Способ определения давления центробежного насоса с асинхронным электроприводом Российский патент 2025 года по МПК F04B49/06 F04D13/06 

Описание патента на изобретение RU2835472C1

Изобретение относится к контрольно-измерительной технике и может быть использовано при контроле давления воды и других текучих сред.

Известен способ определения расходной характеристики насосной установки (патент SU 1783869 опубликован 29.11.1990), содержащих центробежный насос, приемный трубопровод, выкидной трубопровод и приводной электродвигатель. Сущность изобретения: измеряют силу тока электропривода и давление нагнетания в магистрали питания. Расходную характеристику определяют в виде зависимости расхода от характерного параметра, получаемого по результатам измерений. Дополнительно определяют мощность, потребляемую насосной установкой от электропривода, и давление, развиваемое установкой. Характерный параметр определяют в виде коэффициента подачи от определенного заданного соотношения. Для определения мощности, потребляемой от электропривода, измеряют активную его мощность и уменьшают ее на КПД, взятый в функции от силы тока. Для определения давления, развиваемого установкой, измеряют давление на магистрали всасывания и вычисляют разность давлений нагнетания и всасывания.

Наиболее близким к заявляемому является способ для определения давления насоса с электроприводом (патент RU 2623195, опубликовано 22.06.2017), при реализации которого измеряют давление на подающем трубопроводе, измеряют мгновенные величины токов и напряжений статора асинхронного двигателя, преобразуют трехфазные значения токов и напряжений в двухфазные составляющие токов и напряжений, определяют оцененные составляющие тока статора. Затем вычисляют разницу между оцененными значениями составляющих тока статора и текущими значениями составляющих тока статора, определяют оцененные значения составляющих потокосцеплений ротора. По оцененным значениям составляющих тока статора и потокосцепления ротора определяют электромагнитный момент асинхронного двигателя. С помощью оцененных значений составляющих потокосцепления ротора и разницы между оцененными значениями составляющих тока статора и текущими значениями составляющих тока статора определяют момент нагрузки центробежного насоса. С помощью значений электромагнитного момента асинхронного двигателя и момента нагрузки центробежного насоса определяют текущую угловую скорость вращения рабочего колеса центробежного насоса. Определяют гидравлическую мощность насоса. По значениям гидравлической мощности и скорости вращения ротора определяют действительный расход насосной установки. По значениям действительного расхода насосной установки и давлению на подающем трубопроводе определяют развиваемое насосной установкой давление.

Недостатками известных способов является точность определения давления в установившихся и переходных процессах, в условиях шума сигналов тока и напряжения асинхронного двигателя.

Задачей изобретения является повышение точности определения мгновенного давления центробежного насоса с асинхронным электроприводом в условиях шумов входных сигналов.

Отличием от известных способов является использование адаптивного наблюдателя использующего нечеткий регулятор, позволяющего снизить погрешность определения давления жидкости насосной установки с центробежными насосами и асинхронными двигателями.

Сущность технического решения поясняется формулами (1-25).

Технический результат достигается тем, что измеряют мгновенные величины токов (,,) и напряжений (,,) статора асинхронного двигателя, вычисляют двухфазные составляющие тока статора (,) и напряжения (,):

(1)

(2).

Определяют оценки составляющих тока статора ,:

(3).

где – шаг итерации;

– индуктивность рассеивания статора, Гн;

– индуктивность ветви намагничивания, Гн;

– индуктивность ротора, Гн;

, – сопротивление статора и ротора, Ом;

– число пар полюсов асинхронного двигателя.

Определяют оценки составляющих потокосцепления ротора , :

(4).

Определяют функцию невязки:

(5).

Определяют приращение функции невязки:

(6).

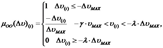
На этапе фаззификации определяется принадлежность функции невязки и приращения функции невязки пяти лингвистическим переменным: ОО (отрицательно), ОН (отрицательно-нейтрально), Н (нейтрально), ПН (положительно-нейтрально), ПП (положительно), согласно следующим соотношениям:

(7)

где – верхняя граница значений функций невязки,

, – доли деления интервала верхних и нижних границ, .

(8)

(9)

(10)

(11)

(12)

где – верхняя граница значений функций приращений невязки.

(13)

(14)

(15)

(16)

Согласно набору правил (Табл 1.) определяются функции нечетких значений: М (малое), СМ (средне-малое), С (среднее), СБ (средне-большое), Б (большое).

Таблица 1. Набор правил нечеткого логического множества

ОО ОН Н ПН ПП ОО М, Б, СБ М, СБ, СБ М, С, С М, СМ, СМ М, М, СМ ОН СМ, Б, СБ СМ, СБ, СБ СМ, С, С СМ, СМ, СМ СМ, М, СМ Н С, Б, СБ С, СБ, СБ C, C, С С, СМ, СМ С, М, СМ ПН СБ, Б, СБ СБ, СБ, СБ СБ, С, С СБ, СМ, СМ СБ, М, СМ ПП Б, Б, СБ Б, СБ, СБ Б, С, С Б, СМ, СМ Б, М, СМ

Правила нечеткого логического множества (Таблица 1) интерпретируются, используя технику нечеткой импликации Мамдани. Для этого определяют уровни «отсечения» для каждого из правил:

, (17)

где – функция принадлежности k-й входной переменной (x) для j-го правила,

– функция принадлежности выходной переменной.

Затем определяют результирующую функцию принадлежности:

. (18)

На этапе дефаззификации определяются выходные значения (коэффициенты усиления пропорциональной, интегральной и дифференциальной составляющих ) (nmax=3) по методу центра тяжести:

(19)

Оцененное значение скорости определяется по следующей формуле:

(20).

Определяют оцененный электромагнитный момент асинхронного двигателя по формуле (21):

(21)

На интервале усреднения , определяют оцененную гидравлическую мощность центробежного насоса (22):

(22)

– совместный момент инерции центробежного насоса и асинхронного двигателя, кг/м2;

– момент сопротивления насоса при нулевом расходе.

Определяют оцененное значение расхода жидкости центробежного насоса, по формуле (23):

(23).

где – плотность жидкости,

– номинальная угловая скорость вращения крыльчатки центробежного насоса.

, – коэффициенты напорной характеристики насоса.

(24)

где – номинальная подача центробежного насоса;

, – коэффициенты напорной характеристики насоса.

Давление жидкости насосной установки определяется как сумма давления развиваемого насосом и давления в питающем трубопроводе (25):

(25)

где – давление на выходе насосной установки,

– давление, развиваемое насосом,

– давление в питающем трубопроводе.

В проведенных экспериментах на насосе К8-18 с асинхронным двигателем АД80М2 погрешность определения давления в установившемся режиме не превышает 2,4%.

Таким образом, заявленный способ позволяет повысить точность определения давления жидкости центробежного насоса с асинхронным электроприводом в условиях шума входных сигналов.

Похожие патенты RU2835472C1

название год авторы номер документа
Способ определения расхода жидкости центробежного насоса с асинхронным электроприводом 2024
  • Лысенко Олег Александрович
RU2835473C1
Способ определения момента нагрузки асинхронного электродвигателя 2024
  • Лысенко Олег Александрович
RU2838353C1
Способ определения угловой скорости вращения ротора асинхронного электродвигателя 2024
  • Лысенко Олег Александрович
RU2839821C1
СПОСОБ ДЛЯ ОПРЕДЕЛЕНИЯ ДАВЛЕНИЯ НАСОСА С ЭЛЕКТРОДВИГАТЕЛЕМ 2016
  • Лысенко Олег Александрович
RU2623195C1
СПОСОБ ОПРЕДЕЛЕНИЯ РАСХОДА ЖИДКОСТИ ЦЕНТРОБЕЖНОГО НАСОСА С АСИНХРОННЫМ ЭЛЕКТРОПРИВОДОМ 2015
  • Лысенко Олег Александрович
RU2610909C1
Способ определения давления центробежного насоса с асинхронным электроприводом 2022
  • Лысенко Олег Александрович
RU2791689C1
СПОСОБ ОПРЕДЕЛЕНИЯ ДАВЛЕНИЯ ЦЕНТРОБЕЖНОГО НАСОСА С АСИНХРОННЫМ ЭЛЕКТРОПРИВОДОМ 2020
  • Лысенко Олег Александрович
RU2743866C1
СПОСОБ СТАБИЛИЗАЦИИ ДАВЛЕНИЯ НАСОСНОЙ УСТАНОВКИ С АСИНХРОННЫМ ЭЛЕКТРОПРИВОДОМ 2019
  • Лысенко Олег Александрович
RU2718091C1
Способ определения расхода жидкости центробежного насоса с асинхронным электроприводом 2022
  • Лысенко Олег Александрович
RU2784325C1
Способ определения давления центробежного насоса с асинхронным электроприводом 2021
  • Лысенко Олег Александрович
RU2791970C1

Реферат патента 2025 года Способ определения давления центробежного насоса с асинхронным электроприводом

Изобретение относится к контрольно-измерительной технике и может быть использовано при контроле давления воды и других текучих сред. Сущность изобретения: измеряют мгновенные величины токов и напряжений статора асинхронного двигателя, преобразуют трехфазные значения токов и напряжений в двухфазные составляющие токов и напряжений. На каждом из временных отрезков определяют оценки составляющих тока статора, вычисляют оценки составляющих потокосцепления ротора. По оцененным значениям тока статора и потокосцепления ротора определяют функцию невязки и ее приращение. На основании значений функции невязки и ее приращения определяют принадлежность функции невязки и приращения функции невязки пяти лингвистическим переменным, применяя аппарат нечеткой логики. Используя технику нечеткой импликации Мамдани, интерпретируют согласно набору правил логические переменные. На этапе дефаззификации определяются коэффициенты усиления пропорциональной, интегральной и дифференциальной составляющих по методу центра тяжести. С помощью полученных коэффициентов, функции невязки и приращения функции невязки определяют угловую скорость вращения ротора асинхронного двигателя. Полученное значение угловой скорости используют для определения оценок тока статора, потокосцепления ротора и функции невязки на следующем шаге. По значениям электромагнитного момента и угловой скорости вращения ротора определяют мгновенную гидравлическую мощность, развиваемую центробежным насосом. С помощью значений мгновенной гидравлической мощности и угловой скорости вращения ротора асинхронного двигателя определяют мгновенный объёмный расход центробежного насоса. По значениям действительного расхода насосной установки и давлению на подающем трубопроводе определяют развиваемое насосной установкой давление. Технический результат: повышение точности определения мгновенного давления центробежного насоса с асинхронным электроприводом в условиях шумов входных сигналов. 1 табл.

Формула изобретения RU 2 835 472 C1

Способ определения давления центробежного насоса с асинхронным электроприводом, для реализации которого проводят измерение давления на подающем трубопроводе, проводят измерение мгновенных величин токов и напряжений статора асинхронного двигателя, преобразование трехфазных значений токов и напряжений в двухфазные составляющие токов и напряжений, отличающийся тем, что на каждом из временных отрезков определяют оценки составляющих тока статора, вычисляют оценки составляющих потокосцепления ротора, по оцененным значениям тока статора и потокосцепления ротора определяют функцию невязки и ее приращение, на основании значений функции невязки и ее приращения определяют принадлежность функции невязки и приращения функции невязки пяти лингвистическим переменным, применяя аппарат нечеткой логики, используя технику нечеткой импликации Мамдани интерпретируют согласно набору правил логические переменные, на этапе дефаззификации определяются коэффициенты усиления пропорциональной, интегральной и дифференциальной составляющих по методу центра тяжести, с помощью полученных коэффициентов, функции невязки и приращения функции невязки определяют угловую скорость вращения ротора асинхронного двигателя, полученное значение угловой скорости используют для определения оценок тока статора, потокосцепления ротора и функции невязки на следующем шаге, по значениям тока статора и оцененных значений потокосцепления определяют электромагнитный момент асинхронного двигателя, по значениям электромагнитного момента и угловой скорости ротора определяют мгновенную гидравлическую мощность, развиваемую центробежным насосом, с помощью значений мгновенной гидравлической мощности и угловой скорости вращения ротора асинхронного двигателя определяют мгновенный объёмный расход центробежного насоса, по значениям действительного расхода насосной установки и давлению на подающем трубопроводе определяют развиваемое насосной установкой давление.

Документы, цитированные в отчете о поиске Патент 2025 года RU2835472C1

СПОСОБ ДЛЯ ОПРЕДЕЛЕНИЯ ДАВЛЕНИЯ НАСОСА С ЭЛЕКТРОДВИГАТЕЛЕМ 2016
  • Лысенко Олег Александрович
RU2623195C1
СПОСОБ ОПРЕДЕЛЕНИЯ ДАВЛЕНИЯ ЦЕНТРОБЕЖНОГО НАСОСА С АСИНХРОННЫМ ЭЛЕКТРОПРИВОДОМ 2020
  • Лысенко Олег Александрович
RU2743866C1
Способ определения давления центробежного насоса с асинхронным электроприводом 2021
  • Лысенко Олег Александрович
RU2791970C1
СПОСОБ ОПРЕДЕЛЕНИЯ РАСХОДА ЖИДКОСТИ ЦЕНТРОБЕЖНОГО НАСОСА С АСИНХРОННЫМ ЭЛЕКТРОПРИВОДОМ 2015
  • Лысенко Олег Александрович
RU2610909C1
WO 2011008874 A1, 20.01.2011
CN 101949382 A, 19.01.2011.

RU 2 835 472 C1

Авторы

Лысенко Олег Александрович

Даты

2025-02-25Публикация

2024-06-24Подача