ВКЛЮЧЕНИЕ ПУТЕМ ССЫЛКИ НА ЛЮБЫЕ ПРИОРИТЕТНЫЕ ЗАЯВКИ
[0001] Все без исключения заявки, для которых определен иностранный или национальный приоритет, например в перечне данных о заявке или запросе, которые поданы с настоящей заявкой, включены в настоящий документ путем ссылки согласно статье 37 Свода федеральных правил, параграф 1.57, и правилам 4.18 и 20.6, включая предварительную заявку США №62/952 032, поданную 20 декабря 2019 г.
Область техники
[0002] Настоящая заявка относится к областям химии, биохимии и медицины. Более конкретно, в данном документе описаны комбинированные терапевтические средства и способы лечения заболеваний и/или состояний с использованием комбинированной терапии, описанной в данном документе.
Описание
[0003] Рак представляет собой семейство заболеваний, которые включают аномальный рост клеток, способные проникать или распространяться в другие части тела. В настоящее время лечение рака включает хирургическое вмешательство, гормональную терапию, излучение, химиотерапию, иммунотерапию, направленную терапию и их комбинации. Показатели выживаемости варьируют в зависимости от типа рака и стадии, на которой рак диагностирован. В 2019 году в Соединенных Штатах примерно у 1,8 миллиона человек диагностирован рак, и, по оценкам, 606880 человек умерли от рака. Таким образом, по-прежнему существует потребность в эффективных способах лечения рака.
ИЗЛОЖЕНИЕ СУЩНОСТИ ИЗОБРЕТЕНИЯ
[0004] Некоторые варианты осуществления, описанные в настоящем документе, относятся к комбинации соединений, которые могут включать эффективное количество соединения (А) или его фармацевтически приемлемой соли и эффективное количество одного или более соединений (В) или его фармацевтически приемлемой соли.
[0005] Некоторые варианты осуществления, описанные в настоящем документе, относятся к применению комбинации соединений для лечения заболевания или состояния, причем комбинация включает эффективное количество соединения (А) или его фармацевтически приемлемой соли и эффективное количество одного или более соединений (В) или его фармацевтически приемлемой соли. Другие варианты осуществления, описанные в настоящем документе, относятся к применению комбинации соединений при производстве лекарственного средства для лечения заболевания или состояния, причем комбинация включает эффективное количество соединения (А) или его фармацевтически приемлемой соли и эффективное количество одного или более соединений (В) или его фармацевтически приемлемой соли.
[0006] В некоторых вариантах осуществления заболевание или состояние может представлять собой рак, описанный в данном документе.
ЧЕРТЕЖИ
[0007] На Фиг. 1 представлены примеры ингибиторов Bcl-2.
[0008] На Фиг. 2 представлены примеры соединения (А).
[0009] На Фиг. 3 показано процентное ингибирование соединения 1а и соединения 3 в качестве отдельных средств и в комбинации против DMS-53 (клеточная линия рака легкого).
[0010] На Фиг. 4 показаны результаты исследования роста опухоли в ответ на монотерапию и комбинированную терапию соединением 1а и соединением 3 на мышиной модели MV4-11.
ПОДРОБНОЕ ОПИСАНИЕ
Определения
[0011] Если не определено иное, все применяемые в настоящем документе технические и научные термины имеют общепринятое значение, понятное среднему специалисту в данной области. Если не указано иное, все патенты, заявки, опубликованные заявки и другие публикации, на которые даны ссылки в настоящем документе, полностью включены в настоящий документ путем ссылки. Если не указано иное, при наличии множества определений для термина, представленного в настоящем документе, предпочтение отдается определениям, приведенным в данном разделе.
[0012] Если указано, что группа «необязательно замещена», эта группа может быть незамещенной или замещенной одним или более из указанных заместителей. Аналогично, если указано, что группа «не замещена или замещена», если она замещена, заместитель (-и) может (могут) быть выбран (-ы) из одного или более указанных соединений. Если заместители не указаны, это означает, что группа, указанная как «необязательно замещенная» или «замещенная», может быть замещена одной или более группой (группами), которые индивидуально и независимо выбраны из алкила, алкенила, алкинила, циклоалкила, циклоалкенила, арила, гетероарила, гетероциклила, арил(алкила), циклоалкил(алкила), гетероарил(алкила), гетероциклил(алкила), гидрокси, алкокси, ацил, циано, галогена, тиокарбонила, О-карбамила, N-карбамила, О-тиокарбамила, N-тиокарбамила, С-амидо, N-амидо, S-сульфонамидо, N-сульфонамидо, С-карбокси, О-карбокси, нитро, сульфенила, сульфинила, сульфонила, галогеналкила, гидроксиалкила, галогеналкокси, амино, монозамещенной аминогруппы, дизамещенной аминогруппы и амин(C1-С6 алкила).
[0013] Используемые в настоящем документе термины «Са-Cb», в которых «а» и «b» представляют собой целые числа, означают число атомов углерода в группе. Указанная группа может содержать от «а» до «b» атомов углерода включительно. Таким образом, например, группа «С1-С4 алкил» относится ко всем алкильным группам, имеющим от 1 до 4 атомов углерода, т.е. СН3-, СН3СН2-, СН3СН2СН2-, (СН3)2СН- СН3СН2СН2СН2-, СН3СН2СН(СН3)- и (СН3)3С-. Если обозначения «а» и «Ь» отсутствуют, предполагается самый широкий диапазон, описанный в данных определениях.
[0014] Если две группы «R» описаны как «взятые вместе», группы R с атомами, к которым они присоединены, могут формировать циклоалкил, циклоалкенил, арил, гетероарил или гетероцикл. Например, без ограничений, если указано, что Ra и Rb из группы NRaRb «взяты вместе», это означает, что они связаны друг с другом ковалентно с образованием кольца:
[0015] Используемый в настоящем документе термин «алкил» относится к полностью насыщенной алифатической углеводородной группе. Алкильная функциональная группа может быть разветвленной или может иметь линейную цепь. К примерам разветвленных алкильных групп относятся, без ограничений, изопропил, втор-бутил, трет-бутил и т.п. К примерам алкильных групп с линейной цепью относятся, без ограничений, метил, этил, н-пропил, н-бутил, н-пентил, н-гексил, н-гептил и т.п. Алкильная группа может иметь от 1 до 30 атомов углерода (при упоминании в настоящем документе числовой диапазон, такой как «от 1 до 30», относится к каждому целому числу в заданном диапазоне; например, «от 1 до 30 атомов углерода» означает, что алкильная группа может состоять из 1 атома углерода, 2 атомов углерода, 3 атомов углерода и т.п., до 30 атомов углерода включительно, хотя настоящее определение также охватывает упоминание термина «алкил», в котором не задан числовой диапазон). Алкильная группа может также представлять собой алкил среднего размера, имеющий от 1 до 12 атомов углерода. Алкильная группа может также быть низшим алкилом, имеющим от 1 до 6 атомов углерода. Алкильная группа может быть замещенной или незамещенной.
[0016] Используемый в настоящем документе термин «алкенил» относится к одновалентному радикалу с линейной или разветвленной цепью, содержащему от двух до двадцати атомов углерода, который содержит двойную (-ые) углеродную (-ые) связь (-и), включая, без ограничений, 1-пропенил, 2-пропенил, 2-метил-1-пропенил, 1-бутенил, 2-бутенил и т.п. Алкенильная группа может быть замещенной или незамещенной.
[0017] Используемый в настоящем документе термин «алкинил» относится к одновалентному радикалу с линейной или разветвленной цепью, содержащему от двух до двадцати атомов углерода, который содержит тройную (-ые) углеродную (-ые) связь (-и), включая, без ограничений, 1-пропинил, 1-бутинил, 2-бутинил и т.п. Алкинильная группа может быть замещенной или незамещенной.
[0018] В контексте настоящего документа термин «циклоалкил» относится к полностью насыщенной (без двойных или тройных связей) моно- или мультициклической углеводородной кольцевой системе. Если кольца состоят из двух и более колец, они могут быть объединены вместе посредством конденсации, мостика или спиросоединения. В контексте настоящего документа термин «конденсированный» относится к двум кольцам, у которых два атома и одна связь являются общими. В настоящем документе термин «мостиковый циклоалкил» относится к соединениям, в которых у циклоалкила есть связь между одним или более атомами, соединяющая несмежные атомы. В настоящем документе термин «спиро» относится к двум кольцам, имеющим один общий атом, и эти два кольца не соединены мостиком. Циклоалкильные группы могут содержать от 3 до 30 атомов в кольце (-ах), от 3 до 20 атомов в кольце (-ах), от 3 до 10 атомов в кольце (-ах), от 3 до 8 атомов в кольце (-ах) или от 3 до 6 атомов в кольце (-ах). Циклоалкильная группа может быть замещенной или незамещенной. Примеры моноциклоалкильных групп включают, без ограничений, циклопропил, циклобутил, циклопентил, циклогексил, циклогептил и циклооктил. К примерам конденсированных циклоалкильных групп относятся декагидронафталенил, додекагидро-1Н-феналенил и тетрадекагидроантраценил; примеры мостиковых циклоалкильных групп представляют собой бицикло[1.1.1]пентил, адамантанил и норборнанил; к примерам спироциклоалкильных групп относятся спиро[3.3]гептан и спиро[4.5]декан.
[0019] В контексте настоящего документа термин «циклоалкенил» относится к моно- или мультициклической углеводородной кольцевой системе, которая содержит одну или более двойных связей в по меньшей мере одном кольце; хотя при наличии более одной связи двойные связи не могут формировать полностью делокализованную пи-электронную систему по всем кольцам (в ином случае группа будет «арилом», как определено в настоящем документе). Циклоалкенильные группы могут содержать от 3 до 10 атомов в кольце (-ах), от 3 до 8 атомов в кольце (-ах) или от 3 до 6 атомов в кольце (-ах). Если кольца состоят из двух и более колец, они могут быть соединены вместе посредством конденсации, мостика или спиросоединения. Циклоалкенильная группа может быть замещенной или незамещенной.
[0020] Используемый в настоящем документе термин «карбоциклил» относится к неароматической моно- или мультициклической углеводородной кольцевой системе. Если кольца состоят из двух и более колец, они могут быть объединены вместе посредством конденсации, мостика или спиросоединения, как описано в настоящем документе. Карбоциклильные группы могут содержать от 3 до 30 атомов в кольце (-ах), от 3 до 20 атомов в кольце (-ах), от 3 до 10 атомов в кольце (-ах), от 3 до 8 атомов в кольце (-ах) или от 3 до 6 атомов в кольце (-ах). Карбоциклильная группа может быть замещенной или незамещенной. Примеры карбоциклильных групп включают, без ограничений, циклоалкильные группы и циклоалкенильные группы, как определено в настоящем документе, и неароматические части 1,2,3,4-тетрагидронафталина, 2,3-дигидро-1Н-индена, 5,6,7,8-тетрагидрохинолина и 6,7-дигидро-5Н-циклопента[b]пиридина.
[0021] В контексте настоящего документа термин «арил» относится к карбоциклической (все углероды) моноциклической или мультициклической ароматической кольцевой системе (включая конденсированные кольцевые системы, причем два карбоциклических кольца имеют общую химическую связь), которая имеет полностью делокализованную пи-электронную систему по всем кольцам. Число атомов углерода в арильной группе может различаться. Например, арильная группа может представлять собой С6-С14 арильную группу, C6-C10 арильную группу или С6 арильную группу. Примеры арильных групп включают без ограничений бензол, нафталин и азулен. Арильная группа может быть замещенной или незамещенной.
[0022] В настоящем документе термин «гетероарил» относится к моноциклической или мультициклической ароматической кольцевой системе (кольцевой системе с полностью делокализованной пи-электронной системой), которая содержит один или более гетероатомов (например, 1, 2 или 3 гетероатома), т.е. к элементу, отличному от углерода, включая, без ограничений, азот, кислород и серу. Число атомов в кольце (-ах) гетероарильной группы может различаться. Например, гетероарильная группа может содержать от 4 до 14 атомов в кольце (-ах), от 5 до 10 атомов в кольце (-ах) или от 5 до 6 атомов в кольце (-ах), например девять атомов углерода и один гетероатом; восемь атомов углерода и два гетероатома; семь атомов углерода и три гетероатома; восемь атомов углерода и один гетероатом; семь атомов углерода и два гетероатома; шесть атомов углерода и три гетероатома; пять атомов углерода и четыре гетероатома; пять атомов углерода и один гетероатом; четыре атома углерода и два гетероатома; три атома углерода и три гетероатома; четыре атома углерода и один гетероатом; три атома углерода и два гетероатома; или два атома углерода и три гетероатома. Более того, термин «гетероарил» включает конденсированные кольцевые системы, в которых два кольца, таких как по меньшей мере одно арильное кольцо и по меньшей мере одно гетероарильное кольцо или по меньшей мере два гетероарильных кольца, имеют по меньшей мере одну общую химическую связь. Примеры гетероарильных колец включают в себя, без ограничений, фуран, фуразан, тиофен, бензотиофен, фталазин, пиррол, оксазол, бензоксазол, 1,2,3-оксадиазол, 1,2,4-оксадиазол, тиазол, 1,2,3-тиадиазол, 1,2,4-тиадиазол, бензотиазол, имидазол, бензимидазол, индол, индазол, пиразол, бензопиразол, изоксазол, бензоизоксазол, изотиазол, триазол, бензотриазол, тиадиазол, тетразол, пиридин, пиридазин, пиримидин, пиразин, пурин, птеридин, хинолин, изохинолин, хиназолин, хиноксалин, циннолин и триазин. Гетероарильная группа может быть замещенной или незамещенной.
[0023] Используемые в настоящем документе термины «гетероциклил» или «гетероалициклил» относятся к трех-, четырех-, пяти-, шести-, семи-, восьми-, девяти-, десяти- и вплоть до 18-членным моноциклическим, бициклическим и трициклическим кольцевым системам, в которых атомы углерода вместе с 1-5 гетероатомами составляют указанную кольцевую систему. Гетероцикл может необязательно содержать одну или более ненасыщенных связей, которые, однако, расположены таким образом, что полностью дело кали зов анная пи-электронная система не распространяется на все кольца. Гетероатом (-ы) представляет (-ют) собой элемент (-ы), отличный (-ые) от углерода, включая, без ограничений, кислород, серу и азот.Гетероцикл может дополнительно содержать одну или более карбонильную или тиокарбонильную функциональные группы, так что в образование входит оксо-системы и тио-системы, такие как лактамы, лактоны, циклические имиды, циклические тиоимиды и циклические карбаматы. Если кольца состоят из двух и более колец, они могут быть объединены вместе посредством конденсации, мостика или спиросоединения. В контексте настоящего документа термин «конденсированный» относится к двум кольцам, у которых два атома и одна связь являются общими. В настоящем документе термин «мостиковый гетероциклил» или «мостиковый гетероалициклил» относится к соединениям, в которых гетероциклил или гетероалициклил содержит связь между одним или более атомами, соединяющую несмежные атомы. В настоящем документе термин «спиро» относится к двум кольцам, имеющим один общий атом, и эти два кольца не соединены мостиком. Гетероциклильные и гетероалициклильные группы могут содержать от 3 до 30 атомов в кольце (-ах), от 3 до 20 атомов в кольце (-ах), от 3 до 10 атомов в кольце (-ах), от 3 до 8 атомов в кольце (-ах) или от 3 до 6 атомов в кольце (-ах). Например, пять атомов углерода и один гетероатом; четыре атома углерода и два гетероатома; три атома углерода и три гетероатома; четыре атома углерода и один гетероатом; три атома углерода и два гетероатома; два атома углерода и три гетероатома; один атом углерода и четыре гетероатома; три атома углерода и один гетероатом; или два атома углерода и один гетероатом. Кроме того, любые азоты в гетероцикле могут быть кватернизированы. Гетероциклильные или гетероалициклические группы могут быть замещенными или незамещенными. Примеры таких гетероциклильных или гетероалициклильных групп включают, без ограничений, 1,3-диоксин, 1,3-диоксан, 1,4-диоксан, 1,2-диоксолан, 1,3-диоксолан, 1,4-диоксолан, 1,3-оксатиан, 1,4-оксатиин, 1,3-оксатиолан, 1,3-дитиол, 1,3-дитиолан, 1,4-оксатиан, тетрагидро-1,4-тиазин, 2Н-1,2-оксазин, малеимид, сукцинимид, барбитуровую кислоту, тиобарбитуровую кислоту, диоксопиперазин, гидантоин, дигидроурацил, триоксан, гексагидро-1,3,5-триазин, имидазолин, имидазолидин, изоксазолин, изоксазолидин, оксазолин, оксазолидин, оксазолидинон, тиазолин, тиазолидин, морфолин, оксиран, пиперидин N-оксид, пиперидин, пиперазин, пирролидин, азепан, пирролидон, пирролидион, 4-пиперидон, пиразолин, пиразолидин, 2-оксопирролидин, тетрагидропиран, 4Н-пиран, тетрагидротиопиран, тиаморфолин, сульфоксид тиаморфолина, сульфон тиаморфолина и их бензоконденсированные аналоги (например, бензимидазолидинон, тетрагидрохинолин и/или 3,4-метилендиоксифенил). К примерам спиро-гетероциклильных групп относятся 2-азаспиро[3.3]-гептан, 2-оксаспиро[3.3]гептан, 2-окса-6-азаспиро[3.3]гептан, 2,6-диазаспиро-[3.3]гептан, 2-оксаспиро[3.4]октан и 2-азаспиро [3.4] октан.
[0024] Используемые в настоящем документе термины «аралкил» и «арил(алкил)» относятся к арильной группе, присоединенной как заместитель посредством низшей алкиленовой группы. Низшая алкиленовая и арильная группа аралкила могут быть замещенными или незамещенными. Примеры включают в себя без ограничений бензил, 2-фенилалкил, 3-фенилалкил и нафтилалкил.
[0025] Используемые в настоящем документе термины «гетероаралкил» и «гетероарил(алкил)» относятся к гетероарильной группе, присоединенной как заместитель посредством низшей алкиленовой группы. Низшая алкиленовая и гетероарильная группа гетероалкила могут быть замещенными или незамещенными. К примерам относятся, без ограничений, 2-тиенилалкил, 3-тиенилалкил, фурилалкил, тиенилалкил, пирролилалкил, пиридилалкил, изоксазолилалкил и имидазолилалкил и их бензоконденсированные аналоги.
[0026] «Гетероалициклил(алкил)» и «гетероциклил(алкил)» относятся к гетероциклической или гетероалициклической группе, присоединенной в качестве заместителя посредством низшей алкиленовой группы. Низшая алкиленовая группа и гетероциклил (гетероалициклил)алкила могут быть замещенными или незамещенными. Примеры включают в себя, без ограничений, тетрагидро-2Н-пиран-4-ил(метил), пиперидин-4-ил(этил), пиперидин-4-ил(пропил), тетрагидро-2Н-тиопиран-4-ил(метил) и 1,3-тиазинан-4-ил(метил).
[0027] В настоящем документе термин «низшие алкиленовые группы» означает неразветвленные -СН2- прикрепляющие группы,
формирующие связи для присоединения молекулярных фрагментов посредством терминальных атомов углерода. Примеры включают в себя, без ограничений, метилен (-СН2-), этилен (-СН2СН2-), пропилен (-СН2СН2СН2-) и бутилен (-СН2СН2СН2СН2-). Низшая алкиленовая группа может быть замещенной в результате замены одного или более атомов водорода низшей алкиленовой группы и/или замены обоих атомов водорода у одного атома углерода с помощью циклоалкильной группы (например, 
[0028] При использовании в настоящем документе термин «гидрокси» относится к группе -ОН.
[0029] В настоящем документе термин «алкокси» относится к формуле -OR, где R представляет собой алкил, алкенил, алкинил, циклоалкил, циклоалкенил, арил, гетероарил, гетероциклил, циклоалкил(алкил), арил(алкил), гетероарил(алкил) или гетероциклил(алкил), как определено в настоящем документе. Не имеющий ограничительного характера перечень алкокси представляет собой метокси, этокси, н-пропокси, 1-метилэтокси (изопропокси), н-бутокси, изо-бутокси, втор-бутокси, трет-бутокси, фенокси и бензокси. Алкокси может быть замещенным или незамещенным.
[0030] Используемый в настоящем документе термин «ацил» относится к водороду, алкилу, алкенилу, алкинилу, арилу, гетероарилу, гетероциклилу, арил(алкилу), гетероарил(алкилу) и гетероциклил(алкилу), соединенным в качестве заместителей посредством карбонильной группы. Примеры включают формил, ацетил, пропаноил, бензоил и акрил. Ацил может быть замещенным или незамещенным.
[0031] «Циано» группа относится к группе -CN.
[0032] В контексте настоящего документа термин «атом галогена» или «галоген» означает любой из радиостабильных атомов колонки 7 периодической таблицы элементов, такой как фтор, хлор, бром и йод.
[0033] «Тиокарбонильная» группа относится к группе -C(=S)R, в которой R может быть таким же, как определено по отношению к О-карбокси. Тиокарбонил может быть замещенным или незамещенным.
[0034] «О-карбамильная» группа относится к группе «-OC(=О)N(RARB)», в которой RA и RB могут независимо представлять собой водород, алкил, алкенил, алкинил, циклоалкил, циклоалкенил, арил, гетероарил, гетероциклил, циклоалкил(алкил), арил(алкил), гетероарил(алкил) или гетероциклил(алкил). О-карбамил может быть замещенным или незамещенным.
[0035] «N-карбамильная» группа относится к группе «ROC(=O)N(RA)-», в которой R и RA могут независимо представлять собой водород, алкил, алкенил, алкинил, циклоалкил, циклоалкенил, арил, гетероарил, гетероциклил, циклоалкил(алкил), арил(алкил), гетероарил(алкил) или гетероциклил(алкил). N-карбамил может быть замещенным или незамещенным.
[0036] «О-тиокарбамильная» группа относится к группе «-OC(=S)-N(RARB)», где RA и RB могут представлять независимо собой водород, алкил, алкенил, алкинил, циклоалкил, циклоалкенил, арил, гетероарил, гетероциклил, циклоалкил(алкил), арил(алкил), гетероарил(алкил) или гетероциклил(алкил). О-тиокарбамил может быть замещенным или незамещенным.
[0037] «N-тиокарбамильная» группа относится к группе «ROC(=S)N(RA)-», в которой R и RA могут независимо представлять собой водород, алкил, алкенил, алкинил, циклоалкил, циклоалкенил, арил, гетероарил, гетероциклил, циклоалкил(алкил), арил(алкил), гетероарил(алкил) или гетероциклил(алкил). N-тиокарбамил может быть замещенным или незамещенным.
[0038] «С-амидо» группа относится к группе «-C(=O)N(RARB)», в которой RA и RB могут независимо представлять собой водород, алкил, алкенил, алкинил, циклоалкил, циклоалкенил, арил, гетероарил, гетероциклил, циклоалкил(алкил), арил(алкил), гетероарил(алкил) или гетероциклил(алкил). С-амидо может быть замещенным или незамещенным.
[0039] «N-амидо» группа относится к группе «RC(=O)N(RA)-», в которой R и RA могут независимо представлять собой водород, алкил, алкенил, алкинил, циклоалкил, циклоалкенил, арил, гетероарил, гетероциклил, циклоалкил(алкил), арил(алкил), гетероарил(алкил) или гетероциклил(алкил). N-амидо может быть замещенным или незамещенным.
[0040] «S-сульфонамидо» группа относится к группе «-SO2N(RARB)», в которой RA и RB могут независимо представлять собой водород, алкил, алкенил, алкинил, циклоалкил, циклоалкенил, арил, гетероарил, гетероциклил, циклоалкил(алкил), арил(алкил), гетероарил(алкил) или гетероциклил(алкил). S-сульфонамидо может быть замещенным или незамещенным.
[0041] «N-сульфонамидо» группа относится к группе «RSO2N(RA)-», в которой R и RA могут независимо представлять собой водород, алкил, алкенил, алкинил, циклоалкил, циклоалкенил, арил, гетероарил, гетероциклил, циклоалкил(алкил), арил(алкил), гетероарил(алкил) или гетероциклил(алкил). N-сульфонамидо может быть замещенным или незамещенным.
[0042] «О-карбокси» группа относится к группе «RC(=О)О-», в которой R может представлять собой водород, алкил, алкенил, алкинил, циклоалкил, циклоалкенил, арил, гетероарил, гетероциклил, циклоалкил(алкил), арил(алкил), гетероарил(алкил) или гетероциклил(алкил), как определено в настоящем документе. О-карбокси может быть замещенным или незамещенным.
[0043] Термины «сложный эфир» и «С-карбокси» относятся к группе «-C(=О)OR», в которой R может быть таким же, как определено по отношению к О-карбокси. Сложный эфир и С-карбокси могут быть замещенными или незамещенными.
[0044] «Нитро» группой называется группа «-NO2».
[0045] «Сульфенильная» группа относится к группе «-SR», в которой R может представлять собой водород, алкил, алкенил, алкинил, циклоалкил, циклоалкенил, арил, гетероарил, гетероциклил, циклоалкил(алкил), арил(алкил), гетероарил(алкил) или гетероциклил(алкил). Сульфенил может быть замещенным или незамещенным.
[0046] «Сульфинильная» группа относится к группе «-S(=О)-R», в которой R может быть таким же, как определено по отношению к сульфенилу. Сульфинил может быть замещенным или незамещенным.
[0047] «Сульфонильная» группа относится к группе «SO2R», в которой R может быть таким же, как определено по отношению к сульфенилу. Сульфонил может быть замещенным или незамещенным.
[0048] Используемый в настоящем документе термин «галогеналкил» относится к алкильной группе, в которой один или более атомов водорода замещены галогеном (например, моногалогеналкил, дигалогеналкил, тригалогеналкил и полигалогеналкил). Такие группы включают, без ограничений, хлорметил, фторметил, дифторметил, трифторметил, 1-хлор-2-фторметил, 2-фторизобутил и пентафторэтил. Галогеналкил может быть замещенным или незамещенным.
[0049] Используемый в настоящем документе термин «галогеналкокси» относится к алкокси-группе, в которой один или более атомов водорода замещены галогеном (например, моногалогеналкокси, дигалогеналкокси и тригалогеналкокси). Такие группы включают в себя, без ограничений, хлорметокси, фторметокси, дифторметокси, трифторметокси, 1-хлор-2-фторметокси и 2-фторизобутокси. Галогеналкокси может быть замещенным или незамещенным.
[0050] При использовании в настоящем документе термин «амино» относится к группе -NH2.
[0051] «Монозамещенная амино» группа означает группу «-NHRA», в которой RA может представлять собой алкил, алкенил, алкинил, циклоалкил, циклоалкенил, арил, гетероарил, гетероциклил, циклоалкил(алкил), арил(алкил), гетероарил(алкил) или гетероциклил(алкил), как определено в настоящем документе.
Группа RA может быть замещенной или незамещенной. К примерам монозамещенных аминогрупп относятся, без ограничений, -NH(метил), NH(фенил) и т.п.
[0052] «Дизамещенная амино» группа означает группу «-NRARB», в которой RA и RB могут независимо представлять собой алкил, алкенил, алкинил, циклоалкил, циклоалкенил, арил, гетероарил, гетероциклил, циклоалкил(алкил), арил(алкил), гетероарил(алкил) или гетероциклил(алкил), как определено в настоящем документе. RA и RB могут независимо быть замещенными или незамещенными. К примерам дизамещенных аминогрупп относятся, без ограничений, -NH(метил)2, -N(фенил)(метил), -N(этил)(метил) и т.п.
[0053] Используемый в настоящем документе термин «амино(алкило)» группа относится к радикалу (алкилен)-NR'R'', в котором R' и R'' независимо представляют собой водород или алкил, как определено в данном документе. Амин(алкил) может быть замещенным или незамещенным. Примеры амино(алкило) групп включают, без ограничений, -CH2NH(метил), -CH2NH(фенил), -CH2CH2NH(метил), -CH2CH2NH(фенил), -CH2N(метил)2, -CH2N(фенил)(метил), -NCH2(этил)(метил), -CH2CH2N(метил)2, -CH2CH2N(фенил)(метил), -NCH2CH2(этил)(метил) и т.п.
[0054] Там, где число заместителей не указано (например, галогеналкил), может присутствовать один или более заместителей. Например, «галогеналкил» может включать один или более одинаковых или разных галогенов. В качестве другого примера «C1-С3 алкоксифенил» может включать одну или более одинаковых или разных алкоксигрупп, содержащих один, два или три атома.
[0055] Используемый в настоящем документе термин «радикал» означает соединение с одним неспаренным электроном с обеспечением возможности ковалентной связи соединений, содержащих радикал, с другими соединениями. Таким образом, в данном контексте «радикал» не обязательно является свободным радикалом. Вместо этого «радикал» означает конкретную часть более крупной молекулы. Термин «радикал» можно использовать взаимозаменяемо с термином «группа».
[0056] Термин «фармацевтически приемлемая соль» относится к соли соединения, которая не вызывает значимого раздражения в организме, в который ее вводят, и не подавляет биологическое действие и свойства соединения. В некоторых вариантах осуществления соль представляет собой соль присоединения кислоты соединения. Фармацевтические соли можно получать в результате взаимодействия соединения с неорганическими кислотами, такими как галоген-водородные кислоты (например, хлористоводородная кислота или бромистоводородная кислота), серная кислота, азотная кислота и фосфорная кислота (такая как 2,3-дигидроксипропилдигидрофосфат). Фармацевтические соли можно также получать в результате взаимодействия соединения с органической кислотой, например алифатической или ароматической карбоновой или сульфоновой кислотой, например муравьиной, уксусной, янтарной, молочной, яблочной, винной, лимонной, аскорбиновой, никотиновой, метансульфоновой, этансульфоновой, п-толуолсульфоновой, трифторуксусной (TFA), бензойной, салициловой, 2-оксопентандиоевой или нафталинсульфоновой кислотой. Фармацевтические соли можно также получать в результате взаимодействия соединения с основанием с образованием соли, такой как соль аммония, соль щелочного металла, например натриевая соль, калиевая соль или литиевая соль, соль щелочноземельного металла, например кальциевая или магниевая соль, карбонатная соль, бикарбонатная соль, соль органических оснований, такая как дициклогексиламин, N-метил-D-глюкамин, трис(гидроксиметил)метиламин, С1-С7 алкиламин, циклогексиламин, триэтаноламин, этилендиамин, и солей аминокислот, таких как аргинин и лизин. Специалистам в данной области будет понятно, что при образовании соли посредством протонирования азотсодержащей группы (например, NH2) азотсодержащая группа может быть соотнесена с положительным зарядом (например, NH2 может стать NH3+), а положительный заряд может быть уравновешен отрицательно заряженным противоионом (таким как Cl-).
[0057] Следует понимать, что в любом описанном в настоящем документе соединении, имеющем один или более хиральных центров, каждый центр может независимо иметь R-конфигурацию, или S-конфигурацию, или их смесь, если абсолютная стехиометрия не указана явным образом. Следовательно, предложенные в настоящем документе соединения могут быть энантиомерно чистыми, энантиомерно обогащенными, могут представлять собой рацемическую смесь, могут быть диастереоизомерно чистыми, диастереоизомерно обогащенными или могут представлять собой стереоизомерическую смесь. Кроме того, следует понимать, что в любом описанном в настоящем документе соединении, имеющем одну или более двойных связей, создающих геометрические изомеры, которые могут быть обозначены как Е или Z, каждая двойная связь может независимо представлять собой Е или Z или их смесь. Аналогично следует понимать, что в любом описанном соединении также предполагается включение всех таутомерных форм.
[0058] Следует понимать, что при наличии незаполненных валентностей в описанных в настоящем документе соединениях эти валентности следует заполнять атомами водорода или его изотопами, например, водородом-1 (протаем) и водородом-2 (дейтерием).
[0059] Следует понимать, что соединения, описанные в настоящем документе, могут быть изотопно-мечеными. Замена изотопами, такими как дейтерий, может обеспечивать определенные преимущества при лечении благодаря большей метаболической стабильности, такие как, например, повышенный период полужизни in vivo или потребность в меньшей дозе. Каждый химический элемент, представленный в структуре соединения, может включать любой изотоп указанного элемента. Например, в структуре соединения может быть явно описан атом водорода или его присутствие в структуре соединения может подразумеваться. В любом месте соединения, в котором может присутствовать атом водорода, атом водорода может представлять собой любой изотоп водорода, включая, без ограничений, водород-1 (протай) и водород-2 (дейтерий). Следовательно, в настоящем документе ссылка на соединение охватывает все потенциальные изотопные формы, если из контекста явным образом не следует иное.
[0060] Следует понимать, что способы и комбинации, описанные в настоящем документе, включают кристаллические формы (также известные как полиморфы, к которым относятся различные кристаллические способы упаковки одного и того же элементного состава соединения), аморфные фазы, соли, сольваты и гидраты. В некоторых вариантах осуществления соединения, описанные в настоящем документе, существуют в сольватированных формах с фармацевтически приемлемыми растворителями, такими как вода, этанол или т.п.В других вариантах осуществления соединения, описанные в настоящем документе, существуют в несольватированной форме. Сольваты содержат стехиометрические или нестехиометрические количества растворителя и могут быть образованы в ходе процесса кристаллизации с фармацевтически приемлемыми растворителями, такими как вода, этанол или т.п. Гидраты образуются, когда растворителем является вода, а алкоголяты образуются, когда растворителем является спирт. Кроме того, предложенные в настоящем документе соединения могут существовать в несольватированных и сольватированных формах. В целом сольватированные формы для целей предложенных соединений и способов считаются эквивалентными несольватированным формам.
[0061] Если предложен диапазон значений, следует понимать, что в варианты осуществления включены верхний и нижний пределы, а также любое промежуточное значение между верхним и нижним пределами.
[0062] Использованные в настоящей заявке термины и фразы, а также их вариации, в особенности в прилагаемой формуле изобретения, если явным образом не указано иное, следует считать не ограничивающими, а не имеющими ограничительного характера. В качестве примеров вышеупомянутого термин «включающий» следует считать «включающим, без ограничений», «включающим, но не ограниченным» или т.п.; при использовании в настоящем документе термин «содержащий» представляет собой синоним терминов «включая», «включающий» или «характеризуется» и является включающим или не имеющим ограничительного характера, и не исключает дополнительные неуказанные элементы или стадии способа; термин «имеющий» следует интерпретировать как «имеющий по меньшей мере»; термин «включает» следует интерпретировать как «включает, без ограничений»; термин «пример» используют для предоставления примеров реализации элемента описания, но не исчерпывающего или ограничивающего их перечня; и использование таких терминов, как «предпочтительно», «предпочтительный», «желаемый» или «желательный», а также аналогичных по смыслу слов не следует понимать как предположение о том, что определенные признаки критичны, существенны или даже важны для структуры или функции, но предполагается, что они подчеркивают альтернативные или дополнительные признаки, которые можно использовать или не использовать в конкретном варианте осуществления. Кроме того, термин «содержащий» следует интерпретировать как синоним фраз «имеющий по меньшей мере» или «включающий по меньшей мере». В контексте соединения, композиции или устройства термин «содержащий» означает, что соединение, композиция или устройство включает по меньшей мере перечисленные признаки или компоненты, но может включать дополнительные признаки или компоненты.
[0063] В отношении применения по существу любых вариантов множественного и/или единственного числа для терминов в настоящем документе специалисты в данной области могут изменять множественное число на единственное и/или единственное число на множественное в соответствии с требованиями контекста и/или применения. В настоящем документе различные комбинации единственного/множественного числа для ясности могут быть указаны явным образом. Употребление единственного числа не исключает множественности. Простой факт указания определенных показателей во взаимно отличающихся зависимых пунктах формулы изобретения не обозначает, что нельзя при необходимости комбинировать эти показатели. Любые ссылочные обозначения в формуле изобретения не должны считаться ограничивающими объем.
Соединения
[0064] Некоторые варианты осуществления, раскрытые в данном документе, относятся к применению комбинации соединений для лечения заболевания или состояния, причем комбинация может включать эффективное количество соединения (А) или его фармацевтически приемлемой соли и эффективное количество одного или более соединений (В) или его фармацевтически приемлемой соли, причем соединение (А) имеет следующую структуру:
где: R1 может быть выбран из водорода, галогена и замещенного или незамещенного C1-C6 алкила; кольцо А может быть выбрано из замещенного или незамещенного фенила и замещенного или незамещенного 5 6-членного моноциклического гетероарила; кольцо В может быть выбрано из замещенного или незамещенного моноциклического 5-7-членного карбоциклила и замещенного или незамещенного 5-7-членного моноциклического гетероциклила; R2 может быть выбран из
m может быть равно 0, 1, 2 или 3; R3 может быть выбран из галогена и замещенного или незамещенного C1-C6 алкила; X может быть выбран из водорода, галогена, гидрокси, циано, замещенного или незамещенного 4-6-членного моноциклического гетероциклила, замещенного или незамещенного амин(С1-С6 алкила), замещенного или незамещенного -NH-(CH2)1-6-амина, монозамещенного амина, дизамещенного амина, амино, замещенного или незамещенного C1-С6 алкила, замещенного или незамещенного C1-С6 алкокси, замещенного или незамещенного Сз-С6 циклоалкокси, замещенного или незамещенного (C1-C6 алкил)ацила, замещенного или незамещенного С-амидо, замещенного или незамещенного N-амидо, замещенного или незамещенного С-карбокси, замещенного или незамещенного О-карбокси, замещенного или незамещенного О-карбамила и замещенного или незамещенного N-карбамила; Y может представлять собой СН или N; Y1 может представлять собой CR4A или N; Y2 может представлять собой CR4B или N; кольцо С может быть выбрано из замещенного или незамещенного С6-С10 арила, замещенного или незамещенного моноциклического 5 10-членного гетероарила, замещенного или незамещенного моноциклического 5-7-членного карбоциклила, замещенного или незамещенного 5-7-членного моноциклического гетероциклила и замещенного или незамещенного 7-10-членного бициклического гетероциклила; R4A и R4B могут быть независимо выбраны из водорода, галогена и незамещенного C1-4 алкила; и R5 может представлять собой замещенный или незамещенный 5-7-членный моноциклический гетероциклил; и одно или более соединений (В) могут представлять собой ингибитор Bcl-2 или его фармацевтически приемлемую соль;
[0065] В некоторых вариантах R1 может быть выбран из водорода, галогена и замещенного или незамещенного С1-С6алкила; В некоторых вариантах осуществления кольцо А может быть выбрано из замещенного или незамещенного фенила и замещенного или незамещенного 5-6-членного моноциклического гетероарила. В некоторых вариантах осуществления кольцо В может быть выбрано из замещенного или незамещенного моноциклического 5-7-членного карбоциклила и замещенного или незамещенного 5-7-членного моноциклического гетероциклила. В некоторых вариантах осуществления R2 может быть выбран из
В некоторых вариантах осуществления m может быть равно 0, 1, 2 или 3. В некоторых вариантах R3 может быть выбран из галогена и замещенного или незамещенного C1-С6алкила; В некоторых вариантах осуществления X может быть выбран из водорода, галогена, гидрокси, циано, замещенного или незамещенного 4-6-членного моноциклического гетероциклила, замещенного или незамещенного амин(С1-С6 алкила), замещенного или незамещенного -NH-(CH2)1-6-амина, монозамещенного амина, дизамещенного амина, амино, замещенного или незамещенного C1-С6 алкила, замещенного или незамещенного C1-С6 алкокси, замещенного или незамещенного С3-С6 циклоалкокси, замещенного или незамещенного (C1-C6 алкил)ацила, замещенного или незамещенного С-амидо, замещенного или незамещенного N-амидо, замещенного или незамещенного С-карбокси, замещенного или незамещенного О-карбокси, замещенного или незамещенного О-карбамила и замещенного или незамещенного N-карбамила; В некоторых вариантах осуществления Y может представлять собой СН или N. В некоторых вариантах осуществления Y1 может представлять собой CR4A-a или N. В некоторых вариантах осуществления Y2 может представлять собой CR4B или N. В некоторых вариантах осуществления кольцо С может быть выбрано из группы, состоящей из замещенного или незамещенного С6-С10 арила, замещенного или незамещенного моноциклического 5-10-членного гетероарила, замещенного или незамещенного моноциклического 5-7-членного карбоциклила, замещенного или незамещенного 5-7-членного моноциклического гетероциклила и замещенного или незамещенного 710-членного бициклического гетероциклила. В некоторых вариантах осуществления R4A и R4B независимо выбраны из водорода, галогена и незамещенного C1-4 алкила.
[0066] В некоторых вариантах осуществления R1 может быть выбран из водорода, галогена и C1-C6 алкила. В некоторых вариантах осуществления R1 может быть выбран из водорода, галогена и C1-C6 алкила. В некоторых вариантах осуществления R1 может представлять собой водород. В других вариантах осуществления R1 может представлять собой галоген. В некоторых вариантах осуществления R1 может представлять собой фтор. В некоторых других вариантах осуществления R1 может представлять собой незамещенный C1-С6 алкил (такой как метил, этил, н-пропил, изопропил, н-бутил, изобутил, втор-бутил, трет-бутил, пентил (линейный или разветвленный) или гексил (линейный или разветвленный). В некоторых вариантах осуществления R1 может представлять собой незамещенный метил. В некоторых вариантах осуществления R1 может представлять собой замещенный C1-C6 алкил, такой как алкилы, описанные в настоящем документе. В некоторых вариантах осуществления R1 может представлять собой незамещенный C1-С6 галогеналкил (такой как C1-C6 фторалкил, C1-C6 хлоралкил или C1-С6 хлорфторалкил). В некоторых вариантах осуществления R1 может представлять собой -CHF2, -CF3, -CF2CH3 или -CH2CF3. B некоторых вариантах осуществления R1 может представлять собой -CHF2, -CF3, -CF2CH3 или -CH2CF3.
[0067] В некоторых вариантах осуществления кольцо А может быть выбрано из замещенного или незамещенного фенила и замещенного или незамещенного 5 6-членного моноциклического гетероарила.
[0068] В некоторых вариантах осуществления кольцо А может представлять собой замещенный фенил. В других вариантах осуществления кольцо А может представлять собой незамещенный фенил.
[0069] В некоторых вариантах осуществления кольцо А может представлять собой замещенный 5 6-членный моноциклический гетероарил. В некоторых вариантах осуществления кольцо А может представлять собой незамещенный 5 6-членный моноциклический гетероарил. В некоторых вариантах осуществления кольцо А может быть выбрано из замещенного или незамещенного пиррола, замещенного или незамещенного фурана, замещенного или незамещенного тиофена, замещенного или незамещенного имидазола, замещенного или незамещенного пиразола, замещенного или незамещенного оксазола, замещенного или незамещенного тиазола, замещенного или незамещенного пиридина, замещенного или незамещенного пиразина, замещенного или незамещенного пиримидина и замещенного или незамещенного пиридазина.
[0070] В случае замещения кольцо А может быть замещено одним или более заместителями, выбранными из галогена, незамещенного С1-С4 галогеналкила и незамещенного С1-С4 алкила. В некоторых вариантах осуществления кольцо А монозамещено галогеном (например, фтором).
[0071] В некоторых вариантах осуществления
может быть выбран из:
причем каждая из указанных выше групп замещена или не замещена. В некоторых вариантах осуществления
может представлять собой замещенный или незамещенный
В некоторых вариантах осуществления
может быть замещенным или незамещенным
в котором кольцо А является незамещенным. В других вариантах осуществления
может быть выбран из замещенного или незамещенного
замещенного или незамещенного
и замещенного или незамещенного
Как описано в настоящем документе, часть кольца А в
может быть незамещенной.
[0072] В некоторых вариантах осуществления кольцо В может быть выбрано из замещенного или незамещенного моноциклического 5-7-членного карбоциклила и замещенного или незамещенного 5 7-членного моноциклического гетероциклила.
[0073] В некоторых вариантах осуществления кольцо В может представлять собой замещенный или незамещенный моноциклический 5-7-членный карбоциклил. В некоторых вариантах осуществления кольцо В может представлять собой замещенный или незамещенный моноциклический 5-членный карбоциклил. В других вариантах осуществления кольцо В может представлять собой замещенный или незамещенный моноциклический 6-членный карбоциклил. Тем не менее в других вариантах осуществления кольцо В может представлять собой замещенный или незамещенный моноциклический 7-членный карбоциклил.
[0074] В некоторых вариантах осуществления
может быть выбран из:
причем каждая из указанных выше групп замещена или не замещена.
[0075] В некоторых вариантах осуществления кольцо В может представлять собой замещенный или незамещенный моноциклический 5-7-членный гетероциклил. В некоторых вариантах осуществления кольцо В может представлять собой замещенный или незамещенный моноциклический 5 членный гетероциклил. В других вариантах осуществления кольцо В может представлять собой замещенный или незамещенный моноциклический 6 членный гетероциклил. Тем не менее в других вариантах осуществления кольцо В может представлять собой замещенный или незамещенный моноциклический 7 членный гетероциклил.
[0076] В некоторых вариантах осуществления
может быть выбран из:
причем каждая из указанных выше групп замещена или не замещена, включая любую группу -NH.
[0077] В некоторых вариантах осуществления кольцо В может быть выбрано из
причем каждая из указанных выше групп замещена или не замещена, включая любую группу -NH. В некоторых вариантах осуществления кольцо В может представлять собой замещенный или незамещенный 
[0078] В некоторых вариантах осуществления, когда кольцо В замещено, кольцо В может быть замещено 1, 2 или 3 заместителями, независимо выбранными из галогена, гидрокси, амино, незамещенного N-связанного амидо (например, -NHC(O) C1-C6 алкила), незамещенного C1-С6 галогеналкила (такого, как описаны в настоящем документе) и замещенного или незамещенного C1-C6 алкила (такого, как описаны в настоящем документе). В некоторых вариантах осуществления, когда кольцо В замещено, кольцо В может быть замещено 1, 2 или 3 заместителями, независимо выбранными из галогена, гидрокси, амино, незамещенного N-связанного амидо (например, -NHC(O) C1-C6 алкила) и замещенного или незамещенного C1-C6 алкила (такого, как описаны в настоящем документе). В некоторых вариантах осуществления кольцо В может быть замещено 1, 2 или 3 заместителями, независимо выбранными из фтора, гидрокси, амино, незамещенного -NHC(O) C1-С6 алкила, незамещенного C1-С6 галогеналкила (такого, как описаны в настоящем документе) и незамещенного C1-С6 алкила (такого, как описаны в настоящем документе). В некоторых вариантах осуществления кольцо В может быть замещено 1 или 2 заместителями, независимо выбранными из фтора, гидрокси, -CF3, -CHF2, -CF2CH3, незамещенного метила, незамещенного этила и NHC(O)CH3.
[0079] В некоторых вариантах осуществления
может быть выбран из:
причем каждая из указанных выше групп замещена или не замещена, включая любую группу -NH.
[0080] В некоторых вариантах осуществления
может быть выбран из:
причем каждая из указанных выше групп замещена или не замещена. В некоторых вариантах осуществления
может быть выбран из:
причем каждая из указанных выше групп замещена или не замещена. В некоторых вариантах осуществления
может представлять собой замещенный или незамещенный
В некоторых вариантах осуществления
может представлять собой замещенный или 
[0081] И кольцо А, и кольцо В могут быть замещенными или незамещенными. В некоторых вариантах осуществления кольцо А и кольцо В в
могут быть независимо замещенными или незамещенными. В некоторых вариантах осуществления и кольцо А, и кольцо В в
могут быть незамещенными. В некоторых вариантах осуществления и кольцо А, и кольцо В в
могут быть независимо замещенными. В некоторых вариантах осуществления кольцо А в
может быть замещенным, а кольцо В в
может быть незамещенным. В некоторых вариантах осуществления кольцо А в
может быть незамещенным, а кольцо В в
может быть замещенным. В некоторых вариантах осуществления кольцо А в
может быть незамещенным, а кольцо В в
может быть замещено 1, 2 или 3 заместителями, независимо выбранными из галогена, гидрокси и замещенного или незамещенного C1-С6 алкила (такого, как описаны в настоящем документе). В некоторых вариантах осуществления кольцо А в
может быть незамещенным, а кольцо В в
может быть замещено 1, 2 или 3 заместителями, независимо выбранными из фтора, гидрокси, амино, незамещенного N-связанного амидо (например, -NHC(O)C1-C6 алкила), незамещенного галогеналкила C1-C6 (такого, как описанные в настоящем документе) и незамещенного C1-C6 алкила (такого, как описанные в настоящем документе). В некоторых вариантах осуществления кольцо А в
может быть незамещенным, а кольцо В в
может быть замещено 1 или 2 заместителями, независимо выбранными из фтора, гидрокси, амино, -CF3, -CHF2, -CF2CH3, незамещенного метила, незамещенного этила и -NHC(O)CH3.
[0082] В некоторых вариантах осуществления R2 может быть выбран из
В некоторых вариантах осуществления R2 может представлять собой
В некоторых вариантах осуществления R2 может представлять собой 
[0083] В некоторых вариантах осуществления Y может представлять собой СН или N (азот). В некоторых вариантах осуществления Y может представлять собой СН. В некоторых вариантах осуществления Y может представлять собой N (азот).
[0084] В некоторых вариантах осуществления R3 может быть выбран из галогена и замещенного или незамещенного C1-С6 алкила (такого, как описаны в настоящем документе). В некоторых вариантах осуществления R3 может представлять собой галоген. В некоторых вариантах осуществления R3 может представлять собой замещенный C1-С6 алкил (такой как алкилы, описанные в настоящем документе). В некоторых вариантах осуществления R3 может представлять собой незамещенный C1-С6 алкил (такой как алкилы, описанные в настоящем документе).
[0085] В некоторых вариантах осуществления m может быть равно 0, 1, 2 или 3. В некоторых вариантах осуществления m может быть равно 0. В некоторых вариантах осуществления m может быть равно 1. В некоторых вариантах осуществления m может быть равно 2. В некоторых вариантах осуществления m может быть равно 3. Когда m равно 2 или 3, группы R3 могут быть одинаковыми или отличаться друг от друга.
[0086] В некоторых вариантах осуществления X может быть выбран из водорода, галогена, гидрокси, циано, замещенного или незамещенного 4-6-членного моноциклического гетероциклила, замещенного или незамещенного амин(С1-С6 алкила), замещенного или незамещенного -NH-(CH2)1-6-амина, монозамещенного амина, дизамещенного амина, амино, замещенного или незамещенного C1-C6 алкила (такого, как описаны в настоящем документе), замещенного или незамещенного C1-С6 алкокси (такого как метокси, этокси, н-пропокси, изопропокси, н-бутокси, изобутокси, втор-бутокси, трет-бутокси, пентокси (линейный или разветвленный) или гексокси (линейный или разветвленный), замещенного или незамещенного С3-С6 циклоалкокси (такого как циклопропокси, циклобутокси, ци клопе нтокси или циклогексокси), замещенного или незамещенного (C1-C6 алкил)ацила, замещенного или незамещенного С-амидо, замещенного или незамещенного N-амидо, замещенного или незамещенного С-карбокси, замещенного или незамещенного О-карбокси, замещенного или незамещенного О-карбамила и замещенного или незамещенного N-карбамила.
[0087] В некоторых вариантах осуществления X может представлять собой водород. В других вариантах осуществления X может представлять собой галоген. В некоторых вариантах осуществления X может представлять собой фтор. В некоторых вариантах осуществления X может представлять собой хлор. Тем не менее в других вариантах осуществления X может представлять собой гидрокси. В других вариантах осуществления X может представлять собой циано. В некоторых вариантах осуществления X может представлять собой амино.
[0088] В некоторых вариантах осуществления X может представлять собой незамещенный C1-C6 алкил (такой как алкилы, описанные в настоящем документе). В некоторых вариантах осуществления X может представлять собой незамещенный метил, незамещенный этил или незамещенный изопропил. В некоторых вариантах осуществления X может представлять собой замещенный C1-С6 алкил (такой как алкилы, описанные в настоящем документе). В некоторых вариантах осуществления X может представлять собой незамещенный C1-C6 галогеналкил (такой как C1-С6 фторалкил, C1-С6 хлоралкил или C1-С6 хлорфторалкил). В некоторых вариантах осуществления X может быть выбран из CHF2, -CF3, CF2CH3 и CH2CF3. В некоторых вариантах осуществления X может представлять собой незамещенный C1-C6 гидроксиалкил (такой как C1-C6 моногидроксиалкил или C1-С6 дигидроксиалкил). В некоторых вариантах осуществления X может быть выбран из СН2ОН, -СН2СН2ОН, -СН(ОН)СН3 и -С(ОН)(СН3)2. В некоторых вариантах осуществления X может представлять собой незамещенный C1-C6 цианоалкил (такой как C1-C6 моноцианоалкил или C1-C6 дицианоалкил). В некоторых вариантах осуществления X может быть выбран из
В некоторых вариантах осуществления X может представлять собой незамещенный C1-С6 алкоксиалкил (такой как C1-C6 моноалкоксиалкил или C1-C6 диалкоксиалкил). В некоторых вариантах осуществления X может быть выбран из
В некоторых вариантах осуществления X может представлять собой замещенный C1-С6 алкил, выбранный из

[0089] В некоторых вариантах осуществления X может представлять собой незамещенный C1-C6 алкокси (такой, как описанные в настоящем документе). В некоторых вариантах осуществления X может представлять собой незамещенный метокси, незамещенный этокси или незамещенный изопропокси. В некоторых вариантах осуществления X может представлять собой замещенный C1-С6 алкокси (такой, как описанные в настоящем документе). В некоторых вариантах осуществления X может представлять собой C1-C6 алкокси, замещенный 1, 2 или 3 заместителями, независимо выбранными из галогена, амино, монозамещенного амина (такого как описаны в настоящем документе) и дизамещенного амина (такого как описаны в настоящем документе). В некоторых вариантах осуществления X может представлять собой C1-C6 алкокси, замещенный 1 заместителем, выбранным из галогена, амино, монозамещенного амина (такого как описаны в настоящем документе) и дизамещенного амина (такого как описаны в настоящем документе).
[0090] В некоторых вариантах осуществления X может быть выбран из
[0091] В некоторых вариантах осуществления X может представлять собой замещенный С3-С6 циклоалкокси (такой как описаны в настоящем документе). В некоторых вариантах осуществления X может представлять собой незамещенный С3-С6 циклоалкокси (такой как описаны в настоящем документе).
[0092] В некоторых вариантах осуществления X может представлять собой замещенный (C1-C6 алкил)ацил, такой как замещенный -(СО)-СН3. В некоторых вариантах осуществления X может представлять собой незамещенный (C1-С6 алкил)ацил, такой как незамещенный -(СО)-СН3.
[0093] В некоторых вариантах осуществления X может представлять собой замещенный 4-6-членный моноциклический гетероциклил. В некоторых вариантах осуществления X может представлять собой незамещенный 4-6-членный моноциклический гетероциклил. В некоторых вариантах осуществления X может быть выбран из азетидина, оксетана, диазетидина, азаоксетана, пирролидина, тетрагидрофурана, имидазолина, пиразолидина, пиперидина, тетрагидропирана, пиперазина, морфолина и диоксана; причем каждая из указанных выше групп замещена или не замещена, включая любую группу -NH. В некоторых вариантах осуществления X может быть выбран из
причем каждая из указанных выше групп замещена или не замещена, включая любую группу -NH.
[0094] В некоторых вариантах осуществления X может представлять собой 4-6-членный моноциклический гетероциклил (такой как описаны в настоящем документе), замещенный 1 или 2 заместителями, независимо выбранными из галогена, замещенного или незамещенного C1-С6 алкила (такого как описаны в настоящем документе), монозамещенного амина (такого как описаны в настоящем документе), дизамещенного амина (такого как описаны в настоящем документе), амино, замещенного или незамещенного амин(С1-С6 алкила) и замещенного или незамещенного (C1-С6 алкил)ацила. В некоторых вариантах осуществления X может представлять собой 4-6-членный моноциклический гетероциклил, замещенный 1 или 2 заместителями, независимо выбранными из фтора, незамещенного метила, незамещенного этила, незамещенного изопропила, СН2ОН и -N(СН3)2. В некоторых вариантах осуществления X может быть выбран из

[0095] В некоторых вариантах осуществления X может представлять собой замещенный амин(C1-С6 алкил). В некоторых вариантах осуществления X может представлять собой незамещенный амин(C1-С6 алкил). В некоторых вариантах осуществления X может быть выбран из
причем каждая из указанных выше групп замещена или не замещена, включая любую группу -NH.
[0096] В некоторых вариантах осуществления X может представлять собой замещенный -NH-(CH2)1-6-амин. В некоторых вариантах осуществления X может представлять собой незамещенный -NH-(СН2)1-6-амин. В некоторых вариантах осуществления X может быть выбран из
, причем каждая из указанных выше групп замещена или не замещена, включая любую группу -NH.
[0097] В некоторых вариантах осуществления X может представлять собой монозамещенный амин. В некоторых вариантах осуществления заместитель монозамещенного амина представляет собой незамещенный C1-С6 алкил (такой как описаны в настоящем документе) или незамещенный С3-С6 циклоалкил (такой как циклопропил, циклобутил, циклопентил и циклогексил).
[0098] В некоторых вариантах осуществления X может представлять собой дизамещенный амин. В некоторых вариантах осуществления по меньшей мере два заместителя дизамещенного амина независимо выбраны из незамещенного C1-C6 алкила (такого, как описанные в настоящем документе) и незамещенного С3-С6 циклоалкила (такого, как описанные в настоящем документе).
[0099] В некоторых вариантах осуществления X может быть выбран из 
[0100] В некоторых вариантах осуществления X может представлять собой замещенный или незамещенный С-амидо. В некоторых вариантах осуществления X может представлять собой замещенный или незамещенный N-амидо. В некоторых вариантах осуществления X может представлять собой замещенный или незамещенный С-карбокси. В некоторых вариантах осуществления X может представлять собой замещенный или незамещенный О-карбокси. В некоторых вариантах осуществления X может представлять собой замещенный или незамещенный О-карбамил. В некоторых вариантах осуществления X может представлять собой замещенный или незамещенный N-карбамил. В некоторых вариантах осуществления X может быть монозамещен незамещенным C1-С6 гидроксиалкилом (таким как описаны в настоящем документе).
[0101] В некоторых вариантах осуществления Y1 может представлять собой CR4A или N (азот). В некоторых вариантах осуществления Y1 может представлять собой CR4A. В некоторых вариантах осуществления Y1 может представлять собой N (азот).
[0102] В некоторых вариантах осуществления Y2 может представлять собой CR4B или N (азот). В некоторых вариантах осуществления Y2 может представлять собой CR4B. В некоторых вариантах осуществления Y2 может представлять собой N (азот).
[0103] В некоторых вариантах осуществления каждый из Y1 и Y2 может представлять собой N (азот). В некоторых вариантах осуществления Y1 может представлять собой CR4A, a Y2 может представлять собой CR4B. В некоторых вариантах осуществления Y1 может представлять собой CR4A, a Y2 может представлять собой N (азот). В некоторых вариантах осуществления Y1 может представлять собой N (азот), a Y2 может представлять собой CR4B.
[0104] В некоторых вариантах осуществления R4A может представлять собой водород. В некоторых вариантах осуществления R4A может представлять собой галоген. В некоторых вариантах осуществления R4A может представлять собой незамещенный C1-4 алкил (такой как алкилы, описанные в настоящем документе).
[0105] В некоторых вариантах осуществления R4B может представлять собой водород. В некоторых вариантах осуществления R4B может представлять собой галоген. В некоторых вариантах осуществления R4B может представлять собой незамещенный C1-4 алкил (такой как алкилы, описанные в настоящем документе).
[0106] В некоторых вариантах осуществления каждый из R4A и R4B может представлять собой водород. В некоторых вариантах осуществления каждый из R4A и R4B может представлять собой галоген (при этом галогены могут быть одинаковыми или отличаться друг от друга). В некоторых вариантах осуществления каждый из R4A и R4B может представлять собой незамещенный C1-4 алкил (такой, как описанные в настоящем документе, и при этом C1-4 алкилы могут быть одинаковыми или отличаться друг от друга). В некоторых вариантах осуществления один из R4A и R4B может представлять собой водород, а другой из R4A и R4B может представлять собой галоген. В некоторых вариантах осуществления один из R4A и R4B может представлять собой водород, а другой из R4A и R4B может представлять собой незамещенный C1-4 алкил (такой, как описанные в настоящем документе). В некоторых вариантах осуществления один из R4A и R4B может представлять собой водород, а другой из R4A и R4B может представлять собой незамещенный C1-4 алкил (такой, как описанные в настоящем документе).
[0107] В некоторых вариантах осуществления R2 может представлять собой
Например, R2 может представлять собой
Если R2 представляет собой
в некоторых вариантах осуществления R5 может представлять собой замещенный 5-7-членный моноциклический гетероциклил. В других вариантах осуществления R5 может представлять собой незамещенный 5-7-членный моноциклический гетероциклил. Примеры групп R включают замещенный или незамещенный пиперидинил, замещенный или незамещенный пирролидинил и замещенный или незамещенный азепанил. При замещении группы R5 возможные заместители включают незамещенный C1-4 алкил, галоген, гидрокси и незамещенный C1-4 галогеналкил.
[0108] В некоторых вариантах осуществления кольцо С может быть выбрано из замещенного или незамещенного С6-С10 арила, замещенного или незамещенного моноциклического 5-10-ч ленного гетероарила, замещенного или незамещенного моноциклического 5-7-членного карбоциклила, замещенного или незамещенного 5-7-членного моноциклического гетероциклила и замещенного или незамещенного 7-10-членного бициклического гетероциклила.
[0109] В некоторых вариантах осуществления кольцо С может представлять собой замещенный С6-С10 арил. В некоторых вариантах осуществления кольцо С может представлять собой незамещенный С6-С10 арил. В некоторых вариантах осуществления кольцо С может представлять собой замещенный С6 арил. В некоторых вариантах осуществления кольцо С может представлять собой незамещенный С6 арил.
[0110] В некоторых вариантах осуществления кольцо С может представлять собой замещенный 5-10-членный гетероарил. В некоторых вариантах осуществления кольцо С может представлять собой незамещенный 5-10-членный гетероарил. В некоторых вариантах осуществления кольцо С может представлять собой замещенный 5-6-членный гетероарил. В некоторых вариантах осуществления кольцо С может представлять собой незамещенный 5-6-членный гетероарил. В некоторых вариантах осуществления кольцо С может быть выбрано из фурана, тиофена, пиррола, оксазола, тиазола, имидазола, бензимидазола, индола, пиразола, изоксазола, пиридина, пиридазина, пиримидина, пиразина, пурина, хинолина, изохинолина, хиназолина и хиноксалина; причем каждая из указанных выше групп замещена или не замещена, включая любую группу -NH.
[0111] В некоторых вариантах осуществления кольцо С может представлять собой замещенный или незамещенный моноциклический 5-членный карбоциклил. В некоторых вариантах осуществления кольцо С может представлять собой замещенный или незамещенный моноциклический 6-членный карбоциклил. В некоторых вариантах осуществления кольцо С может представлять собой замещенный или незамещенный моноциклический 7-членный карбоциклил.
[0112] В некоторых вариантах осуществления кольцо С может представлять кольцо С может представлять собой замещенный или незамещенный 5-членный моноциклический гетероциклил. В некоторых вариантах осуществления кольцо С может представлять собой замещенный или незамещенный 6-членный моноциклический гетероциклил. В некоторых вариантах осуществления кольцо С может представлять собой замещенный или незамещенный 7-членный моноциклический гетероциклил. В некоторых вариантах осуществления кольцо С может быть выбрано из имидазолина, имидазолидина, изоксазолина, изоксазолидина, оксазолина, оксазолидина, оксазолидинона, тиазолина, тиазолидина, морфолина, пиперидина, пиперазина, пирролидина, пирролидона, 4-пиперидона, пиразолина, пиразолидина, тетрагидропирана, азепина, оксепина и диазепина; причем каждая из указанных выше групп замещена или не замещена, включая любую группу -NH.
[0113] В некоторых вариантах осуществления кольцо С может представлять собой замещенный или незамещенный 7-членный бициклический гетероциклил (конденсированный, мостиковый или спирогетероциклил). В некоторых вариантах осуществления кольцо С может представлять собой замещенный или незамещенный 8-членный бициклический гетероциклил, такой как конденсированный, мостиковый или спирогетероциклил. В некоторых вариантах осуществления кольцо С может представлять собой замещенный или незамещенный 9-членный бициклический гетероциклил (конденсированный, мостиковый или спирогетероциклил). В некоторых вариантах осуществления кольцо С может представлять собой замещенный или незамещенный 10-членный бициклический гетероциклил, такой как конденсированный, мостиковый или спирогетероциклил. В некоторых вариантах осуществления кольцо С может быть выбрано из пирролизидина, индолина, 1,2,3,4-тетрагидрохинолина, 2-азаспиро [3,3] гептана, 2-оксаспиро[3,3]гептана, 2-окса-6-азаспиро[3,3]гептана, 2,6-диазаспиро[3,3]гептана, 2-оксаспиро[3,4]октана и 2-азаспиро[3,4]октана; причем каждая из указанных выше групп замещена или не замещена, включая любую группу -NH.
[0114] В некоторых вариантах осуществления кольцо С может быть замещено одним или более заместителями, независимо выбранными из незамещенного C1-C6 алкила (как описано в настоящем документе) и незамещенного (C1-С6 алкил)ацила. В некоторых вариантах осуществления кольцо С может быть замещено одним заместителем, выбранным из незамещенного C1-C6 алкила (как описано в настоящем документе) и незамещенного (C1-С6 алкил)ацила.
[0115] В некоторых вариантах осуществления R2 может быть выбран из:
причем каждая из вышеуказанных групп может быть замещенной или незамещенной.
[0116] Неограничивающий список ингибиторов Bcl-2 описан в настоящем документе и включает ингибиторы, представленные на Фиг. 1. Дополнительная информация об ингибиторах Bcl-2, показанных на Фиг. 1, представлена в следующих публикациях: WO 2020/089286, WO 2015/011400, U.S. 2014/0199234, WO 2018/027097, WO 2019/210828, WO 2018/192462, WO 2018/127130 и WO 2018/154004, каждая из которых настоящим включена в качестве ссылки для ограниченной цели описания каждого из соединений, показанных на Фиг. 1.
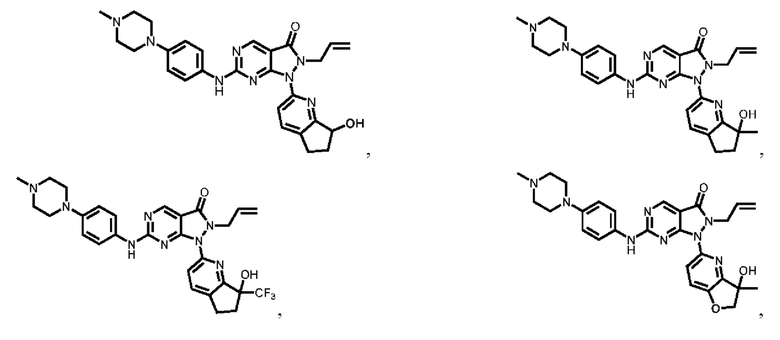
[0117] Примеры соединения (А) включают следующие:
приемлемая соль любого из вышеуказанного.
[0118] Соединение (А) вместе с его фармацевтически приемлемыми солями можно получить в соответствии с описанием в настоящем документе и в WO 2019/173082, которая включена в настоящий документ посредством ссылки во всей своей полноте. Как описано в WO 2019/173082, соединение (А) представляет собой ингибитор WEE1.
[0119] Варианты комбинаций соединения (А) и соединения (В), включая фармацевтически приемлемые соли любого из вышеперечисленных, представлены в таблице 1. Цифры в таблице 1 представляют соединения, представленные на Фиг. 1 и 2. Например, в таблице 1 комбинация, представленная как 3:5А, соответствует комбинации
включая фармацевтически приемлемые соли любого из вышеперечисленных.
[0120] Порядок введения соединений в описанной в данном документе комбинации может варьировать. В некоторых вариантах осуществления соединение (А), включая его фармацевтически приемлемые соли, можно вводить перед введением всего соединения (В) или его фармацевтически приемлемой соли. В других вариантах осуществления соединение (А), включая его фармацевтически приемлемые соли, можно вводить до введения по меньшей мере одного соединения (В) или его фармацевтически приемлемой соли. В других вариантах осуществления соединение (А), включая его фармацевтически приемлемые соли, можно вводить одновременно с соединением (В) или его фармацевтически приемлемой солью. В следующих вариантах осуществления соединение (А), включая его фармацевтически приемлемые соли, можно вводить после введения по меньшей мере одного соединения (В) или его фармацевтически приемлемой соли. В некоторых вариантах осуществления соединение (А), включая его фармацевтически приемлемые соли, можно вводить после введения всего соединения (В) или его фармацевтически приемлемой соли.
[0121] Применение комбинации описанных в данном документе соединений может иметь несколько преимуществ. Например, комбинирование соединений, которые воздействуют на несколько путей одновременно, может быть более эффективным при лечении рака, такого как рак, описанный в настоящем документе, по сравнению с применением комбинированных соединений в качестве монотерапии.
[0122] В некоторых вариантах осуществления комбинация, описанная в настоящем документе для соединения (А), включая его фармацевтически приемлемые соли, и одно или более соединений (В), или их фармацевтически приемлемых солей, могут уменьшать количество и/или тяжесть побочных эффектов, которые могут быть связаны с соединением, описанным в данном документе, таким как соединение (В) или его фармацевтически приемлемой солью.
[0123] Использование комбинации соединений, описанных в настоящем документе, может приводить к аддитивному, синергетическому или значительному синергическому эффекту. Комбинация соединений, описанных в настоящем документе, может приводить к эффекту, который не является антагонистическим.
[0124] В некоторых вариантах осуществления комбинация, описанная в настоящем документе для соединения (А), включая его фармацевтически приемлемые соли, и одно или более соединений (В) или их фармацевтически приемлемых солей могут приводить к аддитивному эффекту. В некоторых вариантах осуществления комбинация, описанная в настоящем документе для соединения (А), включая его фармацевтически приемлемые соли, и одно или более соединений (В) или их фармацевтически приемлемых солей могут приводить к синергическому эффекту. В некоторых вариантах осуществления комбинация, описанная в настоящем документе для соединения (А), включая его фармацевтически приемлемые соли, и одно или более соединений (В) или их фармацевтически приемлемых солей могут приводить к значительному синергическому эффекту. В некоторых вариантах осуществления комбинация, описанная в настоящем документе для соединения (А), включая его фармацевтически приемлемые соли, и одно или более соединений (В) или их фармацевтически приемлемых солей, не являются антагонистическими.
[0125] Используемый в настоящем документе термин «антагонистический» означает, что активность комбинации соединений меньше суммы активности соединений в комбинации, когда активность каждого соединения определяется индивидуально (т.е. в виде единственного соединения). Используемый в настоящем документе термин «синергетический эффект» означает, что активность комбинации соединений превышает сумму отдельных активности соединений в комбинации, когда активность каждого соединения определяется индивидуально. Используемый в настоящем документе термин «аддитивный эффект» означает, что активность комбинации соединений приблизительно равна сумме отдельных активности соединений в комбинации, когда активность каждого соединения определяется индивидуально.
[0126] Потенциальное преимущество использования комбинации, описанной в настоящем документе, может заключаться в уменьшении требуемого количества(количеств) соединения(-ий), которое является эффективным при лечении болезненного состояния, раскрытого в настоящем документе, по сравнению со случаями, когда каждое соединение вводят в виде монотерапии. Например, количество соединения (В) или его фармацевтически приемлемой соли, используемого в комбинации, описанной в настоящем документе, может быть меньше по сравнению с количеством соединения (В) или его фармацевтически приемлемой соли, необходимого для достижения того же снижения маркера заболевания (например, размера опухоли) при введении в виде монотерапии. Другим потенциальным преимуществом использования комбинации, описанной в настоящем документе, является то, что применение двух или более соединений, имеющих различные механизмы действия, может создать более высокий барьер для развития сопротивления по сравнению со случаями, когда соединения вводят в виде монотерапии. Дополнительные преимущества использования комбинации, описанной в данном документе, могут включать в себя практически полное отсутствие перекрестной устойчивости между соединениями комбинации, описанной в настоящем документе; различные способы удаления соединений из комбинации, описанной в настоящем документе; и/или практически не перекрывающаяся токсичность между соединениями комбинации, описанной в настоящем документе.
Фармацевтические композиции
[0127] Соединение (А), включая его фармацевтически приемлемые соли, может быть предоставлено в виде фармацевтической композиции. Аналогично, соединение (В), включая его фармацевтически приемлемые соли, может быть предоставлено в виде фармацевтической композиции.
[0128] Термин «фармацевтическая композиция» относится к смеси одного или более описанных в настоящем документе соединений и/или солей с другими химическими компонентами, такими как разбавители, носители и/или вспомогательные вещества. Фармацевтическая композиция облегчает введение соединения в организм. Фармацевтические композиции можно также получать в результате взаимодействия соединений с неорганическими или органическими кислотами, такими как хлористоводородная кислота, бромистоводородная кислота, серная кислота, азотная кислота, фосфорная кислота, метансульфоновая кислота, этансульфоновая кислота, п-толуолсульфоновая кислота и салициловая кислота. Фармацевтические композиции можно по существу оптимизировать для конкретного предназначенного для них способа введения.
[0129] Используемый в настоящем документе термин «носитель» относится к соединению, которое облегчает включение соединения в клетки или ткани. Например, без ограничений, диметилсульфоксид (ДМСО) представляет собой широко используемый носитель, который облегчает захват многих органических соединений клетками или тканями субъекта.
[0130] Используемый в настоящем документе термин «разбавитель» относится к ингредиенту в фармацевтической композиции, который не имеет значительной фармакологической активности, но может быть фармакологически необходимым или желательным. Например, разбавитель можно использовать для увеличения объема мощного лекарственного средства, масса которого слишком мала для производства и/или введения. Кроме того, это может быть жидкость для растворения лекарственного средства для введения посредством инъекции, проглатывания или ингаляции. Общеупотребительная форма разбавителя в данной области представлена в виде буферизованного водного раствора, такого как, без ограничений, фосфатно-солевой буфер, который имитирует рН и изотоничность человеческой крови.
[0131] Используемый в настоящем документе термин «вспомогательное вещество» относится по существу к инертному веществу, которое добавляют к фармацевтической композиции для обеспечения, без ограничений, объема, консистенции, стабильности, связывающей способности, смазывания, дезинтеграционной способности и т.д. композиции. Например, вспомогательными веществами являются стабилизаторы, такие как антиоксиданты и металло-хелатирующие средства. В варианте осуществления фармацевтическая композиция содержит антиоксидант и/или металло-хелатирующее средство. «Разбавитель» представляет собой тип эксципиента.
[0132] В некоторых вариантах осуществления соединения (В) вместе с их фармацевтически приемлемыми солями могут быть представлены в виде фармацевтической композиции, которая включает соединение (А), в том числе его фармацевтически приемлемые соли. В других вариантах осуществления соединение (В) вместе с его фармацевтически приемлемыми солями можно вводить в составе фармацевтической композиции, которая является отдельной от фармацевтической композиции, содержащей соединение (А), в том числе его фармацевтически приемлемые соли.
[0133] Описанные в настоящем документе фармацевтические композиции можно вводить пациенту-человеку per se или в фармацевтических композициях, в которых они смешаны с другими активными ингредиентами, как при комбинированной терапии, или носителями, разбавителями, эксципиентами или их комбинациями. Надлежащий состав зависит от выбранного способа введения. Специалисту в данной области известны методики составления и введения описанных в настоящем документе соединений.
[0134] Описанные в настоящем документе фармацевтические композиции можно производить способом, который сам по себе известен, например посредством общеупотребительных процессов смешивания, растворения, гранулирования, создания драже, растирания, эмульгирования, инкапсуляции, включения или таблетирования. Кроме того, активные ингредиенты содержатся в количестве, эффективном для достижения предусмотренного для них назначения. Многие из соединений, применяемых в описанных в настоящем документе фармацевтических комбинациях, могут быть обеспечены в виде солей с фармацевтически совместимыми противоионами.
[0135] В данной области техники существует множество способов введения соединения, соли и/или композиции, включая, без ограничений, пероральное, ректальное, легочное, местное, аэрозольное, инъекционное, инфузионное и парентеральное введения, включая внутримышечные, подкожные, внутривенные, интрамедуллярные инъекции, интратекальные, прямые интравентрикулярные, внутрибрюшинные, интраназальные и внутриглазные инъекции. В некоторых вариантах осуществления соединение (А) или его фармацевтически приемлемая соль могут быть введены перорально. В некоторых вариантах осуществления соединение (А), включая его фармацевтически приемлемые соли, можно вводить субъекту тем же путем введения, что и соединение (В) вместе с его фармацевтически приемлемыми солями. В других вариантах осуществления соединение (А), включая его фармацевтически приемлемые соли, можно вводить субъекту путем введения, отличным от пути введения соединения (В), вместе с его фармацевтически приемлемыми солями.
[0136] Можно также вводить соединение, соль и/или композицию местным, а не системным способом, например посредством инъекции или имплантации соединения непосредственно в пораженный участок, часто в виде депо или композиции с замедленным высвобождением. Более того, соединение можно вводить в системе нацеленной доставки лекарственного средства, например в липосоме, покрытой тканеспецифичным антителом. Орган будет целевой мишенью липосом и будет избирательно поглощать их. Например, может быть желательной интраназальная или легочная доставка для лечения респираторного заболевания или состояния.
[0137] Композиции могут при необходимости присутствовать в упаковочном или дозирующем устройстве, которое может содержать одну или более дозированных форм, содержащих активный ингредиент. Упаковка может, например, содержать металлическую фольгу или полимерную пленку, такую как блистерная упаковка. Упаковочное или дозирующее устройство может сопровождаться инструкцией по введению. Упаковочное устройство или диспенсер может также сопровождаться добавленным к контейнеру уведомлением в форме, предписанной правительственным органом, который регулирует производство, применение или продажу фармацевтических препаратов, причем уведомление содержит разрешение органа на применение данной формы лекарственного средства для введения человеку или для ветеринарного применения. Например, такое уведомление может представлять собой маркировку, утвержденную Управлением по надзору за качеством продуктов питания и медикаментов США для лекарственных средств, отпускаемых по рецепту, или утвержденный листок-вкладыш. Композиции, которые могут включать соединение и/или соль, описанные в настоящем документе, составляющие совместимый фармацевтический носитель, могут также быть получены, помещены в подходящий контейнер и маркированы как применимые для лечения указанного состояния.
Применение и способы лечения
[0138] Как предусмотрено в настоящем документе, в некоторых вариантах осуществления комбинацию соединений, которая включает эффективное количество соединения (А), включая его фармацевтически приемлемые соли, и эффективное количество одного или нескольких соединений (В) или его фармацевтически приемлемой соли, можно применять для лечения болезни или состояния.
[0139] Примеры заболеваний или состояний, которые можно лечить с использованием комбинации соединений вместе с фармацевтически приемлемыми солями, включают злокачественные новообразования, рак и синдромы, например, описанные в данном документе. В некоторых вариантах осуществления заболевание или состояние может представлять собой гематологическое злокачественное новообразование. Примеры гематологических злокачественных новообразований включают лейкоз, лимфому или миелому. В некоторых вариантах осуществления гематологическое злокачественное новообразование может быть рефрактерным. В некоторых вариантах осуществления заболевание или состояние может представлять собой лейкемию, включая, помимо прочего, острый миелоидный лейкоз (AML) (включая его подтипы, такие как подтипы AML дикого типа ТР53, AML с мутацией ТР53, рефрактерный AML, острый промиелоцитарный лейкоз, острый базофильный лейкоз и AML, связанный с терапией), хронический лимфолейкоз (CLL) (включая без исключения волосатоклеточный лейкоз и малую лимфоцитарную лимфому), острый лимфобластный лейкоз (ALL) (включая без ограничения спецификацию В-клеток, Т-клеток и ЕТР) и хронический миелоидный лейкоз (CML) (хронический миелогенный лейкоз).
[0140] В некоторых вариантах осуществления заболевание или состояние может представлять собой миелодиспластический синдром. В некоторых вариантах осуществления заболевание или состояние может представлять собой миелопролиферативное новообразование (MPN), такое как истинная полицитемия (PV), миелофиброз (MF) и эссенциальная тромбоцитемия (ЕТ).
[0141] Как описано в настоящем документе, комбинацию соединений, описанных в настоящем документе, можно применять для лечения и/или улучшения состояния при лимфоме. Примеры лимфом включают без ограничения неходжкинскую лимфому (NHL) (включая без ограничения мантийноклеточную лимфому (MCL), диффузную крупноклеточную В-клеточную лимфому (DLBCL), фолликулярную лимфому (FL), лимфому маргинальной зоны (MZL), периферическую Т-клеточную лимфому, кожную Т-клеточную лимфому, NK-лимфому, лимфому Беркитта и макроглобулинемию Вальденстрема). Комбинацию соединений, включающая их фармацевтически приемлемые соли, также можно применять для лечения миеломы. Примеры миеломы, которые можно лечить, включают без ограничения множественную миелому (ММ) (включая без ограничения транс локацию (11;14) и отсутствие транслокации (11; 14)). Как описано в настоящем документе, комбинацию соединений, описанных в настоящем документе, можно применять для лечения и/или улучшения состояния при системном мастоцитозе и бластном плазмацитоидном дендритном клеточном новообразовании.
[0142] Заболевание или состояние, описанное в настоящем документе, может наблюдаться у взрослых или детей. В некоторых вариантах осуществления субъект, страдающий заболеванием или состоянием, например, описанными в настоящем документе, может быть педиатрическим субъектом. В некоторых вариантах осуществления заболевание или состояние может представлять собой гематологическое злокачественное новообразование у детей, например педиатрический AML и/или педиатрический ALL.
[0143] Комбинацию соединений, описанных в настоящем документе, можно применять для лечения и/или улучшения состояния солидной опухоли. Например, в некоторых вариантах осуществления солидная опухоль может быть выбрана из опухоли Юинга и рака Вильмса. Дополнительными примерами солидной опухоли, которую можно лечить с использованием комбинации описанных в настоящем документе соединений, включая их фармацевтически приемлемые соли, являются рак мочевого пузыря, рак головного мозга, рак молочной железы (включая без ограничения ER+рак молочной железы и рак молочной железы с тройным негативным фенотипом), рак шейки матки, хориокарцинома, рак шейки матки, рак толстой кишки, рак эндометрия, рак пищевода, рак желчного пузыря/желчных протоков, рак головы и шеи (включая рак ротовой полости), гепатоцеллюлярный рак, рак легкого (включая немелкоклеточный рак и мелкоклеточный рак легкого), мезотелиому, рак яичников, остеосаркому, рак поджелудочной железы, рак полового члена, рак анального канала, рак предстательной железы, мелкоклеточный рак, рак желудка, рак прямой кишки, рак почечной лоханки/мочеточника, рак кожи, саркому мягких тканей, рак желудка, рак яичка, рак щитовидной железы, рак тела матки и рак шейки и тела матки. В некоторых вариантах осуществления заболевание или состояние может представлять собой рак, экспрессирующий белок BCL-2.
[0144] Используемый в настоящем документе термин «субъект» относится к животному, которое является объектом лечения, наблюдения или эксперимента. К «животным» относятся холоднокровные и теплокровные позвоночные и беспозвоночные, такие как рыбы, моллюски, рептилии, и, в частности, млекопитающие. К «млекопитающим» относятся, без ограничений, мыши, крысы, кролики, морские свинки, собаки, кошки, овцы, козы, коровы, лошади, приматы, такие как обезьяны, шимпанзе и человекообразные обезьяны, и, в частности, люди. В некоторых вариантах осуществления субъект может представлять собой человека. В некоторых вариантах осуществления субъект может представлять собой ребенка и/или младенца, например ребенка или младенца с лихорадкой. В других вариантах осуществления субъект может представлять собой взрослого человека.
[0145] Используемые в настоящем документе термины «лечить», «лечащий», «лечение», «терапевтический» и «терапия» не обязательно означают полное излечение или устранение заболевания или состояния. Любое облегчение любых нежелательных признаков и симптомов заболевания или состояния в любой степени можно рассматривать в качестве лечения и/или терапии. Более того, лечение может включать действия, из-за которых общее самочувствие или внешний вид субъекта могут стать хуже.
[0146] Термин «эффективное количество» используют для обозначения количества активного соединения или фармацевтического средства, вызывающего указанный биологический или медицинский ответ. Например, эффективное количество соединения, соли или композиции может представлять собой количество, необходимое для предотвращения, ослабления или облегчения симптомов заболевания или состояния, или продления жизни пациента, получающего лечение. Такая реакция может происходить в ткани, системе, животном или человеке и включает ослабление признаков или симптомов подлежащего лечению заболевания или состояния. Определение эффективного количества хорошо известно специалистам в данной области в свете представленного в настоящем документе описания. Эффективное количество соединений, описанных в настоящем документе, которое требуется в качестве дозы, будет зависеть от способа введения, вида подвергающегося лечению животного, включая человека, и физических характеристик конкретного рассматриваемого животного. Дозу можно оптимизировать для достижения желательного эффекта, но эта процедура будет зависеть от таких факторов, как вес тела, режим питания, одновременно принимаемые лекарственные препараты и другие факторы, которые будут очевидны специалистам в данной области.
[0147] Например, эффективное количество соединения или облучения представляет собой количество, с помощью которого: (а) уменьшают, облегчают или устраняют один или более симптомов, вызванных раком, (b) уменьшают размер опухоли, (с) уничтожают опухоль и/или (d) долгосрочно стабилизируют заболевание (прекращают рост опухоли).
[0148] Количество соединения, соли и/или композиции, необходимое для лечения, зависит не только от конкретного выбранного соединения или соли, но также от пути введения, природы и/или симптомов заболевания или состояния, подвергаемого лечению, и возраста и состояния пациента, и в конечном итоге остается на усмотрение лечащего врача или клинициста. При введении фармацевтически приемлемой соли дозы можно рассчитывать по свободному основанию. Специалистам в данной области будет понятно, что в определенных ситуациях может потребоваться введение соединений, описанных в настоящем документе, в количествах, которые превышают или даже значительно превышают диапазоны доз, описанных в настоящем документе, для эффективного и агрессивного лечения определенных заболеваний или состояний.
[0149] Специалисту в данной области будет очевидно, что используемая in vivo доза, которую следует вводить, и конкретный способ введения будут различаться в зависимости от возраста, веса, тяжести поражения, вида подвергаемого лечению млекопитающего, конкретных используемых соединений и конкретного варианта применения, в соответствии с которым используют эти соединения. Определение эффективных уровней дозы, т.е. уровней дозы, необходимых для достижения желаемого результата, может быть выполнено специалистом в данной области с применением стандартных способов, например клинических испытаний на людях, in vivo и in vitro исследований. Например, подходящие дозировки соединений (А) и/или (В) или фармацевтически приемлемых солей любого из вышеперечисленных можно определить посредством сравнения их активности in vitro и активности in vivo на животных моделях. Такое сравнение можно осуществить путем сравнения с установленным лекарственным средством, таким как цисплатин и/или гемцитабин).
[0150] Количество и интервал дозы можно корректировать индивидуально для получения уровней активного функционального фрагмента в плазме, которых достаточно для поддержания модуляторных эффектов или минимальной эффективной концентрации (МЭК). МЭК будет варьироваться для каждого соединения, но ее можно оценить по данным in vivo и/или in vitro. Дозы, необходимые для достижения МЭК, будут зависеть от индивидуальных характеристик и способа введения. Однако для определения концентраций в плазме можно применять анализы ВЭЖХ или биоанализы. Интервалы доз можно также определять с применением значения МЭК. Композиции следует вводить с применением режима, при котором уровни в плазме поддерживают выше МЭК в течение 10-90% времени, предпочтительно 30-90%, а наиболее предпочтительно 50-90%. При местном введении или избирательном поглощении эффективная местная концентрация лекарственного средства может не быть связана с концентрацией в плазме.
[0151] Следует отметить, что лечащий врач будет понимать, каким образом и когда следует завершить, прервать или скорректировать введение из-за токсичности или функциональной недостаточности органов. Лечащий врач будет также понимать, каким образом скорректировать лечение в обратном порядке (до более высоких уровней) при несоответствующем клиническом ответе (предотвращение токсичности). Амплитуда дозы введения для контроля интересующего расстройства будет различаться в зависимости от степени тяжести подлежащего лечению заболевания или состояния и способа введения. Тяжесть заболевания или состояния можно, например, частично оценивать посредством стандартных прогностических способов оценки. Дополнительно доза и, возможно, частота введения дозы будут также различаться в зависимости от возраста, веса тела и ответа у отдельного пациента. Программу, сравнимую с описанной выше, можно применять в ветеринарной медицине.
[0152] Эффективность и токсичность описанных в настоящем документе соединений, солей и композиций можно оценивать с применением известных способов. Например, токсикологию конкретного соединения или подмножества соединений, имеющих определенные химические фрагменты, можно устанавливать посредством определения токсичности in vitro по отношению к клеточной линии, такой как клеточная линия млекопитающего, и предпочтительно человеческой клеточной линии. Результаты таких исследований зачастую позволяют спрогнозировать токсичность у животных, например млекопитающих, или более конкретно у человека. В альтернативном варианте осуществления токсичность конкретных соединений на животной модели, например мышах, крысах, кроликах, собаках или обезьянах, можно определять с помощью известных способов. Эффективность конкретного соединения можно устанавливать с применением нескольких общепризнанных способов, например способов in vitro, животных моделей или клинических исследований с участием человека. При выборе модели для определения эффективности специалист в данной области будет руководствоваться последними достижениями в данной области для выбора соответствующей модели, дозы, способа введения и/или режима.
ПРИМЕРЫ
[0153] В следующих примерах более подробно описаны дополнительные варианты осуществления, причем примеры не предназначены для ограничения объема формулы изобретения.
Анализ CTG
[0154] Пролиферацию клеток измеряли с помощью люминесцентного анализа жизнеспособности клеток CellTiter-Glo® Luminescent Cell Viability Assay. Анализ включал добавление единственного реагента (CellTiter-Glo® Reagent) непосредственно к клеткам, культивируемым в среде, обогащенной сывороткой. Клетки DMS-53 (АТСС, CRL-2062) культивировали в соответствии с рекомендациями АТСС и высевали в концентрации 20000 клеток на лунку.
[0155] Каждое анализируемое вещество получали в виде маточного раствора в ДМСО (10 мМ). Соединения испытывали дважды на каждом планшете, используя концентрацию, указанную в таблице 2. Обработку соединением (10,0 мкл) добавляли к клеткам от 10-кратной исходной концентрации каждого соединения. Планшеты инкубировали при 37°С, 5% СО2 в течение 72 часов, а затем уравновешивали при комнатной температуре в течение около 30 минут. В каждую лунку добавляли равнообъемное количество реагента CellTiter-Glo® (100 мкл). Планшеты перемешивали в течение 2 мин. на орбитальном шейкере для индукции лизиса клеток, а затем инкубировали при комнатной температуре в течение 10 мин. для стабилизации люминесцентного сигнала. Люминесценцию регистрировали с помощью сканера для планшетов SpectraMAX М5е в соответствии с протоколом CellTiter-Glo. Процент ингибирования рассчитывали с использованием следующей формулы: % ингибирования = (RLU*100/(RLU клеточного фона). На Фиг. 3 и в таблице 2 показано, что добавление соединения 3 к соединению 1а (в качестве альтернативы называемому «соединение 1А» в описании и на фигурах) приводило к эффективности комбинации.
Модель ксенотрансплантата опухоли
[0156] Клетки MV4-11 культивировали in vitro в среде IMDM с добавлением 10% эмбриональной бычьей сыворотки при 37°С в атмосфере с 5% СО2 в воздухе. Клетки, растущие в фазе экспоненциального роста, собирали и подсчитывали для инокуляции опухоли. Мышам инокулировали клетки MV4-11 подкожно на правый бок моноклеточной суспензией 95% жизнеспособных клеток опухоли (1×107) в 100 мкл LMDM без сыворотки для развития опухоли. Лечение начинали, когда средний размер опухоли достигал приблизительно 230 мм3, при индивидуальном размере опухоли в пределах 200-260 мм3. Животных случайным образом распределяли по группам лечения по 10 животных в каждой и перорально вводили дозы в течение 21 дня следующим образом: носитель в том же объеме, что и лечение одним средством; Соединение 1а в дозе 60 мг/кг, соединение 3 в дозе 25 мг/кг и комбинированное лечение соединением 1а (60 мг/кг) и соединением 3 (25 мг/кг). Объемы опухолей оценивали дважды в неделю, вычисляя изменение объема опухоли с течением времени, и мышей взвешивали дважды в неделю в качестве суррогатного маркера признаков токсичности. Ингибирование роста опухоли (TGI) рассчитывали с использованием следующего уравнения: TGI = (1-(Td - T0)/(Cd - С0)) × 100%. Td и Cd представляют собой средние объемы опухолей обработанных и контрольных животных, а Т0 и С0 представляют собой средние объемы опухолей обработанных и контрольных животных в начале эксперимента. На Фиг. 4 показано, что обработка одним средством соединения 1а в дозе 60 мг/кг приводила к незначительному ингибированию роста опухоли (20%), а обработка одним средством соединения 3 приводила к эффективности около (50%). На Фиг. 4 нижняя линия (квадраты) представляет данные для комбинации соединения 3 (25 мг/кг) и соединения 1а (60 мг/кг) и третьей линии от нижней части (квадраты) представляет данные для соединения 1а (60 мг/кг). Комбинация соединения 3 (25 мг/кг) и соединения 1а (60 мг/кг) продемонстрировала значительный TGI в день 22, демонстрируя, что описанную здесь комбинацию ингибитора Bcl-2 и ингибитора WEE1 можно использовать для лечения заболевания или состояния, описанного в данном документе.
[0157] Более того, хотя вышеизложенное было описано более подробно в качестве иллюстрации и примеров для ясности понимания, специалистам в данной области техники будет очевидно, что многочисленные и различные изменения могут быть реализованы без отклонения от сущности или объема настоящего описания. Таким образом, следует ясно понимать, что формы, описанные в настоящем документе, носят лишь иллюстративный характер, и предполагается, что они не должны ограничивать объем настоящего изобретения, а, напротив, охватывают все модификации и альтернативы в рамках истинного объема и сущности изобретения.
| название | год | авторы | номер документа |
|---|---|---|---|
| СОЕДИНЕНИЯ-ИНГИБИТОРЫ EGFR | 2017 |
|
RU2751341C2 |
| СОЕДИНЕНИЕ, НАЦЕЛЕННОЕ НА БЕЛОК И ЕГО ДЕГРАДАЦИЮ, И СПОСОБ ЕГО ПОЛУЧЕНИЯ И ПРИМЕНЕНИЯ | 2021 |
|
RU2829459C1 |
| ЗАМЕЩЕННЫЕ 1,2-ДИГИДРО-3Н-ПИРАЗОЛО[3,4-D]ПИРИМИДИН-3-ОНЫ | 2019 |
|
RU2812726C2 |
| БЕНЗАМИДНЫЕ СОЕДИНЕНИЯ | 2019 |
|
RU2801647C2 |
| ЗАМЕЩЕННЫЕ ПИРРОЛО [2,3-b] ПИРИДИН И ПИРАЗОЛО [3,4-b] ПИРИДИНОВЫЕ ПРОИЗВОДНЫЕ В КАЧЕСТВЕ ИНГИБИТОРОВ ПРОТЕИНКИНАЗЫ | 2020 |
|
RU2824583C2 |
| СОЕДИНЕНИЕ 3,4-ДИГИДРОИЗОХИНОЛИНА И ЕГО ПРИМЕНЕНИЕ | 2021 |
|
RU2825312C1 |
| ЦЕФАЛОСПОРИНОВОЕ АНТИБАКТЕРИАЛЬНОЕ СОЕДИНЕНИЕ И ЕГО ФАРМАЦЕВТИЧЕСКОЕ ПРИМЕНЕНИЕ | 2021 |
|
RU2831014C1 |
| ЗАМЕЩЕННЫЕ (2-АЗАБИЦИКЛО[3.1.0]ГЕКСАН-2-ИЛ)ПИРАЗОЛО[1.5-a]ПИРИМИДИНОВЫЕ И ИМИДАЗО[1.2-b]ПИРИДАЗИНОВЫЕ СОЕДИНЕНИЯ КАК ИНГИБИТОРЫ КИНАЗ TRK | 2019 |
|
RU2781618C2 |
| ЦИАНОТИЕНОТРИАЗОЛОДИАЗЕПИНЫ И ПУТИ ИХ ПРИМЕНЕНИЯ | 2016 |
|
RU2750164C2 |
| ЦИКЛИЧЕСКИЕ ДЕЗОКСИРИБОНУКЛЕОТИДНЫЕ СОЕДИНЕНИЯ | 2020 |
|
RU2836016C2 |
Изобретение относится к фармацевтической промышленности и медицине, а именно к способу лечения заболевания или состояния, где указанное заболевание или состояние выбрано из группы, состоящей из гематологического злокачественного новообразования и рака легкого, причем указанное гематологическое злокачественное новообразование выбрано из группы, состоящей из острого миелоидного лейкоза (AML), острого лимфобластного лейкоза (ALL), хронического лимфолейкоза (CLL), хронического миелоидного лейкоза (CML), множественной миеломы и бластного плазмацитоидного дендритного клеточного новообразования. Способ лечения заболевания или состояния, где указанное заболевание или состояние выбрано из группы, состоящей из гематологического злокачественного новообразования и рака легкого, причем указанное гематологическое злокачественное новообразование выбрано из группы, состоящей из острого миелоидного лейкоза (AML), острого лимфобластного лейкоза (ALL), хронического лимфолейкоза (CLL), хронического миелоидного лейкоза (CML), множественной миеломы и бластного плазмацитоидного дендритного клеточного новообразования, где указанный способ включает введение комбинации, причем комбинация включает эффективное количество соединения (А) и эффективное количество соединения (B) или их фармацевтически приемлемой соли, причем соединение (А) имеет следующую структуру:
где R1 представляет собой водород;
выбрано из группы, состоящей из замещенного
, замещенного
и замещенного
, где кольцо B замещено 1 или 2 заместителями, независимо выбранными из группы, состоящей из гидрокси, незамещенного метила и незамещенного этила;
R2 представляет собой
; m равно 0 или 1; R3 представляет собой незамещенный C1-C6 алкил; X выбран из группы, состоящей из
и
; Y представляет собой CH; и соединение (B) представляет собой ингибитор Bcl-2 или его фармацевтически приемлемую соль; причем ингибитор Bcl-2 выбран из группы, состоящей из
venetoclax (ABT-199)
и
navitoclax (ABT-263)
или фармацевтически приемлемых солей любого из вышеуказанных. Вышеописанный способ более эффективен в лечении указанных заболеваний или состояний по сравнению с монотерапией. 15 з.п. ф-лы, 4 ил., 2 табл.
1. Способ лечения заболевания или состояния, где указанное заболевание или состояние выбрано из группы, состоящей из гематологического злокачественного новообразования и рака легкого, причем указанное гематологическое злокачественное новообразование выбрано из группы, состоящей из острого миелоидного лейкоза (AML), острого лимфобластного лейкоза (ALL), хронического лимфолейкоза (CLL), хронического миелоидного лейкоза (CML), множественной миеломы и бластного плазмацитоидного дендритного клеточного новообразования, где указанный способ включает введение комбинации, причем комбинация включает эффективное количество соединения (А) и эффективное количество соединения (B) или их фармацевтически приемлемой соли, причем соединение (А) имеет следующую структуру:
(A)
где R1 представляет собой водород;
выбрано из группы, состоящей из замещенного
, замещенного
и замещенного
, где кольцо B замещено 1 или 2 заместителями, независимо выбранными из группы, состоящей из гидрокси, незамещенного метила и незамещенного этила;
R2 представляет собой
;
m равно 0 или 1;
R3 представляет собой незамещенный C1-C6 алкил;
X выбран из группы, состоящей из
и
;
Y представляет собой CH; и
соединение (B) представляет собой ингибитор Bcl-2 или его фармацевтически приемлемую соль;
причем ингибитор Bcl-2 выбран из группы, состоящей из
venetoclax (ABT-199)
navitoclax (ABT-263)
или фармацевтически приемлемых солей любого из вышеуказанных.
2. Способ по п. 1, в котором соединение (A) выбрано из группы, состоящей из
или фармацевтически приемлемой соли любого из вышеуказанных.
3. Способ по п. 1, в котором соединение (A) выбрано из группы, состоящей из

или фармацевтически приемлемой соли любого из вышеуказанных соединений.
4. Способ по п. 3, в котором соединение (A) представляет собой
или его фармацевтически приемлемую соль.
5. Способ по п. 3, в котором соединение (A) представляет собой
или его фармацевтически приемлемую соль.
6. Способ по любому из пп. 1-5, в котором соединение (А) или его фармацевтически приемлемую соль вводят до соединения (B) или его фармацевтически приемлемой соли.
7. Способ по любому из пп. 1-5, в котором соединение (А) или его фармацевтически приемлемую соль вводят одновременно с соединением (B) или его фармацевтически приемлемой солью.
8. Способ по любому из пп. 1-5, в котором соединение (А) или его фармацевтически приемлемую соль вводят после соединения (B) или его фармацевтически приемлемой соли.
9. Способ по любому из пп. 1-5 или 7, в котором соединение (А) или его фармацевтически приемлемую соль и соединение (B) или его фармацевтически приемлемую соль вводят в одной фармацевтической композиции.
10. Способ по любому из пп. 1-8, в котором соединение (А) или его фармацевтически приемлемую соль и соединение (B) или его фармацевтически приемлемую соль вводят в отдельных фармацевтических композициях.
11. Способ по любому из пп. 1-10, в котором заболевание или состояние представляет собой гематологическое злокачественное новообразование.
12. Способ по п. 11, в котором гематологическое злокачественное новообразование представляет собой острый миелоидный лейкоз.
13. Способ по любому из пп. 1-10, в котором заболевание или состояние представляет собой рак легкого.
14. Способ по п. 13, в котором рак легкого представляет собой мелкоклеточный рак легкого.
15. Способ по любому из пп. 1-14, в котором ингибитор Bcl-2 представляет собой venetoclax или его фармацевтически приемлемую соль.
16. Способ по любому из пп. 1-14, в котором ингибитор Bcl-2 представляет собой navitoclax или его фармацевтически приемлемую соль.
| WO 2019173082 A1, 17.10.2019 | |||
| WO 2019139899 A1, 18.07.2019 | |||
| ANNILA SCHEFFOLD et al | |||
| Аппарат для очищения воды при помощи химических реактивов | 1917 |
|
SU2A1 |
| WYNDHAM H | |||
| WILSON M.D | |||
| et al | |||
| Safety, Pharmacokinetics, Pharmacodynamics, and Activity of Navitoclax, a Targeted High Affinity Inhibitor of BCL-2, in Lymphoid | |||
Авторы
Даты
2025-05-28—Публикация
2020-12-16—Подача