ПЕРОРАЛЬНЫЕ АГОНИСТЫ РЕЦЕПТОРОВ GLP Российский патент 2025 года по МПК A61K38/26 C07K14/605 

Описание патента на изобретение RU2836443C1

Настоящее изобретение относится к классу новых перорально доставляемых пептидных соединений, к их солям, содержащим их фармацевтическим композициям и к их применению для терапии человека. В частности, изобретение направлено на класс соединений, которые являются агонистами рецепторов глюкагоноподобного пептида (GLP). Более конкретно, изобретение направлено на соединения, которые являются агонистами рецепторов глюкагоноподобного пептида-1 (GLP-1) и глюкагоноподобного пептида-2 (GLP-2). Более конкретно, изобретение направлено на соединения, которые являются селективными агонистами рецептора глюкагоноподобного пептида-2 (GLP-2). В описании предложены терапевтические способы лечения желудочно-кишечных заболеваний путем введения таких соединений пероральным путем. Соединения по изобретению обладают повышенной стабильностью в желудочно-кишечных жидкостях. Изобретение также относится к производству и применению этих соединений и композиций для профилактики или лечения таких заболеваний, в которые вовлечены рецепторы GLP.

Уровень техники

Глюкагоноподобный пептид-1 (GLP-1) и глюкагоноподобный пептид-2 (GLP-2) представляют собой высококонсервативные аминокислотные пептиды, происходящие из одного белка-предшественника. Эти биологически активные пептиды кодируются геном проглюкагона, который подвергается тканеспецифичному посттрансляционному процессингу в поджелудочной железе (альфа-клетках), кишечнике (L-клетках) и центральной нервной системе (ЦНС). В желудочно-кишечном тракте прогормонконвертаза 1/3 отвечает за расщепление проглюкагона с образованием ряда биологически активных пептидов, включая GLP-1, GLP-2, IP2, оксинтомодулин и глицентин. Как GLP-1, так и GLP-2 секретируются в ответ на прием питательных веществ кишечными L-клетками, локализованными в дистальном отделе подвздошной кишки и толстой кишки, и сообщается, что у человека уровни этих кишечных пептидов в плазме повышаются после приема пищи.

Действие GLP-1 и GLP-2 опосредуется активацией связанных с G-белком рецепторов класса B, GLP-1R и GLP-2R, которые связаны с Gs-белком и стимулируют продукцию цАМФ посредством активации аденилатциклазы. GLP-1R экспрессируется в головном мозге, островковых клетках поджелудочной железы, сердце, почках и нейронах межмышечного сплетения в желудочно-кишечном тракте. С другой стороны, экспрессия GLP-2R более ограничена, а рецептор в значительной степени локализован в ЦНС и желудочно-кишечном тракте. Сообщалось, что ряд типов клеток экспрессируют GLP-2R в кишечнике, включая кишечные нейроны, субэпителиальные миофибробласты и энтероэндокринные клетки, однако точное клеточное распределение еще предстоит определить.

Сообщалось, что GLP-2 участвует в широком спектре физиологических функций, включая барьерную функцию кишечника, мезентериальное кровообращение, кишечную моторику и секрецию кислоты. Экзогенное введение GLP-2 стимулирует пролиферацию клеток крипт, увеличивает длину кишечных ворсинок и способствует росту и восстановлению слизистой оболочки тонкой кишки. Мощная кишечнотропная активность GLP-2 была зарегистрирована у разных видов, включая крыс, свиней и человека. Кроме того, GLP-2 повышает абсорбционную способность кишечника за счет регуляции ферментов щеточной каймы кишечника и переносчиков растворенных веществ, что подчеркивает потенциальную роль этого гормона кишечника в контроле энергетического гомеостаза. На основании способности стимулировать сильные кишечнотропные эффекты в кишечнике, тедуглутид, аналог GLP-2, был одобрен в качестве фармакологической терапии для зависимых от парентерального питания пациентов с синдромом короткой кишки, и было показано, что он снижает потребность в парентеральном питании, а также способствует энтеральной автономии. Помимо тедуглутида, ряд пептидных агонистов GLP-2 находятся в стадии клинической разработки (например, апраглутид, глепаглутид), однако все современные препараты вводятся парентерально с помощью подкожных инъекций. Пептиды GLP, которые можно вводить перорально, скорее всего, будут лучше переноситься пациентами благодаря удобству введения, позволяют раньше начинать лечение и улучшают соблюдение схемы лечения в долгосрочной перспективе. Это может быть особенно полезным при рассмотрении вопроса о разработке пептидных терапевтических средств для педиатрических пациентов. Однако существует множество проблем с пероральной доставкой пептидов, поскольку молекулы, как правило, имеют низкую стабильность самих пептидов (из-за интенсивного протеолитического расщепления), а также низкую мембранную проницаемость. В желудке доставляемый перорально пептид должен быть стабилен в кислой среде с низким pH, а также устойчивым к желудочным протеазам. В кишечнике пептиды далее подвергаются деградации под действием ряда ферментов, секретируемых кишечником или поджелудочной железой, а также ферментов, связанных с мембраной щеточной каймы. Широкий спектр биофармацевтических препаратов, составов и стратегий доставки в настоящее время изучается для преодоления некоторых из этих барьеров. Разработка новых сильнодействующих и стабильных пептидов, мишенью которых являются рецепторы GLP-2 и GLP-1, и которые подходят для пероральной доставки, остается привлекательной и весьма желательной стратегией.

GLP-1 представляет собой пептид из 31 аминокислот, который высвобождается совместно с GLP-2 в ответ на питательные вещества (углеводы, жиры, белки) в просвете кишечника и служит инкретиновым гормоном кишечника, который действует совместно с глюкозозависимым инсулинотропным полипептидом (GIP). GLP-1 играет ключевую физиологическую роль в функции островковых β-клеток поджелудочной железы, регулируя пролиферацию β-клеток, а также постпрандиальный синтез/высвобождение инсулина. Кроме того, исследования показали, что GLP-1 контролирует высвобождение других кишечных пептидов, таких как соматостатин и глюкагон. После своего высвобождения соматостатин подавляет секрецию GLP-1 и GIP, тем самым создавая систему обратной связи в энтероэндокринных клетках. GLP-1 является ключевым анорексигенным пептидом, участвующим в регуляции чувства сытости и контроля аппетита, а также влияет на функцию желудочно-кишечного тракта посредством воздействия на опорожнение желудка и перистальтику кишечника. Несколько агентов GLP-1 в настоящее время продаются для лечения сахарного диабета 2-го типа и успешно улучшают гликемический контроль у пациентов с диабетом. Одна пероральная форма пептида GLP-1 в настоящее время находится в стадии клинической разработки (семаглутид, Ph III) для лечения диабета 2-го типа. Препарат Семаглутид для приема внутрь один раз в день продемонстрировал эффективность, превосходящую активные препараты сравнения, и профиль безопасности и переносимости, сравнимый с инъекционными агонистами рецептора GLP-1.

Кишечная недостаточность (КН) относится к серьезному и инвалидизирующему состоянию, при котором кишечник не может поглощать воду, электролиты, макро- и микроэлементы, необходимые для выживания. Причины КН разнообразны и могут быть результатом обструкции, нарушения моторики, хирургической резекции, врожденного дефекта или связанной с болезнью потери всасывания.

Синдром короткой кишки представляет собой наиболее распространенную причину кишечной недостаточности и возникает в результате физической или функциональной потери участка кишечника, что часто приводит к недоеданию, потере веса, обезвоживанию, диарее, стеаторее, утомляемости и болям в животе. Лечение СКК требует мультидисциплинарной помощи и поддержки в виде парентерального питания (ПП) для компенсации значительной потери жидкости и восстановления баланса питательных веществ и электролитов. Хотя это имеет решающее значение для выживания, длительная зависимость от парентерального питания может негативно сказаться на качестве жизни пациента и, кроме того, увеличить риск опасных для жизни осложнений, таких как сепсис, связанный с катетером, венозный тромбоз и повреждение печени (например, стеатоз, холестаз).

Симптомы и тяжесть СКК могут варьировать в зависимости от локализации и длины остатка кишечника. Известно, что на моторику кишечника влияют несколько гормонов кишечника, включая GLP-1, GLP-2 и PYY, которые обычно продуцируются L-клетками в подвздошной кишке и проксимальном отделе толстой кишки. Гормоны, такие как GLP-1, обеспечивают важные механизмы обратной связи для контроля скорости транзита через ЖКТ для эффективного переваривания и всасывания питательных веществ. Пациенты с еюностомой, у которых утерян подвздошный тормоз, имеют более низкие концентрации GLP-1 и GLP-2 в плазме натощак и обычно страдают быстрым опорожнением желудка и желудочно-кишечным транзитом с высоким выходом через стому. Небольшие пилотные исследования показали, что эксенатид или лираглутид (агонисты GLP-1) улучшают симптомы диареи у пациентов с СКК и, кроме того, снижают потребность в ПП.

В дополнение к сложной клинической картине также существуют данные о нарушении регуляции энтероинсулярной оси у пациентов с резекцией кишечника, что приводит к нарушению инсулинового ответа в ответ на пероральное введение глюкозы. Кроме того, гипергликемия является частым осложнением парентерального питания у госпитализированных больных и может повышать риск летального исхода и инфекционных осложнений. По оценкам, распространенность гипергликемии у пациентов, получающих специализированную нутритивную поддержку, составляет до 30% у пациентов, получающих энтеральное питание, и 50% у пациентов, получающих парентеральное питание. Признано, что постоянный плохой контроль гипергликемии может привести к снижению функции бета-клеток поджелудочной железы и может способствовать усугублению осложнений, таких как микрососудистые заболевания, сердечно-сосудистые события и гипертония. Пациенты с гипергликемией на полном ПП имеют больший риск госпитализации в ОИТ, более длительное пребывание в стационаре и более высокий уровень смертности по сравнению с пациентами без гипергликемии.

Основываясь на известной инсулинотропной активности агонистов GLP-1, активация этого механизма потенциально может принести дополнительную пользу тем, у кого после операции развилась сниженная чувствительность к инсулину, и у пациентов, получающих парентеральное питание. Таким образом, эти результаты подчеркивают потенциал комбинированного фармакологического подхода GLP-2/GLP-1 в лечении состояний кишечной недостаточности, включая СКК.

Другие состояния кишечной недостаточности, при которых агонисты GLP-2/GLP-1 могут принести пользу, включают редкие врожденные диарейные заболевания, такие как тафтинг-энтеропатия, которая проявляется ранним началом тяжелой трудноизлечимой диареи, которая сохраняется во время голодания. Интенсивное лечение младенцев с помощью парентерального питания, восполнения жидкости и электролитов крайне необходимо для предотвращения обезвоживания, дисбаланса электролитов и нарушения роста в результате сильной недостаточности питания.

Ген, кодирующий молекулу адгезии эпителиальных клеток, EpCAM, демонстрирует связь с тафтинг-энтеропатией, и на сегодняшний день в литературе описано более 25 мутаций EpCAM. Мутации в гене EpCAM приводят к потере экспрессии на клеточной поверхности, вызывая характерные гистологические признаки в кишечном эпителии, такие как очаговое скопление энтероцитов и образование «пучков». Мыши, несущие делецию 4-го экзона гена EpCAM, демонстрируют сходные морфологические дефекты с пациентами с тафтинг-энтеропатией, сопровождаемые значительной заболеваемостью и смертностью. EpCAM напрямую связывается с клаудином 7, молекулой плотных контактов, и нарушения в этом гене приводят к плохой адгезии энтероцитов и нарушению барьерной функции кишечника, возможно, за счет подавления молекул плотных контактов.

Младенцы с тафтинг-энтеропатией имеют низкий уровень IGF-1 и зависят от парентерального питания для компенсации снижения способности усваивать питательные вещества. В настоящее время не существует фармакологического лечения этого изнурительного состояния, и существует острая потребность в средствах, которые могут улучшить функцию кишечника, чтобы способствовать независимости от парентерального питания. Недавний анализ отдаленных результатов лечения пациентов с тафтинг-энтеропатией показал, что энтеральная автономия может быть успешно достигнута у большинства пациентов, если они эффективно лечатся в специализированных учреждениях. Ожидается, что терапия, способствующая раннему отлучению от парентерального питания, приведет к лучшим долгосрочным результатам у этих пациентов и улучшит качество жизни. Агенты, действующие на рецепторы GLP-2 и GLP-1, могут быть многообещающими в восстановлении барьерной функции и содействии восстановлению функции кишечника при этом врожденном диарейном заболевании.

Сущность изобретения

Настоящее изобретение относится к новым соединениям с агонистической активностью в отношении рецепторов GLP-2 и GLP-1, содержащим их фармацевтическим композициям и к применению соединений для изготовления лекарственных средств для лечения заболеваний. Настоящее изобретение относится к терапевтическим способам лечения желудочно-кишечных заболеваний путем введения таких соединений пероральным путем. Соединения по изобретению обладают повышенной стабильностью в желудочно-кишечных жидкостях благодаря наличию одного или нескольких лактамных мостиков.

Соответственно, в одном варианте осуществления изобретение относится к соединению формулы (1a):

где:

R выбирают из:

или ;

Q представляет собой фенил или моноциклическое гетероарильное кольцо, каждое из которых необязательно может быть замещено одной или несколькими группами Rq;

Rq выбирают из галогена, гидроксила, аминогруппы или C1-6-алкила, имеющего алкильную цепь, необязательно содержащую один или несколько гетероатомов, выбранных из O, N или S;

n представляет собой 1-3;

R1 и R2 независимо выбирают из водорода или C1-6-алкильной группы, или вместе с углеродом, к которому они присоединены, соединяются с образованием C3-8-циклоалкильной или гетероциклической группы;

Sa представляет собой последовательность -Ser-Phe-;

Ta представляет собой последовательность -Glu-Nle-;

Wa представляет собой последовательность -Ala-Ala-;

Ха представляет собой последовательность -Asp-Phe-Ile-;

Ya представляет собой последовательность -Trp-Leu-Ile-;

Za отсутствует или представляет собой последовательность -Ile-Thr-;

AA1a представляет собой -NHCHR3CO-; где R3 выбирают из -(CH2)yCONH2, -(CH2)yCOOH или -(CH2)yтетразолила; где у представляет собой 1 или 2;

AA2a представляет собой -Gly-, -DAla-, -Lys-, необязательно присоединенный к AA4a через лактамный мостик, или -Glu-, необязательно присоединенный к AA4a через лактамный мостик;

AA3a представляет собой -Ser- или представляет собой -Glu-, необязательно присоединенный к AA5a через лактамный мостик;

AA4a представляет собой -Asp-, необязательно присоединенный к AA2a через лактамный мостик, или -Lys-, необязательно присоединенный к AA2a или AA6a через лактамный мостик;

AA5a представляет собой -DPhe-, -Asp-, необязательно присоединенный к AA8a через лактамный мостик, или -Lys-, необязательно присоединенный к AA3a через лактамный мостик;

AA6a представляет собой -Thr-, -Asp- необязательно присоединенный к AA4a или AA9a через лактамный мостик, -Glu- необязательно присоединенный к AA9a через лактамный мостик, или -Lys-, необязательно присоединенный к AA9a через лактамный мостик;

AA7a представляет собой -Ile- или остаток α-метиллейцина формулы:

;

AA8a представляет собой -Asp- или представляет собой -Lys-, необязательно присоединенный к AA5a через лактамный мостик;

AA9a представляет собой -Leu-, -Lys-, необязательно присоединенный к AA6a или AA11a через лактамный мостик, -Asp-, необязательно присоединенный к AA6a или AA11a через лактамный мостик, или -Glu-, необязательно присоединенный к AA11a через лактамный мостик;

AA10a представляет собой -Lys- или представляет собой -Glu-, необязательно присоединенный к AA11a через лактамный мостик;

AA11a представляет собой -Aib-, -Lys-, необязательно присоединенный к AA9a или AA10a через лактамный мостик, -Glu-, необязательно присоединенный к AA9a через лактамный мостик, или -Asp-, необязательно присоединенный к AA9a через лактамный мостик;

AA12a представляет собой -Asn-, -Glu-, необязательно присоединенный к AA13a через лактамный мостик, или -Lys-, необязательно присоединенный к AA13a через лактамный мостик;

AA13a представляет собой -Gln-, -Asp-, необязательно присоединенный к AA12a через лактамный мостик, или -Lys-, необязательно присоединенный к AA12a через лактамный мостик;

AA14a представляет собой -Thr- или представляет собой -Lys-, необязательно присоединенный к AA16a через лактамный мостик;

AA15a представляет собой -Lys-, необязательно присоединенный к AA16a через лактамный мостик, или -Glu-, необязательно присоединяемый к AA16a через лактамный мостик;

AA16a отсутствует или представляет собой -Asp-, -Phe-, -Lys-, необязательно присоединенный к AA15a через лактамный мостик, или -Glu-, необязательно присоединенный к AA14a или AA15a через лактамный мостик;

где С-конец AA15a или AA16a представляет собой карбоксильную группу или карбоксамидную группу, или примыкает к любой природной или неприродной аминокислотной последовательности или любому другому фрагменту, функциональной группе или группам, и где соединение содержит один или два лактамных мостика;

или к его таутомерной или стереохимически изомерной форме, или его пролекарству, соли или цвиттериону.

Соответственно, в одном варианте осуществления изобретение относится к соединению формулы (1b):

(1b)

где:

R выбирают из:

или ;

Q представляет собой фенил или моноциклическое гетероарильное кольцо, каждое из которых необязательно может быть замещено одной или несколькими группами Rq;

Rq выбирают из галогена, гидроксила, аминогруппы или C1-6-алкила, имеющего алкильную цепь, необязательно содержащую один или несколько гетероатомов, выбранных из O, N или S;

n представляет собой 1-3;

R1 и R2 независимо выбирают из водорода или C1-6-алкильной группы, или вместе с углеродом, к которому они присоединены, соединяются с образованием C3-8-циклоалкильной или гетероциклической группы;

S представляет собой последовательность -Glu-Nle-;

T представляет собой последовательность -Phe-Ile-;

W представляет собой последовательность -Trp-Leu-Ile-;

Z отсутствует или представляет собой -Pro-;

AA1 представляет собой -NHCHR3CO-; где R3 выбирают из -(CH2)yCONH2, -(CH2)yCOOH или -(CH2)yтетразолила; где у представляет собой 1 или 2;

AA2 представляет собой -Gly-, -DAla-, -Lys-, необязательно присоединенный к AA5 через лактамный мостик, или -Glu-, необязательно присоединенный к AA5 через лактамный мостик;

AA3 представляет собой -Ser-Phe или -Ser-2-F-α-Me-Phe-;

AA4 представляет собой -Ser- или -Glu-, необязательно присоединенный к AA6 через лактамный мостик;

AA5 представляет собой -Asp-, необязательно присоединенный к AA2 через лактамный мостик, или -Lys-, необязательно присоединенный к AA2 или AA7 через лактамный мостик;

AA6 представляет собой -D-Phe-, -D-α-Me-Phe- или -Lys-, необязательно присоединенный к AA10 через лактамный мостик;

AA7 представляет собой -Asp-, необязательно присоединенный к AA5 через лактамный мостик, -Glu-, необязательно присоединенный к AA10 через лактамный мостик, или -Lys-, необязательно присоединенный к AA10 через лактамный мостик;

AA8 - это -Ile или -α-Me-Leu-;

AA9 представляет собой -Leu-Asp- или -Leu-ACPC-;

AA10 представляет собой -Asp-, необязательно присоединенный к AA7 или AA14 через лактамный мостик, -Glu-, необязательно присоединенный к AA7 или AA14 через лактамный мостик, или -Lys-, необязательно присоединенный к AA7 через лактамный мостик;

AA11 представляет собой -LysR-, где LysR представляет собой N-замещенный остаток лизина, -Glu-, необязательно присоединенный к AA14 через лактамный мостик, или -Lys-, необязательно присоединенный к AA15 через лактамный мостик;

AA12 представляет собой -Ala- или -AIB-;

AA13 представляет собой -Ala- или -AIB-;

AA14 представляет собой -AIB- или представляет собой -Lys-, необязательно присоединенный к AA10 или AA11 через лактамный мостик;

AA15 представляет собой -Asp-, необязательно присоединенный к AA11 через лактамный мостик, или -Glu-, необязательно присоединенный к AA16 через лактамный мостик;

AA16 представляет собой -Asn-, -ACPC-, -Lys-, необязательно присоединенный к AA17 через лактамный мостик, или -Glu-, необязательно присоединенный к AA17 через лактамный мостик;

AA17 представляет собой -Gln-, -ACPC-, -Lys-, необязательно присоединенный к AA16 через лактамный мостик, или -Glu-, необязательно присоединенный к AA16 через лактамный мостик;

AA18 представляет собой -Thr-, -Lys-, необязательно присоединенный к AA22 через лактамный мостик, или -Glu-, необязательно присоединенный к AA22 через лактамный мостик;

AA19 представляет собой -Pro-, -PIPALA-, -Lys- или -Glu-, необязательно присоединенный к AA22 через лактамный мостик;

AA20 отсутствует или представляет собой -Ile-, -α-Me-Leu- или -Pro-;

AA21 отсутствует или представляет собой -Thr-;

AA22 отсутствует или представляет собой -Lys-, необязательно присоединенный к AA18 или AA19 через лактамный мостик, или -Glu-, необязательно присоединенный к AA18 через лактамный мостик;

где С-конец представляет собой карбоксильную группу или карбоксамидную группу, или примыкает к любой природной или неприродной аминокислотной последовательности или любому другому фрагменту, функциональной группе или группам, и где соединение содержит три, четыре или пять лактамных мостиков;

или к его таутомерной или стереохимически изомерной форме, или его пролекарству, соли или цвиттериону.

Производные GLP-2/GLP-1 по настоящему изобретению можно использовать для лечения различных заболеваний, как описано ниже.

В одном аспекте настоящее изобретение относится к способу стимуляции роста ткани тонкой кишки у пациента, нуждающегося в этом, включающему в себя стадию доставки пациенту кишечнотропного количества аналога GLP-2/GLP-1 по настоящему изобретению.

В дополнительном аспекте настоящее изобретение относится к способу изготовления лекарственного средства для лечения желудочно-кишечных заболеваний, которые включают кишечную недостаточность или другие состояния, ведущие к нарушению всасывания питательных веществ и кишечной недостаточности. Примеры таких заболеваний могут включать синдром короткой кишки, диарейные заболевания, воспалительное заболевание кишечника, болезнь Крона, язвенный колит, поухит, радиационно-индуцированное поражение кишечника, глютеновую болезнь (глютен-чувствительную энтеропатию), НПВП-индуцированное поражение ЖКТ, индуцированное противораковым лечением повреждение тканей, например, энтерит, вызванный химиотерапией), болезнь Паркинсона, атрофию слизистой оболочки, вызванную парентеральным питанием, кишечную недостаточность у недоношенных детей, некротизирующий энтероколит, непереносимость питания новорожденных, врожденные диарейные заболевания, врожденные или приобретенные нарушения пищеварения и всасывания, повреждение тканей, вызванное сосудистой обструкцией, травмой или ишемией.

Дополнительным аспектом изобретения является способ лечения симптомов или лечения редких врожденных диарейных заболеваний у пациента, нуждающегося в этом, путем доставки аналога GLP-2/GLP-1 по настоящему изобретению в терапевтически эффективном количестве. Постоянная неконтролируемая диарея может вызвать серьезное обезвоживание, дисбаланс электролитов, недоедание и задержку развития, которые при отсутствии лечения могут привести к опасному для жизни состоянию, включая смерть.

В еще одном аспекте настоящее изобретение относится к применению соединения, описанного выше, для изготовления лекарственного средства для лечения тафтинг-энтеропатии, редкого врожденного диарейного заболевания, характеризующегося ранним началом тяжелой и трудноизлечимой диареи, которая часто приводит к кишечной недостаточности.

Еще одним аспектом изобретения является способ лечения метаболических заболеваний и синдромов у пациента, нуждающегося в этом, путем доставки аналога GLP-2/GLP-1 по настоящему изобретению в терапевтически эффективном количестве. В одном варианте метаболические заболевания и синдромы включают ожирение, диабет 2-го типа, неалкогольную жировую болезнь печени (НАЖБП), неалкогольный стеатогепатит (НАСГ), резистентность к инсулину, гипергликемию, резистентность к инсулину, непереносимость глюкозы. Предполагается, что лечение аналогом GLP-2/GLP-1 может восстановить гликемический контроль и чувствительность к инсулину. Это может быть полезно для лечения гипергликемии во время терапии энтеральным и парентеральным питанием у пациентов с кишечной недостаточностью или мальабсорбцией.

Подробное описание изобретения

Настоящее изобретение относится к новым соединениям. Изобретение также относится к применению новых соединений в качестве агонистов рецепторов GLP. Изобретение также относится к применению новых соединений в производстве лекарственных средств для применения в качестве агонистов рецептора GLP или для лечения желудочно-кишечных и метаболических нарушений. Изобретение дополнительно относится к соединениям, композициям и лекарственным средствам, которые являются селективными агонистами рецептора GLP-2. Настоящее изобретение относится к терапевтическим способам лечения желудочно-кишечных заболеваний путем введения таких соединений пероральным путем. Соединения по изобретению обладают повышенной стабильностью в желудочно-кишечных жидкостях.

Соединения по изобретению содержат один или несколько лактамных мостиков.

Соответственно, в одном варианте осуществления изобретение относится к соединению формулы (1a):

(1а)

где:

R выбирают из:

или ;

Q представляет собой фенил или моноциклическое гетероарильное кольцо, каждое из которых необязательно может быть замещено одной или несколькими группами Rq;

Rq выбирают из галогена, гидроксила, аминогруппы или C1-6-алкила, имеющего алкильную цепь, необязательно содержащую один или несколько гетероатомов, выбранных из O, N или S;

n представляет собой 1-3;

R1 и R2 независимо выбирают из водорода или C1-6-алкильной группы, или вместе с углеродом, к которому они присоединены, соединяются с образованием C3-8-циклоалкильной или гетероциклической группы;

Sa представляет собой последовательность -Ser-Phe-;

Ta представляет собой последовательность -Glu-Nle-;

Wa представляет собой последовательность -Ala-Ala-;

Ха представляет собой последовательность -Asp-Phe-Ile-;

Ya представляет собой последовательность -Trp-Leu-Ile-;

Za отсутствует или представляет собой последовательность -Ile-Thr-;

AA1a представляет собой -NHCHR3CO-; где R3 выбирают из -(CH2)yCONH2, -(CH2)yCOOH или -(CH2)yтетразолила; где у представляет собой 1 или 2;

AA2a представляет собой -Gly-, -DAla-, -Lys-, необязательно присоединенный к AA4a через лактамный мостик, или -Glu-, необязательно присоединенный к AA4a через лактамный мостик;

AA3a представляет собой -Ser- или представляет собой -Glu-, необязательно присоединенный к AA5a через лактамный мостик;

AA4a представляет собой -Asp-, необязательно присоединенный к AA2a через лактамный мостик, или -Lys-, необязательно присоединенный к AA2a или AA6a через лактамный мостик;

AA5a представляет собой -DPhe-, -Asp-, необязательно присоединенный к AA8a через лактамный мостик, или -Lys-, необязательно присоединенный к AA3a через лактамный мостик;

AA6a представляет собой -Thr-, -Asp- необязательно присоединенный к AA4a или AA9a через лактамный мостик, -Glu- необязательно присоединенный к AA9a через лактамный мостик, или -Lys-, необязательно присоединенный к AA9a через лактамный мостик;

AA7a представляет собой -Ile- или остаток α-метиллейцина формулы:

;

AA8a представляет собой -Asp- или представляет собой -Lys-, необязательно присоединенный к AA5a через лактамный мостик;

AA9a представляет собой -Leu-, -Lys-, необязательно присоединенный к AA6a или AA11a через лактамный мостик, -Asp-, необязательно присоединенный к AA6a или AA11a через лактамный мостик, или -Glu-, необязательно присоединенный к AA11a через лактамный мостик;

AA10a представляет собой -Lys- или представляет собой -Glu-, необязательно присоединенный к AA11a через лактамный мостик;

AA11a представляет собой -Aib-, -Lys-, необязательно присоединенный к AA9a или AA10a через лактамный мостик, -Glu-, необязательно присоединенный к AA9a через лактамный мостик, или -Asp-, необязательно присоединенный к AA9a через лактамный мостик;

AA12a представляет собой -Asn-, -Glu-, необязательно присоединенный к AA13a через лактамный мостик, или -Lys-, необязательно присоединенный к AA13a через лактамный мостик;

AA13a представляет собой -Gln-, -Asp-, необязательно присоединенный к AA12a через лактамный мостик, или -Lys-, необязательно присоединенный к AA12a через лактамный мостик;

AA14a представляет собой -Thr- или представляет собой -Lys-, необязательно присоединенный к AA16a через лактамный мостик;

AA15a представляет собой -Lys-, необязательно присоединенный к AA16a через лактамный мостик, или -Glu-, необязательно присоединяемый к AA16a через лактамный мостик;

AA16a отсутствует или представляет собой -Asp-, -Phe-, -Lys-, необязательно присоединенный к AA15a через лактамный мостик, или -Glu-, необязательно присоединенный к AA14a или AA15a через лактамный мостик;

где С-конец AA15a или AA16a представляет собой карбоксильную группу или карбоксамидную группу, или примыкает к любой природной или неприродной аминокислотной последовательности или любому другому фрагменту, функциональной группе или группам, и где соединение содержит один или два лактамных мостика;

или к его таутомерной или стереохимически изомерной форме, или его пролекарству, соли или цвиттериону.

Соответственно, в одном варианте осуществления изобретение относится к соединению формулы (1b):

(1b)

где:

R выбирают из:

или ;

Q представляет собой фенил или моноциклическое гетероарильное кольцо, каждое из которых необязательно может быть замещено одной или несколькими группами Rq;

Rq выбирают из галогена, гидроксила, аминогруппы или C1-6-алкила, имеющего алкильную цепь, необязательно содержащую один или несколько гетероатомов, выбранных из O, N или S;

n представляет собой 1-3;

R1 и R2 независимо выбирают из водорода или C1-6-алкильной группы, или вместе с углеродом, к которому они присоединены, соединяются с образованием C3-8-циклоалкильной или гетероциклической группы;

S представляет собой последовательность -Glu-Nle-;

T представляет собой последовательность -Phe-Ile-;

W представляет собой последовательность -Trp-Leu-Ile-;

Z отсутствует или представляет собой -Pro-;

AA1 представляет собой -NHCHR3CO-; где R3 выбирают из -(CH2)yCONH2, -(CH2)yCOOH или -(CH2)yтетразолила; где у представляет собой 1 или 2;

AA2 представляет собой -Gly-, -DAla-, -Lys-, необязательно присоединенный к AA5 через лактамный мостик, или -Glu-, необязательно присоединенный к AA5 через лактамный мостик;

AA3 представляет собой -Ser-Phe или -Ser-2-F-α-Me-Phe-;

AA4 представляет собой -Ser- или -Glu-, необязательно присоединенный к AA6 через лактамный мостик;

AA5 представляет собой -Asp-, необязательно присоединенный к AA2 через лактамный мостик, или -Lys-, необязательно присоединенный к AA2 или AA7 через лактамный мостик;

AA6 представляет собой -D-Phe-, D-α-Me-Phe или -Lys-, необязательно присоединенный к AA10 через лактамный мостик;

AA7 представляет собой -Asp-, необязательно присоединенный к AA5 через лактамный мостик, -Glu-, необязательно присоединенный к AA10 через лактамный мостик, или -Lys-, необязательно присоединенный к AA10 через лактамный мостик;

AA8 - это -Ile или -α-Me-Leu-;

AA9 представляет собой -Leu-Asp- или -Leu-ACPC-;

AA10 представляет собой -Asp-, необязательно присоединенный к AA7 или AA14 через лактамный мостик, -Glu-, необязательно присоединенный к AA7 или AA14 через лактамный мостик, или -Lys-, необязательно присоединенный к AA7 через лактамный мостик;

AA11 представляет собой -LysR-, где LysR представляет собой N-замещенный остаток лизина, -Glu-, необязательно присоединенный к AA14 через лактамный мостик, или -Lys-, необязательно присоединенный к AA15 через лактамный мостик;

AA12 представляет собой -Ala- или -AIB-;

AA13 представляет собой -Ala- или -AIB-;

AA14 представляет собой -AIB- или представляет собой -Lys-, необязательно присоединенный к AA10 или AA11 через лактамный мостик;

AA15 представляет собой -Asp-, необязательно присоединенный к AA11 через лактамный мостик, или -Glu-, необязательно присоединенный к AA16 через лактамный мостик;

AA16 представляет собой -Asn-, -ACPC-, -Lys-, необязательно присоединенный к AA17 через лактамный мостик, или -Glu-, необязательно присоединенный к AA17 через лактамный мостик;

AA17 представляет собой -Gln-, -ACPC-, -Lys-, необязательно присоединенный к AA16 через лактамный мостик, или -Glu-, необязательно присоединенный к AA16 через лактамный мостик;

AA18 представляет собой -Thr-, -Lys-, необязательно присоединенный к AA22 через лактамный мостик, или -Glu-, необязательно присоединенный к AA22 через лактамный мостик;

AA19 представляет собой -Pro-, -PIPALA-, -Lys- или -Glu-, необязательно присоединенный к AA22 через лактамный мостик;

AA20 отсутствует или представляет собой -Ile-, -α-Me-Leu- или -Pro-;

AA21 отсутствует или представляет собой -Thr-;

AA22 отсутствует или представляет собой -Lys-, необязательно присоединенный к AA18 или AA19 через лактамный мостик, или -Glu-, необязательно присоединенный к AA18 через лактамный мостик;

где С-конец представляет собой карбоксильную группу или карбоксамидную группу, или примыкает к любой природной или неприродной аминокислотной последовательности или любому другому фрагменту, функциональной группе или группам, и где соединение содержит три, четыре или пять лактамных мостиков;

или к его таутомерной или стереохимически изомерной форме, или его пролекарству, соли или цвиттериону.

Все описанные в настоящем документе соединения могут содержать по меньшей мере один лактамный мостик для внутренней циклизации пептидной последовательности. Все описанные в настоящем документе соединения могут содержать один, два, три, четыре или пять лактамных мостиков для внутренней циклизации пептидной последовательности. Лактамный мостик может находиться между аминогруппой боковой цепи остатка лизина и карбоксильной группой боковой цепи аспарагиновой кислоты или глутаминовой кислоты. В частности, лизин может находиться в положениях AA2a, AA4a, AA5a, AA6a, AA8a, AA9a, AA11a, AA12a, AA13a, AA14a, AA15a или AA16a. Аспарагиновая кислота или глутаминовая кислота могут находиться в положениях AA2a, AA3a, AA4a, AA5a, AA6a, AA9a, AA10a, AA11a, AA12a, AA13a, AA15a или AA16a.

Соединения должны включать один или два лактамных мостика между парами аминокислот, приведенными ниже:

AA2a-AA4a; AA3a-AA5a; AA4a-AA6a; AA5a-AA8a; AA6a-AA9a; AA9a-AA11a; AA10a-AA11a; AA12a-AA13a; AA14a-AA16a; AA15a-AA16a.

При условии, что соединения образуют по меньшей мере один лактамный мостик, аминокислоты могут быть независимо выбраны из каждой из групп, приведенных ниже.

AA1a может представлять собой -NHCHR3CO-; где R3 представляет собой -(CH2)yтетразолил, где y представляет собой 1.

AA1a может представлять собой -NHCHR3CO-; где R3 представляет собой -(CH2)yтетразолил, где y представляет собой 2.

AA1a может представлять собой -NHCHR3CO-; где R3 представляет собой -(CH2)yCOOH, где y представляет собой 1.

AA1a может представлять собой -NHCHR3CO-; где R3 представляет собой -(CH2)yCOOH, где y представляет собой 2.

R3 может представлять собой -CH2COOH.

АА может представлять собой

.

АА может представлять собой -Asp-. АА может представлять собой остатком аспарагиновой кислоты. АА может представлять собой

.

Q может представлять собой имидазольное кольцо. Q может представлять собой: .

n может представлять собой 1. n может представлять собой 2. n может представлять собой 3.

R1 и R2 могут быть независимо выбраны из водорода или C1-6-алкильной группы. R1 может представлять собой водород или C1-6-алкильную группу. R2 может представлять собой водород или C1-6-алкильную группу. R1 и R2 оба могут представлять собой метил. R1 может представлять собой метил. R2 может представлять собой метил.

R3 может представлять собой -CH2тетразолил. R3 может представлять собой -CH2COOH.

AA2a может представлять собой -Gly-. AA2a может представлять собой -DAla-. AA2a может представлять собой -Lys-. Лизин необязательно может быть присоединен к AA4a через лактамный мостик. AA2a может представлять собой -Glu-. Глутаминовая кислота необязательно может быть присоединена к AA4a через лактамный мостик.

AA3a может представлять собой -Ser-. AA3a может представлять собой -Glu-. Глутаминовая кислота необязательно может быть присоединена к AA5a через лактамный мостик.

AA4a может представлять собой -Asp-. Аспарагиновая кислота необязательно может быть присоединена к AA2a через лактамный мостик. AA4a может представлять собой -Lys-. Лизин необязательно может быть присоединен к AA2a или AA6a через лактамный мостик.

AA5a может представлять собой -DPhe-. AA5a может представлять собой -Asp-. Аспарагиновая кислота необязательно может быть присоединена к AA8a через лактамный мостик. AA5a может представлять собой -Lys-, лизин необязательно может быть присоединен к AA3a через лактамный мостик.

AA6a может представлять собой -Thr-. AA6a может представлять собой -Asp-. Аспарагиновая кислота необязательно может быть присоединена к AA4a через лактамный мостик. Аспарагиновая кислота необязательно может быть присоединена к AA9a через лактамный мостик. AA6a может представлять собой -Glu-. Глутаминовая кислота необязательно может быть присоединена к AA9a через лактамный мостик. AA6a может представлять собой -Lys-. Лизин необязательно может быть присоединен к AA9a через лактамный мостик.

АА может представлять собой -Ile-. АА может представлять собой остаток α-метиллейцина формулы:

.

AA8a может представлять собой -Asp-. AA8a может представлять собой -Lys-. Лизин необязательно может быть присоединен к AA5a через лактамный мостик.

AA9a может представлять собой -Leu-. AA9a может представлять собой -Lys-. Лизин необязательно может быть присоединен к AA6a через лактамный мостик. Лизин необязательно может быть присоединен к AA11a через лактамный мостик. AA9a может представлять собой -Asp-. Аспарагиновая кислота необязательно может быть присоединена к AA6a через лактамный мостик. Аспарагиновая кислота необязательно может быть присоединена к AA11a через лактамный мостик. AA9a может представлять собой -Glu-. Глутаминовая кислота необязательно может быть присоединена к AA11a через лактамный мостик.

AA10a может представлять собой -Lys-. AA10a может представлять собой -Glu-. Глутаминовая кислота необязательно может быть присоединена к AA11a через лактамный мостик.

AA11a может представлять собой -Aib-. AA11a может представлять собой -Lys-. Лизин необязательно может быть присоединен к AA9a через лактамный мостик. Лизин необязательно может быть присоединен к AA10a через лактамный мостик. AA11a может представлять собой -Glu-. Глутаминовая кислота необязательно может быть присоединена к AA9a через лактамный мостик. AA11a может представлять собой -Asp-. Аспарагиновая кислота необязательно может быть присоединена к AA9a через лактамный мостик.

AA12a может представлять собой -Asn-. AA12a может представлять собой -Glu-. Глутаминовая кислота необязательно может быть присоединена к AA13a через лактамный мостик. AA12a может представлять собой -Lys-. Лизин необязательно может быть присоединен к AA13a через лактамный мостик.

AA13a может представлять собой -Gln-. AA13a может представлять собой -Asp-. Аспарагиновая кислота необязательно может быть присоединена к AA12a через лактамный мостик. AA13a может представлять собой -Lys-. Лизин необязательно может быть присоединен к AA12a через лактамный мостик.

AA14a может представлять собой -Thr-. AA14a может представлять собой -Lys-. Лизин необязательно может быть присоединен к AA16a через лактамный мостик.

AA15a может представлять собой -Lys-. Лизин необязательно может быть присоединен к AA16a через лактамный мостик. AA15a может представлять собой -Glu-. Глутаминовая кислота необязательно может быть присоединена к AA16a через лактамный мостик.

AA16a может отсутствовать. Там, где AA16a присутствует, AA16a может представлять собой -Asp-, где AA16a присутствует, AA16a может представлять собой -Phe-. Там, где AA16a присутствует, AA16a может представлять собой -Lys-. Лизин необязательно может быть присоединен к AA15a через лактамный мостик. Там, где AA16a присутствует, AA16a может представлять собой -Glu-. Глутаминовая кислота необязательно может быть присоединена к AA14a или AA15a через лактамный мостик. Глутаминовая кислота необязательно может быть присоединена к AA14a или AA15a через лактамный мостик.

Za может отсутствовать. Za может представлять собой последовательностью -Ile-Thr-.

С-конец AA15a или AA16a может представлять собой карбоксильную группу. С-конец AA15a или AA16a может представлять собой карбоксамидную группу. С-конец AA15a или AA16a может быть присоединен к любой природной или неприродной аминокислотной последовательности или любому другому фрагменту, функциональной группе или группам.

Соединение может быть выбрано из любого одного из примеров 82-117, приведенных в таблице 1а.

Описанные в настоящем документе соединения могут содержать три, четыре или пять лактамных мостиков для внутренней циклизации пептидной последовательности. Лактамный мостик может находиться между аминогруппой боковой цепи остатка лизина и карбоксильной группой боковой цепи аспарагиновой кислоты или глутаминовой кислоты. В частности, лизин может находиться в положениях AA2, AA5, AA6, AA7, AA10, AA11, AA14, AA16, AA17, AA18 или AA22. Аспарагиновая кислота или глутаминовая кислота могут находиться в положениях AA2, AA5, AA7, AA10, AA11, AA15, AA16, AA17, AA18, AA19 или AA22.

Соединения могут включать три, четыре или пять лактамных мостиков между парами аминокислот, приведенными ниже:

AA2-AA5; AA4-AA6; AA5-AA7; AA6-AA10; AA7-AA10; AA10-AA14; AA11-AA14; AA11-AA15; AA16-AA17; AA18-AA22 или AA19-AA22.

Типичные соединения, имеющие три мостика, включают соединения, имеющие первый мостик между положениями AA5-AA7, второй мостик - между положениями AA10-AA14, и третий мостик - между положениями AA19-AA22.

Типичные соединения, имеющие три мостика, включают соединения, имеющие первый мостик между положениями AA2-AA5, второй мостик - между положениями AA7-AA10, и третий мостик - между положениями AA16-AA17.

Типичные соединения, имеющие три мостика, включают соединения, имеющие первый мостик между положениями AA5-AA7, второй мостик - между положениями AA10-AA14, и третий мостик - между положениями AA18-AA22.

Типичные соединения, имеющие три мостика, включают соединения, имеющие первый мостик между положениями AA2-AA5, второй мостик - между положениями AA10-AA14, и третий мостик - между положениями AA18-AA22.

Типичные соединения, имеющие четыре мостика, включают соединения, имеющие первый мостик между положениями AA2-AA5, второй мостик - между положениями AA7-AA10, третий мостик - между положениями AA16-AA17, и четвертый мостик - между положениями AA18-AA22.

Типичные соединения, имеющие четыре мостика, включают соединения, имеющие первый мостик между положениями AA5-AA7, второй мостик - между положениями AA10-AA14, третий мостик - между положениями AA16-AA17, и четвертый мостик - между положениями AA19-AA22.

Типичные соединения, имеющие четыре мостика, включают соединения, имеющие первый мостик между положениями AA2-AA5, второй мостик - между положениями AA7-AA10, третий мостик - между положениями AA16-AA17, и четвертый мостик - между положениями AA19-AA22.

Типичные соединения, имеющие четыре мостика, включают соединения, имеющие первый мостик между положениями AA5-AA7, второй мостик - между положениями AA10-AA14, третий мостик - между положениями AA16-AA17, и четвертый мостик - между положениями AA18-AA22.

Типичные соединения, имеющие четыре мостика, включают соединения, имеющие первый мостик между положениями AA7-AA10, второй мостик - между положениями AA11-AA14, третий мостик - между положениями AA16-AA17, и четвертый мостик - между положениями AA18-AA22.

Типичные соединения, имеющие четыре мостика, включают соединения, имеющие первый мостик между положениями AA7-AA10, второй мостик - между положениями AA11-AA15, третий мостик - между положениями AA16-AA17, и четвертый мостик - между положениями AA18-AA22.

Типичные соединения, имеющие четыре мостика, включают соединения, имеющие первый мостик между положениями AA2-AA5, второй мостик - между положениями AA10-AA14, третий мостик - между положениями AA16-AA17, и четвертый мостик - между положениями AA19-AA22.

Типичные соединения, имеющие пять мостиков, включают соединения, имеющие первый мостик между положениями AA2-AA5 или между положениями AA4-AA6, второй мостик - между положениями AA7-AA10, третий мостик - или между положениями AA11-AA14 или между положениями AA11-AA15, четвертый мостик - между положениями AA16-AA17, и пятый мостик - между положениями AA18-AA22.

Типичные соединения, имеющие пять мостиков, включают соединения, имеющие первый мостик между положениями AA2-AA5, второй мостик - между положениями AA7-AA10, третий мостик - между положениями AA11-AA14, четвертый мостик - между положениями AA16-AA17, и пятый мостик - между положениями AA18-AA22.

Типичные соединения, имеющие пять мостиков, включают соединения, имеющие первый мостик между положениями AA2-AA5, второй мостик - между положениями AA7-AA10, третий мостик - между положениями AA11-AA15, четвертый мостик - между положениями AA16-AA17, и пятый мостик - между положениями AA18-AA22.

Типичные соединения, имеющие пять мостиков, включают соединения, имеющие первый мостик между положениями AA4-AA6, второй мостик - между положениями AA7-AA10, третий мостик - между положениями AA11-AA14, четвертый мостик - между положениями AA16-AA17, и пятый мостик - между положениями AA18-AA22.

Типичные соединения, имеющие пять мостиков, включают соединения, имеющие первый мостик между положениями AA4-AA6, второй мостик - между положениями AA7-AA10, третий мостик - между положениями AA11-AA15, четвертый мостик - между положениями AA16-AA17, и пятый мостик - между положениями AA18-AA22.

При условии, что соединения содержат три, четыре или пять лактамных мостиков, аминокислоты могут быть независимо выбраны из каждой из групп, приведенных ниже.

AA1 может представлять собой -NHCHR3CO-; где R3 представляет собой -(CH2)yтетразолил, где y представляет собой 1.

AA1 может представлять собой -NHCHR3CO-; где R3 представляет собой -(CH2)yтетразолил, где y представляет собой 2.

AA1 может представлять собой -NHCHR3CO-; где R3 представляет собой -(CH2)yCOOH, где y представляет собой 1.

AA1 может представлять собой -NHCHR3CO-; где R3 представляет собой -(CH2)yCOOH, где y представляет собой 2.

R3 может представлять собой -CH2COOH.

AA1 может представлять собой

.

AA1 может представлять собой -Asp-. AA1 может представлять собой остатком аспарагиновой кислоты. AA1 может представлять собой

.

Q может представлять собой имидазольное кольцо. Q может представлять собой: .

n может представлять собой 1. n может представлять собой 2. n может представлять собой 3.

R1 и R2 могут быть независимо выбраны из водорода или C1-6-алкильной группы. R1 может представлять собой водород или C1-6-алкильную группу. R2 может представлять собой водород или C1-6-алкильную группу. R1 и R2 оба могут представлять собой метил. R1 может представлять собой метил. R2 может представлять собой метил.

R3 может представлять собой -CH2тетразолил. R3 может представлять собой -CH2COOH.

AA2 может представлять собой -Gly-. AA2 может представлять собой -DAla-, AA2 может представлять собой -Lys-. Лизин необязательно может быть присоединен к AA5 через лактамный мостик. AA2 может представлять собой -Glu-. Глутаминовая кислота необязательно может быть присоединена к AA5 через лактамный мостик.

AA3 может представлять собой -Ser-Phe-. AA3 может представлять собой -Ser-2-фтор-α-Me-Phe-.

AA4 может представлять собой -Ser-. AA4 может представлять собой -Glu-. Глутаминовая кислота необязательно может быть присоединена к AA6 через лактамный мостик.

AA5 может представлять собой -Asp-. Аспарагиновая кислота необязательно может быть присоединена к AA2 через лактамный мостик. AA5 может представлять собой -Lys-. Лизин необязательно может быть присоединен к AA2 или AA7 через лактамный мостик.

AA6 может представлять собой -D-Phe-. AA6 может представлять собой -D-α-Me-Phe. AA6 может представлять собой -Lys-. Лизин необязательно может быть присоединен к AA10 через лактамный мостик.

AA7 может представлять собой -Asp-. Аспарагиновая кислота необязательно может быть присоединена к AA5 через лактамный мостик. AA7 может представлять собой -Glu-. Глутаминовая кислота необязательно может быть присоединена к AA10 через лактамный мостик. AA7 может представлять собой или -Lys-. Лизин необязательно может быть присоединен к AA10 через лактамный мостик.

АА8 может представлять собой -Ile-. АА8 может представлять собой -α-Me-Leu-.

AA9 может представлять собой -Leu-Asp-. AA9 может представлять собой -Leu-ACPC-.

AA10 может представлять собой -Asp-. Аспарагиновая кислота необязательно может быть присоединена к AA7 через лактамный мостик. Аспарагиновая кислота необязательно может быть присоединена к AA14 через лактамный мостик. AA10 может представлять собой -Glu-. Глутаминовая кислота необязательно может быть присоединена к AA14 через лактамный мостик. Глутаминовая кислота необязательно может быть присоединена к AA7 через лактамный мостик. AA10 может представлять собой -Lys-. Лизин необязательно может быть присоединен к AA7 через лактамный мостик.

AA11 может представлять собой -LysR-, где LysR представляет собой N-замещенный остаток лизина. AA11 может представлять собой -Glu-. Глутаминовая кислота необязательно может быть присоединена к AA14 через лактамный мостик. AA11 может представлять собой -Lys-. Лизин необязательно может быть присоединен к AA15 через лактамный мостик;

LysR может представлять собой N-замещенный остаток лизина, где N-заместитель выбирают из: -CO(CH2)qCH3; -CO(CH2)qCO2H; -CO(CH2)qCHCH2; -COO(CH2)qCH3; -COO(CH2)qCO2H и -COO(CH2)qCHCH2; где q представляет собой от 1 до 22.

LysR может представлять собой N-замещенный остаток лизина, где N-заместитель представляет собой -COO(CH2)qCHCH2; где q представляет собой от 1 до 22. LysR может представлять собой N-замещенный остаток лизина, где N-заместитель представляет собой -COO(CH2)qCHCH2; где q представляет собой 1. LysR может представлять собой N-замещенный остаток лизина, где N-заместитель представляет собой -COOCH2CHCH2.

LysR может представлять собой

LysR может представлять собой N-замещенный остаток лизина, где N-заместитель представляет собой группу -L-G;

где L выбирают из группы, состоящей из:

; и ;

и G выбирают из группы, состоящей из:

и ;

где m представляет собой 1-23;

р представляет собой 1-3;

r представляет собой 1-20;

s представляет собой 0-3;

t представляет собой 0-4;

и w представляет собой 0-4

LysR может представлять собой

.

LysR может представлять собой

.

AA12 может представлять собой -Ala-. AA12 может представлять собой -AIB-.

AA13 может представлять собой -Ala-. AA13 может представлять собой -AIB-.

AA14 может представлять собой -AIB-. AA14 может представлять собой -Lys-. Лизин необязательно может быть присоединен к AA10 через лактамный мостик. Лизин необязательно может быть присоединен к AA11 через лактамный мостик.

AA15 может представлять собой -Asp-. Аспарагиновая кислота необязательно может быть присоединена к AA11 через лактамный мостик. AA15 может представлять собой -Glu-. Глутаминовая кислота необязательно может быть присоединена к AA16 через лактамный мостик.

AA16 может представлять собой -Asn-. AA16 может представлять собой -ACPC-. AA16 может представлять собой -Lys-. Лизин необязательно может быть присоединен к AA17 через лактамный мостик. AA16 может представлять собой -Glu-. Глутаминовая кислота необязательно может быть присоединена к AA17 через лактамный мостик.

AA17 может представлять собой -Gln-. AA17 может представлять собой -ACPC-. AA17 может представлять собой -Lys-. Лизин необязательно может быть присоединен к AA16 через лактамный мостик. AA17 может представлять собой -Glu-. Глутаминовая кислота необязательно может быть присоединена к AA16 через лактамный мостик.

AA18 может представлять собой -Thr-. AA18 может представлять собой -Lys-. Лизин необязательно может быть присоединен к AA22 через лактамный мостик. AA18 может представлять собой -Glu-. Глутаминовая кислота необязательно может быть присоединена к AA22 через лактамный мостик.

AA19 может представлять собой -Pro-. AA19 может представлять собой -PIPALA-. AA19 может представлять собой -Lys-. AA19 может представлять собой или -Glu-. Глутаминовая кислота необязательно может быть присоединена к AA22 через лактамный мостик.

AA20 может отсутствовать, так что AA19 является С-концом. AA20 может представлять собой -Ile-. AA20 может представлять собой -α-Me-Leu-. AA20 может представлять собой -Pro-.

AA21 может отсутствовать, так что AA19 или AA20 является С-концом. AA21 может представлять собой -Thr-.

AA22 может отсутствовать, так что AA19, AA20 или AA21 является С-концом. AA22 может представлять собой -Lys-. Лизин необязательно может быть присоединен к AA18 через лактамный мостик. Лизин необязательно может быть присоединен к AA19 через лактамный мостик. AA22 может представлять собой -Glu-. Глутаминовая кислота необязательно может быть присоединена к AA18 через лактамный мостик.

С-конец может представлять собой карбоксильную группу. С-конец может представлять собой карбоксамидную группу. С-конец может быть присоединен к любой природной или неприродной аминокислотной последовательности или любому другому фрагменту, функциональной группе или группам.

Соединение может быть выбрано из любого из примеров 1-81, приведенных в таблице 1.

Соединение может быть выбрано из любого из примеров 1-117, приведенных в таблице 1 и таблице 1а.

Конкретные примеры соединений включают соединения, обладающие активностью агониста рецептора GLP.

Конкретные примеры соединений включают соединения, обладающие активностью агониста рецепторов GLP-1 и/или GLP-2.

Конкретные примеры соединений включают соединения, которые обладают более высокой активностью агониста рецептора GLP-2 по сравнению с активностью агониста рецептора GLP-1.

Соединения по изобретению можно использовать в фармацевтической композиции, содержащей соединение по изобретению и фармацевтически приемлемое вспомогательное вещество.

Соединения изобретения могут быть использованы в медицине.

Соединения по изобретению могут быть использованы для лечения нарушений, связанных с рецепторами GLP.

Соединения по изобретению можно использовать для лечения нарушений, связанных с рецептором GLP-1 и/или GLP-2.

Настоящее изобретение относится к применению соединения-аналога GLP-2/GLP-1 для изготовления лекарственного средства для лечения желудочно-кишечных и метаболических заболеваний. Аналоги GLP-2/GLP-1 по настоящему изобретению могут быть полезны для стимуляции восстановления кишечника и нутритивного статуса у пациентов с нарушениями всасывания, кишечной недостаточностью, кишечной недостаточностью, диарейными заболеваниями и хроническими воспалительными заболеваниями кишечника. Кроме того, терапевтическое лечение аналогами GLP-2/GLP-1 может улучшить барьерную функцию слизистой оболочки, уменьшить воспаление кишечника и уменьшить проницаемость кишечника, что может улучшить симптомы у пациентов с воспалительными заболеваниями, глютеновой болезнью, врожденными и приобретенными синдромами пищеварения и мальабсорбции, хроническими диарейными заболеваниями, состояниями, вызванные повреждением слизистой оболочки (например, при лечении рака). Ожидается, что аналог GLP-2/GLP-1 по настоящему изобретению восстанавливает гликемический контроль и чувствительность к инсулину. Это может быть полезно для лечения гипергликемии во время терапии энтеральным и парентеральным питанием у пациентов с кишечной недостаточностью или мальабсорбцией.

В дополнительном аспекте настоящее изобретение относится к способам лечения одной из групп, состоящих из повреждения ЖКТ, диарейных заболеваний, кишечной недостаточности, кишечной недостаточности, кислотного повреждения кишечника, дефицита аргинина, ожирения, глютеновой болезни, энтерита, вызванного химиотерапией, сахарного диабета, ожирения, мальабсорбции жиров, стеатореи, аутоиммунных заболеваний, пищевой аллергии, язвы желудка, нарушений желудочно-кишечного барьера, болезни Паркинсона, сепсиса, бактериального перитонита, воспалительного заболевания кишечника, повреждения тканей, связанного с химиотерапией, травмы кишечника, ишемии кишечника, ишемии брыжейки, синдрома короткой кишки, недостаточности питания, некротизирующего энтероколита, некротизирующего панкреатита, непереносимости питания у новорожденных, НПВП-индуцированного поражения ЖКТ, недостаточности питания, поражения ЖКТ при полном парентеральном питании, недостаточности питания у новорожденных, лучевого энтерита, лучевого поражения кишечника, мукозита, поухита, ишемии, ожирения, сахарного диабета 2-го типа, неалкогольной жировой болезни печени (НАЖБП), неалкогольного стеатогепатита (НАСГ), инсулинорезистентности, гипергликемии, инсулинорезистентности, непереносимости глюкозы.

В частности, предполагается, что состояние при врожденных диарейных заболеваниях, которое характеризуется тяжелой диареей, потерей жидкости и электролитов, нарушением всасывания и нарушением транспорта питательных веществ, может быть улучшено путем лечения аналогами GLP-2/и GLP-1 по настоящему изобретению. В частности, тафтинг-энтеропатия представляет собой состояние, связанное с нарушением морфологической архитектуры ворсинок, что приводит к нарушению всасывания питательных веществ и повышению проницаемости кишечника. Агенты, которые могут улучшать всасывание жидкости и питательных веществ, а также корректировать нарушение кишечного барьера, могут быть полезными для содействия раннему отлучению от парентерального питания.

Другие примеры врожденных диарейных заболеваний, которые можно лечить пептидом по изобретению, включают недостаточность ферментов щеточной каемки (врожденную недостаточность лактазы, врожденную недостаточность сахаразы-изомальтазы, врожденную недостаточность мальтазы-глюкоамилазы), дефекты мембранных носителей (глюкозо-галактозо-мальабсорбцию, мальабсорбцию фруктозы, энтеропатический акродерматит, врожденную хлоридно-натриевую диарею, первичную билиарную мальабсорбцию, муковисцидоз), дефекты метаболизма липидов/липопротеинов (болезнь ретенции хиломикронов, абеталипопротеинемию), дефекты дифференцировки энтероцитов или клеточной поляризации (атрофию микроворсинок, тафтинг-энтеропатию, трихогепатоэнтеральный синдром), и дефекты энтероэндокринных клеток (врожденную мальабсорбционную диарею, анэндокриноз, дефицит протеинконвертазы 1/3).

Соединения по изобретению можно использовать для лечения тафтинг-энтеропатии.

Определения

В настоящей заявке используются следующие определения, если не указано иное.

Термины «алкил», «арил», «галоген», «алкокси», «циклоалкил», «гетероциклил» и «гетероарил» используются в их обычном смысле (например, как определено в IUPAC Gold Book), если не указано иное.

Термин «лечение» в отношении применения любого из описанных в настоящем документе соединений, включая соединения формулы (1a) и (1b), используется для описания любой формы вмешательства, когда соединение вводят субъекту, страдающему от или подверженному риску заболевания или потенциально подверженному риску заболевания или расстройства, о которых идет речь. Таким образом, термин «лечение» охватывает как превентивное (профилактическое) лечение, так и лечение, при котором проявляются измеримые или обнаруживаемые симптомы заболевания или расстройства.

Термин «эффективное терапевтическое количество», используемый в данном документе (например, в отношении способов лечения расстройства, заболевания или состояния), относится к количеству соединения, которое является эффективным для получения желаемого терапевтического эффекта. Например, если состояние представляет собой боль, то эффективное терапевтическое количество представляет собой количество, достаточное для обеспечения желаемого уровня облегчения боли. Желаемым уровнем облегчения боли может представлять собой, например, полное устранение боли или снижение интенсивности боли.

В случае если любое из описанных соединений имеет хиральные центры, настоящее изобретение распространяется на все оптические изомеры таких соединений, как в форме рацематов, так и разделенных энантиомеров. Изобретение, описанное в настоящем документе, относится ко всем кристаллическим формам, сольватам и гидратам любого из раскрытых соединений, независимо от того, как они получены. В случае если любое из раскрытых в настоящем документе соединений имеет кислотные или основные центры, такие как карбоксильные группы или аминогруппы, тогда в изобретение включены все солевые формы указанных соединений. В случае применения в фармацевтике соль следует рассматривать как фармацевтически приемлемую соль.

Соли или фармацевтически приемлемые соли, которые могут быть упомянуты, включают соли присоединения кислот и соли присоединения оснований. Такие соли могут быть образованы обычными способами, например реакцией соединения в форме свободной кислоты или свободного основания с одним или несколькими эквивалентами соответствующей кислоты или основания, необязательно в растворителе или в среде, в которой соль является нерастворимой, с последующим удалением указанного растворителя или указанной среды с использованием стандартных методов (например, в вакууме, лиофилизацией или фильтрацией). Соли также могут быть получены путем замены противоиона соединения в форме соли на другой противоион, например, с использованием подходящей ионообменной смолы.

Примеры фармацевтически приемлемых солей включают соли присоединения кислот, полученные из минеральных кислот и органических кислот, и соли, полученные из металлов, таких как натрий, магний, калий и кальций.

Примеры солей присоединения кислот включают соли присоединения кислот, образованные уксусной, 2,2-дихлоруксусной, адипиновой, альгиновой, арилсульфоновой кислотами (например, бензолсульфоновой, нафталин-2-сульфоновой, нафталин-1,5-дисульфоновой и п-толуолсульфоновой), аскорбиновой (например, L-аскорбиновой), L-аспарагиновой, бензойной, 4-ацетамидобензойной, бутановой, (+)камфорной, камфор-сульфоновой, (+)-(1S)-камфор-10-сульфоновой, каприновой, капроновой, каприловой, коричной, лимонной, цикламовой, додецилсерной, этан-1,2-дисульфоновой, этансульфоновой, 2-гидроксиэтансульфоновой, муравьиной, фумаровой, галактаровой, гентизиновой, глюкогептоновой, глюконовой (например, D-глюконовой), глюкуроновой (например, D-глюкуроновой), глутаминовой (например, L-глутаминовой), α-оксоглутаровой, гликолевой, гиппуровой, бромистоводородной, соляной, йодистоводородной, изетионовой, молочной (например, (+)-L-молочной и (±)-DL-молочной), лактобионовой, малеиновой, яблочной (например, (-)-L-яблочной), малоновой, (±)-DL-миндальной, метафосфорной, метансульфоновой, 1-гидрокси-2-нафтойной, никотиновой, азотной, олеиновой, оротовой, щавелевой, пальмитиновой, памовой, фосфорной, пропионовой, L- пироглутаминовой, салициловой, 4-аминосалициловой, себациновой, стеариновой, янтарной, серной, дубильной, винной (например, (+)-L-винной), тиоциановой, ундециленовой и валериановой кислотами.

Также охватываются любые сольваты соединений и их солей. Предпочтительными сольватами являются сольваты, образованные путем включения в твердую структуру (например, кристаллическую структуру) соединений по изобретению молекул нетоксичного фармацевтически приемлемого растворителя (называемого ниже сольватирующим растворителем). Примеры таких растворителей включают воду, спирты (такие как этанол, изопропанол и бутанол) и диметилсульфоксид. Сольваты могут быть получены путем перекристаллизации соединений по изобретению с растворителем или смесью растворителей, содержащей сольватирующий растворитель. Образовался или нет сольват в любом конкретном случае, можно определить, подвергая кристаллы соединения анализу с использованием хорошо известных и стандартных методов, таких как термогравиметрический анализ (ТГА), дифференциальная сканирующая калориметрия (ДСК) и рентгеновская кристаллография.

Сольваты могут быть стехиометрическими или нестехиометрическими сольватами. Конкретные сольваты могут быть гидратами, и примеры гидратов включают полугидраты, моногидраты и дигидраты. Для более подробного обсуждения сольватов и способов, используемых для их получения и описания, см. Bryn et al, Solid-State Chemistry of Drugs, Second Edition, published by SSCI, Inc of West Lafayette, IN, USA, 1999, ISBN 0-967-06710-3.

Термин «фармацевтическая композиция» в контексте данного изобретения означает композицию, включающую действующий агент и дополнительно включающую один или несколько фармацевтически приемлемых носителей. Композиция может дополнительно содержать ингредиенты, выбранные из, например, разбавителей, адъювантов, вспомогательных веществ, носителей, консервантов, наполнителей, дезинтегрирующих агентов, смачивающих агентов, эмульгаторов, суспендирующих агентов, подсластителей, ароматизаторов, отдушек, антибактериальных агентов, противогрибковых агентов, смазывающих агентой и диспергирующих агентов в зависимости от характера способа введения и лекарственных форм. Композиции могут иметь форму, например, таблеток, драже, порошков, эликсиров, сиропов, жидких препаратов, включая суспензии, спреи, ингаляционные препараты, таблетки, леденцы, эмульсии, растворы, облатки, гранулы, капсулы и суппозитории, а также жидкие препараты для инъекций, в том числе липосомальные препараты.

Соединения по изобретению могут содержать один или несколько изотопных заместителей, и ссылка на конкретный элемент включает в себя все изотопы этого элемента. Например, ссылка на водород включает в себя 1H, 2H (D) и 3H (T). Точно так же ссылки на углерод и кислород включают в себя соответственно 12C, 13C и 14C, и 16O и 18O. Аналогичным образом ссылка на конкретную функциональную группу также включает в себя изотопные варианты, если в контексте не указано иное. Например, ссылка на алкильную группу, такую как этильная группа, или алкоксигруппу, такую как метоксигруппа, также охватывает варианты, в которых один или несколько атомов водорода в группе находятся в форме изотопа дейтерия или трития, например, в этильной группе, в которой все пять атомов водорода находятся в изотопной форме дейтерия (пердейтероэтильная группа), или в метоксигруппе, в которой все три атома водорода находятся в изотопной форме дейтерия (тридейтерометоксигруппа). Изотопы могут быть радиоактивными или нерадиоактивными.

Терапевтические дозы могут варьировать в зависимости от потребностей пациента, тяжести состояния, подлежащего лечению, и используемого соединения. Определение надлежащей дозировки для конкретной ситуации находится в пределах компетенции специалистов в данной области. Как правило, лечение начинают с меньших доз, которые меньше оптимальной дозы соединения. После этого дозу увеличивают понемногу до тех пор, пока не будет достигнут оптимальный эффект в данных обстоятельствах. Для удобства общая суточная доза может быть разделена и при желании может вводиться частями в течение дня.

Величина эффективной дозы соединения будет, конечно, варьировать в зависимости от характера тяжести состояния, подлежащего лечению, а также от конкретного соединения и пути его введения. Выбор подходящих дозировок находится в пределах компетенции специалиста в данной области и не представляет для него трудности. В целом диапазон суточных дозировок может составлять от примерно 10 мкг до примерно 30 мг на кг массы тела человека и животного, предпочтительно, от примерно 50 мкг до примерно 30 мг на кг массы тела человека и животного, например, от примерно 50 мкг до примерно 10 мг на кг массы тела человека и животного, например, от примерно 100 мкг до примерно 30 мг на кг массы тела человека и животного, например, от примерно 100 мкг до примерно 10 мг на кг массы тела человека и животного, и, наиболее предпочтительно, от примерно 100 мкг до примерно 1 мг на кг массы тела человека и животного.

Фармацевтические составы

Хотя действующее соединение можно вводить отдельно, предпочтительно предоставлять его в виде фармацевтической композиции (например, состава).

Соответственно, в другом варианте осуществления изобретения предложена фармацевтическая композиция, содержащая по меньшей мере одно соединение формулы (1a) и (1b), определенной выше, вместе по меньшей мере с одним фармацевтически приемлемым вспомогательным веществом.

Композиция может представлять собой таблетку.

Композиция может представлять собой капсулу.

Композиция может представлять собой композицию, подходящую для инъекций. Инъекция может быть внутривенной (IV) или подкожной. Композиция может поставляться в стерильном буферном растворе или в виде твердого вещества, которое может быть суспендировано или растворено в стерильном буфере для инъекций.

Фармацевтически приемлемое вспомогательное вещество (вещества) можно выбрать, например, из носителей (например, твердого, жидкого или полутвердого носителя), адъювантов, разбавителей (например, твердых разбавителей, таких как наполнители или объемообразующие агенты, и жидких разбавителей, таких как растворители и сорастворители), гранулирующих агентов, связующих веществ, средств для улучшения текучести, средств для покрытия, веществ, контролирующих высвобождение (например, полимеров или восков, замедляющих или откладывающих высвобождение), связующих агентов, разрыхлителей, буферных агентов, смазывающих агентов, консервантов, противогрибковых и антибактериальных агентов, антиоксидантов, буферных агентов, регулирующих тоничность агентов, загустителей, ароматизаторов, подсластителей, пигментов, пластификаторов, маскирующих вкус агентов, стабилизаторов или любых других вспомогательных веществ, обычно используемых в фармацевтических композициях.

Термин «фармацевтически приемлемый» в контексте настоящего документа означает соединения, материалы, композиции и/или лекарственные формы, которые, в рамках здравого медицинского суждения, подходят для применения в контакте с тканями субъекта (например, субъекта-человека) без чрезмерной токсичности, раздражения, аллергической реакции или других проблем или осложнений, соответствующих разумному соотношению польза/риск. Каждое вспомогательное вещество также должно быть «приемлемым» в смысле совместимости с другими ингредиентами состава.

Фармацевтические композиции, содержащие соединения формулы (1a) и (1b), могут быть составлены в соответствии с известными методиками, см., например, Remington’s Pharmaceutical Sciences, Mack Publishing Company, Easton, PA, USA.

Фармацевтические композиции могут находиться в любой форме, подходящей для перорального, парентерального, местного, интраназального, внутрибронхиального, сублингвального, офтальмологического, ушного, ректального, интравагинального или чрескожного введения.

Фармацевтические лекарственные формы, пригодные для перорального введения, включают таблетки (с покрытием или без покрытия), капсулы (с твердой или мягкой оболочкой), каплеты, пилюли, леденцы, сиропы, растворы, порошки, гранулы, эликсиры и суспензии, подъязычные таблетки, облатки или пластыри, такие как буккальные пластыри.

Композиции таблеток могут содержать стандартную дозу действующего соединения вместе с инертным разбавителем или носителем, таким как сахар или сахарный спирт, например, лактозой, сахарозой, сорбитом или маннитом; и/или разбавителем, не содержащим сахара, таким как карбонат натрия, фосфат кальция, карбонат кальция или целлюлоза или ее производное, такое как микрокристаллическая целлюлоза (МКЦ), метилцеллюлоза, этилцеллюлоза, гидроксипропилметилцеллюлоза и крахмалы, такие как кукурузный крахмал. Таблетки также могут содержать такие стандартные ингредиенты, как связующие и гранулирующие агенты, такие как поливинилпирролидон, разрыхлители (например, набухающие сшитые полимеры, такие как сшитая карбоксиметилцеллюлоза), смазывающие агенты (например, стеараты), консерванты (например, парабены), антиоксиданты (например, BHT), буферные агенты (например, например, фосфатный или цитратный буферы) и шипучие агенты, такие как смеси цитрата/бикарбоната. Такие вспомогательные вещества хорошо известны и не нуждаются в подробном обсуждении в настоящем документе.

Таблетки могут быть предназначены для высвобождения лекарственного средства либо при контакте с желудочными жидкостями (таблетки с немедленным высвобождением), либо для контролируемого высвобождения (таблетки с контролируемым высвобождением) в течение длительного периода времени или в определенной области желудочно-кишечного тракта.

Фармацевтические композиции как правило содержат от приблизительно 1% (масс./масс.) до приблизительно 95%, предпочтительно % (масс./масс.) действующего ингредиента и от 99% (масс./масс.) до 5% (масс./масс.) фармацевтически приемлемого вспомогательного вещества (например, описанного выше) или комбинации таких вспомогательных веществ. Предпочтительно, чтобы композиции содержали от приблизительно 20% (масс./масс.) до приблизительно 90% (масс./масс.) действующего ингредиента и от 80% (масс./масс.) до 10% фармацевтического вспомогательного вещества или комбинации вспомогательных веществ. Фармацевтические композиции содержат от приблизительно 1% до приблизительно 95%, предпочтительно, от приблизительно 20% до приблизительно 90% действующего ингредиента. Фармацевтические композиции по изобретению могут быть представлены, например, в виде стандартных форм, таких как ампулы, флаконы, суппозитории, предварительно заполненные шприцы, драже, порошки, таблетки или капсулы.

Таблетки и капсулы могут содержать, например, 0-20% разрыхлителей, 0-5% смазывающих веществ, 0-5% добавок для повышения текучести и/или 0-99% (масс./масс.) наполнителей или объемообразующих агентов (в зависимости от дозы препарата). Они также могут содержать 0-10% (масс./масс.) полимерных связующих агентов, 0-5% (масс./масс.) антиоксидантов, 0-5% (масс./масс.) пигментов. Таблетки с замедленным высвобождением, кроме того, обычно содержат 0-99% (масс./масс.) полимеров, контролирующих высвобождение (например, задерживающих) (в зависимости от дозы). Пленочные покрытия таблетки или капсулы обычно содержат 0-10% (масс./масс.) полимеров, 0-3% (масс./масс.) пигментов и/или 0-2% (масс./масс.) пластификаторов.

Парентеральные составы обычно содержат 0-20% (масс./масс.) буферов, 0-50% (масс./масс.) сорастворителей и/или 0-99% (масс./масс.) воды для инъекций (WFI) (в зависимости от дозы и использования лиофилизации). Составы для внутримышечных депо могут также содержать 0-99% (масс./масс.) масел.

Фармацевтические составы могут быть представлены пациенту в «упаковках для пациентов», содержащих весь курс лечения в одной упаковке, обычно в блистерной упаковке.

Соединения формулы (1a) и (1b) в общем будут предложены в виде стандартной лекарственной формы и, как таковые, обычно содержат достаточное количество соединения для обеспечения желаемого уровня биологической активности. Например, состав может содержать от 1 нанограмма до 2 граммов действующего ингредиента, т.е. от 1 нанограмма до 2 миллиграммов действующего ингредиента. В пределах этих диапазонов конкретные поддиапазоны для соединения составляют от 0,1 миллиграммов до 2 граммов действующего ингредиента (чаще от 10 миллиграммов до 1 грамма, например, от 50 миллиграммов до 500 миллиграммов) или от 1 микрограмма до 20 миллиграммов (например, от 1 микрограмма до 10 миллиграммов, например, от 0,1 до 2 миллиграммов действующего ингредиента).

Для пероральных композиций стандартная лекарственная форма может содержать от 1 миллиграмма до 2 граммов, как правило, от 10 миллиграммов до 1 грамма, например, от 50 миллиграммов до 1 грамма, например, отт 100 миллиграммов до 1 грамма действующего соединения.

Действующее соединение будет вводиться нуждающемуся в этом пациенту (например, пациенту-человеку или животному) в количестве, достаточном для достижения желаемого терапевтического эффекта (эффективное количество). Точное количество вводимого соединения может быть определено лечащим врачом в соответствии со стандартными процедурами.

Биологическая активность

Результаты анализа GLP-2 in vitro для соединений, приведенных в таблице 1, находились в диапазоне от примерно 0,001 нМ до примерно 1 нМ. Аналоги GLP-2 по изобретению проявляют активность как в отношении рецепторов GLP-2, так и в отношении GLP-1, при этом более высокая активность проявляется в отношении рецептора GLP-2.

ПРИМЕРЫ

Изобретение теперь будет проиллюстрировано, но не ограничено, ссылкой на конкретные варианты осуществления, описанные в следующих примерах.

ПРИМЕРЫ 1-81

Были получены соединения примеров 1-117, приведенные в таблице 1 и таблице 1а ниже. Их свойства согласно ЖХ-МС и способы, используемые для их получения, изложены в таблице 2 и таблице 2а. Исходные вещества для каждого из примеров являются коммерческими, если не указано иное.

Таблица 1

Таблица 1а. Примеры 82-117

В таблице 1 и таблице 1а используются стандартные символы аминокислот, где это уместно. В случаях, когда стандартный символ недоступен, используются следующие представления:


2-F-α-Me-PHE / α-Me-Phe(2-F)

D-α-Me-PHE

ACPC

PIPALA

α-Me-LEU

TET

AllocLYS /Alloc K

LYS-γGlu-2xOEG C18-дикислота

ЦиклоLYS, например, относится к остатку лизина, который соединен с другим остатком через лактамный мостик.

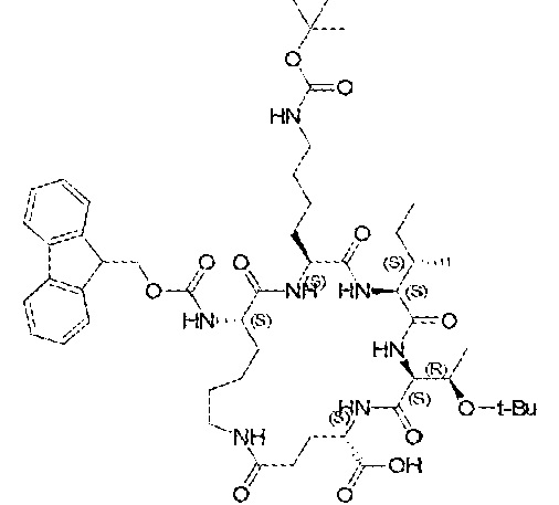
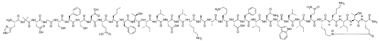
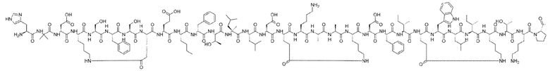
Типовые структуры некоторых примеров показаны ниже:

Пример 30

Пример 31

Пример 46

Пример 48

Пример 52

Пример 55

Пример 60

Пример 74

Пример 76

Пример 93:

Пример 96:

Пример 113:

Пример 117:

и их энантиомер или таутомер, соль или цвиттерион.

Общие методики

Если в описание не включены пути синтеза, то соответствующий промежуточный продукт имеется в продаже. Коммерческие реагенты использовали без дополнительной очистки. Комнатная температура (rt) относится примерно к 20-27°C. Спектры 1Н ЯМР регистрировали при частоте 400 МГц на приборе Bruker. Химический сдвиг выражается в частях на миллион (млн), т.е. в величине δ. Следующие сокращения используются для различных сигналов ЯМР: с=синглет, шир.=широкий, д=дублет, т=триплет, к=квартет, кв=квинтет, тд=триплет дублетов, тт=триплет триплетов, кд=квартет дублетов, ддд=дублет дублетов дублетов, ддт=дублет дублетов триплетов, м=мультиплет. Константы связи указаны как значения J, измеренные в Гц. Результаты ЯМР и масс-спектроскопии были скорректированы с учетом фоновых пиков. Хроматография относится к колоночной хроматографии, проводимой с использованием силикагеля 60-120 меш под давлением азота (флеш-хроматография).

Аналитические методы

ЖХ-МС анализ соединений проводили с использованием электроспрея.

ЖХ-МС метод А

Инструменты: Waters Acquity UPLC, Waters 3100 PDA Detector, SQD; Колонка: Acquity HSS-T3, 1,8 мкм, 2,1×100 мм; Градиент [время (мин)/растворитель B в A (%)]: 0,00/10, 1,00/10, 2,00/15, 4,50/55, 6,00/90, 8,00/90, 9,00/10, 10,00/10; Растворители: растворитель А=0,1% трифторуксусной кислоты (TFA) в воде; растворитель В=ацетонитрил; объем впрыска 1 мкл; длина волны обнаружения 214 нм; температура колонки 30°С; скорость потока 0,3 мл в мин.

ЖХ-МС метод В

ЖХ-МС: Agilent 1200 HPLC&6410B Triple Quad, колонка: Xbridge C18 3,5 мкм 2,1×30 мм. Градиент [время (мин)/растворитель B (%)]: 0,0/10, 0,9/80, 1,5/90, 8,5/5, 1,51/10. (Растворитель A=1 мл TFA в 1000 мл воды; растворитель B=1 мл TFA в 1000 мл MeCN); объем впрыска 5 мкл; УФ-обнаружение 220 нм, 254 нм, 210 нм; температура колонки 25°С; 1,0 мл/мин.

Аналитический метод С

МС-ион идентифицировали с помощью метода ЖХ-МС, описанного ниже, с использованием электроспрея, время удерживания в ВЭЖХ (RT) определяли с помощью описанного ниже метода ВЭЖХ, чистота составляла > 95% по данным ВЭЖХ, если не указано иное.

ЖХ-МС: Agilent 1200 HPLC&6410B Triple Quad, колонка: Xbridge C18 3,5 мкм 2,1×30 мм. Градиент [время (мин)/растворитель B (%)]: 0,0/10, 0,9/80, 1,5/90, 8,5/5, 1,51/10. (Растворитель A=1 мл TFA в 1000 мл воды; растворитель B=1 мл TFA в 1000 мл MeCN); объем впрыска 5 мкл (может варьироваться); УФ-обнаружение 220 нм, 254 нм, 210 нм; температура колонки 25°С; 1,0 мл/мин.

ВЭЖХ: Agilent Technologies 1200, колонка: Gemini-NX C18 5 мкм 110A 150×4,6 мм. Градиент [время (мин)/растворитель B (%)]: 0,0/30, 20/60, 20,1/90, 23/90. (Растворитель A=1 мл TFA в 1000 мл воды; растворитель B=1 мл TFA в 1000 мл MeCN); объем впрыска 5 мкл (может варьироваться); УФ-обнаружение 220 нм, 254 нм; температура колонки 25°С; 1,0 мл/мин.

Аналитический метод D

Инструмент: Thermo Scientific Orbitrap Fusion; Колонка: Phenomenex Luna Omega C18 100 Å, 1,6 мкм, 2,1×50 мм; Градиент [время (мин)/растворитель B в A (%)]: 0,00/10, 0,30/10, 0,40/60, 1,10/90, 1,70/90, 1,75/10, 1,99/10, 2,00/10; растворители: растворитель А=0,1% муравьиной кислоты в воде; растворитель B=0,1% муравьиной кислоты в ацетонитриле; объем впрыска 5 мкл; температура колонки 25°С; скорость потока 0,8 мл/мин.

Синтез промежуточных продуктов и соединений

Следующие примеры представлены для иллюстрации предпочтительных аспектов изобретения и не предназначены для ограничения объема изобретения.

Синтез промежуточных продуктов

Все Fmoc-аминокислоты являются доступными в продаже, за исключением промежуточных соединений 1, 2 и блоков для синтеза Fmoc-циклических пептидов (промежуточные соединения с 3-го по 21-ое).

Синтез 2,2-диметил-3-оксо-3-((2-(1-тритил-1H-имидазол-4-ил)этил)амино)пропановой кислоты (промежуточное соединение 1)

Стадия 1: синтез 2,2,2-трифтор-N-(2-(1-тритил-1H-имидазол-4-ил)этил)ацетамида (2): к раствору 2-(1H-имидазол- дигидрохлорид-4-ил)этан-1-амина (соединение 1, 25,0 г, 136,6 ммоль) в MeOH (100 мл), добавляли при комнатной температуре Et3N (67 мл, 464,4 ммоль), и реакционную смесь охлаждали до 0°C. К реакционной смеси добавляли раствор этилтрифторацетата (20 мл, 164,0 ммоль) в MeOH (50 мл) в течение 30 минут при 0°C и реакционную смесь перемешивали при комнатной температуре в течение 4 часов. Эту реакционную смесь разбавляли безводным DCM (200 мл) и Et3N (60 мл, 409,8 ммоль), и реакционную смесь охлаждали до 0°С. Порциями добавляли Tr-Cl (76 г, 273,2 ммоль), и полученную реакционную смесь перемешивали при rt в течение 16 часов. После завершения реакционную смесь гасили водой (300 мл), и водный слой экстрагировали хлороформом (3×150 мл). Органические слои объединяли, сушили (над Na2SO4) и концентрировали в вакууме. Неочищенный остаток растирали с н-гексаном, получая 2,2,2-трифтор-N-(2-(1-тритил-1H-имидазол-4-ил)этил)ацетамид (соединение 2, 50,10 г, 81%) в виде белого твердого вещества.

МС (ESI+ve): 450

1H-ЯМР (400 МГц; CDCl3): δ 2,75 (т, J=5,9 Гц, 2H), 3,60-3,65 (м, 2H), 6,61 (с, 1H), 7,08-7,15 (м, 6H), 7,31-7,38 (м, 9Н), 7,40 (с, 1Н), 8,41 (шир.с, 1Н).

Стадия 2: синтез 2-(1-тритил-1H-имидазол-4-ил)этан-1-амина (3): к раствору 2,2,2-трифтор-N-(2-(1-тритил-1Н-имидазол-4-ил)этил)ацетамида (соединение 2, 50,0 г, 111,3 ммоль) в THF (150 мл) и МеОН (180 мл), медленно добавляли NaOH (22,0 г, 556,7 ммоль) в воде (100 мл) при 0°C, и реакционную смесь перемешивали при комнатной температуре в течение 2 часов. После завершения реакционную смесь гасили водой (300 мл), и водный слой экстрагировали хлороформом (3×150 мл). Органические слои объединяли, сушили (над Na2SO4) и концентрировали в вакууме, получая 2-(1-тритил-1H-имидазол-4-ил)этан-1-амин (соединение 3, 34,0 г, 86%) в виде желтоватого липкого твердого вещества. Неочищенное вещество использовали на следующей стадии без дополнительной очистки.

МС (ESI+ve): 354

1H-ЯМР (400 МГц; CDCl3): δ 1,53 (шир.с, 2H), 2,65 (т, J=6,5 Гц, 2H), 2,95 (т, J=6,5 Гц, 2H), 6,58 (с, 1H), 7,11-7,16 (м, 6Н), 7,28-7,38 (м, 10Н).

Стадия 3: синтез 2,2,5,5-тетраметил-1,3-диоксан-4,6-диона (5): к раствору 2,2-диметил-1,3-диоксан-4,6-диона (соединение 4, 20,0 г, 138,8 ммоль) в ACN (200 мл), добавляли при комнатной температуре K2CO3 (96 г, 694,0 ммоль) и MeI (26 мл, 416,6 ммоль), и реакционную смесь кипятили с обратным холодильником в течение 10 часов. После завершения реакционную смесь охлаждали до комнатной температуры, фильтровали через слой целита, промывали EtOAc (3×50 мл). Органический слой промывали 10% водным раствором Na2S2O3 (100 мл), сушили (над Na2SO4) и концентрировали в вакууме, получая 2,2,5,5-тетраметил-1,3-диоксан-4,6-дион (соединение 5, 21 г, 88%) в виде твердого вещества желтого цвета. Неочищенный остаток использовали на следующей стадии без дополнительной очистки.

1H-ЯМР (400 МГц; CDCl3): δ 1,63 (с, 6H), 1,73 (с, 6H).

Стадия 4: синтез 2,2-диметил-3-оксо-3-((2-(1-тритил-1H-имидазол-4-ил)этил)амино)пропановой кислоты (промежуточное соединение 1): раствор 2-(1-тритил-1H-имидазол-4-ил)этан-1-амина (3, 8,0 г, 22,6 ммоль) и Et3N (16,0 мл, 113,0 ммоль) в толуоле (100 мл) по каплям добавляли к в течение 60 мин к раствору 2,2,5,5-тетраметил-1,3-диоксан-4,6-диона (соединение 5, 5,8 г, 29,76 ммоль) в толуоле (50 мл) при 75°С. Реакционную смесь дополнительно перемешивали при той же температуре 3 ч. После завершения реакционную смесь концентрировали в вакууме. Остаток растворяли в хлороформе (100 мл) и промывали 10%-ным водным раствором лимонной кислоты (pH ~ 6-6,5). Органический слой сушили (над Na2SO4) и концентрировали в вакууме. Полученный неочищенный остаток растирали с горячим хлороформом (150 мл) и н-гексаном (75 мл), и суспензию перемешивали при комнатной температуре в течение 16 часов. Твердое вещество отфильтровывали, промывали смесью хлороформ:н-гексан (1:1, 2×50 мл) и сушили в вакууме, получая 2,2-диметил-3-оксо-3-((2-(1-тритил-1H-имидазол-4-ил)этил)амино)пропановую кислоту (промежуточное соединение 1, 6,8 г, 64%) в виде белого твердого вещества.

ЖХ-МС (метод A): m/z 468 [M+H]+ (ES+), при 5,38 мин, 99,31%

1H-ЯМР (400 МГц; ДМСО-d6): δ 1,21 (с, 6H), 2,57 (т, J=6,8 Гц, 2H), 3,22-3,27 (м, 2H), 6,66 (с, 1H), 7,06-7,11 (м, 6Н), 7,28 (с, 1Н), 7,35-7,42 (м, 8Н), 7,64 (т, J=5,4 Гц, 1Н), 8,31 (с, 1Н), 12,44 (шир.с, 1Н).

Синтез (S)-2-((((9H-флуорен-9-ил)метокси)карбонил)амино)-3-(2-тритил-2H-тетразол-5-ил)пропановой кислоты (промежуточное соединение 2)

Стадия-1: синтез (S)-2-((((9H-флуорен-9-ил)метокси)карбонил)амино)-3-цианопропановой кислоты (7): к суспензии (((9H-флуорен-9-ил)метокси)карбонил)-L-аспарагина (соединение 7, 50,0 г, 423,7 ммоль) в пиридине (200 мл) добавляли DCC (34,0 г, 466,1 ммоль) при 0°C, и реакционную смесь перемешивали при комнатной температуре в течение 5 ч. Реакционную смесь осторожно гасили 2N водным раствором HCl до тех пор, пока pH не становился кислым, и экстрагировали диэтиловым эфиром (3×500 мл). Органические слои объединяли и промывали насыщ. водн. раствором NaCl, сушили (над Na2SO4) и концентрировали в вакууме. Остаток растирали с пентаном, получая (S)-2-((((9H-флуорен-9-ил)метокси)карбонил)амино)-3-цианопропановую кислоту (соединение 7, 96 г, 68%) в виде белого твердого вещества.

МС (ESI-ve): 335.

1H-ЯМР (400 МГц; ДМСО-d6): δ 2,85-3,05 (м, 2H), 4,22-4,39 (м, 4H), 7,33 (т, J=7,6 Гц, 2H), 7,42 (т, J=7,6 Гц, 2H), 7,72 (д, J=7,2 Гц, 2H), 7,90 (д, J=7,6 Гц, 2H), 8,09 (д, J=8,4 Гц, 1H).

Стадия 2: синтез (S)-2-((((9H-флуорен-9-ил)метокси)карбонил)амино)-3-(2H-тетразол-5-ил)пропановой кислоты (8): к суспензии (S)-2-((((9H-флуорен-9-ил)метокси)карбонил)амино)-3-цианопропановой кислоты (соединение 7, 48,0 г, 142,8 ммоль) в толуоле (50 мл) добавляли оксид дибутилолова (21,0 г, 85,6 ммоль), и реакционную смесь перемешивали в течение 15 мин. К этой реакционной смеси добавляли триметилсилилазид (61 мл, 422,8 ммоль), и реакционную смесь кипятили с обратным холодильником при 120°С в течение 15 мин. После охлаждения реакционной смеси до комнатной температуры образовавшееся твердое вещество отфильтровывали и промывали диэтиловым эфиром. Твердый остаток растирали со смесью 5% MeOH/DCM (500 мл), получая (S)-2-((((9H-флуорен-9-ил)метокси)карбонил)амино)-3-(2H-тетразол-5)-ил)пропановую кислоту (соединение 8, 32,5 г, 60%) в виде грязно белого твердого вещества.

МС (ESI+ve): 380

1H-ЯМР (400 МГц; ДМСО-d6): δ 3,22-3,41 (м, 2H), 4,18-4,28 (м, 3H), 4,41-4,48 (м, 1H), 7,31 (т, J=7,2 Гц, 2H), 7,41 (т, J=7,2 Гц, 2H), 7,65 (т, J=7,6 Гц, 2H), 7,77 (д, J=7,6 Гц, 1H), 7,88 (д, J=7,6 Гц, 2H).

Стадия 3: синтез (S)-2-((((9H-флуорен-9-ил)метокси)карбонил)амино)-3-(2-тритил-2H-тетразол-5-ил)пропановой кислоты (промежуточное соединение 2): к раствору (S)-2-((((9H-флуорен-9-ил)метокси)карбонил)амино)-3-(2H-тетразол-5-ил)пропановой кислоты (соединение 8, 12×5 г, 12×13,0 ммоль) в DCM (12×45 мл), добавляли Et3N (12×5,6 мл, 12×39,0 ммоль) при 0°C. После перемешивания в течение 5 минут добавляли тритилхлорид (12×4,0 г, 12×14,0 ммоль), и реакционную смесь перемешивали при той же температуре в течение 2 часов. Реакционную смесь гасили водой (50 мл) и экстрагировали DCM (2×100 мл) (12 раз). Органические слои объединяли и промывали насыщ. водн. раствором NaCl, сушили (над Na2SO4) и концентрировали в вакууме. Остаток очищали колоночной флэш-хроматографией [нормальная фаза, силикагель (100-200 меш), градиент от 1% до 5% метанола в DCM], получая (S)-2-((((9H-флуорен-9-ил)метокси)карбонил)амино)-3-(2-тритил-2H-тетразол-5-ил)пропановую кислоту (промежуточное соединение 2, 41 г, 41%) в виде белого твердого вещества.

ЖХ-МС (метод A): m/z 620 [M-H]+ (ES-), при 5,99 мин, 86,85%

1H-ЯМР (400 МГц; CDCl3): δ 3,44-3,62 (м, 2H), 4,12-4,20 (м, 1H), 4,25-4,32 (м, 1H), 4,36-4,44 (м, 1H), 4,82-4,88 (м, 1H), 7,02-7,12 (м, 6H), 7,24-7,32 (м, 11H), 7,34-7,42 (м, 2H), 7,44-7,48 (м, 1H), 7,49-7,58 (м, 2H) ), 7,74 (д, J=6,6 Гц, 2Н).

Используется в твердофазном синтезе пептидов без дополнительной очистки.

Способ синтеза блоков для синтеза Fmoc-циклического пептида, на примере синтеза промежуточного соединения 8, Fmoc-[Asp-Ile-Leu-Lys]

1) Добавляли DCM в сосуд, содержащий смолу CTC (3 ммоль, 3 г, 1,0 ммоль/г) и Fmoc-Lys(Alloc)-OH (1,35 г, 3 ммоль, 1 экв.), и перемешивали при барботировании N2.

2) Добавляли по каплям DIEA (4,0 экв.), и перемешивали при барботировании N2 в течение 2 часов.

3) Добавляли MeOH (3 мл) и перемешивали при барботировании N2 в течение 30 мин.

4) Сливают растворитель и промывали смолу DMF (5 раз, растворитель сливали между каждой промывкой).

5) Добавляли раствор 20% пиперидина в DMF, и перемешивали смолу при барботировании N2 в течение 30 мин.

6) Сливали растворитель и промывали DMF (5 раз, растворитель сливали между каждой промывкой).

7) Добавляли раствор Fmoc-аминокислоты (3,0 экв. в DMF) и перемешивали при барботировании N2 в течение 30 секунд, затем добавляли активационный буфер (HBTU (2,85 экв.) и DIEA (6 экв.) в DMF), перемешивали при барботировании N2 в течение 1 часа.

8) Реакцию присоединения контролировали с помощью нингидринового теста.

9) При необходимости повторяли стадии с 6-й по 8-ю для связывания той же аминокислоты при неэффективном присоединении.

10) Повторяли стадии с 3-й по 8-ю для присоединения следующей аминокислоты.

Примечание: для кислот в таблице ниже использовались разные защитные группы и/или конденсирующие агенты.

Положение аминокислоты от смолы Вещества Конденсирующие реагенты 1 Fmoc-Lys(Alloc)-OH (1,0 экв.) DIEA (4,0 экв.) 4 Fmoc-Glu(OAll)-OH (3,0 экв.) HBTU (2.85 eq) и DIEA (6,0 экв.)

Снятие защиты и циклизация боковой цепи пептида:

1) Добавляли DCM к смоле и перемешивали при барботировании N2, затем добавляли PhSiH3 (10 экв.), Pd(PPh3)4 (0,2 экв.) и перемешивали при барботировании N2 в течение 15 минут 3 раза.

2) Смолу трижды промывали DCM, а затем трижды DMF.

3) Смолу промывали 0,5% тригидратом диэтилдитиокарбамата натрия в DMF и 0,5% DIEA в DMF десять раз.

4) HATU (2 экв.) и DIEA (4 экв.) добавляли к смоле в DMF и перемешивали при барботировании N2 в течение 1 часа.

3) Смолу трижды промывали МеОН и сушили в вакууме.

4) Смолу добавляли к раствору 20% HFIP/80% DCM и перемешивали в течение 30 минут, фильтровали и повторяли процедуру еще раз.

5) Органические слои объединяли, и растворитель удаляли в вакууме.

6) Пептид дважды промывали H2O.

7) Пептид повторно растворяли и лиофилизировали, получая промежуточное соединение 8 (1,5 г, выход 55,6%) в виде твердого вещества.

Промежуточные соединения 3-21 были синтезированы с использованием описанной выше процедуры, аналитические данные приведены ниже:

Промежуточное соединение Структура ESI (ЖХ-МС метод B) 3 Масса не определена 4 833,3 [M-tBu+MeCN]+ 5 Масса не определена 6 991,7 [M-H]- 7 977,8 [M-H]- 8 692,1 [M+H]+ 9 977,8 [M-H]- 10 898,7 [M-H]- 11 930,7 [M-H]- 12 977,7 [M-H]- 13 621,7 [M-H]- 14 876,8 [M-H]- 15 948,7 [M-H]- 16 912,7 [M-H]- 17 835,6 [M-H]- 18 948,7 [M-H]- 19 862,7 [M-H]- 20 749,6 [M-tBu+MeCN]+ 21 913,7 [M-H]-

Синтез примеров 1-81

Стандартный твердофазный Fmoc-синтез пептидов (SPPS) использовали для синтеза пептидов, которые затем отщепляли от смолы и очищали.

Общий метод синтеза пептидов:

Пептид был синтезирован с использованием стандартной Fmoc-химии.

Способ а - на примере синтеза примера 1

Синтез пептидов

1) Добавляли DCM в сосуд, содержащий смолу Rink Amide MBHA (замещение: 0,35 ммоль/г, 0,15 ммоль, 0,42 г) и оставляли набухать в течение 2 часов.

2) Сливали воду, а затем промывали DMF (5 раз, сливали растворитель между каждой промывкой).

3) Добавляли раствор 20% пиперидина в DMF при перемешивании при барботировании N2 в течение 30 мин.

4) Сливали воду и промывали DMF (5 раз, сливали растворитель между каждой промывкой).

5) Добавляли раствор Fmoc-аминокислоты (3,0 эквивалента в DMF) и перемешивали в течение 30 секунд, затем добавляли активационный буфер (HBTU (2,85 эквивалента) и DIEA (6 эквивалентов) в DMF), перемешивали при барботировании N2 в течение 1 часа.

6) Реакцию связывания контролировали с помощью нингидринового теста.

7) При необходимости повторяли стадии с 4-й по 6-ю для связывания той же аминокислоты при неэффективном присоединении.

8) Повторяли стадии с 2-й по 6-ю для присоединения следующей аминокислоты.

Примечание: для кислот в таблице ниже использовались разные защитные группы и/или конденсирующие агенты.

Стадия Вещества Конденсирующие реагенты 1 Промежуточное соединение 5 (2,0 экв.) DIC (2,0 экв.) и HOBT (2,0 экв.) 11 Промежуточное соединение 4 (2,0 экв.) DIC (2,0 экв.) и HOBT (2,0 экв.) 15 Промежуточное соединение 3 (2,0 экв.) DIC (2,0 экв.) и HOBT (2,0 экв.) 20 Промежуточное соединение 2 (2,0 экв.) DIC (2,0 экв.) HOBT (2,0 экв.) 21 Промежуточное соединение 1 (1,5 экв.) DIC (1,5 экв.) HOBT (1.5 экв.)

9) Смолу пять раз промывали DMF и три раза МеОН, и сушили в вакууме.

Отщепление от смолы и очистка пептидов:

1) Добавляли буфер для отщепления от смолы (92,5%TFA/2,5%EDT/2,5%TIS/2,5%H2O) в колбу, содержащую пептид с защищенными боковыми цепями на смоле при комнатной температуре, и перемешивали в течение 3 часов.

2) Отфильтровывали смолу и собирали раствор пептида.

3) Пептид осаждали холодным трет-бутилметиловым эфиром и центрифугировали (3 мин при 3000 об/мин).

4) Остаток промывали трет-бутилметиловым эфиром (2 раза).

5) Неочищенный пептид сушили в вакууме в течение 2 часов.

6) Неочищенный пептид очищали с помощью препаративной ВЭЖХ. Условия препаративной ВЭЖХ: Прибор: Gilson 281. Растворитель: A - 0,1% TFA в H2O, B - ацетонитрил, Колонка: Luna C18 (200×25 мм; 10 мкм) и Gemini C18 (150×30 мм; 5 мкм) в серии. Градиент [время (мин)/растворитель B (%)]: 0,0/25, 60,0/55, 60,1/90, 70/90, 70,1/10, при 20 мл/мин с УФ-обнаружением (длина волны=215/254 нм). Осадок повторно очищали препаративной ВЭЖХ. Условия препаративной ВЭЖХ: Прибор: Gilson 281. Растворитель: A - 0,08% NH4HCO3 в H2O, B - ацетонитрил, Колонка: Luna C18 (200×25 мм; 10 мкм) и Gemini C18 (150×30 мм; 5 мкм) последовательно. Градиент [время (мин)/растворитель B (%)]: 0,0/20, 60,0/55, 60,1/90, 70/90, 70,1/10, при 20 мл/мин с УФ-обнаружением (длина волны=215/254 нм), а затем лиофилизировали, получая Пример 1 (65,7 мг, выход 11,6%).

Таблица 2 - МС-ВР и ЖХ-МС свойства очищенных пептидов, представленных примерами 1-81

Пример Масс-спектрометрия высокого разрешения (МС-ВР)
(Аналитический метод D)
ЖХ-МС/ВЭЖХ
(Аналитический метод B)
1 МС-ВР (HESI/FT) m/z: [M+3H]3+ Расчетн. C175H267N46O48 3777,9631; найден. 1259,6610 m/z 1259,9 [M+3H]3+, RT=12,66 мин 2 ND m/z 1264,7 [M+3H]3+, RT=12,64 мин 3 МС-ВР (HESI/FT) m/z: [M+3H]3+ Расчетн. C165H251N42O42 3489,8562; найден. 1164,2959 m/z 873,4 [M+4H]4+, RT=12,54 мин 4 МС-ВР (HESI/FT) m/z: [M+3H]3+ Расчетн. C178H273N44O49 3807,9988; найден. 1270,3432 m/z 953,1 [M+4H]4+, RT=10,95 мин 5 МС-ВР (HESI/FT) m/z: [M+3H]3+ Расчетн. C165H252N39O44 3480,8445; найден. 1161,2913 m/z 871,4 [M+4H]4+, RT=11,41 мин 6 МС-ВР (HESI/FT) m/z: [M+3H]3+ Расчетн. C182H279N46O44 3810,0774; найден. 1271,0360 m/z 1271,2 [M+3H]3+, RT=12,61 мин 7 МС-ВР (HESI/FT) m/z: [M+4H]4+ Расчетн. C183H281N45O43 3793,0872; найден. 949,5311 m/z 949,7 [M+4H]4+, RT=11,55 мин 8 МС-ВР (HESI/FT) m/z: [M+3H]3+ Расчетн. C178H271N46O48 3817,9944; найден. 1273,6759 m/z 955,6 [M+4H]4+, RT=12,99 мин 9 МС-ВР (HESI/FT) m/z: [M+4H]4+ Расчетн. C211H329N49O60 4505,3887; найден. 1127,3612 m/z 1127,6 [M+4H]4+, RT=9,04 мин 10 МС-ВР (HESI/FT) m/z: [M+4H]4+ Расчетн. C213H334N50O59 4532,436; найден. 1134,1217 m/z 1134,4 [M+4H]4+, RT=14,68 мин 11 МС-ВР (HESI/FT) m/z: [M+3H]3+ Расчетн. C177H269N46O48 3803,9788; найден. 1269,0047 m/z 952,0 [M+4H]4+, RT=12,88 мин 12 МС-ВР (HESI/FT) m/z: [M+3H]3+ Расчетн. C177H269N46O48 3803,9788; найден. 1269,0046 m/z 952,2 [M+4H]4+, RT=13,30 мин 13 МС-ВР (HESI/FT) m/z: [M+3H]3+ Расчетн. C181H274N47O49 3887,0159; найден. 1296,6830 m/z 972,9 [M+4H]4+, RT=15,46 мин 14 МС-ВР (HESI/FT) m/z: [M+3H]3+ Расчетн. C177H269N46O48 3803,9788; найден. 1269,0040 m/z 952,1 [M+4H]4+, RT=12,94 мин 15 МС-ВР (HESI/FT) m/z: [M+3H]3+ Расчетн. C178H270FN46O48 3835,9851; найден. 1279,6729 m/z 960,0 [M+4H]4+, RT=13,02 мин 16 МС-ВР (HESI/FT) m/z: [M+3H]3+ Расчетн. C178H271N46O48 3817,9944; найден. 1273,6759 m/z 955,4 [M+4H]4+, RT=14,16 мин 17 МС-ВР (HESI/FT) m/z: [M+3H]3+ Расчетн. C166H253N42O43 3519,8667; найден. 1174,2989 m/z 881,2 [M+4H]4+, RT=12,15 мин 18 МС-ВР (HESI/FT) m/z: [M+3H]3+ Расчетн. C179H274FN44O49 3840,0051; найден. 1281,0113 m/z 1281,2 [M+3H]3+, RT=11,48 мин 19 МС-ВР (HESI/FT) m/z: [M+3H]3+ Расчетн. C180H276FN44O49 3854,0208; найден. 1285,6836 m/z 1285,8 [M+4H]4+, RT=11,48 мин 20 МС-ВР (HESI/FT) m/z: [M+4H]4+ Расчетн. C214H336FN47O61 4555,4307; найден. 1139,8694 m/z 1140,2 [M+4H]4+, RT=13,89 мин 21 МС-ВР (HESI/FT) m/z: [M+3H]3+ Расчетн. C166H254N39O45 3510,8552; найден. 1171,2946 m/z 1171,6 [M+4H]4+, RT=7,67 мин 22 МС-ВР (HESI/FT) m/z: [M+3H]3+ Расчетн. C178H272N47O47 3817,0105; найден. 1273,3478 m/z 955,3 [M+4H]4+, RT=11,99 мин 23 МС-ВР (HESI/FT) m/z: [M+3H]3+ Расчетн. C180H271N46O50 3873,9841; найден. 1292,3397 m/z 969,7 [M+4H]4+, RT=10,03 мин 24 МС-ВР (HESI/FT) m/z: [M+3H]3+ Расчетн. C180H276N47O47 3845,0417; найден. 1282,6919 m/z 962,3 [M+4H]4+, RT=12,34 мин 25 МС-ВР (HESI/FT) m/z: [M+3H]3+ Расчетн. C181H277FN43O49 3853,0254; найден. 1285,3529 m/z 964,3 [M+4H]4+, RT=12,66 мин 26 МС-ВР (HESI/FT) m/z: [M+3H]3+ Расчетн. C180H275FN43O49 3839,0098; найден. 1280,6810 m/z 960,6 [M+4H]4+, RT=12,46 мин 27 МС-ВР (HESI/FT) m/z: [M+3H]3+ Расчетн. C167H257N40O44 3523,8867; найден. 1175,6413 m/z 1176,0 [M+3H]3+, RT=11,86 мин 28 МС-ВР (HESI/FT) m/z: [M+3H]3+ Расчетн. C167H256N39O45 3524,8708; найден. 1175,9685 m/z 1176,3 [M+3H]3+, RT=12,22 мин 29 МС-ВР (HESI/FT) m/z: [M+3H]3+ Расчетн. C165H249N38O45 3479,813; найден. 1160,9532 m/z 1161,3 [M+3H]3+, RT=14,38 мин 30 МС-ВР (HESI/FT) m/z: [M+3H]3+ Расчетн. C171H261N40O46 3607,908; найден. 1203,6500 m/z 1204,0 [M+3H]3+, RT=11,61 мин 31 ND m/z 1182,3 [M+3H]3+, RT=8,67 мин 32 МС-ВР (HESI/FT) m/z: [M+3H]3+ Расчетн. C168H257FN39O45 3556,8769; найден. 1186,6393 m/z 1187,2 [M+3H]3+, RT=9,11 мин 33 ND m/z 1177,3 [M+3H]3+, RT=9,80 мин 34 МС-ВР (HESI/FT) m/z: [M+3H]3+ Расчетн. C202H315FN41O57 4243,2759; найден. 1415,7751 m/z 1061,8 [M+3H]3+, RT=9,16 мин 35 МС-ВР (HESI/FT) m/z: [M+3H]3+ Расчетн. C202H316FN42O57 4258,2871; найден. 1420,4430 m/z 1065,9 [M+3H]3+, RT=7,76 мин 36 МС-ВР (HESI/FT) m/z: [M+4H]4+ Расчетн. C167H257N39O45 3524,8708; найден. 882,2315 m/z 1176,4 [M+3H]3+, RT=11,98 мин 37 МС-ВР (HESI/FT) m/z: [M+4H]4+ Расчетн. C168H257N39O45 3536,8708; найден. 885,2318 m/z 1180,4 [M+3H]3+, RT=11,14 мин 38 МС-ВР (HESI/FT) m/z: [M+3H]3+ Расчетн. C178H270N45O47 3786,9885; найден. 1263,3406 m/z 948,0 [M+4H]4+, RT=14,16 мин 39 МС-ВР (HESI/FT) m/z: [M+3H]3+ Расчетн. C182H280N43O48 3833,0557; найден. 1278,6957 m/z 959,6 [M+4H]4+, RT=12,75 мин 40 МС-ВР (HESI/FT) m/z: [M+3H]3+ Расчетн. C180H275N46O46 3814,0359; найден. 1272,3564 m/z 954,6 [M+4H]4+, RT=12,96 мин 41 МС-ВР (HESI/FT) m/z: [M+3H]3+ Расчетн. C182H279N46O46 3842,0671; найден. 1281,6994 m/z 961,7 [M+4H]4+, RT=10,45 мин 42 МС-ВР (HESI/FT) m/z: [M+3H]3+ Расчетн. C181H277N46O46 3828,0515; найден. 1277,0282 m/z 958,1 [M+4H]4+, RT=12,79 мин 43 МС-ВР (HESI/FT) m/z: [M+3H]3+ Расчетн. C183H280FN46O44 3842,0835; найден. 1281,7068 m/z 962,3 [M+4H]4+, RT=10,98 мин 44 МС-ВР (HESI/FT) m/z: [M+3H]3+ Расчетн. C181H276N45O48 3845,0305; найден. 1282,6891 m/z 969,2 [M+4H]4+, RT=13,16 мин 45 МС-ВР (HESI/FT) m/z: [M+3H]3+ Расчетн. C183H281N46O47 3872,0776; найден. 1291,7036 m/z 1289,0 [M+3H]3+, RT=12,02 мин 46 МС-ВР (HESI/FT) m/z: [M+3H]3+ Расчетн. C183H282N43O49 3863,0662; найден. 1288,6997 m/z 955, 0 [M+3H]3+, RT=8,38 мин 47 МС-ВР (HESI/FT) m/z: [M+3H]3+ Расчетн. C181H278N43O48 3819,04; найден. 1274,0220 m/z 955,8 [M+3H]3+, RT=8,34 мин 48 МС-ВР (HESI/FT) m/z: [M+3H]3+ Расчетн. C180H272FN42O50 3837,9783; найден. 1280,3376 m/z 960,4 [M+4H]4+, RT=12,97 мин 49 МС-ВР (HESI/FT) m/z: [M+3H]3+ Расчетн. C181H277FN43O48 3837,0305; найден. 1280,0217 m/z 960,4 [M+4H]4+, RT=13,48 мин 50 МС-ВР (HESI/FT) m/z: [M+3H]3+ Расчетн. C183H280FN42O48 3850,051; найден. 1284,3613 m/z 963,6 [M+4H]4+, RT=13,76 мин 51 МС-ВР (HESI/FT) m/z: [M+3H]3+ Расчетн. C182H278FN42O48 3836,0354; найден. 1279,6878 m/z 960,1 [M+4H]4+, RT=13,48 мин 52 МС-ВР (HESI/FT) m/z: [M+3H]3+ Расчетн. C180H271FN45O48 3846,9898; найден. 1283,3414 m/z 963,2 [M+4H]4+, RT=11,32 мин 53 МС-ВР (HESI/FT) m/z: [M+3H]3+ Расчетн. C181H276FN46O46 3846,042; найден. 1283,0241 m/z 962,7 [M+4H]4+, RT=11,34 мин 54 МС-ВР (HESI/FT) m/z: [M+3H]3+ Расчетн. C182H279FN43O47 3835,0513; найден. 1279,3650 m/z 1279,6 [M+3H]3+, RT=14,11 мин 55 МС-ВР (HESI/FT) m/z: [M+3H]3+ Расчетн. C181H276FN46O46 3846,042; найден. 1283,0283 m/z 1283,4 [M+3H]3+, RT=14,31 мин 56 ND m/z 1288,4 [M+3H]3+, RT=14,70 мин 57 МС-ВР (HESI/FT) m/z: [M+3H]3+ Расчетн. C217H339FN49O58 4575,4834; найден. 1526,1749 m/z 1145,1 [M+4H]4+, RT=14,45 мин 58 МС-ВР (HESI/FT) m/z: [M+4H]4+ Расчетн. C217H340FN45O60 4551,4609; найден. 1138,8811 m/z 1139,3 [M+4H]4+, RT=14,32 мин 59 МС-ВР (HESI/FT) m/z: [M+3H]3+ Расчетн. C181H277FN43O48 3837,0305; найден. 1280,0261 m/z 1280,6 [M+3H]3+, RT=9,90 мин 60 ND m/z 1285,2 [M+3H]3+, RT=13,61 мин 61 МС-ВР (HESI/FT) m/z: [M+3H]3+ Расчетн. C216H338FN46O60 4552,4561; найден. 1518,4976 m/z 1139,7 [M+4H]4+, RT=9,27 мин 62 МС-ВР (HESI/FT) m/z: [M+3H]3+ Расчетн. C217H340FN46O60 4566,4717; найден. 1523,1701 m/z 1142,7 [M+4H]4+, RT=9,19 мин 63 ND m/z 1293,3 [M+3H]3+, RT=9,34 мин 64 МС-ВР (HESI/FT) m/z: [M+3H]3+ Расчетн. C184H283FN43O49 3895,0725; найден. 1299,3680 m/z 1299,6 [M+3H]3+, RT=9,60 мин 65 МС-ВР (HESI/FT) m/z: [M+3H]3+ Расчетн. C184H282FN42O49 3880,0615; найден. 1294,3663 m/z 1294,9 [M+3H]3+, RT=10,68 мин 66 МС-ВР (HESI/FT) m/z: [M+4H]4+ Расчетн. C219H344FN45O61 4595,4868; найден. 1149,8902 m/z 1150,0 [M+4H]4+, RT=13,74 мин 67 МС-ВР (HESI/FT) m/z: [M+4H]4+ Расчетн. C219H345FN46O61 4610,4981; найден. 1153,8913 m/z 1154,1 [M+4H]4+, RT=12,37 мин 68 МС-ВР (HESI/FT) m/z: [M+3H]3+ Расчетн. C183H281N42O49 3848,0552; найден. 1283,6969 m/z 1283,8 [M+3H]3+, RT=10,43 мин 69 МС-ВР (HESI/FT) m/z: [M+3H]3+ Расчетн. C184H284N43O48 3861,0869; найден. 1288,0379 m/z 1288,4 [M+3H]3+, RT=10,56 мин 70 МС-ВР (HESI/FT) m/z: [M+3H]3+ Расчетн. C185H285FN43O48 3893,0933; найден. 1299,0389 m/z 974,8 [M+4H]4+, RT=8,08 мин 71 МС-ВР (HESI/FT) m/z: [M+3H]3+ Расчетн. C184H282FN46O47 3904,084; найден. 1302,3744 m/z 1303,1 [M+3H]3+, RT=10,69 мин 72 МС-ВР (HESI/FT) m/z: [M+4H]4+ Расчетн. C219H344FN49O59 4619,5093; найден. 1155,8940 m/z 1156,2 [M+4H]4+, RT=13,85 мин 73 МС-ВР (HESI/FT) m/z: [M+4H]4+ Расчетн. C218H343N49O59 4587,5034; найден. 1147,8912 m/z 1148,2 [M+4H]4+, RT=13,57 мин 74 МС-ВР (HESI/FT) m/z: [M+3H]3+ Расчетн. C184H280N43O49 3873,0505; найден. 1292,0286 m/z 969,3 [M+4H]4+, RT=13,57 мин 75 МС-ВР (HESI/FT) m/z: [M+3H]3+ Расчетн. C185H285N44O47 3872,1028; найден. 1291,7112 m/z 969,2 [M+4H]4+, RT=10,03 мин 76 МС-ВР (HESI/FT) m/z: [M+3H]3+ Расчетн. C178H274N43O50 3810,9985; найден. 1271,3434 m/z 954,0 [M+4H]4+, RT=12,31 мин 77 МС-ВР (HESI/FT) m/z: [M+3H]3+ Расчетн. C179H279N44O48 3810,0508; найден. 1271,0264 m/z 1271,3 [M+3H]3+, RT=11,94 мин 78 МС-ВР (HESI/FT) m/z: [M+3H]3+ Расчетн. C184H279N46O47 3882,062; найден. 1295,0324 m/z 971,6 [M+4H]4+, RT=11,27 мин 79 МС-ВР (HESI/FT) m/z: [M+3H]3+ Расчетн. C185H284N47O45 3881,1145; найден. 1294,7159 m/z 971,5 [M+4H]4+, RT=14,49 мин 80 МС-ВР (HESI/FT) m/z: [M+3H]3+ Расчетн. C178H273N46O48 3820,01; найден. 1274,3477 m/z 956,0 [M+4H]4+, RT=13,70 мин 81 МС-ВР (HESI/FT) m/z: [M+3H]3+ Расчетн. C179H278N47O46 3819,0625; найден. 1274,0306 m/z 955,9 [M+4H]4+, RT=9,57 мин

ND - не определено.

Синтез примеров 82-117

Стандартный твердофазный Fmoc-синтез пептидов (SPPS) использовали для синтеза пептидов, которые затем отщепляли от смолы и очищали.

Общий метод синтеза пептидов:

Пептид был синтезирован с использованием стандартной Fmoc-химии.

Способ а - на примере синтеза примера 82

Синтез пептидов

Синтез пептидов

1) Добавляли DCM в сосуд, содержащий смолу Rink Amide MBHA (замещение: 0,35 ммоль/г, 0,2 ммоль, 0,57 г) и оставляли набухать в течение 2 часов.

2) Сливали воду, а затем промывали DMF (5 раз, сливали растворитель между каждой промывкой).

3) Добавляли раствор 20% пиперидина в DMF при перемешивании при барботировании N2 в течение 30 мин.

4) Сливали воду и промывали DMF (5 раз, сливали растворитель между каждой промывкой).

5) Добавляли раствор Fmoc-аминокислоты (3,0 эквивалента в DMF) и перемешивали в течение 30 секунд, затем добавляли активационный буфер (HBTU (2,85 эквивалента) и DIEA (6 эквивалентов) в DMF), перемешивали при барботировании N2 в течение 1 часа.

6) Реакцию связывания контролировали с помощью нингидринового теста.

7) При необходимости повторяли стадии с 4-й по 6-ю для связывания той же аминокислоты при неэффективном присоединении.

8) Повторяли стадии с 2-й по 6-ю для присоединения следующей аминокислоты.

Примечание: для кислот в таблице ниже использовались разные защитные группы и/или конденсирующие агенты.

Стадия Вещества Конденсирующие реагенты 22 Fmoc-Asp(OAll)-OH (2,0 экв.) HATU (1,9 экв.) и DIEA (4,0 экв.) 26 Fmoc-Lys(Alloc)-OH (3,0 экв.) HBTU (2,85 экв.) и DIEA (6,0 экв.) 31 Промежуточное соединение 2 (2,0 экв.) DIC (2,0 экв.) HOBT (2,0 экв.) 32 Промежуточное соединение 1 (1,5 экв.) DIC (1,5 экв.) HOBT (1,5 экв.)

Снятие защиты и циклизация боковой цепи пептида:

1) Добавляли DCM к смоле и перемешивали при барботировании N2, затем добавляли PhSiH3 (10 экв.), Pd(PPh3)4 (0,2 экв.) и перемешивали с N2 в течение 15 минут 3 раза.

2) Смолу трижды промывали DCM, а затем трижды DMF.

3) Смолу промывали 0,5% тригидратом диэтилдитиокарбамата натрия в DMF и 0,5% DIEA в DMF десять раз.

4) HATU (2 экв.) и DIEA (4 экв.) добавляли к смоле в DMF и перемешивали при барботировании N2 в течение 1 часа.

5) Смолу трижды промывали МеОН и сушили в вакууме.

Отщепление от смолы и очистка пептидов:

1) Добавляли буфер для отщепления от смолы (92,5%TFA/2,5%EDT/2,5%TIS/2,5%H2O) в колбу, содержащую пептид с защищенными боковыми цепями на смоле при комнатной температуре, и перемешивали в течение 3 часов.

2) Отфильтровывали смолу и собирали раствор пептида.

3) Пептид осаждали холодным трет-бутилметиловым эфиром и центрифугировали (3 мин при 3000 об/мин).

4) Остаток промывали трет-бутилметиловым эфиром (2 раза).

5) Неочищенный пептид сушили в вакууме в течение 2 часов.

6) Неочищенный пептид очищали с помощью препаративной ВЭЖХ. Условия препаративной ВЭЖХ: Прибор: Gilson 281. Растворитель: A - 0,1% TFA в H2O, B - ацетонитрил, Колонка: Luna C18 (200×25 мм; 10 мкм) и Gemini C18 (150×30 мм; 5 мкм) в серии. Градиент [время (мин)/растворитель B (%)]: 0,0/25, 60,0/55, 60,1/90, 70/90, 70,1/10, при 20 мл/мин с УФ-обнаружением (длина волны=215/254 нм), а затем лиофилизировали, получая Пример 1 (10,3 мг, выход 1,34%).

Способ b - на примере синтеза примера 105

Синтез пептидов

9) Добавляли DCM в сосуд, содержащий смолу Rink Amide MBHA (замещение: 0,35 ммоль/г, 0,15 ммоль, 0,42 г) и оставляли набухать в течение 2 часов.

10) Сливали воду, а затем промывали DMF (5 раз, сливали растворитель между каждой промывкой).

11) Добавляли раствор 20% пиперидина в DMF при перемешивании при барботировании N2 в течение 30 мин.

12) Сливали воду и промывали DMF (5 раз, сливали растворитель между каждой промывкой).

13) Добавляли раствор Fmoc-аминокислоты (3,0 эквивалента в DMF) и перемешивали в течение 30 секунд, затем добавляли активационный буфер (HBTU (2,85 эквивалента) и DIEA (6 эквивалентов) в DMF), перемешивали при барботировании N2 в течение 1 часа.

14) Реакцию связывания контролировали с помощью нингидринового теста.

15) При необходимости повторяли стадии с 4-й по 6-ю для связывания той же аминокислоты при неэффективном присоединении.

16) Повторяли стадии с 2-й по 6-ю для присоединения следующей аминокислоты.

Примечание: для кислот в таблице ниже использовались разные защитные группы и/или конденсирующие агенты.

Стадия Вещества Конденсирующие реагенты 1 Промежуточное соединение 5 (2,0 экв.) DIC (2,0 экв.) и HOBT (2,0 экв.) 16 Промежуточное соединение 8 (2,0 экв.) DIC (2,0 экв.) и HOBT (2,0 экв.) 25 Промежуточное соединение 2 (2,0 экв.) DIC (2,0 экв.) HOBT (2,0 экв.) 26 Промежуточное соединение 1 (1,5 экв.) DIC (1,5 экв.) HOBT (1,5 экв.)

10) Смолу пять раз промывали DMF и три раза МеОН, и сушили в вакууме.

Отщепление от смолы и очистка пептидов:

7) Добавляли буфер для отщепления от смолы (92,5%TFA/2,5%EDT/2,5%TIS/2,5%H2O) в колбу, содержащую пептид с защищенными боковыми цепями на смоле при комнатной температуре, и перемешивали в течение 3 часов.

8) Отфильтровывали смолу и собирали раствор пептида.

9) Пептид осаждали холодным трет-бутилметиловым эфиром и центрифугировали (3 мин при 3000 об/мин).

10) Остаток промывали трет-бутилметиловым эфиром (2 раза).

11) Неочищенный пептид сушили в вакууме в течение 2 часов.

12) Неочищенный пептид очищали с помощью препаративной ВЭЖХ. Условия препаративной ВЭЖХ: Прибор: Gilson 281. Растворитель: A - 0,1% TFA в H2O, B - ацетонитрил, Колонка: Luna C18 (200×25 мм; 10 мкм) и Gemini C18 (150×30 мм; 5 мкм) в серии. Градиент [время (мин)/растворитель B (%)]: 0,0/25, 60,0/55, 60,1/90, 70/90, 70,1/10, при 20 мл/мин с УФ-обнаружением (длина волны=215/254 нм), а затем лиофилизировали, получая Пример 24 (109,8 мг, выход 19,3%).

Таблица 2а - МС-ВР и ЖХ-МС свойства очищенных пептидов, представленных примерами 82-117

Пример Метод синтеза Масс-спектрометрия высокого разрешения (МС-ВР)
(Аналитический метод D)
ЖХ-МС/ВЭЖХ
(Аналитический метод B)
82 a МС-ВР (HESI/FT) m/z: [M+4H]4+ Расчетн. C181H278N46O46 3828,0515; найден. 958,0243 m/z 958,2 [M+4H]4+, RT=10,69 мин 83 a МС-ВР (HESI/FT) m/z: [M+3H]3+ Расчетн. C175H270N45O49 3782,9785; найден. 1262,0046 m/z 946,8 [M+4H]4+, RT=12,19 мин 84 a МС-ВР (HESI/FT) m/z: [M+4H]4+ Расчетн. C178H279N43O51 3831,0247; найден. 958,7668 m/z 959,0 [M+4H]4+, RT=11,33 мин 85 a МС-ВР (HESI/FT) m/z: [M+4H]4+ Расчетн. C176H275N43O50 3786,9985; найден. 947,7603 m/z 947,9 [M+4H]4+, RT=11,65 мин 86 a МС-ВР (HESI/FT) m/z: [M+4H]4+ Расчетн. C171H273N43O51 3740,9778; найден. 936,2551 m/z 1248,4 [M+3H]3+, RT=10,54 мин 87 a МС-ВР (HESI/FT) m/z: [M+4H]4+ Расчетн. C175H271N43O52 3802,957; найден. 951,7492 m/z 952,1 [M+4H]4+, RT=12,91 мин 88 a МС-ВР (HESI/FT) m/z: [M+4H]4+ Расчетн. C174H269N43O52 3788,9414; найден. 948,2462 m/z 948,5 [M+4H]4+, RT=9,69 мин 89 a МС-ВР (HESI/FT) m/z: [M+4H]4+ Расчетн. C173H266N42O53 3775,9097; найден. 944,9882 m/z 945,2 [M+4H]4+, RT=10,60 мин 90 a МС-ВР (HESI/FT) m/z: [M+4H]4+ Расчетн. C175H272N42O51 3775,9097; найден. 944,5023 m/z 944,5 [M+4H]4+, RT=14,42 мин 91 a МС-ВР (HESI/FT) m/z: [M+4H]4+ Расчетн. C179H272N46O48 3829,9944; найден. 958,5097 m/z 1278,0 [M+3H]3+, RT=12,20 мин 92 a МС-ВР (HESI/FT) m/z: [M+4H]4+ Расчетн. C172H264N42O53 3761,894; найден. 941,4835 m/z 941,8 [M+4H]4+, RT=11,15 мин 93 a МС-ВР (HESI/FT) m/z: [M+4H]4+ Расчетн. C177H277N43O50 3801,0142; найден. 951,2633 m/z 951,7 [M+4H]4+, RT=10,72 мин 94 a МС-ВР (HESI/FT) m/z: [M+4H]4+ Расчетн. C173H275N43O52 3782,9883; найден. 946,7572 m/z 1262,4 [M+3H]3+, RT=10,33 мин 95 a МС-ВР (HESI/FT) m/z: [M+3H]3+ Расчетн. C177H266N45O49 3802,947; найден. 1268,6602 m/z 1269,5 [M+3H]3+, RT=13,26 мин 96 a МС-ВР (HESI/FT) m/z: [M+3H]3+ Расчетн. C178H268N45O49 3816,9629; найден. 1273,3316 m/z 1273,7 [M+3H]3+, RT=10,38 мин 97 a МС-ВР (HESI/FT) m/z: [M+4H]4+ Расчетн. C174H269N43O52 3788,9414; найден. 948,2459 m/z 1264,3 [M+3H]3+, RT=12,93 мин 98 a МС-ВР (HESI/FT) m/z: [M+3H]3+ Расчетн. C173H264N41O53 3760,8989; найден. 1254,6640 m/z 1254,8 [M+3H]3+, RT=11,56 мин 99 a МС-ВР (HESI/FT) m/z: [M+4H]4+ Расчетн. C176H275N41O51 3774,9873; найден. 944,7565 m/z 1259,6 [M+3H]3+, RT=14,37 мин 100 a МС-ВР (HESI/FT) m/z: [M+4H]4+ Расчетн. C175H273N41O51 3760,9717; найден. 941,2530 m/z 1254,9 [M+3H]3+, RT=11,68 мин 101 a МС-ВР (HESI/FT) m/z: [M+4H]4+ Расчетн. C175H272N42O51 3773,9668; найден. 944,5030 m/z 1259,2 [M+3H]3+, RT=13,27 мин 102 a ND m/z 1260,0 [M+3H]3+, RT=14,58 мин 103 a МС-ВР (HESI/FT) m/z: [M+3H]3+ Расчетн. C172H263N42O53 3761,894; найден. 1253,9754 m/z 1255,3 [M+3H]3+, RT=14,15 мин 104 b МС-ВР (HESI/FT) m/z: [M+4H]4+ Расчетн. C180H281N43O50 3841,0454; найден. 961,2712 m/z 961,7 [M+4H]4+, RT=12,18 мин 105 b МС-ВР (HESI/FT) m/z: [M+3H]3+ Расчетн. C175H267N46O49 3793,958; найден. 1265,6650 m/z 1266,1 [M+3H]3+, RT=13,55 мин 106 b МС-ВР (HESI/FT) m/z: [M+3H]3+ Расчетн. C173H262N45O50 3766,9106; найден. 1256,6490 m/z 1256,9 [M+3H]3+, RT=12,15 мин 107 b МС-ВР (HESI/FT) m/z: [M+3H]3+ Расчетн. C174H264N45O50 3780,9265; найден. 1261,3203 m/z 1261,7 [M+3H]3+, RT=15,55 мин 108 b МС-ВР (HESI/FT) m/z: [M+3H]3+ Расчетн. C175H268N45O47 3748,9729; найден. 1250,6702 m/z 1251,2 [M+3H]3+, RT=13,59 мин 109 b МС-ВР (HESI/FT) m/z: [M+3H]3+ Расчетн. C173H262N45O49 3750,9158; найден. 1251,3169 m/z 1251,6 [M+3H]3+, RT=12,52 мин 110 b МС-ВР (HESI/FT) m/z: [M+4H]4+ Расчетн. C177H273N43O52 3828,9727; найден. 958,2533 m/z 1277,9 [M+3H]3+, RT=8,06 мин 111 b МС-ВР (HESI/FT) m/z: [M+4H]4+ Расчетн. C174H275N43O51 3778,9934; найден. 945,7591 m/z 1261,0 [M+3H]3+, RT=10,42 мин 112 b МС-ВР (HESI/FT) m/z: [M+4H]4+ Расчетн. C174H278N44O49 3764,03; найден. 942,0182 m/z 1256,2 [M+3H]3+, RT=13,70 мин 113 b МС-ВР (HESI/FT) m/z: [M+4H]4+ Расчетн. C176H271N43O51 3798,9622; найден. 950,7509 m/z 1267,6 [M+3H]3+, RT=14,43 мин 114 b МС-ВР (HESI/FT) m/z: [M+3H]3+ Расчетн. C179H269N46O47 3811,9839; найден. 1271,6720 m/z 1272,2 [M+3H]3+, RT=10,81 мин 115 b МС-ВР (HESI/FT) m/z: [M+3H]3+ Расчетн. C180H271N46O47 3825,9995; найден. 1276,3429 m/z 1277,1 [M+3H]3+, RT=10,95 мин 116 b МС-ВР (HESI/FT) m/z: [M+3H]3+ Расчетн. C182H275N44O48 3842,0195; найден. 1281,6846 m/z 1282,0 [M+3H]3+, RT=11,25 мин 117 b МС-ВР (HESI/FT) m/z: [M+3H]3+ Расчетн. C163H248N41O44 3480,8193; найден. 1161,2830 m/z 1161,3 [M+3H]3+, RT=12,13 мин

ND - не определено.

Биологическая активность

Следующие примеры представлены для иллюстрации предпочтительных аспектов изобретения и не предназначены для ограничения объема изобретения.

Пример A. Фармакологическая характеристика пептидов in vitro - функциональный агонизм рецепторов GLP2 или GLP1 человека, анализ накопления цАМФ

Продукцию цАМФ при стимуляции агонистом рецептора GLP2 или GLP1 человека оценивали с использованием набора HiRange cAMP (Cisbio). Кратко, клетки НЕК инфицировали вирусами системы BacMam для экспрессии рецептора GLP2 или GLP1 человека в течение 24 часов и замораживали для последующего использования в анализе. В день анализа различные концентрации соединений распределяли с помощью ECHO-555 (LabCyte) до общего объема 100 нл в 384-луночные планшеты Proxi малого объема (Perkin Elmer) с последующим добавлением 10 мкл клеточной суспензии, внося по 800 тыс. клеток на лунку. Клетки подготавливали в буфере для анализа (HBSS (Lonza) с добавлением 0,5 мМ IBMX (Tocris)). После 45-минутной инкубации при 37°C реакцию останавливали добавлением реагентов для обнаружения HTRF в буфере для лизиса, входящем в комплект. После 1-часовой инкубации при комнатной температуре планшеты считывали на Pherastar FS (BMG Labtech, Inc.). Программное обеспечение Dotmatics Studies использовали для расчета значений pEC50 путем апроксимации данных на четырехпараметрической кривой доза-эффект.

Эксендин-4 и лираглутид использовали в качестве эталонных соединений для активации рецептора GLP-1, тогда как тедуглутид и FE-203799 использовали в качестве эталонных соединений для активации рецептора GLP-2.

Пример Агонизм в отношении
GLP-1R человека по накоплению цАМФ
Агонизм в отношении
GLP-2R человека по накоплению цАМФ
pEC50 Eмакс pEC50 Eмакс Тедуглутид 6,5 60,3 11,8 100,6 FE-203799 6,8 61,4 10,8 100,8 Эксендин-4 12,4 99,7 <8,1 1,6 Лираглутид 11,5 97 <6,1 1 1 9,1 90,1 9,4 103,1 2 9,4 92,5 10,5 103,2 3 9,7 94,7 9,2 95,4 4 9,3 94,7 11,0 103,4 5 9,7 92,5 9,9 103,7 6 7,1 91,3 9,3 102,7 7 7,8 72,7 9,4 103,3 8 9,3 90,8 9,9 102,9 9 8,2 62,5 10,0 104,0 10 8,5 60,4 10,2 105,1 11 9,6 95,3 10,1 105,0 12 9,6 94,5 10,3 105,3 13 9,6 92,5 10,5 104,1 14 9,4 93,0 10,5 103,8 15 10,1 98,2 10,8 103,5 16 9,2 94,1 9,6 103,8 17 9,8 96,3 10,4 103,8 18 10,0 97,8 10,8 104,2 19 9,6 95,4 11,0 103,4 20 8,8 84,1 10,3 104,2 21 10,3 96,6 10,8 104,1 22 9,4 92,7 11,1 103,7 23 9,1 94,3 10,6 102,2 24 9,7 96,8 11,1 102,6 25 10,5 97,6 10,6 103,0 26 9,8 97,1 10,8 102,9 27 9,6 97,1 10,2 99,3 28 10,1 96,0 9,5 99,6 29 10,3 96,2 10,5 103,1 30 10,3 96,7 10,6 103,7 31 10,8 98,3 10,4 103,4 32 10,6 97,8 9,1 91,3 33 10,6 98,1 10,5 102,5 34 8,9 88,0 9,7 101,7 35 9,1 94,5 9,7 102,8 36 10,5 97,1 10,5 103,7 37 10,4 97,0 10,6 103,4 38 9,3 88,8 10,9 104,9 39 9,4 92,6 9,7 105,2 40 9,3 89,9 11,2 105,3 41 9,6 95,3 9,1 97,6 42 9,7 94,1 9,4 96,4 43 9,2 95,2 9,4 104,8 44 9,7 96,1 9,2 103,5 45 9,7 96,5 10,3 103,6 46 9,9 97,8 10,6 104,8 47 9,5 93,6 9,8 104,4 48 10,8 98,7 11,1 101,3 49 10,9 98,9 10,9 102,1 50 10,0 98,3 10,6 102,3 51 9,9 97,8 10,9 102,9 52 11,6 98,8 11,0 101,5 53 11,3 99,5 10,7 101,6 54 9,2 88,8 10,5 101,4 55 10,3 97,9 11,0 103,1 56 10,2 97,3 10,9 102,6 57 8,9 91,6 10,5 102,4 58 8,3 62,8 10,2 101,8 59 9,7 95,2 10,7 103,1 60 9,8 96,5 10,8 102,4 61 8,5 69,1 10,5 101,4 62 8,4 71,5 10,4 102,6 63 9,0 96,9 10,0 99,7 64 10,6 98,0 10,4 103,6 65 10,4 97,9 10,4 102,1 66 8,8 88,1 9,6 101,0 67 9,1 95,1 9,8 103,0 68 9,5 94,0 10,1 103,1 69 8,2 83,7 9,3 95,0 70 10,4 98,2 9,4 97,4 71 10,6 98,2 10,6 102,6 72 9,5 95,7 9,5 100,9 73 8,7 87,2 9,3 100,0 74 9,2 90,9 10,8 101,6 75 9,2 95,0 10,4 102,3 76 9,0 94,9 10,9 102,0 77 9,3 97,1 10,2 102,1 78 9,6 95,5 10,6 103,0 79 9,6 97,3 10,5 102,9 80 8,4 64,1 9,7 99,9 81 8,5 56,1 9,2 91,6 82 7,9 94,5 10,1 104,5 83 9,2 98,1 9,6 103,4 84 8,0 87,3 10,3 103,2 85 7,9 95,2 10,5 103,0 86 7,6 93,5 10,6 102,8 87 8,6 98,7 11,6 102,0 88 8,9 99,2 11,5 102,3 89 8,5 99,6 11,6 102,5 90 8,1 100,2 10,6 102,1 91 9,6 98,8 11,0 103,9 92 8,0 96,5 11,7 99,3 93 8,4 95,3 11,3 98,6 94 8,3 92,6 11,0 103,1 95 8,4 97,0 11,1 102,1 96 9,3 96,4 11,2 100,6 97 9,5 96,6 11,5 101,0 98 7,7 96,0 11,2 101,3 99 8,6 97,1 11,3 101,4 100 9,1 96,0 11,3 100,0 101 7,9 96,7 10,5 100,8 102 7,7 99,3 11,9 100,9 103 8,7 97,0 11,8 100,4 104 8,4 88,3 9,3 102,4 105 10,6 97,4 10,6 100,9 106 9,5 97,2 9,3 102,1 107 10,7 96,9 10,7 101,4 108 8,4 92,1 9,3 104,1 109 10,6 97,0 11,1 102,5 110 8,4 88,1 10,8 103,0 111 9,1 93,2 9,2 104,2 112 8,0 92,6 9,8 102,1 113 8,7 97,0 11,5 101,0 114 8,5 89,1 10,7 102,1 115 9,3 92,0 10,7 104,4 116 9,5 94,4 11,1 102,8 117 9,9 94,7 11,5 103,4

Пример B. Фармакологическая характеристика пептидов in vitro - функциональный агонизм мышиных рецепторов GLP2 или GLP1, анализ накопления цАМФ

Продукцию цАМФ при агонистической стимуляции рецепторов GLP2 или GLP1 мыши оценивали с использованием набора HiRange cAMP (Cisbio). Кратко, клетки НЕК транзиентно трансфицировали кДНК в течение 24 часов с использованием реагента для трансфекции GeneJuice (EMD Millipore) и замораживали при -80°C для последующего использования в анализе. В день анализа различные концентрации соединений распределяли с помощью ECHO-555 (LabCyte) до общего объема 100 нл в 384-луночный планшет Proxi малого объема (Perkin Elmer) с последующим добавлением 10 мкл клеточной суспензии, внося по 8000 клеток на лунку. Клетки подготавливали в буфере для анализа (HBSS (Lonza) с добавлением 0,5 мМ IBMX (Tocris)). После 45-минутной инкубации при 37°C реакцию останавливали добавлением реагентов для обнаружения HTRF в буфере для лизиса, входящем в комплект. После 1-часовой инкубации при комнатной температуре планшеты считывали на Pherastar FS (BMG Labtech, Inc.). Программное обеспечение Dotmatics Studies использовали для расчета значений pEC50 путем апроксимации данных на четырехпараметрической кривой доза-эффект.

Лираглутид использовали в качестве эталонного соединения для активации рецептора GLP-1, тогда как тедуглутид и FE-203799 использовали в качестве эталонного соединения для активации рецептора GLP-2.

Пример Агонизм в отношении
GLP-1R мыши по накоплению цАМФ
Агонизм в отношении
GLP-2R мыши по накоплению цАМФ
pEC50 Емакс pEC50 Емакс Тедуглутид <6,1 1 11,1 100,1 FE-203799 <7,3 53,4 10,5 98,1 Лираглутид 11,4 97,9 <6,1 1,6 1 9,9 91,5 8,0 97,7 2 10,4 94,3 9,0 91,6 19 ND ND 9,1 100,6 22 ND ND 8,8 94,5 26 ND ND 8,5 86,4 29 ND ND 8,3 100,0 30 ND ND 8,9 101,3 31 ND ND 9,8 101,9 38 ND ND 8,5 99,0 40 ND ND 8,9 99,6 46 ND ND 8,0 100,8 48 ND ND 10,2 102,9 49 ND ND 9,6 101,74 50 ND ND 8,1 81,0 51 ND ND 8,4 87,8 52 ND ND 9,7 103,1 53 ND ND 9,2 103,1 55 ND ND 9,5 100,6 56 ND ND 9,2 98,6 59 ND ND 9,3 102,7 60 ND ND 9,1 102,5 64 ND ND 8,7 99,7 65 ND ND 8,2 86,3 71 ND ND 8,7 89,71 74 ND ND 8,8 93,6 75 ND ND 8,2 81,9 76 ND ND 8,9 102,5 77 ND ND 8,5 102,2 78 ND ND 8,7 83,1 79 ND ND 8,5 74,2 87 9,2 91,4 11,2 99,2 88 10,0 96,4 11,2 98,7 89 9,1 94,5 11,2 98,4 92 8,0 94,8 10,9 98,9 93 8,6 95,5 9,6 98,5 95 8,3 94,7 11,1 102,1 96 9,1 96,1 9,1 100,7 102 ND ND 10,7 99,0 112 ND ND 8,2 99,7 113 8,8 96,3 9,7 99,2 116 9,7 95,5 9,5 99,9 117 10,1 96,9 9,8 99,3

ND - не определено.

Пример C: фармакологическая характеристика пептидов in vitro - оценка стабильности пептидов в тощаковой Искусственной кишечной жидкости

Стабильность пептидов тестировали в тощаковой Искусственной кишечной жидкости (FaSSIF), приготовленной в соответствии с протоколом производителя (Biorelevant, арт. № FFF01, pH 6,5). Состав FaSSIF: 3 мМ таурохолата натрия, 0,75 мМ лецитина, 105,9 мМ NaCl, 28,4 мМ Na2HPO4, 8,7 мМ NaOH и 10 мг/мл панкреатина (Sigma). FaSSIF предварительно инкубировали в течение 15 мин при 3°C и добавляли рабочие растворы тестируемого и эталонного образца. Эксперименты проводились в двух повторах одномоментно. Общий инкубационный объем на повтор составлял 150 мкл. Временные точки (t) отбора образцов для тестируемых соединений составляли 0, 0,5, 2, 5, 10, 15 и 30 мин. Все образцы и калибровочные стандарты (приготовленные в FaSSIF) осаждали добавлением 300 мкл осадителя (ACN/2% уксусная кислота/0,2% HFBA, (реактив для осаждения, PR)), содержащего внутренний стандарт (ISTD), к 150 мкл образца. После инкубации в течение 1 ч при комнатной температуре все образцы центрифугировали в течение 10 мин при 2200 g (комнатная температура). Перед проведением ЖХ-МС образцы разводили 1:1 в буфере PBS, чтобы снизить содержание органического растворителя в образцах до 33%.

% соединения, оставшегося при t=30 мин, представлен ниже. Нейротензин был включен в качестве эталонного соединения.

Пример % оставшегося соединения в FASSIF (при t=30) Нейротензин 0-2,7 Тедуглутид 1,7 1 5 2 11 4 4,3 10 3,8 11 22,3 12 10,7 13 3,8 14 17,1 15 15,8 17 68,7 18 17,3 19 12,2 20 8,6 21 51,7 22 6,8 30 51,1 38 61,3 39 100 40 68,7 45 95,3 46 95,3 48 80,2 59 61,9 60 62,5

% соединения, оставшегося при t=15 мин, приведен ниже. Нейротензин был включен в качестве эталонного соединения.

Пример % оставшегося соединения t=15 мин (FassIF) Нейротензин 1,2 Тедуглутид 1,2 86 5,1 87 1,7 88 0,5 89 10,5 90 22 91 8,8 93 13,5 105 1,6 106 9,6 107 7,4 109 4,6 110 5 111 26,9 112 40,7 113 3,4

Пример D: фармакологическая характеристика пептидов in vitro - оценка стабильности пептидов в тощаковой Искусственной желудочной жидкости

Стабильность пептидов тестировали в тощаковой Искусственной желудочной жидкости (FaSSGF), приготовленной в соответствии с протоколом производителя (Biorelevant, арт. № FFF01). Состав FaSSGF: 0,08 мМ таурохолата натрия, 0,02 мМ лецитина, 34,2 мМ NaCl, 25,1 мМ HCL и 0,1 мг/мл пепсина (Sigma). pH подводили до 1,6. FaSSGF предварительно инкубировали в течение 15 мин при 37°C и добавляли рабочие растворы тестируемого и эталонного образца. Эксперименты проводились в двух повторах одномоментно. Общий инкубационный объем на повтор составлял 150 мкл. Временные точки (t) отбора образцов для тестируемых соединений и эталонного образца нейротензина составляли 0, 0,5, 2, 5, 10, 15 и 30 мин. Все образцы и калибровочные стандарты (приготовленные в FaSSGF) осаждали добавлением 300 мкл осадителя (ACN/2% уксусная кислота/0,2% HFBA, (реактив для осаждения, PR)), содержащего внутренние стандарты (ISTD), к 150 мкл образца. После инкубации в течение 1 ч при комнатной температуре все образцы центрифугировали в течение 10 мин при 2200 g (комнатная температура). Перед проведением ЖХ-МС образцы разводили 1:1 в буфере PBS, чтобы снизить содержание органического растворителя в образцах до 33%.

% соединения, оставшегося при t=30 мин, представлен ниже. Нейротензин был включен в качестве эталонного соединения.

Пример % оставшегося соединения в FASSGF (при t=30) Нейротензин 22 Тедуглутид 9.2 2 34 30 100 38 100 39 100 40 84,9 45 100 46 100 48 100 59 100 60 100

Пример E: фармакологическая характеристика пептидов in vitro - оценка стабильности пептидов в кишечной жидкости крыс

Пептиды тестировали на стабильность in vitro в нативной кишечной жидкости, полученной из тонкой кишки крыс. Жидкость тонкого кишечника крыс Sprague Dawley (ratIF) (из Biotrend, арт. № RSD-SIF-MI-30ML, неразбавленная) предварительно инкубировали в течение 15 минут при 37°C и добавляли рабочие растворы тестируемого и эталонного образца. Эксперименты проводились в двух повторах одномоментно. Общий инкубационный объем на повтор составлял 150 мкл. Временные точки (t) отбора образцов для тестируемых соединений и эталонного образца нейротензина составляли 0, 0,5, 2, 5, 10, 15 и 30 мин. Все образцы и калибровочные стандарты (приготовленные в ratIF) осаждали добавлением 300 мкл осадителя (ACN/2% уксусная кислота/0,2% HFBA, (реактив для осаждения, PR)), содержащего внутренние стандарты (ISTD), к 150 мкл образца. После инкубации в течение 1 ч при комнатной температуре все образцы центрифугировали в течение 10 мин при 2200 g (комнатная температура). Полученные образцы переносили во флаконы автоматического пробоотборника и впоследствии проводили анализ ЖХ-МС.

% соединения, оставшегося при t=30 мин, представлен ниже. Нейротензин был включен в качестве эталонного соединения.

Пример % оставшегося соединения в ratIF (при t=30) Нейротензин 0,4 Тедуглутид 1,3 2 22,5 27 11 29 41,3 31 24,8 36 23,3 37 26,8 38 33,4 39 12,7 40 14,7 45 62,4 48 100 51 66,9 55 64,9 57 79,9 59 63,6 60 89,6 71 73,8 72 82,8 74 71,2

% соединения, оставшегося при t=15 мин, приведен ниже. Нейротензин был включен в качестве эталонного соединения.

Пример % оставшегося соединения t=15 мин (ratIF) Нейротензин 0,1 Тедуглутид 5,7 112 24,5

Похожие патенты RU2836443C1

название год авторы номер документа
АГОНИСТЫ РЕЦЕПТОРОВ GLP 2021
  • Браун, Джайлз Альберт
  • Конгрив, Майлз Стюарт
  • Скалли, Конор
  • Пол, Ребекка
  • Бортолато, Андреа
RU2838225C1
ПЕПТИДНЫЕ ЛЕКАРСТВЕННЫЕ ПРЕПАРАТЫ С ПОВЫШЕННОЙ ЭФФЕКТИВНОСТЬЮ ПРОТИВ ИНСУЛИНОРЕЗИСТЕНТНОСТИ 2012
  • Нестор Джон Дж.
RU2602801C2
НОВЫЕ АНАЛОГИ ГЛЮКАГОНА 2011
  • Лау Еспер Ф.
  • Крусе Томас
  • Линдерот Ларс
  • Тёгерсен Хеннинг
RU2559320C2
СОЕДИНЕНИЯ 2016
  • Дин Сяо
  • Цзинь Юнь
  • Лю Цянь
  • Жэнь Фэн
  • Сан Инся
  • Стази Луиджи Пьеро
  • Вань Цзехун
  • Ван Хайлун
  • Син Вэйцян
  • Чжань Ян
  • Цао Бовей
RU2725616C2
ПЕПТИДНЫЙ АНАЛОГ АЦИЛИРОВАННОГО ОКСИНТОМОДУЛИНА 2018
  • Янг, Джэ-Сунг
  • Ли, Кайунг-Сеок
  • Чэ, Ю-На
  • Баек, Гайе-Рим
  • Ким, Тае-Хайонг
  • Юнг, Илл-Хун
  • Рю, Чэ-Лим
  • Им, Веон-Бин
RU2752787C1
СОЕДИНЕНИЯ БЕНЗОТИАЗЕПИНА И ИХ ПРИМЕНЕНИЕ В КАЧЕСТВЕ МОДУЛЯТОРОВ ЖЕЛЧНЫХ КИСЛОТ 2020
  • Йиллберг Пер-Йёран
  • Старке Ингемар
  • Кулкарни Сантош С.
RU2838460C1
СОЕДИНЕНИЯ БЕНЗОТИА(ДИ)АЗЕПИНА И ИХ ПРИМЕНЕНИЕ В КАЧЕСТВЕ МОДУЛЯТОРОВ ЖЕЛЧНЫХ КИСЛОТ 2020
  • Йиллберг Пер-Йёран
  • Старке Ингемар
  • Кулкарни Сантош С.
RU2827704C1
КОНЪЮГАТЫ АНТИТЕЛА И ЛЕКАРСТВЕННОГО СРЕДСТВА (ADC) И КОНЪЮГАТЫ АНТИТЕЛА И ПРОЛЕКАРСТВА (APDC), СОДЕРЖАЩИЕ ФЕРМЕНТАТИВНО РАСЩЕПЛЯЕМЫЕ ГРУППЫ 2016
  • Лерхен Ханс-Георг
  • Ребсток Анне-Софи
  • Канчо-Гранде Йоланда
  • Маркс Лео
  • Штельте-Людвиг Беатрикс
  • Терюнг Карстен
  • Малерт Кристоф
  • Гревен Зимоне
  • Зоммер Анетте
  • Берндт Зандра
RU2751512C2
АНАЛОГИ ГЛЮКАГОНА, ОБЛАДАЮЩИЕ ПОВЫШЕННОЙ РАСТВОРИМОСТЬЮ И СТАБИЛЬНОСТЬЮ В БУФЕРАХ С ФИЗИОЛОГИЧЕСКИМИ ЗНАЧЕНИЯМИ Ph 2009
  • Димарчи Ричард Д.
  • Смайли Дэвид Л.
  • Димарчи Мария
  • Чабенне Джозеф
  • Дей Джонатан
RU2560254C2
КОНЪЮГАТ АНТИТЕЛО-ПРОИЗВОДНОЕ ПИРРОЛОБЕНЗОДИАЗЕПИНА 2018
  • Тода, Нарихиро
  • Ота, Юсуке
  • Дои, Фуминао
  • Мегуро, Масаки
  • Хаякава, Итиро
  • Асида, Синцзи
  • Масуда, Такеси
  • Накада, Такаси
  • Ивамото, Мицухиро
  • Харада, Наоя
  • Тераути, Томоко
  • Окацзима, Дайсуке
  • Накамура, Кенсуке
  • Утида, Хироаки
  • Хамада, Хирофуми
RU2820928C2

Реферат патента 2025 года ПЕРОРАЛЬНЫЕ АГОНИСТЫ РЕЦЕПТОРОВ GLP

Группа изобретений относится к новым агонистам рецептора GLP-1 и/или GLP-2. Раскрыто соединение, содержащее последовательность формулы (1a) или формулы (1b):

или

где S, T, W, Z, AA1, AA2, AA3, AA4, AA5, AA6, AA7, AA8, AA9, AA10, AA11, AA12, AA13, AA14, AA15, A16, AA17, AA18, AA19, AA20, AA21, AA22, Sa, Ta, Wa, Xa, Ya, Za, AA1a, AA2a, AA3a, AA4a, AA5a, AA6a, AA7a, AA8a, AA9a, AA10a, AA11a, AA12a, AA13a, AA14a, AA15a, A16a, R, R1 и R2 определены в формуле изобретения, или его таутомерная или стереохимически изомерная форма, или его пролекарство, соль или цвиттерион. Также раскрыта Фармацевтическая композиция, обладающая активностью агониста рецептора GLP-1 и/или GLP-2. Группа изобретений обеспечивает лечение, предотвращение, облегчение, контроль или снижение риска нарушений, связанных с рецепторами глюкагоноподобного пептида (GLP). 2 н. и 20 з.п. ф-лы, 5 пр., 3 табл.

Формула изобретения RU 2 836 443 C1

1. Соединение, содержащее последовательность формулы (1a) или формулы (1b):

или

где:

R выбирают из:

или ;

Q представляет собой фенил или моноциклическое гетероарильное кольцо, каждое из которых необязательно может быть замещено одной или несколькими группами Rq;

Rq выбирают из галогена, гидроксила, аминогруппы или C1-6-алкила, имеющего алкильную цепь, необязательно содержащую один или несколько гетероатомов, выбранных из O, N или S;

n представляет собой 1-3;

R1 и R2 независимо выбирают из водорода или C1-6-алкильной группы, или вместе с углеродом, к которому они присоединены, соединяются с образованием C3-8-циклоалкильной или гетероциклической группы;

S представляет собой последовательность -Glu-Nle-;

T представляет собой последовательность -Phe-Ile-;

W представляет собой последовательность -Trp-Leu-Ile-;

Z отсутствует или представляет собой -Pro-;

AA1 представляет собой -NHCHR3CO-; где R3 выбирают из -(CH2)yCONH2, -(CH2)yCOOH или -(CH2)yтетразолила; где у представляет собой 1 или 2;

AA2 представляет собой -Gly-, -DAla-, -Lys-, необязательно присоединенный к AA5 через лактамный мостик, или -Glu-, необязательно присоединенный к AA5 через лактамный мостик;

AA3 представляет собой -Ser-Phe- или -Ser-2-F-α-Me-Phe-;

AA4 представляет собой -Ser- или -Glu-, необязательно присоединенный к AA6 через лактамный мостик;

AA5 представляет собой -Asp-, необязательно присоединенный к AA2 через лактамный мостик, или -Lys-, необязательно присоединенный к AA2 или AA7 через лактамный мостик;

AA6 представляет собой -D-Phe-, -D-α-Me-Phe- или -Lys-, необязательно присоединенный к AA10 через лактамный мостик;

AA7 представляет собой -Asp-, необязательно присоединенный к AA5 через лактамный мостик, -Glu-, необязательно присоединенный к AA10 через лактамный мостик, или -Lys-, необязательно присоединенный к AA10 через лактамный мостик;

AA8 - это -Ile- или -α-Me-Leu-;

AA9 представляет собой -Leu-Asp- или -Leu-ACPC-;

AA10 представляет собой -Asp-, необязательно присоединенный к AA7 или AA14 через лактамный мостик, -Glu-, необязательно присоединенный к AA7 или AA14 через лактамный мостик, или -Lys-, необязательно присоединенный к AA7 через лактамный мостик;

AA11 представляет собой -LysR-, где LysR представляет собой N-замещенный остаток лизина, -Glu-, необязательно присоединенный к AA14 через лактамный мостик, или -Lys-, необязательно присоединенный к AA15 через лактамный мостик;

AA12 представляет собой -Ala- или -AIB-;

AA13 представляет собой -Ala- или -AIB-;

AA14 представляет собой -AIB- или представляет собой -Lys-, необязательно присоединенный к AA10 или AA11 через лактамный мостик;

AA15 представляет собой -Asp-, необязательно присоединенный к AA11 через лактамный мостик, или -Glu-, необязательно присоединенный к AA16 через лактамный мостик;

AA16 представляет собой -Asn-, -ACPC-, -Lys-, необязательно присоединенный к AA17 через лактамный мостик, или -Glu-, необязательно присоединенный к AA17 через лактамный мостик;

AA17 представляет собой -Gln-, -ACPC-, -Lys-, необязательно присоединенный к AA16 через лактамный мостик, или -Glu-, необязательно присоединенный к AA16 через лактамный мостик;

AA18 представляет собой -Thr-, -Lys-, необязательно присоединенный к AA22 через лактамный мостик, или -Glu-, необязательно присоединенный к AA22 через лактамный мостик;

AA19 представляет собой -Pro-, -PIPALA-, -Lys- или -Glu-, необязательно присоединенный к AA22 через лактамный мостик;

AA20 отсутствует или представляет собой -Ile-, -α-Me-Leu- или -Pro-;

AA21 отсутствует или представляет собой -Thr-;

AA22 отсутствует или представляет собой -Lys-, необязательно присоединенный к AA18 или AA19 через лактамный мостик, или -Glu-, необязательно присоединенный к AA18 через лактамный мостик;

Sa представляет собой последовательность -Ser-Phe-;

Ta представляет собой последовательность -Glu-Nle-;

Wa представляет собой последовательность -Ala-Ala-;

Ха представляет собой последовательность -Asp-Phe-Ile-;

Ya представляет собой последовательность -Trp-Leu-Ile-;

Za отсутствует или представляет собой последовательность -Ile-Thr-;

AA1a представляет собой -NHCHR3CO-; где R3 выбирают из -(CH2)yCONH2, -(CH2)yCOOH или -(CH2)yтетразолила; где у представляет собой 1 или 2;

AA2a представляет собой -Gly-, -DAla-, -Lys-, необязательно присоединенный к AA4a через лактамный мостик, или -Glu-, необязательно присоединенный к AA4a через лактамный мостик;

AA3a представляет собой -Ser- или представляет собой -Glu-, необязательно присоединенный к AA5a через лактамный мостик;

AA4a представляет собой -Asp-, необязательно присоединенный к AA2a через лактамный мостик, или -Lys-, необязательно присоединенный к AA2a или AA6a через лактамный мостик;

AA5a представляет собой -DPhe-, -Asp-, необязательно присоединенный к AA8a через лактамный мостик, или -Lys-, необязательно присоединенный к AA3a через лактамный мостик;

AA6a представляет собой -Thr-, -Asp- необязательно присоединенный к AA4a или AA9a через лактамный мостик, -Glu- необязательно присоединенный к AA9a через лактамный мостик, или -Lys-, необязательно присоединенный к AA9a через лактамный мостик;

AA7a представляет собой -Ile- или остаток α-метиллейцина формулы:

AA8a представляет собой -Asp- или представляет собой -Lys-, необязательно присоединенный к AA5a через лактамный мостик;

AA9a представляет собой -Leu-, -Lys-, необязательно присоединенный к AA6a или AA11a через лактамный мостик, -Asp-, необязательно присоединенный к AA6a или AA11a через лактамный мостик, или -Glu-, необязательно присоединенный к AA11a через лактамный мостик;

AA10a представляет собой -Lys- или представляет собой -Glu-, необязательно присоединенный к AA11a через лактамный мостик;

AA11a представляет собой -Aib-, -Lys-, необязательно присоединенный к AA9a или AA10a через лактамный мостик, -Glu-, необязательно присоединенный к AA9a через лактамный мостик, или -Asp-, необязательно присоединенный к AA9a через лактамный мостик;

AA12a представляет собой -Asn-, -Glu-, необязательно присоединенный к AA13a через лактамный мостик, или -Lys-, необязательно присоединенный к AA13a через лактамный мостик;

AA13a представляет собой -Gln-, -Asp-, необязательно присоединенный к AA12a через лактамный мостик, или -Lys-, необязательно присоединенный к AA12a через лактамный мостик;

AA14a представляет собой -Thr- или представляет собой -Lys-, необязательно присоединенный к AA16a через лактамный мостик;

AA15a представляет собой -Lys-, необязательно присоединенный к AA16a через лактамный мостик, или -Glu-, необязательно присоединяемый к AA16a через лактамный мостик;

AA16a отсутствует или представляет собой -Asp-, -Phe-, -Lys-, необязательно присоединенный к AA15a через лактамный мостик, или -Glu-, необязательно присоединенный к AA14a или AA15a через лактамный мостик;

где С-конец представляет собой карбоксильную группу или карбоксамидную группу, или примыкает к любой природной или неприродной аминокислотной последовательности или любому другому фрагменту, функциональной группе или группам, и где соединение содержит один, два, три, четыре или пять лактамных мостиков;

или его таутомерная или стереохимически изомерная форма, или его пролекарство, соль или цвиттерион.

2. Соединение по п. 1 формулы (1а):

где:

R выбирают из:

или

Q представляет собой фенил или моноциклическое гетероарильное кольцо, каждое из которых необязательно может быть замещено одной или несколькими группами Rq;

Rq выбирают из галогена, гидроксила, аминогруппы или C1-6-алкила, имеющего алкильную цепь, необязательно содержащую один или несколько гетероатомов, выбранных из O, N или S;

n представляет собой 1-3;

R1 и R2 независимо выбирают из водорода или C1-6-алкильной группы, или вместе с углеродом, к которому они присоединены, соединяются с образованием C3-8-циклоалкильной или гетероциклической группы;

Sa представляет собой последовательность -Ser-Phe-;

Ta представляет собой последовательность -Glu-Nle-;

Wa представляет собой последовательность -Ala-Ala-;

Ха представляет собой последовательность -Asp-Phe-Ile-;

Ya представляет собой последовательность -Trp-Leu-Ile-;

Za отсутствует или представляет собой последовательность -Ile-Thr-;

AA1a представляет собой -NHCHR3CO-; где R3 выбирают из -(CH2)yCONH2, -(CH2)yCOOH или -(CH2)yтетразолила; где у представляет собой 1 или 2;

AA2a представляет собой -Gly-, -DAla-, -Lys-, необязательно присоединенный к AA4a через лактамный мостик, или -Glu-, необязательно присоединенный к AA4a через лактамный мостик;

AA3a представляет собой -Ser- или представляет собой -Glu-, необязательно присоединенный к AA5a через лактамный мостик;

AA4a представляет собой -Asp-, необязательно присоединенный к AA2a через лактамный мостик, или -Lys-, необязательно присоединенный к AA2a или AA6a через лактамный мостик;

AA5a представляет собой -DPhe-, -Asp-, необязательно присоединенный к AA8a через лактамный мостик, или -Lys-, необязательно присоединенный к AA3a через лактамный мостик;

AA6a представляет собой -Thr-, -Asp- необязательно присоединенный к AA4a или AA9a через лактамный мостик, -Glu- необязательно присоединенный к AA9a через лактамный мостик, или -Lys-, необязательно присоединенный к AA9a через лактамный мостик;

AA7a представляет собой -Ile- или остаток α-метиллейцина формулы:

AA8a представляет собой -Asp- или представляет собой -Lys-, необязательно присоединенный к AA5a через лактамный мостик;

AA9a представляет собой -Leu-, -Lys-, необязательно присоединенный к AA6a или AA11a через лактамный мостик, -Asp-, необязательно присоединенный к AA6a или AA11a через лактамный мостик, или -Glu-, необязательно присоединенный к AA11a через лактамный мостик;

AA10a представляет собой -Lys- или представляет собой -Glu-, необязательно присоединенный к AA11a через лактамный мостик;

AA11a представляет собой -Aib-, -Lys-, необязательно присоединенный к AA9a или AA10a через лактамный мостик, -Glu-, необязательно присоединенный к AA9a через лактамный мостик, или -Asp-, необязательно присоединенный к AA9a через лактамный мостик;

AA12a представляет собой -Asn-, -Glu-, необязательно присоединенный к AA13a через лактамный мостик, или -Lys-, необязательно присоединенный к AA13a через лактамный мостик;

AA13a представляет собой -Gln-, -Asp-, необязательно присоединенный к AA12a через лактамный мостик, или -Lys-, необязательно присоединенный к AA12a через лактамный мостик;

AA14a представляет собой -Thr- или представляет собой -Lys-, необязательно присоединенный к AA16a через лактамный мостик;

AA15a представляет собой -Lys-, необязательно присоединенный к AA16a через лактамный мостик, или -Glu-, необязательно присоединяемый к AA16a через лактамный мостик;

AA16a отсутствует или представляет собой -Asp-, -Phe-, -Lys-, необязательно присоединенный к AA15a через лактамный мостик, или -Glu-, необязательно присоединенный к AA14a или AA15a через лактамный мостик;

где С-конец AA15a или AA16a представляет собой карбоксильную группу или карбоксамидную группу, или примыкает к любой природной или неприродной аминокислотной последовательности или любому другому фрагменту, функциональной группе или группам, и где соединение содержит один или два лактамных мостика;

или его таутомерная или стереохимически изомерная форма, или его пролекарство, соль или цвиттерион.

3. Соединение по п. 1 формулы (1b):

где:

R выбирают из:

или

Q представляет собой фенил или моноциклическое гетероарильное кольцо, каждое из которых необязательно может быть замещено одной или несколькими группами Rq;

Rq выбирают из галогена, гидроксила, аминогруппы или C1-6-алкила, имеющего алкильную цепь, необязательно содержащую один или несколько гетероатомов, выбранных из O, N или S;

n представляет собой 1-3;

R1 и R2 независимо выбирают из водорода или C1-6-алкильной группы, или вместе с углеродом, к которому они присоединены, соединяются с образованием C3-8-циклоалкильной или гетероциклической группы;

S представляет собой последовательность -Glu-Nle-;

T представляет собой последовательность -Phe-Ile-;

W представляет собой последовательность -Trp-Leu-Ile-;

Z отсутствует или представляет собой -Pro-;

AA1 представляет собой -NHCHR3CO-; где R3 выбирают из -(CH2)yCONH2, -(CH2)yCOOH или -(CH2)yтетразолила; где у представляет собой 1 или 2;

AA2 представляет собой -Gly-, -DAla-, -Lys-, необязательно присоединенный к AA5 через лактамный мостик, или -Glu-, необязательно присоединенный к AA5 через лактамный мостик;

AA3 представляет собой -Ser-Phe или -Ser-2-F-α-Me-Phe-;

AA4 представляет собой -Ser- или -Glu-, необязательно присоединенный к AA6 через лактамный мостик;

AA5 представляет собой -Asp-, необязательно присоединенный к AA2 через лактамный мостик, или -Lys-, необязательно присоединенный к AA2 или AA7 через лактамный мостик;

AA6 представляет собой -D-Phe-, -D-α-Me-Phe- или -Lys-, необязательно присоединенный к AA10 через лактамный мостик;

AA7 представляет собой -Asp-, необязательно присоединенный к AA5 через лактамный мостик, -Glu-, необязательно присоединенный к AA10 через лактамный мостик, или -Lys-, необязательно присоединенный к AA10 через лактамный мостик;

AA8 - это -Ile или -α-Me-Leu-;

AA9 представляет собой -Leu-Asp- или -Leu-ACPC-;

AA10 представляет собой -Asp-, необязательно присоединенный к AA7 или AA14 через лактамный мостик, -Glu-, необязательно присоединенный к AA7 или AA14 через лактамный мостик, или -Lys-, необязательно присоединенный к AA7 через лактамный мостик;

AA11 представляет собой -LysR-, где LysR представляет собой N-замещенный остаток лизина, -Glu-, необязательно присоединенный к AA14 через лактамный мостик, или -Lys-, необязательно присоединенный к AA15 через лактамный мостик;

AA12 представляет собой -Ala- или -AIB-;

AA13 представляет собой -Ala- или -AIB-;

AA14 представляет собой -AIB- или представляет собой -Lys-, необязательно присоединенный к AA10 или AA11 через лактамный мостик;

AA15 представляет собой -Asp-, необязательно присоединенный к AA11 через лактамный мостик, или -Glu-, необязательно присоединенный к AA16 через лактамный мостик;

AA16 представляет собой -Asn-, -ACPC-, -Lys-, необязательно присоединенный к AA17 через лактамный мостик, или -Glu-, необязательно присоединенный к AA17 через лактамный мостик;

AA17 представляет собой -Gln-, -ACPC-, -Lys-, необязательно присоединенный к AA16 через лактамный мостик, или -Glu-, необязательно присоединенный к AA16 через лактамный мостик;

AA18 представляет собой -Thr-, -Lys-, необязательно присоединенный к AA22 через лактамный мостик, или -Glu-, необязательно присоединенный к AA22 через лактамный мостик;

AA19 представляет собой -Pro-, -PIPALA-, -Lys- или -Glu-, необязательно присоединенный к AA22 через лактамный мостик;

AA20 отсутствует или представляет собой -Ile-, -α-Me-Leu- или -Pro-;

AA21 отсутствует или представляет собой -Thr-;

AA22 отсутствует или представляет собой -Lys-, необязательно присоединенный к AA18 или AA19 через лактамный мостик, или -Glu-, необязательно присоединенный к AA18 через лактамный мостик;

где С-конец представляет собой карбоксильную группу или карбоксамидную группу, или примыкает к любой природной или неприродной аминокислотной последовательности или любому другому фрагменту, функциональной группе или группам, и где соединение содержит три, четыре или пять лактамных мостиков;

или его таутомерная или стереохимически изомерная форма, или его пролекарство, соль или цвиттерион.

4. Соединение по любому из пп. 1-3, где Q представляет собой:

5. Соединение по любому из пп. 1-4, где n представляет собой 1 или 2.

6. Соединение по любому из пп. 1-5, где R1 и R2 независимо выбирают из водорода или C1-6-алкисльной группы.

7. Соединение по п. 6, где R1 и R2 оба представляют собой метил.

8. Соединение по любому из пп. 1-7, где R3 представляет собой -CH2тетразолил или CH2COOH.

9. Соединение по любому из пп. 1-8, где AA2 циклизуется с AA5, и либо AA10 циклизуется с одним из AA6, AA7 или AA14, либо AA11 циклизуется с одним из AA14 или AA15, и либо AA16 циклизуется с AA17, либо AA22 циклизуется с любым из AA18 или AA19.

10. Соединение по любому из пп. 1-8, где AA16 циклизуется с AA17, и AA22 циклизуется с любым из AA18 или AA19.

11. Соединение по любому из пп. 1-8, где AA2a представляет собой -Gly- или -DAla-, AA3a представляет собой -Ser-, AA4a представляет собой -Asp-, AA5a представляет собой -DPhe-, AA6a представляет собой -Thr-, AA8a представляет собой -Asp-, AA10a представляет собой -Lys-, и AA15a представляет собой -Lys-.

12. Соединение по любому из пп. 1-11, где AA9a представляет собой -Leu-, -Glu-, присоединенные к AA11a через лактамный мостик, или -Lys-, присоединенный к AA11a через лактамный мостик.

13. Соединение по любому из пп. 1-12, где AA11a представляет собой -Lys-, необязательно присоединенный к AA9a через лактамный мостик, или -Glu-, присоединенный к AA9a через лактамный мостик.

14. Соединение по любому из пп. 1-13, где AA12a представляет собой -Asn- или представляет собой -Glu-, присоединенный к AA13a через лактамный мостик.

15. Соединение по любому из пп. 1-14, где AA13a представляет собой -Gln- или представляет собой -Lys-, присоединенный к AA12a через лактамный мостик.

16. Соединение по любому из пп. 1-15, где AA14a представляет собой -Thr- или представляет собой -Lys-, присоединенный к AA16a через лактамный мостик.

17. Соединение по любому из пп. 1-16, где AA16a представляет собой -Phe- или представляет собой -Glu-, присоединенный к AA14a через лактамный мостик.

18. Соединение по любому из пп. 1-17, где Za и AA16a отсутствуют.

19. Соединение по любому из пп. 1-18, где C-конец представляет собой карбоксамидную группу.

20. Соединение по п. 1, которое выбирают из любого одно из примеров 1-117, представленных в таблицах:

где используются стандартные символы аминокислот, и где

2-F-α-Me-PHE/α-Me-Phe(2-F) представляет собой ;

D-α-Me-PHE представляет собой ;

ACPC представляет собой ;

PIPALA представляет собой ;

α-Me-LEU представляет собой ;

TET представляет собой ;

AllocLYS/Alloc K представляет собой ;

CAP представляет собой ;

LYS-γGlu-2xOEG C18 дикислота представляет собой

; и

ЦиклоLYS относится к остатку лизина, который соединен с другим остатком через лактамный мостик.

21. Соединение по п. 1, которое выбирают из группы, состоящей из:

Пример 30:

Пример 31:

Пример 46:

Пример 48:

Пример 52:

Пример 55:

Пример 60:

Пример 74:

Пример 76:

Пример 93:

Пример 96:

Пример 115:

Пример 117:

или его таутомер, соль или цвиттерион.

22. Фармацевтическая композиция, обладающая активностью агониста рецептора GLP-1 и/или GLP-2, содержащая терапевтически эффективное количество соединения по любому из пп. 1-21 и фармацевтически приемлемое вспомогательное вещество.

Документы, цитированные в отчете о поиске Патент 2025 года RU2836443C1

WO 2016066818 A1, 06.05.2016
ПЕПТИДНЫЕ АГОНИСТЫ GLP-2 2010
  • Алагарсами, Сударкоди
  • Цзян, Гуанчэн
  • Ривьер, Пьер
  • Штайнгарт, Клаудио Дэниел
  • Суэйрас-Диас, Хавьер
  • Висневски, Казимеж
RU2551977C2
СПОСОБ ШУНТИРОВАНИЯ ОККЛЮЗИОННО-СТЕНОТИЧЕСКИХ ПОРАЖЕНИЙ ПЕРВЫХ СЕГМЕНТОВ ПОДКЛЮЧИЧНЫХ И ПОЗВОНОЧНЫХ АРТЕРИЙ 2013
  • Заваруев Артем Владимирович
RU2551945C1
Устройство для электрической телескопии 1925
  • Розен В.С.
SU28929A1
ХАРКЕВИЧ Д.А
Фармакология: Учебник, 2010, 10-е издание, стр.73
Краткий курс молекулярной фармакологии под ред
Сергеева П.В., М., 1975, с.10
ХОЛОДОВ Л.Е
и др
Клиническая фармакокинетика, М., "Медицина", 1985, с
Пуговица 0
  • Эйман Е.Ф.
SU83A1

RU 2 836 443 C1

Авторы

Браун, Джайлз Альберт

Конгрив, Майлз Стюарт

Скалли, Конор

Пол, Ребекка

Муто, Сусуму

Вада, Хироки

Нукуи, Сейдзи

Даты

2025-03-17Публикация

2021-03-16Подача