СПОСОБ ПРОГНОЗА ТИПА ГОРМОНАЛЬНОГО РЕАГИРОВАНИЯ НА СТРЕСС Российский патент 2025 года по МПК A61B5/16 A61B5/318 A61B5/349 A61B5/369 A61B5/372 

Описание патента на изобретение RU2834387C1

Область техники изобретения

Изобретение относится к области медицины, а именно к медицинской психологии, и может быть использовано для прогноза типа гормонального реагирования на стресс на основе психофизиологических показателей, показателей психологических тестов и параметров оценки восприятия конфликтов.

Изобретение относится к области медицины, а именно к медицинской психологии, и может быть использовано в системе профессионального отбора и сопровождения военнослужащих, сотрудников силовых ведомств (МВД, МЧС и пр.) для определения соответствия профессионально важных социально-психологических качеств сотрудников требованиям профессиональной деятельности, а также при прогнозе их поведенческих реакций в экстремальных и чрезвычайных ситуациях. Может использоваться при диагностике расстройств адаптации, реакций на тяжелый стресс; при оказании социальной помощи населению.

Уровень техники изобретения

В современных исследованиях подчеркивается важнейшая роль гормонов в приспособительных реакциях нервной системы к возрастающим психическим нагрузкам. В ряде исследований по влиянию стресса на здоровье человека показана связь уровней кортизола и ДГЭА с социальной адаптацией и нарушениями в деятельности нервной системы. Отмечается, что ДГЭА оказывает стресспротективное действие на ЦНС за счет модулирования функции рецепторов нейромедиаторов и тем самым защищает ЦНС от негативных последствий повышения уровня кортизола. Уровни ДГЭА и кортизола имеют взаимную корреляцию друг с другом. Повышение уровня кортизола приводит к увеличению уровня ДГЭА и наоборот. Однако, существуют различные факторы, которые могут изменять эту взаимосвязь. Например, при стрессе уровень кортизола может значительно повыситься, но не сопровождаться увеличением уровня ДГЭА. Взаимосвязь между гормонами ДГЭА и кортизол имеет важное значение для создания равновесия стрессовой системы, при этом для того, чтобы у человека состояние приспособления к стрессовым факторам находилось на нормальном уровне, их соотношение должно соответствовать примерно от 5:1 до 6:1.

Нарушение адаптации к стрессовым факторам приводит к состоянию хронического стресса. Такие патологические состояния как ПТСР и тревожные расстройства характеризуются отклонениями в соотношении гормонов ДГЭА и кортизола. Отношение ДГЭА к кортизолу следует рассматривать как ключевой маркер устойчивости организма к любому стрессу. При этом соотношение концентраций ДГЭА и кортизола уменьшается пропорционально силе стрессового воздействия. В исследованиях по изучению влияния индекса ДГЭА/кортизол на человека определена прямая корреляция низкого индекса ДГЭА/кортизол со снижением когнитивных функций обоих полов. Снижение индекса ДГЭА/кортизол является биомаркером преждевременного старения организма, а также маркером приближения преждевременной смертности людей под влиянием разнообразных стрессовых факторов.

Патентный поиск показывает, что в настоящее время исследования по оценке влияния уровней кортизола и ДГЭА на стрессоустойчивость и толерантность человека к стрессовым факторам малочисленны.

Известен способ диагностики адаптационных резервов организма у мужчин с помощью исследования уровня ДГЭА и кортизола в сыворотке крови с расчетом индекса ДГЭА/кортизол, значение которого позволяет оценить степень напряженности адаптационных резервов человека (Патент № RU 2679906, 2019 г. - «Способ оценки адаптационных резервов организма человека»). Так, при уменьшении значения индекса ДГЭА/кортизол менее 1,1 определяется истощение адаптационных резервов. При значении индекса в диапазоне 1,1-2,1 устанавливается значительный расход резервов адаптации. При значении индекса выше 2,1 адаптационные резервы организма считаются сохранными. Способ применим для лиц, повергшихся стрессу любого генеза, и показал свою эффективность для выявления и своевременной профилактики развивающейся стресс-индуцированной патологии, обусловленной истощением адаптационных резервов. Однако способ разработан и использован только на выборке мужского пола. Ограничением данного способа является отсутствие сопоставления полученных значений индексов ДГЭА/кортизол и нативных гормональных показателей с какими-либо психометрическими и экспериментальными критериями. В связи с этим способ непригоден для диагностики психоэндокринных особенностей эмоционального реагирования в конфликтной ситуации.

Известен способ прогнозирования течения невротических расстройств посредством определения в сыворотке крови пациентов содержания кортизола, ДГЭА, общего трийодтиронина (Т3) и свободного тироксина (сТ4) (Патент № RU 2356059, 2009 г. - «Способ прогнозирования течения невротических расстройств»). При значениях уровня кортизола выше 500 нмоль/л на фоне снижения концентрации ДГЭА относительно его уровня у здоровых людей, при соотношении ДГЭА/кортизола ниже 0,3 и нормального уровня Т3 и сТ4 прогнозируют уход пациентов в расстройство адаптации с преобладанием депрессивных реакций. При повышении концентрации сТ4 до 20 пмоль/л и выше при физиологических концентрациях кортизола, ДГЭА и соотношения ДГЭА/кортизол прогнозируют уход в диссоциативное (конверсионное, истерическое) расстройство. Способ позволяет на ранних этапах прогнозировать дальнейшее течение невротических расстройств. Ограничением данного способа диагностики является лишь прогнозирование вариантов течения невротических расстройств, которые интерпретируются в совокупности с оценкой уровней гормонов надпочечников и щитовидной железы, оказывая значимое влияние на неврологический и психический статус пациентов. При этом не изучена роль и взаимосвязь гормонов с психологическими показателями в инициировании стресс-индуцированного истощения адаптационных резервов. В связи с этим способ непригоден для диагностики психоэндокринных особенностей эмоционального реагирования в конфликтной ситуации.

Известен способ прогнозирования коморбидного тревожного расстройства у больных рекуррентным депрессивным расстройством посредством определения в крови больных содержания уровней кортизола и ДГЭА, а также фагоцитарной активности лейкоцитов (Патент № RU 2644636, 2018 г. - «Способ прогнозирования коморбидного тревожного расстройства у больных реккурентным депрессивным расстройством»). При концентрации кортизола выше 850 нмоль/л, значении соотношения ДГЭА/кортизол ниже 3,5 и значении фагоцитарного индекса ниже 55% прогнозируют коморбидное тревожное расстройство у больных рекуррентным депрессивным расстройством. Данный способ направлен преимущественно на оценку тяжести тревоги у больных с депрессивным расстройством, однако не позволяет оценить психологические особенности больных и уровень их социальной адаптации.

Известен способ оценки уровня кортизола и психологического равновесия или нарушений психологического равновесия (Патент № RU 2634680, 2012 г. - «Оценка уровня кортизола и психического равновесия или нарушения психического равновесия»). Способ предполагает ношение портативного устройства с датчиком для измерения проводимости кожи и устройства для оценки уровня кортизола. Устройство оценки уровня кортизола содержит блок обработки для приема и обработки характеристики проводимости кожи, формируемой проводимостью кожи. Блок обработки выполнен с возможностью определения проводимости кожи и определения уровня кортизола при реакциях на воздействие с целью оценки психологического равновесия пользователя. Ограничением данного способа оценки является отсутствие сопоставления данных с психометрическими переменными, его несводимость к лабораторным методам изучения уровня кортизола.

Известен способ дифференциальной диагностики расстройства адаптации и органического эмоционально-лабильного расстройства (Патент № RU 2787638, 2022 г. - «Способ дифференциальной диагностики расстройства адаптации и органического эмоционального лабильного расстройства»). У пациента определяют в крови количество лимфоцитов, цитотоксических Т-лимфоцитов, лимфоцитов с рецепторами готовности к апоптозу, в сыворотке крови определяют уровень кортизола. С помощью дискриминантного анализа выводят дискриминантную функцию, в которую включены указанные лабораторные показатели. При значении дискриминантной функции меньше 1 диагностируют расстройство адаптации, а при ее значении больше или равно 1 диагностируют органическое эмоционально лабильное расстройство. Способ обеспечивает возможность повышения точности дифференциальной диагностики расстройства адаптации и органического эмоционально лабильного расстройства за счет определения в крови количества специализированных лимфоцитов и уровня кортизола. Недостатком данного способа является его специфичность для задач дифференциальной диагностики расстройства адаптации и органического эмоционально-лабильного расстройства, не позволяя диагностировать нарушения адаптации и их психологические корреляты дискретно.

Установлено, что на восприятие конфликтных ситуаций существенное влияние оказывают индивидуально-психологические факторы. В частности, восприятие конфликтной ситуации и поведение человека в конфликте зависят от прошлого опыта, в том числе и от опыта эмоциональных переживаний. Из всех видов памяти именно эмоциональная память наиболее тесно связана с личностью. В связи с этим возрастает роль психологической диагностики для оценки особенностей поведения в конфликте. При этом показано значительное влияние психоэндокринных факторов на индивидуально-психологические характеристики восприятия различных ситуаций конфликта, включая эмоциональную реактивность в конфликте, поведенческую агрессивность и стрессоустойчивость (Пахомов А.П., Судьина Н.Е., 2013).

Задача, на которую направлено изобретение - создание способа прогноза типа гормонального стресс-реагирования на основе оценки наиболее информативных психофизиологических показателей, показателей психологических тестов и параметров оценки восприятия конфликтов.

В проанализированной патентной и научно-медицинской литературе прототипа диагностики индивидуально-психологических характеристик и особенностей восприятия конфликтных ситуаций для прогноза типа гормонального реагирования на стресс не обнаружено.

Раскрытие сущности изобретения

Поставленная задача прогноза типа гормонального реагирования на стресс решается предложенным способом, характеризующимся последовательным предъявлением пациенту шести видеозаписей, причем во время демонстрации видеозаписей проводят регистрацию ЭКГ с оценкой индекса LF/VLF и ЭЭГ с оценкой индекса тета-ритма. Вначале предъявляют видеозапись с нейтральной ситуацией и после ее просмотра проводят тест Струпа с оценкой количества названных цветных слов, далее предъявляют для просмотра видеозапись ситуации с угрозой чести и достоинству при единичном конфликте и после нее проводят тест Струпа с оценкой количества ошибок при назывании цветных слов, затем предъявляют запись с длительной конфликтной ситуацией с угрозой чести и достоинству, а после нее пациент заполняет 5 пропусков в тексте, описывающем просмотренную видеозапись, выбирая из списка нужную эмоцию, причем за каждую выбранную эмоцию стыд начисляют 1 балл, далее предъявляют для просмотра видеозапись с длительной конфликтной ситуацией с угрозой физической безопасности и после просмотра пациент заполняет 5 пропусков в тексте, описывающем просмотренную видеозапись, выбирая из списка нужную эмоцию, причем за каждую выбранную эмоцию предвкушение, представленную эмоциями настороженность, ожидание, интерес по снижению интенсивности начисляют баллы: интерес - 1 балл, ожидание - 2 балла, настороженность - 3 балла, затем суммируют общее количество баллов, после этого просят пациента оценить выраженность собственной эмоции гнев после просмотра видеозаписи, далее предъявляют видеозапись с единичной конфликтной ситуацией с угрозой физической безопасности и после пациента просят оценить выраженность собственной эмоции отвращение, при этом оценка собственных эмоций в ответ на предъявляемые конфликтные ситуации осуществляется по интенсивности испытываемой эмоции: 0 баллов - не вызвало эмоцию, 1 - вызвало слабую эмоцию, 2 - вызвало среднюю эмоцию, 3 - вызвало сильную эмоцию, затем предъявляют видеозапись с ситуацией радости, затем проводят психологическое тестирование с оценкой показателя Замкнутости-общительности с помощью Пятифакторного опросника личности, с оценкой общего уровня саморегуляции посредством опросника Стиль саморегуляции поведения, с оценкой защитного механизма замещение посредством методики Индекс жизненного стиля, с оценкой выраженности развлекательной активации поведения - BAS Fun с помощью опросника BIS-BAS, с оценкой Локуса контроля - жизнь с помощью методики Смысложизненные ориентации. Далее полученные показатели используют для расчета дискриминантной функции:

где Xn - значение показателей по следующим параметрам:

X1 - тест Струпа, количество названных цветных слов после предъявления нейтральной ситуации,

Х2 - тест Струпа, количество ошибок при назывании цветных слов после предъявления ситуации с угрозой чести и достоинству при единичном конфликте,

Х3 – количество идентифицированных эмоций стыда у героев длительной конфликтной ситуации с угрозой чести и достоинству,

Х4 – количество идентифицированных эмоций предвкуения у героев длительной конфликтной ситуации с угрозой физической безопасности,

Х5 – интенсивность собственной эмоции гнева при предъявлении видеозаписи с длительной конфликтной ситуацией с угрозой физической безопасности,

Х6 – интенсивность собственной эмоции отвращения при предъявлении видеозаписи с единичной конфликтной ситуацией с угрозой физической безопасности,

Х7 - замкнутость – общительность, балл,

X8 - общий уровень саморегуляции, балл,

Х9 - защитный механизм замещение, балл,

Х10 - развлекательная активация поведения BAS Fun, балл,

Х11 - локус контроля – жизнь, балл,

Х12 - индекс LF/VLF на этапе предъявления видеозаписи конфликтной ситуации с угрозой чести и достоинству в длительном конфликте,

Х13 - индекс тета-ритма на этапе предъявления видеозаписи конфликтной ситуации с угрозой чести и достоинству в длительном конфликте,

Х14 - индекс тета-ритма на этапе предъявления видеозаписи радостной ситуации;

и при значении ЛДФ менее 93,626 прогнозируют неадаптивный тип гормонального реагирования на стресс, при значении ЛДФ более 93,626 прогнозируют адаптивный тип гормонального реагирования на стресс.

Новым, в предлагаемом в качестве изобретения способе, является оценка индивидуально-психологических характеристик и особенностей восприятия и анализа эмоций в конфликтных ситуациях для прогноза типа гормонального реагирования на стресс за счет предъявления 4 типов условий стимульного материала с варьированием содержания конфликтной ситуации по ее направленности и длительности.

Технический результат изобретения состоит в существенном сокращении времени и повышения точности диагностики типа гормонального реагирования на стресс за счет оценки наиболее информативных индивидуально-психологических показателей, показателей особенностей восприятия конфликтных ситуаций, психологических переменных, показателей ЭКГ и ЭЭГ. Минимизации сроков и затрат на определение типа гормонального стресс-реагирования обеспечивается исключением из диагностики и прогноза взятие биологического материала и обработки его в лаборатории.

Предлагаемый в качестве изобретения способ, на практике может быть реализован при оказании социальной помощи населению (служба подбора кадров); при профессиональном отборе и сопровождении военных специалистов, сотрудников силовых ведомств и сотрудников системы исполнения наказаний, а также для пациентов судебно-психиатрического и общепсихиатрического профиля.

Осуществление изобретения

Предложенный способ прогноза типа гормонального реагирования на стресс был верифицирован в ФГБУ «НМИЦ ПН им. В.П. Сербского» Минздрава России с 2022 по 2024 гг. Общее количество включенных в анализ обследуемых составило 297 человек (62,0% - мужчины, 38,0% - женщины) в возрасте от 18 до 58 лет (средний возраст 26,00±9,43 года).

Предварительно проводился этап подбора релевантных видеозаписей конфликтных ситуаций. В результате на основании экспертных оценок по методу Дельфи из большого количества видеозаписей были отобраны 6 по коннотативным (возможности вызывать интенсивные негативные эмоции), структурным (длительности конфликта) и содержательным (направленности на унижение достоинства или физической угрозу) параметрам. Затем отобранные видеозаписи оценивались наивными экспертами (52 человека) по 12 параметрам, включавшим активационные (например, степень опасности ситуации), коннотативные (например, негативные коннотации), когнитивные характеристики (например, генез и прогноз ситуации). Согласованность оценок по всем параметрам составила от 78 до 99% (коэффициент альфа Кронбаха).

Каждому обследуемому предъявлялись 6 видеозаписей, которые представляли собой 30-40 секундные отрывки из художественных фильмов.

На видеозаписи единичного конфликта с угрозой физической безопасности (ФБЕК) показан конфликт пассажиров в метро из-за того, что один из пассажиров видит на себе взгляд другого. В конце спора в адрес одного из пассажиров следует угроза ножом.

На видеозаписи единичного конфликта с унижением чести и достоинства (ЧДЕК) отражен конфликт прохожих с отдыхающими неподалеку от могилы неизвестного солдата. Прохожие просят отдыхающих убрать их собаку с могилы. Завязывается спор, в котором отдыхающие несколько раз оскорбляют прохожих.

На видеозаписи длительного конфликта с угрозой физической безопасности (ФБДК) показан конфликт жены и мужа, который сообщил об очередной потере работы. В конце ссоры муж бросает в жену вазу, которая разбивается о стену.

На видеозаписи длительного конфликта с унижением чести и достоинства (ЧДДК) отражен конфликт подчиненного и начальницы, которая уже неоднократно его отчитывала в уничижительной форме. В конце ссоры она использует оскорбления.

На видеозаписи нейтральной ситуации (НС) отражен диалог покупателя и кассира в продуктовом магазине. Услышав итоговую сумму, покупатель сообщает кассиру, что у него по расчетам получилась другая сумма.

На видеозаписи радостной ситуации (PC) показан баскетбольный матч, в котором одна из команд на последних секундах забивает решающий мяч. Зрители на трибунах кричат от восторга, баскетболисты радуются и обнимаются друг с другом.

После каждой видеозаписи предъявлялся стимул-тест «Словесно-цветовая интерференция» (Дж.Р. Струп, 1935) (напр., ФИГ. 3). На каждом стимуле на белом фоне изображены 100 названий цветов, написанных шрифтом разного цвета. После каждой видеозаписи порядок предъявляемых слов отличается от предыдущих. На выполнение теста отводится 40 секунд. Обследуемому дается инструкция: «Сейчас вы увидите слова, написанные шрифтом разных цветов. Назовите вслух цвета шрифта слов по строкам слева направо как можно быстрее. У вас будет 40 секунд. Если за это время вы успеете дочитать последнюю строчку, начинайте заново с верхней строки». Подсчитывается количество верно названных обследуемым слов и количество допущенных ошибок.

Затем, после просмотра всех ситуаций, предъявлялись тексты (в сумме 6), описывающие каждую ситуацию отдельно. В текстах были пропущены слова. Всего по каждой ситуации было 5 пропущенных полей (напр., ФИГ. 4). В местах пропусков обследуемым предлагалось назвать эмоции или чувства, которые, по их мнению, испытывали герои, участвующие в конфликте, выбрав их из предложенного списка. При оценке эмоций участников конфликта обследуемые могли повторять ранее названные эмоции, однако в каждом поле можно было указать не более одной эмоции. Общий список эмоций для выбора был составлен в соответствии с теорией эмоций Р. Плутчика и был дополнен социальными эмоциями вины и стыда. Каждая эмоциональная категория согласно теории Р. Плутчика включала трехступенчатую градацию по степени выраженности от 1 до 3 баллов. Так, эмоциональная категория «гнев» включала такие эмоции, как досада (1 б.), злость (2 б.) и гнев (3 б.). Аналогичным образом были представлены остальные эмоциональные категории по интенсивности эмоций в них: категория «страх» (тревога (1 б.), страх (2 б.), ужас (3 б.)), «грусть» (печаль (1 б.), грусть (2 б.), горе (3 б.)), «отвращение» (скука (1 б.), неудовольствие (2 б.), отвращение (3 б.)), «радость» (безмятежность (1 б.), радость (2 б.), восторг (3 б.)), «предвкушение» (интерес (1 б.), ожидание (2 б.), настороженность (3 б.)) и «возбуждение» (возбуждение (1 б.), удивление (2 б.), изумление (3 б.)). Эмоции вины и стыда оценивались по шкале 0 или 1 балл. Далее отдельно по каждой ситуации суммировался и подсчитывался общий балл по каждой эмоциональной категории. Диапазон выраженности каждой эмоциональной категории, кроме вины и стыда, может составлять от 0 до 15 баллов. Выраженность эмоций вины и стыда составляет от 0 до 1 балла.

Далее производилась оценка собственных эмоций в ответ на предъявляемые конфликтные ситуации посредством заполнения шкал интенсивности испытываемых эмоций обследуемого после просмотра каждой видеозаписи по шкале от 0 до 3 баллов, где 0 - не вызвало никаких эмоций, 1 - вызвало слабые эмоции, 2 - вызвало средние эмоции, 3 - вызвало сильные эмоции. Оценка производилась по каждой из следующих эмоций: страх, гнев, печаль, радость, удивление, интерес, отвращение, вина и стыд. Эмоции были подобраны на основе 11 базовых эмоций по К. Изарду с некоторой модификацией.

Исследование также включало проведение психологических тестов: Пятифакторного личностного опросника (МакКрае Р., Коста П., 1992, адаптация A. Б. Хромова), опросника Индекс жизненного стиля (Плутчик Р., Келлерман Г., Конт Х.Р., 1979), опросника «Стиль саморегуляции поведения» (Моросанова B.И., 1988), опросника Карвера-Уайта (адаптация Г.Г. Князева, 2004), опросника «Смысложизненные ориентации» (Леонтьев Д.А., 2006).

Регистрация и обработка психофизиологических показателей осуществлялась с помощью оборудования и программного обеспечения «Реакор» ООО НПКФ «Медиком МТД». Для определения физиологических и нейрофизиологических коррелятов стресс реагирования была проведена экспериментальная процедура, в которой регистрировали:

1. ЭЭГ (электроэнцефалограмма) с затылочного отведения Oz и его ритмов диапазонов: альфа, тета, бета-1, бета-2.

По сигналам ЭЭГ предоставляется широкий перечень абсолютных и относительных значений спектральных мощностей в стандартных частотных диапазонах (альфа, бета, тета) и пользовательском частотном диапазоне, а также постоянной составляющей, которая по своей сути является сверхмедленным потенциалом мозга. Мощности ритмов рассчитываются по площади спектрограммы соответствующего частотного диапазона, а индексы ритмов рассчитываются как отношение площади спектрограммы этого ритма к общей площади спектрограммы, умноженное на 100% (Некрич О.Ю., Полевая С.А., Парин С.Б., 2022).

2. ЭКГ (электрокардиограмма) с анализом показателей: спектральной структуры сердечного ритма: ЧСС (частота сердечных сокращений), HF (мощность дыхательных сердечных волн 0,15-0,4 Гц, мсек2), LF (мощность медленных сердечных волн первого порядка 0,04-0,15 Гц, мсек2), VLF (мощность сердечных волн второго порядка 0,003-0,04 Гц, мсек2), BP (разность между максимальным и минимальным значением кардиоинтервалов, мсек, ПО); TP (общая мощность спектра ЭКГ, определяется как сумма HF, LF, VLF), ИЦ (индекс централизации, определяется по формуле (LF+VLF)/HF), ИАП (индекс активации подкорковых нервных центров, определяется соотношением VLF/LF); индексы: отношение LF/HF (вагосимпатический индекс), HF/LF (степень расслабления), LF/VLF (активность стволовых подкорковых центров), VLF/HF соотношение активности центрального и автономного контуров; статистические показатели вариабельности сердечного ритма: амплитуда моды (амплитуда моды, процент наиболее часто встречающихся кардиоинтервалов, СО) (АМо), RR (продолжительность сердечного цикла, с.), индекс напряжения (ИН=АМо/(2ДХ*Мо), ус.ед; индекс вегетативного равновесия (ИВР=АМо/ΔХ), ус.ед., показатель адекватности процессов регуляции (ПАЛР=АМо/Мо), BP (Вариационный размах (ΔХ) - разность между максимальным и минимальным значениями кардиоинтервалов, т.е. ΔХ=RRmax - RRmin.).

3. ФПГ (фотоплетизмограмма) с анализом показателя АСВ (амплитуда систолической волны), ДАД (диастолическое артериальное давление) и САД (систолическое артериальное давление).

4. КГР (кожно-гальваническая реакция).

Регистрация физиологических показателей происходила в процессе предъявления видеозаписей. Процедура включала этапы: исходный фон открытые глаза; исходный фон закрытые глаза; предъявление видеозаписи единичного конфликта с угрозой физической безопасности (ФБЕК); единичного конфликта с унижением чести и достоинства (ЧДЕК); длительного конфликта с угрозой физической безопасности (ФБДК); длительного конфликта с унижением чести и достоинства (ЧДДК); нейтральной ситуации (НС); радостной ситуации (PC).

Для выделения гормональных профилей стресс-реагирования проводилось биохимическое исследование слюны по методу высокоэффективной жидкостной хроматографии с масс-спектрометрическим детектированием (ВЭЖХ-МС) в медицинской лаборатории. Забор слюны осуществлялся дважды: до и после воздействия стрессовых стимулов в аудиальном (нарастающие по громкости звуки сирен, взрывов, криков людей, находящихся в испуге; при их предъявлении на экране демонстрировались нейтральный визуальные образы) и визуальном (изображения опасных ситуаций, при этом звуковая стимуляция была нейтральной (еле слышный шум ветра)) виде. Анализировались уровни кортизола и дегидроэпиандростерона (ДГЭА).

На основе разделения показателя ДГЭА до стресса на кортизол до стресса рассчитывался индекс ДГЭА / кортизол до стресса, аналогичным образом с помощью разделения показателя ДГЭА после стресса на кортизол после стресса рассчитывался индекс ДГЭА / кортизол после стресса. Исследование уровня соотношения ДГЭА к кортизолу в слюне используется для оценки стрессоустойчивости (универсальный маркер стрессоустойчивости).

Помимо этого, рассчитывался коэффициент уровень кортизола после стресса / уровень кортизола до стресса и коэффициент уровень ДГЭА после стресса / уровень ДГЭА до стресса, показывая динамику изменений уровня кортизола и ДГЭА после стресса.

В результате с помощью кластерного анализа (метод k-средних) на основе рассчитанных параметров индекс ДГЭА / кортизол до стресса; индекс ДГЭА / кортизол после стресса; коэффициент уровень кортизола после стресса / уровень кортизола до стресса; коэффициент уровень ДГЭА после стресса / уровень ДГЭА до стресса было выделено 2 гормональных профиля стресс-реагирования обследуемых (табл.1, ФИГ. 1 - Гистограмма распределения гормональных индексов в кластерах. Условные обозначения: ДС - уровень гормонов до стресса, ПС - уровень гормонов после стресса). В результате в 1 профиль вошло 243 чел. (средний возраст - 26,07±9,42 года), во 2 профиль -54 чел. (средний возраст - 25,72±9,50 года).

Обследуемых, вошедших в 1 профиль (неадаптивный) отличали низкие показатели индекса ДГЭА / кортизол до стресса с незначительным увеличением индекса ДГЭА / кортизол после воздействия стресса, что указывает на снижение адаптационных резервов организма. Этот кластер отличали также высокие значения коэффициента уровень кортизола после стресса / уровень кортизола до стресса и низкий коэффициент уровень ДГЭА до стресса / уровень ДГЭА после стресса, за счет повышения уровня кортизола после стрессовой нагрузки и снижения уровня ДГЭА после стресса, указывая на снижение адаптационных резервов организма.

Обследуемых, вошедших во 2 профиль (адаптивный), отличали высокие значения индекса ДГЭА / кортизол до стресса, с увеличением индекса ДГЭА / кортизол после стресса, что указывает на высокие адаптационные резервы организма. Этот кластер отличали также низкие значения коэффициента уровень кортизола после стресса / уровень кортизола до стресса и высокий коэффициент уровень ДГЭА до стресса / уровень ДГЭА после стресса, за счет снижения уровня кортизола после стрессовой нагрузки и увеличения уровня ДГЭА после стресса, указывая на сохранность адаптационных резервов организма.

Для выявления показателей, которые вносят значимый вклад в отнесение обследуемых в группу с неадаптивным или адаптивным типом гормонального стресс-реагирования, был проведен дискриминантный анализ в указанных группах обследованных в предназначенной для этого компьютерной программе для статистической обработки данных (IBM SPSS) (Наследов А.Д. Математические методы психологического исследования. Анализ и интерпретация данных: Учебное пособие. СПб.: Речь, 2012. 392 с.).

В результате с помощью дискриминантного анализа была выделена прогнозная модель для отнесения обследуемых в группы с различным гормональным профилем. Так, в дискриминантную модель вошли 14 показателей. В результате прогностической ценностью обладали следующие показатели: тест Струпа кол-во названных цветных слов после предъявления нейтральной ситуации (df=0,331); тест Струпа кол-во ошибок при назывании цветных слов после предъявления ситуации с угрозой чести и достоинству при единичном конфликте (df=-0,293); Идентификация эмоций стыда у героев длительной конфликтной ситуации с угрозой чести и достоинству (df=0,466); Идентификация эмоций предвкушение у героев длительной конфликтной ситуации с угрозой физической безопасности (df=0,295); Собственные эмоциональные реакции гнева при предъявлении видеозаписи с длительной конфликтной ситуацией с угрозой физической безопасности (df=-0,487); Собственные эмоциональные реакции отвращения при предъявлении видеозаписи с единичной конфликтной ситуацией с угрозой физической безопасности (df=0,377); Замкнутость - общительность (Пятифакторный опросник личности) (df=-0,458); Общий уровень саморегуляции (о. Стиль саморегуляции поведения) (df=0,368); Защитный механизм замещение (о. Индекс жизненного стиля) (df=0,552); Развлекательная активация повдения BAS Fun (о. BIS-BAS) (df=-0,508); Локус контроля - жизнь (о. Смысложизненные ориентации) (df=0,432); Индекс LF/VLF на этапе предъявления видеозаписи конфликтной ситуации с угрозой чести и достоинству в длительном конфликте (df=0,514); Индекс тета-ритма на этапе предъявления видеозаписи конфликтной ситуации с угрозой чести и достоинству в длительном конфликте (df=-0,717); Индекс тета-ритма на этапе предъявления видеозаписи радостной ситуации (df=0,856). Значения нормированных коэффициентов канонической дискриминантной функции по мере убывания вклада представлены в таблице 2.

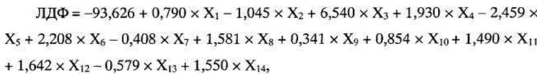
Далее были рассчитаны структурные компоненты и коэффициенты линейной дискриминантной функции (ЛДФ) для отнесения обследуемых в группу неадаптивных и адаптивных (табл.3). В результате параметры, включенные в дискриминантную модель и их коэффициенты, были сведены в следующую формулу:

ЛДФ=-93,626+0,790 х X1 - 1,045 х Х2+6,540 х Х3+1,930 х Х4 - 2,459 х Х5+2,208 х Х6 - 0,408 х Х7+1,581 х Х8+0,341 х Х9+0,854 х Х10+1,490 х Х11+1,642 х Х12 - 0,579 х X13+1,550 х Х14, где Xn - значение показателей по следующим параметрам:

X1 - тест Струпа количество названных цветных слов после предъявления нейтральной ситуации;

Х2 - тест Струпа количество ошибок при назывании цветных слов после предъявления ситуации с угрозой чести и достоинству при единичном конфликте;

Х3 – количество идентифицированных эмоций стыда у героев длительной конфликтной ситуации с угрозой чести и достоинству;

Х4 – количество идентифицированных эмоции предвкушения у героев длительной конфликтной ситуации с угрозой физической безопасности;

Х5 – интенсивность собственной эмоции гнева при предъявлении видеозаписи с длительной конфликтной ситуацией с угрозой физической безопасности;

Х6 – интенсивность собственной эмоции отвращения при предъявлении видеозаписи с единичной конфликтной ситуацией с угрозой физической безопасности;

Х7 - Замкнутость-общительность, балл;

Х8 - Общий уровень саморегуляции, балл;

Х9 - Защитный механизм замещение, балл;

Х10 - Развлекательная активация поведения BAS Fun, балл;

Х11 - Локус контроля – жизнь, балл;

Х12 - Индекс LF/VLF на этапе предъявления видеозаписи конфликтной ситуации с угрозой чести и достоинству в длительном конфликте;

Х13 - Индекс тета-ритма на этапе предъявления видеозаписи конфликтной ситуации с угрозой чести и достоинству в длительном конфликте;

Х14 - Индекс тета-ритма на этапе предъявления видеозаписи радостной ситуации.

После этого, рассчитанное значение ЛДФ сравнивают с константой ЛДФ: при значении линейной дискриминантной функции менее 93,626 делают вывод о наличии у обследуемого неадаптивного типа гормонального реагирования, при значении линейной дискриминантной функции более 93,626 делают вывод об адаптивном типе гормонального реагирования обследуемого.

Получены данные о высокой прогностической ценности дискриминантной модели для отнесения обследуемых в группу неадаптивных и адаптивных (AUC=83,3%). Чувствительность модели высокая - 81,8%, специфичность модели удовлетворительная - 72,2% (ФИГ. 2 - Прогностические качества дискриминантной модели для отнесения лиц к кластерам).

Представленный способ иллюстрируется следующими примерами:

Пример 1.

Обследуемый Б.Н.С.(мужчина, возраст 30 лет).

На подготовительном этапе на обследуемого накладываются электроды ЭКГ и ЭЭГ, а также проводится предварительный инструктаж об этапах экспериментальной процедуры и правилах поведения во время записи физиологических показателей.

Сначала на экране обследуемому предъявляется инструкция следующего содержания: «Сейчас на экране появится видеозапись. Посмотрите ее и представьте, что эта ситуация произошла с Вами». После чего демонстрируется видеозапись нейтральной ситуации.

После просмотра обследуемым видеозаписи нейтральной ситуации на экране предъявляется инструкция следующего содержания: «Сейчас вы увидите слова, написанные шрифтом разных цветов. Назовите вслух цвета шрифта слов по строкам слева направо как можно быстрее. У вас будет 40 секунд. Если за это время вы успеете дочитать последнюю строчку, начинайте заново с верхней строки». Далее предъявляется стимул-тест Струпа «Словесно-цветовая интерференция» (ФИГ. 3), состоящий из написанных на белом фоне названий цветов шрифтом разного цвета. В течение 40 секунд обследуемый называет слова. Фиксируется количество правильно названных слов за это время.

Обследуемый называет 53 слова, что соответствует 53 баллам по показателю «Тест Струпа кол-во названных цветных слов после предъявления нейтральной ситуации».

Далее на экране обследуемому предъявляется инструкция следующего содержания: «Сейчас на экране появится видеозапись. Посмотрите ее и представьте, что эта ситуация произошла с Вами». После чего демонстрируется видеозапись единичной конфликтной ситуации с угрозой чести и достоинству.

После просмотра обследуемым видеозаписи единичной конфликтной ситуации с унижением чести и достоинства на экране предъявляется инструкция следующего содержания: «Сейчас вы увидите слова, написанные шрифтом разных цветов. Назовите вслух цвета шрифта слов по строкам слева направо как можно быстрее. У вас будет 40 секунд. Если за это время вы успеете дочитать последнюю строчку, начинайте заново с верхней строки». Далее предъявляется стимул-тест Струпа «Словесно-цветовая интерференция» (ФИГ. 3), состоящий из написанных на белом фоне названий цветов шрифтом разного цвета. В течение 40 секунд обследуемый называет слова. Фиксируется количество ошибок (неверное называние цвета шрифта слова), допущенных за это время.

Обследуемый не допускает ни одной ошибки, что соответствует 0 баллам по показателю «Тест Струпа кол-во ошибок при назывании цветных слов после предъявления ситуации с угрозой чести и достоинству при единичном конфликте».

Далее на экране обследуемому предъявляется инструкция следующего содержания: «Сейчас на экране появится видеозапись. Посмотрите ее и представьте, что эта ситуация произошла с Вами». После чего демонстрируется видеозапись длительного конфликта с унижением чести и достоинства.

После просмотра обследуемым видеозаписи длительного конфликта с унижением чести и достоинства на экране предъявляется таблица эмоций и текст с содержанием длительного конфликта с унижением чести и достоинства, в котором пропущены слова (ФИГ. 4). Обследуемому зачитывается инструкция следующего содержания: «Вашему вниманию представлен текст, содержание которого связано с просмотренной ранее видеозаписью. В места пропусков впишите, пожалуйста, чувства и эмоции из таблицы, которые, по вашему мнению, испытывал герой». Обследуемый выбирает из таблицы эмоции и устно заполняет пропуски в тексте. Названные эмоции фиксируются в протоколе. Подсчитывается количество названных эмоций «стыд», за каждую из которых начисляется 1 балл.

Обследуемый отвечает: «Тревога, гнев, гнев, отвращение, отвращение», эмоция «стыд» не названа ни разу, что соответствует 0 баллам по показателю «Идентификация эмоций стыда у героев длительной конфликтной ситуации с угрозой чести и достоинству».

Далее на экране обследуемому предъявляется инструкция следующего содержания: «Сейчас на экране появится видеозапись. Посмотрите ее и представьте, что эта ситуация произошла с Вами». После чего демонстрируется видеозапись длительного конфликта с угрозой физической безопасности.

После просмотра обследуемым видеозаписи длительного конфликта с угрозой физической безопасности на экране предъявляется таблица эмоций и текст с содержанием длительного конфликта с угрозой физической безопасности (ФИГ. 4). Обследуемому зачитывается инструкция следующего содержания: «Вашему вниманию представлен текст, содержание которого связано с просмотренной ранее видеозаписью. В места пропусков впишите, пожалуйста, чувства и эмоции из таблицы, которые, по вашему мнению, испытывал герой». Обследуемый выбирает из таблицы эмоции и устно заполняет пропуски в тексте. Названные эмоции фиксируются в протоколе. Подсчитывается количество названных эмоций «интерес» (1 балл), «ожидание» (2 балла), «настороженность» (3 балла). Баллы по названным эмоциям суммируются.

Обследуемый отвечает: «Настороженность, неудовольствие, удивление, досада, изумление», эмоция «настороженность» названа один раз и оценивается в 3 балла, что соответствует 3 баллам по показателю «Количество идентифицированных эмоций предвкушения у героев длительной конфликтной ситуации с угрозой физической безопасности».

После чего обследуемого просят оценить свою собственную эмоциональную реакцию гнева на предъявленную видеозапись длительной конфликтной ситуацией с угрозой физической безопасности по шкале от 0 до 3, где 0 - не вызвало эмоцию, 1 - вызвало слабую эмоцию, 2 - вызвало среднюю эмоцию, 3 - вызвало сильную эмоцию. Ответ фиксируется в протоколе.

Обследуемый отвечает: «2», что соответствует 2 баллам по показателю «Собственные эмоциональные реакции гнева при предъявлении видеозаписи с длительной конфликтной ситуацией с угрозой физической безопасности».

Далее на экране обследуемому предъявляется инструкция следующего содержания: «Сейчас на экране появится видеозапись. Посмотрите ее и представьте, что эта ситуация произошла с Вами». После чего демонстрируется видеозапись единичной конфликтной ситуации с угрозой физической безопасности. После просмотра обследуемого просят оценить свою собственную эмоциональную реакцию отвращения в ответ на предъявляемую видеозапись единичной конфликтной ситуацией с угрозой физической безопасности по шкале от 0 до 3, где 0 - не вызвало эмоцию, 1 - вызвало слабую эмоцию, 2 - вызвало среднюю эмоцию, 3 - вызвало сильную эмоцию. Ответ фиксируется в протоколе.

Обследуемый отвечает: «1», что соответствует 1 баллу по показателю «Собственные эмоциональные реакции отвращения при предъявлении видеозаписи с единичной конфликтной ситуацией с угрозой физической безопасности».

Далее на экране обследуемому предъявляется инструкция следующего содержания: «Сейчас на экране появится видеозапись. Посмотрите ее и представьте, что эта ситуация произошла с Вами». После чего демонстрируется видеозапись радостной ситуации.

После просмотра последней видеозаписи с обследуемого снимаются датчики ЭКГ и ЭЭГ и к заполнению предлагается «Пятифакторный опросник личности». При обработке результатов учитывается только шкала «Замкнутость - общительность». Подсчитывается балл по данной шкале и фиксируется в протоколе.

Результаты обследуемого по шкале «Замкнутость - общительность»: 3 балла, что соответствует 3 баллам по показателю «Замкнутость -общительность (Пятифакторный опросник личности)».

Далее к заполнению предлагается опросник «Стиль саморегуляции поведения». При обработке результатов учитывается только шкала «Общий уровень саморегуляции». Подсчитывается балл по данной шкале и фиксируется в протоколе.

Результаты обследуемого по шкале «Общий уровень саморегуляции»: 27 баллов, что соответствует 27 баллам по показателю «Общий уровень саморегуляции (о. Стиль саморегуляции поведения)».

После чего к заполнению предлагается опросник «Индекс жизненного стиля». При обработке результатов учитывается только шкала «Замещение». Подсчитывается балл по данной шкале и фиксируется в протоколе.

Результаты обследуемого по шкале «Замещение»: 50 баллов, что соответствует 50 баллам по показателю «Защитный механизм замещение (о. Индекс жизненного стиля)».

Далее к заполнению предлагается опросник «BIS-BAS». При обработке результатов учитывается только шкала «Развлекательная активация поведения - BAS Fun». Подсчитывается балл по данной шкале и фиксируется в протоколе.

Результаты обследуемого по шкале «Развлекательная активация поведения - BAS Fun»: 9 баллов, что соответствует 9 баллам по показателю «Развлекательная активация поведения - BAS Fun (о. BIS-BAS)».

После чего к заполнению предлагается опросник «Смысложизненные ориентации». При обработке результатов учитывается только шкала «Локус контроля - жизнь». Подсчитывается балл по данной шкале и фиксируется в протоколе.

Результаты обследуемого по шкале «Локус контроля - жизнь»: 35 баллов, что соответствует 35 баллам по показателю «Локус контроля - жизнь (о. Смысложизненные ориентации)».

Для оценки физиологических особенностей обследуемого при предъявлении видеозаписей длительного конфликта с унижением чести и достоинства и радостной ситуации проводилось исследование ЭКГ и ЭЭГ. Были получены следующие результаты.

Индекс LF/VLF на этапе предъявления видеозаписи длительного конфликта с унижением чести и достоинства: 1,24, что соответствует 1,24 балла по переменной.

Индекс тета-ритма на этапе предъявления видеозаписи длительного конфликта с унижением чести и достоинства: 17,43, что соответствует 17,43 балла по переменной.

Индекс тета-ритма на этапе предъявления видеозаписи радостной ситуации: 17,7, что соответствует 17,7 балла по переменной.

Проведена диагностика профилей стресс-реагирования с помощью заявленного способа и определены балльные значения информативных показателей.

Информативные показатели:

X1 - Тест Струпа кол-во названных цветных слов после предъявления нейтральной ситуации - 53.

Х2 - Тест Струпа кол-во ошибок при назывании цветных слов после предъявления ситуации с угрозой чести и достоинству при единичном конфликте - 0.

Х3 – Количество идентифицированных эмоций стыда у героев длительной конфликтной ситуации с угрозой чести и достоинству - 0.

Х4 – Количество идентифицированных эмоций предвкушения у героев длительной конфликтной ситуации с угрозой физической безопасности - 3.

Х5 - Собственные эмоциональные реакции гнева при предъявлении видеозаписи с длительной конфликтной ситуацией с угрозой физической безопасности - 2.

Х6 - Собственные эмоциональные реакции отвращения при предъявлении видеозаписи с единичной конфликтной ситуацией с угрозой физической безопасности -1.

Х7 - Замкнутость - общительность - 3.

Х8 - Общий уровень саморегуляции - 27.

Х9 - Защитный механизм замещение - 50.

Х10 - Развлекательная активация поведения - BAS Fun - 9.

Х11 - Локус контроля - жизнь - 35.

Х12 - Индекс LF/VLF на этапе предъявления видеозаписи конфликтной ситуации с угрозой чести и достоинству в длительном конфликте - 1,24.

Х13 - Индекс тета-ритма на этапе предъявления видеозаписи конфликтной ситуации с угрозой чести и достоинству в длительном конфликте - 17,43.

Х14 - Индекс тета-ритма на этапе предъявления видеозаписи радостной ситуации -17,7.

Подставляем в формулу дискриминантной функции баллы обследуемого Б.Н.С.по информативным показателям и рассчитаем ее:

Заключение: у обследуемого Б.Н.С. значение ЛДФ меньше константы (89,052<93,626). Делается вывод о неадаптивном типе гормонального стресс-реагирования.

Пример 2.

Обследуемый М.В.Б. (мужчина, возраст 34 года).

На подготовительном этапе на обследуемого накладываются электроды ЭКГ и ЭЭГ, а также проводится предварительный инструктаж об этапах экспериментальной процедуры и правилах поведения во время записи физиологических показателей.

Сначала на экране обследуемому предъявляется инструкция следующего содержания: «Сейчас на экране появится видеозапись. Посмотрите ее и представьте, что эта ситуация произошла с Вами». После чего демонстрируется видеозапись нейтральной ситуации.

После просмотра обследуемым видеозаписи нейтральной ситуации на экране предъявляется инструкция следующего содержания: «Сейчас вы увидите слова, написанные шрифтом разных цветов. Назовите вслух цвета шрифта слов по строкам слева направо как можно быстрее. У вас будет 40 секунд. Если за это время вы успеете дочитать последнюю строчку, начинайте заново с верхней строки». Далее предъявляется стимул-тест Струпа «Словесно-цветовая интерференция» (ФИГ. 3), состоящий из написанных на белом фоне названий цветов шрифтом разного цвета. В течение 40 секунд обследуемый называет слова. Фиксируется количество правильно названных слов за это время.

Обследуемый называет 47 слов, что соответствует 47 баллам по показателю «Тест Струпа кол-во названных цветных слов после предъявления нейтральной ситуации».

Далее на экране обследуемому предъявляется инструкция следующего содержания: «Сейчас на экране появится видеозапись. Посмотрите ее и представьте, что эта ситуация произошла с Вами». После чего демонстрируется видеозапись единичной конфликтной ситуации с угрозой чести и достоинству.

После просмотра обследуемым видеозаписи единичной конфликтной ситуации с унижением чести и достоинства на экране предъявляется инструкция следующего содержания: «Сейчас вы увидите слова, написанные шрифтом разных цветов. Назовите вслух цвета шрифта слов по строкам слева направо как можно быстрее. У вас будет 40 секунд. Если за это время вы успеете дочитать последнюю строчку, начинайте заново с верхней строки». Далее предъявляется стимул-тест Струпа «Словесно-цветовая интерференция» (ФИГ. 3), состоящий из написанных на белом фоне названий цветов шрифтом разного цвета. В течение 40 секунд обследуемый называет слова. Фиксируется количество ошибок (неверное называние цвета шрифта слова), допущенных за это время.

Обследуемый не допускает ни одной ошибки, что соответствует 0 баллам по показателю «Тест Струпа кол-во ошибок при назывании цветных слов после предъявления ситуации с угрозой чести и достоинству при единичном конфликте».

Далее на экране обследуемому предъявляется инструкция следующего содержания: «Сейчас на экране появится видеозапись. Посмотрите ее и представьте, что эта ситуация произошла с Вами». После чего демонстрируется видеозапись длительного конфликта с унижением чести и достоинства.

После просмотра обследуемым видеозаписи длительного конфликта с унижением чести и достоинства на экране предъявляется таблица эмоций и текст с содержанием длительного конфликта с унижением чести и достоинства, в котором пропущены слова (ФИГ. 4). Обследуемому зачитывается инструкция следующего содержания: «Вашему вниманию представлен текст, содержание которого связано с просмотренной ранее видеозаписью. В места пропусков впишите, пожалуйста, чувства и эмоции из таблицы, которые, по вашему мнению, испытывал герой». Обследуемый выбирает из таблицы эмоции и устно заполняет пропуски в тексте. Названные эмоции фиксируются в протоколе. Подсчитывается количество названных эмоций «стыд», за каждую из которых начисляется 1 балл.

Обследуемый отвечает: «Тревога, страх, ужас, досада, гнев», эмоция «стыд» не названа ни разу, что соответствует 0 баллам по показателю «Идентификация эмоций стыда у героев длительной конфликтной ситуации с угрозой чести и достоинству».

Далее на экране обследуемому предъявляется инструкция следующего содержания: «Сейчас на экране появится видеозапись. Посмотрите ее и представьте, что эта ситуация произошла с Вами». После чего демонстрируется видеозапись длительного конфликта с угрозой физической безопасности.

После просмотра обследуемым видеозаписи длительного конфликта с угрозой физической безопасности на экране предъявляется таблица эмоций и текст с содержанием длительного конфликта с угрозой физической безопасности (ФИГ. 4). Обследуемому зачитывается инструкция следующего содержания: «Вашему вниманию представлен текст, содержание которого связано с просмотренной ранее видеозаписью. В места пропусков впишите, пожалуйста, чувства и эмоции из таблицы, которые, по вашему мнению, испытывал герой». Обследуемый выбирает из таблицы эмоции и устно заполняет пропуски в тексте. Названные эмоции фиксируются в протоколе. Подсчитывается количество названных эмоций «интерес» (1 балл), «ожидание» (2 балла), «настороженность» (3 балла). Баллы по названным эмоциям суммируются.

Обследуемый отвечает: «Ожидание, интерес, настороженность, тревога, страх». Рассчитывается сумма баллов по названным эмоциям: 2 б. («ожидание») +16. («интерес») +3 6. («настороженность») =6 б., что соответствует 6 баллам по показателю «Количество идентифицированных эмоций предвкушение у героев длительной конфликтной ситуации с угрозой физической безопасности».

После чего обследуемого просят оценить свою собственную эмоциональную реакцию гнева на предъявленную видеозапись длительной конфликтной ситуацией с угрозой физической безопасности по шкале от 0 до 3, где 0 - не вызвало эмоцию, 1 - вызвало слабую эмоцию, 2 - вызвало среднюю эмоцию, 3 - вызвало сильную эмоцию. Ответ фиксируется в протоколе.

Обследуемый отвечает: «0», что соответствует 0 баллам по показателю «Собственные эмоциональные реакции гнева при предъявлении видеозаписи с длительной конфликтной ситуацией с угрозой физической безопасности».

Далее на экране обследуемому предъявляется инструкция следующего содержания: «Сейчас на экране появится видеозапись. Посмотрите ее и представьте, что эта ситуация произошла с Вами». После чего демонстрируется видеозапись единичной конфликтной ситуации с угрозой физической безопасности. После просмотра обследуемого просят оценить свою собственную эмоциональную реакцию отвращения в ответ на предъявляемую видеозапись единичной конфликтной ситуацией с угрозой физической безопасности по шкале от 0 до 3, где 0 - не вызвало эмоцию, 1 - вызвало слабую эмоцию, 2 - вызвало среднюю эмоцию, 3 - вызвало сильную эмоцию. Ответ фиксируется в протоколе.

Обследуемый отвечает: «3», что соответствует 3 баллам по показателю «Собственные эмоциональные реакции отвращения при предъявлении видеозаписи с единичной конфликтной ситуацией с угрозой физической безопасности».

Далее на экране обследуемому предъявляется инструкция следующего содержания: «Сейчас на экране появится видеозапись. Посмотрите ее и представьте, что эта ситуация произошла с Вами». После чего демонстрируется видеозапись радостной ситуации.

После просмотра последней видеозаписи с обследуемого снимаются датчики ЭКГ и ЭЭГ и к заполнению предлагается «Пятифакторный опросник личности». При обработке результатов учитывается только шкала «Замкнутость - общительность». Подсчитывается балл по данной шкале и фиксируется в протоколе.

Результаты обследуемого по шкале «Замкнутость - общительность»: 11 балла, что соответствует 11 баллам по показателю «Замкнутость - общительность (Пятифакторный опросник личности)».

Далее к заполнению предлагается опросник «Стиль саморегуляции поведения». При обработке результатов учитывается только шкала «Общий уровень саморегуляции». Подсчитывается балл по данной шкале и фиксируется в протоколе.

Результаты обследуемого по шкале «Общий уровень саморегуляции»: 43 балла, что соответствует 43 баллам по показателю «Общий уровень саморегуляции (о. Стиль саморегуляции поведения)».

После чего к заполнению предлагается опросник «Индекс жизненного стиля». При обработке результатов учитывается только шкала «Замещение». Подсчитывается балл по данной шкале и фиксируется в протоколе.

Результаты обследуемого по шкале «Замещение»: 10 баллов, что соответствует 10 баллам по показателю «Защитный механизм замещение (о. Индекс жизненного стиля)».

Далее к заполнению предлагается опросник «BIS-BAS». При обработке результатов учитывается только шкала «Развлекательная активация поведения - BAS Fun». Подсчитывается балл по данной шкале и фиксируется в протоколе.

Результаты обследуемого по шкале «Развлекательная активация поведения - BAS Fun»: 10 баллов, что соответствует 10 баллам по показателю «Развлекательная активация поведения - BAS Fun (о. BIS-BAS)».

После чего к заполнению предлагается опросник «Смысложизненные ориентации». При обработке результатов учитывается только шкала «Локус контроля - жизнь». Подсчитывается балл по данной шкале и фиксируется в протоколе.

Результаты обследуемого по шкале «Локус контроля - жизнь»: 39 баллов, что соответствует 39 баллам по показателю «Локус контроля - жизнь (о. Смысложизненные ориентации)».

Для оценки физиологических особенностей обследуемого при предъявлении видеозаписей длительного конфликта с унижением чести и достоинства и радостной ситуации проводилось исследование ЭКГ и ЭЭГ. Были получены следующие результаты.

Индекс LF/VLF на этапе предъявления видеозаписи длительного конфликта с унижением чести и достоинства: 0,84, что соответствует 0,84 балла по переменной.

Индекс тета-ритма на этапе предъявления видеозаписи длительного конфликта с унижением чести и достоинства: 15,07, что соответствует 15,07 балла по переменной.

Индекс тета-ритма на этапе предъявления видеозаписи радостной ситуации: 17,05, что соответствует 17,05 балла по переменной.

Проведена диагностика профилей стресс-реагирования с помощью заявленного способа и определены балльные значения информативных показателей.

Информативные показатели:

X1 - Тест Струпа кол-во названных цветных слов после предъявления нейтральной ситуации - 47.

Х2 - Тест Струпа кол-во ошибок при назывании цветных слов после предъявления ситуации с угрозой чести и достоинству при единичном конфликте - 0.

Х3 – Количество идентифицированных эмоций стыда у героев длительной конфликтной ситуации с угрозой чести и достоинству - 0.

Х4 - Количество идентифицированных эмоций предвкушения у героев длительной конфликтной ситуации с угрозой физической безопасности - 6.

Х5 - Собственные эмоциональные реакции гнева при предъявлении видеозаписи с длительной конфликтной ситуацией с угрозой физической безопасности - 0.

Х6 - Собственные эмоциональные реакции отвращения при предъявлении видеозаписи с единичной конфликтной ситуацией с угрозой физической безопасности - 3.

Х7 - Замкнутость - общительность - 11.

Х8 - Общий уровень саморегуляции - 43.

Х9 - Защитный механизм замещение - 10.

Х10 - Развлекательная активация поведения - BAS Fun - 10.

Х11 - Локус контроля - жизнь - 39.

Х12 - Индекс LF/VLF на этапе предъявления видеозаписи конфликтной ситуации с угрозой чести и достоинству в длительном конфликте - 0,84.

Х13 - Индекс тета-ритма на этапе предъявления видеозаписи конфликтной ситуации с угрозой чести и достоинству в длительном конфликте - 15,07.

Х14 - Индекс тета-ритма на этапе предъявления видеозаписи радостной ситуации -17,05.

Подставляем в формулу дискриминантной функции баллы обследуемого Б.Н.С. по информативным показателям и рассчитаем ее:

Заключение: у обследуемого М.В.Б. значение ЛДФ больше константы (93,626<114,344). Делается вывод об адаптивном типе гормонального стресс-реагирования.

Похожие патенты RU2834387C1

название год авторы номер документа
СПОСОБ КОРРЕКЦИИ НАРУШЕНИЙ САМОРЕГУЛЯЦИИ И ПСИХОЭМОЦИОНАЛЬНОГО СОСТОЯНИЯ У СПЕЦИАЛИСТОВ ЭКСТРЕМАЛЬНОГО ПРОФИЛЯ В УСЛОВИЯХ МОДЕЛИРОВАНИЯ СТРЕССОВОЙ НАГРУЗКИ 2018
  • Булыгина Вера Геннадьевна
  • Ковалева Мария Евгеньевна
RU2681929C1
СПОСОБ ДИАГНОСТИКИ НАРУШЕНИЙ САМОРЕГУЛЯЦИИ У ЛИЦ С РАССТРОЙСТВАМИ ЛИЧНОСТИ 2020
  • Булыгина Вера Геннадьевна
  • Шеховцова Елена Сергеевна
  • Дубинский Александр Александрович
RU2755368C1
СПОСОБ ДИАГНОСТИКИ ПАРАФИЛЬНЫХ РАССТРОЙСТВ С ПРИМЕНЕНИЕМ ТРЕКИНГА ГЛАЗ 2019
  • Введенский Георгий Евгеньевич
  • Каменсков Максим Юрьевич
  • Купцова Дарина Михайловна
RU2722056C1
Способ групповой когнитивно-поведенческой терапии при ожирении у женщин 2024
  • Елиашевич Софья Олеговна
  • Мишарова Алина Павловна
  • Медик Янина Владимировна
  • Орехова Анастасия Владимировна
  • Драпкина Оксана Михайловна
RU2838785C1
СПОСОБ ДИАГНОСТИКИ НАРУШЕНИЙ СЕКСУАЛЬНЫХ ПРЕДПОЧТЕНИЙ ПО ОБЪЕКТУ 2001
  • Ткаченко А.А.
  • Введенский Г.Е.
  • Хавкин А.Ю.
  • Алексеев Л.Г.
  • Никифоров А.И.
RU2215474C2
Способ развития эмоционально-интеллектуальных навыков детей 2019
  • Сергиенко Елена Алексеевна
  • Хлевная Елена Анатольевна
  • Киселева Татьяна Сергеевна
RU2734133C1
СПОСОБ ОЦЕНКИ ЭМОЦИОНАЛЬНОГО СОСТОЯНИЯ ЧЕЛОВЕКА 2005
  • Григорьева Вера Наумовна
  • Тхостов Александр Шамилевич
RU2291720C1
СПОСОБ ВЫЯВЛЕНИЯ КЛИНИЧЕСКИХ ОСОБЕННОСТЕЙ ПОГРАНИЧНЫХ НЕРВНО-ПСИХИЧЕСКИХ РАССТРОЙСТВ 2000
  • Белокрылова М.Ф.
  • Семке В.Я.
RU2168312C1
СПОСОБ ОЦЕНКИ ЛИЧНОСТИ 2013
  • Кадыров Руслан Васитович
  • Скоробач Татьяна Викторовна
RU2539016C1
СПОСОБ ДИФФЕРЕНЦИАЛЬНОЙ ДИАГНОСТИКИ СТРЕССА У ПОДРОСТКОВ, ОКАЗАВШИХСЯ В ТРУДНОЙ ЖИЗНЕННОЙ СИТУАЦИИ 2023
  • Колмакова Татьяна Сергеевна
  • Горбанева Маргарита Вячеславовна
  • Оксенюк Оксана Станиславовна
  • Байер Елена Александровна
  • Ишонина Оксана Георгиевна
RU2810814C1

Иллюстрации к изобретению RU 2 834 387 C1

Реферат патента 2025 года СПОСОБ ПРОГНОЗА ТИПА ГОРМОНАЛЬНОГО РЕАГИРОВАНИЯ НА СТРЕСС

Изобретение относится к области медицины, а именно к медицинской психологии, и может быть использовано для прогноза типа гормонального реагирования на стресс. Проводят КГ, ЭЭГ, психологическое тестирование. Предъявляют пациенту шесть видеозаписей. По заявленной формуле рассчитывают линейные дискриминантные функции (ЛФД) по 14 показателям. При значении ЛДФ менее 93,626 диагностируют неадаптивный тип гормонального реагирования. При значении ЛДФ более 93,626 - адаптивный тип гормонального реагирования. Способ позволяет с высокой вероятностью оценить тип гормонального стресс-реагирования за счет оценки комплекса наиболее значимых показателей. 4 ил., 3 табл., 2 пр.

Формула изобретения RU 2 834 387 C1

Способ прогноза типа гормонального реагирования на стресс, характеризующийся тем, что последовательно предъявляют пациенту шесть видеозаписей, причем во время демонстрации видеозаписей проводят регистрацию ЭКГ с оценкой показателя индекса LF/VLF и ЭЭГ с оценкой индекса тета-ритма; вначале предъявляют видеозапись с нейтральной ситуацией и после ее просмотра проводят тест Струпа с оценкой количества названных цветных слов, далее предъявляют для просмотра видеозапись ситуации с угрозой чести и достоинству при единичном конфликте и после нее проводят тест Струпа с оценкой количества ошибок при назывании цветных слов, затем предъявляют запись с длительной конфликтной ситуацией с угрозой чести и достоинству, а после нее пациент заполняет 5 пропусков в тексте, описывающем просмотренную видеозапись, выбирая из списка нужную эмоцию, причем за каждую выбранную эмоцию стыд начисляют 1 балл, далее предъявляют для просмотра видеозапись с длительной конфликтной ситуацией с угрозой физической безопасности и после просмотра пациент заполняет 5 пропусков в тексте, описывающем просмотренную видеозапись, выбирая из списка нужную эмоцию, причем за каждую выбранную эмоцию предвкушение, представленную эмоциями настороженность, ожидание, интерес, по снижению интенсивности начисляют баллы: интерес - 1 балл, ожидание - 2 балла, настороженность - 3 балла, затем суммируют общее количество баллов, после этого просят пациента оценить выраженность собственной эмоции гнев после просмотра видеозаписи, далее предъявляют видеозапись с единичной конфликтной ситуацией с угрозой физической безопасности и после пациента просят оценить выраженность собственной эмоции отвращение, при этом оценка собственных эмоций в ответ на предъявляемые конфликтные ситуации осуществляется по интенсивности испытываемой эмоции: 0 баллов - не вызвало эмоцию, 1 - вызвало слабую эмоцию, 2 - вызвало среднюю эмоцию, 3 - вызвало сильную эмоцию, затем предъявляют видеозапись с ситуацией радости, затем проводят психологическое тестирование с оценкой показателя замкнутости-общительности с помощью Пятифакторного опросника личности, с оценкой общего уровня саморегуляции посредством опросника Стиль саморегуляции поведения, с оценкой защитного механизма замещения посредством методики Индекс жизненного стиля, с оценкой выраженности развлекательной активации поведения - BAS Fun с помощью опросника BIS-BAS, с оценкой Локуса контроля - жизнь с помощью методики Смысложизненные ориентации; далее полученные показатели используют для расчета дискриминантной функции:

где Xn - значение показателей по следующим параметрам:

X1 - тест Струпа, количество названных цветных слов после предъявления нейтральной ситуации,

Х2 - тест Струпа, количество ошибок при назывании цветных слов после предъявления ситуации с угрозой чести и достоинству при единичном конфликте,

Х3 - количество идентифицированных эмоций стыда у героев длительной конфликтной ситуации с угрозой чести и достоинству,

Х4 - количество идентифицированных эмоций предвкушения у героев длительной конфликтной ситуации с угрозой физической безопасности,

Х5 - интенсивность собственной эмоции гнева при предъявлении видеозаписи с длительной конфликтной ситуацией с угрозой физической безопасности,

Х6 - интенсивность собственной эмоции отвращения при предъявлении видеозаписи с единичной конфликтной ситуацией с угрозой физической безопасности,

Х7 - замкнутость-общительность, балл,

X8 - общий уровень саморегуляции, балл,

Х9 - защитный механизм замещения, балл,

Х10 - развлекательная активация поведения BAS Fun, балл,

Х11 - локус контроля - жизнь, балл,

Х12 - индекс LF/VLF на этапе предъявления видеозаписи конфликтной ситуации с угрозой чести и достоинству в длительном конфликте,

Х13 - индекс тета-ритма на этапе предъявления видеозаписи конфликтной ситуации с угрозой чести и достоинству в длительном конфликте,

Х14 - индекс тета-ритма на этапе предъявления видеозаписи радостной ситуации;

и при значении ЛДФ менее 93,626 прогнозируют неадаптивный тип гормонального реагирования на стресс, при значении ЛДФ более 93,626 прогнозируют адаптивный тип гормонального реагирования на стресс.

Документы, цитированные в отчете о поиске Патент 2025 года RU2834387C1

Способ прогнозирования течения расстройства адаптации 2019
  • Дашиева Баирма Антоновна
  • Карауш Ирина Сергеевна
  • Никитина Валентина Борисовна
  • Куприянова Ирина Евгеньевна
  • Бохан Николай Александрович
RU2717307C1
СПОСОБ ПРОГНОЗИРОВАНИЯ РАЗВИТИЯ СТРЕСС-ИНДУЦИРОВАННЫХ СОМАТИЧЕСКИХ ЗАБОЛЕВАНИЙ У ОБУЧАЮЩИХСЯ В ВОЕННОМ ВУЗЕ 2020
  • Зеленина Наталья Васильевна
  • Федоткина Ирина Викторовна
  • Юсупов Владислав Викторович
RU2758547C1
СПОСОБ ПРОГНОЗИРОВАНИЯ УСТОЙЧИВОСТИ ОРГАНИЗМА К СТРЕССОРНОМУ ВОЗДЕЙСТВИЮ 2006
  • Онищенко Нина Андреевна
  • Темнов Андрей Александрович
RU2322675C1
Способ выявления склонности к девиантному поведению и профессиональному выгоранию работников производственных предприятий 2021
  • Колсанов Александр Владимирович
  • Чаплыгин Сергей Сергеевич
  • Ровнов Сергей Викторович
  • Захаров Александр Владимирович
  • Мазанкина Елена Владимировна
RU2772895C1
Способ регистрации эмоциональной дезадаптации по кардиоритмограмме 2020
  • Полевая Софья Александровна
  • Парин Сергей Борисович
  • Шемагина Ольга Владимировна
  • Еремин Евгений Викторович
  • Стасенко Сергей Викторович
  • Яхно Владимир Григорьевич
RU2772185C1
US 20140316230 A1, 23.10.2014
БУЛЫГИНА В.Г
Прогноз адаптивности сотрудников силовых структур в условиях моделирования стресса
Психология
Психофизиология
Т
Насос 1917
  • Кирпичников В.Д.
  • Классон Р.Э.
SU13A1
Спускная труба при плотине 0
  • Фалеев И.Н.
SU77A1

RU 2 834 387 C1

Авторы

Дубинский Александр Александрович

Булыгина Вера Геннадьевна

Пеева Олеся Дмитриевна

Костина Елена Викторовна

Лысенко Надежда Евгеньевна

Даты

2025-02-06Публикация

2024-05-22Подача