СПОСОБ ДИФФЕРЕНЦИАЛЬНОЙ ДИАГНОСТИКИ ХРОНИЧЕСКОГО ЛИМФОЦИТАРНОГО ЛЕЙКОЗА И В-КЛЕТОЧНОЙ НЕХОДЖКИНСКОЙ ЛИМФОМЫ Российский патент 2025 года по МПК G01N33/68 G01N33/49 G01N33/577 

Описание патента на изобретение RU2835503C1

Настоящее изобретение относится к области медицины, биохимии, иммунологии, онкологии.

В наши дни методами молекулярной диагностики устанавливается гистогенез, стадия дифференцировки и иммунофенотип опухолевых клеток, свойственный злокачественной зрелоклеточной лимфопролиферации - хроническому лимфоцитарному лейкозу (ХЛЛ) и неходжкинским В-клеточным лимфомам (НХЛ). Своевременная дифференциальная диагностика ХЛЛ и НХЛ в рамках диагностики лимфопролиферативных заболеваний является важной клинической задачей т.к. при схожих симптомах заболеваний подходы к их терапии разнятся.

ХЛЛ - злокачественное клональное лимфопролиферативное заболевание, характеризующееся накоплением атипичных зрелых CD5/CD19/CD23-положительных В-лимфоцитов преимущественно в крови, костном мозге, реже в лимфатических узлах, печени и селезенке [Chiorazzi N., Rai K.R., Ferrarini М. Chronic lymphocytic leukemia // N Engl J Med. - 2005. - T. 352, вып.8. - С.804-815]. Выявлены сотни маркеров, отражающих особенности этого заболевания [Hallek М. Chronic lymphocytic leukemia: 2020 update on diagnosis, risk stratification and treatment. Am J Hematol. 2019; 94:1266-1287. https://doi.org/10.1002/ajh.25595].

При В-клеточных НХЛ (далее - НХЛ) первичное поражение, злокачественная пролиферация зрелых В-лимфоцитов, локализуется в лимфатических узлах, селезенке, печени и вне лимфатических узлов в тканях (не нодальные формы), реже наблюдается лейкемизация костного мозга и выход клеток в кровеносную систему. Это группа онкологических заболеваний, отличающихся между собой по степени злокачественности, скорости развития опухолевого процесса и симптоматике.

В охране генетического гомеостаза организма иммунная система использует механизмы, в которых участвует многокомпонентный состав ее клеток и их продуценты. Описаны дисфункции иммунитета, генетические особенности и иммунофенотипы опухолевых В-клеток при зрелоклеточной лимфопролиферации [Д.Б. Казанский. Т-лимфоциты в развитии хронического лимфоцитарного лейкоза. Клиническая онкогематология. Фундаментальные исследования и клиническая практика. Ж-л Клиническая онкогематология, 2012, Т.5, №2, С. 84-95], [А.И. Свирновский. Хронический лимфоцитарный лейкоз: парадигмы и парадоксы. Медицинские новости. - 2008. - №13. - С. 7-19], [С.А. Луговская, М.Е. Почтарь. Гематологический атлас, М., 2016, 296], [Кузьмина Е.Г., Мушкарина Т.Ю., Константинова Т.В., Зацаренко С.В. и др., Субпопуляционный состав иммунокомпетентных клеток периферической крови при В-клеточном хроническом лимфоцитарном лейкозе/лимфоме из малых лимфоцитов. Клиническая Онкогематология, 2020, Т. 13, №4 С. 395-405], [Beekman R, Chapaprieta V, Russinol N, et al. The reference epigenome and regulatory chromatin landscape of chronic lymphocytic leukemia. Nat Med. 2018; 24:868-880], [Hacken E, Burger JA. Microenvironment interactions and В cell receptor signaling in chronic lymphocytic leukemia: implications for disease pathogenesis and treatment. In: Biochimica et Biophysica Acta - Molecular Cell Research, Amsterdam: Elsevier B.V.; 2016, v. 1863.401-13]. Степень нарушения иммунокомпетентности в сочетании с присутствием в крови опухолевых клеток представляют собой комплексный образ (многомерный паттерн), отражающий динамическое взаимодействие в системе «иммунитет-опухоль». Этот многомерный образ, как правило, отражает определенные изменения состава и численности клеток периферической крови. Таким образом, разные патологии крови формируют уникальные паттерны признаков.

На современном этапе развития науки, для дифференциальной диагностики ХЛЛ и НХЛ необходима не только характеристика их морфогенетических и других молекулярных признаков, но и сопоставление их размерности с качеством противоопухолевого иммунитета.

Ближайшим аналогом заявленного способа является иммунофенотипирование образцов периферической крови и костного мозга [Луговская С.А., Почтарь М.Е. Гематологический атлас. 4-е издание, дополненное. М.: Триада, 2016. 434 с.], [Российские клинические рекомендации по диагностике и лечению лимфопролиферативных заболеваний. Под ред. И.В. Поддубной, В.Г. Савченко. М, 2018. 356 с.].

Для осуществления процедуры иммунофенотипирования клетки в составе исследуемого образца обрабатывают флуоресцентно мечеными моноклональными антителами к различным поверхностным антигенам. Для анализа состава клеточных суспензий используются проточный цитофлуориметр. Исследование производится следующим образом. Лазерный луч направляется на кварцевую кювету, через которую поочередно поступают клетки, вызывая прямое и боковое светорассеяние лазера. На первом этапе производится оценка параметров рассеяния, которые отражают размер и гранулярность клеток в составе исследуемого образца. Данный подход позволяет выделить как минимум три типа клеток: лимфоциты (клетки мелкого размера без зернистости, моноциты (клетки с промежуточными характеристиками), и гранулоциты (клетки более крупного размера с зернистостью). Затем каждый тип клеток может быть проанализирован более детально. Так, при лимфопролиферативных заболеваниях анализируется состав т.н. лимфоцитарного гейта. При облучении клеток лазером происходит испускание монохроматического излучения определенной длины волны за счет антител, специфично связанных с антигенами на поверхности клеток и меченых различными флуорохромами. Оценивая интенсивность эмиссии, лимфоцит относят к определенному типу антигенположительных клеток (Т-, В-, NK-клетки). Сочетание различных флуорохромов и антител позволяет обнаруживать одновременно несколько антигенных детерминант на клетке интересующего типа. Основную проблему при проточной цитофлуориметрии представляет формирование панели моноклональных антител. При диагностике злокачественных лимфом и хронического лимфоцитарного лейкоза основное внимание при иммунофенотипировании уделяется учету бокового светорассеяния для выделения лимфоцитарного гейта, составу набора антител для определения основных характеристик пролиферирующих клеток и их клональности. Указанный метод является трудозатратным в связи с необходимостью забора материала лимфоузлов и костного мозга, а также в связи с необходимостью оценки большого количества различных антигенных детерминант, и, следовательно, использования панелей, включающих большое количество различных антител. Также указанный метод ограничен по точности.

Таким образом, техническим результатом заявленного изобретения является снижение трудоемкости процедуры дифференциальной диагностики ХЛЛ и НХЛ, повышение ее точности, а также повышение вероятности выявления заболевания на ранних стадиях заболевания за счет возможности организации исследования, например, в рамках периодического осмотра пациентов, входящих в группу риска развития заболевания.

Указанный технический результат достигается за счет способа дифференциальной диагностики хронического лимфоцитарного лейкоза (ХЛЛ) и В-клеточной неходжкинской лимфомы (НХЛ), включающего забор у пациента образца периферической крови, подсчет количества лейкоцитов и лимфоцитов в образце периферической крови, оценка доли популяции лимфоцитов HLADR+, Т-хелперов CD4+, Т-цитотоксических лимфоцитов CD8+, активированных Т-клеток CD3+HLADR+, оценка доли и идентификация В-лимфоцитов по маркерам CD20+, CD23+ и оценка иммунорегуляторного индекса CD4+/ CD8+, в образце периферической крови, при этом в случае, если абсолютное количество лейкоцитов в периферической крови составляет не менее 11,85*109/л, доля Т-хелперов CD4+ составляет не менее 22%, и доля лимфоцитов HLADR+ составляет не менее 61,5% от общего количества лимфоцитов, определяют хронический лимфоцитарный лейкоз (ХЛЛ),

при этом в случае, если абсолютное количество лейкоцитов в периферической крови составляет не менее 11,85*109/л, доля Т-хелперов CD4+ составляет не менее 22%, доля лимфоцитов HLADR+ составляет менее 61,5%, и доля В-лимфоцитов CD20+ менее 0,3% от общего количества лимфоцитов, определяют хронический лимфоцитарный лейкоз (ХЛЛ),

при этом в случае, если абсолютное количество лейкоцитов в периферической крови составляет не менее 11,85*109/л, доля Т-хелперов CD4+ составляет не менее 22%, доля лимфоцитов HLADR+ составляет менее 61,5%, и доля В-лимфоцитов CD20+ составляет не менее 0,3% от общего количества лимфоцитов определяют неходжкинскую лимфому (НХЛ),

при этом в случае, если абсолютное количество лейкоцитов в периферической крови составляет не менее 11,85* 109/л, доля Т-хелперов CD4+ составляет менее 22%, и доля В-лимфоцитов CD23+ составляет не менее 79,05% от общего количества лимфоцитов, определяют хронический лимфоцитарный лейкоз (ХЛЛ),

при этом в случае, если абсолютное количество лейкоцитов в периферической крови составляет не менее 11,85*109/л, доля Т-хелперов CD4+ составляет менее 22%, доля В-лимфоцитов CD23+ составляет менее 79,05%, и доля В-лимфоцитов CD20+ составляет менее 18,15% от общего количества лимфоцитов, определяют хронический лимфоцитарный лейкоз (ХЛЛ),

при этом в случае, если абсолютное количество лейкоцитов в периферической крови составляет не менее 11,85*109/л, доля Т-хелперов CD4+ составляет менее 22%, доля В-лимфоцитов CD23+ составляет менее 79,05%, и доля В-лимфоцитов CD20+ составляет не менее 18,15% от общего количества лимфоцитов, определяют неходжкинскую лимфому (НХЛ),

при этом в случае, если абсолютное количество лейкоцитов в периферической крови составляет не менее 11,85*109/л, доля Т-хелперов CD4+ составляет менее 22%, доля В-лимфоцитов CD23+ составляет менее 79,05%, доля В-лимфоцитов CD20+ составляет не менее 21,5%, и доля В-лимфоцитов CD22+ составляет менее 21,5% от общего количества лимфоцитов, определяют хронический лимфоцитарный лейкоз (ХЛЛ),

при этом в случае, если абсолютное количество лейкоцитов в периферической крови составляет не менее 11,85*109/л, доля Т-хелперов CD4+ составляет менее 22%, доля В-лимфоцитов CD23+ составляет менее 79,05%, доля В-лимфоцитов CD20+ составляет не менее 21,5%, доля В-лимфоцитов CD22+ составляет не менее 21,5%, и доля активированных Т-клеток CD3+HLADR+ составляет менее 17% от общего количества лимфоцитов, определяют хронический лимфоцитарный лейкоз (ХЛЛ),

при этом в случае, если абсолютное количество лейкоцитов в периферической крови составляет не менее 11,85*109/л, доля Т-хелперов CD4+ составляет менее 22%, доля В-лимфоцитов CD23+ составляет менее 79,05%, доля В-лимфоцитов CD20+ составляет не менее 21,5%, доля В-лимфоцитов CD22+ составляет не менее 21,5%, и доля активированных Т-клеток CD3+HLADR+ составляет не менее 17% от общего количества лимфоцитов, определяют неходжкинскую лимфому (НХЛ),

при этом в случае, если абсолютное количество лейкоцитов в периферической крови составляет менее 11,85*109/л, доля В-лимфоцитов CD23+ составляет не менее 27,5%, и доля В-лимфоцитов CD20+ составляет менее 34,5% от общего количества лимфоцитов, определяют хронический лимфоцитарный лейкоз (ХЛЛ),

при этом в случае, если абсолютное количество лейкоцитов в периферической крови составляет менее 11,85*109/л, доля В-лимфоцитов CD23+ составляет не менее 27,5%, и доля В-лимфоцитов CD20+ составляет не менее 34,5% от общего количества лимфоцитов, определяют неходжкинскую лимфому (НХЛ),

при этом в случае, если абсолютное количество лейкоцитов в периферической крови составляет менее 11,85*109/л, доля В-лимфоцитов CD23+ составляет менее 27,5%, и доля Т-цитотоксических лимфоцитов CD8+ составляет не менее 55,5% и менее 56,5% от общего количества лимфоцитов, определяют хронический лимфоцитарный лейкоз (ХЛЛ),

при этом в случае, если абсолютное количество лейкоцитов в периферической крови составляет менее 11,85*109/л, доля В-лимфоцитов CD23+ составляет менее 27,5%, доля Т-цитотоксических лимфоцитов CD8+ составляет не менее 56,5% от общего количества лимфоцитов, и доля лимфоцитов составляет менее 39,4444% и не менее 29,7059% от общего количества лейкоцитов, определяют хронический лимфоцитарный лейкоз (ХЛЛ),

при этом в случае, если абсолютное количество лейкоцитов в периферической крови составляет менее 11,85*109/л, доля В-лимфоцитов CD23+ составляет менее 27,5%, доля Т-цитотоксических лимфоцитов CD8+ составляет не менее 56,5% от общего количества лимфоцитов, и доля лимфоцитов составляет не менее 39,4444% от общего количества лейкоцитов, определяют неходжкинскую лимфому (НХЛ),

при этом в случае, если абсолютное количество лейкоцитов в периферической крови составляет менее 1 1,85*109/л, доля В-лимфоцитов CD23+ составляет менее 27,5%, доля Т-цитотоксических лимфоцитов CD8+ составляет не менее 56,5% от общего количества лимфоцитов, и доля лимфоцитов составляет менее 29,7059% от общего количества лейкоцитов, определяют неходжкинскую лимфому (НХЛ),

при этом в случае, если абсолютное количество лейкоцитов в периферической крови составляет менее 11,85*109/л, доля В-лимфоцитов CD23+ составляет менее 27,5%, доля Т-цитотоксических лимфоцитов CD8+составляет менее 55,5%, доля активированных Т-клеток CD3+HLADR+ составляет не менее 44,85%, и доля Т-хелперов CD4+ составляет не менее 28,1% от общего количества лимфоцитов, определяют хронический лимфоцитарный лейкоз (ХЛЛ),

при этом в случае, если абсолютное количество лейкоцитов в периферической крови составляет менее 11,85*109/л, доля В-лимфоцитов CD23+ составляет менее 27,5%, доля Т-цитотоксических лимфоцитов CD8+ составляет менее 55,5%, доля активированных Т-клеток CD3+HLADR+ составляет не менее 44,85%, и доля Т-хелперов CD4+ составляет менее 28,1% от общего количества лимфоцитов, определяют неходжкинскую лимфому (НХЛ),

при этом в случае, если абсолютное количество лейкоцитов в периферической крови составляет менее 11,85*109/л, доля В-лимфоцитов CD23+ составляет менее 27,5%, доля Т-цитотоксических лимфоцитов CD8+ составляет менее 55,5%, доля активированных Т-клеток CD3+HLADR+ составляет менее 44,85% от общего количества лимфоцитов, и иммунорегуляторный индекс CD4+/ CD8+ равен менее 0,179131, определяют хронический лимфоцитарный лейкоз (ХЛЛ),

при этом в случае, если абсолютное количество лейкоцитов в периферической крови составляет менее 11,85*109/л, доля В-лимфоцитов CD23+ составляет менее 27,5%, доля Т-цитотоксических лимфоцитов CD8+ составляет менее 55,5%, доля активированных Т-клеток CD3+HLADR+ составляет менее 44,85% от общего количества лимфоцитов, иммунорегуляторный индекс CD4+/ CD8+ равен не менее 0,179131, и доля В-лимфоцитов CD23+ составляет не менее 24% от общего количества лимфоцитов, определяют хронический лимфоцитарный лейкоз (ХЛЛ),

при этом в случае, если абсолютное количество лейкоцитов в периферической крови составляет менее 11,85*109/л, доля В-лимфоцитов CD23+ составляет менее 27,5%, доля Т-цитотоксических лимфоцитов CD8+ составляет менее 55,5%, доля активированных Т-клеток CD3+HLADR+ составляет менее 44,85% от общего количества лимфоцитов, иммунорегуляторный индекс CD4+/ CD8+ равен не менее 0,179131, и доля В-лимфоцитов CD23+ составляет менее 24% от общего количества лимфоцитов, определяют неходжкинскую лимфому (НХЛ).

Как вариант, при реализации указанного способа оценка доли популяции лимфоцитов HLADR+, Т-хелперов CD4+, Т-цитотоксических лимфоцитов CD8+, активированных Т-клеток CD3+HLADR+, оценка доли и идентификация В-лимфоцитов по маркерам CD20+, CD23+, и оценка иммунорегуляторного индекса CD4+/ CD8+ в образце периферической крови может проводится методом иммунофенотипирования. При этом, процедура иммунофенотипирования может, например, проводиться с использованием моноклональных антител к поверхностным дифференцировочным антигенам на клетках иммунной системы методом проточной цитофлуорометрии.

Авторами изобретения разработан алгоритм и выполнена серия системных исследований по сопоставлению состояния иммунитета и признаков опухолевого роста по данным периферической крови при ХЛЛ и НХЛ. На первом этапе был проведен многомерный сравнительный анализ данных пациентов с ХЛЛ и НХЛ, а также практически здоровых людей. Проведено клинико-иммунологическое обследование 315 пациентов с ХЛЛ и 352 пациентов с НХЛ. Группу контроля составили данные 184 практически здоровых человека, преимущественно доноров крови; на момент взятия крови у которых не было отклонений в состоянии здоровья. Средний возраст пациентов с ХЛЛ составил 62 года, пациентов с НХЛ - 60 лет, практически здоровых людей - 58 лет. Для определения ХЛЛ и НХЛ использованы критерии классификации ВОЗ опухолей лимфоидной и кроветворной системы: объективный анализ ультразвукового, магнитно-резонансного обследования пациентов, иммуногистохимического исследования материала лимфатических узлов, тканей и костного мозга, иммунофенотипирование опухолевых клеток крови и костного мозга [С.А. Луговская, М. Е. Почтарь. Гематологический атлас, М., 2016, 296].

По гемограмме подсчитывали количество лейкоцитов, относительное и абсолютное число лимфоцитов. Состав ядросодержащих клеток оценивали в цельной крови после предварительного лизиса эритроцитов лизирующим раствором фирмы BD Biosciences. Далее в лимфоцитарном гейте определяли фенотипы субпопуляций иммунокомпетентных клеток и опухолевых В-лимфоцитов методами 2-6-цветной проточной цитометрии на приборе FACSCan или FACSCanto II (BD Biosciences) по известной методике [Swerdlow S.H., Campo Е., Pileri S.A. et al. The 2016 revision of the World Health Organization classification of lymphoid neoplasms. Blood 2016; 19;127(20):2375-90. DOI: 10.1182/blood-2016-01-643569].

Для многомерного анализа состояния иммунитета и признаков В-клеточной пролиферации для каждого пациента использовано по 13 показателей. Это: количество лейкоцитов, WBC абс, х109 кл/л, доля лимфоцитов (LYM), общих Т-клеток, CD3+CD16-; Т-хелперы, CD3+CD4+; Т-киллеры, CD3+CD8+; иммунорегуляторный индекс, CD4/CD8; процент NK-клеток, (CD16+CD3-); активированных Т-клеток, CD3+HLADR+; HLADR+ лимфоцитов (включает активированные Т-клетки и В-лимфоциты в лимфоцитарном гейте). Идентификация В-лимфоцитов проведена по маркерам CD19+, CD20+, CD23+.

Визуализация многомерных данных, характеризующих состояние иммунитета и В-клеточной пролиферации, проведена, используя самоорганизующиеся карты (СОКК, Self Organizing Maps, SOM), разработанные Т. Кохоненом [Kohonen, Essentials of the self-organizing map, Neural Networks 37 (2013) 52-65]. Этим методом многомерные данные проецируются в пространство пониженной размерности и визуализируются в виде двух(трех)мерной карты. На основе карты возможно осуществление кластеризации за счет выделения в ней векторов (показателей анализируемых признаков) пациентов и здоровых людей с близкими (похожими) характеристиками. Авторами изобретения определены показатели в многомерных структурах, контрастирующие данные в исследуемых группах «ХЛЛ», «НХЛ», и «Норма», которые затем использованы для разработки заявленного способа дифференциальной диагностики ХЛЛ и НХЛ.

Образы ХЛЛ и НХЛ, полученные с использованием СОКК, позволяют упростить способ дифференциальной диагностики данных заболеваний. Этот подход более прост, менее трудозатратен для дифференциальной диагностики ХЛЛ и НХЛ, и может быть использован для проведения скринингового определения указанных заболеваний.

Как вариант, заявленный способ может быть реализован следующим образом. У пациента проводится забор образца периферической крови. В полученном образце по гемограмме осуществляется подсчет количества лейкоцитов и лимфоцитов. Затем на проточном цитофлуориметре (FACSCanto II (BD Biosciences), используя метод 2-4-цветной проточной цитофлуориметрии, в образце периферической крови осуществляется оценка доли популяции лимфоцитов HLADR+, Т-хелперов CD4+, Т-цитотоксических лимфоцитов CD8+, активированных Т-клеток CD3+HLADR+, оценка доли и идентификация В-лимфоцитов по маркерам CD20+, CD23+ и оценка иммунорегуляторного индекса CD4+/ CD8+.

На следующем этапе осуществляется интерпретация полученных данных.

1. В случае, если абсолютное количество лейкоцитов в периферической крови составляет не менее 11,85*109/л, доля Т-хелперов CD4+ составляет не менее 22% и доля лимфоцитов HLADR+ составляет не менее 61,5% от общего количества лимфоцитов, определяют хронический лимфоцитарный лейкоз (ХЛЛ).

2. В случае, если абсолютное количество лейкоцитов в периферической крови составляет не менее 11,85*109/л, доля Т-хелперов CD4+ составляет не менее 22% и доля лимфоцитов HLADR+ составляет менее 61,5% и доля В-лимфоцитов CD20+ менее 0,3% от общего количества лимфоцитов, определяют хронический лимфоцитарный лейкоз (ХЛЛ).

3. В случае, если абсолютное количество лейкоцитов в периферической крови составляет не менее 11,85*109/л, доля Т-хелперов CD4+ составляет не менее 22%, доля лимфоцитов HLADR+ составляет менее 61,5%, и доля В-лимфоцитов CD20+ составляет не менее 0,3% от общего количества лимфоцитов определяют неходжкинскую лимфому (НХЛ).

4. В случае, если абсолютное количество лейкоцитов в периферической крови составляет не менее 11,85*109/л, доля Т-хелперов CD4+ составляет менее 22% и доля В-лимфоцитов CD23+ составляет не менее 79,05% от общего количества лимфоцитов, определяют хронический лимфоцитарный лейкоз (ХЛЛ).

5. В случае, если абсолютное количество лейкоцитов в периферической крови составляет не менее 11,85*109/л, доля Т-хелперов CD4+ составляет менее 22%, доля В-лимфоцитов CD23+ составляет менее 79,05%, и доля В-лимфоцитов CD20+ составляет менее 18,15% от общего количества лимфоцитов, определяют хронический лимфоцитарный лейкоз (ХЛЛ).

6. В случае, если абсолютное количество лейкоцитов в периферической крови составляет не менее 11,85*109/л, доля Т-хелперов CD4+ составляет менее 22%, доля В-лимфоцитов CD23+ составляет менее 79,05%, и доля В-лимфоцитов CD20+ составляет не менее 18,15% от общего количества лимфоцитов, определяют неходжкинскую лимфому (НХЛ).

7. В случае, если абсолютное количество лейкоцитов в периферической крови составляет не менее 11,85*109/л, доля Т-хелперов CD4+ составляет менее 22%, доля В-лимфоцитов CD23+ составляет менее 79,05%, доля В-лимфоцитов CD20+ составляет не менее 21,5%, и доля В-лимфоцитов CD22+ составляет менее 21,5% от общего количества лимфоцитов, определяют хронический лимфоцитарный лейкоз (ХЛЛ).

8. В случае, если абсолютное количество лейкоцитов в периферической крови составляет не менее 11,85*109/л, доля Т-хелперов CD4+составляет менее 22%о, доля В-лимфоцитов CD23+ составляет менее 79,05%, доля В-лимфоцитов CD20+ составляет не менее 21,5%, доля В-лимфоцитов CD22+ составляет не менее 21,5%, и доля активированных Т-клеток CD3+HLADR+ составляет менее 17% от общего количества лимфоцитов определяют хронический лимфоцитарный лейкоз (ХЛЛ).

9. В случае, если абсолютное количество лейкоцитов в периферической крови составляет не менее 11,85*109/л, доля Т-хелперов CD4+ составляет менее 22%, доля В-лимфоцитов CD23+ составляет менее 79,05%, доля В-лимфоцитов CD20+ составляет не менее 21,5%, доля В-лимфоцитов CD22+ составляет не менее 21,5%, и доля активированных Т-клеток CD3+HLADR+ составляет не менее 17% от общего количества лимфоцитов, определяют неходжкинскую лимфому (НХЛ).

10. В случае, если абсолютное количество лейкоцитов в периферической крови составляет менее 11,85*109/л, доля В-лимфоцитов CD23+ составляет не менее 27,5%, и доля В-лимфоцитов CD20+ составляет менее 34,5% от общего количества лимфоцитов, определяют хронический лимфоцитарный лейкоз (ХЛЛ).

11. В случае, если абсолютное количество лейкоцитов в периферической крови составляет менее 11,85*109/л, доля В-лимфоцитов CD23+ составляет не менее 27,5%, и доля В-лимфоцитов CD20+ составляет не менее 34,5% от общего количества лимфоцитов, определяют неходжкинскую лимфому (НХЛ).

12. В случае, если абсолютное количество лейкоцитов в периферической крови составляет менее 11,85*109/л, доля В-лимфоцитов CD23+ составляет менее 27,5%, и доля Т-цитотоксических лимфоцитов CD8+ составляет не менее 55,5% и менее 56,5% от общего количества лимфоцитов, определяют хронический лимфоцитарный лейкоз (ХЛЛ).

13. В случае, если абсолютное количество лейкоцитов в периферической крови составляет менее 11,85*109/л, доля В-лимфоцитов CD23+ составляет менее 27,5%, доля Т-цитотоксических лимфоцитов CD8+ составляет не менее 56,5% от общего количества лимфоцитов, и доля лимфоцитов составляет менее 39,4444% и не менее 29,7059% от общего количества лейкоцитов, определяют хронический лимфоцитарный лейкоз (ХЛЛ).

14. В случае, если абсолютное количество лейкоцитов в периферической крови составляет менее 11,85*109/л, доля В-лимфоцитов CD23+ составляет менее 27,5%, доля Т-цитотоксических лимфоцитов CD8+ составляет не менее 56,5% от общего количества лимфоцитов, и доля лимфоцитов составляет не менее 39,4444% от общего количества лейкоцитов, определяют неходжкинскую лимфому (НХЛ).

15. В случае, если абсолютное количество лейкоцитов в периферической крови составляет менее 11,85*109/л, доля В-лимфоцитов CD23+ составляет менее 27,5%, доля Т-цитотоксических лимфоцитов CD8+ составляет не менее 56,5%о от общего количества лимфоцитов, и доля лимфоцитов составляет менее 29,7059% от общего количества лейкоцитов, определяют неходжкинскую лимфому (НХЛ).

16. В случае, если абсолютное количество лейкоцитов в периферической крови составляет менее 11,85*109/л, доля В-лимфоцитов CD23+составляет менее 27,5%, доля Т-цитотоксических лимфоцитов CD8+ составляет менее 55,5%, доля активированных Т-клеток CD3+HLADR+ составляет не менее 44,85%, и доля Т-хелперов CD4+ составляет не менее 28,1% от общего количества лимфоцитов, определяют хронический лимфоцитарный лейкоз (ХЛЛ).

17. В случае, если абсолютное количество лейкоцитов в периферической крови составляет менее 11,85*109/л, доля В-лимфоцитов CD23+ составляет менее 27,5%, доля Т-цитотоксических лимфоцитов CD8+ составляет менее 55,5%, доля активированных Т-клеток CD3+HLADR+ составляет не менее 44,85%, и доля Т-хелперов CD4+ составляет менее 28,1% от общего количества лимфоцитов, определяют неходжкинскую лимфому (НХЛ).

18. В случае, если абсолютное количество лейкоцитов в периферической крови составляет менее 11,85*109/л, доля В-лимфоцитов CD23+ составляет менее 27,5%, доля Т-цитотоксических лимфоцитов CD8+ составляет менее 55,5%, доля активированных Т-клеток CD3+HLADR+ составляет менее 44,85% от общего количества лимфоцитов, и иммунорегуляторный индекс CD4+/ CD8+ равен менее 0,179131, определяют хронический лимфоцитарный лейкоз (ХЛЛ).

19. В случае, если абсолютное количество лейкоцитов в периферической крови составляет менее 11,85*109/л, доля В-лимфоцитов CD23+ составляет менее 27,5%, доля Т-цитотоксических лимфоцитов CD8+ составляет менее 55,5%, доля активированных Т-клеток CD3+HLADR+ составляет менее 44,85% от общего количества лимфоцитов, иммунорегуляторный индекс CD4+/ CD8+ равен не менее 0,179131, и доля В-лимфоцитов CD23+ составляет не менее 24% от общего количества лимфоцитов, определяют хронический лимфоцитарный лейкоз (ХЛЛ).

20. В случае, если абсолютное количество лейкоцитов в периферической крови составляет менее 11,85*109/л, доля В-лимфоцитов CD23+ составляет менее 27,5%, доля Т-цитотоксических лимфоцитов CD8+ составляет менее 55,5%, доля активированных Т-клеток CD3+HLADR+ составляет менее 44,85% от общего количества лимфоцитов, иммунорегуляторный индекс CD4+/ CD8+ равен не менее 0,179131, и доля В-лимфоцитов CD23+ составляет менее 24% от общего количества лимфоцитов, определяют неходжкинскую лимфому (НХЛ).

На фиг.1 представлена схема реализации указанного способа.

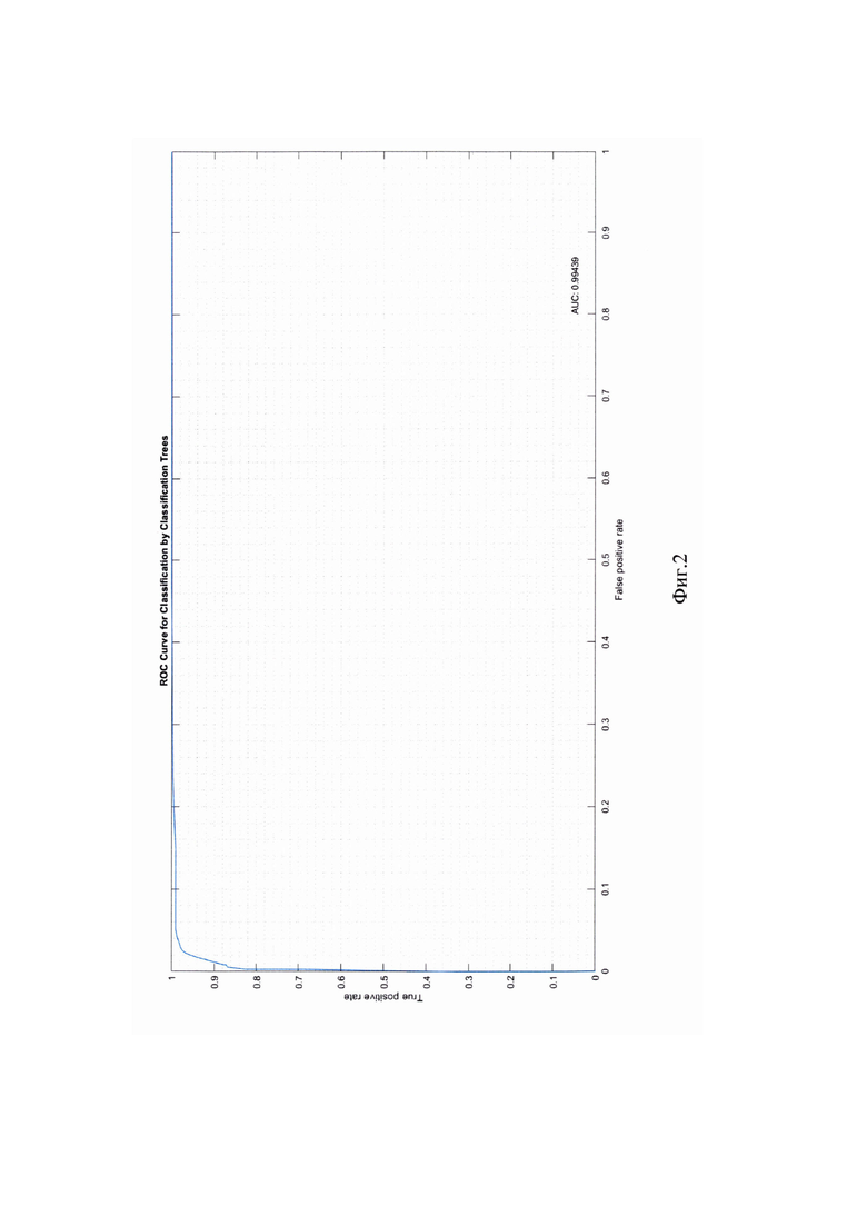
На фиг.2 представлена ROC-кривая, характеризующая точность (качество) предложенного способа.

Полученное значение AUC (площади, ограниченной ROC-кривой и осью абсцисс) свидетельствует о высокой точности заявленного способа. Чем значение AUC ближе к 1, тем выше качество предложенной модели.

Заявленное изобретение иллюстрируется нижеследующими примерами.

Пример 1. Реализация заявленного способа

У пациента М. проводился забор образца периферической крови. В полученном образце по гемограмме определялась доля и количество лимфоцитов. Затем на проточном цитофлуориметре (FACSCanto II (BD Biosciences), используя метод 2-4-цветной проточной цитофлуориметрии осуществлялась оценка доли популяции лимфоцитов HLADR+, Т-хелперов CD4+, Т-цитотоксических лимфоцитов CD8+, активированных Т-клеток CD3+HLADR+, оценка доли и идентификация В-лимфоцитов по маркерам CD20+, CD23+ и оценка иммунорегуляторного индекса CD4+/ CD8+. Абсолютное количество лейкоцитов в периферической крови составила 12,91*109/л, доля Т-хелперов CD4+ составила 23%, доля лимфоцитов HLADR+ составила 56,5%, доля В-лимфоцитов CD20+ составила 0,2% от общего количества лимфоцитов. У пациента определен хронический лимфоцитарный лейкоз (ХЛЛ).

Пример 2. Реализация заявленного способа

У пациента Е. проводился забор образца периферической крови. В полученном образце по гемограмме определялась доля и количество лимфоцитов. Затем на проточном цитофлуориметре (FACSCanto II (BD Biosciences), используя метод 2-4-цветной проточной цитофлуориметрии осуществлялась оценка доли популяции лимфоцитов HLADR+, Т-хелперов CD4+, Т-цитотоксических лимфоцитов CD8+, активированных Т-клеток CD3+HLADR+, оценка доли и идентификация В-лимфоцитов по маркерам CD20+, CD23+ и оценка иммунорегуляторного индекса CD4+/ CD8+. Абсолютное количество лейкоцитов в периферической крови составило 13,43*109/л, доля Т-хелперов CD4+составило 19%о, доля В-лимфоцитов CD23+ составило 69,12%, доля В-лимфоцитов CD20+ составила 23,1%, доля В-лимфоцитов CD22+ составила 22,0%, доля активированных Т-клеток CD3+HLADR+ составила 19% от общего количества лимфоцитов. У пациента определена неходжкинская лимфома (НХЛ),

Пример 3. Реализация заявленного способа.

У пациента В. проводился забор образца периферической крови. В полученном образце по гемограмме определялась доля и количество лимфоцитов. Затем на проточном цитофлуориметре (FACSCanto II (BD Biosciences), используя метод 2-4-цветной проточной цитофлуориметрии осуществлялась оценка доли популяции лимфоцитов HLADR+, Т-хелперов CD4+, Т-цитотоксических лимфоцитов CD8+, активированных Т-клеток CD3+HLADR+, оценка доли и идентификация В-лимфоцитов по маркерам CD20+, CD23+ и оценка иммунорегуляторного индекса CD4+/ CD8+. Абсолютное количество лейкоцитов в периферической крови составило 10,56*109/л, доля В-лимфоцитов CD23+ составило 25,0%, доля Т-цитотоксических лимфоцитов CD8+ составило 53,8%, доля активированных Т-клеток CD3+HLADR+ составило 44,67% от общего количества лимфоцитов, иммунорегуляторный индекс CD4+/ CD8+ равен 0,186543, доля В-лимфоцитов CD23+ составило 25% от общего количества лимфоцитов. У пациента определен хронический лимфоцитарный лейкоз (ХЛЛ),

Пример 4. Сравнительная оценка точности заявленного способа. В рамках оценки точности анализа в дифференциальном определении ХЛЛ и НХЛ с использованием заявленного способа было проведено рандомизированное сравнительное исследование 10 пациентов с диагнозом ХЛЛ, 10 пациентов с диагнозом НХЛ заявленным способом, а также контрольным способом, включающим определение иммунофенотипа лимфоцитов периферической крови (в соответствии с ближайшим аналогом заявленного изобретения). Для подтверждения диагноза (эталонный способ определения ХЛЛ) выполнено ультразвуковое, магнитно-резонансное исследование, иммуногистохимическое исследование материала лимфатических узлов и иммунофенотипирование образцов периферической крови и костного мозга [Луговская С.А., Почтарь М.Е. Гематологический атлас. 4-е издание, дополненное. М.: Триада, 2016. 434 с.], [Российские клинические рекомендации по диагностике и лечению лимфопролиферативных заболеваний. Под ред. И.В. Поддубной, В.Г. Савченко. М., 2018. 356 с.].

Результаты исследования приведены в таблице 1.

По результатам сравнительной оценки точности анализа с использованием заявленного способа было установлено, что данный способ позволяет производить дифференциальную диагностику ХЛЛ и НХЛ с большей точностью, чем контрольный способ. При этом использование заявленного способа позволяет снизить трудоемкость процедуры определения при повышении ее точности.

Похожие патенты RU2835503C1

название год авторы номер документа
СПОСОБ ОПРЕДЕЛЕНИЯ В-КЛЕТОЧНОЙ НЕХОДЖКИНСКОЙ ЛИМФОМЫ 2023
  • Кузьмина Евгения Геннадьевна
  • Сабурина Ирина Николаевна
  • Черкашенко Владимир Николаевич
  • Андриенко Владимир Александрович
  • Зацаренко Светлана Валерьевна
  • Морозов Сергей Георгиевич
RU2831405C1
СПОСОБ ОПРЕДЕЛЕНИЯ ХРОНИЧЕСКОГО ЛИМФОЦИТАРНОГО ЛЕЙКОЗА 2023
  • Черкашенко Владимир Николаевич
  • Кузьмина Евгения Геннадьевна
  • Сабурина Ирина Николаевна
  • Андриенко Владимир Александрович
  • Морозов Сергей Георгиевич
RU2835466C1
СПОСОБ ОПРЕДЕЛЕНИЯ ИНДОЛЕНТНОЙ И ПРОГРЕССИРУЮЩЕЙ ФОРМ ХРОНИЧЕСКОГО ЛИМФОЛЕЙКОЗА В СТАДИИ А 2012
  • Загоскина Тамара Павловна
  • Зотина Екатерина Николаевна
  • Малых Ольга Викторовна
RU2490639C1
Способ выявления риска формирования Т-хелперного иммунодефицита по преимущественному типу питания 2015
  • Добродеева Лилия Константиновна
  • Ставинская Ольга Александровна
RU2623992C1
СПОСОБЫ БЫСТРОГО ВЫЯВЛЕНИЯ РИСКА Т-ХЕЛПЕРНОГО ДЕФИЦИТА У ЛЮДЕЙ В УСЛОВИЯХ АРКТИКИ 2016
  • Щёголева Любовь Станиславовна
  • Сергеева Татьяна Борисовна
  • Филиппова Оксана Евгеньевна
  • Шашкова Елизавета Юрьевна
RU2614702C1
Способ прогнозирования неблагоприятного течения хронического посттравматического увеита после однократного проникающего хирургического вмешательства на глазном яблоке 2020
  • Филатова Ирина Анатольевна
  • Балацкая Наталья Владимировна
  • Куликова Ирина Геннадьевна
  • Денисюк Виктория Олеговна
  • Мохаммад Ихаб Мохаммад Джамиль
RU2733745C1
СПОСОБ ПРОГНОЗИРОВАНИЯ ТЕЧЕНИЯ СОМАТОФОРМНЫХ РАССТРОЙСТВ 2015
  • Никитина Валентина Борисовна
  • Ветлугина Тамара Парфеновна
  • Костин Алексей Константинович
  • Перчаткина Ольга Эрнстовна
  • Лобачева Ольга Анатольевна
  • Савочкина Дарья Николаевна
  • Рудницкий Владислав Александрович
  • Аксенов Михаил Михайлович
  • Бохан Николай Александрович
RU2578966C1
Способ прогнозирования развития метастазов у больных нерезектабельным трижды негативным раком молочной железы 2023
  • Молчанов Олег Евгеньевич
  • Майстренко Дмитрий Николаевич
  • Гранов Дмитрий Анатольевич
  • Семёнов Константин Николаевич
  • Шаройко Владимир Владимирович
  • Попова Алена Александровна
RU2802141C1
СПОСОБ ПРОГНОЗИРОВАНИЯ ОТВЕТА НА ПРОТИВООПУХОЛЕВУЮ ТЕРАПИЮ У БОЛЬНЫХ ХРОНИЧЕСКИМ ЛИМФОЛЕЙКОЗОМ 2023
  • Селютина Олеся Николаевна
  • Лысенко Ирина Борисовна
  • Новикова Инна Арнольдовна
  • Гуськова Наиля Катифовна
  • Златник Елена Юрьевна
  • Дженкова Елена Алексеевна
  • Ишонина Оксана Георгиевна
  • Николаева Надежда Владимировна
  • Пушкарева Татьяна Федоровна
  • Капуза Елена Анатольевна
RU2814269C1
СПОСОБ ПРОГНОЗИРОВАНИЯ ИНФЕКЦИОННЫХ ОСЛОЖНЕНИЙ АТОПИЧЕСКОГО ДЕРМАТИТА 2008
  • Чурина Елена Георгиевна
  • Уразова Ольга Ивановна
RU2350960C1

Иллюстрации к изобретению RU 2 835 503 C1

Реферат патента 2025 года СПОСОБ ДИФФЕРЕНЦИАЛЬНОЙ ДИАГНОСТИКИ ХРОНИЧЕСКОГО ЛИМФОЦИТАРНОГО ЛЕЙКОЗА И В-КЛЕТОЧНОЙ НЕХОДЖКИНСКОЙ ЛИМФОМЫ

Предложенная группа изобретений относится к медицине, а именно к онкологии. Предложены способы дифференциальной диагностики хронического лимфоцитарного лейкоза (ХЛЛ) и В-клеточной неходжкинской лимфомы (НХЛ). Способы включают забор у пациента образца периферической крови и подсчет количества лейкоцитов и лимфоцитов в образце периферической крови, оценку доли популяции лимфоцитов HLADR+, Т-хелперов CD4+, Т-цитотоксических лимфоцитов CD8+, активированных Т-клеток CD3+HLADR+, оценку доли В-лимфоцитов по маркерам CD20+, CD22+ и CD23+ и оценку иммунорегуляторного индекса CD4+/CD8+ в образце периферической крови в различных вариациях. Предложенная группа изобретений обеспечивает снижение трудоемкости процедуры дифференциальной диагностики ХЛЛ и НХЛ, повышение ее точности, а также повышение вероятности выявления заболевания на ранних стадиях заболевания за счет определения абсолютного количества лейкоцитов и лимфоцитов в периферической крови и оценки доли популяции HLADR+, CD4+, CD8+, CD3+HLADR+, CD20+, CD22+ и CD23+ и иммунорегуляторного индекса CD4+/CD8+ в образце периферической крови. 7 н. и 14 з.п. ф-лы, 2 ил., 1 табл., 4 пр.

Формула изобретения RU 2 835 503 C1

1. Способ дифференциальной диагностики хронического лимфоцитарного лейкоза (ХЛЛ) и В-клеточной неходжкинской лимфомы (НХЛ), включающий забор у пациента образца периферической крови, подсчет количества лейкоцитов и лимфоцитов в образце периферической крови, оценку доли популяции лимфоцитов HLADR+, Т-хелперов CD4+ и оценку доли В-лимфоцитов по маркеру CD20+ в образце периферической крови,

при этом в случае, если абсолютное количество лейкоцитов в периферической крови составляет не менее 11,85*109/л, доля Т-хелперов CD4+ составляет не менее 22%, доля лимфоцитов HLADR+ составляет менее 61,5%, и доля В-лимфоцитов CD20+ менее 0,3% от общего количества лимфоцитов, диагностируют ХЛЛ,

при этом в случае, если абсолютное количество лейкоцитов в периферической крови составляет не менее 11,85*109/л, доля Т-хелперов CD4+ составляет не менее 22%, доля лимфоцитов HLADR+ составляет менее 61,5%, и доля В-лимфоцитов CD20+ составляет не менее 0,3% от общего количества лимфоцитов, диагностируют НХЛ.

2. Способ по п. 1, где оценку доли популяции лимфоцитов HLADR+, Т-хелперов CD4+ и оценку доли В-лимфоцитов по маркеру CD20+ в образце периферической крови проводят методом иммунофенотипирования.

3. Способ по п. 1, где иммунофенотипирование проводят с использованием моноклональных антител к поверхностным дифференцировочным антигенам на клетках иммунной системы методом проточной цитофлуорометрии.

4. Способ дифференциальной диагностики хронического лимфоцитарного лейкоза (ХЛЛ) и В-клеточной неходжкинской лимфомы (НХЛ), включающий забор у пациента образца периферической крови, подсчет количества лейкоцитов и лимфоцитов в образце периферической крови, оценку доли популяции Т-хелперов CD4+, оценку доли В-лимфоцитов по маркерам CD20+ и CD23+ в образце периферической крови,

при этом в случае, если абсолютное количество лейкоцитов в периферической крови составляет не менее 11,85*109/л, доля Т-хелперов CD4+ составляет менее 22%, доля В-лимфоцитов CD23+ составляет менее 79,05%, и доля В-лимфоцитов CD20+ составляет менее 18,15% от общего количества лимфоцитов, диагностируют ХЛЛ,

при этом в случае, если абсолютное количество лейкоцитов в периферической крови составляет не менее 11,85*109/л, доля Т-хелперов CD4+ составляет менее 22%, доля В- лимфоцитов CD23+ составляет менее 79,05%, и доля В-лимфоцитов CD20+ составляет не менее 18,15% и менее 21,5% от общего количества лимфоцитов, диагностируют НХЛ.

5. Способ по п. 4, где оценку доли популяции Т-хелперов CD4+, оценку доли В-лимфоцитов по маркерам CD20+ и CD23+ в образце периферической крови проводят методом иммунофенотипирования.

6. Способ по п. 4, где иммунофенотипирование проводят с использованием моноклональных антител к поверхностным дифференцировочным антигенам на клетках иммунной системы методом проточной цитофлуорометрии.

7. Способ дифференциальной диагностики хронического лимфоцитарного лейкоза (ХЛЛ) и В-клеточной неходжкинской лимфомы (НХЛ), включающий забор у пациента образца периферической крови, подсчет количества лейкоцитов и лимфоцитов в образце периферической крови, оценку доли популяции лимфоцитов HLADR+, Т-хелперов CD4+, активированных Т-клеток CD3+HLADR+, оценку доли В-лимфоцитов по маркерам CD20+, CD22+ и CD23+ в образце периферической крови,

при этом в случае, если абсолютное количество лейкоцитов в периферической крови составляет не менее 11,85*109/л, доля Т-хелперов CD4+ составляет менее 22%, доля В-лимфоцитов CD23+ составляет менее 79,05%, доля В-лимфоцитов CD20+ составляет не менее 21,5%, доля В-лимфоцитов CD22+ составляет не менее 21,5%, и доля активированных Т-клеток CD3+HLADR+ составляет менее 17% от общего количества лимфоцитов, диагностируют ХЛЛ,

при этом в случае, если абсолютное количество лейкоцитов в периферической крови составляет не менее 11,85*109/л, доля Т-хелперов CD4+ составляет менее 22%, доля В-лимфоцитов CD23+ составляет менее 79,05%, доля В-лимфоцитов CD20+ составляет не менее 21,5%, доля В-лимфоцитов CD22+ составляет не менее 21,5%, и доля активированных Т-клеток CD3+HLADR+составляет не менее 17% от общего количества лимфоцитов, диагностируют НХЛ.

8. Способ по п. 7, где оценку доли популяции лимфоцитов HLADR+, Т-хелперов CD4+, активированных Т-клеток CD3+HLADR+, оценку доли В-лимфоцитов по маркерам CD20+, CD22+ и CD23+ в образце периферической крови проводят методом иммунофенотипирования.

9. Способ по п. 7, где иммунофенотипирование проводят с использованием моноклональных антител к поверхностным дифференцировочным антигенам на клетках иммунной системы методом проточной цитофлуорометрии.

10. Способ дифференциальной диагностики хронического лимфоцитарного лейкоза (ХЛЛ) и В-клеточной неходжкинской лимфомы (НХЛ), включающий забор у пациента образца периферической крови, подсчет количества лейкоцитов и лимфоцитов в образце периферической крови, оценку доли В-лимфоцитов по маркерам CD20+ и CD23+ в образце периферической крови,

при этом в случае, если абсолютное количество лейкоцитов в периферической крови составляет менее 11,85*109/л, доля В-лимфоцитов CD23+ составляет не менее 27,5%, и доля В-лимфоцитов CD20+ составляет менее 34,5% от общего количества лимфоцитов, диагностируют ХЛЛ,

при этом в случае, если абсолютное количество лейкоцитов в периферической крови составляет менее 11,85*109/л, доля В-лимфоцитов CD23+ составляет не менее 27,5%, и доля В-лимфоцитов CD20+ составляет не менее 34,5% от общего количества лимфоцитов, диагностируют НХЛ.

11. Способ по п. 10, где оценку доли В-лимфоцитов по маркерам CD20+ и CD23+ в образце периферической крови проводят методом иммунофенотипирования.

12. Способ по п. 10, где иммунофенотипирование проводят с использованием моноклональных антител к поверхностным дифференцировочным антигенам на клетках иммунной системы методом проточной цитофлуорометрии.

13. Способ дифференциальной диагностики хронического лимфоцитарного лейкоза (ХЛЛ) и В-клеточной неходжкинской лимфомы (НХЛ), включающий забор у пациента образца периферической крови, подсчет количества лейкоцитов и лимфоцитов в образце периферической крови, оценку доли популяции Т-цитотоксических лимфоцитов CD8+, оценку доли В-лимфоцитов по маркеру CD23+ в образце периферической крови,

при этом в случае, если абсолютное количество лейкоцитов в периферической крови составляет менее 11,85*109/л, доля В-лимфоцитов CD23+ составляет менее 27,5%, доля Т-цитотоксических лимфоцитов CD8+ составляет не менее 56,5% от общего количества лимфоцитов, и доля лимфоцитов составляет от 29,7059% до 39,4444% от общего количества лейкоцитов, диагностируют ХЛЛ,

при этом в случае, если абсолютное количество лейкоцитов в периферической крови составляет менее 11,85*109/л, доля В-лимфоцитов CD23+ составляет менее 27,5%, доля Т-цитотоксических лимфоцитов CD8+ составляет не менее 56,5% от общего количества лимфоцитов, и доля лимфоцитов составляет не менее 39,4444% от общего количества лейкоцитов, диагностируют НХЛ,

при этом в случае, если абсолютное количество лейкоцитов в периферической крови составляет менее 11,85*109/л, доля В-лимфоцитов CD23+ составляет менее 27,5%, доля Т-цитотоксических лимфоцитов CD8+ составляет не менее 56,5% от общего количества лимфоцитов, и доля лимфоцитов составляет менее 29,7059% от общего количества лейкоцитов, диагностируют НХЛ.

14. Способ по п. 13, где оценку доли популяции Т-цитотоксических лимфоцитов CD8+, оценку доли В-лимфоцитов по маркеру CD23+ в образце периферической крови проводят методом иммунофенотипирования.

15. Способ по п. 13, где иммунофенотипирование проводят с использованием моноклональных антител к поверхностным дифференцировочным антигенам на клетках иммунной системы методом проточной цитофлуорометрии.

16. Способ дифференциальной диагностики хронического лимфоцитарного лейкоза (ХЛЛ) и В-клеточной неходжкинской лимфомы (НХЛ), включающий забор у пациента образца периферической крови, подсчет количества лейкоцитов и лимфоцитов в образце периферической крови, оценку доли популяции лимфоцитов HLADR+, Т-хелперов CD4+, Т-цитотоксических лимфоцитов CD8+, активированных Т-клеток CD3+HLADR+, оценку доли В-лимфоцитов по маркеру CD23+ в образце периферической крови,

при этом в случае, если абсолютное количество лейкоцитов в периферической крови составляет менее 11,85*109/л, доля В-лимфоцитов CD23+ составляет менее 27,5%, доля Т-цитотоксических лимфоцитов CD8+ составляет менее 55,5%, доля активированных Т-клеток CD3+HLADR+ составляет не менее 44,85%, и доля Т-хелперов CD4+ составляет не менее 28,1% от общего количества лимфоцитов, диагностируют ХЛЛ,

при этом в случае, если абсолютное количество лейкоцитов в периферической крови составляет менее 11,85*109/л, доля В-лимфоцитов CD23+ составляет менее 27,5%, доля Т-цитотоксических лимфоцитов CD8+ составляет менее 55,5%, доля активированных Т-клеток CD3+HLADR+ составляет не менее 44,85%, и доля Т-хелперов CD4+ составляет менее 28,1% от общего количества лимфоцитов, диагностируют НХЛ.

17. Способ по п. 16, где оценку доли популяции лимфоцитов HLADR+, Т-хелперов CD4+, Т-цитотоксических лимфоцитов CD8+, активированных Т-клеток CD3+HLADR+, оценку доли В-лимфоцитов по маркеру CD23+ в образце периферической крови проводят методом иммунофенотипирования.

18. Способ по п. 16, где иммунофенотипирование проводят с использованием моноклональных антител к поверхностным дифференцировочным антигенам на клетках иммунной системы методом проточной цитофлуорометрии.

19. Способ дифференциальной диагностики хронического лимфоцитарного лейкоза (ХЛЛ) и В-клеточной неходжкинской лимфомы (НХЛ), включающий забор у пациента образца периферической крови, подсчет количества лейкоцитов и лимфоцитов в образце периферической крови, оценку доли популяции лимфоцитов HLADR+, Т-цитотоксических лимфоцитов CD8+, активированных Т-клеток CD3+HLADR+, оценку доли В-лимфоцитов по маркеру CD23+ и оценку иммунорегуляторного индекса CD4+/CD8+ в образце периферической крови,

при этом в случае, если абсолютное количество лейкоцитов в периферической крови составляет менее 11,85*109/л, доля Т-цитотоксических лимфоцитов CD8+ составляет менее 55,5%, доля активированных Т-клеток CD3+HLADR+ составляет менее 44,85% от общего количества лимфоцитов, иммунорегуляторный индекс CD4+/CD8+ равен не менее 0,179131, и доля В-лимфоцитов CD23+ составляет не менее 24% и менее 27,5% от общего количества лимфоцитов, диагностируют ХЛЛ,

при этом в случае, если абсолютное количество лейкоцитов в периферической крови составляет менее 11,85*109/л, доля Т-цитотоксических лимфоцитов CD8+ составляет менее 55,5%, доля активированных Т-клеток CD3+HLADR+ составляет менее 44,85% от общего количества лимфоцитов, иммунорегуляторный индекс CD4+/CD8+ равен не менее 0,179131, и доля В-лимфоцитов CD23+ составляет менее 24% от общего количества лимфоцитов, диагностируют НХЛ.

20. Способ по п. 19, где оценку доли популяции лимфоцитов HLADR+, Т-цитотоксических лимфоцитов CD8+, активированных Т-клеток CD3+HLADR+, оценку доли В-лимфоцитов по маркеру CD23+ и оценку иммунорегуляторного индекса CD4+/CD8+ в образце периферической крови проводят методом иммунофенотипирования.

21. Способ по п. 19, где иммунофенотипирование проводят с использованием моноклональных антител к поверхностным дифференцировочным антигенам на клетках иммунной системы методом проточной цитофлуорометрии.

Документы, цитированные в отчете о поиске Патент 2025 года RU2835503C1

RU 2052199 C1, 10.01.1996
ВОЙЦЕХОВСКИЙ В.В
и др
Хронический лимфолейкоз
Благовещенск, 2015, 178 c
PALMA M
et al
T cells in chronic lymphocytic leukemia display dysregulated expression of immune checkpoints and activation markers
Haematologica
Автомобиль-сани, движущиеся на полозьях посредством устанавливающихся по высоте колес с шинами 1924
  • Ф.А. Клейн
SU2017A1
Токарный резец 1924
  • Г. Клопшток
SU2016A1
CRAIG F.E
et al
Flow cytometric immunophenotyping

RU 2 835 503 C1

Авторы

Сабурина Ирина Николаевна

Черкашенко Владимир Николаевич

Кузьмина Евгения Геннадьевна

Антонов Кирилл Николаевич

Морозов Сергей Георгиевич

Осипов Алексей Вячеславович

Даты

2025-02-25Публикация

2023-12-28Подача