Предлагаемое изобретение относится к технике радиолокации, радиосвязи, радионавигации и радиоуправления и может быть использовано в радиоэлектронных системах для решения задачи обнаружения сигналов. Так как задача комплексной обработки информации обнаружения близка к задаче комплексной обработки информации опознавания, то предлагаемое изобретение также может быть использовано в радиоэлектронных системах для выработки признака государственной принадлежности воздушных объектов (целей) [Жиронкин С.Б., Грошев Э.И., Слободянюк А.В. Использование апостериорных вероятностей при обучении искусственной нейронной сети, предназначенной для комплексной обработки информации опознавания // Передача, прием, обработка и отображение информации о быстропротекающих процессах. XXXIV Всероссийская научно-техническая конференция школы-семинара / под общей редакцией О.Т. Чижевского. - М.: ИД Академии Жуковского, 2024 С. 160.].
Известна оптимальная комплексная система обнаружителей (КСО), реализуемая на этапе первичной обработки сигналов [Сосулин Ю.Г. Теоретические основы радиолокации и радионавигации. - М.: Радио и связь, 1992, С. 299, рис. 8.4]. Система содержит набор согласованных фильтров и умножителей (по числу I объединяемых обнаружителей), сумматор и пороговое устройство. Аналоговые сигналы, поступающие на входы согласованных фильтров, после их прохождения и умножения на весовые коэффициенты преобразуются в корреляционные интегралы qi, i=1,7, которые в виде аналоговых реализаций поступают на входы сумматора.
На выходе сумматора формируется решающая статистика
поступающая на вход порогового устройства, которое после ее сравнения с заданным порогом вырабатывает решение о наличии или отсутствии сигнала.
Аналогичная КСО имеет место в многопозиционных радиолокационных станциях (МПРЛС) при централизованном обнаружении [Черняк B.C. Многопозиционная радиолокация - М.: Радио и связь, 1993, С. 155], когда по линиям передачи данных (ЛПД) в центр обработки информации (ЦОИ) передаются корреляционные интегралы, сформированные всеми позициями МПРЛС, а решение о наличии или отсутствии сигнала принимается только в ЦОИ после суммирования этих корреляционных интегралов и сравнения полученной суммы с порогом. В случае превышения порога принимается решение о наличии сигнала, в противном случае - об отсутствии сигнала.
К недостаткам системы можно отнести ее громоздкость и сложность в реализации, особенно в многопозиционной радиолокационной станции, где требуется передавать в ЦОИ аналоговые реализации сигналов, что предъявляет высокие требования к пропускной способности ЛПД.
Значительно проще реализуется оптимизация КСО на этапе вторичной обработки сигналов [Сосулин Ю.Г. Теоретические основы радиолокации и радионавигации. - М.: Радио и связь, 1992, С. 298, рис. 8.3]. Система содержит I объединяемых обнаружителей и умножителей, сумматор и пороговое устройство. Каждый обнаружитель представляет собой согласованный фильтр и пороговое устройство и формирует предварительное (частное) решение θ наличии (θ*i=1) или отсутствии (θ*i = 0) сигналов путем сравнения с порогом корреляционного интеграла q1, поступающего с выхода согласованного фильтра на пороговое устройство. Частные решения поступают на входы умножителей и после умножения на соответствующие весовые коэффициенты W. поступают на входы сумматора. На выходе сумматора формируется решающая статистика
поступающая на вход порогового устройства, которое после ее сравнения с заданным порогом вырабатывает общее решение о наличии или отсутствии сигнала.
Известно также комплексное устройство обнаружения в многопозиционной радиолокационной станции [Патент РФ RU 2778247 «Комплексное устройство обнаружения в многопозиционной радиолокационной станции»], являющееся многоканальным и содержащее в каждом канале согласованный фильтр, пороговое устройство, блок расчета весового коэффициента, умножитель, два блока вычитания, блок деления, блок извлечения квадратного корня, коммутатор, функциональный преобразователь, две ячейки памяти и линию передачи данных, а в общей части сумматор и общее пороговое устройство. Устройство реализует алгоритм оптимального по критерию Неймана-Пирсона комплексирования обнаружителей на этапе вторичной обработки, который заключается в сравнении с порогом следующей решающей статистики
и работает следующим образом (рассмотрим работу одного i-го канала устройства, поскольку каналы идентичны). Аналоговый входной сигнал ξ(f) поступает на вход согласованного фильтра, с выхода которого аналоговый сигнал в виде корреляционного интеграла
поступает на первый вход первого блока вычитания и вход порогового устройства, где его значение сравнивается с величиной порога hi, поступающей на вторые входы первого блока вычитания и порогового устройства в качестве внешнего сигнала. В зависимости от результата сравнения пороговое устройство формирует частное решение θ*i в виде 1 (если порог превышен - сигнал есть) или 0 (порог не превышен - сигнала нет), которое поступает на первый вход умножителя. Результат вычитания hi-qi с выхода первого блока вычитания подается на первый вход блока деления. Со второго внешнего входа устройства сигнал Qi поступает на вход блока извлечения квадратного корня, с выхода которого
подается на вторые входы блока деления и второго блока вычитания. В результате с выхода блока деления снимается сигнал
поступающий на первые входы коммутатора и второго блока вычитания, с выхода которого сигнал
подается на второй вход коммутатора. В исходном состоянии первый вход коммутатора соединен с его первым выходом, третий вход - со вторым выходом, в результате чего сигнал xi поступает на вход функционального преобразователя, с выхода которого значение Ф (xi) подается на вход первой ячейки памяти. При поступлении внешнего сигнала на управляющий вход коммутатора происходит подключение второго и четвертого входов коммутатора соответственно к первому и третьему его выходам, в результате чего сигнал yi поступает на вход функционального преобразователя, с выхода которого значение Ф (yi) подается на вход второй ячейки памяти. По внешнему сигналу считывания, поступающему на управляющие входы ячеек памяти, сигналы Ф (xi) и Ф (yi) одновременно поступают на первый и второй входы блока расчета весового коэффициента, с выхода которого значение коэффициента
поступает на второй вход умножителя, на первый вход которого поступает частное решение θ*i с выхода порогового устройства. Результат перемножения θ*i ⋅ Wi с выхода умножителя через ЛПД поступает на соответствующий вход сумматора. Сформированная в сумматоре решающая статистика
с его выхода подается на вход общего порогового устройства, где ее значение сравнивается с величиной порога h, поступающей на второй вход общего порогового устройства в качестве внешнего сигнала. В зависимости от результата сравнения общее пороговое устройство формирует общее решение θ* в виде 1 (если порог превышен - сигнал есть) или 0 (порог не превышен - сигнала нет).
К недостатку устройства следует отнести то, что сложная помеховая обстановка оказывает значительное влияние на эффективность обнаружения воздушных объектов и может привести к снижению вероятности правильного обнаружения при принятии решения о наличии или отсутствии цели.
По техническому решению наиболее близким к предлагаемому изобретению является комплексное устройство обнаружения воздушных объектов, аналогичное рассмотренному выше [Патент РФ RU 2816190 «Комплексное устройство обнаружения воздушных объектов»], которое и выбрано в качестве прототипа.
Блок-схема устройства-прототипа представлена на фиг. 1, 2, 3, 4.
Устройство является I-канальным (по числу обнаружителей), причем каждый канал содержит (фиг. 2):
1 - согласованный фильтр, выход которого подключен к первым входам порогового устройства 2 и первого блока вычитания 8;
2 - пороговое устройство, первый вход которого подключен к выходу согласованного фильтра 1, а второй вход является внешним входом сигнала порогового уровня. Выход порогового устройства 2 подключен к третьему входу соответствующей линии передачи данных 3 (фиг. 1);
8 - первый и второй блоки вычитания. Первый вход первого блока вычитания 8 подключен к выходу согласованного фильтра 1 и входу порогового устройства 2, а второй вход этого блока соединен с внешним входом сигнала порогового уровня и вторым входом порогового устройства 2. Первый вход второго блока вычитания 8 подключен к выходу блока деления 9 и первому входу коммутатора 11, а второй вход - ко второму входу блока деления 9 и выходу блока извлечения квадратного корня 10. Выход первого блока вычитания 8 соединен с первым входом блока деления 9, а выход второго блока вычитания 8 - со вторым входом коммутатора 11. Первые входы третьего и четвертого блоков вычитания 8 подключены соответственно к выходу первой и второй ячеек памяти 13, вторые входы объединены и подключены к внешнему входу сигнала единичного уровня, а выходы - к первому и второму входам ЛПД 3 (фиг. 1);
9 - блок деления, первый и второй входы которого соединены соответственно с выходом первого блока вычитания 8 и с выходом блока извлечения квадратного корня 10. Выход блока деления подключен к первым входам второго блока вычитания 8 и коммутатора 11;
10 - блок извлечения квадратного корня, вход которого является внешним входом отношения сигнал/шум, а выход подключен ко вторым входам второго блока вычитания 8 и блока деления 9;
11 - коммутатор (фиг. 3), первый и второй входы которого подключены соответственно к выходу блока деления 9 и выходу второго блока вычитания 8, третий и четвертый входы объединены и подключены к выходу функционального преобразователя 12. Управляющий вход коммутатора является внешним входом устройства. Первый выход коммутатора 11 соединен со входом функционального преобразователя 12, а второй и третий выходы - соответственно с первыми входами первой и второй ячеек памяти 13.
12 - функциональный преобразователь, вход которого соединен с первым выходом коммутатора 11, а выход - с третьим и четвертым входами коммутатора 11;
13 - первая и вторая ячейки памяти, первые входы каждой из которых подключены соответственно ко второму и третьему выходам коммутатора 11, вторые входы объединены и являются внешним входом считывания, а выход подключен к первому входу соответственно третьего и четвертого блоков вычитания 8 (фиг. 2);
3 - линия передачи данных (ЛПД) (фиг. 1), первый и второй входы которой подключены к выходам соответственно третьего и четвертого блоков вычитания 8, третий вход - к выходу порогового устройства 2.
Сигналы с выходов ЛПД 3 поступают в общую часть устройства (фиг. 1), которая содержит:
6 - процессор обработки данных, реализованный на основе искусственной радиальной базисной нейронной сети на 3I входов (фиг. 4), каждый из которых подключен к выходам ЛПД 3. Выход процессора 6 подключен ко входу общего порогового устройства 7;
7 - общее пороговое устройство, первый вход которого подключен к выходу процессора 6, второй вход является внешним входом сигнала общего порогового уровня, а выход является выходом устройства.
Устройство работает следующим образом (рассмотрим работу одного i-го канала устройства (фиг. 2), поскольку каналы идентичны). Аналоговый входной сигнал ξi(t) поступает на вход согласованного фильтра 1, с выхода которого аналоговый сигнал в виде корреляционного интеграла
поступает на первый вход первого блока вычитания 8 и вход порогового устройства 2, где его значение сравнивается с величиной порога hi, поступающей на вторые входы первого блока вычитания 8 и порогового устройства 2 в качестве внешнего сигнала. В зависимости от результата сравнения пороговое устройство 2 формирует частное решение θ*i в виде 1 (если порог превышен - «цель есть») или 0 (порог не превышен - «цели нет»), которое поступает на третий вход ЛПД 3. Результат вычитания hi-qi с выхода первого блока вычитания 8 подается на первый вход блока деления 9. Со второго внешнего входа устройства сигнал Qi поступает на вход блока извлечения квадратного корня 10, с выхода которого
подается на вторые входы блока деления 9 и второго блока вычитания 8. В результате с выхода блока деления 9 снимается сигнал
поступающий на первые входы коммутатора 11 и второго блока вычитания 8, с выхода которого сигнал
подается на второй вход коммутатора 11. В исходном состоянии первый вход коммутатора 11 соединен с его первым выходом, третий вход - со вторым выходом, в результате чего сигнал xi поступает на вход функционального преобразователя 12, реализующего выражение
(функция Лапласа), с выхода которого значение Ф (xi) подается на первый вход первой ячейки памяти 13. При поступлении внешнего сигнала на управляющий вход коммутатора 11 происходит подключение второго и четвертого входов коммутатора соответственно к первому и третьему его выходам, в результате чего сигнал yi поступает на вход функционального преобразователя 12, с выхода которого значение Ф (yi) подается на первый вход второй ячейки памяти 13. По внешнему сигналу считывания, поступающему на управляющие вторые входы первой и второй ячеек памяти 13, сигналы Ф (xi) и Ф (yi) одновременно поступают на первые входы соответственно третьего и четвертого блоков вычитания, на вторые входы которых поступает внешний сигнал единичного уровня. С выходов третьего и четвертого блоков вычитания 8 сформированные сигналы Fi(ξi)=1 - Ф (xi), Ф (xi), Di=(ξi)=1 - Ф (yi) поступают соответственно на первый и второй вход ЛПД 3, на третий вход которой поступает сигнал θ*i с выхода порогового устройства 2. Эти сигналы через ЛПД 3 поступают на соответствующие входы процессора 6. Сформированный в процессоре 6 сигнал подается на вход общего порогового устройства 7, где он сравнивается с величиной порога h, поступающей на второй вход общего порогового устройства 7 в качестве внешнего сигнала. В зависимости от результата сравнения общее пороговое устройство 7 формирует общее решение θ* в виде 1 (если порог превышен - «цель есть») или 0 (порог не превышен - «цели нет»).
Недостатком прототипа является то, что для его функционирования требуются высокие затраты вычислительных ресурсов и большое количество каналов линий передачи данных, что может приводить к снижению быстродействия устройства.
Целью изобретения является упрощение устройства, уменьшение количества каналов линий передачи данных и, как следствие, увеличение быстродействия с сохранением эффективности обнаружения воздушных объектов.
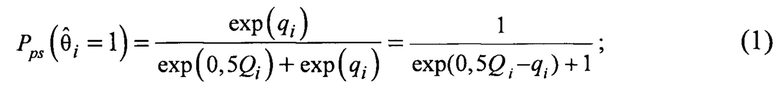
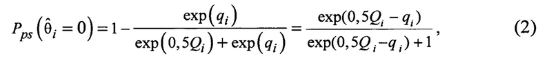
Указанной цели можно добиться, заменив используемые в устройстве-прототипе апостериорные вероятности правильного обнаружения Di(ξi) и ложной тревоги Fi(ξi) на апостериорные вероятности предварительных решений обнаружителей
вычисляемые по формуле [Жиронкин С.Б., Близнюк А.А., Слободянюк А.В. Алгоритм частично децентрализованной обработки апостериорной информации в комплексной системе обнаружения // Успехи современной радиоэлектроники. 2021. №2 (75). С. 48]:
где Qi - отношение сигнал/шум.
Соотношения (1) и (2) могут быть представлены одним общим выражением
Использование в предлагаемом устройстве апостериорных вероятностей предварительных решений (3) позволит сократить количество каналов линий передачи данных, упростить структуру каждого канала устройства и процессора обработки данных, реализованного на основе радиальной базисной нейронной сети, и тем самым повысить производительность устройства.
Цель изобретения достигается тем, что в известное устройство, являющееся многоканальным, содержащее в общей части процессор обработки данных, реализованный на основе искусственной радиальной базисной нейронной сети, выход которого соединен со входом общего порогового устройства, второй вход которого является внешним входом сигнала общего порогового уровня, а в каждом канале согласованный фильтр, пороговое устройство, линию передачи данных, причем выход согласованного фильтра подключен к первому входу порогового устройства, второй вход которого является внешним входом сигнала порогового уровня. Процессор обработки данных упрощен, а в каждый канал устройства дополнительно введены ячейка памяти и функциональный преобразователь, первый вход которого соединен с выходом согласованного фильтра, второй вход - с выходом порогового устройства, третий, четвертый и пятый входы являются внешними входами сигналов, соответствующих числу е (экспоненте), половине отношения сигнал/шум и единице соответственно, а выход подключен к первому входу ячейки памяти, третий вход которой является внешним входом сигнала считывания, второй вход подключен к выходу порогового устройства, а первый и второй выходы подключены соответственно к первому и второму входам линии передачи данных.
Сопоставительный анализ с прототипом показывает, что заявляемое многоканальное устройство отличается тем, что в каждый канал вместо исключенных четырех блоков вычитания, функционального преобразователя, блока деления, блока извлечения квадратного корня, коммутатора и двух ячеек памяти добавлены функциональный преобразователь (выполняет другие функции), и ячейка памяти. В общей части устройства процессор обработки данных, реализованный на основе обученной радиальной базисной нейронной сети, упрощен и имеет 21 входов вместо 31 входов. Процедура обучения нейронной сети заключается в подаче на ее входы (фиг. 5) обучающего вектора, представляющего собой совокупность частных решений объединяемых обнаружителей и соответствующих им апостериорных вероятностей предварительных решений вместо частных решений объединяемых обнаружителей и соответствующих им апостериорных вероятностей правильного обнаружения и ложной тревоги, и последующего сравнения окончательного решения о наличии или отсутствии цели с заданным, при формировании обучающего вектора, результатом.
Таким образом, заявляемое устройство соответствует критерию изобретения «новизна».
Сравнение заявляемого решения с другими техническими решениями показывает, что вновь введенные элементы известны [Нейронные сети. Matlab/ Под ред. B.C. Медведева, В.Г Потемкина - М.: ДИАЛОГ-МИФИ, 2002. С. 47-88, 140-144, 263-267; Горошков Б.И. Элементы радиоэлектронных устройств: Справочник. - М.: Радио и связь, 1988; Угрюмов Е.П. Цифровая схемотехника. - СПб: БХВ-Петербург, 2005; Петровский И.И., Прибыльский А.В., Троян А.А., Чувелев B.C. Логические интегральные схемы КР 1533,1554. Справочник. В двух частях. - М.: ТОО «БИНОМ», 1993; Цифровые устройства на интегральных микросхемах. - 3-е изд. перераб. и доп.- М.: Радио и связь, 1991 - (Массовая радиобиблиотека. Вып. 1159); Цифровые и аналоговые интегральные микросхемы. Справочник/ под. ред. С.В. Якубовского. - М.: Радио и связь, 1989; Дьяконов В.П. Справочник по расчетам на микрокалькуляторах. - М.: Наука, 1986, С. 167, 169, 170; Журнал «Радиоконструктор». - 2010. - №12. С. 8].
Однако при их введении в заявляемое устройство оно проявляет новые свойства, приводящие к упрощению устройства, уменьшению количества каналов линий передачи данных и, как следствие, увеличению быстродействия с сохранением эффективности обнаружения воздушных объектов. Это позволяет сделать вывод о соответствии технического решения критерию «существенные отличия».
Обобщенная блок - схема устройства представлена на фиг. 6, а блок-схема одного обнаружителя - на фиг. 7. На этих схемах одинаковые с прототипом блоки имеют ту же нумерацию.
Устройство является I-канальным (по числу обнаружителей), причем каждый канал содержит (фиг. 7):
1 - согласованный фильтр, выход которого подключен к первым входам порогового устройства 2 и функционального преобразователя 4;
2 - пороговое устройство, первый вход которого подключен к выходу согласованного фильтра 1, а второй вход является внешним входом сигнала порогового уровня. Выход порогового устройства 2 подключен ко вторым входам функционального преобразователя 4 и ячейки памяти 13;
4 - функциональный преобразователь, первый вход которого подключен к выходу согласованного фильтра 1, второй вход - к выходу порогового устройства 2, а третий, четвертый и пятый входы являются внешними входами сигналов, соответствующих числу е (экспоненте), половине отношения сигнал/шум и единице соответственно. Выход функционального преобразователя 4 подключен к первому входу ячейки памяти 13;
13 - ячейка памяти, первый вход которой подключен к выходу функционального преобразователя 4, второй вход - к выходу порогового устройства 2, а третий вход является внешним входом сигнала считывания. Первый и второй выходы ячейки памяти 13 подключены первому и второму входам линии передачи данных 3 (фиг. 6);
3 - линия передачи данных (ЛПД) (фиг. 6), первый и второй входы которой подключены соответственно к первому и второму выходам ячейки памяти 13.
Сигналы с выходов ЛПД 3 поступают в общую часть устройства, (фиг. 6), которая содержит:
6 - процессор обработки данных, реализованный на основе искусственной радиальной базисной нейронной сети на 2I входов (фиг. 5), каждый из которых подключен к выходам ЛПД 3. Выход процессора 6 подключен к входу общего порогового устройства 7;
7 - общее пороговое устройство, первый вход которого подключен к выходу процессора 6, второй вход является внешним входом сигнала общего порогового уровня, а выход является выходом устройства.
Устройство работает следующим образом (рассмотрим работу одного i-го канала устройства (фиг. 7), поскольку каналы идентичны). Аналоговый входной сигнал ξi(f) поступает на вход согласованного фильтра 1, с выхода которого аналоговый сигнал в виде корреляционного интеграла
поступает на первый вход функционального преобразователя 4 и первый вход порогового устройства 2, где его значение сравнивается с величиной порога hi, поступающей на второй вход порогового устройства 2 в качестве внешнего сигнала. В зависимости от результата сравнения пороговое устройство 2 формирует частное решение θ*i в виде 1 (если порог превышен - «цель есть» (объект «свой»)) или 0 (порог не превышен - «цели нет» (объект «чужой»)), которое поступает на вторые входы функционального преобразователя и ячейки памяти 13. Внешние сигналы, соответствующие числу е (экспоненте), половине отношения сигнал/шум 0,5 Qi и единице, поступают соответственно на третий, четвертый и пятый входы функционального преобразователя 4, реализующего выражение
С выхода функционального преобразователя значение
подается на первый вход ячейки памяти 13. Таким образом, в ячейке памяти 13 хранятся сигналы
По внешнему сигналу считывания, поступающему на управляющий третий вход ячейки памяти 13, эти сигналы с первого и второго выходов ячейки памяти 13 поступают соответственно на первый и второй входы ЛПД 3 и далее на соответствующие входы процессора обработки данных 6. Сформированный в процессоре обработки данных 6 сигнал подается на первый вход общего порогового устройства 7, где он сравнивается с величиной порога h*, поступающей на второй вход общего порогового устройства 7 в качестве внешнего сигнала. В зависимости от результата сравнения общее пороговое устройство 7 формирует общее решение θ* в виде 1 (если порог превышен - «цель есть» (объект «свой»)) или 0 (порог не превышен - «цели нет» (объект «чужой»)).
Поскольку получить аналитическое выражение для оценки вероятности правильного обнаружения цели как предлагаемым комплексным устройством так и прототипом не удается, для сравнительной оценки их эффективности было проведено статистическое компьютерное моделирование процесса приема сигнала соответствующими трехканальными устройствами. Входящие в их состав обнаружители имеют следующие общие характеристики:
первый обнаружитель - Q1- 13; h1=8;
второй обнаружитель - Q2=13; h2=9;
третий обнаружитель - Q3=19; h3α - 12.
При этом значение порога в общем пороговом устройстве для прототипа принималось равным hnpom=0,56, для предлагаемого устройства hпредл - 0,52 (выбор порога осуществлялся, исходя из заданной вероятности ложной тревоги F=10~3, что соответствует критерию Неймана-Пирсона).
Для оценки вероятности правильного обнаружения цели полагаем, что цель есть (θ=1) и в каждом розыгрыше генерируем корреляционные интегралы с использованием соотношения [Информационные технологии в радиотехнических системах: учеб. пособие /В.А. Васин, И.Б. Власов, Ю.М. Егоров и др. - М.: Изд-во МГТУ им. Н.Э. Баумана, 2003. - С. 85]
где ni - независимые стандартные (с нулевым математическим ожиданием и единичной дисперсией) гауссовские случайные величины.
Результатом j-го розыгрыша процесса обнаружения комплексным устройством является решение ϑ*j в виде 1 («цель есть») либо 0 («цели нет»). После проведения достаточно большого количества (J) розыгрышей получаем оценку вероятности правильного обнаружения как частоту соответствующего события
При необходимости получения оценки вероятности ложной тревоги меняется формула (4) розыгрыша значений корреляционных интегралов на соответствующую случаю отсутствия цели:
Далее процесс моделирования ничем не отличается от рассмотренного выше и после проведения большого количества (J) розыгрышей получаем оценку вероятности ложной тревоги 
В результате проведения J=106 розыгрышей процесса обнаружения для заданной вероятности ложной тревоги Fзад=10-3 были получены следующие результаты:
- для прототипа Dпрот* 0,9984, Fпрот*=10-3;
- для предлагаемого устройства Dпредл.устр*=0,9987, Fпредл.устр*=10-3.
Расчет отношения сигнал/шум, являющегося показателем сложной помеховой обстановки, на выходах комплексных систем обнаружения прототипа и предлагаемого устройства осуществлялся по известной формуле [Жиронкин С.Б., Близнюк А.А., Слободянюк А.В. Алгоритм частично децентрализованной обработки апостериорной информации в комплексной системе обнаружения // Успехи современной радиоэлектроники. - 2021. - №2(75). С. 51]:
В результате расчетов были получены следующие значения отношения сигнал/шум:
- для прототипа Q*прот = 36,5;
- для предлагаемого устройства Q*предл.устр = 37,2.
Графики зависимости вероятности правильного обнаружения от отношения сигнал/шум (фиг. 8) построены по формулам [Жиронкин С.Б., Близнюк А. А., Слободянюк А. В. Алгоритм частично децентрализованной обработки апостериорной информации в комплексной системе обнаружения // Успехи современной радиоэлектроники. - 2021. - №2 (75). С. 52]:
- для прототипа
- для предлагаемого устройства с учетом энергетического выигрыша относительно прототипа
Из анализа графиков следует, что независимо от условий помеховой обстановки (отношения сигнал/шум), предлагаемое устройство незначительно повышает эффективность обнаружения воздушных объектов на всем интервале значений отношения сигнал/шум.
Таким образом, в одинаковых с прототипом условиях помеховой обстановки, предлагаемое устройство, с учетом его упрощения и уменьшения количества каналов линий передачи данных и, как следствие, увеличения быстродействия, позволяет сохранить эффективность обнаружения воздушных объектов, что подтверждает выполнение поставленной цели изобретения.
| название | год | авторы | номер документа |
|---|---|---|---|
| Комплексное устройство обнаружения в многопозиционной радиолокационной станции | 2021 |
|
RU2778247C1 |
| Комплексное устройство обнаружения воздушных объектов | 2023 |
|
RU2816190C1 |
| КОМПЛЕКСНОЕ УСТРОЙСТВО ОБНАРУЖЕНИЯ В МНОГОПОЗИЦИОННОЙ РАДИОЛОКАЦИОННОЙ СТАНЦИИ | 2014 |
|
RU2556710C1 |
| Двухканальное устройство обнаружения | 2022 |
|
RU2791090C1 |
| Комплексная система обнаружения в многопозиционной радиолокационной станции | 2016 |
|
RU2608556C1 |
| КОМПЛЕКСНОЕ УСТРОЙСТВО ОБНАРУЖЕНИЯ | 2015 |
|
RU2587161C1 |
| Комплексный обнаружитель прямолинейной траектории воздушного объекта в пространстве с использованием преобразования Хафа | 2019 |
|
RU2732916C1 |
| Способ обнаружения маневрирующих малоразмерных воздушных объектов с использованием параметрических преобразований и устройство для его реализации | 2023 |
|
RU2806448C1 |
| КОМПЛЕКСНЫЙ ОБНАРУЖИТЕЛЬ КРИВОЛИНЕЙНЫХ ТРАЕКТОРИЙ ВОЗДУШНЫХ ОБЪЕКТОВ С ИСПОЛЬЗОВАНИЕМ ПАРАМЕТРИЧЕСКИХ ПРЕОБРАЗОВАНИЙ | 2021 |
|
RU2776417C1 |
| Устройство комплексирования разнотипных обнаружителей флюктуирующего по амплитуде и фазе сигнала | 2024 |
|
RU2836854C1 |
Изобретение относится к технике радиолокации, радиосвязи, радионавигации и радиоуправления и может быть использовано в радиоэлектронных системах для решения задачи обнаружения сигналов, а также для выработки признака государственной принадлежности воздушных объектов. Технический результат заключается в упрощении устройства, уменьшении количества каналов линий передачи данных и, как следствие, увеличении быстродействия с сохранением эффективности обнаружения воздушных объектов. В заявленное устройство, являющееся многоканальным, содержащее в общей части процессор обработки данных, реализованный на основе обученной искусственной радиальной базисной нейронной сети и общее пороговое устройство, а в каждом канале согласованный фильтр и пороговое устройство, дополнительно введены функциональный преобразователь и ячейка памяти. В общей части устройства упрощен процессор обработки данных. Перечисленные средства соответствующим образом соединены между собой и другими элементами устройства. 8 ил.
Комплексное устройство обнаружения воздушных объектов, являющееся I-канальным по числу обнаружителей, причем каждый i-й канал включает обнаружитель и линию передачи данных, а общая часть устройства содержит процессор обработки данных, реализованный на основе обученной искусственной радиальной базисной нейронной сети, и общее пороговое устройство, вход которого соединен с выходом процессора обработки данных, а в каждом канале обнаружитель содержит согласованный фильтр и пороговое устройство, причем выход согласованного фильтра подключен к первому входу порогового устройства, второй вход которого является внешним входом сигнала порогового уровня, отличающееся тем, что в каждом канале устройства в обнаружитель дополнительно введены ячейка памяти и функциональный преобразователь, первый вход которого соединен с выходом согласованного фильтра, второй вход – с выходом порогового устройства, третий, четвертый и пятый входы являются внешними входами сигналов, соответствующих числу е (экспоненте), половине отношения сигнал/шум и единице соответственно, а выход подключен к первому входу ячейки памяти, третий вход которой является внешним входом сигнала считывания, второй вход подключен к выходу порогового устройства, а первый и второй выходы подключены соответственно к первому и второму входам линии передачи данных, при этом функциональный преобразователь реализует вычисление апостериорных вероятностей предварительных решений обнаружителей
по формуле
, где Qi - отношение сигнал/шум, qi - аналоговый сигнал в виде корреляционного интеграла
, ξi(t) - аналоговый входной сигнал, поступающий на вход согласованного фильтра,
- частное предварительное решение обнаружителя о наличии (θi=1) или отсутствии (θi=0) сигналов цели, а процессор обработки данных имеет подключенные к выходам линий передачи данных 2I входов обученной искусственной радиальной базисной нейронной сети, процедура обучения которой заключается в подаче на ее входы обучающего вектора, представляющего собой совокупность частных решений объединяемых обнаружителей
и соответствующих им апостериорных вероятностей предварительных решений
, и последующего сравнения окончательного решения о наличии или отсутствии цели с заданным при формировании обучающего вектора результатом.
| Комплексное устройство обнаружения воздушных объектов | 2023 |
|
RU2816190C1 |
| Комплексное устройство обнаружения в многопозиционной радиолокационной станции | 2021 |
|
RU2778247C1 |
| КОМПЛЕКСНЫЙ ОБНАРУЖИТЕЛЬ КРИВОЛИНЕЙНЫХ ТРАЕКТОРИЙ ВОЗДУШНЫХ ОБЪЕКТОВ С ИСПОЛЬЗОВАНИЕМ ПАРАМЕТРИЧЕСКИХ ПРЕОБРАЗОВАНИЙ | 2021 |
|
RU2776417C1 |
| Способ формирования порога решающего устройства на основе нейрорегулятора | 2020 |
|
RU2731332C1 |
| ПНЕВМАТИЧЕСКИЙ УДАРНЫЙ МЕХАНИЗМ | 0 |
|
SU188929A1 |
| КОМПЛЕКСНОЕ УСТРОЙСТВО ОБНАРУЖЕНИЯ | 2015 |
|
RU2587161C1 |
| ДАО ВАН ЛУК, КОНОВАЛОВ А.А., ЛЕ МИНЬ ХОАНГ | |||
| Алгоритм распознавания малоразмерных воздушных целей по траекторным признакам в полуактивной РЛС // Известия вузов России | |||
| Радиоэлектроника | |||
Авторы
Даты
2025-02-25—Публикация
2024-06-10—Подача