Способ определения угловой скорости вращения ротора асинхронного электродвигателя Российский патент 2025 года по МПК G01R31/34 H02P21/14 G01L3/22 

Описание патента на изобретение RU2839821C1

Изобретение относится к электротехнике и может быть использовано при учете угловой скорости вращения ротора асинхронного электродвигателя.

Известен способ определения угловой скорости ротора асинхронного двигателя (Стариков А.В., Стрижакова Е.В., Беляева О.С., Карим Альтахер А.А. Наблюдатель скорости вращения асинхронного двигателя // Вестник Самарского государственного технического университета. Серия «Технические науки». - 2020. - Т. 28. - №4. - C. 155-166.) Сущность способа: используя параметры схемы замещения и задаваясь начальными значениями угловой скорости вращения магнитного поля и частоты питающего напряжения, и допуская, что рабочий участок механической характеристики аппроксимируется линейной зависимостью вычисляют коэффициент передачи асинхронного двигателя по отношению к падению статорного напряжения. Используя информацию о частоте питающего напряжения, токе холостого хода, параметров схемы замещения, коэффициенте пропорциональности напряжения, пользуясь аналитическим выражением вычисляют угловую скорость асинхронного двигателя при скалярном частотном управлении. Недостатками данного способа являются: необходимость измерения или задания частоты питающего напряжения, использование только в скалярных системах управления, что ограничивает его применение, а также недостаточная точность измерения.

Наиболее близким к заявляемому является способ определения угловой скорости ротора асинхронного электродвигателя (Патент № 2385529 C1 Российская Федерация, МПК H02P 21/14, H02P 23/14. Способ оптимальной оценки частоты вращения асинхронного двигателя и система для его реализации : № 2008136335/09 : заявл. 09.09.2008 : опубл. 27.03.2010 / В. Г. Букреев, В. С. Лаходынов, Д. С. Аксенов ; заявитель Закрытое акционерное общество "ЭлеСи". – EDN MXZQLY.). Сущность способа: измеряют текущие значения напряжений и токов статора двигателя, осуществляют прямое и косвенное вычисления значений реактивной мощности, пропорционально-интегральное преобразование на основе минимизации критерия качества, определяемого по сохраненным ранее двум предыдущим значениям оценки частоты вращения и разности значений прямого и косвенного вычислений реактивной мощности.

Недостатками известных способов является недостаточная точность определения угловой скорости вращения ротора в установившихся и переходных процессах в условиях шумов входных сигналов, в том числе обусловленная вычислением оптимальных коэффициентов ПИ-регулятора за определенный промежуток времени, кратный нескольким периодам дискретизации, что приводит к неоптимальной настройке данного регулятора.

Задачей изобретения является повышение точности угловой скорости вращения ротора асинхронного электродвигателя.

Отличием от известных способов является использование адаптивного наблюдателя использующего нечеткий регулятор, позволяющего снизить погрешность определения угловой скорости вращения ротора асинхронного электродвигателя.

Сущность технического решения поясняется формулами (1-20).

Технический результат достигается тем, что измеряют мгновенные величины токов (,,) и напряжений (,,) статора асинхронного двигателя, вычисляют двухфазные составляющие тока статора (,) и напряжения (,):

(1)

(2).

Определяют оценки составляющих тока статора ,:

(3).

где – шаг итерации;

– индуктивность рассеивания статора, Гн;

– индуктивность ветви намагничивания, Гн;

– индуктивность ротора, Гн;

, – сопротивление статора и ротора, Ом;

– число пар полюсов асинхронного двигателя.

Определяют оценки составляющих потокосцепления ротора , :

(4).

Определяют функцию невязки:

(5).

Определяют приращение функции невязки:

(6).

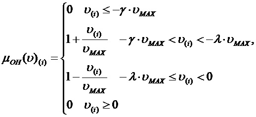
На этапе фаззификации определяется принадлежность функции невязки и приращения функции невязки пяти лингвистическим переменным: ОО (отрицательно), ОН (отрицательно-нейтрально), Н (нейтрально), ПН (положительно-нейтрально), ПП (положительно), согласно следующим соотношениям:

(7)

где – верхняя граница значений функций невязки,

, – доли деления интервала верхних и нижних границ, .

(8)

(9)

(10)

(11)

(12)

где – верхняя граница значений функций приращений невязки.

(13)

(14)

(15)

(16)

Согласно набору правил (Табл 1.) определяются функции нечетких значений: М (малое), СМ (средне-малое), С (среднее), СБ (средне-большое), Б (большое).

Таблица 1. Набор правил нечеткого логического множества

ОО ОН Н ПН ПП ОО М, Б, СБ М, СБ, СБ М, С, С М, СМ, СМ М, М, СМ ОН СМ, Б, СБ СМ, СБ, СБ СМ, С, С СМ, СМ, СМ СМ, М, СМ Н С, Б, СБ С, СБ, СБ C, C, С С, СМ, СМ С, М, СМ ПН СБ, Б, СБ СБ, СБ, СБ СБ, С, С СБ, СМ, СМ СБ, М, СМ ПП Б, Б, СБ Б, СБ, СБ Б, С, С Б, СМ, СМ Б, М, СМ

Правила нечеткого логического множества (Таблица 1) интерпретируются, используя технику нечеткой импликации Мамдани. Для этого определяют уровни «отсечения» для каждого из правил:

, (17)

где – функция принадлежности k-й входной переменной (x) для j-го правила,

– функция принадлежности выходной переменной.

Затем определяют результирующую функцию принадлежности:

. (18)

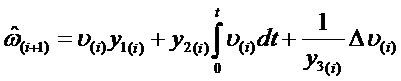
На этапе дефаззификации определяются выходные значения (коэффициенты усиления пропорциональной, интегральной и дифференциальной составляющих ) (nmax=3) по методу центра тяжести:

, (19)

Оцененное значение скорости определяется по следующей формуле:

(20).

В численных экспериментах на асинхронном двигателе АД80М2 динамическая погрешность определения угловой скорости ротора по сравнению с эталонной моделью в установившемся режиме не превышает 0,5%.

Похожие патенты RU2839821C1

название год авторы номер документа
Способ определения момента нагрузки асинхронного электродвигателя 2024
  • Лысенко Олег Александрович
RU2838353C1
Способ определения расхода жидкости центробежного насоса с асинхронным электроприводом 2024
  • Лысенко Олег Александрович
RU2835473C1
Способ определения давления центробежного насоса с асинхронным электроприводом 2024
  • Лысенко Олег Александрович
RU2835472C1
УСТРОЙСТВО УПРАВЛЕНИЯ СУДОВОЙ СИСТЕМОЙ ЭЛЕКТРОДВИЖЕНИЯ НА ОСНОВЕ НЕЧЕТКОГО РЕГУЛЯТОРА 2010
  • Бруслиновский Борис Васильевич
  • Васин Игорь Михайлович
  • Голодный Николай Викторович
  • Доброскок Никита Александрович
  • Заботлин Дмитрий Вячеславович
  • Петрова Наталья Александровна
  • Токарев Лев Николаевич
RU2450299C1
СПОСОБ ОПРЕДЕЛЕНИЯ РАСХОДА ЖИДКОСТИ ЦЕНТРОБЕЖНОГО НАСОСА С АСИНХРОННЫМ ЭЛЕКТРОПРИВОДОМ 2015
  • Лысенко Олег Александрович
RU2610909C1
СПОСОБ КОНТРОЛЯ СОСТОЯНИЯ СЕТИ ПЕРЕДАЧИ ДАННЫХ 2015
  • Богданов Валентин Викторович
RU2610287C1
СПОСОБ ОПРЕДЕЛЕНИЯ ТЕХНОЛОГИЧЕСКОГО КАЧЕСТВА ЛЬНЯНЫХ СТЕБЛЕЙ 2013
  • Федосова Наталья Михайловна
  • Вихарев Сергей Михайлович
  • Соколов Алексей Сергеевич
RU2555620C2
СПОСОБ ДЛЯ ОПРЕДЕЛЕНИЯ ДАВЛЕНИЯ НАСОСА С ЭЛЕКТРОДВИГАТЕЛЕМ 2016
  • Лысенко Олег Александрович
RU2623195C1
ЧАСТОТНО-РЕГУЛИРУЕМЫЙ АСИНХРОННЫЙ ЭЛЕКТРОПРИВОД 2008
  • Александров Евгений Васильевич
  • Александров Никита Евгеньевич
  • Лагун Вячеслав Владимирович
  • Климов Геннадий Георгиевич
RU2401502C2
Электропривод переменного тока 1984
  • Мищенко Владислав Алексеевич
  • Мищенко Наталья Ивановна
SU1464276A1

Реферат патента 2025 года Способ определения угловой скорости вращения ротора асинхронного электродвигателя

Изобретение относится к электротехнике и может быть использовано при учете угловой скорости вращения ротора асинхронного электродвигателя. В ходе реализации способа измеряют мгновенные величины токов и напряжений статора асинхронного двигателя, преобразуют трехфазные значения токов и напряжений в двухфазные составляющие токов и напряжений. На каждом из временных отрезков определяют оценки составляющих тока статора, вычисляют оценки составляющих потокосцепления ротора. По оцененным значениям тока статора и потокосцепления ротора определяют функцию невязки и ее приращение. На основании значений функции невязки и ее приращения определяют принадлежность функции невязки и приращения функции невязки пяти лингвистическим переменным, применяя аппарат нечеткой логики. Используя технику нечеткой импликации Мамдани, интерпретируют согласно набору правил логические переменные. На этапе дефаззификации определяются коэффициенты усиления пропорциональной, интегральной и дифференциальной составляющих по методу центра тяжести. С помощью полученных коэффициентов функции невязки и приращения функции невязки определяют угловую скорость вращения ротора асинхронного двигателя. Полученное значение угловой скорости используют для определения оценок тока статора, потокосцепления ротора и функции невязки на следующем шаге. Технический результат заключается в повышении точности определения угловой скорости вращения ротора асинхронного электродвигателя. 1 табл.

Формула изобретения RU 2 839 821 C1

Способ определения угловой скорости вращения ротора асинхронного двигателя, заключающийся в том, что проводят измерение мгновенных величин токов и напряжений статора асинхронного двигателя, преобразование трехфазных значений токов и напряжений в двухфазные составляющие токов и напряжений, отличающийся тем, что на каждом из временных отрезков определяют оценки составляющих тока статора, вычисляют оценки составляющих потокосцепления ротора, по оцененным значениям тока статора и потокосцепления ротора определяют функцию невязки и ее приращение, на основании значений функции невязки и ее приращения определяют принадлежность функции невязки и приращения функции невязки пяти лингвистическим переменным, применяя аппарат нечеткой логики, используя технику нечеткой импликации Мамдани, интерпретируют согласно набору правил логические переменные, на этапе дефаззификации определяются коэффициенты усиления пропорциональной, интегральной и дифференциальной составляющих по методу центра тяжести, с помощью полученных коэффициентов, функции невязки и приращения функции невязки определяют угловую скорость вращения ротора асинхронного двигателя, полученное значение угловой скорости используют для определения оценок тока статора, потокосцепления ротора и функции невязки на следующем шаге.

Документы, цитированные в отчете о поиске Патент 2025 года RU2839821C1

СПОСОБ ОПТИМАЛЬНОЙ ОЦЕНКИ ЧАСТОТЫ ВРАЩЕНИЯ АСИНХРОННОГО ДВИГАТЕЛЯ И СИСТЕМА ДЛЯ ЕГО РЕАЛИЗАЦИИ 2008
  • Букреев Виктор Григорьевич
  • Лаходынов Виктор Сергеевич
  • Аксенов Дмитрий Сергеевич
RU2385529C1
Способ определения давления центробежного насоса с асинхронным электроприводом 2021
  • Лысенко Олег Александрович
RU2791970C1
Способ определения момента нагрузки асинхронного электродвигателя 2022
  • Лысенко Олег Александрович
RU2784324C1
US 8441222 B2, 14.05.2013.

RU 2 839 821 C1

Авторы

Лысенко Олег Александрович

Даты

2025-05-12Публикация

2024-06-21Подача