ОБЛАСТЬ ТЕХНИКИ
[0001] Настоящее изобретение относится к области химии и медицины. Более конкретно, настоящее изобретение относится к циклическим дезоксирибонуклеотидным соединениям, их получению и применению. В некоторых вариантах реализации настоящего изобретения указанные соединения пригодны для избирательной доставки определенных фармацевтических агентов в печень.
УРОВЕНЬ ТЕХНИКИ
[0002] 5-фторурацил представляет собой синтетический аналог урацила, который является одним из четырех азотистых оснований в РНК и применяется в качестве терапевтического агента для лечения различных форм рака. Это одно из основных лекарственных средств в списке ВОЗ из-за его эффективности и безопасности, и оно доступно в формах для внутривенных инъекций и местного применения. Механизм действия 5-фторурацила в основном заключается в том, что он является ингибитором тимидилатсинтазы, который блокирует синтез пиримидинтимидина, вызывая клеточное голодание по тимидину, что приводит к гибели клеток. Активной формой 5-фторурацила в качестве ингибитора тимидилатсинтазы является фтордезоксиуридинмонофосфат (FdUMP), образующийся преимущественно в печени.
[0003] 5-фторурацил имеет очень короткий биологический период полувыведения (~16 минут), очень узкий терапевтический индекс и различные побочные эффекты, которые могут быть очень серьезными. Разработка новых соединений-аналогов 5-фторурацила для повышения эффективности и безопасности продолжается на протяжении многих лет, и несколько соединений были выпущены на рынок. Флоксуридин, также известный как 5-фтордезоксиуридин, применялся для лечения рака толстой и прямой кишки путем непрерывной инфузии в печеночную артерию. Доксифлуридин применялся в некоторых странах в качестве цитостатического агента в химиотерапии. Капецитабин применялся перорально для лечения рака молочной железы, желудка и прямой кишки. Несмотря на прогресс в этой области, существует потребность в новых соединениях для дальнейшего повышения эффективности доставки лекарств или решения новых задач, основанных на новых технологиях. Например, нацеленные на печень соединения, которые могут достигать печени более эффективно и не активны вне печени, снижают фармакологические или токсикологические эффекты агента вне ткани-мишени. Таким образом, новые соединения с профилем воздействия на печень могут значительно улучшить терапевтический индекс терапии, основанной на механизме 5-фторурацила.
РАСКРЫТИЕ СУЩНОСТИ ИЗОБРЕТЕНИЯ
[0004] Описаны новые 5-фторурацильные циклические дезоксирибонуклеотидные соединения, их получение и применение. Некоторые варианты реализации настоящего изобретения относятся к новым 5-фторурацильным циклическим дезоксирибонуклеотидным соединениям, которые доставляются перорально в печень, где указанные соединения обеспечивают терапевтический эффект. Другой аспект настоящего изобретения включает применение 5-фторурацильных циклических дезоксирибонуклеотидных соединений для лечения заболеваний, при которых полезно улучшенное распределение лекарственного средства в печени и подобных тканях и клетках, включая, но не ограничиваясь ими, гепатоцеллюлярную карциному (ГЦК), рак почки, рак толстой и прямой кишки, рак молочной железы, карциному желудка, рак желудка, рак пищевода, рак поджелудочной железы и рак шейки матки. В другом аспекте настоящего изобретения 5-фторурацильные циклические дезоксирибонуклеотидные соединения применяют для увеличения фармакологической или клинической активности некоторых классов фармацевтических соединений, таких как соединения-аналоги производных 5-фторурацила. В другом аспекте 5-фторурацильные циклические дезоксирибонуклеотидные соединения применяют для уменьшения потенциальных побочных эффектов некоторых классов фармацевтических соединений, таких как соединения-аналоги производных 5-фторурацила, особенно побочных эффектов, возникающих вне печени. В некоторых вариантах реализации настоящего изобретения 5-фторурацильные циклические дезоксирибонуклеотидные соединения полезны для более эффективной пероральной доставки соединений-аналогов производных 5-фторурацила в печень.
[0005] Некоторые варианты реализации настоящего изобретения, представленные в настоящем документе, относятся к соединению формулы I, Ia или II:
[0006] или стереоизомеру или фармацевтически приемлемой соли указанного соединения,
[0007] где R1, R2, R3, R4, R5, R6, R7 и R8 имеют любое из значений, описанных в настоящем документе.
[0008] Некоторые варианты реализации настоящего изобретения относятся к фармацевтической композиции, содержащей любое из вышеуказанных соединений и фармацевтически приемлемое вспомогательное вещество.
[0009] Некоторые варианты реализации настоящего изобретения относятся к фармацевтической композиции, дополнительно содержащей один или более противоопухолевых агентов.
[0010] Некоторые варианты реализации настоящего изобретения относятся к способу лечения заболевания, расстройства или состояния, включающему введение эффективного количества любого из вышеуказанных соединений.
[0011] В некоторых вариантах реализации настоящего изобретения указанное заболевание, расстройство или состояние представляет собой заболевание, расстройство или состояние печени.
[0012] В некоторых вариантах реализации настоящего изобретения указанное заболевание, расстройство или состояние представляет собой метаболическое, сердечно-сосудистое или гормональное заболевание, при котором печень участвует в производстве и/или контроле гомеостаза биохимических конечных продуктов указанного заболевания, расстройства или состояния.
[0013] В некоторых вариантах реализации настоящего изобретения указанное заболевание, расстройство или состояние представляет собой заболевание, при котором печень участвует в производстве и/или контроле гомеостаза биохимических конечных продуктов указанного заболевания, расстройства или состояния.
[0014] В некоторых вариантах реализации настоящего изобретения указанное заболевание, расстройство или состояние выбрано из группы, состоящей из гепатоцеллюлярной карциномы, рака почки, рака толстой и прямой кишки, рака молочной железы, карциномы желудка, рака желудка, рака пищевода, рака поджелудочной железы и рака шейки матки.
[0015] В некоторых вариантах реализации настоящего изобретения указанное заболевание, расстройство или состояние представляет собой заболевание, расстройство или состояние, не связанное с печенью.
[0016] В некоторых вариантах реализации настоящего изобретения не связанное с печенью заболевание, расстройство или состояние представляет собой различные типы рака или другое заболевание, в котором 5-фторурацильные циклические дезоксирибонуклеотидные соединения усиливают распределение активного лекарственного средства к целевым ткани или клеткам.
[0017] Некоторые варианты реализации настоящего изобретения относятся к способу лечения заболевания печени, включающему введение эффективного количества соединения из любого из вышеуказанных соединений нуждающемуся в этом субъекту.
[0018] Некоторые варианты реализации настоящего изобретения дополнительно включают введение эффективного количества по меньшей мере одного дополнительного терапевтического агента субъекту, нуждающемуся в этом.
[0019] В некоторых вариантах реализации настоящего изобретения субъект представляет собой млекопитающее.
[0020] В некоторых вариантах реализации настоящего изобретения субъект представляет собой человека.
[0021] Некоторые варианты реализации настоящего изобретения относятся к способу ингибирования репликации вируса в клетке, включающему приведение клетки в контакт с любым из вышеуказанных соединений.
[0022] Некоторые варианты реализации настоящего изобретения относятся к способу вмешательства в молекулярный путь или модуляции мишени в клетке, включающему приведение клетки в контакт с любым из вышеуказанных соединений.
[0023] В некоторых вариантах реализации настоящего изобретения указанная клетка находится in vivo.
[0024] В некоторых вариантах реализации настоящего изобретения указанная клетка находится ex vivo.
[0025] В некоторых вариантах реализации настоящего изобретения указанная клетка представляет собой гепатоцит.
[0026] В некоторых вариантах реализации настоящего изобретения указанная клетка представляет собой раковую клетку.
[0027] В некоторых вариантах реализации настоящего изобретения указанная клетка представляет собой клетку млекопитающего.
[0028] В некоторых вариантах реализации настоящего изобретения указанная клетка представляет собой клетку человека.
[0029] Некоторые варианты реализации соединений, композиций и способов, представленных в настоящем документе, включают фармацевтическую композицию, содержащую любое из соединений, представленных в настоящем документе, и фармацевтически приемлемое вспомогательное вещество.
[0030] Некоторые варианты реализации соединений, композиций и способов, представленных в настоящем документе, включают способ лечения заболевания или состояния печени у субъекта, включающий введение эффективного количества любого из соединений, представленных в настоящем документе, субъекту, нуждающемуся в этом.
[0031] Некоторые варианты реализации настоящего изобретения также включают введение эффективного количества одного или более дополнительных терапевтических агентов субъекту, нуждающемуся в этом.
[0032] В некоторых вариантах реализации настоящего изобретения субъект представляет собой млекопитающее.
[0033] Согласно некоторым вариантам реализации настоящего изобретения субъект представляет собой человека.
[0034] Некоторые варианты реализации соединений, композиций и способов, представленных в настоящем документе, включают применение любого одного из соединений, представленных в настоящем документе, для лечения заболевания печени или заболевания или состояния, при котором физиологические или патогенные пути включают печень субъекта.
[0035] Некоторые варианты реализации настоящего изобретения также включают применение любого из соединений, представленных в настоящем документе, в сочетании с дополнительным терапевтическим агентом.
[0036] Некоторые варианты реализации соединений, композиций и способов, представленных в настоящем документе, включают любую одну из композиций, представленных в настоящем документе, для применения для получения лекарственного средства для лечения заболевания или состояния печени или заболевания или состояния, при котором физиологические или патогенные пути включают печень.
ПОДРОБНОЕ ОПИСАНИЕ ИЗОБРЕТЕНИЯ
[0037] Представленные варианты реализации настоящего изобретения направлены на композиции и способы, связанные с новыми 5-фторурацильными циклическими дезоксирибонуклеотидными соединениями, их получение и применение. В некоторых вариантах реализации настоящего изобретения новые 5-фторурацильные циклические дезоксирибонуклеотидные соединения способствуют доставке в клетки 5-фторурацильных терапевтических агентов, таких как 5-фторурацил, доксифлуридин, 5-фторуридинмонофосфонат и/или 5-фтордезоксиуридинмонофосфонат.
[0038] Указанные 5-фторурацильные циклические дезоксирибонуклеотидные соединения и их стереоизомеры и их фармацевтически приемлемые соли представлены Формулами I, Ia или II:
или стереоизомерами или фармацевтически приемлемой солью указанного соединения,
где R1, R2, R3, R4, R5, R6, R7 и R8 имеют любое из значений, описанных в настоящем документе.
[0039] В некоторых вариантах реализации соединение представлено Формулой I или II:
[0040] или стереоизомером или фармацевтически приемлемой солью указанного соединения, где: R1 выбран из группы, состоящей из Н, F, C1-С10 алкила, -OMe, -OEt, -О-карбокси, -OCH2OR9, -CH(OR9)2, -С-карбокси, -С-амидо, -CH2OCH2OR9,
и -CH2O-карбокси; и R2 представляет собой Н, F или C1-С10 алкил.
[0041] В некоторых вариантах реализации настоящего изобретения R1 выбран из группы, состоящей из Н, галогена, C1-С10 алкила, -O-C1-6 алкила, -О-карбокси, -OCH2OR9, -CH(OR9)2, -С-карбокси, -С-амидо, -CH2OCH2OR9,
и -CH2O-карбокси.
[0042] В некоторых вариантах реализации настоящего изобретения каждый R2 независимо представляет собой Н, галоген или C1-С10 алкил.
[0043] В некоторых вариантах реализации R3 выбран из группы, состоящей из -О-карбокси, -OCH2OR9, -CH(OR9)2, -С-карбокси, -С-амидо, -CH2OCH2OR9,
, -СН2О-карбокси, C1-С10 алкила и С3-С10 циклоалкила.
[0044] В некоторых вариантах реализации настоящего изобретения R4 представляет собой необязательно замещенный C1-С10 алкил.
[0045] В некоторых вариантах реализации изобретения каждый R5 и R6 независимо представляет собой Н или C1-С10 алкил; или альтернативно R5 и R6, присоединенные к одному и тому же атому углерода, могут совместно с атомом, к которому они присоединены, образовывать С3-С10 циклоалкил.
[0046] В некоторых вариантах реализации изобретения каждый R7 и R8 независимо представляет собой Н или C1-С10 алкил; или альтернативно, R7 и R8, присоединенные к одному и тому же атому углерода, могут совместно с атомом, к которому они присоединены, образовывать С3-С10 циклоалкил.
[0047] В некоторых вариантах реализации настоящего изобретения R9 представляет собой необязательно замещенный C1-С10 алкил.
[0048] В некоторых вариантах реализации настоящего изобретения соединение не выбрано из: 
[0049] В некоторых вариантах реализации настоящего изобретения R1 представляет собой Н; и R2 представляет собой Н или F.
[0050] В некоторых вариантах реализации настоящего изобретения R1 выбран из группы, состоящей из -ОМе, -OEt, -О-карбокси, -OCH2OR9, -CH(OR9)2, -С-карбокси, -С-амидо, -CH2OCH2OR9,
и -СН2О-карбокси.
[0051] В некоторых вариантах реализации настоящего изобретения R1 представляет собой F. В некоторых вариантах реализации настоящего изобретения R1 представляет собой -С-карбокси.
[0052] В некоторых вариантах реализации настоящего изобретения R2 представляет собой Н. В некоторых вариантах реализации настоящего изобретения R2 представляет собой F.
[0053] В некоторых вариантах реализации настоящего изобретения R3 выбран из группы, состоящей из -О-карбокси, -OCH2OR9, -CH(OR9)2, -С-карбокси, -С-амидо, -CH2OCH2OR9,
и -СН2О-карбокси. В некоторых вариантах реализации настоящего изобретения R3 представляет собой C1-С10 алкил или С3-С10 циклоалкил.
[0054] Некоторые варианты реализации настоящего изобретения относятся к соединению, имеющему структуру Формулы Ia:
или стереоизомеру или фармацевтически приемлемой соли указанного соединения.
[0055] В некоторых вариантах реализации настоящего изобретения R4 представляет собой C1-С10 алкил.
[0056] В некоторых вариантах реализации настоящего изобретения каждый R2 представляет собой Н.
[0057] Некоторые варианты реализации изобретения включают соединение, выбранное из группы, состоящей из:
или стереоизомер или фармацевтически приемлемую соль указанного соединения.
[0058] В некоторых вариантах реализации настоящего изобретения 5-фторурацильные циклические дезоксирибонуклеотидные соединения формулы I и II представляют собой субстраты ферментов печени, таких как изоферменты цитохрома р450 CYP3As (семейство монооксигеназ), дегидрогеназы, эстеразы и амидазы.
[0059] CYP3A4 экспрессируется в печени на гораздо более высоком уровне, чем в других тканях (DeWaziers et al. J Pharm Exp Ther 253: 387 (1990)). Некоторые 5-фторурацильные циклические дезоксирибонуклеотидные соединения Формулы I и II преимущественно активируются при помощи CYP3A4 в печени. В некоторых вариантах реализации настоящего изобретения соединения Формулы I и II обладают высокой эффективностью в отношении нацеливания на печень за счет селективной доставки биологически активных агентов в печень. В некоторых вариантах реализации настоящего изобретения циклические дезоксирибонуклеотидные соединения применяют для увеличения терапевтического индекса лекарственного средства, поскольку соединения Формулы I и II могут быть неактивными или менее активным вне печени.
[0060] В некоторых вариантах реализации настоящего изобретения благодаря нацеливающему действию на печень 5-фторурацильных циклических дезоксирибонуклеотидных соединений Формул I и II указанные соединения применяют для лечения заболеваний, при которых полезно улучшенное распределение лекарственного средства в печени и подобных тканях и клетках, включая, но не ограничиваясь ими, заболевания печени, такие как гепатоцеллюлярная карцинома.
[0061] В некоторых вариантах реализации настоящего изобретения описанные соединения применяют для улучшения фармакокинетических свойств, таких как продление периода полувыведения или усиление абсорбции лекарственного средства. Кроме того, описанную в настоящем документе методологию можно применять для достижения пролонгированной доставки активного терапевтического агента. Благодаря усилению фармакокинетических свойств 5-фторурацильных циклических дезоксирибонуклеотидных соединений Формул I и II, указанные соединения применяют для лечения заболеваний, при которых будут полезны улучшенные свойства лекарственных средств, включая, но не ограничиваясь ими, такие заболевания, как различные типы рака. В некоторых вариантах реализации настоящего изобретения описан способ получения указанных соединений.
[0062] Некоторые соединения Формул I и II имеют асимметричные центры, где стереохимия может быть неопределенной, и в объем настоящего изобретения включены диастереомерные смеси этих соединений, а также отдельные стереоизомеры, когда речь в целом идет о соединении Формулы I и II.
[0063] Некоторые варианты реализации соединений, композиций и способов, представленных в настоящем документе, включают фармацевтическую композицию, содержащую соединение, представленное в настоящем документе, и фармацевтически приемлемый носитель.
[0064] Некоторые варианты реализации настоящего изобретения относятся к фармацевтической композиции, дополнительно содержащей один или более противоопухолевых агентов.
[0065] Некоторые варианты реализации настоящего изобретения относятся к способу лечения заболевания, расстройства или состояния, включающему введение эффективного количества соединения, описанного в настоящем документе, нуждающемуся в этом субъекту.
[0066] Некоторые варианты реализации настоящего изобретения также включают введение эффективного количества второго или нескольких терапевтических агентов в комбинации с соединением, представленным в настоящем документе, нуждающемуся в этом субъекту.
[0067] В некоторых вариантах реализации настоящего изобретения субъект представляет собой млекопитающее.
[0068] В некоторых вариантах реализации настоящего изобретения субъект представляет собой человека.
[0069] Некоторые варианты реализации соединений, композиций и способов, описанные в настоящем документе, включают способ тестирования соединения в клетке, включающий приведение указанной клетки в контакт с соединениями, описанными в настоящем документе.
[0070] Некоторые варианты реализации соединений, композиций и способов, описанные в настоящем документе, включают применение соединения, представленного в настоящем документе, для лечения заболевания, расстройства или состояния печени.
[0071] Некоторые варианты реализации настоящего изобретения включают применение соединения, описанного в настоящем документе, в комбинации с дополнительным (дополнительными) терапевтическим (терапевтическими) агентом (агентами) для лечения заболевания печени.
[0072] В некоторых вариантах реализации настоящего изобретения указанное заболевание, расстройство или состояние выбрано из группы, состоящей из гепатоцеллюлярной карциномы, рака почки, рака толстой и прямой кишки, рака молочной железы, карциномы желудка, рака желудка, рака пищевода, рака поджелудочной железы и рака шейки матки.
[0073] Некоторые варианты реализации настоящего изобретения относятся к способу лечения заболевания печени, включающему введение эффективного количества соединения, описанного в настоящем документе, нуждающемуся в этом субъекту.
[0074] Некоторые варианты реализации настоящего изобретения дополнительно включают введение эффективного количества по меньшей мере одного дополнительного терапевтического агента субъекту, нуждающемуся в этом.
[0075] В некоторых вариантах реализации изобретения дополнительный терапевтический агент (агенты) выбран для лечения ПДК из группы, состоящей из сорафениба, регорафениба, иммуно-онкологического агента, такого как ингибитор контрольной точки PD-1 или PD-L1.
[0076] Некоторые варианты реализации настоящего изобретения относятся к соединению, описанному в настоящем документе, для применения в медицинской процедуре.
[0077] В некоторых вариантах реализации настоящего изобретения указанная медицинская процедура представляет собой трансартериальную химиоэмболизацию (ТАСЕ).
[0078] Некоторые варианты реализации соединений, композиций и способов, описанные в настоящем документе, включают применение соединения, описанного в настоящем документе, для лечения заболевания или состояния путем вмешательства в молекулярный путь в печени.
[0079] Некоторые варианты реализации настоящего изобретения включают применение соединения, описанного в настоящем документе, в комбинации с дополнительным (дополнительными) терапевтическим (терапевтическими) агентом (агентами) для лечения заболевания или состояния путем вмешательства в молекулярный путь в печени.
[0080] Некоторые варианты реализации соединений, композиций и способов, описанные в настоящем документе, включают применение соединения, описанного в настоящем документе, для лечения заболевания, не связанного с печенью, такого как различные типы рака.
[0081] Некоторые варианты реализации настоящего изобретения включают применение соединения, описанного в настоящем документе, в комбинации с дополнительным терапевтическим агентом (агентами) для лечения заболевания, не связанного с печенью, такого как различные виды рака.
[0082] В случаях, когда описанные в настоящем документе соединения содержат по меньшей мере один хиральный центр, они могут существовать в виде отдельных энантиомеров и диастереомеров или в виде смесей таких изомеров, включая рацематы. Разделение отдельных изомеров или селективный синтез отдельных изомеров выполняют при применении различных способов, хорошо известных в области техники. Соответственно, если не указано иное, все такие изомеры и их смеси включены в объем описанных в настоящем документе соединений. Кроме того, соединения согласно настоящему изобретению могут существовать в одной или нескольких кристаллических или аморфных формах. Если не указано иное, все такие формы включены объем соединений, описанных в настоящем документе, включая все полиморфные формы. Кроме того, согласно настоящему изобретению предусмотрено, что некоторые из описанных в настоящем документе соединений могут иметь форму сольватов, растворителем в которых является вода (т.е. гидратов) или обычные органические растворители. Если не указано иное, такие сольваты включены в объем описанных в настоящем документе соединений.
[0083] Специалисту в данной области техники будет понятно, что некоторые из описанных в настоящем документе структур могут представлять собой резонансные формы или таутомеры соединений, которые можно адекватно описать другими химическими структурами, даже в кинетическом смысле; специалисту в данной области техники будет понятно, что такие структуры могут представлять очень малую долю образца такого соединения (соединений). Предполагается, что такие соединения входят в объем изображенных структур, хотя такие резонансные формы или таутомеры и не представлены в настоящем тексте.
[0084] Описанные соединения могут содержать изотопы. Каждый химический элемент, представленный в структуре соединения, может включать любой изотоп этого элемента. Например, в структуре соединения атом водорода может быть явно описан или подразумеваться как присутствующий в соединении. В любом положении соединения, в котором может присутствовать атом водорода, указанный атом водорода может представлять собой любой изотоп водорода, в том числе, но не ограничиваясь ими, водород-1 (протий) и водород-2 (дейтерий). Таким образом, ссылка на соединение в настоящем документе включает все возможные изотопные формы, если из контекста явно не следует иное.
Определения
[0085] В соответствии с настоящим документом и при использовании в настоящем документе следующие термины определены следующими значениями, если явно не указано иное. Следует понимать, что как предшествующее общее описание, так и последующее подробное описание являются только примерными и пояснительными и не ограничивают сущность заявленного изобретения. В этом документе использование единственного числа включает множественное число, если специально не указано иное. В настоящем документе использование «или» означает «и/или», если не указано иное. Кроме того, использование термина «включая», а также других форм, таких как «включает» и «включено», не является ограничивающим.
[0086] При использовании в настоящем описании диапазоны и количества могут быть выражены как «около» определенной величины или диапазона. «Около» также включает точную величину. Следовательно, «около 10%» означает «около 10%», а также «10%».
[0087] При использовании в настоящем документе термин «необязательно» означает, что описанное впоследствии событие или обстоятельство происходит или не происходит, и что описание настоящего изобретения включает случаи, когда указанное событие или обстоятельство имеет место, и случаи, в которых указанное событие или обстоятельство не имеет места. Например, «необязательно замещенная группа» означает, что указанная группа является незамещенной или замещенной.
[0088] Используемые в настоящем документе термины в единственном числе включают множественное число, если в контексте ясно не указано иначе. Таким образом, например, ссылка на композицию, содержащую «терапевтический агент», включает композиции с одним или несколькими терапевтическими агентами.
[0089] В настоящем документе обозначения «Са-Cb» или «Са-b», где «а» и «b» являются целыми числами, относятся к числу атомов углерода в указанной группе. То есть такая группа может содержать от «а» до «b», включительно, атомов углерода. Соответственно, например, «С1-С4 алкил» или «С1-4 алкил» относится ко всем алкильным группам, содержащим от 1 до 4 атомов углерода, т.е. СН3-, СН3СН2-, СН3СН2СН2-, (СН3)2СН-, СН3СН2СН2СН2-, CH3CH2CH(CH3)- и (СН3)3С-.
[0090] В настоящем документе термин «алкил» относится к неразветвленной или разветвленной углеводородной цепи, которая является полностью насыщенной (т.е. не содержит двойных и тройных связей). Алкильная группа может содержать от 1 до 20 атомов углерода (всякий раз, когда она упоминается в настоящем документе, числовой диапазон, такой как «от 1 до 20» относится к каждому целому числу в заданном диапазоне; например, «от 1 до 20 атомов углерода» означает, что алкильная группа может состоять из 1 атома углерода, 2 атомов углерода, 3 атомов углерода и т.д., вплоть до 20 атомов углерода, хотя настоящее определение также охватывает те случаи, когда для термина «алкил» не обозначен никакой числовой диапазон). Алкильная группа также может представлять собой алкил среднего размера, содержащий от 1 до 9 атомов углерода. Алкильная группа также может представлять собой низший алкил, содержащий от 1 до 4 атомов углерода. Алкильная группа может быть обозначена как «С1-С4 алкил» или другим подобным обозначением. Исключительно в качестве примера, «С1-С4 алкил» указывает на то, что в алкильной цепи содержится от одного до четырех атомов углерода, т.е., алкильная цепь выбрана из группы, состоящей из следующих: метил, этил, пропил, изо-пропил, н-бутил, изо-бутил, втор-бутил и трет-бутил. Типичные алкильные группы включают следующие, но ни к коем случае не ограничиваются ими: метил, этил, пропил, изопропил, бутил, изобутил, третичный бутил, пентил, гексил и т.п.
[0091] В настоящем документе замещенная группа получена из незамещенной исходной группы, в которой один или более атомов водорода заменены на другой атом или группу. Если не указано иное, когда группа считается «замещенной», это означает, что указанная группа содержит один или более заместителей, независимо выбранных из C1-С6 алкила, С2-С6 алкенила, С2-С6 алкинила, С3-С7 карбоциклила (необязательно замещенного галогеном, C1-С6 алкилом, C1-С6 алкокси, C1-С6 галогеналкилом и C1-С6 галогеналкокси), С3-С7-карбоциклил-С1-С6-алкила (необязательно замещенного галогеном, C1-C6 алкилом, C1-С6 алкокси, C1-С6 галогеналкилом и C1-C6 галогеналкокси), 3-10-членного гетероциклила (необязательно замещенного галогеном, C1-С6 алкилом, C1-C6 алкокси, C1-С6 галогеналкилом и C1-С6 галогеналкокси), 3-10-членного гетероциклил-С1-С6-алкила (необязательно замещенного галогеном, C1-С6 алкилом, C1-C6 алкокси, C1-С6 галогеналкилом и C1-С6 галогеналкокси), арила (необязательно замещенного галогеном, C1-C6 алкилом, C1-С6 алкокси, C1-С6 галогеналкилом и C1-C6 галогеналкокси), арил(C1-С6)алкила (необязательно замещенного галогеном, C1-C6 алкилом, C1-C6 алкокси, C1-C6 галогеналкилом и C1-C6 галогеналкокси), 5-10-членного гетероарила (необязательно замещенного галогеном, C1-С6 алкилом, C1-C6 алкокси, C1-С6 галогеналкилом и C1-C6 галогеналкокси), 5-10-членный гетероарил(С1-С6)алкила (необязательно замещенного галогеном, C1-С6 алкилом, C1-C6 алкокси, C1-C6 галогеналкилом и C1-C6 галогеналкокси), галогена, циано, гидрокси, C1-С6 алкокси, C1-С6 алкокси(C1-С6)алкила (например, эфира), арилокси (необязательно замещенного галогеном, C1-С6 алкилом, C1-С6 алкокси, C1-С6 галогеналкилом и C1-С6 галогеналкокси), С3-С7 карбоциклилокси (необязательно замещенного галогеном, C1-С6 алкилом, C1-С6 алкокси, C1-С6 галогеналкилом и C1-С6 галогеналкокси), 3-10-членный гетероциклил-окси (необязательно замещенного галогеном, C1-С6 алкилом, C1-С6 алкокси, C1-С6 галогеналкилом и C1-С6 галогеналкокси), 5-10-членного гетероарил-окси (необязательно замещенного галогеном, C1-С6 алкилом, C1-С6 алкокси, C1-С6 галогеналкилом и C1-С6 галогеналкокси), С3-С7-карбоциклил-С1-С6-алкокси (необязательно замещенного галогеном, C1-С6 алкилом, C1-С6 алкокси, C1-С6 галогеналкилом и C1-С6 галогеналкокси), 3-10-членный гетероциклил-С1-С6-алкокси (необязательно замещенного галогеном, C1-С6 алкилом, C1-С6 алкокси, C1-С6 галогеналкилом и C1-С6 галогеналкокси), арил(С1-С6)алкокси (необязательно замещенного галогеном, C1-С6 алкилом, C1-С6 алкокси, C1-С6 галогеналкилом и C1-С6 галогеналкокси), 5-10-членный гетероарил(С1-С6)алкокси (необязательно замещенного галогеном, C1-С6 алкилом, C1-С6 алкокси, C1-С6 галогеналкилом и C1-С6 галогеналкокси), сульфгидрила (меркапто), галоген(С1-С6)алкила (например, -CF3), галоген(С1-С6)алкокси (например, -OCF3), C1-С6 алкилтио, арилтио (необязательно замещенного галогеном, C1-С6 алкилом, C1-С6 алкокси, C1-С6 галогеналкилом и C1-С6 галогеналкокси), С3-С7 карбоциклилтио (необязательно замещенного галогеном, C1-С6 алкилом, C1-С6 алкокси, C1-С6 галогеналкилом и C1-С6 галогеналкокси), 3-10-членного гетероциклил-тио (необязательно замещенного галогеном, C1-С6 алкилом, C1-С6 алкокси, C1-С6 галогеналкилом и C1-С6 галогеналкокси), 5-10-членного гетероарил-тио (необязательно замещенного галогеном, C1-С6 алкилом, C1-С6 алкокси, C1-С6 галогеналкилом и C1-С6 галогеналкокси), С3-С7-карбоциклил-С1-С6-алкилтио (необязательно замещенного галогеном, C1-С6 алкилом, C1-С6 алкокси, C1-С6 галогеналкилом и C1-С6 галогеналкокси), 3-10-членный гетероциклил-С1-С6-алкилтио (необязательно замещенного галогеном, C1-С6 алкилом, C1-С6 алкокси, C1-С6 галогеналкилом и C1-С6 галогеналкокси), арил(С1-С6)алкилтио (необязательно замещенного галогеном, C1-С6 алкилом, C1-С6 алкокси, C1-С6 галогеналкилом и C1-С6 галогеналкокси), 5-10-членный гетероарил(С1-С6)алкилтио (необязательно замещенного галогеном, C1-С6 алкилом, C1-С6 алкокси, C1-С6 галогеналкилом и C1-С6 галогеналкокси), амино, амино(C1-С6)алкила, нитро, О-карбамила, N-карбамила, О-тиокарбамила, N-тиокарбамила, С-амидо, N-амидо, S-сульфонамидо, N-сульфонамидо, С-карбокси, О-карбокси, ацила, цианато, изоцианато, тиоцианато, изотиоцианато, сульфинила, сульфонила и оксо (=O). В тех случаях, когда группа описана как «необязательно замещенная», эта группа может содержать указанные выше заместители.
[0092] В настоящем документе термин «ацил» относится к -C(=O)R, где R представляет собой водород, С1-6 алкил, С2-6 алкенил, С2-6 алкинил, С3-7 карбоциклил, С арил, 5-10-членный гетероарил и 3-10-членный гетероциклил, как определено в настоящем документе. Неограничивающие примеры включают формил, ацетил, пропаноил, бензоил и акрил.
[0093] «Гетероацил» относится к -C(=O)R, где R представляет собой С1-6 гетероалкил.
[0094] «Алкилоксиметилен» относится к -CH2OR, где R представляет собой необязательно замещенный C1-6 алкил или гетероалкил.
[0095] Группа «О-карбокси» относится к группе «-OC(=O)R», где R выбран из водорода, C1-6 алкила, С2-6 алкенила, С2-6 алкинила, С3-7 карбоциклила, С6-10 арила, 5-10-членного гетероарила и 3-10-членного гетероциклила, как определено в настоящем документе.
[0096] Группа «С-карбокси» относится к группе «-C(=O)OR», где R выбран из водорода, C1-6 алкила, С2-6 алкенила, С2-6 алкинила, С3-7 карбоциклила, С6-10 арила, 5-10-членного гетероарила и 3-10-членного гетероциклила, как определено в настоящем документе. Неограничивающий пример включает карбоксил (т.е., -С(=O)ОН).
[0097] Группа «циано» относится к группе «-CN».
[0098] Группа «цианато» относится к группе «-OCN».
[0099] Группа «изоцианато» относится к группе «-NCO».
[0100] Группа «тиоцианато» относится к группе «-SCN».
[0101] Группа «изотиоцианато» относится к группе «-NCS».
[0102] Группа «сульфинил» относится к группе «-S(=O)R», в которой R выбран из водорода, C1-6 алкила, С2-6 алкенила, С2-6 алкинила, С3-7 карбоциклила, С6-10 арила, 5-10-членного гетероарила и 3-10-членного гетероциклила, как определено в настоящем документе.
[0103] Группа «сульфонил» относится к группе «-SO2R», где R выбран из водорода, C1-6 алкила, С2-6 алкенила, С2-6 алкинила, С3-7 карбоциклила, С6-10 арила, 5-10-членного гетероарила и 3-10-членного гетероциклила, как определено в настоящем документе.
[0104] Группа «S-сульфонамидо» относится к группе «-SO2NRARB», где каждый из RA и RB независимо выбран из водорода, С1-6 алкила, С2-6 алкенила, С2-6 алкинила, С3-7 карбоциклила, С6-10 арила, 5-10-членного гетероарила и 3-10-членного гетероциклила, как определено в настоящем документе.
[0105] Группа «N-сульфонамидо» относится к группе «-N(RA)SO2RB», где каждый из RA и Rb независимо выбран из водорода, C1-6 алкила, С2-6 алкенила, С2-6 алкинила С3-7 карбоциклила, С6-10 арила, 5-10-членного гетероарила и 3-10-членного гетероциклила, как определено в настоящем документе.
[0106] Группа «О-карбамил» относится к группе «-OC(=O)NRARB», где каждый из RA и RB независимо выбран из водорода, C1-6 алкила, С2-6 алкенила, С2-6 алкинила, С3-7 карбоциклила, С6-10 арила, 5-10-членного гетероарила и 3-10-членного гетероциклила, как определено в настоящем документе.
[0107] Группа «N-карбамил» относится к группе «-N(RA)C(=O)ORB», где каждый из RA и RB независимо выбран из водорода, C1-6 алкила, С2-6 алкенила, С2-6 алкинила, С3-7 карбоциклила, С6-10 арила, 5-10-членного гетероарила и 3-10-членного гетероциклила, как определено в настоящем документе.
[0108] Группа «О-тиокарбамил» относится к группе «-OC(=S)NRARB», где каждый из RA и RB независимо выбран из водорода, С1-6 алкила, С2-6 алкенила, С2-6 алкинила, С3-7 карбоциклила, С6-10 арила, 5-10-членного гетероарила и 3-10-членного гетероциклила, как определено в настоящем документе.
[0109] Группа «N-тиокарбамил» относится к группе «-N(RA)C(=S)ORB», где каждый из RA и RB независимо выбран из водорода, C1-6 алкила, С2-6 алкенила, С2-6 алкинила, С3-7 карбоциклила, С6-10 арила, 5-10-членного гетероарила и 3-10-членного гетероциклила, как определено в настоящем документе.
[0110] Группа «С-амидо» относится к группе «-C(=O)NRARB», где каждый из RA и RB независимо выбран из водорода, С1-6 алкила, С2-6 алкенила, С2-6 алкинила, С3-7 карбоциклила, С6-10 арила, 5-10-членного гетероарила и 3-10-членного гетероциклила, как определено в настоящем документе, каждый из который необязательно замещен одним или более заместителями, выбранными из группы, состоящей из ОН, С1-6 алкила, С3-7 карбоциклила, С6-10 арила, 5-10-членного гетероарила, 3-10-членного гетероциклила, С1-6 алкила, необязательно замещенного С1-6 алкокси или -ОН, и С1-6 алкокси, необязательно замещенного С1-6 алкокси или -ОН.
[0111] Группа «N-амидо» относится к группе «-N(RA)C(=O)RB», где каждый из RA и RB независимо выбран из водорода, C1-6 алкила, С2-6 алкенила, С2-6 алкинила, С3-7 карбоциклила, С6-10 арила, 5-10-членного гетероарила и 3-10-членного гетероциклила, как определено в настоящем документе, каждый из который необязательно замещен одним или более заместителями, выбранными из группы, состоящей из -ОН, C1-6 алкила, С3-7 карбоциклила, С6-10 арила, 5-10-членного гетероарила, 3-10-членного гетероциклила, C1-6 алкила, необязательно замещенного С1-6 алкокси или -ОН, и С1-6 алкокси, необязательно замещенного С1-6 алкокси или -ОН.
[0112] Группа «амино» относится к группе «-NRARB», где каждый из RA и RB независимо выбран из водорода, C1-6 алкила, С2-6 алкенила, С2-6 алкинила, С3-7 карбоциклила, С6-10 арила, 5-10-членного гетероарила и 3-10-членного гетероциклила, как определено в настоящем документе. Неограничивающий пример включает свободную аминогруппу (т.е. -NH2).
[0113] Группа «аминоалкил» относится к аминогруппе, присоединенной через алкиленовую группу.
[0114] Группа «алкоксиалкил» относится к алкоксигруппе, присоединенной через алкиленовую группу, такой как «С2-8 алкоксиалкил» и т.п.
[0115] Термин «ацилокси» относится к группе -OC(O)R, где R представляет собой алкил.
[0116] Термин «алкокси» или «алкилокси» относится к группе OR, где R представляет собой необязательно замещенный алкил или гетероалкил.
[0117] Термин «карбоксил» относится к группе С(O)ОН.
[0118] Термин «оксо» относится к группе =O.
[0119] Термин «галоген» или «гало» относится к F (фтору), Cl (хлору), Br (брому) и I (йоду).
[0120] Термин «галогеналкил» относится к алкильным группам, содержащим по меньшей мере один атом галогена, в дополнительном аспекте они содержат от 1 до 3 атомов галогена. Подходящие атомы галогена включают F, Cl и Br.
[0121] Термин «галогенацил» относится к -С(O)-галогеналкильным группам.
[0122] Термин «алкенил» относится к ненасыщенным группам, содержащим от 2 до 12 атомов и по меньшей мере одну углерод-углеродную двойную связь, и включает группы с неразветвленной цепью, разветвленной цепью и циклические группы. Алкенильные группы необязательно могут быть замещенными. Подходящие алкенильные группы включают аллил.
[0123] Термин «алкинил» относится к ненасыщенным группам, содержащим от 2 до 12 атомов и по меньшей мере одну углерод-углеродную тройную связь, и включает группы с неразветвленной цепью, разветвленной цепью и циклические группы. Алкинильные группы необязательно могут быть замещенными. Подходящие алкинильные группы включают этинил.
[0124] В настоящем документе термин «арил» относится к ароматическому кольцу или системе колец (т.е. двум или более конденсированным кольцам с общей парой соседних атомов углерода), содержащей только углерод в каркасе колец. Если арил представляет собой систему колец, каждое кольцо в системе представляет собой ароматическое. Арильная группа может содержать от 6 до 18 атомов углерода, хотя настоящее определение также охватывает те случаи, когда термин «арил» приведен без указания числового диапазона. Согласно некоторым вариантам реализации настоящего изобретения арильная группа содержит от 6 до 10 атомов углерода. Арильная группа может быть обозначена как «С6-10 арил», «С6 или С10 арил» или с использованием аналогичных обозначений. Примеры арильных групп включают следующие, но не ограничиваются ими: фенил, нафтил, азуленил и антраценил.
[0125] В настоящем документе термин «гетероарил» относится к ароматическому кольцу или системе колец (т.е. двум или более конденсированным кольцам с общей парой соседних атомов), которое(ые) содержит или содержат в каркасе кольца один или более гетероатомов, представляющие собой элементы, отличные от углерода, включая, но не ограничиваясь следующими: азот, кислород и серу. Когда гетероарил представляет собой систему колец, каждое кольцо в системе представляет собой ароматическое. Гетероарильная группа может содержать 5-18 членов в кольце (т.е., количество атомов, составляющих каркас кольца, включая атомы углерода и гетероатомы), хотя настоящее определение также охватывает те случаи, когда термин «гетероарил» приведен без указания числового диапазона. Согласно некоторым вариантам реализации настоящего изобретения гетероарильная группа содержит от 5 до 10 членов в кольце или от 5 до 7 членов в кольце. Гетероарильная группа может быть обозначена как «5-7-членный гетероарил», «5-10-членный гетероарил» или с использованием аналогичных обозначений. Гетероарильные группы необязательно могут быть замещенными. Примеры гетероарильных групп включают, но не ограничиваются ими, ароматические С3-8 гетероциклические группы, содержащие один атом кислорода или серы или до четырех атомов азота, или комбинацию одного атома кислорода или серы и до двух атомов азота, и их замещенные производные, а также бензо- и пиридо-конденсированные производные, например, связанные через один из атомов углерода, образующих кольцо. В некоторых вариантах реализации настоящего изобретения гетероарильные группы необязательно замещены одним или более заместителями, независимо выбранными из галогена, гидрокси, амино, циано, нитро, алкиламидо, ацила, С1-6-алкокси, C1-6-алкила, C1-6-гидроксиалкила, С1-6-аминоалкила, С1-6-алкиламино, алкилсульфенила, алкилсульфинила, алкилсульфонила, сульфамоила или трифторметила. Примеры гетероарильных групп включают, но не ограничиваются ими, незамещенные и моно- или дизамещенные производные фурана, бензофурана, тиофена, бензотиофена, пиррола, пиридина, индола, оксазола, бензоксазола, изоксазола, бензизоксазола, тиазола, бензотиазола, изотиазола, имидазола, бензимидазола, пиразола, индазола, тетразола, хинолина, изохинолина, пиридазина, пиримидина, пурина и пиразина, фуразана, 1,2,3-оксадиазола, 1,2,3-тиадиазола, 1,2,4-тиадиазола, триазола, бензотриазола, птеридина, феноксазола, оксадиазола, бензопиразола, хинолизина, циннолина, фталазина, хиназолина и хиноксалина. В некоторых вариантах реализации настоящего изобретения указанные заместители представляют собой галоген, гидрокси, циано, O-C1-6-алкил, C1-6-алкил, гидрокси-С1-6-алкил и амино-С1-6-алкил.
[0126] В настоящем документе термин «циклоалкил» обозначает полностью насыщенное карбоциклильное кольцо или систему колец. Примеры включают циклопропил, циклобутил, циклопентил и циклогексил. Циклоалкильная группа может содержать от 3 до 10 атомов углерода (всякий раз, когда она упоминается в настоящем документе, числовой диапазон, такой как «3-10», обозначает каждое целое число в данном диапазоне). Циклоалкильная группа может быть обозначена как «С3-С8 циклоалкил» или другим подобным обозначением. Только в качестве примера, «С3-С8 циклоалкил» обозначает, что карбоциклильное кольцо или кольцевая система содержит от трех до восьми атомов углерода.
[0127] В настоящем документе термин «гетероциклил» обозначает неароматическое циклическое кольцо или кольцевую структуру, которая полностью или частично насыщена и содержит по меньшей мере один гетероатом, выбранный из азота, кислорода и серы в кольце. Гетероциклилы могут иметь любую степень насыщенности, при условии, что по меньшей мере одно кольцо в системе колец не является ароматическим. Гетероатом или гетероатомы могут присутствовать как в неароматическом, так и в ароматическом кольце системы колец. Гетероциклильная группа может содержать от 3 до 20 членов кольца (т.е., число атомов, которые составляют каркас кольца, включая атомы углерода и гетероатомы), хотя настоящее определение также охватывает те случаи, когда термин «гетероциклил» приведен без указания числового диапазона. Гетероциклильная группа может также представлять собой гетероциклил среднего размера, содержащий от 3 до 10 членов в кольце. Гетероциклильная группа может также представлять собой гетероциклил, содержащий от 3 до 6 членов в кольце. Гетероциклоалкильная группа может быть обозначена как «3-15-членный гетероциклоалкил», «4-10-членный гетероциклоалкил», «3-15-членный С2-14гетероциклоалкил», «5-9-членный С4-8гетероциклоалкил», «5-10-членный С4-9гетероциклоалкил», «5-членный С3-4гетероциклоалкил», «6-членный С4-5гетероциклоалкил», «7-членный С5-6гетероциклоалкил», «бициклический или трициклический 9-15-членный C8-14гетероциклоалкил», «моноциклический или бициклический 3-10-членный С2-9гетероциклоалкил», «бициклический 8-10-членный С4-9гетероциклоалкил», «бициклический 8-10-членный С5-9 гетероциклоалкил», «моноциклический 4-7-членный С3-6гетероциклоалкил», «моноциклический 5-6-членный С3-6 гетероциклоалкил» или другим подобным обозначением. Гетероциклильная группа может также представлять собой С2-С9 гетероциклил, содержащий от 3 до 10 атомов в кольце, из которых от одного до трех представляют собой О (кислород), N (азот) или S (сера). Гетероциклильная группа может быть обозначена как «3-10-членный С2-С9 гетероциклил» или другим подобным обозначением. В предпочтительных шестичленных моноциклических гетероциклилах гетероатом(ы) выбран(ы) из одного-трех О (кислорода), N (азота) или S (серы), а в предпочтительных пятичленных моноциклических гетероциклилах гетероатом(ы) выбран(ы) из одного или двух гетероатомов, выбранных из О (кислорода), N (азота) или S (серы). Примеры гетероциклических колец включают, но не ограничиваются ими: азепенил, акридинил, карбазолил, циннолинил, диоксоланил, имидазолинил, имидазолидинил, морфолинил, оксиранил, оксепанил, тиепанил, пиперидинил, пиперазинил, диоксопиперазинил, пирролидинил, пирролидонил, пирролидионил, 4-пиперидонил, пиразолинил, пиразолидинил, 1,3-диоксинил, 1,3-диоксанил, 1,4-диоксинил, 1,4-диоксанил, 1,3-оксатианил, 1,4-оксатиинил, 1,4-оксатианил, 2Н-1,2-оксазинил, триоксанил, гексагидро-1,3,5-триазинил, 1,3-диоксолил, 1,3-диоксоланил, 1,3-дитиолил, 1,3-дитиоланил, изоксазолинил, изоксазолидинил, оксазолинил, оксазолидинил, оксазолидинонил, тиазолинил, тиазолидинил, 1,3-оксатиоланил, индолинил, изоиндолинил, тетрагидрофуранил, тетрагидропиранил, тетрагидротиофенил, тетрагидротиопиранил, тетрагидро-1,4-тиазинил, тиаморфолинил, дигидробензофуранил, бензимидазолидинил и тетрагидрохинолин.
[0128] В тех случаях, когда заместитель представлен в виде дирадикала (то есть имеет две точки присоединения к остальной части молекулы), следует понимать, что указанный заместитель может быть присоединен в любой направленной конфигурации, если не указано иное. Так, например, заместитель, обозначенный как -АЕ- или, включает заместитель, ориентированный так, что А присоединен в крайней левой точке присоединения молекулы, а также случай, когда А присоединен в крайней правой точке присоединения молекулы.
[0129] Выражение «терапевтически эффективное количество» означает количество соединения или комбинации соединений, которое частично или полностью улучшает, ослабляет или устраняет один или более из симптомов определенного заболевания или состояния, или предотвращает, модифицирует или задерживает наступление одного или нескольких симптомов определенного заболевания или состояния. Такое количество можно вводить в виде однократной дозы или можно вводить в соответствии с режимом, при котором оно будет эффективным. Для достижения желаемого результата (например, лечение заболевания и/или состояния) может потребоваться повторное введение.
[0130] Термин «фармацевтический приемлемая соль» включает соли соединений Формулы I, II и III, полученные при объединении соединений согласно представленным вариантам реализации настоящего изобретения и органической или неорганической кислоты или основания. Фармацевтически приемлемые соли присоединения кислоты могут быть образованы с неорганическими кислотами и органическими кислотами. Неорганические кислоты, из которых могут быть образованы соли, включают, например, соляную кислоту, бромистоводородную кислоту, серную кислоту, азотную кислоту, фосфорную кислоту и т.п. Органические кислоты, из которых могут быть образованы соли, включают, например, уксусную кислоту, адипиновую кислоту, пропионовую кислоту, гликолевую кислоту, пировиноградную кислоту, щавелевую кислоту, малеиновую кислоту, малоновую кислоту, янтарную кислоту, фумаровую кислоту, винную кислоту, лимонную кислоту, бензойную кислоту, коричную кислоту, миндальную кислоту, бензолсульфоновую кислоту, метансульфоновую кислоту, этансульфоновую кислоту, п-толуолсульфоновую кислоту, (+)-7,7-диметил-2-оксобицикло [2.2.1]гептан-1-метансульфоновую кислоту, 1,2-этандисульфоновую кислоту, додецилсульфоновую кислоту, салициловую кислоту, глюкогептоновую кислоту, глюконовую кислоту, глюкуроновую кислоту, гиппуровую кислоту, гидрохлорид-гемиэтанольную кислоту (hydrochloride hemiethanolic acid), 2-гидроксиэтансульфоновую кислоту, молочную кислоту, лактобионовую кислоту, метилбромидную кислоту, метилсерную кислоту, 2-нафталинсульфоновую кислоту, олеиновую кислоту, 4,4'-метиленбис-[3-гидрокси-2-нафталинкарбоновую кислоту], полигалактуроновую кислоту, стеариновую кислоту, сульфосалициловую кислоту, дубильную кислоту, терфталевую кислоту и тому подобные. Неорганические основания, из которых могут быть образованы соли, включают, например, основания, содержащие натрий, калий, литий, аммоний, кальций, магний, железо, цинк, медь, марганец, алюминий и т.п.; особенно предпочтительны соли аммония, калия, натрия, кальция и магния. В некоторых вариантах реализации настоящего изобретения обработка соединений, описанных в настоящем документе, неорганическим основанием приводит к потере лабильного водорода из указанного соединения с образованием соли, содержащей неорганический катион, такой как Li+, Na+, K+, Mg2+ и Са2+ и т.п. Органические основания, из которых могут быть образованы соли, включают, например, первичные, вторичные и третичные амины, замещенные амины, включая природные замещенные амины, циклические амины, основные ионообменные смолы и т.п., в частности, такие как изопропиламин, триметиламин, диэтиламин, триэтиламин, трипропиламин и этаноламин.
[0131] В случае, если количество любых определенных заместителей не указано (например, «галогеналкил»), могут присутствовать один или более заместителей. Например, «галогеналкил» может содержать один или более одинаковых или различных галогенов. Например, «галогеналкил» содержит каждый из заместителей CF3, CHF2 и CH2F.
[0132] Термин «пациент» относится к животному, которое подвергается лечению, включая млекопитающих, таких как собака, кошка, корова, лошадь, овца и человек. В некоторых вариантах реализации настоящего изобретения пациент представляет собой млекопитающее: самца или самку. В некоторых вариантах реализации настоящего изобретения пациент представляет собой человека: мужчину или женщину.
[0133] Термин «пролекарство», используемый в данном документе, относится к любому соединению, которое при введении в биологическую систему образует биологически активное соединение в результате спонтанной химической реакции (реакций), катализируемой ферментом химической реакции (реакций) и/или метаболической химической реакции (реакций) или их комбинации. Стандартные пролекарства получают с использованием групп, связанных с функциональными группами, например, НО-, HS-, НООС-, HOOPR2-, связанных с лекарственным средством, которые отщепляются in vivo. Стандартные пролекарства включают, но не ограничиваются ими, сложные карбоксилатные эфиры, где указанная группа представляет собой алкил, арил, аралкил, ацилоксиалкил, алкоксикарбонилоксиалкил, а также сложные эфиры гидроксила, тиола и аминов, где присоединенная группа представляет собой ацильную группу, алкоксикарбонил, аминокарбонил или сульфат. Приведенные группы являются не исчерпывающими примерами, и специалист в данной области может получить другие известные разновидности пролекарств. Пролекарства должны подвергаться некоторым химическим превращениям для получения соединения, которое представляет собой биологически активное соединение или является предшественником биологически активного соединения. В некоторых случаях пролекарство является биологически активным, обычно менее активным, чем само лекарственное средство, и служит для повышения эффективности или безопасности лекарственного средства за счет улучшенной пероральной биодоступности, фармакодинамического периода полувыведения и т.д. Можно применять пролекарственные формы соединений, например, для улучшения биодоступности, улучшения переносимости субъектом, например, за счет маскировки или уменьшения неприятных характеристик, таких как горький вкус или желудочно-кишечное раздражение, изменения растворимости, например, для внутривенного применения, обеспечения пролонгированного или замедленного высвобождения или доставки, облегчения приготовления лекарственной формы или обеспечения доставки соединения в конкретный участок.
[0134] Термин «стереоизомер» относится к относительному или абсолютному пространственному соотношению группы (групп) R, присоединенной к стереогенным центрам атомам углерода или атомам фосфора, и относится к отдельному изомеру или любой комбинации отдельных изомеров, такой как рацемическая смесь и смесь диастереомеров. Когда соединение имеет два стереогенных центра, возможны 4 потенциальных стереоизомера.
[0135] Термин «печень» относится к органу печень.
[0136] Термин «специфичность к печени» относится к соотношению:
[лекарственное средство или его метаболит в ткани печени] /
[лекарственное средство или его метаболит в крови или в другой ткани]
[0137] при измерении у животных, получавших лекарственное средство или пролекарство. Отношение может быть определено путем измерения уровней в тканях в определенное время или оно может представлять собой AUC (площадь под кривой) на основе значений, измеренных в трех или более временных точках.
[0138] Термин «усиленная или повышенная специфичность к печени» относится к увеличению соотношения специфичности к печени у животных, получавших пролекарство, к специфичности к печени у животных, получавших исходное лекарственное средство.
[0139] Термин «повышенная пероральная биодоступность» относится к увеличению абсорбции дозы сравнительного лекарственного средства по меньшей мере примерно на 50%. В дополнительном аспекте увеличение пероральной биодоступности соединения (по сравнению со сравнительным лекарственным средством) означает увеличение абсорбции по меньшей мере примерно на 100%, или удвоение абсорбции. Измерение пероральной биодоступности обычно относится к измерениям уровня пролекарства, лекарственного средства или метаболита лекарственного средства в крови, плазме, тканях или моче после перорального введения по сравнению с измерениями после парентерального введения.
[0140] Термин «терапевтический индекс» относится к соотношению дозы лекарственного средства или пролекарства, которая вызывает терапевтически благоприятный ответ, по сравнению с дозой, которая вызывает нежелательный ответ, такой как смерть, повышение маркеров, которые указывают на токсичность, и/или фармакологические побочные эффекты.
[0141] Термин «продолжительная доставка» относится к увеличению периода, в течение которого наблюдается пролонгирование терапевтически эффективных уровней лекарственного средства благодаря присутствию пролекарства.
[0142] Термины «лечить» или «лечение» заболевания включают ингибирование заболевания (замедление, остановку или частичное прекращение его развития), предотвращение заболевания, облегчение симптомов или побочных эффектов заболевания (включая паллиативное лечение) и/или облегчение заболевания (вызывание регресса болезни).
[0143] Термин «биологический агент» относится к соединению, которое обладает биологической активностью или имеет свойства, которые можно использовать в терапевтических или диагностических целях, например, соединению, несущему радиоактивный изотоп или тяжелый атом.
[0144] Термин «молекулярный путь» относится к ряду молекулярных событий в тканях, таких как последовательность модулирования рецептора, последовательность модулирования фермента или последовательность биосинтеза, который участвует в физиологических или патофизиологических функциях живого животного.
Введение и фармацевтические композиции
[0145] Описанные в настоящем документе соединения можно применять по отдельности или в комбинации с другим лечением. В случае, когда указанные соединения применяются в комбинации с другими агентами, их можно вводить в виде суточной дозы или соответствующей доли суточной дозы (например, два раза в сутки). Соединения можно вводить после курса лечения другим агентом, во время курса терапии другим агентом, можно вводить как часть схемы лечения или можно вводить до терапии другим агентом в программе лечения.
[0146] Примеры фармацевтический приемлемых солей включают ацетат, адипат, безилат, бромид, камсилат, хлорид, цитрат, эдисилат, эстолат, фумарат, глюцептат, глюконат, глюкуронат, гиппурат, гиклат, гидробромид, гидрохлорид, иодид, изетионат, лактат, лактобионат, малеат, мезилат, метилбромид, метилсульфат, напсилат, нитрат, олеат, пальмоат, фосфат, полигалактуронат, стеарат, сукцинат, сульфат, сульфосалицилат, таннат, тартрат, терфталат, тозилат и триэтиодид.
[0147] Композиции, содержащие активные ингредиенты, могут быть в любой форме, пригодной для предполагаемого способа введения. В некоторых вариантах реализации настоящего изобретения соединения, способы и/или композиции, описанные в настоящем документе, можно предоставлять посредством перорального введения, ректального введения, трансмукозального введения, кишечного введения, энтерального введения, местного введения, трансдермального введения, интратекального введения, внутрижелудочкового введения, внутрибрюшинного введения, интраназального введения, внутриглазного введения и/или парентерального введения.
[0148] Когда соединения вводят перорально, могут быть получены, например, таблетки, формованные пастилки, пастилки для рассасывания, водные или масляные суспензии, диспергируемые порошки или гранулы, эмульсии, твердые или мягкие капсулы, сиропы или эликсиры. Композиции, предназначены для перорального применения, могут быть получены согласно любому способу, известному в данной области техники для изготовления фармацевтической композиции и такие композиции могут содержать один или более агентов, включая подсластители, ароматизаторы, красители и консерванты, с тем чтобы обеспечить состав, приятный на вкус. Являются приемлемыми таблетки, содержащие активный ингредиент в смеси с нетоксичным фармацевтически приемлемым наполнителем, который пригоден для изготовления таблеток. Этими наполнителями могут быть, например, инертные разбавители, такие как карбонат кальция или натрия, лактоза, фосфат кальция или натрия; гранулирующие и дезинтегрирующие агенты, такие как кукурузный крахмал или альгиновая кислота; связующие агенты, такие как крахмал, желатин или аравийская камедь; и смазывающие агенты, такие как стеарат магния, стеариновая кислота или тальк. Таблетки могут быть непокрытыми или могут быть покрыты известными способами, включая микроинкапсулирование, чтобы задержать дезинтеграцию и адсорбцию в желудочно-кишечном тракте и тем самым обеспечить пролонгированное действие в течение более длительного периода. Например, может быть использован материал, обеспечивающий задержку по времени, такой как глицерилмоностеарат или глицерилдистеарат, один или с воском.
[0149] Композиции для перорального применения могут быть также представлены в виде твердых желатиновых капсул, в которых активный ингредиент(ы) можно смешивать с инертным твердым разбавителем, например с фосфатом кальция или каолином, или в виде мягких желатиновых капсул, в которых активный ингредиент смешан с водой или масляной средой, например арахисовым маслом, жидким парафином или оливковым маслом.
[0150] Составы, подходящие для парентерального введения, включают водные и неводные изотонические стерильные растворы для инъекций, которые могут содержать, например, антиоксиданты, буферы, бактериостатические и растворенные вещества, которые делают препарат изотоническим с кровью предполагаемого реципиента; и водные и неводные стерильные суспензии, которые могут включать суспендирующие агенты и загустители. Составы могут быть представлены в однодозовых или многодозовых запечатанных контейнерах, например герметичный ампулах и флаконах, и могут храниться в высушенном сублимацией (лиофилизированном) состоянии, когда требуется только добавление стерильного жидкого носителя, например, воды для инъекций, непосредственно перед использованием. Растворы и суспензии для инъекций можно приготовить из стерильных порошков, гранул и таблеток ранее описанного типа.
[0151] В некоторых вариантах реализации настоящего изобретения стандартные дозированные лекарственные формы содержат суточную дозу или единицу лекарственного средства, суточную субдозу или соответствующую долю. Однако будет понятно, что конкретный уровень дозы для любого конкретного пациента будет зависеть от множества факторов, включая активность конкретного применяемого соединения; возраст, массу тела, общее состояние здоровья, пол и диету пациента; время и путь введения; скорость выведения; другие лекарственные средства, которые вводили ранее; и степень тяжести конкретного заболевания, подвергаемого терапии, что хорошо известно специалистам в данной области.
[0152] Фактическая доза соединений, описанных в настоящем документе, зависит от конкретного соединения и от состояния, которое лечат; выбор соответствующей дозы находится в компетенции опытного специалиста. В некоторых вариантах реализации настоящего изобретения суточная доза может составлять от примерно 0,1 мг/кг массы тела до примерно 100 мг/кг или более, от примерно 0,25 мг/кг или менее до примерно 50 мг/кг, от примерно 0,5 мг/кг или менее до примерно 25 мг/кг, от примерно 1,0 мг/кг до примерно 10 мг/кг массы тела. Таким образом, для введения человеку массой 70 кг диапазон доз может составлять от примерно 7 мг в сутки до примерно 7000 мг в сутки, от примерно 35 мг в сутки или менее до примерно 2000 мг в сутки или более, от примерно 70 мг в сутки до 1000 мг в сутки.
Способы лечения
[0153] Некоторые варианты реализации изобретения включают способы лечения заболевания, расстройства или состояния, выбранного из группы, состоящей из рака печени и различных типов рака с помощью соединений и композиций, содержащих соединения, описанные в настоящем документе. Некоторые способы включают введение соединения, композиции, фармацевтической композиции, описанной в настоящем документе, субъекту, нуждающемуся в этом. Согласно некоторым вариантам реализации настоящего изобретения субъект может представлять собой животное, например, млекопитающее, человека. В некоторых вариантах реализации настоящего изобретения субъект представляет собой человека.
[0154] Дополнительные варианты реализации настоящего изобретения включают введение комбинации соединений субъекту, нуждающемуся в этом. Комбинация может включать соединение, композицию, фармацевтическую композицию, описанные в настоящем документе, с дополнительным лекарственным средством.
[0155] Некоторые варианты реализации настоящего изобретения включают совместное введение соединения, композиции и/или фармацевтической композиции, описанных в настоящем документе, с дополнительным лекарственным средством или дополнительными терапевтическими агентами. Под «совместным введением» понимают, что два или более агентов могут быть обнаружены в крови субъекта в одно и то же время, вне зависимости от того, как фактически они были введены. Согласно одному из вариантов реализации настоящего изобретения агенты вводят одновременно. В одном таком варианте реализации настоящего изобретения введение в комбинации осуществляют путем объединения агентов в единичной лекарственной форме. В другом варианте реализации настоящего изобретения агенты вводят последовательно. Согласно одному из вариантов реализации настоящего изобретения указанные агенты вводят одним и тем же путем, таким как пероральный путь. В другом варианте реализации настоящего изобретения агенты вводят различными путями, например, один вводят перорально, а другой вводят внутривенно.
[0156] Примеры дополнительных лекарственных средств включают терапевтический агент(агенты), выбранный из группы, состоящей из других типов химиотерапии, таких как циклофосфамид, метотрексат, доксорубицин, доцетаксел, цисплатин, эпирубицин, оксалиплатин и фолиниевая кислота; и другие нацеленные противоопухолевые агенты, такие как ингибиторы HDAC. В некоторых вариантах реализации настоящего изобретения указанный дополнительный терапевтический агент для лечения ГЦК может представлять собой один или более из сорафениба, регорафениба, иммуно-онкологического агента, такого как ингибитор контрольной точки PD-1 или PD-L1.
[0157] Примеры дополнительных лекарственных средств также включают медицинскую процедуру, выбранную из группы, состоящей из абляции опухоли, селективной внутренней лучевой терапии (SIRT) и трансартериальной химиоэмболизации (ТАСЕ).
[0158] Чтобы дополнительно проиллюстрировать соединения, описанные в настоящем документе, приводятся следующие примеры. Указанные примеры в любом случае не должны истолковываться как ограничивающие объем соединений. Варианты этих примеров в пределах объема формулы изобретения находятся в компетенции специалиста в данной области техники и считаются находящимися в пределах объема соединений, как описано и заявлено в настоящем документе. Читатель поймет, что специалист в данной области техники, вооруженный настоящим документом и знаниями из данной области техники может получать и применять соединения без всеохватывающих примеров.
Синтез соединений
[0159] Следующие процедуры для получения новых соединений иллюстрируют общие процедуры, применяемые для получения 5-фторурацильных циклических дезоксирибонуклеотидных соединений.
[0160] На Схеме I описан общий синтез соединений формул I и II. Флоксуридин (1) взаимодействует с фосфандиамином (2) в присутствии 4,5-дицианоимидазола с получением циклического продукта структуры 3, и затем неочищенную реакционную смесь обрабатывают окислителем, таким как трет-бутилгидропероксид, с получением конечного продукта структуры 4.
ПРИМЕРЫ
[0161] Некоторые соединения Формул I и II получают так, как описано ниже.
Пример 1
[0162] 5-фтор-1-((4aR,6R,7aS)-2-(гептилокси)-2-оксидотетрагидро-4Н-фуро[3,2-d][1,3,2]диоксафосфинин-6-ил)пиримидин-2,4(1Н,3Н)-дион (соединение 101)
[0163] Соединение 101 получали в соответствии со способом, описанным на схеме I, из N,N,N',N'-тетраизопропил-1-гептилоксифосфандиамина и флоксуридина и выделяли в виде смеси двух изомеров. [М-1]+ рассчитано для C16H24FN2O7P: 405,12; найдено: 405,0.
Пример 2
[0164] 5-фтор-1-((4aR,6R,7aS)-2-(октилокси)-2-оксидотетрагидро-4Н-фуро[3,2-d][1,3,2]диоксафосфинин-6-ил)пиримидин-2,4(1Н,3Н)-дион (Соединение 102)
[0165] Соединение 102 получали в соответствии со способом, описанным на схеме I, из N,N,N',N'-тетраизопропил-1-октилоксифосфандиамина и флоксуридина и выделяли в виде смеси двух изомеров. [М-1]+ рассчитано для C17H26FN2O7P: 419,14; найдено: 419,0.
Пример 3
[0166] 5-фтор-1-((4aR,6R,7aS)-2-(6-метилгептилокси)-2-оксидотетрагидро-4Н-фуро[3,2-d][1,3,2]диоксафосфинин-6-ил)пиримидин-2,4(1Н,3Н)-дион (Соединение 103)
[0167] Соединение 103 получали в соответствии со способом, описанным на схеме I, из N,N,N',N'-тетраизопропил-1-(6-метилгептилокси)фосфандиамина и флоксуридина и выделяли в виде смеси двух изомеров. [М-1]+ рассчитано для C17H26FN2O7P: 419,14; найдено: 419,0.
Пример 4
[0168] 5-фтор-1-((4aR,6S,7aS)-2-(циклопропилметилокси)-2-оксидотетрагидро-4Н-фуро[3,2-d][1,3,2]диоксафосфинин-6-ил)пиримидин-2,4(1Н,3Н)-дион (соединение 104)
[0169] Соединение 104 получали в соответствии со способом, описанным на схеме I, из N,N,N',N'-тетраизопропил-1-(циклопропилметилокси)фосфандиамина и флоксуридина и выделяли в виде смеси двух изомеров. [М-1]+ рассчитано для C13H16FN2O7P: 361,06; найдено: 361,0.
Пример 5
[0170] 5-фтор-1-((4aR,6R,7aS)-2-(циклопентилметилокси)-2-оксидотетрагидро-4Н-фуро[3,2-d][1,3,2] диоксафосфинин-6-ил)пиримидин-2,4(1Н,3Н)-дион (соединение 105)
[0171] Соединение 105 получали в соответствии со способом, описанным на схеме I, из N,N,N',N'-тетраизопропил-1-(циклопентилметилокси)фосфандиамина и флоксуридина и выделяли в виде смеси двух изомеров. [М-1]+ рассчитано для C15H20FN2O7P: 389,09; найдено: 389,0.
Пример 6
[0172] 5-фтор-1-((4aR,6R,7aS)-2-(2-циклопентилэтилокси)-2-оксидотетрагидро-4Н-фуро[3,2-d][1,3,2] диоксафосфинин-6-ил)пиримидин-2,4(1Н,3Н)-дион (Соединение 106)
[0173] Соединение 106 получали в соответствии со способом, описанным на схеме I, из N,N,N',N'-тетраизопропил-1-(2-циклопентилэтилокси)фосфандиамина и флоксуридина и выделяли в виде смеси двух изомеров. [М-1]+ рассчитано для C16H22FN2O7P: 403,10; найдено: 403,0.
Пример 7
[0174] 5-фтор-1-((4aR,6R,7aS)-2-(3-циклопентилпропилокси)-2-оксидотетрагидро-4Н-фуро[3,2-d][1,3,2]диоксафосфинин-6-ил)пиримидин-2,4(1Н,3Н)-дион (соединение 107)
[0175] Соединение 107 получали в соответствии со способом, описанным на схеме I, из N,N,N',N'-тетраизопропил-1-(3-циклопентилпропилокси)фосфандиамина и флоксуридина и выделяли в виде смеси двух изомеров. [М+1]+ рассчитано для C17H24FN2O7P: 419,14; найдено: 419,1.
Пример 8
[0176] 5-фтор-1-((4aR,6R,7aS)-2-(2-метоксибензилокси)-2-оксидотетрагидро-4Н-фуро[3,2-d][1,3,2]диоксафосфинин-6-ил)пиримидин-2,4(1Н,3Н)-дион (соединение 108)
[0177] Соединение 108 получали в соответствии со способом, описанным на схеме I, из N,N,N',N'-тетраизопропил-1-(2-метоксибензилокси)фосфандиамина и флоксуридина и выделяли в виде смеси двух изомеров. [М-1]+ рассчитано для C17H18FN2O8P: 427,07; найдено: 427,0.
Пример 9
[0178] 5-фтор-1-((4aR,6R,7aS)-2-(4-фторфенокси)-2-оксидотетрагидро-4Н-фуро[3,2-d][1,3,2]диоксафосфинин-6-ил)пиримидин-2,4(1Н,3Н)-дион (соединение 109)
[0179] Соединение 109 получали в соответствии со способом, описанным на схеме I, из N,N,N',N'-тетраизопропил-1-(4-фторфенокси)фосфандиамина и флоксуридина и выделяли в виде смеси двух изомеров. [М-1]+ рассчитано для C17H17F2N2O8P: 429,06; найдено: 429,0.
Пример 10
[0180] 5-фтор-1-((4aR,6R,7aS)-2-(3-фторфенокси)-2-оксидотетрагидро-4Н-фуро[3,2-d][1,3,2]диоксафосфинин-6-ил)пиримидин-2,4(1Н,3Н)-дион (соединение 110)
[0181] Соединение 110 получали в соответствии со способом, описанным на схеме I, из N,N,N',N'-тетраизопропил-1-(3-фторфенокси)фосфандиамина и флоксуридина и выделяли в виде смеси двух изомеров. [М-1]+ рассчитано для C17H17F2N2O8P: 429,06; найдено: 429,0.
Пример 11
[0182] 5-фтор-1-((4aR,6R,7aS)-2-(2,4-дифторфенокси)-2-оксидотетрагидро-4Н-фуро[3,2-d][1,3,2]диоксафосфинин-6-ил)пиримидин-2,4(1Н,3Н)-дион (соединение 111)
[0183] Соединение 111 получали в соответствии со способом, описанным на схеме I, из N,N,N',N'-тетраизопропил-1-(2,4-дифторфенокси)фосфандиамина и флоксуридина и выделяли в виде смеси двух изомеров. [М-1]+ рассчитано для C17H16F3N2O8P: 447,05; найдено: 447,0.
Пример 12
[0184] 5-фтор-1-((4aR,6R,7aS)-2-(4-метилфенокси)-2-оксидотетрагидро-4Н-фуро[3,2-d][1,3,2]диоксафосфинин-6-ил)пиримидин-2,4(1Н,3Н)-дион (соединение 112)
[0185] Соединение 112 получали в соответствии со способом, описанным на схеме I, из N,N,N',N'-тетраизопропил-1-(4-метилфенокси)фосфандиамина и флоксуридина и выделяли в виде смеси двух изомеров. [М-1]+ рассчитано для C18H20FN2O8P: 425,09; найдено: 425,1.
Пример 13
[0186] 5-фтор-1-((4aR,6R,7aS)-2-(2-фторфенокси)-2-оксидотетрагидро-4Н-фуро[3,2-d][1,3,2]диоксафосфинин-6-ил)пиримидин-2,4(1Н,3Н)-дион (соединение 113)
[0187] Соединение 113 получали в соответствии со способом, описанным на схеме I, из N,N,N',N'-тетраизопропил-1-(2-фторфенокси)фосфандиамина и флоксуридина и выделяли в виде смеси двух изомеров. [М-1]+ рассчитано для C17H17F2N2O8P: 429,06; найдено: 429,1.
Пример 14
[0188] 5-фтор-1-((4aR,6R,7aS)-2-(2,6-дифторфенокси)-2-оксидотетрагидро-4Н-фуро[3,2-d][1,3,2]диоксафосфинин-6-ил)пиримидин-2,4(1Н,3Н)-дион (Соединение 114)
[0189] Соединение 114 получали в соответствии со способом, описанным на схеме I, из N,N,N',N'-тетраизопропил-1-(2,6-дифторфенокси)фосфандиамина и флоксуридина и выделяли в виде смеси двух изомеров. [М-1]+ рассчитано для C17H16F3N2O8P: 447,05; найдено: 447,1.
Пример 15
[0190] 5-фтор-1-((4aR,6R,7aS)-2-(2,4,6-трифторфенокси)-2-оксидотетрагидро-4Н-фуро[3,2-d][1,3,2]диоксафосфинин-6-ил)пиримидин-2,4(1Н,3Н)-дион (Соединение 115)
[0191] Соединение 115 получали в соответствии со способом, описанным на схеме I, из N,N,N',N'-тетраизопропил-1-(2,4,6-трифторфенокси)фосфандиамина и флоксуридина и выделяли в виде смеси двух изомеров. [М-1]+ рассчитано для C17H15F4N2O8P: 465,05; найдено: 465,0.
Пример 16
[0192] 5-фтор-1-((4aR,6R,7aS)-2-(4-фтор-2-метилбензилокси)-2-оксидотетрагидро-4Н-фуро[3,2-d][1,3,2] диоксафосфинин-6-ил)пиримидин-2,4(1Н,3Н)-дион (соединение 116)
[0193] Соединение 116 получали в соответствии со способом, описанным на схеме I, из N,N,N',N'-тетраизопропил-1-(2-метоксибензилокси)фосфандиамина и флоксуридина и выделяли в виде смеси двух изомеров. [М-1]+ рассчитано для C17H17F2N2O8P: 429,06; найдено: 429,1.
Пример 17
[0194] 5-фтор-1-((4aR,6R,7aS)-2-оксидо-2-((1-фенилциклопропил)метокси)тетрагидро-4Н-фуро[3,2-d][1,3,2]диоксафосфинин-6-ил)пиримидин-2,4(1Н,3Н)-дион (соединение 117)
[0195] Соединение 117 получали в соответствии со способом, описанным на схеме I, из N,N,N',N'-тетраизопропил-1-((1-фенилциклопропил)метокси)фосфандиамина и флоксуридина и выделяли в виде смеси двух изомеров. [М-1]+ рассчитано для C19H20FN2O7P: 437,09; найдено: 437,1.
Пример 18
[0196] 1-((4aR,6R,7aS)-2-((2-(диэтоксиметил)бензил)окси)-2-оксидотетрагидро-4Н-фуро[3,2-d][1,3,2] диоксафосфинин-6-ил)-5-фторпиримидин-2,4(1Н,3Н)-дион (соединение 118)
[0197] Соединение 118 получали в соответствии со способом, описанным на схеме I, из N,N,N',N'тетраизопропил-1-((2-диэтоксиметил)бензилокси)фосфандиамина и флоксуридина и выделяли в виде смеси двух изомеров. [М-1]+ рассчитано для C21H26FN2O9P: 499,13; найдено: 499,0.
Пример 19
[0198] 1-((4aR,6R,7aS)-2-((2-(1,3-диоксолан-2-ил)-4-фторбензил)окси)-2-оксидотетрагидро-4Н-фуро[3,2-d][1,3,2]диоксафосфинин-6-ил)-5-фторпиримидин-2,4(1Н,3Н)-дион (соединение 119)
[0199] Соединение 119 получали в соответствии со способом, описанным на схеме I, из N,N,N',N'-тетраизопропил-1-((2-(1,3-диоксолан-2-ил)-4-фторбензилокси)фосфандиамина и флоксуридина и выделяли в виде смеси двух изомеров. [М-1]+ рассчитано для C19H19F2N2O9P: 487,07; найдено: 487,0.
Пример 20
[0200] 5-фтор-1-((4aR,6R,7aS)-2-(3-фенилпропилокси)-2-оксидотетрагидро-4Н-фуро[3,2-d][1,3,2]диоксафосфинин-6-ил)пиримидин-2,4(1Н,3Н)-дион (соединение 120)
[0201] Соединение 120 получали в соответствии со способом, описанным на схеме I, из N,N,N',N'-тетраизопропил-1-(3-фенилпропилокси)фосфандиамина и флоксуридина и выделяли в виде смеси двух изомеров. [М+1]+ рассчитано для C18H20FN2O7P: 425,09; найдено: 425,1.
Пример 21
[0202] 5-фтор-1-((4aR,6R,7aS)-2-(3-(2-фторфенил)пропилокси)-2-оксидотетрагидро-4Н-фуро[3,2-d][1,3,2] диоксафосфинин-6-ил)пиримидин-2,4(1Н,3Н)-дион (соединение 121)
[0203] Соединение 121 получали в соответствии со способом, описанным на схеме I, из N,N,N',N'-тетраизопропил-1-(3-(2-фторфенил)пропилокси)фосфандиамина и флоксуридина и выделяли в виде смеси двух изомеров. [М+1]+ рассчитано для C18H19F2N2O7P: 443,08; найдено: 443,0.
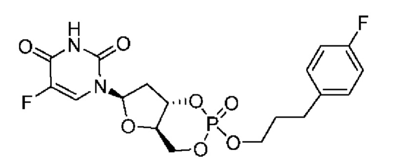
Пример 22
[0204] 5-фтор-1-((4aR,6R,7aS)-2-(3-(4-фторфенил)пропилокси)-2-оксидотетрагидро-4Н-фуро[3,2-d][1,3,2]диоксафосфинин-6-ил)пиримидин-2,4(1Н,3Н)-дион (соединение 122)
[0205] Соединение 122 получали в соответствии со способом, описанным на схеме I, из N,N,N',N'-тетраизопропил-1-(3-(4-фторфенил)пропилокси)фосфандиамина и флоксуридина и выделяли в виде смеси двух изомеров. [М+1]+ рассчитано для C18H19F2N2O7P: 443,08; найдено: 443,0.
Пример 23
[0206] 1-((4aR,6R,7aS)-2-(4,4-дипропоксибутокси)-2-оксидотетрагидро-4Н-фуро[3,2-d][1,3,2]диоксафосфинин-6-ил)-5-фторпиримидин-2,4(1Н,3Н)-дион (соединение 123)
[0207] Соединение 123 получали в соответствии со способом, описанным на схеме I, из N,N,N',N'-тетраизопропил-1-(4,4-бис-(пропилокси)бутилокси)фосфандиамина и флоксуридина и выделяли в виде смеси двух изомеров. [М+1]+ рассчитано для C19H30FN2O9P: 479,16; найдено: 479,0.
Пример 24
[0208] Изопропил 2-((((4aR,6R,7aS)-6-(5-фтор-2,4-диоксо-3,4-дигидропиримидин-1(2Н)-ил)-2-оксидотетрагидро-4Н-фуро[3,2-d][1,3,2]диоксафосфин-2-ил)окси)метил)бензоат (соединение 124)
[0209] Соединение 124 получали в соответствии со способом, описанным на схеме I, из N,N,N',N'-тетраизопропил-1-(2-изопропилоксикарбонилбензилокси)фосфандиамина и флоксуридина и выделяли в виде смеси двух изомеров. [М-1]+ рассчитано для C20H22FN2O9P: 483,09; найдено: 483,0.
Пример 25
[0210] Этил 2-((((4aR,6R,7aS)-6-(5-фтор-2,4-диоксо-3,4-дигидропиримидин-1(2Н)-ил)-2-оксидотетрагидро-4Н-фуро[3,2-d][1,3,2]диоксафосфинин-2-ил)окси)метил)бензоат (соединение 125)
[0211] Соединение 125 получали в соответствии со способом, описанным на схеме I, из N,N,N',N'-тетраизопропил-1-(2-этоксикарбонилбензилокси)фосфандиамина и флоксуридина и выделяли в виде смеси двух изомеров. [М-1]+ рассчитано для C19H20FN2O9P: 469,08; найдено: 469,1.
Пример 26
[0212] Пропил 2-((((4aR,6R,7aS)-6-(5-фтор-2,4-диоксо-3,4-дигидропиримидин-1(2Н)-ил)-2-оксидотетрагидро-4Н-фуро[3,2-d][1,3,2]диоксафосфинин-2-ил)окси)метил)бензоат (соединение 126)
[0213] Соединение 126 получали в соответствии со способом, описанным на схеме I, из N,N,N',N'-третраизопропил-1-(2-пропилоксикарбонилбензилокси)фосфандиамина и флоксуридина и выделяли в виде смеси двух изомеров. [М-1]+ рассчитано для C20H22FN2O9P: 483,09; найдено: 483,0.
Пример 27
[0214] Метил 2-((((4aR,6R,7aS)-6-(5-фтор-2,4-диоксо-3,4-дигидропиримидин-1(2Н)-ил)-2-оксидотетрагидро-4Н-фуро[3,2-d][1,3,2]диоксафосфинин-2-ил)окси)метил)бензоат (соединение 127)
[0215] Соединение 127 получали в соответствии со способом, описанным на схеме I, из N,N,N',N'-тетраизопропил-1-(2-метоксикарбонилбензилокси)фосфандиамина и флоксуридина и выделяли в виде смеси двух изомеров. [М-1]+ рассчитано для C18H18FN2O9P: 455,06; найдено: 455,1.
Пример 28
[0216] Бутил 2-((((4aR,6R,7aS)-6-(5-фтор-2,4-диоксо-3,4-дигидропиримидин-1(2Н)-ил)-2-оксидотетрагидро-4Н-фуро[3,2-d][1,3,2]диоксафосфинин-2-ил)окси)метил)бензоат (соединение 128)
[0217] Соединение 128 получали в соответствии со способом, описанным на схеме I, из N,N,N',N'-тетраизопропил-1-(2-бутилоксикарбонилбензилокси)фосфандиамина и флоксуридина и выделяли в виде смеси двух изомеров. [М-1]+ рассчитано для C21H24FN2O9P: 497,11; найдено: 497,1.
Биологические примеры
[0218] Примеры применения способа включают следующее. Следует понимать, что приведенное ниже является примерами и что указанный способ не ограничивается только этими примерами.
Пример 29: Распределение контрольных соединений и описанных соединений в тканях после перорального введения
[0219] Специфичность к печени описанных в настоящем документе соединений сравнивали с соответствующим активным соединением в печени и других органах, которые могут быть мишенями токсичности.
Способы
[0220] Контрольные циклические дезоксирибонуклеотидные соединения вводили крысам натощак в дозе 5-50 мг/кг перорально через желудочный зонд. Концентрации в плазме метаболитов и исходных соединений в кровообращении и в воротной вене печени определяли с помощью ВЭЖХ-УФ, а концентрации в печени, тонкой кишке и других органах определяли с помощью ЖХ-МС с использованием стандартного метода хроматографии.
Результаты:
[0221] В таблице 1 представлены результаты некоторых новых соединений, которые иллюстрируют способность нацеливания на печень циклических дезоксирибонуклеотидных соединений и свидетельствуют о повышенной эффективности указанных соединений по сравнению с другими типами пролекарственных соединений в отношении достижения высокого уровня активных агентов в печени. Это может происходить исключительно благодаря высокоэффективному нацеливанию на печень, обеспечиваемому циклическими дезоксирибонуклеотидными соединениями.
FdUMP - флоксуридина монофосфат; FUDR - флоксуридин; капецитабин - действующее вещество в препарате Кселода, пролекарство; NUC-3373 - пролекарство ProTide, разработанное компанией NuCana PLC.
[0222] Все числа, выражающие количества ингредиентов, условий реакции и так далее, используемые в настоящем документе, во всех случаях следует понимать как сопровождаемые термином «примерно». Соответственно, если не указано иное, числовые параметры, приведенные в настоящем документе, представляют собой приблизительные значения, которые могут варьироваться в зависимости от желаемых свойств, которые необходимо обеспечить. Не в качестве попытки ограничить применение доктрины эквивалентов объемом любой формулы изобретения в любой заявке, претендующей на приоритет по дате подачи настоящей заявки, каждый числовой параметр следует истолковывать в свете количества значащих цифр и обычных округлений.
[0223] Используемые в настоящем документе выражения, такие как «приблизительно», «примерно», «в целом» и «по существу», обозначают значение, количество или характеристику, близкую к указанному значению, количеству или характеристике, которые все еще выполняют желаемую функцию или позволяют достичь желаемого результата. Например, выражения «приблизительно», «примерно», «в целом» и «по существу» могут относиться к количеству, которое находится в пределах менее 10%, в пределах менее 5%, в пределах менее 1%, в пределах менее 0,1% и в пределах менее 0,01% от указанного количества. В качестве другого примера, в определенных вариантах реализации настоящего изобретения выражения «в целом параллельные» и «по существу параллельные» относятся к значению, количеству или характеристике, которые отклоняются от строго параллельных на величину, меньшую или равную 15%, 10%, 5%, 3% 1%, 0,1% или иначе. Аналогично, в определенных вариантах реализации настоящего изобретения выражения «в целом перпендикулярные» и «по существу перпендикулярные» относятся к значению, количеству или характеристике, которые отклоняются от строго перпендикулярных на величину, меньшую или равную 15%, 10%, 5%, 3% 1%, 0,1% или иначе.
[0224] В настоящем документе описано несколько способов и материалов. Соединения, описанные в настоящем документе, можно подвергать модификациям в способах и материалах, а также в способах изготовления и оборудовании. Такие модификации станут очевидными для специалистов в данной области техники из настоящего документа или практического применения соединений, описанных в настоящем документе. Следовательно, не предполагается ограничение описанных в данном документе соединений конкретными вариантами реализации, описанными в данном документе, но предполагается, что они охватывают все модификации и альтернативы, попадающие в истинный объем и сущность описанных соединений.
[0225] Все ссылки, цитируемые в настоящем документе, включая, но не ограничиваясь ими, опубликованные и неопубликованные заявки, патенты и литературные ссылки, включены в настоящий документ посредством ссылки во всей своей полноте и тем самым составляют часть настоящего описания. Если публикации и патенты или заявки на патенты, включенные в настоящее описание в качестве ссылки, противоречат настоящему изобретению, описанному в настоящем документе, настоящий документ заменяет и/или главенствует над любым таким противоречащим материалом.
[0226] Хотя различные соединения были описаны со ссылкой на варианты реализации и примеры, следует понимать, что многочисленные и различные модификации могут быть сделаны без отклонения от сущности описанных соединений. Соответственно, соединения ограничены только следующей формулой изобретения.
| название | год | авторы | номер документа |
|---|---|---|---|
| КОМПОЗИЦИИ И СПОСОБЫ ДЛЯ ЛЕЧЕНИЯ МЕТАБОЛИЧЕСКИХ И ПЕЧЕНОЧНЫХ РАССТРОЙСТВ | 2022 |
|
RU2833318C1 |
| ФОСФОР(N)АМИДАТАЦЕТАЛЬНЫЕ И ФОСФ(ОН)АТАЦЕТАЛЬНЫЕ СОЕДИНЕНИЯ | 2019 |
|
RU2796403C2 |
| МОДУЛЯТОРЫ SHIP1 И ОТНОСЯЩИЕСЯ К НИМ СПОСОБЫ | 2014 |
|
RU2679805C2 |
| БИЦИКЛИЧЕСКИЕ АМИНЫ В КАЧЕСТВЕ НОВЫХ ИНГИБИТОРОВ JAK-КИНАЗЫ | 2018 |
|
RU2764980C2 |
| ГЕТЕРОАРОМАТИЧЕСКИЕ СОЕДИНЕНИЯ КАК МОДУЛЯТОРЫ ФОСФОИНОЗИТИД-3-КИНАЗЫ | 2014 |
|
RU2672910C9 |
| ПРОИЗВОДНЫЕ БОРОНОВОЙ КИСЛОТЫ И ИХ ТЕРАПЕВТИЧЕСКИЕ ПРИМЕНЕНИЯ | 2017 |
|
RU2773346C2 |
| КОМПОЗИЦИИ, СОДЕРЖАЩИЕ ТУКАРЕСОЛ ИЛИ ЕГО АНАЛОГИ | 2017 |
|
RU2753543C1 |
| ПРОИЗВОДНЫЕ БЕНЗИЛФЕНИЛЦИКЛОГЕКСАНА И СПОСОБЫ ИХ ПРИМЕНЕНИЯ | 2008 |
|
RU2505521C2 |
| ФАРМАЦЕВТИЧЕСКОЕ СРЕДСТВО, СОДЕРЖАЩЕЕ ИНГИБИТОР НАТРИЙЗАВИСИМОГО ПЕРЕНОСЧИКА ФОСФАТА | 2015 |
|
RU2740008C2 |
| НОВЫЕ ГЕТЕРОЦИКЛИЧЕСКИЕ СОЕДИНЕНИЯ | 2019 |
|
RU2809257C2 |
Настоящее изобретение относится к соединению Формулы I или II или к их фармацевтически приемлемой соли, которые могут быть использованы для лечения заболевания, расстройства или состояния, которое поддается лечению ингибитором тимидилатсинтазы. В Формуле I R1 выбран из группы, состоящей из H, галогена, C1-C10алкила, -O-C1-6алкила, -CH(OR9)2, -C-карбокси, каждый R2 независимо представляет собой H, галоген или C1-C10алкил, каждый R5 и R6 независимо представляет собой H или, альтернативно, R5 и R6, присоединенные к одному и тому же атому углерода, совместно с атомом, к которому они присоединены, образуют C3-C10циклоалкил, R9 представляет собой C1-C10алкил. В Формуле II R3 выбран из группы, состоящей из -CH(OR9)2, C1-C10алкила и C3-C10циклоалкила, каждый R7 и R8 независимо представляет собой H, R9 представляет собой C1-C10алкил. Технический результат - разработка новых соединений для повышения эффективности доставки лекарств или решения новых задач, основанных на новых технологиях, в частности, нацеленных на печень соединений, которые могут достигать печени более эффективно и не активны вне печени, а такие снижающих фармакологические или токсикологические эффекты агента вне ткани-мишени. 6 н. и 20 з.п. ф-лы, 1 табл., 29 пр.

1. Соединение Формулы I или II:
или фармацевтически приемлемая соль указанного соединения,
где:
R1 выбран из группы, состоящей из Н, галогена, C1-С10алкила, -О-С1-6алкила,
-CH(OR9)2, -С-карбокси и
;
каждый R2 независимо представляет собой Н, галоген или C1-С10алкил;
R3 выбран из группы, состоящей из -CH(OR9)2, C1-С10алкила и С3-С10циклоалкила;
каждый R5 и R6 независимо представляет собой Н; или, альтернативно, R5 и R6, присоединенные к одному и тому же атому углерода, совместно с атомом, к которому они присоединены, образуют С3-С10циклоалкил;
каждый R7 и R8 независимо представляет собой Н; и
R9 представляет собой C1-С10алкил;
при условии, что указанное соединение не выбрано из:
и
2. Соединение по п.1, отличающееся тем, что R1 выбран из группы, состоящей из Н, F, C1-С10алкила, -ОМе, -OEt, -CH(OR9)2, -С-карбокси и
; и R2 представляет собой Н, F, C1-С10алкил.
3. Соединение по п. 1 или 2, в котором R1 представляет собой Н; и R2 представляет собой Н или F.
4. Соединение по п. 1 или 2, в котором R1 выбран из группы, состоящей из -ОМе, -OEt, -CH(OR9)2, -С-карбокси и
.
5. Соединение по п. 1 или 2, в котором R1 представляет собой F.
6. Соединение по п. 1 или 2, в котором R1 представляет собой -С-карбокси.
7. Соединение по любому из пп. 1-6, в котором R2 представляет собой Н.
8. Соединение по любому из пп. 1-6, в котором R2 представляет собой F.
9. Соединение по п. 1 или 2, в котором R3 представляет собой -CH(OR9)2.
10. Соединение по п. 1 или 2, в котором R3 представляет собой C1-С10алкил или С3-С10циклоалкил.
11. Соединение по п. 1, имеющее структуру Формулы Ia:
или фармацевтически приемлемая соль указанного соединения, где R4 представляет собой C1-С6алкил.
12. Соединение по п. 11, в котором каждый R2 представляет собой Н.
13. Соединение, выбранное из группы, состоящей из:
или фармацевтически приемлемая соль указанного соединения.
14. Фармацевтическая композиция для лечения заболевания, расстройства или состояния, где композиция содержит терапевтически эффективное количество соединения по любому из пп.1-13 и фармацевтически приемлемое вспомогательное вещество, где заболевание, расстройство или состояние поддается лечению ингибитором тимидилатсинтазы.
15. Фармацевтическая композиция по п. 14, дополнительно содержащая одно или более противораковое средство.
16. Способ лечения заболевания, расстройства или состояния, включающий введение эффективного количества соединения по любому из пп. 1-13 нуждающемуся в этом субъекту, где заболевание, расстройство или состояние поддается лечению ингибитором тимидилатсинтазы.
17. Способ по п. 16, в котором указанное заболевание, расстройство или состояние представляет собой заболевание, расстройство или состояние печени.
18. Способ по п. 16, в котором указанное заболевание, расстройство или состояние выбрано из группы, состоящей из гепатоцеллюлярной карциномы, рака почки, рака толстой и прямой кишки, рака молочной железы, карциномы желудка, рака желудка, рака пищевода, рака поджелудочной железы и рака шейки матки.
19. Способ лечения заболевания печени, включающий введение эффективного количества соединения по любому из пп. 1-13 нуждающемуся в этом субъекту, где заболевание печени поддается лечению ингибитором тимидилатсинтазы.
20. Способ по любому из пп. 16-19, дополнительно включающий введение эффективного количества по меньшей мере одного дополнительного терапевтического агента нуждающемуся в этом субъекту.
21. Способ по любому из пп. 16-19, в котором указанный субъект представляет собой млекопитающее.
22. Способ по любому из пп. 16-19, в котором указанный субъект представляет собой человека.
23. Способ по п. 20, в котором указанный дополнительный терапевтический агент (агенты) выбран для лечения ГЦК из группы, состоящей из сорафениба, регорафениба, иммуно-онкологического агента, такого как ингибитор контрольной точки PD-1 или PD-L1.
24. Соединение по любому из пп. 1-13 для применения при лечении заболевания печени или заболевания или состояния, при котором физиологические или патогенные пути включают печень субъекта, где указанное заболевание или состояние поддается лечению ингибитором тимидилатсинтазы.
25. Соединение по любому из пп. 1-13 для применения при медицинской процедуре, где указанная медицинская процедура представляет собой трансартериальную химиоэмболизацию.
26. Применение соединения по любому из пп. 1-13 при получении лекарственного средства для лечения заболевания или состояния печени или заболевания или состояния, при котором физиологические или патогенные пути включают печень, где указанное заболевание или состояние поддается лечению ингибитором тимидилатсинтазы.
| WO 2009152095 A2, 17.12.2009 | |||
| WO 2018091542 A1, 24.05.2018 | |||
| Beres, J | |||
| et al | |||
| Кипятильник для воды | 1921 |
|
SU5A1 |
| Journal of Medicinal Chemistry, 1986, 29(7), 1243-1249 | |||
| Валковая автоматическая подача листового материала в прессах | 1931 |
|
SU27929A1 |
| WO 2010130726 A1, 18.11.2010. | |||
Авторы
Даты
2025-03-10—Публикация
2020-07-15—Подача