гц, 1 Η), 7.31 (d, J=8.0 Гц, 1 Η), 4.43 - 4.21 (m, 1 Η), 3.69 - 3.56 (m, 3 Η), 3.15 - 2.82 (m, 4 Η), 2.65 (t, J=11.2 Гц, 1 Η), 2.39 - 2.29 (m, 1 Η), 2.21 - 2.06 (m, 1 Η), 1.87 - 1.50 (m, 4 Η).
Пример 126: (2R)-N-[(3R,5S)-1-(8-цианохинолин-5-ил)-5-(трифторметил)пиперидин-3-ил]пирролидин-2-карбоксамид
[00405] Указанное в заголовке соединение получали из трет-бутил (2R)-2-{[(3R,5S)-1-(8-цианохинолин-5-ил)-5-(трифторметил)пиперидин-3-ил]карбамоил}пирролидин-1-карбоксилата и хлороводорода в диоксане. МС: 418 [М+Н]+. 1Н ЯМР (400 МГц, Метанол-d4, м.д.) δ 9.01 (dd, J=4.3, 1.7 Гц, 1 Η), 8.67 (dd, J=8.6, 1.7 Гц, 1 Η), 8.17 (d, J=8.0 Гц, 1 Η), 7.69 (dd, J=8.6, 4.2 Гц, 1 Η), 7.33 (d, J=8.0 Гц, 1 Η), 4.37 - 4.25 (m, 1 Η), 3.74 - 3.59 (m, 3 Η), 3.17 - 2.86 (m, 4 Η), 2.67 (t, J=11.2 Гц, 1 Η), 2.39 - 2.32 (m, 1 Η), 2.19 - 2.07 (m, 1 Η), 1.87 - 1.50 (m, 4 Η).
Пример 127: (2S)-2-амино-N-[(3R,5S)-5-метил-1-[8-(трифторметил)хиноксалин-5-ил]пиперидин-3-ил]бутандиамид
[00406] Указанное в заголовке соединение получали из трет-бутил N-[(1S)-2-карбамоил-1-{[(3R,5S)-5-метил-1-[8-(трифторметил)хиноксалин-5-ил]пиперидин-3-ил]карбамоил}этил]карбамата и хлороводорода в диоксане. МС: 425 [М+Н]+. 1H ЯМР (300 МГц, Метанол-d4, м.д.) δ 8.94 - 8.83 (m, 2 Η), 8.03 (d, J=8.3 Гц, 1 Η), 7.28 (d, J=8.3 Гц, 1 Η), 4.27 - 3.97 (m, 3 Η), 3.70 - 3.59 (m, 1 Η), 2.77 - 2.41 (m, 4 Η), 2.17 - 2.04 (m, 2 Η), 1.31 - 1.15 (m, 1 Η), 1.01 (d, J=6.4 Гц, 3 Η).
Пример 128: (2S)-2-амино-N-[(3R,5S)-5-метил-1-[8-(трифторметил)хинолин-5-ил]пиперидин-3-ил]бутандиамид
[00407] Указанное в заголовке соединение получали из трет-бутил N-[(1S)-2-карбамоил-1-{[(3R,5S)-5-метил-1-[8-(трифторметил)хиноксалин-5-ил]пиперидин-3-ил]карбамоил}этил]карбамата и хлороводорода в диоксане. МС: 424 [М+Н]+. 1H ЯМР (400 МГц, Метанол-d4, м.д.) δ 8.97 - 8.91 (m, 1 Η), 8.66 (dd, J=8.6, 1.8 Гц, 1 Η), 8.04 (d, J=8.1 Гц, 1 Η), 7.63 (dd, J=8.6, 4.2 Гц, 1 Η), 7.23 (d, J=8.0 Гц, 1 Η), 4.25 - 4.21 (m, 1 Η), 3.68 - 3.59 (m, 2 Η), 3.43 - 3.36 (m, 1 Η), 2.67 - 2.44 (m, 4 Η), 2.20 - 2.11 (m, 2 Η), 1.26 - 1.13 (m, 1 Η), 1.05 (d, J=6.4 Гц, 3 Η).
Пример 129: (2S)-2-амино-N-[(3R,5S)-1-(7-фтор-8-метилхинолин-5-ил)-5-метилпиперидин-3-ил]бутандиамид
[00408] Указанное в заголовке соединение получали из трет-бутил N-[(1S)-2-карбамоил-1-{[(3R,5S)-1-(7-фтор-8-метилхинолин-5-ил)-5-метилпиперидин-3-ил]карбамоил}этил]карбамата и хлороводорода в диоксане. МС: 388 [М+Н]+. 1H ЯМР (300 МГц, ДМСО-d6, м.д.) δ 8.95 - 8.87 (m, 1 Η), 8.46 -8.37 (m, 1 Η), 7.82 (d, J=7.8 Гц, 1 Η), 7.50 (dd, J=8.5, 4.2 Гц, 1 Η), 7.35 (br s, 1 Η), 7.01 (d, J=11.6 Гц, 1 Η), 6.81 (br s, 1 H), 4.03 - 3.94 (m, 1 H), 3.47 - 3.37 (m, 2 H), 3.23 - 3.13 (m, 1 H), 2.54 - 2.47 (m, 3 H), 2.46 - 2.24 (m, 3 H), 2.21 -1.89 (m, 3 H), 1.83 (br s, 2 H), 1.17 - 0.99 (m, 1 H), 0.91 (d, J=6.4 Гц, 3 Η).
Пример 130: (2S)-2-амино-N-[(3R,5S)-5-метил-1-(8-метилхинолин-5-ил)пиперидин-3-ил]бутандиамид
[00409] Указанное в заголовке соединение получали из трет-бутил N-[(1S)-2-карбамоил-1-{[(3R,5S)-5-метил-1-(8-метилхинолин-5-ил)пиперидин-3-ил]карбамоил}этил]карбамата и хлороводорода в диоксане. МС: 370 [М+Н]+.1H ЯМР (400 МГц, ДМСО-d6, м.д.) δ 8.93 - 8.87 (m, 1 Η), 8.47 (dd, J=8.5, 1.8 Гц, 1 Η), 7.83 (d, J=7.9 Гц, 1 Η), 7.58 - 7.47 (m, 2 Η), 7.36 (br s, 1 Η), 7.07 (d, J=7.6 Гц, 1 Η), 6.83 (br s, 1 H), 4.06 - 3.94 (m, 1 H), 3.48 - 3.41 (m, 3 H), 3.20 - 3.11 (m, 1 H), 2.64 (s, 3 H), 2.45 - 2.25 (m, 4 H), 2.21 - 1.88 (m, 3 H), 1.15 - 1.02 (m, 1 H), 0.93 (d, J=6.5 Гц, 3 Η).
Пример 131: N-[(3R,5S)-1-(8-цианохиназолин-5-ил)-5-метилпиперидин-3-ил]-2-[(3R,5S)-3-фторпиперидин-4-ил]ацетамид & Пример 132: N-[(3R,5S)-1-(8-цианохиназолин-5-ил)-5-метилпиперидин-3-ил]-2-[(3S4R)-3-фторпиперидин-4-ил]ацетамид
[00410] Указанные в заголовке соединения получали из 5-[(3R,5S)-3-амино-5-метилпиперидин-1-ил]хиназолин-8-карбонитрила и 2-{1-[(трет-бутокси)карбонил]-3-фторпиперидин-4-ил}уксусной кислоты с последующим разделением с помощью хиральной ВЭЖХ при следующих условиях: колонка, Repaired CHIRALPAK ID-3, 0.46×10 см, 3 мкм; подвижная фаза, MtBE (с 0.1% DEA) в EtOH, 80%, изократический режим в течение 20 мин; детектор, УФ 254 нм.
Пример 131: МС: 411 [М+Н]+. 1Н ЯМР (400 МГц, ДМСО-d6, м.д.) δ 9.61 (s, 1H), 9.36 (s, 1H), 8.41 - 8.33 (m, 1H), 8.06 - 7.95 (m, 1H), 7.30 - 7.21 (m, 1H), 4.52 (s, 0H), 4.40 (s, 0H), 4.10 - 3.91 (m, 0H), 3.85 - 3.76 (m, 1H), 3.67 - 3.57 (m, 1H), 3.10 - 2.99 (m, 1H), 2.90 - 2.79 (m, 1H), 2.76 - 2.59 (m, 3H), 2.50 - 2.37 (m, 2H), 2.28 - 1.91 (m, 5H), 1.37 - 1.04 (m, 3H), 0.94 (d, J=6.4 Η, 3H).
Пример 132: МС: 411 [M+H]+. 1H ЯМР (400 МГц, ДМСО-d6, м.д.) δ 9.61 (s, 1 Η), 9.36 (s, 1 Η), 8.37 (d, J=8.3 Гц, 1 Η), 8.0 (d, J=7.1 Гц, 1 Η), 7.25 (d, J=8.4 Гц, 1 Η), 4.46 (d, J=49.4 Гц, 1 Η), 4.04 - 4.0 (m, 1 Η), 3.85 - 3.78 (m, 1 Η), 3.67 -3.59 (m, 1 Η), 3.09 - 2.98 (m, 1 Η), 2.92 - 2.84 (m, 1 Η), 2.76 - 2.55 (m, 5 Η), 2.25 -2.15 (m, 1 Η), 2.13 - 1.89 (m, 4 Η), 1.37 - 1.32 (m, 2 Η), 1.22 -1.09 (m, 1 Η), 0.94 (d, J=6.4 Гц, 3 Η).
Пример 133: 2-амино-2-циклопропил-N-[(3R,5S)-5-метил-1-(8-метилхинолин-5-ил)-пиперидин-3-ил]-ацетамид
[00411] Указанное в заголовке соединение получали из гидрохлорида (3R,5S)-5-метил-1-(8-метилхинолин-5-ил)-пиперидин-3-иламина и трет-бутоксикарбониламиноциклопропилуксусной кислоты. МС: 353.5 [М+Н]+. 1Н ЯМР (400 МГц, ДМСО-d6) δ 8.91 (dd, J=4.1, 1.8 Гц, 1H), 8.48 (ddd, J=8.4, 1.8, 0.8 Гц, 1H), 7.67 (t, J=7.5 Гц, 1H), 7.55 (dd, J=8.5, 4.1 Гц, 1H), 7.52 (dt, J=7.6, 1.0 Гц, 1H), 7.08 (d, J=7.6 Гц, 1H), 4.05 (s, 1H), 3.17 (d, J=11.3 Гц, 1H), 2.69 -2.64 (m, 3H), 2.36 (dtd, J=30.4, 10.9, 5.1 Гц, 3H), 1.98 (d, J=12.7 Гц, 1H), 1.67 (s, 1H), 1.09 (qd, J=12.0, 4.6 Гц, 1H), 0.95 (dd, J=6.5, 1.2 Гц, 3H), 0.88 (dddd, J=9.9, 7.8, 4.8, 2.4 Гц, 1H), 0.41 - 0.27 (m, 3H), 0.25 - 0.13 (m, 1H).
Пример 134: (2S,3R)-2-амино-N-[(3R,5S)-1-(7-фтор-8-метилхинолин-5-ил)-5-метилпиперидин-3-ил]-3-гидроксибутирамид
[00412] Указанное в заголовке соединение получали из гидрохлорида (3R,5S)-1-(7-фтор-8-метилхинолин-5-ил)-5-метилпиперидин-3-иламина и (2S,3R)-2-трет-бутоксикарбониламино-3-гидроксимасляной кислоты. МС: 375.5 [М+Н]+. 1Н ЯМР (400 МГц, ДМСО-d6) ? 8.97 (d, J=3.6 Гц, 1H), 8.61 (s, 1H), 8.50 (s, 1H), 8.10 (s, 3Н), 7.56 (s, 1H), 7.07 (d, J=11.5 Гц, 1H), 4.10 (s, 1H), 3.88 (q, J=6.6 Гц, 1H), 3.45 (s, 3Н), 3.39 (q, J=7.0 Гц, 1H), 3.24 (d, J=10.7 Гц, 1H), 2.55 (d, J=2.2 Гц, 3Н), 2.48 - 2.37 (m, 1H), 2.03 (d, J=14.4 Гц, 2Н), 1.20 - 1.03 (m, 5Н), 0.96 (d, J=6.4 Гц, 3Н).
Пример 135: (R)-2-амино-N-[(3R,5S)-1-(7-фтор-8-метилхинолин-5-ил)-5-метилпиперидин-3-ил]-3-гидроксипропионамид
[00413] Указанное в заголовке соединение синтезировали из гидрохлорида (3R,5S)-1-(7-фтор-8-метилхинолин-5-ил)-5-метилпиперидин-3-иламина и boc-D-Ser-OH. МС: 361.4 [М+Н]+. 1Н ЯМР (400 МГц, оксид дейтерия) δ 9.23 (dd, J=8.5, 1.6 Гц, 1H), 8.98 (dd, J=5.6, 1.5 Гц, 1H), 7.94 (dd, J=8.5, 5.6 Гц, 1H), 7.31 (d, J=11.5 Гц, 1H), 4.22 (s, 1H), 4.06 (dd, J=5.5, 4.1 Гц, 1H), 3.97 -3.82 (m, 2H), 3.71 (s, 1H), 3.51 (d, J=8.7 Гц, 1H), 3.34 (d, J=11.9 Гц, 1H), 2.64 (t, J=11.0 Гц, 1H), 2.55 (d, J=1.7 Гц, 3H), 2.47 (t, J=11.5 Гц, 1H), 2.14 (d, J=11.5 Гц, 2H), 1.15 (q, J=12.6 Гц, 1H), 0.95 (d, J=6.3 Гц, 3H).
Пример 136: 2-(3-фторпиперидин-4-ил)-N-[(3R,5S)-1-(8-метил-[1,7]нафтиридин-5-ил)-5-трифторметилпиперидин-3-ил]-ацетамид
[00414] Указанное в заголовке соединение синтезировали из (3R,5S)-l-(8-метил-[1,7]нафтиридин-5-ил)-5-трифторметилпиперидин-3-иламина и сложного трет-бутилового эфира 4-карбоксиметил-3-фторпиперидин-1-карбоновой кислоты. МС: 454.3 [М+Н]+.
Пример 137: 2-фтор-N-[(3R,5S)-1-(8-метил-[1,7]нафтиридин-5-ил)-5-трифторметилпиперидин-3-ил]-2-пирролидин-3-илацетамид
[00415] Указанное в заголовке соединение получали из (3R,5S)-l-(8-метил-[1,7]нафтиридин-5-ил)-5-трифторметилпиперидин-3-иламина и сложного трет-бутилового эфира 3-(карбоксифторметил)-пирролидин-1-карбоновой кислоты. МС: 439.2 [М+Н]+. 1Н ЯМР (400 МГц, ДМСО-d6) δ 8.98 - 8.94 (m, 1Н), 8.49 - 8.44 (m, 1H), 8.32 (d, J=8.0 Гц, 1H), 7.88 (d, J=2.7 Гц, 1H), 7.83 (ddd, J=8.5, 4.2, 1.5 Гц, 1H), 7.41 - 7.36 (m, 1H), 4.20 (s, 2H), 4.04 (s, 3H), 2.90 - 2.64 (m, 6H), 2.11 (s, 2H), 1.65 (s, 3H), 1.15 (s, 3H), 0.84 (s, 3H).
Пример 138: N-[(3R,5S)-1-(8-цианохинолин-5-ил)-5-трифторметилпиперидин-3-ил]-2-(3-фторпиперидин-4-ил)-ацетамид
[00416] Получали аналогичным образом из 5-((3R,5S)-3-амино-5-трифторметилпиперидин-1-ил)-хинолин-8-карбонитрила и сложного трет-бутилового эфира 4-карбоксиметил-3-фторпиперидин-1-карбоновой кислоты. МС: 464.3 [М+Н]+. 1Н ЯМР (400 МГц, ДМСО-d6) δ 9.06 (dd, J=4.2, 1.6 Гц, 1Н), 8.58 (dd, J=8.6, 1.7 Гц, 1H), 8.25 (d, J=8.0 Гц, 1H), 8.09 (d, J=7.3 Гц, 1H), 7.72 (dd, J=8.5, 4.2 Гц, 1H), 7.32 (d, J=7.8 Гц, 1H), 4.15 (s, 2H), 3.57 (d, J=11.7 Гц, 2H), 3.20 (s, 2H), 2.94 (t, J=11.6 Гц, 2H), 2.13 (dt, J=49.4, 7.2 Гц, 5H), 1.50 (q, J=12.1 Гц, 2H), 1.30 (s, 3H).
Пример 139: 1-[(3R,5S)-1-(8-цианохиноксалин-5-ил)-5-(трифторметил)пиперидин-3-ил]-3-[2-(диметиламино)этил] мочевина
[00417] 8-[(3R,5S)-3-изоцианато-5-(трифторметил)пиперидин-1-ил]хиноксалин-5-карбонитрил: При 0°С к раствору 8-[(3R,5S)-3-амино-5-(трифторметил)пиперидин-1-ил]хиноксалин-5-карбонитрила (94 мг, 0.29 ммоль) и DIEA (115 мг, 0.89 ммоль) в дихлорметане (8 мл) по каплям добавляли трифосген (70 мг, 0.24 ммоль). Полученную в результате смесь перемешивали в течение 3 ч при 0°С, и затем концентрировали при пониженном давлении с получением 8-[(3R,5S)-3-изоцианато-5-(трифторметил)пиперидин-1-ил]хиноксалин-5-карбонитрила в виде светло-желтого твердого вещества (54 мг, сырое), которое использовали на следующей стадии без дополнительной очистки. МС: 348.2 [М+Н]+.
[004181 1-[(3R,5S)-1-(8-цианохиноксалин-5-ил)-5-(трифторметил)пиперидин-3-ил]-3-[2-(диметиламино)этил] мочевина: К раствору 8-[(3R,5S)-3-изоцианато-5-(трифторметил)пиперидин-1-ил]хиноксалин-5-карбонитрила (54 мг, сырой) в дихлорметане (8 мл) добавляли DIEA (115 мг, 0.89 ммоль) и (2-аминоэтил)диметиламин (6 мг, 0.07 ммоль) при комнатной температуре. Полученную в результате смесь перемешивали в течение 16 ч при комнатной температуре. После завершения реакции реакционную смесь гасили путем добавления воды (5 мл). Полученную в результате смесь экстрагировали этилацетатом (30 мл × 3). Органические фазы объединяли, промывали солевым раствором и сушили над Na2SO4. Растворитель удаляли при пониженном давлении и остаток очищали с помощью преп. ВЭЖХ при следующих условиях: колонка, XBridge Prep C18 OBD Column, 150×19 мм, 5 мкм; подвижная фаза, ацетонитрил в воде (с 10 ммоль/л NH4HCO3 и 0.1% ΝΗ3.Η2Ο), градиент от 15% до 40% за 8 мин; детектор, УФ 254 нм. 1-[(3R,5S)-1-(8-цианохиноксалин-5-ил)-5-(трифторметил)пиперидин-3-ил]-3-[2-(диметиламино)этил]мочевину получали в виде светло-желтого твердого вещества (23 мг, 18% за 2 стадии). МС: 436 [М+Н]+. 1Н ЯМР (300 МГц, ДМСО-d6, м.д.) δ 9.07 (d, J=1.8 Гц, 1 Η), 8.99 (d, J=1.8 Гц, 1 Η), 8.26 (d, J=8.4 Гц, 1 Η), 7.39 (d, J=8.5 Гц, 1 Η), 6.32 (d, J=7.3 Гц, 1 Η), 5.89 - 5.79 (m, 1 Η), 4.78 - 4.68 (m, 1 Η), 4.20 - 4.10 (m, 1 Η), 3.91 - 3.76 (m, 1 Η), 3.27 - 2.75 (m, 5 Η), 2.33 - 2.23 (m, 2 Η), 2.19 - 2.13 (m, 7 Η), 1.57 - 1.43 (m, 1H).
[00419] Следующее соединение синтезировали аналогичным образом.
Пример 140: 1-[(3R,5S)-1-(8-цианохиноксалин-5-ил)-5-метилпиперидин-3-ил]-3-[2-(диметиламино) этил]мочевина
[00420] Указанное в заголовке соединение получали из 8-[(3R,5S)-3-амино-5-метилпиперидин-1-ил]хиноксалин-5-карбонитрила и (2-аминоэтил)диметиламина. МС: 382 [М+Н]+. 1Н ЯМР (400 МГц, ДМСО-d6, м.д.) δ 9.03 (d, J=1.8 Гц, 1 Η), 8.94 (d, J=1.8 Гц, 1 Η), 8.19 (d, J=8.4 Гц, 1 Η), 7.31 (d, J=8.6 Гц, 1 Η), 6.14 (d, J=7.3 Гц, 1 Η), 5.79 - 5.72 (m, 1 Η), 4.43 - 4.36 (m, 1 Η), 4.30 - 4.22 (m, 1 Η), 3.72 - 3.68 (m, 1 Η), 3.16 - 3.0 (m, 2 Η), 2.75 - 2.63 (m, 2 Η), 2.29 - 2.22 (m, 2 Η), 2.14 (s, 6 Η), 2.0 - 1.76 (m, 2 Η), 1.12 - 0.98 (m, 1 Η), 0.90 (d, J=6.5 Гц, 3 Η).
Пример 141: 3-[2-(диметиламино)этил]-1-[(3R,5S)-5-метил-1-[8-(трифторметил)хиноксалин-5-ил]пиперидин-3-ил] мочевина
[00421] Указанное в заголовке соединение получали из (3R,5S)-5-метил-1-[8-(трифторметил)хиноксалин-5-ил]пиперидин-3-амина и (2-аминоэтил)диметиламина. МС: 425 [М+Н]+. 1Н ЯМР (300 МГц, ДМСО-d6, м.д.) δ 9.01 - 8.95 (m, 2 Η), 8.06 (d, J=8.4 Гц, 1 Η), 7.29 (d, J=8.4 Гц, 1 Η), 6.12 (d, J=7.5 Гц, 1 Η), 5.81 - 5.71 (m, 1 Η), 4.26 - 4.10 (m, 2 Η), 3.77 - 3.71 (m, 1 Η), 3.19 -3.01 (m, 2 Η), 2.66 - 2.52 (m, 2 Η), 2.32 - 2.22 (m, 2 Η), 2.15 (s, 6 Η), 1.98 - 1.92 (m, 2 Η), 1.10 - 0.96 (m, 1 Η), 0.92 (d, J=6.3 Гц, 3 Η).
Пример 142: 3-[2-(диметиламино)этил]-1-[(3R,5S)-5-(трифторметил)-1-[8-(трифторметил)хиноксалин-5-ил]пиперидин-3-ил] мочевина
[00422] Указанное в заголовке соединение получали из (3R,5S)-5-(трифторметил)-1-[8-(трифторметил)хиноксалин-5-ил]пиперидин-3-амина и (2-аминоэтил)диметиламина. МС: 479 [М+Н]+. 1Н ЯМР (300 МГц, ДМСО-d6, м.д.) δ 9.04 - 8.98 (m, 2 Η), 8.10 (d, J=8.4 Гц, 1 Η), 7.37 (d, J=8.4 Гц, 1 Η), 6.30 (d, J=7.5 Гц, 1 Η), 5.83 (t, J=5.3 Гц, 1 Η), 4.59 - 4.50 (m, 1 Η), 4.12 - 4.01 (m, 1 Η), 3.90 - 3.84 (m, 1 Η), 3.22 - 2.85 (m, 4 Η), 2.75 (t, J=11.3 Гц, 1 Η), 2.32 - 2.22 (m, 2 Η), 2.22 - 2.19 (m, 1 Η), 2.15 (s, 6 Η), 1.53 - 1.36 (m, 1 Η).
Пример 143: 1-[(3R,5S)-1-(8-цианохинолин-5-ил)-5-(трифторметил)пиперидин-3-ил]-3-[2-(диметиламино)этил] мочевина
[00423] Указанное в заголовке соединение получали из 5-[(3R,5S)-3-амино-5-(трифторметил)пиперидин-1 -ил]хинолин-8-карбонитрила и (2-аминоэтил)диметиламина. МС: 435 [М+Н]+. 1Н ЯМР (400 МГц, ДМСО-d6, м.д.) δ 9.09 - 9.03 (m, 1 Η), 8.58 (dd, J=8.6, 1.7 Гц, 1 Η), 8.25 (d, J=8.0 Гц, 1 Η), 7.71 (dd, J=8.6, 4.2 Гц, 1 Η), 7.31 (d, J=8.1 Гц, 1 Η), 6.28 (d, J=7.3 Гц, 1 Η), 5.79 (t, J=5.4 Гц, 1 Η), 3.99 - 3.94 (m, 1 Η), 3.59 - 3.56 (m, 2 Η), 3.25 - 3.01 (m, 3 Η), 2.93 (t, J=11.5 Гц, 1 Η), 2.57 (t, J=11.1 Гц, 1 Η), 2.31 - 2.17 (m, 3 Η), 2.12 (s, 6 Η), 1.46 - 1.33 (m, 1 Η).
Пример 144: 3-[2-(диметиламино)этил]-1-[(3R,5S)-5-(трифторметил)-1-[8-(трифторметил)хинолин-5-ил]пиперидин-3-ил] мочевина
[00424] Указанное в заголовке соединение получали из (3R,5S)-5-(трифторметил)-1-[8-(трифторметил)хинолин-5-ил]пиперидин-3-амина и (2-аминоэтил)диметиламина. МС: 478 [М+Н]+. 1Н ЯМР (300 МГц, ДМСО-d6, м.д.) δ 9.08 - 9.0 (m, 1 Η), 8.60 (dd, J=8.6, 1.8 Гц, 1 Η), 8.08 (d, J=8.1 Гц, 1 Η), 7.71 (dd, J=8.6, 4.1 Гц, 1 Η), 7.32 (d, J=8.0 Гц, 1 Η), 6.31 (d, J=7.5 Гц, 1 Η), 5.83 (t, J=5.4 Гц, 1 Η), 4.02 - 3.96 (m, 1 Η), 3.55 - 3.46 (m, 2 Η), 3.27 - 3.03 (m, 3 Η), 2.87 (t, J=11.4 Гц, 1 Η), 2.61 - 2.51 (m, 1 Η), 2.36 - 2.25 (m, 2 Η), 2.25 - 2.20 (m, 1 Η), 2.17 (s, 6 Η), 1.49 - 1.30 (m, 1 Η).
Пример 145: 3-[2-(диметиламино)этил]-1-[(3R,5S)-1-(7-фтор-8-метилхинолин-5-ил)-5-метилпиперидин-3-ил] мочевина
[00425] Указанное в заголовке соединение получали из (3R,5S)-l-(7-фтор-8-метилхинолин-5-ил)-5-метилпиперидин-3-амина и (2-аминоэтил)диметиламина. МС: 388 [М+Н]+. 1Н ЯМР (300 МГц, ДМСО-d6, м.д.) δ 8.98 - 8.90 (m, 1 Η), 8.44 (dd, J=8.5, 1.8 Гц, 1 Η), 7.53 (dd, J=8.5, 4.2 Гц, 1 Η), 7.04 (d, J=11.5 Гц, 1 Η), 6.09 (d, J=7.5 Гц, 1 Η), 5.73 (t, J=5.4 Гц, 1 Η), 3.88 -3.79 (m, 1 Η), 3.48 - 3.39 (m, 1 Η), 3.25 - 3.16 (m, 1 Η), 3.16 - 2.98 (m, 2 Η), 2.57 -2.51 (m, 3 Η), 2.41 - 2.21 (m, 4 Η), 2.13 (s, 6 Η), 2.03 - 1.93 (m, 2 Η), 1.02 - 0.84 (m, 4 Η).
Пример 146: 3-[(3R,5S)-5-метил-1-[8-(трифторметил)хинолин-5-ил]пиперидин-3-ил]-1-[(ЗК)-пиперидин-3-ил] мочевина
[00426] Трет-бутил (3R)-3-([[(3R,5S)-5-метил-1-[8-(трифторметил)хинолин-5-ил]пиперидин-3-ил]карбамоил]амино)пиперидин-1-карбоксилат: При 0°С к раствору (3R,5S)-5-метил-1-[8-(трифторметил)хинолин-5-ил]пиперидин-3-амина (92 мг, 0.28 ммоль) и DIEA (77 мг, 0.60 ммоль) в дихлорметане (10 мл) по каплям добавляли раствор трифосгена (29 мг, 0.10 ммоль) в дихлорметане (5 мл). Полученную в результате смесь перемешивали при 0°С в течение 3 ч, и затем добавляли трет-бутил (3R)-3-аминопиперидин-1-карбоксилат (60 мг, 0.30 ммоль). Полученный в результате раствор перемешивали в течение дополнительных 16 ч при комнатной температуре. Реакционную смесь концентрировали при пониженном давлении с получением трет-бутил (3R-3-([[(3R,5S)-5-метил-1-[8-(трифторметил)хинолин-5-ил]пиперидин-3-ил]карбамоил]амино)пиперидин-1-карбоксилата в виде светло-желтого твердого вещества (110 мг, сырое), которое использовали на следующей стадии без дополнительной очистки.
[00427] 3-[(3R,5S)-5-метил-1-[8-(трифторметил)хинолин-5-ил]пиперидин-3-ил]-1-[(3R)-пиперидин-3-ил]мочевина: К раствору трет-бутил (3R)-3-([[(3R,5S)-5-метил-1-[8-(трифторметил)хинолин-5-ил]пиперидин-3-ил]карбамоил]амино)пиперидин-1-карбоксилата (110 мг, сырой) в метаноле (10 мл) добавляли водный раствор HCl (6 н., 3.3 мл, 19.99 ммоль) при комнатной температуре. Полученную в результате смесь перемешивали в течение 5 ч при комнатной температуре. После завершения реакции реакционную смесь концентрировали при пониженном давлении и остаток очищали с помощью преп. ВЭЖХ при следующих условиях: колонка, XBridge Prep C18 OBD Column, 150×19 мм, 5 мкм; подвижная фаза, ацетонитрил в воде (с 10 ммоль/л NH4HCO3 и 0.1% NH3.H2O), градиент от 25% до 45% за 8 мин; детектор, УФ 254 нм. 3-[(3R,5S)-5-метил-1-[8-(трифторметил)хинолин-5-ил]пиперидин-3-ил]-1-[(3R)-пиперидин-3-ил]мочевину получали в виде белого твердого вещества (59 мг, 45% за 2 стадии). МС: 436 [М+Н]+. 1H ЯМР (300 МГц, ДМСО-d6, м.д.) δ 9.06 -8.98 (m, 1 Η), 8.53 (dd, J=8.6, 1.8 Гц, 1 Η), 8.04 (d, J=8.1 Гц, 1 Η), 7.67 (dd, J=8.6, 4.2 Гц, 1 Η), 7.20 (d, J=8.1 Гц, 1 Η), 5.99 - 5.69 (m, 2 Η), 3.88 - 3.80 (m, 1 Η), 3.63 - 3.54 (m, 1 Η), 3.52 - 3.37 (m, 2 Η), 2.92 - 2.82 (m, 1 Η), 2.74 - 2.64 (m, 1 Η), 2.49 - 2.33 (m, 3 Η), 2.30 - 2.17 (m, 1 Η), 2.10 - 1.95 (m, 2 Η), 1.72 - 1.66 (m, 1 Η), 1.56 - 1.50 (m, 1 Η), 1.39 - 1.13 (m, 2 Η), 1.07 - 0.91 (m, 4 Η).
Пример 147: 1-(1-метилпиперидин-4-ил)-3-[(3R,5S)-5-метил-1-(8-трифторметилхинолин-5-ил)-пиперидин-3-ил]-мочевина
[004281 1-(1-Метилпиперидин-4-ил)-3-[(3R,5S)-5-метил-1-(8-трифторметилхинолин-5-ил)-пиперидин-3-ил]-мочевина: В сцинтилляционном флаконе под азотом гидрохлорид (2) (3R,5S)-5-метил-1-(8-трифторметилхинолин-5-ил)-пиперидин-3-иламина (53.10 мг; 0.14 ммоль; 1.0 экв.) суспендировали в растворе диизопропилэтиламина (0.12 мл; 0.69 ммоль; 5.0 экв.) в безводном ТГФ (3.0 мл). Суспензию перемешивали при комнатной температуре в течение 5 мин, затем добавляли 4-нитрофенил хлороформиат (42.0 мг; 0.21 ммоль; 1.50 экв.). Реакционную смесь перемешивали в течение 2 часов, затем добавляли 4-амино-1-метилпиперидин (0.03 мл; 0.28 ммоль, 2.0 экв.). Реакционную смесь перемешивали в течение ночи.
[00429] Реакционную смесь концентрировали до 1 мл и очищали с помощью преп. ВЭЖХ при следующих условиях: колонка, XBridge ВЕН130 Prep С18 OBD Column, 19×150 мм, 5 мкм, 13 нм; подвижная фаза, CAN/вода с 0.1% ΝΗ4ΟΗ в качестве модификатора; детектор, УФ 254 нм. Чистую фракцию замораживали и лиофилизировали с получением 1-(1-метилпиперидин-4-ил)-3-[(3R,5S)-5-метил-1-(8-трифторметилхинолин-5-ил)-пиперидин-3-ил]-мочевины (31.40 мг; 0.07 ммоль; 50.3%) в виде белого твердого вещества. МС: 450 [М+Н]+. 1Н ЯМР (400 МГц, ДМСО-d6) δ 9.0 (dd, J=4.2, 1.7 Гц, 1H), 8.52 (dd, J=8.6, 1.8 Гц, 1H), 8.03 (d, J=8.1 Гц, 1H), 7.66 (dd, J=8.6, 4.2 Гц, 1H), 7.19 (d, J=8.1 Гц, 1H), 5.76 (t, J=7.2 Гц, 2H), 3.85 (s, 1H), 3.34 (s, 5H), 2.60 (d, J=8.7 Гц, 2H), 2.40 (q, J=11.4 Гц, 2H), 2.12 (s, 3H), 1.95 (q, J=14.2, 11.2 Гц, 4H), 1.78 - 1.61 (m, 2H), 1.39 - 1.20 (m, 2H), 1.03 - 0.88 (m, 3H).
Пример 148: N-[(3R,5S)-1-(8-циано-[1,7]нафтиридин-5-ил)-5-метилпиперидин-3-ил]-2-[3-фтор-1-(2-гидроксиэтил)-пиперидин-4-ил]-ацетамид
[00430] N-[(3R,5S)-1-(8-циано-[1,7]нафтиридин-5-ил)-5-метилпиперидин-3-ил]-2-(3-фторпиперидин-4-ил)-ацетамид: Указанное в заголовке соединение получали из (3R,5S)-1-(8-циано-[1,7]нафтиридин-5-ил)-5-метилпиперидин-3-иламина и сложного трет-бутилового эфира 4-карбоксиметил-3-фторпиперидин-1-карбоновой кислоты аналогично Примеру 136.
[00431] N-[(3R,5S)-1-(8-циано-[1,7]нафтиридин-5-ил)-5-метилпиперидин-3-ил]-2-[3-фтор-1-(2-гидроксиэтил)-пиперидин-4-ил]-ацетамид: N-[(3R,5S)-1-(8-циано-[1,7]нафтиридин-5-ил)-5-метилпиперидин-3-ил]-2-(3-фторпиперидин-4-ил)-ацетамид (50 мг; 0.11 ммоль; 1.0 экв.), 2-бромэтанол (21 мг; 0.17 ммоль; 1.50 экв.) и карбонат калия (38 мг; 0.28 ммоль; 2.50 экв.) объединяли в реакционном сосуде в ДМСО (1 мл). Реакционную смесь перемешивали при 100°С в течение ночи. Реакционную смесь очищали с помощью преп. ВЭЖХ, используя градиент ацетонитрил/вода (0.1% ΝΗ4ΟΗ с модифицированием), с получением указанного в заголовке соединения (28 мг; 0.06 ммоль; 55.9%). МС: 455.4 [М+Н]+. 1Н ЯМР (400 МГц, ДМСО-d6) δ 9.39 (s, 1H), 9.17 (dd, J=4.1, 1.5 Гц, 1H), 8.55 (dd, J=8.7, 1.6 Гц, 1H), 8.39 (s, 1H), 8.10 (d, J=1.1 Гц, 1H), 7.87 (dd, J=8.7, 4.1 Гц, 1H), 5.26 (s, 1H), 4.04 (s, 1H), 3.75 (d, J=11.6 Гц, 4H), 3.62 - 3.53 (m, 1H), 3.15 (s, 3H), 2.65 (ddt, J=11.0, 7.2, 3.8 Гц, 2H), 2.31 (dt, J=12.7, 5.4 Гц, 2H), 2.16 (d, J=12.6 Гц, 2H), 2.07 - 1.95 (m, 2H), 1.77 - 1.64 (m, 2H), 1.15 (q, J=12.2 Гц, 1H), 0.96 (d, J=6.4 Гц, 3H).
Пример 149: (2-гидрокси-1,1-диметилэтил)-амид 4-{[(3R,5S)-l-(8-циано-[1,7]нафтиридин-5-ил)-5-метилпиперидин-3-илкарбамоил]-метил}-3-фторпиперидин-1-карбоновой кислоты
[00432] N-[(3R,5S)-1-(8-циано-[1,7]нафтиридин-5-ил)-5-метилпиперидин-3-ил]-2-(3-фторпиперидин-4-ил)-ацетамид (200 мг; 0.49 ммоль; 1.0 экв.), 2-амино-2-метилпропан-1-ол (65 мг; 0.73 ммоль; 1.50 экв.) и диимидазол-1-илметанон (158 мг; 0.97 ммоль; 2.0 экв.) добавляли в сосуд. Затем добавляли ДМФА (1 мл) и триэтиламин (147 мг; 1.46 ммоль; 3.0 экв.). Реакционную смесь перемешивали в течение одного часа. Сырой продукт очищали с помощью преп. ВЭЖХ, используя градиент ацетонитрил/вода (с модифицированием 0.1% NH4OH), с получением указанного в заголовке соединения (18.5 мг; 0.04 ммоль; 7.2%). МС: 526.4 [М+Н]+. 1Н ЯМР (400 МГц, ДМСО-d6) δ 9.17 (dd, J=4.1, 1.6 Гц, 1H), 8.55 (dd, J=8.7, 1.6 Гц, 1H), 8.38 (d, J=1.7 Гц, 1H), 8.04 (d, J=7.1 Гц, 1H), 7.93 (s, 2Н), 7.87 (dd, J=8.7, 4.2 Гц, 1H), 4.21 (s, 2Н), 4.01 (d, J=16.0 Гц, 3Н), 3.75 (d, J=11.7 Гц, 1H), 3.06 (d, J=14.6 Гц, 2Н), 2.83 (s, 1H), 2.70 - 2.60 (m, 2Н), 2.32 - 2.21 (m, 1H), 1.99 (d, J=12.7 Гц, 2Н), 1.49 (d, J=6.2 Гц, 1H), 1.38 (s, 1H), 1.25 (d, J=3.6 Гц, 6Н), 1.15 (q, J=12.2 Гц, 2Н), 0.96 (d, J=6.4 Гц, 3H).
Пример 150: 2-[(2-аминоэтил)-(2-гидроксиэтил)-амино]-N-[(3R,5S)-1-(8-цианохиноксалин-5-ил)-5-метилпиперидин-3-ил]-ацетамид
[00433] 2-Бром-N-(3R,5S)-1-(8-цианохиноксалин-5-ил)-5-метилпиперидин-3-ил]-ацетамид: Указанное в заголовке соединение получали из 8-((3R,5S)-3-амино-5-метилпиперидин-1-ил)-хиноксалин-5-карбонитрила и бромуксусной кислоты аналогично Примеру 59.
[00434] 2-[(2-Аминоэтил)-(2-гидроксиэтил)-амино]-N-[(3R,5S)-1-(8-цианохиноксалин-5-ил)-5-метилпиперидин-3-ил]-ацетамид: 2-Бром-N-[(3R,5S)-1-(8-цианохиноксалин-5-ил)-5-метилпиперидин-3-ил]-ацетамид (27 мг; 0.07 ммоль; 1.0 экв.), 2-(2-аминоэтиламино)-этанол (9 мг; 0.08 ммоль; 1.20 экв.) и этилдиизопропиламин (19 мг; 0.21 ммоль; 3.0 экв.) объединяли в реакционном сосуде в ДМСО (1 мл). Реакционную смесь нагревали до 100°С в течение ночи.
После завершения реакции продукт очищали с помощью преп. ВЭЖХ, используя градиент ацетонитрил/вода (с модифицированием 0.1% NH4OH), с получением указанного в заголовке соединения (5.1 мг; 0.01 ммоль; 17.8%). МС: 412.4 [М+Н]+. 1Н ЯМР (400 МГц, ДМСО-d6) δ 9.03 (s, 1Н), 8.94 (s, 1Н), 8.19 (d, J=8.2 Гц, 1H), 7.88 (d, J=7.9 Гц, 1H), 7.28 (d, J=8.9 Гц, 1H), 4.43 (s, 1H), 4.27 (dd, J=24.8, 13.0 Гц, 3H), 3.95 (s, 2Н), 3.44 (s, 2Н), 3.09 (s, 2Н), 2.83 (t, J=11.5 Гц, 2Н), 2.69 (t, J=11.4 Гц, 2Н), 2.56 (d, J=5.3 Гц, 5Н), 1.96 (d, J=13.9 Гц, 3H), 1.23 (d, J=12.0 Гц, 2Н), 0.93 (d, J=6.2 Гц, 3H).
Пример 151: (3R,5S)-1-(8-метокси-[1,7]нафтиридин-5-ил)-5-метилпиперидин-3-иламин
[00435] Сложный трет-бутиловый эфир [(3R,5S)-1-(8-метокси-[1,7]нафтиридин-5-ил)-5-метилпиперидин-3-ил]-карбаминовой кислоты: В сосуде для микроволновой обработки 5-бром-8-метокси-[1,7]нафтиридин (0.58 г; 2.43 ммоль; 1.0 экв.), сложный трет-бутиловый эфир ((3R,5S)-5-метилпиперидин-3-ил)-карбаминовой кислоты (0.62 г; 2.91 ммоль; 1.20 экв.), аддукт хлор(2-дициклогексилфосфино-2',6'-диизопропокси-1,1'-бифенил)[2-(2-аминоэтилфенил)]палладия(II) с метил-трет-бутиловым эфиром (99 мг; 0.12 ммоль; 0.05 экв.), 2-дициклогексилфосфино-2',6'-диизопропокси-1,1'-бифенил (56 мг; 0.12 ммоль; 0.05 экв.) и карбонат цезия (1.58 г; 4.85 ммоль; 2.0 экв.) растворяли в безводном диоксане (11 мл). Реакционную смесь помещали под азот и нагревали до 85°С в микроволновой печи в течение восьми часов. Реакционную смесь очищали на силикагеле, используя градиент этилацетат/гексаны, с получением указанного в заголовке соединения (578 мг; 1.55 ммоль; 64.0%). МС: 373.5 [М+Н]+.
[00436] (3R,5S)-1-(8-метокси-[1,7]нафтиридин-5-ил)-5-метилпиперидин-3-иламин: Сложный трет-бутиловый эфир [(3R,5S)-1-(8-метокси-[1,7]нафтиридин-5-ил)-5-метилпиперидин-3-ил]-карбаминовой кислоты (185.0 мг; 0.50 ммоль; 1.0 экв.) растворяли в диоксане (2 мл) в реакционном сосуде. Добавляли трифторуксусную кислоту (4 мл; 2.48 ммоль; 5.0 экв.), и реакционную смесь перемешивали в течение четырех часов. Смесь очищали с помощью преп. ВЭЖХ, используя градиент ацетонитрил/вода (с модифицированием 0.1% NH4OH), с получением указанного в заголовке соединения (114.0 мг; 0.42 ммоль; 84.3%). МС: 273.4 [М+Н]+. 1Н ЯМР (400 МГц, ДМСО-d6) δ 8.94 (dd, J=4.3, 2.1 Гц, 1H), 8.38 - 8.33 (m, 1H), 7.78 (dd, J=8.8, 4.0 Гц, 1H), 7.73 (s, 1H), 4.02 (d, J=1.8 Гц, 3H), 3.27 - 3.18 (m, 1H), 3.10 (d, J=11.4 Гц, 2Н), 2.98 (s, 2Н), 2.28 (t, J=10.8 Гц, 2Н), 1.94 (s, 2Н), 0.91 (d, J=6.3 Гц, 3H), 0.80 (q, J=12.1 Гц, 1Н).
Пример 152: 5-{(3R,5S)-3-[(пиперидин-3-илметил)-амино]-5-трифторметилпиперидин-1-ил}-хинолин-8-карбонитрил
[00437] Сложный трет-бутиловый эфир 3-{[(3R,5S)-1-(8-цианохинолин-5-ил)-5-трифторметилпиперидин-3-иламино]-метил}-пиперидин-1-карбоновой кислоты: Раствор гидрохлорида (3) 5-((3R,5S)-3-амино-5-трифторметилпиперидин-1-ил)-хинолин-8-карбонитрила (199.0 мг; 0.46 ммоль; 1.0 экв.), трет-бутил 3-формилпиперидин-1-карбоксилата (118.53 мг; 0.56 ммоль; 1.20 экв.) и уксусной кислоты (ледяная) (0.003 мл; 0.05 ммоль; 0.10 экв.) в DCE (5 мл) перемешивали в течение 1 часа с последующим добавлением триацетоксиборогидрида натрия (147.23 мг; 0.69 ммоль; 1.50 экв.). Полученный в результате раствор перемешивали под аргоном при температуре окружающей среды до завершения реакции. Сырой продукт очищали на флеш-системе, используя градиент 20-100% ЕЮ Ас в гексанах, с получением сложного трет-бутилового эфира 3-{[(3R,5S)-1-(8-цианохинолин-5-ил)-5-трифторметилпиперидин-3-иламино]-метил}-пиперидин-1-карбоновой кислоты (72.30 мг; 0.14 ммоль; 30.2%) в виде маслянистого остатка после концентрирования. МС:518 [М+Н]+.
[00438] 5-{(3R,5S)-3-[(пиперидин-3-илметил)-амино]-5-трифторметилпиперидин-1-ил}-хинолин-8-карбонитрил: В круглодонной колбе с якорем магнитной мешалки растворяли сложный трет-бутиловый эфир 3-{[(3R,5S)-1-(8-цианохинолин-5-ил)-5-трифторметилпиперидин-3-иламино]-метил}-пиперидин-1-карбоновой кислоты (72.30 мг; 0.14 ммоль; 1.0 экв.) в минимальном количестве дихлорметана. Сосуд закупоривали резиновой перегородкой, прикрепленной к впускной трубке для Ar, и затем добавляли хлороводород (2М в эфире) (0.35 мл; 0.70 ммоль; 5.0 экв.). Реакционной смеси давали перемешиваться до завершения реакции, что было определено ЖХМС анализом. Сырой продукт очищали с помощью преп. ВЭЖХ в основных условиях с получением после лиофилизации указанного в заголовке соединения (25 мг, 0.06 ммоль, 42.8%) в виде белого пушистого твердого вещества. МС:418 [М+Н]+. 1Н ЯМР (400 МГц, ДМСО-d6) δ 9.05 (dd, J=4.2, 1.6 Гц, 1H), 8.50 (dd, J=8.6, 1.7 Гц, 1H), 8.24 (d, J=8.0 Гц, 1H), 7.71 (dd, J=8.6, 4.2 Гц, 1H), 7.30 (d, J=8.1 Гц, 1H), 3.55 (t, J=12.2 Гц, 2Н), 3.05 (s, 1H), 2.99 - 2.76 (m, 3H), 2.38 (dd, J=19.1, 8.4 Гц, 2Н), 2.27 (d, J=12.4 Гц, 1H), 2.11 (s, 1H), 1.74 (d, J=13.0 Гц, 1Н), 1.56 - 1.36 (m, 2Н), 1.36 - 1.18 (m, 2Н), 1.04 - 0.90 (m, 1Н).
Пример 153: 8-[цис-3-метил-5-(1Н-1,2,3-триазол-1-ил)пиперидин-1-ил]хиноксалин-5-карбонитрил
[00439] 8-[Транс-3-гидрокси-5-метилпиперидин-1-ил]хиноксалин-5-карбонитрил: К раствору транс-1-(8-цианохиноксалин-5-ил)-5-метилпиперидин-3-ил 4-нитробензоата (324 мг, 0.78 ммоль) в метаноле (20 мл) добавляли карбонат калия (324 мг, 2.36 ммоль) при комнатной температуре. Полученную в результате смесь перемешивали в течение 5 ч при 40°С. После завершения реакции твердые вещества отфильтровывали и фильтрат концентрировали при пониженном давлении с получением 8-[транс-3-гидрокси-5-метилпиперидин-1-ил]хиноксалин-5-карбонитрила в виде желтого твердого вещества (200 мг, сырое). МС: 269.0 [М+Н]+.
[00440] Транс-1-(8-цианохиноксалин-5-ил)-5-метилпиперидин-3-ил метансульфонат: При 0°С к раствору 8-[транс-3-гидрокси-5-метилпиперидин-1-ил]хиноксалин-5-карбонитрила (200 мг, сырой) в дихлорметане (15 мл) последовательно добавляли TEA (215 мг, 2.12 ммоль) и MsCl (98 мг, 0.85 ммоль). Полученную в результате смесь перемешивали в течение 15 ч при комнатной температуре. После завершения реакции реакционную смесь гасили путем добавления воды (10 мл). Полученную в результате смесь экстрагировали этилацетатом (30 мл × 3). Органические фазы объединяли, промывали солевым раствором и сушили над Na2SO4. Растворитель удаляли при пониженном давлении и остаток очищали с помощью флэш-хроматографии, элюируя с помощью EtOAc в гексане (градиент от 0% до 66%), с получением транс-1-(8-цианохиноксалин-5-ил)-5-метилпиперидин-3-ил метансульфоната в виде желтого твердого вещества (170 мг, 63% за 2 стадии). МС: 347.0 [М+Н]+.
[00441] 8-[Цис-3-азидо-5-метилпиперидин-1-ил]хиноксалин-5-карбонитрил: К раствору транс-1-(8-цианохиноксалин-5-ил)-5-метилпиперидин-3-ил метансульфоната (156 мг, 0.45 ммоль) в N,N-диметилформамиде (10 мл) добавляли NaN3 (61 мг, 0.94 ммоль) при комнатной температуре. Полученную в результате смесь перемешивали в течение 16 ч при 70°С. После завершения реакции реакционную смесь гасили путем добавления насыщ. раствора бикарбоната натрия (30 мл). Полученную в результате смесь экстрагировали этилацетатом (50 мл × 3). Органические фазы объединяли, промывали солевым раствором и сушили над Na2SO4. Растворитель удаляли при пониженном давлении и остаток очищали с помощью флэш-хроматографии, элюируя с помощью EtOAc в гексане (градиент от 0% до 50%), с получением 8-[цис-3-азидо-5-метилпиперидин-1-ил]хиноксалин-5-карбонитрила в виде желтого твердого вещества (68 мг, 51%). МС: 294.3 [М+Н]+.
[00442] 8-[Цис-3-метил-5-(1Н-1,2,3-триазол-1-ил)пиперидин-1-ил]хиноксалин-5-карбонитрил: К раствору 8-[цис-3-азидо-5-метилпиперидин-1-ил]хиноксалин-5-карбонитрила (68 мг, 0.23 ммоль) в N,N-диметилформамиде (2 мл) в атмосфере азота добавляли этинилтриметилсилан (48 мг, 0.48 ммоль), (2R)-2-[(1R)-1,2-дигидроксиэтил]-4-гидрокси-5-оксо-2,5-дигидрофуран-3-олат натрия (19 мг, 0.10 ммоль) и раствор CUSO4. 5H2O (6 мг, 0.02 ммоль) в воде (0.6 мл) при комнатной температуре. Полученную в результате смесь облучали в микроволновой печи в течение 2 ч при 80°С в атмосфере азота. После завершения реакции реакционную смесь разбавляли водой (20 мл). Полученную в результате смесь экстрагировали этилацетатом (30 мл × 3). Органические фазы объединяли, промывали солевым раствором и сушили над Na2SO4. Растворитель удаляли при пониженном давлении и остаток очищали с помощью преп. ВЭЖХ при следующих условиях: колонка, XBridge Prep С18 OBD Column, 150 × 19 мм, 5 мкм; подвижная фаза, ацетонитрил в воде (с 10 ммоль/л NH4HCO3 и 0.1% NH3.H2O), градиент от 25% до 49% за 7 мин; детектор, УФ 254 нм. 8-Цис-3-метил-5-(1Н-1,2,3-триазол-1-ил)пиперидин-1-ил]хиноксалин-5-карбонитрил получали в виде оранжевого твердого вещества (35 мг, 47%). МС: 320.0 [М+Н]+. 1Н ЯМР (400 МГц, ДМСО-d6) δ 9.05 (d, J=1.7 Гц, 1Н), 8.98 (d, J=1.8 Гц, 1Н), 8.32-8.17 (m, 2Н), 7.77 (d, J=1.0 Гц, 1Н), 7.33 (d, J=8.4 Гц, 1 Н), 5.01-4.89 (m, 1Н), 4.73-4.63 (m, 1Н), 4.21-4.12 (m, 1 Н), 3.37 (t, J=11.6 Гц, 1 Н), 2.83 (t, J=11.9 Гц, 1 Н), 2.38-2.29 (m, 1Н), 2.21-2.07 (m, Н), 1.93-1.78 (m, 1Н), 1.03 (d, J=6.5 Гц, 3Н).
[00443] Следующее соединение синтезировали аналогичным образом.
Пример 154: 5-[цис-3-метил-5-(1Н-1,2,3-триазол-1-ил)пиперидин-1-ил]-8-(трифторметил)хиноксалин
[00444] Указанное в заголовке соединение получали из транс-5-метил-1-[8-(трифторметил)хиноксалин-5-ил]пиперидин-3-ил 4-нитробензоата. МС: 363.0 [М+Н]+. 1H ЯМР (300 МГц, ДМСО-d6) δ 9.03 (s, 1 Н), 8.99 (s, 1 Н), 8.27 (s, 1 Н), 8.08 (d, J=8.4 Гц, 1 Н), 7.77 (s, 1 Н), 7.33 (d, J=8.4 Гц, 1 Н), 5.01-4.95 (m, 1 Н), 4.58-4.47 (m, 1 Н), 4.07-4.03 (m, 1 Н), 3.28-3.21 (m, 1 Н),2.78-2.71 (m, 1 Н), 2.39-2.29 (m, 1 Н), 2.20-2.14 (m, 1 Н), 1.92-1.73 (m, 1 Н), 1.04 (d, J=6.5 Гц, 3 Н).
Пример 155: 5-[цис-3-метил-5-(1Н-пиразол-1-ил)пиперидин-1-ил]-8-(трифторметил)хиноксалин
[00445] 3-Метил-5-(1Н-пиразол-1-ил)пиридин: В 150 мл закупоренном сосуде к раствору 3-бром-5-метилпиридина (4.75 г, 27.61 ммоль) в диоксане (60 мл) и ДМСО (15 мл) в атмосфере азота добавляли 1Н-пиразол (5.65 г, 83.03 ммоль), K3PO4 (11.73 г, 55.27 ммоль), CuI (523 мг, 2.74 ммоль) и этан-1,2-диамин (166 мг, 2.77 ммоль) при комнатной температуре. Реакционную смесь перемешивали в течение 12 ч при 120°С в атмосфере азота. После завершения реакции реакционную смесь концентрировали при пониженном давлении и остаток очищали с помощью флэш-хроматографии, элюируя с помощью EtOAc в гексане (градиент от 0% до 10%), с получением 3-метил-5-(1Н-пиразол-1-ил)пиридина в виде светло-желтого твердого вещества (4.0 г, 90%). МС: 159.9 [М+Н]+.
[00446] Цис-3-метил-5-(1Н-пиразол-1-ил)пиперидин: При комнатной температуре к раствору 3-метил-5-(1Н-пиразол-1-ил)пиридина (3.0 г, 18.73 ммоль) в EtOH (300 мл) добавляли палладий на угле (950 мг, 8.93 ммоль) и раствор хлороводорода (12 н., 20 мл, 240 ммоль) в атмосфере азота. Реакционную емкость вакуумировали и продували водородом. Реакционную смесь гидрировали в течение 12 ч при 60°С в атмосфере водорода (50 атм). После завершения реакции реакционную смесь фильтровали через набивку целита и значение рН фильтрата доводили до 9 с помощью раствора NH3 в МеОН (7 М). Полученную в результате смесь концентрировали при пониженном давлении и остаток очищали с помощью флэш-хроматографии, элюируя посредством МеОН в ДХМ (градиент от 0% до 20%), с получением цис-3-метил-5-(1Н-пиразол-1-ил)пиперидина в виде коричневого масла (1.52 г, 49%). МС: 166.2 [М+Н]+.
[00447] 8-[Цис-3-метил-5-(1Н-1,2,3-триазол-1-ил)пиперидин-1-ил]хиноксалин-5-карбонитрил: К раствору 5-бром-8-(трифторметил)хиноксалина (143 мг, 0.51 ммоль) в ДМФА (5 мл) в атмосфере азота добавляли цис-3-метил-5-(1Н-пиразол-1-ил)пиперидин (170 мг, 1.03 ммоль), Pd2(dba)3. CHCl3 (53 мг, 0.05 ммоль), K3PO4 (327 мг, 1.54 ммоль) и DavePhos (40 мг, 0.10 ммоль) при комнатной температуре. Реакционную смесь в атмосфере азота облучали в микроволновой печи в течение 3 ч при 130°С. После завершения реакции реакционную смесь разбавляли водой (5 мл). Полученную в результате смесь экстрагировали этилацетатом (30 мл × 3). Органические фазы объединяли, промывали солевым раствором и сушили над Na2SO4. Растворитель удаляли при пониженном давлении и остаток очищали с помощью преп. ВЭЖХ при следующих условиях: колонка, XBridge Prep С18 OBD Column, 150 × 19 мм, 5 мкм; подвижная фаза, ацетонитрил в воде (с 10 ммоль/л NH4HCO3 и 0.1% NH3.H2O), градиент от 30% до 55% за 7 мин; детектор, УФ 254 нм. 5-[Цис-3-метил-5-(1Н-пиразол-1-ил)пиперидин-1-ил]-8-(трифторметил)хиноксалин получали в виде желтого твердого вещества (27 мг, 14%). МС: 362.0 [М+Н]+. 1Н ЯМР (400 МГц, ДМСО-d6) δ 9.02 (d, J=1.8 Гц, 1 Н), 8.98 (d, J=1.8 Гц, 1 Н), 8.06 (d, J=8.5 Гц, 1 Н), 7.85 (d, J=2.3 Гц, 1 Н), 7.47 (d, J=1.8 Гц, 1 Н), 7.29 (d, J=8.4 Гц, 1 Н), 6.29-6.23 (m, 1 Н), 4.68-4.58 (m, 1 Н), 4.47-4.40 (m, 1 Н), 4.10-4.02 (m, 1 Н), 3.18 (t, J=11.4 Гц, 1 Н), 2.71 (t, J=11.6 Гц, 1 Н), 2.28-2.20 (m, 1 Н), 2.14-2.09 (m, 1 Н), 1.84-1.70 (m, 1 Н), 1.02 (d, J=6.6 Гц, 3 Н).
Пример 156: 8-[цис-3-(1Н-пиразол-1-ил)-5-(трифторметил)пиперидин-1-ил]хиноксалин-5-карбонитрил
[00448] 3-(1Н-пиразол-1-ил)-5-(трифторметил)пиридин: В 50 мл закупоренном сосуде к раствору 3-бром-5-(трифторметил)пиридина (2.85 г, 12.61 ммоль) в диоксане (16 мл) и ДМСО (4 мл) в атмосфере азота добавляли 1Н-пиразол (2.47 г, 36.28 ммоль), этан-1,2-диамин (73 мг, 1.22 ммоль), K3PO4 (5.21 г, 24.57 ммоль) и CuI (234 мг, 1.23 ммоль) при комнатной температуре. Реакционную смесь перемешивали в течение 12 ч при 120°С в атмосфере азота. После завершения реакции реакционную смесь концентрировали при пониженном давлении и остаток очищали с помощью флэш-хроматографии, элюируя с помощью EtOAc в гексане (градиент от 0% до 20%), с получением 3-метил-5-(1Н-пиразол-1-ил)пиридина в виде белого твердого вещества (1.17 г, 44%). МС: 213.9 [М+Н]+.
[00449] 3-(1Н-пиразол-1-ил)-5-(трифторметил)пиперидин: При комнатной температуре к раствору 3-(1Н-пиразол-1-ил)-5-(трифторметил)пиридина (900 мг, 4.22 ммоль) в этаноле (мл) в атмосфере азота добавляли раствор хлороводорода (6 н., 2 мл, 12.0 ммоль) и палладий на угле (30 мг, 0.27 ммоль). Реакционную емкость вакуумировали и продували водородом. Реакционную смесь гидрировали в течение 16 ч при 60°С в атмосфере водорода (30 атм). После завершения реакции реакционную смесь фильтровали через набивку целита и значение рН фильтрат доводили до 9 с помощью раствора NH3 в МеОН (7 М). Полученную в результате смесь концентрировали при пониженном давлении и остаток очищали с помощью флэш-хроматографии, элюируя посредством МеОН в ДХМ (градиент от 0% до 15%), с получением 3-(1Н-пиразол-1-ил)-5-(трифторметил)пиперидина в виде светло-желтого масла (480 мг, цис/транс = 4:1, 52%). МС: 220.2 [М+Н]+.
[00450] 8-[Цис-3-(1Н-пиразол-1-ил)-5-(трифторметил)пиперидин-1-ил]хиноксалин-5-карбонитрил: К раствору 8-бромхиноксалин-5-карбонитрила (95 мг, 0.41 ммоль) в N,N-диметилформамиде (5 мл) в атмосфере азота добавляли 3-(1Н-пиразол-1-ил)-5-(трифторметил)пиперидин (75 мг, 0.34 ммоль) и DIEA (253 мг, 1.96 ммоль) при комнатной температуре. Реакционную смесь облучали в микроволновой печи в течение 13 ч при 130°С в атмосфере азота. После завершения реакции реакционную смесь разбавляли водой (5 мл). Полученную в результате смесь экстрагировали этилацетатом (30 мл × 3). Органические фазы объединяли, промывали солевым раствором и сушили над Na2SO4. Растворитель удаляли при пониженном давлении и остаток очищали с помощью преп. ВЭЖХ при следующих условиях: колонка, XBridge Prep C18 OBD Column, 150 × 19 мм, 5 мкм; подвижная фаза, ацетонитрил в воде (с 10 ммоль/л NH4HCO3 и 0.1% NH3.H2O), градиент от 35% до 59% за 7 мин; детектор, УФ 254 нм. 8-[Цис-3-(1Н-пиразол-1-ил)-5-(трифторметил)пиперидин-1-ил]хиноксалин-5-карбонитрил получали в виде желтого твердого вещества (24 мг, 16%). МС: 373.0 [М+Н]+. 1Н ЯМР (400 МГц, ДМСО-d6) δ 9.08 (d, J=1.8 Гц, 1 Н), 9.02 (d, J=1.8 Гц, 1 Н), 8.26 (d, J=8.3 Гц, 1 Н), 7.92 (d, J=2.3 Гц, 1 Н), 7.53 (d, J=1.8 Гц, 1 Н), 7.39 (d, J=8.4 Гц, 1 Н), 6.34-6.28 (m, 1 Н), 4.83-4.71 (m,1 Н), 4.56-4.49 (m, 1 Н), 4.47-4.39 (m, 1 Н), 3.41 (t, J=11.6 Гц, 1 Н), 3.27-3.07 (m, 2 Н), 2.50-2.42 (m, 1 Н), 2.30-2.08 (m, 1 Н).
Пример 157: 5-[(3R,5S)-3-(1Н-имидазол-1-ил)-5-метилпиперидин-1-ил]-8-(трифторметил)хиноксалин
[00451] 5-[(3R,5S)-3-(1Н-имидазол-1-ил)-5-метилпиперидин-1-ил]-8-(трифторметил)хиноксалин: К раствору (3R,5S)-5-метил-1-[8-(трифторметил)хиноксалин-5-ил]пиперидин-3-амина (94 мг, 0.30 ммоль) в МеОН (4 мл) добавляли глиоксаль (74 мг, 1.28 ммоль), формалин (37%, 97 мг, 1.20 ммоль) и CH3COONH4 (95 мг, 1.22 ммоль) при комнатной температуре. Реакционную смесь перемешивали в течение 5 ч при 80°С. После завершения реакции реакционную смесь гасили путем добавления раствора KOH (1 н., 3 мл). Полученную в результате смесь экстрагировали этилацетатом (20 мл × 3). Органические фазы объединяли, промывали солевым раствором и сушили над Na2SO4. Растворитель удаляли при пониженном давлении и остаток очищали с помощью преп. ВЭЖХ при следующих условиях: колонка, XBridge Prep C18 OBD Column, 150 × 19 мм, 5 мкм; подвижная фаза, ацетонитрил в воде (с 10 ммоль/л NH4HCO3 и 0.1% NH3.H2O), градиент от 39% до 45% за 7 мин; детектор, УФ 254 нм. Указанное в заголовке соединение получали в виде желтого твердого вещества (35 мг, 32%). МС: 362.0 [М+Н]+. 1Н ЯМР (300 МГц, ДМСО-d6) δ 9.03 (d, J=1.8 Гц, 1 Н), 8.99 (d, J=1.5 Гц, 1 Н), 8.05 (d, J=8.4 Гц, 1 Н), 7.78 (s, 1 Н), 7.37-7.25 (m, 2 Н), 6.91 (s, 1 Н), 4.57-4.51 (m, 1 Н), 4.41-4.31 (m, 1 Н), 4.10-4.0 (m, 1 Н), 3.17 (t, J=11.3 Гц, 1 Н), 2.68 (t, J=11.6 Гц, 1 Н), 2.30 - 1.94 (m, 2 Н), 1.79-1.61 (m, 1 Н), 1.01 (d, J=6.5 Гц, 3 Н).
[00452] Следующие соединения синтезировали аналогичным образом.
Пример 158: 5-[(3R,5S)-3-(1Н-имидазол-1-ил)-5-метилпиперидин-1-ил]хинолин-8-карбонитрил
[00453] Указанное в заголовке соединение получали из 5-[(3R,5S)-3-амино-5-метилпиперидин-1-ил]хинолин-8-карбонитрила, глиоксаля, формалина и ацетата аммония. МС: 318.2 [М+Н]+. 1Н ЯМР (300 МГц, ДМСО-d6) δ 9.08 - 9.0 (m, 1 Н), 8.61 - 8.51 (m, 1 Н), 8.22 (d, J=8.0 Гц, 1 Н), 7.80 (s, 1 Н), 7.69 (dd, J=8.6, 4.2 Гц, 1 Н), 7.41-7.22 (m, 2 Н), 6.91 (s, 1 Н), 4.73-4.58 (m, 1 Н), 3.67-3.56 (m, 1 Н), 3.50-3.39 (m, 1 Н), 3.12 (t, J=11.2 Гц, 1 Н), 2.57 (t, J=11.5 Гц, 1 Н), 2.29-2.04 (m, 2 Н), 1.75-1.57 (m, 1 Н), 0.99 (d, J=6.3 Гц, 3 Н).
Пример 159: 5-[(3R,5S)-3-(1Н-имидазол-1-ил)-5-метилпиперидин-1-ил]-8-метилхинолин
[00454] Указанное в заголовке соединение получали из (3R,5S)-5-метил-1-(8-метилхинолин-5-ил)пиперидин-3-амина, глиоксаля, формалина и ацетата аммония. МС: 307.0 [М+Н]+. 1H ЯМР (300 МГц, ДМСО-d6) δ 8.94-8.86 (m, 1 Н), 8.56-8.46 (m, 1 Н), 7.80 (s, 1 Н), 7.59-7.44 (m, 2 Н), 7.32 (s, 1 Н), 7.11 (d, J=7.6 Гц, 1 Н), 6.90 (s, 1 Н), 4.68-4.53 (m, 1 Н), 3.43-3.34 (m, 1 Н), 3.25-3.14 (m, 1 Н), 3.04-2.90 (m, 1 Н), 2.63 (s, 3 Н), 2.44-2.30 (m, 1 Н), 2.24-2.04 (m, 2 Н), 1.66-1.48 (m, 1 Н), 0.95 (d, J=6.3 Гц, 3 Н).
Пример 160: (R)-N-[(3R,5S)-1-(8-цианохиноксалин-5-ил)-5-метилпиперидин-3-ил]-2,3-дигидроксипропионамид
[00455] К смеси гидрохлорида (2) 8-((3R,5S)-3-амино-5-метилпиперидин-1-ил)-хиноксалин-5-карбонитрила (45.0 мг; 0.13 ммоль; 1.0 экв.), дигидрата кальциевой соли d-глицериновой кислоты (22.71 мг; 0.08 ммоль; 0.60 экв.) и DIE А (65.74 мкл; 0.40 ммоль; 3.0 экв.) в ДМФА (2.0 мл; 25.94 ммоль; 44.44 об.) добавляли bop (70.19 мг; 0.16 ммоль; 1.20 экв.). Полученную в результате смесь перемешивали при к.т.в течение ночи. Сырой продукт очищали с помощью преп. ВЭЖХ (ACN/вода с 0.1% NH4OH в качестве модификатора) с получением указанного в заголовке соединения в виде желтого твердого вещества (35.0 мг; 75%). МС: 356 [М+Н]+. 1Н ЯМР (400 МГц, ДМСО-d6) δ 9.03 (d, J=1.8 Гц, 1Н), 8.94 (d, J=1.8 Гц, 1H), 8.19 (d, J=8.5 Гц, 1H), 7.69 (d, J=8.0 Гц, 1H), 7.27 (d, J=8.5 Гц, 1H), 5.49 (d, J=5.6 Гц, 1H), 4.66 (t, J=5.8 Гц, 1H), 4.28 (d, J=12.1 Гц, 1H), 4.19 (d, J=13.1 Гц, 1H), 4.0 - 3.84 (m, 2Н), 3.59 (ddd, J=11.0, 5.5, 3.6 Гц, 1H), 3.47 (dt, J=11.0, 6.1 Гц, 1H), 2.91 (dd, J=12.2, 10.8 Гц, 1H), 2.73 - 2.63 (m, 1H), 1.96-1.83 (m, 2Н), 1.31 (q, J=12.4 Гц, 1H), 0.92 (d, J=6.3 Гц, 3H).
[00456] Следующие соединения синтезировали аналогичным образом. Пример 161: (S)-N-[(3R,5S)-1-(8-цианохиноксалин-5-ил)-5-метилпиперидин-3-ил]-2,3-дигидрокси-3-метилбутирамид:
[00457] Указанное в заголовке соединение получали из гидрохлорида (2) 8-((3R,5S)-3-амино-5-метилпиперидин-1-ил)-хиноксалин-5-карбонитрила и 2,3-дигидроксиизовалериановой кислоты. Первый элюат, полученный с помощью преп. ВЭЖХ (ACN/вода с 0.1% NH4OH в качестве модификатора). МС: 384 [М+Н]+. 1Н ЯМР (400 МГц, ДМСО-d6) δ 9.03 (d, J=1.7 Гц, 1H), 8.93 (d, J=1.8 Гц, 1H), 8.20 (d, J=8.4 Гц, 1H), 7.79 (d, J=8.0 Гц, 1H), 7.27 (d, J=8.5 Гц, 1H), 5.52 (d, J=5.8 Гц, 1H), 4.69 (s, 1H), 4.24 (dd, J=34.0, 12.6 Гц, 2Н), 4.06 - 3.93 (m, 1H), 3.64 (d, J=5.8 Гц, 1H), 2.91 (t, J=11.8 Гц, 1H), 2.68 (t, J=11.8 Гц, 1H), 1.97 - 1.87 (m, 2Н), 1.34 (q, J=12.3 Гц, 1H), 1.12 (s, 3H), 1.07 (s, 3H), 0.93 (d, J=6.3 Гц, 3H).
Пример 162: (R)-N-[(3R,5S)-1-(8-цианохиноксалин-5-ил)-5-метилпиперидин-3-ил]-2,3-дигидрокси-3-метилбутирамид:
[00458] Указанное в заголовке соединение получали из гидрохлорида (2) 8-((3R,5S)-3-амино-5-метилпиперидин-1-ил)-хиноксалин-5-карбонитрила и 2,3-дигидроксиизовалериановой кислоты. Второй элюат, полученный с помощью преп. ВЭЖХ (ACN/вода с 0.1% NH4OH в качестве модификатора). МС: 384 [М+Н]+. 1Н ЯМР (400 МГц, ДМСО-d6) δ 9.03 (d, J=1.8 Гц, 1H), 8.94 (d, J=1.8 Гц, 1H), 8.20 (d, J=8.4 Гц, 1H), 7.80 (d, J=8.2 Гц, 1H), 7.26 (d, J=8.5 Гц, 1H), 5.59 (d, J=5.7 Гц, 1H), 4.69 (s, 1H), 4.28 - 4.18 (m, 2H), 4.05 - 3.93 (m, 1H), 3.65 (d, J=5.6 Гц, 1H), 2.96 (t, J=11.5 Гц, 1H), 2.69 (t, J=11.9 Гц, 1H), 1.98 - 1.86 (m, 2H), 1.31 (q, J=12.3 Гц, 1H), 1.11 (s, 3H), 1.08 (s, 3H), 0.93 (d, J=6.3 Гц, 3H).
Пример 163: [(3R,5S)-1-(8-цианохинолин-5-ил)-5-трифторметилпиперидин-3-ил]-амид (S)-3-фторпирролидин-3-карбоновой кислоты и Пример 164: [(3R,5S)-1-(8-цианохинолин-5-ил)-5-трифторметилпиперидин-3-ил]-амид (R)-3-фторпирролидин-3-карбоновой кислоты
[00459] К смеси дигидрохлорида 5-((3R,5S)-3-амино-5-трифторметилпиперидин-1-ил)-хинолин-8-карбонитрила (140.0 мг; 0.36 ммоль; 1.0 экв.), сложного 1-трет-бутилового эфира 3-фторпирролидин-1,3-дикарбоновой кислоты (91.34 мг; 0.39 ммоль; 1.10 экв.) и DIEA (176.98 мкл; 1.07 ммоль; 3.0 экв.) в ДМФА (1.0 мл; 12.97 ммоль; 36.43 экв.), добавляли bop (188.96 мг; 0.43 ммоль; 1.20 экв.). Полученную в результате смесь перемешивали при к.т.в течение 2 ч. Реакционную смесь разбавляли с помощью EtOAc, промывали водой (х2) и солевым раствором. Органический слой сушили и концентрировали с получением сырого сложного трет-бутилового эфира 3-[(3R,5S)-1-(8-цианохинолин-5-ил)-5-трифторметилпиперидин-3-илкарбамоил]-3-фторпирролидин-1-карбоновой кислоты (190.0 мг; 0.35 ммоль), который использовали непосредственно на следующей стадии без очистки.
[00460] К перемешиваемому раствору сырого сложного трет-бутилового эфира 3-[(3R,5S)-1-(8-цианохинолин-5-ил)-5-трифторметилпиперидин-3-илкарбамоил]-3-фторпирролидин-1-карбоновой кислоты (190.0 мг; 0.35 ммоль; 1.0 экв.) в метаноле (1.90 мл; 10.0 об.) добавляли 4.0М HCl в диоксане (0.89 мл; 3.55 ммоль; 10.0 экв.). Полученную в результате смесь перемешивали при к.т.в течение ночи. Реакционную смесь концентрировали. Сырое вещество растворяли в ДМСО, раствор нейтрализовали до рН~8 и продукт очищали с помощью преп. ВЭЖХ (ACN/вода с 0.1% NH4OH в качестве модификатора).
[00461] Первому элюату было установлено соответствие Примеру 163 (65.0 мг; 84%) (абсолютная стереохимия пирролидинового кольца неизвестна). МС: 436 [М+Н]+. 1Н ЯМР (400 МГц, ДМСО-d6) δ 9.06 (dd, J=4.2, 1.6 Гц, 1Н), 8.58 (dd, J=8.6, 1.7 Гц, 1H), 8.39 (dd, J=8.0, 2.7 Гц, 1H), 8.25 (d, J=8.0 Гц, 1H), 7.72 (dd, J=8.6, 4.2 Гц, 1H), 7.34 (d, J=8.1 Гц, 1H), 4.32 - 4.20 (m, 1H), 3.61 - 3.47 (m, 2Н), 3.29 - 3.14 (m, 3H), 3.13 - 2.82 (m, 5Н), 2.77 (t, J=11.2 Гц, 1H), 2.25 - 2.07 (m, 2Н), 2.04 - 1.87 (m, 1H), 1.78 (q, J=12.9, 12.3 Гц, 1Н).
[00462] Второму элюату было установлено соответствие Примеру 164 (63 мг, 82%) (абсолютная стереохимия пирролидинового кольца неизвестна). МС: 436 [М+Н]+. 1Н ЯМР (400 МГц, ДМСО-d6) δ 9.06 (dd, J=4.2, 1.6 Гц, 1Н), 8.58 (dd, J=8.6, 1.7 Гц, 1H), 8.39 (dd, J=7.9, 2.8 Гц, 1H), 8.25 (d, J=8.0 Гц, 1H), 7.72 (dd, J=8.6, 4.2 Гц, 1H), 7.33 (d, J=8.0 Гц, 1H), 4.32 - 4.21 (m, 1H), 3.60 -3.48 (m, 2Н), 3.28 - 3.16 (m, 3H), 3.10 - 2.96 (m, 3H), 2.92 - 2.82 (m, 2Н), 2.76 (t, J=11.2 Гц, 1H), 2.29 -2.11 (m, 2Н), 2.06 - 1.93 (m, 1H), 1.78 (q, J=12.3 Гц, 1Н).
Пример 165: 2-(3-метил-3-азабицикло[3.1.1]гепт-6-ил)-N-[(3R,5S)-5-метил-1-(8-метил-[1,7]нафтиридин-5-ил)-пиперидин-3-ил]-ацетамид
[00463] К смеси дигидрохлорида (3R,5S)-5-метил-1-(8-метил-[1,7]нафтиридин-5-ил)-пиперидин-3-иламина (50.0 мг; 0.15 ммоль; 1.0 экв.), (3-метил-3-азабицикло[3.1.1]гепт-6-ил)-уксусной кислоты (30.59 мг; 0.15 ммоль; 1.0 экв.) и DIEA (100.65 мкл; 0.61 ммоль; 4.0 экв.) в ДМФА (1.0 мл; 12.97 ммоль; 85.41 экв.), добавляли bop (80.59 мг; 0.18 ммоль; 1.20 экв.). Полученную в результате смесь перемешивали при к.т.в течение ночи. Сырой продукт очищали с помощью преп. ВЭЖХ (ACN/вода с 0.1% NH4OH в качестве модификатора) с получением указанного в заголовке соединения в виде желтого твердого вещества (50.0 мг; 81%). МС: 408 [М+Н]+.
Пример 166: 3-амино-N-[(3R,5S)-5-метил-1-(8-трифторметилхинолин-5-ил)-пиперидин-3-ил]-пропионамид
[00464] Сложный трет-бутиловый эфир {2-[(3R,5S)-5-метил-1-(8-трифторметилхинолин-5-ил)-пиперидин-3-илкарбамоил]-этил}-карбаминовой кислоты: В сухой круглодонной колбе суспендировали 3-(трет-бутоксикарбониламино)пропановую кислоту (103.51 мг; 0.55 ммоль; 1.10 экв.), ангидрид 1-пропанфосфоновой кислоты (0.36 мл; 0.60 ммоль; 1.20 экв.) и триэтиламин (0.24 мл; 1.74 ммоль; 3.50 экв.) в дихлорметане (2.0 мл). Реакционную смесь перемешивали в течение 15 минут, затем добавляли гидрохлорид (2) (3R,5S)-5-метил-1-(8-трифторметилхинолин-5-ил)-пиперидин-3-иламина (190.10 мг; 0.50 ммоль; 1.0 экв.) и реакционной смеси давали перемешиваться при комнатной температуре в течение 1 часа. Сырой продукт очищали с помощью Biotage, используя 15 мкм колонку, с градиентом 0-20% метанола в дихлорметане, с обеспечением указанного в заголовке соединения, которое использовали непосредственно в реакции снятия Вос-защиты. МС: 481 [М+Н]+.
[00465] 3-Амино-N-[(3R,5S)-5-метил-1-(8-трифторметилхинолин-5-ил)-пиперидин-3-ил]-пропионамид: В круглодонной колбе с якорем магнитной мешалки растворяли сложный трет-бутиловый эфир {2-[(3R,5S)-5-метил-1-(8-трифторметилхинолин-5-ил)-пиперидин-3-илкарбамоил]-этил}-карбаминовой кислоты (240.30 мг; 0.50 ммоль; 1.0 экв.) в минимальном количестве дихлорметан. Сосуд закупоривали резиновой перегородкой, прикрепленной к впускной трубке для аргона, и затем добавляли хлороводород (2М в эфире) (1.25 мл; 2.50 ммоль; 5.0 экв.). Реакционную смесь перемешивали до завершения реакции, что было определено ЖХМС анализом. Сырой продукт очищали с помощью преп. ВЭЖХ (ACN/вода с 0.1% NH4OH в качестве модификатора) с получением указанного в заголовке соединения (129 мг, 68%). МС:381 [М+Н]+. 1НЯМР (400 МГц, ДМСО-d6) δ 9.01 (dd, J=4.2, 1.7 Гц, 1H), 8.52 (dd, J=8.6, 1.8 Гц, 1H), 8.04 (d, J=8.1 Гц, 1H), 7.94 (d, J=7.3 Гц, 1H), 7.66 (dd, J=8.6, 4.2 Гц, 1H), 7.20 (d, J=8.1 Гц, 1H), 4.04 (s, 1H), 3.52 (d, J=10.1 Гц, 1H), 3.35 (s, 1H), 2.72 (t, J=6.6 Гц, 2Н), 2.43 (q, J=11.4 Гц, 2Н), 2.20 - 2.12 (m, 2Н), 1.99 (d, J=13.5 Гц, 1H), 1.09 (q, J=12.2 Гц, 1H), 0.95 (d, J=6.4 Гц, 3H).
[00466] Следующие соединения синтезировали аналогичным образом.
Пример 167: (R)-N-[(3R,5S)-1-(8-цианохиноксалин-5-ил)-5-метилпиперидин-3-ил]-2,3-дигидрокси-3-метилбутирамид
[00467] Указанное в заголовке соединение получали из гидрохлорида (2) (3R,5S)-5-метил-1-(8-трифторметилхинолин-5-ил)-пиперидин-3-иламина и (R)-2-трет-бутоксикарбониламино-3-гидроксипропионовой кислоты. МС: 397 [М+Н]+. 1Н ЯМР (400 МГц, ДМСО-d6) δ 9.01 (dd, J=4.1, 1.7 Гц, 1H), 8.53 (dd, J=8.6, 1.8 Гц, 1H), 8.05 (d, J=8.1 Гц, 1H), 7.81 (d, J=1.1 Гц, 1H), 7.66 (dd, J=8.6, 4.2 Гц, 1H), 7.19 (d, J=8.1 Гц, 1H), 4.67 (t, J=5.5 Гц, 1H), 4.13 - 3.97 (m, 1H), 3.48 (р, J=5.3 Гц, 2Н), 3.43 - 3.33 (m, 2Н), 3.18 (dd, J=6.3, 4.9 Гц, 1H), 2.43 (t, J=11.3 Гц, 1H), 1.97 (dd, J=48.9, 36.6 Гц, 4Н), 1.16 (q, J=12.0 Гц, 1H), 0.95 (d, 7=6.6 Гц, 3H).
Пример 168: (S)-3-гидрокси-2-метиламино-N-[(3R,5S)-5-метил-1-(8-трифторметилхинолин-5-ил)-пиперидин-3-ил]-пропионамид
[00468] Указанное в заголовке соединение получали из гидрохлорида (2) (3R,5S)-5-метил-1-(8-трифторметилхинолин-5-ил)-пиперидин-3-иламина и метил (2S)-2-[(трет-бутоксикарбонил)амино]-3-гидроксипропаноата. МС: 411 [М+Н]+. 1Н ЯМР (400 МГц, ДМСО-d6) δ 9.01 (dd, J=4.2, 1.7 Гц, 1H), 8.53 (dd, J=8.6, 1.8 Гц, 1H), 8.05 (d, J=8.1 Гц, 1H), 7.78 (d, J=7.8 Гц, 1H), 7.67 (dd, J=8.6, 4.2 Гц, 1H), 7.20 (d, J=8.1 Гц, 1H), 4.67 (t, J=5.6 Гц, 1H), 4.08 (s, 1H), 3.43 (ddt, J=43.3, 10.8, 5.6 Гц, 4Н), 2.90 (s, 1H), 2.42 (t, J=11.4 Гц, 1H), 2.22 (s, 3H), 2.15 -1.85 (m, 3H), 1.18 (q, J=12.9, 12.1 Гц, 2Н), 0.95 (d, J=6.6 Гц, 3H).
Пример 169: (2S,3R)-2-амино-3-гидрокси-N-[(3R,5S)-5-метил-1-(8-трифторметилхинолин-5-ил)-пиперидин-3-ил]-бутирамид
[00469] Указанное в заголовке соединение получали из гидрохлорида (2) (3R,5S)-5-метил-1-(8-трифторметилхинолин-5-ил)-пиперидин-3-иламина и (2S,3R)-2-трет-бутоксикарбониламино-3-гидроксимасляной кислоты. МС:411 [М+Н]+. 1Н ЯМР (400 МГц, ДМСО-d6) δ 9.01 (dd, J=4.2, 1.7 Гц, 1H), 8.53 (dd, J=8.6, 1.8 Гц, 1H), 8.05 (d, J=8.1 Гц, 1H), 7.84 (d, J=1.1 Гц, 1H), 7.67 (dd, J=8.6, 4.2 Гц, 1H), 7.19 (d, J=8.0 Гц, 1H), 4.55 (d, J=4.9 Гц, 1H), 4.05 (d, J=11.3 Гц, 1H), 3.74 (р, J=6.2, 5.8 Гц, 1H), 3.49 (d, J=10.5 Гц, 1H), 2.89 (d, J=4.8 Гц, 1H), 2.43 (t, J=11.4 Гц, 1H), 2.17 - 1.92 (m, 2Н), 1.74 (s, 2Н), 1.15 (q, J=12.0 Гц, 1H), 1.04 (d, J=6.3 Гц, 3H), 0.95 (d, J=6.6 Гц, 3H).
Пример 170: (S)-2-амино-3-гидрокси-3-метил-N-[(3R,5S)-5-метил-1-(8-трифторметилхинолин-5-ил)-пиперидин-3-ил]-бутирамид
[00470] Указанное в заголовке соединение получали из гидрохлорида (2) (3R,5S)-5-метил-1-(8-трифторметилхинолин-5-ил)-пиперидин-3-иламина и (S)-2-трет-бутоксикарбониламино-3-гидрокси-3-метилмасляной кислоты. МС: 425 [М+Н]+. 1Н ЯМР (400 МГц, ДМСО-d6) δ 9.01 (dd, J=4.2, 1.7 Гц, 1H), 8.53 (dd, J=8.6, 1.8 Гц, 1H), 8.06 (d, J=8.1 Гц, 1H), 7.85 (d, J=7.6 Гц, 1H), 7.67 (dd, J=8.6, 4.2 Гц, 1H), 7.20 (d, J=8.1 Гц, 1H), 4.55 (s, 1H), 4.08 (d, J=10.0 Гц, 1H), 3.48 (d, J=9.8 Гц, 1H), 3.0 (s, 1H), 2.43 (t, J=11.3 Гц, 1H), 2.15 - 1.93 (m, 2Н), 1.77 (s, 2Н), 1.07 (d, J=14.0 Гц, 7Н), 0.95 (d, J=6.5 Гц, 3H).
Пример 171: (S)-2-амино-N-[(3R,5S)-5-трифторметил-1-(8-трифторметилхинолин-5-ил)-пиперидин-3-ил]-пропионамид
[00471] Указанное в заголовке соединение получали из гидрохлорида (2) (3R,5S)-5-трифторметил-1-(8-трифторметилхинолин-5-ил)-пиперидин-3-иламина и (S)-2-(N-трет-бутоксикарбонил)аминопропионовой кислоты с последующим хиральным разделением на СКЖХ, используя колонку Cel-4 с изократическим градиентом 21% 0.5% раствора DMEA в метаноле над СО2 и скоростью потока 70 г/мин. МС:435 [М+Н]+. 1Н ЯМР (400 МГц, ДМСО-d6) δ 9.04 (dd, J=4.2, 1.7 Гц, 1H), 8.60 (dt, J=8.7, 1.3 Гц, 1H), 8.08 (d, J=8.1 Гц, 1H), 7.70 (ddd, J=8.6, 4.2, 1.4 Гц, 1H), 7.32 (d, J=8.0 Гц, 1H), 3.49 (dd, J=18.0, 11.8 Гц, 2Н), 3.28 - 3.12 (m, 4Н), 2.87 (t, J=11.5 Гц, 1H), 2.65 (t, J=11.1 Гц, 1H), 2.17 (d, J=12.1 Гц, 2Н), 2.08 (s, 1H), 1.12 (d, J=6.9 Гц, 3H).
Пример 172: (R)-2-амино-3-гидрокси-N-[(3R,5S)-5-трифторметил-1-(8-трифторметилхинолин-5-ил)-пиперидин-3-ил]-пропионамид
[00472] Указанное в заголовке соединение получали из гидрохлорида (2) (3R,5S)-5-трифторметил-1-(8-трифторметилхинолин-5-ил)-пиперидин-3-иламина и (R)-2-(трет-бутоксикарбониламино)-3-гидроксипропановой кислоты с последующим хиральным разделением на СКЖХ, используя колонку IC с изократическим градиентом 10% 0.5% раствора DMEA в метаноле над СО2 и скорость потока 70 г/мин. МС:451 [М+Н]+. 1Н ЯМР (400 МГц, ДМСО-d6) δ 9.03 (dd, J=4.2, 1.7 Гц, 1H), 8.59 (dd, J=8.6, 1.8 Гц, 1H), 8.08 (d, J=8.1 Гц, 1H), 7.97 (d, J=7.8 Гц, 1H), 7.70 (dd, J=8.6, 4.2 Гц, 1H), 7.31 (d, J=8.0 Гц, 1H), 4.67 (t, J=5.6 Гц, 1H), 4.17 (s, 1H), 3.57 - 3.34 (m, 4Н), 3.18 (t, J=5.5 Гц, 2Н), 2.87 (t, J=11.4 Гц, 1H), 2.66 (t, J=11.0 Гц, 1H), 2.16 (d, J=11.8 Гц, 1H), 1.77 (s, 2Н), 1.61 (q, J=12.2 Гц, 1Н).
Пример 173: (S)-2-амино-N-[(3R,5S)-1-(8-цианохиноксалин-5-ил)-5-метилпиперидин-3-ил]-3-гидрокси-3-метилбутирамид
[00473] Указанное в заголовке соединение получали из гидрохлорида (3) 8-((3R,5S)-3-амино-5-метилпиперидин-1-ил)-хиноксалин-5-карбонитрила и (S)-2-(трет-бутоксикарбониламино)-3-гидрокси-3-метилбутановой кислоты. МС: 383 [М+Н]+. 1Н ЯМР (400 МГц, ДМСО-d6) δ 9.03 (d, J=1.8 Гц, 1H), 8.94 (d, J=1.8 Гц, 1H), 8.20 (d, J=8.4 Гц, 1H), 7.87 (d, J=1.1 Гц, 1H), 7.27 (d, J=8.5 Гц, 1H), 4.56 (s, 1H), 4.27 (s, 2Н), 4.02 - 3.84 (m, 1H), 3.01 (s, 1H), 2.82 (t, J=11.5 Гц, 1H), 2.76 - 2.62 (m, 1H), 2.03 - 1.68 (m, 4Н), 1.20 (q, J=11.7 Гц, 1H), 1.08 (d, J=13.2 Гц, 6Н), 0.92 (d, J=6.5 Гц, 3H).
Пример 174: [(3R,5S)-1-(8-цианохиноксалин-5-ил)-5-метилпиперидин-3-ил]-амид (R)-пирролидин-2-карбоновой кислоты
[00474] Указанное в заголовке соединение получали из гидрохлорида (3) 8-((3R,5S)-3-амино-5-метилпиперидин-1-ил)-хиноксалин-5-карбонитрила и (2R)-1-трет-бутоксикарбонилпирролидин-2-карбоновой кислоты. МС: 365 [М+Н]+. 1Н ЯМР (400 МГц, ДМСО-d6) δ 9.02 (d, J=1.8 Гц, 1H), 8.94 (d, J=1.8 Гц, 1H), 8.18 (d, J=8.4 Гц, 1H), 7.90 (d, J=8.1 Гц, 1H), 7.27 (d, J=8.5 Гц, 1H), 4.23 (dd, J=33.3, 12.4 Гц, 2Н), 3.87 (s, 0Н), 3.51 (dd, J=8.8, 5.4 Гц, 1H), 2.91 - 2.73 (m, 4Н), 2.73 - 2.62 (m, 1H), 2.01 - 1.82 (m, 4Н), 1.73 - 1.51 (m, 4Н), 1.25 (q, J=12.5 Гц, 2Н), 0.92 (d, J=6.3 Гц, 3H).
Пример 175: [(3R,5S)-1-(8-цианохиноксалин-5-ил)-5-метилпиперидин-3-ил]-амид (S)-пирролидин-2-карбоновой кислоты
[00475] Указанное в заголовке соединение получали из гидрохлорида (3) 8-((3R,5S)-3-амино-5-метилпиперидин-1-ил)-хиноксалин-5-карбонитрила и (2S)-1-трет-бутоксикарбонилпирролидин-2-карбоновой кислоты. МС: 365 [М+Н]+. 1Н ЯМР (400 МГц, ДМСО-d6) δ 9.02 (d, J=1.8 Гц, 1H), 8.94 (d, J=1.8 Гц, 1H), 8.19 (d, J=8.4 Гц, 1H), 7.89 (d, J=8.0 Гц, 1H), 7.28 (d, J=8.5 Гц, 1H), 4.32 (d, J=11.8 Гц, 1H), 3.97 - 3.80 (m, 1H), 3.48 (dd, 7=8.7, 5.4 Гц, 1H), 2.90 - 2.75 (m, 4Н), 2.68 (dd, J=12.7, 11.0 Гц, 1H), 2.0 - 1.83 (m, 3H), 1.71 - 1.53 (m, 3H), 1.25 (q, J=12.0 Гц, 1H), 0.91 (d, J=6.4 Гц, 3H).
Пример 176: [(3R,5S)-5-метил-1-(8-трифторметилхинолин-5-ил)-пиперидин-3-ил]-амид (S)-пирролидин-2-карбоновой кислоты
[00476] Указанное в заголовке соединение получали из гидрохлорида (2) (3R,5S)-5-метил-1-(8-трифторметилхинолин-5-ил)-пиперидин-3-иламина и (2S)-1-трет-бутоксикарбонилпирролидин-2-карбоновой кислоты. МС: 407 [М+Н]+. 1НЯМР (400 МГц, ДМСО-d6) δ 9.01 (dd, J=4.1, 1.7 Гц, 1H), 8.52 (dd, J=8.6, 1.8 Гц, 1H), 8.04 (d, J=8.1 Гц, 1H), 7.86 (d, J=7.9 Гц, 1H), 7.66 (dd, J=8.6, 4.2 Гц, 1H), 7.20 (d, J=8.0 Гц, 1H), 4.02 (ddt, J=15.9, 11.7, 6.0 Гц, 1H), 3.47 (td, J=11 A, 10.0, 6.5 Гц, 2H), 3.34 (d, J=3.8 Гц, 1H), 2.79 (td, J=6.4, 1.8 Гц, 2H), 2.55 (d, J=10.9 Гц, 1H), 2.42 (t, J=11.4 Гц, 1H), 2.17 - 1.86 (m, 2H), 1.68 - 1.50 (m, 3H), 1.29-1.10 (m, 1H), 0.94 (d, J=6.6 Гц, 3H).
Пример 177: [(3R,5S)-5-метил-1-(8-трифторметилхинолин-5-ил)-пиперидин-3-ил]-амид-(R)-пирролидин-2-карбоновой кислоты
[00477] Указанное в заголовке соединение получали из гидрохлорида (2) (3R,5S)-5-метил-1-(8-трифторметилхинолин-5-ил)-пиперидин-3-иламина и (2R)-1-трет-бутоксикарбонилпирролидин-2-карбоновой кислоты. МС: 407 [М+Н]+. 1Н ЯМР (400 МГц, ДМСО-d6) δ 9.0 (dd, J=4.2, 1.7 Гц, 1H), 8.52 (dd, J=8.6, 1.8 Гц, 1H), 8.04 (d, J=8.1 Гц, 1H), 7.86 (d, J=8.0 Гц, 1H), 7.66 (dd, J=8.6, 4.2 Гц, 1H), 7.20 (d, J=8.1 Гц, 1H), 4.10 - 3.95 (m, 1H), 3.54 - 3.40 (m, 2Н), 3.34 (s, 1H), 2.87 - 2.71 (m, 2Н), 2.56 (t, J=10.9 Гц, 1H), 2.42 (t, J=11.4 Гц, 1H), 2.15 - 1.85 (m, 3H), 1.72 - 1.52 (m, 3H), 1.17 (q, J=12.0 Гц, 1H), 0.94 (d, J=6.6 Гц, 3H).
Пример 178: (S)-2-амино-3-гидрокси-2-метил-N-[(3R,5S)-5-метил-1-(8-трифторметилхинолин-5-ил)-пиперидин-3-ил]-пропионамид
[00478] Указанное в заголовке соединение получали из гидрохлорида (2) (3R,5S)-5-метил-1-(8-трифторметилхинолин-5-ил)-пиперидин-3-иламина и (S)-2-(трет-бутоксикарбониламино)-3-гидрокси-2-метилпропановой кислоты. МС: 411 [М+Н]+. 1Н ЯМР (400 МГц, ДМСО-d6) δ 9.01 (dd, J=4.2, 1.7 Гц, 1Н), 8.53 (dd, J=8.6, 1.8 Гц, 1H), 8.05 (d, J=8.1 Гц, 1H), 7.77 (d, J=7.9 Гц, 1H), 7.67 (dd, J=8.6, 4.2 Гц, 1H), 7.19 (d, J=8.0 Гц, 1H), 4.74 (t, J=5.5 Гц, 1H), 3.57 (dd, J=10.1, 5.8 Гц, 1H), 3.47 (d, J=9.2 Гц, 1H), 3.11 (dd, J=10.1, 5.3 Гц, 1H), 2.55 (d, J=10.9 Гц, 2Н), 2.43 (t, J=11.3 Гц, 1H), 2.16 - 1.76 (m, 4Н), 1.19 (q, J=11.9 Гц, 1H), 1.06 (s, 3H), 0.95 (d, J=6.6 Гц, 3H).
Пример 179: [(3R,5S)-5-метил-1-(8-трифторметилхинолин-5-ил)-пиперидин-3-ил]-амид пиперидин-4-карбоновой кислоты:
[00479] Указанное в заголовке соединение получали из гидрохлорида (2) (3R,5S)-5-метил-1-(8-трифторметилхинолин-5-ил)-пиперидин-3-иламина и 1-(трет-бутоксикарбонил)пиперидин-4-карбоновой кислоты. МС: 421 [М+Н]+. 1Н ЯМР (400 МГц, ДМСО-d6) δ 9.01 (dd, J=4.2, 1.7 Гц, 1H), 8.52 (dt, J=8.6, 1.7 Гц, 1H), 8.05 (d, J=8.1 Гц, 1H), 7.66 (dd, J=8.5, 4.1 Гц, 1H), 7.58 (dd, J=10.0, 7.8 Гц, 1H), 7.19 (dd, J=8.1, 3.7 Гц, 1H), 3.46 (d, J=11.4 Гц, 1H), 3.34 (s, 1H), 3.01 (d, J=9.0 Гц, 1H), 2.89 (d, J=12.5 Гц, 1H), 2.41 (t, J=11.4 Гц, 1H), 2.17 - 1.89 (m, 3H), 1.70 (d, J=9.9 Гц, 2Н), 1.49 - 1.08 (m, 5Н), 0.94 (dd, J=6.6, 1.3 Гц, 3H).
Пример 180: [(3R,5S)-5-метил-1-(8-трифторметилхинолин-5-ил)-пиперидин-3-ил]-амид 3-аминопиперидин-3-карбоновой кислоты
[00480] Указанное в заголовке соединение получали из гидрохлорида (2) (3R,5S)-5-метил-1-(8-трифторметилхинолин-5-ил)-пиперидин-3-иламина и 3-амино-1-(трет-бутоксикарбонил)пиперидин-3-карбоновой кислоты. МС: 436 [М+Н]+. 1Н ЯМР (400 МГц, ДМСО-d6) δ 9.01 (dd, J=4.2, 1.7 Гц, 1H), 8.53 (dd, J=8.6, 1.8 Гц, 1H), 8.23 (d, J=31.8 Гц, 2Н), 8.05 (d, J=8.0 Гц, 1H), 7.67 (dd, J=8.6, 4.2 Гц, 1H), 7.20 (d, J=8.1 Гц, 1H), 3.34 (d, J=12.0 Гц, 2Н), 2.98 (d, J=10.1 Гц, 1H), 2.79 (s, 1H), 2.75 - 2.53 (m, 3H), 2.44 (td, J=11.2, 3.1 Гц, 1H), 2.16 - 1.93 (m, 2Н), 1.86 (q, J=9.3 Гц, 1H), 1.69 (s, 1H), 1.44 (d, J=11.2 Гц, 2Н), 1.27 - 1.10 (m, 1H), 0.96 (d, J=6.5 Гц, 3H).
Пример 181: [(3R,5S)-5-метил-1-(8-трифторметилхинолин-5-ил)-пиперидин-3-ил]-амид пиперидин-2-карбоновой кислоты
[00481] Указанное в заголовке соединение получали из гидрохлорида (2) (3R,5S)-5-метил-1-(8-трифторметилхинолин-5-ил)-пиперидин-3-иламина и 1-трет-бутоксикарбонилпиперидин-2-карбоновой кислоты. МС: 421 [М+Н]+. 1Н ЯМР (400 МГц, ДМСО-d6) δ 9.0 (dd, J=4.2, 1.7 Гц, 1H), 8.52 (dd, J=8.6, 1.8 Гц, 1H), 8.04 (d, J=8.1 Гц, 1H), 7.80 - 7.60 (m, 2Н), 7.19 (d, J=8.0 Гц, 1H), 4.08 -3.91 (m, 1H), 3.48 (dd, J=11.3, 4.0 Гц, 1H), 3.0 - 2.82 (m, 2Н), 2.41 (tdd, J=15.5, 9.9, 5.5 Гц, 4Н), 2.23 - 1.89 (m, 3H), 1.62 - 1.32 (m, 4Н), 1.09 (q, J=12.1 Гц, 1H), 0.94 (d, J=6.5 Гц, 3H).
Пример 182: [(3R,5S)-5-метил-1-(8-трифторметилхинолин-5-ил)-пиперидин-3-ил]-амид 1-((2S,3R)-2-амино-3-гидроксибутирил)-пиперидин-4-карбоновой кислоты
[00482] Указанное в заголовке соединение получали из [(3R,5S)-5-метил-1-(8-трифторметилхинолин-5-ил)-пиперидин-3-ил]-амида пиперидин-4-
карбоновой кислоты и (2S,3R)-2-трет-бутоксикарбониламино-3-гидроксимасляной кислоты. МС: 522 [М+Н]+. 1Н ЯМР (400 МГц, ДМСО-d6) 5 9.01 (dd, J=4.2, 1.7 Гц, 1H), 8.53 (dd, J=8.6, 1.8 Гц, 1H), 8.05 (d, J=8.1 Гц, 1H), 7.71 - 7.59 (m, 2Н), 7.21 (d, J=8.1 Гц, 1H), 5.14 (dd, J=13.1, 4.7 Гц, 1H), 4.17 - 3.82 (m, 3H), 3.81 - 3.40 (m, 3H), 3.04 (t, J=12.5 Гц, 1H), 2.41 (q, J=11.4, 10.8 Гц, 1H), 2.29 - 1.84 (m, 4H), 1.84 - 1.07 (m, 9H), 1.07 - 0.85 (m, 6H).
Пример 183: [(3R,5S)-1-(8-цианохинолин-5-ил)-5-трифторметилпиперидин-3-ил]-амид пиперидин-2-карбоновой кислоты
[00483] Указанное в заголовке соединение получали из гидрохлорида (3) 5-((3R,5S)-3-амино-5-трифторметилпиперидин-1-ил)-хинолин-8-карбонитрила и 1-трет-бутоксикарбонилпиперидин-2-карбоновой кислоты. МС: 431 [М+Н]+. 1Н ЯМР (400 МГц, ДМСО-d6) δ 9.05 (dd, J=4.3, 1.6 Гц, 1H), 8.57 (dt, J=8.6, 1.9 Гц, 1H), 8.25 (d, J=8.0 Гц, 1H), 7.78 (dd, J=7.9, 5.4 Гц, 1H), 7.71 (ddd, J=8.6, 4.2, 0.8 Гц, 1H), 7.31 (dd, J=8.1, 3.8 Гц, 1H), 4.17 (s, 1H), 3.52 (dd, J=27.6, 9.9 Гц, 2Н), 3.19 (s, 1H), 3.02 (d, J=9.8 Гц, 1H), 2.91 (t, J=11.8 Гц, 2Н), 2.77 - 2.62 (m, 1H), 2.26 - 2.04 (m, 2Н), 1.66 (dt, J=24.5, 11.7 Гц, 3H), 1.45 (d, J=11.6 Гц, 1H), 1.39 - 1.15 (m, 3H).
Пример 184: 2-[1-((2S,3R)-2-амино-3-гидроксибутирил)-пиперидин-4-ил]-N-[(3R,5S)-1-(8-цианохинолин-5-ил)-5-трифторметилпиперидин-3-ил]-ацетамид
[00484] Указанное в заголовке соединение получали из гидрохлорида (3) N-[(3R,5S)-1-(8-цианохинолин-5-ил)-5-трифторметилпиперидин-3-ил]-2-пиперидин-4-илацетамида и (2S,3R)-2-трет-бутоксикарбониламино-3-гидроксимасляной кислоты. МС: 547 [М+Н]+. 1Н ЯМР (400 МГц, ДМСО-d6) δ 9.06 (dd, J=4.2, 1.6 Гц, 1H), 8.58 (dd, J=8.6, 1.7 Гц, 1H), 8.25 (d, J=8.0 Гц, 1H), 8.02 (d, J=7.3 Гц, 1H), 7.71 (dd, J=8.6, 4.2 Гц, 1H), 7.32 (d, J=8.1 Гц, 1H), 4.54 (s, 1H), 4.35 (s, 1H), 4.16 (s, 1H), 3.98 (s, 1H), 3.62 - 3.50 (m, 3H), 3.44 (s, 1H), 2.94 (t, J=11.6 Гц, 2H), 2.60 (t, J=11.3 Гц, 1H), 2.18 (d, J=12.1 Гц, 1H), 2.11 -1.81 (m, 4H), 1.64 (d, J=13.4 Гц, 2H), 1.50 (q, J=12.3 Гц, 1H), 0.99 (d, J=6.2 Гц, 5H).
Пример 185: [(3R,5S)-1-(8-цианохинолин-5-ил)-5-трифторметилпиперидин-3-ил]-амид пиперидин-3-карбоновой кислоты
[00485] Указанное в заголовке соединение получали из гидрохлорида (3) 5-((3R,5S)-3-амино-5-трифторметилпиперидин-1-ил)-хинолин-8-карбонитрила и сложного трет-бутилового эфира 3-карбамоилпиперидин-1-карбоновой кислоты. МС: 432 [М+Н]+. 1Н ЯМР (400 МГц, ДМСО-d6) δ 9.05 (dd, J=4.2, 1.6 Гц, 1H), 8.57 (dd, J=8.6, 1.7 Гц, 1H), 8.24 (d, J=8.0 Гц, 1H), 7.98 (d, J=7.3 Гц, 1H), 7.71 (dd, J=8.6, 4.2 Гц, 1H), 7.31 (d, J=8.1 Гц, 1H), 4.12 (s, 1H), 3.63 - 3.47 (m, 2Н), 2.98 - 2.72 (m, 3H), 2.64 - 2.53 (m, 1H), 2.39 (t, J=11.9 Гц, 1H), 2.17 (dd, J=11.8, 9.1 Гц, 2Н), 1.71 (d, J=12.7 Гц, 1H), 1.59 - 1.40 (m, 3H), 1.37 - 1.19 (m, 1Н).
Пример 186: 3-диметиламино-N-[(3R,5S)-5-метил-1-(8-трифторметилхинолин-5-ил)-пиперидин-3-ил]-пропионамид
[00486] Сложный трет-бутиловый эфир {2-[(3R,5S)-5-метил-1-(8-трифторметилхинолин-5-ил)-пиперидин-3-илкарбамоил]-этил}-карбаминовой кислоты: Раствор гидрохлорида (3) 3-амино-N-[(3R,5S)-5-метил-1-(8-трифторметилхинолин-5-ил)-пиперидин-3-ил]-пропионамида (44.3 мг; 0.09 ммоль; 1.0 экв.), параформальдегида (8.1 мг; 0.09 ммоль; 1.0 экв.) и цианоборогидрида натрия (1.0М в ТГФ) (0.11 мл; 0.11 ммоль; 1.2 экв.) в метаноле (1 мл) и уксусной кислоте (0.05 мл) перемешивали под Ar при температуре окружающей среды в течение 8-10 ч. Целевой продукт выделяли с помощью преп. ВЭЖХ в основных условиях в виде рыхлого белого твердого вещества. МС: 409 [М+Н]+. 1Н ЯМР (400 МГц, ДМСО-d6) δ 9.01 (dd, J=4.2, 1.7 Гц, 1H), 8.53 (dd, J=8.6, 1.8 Гц, 1H), 8.05 (d, J=8.1 Гц, 1H), 7.96 (d, J=7.4 Гц, 1H), 7.67 (dd, J=8.6, 4.2 Гц, 1H), 7.20 (d, J=8.1 Гц, 1H), 4.02 (s, 1H), 3.52 (d, J=9.7 Гц, 1H), 2.43 (tdd, J=11.5, 7.1, 4.4 Гц, 4Н), 2.21 (td, J=6.9, 3.3 Гц, 2Н), 2.11 (s, 7Н), 1.99 (d, J=12.9 Гц, 1H), 1.08 (q, J=12.0 Гц, 1H), 0.95 (d, J=6.5 Гц, 3H).
Пример 187: гидрохлорид 8-((3R,5S)-3-амино-5-метилпиперидин-1-ил)-пиридо[3,4-b]пиразин-5-карбонитрила
[00487] Сложный тр em-бутиловый эфир [(3R,5S)-1-(5-цианопиридо[3,4-b]пиразин-8-ил)-5-метилпиперидин-3-ил]-карбаминовой кислоты: В 10 мл сосуде для микроволновой обработки 8-бромпиридо[3,4-b]пиразин-5-карбонитрил (80.0 мг; 0.298 ммоль), сложный трет-бутиловый эфир ((3R,5S)-5-метилпиперидин-3-ил)-карбаминовой кислоты (95.8 мг; 0.447 ммоль) и DIPEA (155.2 мкл; 0.894 ммоль) растворяли в безводном ДМСО (2.0 мл). Сосуд закупоривали и продували азотом в течение 10 мин и коричневую суспензию нагревали в микроволновой печи при 130°С в течение 3 ч. Коричневый раствор выливали на воду (50 мл) и экстрагировали этилацетатом (3 × 25 мл). Объединенную органическую фазу промывали солевым раствором (50 мл), сушили над безводным сульфатом натрия, фильтровали и концентрировали при пониженном давлении. Остаток растворяли в ДХМ и МеОН, адсорбировали на 4 г 30 мкм колонке PuriFlash и очищали с помощью хроматографии на 12 г 30 мкм колонке PuriFlash (гексан-AcOEt 10%, 5 объемов колонки, гексан-AcOEt 10-60%, 15 объемов колонки), причем основной продукт элюировали с помощью AcOEt 43-49% (лямбда макс.278 нм). Чистые фракции концентрировали при пониженном давлении и твердое вещество сушили в вакууме с получением указанного в заголовке соединения в виде оранжевого твердого вещества (108.0 мг; 98.3%). МС: 369 [М+Н]+.
[00488] Гидрохлорид 8-((3R,5S)-3-амино-5-метилпиперидин-1-ил)-пиридо[3,4-b]пиразин-5-карбонитрила: В 100 мл круглодонной колбе сложный трет-бутиловый эфир [(3R,5S)-1-(5-цианопиридо[3,4-b]пиразин-8-ил)-5-метилпиперидин-3-ил]-карбаминовой кислоты (85.0 мг; 0.231 ммоль) растворяли в безводном метаноле (3.0 мл). Добавляли раствор хлористоводородной кислоты (1.7 мл; 6.921 ммоль, 4М в диоксане) и оранжевый раствор перемешивали при комнатной температуре в течение ночи. К светло-оранжевому раствору добавляли эфир (10 мл) и суспензию персикового цвета перемешивали при комнатной температуре в течение 1 ч. Твердое вещество персикового цвета отфильтровывали, промывали эфиром и сушили в вакууме с получением указанного в заголовке соединения в виде желтого твердого вещества (77.0 мг; 109.5%). МС: 269 [М+Н]+. 1H ЯМР (400 МГц, Оксид дейтерия) d 9.15 (d, J=1.9 Гц, 1H), 9.10 (d, J=1.9 Гц, 1H), 8.45 (s, 1H), 4.70 (d, J=12.6 Гц, 1H), 4.14 (d, J=12.4 Гц, 1H), 3.76 (qd, J=9.9, 8.3, 4.0 Гц, 1H), 3.24 (t, J=11.6 Гц, 1H), 2.89 (t, J =12.0 Гц, 1H), 2.37 (d, J=12.4 Гц, 1H), 2.24 - 2.10 (m, 1H), 1.44 (q, J=12.0 Гц, 1H), 1.10 (d, J=6.5 Гц, 3H).
Пример 188: N-[(3R,5S)-1-(5-цианопиридо[3,4-b]пиразин-8-ил)-5-метилпиперидин-3-ил]-2-(4-метилпиперазин-1-ил)-ацетамид
[00489] В 20 мл сцинтилляционном флаконе гидрохлорид 8-((3R,5S)-3-амино-5-метилпиперидин-1-ил)-пиридо[3,4-b]пиразин-5-карбонитрила (60.0 мг; 0.197 ммоль), (4-метилпиперазин-1-ил)-уксусную кислоту (62.3 мг; 0.394 ммоль) и DIPEA (171.5 мкл; 0.984 ммоль) растворяли в безводном ДХМ (3.0 мл). Добавляли 50% раствор 2,4,6-трипропил-1,3,5,2,4,6-триоксатрифосфоринан-2,4,6-триоксида (347.4 мкл; 0.591 ммоль) в этилацетате и оранжевый раствор перемешивали в течение ночи при комнатной температуре. Желтый раствор концентрировали при пониженном давлении. Остаток растворяли в ДХМ, абсорбировали на 6 г 50 мкм NH2 колонке PuriFlash и очищали с помощью хроматографии на 35 г 30 мкм NH2 колонке PuriFlash (AcOEt-ДХМ 40%, 5 объемов колонки, AcOEt-ДХМ 40-100%, 10 объемов колонки), причем основной продукт элюировался 50-87% ДХМ (лямбда макс.280). Чистые фракции концентрировали при пониженном давлении, твердое вещество растворяли в ацетонитриле и воде и лиофилизировали с обеспечением указанного в заголовке соединения в виде оранжевого твердого вещества (40.0 мг; 49.7%). МС:409 [М+Н]+. 1Н ЯМР (400 МГц, Хлороформ-d) d 9.02 (d, J=1.6 Гц, 1H), 8.97 (d, J=1.6 Гц, 1H), 8.41 (s, 1H), 7.10 (d, J=7.9 Гц, 1H), 4.66 - 4.57 (m, 1H), 4.37 - 4.27 (m, 1H), 4.22 (ddq, J=16.2, 8.5, 4.3 Гц, 1H), 3.09 - 2.96 (m, 2H), 2.83 (dd, J=12.0, 10.6 Гц, 1H), 2.77 (dd, J=12.6, 11.0 Гц, 1H), 2.58 (s, 4H), 2.47 (s, 4H), 2.31 (s, 3H), 2.24 - 2.15 (m, 1H), 2.10 (ddt, J=10.8, 7.7, 4.0 Гц, 1H), 1.19 (q, J=11.8 Гц, 1H), 1.04 (d, J=6.5 Гц, 3H).
[00490] Следующие соединения синтезировали аналогичным образом.
Пример 189: N-[(3R,5S)-1-(5-цианопиридо[3,4-b]пиразин-8-ил)-5-метилпиперидин-3-ил]-3-(1-метилпиперидин-4-ил)-пропионамид
[00491] Указанное в заголовке соединение получали из гидрохлорида 8-((3R,5S)-3-амино-5-метилпиперидин-1-ил)-пиридо[3,4-b]пиразин-5-карбонитрила и гидрохлорида 3-(1-метил-4-пиперидинил)пропановой кислоты. МС: 422 [М+Н]+. 1Н ЯМР (400 МГц, Хлороформ-d) d 9.02 (d, J=1.7 Гц, 1Н), 8.96 (d, J=1.7 Гц, 1H), 8.43 (s, 1H), 5.36 (d, J=7.5 Гц, 1H), 4.59 (ddt, J=12.2, 4.1, 1.8 Гц, 1H), 4.31 (ddt, J=12.7, 3.8, 1.5 Гц, 1H), 4.21 (tdd, J=10.5, 7.9, 4.5 Гц, 1H), 2.87 - 2.72 (m, 4H), 2.26 (s, 3H), 2.24 - 2.14 (m, 3H), 2.08 (ddd, J=10.9, 7.0, 4.0 Гц, 1H), 1.89 (t, J=10.9 Гц, 2H), 1.67 (d, J=10.6 Гц, 2H), 1.63 - 1.57 (m, 2H), 1.35 - 1.24 (m, 3H), 1.15 (q, J=11.7 Гц, 1H), 1.02 (d, J=6.6 Гц, 3H).
Пример 190: N-[(3R,5S)-1-(5-цианопиридо[3,4-b]пиразин-8-ил)-5-метилпиперидин-3-ил]-2-(4-метилпиперазин-1-ил)-пропионамид
[00492] Указанное в заголовке соединение получали из гидрохлорида 8-((3R,5S)-3-амино-5-метилпиперидин-1-ил)-пиридо[3,4-b]пиразин-5-карбонитрила и дигидрохлорида 2-(4-метилпиперазин-1-ил)пропановой кислоты. МС:423 [М+Н]+. 1Н ЯМР (400 МГц, Хлороформ-d) d 9.02 (t, J=1.7 Гц, 1Н), 8.97 (d, J=1.6 Гц, 1H), 8.42 (s, 1H), 4.66 - 4.59 (m, 1H), 4.58 - 4.52 (m, 1H), 4.36 - 4.28 (m, 1H), 4.22 - 4.13 (m, 1H), 3.13 - 3.03 (m, 1H), 2.84 - 2.73 (m, 2H), 2.64 - 2.42 (m, 6H), 2.32 (s, 3H), 2.14 (s, 3H), 1.25 (d, J=7.3 Гц, 3H), 1.21 - 1.11 (m, 1H), 1.04 (d, J=6.5 Гц, 3H).
Пример 191: N-[(3R,5S)-1-(8-цианохиназолин-5-ил)-5-метилпиперидин-3-ил]-3-(1-метилпиперидин-4-ил)-пропионамид
[00493] Указанное в заголовке соединение получали из гидрохлорида 5-((3R,5S)-3-амино-5-метилпиперидин-1-ил)-хиназолин-8-карбонитрила и гидрохлорида 3-(1-метил-4-пиперидинил)пропановой кислоты. МС: 421 [М+Н]+. 1НЯМР (400 МГц, Хлороформ-d) d 9.61 (s, 1H), 9.40 (s, 1H), 8.11 (d, J=8.2 Гц, 1H), 7.13 (d, J=8.2 Гц, 1H), 5.33 (d, J=7.3 Гц, 1H), 4.24 (dtd, J=15.6, 7.6, 3.9 Гц, 1H), 3.98 (ddt, J=11.7, 4.1, 1.9 Гц, 1H), 3.62 (ddt, J=12.4, 3.9, 1.8 Гц, 1H), 2.84 (d, J=11.8 Гц, 2H), 2.73 - 2.58 (m, 2H), 2.26 (s, 3H), 2.23 - 2.03 (m, 4H), 1.89 (t, J=10.8 Гц, 2H), 1.72 - 1.64 (m, 2H), 1.64 - 1.55 (m, 2H), 1.36 - 1.21 (m, 3H), 1.11 (q, J=11.9 Гц, 1H), 1.0 (d, J=6.5 Гц, 3H).
Пример 192: N-[(3R,5S)-1-(8-цианохиноксалин-5-ил)-5-метилпиперидин-3-ил]-2-(4-фтор-1-метилпиперидин-4-ил)-ацетамид
[00494] Указанное в заголовке соединение получали из гидрохлорида 8-((3R,5S)-3-амино-5-метилпиперидин-1-ил)-хиноксалин-5-карбонитрила и (4-фтор-1-метилпиперидин-4-ил)-уксусной кислоты. МС:425 [М+Н]+. 1Н ЯМР (400 МГц, Хлороформ-d) d 8.94 (d, J=1.8 Гц, 1H), 8.82 (d, J=1.8 Гц, 1H), 8.0 (d, J=8.4 Гц, 1H), 7.20 (d, J=8.4 Гц, 1H), 5.87 (t, J=6.2 Гц, 1H), 4.40 - 4.21 (m, 3H), 2.82 (dd, J=12.1, 10.2 Гц, 1H), 2.75 (dd, J=12.6, 10.8 Гц, 1H), 2.70 - 2.59 (m, 2H), 2.54 (d, J=23.8 Гц, 2H), 2.36 - 2.28 (m, 5H), 2.15 (dt, J=13.3, 2.4 Гц, 1H), 2.08 - 1.98 (m, 1H), 1.96 - 1.89 (m, 2H), 1.84 - 1.74 (m, 1H), 1.27 - 1.11 (m, 2H), 0.99 (d, J=6.6 Гц, 3H).
Пример 193: N-[(3R,5S)-1-(8-цианохиноксалин-5-ил)-5-метилпиперидин-3-ил]-3-имидазол-1-илпропионамид
[00495] Указанное в заголовке соединение получали из гидрохлорида 8-((3R,5S)-3-амино-5-метилпиперидин-1-ил)-хиноксалин-5-карбонитрила и 3-(1Н-имидазол-1-ил)пропановой кислоты. МС: 390 [М+Н]+. 1Н ЯМР (400 МГц, Хлороформ-d) d 8.95 (d, J=1.7 Гц, 1H), 8.81 (d, J=1.7 Гц, 1H), 8.01 (d, J=8.3 Гц, 1H), 7.49 (t, J=1.1 Гц, 1H), 7.15 (d, J=8.4 Гц, 1H), 7.04 (t, J=1.1 Гц, 1H), 6.94 (t, J=1.3 Гц, 1H), 5.61 (d, J=7.2 Гц, 1H), 4.34 (t, J=6.3 Гц, 2H), 4.30 - 4.14 (m, 3H), 2.78 - 2.64 (m, 2H), 2.60 (dd, J=6.8, 5.8 Гц, 2H), 2.12 - 1.98 (m, 2H), 1.10 (q, J=11.4 Гц, 1H), 0.97 (d, J=6.5 Гц, 3H).
Пример 194: N-[(3R,5S)-1-(8-цианохиноксалин-5-ил)-5-метилпиперидин-3-ил]-3-морфолин-4-илпропионамид
[00496] Указанное в заголовке соединение получали из гидрохлорида 8-((3R,5S)-3-амино-5-метилпиперидин-1-ил)-хиноксалин-5-карбонитрила и 3-морфолин-4-илпропановой кислоты. МС: 409 [М+Н]+. 1Н ЯМР (400 МГц, Хлороформ-d) d 8.94 (d, J=1.8 Гц, 1H), 8.83 (d, J=1.7 Гц, 1H), 8.28 (s, 1H), 7.99 (d, J=8.4 Гц, 1H), 7.21 (d, J=8.4 Гц, 1H), 4.42 (ddd, J=12.1, 4.2, 2.1 Гц, 1H), 4.39 - 4.30 (m, 1H), 4.20 (dtd, J=14.9, 7.2, 4.4 Гц, 1H), 3.74 (t, J=4.7 Гц, 4H), 2.82 - 2.69 (m, 2H), 2.69 - 2.63 (m, 2H), 2.54 (s, 4H), 2.42 (t, J=6.1 Гц, 2H), 2.21 -2.11 (m, 1H), 2.02 (tdd, J=13.7, 8.6, 5.3 Гц, 1H), 1.10 (q, J=11.9 Гц, 1H), 0.99 (d, J=6.6 Гц, 3H).
Пример 195: N-[(3R,5S)-1-(8-цианохиноксалин-5-ил)-5-метилпиперидин-3-ил]-3-диметилсульфамоилпропионамид
[00497] Указанное в заголовке соединение получали из гидрохлорида 8-((3R,5S)-3-амино-5-метилпиперидин-1-ил)-хиноксалин-5-карбонитрила и 3-(диметилсульфамоил)пропановой кислоты. МС: 431 [М+Н]+. 1Н ЯМР (400 МГц, Хлороформ-d) d 8.96 (d, J=1.8 Гц, 1H), 8.84 (d, J=1.8 Гц, 1H), 8.0 (d, J=8.3 Гц, 1H), 7.17 (d, J=8.4 Гц, 1H), 5.87 (d, J=7.1 Гц, 1H), 4.32 - 4.16 (m, 3H), 3.28 (td, J=7.1, 3.2 Гц, 2H), 2.89 (s, 6H), 2.80 - 2.67 (m, 3H), 2.19 - 2.11 (m, 1H), 2.05 (dtd, J=10.5, 6.7, 3.6 Гц, 1H), 1.32 - 1.16 (m, 2H), 1.01 (d, J=6.6 Гц, 3H).
Пример 196: (8)-N-[(3R,5S)-1-(5-цианопиридо[3,4-b]пиразин-8-ил)-5-метилпиперидин-3-ил]-2-гидрокси-3-метилбутирамид
[00498] В 20 мл сцинтилляционном флаконе под азотом гидрохлорид 8-((3R,5S)-3-амино-5-метилпиперидин-1-ил)-пиридо[3,4-b]пиразин-5-карбонитрила (80.0 мг; 0.262 ммоль) (S)-(+)-2-гидрокси-3-метилмасляную кислоту (34.1 мг; 0.289 ммоль), гидрохлорид 1-(3-диметиламинопропил)-3-этилкарбодиимида (60.4 мг; 0.315 ммоль), гидрат 1-гидроксибензотриазола (48.2 мг; 0.315 ммоль) и DIPEA (228.6 мкл; 1.312 ммоль) растворяли в безводном ДМ ФА (5.0 мл). Оранжевый раствор перемешивали при комнатной температуре в течение 2 дней. Оранжевый раствор концентрировали при пониженном давлении. Остаток растворяли в ДХМ, абсорбировали на 4 г 30 мкм колонке PuriFlash и очищали с помощью хроматографии на 12 г 30 мкм колонке PuriFlash (гексаны-AcOEt 30%, 5 объемов колонки, гексаны-AcOEt 30-100%, 10 объемов колонки, AcOEt, 5 объемов колонки). Чистые фракции концентрировали при пониженном давлении и остаток растворяли в ацетонитриле и лиофилизировали с получением указанного в заголовке соединения в виде оранжевого твердого вещества (69.0 мг; 66.9%). МС:369 [М+Н]+. 1Н ЯМР (400 МГц, Хлороформ-d) d 9.03 (d, J=1.7 Гц, 1H), 8.96 (d, J=1.7 Гц, 1H), 8.43 (s, 1H), 6.50 (d, J=7.8 Гц, 1H), 4.56 (ddt, J=12.1, 4.1, 1.8 Гц, 1H), 4.31 (ddt, J=12.6, 3.7, 1.6 Гц, 1H), 4.24 (dddd, J=14.7, 10.5, 8.0, 4.2 Гц, 1H), 4.01 (d, J=3.1 Гц, 1H), 2.90 (dd, J=12.1, 10.4 Гц, 1H), 2.79 (dd, J=12.7, 10.9 Гц, 1H), 2.25 - 2.05 (m, 4H), 1.24 (q, J=11.7 Гц, 1H), 1.04 (d, J=7.0 Гц, 3H), 1.03 (d, J=6.7 Гц, 3H), 0.87 (d, J=6.9 Гц, 3H).
Пример 197 (Изомер 1): 5-((R)-5-амино-3,3-дифторпиперидин-1-ил)-хинолин-8-карбонитрил & Пример 198 (Изомер 2): 5-((R)-5-амино-3,3-дифторпиперидин-1-ил)-хинолин-8-карбонитрил
[00499] В 100 мл круглодонной колбе сложный трет-бутиловът эфир [1-(8-цианохинолин-5-ил)-5,5-дифторпиперидин-3-ил]-карбаминовой кислоты (720.0 мг; 1.854 ммоль) растворяли в безводном ДХМ (10.0 мл). К желтому раствору добавляли ТФУ (4.3 мл; 55.611 ммоль) и оранжевый раствор перемешивали при комнатной температуре в течение 1 ч. Реакционную смесь концентрировали при пониженном давлении. Остаток растворяли в метаноле и фильтровали через 25 г колонку SiliCycle SilicaPrep Carbonate, и полученный в результате раствор концентрировали при пониженном давлении и сушили в вакууме с получением 922 мг желтого твердого вещества. Два изомера получали путем разделения с помощью хиральной преп. ВЭЖХ при следующих условиях: колонка, ADH, Prep SFC-P100; подвижная фаза, метанол + 20 мМ NH4OH, 40°С / 80 бар, 100 г/мин; детектор, ФДМ.
[00500] Изомер 1: белое твердое вещество (137.0 мг; 25.6%). 1Н ЯМР (400 МГц, ДМСО-аб) d 9.09 (dd, J=4.2, 1.6 Гц, 1H), 8.60 (dd, J=8.6, 1.7 Гц, 1H), 8.39 (s, 2H), 8.32 (d, J=8.0 Гц, 1H), 7.74 (dd, J=8.6, 4.2 Гц, 1H), 7.39 (d, J=8.0 Гц, 1H), 3.87 (s, 1H), 3.67 (dd, J=12.3, 3.6 Гц, 1H), 3.64 - 3.45 (m, 2H), 3.14 (dd, J=12.5, 8.9 Гц, 1H), 2.65 (dq, J=18.4, 7.5, 5.7 Гц, 1H), 2.29 (ddt, J=23.1, 13.7, 8.8 Гц, 1H). MC:289 [M+H]+. Rt 2.70 мин. ее 96.0%.
[00501] Изомер 2: белое твердое вещество (136.0 мг; 25.4%). МС:289 [М+Н]+. 1Н ЯМР (400 МГц, Хлороформ-d) d 9.09 (dd, J=4.2, 1.7 Гц, 1H), 8.65 (dd, J=8.6, 1.7 Гц, 1H), 8.04 (d, J=7.9 Гц, 1H), 7.55 (dd, J=8.6, 4.2 Гц, 1H), 7.12 (d, J=7.9 Гц, 1H), 3.50 (ddd, J=12.7, 8.4, 4.1 Гц, 2H), 3.43 (dd, J=11.7, 3.5 Гц, 1H), 3.29 - 3.12 (m, 1H), 2.93 (t, J=10.0 Гц, 1H), 2.58 - 2.42 (m, 1H), 1.99 -1.81 (m, 1H), 1.45 (s, 2H). Rt 3.11 мин. ее 96%.
Пример 199: (3R,5S)-1-(5-метоксипиридо[3,4-b]пиразин-8-ил)-5-метилпиперидин-3-иламин
[00502] Сложный трет-бутиловый эфир [(3R,5S)-1-(5-метоксипиридо[3,4-b]пиразин-8-ил)-5-метилпиперидин-3-ил]-карбаминовой кислоты: В 30 мл сосуде для микроволновой обработки 8-бром-5-метоксипиридо[3,4-b]пиразин (320.0 мг; 1.333 ммоль), сложный трет-бутиловый эфир ((3R,5S)-5-метилпиперидин-3-ил)-карбаминовой кислоты (428.5 мг; 2.00 ммоль), аддукт хлор(2-дициклогексилфосфино-2',6'-диизопропокси-1,1'-бифенил)[2-(2-аминоэтилфенил)]палладия(II) с метил-трет-бутиловым эфиром (54.4 мг; 0.067 ммоль), 2-дициклогексилфосфино-2',6'-диизопропокси-1,1'-бифенил (31.1 мг; 0.067 ммоль) и карбонат цезия (1.3 г; 3.999 ммоль) суспендировали в безводном диоксане (12.0 мл). Сосуд закупоривали и продували азотом в течение 15 мин, и бесцветный мутный раствор нагревали в микроволновой печи при 120°С в течение 4 часов. Реакционную смесь концентрировали при пониженном давлении, остаток суспендировали в ДХМ, фильтровали через целит и концентрировали при пониженном давлении. Остаток растворяли в ДХМ, адсорбировали на 4 г 30 мкм колонке PuriFlash и очищали с помощью хроматографии на 40 г 30 мкм колонке PuriFlash (гексан-AcOEt 20%, 5 объемов колонки, гексан-AcOEt 20-100%, 15 объемов колонки), причем основной продукт элюировали с помощью AcOEt 59-68% (лямбда = 240). Чистые фракции концентрировали при пониженном давлении и желтое твердое вещество сушили в вакууме с получением указанного в заголовке соединения в виде желтого твердого вещества (200.0 мг; 40.2%). МС:374 [М+Н]+.
[00503] (3R,5S)-1-(5-метоксипиридо[3,4-b]пиразин-8-ил)-5-метилпиперидин-3-иламин: В 20 мл сцинтилляционном флаконе сложный трет-бутиловый эфир [(3R,5S)-1-(5-метоксипиридо[3,4-b]пиразин-8-ил)-5-метилпиперидин-3-ил]-карбаминовой кислоты (190.0 мг; 0.509 ммоль) растворяли в безводном ДХМ (2.0 мл). К оранжевому раствору добавляли ТФУ (1.9 мл; 25.438 ммоль) и раствор бронзового цвета перемешивали при комнатной температуре в течение 1 ч. Реакционную смесь концентрировали при пониженном давлении, разбавляли метанолом (10 мл) и фильтровали через 5 г SilicCycle Si-Carbonate. Раствор бронзового цвета концентрировали при пониженном давлении. Остаток растворяли в ДХМ, адсорбировали на 6 г 50 мкм NH2 колонке PuriFlash и очищали с помощью хроматографии на 20 г 30 мкм NH2 колонке PuriFlash (ДХМ, 10 объемов колонки), причем основной продукт элюировался после пропускания 1.1 - 2.6 объемов колонки (лямбда макс. = 232). Чистые фракции концентрировали при пониженном давлении с получением указанного в заголовке соединения в виде оранжевого масла (121.0 мг; 85.9%). МС: 274 [М+Н]+. 1H ЯМР (400 МГц, Хлороформ-d) d 9.01 (d, J=1.9 Гц, 1Н), 8.89 (d, J=1.8 Гц, 1H), 7.87 (s, 1H), 4.19 (s, 3H), 3.82 (ddt, J=10.7, 3.9, 1.7 Гц, 1H), 3.63 (ddt, J=11.1, 3.7, 1.8 Гц, 1H), 3.25 (ddt, J=11.3, 10.2, 4.1 Гц, 1H), 2.36 (t, J=10.8 Гц, 1H), 2.30 (t, J=10.8 Гц, 1H), 2.17 - 2.05 (m, 2H), 0.99 (d, J=6.4 Гц, 3H), 0.90 (td, J=12.7, 11.1 Гц, 1H).
Пример 200: N-(1-метилпиперидин-4-ил){[(3R,5S)-5-метил-1-[8-(трифторметил)хинолин-5-ил]пиперидин-3-ил]амино}сульфонамид
[00504] Трифторацетат (3R,5S)-5-метил-1-[8-(трифторметил)хинолин-5-ил]пиперидин-3-аминия: К перемешиваемой суспензии N-[(3R,5S)-5-метил-l-[8-(трифторметил)хинолин-5-ил]пиперидин-3-ил]карбамата (1.11 г, 2.71, 1.0 экв.) в дихлорметане (4.0 мл; 3.60 об.) при комнатной температуре добавляли ТФУ (1.0 мл; 13.07 ммоль; 4.82 экв.). Полученную в результате смесь перемешивали при комнатной температуре в течение 3.5 ч. Растворитель удаляли. Остаток два раза упаривали с толуолом (10 мл) с получением бледно-желтого вязкого масла, которое использовали непосредственно на следующей стадии без очистки. МС: 310 [М+Н]+.
[00505] N-[(3R,5S)-5-метил-1-[8-(трифторметил)хинолин-5-ил]пиперидин-3-ил]-2-оксо-1,3-оксазолидин-3-сульфонамид: К перемешиваемому раствору хлорсульфонил изоцианата (0.29 мл; 3.31 ммоль; 2.0 экв.) в ДХМ (5 мл) при °С добавляли 2-бромэтанол (0.23 мл; 3.31 ммоль; 2.0 экв.). Полученную в результате смесь нагревали до комнатной температуры в течение 30 мин, и добавляли к перемешиваемому раствору трифторацетата (3R,5S)-5-метил-1-[8-(трифторметил)хинолин-5-ил]пиперидин-3-аминия (700.0 мг; 1.65 ммоль; 1.0 экв.) в ДХМ (5 мл) и TEA (368.09 мг; 3.64 ммоль; 2.20 экв.) при 0°С. Полученную в результате смесь нагревали до комнатной температуры и перемешивали в течение 1.5 ч. Реакционную смесь гасили путем добавления воды (10 мл) и экстрагировали с помощью EtOAc (20 мл × 2). Органический слой сушили над Na2SO4 и концентрировали. Остаток использовали непосредственно на следующей стадии без дополнительной очистки. МС: 459 [М+Н]+.
[00506] N-[(3R,5S)-5-метил-1-[8-(трифторметил)хинолин-5-ил]пиперидин-3-ил][(1-метилпиперидин-4-ил)амино]сульфонамид: К перемешиваемому раствору N-[(3R,5S)-5-метил-1-[8-(трифторметил)хинолин-5-ил]пиперидин-3-ил]-2-оксо-1,3-оксазолидин-3-сульфонамида (97.65 мг; 0.21 ммоль; 1.0 экв.) в ацетонитриле (2 мл, 20 об.) добавляли TEA (107.77 мг; 1.07 ммоль; 5.0 экв.) с последующим добавлением 4-амино-1-метилпиперидина (48.64 мг; 0.43 ммоль; 2.0 экв.). Полученную в результате смесь перемешивали при 80°С в течение 1.5 ч. Смесь разбавляли с помощью EtOAc (30 мл), промывали водой (10 мл) и солевым раствором (10 мл), сушили над Na2SO4 и концентрировали. Сырой продукт очищали с помощью преп. ВЭЖХ (ACN/вода с 0.1% NH4OH в качестве модификатора) с получением указанного в заголовке соединения в виде белого твердого вещества (78.8 мг; 75%). МС: 486 [М+Н]+. 1Н ЯМР (400 МГц, CDCl3) δ 9.03 (dd, J=4.2, 1.7 Гц, 1H), 8.43 (dd, J=8.6, 1.8 Гц, 1H), 7.96 (d, J=8.0 Гц, 1H), 7.48 (dd, J=8.6, 4.2 Гц, 1H), 7.05 (d, J=8.0 Гц, 1H), 4.72 (br s, 1H), 4.45 (s, 1H), 3.79 - 3.64 (m, 2H), 3.32 - 3.24 (m, 2H), 2.96 - 2.90 (m, 2H), 2.52 (t, J=11.1 Гц, 1H), 2.36 (s, 3H), 2.35 (t, J=11.1 Гц, 1H) 2.29 - 2.18 (m, 3H), 2.16 - 1.94 (m, 2H), 1.80 - 1.65 (m, 3H), 1.06 (d, J=12.0 Гц, 1H), 0.99 (d, J=6.6 Гц, 3H).
[00507] Следующие соединения синтезировали аналогичным образом. Пример 201: N-[2-(1-метилпиперидин-4-ил)этил]{[(3R,5S)-5-метил-1-[8-(трифторметил) хинолин-5-ил]пиперидин-3-ил]амино}сульфонамид
[00508] Указанное в заголовке соединение получали из N-[(3R,5S)-5-метил-1-[8-(трифторметил)хинолин-5-ил]пиперидин-3-ил]-2-оксо-1,3-оксазолидин-3-сульфонамида и 2-(1-метилпиперидин-4-ил)этан-1-амина. МС: 514 [М+Н]+. 1Н ЯМР (400 МГц, CDCl3) δ 9.07 - 9.01 (m, 1Н), 8.44 (dd, J=8.5, 1.5 Гц, 1H), 7.97 (d, J=8.0 Гц, 1H), 7.50 (dd, J=8.6, 4.2 Гц, 1H), 7.07 (d, J=8.0 Гц, 1H), 4.23 (d, J=31.9 Гц, 2Н), 3.77 - 3.69 (m, 2Н), 3.32 (d, J=11.4 Гц, 1H), 3.18 -2.97 (m, 3H), 2.65 - 2.53 (m, 1H), 2.46 - 2.25 (m, 3H), 2.27 (d, J=12.5 Гц, 1H), 2.22 - 2.08 (m, 3H), 1.74 - 1.68 (m, 2Н), 1.58 -1.50 (m, 6Н), 1.05 (q, J=11.6 Гц, 1H), 1.02 (d, J=6.6 Гц, 3H).
Примеры 202: N-{[(3R,5S)-5-метил-1-[8-(трифторметил)хинолин-5-ил]пиперидин-3-ил]сульфамоил}-2-(1-метилпиперидин-4-ил)ацетамид
[00509] Трет-бутил N-{[(3R,5S)-5-метил-1-[8-(трифторметил)хинолин-5-ил]пиперидин-3-ил]сульфамоил}карбамат: К перемешиваемому раствору tBuOH (20.24 мг; 0.27 ммоль; 1.40 экв.) в ДХМ (2 мл) при комнатной температуре добавляли хлорсульфонил изоцианат (0.02 мл; 0.20 ммоль; 1.0 экв.). Полученную в результате смесь перемешивали при комнатной температуре в течение 15 мин, и добавляли к раствору трифторацетата (3R,5S)-5-метил-1-[8-(трифторметил)хинолин-5-ил]пиперидин-3-аминия (82.55 мг; 0.20 ммоль; 1.0 экв.) в ДХМ (2 мл) при 0°С с последующим добавлением TEA (21.71 мг; 0.21 ммоль; 1.10 экв.). Полученную в результате смесь перемешивали при комнатной температуре после добавления в течение 1 ч. Реакционную смесь гасили путем добавления воды (10 мл) и экстрагировали с помощью EtOAc (10 мл × 2). Органический слой сушили над Na2SO4 и концентрировали с получением бледно-желтого вязкого масла. Остаток использовали непосредственно на следующей стадии. МС:489 [М+Н]+.
[00510] N-[(3R,5S)-5-метил-1-[8-(трифторметил)хинолин-5-ил]пиперидин-3-ил]аминосульфонамид: К перемешиваемой суспензии трет-бутил N-{[(3R,5S)-5-метил-1-[8-(трифторметил)хинолин-5-ил]пиперидин-3-ил]сульфамоил}карбамата (410.36 мг; 0.84 ммоль; 1.0 экв.) в ДХМ (2 мл) при комнатной температуре добавляли ТФУ (3 мл, 39.21 ммоль, 46.7 экв.). Полученную в результате смесь перемешивали при комнатной температуре в течение 3 ч. Растворитель удаляли с получением вязкого масла. Остаток использовали непосредственно на следующей стадии без дополнительной очистки. МС:389 [М+Н]+.
[00511] N-{[(3R,5S)-5-метил-1-[8-(трифторметил)хинолин-5-ил]пиперидин-3-ил]сульфамоил}-2-(1-метилпиперидин-4-ил)ацетамид: В колбу, содержащую N-[(3R,5S)-5-метил-1-[8-(трифторметил)хинолин-5-ил]пиперидин-3-ил]аминосульфонамид (77.68 мг; 0.20 ммоль; 1.0 экв.), при комнатной температуре добавляли MeCN (2 мл), 2-(1-метилпиперидин-4-ил)уксусную кислоту (47.16 мг; 0.30 ммоль; 1.50 экв.) и TEA (121.43 мг; 1.20 ммоль; 6.0 экв.) с последующим добавлением HATU (114.07 мг; 0.30 ммоль; 1.50 экв.). Полученную в результате смесь перемешивали при комнатной температуре в течение 18 ч. Смесь разбавляли с помощью EtOAc (20 мл), промывали водой (10 мл) и солевым раствором (10 мл) сушили над Na2SO4 и концентрировали. Сырой продукт очищали с помощью преп. ВЭЖХ (ACN/вода с 0.1% NH4OH в качестве модификатора) с получением указанного в заголовке соединения в виде белого твердого вещества (31.4 мг; 30%). МС:528 [М+Н]+. 1Н ЯМР (400 МГц, CDCl3) δ 9.02 (dd, J=4.2, 1.7 Гц, 1H), 8.59 (s, 1H), 8.44 (dd, J=8.6, 1.8 Гц, 1H), 7.95 (d, J=8.0 Гц, 1H), 7.48 (dd, J=8.6, 4.2 Гц, 1H), 7.04 (d, J=8.0 Гц, 1H), 3.79-3.71 (m, 2Н), 3.37 - 3.26 (m, 2Н), 2.60 (s, 3H), 2.56 (t, J=12.0 Гц, 1H), 2.44 (q, J=10.4, 9.7 Гц, 2Н), 2.34 (t, J=11.4 Гц, 1H), 2.23 - 2.15 (m, 4Н), 2.11- 2.04 (m, 1H), 1.99 - 1.90 (d, J=3.6 Гц, 1H), 1.86 - 1.79 (m, 2Н), 1.69 - 1.55 (m, 2Н), 1.04 (q, J=11.8 Гц, 1H), 0.95 (d, J=6.6 Гц, 3H).
[00512] Следующие соединения синтезировали аналогичным образом.
Пример 203: N-{[(3R,5S)-5-метил-1-[8-(трифторметил)хинолин-5-ил]пиперидин-3-ил]сульфамоил}-2-(морфолин-4-ил)ацетамид
[00513] Указанное в заголовке соединение получали из N-[(3R,5S)-5-метил-1-[8-(трифторметил)хинолин-5-ил]пиперидин-3-ил]аминосульфонамида и гидрохлорида 2-морфолиноуксусной кислоты. МС:516 [М+Н]+. 1Н ЯМР (400 МГц, CDCl3) δ 9.05 (dd, J=4.2, 1.8 Гц, 1H), 8.42 (dd, J=8.6, 1.8 Гц, 1H), 7.97 (d, J=8.0 Гц, 1H), 7.49 (dd, J=8.6, 4.2 Гц, 1H), 7.06 (d, J=8.0 Гц, 1H), 5.22 (d, J=6.7 Гц, 1Н), 3.83 - 3.71 (m, 1Н), 3.71 - 3.66 (m, 5Н), 3.34-3.29 (m, 1Н), 3.15 - 2.99 (m, 2Н), 2.63 (t, J=10.9 Гц, 1H), 2.54 - 2.51 (m, 4Н), 2.37 (t, J=11.3 Гц, 1H), 2.25 - 2.15 (m, 1H), 2.15 - 2.08 (m, 1H), 1.11 (q, J=11.9 Гц, 1H), 1.0 (d, J=6.5 Гц, 3H).
Примеры 204: (3R)-N-[(3R,5S)-5-метил-1-[8-(трифторметил)хинолин-5-ил]пиперидин-3-ил] пиррол ид ин-3-карбоксамид
[00514] Трет-бутил (3R)-3-{[(3R,5S)-5-метил-1-[8-(трифторметил)хинолин-5-ил]пиперидин-3-ил]карбамоил}пирролидин-1-карбоксилат: В колбу, содержащую трифторацетат (3R,5S)-5-метил-1-[8-(трифторметил)хинолин-5-ил]пиперидин-3-аминия (75.76 мг; 0.17 ммоль; 1.0 экв.), при комнатной температуре добавляли MeCN (2.0 мл), (R)-1-boc-пирролидин-3-карбоновую кислоту (54.89 мг; 0.26 ммоль; 1.50 экв.) и TEA (103.21 мг; 1.02 ммоль; 6.0 экв.), с последующим добавлением HATU (96.96 мг; 0.26 ммоль; 1.50 экв.). Полученную в результате смесь перемешивали при комнатной температуре в течение 1 ч. Смесь разбавляли с помощью EtOAc (20 мл), промывали водой (10 мл) и солевым раствором (10 мл). Органический слой сушили над Na2SO4 и концентрировали с получением бледно-желтого вязкого масла, которое использовали непосредственно на следующей стадии. МС:507 [М+Н]+.
[00515] (3R)-N-[(3R,5S)-5-метил-1-[8-(трифторметил)хинолин-5-ил]пиперидин-3-ил]пирролидин-3-карбоксамид: К перемешиваемому раствору трет-бутил (3R)-3-{[(3R,5S)-5-метил-1-[8-(трифторметил)хинолин-5-ил]пиперидин-3-ил]карбамоил}пирролидин-1-карбоксилата (81.05 мг; 0.16 ммоль; 1.0 экв.) в дихлорметане (4.0 мл) при комнатной температуре добавляли ТФУ (1.0 мл; 13.07 ммоль). Полученную в результате смесь перемешивали при комнатной температуре в течение 2 ч. Растворитель удаляли. Сырой продукт очищали с помощью преп. ВЭЖХ (ACN/вода с 0.1% NH4OH в качестве модификатора) с получением указанного в заголовке соединения в виде белого твердого вещества (54.1 мг; 84%). МС:407 [М+Н]+. 1Н ЯМР (400 МГц, CDCl3) δ 9.03 (dd, J=4.4, 1.7 Гц, 1H), 8.49 (dd, J=8.6, 1.8 Гц, 1H), 7.95 (d, J=8.0 Гц, 1H), 7.50 (dd, J=8.5, 4.1 Гц, 1H), 7.04 (d, J=8.0 Гц, 1H), 6.14 (d, J=7.7 Гц, 1H), 4.31 - 4.21 (m, 1H), 3.64 (d, J=11.1 Гц, 1H), 3.48 - 3.30 (m, 4H), 3.08 - 3.02 (m, 1H), 2.46 - 2.39 (m, 2H), 2.35 - 2.27 (m, 1H), 2.22 - 2.11 (m, 3H), 1.73 - 1.47 (m, 3H), 1.09 (q, J=12.0 Гц, 1H), 1.01 (d, J=6.3 Гц, 3H).
[00516] Следующие соединения синтезировали аналогичным образом.
Пример 205: 3-фтор-N-[(3R,5S)-5-метил-1-[8-(трифторметил)хинолин-5-ил]пиперидин-3-ил] пиррол ид ин-3-карбоксамид:
[00517] Указанное в заголовке соединение получали из трифторацетата (3R,5S)-5-метил-1-[8-(трифторметил)хинолин-5-ил]пиперидин-3-аминия и 1-[(трет-бутокси)карбонил]-3-фторпирролидин-3-карбоновой кислоты. МС: 425 [М+Н]+. 1Н ЯМР (400 МГц, CDCl3) δ 9.04 (dd, J=4.2, 1.8 Гц, 1H), 8.53 (dt, J=8.6, 1.9 Гц, 1H), 7.96 (d, J=8.0 Гц, 1H), 7.52 (ddd, J=8.6, 4.2, 1.1 Гц, 1H), 7.07 (d, J=8.0 Гц, 1H), 6.36 (t, J=7.0 Гц, 1H), 4.38 - 4.30 (m, 1H), 3.73 - 3.67 (m, 1H), 3.37 - 3.33 (m, 1H), 3.26 (td, J=12.3, 11.3, 3.8 Гц, 1H), 3.21 - 3.07 (m, 3H), 2.50 -2.41 (m, 2Н), 2.29 - 2.26 (m, 1H), 2.26 - 2.0 (m, 3H), 1.10 (q, J=11.9 Гц, 1H), 1.03 (d, J=6.5 Гц, 3H).
Пример 206: N-[(3R,5S)-1-(8-цианохинолин-5-ил)-5-(трифторметил)пиперидин-3-ил]-3-фторпирролидин-3-карбоксамид
[00518] Указанное в заголовке соединение получали из трифторацетата (3R,5S)-1-(8-цианохинолин-5-ил)-5-(трифторметил)пиперидин-3-аминия и 1-[(трет-бутокси)карбонил]-3-фторпирролидин-3-карбоновой кислоты. МС: 436 [М+Н]+. 1Н ЯМР (400 МГц, CDCl3) δ 9.10 (dd, J=4.2, 1.7 Гц, 1H), 8.47 (dt, J=8.6, 2.0 Гц, 1H), 8.05 (d, J=7.9 Гц, 1H), 7.60 (ddd, J=8.6, 4.2, 1.1 Гц, 1H), 7.14 (d, J=7.9 Гц, 1H), 6.45 (t, J=6.9 Гц, 1H), 4.44 - 4.37 (m, 1H), 3.82 - 3.76 (m, 1H), 3.66 - 3.62 (m, 1Н), 3.34 - 3.24 (m, 1Н), 3.21 - 3.06 (m, 3H), 2.95 (t, J=11.3 Гц, 1H), 2.89 - 2.81 (m, 1H), 2.61 - 2.55 (td, J=11.2, 2.0 Гц, 1H), 2.51 - 2.46 (m, 1H), 2.45 - 2.24 (m, 1H), 2.21 - 2.02 (m, 1H), 1.57 (q, J=12.2 Гц, 1Н).
Пример 207: N-[(3R,5S)-1-(8-цианохиноксалин-5-ил)-5-метилпиперидин-3-ил]-2-(1,1-диоксо-1λ6-тиетан-3-ил)ацетамид
[00519] В колбу, содержащую 8-[(3R,5S)-3-амино-5-метилпиперидин-1-ил]хиноксалин-5-карбонитрил в виде соли с трифторуксусной кислотой, при комнатной температуре добавляли ДМФА, 2-(1,1-диоксидотиетан-3-ил)уксусную кислоту (30.67 мг; 0.19 ммоль; 1.50 экв.) и TEA (50.42 мг; 0.50 ммоль; 4.0 экв.) с последующим добавлением HATU (94.72 мг; 0.25 ммоль; 2.0 экв.). Полученную в результате смесь перемешивали при комнатной температуре в течение 1 ч. Смесь разбавляли с помощью EtOAc и фильтровали. Фильтрат промывали водой и солевым раствором, сушили и концентрировали. Сырой продукт очищали с помощью преп. ВЭЖХ (ACN/вода с 0.1% NH4OH в качестве модификатора) с получением указанного в заголовке соединения в виде белого твердого вещества (46.1 мг, 89%). МС:414 [М+Н]+. 1Н ЯМР (400 МГц, ДМСО-d6) δ 9.02 (d, J=1.8 Гц, 1H), 8.94 (d, J=1.8 Гц, 1H), 8.19 (d, J=8.5 Гц, 1H), 8.07 (d, J=7.4 Гц, 1H), 7.27 (d, J=8.5 Гц, 1H), 4.38 - 4.18 (m, 4H), 3.86 (dddd, J=10.4, 8.9, 6.2, 2.9 Гц, 3H), 2.86 - 2.60 (m, 3H), 2.57 - 2.45 (m, 6H), 1.15 (q, J=12.0 Гц, 1H), 0.91 (d, J=6.5 Гц, 3H).
[00520] Следующие соединения синтезировали аналогичным образом. Примеры 208: (3S)-N-[(3R,5S)-1-(8-цианохиноксалин-5-ил)-5-метилпиперидин-3-ил]морфолин-3-карбоксамид
[00521] Указанное в заголовке соединение получали из 8-[(3R,5S)-3-амино-5-метилпиперидин-1-ил]хиноксалин-5-карбонитрила в виде соли с трифторуксусной кислотой и (3S)-4-[(трет-бутокси)карбонил]морфолин-3-карбоновой кислоты. МС: 381 [М+Н]+. 1Н ЯМР (400 МГц, ДМСО-d6) δ 9.03 (d, J=1.8 Гц, 1H), 8.94 (d, J=1.8 Гц, 1H), 8.19 (d, J=8.4 Гц, 1H), 7.84 (d, J=7.5 Гц, 1H), 7.27 (d, J=8.5 Гц, 1H), 4.30 (d, J=12.5 Гц, 1H), 4.19 (d, J=11.9 Гц, 1H), 3.92 (d, J=11.7 Гц, 1H), 3.79 - 3.70 (m, 1H), 3.59 (d, J=11.2 Гц, 1H), 3.39 (q, J=10.8, 10.2 Гц, 2Н), 2.88 - 2.75 (m, 2Н), 2.74 - 2.63 (m, 2Н), 1.91 (t, J=15.5 Гц, 2Н), 1.24 (q, J=12.1 Гц, 1H), 0.92 (d, J=6.4 Гц, 3H).
Пример 209: (3R)-N-[(3R,5S)-1-(8-цианохиноксалин-5-ил)-5-метилпиперидин-3-ил]морфолин-3-карбоксамид
[00522] Указанное в заголовке соединение получали из 8-[(3R,5S)-3-амино-5-метилпиперидин-1-ил]хиноксалин-5-карбонитрила в виде соли с трифторуксусной кислотой и (3R)-4-[(трет-бутокси)карбонил]морфолин-3-карбоновой кислоты. МС: 381 [М+Н]+. 1Н ЯМР (400 МГц, ДМСО-d6) δ 9.03 (s, 1H), 8.94 (s, 1H), 8.20 (dd, J=8.6, 2.1 Гц, 1H), 7.80 (d, J=7.8 Гц, 1H), 7.27 (d, J=8.6 Гц, 1H), 4.30 (d, J=12.7 Гц, 1H), 4.19 (d, J=12.0 Гц, 1H), 3.91 (d, J=14.3 Гц, 1H), 3.73 (dt, J=11.1, 2.9 Гц, 1H), 3.64 - 3.54 (m, 1H), 3.40 (dt, J=19.5, 9.8 Гц, 2Н), 3.28 (d, 7=8.6 Гц, 2Н), 2.93 - 2.62 (m, 5Н), 1.94 (d, J=15.5 Гц, 2Н), 1.26 (q, J=12.0 Гц, 1H), 0.93 (d, 7=6.3 Гц, 3H).
Пример 210: (3S)-N-[(3R,5S)-1-(8-цианохиноксалин-5-ил)-5-метилпиперидин-3-ил]-4-(диметиламино)-3-гидроксибутанамид & Пример 211: (3R)-N-[(3R,5S)-1-(8-цианохиноксалин-5-ил)-5-метилпиперидин-3-ил]-4-(диметиламино)-3-гидроксибутанамид
[00523] Указанные в заголовке соединения получали из 8-[(3R,5S)-3-амино-5-метилпиперидин-1-ил]хиноксалин-5-карбонитрила в виде соли с трифторуксусной кислотой и 4-(диметиламино)-3-гидроксибутановой кислоты, с последующим разделением с помощью хиральной СКЖХ при следующих условиях: колонка, IA-H (4.6×100 мм), Prep SFC-P100; подвижная фаза, СО2/Метанол + 20 мМ NH4OH.
[00524] Пример 210: МС: 397 [М+Н]+. 1Н ЯМР (400 МГц, ДМСО-d6) δ 9.03 (s, 1H), 8.94 (s, 1H), 8.20 (d, J=8.4 Гц, 1H), 7.88 (d, J=7.5 Гц, 1H), 7.30 (d, J=8.5 Гц, 1H), 4.55 (d, J=4.5 Гц, 1H), 4.35 (d, 7=13.1 Гц, 1H), 4.26 (d, J=12.5 Гц, 1H), 3.94 (s, 2Н), 3.13 - 3.05 (m, 1H), 2.72 (dd, J=26.2, 10.7 Гц, 2Н), 2.30 -2.18 (m, 2Н), 0.92 (d, J=6.4 Гц, 3H).
[00525] Пример 211: МС: 397 [М+Н]+. 1Н ЯМР (400 МГц, ДМСО-d6) δ 9.03 (s, 1H), 8.95 (s, 1H), 8.20 (d, J=8.3 Гц, 1H), 7.88 (d, J=7.5 Гц, 1H), 7.29 (d, J=8.4 Гц, 1H), 4.56 (d, J=4.1 Гц, 1H), 4.36 (d, J=12.7 Гц, 1H), 4.24 (d, J=12.0 Гц, 1H), 3.94 (s, 2Н), 2.81 - 2.64 (m, 2Н), 2.38 - 2.20 (m, 3H), 2.16 (d, J=2.1 Гц, 7Н), 0.92 (d, J=6.5 Гц, 3H).
Пример 212: 8-[(2R,6R)-2-метил-6-(5-метил-[1,3,4]оксадиазол-2-ил)-морфолин-4-ил]-хиноксалин-5-карбонитрил
[00526] В 25 мл сосуд для микроволновой обработки добавляли 8-бромхиноксалин-5-карбонитрил (90 мг; 0.38 ммоль; 1.0 экв.), рац-(2R,6R)-2-метил-6-(5-метил-1,3,4-оксадиазол-2-ил)морфолин (84.54 мг; 0.46 ммоль; 1.20 экв.), триэтиламин (0.12 мл; 0.85 ммоль; 2.20 экв.) и безводный ДМФА (1.0 мл). Сосуд закупоривали и желтый раствор нагревали в микроволновой печи при 125°С в течение 3 ч. Твердое вещество собирали путем фильтрования реакционной смеси и затем промывали метанолом и водой с обеспечением указанного в заголовке соединения в виде желтого твердого вещества (65 мг, выход: 50%). МС: 337 [М+Н]+. 1Н ЯМР (400 МГц, ДМСО-d6) δ 9.04 (dd, J=33.1, 1.8 Гц, 2Н), 8.28 (d, J=8.3 Гц, 1H), 7.34 (d, J=8.4 Гц, 1H), 5.18 (dd, J=10.8, 2.5 Гц, 1H), 4.63 (dt, J=12.5, 2.3 Гц, 1H), 4.23 - 4.02 (m, 2Н), 3.38 (dd, J=12.5, 10.8 Гц, 1H), 3.0 - 2.82 (m, 1H), 2.54 (s, 3H), 1.24 (d, J=6.1 Гц, 3H).
Пример 213: 8-[(2R,6R)-2-метил-6-(3-метил-[1,2,4]оксадиазол-5-ил)-морфолин-4-ил]-хиноксалин-5-карбонитрил
[00527] В 25 мл сосуде для микроволновой обработки гидрохлорид рац-(2R,6R)-2-метил-6-(3-метил-1,2,4-оксадиазол-5-ил)морфолина (50.0 мг; 0.23 ммоль; 1.0 экв.), 8-бромхиноксалин-5-карбонитрил (53.27 мг; 0.23 ммоль; 1.0 экв.) и DIEA (0.11 мл; 0.68 ммоль; 3.0 экв.) растворяли в безводном N,N-диметилформамиде (2 мл). Сосуд закупоривали и желтый раствор нагревали в микроволновой печи при 120°С в течение 2 ч. Летучие вещества упаривали и остаток растворяли в ДХМ (2 мл). Раствор абсорбировали на 12 г колонке PuriFlash и очищали с помощью хроматографии (гексан-этилацетат, градиент 80-20% в течение 5 минут, затем 35-65% в течение 25 минут). Целевые фракции объединяли и упаривали с получением 8-[(2R,6R)-2-метил-6-(3-метил-[1,2,4]оксадиазол-5-ил)-морфолин-4-ил]-хиноксалин-5-карбонитрила (47.0 мг; 0.14 ммоль) в виде желтого твердого вещества. МС: 337 [М+Н]+. 1Н ЯМР (400 МГц, ДМСО-d6) δ 9.08 (d, J=1.8 Гц, 1H), 9.01 (d, J=1.8 Гц, 1H), 8.27 (d, J=8.3 Гц, 1H), 7.34 (d, J=8.4 Гц, 1H), 5.26 (dd, J=10.8, 2.6 Гц, 1H), 4.66 (dt, J=12.5, 2.2 Гц, 1H), 4.22 - 4.07 (m, 2Н), 3.40 - 3.32 (m, 1H), 2.94 (dd, J=12.4, 10.2 Гц, 1H), 2.38 (s, 3H), 1.25 (d, J=6.1 Гц, 3H).
[00528] Следующие соединения синтезировали аналогичным образом. Пример 214: 8-[(2R,6R)-2-(3-циклопропил-[1,2,4]оксадиазол-5-ил)-6-метилморфолин-4-ил]-хиноксалин-5-карбонитрил
[00529] Указанное в заголовке соединение получали из 8-бромхиноксалин-5-карбонитрила и гидрохлорида рац-(2R,6R)-2-(3-циклопропил-1,2,4-оксадиазол-5-ил)-6-метилморфолина. МС:363 [М+Н]+. 1H ЯМР (400 МГц, Метанол-d4) δ 8.98 (d, J=1.8 Гц, 1H), 8.93 (d, J=1.8 Гц, 1H), 8.16 (d, J=8.3 Гц, 1H), 7.30 (d, J=8.4 Гц, 1H), 5.26 (dd, J=10.7, 2.7 Гц, 1H), 4.61 (d, J=12.3 Гц, 1H), 4.27 - 4.08 (m, 2Н), 3.31 - 3.22 (m, 1H), 2.94 (dd, J=12.2, 10.2 Гц, 1H), 2.14 (tt, J=8.3, 4.9 Гц, 1H), 1.15-1.06 (m, 2Н), 1.06 - 0.92 (m, 2Н).
Пример 215: 8-[(2S,6R)-2-(3,3-дифторпирролидин-1-илметил)-6-метилморфолин-4-ил]-хиноксалин-5-карбонитрил
[00530] [(2R,6R)-4-(8-цианохиноксалин-5-ил)-6-метилморфолин-2-ил]метил 4-метилбензол-1-сульфонат: В 20 мл реактор Шленка помещали 8-[(2R,6R)-2-(гидроксиметил)-6-метилморфолин-4-ил]хиноксалин-5-карбонитрил (460.0 мг; 1.62 ммоль; 1.0 экв.), ДХМ (10.0 мл) и 4-метилбензол-1-сульфонил хлорид (616.91 мг; 3.24 ммоль; 2.0 экв.). После этого выполняли добавление TEA (451.02 мкл; 3.24 ммоль; 2.0 экв.) с перемешиванием при 20°С. Полученный в результате раствор перемешивали в течение 3 ч при 20°С. Затем реакционную смесь гасили путем добавления 20 мл воды. Полученный в результате раствор экстрагировали с помощью 2×50 мл ДХМ и органические слои объединяли и сушили над безводным сульфатом натрия и концентрировали в вакууме. Остаток очищали с помощью хроматографии на Biotage (PuriFlash Column, 15 мк Si HP, 25 г); гексан/этилацетат, градиент от 80-20% до 20-80% за 15 минут, с получением [(2R,6R)-4-(8-цианохиноксалин-5-ил)-6-метилморфолин-2-ил]метил 4-метилбензол-1-сульфоната (630.0 мг; 89%) в виде желтого твердого вещества. МС: 439 [М+Н]+.
[00531] 8-[(2S,6R)-2-(3,3-дифторпирролидин-1-илметил)-6-метилморфолин-4-ил]-хиноксалин-5-карбонитрил: В 25 мл сосуд помещали [(2R,6R)-4-(8-цианохиноксалин-5-ил)-6-метилморфолин-2-ил] метил 4-метилбензол-1-сульфонат (45.0 мг; 0.10 ммоль; 1.0 экв.), гидрохлорид 3,3-дифторпирролидина (29.47 мг; 0.21 ммоль; 2.0 экв.), MeCN (1.50 мл) и TEA (44.63 мкл; 0.32 ммоль; 3.13 экв.). Полученный в результате раствор перемешивали в течение 10 ч при 80°С. Полученную в результате смесь концентрировали в вакууме. Остаток очищали с помощью хроматографии на Biotage (PuriFlash Column, 15 мкм Si HP, 25 г), используя этилацетат/петролейный эфир (от 00:100 до 50:50), в течение 20 минут. В результате этого получили 8-[(2S,6R)-2-(3,3-дифторпирролидин-1-илметил)-6-метилморфолин-4-ил]-хиноксалин-5-карбонитрил (5.70 мг; 15%) в виде желтого твердого вещества. МС: 439 [М+Н]+. 1Н ЯМР (400 МГц, Метанол-d4) δ 8.96 (d, J=2.0 Гц, 1H), 8.88 (d, J=2.1 Гц, 1H), 8.13 (dd, J=8.5, 1.7 Гц, 1H), 7.22 (dd, J=8.2, 1.7 Гц, 1H), 4.32 (dt, J=12.3, 2.2 Гц, 1H), 4.17 - 3.93 (m, 3H), 3.12 (dd, J=13.8, 11.8 Гц, 1H), 2.98 (q, J=12.6 Гц, 1H), 2.88 (t, J=7.2 Гц, 2Н), 2.82 - 2.63 (m, 4Н), 2.28 (dt, J=15.0, 7.6 Гц, 2Н), 1.27 (dd, J=6.2, 1.7 Гц, 3H).
[00532] Следующие соединения синтезировали аналогичным образом. Пример 216: 8-[(2S,6R)-2-(3-гидроксиазетидин-1-илметил)-6-метилморфолин-4-ил]-хиноксалин-5-карбонитрил
[00533] Указанное в заголовке соединение получали из [(2R,6R)-4-(8-цианохиноксалин-5-ил)-6-метилморфолин-2-ил] метил 4-метилбензол-1-сульфоната и азетидин-3-ола. МС: 340 [М+Н]+. 1НЯМР (400 МГц, Хлороформ-d) δ 9.0 (s, 1H), 8.86 (s, 1H), 8.04 (d, J=8.2 Гц, 1H), 7.08 (d, J=8.2 Гц, 1H), 4.54 -4.43 (m, 1H), 4.12 (t, J=12.2 Гц, 2Н), 4.06 - 3.89 (m, 2Н), 3.79 (t, J=6.0 Гц, 2Н), 3.09 (s, 2Н), 2.86 - 2.68 (m, 4Н), 2.09 (bs, 1H), 1.29 (d, J=6.6 Гц, 3H).
Пример 217: 8-[(2S,6R)-2-(4-диэтиламинопиперидин-1-илметил)-6-метилморфолин-4-ил]-хиноксалин-5-карбонитрил
[00534] Указанное в заголовке соединение получали из [(2R,6R)-4-(8-цианохиноксалин-5-ил)-6-метилморфолин-2-ил] метил 4-метилбензол-1-сульфоната и 4-диэтиламинопиперидина. МС: 423 [М+Н]+. 1Н ЯМР (400 МГц, Хлороформ-d) δ 8.99 (s, 1H), 8.84 (s, 1H), 8.05 (d, J=7.9 Гц, 1H), 7.08 (d, J=8.0 Гц, 1H), 4.22 (d, J=11.9 Гц, 1H), 4.15-4.08 (m, 3H), 3.14 (d, J=11.0 Гц, 1H), 2.97 (d, J=10.8 Гц, 1H), 2.75 (t, J=11.0 Гц, 2Н), 2.69-2.58 (m, 6Н), 2.50 (d, J=6.2 Гц, 1H), 2.15 (t, J=11.5 Гц, 1H), 2.04 (t, J=11.4 Гц, 1H), 1.80 (bs, 2Н), 1.67 -1.57 (m, 2Н), 1.29 (d, J=3.3 Гц, 3H), 1.10 (bs, 6Н).
Пример 218: 8-[(2S,6R)-2-(3-гидрокси-3-метилазетидин-1-илметил)-6-метилморфолин-4-ил]-хиноксалин-5-карбонитрил
[00535] Указанное в заголовке соединение получали из [(2R,6R)-4-(8-цианохиноксалин-5-ил)-6-метилморфолин-2-ил] метил 4-метилбензол-1-сульфоната и 3-метилазетидин-3-олтрифторуксусной кислоты. МС: 354 [М+Н]+. 1НЯМР (400 МГц, Метанол-d4) δ 8.96 (d, J=1.8 Гц, 1H), 8.89 (d, J=1.8 Гц, 1H), 8.12 (d, J=8.3 Гц, 1H), 7.21 (d, J=8.4 Гц, 1H), 4.18 (ddt, J=24.1, 12.0, 2.2 Гц, 2Н), 4.07 - 3.90 (m, 2Н), 3.51 - 3.40 (m, 2Н), 3.18 (dd, J=11 А, 7.9 Гц, 2Н), 2.86 -2.62 (m, 4Н), 1.49 (s, 3H), 1.26 (d, J=6.3 Гц, 3H).
Пример 219: 8-[(2S,6R)-2-(4-гидроксипиперидин-1-илметил)-6-метилморфолин-4-ил]-хиноксалин-5-карбонитрил
[00536] Указанное в заголовке соединение получали из [(2R,6R)-4-(8-цианохиноксалин-5-ил)-6-метилморфолин-2-ил] метил 4-метилбензол-1-сульфоната и пиперидин-4-ола. МС:268 [М+Н]+. 1H ЯМР (400 МГц, Метанол-d4) δ 8.96 (s, 1H), 8.89 (s, 1H), 8.12 (d, J=8.3 Гц, 1H), 7.22 (d, J=8.1 Гц, 1H), 4.32 -4.19 (m, 2Н), 4.17 - 4.01 (m, 2Н), 3.84 - 3.72 (m, 1Н), 3.28 - 3.10 (m, 2Н), 2.93 -2.60 (m, 6Н), 2.02 - 1.92 (m, 2Н), 1.79 - 1.66 (m, 2Н), 1.29 (d, J=4.7 Гц, 3H).
Пример 220: 8-[(2S,6R)-2-((S)-3-гидроксипирролидин-1-илметил)-6-метилморфолин-4-ил]-хиноксалин-5-карбонитрил
Указанное в заголовке соединение получали из [(2R,6R)-4-(8-цианохиноксалин-5-ил)-6-метилморфолин-2-ил]метил 4-метилбензол-1-сульфоната и (8)-3-гидроксипирролидина. МС: 354 [М+Н]+. 1H ЯМР (400 МГц, Метанол-d4) δ 8.98 (d, J=1.8 Гц, 1H), 8.91 (d, J=1.8 Гц, 1H), 8.16 (s, 1H), 7.26 (d, J=8.4 Гц, 1H), 4.55 (tt, J=5.0, 2.2 Гц, 1H), 4.33 - 4.23 (m, 2Н), 4.17 (dt, J=12.1, 2.0 Гц, 1Н), 4.14 - 4.05 (m, 1Н), 3.70 - 3.38 (m, 3H), 3.30 - 3.17 (m, 3H), 2.82 (ddd, J=12.1, 10.5, 7.1 Гц, 2Н), 2.27 (dtd, J=14.2, 8.6, 5.8 Гц, 1H), 2.05 - 1.94 (m, 1H), 1.33 (d, J=6.2 Гц, 3H).
Пример 221: 8-[(2S,6R)-2-((R)-3-гидроксипирролидин-1-илметил)-6-метилморфолин-4-ил]-хиноксалин-5-карбонитрил
[00537] Указанное в заголовке соединение получали из [(2R,6R)-4-(8-цианохиноксалин-5-ил)-6-метилморфолин-2-ил] метил 4-метилбензол-1-сульфоната и (R)-3-гидроксипирролидина. МС: 354 [М+Н]+. 1H ЯМР (400 МГц, Метанол-d4) 5δ 8.97 (d, J=1.8 Гц, 1H), 8.91 (d, J=1.8 Гц, 1H), 8.14 (d, J=8.3 Гц, 1H), 7.24 (d, J=8.4 Гц, 1H), 4.51 (tt, J=5.3, 2.6 Гц, 1H), 4.34 - 4.28 (m, 1H), 4.28 - 4.20 (m, 1H), 4.19 - 4.12 (m, 1H), 4.07 (ddq, J=12.5, 6.2, 3.1, 2.4 Гц, 1H), 3.32 -3.12 (m, 5Н), 3.08 (dd, J=12.9, 8.5 Гц, 1H), 2.81 (ddd, J=12.1, 10.4, 7.2 Гц, 2Н), 2.32 - 2.20 (m, 1H), 1.98 - 1.86 (m, 1H), 1.31 (d, J=6.2 Гц, 3H).
Пример 222: 8-{(2S,6R)-2-[3-(1-гидрокси-1-метилэтил)-пирролидин-1-илметил]-6-метилморфолин-4-ил}-хиноксалин-5-карбонитрил
[00538] Указанное в заголовке соединение получали из [(2R,6R)-4-(8-цианохиноксалин-5-ил)-6-метилморфолин-2-ил] метил 4-метилбензол-1-сульфоната и 2-(пирролидин-3-ил)пропан-2-ола. МС: 396 [М+Н]+. 1Н ЯМР (400 МГц, Метанол-d4) δ 8.98 (d, J=1.6 Гц, 1H), 8.91 (d, J=1.7 Гц, 1H), 8.15 (d, J=8.3 Гц, 1H), 7.27 (d, J=8.3 Гц, 1H), 4.40 - 4.28 (m, 2Н), 4.21 - 4.08 (m, 2Н), 3.65 -3.36 (m, 5Н), 3.25 (q, J=7.3 Гц, 1H), 2.90 - 2.81 (m, 2Н), 2.56 (m, 1H), 2.14 (qd, J=8.7, 5.8, 4.0 Гц, 2Н), 1.37 - 1.33 (m, 3H), 1.30 - 1.25 (m, 6Н).
Пример 223: 7-фтор-8-метил-5-[(2R,6S)-2-метил-6-(4-пирролидин-1-илпиперидин-1-илметил)-морфолин-4-ил]-хинолин
[00539] Указанное в заголовке соединение получали из [(2R,6R)-4-(7-фтор-8-метилхинолин-5-ил)-6-метилморфолин-2-ил]-метанола и 4-(1-пирролидинил)пиперидина. МС: 427 [М+Н]+. 1H ЯМР (400 МГц, Метанол-d4) δ 8.88 (dd, J=4.3, 1.6 Гц, 1H), 8.62 (dd, J=8.5, 1.7 Гц, 1H), 7.49 (dd, J=8.5, 4.2 Гц, 1H), 7.05 (d, J=11.3 Гц, 1H), 4.17 - 3.99 (m, 2Н), 3.29 - 3.11 (m, 3H), 3.03 -2.95 (m, 1H), 2.81 - 2.32 (m, 11Н), 2.22 - 2.04 (m, 3H), 1.95 (tt, J=9.9, 3.4 Гц, 2Н), 1.88 - 1.74 (m, 4Н), 1.59 (qd, J=12.3, 4.0 Гц, 2Н), 1.24 (d, J=6.2 Гц, 3H).
Пример 224: 5-[(2R,6S)-2-метил-6-(4-метилпиперазин-1-илметил)-морфолин-4-ил]-хиназолин-8-карбонитрил
[00540] Указанное в заголовке соединение получали из 5-((2R,6R)-2-гидроксиметил-6-метилморфолин-4-ил)-хиназолин-8-карбонитрила и 1 -метилпиперазина. МС: 367 [М+Н]+. 1Н ЯМР (400 МГц, Метанол-d4) δ 9.69 (s, 1H), 9.32 (s, 1H), 8.31 (s, 1H), 7.29 (d, J=8.2 Гц, 1H), 4.23 - 4.12 (m, 1H), 4.08 (dt, J=11.8, 6.4 Гц, 1H), 3.59 (dd, J=25.1, 12.1 Гц, 2Н), 2.84 (dd, J=16.8, 11.4 Гц, 2Н), 2.75 - 2.36 (m, ЮН), 2.30 (s, 3H), 1.27 (d, J=6.2 Гц, 3H).
Пример 225: гидрохлорид 8-[(2R,6R)-2-(азетидин-3-илсульфанилметил)-6-метилморфолин-4-ил]-хиноксалин-5-карбонитрила
[00541] Сложный трет-бутиловый эфир 3-[(2R,6R)-4-(8-цианохиноксалин-5-ил)-6-метилморфолин-2-илметилсульфанил]-азетидин-1-карбоновой кислоты: Смесь 8-((2R,6R)-2-йодметил-6-метилморфолин-4-ил)-хиноксалин-5-карбонитрила (400 мг; 1.01 ммоль; 1.0 экв.), карбоната цезия (727 мг; 2.23 ммоль; 2.20 экв.) и ДМСО (4 мл) в 20 мл сосуде для микроволновой обработки перемешивали при 80°С в течение 3 ч до завершения реакции. Реакционную смесь разбавляли водой (20 мл) и экстрагировали с помощью ЭА (30 мл). Органический слой промывали солевым раствором, сушили над Na2SO4 и концентрировали. Остаток очищали с помощью хроматографии на силикагелевой колонке (50 г), элюируя смесями 10-70% гексан /ЭА, с получением указанного в заголовке соединения (400 мг, выход: 86.5%). МС:456 [М+Н]+.
[00542] Гидрохлорид (2) 8-[(2R,6R)-2-(азетидин-3-илсульфанилметил)-6-метилморфолин-4-ил]-хиноксалин-5-карбонитрила: К раствору сложного трет-бутилового эфира 3-[(2R,6R)-4-(8-цианохиноксалин-5-ил)-6-метилморфолин-2-илметилсульфанил]-азетидин-1-карбоновой кислоты (400 мг; 0.88 ммоль; 1.0 экв.) в метаноле (5 мл) добавляли хлороводород (4.0 М в диоксане) (2.20 мл; 8.78 ммоль; 10.0 экв.). Смесь перемешивали при к.т. в течение 3 ч до завершения реакции. Осадок отфильтровывали и сушили с обеспечением указанного в заголовке соединения (370 мг, 98.4%). МС: 356 [М+Н]+. 1Н ЯМР (400 МГц, Метанол-d4) δ 8.94 (dd, J=26.3, 1.8 Гц, 2Н), 8.14 (d, J=8.3 Гц, 1H), 7.23 (d, J=8.4 Гц, 1H), 4.45 (dtd, J=9.4, 6.4, 4.3 Гц, 2Н), 4.30 -4.12 (m, 3H), 4.09 - 3.93 (m, 4Н), 3.68 (s, 5Н), 2.98 - 2.64 (m, 4Н), 1.29 (d, J=6.3 Гц, 3H).
Пример 226: 8-{(2R,6R)-2-[1-(2-гидрокси-2-метилпропил)-азетидин-3-илсульфанилметил]-6-метилморфолин-4-ил}-хиноксалин-5-карбонитрил
[00543] Гидрохлорид (2) 8-[(2R,6R)-2-(азетидин-3-илсульфанилметил)-6-метилморфолин-4-ил]-хиноксалин-5-карбонитрила (50.0 мг; 0.12 ммоль; 1.0 экв.), 1-бром-2-метилпропан-2-ол (26.79 мг; 0.18 ммоль; 1.50 экв.) и этилдиизопропиламин (0.06 мл; 0.35 ммоль; 3.0 экв.) помещали в ацетонитрил (1 мл). Реакционную смесь перемешивали при 60°С в течение ночи. После завершения реакции сырой продукт очищали с помощью преп. ВЭЖХ, используя градиент ацетонитрил/вода (с модифицированием 0.1% NH4OH), с получением указанного в заголовке соединения (5.30 мг; 0.01 ммоль; 10.6%). МС: 428.2 [М+Н]+. 1Н ЯМР (400 МГц, ДМСО-d6) δ 9.06 (d, J=1.8 Гц, 1H), 8.98 (d, J=1.8 Гц, 1H), 8.24 (d, J=8.4 Гц, 1H), 7.23 (d, J=8.4 Гц, 1H), 4.35 (d, J=12.3 Гц, 1H), 4.13 (d, J=12.3 Гц, 2Н), 4.0 (s, 1H), 3.86 (s, 3H), 3.66 (q, J=6.5, 6.0 Гц, 2Н), 3.60 (dd, J=13.8, 7.1 Гц, 2Н), 3.03 - 2.94 (m, 2Н), 2.84 - 2.65 (m, 6Н), 2.30 (s, 2Н), 1.18 (d, J=6.2 Гц, 3H), 1.01 (s, 6Н).
Пример 227: 8-[(2R,6R)-2-(2,3-дигидроксипропилсульфанилметил)-6-метилморфолин-4-ил]-хиноксалин-5-карбонитрил
[00544] Смесь [(2R,6R)-4-(8-цианохиноксалин-5-ил)-6-метилморфолин-2-ил]метил 4-метилбензол-1-сульфоната (55 мг; 0.13 ммоль; 1.0 экв.), карбоната цезия (81 мг; 0.25 ммоль; 2.0 экв.), 3-меркаптопропан-1,2-диола (27 мг; 0.25 ммоль; 2.0 экв.) и ДМСО (1 мл) в 10 мл сосуде для микроволновой обработки перемешивали при 70°С в течение ночи. После завершения реакции сырой продукт очищали с помощью преп. ВЭЖХ, элюируя посредством 20-70% ACN/вода (с содержанием аммиака 0.1%), с получением указанного в заголовке соединения (15 мг, выход 31%). МС:375 [М+Н]+. 1Н ЯМР (400 МГц, ДМСО-d6) δ 9.06 (d, J=1.8 Гц, 1H), 9.04 - 8.92 (m, 1H), 8.24 (d, J=8.4 Гц, 1H), 7.24 (d, J=8.4 Гц, 1H), 4.77 (d, J=5.1 Гц, 1H), 4.57 (t, J=5.6 Гц, 1H), 4.43 - 4.31 (m, 1H), 4.23 - 4.10 (m, 1H), 3.90 (ddp, J=8.6, 6.4, 2.2 Гц, 2Н), 3.60 (р, J=5.4 Гц, 1H), 3.37 (d, J=10.5 Гц, 2H), 2.84-2.63 (m, 4H), 2.63-2.51 (m, 2H), 1.18 (d, J=6.2 Гц, 3H).
[00545] Следующие соединения синтезировали аналогичным образом.
Пример 228: 1-[(2S,6R)-4-(8-цианохиноксалин-5-ил)-6-метилморфолин-2-илметил]-4-фторпиперидин-4-карбоновая кислота
[00546] Указанное в заголовке соединение получали из [(2R,6R)-4-(8-цианохиноксалин-5-ил)-6-метилморфолин-2-ил]метил 4-метилбензол-1-сульфоната и гидрохлорида (2) 4-фторпиперидин-4-карбоновой кислоты. МС: 414 [М+Н]+. 1H ЯМР (400 МГц, Метанол-d4) δ 8.95 (dd, J=30.3, 1.8 Гц, 2Н), 8.17 (d, J=8.3 Гц, 1H), 7.27 (d, J=8.4 Гц, 1H), 4.42 (t, J=10.0 Гц, 1H), 4.31 (d, J=12.0 Гц, 1H), 4.23-4.02 (m, 2Н), 3.63 (s, 2Н), 2.85 (ddd, J=12.3, 10.3, 5.0 Гц, 2Н), 2.44 (tt, J=23.6, 11.6 Гц, 2Н), 2.26-2.02 (m, 2Н), 1.35 (d, J=6.2 Гц, 3H).
Пример 229 (Изомер 1): 8-[(2R,6R)-2-({[(2R)-2,3-дигидроксипропил]сульфанил}метил)-6-метилморфолин-4-ил]хиноксалин-5-карбонитрил & Пример 230 (Изомер 2): 8-[(2R,6R)-2-({[(2S)-2,3-дигидроксипропил]сульфанил}метил)-6-метилморфолин-4-ил]хиноксалин-5-карбонитрил
[00547] Два изомера получали путем разделения 8-[(2R,6R)-2-(2,3-дигидроксипропилсульфанилметил)-6-метилморфолин-4-ил]-хиноксалин-5-карбонитрила с помощью хиральной преп. ЭЖХ при следующих условиях: колонка, AS-H, Prep SFC-P100; подвижная фаза, метанол + 20 мМ NH4OH, 40°C / 80 бар, 100 г/мин; детектор, ФДМ.
Изомер 1: МС: 375.2 [М+Н]+. 1Н ЯМР (400 МГц, ДМСО-d6) δ 9.02 (dd, J=33.0, 1.8 Гц, 2Н), 8.24 (d, J=8.4 Гц, 1H), 7.23 (d, J=8.5 Гц, 1H), 4.77 (d, J=5.0 Гц, 1H), 4.57 (t, J=5.6 Гц, 1H), 4.37 (d, J=12.3 Гц, 1H), 4.17 (d, J=12.3 Гц, 1H), 4.08 (q, J=5.2 Гц, 5Н), 3.90 (dddd, J=10.5, 8.5, 6.0, 2.4 Гц, 2Н), 3.60 (q, J=5.5 Гц, 1H), 3.36 (t, J=5.4 Гц, 3H), 3.17 (d, J=5.0 Гц, 12Н), 2.84-2.80 (m, 1H), 2.80-2.71 (m, 3H), 2.68 (s, 1H), 1.17 (d, J=6.2 Гц, 3H).
Изомер 2: МС: 375.2 [М+Н]+. 1Н ЯМР (400 МГц, ДМСО-d6) δ 9.02 (dd, J=33.0, 1.8 Гц, 2Н), 8.24 (d, J=8.4 Гц, 1H), 7.23 (d, J=8.5 Гц, 1H), 4.77 (d, J=5.0 Гц, 1H), 4.57 (t, J=5.6 Гц, 1H), 4.37 (d, J=12.3 Гц, 1H), 4.17 (d, J=12.3 Гц, 1H), 4.08 (q, J=5.2 Гц, 5Н), 3.90 (dddd, J=10.5, 8.5, 6.0, 2.4 Гц, 2Н), 3.60 (q, J=5.5 Гц, 1H), 3.36 (t, J=5.4 Гц, 3H), 3.17 (d, J=5.0 Гц, 12Н), 2.84-2.80 (m, 1H), 2.80-2.71 (m, 3H), 2.68 (s, 1H), 1.17 (d, J=6.2 Гц, 3H).
Пример 231: 8-[(2S,6S)-2-метил-6-(4-метилпиперазин-1-илметил)-морфолин-4-ил]-хиноксалин-5-карбонитрил
[00548] Сложный (2R,6S)-4-(8-цианохиноксалин-5-ил)-6-метилморфолин-2-илметиловый эфир толуол-4-сульфоновой кислоты: В 20 мл реактор Шленка помещали 8-((2R,6S)-2-гидроксиметил-6-метилморфолин-4-ил)-хиноксалин-5-карбонитрил (50.0 мг; 0.18 ммоль; 1.0 экв.), ДХМ (5.0 мл) и 4-метилбензол-1-сульфонал хлорид (67.06 мг; 0.35 ммоль; 2.0 экв.). После этого выполняли добавление TEA (49.02 мкл; 0.35 ммоль; 2.0 экв.) с перемешиванием при 20°С. Полученный в результате раствор перемешивали в течение 3 ч при 20°С. Сырой продукт загружали на PuriFlash Column и очищали с помощью хроматографии на Biotage (PuriFlash Column, 15 мкм Si HP, 25 г); гексан/этилацетат, градиент от 80-20% до 20-80% за 15 минут, с получением указанного в заголовке соединения (62.0 мг; 80%) в виде желтого твердого вещества. МС:439 [М+Н]+.
[00549] 8-[(2S,6S)-2-метил-6-(4-метилпиперазин-1-илметил)-морфолин-4-ил]-хиноксалин-5-карбонитрил: В 25 мл сосуд помещали сложный (2R,6S)-4-(8-цианохиноксалин-5-ил)-6-метилморфолин-2-илметиловый эфир толуол-4-сульфоновой кислоты (30.0 мг; 0.07 ммоль; 1.0 экв.), 1-метилпиперазин (7.54 мг; 0.08 ммоль; 1.10 экв.), йодид натрия (15.38 мг; 0.10 ммоль; 1.50 экв.), MeCN (1.50 мл) и TEA (29.76 мкл; 0.21 ммоль; 3.13 экв.). Реакционный раствор перемешивали в течение 10 ч при 100°С. Полученную в результате смесь концентрировали в вакууме. Остаток наносили на силикагелевую колонку и элюировали в течение 10 минут с помощью смесей этилацетат/петролейный эфир (10:90-100:00), затем МеОН/дихлорметан 5:90, с получением указанного в заголовке соединения (6.60 мг; 26%) в виде оранжевой смолы. МС: 367 [М+Н]+. 1Н ЯМР (400 МГц, Метанол-d4) δ 8.95 (s, 1Н), 8.88 (s, 1H), 8.12 (d, J=8.4 Гц, 1H), 7.21 (d, J=8.4 Гц, 1H), 4.31-4.23 (m, 2Н), 4.16-3.98 (m, 1H), 3.82-3.70 (m, 2Н), 3.61 (dd, J=12.3, 3.1 Гц, 1H), 3.40-3.36 (m, 1H), 2.90-2.73 (m, 3H), 2.62-2.51 (m, 4Н), 1.36 (d, J=6.3 Гц, 3H).
[00550] Следующие соединения синтезировали аналогичным образом.
Пример 232: 8-[(2S,6S)-2-метил-6-(4-пирролидин-1-илпиперидин-1-илметил)-морфолин-4-ил]-хиноксалин-5-карбонитрил
[00551] Указанное в заголовке соединение получали из сложного (2R,6S)-4-(8-цианохиноксалин-5-ил)-6-метилморфолин-2-илметилового эфира толуол-4-сульфоновой кислоты и 4-(1-пирролидинил)пиперидина. МС: 421 [М+Н]+. 1Н ЯМР (400 МГц, Метанол-d4) δ 8.95 (d, J=1.8 Гц, 1H), 8.88 (d, J=1.8 Гц, 1H), 8.12 (d, J=8.4 Гц, 1H), 7.21 (d, J=8.4 Гц, 1H), 4.25 (tq, J=6.5, 3.9, 3.5 Гц, 2Н), 3.83-3.68 (m, 2Н), 3.62 (dd, J=12.3, 3.4 Гц, 1H), 3.40-3.35 (m, 1H), 3.13 (s, 1H), 3.05-2.92 (m, 1H), 2.82-2.74 (m, 2Н), 2.67 (d, J=5.8 Гц, 4Н), 2.15 (ddd, J=26.6, 12.0, 2.6 Гц, 3H), 1.96 (d, J=12.6 Гц, 2Н), 1.84 (р, J=3.2 Гц, 4Н), 1.60 (ddt, J=19.3, 12.7, 6.9 Гц, 2Н), 1.35 (d, J=6.4 Гц, 3H).
Пример 233: ((R)-2,3-дигидроксипропил)-амид (2R,6R)-4-(8-цианохиноксалин-5-ил)-6-метилморфолин-2-карбоновой кислоты
[00552] (2R,6R)-4-(8-цианохиноксалин-5-ил)-6-метилморфолин-2-карбоновая кислота: В 50 мл круглодонную колбу помещали 8-((2R,6R)-2-гидроксиметил-6-метилморфолин-4-ил)-хиноксалин-5-карбонитрил (1800.0 мг; 6.33 ммоль; 1.0 экв.) и ДХМ (15.0 мл), и полученный в результате раствор перемешивали в течение 5 минут при 0°С на водной/ледяной бане, и затем добавляли (диацетоксийод)бензол (4.08 г; 12.66 ммоль; 2.0 экв.). После повышения температуры до 10°С добавляли tempo (197.84 мг; 1.27 ммоль; 0.20 экв.) и воду (0.80 мл), соответственно. Полученный в результате раствор перемешивали в течение дополнительных 20 минут при поддержании температуры при 10°С на водяной/ледяной бане. Реакционный раствор перемешивали в течение дополнительных 2 ч при 25°С, после чего желтая суспензия твердых веществ становилась коричневым раствором. ЖХ/МС показывала, что реакция завершилась. Затем реакционную смесь гасили путем добавления 0.5 мл 10% (водн.) тиосульфата натрия, и перемешивали в течение еще 45 минут. Полученную в результате смесь концентрировали в вакууме. Остаток диспергировали в смеси 1:1 ДХМ/метанол, фильтровали через целит и фильтрат упаривали с получением (2R,6R)-4-(8-цианохиноксалин-5-ил)-6-метилморфолин-2-карбоновой кислоты (2100.0 мг; сырая) в виде желтого твердого вещества. Ее использовали на следующей стадии без дополнительной очистки. МС: 299 [М+Н]+.
[00553] ((R)-2,3-дигидроксипропил)-амид (2R,6R)-4-(8-цианохиноксалин-5-ил)-6-метилморфолин-2-карбоновой кислоты: В 50 мл круглодонную колбу помещали (2R,6R)-4-(8-цианохиноксалин-5-ил)-6-метилморфолин-2-карбоновую кислоту (150.0 мг; 0.45 ммоль; 1.0 экв.) в ДМФА (2.0 мл), добавляли HATU (258.24 мг; 0.68 ммоль; 1.50 экв.) и полученный в результате раствор перемешивали в течение 10 минут при к.т., после чего добавляли (К)-3-амино-1,2-пропандиол (61 мг; 0.68 ммоль; 1.50 экв.) и DIPEA (0.25 мл; 1.3 ммоль; 3.0 экв.), соответственно. Полученную в результате смесь перемешивали при комнатной температуре в течение 2 ч. Добавляли 3 мл ДМСО и продукт очищали на обращенно-фазовой системе Waters, используя градиент 05-95% CH3CN/H2O (0.1% гидроксида аммония), за 4 впрыскивания по 1.25 мл каждый раз. Целевые фракции упаривали с обеспечением указанного в заголовке соединения (82.0 мг; 49%) в виде желтого твердого вещества. МС: 372 [М+Н]+. 1Н ЯМР (400 МГц, Хлороформ-d) δ 9.01 (d, J=1.6 Гц, 1H), 8.90 (d, J=1.6 Гц, 1H), 8.06 (d, J=8.2 Гц, 1H), 7.19-7.05 (m, 2Н), 4.56-4.44 (m, 2Н), 4.23-4.10 (m, 2Н), 3.86 (р, J=5.0 Гц, 1H), 3.68-3.44 (m, 4Н), 2.93 (t, J=12.0 Гц, 1H), 2.77 (d, J=10.4 Гц, 1H), 1.59 (s, 2Н), 1.36 (d, J=6.2 Гц, 3H).
[00554] Следующие соединения синтезировали аналогичным образом.
Пример 234: ((S)-2,3-дигидроксипропил)-амид (2R,6R)-4-(8-цианохиноксалин-5-ил)-6-метилморфолин-2-карбоновой кислоты
[00555] Указанное в заголовке соединение получали из (2R,6R)-4-(8-цианохиноксалин-5-ил)-6-метилморфолин-2-карбоновой кислоты и (S)-3-амино-1,2-пропандиола. МС: 372 [М+Н]+. 1H ЯМР (400 МГц, Метанол-d4) δ 8.97 (d, J=1.9 Гц, 1H), 8.93 (d, J=1.9 Гц, 1H), 8.14 (d, J=8.3 Гц, 1H), 7.26 (d, J=8.4 Гц, 1H), 4.57 (dq, J=12.5, 2.8 Гц, 1H), 4.46 (dd, J=10.7, 2.8 Гц, 1H), 4.21-4.06 (m, 2Н), 3.75 (dd, J=6.6, 4.7 Гц, 1H), 3.50 (dd, J=29A, 5.0 Гц, 2H), 3.39-3.25 (m, 2H), 2.93 (t, J=11.5 Гц, 1H), 2.83 (dd, J=12.2, 10.1 Гц, 1H), 1.36 (d, J=6.1 Гц, 3H).
Пример 235: 8-[(2R,6R)-2-(3-гидрокси-3-метил-[1,3']биазетидинил-1'-карбонил)-6-метилморфолин-4-ил]-хиноксалин-5-карбонитрил
[00556] Указанное в заголовке соединение получали из (2R,6R)-4-(8- цианохиноксалин-5-ил)-6-метилморфолин-2-карбоновой кислоты и дигидрохлорида 1-(азетидин-3-ил)-3-метилазетид ин-3-ола. МС: 423 [М+Н]+. 1Н ЯМР (400 МГц, Метанол-d4) δ 8.98 (d, J=1.7 Гц, 1H), 8.92 (d, J=2.5 Гц, 1H), 8.15 (d, J=8.3 Гц, 1H), 7.26 (d, J=8.3 Гц, 1H), 4.61-4.43 (m, 3H), 4.29-4.18 (m, 1H), 4.06 (ddd, J=20.6, 11.1, 7.6 Гц, 3H), 3.81 (d, J=10.8 Гц, 1H), 3.59 (dq, J=7.2, 3.7, 3.0 Гц, 1H), 3.36 (d, J=6.5 Гц, 2Н), 3.14 (d, J=7.8 Гц, 2Н), 3.08-2.99 (m, 1H), 2.87-2.79 (m, 1H), 1.51 (s, 3H), 1.32 (d, J=6.2 Гц, 3H).
Пример 236: (2,6-диоксопиперидин-3-ил)-амид (2R,6R)-4-(8-цианохиноксалин-5-ил)-6-метилморфолин-2-карбоновой кислоты
[00557] Указанное в заголовке соединение получали из (2R,6R)-4-(8-цианохиноксалин-5-ил)-6-метилморфолин-2-карбоновой кислоты и 3-аминопиперидин-2,6-диона. МС: 409 [М+Н]+. 1H ЯМР (400 МГц, Хлороформ-d/MeOD) δ 8.92 (d, J=4.1 Гц, 1H), 8.84 (d, J=4.1 Гц, 1H), 8.01 (d, J=9.4 Гц, 1H), 7.58-7.43 (m, 1H), 7.08 (d, J=5.6 Гц, 1H), 4.55 (dt, J=12.5, 6.1 Гц, 1H), 4.48-4.31 (m, 2H), 4.16-4.03 (m, 2H), 2.98-2.81 (m, 1H), 2.81-2.58 (m, 3H), 2.47-2.34 (m, 1H), 1.99-1.81 (m, 1H), 1.30 (d, J=5.9 Гц, 3H).
Пример 237: (3,3,3-трифтор-2-гидроксипропил)-амид (2R,6R)-4-(8-цианохиноксалин-5-ил)-6-метилморфолин-2-карбоновой кислоты
[00558] Указанное в заголовке соединение получали из (2R,6R)-4-(8-цианохиноксалин-5-ил)-6-метилморфолин-2-карбоновой кислоты и 3-амино-1,1,1-трифторпропан-2-ола. МС: 410 [М+Н]+. 1Н ЯМР (400 МГц, Метанол d4) δ 8.98 (d, J=1.8 Гц, 1H), 8.94 (d, J=1.8 Гц, 1H), 8.16 (d, J=8.3 Гц, 1H), 7.27 (d, J=8.3 Гц, 1H), 4.58 (dq, J=12.1, 2.3 Гц, 1H), 4.47 (dd, J=10.7, 2.8 Гц, 1H), 4.25 -4.01 (m, 3H), 3.67 (ddd, J=13.8, 4.1, 1.9 Гц, 1H), 3.40 (dd, J=13.9, 8.2 Гц, 1H), 3.04 (s, 1H), 2.98-2.77 (m, 2Н), 1.37 (d, J=6.2 Гц, 3H).
Пример 238: ((R)-2-гидроксипропил)-амид (2R,6R)-4-(8-цианохиноксалин-5-ил)-6-метилморфолин-2-карбоновой кислоты
[00559] Указанное в заголовке соединение получали из (2R,6R)-4-(8-цианохиноксалин-5-ил)-6-метилморфолин-2-карбоновой кислоты и (R)-(-)-l-амино-2-пропанола. МС: 356 [М+Н]+. 1H ЯМР (400 МГц, Метанол-4) δ 8.98 (d, J=1.8 Гц, 1H), 8.94 (d, J=1.8 Гц, 1H), 8.15 (d, J=8.3 Гц, 1H), 7.27 (d, J=8.3 Гц, 1H), 4.58 (dt, J=12.2, 2.4 Гц, 1H), 4.46 (dd, J=10.8, 2.8 Гц, 1H), 4.22-4.02 (m, 2Н), 3.94-3.80 (m, 1H), 3.44-3.34 (m, 1H), 3.20 (dd, J=13.5, 7.2 Гц, 1H), 2.93 (dd, J=12.2, 10.8 Гц, 1H), 2.83 (dd, J=12.2, 10.2 Гц, 1H), 1.36 (d, J=6.2 Гц, 3H), 1.18 (d, J=6.3 Гц, 3H).
Пример 239: [2-(1,1-диоксо-1лямбда6-тиоморфолин-4-ил)-этил]-амид (2R,6R)-4-(8-цианохиноксалин-5-ил)-6-метилморфолин-2-карбоновой кислоты
[00560] Указанное в заголовке соединение получали из (2R,6R)-4-(8-цианохиноксалин-5-ил)-6-метилморфолин-2-карбоновой кислоты и 1,1-диоксида 4-(2-аминоэтил)тиоморфолина. МС: 459 [М+Н]+. 1H ЯМР (400 МГц, Метанол-d4) δ 8.97 (s, 1H), 8.93 (s, 1H), 8.14 (d, J=8.3 Гц, 1H), 7.25 (d, J=8.3 Гц, 1H), 4.58 (d, J=12.3 Гц, 1H), 4.44 (d, J=10.7 Гц, 1H), 4.19-4.06 (m, 2Н), 3.41 (t, J=6.5 Гц, 2Н), 3.10 (t, J=7.0 Гц, 8Н), 2.92 (t, J=11.5 Гц, 1H), 2.83 (t, J=11.2 Гц, 1H), 2.71 (t, J=6.5 Гц, 2Н), 1.37 (d, J=6.2 Гц, 3H).
Пример 240: (4-метилморфолин-2-илметил)-амид (2R,6R)-4-(8-цианохиноксалин-5-ил)-6-метилморфолин-2-карбоновой кислоты
[00561] Указанное в заголовке соединение получали из (2R,6R)-4-(8-цианохиноксалин-5-ил)-6-метилморфолин-2-карбоновой кислоты и (4-метилморфолин-2-ил)метанамина. МС: 411 [М+Н]+. 1Н ЯМР (400 МГц, Метанол-d4) δ 8.97 (s, 1H), 8.93 (s, 1H), 8.14 (d, J=8.3 Гц, 1H), 7.25 (d, J=8.3 Гц, 1H), 4.56 (d, J=12.3 Гц, 1H), 4.44 (dt, J=10.5, 2.0 Гц, 1H), 4.16-4.04 (m, 2H), 3.93 -3.87 (m, 1H), 3.64 (t, J=11.1 Гц, 2H), 3.40 (dt, J=12.4, 5.8 Гц, 1H), 3.29 (d, J=6.6 Гц, 1H), 2.86 (dq, J=34.0, 11.6 Гц, 3H), 2.70 (d, J=11.7 Гц, 1H), 2.30 (s, 3H), 2.15 (td, J=11.6, 3.3 Гц, 1H), 1.88 (td, J=10.9, 3.8 Гц, 1H), 1.36 (d, J=6.1 Гц, 3H).
Пример 241: (1-циклопропилметилпирролидин-3-ил)-амид (2R,6R)-4-(8-цианохиноксалин-5-ил)-6-метилморфолин-2-карбоновой кислоты
[00562] Указанное в заголовке соединение получали из (2R,6R)-4-(8-цианохиноксалин-5-ил)-6-метилморфолин-2-карбоновой кислоты и 1-(циклопропилметил)пирролидин-3-амина. МС: 421 [М+Н]+. 1Н ЯМР (400 МГц, Метанол-d4) δ 8.97 (s, 1H), 8.92 (d, J=2.0 Гц, 1H), 8.13 (dd, J=8.3, 1.7 Гц, 1H), 7.33-7.13 (m, 1H), 4.61-4.47 (m, 2Н), 4.42 (dt, J=10.8, 2.2 Гц, 1H), 4.20-3.99 (m, 2Н), 3.08-2.66 (m, 5Н), 2.53-2.42 (m, 1H), 2.39-2.25 (m, 3H), 1.73 (dt, J=13.7, 6.8 Гц, 1H), 1.37 (dd, J=6.2, 1.7 Гц, 3H), 0.94 (d, J=7.8 Гц, 1H), 0.64-0.47 (m, 2Н), 0.28-0.11 (m, 2Н).
Пример 242: (1-ацетилпиперидин-4-ил)-амид (2R,6R)-4-(8-цианохиноксалин-5-ил)-6-метилморфолин-2-карбоновой кислоты
[00563] Указанное в заголовке соединение получали из (2R,6R)-4-(8-цианохиноксалин-5-ил)-6-метилморфолин-2-карбоновой кислоты и 1-ацетилпиперидин-4-амина. МС: 423 [М+Н]+. 1H ЯМР (400 МГц, Метанол-d4) δ 8.97 (d, J=1.5 Гц, 1H), 8.93 (d, J=1.4 Гц, 1H), 8.14 (d, J=8.3 Гц, 1H), 7.25 (d, J=8.3 Гц, 1H), 4.55 (d, J=12.0 Гц, 2Н), 4.46-4.39 (m, 1H), 4.23-3.88 (m, 4Н), 3.23 (t, J=12.9 Гц, 1H), 2.98-2.71 (m, 3H), 2.13 (s, 3H), 2.01-1.83 (m, 2Н), 1.65-1.43 (m, 2Н), 1.35 (d, J=6.1 Гц, 3H).
Пример 243: (2-ацетиламиноэтил)-амид (2R,6R)-4-(8-цианохиноксалин-5-ил)-6-метилморфолин-2-карбоновой кислоты
[00564] Указанное в заголовке соединение получали из (2R,6R)-4-(8-цианохиноксалин-5-ил)-6-метилморфолин-2-карбоновой кислоты и N-(2-аминоэтил)ацетамида. МС: 383 [М+Н]+. 1Н ЯМР (400 МГц, Метанол-d4) δ 8.97 (s, 1H), 8.93 (s, 1H), 8.14 (d, J=8.3 Гц, 1H), 7.25 (d, J=8.3 Гц, 1H), 4.55 (d, J=12.2 Гц, 1H), 4.42 (dd, J=10.9, 2.7 Гц, 1H), 4.25-4.03 (m, 2Н), 3.44-3.35 (m, 3H), 3.01 (bs, 1H), 2.92 (t, J=11.5 Гц, 1H), 2.82 (t, J=11.3 Гц, 1H), 1.96 (s, 3H), 1.36 (d, J=6.2 Гц, 3H).
Пример 244: [2-(этилметиламино)-этил]-амид (2R,6R)-4-(8-цианохиноксалин-5-ил)-6-метилморфолин-2-карбоновой кислоты
[00565] Указанное в заголовке соединение получали из (2R,6R)-4-(8-цианохиноксалин-5-ил)-6-метилморфолин-2-карбоновой кислоты и (2-аминоэтил)(этил)метиламина. МС: 383 [М+Н]+. 1Н ЯМР (400 МГц, Метанол-d4) δ 8.96 (d, J=1.6 Гц, 1H), 8.93 (d, J=1.6 Гц, 1H), 8.13 (dd, J=8.3, 1.3 Гц, 1H), 7.30-7.12 (m, 1H), 4.56 (dd, J=12.0, 2.4 Гц, 1H), 4.42 (dt, J=10.7, 2.1 Гц, 1H), 4.15 (dd, J=12.3, 2.1 Гц, 1H), 4.12-4.04 (m, 1H), 3.41 (q, J=6.4 Гц, 2Н), 2.91 (t, J=11.7 Гц, 1H), 2.81 (t, J=11.2 Гц, 1H), 2.62-2.47 (m, 4Н), 2.31 (d, J=1.4 Гц, 3H), 1.35 (d, J=6.2 Гц, 3H), 1.11 (td, J=7.2, 1.4 Гц, 3H).
Пример 245: (1-метилпирролидин-2-илметил)-амид (2R,6R)-4-(8-цианохиноксалин-5-ил)-6-метилморфолин-2-карбоновой кислоты
[00566] Указанное в заголовке соединение получали из (2R,6R)-4-(8-цианохиноксалин-5-ил)-6-метилморфолин-2-карбоновой кислоты и С-(1-метилпирролидин-2-ил)-метиламина. МС:395 [М+Н]+. 1Н ЯМР (400 МГц, Метанол-d4) δ 8.97 (s, 1H), 8.93 (s, 1H), 8.14 (d, 1H), 7.26 (d, J=8.3 Гц, 1H), 4.58 (d, J=12.3 Гц, 1H), 4.44 (d, J=10.4 Гц, 1H), 4.20-4.04 (m, 2Н), 3.58-3.47 (m, 1H), 3.24 (q, J=6.8, 6.4 Гц, 1H), 3.08 (dt, J=9.6, 4.9 Гц, 1H), 2.98-2.77 (m, 2Н), 2.48 (s, 1H), 2.41 (s, 3H), 2.35-2.25 (m, 1H), 2.02-1.91 (m, 1H), 1.83-1.74 (m, 2Н), 1.62 (dt, J=13.3, 7.4 Гц, 1H), 1.36 (d, J=6.1 Гц, 3H).
Пример 246: (2-гидрокси-2-метилпропил)-амид (2R,6R)-4-(8-цианохиноксалин-5-ил)-6-метилморфолин-2-карбоновой кислоты
[00567] Указанное в заголовке соединение получали из (2R,6R)-4-(8-цианохиноксалин-5-ил)-6-метилморфолин-2-карбоновой кислоты и 1-амино-2-метилпропан-2-ола. МС: 370 [М+Н]+. 1Н ЯМР (400 МГц, Метанол-d4) δ 8.97 (s, 1H), 8.93 (s, 1H), 8.14 (d, J=8.3 Гц, 1H), 7.26 (d, J=8.3 Гц, 1H), 4.59 (d, J=12.2 Гц, 1H), 4.48 (dd, J=10.8, 2.7 Гц, 1H), 4.22-4.02 (m, 2Н), 3.29 (s, 2Н), 2.93 (t, J=11.5 Гц, 1H), 2.84 (t, J=11.2 Гц, 1H), 1.37 (d, J=6.1 Гц, 3H), 1.21 (s, 6Н).
Пример 247: [1-(2,2,2-трифторэтил)-пиперидин-4-ил]-амид (2R,6R)-4-(8-цианохиноксалин-5-ил)-6-метилморфолин-2-карбоновой кислоты
[00568] Указанное в заголовке соединение получали из (2R,6R)-4-(8-цианохиноксалин-5-ил)-6-метилморфолин-2-карбоновой кислоты и 1-(2,2,2-трифторэтил)пиперидин-4-амина. МС: 463 [М+Н]+. 1Н ЯМР (400 МГц, Метанол-d4) δ 8.97 (s, 1H), 8.93 (s, 1H), 8.14 (d, J=8.3 Гц, 1H), 7.25 (d, J=8.3 Гц, 1H), 4.58-4.49 (m, 1H), 4.41 (dt, J=10.7, 1.9 Гц, 1H), 4.15 (d, J=12.4 Гц, 1H), 4.12 -4.05 (m, 1H), 3.85-3.72 (m, 1H), 3.15-2.96 (m, 4H), 2.92 (t, J=11.4 Гц, 1H), 2.82 (t,J=11.2 Гц, 1H), 2.50 (t, J=11.7 Гц, 2H), 1.83 (d, J=12.3 Гц, 2H), 1.67 (q, J=12.0 Гц, 2H), 1.36 (d, J=6.1 Гц, 3H).
Пример 248: ((R)-1-карбамоилпропил)-амид (2R,6R)-4-(8-цианохиноксалин-5-ил)-6-метилморфолин-2-карбоновой кислоты
[00569] Указанное в заголовке соединение получали из (2R,6R)-4-(8-цианохиноксалин-5-ил)-6-метилморфолин-2-карбоновой кислоты и гидрохлорида (R-(-)-2-аминобутанамида. МС: 383 [М+Н]+. 1H ЯМР (400 МГц, Метанол-d) δ 8.97 (s, 1H), 8.93 (s, 1H), 8.15 (dd, J=8.3, 1.6 Гц, 1H), 7.27 (dd, J=8.3, 1.6 Гц, 1H), 4.59 (dd, J=12.1, 2.4 Гц, 1H), 4.48 (dt, J=10.7, 2.2 Гц, 1H), 4.41 (t, J=6.4 Гц, 1H), 4.15 (td, J=11.9, 9.7, 4.1 Гц, 2Н), 2.89 (dt, J=34.8, 11.5 Гц, 2Н), 1.90 (dq, J=13.6, 7.7, 6.6 Гц, 1H), 1.81-1.66 (m, 1H), 1.37 (dd, J=6.1, 1.6 Гц, 3H), 0.97 (td, J=7.5, 1.6 Гц, 3H).
Пример 249: ((S-3,3,3-трифтор-2-гидроксипропил)-амид (2R,6R)-4-(8-цианохиноксалин-5-ил)-6-метилморфолин-2-карбоновой кислоты
[00570] Указанное в заголовке соединение получали из (2R,6R)-4-(8- цианохиноксалин-5-ил)-6-метилморфолин-2-карбоновой кислоты и гидрохлорида (2S-3-амино-1,1,1-трифторпропан-2-ола. МС: 410 [М+Н]+. 1H ЯМР (400 МГц, Метанол-d) δ 8.98 (s, 1H), 8.94 (s, 1H), 8.33-8.05 (m, 1H), 7.27 (d, J=8.3 Гц, 1H), 4.58 (d, J=12.3 Гц, 1H), 4.46 (dd, J=10.9, 2.6 Гц, 1H), 4.14 (dd, J=13.6, 9.7 Гц, 3H), 3.67 (dd, J=13.9, 4.1 Гц, 1H), 3.40 (dd, J=13.9, 8.2 Гц, 1H), 2.92 (t, J=11.5 Гц, 1H), 2.83 (t, J=11.2 Гц, 1H), 1.36 (d, J=6.1 Гц, 3H).
Пример 250: ((R-3,3,3-трифтор-2-гидроксипропил)-амид (2R,6R)-4-(8-цианохиноксалин-5-ил)-6-метилморфолин-2-карбоновой кислоты
[00571] Указанное в заголовке соединение получали из (2R,6R)-4-(8- цианохиноксалин-5-ил)-6-метилморфолин-2-карбоновой кислоты и гидрохлорида (2R)-3-амино-1,1,1-трифторпропан-2-ола. МС: 410 [М+Н]+. 1H ЯМР (400 МГц, Метанол-d4) δ 8.97 (s, 1H), 8.93 (s, 1H), 8.14 (dd, J=8.5, 1.6 Гц, 1H), 7.25 (d, J=8.5 Гц, 1H), 4.57 (dd, J=12.2, 2.4 Гц, 1H), 4.46 (dt, J=10.8, 2.1 Гц, 1H), 4.23-4.05 (m, 3H), 3.66 (dd, J=13.9, 4.1 Гц, 1H), 3.47-3.35 (m, 2Н), 2.91 (t, J=11.5 Гц, 1H), 2.82 (t, J=11.2 Гц, 1H), 1.36 (d, J=6.1 Гц, 3H).
Пример 251: 8-[(2R,6R)-2-(2,2-диоксо-2 лямбда6-тиа-6-азаспиро[3.3]гептан-6-карбонил)-6-метилморфолин-4-ил]-хиноксалин-5-карбонитрил
[00572] Указанное в заголовке соединение получали из (2R,6R)-4-(8- цианохиноксалин-5-ил)-6-метилморфолин-2-карбоновой кислоты и гидрохлорида 2,2-диоксида 2-тиа-6-азаспиро[3.3]гептана. МС: 428 [М+Н]+. 1Н ЯМР (400 МГц, Метанол-d4) δ 8.97 (s, 1H), 8.92 (s, 1H), 8.15 (dd, J=8.6, 2.9 Гц, 1H), 7.25 (dd, J=8.4, 2.9 Гц, 1H), 4.75 (s, 2Н), 4.59 (d, J=10.6 Гц, 1H), 4.50 (d, J=12.5 Гц, 1H), 4.42 (s, 4Н), 4.29 (s, 2Н), 4.11-3.98 (m, 2Н), 3.07-2.97 (m, 1H), 2.82 (t, 7=11.0 Гц, 1H), 1.33 (dd, J=6.7, 2.9 Гц, 3H).
Пример 252: (2-гидрокси-3-метоксипропил)-амид (2R,6R)-4-(8-цианохиноксалин-5-ил)-6-метилморфолин-2-карбоновой кислоты
[00573] Указанное в заголовке соединение получали из (2R,6R)-4-(8-цианохиноксалин-5-ил)-6-метилморфолин-2-карбоновой кислоты и 1-амино-3-метоксипропан-2-ола. МС: 386 [М+Н]+. 1Н ЯМР (400 МГц, Метанол-d δ) δ 8.97 (s, 1H), 8.93 (s, 1H), 8.14 (d, J=8.2 Гц, 1H), 7.25 (d, J=8.3 Гц, 1H), 4.57 (d, J=12.3 Гц, 1H), 4.47-4.41 (m, 1H), 4.13 (dd, J=20.4, 8.5 Гц, 2Н), 3.86 (q, J=5.0, 4.5 Гц, 1H), 3.53-3.36 (m, 6Н), 3.31-3.22 (m, 1H), 2.92 (td, J=12.2, 11.6, 2.5 Гц, 1H), 2.83 (t, J=11.2 Гц, 1H), 1.36 (d, J=6.1 Гц, 3H).
Пример 253: (4-фтор-1-метилпиперидин-4-илметил)-амид (2R,6R)-4-(8-цианохиноксалин-5-ил)-6-метилморфолин-2-карбоновой кислоты
[00574] Указанное в заголовке соединение получали из (2R,6R)-4-(8-цианохиноксалин-5-ил)-6-метилморфолин-2-карбоновой кислоты и 1-(4-фтор-1-метилпиперидин-4-ил)метанамина. МС: 427 [М+Н]+. 1H ЯМР (400 МГц, Метанол-d4) δ 8.98 (s, 1H), 8.93 (s, 1H), 8.15 (d, J=8.3 Гц, 1H), 7.26 (d, J=8.3 Гц, 1H), 4.58 (d, J=12.2 Гц, 1H), 4.48 (dd, J=10.8, 2.7 Гц, 1H), 4.23-4.03 (m, 2Н), 3.58-3.41 (m, 2Н), 2.94 (t, J=11.4 Гц, 1H), 2.84 (t, J=11.2 Гц, 1H), 2.71 (d, J=11.8 Гц, 2Н), 2.32 (d, J=10.8 Гц, 5Н), 1.93-1.64 (m, 4Н), 1.37 (d, J=6.1 Гц, 3H).
Пример 254: [1-(2,2,2-трифторэтил)-азетидин-3-ил]-амид (2R,6R)-4-(8-цианохиноксалин-5-ил)-6-метилморфолин-2-карбоновой кислоты
[00575] Указанное в заголовке соединение получали из (2R,6R)-4-(8-цианохиноксалин-5-ил)-6-метилморфолин-2-карбоновой кислоты и 1-(2,2,2-трифторэтил)азетидин-3-амина. МС: 435 [М+Н]+. 1Н ЯМР (400 МГц, Метанол-d4) δ 9.01-8.95 (m, 1H), 8.95-8.88 (m, 1H), 8.14 (d, J=8.2 Гц, 1H), 7.25 (d, J=8.3 Гц, 1H), 4.62-4.49 (m, 2H), 4.43 (dd, J=10.8, 2.8 Гц, 1H), 4.22-4.05 (m, 2H), 3.81 (q, J=6.5 Гц, 2H), 3.43-3.31 (m, 2H), 3.19 (q, J=9.6 Гц, 2H), 2.91 (t, J=11.5 Гц, 1H), 2.83 (dd, J=12.1, 10.2 Гц, 1H), 1.38 (d, J=6.2 Гц, 3H).
Пример 255: (2R,6R)-4-(8-цианохиноксалин-5-ил)-6-метил-N-[2-(метилсульфамоил)этил] морфолин-2-карбоксамид
[00576] Указанное в заголовке соединение получали из (2R,6R)-4-(8-цианохиноксалин-5-ил)-6-метилморфолин-2-карбоновой кислоты и гидрохлорида 2-амино-N-метилэтансульфонамида. МС: 419 [М+Н]+. 1Н ЯМР (400 МГц, ДМСО-d6) δ 9.07 (d, J=1.8 Гц, 1H), 8.99 (d, J=1.8 Гц, 1H), 8.25 (d, J=8.4 Гц, 1H), 7.99 (t, J=5.9 Гц, 1H), 7.26 (d, J=8.4 Гц, 1H), 7.03 (s, 1H), 4.59 -4.44 (m, 1H), 4.30 (dd, J=10.8, 2.8 Гц, 1H), 4.09 (d, J=12.4 Гц, 1H), 3.98 (ddd, J=10.4, 6.2, 2.3 Гц, 1H), 3.48 (td, J=8.4, 7.7, 4.0 Гц, 2Н), 3.18 (dd, J=7.6, 6.6 Гц, 2Н), 2.90 (dd, J=12.4, 10.8 Гц, 1H), 2.79 (dd, J=12.5, 10.4 Гц, 1H), 2.59 (s, 3H), 1.26 (d, J=6.2 Гц, 3H).
Пример 256: (2R,6R)-4-(8-цианохиноксалин-5-ил)-N-(2-метансульфонилэтил)-6-метил морфолин-2-карбоксамид
[00577] Указанное в заголовке соединение получали из (2R,6R)-4-(8-цианохиноксалин-5-ил)-6-метилморфолин-2-карбоновой кислоты и 2-метансульфонилэтан-1-амина. МС: 404 [М+Н]+. 1Н ЯМР (400 МГц, ДМСО-d6) δ 9.07 (d, J=1.8 Гц, 1H), 8.99 (d, J=1.8 Гц, 1H), 8.25 (d, J=8.4 Гц, 1H), 8.05 (t, J=5.9 Гц, 1H), 7.26 (d, J=8.4 Гц, 1H), 4.55-4.44 (m, 1H), 4.30 (dd, J=10.8, 2.7 Гц, 1H), 4.09 (d, J=12.3 Гц, 1H), 3.97 (ddd, J=10.4, 6.2, 2.3 Гц, 1H), 3.56 (q, J=6.6 Гц, 2Н), 3.02 (s, 3H), 3.32-3.27 (m, 2Н), 2.90 (dd, J=12.5, 10.8 Гц, 1H), 2.79 (dd, J=12.5, 10.4 Гц, 1H), 1.26 (d, J=6.3 Гц, 3H).
Пример 257: (2R,6R)-4-(8-цианохиноксалин-5-ил)-N-[(1,1-диоксо-1λ6-тиолан-3-ил)метил]-6-метилморфолин-2-карбоксамид
[00578] Указанное в заголовке соединение получали из (2R,6R)-4-(8-цианохиноксалин-5-ил)-6-метилморфолин-2-карбоновой кислоты и 3-(аминометил)-1λ6-тиолан-1,1-диона. МС: 430 [М+Н]+. 1H ЯМР (400 МГц, ДМСО-d6) δ 9.07 (d, J=1.8 Гц, 1H), 8.99 (d, J=1.8 Гц, 1H), 8.25 (d, J=8.4 Гц, 1H), 8.06 (t, J=6.2 Гц, 1H), 7.27 (dd, J=8.5, 1.2 Гц, 1H), 4.48 (dd, J=12.3, 2.4 Гц, 1H), 4.30 (dd, J=10.8, 2.7 Гц, 1H), 4.15-4.05 (m, 1H), 3.97 (ddd, J=10.4, 6.2, 2.4 Гц, 1H), 3.27-3.22 (m, 2H), 3.18 (ddd, J=12.6, 8.1, 3.8 Гц, 2H), 3.04 (dt, J=13.2, 8.7 Гц, 1H), 2.93 (ddd, J=12.5, 10.8, 1.9 Гц, 1H), 2.81 (dd, J=12.9, 9.8 Гц, 2H), 2.58 (dq, J=14.0, 7.1, 6.4 Гц, 1H), 2.22-2.08 (m, 1H), 1.78 (dq, J=13.3, 9.2 Гц, 1H), 1.27 (d, J=6.2 Гц, 3H).
Пример 258: (2R,6R)-4-(8-цианохиноксалин-5-ил)-N-[(1,1-диоксо-1λ6-тиетан-3-ил)метил]-6-метилморфолин-2-карбоксамид
[00579] Указанное в заголовке соединение получали из (2R,6R)-4-(8-цианохиноксалин-5-ил)-6-метилморфолин-2-карбоновой кислоты и 3-(аминометил)-а6-тиетан-1,1-диона. МС: 416 [М+Н]+. 1H ЯМР (400 МГц, ДМСО-d6) δ 9.07 (d, J=1.8 Гц, 1H), 8.99 (d, J=1.8 Гц, 1H), 8.25 (d, J=8.4 Гц, 1H), 8.22 (t, J=6.6 Гц, 1H), 7.27 (d, J=8.4 Гц, 1H), 4.49 (d, J=12.3 Гц, 1H), 4.29 (dd, J=10.7, 2.7 Гц, 1H), 4.25-4.17 (m, 2H), 4.10 (d, J=12.3 Гц, 1H), 4.0-3.88 (m, 1H), 3.41-3.35 (m, 1H), 2.90 (dd, J=12.4, 10.8 Гц, 1H), 2.84-2.75 (m, 1H), 2.73-2.65 (m, 1H), 1.27 (d, J=6.2 Гц, 3H).
Пример 259: (2R,6R)-4-(8-цианохиноксалин-5-ил)-N-[2-(1,1-диоксо-1λ6-тиетан-3-ил)этил]-6-метилморфолин-2-карбоксамид
[00580] Указанное в заголовке соединение получали из (2R,6R)-4-(8-цианохиноксалин-5-ил)-6-метилморфолин-2-карбоновой кислоты и 3-(2-аминоэтил)-1λ6-тиетан-1,1-диона. МС: 430 [М+Н]+. 1Н ЯМР (400 МГц, ДМСО-d6) δ 9.07 (d, 7=1.8 Гц, 1H), 8.99 (d, 7=1.8 Гц, 1H), 8.25 (d, 7=8.4 Гц, 1H), 7.90 (t, 7=6.1 Гц, 1H), 7.27 (d, 7=8.5 Гц, 1H), 4.99 (s, 1H), 4.49 (d, 7=12А Гц, 1H), 4.27 (dd, 7=10.8, 2.7 Гц, 1H), 4.25-4.17 (m, 2Н), 4.09 (d, 7=12.4 Гц, 1H), 4.01-3.92 (m, 1H), 3.86-3.79 (m, 2Н), 3.12 (q, 7=6.5 Гц, 2Н), 2.90 (dd, J=12.4, 10.8 Гц, 1H), 2.80 (dd, J=12.4, 10.3 Гц, 1H), 2.48-2.41 (m, 1H), 1.78 (q, J=6.9 Гц, 2Н), 1.27 (d, J=6.2 Гц, 3H).
Пример 260: (2R,6R)-4-(8-цианохиноксалин-5-ил)-N-(3-метансульфонилпропил)-6-метилморфолин-2-карбоксамид
[00581] Указанное в заголовке соединение получали из (2R,6R)-4-(8-цианохиноксалин-5-ил)-6-метилморфолин-2-карбоновой кислоты и 3-метансульфонилпропан-1-амина. МС: 418 [М+Н]+. 1Н ЯМР (400 МГц, ДМСО-d6) δ 9.07 (d, J=1.8 Гц, 1H), 8.99 (d, J=1.8 Гц, 1H), 8.25 (d, J=8.4 Гц, 1H), 7.98 (t, J=6.1 Гц, 1H), 7.27 (d, J=8.4 Гц, 1H), 4.50 (d, J=12.4 Гц, 1H), 4.29 (dd, J=10.8, 2.7 Гц, 1H), 4.10 (d, J=12.3 Гц, 1H), 3.97 (ddd, J=10.3, 6.2, 2.3 Гц, 1H), 3.27-3.19 (m, 2Н), 3.13-3.05 (m, 2Н), 2.92 (dd, J=12.4, 10.8 Гц, 1H), 2.81 (dd, J=12.4, 10.4 Гц, 1H), 1.86 (dt, J=14.8, 7.0 Гц, 2Н), 1.27 (d, J=6.2 Гц, 3H).
Пример 261: (2R,6R)-4-(8-цианохиноксалин-5-ил)-]N-[(28)-3-(диметиламино)-2-гидроксипропил]-6-метилморфолин-2-карбоксамид & Пример 262: (2R,6R)-4-(8-цианохиноксалин-5-ил)-N-[(R)-3-(диметиламино)-2-гидроксипропил]-6-метилморфолин-2-карбоксамид
[00582] Указанные в заголовке соединения получали из (2R,6R)-4-(8-цианохиноксалин-5-ил)-6-метилморфолин-2-карбоновой кислоты и 1-амино-3-(диметиламино)пропан-2-ола, и разделяли с помощью СКЖХ. Придерживались следующих условий: колонка, IG-H, Prep SFC-P100; подвижная фаза, метанол + 20 мМ NH4OH, 45°С / 80 бар, 100 г/мин; детектор, ФДМ. Конфигурации структур устанавливали в порядке предположения.
Изомер 1: МС:399 [М+Н]+. 1Н ЯМР (400 МГц, ДМСО-d6) δ 9.08 (s, 1Н), 9.0 (s, 1H), 8.26 (d, J=8.4 Гц, 1H), 7.81 (d, J=7.0 Гц, 1H), 7.27 (d, J=8.4 Гц, 1H), 4.78 (d, J=4.0 Гц, 1H), 4.52 (d, J=12.3 Гц, 1Н), 4.30 (d, J=10.6 Гц, 1H), 4.11 (d, J=12.5 Гц, 1H), 3.98 (d, J=8.7 Гц, 1H), 3.74-3.61 (m, 1H), 3.30-3.23 (m, 3H), 3.10 (dt, J=13.6, 6.7 Гц, 1H), 3.01-2.76 (m, 2Н), 2.23 (t, J=7.4 Гц, 1H), 2.17 (d, J=2.3 Гц, 6Н), 1.27 (d, J=6.4 Гц, 3H).
Изомер 2: МС:399 [М+Н]+. 1H ЯМР (400 МГц, ДМСО-d6) δ 9.08 (s, 1Н), 9.0 (s, 1H), 8.26 (d, J=8.5 Гц, 1H), 7.81 (s, 1H), 7.27 (d, J=8.4 Гц, 1H), 4.78 (s, 1H), 4.52 (d, J=12.4 Гц, 1H), 4.30 (d, J=10.8 Гц, 1H), 4.11 (d, J=12.5 Гц, 1H), 3.98 (d, J=9.2 Гц, 1H), 3.65 (s, 1H), 3.28-3.19 (m, ОН), 3.19-3.07 (m, 1H), 2.88 (ddd, J=41.7, 23.5, 12.0 Гц, 2Н), 2.26-2.20 (m, 1H), 2.17 (d, J=2.2 Гц, 6Н), 1.27 (d, J=6.2 Гц, 3H).
Пример 263: (2R,6R)-4-(8-цианохиноксалин-5-ил)-6-метил-N-{[(3S)-4-метилморфолин-3-ил]метил}морфолин-2-карбоксамид & Пример 264: (2R,6R)-4-(8-цианохиноксалин-5-ил)-6-метил-N-{[(3R)-4-метилморфолин-3-ил] метил} морфолин-2-карбоксамид
[00583] Указанные в заголовке соединения получали из (2R,6R)-4-(8-цианохиноксалин-5-ил)-6-метилморфолин-2-карбоновой кислоты и 1-(4-метилморфолин-3-ил)метанамина, и разделяли с помощью СКЖХ. Придерживались следующих условий: колонка, ADH, Prep SFC-P100; подвижная фаза, метанол + 20 мМ NH4OH, 45°С / 80 бар, 100 г/мин; детектор, ФДМ. Конфигурации структур устанавливали в порядке предположения.
Изомер 1: МС: 411 [М+Н]+. 1Н ЯМР (400 МГц, ДМСО-d6) δ 9.08 (d, J=1.8 Гц, 1H), 9.0 (d, J=1.8 Гц, 1H), 8.25 (d, J=8.4 Гц, 1H), 7.72 (t, J=6.0 Гц, 1H), 7.27 (d, J=8.5 Гц, 1H), 4.50 (dt, J=12.4, 2.3 Гц, 1H), 4.30 (dd, J=10.7, 2.7 Гц, 1H), 4.13-4.07 (m, 1H), 3.98 (ddd, J=10.4, 6.3, 2.4 Гц, 1H), 3.65 (ddd, J=11.3, 8.4, 3.3 Гц, 3H), 3.49-3.32 (m, 2Н), 3.15 (dd, J=11.3, 9.5 Гц, 1H), 3.12-3.01 (m, 1Н), 2.99-2.87 (m, 1Н), 2.86-2.77 (m, 1Н), 2.70-2.60 (m, 2Н), 2.25 (s, 3H), 2.20-2.09 (m, 2Н), 1.27 (d, J=6.2 Гц, 3H).
Изомер 2: МС:411 [М+Н]+. 1H ЯМР (400 МГц, ДМСО-d6) δ 9.08 (d, J=1.8 Гц, 1H), 9.0 (d, J=1.8 Гц, 1H), 8.25 (d, J=8.4 Гц, 1H), 7.71 (t, J=6.0 Гц, 1H), 7.27 (d, J=8.4 Гц, 1H), 4.53-4.46 (m, 1H), 4.30 (dd, J=10.7, 2.7 Гц, 1H), 4.14 -4.07 (m, 1H), 3.98 (ddd, J=10.4, 6.2, 2.3 Гц, 1H), 3.70-3.61 (m, 2Н), 3.44 (td, J=10.9, 2.5 Гц, 1H), 3.36 (ddd, J=13.7, 6.2, 3.2 Гц, 1H), 3.15 (dd, J=11.4, 9.5 Гц, 1H), 3.06 (dt, J=13.3, 6.4 Гц, 1H), 2.91 (dd, J=12.4, 10.8 Гц, 1H), 2.82 (dd, J=12.5, 10.4 Гц, 1H), 2.72-2.60 (m, 2Н), 2.25 (s, 3H), 2.19-2.09 (m, 2Н), 1.27 (d, J=6.2 Гц, 3H).
Пример 265: (2R,6R)-4-(8-цианохиноксалин-5-ил)-6-метил-N-[2-(морфолин-4-ил)этил]морфолин-2-карбоксамид
[00584] Указанное в заголовке соединение получали из (2R,6R)-4-(8-цианохиноксалин-5-ил)-6-метилморфолин-2-карбоновой кислоты и 2-(морфолин-4-ил)этан-1-амина. МС: 411 [М+Н]+. 1Н ЯМР (400 МГц, ДМСО-d6) δ 9.08 (d, J=1.8 Гц, 1H), 9.0 (d, J=1.8 Гц, 1H), 8.25 (d, J=8.4 Гц, 1H), 7.72 (t, J=5.8 Гц, 1H), 7.27 (d, J=8.5 Гц, 1H), 4.50 (dt, J=12.3, 2.4 Гц, 1H), 4.28 (dd, J=10.8, 2.7 Гц, 1H), 4.11 (dt, J=12.5, 2.2 Гц, 1H), 3.98 (ddd, J=10.4, 6.3, 2.4 Гц, 1H), 3.57 (t, J=4.7 Гц, 5Н), 3.27-3.18 (m, 1H), 2.91 (dd, J=12.5, 10.8 Гц, 1H), 2.81 (dd, J=12.5, 10.4 Гц, 1H), 2.42-2.35 (m, 7Н), 1.27 (d, J=6.2 Гц, 3H).
Пример 266: [2-(этилметиламино)-этил]-амид (2R,6R)-4-(8-цианохиназолин-5-ил)-6-метилморфолин-2-карбоновой кислоты
[00585] Указанное в заголовке соединение получали из 5-((2R,6R)-2-гидроксиметил-6-метилморфолин-4-ил)-хиназолин-8-карбонитрила и (2-аминоэтил)(этил)метиламина. МС: 383 [М+Н]+. 1H ЯМР (400 МГц, Метанол-d4) δ 9.74 (s, 1H), 9.35 (s, 1H), 8.34 (d, J=8.2 Гц, 1H), 7.34 (d, J=8.2 Гц, 1H), 4.51 (dd, J=10.9, 2.6 Гц, 1H), 4.19 (ddt, J=9.5, 6.4, 3.6 Гц, 1H), 3.87 (dd, J=12.3, 2.4 Гц, 1H), 3.65-3.54 (m, 1H), 3.42 (hept, J=6.8 Гц, 2Н), 2.97 (t, J=11.5 Гц, 1H), 2.90-2.82 (m, 1H), 2.54 (dt, J=20.7, 6.9 Гц, 4Н), 2.30 (s, 3H), 1.36 (d, J=6.2 Гц, 3H), 1.11 (t, J=7.2 Гц, 3H).
Пример 267: ((S)-4-метилморфолин-2-илметил)-амид (2R,6R)-4-(8-цианохиназолин-5-ил)-6-метилморфолин-2-карбоновой кислоты
[00586] Указанное в заголовке соединение получали из 5-((2R,6R)-2-гидроксиметил-6-метилморфолин-4-ил)-хиназолин-8-карбонитрила и (S)-4-метил-2-(аминометил)морфолина. МС: 411 [М+Н]+. 1Н ЯМР (400 МГц, Метанол-d4) δ 9.73 (s, 1H), 9.33 (s, 1H), 8.32 (d, J=8.1 Гц, 1H), 7.33 (d, J=8.2 Гц, 1H), 4.53 (dd, J=11.0, 2.5 Гц, 1H), 4.19 (dd, J=9.9, 6.2 Гц, 1H), 3.89 (t, J=12.7 Гц, 2H), 3.69-3.55 (m, 3H), 3.35 (qd, J=13.9, 5.7 Гц, 2H), 2.98 (t, J=11.5 Гц, 1H), 2.87 (t, J=11.3 Гц, 1H), 2.78 (d, J=11.5 Гц, 1H), 2.70 (d, J=11.7 Гц, 1H), 2.30 (s, 3H), 2.15 (td, J=11.7, 3.4 Гц, 1H), 1.88 (t, J=10.9 Гц, 1H), 1.37 (d, J=6.2 Гц, 3H).
Пример 268: (4-морфолин-4-илциклогексил)-амид (2R,6R)-4-(8-цианохиназолин-5-ил)-6-метилморфолин-2-карбоновой кислоты
[00587] Указанное в заголовке соединение получали из 5-((2R,6R)-2- гидроксиметил-6-метилморфолин-4-ил)-хиназолин-8-карбонитрила и трифторацетата 4-морфолин-4-илциклогексиламина. МС: 465 [М+Н]+. 1Н ЯМР (400 МГц, Метанол-d4) δ 9.74 (s, 1H), 9.35 (s, 1H), 8.34 (dd, J=8.7, 3.1 Гц, 1H), 7.34 (dd, J=7.5, 2.8 Гц, 1H), 4.48 (d, J=10.4 Гц, 1H), 4.17 (s, 1H), 3.85 (d, J=12.4 Гц, 1H), 3.71 (q, J=4.3 Гц, 5Н), 3.58 (d, J=12.5 Гц, 1H), 3.04-2.92 (m, 1H), 2.86 (t, J=10.7 Гц, 1H), 2.61 (q, J=4.1 Гц, 4H), 2.28 (s, 1H), 2.10-1.77 (m, 4H), 1.53-1.12 (m, 7H).
Пример 269: (3,3,3-трифтор-2-гидроксипропил)-амид (2R,6R)-4-(8-циано-[1,7]нафтиридин-5-ил)-6-метилморфолин-2-карбоновой кислоты
[00588] Указанное в заголовке соединение получали из 5-[(2R,6R)-2-(гидроксиметил)-6-метилморфолин-4-ил]-1,7-нафтиридин-8-карбонитрила и 3-амино-1,1,1 -трифторпропан-2-ола. МС: 410 [М+Н]+. 1Н ЯМР (400 МГц, Метанол-d4) δ 9.14 (d, J=4.1 Гц, 1H), 8.66 (d, J=8.7 Гц, 1H), 8.37 (s, 1H), 7.85 (dd, J=8.8, 4.1 Гц, 1H), 4.54 (d, J=10.5 Гц, 1H), 4.16 (h, J=6.4, 6.0 Гц, 2H), 3.84 (d, J=12.2 Гц, 1H), 3.66 (dd, J=13.9, 4.0 Гц, 1H), 3.53 (d, J=12.1 Гц, 1H), 3.40 (dd, J=13.9, 8.2 Гц, 1H), 3.0-2.81 (m, 2H), 1.37 (d, J=6.2 Гц, 3H).
Пример 270: [2-(этилметиламино)-этил]-амид (2R,6R)-4-(8-циано-[1,7]нафтиридин-5-ил)-6-метилморфолин-2-карбоновой кислоты
[00589] Указанное в заголовке соединение получали из 5-[(2R,6R)-2-(гидроксиметил)-6-метилморфолин-4-ил]-1,7-нафтиридин-8-карбонитрила и (2-аминоэтил)(этил)метиламина. МС: 383 [М+Н]+. 1Н ЯМР (400 МГц, Метанол-d4) δ 9.14 (d, J=4.2 Гц, 1H), 8.67 (d, J=8.7 Гц, 1H), 8.38 (s, 1H), 7.86 (dd, J=8.8, 4.2 Гц, 1H), 4.56-4.46 (m, 1H), 4.24-4.09 (m, 1H), 3.84 (d, J=12.0 Гц, 1H), 3.53 (d, J=12.1 Гц, 1H), 3.42 (hept, J=7.0 Гц, 2Н), 2.91 (dt, J=22.8, 11.3 Гц, 2Н), 2.54 (dt, J=20.8, 7.0 Гц, 4H), 2.30 (s, 3H), 1.37 (d, J=6.2 Гц, 3H), 1.11 (t, J=7.2 Гц, 3H).
Пример 271: (4-метилморфолин-2-илметил)-амид (2R,6R)-4-(8-циано-[1,7]нафтиридин-5-ил)-6-метилморфолин-2-карбоновой кислоты
[00590] Указанное в заголовке соединение получали из 5-[(2R,6R)-2-(гидроксиметил)-6-метилморфолин-4-ил]-1,7-нафтиридин-8-карбонитрила и (4-метилморфолин-2-ил)метанамина. МС: 411 [М+Н]+. 1Н ЯМР (400 МГц, Метанол-d4) δ 9.15 (d, J=4.1 Гц, 1H), 8.68 (d, J=8.6 Гц, 1H), 8.39 (s, 1H), 7.86 (dd, J=8.7, 4.2 Гц, 1H), 4.59-4.45 (m, 1H), 4.21-4.11 (m, 1H), 3.96-3.88 (m, 1H), 3.84 (d, J=12.1 Гц, 1H), 3.70-3.60 (m, 2H), 3.53 (d, J=12.1 Гц, 1H), 3.40 (ddd, J=13.9, 9.1, 4.8 Гц, 1H), 3.31-3.24 (m, 1H), 2.92 (dt, J=17.6, 11.8 Гц, 2H), 2.78 (d, J=11.5 Гц, 1H), 2.70 (d, J=11.7 Гц, 1H), 2.30 (s, 3H), 2.15 (td, J=11.7, 3.5 Гц, 1H), 1.91-1.83 (m, 1H), 1.37 (d, J=6.2 Гц, 3H).
Пример 272: (1-циклопропилметилпирролидин-3-ил)-амид (2R,6R)-4-(8-циано-[1,7]нафтиридин-5-ил)-6-метилморфолин-2-карбоновой кислоты
[00591] Указанное в заголовке соединение получали из 5-[(2R,6R)-2-(гидроксиметил)-6-метилморфолин-4-ил]-1,7-нафтиридин-8-карбонитрила и 1-(циклопропилметил)пирролидин-3-амина. МС: 421 [М+Н]+. 1Н ЯМР (400 МГц, Метанол-d4) δ 9.15 (d, J=4.0 Гц, 1H), 8.67 (dd, J=8.6, 1.6 Гц, 1H), 8.39 (s, 1H), 7.86 (dd, J=8.7, 4.1 Гц, 1H), 4.49 (dd, J=10.7, 2.8 Гц, 2Н), 4.21-4.10 (m, 1H), 3.83 (d, J=12.1 Гц, 1H), 3.53 (d, J=12.2 Гц, 1H), 3.10-2.85 (m, 3H), 2.80-2.65 (m, 2H), 2.46 (td, J=9.8, 5.0 Гц, 1H), 2.37 (t, J=8.9 Гц, 3H), 1.74 (ddd, J=13.3, 10.6, 6.3 Гц, 1H), 1.38 (d, J=6.2 Гц, 3H), 0.94 (d, J=7.0 Гц, 1H), 0.68-0.48 (m, 2H), 0.26-0.11 (m, 2H).
Пример 273: (1-метилпирролидин-2-илметил)-амид (2R,6R)-4-(8-циано-[1,7]нафтиридин-5-ил)-6-метилморфолин-2-карбоновой кислоты
[00592] Указанное в заголовке соединение получали из 5-[(2R,6R)-2-(гидроксиметил)-6-метилморфолин-4-ил]-1,7-нафтиридин-8-карбонитрила и С-(1-метилпирролидин-2-ил)-метиламина. МС: 395 [М+Н]+. 1Н ЯМР (400 МГц, Метанол-d4) δ 9.15 (d, J=4.1 Гц, 1H), 8.75-8.63 (m, 1H), 8.39 (s, 1H), 7.86 (dd, J=8.7, 4.1 Гц, 1H), 4.52 (dd, J=10.9, 2.5 Гц, 1H), 4.22-4.03 (m, 1H), 3.85 (d, J=12.2 Гц, 1H), 3.52 (td, J=10.0, 4.4 Гц, 2Н), 3.23 (ddd, J=13.6, 9.9, 6.4 Гц, 1H), 3.08 (dt, J=9.6, 4.7 Гц, 1H), 2.93 (ddt, J=21.2, 14.8, 7.9 Гц, 2Н), 2.47 (s, 1H), 2.41 (s, 3H), 2.32-2.19 (m, 1H), 2.02-1.89 (m, 1H), 1.77 (qd, J=8.7, 8.3, 5.3 Гц, 2Н), 1.61 (dq, J=14.2, 7.3 Гц, 1H), 1.37 (d, J=6.2 Гц, 3H).
Пример 274: ((S)-4-метилморфолин-2-илметил)-амид (2R,6R)-4-(8-циано-[1,7]нафтиридин-5-ил)-6-метилморфолин-2-карбоновой кислоты
[00593] Указанное в заголовке соединение получали из 5-[(2R,6R)-2-(гидроксиметил)-6-метилморфолин-4-ил]-1,7-нафтиридин-8-карбонитрила и С-((S)-4-метилморфолин-2-ил)-метиламина. МС: 411 [М+Н]+. 1H ЯМР (400 МГц, Метанол-d4) δ 9.15 (d, J=4.1 Гц, 1H), 8.68 (d, J=8.6 Гц, 1H), 8.39 (s, 1H), 7.86 (dd, J=8.7, 4.2 Гц, 1H), 4.59-4.45 (m, 1H), 4.21-4.11 (m, 1H), 3.96-3.88 (m, 1H), 3.84 (d, J=12.1 Гц, 1H), 3.70-3.60 (m, 2H), 3.53 (d, J=12.1 Гц, 1H), 3.40 (ddd, J=13.9, 9.1, 4.8 Гц, 1H), 3.31-3.24 (m, 1H), 2.92 (dt, J=17.6, 11.8 Гц, 2H), 2.78 (d, J=11.5 Гц, 1H), 2.70 (d, J=11.7 Гц, 1H), 2.30 (s, 3H), 2.15 (td, J=11.7, 3.5 Гц, 1H), 1.91-1.83 (m, 1H), 1.37 (d, J=6.2 Гц, 3H).
Пример 275: ((R)-4-метилморфолин-2-илметил)-амид (2R,6R)-4-(8-циано-[1,7]нафтиридин-5-ил)-6-метилморфолин-2-карбоновой кислоты
[00594] Указанное в заголовке соединение получали из 5-[(2R,6R)-2-(гидроксиметил)-6-метилморфолин-4-ил]-1,7-нафтиридин-8-карбонитрила и С-((R)-4-метилморфолин-2-ил)-метиламина. МС: 411 [М+Н]+. 1Н ЯМР (400 МГц, Метанол-d4) δ 9.15 (d, J=4.1 Гц, 1H), 8.68 (d, J=8.6 Гц, 1H), 8.39 (s, 1H), 7.86 (dd, J=8.7, 4.2 Гц, 1H), 4.59-4.45 (m, 1H), 4.21-4.11 (m, 1H), 3.96-3.88 (m, 1H), 3.84 (d, J=12.1 Гц, 1H), 3.70-3.60 (m, 2Н), 3.53 (d, J=12.1 Гц, 1H), 3.40 (ddd, J=13.9, 9.1, 4.8 Гц, 1H), 3.31-3.24 (m, 1H), 2.92 (dt, J=17.6, 11.8 Гц, 2Н), 2.78 (d, J=11.5 Гц, 1H), 2.70 (d, J=11.7 Гц, 1H), 2.30 (s, 3H), 2.15 (td, J=11.7, 3.5 Гц, 1H), 1.91-1.83 (m, 1H), 1.37 (d, J=6.2 Гц, 3H).
Пример 276: ((R)-1-метилпирролидин-2-илметил)-амид (2R,6R)-4-(8-циано-[1,7]нафтиридин-5-ил)-6-метилморфолин-2-карбоновой кислоты
[00595] Указанное в заголовке соединение получали из 5-[(2R,6R)-2-(гидроксиметил)-6-метилморфолин-4-ил]-1,7-нафтиридин-8-карбонитрила и [(2R)-1-метилпирролидин-2-ил]метанамина. МС: 395 [М+Н]+. 1Н ЯМР (400 МГц, Метанол-d4) δ 9.15 (d, J=4.1 Гц, 1H), 8.68 (d, J=8.7 Гц, 1H), 8.39 (s, 1H), 7.92 -7.79 (m, 1H), 4.59-4.47 (m, 1H), 4.17 (p, J=7.0 Гц, 1H), 3.90-3.76 (m, 1H), 3.52 (dd, J=13.4, 4.0 Гц, 2H), 3.22 (dd, J=13.6, 6.4 Гц, 1H), 3.09 (dd, J=9.4, 4.9 Гц, 1H), 2.92 (dt, J=22.0, 11.3 Гц, 2H), 2.54-2.45 (m, 1H), 2.41 (d, J=1.6 Гц, 3H), 2.30 (q, J=8.9 Гц, 1H), 1.96 (dt, J=16.1, 8.0 Гц, 1H), 1.77 (p, J=7.3 Гц, 2H), 1.62 (dq, J=14.3, 7.4 Гц, 1H), 1.37 (d, J=5.9 Гц, 3H).
Пример 277: (4-морфолин-4-илциклогексил)-амид (2R,6R)-4-(8-циано-[1,7]нафтиридин-5-ил)-6-метилморфолин-2-карбоновой кислоты
[00596] Указанное в заголовке соединение получали из 5-[(2R,6R)-2-(гидроксиметил)-6-метилморфолин-4-ил]-1,7-нафтиридин-8-карбонитрила и трифторацетата 4-морфолин-4-илциклогексиламина. МС: 465 [М+Н]+. 1Н (400 МГц, Метанол-d4) δ 9.15 (s, 1H), 8.67 (d, J=8.5 Гц, 1H), 8.39 (s, 1H), 7.86 (dt, J=7.9, 3.0 Гц, 1H), 4.47 (d, J=10.5 Гц, 1H), 4.16 (d, J=8.5 Гц, 1H), 3.82 (d, J=12.2 Гц, 1H), 3.71 (d, J=4.7 Гц, 5Н), 3.52 (d, J=12.1 Гц, 1H), 2.92 (dt, J=21.7, 11.6 Гц, 2Н), 2.61 (t, J=4.4 Гц, 4Н), 2.28 (s, 1H), 2.10-1.89 (m, 4Н), 1.54-1.24 (m, 7Н).
Пример 278: (2R,6S)-4-(8-цианохиноксалин-5-ил)-N-[(2R)-2-
гидроксипропил]-6-(трифторметил)морфолин-2-карбоксамид & Пример 279: (2S,6R)-4-(8-цианохиноксалин-5-ил)-N-[(2R)-2-гидроксипропил]-6-(трифторметил)морфолин-2-карбоксамид
[00597] Указанное в заголовке соединение получали из цис-4-(8-цианохиноксалин-5-ил)-6-(трифторметил)морфолин-2-карбоновой кислоты с последующим разделением с помощью хиральной ВЭЖХ при следующих условиях: колонка, ChiralPAK IC-3, 0.46 × 10 см, 3 мкм; подвижная фаза, гексан (с 0.1% МК) в EtOH, 50%, изократический режим в течение 20 мин; детектор, УФ 254 нм.
Изомер 1: МС: 410 [М+Н]+. 1H ЯМР (400 МГц, Метанол-d4, м.д.) δ 8.99 (dd, J=17.4, 1.8 Гц, 2Н), 8.20 (d, J=8.3 Гц, 1H), 7.36 (d, J=8.3 Гц, 1H), 4.62 (dd, J=10.9, 2.7 Гц, 1H), 4.58 (s, 1H), 4.48 (d, J=12.0 Гц, 2Н), 3.90 (m, J=6.8, 4.3 Гц, 1H), 3.39 (dd, J=13.5, 4.3 Гц, 1H), 3.25-3.16 (m, 2Н), 3.15-3.05 (m, 1H), 1.18 (d, J=6.3 Гц, 3H)
Изомер 2: МС: 410 [М+Н]+. +1*Н ЯМР (400 МГц, Метанол-d4, м.д.) δ 9.01 8.96 (m, 2 Н), 8.20 (d, J=8.3 Гц, 1 Н), 7.36 (d, J=8.2 Гц, 1 Н), 4.75-4.54 (m, 2 Н), 4.48 (d, J=12.3 Гц, 2 Н), 3.93-3.84 (m, 1 Н), 3.42-3.33 (m, 1 Н), 3.27-3.04 (m, 3 Н), 1.18 (d, J=6.3 Гц, 3 Н).
Пример 280: (2R,6S)-4-(8-цианохиноксалин-5-ил)-N-[(2S)-2,3-дигидроксипропил]-6-(трифторметил)морфолин-2-карбоксамид & Пример 281: (2S,6R)-4-(8-цианохиноксалин-5-ил)-N-[(2S)-2,3-дигидроксипропил]-6-(трифторметил)морфолин-2-карбоксамид
[00598] Указанное в заголовке соединение получали из цис-4-(8-цианохиноксалин-5-ил)-6-(трифторметил)морфолин-2-карбоновой кислоты и (2S)-3-аминопропан-1,2-диола с последующим разделением с помощью хиральной ВЭЖХ при следующих условиях: колонка, CHIRALPAK ID-3, 0.46 × 5 см, 3 мкм; подвижная фаза, гексан (с 0.1% DEA) в IPA, 50%, изократический режим в течение 20 мин; детектор, УФ 254 нм.
Изомер 1: МС: 426 [М+Н]+. 1Н ЯМР (400 МГц, ДМСО-d6, м.д.) δ 9.10 (d, J=1.8 Гц, 1 Н), 9.03 (d, J=1.8 Гц, 1 Н), 8.30 (d, J=8.3 Гц, 1 Н), 7.69 (t, J=5.7 Гц, 1 Н), 7.39 (d, J=8.4 Гц, 1 Н), 4.85 (d, J=5.0 Гц, 1 Н), 4.74-4.70 (m, 1 Н), 4.60 (t, J=5.7 Гц, 1 H), 4.57-4.49 (m, 1 H), 4.44-4.34 (m, 2 H), 3.59-3.49 (m, 1 H), 3.39-3.15 (m, 4 H), 3.15-3.03 (m, 2 H).
Изомер 2: МС: 426 [М+Н]+. 1Н ЯМР (400 МГц, ДМСО-d6, м.д.) δ 9.10 (d, J=1.8 Гц, 1H), 9.03 (d, J=1.8 Гц, 1H), 8.30 (d, J=8.3 Гц, 1H), 7.68 (t, J=5.7 Гц, 1H), 7.39 (d, J=8.4 Гц, 1H), 4.85 (d, J=5.0 Гц, 1H), 4.72 (s, 1H), 4.60 (t, J=5.7 Гц, 1H), 4.53 (dd, J=10.9, 2.7 Гц, 1H), 4.39 (dd, J=10.1, 3.4 Гц, 1H), 3.55 (q, J=5.6 Гц, 1Н), 3.39-3.15 (m, 3H), 3.15-3.01 (m, 2Н).
Пример 282: (2R,6S)-4-(8-цианохиноксалин-5-ил)-N-[(2R)-2,3-дигидроксипропил]-6-(трифторметил)морфолин-2-карбоксамид & Пример 283: (2S,6R)-4-(8-цианохиноксалин-5-ил)-N-[(2R)-2,3-дигидроксипропил]-6-(трифторметил)морфолин-2-карбоксамид
[00599] Указанное в заголовке соединение получали из цис-4-(8-цианохиноксалин-5-ил)-6-(трифторметил)морфолин-2-карбоновой кислоты и (2R)-3-аминопропан-1,2-диола с последующим разделением с помощью хиральной ВЭЖХ при следующих условиях: колонка, CHIRALPAK IG-3, 0.46 × 5 см, 3 мкм; подвижная фаза, гексан (с 20 мМ NH3.H2O) в IPA, 50%, изократический режим в течение 20 мин; детектор, УФ 254 нм.
Изомер 1: МС: 426 [М+Н]+. 1Н ЯМР (300 МГц, ДМСО-d6, м.д.) δ 9.10 (d, J=1.8 Гц, 1 Н), 9.03 (d, J=1.8 Гц, 1 Н), 8.30 (d, J=8.3 Гц, 1 Н), 7.71 (t, J=5.7 Гц, 1 Н), 7.39 (d, J=8.4 Гц, 1 Н), 4.87 (d, J=4.9 Гц, 1 Н), 4.78-4.67 (m, 1 Н), 4.62 (t, J=5.7 Гц, 1 Н), 4.58-4.48 (m, 1 Н), 4.44-4.33 (m, 2 Н), 3.60-3.49 (m, 1 Н), 3.30-3.01 (m, 6 Н)
Изомер 2: МС: 426 [М+Н]+. 1Н ЯМР (300 МГц, ДМСО-d6, м.д.) δ 9.08 (d, J=1.8 Гц, 1H), 9.01 (d, J=1.8 Гц, 1H), 8.28 (d, J=8.3 Гц, 1H), 7.69 (t, J=5.7 Гц, 1H), 7.37 (d, J=8.4 Гц, 1H), 4.85 (d, J=4.9 Гц, 1H), 4.80-4.67 (m, 1H), 4.60 (t, J=5.7 Гц, 1H), 4.50 (d, J=2.5 Гц, 1H), 4.42-4.22 (m, 2Н), 3.57-3.45 (m, 1H), 3.31 (s, 1H), 3.25-2.85 (m, 5Н).
Пример 284: (2R,6S)-4-(8-цианохиноксалин-5-ил)-N-(2-гидрокси-2-метилпропил)-6-(трифторметил)морфолин-2-карбоксамид & Пример 285: (2S,6R)-4-(8-цианохиноксалин-5-ил)-N-(2-гидрокси-2-метилпропил)-6-(трифторметил)морфолин-2-карбоксамид
[00600] Указанное в заголовке соединение получали из цис-4-(8-цианохиноксалин-5-ил)-6-(трифторметил)морфолин-2-карбоновой кислоты и 1-амино-2-метилпропан-2-ола с последующим разделением с помощью хиральной ВЭЖХ при следующих условиях: колонка, CHIRALPAK IE-3, 0.46 х 5 см, 3 мкм; подвижная фаза, гексан (с 20 мМ NH3.H2O) в IPA, 50%, изократический режим в течение 20 мин; детектор, УФ 254 нм.
Изомер 1: МС: 424 [М+Н]+. 1H ЯМР (400 МГц, Метанол-d4, м.д.) δ 9.0 (d, J=1.8 Гц, 1 Н), 8.96 (d, J=1.8 Гц, 1 Н), 8.18 (d, J=8.3 Гц, 1 Н), 7.35 (d, J=8.3 Гц, 1 Н), 4.75-4.61 (m, 2 Н), 4.54-4.43 (m, 2 Н), 3.33-3.28 (m, 2 Н), 3.28-3.05 (m, 2 Н), 1.22 (s, 3 Н), 1.21 (s, 3 Н).
Изомер 2: МС: 424 [М+Н]+. 1H ЯМР (400 МГц, Метанол-d4, м.д.) δ 8.98 (dd, J=16.6, 1.8 Гц, 2Н), 8.18 (d, J=8.3 Гц, 1H), 7.35 (d, J=8.3 Гц, 1H), 4.75-4.61 (m, 2Н), 4.54-4.43 (m, 2Н), 3.31 (s, 2Н), 3.22 (dd, J=12.2, 10.8 Гц, 1H), 3.10 (dd, J=12.6, 10.8 Гц, 1H), 1.22 (d, J=2.8 Гц, 6Н).
Пример 286: (2R,6S)-4-(8-цианохиноксалин-5-ил)-N-((S)-2-гидроксипропил)-6-(трифторметил)морфолин-2-карбоксамид & Пример 287: (2S,6R)-4-(8-цианохиноксалин-5-ил)-N-((S)-2-гидроксипропил)-6-(трифторметил)морфолин-2-карбоксамид
[00601] Указанное в заголовке соединение получали из цис-4-(8-цианохиноксалин-5-ил)-6-(трифторметил)морфолин-2-карбоновой кислоты и (2S)-1-аминопропан-2-ола с последующим разделением с помощью хиральной ВЭЖХ при следующих условиях: колонка, CHIRALPAK IA, 0.46 × 10 см, 3 мкм; подвижная фаза, MtBE (с 0.1% DEA) в EtOH, 70%, изократический режим в течение 20 мин; детектор, УФ 254 нм.
Изомер 1: МС: 410 [М+Н]+. 1H ЯМР (400 МГц, ДМСО-d6, м.д.) δ 9.08 (d, J=1.8 Гц, 1 Н), 9.03 (d, J=1.8 Гц, 1 Н), 8.29 (d, J=8.3 Гц, 1 Н), 7.67 (t, J=5.8 Гц, 1 Н), 7.37 (d, J=8.4 Гц, 1 Н), 4.79-4.67 (m, 2 Н), 4.57-4.49 (m, 1 Н), 4.44 -4.34 (m, 2 Н), 3.76-3.65 (m, 1 Н), 3.24-2.95 (m, 4 Н), 1.01 (d, J=6.1 Гц, 3 Н).
Изомер 2: МС: 410 [М+Н]+. 1H ЯМР (400 МГц, ДМСО-d6, м.д.) δ 9.10 (d, J=1.8 Гц, 1 Н), 9.03 (d, J=1.8 Гц, 1 Н), 8.28(d, J=8.2 Гц, 1 Н), 7.66 (t, J=5.8 Гц, 1 Н), 7.39 (d, J=8.4 Гц, 1 Н), 4.79-4.67 (m, 2 Н), 4.57-4.49 (m, 1 Н), 4.44-4.34 (m, 2 Н), 3.76-3.65 (m, 1 Н), 3.26-2.97 (m, 4 Н), 1.03 (d, J=6.2 Гц, 3 Н).
Пример 288: 8-[(2R,6R)-2-((S)-7-амино-5-азаспиро[2.4]гептан-5-карбонил)-6-метилморфолин-4-ил]-хиноксалин-5-карбонитрил
[00602] Сложный трет-бутиловый эфир {(S)-5-[(2R,6R)-4-(8-цианохиноксалин-5-ил)-6-метилморфолин-2-карбонил]-5-азаспиро[2.4]гепт-7-ил}-карбаминовой кислоты: В 50 мл круглодонную колбу помещали (2R,6R)-4-(8-цианохиноксалин-5-ил)-6-метилморфолин-2-карбоновую кислоту (80.0 мг; 0.27 ммоль; 1.0 экв.) в ДМФА (2.0 мл), добавляли HATU (203.95 мг; 0.54 ммоль; 2.0 экв.) и полученный в результате раствор перемешивали в течение 10 минут при к.т., после чего добавляли сложный трет-бутиловый эфир (S)-(5-азаспиро[2.4]гепт-7-ил)-карбаминовой кислоты (68.32 мг; 0.32 ммоль; 1.20 экв.) и DIPEA (0.14 мл; 0.80 ммоль; 3.0 экв.), соответственно. Полученную в результате смесь перемешивали при комнатной температуре в течение 2 ч. Летучие вещества упаривали и остаток растворяли в ДХМ (2 мл). Раствор абсорбировали на колонке PuriFlash 12 г и очищали с помощью хроматографии (гексан-этилацетат, градиент 80-20% в течение 5 минут, затем 30-70% в течение 25 минут) с получением указанного в заголовке соединения (75.0 мг; 56%) в виде желтого масла. МС: 493 [М+Н]+.
[00603] 8-[(2R,6R)-2-((S)-7-амино-5-азаспиро[2.4]гептан-5-карбонил)-6-метилморфолин-4-ил]-хиноксалин-5-карбонитрил: Сложный mpem-бутиловый эфир {(S)-5-[(2R,6R)-4-(8-цианохиноксалин-5-ил)-6-метилморфолин-2-карбонил]-5-азаспиро[2.4]гепт-7-ил}-карбаминовой кислоты (49.31 мг; 0.10 ммоль; 1.0 экв.) суспендировали в диоксане (0.2 мл). К суспензии по каплям добавляли хлористоводородную кислоту в диоксане (0.25 мл; 1.0 ммоль; 10.0 экв.), в результате чего суспензия превращалась в гомогенный раствор. Полученный в результате раствор перемешивали в течение 4 часов. Летучие вещества упаривали и остаток растворяли в 4 мл ДМСО. Продукт очищали на обращенно-фазовой системе, используя градиент 05-95%) CH3CN/H2O (0.1% гидроксида аммония), за 4 впрыскивания по 1 мл каждый раз. Целевые фракции упаривали с обеспечением указанного в заголовке соединения (12.50 мг; 30%) в виде желтого твердого вещества. МС: 393 [М+Н]+. 1Н ЯМР (400 МГц, Метанол-d4) δ 8.96 (d, J=1.6 Гц, 1H), 8.90 (dd, J=19.5, 1.7 Гц, 1H), 8.14 (d, J=8.3 Гц, 1H), 7.26 (dd, J=8.4, 3.5 Гц, 1H), 4.70 (ddd, J=21.3, 10.5, 2.4 Гц, 1H), 4.47 (dd, J=12.4, 6.5 Гц, 1H), 4.14-3.95 (m, 3H), 3.82-3.71 (m, 1H), 3.65 (t, J=11.3 Гц, 1H), 3.57-3.44 (m, 1H), 3.21-3.05 (m, 2H), 2.91-2.81 (m, 1H), 1.32 (dd, J=11.5, 6.2 Гц, 3H), 0.91 (dd, J=9.9, 4.2 Гц, 1H), 0.76-0.59 (m, 3H).
[00604] Следующие соединения синтезировали аналогичным образом:
Пример 289: (3,3-дифторпиперидин-4-ил)-амид (2R,6R)-4-(8-цианохиноксалин-5-ил)-6-метилморфолин-2-карбоновой кислоты
[00605] Указанное в заголовке соединение получали из (2R,6R)-4-(8-цианохиноксалин-5-ил)-6-метилморфолин-2-карбоновой кислоты и трет-бутил 4-амино-3,3-дифторпиперидин-1-карбоксилата. МС: 417 [М+Н]+. 1Н ЯМР (400 МГц, Метанол-d4) δ 8.97 (d, J=1.8 Гц, 1H), 8.93 (d, J=1.8 Гц, 1H), 8.14 (d, J=8.3 Гц, 1H), 7.25 (dd, J=8.4, 2.0 Гц, 1H), 4.62-4.46 (m, 2Н), 4.46-4.33 (m, 1H), 4.14 (ddt, J=12.0, 10.0, 3.1 Гц, 2Н), 3.22 (d, J=3.1 Гц, 1H), 3.10-3.02 (m, 1H), 2.99-2.81 (m, 3H), 2.72 (tdd, J=12.1, 3.2, 1.7 Гц, 1H), 1.99-1.88 (m, 1H), 1.87 -1.70 (m, 1H), 1.37 (dd, J=6.2, 1.8 Гц, 3H).
Пример 290: (4-фторпиперидин-4-илметил)-амид (2R,6R)-4-(8-цианохиноксалин-5-ил)-6-метилморфолин-2-карбоновой кислоты
[00606] Указанное в заголовке соединение получали из (2R,6R)-4-(8-цианохиноксалин-5-ил)-6-метилморфолин-2-карбоновой кислоты и трет-бутил 4-(аминометил)-4-фторпиперидин-1-карбоксилата. МС: 413 [М+Н]+. 1Н ЯМР (400 МГц, Метанол-d4) δ 8.97 (s, 1H), 8.93 (s, 1H), 8.14 (dd, J=8.5, 1.7 Гц, 1H), 7.26 (d, J=8.3 Гц, 1H), 4.58 (dd, J=12.1, 2.5 Гц, 1H), 4.49 (dt, J=10.7, 2.3 Гц, 1H), 4.14 (t, J=10.2 Гц, 2Н), 3.57-3.40 (m, 2Н), 3.0-2.79 (m, 6Н), 1.89-1.55 (m, 4Н), 1.37 (d, J=6.1 Гц, 3H).
Пример 291: (5-азаспиро[3.5]нон-8-ил)-амид (2R,6R)-4-(8-цианохиноксалин-5-ил)-6-метилморфолин-2-карбоновой кислоты
[00607] Указанное в заголовке соединение получали из (2R,6R)-4-(8-цианохиноксалин-5-ил)-6-метилморфолин-2-карбоновой кислоты и трет-бутил 8-амино-5-азаспиро[3.5]нонан-5-карбоксилата. МС: 421 [М+Н]+. 1H ЯМР (400 МГц, Метанол-d4) δ 8.97 (s, 1H), 8.92 (s, 1H), 8.14 (d, J=8.3 Гц, 1H), 7.25 (d, J=8.3 Гц, 1H), 4.54 (d, J=12.3 Гц, 1H), 4.41 (d, J=10.7 Гц, 1H), 4.19-4.04 (m, 2Н), 4.0-3.87 (m, 1H), 2.93 (q, J=12.0 Гц, 2Н), 2.81 (q, J=12.2, 11.5 Гц, 2Н), 2.30 -1.76 (m, 8Н), 1.57-1.41 (m, 2Н), 1.36 (d, J=6.2 Гц, 3H).
Пример 292: (3-фторпирролидин-3-илметил)-амид (2R,6R)-4-(8-цианохиноксалин-5-ил)-6-метилморфолин-2-карбоновой кислоты
[00608] Указанное в заголовке соединение получали из (2R,6R)-4-(8-цианохиноксалин-5-ил)-6-метилморфолин-2-карбоновой кислоты и трет-бутил 3-(аминометил)-3-фторпирролидин-1-карбоксилата. МС: 399 [М+Н]+. 1Н ЯМР (400 МГц, Метанол-d4) δ 8.97 (s, 1H), 8.93 (s, 1H), 8.14 (d, J=8.3 Гц, 1H), 7.26 (d, J=8.3 Гц, 1H), 4.57 (d, J=12.3 Гц, 1H), 4.48 (d, J=11.1 Гц, 1H), 4.13 (t, J=10.4 Гц, 2Н), 3.68 (d, J=19.6 Гц, 2Н), 3.19-2.89 (m, 5Н), 2.84 (t, J=11.6 Гц, 1H), 2.0 (dtd, J=45.3, 16.6, 14.5, 8.9 Гц, 2Н), 1.36 (d, J=6.1 Гц, 3H).
Пример 293: (3-фторазетидин-3-илметил)-амид (2R,6R)-4-(8-цианохиноксалин-5-ил)-6-метилморфолин-2-карбоновой кислоты
[00609] Указанное в заголовке соединение получали из (2R,6R)-4-(8-цианохиноксалин-5-ил)-6-метилморфолин-2-карбоновой кислоты и 3-(аминометил)-3-фтор-1-boc-азетидина. МС: 385 [М+Н]+. 1H ЯМР (400 МГц, Метанол-d4) δ 8.97 (d, J=1.5 Гц, 1H), 8.93 (d, J=1.6 Гц, 1H), 8.15 (dd, J=8.4, 1.2 Гц, 1H), 7.26 (d, J=8.3 Гц, 1H), 4.58 (d, J=12.2 Гц, 1H), 4.52-4.45 (m, 1H), 4.19-4.07 (m, 2Н), 3.84-3.62 (m, 6Н), 2.94 (t, J=11.4 Гц, 1H), 2.84 (t, J=11.1 Гц, 1H), 1.36 (d, J=6.1 Гц, 3H).
Пример 294: гидрохлорид (2) ((3S,4R)-4-фторпирролидин-3-ил)-амида (2R,6R)-4-(8-цианохиноксалин-5-ил)-6-метилморфолин-2-карбоновой кислоты
[00610] Указанное в заголовке соединение получали из (2R,6R)-4-(8-цианохиноксалин-5-ил)-6-метилморфолин-2-карбоновой кислоты и (3S,4R)-трет-бутил 3-амино-4-фторпирролидин-1-карбоксилата, и выделяли в виде HCl соли. МС: 385 [М+Н]+. 1H ЯМР (400 МГц, AMCO-d6) δ 9.84 (s, 1Н), 9.60 (s, 1H), 9.08 (d, J=1.8 Гц, 1H), 9.0 (d, J=1.8 Гц, 1H), 8.26 (d, J=8.4 Гц, 1H), 8.15 (d, J=7.6 Гц, 1H), 7.29 (d, J=8.4 Гц, 1H), 5.29-5.10 (m, 1H), 4.59-4.44 (m, 2H), 4.39-4.34 (m, 1H), 4.13 (dt, J=12.5, 2.2 Гц, 1H), 3.98 (ddd, J=10.4, 6.2, 2.4 Гц, 1H), 3.63-3.45 (m, 4H), 3.02-2.95 (m, 1H), 2.84 (dd, J=12.5, 10.4 Гц, 1H), 1.27 (d, J=6.2 Гц, 3H).
Пример 295: гидрохлорид (2) 8-[(2R,6R)-2-((3R,5S)-3-амино-5-трифторметилпиперидин-1-карбонил)-6-метилморфолин-4-ил]-хиноксалин-5-карбонитрила
[00611] Указанное в заголовке соединение получали из (2R,6R)-4-(8-цианохиноксалин-5-ил)-6-метилморфолин-2-карбоновой кислоты и трет-бутил N-[(3R,5S)-5-(трифторметил)пиперидин-3-ил]карбамата, и выделяли в виде HCl соли. МС: 449 [М+Н]+. 1Н ЯМР (400 МГц, Метанол-d4) δ 8.97 (s, 1Н), 8.90 (s, 1H), 8.14 (d, J=8.2 Гц, 1H), 7.27 (d, J=8.3 Гц, 1H), 4.92-4.76 (m, 1H), 4.62 -4.46 (m, 1H), 4.38 (d, J=12.8 Гц, 1H), 4.27-4.09 (m, 3H), 3.19 (dt, J=24.3, 13.1 Гц, 4Н), 2.83 (d, J=22.4 Гц, 1H), 2.65 (dd, J=40.4, 12.0 Гц, 3H), 2.45 (t, J=14.4 Гц, 2Н), 1.81-1.64 (m, 2Н), 1.32 (d, J=6.0 Гц, 3H).
Пример 296: (2R,6R)-4-(8-цианохиноксалин-5-ил)-6-метил-N-{[(3S)-морфолин-3-ил]метил}морфолин-2-карбоксамид & Пример 297: (2R,6R)-4-(8-цианохиноксалин-5-ил)-6-метил-N-{[(3R)-морфолин-3-ил]метил}морфолин-2-карбоксамид
[00612] Указанные в заголовке соединения получали из (2R,6R)-4-(8-цианохиноксалин-5-ил)-6-метилморфолин-2-карбоновой кислоты и трет-бутил 3-(аминометил)морфолин-4-карбоксилата, и разделяли с помощью СКЖХ. Придерживались следующих условий: колонка, ADH, Prep SFC-P100; подвижная фаза, метанол + 20 мМ NH4OH, 45°С / 80 бар, 100 г/мин; детектор, ФДМ. Конфигурации структур устанавливали в порядке предположения.
Изомер 1: МС: 397 [М+Н]+. 1Н ЯМР (400 МГц, ДМСО-d6) δ 9.07 (d, 7=1.8 Гц, 1H), 9.0 (d, 7=1.8 Гц, 1H), 8.25 (d, 7=8.4 Гц, 1H), 7.77 (t, 7=5.9 Гц, 1H), 7.28 (d, 7=8.4 Гц, 1H), 4.48 (dt, 7=12.5, 2.3 Гц, 1H), 4.29 (dd, 7=10.8, 2.7 Гц, 1H), 4.15-4.08 (m, 1H), 3.97 (ddd, 7=10.5, 6.2, 2.4 Гц, 1H), 3.62 (dt, 7=12.8, 3.3 Гц, 2Н), 3.34 (dd, 7=10.6, 2.9 Гц, 1H), 3.08-3.02 (m, 2Н), 2.93 (dd, 7=12.4, 10.8 Гц, 1H), 2.84-2.73 (m, 3H), 2.73-2.64 (m, 1H), 1.27 (d, 7=6.2 Гц, 3H).
Изомер 2: МС: 397 [М+Н]+. 1Н ЯМР (400 МГц, ДМСО-d6) δ 9.08 (d, 7=1.8 Гц, 1H), 9.0 (d, 7=1.8 Гц, 1H), 8.25 (d, 7=8.4 Гц, 1H), 7.78 (t, 7=6.0 Гц, 1H), 7.28 (d, 7=8.4 Гц, 1H), 4.48 (dt, 7=12.4, 2.4 Гц, 1H), 4.29 (dd, 7=10.8, 2.7 Гц, 1H), 4.15-4.08 (m, 1H), 3.97 (ddd, 7=10.4, 6.2, 2.3 Гц, 1H), 3.68-3.58 (m, 2Н), 3.39-3.25 (m, 1H), 3.07 (td, 7=8.3, 1.8 Гц, 2Н), 2.93 (dd, 7=12.4, 10.8 Гц, 1H), 2.89-2.71 (m, 3H), 2.71-2.64 (m, 1H), 1.27 (d, 7=6.2 Гц, 3H).
Пример 298: ((3S,4R)-4-фторпирролидин-3-ил)-амид (2R,6R)-4-(7-фтор-8-метилхинолин-5-ил)-6-метилморфолин-2-карбоновой кислоты
[00613] Указанное в заголовке соединение получали из (2R,6R)-4-(7-фтор-8-метилхинолин-5-ил)-6-метилморфолин-2-карбоновой кислоты и (3S,4R)-трет-бутил 3-амино-4-фторпирролидин-1-карбоксилата. МС: 391 [М+Н]+. 1Н ЯМР (400 МГц, Метанол-d4) δ 8.90 (d, 7=4.4 Гц, 1H), 8.65 (d, 7=8.5 Гц, 1H), 7.52 (dd, 7=8.5, 4.3 Гц, 1H), 7.09 (d, 7=11.2 Гц, 1H), 5.18-4.99 (m, 1H), 4.57 -4.49 (m, 1H), 4.35 (dtd, 7=25.0, 8.6, 4.5 Гц, 1H), 4.20-4.11 (m, 1H), 3.89-3.63 (m, 1H), 3.56 (d, 7=12.0 Гц, 1H), 3.29-3.08 (m, 3H), 2.73 (ddt, 7=29.3, 22.9, 10.8 Гц, 3H), 2.60 (s, 3H), 1.34 (d, 7=6.2 Гц, 3H).
Пример 299: (3,3-дифторпиперидин-4-ил)-амид (2R,6R)-4-(8-цианохиназолин-5-ил)-6-метилморфолин-2-карбоновой кислоты
[00614] Указанное в заголовке соединение получали из (2R,6R)-4-(8-цианохиназолин-5-ил)-6-метилморфолин-2-карбоновой кислоты и трет-бутил 4-амино-3,3-дифторпиперидин-1-карбоксилата с последующим снятием Вос-защиты с помощью ТФУ в ДХМ, и очищали с помощью обращенно-фазовой системы, используя градиент 5-95% ACN/вода (0.1% гидроксида аммония). МС: 417 [М+Н]+. 1Н ЯМР (400 МГц, Метанол-d4) δ 9.75 (d, J=2.4 Гц, 1Н), 9.35 (d, J=1.9 Гц, 1H), 8.41-8.26 (m, 1H), 7.35 (d, J=8.2 Гц, 1H), 4.59 (t, J=9.6 Гц, 1H), 4.49-4.32 (m, 1H), 4.26-4.15 (m, 1H), 3.90-3.81 (m, 1H), 3.59 (d, J=12.4 Гц, 1H), 3.22 (t, J=12.9 Гц, 1H), 2.96 (dq, J=60.6, 16.2, 14.3 Гц, 4Н), 2.72 (t, J=13.0 Гц, 1H), 1.93 (dt, J=16.0, 8.1 Гц, 1H), 1.82-1.69 (m, 1H), 1.37 (d, J=6.2 Гц, 3H).
Пример 300: (4-фторпиперидин-4-илметил)-амид (2R,6R)-4-(8-циано-[1,7]нафтиридин-5-ил)-6-метилморфолин-2-карбоновой кислоты
[00615] Указанное в заголовке соединение получали из (2R,6R)-4-(8-циано-[1,7]нафтиридин-5-ил)-6-метилморфолин-2-карбоновой кислоты и трет-бутил 4-(аминометил)-4-фторпиперидин-1-карбоксилата с последующим снятием Вос-защиты с помощью ТФУ в ДХМ, и очищали с помощью обращенно-фазовой системы, используя градиент 5-95% ACN/вода (0.1% гидроксида аммония). МС: 413 [М+Н]+. 1Н ЯМР (400 МГц, Метанол-d4) 9.15 (d, J=4.1 Гц, 1H), 8.68 (d, J=8.6 Гц, 1H), 8.40 (s, 1H), 7.86 (dd, J=8.7, 4.1 Гц, 1H), 4.56 (dd, J=10.9, 2.5 Гц, 1H), 4.18 (t, J=8.0 Гц, 1H), 3.91-3.72 (m, 1H), 3.60 -3.40 (m, 3H), 3.07-2.77 (m, 6H), 1.90-1.49 (m, 4H), 1.38 (d, J=6.2 Гц, 3H).
Пример 301: (3-фторазетидин-3-илметил)-амид (2R,6R)-4-(8-циано-[1,7]нафтиридин-5-ил)-6-метилморфолин-2-карбоновой кислоты
[00616] Указанное в заголовке соединение получали из (2R,6R)-4-(8-цианохиназолин-5-ил)-6-метилморфолин-2-карбоновой кислоты и 3-(аминометил)-3-фтор-1-Ьос-азетидина с последующим снятием Вос-защиты с помощью ТФУ в ДХМ, и очищали с помощью обращенно-фазовой системы, используя градиент 5-95% ACN/вода (0.1% гидроксида аммония). МС: 385 [М+Н]+. 1Н ЯМР (400 МГц, Метанол-d4) δ 9.15 (d, J=4.1 Гц, 1Н), 8.68 (d, J=8.6 Гц, 1H), 8.40 (d, J=1.1 Гц, 1H), 7.86 (dd, J=8.7, 4.2 Гц, 1H), 4.67-4.45 (m, 2Н), 4.18 (dt, J=12.0, 7.1 Гц, 1H), 3.89-3.60 (m, 6Н), 3.53 (d, J=12.0 Гц, 1H), 2.94 (dt, J=26.7, 11.5 Гц, 2Н), 1.38 (d, J=6.2 Гц, 3H).
Пример 302: (3,3-дифторпиперидин-4-ил)-амид (2R,6R)-4-(8-циано-[1,7]нафтиридин-5-ил)-6-метилморфолин-2-карбоновой кислоты
[00617] Указанное в заголовке соединение получали из (2R,6R)-4-(8-цианохиназолин-5-ил)-6-метилморфолин-2-карбоновой кислоты и трет-бутил 4-амино-3,3-дифторпиперидин-1-карбоксилата с последующим снятием Вос-защиты с помощью ТФУ в ДХМ, и очищали с помощью обращенно-фазовой системы, используя градиент 5-95% ACN/вода (0.1% гидроксида аммония). МС: 417 [М+Н]+. 1Н ЯМР (400 МГц, Метанол-d4) δ 9.14 (dd, J=4.2, 1.5 Гц, 1Н), 8.67 (dt, J=8.7, 1.8 Гц, 1H), 8.39 (d, J=2.7 Гц, 1H), 7.94-7.82 (m, 1H), 4.58 (ddd, J=11.0, 8.4, 2.7 Гц, 1H), 4.40 (ddt, J=22.3, 12.2, 4.6 Гц, 1H), 4.27-4.11 (m, 1H), 3.83 (ddt, J=11.7, 9.0, 2.3 Гц, 1H), 3.53 (dt, J=12.2, 2.2 Гц, 1H), 3.25 (t, J=7.2 Гц, 1H), 3.12-2.82 (m, 4Н), 2.74 (t, J=12.9 Гц, 1H), 2.02-1.89 (m, 1H), 1.85-1.72 (m, 1H), 1.39 (d, J=6.3, 1.3 Гц, 3H).
Пример 303 (Изомер 1): (2R,6S)-4-(8-цианохиноксалин-5-ил)-N-[(3S,4R)-4-фторпирролидин-3-ил]-6-(трифторметил)морфолин-2-карбоксамид & Пример 304 (Изомер 2): (2S,6R)-4-(8-цианохиноксалин-5-ил)-N-[(3S,4R)-4-фторпирролидин-3-ил]-6-(трифторметил)морфолин-2-карбоксамид
[00618] Указанные в заголовке соединения получали из цис-4-(8-цианохиноксалин-5-ил)-6-(трифторметил)морфолин-2-карбоновой кислоты и трет-бутил (3S,4R)-3-амино-4-фторпирролидин-1-карбоксилата. Два изомера получали путем разделения с помощью хиральной ВЭЖХ при следующих условиях: колонка CHIRALPAK ID-3, 0.46 × 5 см, 3 мкм; подвижная фаза, гексан (с 20 мМ NH3H2O) в IPA, 50%, изократический режим в течение 20 мин; детектор, УФ 254 нм.
Изомер 1: МС: 439 [М+Н]+. 1H ЯМР (400 МГц, Метанол-d4, м.д.) δ 8.99 (dd, J=17.9, 1.8 Гц, 2 Н), 8.19 (d, J=8.2 Гц, 1 Н), 7.35 (d, J=8.3 Гц, 1 Н), 5.11 (dt, J=59.6, 4.0 Гц, 1 Н), 4.71-4.62 (m, 2 Н), 4.51-4.32 (m, 3 Н), 3.29-3.09 (m, 5 Н), 2.87-2.77 (m, 1 Н).
Изомер 2: МС: 439 [М+Н]+. 1Н ЯМР (400 МГц, Метанол-d4, м.д.) δ 9.03 -8.94 (m, 2 Н), 8.19 (d, J=8.3, 1.7 Гц, 1 Н), 7.35 (d, J=8.3, 1.3 Гц, 1 Н), 5.14 (dt, J=55.2, 4.0 Гц, 1 Н), 4.72-4.62 (m, 2 Н), 4.53-4.30 (m, 3 Н), 3.33-3.08 (m, 5 Н), 2.87-2.77 (m, 1 Н).
Пример 305 (Изомер 1): (2R,6S)-4-(8-цианохиноксалин-5-ил)-N-[(4-фторпиперидин-4-ил)метил]-6-(трифторметил)морфолин-2-карбоксамид & Пример 306 (Изомер 2): (2S,6R)-4-(8-цианохиноксалин-5-ил)-N-[(4-фторпиперидин-4-ил)метил]-6-(трифторметил)морфолин-2-карбоксамид
[00619] Указанные в заголовке соединения получали из цис-4-(8-цианохиноксалин-5-ил)-6-(трифторметил)морфолин-2-карбоновой кислоты и трет-бутил 4-(аминометил)-4-фторпиперидин-1-карбоксилата. Два изомера получали путем разделения с помощью хиральной ВЭЖХ при следующих условиях: колонка, CHIRALPAK Cellulose-SB, 0.46 × 15 см, 3 мкм; подвижная фаза, MtBE (с 0.1% DEA) в EtOH, 70%, изократический режим в течение 20 мин; детектор, УФ 254 нм.
Изомер 1: МС: 467 [М+Н]+. 1Н ЯМР (400 МГц, ДМСО-d6, м.д.) δ 9.10 (d, J=1.8 Гц, 1 Н), 9.03 (d, J=1.8 Гц, 1 Н), 8.30 (d, J=8.3 Гц, 1 Н), 7.99-7.91 (m, 1 Н), 7.40 (d, J=8.4 Гц, 1 Н), 4.77- 4.65(m, 1 Н), 4.61-4.53 (m, 1 Н), 4.44-4.32 (m, 2 Н), 3.43-3.36 (m, 2 Н), 3.29-3.05 (m, 3 Н), 2.85-2.59 (m, 4 Н), 1.74-1.37 (m, 4 Н).
Изомер 2: МС: 467 [М+Н]+. 1Н ЯМР (400 МГц, ДМСО-d6, м.д.) δ 9.04 (m, J=29.2, 1.9 Гц, 2Н), 8.27 (dd, J=8.3, 3.8 Гц, 1H), 7.96 (m, J=6.4 Гц, 1H), 7.37 (dd, J=8.7, 3.1 Гц, 1H), 4.80-4.64 (m, 1H), 4.56 (dd, J=10.8, 2.6 Гц, 1H), 4.36 (m, J=14.1 Гц, 2Н), 3.36 (m, J=20.9, 6.4, 3.2 Гц, 3H), 3.17 (m, J=33.3, 11.7 Гц, 2Н), 2.84-2.58 (m, 4Н), 1.70-1.39 (m, 4Н).
Пример 307 (Изомер 1): (2R,6S)-4-(8-цианохиноксалин-5-ил)-N-[[(3R)-3-фторпирролидин-3-ил]метил]-6-(трифторметил)морфолин-2-карбоксамид & Пример 308 (Изомер 2): (2S,6R)-4-(8-цианохиноксалин-5-ил)-N-[[(3R)-3-фторпирролидин-3-ил]метил]-6-(трифторметил)морфолин-2-карбоксамид
[00620] Указанные в заголовке соединения получали из г/мс-4-(8-цианохиноксалин-5-ил)-6-(трифторметил)морфолин-2-карбоновой кислоты и трет-бутил (3R)-3-(аминометил)-3-фторпирролидин-1-карбоксилата. Два изомера получали путем разделения с помощью хиральной ВЭЖХ при следующих условиях: колонка, CHIRALPAK Cellulose-SB, 0.46 × 15 см, 3 мкм; подвижная фаза, MtBE (с 0.1% DEA) в EtOH, 70%, изократический режим в течение 20 мин; детектор, УФ 254 нм.
Изомер 1: МС: 453 [М+Н]+. 1H ЯМР (400 МГц, ДМСО-d6, м.д.) δ 9.05 (d, J=1.8 Гц, 1 Н), 9.03 (d, J=1.8 Гц, 1 Н), 8.28 (d, J=8.3 Гц, 1 Н), 8.14-8.09 (m, 1 Н), 7.40 (d, J=8.4 Гц, 1 Н), 4.74-4.69 (m, 1 Н), 4.60-4.50 (m, 1 Н), 4.46-4.30 (m, 2 Н), 3.69-3.51 (m, 3 Н), 3.27-3.09 (m, 3 Н), 3.0-2.84 (m, 3 Н), 2.01-1.78 (m, 2 Н).
Изомер 2: МС: 453 [М+Н]+. 1H ЯМР (400 МГц, ДМСО-d6, м.д.) δ 9.10 (d, J=1.8 Гц, 1 Н), 9.03 (d, J=1.8 Гц, 1 Н), 8.30 (d, J=8.3 Гц, 1 Н), 8.14-8.09 (m, 1 Н), 7.40 (d, J=8.4 Гц, 1 Н), 4.74-4.69 (m, 1 Н), 4.60-4.52 (m, 1 Н), 4.44-4.32 (m, 2 Н), 3.68-3.49 (m, 3 Н), 3.27-3.09 (m, 3 Н), 3.01-2.83 (m, 3 Н), 2.0-1.80 (m, 2 Н).
Пример 309 (Изомер 1): (2R,6S)-4-(8-цианохиноксалин-5-ил)-N-[[(3S)-3-фторпирролидин-3-ил]метил]-6-(трифторметил)морфолин-2-карбоксамид & Пример 310 (Изомер 2): (2S,6R)-4-(8-цианохиноксалин-5-ил)-N-[[(3S)-3-фторпирролидин-3-ил]метил]-6-(трифторметил)морфолин-2-карбоксамид
[00621] Указанные в заголовке соединения получали из цис-4-(8-цианохиноксалин-5-ил)-6-(трифторметил)морфолин-2-карбоновой кислоты и трет-бутил (3S)-3-(аминометил)-3-фторпирролидин-1-карбоксилата. Два изомера получали путем разделения с помощью хиральной ВЭЖХ при следующих условиях: колонка, CHIRALPAK IA, 0.46 × 15 см, 3 мкм; подвижная фаза, MtBE (с 0.1% DEA) в EtOH, 50%, изократический режим в течение 20 мин; детектор, УФ 254 нм.
Изомер 1: МС: 453 [М+Н]+. 1Н ЯМР (300 МГц, ДМСО-d6, м.д.) δ 9.98 (br s, 1 Н), 9.73 (br s, 1 Н), 9.11-9.03 (m, 1.8 Гц, 2 Н), 8.40 (t, J=6.3 Гц, 1 Н), 8.27 (d, J=8.3 Гц, 1 Н), 7.40 (d, J=8.4 Гц, 1 Н), 4.80-4.51 (m, 2 Н), 4.49-4.20 (m, 2 Н), 3.72-3.56 (m, 2 Н), 3.41-3.07 (m, 6 Н), 2.24-2.02 (m, 2 Н).
Изомер 2: МС: 453 [М+Н]+. 1Н ЯМР (300 МГц, ДМСО-d6, м.д.) δ 9.05 (m, J=21.1, 1.6 Гц, 2Н), 8.28 (m, J=8.3, 1.8 Гц, 1H), 8.06 (s, 1H), 7.42-7.33 (m, 1H), 4.69 (s, 1H), 4.55 (d, J=10.7 Гц, 1H), 4.36 (m, J=13.4 Гц, 2Н), 3.65-3.41 (m, 3H), 3.16 (m, J=24.0, 11.7 Гц, 3H), 2.96-2.73 (m, 3H), 2.02-1.70 (m, 2Н).
Пример 311 (Изомер 1): 8-[(2R,6S)-2-[(7S)-7-амино-5-азаспиро[2.4]гептан-5-карбонил]-6-(трифторметил)морфолин-4-ил]хиноксалин-5-карбонитрил & Пример 312 (Изомер 2): 8-[(2S,6R)-2-[(7S)-7-амино-5-азаспиро[2.4]гептан-5-карбонил]-6-(трифторметил)морфолин-4-ил]хиноксалин-5-карбонитрил
[00622] Указанные в заголовке соединения получали из цис-4-(8-цианохиноксалин-5-ил)-6-(трифторметил)морфолин-2-карбоновой кислоты и трет-бутил N-[(7S)-5-азаспиро[2.4]гептан-7-ил]карбамата. Два изомера получали путем разделения с помощью хиральной ВЭЖХ при следующих условиях: колонка, CHIRALPAK ID-3, 0.46 × 5 см, 3 мкм; подвижная фаза, MtBE (с 0.1% DEA) в МеОН, 80%, изократический режим в течение 20 мин; детектор, УФ 254 нм.
Изомер 1: МС: 447 [М+Н]+. 1H ЯМР (400 МГц, ДМСО-d6, м.д.) δ 9.12-9.07 (m, 1 Н), 9.05-8.97 (m, 1 Н), 8.32-8.26 (m, 1 Н), 7.43-7.36 (m, 1 Н), 4.80-4.66 (m, 1 Н), 4.47-4.26 (m, 2 Н), 3.95-3.93 (m, 0.5 Н), 3.78-3.75 (m, 0.5 Н), 3.56 -3.52 (m, 1 Н), 3.39-3.33 (m, 1.5 Н), 3.27-3.12 (m, 3 Н), 3.09-3.01 (m, 0.5 Н), 1.66-1.61 (m, 1 Н), 0.82-0.74 (m, 1 Н), 0.67-0.33 (m, 3 Н).
Изомер 2: МС: 447 [М+Н]+. 1H ЯМР (400 МГц, ДМСО-d6, м.д.) δ 9.20 -9.15(m, 1 Н), 9.05-8.97 (т, 1 Н), 8.32-8.26 (т, 1 Н), 7.43-7.36 (m, 1 Н), 4.80-4.66 (m, 1 Н), 4.47-4.26 (m, 2 Н), 3.95-3.93 (m, 0.5 Н), 3.82-3.35 (m, 3 Н), 3.29-3.15 (m, 3 Н), 3.11-3.01 (m, 0.5 Н), 1.65-1.58 (m, 1 Н), 0.80-0.72 (m, 1 Н), 0.66-0.30 (m, 3 Н).
Пример 313 (Изомер 1): (2S,6R)-4-(8-цианохинолин-5-ил)-N-(((S)-3-фторпирролидин-3-ил)метил)-6-(трифторметил)морфолин-2-карбоксамид & Пример 314 (Изомер 2): (2R,6S)-4-(8-цианохинолин-5-ил)-N-(((S)-3-фторпирролидин-3-ил)метил)-6-(трифторметил)морфолин-2-карбоксамид
[00623] Указанные в заголовке соединения получали из цис-4-(8-цианохинолин-5-ил)-6-(трифторметил)морфолин-2-карбоновой кислоты и трет-бутил (3R)-3-(аминометил)-3-фторпирролидин-1-карбоксилата. Два изомера получали путем разделения с помощью хиральной ВЭЖХ при следующих условиях: колонка, CHIRALPAK ID-3, 0.46 × 10 см, 3 мкм; подвижная фаза, гексан (с 0.1% DEA) в EtOH, 50%, изократический режим в течение 25 мин; детектор, УФ 220 нм.
Изомер 1: МС: 452 [М+Н]+. 1Н ЯМР (300 МГц, Метанол-d4, м.д.) δ 9.06-8.98 (m, 1 Н), 8.72 (dd, J=8.6, 1.7 Гц, 1 Н), 8.19 (d, J=8.0 Гц, 1 Н), 7.70 (dd, J=8.6, 4.2 Гц, 1 Н), 7.38 (d, J=8.0 Гц, 1 Н), 4.80-4.68 (m, 2 Н), 3.80-3.51 (m, 4 Н), 3.24-2.87 (m, 6 Н), 2.18-1.83 (m, 2 Н).
Изомер 2: МС: 452 [М+Н]+. 1Н ЯМР (300 МГц, Метанол-d4, м.д.) δ 9.02 (m, J=4.3, 1.7 Гц, 1H), 8.72 (m, J=8.6, 1.7 Гц, 1H), 8.19 (d, J=8.0 Гц, 1H), 7.70 (m, J=8.6, 4.2 Гц, 1H), 7.38 (d, J=8.0 Гц, 1H), 4.80-4.63 (m, 2Н), 3.84-3.63 (m, 3H), 3.57 (d, J=11.7 Гц, 1H), 3.23-2.78 (m, 6Н), 2.0 (m, 2Н).
Пример 315 (Изомер 1): (2R,6S)-4-(8-цианохинолин-5-ил)-N-[(4-фтор-1-метилпиперидин-4-ил)метил]-6-(трифторметил)морфолин-2-карбоксамид & Пример 316 (Изомер 2): (2S,6S)-4-(8-цианохинолин-5-ил)-N-[(4-фтор-1-метилпиперидин-4-ил)метил]-6-(трифторметил)морфолин-2-карбоксамид
[00624] Указанные в заголовке соединения получали из цис-4-(8-цианохинолин-5-ил)-6-(трифторметил)морфолин-2-карбоновой кислоты и трет-бутил 4-(аминометил)-4-фторпиперидин-1-карбоксилата. Два изомера получали путем разделения с помощью хиральной ВЭЖХ при следующих условиях: колонка, CHIRALPAK 1H, 0.46 × 15 см, 3 мкм; подвижная фаза, МеОН (с 0.1% DEA) в течение 25 мин; детектор, УФ 220 нм.
Изомер 1: МС: 466 [М+Н]+. 1H ЯМР (300 МГц, ДМСО-d6, м.д.) δ 9.10-9.03 (m, 1 Н), 8.68 (d, J=8.6 Гц, 1 Н), 8.27 (d, J=7.9 Гц, 1 Н), 8.02-7.92 (m, 1 Н), 7.78-7.67 (m, 1 Н), 7.45-7.36 (m, 1 Н), 4.86-4.76 (m, 1 Н), 4.71-4.62 (m, 1 Н), 3.70-2.88 (m, 7 Н), 2.76-2.56 (m, 4 Н), 1.72-1.32 (m, 4 Н).
Изомер 2: МС: 466 [М+Н]+. 1H ЯМР (300 МГц, ДМСО-d6, м.д.) δ 9.07 (d, J=4.2 Гц, 1H), 8.68 (d, J=8.6 Гц, 1H), 8.27 (d, J=7.9 Гц, 1H), 7.97 (m, J=6.2 Гц, 1H), 7.73 (m, J=8.6, 4.3 Гц, 1H), 7.40 (d, J=8.1 Гц, 1H), 4.81 (d, J=9.6 Гц, 1H), 4.67 (d, J=10.3 Гц, 1H), 3.52 (m, J=10.8 Гц, 2Н), 3.35 (d, J=6.1 Гц, 2Н), 3.29 (m, J=5.5 Гц, 1H), 3.17-3.01 (m, 1H), 2.96 (d, J=11.7 Гц, 1H), 2.65 (d, J=14.8 Гц, 4Н), 1.49 (m, 4Н).
Пример 317 (Изомер 1): (2R,6S)-4-(8-циано-1,7-нафтиридин-5-ил)-N-[(4-фторпиперидин-4-ил)метил]-6-(трифторметил)морфолин-2-карбоксамид & Пример 318 (Изомер 2): (2S,6R)-4-(8-циано-1,7-нафтиридин-5-ил)-N-[(4-фторпиперидин-4-ил)метил]-6-(трифторметил)морфолин-2-карбоксамид
[00625] Указанные в заголовке соединения получали из цис-4-(8-циано-1,7-нафтиридин-5-ил)-6-(трифторметил)морфолин-2-карбоновой кислоты и трет-бутил 4-(аминометил)-4-фторпиперидин-1-карбоксилата. Два изомера получали путем разделения с помощью хиральной ВЭЖХ при следующих условиях: колонка, CHIRALPAK ID-3, 0.46 × 15 см, 3 мкм; подвижная фаза, MtBE (с 0.1% DEA) в EtOH, 70%, изократический режим в течение 20 мин; детектор, УФ 254 нм.
Изомер 1: МС: 467 [М+Н]+. 1H ЯМР (400 МГц, ДМСО-d6, м.д.) δ 9.25-9.19 (m, 1 Н), 8.76-8.69 (m, 1 Н), 8.56 (s, 1 Н), 8.10 -7.81 (m, 2 Н), 4.89-4.77 (m, 1 Н), 4.72-4.65 (m, 1 Н), 3.71-3.62 (m, 2 Н), 3.46-3.28 (m, 2 Н), 3.19-3.09 (m, 3 Н), 2.83-2.57 (m, 4 Н), 1.71-1.38 (m, 4 Н).
Изомер 2: МС: 467 [М+Н]+. 1H ЯМР (400 МГц, ДМСО-d6, м.д.) δ 9.20-9.13 (m, 1 Н), 8.73-8.66 (m, 1 Н), 8.55 (s, 1 Н), 8.08-7.79 (m, 2 Н), 4.85-4.74 (m, 1 Н), 4.70-4.62 (m, 1 Н), 3.68-3.59(m, 2 Н), 3.46-3.26 (m, 2 Н), 3.22-3.07 (m, 3 Н), 2.80-2.55 (m, 4 Н), 1.70-1.35 (m, 4 Н).
Пример 319 (Изомер 1): (2S,6R)-4-(8-циано-1,7-нафтиридин-5-ил)-N-[[(3S)-3-фторпирролидин-3-ил]метил]-6-(трифторметил)морфолин-2-карбоксамид & Пример 320 (Изомер 2): (2R,6S)-4-(8-циано-1,7-нафтиридин-5-ил)-N-[[(3S)-3-фторпирролидин-3-ил]метил]-6-(трифторметил)морфолин-2-карбоксамид
[00626] Указанные в заголовке соединения получали из г/мс-4-(8-циано-1,7-нафтиридин-5-ил)-6-(трифторметил)морфолин-2-карбоновой кислоты и трет-бутил (38)-3-(аминометил)-3-фторпирролидин-1-карбоксилата. Два изомера получали путем разделения с помощью хиральной ВЭЖХ при следующих условиях: колонка, CHIRALPAK IC, 0.46 × 10 см, 3 мкм; подвижная фаза, ДХМ (с 0.1% DEA) в МеОН, 50%, изократический режим в течение 25 мин; детектор, УФ 220 нм.
Изомер 1: МС: 453 [М+Н]+. 1H ЯМР (400 МГц, ДМСО-d6, м.д.) δ 9.25-9.19 (m, 1 Н), 8.73 (dd, J=8.7, 1.6 Гц, 1 Н), 8.56 (s, 1 Н), 8.13 (t, J=6.2 Гц, 1 Н), 7.95 (dd, J=8.7, 4.1 Гц, 1 Н), 4.88-4.79 (m, 1 Н), 4.71-4.64 (m, 1 Н), 3.71-3.63 (m, 2 Н), 3.60-3.47 (m, 2 Н), 3.30-3.22 (m, 2 Н), 3.20-3.09 (m, 1 Н), 2.95-2.72 (m, 4 Н), 1.92-1.70 (m, 2 Н).
Изомер 2: МС: 453 [М+Н]+. 1H ЯМР (400 МГц, ДМСО-d6, м.д.) δ 9.20-9.16 (m, 1 Н), 8.69 (dd, J=8.8, 1.6 Гц, 1 Н), 8.59 (s, 1 Н), 8.11 (t, J=6.2 Гц, 1 Н), 7.95 (dd, J=8.8, 4.1 Гц, 1 Н), 4.90-4.79 (m, 1 Н), 4.68-4.59 (m, 1 Н), 3.75-3.67 (m, 2 Н), 3.58-3.45 (m, 2 Н), 3.29-3.09 (m, 3 Н), 2.99-2.70 (m, 4 Н), 1.88-1.65 (m, 2 Н).
Пример 321: (S)-2-{[(2R,6R)-4-(8-цианохиноксалин-5-ил)-6-метилморфолин-2-карбонил]-амино}-3-гидроксипропионовая кислота
[00627] Сложный метиловый эфир (S)-2-{[(2R,6R)-4-(8-цианохиноксалин-5-ил)-6-метилморфолин-2-карбонил]-амино}-3-гидроксипропионовой кислоты: В 50 мл круглодонную колбу помещали (2R,6R)-4-(8-цианохиноксалин-5-ил)-6-метилморфолин-2-карбоновую кислоту (70.0 мг; 0.23 ммоль; 1.0 экв.) в ДМФА (2.0 мл). Добавляли HATU (107.07 мг; 0.28 ммоль; 1.20 экв.), и полученный в результате раствор перемешивали в течение 10 минут при к.т., после чего добавляли гидрохлорид сложного метилового эфира 1-серина (43.81 мг; 0.28 ммоль; 1.20 экв.) и DIPEA (0.12 мл; 0.70 ммоль; 3.0 экв.), соответственно. Полученную в результате смесь перемешивали при комнатной температуре в течение 2 ч. Летучие вещества упаривали и остаток растворяли в 4 мл ДМСО. Продукт очищали на обращенно-фазовой системе, используя градиент 05-95% CH3CN/H2O (0.1% гидроксида аммония), за 4 впрыскивания по 1 мл каждый раз. Целевые фракции упаривали с обеспечением указанного в заголовке соединения (49.0 мг; 52%) в виде желтой смолы. МС:400 [М+Н]+.
[00628] (S)-2-{[(2R,6R)-4-(8-цианохиноксалин-5-ил)-6-метилморфолин-2-карбонил]-амино}-3-гидроксипропионовая кислота: В 50 мл круглодонную колбу помещали сложный метиловый эфир (S)-2-{[(2R,6R)-4-(8-цианохиноксалин-5-ил)-6-метилморфолин-2-карбонил]-амино}-3-гидроксипропионовой кислоты (200.0 мг; 0.50 ммоль; 1.0 экв.) в МеОН (18.0 мл). Затем добавляли NaOH (500.75 мкл; 5.01 ммоль; 10.0 экв.), и полученный в результате раствор перемешивали в течение 30 минут при 60°С. ЖХ/МС показывала, что реакция завершилась. Смесь очищали на обращенно-фазовой системе Waters, используя градиент 05-95% CH3CN/H2O (0.1% муравьиной кислоты), за 6 впрыскиваний по 3 мл каждый раз. Целевые фракции упаривали с получением указанного в заголовке соединения (144.0 мг; 75%) в виде желтого твердого вещества. МС:386 [М+Н]+. 1Н ЯМР (400 МГц, ДМСО-d6) δ 9.07 (d, J=1.4 Гц, 1H), 9.0 (d, J=1.6 Гц, 1H), 8.25 (d, J=8.3 Гц, 1H), 7.62 (d, J=7.7 Гц, 1H), 7.27 (d, J=8.4 Гц, 1H), 4.53 (d, J=12.2 Гц, 1H), 4.36 (dt, J=11.1, 3.2 Гц, 1H), 4.28 (dt, J=8.2, 4.1 Гц, 1H), 4.11 (d, J=12.4 Гц, 1H), 4.06-3.95 (m, 1H), 3.80 (dd, J=10.9, 4.3 Гц, 1H), 3.65 (td, J=10.2, 9.7, 3.9 Гц, 1H), 3.31 (s, 2Н), 3.01-2.78 (m, 2Н), 1.29 (d, J=6.2 Гц, 3H).
Пример 322 (Изомер 1): ((S)-1-циклопропилметилпирролидин-3-ил)-амид (2R,6R)-4-(8-цианохиноксалин-5-ил)-6-метилморфолин-2-карбоновой кислоты & Пример 323 (Изомер 2): ((R)-циклопропилметилпирролидин-3-ил)-амид (2R,6R)-4-(8-цианохиноксалин-5-ил)-6-метилморфолин-2-карбоновой кислоты:
[00629] Два изомера получали путем разделения (1-циклопропилметилпирролидин-3-ил)-амида (2R,6R)-4-(8-цианохиноксалин-5-ил)-6-метилморфолин-2-карбоновой кислоты с помощью хиральной преп.ВЭЖХ при следующих условиях: колонка, AS-H, Prep SFC-P100; подвижная фаза, метанол + 20 мМ NH4OH, 40°С / 80 бар, 100 г/мин; детектор, ФДМ.
Изомер 1: МС: 421 [М+Н]+. 1Н ЯМР (400 МГц, Метанол-d4) δ 8.97 (s, 1Н), 8.92 (d, J=2.0 Гц, 1H), 8.13 (dd, J=8.3, 1.7 Гц, 1H), 7.33-7.13 (m, 1H), 4.61-4.47 (m, 2Н), 4.42 (dt, J=10.8, 2.2 Гц, 1H), 4.20-3.99 (m, 2Н), 3.08-2.66 (m, 5Н), 2.53-2.42 (m, 1H), 2.39-2.25 (m, 3H), 1.73 (dt, J=13.7, 6.8 Гц, 1H), 1.37 (dd, J=6.2, 1.7 Гц, 3H), 0.94 (d, J=7.8 Гц, 1H), 0.64-0.47 (m, 2Н), 0.28-0.11 (m, 2Н).
Изомер 2: МС: 421 [М+Н]+. 1Н ЯМР (400 МГц, Метанол-d4) δ 8.97 (s, 1Н), 8.92 (d, J=2.0 Гц, 1H), 8.13 (dd, J=8.3, 1.7 Гц, 1H), 7.33-7.13 (m, 1H), 4.61 -4.47 (m, 2Н), 4.42 (dt, J=10.8, 2.2 Гц, 1H), 4.20-3.99 (m, 2Н), 3.08-2.60 (m, 5Н), 2.50-2.41 (m, 1H), 2.40-2.25 (m, 3H), 1.73 (dt, J=13.7, 6.8 Гц, 1H), 1.37 (dd, J=6.2, 1.7 Гц, 3H), 0.94 (d, J=7.8 Гц, 1H), 0.64-0.47 (m, 2Н), 0.28-0.11 (m, 2Н).
Пример 324 (Изомер 1): ((S)-4-метилморфолин-2-илметил)-амид (2R,6R)-4-(8-цианохиноксалин-5-ил)-6-метилморфолин-2-карбоновой кислоты & Пример 325 (Изомер 2): ((R)-4-метилморфолин-2-илметил)-амид (2R,6R)-4-(8-цианохиноксалин-5-ил)-6-метилморфолин-2-карбоновой кислоты
[00630] Два изомера получали путем разделения (4-метилморфолин-2- илметил)-амида (2R,6R)-4-(8-цианохиноксалин-5-ил)-6-метилморфолин-2-карбоновой кислоты с помощью хиральной преп.ВЭЖХ при следующих условиях: колонка, WHELKO-01, Prep SFC-P100; подвижная фаза, метанол + 20 мМ NH4OH, 40°С / 80 бар, 100 г/мин; детектор, ФДМ.
Изомер 1: МС: 411 [М+Н]+. 1Н ЯМР (400 МГц, Метанол-d4) δ 9.01-8.95 (m, 1H), 8.92 (d, J=1.6 Гц, 1H), 8.13 (d, J=8.3 Гц, 1H), 7.24 (d, J=8.3 Гц, 1H), 4.57 (dt, J=12.2, 2.4 Гц, 1H), 4.44 (dd, J=10.8, 2.8 Гц, 1H), 4.21-4.04 (m, 2Н), 3.91 (dd, J=11.7, 3.2 Гц, 1H), 3.65 (ddt, J=11.5, 7.8, 2.7 Гц, 2Н), 3.42 (dd, J=13.8, 4.8 Гц, 1H), 3.35-3.26 (m, 1H), 2.96-2.77 (m, 3H), 2.70 (t, J=11.8 Гц, 1H), 2.32 (s, 3H), 2.18 (td, J=11.6, 3.4 Гц, 1H), 1.91 (t, J=10.9 Гц, 1H), 1.36 (d, J=6.1 Гц, 3H).
Изомер 2: МС: 411 [М+Н]+. 1Н ЯМР (400 МГц, Метанол-d4) δ 8.97 (d, J=1.5 Гц, 1H), 8.95-8.89 (m, 1H), 8.14 (d, J=8.3 Гц, 1H), 7.26 (d, J=8.3 Гц, 1H), 4.57 (dt, J=12.2, 2.4 Гц, 1H), 4.45 (dd, J=10.8, 2.8 Гц, 1H), 4.21-4.04 (m, 2Н), 3.92 (dd, J=11.8, 3.2 Гц, 1H), 3.70-3.60 (m, 2Н), 3.40 (dd, J=13.7, 4.7 Гц, 1H), 3.32 (dd, J=13.6, 6.9 Гц, 1H), 2.97-2.78 (m, 3H), 2.72 (d, J=11.8 Гц, 1H), 2.33 (s, 3H), 2.19 (td, J=11.6, 3.4 Гц, 1H), 1.92 (t, J=10.9 Гц, 1H), 1.35 (s, 3H).
Пример 326 (Изомер 1): ((R)-2-гидрокси-3-метоксипропил)-амид (2R,6R)-4-(8-цианохиноксалин-5-ил)-6-метилморфолин-2-карбоновой кислоты & Пример 327 (Изомер 2): ((S)-2-гидрокси-3-метоксипропил)-амид (2R,6R)-4-(8-цианохиноксалин-5-ил)-6-метилморфолин-2-карбоновой кислоты
[00631] Два изомера получали путем разделения (2R,6R)-4-(8-цианохиноксалин-5-ил)-N-(2-гидрокси-3-метоксипропил)-6-метилморфолин-2-карбоксамида с помощью хиральной преп.ВЭЖХ при следующих условиях: колонка, IC-H, Prep SFC-P100; подвижная фаза, метанол+20 мМ NH4OH, 40°С / 80 бар, 100 г/мин; детектор, ФДМ.
Изомер 1: МС: 386 [М+Н]+. 1Н ЯМР (400 МГц, Метанол-d4) δ 8.97 (s, 1Н), 8.93 (s, 1H), 8.14 (d, J=8.2 Гц, 1H), 7.25 (d, J=8.3 Гц, 1H), 4.57 (d, J=12.3 Гц, 1H), 4.47-4.41 (m, 1H), 4.13 (dd, J=20.4, 8.5 Гц, 2Н), 3.86 (q, J=5.0, 4.5 Гц, 1H), 3.53-3.36 (m, 6Н), 3.31-3.22 (m, 1H), 2.92 (td, J=12.2, 11.6, 2.5 Гц, 1H), 2.83 (t, J=11.2 Гц, 1H), 1.36 (d, J=6.1 Гц, 3H).
Изомер 2: МС: 386 [М+Н]+. 1Н ЯМР (400 МГц, Метанол-d4) δ 8.97 (s, 1Н), 8.93 (s, 1H), 8.14 (d, J=8.2 Гц, 1H), 7.25 (d, J=8.3 Гц, 1H), 4.57 (d, J=12.3 Гц, 1H), 4.47-4.41 (m, 1H), 4.13 (dd, J=20.4, 8.5 Гц, 2Н), 3.86 (q, J=5.0, 4.5 Гц, 1H), 3.53-3.36 (m, 6Н), 3.31-3.22 (m, 1H), 2.92 (td, J=12.2, 11.6, 2.5 Гц, 1H), 2.83 (t, J=11.2 Гц, 1H), 1.36 (d, J=6.1 Гц, 3H).
Пример 328: 5-[(2R,6S)-2-метил-6-(4-пирролидин-1-илпиперидин-1-илметил)-морфолин-4-ил]-8-трифторметилхинолин
[00632] Сложный (2R,6R)-6-метил-4-(8-трифторметилхинолин-5-ил)-морфолин-2-илметиловый эфир толуол-4-сульфоновой кислоты: В 20 мл
реактор Шленка помещали [(2R,6R)-6-метил-4-(8-трифторметилхинолин-5-ил)-морфолин-2-ил]-метанол (240.0 мг; 0.74 ммоль; 1.0 экв.), ДХМ (10.0 мл) и 4-метилбензол-1-сульфонил хлорид (280.44 мг; 1.47 ммоль; 2.0 экв.). После этого выполняли добавление TEA (205.02 мкл; 1.47 ммоль; 2.0 экв.) с перемешиванием при 20°С. Полученный в результате раствор перемешивали в течение 3 ч при 20°С. Затем реакционную смесь гасили путем добавления 20 мл воды. Полученный в результате раствор экстрагировали 2×20 мл ДХМ и органические слои объединяли и сушили над безводным сульфатом натрия и концентрировали в вакууме. Остаток очищали с помощью хроматографии на Biotage (PuriFlash Column, 15 мкм Si HP, 12 г); гексан/этилацетат, градиент от 08-20% до 20-80% за 15 минут, с получением указанного в заголовке соединения (247.0 мг; 70%) в виде бесцветного твердого вещества. МС: 481 [М+Н]+.
[00633] 5-((2R,6R)-2-Йодметил-6-метилморфолин-4-ил)-8-трифторметилхинолин: В 25 мл сосуд помещали сложный (2R,6R)-6-метил-4-(8-трифторметилхинолин-5-ил)-морфолин-2-илметиловый эфир толуол-4-сульфоновой кислоты (240.0 мг; 0.50 ммоль; 1.0 экв.), йодид натрия (374.34 мг; 2.50 ммоль; 5.0 экв.) и ацетон (5.0 мл). Полученный в результате раствор перемешивали в течение 16 ч при 70°С. Растворитель упаривали и остаток экстрагировали этилацетатом (50 мл) и 50 мл водного раствора NaHSO3 (5%). Органическую фазу сушили с помощью Na2SO4 и концентрировали с получением указанного в заголовке соединения (211.0 мг; 97%) в виде желтого твердого вещества. МС: 437 [М+Н]+.
[00634] 5-[(2R,6S)-2-метил-6-(4-пирролидин-1-илпиперидин-1-илметил)-морфолин-4-ил]-8-трифторметилхинолин: В 25 мл сосуд помещали 5-((2R,6R)-2-йодметил-6-метилморфолин-4-ил)-8-трифторметилхинолин (30.0 мг; 0.07 ммоль; 1.0 экв.), 4-(1-пирролидинил)пиперидин (21.22 мг; 0.14 ммоль; 2.0 экв.), ДМФА (1.50 мл) и TEA (29.91 мкл; 0.22 ммоль; 3.13 экв.). Полученный в результате раствор нагревали при 80°С в течение 2 ч. Реакционную смесь фильтровали через целит, концентрировали при пониженном давлении и растворяли в ДХМ (2 мл). Раствор абсорбировали на 4 г колонке PuriFlash и очищали с помощью хроматографии (ДХМ-МеОН, градиент от 98-2% до 90-10% в течение 18 минут). Чистые фракции концентрировали при пониженном давлении с получением указанного в заголовке соединения (20.80 мг; 65%) в виде не совсем белого твердого вещества. МС: 463 [М+Н]+. 1Н ЯМР (400 МГц, Метанол-d4) δ 8.96 (dd, J=4.2, 1.8 Гц, 1H), 8.69 (dd, J=8.6, 1.8 Гц, 1H), 8.06 (d, J=8.0 Гц, 1H), 7.63 (dd, J=8.6, 4.2 Гц, 1H), 7.26 (d, J=8.0 Гц, 1H), 4.21 (dddd, J=9.7, 7.0, 4.8, 2.2 Гц, 1H), 4.10 (dtt, J=12.4, 6.2, 3.1 Гц, 1H), 3.47-3.26 (m, 8Н), 3.24-3.15 (m, 2Н), 2.72-2.56 (m, 4Н), 2.35 (q, J=13.3 Гц, 2Н), 2.23-2.14 (m, 2Н), 2.13-2.01 (m, 4Н), 1.79 (qdd, J=12.0, 6.2, 4.2 Гц, 2Н), 1.37-1.29 (m, 1H), 1.27 (d, J=6.2 Гц, 3H).
[00635] Следующие соединения синтезировали аналогичным образом: Пример 329: 5-[(2R,6S)-2-метил-6-(4-морфолин-4-илпиперидин-1-илметил)-морфолин-4-ил]-8-трифторметилхинолин
[00636] Указанное в заголовке соединение получали из 5-((2R,6R)-2-йодметил-6-метилморфолин-4-ил)-8-трифторметилхинолина и 4-(пиперидин-4-ил)морфолина. МС: 479 [М+Н]+. 1Н ЯМР (400 МГц, Хлороформ-d) δ 9.0 (dd, J=4.3, 1.6 Гц, 1H), 8.74 (dd, J=8.7, 1.7 Гц, 1H), 8.10 (d, J=8.0 Гц, 1H), 7.67 (dd, J=8.6, 4.2 Гц, 1H), 7.30 (d, J=8.0 Гц, 1H), 4.44-4.31 (m, 1H), 4.17 (ddt, J=11.1, 6.8, 3.5 Гц, 1H), 3.77 (q, J=5.8, 5.2 Гц, 4H), 3.55-3.40 (m, 3H), 2.96 (d, J=6.0 Гц, 2H), 2.76-2.65 (m, 8H), 2.51 (tt, J=11.0, 3.7 Гц, 1H), 2.11 (dqd, J=13.0, 6.3, 3.7, 3.1 Гц, 2H), 1.80 (q, J=12.5 Гц, 2H), 1.35 (dd, J=20.1, 6.7 Гц, 4H).
Пример 330: 5-[(2R,6S)-2-метил-6-(4-метилпиперазин-1-илметил)-морфолин-4-ил]-8-трифторметилхинолин
[00637] Указанное в заголовке соединение получали из 5-((2R,6R)-2-йодметил-6-метилморфолин-4-ил)-8-трифторметилхинолина и 1-метилпиперазина. МС: 409 [М+Н]+. 1Н ЯМР (400 МГц, Метанол-d4) δ 8.96 (dd, J=4.2, 1.7 Гц, 1H), 8.69 (dd, J=8.6, 1.7 Гц, 1H), 8.06 (d, J=8.0 Гц, 1H), 7.63 (dd, J=8.6, 4.2 Гц, 1H), 7.27 (d, J=8.0 Гц, 1H), 4.21 (t, J=8.3 Гц, 1H), 4.11 (ddd, J=10.1, 6.2, 2.3 Гц, 1H), 3.51-2.93 (m, 10Н), 2.83 (s, 3H), 2.79-2.58 (m, 4Н), 2.61 (s, 0Н), 1.27 (d, J=6.3 Гц, 3H).
Пример 331: 2-{1-[(2S,6R)-6-метил-4-(8-трифторметилхинолин-5-ил)-морфолин-2-илметил]-пирролидин-3-ил}-пропан-2-ол
[00638] Указанное в заголовке соединение получали из 5-((2R,6R)-2-йодметил-6-метилморфолин-4-ил)-8-трифторметилхинолина и 2-(пирролидин-3-ил)пропан-2-ола. МС: 438 [М+Н]+. 1Н ЯМР (400 МГц, Метанол-d4) δ 8.97 (d, J=5.4 Гц, 1H), 8.73 (d, J=8.6 Гц, 1H), 8.08 (d, J=8.0 Гц, 1H), 7.65 (dd, J=8.6, 4.2 Гц, 1H), 7.29 (d, J=8.0 Гц, 1H), 4.43 (t, J=9.8 Гц, 1H), 4.29-4.12 (m, 1H), 3.61-3.36 (m, 8H), 2.73 (td, J=11.2, 4.5 Гц, 2H), 2.56 (q, J=8.6 Гц, 1H), 2.15 (q, J=8.2, 7.6 Гц, 2H), 1.35-1.31 (m, 3H), 1.29-1.25 (m, 6H).
Пример 332: N-{[(2S,6R)-4-(8-циано-1,7-нафтиридин-5-ил)-6-метилморфолин-2-ил]метил}-3-фторпирролидин-3-карбоксамид
[00639] [(2R,6R)-4-(8-циано-1,7-нафтиридин-5-ил)-6-метилморфолин-2-ил]метил 4-метилбензол-1-сульфонат: К перемешиваемому раствору 5-[(2R,6R)-2-(гидроксиметил)-6-метилморфолин-4-ил]-1,7-нафтиридин-8-карбонитрила (0.76 г; 2.66 ммоль; 1.0 экв.) в ДХМ (2.0 мл) при комнатной температуре добавляли n-толуолсульфонил хлорид (0.61 г; 3.19 ммоль; 1.20 экв.) с последующим добавлением TEA (0.74 мл; 5.31 ммоль; 2.0 экв.). Смесь перемешивали при комнатной температуре в течение 2 часов. Смесь гасили путем добавления воды и экстрагировали с помощью EtOAc. Органический слой сушили над Na2SO4 и концентрировали с получением указанного в заголовке соединения в виде бледно-желтого твердого вещества (1200 мг; сырое). МС:439 [М+Н]+.
[00640] 5-[(2R,6R)-2-(азидометил)-6-метилморфолин-4-ил]-1,7-нафтиридин-8-карбонитрил: К перемешиваемому раствору [(2R,6R)-4-(8-циано-1,7-нафтиридин-5-ил)-6-метилморфолин-2-ил] метил 4-метилбензол-1-сульфоната (2143.78 мг; 4.40 ммоль; 1.0 экв.) в ДМФА (2.0 мл) при комнатной температуре добавляли азид натрия (429.07 мг; 6.60 ммоль; 1.50 экв.). Смесь перемешивали при 55°С в течение 2 часов. ЖХМС показывала, что исходного вещества не осталось. Реакционную смесь упаривали с получением указанного в заголовке соединения (1360 мг; сырое). МС:310 [М+Н]+.
[00641] 5-[(2S,6R)-2-(аминометил)-6-метилморфолин-4-ил]-1,7-нафтиридин-8-карбонитрил: К перемешиваемому раствору 5-[(2R,6R)-2-(азидометил)-6-метилморфолин-4-ил]-1,7-нафтиридин-8-карбонитрила (1333.20 мг; 4.31 ммоль; 1.0 экв.) и трифенилфосфина (1690.0, 6.4 ммоль, 1.5 экв) в ТГФ (20.0 мл) добавляли Н2О при комнатной температуре. Смесь перемешивали при нагревании с обратным холодильником в течение 4 часов. Реакционную смесь охлаждали до комнатной температуры, разбавляли путем добавления воды и экстрагировали с помощью EtOAc. Органический слой концентрировали с получением указанного в заголовке соединения (2300 мг; сырое). МС:284 [М+Н]+.
[00642] трет-бутил (3R)-3-({[(2S,6R)-4-(8-циано-1,7-нафтиридин-5-ил)-6-метилморфолин-2-ил]метил}карбамоил)-3-фторпирролидин-1-карбоксилат: В 50 мл круглодонную колбу помещали 5-[(2S,6R)-2-(аминометил)-6-метилморфолин-4-ил]-1,7-нафтиридин-8-карбонитрил (100.0 мг; 0.302 ммоль; 1.0 экв.) в ACN (2.0 мл). Добавляли 1-[(трет-бутокси)карбонил]-3-фторпирролидин-3-карбоновую кислоту (105.1 мг; 0.453 ммоль; 1.50 экв.), HATU (172.1 мг; 0.453 ммоль; 1.50 экв.) и DIPEA (157.7 мкл; 0.905 ммоль; 3.0 экв.), соответственно. Полученную в результате смесь перемешивали при комнатной температуре в течение 2 часов. ЖХМС показывала, что реакция завершилась. Реакционную смесь фильтровали через целит и концентрировали в вакууме. Остаток очищали с помощью хроматографии на Biotage (PuriFlash Column, 15 мк Si HP, 10 г) в течение 18 минут, используя этилацетат/петролейный эфир (от 10:100 до 50:50), с получением указанного в заголовке соединения. МС: 499 [М+Н]+.
[00643] N-{[(2S,6R)-4-(8-циано-1,7-нафтиридин-5-ил)-6-метилморфолин-2-ил]метил}-3-фторпирролидин-3-карбоксамид: К перемешиваемому раствору трет-бутил (3R)-3-({[(2S,6R)-4-(8-циано-l,7-нафтиридин-5-ил)-6-метилморфолин-2-ил] метил }карбамоил)-3-фторпирролидин-1-карбоксилата (141.66 мг; 0.40 ммоль; 1.0 экв.) в ДХМ (2 мл) при комнатной температуре добавляли трифторуксусную кислоту (0.5 мл). Полученную в результате смесь перемешивали при комнатной температуре в течение 2 ч. Растворитель удаляли. Остаток очищали с помощью обращенно-фазовой колоночной хроматографии с получением указанного в заголовке соединения (24 мг, 20%). МС: 399 [М+Н]+. 1Н ЯМР (400 МГц, CDCl3) δ 9.18 (dd, J=4.2, 1.6 Гц, 1H), 8.39 (dd, J=8.7, 1.6 Гц, 1H), 8.30 (s, 1H), 7.70 (dd, J=8.6, 4.1 Гц, 1H), 6.93 (s, 1H), 4.06-4.0 (m, 2H), 3.74-3.66 (m, 1H), 3.43-3.28 (m, 4H), 3.28-3.08 (m, 3H), 2.86-2.74 (m, 2H), 2.46-2.29 (m, 1H), 2.22-2.03 (m, 1H), 1.31 (d, J=6.3 Гц, 3H).
[00644] Следующие соединения синтезировали аналогичным образом.
Пример 333: N-{[(2S,6R)-4-(8-циано-1,7-нафтиридин-5-ил)-6-метилморфолин-2-ил]метил}-3-фторпиперидин-3-карбоксамид
[00645] Указанное в заголовке соединение получали из 5-[(2S,6R)-2-(аминометил)-6-метилморфолин-4-ил]-1,7-нафтиридин-8-карбонитрила и 1-[(трет-бутокси)карбонил]-3-фторпиперидин-3-карбоновой кислоты. МС: 399 [М+Н]+. 1Н ЯМР (400 МГц, CDCl3) δ 9.17 (d, J=4.6 Гц, 1Н), 8.43-8.35 (m, 1Н), 8.29 (d, J=3.4 Гц, 1H), 7.69 (dd, J=8.5, 4.2 Гц, 1H), 6.80 (d, J=81.3 Гц, 1H), 4.06-3.97 (m, 2Н), 3.68-3.55 (m, 1Н), 3.41-2.95 (m, 7Н), 2.86-2.68 (m, 3H), 2.04-1.63 (m, 3H), 1.30 (t, J=5.3 Гц, 3H).
Пример 334 (Изомер 1): (3R)-N-{[(2S,6R)-4-(8-циано-1,7-нафтиридин-5-ил)-6-метилморфолин-2-ил]метил}-3-фтор-1-метилпирролидин-3-карбоксамид & Пример 335 (Изомер 2): (3S)-N-{[(2S,6R)-4-(8-циано-1,7-нафтиридин-5-ил)-6-метилморфолин-2-ил]метил}-3-фтор-1-метилпирролидин-3-карбоксамид
[00646] Указанные в заголовке соединения получали из 5-[(2S,6R)-2-(аминометил)-6-метилморфолин-4-ил]-1,7-нафтиридин-8-карбонитрила и 3-фтор-1-метилпирролидин-3-карбоновой кислоты. Два изомера получали с помощью СКЖХ хирального разделения. Условия СКЖХ были следующими: колонка, IG-Н, Prep SFC-P100; подвижная фаза, метанол + 20 мМ NH4OH, 45°C / 80 бар, 100 г/мин; детектор, ФДМ. Конфигурации структур устанавливали в порядке предположения.
Изомер 1: МС: 413 [М+Н]+. 1Н ЯМР (400 МГц, ДМСО-d6) δ 9.19 (d, J=4.1 Гц, 1H), 8.54 (d, J=8.7 Гц, 1H), 8.36 (s, 1H), 8.27 (s, 1H), 7.87 (dd, J=9.0, 4.1 Гц, 1H), 3.96 (q, J=7.9 Гц, 2Н), 3.49 (t, J=11.1 Гц, 2Н), 3.29-3.16 (m, 2Н), 2.83 (dq, J=33.8, 11.2 Гц, 4Н), 2.70-2.55 (m, 2Н), 2.32 (d, J=9.7 Гц, 2Н), 2.24 (s, 3H), 2.09-1.91 (m, 1H), 1.18 (d, J=6.1 Гц, 3H).
Изомер 2: МС: 413 [М+Н]+. 1Н ЯМР (400 МГц, ДМСО-d6) δ 9.19 (d, J=4.0 Гц, 1H), 8.54 (d, J=8.7 Гц, 1H), 8.36 (s, 1H), 8.27 (s, 1H), 7.86 (dd, J=8.8, 4.0 Гц, 1H), 3.95 (d, J=10.0 Гц, 2Н), 3.50 (t, J=10.1 Гц, 2Н), 3.29-3.15 (m, 2Н), 2.77 (dddd, J=48.2, 40.4, 18.9, 11.1 Гц, 6Н), 2.29 (d, J=21.6 Гц, 5Н), 2.12-1.89 (m, 1H), 1.18 (d, J=6.2 Гц, 3H).
Пример 336 (Изомер 1): (3R)-N-{[(2S,6R)-4-(8-циано-1,7-нафтиридин-5-ил)-6-метилморфолин-2-ил]метил}-3-фторпирролидин-3-карбоксамид & Пример 337 (Изомер 2): (3S)-N-{[(2S,6R)-4-(8-циано-1,7-нафтиридин-5-ил)-6-метилморфолин-2-ил]метил}-3-фторпирролидин-3-карбоксамид
[00647] Два изомера получали с помощью СКЖХ хирального разделения N-{[(2S,6R)-4-(8-циано-1,7-нафтиридин-5-ил)-6-метилморфолин-2-ил]метил}-3-фторпирролидин-3-карбоксамида. Условия СКЖХ были следующими: колонка, ADH, Prep SFC-P100; подвижная фаза, метанол+20 мМ NH4OH, 45°С / 80 бар, 100 г/мин; детектор, ФДМ. Конфигурации структур устанавливали в порядке предположения.
Изомер 1: МС: 399 [М+Н]+. 1H ЯМР (400 МГц, CDCl3) δ 9.18 (dd, J=4.0, 1.9 Гц, 1H), 8.39 (d, J=8.5 Гц, 1H), 8.30 (d, J=1.3 Гц, 1H), 7.75-7.66 (m, 1H), 6.95 (d, J=6.3 Гц, 1H), 4.07-3.97 (m, 2H), 3.75-3.64 (m, 1H), 3.46-3.12 (m, 6H), 2.81 (td, J=10.9, 2.6 Гц, 2H), 2.48-2.40 (m, 1H), 2.23-2.08 (m, 1H), 1.31 -1.26 (m, 4H).
Изомер 2: МС: 399 [M+Н]+. 1H ЯМР (400 МГц, CDCl3) δ 9.18 (dd, J=3.9, 1.9 Гц, 1H), 8.39 (d, J=8.7 Гц, 1H), 8.30 (s, 1H), 7.70 (dd, J=8.7, 4.1 Гц, 1H), 6.94 (d, J=6.5 Гц, 1H), 4.07-3.99 (m, 2H), 3.73-3.67 (m, 1H), 3.41-3.16 (m, 6H), 2.82 (td, J=11.1, 5.4 Гц, 2H), 2.50-2.35 (m, 1H), 2.27-2.08 (m, 1H), 1.31-1.26 (m, 4H).
Пример 338 (Изомер 1): (3R)-N-{[(2S,6R)-4-(8-циано-1,7-нафтиридин-5-ил)-6-метилморфолин-2-ил]метил}-3-фторпиперидин-3-карбоксамид &
Пример 339 (Изомер 2): (3S)-N-{[(2S,6R)-4-(8-циано-1,7-нафтиридин-5-ил)-6-метилморфолин-2-ил]метил}-3-фторпиперидин-3-карбоксамид
[00648] Два изомера получали с помощью СКЖХ хирального разделения N-{[(2S,6R)-4-(8-циано-1,7-нафтиридин-5-ил)-6-метилморфолин-2-ил]метил}-3-фторпиперидин-3-карбоксамида. Условия СКЖХ были следующими: колонка, ADH, Prep SFC-P100; подвижная фаза, метанол + 20 мМ NH4OH, 45°С / 80 бар, 100 г/мин; детектор, ФДМ. Конфигурации структур устанавливали в порядке предположения.
Изомер 1: МС: 413 [М+Н]+. 1H ЯМР (400 МГц, CDCl3) δ 9.17 (dd, J=4.0, 1.7 Гц, 1H), 8.38 (dd, J=8.7, 1.6 Гц, 1H), 8.30 (s, 1H), 7.69 (dd, J=8.6, 4.1 Гц, 1H), 6.89 (d, J=6.2 Гц, 1H), 4.05-3.98 (m, 2H), 3.71-3.59 (m, 1H), 3.39-3.24 (m, 2H), 3.16 (dd, J=33.4, 14.4 Гц, 1H), 3.06-2.99 (m, 1H), 2.84-2.67 (m, 3H), 2.70 (t, J=12.5 Гц, 1H), 2.28-2.08 (m, 1H), 2.0-1.93 (m, 1H), 1.76-1.61 (m, 2H), 1.38-1.18 (m, 4H).
Изомер 2:MC: 413 [M+Н]+. 1Н ЯМР (400 МГц, CDCl3) δ 9.20 (dd, J=4.0, 1.7 Гц, 1H), 8.41 (dd, J=8.7, 1.5 Гц, 1H), 8.32 (s, 1H), 7.72 (dd, J=8.6, 4.1 Гц, 1H), 6.92 (d, J=6.3 Гц, 1H), 4.08-4.0 (m, 2H), 3.69-3.63 (m, 1H), 3.41-3.27 (m, 3H), 3.26-3.03 (m, 3H), 2.87-2.67 (m, 3H), 2.29-2.09 (m, 1H), 2.0-1.93 (m, 1H), 1.76-1.61 (m, 1H), 1.37-1.26 (m, 4H).
Пример 340 (Изомер 1): (2R)-N-{[(2S,6R)-4-(8-цианохиноксалин-5-ил)-6-метилморфолин-2-ил]метил}-2-гидроксипропанамид & Пример 341 (Изомер 2): (2S)-N-{[(2S,6R)-4-(8-цианохиноксалин-5-ил)-6-метилморфолин-2-ил]метил}-2-гидроксипропанамид
[00649] Указанные в заголовке соединения получали из 8-[(2R,6R)-2-(гидроксиметил)-6-метилморфолин-4-ил]хиноксалин-5-карбонитрила и молочной кислоты. Два изомера получали с помощью СКЖХ хирального разделения. Условия СКЖХ были следующими: колонка, AS-H, Prep SFC-P100; подвижная фаза, метанол + 20 мМ NH4OH, 40°С / 80 бар, 100 г/мин; детектор, ФДМ. Конфигурации структур устанавливали в порядке предположения.
Изомер 1: МС:356 [М+Н]+. 1H ЯМР (400 МГц, ДМСО-d6) δ 9.06 (d, J=1.8 Гц, 1Н), 8.95 (d, J=1.8 Гц, 1H), 8.25 (d, J=8.4 Гц, 1H), 7.76 (t, J=6.1 Гц, 1Н), 7.20 (d, J=8.5 Гц, 1H), 5.52 (br s, 1 H), 4.20 (d, J=12.3 Гц, 1H), 4.15 - 4.10 (d, J=12.3 Гц, 1Н), 3.98 (q, J=6.8 Гц, 1H), 3.91 - 3.77 (m, 1H), 3.24 (t, J=6.2 Гц, 2Н), 2.73 (ddd, J=12.5, 10.4, 2.5 Гц, 2Н), 1.21-1.17 (m, 6H).
Изомер 2: МС:356 [М+Н]+. 1H ЯМР (400 МГц, ДМСО-d6) δ 9.06 (d, J=1.8 Гц, 1H), 8.95 (d, J=1.8 Гц, 1H), 8.25 (d, J=8.4 Гц, 1H), 7.76 (t, J=6.0 Гц, 1H), 7.20 (d, J=8.4 Гц, 1H), 5.53 (br s, 1H), 4.20 (d, J=12.2 Гц, 1H), 4.13 (d, J=12.2 Гц, 1H), 4.03 - 3.95 (m, 1H), 3.85 (dt, J=12.9, 6.2 Гц, 1H), 3.24 (t, J=6.1 Гц, 2Н), 2.72 (dd, J=12.3, 10.4 Гц, 2Н), 1.23 - 1.17 (m, 6H).
Пример 342: N-{[(2S,6R)-6-метил-4-(8-метилхинолин-5-ил)морфолин-2-ил]метил}-2-(1-метилпиперидин-4-ил)ацетамид
[00650] Указанное в заголовке соединение получали из [(2R,6R)-6-метил-4-(8-метилхинолин-5-ил)морфолин-2-ил]метанола и 2-(1-метилпиперидин-4-ил)уксусной кислоты. МС: 411 [М+Н]+. 1H ЯМР (400 МГц, CDCl3) δ 8.94 (dd, J=4.1, 1.7 Гц, 1Н), 8.50 (dd, J=8.5, 1.8 Гц, 1Н), 7.47 (d, J=7.6 Гц, 1Н), 7.40 (dd, J=8.5, 4.2 Гц, 1Н), 7.02 (d, J=7.5 Гц, 1Н), 5.88 (t, J=5.8 Гц, 1Н), 4.04 - 3.95 (m, 2H), 3.65 (ddd, J=13.9, 7.0, 3.6 Гц, 1Н), 3.22 - 3.16 (m, 1Н), 3.12 (t, J=11.5 Гц, 2Н), 2.84 (d, J=11.2 Гц, 2H), 2.75 (s, 3H), 2.58 (td, J=10.9, 4.4 Гц, 2Н), 2.27 (s, 3H), 2.13 (d, J=7.0 Гц, 2Н), 1.96 (td, J=11.8, 2.4 Гц, 2Н), 1.86 - 1.78 (m, 1Н), 1.74 (d, J=13.1 Гц, 2Н), 1.33 (q, J=12.1 Гц, 2Н), 1.25 (d, J=6.2 Гц, 3Н).
Пример 343: N-{[(2S,6R)-4-(8-цианохиназолин-5-ил)-6-метилморфолин-2-ил]метил}-3-фторпирролидин-3-карбоксамид
[00651] Указанное в заголовке соединение получали из [(2R,6R)-4-(8-цианохиназолин-5-ил)-6-метилморфолин-2-ил] метил 4-метилбензол-1-сульфоната и 1-[(трет-бутокси)карбонил]-3-фторпирролидин-3-карбоновой кислоты. МС:399 [М+Н]+. 1H ЯМР (400 МГц, CDCl3) δ 9.60 (s, 1Н), 9.44 (s, 1Н), 8.17 (dd, J=8.2, 0.8 Гц, 1Н), 7.08 (d, J=8.1 Гц, 1Н), 6.92 (d, J=6.3 Гц, 1Н), 4.11 - 4.01 (m, 2Н), 3.71 - 3.65 (m, 1Н), 3.45 - 3.32 (m, 3H), 3.30 - 3.08 (m, 4H), 2.84 (ddd, J=12.1, 10.4, 1.6 Гц, 1Н), 2.76 (dd, J=12.3, 10.2 Гц, 1Н), 2.46 - 2.31 (m, 1Н), 2.23 - 2.05 (m, 1Н), 1.29 (d, J=6.2 Гц, 3Н).
Пример 344 (Изомер 1): (3R)-N-{[(2S,6R)-4-(8-цианохиназолин-5-ил)-6-метилморфолин-2-ил]метил}-3-фторпирролидин-3-карбоксамид & Пример 345 (Изомер 2): (3S)-N-{[(2S,6R)-4-(8-цианохиназолин-5-ил)-6-метилморфолин-2-ил]метил}-3-фторпирролидин-3-карбоксамид
[00652] Два изомера получали с помощью СКЖХ хирального разделения N-{[(2S,6R)-4-(8-цианохиназолин-5-ил)-6-метилморфолин-2-ил]метил}-3-фторпирролидин-3-карбоксамида. Условия СКЖХ были следующими: колонка, IG-H, Prep SFC-P100; подвижная фаза, метанол + 20 мМ NH4OH, 45°С / 80 бар, 100 г/мин; детектор, ФДМ. Конфигурации структур устанавливали в порядке предположения.
Изомер 1: МС: 399 [М+Н]+. 1H ЯМР (400 МГц, CDCl3) δ 9.60 (s, 1H), 9.45 (d, J=1.2 Гц, 1H), 8.17 (d, J=8.1 Гц, 1H), 7.08 (d, J=8.1 Гц, 1H), 6.92 (d, J=6.5 Гц, 1H), 4.11 - 4.0 (m, 2H), 3.74 - 3.62 (m, 1H), 3.46 - 3.39 (m, 2H), 3.38 - 3.33 (m, 1H), 3.29 - 3.24 (m, 1H), 3.32 - 3.09 (m, 2H), 2.84 (t, J=11.2 Гц, 1H), 2.76 (t, J=11.2 Гц, 1H), 2.46 - 2.31 (m, 1H), 2.21 - 2.05 (m, 1H), 1.33 - 1.24 (m, 4H).
Изомер 2: МС: 399 [М+Н]+. 1H ЯМР (400 МГц, CDCl3) δ 9.60 (d, J=1.3 Гц, 1H), 9.45 (d, J=1.3 Гц, 1H), 8.18 (dd, J=8.2, 1.3 Гц, 1H), 7.08 (dd, J=8.2, 1.2 Гц, 1H), 6.92 (d, J=6.3 Гц, 1H), 4.14 - 3.96 (m, 2H), 3.74 - 3.63 (m, 1H), 3.47 -3.39 (m, 2H), 3.39-3.31 (m, 1H), 3.28 - 3.10 (m, 3H), 2.84 (t, J=11.3 Гц, 1Н), 2.76 (t, J=11.2 Гц, 1Н), 2.39 (ddt, J=30.5, 15.2, 7.9 Гц, 1H), 2.16 (ddt, J=26.9, 13.4, 6.2 Гц, 1H), 1.34 - 1.24 (m, 4H).
Пример 346: (4-фтор-1-метилпиперидин-4-илметил)-амид (2R,6R)-4-(8-цианохиназолин-5-ил)-6-метилморфолин-2-карбоновой кислоты
[00653] Сложный трет-бутиловый эфир 4-({[(2R,6R)-4-(8-цианохиназолин-5-ил)-6-метилморфолин-2-карбонил]-амино}-метил)-4-фторпиперидин-1-карбоновой кислоты: В 50 мл круглодонную колбу помещали (2R,6R)-4-(8-цианохиназолин-5-ил)-6-метилморфолин-2-карбоновую кислоту (40.0 мг; 0.121 ммоль; 1.0 экв.) в ДМФА (2.0 мл). Добавляли HATU (68.8 мг; 0.181 ммоль; 1.50 экв.) и полученный в результате раствор перемешивали в течение 10 минут при к.т., после чего добавляли трет-бутил 4-(аминометил)-4-фторпиперидин-1-карбоксилат (42.1 мг; 0.181 ммоль; 1.50 экв.) и DIPEA (63.1 мкл; 0.362 ммоль; 3.0 экв.), соответственно. Полученную в результате смесь перемешивали при комнатной температуре в течение 2 часов. ЖХМС показывала, что реакция завершилась. Смесь фильтровали через целит и концентрировали в вакууме. Остаток в течение 18 минут очищали с помощью хроматографии на Biotage (PuriFlash Column, 15 мкм Si HP, 10 г), используя этилацетат/петролейный эфир (от 10:900 до 70:30), с получением указанного в заголовке соединения (46.0 мг; 74.4%) в виде желтого масла. МС: 513 [М+Н]+.
[00654] (4-Фтор-1-метилпиперидин-4-илметил)-амид (2R,6R)-4-(8-цианохиназолин-5-ил)-6-метилморфолин-2-карбоновой кислоты: К раствору сложного трет-бутилового эфира 4-({[(2R,6R)-4-(8-цианохиназолин-5-ил)-6-метилморфолин-2-карбонил]-амино}-метил)-4-фторпиперидин-1-карбоновой кислоты (46.0 мг; 0.090 ммоль; 1.0 экв.) в 2,2,2-трифторэтаноле (2.0 мл) добавляли параформальдегид (32.3 мг; 0.359 ммоль; 4.0 экв.) и муравьиную кислоту (67.7 мкл; 1.795 ммоль; 20.0 экв.). Смесь перемешивали при 100°С в микроволновой печи в течение 30 минут. ЖХМС показывала, что реакция завершилась с целевым продуктом в качестве основного продукта. Летучие компоненты упаривали и добавляли 3 мл ДМСО. Продукт очищали на обращенно-фазовой системе, используя градиент 05-45% CH3CN/H2O (0.1% гидроксида аммония), за 2 впрыскивания по 2 мл каждый раз. Целевые фракции упаривали с обеспечением указанного в заголовке соединения (13.1 мг; 34.2%) в виде желтого твердого вещества. МС: 427 [М+Н]+. 1H ЯМР (400 МГц, Метанол-d4) δ 9.75 (s, 1H), 9.35 (s, 1H), 8.34 (dd, J=8.2, 2.3 Гц, 1Н), 7.35 (dd, J=8.2, 2.2 Гц, 1H), 4.57 (dd, J=10.6, 3.0 Гц, 1H), 4.19 (d, J=8.7 Гц, 1H), 3.87 (d, J=12.3 Гц, 1H), 3.59 (d, J=12.5 Гц, 1H), 3.54 - 3.38 (m, 2H), 3.0 (t, J=11.5 Гц, 1H), 2.88 (t, J=11.4 Гц, 1H), 2.73 (d, J=11.8 Гц, 2H), 2.46 - 2.25 (m, 5H), 1.79 (dd, J=44.8, 12.3 Гц, 4Н), 1.37 (d, J=5.8 Гц, 3Н).
[00655] Следующие соединения синтезировали аналогичным образом.
Пример 347: (5-метил-5-азаспиро[3.5]нон-8-ил)-амид (2R,6R)-4-(8-цианохиназолин-5-ил)-6-метилморфолин-2-карбоновой кислоты
[00656] Указанное в заголовке соединение получали из (2R,6R)-4-(8-цианохиназолин-5-ил)-6-метилморфолин-2-карбоновой кислоты и трет-бутил 8-амино-5-азаспиро[3.5]нонан-5-карбоксилата. МС: 435 [М+Н]+. 1H ЯМР (400 МГц, Метанол-d4) δ 9.74 (s, 1H), 9.35 (s, 1H), 8.34 (d, J=8.2 Гц, 1H), 7.34 (d, J=8.3 Гц, 1H), 4.50 (d, J=10.6 Гц, 1H), 4.18 (t, J=8.2 Гц, 1H), 4.03 - 3.82 (m, 2H), 3.59 (d, J=12.4 Гц, 1H), 2.99 (td, J=11.6, 4.2 Гц, 1H), 2.87 (t, J=11.4 Гц, 1Н), 2.73 (d, J=13.5 Гц, 1Н), 2.56 (p, J=7.7, 6.0 Гц, 1H), 2.44 - 2.30 (m, 4H), 2.23 (q, J=9.7 Гц, 1H), 2.16 - 2.05 (m, 1H), 1.97 - 1.57 (m, 7H), 1.37 (d, J=6.0 Гц, 3Н).
Пример 348: (4-фтор-1-метилпиперидин-4-илметил)-амид (2R,6R)-4-(8-циано-[1,7]нафтиридин-5-ил)-6-метилморфолин-2-карбоновой кислоты
[00657] Указанное в заголовке соединение получали из (2R,6R)-4-(8-циано-[1,7]нафтиридин-5-ил)-6-метилморфолин-2-карбоновой кислоты и трет-бутил 4-(аминометил)-4-фторпиперидин-1-карбоксилата. МС: 427 [М+Н]+. 1H ЯМР (400 МГц, Метанол-d4) δ 9.15 (dd, J=4.1, 1.6 Гц, 1Н), 8.68 (d, J=8.6 Гц, 1H), 8.40 (s, 1Н), 7.86 (dd, J=8.8, 4.2 Гц, 1Н), 4.56 (dd, J=10.9, 2.6 Гц, 1Н), 4.25 - 4.09 (m, 1Н), 3.84 (d, J=12.1 Гц, 1Н), 3.59 - 3.45 (m, 3H), 2.94 (dt, J=26.0, 11.4 Гц, 2Н), 2.71 (d, J=11.6 Гц, 2Н), 2.31 (s, 5H), 1.91 - 1.66 (m, 4H), 1.38 (d, J=6.2 Гц, 3H).
Пример 349 (Изомер 1): (2S,6R)-4-(8-циано-1,7-нафтиридин-5-ил)-N-[[(3R)-3-фтор-1-метилпирролидин-3-ил]метил]-6-(трифторметил)морфолин-2-карбоксамид & Пример 350 (Изомер 2): (2R,6S)-4-(8-циано-1,7-нафтиридин-5-ил)-N-[[(3R)-3-фтор-1-метилпирролидин-3-ил]метил]-6-(трифторметил)морфолин-2-карбоксамид
[00658] трет-бутил (3R)-3-([[цис-4-(8-циано-1,7-нафтиридин-5-ил)-6-(трифторметил)морфолин-2-ил]формамидо]метил)-3-фторпирролидин-1-карбоксилат: К раствору цис-4-(8-циано-1,7-нафтиридин-5-ил)-6-(трифторметил)морфолин-2-карбоновой кислоты (72 мг, 0.20 ммоль) в ДМФА (4 мл) последовательно добавляли трет- бутил (3R)-3-(аминометил)-3-фторпирролидин-1-карбоксилат (88 мг, 0.41 ммоль), HATU (153 мг, 0.41 ммоль) и DIEA (131 мг, 1.01 ммоль) при комнатной температуре. Полученную в результате смесь перемешивали в течение 2 ч при комнатной температуре. После завершения реакции реакционную смесь разбавляли водой (30 мл). Полученную в результате смесь экстрагировали этилацетатом (100 мл × 3). Органические фазы объединяли, промывали солевым раствором и сушили над Na2SO4. Растворитель удаляли при пониженном давлении с получением указанного в заголовке соединения в виде желтого твердого вещества (100 мг, сырое), которое использовали непосредственно на следующей стадии без дополнительной очистки. МС: 553 [М+Н]+.
[00659] цис-4-(8-циано-1,7-нафтиридин-5-ил)-N-[[(3S)-3-фторпирролидин-3-ил]метил]-6-(трифторметил)морфолин-2-карбоксамид: К раствору трет-бутил (3R)-3-([[цис-4-(8-циано-1,7-нафтиридин-5-ил)-6-(трифторметил)морфолин-2-ил]формамидо]метил)-3-фторпирролидин-1-карбоксилата (100 мг, сырой) в диоксане (5 мл) добавляли раствор HCl (6 н. в воде, 1 мл, 6.0 ммоль) при комнатной температуре. Полученную в результате смесь перемешивали в течение 2 ч при комнатной температуре. После завершения реакции реакционную смесь концентрировали при пониженном давлении с получением указанного в заголовке соединения в виде желтого твердого вещества (100 мг, сырое), которое использовали непосредственно на следующей стадии без дополнительной очистки. МС: 453 [М+Н]+.
[00660] (2S,6R)-4-(8-циано-1,7-нафтиридин-5-ил)-N-[[(3R)-3-фтор-1-метилпирролидин-3-ил]метил]-6-(трифторметил)морфолин-2-карбоксамид & (2R,6S)-4-(8-циано-1,7-нафтиридин-5-ил)-N-[[(3R)-3-фтор-1-метилпирролидин-3-ил]метил]-6-(трифторметил)морфолин-2-карбоксамид: К раствору цис-4-(8-циано-1,7-нафтиридин-5-ил)-N-[[(3S)-3-фторпирролидин-3-ил]метил]-6-(трифторметил)морфолин-2-карбоксамида (100 мг, сырой) в МеОН (6 мл) последовательно добавляли раствор формалина (37%, 4.2 мл) и NaBH4 (60 мг, 1.59 ммоль) при комнатной температуре. Полученную в результате смесь перемешивали в течение 4 ч при комнатной температуре. После завершения реакции реакционную смесь концентрировали при пониженном давлении и остаток сначала очищали с помощью преп.ВЭЖХ при следующих условиях: колонка, XBridge Prep С18 OBD Column, 150 × 19 мм, 5 мкм; подвижная фаза, ацетонитрил в воде (с 10 ммоль/л NH4HCO3 и 0.1% NH3.H2O), градиент от 28% до 52% за 8 мин; детектор, УФ 254 нм. Два изомера получали путем разделения с помощью хиральной ВЭЖХ при следующих условиях: колонка, CHIRAL Cellulose-SB, 0.46 × 10 см, 3 мкм; подвижная фаза, гексан (с 0.1% DEA) в EtOH, 50%, изократический режим в течение 25 мин; детектор, УФ 254 нм.
Изомер 1: МС: 467 [М+Н]+. 1H ЯМР (400 МГц, ДМСО-d6, м.д.) δ 9.25 - 9.19 (m, 1 Н), 8.76 - 8.69 (m, 1 Н), 8.56 (s, 1 Н), 8.16 - 8.12 (m, 1 Н), 7.99 - 7.91 (m, 1 Н), 4.86 - 4.81 (m, 1 Н), 4.71 - 4.64 (m, 1 Н), 3.70 - 3.63 (m, 2 Н), 3.58 - 3.40 (m, 2 Н), 3.30 - 3.22 (m, 2 Н), 3.19 - 3.08 (m, 1 Н), 2.69 - 2.52 (m, 2 Н), 2.41 - 2.31 (m, 1 Н), 2.21 (s, 3 Н), 2.10 - 1.79 (m, 2 Н).
Изомер 2: МС: 467 [М+Н]+. 1H ЯМР (400 МГц, ДМСО-d6, м.д.) δ 9.17 - 9.06 (m, 1 Н), 8.73 - 8.66 (m, 1 Н), 8.57 (s, 1 Н), 8.13 - 8.07 (m, 1 Н), 8.01 - 7.92 (m, 1 Н), 4.85 - 4.78 (m, 1 Н), 4.69 - 4.63 (m, 1 Н), 3.73 - 3.65 (m, 2 Н), 3.55 - 3.39 (m, 2 Н), 3.31 - 3.23 (m, 2 Н), 3.20 - 3.08 (m, 1 Н), 2.67 - 2.51 (m, 2 Н), 2.43 - 2.34 (m, 1 Н), 2.21 (s, 3 Н), 2.08 - 1.76 (m, 2 Н).
[00661] Следующие соединения синтезировали аналогичным образом.
Пример 351 (Изомер 1): (2S,6R)-4-(8-циано-1,7-нафтиридин-5-ил)-N-((4-фтор-1-метилпиперидин-4-ил)метил)-6-(трифторметил)морфолин-2-карбоксамид & Пример 352 (Изомер 2): (2R,6S)-4-(8-циано-1,7-нафтиридин-5-ил)-N-((4-фтор-1-метилпиперидин-4-ил)метил)-6-(трифторметил)морфолин-2-карбоксамид
[00662] Указанные в заголовке соединения получали из трет-бутил 4-([[цис-4-(8-циано-1,7-нафтиридин-5-ил)-6-(трифторметил)морфолин-2-ил]формамидо]метил)-4-фторпиперидин-1-карбоксилата. Два изомера получали путем разделения с помощью хиральной ВЭЖХ при следующих условиях: колонка, CHIRALPAK Cellulose-SB, 0.46 х 10 см, 3 мкм; подвижная фаза, гексан (с 0.1%DEA) в EtOH, 50%, изократический режим в течение 25 мин; детектор, УФ 254 нм.
Изомер 1: МС: 481 [М+Н]+. 1H ЯМР (400 МГц, ДМСО-d6, м.д.) δ 9.25 - 9.19 (m, 1 H), 8.76 - 8.69 (m, 1 H), 8.56 (s, 1 H), 8.08 - 8.01 (m, 1 H), 7.99 - 7.91 (m, 1 H), 4.87 - 4.78 (m, 1 H), 4.72 - 4.65 (m, 1 H), 3.71 - 3.62 (m, 2 H), 3.53 - 3.22 (m, 3 H), 3.22 - 3.03 (m, 1 H), 2.57 - 2.53 (m, 2 H), 2.16 (s, 3 H), 2.14 - 2.05 (m, 2 H), 1.79 - 1.49 (m, 4H).
Изомер 2: МС: 481 [М+Н]+. 1H ЯМР (400 МГц, ДМСО-d6, м.д.) δ 9.20 - 9.15 (m, 1 H), 8.72 - 8.64(m, 1 H), 8.55 (s, 1 H), 8.05 - 7.90 (m, 2 H), 4.90 - 4.79 (m, 1 H), 4.71 - 4.66 (m, 1 H), 3.70 - 3.61 (m, 2 H), 3.53 - 3.03 (m, 4 H), 2.60 - 2.55 (m, 2 H), 2.18 (s, 3 H), 2.15 - 2.03 (m, 2 H),1.80 - 1.45 (m, 4 H).
Пример 353 (Изомер 1): (2R,6S)-4-(8-цианохинолин-5-ил)-N-[(4-фтор-1-метилпиперидин-4-ил)метил]-6-(трифторметил)морфолин-2-карбоксамид & Пример 354 (Изомер 2): (2S,6R)-4-(8-цианохинолин-5-ил)-N-[(4-фтор-1-метилпиперидин-4-ил)метил]-6-(трифторметил)морфолин-2-карбоксамид
[00663] К раствору цис-4-(8-цианохинолин-5-ил)-N-[(4-фторпиперидин-4-ил)метил]-6-(трифторметил)морфолин-2-карбоксамида (60 мг, 0.13 ммоль) в НСООН (5 мл) добавляли (НСНО)n (285 мг, 3.16 ммоль) при комнатной температуре. Полученную в результате смесь перемешивали в течение 3 ч при 100°С. После завершения реакции реакционную смесь концентрировали при пониженном давлении и остаток сначала очищали с помощью преп. ВЭЖХ при следующих условиях: колонка, XBridge Prep C18 OBD Column, 150 x 19 мм, 5 мкм; подвижная фаза, ацетонитрил в воде (с 10 ммоль/л NH4HCO3 и 0.1% NH3.H2O), градиент от 32% до 62% за 8 мин; детектор, УФ 254 нм. Затем два энантиомерных продукта получали путем разделения с помощью хиральной ВЭЖХ при следующих условиях: колонка, CHIRALPAK IG-3, 0.46 х 5 см, 3 мкм; подвижная фаза, гексан/ДХМ (5:1, с 0.1% DEA) в EtOH, 50%, изократический режим в течение 25 мин; детектор, УФ 254 нм.
Изомер 1: МС: 480 [М+Н]+. 1H ЯМР (300 МГц, Метанол-d4, м.д.) δ 9.41 - 9.32 (m, 1 H), 9.28 - 9.20 (m, 1 H), 8.47 (d, J=8.1 Гц, 1 Н), 8.19 - 8.08 (m, 1 H), 7.65 (d, J=8.2 Гц, 1 H), 4.87 - 4.77 (m, 2 H), 3.85 - 3.71 (m, 1 H), 3.71 - 3.43 (m, 5 H), 3.35 - 3.09 (m, 4 H), 2.89 (s, 3 H), 2.16 - 1.99 (m, 4 H).
Изомер 2: МС: 480 [М+Н]+. 1H ЯМР (300 МГц, Метанол-d4, м.д.) δ 9.37 (d, J=8.4 Гц, 1Н), 9.24 (m, 1H), 8.47 (d, J=8.1 Гц, 1H), 8.14 (m, 1H), 7.65 (d, J=8.2 Гц, 1H), 4.82 (d, J=10.2 Гц, 2Н), 3.80 (d, J=12.4 Гц, 1H), 3.75- 3.40 (m, 5H), 3.32 (s, 1H), 3.26- 2.98 (m, 3H), 2.89 (s, 3H), 2.19-1.91 (m, 4H).
[00664] Следующие соединения синтезировали аналогичным образом.
Пример 355 (Изомер 1): (2R,6S)-4-(8-цианохиноксалин-5-ил)-N-(((R)-3-фтор-1-метилпирролидин-3-ил)метил)-6-(трифторметил)морфолин-2-карбоксамид & Пример 356 (Изомер 2): (2S,6R)-4-(8-цианохиноксалин-5-ил)-N-(((R)-3-фтор-1-метилпирролидин-3-ил)метил)-6-(трифторметил)морфолин-2-карбоксамид
[00665] Указанные в заголовке соединения получали из цис-4-(8-цианохиноксалин-5-ил)-N-{[(3S)-3-фторпирролидин-3-ил]метил}-6-(трифторметил)морфолин-2-карбоксамида и параформальдегида. Два диастереомерных продукта получали путем разделения с помощью хиральной ВЭЖХ при следующих условиях: колонка, CHIRALPAK IG-3, 0.46 х 5 см, 3 мкм; подвижная фаза, гексан (с 0.1% DEA) в EtOH, 50%, изократический режим в течение 20 мин; детектор, УФ 254 нм.
Изомер 1: МС: 467 [М+Н]+. 1H ЯМР (400 МГц, ДМСО-d6, м.д.) δ 9.10 (d, J=1.8 Гц, 1H), 9.07 (s, 1H), 9.03 (d, J=1.8 Гц, 1H), 8.30 (d, J=8.3 Гц, 1H), 8.06 (t, J=6.2 Гц, 1H), 7.39 (d, J=8.4 Гц, 1H), 4.71 (s, 2Н), 4.56 (dd, J=10.9, 2.7 Гц, 1H), 4.38 (dd, J=18.8, 12.3 Гц, 3H), 3.55 - 3.43 (m, 2Н), 3.18 (dt, J=33.6, 11.6 Гц, 2Н), 2.60 (dt, J=35.1, 10.5 Гц, 4Н), 2.38 (q, J=7.6 Гц, 1H), 2.22 (s, 3H), 2.21 (s, 1H), 1.95 (dddd, J=49.2, 27.5, 13.7, 6.7 Гц, 2Н).
Изомер 2: МС: 467 [М+Н]+. 1H ЯМР (400 МГц, ДМСО-d6, м.д.) δ 9.13 - 8.99 (m, 2 H), 8.33 - 8.26 (m, 1 Н), 8.10 - 8.02 (m, 1 Н), 7.39 (d, J=8.4 Гц, 1 Н), 4.73 - 4.69 (m, 1 H), 4.60 - 4.52 (m, 1 H), 4.44 - 4.32 (m, 2 H), 3.55 - 3.43 (m, 2 H), 3.28 - 3.09 (m, 2 H), 2.71 - 2.51 (m, 3 H), 2.43 - 2.33 (m, 1 H), 2.22 (s, 3 H), 2.10 - 1.80 (m, 2H).
Пример 357 (Изомер 1): (2R,6S)-4-(8-цианохиноксалин-5-ил)-N-(((S)-3-фтор-1-метилпирролидин-3-ил)метил)-6-(трифторметил)морфолин-2-карбоксамид & Пример 358 (Изомер 2): (2S,6R)-4-(8-цианохиноксалин-5-ил)-N-(((S)-3-фтор-1-метилпирролидин-3-ил)метил)-6-(трифторметил)морфолин-2-карбоксамид
[00666] Указанные в заголовке соединения получали из цис-4-(8-цианохиноксалин-5-ил)-N-{[(3R)-3-фторпирролидин-3-ил]метил}-6-(трифторметил)морфолин-2-карбоксамида и параформальдегида. Два диастереомерных продукта получали путем разделения с помощью хиральной ВЭЖХ при следующих условиях: колонка CHIRALPAK IA, 0.46 х 10 см, 3 мкм; подвижная фаза, MtBE (с 0.1% DEA) в EtOH, 50%, изократический режим в течение 20 мин; детектор, УФ 254 нм.
Изомер 1: МС: 467 [М+Н]+. 1H ЯМР (300 МГц, ДМСО-d6, м.д.) δ 9.10 (d, J=1.8 Гц, 1 H), 9.04 (d, J=1.8 Гц, 1 H), 8.40 - 8.28 (m, 2 H), 7.40 (d, J=8.4 Гц, 1 H), 4.80 - 4.72 (m, 1 H), 4.61 - 4.36 (m, 3 H), 3.70 - 3.49 (m, 2 H), 3.43 - 3.14 (m, 6 H), 2.69 (s, 3 H), 2.45 - 2.01 (m, 2 H).
Изомер 2: МС: 467 [М+Н]+. 1H ЯМР (300 МГц, ДМСО-d6, м.д.) δ 9.12 (d, J=1.8 Гц, 1 H), 9.05 (d, J=1.8 Гц, 1 H), 8.37 - 8.25 (m, 2 H), 7.42 (d, J=8.4 Гц, 1 H), 4.76 - 4.70 (m, 1 H), 4.64 - 4.54 (m, 1 H), 4.47 - 4.33 (m, 2 H), 3.69 - 3.51 (m, 2 H), 3.30 - 3.09 (m, 6 H), 2.71 (s, 3 H), 2.44 - 2.02 (m, 2 H).
Пример 359 (Изомер 1): (2R,6S)-4-(8-цианохиноксалин-5-ил)-N-((4-фтор-1-метилпиперидин-4-ил)метил)-6-(трифторметил)морфолин-2-карбоксамид & Пример 360 (Изомер 2): (2S,6R)-4-(8-цианохиноксалин-5-ил)-N-((4-фтор-1-метилпиперидин-4-ил)метил)-6-(трифторметил)морфолин-2-карбоксамид
[00667] Указанные в заголовке соединения получали из цис-4-(8-цианохиноксалин-5-ил)-N-[(4-фторпиперидин-4-ил)метил]-6-(трифторметил)морфолин-2-карбоксамида и параформальдегида. Два энантиомерных продукта получали путем разделения с помощью хиральной ВЭЖХ при следующих условиях: колонка CHIRALPAK IC-3, 0.46 х 5 см, 3 мкм; подвижная фаза, MtBE (с 0.1% DEA) в EtOH, 70%, изократический режим в течение 20 мин; детектор, УФ 254 нм.
Изомер 1: МС: 481 [М+Н]+. 1H ЯМР (400 МГц, ДМСО-d6, м.д.) δ 9.06 (d, J=1.8 Гц, 1Н), 9.02 (d, J=1.8 Гц, 1Н), 8.30 (d, J=8.3 Гц, 1Н), 7.96 (m, J=6.3 Гц, 1Н), 7.39 (d, J=8.4 Гц, 1Н), 4.70 (m, 1Н), 4.57 (m, 1Н), 4.37 (m, 2H), 3.46-3.33 (m, 2H), 3.27-3.09 (m, 2H), 2.55 (m, 2H), 2.17 (s, 3H), 2.11 (m, 2H), 1.68 (m, J=12.5, 3.2 Гц, 3H), 1.61-1.56 (m, 1Н).
Изомер 2: МС: 481 [М+Н]+. 1H ЯМР (400 МГц, ДМСО-d6, м.д.) δ 9.10 (d, J=1.8 Гц, 1 Н), 9.03 (d, J=1.8 Гц, 1 Н), 8.30 (d, J=8.3 Гц, 1 Н), 7.96 (t, J=6.3 Гц, 1 Н), 7.39 (d, J=8.4 Гц, 1 Н), 4.75 - 4.66 (m, 1 Н), 4.61 - 4.53 (m, 1 Н), 4.44 - 4.32 (m, 2 Н), 3.42 - 3.32 (m, 2 Н), 3.29 - 3.11 (m, 2 Н), 2.58 - 2.50 (m, 2 Н), 2.16 (s, 3 Н), 2.15 - 2.06 (m, 2 Н), 1.78 - 1.50 (m, 4 Н).
Пример 361 (Изомер 1): 8-[(2S,6S)-2-[(3-гидроксиазетидин-1-ил)метил]-6-(трифторметил)морфолин-4-ил]хиноксалин-5-карбонитрил & Пример 362 (Изомер 2): 8-[(2R,6R)-2-[(3-гидроксиазетидин-1-ил)метил]-6-(трифторметил)морфолин-4-ил]хиноксалин-5-карбонитрил
[00668] (цис-4-(8-цианохиноксалин-5-ил)-6-(трифторметил)морфолин-2-ил)метил 4-метилбензолсульфонат: При 0°С к раствору 8-[цис-2-(гидроксиметил)-6-(трифторметил)морфолин-4-ил]хиноксалин-5-карбонитрила (94 мг, 0.28 ммоль) в дихлорметане (20 мл) несколькими порциями добавляли гидрид натрия (63 мг, 2.66 ммоль). Полученную в результате смесь перемешивали в течение 30 мин при 0°С, и затем медленно добавляли TsCl (120 мг, 0.63 ммоль). Полученную в результате смесь перемешивали в течение 3 ч при комнатной температуре. После завершения реакции реакционную смесь гасили путем добавления воды (20 мл). Полученную в результате смесь экстрагировали этилацетатом (30 мл х 3). Органические фазы объединяли, промывали солевым раствором и сушили над Na2SO4. Растворитель удаляли при пониженном давлении и остаток очищали с помощью флэш-хроматографии, элюируя этилацетатом в гексане (градиент от 0% до 15%), с получением указанного в заголовке соединения в виде желтого твердого вещества (99 мг, 72%). МС: 493 [М+Н]+.
[00669] 8-[(2S,6S)-2-[(3-гидроксиазетидин-1-ил)метил]-6-(трифторметил)морфолин-4-ил]хиноксалин-5-карбонитрил & 8-[(2R,6R)-2-[(3-гидроксиазетидин-1-ил)метил]-6-(трифторметил)морфолин-4-ил]хиноксалин-5-карбонитрил: К раствору цис-4-(8-цианохиноксалин-5-ил)-6-(трифторметил)морфолин-2-ил 4-метилбензол-1-сульфоната (80 мг, 0.16 ммоль) в ДМФА (5 мл) добавляли азетидин-3-ол (34 мг, 0.46 ммоль) и DIEA (60 мг, 0.46 ммоль). Полученную в результате смесь перемешивали в течение 16 ч при 100°С. После завершения реакции реакционную смесь гасили путем добавления воды (20 мл). Получнную в результате смесь экстрагировали этилацетатом (50 мл х 3). Органические фазы объединяли, промывали солевым раствором и сушили над Na2SO4. Растворитель удаляли при пониженном давлении и остаток очищали с помощью преп. ВЭЖХ при следующих условиях: колонка, XBridge Prep C18 OBD Column, 150 х 19 мм, 5 мкм; подвижная фаза, ацетонитрил в воде (с 10 ммоль/л NH4HCO3 и 0.1% NH3.H2O), градиент от 38% до 70% за 8 мин; детектор, УФ 254 нм. Затем два энантиомерных продукта получали путем разделения с помощью хиральной ВЭЖХ при следующих условиях: колонка ChiralPAK IE-3, 0.46 х 5 см, 3 мкм; подвижная фаза, гексан (с 20 мМ NH3H2O) в EtOH, 75%, изократический режим в течение 20 мин; детектор, УФ 220 нм.
Изомер 1: МС: 394 [М+Н]+. 1H ЯМР (400 МГц, Метанол-d4, м.д.) δ 8.99 (d, J=1.8 Гц, 1 Н), 8.93 (d, J=1.8 Гц, 1 Н), 8.17 (d, J=8.2 Гц, 1 Н), 7.30 (d, J=8.3 Гц, 1 Н), 4.54 - 4.42 (m, 2 Н), 4.42 - 4.32 (m, 1 Н), 4.13 - 4.02 (m, 2 Н), 3.83 - 3.69 (m, 2 Н), 3.13 - 3.01 (m, 3 Н), 2.98 - 2.88 (m, 1 Н), 2.84 - 2.65 (m, 2 Н).
Изомер 2: МС: 394 [М+Н]+. 1H ЯМР (400 МГц, Метанол-d4, м.д.) δ 8.98 (d, J=1.8 Гц, 1Н), 8.93 (d, J=1.8 Гц, 1Н), 8.17 (d, J=8.3 Гц, 1Н), 7.30 (d, J=8.3 Гц, 1H), 4.55-4.42 (m, 2H), 4.37 (m, 1Н), 4.07 (m, 2H), 3.83-3.68 (m, 2H), 3.14-3.0 (m, 3Н), 2.93 (dd, J=12.6, 11.0 Гц, 1Н), 2.85-2.62 (m, 2H).
[00670] Следующие соединения синтезировали аналогичным образом.
Пример 363 (Изомер 1): 8-[(2S,6S)-2-([2-оксо-1,7-диазаспиро[3.5]нонан-7-ил]метил)-6-(трифторметил)морфолин-4-ил]хиноксалин-5-карбонитрил & Пример 364 (Изомер 2): 8-[(2R,6R)-2-([2-оксо-1,7-диазаспиро[3.5]нонан-7-ил]метил)-6-(трифторметил)морфолин-4-ил]хиноксалин-5-карбонитрил
[00671] Указанное в заголовке соединение получали из (цис-4-(8-цианохиноксалин-5-ил)-6-(трифторметил)морфолин-2-ил)метил 4-метилбензолсульфоната и 1,7-диазаспиро[3.5]нонан-2-она. Два энантиомерных продукта получали путем разделения с помощью хиральной ВЭЖХ при следующих условиях: колонка, CHIRALPAK IG-3, 0.46 х 5 см, 3 мкм; подвижная фаза, гексан/ДХМ (3:1, с 0.1% DEA) в EtOH, 50%, изократический режим в течение 20 мин; детектор, УФ 254 нм.
Изомер 1: МС: 461 [М+Н]+. 1H ЯМР (400 МГц, Метанол-d4, м.д.) δ 9.0 (d, J=1.8 Гц, 1Н), 8.93 (d, J=1.8 Гц, 1Н), 8.18 (d, J=8.3 Гц, 1Н), 7.32 (d, J=8.3 Гц, 1Н), 4.53 (d, J=8.0 Гц, 1Н), 4.48-4.40 (m, 1Н), 4.28 (s, 1Н), 4.20 (m, J=12.3, 2.2 Гц, 1Н), 3.12(dd, J=11.9, 10.7 Гц, 1Н), 2.93 (dd, J=12.3, 10.5 Гц, 2Н), 2.73 (d, J=12.0 Гц, 7Н), 1.90 (m, 4H).
Изомер 2: МС: 461 [М+Н]+. 1H ЯМР (400 МГц, Метанол-d4, м.д.) δ 9.03 - 8.98 (m, 1 H), 8.96 - 8.91 (m, 1 H), 8.23- 8.15 (m, 1 Н), 7.36 - 7.29 (m, 1 H), 4.62 - 4.55 (m, 1 H), 4.48 - 4.40 (m, 1 H), 4.37 - 4.33 (m, 1 H), 4.24 - 4.16 (m, 1 H), 3.19 - 3.09 (m, 2 H), 3.08 - 2.67 (m, 8 H), 1.99 - 1.94 (m, 4 H).
Пример 365: 1-[(2R,6R)-4-(8-циано-[1,7]нафтиридин-5-ил)-6-метилморфолин-2-илметил]-1Н-пиразол-4-карбоновая кислота
[00672] Сложный (2R,6R)-4-(8-циано-[1,7]нафтиридин-5-ил)-6-метилморфолин-2-илметиловый эфир толуол-4-сульфоновой кислоты: К перемешиваемому раствору 5-((2R,6R)-2-гидроксиметил-6-метилморфолин-4-ил)-[1,7]нафтиридин-8-карбонитрила (933 мг; 3.28 ммоль; 1.0 экв.) в ДХМ (2.0 мл) добавляли n-толуолсульфонил хлорид (750 мг; 3.94 ммоль; 1.20 экв.) с последующим добавлением TEA (0.91 мл; 6.56 ммоль; 2.0 экв.). Смесь перемешивали при к.т. в течение 4 ч до завершения реакции. Реакционную смесь разбавляли с помощью ЭА (100 мл) и промывали солевым раствором. Органический слой сушили над Na2SO4 и концентрировали с обеспечением указанного в заголовке соединения в виде желтого твердого вещества (1486 мг, количественный выход), которое использовали непосредственно на следующей реакционной стадии без очистки. МС: 439 [М+Н]+.
[00673] 5-((2R,6R)-2-йодметил-6-метилморфолин-4-ил)-[1,7]нафтиридин-8-карбонитрил: В 25 мл сосуд для микроволновой обработки помещали сложный (2R,6R)-4-(8-циано-[1,7]нафтиридин-5-ил)-6-метилморфолин-2-илметиловый эфир толуол-4-сульфоновой кислоты (1442 мг; 3.29 ммоль; 1.0 экв.), йодид натрия (2464 мг; 16.44 ммоль; 5.0 экв.) и ацетонитрил (15 мл). Закупоренный сосуд перемешивали при 80°С в течение ночи. После завершения реакции смесь разбавляли с помощью ЭА (100 мл), промывали 15 мл водного раствора NaHSO3 (10%), и затем NaHCO3 (5%) и солевым раствором. Органическую фазу сушили над Na2SO4 и концентрировали с получением указанного в заголовке соединения в виде желтого твердого вещества (1300 мг), которое использовали непосредственно на следующей реакционной стадии без очистки. МС: 395 [М+Н]+.
[00674] Сложный метиловый эфир 1-[(2R,6R)-4-(8-циано-[1,7]нафтиридин-5-ил)-6-метилморфолин-2-илметил]-1Н-пиразол-4-карбоновой кислоты: В 10 мл сосуд для микроволновой обработки помещали 5-((2R,6R)-2-йодметил-6-метилморфолин-4-ил)-[1,7]нафтиридин-8-карбонитрил (70 мг; 0.18 ммоль; 1.0 экв.), карбонат цезия (115 мг; 0.36 ммоль; 2.0 экв.), сложный метиловый эфир 1Н-пиразол-4-карбоновой кислоты (34 мг; 0.27 ммоль; 1.50 экв.) и ДМСО (1 мл). Реакционную смесь в закупоренном сосуде перемешивали при 80°С в течение 3 ч до завершения реакции. Сырой продукт очищали с помощью преп. ВЭЖХ с подвижной фазой 20-60% ACN/вода (с содержанием аммиака 0.1%) с получением указанного в заголовке соединения (70 мг, 43%). МС: 393 [М+Н]+.
[00675] 1-[(2R,6R)-4-(8-циано-[1,7] нафтиридин-5-ил)-6-метилморфолин-2-илметил]-1Н-пиразол-4-карбоновая кислота: Смесь сложного метилового эфира 1-[(2R,6R)-4-(8-циано-[1,7]нафтиридин-5-ил)-6-метилморфолин-2-илметил]-1Н-пиразол-4-карбоновой кислоты (15 мг; 0.04 ммоль; 1.0 экв.) и гидрата гидроксида лития (4 мг; 0.08 ммоль; 2.0 экв.) в воде (1 мл) и ТГФ (1 мл) перемешивали при к.т. в течение 3 ч до завершения реакции. Растворитель удаляли. К остатку добавляли ДХМ (1 мл) и ТФУ (1 мл). Полученную в результате смесь перемешивали при к.т. в течение 30 минут до завершения реакции. Сырой продукт очищали с помощью преп. ВЭЖХ, подвижная фаза 10-60% ACN/вода (с содержанием муравьиной кислоты 0.1%) с получением указанного в заголовке соединения (12 мг, выход: 81%). МС: 379 [М+Н]+. 1H ЯМР (400 МГц, ДМСО-d6) δ 9.06 (d, J=2.0 Гц, 1Н), 8.94 (s, 1H), 8.76 (d, J=1.6 Гц, 1H), 8.26 (d, J=8.3 Гц, 1H), 7.26 (d, J=8.4 Гц, 1H), 4.76 - 4.54 (m, 2H), 4.37 - 4.21 (m, 2H), 4.15 (d, J=12.4 Гц, 1H), 3.85 (s, 3Н), 2.80 (dt, J=37.9, 11.4 Гц, 2H), 1.14 (d, J=6.2 Гц, 3Н).
Пример 366: 5-((2R,6S)-2-метил-6-пиперазин-1-илметилморфолин-4-ил)-[1,7]нафтиридин-8-карбонитрил
[00676] Сложный трет-бутиловый эфир 4-[(2S,6R)-4-(8-циано-[1,7]нафтиридин-5-ил)-6-метилморфолин-2-илметил]-пиперазин-1-карбоновой кислоты: Смесь 5-((2R,6R)-2-йодметил-6-метилморфолин-4-ил)-[1,7]нафтиридин-8-карбонитрила (382 мг; 0.97 ммоль; 1.0 экв.), сложного трет-бутилового эфира пиперазин-1-карбоновой кислоты (902 мг; 4.85 ммоль; 5.0 экв.) и ДМСО (3 мл) в 25 мл сосуде перемешивали при 60°С в течение 6 ч до завершения реакции. Реакционную смесь разбавляли с помощью ЭА (80 мл) и воды (30 мл). Органический слой промывали солевым раствором, сушили над Na2SO4 и концентрировали с получением соединения, которое использовали непосредственно на следующей реакционной стадии. МС: 453 [М+Н]+.
[00677] 5-((2R,6S)-2-метил-6-пиперазин-1-илметилморфолин-4-ил)-[1,7]нафтиридин-8-карбонитрил: К раствору сложного трет-бутилового эфира 4-[(2S,6R)-4-(8-циано-[1,7]нафтиридин-5-ил)-6-метилморфолин-2-илметил]-пиперазин-1-карбоновой кислоты (440 мг; 0.97 ммоль; 1.0 экв) в ДХМ (2 мл) добавляли 2 мл ТФУ. Полученную в результате смесь перемешивали при к.т. в течение 1 ч до завершения реакции. Реакционную смесь разбавляли ДХМ, промывали 10% Na2CO3 (водн.), затем солевым раствором. Органический слой сушили над Na2SO4 и концентрировали. Остаток очищали с помощью преп. ВЭЖХ с подвижной фазой 10-60% ACN/вода (с содержанием аммиака 0.1%) с получением указанного в заголовке соединения (300 мг). МС: 351 [М+Н]+. 1H ЯМР (400 МГц, ДМСО-d6) 9.19 (d, J=4.1 Гц, 1Н), 8.58 (d, J=8.6 Гц, 1Н), 8.38 (s, 1Н), 7.88 (dd, J=8.7, 4.2 Гц, 1Н), 4.11 - 3.91 (m, 2H), 3.54 (dd, J=22.6, 12.1 Гц, 2H), 2.77 (q, J=10.9 Гц, 2Н), 2.65 (d, J=5.0 Гц, 3Н), 2.46 - 2.19 (m, 6H), 1.17 (d, J=6.1 Гц, 3Н).
Пример 367: 5-[(2R,6S)-2-метил-6-(4-морфолин-4-илпиперидин-1-илметил)-морфолин-4-ил]-[1,7]нафтиридин-8-карбонитрил
[00678] В 25 мл сосуд помещали 5-((2R,6R)-2-йодметил-6-метилморфолин-4-ил)-[1,7]нафтиридин-8-карбонитрил (50.0 мг; 0.127 ммоль; 1.0 экв.), 4-(пиперидин-4-ил)морфолин (43.2 мг; 0.254 ммоль; 2.0 экв.), MeCN (2.0 мл) и TEA (55.2 мкл; 0.397 ммоль; 3.13 экв.). Реакционный раствор перемешивали в течение 10 ч при 80°С. ЖХМС показывала, что реакция завершилась. Добавляли 3 мл ДМСО и полученный в результате раствор фильтровали на Acrodisc 0.45 мкм от Pall. Продукт очищали на обращенно-фазовой системе, используя градиент 05-60% CH3CN/H2O (0.1% гидроксида аммония), за 2 впрыскивания по 1 мл каждый раз. Целевые фракции упаривали с обеспечением указанного в заголовке соединения (8.0 мг; 15%) в виде желтого твердого вещества. МС: 437 [М+Н]+. 1H ЯМР (400 МГц, Метанол-d4) δ 9.19 - 9.07 (m, 1H), 8.63 (d, J=8.7 Гц, 1H), 8.34 (s, 1H), 7.83 (dt, J=6.7, 3.0 Гц, 1Н), 4.21 - 3.97 (m, 2Н), 3.72 (t, J=4.1 Гц, 4Н), 3.53 (dd, J=16.5, 12.5 Гц, 2Н), 3.20 (d, J=12.0 Гц, 1H), 3.05 (d, J=11.8 Гц, 1H), 2.88 - 2.72 (m, 2H), 2.67 - 2.37 (m, 6H), 2.30 - 2.07 (m, 3H), 1.93 (ddd, J=13.6, 6.6, 3.2 Гц, 2Н), 1.69 - 1.50 (m, 2H), 1.27 (dd, J=6.4, 2.1 Гц, 3Н).
[00679] Следующие соединения синтезировали аналогичным образом.
Пример 368: 5-[(2R,6S)-2-метил-6-(4-метилпиперазин-1-илметил)-морфолин-4-ил]-[1,7]нафтиридин-8-карбонитрил
[00680] Указанное в заголовке соединение получали из 5-((2R,6R)-2-йодметил-6-метилморфолин-4-ил)-[1,7]нафтиридин-8-карбонитрила и 1-метилпиперазина. МС: 367 [М+Н]+. 1H ЯМР (400 МГц, Метанол-d4) δ 9.12 (s, 1H), 8.63 (d, J=8.7 Гц, 1H), 8.34 (s, 1H), 7.92 - 7.73 (m, 1H), 4.20 - 3.99 (m, 2H), 3.53 (dd, J=16.6, 12.5 Гц, 2H), 3.03 - 2.35 (m, 12H), 2.30 (s, 3H), 1.27 (d, J=5.8 Гц, 3Н).
Пример 369: 5-[(2S,6R)-2-(4-амино-3,3-дифторпиперидин-1-илметил)-6-метилморфолин-4-ил]-[1,7]нафтиридин-8-карбонитрил
[00681] Указанное в заголовке соединение получали из 5-((2R,6R)-2-йодметил-6-метилморфолин-4-ил)-[1,7]нафтиридин-8-карбонитрила и 3,3-дифторпиперидин-4-амина. МС: 403 [М+Н]+. 1H ЯМР (400 МГц, Метанол-d4) δ 9.13 (s, 1H), 8.64 (d, J=8.7 Гц, 1H), 8.34 (s, 1H), 7.83 (d, J=8.9 Гц, 1H), 4.27 - 3.98 (m, 2H), 3.75 - 3.41 (m, 3H), 3.09 - 2.73 (m, 4H), 2.65 (dt, J=22.2, 14.4 Гц, 2H), 2.43 (tt, J=29.0, 16.2 Гц, 2H), 1.95 - 1.82 (m, 1H), 1.67 - 1.53 (m, 1H), 1.28 (d, J=6.4 Гц, 3Н).
Пример 370: 5-[(2S,6R)-2-(4-аминометил-4-фторпиперидин-1-илметил)-6-метилморфолин-4-ил]-[1,7]нафтиридин-8-карбонитрил
[00682] Указанное в заголовке соединение получали из 5-((2R,6R)-2-йодметил-6-метилморфолин-4-ил)-[1,7]нафтиридин-8-карбонитрила и трифторацетата С-(4-фторпиперидин-4-ил)-метиламина. МС: 399 [М+Н]+. 1H ЯМР (400 МГц, Метанол-d4) δ 9.12 (s, 1H), 8.63 (d, J=8.7 Гц, 1H), 8.35 (s, 1H), 7.82 (dt, J=7.3, 3.0 Гц, 1H), 4.29 - 3.97 (m, 2H), 3.54 (t, J=14.0 Гц, 2Н), 3.03 -2.84 (m, 3Н), 2.78 (dd, J=21.1, 9.1 Гц, 4Н), 2.64 - 2.38 (m, 3Н), 1.89 (t, J=12.4 Гц, 2H), 1.82 - 1.58 (m, 2H), 1.28 (dd, J=6.3, 2.3 Гц, 3Н).
Пример 371: 5-[(2S,6R)-2-(4-этилпиперазин-1-илметил)-6-метилморфолин-4-ил]-[1,7]нафтиридин-8-карбонитрил
[00683] 5-((2R,6R)-2-Йодметил-6-метилморфолин-4-ил)-[1,7]нафтиридин-8-карбонитрил (70.0 мг; 0.18 ммоль; 1.0 экв.) и 1-этилпиперазин (101.38 мг; 0.89 ммоль; 5.0 экв.) в ДМСО (1 мл) перемешивали при 100°С в течение ночи. После завершения перемешивания реакционную смесь очищали с помощью преп. ВЭЖХ, используя градиент ацетонитрил/вода (с модифицированием 0.1% NH4OH), с получением указанного в заголовке соединения (16.30 мг; 0.04 ммоль; 24.1%). МС: 381.5 [М+Н]+. 1H ЯМР (400 МГц, ДМСО-d6) δ 9.19 (dd, J=4.1, 1.6 Гц, 1Н), 8.58 (dd, J=8.7, 1.6 Гц, 1Н), 8.37 (s, 1H), 7.87 (dd, J=8.7, 4.1 Гц, 1Н), 4.08 - 3.91 (m, 2H), 3.58 - 3.47 (m, 2H), 2.77 (q, J=11.0 Гц, 2Н), 2.41 (dd, J=6.0, 2.1 Гц, 4Н), 2.34 (s, 3Н), 2.27 (q, J=7.2 Гц, 4Н), 1.17 (d, J=6.2 Гц, 3Н), 0.97 (t, J=7.2 Гц, 3Н).
[00684] Следующие примеры получали аналогичным образом.
Пример 372: 5-{(2S,6R)-2-[4-(2-гидроксиэтил)-пиперазин-1-илметил]-6-метилморфолин-4-ил}-[1,7]нафтиридин-8-карбонитрил
[00685] Указанное в заголовке соединение получали из 5-((2R,6R)-2-йодметил-6-метилморфолин-4-ил)-[1,7]нафтиридин-8-карбонитрила и 2-пиперазин-1-илэтанола. МС: 397 [М+Н]+. 1H ЯМР (400 МГц, ДМСО-d6) δ 9.19 (d, J=4.1 Гц, 1Н), 8.58 (d, J=8.8 Гц, 1Н), 8.37 (s, 1Н), 7.87 (dd, J=8.7, 4.1 Гц, 1Н), 4.33 (t, J=5.5 Гц, 1Н), 3.54 (d, J=14.3 Гц, 3Н), 3.47 (q, J=6.2 Гц, 4Н), 2.40 (s, 5H), 2.34 (t, J=6.2 Гц, 3Н), 1.17 (d, J=6.3 Гц, 3Н).
Пример 373: 5-{(2S,6R)-2-[(3-фтор-2-гидроксипропиламино)-метил]-6-метилморфолин-4-ил}-[1,7]нафтиридин-8-карбонитрил
[00686] Указанное в заголовке соединение получали из 5-((2R,6R)-2-йодметил-6-метилморфолин-4-ил)-[1,7]нафтиридин-8-карбонитрила и 1-амино-3-фторпропан-2-ола. МС: 360 [М+Н]+. 1H ЯМР (400 МГц, Метанол-d4) δ 9.12 (d, J=3.6 Гц, 1Н), 8.65 (d, J=8.7 Гц, 1Н), 8.36 (s, 1Н), 7.83 (dt, J=8.1, 3.5 Гц, 1Н), 4.45 (d, J=8.7 Гц, 1Н), 4.33 (d, J=8.9 Гц, 1Н), 4.20 - 4.04 (m, 2H), 3.95 (d, J=18.8 Гц, 1Н), 3.52 (d, J=10.6 Гц, 2H), 2.99 - 2.58 (m, 6H), 1.28 (d, J=6.2 Гц, 3Н).
Пример 374: N-{2-[(2R,6R)-4-(8-циано-[1,7]нафтиридин-5-ил)-6-метилморфолин-2-илметилсульфанил]-этил}-ацетамид
[00687] Указанное в заголовке соединение получали из 5-((2R,6R)-2-йодметил-6-метилморфолин-4-ил)-[1,7]нафтиридин-8-карбонитрила и N-(2-меркаптоэтил)-ацетамида. МС: 386 [М+Н]+. 1H ЯМР (400 МГц, ДМСО-d6) δ 9.19 (dd, J=4.1, 1.7 Гц, 1Н), 8.60 (dd, J=8.6, 1.7 Гц, 1Н), 8.39 (d, J=1.5 Гц, 1Н), 8.04 - 7.82 (m, 2H), 3.99 (d, J=8.8 Гц, 2H), 3.62 (d, J=12.1 Гц, 1Н), 3.52 (dd, J=12.0, 2.0 Гц, 1Н), 3.22 (t, J=6.7 Гц, 2H), 2.81 (dt, J=31.9, 11.3 Гц, 2H), 2.66 (dt, J=21.0, 6.6 Гц, 3Н), 1.80 (d, J=1.4 Гц, 3Н), 1.18 (d, J=6.1 Гц, 3Н).
Пример 375: N-{2-[(2R,6R)-4-(8-циано-[1,7]нафтиридин-5-ил)-6-метилморфолин-2-илметилсульфанил]-этил}-ацетамид
[00688] Указанное в заголовке соединение получали из 5-((2R,6R)-2-йодметил-6-метилморфолин-4-ил)-[1,7]нафтиридин-8-карбонитрила и 4-метансульфонилпиперидина. МС: 360 [М+Н]+. 1H ЯМР (400 МГц, ДМСО-d6) δ 9.18 (dd, J=3.9, 1.9 Гц, 1Н), 8.59 (d, J=8.5 Гц, 1Н), 8.38 (d, J=1.7 Гц, 1Н), 7.95 - 7.79 (m, 1Н), 4.14 - 3.85 (m, 2H), 3.53 (t, J=13.7 Гц, 2H), 3.13 (d, J=10.9 Гц, 1Н), 3.01 (d, J=12.7 Гц, 2H), 2.91 (d, J=1.7 Гц, 3Н), 2.77 (dt, J=16.8, 11.1 Гц, 2H), 2.46 (s, 2H), 2.15 - 1.85 (m, 4H), 1.68 - 1.43 (m, 2H), 1.17 (d, J=6.1 Гц, 3Н).
Пример 376: 5-[(2S,6R)-2-(1,1-диоксо-1лямбда6-тиоморфолин-4-илметил)-6-метилморфолин-4-ил]-[1,7]нафтиридин-8-карбонитрил
[00689] Указанное в заголовке соединение получали из 5-((2R,6R)-2-йодметил-6-метилморфолин-4-ил)-[1,7]нафтиридин-8-карбонитрила и 1,1-диоксида тиоморфолина. МС: 402 [М+Н]+. 1H ЯМР (400 МГц, ДМСО-d6) δ 9.18 (d, J=4.1 Гц, 1Н), 8.66 - 8.52 (m, 1H), 8.39 (s, 1H), 7.87 (dd, J=8.8, 4.2 Гц, 1Н), 4.0 (d, J=18.8 Гц, 2Н), 3.64 - 3.44 (m, 2H), 3.03 (d, J=32.9 Гц, 6Н), 2.91 - 2.60 (m, 4H), 1.16 (d, J=5.8 Гц, 3Н).
Пример 377: 5-((2S,6R)-2-{[(4-фтортетрагидропиран-4-илметил)-амино]-метил}-6-метилморфолин-4-ил)-[1,7]нафтиридин-8-карбонитрил
[00690] Указанное в заголовке соединение получали из 5-((2R,6R)-2-йодметил-6-метилморфолин-4-ил)-[1,7]нафтиридин-8-карбонитрила и (4-фтортетрагидро-2Н-пиран-4-ил)метанамина. МС: 400 [М+Н]+. 1H ЯМР (400 МГц, ДМСО-d6) δ 9.25 - 9.13 (m, 1H), 8.60 (dt, J=8.7, 1.3 Гц, 1H), 8.38 (s, 1H), 7.86 (dd, J=8.7, 4.1 Гц, 1H), 3.96 (t, J=8.3 Гц, 2H), 3.78 - 3.42 (m, 6Н), 2.90 - 2.56 (m, 6Н), 1.79 (d, J=4.5 Гц, 1H), 1.78 - 1.59 (m, 4H), 1.18 (d, J=6.2 Гц, 3Н).
Пример 378: 5-((2S,6R)-2-{[(3-гидроксиоксетан-3-илметил)-амино]-метил}-6-метилморфолин-4-ил)-[1,7]нафтиридин-8-карбонитрил
[00691] Указанное в заголовке соединение получали из 5-((2R,6R)-2-йодметил-6-метилморфолин-4-ил)-[1,7]нафтиридин-8-карбонитрила и 3-аминометилоксетан-3-ола. МС: 370 [М+Н]+. 1H ЯМР (400 МГц, ДМСО-d6) δ 9.18 (dd, J=4.1, 1.5 Гц, 1Н), 8.61 (dd, J=8.7, 1.5 Гц, 1Н), 8.39 (s, 1H), 7.86 (dd, J=8.7, 4.1 Гц, 1Н), 5.64 (s, 1Н), 4.36 (p, J=6.2 Гц, 4Н), 3.96 (dt, J=12.5, 5.9 Гц, 2Н), 3.55 (dd, J=27.5, 12.1 Гц, 2Н), 2.94 - 2.62 (m, 6H), 1.80 (s, 1Н), 1.18 (d, J=6.2 Гц, 3Н).
Пример 379: 5-[(2R,6S)-2-метил-6-(3-оксопиперазин-1-илметил)-морфолин-4-ил]-[1,7]нафтиридин-8-карбонитрил
[00692] Указанное в заголовке соединение получали из 5-((2R,6R)-2-йодметил-6-метилморфолин-4-ил)-[1,7]нафтиридин-8-карбонитрила и пиперазин-2-она. МС: 367 [М+Н]+. 1H ЯМР (400 МГц, ДМСО-d6) δ 9.18 (dt, J=4.0, 1.6 Гц, 1Н), 8.66 - 8.55 (m, 1Н), 8.38 (d, J=2.3 Гц, 1Н), 7.86 (dd, J=8.7, 4.0 Гц, 1Н), 7.69 (s, 1Н), 4.07 (d, J=8.4 Гц, 1Н), 3.97 (t, J=7.8 Гц, 1Н), 3.52 (t, J=11.0 Гц, 2Н), 3.20 - 3.08 (m, 2Н), 3.04 (d, J=2.0 Гц, 2Н), 2.87 - 2.66 (m, 3H), 2.66 - 2.53 (m, 1Н), 1.18 (dd, J=6.3, 2.0 Гц, 3Н).
Пример 380: N-(2-{[(2S,6R)-4-(8-циано-[1,7]нафтиридин-5-ил)-6-метилморфолин-2-илметил]-амино}-этил)-ацетамид
[00693] Указанное в заголовке соединение получали из 5-((2R,6R)-2-йодметил-6-метилморфолин-4-ил)-[1,7]нафтиридин-8-карбонитрила и N-(2-аминоэтил)-ацетамида. МС: 369 [М+Н]+. 1H ЯМР (400 МГц, Метанол-d4) δ 9.18 - 9.03 (m, 1Н), 8.63 (dd, J=8.7, 1.5 Гц, 1Н), 8.34 (s, 1Н), 7.82 (dd, J=8.7, 4.2 Гц, 1Н), 4.08 (tdd, J=9.0, 5.4, 3.0 Гц, 2Н), 3.54 (dd, J=4.8, 2.3 Гц, 2Н), 3.35 (t, J=6.5 Гц, 2Н), 2.95 - 2.70 (m, 6H), 1.97 (s, 3H), 1.29 (d, J=6.2 Гц, 3Н).
Пример 381: 5-{(2S,6R)-2-[(1-ацетилпиперидин-4-иламино)-метил]-6-метилморфолин-4-ил}-[1,7]нафтиридин-8-карбонитрил
[00694] Указанное в заголовке соединение получали из 5-((2R,6R)-2-йодметил-6-метилморфолин-4-ил)-[1,7]нафтиридин-8-карбонитрила и 1-ацетилпиперидин-4-амина. МС: 409 [М+Н]+. 1H ЯМР (400 МГц, ДМСО-d6) δ 9.25 - 9.14 (m, 1Н), 8.59 (d, J=8.7 Гц, 1Н), 8.38 (d, J=1.3 Гц, 1Н), 7.87 (ddd, J=8.6, 4.1, 1.2 Гц, 1Н), 4.19 - 4.07 (m, 1Н), 4.04 - 3.81 (m, 2Н), 3.71 (d, J=13.7 Гц, 1Н), 3.56 (dd, J=34.1, 12.1 Гц, 2Н), 3.05 (t, J=12.4 Гц, 1Н), 2.89 - 2.56 (m, 6H), 1.97 (d, J=1.2 Гц, 3H), 1.86 - 1.66 (m, 3H), 1.29 - 1.12 (m, 4H), 1.06 (q, J=11.0, 10.5 Гц, 1Н).
Пример 382: 4-{[(2S,6R)-4-(8-циано-1,7-нафтиридин-5-ил)-6-метилморфолин-2-ил]метил}пиперазин-1-сульфонамид
[00695] К раствору 2-метилпропан-2-ола (23 мг; 0.31 ммоль; 2.20 экв.) в 1 мл ДХМ добавляли хлорсульфонил изоцианат (0.02 мл; 0.28 ммоль; 2.0 экв.). Смесь перемешивали в течение 2 ч при к.т., затем добавляли 5-((2R,6S)-2-метил-6-пиперазин-1-илметилморфолин-4-ил)-[1,7]нафтиридин-8-карбонитрил (50 мг; 0.14 ммоль; 1.0 экв.) и триэтиламин (0.06 мл; 0.43 ммоль; 3.0 экв.). Полученную в результате смесь перемешивали при к.т. в течение 2 ч до завершения реакции. Реакционную смесь гасили 0.1 мл метанола, и затем добавляли 1 мл ТФУ. Раствор перемешивали при к.т. в течение 1 ч. ЖХМС показывала, что реакция завершилась. Растворитель удаляли. Остаток нейтрализовали TEA до рН>7 и очищали с помощью преп. ВЭЖХ с обеспечением указанного в заголовке соединения (8 мг; 13%). МС: 360 [М+Н]+. 1H ЯМР (400 МГц, ДМСО-d6) δ 9.18 (d, J=4.0 Гц, 1Н), 8.59 (dd, J=8.7, 1.7 Гц, 1Н), 8.38 (d, J=1.4 Гц, 1Н), 7.87 (dd, J=8.7, 4.2 Гц, 1Н), 6.72 (s, 2H), 4.0 (dd, J=36.5, 7.6 Гц, 2Н), 3.53 (t, J=14.1 Гц, 2Н), 2.94 (t, J=5.0 Гц, 3Н), 2.78 (dt, J=17.3, 11.2 Гц, 2H), 2.61 (d, J=7.8 Гц, 2H), 2.46 - 2.34 (m, 1Н), 1.17 (d, J=6.1 Гц, 3Н), 0.93 (td, J=7.2, 1.5 Гц, 1Н).
Пример 383: [(2R,6R)-6-метил-4-(8-трифторметил-[1,7]нафтиридин-5-ил)-морфолин-2-ил]-метанол
[00696] В 20 мл сосуд для микроволновой обработки добавляли 5-бром-8-трифторметил-[1,7]нафтиридин (1200 мг; 4.21 ммоль; 1.0 экв.), гидрохлорид (2R,6R)-6-метилморфолин-2-ил)-метанола (741 мг; 4.42 ммоль; 1.05 экв.), TEA (1.89 мл; 10.53 ммоль; 2.50 экв.) и DMA (5.7 мл). Сосуд закупоривали и нагревали в микроволновой печи в течение 4.5 ч при 150°С, Реакционную смесь разбавляли с помощью ЭА (100 мл). Органический слой промывали солевым раствором и концентрировали. Остаток очищали с помощью хроматографии на 100 г силикагелевой колонке, элюируя 5% МеОН в ДХМ (с содержанием TEA 0.1%), с обеспечением указанного в заголовке соединения (923 мг, выход: 67%). МС: 328 [М+Н]+. 1H ЯМР (400 МГц, ДМСО-d6) δ 9.17 (dd, J=4.1, 1.8 Гц, 1Н), 8.61 (dd, J=8.8, 1.8 Гц, 1Н), 8.33 (d, J=1.5 Гц, 1Н), 7.89 (dd, J=8.8, 4.1 Гц, 1Н), 4.78 (t, J=5.6 Гц, 1Н), 3.99 (t, J=8.1 Гц, 1Н), 3.88 (dd, J=10.6, 5.6 Гц, 1Н), 3.53 (ddd, J=13.7, 9.7, 3.6 Гц, 1Н), 3.49 - 3.35 (m, 3H), 2.74 (dt, J=25.2, 11.1 Гц, 2H), 2.51 (t, J=2.0 Гц, 1Н), 1.18 (dd, J=6.1, 1.5 Гц, 3H).
Пример 384: (1,1-диоксогексагидро-1лямбда6-тиопиран-4-ил)-[(2S,6R)-6-метил-4-(8-трифторметил-[1,7]нафтиридин-5-ил)-морфолин-2-илметил]-амин
[00697] Сложный (2R,6R)-6-метил-4-(8-трифторметил-[1,7]нафтиридин-5-ил)-морфолин-2-илметиловый эфир толуол-4-сульфоновой кислоты: К перемешиваемому раствору [(2R,6R)-6-метил-4-(8-трифторметил-[1,7]нафтиридин-5-ил)-морфолин-2-ил]-метанола (923 мг; 2.82 ммоль; 1.0 экв.) в ДХМ (2.70 мл) при комнатной температуре добавляли n-толуолсульфонил хлорид (645.16 мг; 3.38 ммоль; 1.20 экв.) с последующим добавлением TEA (0.79 мл; 5.64 ммоль; 2.0 экв.). Смесь перемешивали при комнатной температуре в течение 4 ч до завершения реакции. Реакционную смесь разбавляли с помощью ЭА (100 мл), органический слой промывали солевым раствором, сушили над Na2SO4 и концентрировали с получением указанного в заголовке соединения в виде желтого твердого вещества (1200 мг, выход: 88%), которое использовали непосредственно на следующей реакционной стадии. МС: 432 [М+Н]+.
[00698] 5-((2R,6R)-2-йодметил-6-метилморфолин-4-ил)-8-трифторметил-[1,7]нафтиридин: В 25 мл сосуд помещали сложный (2R,6R)-6-метил-4-(8-трифторметил-[1,7]нафтиридин-5-ил)-морфолин-2-илметиловый эфир толуол-4-сульфоновой кислоты (1358 мг; 2.82 ммоль; 1.0 экв.), йодид натрия (2113 мг; 14.10 ммоль; 5.0 экв.) и ацетонитрил (15 мл). Смесь затем перемешивали при 80°С в течение ночи до завершения реакции. Реакционную смесь разбавляли с помощью ЭА (100 мл) и водного раствора NaHSO3 (10%) (15 мл). Органический слой промывали води. раствором NaHCO3 (5%), затем солевым раствором, сушили с помощью Na2SO4 и концентрировали с получением указанного в заголовке соединения в виде желтого твердого вещества, которое использовали непосредственно на следующей реакционной стадии без очистки. МС: 438 [М+Н]+.
[00699] (1,1-Диоксогексагидро-1лямбда6-тиопиран-4-ил)-[(2S,6R)-6-метил-4-(8-трифторметил-[1,7]нафтиридин-5-ил)-морфолин-2-илметил]-амин: Смесь 5-((2R,6R)-2-йодметил-6-метилморфолин-4-ил)-8-трифторметил-[1,7]нафтиридина (43 мг; 0.10 ммоль; 1.0 экв.), 1,1-диоксогексагидро-1лямбда6-тиопиран-4-иламина (102 мг; 0.69 ммоль; 7.0 экв.) и ДМСО (1 мл) в 10 мл сосуде для микроволновой обработки перемешивали при 80°С в течение 3 ч до завершения реакции. Сырой продукт очищали с помощью преп. ВЭЖХ (основная, 10-60% ACN в воде) с получением указанного в заголовке соединения (7 мг; 16%). МС: 459 [М+Н]+. 1H ЯМР (400 МГц, Метанол-d4) δ 9.10 (d, J=4.2 Гц, 1Н), 8.67 (d, J=8.7 Гц, 1H), 8.29 (s, 1H), 7.83 (dd, J=8.7, 4.1 Гц, 1Н), 4.09 (s, 2H), 3.47 (t, J=13.6 Гц, 2Н), 3.18 (s, 2H), 3.08 (d, J=10.9 Гц, 2Н), 2.94 - 2.84 (m, 1H), 2.84 - 2.67 (m, 3H), 2.25 (s, 2H), 2.06 (dd, J=12.7, 8.1 Гц, 2H), 1.29 (d, J=6.2 Гц, 3Н).
Пример 385 (Изомер 1): ((S)-4-метилморфолин-2-илметил)-[(2S,6R)-6-метил-4-(8-трифторметил-[1,7]нафтиридин-5-ил)-морфолин-2-илметил]-амин & Пример 386 (Изомер 2): ((R)-4-метилморфолин-2-илметил)-[(2S,6R)-6-метил-4-(8-трифторметил-[1,7]нафтиридин-5-ил)-морфолин-2-илметил]-амин
[00700] Смесь 5-((2R,6R)-2-йодметил-6-метилморфолин-4-ил)-8-трифторметил-[1,7]нафтиридина (67 мг; 0.15 ммоль; 1.0 экв.), (4-метилморфолин-2-ил)метенамина (139 мг; 1.07 ммоль; 7.0 экв.) и ДМСО (1 мл) перемешивали при 80°С в течение 3 ч. Сырой продукт очищали с помощью преп. ВЭЖХ ((подвижная фаза: 10-60% ACN/вода (с содержанием аммиака 0.1%)) с получением следующих двух соединений.
Изомер 1: МС: 440 [М+Н]+. 1H ЯМР (400 МГц, ДМСО-d6) δ 9.16 (dd, J=4.1, 1.6 Гц, 1Н), 8.62 (dd, J=8.6, 1.7 Гц, 1Н), 8.32 (d, J=1.2 Гц, 1Н), 7.95 - 7.80 (m, 1Н), 3.95 (ddd, J=16.0, 11.4, 7.7 Гц, 2Н), 3.75 (ddd, J=11.2, 3.3, 1.7 Гц, 1Н), 3.55 - 3.36 (m, 4Н), 2.85 - 2.54 (m, 7H), 2.14 (d, J=1.2 Гц, 3Н), 1.93 (td, J=11.4, 3.3 Гц, 1Н), 1.70 (t, J=10.6 Гц, 2Н), 1.18 (d, J=6.2 Гц, 3Н).
Изомер 2: МС: 440 [М+Н]+. 1H ЯМР (400 МГц, ДМСО-d6) δ 9.16 (dd, J=4.1, 1.6 Гц, 1Н), 8.62 (dd, J=8.6, 1.7 Гц, 1Н), 8.32 (d, J=1.2 Гц, 1Н), 7.95 - 7.80 (m, 1Н), 3.95 (ddd, J=16.0, 11.4, 7.7 Гц, 2Н), 3.75 (ddd, J=11.2, 3.3, 1.7 Гц, 1Н), 3.55 - 3.36 (m, 4Н), 2.85 - 2.54 (m, 7H), 2.14 (d, J=1.2 Гц, 3Н), 1.93 (td, J=11.4, 3.3 Гц, 1Н), 1.70 (t, J=10.6 Гц, 2Н), 1.18 (d, J=6.2 Гц, 3Н).
Пример 387: 5-[(2R,6S)-2-метил-6-(4-метилпиперазин-1-илметил)-морфолин-4-ил]-8-трифторметил-[1,7]нафтиридин
[00701] В 25 мл сосуд помещали 5-((2R,6R)-2-йодметил-6-метилморфолин-4-ил)-8-трифторметил-[1,7]нафтиридин (50.0 мг; 0.11 ммоль; 1.0 экв.), 1-метилпиперазин (13.75 мг; 0.14 ммоль; 1.20 экв.), MeCN (2.0 мл) и TEA (49.74 мкл; 0.36 ммоль; 3.13 экв.). Реакционный раствор перемешивали в течение 10 ч при 80°С. ЖХМС показывала, что реакция завершилась. Добавляли 3 мл ДМСО и полученный в результате раствор фильтровали на Acrodisc 0.45 мкм от Pall. Продукт очищали на обращенно-фазовой системе, используя градиент 05-60% CH3CN/H2O (0.1% гидроксида аммония), за 2 впрыскивания по 2 мл каждый раз. Целевые фракции упаривали с обеспечением указанного в заголовке соединения (28.0 мг; 60%) в виде желтого твердого вещества. МС: 410 [М+Н]+. 1H ЯМР (400 МГц, Метанол-d4) δ 9.10 (s, 1H), 8.65 (d, J=8.7 Гц, 1Н), 8.27 (s, 1H), 7.87 - 7.75 (m, 1H), 4.16 (p, J=5.3 Гц, 1H), 4.07 (dq, J=10.0, 6.4 Гц, 1H), 3.45 (t, J=13.6 Гц, 2Н), 2.90 - 2.37 (m, 12H), 2.30 (s, 3Н), 1.27 (d, J=6.2 Гц, 3Н).
Пример 388: 5-((3R,5S)-3-амино-5-трифторметилпиперидин-1-ил)-2-оксо-1,2-дигидрохинолин-8-карбонитрил
[00702] 1-Оксид 5-бром-8-метилхинолина: В 50 мл колбе к раствору 5-бром-8-метилхинолина (2000.0 мг; 9.01 ммоль; 1.0 экв.) в безводном трихлорметане (20.0 мл) порциями добавляли 3-хлорбензолкарбопероксовую кислоту (2486.53 мг; 10.81 ммоль; 1.20 экв.) при 0°С. Смесь перемешивали при комнатной температуре в течение ночи. Добавляли ДХМ (50 мл) и затем промывали 5% водным раствором NaHSO3, насыщенным водным раствором NaHCO3, сушили (Na2SO4), фильтровали и концентрировали при пониженном давлении с получением указанного в заголовке соединения (2200.0 мг; сырое). МС: 238 [М+Н]+.
[00703] 5-Бром-8-метил-1Н-хинолин-2-он: n-Толуолсульфонил хлорид (1513.45 мг; 7.94 ммоль; 1.50 экв.) и 10% водный раствор карбоната калия (40.0 мл) добавляли к перемешиваемому раствору 1-оксида 5-бром-8-метилхинолина (1800.0 мг; 5.29 ммоль; 1.0 экв.) в хлороформе (30.0 мл). Смесь перемешивали при комнатной температуре в течение 3 часов. Добавляли 50 мл воды и экстрагировали хлороформом (3 × 20 мл). Объединенные органические фазы сушили над Na2SO4 и затем упаривали в вакууме. Остаток растворяли в ДХМ (20 мл), абсорбировали на 50 г колонке PuriFlash и очищали с помощью хроматографии (гексаны-AcOEt, градиент от 90-10% до 20-80% в течение 18 минут). Чистые фракции концентрировали при пониженном давлении с получением указанного в заголовке соединения (360.0 мг; 29%). МС: 238, 240 [М+Н]+.
[00704] 5-Бром-8-дибромметил-1Н-хинолин-2-он: К смеси 5-бром-8-метил-1Н-хинолин-2-она (360.0 мг; 1.51 ммоль; 1.0 экв.) и N-бромсукцинимида (570.88 мг; 3.18 ммоль; 2.10 экв.) в CCl4 (10.0 мл), добавляли 2,2'-азобис(2-метилпропионитрил) (37.24 мг; 0.23 ммоль; 0.15 экв.). Полученный в результате раствор перемешивали при 80°С в течение ночи. После охлаждения до к.т.осадок отфильтровывали и фильтрат упаривали с получением указанного в заголовке соединения (598.0 мг; сырое) в виде желтого твердого вещества. МС: 395, 397 [М+Н]+.
[00705] Оксим 5-бром-2-оксо-1,2-дигидрохинолин-8-карбальдегида: Смесь 5-бром-8-дибромметил-1Н-хинолин-2-она (598.0 мг; 1.36 ммоль; 1.0 экв.), формиата натрия (253.04 мг; 3.53 ммоль; 2.60 экв.), H2O (1.10 мл; 61.18 ммоль; 45.0 экв.), НСООН (10.0 мл; 265.07 ммоль; 194.97 экв.) и NH2OH.HCl (119.34 мг; 1.63 ммоль; 1.20 экв.) в 100 мл закупоренном сосуде перемешивали при 85°С в течение 2 часов. ЖХМС указывала на смесь целевых оксима и альдегида (соотношение 2:1, соответственно). Реакционную смесь концентрировали и растворяли в горячем этилацетате. Выпавший осадок отфильтровывали. Маточную жидкость концентрировали и сушили с получением смеси 2:1 сырых оксима 5-бром-2-оксо-1,2-дигидрохинолин-8-карбальдегида (320.0 мг; сырой) и 5-бром-2-оксо-1,2-дигидрохинолин-8-карбальдегида. МС: 267 [М+Н]+.
[00706] 5-Бром-2-оксо-1,2-дигидрохинолин-8-карбонитрил: Анализ опасности: В 200 мл грушевидной колбе, оснащенной холодильником, оксим 5-бром-2-оксо-1,2-дигидрохинолин-8-карбальдегида (480.0 мг; 1.44 ммоль; 1.0 экв.) и моногидрат ацетата меди(II) (28.71 мг; 0.14 ммоль; 0.10 экв.) суспендировали в безводном MeCN (2.0 мл). К бежевой суспензии добавляли уксусную кислоту (411.54 мкл; 7.19 ммоль; 5.0 экв.) и реакционную смесь нагревали с обратным холодильником в течение 3 часов. ЖХМС показывала, что реакция завершилась. Реакционную смесь фильтровали через целит. Фильтрат упаривали с получением 5-бром-2-оксо-1,2-дигидрохинолин-8-карбонитрила (436.0 мг; сырой) в виде желтого твердого вещества. МС:250 [М+Н]+.
[00707] Сложный трет-бутиловый эфир [(3R,5S)-1-(8-циано-2-оксо-1,2-дигидрохинолин-5-ил)-5-трифторметилпиперидин-3-ил]-карбаминовой кислоты: В 10 мл сосуд для микроволновой обработки добавляли 5-бром-2-оксо-1,2-дигидрохинолин-8-карбонитрил (168.0 мг; 0.54 ммоль; 1.0 экв.), сложный трет-бутиловый эфир ((3R,5S)-5-трифторметилпиперидин-3-ил)-карбаминовой кислоты (173.72 мг; 0.65 ммоль; 1.20 экв.), метансульфонато(2-дициклогексилфосфино-2',6'-диизопропокси-1,1'-бифенил)(2'-амино-1,1'-бифенил-2-ил)палладий(II) (45.13 мг; 0.05 ммоль; 0.10 экв.), 2-дициклогексилфосфино-2',6'-диизопропокси-1,1'-бифенил (25.18 мг; 0.05 ммоль; 0.10 экв.) и карбонат цезия (351.64 мг; 1.08 ммоль; 2.0 экв.), и безводный трет-бутанол (12.0 мл). Сосуд закупоривали и продували азотом в течение 15 мин и кремовую суспензию нагревали в микроволновой печи при 100°С в течение 5 часов. Реакционную смесь фильтровали через целит и концентрировали при пониженном давлении. Остаток суспендировали в ДХМ и абсорбировали на 5 г целитной колонке PuriFlash, и затем очищали с помощью хроматографии на 25 г PuriFlash (гексаны-AcOEt 10%, 5 объемов колонки, гексаны-AcOEt 30-70% в течение 18 минут). Чистые фракции концентрировали при пониженном давлении и светло-желтое масло сушили в вакууме с получением указанного в заголовке соединения (57.0 мг; 24%). МС: 437 [М+Н]+.
[00708] 5-((3R,5S)-3-амино-5-трифторметилпиперидин-1-ил)-2-оксо-1,2-дигидрохинолин-8-карбонитрил: Сложный трет-бутиловый эфир [(3R,5S)-1-(8-циано-2-оксо-1,2-дигидрохинолин-5-ил)-5-трифторметилпиперидин-3-ил]-карбаминовой кислоты (55.0 мг; 0.13 ммоль; 1.0 экв.) растворяли в дихлорметане (1.0 мл). К реакционной смеси добавляли ТФУ (0.50 мл). Полученный в результате раствор перемешивали в течении двух часов. Летучие вещества упаривали, остаток растворяли в метаноле и фильтровали через SiliaPrep™ SPE Cartridges Carbonate (1 г; 6 мл). Фильтрат упаривали с получением указанного в заголовке соединения (34.80 мг; 82%) в виде желтой смолы. МС: 337 [М+Н]+. 1H ЯМР (400 МГц, Метанол-d4) δ 8.11 (d, J=8.2 Гц, 1Н), 7.85 (d, J=8.4 Гц, 1Н), 7.04 (d, J=8.4 Гц, 1Н), 6.68 (d, J=9.8 Гц, 1Н), 3.51 (t, J=11.0 Гц, 2Н), 3.20 (d, J = 10.0 Гц, 1Н), 2.89 (d, J=9.8 Гц, 2Н), 2.57 (d, J=11.1 Гц, 1Н), 2.34 (d, J=14.5 Гц, 1Н), 1.37 (q, J=12.3, 11.9 Гц, 1Н).
Пример 389: HEK/293 клеточный анализ в отношении TLR7
[00709] В 384-луночные культуральные планшеты (Corning 3765) помещали 5000 клет./лунку клеток TLR7/NFKb HEK в 30 мкл DMEM без фенолового красного (gibco#31053-028) и с 10% концентрацией инактивированной нагреванием фетальной бычьей сыворотки, 1% пенициллина-стрептомицина и 2 мМ L-глутамина. Клетки инкубировали в течение 24 ч при 37°С, относительной влажности 90% и содержании диоксида углерода 10%. В лунки отмеривали 3 мкл контролей, стандартов и соединений, инкубировали в течение 30 мин, и затем добавляли 3 мкл агониста R848 (конечная концентрация 10 мкМ) в 20 мМ Hepes. После инкубации в течение 5 часов, их оставляли стоять при комнатной температуре в течение 15 мин. К ним добавляли 10 мкл субстратного реагента Steady-Glo и аналитический планшет встряхивали в течение 5 мин при 1500 об/мин. Аналитический планшет оставляли стоять в течение 30 мин при комнатной температуре, и затем планшет считывали на En Vision.
Пример 390: HEK/293 клеточный анализ в отношении TLR8
[00710] В 384-луночные культуральные планшеты (Corning 3765) помещали 5000 клет./лунку клеток TLR7/NFKb HEK в 30 мкл DMEM без фенолового красного (gibco#31053-028) и с 10% концентрацией инактивированной нагреванием фетальной бычьей сыворотки, 1% пенициллина-стрептомицина и 2 мМ L-глутамина. Клетки инкубировали в течение 24 ч при 37°С, относительной влажности 90% и содержании диоксида углерода 10%. В лунки отмеривали 3 мкл контролей, стандартов и соединений, инкубировали в течение 30 мин, и затем добавляли 3 мкл агониста R848 (конечная концентрация 30 мкМ) в 20 мМ Hepes. После инкубации в течение 5 часов, их оставляли стоять при комнатной температуре в течение 15 мин. К ним добавляли 10 мкл субстратного реагента Steady-Glo и аналитический планшет встряхивали в течение 5 мин при 1500 об/мин. Аналитический планшет оставляли стоять в течение 30 мин при комнатной температуре, и затем планшет считывали на En Vision.
[00711] Результаты приведены в следующей таблице.
A: IC50 <75 нМ
В: IC50: 75 нМ-150 нМ
С: IC50 > 150 нМ
Пример 391. Фармацевтические препараты
[00712] (А) Инъекционные флаконы: Раствор 100 г активного компонента в соответствии с изобретением и 5 г гидрофосфата динатрия в 3 л бидистиллированной воды корректируют с доведением значения рН до 6.5, используя 2 н. раствор хлористоводородной кислоты, подвергают стерилизующему фильтрованию, переносят в инъекционные флаконы, лиофилизуют в стерильных условиях и герметизируют в стерильных условиях. Каждый инъекционный флакон содержит 5 мг активного компонента.
[00713] (В) Суппозитории: Смесь 20 г активного компонента в соответствии с изобретением расплавляют вместе со 100 г соевого лецитина и 1400 г масла какао, выливают в формы и оставляют охладиться. Каждый суппозиторий содержит 20 мг активного компонента.
[00714] (С) Раствор: Раствор получают из 1 г активного компонента в соответствии с изобретением, 9.38 г NaH2PO4 ⋅ 2H2O, 28.48 г Na2HPO4 ⋅ 12H2O и 0.1 г хлорида бензалкония в 940 мл бидистиллированной воды. Значение рН корректируют с доведением до 6.8, и раствор доводят до 1 л и стерилизуют облучением. Этот раствор можно использовать в форме глазных капель.
[00715] (D) Мазь: 500 мг активного компонента в соответствии с изобретением смешивают с 99.5 г вазелина в асептических условиях.
[00716] (Е) Таблетки: Смесь 1 кг активного компонента в соответствии с изобретением, 4 кг лактозы, 1.2 кг картофельного крахмала, 0.2 кг талька и 0.1 кг стеарата магния спрессовывают с получением таблеток обычным способом таким образом, что каждая таблетка содержит 10 мг активного компонента.
[00717] (F) Таблетки, покрытые оболочкой: Таблетки спрессовывают аналогично Примеру Е и затем покрывают обычным способом покрытием из сахарозы, картофельного крахмала, талька, трагакантовой камеди и красителя.
[00718] (G) Капсулы: 2 кг активного компонента в соответствии с изобретением вводят в твердые желатиновые капсулы обычным способом таким образом, что каждая капсула содержит 20 мг активного компонента.
[00719] (Н) Ампулы: Раствор 1 кг активного компонента в соответствии с изобретением в 60 л бидистиллированной воды подвергают стерилизующему фильтрованию, переносят в ампулы, лиофилизуют в стерильных условиях и герметизируют в стерильных условиях. Каждая ампула содержит 10 мг активного компонента.
[00720] (I) Ингаляционный спрей: 14 г активного компонента в соответствии с изобретением растворяют в 10 л изотонического раствора NaCl, и полученный раствор переносят в коммерчески доступные контейнеры для распыления с помповым механизмом. Раствор можно распылять в ротовую или носовую полость. Один впрыск при распылении (приблизительно 0.1 мл) соответствует дозе приблизительно 0.14 мг.
[00721] Хотя в данной заявке описан определенный ряд вариантов осуществления данного изобретения, тем не менее, очевидно, что основные примеры могут быть изменены с обеспечением других вариантов осуществления, в которых будут применены соединения и способы данного изобретения. Таким образом, следует принимать во внимание, что объем данного изобретения должен определяться прилагаемой формулой изобретения, а не конкретными вариантами осуществления, которые были представлены в качестве примера.
| название | год | авторы | номер документа |
|---|---|---|---|
| АНТАГОНИСТЫ TLR7/8 И ИХ ПРИМЕНЕНИЕ | 2017 |
|
RU2758686C2 |
| ПОЛИЦИКЛИЧЕСКИЕ АНТАГОНИСТЫ TLR7/8 И ИХ ПРИМЕНЕНИЕ В ЛЕЧЕНИИ ИММУННЫХ РАССТРОЙСТВ | 2016 |
|
RU2783748C2 |
| Аналоги сплицеостатина | 2013 |
|
RU2618523C2 |
| КЛАСС БИФУНКЦИОНАЛЬНЫХ ХИМЕРНЫХ ГЕТЕРОЦИКЛИЧЕСКИХ СОЕДИНЕНИЙ ДЛЯ НАПРАВЛЕННОГО РАЗРУШЕНИЯ АНДРОГЕННЫХ РЕЦЕПТОРОВ И ИХ ПРИМЕНЕНИЕ | 2020 |
|
RU2825000C2 |
| ПРОИЗВОДНЫЕ МАННОЗЫ ДЛЯ ЛЕЧЕНИЯ БАКТЕРИАЛЬНЫХ ИНФЕКЦИЙ | 2013 |
|
RU2667060C2 |
| ИЗОИНДОЛИНОНОВЫЕ ИНГИБИТОРЫ ВЗАИМОДЕЙСТВИЯ MDM2-P53, ОБЛАДАЮЩИЕ ПРОТИВОРАКОВОЙ АКТИВНОСТЬЮ | 2016 |
|
RU2797295C1 |
| ИНГИБИТОРЫ МЕТАЛЛОПРОТЕИНАЗ, ИХ ПРИМЕНЕНИЕ И ФАРМАЦЕВТИЧЕСКИЕ КОМПОЗИЦИИ НА ИХ ОСНОВЕ | 2002 |
|
RU2288228C2 |
| ПРОИЗВОДНЫЕ 6-КАРБОНИТРИЛ ДИПИРИДОПИРРОЛЫ И ИХ ПРИМЕНЕНИЕ ПРИ ЛЕЧЕНИИ РАКА | 2010 |
|
RU2575635C2 |
| РЕГУЛЯТОРЫ-ПРОИЗВОДНЫЕ СТЕРОИДОВ, СПОСОБЫ ИХ ПОЛУЧЕНИЯ И ИХ ПРИМЕНЕНИЕ | 2019 |
|
RU2797408C2 |
| ПРОИЗВОДНЫЕ С-АРИЛГЛЮКОЗИДОВ, СПОСОБ ИХ ПОЛУЧЕНИЯ И ФАРМАЦЕВТИЧЕСКОЕ ПРИМЕНЕНИЕ | 2011 |
|
RU2606501C2 |
Изобретение относится к соединениям формулы I-b, где R1 означает -OMe, -OEt или -CN; R4 независимо означает -NRC(O)R или -N(R)2; R5 означает метил; каждый R независимо означает водород, C1-4 алкил, необязательно замещенный 4-метилпиперазинилом, 1-метилпиперидинилом или -ОН; r означает 1 и t означает 1, или их таутомерам или стереоизомерам и/или фармацевтически приемлемым солям, в качестве антагонистов толл-подобных рецепторов 7/8 (TLR7/8). Также предложены содержащие их фармацевтические композиции для ингибирования активности TLR7/8, способ ингибирования активности TLR7/8 и способ лечения нарушения, опосредованного TLR7/8, у пациента, где нарушение выбрано из волчанки, полимиозита, дерматомиозита, синдрома Шегрена и ревматоидного артрита. 4 н. и 7 з.п. ф-лы, 1 табл., 391 пр.
1. Соединение формулы I-b
,
где R1 означает -OMe, -OEt или -CN;
R4 независимо означает -NRC(O)R или -N(R)2;
R5 означает метил;
каждый R независимо означает водород, C1-4 алкил, необязательно замещенный 4-метилпиперазинилом, 1-метилпиперидинилом или -ОН;
r означает 1 и
t означает 1,
или его таутомер или стереоизомер и/или фармацевтически приемлемая соль каждого из вышеупомянутых.
2. Соединение по п. 1, где соединение формулы I-b означает соединение формулы I-ba
или его таутомер или стереоизомер и/или фармацевтически приемлемая соль каждого из вышеупомянутых.
3. Соединение по п. 1 или 2, где R1 означает -OMe или -CN, или его фармацевтически приемлемая соль.
4. Соединение по п. 3, где R1 означает -OMe, или его фармацевтически приемлемая соль.
5. Соединение по любому из пп. 1-4, где R4 означает -NRC(O)R или -N(R)2, или его фармацевтически приемлемая соль.
6. Соединение по п. 5, где R4 означает -NН2, или его фармацевтически приемлемая соль.
7. Соединение по любому из пп. 1-6, где R5 означает метил, или его фармацевтически приемлемая соль.
8. Соединение по любому из пп. 1-7, выбранное из примеров 187 (8-((3R,5S)-3-амино-5-метилпиперидин-1-ил)-пиридо[3,4-b]пиразин-5-карбонитрил), 188 (N-[(3R,5S)-1-(5-цианопиридо[3,4-b]пиразин-8-ил)-5-метилпиперидин-3-ил]-2-(4-метилпиперазин-1-ил)-ацетамид), 189 (N-[(3R,5S)-1-(5-цианопиридо[3,4-b]пиразин-8-ил)-5-метилпиперидин-3-ил]-3-(1-метилпиперидин-4-ил)-пропионамид), 190 (N-[(3R,5S)-1-(5-цианопиридо[3,4-b]пиразин-8-ил)-5-метилпиперидин-3-ил]-2-(4-метилпиперазин-1-ил)-пропионамид), 196 ((S)-N-[(3R,5S)-1-(5-цианопиридо[3,4-b]пиразин-8-ил)-5-метилпиперидин-3-ил]-2-гидрокси-3-метилбутирамид) и 199 ((3R,5S)-1-(5-метоксипиридо[3,4-b]пиразин-8-ил)-5-метилпиперидин-3-иламин), или его фармацевтически приемлемая соль.
9. Фармацевтическая композиция для ингибирования активности TLR7/8, содержащая соединение по любому из пп. 1-8 или его фармацевтически приемлемую соль и фармацевтически приемлемый адъювант, носитель или основу лекарственной формы.
10. Способ ингибирования активности TLR7/8 или его мутанта у пациента или в биологическом образце, включающий стадию введения указанному пациенту или приведения в контакт указанного биологического образца с эффективным количеством соединения по любому из пп. 1-8 или его физиологически приемлемой солью.
11. Способ лечения нарушения, опосредованного TLR7/8, у пациента, нуждающегося в этом, включающий стадию введения указанному пациенту эффективного количества соединения по любому из пп. 1-8 или его физиологически приемлемой соли, где нарушение выбрано из волчанки, полимиозита, дерматомиозита, синдрома Шегрена и ревматоидного артрита.
| WO 2017106607 A1, 22.06.2017 | |||
| WO 2015057655 A1, 23.04.2015 | |||
| CN 104557913 A, 29.04.2015 | |||
| US 20170001976 A1, 05.01.2017 | |||
| WO 2017031427 A1, 23.02.2017 | |||
| CN 106632089 A, 10.05.2017. |
Авторы
Даты
2025-01-14—Публикация
2019-07-29—Подача