Способ определения расхода жидкости центробежного насоса с асинхронным электроприводом Российский патент 2025 года по МПК G01F9/00 

Описание патента на изобретение RU2835473C1

Изобретение относится к электротехнике и может быть использовано при учёте и контроле потребления воды и других текучих сред электроприводов центробежных насосов.

Известен способ определения способ определения количества текучей среды (патент RU 2108549, МПК G01F15/07, опубл. 10.04.1998), где измеряют количество электроэнергии A, потребленное электродвигателем привода насоса, имеющего линейную характеристику зависимости потребляемой мощности от подачи N = f(Q), за время T. Количество V перекачанной воды определяют из математического выражения V = K1Aн - К, где Aн = η⋅A, K1 = (Q2-Q1)/N2-N1; K2 = (Q2-Q1)/(N2-N1)-Q1; Q1, N1, Q2, N2 - координаты двух точек, взятых на границах зоны работы насоса, на его линейной характеристике, η - КПД электродвигателя..

Наиболее близким к заявляемому является способ определения расхода жидкости центробежного насоса с асинхронным электроприводом (патент RU 2610909, МПК G01F 9/00, опубл. 17.02.2017), где измеряют мгновенные величины токов и напряжений статора асинхронного двигателя, преобразуют трехфазные значения токов и напряжений в двухфазные составляющие токов и напряжений, определяют оцененные составляющие тока статора, вычисляют разницу между оцененными значениями составляющих тока статора и текущими значениями составляющих стока статора, определяют оцененные значения составляющих потокосцеплений ротора, по оцененным значениям составляющих тока статора и потокосцепления ротора определяют электромагнитный момент асинхронного двигателя, с помощью оцененных значений составляющих потокосцепления ротора и разниц между оцененными значениями составляющих тока статора и текущими значениями составляющих тока статора, определяют момент нагрузки центробежного насоса, с помощью значений электромагнитного момента асинхронного двигателя и момента нагрузки центробежного насоса определяют текущую угловую скорость вращения рабочего колеса центробежного насоса. Определяют гидравлическую мощность насоса. По значениям гидравлической мощности и скорости вращения ротора определяют действительный расход насосной установки.

Недостатками известных способов является недостаточная точность определения расхода жидкости центробежного насоса с асинхронным электроприводом в установившихся и переходных процессах в условиях шумов входных сигналов.

Задачей изобретения является повышение точности определения мгновенного расхода жидкости центробежного насоса с асинхронным электроприводом в условиях шумов входных сигналов.

Отличием от известных способов является использование адаптивного наблюдателя использующего нечеткий регулятор, позволяющего снизить погрешность определения мгновенного расхода жидкости центробежного насоса с асинхронным электроприводом.

Сущность технического решения поясняется формулами (1-23).

Технический результат достигается тем, что измеряют мгновенные величины токов (,,) и напряжений (,,) статора асинхронного двигателя, вычисляют двухфазные составляющие тока статора (,) и напряжения (,):

(1)

(2).

Определяют оценки составляющих тока статора ,:

(3).

где – шаг итерации;

– индуктивность рассеивания статора, Гн;

– индуктивность ветви намагничивания, Гн;

– индуктивность ротора, Гн;

, – сопротивление статора и ротора, Ом;

– число пар полюсов асинхронного двигателя.

Определяют оценки составляющих потокосцепления ротора , :

(4).

Определяют функцию невязки:

(5).

Определяют приращение функции невязки:

(6).

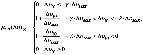
На этапе фаззификации определяется принадлежность функции невязки и приращения функции невязки пяти лингвистическим переменным: ОО (отрицательно), ОН (отрицательно-нейтрально), Н (нейтрально), ПН (положительно-нейтрально), ПП (положительно), согласно следующим соотношениям:

(7)

где – верхняя граница значений функций невязки,

, – доли деления интервала верхних и нижних границ, .

(8)

(9)

(10)

(11)

(12)

где – верхняя граница значений функций приращений невязки.

(13)

(14)

(15)

(16)

Согласно набору правил (Табл 1.) определяются функции нечетких значений: М (малое), СМ (средне-малое), С (среднее), СБ (средне-большое), Б (большое).

Таблица 1. Набор правил нечеткого логического множества

ОО ОН Н ПН ПП ОО М, Б, СБ М, СБ, СБ М, С, С М, СМ, СМ М, М, СМ ОН СМ, Б, СБ СМ, СБ, СБ СМ, С, С СМ, СМ, СМ СМ, М, СМ Н С, Б, СБ С, СБ, СБ C, C, С С, СМ, СМ С, М, СМ ПН СБ, Б, СБ СБ, СБ, СБ СБ, С, С СБ, СМ, СМ СБ, М, СМ ПП Б, Б, СБ Б, СБ, СБ Б, С, С Б, СМ, СМ Б, М, СМ

Правила нечеткого логического множества (Таблица 1) интерпретируются, используя технику нечеткой импликации Мамдани. Для этого определяют уровни «отсечения» для каждого из правил:

, (17)

где – функция принадлежности k-й входной переменной (x) для j-го правила,

– функция принадлежности выходной переменной.

Затем определяют результирующую функцию принадлежности:

. (18)

На этапе дефаззификации определяются выходные значения (коэффициенты усиления пропорциональной, интегральной и дифференциальной составляющих ) (nmax=3) по методу центра тяжести:

, (19)

Оцененное значение скорости определяется по следующей формуле:

(20).

Определяют оцененный электромагнитный момент асинхронного двигателя по формуле (21):

(21)

На интервале усреднения , определяют оцененную гидравлическую мощность центробежного насоса (22):

(22)

– совместный момент инерции центробежного насоса и асинхронного двигателя, кг/м2;

– момент сопротивления насоса при нулевом расходе.

Определяют мгновенную величину расхода жидкости центробежного насоса, по формуле (23):

(23).

где – плотность жидкости,

, – коэффициенты напорной характеристики насоса.

В численных экспериментах на асинхронном двигателе АД80М2 с центробежным насосом К8-18 погрешность определения расхода жидкости центробежного насоса с асинхронным электроприводом в установившемся режиме не превышает 1,4%.

Похожие патенты RU2835473C1

название год авторы номер документа
Способ определения давления центробежного насоса с асинхронным электроприводом 2024
  • Лысенко Олег Александрович
RU2835472C1
Способ определения момента нагрузки асинхронного электродвигателя 2024
  • Лысенко Олег Александрович
RU2838353C1
Способ определения угловой скорости вращения ротора асинхронного электродвигателя 2024
  • Лысенко Олег Александрович
RU2839821C1
СПОСОБ ОПРЕДЕЛЕНИЯ РАСХОДА ЖИДКОСТИ ЦЕНТРОБЕЖНОГО НАСОСА С АСИНХРОННЫМ ЭЛЕКТРОПРИВОДОМ 2015
  • Лысенко Олег Александрович
RU2610909C1
СПОСОБ ДЛЯ ОПРЕДЕЛЕНИЯ ДАВЛЕНИЯ НАСОСА С ЭЛЕКТРОДВИГАТЕЛЕМ 2016
  • Лысенко Олег Александрович
RU2623195C1
Способ определения расхода жидкости центробежного насоса с асинхронным электроприводом 2022
  • Лысенко Олег Александрович
RU2784325C1
Способ определения давления центробежного насоса с асинхронным электроприводом 2022
  • Лысенко Олег Александрович
RU2791689C1
СПОСОБ ОПРЕДЕЛЕНИЯ РАСХОДА ЖИДКОСТИ ЦЕНТРОБЕЖНОГО НАСОСА С АСИНХРОННЫМ ЭЛЕКТРОПРИВОДОМ 2020
  • Лысенко Олег Александрович
RU2741267C1
СПОСОБ ОПРЕДЕЛЕНИЯ ДАВЛЕНИЯ ЦЕНТРОБЕЖНОГО НАСОСА С АСИНХРОННЫМ ЭЛЕКТРОПРИВОДОМ 2020
  • Лысенко Олег Александрович
RU2743866C1
Способ определения расхода жидкости центробежного насоса с асинхронным электроприводом 2021
  • Лысенко Олег Александрович
RU2781571C1

Реферат патента 2025 года Способ определения расхода жидкости центробежного насоса с асинхронным электроприводом

Изобретение относится к способу определения расхода жидкости центробежного насоса с асинхронным электроприводом. В способе измеряют мгновенные величины токов и напряжений статора асинхронного двигателя, преобразуют трехфазные значения токов и напряжений в двухфазные составляющие токов и напряжений. На каждом из временных отрезков определяют оценки составляющих тока статора, вычисляют оценки составляющих потокосцепления ротора. По оцененным значениям тока статора и потокосцепления ротора определяют функцию невязки и ее приращение. На основании значений функции невязки и ее приращения определяют принадлежность функции невязки и приращения функции невязки пяти лингвистическим переменным, применяя аппарат нечеткой логики. Используя технику нечеткой импликации Мамдани, интерпретируют согласно набору правил логические переменные. На этапе дефаззификации определяются коэффициенты усиления пропорциональной, интегральной и дифференциальной составляющих по методу центра тяжести. С помощью полученных коэффициентов, функции невязки и приращения функции невязки определяют угловую скорость вращения ротора асинхронного двигателя. Полученное значение угловой скорости используют для определения оценок тока статора, потокосцепления ротора и функции невязки на следующем шаге. По значениям электромагнитного момента и угловой скорости вращения ротора определяют мгновенную гидравлическую мощность, развиваемую центробежным насосом. С помощью значений мгновенной гидравлической мощности и угловой скорости вращения ротора асинхронного двигателя определяют расход центробежного насоса. Технический результат - повышение точности определения мгновенного объемного расхода жидкости центробежного насоса с асинхронным электроприводом в условиях шумов входных сигналов.

Формула изобретения RU 2 835 473 C1

Способ определения расхода жидкости центробежного насоса с асинхронным электроприводом, заключающийся в том, что проводят измерение мгновенных величин токов и напряжений статора асинхронного двигателя, преобразуют трехфазные значения токов и напряжений в двухфазные составляющие токов и напряжений, отличающийся тем, что на каждом из временных отрезков определяют оценки составляющих тока статора, вычисляют оценки составляющих потокосцепления ротора, по оцененным значениям тока статора и потокосцепления ротора определяют функцию невязки и ее приращение, на основании значений функции невязки и ее приращения определяют принадлежность функции невязки и приращения функции невязки пяти лингвистическим переменным, применяя аппарат нечеткой логики, используя технику нечеткой импликации Мамдани, интерпретируют согласно набору правил логические переменные, на этапе дефаззификации определяются коэффициенты усиления пропорциональной, интегральной и дифференциальной составляющих по методу центра тяжести, с помощью полученных коэффициентов, функции невязки и приращения функции невязки определяют угловую скорость вращения ротора асинхронного двигателя, полученное значение угловой скорости используют для определения оценок тока статора, потокосцепления ротора и функции невязки на следующем шаге, по значениям тока статора и оцененных значений потокосцепления определяют электромагнитный момент асинхронного двигателя, по значениям электромагнитного момента и угловой скорости ротора определяют мгновенную гидравлическую мощность, развиваемую центробежным насосом, с помощью значений мгновенной гидравлической мощности и угловой скорости вращения ротора асинхронного двигателя определяют расход центробежного насоса.

Документы, цитированные в отчете о поиске Патент 2025 года RU2835473C1

СПОСОБ ОПРЕДЕЛЕНИЯ РАСХОДА ЖИДКОСТИ ЦЕНТРОБЕЖНОГО НАСОСА С АСИНХРОННЫМ ЭЛЕКТРОПРИВОДОМ 2020
  • Лысенко Олег Александрович
RU2741267C1
СПОСОБ ОПРЕДЕЛЕНИЯ РАСХОДА ЖИДКОСТИ ЦЕНТРОБЕЖНОГО НАСОСА С АСИНХРОННЫМ ЭЛЕКТРОПРИВОДОМ 2015
  • Лысенко Олег Александрович
RU2610909C1
СПОСОБ ОПРЕДЕЛЕНИЯ РАСХОДА ЖИДКОСТИ ЦЕНТРОБЕЖНОГО НАСОСА С АСИНХРОННЫМ ЭЛЕКТРОПРИВОДОМ 2020
  • Лысенко Олег Александрович
RU2741267C1
СПОСОБ ОПРЕДЕЛЕНИЯ КОЛИЧЕСТВА ТЕКУЧЕЙ СРЕДЫ 1995
  • Липай А.И.
  • Андронов В.В.
RU2108549C1
WO 2008154584 A1, 18.12.2008.

RU 2 835 473 C1

Авторы

Лысенко Олег Александрович

Даты

2025-02-25Публикация

2024-06-24Подача