КОМПОЗИЦИИ И СПОСОБЫ ДЛЯ ЛЕЧЕНИЯ МЕТАБОЛИЧЕСКИХ И ПЕЧЕНОЧНЫХ РАССТРОЙСТВ Российский патент 2025 года по МПК C07K14/605 A61K38/26 A61K47/54 A61P1/16 A61P13/12 

Описание патента на изобретение RU2833318C1

ПЕРЕКРЕСТНАЯ ССЫЛКА НА РОДСТВЕННЫЕ ЗАЯВКИ

[0001] Настоящая заявка испрашивает приоритет на основании предварительной заявки на патент США №63/139,676, поданной 20 января 2021 г., содержание которой полностью включено в настоящий документ посредством ссылки.

УРОВЕНЬ ТЕХНИКИ

Область техники

[0002] Настоящее изобретение в целом относится к области лечения метаболических расстройств и жировых заболеваний печени. Более конкретно, настоящее изобретение относится к области лекарственных средств, представляющих собой малые молекулы, для лечения неалкогольного стеатогепатита (НАСГ), неалкогольной жировой болезни печени (НАЖБП).

Описание уровня техники

[0003] Инкретиновые пептиды, глюкозозависимый инсулинотропный полипептид (GIP) и глюкагоноподобный пептид-1 (GLP-1), представляют собой метаболические гормоны. GIP и GLP-1 оба секретируются в течение нескольких минут после проглатывания питательных веществ и способствуют быстрому избавлению от проглоченных питательных веществ. Оба пептида обладают общими действиями на островковые β-клетки, действующие через структурно отличные, но связанные рецепторы. Активация рецептора инкретина приводит к глюкозозависимой секреции инсулина, индукции пролиферации β-клеток и повышению устойчивости к апоптозу. GIP также способствует накоплению энергии путем прямого воздействия на жировую ткань. Напротив, GLP-1 оказывает глюкоре гуля торное действие посредством замедления опорожнения желудка и зависящего от глюкозы ингибирования секреции глюкагона. GLP-1 также способствует насыщению, и устойчивая активация рецептора GLP-1 связана с потерей веса как в доклинических, так и в клинических исследованиях.

[0004] Неалкогольная жировая болезнь печени (НАЖБП) является печеночным проявлением метаболического синдрома и является наиболее распространенной причиной хронического заболевания печени. НАЖБП может прогрессировать до воспаления печени, фиброза, цирроза и даже гепатоцеллюлярной карциномы. Двойные агонисты рецепторов GIP/GLP-1 были разработаны для лечения НАЖБП, неалкогольного стеатогепатита (НАСГ), диабета, ожирения и других заболеваний. Однако применение двойных агонистов рецепторов GIP/GLP-1 связано с тошнотой, рвотой и/или диареей. Например, в клинических испытаниях соединения, представляющего собой двойной агонист рецепторов GIP/GLP1, было обнаружено, что переносимость в высоких дозах была ограничена нежелательными явлениями со стороны желудочно-кишечного тракта. Ограничение дозы, связанное с нежелательными явлениями со стороны желудочно-кишечного тракта, может препятствовать введению до желаемой эффективной дозы, может поставить под угрозу соблюдение пациентом режима лечения и может ограничить эффективность схемы лечения. Следовательно, существует потребность в новых соединениях, представляющих собой двойные агонисты рецепторов GIP/GLP1, которые можно применять для лечения жировых заболеваний печени и других заболеваний и расстройств.

КРАТКОЕ ОПИСАНИЕ

[0005] Некоторые варианты реализации, описанные в настоящем документе, включают соединение, имеющее структуру формулы I:

или его фармацевтически приемлемую соль, где:

R1 выбран из группы, состоящей из -C(=OXOZ1), -P(=O)(X)(Y) и 5-10 -членного гетероарила, содержащего 1-2 гетероатома, выбранных из N, О и S, необязательно замещенного посредством 1-2 R7, независимо выбранных из галогена, C1-6 алкила, галогенС1-6 алкила, галогенС1-6 алкокси, -OR5, С3-10 циклоалкила, С6-10 арила, 5-10-членного гетероарила и 5-10-членного гетероциклила;

R2 выбран из группы, состоящей из -C(=OXOZ2), -P(=O)(X)(Y) и 5-10 -членного гетероарила, содержащего 1-2 гетероатома, выбранных из N, О и S, необязательно замещенного посредством 1-2 R7, независимо выбранным из галогена, C1-6 алкила, галогенС1-6 алкила, галогенС1-6 алкокси, -OR5, С3-10 циклоалкила, С6-10 арила, 5-10-членного гетероарила и 5-10-членного гетероциклила;

каждый R7 может быть независимо выбран из группы, состоящей из галогена, С1-6 алкила, галогенС1-6 алкила, галогенС1-6 алкокси, С1-6 алкокси, С3-10 циклоалкила, С6-10 арила, 5-10-членного гетероарила и 5-10-членного гетероциклила;

каждый из X и Y может быть независимо выбран из группы, состоящей из -OR4, NR5R6, С1-6 алкила и галогенС1-6 алкила:

каждый R4 может быть независимо выбран из группы, состоящей из водорода, С1-6 алкила, галогенС1-6 алкила, С6-10 арилокси и С6-10 арилалкокси;

каждый R5 может независимо представлять собой водород или С1-6 алкил;

каждый R6 может независимо представлять собой водород или С1-6 алкил; и

Z1 и Z2 каждый может быть независимо выбран из группы, состоящей из водорода, С1-6 алкила, галогенС1-6 алкила, галогенС1-6 алкокси, С1-6 алкокси, С3-10 циклоалкила и С6-10 арила,

при условии, что по меньшей мере один из Z1 и Z2 не является водородом.

[0006] Другие варианты реализации, описанные в настоящей заявке, включают фармацевтическую композицию, содержащую терапевтически эффективное количество соединения, описанного в настоящей заявке, и фармацевтически приемлемое вспомогательное вещество.

[0007] Другие варианты реализации, описанные в настоящем документе, включают способ предотвращения, лечения или облегчения одного или более жировых заболеваний печени у субъекта путем введения соединений, описанных в настоящем документе, или их фармацевтически приемлемой соли нуждающемуся в этом субъекту. Жировые заболевания печени включают, но не ограничиваются ими, стеатоз, неалкогольный стеатогепатит (НАСГ), неалкогольную жировую болезнь печени (НАЖБП).

[0008] Другие варианты реализации, описанные в настоящем документе, включают способ предотвращения, лечения или облегчения заболевания или расстройств у субъекта путем введения соединений, описанных в настоящем документе, или их фармацевтически приемлемой соли нуждающемуся в этом субъекту. В некоторых вариантах реализации указанное заболевание или расстройство представляет собой фиброз печени, фиброз почек, билиарный фиброз, фиброз поджелудочной железы, неалкогольный стеатогепатит, неалкогольную жировую болезнь печени, хроническую болезнь почек, диабетическую болезнь почек, первичный склерозирующий холангит, первичный билиарный цирроз или идиопатический фиброз. В некоторых вариантах реализации указанное заболевание или расстройство представляет собой метаболическое расстройство или метаболический синдром. Согласно некоторым вариантам реализации указанное заболевание или расстройство представляет собой атеросклероз, диабет, гипергликемический диабет, сахарный диабет 2 типа, дислипидемию, гиперхолестеринемию, гиперлипидемию, гипертензию, гипогликемию, ожирение или синдром Прадера-Вилли.

ПОДРОБНОЕ ОПИСАНИЕ

[0009] В некоторых вариантах реализации настоящего изобретения предложены соединения, которые представляют собой немакроциклические функционализированные пептиды, которые действуют как двойные агонисты рецепторов GIP/GLP-1. Различные варианты реализации этих соединений включают соединения, имеющие структуру формулы I, как описано выше, или их фармацевтически приемлемые соли. Структура формулы I охватывает все стереоизомеры и рацемические смеси, включая следующую структуру и их смеси:

[0010] В некоторых вариантах реализации соединений формулы I:

R1 выбран из группы, состоящей из -C(=O)(OZ1), -P(=O)(X)(Y) и 5-10 -членного гетероарила, содержащего 1-2 гетероатома, выбранных из N, О и S, необязательно замещенного посредством 1-2 R7, независимо выбранных из галогена, C1-6 алкила, галогенС1-6 алкила, галогенС1-6 алкокси, -OR5, С3-10 циклоалкила, С6-10 арила, 5-10-членного гетероарила и 5-10-членного гетероциклила;

R2 выбран из группы, состоящей из -C(=OXOZ2), -P(=O)(X)(Y) и 5-10 -членного гетероарила, содержащего 1-2 гетероатома, выбранных из N, О и S, необязательно замещенного посредством 1-2 R7, независимо выбранным из галогена, C1-6 алкила, галогенС1-6 алкила, галогенС1-6 алкокси, -OR5, С3-10 циклоалкила, С6-10 арила, 5-10-членного гетероарила и 5-10-членного гетероциклила;

каждый R7 может быть независимо выбран из группы, состоящей из галогена, С1-6 алкила, галогенС1-6 алкила, галогенС1-6 алкокси, С1-6 алкокси, С3-10 циклоалкила, С6-10 арила, 5-10-членного гетероарила и 5-10-членного гетероциклила;

каждый из X и Y может быть независимо выбран из группы, состоящей из OR4, NR5R6, C1-6 алкила и галогенС1-6 алкила;

каждый R4 может быть независимо выбран из группы, состоящей из водорода, C1-6 алкила, галогенС1-6 алкила, С6-10 арилокси и С6-10 арилалкокси;

каждый R5 может независимо представлять собой водород или C1-6 алкил;

каждый R6 может независимо представлять собой водород или C1-6 алкил; и

Z1 и Z2 каждый может быть независимо выбран из группы, состоящей из водорода, C1-6 алкила, галогенС1-6 алкила, галогенС1-6 алкокси, C1-6 алкокси, С3-10 циклоалкила и С6-10 арила,

при условии, что по меньшей мере один из Z1 и Z2 не является водородом.

[0011] Некоторые варианты реализации соединений формулы I включают соединения, имеющие структуру формулы I-а:

или их фармацевтически приемлемые соли.

[0012] В некоторых вариантах реализации соединений формулы I-а или их фармацевтически приемлемых солей Z1 выбран из водорода, C1-6 алкила, галогенС1-6 алкила, галогенС1-6 алкокси, C1-6 алкокси, С3-10 циклоалкила и С6-10 арила; и каждый из X и Y представляет собой -OR4.

[0013] В некоторых вариантах реализации соединений формулы I-а или их фармацевтически приемлемых солей Z1 выбран из водорода, галогенС1-6 алкокси и C1-6 алкокси; и каждый R4 может быть независимо выбран из водорода, С6-10 арилокси и С6-10 арилалкокси.

[0014] В некоторых вариантах реализации соединений формулы I-а или их фармацевтически приемлемых солей Z1 представляет собой водород, и каждый R4 может независимо представлять собой водород или С6-10 арилалкокси.

[0015] В некоторых вариантах реализации соединений формулы I-а или их фармацевтически приемлемых солей каждый R4 представляет собой водород.

[0016] В некоторых вариантах реализации соединений формулы I-а или их фармацевтически приемлемых солей Z1 представляет собой водород, и каждый R4 представляет собой водород.

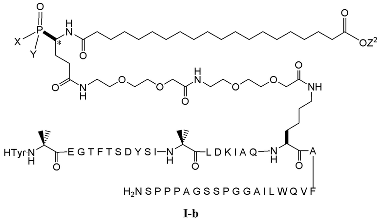
[0017] Некоторые варианты реализации соединений формулы I включают соединения, имеющие структуру формулы I-b:

или их фармацевтически приемлемые соли.

[0018] В некоторых вариантах реализации соединений формулы I-b или их фармацевтически приемлемых солей Z2 выбран из водорода, C1-6 алкила, галогенС1-6 алкила, галогенС1-6 алкокси, C1-6 алкокси, С3-10 циклоалкила и С6-10 арила; и каждый из X и Y представляет собой OR4.

[0019] В некоторых вариантах реализации соединений формулы I-b или их фармацевтически приемлемых солей Z2 выбран из водорода, галогенС1-6 алкокси и C1-6 алкокси; и каждый R4 может быть независимо выбран из водорода, С6-10 арилокси и С6-10 арилалкокси.

[0020] В некоторых вариантах реализации соединений формулы I-b или их фармацевтически приемлемых солей Z2 представляет собой водород, и каждый R4 может независимо представлять собой водород или С6-10 арилалкокси.

[0021] В некоторых вариантах реализации соединений формулы I-b или их фармацевтически приемлемых солей каждый R4 представляет собой водород.

[0022] В некоторых вариантах реализации соединений формулы I-b или их фармацевтически приемлемых солей Z2 представляет собой водород, и каждый R4 представляет собой водород.

[0023] Некоторые варианты реализации соединений формулы I включают соединения, имеющие структуру формулы I-е:

или их фармацевтически приемлемые соли.

[0024] В некоторых вариантах реализации соединений формулы I-е или их фармацевтически приемлемых солей каждый из X и Y представляет собой OR4.

[0025] В некоторых вариантах реализации соединений формулы I-е или их фармацевтически приемлемых солей каждый R4 может быть независимо выбран из водорода, С6-10 арилокси и С6-10 арилалкокси.

[0026] В некоторых вариантах реализации соединений формулы I-е или их фармацевтически приемлемых солей каждый R4 представляет собой водород.

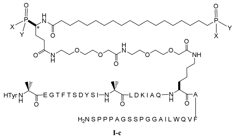
[0027] Некоторые варианты реализации изобретения включают соединение, имеющее структуру, выбранную из группы, состоящей из:

и их фармацевтически приемлемых солей.

[0028] Некоторые варианты реализации включают соединение, где «*» указывает на хиральный углерод с конфигурацией «S».

[0029] Некоторые варианты реализации включают соединение, где «*» указывает на хиральный углерод с конфигурацией «R».

[0030] Если соединения, раскрытые в настоящем документе, имеют по меньшей мере один хиральный центр, они могут существовать в виде отдельных энантиомеров и диастереомеров или в виде смесей таких изомеров, включая рацематы. Разделение отдельных изомеров или селективный синтез отдельных изомеров осуществляют путем применения различных способов, которые хорошо известны специалистам в данной области техники. Если не указано иное, все такие изомеры и их смеси входят в объем соединений, раскрытых в настоящем документе. Кроме того, соединения, раскрытые в настоящем документе, могут существовать в одной или более кристаллических или аморфных формах. Если не указано иное, все такие формы включены в объем соединений, описанных в настоящем документе, включая любые полиморфные формы. Кроме того, некоторые из соединений, раскрытых в настоящем документе, могут образовывать сольваты с водой (т.е. гидратами) или обычными органическими растворителями. Если не указано иное, такие сольваты входят в объем соединений, описанных в настоящем документе.

[0031] Квалифицированный специалист поймет, что некоторые структуры, описанные в настоящем документе, могут представлять собой резонансные формы или таутомеры соединений, которые могут быть справедливо представлены другими химическими структурами, даже если они кинетически; специалист поймет, что такие структуры могут представлять собой только очень небольшую часть образца такого соединения (соединений). Такие соединения рассматриваются в рамках изображенных структур, хотя такие резонансные формы или таутомеры в настоящем документе не представлены.

Определения

[0032] Если не определено иное, все технические и научные термины, используемые в настоящей заявке, имеют то же значение, понимаемое средним специалистом в области техники, к которой относится настоящее изобретение. Все патенты, заявки, опубликованные заявки и другие публикации включены посредством ссылки в полном объеме. В том случае, если существует несколько определений термина в настоящей заявке, преимущественную силу имеют те из них, которые приведены в настоящем разделе, если не указано иное.

[0033] «Сольват» относится к соединению, образованному путем взаимодействия растворителя и соединения, описанного в настоящем документе, или его соли. Подходящие сольваты представляют собой фармацевтически приемлемые сольваты, включая гидраты.

[0034] Термин «фармацевтически приемлемая соль» относится к тем солям, которые сохраняют биологическую эффективность и свойства соединения, которые не являются биологически или иным образом нежелательными для применения в фармации. Во многих случаях соединения в настоящей заявке способны образовывать кислые и/или основные соли благодаря наличию амино и/или карбоксильных групп или аналогичных им групп. Фармацевтически приемлемые соли присоединения кислоты могут быть образованы с неорганическими кислотами и органическими кислотами. Неорганические кислоты, из которых могут быть образованы соли, включают, например, хлористоводородную кислоту, бромистоводородную кислоту, серную кислоту, азотную кислоту, фосфорную кислоту и тому подобные. Органические кислоты, из которых могут быть образованы соли, включают, например, уксусную кислоту, пропионовую кислоту, гликолевую кислоту, пировиноградную кислоту, щавелевую кислоту, малеиновую кислоту, малоновую кислоту, янтарную кислоту, фумаровую кислоту, винную кислоту, лимонную кислоту, бензойную кислоту, коричную кислоту, миндальную кислоту, метансульфоновую кислоту, этансульфоновую кислоту, п-толуолсульфоновую кислоту, салициловую кислоту и тому подобные. Фармацевтически приемлемые соли присоединения основания могут быть образованы с неорганическими основаниями и органическими основаниями. Неорганические основания, из которых могут быть образованы соли, включают, например, основание натрия, калия, лития, аммония, кальция, магния, железа, цинка, меди, марганца, алюминия и т.п.; особенно предпочтительны соли аммония, калия, натрия, кальция и магния. Органические основания, из которых могут быть образованы соли, включают, например, первичные, вторичные и третичные амины, замещенные амины, включая природные замещенные амины, циклические амины, основные ионообменные смолы и т.п., в частности такие как изопропиламин, триметиламин, диэтиламин, триэтиламин, трипропиламин и этаноламин. В данной области техники известно множество таких солей, например те, которые описаны в WO 87/05297, авторы Johnston et al., дата публикации 11 сентября 1987 года (данная публикация полностью включена в настоящий документ посредством ссылки).

[0035] В настоящем документе «Са - Cb» или «Са-b», в которых «а» и «b» являются целыми числами, относятся к количеству атомов углерода в указанной группе. То есть группа может содержать от «а» до «b», включительно, атомов углерода. Так, например, группа "C1 - С4 алкил" или "С1-4 алкил" относится ко всем алкильным группам, имеющим от 1 до 4 атомов углерода, то есть СН3-, СН3СН2-, СН3СН2СН2-, (СН3)2СН-, СН3СН2СН2СН2-, CH3CH2CH(СН3)- и (СН3)3С-.

[0036] Используемый в настоящем документе термин «галоген» или «гало» означает любой из радиоактивно стабильных атомов столбца 7 Периодической таблицы элементов, например, фтор, хлор, бром или йод, причем фтор и хлор являются предпочтительными.

[0037] Используемый в настоящей заявке термин «алкил» относится к линейной или разветвленной углеводородной цепи, которая полностью насыщена (то есть не содержит двойных или тройных связей). Алкильная группа может содержать от 1 до 20 атомов углерода (в настоящем документе численный диапазон, такой как «от 1 до 20», относится к каждому целому числу в данном диапазоне; например «от 1 до 20 атомов углерода» означает, что алкильная группа может состоять из 1 атома углерода, 2 атомов углерода, 3 атомов углерода и т.д., вплоть до 20 атомов углерода включительно, хотя настоящее определение также охватывает возникновение термина «алкил», где численный диапазон не обозначен). Алкильная группа может также представлять собой алкил среднего размера, имеющий от 1 до 9 атомов углерода. Алкильная группа также может представлять собой низший алкил, содержащий от 1 до 4 атомов углерода. Алкильная группа соединений может быть обозначена как «С1-4 алкил» или с помощью аналогичных обозначений. Только в качестве примера «С1-4 алкил» указывает на то, что в алкильной цепи имеется от одного до четырех атомов углерода, то есть алкильная цепь выбрана из группы, состоящей из метила, этила, пропила, изопропила, н-бутила, изобутила, втор-бутила и трет-бутила. Типичные алкильные группы включают, но никоим образом не ограничиваются ими, метил, этил, пропил, изопропил, бутил, изобутил, третичный бутил, пентил, гексил и т.п.

[0038] В настоящем документе термин «галогеналкил» относится к алкильной группе с неразветвленной или разветвленной цепью, имеющей от 1 до 12 атомов углерода в цепи, замещающей один или более атомов водорода галогенами. Примеры галогеналкильных групп включают, но не ограничиваются ими, -CF3, -CHF2, -CH2F, -CH2CF3, -CH2CHF2, -CH2CH2F, -CH2CH2Cl, -CH2CF2CF3 и другие группы, которые в свете обычных знаний специалистов в данной области техники и возможностей, представленных в настоящем документе, будут считаться эквивалентными любому из вышеприведенных примеров.

[0039] Используемый в настоящем документе термин «алкокси» относится к формуле -OR, где R представляет собой алкил, как определено выше, такой как «С1-9 алкокси», включая, но не ограничиваясь ими, метокси, этокси, н-пропокси, 1-метилэтокси (изопропокси), н-бутокси, изобутокси, втор-бутокси и трет-бутокси и тому подобное.

[0040] В настоящей заявке термин «полиэтиленгликоль» относится к формуле где n представляет собой целое число, большее единицы, и R представляет собой водород или алкил. Количество повторяющихся звеньев «n» может быть указано путем ссылки на определенное количество элементов. Таким образом, например, «2-5-членный полиэтиленгликоль» относится к n, представляющему собой целое число, выбранное из двух-пяти. В некоторых вариантах реализации R выбран из метокси, этокси, н-пропокси, 1-метилэтокси (изопропокси), н-бутокси, изобутокси, втор-бутокси и трет-бутокси.

[0041] В настоящем документе «гетероалкил» относится к прямой или разветвленной углеводородной цепи, содержащей в остове цепи один или более гетероатомов, то есть элемент, отличный от углерода, включая, но не ограничиваясь ими, азот, кислород и серу. Гетероалкильная группа может содержать от 1 до 20 атомов углерода, хотя настоящее определение также охватывает возникновение термина «гетероалкил», где численный диапазон не обозначен. Гетероалкильная группа также может представлять собой гетероалкил среднего размера, имеющий от 1 до 9 атомов углерода. Гетероалкильная группа также может представлять собой низший гетероалкил, содержащий от 1 до 4 атомов углерода. В различных вариантах реализации гетероалкил может иметь от 1 до 4 гетероатомов, от 1 до 3 гетероатомов, 1 или 2 гетероатомов или 1 гетероатом. Гетероалкильная группа соединений может быть обозначена как «С1-4 гетероалкил» или с помощью аналогичных обозначений. Гетероалкильная группа может содержать один или более гетероатомов. Только в качестве примера «C1-4 гетероалкил» означает, что в гетероалкильной цепи имеется от одного до четырех атомов углерода и дополнительно один или более гетероатомов в остове цепи.

[0042] Термин «ароматический» относится к кольцевой или кольцевой системе, имеющей сопряженную пи-электронную систему, и включает как карбоциклические ароматические (например, фенил), так и гетероциклические ароматические группы (например, пиридин). Термин включает моноциклические или полициклические группы с конденсированными кольцами (то есть кольца, которые имеют общие смежные пары атомов), при условии, что вся кольцевая система является ароматической.

[0043] В настоящем документе термин «арил» относится к ароматическому кольцу или кольцевой системе (т.е. двум или более конденсированным кольцам, которые имеют два общих соседних атома углерода), содержащей только углерод в кольцевом остове. Когда арил представляет собой кольцевую систему, каждое кольцо в системе является ароматическим. Арильная группа может содержать от 6 до 18 атомов углерода, хотя настоящее определение также охватывает термин «арил», где не указан числовой диапазон. В некоторых вариантах реализации арильная группа содержит от 6 до 10 атомов углерода. Арильная группа может быть обозначена как «С6-10 арил», «С6 или С10 арил» или аналогичным образом. Примеры арильных групп включают, но не ограничиваются ими, фенил, нафтил, азуленил и антраценил.

[0044] В настоящем документе термин «арилокси» и «арилтио» относится к RO- и RS-, в которых R представляет собой арил, как определено выше, такой как «С6-10 арилокси» или «С6-10 арилтио» и тому подобное, включая, но не ограничиваясь ими, фенилокси.

[0045] «Аралкил» или «арилалкил» представляет собой арильную группу, соединенную в качестве заместителя через алкиленовую группу, такую как «С7-14 аралкил» и тому подобное, включая, но не ограничиваясь ими, бензил, 2-фенилэтил, 3-фенилпропил и нафтилалкил. В некоторых случаях алкиленовая группа представляет собой низшую алкиленовую группу (т.е. С1-4 алкиленовую группу).

[0046] В настоящем документе термин «гетероарил» относится к ароматическому кольцу или системе колец (то есть двум или более конденсированным кольцам, которые имеют два общих соседних атома), которые содержат в остове кольца один или более гетероатомов, то есть элемент, отличный от углерода, включая, но не ограничиваясь ими, азот, кислород и серу. Когда гетероарил представляет собой кольцевую систему, каждое кольцо в системе является ароматическим. Гетероарильная группа может содержать 5-18 членов кольца (это количество атомов, составляющих остов кольца, включая атомы углерода и гетероатомы), хотя настоящее определение также охватывает термин «гетероарил», где не обозначен численный диапазон. В некоторых вариантах реализации гетероарильная группа содержит от 5 до 10 членов кольца или от 5 до 7 членов кольца. Гетероарильная группа может быть обозначена как «5-7-членный гетероарил», «5-10-членный гетероарил» или аналогичным образом. В различных вариантах реализации гетероарил содержит от 1 до 4 гетероатомов, от 1 до 3 гетероатомов, от 1 до 2 гетероатомов или 1 гетероатом. Например, в различных вариантах реализации гетероарил содержит от 1 до 4 атомов азота, от 1 до 3 атомов азота, от 1 до 2 атомов азота, 2 атома азота и 1 атом серы или кислорода, 1 атом азота и 1 атом серы или кислорода, или 1 атом серы или кислорода. Примеры гетероарильных колец включают, но не ограничиваются ими, фурил, тиенил, фталазинил, пирролил, оксазолил, тиазолил, имидазолил, пиразолил, изоксазолил, изотиазолил, триазолил, тиадиазолил, пиридинил, пиридазинил, пиримидинил, пиразинил, триазинил, хинолинил, изохинлинил, бензимидазолил, бензоксазолил, бензотиазолил, индолил, изоиндолил и бензотиенил.

[0047] «Гетероаралкил» или «гетероарилалкил» представляет собой гетероарильную группу, соединенную в качестве заместителя через алкиленовую группу. Примеры включают, но не ограничиваются ими, 2-тиенилметил, 3-тиенилметил, фурилметил, тиенилэтил, пирролилалкил, пиридилалкил, изоксазолилалкил и имидазолилалкил. В некоторых случаях алкиленовая группа представляет собой низшую алкиленовую группу (то есть C1-4 алкиленовую группу).

[0048] В настоящем документе термин «карбоциклил» означает неароматическое циклическое кольцо или кольцевую систему, содержащую только атомы углерода в остове кольцевой системы. Когда карбоциклил представляет собой кольцевую систему, два или более колец могут быть соединены вместе конденсированным образом, мостиковым образом или с помощью спиросоединения. Карбоциклилы могут иметь любую степень насыщения при условии, что по меньшей мере одно кольцо в кольцевой системе не является ароматическим. Таким образом, карбоциклилы включают циклоалкилы, циклоалкенилы и циклоалкинилы. Карбоциклильная группа может содержать от 3 до 20 атомов углерода, хотя настоящее определение также охватывает возникновение термина «карбоциклил», где числовой диапазон не обозначен. Карбоциклильная группа также может представлять собой карбоциклил среднего размера, содержащий от 3 до 10 атомов углерода. Карбоциклильная группа также может представлять собой карбоциклил, содержащий от 3 до 6 атомов углерода. Карбоциклильная группа может быть обозначена как «С3-6 карбоциклил» или аналогичным образом. Примеры карбоциклильных колец включают, но не ограничиваются ими, циклопропил, циклобутил, циклопентил, циклогексил, циклогексенил, 2,3-дигидроинден, бициклический[2.2.2]октанил, адамантил и спиро[4.4]нонанил.

[0049] «(Карбоциклил)алкил» представляет собой карбоциклильную группу, связанную, в качестве заместителя, через алкиленовую группу, такую как «С4-10 (карбоциклил)алкил» и тому подобное, включая, но не ограничиваясь ими, циклопропилметил, циклобутилметил, циклопропилэтил, циклопропилбутил, циклобутилэтил, циклопропилизопропил, циклопентилметил, циклопентилэтил, циклогексилметил, циклогексилэтил, циклогептилметил и тому подобное. В некоторых случаях алкиленовая группа представляет собой низшую алкиленовую группу.

[0050] В настоящем документе «циклоалкил» означает полностью насыщенное карбоциклильное кольцо или кольцевую систему. Примеры включают циклопропил, циклобутил, циклопентил и циклогексил.

[0051] Используемый в настоящей заявке термин «циклоалкенил» означает карбоциклическое кольцо или кольцевую систему, имеющую по меньшей мере одну двойную связь, причем ни одно кольцо в кольцевой системе не является ароматическим. Примером является циклогексенил.

[0052] В настоящем документе «гетероциклил» означает неароматическое циклическое кольцо или кольцевую систему, содержащую по меньшей мере один гетероатом в кольцевом остове. Гетероциклилы могут быть соединены вместе конденсированным способом, мостиковым способом или с помощью спиросоединения. Гетероциклилы могут иметь любую степень насыщения при условии, что по меньшей мере одно кольцо в кольцевой системе не является ароматическим. Гетероатом (-ы) может присутствовать в неароматическом или ароматическом кольце в кольцевой системе. Гетероциклическая группа может содержать от 3 до 20 членов кольца (то есть количество атомов, составляющих кольцевой остов, включая атомы углерода и гетероатомы), хотя настоящее определение также охватывает возникновение термина «гетероциклил», где числовой диапазон не обозначен. Гетероциклильная группа также может представлять собой гетероциклил среднего размера, имеющий от 3 до 10 членов кольца. Гетероциклильная группа также может представлять собой гетероциклил, содержащий от 3 до 6 членов кольца. Гетероциклическая группа может быть обозначена как «3-6-членный гетероциклил» или аналогичным образом.

[0053] В различных вариантах реализации гетероциклил содержит от 1 до 4 гетероатомов, от 1 до 3 гетероатомов, от 1 до 2 гетероатомов или 1 гетероатом. Например, в различных вариантах реализации гетероциклил содержит от 1 до 4 атомов азота, от 1 до 3 атомов азота, от 1 до 2 атомов азота, 2 атома азота и 1 атом серы или кислорода, 1 атом азота и 1 атом серы или кислорода, или 1 атом серы или кислорода. В предпочтительных шестичленных моноциклических гетероциклилах гетероатом (-ы) выбран (-ы) из одного-трех О, N или S, и в предпочтительных пятичленных моноциклических гетероциклилах гетероатом (-ы) выбран (-ы) из одного или двух гетероатомов, выбранных из О, N или S. Примеры гетероциклильных колец включают, но не ограничиваются ими, азепинил, акридинил, карбазолил, циннолинил, диоксоланил, имидазолинил, имидазолидинил, морфолинил, оксиранил, оксепанил, тиепанил, пиперидинил, пиперазинил, диоксопиперазинил, пирролидинил, пирролидонил, пирролидионил, 4-пиперидонил, пиразолинил, пиразолидинил, 1,3-диоксинил, 1,3-диоксанил, 1,4-диоксинил, 1,4-диоксанил, 1,3-оксатианил, 1,4-оксатиинил, 1,4-оксатианил, 2Н-1,2-оксазинил, триоксанил, гексагидро-1,3,5-триазинил, 1,3-диоксолил, 1,3-диоксоланил, 1,3-дитиолил, 1,3-дитиоланил, изоксазолинил, изоксазолидинил, оксазолинил, оксазолидинил, оксазолидинонил, тиазолинил, тиазолидинил, 1,3-оксатиоланил, индолинил, изоиндолинил, тетрагидрофуранил, тетрагидропиранил, тетрагидротиофенил, тетрагидротиопиранил, тетрагидро-1,4-тиазинил, тиаморфолинил, дигидробензофуранил, бензимидазолидинил и тетрагидрохинолин.

[0054] «(Гетероциклил)алкил» представляет собой гетероциклильную группу, присоединенную в качестве заместителя через алкиленовую группу. Примеры включают, но не ограничиваются имидазолинилметил и индолинилэтил.

[0055] В настоящем документе «ацил» относится к -C(=O)R, где R представляет собой водород, C1-6 алкил, С2-6 алкенил, С2-6 алкинил, С3-7 карбоциклил, арил, 5-10-членный гетероарил и 5-10-членный гетероциклил, как определено в настоящем документе. Неограничивающие примеры включают формил, ацетил, пропаноил, бензоил и акрил.

[0056] Группа «О-карбокси» относится к группе «-OC(=O)R», в которой R выбран из водорода, C1-6 алкила, С2-6 алкенила, С2-6 алкинила, С3-7 карбоциклила, арила, 5-10-членного гетероарила и 5-10-членного гетероциклила, как определено в настоящем документе.

[0057] Группа «С-карбокси» относится к группе «-C(=O)OR», в которой R выбран из водорода, С1-6 алкила, С2-6 алкенила, С2-6 алкинила, С3-7 карбоциклила, арила, 5-10-членного гетероарила и 5-10-членного гетероциклила, как определено в настоящем документе. Неограничивающий пример включает карбоксил (то есть -С(=O)ОН).

[0058] Группа «циано» относится к группе «-CN».

[0059] Группа «цианато» относится к группе «-OCN».

[0060] Группа «изоцианато» относится к группе «-NCO».

[0061] Группа «тиоцианато» относится к группе «SCN».

[0062] Группа «изотиоцианато» относится к группе « -NCS».

[0063] «Сульфинильная» группа относится к группе «-S(=O)R», в которой R выбран из водорода, C1-6 алкила, С2-6 алкенила, С2-6 алкинила, С3-7 карбоциклила, С6-10 арила, 5-10-членного гетероарила и 5-10-членного гетероциклила, как определено в настоящем документе.

[0064] «Сульфонильная» группа относится к группе «-SO2R», в которой R выбран из водорода, С1-6 алкила, С2-6 алкенила, С2-6 алкинила, С3-7 карбоциклила, С6-10 арила, 5-10-членного гетероарила и 5-10-членного гетер оциклила, как определено в настоящем документе.

[0065] Группа «S-сульфонамидо» относится к группе «SO2NRARB», в которой каждый RA и RB независимо выбран из водорода, С1-6 алкила, С2-6 алкенила, С2-6 алкинила, С3-7 карбоциклила, С6-10 арила, 5-10-членного гетероарила и 5-10-членного гетероциклил а, как определено в настоящем документе.

[0066] Группа «N-сульфонамидо» относится к группе «-N(RA)SO2RB», в которой каждый RA и RB независимо выбран из водорода, C1-6 алкила, С2-6 алкенила, С2-6 алкинила, С3-7 карбоциклила, С6-10 арила, 5-10-членного гетероарила и 5-10-членного гетероциклил а, как определено в настоящем документе.

[0067] «О-карбамильная» группа относится к группе «-OC(=O)NRARB», в которой каждый RA и RB независимо выбран из водорода, C1-6 алкила, С2-6 алкенила, С2-6 алкинила, С3-7 карбоциклила, С6-10 арила, 5-10-членного гетероарила и 5-10-членного гетероциклил а, как определено в настоящем документе.

[0068] «N-карбамильная» группа относится к группе «-N(RA)OC(=O)RB», в которой каждый RA и RB независимо выбран из водорода, С1-6 алкила, С2-6 алкенила, С1-6 алкинила, С3-7 карбоциклила, С6-10 арила, 5-10-членного гетероарила и 5-10-членного гетероциклил а, как определено в настоящем документе.

[0069] «О-тиокарбамильная» группа относится к группе «-ОС (=S)NRARB», в которой каждый RA и RB независимо выбран из водорода, C1-6 алкила, С2-6 алкенила, С2-6 алкинила, С3-7 карбоциклила, С6-10 арила, 5-10-членного гетероарила и 5-10-членного гетероциклил а, как определено в настоящем документе.

[0070] «N-тиокарбамильная» группа относится к группе «-N(RA)OC(=S)RB», в которой RA и RB каждый независимо выбран из водорода, С1-6 алкила, С2-6 алкенила, С2-6 алкинила, С3-7 карбоциклила, С6-10 арила, 5-10-членного гетероарила и 5-10-членного гетероциклила, как определено в настоящем документе.

[0071] Группа «С-амидо» относится к группе «C(=O)NRARB», в которой каждый RA и RB независимо выбран из водорода, C1-6 алкила, С2-6 алкенила, С2-6 алкинила, С3-7 карбоциклила, С6-10 арила, 5-10-членного гетероарила и 5-10-членного гетероциклила, как определено в настоящем документе.

[0072] Группа «N-амидо» относится к группе «-N(RA)C(=O)RB», в которой каждый RA и RB независимо выбран из водорода, C1-6 алкила, С2-6 алкенила, С2-6 алкинила, С3-7 карбоциклила, С6-10 арила, 5-10-членного гетероарила и 5-10-членного гетероциклила, как определено в настоящем документе.

[0073] Группа «амино» относится к группе «-NRARB», в которой каждый RA и RB независимо выбран из водорода, C1-6 алкила, С2-6 алкенила, С2-6 алкинила, С3-7 карбоциклила, С6-10 арила, 5-10-членного гетероарила и 5-10-членного гетероциклила, как определено в настоящем документе.

[0074] «Аминоалкильная» группа относится к аминогруппе, соединенной через алкиленовую группу.

[0075] «Алкоксиалкильная» группа относится к алкоксигруппе, соединенной через алкиленовую группу, такой как «С2-8 алкоксиалкил» и тому подобные.

[0076] В настоящей заявке «боковая цепь природной аминокислоты» относится к заместителю боковой цепи природной аминокислоты. Природные аминокислоты имеют заместитель, присоединенный к α-углероду. Природные аминокислоты включают аргинин, лизин, аспарагиновую кислоту, глутаминовую кислоту, глутамин, аспарагин, гистидин, серии, треонин, тирозин, цистеин, метионин, триптофан, аланин, изолейцин, лейцин, фенилаланин, валин, пролин и глицин.

[0077] В настоящей заявке «боковая цепь неприродной аминокислоты» относится к заместителю боковой цепи неприродной аминокислоты. Неприродные аминокислоты включают β-аминокислоты (β3 и β2), гомо-аминокислоты, производные пролина и пировиноградной кислоты, 3-замещенные производные аланина, производные глицина, кольцезамещенные производные фенилаланина и тирозина, линейные основные (core) аминокислоты и N-метилированные аминокислоты. Примеры неприродных аминокислот доступны в Sigma-Aldridge и перечислены в разделе «неприродные аминокислоты и производные». См. также Travis S. Young and Peter G. Schultz, "Beyond the Canonical 20 Amino Acids: Expanding the Genetic Lexicon," J. Biol. Chem. 2010 285: 11039-11044, полное содержание указанной публикации включено в настоящий документ посредством ссылки.

[0078] В настоящем документе замещенная группа получена из незамещенной исходной группы, в которой произошел обмен одного или более атомов водорода на другой атом или группу. Если не указано иное, когда группа считается «замещенной», подразумевается, что указанная группа замещена одним или более заместителями, независимо выбранными из C16 алкила, C16 алкенила, С16 алкинила, C1-C6 гетероалкила, С37 карбоциклила (необязательно замещенного галогеном, C16 алкилом, C16 алкокси, C16 галоген алки лом и C16 галогеналкокси), С37 -карбоциклил-С1-C6-алкила (необязательно замещенного галогеном, C16 алкилом, C16 алкокси, C16 галоген алкилом и C16 галогеналкокси), 5-10-членного гетероциклила (необязательно замещенного галогеном, C1-C6 алкилом, C1-C6 алкокси, C1-C6 галогеналкилом и C1-C6 галогеналкокси), 5-10-членного гетероциклил-С16-алкила (необязательно замещенного галогеном, C16 алкилом, C16 алкокси, C16 галогеналкилом и C1-C6 галогеналкокси), арила (необязательно замещенного галогеном, C16 алкилом, C16 алкокси, C16 галогеналкилом и C16 галогеналкокси), арил(С1-С6)алкила (необязательно замещенного галогеном, C1-C6 алкилом, C1-C6 алкокси, C16 галогеналкилом и C1-C6 галогеналкокси), 5-10-членного гетероарила (необязательно замещенного галогеном, C1-C6 алкилом, C1-C6 алкокси, C1-C6 галогеналкилом и C1-C6 галогеналкокси), 5-10-членного гетероарил(С16 алкила (необязательно замещенного галогеном, C1-C6 алкилом, C16 алкокси, C1-C6 галогеналкилом и C1-C6 галогеналкокси), галогена, циано, гидрокси, C1-C6 алкокси, C16 алкокси(С16)алкила (то есть простого эфира), арилокси, сульфгидрила (меркапто), галоген(С16)алкила (например, -CF3), галоген(С16)алкокси (например, -OCF3), C16 алкилтио, арилтио, амино, амино(С16))алкила, нитро, О-карбамила, N-карбамила, О-тиокарбамила, N-тиокарбамила, С-амидо, N-амидо, S-сульфонамидо, N-сульфонамидо, С-карбокси, О-карбокси, ацила, цианато, изоцианато, тиоцианато, изотиоцианато, сульфинила, сульфонила и оксо (=O). Всегда, когда группа описывается как «необязательно замещенная», эта группа может быть замещена вышеуказанными заместителями.

[0079] В некоторых вариантах реализации изобретения замещенная группа (-ы) замещена одним или более заместителями, индивидуально и независимо выбранными из С14 ал кила, амин о, гидрокси и галогена.

[0080] Следует понимать, что некоторые правила наименования радикалов могут включать либо монорадикал, либо дирадикал, в зависимости от контекста. Например, если заместителю требуются две точки присоединения к остальной части молекулы, следует понимать, что заместитель представляет собой дирадикал. Например, заместитель, идентифицированный как алкил, который требует двух точек присоединения, включает дирадикалы, такие как -СН2-, -СН2СН2-, -СН2СН(СН3)СН2-и тому подобное. Другие соглашения о наименовании радикалов ясно указывают на то, что радикал представляет собой дирадикал, такой как «алкилен» или «алкенилен».

[0081] Когда говорят, что две группы R образуют кольцо (например, карбоциклильное, гетероциклильное, арильное или гетероарильное кольцо) «вместе с атомом, к которому они присоединены», подразумевается, что совокупная единица атома и две группы R представляют собой указанное кольцо. Кольцо иным образом не ограничено определением каждой R-группы при отдельном рассмотрении. Например, при наличии следующей подструктуры:

и R и R2 определены как выбранные из группы, состоящей из водорода и алкила, или R1 и R2 вместе с атомом азота, к которому они присоединены, образуют гетероциклил, подразумевается, что R1 и R2 могут быть выбраны из водорода или алкила, или, в качестве альтернативы, подструктура имеет структуру:

где кольцо А представляет собой гетероциклильное кольцо, содержащее изображенный азот.

[0082] Аналогичным образом, когда говорят, что две «смежные» группы R образуют кольцо «вместе с атомами, к которым они присоединены», подразумевается, что коллективная единица атомов, промежуточные связи и две группы R представляют собой указанное кольцо. Например, при наличии следующей подструктуры:

и R1 и R2 определены как выбранные из группы, состоящей из водорода и алкила, или R1 и R2 вместе с атомами, к которым они присоединены, образуют арил или карбоциклил, подразумевается, что R1 и R2 могут быть выбраны из водорода или алкила, или, в качестве альтернативы, подструктура имеет структуру:

где А представляет собой арильное кольцо или карбоциклил, содержащий изображенную двойную связь.

[0083] Везде, где заместитель изображен как дирадикал (то есть имеет две точки присоединения к остальной части молекулы), следует понимать, что заместитель может быть присоединен в любой направленной конфигурации, если не указано иное.

Таким образом, например, заместитель, изображенный как -АЕ- или включает заместитель, ориентированный таким образом, что А присоединен в самой левой точке присоединения молекулы, а также случай, когда А присоединен в самой правой точке присоединения молекулы.

[0084] Термин «млекопитающее» используют в его обычном биологическом значении. Таким образом, он однозначно включает, но не ограничивается ими, приматов, включая обезьянообразных (шимпанзе, человекообразные обезьяны, обезьяны) и людей, крупный рогатый скот, лошадей, овец, коз, свиней, кроликов, собак, кошек, крыс и мышей, но также включает многие другие виды.

[0085] Термин «фармацевтически приемлемый носитель» или «фармацевтически приемлемое вспомогательное вещество» включает любые и все растворители, дисперсионные среды, покрытия, антибактериальные и противогрибковые агенты, изотонические агенты и агенты, замедляющие всасывание, и т.п. Применение таких сред и агентов для фармацевтически активных веществ хорошо известно в данной области техники. За исключением тех случаев, когда любая выбранная обычная среда или агент несовместимы с активным ингредиентом, предусмотрено их применение в терапевтических композициях. Дополнительно согласно настоящему изобретению предусмотрена возможность включения различных адъювантов, таких как адъюванты, обычно применяемые в данной области техники. Основания для включения различных компонентов в фармацевтические композиции описаны, например, в публикации Gilman et al. (Eds.) (1990); Goodman and Gilman's: The Pharmacological Basis of Therapeutics, 8th Ed., Pergamon Press, которая полностью включена в настоящий документ посредством ссылки.

[0086] Термин «субъект» в настоящем документе обозначает человека или не являющееся человеком млекопитающее, например, собаку, кошку, мышь, крысу, корову, овцу, свинью, козу, не являющегося человеком примата или птицу, например курицу, а также любое другое позвоночное или беспозвоночное.

[0087] Термины «эффективное количество» или «терапевтически эффективное количество», используемые в настоящем документе относятся к количеству терапевтического агента, которое эффективно для облегчения, до некоторой степени, или уменьшения вероятности возникновения, одного или более симптомов заболевания или состояния, и включает лечение заболевания или состояния. Термин «излечение» означает, что симптомы заболевания или состояния устранены; однако определенные долгосрочные или постоянные эффекты могут существовать даже после получения лечения (например, обширное повреждение тканей).

[0088] Термины «лечить», «лечение» или «проведение лечения» в настоящем документе относятся к введению фармацевтической композиции в профилактических и/или терапевтических целях. Термин «профилактическое лечение» относится к лечению субъекта, который еще не проявляет симптомов заболевания или состояния, но который предрасположен или иным образом подвержен риску развития конкретного заболевания или состояния, благодаря этому данное лечение снижает вероятность развития этого заболевания или состояния у пациента. Термин «терапевтическое лечение» относится к проведению лечения у уже имеющего заболевание или состояние субъекта.

Способы получения

[0089] Соединения, раскрытые в настоящей заявке, могут быть синтезированы способами, описанными ниже, или путем модификации этих способов. Способы модификации методики включают, среди прочего, температуру, растворитель, реагенты и т.д., известные специалистам в данной области техники. В целом, в ходе любого из способов получения соединений, описанных в настоящем документе, может быть необходимо и/или желательно защитить чувствительные или реакционноспособные группы в любой из рассматриваемых молекул. Это может быть достигнуто с помощью обычных защитных групп, таких как группы, описанные в источниках Protective Groups in Organic Chemistry (ed. J.F.W. McOmie, Plenum Press, 1973); и P.G.M. Green, T.W. Wutts, Protecting Groups in Organic Synthesis (3rd ed.) Wiley, New York (1999), которые полностью включены в настоящий документ посредством ссылки. Защитные группы могут быть удалены на подходящей последующей стадии с применением способов, известных в данной области техники. Синтетические химические превращения, подходящие для синтеза применяемых соединений, известны в данной области техники и включают, например, те, которые описаны в источниках R. Larock, Comprehensive Organic Transformations, VCH Publishers, 1989, или L. Paquette, ed., Encyclopedia of Reagents for Organic Synthesis, John Wiley and Sons, 1995, которые полностью включены в настоящий документ посредством ссылки. Пути, показанные и описанные в настоящем документе, являются только иллюстративными и не предназначены и не должны быть истолкованы для ограничения объема формулы изобретения каким-либо образом. Специалисты в данной области техники смогут распознать модификации описанных синтезов и разработать альтернативные пути на основе описаний в настоящем документе; все такие модификации и альтернативные пути находятся в рамках объема притязаний.

[0090] На следующих схемах защитные группы для атомов кислорода выбирают по их совместимости с требуемыми стадиями синтеза, а также совместимости стадий введения и снятия защиты с общими схемами синтеза (P.G.M. Green, T.W. Wutts, Protecting Groups in Organic Synthesis (3rd ed.) Wiley, New York (1999)).

[0091] Если соединения согласно настоящей технологии содержат один или более хиральных центров, такие соединения могут быть получены или выделены в виде чистых стереоизомеров, то есть в виде отдельных энантиомеров или d(l) стерео изомеров или в виде смесей, обогащенных стереоизомерами. Все такие стереоизомеры (и обогащенные смеси) включены в объем настоящей технологии, если не указано иное. Чистые стереоизомеры (или обогащенные смеси) могут быть получены с применением, например, оптически активных исходных веществ или стереоселективных реагентов, хорошо известных в данной области техники. В качестве альтернативы, рацемические смеси таких соединений могут быть разделены, например, с помощью хиральной колоночной хроматографии, хиральных разделяющих агентов и т.п.

[0092] Исходные вещества для следующих реакций являются, в целом, известными соединениями или могут быть получены известными способами или их очевидными модификациями. Например, многие из исходных веществ доступны от коммерческих поставщиков, таких как Aldrich Chemical Со. (Милуоки, Висконсин, США), Bachem (Торранс, Калифорния, США), Emka-Chemce или Sigma (Сент-Луис, Миссури, США). Другие могут быть получены с помощью методик или их очевидных модификаций, описанных в стандартных источниках, таких как Fieser and Fieser's Reagents for Organic Synthesis, Volumes 1-15 (John Wiley, and Sons, 1991), Rodd's Chemistry of Carbon Compounds, Volumes 1-5, and Supplementals (Elsevier Science Publishers, 1989), Organic Reactions, Volumes 1-40 (John Wiley, and Sons, 1991), March's Advanced Organic Chemistry, (John Wiley, and Sons, 5th Edition, 2001) и Larock's Comprehensive Organic Transformations (VCH Publishers Inc., 1989).

[0093] В одном из вариантов реализации способы, раскрытые в настоящем документе, могут включать конструирование пептидного остова из 39 аминокислот с применением методов твердофазного синтеза пептидов с получением промежуточного соединения (II). Пептидный остов включает два PEG2 амидных линкера. Способ включает реакцию амидного сочетания между амином концевого PEG2 амида промежуточного соединения (II) и соответствующим образом замещенной карбоновой кислотой (III) с получением связанного со смолой промежуточного соединения (IV).

Согласно одному варианту реализации указанный способ включает гидролиз промежуточного соединения (IV) в кислых условиях с последующей очисткой с получением конечного продукта (I). (Схема 1).

[0094] Приведенные выше типовые схемы представлены для руководства читателя и в совокупности представляют собой пример способа получения соединений, охватываемых настоящим документом. Кроме того, для специалиста в данной области техники будут очевидны другие способы получения соединений, описанных в настоящем документе, в свете следующих реакционных схем и примеров. Если не указано иное, все переменные являются такими, как определено выше.

Введение и фармацевтические композиции

[0095] Соединения вводят в терапевтически эффективной дозе. Хотя уровни доз для человека еще предстоит оптимизировать для соединений, описанных в настоящем документе, как правило, суточная доза может составлять от примерно 0,0125 мг/кг до примерно 120 мг/кг или более массы тела, от примерно 0,025 мг/кг или менее до примерно 70 мг/кг, от примерно 0,05 мг/кг до примерно 50 мг/кг массы тела или от примерно 0,075 мг/кг до примерно 10 мг/кг массы тела. Таким образом, для введения человеку массой 70 кг диапазон доз будет составлять от примерно 0,88 мг в день до примерно 8000 мг в день, от примерно 1,8 мг в день или менее до примерно 7000 мг в день или более, от примерно 3,6 мг в день до примерно 6000 мг в день, от примерно 5,3 мг в день до примерно 5000 мг в день или от примерно 11 мг до примерно 3000 мг в день. Количество вводимого активного соединения будет, конечно, зависеть от субъекта и болезненного состояния, подлежащего лечению, тяжести заболевания, способа и схемы введения и мнения врача, назначающего лечение.

[0096] Введение соединений, описанных в настоящем документе, или их фармацевтически приемлемых солей, можно осуществлять с помощью любого из принятых режимов введения агентов, которые используют для достижения аналогичных целей, включая, но не ограничиваясь этим, перорально, подкожно, внутривенно, интраназально, местно, трансдермально, внутрибрюшинно, внутримышечно, внутрилегочно, вагинально, ректально или интраокулярно. Пероральные и парентеральные введения являются обычными способами при лечении показаний, которые являются предметом предпочтительных вариантов реализации.

[0097] Соединения, пригодные для применения, как описано выше, могут быть включены в состав фармацевтических композиций для применения при лечении этих состояний. Используют стандартные фармацевтические методики получения композиций, например, такие, как описаны в публикации Remington's The Science and Practice of Pharmacy, 21st Ed., Lippincott Williams & Wilkins (2005), полностью включенной в настоящий документ посредством ссылки. Соответственно, некоторые варианты реализации включают фармацевтические композиции, содержащие: (а) безопасное и терапевтически эффективное количество соединения, описанного в настоящем документе (включая его энантиомеры, диастереоизомеры, таутомеры, полиморфы и сольваты), или его фармацевтически приемлемые соли; и (b) фармацевтически приемлемый носитель, разбавитель, вспомогательное вещество или их комбинацию.

[0098] В дополнение к выбранному соединению, подходящему для применения, как описано выше, некоторые варианты реализации изобретения включают композиции, содержащие фармацевтически приемлемый носитель. Термин «фармацевтически приемлемый носитель» или «фармацевтически приемлемое вспомогательное вещество» включает любые и все растворители, дисперсионные среды, покрытия, антибактериальные и противогрибковые агенты, изотонические и абсорбирующие агенты отсроченного действия и тому подобное. Применение таких сред и агентов с фармацевтически активными веществами хорошо известно в данной области техники. За исключением тех случаев, когда любая выбранная обычная среда или агент несовместимы с активным ингредиентом, их применение в терапевтических композициях предусмотрено. Дополнительно согласно настоящему изобретению предусмотрена возможность включения различных адъювантов, таких как адъюванты, обычно применяемые в данной области техники. Основания для включения различных компонентов в фармацевтические композиции описаны, например, в публикации Gilman et al. (Eds.) (1990); Goodman and Gilman 's: The Pharmacological Basis of Therapeutics, 8th Ed., Pergamon Press, которая полностью включена в настоящий документ посредством ссылки.

[0099] Некоторые примеры веществ, которые могут служить фармацевтически приемлемыми носителями или их компонентами, включают сахара, такие как лактоза, глюкоза и сахароза; крахмалы, такие как кукурузный крахмал и картофельный крахмал; целлюлозу и ее производные, такие как натрий карбоксиметилцеллюлоза, этилцеллюлоза и метилцеллюлоза; порошкообразный трагакант; солод; желатин; тальк; твердые смазывающие агенты, такие как стеариновая кислота и стеарат магния; сульфат кальция; растительные масла, такие как арахисовое масло, хлопковое масло, кунжутное масло, оливковое масло, кукурузное масло и масло какао-бобов; полиолы, такие как пропиленгликоль, глицерин, сорбит, маннит и полиэтиленгликоль; альгиновую кислоту; эмульгаторы, такие как TWEENS; смачивающие агенты, такие как лаурилсульфат натрия; красители; вкусоароматические агенты; таблетирующие агенты, стабилизаторы; антиоксиданты; консерванты; апирогенную вода; изотонический солевой раствор и фосфатные буферные растворы.

[0100] Выбор фармацевтически приемлемого носителя для применения в сочетании с рассматриваемым соединением в основном определяется способом введения соединения.

[0101] Описанные в настоящей заявке композиции предпочтительно представлены в единичной лекарственной форме. В настоящем документе «единичная лекарственная форма» представляет собой композицию, содержащую некоторое количество соединения, которое подходит для введения субъекту, являющемуся животным, предпочтительно млекопитающим, в единой дозе, в соответствии с надлежащей медицинской практикой. Тем не менее, приготовление однократной или единичной лекарственной формы не означает, что лекарственную форму вводят один раз в день или один раз за курс терапии. Предполагают, что такие лекарственные формы вводят один, два, три или более раз в день и их можно вводить в виде инфузии в течение определенного периода времени (например, от примерно 30 минут до примерно 2-6 часов) или вводить в виде непрерывной инфузии и их можно вводить более одного раза в течение курса терапии, хотя однократное введение тоже не исключено. Специалист в данной области техники поймет, что состав не определяет весь курс лечения, и такие решения будут приниматься лечащим врачом, а не специалистом в области изготовления препаратов.

[0102] Описанные выше подходящие для применения композиции могут быть представлены в любой из множества подходящих форм, предназначенных для различных путей введения, например, для перорального, назального, ректального, местного (включая трансдермальный), глазного, внутримозгового, внутричерепного, интратекального, внутриартериального, внутривенного, внутримышечного, подкожного или других парентеральных путей введения. Согласно некоторым вариантам реализации указанные композиции могут быть представлены в форме, подходящей для подкожного введения. Квалифицированный специалист понимает, что пероральные и назальные композиции включают композиции, которые вводят ингаляционно и изготавливают с применением доступных методик. В зависимости от конкретного желаемого пути введения могут быть использованы различные фармацевтически приемлемые носители, хорошо известные в данной области. Фармацевтически приемлемые носители включают, например, твердые или жидкие наполнители, разбавители, гидротропы, поверхностно-активные агенты и инкапсулирующие вещества. Так же могут быть включены необязательные фармацевтически активные материалы, которые существенно не влияют на ингибирующую активность соединения. Количество используемого носителя, в сочетании с соединением, является достаточным для обеспечения практического количества материала для введения на единицу дозы соединения. Техники и композиции для получения лекарственных форм, применяемых в способах, описанных в настоящей заявке, описаны в следующих источниках, все из которых включены в настоящий документ посредством ссылки в полном объеме: Modern Pharmaceutics, 4th Ed., Chapters 9 and 10 (Banker & Rhodes, editors, 2002); Lieberman et al., Pharmaceutical Dosage Forms: Tablets (1989); и Ansel, Introduction to Pharmaceutical Dosage Forms 8th Edition (2004).

[0103] Могут быть применены различные пероральные лекарственные формы, включая такие твердые формы, как таблетки, капсулы, гранулы и сыпучие порошки. Таблетки могут быть прессованными, могут представлять собой тритурационные таблетки, могут быть покрыты кишечнорастворимым веществом, покрыты сахаром, покрыты пленкой или многократно спрессованы, содержать подходящие связующие вещества, смазывающие агенты, разбавители, разрыхляющие агенты, красители, вкусоароматические агенты, индуцирующие текучесть агенты и плавящие агенты. Жидкие пероральные лекарственные формы включают водные растворы, эмульсии, суспензии, растворы и/или суспензии, восстановленные из нешипучих гранул, и шипучие препараты, восстановленные из шипучих гранул, содержащие подходящие растворители, консерванты, эмульгирующие агенты, суспендирующие агенты, разбавители, подсластители, плавящие агенты, красители и вкусоароматические агенты.

[0104] Пригодный для приготовления единичных лекарственных форм для перорального введения фармацевтически приемлемый носитель хорошо известен в данной области. Таблетки обычно содержат обычные фармацевтически совместимые адъюванты в качестве инертных разбавителей, таких как карбонат кальция, карбонат натрия, маннит, лактоза и целлюлоза; связующие вещества, такие как крахмал, желатин и сахароза; разрыхлители, такие как крахмал, альгиновая кислота и кроскармелоза; смазочные вещества, такие как стеарат магния, стеариновая кислота и тальк. Глиданты, такие как диоксид кремния, могут быть использованы для улучшения характеристик текучести порошковой смеси. Для улучшения внешнего вида можно добавлять красители, такие как красители для химической и пищевой промышленности. Подсластители и вкусоароматические агенты, такие как аспартам, сахарин, ментол, перечная мята и фруктовые вкусоароматические добавки, являются подходящими адъювантами для жевательных таблеток. Капсулы обычно содержат один или более твердых разбавителей, описанных выше. Выбор компонентов носителя зависит от второстепенных факторов, таких как вкус, стоимость и стабильность при хранении, которые не являются критическими, и может быть без труда сделан специалистом в данной области.

[0105] Пероральные композиции также включают жидкие растворы, эмульсии, суспензии и тому подобное. Подходящие для получения таких композиций фармацевтически приемлемые носители хорошо известны в данной области. Типичные компоненты носителей для сиропов, эликсиров, эмульсий и суспензий включают этанол, глицерин, пропиленгликоль, полиэтиленгликоль, жидкую сахарозу, сорбит и воду. Для суспензии типичные суспендирующие агенты включают метилцеллюлозу, натрий карбоксиметилцеллюлозу, AVICEL RC-591, трагакант и альгинат натрия; типичные смачивающие агенты включают лецитин и полисорбат 80; а типичные консерванты включают метилпарабен и бензоат натрия. Пероральные жидкие композиции могут также содержать один или более компонентов, таких как подсластители, вкусоароматические агенты и красители, описанных выше.

[0106] Такие композиции также могут быть покрыты обычными способами, обычно рН зависимыми или зависимыми от времени покрытиями, таким образом, что исследуемое соединение высвобождается в желудочно-кишечном тракте в непосредственной близости от желаемого местного применения или в разное время для продления желаемого действия. Такие лекарственные формы обычно включают, но не ограничиваются ими, один или более ацетат-фталат целлюлозы, поливинилацетат-фталат, гидроксипропилметилцеллюлозы фталат, этилцеллюлозу, покрытия Eudragit, воски и шеллак.

[0107] Описанные в настоящем документе композиции могут необязательно включать другие лекарственные активные вещества.

[0108] Другие композиции, подходящие для обеспечения системной доставки соединений согласно настоящему изобретению, включают сублингвальные, буккальные и назальные лекарственные формы. Такие композиции обычно содержат один или более растворимых наполнителей, таких как сахароза, сорбит и маннит; и связующие вещества, такие как гуммиарабик, микрокристаллическая целлюлоза, карбоксиметилцеллюлоза и гидроксипропилметилцеллюлоза. Также указанные композиции могут содержать глиданты, смазывающие вещества, подсластители, красители, антиоксиданты и вкусоароматические агенты, описанные выше.

[0109] Жидкую композицию, которую готовят для местного офтальмологического применения, готовят так, что она может быть местно введена в глаз. Комфорт должен быть максимизирован настолько, насколько это возможно, хотя в отдельных случаях соображения, связанные с составом (например, стабильность лекарственного средства), могут обуславливать необходимость не самого оптимального комфорта. В случае, когда максимальный комфорт не достижим, указанная жидкость должна быть приготовлена таким образом, чтобы она была переносима пациентом для местного офтальмологического применения. Кроме того, офтальмологически приемлемая жидкость либо должна быть расфасована в емкости для однократного применения, либо должна содержать консервант для предотвращения загрязнения при многократном применении.

[0110] В случае офтальмологического применения растворы или лекарственные средства часто получают с применением физиологического солевого раствора в качестве основного носителя. В офтальмологических растворах предпочтительно должен поддерживаться комфортный рН с помощью соответствующей буферной системы. Составы могут также содержать обычные фармацевтически приемлемые консерванты, стабилизаторы и поверхностно-активные вещества.

[0111] Раскрытые в настоящем документе консерванты, которые могут быть использованы в фармацевтических композициях, включают, но не ограничиваются ими, бензалкония хлорид, РНМВ, хлорбутанол, тимеросал, фенилмеркурий, ацетат и фенилмеркурий нитрат. Подходящим поверхностно-активным веществом является, например, Tween 80. Аналогичным образом, в описанных в настоящем документе офтальмологических препаратах могут быть использованы различные подходящие носители. Указанные носители включают, но не ограничиваются ими, поливиниловый спирт, повидон, гидроксипропилметилцеллюлозу, полоксамеры, карбоксиметилцеллюлозу, гидроксиэтилцеллюлозу и очищенную воду.

[0112] Регуляторы тоничности могут быть добавлены по мере надобности или необходимости. Они включают, но не ограничиваются ими, соли, в частности хлорид натрия, хлорид калия, маннит и глицерин или любой другой подходящий офтальмологически приемлемый регулятор тоничности.

[0113] Различные буферы и средства для регулирования рН можно использовать до тех пор, пока конечный препарат является офтальмологически приемлемым. Для многих композиций рН будет составлять от 4 до 9. Соответственно, буферы включают ацетатные буферы, цитратные буферы, фосфатные буферы и боратные буферы. При необходимости для регулирования рН указанных составов могут быть применены кислоты или основания.

[0114] Аналогичным образом, офтальмологически приемлемый антиоксидант включает, но не ограничивается ими, метабисульфит натрия, тиосульфат натрия, ацетилцистеин, бутилированный гидроксианизол и бутилированный гидрокси толуол.

[0115] Другими вспомогательными компонентами, которые могут быть включены в офтальмологические препараты, являются хелатирующие агенты. Подходящим для применения хелатирующим агентом является динатрия эдетат, хотя другие хелатирующие агенты также можно использовать отдельно или в сочетании с ним.

[0116] Для местного применения используют кремы, мази, гели, растворы или суспензии и т.д., содержащие соединение, раскрытое в настоящей заявке. Составы для местного применения в основном могут состоять из фармацевтического носителя, сорастворителя, эмульгатора, усилителя проникновения, консервирующей системы и смягчающего агента.

[0117] Для внутривенного введения соединения и композиции, описанные в настоящей заявке, могут быть растворены или диспергированы в фармацевтически приемлемом разбавителе, таком как солевой раствор или раствор декстрозы. Для достижения желаемого рН могут быть включены подходящие вспомогательные вещества, включая, но не ограничиваясь ими, NaOH, карбонат натрия, ацетат натрия, HCl и лимонную кислоту. В различных вариантах реализации рН конечной композиции варьирует от 2 до 8 или предпочтительно от 4 до 7. Антиоксидантные вспомогательные вещества могут включать бисульфит натрия, ацетон бисульфит натрия, формальдегид натрия, сульфоксилат, тиомочевину и EDTA. Другие неограничивающие примеры подходящих вспомогательных веществ, присутствующих в конечной композиции для внутривенного введения могут включать, но не ограничиваться ими, фосфаты натрия или калия, лимонную кислоту, винную кислоту, желатин и углеводы, такие как декстроза, маннит и декстран. Другие приемлемые вспомогательные вещества описаны в публикациях Powell, et al., Compendium of Excipients for Parenteral Formulations, PDA J Pharm Sci and Tech 1998, 52 238-311 и Nema et al., Excipients and Their Role in Approved Injectable Products: Current Usage and Future Directions, PDA J Pharm Sci and Tech 2011, 65 287-332, обе из которых включены в настоящий документ посредством ссылки в полном объеме. Противомикробные агенты также могут быть включены для получения бактериостатического или фунгистатического раствора, включая, но не ограничиваясь ими, фенилмеркурия нитрат, тимеросал, бензетония хлорид, бензалкония хлорид, фенол, крезол и хлорбутанол.

[0118] Композиции для внутривенного введения могут быть предоставлены специалистам по уходу в виде еще одного твердого вещества, которое незадолго до введения восстанавливают подходящим разбавителем, таким как стерильная вода, солевой раствор или декстроза в воде. В других вариантах реализации композиции обеспечены в готовом к парентеральному введению растворе. В других вариантах реализации композиции обеспечены в растворе, который дополнительно разбавляют перед введением. В вариантах реализации, которые включают введение комбинации соединения, раскрытого в настоящем документе, и другого агента, указанная комбинация может быть предоставлена специалистам по уходу в виде смеси, или специалисты по уходу могут смешивать два агента до введения, или указанные два агента можно вводить раздельно.

[0119] Фактическая доза активных соединений, описанных в настоящей заявке, зависит от конкретного соединения и от состояния, подлежащего лечению; выбор соответствующей дозы находится в пределах знаний квалифицированного специалиста.

[0120] Соединения и композиции, описанные в настоящем документе, при необходимости, могут быть представлены в упаковке или дозирующем устройстве, содержащем одну или более дозированных форм, содержащих активный ингредиент. Такая упаковка или устройство могут, например, содержать металлическую или пластиковую фольгу, такую как блистерная упаковка, или стекло, и резиновые пробки, такие как во флаконах. Упаковочное или дозирующее устройство может сопровождаться инструкциями по введению. Соединения и композиции, описанные в настоящем документе, приготовлены в совместимом фармацевтическом носителе, и также могут быть получены, помещены в соответствующую емкость и помечены для лечения указанного состояния.

[0121] Количество соединения в составе может варьировать в пределах полного диапазона, используемого специалистами в данной области техники. Как правило, состав будет содержать, в пересчете на массовый процент (масс. %), от примерно 0,01 до 99,99 масс. % соединения согласно настоящей технологии в расчете на общий состав, при этом остальное представляет собой одно или более подходящих фармацевтических вспомогательных веществ. Предпочтительно, соединение присутствует в количестве примерно 1 80 масс. %. Типичные фармацевтические составы описаны ниже.

Примеры составов

[0122] Ниже приведены типичные фармацевтические составы, содержащие соединение формулы I.

Пример состава 1 - Состав в виде таблетки

[0123] Следующие ингредиенты тщательно смешивают и прессуют в таблетки с одной риской.

Пример состава 2 - Состав в виде капсулы

[0124] Следующие ингредиенты тщательно перемешивают и помещают в твердую желатиновую капсулу.

Пример состава 3 - Суспензионный состав

[0125] Следующие ингредиенты смешивают с получением суспензии для перорального введения.

Пример состава 4 - Состав для инъекций

[0126] Следующие ингредиенты смешивают с получением инъекционного состава.

Пример состава 5 - Состав суппозиториев

[0127] Суппозиторий общей массой 2,5 г получают путем смешивания соединения согласно настоящей технологии с Witepsol® Н-15 (триглицериды насыщенных растительных жирных кислот, Riches-Nelson, Inc., Нью-Йорк), и он имеет следующий состав:

Способы лечения

[0128] Соединения, раскрытые в настоящей заявке, или их таутомеры и/или их фармацевтически приемлемые соли могут эффективно действовать в качестве двойных агонистов рецепторов GIP/GLP1. В некоторых вариантах реализации предложены фармацевтические композиции, содержащие одно или более соединений, описанных в настоящем документе, и фармацевтически приемлемое вспомогательное вещество.

[0129] В некоторых вариантах реализации предложен способ предотвращения, лечения или облегчения одного или более жировых заболеваний печени у субъекта. В некоторых вариантах реализации способ включает введение одного или более соединений, описанных в настоящем документе, нуждающемуся в этом субъекту. В некоторых вариантах реализации указанный способ включает введение фармацевтически приемлемой соли одного или более соединений, описанных в настоящем документе, нуждающемуся в этом субъекту.

[0130] В некоторых вариантах реализации предложен способ предотвращения, лечения или облегчения стеатоза, неалкогольного стеатогепатита и неалкогольной жировой болезни печени. В некоторых вариантах реализации способ включает введение одного или более соединений, описанных в настоящем документе, нуждающемуся в этом субъекту. В некоторых вариантах реализации настоящего изобретения указанный способ включает введение фармацевтически приемлемой соли одного или более соединений, описанных в настоящем документе, нуждающемуся в этом субъекту.

[0131] В некоторых вариантах реализации способ введения одного или более соединений, описанных в настоящем документе, приводит к предотвращению, лечению или облегчению фиброза, фиброзного состояния или фиброзных симптомов. В некоторых вариантах реализации настоящего изобретения указанный способ включает введение фармацевтически приемлемой соли одного или более соединений, описанных в настоящем документе.

[0132] В некоторых вариантах реализации изобретения соединения и композиции, содержащие соединения, описанные в настоящем документе, можно применять для лечения множества состояний, возникающих в результате фиброза или воспаления, и, в частности, состояний, связанных с дифференцировкой миофибробластов. Примеры состояний включают прогрессирующий фиброз печени (алкогольное, вирусное, аутоиммунное, метаболическое и наследственное хроническое заболевание), фиброз почек (например, в результате хронического воспаления, инфекций или диабета типа II), фиброз легких (идиопатический или в результате повреждений окружающей среды, включая токсические частицы, саркоидоз, асбестоз, пневмонит с повышенной чувствительностью, бактериальные инфекции, включая туберкулез, лекарственные средства и т.д.), интерстициальный фиброз, системную склеродермию (аутоиммунное заболевание, при котором многие органы становятся фиброзными), дегенерацию желтого пятна (фиброзное заболевание глаза), фиброз поджелудочной железы (в результате, например, злоупотребления алкоголем и хронического воспалительного заболевания поджелудочной железы), фиброз селезенки (от серповидноклеточной анемии, других заболеваний крови), сердечный фиброз (в результате инфекции, воспаления и гипертрофии), медиастинальный фиброз, миелофиброз, эндомиокардиальный фиброз, ретроперитонеальный фиброз, прогрессирующий массивный фиброз, нефрогенный системный фиброз, диетабетическую нефропатию, неалкогольный стеатогепатит, первичный склерозирующий холангит, фиброз роговицы, цирроз печени, фиброзные осложнения после хирургического вмешательства, хроническую васкулопатию аллотрансплантата и/или хроническое отторжение трансплантированных органов, фиброз, связанный, связанный с ишемически-реперфузионным повреждением, инъекционный фиброз, цирроз, диффузное паренхиматозное заболевание легких, болевой синдром после вазэктомии и заболевания или нарушения, связанные с ревматоидным артритом.

[0133] В некоторых вариантах реализации способ введения одного или более соединений, описанных в настоящем документе, приводит к снижению количества белков внеклеточного матрикса, присутствующих в одной или более тканях указанного субъекта. В некоторых вариантах реализации настоящего изобретения указанный способ включает введение фармацевтически приемлемой соли одного или более соединений, описанных в настоящем документе.

[0134] В некоторых вариантах реализации способ введения одного или более соединений, описанных в настоящем документе, приводит к снижению количества коллагена, присутствующего в одной или более тканях указанного субъекта. В некоторых вариантах реализации настоящего изобретения указанный способ включает введение фармацевтически приемлемой соли одного или более соединений, описанных в настоящем документе.

[0135] В некоторых вариантах реализации способ введения одного или более соединений, описанных в настоящей заявке, приводит к снижению количества коллагена типа I, типа 1а или типа III, присутствующего в одной или более тканях указанного субъекта. В некоторых вариантах реализации настоящего изобретения указанный способ включает введение фармацевтически приемлемой соли одного или более соединений, описанных в настоящем документе.

[0136] В некоторых вариантах реализации предложен способ предотвращения, лечения или облегчения одного или более из фиброза печени, фиброза почек, билиарного фиброза, фиброза поджелудочной железы, неалкогольного стеатогепатита, неалкогольной жировой болезни печени, хронической болезни почек, диабетической болезни почек, первичного склерозирующего холангита, первичного били арного цирроза или иди оп этического фиброза у субъекта. В некоторых вариантах реализации способ включает введение одного или более соединений, описанных в настоящем документе, нуждающемуся в этом субъекту. В некоторых вариантах реализации настоящего изобретения указанный способ включает введение фармацевтически приемлемой соли одного или более соединений, описанных в настоящем документе, нуждающемуся в этом субъекту.

[0137] В некоторых вариантах реализации предложен способ предотвращения, лечения или облегчения одного или более из неалкогольного стеатогепатита, неалкогольной жировой болезни печени, хронической болезни почек, диабетической болезни почек, первичного склерозирующего холангита или первичного билиарного цирроза у субъекта. В некоторых вариантах реализации способ включает введение одного или более соединений, описанных в настоящем документе, нуждающемуся в этом субъекту. В некоторых вариантах реализации настоящего изобретения указанный способ включает введение фармацевтически приемлемой соли одного или более соединений, описанных в настоящем документе, нуждающемуся в этом субъекту.

[0138] Согласно некоторым вариантам реализации предложен способ предотвращения, лечения или облегчения одного или более метаболических расстройств или метаболических синдромов. Согласно некоторым вариантам реализации указанное заболевание или расстройство представляет собой атеросклероз, диабет, гипергликемический диабет, сахарный диабет 2 типа, дислипидемию, гиперхолестеринемию, гиперлипидемию, гипертензию, гипогликемию, ожирение или синдром Пра дера-Вилл и. В некоторых вариантах реализации способ включает введение одного или более соединений, описанных в настоящем документе, нуждающемуся в этом субъекту. В некоторых вариантах реализации настоящего изобретения указанный способ включает введение фармацевтически приемлемой соли одного или более соединений, описанных в настоящем документе, нуждающемуся в этом субъекту.

[0139] В некоторых вариантах реализации настоящего изобретения способ введения одного или более соединений, описанных в настоящем документе, приводит к тому, что соединение активирует рецептор глюкозозависимого инсулинотропного полипептида (GIP). Согласно некоторым вариантам реализации настоящего изобретения способ введения одного или более соединений, описанных в настоящем документе, приводит к тому, что соединение активирует рецептор глюкагоноподобного пептида-1 (GLP-1). Согласно некоторым вариантам реализации настоящего изобретения способ введения одного или более соединений, описанных в настоящем документе, приводит к тому, что соединение активирует рецептор GFP и рецептор GLP-1.

[0140] Некоторые варианты реализации включают совместное введение соединения, композиции и/или фармацевтической композиции, описанных в настоящей заявке, с дополнительным лекарственным средством. Под «совместным введением» подразумевается, что два или более агентов могут быть обнаружены в кровотоке пациента одновременно, независимо от того, когда и как их фактически вводят. В одном из вариантов реализации указанные агенты вводят одновременно. В одном из таких вариантов реализации введение в комбинации осуществляют путем объединения агентов в единую лекарственную форму. Согласно другому варианту реализации указанные агенты вводят последовательно. В одном варианте осуществления агенты вводят одним и тем же путем, например перорально. В другом варианте реализации агенты вводят различными путями, например, один вводят подкожно, другой перорально, а еще один внутривенно.

[0141] Для дополнительной иллюстрации настоящего изобретения включены следующие примеры. Приведенные примеры, конечно, не должны быть истолкованы как конкретно ограничивающие настоящее изобретение. Вариации этих примеров в пределах объема формулы изобретения находятся в пределах компетенции специалиста в данной области техники и считаются входящими в объем настоящего изобретения, как описано и заявлено в настоящем документе. Читатель поймет, что специалист в данной области техники, ознакомившийся с настоящим раскрытием и имеющий компетенции в данной области техники могут получить и применить настоящее изобретение без исчерпывающих примеров. Следующие примеры дополнительно описывают настоящее изобретение и используются только в целях иллюстрации и не должны рассматриваться как ограничивающие.

Общие методики

[0142] Специалисту в данной области техники будет понятно, что способы получения предшественников и функциональные возможности, связанные с соединениями, заявленными в настоящем документе, в целом описаны в литературе. В этих реакциях также можно использовать варианты, которые сами по себе известны специалистам в данной области техники, но не упомянуты более подробно. Специалист в данной области техники, учитывая литературу и настоящее изобретение, хорошо подготовлен для получения любого из соединений.

[0143] Следует понимать, что квалифицированный специалист в области органической химии может легко выполнять манипуляции без дополнительного руководства, то есть выполнение этих манипуляций находится в рамках объема и практики квалифицированного специалиста. Такие манипуляции включают восстановление карбонильных соединений до их соответствующих спиртов, окисление, ацилирование, ароматическое замещение, как электрофильное, так и нуклеофильное, этерификацию, эстерификацию, омыление и тому подобное. Эти манипуляции обсуждаются в стандартных источниках, таких как March Advanced Organic Chemistry (Wiley), Carey and Sundberg, Advanced Organic Chemistry (полное содержание указанных источников включено в настоящий документ посредством ссылки) и тому подобные. Все промежуточные соединения согласно настоящему изобретению использовали без дополнительной очистки, если не указано иное.

[0144] Квалифицированный специалист легко поймет, что определенные реакции лучше всего проводить, когда другая функциональная группа в молекуле замаскирована или защищена, что позволяет избежать любых нежелательных побочных реакций и/или увеличить выход реакции. Часто специалист в данной области техники использует защитные группы для достижения таких увеличенных выходов или для предотвращения нежелательных реакций. Эти реакции описаны в литературе и также хорошо известны специалисту в данной области техники. Примеры многих из этих манипуляций можно найти, например, в Т. Greene and P. Wuts Protecting Groups in Organic Synthesis, 4th Ed., John Wiley & Sons (2007), полное содержание указанного источника включено в настоящий документ посредством ссылки.

[0145] Следующие примеры схем представлены для руководства читателя и представляют собой предпочтительные способы получения соединений, приведенных в качестве примеров в настоящей заявке. Указанные способы не являются ограничивающими, и будет очевидно, что для получения указанных соединений могут быть использованы другие пути. Такие способы, в частности, включают химические способы на основе твердой фазы, включая комбинаторную химию. Специалист в данной области техники полностью подготовлен для получения указанных соединений указанными способами, приведенными в литературных источниках и настоящем описании. Нумерация соединений, используемая в схемах синтеза, изображенных ниже, предназначена только для этих конкретных схем и не должна быть истолкована или спутана с той же нумерацией в других разделах заявки.

[0146] Товарные знаки, используемые в настоящем документе, являются только примерами и отражают иллюстративные материалы, используемые во время изобретения. Квалифицированный специалист поймет, что возможны изменения в партии, производственных процессах и т.п.Следовательно, примеры и товарные знаки, используемые в них, не являются ограничивающими, и они не предназначены для ограничения, а являются просто иллюстрацией того, как специалист в данной области техники может выбрать выполнение одного или более вариантов реализации настоящего изобретения.

[0147] Следующие аббревиатуры имеют указанные значения:

Aib = аминоизомасляная кислота

Bn = бензил

Вое = трет-бутоксикарбонил

Bu = бутил

ДМФА = диметилформамид

EDC = 1-этил-3-(3-диметиламинопропил)карбодиимид

Et = этил

HATU = гексафторфосфат азабензотриазолтетраметилуран

HBTU = гексафторфосфат бензотриазолтетраметилуран

HMDS = гексаметилдисилазан

ВЭЖХ = высокоэффективная жидкостная хроматография

Me = метил

NaHMDS = натрия гексаметилдисилазид

ЯМР = ядерный магнитный резонанс

РСС = хлорхромат пиридиния

ПЭГ = полиэтиленгликоль

Ph = фенил

tBu = трет-бутия

ТФУ = трифторуксусная кислота

ТГФ = тетрагидрофуран

TMS = триметилсилил

[0147] Следующие примеры схем приведены для руководства читателя и в совокупности представляют собой пример способа получения соединений, предложенных в настоящем документе. Кроме того, другие способы получения соединений, описанных в настоящем документе, будут очевидны для специалиста в данной области техники в свете следующих реакционных схем и примеров. Если не указано иное, все переменные являются такими, как определено выше.

ПРИМЕР 1

Синтез промежуточного соединения 1 (ТКТ 1)

[0149] Метил-7-бромгептаноат обрабатывают трифенилфосфином с получением соответствующей соли фосфония. Полученную соль обрабатывают одним эквивалентом NaHMDS с получением илида, который немедленно подвергают реакции Виттига с альдегидом из окисления РСС 12-бром-1-додеканола. Полученный бромалкен гидрируют и обрабатывают дибензилфосфитом в слабом основании с получением фосфонатного сложного эфира. Гидролиз метилкарбоксилата обеспечивает получение желаемого INT 1, имеющего концевую карбоновую кислоту и дибензилфосфонат.

Синтез промежуточного соединения 2 (TNT 2)

[0150] Проводят реакцию сочетания докозандиовой кислоты с бензиловым спиртом с помощью EDC⋅HCl и DMAP в ТГФ с получением INT 2 в виде монобензилового эфира.

Синтез промежуточного соединения 3 (TNT 3)

[0151] Т-бутил-4-гидроксибутаноат подвергают окислению по Сверну с получением альдегида. Альдегид конденсируют с (R)-1-амино-2-метокси-1-фенилэтаном с получением имина. Добавление литиевой соли диэтилфосфита в ТГФ приводит к образованию α-аминофосфоната, который подвергают гидрогенолизу с расщеплением N-алкильной группы и получением INT 3 со свободным первичным амином, трет-бутиловым эфиром и диэтилфосфонатным эфиром. С помощью 1Н ЯМР посредством анализа с получением амидов по Мошеру было подтверждено, что оптическая чистота INT 3 составляет по меньшей мере 96%.

Синтез промежуточного соединения 4 (ТКТ 4)

[0152] INT 1 подвергают реакции сочетания с 1-трет-бутиловым эфиром D-глутаминовой кислоты в присутствии HATU и триэтиламина в ДМФА с получением INT 4.

Синтез промежуточного соединения 5 (INT 5)

[0153] INT 2 подвергают реакции сочетания с INT 3 в присутствии HATU и триэтиламина в ДМФА с получением новой амидной связи. Расщепление сложных эфиров этилфосфоната с помощью TMS-Br позволяет получить свободную фосфоновую кислоту. Повторная этерификация с большим избытком бензилового эфира N,N'-диизопропилкарбамимидовой кислоты обеспечивает соответствующий дибензилфосфонат. Трет-бутиловый эфир расщепляют с помощью ТФУ с получением INT 5.

Синтез промежуточного соединения 6 (INT 6)

[0154] INT 1 подвергают реакции сочетания с INT 3 в присутствии HATU и триэтиламина в ДМФА с получением новой амидной связи. Расщепление сложных эфиров бензила и этилфосфоната с помощью TMS-Br позволяет получить обе свободные фосфоновые кислоты. Повторная этерификация с большим избытком бензилового эфира N,N'-диизопропилкарбамимидовой кислоты обеспечивает получение соответствующего тетрабензилдифосфонатного эфира. Трет-бутиловый эфир расщепляют ТФУ с получением INT 6.

ПРИМЕР 2

Синтез общего пептидного остова

[0155] 39-аминокислотный пептидный остов конструируют с использованием методов твердофазного синтеза пептидов с активацией диимида, HATU или HBTU для синтеза амидной связи на смоле Rink. Выбор реагента варьируется в зависимости от идентичности соединяемых аминокислот. R-группу лизина-19 удлиняли двумя PEG2 амидными линкерами. Весь остов синтезируют на смоле перед присоединением INT 4, INT 5 или INT 6 к аминоконцу лизинсвязанного линкера.

ПРИМЕР 3

Синтез соединения 4

[0156] Пептидный остов соединен с INT 4 с получением связанного со смолой защищенного Соединения 4. Расщепление смолы, защитных групп на пептидной цепи и бензиловых эфиров INT 4 с помощью ТФУ обеспечивает получение Соединения 4, которое очищают с помощью ВЭЖХ.

ПРИМЕР 4

Синтез соединения 8

[0157] Пептидный остов соединен с INT 5 с получением связанного со смолой защищенного Соединения 8. Расщепление смолы, защитных групп на пептидной цепи и бензиловых эфиров INT 4 с помощью ТФУ обеспечивает получение Соединения 8, которое очищают с помощью ВЭЖХ.

ПРИМЕР 5

Синтез соединения 12

[0158] Пептидный остов соединен с INT 6 с получением связанного со смолой защищенного Соединения 12. Расщепление смолы, защитных групп на пептидной цепи и бензиловых эфиров INT 4 с помощью ТФУ обеспечивает получение Соединения 12, которое очищают с помощью ВЭЖХ.

ПРИМЕР 6

Активность связывания GLP-1 и GIP in vitro

[0159] Данные по связыванию тирзепатида, Соединения 4, Соединения 8 и Соединения 12 для двух рецепторов, связанных с рекомбинантным G-белком человека, GLP-1 и GIP, были получены с помощью анализа связывания TagLite® и клеточных линий Epics Therapeutics. Агонистическая активность тестируемых соединений выражается в процентах от активности эталонного агониста при его концентрации 1Сюо, как показано в таблице 1.

ПРИМЕР 7

Биологические эффекты соединений у мышей

[0160] НАСГ индуцировали у мышей путем кормления мышей с рационом Gubra amylin NASH (GaN), как описано в Boland et al. World J Gastroenterol. 2019, 25(33): 4904-4920. За одну неделю до введения первой дозы соединений мышей взвешивали и рандомизировали, и измеряли их потребление пищи. Мышей случайным образом распределяли по группам дозирования, по двенадцать мышей в группе. Назначенные группы введения представляли собой: тирзепатид (10 мг/кг); Соединение 4 (10 мг/кг); Соединение 8 (10 мг/кг); Соединение 12 (10 мг/кг); одна группа представляла собой группу имитации введения, ей вводили только носитель в качестве контроля. Титрование дозы соединения (нмоль/кг): 0,6 (день 0), 1,2 (день 1), 2,4 (день 2), 4,8 (день 3), 4,8 (день 4), 12 (день 5), 30,0 (с дня 6).

[0161] Через две недели животных умерщвляли. Измеряли ферменты плазмы (P-ALT (аланинаминотрансферазу) и P-AST (аспартатаминотрансферазу)), общие триглицериды плазмы и общий холестерин плазмы и проводили терминальную аутопсию каждой печени, определяя относительную массу печени в процентах от массы тела, анализируя общую биохимию печени, включая общие триглицериды печени, инсулин плазмы и общий холестерин печени, а также гистологическую оценку галектина-3 и альфа-гладкомышечного актина.

[0162] Уровни триглицеридов печени (ТГ) представлены в таблице 2. Данные показывают, что результатом введения Соединения 4, Соединения 8 или Соединения 12 было более низкое относительное и общее содержание триглицеридов в печени по сравнению с введением тирзепатида или только носителя. Уровни галектина-3 (Gal-3) в печени, определенные с помощью гистологической количественной оценки, представлены в таблице 2. Представленные данные показывают, что введение Соединения 4, Соединения 8 или Соединения 12 приводило к снижению относительного и общего печеночного галектина-3 по сравнению с введением только тирзепатида или носителя. Уровни альфа-гладкого мышечного актина (α-SMA), определяемые с помощью гистологической количественной оценки, показаны в таблице 2. Представленные данные показывают, что результатом введения Соединения 4, Соединения 8 или Соединения 12 было более низкое относительное и общее содержание альфа-гладкомышечного актина печени по сравнению с введением тирзепатида.

ПРИМЕР 8

Модулированная HSA активность связывания GLP-1 и GIP in vitro

[0163] Анализ связывания согласно примеру 6 повторяли для соединений: тирзепатида (TRZ), Соединения 4 и Соединения 12, причем указанные анализы проводили в присутствии или в отсутствие 2% человеческого сывороточного альбумина (HSA). Соотношение связывания соединения-рецептора с 2% HSA к связыванию соединения-рецептора с 0% HSA приведено в таблице 3. В случае тирзепатида соотношение HSA составляет 12,8 и 5,82 для рецептора GLP-1 и рецептора GIP, соответственно. В случае Соединения 4 соотношение HSA составляет 6,42 и 1,25 для рецептора GLP-1 и рецептора GIP, соответственно. В случае Соединения 12 соотношение HSA составляет 5,26 и 1,70 для рецептора GLP-1 и рецептора GIP, соответственно. Большие соотношения HSA для тирзепатида по сравнению с Соединением 4 и Соединением 12 указывают на то, что аффинность связывания тирзепатида с альбумином больше, чем у Соединения 4 или Соединения 12.

ПРИМЕР 9

Фармакокинетика соединений у обезьян

[0164] Подкожное (п/к) введение соединений в носителе 0,1% бычьего сывороточного альбумина в фосфатно-солевом буферном растворе проводили с самцами яванских макаков. Назначенные группы введения представляли собой: тирзепатид (0,2 мг/кг); Соединение 4 (0,2 мг/кг); Соединение 12 (0,2 мг/кг). Образцы получали через 1, 4, 8, 12, 24, 48, 72, 96, 120, 168, 192, 240 и 336 часов после введения однократной дозы.

[0165] Средние значения периода полувыведения приведены в таблице 4. Данные показывают, что введение Соединения 4 или Соединения 12 приводило к значительно большей стойкости в кровотоке по сравнению с введением тирзепатида. Средний период полувыведения Соединения 4 почти в два раза больше по сравнению с тирзепатидом.

[0166] В предыдущих исследованиях наблюдалась прямая корреляция между аффинностью связывания с альбумином и периодом полувыведения in vivo; соединения, имеющие более длительный период полувыведения, демонстрировали большую аффинность связывания с альбумином. (Lau, J., et al. J. Med. Chem. 2015, 58, 7370-7380). Как описано выше, эксперимент по примеру 8 показал, что аффинность связывания тирзепатида с альбумином больше, чем у Соединения 4 или Соединения 12. Напротив, фармакокинетические эксперименты, описанные в этом примере, определили период полувыведения тирзепатида, Соединения 4 и Соединения 12, составляющий 63,2 ч, 118 ч и 104 ч, соответственно. Более длительный период полувыведения Соединения 4 и Соединения 12 по сравнению с тирзепатидом является неожиданным результатом с учетом предыдущих исследований. Меньшие соотношения HSA для Соединения 4 и Соединения 12 указывают на ожидание того, что Соединение 4 и Соединение 12 будут иметь более низкую аффинность связывания альбумина и более короткий период полураспада по сравнению с тирзепатидом. Более длительный период полувыведения Соединения 4 или Соединения 12 по сравнению с тирзепатидом является противоположным ожидаемым результатам.

ПРИМЕР 10

Фармакокинетические исследования составов

[0167] Эксперименты по п/к дозированию, описанные в примере 9, повторяли с различными составами тирзепатида и Соединения 4. Состав 1 включал соединение в носителе: 0,1% бычьем сывороточном альбумине в фосфатно-солевом растворе. Состав 2 включал соединение в 40% пропиленгликоле и 60% 10 мМ цитратном буферном растворе с рН 6. Назначенным группам дозирования вводили тирзепатид (0,2 мг/кг) или Соединение 4 (0,2 мг/кг) в течение 21 дня.

[0168] Средние значения периода полувыведения для двух составов приведены в таблице 5. Представленные данные показывают, что введение Соединения 4 в Составе 1 и Составе 2 приводило к значительно большей стойкости в кровотоке по сравнению с введением тирзепатида в идентичном составе. Средний период полувыведения Соединения 4 в Составе 1 почти в два раза больше по сравнению с тирзепатидом. Состав 2 обеспечивал средний период полувыведения Соединения 4 в два раза больше по сравнению с тирзепатидом.

[0169] Неожиданные результаты, описанные в примере 9, также наблюдались в этом примере, когда соединения вводили в состав 1 и состав 2. Более длительный период полувыведения в Составе 1 и Составе 2 для Соединения 4 по сравнению с тирзепатидом является результатом, противоположным ожидаемому с учетом исследований HSA, описанных выше.

ПРИМЕР 11

Растворимость соединений

[0170] 50 мМ фосфатный буфер получали согласно инструкции, приведенной в Фармакопее США (USP). Массу 27,22 г одноосновного фосфата калия разбавляли водой с получением 1000 мл раствора. Объем 250 мл одноосновного раствора фосфата калия и объем 22,4 мл 1 М раствора NaOH разбавляли водой до 1000 мл. РН полученного буферного раствора измеряли как 6,83. Исследования растворимости проводили в условиях окружающей среды, и они были разработаны для приготовления раствора с максимальной концентрацией приблизительно 20 мг/мл. Начальный объем 100 мкл буфера добавляли приблизительно к 1-4 мг образца тирзепатида (TRZ), Соединения 4, Соединения 8 и Соединения 12 с последующим перемешиванием с помощью вихревого потока или вортекса. Дополнительный буфер добавляли с шагом от менее 1 мл до максимум примерно 200 мл. Количественную растворимость (QNT) отражали в мг/мл. Качественную растворимость (QLT) на основе визуальных наблюдений описывали с использованием протокола Фармакопеи США. Результаты представлены в таблице 6.

[0171] В отличие от TRZ, наблюдали, что Соединения 4 и 12 полностью растворяются, и Соединение 12 имело количественно более высокую растворимость, чем TRZ.

[0172] Несмотря на то, что были проиллюстрированы и описаны некоторые варианты реализации изобретения, специалист в данной области техники после прочтения вышеприведенного описания может вносить изменения, замены эквивалентов и другие типы изменений в соединения согласно настоящей технологии или их соли, фармацевтические композиции, производные, пролекарства, метаболиты, таутомеры или рацемические смеси, изложенные в настоящем документе. Каждый аспект и вариант реализации изобретения, описанный выше, также может содержать или включать в себя такие вариации или аспекты, которые раскрыты в отношении любого или всех других аспектов и вариантов реализации изобретения.

[0173] Настоящая технология также не должна быть ограничена с точки зрения конкретных аспектов, описанных в настоящем документе, которые предназначены для отдельных иллюстраций отдельных аспектов настоящей технологии. Многие модификации и вариации настоящей технологии могут быть сделаны без отклонения от ее сущности и объема, как будет понятно специалистам в данной области техники. Функционально эквивалентные способы в рамках настоящей технологии, в дополнение к перечисленным в настоящем документе, будут очевидны специалистам в данной области техники из приведенных выше описаний. Такие модификации и варианты подпадают в объем прилагаемой формулы изобретения. Следует понимать, что настоящая технология не ограничена конкретными способами, реагентами, соединениями, композициями, меченными соединениями или биологическими системами, которые, безусловно, могут изменяться. Также следует понимать, что используемая в настоящей заявке терминология предназначена только для описания частных аспектов и не имеет ограничительного характера. Таким образом, предполагается, что настоящее описание должно рассматриваться как иллюстративное только с широтой, объемом и сущностью настоящей технологии, указанными только в прилагаемой формуле изобретения, определениях в нем и любых его эквивалентах.

[0174] Варианты реализации изобретения, иллюстративно описанные в настоящем документе, можно подходящим способом реализовать на практике при отсутствии любого элемента или элементов, ограничения или ограничений, конкретно не раскрытых в настоящем документе. Таким образом, например, термины «содержащий», «включающий», «содержащий в своем составе» и т.д. следует истолковывать расширительно и без ограничения. Кроме того, термины и выражения, применяемые в настоящем документе, были использованы в качестве терминов описания, а не ограничения, и при использовании таких терминов и выражений отсутствует намерение исключить какие-либо эквиваленты представленных или описанных характеристик либо их частей, однако следует понимать, что в рамках объема заявленной технологии возможны различные модификации. Кроме того, следует понимать, что фраза «по существу состоящий из» включает те элементы, которые конкретно изложены, и те дополнительные элементы, которые не оказывают существенного влияния на основные и новые характеристики заявленной технологии. Фраза «состоящий из» исключает любой неуказанный элемент.

[0175] Помимо этого, если характеристики или аспекты настоящего изобретения описаны в терминах групп Маркуша, специалисты в данной области техники поймут, что тем самым настоящее изобретение также описывается применительно к любому отдельному члену или подгруппе членов группы Маркуша. Каждый из более узких видов и субродовых групп, попадающих в общее раскрытие, также образует часть настоящей технологии. Это включает общее описание настоящей технологии при условии или отрицательном ограничении, исключающем любой объект из рода, вне зависимости оттого, указан ли конкретно удаляемый материал в настоящем документе или нет.

[0176] Все публикации, заявки на патент, выданные патенты и другие документы (например, журналы, статьи и/или учебники), упомянутые в настоящем описании, включены в настоящий документ посредством ссылки, как если бы для каждой отдельной публикации, заявки на патент, выданного патента или другого документа было конкретно и отдельно указано, что они включены в настоящий документ посредством ссылки в полном объеме. Определения, содержащиеся в тексте, включенном посредством ссылки, исключены в той степени, в которой они противоречат определениям в настоящем раскрытии.

[0177] Другие варианты реализации изложены в следующей формуле изобретения вместе с полным объемом эквивалентов, на которые распространяется формула изобретения.

[0178] Несмотря на то, что настоящее изобретение было в частности показано и описано со ссылкой на предпочтительный вариант реализации и различные альтернативные варианты реализации, специалистам в данной области техники будет понятно, что в нем могут быть сделаны различные изменения формы и деталей, не отклоняясь от сущности и объема настоящего изобретения.

[0179] Все ссылки, выданные патенты и заявки на патент, цитируемые в тексте настоящего описания, тем самым полностью включены в настоящий документ посредством ссылки для всех целей.

[0180] Несмотря на то, что настоящее изобретение было описано со ссылкой на варианты осуществления и примеры, следует понимать, что многочисленные и различные модификации могут быть внесены без отклонения от сущности изобретения. Соответственно, настоящее изобретение ограничено только следующей формулой изобретения.

Похожие патенты RU2833318C1

название год авторы номер документа
ЦИКЛИЧЕСКИЕ ДЕЗОКСИРИБОНУКЛЕОТИДНЫЕ СОЕДИНЕНИЯ 2020
  • Чжи, Линь
RU2836016C2
КОМБИНАЦИИ 2020
  • Саматар, Ахмед Абди
  • Ли, Цзяли
  • Изади, Хуман
  • Хуан, Питер Циньхуа
  • Пинчман, Джозеф Роберт
  • Борен, Брант Клейтон
  • Банкер, Кевин Дуэйн
  • Донейт, Фернандо
RU2840819C1
ФОСФОР(N)АМИДАТАЦЕТАЛЬНЫЕ И ФОСФ(ОН)АТАЦЕТАЛЬНЫЕ СОЕДИНЕНИЯ 2019
  • Чжи, Линь
RU2796403C2
ПРОИЗВОДНЫЕ БОРОНОВОЙ КИСЛОТЫ И ИХ ТЕРАПЕВТИЧЕСКИЕ ПРИМЕНЕНИЯ 2017
  • Хекер, Скотт
  • Редди, Раджа К.
  • Глинка, Томаш
  • Родни, Ольга
RU2773346C2
СЕЛЕКТИВНЫЕ ИНГИБИТОРЫ ЭСТРОГЕНОВЫХ РЕЦЕПТОРОВ И ИХ ПРИМЕНЕНИЕ 2017
  • Дай Син
  • Ван Яолинь
RU2734501C2
ДИГИДРОПТЕРИДИНОНОВЫЕ ПРОИЗВОДНЫЕ И ИХ ПРИМЕНЕНИЯ 2015
  • Браднер Джеймс Е.
  • Грей Натанаэль
  • Ки Джун
  • Маккеун Майкл Р.
  • Бакли Деннис
RU2673944C2
ЦИАНОТИЕНОТРИАЗОЛОДИАЗЕПИНЫ И ПУТИ ИХ ПРИМЕНЕНИЯ 2016
  • Браднер Джеймс И.
  • Ци Цзюнь
  • Танака Минору
  • Бакли Деннис
RU2750164C2
НЕЙРОАКТИВНЫЕ СТЕРОИДЫ, ЗАМЕЩЕННЫЕ В ПОЛОЖЕНИИ 10 ЦИКЛИЧЕСКОЙ ГРУППОЙ, ДЛЯ ИСПОЛЬЗОВАНИЯ ПРИ ЛЕЧЕНИИ РАССТРОЙСТВ ЦНС 2019
  • Бланко-Пилладо, Мария, Хесус
  • Салитуро, Франческо, Г.
  • Морнингстар, Маршалл, Ли
RU2796006C2
ПРОИЗВОДНЫЕ ПИРАЗОЛА С КОНДЕНСИРОВАННЫМ ЦИКЛОМ 2002
  • Лохед Дейвид Гаррет
  • О'Янг Каунд
RU2318822C2
БИВАЛЕНТНЫЕ ИНГИБИТОРЫ БРОМОДОМЕНОВ И ПУТИ ИХ ПРИМЕНЕНИЯ 2016
  • Ци, Цзюнь
  • Танака, Минору
  • Робертс, Джастин, М.
  • Браднер, Джеймс И.
RU2742035C2

Реферат патента 2025 года КОМПОЗИЦИИ И СПОСОБЫ ДЛЯ ЛЕЧЕНИЯ МЕТАБОЛИЧЕСКИХ И ПЕЧЕНОЧНЫХ РАССТРОЙСТВ

Изобретение относится к двойному агонисту рецепторов GIP/GLP-1, представляющему собой соединение формулы I или его фармацевтически приемлемую соль, где R1 выбран из группы, состоящей из -C(=O)(OZ1) и -P(=O)(X)(Y); R2 выбран из группы, состоящей из -C(=O)(OZ2) и -P(=O)(X)(Y); X и Y каждый представляет собой -OR4; где R4, Z1 и Z2 определены в формуле изобретения. Также предложены фармацевтическая композиция, содержащая соединение формулы I, и способ лечения метаболических расстройств и жировых заболеваний печени. 6 н. и 30 з.п. ф-лы, 6 табл., 10 пр.

Формула изобретения RU 2 833 318 C1

1. Соединение, имеющее структуру формулы I

,

или его фармацевтически приемлемая соль, где

R1 выбран из группы, состоящей из -C(=O)(OZ1) и -P(=O)(X)(Y);

R2 выбран из группы, состоящей из -C(=O)(OZ2) и -P(=O)(X)(Y);

X и Y каждый представляет собой -OR4;

каждый R4 независимо выбран из группы, состоящей из водорода, C1-6 алкила, галогенС1-6 алкила и -CH2-фенила;

и

Z1 и Z2 каждый независимо выбран из группы, состоящей из водорода, C1-6 алкила, галогенС1-6 алкила, C3-10 циклоалкила, C6-10 арила и -CH2-фенила,

где по меньшей мере один из R1 и R2 представляет собой -P(=O)(X)(Y).

2. Соединение по п. 1, имеющее структуру формулы I-a

,

или его фармацевтически приемлемая соль.

3. Соединение по п. 2, где Z1 выбран из группы, состоящей из водорода, галогенС1-6 алкила, C1-6 алкила и -CH2-фенила, и каждый R4 независимо выбран из группы, состоящей из водорода и -CH2-фенила.

4. Соединение по любому из пп. 2, 3, где Z1 представляет собой водород и каждый R4 независимо представляет собой водород или -CH2-фенил.

5. Соединение по любому из пп. 2-4, где каждый R4 представляет собой водород.

6. Соединение по любому из пп. 2-5, где Z1 представляет собой водород и каждый R4 представляет собой водород.

7. Соединение по п. 1, имеющее структуру формулы I-b

,

или его фармацевтически приемлемая соль.

8. Соединение по п. 7, где Z2 выбран из группы, состоящей из водорода, галогенС1-6 алкила, C1-6 алкила и -CH2-фенила, и каждый R4 независимо выбран из группы, состоящей из водорода и -CH2-фенила.

9. Соединение по любому из пп. 7, 8, где Z2 представляет собой водород и каждый R4 представляет собой водород или -CH2-фенил.

10. Соединение по любому из пп. 7-9, где каждый R4 представляет собой водород.

11. Соединение по любому из пп. 7-10, где Z2 представляет собой водород и каждый R4 представляет собой водород.

12. Соединение по п. 1, имеющее структуру формулы I-c

,

или его фармацевтически приемлемая соль.

13. Соединение по п. 12, где каждый R4 независимо выбран из группы, состоящей из водорода и -CH2-фенила.

14. Соединение по любому из пп. 12, 13, где каждый R4 представляет собой водород.

15. Соединение, имеющее структуру, выбранную из группы, состоящей из:

и их фармацевтически приемлемых солей.

16. Соединение по п. 15, имеющее структуру

,

или его фармацевтически приемлемая соль.

17. Соединение по п. 15, имеющее структуру

,

или его фармацевтически приемлемая соль.

18. Соединение по п. 15, имеющее структуру

,

или его фармацевтически приемлемая соль.

19. Соединение по любому из пп. 1-18, где «*» обозначает хиральный углерод с конфигурацией «S».

20. Соединение по любому из пп. 1-18, где «*» обозначает хиральный углерод с конфигурацией «R».

21. Фармацевтическая композиция для получения лекарственного средства для лечения одного или более жировых заболеваний печени у субъекта, содержащая терапевтически эффективное количество соединения по любому из пп. 1-20 и фармацевтически приемлемое вспомогательное вещество.

22. Способ предотвращения, лечения или облегчения одного или более жировых заболеваний печени у субъекта, включающий введение терапевтически эффективного количества соединения по любому из пп. 1-20 или его фармацевтически приемлемой соли нуждающемуся в этом субъекту.

23. Способ по п. 22, где указанное жировое заболевание печени выбрано из группы, состоящей из стеатоза, неалкогольного стеатогепатита и неалкогольного жирового заболевания печени.

24. Способ по п. 22 или 23, где указанное введение указанного соединения приводит к предотвращению, лечению или облегчению фиброза, фиброзного состояния или фиброзных симптомов.

25. Способ по любому из пп. 22-24, где указанное введение указанного соединения приводит к снижению количества белков внеклеточного матрикса, присутствующих в одной или более тканях указанного субъекта.

26. Способ по любому из пп. 22-25, где указанное введение указанного соединения приводит к снижению количества коллагена, присутствующего в одной или более тканях указанного субъекта.

27. Способ по п. 26, где указанное введение указанного соединения приводит к снижению количества коллагена типа I, типа Ia или типа III, присутствующего в одной или более тканях указанного субъекта.

28. Способ предотвращения, лечения или облегчения одного или более заболеваний или расстройств у субъекта, включающий введение терапевтически эффективного количества соединения по любому из пп. 1-20 или его фармацевтически приемлемой соли нуждающемуся в этом субъекту, при этом указанное заболевание или расстройство представляет собой неалкогольный стеатогепатит, неалкогольную жировую болезнь печени, хроническое заболевание почек, диабетическое заболевание почек, первичный склерозирующий холангит или первичный билиарный цирроз.

29. Способ предотвращения, лечения или облегчения одного или более заболеваний или расстройств у субъекта, включающий введение терапевтически эффективного количества соединения по любому из пп. 1-20 или его фармацевтически приемлемой соли нуждающемуся в этом субъекту, где указанное заболевание или расстройство представляет собой метаболическое расстройство или метаболический синдром.

30. Способ по п. 29, где указанное заболевание или расстройство представляет собой атеросклероз, диабет, гипергликемический диабет, сахарный диабет 2 типа, дислипидемию, гиперхолестеринемию, гиперлипидемию, гипертензию, гипогликемию, ожирение или синдром Прадера-Вилли.

31. Способ по п. 23, где указанное соединение активирует рецептор глюкозозависимого инсулинотропного полипептида (GIP).

32. Способ по п. 23, где указанное соединение активирует рецептор глюкагоноподобного пептида-1 (GLP-1).

33. Способ по п. 23, где указанное соединение активирует рецептор глюкозозависимого инсулинотропного полипептида (GIP) и рецептор глюкагоноподобного пептида-1 (GLP-1).

34. Способ по п. 23, где указанный субъект представляет собой млекопитающее.

35. Способ по п. 23, где субъект представляет собой человека.

36. Способ по п. 23, где указанный путь введения выбран из группы, состоящей из: энтерального, внутривенного, перорального, внутрисуставного, внутримышечного, подкожного, внутрибрюшинного, эпидурального, трансдермального и трансмукозального.

Документы, цитированные в отчете о поиске Патент 2025 года RU2833318C1

Резервуар для горючего к кухням типа "Примус" 1931
  • Карташев С.И.
SU31591A1
US 20200023040 A1, 23.01.2020
WO 2020159949 A1, 06.08.2020.

RU 2 833 318 C1

Авторы

Лиан, Брайан

Баркер, Джеффри И.

Ягиз, Кадер

Барнс, Морин

Стивенс, Эрланд

Даты

2025-01-17Публикация

2022-01-18Подача