СТАБИЛИЗИРУЮЩИЕ ФАРМАЦЕВТИЧЕСКИЕ КОМПОЗИЦИИ КАМПТОТЕЦИНА Российский патент 2025 года по МПК A61K9/127 A61K31/4745 

Описание патента на изобретение RU2833053C2

ПРИТЯЗАНИЕ НА ПРИОРИТЕТ

[0001] Данная заявка испрашивает приоритет предварительной заявки на патент США № 62/242835 (поданной 16 октября 2015 года), 62/242873 (поданной 16 октября 2015 года), 62/244061 (поданной 20 октября 2015 года) и 62/244082 (поданной 20 октября 2015 года), каждая из которых включена в настоящее описание посредством ссылки в полном объеме.

ОБЛАСТЬ ТЕХНИКИ, К КОТОРОЙ ОТНОСИТСЯ ИЗОБРЕТЕНИЕ

[0002] Настоящее раскрытие относится к стабилизирующим фармацевтическим композициям, содержащим соединения камптотецина, включая липосомальные фармацевтические составы на основе камптотецина, стабилизированные для сокращения образования лизолипидных составов в процессе хранения.

УРОВЕНЬ ТЕХНИКИ

[0003] Соединения камптотецина (такие как иринотекан или топотекан) могут быть использованы для лечения опухоли и/или рака в организме человека. Например, инъекционные липосомальные фармацевтические препараты для лечения определенных форм рака могут быть получены в виде дисперсий липосом, инкапсулирующих соединения камптотецина. Липосомальные камптотециновые композиции могут инкапсулировать соединение камптотецина вместе с полианионным улавливающим агентом в липосоме, содержащей холестерин и один или более фосфолипид(ов) («ФЛ»). Однако гидролиз фосфолипидов и гидролиз активной лактонной структуры в камптотецине может возникнуть в липосомах камптотецина, содержащих один или более фосфолипидов. Гидролитический распад липосомального фосфолипида, такого как фосфатидилхолин («ФХ»+) может изменять высвобождение соединения камптотецина, например, иринотекана из липосом. Первая стадия гидролиза ФЛ (такого как ФК) может привести к образованию лизо-ФЛ (такого как лизофосфатидилхолин («лизо-ФК»), который представляет собой сложный эфир жирной кислоты глицерилфосфохолина).

[0004] Липосомальные камптотециновые композиции подвержены действию рН, по меньшей мере, в двух отношениях. Во-первых, гидролитический распад фосфолипидов липосомального камптотецина (например, липосомального иринотекана) в большинстве случаев зависит от рН, причем полагают, что рН 6,0 или 6,5 позволяет свести к минимуму гидролиз фосфатидилхолина. Условия, при которых рН является выше 6,5, имеют тенденцию к увеличению (1) превращения соединений камптотецина, например, иринотекана в менее активную карбоксилатную форму и (2) количества лизо-ФХ в липосомах. Во-вторых, соединения камптотецина подвергаются рН-зависимому превращению между менее активной карбоксилатной формой (преобладающей при нейтральном и щелочном рН) и более активной лактонной формой, преобладающей при кислом рН. Например, превращение карбоксилатной формы иринотекана в лактонную форму происходит в основном между рН 6,0 (приблизительно 85% иринотекана находится в более активной лактонной форме) и рН 7,5 (только приблизительно 15% иринотекана находится в более активной лактонной форме). При рН 6,5 приблизительно 65% иринотекана находится в более активной лактонной форме.

[0005] Неожиданно было обнаружено, что стабильность липосомальных камптотецинов, содержащих фосфолипид, полученных при рН 6,5, оказывает отрицательное влияние на образование лизо-ФХ в процессе хранения в условиях охлаждения (2-8°C). Например, липосомальная композиция иринотекана Образца 12 (иринотекана сахарозы октасульфат, инкапсулированный в липосомы иринотекана, содержащие ДСФХ, холестерин и МПЭГ-2000-ДСФЭ в молярном соотношении 3:2:0,015, полученные при рН 6,5) в дальнейшем образовывала концентрации лизо-ФХ более 30 мол.% (по отношению к общему количеству фосфатидилхолина в липосомальных композициях иринотекана) в течение первых 3 месяцев после производства (и более 35 мол.% лизо-ФХ, образующихся в течение первых 9 месяцев) при хранении в холодильнике (2-8°С).

[0006] Следовательно, остается потребность в стабилизированных фармацевтических композициях камптотецина. Например, существует потребность в более стабильных улучшенных липосомальных составах иринотекана, образующих меньшее количество лизо-ФХ при хранении в холодильнике при 2-8°C после изготовления. Настоящее изобретение решает данную проблему.

СУЩНОСТЬ ИЗОБРЕТЕНИЯ

[0007] Настоящее изобретение относится к новым фармацевтическим композициям камптотецина (например, липосомальному иринотекану) с улучшенной стабильностью, включая липосомальные композиции камптотецина, содержащие сложноэфирные фосфолипиды с пониженными скоростями образования лизофосфолипидов («лизо-ФЛ») (например, лизофосфатидилхолина или «лизо-ФХ»). Настоящее изобретение отчасти основано на неожиданном признании того, что могут быть получены липосомальные композиции соединений камптотецина (например, иринотекана), которые образуют уменьшенные количества лизофосфолипидов после длительного хранения при 2-8°С. Изготовление таких стабилизированных липосомальных композиций стало возможным благодаря неожиданному выводу о том, что контроль определенных параметров в процессе изготовления липосом (отношение лекарственного средства к фосфолипиду относительно количества улавливающего агента, рН липосомального препарата и количества улавливающего агента противоиона в липосомальном препарате) синергически уменьшает образование лизофосфолипидов в процессе хранения липосомального препарата камптотецина. Изобретение предоставляет чрезвычайно ценную информацию для разработки и идентификации улучшенных липосомальных композиций, которые являются более устойчивыми и одновременно снижают затраты, связанные с разработкой таких композиций.

[0008] Стабилизированные композиции камптотецина, содержащие один или более фосфолипид(ов) (включая ПЭГ-содержащий фосфолипид(ы)), предпочтительно образуют не более 20 мол.% лизо-ФЛ (относительно общих липосомных фосфолипидов) в процессе хранения в течение первых 6 месяцев хранения при 4°C и/или не более 25 мол.% лизо-ФЛ в процессе хранения в течение первых 9 месяцев хранения при 4°C. Стабилизированные липосомы иринотекана предпочтительно образуют лизо-ФЛ со средней скоростью менее приблизительно 2 мол.% (например, 0,5-1,5 мол.%) лизо-ФЛ в месяц в течение первых 9 месяцев хранения при 4°C после изготовления композиций камптотецина. Предпочтительные стабилизированные композиции камптотецина включают иринотекан или его соль (например, иринотекана сахарозы октасульфат) в липосомальных композициях иринотекана, содержащих холестерин и один или более фосфолипид(ов) (включая ПЭГ-содержащий фосфолипид(ы)), которые образуют не более 20 мол.% лизо-ФХ (относительно общих липосомных фосфолипидов) в процессе хранения в течение 6 месяцев при 4°C и/или не более 25 мол.% лизо-ФХ в процессе хранения в течение 9 месяцев при 4°C (например, в течение первых 6 и/или 9 месяцев исследования стабильности после изготовления). Стабилизированные липосомы иринотекана могут образовывать лизо-ФХ со скоростью менее приблизительно 2 мол.% (например, 0,5-1,5 мол.%) лизо-ФХ в месяц в процессе хранения при 4°C (например, в течение первых 9 месяцев исследования стабильности после изготовления). Стабилизированные фосфатидилхолин-содержащие липосомальные композиции иринотекана могут образовывать менее 1 мг лизо-ФХ в течение первых 9 месяцев исследования стабильности при 2-8°C после изготовления.

[0009] В первом варианте осуществления стабилизированные липосомальные композиции камптотецина имеют рН более 6,5 (например, 7,0-7,5, включая 7,25, 7,3 или 7,5) и включают липосомы, инкапсулирующие иринотекан и сульфатный полианионный улавливающий агент (например, иринотекана сукрософат или «SOS»), имеющие грамм-эквивалентное соотношение («ER») иринотекана/соединения сульфата, которое представляет собой более 0,9 (например, 0,9-1,1). ER можно рассчитать для получения липосом иринотекана SOS с помощью определения молярных количеств липосомально соинкапсулированного иринотекана (I) и соединения сульфата (S) на единицу (например, 1 мл) липосомальной композиции и с использованием формулы: ER=I/(SN), где N представляет собой валентность аниона соединения сульфата (например, для сукрософата N составляет 8 и для свободного сульфата SO42- N составляет 2). Предпочтительно, соединение сульфата (S) представляет собой октасульфат сахарозы, содержащий 8 сульфатных остатков на моль SOS.

[0010] Во втором варианте осуществления стабилизированные липосомальные композиции камптотецина получают с использованием определенных соотношений камптотецина, анионного улавливающего агента и образующих липосомы фосфолипидов, имеющих коэффициент стабильности («SR»), который предпочтительно превышает приблизительно 950 (например, 950-1050), включая липосомы иринотекана, полученные с SR более приблизительно 990 (например, 990-1100, включая 992-1087). Данный вариант осуществления предоставляет критерии для изготовления, которые являются прогнозируемыми для стабильности липосом, как видно из коэффициента стабильности, как более подробно описано ниже. Данный вариант осуществления изобретения основан отчасти на обнаружении того, что когда основанные на фосфолипидах липосомы, содержащие камптотецин, получают путем взаимодействия (1) соединения(й) камптотецина (например, иринотекана, топотекана и подобных) с (2) липосомами, инкапсулирующими полисульфатированный анионный улавливающий агент (например, октасульфат сахарозы), стабильность полученных липосом, содержащих лекарственное средство, зависит от первоначальной концентрации сульфатных групп в улавливающем агенте-липосомах и соотношения камптотецина, инкапсулированного в фосфолипид в липосомах. Коэффициент стабильности определяется следующим образом: SR=A/B, где: A представляет собой количество иринотеканового фрагмента, инкапсулированного в липосомы улавливающего агента во время процесса загрузки лекарственного средства в граммах, эквивалентных безводному свободному основанию иринотекана, на моль фосфолипида в композиции; и В представляет собой концентрацию сульфатных групп в растворе сукрософата (или другого улавливающего агента), используемом для получения липосом улавливающего агента, выраженную в моль/л (из расчета концентрации сульфатных групп). Коэффициент стабильности неожиданно предсказал резкое снижение образования лизо-ФХ в основанных на фосфолипидах липосомах, содержащих камптотецин, даже при рН 6,5: липосомы иринотекана, содержащие фосфатидилхолин, полученные с коэффициентом стабильности приблизительно 942 (Образец 3), образовывали приблизительно 36 мол.% лизо-ФХ по сравнению с приблизительно 24 мол.% лизо-ФХ, образованного в липосомах иринотекана, полученных с коэффициентом стабильности приблизительно 990 (Образец 2), после 9 месяцев хранения при 4°С (то есть увеличение коэффициента стабильности приблизительно на 5% привело к сокращению образования лизо-ФХ на 34% в данных условиях). Напротив, увеличение коэффициента стабильности липосом иринотекана приблизительно на 30% от 724 (Образец 12) до 942 (Образец 3) привело к тому, что было получено приблизительно на 1% больше лизо-ФХ после 9 месяцев хранения при 4°С (например, сравнение 35,7 мол.% лизо-ФХ в Образце 3 с 35,4 мол.% лизо-ФХ в Образце 12).

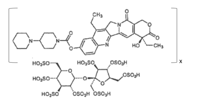
[0011] В третьем варианте осуществления новые стабилизированные композиции липосом, инкапсулирующих иринотекан, имеющие сокращенные количества лизофосфатидилхолина (лизо-ФХ), образующиеся в процессе хранения при 2-8°С, могут содержать композицию иринотекана формулы (I), где х представляет собой 8.

(I).

Липосомальный иринотекан может содержать композицию формулы (I), инкапсулированную в липосомы. Предпочтительно, композиция формулы (I) образуется (например, осаждается) внутри липосом, содержащих холестерин и один или более фосфолипид(ов) (например, включая ПЭГ-содержащий фосфолипид(ы)). Например, соединение формулы (I) может быть получено внутри липосом путем взаимодействия (1) соединения(й) камптотецина (например, иринотекана, топотекана и подобного) с (2) липосомами, инкапсулирующими полисульфатированный анионный улавливающий агент (например, октасульфат сахарозы), в процессе, который образует стабилизированную липосомальную композицию иринотекана. Предпочтительно, липосомальная композиция иринотекана имеет рН более 6,5 (например, 7,0-7,5, включая 7,25, 7,3 и 7,5).

[0012] Предпочтительные стабилизированные композиции камптотецина включают липосомальные композиции иринотекана, содержащие иринотекан или его соль (например, иринотекана сахарозы октасульфат), инкапсулированный в липосомы иринотекана, содержащие холестерин и фосфолипиды 1,2-дистеароил-sn-глицеро-3-фосфохолин (ДСФХ) и метокси-терминированный полиэтиленгликоль-дистеароилфосфатидилэтаноламин (например, МПЭГ-2000-ДСФЭ) в водном изотоническом буфере, причем указанная липосомальная композиция иринотекана содержит (или образует) менее 10 мол.% лизофосфатидилхолина (лизо-ФХ) после первых 3 месяцев хранения при 2-8°С, содержит (или образует) менее 20 мол.% лизофосфатидилхолина (лизо-ФХ) после первых 6 месяцев (или 180 дней) хранения при 2-8°С и/или содержит (или образует) менее 25 мол.% лизофосфатидилхолина (лизо-ФХ) после первых 9 месяцев хранения при 2-8°C (например, в течение первых 9 месяцев исследования стабильности после изготовления).

[0013] Липосомы иринотекана предпочтительно содержат холестерин, 1,2-дистеароил-sn-глицеро-3-фосфохолин (ДСФХ) и метокси-терминированный полиэтиленгликоль-дистеароилфосфатидилэтаноламин (например, МПЭГ-2000-ДСФЭ) в молярном соотношении 3:2:0,015, инкапсулирующем 500 мг (±10%) иринотекана на ммоль общего липосомного фосфолипида. Стабилизированные липосомальные композиции иринотекана предпочтительно содержат липосомы иринотекана, содержащие в общей сложности приблизительно 4,3 мг иринотеканового фрагмента на мл липосомальной композиции иринотекана, по меньшей мере, приблизительно 98% иринотекана, инкапсулированного в липосомы иринотекана (например, в качестве октасульфата сахарозы иринотекана, такого как соединение Формулы (I) выше). Некоторые предпочтительные липосомальные композиции представляют собой стабилизированные при хранении липосомальные композиции иринотекана, имеющие рН 7,00-7,50 (например, 7,0, 7,25, 7,3, 7,5) и содержащие дисперсию липосом иринотекана, инкапсулирующих октасульфат сахарозы иринотекана в моноламеллярные бислойные везикулы, состоящие из холестерина и фосфолипидов 1,2-дистеароил-sn-глицеро-3-фосфохолина (ДСФХ) и метокси-терминированного полиэтиленгликоля (MW 2000)-дистеароилфосфатидилэтаноламина (МПЭГ-2000-ДСФЭ) с концентрацией иринотеканового фрагмента, эквивалентной в г безводного свободного основания иринотекана, 500 мг (±10%) иринотекана на ммоль общего липосомного фосфолипида и 4,3 мг иринотекана на мл липосомальной композиции иринотекана, стабилизированной при хранении липосомальной композиции иринотекана, стабилизированной с образованием менее 1 мг/мл лизо-ФХ в течение первых 6 месяцев хранения при 4°C. Например, некоторые предпочтительные фармацевтические липосомальные композиции иринотекана содержат иринотекан или его соль (например, иринотекана сахарозы октасульфат), инкапсулированные в иринотекан при 4,3 мг/мл фрагмента иринотекана, 6,81 мг/мл 1,2-дистеароил-sn-глицеро-3-фосфохолина (ДСФХ), 2,22 мг/мл холестерина и 0,12 мг/мл метокси-терминированного полиэтиленгликоля (MW 2000)-дистеароилфосфатидилэтаноламина (МПЭГ-2000-ДСФЭ) в водном изотоническом буфере, причем указанная липосомальная композиция содержит менее 10 мол.% лизофосфатидилхолина (лизо-ФХ) после 3 месяцев хранения при 2-8°С, содержит менее 20 мол.% лизофосфатидилхолина (лизо-ФХ) после 6 месяцев (или 180 дней) хранения при 2-8°С и/или содержит менее 25 мол.% лизофосфатидилхолина (лизо-ФХ) после 9 месяцев хранения при 2-8°С.

[0014] В некоторых вариантах осуществления липосомальная композиция получена с помощью способа, включающего взаимодействие раствора, содержащего фрагмент иринотекана, с липосомой улавливающего агента, инкапсулирующей триэтиламмоний (ТЭА) и улавливающий агент октасульфат сахарозы (SOS) в концентрации 0,4-0,5 М (из расчета концентрации сульфатной группы) как TЭА8SOS (предпочтительно раствор улавливающего агента ТЭА8SOS) в условиях, эффективных для загрузки 500 г (±10%) фрагмента иринотекана/мол. фосфолипида в липосому улавливающего агента, содержащую ФЛ, и обеспечения высвобождения катиона ТЭА из липосомы улавливающего агента с образованием липосом иринотекана SOS, и (b) объединение липосом иринотекана SOS с 2-[4-(2-гидроксиэтил)пиперазин-1-ил]этансульфоновой кислотой (HEPES) с получением липосомальной композиции иринотекана, имеющей рН 7,25-7,50, с получением липосомальной композиции иринотекана, стабилизированной с образованием менее 10 мол.% лизофосфатидилхолина (лизо-ФХ) (по отношению к общему количеству фосфатидилхолина в липосомальной композиции иринотекана) в течение 3 месяцев хранения при 4°С.

[0015] Например, изобретение предоставляет липосомальную композицию иринотекана, содержащую стабилизированные липосомы иринотекана, инкапсулирующие иринотекана сахарозы октасульфат (SOS) в моноламеллярной липидной бислойной везикуле приблизительно 110 нм в диаметре, состоящей из 1,2-дистеароил-sn-глицеро-3-фосфохолина (ДСФХ), холестерина и метокси-терминированного полиэтиленгликоля (MW 2000)-дистеароилфосфатидилэтаноламина (МПЭГ-2000-ДСФЭ), в которой стабилизированные липосомы иринотекана получают с помощью способа, включающего стадии: (а) взаимодействие иринотекана с липосомой улавливающего агента, инкапсулирующей катион триэтиламмония (ТЭА) и улавливающий агент октасульфат сахарозы (SOS) в концентрации 0,4-0,5 М (из расчета концентрации сульфатной группы) как TЭА8SOS в условиях, эффективных для загрузки 500 г (±10%) фрагмента иринотекана/мол. фосфолипида в липосому улавливающего агента и обеспечения высвобождения катиона ТЭА из липосомы улавливающего агента с образованием липосом иринотекана SOS, и (b) объединение липосом иринотекана SOS с 2-[4-(2-гидроксиэтил)пиперазин-1-ил]этансульфоновой кислотой (HEPES) с получением липосомальной композиции иринотекана, имеющей рН 7,25-7,50, с получением липосомальной композиции иринотекана, стабилизированной с образованием менее 10 мол.% лизофосфатидилхолина (лизо-ФХ) (по отношению к общему количеству фосфатидилхолина в липосомальной композиции иринотекана) в течение 3 месяцев хранения при 4°С.

[0016] Липосомальные композиции иринотекана являются пригодными для лечения пациентов с различными формами рака. Например, липосомальный иринотекан можно вводить для лечения мелкоклеточного рака легкого (МРЛ) без других противоопухолевых средств. В некоторых вариантах осуществления липосомальные композиции иринотекана вводят в комбинации с другими противоопухолевыми средствами. Например, липосомальную композицию иринотекана, 5-фторурацил и лейковорин (без других противоопухолевых средств) можно вводить для лечения пациентов с метастатической аденокарциномой поджелудочной железы с прогрессированием заболевания после терапии гемцитабином. Липосомальную композицию иринотекана, 5-фторурацил, лейковорин и оксалиплатин (без других противоопухолевых средств) можно вводить для лечения пациентов с ранее невылеченным раком поджелудочной железы. Липосомальную композицию иринотекана, 5-фторурацил, лейковорин и ингибитор EGFR (например, ингибитор EGFR олигоклонального антитела, такой как MM-151) можно вводить для лечения пациентов с колоректальным раком.

[0017] Если в данном описании не указано иначе, липосомальные композиции содержат количество иринотекана в граммах (в форме свободного основания или соли) к молям фосфолипида в соотношении, эквивалентном тому, которое предоставляет или 471 г, или 500 г (±10%) свободного основания иринотекана на моль фосфолипида.

[0018] Используемый в настоящем описании (и если не указано иначе) «фрагмент иринотекана» относится исключительно к лактону иринотекана; то есть безводному свободному основанию лактона иринотекана.

[0019] Используемый в настоящем описании (и если не указано иначе) термин «камптотецин» включает камптотецин и производные камптотецина, включая иринотекан, топотекан, луртотекан, силатекан, этиринотекан пэгол, ТАS 103, 9-аминокамптотецин, 7-этилкамптотецин, 10-гидроксикамптотецин, 9-нитрокамптотецин, 10,11-метилендиоксикамптотецин, 9-амино-10,11-метилендиоксикамптотецин, 9-хлор-10,11-метилендиоксикамптотецин, (7-(4-метилпиперазинометилен)-10,11-этилендиокси-20(S)-камптотецин, 7-(4-метилпиперазинометилен)-10,11-метилендиокси-20(S)-камптотецин и 7-(2-N-изопропиламино)этил)-(20S)-камптотецин и его стереоизомеры, соли и сложные эфиры.

[0020] Используемый в настоящем описании (и если не указано иначе) «ДРС» относится к динамическому рассеянию света, и «BDP» относится к нерасфасованному лекарственному средству.

[0021] В некоторых вариантах осуществления липосомы настоящего изобретения инкапсулируют одно или более средств, которые улавливают фармацевтическое лекарственное средство в липосомах (в дальнейшем именуемые улавливающими агентами).

[0022] Используемые в настоящем описании «композиции с пролонгированным высвобождением» включают композиции иринотекана, которые обеспечивают от 80 до 125% следующих фармакокинетических параметров при введении людям в дозе, соответствующей 70 мг/м2 свободного основания иринотекана один раз в две недели: Cmax 37,2 (8,8) мкг иринотекана (в виде безводного свободного основания)/мл и AUC0-∞ 1364 (1048) ч⋅мкг иринотекана/мл (для иринотекана); или (для SN-38) Cmax 5,4 (3,4) мкг SN-38 (в виде безводного свободного основания)/мл; AUC0-∞ 620(329) ч⋅нг SN-38/мл.

[0023] Если не указано иначе, липосомальные препараты могут содержать (например, сферические или по существу сферические) везикулы, по меньшей мере, с одним липидным бислоем и могут необязательно включать многослойные и/или однослойные везикулы и везикулы, которые инкапсулируют и/или не инкапсулируют фармацевтически активные вещества (например, камптотецины) и/или улавливающий агент(ы). Например, если не указано иначе, фармацевтический липосомальный препарат, включающий липосомы камптотецина, может необязательно включать липосомы, которые не содержат соединение камптотецина, включая смесь однослойных и многослойных липосом с или без соединения(й) камптотецина и/или улавливающего агента(ов).

КРАТКОЕ ОПИСАНИЕ ЧЕРТЕЖЕЙ

[0024] На ФИГ. 1А показано схематическое изображение липосомы иринотекана, которая инкапсулирует водное пространство, содержащее иринотекан в гелеобразном или осажденном состоянии в виде соли октасульфата сахарозы.

[0025] На ФИГ. 1В показано экваториальное поперечное сечение липосомы иринотекана ФИГ. 1А.

[0026] На ФИГ. 2А представлен график значений коэффициента стабильности по сравнению с относительными количествами лизо-ФХ (мол.%) жидких липосомальных композиций иринотекана после 9 месяцев хранения при 4°С, липосомальных композиций, имеющих определенные значения рН после изготовления, но до хранения.

[0027] На ФИГ. 2В представлен график значений коэффициента стабильности по сравнению с относительными количествами лизо-ФХ (мол.%) жидких липосомальных композиций иринотекана после 6 месяцев хранения при 4°С, липосомальных композиций, имеющих определенные значения рН после изготовления, но до хранения.

[0028] На ФИГ. 2С представлен график значений коэффициента стабильности по сравнению с относительными количествами лизо-ФХ (мол.%) жидких липосомальных композиций иринотекана после 6 месяцев хранения при 4°С, липосомальных композиций, имеющих определенные значения рН после изготовления, но до хранения.

[0029] На ФИГ. 3А представлен график относительных количеств лизо-ФХ (мол.%) в зависимости от месяцев хранения при 4°С двух липосомальных композиций иринотекана, имеющих коэффициент стабильности 1047 и рН 6,5.

[0030] На ФИГ. 3В представлен график относительных количеств лизо-ФХ (мол.%) в зависимости от месяцев хранения при 4°С двух липосомальных композиций иринотекана, имеющих коэффициенты стабильности 992 и 942 соответственно и рН после изготовления, но до хранения 6,5.

[0031] На ФИГ. 3С представлен график относительных количеств лизо-ФХ (мол.%) в зависимости от месяцев хранения при 4°С липосомальной композиции иринотекана, имеющей коэффициент стабильности 785 и рН после изготовления, но до хранения 6,5.

[0032] На ФИГ. 3D представлен график относительных количеств лизо-ФХ (мол.%) в зависимости от месяцев хранения при 4°С двух липосомальных композиций иринотекана, имеющих коэффициент стабильности приблизительно 724, полученный с использованием ТЭА8SOS при концентрации сульфатной группы 0,65 М, и имеющих рН после изготовления, но до хранения 6,5.

[0033] На ФИГ. 4А представлен график относительных количеств лизо-ФХ (мол.%) в зависимости от месяцев хранения при 4°С трех липосомальных композиций иринотекана, имеющих коэффициент стабильности приблизительно 1047 и рН после изготовления, но до хранения 7,25. Липосомальный образец 5 (незаштрихованный квадрат) получали при концентрации фрагмента иринотекана, эквивалентной концентрации, составляющей 5 мг/мл тригидрата гидрохлорида иринотекана, тогда как образец липосомы 13 (заштрихованный треугольник) также получали при 20 мг/мл тригидрата гидрохлорида иринотекана. Липосомы в образцах 13 получали таким же образом, как и в образце 5, но липосомальные компоненты (то есть фосфолипиды, холестерин, иринотекан и сукрософат) на миллилитр в конечной липосомальной композиции были увеличены в четыре раза по сравнению с образцом 5.

[0034] На ФИГ. 4В представлен график относительных количеств лизо-ФХ (мол.%) в зависимости от месяцев хранения при 4°С двух липосомальных композиций иринотекана, имеющих коэффициент стабильности приблизительно 1047 и значения рН после изготовления, но до хранения 7,25 и 7,5.

[0035] На ФИГ. 4С представлен график относительных количеств лизо-ФХ (мол.%) в зависимости от месяцев хранения при 4°С двух липосомальных композиций иринотекана, имеющих коэффициент стабильности приблизительно 785 и значения рН после изготовления, но до хранения 7,25 и 7,5.

[0036] На ФИГ. 5 представлен график концентрации лизо-ФХ (мг/мл) в зависимости от месяцев хранения при 4°С трех липосомальных композиций иринотекана, имеющих коэффициент стабильности 1046-1064 и рН после изготовления, но до хранения 7,3.

[0037] На ФИГ. 6 представлен график концентрации лизо-ФХ (мг/мл) в зависимости от месяцев хранения при 4°С трех липосомальных композиций иринотекана, имеющих коэффициент стабильности 1046-1064 и рН после изготовления, но до хранения 7,3.

[0038] На ФИГ. 7 представлен график предполагаемой скорости образования лизо-ФХ (мг/мл/месяц) при хранении при 4°С в липосомальных композициях иринотекана, содержащих различные количества замещенного аммония (протонированного ТЭА).

[0039] На ФИГ. 8 представлен график грамм-эквивалентных количеств иринотекана и сукрософата в осадке, образованном путем объединения в водном растворе тригидрата гидрохлорида иринотекана и триэтиламмония сукрософата в различных пропорциях, то есть в грамм-эквивалентных соотношениях от 1:9 до 9:1. Ось x показывает относительное грамм-эквивалентное общее количество триэтиламмония сукрософата (SOS) в образцах по отношению к грамм-эквивалентному безводному свободному основанию иринотекана.

[0040] На ФИГ. 9 показано построение графика среднего размера частиц 12 различных партий продуктов липосомального октасульфата сахарозы иринотекана, хранящихся в течение 12-36 месяцев при 4°С c линейными регрессиями к данным, полученным для каждого образца.

[0041] На ФИГ. 10 представлен график индекса полидисперсности размера частиц (PDI) партий продуктов октасульфата сахарозы иринотекана, показанных на ФИГ.9, с линейными регрессиями к данным, полученным для каждого образца.

[0042] На ФИГ. 11А представлен график рН 13 различных партий продуктов октасульфата сахарозы иринотекана, хранящихся в течение 12-36 месяцев при 4°С, с линейными регрессиями к данным, полученным для каждого образца.

[0043] На ФИГ. 11В представлен график рН 16 различных партий продуктов октасульфата сахарозы иринотекана, хранящихся в течение 12 месяцев при 4°С, с линейными регрессиями к данным, полученным для каждого образца.

[0044] На ФИГ. 12 представлен график концентрации лизо-ФХ (мг/мл) в течение 36 месяцев в двух липосомальных композициях иринотекана и наилучшие линейные регрессии с соответствующими точками данных, полученных из каждого образца липосомы иринотекана.

[0045] На ФИГ. 13А представлена типичная хроматограмма для Способа А в натуральном масштабе.

[0046] На ФИГ. 13В представлена типичная хроматограмма для Способа А в увеличенном масштабе.

ПОДРОБНОЕ ОПИСАНИЕ ИЗОБРЕТЕНИЯ

[0047] Стабилизированные композиции камптотецина могут включать липосомы, инкапсулирующие одно или более соединений камптотецина. Липосомы могут использоваться для введения фармацевтических препаратов, включая химиотерапевтические препараты. Настоящее изобретение относится к стабилизированным фосфолипид-содержащим композициям соединений камптотецина, например, липосомальному иринотекану, который образует более низкое количество лизофосфолипидов, например лизо-ФХ.

[0048] Липосомы камптотецина могут инкапсулировать камптотецин с улавливающим агентом внутри липидной композиции (например, фосфолипид-содержащая везикула). Например, на ФИГ. 1А показана схема, изображающая липосому иринотекана с диаметром приблизительно 110 нм и имеющую липидную мембрану, инкапсулирующую иринотекан. Липидная мембрана на данной схеме содержит эфир-содержащий фосфолипид МПЭГ-2000-ДСФЭ. Липиды МПЭГ-2000-ДСФЭ расположены во внутреннем и внешнем липидном слое бислойной мембраны, в результате чего их ПЭГ-фрагменты расположены внутри липосомы или на внешней поверхности липосом, соответственно. На ФИГ. 1В показано поперечное сечение конкретного варианта осуществления типично изображенной липосомы на ФИГ. 1A, в которой моноламеллярная липидная бислойная мембрана включает ДСФХ, холестерин и МПЭГ-2000-ДСФЭ и инкапсулирует иринотекана сахарозы октасульфат.

[0049] В настоящее время установлено, что могут быть получены новые стабилизированные липосомальные композиции иринотекана, включающие эфир-содержащие фосфолипиды, которые имеют низкие концентрации лизо-ФХ даже после длительного хранения при 2-8°С, например, при 4°С, включая липосомы, которые инкапсулируют иринотекана сахарозы октасульфат (SOS) (липосомы иринотекан-SOS) и значительно уменьшают образование лизо-ФХ в процессе хранения в холодильнике. Настоящее изобретение отчасти основано на ряде неожиданных наблюдений. Во-первых, липосомальные композиции иринотекан-SOS неожиданно имеют по существу меньшее количество лизо-ФХ в процессе хранения в холодильнике, когда количество инкапсулированного иринотекана увеличивается по сравнению с количеством соинкапсулированного SOS-улавливающего агента. Во-вторых, липосомальные композиции иринотекан-SOS неожиданно имеют меньшее количество лизо-ФХ в процессе хранения в холодильнике, когда рН водной среды, содержащей липосомы иринотекан-SOS после изготовления, но до хранения составляет более 6,5. В-третьих, липосомальные композиции иринотекан-SOS неожиданно имеют меньшее количество лизо-ФХ, когда количество остаточного липосомального улавливающего агента аммония/замещенного катиона аммония, исследуемого в композиции, составляет менее 100 ч./млн.

Составляющие липиды липосомальных композиций камптотецина

[0050] В данной области техники известны различные липиды, в частности фосфолипиды, которые могут быть составляющими липосом, такие как фосфатидилэтаноламин и фосфатидилсерин, и специалист в данной области техники может получить липосомы с другими подобными фосфолипидами. В некоторых вариантах осуществления липосомы настоящих изобретений состоят из 1,2-дистеароил-sn-глицеро-3-фосфохолина (ДСФХ), холестерина и метокси-терминированного полиэтиленгликоля (MW 2000)-дистеароилфосфатидилэтаноламина (МПЭГ-2000-ДСФЭ). Ниже описаны предпочтительные варианты осуществления, касающиеся липидов, присутствующих в препаратах липосом, раскрытых в настоящем описании.

[0051] Липосомальные компоненты могут быть выбраны для получения липосомальной бислойной мембраны, которая образует однослойные и/или многослойные везикулы, инкапсулирующие и удерживающие активное вещество до тех пор, пока оно не будет доставлено в локализацию опухоли. Предпочтительно, липосомальные везикулы являются однослойными. Липосомальные компоненты выбирают по их свойствам при их объединении для получения липосом, способных активно загружать и удерживать активное вещество, сохраняя при этом незначительное связывание с белками плазмы крови in vivo и, следовательно, продлевая их продолжительность циркуляции.

[0052] ДСФХ предпочтительно является основным липидным компонентом в бислое липосомы, инкапсулирующей иринотекан (например, содержащим 74,4% общей массы всех липидных ингредиентов). ДСФХ имеет температуру фазового перехода (Tm) 55°C.

[0053] Холестерин может предпочтительно содержать приблизительно 24,3% общей массы всех липидных ингредиентов. Он может быть введен в количестве, эффективном для стабилизации липосомальных фосфолипидных мембран, так что они не разрушаются белками плазмы, чтобы уменьшить степень связывания опсонинов плазмы, ответственных за быстрое удаление липосом из кровообращения и уменьшение проницаемости растворенных веществ/лекарственных веществ в сочетании с образующими бислой фосфолипидами.

[0054] МПЭГ-2000-ДСФЭ может предпочтительно содержать приблизительно 1,3% общей массы всех липидных бислойных составляющих. Его количество и присутствие на поверхности липосомы иринотекана можно выбрать, чтобы обеспечить минимальный стерический барьер, препятствующий агрегации липосом. Показано, что липосомы, покрытые МПЭГ-2000-ДСФЭ, настоящего изобретения являются стабильными в отношении размера и инкапсулирования лекарственного средства.

[0055] В некоторых вариантах осуществления липидная мембрана липосомального препарата предпочтительно состоит из следующих ингредиентов: 1,2-дистеароил-sn-глицеро-3-фосфохолина (ДСФХ), холестерина и метокси-терминированного полиэтиленгликоля (MW 2000)-дистеароилфосфатидилэтаноламина (МПЭГ-2000-ДСФЭ) в соотношении приблизительно одна молекула модифицированного полиэтиленгликолем (ПЭГ) фосфолипида на каждые 200 не-ПЭГ-фосфолипидных молекул.

[0056] В предпочтительных вариантах осуществления липосомы настоящего изобретения получают из смеси ДСФХ, холестерина и МПЭГ-2000-ДСФЭ, объединенных в молярном соотношении 3:2:0,015. В предпочтительных вариантах осуществления липосомальные препараты настоящего изобретения включают 1,2-дистеароил-sn-глицеро-3-фосфохолин (ДСФХ) в концентрации приблизительно 6,81 мг/мл, холестерин в концентрации приблизительно 2,22 мг/мл и метокси-терминированный полиэтиленгликоль (MW 2000)-дистеароилфосфатидилэтаноламин (МПЭГ-2000-ДСФЭ) в концентрации приблизительно 0,12 мг/мл.

[0057] В более предпочтительных вариантах осуществления липосомальные препараты настоящего изобретения включают 1,2-дистеароил-sn-глицеро-3-фосфохолин (ДСФХ) в концентрации 6,81 мг/мл, холестерин в концентрации 2,22 мг/мл и метокси-терминированный полиэтиленгликоль (MW 2000)-дистеароилфосфатидилэтаноламин (МПЭГ-2000-ДСФЭ) в концентрации 0,12 мг/мл.

Улавливающие агенты композиции камптотецина

[0058] В некоторых вариантах осуществления липосомы настоящего изобретения инкапсулируют один или более агентов, которые улавливают фармацевтический препарат в липосомах (в дальнейшем называемые как улавливающие агенты). Улавливающий агент предпочтительно содержит полианионное соединение с множеством отрицательно заряженных групп или содержит комбинацию двух или более различных таких соединений. В неограничивающих примерах полианионный улавливающий агент представляет собой двухвалентный анион, трехвалентный анион, поливалентный анион, полимерный поливалентный анион, полианионизированный полиол или полианионизированный сахар. В контексте настоящего изобретения полианионный улавливающий агент может представлять собой полианионизированный полиол или сахар, такой как полиол или сахар, содержащий гидроксильные группы, полностью или частично модифицированные или замещенные анионными группами (анионизированными). В неограничивающем примере полианионизированный полиол или полианионизированный сахар может включать фрагмент полиола или фрагмент сахара вместе с связанными с ним анионными группами. Предпочтительно, по меньшей мере, одна анионная группа улавливающего агента полианионизированного сахара или полианионизированного полиола ионизируется более чем на 50% в диапазоне рН 3-12, предпочтительно рН 6,5-8 при нахождении в водной среде, или, альтернативно, анионная группа(ы) имеет pKa 3 или менее, предпочтительно 2 или менее. В предпочтительном варианте осуществления улавливающий агент содержит сульфатные фрагменты, имеющие pKa 1,0 или менее. В неограничивающем примере полианионный улавливающий агент может иметь плотность заряда, по меньшей мере, двух, трех или четырех отрицательно заряженных групп на единицу, например, на атом углерода или кольцо в углеродной цепи или на моносахаридную единицу в сахаре.

[0059] В некоторых вариантах осуществления настоящего изобретения скорость высвобождения липосомальной композиции может быть увеличена за счет использования в качестве улавливающего агента смеси полианионизированного сахара или полианионизированного полиола с одним или более другими одновалентными или поливалентными анионами, например хлоридом, сульфатом, фосфатом и т.д. В другом неограничивающем примере увеличения скорости высвобождения композиции с пролонгированным высвобождением в качестве улавливающего агента используют смеси различных полианионизированных сахаров и/или полианионизированных полиолов с различными степенями полианионизации.

[0060] В некоторых вариантах осуществления степень полианионизации внутри липосом настоящего изобретения составляет более 90%, или более 99%, или от 0,1% до 99%, от 10% до 90%, или от 20% до 80% общего количества аниона(ов) внутри липосом, например, с захваченным липосомой камптотецином или соединением производного камптотецина.

[0061] В некоторых вариантах осуществления улавливающий агент представляет собой сульфатированный сахар и/или полиол. Типичным сульфатированным сахаром настоящего изобретения является сульфатированная сахароза, включая, но не ограничиваясь ими, гексасульфат сахарозы, гептасульфат сахарозы и октасульфат сахарозы (см. Ochi. K., et al., 1980, Chem. Pharm. Bull., v. 28, p. 638-641). Аналогичным образом, реакция с оксихлоридом фосфора или диэтилхлорфосфатом в присутствии основного катализатора приводит к полифосфорилированным полиолам или сахарам. Полифосфорилированные полиолы также выделяют из природных источников. Например, инозитол полифосфаты, такие как инозитол гексафосфат (фитиновая кислота) могут быть выделены из кукурузы. Разнообразные сульфатированные, сульфонированные и фосфорилированные сахара и полиолы, подходящие для осуществления настоящего изобретения, раскрыты, например, в патенте США № 5783568, который включен в настоящее описание посредством ссылки в полном объеме. Комплексообразование полиолов и/или сахаров с более чем одной молекулой борной кислоты также приводит к полианионизированному (полиборированному) продукту. Реакция полиолов и/или сахаров с дисульфидом углерода в присутствии щелочи приводит к получению полианионизированных (полидитиокарбонатных, поликсантогенатных) производных. Полианионизированный полиол или производное сахара можно выделить в форме свободной кислоты и нейтрализовать подходящим основанием, например, гидроксидом щелочного металла, гидроксидом аммония или предпочтительно замещенным амином, например, амином, соответствующим замещенному аммонию настоящего изобретения, в чистой форме или в форме замещенного гидроксида аммония, обеспечивающего полианионную соль замещенного аммония настоящего изобретения. Альтернативно, соль натрия, калия, кальция, бария или магния полианионизированного полиола/сахара может быть выделена и превращена в подходящую форму, например, в форму замещенной аммониевой соли любым известным способом, например, путем ионного обмена. Неограничивающими примерами улавливающих агентов сульфатированного сахара являются сульфатированные соединения сахарозы, включая, но не ограничиваясь ими, гексасульфат сахарозы, гептасульфат сахарозы и октасульфат сахарозы (SOS). Типичные полиольные улавливающие агенты включают инозитол полифосфаты, такие как инозитол гексафосфат (также известный как фитиновая кислота или IHP) или сульфатированные формы других дисахаридов.

[0062] В предпочтительном варианте осуществления настоящего изобретения улавливающий агент представляет собой сульфатированный полианион, неограничивающим примером которого является октасульфат сахарозы (SOS). Сукрософат также называется как октасульфат сахарозы или сукрооктасульфат (SOS). Способы получения сукрософата в форме различных солей, например, аммониевых, натриевых или калиевых солей, хорошо известны в данной области техники (например, патент США № 4990660, включенный в настоящее описание посредством ссылки в полном объеме). Октасульфат сахарозы (также называемый сукрософат) представляет собой полностью замещенный сульфатный эфир сахарозы, имеющий в своей полностью протонированной форме структуру формулы (II):

(II).

[0063] Способы получения сукрософата в форме различных солей, например, солей аммония, натрия или калия хорошо известны в данной области техники (см., например, патент США № 4990610, который включен в настоящее описание посредством ссылки в полном объеме). Аналогичным образом определяются сульфатированные формы других дисахаридов, например, лактозы и мальтозы для получения октасульфата лактозы и октасульфата мальтозы.

[0064] В некоторых вариантах осуществления липосомальные составы настоящего изобретения содержат соединение камптотецина, такое как иринотекан или топотекан и анионный улавливающий агент, такой как SOS. Липосомы настоящего изобретения предпочтительно включают соединение камптотецина в стехиометрическом соотношении с анионным улавливающим агентом. Например, липосомальный состав иринотекана может инкапсулировать иринотекан и октасульфат сахарозы приблизительно в молярном соотношении 8:1. Стабилизированные композиции липосом могут инкапсулировать композицию иринотекана формулы (I), где х составляет приблизительно 8:

(I).

Липосомальный иринотекан может содержать композицию формулы (I), инкапсулированную в липосомы. Предпочтительно, композиция формулы (I) образуется (например, осаждается) внутри липосом, содержащих холестерин и один или более фосфолипид(ов) (например, включая ПЭГ-содержащий фосфолипид(ы)). Например, соединение формулы (I) может быть образовано внутри липосом путем взаимодействия (1) соединения(й) камптотецина (например, иринотекана, топотекана и подобных) с (2) липосомами, инкапсулирующими полисульфатированный анионный улавливающий агент (например, октасульфат сахарозы), в способе, при котором образуется стабилизированная липосомальная композиция иринотекана. Предпочтительно, липосомальная композиция иринотекана имеет рН более 6,5 (например, 7,0-7,5, включая 7,25, 7,3 и 7,5).

[0065] Предпочтительные стабилизированные композиции камптотецина включают липосомальный иринотекан.

[0066] Стабилизированные композиции камптотецина включают липосомальные составы соединения(й) камптотецина с высокой плотностью, содержащие иринотекан или его соль при концентрации фрагмента иринотекана, эквивалентной концентрации, составляющей от 4,5 до 5,5 мг/мл тригидрата гидрохлорида иринотекана (т.е. 3,9-4,8 мг/мл безводного свободного основания иринотекана), и содержат ДСФХ в концентрации от 6,13 до 7,49 мг/мл (предпочтительно приблизительно 6,81 мг/мл), холестерин в концентрации 2-2,4 мг/мл (предпочтительно приблизительно 2,22 мг/мл) и МПЭГ-2000-ДСФЭ в концентрации 0,11-0,13 мг/мл (предпочтительно приблизительно 0,12 мг/мл), и характеризуются присутствием низких количеств лизо-ФХ, если они имеются, в процессе хранения в холодильнике (2-8°C), одновременно обеспечивая подходящие количества соединения(й) камптотецина, предпочтительно в более эффективной форме лактона. Настоящее изобретение включает фармацевтические липосомальные композиции соединения(й) камптотецина, которые могут храниться при охлаждении (то есть при 2-8°C) в течение, по меньшей мере, первых 6 месяцев, предпочтительно, по меньшей мере, первых 9 месяцев после изготовления без образования концентраций лизо-ФХ более 20 мол.%. Более предпочтительно, настоящее изобретение относится к композициям, содержащим количество фрагмента иринотекана, эквивалентное количеству, составляющему 4,7-5,3 мг/мл тригидрата гидрохлорида иринотекана (т.е. 4,1-4,6 мг безводного свободного основания фрагмента иринотекана) (иринотекан может присутствовать как соль октасульфата сахарозы, инкапсулированная в липосомы), вместе с (ДСФХ) при 6,4-7,2 мг/мл, холестерином при 2,09-2,35 мг/мл и МПЭГ-2000-ДСФЭ при приблизительно 0,113-0,127 мг/мл, который содержит не более 20 мол.% лизо-ФХ через 6 или 9 месяцев при хранении при 2-8°C или не более 2 мг/мл лизо-ФХ через 21 месяц при хранении при 2-8°C.

Расчет грамм-эквивалентного соотношения (ER) иринотекана/соединения сульфата

[0067] Грамм-эквивалентное соотношение (ER) иринотекана/соединения сульфата можно рассчитать для каждого липосомального препарата иринотекана с помощью определения молярных количеств липосомально соинкапсулированного иринотекана (I) и соединения сульфата (S) на единицу (например, 1 мл) липосомальной композиции и с использованием формулы: ER=I/(SN), где N представляет собой валентность аниона сульфатного соединения (например, для сукрософата N равно 8 и для свободного сульфата SO42- N равно 2). Например, липосомальная композиция сукрософата иринотекана, которая содержит 7,38 мМ иринотекана и 1,01 мМ сукрософата (N=8), будет иметь ER 7,38/(1,01×8)=0,913. Предпочтительно, соединение сульфата (S) представляет собой октасульфат сахарозы, содержащий 8 сульфатных фрагментов на моль SOS. Липосомальная композиция будет иметь рН от 7,1 до 7,5 и иметь один из следующих диапазонов ER: предпочтительно 0,85-1,2, 0,85-1,1 или наиболее предпочтительно от 0,9 до 1,05, например, приблизительно 1,02. Альтернативно, липосомальная композиция будет содержать количество фрагмента иринотекана, эквивалентное количеству, составляющему 500 г (±10%) безводного свободного основания иринотекана на моль фосфолипида, и nd имеют один из следующих диапазонов ER: предпочтительно от 0,85 до 1,1, наиболее предпочтительно от 0,9 до 1,05, например, приблизительно 1,02.

pH стабилизированной композиции камптотецина

[0068] рН липосомальной композиции можно регулировать или иным образом выбирать для обеспечения требуемого свойства стабильности при хранении (например, для уменьшения образования лизо-ФХ в липосоме в процессе хранения при температуре 4°C в течение 180 дней), например, путем приготовления композиции при рН приблизительно 6,5-8,0 или любого подходящего значения рН между ними (включая, например, 7,0-8,0 и 7,25). В некоторых вариантах осуществления рН составляет приблизительно 6,5, 6,6, 6,7, 6,8, 6,9, 7,0, 7,1, 7,2, 7,3, 7,4, 7,5, 7,6, 7,7, 7,8, 7,9 или 8,0. Липосомы иринотекана с определенными значениями рН, фрагмент иринотекана, эквивалентный тому, который был получен при концентрации безводного свободного основания иринотекана (мг/мл) и различных концентрациях октасульфата сахарозы, получали, как представлено более подробно, как описано в настоящей заявке. Более предпочтительно рН после изготовления и перед хранением составляет от 7,1 до 7,5 и еще более предпочтительно от приблизительно 7,2 до 7,3 и наиболее предпочтительно приблизительно 7,25. рН можно регулировать стандартными способами, например, с помощью использования 1 N HCl или 1 N NaOH в зависимости от конкретного случая.

[0069] В некоторых вариантах осуществления настоящего изобретения рН липосомального препарата иринотекана после изготовления, но до хранения составляет более 6,5, предпочтительно от 7,2 до 7,3. В некоторых вариантах осуществления настоящего изобретения рН составляет от 7,2 до 7,5.

Грамм-эквивалентное соотношение («ER») соединений стабилизированных композиций камптотецина

[0070] Стабилизированные липосомальные композиции камптотецина могут иметь рН более 6,5 и содержать липосомы, инкапсулирующие иринотекан и сульфатный полианионный улавливающий агент, имеющий грамм-эквивалентное соотношение («ER») иринотекана/соединения сульфата, которое больше 0,9 (например, 0,9-1,1). ER можно рассчитать для липосомального препарата иринотекана SOS с помощью определения молярных количеств липосомально соинкапсулированного иринотекана (I) и соединения сульфата (S) на единицу (например, 1 мл) липосомальной композиции и с использованием формулы: ER=I/(SN), где N представляет собой валентность аниона сульфатного соединения (например, для сукрософата N равно 8 и для свободного сульфата -SO42- N равно 2), I представляет собой концентрацию инкапсулированного иринотекана в липосомальной композиции иринотекана, и S представляет собой концентрацию сульфатных групп инкапсулированного октасульфата сахарозы в липосомальной композиции иринотекана. Предпочтительно, соединение сульфата (S) представляет собой октасульфат сахарозы, содержащий 8 сульфатных фрагментов на моль SOS.

[0071] Хотя прямое определение концентрации инкапсулированных сульфатных групп октасульфата сахарозы в липосомальной композиции иринотекана (S⋅N) является предпочтительным, S⋅N может быть определено из концентрации липосомного фосфолипида (P, моль/л), концентрации сульфатных групп SOS во внутреннем пространстве липосомы (концентрации сульфатных групп SOS в растворе, используемом для получения липосомы улавливающего агента, параметр B, см. определение коэффициента стабильности в настоящем описании) и внутреннего (захваченного) объема липосомы, то есть объема, отделенного в пределах внутреннего пространства липосомных везикул на единицу липосомного фосфолипида (Ve, л/моль фосфолипида):

S⋅N=P⋅Ve⋅B

[0072] В качестве примера для липосомы фосфатидилхолина-холестерина, полученной с помощью экструзии через 100-нм поликарбонатные фильтры, захваченный объем может быть близок к 1,7 л/моль фосфолипида (Mui, et al. 1993, Biophys.J., vol 65, p. 443-453). В этом случае количественная загрузка иринотекана (молекулярная масса 586,7) в SOS-инкапсулирующие липосомы при 471 г/моль фосфолипида и концентрации сульфатных групп SOS 0,45 М будет приводить к ER

(471/586,7)/(1,7⋅0,45)=1,049

[0073] Тогда как при концентрации SOS 0,65 М сульфатных групп ER будет составлять:

(471/586,7)/(1,7⋅0,65)=0,726

[0074] Подобным образом, количественная загрузка иринотекана (молекулярная масса 586,7) в SOS-инкапсулирующие липосомы при 500 г (±10%)/моль фосфолипида и концентрации сульфатных групп SOS 0,45 М будет приводить к ER приблизительно 1,11, тогда как при концентрации SOS 0,65 М сульфатных группах ER будет составлять приблизительно 0,77.

Получение стабилизированных композиций камптотецина

[0075] Стабилизированные композиции камптотецина могут содержать липосомы камптотецина. Липосомы были использованы для введения фармацевтических средств, включая химиотерапевтические средства. Различные технологии, относящиеся к липосомам, инкапсулирующим лекарственные средства, и способы их получения, как правило, известны в данной области техники и поэтому дополнительно не описаны в настоящей заявке подробно. См., например, патент США № 8147867, который включен в настоящее описание посредством ссылки в полном объеме.

[0076] В некоторых вариантах осуществления липосомы, инкапсулирующие одно или более соединение(й) камптотецина в везикуле, содержат, по меньшей мере, один фосфолипид. Соединение камптотецина можно, например, загружать или иным образом захватывать внутри липосомы в многостадийном способе, включающем (а) образование липосомы улавливающего агента, инкапсулирующего анионный улавливающий агент и катион в липосомной везикуле, содержащей фосфолипид(ы), и (b) последующее взаимодействие липосомы улавливающего агента с соединением(ями) камптотецина в условиях, эффективных для загрузки соединения(й) камптотецина в липосому улавливающего агента и сохранения соединения камптотецина внутри липосомы с улавливающим агентом для образования липосом камптотецина.

[0077] Соединение(я) камптотецина можно загружать в липосомы улавливающего агента с использованием градиента через липосомальную мембрану, заставляя соединение(я) камптотецина проникать в липосомы улавливающего агента для образования липосом камптотецина. Предпочтительно, липосомы улавливающего агента имеют трансмембранный градиент концентрации катиона, проходящего через мембрану, такого как аммоний или замещенный аммоний, эффективный, чтобы обеспечить обмен аммония/замещенного аммония в липосомах улавливающего агента для соединения(й) камптотецина при нагревании выше температуры фазового перехода липидных компонентов липосом. Предпочтительно, улавливающий агент имеет более высокую концентрацию в липосоме улавливающего агента, чем в окружающих его средах. Кроме того, липосомы улавливающего агента могут включать один или более трансмембранных градиентов в дополнение к градиенту, создаваемому катионом аммония/замещенного аммония. Например, липосомы, содержащиеся в липосомальной композиции улавливающего агента, могут дополнительно или альтернативно включать трансмембранный градиент рН, ионный градиент, градиент электрохимического потенциала и/или градиент растворимости.

[0078] В некоторых вариантах осуществления улавливающий агент, используемый для получения липосом (например, SOS и/или другой сульфатированный полиольный улавливающий агент, включающий его приемлемые соли), имеет концентрацию 0,3-0,8, 0,4-0,5, 0,45-0,5, 0,45-0,475, 0,45-0,5, 0,3, 0,4, 0,45, 0,475, 0,5, 0,6, 0,7 или 0,8 М сульфатных групп, например, данные определенные значения±10%. В предпочтительном варианте осуществления улавливающий агент, используемый для получения липосом, представляет собой SOS и имеет концентрацию приблизительно 0,45 или приблизительно 0,475 М сульфатных групп. В более предпочтительном варианте осуществления улавливающий агент, используемый для получения липосом, представляет собой SOS и имеет концентрацию 0,45 М или 0,475 М сульфатных групп.

[0079] Предпочтительно, соединение(я) камптотецина загружают в липосому улавливающего агента путем инкубирования соединения(й) камптотецина с липосомами улавливающего агента в водной среде при подходящей температуре, например, температуре выше исходной температуры фазового перехода составляющих фосфолипидов во время загрузки, одновременно с уменьшенной ниже исходной температуры фазового перехода составляющих фосфолипидов после загрузки соединения(й) камптотецина, предпочтительно при приблизительно комнатной температуре. Время инкубирования обычно основывается на свойствах составляющих липидов, соединения(й) камптотецина, которые должны быть загружены в липосомы, и температуры инкубирования. Как правило, является достаточным время инкубирования в течение от нескольких минут (например, 30-60 минут) до нескольких часов.

[0080] Поскольку достигается высокая эффективность включения более 85%, как правило, более 90%, часто отсутствует необходимость удаления невключенной части. Однако, если есть такая потребность, невключенное соединение(я) камптотецина может быть удалено из композиции различными способами, такими как, например, эксклюзионная хроматография, диализ, ультрафильтрация, адсорбция и осаждение.

[0081] В некоторых вариантах осуществления липосомы камптотецина представляют собой липосомы иринотекана. Липосомы иринотекана могут быть получены с помощью способа, который включает стадии (а) получения липосомы, содержащей триэтиламин (ТЭА) в виде триэтиламмониевой соли сукрософата (ТЭА-SOS) и (b) последующего взаимодействия липосомы ТЭА-SOS с иринотеканом в условиях, эффективных для проникновения иринотекана в липосому и обеспечения удаления соответствующего количества ТЭА из липосомы (таким образом исчерпывая или уменьшая градиент концентрации ТЭА в пределах полученной липосомы).

Экстралипосомальная ионная сила при загрузке лекарственного средства липосом камптотецина

[0082] В некоторых вариантах осуществления настоящего изобретения загрузку камптотецина липосом проводят в водном растворе при ионной силе менее, чем эквивалентной 50 мМ NaCl или более предпочтительно, менее, чем эквивалентной 30 мМ NaCl. После загрузки лекарственного средства может быть добавлен более концентрированный солевой раствор, например, раствор NaCl для повышения ионной силы больше, чем эквивалентной 50 мМ NaCl или более предпочтительно больше, чем эквивалентной 100 мМ NaCl, предпочтительно эквивалентной приблизительно 140-160 мМ NaCl.

Катионы улавливающего агента

[0083] Катион настоящего изобретения может быть инкапсулирован в липосомы улавливающего агента в количестве, эффективном для обеспечения загрузки соединения(й) камптотецина в липосомы улавливающего агента при нагревании выше температуры фазового перехода липидных составляющих, как описано выше. Катионы выбирают так, чтобы они могли оставлять липосомы улавливающего агента во время загрузки соединения(й) камптотецина в липосомы. Экстралипосомальные катионы могут быть удалены после получения липосом, загруженных соединением(ями) камптотецина.

[0084] В некоторых вариантах осуществления настоящего изобретения катион в липосоме вместе с улавливающим агентом представляет собой замещенное соединение аммония. В некоторых вариантах осуществления изобретения замещенное соединение аммония имеет рКа, по меньшей мере, приблизительно 8,0. В некоторых вариантах осуществления изобретения замещенное соединение аммония имеет рКа, по меньшей мере, приблизительно 8,0, по меньшей мере, приблизительно 8,5, по меньшей мере, приблизительно 9,0, по меньшей мере, 9,5, по меньшей мере, 10,0, по меньшей мере, 10,5 или, по меньшей мере, 11,0, как определено в водном растворе при температуре окружающей среды. В некоторых вариантах осуществления изобретения замещенное соединение аммония имеет pKa приблизительно 8,0-12,0, приблизительно 8,5-11,5 или приблизительно 9,0-11. В предпочтительном варианте осуществления pKa представляет собой приблизительно pKa ТЭА или приблизительно pKa ДЭА.

[0085] Неограничивающими примерами таких замещенных соединений аммония являются соединения формулы: N(R1)(R2)(R3)(R4)+, где каждый из R1, R2, R3 и R4 независимо представляет собой водород или органическую группу, содержащую до 18 общих атомов углерода, и где, по меньшей мере, один из R1, R2, R3 и R4 представляет собой органическую группу, которая представляет собой углеводородную группу, содержащую до 8 атомов углерода, которая может представлять собой алкильную, алкилиденовую, гетероциклическую алкильную, циклоалкильную, арильную, алкенильную или циклоалкенильную группу или ее гидроксилзамещенное производное, необязательно включающее в свой углеводородный фрагмент один или более атом(ов) S, O или N, образующих эфирную, сложноэфирную, тиоэфирную, амино или амидную связь. Замещенный аммоний может представлять собой стерически затрудненное соединение аммония (например, имеющее, по меньшей мере, одну из органических групп с вторичным или третичным атомом углерода, непосредственно связанным с атомом азота аммония). Кроме того, по меньшей мере, один из R1, R2, R3 и R4 должен представлять собой водород. Предпочтительно, замещенный катион аммония представляет собой триэтиламмоний (протонированный ТЭА) или диэтиламмоний (протонированный ДЭА).

[0086] Концентрация замещенного катиона аммония в липосоме улавливающего агента может быть уменьшена по мере того, как соединение камптотецина загружается в липосомы, инкапсулирующие анионный улавливающий агент в условиях, эффективных для образования липосом соединения камптотецина. Липосомы настоящего изобретения могут включать анионный улавливающий агент и катион аммония или замещенного аммония, который в дальнейшем удаляют и/или заменяют на соединение камптотецина, загруженное в липосому, на последующей стадии загрузки лекарственного средства.

[0087] В предпочтительном варианте осуществления концентрация катиона аммония или замещенного аммония в липосомах соединения камптотецина является достаточно низкой, чтобы обеспечить небольшие количества лизо-ФХ после хранения в холодильнике в течение длительных периодов липосомальных препаратов камптотецина, которые содержат фосфолипиды. Например, как описано в Примере 3, включающем данные ФИГ. 7, снижение образования количества лизо-ФХ наблюдалось в липосомальных препаратах иринотекана SOS, содержащих менее приблизительно 100 ч./млн. замещенного катиона аммония, предпочтительно от 20 до 80 ч./млн, предпочтительно менее приблизительно 50 ч./млн., еще более предпочтительно менее приблизительно 40 ч./млн., еще более предпочтительно менее 30 ч./млн.

[0088] В некоторых вариантах осуществления липосомы иринотекана SOS (такие как Образцы 24-29, Таблица 10 Примеров) содержат менее 100 ч./млн. или приблизительно 15-100 ч./млн. противоиона улавливающего агента замещенного аммония SOS. В некоторых вариантах осуществления липосомы иринотекана SOS (такие как Образцы 24-29, Таблица 10 Примеров) содержат приблизительно 15-80 ч./млн. замещенного аммония. В некоторых вариантах осуществления липосомы иринотекана SOS содержат приблизительно 40-80 ч./млн. замещенного аммония. В некоторых вариантах осуществления липосомы иринотекана SOS (такие как Образцы 24-29, Таблица 10 Примеров) содержат приблизительно 80-100 ч./млн. замещенного аммония. В предпочтительном варианте осуществления замещенный аммоний, присутствующий в любой из вышеуказанных концентраций ч./млн., получают из ТЭА или ДЭА.

Коэффициент стабильности стабилизированных композиций камптотецина

[0089] Когда основанные на фосфолипидах липосомы, содержащие камптотецин, получают путем взаимодействия (1) лекарственного средства камптотецина с (2) липосомами, инкапсулирующими полисульфатированный анионный улавливающий агент, стабильность полученных липосом, содержащих лекарственное средство, зависит от соотношения камптотецина, анионного улавливающего агента и образующих липосому фосфолипидов, как определено с помощью коэффициента стабильности, по меньшей мере, приблизительно 950, как определено ниже. Коэффициент стабильности зависит от первоначальной концентрации сульфатных групп в липосомах улавливающего агента и соотношения камптотецина, инкапсулированного в фосфолипид в липосомах. Используемый в настоящем описании, коэффициент стабильности («SR») определяется следующим образом:

SR=A/B,

где:

а. А представляет собой количество фрагмента иринотекана, инкапсулированного в липосомы улавливающего агента во время процесса загрузки лекарственного средства, в граммах, эквивалентных безводному свободному основанию иринотекана, на моль фосфолипида в композиции; и

b. B представляет собой концентрацию сульфатных групп в растворе сукрософата (или другого улавливающего агента), используемом для получения липосом улавливающего агента, выраженную в моль/л (на основании концентрации сульфатных групп).

[0090] В отношении определения коэффициента стабильности количество молей фосфолипида в липосомальном препарате определяют с помощью анализа, такого как описан в Примерах. Количество фрагмента иринотекана (A выше) соответственно рассчитывают для проведения липосомной загрузки.

[0091] В отношении определения коэффициента стабильности концентрацию B сульфатных групп в растворе сукрософата (или другого улавливающего агента), выраженную в моль/л, рассчитывают как концентрацию сукрософата (или другого улавливающего агента, раскрытого в настоящем описании) (в моль/л) в растворе, который добавляют к липидам (которые обычно растворяются в спирте, обычно в объеме, который составляет 10% или менее, чем объем раствора улавливающего агента, добавленного к липидам). Таким образом, для сукрософата концентрация B сульфатных групп представляет собой концентрацию сукрософата, умноженную на 8 (то есть количество сульфатных групп в одной молекуле сукрософата) или умноженную в соответствии с количеством сульфатных групп определенного используемого улавливающего агента. (См. Пример 1.)

[0092] В некоторых вариантах осуществления настоящего изобретения коэффициент стабильности и рН оба повышаются до более чем 6,5. Таким образом, в некоторых предпочтительных вариантах осуществления настоящего изобретения коэффициент стабильности составляет 942-1130, и рН составляет от 7,2 до 7,5, и иринотекан и улавливающий агент SOS присутствуют в липосомальной композиции в молярном соотношении приблизительно 8:1. Предпочтительно, коэффициент стабильности составляет 942-1130, рН составляет приблизительно 7,25 и композиция иринотекана и улавливающий агент SOS присутствуют в липосоме в молярном соотношении 8:1. Количество лизо-ФЛ и, в частности, лизо-ФХ в составах липосом, инкапсулирующих другие соединения камптотецина, можно контролировать подобным образом.

[0093] Например, новые стабилизированные липосомальные препараты иринотекана могут иметь на 80% меньше лизо-ФХ по сравнению с липосомами иринотекана SOS, полученными в соответствии с другими процессами (например, на 80% меньше лизо-ФХ, чем наблюдалось в сравнительном Образце 12 после 9 месяцев хранения в холодильнике). A (сравнительный) липосомальный иринотекан образца 12 получали с коэффициентом стабильности приблизительно 724 с помощью нагревания липидной смеси, имеющей молярное соотношение 3:2:0,015 1,2-дистеароил-sn-глицеро-3-фосфохолина (ДСФХ), холестерина и метокси-терминированного полиэтиленгликоля (MW 2000)-дистеароилфосфатидилэтаноламина (МПЭГ-2000-ДСФЭ) в присутствии триэтиламина (ТЭА) и октасульфата сахарозы («SOS» или «сукрософат») в молярном соотношении 8:1 [(ТЭА)8SOS] при концентрации сульфатной группы 0,65 М для получения липосом улавливающего агента ТЭА-SOS. После удаления (ТЭА)8SOS, не инкапсулированного в липосомы улавливающего агента ТЭА-SOS, иринотекан загружали в полученный препарат, содержащий липосомы улавливающего агента ТЭА-SOS, с использованием раствора иринотекана в условиях, приводящих к удалению ТЭА и загрузке в липосомы общего количества иринотекана, представленного 500 г (±10%) безводного свободного основания иринотекана на моль фосфолипидов в липосомальном препарате улавливающего агента ТЭА-SOS. pH липосомальной композиции иринотекана составлял 6,5 (измеренный в соответствии с подразделом «Измерения рН» в разделе «Примеры» в настоящем описании) с 4,3 мг фрагмента иринотекана в липосомах иринотекана на мл липосомальной композиции иринотекана. Данные липосомальные композиции иринотекана, содержащие фосфатидилхолин, образовывали концентрации лизо-ФХ более 30 мол.% (по отношению к общему количеству фосфатидилхолина в липосомальных композициях иринотекана) в течение 3 месяцев (и более 35 мол.% лизо-ФХ, образующихся в течение 9 месяцев) хранения в холодильнике (2-8°C).

Расчет коэффициентов стабильности и количеств лизо-ФХ в примерных вариантах осуществления

[0094] Ряд различных липосомальных препаратов иринотекана получали в соответствии со способами, описанными в настоящей заявке (дополнительные экспериментальные подробности для получения и характеристики каждого образца приведены ниже в Примерах). Количество лизо-ФХ, измеренное в каждом из липосомальных препаратов иринотекана, суммировано в Таблице 1A (измерения лизо-ФХ, проведенные после 9 месяцев хранения в холодильнике) и Таблице 1B (измерения лизо-ФХ, проведенные после 6 месяцев хранения в холодильнике, для подмножества образцов, перечисленных в Таблице 1А). Каждый липосомальный препарат иринотекана содержал моноламеллярные бислойные липосомы приблизительно 110±20 нм, предпочтительно 110±10 нм в диаметре, инкапсулирующие иринотекан с улавливающим агентом октасульфата сахарозы. Липосомы образовывали из смеси ДСФХ, холестерина и МПЭГ-2000-ДСФЭ, имеющей молярное соотношение 3:2:0,015, и затем загружали иринотекан при концентрации приблизительно 471 г фрагмента иринотекана (иринотекан или его соль, обеспечивающие количество фрагмента иринотекана, эквивалентное 500 г (±10%) безводного иринотекана HCl) на моль фосфолипида. Каждый липосомальный препарат иринотекана содержал различные количества улавливающего агента SOS и был получен с различными значениями рН. Количество лизо-ФХ измеряли в каждом липосомальном препарате иринотекана в разное время, включая измерение всех образцов через 9 месяцев непрерывного хранения в холодильнике (при 4°С). Все образцы в Таблице 1А загружали с использованием протонированного противоиона ТЭА для SOS (т.е. загрузка иринотекана в липосомы, инкапсулирующие различные концентрации ТЭА8SOS, как указано в Таблице 1A).

Таблица 1A: Коэффициент стабильности липосом иринотекана и лизо-ФХ (через 9 месяцев при 4°C)a

Образец Молярная (M) концентрация сульфатных групп в сукрософате, включенном в липосомы Коэффициент стабильности pH [мол.% лизо-ФХ] через 9 месяцев Препарат сравнения (12) 0,65 724 6,5 35,4 1 0,45 1047 6,5 25,4 2 0,475 992 6,5 23,6 3 0,5 942 6,5 35,7 4 0,6 785 6,5 35,8 5 0,45 1047 7,25 11,1 6 0,45 1047 6,5 17,4 7 0,45 1047 7,25 8,1 8 0,45 1047 7,5 7,1 9 0,6 785 6,5 34,7 10 0,6 785 7,25 29 11 0,6 785 7,5 28,7 13 0,45 1047 7,25 13,8 14 0,65 724 6,5 32,1

a Измерено в соответствии со Способом B, как описано в настоящей заявке.

[0095] На ФИГ. 2А показан график, изображающий количество лизо-ФХ, измеренное в каждом образце в Таблице 1А, после 9 месяцев хранения при 4°С. Образец 12 помечен как препарат сравнения в Таблице 1А и на ФИГ. 2А. Образцы, имеющие как коэффициент стабильности более приблизительно 900, так и рН более 6,5 (например, 7,25 и 7,5), содержали менее 20 мол.% лизо-ФХ после 9 месяцев хранения в холодильнике при 4°С. На ФИГ. 2С представлен график значений коэффициента стабильности в зависимости от относительных количеств лизо-ФХ (мол.%) жидких липосомальных композиций иринотекана после 6 месяцев хранения при 4°С (данные в Таблице 6). Точки данных, обозначенные незаштрихованными кружками, соответствуют образцам иринотекана, имеющим рН более 6,5 (7,25 или 7,5), измеренным после изготовления, но до хранения. Точки данных, обозначенные ромбами, соответствуют образцам иринотекана, имеющим рН 6,5, измеренным после изготовления, но до хранения. Коэффициент стабильности рассчитывали, как определено в настоящем описании, во время изготовления каждого образца. Мол.% лизо-ФХ измеряли после первых 6 месяцев хранения после изготовления каждого образца.

Таблица 1B: Коэффициент стабильности липосом иринотекана и лизо-ФХ (через 6 месяцев при 4°С)b

Образец Молярная (M) концентрация сульфатных групп в сукрософате, включенном в липосомы Коэффициент стабильности pH [мол.% лизо-ФХ] через 6 месяцев 1 0,45 1047 6,5 19,5 2 0,475 992 6,5 17 3 0,5 942 6,5 26,5 4 0,6 785 6,5 30,2 5 0,45 1047 7,25 7,1 6 0,45 1047 6,5 14,6 7 0,45 1047 7,25 7,4 8 0,45 1047 7,5 5,4 9 0,6 785 6,5 29,8 10 0,6 785 7,25 24,1 11 0,6 785 7,5 22,8 13 0,45 1047 7,25 9,72

b Измерено в соответствии со Способом B, как описано в настоящей заявке.

[0096] На ФИГ. 2В показан график, изображающий количество лизо-ФХ, измеренное в каждом образце в Таблице 1B после 6 месяцев хранения при 4°С. Образцы, имеющие как коэффициент стабильности более 989, так и рН более 6,5 (например, 7,25 и 7,5), содержали менее 20 мол.% лизо-ФХ после 6 месяцев хранения в холодильнике при 4°С.

[0097] На ФИГ. 3А-3D представлены графики, показывающие мол.% лизо-ФХ в липосомальных препаратах иринотекана, выбранных из Таблицы 1А и 1В, имеющих рН 6,5. Лизо-ФХ определяли после хранения каждого образца при 4°C в течение 0, 1, 3, 6, 9 и/или 12 месяцев. Данные графики включают аппроксимирующую прямую к данным, как оценку скорости увеличения лизо-ФХ (мол.%) с течением времени в каждом образце. Обобщенные результаты наклона, y-сдвига и значений R2 для каждой ФИГ. показаны в Таблице 1С ниже.

Таблица 1C: Мол.% лизо-ФХ в зависимости от времени хранения в холодильнике (месяцы) при pH 6,5

ФИГ. Образец Коэффициент стабильности y-сдвиг (мол.% лизо-ФХ) Наклон
(мол.% лизо-ФХ в месяц)
R2
3A 1 1047 2,8 2,6 0,9909 3A 6 1047 4,8 1,5 0,97763 3B 2 992 3,5 2,2 0,9999 3B 3 942 6,8 3,2 0,9996 3C 4 785 11,1 2,8 0,9370 3D 12 724 14,3 2,3 0,6838 3D 14 724 9,6 2,4 0,9096

[0098] В некоторых вариантах осуществления стабильность липосомального препарата иринотекана, содержащего иринотекана SOS, инкапсулированного в липосомы диаметром приблизительно 100 нм (например, 100±20 нм), значительно увеличивается в липосомах иринотекана, где коэффициент стабильности составляет более 942. Поддерживая постоянное отношение загрузки лекарственного средства 500 г (±10%) фрагмента иринотекана (как описано выше, из расчета безводного свободного основания) к общему количеству фосфолипида, но изменяя концентрацию улавливающего агента SOS, оценивалось влияние коэффициента стабильности на образование лизо-ФХ в липосомальном препарате. В Таблице 2 приведены обобщенные результаты количества мол.% лизо-ФХ, обнаруженного в липосомальных препаратах иринотекана в Таблице 1, полученных с тем же pH, что и (сравнительный) Образец 12 (6,5), но при различных концентрациях улавливающего агента SOS (то есть при разных коэффициентах стабильности). В Таблице 2 показано, что липосомальные препараты, имеющие коэффициент стабильности более 942 по отношению к липосомам иринотекана, содержащим улавливающий агент SOS и иринотекан, уменьшают образование лизо-ФХ в процессе хранения в холодильнике. Уменьшение количества улавливающего агента SOS (то есть увеличение коэффициента стабильности) на 30% относительно сравнительного липосомального препарата иринотекана приводило к небольшому увеличению количества лизо-ФХ приблизительно на 1% после 9 месяцев хранения в холодильнике. Однако увеличение количества улавливающего агента SOS в липосомальном препарате иринотекана, имеющем коэффициент стабильности более 942, приводит к значительному и неожиданному уменьшению количества лизо-ФХ (мол.%), присутствующего после 9 месяцев хранения в холодильнике при 4°С. Например, последующее нарастающее увеличение на 5% коэффициента стабильности более 942 (т.е. коэффициент стабильности 992 в Образце 2) приводило к резкому уменьшению присутствующего количества лизо-ФХ (мол.%) на 34%, по сравнению с Образцом 3, что эквивалентно 33% уменьшению количества лизо-ФХ (мол.%) по сравнению с Образцом 12 (как измерено через 9 месяцев хранения в холодильнике при 4°С). В целом, после 9 месяцев хранения в холодильнике при 4°С снижение лизо-ФХ (мол.%) на приблизительно 28-51% было достигнуто повышением коэффициента стабильности липосом иринотекана более 942 по сравнению с образцом препарата сравнения 12. В некоторых вариантах осуществления липосомальные композиции иринотекана SOS имеют коэффициент стабильности более 942. В предпочтительных вариантах осуществления липосомальные препараты иринотекана SOS имеют коэффициент стабильности 942-1130 или более (например, коэффициенты стабильности 992-1047).

Таблица 2: Коэффициент стабильности липосом иринотекана и лизо-ФХ (после 9 месяцев при 4°C, pH 6,5)

1
Образец
2
Коэффициент стабильности
3
Лизо-ФХ @ 9 месяцев
4
%SR увеличения по отношению к препарату сравнения
5
% лизо-ФХ @ 9 месяцев по отношению к препарату сравнения
6
Нарастающее %SR увеличение
7
Нарастающий % лизо-ФХ @ 9 месяцев
12 (Препарат сравнения) 724 35,4 0 0 0 0 9 785 34,7 +8,3 -2 +8 -2 3 942 35,7 +30 +1 +20 +3 2 992 23,6 +37 -33 +5 -34 6 1047 17,4 +44 -51 +6 -26 1 1047 25,4 +44 -28 +6 +8

[0099] Таблица 2 иллюстрирует критическое значение наличия коэффициента стабильности более 942 (предпочтительно более 950 и наиболее предпочтительно более 992) для стабилизации липосом иринотекана при рН 6,5, содержащих улавливающий агент SOS и иринотекан, для уменьшения образования внутрилипосомальных лизо-ФХ в процессе хранения в холодильнике. В целом, снижение внутрилипосомальных лизо-ФХ на приблизительно 28-51% в процессе хранения в течение 6 месяцев при 4°С было достигнуто путем получения липосомальных композиций иринотекана при рН 6, имеющих коэффициент стабильности более 950 (например, 950-1050). Уменьшение концентрации улавливающего агента SOS, используемого при получении липосом улавливающего агента (т.е. увеличение коэффициента стабильности) на 30% относительно соответствующей концентрации улавливающего агента SOS, используемого для получения сравнительного липосомального препарата иринотекана (сравнение образцов 3 и 12) приводило к небольшому увеличению количества лизо-ФХ приблизительно на 1% после 9 месяцев хранения в холодильнике. Однако увеличение количества улавливающего агента SOS, используемого для образования липосом улавливающего агента перед загрузкой иринотекана для получения липосомального препарата иринотекана, имеющего коэффициент стабильности 992 или более, приводило к значительному и неожиданному уменьшению образования лизо-ФХ после первых 9 месяцев хранения в холодильнике полученных липосом иринотекана после изготовления. Например, данные в Таблице 2 показывают, что увеличение на 5% коэффициента стабильности более 942 приводило к снижению лизо-ФХ на 34% после 9 месяцев хранения при 4°С (Образец 2 по сравнению с Образцом 3). Увеличение коэффициента стабильности от 992 (Образец 2) до 1047 (увеличение на 6% в SR) приводило к сокращению лизо-ФХ на 26%, полученному после 9 месяцев хранения при 4°C (Образец 6 по сравнению с Образцом 2), и увеличению лизо-ФХ на 8%, полученному после 9 месяцев хранения при 4°C (Образец 1 по сравнению с Образцом 2). Соответственно, предпочтительные липосомальные композиции иринотекана SOS имеют коэффициент стабильности выше 1000, включая липосомальные препараты иринотекана SOS с коэффициентом стабильности 1000-1200 или более (например, коэффициенты стабильности 1053-1111).

[0100] В некоторых вариантах осуществления настоящего изобретения стабильность липосомального препарата иринотекана, содержащего иринотекана SOS, инкапсулированного в липосомы диаметром приблизительно 100±20 нм, предпочтительно 100±10 нм, значительно увеличивается с помощью повышения рН препарата выше рН 6,5 после изготовления, но до хранения. Поддерживая постоянное отношение загрузки лекарственного средства 471 г или 500 г фрагмента иринотекана (как объяснялось выше, на основе безводного свободного основания) на моль фосфолипида, но изменяя рН конечного значения рН липосомальной композиции иринотекана, оценивали влияние рН на образование лизо-ФХ в липосомальном препарате. В Таблице 3 приведены обобщенные результаты количеств лизо-ФХ в липосомальных препаратах иринотекана в Таблице 1, полученных при разных значениях рН. В Таблице 3A приводятся данные из Таблицы 1 для липосомальных препаратов иринотекана, образованных путем загрузки липосом (инкапсулирование ТЭА8SOS при концентрации сульфатной группы 0,6 М) с общим количеством 471 г фрагмента иринотекана (как объяснялось выше, на основе безводного свободного основания) на моль фосфолипида (т.е. коэффициент стабильности 471/0,6 или 785). Изменение % образования лизо-ФХ было рассчитано по отношению как к Образцу 4, так и к Образцу 9 (оба из которых имели рН 6,5 после изготовления, но до хранения). В Таблице 3В приводятся данные из Таблицы 1 для липосомальных препаратов иринотекана, образованных с помощью загрузки липосом (инкапсулирование ТЭА8SOS при концентрации сульфатной группы 0,45 М), с общим количеством 471 г фрагмента иринотекана (как объяснялось выше, на основе безводного свободного основания) на моль фосфолипида (например, коэффициент стабильности 471/0,45 или 1047). Изменение % образования лизо-ФХ было рассчитано по отношению как к Образцу 1, так и к Образцу 6 (оба из которых имели рН 6,5 после изготовления, но до хранения).

Таблица 3A : pH липосомального препарата иринотекана и лизо-ФХ (после 9 месяцев при 4°С, 471 г фрагмента иринотекана/моль фосфолипида, концентрация сульфатной группы SOS 0,6 M)

Образец Коэффициент стабильности Лизо-ФХ @ 9 месяцев pH % лизо-ФХ @ 9 месяцев по отношению к Образцу 4 % лизо-ФХ @ 9 месяцев по отношению к Образцу 9 4 785 35,8 6,5 0 +3% 9 785 34,7 6,5 -3% 0 10 785 29 7,25 -19% -16% 11 785 28,7 7,5 -20% -17%

Таблица 3В : pH липосомального препарата иринотекана и лизо-ФХ (после 9 месяцев при 4°С, 471 г фрагмента иринотекана/моль фосфолипида, концентрация улавливающего агента SOS 0,45 М)

Образец Коэффициент стабильности Лизо-ФХ @ 9 месяцев pH % лизо-ФХ @ 9 месяцев по отношению к Образцу 1 % лизо-ФХ @ 9 месяцев по отношению к Образцу 6 1 1047 25,4 6,5 0 +46% 6 1047 17,4 6,5 -31% 0 5 1047 11,1 7,25 -56% -36% 7 1047 8,1 7,25 -68% -53% 13 1047 13,8 7,25 -46% -21% 8 1047 7,1 7,5 -72% -59%

[00101] В данных, приведенных в Таблицах 3А и 3В выше, повышение рН от 6,5 до 7,25 или 7,5 приводило к уменьшению количества лизо-ФХ приблизительно на 15-20% для липосом иринотекана SOS, имеющего коэффициент стабильности 785 (Таблица 3А), и приблизительно на 20-70% для липосом иринотекана SOS, имеющего коэффициент стабильности 1047 (Таблица 3В). Это было неожиданно с учетом предыдущих сообщений, показывающих, что рН 6,5 является оптимальным для минимизации гидролиза фосфатидилхолина (Grit, M et al, «Hydrolysis of partially saturated egg phosphatidylcholine in aqueous liposome dispersions and the effect of cholesterol incorporation on hydrolysis kinetics», The Journal of pharmacy and pharmacology (1993) v 45, Is 6, pp 490-495).

[00102] На ФИГ. 4А-4С представлены графики, показывающие мол.% лизо-ФХ, измеренный после хранения каждого образца при 4°С после 0, 1, 3, 6 и/или 9 месяцев в липосомальных препаратах иринотекана, имеющих рН 7,25 или 7,5, выбранных из Таблицы 1А и 1В. Данные графики включают аппроксимирующую прямую к скорости увеличения лизо-ФХ с течением времени в каждом образце. Обобщенные результаты наклона, y-сдвига и значений R2 для каждой ФИГ. показаны в Таблице 4 ниже. Более низкие количества лизо-ФХ наблюдались в образцах липосомального препарата иринотекана, имеющих коэффициент стабильности более 942 (например, 1047) и рН 7,25 или 7,5 (например, сравнение образцов 5, 7 и 13 с образцом 10 на ФИГ. 4А и 4С при рН 7,25 или сравнение образца 8 на ФИГ. 4В с образцом 11 на ФИГ. 4С при рН 7,5). Кроме того, большее количество лизо-ФХ было измерено после 9 месяцев в липосомальных препаратах иринотекана, имеющих коэффициент стабильности ниже 942 (например, 785 в Образцах 10 и 11, оба из которых имели более 20 мол.% лизо-ФХ после 6 месяцев даже при рН выше 6,5).

Таблица 4: мол.% лизо-ФХ в зависимости от времени хранения в холодильнике (месяцы) при рН>6,5

ФИГ. Образец pH Коэффициент стабильности y-сдвиг (мол.% лизо-ФХ) Наклон
(мол.% лизо-ФХ в месяц)
R2
4A 7 7,25 1047 2,4 0,68 0,9217 4A 5 7,25 1047 0,73 1,1 0,9946 4A, 4B 13 7,25 1047 1,2 1,4 0,9999 4B 8 7,50 1047 1,3 0,65 0,9805 4C 10 7,25 785 8,6 2,4 0,9732 4C 11 7,50 785 8,4 2,3 0,9731

Таблица 5: мол.% лизо-ФХ при SR>942 после 6 и 9 месяцев хранения в холодильнике

ФИГ. Образец pH Коэффициент стабильности [мол.% лизо-ФХ] через 6 месяцев [мол.% лизо-ФХ] через 9 месяцев 3B 2 6,5 992 17 23,6 3A 1 6,5 1047 19,5 25,4 3A 6 6,5 1047 14,6 17,4 4A 5 7,25 1047 7,1 11,1 4A 7 7,25 1047 7,4 8,1 4B 13 7,25 1047 9,72 13,8 4B 8 7,5 1047 5,4 7,1

Дополнительные композиции камптотецина

[00103] Композиции камптотецина могут представлять собой композиции с пролонгированным высвобождением, содержащие одно или более соединение(й) камптотецина и один или более фосфолипид(ов), которые образуют сниженные количества лизофосфолипида(ов) после периодов хранения в холодильнике, то есть 2-8°C, после изготовления композиции камптотецина (например, начиная с того, когда композицию камптотецина запечатывают в стерильном контейнере для фармацевтического введения).

[00104] Стабилизированные композиции с пролонгированным высвобождением могут включать матричную композицию, содержащую соединение камптотецина и фосфолипид или другой компонент(ы), которые могут гидролизироваться с образованием лизофосфолипидов. Матричная композиция может иметь структуру липосомы, инкапсулирующей одно или более соединение(й) камптотецина в везикуле, содержащей фосфолипид(ы) и другие компоненты, такие как холестерин и липид, ковалентно связанный с ПЭГ.

[00105] В некоторых вариантах осуществления настоящего изобретения матричная композиция стабилизируется, например, с помощью получения матричной композиции с количеством анионного улавливающего агента и количеством соединения камптотецина, также как определенным рН в среде, содержащей матричную композицию, эффективным для сокращения количества образования лизофосфолипидов в матричной композиции.

[00106] В некоторых вариантах осуществления настоящего изобретения композиция с пролонгированным высвобождением представляет собой наночастицу, содержащую триэтиламмония сукрософат (SOS) и иринотекан с возможностью высвобождения, связанный с композицией, содержащей липид и/или биосовместимый полимер (например, циклодекстрин, биоразлагаемый полимер, такой как ПГК (полигликолевая кислота) и/или ПМГК (поли(молочно-со-гликолевая кислота))).

[00107] В других примерах состав с пролонгированным высвобождением представляет собой матричную композицию, содержащую связанное с возможностью высвобождения соединение, такое как топотекан, этиринотекан и/или иринотекан (например, наночастицы или полимеры, с возможностью высвобождения включающие или удерживающие камптотецин или соединение производного камптотецина). Матричная композиция может включать биосовместимый полимер, такой как полиэтиленгликоль (ПЭГ) или функционально эквивалентные материалы. В предпочтительном варианте осуществления биосовместимый полимер представляет собой полиэтиленгликоль (MW 2000). В более предпочтительном варианте осуществления биосовместимый полимер представляет собой метокси-терминированный полиэтиленгликоль (MW 2000).

[00108] В некоторых вариантах осуществления состав с пролонгированным высвобождением может содержать соединение камптотецина, конъюгированное с биосовместимым полимером, таким как циклодекстрин или аналог циклодекстрина (например, сульфатированные циклодекстрины). Например, состав с пролонгированным высвобождением может включать содержащий циклодекстрин полимер, химически связанный с соединением камптотецина (например, иринотеканом и/или SN-38). Конъюгированное соединение циклодекстрин-камптотецин можно вводить в фармацевтически приемлемой дозе. Примеры конъюгата камптотецин-циклодекстрин включают содержащий циклодекстрин конъюгат полимера и соответствующие интермедиаты.

[00109] В некоторых вариантах осуществления настоящего изобретения композиция с пролонгированным высвобождением, содержащая липид и/или биосовместимый полимер, содержит липидную матрицу и/или комплексообразующий агент(ы), такой как содержащие циклодекстрин композиции, полученные для сохранения соединения(й) камптотецина в процессе хранения и затем высвобождения соединения в организме пациента.

[00110] В некоторых вариантах осуществления настоящего изобретения матричная композиция содержит фосфолипид, такой как производное фосфатидилхолина, которое стабилизируется для сокращения образования лизо-ФХ в процессе хранения в холодильнике.

[00111] Предпочтительно, композицию с пролонгированным высвобождением получают с помощью многостадийного способа, включающего стадии: (а) образования матричной композиции, содержащей улавливающий агент, и (b) взаимодействия матрицы с соединением камптотецина в условиях, эффективных для стабильного сохранения соединения камптотецина в полученной композиции с пролонгированным высвобождением, содержащей улавливающий агент и соединение камптотецина, связанное с матричной композицией способом, обеспечивающим желаемое высвобождение соединения камптотецина в организме объекта после введения объекту.

[00112] В предпочтительном варианте осуществления композиция с пролонгированным высвобождением настоящего изобретения содержит иринотекан или его соль в концентрации фрагмента иринотекана, эквивалентной концентрации, обеспечиваемой 4,3 мг/мл безводным свободным основанием на мл, и в то же время содержащей менее приблизительно 1 мг/мл (или менее приблизительно 20 мол.%) лизо-ФХ через 6 месяцев при хранении в холодильнике при 4°С. В предпочтительном варианте осуществления композиция с пролонгированным высвобождением настоящего изобретения содержит иринотекан или его соль в концентрации фрагмента иринотекана, эквивалентной концентрации, обеспечиваемой 4,3 мг/мл безводным свободным основанием на мл, и в то же время содержащей менее приблизительно 2 мг/мл (или менее приблизительно 30 мол.%) лизо-ФХ через 12 месяцев при хранении в холодильнике 2-8°С, еще более предпочтительно при приблизительно 4°С.

[00113] Композиция с пролонгированным высвобождением может содержать липосомы. Липосомы обычно содержат везикулы, содержащие один или более липидных бислоев, окружающих водную внутреннюю область. Липосомальные композиции обычно включают липосомы в среде, такой как жидкость на водной основе снаружи липосомы. Липосомные липиды могут включать амфифильные липидные компоненты, которые при взаимодействии с водной средой спонтанно образуют бислойные мембраны, такие как фосфолипиды, например, фосфатидилхолины. Липосомы также могут включать компоненты, укрепляющие мембрану, такие как стерины, например, холестерин. В некоторых случаях липосомы также включают липиды, конъюгированные с гидрофильными полимерами, такие как липидные производные полиэтиленгликоля (ПЭГ), которые могут снижать склонность липосом к агрегации, а также иметь другие благоприятные эффекты. Одним из таких ПЭГ-липидов является N-(метокси-ПЭГ)-оксикарбонил-дистеароил-фосфатидилэтаноламин, где фрагмент ПЭГ имеет молекулярную массу приблизительно 2000, или МПЭГ-2000-ДСФЭ. Липосомы обычно имеют размер в микронном или субмикронном диапазоне и хорошо известны за их способность переносить фармацевтические вещества, включая противоопухолевые средства, такие как иринотекан, и изменять их фармацевтические свойства различными предпочтительными способами. Способы получения и характеристики фармацевтических липосомальных композиций известны в данной области техники (см., например, Lasic D. Liposomes: From physics to applications, Elsevier, Amsterdam 1993; G. Gregoriadis (ed.), Liposome Technology, 3rd edition, vol. 1-3, CRC Press, Boca Raton, 2006; Hong et al., патент США 8147867, включенные в настоящее описание посредством ссылки в полном объеме для всех целей).

[00114] В некоторых вариантах осуществления липосомы получают, как описано в одном или более Примерах или в других вариантах осуществления настоящего описания, но концентрация конечной липосомальной композиции увеличивается, так что состав содержит концентрацию фрагмента иринотекана, эквивалентную концентрации тригидрата гидрохлорида иринотекана приблизительно 10, 15, 20, 25, 30, 35, 40, 45 или 50 мг/мл. В некоторых вариантах осуществления концентрация фрагмента иринотекана эквивалентна концентрации тригидрата гидрохлорида иринотекана между 5-10, 10-20, 20-30, 30-40 или 40-50 мг/мл. В некоторых вариантах осуществления липосомальные композиции, упомянутые в данном разделе, используются для лечения опухоли головного мозга или любого другого состояния у млекопитающего, как описано в патенте США № 8658203, который включен в настоящее описание посредством ссылки в полном объеме.

[00115] Состав липосом, инкапсулирующих иринотекан, может представлять собой инъекционный состав, содержащий липосомы (включая инъекционные составы, которые в дальнейшем могут быть разбавлены фармацевтически приемлемым разбавителем перед введением пациенту). В некоторых вариантах осуществления количество иринотекана или его соли добавляют к липосомам, содержащим один или более улавливающих агентов, где иринотекан присутствует в концентрации фрагмента иринотекана, эквивалентной в граммах безводного свободного основания иринотекана 200 г, 300 г, 400 г, 500 г, 600 г или 700 г на моль фосфолипида. В некоторых вариантах осуществления иринотекан присутствует во время процесса загрузки лекарственного средства при концентрации фрагмента иринотекана, эквивалентной в граммах безводного свободного основания иринотекана от 200 до 300 г, от 400 до 550 г, от 450 до 600 г или от 600 до 700 г на моль фосфолипида. Предпочтительно, приблизительно 500 г (±10%) фрагмента, загруженного в липосомы иринотекана на моль липосомного фосфолипида, включая 471 г фрагмента иринотекана на моль общего количества липосомного фосфолипида иринотекана. Определенные примеры настоящего описания включают измерения стабилизированных липосом иринотекана, содержащих 471 г фрагмента иринотекана на моль общего количества липосомного фосфолипида, также как липосом иринотекана, содержащих 500 г фрагмента иринотекана на моль общего количества липосомного фосфолипида.

[00116] В некоторых вариантах осуществления концентрация фрагмента иринотекана, эквивалентная концентрации, обеспечиваемой безводным свободным основанием иринотекана в липосомальном препарате, составляет приблизительно 2,5, приблизительно 3,0, приблизительно 3,5, приблизительно 4,0, приблизительно 4,3, приблизительно 4,5, приблизительно 5,0, приблизительно 5,5 или приблизительно 6,0 мг/мл. В некоторых вариантах осуществления концентрация фрагмента иринотекана, эквивалентная концентрации, обеспечиваемой безводным свободным основанием иринотекана в липосомальном препарате, составляет 2,5-3,5, 3,5-4,5, 4,5-5,5 или 5,5-6,5 мг/мл. Наиболее предпочтительно составляет 4,5-5,5 мг/мл. В предпочтительных вариантах осуществления концентрация фрагмента иринотекана в липосомальном препарате составляет приблизительно 4,3 мг/мл безводного свободного основания иринотекана на мл и в более предпочтительном варианте осуществления составляет 4,3 мг/мл безводного свободного основания иринотекана на мл. Липосомальный препарат может представлять собой виалу, содержащую приблизительно 43 мг безводного свободного основания иринотекана в липосомальном препарате, имеющем объем приблизительно 10 мл, который в дальнейшем может быть разбавлен (например, до 500 мл фармацевтически приемлемого разбавителя) перед внутривенным введением пациенту.

[00117] Таким образом, некоторые варианты осуществления изобретения обеспечивают способ получения липосомального препарата иринотекана, содержащего стабилизированные липосомы иринотекана, инкапсулирующие иринотекана сахарозы октасульфат (SOS) в моноламеллярной липидной бислойной везикуле, состоящей из 1,2-дистеароил-sn-глицеро-3-фосфохолина (ДСФХ), холестерина и метокси-терминированного полиэтиленгликоля (MW 2000)-дистеароилфосфатидилэтаноламина (МПЭГ-2000-ДСФЭ), включающий стадии: (а) взаимодействие раствора, содержащего иринотекан, с липосомой улавливающего агента, инкапсулирующей катион триэтиламмония (ТЭА) и улавливающий агент октасульфат сахарозы (SOS) при концентрации сульфата 0,4-0,5 М (предоставленного из ТЭА8SOS) без иринотекана в условиях, эффективных для загрузки 500 г (±10%) фрагмента иринотекана на моль фосфолипида в липосому улавливающего агента с образованием липосом иринотекана SOS, и (b) объединение липосом иринотекана SOS с 2-[4-(2-гидроксиэтил)пиперазин-1-ил]этансульфоновой кислотой (HEPES) с получением липосомального препарата иринотекана, имеющего рН 7,25-7,50, с получением липосомального препарата иринотекана, стабилизированного с образованием менее 10 мол.% лизофосфатидилхолина (лизо-ФХ) (по отношению к общему количеству фосфатидилхолина в липосомах иринотекана) в течение 3 месяцев хранения при 4°C.

[00118] Хранение стабилизированных липосом иринотекана может быть обеспечено с помощью нескольких стадий, включающих образование липосомы, содержащей ТЭА, с последующей загрузкой иринотекана в липосому, поскольку ТЭА покидает липосому. Первая стадия может включать образование липосомы, содержащей ТЭА-сукрософат, путем гидратации и диспергирования липосомных липидов в растворе сукрософата ТЭА. Это может быть осуществлено, например, с помощью растворения липидов, включая ДСФХ и холестерин, в нагретом этаноле и диспергирования растворенного и нагретого раствора липидов в водном растворе ТЭА-сукрософата при температуре выше температуры перехода (Tm) липидов липосомы, например, 60°C или выше. Дисперсия липидов может быть образована в липосомах, имеющих средний размер 75-125 нм (например, 80-120 нм или в некоторых вариантах осуществления 90-115 нм) путем экструзии через трековые поликарбонатные мембраны с определенным размером пор, например, 100 нм. ТЭА-сукрософат может включать, по меньшей мере, 8 молярных эквивалентов ТЭА к каждому молярному эквиваленту сукрософата с получением раствора, который может иметь концентрацию сульфата приблизительно 0,40-0,50 М и рН (например, приблизительно 6,5), который выбирают для предотвращения неприемлемой деградации липосомного фосфолипида во время стадий диспергирования и экструзии (например, рН, выбранный для минимизации деградации липосомного фосфолипида в процессе данных стадий). Затем невключенный ТЭА-SOS можно удалить из дисперсии липосом, например, путем диализа, гель-хроматографии, ионного обмена или ультрафильтрации до инкапсулирования иринотекана. Данные липосомы могут быть стабилизированы с помощью загрузки достаточного количества иринотекана в липосомы, чтобы уменьшить количество ТЭА в полученной липосомальной композиции до уровня, который приводит к меньшему, чем заданный максимальный уровень образования лизо-ФХ через 180 дней при 4°C или в большинстве случаев при 5±3°С, измеренный, например, в мг/мл/месяц, или % превращения ФХ в лизо-ФХ в течение единичного интервала времени, например, мол.% лизо-ФХ/месяц. Затем ТЭА, замененный из липосом во внешнюю среду в процессе загрузки, вместе с любым количеством невключенного иринотекана, обычно удаляют из липосом любым подходящим известным способом(ами) (например, путем гель-хроматографии, диализа, диафильтрации, ионного обмена или ультрафильтрации). Внешняя среда липосомы может быть обменена на инъекционную изотоническую жидкость (например, изотонический раствор хлорида натрия), забуференную при желаемом рН.

[00119] В некоторых вариантах осуществления липосомальные композиции иринотекана, содержащие приблизительно 3,9-4,7 мг/мл иринотекана и менее 20% лизо-ФХ после 180 дней при 4°С, могут быть получены, когда количество ТЭА составляет менее приблизительно 25 ч./млн. или менее приблизительно 20 ч./млн. Повышение рН липосомальной композиции иринотекана за пределами липосомы также может стабилизировать хранение липосом иринотекана сукрософата, содержащего более 25 ч./млн. ТЭА, что приводит к липосомам иринотекана, имеющим менее 20% дополнительного образования лизо-ФХ после 180 дней при 4°C. Например, липосомальные композиции иринотекана, содержащие приблизительно 4-5 мг иринотекана/мл и 100 ч./млн. ТЭА и имеющие рН приблизительно 7-8 за пределами липосомы, также могут иметь менее 20% образования лизо-ФХ после 180 дней при 4°С. В другом примере липосомальные композиции, содержащие приблизительно 3,9-4,7 мг/мл иринотекана и рН внешней среды липосомы в диапазоне 7-8, с количеством остаточного ТЭА менее приблизительно 25 ч./млн. (или предпочтительно менее 20 ч./млн.), количество лизо-ФХ, накопленное в липосомальной композиции в течение 180 дней при 4°C, может составлять 10 мол.% или менее.

[00120] Таким образом, изобретение обеспечивает липосомальную композицию иринотекана, содержащую иринотекана сукрософат, инкапсулированный в фосфолипидную липосому, имеющую коэффициент стабильности лизо-ФХ, по меньшей мере, 990 (например, 990-1100 или приблизительно 1111).

[00121] Изобретение также предоставляет липосомальную композицию иринотекана, содержащую 4,3 мг/мл (±10%) фрагмента, эквивалентного фрагменту, который предоставляется безводным свободным основанием иринотекана и концентрацией сульфата 0,4-0,5 М, инкапсулированную в везикулу, содержащую ДСФХ и холестерин в молярном соотношении 3:2 и соотношении 400-600 г иринотекана/моль фосфолипида в везикуле.

[00122] Изобретение также предоставляет липосомальную композицию иринотекана, содержащую в общей сложности приблизительно 4,3 мг фрагмента иринотекана/мл, причем, по меньшей мере, 98% иринотекана инкапсулируется с октасульфатом сахарозы (SOS) в молярном соотношении иринотекан:SOS приблизительно 8:1 в липосомальной композиции, липосомы имеют средний размер 75-125 нм. Размер стабилизированных липосом иринотекана высокой плотности предпочтительно составляет приблизительно 110 нм (±20 нм) и более предпочтительно 110 нм (±10 нм) (измеренный после загрузки липосомального лекарственного средства). Предпочтительно, по меньшей мере, приблизительно 95% иринотекана в фармацевтической композиции инкапсулируется внутри липосомы. Липосома предпочтительно содержит ДСФХ и холестерин в молярном соотношении 3:2.

[00123] Изобретение также может предоставить способ получения фармацевтического препарата, содержащего стабилизированные липосомы иринотекана, инкапсулирующие иринотекана сахарозы октасульфат (SOS) в моноламеллярной липидной бислойной везикуле, состоящей из 1,2-дистеароил-sn-глицеро-3-фосфохолина (ДСФХ), холестерина и метокси-терминированного полиэтиленгликоля (MW 2000)-дистеароилфосфатидилэтаноламина (МПЭГ-2000-ДСФЭ), включающий стадии: (а) взаимодействие иринотекана с липосомой улавливающего агента, инкапсулирующей катион триэтиламмония (ТЭА) и улавливающий агент октасульфат сахарозы (SOS) в концентрации сульфата 0,4-0,5 М, как ТЭА8SOS без иринотекана в условиях, эффективных для загрузки фрагмента иринотекана в липосому улавливающего агента и обеспечения высвобождения катиона ТЭА из липосомы улавливающего агента с образованием липосом иринотекана SOS, (b) объединение липосом иринотекана SOS с 2-[4-(2-гидроксиэтил)пиперазин-1-ил]этансульфоновой кислотой (HEPES) с получением липосомального препарата иринотекана, имеющего рН 7,25-7,50, с получением липосомального препарата иринотекана, стабилизированного с образованием менее 10 мол.% лизофосфатидилхолина (лизо-ФХ) (по отношению к общему количеству фосфатидилхолина в липосомах иринотекана) в течение 3 месяцев хранения при 4°С, и (с) составление комбинации липосом иринотекана SOS и HEPES в качестве фармацевтического препарата.

[00124] В некоторых вариантах осуществления данных способов липосомы иринотекана SOS в липосомальном препарате иринотекана содержат в общей сложности менее 100 ч./млн. ТЭА. В некоторых вариантах осуществления моноламеллярная липидная бислойная везикула состоит из 6,81 мг/мл 1,2-дистеароил-sn-глицеро-3-фосфохолина (ДСФХ), 2,22 мг/мл холестерина и 0,12 мг/мл метокси-терминированного полиэтиленгликоля (MW 2000)-дистеароилфосфатидилэтаноламина (МПЭГ-2000-ДСФЭ). В некоторых вариантах осуществления липосомальный препарат иринотекана содержит в общей сложности 500 г (±10%) иринотекана на моль общего количества стабилизированного липосомного фосфолипида иринотекана и, по меньшей мере, 98% иринотекана в липосомальном препарате иринотекана инкапсулируют в липосомы иринотекана. В некоторых вариантах осуществления липосомальный препарат иринотекана дополнительно содержит 4,05 мг/мл 2-[4-(2-гидроксиэтил)пиперазин-1-ил]этансульфоновой кислоты (HEPES). В некоторых вариантах осуществления липосомальный препарат иринотекана дополнительно содержит 8,42 мг/мл хлорида натрия. В некоторых вариантах осуществления липосомальный препарат иринотекана имеет концентрацию фрагмента иринотекана, эквивалентную концентрации, обеспечиваемой приблизительно 4,3 мг/мл безводного свободного основания иринотекана. В некоторых вариантах осуществления стабилизированные липосомы иринотекана инкапсулируют иринотекан и SOS в соединение формулы (I), где x=8.

[00125] В некоторых вариантах осуществления композиция содержит менее 2 мол.% лизо-ФХ после 3 месяцев хранения при 2-8°С. В некоторых вариантах осуществления композиция содержит менее 5 мол.% лизо-ФХ после 3 месяцев хранения при 2-8°С. В некоторых вариантах осуществления липосомальная композиция содержит менее 10 мол.% лизо-ФХ после 6 месяцев хранения при 2-8°С. В некоторых вариантах осуществления композиция содержит менее 10 мол.% лизо-ФХ после 9 месяцев хранения при 2-8°С. В некоторых вариантах осуществления композиция содержит менее 5 мол.% лизо-ФХ после 6 месяцев хранения при 2-8°С. В некоторых вариантах осуществления композиция содержит менее 5 мол.% лизо-ФХ после 9 месяцев хранения при 2-8°С. В некоторых вариантах осуществления композиция содержит менее 2 мол.% лизо-ФХ после 6 месяцев хранения при 2-8°С. В некоторых вариантах осуществления композиция содержит менее 2 мол.% лизо-ФХ после 9 месяцев хранения при 2-8°С. В некоторых вариантах осуществления композиция содержит менее 10 мол.% лизо-ФХ после 12 месяцев хранения при 2-8°С. В некоторых вариантах осуществления композиция содержит менее 5 мол.% лизо-ФХ после 12 месяцев хранения при 2-8°С. В некоторых вариантах осуществления композиция содержит менее 2 мол.% лизо-ФХ после 12 месяцев хранения при 2-8°С. В некоторых вариантах осуществления композиция содержит менее 10 мол.% лизо-ФХ после 24 месяцев хранения при 2-8°С. В некоторых вариантах осуществления композиция содержит менее 5 мол.% лизо-ФХ после 24 месяцев хранения при 2-8°С. В некоторых вариантах осуществления композиция содержит менее 2 мол.% лизо-ФХ после 24 месяцев хранения при 2-8°С. В некоторых вариантах осуществления композиция содержит менее 100 ч./млн. замещенного аммония. В некоторых вариантах осуществления композиция содержит от 20 до 80 ч./млн. замещенного соединения аммония, которое представляет собой протонированный ТЭА или ДЭА.

[00126] В других вариантах осуществления стабилизированная композиция камптотецина предоставляется в виде набора, содержащего одну или более виал компонентов для получения композиции камптотецина. Например, набор для получения липосомального иринотекана может включать следующее (хранится в отдельных контейнерах или отдельных частях одного и того же контейнера):

раствор иринотекана (например, иринотекана HCl для инъекций);

липосома, инкапсулирующая улавливающий агент (например, липосомы улавливающего агента, образованные из раствора октасульфата сахарозы) и

инструкции по объединению раствора иринотекана и липосом улавливающего агента для образования липосомальной композиции иринотекана, содержащей терапевтически эффективное количество иринотекана, инкапсулированного в липосомы липосомального иринотекана (например, 500 г (±10%) иринотекана на моль общего количества фосфолипида в липосомах улавливающего агента и 4,3 мг общего количества иринотекана на мл липосомальной композиции иринотекана).

Терапевтическое применение композиций камптотецина

[00127] Композиции камптотецина, включая липосомы иринотекана и другие композиции и препараты, раскрытые в настоящем изобретении, могут быть использованы в терапии и способах лечения и/или при получении лекарственных средств для лечения заболевания, такого как рак. В некоторых вариантах осуществления терапия включает введение композиции камптотецина для лечения рака. Например, рак выбран из группы, включающей базально-клеточный рак, медуллобластому, рак печени, рабдомиосаркому, рак легких, рак костей, рак поджелудочной железы, рак кожи, рак головы или шеи, кожную или интраокулярную меланому, рак матки, рак яичников, рак прямой кишки, рак анальной области, рак желудка, рак толстой кишки, рак молочной железы, рак матки, карциному фаллопиевых труб, карциному эндометрия, карциному шейки матки, карциному влагалища, карциномы вульвы, болезнь Ходжкина, рак пищевода, рак тонкой кишки, рак эндокринной системы, рак щитовидной железы, рак паращитовидной железы, рак надпочечников, саркому мягких тканей, рак уретры, рак полового члена, рак предстательной железы, хронический или острый лейкоз, лимфоцитарные лимфомы, рак мочевого пузыря, рак почки или мочеточника, почечно-клеточную карциному, карциному почечной лоханки, неоплазмы центральной нервной системы, первичную лимфому центральной нервной системы, опухоли позвоночного столба, глиому ствола головного мозга и аденому гипофиза или комбинацию одного или более из данных типов раковых заболеваний. В некоторых вариантах осуществления рак представляет собой рак поджелудочной железы, необязательно аденокарциному поджелудочной железы, такую как метастатическая аденокарцинома поджелудочной железы, например, когда прогрессирование заболевания происходит после терапии на основе гемцитабина. В некоторых вариантах осуществления рак представляет собой рак яичников. В некоторых вариантах осуществления рак представляет собой мелкоклеточный рак легкого. В некоторых вариантах осуществления рак представляет собой рак желчных протоков.

[00128] При использовании в качестве терапии липосомальная композиция может применяться в схеме лечения с одним или более другими соединениями или композициями. Введение липосомальной композиции с одним или более другими соединениями или композициями может быть одновременным, раздельным или последовательным. Одно или более других соединений или композиций могут представлять собой дополнительные терапевтические средства, например, дополнительные противораковые средства или могут представлять собой соединения, которые предназначены для смягчения негативных побочных эффектов терапевтических средств. В некоторых вариантах осуществления липосомальная композиция вводится с лейковорином. В некоторых вариантах осуществления липосомальная композиция вводится с 5-фторурацилом (5-ФУ). В некоторых вариантах осуществления липосомальная композиция вводится с лейковорином и 5-фторурацилом (5-ФУ). Данная трехсторонняя схема может использоваться для лечения рака поджелудочной железы, как обсуждалось в предыдущем абзаце. 5-ФУ можно вводить в дозе 2400 мг/м2 и лейковорин можно вводить в дозе 200 мг/м2 (l форма) или 400 мг/м2 (l+d рацемическая форма). В некоторых вариантах осуществления композиция также вводится в схеме лечения с гемцитабином.

[00129] В некоторых вариантах осуществления, где липосомальная композиция используется для лечения рака яичников, липосомальная композиция вводится с ингибитором PARP (поли(АДФ-рибозо)полимеразы).

[00130] В некоторых вариантах осуществления матрица с пролонгированным высвобождением может представлять собой наночастицу (например, диоксид кремния или полимер) или полимерный заполнитель (например, ПЭГ-полимер), созданный для удержания улавливающего агента. Во время загрузки лекарственного средства матрица может взаимодействовать с соединением камптотецина в условиях, эффективных для сохранения как соединения камптотецина, так и улавливающего агента, образуя стабильный состав с пролонгированным высвобождением.

[00131] В некоторых вариантах осуществления стабилизированная композиция камптотецина представляет собой липосомальный препарат иринотекана SOS, полученный для интрапаренхиматозного введения пациенту во время терапии конвекционной доставки. Концентрация фрагмента иринотекана, эквивалентная концентрации, обеспечиваемой свободным безводным основанием иринотекана в конечном липосомальном препарате, составляет приблизительно 17, приблизительно 20, приблизительно 25, приблизительно 30, приблизительно 35 или приблизительно 40 мг/мл. В некоторых вариантах осуществления концентрация фрагмента иринотекана, эквивалентная концентрации, обеспечиваемой свободным безводным основанием иринотекана в конечном липосомальном препарате, составляет 17-20, 17-25, 17-30, 17-35 или 17-40 мг/мл. Наиболее предпочтительно, чтобы общая концентрация фрагмента иринотекана, эквивалентная концентрации, обеспечиваемой свободным безводным основанием иринотекана (например, иринотекана сахарозы октасульфата) в липосомальном препарате иринотекана, составляет 17 мг/мл или 35 мг/мл. Липосомальный препарат может находиться в стерильном контейнере, содержащем липосомы иринотекана сахарозы октасульфата в липосомальном препарате, при концентрации фрагмента иринотекана, эквивалентной концентрации, обеспечиваемой приблизительно 17 мг/мл или приблизительно 35 мг/мл или 17-35 мг/мл безводного свободного основания иринотекана для местного введения пациенту (например, в головной мозг пациента с диагнозом глиомы, к расположению в головном мозге в рамках терапии конвекционной доставки). Концентрацию липосом иринотекана 17-35 мг/мл можно эквивалентно выражать как количество безводного свободного основания иринотекана, присутствующего в 20-40 мг иринотекана гидрохлорида тригидрата, на мл липосомального препарата иринотекана. Например, липосомальный препарат иринотекана можно вводить в головной мозг пациента (например, через один или более катетеров, хирургически помещенных во внутриопухолевое расположение) в дозах, обеспечивающих общее количество фрагмента иринотекана, эквивалентное количеству, обеспечиваемому 17 мг, 26 мг, 52 мг или 70 мг общего количества безводного свободного основания иринотекана. Общий объем иринотекана липосомального препарата иринотекана, доставляемого во внутриопухолевое расположение в головном мозге пациента, может составлять приблизительно 1-2 мл (например, 1,0, 1,5 или 2,0 мл) в течение приблизительно 2-4 часов (например, 2-3 часа, 3-4 часа или 2-4 часа).

[00132] Липосомы иринотекана предпочтительно содержат иринотекана сукрософат, инкапсулированный в везикулу, образованную из липидов, содержащих ДСФХ и холестерин в молярном соотношении 3:2. Везикула также может содержать полиэтилен-гликоль (ПЭГ)-дериватизированный фосфолипид, такой как МПЭГ-2000-ДСФЭ. Количество МПЭГ-2000-ДСФЭ может составлять менее 1 мол.% липосомного липида (например, приблизительно 0,3 мол.% в везикуле, состоящей из ДСФХ, холестерина и МПЭГ-2000-ДСФЭ в молярном соотношении 3:2:0,015). ПЭГ может быть распределен как внутри, так и снаружи липосомной липидной везикулы, содержащей иринотекан. Инкапсулированный иринотекан предпочтительно находится в форме соли с сульфатным эфиром сахарозы (сукрософатом), такой как иринотекана сукрософат (регистрационный номер CAS 1361317-83-0). Предпочтительно, по меньшей мере, 95% и наиболее предпочтительно, по меньшей мере, приблизительно 98% иринотекана в липосомальной композиции иринотекана инкапсулируют в липосомную везикулу, при этом общая концентрация фрагмента иринотекана составляет приблизительно 3,87-4,73 мг иринотекана (безводного свободного основания) на мл липосомальной композиции иринотекана. pH липосомальной композиции иринотекана предпочтительно составляет приблизительно 6,5-8,0 за пределами липосомы или приблизительно 6,6-8,0, 6,7-8,0, 6,8-8,0, 6,9-8,0 или 7,0-8,0 и предпочтительно приблизительно 7,2-7,6. В некоторых вариантах осуществления рН составляет приблизительно 7,2-7,5. В некоторых вариантах осуществления рН составляет приблизительно 7,25. В других вариантах осуществления рН составляет приблизительно 7,25-7,5. В других вариантах осуществления рН составляет приблизительно 7,4-7,5.

Комбинированные варианты осуществления

[00133] Отличительные признаки из пронумерованных вариантов осуществления настоящего описания могут быть объединены с отличительными признаками из других вариантов осуществления, раскрытых в настоящем описании, включая как варианты осуществления, относящиеся к композициям, так и варианты осуществления, относящимся к препаратам.

[00134] Вышеуказанные способы имеют общие черты с вариантами осуществления композиций и препаратов, изложенными в другом месте в описании, поскольку они связаны с получением данных композиций и препаратов. Отличительные признаки, раскрытые в отношении композиций и препаратов, также могут быть объединены со способами, раскрытыми в предыдущем абзаце. Соответственно, отличительные признаки предыдущих подразделов и в другом месте в настоящем описании, например, в разделе пронумерованных вариантов осуществления могут быть объединены с отличительными признаками, раскрытыми в способах, приведенных в абзацах данного подраздела.

[00135] Например, ниже приводятся примеры различных комбинаций вариантов осуществления, раскрытых и/или проиллюстрированных в настоящем описании:

Липосомальная композиция иринотекана, которая после хранения в течение 180 дней при 4°C содержит приблизительно 3,9-4,7 мг/мл фрагмента иринотекана и менее 20% лизо-ФХ.

Липосомальная композиция иринотекана, содержащая иринотекана сукрософат, инкапсулированный в фосфолипидную липосому, имеющую коэффициент стабильности лизо-ФХ, по меньшей мере, 990 (например, 990-1100 или приблизительно 1111).

Липосомальная композиция иринотекана, содержащая 4,3 мг/мл (±10%) фрагмента иринотекана и концентрацию сульфата 0,4-0,5 М, инкапсулированная в везикулу, содержащую ДСФХ и холестерин в молярном соотношении 3:2 и соотношении 450-550 г иринотекана/моль общего количества фосфолипида в везикуле.

Липосомальная композиция иринотекана, содержащая в общей сложности приблизительно 4,3 мг фрагмента иринотекана/мл, причем, по меньшей мере, 98% иринотекана инкапсулируется октасульфатом сахарозы (SOS) в молярном соотношении иринотекан:SOS приблизительно 8:1 в липосомальной композиции, липосомы имеют средний размер 75-125 нм.

Композиция по любому из предшествующих вариантов осуществления, в которой липосому иринотекана получают с помощью способа, включающего стадию взаимодействия иринотекана с триэтиламмония (ТЭА) сукрософатом, инкапсулированным в фосфолипидную липосому.

Композиция по любому из предшествующих вариантов осуществления, в которой концентрация ТЭА-SOS составляет приблизительно 0,40-0,50 М.

Композиция по любому из предшествующих вариантов осуществления, в которой размер липосомы составляет приблизительно 110 нм (±10%).

Композиция по любому из предшествующих вариантов осуществления, содержащая приблизительно 433 г фрагмента иринотекана/моль фосфолипида.

Композиция по любому из предшествующих вариантов осуществления, в которой липосомальная композиция иринотекана содержит менее приблизительно 100 ч./млн. триэтиламина.

Композиция по любому из предшествующих вариантов осуществления, в которой липосомальная композиция иринотекана представляет собой раствор липосом в жидкости, в которой жидкость за пределами липосом иринотекана имеет рН приблизительно 7,0-8,0, например, 7,25-7,5, например, 7,25, необязательно в которой жидкость за пределами липосом иринотекана представляет собой фармацевтически приемлемую жидкость для инъекций.

Композиция по любому из предшествующих вариантов осуществления, содержащая фрагмент иринотекана в количестве, эквивалентном количеству, обеспечиваемому 4,5-5,5 мг/мл иринотекана гидрохлорида тригидрата.

Композиция по любому из предшествующих вариантов осуществления, в которой, по меньшей мере, приблизительно 95% иринотекана в липосомальной композиции иринотекана инкапсулируется в липосому.

Композиция по любому из предшествующих вариантов осуществления, в которой липосома содержит ДСФХ и холестерин в молярном соотношении 3:2, например, в которой липосома содержит ДСФХ, холестерин и MPEG(2000)-ДСФЭ в молярном отношении 3:2:0,015.

Композиция по любому из предшествующих вариантов осуществления, имеющая коэффициент стабильности 990-1200.

Композиция по любому из предшествующих вариантов осуществления, имеющая грамм-эквивалентное соотношение липосомально инкапсулированного иринотекана/сукрософата, по меньшей мере, 0,9, по меньшей мере, 0,95, по меньшей мере, 0,98, по меньшей мере, 0,99 или по существу 1,0.

Композиция по любому из предшествующих вариантов осуществления, в которой липосомный фосфолипид содержит не более 20 мол.% лизо-ФХ после хранения в течение 180 дней при температуре приблизительно 4°С.

Композиция по любому из предшествующих вариантов осуществления, в которой липосомальная композиция иринотекана дополнительно содержит фармацевтически приемлемую жидкость для инъекций, имеющую рН приблизительно 7,0-8,0 за пределами липосомы иринотекана, содержит 4,3 мг/мл иринотекана, рассчитанное как свободное основание, и необязательно получена с помощью способа, включающего стадию взаимодействия иринотекана с триэтиламмония (ТЭА) сукрософатом, инкапсулированным в фосфолипидную липосому, необязательно имеющую концентрацию инкапсулированного ТЭА-сукрософата приблизительно 0,40-0,50 N.

Композиция по любому из предшествующих вариантов осуществления, в которой композиция содержит приблизительно 433 г фрагмента иринотекана/моль фосфолипида и не более приблизительно 100 ч./млн. триэтиламмония, инкапсулированного в фосфолипидную липосому.

Композиция по любому из предшествующих вариантов осуществления, которая имеет грамм-эквивалентное соотношение инкапсулированного иринотекана/сукрософата, по меньшей мере, 0,9.

Композиция по любому из предшествующих вариантов осуществления, в которой, по меньшей мере, 90%, например, по меньшей мере, 92%, по меньшей мере, 95%, по меньшей мере, 96%, по меньшей мере, 97%, по меньшей мере, 98% или, по меньшей мере, 99% (другими словами, по существу все) инкапсулированного иринотекана сукрософата находится в осажденной или гелеобразной форме стехиометрической соли, содержащей восемь молекул иринотекана на одну молекулу сукрософата.

Композиция по любому из предшествующих вариантов осуществления, в которой, по меньшей мере, 98%, например, по меньшей мере, 99% инкапсулированного иринотекана сукрософата находится в осажденной или гелеобразной форме стехиометрической соли, содержащей восемь молекул иринотекана на одну молекулу сукрософата.

Липосомальная композиция иринотекана по любому из предшествующих вариантов осуществления, содержащая не более приблизительно 100 ч./млн. триэтиламмония (ТЭА).

Липосомальная композиция иринотекана по любому из предшествующих вариантов осуществления, содержащая не более приблизительно 20 ч./млн. триэтиламмония (ТЭА).

Липосомальная композиция иринотекана по любому из предшествующих вариантов осуществления, имеющая общий объем приблизительно 10 мл.

Липосомальная композиция иринотекана по любому из предшествующих вариантов осуществления, содержащая 6,81 мг/мл 1,2-дистеароил-sn-глицеро-3-фосфохолина (ДСФХ), 2,22 мг/мл холестерина и 0,12 мг/мл метокси-терминированного полиэтиленгликоля (MW 2000)-дистеароилфосфатидилэтаноламина (МПЭГ-2000-ДСФЭ).

Липосомальная композиция иринотекана по любому из предшествующих вариантов осуществления, содержащая полиэтиленгликоль как внутри, так и снаружи липосомы иринотекана.

Стабилизированная инъекционная липосомальная композиция иринотекана с единичной дозой, предназначенная для введения пациенту, причем композиция содержит дозу иринотекана, достаточную для доставки 70 мг иринотекана на м2 площади поверхности тела пациента, в которой:

по меньшей мере, 99% иринотекана инкапсулируют в везикулу, содержащую фосфолипид и холестерин, и в которой до 20 мол.% фосфолипида представляет собой лизо-ФХ, причем остаток представляет собой ДСФХ, в которой везикула находится в жидкости для инъекций, имеющей pH в диапазоне 7,0-8,0; или

инъекционная липосомальная композиция с единичной дозой представляет собой единичную дозу липосомальных композиций по любому одному из вышеприведенных вариантов осуществления.

Инъекционная единичная лекарственная форма липосом иринотекана, содержащая:

по меньшей мере, приблизительно 98% иринотекана в единичной лекарственной форме, инкапсулированной в липосому, содержащую фосфолипид, причем указанный фосфолипид содержит не более приблизительно 20 мол.% лизо-ФХ; и

липосомальную композиция по любому одному из вышеприведенных вариантов осуществления.

Единичная лекарственная форма, раскрытая в вышеприведенном варианте осуществления, в которой иринотекан инкапсулирован в везикулу, заключенную липидной мембраной, состоящей по существу из 1,2-дистеароил-sn-глицеро-3-фосфохолина (ДСФХ), холестерина и метокси-терминированного полиэтиленгликоля (MW 2000)-дистеароилфосфатидилэтаноламина (МПЭГ-2000-ДСФЭ).

Единичная лекарственная форма по варианту осуществления 29 или 30, в которой единичная лекарственная форма содержит, по меньшей мере, приблизительно 6,81 мг/мл 1,2-дистеароил-sn-глицеро-3-фосфохолина (ДСФХ), приблизительно 2,22 мг/мл холестерина и приблизительно 0,12 мг/мл метокси-терминированного полиэтиленгликоля (MW 2000)-дистеароилфосфатидилэтаноламина (МПЭГ-2000-ДСФЭ).

Единичная лекарственная форма по любому из вариантов осуществления 29-31, в которой единичная лекарственная форма дополнительно содержит 2-[4-(2-гидроксиэтил)пиперазин-1-ил]этансульфоновую кислоту (HEPES) в виде буфера и хлорид натрия в виде изотонического реагента.

Липосомальная композиция по любому одному из вариантов осуществления 1-27 или единичная доза по любому одному из вариантов осуществления 29-32 для применения в терапии.

Липосомальная композиция или единичная доза, раскрытая в варианте осуществления настоящего описания, для применения при лечении рака.

Липосомальная композиция или единичная доза для применения, раскрытая в варианте осуществления настоящего описания, в которой рак выбран из группы, включающей базально-клеточный рак, медуллобластому, рак печени, рабдомиосаркому, рак легких, рак костей, рак поджелудочной железы, рак кожи, рак головы или шеи, кожную или интраокулярную меланому, рак матки, рак яичников, рак прямой кишки, рак анальной области, рак желудка, рак толстой кишки, рак молочной железы, рак матки, карциному фаллопиевых труб, карциному эндометрия, карциному шейки матки, карциному влагалища, карциномы вульвы, болезнь Ходжкина, рак пищевода, рак тонкой кишки, рак эндокринной системы, рак щитовидной железы, рак паращитовидной железы, рак надпочечников, саркому мягких тканей, рак уретры, рак полового члена, рак предстательной железы, хронический или острый лейкоз, лимфоцитарные лимфомы, рак мочевого пузыря, рак почки или мочеточника, почечно-клеточную карциному, карциному почечной лоханки, неоплазмы центральной нервной системы, первичную лимфому центральной нервной системы, опухоли позвоночного столба, глиому ствола головного мозга и аденому гипофиза или комбинацию одного или более из данных типов раковых заболеваний.

Липосомальная композиция или единичная доза по любому из вышеприведенных вариантов осуществления, в которой рак представляет собой рак поджелудочной железы, необязательно аденокарциному поджелудочной железы, такую как метастатическая аденокарцинома поджелудочной железы, например, когда прогрессирование заболевания происходит после терапии на основе гемцитабина.

Липосомальная композиция или единичная доза по любому из вышеприведенных вариантов осуществления, в которой рак представляет собой рак толстой кишки.

Липосомальная композиция или единичная доза по любому из вышеприведенных вариантов осуществления, в которой липосомальная композиция или единичная доза предназначена для применения с лейковорином и/или 5-фторурацилом, необязательно, в котором введение липосомальной композиции или единичной дозы, лейковорина и/или 5-флурорацила является одновременным, раздельным или последовательным.

Липосомальная композиция или единичная доза по любому одному из вышеприведенных вариантов осуществления, в которой липосому вводят в дозе для обеспечения количества иринотекана, эквивалентного 80 мг/м2 иринотекана гидрохлорида тригидрата.

Способ лечения метастатической аденокарциномы поджелудочной железы после прогрессирования заболевания после терапии на основе гемцитабина у пациента, нуждающегося в таком лечении, включающий внутривенное введение пациенту инъекционной единичной лекарственной формы липосом иринотекана по любому из вариантов осуществления настоящего описания или единичной дозы по любому из вышеприведенных вариантов осуществления, содержащей, по меньшей мере, приблизительно 98% иринотекана в единичной лекарственной форме, инкапсулированной в липосому, содержащую фосфолипид, содержащий менее приблизительно 20% лизо-ФХ в количестве, обеспечивающем количество иринотекана, эквивалентное 80 мг/м2 иринотекана гидрохлорида тригидрата.

Стабилизированная для хранения липосомальная композиция иринотекана, имеющая рН 7,00-7,50 и содержащая дисперсию липосом иринотекана, инкапсулирующих иринотекана сахарозы октасульфат в моноламеллярных бислойных везикулах, состоящих из холестерина и фосфолипидов 1,2-дистеароил-sn-глицеро-3-фосфохолина (ДСФХ) и метокси-терминированного полиэтиленгликоля (MW 2000)-дистеароилфосфатидилэтаноламина (МПЭГ-2000-ДСФЭ), при концентрации фрагмента иринотекана, эквивалентной в г безводного свободного основания иринотекана, 500 мг иринотекана на ммоль общего количества липосомного фосфолипида и 4,3 мг иринотекана на мл липосомальной композиции иринотекана, стабилизированной для хранения липосомальной композиции иринотекана, стабилизированной с образованием менее 1 мг/мл лизо-ФХ в течение 6 месяцев хранения при 4°C.

Липосомальная композиция иринотекана по вышеприведенному варианту осуществления, полученная с помощью способа, включающего стадии:

(а) образование липидной дисперсии в растворе, полученном из ДЭА8SOS, имеющем концентрацию сульфата от 0,4 до 0,5 М и рН от 5 до 7, причем липиды в указанной дисперсии представляют собой ДСФХ, холестерин и МПЭГ-2000-ДСФЭ в молярном соотношении приблизительно 3:2:0,015, соответственно;

(b) экструзия липидной дисперсии от 60 до 70°С, по меньшей мере, через одну мембрану 0,1 мкм для образования липосом;

(c) по существу удаление ионов, полученных из ТЭА8SOS и/или ДЭА8SOS, которые находятся за пределами липосом;

(d) взаимодействие липосом при температуре от 60 до 70°С с раствором, полученным с использованием свободного основания иринотекана или соли иринотекана, таким образом получение препарата липосом, инкапсулирующих иринотекан;

(e) по существу удаление веществ, полученных из ингредиентов ТЭА8SOS и/или ДЭА8SOS и иринотекана, которые находятся за пределами липосом; и

(f) установление рН композиции от 7,0 до 7,5.

Липосомальная композиция иринотекана по любому из вышеприведенных вариантов осуществления, в которой липидная дисперсия экструдируется через, по меньшей мере, две многослойные поликарбонатные мембраны 0,1 мкм.

Липосомальная композиция иринотекана по любому из вышеприведенных вариантов осуществления, в которой липосомы имеют средний размер 110 нм, как определено с помощью динамического рассеяния света, и в которой размер определяется методом кумулянтов.

Липосомальная композиция иринотекана по любому из вышеприведенных вариантов осуществления, имеющая общее содержание фрагмента иринотекана, эквивалентное 4,3 мг/мл безводного свободного основания иринотекана.

Липосомальная композиция иринотекана по любому из вышеприведенных вариантов осуществления, в которой:

на стадии (а) липосомы образуются из ДЭА8SOS, имеющего концентрацию сульфата от 0,43 до 0,47 М; и

на стадии (d) раствор, полученный с использованием свободного основания иринотекана или соли иринотекана, имеет содержание фрагмента иринотекана, эквивалентное 500 г (±10%) безводного свободного основания иринотекана на моль ДСФХ; и

на стадии (f) установление рН композиции от 7,2 до 7,3.

Липосомальная композиция по любому одному из предшествующих вариантов осуществления, содержащая менее 1 мол.% лизофосфатидилхолина (лизо-ФХ) до хранения при приблизительно 4°С и 20 мол.% или менее (по отношению к общему количеству липосомного фосфолипида) лизо-ФХ после 180 дней хранения при приблизительно 4°С.

Липосомальная композиция по любому из вышеприведенных вариантов осуществления, содержащая 20 мол.% или менее (по отношению к общему количеству липосомного фосфолипида) лизофосфатидилхолина (лизо-ФХ) после 6, 9 или 12 месяцев хранения при приблизительно 4°С.

Липосомальная композиция иринотекана по любому из вышеприведенных вариантов осуществления, содержащая в общей сложности от 6,1 до 7,5 мг ДСФХ/мл, от 2 до 2,4 мг холестерина/мл и от 0,11 до 0,13 мг МПЭГ-2000-ДСФЭ/мл, все в водном изотоническом буфере.

Липосомальная композиция иринотекана по любому из вышеприведенных вариантов осуществления, в которой липосомальный иринотекан содержит липосомы иринотекана в изотоническом водном буфере HEPES в концентрации от 2 до 20 мМ.

Липосомальная композиция иринотекана по любому из вышеприведенных вариантов осуществления, дополнительно содержащая хлорид натрия в концентрации от 130 до 160 мМ.

Липосомальная композиция иринотекана по любому из вышеприведенных вариантов осуществления, в которой иринотекан, инкапсулированный в липосомы, находится в гелеобразном или осажденном состоянии в виде соли октасульфата сахарозы.

Липосомальная композиция иринотекана по любому из вышеприведенных вариантов осуществления, в которой липосомы иринотекана имеют диаметр 95-115 нм, как измерено с помощью квазиупругого рассеяния света.

Липосомальная композиция иринотекана по любому из вышеприведенных вариантов осуществления, содержащая в общей сложности 6,81 мг ДСФХ/мл, 2,22 мг холестерина/мл и 0,12 мг МПЭГ-2000-ДСФЭ/мл, 4,05 мг/мл водного буфера HEPES и 8,42 мг хлорида натрия/мл.

Липосомальная композиция иринотекана по любому из вышеприведенных вариантов осуществления, имеющая рН 7,25, в которой липосомы иринотекана имеют диаметр 110 нм, как измерено с помощью квазиупругого рассеяния света.

Липосомальная композиция иринотекана по любому из вышеприведенных вариантов осуществления, образующая менее 1 мг/мл лизо-фосфатидилхолина (лизо-ФХ) после 6 месяцев хранения при приблизительно 4°С.

Липосомальная композиция иринотекана по любому из вышеприведенных вариантов осуществления, полученная с помощью способа, включающего стадии:

(а) образование липидной дисперсии в растворе ДЭА8SOS, имеющем концентрацию сульфата приблизительно 0,45 М и рН приблизительно 6,5, причем липиды в указанной дисперсии состоят из 1,2-дистеароил-sn-глицеро-3-фосфохолина (ДСФХ), холестерина и метокси-терминированного полиэтиленгликоля (MW 2000)-дистеароилфосфатидилэтаноламина (МПЭГ-2000-ДСФЭ) в молярном соотношении 3:2:0,015, соответственно;

(b) экструзия липидной дисперсии от 60 до 70°С, по меньшей мере, через одну мембрану 0,1 мкм для образования липосом;

(c) удаление ионов, полученных из ДЭА8SOS, которые находятся за пределами липосом;

(d) взаимодействие липосом при температуре от 60 до 70°С с раствором, полученным с использованием иринотекана гидрохлорида тригидрата, с получением препарата липосом, инкапсулирующих приблизительно 500 г (±10%) иринотекана на моль общего количества липосомного фосфолипида;

(e) удаление веществ, полученных из ингредиентов ТЭА8SOS и иринотекана, которые находятся за пределами липосом; и

(f) доведение рН композиции до приблизительно 7,3.

Липосомальная композиция иринотекана по любому из вышеприведенных вариантов осуществления, содержащая в общей сложности менее 100 ч./млн. ДЭА.

Липосомальная композиция иринотекана по любому из вышеприведенных вариантов осуществления, содержащая в общей сложности менее 100 ч./млн. ДЭА.

Липосомальная композиция иринотекана по любому из вышеприведенных вариантов осуществления, в которой, по меньшей мере, 98% иринотекана инкапсулируют в липосомы иринотекана после 6 месяцев хранения при приблизительно 4°С.

Липосомальный препарат иринотекана, содержащий стабилизированные липосомы иринотекана, инкапсулирующие иринотекана сахарозы октасульфат (SOS) в моноламеллярной липидной бислойной везикуле приблизительно 110 нм в диаметре, состоящей из 1,2-дистеароил-sn-глицеро-3-фосфохолина (ДСФХ), холестерина и метокси-терминированного полиэтиленгликоля (MW 2000)-дистеароилфосфатидилэтаноламина (МПЭГ-2000-ДСФЭ), в котором стабилизированные липосомы иринотекана получают с помощью способа, включающего стадии:

(а) взаимодействие иринотекана с липосомой улавливающего агента, инкапсулирующей катион диэтиламмония (ДЭА) и улавливающий агент октасульфат сахарозы (SOS) в концентрации 0,4-0,5 М (в расчете на концентрацию сульфатной группы) как TЭА8SOS без иринотекана в условиях, эффективных для загрузки 500 г (±10%) фрагмента иринотекана на моль общего количества липосомного фосфолипида в липосому улавливающего агента и обеспечения высвобождения катиона ДЭА из липосомы улавливающего агента с образованием липосом иринотекана SOS, и

(b) объединение липосом иринотекана SOS с 2-[4-(2-гидроксиэтил)пиперазин-1-ил]этансульфоновой кислотой (HEPES) с получением липосомального препарата иринотекана, имеющего рН 7,25-7,50, с получением липосомального препарата иринотекана, стабилизированного с образованием менее 10 мол.% лизофосфатидилхолина (лизо-ФХ) (по отношению к общему количеству фосфатидилхолина в липосомах иринотекана) в течение 3 месяцев хранения при 4°С.

Липосомальный препарат иринотекана по любому из вышеприведенных вариантов осуществления, в котором липосомы иринотекана SOS в липосомальном препарате иринотекана содержат в общей сложности менее 100 ч./млн. ТЭА.

Липосомальный препарат иринотекана по любому из вышеприведенных вариантов осуществления, в котором моноламеллярная липидная бислойная везикула состоит из 6,81 мг/мл 1,2-дистеароил-sn-глицеро-3-фосфохолина (ДСФХ), 2,22 мг/мл холестерина и 0,12 мг/мл метокси-терминированного полиэтиленгликоля (MW 2000)-дистеароилфосфатидилэтаноламина (МПЭГ-2000-ДСФЭ).

Липосомальный препарат иринотекана по любому из вышеприведенных вариантов осуществления, содержащий в общей сложности 500 мг иринотекана на моль общего количества стабилизированного липосомного фосфолипида иринотекана, и, по меньшей мере, 98% иринотекана в липосомальном препарате иринотекана инкапсулируют в липосомы иринотекана.

Липосомальный препарат иринотекана по любому из вышеприведенных вариантов осуществления, в котором липосомальный препарат иринотекана дополнительно содержит приблизительно 4,05 мг/мл 2-[4-(2-гидроксиэтил)пиперазин-1-ил]этансульфоновой кислоты (HEPES) при рН приблизительно 7,25-7,50.

Липосомальный препарат иринотекана по любому из вышеприведенных вариантов осуществления, в котором липосомальный препарат иринотекана дополнительно содержит приблизительно 8,42 мг/мл хлорида натрия.

Липосомальный препарат иринотекана по любому из вышеприведенных вариантов осуществления, содержащий в общей сложности приблизительно 4,3 мг иринотекана на мл липосомального препарата иринотекана.

Композиция по любому из предшествующих вариантов осуществления, в которой липосому иринотекана получают с помощью способа, включающего стадию взаимодействия иринотекана с аммонием, инкапсулированным в фосфолипидную липосому.

Липосомальный препарат иринотекана, включающий стабилизированные липосомы иринотекана, инкапсулирующие иринотекана сахарозы октасульфат (SOS) в моноламеллярной липидной бислойной везикуле приблизительно 110 нм в диаметре, состоящей из 1,2-дистеароил-sn-глицеро-3-фосфохолина (ДСФХ), холестерина и метокси-терминированного полиэтиленгликоля (MW 2000)-дистеароилфосфатидилэтаноламина (МПЭГ-2000-ДСФЭ), в котором стабилизированные липосомы иринотекана получают с помощью способа, включающего стадии:

(а) взаимодействие иринотекана с липосомой улавливающего агента, инкапсулирующей катион аммония и улавливающий агент октасульфат сахарозы (SOS) в условиях, эффективных для загрузки 500 г (±10%) фрагмента иринотекана на моль общего количества липосомного фосфолипида в липосому улавливающего агента и обеспечения высвобождения катиона аммония из липосомы улавливающего агента с образованием липосом иринотекана SOS, и

(b) объединение липосом иринотекана SOS с 2-[4-(2-гидроксиэтил)пиперазин-1-ил]этансульфоновой кислотой (HEPES) с получением липосомального препарата иринотекана, имеющего рН 7,25-7,50, с получением липосомального препарата иринотекана, стабилизированного с образованием менее 10 мол.% лизофосфатидилхолина (лизо-ФХ) (по отношению к общему количеству фосфатидилхолина в липосомах иринотекана) в течение 3 месяцев хранения при 4°С.

Липосомальный препарат SN38, содержащий стабилизированные липосомы, содержащие иринотекан и/или SN-38 в липосоме, содержащей 1,2-дистеароил-sn-глицеро-3-фосфохолин (ДСФХ), холестерин и метокси-терминированный полиэтиленгликоль (MW 2000)-дистеароилфосфатидилэтаноламин (МПЭГ-2000-ДСФЭ), стабилизированный с образованием менее 10 мол.% лизофосфатидилхолина (лизо-ФХ) (по отношению к общему количеству фосфатидилхолина в липосомах) в течение 3 месяцев хранения при 4°С.

Липосомальный препарат иринотекана по любому из вышеприведенных вариантов осуществления, в котором стабилизированные липосомы иринотекана инкапсулируют 30-100 ч./млн. ТЭА или ДЭА, иринотекан и SOS в соединении формулы (I), в котором x равно 8.

(I)

[00136] В одном варианте осуществления липосомальная композиция иринотекана, раскрытая в настоящем описании, представляет собой стабилизированную липосомальную композицию иринотекана, содержащую иринотекана сукрософат, инкапсулированный в фосфолипидную липосому, имеющую коэффициент стабильности лизо-ФХ, по меньшей мере, 990 (например, 990-1100 или приблизительно 1111), в которой липосомальная композиция содержит, по меньшей мере, один из следующих характерных признаков:

(i) размер липосомы составляет приблизительно 110 нм (±10%),

(ii) композиция содержит приблизительно 433 г или, по меньшей мере, приблизительно 433 г фрагмента иринотекана/моль фосфолипида,

(iii) композиция содержит менее приблизительно 100 ч./млн. триэтиламина,

(iv) композиция содержит фармацевтически приемлемую инъекционную жидкость, имеющую рН приблизительно 7,25 за пределами липосомы иринотекана,

(v) липосомы содержат ДСФХ и холестерин в молярном соотношении 3:2,

(vi) композиция содержит грамм-эквивалентное соотношение липосомально инкапсулированного иринотекана/сукрософата, по меньшей мере, 0,9, по меньшей мере, 0,95, по меньшей мере, 0,98 или по существу 1,0; и

(vii) по меньшей мере, 90%, например, по меньшей мере, 92%, по меньшей мере, 95%, по меньшей мере, 96%, по меньшей мере, 97%, по меньшей мере, 98% или, по меньшей мере, 99% (другими словами, по существу все) инкапсулированного иринотекана сукрософата находится в осажденной или гелеобразной форме стехиометрической соли, содержащей восемь молекул иринотекана на одну молекулу сукрософата.

[00137] В одном варианте осуществления липосомальная композиция иринотекана, раскрытая в настоящем описании, представляет собой стабилизированную липосомальную композицию иринотекана, содержащую иринотекана сукрософат, инкапсулированный в фосфолипидную липосому, имеющую коэффициент стабильности лизо-ФХ, по меньшей мере, 990 (например, 990-1100 или приблизительно 1111), в которой:

(i) размер липосомы составляет приблизительно 110 нм (±10%),

(ii) композиция содержит приблизительно 433 г или, по меньшей мере, приблизительно 433 г фрагмента иринотекана/моль фосфолипида,

(iii) композиция содержит менее приблизительно 100 ч./млн. триэтиламина,

(iv) композиция содержит фармацевтически приемлемую инъекционную жидкость, имеющую рН приблизительно 7,25 за пределами липосомы иринотекана,

(v) липосомы содержат ДСФХ и холестерин в молярном соотношении 3:2,

(vi) композиция содержит грамм-эквивалентное соотношение липосомально инкапсулированного иринотекана/сукрософата, по меньшей мере, 0,9, по меньшей мере, 0,95, по меньшей мере, 0,98 или по существу 1,0; и

(vii) по меньшей мере, 90%, например, по меньшей мере, 92%, по меньшей мере, 95%, по меньшей мере, 96%, по меньшей мере, 97%, по меньшей мере, 98% или, по меньшей мере, 99% (другими словами, по существу все) инкапсулированного иринотекана сукрософата находится в осажденной или гелеобразной форме стехиометрической соли, содержащей восемь молекул иринотекана на одну молекулу сукрософата.

[00138] Вариант осуществления 1: Стабилизированная для хранения липосомальная композиция иринотекана, имеющая рН 7,00-7,50 и содержащая дисперсию липосом иринотекана, инкапсулирующих иринотекана сахарозы октасульфат в везикулах, состоящих из холестерина и фосфолипидов 1,2-дистеароил-sn-глицеро-3-фосфохолина (ДСФХ) и метокси-терминированного полиэтиленгликоля (MW 2000)-дистеароилфосфатидилэтаноламина (МПЭГ-2000-ДСФЭ), при концентрации фрагмента иринотекана, эквивалентной в граммах безводного свободного основания иринотекана, 500 мг (±10%) фрагмента иринотекана на ммоль общего количества липосомного фосфолипида и 4,3 мг фрагмента иринотекана на мл липосомальной композиции иринотекана, стабилизированной для хранения липосомальной композиции иринотекана, стабилизированной с образованием менее 20 мол.% лизо-ФХ в течение первых 6 месяцев хранения при 4°C.

[00139] Вариант осуществления 2: Стабилизированная для хранения липосомальная композиция иринотекана, имеющая рН 7,00-7,50 и содержащая дисперсию липосом иринотекана, инкапсулирующих иринотекана сахарозы октасульфат в моноламеллярных бислойных везикулах, состоящих из холестерина и фосфолипидов 1,2-дистеароил-sn-глицеро-3-фосфохолина (ДСФХ) и метокси-терминированного полиэтиленгликоля (MW 2000)-дистеароилфосфатидилэтаноламина (МПЭГ-2000-ДСФЭ), при концентрации фрагмента иринотекана, эквивалентной в граммах безводного свободного основания иринотекана, 500 мг (±10%) фрагмента иринотекана на ммоль общего количества липосомного фосфолипида и 4,3 мг фрагмента иринотекана на мл липосомальной композиции иринотекана, стабилизированной для хранения липосомальной композиции иринотекана, имеющей грамм-эквивалентное соотношение иринотекана/соединения сульфата, равное 0,85-1,2.

[00140] Вариант осуществления 3: Стабилизированная для хранения липосомальная композиция иринотекана, стабилизированная с образованием менее 20 мол.% лизо-ФХ в течение первых 6 месяцев хранения при 4°C, липосомальная композиция иринотекана, полученная с помощью способа, включающего стадии:

(а) образование липидной дисперсии в растворе, полученном из ТЭА8SOS и/или ДЭА8SOS, имеющем концентрацию сульфата от 0,4 до 0,5 М и рН от 5 до 7, причем липиды в указанной дисперсии представляют собой ДСФХ, холестерин и МПЭГ-2000-ДСФЭ в молярном соотношении приблизительно 3:2:0,015, соответственно;

(b) экструзия липидной дисперсии от 60 до 70°С, по меньшей мере, через одну мембрану 0,1 мкм для образования липосом;

(c) по существу удаление ионов, полученных из ТЭА8SOS и/или ДЭА8SOS, которые находятся за пределами липосом;

(d) взаимодействие липосом при температуре от 60 до 70°С с раствором, полученным с использованием свободного основания иринотекана или соли иринотекана, таким образом получение препарата липосом, инкапсулирующих иринотекан;

(e) по существу удаление веществ, полученных из ингредиентов ТЭА8SOS и/или ДЭА8SOS и иринотекана, которые находятся за пределами липосом; и

(f) установление рН композиции от 7,0 до 7,5.

[00141] Вариант осуществления 4: Липосомальная композиция иринотекана по любому одному из вариантов осуществления 1-3, полученная с помощью способа, включающего стадии:

(а) образование липидной дисперсии в растворе, полученном из ТЭА8SOS, имеющем концентрацию сульфата от 0,4 до 0,5 М и рН от 5 до 7, причем липиды в указанной дисперсии представляют собой ДСФХ, холестерин и МПЭГ-2000-ДСФЭ в молярном соотношении приблизительно 3:2:0,015, соответственно;

(b) экструзия липидной дисперсии от 60 до 70°С, по меньшей мере, через одну мембрану 0,1 мкм для образования липосом;

(c) по существу удаление ионов, полученных из ТЭА8SOS, которые находятся за пределами липосом;

(d) взаимодействие липосом при температуре от 60 до 70°С с раствором, полученным с использованием свободного основания иринотекана или соли иринотекана, таким образом получение препарата липосом, инкапсулирующих иринотекан;

(e) по существу удаление веществ, полученных из ингредиентов ТЭА8SOS и иринотекана, которые находятся за пределами липосом; и

(f) установление рН композиции от 7,0 до 7,5.

[00142] Вариант осуществления 5: Липосомальная композиция иринотекана по варианту осуществления 4, в которой липидная дисперсия экструдируется через, по меньшей мере, две многослойные поликарбонатные мембраны 0,1 мкм.

[00143] Вариант осуществления 6: Липосомальная композиция иринотекана по любому одному из предшествующих вариантов осуществления, в которой липосомы имеют средний размер 110 нм, как определено с помощью динамического рассеяния света, и в которой размер определяется методом кумулянтов.

[00144] Вариант осуществления 7: Липосомальная композиция иринотекана по любому одному из предшествующих вариантов осуществления, имеющая общее содержание фрагмента иринотекана, эквивалентное 4,3 мг/мл безводного свободного основания иринотекана.

[00145] Вариант осуществления 8: Липосомальная композиция иринотекана по любому одному из вариантов осуществления 3-6, в которой:

на стадии (а) липосомы образуются из ТЭА8SOS, имеющего концентрацию сульфата от 0,43 до 0,47 М; и

на стадии (d) раствор, полученный с использованием свободного основания иринотекана или соли иринотекана, имеет содержание фрагмента иринотекана, эквивалентное 500 г (±10%) безводного свободного основания иринотекана на моль ДСФХ; и

на стадии (f) установление рН композиции от 7,2 до 7,3.

[00146] Вариант осуществления 9: Липосомальная композиция по любому одному из предшествующих вариантов осуществления, содержащая менее 1 мол.% лизофосфатидилхолина (лизо-ФХ) до хранения при приблизительно 4°С и 20 мол.% или менее (по отношению к общему количеству липосомного фосфолипида) лизо-ФХ после 180 дней хранения при приблизительно 4°С.

[00147] Вариант осуществления 10: Липосомальная композиция по варианту осуществления 9, содержащая 20 мол.% или менее (по отношению к общему количеству липосомного фосфолипида) лизофосфатидилхолина (лизо-ФХ) после 6, 9 или 12 месяцев хранения при приблизительно 4°С.

[00148] Вариант осуществления 11: Липосомальная композиция иринотекана по любому одному из предшествующих вариантов осуществления, содержащая в общей сложности от 6,1 до 7,5 мг ДСФХ/мл, от 2 до 2,4 мг холестерина/мл и от 0,11 до 0,13 мг МПЭГ-2000-ДСФЭ/мл, все в водном изотоническом буфере.

[00149] Вариант осуществления 12: Липосомальная композиция иринотекана по любому одному из предшествующих вариантов осуществления, в которой липосомальный иринотекан содержит липосомы иринотекана в изотоническом водном буфере HEPES в концентрации от 2 до 20 мМ.

[00150] Вариант осуществления 13: Липосомальная композиция иринотекана по любому одному из предшествующих вариантов осуществления, дополнительно содержащая хлорид натрия в концентрации от 130 до 160 мМ.

[00151] Вариант осуществления 14: Липосомальная композиция иринотекана по любому одному из предшествующих вариантов осуществления, в которой иринотекан, инкапсулированный в липосомы, находится в гелеобразном или осажденном состоянии в виде соли октасульфата сахарозы.

[00152] Вариант осуществления 15: Липосомальная композиция иринотекана по любому одному из предшествующих вариантов осуществления, в которой липосомы иринотекана имеют диаметр 95-115 нм, как измерено с помощью квазиупругого рассеяния света.

[00153] Вариант осуществления 16: Липосомальная композиция иринотекана по любому одному из предшествующих вариантов осуществления, содержащая в общей сложности 6,81 мг ДСФХ/мл, 2,22 мг холестерина/мл и 0,12 мг МПЭГ-2000-ДСФЭ/мл, 4,05 мг/мл водного буфера HEPES и 8,42 мг хлорида натрия/мл.

[00154] Вариант осуществления 17: Липосомальная композиция иринотекана по любому одному из предшествующих вариантов осуществления, имеющая рН 7,25, в которой липосомы иринотекана имеют диаметр 110 нм, как измерено с помощью квазиупругого рассеяния света.

[00155] Вариант осуществления 18: Липосомальная композиция иринотекана по любому одному из предшествующих вариантов осуществления, образующая менее 1 мг/мл лизо-фосфатидилхолина (лизо-ФХ) после 6 месяцев хранения при приблизительно 4°С.

[00156] Вариант осуществления 19: Липосомальная композиция иринотекана по любому одному из предшествующих вариантов осуществления, полученная с помощью способа, включающего стадии:

(а) образование липидной дисперсии в растворе ТЭА8SOS, имеющем концентрацию сульфата приблизительно 0,45 М и рН приблизительно 6,5, причем липиды в указанной дисперсии состоят из 1,2-дистеароил-sn-глицеро-3-фосфохолина (ДСФХ), холестерина и метокси-терминированного полиэтиленгликоля (MW 2000)-дистеароилфосфатидилэтаноламина (МПЭГ-2000-ДСФЭ) в молярном соотношении 3:2:0,015, соответственно;

(b) экструзия липидной дисперсии от 60 до 70°С, по меньшей мере, через одну мембрану 0,1 мкм для образования липосом;

(c) удаление ионов, полученных из ТЭА8SOS, которые находятся за пределами липосом;

(d) взаимодействие липосом при температуре от 60 до 70°С с раствором, полученным с использованием иринотекана гидрохлорида тригидрата, с получением препарата липосом, инкапсулирующих приблизительно 500 г (±10%) иринотекана на моль общего количества липосомного фосфолипида;

(e) удаление веществ, полученных из ингредиентов ТЭА8SOS и иринотекана, которые находятся за пределами липосом; и

(f) доведение рН композиции до приблизительно 7,3.

[00157] Вариант осуществления 20: Липосомальная композиция иринотекана по любому из предшествующих вариантов осуществления, содержащая в общей сложности менее 100 ч./млн. ТЭА.

[00158] Вариант осуществления 21: Липосомальная композиция иринотекана по любому одному из предшествующих вариантов осуществления, содержащая в общей сложности 30-100 ч./млн. ТЭА или ДЭА.

[00159] Вариант осуществления 22: Липосомальная композиция иринотекана по любому одному из предшествующих вариантов осуществления, в которой, по меньшей мере, 98% иринотекана инкапсулируют в липосомы иринотекана после 6 месяцев хранения при приблизительно 4°С.

[00160] Вариант осуществления 23: Липосомальная композиция иринотекана по любому одному из предшествующих вариантов осуществления, содержащая композицию иринотекана формулы (I) в липосомах иринотекана, где х составляет 8:

(I).

ПРИМЕРЫ

[00161] Синтез и характеристика некоторых липосомальных препаратов иринотекана описана в следующих Примерах. Если в Примерах не указано иначе, данные липосомы иринотекана могут быть получены с помощью следующего многостадийного процесса. Таким образом, изобретение также предоставляет способы получения липосом иринотекана в соответствии с препаративными методами, изложенными в этом подразделе и в Примерах и их вариациях и комбинациях.

[00162] Сначала образующие липосомы липиды растворяют в нагретом этаноле. Данные липиды включали ДСФХ, холестерин и МПЭГ-2000-ДСФЭ. Если не указано иначе, ДСФХ, холестерин и МПЭГ-2000-ДСФЭ присутствуют в молярном соотношении 3:2:0,015. Полученную композицию этанол-липид диспергируют в водной среде, содержащей замещенный аммоний и полианион, в условиях, эффективных для образования надлежащего размера (например, 80-120 нм или 95-115 нм и т.д.) по существу моноламеллярных липосом, содержащих замещенный ион аммония и полианион улавливающего агента (SOS). Дисперсия липосом может быть образована, например, с помощью смешивания этанольного раствора липидов с водным раствором, содержащим замещенный ион аммония и полианион, при температуре выше температуры фазового перехода липидов, например, 60-70°С и экструзии полученной суспензии липидов (многослойных липосом) под давлением через один или более трековых, например, поликарбонатных мембранных фильтров с определенным размером пор, например, 50 нм, 80 нм, 100 нм или 200 нм. Предпочтительно, замещенный аммоний представляет собой протонированный триэтиламин (ТЭА) или диэтиламин (ДЭА) и полианион представляет собой октасульфат сахарозы (SOS), предпочтительно объединенный в стехиометрическом соотношении (например, ТЭА8SOS). Концентрация ТЭА8SOS может быть выбрана в зависимости от количества иринотекана, загруженного в липосомы (например, практически или полностью исчерпать градиент загрузки концентрации через липосому и/или обеспечить липосому, содержащую SOS и иринотекан в молярном соотношении приблизительно 1:8). Например, для получения липосом иринотекана SOS с 471 г или 500 г фрагмента иринотекана/моль фосфолипида используемый ТЭА8SOS предпочтительно имеет концентрацию приблизительно 0,4-0,5 М сульфатных групп (например, 0,45 М или 0,475 М сульфатных групп или 0,45 М или 0,475 M SOS). Все или по существу все невключенные ТЭА или SOS затем удаляются (например, путем гель-фильтрации, диализа или ультрафильтрации/диафильтрации).

[00163] Полученные липосомы улавливающего агента (например, инкапсулирующие замещенное соединение аммония, такое как ТЭА8SOS или ДЭА8SOS) затем взаимодействуют с раствором иринотекана в условиях, эффективных для загрузки иринотекана в липосомы улавливающего агента (то есть условиях, которые позволяют вводить иринотекан в липосомы в обмен на ТЭА, оставляющий липосому). Раствор для загрузки иринотекана (например, при 15 мг/мл безводного иринотекана-HCl, который может быть получен с использованием соответствующих количеств иринотекана-HCl тригидрата) предпочтительно содержит осмотический агент (например, 5% декстрозу) и рН 6,5 (если не указано иначе, значения рН, которые указаны в данном описании, были определены при комнатной температуре). Загрузка лекарственного средства облегчается повышением температуры композиции выше температуры фазового перехода липосомных липидов (например, до 60-70°C) для ускорения трансмембранного обмена замещенного соединения аммония (например, ТЭА) и иринотекана. В некоторых вариантах осуществления иринотекана сукрософат внутри липосомы находится в гелеобразном или осажденном состоянии.

[00164] Загрузка иринотекана путем обмена с замещенным соединением аммония (например, ТЭА или ДЭА) через липосому предпочтительно продолжается до тех пор, пока все или практически все замещенное соединение аммония (например, ТЭА) не удалится из липосомы, тем самым исчерпывая весь или по существу весь градиент концентрации через липосому. Предпочтительно, процесс загрузки липосомы иринотекана продолжается до тех пор, пока грамм-эквивалентное соотношение иринотекана к SOS не будет составлять, по меньшей мере, 0,9, по меньшей мере, 0,95, 0,98, 0,99 или 1,0 (или находиться в диапазоне от приблизительно 0,9-1,0, 0,95-1,0, 0,98-1,0 или 0,99-1,0). Предпочтительно, процесс загрузки липосомы иринотекана продолжается до тех пор, пока, по меньшей мере, 90%, по меньшей мере, 95%, по меньшей мере, 98% или, по меньшей мере, 99% или более ТЭА не удалится из внутренней области липосомы. В некоторых вариантах осуществления настоящего изобретения липосомальная композиция иринотекана SOS, полученная таким образом с использованием ТЭА8SOS, содержит менее 100 ч./млн. ТЭА. В некоторых вариантах осуществления настоящего изобретения липосомальная композиция иринотекана SOS, полученная таким образом с использованием ТЭА8SOS, содержит 20-100 ч./млн., 20-80 ч./млн., 40-80 ч./млн. или 40-100 ч./млн. ТЭА.

[00165] Экстралипосомальный иринотекан и замещенное соединение аммония (например, ТЭА или ДЭА) может быть удалено для получения конечного продукта липосом иринотекана. Данное удаление может быть облегчено различными способами, неограничивающие примеры которых включают методы гель-хроматографии (эксклюзионной хроматографии), диализа, ионного обмена и ультрафильтрации/диафильтрации. Внешняя среда липосомы замещается инъекционной, фармакологически приемлемой жидкостью, например, буферным (рН от 7,1 до 7,5, предпочтительно рН от 7,2 до 7,3) изотоническим солевым раствором. В конечном счете, липосомальная композиция стерилизуется с помощью, например, 0,2-микронной фильтрации, распределяется в виалы, содержащие одну дозу, обозначается и хранится, например, при охлаждении при 2-8°С до применения. Внешняя среда липосомы может быть замещена фармакологически приемлемой жидкостью одновременно с удалением остаточного экстралипосомального иринотекана и иона аммония/замещенного аммония (например, ТЭА).

Количественное определение улавливающего агента

[00166] В целях настоящего изобретения липосомальный улавливающий агент и противоион замещенного соединения аммония (например, ТЭА8SOS) количественно определяют на основе концентраций, используемых для получения липосом, и рассчитывают на основе количества сульфатных групп улавливающего агента. Например, 0,1 М ТЭА8SOS будет выражаться в настоящем описании как 0,8 М/л сульфата, потому что каждая молекула SOS имеет восемь сульфатных групп. В тех случаях, когда используется другой улавливающий агент, данный расчет будет корректироваться в зависимости от количества анионных групп (например, сульфатных групп) на молекулу улавливающего агента.

Количественное определение лизо-ФХ в липосомальных препаратах иринотекана

[00167] Количество лизо-ФХ в липосомальных препаратах иринотекана сахарозы октасульфата, исследуемое для получения данных на ФИГ. 11В и 12, получали с помощью способа ВЭЖХ («Способ А»), который описан в Примере 9.

[00168] Другой препаративный способ (ТСХ) (в настоящем описании «Способ В») использовали для получения измерений лизо-ФХ из Образцов 1-23 настоящего описания, лизофосфолипид определяли следующим способом ТСХ с последующим фосфатным анализом, вместо способа ВЭЖХ (Способа А), рассмотренного непосредственно выше. Следующие стадии проводили для измерения лизо-ФХ по Способу В. Аликвоту образца липосом, содержащую приблизительно 500 нмоль фосфолипида (ФЛ) (например, 0,05 мл 10 мМ раствора липосом ФЛ), обессоливали с использованием колонки PD-10 (GE Healthcare), уравновешенной водой. Образец элюируют из колонки водой и разделяют на три части, содержащие приблизительно 150 нмоль ФЛ каждый, затем высушивают под вакуумом с использованием центрифужного концентратора (Savant Speed Vac Concentrator, Model#SVC100X). Высушенные липиды растворяли в 30 мкл хлороформа/метанола (5/1, об./об.) и наносили на неадсорбирующую область пластины ТСХ с нормальной фазой на силикагеле (Uniplate by Analtech, cat # 44921) с использованием стеклянного шприца. ТСХ проводили с подвижной фазой, состоящей из хлороформа/метанола/30% гидроксида аммония/воды (60/40/2,5/3,75, об./об./об./об.) и липида, визуализированного с использованием паров йода. Определение ФЛ проводили с помощью скрещивания пятен, соответствующих фосфолипиду и лизофосфолипиду на ТСХ в отдельных боросиликатных пробирках размером 12×75 мм для последующего фосфатного анализа.

[00169] Количественное определение молярных количеств липосомально соинкапсулированного иринотекана и соединения сульфата приведено в Примерах.

Материалы

[00170] Для получения образцов 1-5 и 13 в Примере 1 и образцов 12 и 14-18 в Примере 2 иринотекана гидрохлорид ((+)-7-этил-10-гидроксикамптотецина 10-[1,4'-бипиперидин]-1'-карбоксилата моногидрохлорида тригидрат, номер CAS № 100286-90-6) сорта USP GMP приобретали у SinoPharm (Тайбэй, Тайвань); 1,2-дистеароил-sn-глицеро-3-фосфохолин (ДСФХ) и метокси-терминированный полиэтиленгликоль (MW 2000)-дистеароилфосфатидилэтаноламин (МПЭГ-2000-ДСФЭ) приобретали у Avanti Polar Lipids (Alabaster, AL, США); ультрачистый холестерин (Хол) получали от Calbiochem (La Jolla, CA, США) и октасульфат сахарозы получали от Euticals (Lodi, Италия).

[00171] Для получения образцов 6-11 в Примере 1 иринотекана гидрохлорида тригидрат получали от PharmaEngine (Тайвань); 1,2-дистеароил-sn-глицеро-3-фосфохолин (ДСФХ) и метокси-терминированный полиэтиленгликоль (MW 2000)-дистеароилфосфатидилэтаноламин (МПЭГ-2000-ДСФЭ) приобретали у Avanti Polar Lipids (Alabaster, AL, США); ультрачистый холестерин (Хол) получали от Calbiochem (La Jolla, CA, США) и октасульфат сахарозы получали от Euticals (Lodi, Италия).

[00172] Для получения образцов 19-23 в Примере 8 винорелбин (VNB) получали из аптеки в виде раствора винорелбина тартата 10 мг/мл (Glaxo-SmithKline) и порошок топотекана (TPT) получали в качестве подарка от Taiwan Liposome Company (Тайбэй, Тайвань).

[00173] Все другие химические вещества, имеющие аналитическую или лучшую чистоту, были получены от стандартных поставщиков.

[00174] Способы: Следующие способы использовали при получении Образцов 1-5 и 13 (Пример 1) и Образцов 6-11 и 19-23 (Пример 2) и Образцов 12 и 14-18 (Пример 3) в объеме, не указанном иным образом ниже.

Получение триэтиламмония сахарозы октасульфата

[00175] Триэтиламмония сахарозы октасульфат (ТЭА8SOS) и диэтиламмония сахарозы октасульфат (ДЭА8SOS) получали из натриевой соли сахарозы октасульфата с использованием ионообменной хроматографии. Кратко, 15 г октасульфата сахарозы (натриевая соль) растворяли в воде с получением концентрации сульфата 2,64 М. Для получения кислотной формы октасульфата сахарозы использовали катионообменную смолу Dowex 50W-8X-200. Указанную смолу дважды промывали 2 об. 1 N NaOH, затем ddH2O (дважды дистиллированной водой) до нейтрального рН, дважды промывали 2 об. 1 N HCl и, наконец, промывали до нейтрального ddH2O и затем повторяли. Колонку выливали в объем 450 мл смолы, и промывали 3 об. 3 N HCl, и затем промывали ddH2O до тех пор, пока проводимость не достигала менее 1 мкСм/см. Раствор октасульфата сахарозы (натриевая соль) (приблизительно 10% объема колонки) загружали в колонку и элюировали ддН2О. Элюент колонки контролировали с использованием детектора проводимости для обнаружения элюирования сахарозы октасульфата из колонки. Кислотный октасульфат сахарозы затем титровали триэтиламином или диэтиламином до рН между 6-7 и содержание сульфата определяли с использованием способа, модифицированного B. Sorbo et al., Methods in Enzymology, 143: 3-6, 1984 (see Sulfate Determination). Раствор окончательно разбавляли до концентрации сульфата, соответствующей 0,65 М сульфата. Значение рН обычно находилось в диапазоне 6-7. Остаточное количество натрия определяли с использованием натриевого электрода, и любой раствор с остаточным количеством натрия выше 1 мол.% далее не использовали.

Определение сульфатной группы

[00176] Содержание сульфата в растворах октасульфата сахарозы определяли с помощью анализа на основе турбидиметрии. Растворы состоят из: (1) 15 г ПЭГ 6000 и 1,02 г ацетата бария в 100 мл воды; (2) 142 мг сульфата натрия в 1 мл воды; (3) рабочего раствора бария: по каплям добавляют 0,1 мл раствора сульфата натрия до 100 мл раствора бария при перемешивании. Данный раствор должен уравновешиваться в течение 1 часа перед использованием и может храниться не более одной недели; (4) 0,4 М раствора тринатрий цитрата (118 мг тринатрий цитрата/мл воды) и (5) стандарта сульфата при 10 мМ, разбавленного водой из 1 N серной кислоты. Используя боросиликатные пробирки, стандарты и растворы доводили до конечного объема 100 мкл. Стандарты получали в диапазоне 0,2-1 мкмоль сульфата (20-100 мкл 10 мМ стандарта). Для образцов 0,6 М раствора сульфата использовали разбавление 1/100 и объем 100 мкл (0,6 мкмоль). Каждые 100 мкл образца/стандарта обрабатывали 100 мкл 70% хлорной кислоты и нагревали при 110-120°С в течение 12 минут. После охлаждения добавляли 0,8 мл 0,4 М раствора тринатрий цитрата с последующим перемешиванием на вортексе. Объем 0,25 мл из перемешивающегося рабочего раствора бария переносили в каждую пробирку и сразу же перемешивали на вортексе. Все образцы/стандарты уравновешивали в течение 1 часа с последующим перемешиванием на вортексе и измерением поглощения при 600 нм. Линейную стандартную кривую концентраций SO4 в зависимости от OD600 использовали для определения неизвестных концентраций SO4.

Определение октасульфата сахарозы с помощью ВЭЖХ

[00177] Концентрацию октасульфата сахарозы (мг/мл) в образце можно рассчитать на основе площади пика октасульфата сахарозы, полученной из стандарта известной концентрации. Вычисленную концентрацию октасульфата сахарозы затем используют для расчета концентрации сульфата (мМ) в образце.

[00178] Образец, подлежащий анализу, хроматографируют с помощью ВЭЖХ с использованием Phenomenex, Bondclone 10 мкм NH2, 300 × 3,90 мм, PN 00H-3128-C0 или Waters μBondapak NH2 10 мкм 125 Е (3,9 мм × 300 мм), номер по каталогу WAT084040 с использованием подвижной фазы 0,60 М сульфата аммония, pH 3,0, элюированной при 1,00 мл/мин при температуре колонки 40°С. Образцы детектируют с помощью рефрактометрического детектора, который также находится при 40°С, например, с использованием ВЭЖХ Agilent с рефрактометрическим детектором. В качестве эталонного стандарта используют калия сахарозы октасульфата гептагидрат USP; CAS 76578-81-9, Кат. № 1551150.

[00179] Стандарты для анализа SOS и контрольные образцы для анализа интегрируют с использованием базовой линии до базового интегрирования. Образцы ТЭА-SOS затем интегрируют с использованием базовой линии до базового интегрирования. Это может быть выполнено вручную, начиная от базовой линии перед долиной объема пустот до конца хвоста SOS, затем отбрасывая линию в начале пика ТЭА и нижней точки между двумя пиками. Примечание: Если одна базовая линия, начинающаяся перед долиной объема пустот до конца хвоста SOS, пересекает нижнюю точку между пиками ТЭА и SOS, могут использоваться две отдельные линии, которые будут приближать базовую линию к базовому приближению. Образцы ТЭА-SOS будут показывать пик ТЭА при относительном времени удерживания приблизительно 0,45 до времени удерживания пика SOS.

Анализ лекарственного средства

[00180] ВЭЖХ-анализ иринотекана проводили в системе Dionex, используя колонку с обращенной фазой на диоксиде кремния C18 (колонка Supelco C18, внутренний диаметр 250 мм × 4 мм, размер частиц 5 мкм), которой предшествовала предколонка Supelco C18. Использовали объем инъекции образца 50 мкл и колонку элюировали при изократическом режиме со скоростью потока 1,0 мл/мин с подвижной фазой, состоящей из 0,21 М водного раствора триэтиламмония ацетата с рН 5,5 и ацетонитрила (73:27, об.:об.). Иринотекан и SN-38 обычно элюировали в течение 5,1 мин и 7,7 мин, соответственно. Иринотекан был обнаружен при абсорбции при 375 нм с использованием детектора на диодной матрице, и SN-38 был обнаружен с помощью флуоресценции (возбуждение 370 нм и излучение 535 нм).

Определение фосфата

[00181] Для анализа Образцов 1-23 использовали следующий метод определения фосфата. Модифицированный анализ Бартлетта фосфатов может использоваться для измерения фосфолипида (ФЛ). Стандарты в диапазоне от 10 до 40 нмоль фосфата помещались в боросиликатные пробирки 12×75 мм и обрабатывались точно так же, как образцы. В каждую пробирку, помещенную в нагревательный блок, добавляли серную кислоту (100 мкл 6 М H2SO4) и нагревали до 180°С в течение 45 минут. В каждую пробирку добавляли пероксид водорода (20 мкл 30% раствора) и затем нагревали при 150°С в течение 30 минут. В дальнейшем в каждую пробирку добавляли молибдат аммония (0,95 мл раствора 2,2 г/л) и аскорбиновую кислоту (50 мкл 10% водного раствора). После перемешивания на вортексе пробирки держали в кипящей воде в течение 15 минут и затем охлаждали до комнатной температуры. Для анализа лизолипидов с использованием тонкослойной хроматографии (ТСХ) диоксид кремния осаждали центрифугированием при 1000 об/мин в течение 5 минут и синий цвет измеряли в супернатанте, считывая абсорбционную способность при 823 нм. Для образцов, не содержащих диоксид кремния, могли исключить стадию центрифугирования.

Удерживание и стабильность лекарственного средства

[00182] Стабильность липосомального иринотекана (исходя из удерживания лекарственного средства) определяли путем отделения липосомального иринотекана от экстралипосомального иринотекана с использованием эксклюзионных колонок PD-10 (Sephadex G-25). Утечку лекарственного средства определяли с помощью сравнения соотношения иринотекана (ВЭЖХ) и ФЛ (описано в определении фосфолипида) до и после отделения экстралипосомального иринотекана. Разрушение иринотекана определяли путем наблюдения дополнительных пиков на хроматограмме после анализа ВЭЖХ. Соотношения иринотекан-фосфолипид и эффективность инкапсулирования лекарственного средства рассчитывают, используя формулы 1 и 2 ниже, соответственно.

(1) Соотношение иринотекан-фосфолипид (г иринотекана/моль ФЛ)=[Иринотекан] (мг/мл) * 1000

[фосфолипид] (мМ)

(2) Эффективность инкапсулирования (%) =

(соотношение иринотекан-фосфолипид)AC

(соотношение иринотекан-фосфолипид)BC

где (соотношение иринотекан-фосфолипид)AC представляет собой соотношение лекарственного средства и фосфолипида после очистки на эксклюзионной колонке G-25 и (соотношение иринотекан-фосфолипид)BC представляет собой соотношение лекарственное средство-фосфолипид перед очисткой на колонке.

Определение инкапсулированного и свободного иринотекана в липосомальных композициях

[00183] Липосомально инкапсулированный и свободный (неинкапсулированный) иринотекан в липосомальных композициях иринотекана сукрософата Примеров 3 и 4 определяли с использованием адсорбционного метода с применением картриджа. Картриджи Oasis 60 мг 3 см3 HLB (Waters) обрабатывали путем последовательного пропускания 2 мл метанола, 1 мл HEPES-буферного раствора (HBS, 5 мМ HEPES, 140 мМ NaCl, pH 6,5) и 0,5 мл 10% человеческого сывороточного альбумина в физиологическом растворе, с последующим 1 мл HBS. Липосомальные композиции иринотекана сукрософата разбавляли физиологическим раствором до приблизительно 2,2 мг/мл иринотекана и аликвоты по 0,5 мл наносили на картриджи. Элюат собирали, картриджи промывали двумя порциями HBS (1,5 мл, 3 мл) и промывочные растворы объединяли с элюатом для получения липосомальной фракции. Картриджи дополнительно промывали 1,5 мл HBS и элюировали двумя порциями 3 мл метанол-HCl (90 об.% метанола, 10 об.% 18 мМ HCl). Элюаты объединяли для получения фракции свободного лекарственного средства. Фракции липосомального лекарственного средства переносили в мерные колбы на 25 мл и фракции свободного лекарственного средства переносили в мерные колбы на 10 мл, доводили до метки метанолом-HCl, тщательно перемешивали, и колбы липосомальных фракций нагревали в течение 10 минут при 60°C для солюбилизации лекарственного средства. После охлаждения растворы отфильтровывали и иринотекан определяли количественно в обеих фракциях с использованием обращенно-фазовой ВЭЖХ на колонке Phenomenex Luna C18(2), элюировали при изократическом режиме смесью 20 мМ фосфата калия pH 3,0 с метанолом (60:40 по объему) с УФ-детектированием при 254 нм. Пики лекарственных средств были интегрированы, и количество иринотекана в образцах было рассчитано по сравнению с линейной стандартной кривой, полученной при тех же условиях с использованием эталонного стандарта иринотекана гидрохлорида тригидрата USP. Соотношение инкапсулирования лекарственного средства рассчитывали как процентное значение инкапсулированного лекарственного средства по сравнению с общим количеством свободного и инкапсулированного лекарственного средства в образце.

Измерения pH

[00184] pН всегда измеряли при температуре окружающей среды (то есть 20-25°С) с использованием потенциометрического стандартного метода с применением стеклянных электродов. pН липосомальных составов измеряли соответственно путем помещения стеклянного электрода в липосомальный состав и получения показания рН.

Анализ образцов для ТЭА/ДЭА ч./млн.

[00185] Анализ образцов проводили с помощью парофазного газохроматографического (ГХ) разделения с использованием градиентного температурного элюирования на капиллярной колонке ГХ (50 м × 0,32 мм × 5 мкм Restek Rtx-5 (5% фенил-95% диметилполисилоксан)) с последующим пламенно-ионизационным детектированием (ПИД). Проанализировали препарат образца и стандартный препарат и сравнили полученные значения площадей пиков. Количество остаточного амина (например, ТЭА или диэтиламина (ДЭА)) определяли количественно с использованием внешних стандартов. В случае ТЭА стандарт представлял собой≥99%. Другие реагенты включают триэтиленгликоль (ТЭГ), гидроксид натрия и деионизированную (ДИ) воду.

[00186] Условия ГХ представляли собой: газ-носитель: гелий; расход колонны: 20 см/с (1,24 мл/мин); коэффициент деления потока: 10:1 (который можно отрегулировать при условии, что удовлетворяются все критерии пригодности системы); режим введения: деление потока 10:1; вкладыш: 2 мм прямой слот (рекомендуется, но не требуется); температура для ввода пробы: 140°C, температура детектора: 260°C (ПИД); начальная температура термостата колонки: 40°C; температурная программа термостата колонки:

скорость (°C/мин) температура (°C) время удерживания (мин) н.д. 40 0 0 2 100 0 20 240 17

54 мин Время выполнения

[00187] Парофазные параметры: температура плиты: 90°C; температура пробоотборной петли: 100°С; температура линии передачи: 100°C; время установления равновесия: 60 минут; время ввода: 1 минута; давление виалы: 10 фунт/кв. дюйм; время подачи под давлением: 0,2 минуты; встряхивание: вкл. (средний режим); объем инъекции: 1,0 мл паровой фазы; время цикла ГХ: 60 минут (рекомендуется, но не требуется).

[00188] Если ТЭА не обнаружен, сообщается как «ничего не обнаружено»; если результаты ТЭА составляют <30 ч./млн., сообщается как <QL (30 ч./млн.); если результаты ТЭА составляют≥30 ч./млн., сообщается как целое число.

Определение размера липосом

[00189] Размер частиц липосом измеряли с использованием динамического рассеяния света (ДРС) с применением Malvern ZetaSizer Nano ZS или подобного прибора в водном буфере (например, 10 мМ NaCl, pH 6,7) при 23-25°С с использованием метода кумулянтов. Регистрировали z-средний размер частиц и индекс полидисперсности (PDI). Производительность прибора была проверена с использованием прослеживаемого эталона Nanosphere NIST 100 нм полимера (Thermo Scientific 3000 Series Nanosphere Size Standard P/N 3100A или эквивалент с сертификатом анализа, который включает гидродинамический диаметр). Используемый в настоящем описании термин «ДРС» относится к динамическому рассеянию света и «BDP» относится к нерасфасованному лекарственному средству.

Пример 1: Влияние концентрации улавливающего агента SOS и pH на стабильность при хранении липосомального препарата иринотекана

[00190] Целью данного исследования было определение, среди прочего, любых изменений в физической и химической стабильности липосом, инкапсулирующих иринотекан и улавливающий агент октасульфат сахарозы (SOS) при хранении при приблизительно 4°С в течение определенных периодов времени. Для данного исследования липосомальная концентрация улавливающего агента SOS снижалась, в то время как поддерживалось соотношение 471 г фрагмента иринотекана на общее количество молей фосфолипида.

[00191] Ряд липосомальных препаратов иринотекана SOS получали в многостадийном способе с использованием различных концентраций улавливающего агента SOS и регулирования рН конечного липосомального препарата до различных значений рН. Каждый из липосомальных препаратов иринотекана SOS содержал концентрацию фрагмента иринотекана, эквивалентную 5 мг/мл иринотекана гидрохлорида тригидрата. Липосомальные препараты иринотекана SOS Образцов 1-5 и 13 получали с помощью многостадийного способа Примера 1.

[00192] ДСФХ, холестерин (Хол) и ПЭГ-ДСФЭ взвешивали в количествах, соответствующих молярному соотношению 3:2:0,015, соответственно (например, 1264 мг/412,5 мг/22,44 мг). Липиды растворяли в хлороформе/метаноле (4/1, об./об.), тщательно перемешивали и делили на 4 аликвоты (A-D). Каждый образец выпаривали досуха с использованием роторного испарителя при 60°С. Остаточный хлороформ удаляли из липидов путем помещения под вакуум (180 мкТорр) при комнатной температуре в течение 12 часов. Высушенные липиды растворяли в этаноле при 60°С и добавляли предварительно нагретый ТЭА8SOS соответствующей концентрации, так что конечное содержание спирта составляло 10% (об./об.). Концентрация липидов составляла приблизительно 75 мМ. Дисперсию липидов экструдировали при приблизительно 65°С через 2 многослойные поликарбонатные мембраны 0,1 мкм (Nuclepore™) 10 раз с использованием экструдера Lipex thermobarrel extruder (Northern Lipids, Канада) для получения липосом с типичным средним диаметром 95-115 нм (определяемым с помощью квазиупругого рассеяния света; см. подраздел «Определение размера липосом»). pН экструдированных липосом регулировали по мере необходимости для коррекции изменений рН во время экструзии. Липосомы очищали комбинацией ионообменной хроматографии и эксклюзионной хроматографии. Сначала смолу Dowex™ IRA 910 обрабатывали 1 N NaOH с последующими 3 промываниями деионизированной водой, и затем с последующими 3 промываниями 3 N HCl, и затем многократными промываниями водой. Липосомы пропускали через полученную смолу, и проводимость элюированных фракций измеряли с использованием измерителя проводимости с проточной ячейкой (Pharmacia, Uppsala, Швеция). Фракции считались приемлемыми для дальнейшей очистки, если проводимость составляла менее 15 мкСм/см. Элюат липосом затем наносили на колонку Sephadex G-75 (Pharmacia), уравновешенную деионизированной водой, и в собранной фракции липосом измеряли проводимость (обычно менее 1 мкСм/см). Изотоничность поперечных мембран достигалась добавлением 40% раствора декстрозы до конечной концентрации 5% (масс./масс.) и буфера (Hepes), добавленного из исходного раствора (0,5 М, pH 6,5) до конечной концентрации 10 мМ.

[00193] Исходный раствор иринотекана получали путем растворения порошка иринотекана • HCl тригидрата в деионизированной воде до 15 мг/мл безводного иринотекана-HCl с учетом содержания воды и концентраций примесей, полученных из сертификата анализа каждой партии. Загрузку лекарственного средства инициировали добавлением иринотекана в количестве 500 г безводного иринотекана HCl (в соответствии с 471 г безводного свободного основания иринотекана) на моль липосомного фосфолипида и нагреванием до 60±0,1°С в течение 30 минут на горячей водяной бане. Растворы быстро охлаждали при удалении из водяной бани путем погружения в ледяную воду. Экстралипосомальное лекарственное средство удаляли с помощью эксклюзионной хроматографии с использованием колонок Sephadex G75, уравновешенных и элюированных буферным раствором Hepes (10 мМ Hepes, 145 мМ NaCl, pH 6,5). Образцы анализировали на содержание иринотекана с помощью ВЭЖХ и фосфата с помощью метода Бартлетта (см. подраздел «Определение фосфата»). Для хранения образцы делили на аликвоты 4 мл и рН устанавливали с использованием 1 N HCl или 1 N NaOH, отфильтровывали в стерильных асептических условиях и заполняли в стерильные прозрачные стеклянные виалы, которые герметизировали в среде аргона с Teflon® герметичной крышкой с резьбой и помещали в холодильник с термостатическим регулированием при 4°C. В определенные моменты времени аликвоту удаляли из каждого образца и исследовали внешний вид, размер липосом, соотношение лекарственное средство/липид и химическую стабильность лекарственного средства и липида.

[00194] В отношении Примера 1 распределение липосом по размерам определяли в разбавленных образцах путем динамического рассеяния света с использованием Coulter Nano-Sizer под углом 90 градусов и представляли в виде Среднее значение±Стандартное отклонение (нм), полученное методом кумулянтов.

[00195] Липосомальные препараты иринотекана образцов 1-5 и 13 далее получали следующим образом. Свежеэкструдированные липосомы включали две группы, каждая из которых включала ТЭА8SOS в качестве улавливающего агента в концентрациях (A) 0,45 M сульфатной группы (112,0±16 нм), (B) 0,475 M сульфатной группы (105,0±16 нм), (C) 0,5 М сульфатной группы (97±30 нм) и (D) 0,6 М сульфатной группы (113±10 нм). Образцы 1-5 и 13 загружали при первоначальном соотношении 471 г безводного свободного основания иринотекана на моль общего количества липосомных фосфолипидов и очищали, как представлено выше в описании Примера 1 (что эквивалентно 500 г безводного иринотекана HCl). Образцы 1, 5 и 13 получали из экструдированного образца (А); образец 2 получали из экструдированного образца (В); образцы 3 и 4 получали из экструдированных образцов (C) и (D) соответственно. После очистки рН регулировали с использованием 1 N HCl или 1 N NaOH перед стерилизацией и заполнением виал. Данные из образцов 1-5 показаны в Таблице 7 (Пример 1), и данные из образца 13 показаны в Таблице 8 (Пример 2).

[00196] Липосомальные препараты иринотекана образцов 6-11 далее получали следующим образом. Свежеэкструдированные липосомы включали две группы, каждая из которых включала ТЭА8SOS в качестве улавливающего агента в концентрациях (A) 0,45 M сульфатной группы (116±10 нм) и (B) 0,6 M сульфатной группы (115,0±9,0 нм). Образцы 6-8 получали из экструдированного образца (А) и образцы 9-11 получали из экструдированного образца (В). После очистки рН регулировали при необходимости с помощью добавления 1 N HCl или 1 N NaOH в зависимости от конкретного случая. Образец 12 получали, как описано в Примере 2, и включали в Таблицу 7 в целях сравнения.

[00197] Липосомы иринотекана с экстралипосомальными значениями рН, концентрацией свободного основания иринотекана (мг/мл) и различными концентрациями октасульфата сахарозы для определенных липосомальных композиций иринотекана приведены в Таблице 6 (хранение в течение 6 месяцев при 4°С) и в Таблице 7 ниже и были получены, как описано более подробно в настоящем описании.

[00198] На ФИГ. 4А-4С представлены графики, показывающие мол.% лизо-ФХ в липосомальных препаратах иринотекана, выбранных из Таблицы 7, имеющих рН более 6,5 (т. е. 7,25 или 7,5, как указано на каждой ФИГ.). Лизо-ФХ определяли с помощью Способа В (ТСХ), раскрытого в настоящем описании, после хранения каждого образца при 4°С в течение первых 1, 3, 6 и/или 9 месяцев. Данные графики включают аппроксимирующую прямую к данным для каждого Образца в качестве оценки скорости увеличения лизо-ФХ (мол.%) с течением времени в каждом образце. Неожиданно, увеличение рН липосомальных препаратов иринотекана выше 6,5 (например, 7,25 и 7,5) уменьшало количество лизо-ФХ, измеренное во время хранения в холодильнике при 4°C, по сравнению с липосомами иринотекана, полученными при сопоставимых коэффициентах стабильности. Данная тенденция проявлялась при различных концентрациях липосомального иринотекана. Например, в отношении липосомальных композиций иринотекана, полученных при концентрации приблизительно 4,3 мг фрагмента иринотекана/мл, концентрации мол.% лизо-ФХ, измеренные в Образцах 5 и 7, были значительно ниже во всех точках данных (после первых 1, 6 и 9 месяцев хранения при 4°C после изготовления) по сравнению с концентрациями мол.% лизо-ФХ, измеренными для Образца 1 при рН 6,5 (данные в Таблице 7). Подобным образом, в отношении липосомальных композиций иринотекана, полученных при концентрации приблизительно 18,8 мг фрагмента иринотекана/мл, концентрации мол.% лизо-ФХ, измеренные в Образце 13, были значительно ниже во всех точках данных (после первых 1 и 9 месяцев хранения при 4°C после изготовления) по сравнению с концентрациями мол.% лизо-ФХ, измеренными или для Образца 12, или для Образца 14 при рН 6,5 (данные в Таблице 8).

Таблица 6: Измерения лизо-ФХ после 6 месяцев хранения в холодильнике

Образец pH Лекарственное средство (мг/мл) Иринотекан (г)/моль ФЛ [сукрософат] мМ %лизо-ФХ (180 d) Лизо-ФХ Коэффициент стабильности 1 6,5 4,7 471 56,25 19,5 1047 2 6,5 4,7 471 59,375 17 992 4 6,5 4,7 471 75 30,2 785 5 7,25 4,7 471 56,25 7,1 1047 6 6,5 4,7 471 56,25 14,6 1047 7 7,25 4,7 471 56,25 7,4 1047 8 7,5 4,7 471 56,25 5,4 1047 9 6,5 4,7 471 75 29,8 785 10 7,25 4,7 471 75 24,1 785 11 7,5 4,7 471 75 22,8 785 13 7,25 4,7 471 56,25 9,7 1047

[00199] Дополнительные результаты сравнительных исследований стабильности в Примере 1 приведены в Таблице 7 ниже. Мол.% лизо-ФХ определяли после хранения липосомальных препаратов при 4°С в течение 1, 3, 6, 9 и/или 12 месяцев, как указано в Таблице 7. Для каждого образца в Таблице 7 приведена концентрация SOS, используемая для получения липосомы, выраженная в виде молярной концентрации сульфатных групп (одна молекула SOS включает 8 сульфатных групп). Если не указано иначе, все липосомы иринотекана в Таблице 7 получали с использованием соотношения фрагмента иринотекана (как описано выше, исходя из безводного свободного основания) к общему количеству фосфолипида 471 г фрагмента иринотекана (что эквивалентно количеству фрагмента иринотекана в 500 г безводной соли иринотекана HCl) на моль общего количества липосомного фосфолипида соответственно. Таблица 7 также содержит коэффициент стабильности для каждого образца, рассчитанный как соотношение 471 г фрагмента иринотекана (на основе безводного свободного основания) на моль фосфолипида, разделенное на концентрацию сульфатных групп в молях/л, используемых для получения липосом. Липосомы образцов, описанных в Таблице 7, имели измеренный размер (средневзвешенное значение) от приблизительно 89 до 112 нм и эффективность инкапсулирования иринотекана, по меньшей мере, 87,6%. Эффективность инкапсулирования определяли в соответствии с подразделом «Удерживание и стабильность лекарственного средства».

[00200] Результаты данного исследования стабильности при хранении показали, что уменьшение концентрации улавливающего агента SOS (измеренной как молярная концентрация сульфата), используемого при получении липосом, тогда как соотношение безводного свободного основания иринотекана (в г) к общему количеству липосомного фосфолипида (в моль) поддерживали постоянным, приводило к большей стабильности при хранении липосом иринотекана SOS, как измерено с помощью количества лизо-ФХ, обнаруженного в липосомальном препарате иринотекана после 6 и 9 месяцев хранения в холодильнике при 4°С. В липосомальных препаратах, изготовленных до рН 6,5 (см. метод «Измерения pH», описанный в настоящей заявке), снижение концентрации улавливающего агента SOS в процессе изготовления липосом приводит к уменьшению количеств лизо-ФХ, обнаруженных в липосомальных препаратах после хранения при 4°C.

[00201] Не будучи привязанным к теории, полагают, что после очистки от экстралипосомального улавливающего агента во время получения внутренняя область липосомы подкисляется. Это может быть связано с перераспределением компонента амина соли улавливающего агента изнутри наружу липосомы после удаления экстралипосомального ТЭА8SOS с осаждением иона водорода внутрь липосомы в каждом случае. Добавленное лекарственное средство, такое как иринотекан, способное к протонированию, также распределяется между внешней и внутренней областью липосомы. Протонирование лекарственного средства, распределенного внутри липосомы, и связывание протонированного лекарственного средства с сукрософатом влияет на внутрилипосомальную загрузку лекарственного средства и приводит к уменьшению внутрилипосомальной концентрации как ТЭА, так и ионов водорода, уменьшая степень внутрилипосомального подкисления. В случае липосом иринотекана можно предположить, что при загрузке лекарственного средства 500 г иринотекана гидрохлорида (то есть 471 мг иринотекана)/моль липосомного фосфолипида с SOS при концентрации сульфата 0,6 М происходит неполное исчерпание избыточного внутрилипосомального ТЭА. Хотя это и не является основой для сохранения лекарственного средства в липосоме, это может обеспечить кислотную липосомальную внутреннюю область, которая может способствовать разрушению лекарственного средства и липидных компонентов липосомы, как видно из образцов 7 и 13. Напротив, образцы 8 и 5 имеют идентичные загрузки лекарственного средства 500 г иринотекана гидрохлорида (т.е. 471 мг фрагмента иринотекана)/моль, но более низкие концентрации SOS 0,45 М сульфата и 0,475 М сульфата, соответственно. В данных конкретных случаях концентрации измеряемого лизолипида ниже. В конечном итоге, очевидно, что наиболее стабильный липосомальный состав сочетает более высокие соотношения лекарственного средства/улавливающего агента с более высоким внешним рН (то есть pH 7,25).

[00202] Липосомы иринотекана образцов 1-11 сохраняли хорошую коллоидную стабильность до 9 месяцев при 4°С, о чем свидетельствует отсутствие осаждения и относительно узкие и воспроизводимые распределения частиц по размерам, где концентрация фрагмента иринотекана соответствовала 4,71 мг/мл безводного свободного основания иринотекана. Иринотекан был эффективно и стабильно инкапсулирован с минимальной утечкой (<10%) в течение длительного периода хранения (см. метод «Удерживание и стабильность лекарственного средства», описанный в настоящей заявке).

[00203] Образцы 1 и 2 имели идентичные первоначальные загрузки приблизительно 471 г фрагмента иринотекана (как объяснялось выше, из расчета безводного свободного основания) на моль фосфолипида, но более низкие концентрации SOS 0,45 М сульфатных групп и 0,475 М сульфатных групп, соответственно. Подобным образом, образцы 6, 7 и 8 имели более низкую концентрацию SOS 0,45 М сульфата, но такая же загрузка лекарственного средства 471 г фрагмента иринотекана (как объяснялось выше, из расчета безводного свободного основания)/моль фосфолипида приводит к значительно более низкому содержанию лизолипида (7-17% после 9 месяцев).

[00204] Увеличенные концентрации лизо-ФХ были измерены в образцах при рН 6,5 независимо от загрузки лекарственного вещества или концентраций улавливающего агента в процессе изготовления липосом, достигая 35 мол.% фосфолипида для некоторых образцов (1, 2 и 3). Регулирование рН до 7,25 приводило к тому, что липосомы становились менее восприимчивыми к образованию лизо-ФХ с концентрациями, достигающими 9,72% общего количества ФХ (например, сравнение концентраций лизо-ФХ в образцах 1 и 13). Образцы с более высокими соотношениями концентраций лекарственного средства к улавливающему агенту и более высоким рН образовывали меньше лизолипида, как видно из образцов 7 и 8, имеющих 7-8 мол.% лизолипида после 9 месяцев. Комбинация более высокого соотношения лекарственного средства и улавливающего агента и более высокого рН (например, по сравнению с Образцом 12) сокращала образование лизолипида. Наиболее стабильный липосомальный состав объединяет более высокие соотношения лекарственного средства/улавливающего агента (то есть коэффициенты стабильности выше 942, определенные по отношению к количеству свободного основания иринотекана) с более высоким внешним рН выше 6,5 (например, сравнение образцов 1 и 13).

[00205] Кроме того, % SN38, измеренный в липосомальных препаратах иринотекана 1-11 через 9 месяцев, не превышал приблизительно 0,05% SN38 (то есть относительное количество SN38 по сравнению с иринотеканом и SN38), тогда как образец 12 липосомального препарата иринотекана имел 0,20-0,50% SN38, измеренный за тот же период времени (определенный с помощью метода «Анализ лекарственного средства», описанного в настоящей заявке). В каждом из образцов 1-5 и 13 иринотекан был стабильно инкапсулирован с низкой утечкой из липосом (менее 13%; определено с помощью метода «Удерживание и стабильность лекарственного средства», описанного в настоящей заявке) и низким превращением в активный цитотоксический SN-38, менее 0,1%, и в образцах, хранящихся при более высоком рН (7,25), менее 0,05%.

Пример 2: Увеличение концентрации липосом иринотекана в жидком препарате

[00206] Целью данного исследования стабильности при хранении было определение любых изменений в физической и химической стабильности липосомального иринотекана SOS при хранении при 4°С. Во время данного исследования концентрацию улавливающего агента сахарозы оксасульфата (SOS), используемого для получения липосомы, поддерживали при концентрации сульфатной группы 0,65 М, изменяя: (1) первоначальный противоион улавливающего агента SOS во время получения липосом иринотекана (с использованием ТЭА8SOS или ДЭА8SOS), (2) соотношение количества безводного свободного основания иринотекана (в граммах) к фосфолипиду (в молях) (приблизительно 471 г или 707 г фрагмента иринотекана (как объяснялось выше, из расчета безводного свободного основания) на моль фосфолипида), (3) концентрацию безводного свободного основания иринотекана в жидком препарате иринотекана (4,7 мг/мл или 18,8 мг/мл инкапсулированного иринотекана (из расчета эквивалентной концентрации фрагмента иринотекана из иринотекана гидрохлорида тригидрата) в жидком липосомальном препарате иринотекана), (4) рН, до которого липосомальный препарат иринотекана был доведен (рН 6,5 или 7,25), и (5) буфер липосомального препарата иринотекана (HEPES или гистидин).

[00207] Исследованные параметры состава включают: размер липосом, соотношение лекарственного средства и фосфолипида в липосомах иринотекана, эффективность инкапсулирования лекарственного средства иринотекана и общий внешний вид, присутствие продуктов разрушения иринотекана и образование лизо-ФХ (в мол.%).

[00208] Ряд липосомальных препаратов иринотекана SOS получали в многостадийном способе с использованием различных концентраций улавливающего агента SOS по отношению к инкапсулированному иринотекану и регулирования рН конечного липосомального препарата до различных значений рН. ДСФХ, холестерин (Хол) и ПЭГ-ДСФЭ взвешивали в количествах, соответствующих молярному соотношению 3:2:0,015, соответственно (730,9 мг/238,5 мг/13,0 мг). Липиды растворяли в хлороформе/метаноле (4/1, об./об.), тщательно перемешивали и делили на 2 аликвоты. Каждый образец выпаривали досуха с использованием роторного испарителя при 60°С. Остаточный хлороформ удаляли из липидов путем помещения под вакуум (180 мкТорр) при комнатной температуре в течение 12 часов. Высушенные липиды растворяли в этаноле при 60°С, и добавляли предварительно нагретый ТЭА8SOS или ДЭА8SOS (при концентрации 0,65 М сульфатной группы), так что конечное содержание спирта составляло 10% (об./об.), и образцы обозначали A и B, соответственно. Концентрация липидов составляла приблизительно 75 мМ. Дисперсию липидов экструдировали через поликарбонатные мембраны 0,1 мкм (Nuclepore™) 10 раз для получения липосом со стандартным средним диаметром 95-115 нм. рН экструдированных липосом регулировали по мере необходимости (с помощью 1 N NaOH) до выбранного рН препарата. Липосомы очищали комбинацией ионообменной хроматографии и эксклюзионной хроматографии. Сначала смолу Dowex™ IRA 910 обрабатывали 1 N NaOH с последующими 3 промываниями деионизированной водой, и затем с последующими 3 промываниями 3 N HCl, и затем многократными промываниями водой. Проводимость элюированных фракций измеряли с использованием измерителя проводимости с проточной ячейкой (Pharmacia, Uppsala, Швеция). Фракции считались приемлемыми для дальнейшей очистки, если проводимость составляла менее 15 мкСм/см. Элюат липосом затем наносили на колонку Sephadex G-75 (Pharmacia), уравновешенную деионизированной водой, и в собранной фракции липосом измеряли проводимость (обычно менее 1 мкСм/см). Изотоничность поперечных мембран достигалась добавлением 40% раствора декстрозы до конечной концентрации 5% (масс./масс.), и буфер (Hepes) добавляли из исходного раствора (0,5 М, pH 6,5) до конечной концентрации 10 мМ.

[00209] Исходный раствор иринотекана получали путем растворения 326,8 мг порошка иринотекана • HCl тригидрата в 20,0 мл деионизированной воды до 15 мг/мл безводного иринотекана-HCl с учетом содержания воды и концентраций примесей, полученных из сертификата анализа каждой партии. Загрузку лекарственного средства инициировали добавлением безводного свободного основания иринотекана при 500 г/моль или 750 г/моль фосфолипида и нагреванием до 60±0,1°С в течение 30 минут на горячей водяной бане. Растворы быстро охлаждали при удалении из водяной бани путем погружения в ледяную воду. Экстралипосомальное лекарственное средство удаляли с помощью эксклюзионной хроматографии с использованием колонок Sephadex G75, уравновешенных и элюированных буферным раствором Hepes (10 мМ) (HBS) pH 6,5 для образца А и буферным раствором гистидина при рН 7,25 для образца B. Образцы анализировали на содержание иринотекана с помощью ВЭЖХ и фосфата с помощью метода Бартлетта (см. Определение фосфата).

[00210] Для хранения образцы делили на аликвоты 4 мл и рН устанавливали при необходимости с использованием 1 N HCl или 1 N NaOH, отфильтровывали в стерильных асептических условиях и заполняли в стерильные прозрачные стеклянные виалы, которые герметизировали в среде аргона с Teflon® герметичной крышкой с резьбой и помещали в холодильник с термостатическим регулированием при 4°C. В определенные моменты времени аликвоту удаляли из каждого образца и исследовали внешний вид, размер, соотношение лекарственное средство/липид и химическую стабильность лекарственного средства и липида.

[00211] Размер липосом определяли в разбавленных образцах путем динамического рассеяния света с использованием Coulter Nano-Sizer под углом 90 градусов и представляли в виде Среднее значение±Стандартное отклонение (нм), полученное методом кумулянтов.

[00212] Результаты сравнительных исследований стабильности приведены в Таблице 8 (для образцов, полученных с использованием исходного вещества улавливающего агента ТЭА8SOS) и Таблице 9 (для образцов, полученных с использованием исходного вещества улавливающего агента ДЭА8SOS).

Таблица 8: Липосомы иринотекана, полученные с улавливающим агентом ТЭА8SOS в буфере Hepes (10 мМ)d

Образец Конечный преп pH [иринотекан]/ общее количество мол ФЛ Молярная концентрация сульфатных групп в сукрософате, включенном в липосомы Коэффициент стабильности [иринотекан] г/моль Время (месяцы) Мол.% лизо-ФХ 12 6,5 471 0,65 M 724 5 0 3,8(±0,6) 1 18,3(±1,2) 3 32,7(±1,9) 9 35,4(±0,5) 12 37,9(±0,5) 14 6,5 471 0,65 M 724 20 0 3,8(±0,6) 1 15,9(±0,6) 3 19,2(±0,3) 9 32,1(±0,5) 12 36,0(±0,8) 13 7,25 471 0,45 M 1047 20 1 2,6(±0,6) 6 9,72(±1,9) 9 13,8(±1,0)

d Измерено в соответствии со Способом B, как описано в настоящей заявке.

[00213] Образец 13 (Пример 2, Таблица 8) хранился при концентрации в 4 раза выше (20 мг иринотекана/мл), чем образцы 1-5 (Пример 1) и еще сохранял хорошую коллоидную стабильность без наблюдаемой агрегации или осаждения.

Таблица 9: Липосомы иринотекана, полученные с улавливающим агентом ДЭА8SOS при концентрации сульфатной группы 0,65 М, рН 7,25e

Образец мг иринотекана/мл [иринотекан]/
общее количество мол ФЛ
Коэффициент стабильности Время (месяцы) Мол.% лизо-ФХ Размер % SN38
15 18,8 471 724 0 2,6(±0,2) 106,8±18,3 1 8,8(±1,2) 106,3±26 0,05 3 6,9(±0,8) 85,9±30,8 0,08 9 9,6(±0,5) 97,1±19,0 0,05 12 11,0(±0,4) 116,1±26,6 0,04 16 18,8 707 1086 0 2,0(±0,6) 101,0±23,0 1 0,9(±0,1) 112,3±23,5 0,01 3 0,93(±0,5) 93,2±25,0 0,09 9 2,3(±0,1) 99,2±19,7 0,03 17 4,7 707 1086 0 2,0(±0,6) 101,0±23 1 0,4(±0,2) 112,6±23,3 0,07 3 1,1(±0,4) 102,4±16,2 0,05 9 1,5(±0,2) 99,5±15,8 0,06 12 1,5(±0,1) 106,2±22,5 0,04 18 18,8 707 1086 0 2,0(±0,6) 101,0±23 1 0,7(±0,3) 108,1±23,7 0,01 3 0,4(±0,4) 100,2±18,0 0,04 9 0,1(±0,1) 98,1±18,3 0,03 12 1,5(±0,1) 100,0±26,5 0,01

e Измерено в соответствии со Способом B, как описано в настоящей заявке.

[00214] Свежеэкструдированные липосомы с размерами инкапсулировали или (A) ТЭА8SOS при 0,65 M сульфате (113,0±23,8 нм), или (B) ДЭА8SOS при 0,65 M сульфатных группах (103,2±21,1 нм) (единственным исключением является образец 13, который имел 0,45 М сульфатные группы). Из (А) были получены образцы 12 и 14 и из образца (В) были получены образцы 15-18, причем образцы 12, 14, 15 и 16 загружали при 471 г безводного свободного основания иринотекана (что эквивалентно 500 г безводного иринотекана HCl) на моль общего количества липосомных фосфолипидов и образцы 16-18 загружали при 750 г фрагмента иринотекана (как объяснялось выше, из расчета безводного свободного основания) на моль фосфолипида. После очистки рН регулировали в случае необходимости с использованием 1 N HCl или 1 N NaOH и, как описано в Таблицах 7 и 8, до рН 6,5 или 7,25. Образец 12 получали, как описано в Примере 1, и включали в Таблицу 8 в целях сравнения.

[00215] Данные показали, что липосомы сохраняют хорошую коллоидную стабильность до года при 4°С, о чем свидетельствует отсутствие осаждения и относительно узкие и воспроизводимые распределения частиц по размерам. Во-вторых, очевидно, что коллоидная стабильность также полезна для более концентрированных образцов при хранении при высоком значении рН и при повышенном соотношении лекарственного средства и фосфолипида, что указывает на то, что концентрации фрагмента иринотекана эквиваленты 20 мг/мл и 40 мг/мл иринотекана гидрохлорида тригидрата, липосомы являются стабильными и не образуют агрегаты.

[00216] Во всех случаях иринотекан был стабильно инкапсулирован в липосомы с низкой утечкой и низким превращением в активный цитотоксический SN-38 (то есть относительное количество SN38 по сравнению с иринотеканом и SN38); менее 0,5 мол.% во всех случаях и за исключением образца 12, менее 0,1 мол.% SN-38. Данные были получены с помощью метода «Удерживание и стабильность лекарственного средства» и метода «Анализ лекарственного средства», описанного в настоящей заявке.

[00217] Увеличенные концентрации лизо-ФХ измеряли в образцах, которые были доведены до рН 6,5 и получены в соотношении 471 г фрагмента иринотекана (как описано выше, используя эквивалентное количество 500 г безводного иринотекана HCl) на моль фосфолипида, достигая 36-37 мол.% (общего количества фосфатидилхолина) для образцов 12 и 14, тогда как доведение рН до 7,25 приводило к тому, что липосомы были менее восприимчивыми к образованию лизолипидов, при этом концентрации лизо-ФХ приближались только к 11 мол.% (общего количества фосфатидилхолина) через один год для Образца 15.

[00218] Изменение липосомального рН от 6,5 до 7,25 не оказывало негативного влияния на коллоидную стабильность или утечку лекарственного средства.

Пример 3: Стабильность при хранении стабилизированных липосом иринотекана с различными количествами ТЭА (противоиона улавливающего агента SOS)

[00219] Липосомы иринотекана получали путем загрузки иринотекана в липосомы, инкапсулирующие оксасульфат сахарозы (SOS) и замещенный противоион аммония (например, протонированный ТЭА). Влияние изменения остаточного количества замещенного аммония в липосоме иринотекана SOS с загруженным лекарственным средством оценивали путем создания многочисленных липосом иринотекана SOS, содержащих различные количества инкапсулированного остаточного замещенного иона аммония, сохраняя данные липосомы иринотекана SOS при охлаждении при 4°C в течение 6 месяцев и затем измеряя количество лизо-ФХ (в мол.%) в данных липосомах иринотекана SOS.

[00220] Данные показали, что сокращение количества замещенного иона аммония в липосомах иринотекана SOS приводит к более низким концентрациям лизо-ФХ после 6 месяцев хранения при охлаждении при 4°C. В частности, липосомы иринотекана SOS, имеющие менее 100 ч./млн. (например, 20-100 ч./млн. ТЭА) замещенного аммония, демонстрировали более низкие концентрации образования лизо-ФХ после 6 месяцев хранения при охлаждении при 4°C.

[00221] Шесть партий (Образцы 24-29) липосомального иринотекана сукрософата получали в соответствии с определенными вариантами осуществления изобретения на основании протоколов, описанных в настоящей заявке, имеющих коэффициенты стабильности 1046-1064, липидную композицию ДСФХ, холестерина и МПЭГ-2000-ДСФЭ в молярном соотношении 3:2:0,015, соответственно.

[00222] Количество лизо-ФХ в Таблице 10 определяли с помощью ВЭЖХ (Способ А в настоящем описании).

Таблица 10: Липосомальные препараты иринотекана при рН 7,3 (иринотекана SOS, инкапсулированный в везикулы, образованные из ДСФХ, холестерина (Хол) и ПЭГ-ДСФЭ в молярном соотношении 3:2:0,015)

Образец
(партия)
D (мм) Иринотекан
мг/мл
DL соотношение г/моль pH Иринотекан/SOS грамм эквив соотношение ТЭА ч./млн. Лизо-ФХ первонач
мг/млf
Лизо-ФХ скорость мг/мл/месяц мол.% лизо-ФХ через 180 днейg
24 (1) 110 4,51 502 7,3 1,020±0,012 16 0,060 0,0077 2,2 25 (2) 109 4,38 517 7,3 1,018±0,031 14 0,059 0,0124 3,0 26 (3) 109 4,43 481 7,3 0,963±0,008 39 0,148 0,0309 6,9 27 (4) 107 4,43 469 7,3 0,965±0,019 79 0,081 0,0313 5,4 28 (5) 108 4,43 487 7,3 0,983±0,021 18 0,060 0,0126 2,8 29 (6) 112 4,43 503 7,3 0,907±0,009 100 0,110 0,0585 10,1

f Измерено в соответствии со Способом А, как описано в настоящей заявке.

g Измерено в соответствии со Способом А, как описано в настоящей заявке

[00223] Липосомы (100-115 нм) получали путем экструзии липида, диспергированного в растворе ТЭА-SOS (0,4-0,5 М сульфата), через 100 нм поликарбонатные мембраны (Nuclepore), очищенного от экстралипосомального ТЭА-SOS с помощью замены тангенциального потока буфера для диафильтрации на осмотически сбалансированный раствор декстрозы, загруженный иринотеканом, повышая температуру до 68°С и перемешивая в течение 30 минут, быстро охлаждали и очищали от экстралипосомального ТЭА и любого неинкапсулированного лекарственного средства путем замены тангенциального потока буфера для диафильтрации на буферный физиологический раствор хлорида натрия. Липосомальную композицию иринотекана сукрософата стерилизовали посредством фильтрации с помощью пропускания через 0,2 мкм мембранные фильтры, распределяли в асептических условиях в стерильные стеклянные виалы и инкубировали в условиях охлаждения (5±3°С). В периоды хранения при охлаждении приблизительно 0, 3, 6, 9 и в некоторых случаях 12 месяцев дублирующие виалы каждой партии отбирали и анализировали на количество накопленного лизо-ФХ с использованием способа ВЭЖХ с детектором испарительного светорассеяния. Липосомальные композиции также характеризовались размером частиц, концентрацией иринотекана и липосомного фосфолипида, рН липосомальной композиции, грамм-эквивалентным соотношением иринотекана/сукрософата (соотношение Iri/SOS) и остаточным триэтиламмонием (протонированным ТЭА) (в виде триэтиламина). Средний размер частиц (D) и индекс полидисперсности (PDI) определяли методом ДРС с использованием Malvern ZetaSizer NanoZS. Концентрацию иринотекана в липосомальных композициях определяли с помощью ВЭЖХ. Общее количество фосфолипида определяли спектрофотометрически с помощью метода фосфорномолибденовой сини после обработки липосом в смеси серной кислоты/пероксида водорода.

[00224] Соотношение лекарственного средства/липида (DL) рассчитывали путем деления количества лекарственного средства (как безводного свободного основания) в г на молярное количество липосомного фосфолипида в липосомальном препарате. Липосомально-инкапсулированный SOS количественно определяли после прохождения липосом через колонку для гель-хроматографии Sephadex G-25 (PD-10, GE Healthcare), элюированную физиологическим раствором. Для определения грамм-эквивалентного соотношения иринотекана/SOS 0,1 мл аликвоты элюированных фракций липосом в трех повторностях смешивали с 0,05 мл 70% хлорной кислоты, гидролизовали при 95-100°С в течение 1 часа, нейтрализовали 0,8 мл 1 М ацетата натрия, фильтровали для удаления нерастворимых липидных продуктов и количество полученных из сукрософата сульфатных групп в фильтратах определяли количественно с помощью турбидиметрии с использованием реагента бария-ПЭГ, по существу как описано в Методах. Другой ряд аликвот в трех повторностях одинаковых липосомных элюатов лизировали в 70% подкисленном (0,1 М HCl) водном изопропаноле и анализировали на содержание иринотекана с помощью спектрофотометрии при 365 нм. Грамм-эквивалентное соотношение иринотекана/сукрософата (соотношение Iri/SOS) рассчитывали в каждой элюированной фракции липосом путем деления измеренной молярной концентрации лекарственного средства на измеренную молярную концентрацию сульфатных групп. рН измеряли, как описано в подразделе «Измерения рН». ТЭА определяли количественно с помощью парофазного газохроматографического (ГХ) разделения с использованием градиентного температурного элюирования на капиллярной колонке ГХ с последующим пламенно-ионизационным детектированием (ПИД). Результаты выражали в виде ч./млн. (частей на миллион) ТЭА. Концентрации ТЭА определяли путем внешнего количественного определения по стандарту.

[00225] Данные в 5, 6, 7, 10, 11А, 11В и 12 были получены из липосомальных образцов иринотекана, полученных путем загрузки 0,4-0,5 М липосом улавливающего агента ТЭА8SOS с приблизительно 400-600 мг (например, приблизительно 500 г) фрагмента иринотекана на моль общего количества фосфолипида (коэффициенты стабильности в диапазоне приблизительно 1000-1200) и рН после изготовления приблизительно 7,0-7,5 (например, приблизительно 7,25). Количество лизо-ФХ в каждом из данных липосомальных образцов иринотекана измеряли в моменты времени, указанные на ФИГ.5-7 с использованием способа ВЭЖХ Примера 9.

[00226] Данные о накоплении лизо-ФХ (в мг лизо-ФХ/мл липосомальной композиции) были нанесены на график в зависимости от времени хранения, как показано на ФИГ. 5 (Образцы 24-26/партии 1-3) или ФИГ. 6 (Образцы 27-29/партии 4-6). Наблюдалась линейная корреляция, при которой накопление лизо-ФХ варьировалось от приблизительно 0,008 мг/мл/месяц до приблизительно 0,06 мг/мл/месяц, причем более высокие показатели характерны для композиций с более высокими количествами ТЭА. Количества лизо-ФХ, накопленные через 180 дней (приблизительно 6 месяцев) хранения, определяли из линейного приближения многоточечных данных (ФИГ. 5А и 5В) и выражали в виде мол.% ФХ, принимая молекулярную массу лизо-ФХ, равную 523,7 г/моль. Все шесть партий (Образцы 24-29, см. Таблицу 10) накапливали менее 20 мол.% лизо-ФХ через 180 дней хранения в холодильнике. Партии с менее 20 ч./млн. ТЭА и грамм-эквив. соотношением Iri/SOS более 0,98 продемонстрировали наименьшее накопление лизо-ФХ (менее приблизительно 0,015 мг/мл/месяц лизо-ФХ через 180 дней-3,0 мол.% или менее); партии с менее 80 ч./млн. ТЭА накапливали лизо-ФХ со скоростью приблизительно 0,03 мг/мл/месяц или менее и имели менее 7 мол.% лизо-ФХ через 180 дней; партия с 100 ч./млн. остаточного ТЭА накапливала лизо-ФХ со скоростью приблизительно 0,06 мг/мл/месяц и имела приблизительно 10 мол.% лизо-ФХ через 180 дней.

[00227] На ФИГ. 7 представлен график, показывающий скорости накопления лизо-ФХ (в мг/мл/месяц) при хранении при 5±3°C, нанесенные в зависимости от содержания ТЭА (в ч./млн.) в стабилизированных липосомальных композициях иринотекана сукрософата вместе с аппроксимирующей прямой, полученной из данных. Пять дополнительных партий липосомального иринотекана сукрософата получали аналогично Примеру 3. Препараты хранили при фрагменте иринотекана (как описано выше, из расчета безводного свободного основания) приблизительно 4,3 мг/мл безводного свободного основания иринотекана на мл и периодически анализировали на образование лизо-ФХ и содержание ТЭА, как описано в Примере 3. Скорости накопления лизо-ФХ были рассчитаны как наклоны аппроксимирующих прямых, полученных путем согласования с данными лизо-ФХ с течением времени хранения для каждой партии, и нанесены на график в зависимости от содержания ТЭА с усредненными ТЭА-показателями парных партий BDP/DP (ФИГ.6). Как следует из графика, препараты, которые содержали приблизительно 25 ч./млн. или менее ТЭА, накапливали лизо-ФХ со скоростями менее 0,02 мг/мл/месяц (менее 2,5 мол.% увеличение лизо-ФХ в течение периода 180 дней); препараты, которые содержали менее приблизительно 70 ч./млн. ТЭА, накапливали лизо-ФХ со скоростью менее 0,033 мг/мл/месяц (менее 4,3 мол.% увеличение лизо-ФХ в течение периода 180 дней), и все препараты содержали менее приблизительно 100 ч./млн. ТЭА и накапливали лизо-ФХ со скоростью менее 0,062 мг/мл/месяц (менее 8,0 мол.% увеличение лизо-ФХ в течение периода 180 дней).

[00228] Образцы 24, 25 и 28 каждый имеет менее 20 ч./млн. (например, приблизительно 10-20 ч./млн.) замещенного иона аммония (протонированного ТЭА) и имеет самые низкие количества лизо-ФХ, наблюдаемые после 6 месяцев хранения в холодильнике при 4°С (2,2-3 мол.% лизо-ФХ). Сравнивая образцы 26 и 27, увеличение количества противоиона улавливающего агента остаточного замещенного амина (например, протонированного ТЭА) в липосомах иринотекана SOS от приблизительно 39 ч./млн. до 79 ч./млн. (увеличение на 103%) сопровождалось неожиданным сокращением количества лизо-ФХ, наблюдаемым после 180 дней (от 6,9 мол.% до 5,4 мол.%, 22% сокращение лизо-ФХ). Однако дальнейшее увеличение количества остаточного замещенного иона аммония (например, протонированного ТЭА) в липосомах иринотекана SOS от 79 ч./млн. (Образец 27) до 100 ч./млн. (Образец 29) (т.е. увеличение на 27%) сопровождалось дополнительным увеличением на 87% (т.е. от 5,4 мол.% в Образце 27 до 10,1 мол.% в Образце 29) количества лизо-ФХ, наблюдаемым через 6 месяцев хранения в холодильнике при 4°С.

Пример 4: Взаимодействие иринотекана с сукрософатом

[00229] На ФИГ. 8 представлен график, показывающий грамм-эквивалентные количества иринотекана и сукрософата в осадке, образованном объединением иринотекана гидрохлорида и триэтиламмония сукрософата в водном растворе при различных пропорциях сукрософата (SOS), как описано в Примере 4.

[00230] Когда раствор иринотекана гидрохлорида объединяют с липосомами, содержащими триэтиламмония сукрософат, ион водорода может быть удален и может быть образована соль иринотекана сукрософата. Для изучения взаимодействия между иринотеканом и триэтиламмония сукрософатом авторы изобретения приготовили 25 мМ (16,93 мг/мл) водного раствора иринотекана гидрохлорида тригидрата USP и 250 мэкв/л (31,25 мМ) раствора триэтиламмония сукрософата (ТЭА-SOS) (по существу, как описано в разделе «Методы»). Аликвоты раствора иринотекана гидрохлорида разбавляли водой, нагревали до 65°С и объединяли с аликвотами раствора ТЭА-SOS для получения серии грамм-эквивалентных соотношений иринотекана-SOS между 9:1 и 1:9 при общей грамм-эквивалентной концентрации обоих соединений вместе, равной 25 мэкв/л. Образцы быстро смешивали путем перемешивания на вортексе, инкубировали при 65°С в течение 30 минут, охлаждали в ледяной воде и уравновешивали в течение ночи при 4-6°С. Во всех образцах наблюдалось осаждение. На следующий день образцы центрифугировали при 10000×g в течение 5 минут и при 14000×g в течение дополнительных 5 минут, и прозрачную надосадочную жидкость (над рыхлым, обильным от белого до слегка коричневого осадком) выделяли и анализировали на содержание количеств неосажденного иринотекана и SOS, по существу, как описано в Примерах для определения количества и композиции осадка. Результаты наносили на график в зависимости от грамм-эквивалентного процентного содержания SOS в образце (ФИГ. 8). В диапазоне 20-80 эквивалентных % SOS графики для обоих компонентов состояли из двух линейных ветвей, которые встречались при значении 50 эквивалентных %, что указывает на то, что иринотекан и сукрософат образовывали нерастворимую соль со стехиометрией одной молекулы иринотекана на одну группу сульфатного эфира сукрософата (то есть восемь молекул иринотекана (IRI) на одну молекулу сукрософата (SOS)):

8 IRI.HCl + ТЭА8SOS → (IRI.H)8SOS ↓+ТЭАCl

[00231] Несмотря на выраженные различия в молекулярном размере и форме протонированной молекулы иринотекана и аниона сукрософата, их соль неожиданно сохраняла близкую стехиометрию - восемь молекул протонированного иринотекана на одну молекулу сукрософата - даже при большом избытке любого из компонентов (ФИГ. 8). Таким образом, иринотекана сукрософат может существовать в липосоме в плохо растворимой, осажденной или гелеобразной форме. Тот факт, что осаждающая соль сохраняет свою строгую стехиометрию, позволяет процессу продвигаться к моменту, когда преимущественно все или практически все сульфатные группы сукрософата связываются с молекулами лекарственного средства. В соответствии с измерениями грамм-эквивалентного соотношения иринотекана-сукрософата Примера 6 процесс загрузки иринотекана для получения стабильной липосомы настоящего изобретения в некоторых вариантах осуществления может включать липосомальное осаждение стехиометрической соли лекарственного средства до тех пор, пока, по меньшей мере, 90%, по меньшей мере, 95% или даже, по меньшей мере, 98% и в некоторых случаях по существу весь свободный липосомальный сукрософат не удалится из липосомальной водной фазы путем осаждения и/или гелеобразования его соли иринотекана.

Пример 5: Получение и определение растворимости иринотекана сукрософата.

[00232] Количество 1,64 г иринотекана гидрохлорида тригидрата добавляли к 160 мл воды, подкисленной 0,008 мл 1 N HCl, и нагревали на водяной бане при 65°С при перемешивании до растворения лекарственного средства. При интенсивном перемешивании добавляли 5 мл 0,46 М (из расчета концентрации сульфата) триэтиламмония сукрософата и перемешивали в течение дополнительных пяти минут. Желтоватый масляный осадок затвердевал в хрупкую массу после хранения в течение ночи при 4-6°С. Массу растирали в порошок стеклянной палочкой с получением рассыпчатого белого с желтоватым или сероватым оттенком осадка и инкубировали при охлаждении в течение 25 дней. Осадок отделяли центрифугированием и раствор супернатанта удаляли. Осадок после центрифугирования ресуспендировали в пяти объемах деионизированной воды и осаждали путем центрифугирования; данную стадию промывания повторяли еще два раза до тех пор, пока рН суспензии не составлял приблизительно 5,8. Наконец, осадок ресуспендировали в равном объеме деионизированной воды с получением приблизительно 26 мл продукта, имеющего содержание иринотекана 46,0 мг/мл (свободное основание) (выход 84% от теории). Аликвоту продукта солюбилизировали в 1 N HCl и анализировали на содержание иринотекана (с помощью спектрофотометрии при 365 нм в 70% водном изопропаноле-0,1 N HCl) и сульфата после гидролиза в разбавленной (1:4) хлорной кислоте с использованием турбидиметрического анализа с сульфатом бария. Было установлено, что молярное соотношение иринотекана и SO4 составляет 1,020±0,011. Аликвоты суспензии иринотекана сукрософата добавляли к деионизированной воде до конечной концентрации соли лекарственного средства 0,93, 1,85 и 3,71 мг/мл. Образцы инкубировали при перемешивании при 4-6°С в течение 22 часов, твердый материал удаляли центрифугированием в течение 10 мин при 14000g и надосадочную жидкость анализировали на содержание иринотекана с помощью спектрофотометрии. Было установлено, что концентрация иринотекана в растворе составляет 58,9±0,90 мкг/мл, 63,2±0,6 мкг/мл и 63,4±1,3 мкг/мл, соответственно, что в среднем соответствует молярной растворимости иринотекана сукрософата 1,32×10-5 М.

Пример 6: Различные липосомы иринотекана

[00233] Все эксперименты для данного примера проводили с использованием 25 мм экструдера, полых волокон или установки тангенциальной поточной фильтрации (ТПФ) для начальной стадии диафильтрации, микромасштабной загрузки лекарственных средств и установки ТПФ для окончательной диафильтрации с последующей фильтрацией EAV. Вследствие ограниченного объема материала, загруженного лекарственным средством, окончательную фильтрацию после разбавления проводили с использованием 20 см2 фильтра EAV в боксе биологической безопасности вместо двух фильтров EBV.

Таблица 11:

Образец 31a
(2a)
31b
(2b)
32a
(3a)
32b
(3b)
33
(4)
34
(5)
Концентрация инкапсулированного иринотекана (мг/мл) 4,56 4,68 4,65 4,58 5,2 5,1 % инкапсулированного иринотекана (%) 98,4 99,2 98,2 99,3 99,7 99,8 Молярное соотношение ДСФХ:холестерина 3,03:1,00 2,96:1,00 3:1 3:1 Соотношение иринотекана:фосфолипида (мг/моль) 486 486 458 458 502 481 pH 7,28 7,28 6,41 6,41 7,3 7,3 Измерение размера частиц (USP729) (нм) (PDI) 90-130 (0,05) 110 (0,10) 109 (0,05) Концентрация лизо-ФХ (мг/мл) <0,060 0,175 0,076 0,573 0,24 0,79 Концентрация лизо-ФХ (мол.%)h 4,04 12,72 5,11 16,43

h Измерено в соответствии со Способом А, как описано в настоящей заявке.

[00234] Ссылаясь на Таблицу 11, был получен ряд различных липосом иринотекана с различными количествами лизо-ФХ. Если не указано иначе, липосомы иринотекана инкапсулировали иринотекана сахарозы октасульфат в везикулу, состоящую из ДСФХ, холестерина и МПЭГ2000ДСФЭ в молярном соотношении 3:2:0,015.

[00235] Образец 30 (партия 1) получали путем приготовления липосом, как описано в Примере 1 (за исключением случаев, указанных в данном Примере), и затем выдерживания экструдированных липосом в течение 8 часов при 72°С после экструзии липосом, рН доводили до 6,2-6,9 в конце 8 часов, приводя к композиции с приблизительно 45 мол.% лизо-ФХ (т.е. приблизительно 1,7 мг/мл). Время получения МЛВ рассматривалось как время 0. Данный эксперимент проводили с использованием аликвоты из исходного эксперимента 1. Композицию образца 30 (партия 1) готовили с использованием липосом, имеющих более низкое молярное соотношение ДСФХ:холестерина (приблизительно 2:1 вместо 3:1 в других образцах). Полученная липосомальная композиция иринотекана имела высокую концентрацию лизо-ФХ (то есть более 1 мг/мл и более 40 мол.% лизо-ФХ).

[00236] Образцы 31а и 31b (партии 2а и 2b) получали с использованием способа Примера 1 с модификациями для исследования влияния увеличения концентрации раствора ТЭА-SOS в липосомах до загрузки лекарственного средства иринотекана и влияния уменьшения соотношения загрузки лекарственного средства иринотекана на 15% на характеристики полученных липосомальных композиций иринотекана. Материал образца 31a (2a) получали путем образования липосом, имеющих везикулы, содержащие ДСФХ и холестерин (в соотношении, приведенном в таблице 11), инкапсулирующие раствор ТЭА-SOS при концентрации 0,5 М сульфатной группы для образования мультиламеллярных везикул (МЛВ), и взаимодействия данных липосом с раствором иринотекана гидрохлорида в количестве 510 г безводного свободного основания иринотекана/моль ФЛ для загрузки лекарственного средства в липосомы. Материал образца 31b (2b) получали, поддерживая липосомальную композицию образца 31a (2a) в течение 1 недели при 40°C, затем снова анализируя образец. Полученные липосомальные композиции иринотекана образцов 31a и 31b (2a и 2b) обе содержали очень низкие концентрации лизо-ФХ (т.е. менее приблизительно 0,06 мг/мл или 4 мол.% в образце 31a (2a) и приблизительно 0,175 мг/мл в образце 31b (2b)).

[00237] Образцы 32а и 32b (партии 3а и 3b, соответственно) получали с использованием способа Примера 1 с модификациями, выбранными для изучения комбинированного влияния рН буфера состава и уменьшенного соотношения загрузки лекарственного средства иринотекана. Материал образца 32a (3a) получали путем образования липосом, имеющих везикулы, содержащие ДСФХ и холестерин (в соотношении, приведенном в Таблице 10), инкапсулирующие раствор ТЭА-SOS для образования МЛВ, и взаимодействия данных липосом с иринотеканом для загрузки лекарственного средства в липосомы, образуя иринотекана сахарозы октасульфат в липосоме при соотношении загрузки лекарственного средства иринотекана, указанном в Таблице 11 (более низкое соотношение загрузки лекарственного средства иринотекана, чем образцы 33 (4) и 34 (5)) в буфере, выбранном для обеспечения рН приблизительно 6,50 (вместо рН приблизительно 7,25 в образце 30 (1)). Материал образца 32b (3b) получали, поддерживая композицию образца 3a в течение 1 недели при 40°C, затем снова анализируя образец. Полученные липосомальные композиции иринотекана 32а (3а) и 32b (3b) обе содержали низкие концентрации 0,076 мг/мл и 0,573 мг/мл лизо-ФХ, соответственно.

[00238] Образцы 33 (4) и 34 (5) получали в соответствии со способами, описанными в Примере 1. Материал образца 33 (4) и 34 (5) получали путем образования липосом, имеющих везикулы, содержащие ДСФХ и холестерин (в соотношении, приведенном в Таблице 11), инкапсулирующие раствор ТЭА-SOS для образования МЛВ, и взаимодействия данных липосом с иринотеканом для загрузки лекарственного средства в липосомы, образуя иринотекана сахарозы октасульфат в липосоме при 500 г фрагмента иринотекана (из расчета безводного свободного основания)/моль фосфолипида в буфере, выбранном для обеспечения рН приблизительно 7,25 (вместо рН приблизительно 6,5 в образцах 3а и 3b). Полученные липосомальные композиции иринотекана 3а и 3b обе содержали низкие концентрации 0,24 мг/мл и 0,79 мг/мл лизо-ФХ, соответственно.

[00239] На ФИГ. 12 представлен график, показывающий количество лизо-ФХ, измеренное в образце 33(4) (круги, нижняя линия) и образце 34(5) («+» точки данных, верхняя линия). Скорость образования лизо-ФХ была выше в Образце 34(5), чем в Образце 33(4). Линейное приближение к точкам данных на ФИГ. 12 заключалось в следующем:

Пример 33(4): лизо-ФХ, мг/мл=0,0513596+0,0084714*накопленная продолжительность

Образец 34(5): лизо-ФХ, мг/мл=0,1766736+0,0279783*накопленная продолжительность

Общая концентрация лизо-ФХ липосомальных препаратов иринотекана в Образцах 33 и 34 составляла 0,24 мг/мл и 0,79 мг/мл через 22 месяца, соответственно.

Пример 7: Липосомальный иринотекан для инъекций (ОНИВАЙД®)

[00240] Одним из предпочтительных примеров хранения стабильного липосомального препарата иринотекана является продукт, продаваемый как ОНИВАЙД® (липосомальный иринотекан для инъекций) (Merrimack Pharmaceuticals, Inc., Cambridge, MA). Продукт ОНИВАЙД® представляет собой ингибитор топоизомеразы, составленный с иринотекана гидрохлорида тригидратом в липосомальную дисперсию для внутривенного применения. Продукт ОНИВАЙД® показан в комбинации с фторурацилом и лейковорином для лечения пациентов с метастатической аденокарциномой поджелудочной железы после прогрессирования заболевания после терапии на основе гемцитабина.

[00241] Рекомендуемая доза продукта ОНИВАЙД® составляет 70 мг/м2, вводимая внутривенной инфузией в течение 90 минут один раз каждые 2 недели. Продукт ОНИВАЙД® вводится в сочетании с лейковорином и фторурацилом для лечения определенных форм рака поджелудочной железы. Рекомендуемая начальная доза продукта ОНИВАЙД® у этих пациентов с раком поджелудочной железы, которые, как известно, являются гомозиготными по аллелю UGT1A1*28, составляет 50 мг/м2, вводимая внутривенной инфузией в течение 90 минут. Увеличение дозы продукта ОНИВАЙД® до 70 мг/м2, как допускается в последующих циклах. Нет рекомендуемой дозы продукта ОНИВАЙД® для пациентов с билирубином в сыворотке крови выше верхнего предела нормы.

[00242] Продукт ОНИВАЙД® вводят пациентам следующим образом. Сначала, рассчитанный объем продукта ОНИВАЙД® отбирают из виалы. Данное количество продукта ОНИВАЙД® затем разбавляют в 500 мл инъекции 5% декстрозы, USP или инъекции 0,9% хлорида натрия, USP и смешивают путем осторожной инверсии. Разбавленный раствор должен быть защищен от света. Затем разбавленный раствор вводят в течение 4 часов после получения при хранении при комнатной температуре или в течение 24 часов после получения при хранении в условиях холодильника [от 2°C до 8°C (от 36°F до 46°F)]. Разбавленный раствор доводят до комнатной температуры перед введением, и его не следует замораживать. Затем разбавленный раствор вводят в течение 90 минут без использования встроенных фильтров, и неиспользуемая часть удаляется.

[00243] Продукт ОНИВАЙД® составляют с иринотекана гидрохлорида тригидратом, ингибитором топоизомеразы, в липосомальную дисперсию для внутривенного применения. Химическое название иринотекана гидрохлорида тригидрата представляет собой (S)-4,11-диэтил-3,4,12,14-тетрагидро-4-гидрокси-3,14-диоксо-1Н-пирано[3',4':6,7]-индолизино[1,2-b]хинолин-9-ил-[1,4'бипиперидин]-1'-карбоксилата моногидрохлорида тригидрат. Эмпирическая формула представляет собой C33H38N4O6⋅HCl⋅3H2O, а молекулярная масса составляет 677,19 г/моль. Молекулярная структура представляет собой:

[00244] Продукт ОНИВАЙД® предоставляют в виде стерильной, от белой до слегка желтой непрозрачной изотонической липосомальной дисперсии. Каждая 10 мл виала для однократного введения содержит эквивалент 43 мг свободного основания иринотекана в концентрации 4,3 мг/мл безводного свободного основания иринотекана на мл (то есть 4,3 мг фрагмента иринотекана/мл). Липосома представляет собой моноламеллярную липидную бислойную везикулу приблизительно 110 нм в диаметре, которая инкапсулирует водное пространство, содержащее иринотекан в гелеобразном или осажденном состоянии в виде соли октасульфата сахарозы. Везикула состоит из 6,81 мг/мл 1,2-дистеароил-sn-глицеро-3-фосфохолина (ДСФХ), 2,22 мг/мл холестерина и 0,12 мг/мл метокси-терминированного полиэтиленгликоля (MW 2000)-дистеароилфосфатидилэтаноламина (МПЭГ-2000-ДСФЭ). Каждый мл также содержит 4,05 мг/мл 2-[4-(2-гидроксиэтил)пиперазин-1-ил]этансульфоновой кислоты (HEPES) в качестве буфера и 8,42 мг/мл хлорида натрия в качестве изотонического реагента.

[00245] Липосомальный иринотекан для инъекций представляет собой ингибитор топоизомеразы 1, инкапсулированный в липидную бислойную везикулу или липосому. Топоизомераза 1 ослабляет деформацию скручивания в ДНК путем индуцирования однонитевых разрывов. Иринотекан и его активный метаболит SN-38 обратимо связываются с комплексом топоизомеразы 1-ДНК и предотвращают повторное лигирование однонитевых разрывов, что приводит к зависящему от времени воздействию на повреждение двухцепочечной ДНК и к гибели клеток. У мышей, несущих опухолевые ксенотрансплантаты человека, липосомы иринотекана, вводимые в дозах, эквивалентных иринотекана HCl в 5 раз ниже, чем иринотекана HCl, достигали аналогичного внутриопухолевого воздействия SN-38.

[00246] Фармакокинетику в плазме общего количества иринотекана и общего количества SN-38 оценивали у пациентов с раком, которые получали продукт ОНИВАЙД® в виде монотерапии или в составе комбинированной химиотерапии в дозах от 50 до 155 мг/м2, и 353 пациентов с раком, используя популяционный фармакокинетический анализ.

[00247] Фармакокинетические параметры общего количества иринотекана и общего количества SN-38 после введения продукта ОНИВАЙД® при 70 мг/м2 в виде монотерапии или в составе комбинированной химиотерапии представлены ниже.

Таблица 12: Обобщенные результаты среднего значения (±стандартное отклонение) общего количества иринотекана и общего количества SN-38

Доза
(мг/м2)
Общее количество иринотекана Общее количество SN-38
Cmax
[мкг/мл]
(n=25)
AUC0-∞
[ч⋅мкг/мл]
(n=23)
t1/2
[ч]
(n=23)
CL
[л/ч]
(n=23)
Vd
[л]
(n=23)
Cmax
[нг/мл]
(n=25)
AUC0-∞
[ч⋅нг/мл]
(n=13)
t1/2
[ч]
(n=13)
70 37,2
(8,8)
1364
(1048)
25,8
(15,7)
0,20
(0,17)
4,1
(1,5)
5,4
(3,4)
620
(329)
67,8
(44,5)

Cmax: Максимальная концентрация в плазме

AUC0-∞: Площадь под кривой концентрации в плазме, экстраполированная до бесконечности

t1/2: Конечный период полувыведения

CL: Клиренс

Vd: Объем распределения

[00248] В диапазоне доз от 50 до 155 мг/м2 Cmax и AUC общего количества иринотекана увеличивается с дозой. Кроме того, Cmax общего количества SN-38 увеличивается пропорционально дозе; однако AUC общего количества SN-38 увеличивается менее, чем пропорционально дозе.

[00249] Непосредственное измерение липосом иринотекана показало, что 95% иринотекана остается инкапсулированным в липосомы, и соотношения между общим количеством и инкапсулированными формами не изменялись со временем от 0 до 169,5 часов после введения дозы.

[00250] Продукт ОНИВАЙД® следует хранить при от 2°C до 8°C (от 36°F до 46°F), следует защищать от света и не следует замораживать.

[00251] Несколько препаратов продукта ОНИВАЙД® помещали для исследования долгосрочной стабильности и анализировали в течение 12-36 месяцев хранения при 2-8°C (условия охлаждения). Результаты представлены на графиках на ФИГ. 9, 10, 11А и 11В, как описано ниже. В одном исследовании размер частиц (ФИГ. 9) и распределение частиц по размерам (ФИГ. 10) измеряли для 12 препаратов продукта ОНИВАЙД® в течение 12-36 месяцев. PDI оставался значительно ниже 0,1 и ниже приблизительно 0,05 для всех образцов. В другом исследовании рН (ФИГ. 11А) измеряли для 13 различных препаратов продукта ОНИВАЙД® в течение 12-36 месяцев. Во время исследования для всех образцов рН оставался выше 6,8. В другом исследовании количество лизо-ФХ (ФИГ. 11В) измерялось в течение 12 месяцев для 16 различных препаратов продукта ОНИВАЙД® во время хранения в холодильнике. Количество лизо-ФХ оставалось ниже 1 мг/мл для всех образцов.

[00252] С целью определения концентрации свободного основания иринотекана в варианте осуществления продукта ОНИВАЙД® в разные моменты времени хранения свободное основание иринотекана количественно определяют, как указано в разделе «Примеры». С целью определения липидной композиции варианта осуществления продукта ОНИВАЙД® в разные моменты времени хранения липиды количественно определяют с использованием стандартных методик ВЭЖХ, которые являются стандартными в данной области техники.

[00253] С целью определения среднего размера частиц (D) и индекса полидисперсности (PDI) липосом варианта осуществления продукта ОНИВАЙД® в разные моменты времени хранения использовали метод ДРС в сочетании с Malvern ZetaSizer Nano ZS.

[00254] С целью определения присутствия лизо-ФХ в варианте осуществления продукта ОНИВАЙД® в разные моменты времени хранения лизо-ФХ количественно определяют, как описано в разделе «Примеры». Кроме того, в контексте настоящего изобретения также предполагают, что лизо-ФХ может быть количественно определен с помощью ВЭЖХ, как раскрыто в описании.

Пример 8: Липосомы топотекана и винорелбина

[00255] Целью данного исследования стабильности при хранении было определение любых изменений в физической и химической стабильности липосом топотекана (TPT) и липосом винорелбина (VNB), полученных с улавливающим агентом октасульфатом сахарозы, при хранении при 4°C. В частности, при исследовании изучалось, во время получения липосом снижение концентрации улавливающего агента октасульфата сахарозы (SOS) от 0,6 М до 0,45 М сульфатных групп, в то время как поддерживая соотношение топотекана или винорелбина и фосфолипида, как указано ниже на моль фосфолипида, оказало бы влияние на количество лизо-ФХ, присутствующее в образцах липосом. Подобным образом исследовали влияние повышения рН от 6,5 до 7,5 для определения, уменьшило ли данное повышение рН присутствие лизо-ФХ в липосомальных композициях. TPT и VNB инкапсулировали с улавливающим агентом SOS в липосомы, содержащие ДСФХ, холестерин (Хол) и ПЭГ-ДСФЭ в молярном соотношении 3:2:0,015. Исследованные параметры состава включают: pH раствора (6,5-7,5), концентрацию улавливающего агента оксасульфата сахарозы во время получения липосом (0,45-0,6 М сульфата), инкапсулированное лекарственное средство (TPT или VNB) и соотношение лекарственного средства и липида (500 г TPT HCl на моль фосфолипида при загрузке липосом; для VNB - от 350 до 450 г фрагмента VNB на моль фосфолипида при загрузке липосом). Различные физико-химические свойства липосом, которые контролировались во время данного исследования стабильности, представляли собой: размер липосом, соотношение лекарственного средства и фосфолипида, эффективность инкапсулирования лекарственного средства, общий внешний вид и образование лизолипидов.

[00256] ДСФХ, холестерин (Хол) и ПЭГ-ДСФЭ взвешивали в количествах, соответствующих молярному соотношению 3:2:0,015, соответственно (790,15 мг/257,8 мг/14,0 мг). Липиды растворяли в хлороформе/метаноле (4/1, об./об.), тщательно перемешивали и делили на 2 аликвоты (А и В). Каждый образец выпаривали досуха с использованием роторного испарителя при 60°С. Остаточный хлороформ удаляли из липидов путем помещения под вакуум (180 мкТорр) при комнатной температуре в течение 12 часов. Высушенные липиды растворяли в этаноле при 60°С и добавляли предварительно нагретый ТЭА8SOS соответствующей концентрации, так что конечное содержание спирта составляло 10% (об./об.). Общая концентрация фосфолипидов составляла приблизительно 75 мМ. Липидный раствор экструдировали через 0,1 мкм поликарбонатные мембраны (Nuclepore™) 10 раз для получения липосом со стандартным средним диаметром 95-115 нм. рН экструдированных липосом регулировали по мере необходимости (с помощью 1 N NaOH) до pH 6,5, в случае необходимости. Липосомы очищали комбинацией ионообменной хроматографии и эксклюзионной хроматографии. Сначала смолу Dowex™ IRA 910 обрабатывали 1 N NaOH с последующими 3 промываниями деионизированной водой, и затем с последующими 3 промываниями 3 N HCl, и затем многократными промываниями водой. Проводимость элюированных фракций измеряли с использованием измерителя проводимости с проточной ячейкой (Pharmacia, Uppsala, Швеция). Фракции считались приемлемыми для дальнейшей очистки, если проводимость составляла менее 15 мкСм/см. Элюат липосом затем наносили на колонку Sephadex G-75 (Pharmacia), уравновешенную деионизированной водой, и в собранной фракции липосом измеряли проводимость (обычно менее 1 мкСм/см). 40% раствор декстрозы добавляли для достижения конечной концентрации 5% (масс./масс.) и буфер (Hepes) добавляли из исходного раствора (0,5 М, pH 6,5) до конечной концентрации 10 мМ.

[00257] Исходный раствор топотекана гидрохлорида получали растворением 50 мг в 10 мл деионизированной воды. Лекарственные средства добавляли к растворам липосом при соотношении лекарственного средства/липида, указанном для каждого состава в результатах Таблицы 13. Для загрузки TPT рН доводили до рН 6,0 до загрузки. Винорелбин добавляли непосредственно из коммерческого раствора инъекции USP из аптеки, и рН полученной смеси доводили до 6,5 с помощью 1 N NaOH перед нагреванием. Загрузку лекарственного средства инициировали путем нагревания смесей липосомы/лекарственного средства до 60°С в течение 30 минут. Растворы быстро охлаждали при удалении из водяной бани путем погружения в ледяную воду. Экстралипосомальное лекарственное средство удаляли с помощью эксклюзионной хроматографии с использованием колонок Sephadex G75, уравновешенных и элюированных буферным раствором Hepes (10 мл) (HBS), pH 6,5. Образцы анализировали на содержание иринотекана с помощью ВЭЖХ и фосфата с помощью метода Бартлетта (см. Определение фосфата).

[00258] Для хранения образцы делили на аликвоты 4 мл и рН устанавливали при необходимости с использованием 1 N HCl или 1 N NaOH, отфильтровывали в стерильных асептических условиях и заполняли в стерильные прозрачные стеклянные виалы, которые герметизировали в среде аргона с Teflon® герметичной крышкой с резьбой и помещали в холодильник с термостатическим регулированием при 4°C. В определенные моменты времени аликвоту удаляли из каждого образца и исследовали внешний вид, размер, соотношение лекарственное средство/липид и химическую стабильность лекарственного средства и липида. Размер липосом определяли в разбавленных образцах путем динамического рассеяния света с использованием Coulter Nano-Sizer под углом 90 градусов и представляли в виде Среднее значение±Стандартное отклонение (нм), полученное методом кумулянтов.

[00259] Результаты сравнительных исследований стабильности приведены в Таблице 13.

Таблица 13: Липосомы топотекана и винорелбина, полученные с улавливающим агентом ТЭА8SOS (0,6 N SOS сульфатные группы, хранящиеся при концентрации лекарственного средства 2 мг/мл)

Образец Лекарственное средство [грамм лекарственного средства]/общее количество моль ФЛ pH Время (месяцы) Мол.% лизо-ФХi Размер±SD 19 TPT 500i 6,5 0 0 115,0±9,5 1 12,2(±0,71) 107,3±16,9 3 25,0(±0,9) 108,4±9,1 6 25,9(±0,5) 102,3±25,2 9 29,0(±1,4) 108,6±19,2 20 TPT 500j 7,25 0 0 115,0±9,5 1 10,0(±0,4) 109,0±16,8 3 19,0(±0,5) 108,6±15,8 6 23,3(±2,2) 105,5±13,6 9 29,4(±3,1) 110,6±12,1 21 VNB 350 6,5 0 0 115,0±9,5 1 2,2(±1,1) 105,3±16,7 3 105,8±18,1 6 9,5(±1,2) 102,8±8,9 9 9,5 (±0,6) 103,4±23,3 22 VNB 350 7,25 0 0 115,0±9,5 1 1,3(±0,1) 105,3±16,7 3 105,8±18,1 6 5,0 (±0,5) 102,8±8,9 9 5,5 (±2,6) 103,4±23,2 23 VNB 450 6,5 0 0 115,0±9,5 1 0,3(±0,1) 90,6±29,6 3 104,7±21,2 6 3,1(±1,1) 106,4±16,7 9 3,4(±0,3) 133,3±16,6

i Измерено в соответствии со Способом B, как описано в настоящей заявке.

j 500 г топотекана HCl на моль общего количества фосфолипидов

[00260] Влияние рН среды хранения на образование лизолипида в липосомах, загруженных топотеканом, не наблюдали в Образцах 19 и 20. Оба состава в образцах 19 и 20 демонстрировали приблизительно 30 мол.% лизолипида после 9 месяцев, даже если образец 19 хранили при рН 6,5 и образец 20 хранили при рН 7,25.

[00261] В отличие от обоих липосомальных камптотецинов липосомальный винорелбин был более устойчив к липидному гидролизу в том, что наибольшее измеренное количество лизолипида было в образце 21, имеющем 9,5 мол.% лизолипида после 9 месяцев. Хотя менее выражено, авторы изобретения также могут определить зависимость от коэффициента стабильности и рН среды хранения. Более высокий коэффициент стабильности приводил к уменьшению гидролиза липидов (сравнение образцов от 21 до 23). pН 7,25 также сокращал количество наблюдаемого гидролиза липидов (сравнение образцов от 21 до 22).

Пример 9: Способ ВЭЖХ для измерения лизо-ФХ («Способ A»)

[00262] Количество лизо-ФХ в липосомальных препаратах иринотекана сахарозы октасульфата, исследованное для получения данных на ФИГ. 11В и 12 получали с использованием ВЭЖХ с детектированием путем испарительного светорассеяния. Соответствующий способ ВЭЖХ (называемый в настоящем описании «Способ А») представляет собой количественный способ, используемый для измерения количества стеариновой кислоты, лизо-ФХ, холестерина и ДСФХ (1,2-дистеароил-sn-глицеро-3-фосфохолина) в лекарственном средстве. Липосомы диссоциируют на их отдельные липидные компоненты с использованием раствора метанол-тетрагидрофуран. Липидные компоненты количественно определяют с использованием обращенно-фазовой высокоэффективной жидкостной хроматографии, снабженной детектором испарительного светорассеяния.

Образец и стандартный препарат

Стандартный препарат:

Лизо-ФХ

[00263] Пятиточечную стандартную кривую получают путем разбавления соответствующих количеств лизо-ФХ метанолом-тетрагидрофураном 85:15 до целевых конечных концентраций 4, 8, 20, 32 и 40 мкг/мл.

Стеариновая кислота

[00264] Пятиточечную градуировочную кривую получают путем разбавления соответствующих количеств стеариновой кислоты метанолом-тетрагидрофураном 85:15 до целевых конечных концентраций 2, 4, 10, 16 и 20,4 мкг/мл.

Холестерин

[00265] Пятиточечную градуировочную кривую получают путем разбавления соответствующих количеств холестерина метанолом-тетрагидрофураном 85:15 до целевых конечных концентраций 90, 144, 183,7, 224,9 и 266,6 мкг/мл.

ДСФХ

[00266] Пятиточечную градуировочную кривую получают путем разбавления соответствующих количеств ДСФХ метанолом-тетрагидрофураном 85:15 до целевых конечных концентраций 220, 352, 449, 549,8 и 651,7 мкг/мл.

Аналитический контрольный образец

[00267] Аналитический контрольный образец получают путем разбавления стеариновой кислоты в разбавителе (метанол-тетрагидрофуран 85:15) до целевой конечной концентрации 9,0 мкг/мл и 18,0 мкг/мл.

Получение образца:

[00268] Образцы получают путем разбавления каждого образца в растворе метанол-тетрагидрофуран 85:15 до целевой конечной концентрации ДСФХ 475 мкг/мл.

Стабильность раствора

[00269] Стандарты исследуемых образцов и аналитические контрольные образцы продемонстрировали приемлемую стабильность в растворе в течение 48 часов при хранении при температуре окружающей среды.

Прибор и параметры прибора

[00270] Подходящая хроматографическая система под высоким давлением, оборудованная испарительным детектором светорассеяния, способным изменять чувствительность и выбор параметров фильтрации во время испытания, если это необходимо, для обеспечения соответствующего обнаружения пиков. Параметры работы прибора приведены в Таблице 14.

Таблица 14: Хроматографические условия

Хроматографический параметр Условия хроматографирования и заданные значения Колонка Phenomenex Luna C8(2) 100 мкм, 150 мм × 3 мм с предколонкой Phenomenex C8 4×2,0 мм Объем вводимой пробы 20 мкл Температура колонки 30°C Скорость потока 1,0 мл/минуты Подвижная фаза A 100 мМ аммония ацетата pH 4,0 Подвижная фаза B Метанол Параметры ИДСР Давление газа: 3,5 бар
Температура: 40°C
Градиент Время (минуты) Подвижная фаза A (%) Подвижная фаза A (%) 0 15 85 3 8 92 6 0 100 9 0 100 9,1 15 85 12 15 85

Таблица 15: Пригодность системы

Параметр Критерии соответствия Профиль элюции Хроматографический профиль чистого разбавителя, рабочего стандартного образца и аналитического контрольного образца сопоставимы с примерами, показанными в способе исследования. Пластинки Среднее число ≥2000 для ДСФХ и холестерина для калибровочного эталонного уровня 5 (n=5 инъекций) Уширение Среднее уширение ≤1,5 для ДСФХ и холестерина для калибровочного эталонного уровня 5 (n=5 инъекций) Отношение сигнал/шум Отношение сигнал/шум ≥10 для пика лизо-ФХ для калибровочного эталонного уровня 1 Точность %ОСО ≤6,0 для лизо-ФХ, стеариновой кислоты, ДСФХ и холестерина для калибровочного эталонного уровня 5 (n=5 инъекций) Линейность R2 ≥0,99 для лизо-ФХ, стеариновой кислоты, ДСФХ и холестерина стандартных градуировочных кривых. Погрешность %Восстановления=90-110% для ДСФХ и холестерина в пределах стандартных градуировочных кривых. Погрешность %Восстановления=80-120% для контрольной стеариновой кислоты

[00271] Каждая концентрация липидов определяется путем анализа площади пика образца до стандартной кривой. Линия тренда полиномиального уравнения второго порядка (квадратичная кривая) используется для расчета концентраций липидов лизо-ФХ и стеариновой кислоты. Линейная линия тренда используется для расчета концентраций липидов ДСФХ и холестерина.

[00272] Типичная хроматограмма представлена на ФИГ. 13А и ФИГ. 13В.

[00273] Все ссылки, приведенные в настоящем описании, включены в настоящее описание посредством ссылки в полном объеме.

Похожие патенты RU2833053C2

название год авторы номер документа
СТАБИЛИЗИРОВАННЫЕ ФАРМАЦЕВТИЧЕСКИЕ КОМПОЗИЦИИ КАМПТОТЕЦИНА 2016
  • Драммонд Дэрил С.
  • Кирпотин Дмитри Б.
  • Хайес Марк Имон
  • Нобл Чарльз
  • Кеспер Кевин
  • Эвэд Энтоин М.
  • Мур Дуглас Дж.
  • О'Брайен Эндрю Дж.
RU2732567C2
ЛИПОСОМНЫЕ КОМПОЗИЦИИ, ИСПОЛЬЗУЕМЫЕ ДЛЯ ДОСТАВКИ ЛЕКАРСТВЕННЫХ СРЕДСТВ 2005
  • Хонг Килунг
  • Дрюммонд Дэрил С.
  • Кирпотин Дмитрий В.
RU2574926C2
ЛИПОСОМНЫЕ КОМПОЗИЦИИ, ИСПОЛЬЗУЕМЫЕ ДЛЯ ДОСТАВКИ ЛЕКАРСТВЕННЫХ СРЕДСТВ 2015
  • Хонг Килунг
  • Дрюммонд Дэрил С.
  • Кирпотин Дмитрий В.
RU2757110C2
ЛИПОСОМАЛЬНАЯ КОМПОЗИЦИЯ ДЛЯ ИСПОЛЬЗОВАНИЯ В ПЕРИТОНЕАЛЬНОМ ДИАЛИЗЕ 2013
  • Леру Жан-Кристоф
  • Форстер Винсент
RU2609860C2
НОВЫЕ ТЕРМОЧУВСТВИТЕЛЬНЫЕ ЛИПОСОМЫ, СОДЕРЖАЩИЕ ТЕРАПЕВТИЧЕСКИЕ АГЕНТЫ 2008
  • Мэй Синго
  • Цзян Цинвэй
  • Юй Вэйпин
RU2497499C2
ЛИПОСОМА, ИМЕЮЩАЯ ВНУТРЕННЮЮ ВОДНУЮ ФАЗУ, СОДЕРЖАЩУЮ СОЛЬ СУЛЬФОБУТИЛОВОГО ЭФИРА ЦИКЛОДЕКСТРИНА 2010
  • Ли, Шунлэй
  • Чжан, Лань
  • Ван, Цайся
  • Чжан, Ли
  • Шэнь, Дунминь
  • Ли, Яньхой
  • Сю, Сянь
  • Лян, Мин
  • Ли, Юнфэн
RU2575793C2
ЛИПОСОМАЛЬНАЯ КОМПОЗИЦИЯ, НЕЙТРАЛЬНЫЙ ЛИПОПОЛИМЕР И СПОСОБ УВЕЛИЧЕНИЯ ВРЕМЕНИ ЦИРКУЛЯЦИИ ЛИПОСОМЫ 2000
  • Залипски Сэмюель
RU2250911C2
ЛИОФИЛИЗИРОВАННЫЕ ЛИПОСОМЫ 2012
  • Кабрал-Лилли Донна
  • Майер Лоренс
  • Тарди Пол
  • Уоткинс Дэвид
  • Цзэн И
RU2780489C2
ЛИОФИЛИЗИРОВАННЫЕ ЛИПОСОМЫ 2012
  • Кабрал-Лилли Донна
  • Майер Лоренс
  • Тарди Пол
  • Уоткинс Дэвид
  • Цзэн И
RU2648753C2
ЛИПОСОМАЛЬНАЯ КОМПОЗИЦИЯ И ФАРМАЦЕВТИЧЕСКАЯ КОМПОЗИЦИЯ 2018
  • Касаги Нориюки
  • Ямада, Наоки
  • Мори, Микинага
  • Като, Такаюки
  • Кобаяси, Такаюки
RU2734900C1

Иллюстрации к изобретению RU 2 833 053 C2

Реферат патента 2025 года СТАБИЛИЗИРУЮЩИЕ ФАРМАЦЕВТИЧЕСКИЕ КОМПОЗИЦИИ КАМПТОТЕЦИНА

Предоставлены фосфолипидные липосомы иринотекана сахарозы октасульфата с улучшенной стабильностью при хранении, с соответствующими способами изготовления. Липосомы иринотекана могут обеспечить уменьшенное образование лизофосфатидилхолина (лизо-ФХ) в процессе хранения и до введения пациенту. 3 н. и 46 з.п. ф-лы, 9 пр., 15 табл., 23 ил.

Формула изобретения RU 2 833 053 C2

1. Стабилизированная при хранении липосомальная фармацевтическая композиция иринотекана для лечения пациентов с диагнозом различных форм рака, содержащая иринотекана сахарозы октасульфат (SOS), холестерин и один или более фосфолипидов с соотношением, соответствующим в сумме 500 г ± 10% по массе лактона иринотекана на моль общих фосфолипидов, где липосомальная композиция иринотекана стабилизирована с содержанием лизофосфатидилхолина (лизо-PC) менее 20 мол.% по отношению к общему количеству фосфолипидов после 180 дней или 6 месяцев хранения липосомальной композиции иринотекана при температуре хранения от 2 до 8 °C, где липосомальная композиция иринотекана получена способом, включающим стадии:

(а) формирования липосом, содержащих 1,2-дистеароил-sn-глицеро-3-фосфохолин (DSPC), холестерин и полиэтиленгликоль-дистеароилфосфатидилэтаноламин с концевыми метоксигруппами, инкапсулирующих замещенную аммониевую соль SOS с концентрацией сульфата от 0,4 до 0,5 М;

(b) инкубирования липосом с водным раствором, содержащим иринотекан, в условиях, эффективных для загрузки иринотекана, с образованием препарата липосом, инкапсулирующего иринотекана октасульфат сахарозы в липосомах; и

(c) получения стабилизированной при хранении липосомальной композиции иринотекана с помощью по меньшей мере одной дополнительной стадии, включающей доведение pH препарата липосом до pH от приблизительно 7,25 до приблизительно 7,50.

2. Стабилизированная при хранении липосомальная фармацевтическая композиция иринотекана по п. 1, где композиция содержит однослойные липосомы.

3. Стабилизированная при хранении липосомальная фармацевтическая композиция иринотекана по п. 1, имеющая общее содержание иринотеканового фрагмента, эквивалентное приблизительно 4,3 мг/мл свободного основания иринотекана.

4. Стабилизированная при хранении липосомальная фармацевтическая композиция иринотекана по п. 1, содержащая менее 20 мол.% по отношению к общему количеству фосфолипидов лизо-PC после времени хранения от 9 до 12 месяцев при температуре хранения от 2 до 8 °C.

5. Стабилизированная при хранении липосомальная фармацевтическая композиция иринотекана по п. 1, содержащая изотонический водный буфер HEPES, где водный буфер HEPES присутствует в концентрации от 2 до 20 мМ.

6. Стабилизированная при хранении липосомальная фармацевтическая композиция иринотекана по п. 1, дополнительно содержащая хлорид натрия, присутствующий в концентрации от 130 до 160 мМ.

7. Стабилизированная при хранении липосомальная фармацевтическая композиция иринотекана по п. 1, где иринотекан, инкапсулированный в липосомах, находится в гелеобразном или осажденном состоянии в виде октасульфатной соли сахарозы.

8. Стабилизированная при хранении липосомальная фармацевтическая композиция иринотекана по п. 1, где полиэтиленгликоль-дистеароилфосфатидилэтаноламин с концевыми метоксигруппами включает MPEG-2000-DSPE.

9. Стабилизированная при хранении липосомальная фармацевтическая композиция иринотекана по п. 1, содержащая в общей сложности от 6,1 до 7,5 мг DSPC/мл, от 2 до 2,4 мг холестерина/мл и от 0,11 до 0,13 мг MPEG-2000-DSPE/мл.

10. Стабилизированная при хранении липосомальная фармацевтическая композиция иринотекана по п. 9, содержащая в общей сложности 6,81 мг DSPC/мл, 2,1 мг холестерина/мл и 0,12 мг MPEG-2000-DSPE/мл.

11. Стабилизированная при хранении липосомальная фармацевтическая композиция иринотекана по п. 1, где температура хранения составляет приблизительно 4 °C.

12. Стабилизированная при хранении липосомальная фармацевтическая композиция иринотекана по п. 1, образующая менее 1 мг/мл лизо-PC через 180 дней или 6 месяцев при температуре хранения от 2 до 8 °C.

13. Стабилизированная при хранении липосомальная фармацевтическая композиция иринотекана по п. 9, образующая менее 1 мг/мл лизо-PC через 180 дней или 6 месяцев при температуре хранения от 2 до 8 °C.

14. Стабилизированная при хранении липосомальная фармацевтическая композиция иринотекана по п. 1, где замещенная аммониевая соль SOS представляет собой SOS триэтиламмония или SOS диэтиламмония.

15. Стабилизированная при хранении липосомальная фармацевтическая композиция иринотекана по п. 14, содержащая триэтиламмоний в общей сложности менее 100 ч./млн.

16. Стабилизированная при хранении липосомальная фармацевтическая композиция иринотекана по п. 14, содержащая диэтиламмоний в общей сложности менее 100 ч./млн.

17. Стабилизированная при хранении липосомальная фармацевтическая композиция иринотекана по п. 15, содержащая триэтиламмоний в общей сложности от 30 до 100 ч./млн.

18. Стабилизированная при хранении липосомальная фармацевтическая композиция иринотекана по п. 16, содержащая диэтиламмоний в общей сложности от 30 до 100 ч./млн.

19. Стабилизированная при хранении липосомальная фармацевтическая композиция иринотекана по п. 1, где концентрация сульфата на стадии (а) находится в диапазоне от 0,45 до 0,475 М.

20. Стабилизированная при хранении липосомальная фармацевтическая композиция иринотекана по п. 1, где общее время инкубации липосом с водным раствором, содержащим иринотекан, в условиях, эффективных для загрузки иринотекана, на стадии (b) составляет от нескольких минут до нескольких часов.

21. Стабилизированная при хранении липосомальная фармацевтическая композиция иринотекана по п. 20, где общее время составляет от 30 до 60 минут.

22. Стабилизированная при хранении липосомальная фармацевтическая композиция иринотекана по п. 1, где от нескольких минут до нескольких часов условия, эффективные для загрузки иринотекана на стадии (b), включают температуру 55 °C или выше.

23. Стабилизированная при хранении липосомальная фармацевтическая композиция иринотекана по п. 1, где от нескольких минут до нескольких часов условия, эффективные для загрузки иринотекана на стадии (b), включают температуру 60 °C или выше.

24. Стабилизированная при хранении липосомальная фармацевтическая композиция иринотекана по п. 1, где от нескольких минут до нескольких часов условия, эффективные для загрузки иринотекана на стадии (b), включают температуру 70 °C или выше.

25. Стабилизированная при хранении липосомальная фармацевтическая композиция иринотекана по п. 1, где от нескольких минут до нескольких часов условия, эффективные для загрузки иринотекана на стадии (b), включают температуру от 55 до 70 °C.

26. Стабилизированная при хранении липосомальная фармацевтическая композиция иринотекана по п. 1, где от нескольких минут до нескольких часов условия, эффективные для загрузки иринотекана на стадии (b), включают температуру от 60 до 70 °C.

27. Стабилизированная при хранении липосомальная фармацевтическая композиция иринотекана по п. 22, где общее время инкубации липосом с водным раствором, содержащим иринотекан, при 55 °C или выше на стадии (b) составляет от 30 до 60 минут.

28. Стабилизированная при хранении липосомальная фармацевтическая композиция иринотекана по п. 1, содержащая менее 10 мол.% лизо-PC по отношению к общему количеству фосфолипидов через 180 дней или 6 месяцев при температуре хранения от 2 до 8 °C.

29. Стабилизированная при хранении липосомальная фармацевтическая композиция иринотекана по п. 26, содержащая менее 5 мол.% лизо-PC по отношению к общему количеству фосфолипидов через 180 дней или 6 месяцев при температуре хранения от 2 до 8 °C.

30. Стабилизированная при хранении липосомальная фармацевтическая композиция иринотекана по п. 26, содержащая менее 2 мол.% лизо-PC по отношению к общему количеству фосфолипидов, через 180 дней или 6 месяцев при температуре хранения от 2 до 8 °C.

31. Стабилизированная при хранении липосомальная фармацевтическая композиция иринотекана по п. 1, содержащая от 3 до менее 20 мол.% лизо-PC по отношению к общему количеству фосфолипидов через 180 дней или 6 месяцев при температуре хранения от 2 до 8 °C.

32. Стабилизированная при хранении липосомальная фармацевтическая композиция иринотекана по п. 1, содержащая менее 10 мол.% лизо-PC по отношению к общему количеству фосфолипидов через 9 месяцев при температуре хранения от 2 до 8 °C.

33. Стабилизированная при хранении липосомальная фармацевтическая композиция иринотекана по п. 32, содержащая менее 5 мол.% лизо-PC по отношению к общему количеству фосфолипидов через 9 месяцев при температуре хранения от 2 до 8 °C.

34. Стабилизированная при хранении липосомальная фармацевтическая композиция иринотекана по п. 32, содержащая менее 2 мол.% лизо-PC по отношению к общему количеству фосфолипидов через 9 месяцев при температуре хранения от 2 до 8 °C.

35. Стабилизированная при хранении липосомальная фармацевтическая композиция иринотекана по п. 1, где на стадии (b) водный раствор, содержащий иринотекан, имеет pH 6,5.

36. Стабилизированная при хранении липосомальная фармацевтическая композиция иринотекана для лечения пациентов с диагнозом различных форм рака, содержащая иринотекана сахарозы октасульфат (SOS), холестерин и один или более фосфолипидов с соотношением, соответствующим в сумме 500 г ± 10% по массе лактона иринотекана на моль общих фосфолипидов, где липосомальная композиция иринотекана стабилизирована с содержанием менее 2 мг/мл в отношении общих фосфолипидов лизо-фосфатидилхолина (лизо-PC) после 21 месяца хранения липосомальной композиции иринотекана при температуре хранения от 2 до 8 °C, где липосомальную композицию иринотекана получают способом, включающим стадии:

(а) формирования липосом, содержащих 1,2-дистеароил-sn-глицеро-3-фосфохолин (DSPC), холестерин и полиэтиленгликоль-дистеароилфосфатидилэтаноламин с концевыми метоксигруппами, инкапсулирующих замещенную аммониевую соль SOS с концентрацией сульфата от 0,4 до 0,5 М;

(b) инкубирования липосом с водным раствором, содержащим иринотекан, в условиях, эффективных для загрузки иринотекана, с образованием препарата липосом, инкапсулирующего иринотекана октасульфат сахарозы в липосомы; и

(c) получения стабилизированной при хранении липосомальной композиции иринотекана с помощью по меньшей мере одной дополнительной стадии, включающей доведение pH препарата липосом до pH от приблизительно 7,25 до приблизительно 7,50.

37. Стабилизированная при хранении липосомальная фармацевтическая композиция иринотекана для лечения пациентов с диагнозом различных форм рака, содержащая иринотекана сахарозы октасульфат (SOS), инкапсулированный в липосомы, включающие холестерин и один или несколько фосфолипидов, где указанная композиция имеет:

(i) количество лактона иринотекана, эквивалентное количеству, составляющему 500 г (±10%) безводного свободного основания иринотекана на моль фосфолипида;

(ii) грамм-эквивалентное соотношение иринотекана/соединения сульфата, равное от 0,85 до 1,1, рассчитанное для каждого липосомального препарата иринотекана путем определения молярных количеств липосомально соинкапсулированного иринотекана (I) и соединения сульфата (S) на единицу липосомальной композиции и с использованием формулы: ER = I/(SN), где N представляет собой валентность аниона соединения сульфата, а N = 8.

38. Стабилизированная при хранении фармацевтическая композиция по п. 37, где pH композиции после изготовления и перед хранением составляет от 7,1 до 7,5.

39. Стабилизированная при хранении фармацевтическая композиция по п. 37, где композиция образует не более 20 мол.% лизофосфатидилхолина (лизо-ФХ) (относительно общих фосфолипидов липосом) при хранении в течение шести месяцев при 4 °C.

40. Стабилизированная при хранении фармацевтическая композиция по п. 37, где один или несколько фосфолипидов включают 1,2-дистеароил-sn-глицеро-3-фосфохолин (DSPC) и метокси-терминированный полиэтиленгликоль-дистеароилфосфатидилэтаноламин.

41. Стабилизированная при хранении фармацевтическая композиция по п. 40, где метокси-терминированный полиэтиленгликоль-дистеароилфосфатидилэтаноламин представляет собой метокси-терминированный полиэтиленгликоль (MW 2000)-дистеароилфосфатидилэтаноламин (MPEG-2000-DSPE).

42. Стабилизированная при хранении фармацевтическая композиция по п. 41, где соотношение молей 1,2-дистеароил-sn-глицеро-3-фосфохолина (DSPC) к холестерину составляет около 3:2.

43. Стабилизированная при хранении фармацевтическая композиция по п. 42, где композиция содержит в общей сложности 1,2-дистеароил-sn-глицеро-3-фосфохолин (DSPC) в концентрации от 6,1 до 7,5 мг/мл, холестерин в концентрации от 2 до 2,4 мг/мл и MPEG-2000-DSPE в концентрации от 0,11 до 0,13 мг/мл, все в изотоническом буфере.

44. Стабилизированная при хранении фармацевтическая композиция по п. 42, где после девяти месяцев хранения при 4 °C композиция содержит менее 20 мол.% лизо-ФХ.

45. Стабилизированная при хранении фармацевтическая композиция по п. 42, где после 6 месяцев хранения при 4 °C композиция образует менее 1 мг/мл лизо-ФХ.

46. Стабилизированная при хранении фармацевтическая композиция по п. 42, где композиция содержит не более примерно 100 ч./млн триэтиламмония.

47. Стабилизированная при хранении фармацевтическая композиция по п. 42, где композиция дополнительно содержит триэтиламмоний или диэтиламмоний в общем количестве от 30 до 100 ч./млн.

48. Стабилизированная при хранении фармацевтическая композиция по п. 42, где композиция дополнительно содержит хлорид натрия в концентрации от 130 до 160 мМ.

49. Стабилизированная при хранении фармацевтическая композиция по п. 42, где композиция дополнительно содержит изотонический водный буфер HEPES в концентрации от 2 до 20 мМ.

Документы, цитированные в отчете о поиске Патент 2025 года RU2833053C2

US 8658203 B2, 25.02.2014
US 2007116753 A1, 24.05.2007
US 2012282325 A1, 08.11.2012
Ann Mari Saetern et al., Camptothecin-catalyzed phospholipid hydrolisis in liposomes, Int J Pharm
Способ обработки целлюлозных материалов, с целью тонкого измельчения или переведения в коллоидальный раствор 1923
  • Петров Г.С.
SU2005A1
Печь-кухня, могущая работать, как самостоятельно, так и в комбинации с разного рода нагревательными приборами 1921
  • Богач В.И.
SU10A1
НОВЫЕ ТЕРМОЧУВСТВИТЕЛЬНЫЕ ЛИПОСОМЫ, СОДЕРЖАЩИЕ ТЕРАПЕВТИЧЕСКИЕ АГЕНТЫ 2008
  • Мэй Синго
  • Цзян Цинвэй
  • Юй Вэйпин
RU2497499C2
Awa Dicko et al., Intra and Inter-Molecular Interactions Dictate the

RU 2 833 053 C2

Авторы

Драммонд, Дэрил, С.

Кирпотин, Дмитри Б.

Хайес, Марк, Имон

Нобл, Чарльз

Кеспер, Кевин

Эвэд, Энтоин, М.

Мур, Дуглас, Дж.

О`Брайен, Эндрю, Дж.

Даты

2025-01-14Публикация

2016-10-15Подача