ЛИГАНДЫ, ТРОПНЫЕ К ПРОСТАТИЧЕСКОМУ СПЕЦИФИЧЕСКОМУ МЕМБРАННОМУ АНТИГЕНУ И ИХ ПРИМЕНЕНИЕ ДЛЯ ПОЛУЧЕНИЯ ДВОЙНЫХ КОНЪЮГАТОВ С ТЕРАПЕВТИЧЕСКИМИ АГЕНТАМИ НА ИХ ОСНОВЕ ДЛЯ КОМБИНИРОВАННОЙ ТЕРАПИИ ПСМА ЭКСПРЕССИРУЮЩИХ ОПУХОЛЕЙ Российский патент 2025 года по МПК A61K49/10 A61K51/00 A61K47/64 A61P35/00 

Описание патента на изобретение RU2841078C1

Область техники

Изобретение относится к области органической, медицинской химии и онкологии, а именно к области многофункциональных терапевтических и диагностических агентов. В изобретении описано новые соединения для комбинированной терапии или диагностики опухолей, экспрессирующих ПСМА, в частности рака предстательной железы.

Уровень техники

Рак предстательной железы (РПЖ) - сложное и биологически неоднородное заболевание, являющееся одним из наиболее широко распространенных видов онкологических патологий среди мужчин в России и во всем мире. Несмотря на то, что рак простаты является одним из немногих медленно растущих видов злокачественных опухолей, он становится потенциально смертельным при метастазировании. Из-за высокой смертности и болезненности, связанной с прогрессированием заболевания, крайне необходимо развитие новых способов и средств направленной терапии. Поэтому при разработке современных лекарственных средств нацеливание и доставка терапевтических и диагностических агентов на область опухоли может рассматриваться как одна из важнейших задач.

Одним из прогрессивных направлений в разработке эффективных методов лечения рака простаты является создание методов адресной доставки лекарственных средств - направленный транспорт лекарственного вещества в заданную область организма, органа или клетки. Преимуществами такого подхода является уменьшение побочных эффектов и вводимой дозы для улучшения качества диагностики и терапии данного заболевания. В терапии и диагностике рака простаты возможна направленная доставка в ткани опухоли и в ее метастазы за счет взаимодействия с простатическим специфическим мембранным антигеном (ПСМА) - трансмембранным гликопротеином, локализованном на поверхности клеток простаты и суперэкспрессирующемуся в опухолевых клетках. На сегодняшний день предложен ряд низкомолекулярных соединений, селективно связывающихся с ПСМА и имеющих потенциал для использования их в качестве адресных агентов, среди которых самыми перспективными являются производные мочевины (DUPA и DCL).

Избирательное нацеливание адресных конъюгатов на раковые клетки для визуализации или для терапевтических целей представляет собой сложную задачу.

Из уровня техники известно соединение для образования радионуклидного комплекса, содержащего радиоактивный металл, для визуализации опухолевой ткани, экспрессирующей ПСМА, а также способ его получения и применения для визуализации (патент RU 2532912 C2 «Технеций- и рений-бис(гетероарильные) комплексы и методы их применения для ингибирования PSMA», 20.11.2014). Известное соединение включает лиганд на основе производного мочевины, линкер и хелаторный фрагмент для связывания с радионуклидом.

Из уровня техники также известно соединение для образования комплекса с технеция-99 м/рения для диагностики/лечения рака предстательной железы, а также способ его получения (патент RU 2692126 C1 «Способ получения производного мочевины с хелатным центром, тропного к простат-специфичному мембранному антигену для связывания технеция-99 м/рения для диагностики/лечения рака предстательной железы», 13.02.2018). Указанное соединение на основе производного мочевины с хелатным центром, тропного к простат-специфичному мембранному антигену для связывания технеция-99 м/рения 188/186 для диагностики рака предстательной железы, включающий получение конъюгата ингибитора простат-специфичного мембранного антигена (ПСМА) с хелатирующим агентом на основе сукциимидного эфира ω-бис(пиридин-2-илметил)амино)алифатических кислот, заключающийся в том, что в качестве ингибитора ПСМА используют (3S,7S,25S,28S)-33-амино-25,28-дибензил-5,13,20,23,26,29-гексаоксо-4,6,12,29,24,27,30-гептаазатриоктан-1,3,7-трикарбоновую кислоту, а в качестве хелатирующего агента - сукцинимид-1-ил 6-(бис(пиридин-2-илметил)амино)гексаноат.

Одним из примеров радиофармацевтических конъюгатов на основе лигандов ПСМА является пример из RU 2730507 C1, однако данная структура представляет собой соединение, не содержащее длинный гидрофобный линкер для повышения аффинности к ПСМА.

Другим примером может служить бимодальный тераностический препарат, содержащий лиганд ПСМА, терапевтический препарат Доцетаксел и флуоресцентную метку Sulfo-Cy5 из работы Petrov, S.A. et al. Polypeptide-Based Molecular Platform and Its Docetaxel/Sulfo-Cy5-Containing Conjugate for Targeted Delivery to Prostate Specific Membrane Antigen. Molecules 2020, 25, 5784. Однако в данной работе для получения конъюгатов используется лиганд ПСМА, содержащий в пептидном фрагменте линкера два остатка аминокислоты фенилаланин. Данный выбор аминокислотных остатков с ароматическими фрагментами является далеко не оптимальным. В работе Synthesis and Biological Evaluation of PSMA Ligands with Aromatic Residues and Fluorescent Conjugates Based on Them Aleksei E. Machulkin et al., Journal of Medicinal Chemistry 2021 64 (8), 4532-4552 авторами было показано, что при наличии жедаа-хлорзамещенного бензильного фрагмента при s-аминогруппе остатка лизина, лиганд с двумя остатками фенилаланина обладает более низкой аффинностью к ПСМА в сравнении с аналогом с остатком тирозина вместо одного из остатков фенилаланина. Также следует отметить, что введение остатка тирозина вместо одного из остатков фенилаланина может приводить к значительному улучшению водорастворимости конечных конъюгатов лигандов ПСМА с различными агентами. Также в рамках данной статьи авторами использованы все аминокислоты в L-конфигурации. Конечный конъюгат, полученный авторами, является модельным соединением, синтез его был направлен в первую очередь на исследование самой возможности направленной доставки подобных структур в клетки рака предстательной железы. Однако, практическое использование такого соединения выглядит довольно маловероятным, так как совместное использование в одном препарате пары препаратов доцетаксел/Sulfo-CyS не является оправданным с клинической точки зрения.

Наиболее близким к заявляемому соединению является простат-специфический антиген для терапии рака предстательной железы, соединения характеризуются наличием в структуре мочевины на основе глутаминовой кислоты и лизина (DCL) различных галогензамещенных бензиловых производных при s-положении лизина и в структуре линкера, в виде дипептида из ароматических аминокислот фенилаланина и/или тирозина, а также его бром-замещенных аналогов, с различной конфигурацией оптического центра аминокислот (Патент RU 2697519 C1). Представленные в данной работе обладают высокой аффинностью к ПСМА, однако данные показатели являются недостаточно высокими, чтобы их нельзя было превзойти. Также среди использованных заместителей используются стандартные заместители в виде атомов галогенов, что не показывает возможность применения других структурных фрагментов как нитро или карбоксильные функциональные группы для применения их в составе лигандов ПСМА с целью улучшения аффинности.

Однако, синтетическая схема, приведенная в RU 2697519 C1, заключающаяся в синтезе тритретбутилового производного ПСМА-связывающего лиганда формулы (2):

с последующим алкилированием полученного тритретбутилового производного ПСМА-связывающего лиганда с получением соединения формулы (II):

где X, Y, Z независимо друг от друга представляют собой F, Cl, Br, Н

с последующим ацилированием производными азида бутаной или пентановой или гексановой кислот с получением азидного производного алкилированного производного ПСМА-лиганда с дальнейшей реакцией восстановления азида до аминогруппы в присутствии трифенилфосфина и воды в растворе ТГФ или в растворе метанола с использованием водорода в присутствии палладия на углероде в качестве катализатора и получением соединения формулы (III):

где X, Y, Z представляют собой F, Cl, Br, Н, n=3-5,

которое модифицируют янтарным ангидридом в присутствии диизопропилэтиламина или триэтиламина, с получением производного соединения ацилированного янтарным ангидридом, далее осуществляют получение дипептидов производных ароматических аминокислот, представляющих собой фенилаланил-фенилаланин или фенилаланил-тирозин формулы (IV), для связывания с модифицированным фрагментом линкера,

затем получают реакцией ацилирования производным соединения (III), ацилированного янтарным ангидридом, дипептида формулы (IV) тритретбутил производное конъюгата радикала ПСМА-связывающего лиганда и модифицированного гидрофобного пептидного линкера, включающего фрагменты 6-аминогексановой или 5-аминопентановой или 4-аминобутановой кислот, фрагмент фенилаланина или его производное, фрагмент тирозина или его производное общей формулы (V):

где n=3-5;

X, Y, Z независимо друг от друга представляют собой F, Cl, Br, Н; R=ОН, Н; R1=Н, Br, с последующим удалением тритретбутильных защитных групп соединения формулы (VI) с получением ковалентно-связанных ПСМА-связывающего лиганда и модифицированного гидрофобного пептидного линкера общей формулы (I), осуществляется жидкофазным способом, что приводит к удлинению синтетической процедуры. Также, данный подход позволяет осуществлять доставку лишь доставку одного противоопухолевого препарата или диагностического агента.

На данный момент, конъюгаты с двумя терапевтическими агентами, направленные на ПСМА представлены в довольно ограниченном наборе работ. В отличие от бимодальных конъюгатов тераностического (диагностический агент в сочетании с терапевтическим) [A. Kumar, Т. Mastren, В. Wang, J.Т. Hsieh, G. Нао, X. Sun, Design of a Small-Molecule Drug Conjugate for Prostate Cancer Targeted Theranostics, Bioconjug. Chem. 27 (2016) 1681-1689. https://doi.org/10.1021/acs.bioconjchem.6b00222] и диагностического (два различных диагностических агента) [Y.H.W. Derks, М. R1jpkema, H.I. V Amatdjais-groenen, A. Kip, M. Gerben, J.P.M. Sedelaar, D.M. Somford, M. Simons, P. Laverman, Theranostics Photosensitizer-based multimodal PSMA-targeting ligands for intraoperative detection of prostate cancer, 11 (2021). https://doi.org/10.7150/thno.52166] назначения, в литературе не представлены препараты на основе низкомолекулярных систем доставки. Однако описанные на данный момент препараты на основе высокомолекулярных систем доставки показывают высокую перспективность данного подхода.

Так, в работе 2010 года в качестве терапевтических агентов использовались малая РНК, образующая шпильки (shRNA), и доксорубицин [Е. Kim, Y. Jung, Н. Choi, J. Yang, J-S. Suh, Y.-M. Huh, K. Kim, S. Haam, Prostate cancer cell death produced by the co-delivery of Bcl-xL shRNA and doxorubicin using an aptamer-conjugated polyplex, Biomaterials. 31 (2010) 4592^599. https://doi.Org/10.1016/j.biomaterials.2010.02.030]. Платформой выступил полиэтиленамин с привитым полиэтиленгликолем, выступающие в качестве транспортера shRNA. Направленная доставка к клеткам рака простаты осуществлялась за счет анти-ПСМА аптамера конъюгированного с сополимером. Bcl-xL специфичная shRNA в данном случае предназначенная для нарушения процессов транскрипции, а доксорубицин приводит к нарушению митоза клетки. Полученные аптамер-конъюгированные полиплексы показали значение IC50 в 17 раз ниже простой смеси shRNA и доксорубицина, что свидетельствует о высоком потенциале последующих исследований.

Другим примером бимодальных терапевтических конъюгатов направленных на ПСМА может служить работа 2018 года в рамках которой были получены фолат-направленные липосомы с включенными в их структуру доксорубицином и липофильным пролекарством митомицином С [Y. Patil, Н. Shmeeda, Y. Amitay, P. Ohana, S. Kumar, A. Gabizon, Targeting of folate-conjugated liposomes with co-entrapped drugs to prostate cancer cells via prostate-specific membrane antigen (PSMA), Nanomedicine Nanotechnology, Biol. Med. 14 (2018) 1407-1416. https://doi.Org/10.1016/j.nano.2018.04.011]. Направленность на ПСМА в данном случае обуславливается показанной в более ранних работах возможности связывания ПСМА с модифицированными фолатом дендримерами [Y. Chen, G. Wang, D. Kong, Z. Zhang, K. Yang, R. Liu, W. Zhao, Y. Xu, Double-targeted and double-enhanced suicide gene therapy mediated by generation 5 polyamidoamine dendrimers for prostate cancer, Mol. Carcinog. 52 (2013) 237-246. https://doi.org/10.1002/mc.21850], наночастицами[У. Hattori, Y. Maitani, Enhanced in vitro DNA transfection efficiency by novel folate-linked nanoparticles in human prostate cancer and oral cancer, J. Control. Release. 97 (2004) 173-183. https://doi.Org/10.1016/j.jconrel.2004.03.007] и наноплексами [Y. Hattori, Y. Maitani, Folate-linked nanoparticle-mediated suicide gene therapy in human prostate cancer and nasopharyngeal cancer with herpes simplex virus thymidine kinase, Cancer Gene Ther. 12 (2005) 796-809. https://doi.org/10.1038/sj.cgt.7700844]. Авторы провели сравнение полученных ими направленного и ненаправленного препаратов на основе липосом и смеси препаратов на клеточной культуре LNCaP. Полученные результаты показывают значительное преимущество фолат-направленных липосом в сравнении с другими исследованными объектами.

Монотерапия рака (например, химиотерапия, лучевая терапия, иммунотерапия) в некоторых случаях не способна уничтожить злокачественные опухоли из-за их высокой гетерогенности и сложности [Y. Zhang, Y. Wan, Y. Liao, Y. Ни, T. Jiang, T. He, W. Bi, J. Lin, P. Gong, L. Tang, P. Huang, Janus y-Fe2O3/SiO2-based nanotheranostics for dual-modal imaging and enhanced synergistic cancer starvation/chemodynamic therapy, Sci. Bull. 65 (2020) 564-572. https://doi.Org/10.1016/j.scib.2019.12.024]. В последнее время в качестве перспективного подхода к лечению рака предстательной железы предполагается использование синергетической терапии, сочетающей в себе несколько методов лечения, которая продемонстрировала супераддитивный терапевтический эффект и огромный потенциал в лечении рака [C.G. Drake, P. Sharma, W. Gerritsen, Metastatic castration-resistant prostate cancer: New therapies, novel combination strategies and implications for immunotherapy, Oncogene. 33 (2013) 5053-5064. https://doi.org/10.1038/onc.2013.497]. Например, в работе [P.S. Tan, P. Aguiar, B. Haaland, G. Lopes, Addition of abiraterone, docetaxel, bisphosphonate, celecoxib or combinations to androgen-deprivation therapy (ADT) for metastatic hormone-sensitive prostate cancer (mHSPC): a network meta-analysis, Prostate Cancer Prostatic Dis. 21 (2018) 516-523. https://doi.org/10.1038/s41391-018-0055-8] изучалось сравнение андрогенной депривационной терапии (АДТ) с комбинацией этого вида терапии и различных противораковых препаратов, таких как доцетаксел, абиратерон, целекоксиб или их комбинации. В то же время полученные результаты свидетельствуют о значительном преимуществе комбинированной терапии перед простой гормональной терапией. Аналогично была исследована сомсестная доставка препаратов доцетаксел и доксорубицин [K. Li, W. Zhan, Y. Chen, R.K. Jha, X. Chen, Docetaxel and doxorubicin codelivery by nanocarriers for synergistic treatment of prostate cancer, Front. Pharmacol. 10 (2019) 1-16. https://doi.org/10.3389/fphar.2019.01436].

К сожалению, на текущий момент отсутствуют примеры бимодальных терапевтических конъюгатов, направленных на ПСМА на основе низкомолекулярных систем доставки. Однако есть несколько статей, где этот подход используется на основе высокомолекулярных систем доставки для терапии рака предстательной железы. Таким образом, в рамках реализации работ, авторами впервые была реализована концепция создания низкомолекулярных конъюгатов, несущих в своем составе два различных терапевтических агента для лечения рака предстательной железы.

Раскрытие изобретения

Технической проблемой, на решение которой направлено изобретение является разработка новых бимодальных терапевтических или диагностических соединений для лечения или визуализации опухолей предстательной железы, экспрессирующих ПСМА, включающих ПСМА-лиганд с линкером, комбинацию противоопухолевых препаратов или комбинацию диагностических средств, способ его получения и применения.

Техническим результатом заявляемой группы изобретений является высокая аффинность и селективность действия заявляемых конъюгатов в отношении клеток, экспрессирующих ПСМА. Данные конъюгаты позволяют расширить арсенал терапевтических средств для терапии опухолей предстательной железы с высокой экспрессией ПСМА, позволяющих добиться селективного связывания с раковыми клетками и достичь высокой эффективности воздействия на опухоль. Таким образом, для достижения эффективного торможения роста опухоли (ТРО) дозировка заявляемого конъюгата составила не более 0,221 ммоль/кг. Использование азидопроизводного аминопентановой кислоты при синтезе заявляемых конъюгатов позволяет получить ПСМА вектор с длинным гидрофобным линкером и защищенными карбокси-группами, что в свою очередь облегчает его модификацию и снижает количество используемых в процессе растворителей вследствие значительного увеличения растворимости исходного соединения (ПСМА вектор с длинным гидрофобным линкером и защищенными карбокси-группами).

Предлагаемая разработка позволяет применять различные терапевтические агенты в составе одного конъюгата, таким образом усиливая действие каждого отдельного препарата в составе двойных конъюгатов. Аналогично, в случае диагностических конъюгатов, возможна комбинация двух агентов, визуализирующих опухолевые ткани, таким образом, дополняя диагностические свойства и нивелируя недостатки таких агентов, если бы они применялись по отдельности.

Ключевой особенностью заявляемого конъюгата является наличие в структуре высокоспецифичного лиганда ПСМА, обеспечивающего направленную доставку в клетки и ткани опухолей, экспрессирующих данный рецептор. А также, применение комбинации противоопухолевых препаратов разного механизма действия, обеспечивающих комбинированную терапию ПСМА-экспресирующих опухолей, или применение комбинации визуализационных средств с различными путями детектирования, для высокоэффективной визуализации ПСМА-экспресирующих опухолей.

Технический результат достигается соединением общей формулы (I) для доставки лекарственного и/или диагностического агента для терапии опухолей предстательной железы, экспрессирующих ПСМА, представляющим собой ковалентно-связанные ПСМА-связывающий лиганд на основе производного мочевины структуры DCL и модифицированный пептидный линкер, содержащий фрагменты аминокислоты лизина, в качестве точки дополнительной функционализации, а также фрагмент 3-азидопропиламина обеспечивающие связывание с противоопухолевым/диагностическим препаратами.

R1=Н или где X, Y, Z независимо друг от друга представляют собой Н, NO2, Cl, Br, СООН;

R2=Н или ОН;

L1, L2, независимо друг от друга представляют собой, NH или любую другую аминокислоту (-NHCHRC(O)NH-) или аминокислотную последовательность (например, аминокислоту глицин (-NHCH2C(O)NH-));

R3=Н, NO2;

L3 и L4 независимо друг от друга NH2 или N3;

* конфигурация оптического цента аминокислот трипептидного фрагмента независимо друг от друга L- или D-;

За исключением случая, когда:

R1= а X=Z=Н, Y=Cl, R2=Н; L1=L2=NH; R3=Н;

конфигурация всех трех оптических центров * - L.

Задача получения бимодальных терапевтических конъюгатов решается соединением для химиотерапии патогенных клеток либо тканей, экспрессирующих ПСМА, представляющим собой ковалентно-связанные ПСМА-связывающий лиганд на основе производного мочевины структуры DCL и модифицированный пептидный линкер, содержащий фрагменты аминокислоты лизина, в качестве точки дополнительной функционализации, а также фрагмент 3-азидопропиламина, связанным с двумя терапевтическими препаратами различной природы (антиандрогеновые препараты, цитостатические препараты, цитотоксические препараты и др.) формулы (II). Задача получения бимодальных диагностических конъюгатов решается соединением для визуализации патогенных клеток либо тканей, экспрессирующих ПСМА, представляющим собой ковалентно-связанные ПСМА-связывающий лиганд на основе производного мочевины структуры DCL и модифицированный пептидный линкер, содержащий фрагменты аминокислоты лизина, в качестве точки дополнительной функционализации, а также фрагмент 3-азидопропиламина, связанным с двумя диагностическими препаратами различной природы (флуоресцентные красители, хелатирующие агенты для радиоизотопов, средства ковалентного введения радиоизотопов и др.) формулы (II):

R1=Н или , где X, Y, Z независимо друг от друга представляют собой Н, NO2, Cl, Br, СООН;

R2=Н или ОН;

L1, L2, независимо друг от друга представляют собой NH или любую другую аминокислоту (-NHCHRC(O)NH-) или аминокислотную последовательность (например, аминокислоту глицин (-NHCH2C(O)NH-));

R3=Н, NO2;

L3 и L4 независимо друг от друга представляют собой амидную связь или фрагмент 1,2,3-триазола;

* конфигурация оптического цента аминокислот трипептидного фрагмента независимо друг от друга L- или D-;

R4 представляет собой лекарственный или хелатирующий агент или Н;

R5 представляет собой лекарственный или хелатирующий агент;

За исключением случая, когда:

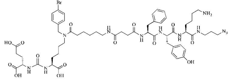
R1= , а X=Z=Н, Y=Cl; R2=ОН; L1=L2=NH; R3=Н; конфигурация всех трех оптических центров * - L; L3 представляет собой амидную связь; L4 представляет собой фрагмент 1,2,3-триазола; R4 представляет собой флуоресцентную метку Sulfo-Cy5; R5 представляет собой доцетаксел.

Также поставленная задача решается способом получения заявляемого средства, включающим получение третбутилового производного ПСМА-связывающего лиганда формулы (2):

с последующим алкилированием полученного третбутилового производного ПСМА-связывающего лиганда с получением соединения общей формулы (III):

R1=Н или , где X, Y, Z независимо друг от друга представляют собой Н, NO2, Cl, Br, COOtBu;

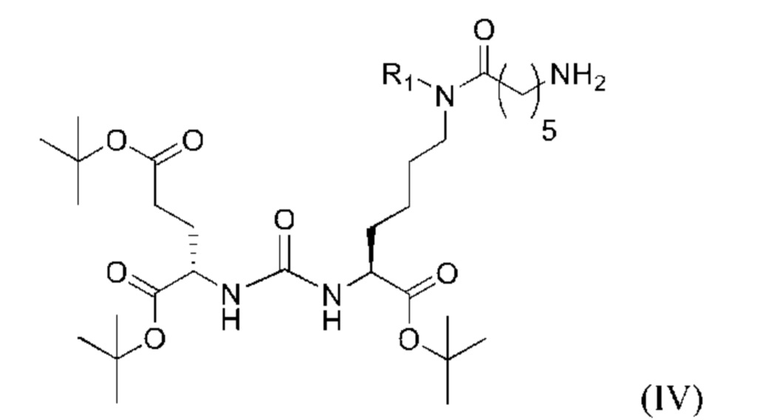
с последующим получением соединения, содержащего алкилированное третбутил производное ПСМА-лиганда и фрагмент линкера общей формулы (IV):

R1=Н или , где X, Y, Z независимо друг от друга представляют собой Н, NO2, Cl, Br, COOtBu;

которое модифицируют янтарным ангидридом, с получением производного соединения ацилированного янтарным ангидридом, общей формулы (V):

R1=Н или , где X, Y, Z независимо друг от друга представляют собой Н, NO2, Cl, Br, COOtBu;

далее осуществляют сборку пептидной последовательности на полимерной подложке пептидов производных аминокислот, для связывания с модифицированным фрагментом линкера, общей формулы (VI):

где R2=OtBu, Н; R3=Н, NO2;

L1 представляет собой, NH или любую другую аминокислоту (-NHCHRC(O)NH-) или аминокислотную последовательность (например, аминокислоту глицин (-NHCH2C(O)NH-));

L2 представляет собой О или аминокислоту (-NHCHRC(O)O-) или аминокислотную последовательность (например, аминокислоту глицин (-NHCH2C(O)O-))

L3 представляет собой защищенную (Вое, Cbz, Fmoc, Alloc) амино-группу или N3;

* - обозначение стереоцентров с меняющейся конфигурацией L и D.

После проводят реакцию пептидного синтеза с последующим снятием с полимерного носителя с получением третбутильного производного лиганда ПСМА общей формулы (VII)

R1=Н или , где X, Y, Z независимо друг от друга представляют собой Н, NO2, Cl, Br, COOtBu;

R2=Н или OtBu;

L1 представляет собой NH или любую другую аминокислоту (-NHCHRC(O)NH-) или аминокислотную последовательность (например, аминокислоту глицин (-NHCH2C(O)NH-));

L2 представляет собой NH или любой другой аминокислотный остаток или аминокислотную последовательность (например, остаток аминокислоты глицина (-NHCH2-));

R3=Н, NO2;

* конфигурация оптического цента аминокислот трипептидного фрагмента независимо друг от друга L- или D-.

L3 - NH или N3;

R4 - представляет собой защитную группу (Boc, Alloc, Cbz, Fmoc) при L3=NH; при L3=N3, R4 - отсутствует;

затем получают тритретбутил производное радикала ПСМА-связывающего лиганда и модифицированного гидрофобного пептидного линкера общей формулы (VII):

R1=Н или , где X, Y, Z независимо друг от друга представляют собой Н, NO2, Cl, Br, COOtBu;

R2=Н или OtBu;

L1, L2, независимо друг от друга представляют собой, NH или любую другую аминокислоту (-NHCHRC(O)NH-) или аминокислотную последовательность (например, аминокислоту глицин (-NHCH2C(O)NH-));

R3=Н, NO2;

* конфигурация оптического цента аминокислот трипептидного фрагмента независимо друг от друга L- или D-.

L3 - NH или N3;

R4 - представляет собой защитную группу (Boc, Alloc, Cbz, Fmoc) при L3=NH; при L3=N3, R4 - отсутствует;

L4 представляет собой NH2 или N3;

с последующим удалением защитных групп соединения формулы (VIII) с получением ковалентно-связанных ПСМА-связывающего лиганда и модифицированного пептидного линкера, содержащего фрагмент лизина, общей формулы (I).

Последующая модификация соединения формулы (I) осуществляется за счет модификации фрагмента лизина, за счет создания пептидной связи с использованием активированных эфиров органических кислот или за счет создания фрагмента 1,2,3-триазола, за счет реакции с алкинсодержащими структурными фрагментами, а также функциональной группы R4, которая может быть может быть модифицирован, за счет создания пептидной связи с использованием активированных эфиров органических кислот (R4=NH2), или за счет создания фрагмента 1,2,3-триазола, за счет реакции с алкинсодержащими структурными фрагментами.

При этом получение алкилированного тритретбутил производного ПСМА-лиганда осуществляют путем восстановительного аминирования замещенными бензальдегидами, а получение соединения формулы (III) проводят путем ацилирования производными азидогексановой кислот с получением азидного производного с последующей реакцией восстановления азида до аминогруппы. Реакцию восстановления азида до аминогруппы проводят в присутствии трифенилфосфина и воды в растворе ТГФ при нагревании. Модификацию янтарным ангидридом фрагмента линкера, представляющего собой алкильный фрагмент, осуществляют реакцией ацилирования янтарным ангидридом аминогруппы в присутствии ненуклиофильных оснований, в качестве которых используют диизопропилэтиламин. Получение пептидных последовательностей осуществляют на полимерной подложке с использованием агентов сочетания HBTU/HOBt/DIPEA в ДМФА. Объединение производного (V) с дипептидом выполняют в присутствии HBTU/HOBt/DIPEA в ДМФА. В дальнейшем удаляя соединение с полимерного носителя раствором ТФУ (0,75%) в ДХМ в течение 15 минут. Присоединение 3-аминопропилазида к соединению (VII) осуществляется с использованием системы реагентов HBTU/HOBt/DIPEA в ДМФА, а удаление тритретбутильных защитных групп проводят в присутствии в системе ТФУ/ДХМ/H2O/ТИПС (46,25%/46,25%/5%/2,5%) в течение 3 часов.

Поставленная задача также решается применением заявляемого средства для образования конъюгата с лекарственным или диагностическим агентом. При этом лекарственные или диагностические агенты являются средствами для диагностики или лечения онкологических заболеваний, в том числе таких, как рак предстательной железы.

Краткое описание чертежей

Изобретение поясняется следующими чертежами, где:

На фиг. 1 представлен спектр ЯМР 1Н соединения (29) (ось абсцисс - химический сдвиг (м.д.), ось ординат - нормализованная интенсивность).

На фиг. 2 представлен спектр ЯМР 13С соединения (29) (ось абсцисс - химический сдвиг (м.д.), ось ординат - нормализованная интенсивность).

На фиг. 3 представлен спектр HRMS соединения (29) (ось абсцисс - моноизотопная масса, ось ординат - абсолютная интенсивность).

На фиг. 4 показана ВЭЖХ-хроматограмма соединения (29).

На фиг. 5 представлен спектр ЯМР 1Н соединения (33) (ось абсцисс - химический сдвиг (м.д.), ось ординат - нормализованная интенсивность).

На фиг. 6 представлен спектр ЯМР 13С соединения (33) (ось абсцисс - химический сдвиг (м.д.), ось ординат - нормализованная интенсивность).

На фиг. 7 представлен спектр HRMS соединения (33) (ось абсцисс - моноизотопная масса, ось ординат - абсолютная интенсивность).

На фиг. 8 показана ВЭЖХ-хроматограмма соединения (33).

На фиг. 9 представлен спектр ЯМР 1Н соединения (63) (ось абсцисс - химический сдвиг (м.д.), ось ординат - нормализованная интенсивность).

На фиг. 10 представлен спектр ЯМР 13С соединения (63) (ось абсцисс - химический сдвиг (м.д.), ось ординат - нормализованная интенсивность).

На фиг. 11 представлен спектр HRMS соединения (63) (ось абсцисс - моноизотопная масса, ось ординат - абсолютная интенсивность).

На фиг. 12 показана ВЭЖХ-хроматограмма соединения (63).

На фиг. 13 представлен спектр ЯМР 1Н соединения (58) (ось абсцисс - химический сдвиг (м.д.), ось ординат - нормализованная интенсивность).

На фиг. 14 представлен спектр ЯМР 13С соединения (58) (ось абсцисс - химический сдвиг (м.д.), ось ординат - нормализованная интенсивность).

На фиг. 15 представлен спектр HRMS соединения (58) (ось абсцисс - моноизотопная масса, ось ординат - абсолютная интенсивность).

На фиг. 16 показана ВЭЖХ-хроматограмма соединения (58).

На фиг. 17 представлен спектр ЯМР 1Н соединения (66) (ось абсцисс - химический сдвиг (м.д.), ось ординат - нормализованная интенсивность).

На фиг. 18 представлен спектр ЯМР 13С соединения (66) (ось абсцисс - химический сдвиг (м.д.), ось ординат - нормализованная интенсивность).

На фиг. 19 представлен спектр HRMS соединения (66) (ось абсцисс - моноизотопная масса, ось ординат - абсолютная интенсивность).

На фиг. 20 показана ВЭЖХ-хроматограмма соединения (66).

На фиг. 21 представлен спектр HRMS соединения (73) (ось абсцисс - моноизотопная масса, ось ординат - абсолютная интенсивность).

На фиг. 22 показана ВЭЖХ-хроматограмма соединения (73).

На фиг. 23 представлены данные, полученные при in vitro исследовании полученных двойных конъюгатов 43-46 на клеточной линии 22Rvl (ПСМА-положительная клеточная линия).

На фиг. 24 представлены данные, полученные при in vitro исследовании полученных двойных конъюгатов 43-46 на клеточной линии LNCaP (ПСМА-положительная клеточная линия).

На фиг. 25 представлены данные, полученные при in vitro исследовании полученных двойных конъюгатов 43-46 на клеточной линии РС-3 (ПСМА-отрицательная клеточная линия).

Осуществление изобретения

Ниже приведены определения терминов, которые используются в описании настоящего изобретения.

«ПСМА (PSMA)» - трансмембранный гликопротеид II типа с массой - 100 кДа, состоящий из 750 аминокислот. Данный белок состоит из короткого внутриклеточного участка (1-18 аминокислоты), трансмембранного домна (19-43 аминокислоты) и большого внеклеточного домена (44-750 аминокислоты). Данный белок обладает высокой экспрессией в тканях предстательной железы, в связи с этим является перспективной мишенью для адресной доставки.

НОВТ - гидроксибензотриазол

HBTU - 3-[Бис(диметиламино)метилиумил]-3Н-бензотриазол-1-оксид гексафторфосфат

EtOAc - этилацетат

МеОН - метанол

DCM (ДХМ) - дихлорметан

DMF (ДМФА) - диметилформамид

DIPEA - диизопропилэтиламин

DOTA (t-Bu)3 - три-третбутиловый эфир 1,4,7,10-тетраазациклододекан-1,4,7,10-тетрауксусной кислоты

TIPS -триизопропилсилан

TFA - трифторуксусная кислота

РуВОР - бензотриазол-1-ил-окситрипирролидинофосфоний гексафторфосфат

THF (ТГФ) - тетрагидрофуран

ДЭК - диэтиловый эфир

ТСХ - тонкослойная хроматография

ДТПА - диэтилентриаминпентауксусная кислота

Все используемые реагенты являются коммерчески доступными, выпаривание растворителя осуществляли с использованием роторного испарителя, при пониженном давлении при температуре бани примерно 50°С; контроль за ходом реакции осуществляли при помощи тонкослойной хроматографии (ТСХ), и время реакции указано только для иллюстрации; структуру и чистоту всех выделенных соединений подтверждали, по меньшей мере, одним из следующих методов: ТСХ (пластины для ТСХ с предварительно нанесенным силикагелем 60 F254 Merck), масс-спектрометрия или ядерный магнитный резонанс (ЯМР). Выход продукта приведен только для иллюстрации. Колоночную флэш-хроматографию осуществляли, используя Merck силикагель 60 (230-400 меш ASTM). Масс-спектры высокого разрешения (HRMS) положительных ионов зарегистрирован на спектрометре Jeol GCMate II при энергии ионизации 70 eV. Спектры ЯМР регистрировали на приборах Bruker Avance-400 (рабочая частота 400,1 и 100,6 МГц для 1Н и 13С, соответственно) и Agilent 400-MR (рабочая частота 400,0 и 100,6 МГц для 1Н и 13С, соответственно), используя дейтерированный хлороформ (99,8% D) или ДМСО (99,9% D) в качестве растворителя, если не указано иное, относительно тетраметилсилана (TMS) в качестве внутреннего стандарта, миллионных долях (м.д.); обычные используемые сокращения следующие: с - синглет, д - дублет, т - триплет, кв - квартет, м - мультиплет, шир. - широкий и так далее.

Способ синтеза заявляемых соединений заключается в следующем.

Сначала получают тритретбутиловое производное ПСМА-связывающего лиганда формулы (2):

Соединение формулы (2) может быть получено известным из уровня техники способом (Ryan P. Murelli, Andrew X. Zhang, Mien Michel, William L. Jorgensen, David A. Spiege. Chemical Control Over Immune Recognition: A Class of Antibody-Recruiting Molecules (ARMs) that Target Prostate Cancer. J. AM. CHEM. SOC. 2009, 131, 17090-17092). Затем полученное тритретбутиловое производное ПСМА-связывающего лиганда алкилируют с получением соединения формулы (II). Реакцию алкилирования проводят путем восстановительного аминирования замещенными бензальдегидами (Jan Tykvart, Jif i Schimer, Jitka Bafinkova, Petr Pachl, Lenka Postova-Slavetinska, Pavel Majer, Jan Konvalinka, Pavel Sacha. Rational design of urea-based glutamate carboxypeptidase II (GCPII) inhibitors as versatile tools for specific drug targeting and delivery. Bioorg Med Chem. 2014, 22(15):4099-108.)

R1=H или , где X, Y, Z независимо друг от друга представляют собой Н, NO2, Cl, Br, COOtBu;

Получение соединения формулы (III) проводят путем ацилирования производными 6-азидогексановой кислоты) с последующей реакцией восстановления азида до аминогруппы, при этом реакцию восстановления азида до аминогруппы проводят в присутствии трифенилфосфина и воды в растворе ТГФ или в растворе метанола с использованием водорода в присутствии палладия на углероде в качестве катализатора.

Реакцию ацилирования проводят в среде полярного апротонного растворителя растворяют исходный амин (II), азидокислоту и ненуклеофильное основание, взятые из расчета, что на 1 мольный эквивалент амина берут по меньшей мере 1 мольный эквивалент азидокислоты и основания, а также не менее 100 мольных эквивалента полярного апротонного растворителя, к полученной смеси при перемешивании добавляют по меньшей мере 1 мольный эквивалент РуВОР, полученную смесь перемешивают при комнатной температуре до исчезновения исходного амина (II). Далее из полученной реакционной смеси удаляется растворитель при пониженном давлении, и целевой полупродукт выделяется с помощью колоночной хроматографии (Puriflach SILICA-HP 120G, 50 мкм, градиент от 100% петролейного эфира до 100% EtOAc в течение 30 мин, скорость потока = 50 мл/мин). Верхняя граница используемых реагентов не ограничивается, т.к. избыток какого-либо реагента не уменьшает выходов реакций, однако при большом избытке может понадобиться дополнительная очистка продуктов реакций.

Далее реакцию восстановления аз идо-группы до амино-группы в среде ТГФ/вода с содержанием воды по меньшей мере 10 об. % в которой растворяют полученное азидопроизводное и трифенилфосфин, взятые из расчета, что на 1 мольный эквивалент азидопроизводного берут по меньшей мере 1,5 мольных эквивалента трифенилфосфина, а также не менее 50 мольных эквивалентов смеси растворителей (ТГФ/вода) из расчета на воду. Реакционную смесь нагревали при температуре не менее 45°С до исчезновения исходного азидопроизводного. Растворитель удаляли при пониженном давлении. Очистку проводили методом колоночной хроматографии (триэтиламин : хлористый метилен : метанол; от 1%:98%:1% до 1%:89%:10%).

Предпочтительно в качестве азидокислот использовать азидобутановую или пентановую или гексановую кислоты.

Предпочтительно в качестве полярного апротонного растворителя использовать ДМФА или ДМСО.

Предпочтительно в качестве ненуклеофильного основания использовать диизопропилэтиламин или триэтиламин.

R1=Н или , где X, Y, Z независимо друг от друга представляют собой Н, NO2, Cl, Br, COOtBu.

Модификация янтарным ангидридом фрагмента линкера, представляющего собой алкильный фрагмент, включающий 3-5 атомов углерода с получением производного соединения (III), ацилированного янтарным ангидридом. При этом модификацию янтарным ангидридом фрагмента линкера, представляющего собой алкильный фрагмент, включающий 3-5 атомов углерода, осуществляют реакцией ацилирования янтарным ангидридом аминогруппы в присутствии ненуклеофильных оснований. В качестве ненуклеофильных оснований используют диизопропилэтиламин или триэтиламин.

Реакция получения соединения (IV), заключалась в ацилировании янтарным ангидридом, процесс проводят в среде неполярного апротонного растворителя путем растворения исходного амина (III), янтарного ангидрида и ненуклеофильного основания, взятых из расчета, что на 1 мольный эквивалент амина берут по меньшей мере 1 мольный эквивалент янтарного ангидрида и ненуклеофильного основания, а также не менее 100 мольных эквивалента неполярного апротонного растворителя, полученную смесь перемешивают при комнатной температуре до исчезновения исходного амина (III). Предпочтительно в качестве неполярного апротонного растворителя использовать дихлорметан или хлороформ. Предпочтительно в качестве ненуклеофильного основания использовать диизопропилэтиламин или триэтиламин.

R1=Н или , где X, Y, Z независимо друг от друга представляют собой Н, NO2, Cl, Br, COOtBu.

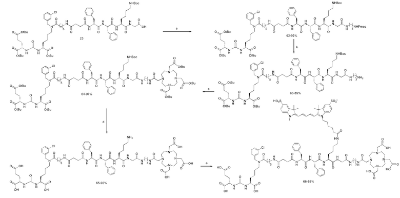
Получение необходимой пептидной последовательности заключалось в сборке с применением SPPS на 2-Chlorotrityl chloride resin (2-СТС resin) на полимерной подложке из полистирола сшитого с 1% дивинилбензола, размером 100-200 mesh. По своей химической сути выбранная последовательность реакций представляет собой классическую схему пептидного синтеза: 1) иммобилизация N-замещенной аминокислоты на твердофазную подложку; 2) снятие защитной группы; 3) модификация NH2-группы аминокислоты (стадии 2 и 3 повторяются необходимое количество раз для сборки необходимой пептидной последовательности); 4) удаление модифицированной аминокислотной последовательности с подложки.

Использование 2-СТС позволяет применять концепцию Fmoc SPPS и свести к минимуму побочные реакции; помимо этого, она позволяет сохранять лабильные к кислотам функциональные группы нетронутыми, так как снятие аминокислотной последовательности со смолы протекает в мягких условиях [Behrendt R, White Р, Offer J. Advances in Fmoc Solid-Phase Peptide Synthesis. J Pept Sci 2016; 22(1):4-27, DOI: 10.1002/psc.2836].

Пример синтеза полипептидов (здесь трипептидов) проиллюстрирован на схеме,

где R2=OtBu, Н; R3=Н, NO2;

L1 представляет собой, NH или любую другую аминокислоту (-NHCHRC(O)NH-) или аминокислотную последовательность (например, аминокислоту глицин (-NHCH2C(O)NH-));

L2 представляет собой О или аминокислоту (-NHCHRC(O)O-) или аминокислотную последовательность (например, аминокислоту глицин (-NHCH2C(O)O-))

L3 представляет собой защищенную (Boc, Cbz, Fmoc, Alloc) амино-группу или N3;

* - обозначение стереоцентров с меняющейся конфигурацией L и D.

Первый этап заключался в активации смолы.

Все растворители для проведения реакции и очистки берутся в количестве 10 мл на 1 г смолы. 2-хлортритил-хлоридная смола (2-СТС) (100-200 mesh, емкость 1,2-1,4 ммоль/г) перемешивалась в ДХМ в течение 10 минут. После этого к раствору добавлялось 3 мольных эквивалента хлористого тионила и через 3-4 минуты каталитическое количество ДМФА. Раствор перемешивался в течение 4 часов при температуре 40°С. После активации смолу промывали 3 раза по 1 минуте ДМФА, затем 3 раза по одной минуте ДХМ.

Второй этап: присоединение первого аминокислотного остатка.

Активированная смола перемешивалась в ДМФА в течение 5 минут. После этого была добавлена первая Fmoc-защищенная аминокислота (2 мол. экв.) относительно верхней границы емкости смолы) и DIPEA (10 экв.). Далее реакционную смесь перемешивали в течение 2 часов. По окончании реакции излишки растворителя удалялись из реактора, а полученная смесь промывалась три раза по 5 минут метанолом, три раза по 1 минуте ДХМ, три раза по 1 минуте ДМФА и два раза по 1 минуте ДХМ.

Третий этап: Снятие Fmoc-защитной группы.

Смолу промывали два раза по 1 минуте ДМФА. После этого было добавлен 20% раствор 4-метилпиперидина в ДМФА. Полученную смесь перемешивали в течение 15 минут. Затем растворитель удаляли, а полученную смесь промывали два раза по 1 минуте ДМФА и три раза по 1 минуте ДХМ. Данную процедуру повторяли дважды.

Четвертый этап: Присоединение второго аминокислотного остатка.

Смолу промыли два раза по 1 минуте ДМФА. Затем добавили ДМФА, Fmoc-защищенную аминокислоту (2 экв.), HOBt (0,5 экв.), HBTU (2 экв.) и DIPEA (3 экв.). Реакционную смесь перемешивали в течение 2 часов, после чего растворитель удалялся, а смолу промывали три раза по 1 минуте ДМФА и три раза по 1 минуте ДХМ. Далее проводили снятие Fmoc-защитной группы аналогично, как описано на третьем этапе. Далее этапы 3 и 4 могут быть повторены для введения необходимого количества аминокислотных остатков для получения соединения (VI).

Далее проводили реакцию пептидного синтеза с последующим снятием с полимерного носителя с получением тритретбутильного производного лиганда ПСМА общей формулы (VI)

Далее проводили реакцию пептидного синтеза с закрепленным на смоле 2-СТС полипептидом (V) при помощи активирующих агентов HOBt/HBTU/DIPEA. После этого модифицированный пептид удаляли с полимерной подложки обработкой DCM/TFA по методике (DCM/TFA - 99,25%/0,75% V/V в течение 15 минут, при таких условиях снятия TFA не затрагивает групп лабильных к кислотам - C(O)OtBu).

R1=Н или , где X, Y, Z независимо друг от друга представляют собой Н, NO2, Cl, Br, COOtBu;

R2=Н или OtBu;

L1 представляет собой NH или любую другую аминокислоту (-NHCHRC(O)NH-) или аминокислотную последовательность (например, аминокислоту глицин (-NHCH2C(O)NH-));

L2 представляет собой NH или любой другой аминокислотный остаток или аминокислотную последовательность (например, остаток аминокислоты глицина (-NHCH2-));

R3=Н, NO2;

* конфигурация оптического цента аминокислот трипептидного фрагмента независимо друг от друга L- или D-.

L3 - NH или N3;

R4 - представляет собой защитную группу (Boc, Alloc, Cbz, Fmoc) при L3=NH; при L3=N3, R4 - отсутствует; Ацилирование соединения (VI)

Все растворители для проведения реакции и очистки берутся в количестве 10 мл на 1 г смолы

Смолу с нанесенным дипептидом промывали два раза по 1 минуте ДМФА. Затем добавили ДМФА, соединение (VI) (1,2 экв.), HOBt (0,5 экв.), HBTU (2 экв.) и DIPEA (3 экв.). Реакционную смесь перемешивали в течение 6 часов, после чего растворитель удалялся, а смолу промывали три раза по 1 минуте ДМФА и три раза по 1 минуте ДХМ.

Снятие фрагмента лиганда со смолы

Смолу промыли два раза по 1 минуте ДХМ. После этого был добавлен 0,5% раствора трифторуксусной кислоты в ДХМ. Полученную смесь перемешивали в течение 15 минут. Процедуру повторяли дважды. Полученный фильтрат упарили на роторном испарителе и несколько раз переупарили из хлористого метилена. Соединение далее очищали методом обращенно-фазовой колоночной хроматографии с элюентом ацетонитрил: вода (Interchim Puriflash, С18-НР, 15 μ, 25 g, от 10% ацетонитрила до 100% ацетонитрила за 20 минут, скорость потока - 20 мл/мин). Расчет выхода конечного соединения проводили исходя из максимальной емкости смолы.

Получение тритретбутил производного соединения радикала ПСМА-связывающего лиганда и модифицированного гидрофобного пептидного линкера провод или/осуществляли реакцией образования амидной связи между (VI) и 3-аминопропилазидом с получением (VII):

Данная реакция осуществлялась добавлением смеси активирующих агентов HBTU/HOBt и третичного амина (DIPEA), к смеси исходных кислоты и амина. Применяя этот метод к реакции соединения (VI) и NH2(СН2)3N3, был получен индивидуальный стереоизомер желаемого вещества (VIII).

R1=Н или , где X, Y, Z независимо друг от друга представляют собой Н, NO2, Cl, Br, COOtBu;

R2=Н или OtBu;

L1, L2, независимо друг от друга представляют собой, NH или любую другую аминокислоту (-NHCHRC(O)NH-) или аминокислотную последовательность (например, аминокислоту глицин (-NHCH2C(O)NH-));

R3=Н, NO2;

* конфигурация оптического цента аминокислот трипептидного фрагмента независимо друг от друга L- или D-.

L3 - NH или N3;

R4 - представляет собой защитную группу (Boc, Alloc, Cbz, Fmoc) при L3=NH; при L3=N3, R4 - отсутствует;

L4 представляет собой NH2 или N3;

Векторный фрагмент (VI) (1 экв.) растворяли в DMF, затем добавили DIPEA (2 экв.), 3-аминопропилазид (АЛА) (1,5 экв.), после добавили HBTU (1,5 экв.), HOBt (1 экв.). Смесь перемешивалась в течение 16 часов. После окончания реакции удалили растворитель, сухой остаток растворяли в хлористом метилене и промывали дважды водой и насыщенным раствором хлорида натрия. Органическую фракцию сушили над Na2SO4. Удаляли растворитель при пониженном давлении. Дальнейшую очистку проводили с помощью метода колоночной хроматографии с элюентом DCM-MeOH (Interchim Puriflash 15ц 25g, от 2% до 20% метанола в течение 30 минут, скорость потока - 20 мл/мин).

Получение соединения радикала ПСМА-связывающего лиганда и модифицированного гидрофобного пептидного линкера, общей формулы (I) осуществляли путем удаления тритретбутильных защитных групп соединения формулы (8). В раствор трифторуксусной кислоты, ДХМ, дистиллированной воды и триизопропилсилана (46,25: 46,25: 5: 2,5) растворяли (1 экв.) соединения (VII) и перемешивали 3 часа при комнатной температуре. Растворитель удалили при пониженном давлении. Полученное вещество переупаривали 3 раза из ДХМ. К полученному маслянистому осадку добавляли диэтиловый эфир, в результате чего выделился белый аморфный продукт. Диэтиловый эфир декантировали, процедуру повторяли еще 2 раза. Далее продукт очищали с помощью метода обращенно-фазовой колоночной хроматографии, в качестве эклюента использовались 0,1% раствор трифторуксусной кислоты в воде: ацетонитрил (Puriflash С18-НР, 15 μ, 20g, элюент: система ацетонитрил-0,1% раствор трифторуксусной кислоты в воде: от 10% ацетонитрила до 100% за 20 минут).

Таким образом, в результате последовательности реакций по схемы превращения был осуществлен синтез линкера (1), который использован в последующем для получения высокоспецифичных ПСМА-векторов. Разработанные методы синтеза отличаются экологичностью, хорошими выходами целевых продуктов, высокой селективностью процессов и не требуют применения специальной аппаратуры или реагентов.

Также в данной синтетической схеме использовался твердофазный метод сборки пептидной последовательности, который имеет ряд преимуществ по отношению к жидкофазному методу сборки, а именно: 1) строгая стереоселективность протекания реакций пептидного синтеза с получением оптически чистого продукта, что важно, для представленных соединений 2) снижение времени получения соединений, за счет ускорения очистки промежуточных соединений (очистка производится промывкой и фильтрацией аминокислотной последовательности, закрепленной на полимерной подложке) 3) возможность автоматизации и проведения реакций с использованием пептидного синтезатора

Применение соединения общей формулы (II) заключается в получении конъюгата с комбинацией двух лекарственных или диагностических агентов. При этом для получения конечных конъюгатов (с лекарственными или диагностическими препаратом) для одного из доставляемых агентов проводится реакция азид-алкинового циклоприсоединения, между заявляемым соединением (средство доставки, ПСМА-лиганд с ликером), содержащим в своем составе азидогруппу, и доставляемой молекулой (лекарственным или диагностическим средством) (Kolb, Н. С., Finn, М. G. and Sharpless, K. В. (2001), Click Chemistry: Diverse Chemical Function from a Few Good Reactions. Angewandte Chemie International Edition, 40: 2004-2021; Hartmuth С Kolb, K.Barry Sharpless, The growing impact of click chemistry on drug discovery, In Drug Discovery Today, Volume 8, Issue 24, 2003, Pages 1128-1137, ISSN 1359-6446). В случае отсутствия у доставляемой молекулы фрагмента терминальной тройной связи в структуре, она должна быть модифицирована химически таким образом, чтобы полученное производное содержало терминальную тройную связь. Специалисту в данной области техники известно, каким образом возможно осуществление такой модификации.

Для доставки второго из доставляемых агентов проводится реакция образования амидной связи, между заявляемым соединением (средство доставки, ПСМА-лиганд с ликером), содержащим в своем составе s-амино группу лизина, и доставляемой молекулой (лекарственным или диагностическим средством). В случае отсутствия у доставляемой молекулы фрагмента карбоксильной группы или ее активированной формы (в виде эфиров NHS, пентафторфенола и др.) в структуре, она должна быть модифицирована химически таким образом, чтобы полученное производное содержало карбоксильную группу или ее активированную форму. Специалисту в данной области техники известно, каким образом возможно осуществление такой модификации.

Конъюгат может быть представлен общей структурной формулой (II):

R1=Н или , где X, Y, Z независимо друг от друга представляют собой Н, NO2, Cl, Br, СООН;

R2=Н или ОН;

L1, L2, независимо друг от друга представляют собой, NH или любую другую аминокислоту (-NHCHRC(O)NH-) или аминокислотную последовательность (например, аминокислоту глицин (-NHCH2C(O)NH-));

R3=Н, NO2;

L3 и L4 независимо друг от друга представляют собой амидную связь или фрагмент 1,2,3-триазола;

* конфигурация оптического цента аминокислот трипептидного фрагмента независимо друг от друга L- или D-;

R4 представляет собой лекарственный или хелатирующий агент или Н;

R5 представляет собой лекарственный или хелатирующий агент;

За исключением случая, когда:

R1= , а X=Z=Н, Y=Cl; R2=ОН; L1=L2=NH; R3=Н; конфигурация всех трех оптических центров * - L; L3 представляет собой амидную связь; L4 представляет собой фрагмент 1,2,3-триазола; R4 представляет собой флуоресцентную метку Sulfo-Cy5; R5 представляет собой доцетаксел.

В заявляемом техническом решении раскрыты соединения (средства доставки), способные связываться с ПСМА, нацеливаться на ПСМА для доставки средств диагностики, визуализации и терапевтических (лекарственных средств). Также раскрыты соединения и, способы получения и их применение для диагностики, визуализации и лечения заболеваний, вызванных патогенными популяциями клеток, которые экспрессируют или сверхэкспрессируют ПСМА. Как показали проведенные эксперименты, заявляемые средства доставки проявляют высокую аффинность в отношении ПСМА, образованные комплексы заявляемого средства доставки с терапевтическим агентом являются эффективными в лечении заболеваний, вызванных патогенными клетками, которые экспрессируют ПСМА, такими как клетки рака предстательной железы.

В качестве лекарственных (терапевтических) средств (агентов) могут быть использованы как отдельно так и их комбинации любые молекулы, способные модулировать или модифицировать клеточную функцию. В качестве лекарственных средств могут быть использованы пептиды, олигопептиды, ретроинвертированные олигопептиды, белки, аналоги белка, апопротеины, гликопротеины, ферменты, коферменты, ингибиторы ферментов, аминокислоты и их производные, рецепторы и другие мембранные белки, антигены и антитела против них; гаптены и антитела против них; гормоны, липиды, фосфолипиды, липосомы; токсины; антибиотики; бета-блокаторы; противораковые средства, в том числе химиотерапевтические средства; простагландины и аналоги простогландинов; противовоспалительные вещества; иммуносупрессоры, иммуностимуляторы; минеральные и питательные добавки.

В качестве лекарственных (терапевтических) средств используют соединения, которые являются цитотоксическими, усиливают проницаемость опухоли, ингибируют пролиферацию опухолевых клеток, стимулируют апоптоз, снижают противоапоптическую активность в целевых клетках, применяются для лечения заболеваний, вызванных инфекционными агентами, усиливают эндогенный иммунный ответ, направленный на патогенные клетки, или применимы для лечения болезненного состояния, вызванного патогенными клетками. Такие химиотерапевтические средства могут функционировать при помощи любого из большого разнообразия механизмов действия. Например, цитотоксические соединения могут нарушать любой из целого ряда клеточных механизмов, которые важны для выживания клетки и/или клеточной пролиферации и/или вызывают клеточную смерть или апоптоз. Химиотерапевтические средства включают, но не ограничивают, следующие соединения: адренокортикоиды, кортикостероиды, алкилирующие средства, антиадрогены, антиэстрогены, андрогены, акламицин и производные акламицина, эстрогены, антиметаболиты, такие как цитозинарабинозид, аналоги пурина, аналоги пиримидина, метотрексат, бисульфан, карбоплатина, хлорамбуцил, цисплатин и др. соединения платины, тамоксифен, таксол, паклитаксел, производные паклитаксела, циклофосфамид, дауномицин, ризоксин, растительные алкалоиды, преднизолон, гидроксимочевина, тенипозид, митомицины, дискодермолиды, ингибиторы микротрубочек, эпотилоны, тубулизины, циклопропилбенз[е] индолон, втор-циклопропилбенз[е]индолон, O-Ас-втор-циклопропилбенз[е]индолон, блеомицин, алкалоиды барвинка (винкристин, винбластин, виндезин, винорелбин и их аналоги и производные), азотистые иприты, нитрозомочевины, колхицин и его производные, тритилцистеин, галикондрин В, доластатины, аманитины, камптотецин и его производные, гелданамицин и его производные, эстрамустин, нокодазол, МАР4, колцемид, противовоспалительные средства, ингибиторы пептидной и петидомиметической передачи сигнала, рапамицин, эверолимус, сиролимус, криптофицин, бортезомиб, тиобортезомиб, аминоптерин, цитостатические препараты тубулизин, доцетаксел, монометил аурисатин Е, эрибулин, испинесиб, доксорубицин, даунорубицин, верукарин, дидемнин В, гелданомицин, пурваланол А, испинезид, будесонид, дазатиниб, эпотилон, майтанзины, ингибиторы тирозинкиназы, амфотерицин В, ацикловир, трифлуридин, ганцинкловир, зидовудин, рибавирин и т.п. Антиандрогеновые препараты абиратерон, энзалутамид, апалутамид, нилутамид и т.п.

В качестве средств визуализации могут быть использованы без ограничения, флуоресцентные средства, такие как Oregon Green (например, Oregon Green 488, Oregon Green 514 и т.п.), AlexaFluor (например, AlexaFluor 488, AlexaFluor 647 и т.п.), флуоресцеин и родственные аналоги, флуоресцентные средства BODIPY (например, BODIPY F1, BODIPY 505 и т.п.), родаминовые флуоресцентные средства (тетраметилродамин и т.п.), флуоресцентные средства DyLight (например, DyLight 680, DyLight 800 и т.п.); циановые красители (например, Heptamethine IR-780, Heptamethine IR-808, IRDye® 800CW, DY-675, DY-676, DY-677, DY-678, Су 3, Cy5, Cy7, Cy 3.5, Cy5.5, Cy7.5, SulfoCy3, SulfoCy5, SulfoCy7, SulfoCy3.5, SulfoCy5.5, SulfoCy7.5 и т.п).

В качестве диагностического/терапевтического средства (агента) могут быть использованы радиоактивные изотопы, такие как радиоактивные изотопы металла, координированные в хелатную группу, например, технеций, рений, галлий, гадолиний, индий, медь, лютеций, актиний, тербий и т.п., в том числе изотопы IIIIn, 99mTc, 64Cu, 67Cu, 67Ga, 68Ga, и т.п. Хелатные группы, используемые для координации изотопов, могут представлять собой трипептид или тетрапептид формулы:

где R независимо выбирают из Н, аликила, гетероарила, циклоалкила, гетороциклила, алкенила, алкинила, арила, гетероарила, арилалкила, гетероарилалкила и т.п., каждый из которых необязательно замещен. Также хелатирующий агент, способный связывать радиоактивный металл в условиях радиомечения, где хелатная функциональная группа агента нацеливания может быть выбрана из группы, включающей: DOTA, DOTAGA, TRITA, DO3A-Nprop, DTPA, tetra-tBu-DTPA, p-SCN-Bz-DTPA, MX-DTPA, CHX-DTPA, NOTA, TACN, TACN-TM, H3NOKA, NODASA, NODAGA, NOTP, NOTPME, PrP9, TRAP, - NOPO, TETA, HBED, DFO, EDTA, 6SS, B6SS, PLED, TAME, YM103, NTP(PRHP)3, H2dedpa, H2dp-bb-NCS, H2dp-N-NCS; (4,6- MeO 2sal)2-BAPEN и цитрат. Также в качестве средства для визуализации могут быть использованы, без ограничения, ПЭТ-средства визуализации (например, 18F, 11C, 64Cu, 65Cu и т.п.) и FRET-средства визуализации (например, 64Cu, 65Cu и т.п.).

Изобретение относится к применению заявляемого соединения для введения субъекту, нуждающемуся в диагностической визуализации. Субъектом для диагностики предпочтительно является млекопитающее, предпочтительно человек.

Для получения изображения клеток/тканей, экспрессирующих ПСМА, т.е. опухолевых клеток или тканей, меченных заявляемым соединением, используют детектор излучения, например, детектора γ-излучения. Для улучшения визуализации предпочтительно использовать методики построения томографического изображения, такие как однофотонная эмиссионная компьютерная томография (ОФЭКТ) или позитронно-эмиссионная томография (ПЭТ). Выбор и использование таких детекторов излучения находится в пределах квалификации среднего специалиста в данной области техники.

Следует принимать во внимание, что конъюгаты терапевтических или диагностических средств с заявляемыми соединениями (средствами доставки) можно применять отдельно или в комбинации с другими соединениями, подходящими для диагностики, визуализации и/или лечения заболеваний, вызванных клетками, экспрессирующими ПСМА, а также в комбинации с другими соединениями, которые вводят для лечения других симптомов заболевания, например, паллиативные средства, действие которых сфокусировано на облегчении симптомов заболевания и/или побочных эффектов терапевтического режима, но не является лечебным. Например, паллиативное лечение включает болеутоляющие средства, средства против тошноты и средства против рвоты.

Ниже представлено более детальное описание заявляемого способа, которое не ограничивает объем притязаний заявляемого изобретения, а демонстрирует возможность осуществления изобретения с достижением заявляемого технического результата.

Синтез (S)-ди-трет-бутилового эфира 2-(3-((S)-6-амино-1-(трет-бутокси)-1-оксогексан-2-ил)уреидо)пентадиовой кислоты (2)

К раствору Cbz-защищенной (S)-ди-трет-бутилового эфира 2-(3-((S)-6-амино-1-(трет-бутокси)-1-оксогексан-2-ил)уреидо)пентадновой кислоты (1) (38 г, 61,1 ммоль) в 350 мл метанола добавили суспендированный в воде (50 мл) 10% Pd/C (3,8 г, 10% масс). Колбу вакуумировали, далее заполнили водородом. Смесь перемешивали 20 часов. Раствор отфильтровали на пористом фильтре с подложкой Kieselgur (2 см). Удалили растворитель при пониженном давлении. Получили 28,774 г (97%) амина 2 в виде желтого маслянистого вещества.

Спектр ЯМР 1Н (400 МГц, CDCl3, δ, м.д.): 5,67-5,70 (м, 2Н, NH), 4,28-4,34 (м, 2Н, СН), 2,69 (т, J=6,6 Гц, 2Н, СН2), 2,20-2,35 (м, 2Н, СН2), 1,99-2,06 (м, 1H, СН2),1,77-1,84 (м, 1H, СН2), 1,67-1,75 (м, 1H, СН2), 1,53-1,63 (м, 2Н, СН2), 1,41-1,50 (м, 22Н, С(СН3)3+СН2), 1,39 (с, 9Н, С(СН3)3), 1,29-1,36 (м, 2Н, СН2). Спектр ЯМР 13С (101 МГц, CDCl3, δ, м.д.): 172,34 (СООС(СН3)3), 172,04 (СООС(СН3)3), 156,90 (С(О)), 81,48 (С(СН3)3), 81,08 (С(СН3)3), 80,00 (С(СН3)3), 52,90 (СН), 52,38 (СН), 40,21 (СН2), 31,87 (СН2), 31,23 (СН2), 27,99 (СН2), 27,63 (С(СН3)3), 27,59 (С(СН3)3), 27,57 (С(СН3)3), 21,76 (СН2). ESI-HRMS: m/z рассчитано [М+Н]+: 488,3336, найдено: 488,3340; m/z рассчитано для [M+Na]+: 510,3155, найдено: 510,3150.

Синтез трет-бутилового эфира 4-формилбензойной кислоты (3)

4-формилбензойную. кислоту (2 г, 13,322 ммоль, 1 экв.), ди-трет-бутилдикарбонат (7,704 г, 35,303 ммоль, 2,65 экв.) и DMAP (977 мг, 7,993 ммоль, 0,6 экв.) растворили в трет-бутаноле (40 мл). Смесь перемешивали 8 ч при нагревании до 50°С и 16 ч при комнатной температуре. Затем прилили 30 мл H2O и экстрагировали диэтиловым эфиром (3*30 мл). Органическую фракцию сушили над сульфатом натрия. Продукт выделяли с помощью колоночной хроматографии, в качестве элюента была использована смесь петролейный эфир - этилацетат (Interchim Puriflash 120 г, 50 μ, 50 мл/мин, градиент от 0% EtOAc до 10% в течение 60 минут). Получили 1,758 г (64%) продукта в виде белого порошка.

Спектр ЯМР 1Н (400 МГц, CDCl3, δ, м.д.): 10,09 (с, 1H, СОН), 8,14 (д, J=8,2 Гц, 2Н, Ar), 7,93 (д, J=8,3 Гц, 2Н, Ar), 1,62 (с, 9Н, С(СН3)3). Спектр ЯМР 13С (101 МГц, CDCl3, δ, м.д.): 191,36 (СОН), 164,20 (СООС(СН3)3), 138,37 (Ar), 136,60 (Ar), 129,57 (Ar), 128,97 (Ar), 81,58 (С(СН3)3), 27,68 (С(СН3)3).

4.2.1 Общая методика реакции восстановительного аминирования

К раствору соединения 2 (1 эквивалент) в метаноле добавили соответствующий бензальдегид (1 эквивалент) и перемешивали 16 часов. Затем порционно прибавили боргидрид натрия (1,5 эквивалента) и перемешивали 2 часа. Далее удалили 2/3 растворителя и прилили 1М раствор гидроксида натрия в воде (1,5 эквивалента по отношению к боргидриду натрия). Полученный раствор экстрагировали 3 раза дихлорметаном, органическую фракцию промывали насыщенным раствором хлорида натрия. Сушили над безводным сульфатом натрия. Выделение продукта проводили методом колоночной хроматографии, в качестве элюента была использована смесь хлористый метилен - метанол.

Синтез (S)-ди-трет-бутилового эфира 2-(3-((S)-1-(трет-бутокси)-6-((3-хлорбензил)амино)-1-оксогексан-2-ил)уреидо)пентадиовой кислоты (4)

Из соединения 2 (38,97 г, 79,92 ммоль), 3-хлорбензальдегида (11,234 г, 79,92 ммоль) в 550 мл метанола в присутствии 4,837 г (127,87 ммоль) боргидрида натрия было получено соединение 4, выделенное в индивидуальном виде методом колоночной хроматографии (Interchim Puriflash 330 г, 50μ, градиент от 0% метанола до 15% метанола за 60 минут, скорость потока - 75 мл/мин), в количестве 31,311 г (выход 64%) в виде желтого маслянистого вещества.

Спектр ЯМР 1Н (400 МГц, CDCl3, δ, м.д.): 7,41 (с, 1H, Ar), 7,32-7,25 (м, 3Н, Ar), 5,84 (д, J=8,1 Гц, 1H, NH), 5,28 (д, J=7,5 Гц, 1H, NH), 4,33 (м, 2Н, СН), 3,89 (с, 2Н, СН2), 2,80-2,63 (м, 2Н, СН2), 2,40-2,23 (м, 2Н, СН2), 2,10-2,02 (м, 1H, СН2), 1,88-1,68 (м, 2Н, СН2), 1,67-1,55 (м, 2Н, СН2), 1,50-1,40 (м, 29Н, С(СН3)3+СН2), 1,40-1,26 (м, 2Н, СН2). Спектр ЯМР 13С (101 МГц, CDCl3, δ, м.д.): 172,7 (СООС(СН3)3), 172,4 (СООС(СН3)3), 172,3 (СООС(СН3)3), 157,33 (С(О)), 134,5 (Ar), 130,0 (Ar), 129,4 (Ar), 128,4 (Ar), 127,4 (Ar), 81,9 (С(СН3)3), 81,5 (С(СН3)3), 80,4 (С(СН3)3), 53,2 (СН), 52,8 (СН), 51,5 (СН2), 47,2 (СН2), 32,0 (СН2), 31,6 (СН2), 28,5 (СН2), 28,4 (СН2), 28,1 (СН3), 28,0 (СН3), 27,4 (СН3), 22,4 (СН2). ESI-HRMS: для C31H50ClN3O7: m/z рассчитано для [М+Н]+ 612,3410, найдено 612,3417.

Синтез (S)-ди-трет-бутилового эфира 2-(3-((S)-6-((4-бромбензил)амино)-1-(трет-бутокси)-1-оксогексан-2-ил)уреидо)пентадиовой кислоты (5)

Из соединения 2 (1 г, 2,051 ммоль), 4-бромбензальдегида (379 мг, 2,051 ммоль) в 70 мл метанола в присутствии 116 мг (3,077 ммоль) боргидрида натрия было получено соединение 5, выделенное в индивидуальном виде методом колоночной хроматографии (Interchim Puriflash 120 г, 50μ, градиент от 0% метанола до 15% метанола за 40 минут, скорость потока - 50 мл/мин), в количестве 619 мг (выход 46%) в виде желтого маслянистого вещества.

Спектр ЯМР 1Н (400 МГц, CDCl3, δ, м.д.): 8,61 (уш. с, 1H, NH), 7,41 (д, J=8,4 Гц, 2Н, Ar), 7,32 (д, J=8,4 Гц, 2Н, Ar), 6,07 (д, J=8,4 Гц, 1H, NH), 5,95 (д, J=8,2 Гц, 1H, NH), 4,31 (м, 1H, СН), 4,19 (м, 1H, СН), 3,92 (с, 2Н, СН2), 2,81-2,73 (м, 1H, СН2), 2,70-2,62 (м, 1H, СН2), 2,25 (м, 2Н, СН2), 1,99 (м, 1H, СН2), 1,79-1,71 (м, 1H, СН2), 1,68-1,48 (м, 4Н, СН2), 1,43-1,22 (m, 29Н, С(СН3)3+СН2). Спектр ЯМР 13С (101 МГц, CDCl3, δ, м.д.): 172,6 (СООС(СН3)3), 172,3 (СООС(СН3)3), 172,2 (СООС(СН3)3), 157,5 (С(О)), 131,9 (Ar), 131,7 (Ar), 123,1 (Ar), 81,6 (С(СН3)3), 81,3 (С(СН3)3), 80,2 (С(СН3)3), 53,2 (СН), 52,6 (СН), 50,5 (СН2), 46,2 (СН2), 31,5 (СН2), 31,5 (СН2), 28,5 (СН2), 28,0 (СН3), 27,9 (СН3), 26,2 (СН3), 22,3 (СН2). ESI-HRMS: для C31H50N3O779Br: m/z рассчитано для [М+Н]+ 656,2905, найдено 656,2925; для C31H50N3O781Br: m/z рассчитано для [М+Н]+ 658,2885, найдено 658,2901.

Синтез (S)-ди-трет-бутилового эфира 2-(3-((S)-1-(трет-бутокси)-6-((4-(трет-бутоксикарбонил)бензил)амино)-1-оксогексан-2-ил)уреидо)пентандиовой кислоты (6)

Из соединения 2 (4,157 г, 8,524 ммоль), бензальдегида 3 (1,758 г, 8,524 ммоль) в 160 мл метанола в присутствии 484 мг (12,786 ммоль) боргидрида натрия было получено соединение 6, выделенное в индивидуальном виде методом колоночной хроматографии (Interchim Puriflash 120 г, 50μ, градиент от 0% метанола до 15% метанола за 40 минут, скорость потока - 50 мл/мин), в количестве 3,071 г (выход 53%) в виде желтого маслянистого вещества.

Спектр ЯМР 1Н (400 МГц, CDCl3, δ, м.д.): 7,92 (д, J=8,3 Гц, 2Н, Ar), 7,36 (д, J=8,3 Гц, 2Н, Ar), 5,23-5,28 (м, 2Н, NH), 4,28-4,35 (м, 2Н, СН), 3,83 (с, 2Н, СН2), 2,59 (т, J=7 Гц, 2Н, СН2), 2,25-2,32 (м, 2Н, СН2), 2,01-2,09 (м, 1H, СН2), 1,70-1,87 (м, 2Н, СН2), 1,57 (с, 9Н, С(СН3)3), 1,41-1,43 (м, 29Н, С(СН3)3+СН2), 1,30-1,36 (м, 2Н, СН2). Спектр ЯМР 13С (101 МГц, CDCl3, δ, м.д.): 172,12 (СООС(СН3)3), 171,98 (СООС(СН3)3), 171,86 (СООС(СН3)3), 156,46 (С(О)), 130,41 (Ar), 129,15 (Ar), 127,56 (Ar), 126,74 (Ar), 81,54 (С(СН3)3), 81,21 (С(СН3)3), 80,44 (С(СН3)3), 80,03 (С(СН3)3), 53,00 (СН), 52,90 (СН), 52,64 (СН2), 52,54 (СН2), 48,34 (СН2), 32,48 (СН2), 31,15 (СН2), 27,99 (СН2), 27,76 (СН3), 27,64 (СН3), 27,58 (СН3), 27,56 (СН3), 22,40 (СН2). ESI-HRMS: для C36H59N3O9: m/z рассчитано для [М+Н]+ 678,4330, найдено: 678,4330; m/z рассчитано для [М+Cl]- 712,3940, найдено: 712,3943; m/z рассчитано для [М+НСОО]- 722,4228, найдено: 722,4230.

4.2.2 Общая методика реакции ацилирования в присутствии РуВОР

Вторичный амин (1 экв.) растворили ДМФА, добавили DIPEA (2 экв.) и 6-азидогексановую кислоту (1,04 экв.). К полученной смеси добавили РуВОР (1,2 экв.), полученную реакционную смесь перемешивали 16 часов. После окончания реакции удалили растворитель при пониженном давлении. Сухой остаток растворили в дихлорметане и промыли два раза водой и один раз насыщенным раствором хлорида натрия. Органическую фракцию сушили над Na2SO4. Дальнейшую очистку проводили с помощью колоночной хроматографии в качестве элюента была использована смесь этилацетат - петролейный эфир.

Синтез (S)-ди-трет-бутилового эфира 2-(3-((S)-6-(6-азидо-N-(3-хлорбензил)гексанамидо)-1-(трет-бутокси)-1-оксогексан-2-ил)уреидо)пентадиовой кислоты (7)

Из 31,311 г (51,15 ммоль) соединения 4 и 8,041 г (53,19 ммоль) 6-азидогексановой кислоты в присутствии 31,94 г (61,38 ммоль) РуВОР и 18 мл (103 ммоль) DIPEA в 280 мл ДМФА было выделено соединение 7 в индивидуальном виде методом колоночной хроматографии (Interchim Puriflash 330 г, 50μ, градиент от 0% этилацетата до 40% этилацетата за 30 минут, затем, от 40% этилацетата до 70% за 45 минут, далее от 70% этилацетата до 100% за 10 минут, скорость потока - 75 мл/мин) в количестве 28,96 г (выход 75%) в виде желтого маслянистого вещества.

Спектр ЯМР 1Н (400 МГц, CDCl3, δ, м.д.): 7,41 (с, 1H, Ar), 7,25-7,32 (м, 3Н, Ar), 5,84 (д, J=8,1 Гц, 1H, NH), 5,28 (д, J=7,5 Гц, 1H, NH), 4,33-4,31 (м, 2Н, СН), 3,89 (с, 2Н, СН2), 2,63-2,80 (м, 2Н, СН2), 2,23-2,40 (м, 2Н, СН2), 2,02-2,10 (м, 1H, СН2), 1,67-1,88 (м, 2Н, СН2), 1,55-1,68 (м, 3Н, СН2), 1,40-1,50 (м, 28Н, С(СН3)3+СН2), 1,40-1,26 (м, 2Н, СН2). Спектр ЯМР 13С (101 МГц, CDCl3, δ, м.д): 173,2 (СООС(СН3)3), 172,7 (СООС(СН3)3), 172,3 (СООС(СН3)3), 172,3 (СООС(СН3)3), 172,2 (СООС(СН3)3), 172,1 (СООС(СН3)3), 157,0 (С(О)), 156,8 (С(О)), 140,0 (Ar), 139,1 (Ar), 134,9 (Ar), 134,3 (Ar), 130,2 (Ar), 129,8 (Ar), 127,78 (Ar), 127,7 (Ar), 127,4 (Ar), 126,2 (Ar), 126,0 (Ar), 124,2 (Ar), 82,0 (С(СН3)3), 81,9 (С(СН3)3), 81,7 (С(СН3)3), 81,4 (С(СН3)3), 80,5 (С(СН3)3), 80,4 (С(СН3)3), 53,4 (СН), 53,1 (СН), 53,0 (СН), 52,8 (СН), 51,24 (СН2), 51,20 (СН2), 50,5 (СН2), 47,8 (СН2), 47,2 (СН2), 45,8 (СН2), 33,1 (СН2), 32,9 (СН2), 32,7 (СН2), 31,9 (СН2), 31,55 (СН2), 31,53 (СН2), 28,7 (С(СН3)3), 28,6 (С(СН3)3), 28,5 (С(СН3)3), 28,4 (С(СН3)3), 28,2 (С(СН3)3), 28,0 (С(СН3)3), 27,9 (С(СН3)3), 26,9 (СН2), 26,7 (СН2), 26,5 (СН2), 26,4 (СН2), 24,8 (СН2), 24,7 (СН2), 22,5 (СН2), 22,4 (СН2). ESI-HRMS: для C37H59N6O8Cl: m/z рассчитано для [М+Н]+ 751,4156, найдено: 751,4160; m/z рассчитано для [M+Na]+ 773,3975, найдено: 773,3976; m/z рассчитано для [М+K]+ 789,3714, найдено: 789,3712.

Синтез (S)-ди-трет-бутилового эфира 2-(3-((S)-6-(6-азидо-N-(4-бромбензил)гексанамидо)-1-(трет-бутокси)-1-оксогексан-2-ил)уреидо)пентандиовой кислоты (8)

Из 619 мг (0,943 ммоль) соединения 5 и 149 мг (0,981 ммоль) 6-азидогексановой кислоты в присутствии 589 мг (1,132 ммоль) РуВОР и 329 μл (1,886 ммоль) DIPEA в 10 мл ДМФА было выделено соединение 8 в индивидуальном виде методом колоночной хроматографии (Interchim Puriflash 120 г, 50μ, градиент от 0% этилацетата до 40% этилацетата за 15 минут, затем, от 40% этилацетата до 70% за 20 минут, далее от 70% этилацетата до 100% за 10 минут, скорость потока - 50 мл/мин) в количестве 501 мг (выход 67%) в виде желтого маслянистого вещества.

Спектр ЯМР 1Н (400 МГц, CDCl3, δ, м.д.): 7,49 (д, J=8,3 Гц, 1H, Ar), 7,42 (д, J=8,3 Гц, 1H, Ar), 7,11 (д, J=8,3 Гц, 1H, Ar), 7,04 (д, J=8,3 Гц, 1H, Ar), 5,56 (уш. с, 1H, NH), 5,29 (уш. с, 1H, NH), 4,5 (д, J=17,7 Гц, 2Н, СН2), 4,29 (м, 2Н, СН), 3,31 (м, 2Н, СН2), 3,25 (т, J=6,9*2 Гц, 1H, СН2), 2,35 (м, 4Н, СН2), 2,08 (м, 1H, СН2), 1,85 (м, 1H, СН2), 1,7 (м, 4Н, СН2), 1,58 (м, 3Н, СН2), 1,45 (м, 28Н, С(СН3)3+СН2), 1,33 (м, 3Н, СН2). Спектр ЯМР 13С (101 МГц, CDCl3, δ, м.д.): 176,8 (СООС(СН3)3), 174,6 (СООС(СН3)3), 173,3 (СООС(СН3)3), 172,8 (СООС(СН3)3), 172,4 (СООС(СН3)3), 172,4 (СООС(СН3)3), 172,3 (СООС(СН3)3), 172,1 (СООС(СН3)3), 157,2 (С(О)), 156,9 (С(О)), 136,9 (Ar), 135,9 (Ar), 131,9 (Ar), 131,5 (Ar), 129,7 (Ar), 127,8 (Ar), 121,3 (Ar), 121,0 (Ar), 82,1 (С(СН3)3), 81,9 (С(СН3)3), 81,8 (С(СН3)3), 81,5 (С(СН3)3), 80,5 (С(СН3)3), 80,4 (С(СН3)3), 53,4 (СН), 53,1 (СН), 52,9 (СН), 52,8 (СН), 51,2 (СН2), 51,2 (СН2), 47,8 (СН2), 47,1 (СН2), 45,8 (СН2), 33,7 (СН2), 32,9 (СН2), 32,7 (СН2), 31,9 (СН2), 31,5 (СН2), 28,7 (С(СН3)3), 28,6 (С(СН3)3), 28,5 (С(СН3)3), 28,3 (С(СН3)3), 28,1 (С(СН3)3), 28,0 (С(СН3)3), 27,9 (С(СН3)3), 27,9 (С(СН3)3), 26,7 (СН2), 26,5 (СН2), 26,4 (СН2), 26,2 (СН2), 24,8 (СН2), 24,7 (СН2), 24,3 (СН2), 22,4 (СН2), 22,4 (СН2), 20,7 (СН2). ESI-HRMS: для C37H59N6O879Br: m/z рассчитано для [М+Н]+ 795,3651, найдено: 795,3654; для C37H59N6O881Br: m/z рассчитано для [М+Н]+ 797,3631, найдено: 797,3639.

Синтез (S)-ди-трет-бутилового эфира 2-(3-((S)-6-(6-азидо-N-(4-(трет-бутоксикарбонил)бензил)гексанамидо)-1-(трет-бутокси)-1-оксогексан-2-ил)уреидо)пентандиовой кислоты (9)

Из 3,071 г (4,53 ммоль) соединения 6 и 713 мг (4,712 ммоль) 6-азидогексановой кислоты в присутствии 2,829 г (5,437 ммоль) РуВОР и 1,578 мл (9,061 ммоль) DIPEA в 90 мл ДМФА было выделено соединение 9 в индивидуальном виде методом колоночной хроматографии (Interchim Puriflash 120 г, 50μ, градиент от 0% этилацетата до 40% этилацетата за 15 минут, затем, от 40% этилацетата до 70% за 20 минут, далее от 70% этилацетата до 100% за 10 минут, скорость потока - 50 мл/мин) в количестве 2,746 г (выход 74%) в виде желтого маслянистого вещества.

Спектр ЯМР 1Н (400 МГц, CDCl3, δ, м.д.): 7,89-7,97 (м, 2Н, Ar), 7,18-7,25 (м, 2Н, Ar), 5,32 (уш. с, 2Н, NH), 4,56-4,65 (м, 2Н, СН2), 4,26-4,34 (м, 2Н, СН), 3,34 (т, J=7,2 Гц,1Н, СН2), 3,28 (т, J=6,9 Гц, 1H, СН2), 3,23 (т, J=6,9 Гц, 1H, СН2), 3,14 (т, J=7,6 Гц,1Н, СН2), 2,37-2,40 (м, 1H, СН2), 2,27-2,33 (м, 3Н, СН2), 2,04-2,07 (м, 1H, СН2), 1,80-1,89 (м, 1H, СН2), 1,69-1,78 (м, 2Н, СН2), 1,62-1,67 (м, 2Н, СН3), 1,57 (с, ПН, С(СН3)3+СН2), 1,42-1,43 (м, 27Н, С(СН3)3), 1,29-1,39 (м, 3Н, СН2). Спектр ЯМР 13С (101 МГц, CDCl3, δ, м.д.): 173,01 (СООС(СН3)3), 172,35 (СООС(СН3)3), 172,10 (СООС(СН3)3), 171,58 (СООС(СН3)3), 170,75 (СООС(СН3)3), 165,12 (С(О)), 164,85 (С(О)), 156,80 (С(О)), 156,48 (С(О)), 142,18 (Ar), 141,11 (Ar), 131,07 (Ar), 130,60 (Ar), 129,66 (Ar), 129,28 (Ar), 127,20 (Ar), 125,47 (Ar), 81,76 (С(СН3)3),81,61 (С(СН3)3),81,54 (С(СН3)3),81,21 (С(СН3)3), 80,78 (С(СН3)3), 80,53 (С(СН3)3), 80,24 (С(СН3)3), 80,15 (С(СН3)3), 59,97 (СН2), 53,15 (СН), 52,80 (СН), 52,64 (СН2), 52,49 (СН2), 50,85 (СН2), 50,81 (СН2), 50,60 (СН2), 47,81 (СН2),46,80 (СН2), 45,53 (СН2), 32,57 (СН2), 32,29 (СН2), 31,35 (СН2), 31,09 (СН2), 28,34 (СН2), 28,24 (СН2), 28,05 (СН2), 27,89 (СН2), 27,82 (СН2),27,74 (С(СН3)3), 27,63(С(СН3)3), 27,57 (С(СН3)3), 27,55 (С(СН3)3), 26,26 (СН2),26,13 (СН2), 26,00 (СН2), 24,49 (СН2), 24,27 (СН2), 22,08 (СН2), 21,99 (СН2),20,62 (СН2), 19,12 (СН2), 13,76 (СН2). ESI-HRMS: для C42H68N6O10: m/z рассчитано для [М+Н]+ 817,5075, найдено: 817,5073; m/z рассчитано для [М+Cl]- 851,4685, найдено: 851,4680; m/z рассчитано для [М+НСОО]- 861,4973, найдено: 861,4974.

4.2.3 Общая методика реакции восстановления азидогруппы по Штаудингеру

К раствору азида (1 экв.) в смеси ТГФ/H2O=4/1 был добавлен трифенилфосфин (2 экв.) и перемешивали 6 часов при температуре 60°С. Затем удалили растворитель при пониженном давлении. Дальнейшую очистку проводили с помощью колоночной хроматографии, в качестве элюента была использована смесь 1% триэтиламин в хлористом метилене - метанол.

Синтез (S)-ди-трет-бутилового эфира 2-(3-((S)-6-(6-амино-N-(3-хлорбензил)гексанамидо)-1-(трет-бутокси)-1-аксогексан-2-ил)уреидо)пентадиовой кислоты (10)

Из 28,956 г (38,54 ммоль) соединения 7, 20,217 г (77,08 ммоль) трифенилфосфина в 750 мл смеси ТГФ/вода было получено соединение 10, выделенное в индивидуальном виде методом колоночной хроматографии (Interchim Puriflash 240 г, 50μ, градиент от 0% метанола до 10% метанола за 35 минут, затем, от 10% метанола до 100% за 10 минут, скорость потока - 50 мл/мин), в виде желтого маслянистого вещества в количестве 25,16 г (выход 90%).

Спектр ЯМР 1Н (400 МГц, CDCl3, δ, м.д.): 7,28 (м, 1H, Ar), 7,21 (д, 2Н, Ar), 7,13 (м 1H, Ar), 5,68 (уш. с, 1H, NH), 5,49 (уш. с, 1H, NH), 4,58-4,48 (м, 2Н, СН), 4,31 (м, 2Н, СН2), 3,46-3,17 (м, 2Н, СН2) 2,76-2,73 (м, 2Н, СН2), 2,64-2,59 (м, 6Н, СН2), 2,31 (уш. с, 1H, СН2), 1,71 (м, 8Н, СН2), 1,43-1,42 (м, 27Н, СН3), 1,10-1,06 (м,10Н, СН2). Спектр ЯМР 13С (101 МГц, δ, м.д.): 173,6 (СООС(СН3)3), 173,0 (СООС(СН3)3), 172,5 (СООС(СН3)3), 172,6 (СООС(СН3)3), 172,4 (СООС(СН3)3), 157,0 (С(О)), 156,8 (С(О)), 139,2 (Ar), 130,2 (Ar), 129,8 (Ar), 127,9 (Ar), 127,8 (Ar), 127,7 (Ar), 127,4 (Ar), 126,3 (Ar), 126,1 (Ar), 124,2 (Ar), 82,0 (С(СН3)3), 81,8 (С(СН3)3), 81,5 (С(СН3)3), 80,6 (С(СН3)3), 80,5 (С(СН3)3), 53,4 (СН), 53,2 (СН), 53,0 (СН), 52,8 (СН), 50,5 (СН2), 47,7 (СН2), 47,1 (СН2), 46,2 (СН2), 45,6 (СН2), 41,9 (СН2), 41,8 (СН2), 33,1 (СН2), 33,0 (СН2), 32,9 (СН2), 32,8 (СН2), 32,1 (СН2), 31,9 (СН2), 31,7 (СН2), 31,4 (СН2), 28,5 (СН3), 28,3 (СН3), 28,1 (СН3), 28,0 (СН3), 27,9 (СН3), 26,7 (СН2), 26,5 (СН2), 25,1 (СН2), 24,9 (СН2), 22,4 (СН2), 22,3 (СН2). ESI-HRMS: для C37H60ClN4O8: m/z рассчитано для [М+Н]+ 725,4251, найдено: 725,4249.

Синтез (S)-ди-трет-бутилового эфира 2-(3-((S)-6-(6-амино-N-(4-бромбензил)гексанамидо)-1-(трет-бутокси)-1-оксогексан-2-ил)уреидо)пентандиовой кислоты (11)

Из 501 мг (0,63 ммоль) соединения 8, 331 мг (1,26 ммоль) трифенилфосфина в 35 мл смеси ТГФ/вода было получено соединение 11, выделенное в индивидуальном виде методом колоночной хроматографии (Interchim Puriflash 40 г, 50μ, градиент от 0% метанола до 10% метанола за 20 минут, затем, от 10% метанола до 100% за 7 минут, скорость потока - 30 мл/мин), в виде желтого маслянистого вещества в количестве 376 мг (выход 78%).

Спектр ЯМР 1H (400 МГц, ДМСО-d6, δ, м.д.): 7,51 (м, 2Н, Ar), 7,14 (м, 2Н, Ar), 6,28 (м, 2Н, NH), 4,48 (м, 2Н, СН2), 4,02 (м, 1H, СН), 3,95 (м, 1H, СН), 3,18 (м, 2Н, СН2), 2,34 (т, J=7,4 Гц, 1H, СН2), 2,2 (м, 3Н, СН2), 1,85 (м, 1H, СН2), 1,65 (м, 1H, СН2), 1,60-1,41 (м, 6Н, СН2), 1,37 (м, 29Н, СН3+СН2), 1,28 (м, 2Н, СН2), 1,2 (м, 3Н, СН2). Спектр ЯМР 13С (101 МГц, CDCl3, δ, м.д.): 173,6 (СООС(СН3)3), 173,0 (СООС(СН3)3), 172,9 (СООС(СН3)3), 172,8 (СООС(СН3)3), 172,6 (СООС(СН3)3), 172,5 (СООС(СН3)3), 157,9 (С(О)), 136,9 (Ar), 135,8 (Ar), 131,9 (Ar), 132,6 (Ar), 129,6 (Ar), 128,0 (Ar), 121,3 (Ar), 121,0 (Ar), 81,8 (С(СН3)3), 81,7 (С(СН3)3), 81,5 (С(СН3)3), 81,3 (С(СН3)3), 80,6 (С(СН3)3), 80,5 (С(СН3)3), 53,5 (СН), 53,4 (СН), 52,9 (СН2), 50,4 (СН2), 47,5 (СН2), 46,9 (СН2), 45,5 (СН2), 39,7 (СН2), 39,4 (СН2), 32,4 (СН2), 32,3 (СН2), 32,0 (СН2), 31,8 (СН2), 29,6 (СН2), 28,3 (С(СН3)3), 28,1 (С(СН3)3), 27,0 (СН2), 26,6 (СН2), 26,5 (СН2), 25,6 (СН2), 25,3 (СН2), 24,1 (СН2), 23,6 (СН2), 22,5 (СН2). ESI-HRMS: для C37H60BrN4O8: m/z рассчитано для [М+Н]+ 770,3779, найдено: 770,3779.

Синтез (S)-ди-трет-бутилового эфира 2-(3-((S)-6-(6-амино-N-(4-(трет-бутоксикарбонил)бензил)гексанамидо)-1-(трет-бутокси)-1-оксогексан-2-ил)уреидо)пентандиовой кислоты (12)

Из 1,5 г (1,636 ммоль) соединения 9, 858 мг (3,272 ммоль) трифенилфосфина в 100 мл смеси ТГФ/вода было получено соединение 12, выделенное в индивидуальном виде методом колоночной хроматографии (Interchim Puriflash 120 г, 50μ, градиент от 0% метанола до 10% метанола за 30 минут, затем, от 10% метанола до 100% за 10 минут, скорость потока - 50 мл/мин), в виде желтого маслянистого вещества в количестве 894 г (выход 69%).

Спектр ЯМР 1Н (400 МГц, CDCl3, δ, м.д.): 7,89-8,02 (м, 2Н, Ar), 7,17-7,24 (м, 2Н, Ar), 5,50-5,79 (м, 1H, NH), 5,07-5,37 (м, 1H, NH), 4,50-4,65 (м, 2Н, СН2), 4,28-4,31 (м, 2Н, СН), 4,01 (уш.с, 1H, NH2), 3,27-3,43 (м, 1H, СН2),3,15 (м, 1H, СН2), 2,77-2,84 (м, 1H, СН2), 2,23-2,45 (м, 4Н, СН2), 2,04-2,05 (м, 1H, СН2), 1,81-1,84 (м, 1H, СН2), 1,62-1,71 (м, 4Н, СН2), 1,53-1,57 (м, ПН, СН2+С(СН3)3), 1,41-1,42 (м, 27Н, С(СН3)3), 1,22-1,35 (м, 4Н, СН2). Спектр ЯМР 13С (101 МГц, CDCl3, δ, м.д.): 172,53 (СООС(СН3)3), 172,14 (СООС(СН3)3), 172,02 (СООС(СН3)3), 156,90 (С(О)), 129,62 (Ar), 129,27 (Ar), 127,18 (Ar), 125,53 (Ar), 125,39 (Ar), 81,51 (С(СН3)3), 81,35 (С(СН3)3), 81,07 (С(СН3)3), 80,75 (С(СН3)3), 80,52 (С(СН3)3), 80,04 (С(СН3)3), 53,01 (СН2), 52,85 (СН2), 52,54 (СН), 52,48 (СН), 52,37 (СН2), 46,79 (СН2), 32,18 (СН2), 31,79 (СН2), 31,52 (СН2), 31,18 (СН2), 28,49 (СН2), 27,90 (СН2), 27,74 (С(СН3)3), 27,64 (С(СН3)3), 27,59 (С(СН3)3), 27,56 (С(СН3)3), 26,52 (СН2), 25,60 (СН2), 24,60 (СН2), 23,96 (СН2), 22,04 (СН2), 21,94 (СН2), 19,12 (СН2), 16,72 (СН2), 16,61 (СН2). ESI-HRMS: для C42H70N4O10: m/z рассчитано для [М+Н]+ 791,5170, найдено: 791,5174; m/z рассчитано для [М+Cl]- 825,4780, найдено: 825,4784; m/z рассчитано для [М+НСОО]- 835,5068, найдено: 835,5068.

4.2.4 Общая методика твердофазного синтеза трипептидных фрагментов линкера.

1) Активация 2-хлортритил хлоридной смолы (2-СТС). Смолу (1 экв., емкость 1,0-1,5 ммоль/г) перемешивали в ДХМ (10 мл на 1 г смолы) в течение 10 мин. Затем, по каплям прилили SOCl2 (3 экв.), после чего прилили ДМФА (5% об., относительно SOCl2). Полученную смесь перемешивали при 40°С в течение 4 ч. Далее, смолу отфильтровывали, переносили в полипропиленовый реактор и промывали ДМФА (3 раза по 1 мин, 10 мл на 1 г смолы) и хлористым метиленом (3 раза по 1 мин, 10 мл на 1 г смолы).

2) Иммобилизация Fmoc-Lys-(L)-(NHBoc)-OH на 2-СТС смоле. К смеси 2-СТС смолы (1 экв., емкость 1,0-1,5 ммоль/г) в ДМФА (10 мл на 1 г смолы) прибавили Fmoc-Lys-(L)-(NHBoc)-OH (2 экв.) и диизопропилэтиламин (DIPEA, 10 экв.). Полученную смесь перемешивали 2 ч, после чего отфильтровали смолу и последовательно промыли метанолом (3 раза по 5 мин, 10 мл на 1 г смолы), хлористым метиленом (3 раза по 1 мин, 10 мл на 1 г смолы), ДМФА (3 раза по 1 мин, 10 мл на 1 г смолы) и хлористым метиленом (3 раза по 1 мин, 10 мл на 1 г смолы).

3) Общая методика удаления Fmoc-защиты. Fmoc-защищенную аминокислоту, иммобилизованную на 2-СТС смоле промыли ДМФА (2 раза по 1 мин, 10 мл на 1 г смолы), затем прилили раствор 4-метилпиперидина в ДМФА (20% об., 10 мл на 1 г смолы) и перемешивали в течение 15 минут. Отфильтровали смолу, промыли ДМФА (3 раза по 1 мин, 10 мл на 1 г смолы), прилили раствор 4-метилпиперидина в ДМФА (20% об., 10 мл на 1 г смолы) и перемешивали в течение 15 минут. Затем отфильтровали смолу, промыли ДМФА (3 раза по 1 мин, 10 мл на 1 г смолы) и дихлорметаном (3 раза по 1 мин, 10 мл на 1 г смолы).

4) Общая методика реакции ацилирования с применением HBTU и HOBt. К аминокислоте, иммобилизованной на смоле (1 экв.), прилили ДМФА (10 мл на 1 г смолы). К полученной смеси добавили Fmoc-защищенную аминокислоту (2 экв.), HOBt (0,5 экв.), HBTU (2 экв.) и DIPEA (3 экв.), после чего перемешивали смесь 2 ч. Затем отфильтровали смолу и промывали ее ДМФА (3 раза по 1 мин, 10 мл на 1 г смолы) и дихлорметаном (3 раза по 1 мин, 10 мл на 1 г смолы).

Синтез (S)-2-((S)-2-((S)-2-амино-3-фенилпропанамидо)-3-фенилпропанамидо)-6-((трет-бутоксикарбонил)амино)гексановой кислоты на 2-СТС смоле (13)

Исходя из 713 мг смолы, последовательным выполнением шагов 1) 15 мл дихлорметана, 197 μл SOCl2, 17 μл ДМФА; 2) 935 мг Fmoc-Lys(Boc)-OH, 1739 μл DIPEA; 3) 6 мл 20% 4-метилпиперидина в ДМФА; 4) 772 мг Fmoc-Phe-OH, 522 μл DIPEA, 750 мг HBTU, 68 мг HOBt, 3) 7 мл 20% 4-метилпиперидина в ДМФА, 4) 772 мг Fmoc-Phe-OH, 522 μл DIPEA, 750 мг HBTU, 68 мг HOBt, 3) 7 мл 20% 4-метилпиперидина в ДМФА; было получено 968 мг смолы с иммобилизованым на ней трипептидом 13.

Синтез (S)-2-((S)-2-((S)-2-амино-3-фенилпропанамидо)-3-(4-(трет-бутокси)фенил)пропанамидо)-6-((трет-бутоксикарбонил)амино)гексановой кислоты на 2-СТС смоле (14)

Исходя из 1000 мг смолы, последовательным выполнением шагов 1) 20 мл дихлорметана, 276 μл SOCl2, 24 μл ДМФА; 2) 1378 мг Fmoc-Lys(Boc)-OH, 2617 μл DIPEA; 3) 8 мл 20% 4-метилпиперидина в ДМФА; 4) 1351 мг Fmoc-Tyr(otBu)-OH, 768 μл DIPEA, 1115 мг HBTU, 99 мг HOBt, 3) 8 мл 20% 4-метилпиперидина в ДМФА, 4) 1139 мг Fmoc-Phe-OH, 768 μл DIPEA, 1115 мг HBTU, 99 мг HOBt, 3) 9 мл 20% 4-метилпиперидина в ДМФА; было получено 2050 мг смолы с иммобилизованым на ней трипептидом 14.

4.2.5 Общая методика синтеза лигандов.

Векторный фрагмент (соединение 10-12, 1 экв.) растворили в дихлорметане, прибавили янтарный ангидрид (1,05 экв.) и DIPEA (2 экв.) и перемешивали до окончания протекания реакции (контроль по ТСХ, элюент 10% метанол в дихлорметане). Удалили растворитель при пониженном давлении. Полученное вещество (1,25 экв.) без дальнейшей очистки прибавили к смеси трипептида, иммобилизованного на 2-СТС смоле, (13 или 14, 1 экв.) с ДМФА (10 мл на 1 г смолы). К полученной смеси прибавили HBTU (2 экв.), HOBt (0,5 экв.) и DIPEA (3 экв.) и перемешивали 16 ч. Затем отфильтровали смолу, и промывали ее ДМФА (4 раза по 1 мин, 10 мл на 1 г смолы) и дихлорметаном (4 раза по 1 мин, 10 мл на 1 г смолы). Далее, к смоле прилили 0,75% раствор трифторуксусной кислоты в дихлорметане (10 мл на 1 г смолы), перемешивали в течение 15 минут, после чего отфильтровали и промыли смолу хлористым метиленом (3 раза по 1 мин, 10 мл на 1 г смолы). Из полученного фильтрата удалили растворитель при пониженном давлении. Дальнейшее выделение продукта из полученной смеси осуществляли путем обращенно-фазовой колоночной хроматографии, в качестве элюента была использована смесь 0,1 об. % трифторуксусной кислоты в воде - ацетонитрил.

Синтез (2S,5S,8S,26S,30S)-8-бензил-5-(4-(трет-бутокси)бензил)-26,30-бис(трет-бутоксикарбонил)-2-(4-((трет-бутоксикарбонил)амино)бутил)-21-(3-хлорбензил)-35,35-диметил-4,7,10,13,20,28,33-гептаоксо-34-окса-3,6,9,14,21,27,29-гептаазагексатриаконтан-1-овой кислоты (15)

Исходя из 889 мг соединения 10 (1,226 ммоль), 129 мг янтарного ангидрида (1,287 ммоль), 427 μл DIPEA (2,452 ммоль), 1,025 г смолы с иммобилизованным трипептидом 14, 557 мг HBTU, 50 мг HOBt и 384 μл DIPEA со смолы было удалено и в дальнейшем выделено в индивидуальном виде методом обращенно-фазовой колоночной хроматографии (Interchim Puriflash С18 120 г, 15 μ, градиент от 30% ацетонитрила до 60% ацетонитрила за 11 минут, затем, от 60% ацетонитрила до 100% за 15 минут, скорость потока - 40 мл/мин) 937 мг (выход 89%) соединения 15 в виде желтого маслянистого вещества.

Спектр ЯМР 1Н (400 МГц, ДМСО-d6, δ, м.д.): 8,15 (м, 2Н, NH), 7,87 (м, 2Н, NH), 7,24-7,33 (м, 2Н, Ar), 7,20 (м, 3Н, Ar), 7,07-7,18 (м, 6Н, Ar), 6,84 (д, J=7,95 Гц, 2Н, Ar), 6,76 (м, 1H, NH), 6,19-6,34 (м, 2Н, NH), 4,43-4,58 (м, 3Н, СН2+СН), 4,31 (м, 1H, СН), 4,11 (м, 1H, СН), 3,88-4,06 (м, 3Н, СН), 3,12-3,19 (м, 2Н, СН2), 2,84-3,09 (м, 9Н, СН2), 2,54-2,63 (м, 1H, СН2), 2,30-2,38 (м, 2Н, СН2), 2,08-2,30 (м, 7Н, СН2), 1,78-1,91 (м, 1H, СН2), 1,66 (м, 2Н, СН2), 1,40-1,62 (м, 8Н, СН2), 1,30-1,40 (м, 42Н, СН3+СН2), 1,12-1,30 (м, 18Н, СН3+СН2).

Синтез (2S,5S,8S,26S,30S)-8-бензил-21-(4-бромбензил)-5-(4-(трет-бутокси)бензил)-26,30-бис(трет-бутоксикарбонил)-2-(4-((трет-бутоксикарбонил)амино)бутил)-35,35-диметил-4,7,10,13,20,28,33-гептаоксо-34-окса-3,6,9,14,21,27,29-гептаазагексатриаконтан-1-овой кислоты (16)

Исходя из 365 мг соединения 11 (0474 ммоль), 50 мг янтарного ангидрида (0,498 ммоль), 165 μл DIPEA (0,948 ммоль), 576 мг смолы с иммобилизованным трипептидом 14, 288 мг HBTU, 26 мг HOBt и 195 μл DIPEA со смолы было удалено и в дальнейшем выделено в индивидуальном виде методом обращенно-фазовой колоночной хроматографии (Interchim Puriflash С18 120 г, 15μ, градиент от 30% ацетонитрила до 60% ацетонитрила за 11 минут, затем, от 60% ацетонитрила до 100% за 15 минут, скорость потока - 40 мл/мин) 277 мг (выход 40%) соединения 16 в виде желтого маслянистого вещества.

Спектр ЯМР 1H (400 МГц, ДМСО-d6, δ, м.д.): 12,51 (уш. с, 1H, СООН), 8,15 (д, J=7,4 Гц, 2Н, NH), 7,79-7,94 (м, 2Н, NH), 7,44-7,56 (м, 2Н, Ar), 7,08-7,24 (м, 9Н, Ar), 6,84 (д, J=7,89 Гц, 2Н, Ar), 6,78 (т, J=5,26 Гц, 1H, NH), 6,21-6,32 (м, 2Н, NH), 4,41-4,53 (м, 2Н, СН2+СН), 4,29-4,37 (м, 1H, СН), 4,12 (м, 1H, СН), 4,02 (м, 1H, СН), 3,94 (м, 1H, СН), 3,15 (м, 2Н, СН2), 2,91-3,08 (м, 4Н, СН2), 2,77-2,90 (м, 4Н, СН2), 2,55-2,66 (м, 1H, СН2), 2,11-2,36 (м, 8Н, СН2), 1,82-1,90 (м, 1H, СН2), 1,66 (м, 2Н, СН2), 1,53-1,63 (м, 2Н, СН2), 1,41-1,53 (м, 4Н, СН2), 1,31-1,40 (м, 42Н, СН2+СН3), 1,13-1,31 (м, 18Н, СН2+СН3). Спектр ЯМР 13С (101 МГц, ДМСО-d6, δ, м.д.): 173,32 (СООН), 172,24 (СООС(СН3)3), 172,20 (СООС(СН3)3), 172,07 (С(О)), 172,00 (С(О)), 171,92 (СООС(СН3)3), 171,45 (СООС(СН3)3), 171,38 (С(О)), 171,04 (С(О)), 157,13 (С(О)), 155,59 (СООС(СН3)3), 153,39 (Ar), 138,13 (Ar), 138,00 (Ar), 137,51 (Ar), 135,54 (Ar), 132,64 (Ar), 131,56 (Ar), 131,24 (Ar), 129,72 (Ar), 129,66 (Ar), 129,03 (Ar), 128,66 (Ar), 128,04 (Ar), 126,20 (Ar), (Ar), 123,44 (Ar), 120,15 (Ar), 119,93 (Ar), 115,04 (Ar), 80,59 (С(СН3)3), 80,42 (С(СН3)3), 80,33 (С(СН3)3), 79,78 (С(СН3)3), 77,60 (С(СН3)3), 77,38 (С(СН3)3), 54,52 (СН), 53,81 (СН), 52,97 (СН), 52,84 (СН), 52,18 (СН), 51,98 (СН), 49,56 (СН2), 46,92 (СН2), 46,65 (СН2), 45,11 (СН2), 38,59 (СН2), 37,02 (СН2), 36,44 (СН2), 32,34 (СН2), 31,97 (СН2), 31,80 (СН2), 30,91 (СН2), 30,77 (СН2), 30,64 (СН2), 29,18 (СН2), 29,07 (СН2), 28,57 (СН2), 28,29 (С(СН3)), 27,75 (С(СН3)), 27,66 (С(СН3)), 27,64 (С(СН3)), 26,70 (СН2), 26,32 (СН2), 26,23 (СН2), 24,73 (СН2), 24,60 (СН2), 22,71 (СН2), 22,54 (СН2), 22,45 (СН2), 22,26 (СН2).

Синтез (2S,5S,8S,26S,30S)-8-бензил-5-(4-(трет-бутокси)бензил)-26,30-бис(трет-бутоксикарбонил)-2-(4-((трет-бутоксикарбонил)амино)бутил)-21-(4-(трет-бутоксикарбонил)бензил)-35,35-диметил-4,7,10,13,20,28,33-гептаоксо-34-окса-3,6,9,14,21,27,29-гептаазагексатриаконтан-1-овой кислоты (17)

Исходя из 440 мг соединения 12 (0,556 ммоль), 58 мг янтарного ангидрида (0,584 ммоль), 194 μл DIPEA (1,112 ммоль), 621 мг смолы с иммобилизованным трипептидом 14, 338 мг HBTU, 30 мг HOBt и 233 μл DIPEA со смолы было удалено и в дальнейшем выделено в индивидуальном виде методом обращенно-фазовой колоночной хроматографии (Interchim Puriflash С18 120 г, 15μ, градиент от 30% ацетонитрила до 60% ацетонитрила за 11 минут, затем, от 60% ацетонитрила до 100% за 15 минут, скорость потока - 40 мл/мин) 339 мг (выход 76%) соединения 17 в виде желтого маслянистого вещества.

Спектр ЯМР 1Н (400 МГц, ДМСО-d, δ, м.д.): 12,54 (уш. с, 1H, СООН), 8,15 (д, J=6,17 Гц, 2Н, NH), 7,80-7,90 (м, 4Н, Ar+NH), 7,27 (д, J=8,19 Гц, 2Н, Ar), 7,11-7,24 (м, 7Н, Ar), 6,84 (д, J=8,4 Гц, 2Н, Ar), 6,77 (м, 1H, NH), 6,21-6,31 (м, 2Н, NH), 4,60 (м, 1H, СН), 4,44-4,56 (м, 2Н, СН2), 4,33 (м, 1H, СН), 4,12 (м, 1H, СН), 3,89-4,05 (м, 2Н, СН), 3,11-3,23 (м, 2Н, СН2), 2,91-3,08 (м, 4Н, СН2), 2,75-2,84 (м, 1H, СН2), 2,54-2,64 (м, 1H, СН2), 2,29-2,37 (м, 2Н, СН2), 2,22-2,29 (м, 2Н, СН2), 2,12-2,22 (м, 4Н, СН2), 1,82-1,90 (м, 1H, СН2), 1,60-1,73 (м, 2Н, СН2), 1,40-1,60 (м, 13Н, СН2+СН3), 1,39-1,48 (м, 4Н, СН2), 1,35 (м, 41Н, СН2+СН3), 1,12-1,31 (м, 18Н, СН2+СН3). Спектр ЯМР 13С (101 МГц, ДМСО-d6, δ, м.д.): 173,32 (СООН), 172,19 (СООС(СН3)3), 172,12 (С(О)), 172,05 (С(О)), 171,92 (СООС(СН3)3), 171,45 (СООС(СН3)3), 171,39 (С(О)), 171,04 (С(О)), 164,81 (СООС(СН3)3), 164,73 (СООС(СН3)3), 157,13 (С(О)), 155,59 (СООС(СН3)3), 153,38 (Ar), 145,42 (Ar), 143,77 (Ar), 143,31 (Ar), 138,13 (Ar), 135,53 (Ar), 132,79 (Ar), 132,65 (Ar), 130,25 (Ar), 129,98 (Ar), 129,65 (Ar), 129,47 (Ar), 129,17 (Ar), 129,03 (Ar), 128,03 (Ar), 127,45 (Ar), 126,51 (Ar), 126,20 (Ar), 123,44 (Ar), 115,04 (Ar), 87,97 (С(СН3)3), 85,65 (С(СН3)3), 80,68 (С(СН3)3), 80,57 (С(СН3)3), 80,41 (С(СН3)3), 80,32 (С(СН3)3), 79,78 (С(СН3)3), 77,59 (С(СН3)3), 77,37 (С(СН3)3), 54,53 (СН), 53,81 (СН), 52,96 (СН), 52,81 (СН), 52,18 (СН), 51,97 (СН), 50,05 (СН2), 47,41 (СН2), 46,78 (СН2), 45,30 (СН2), 40,90 (СН2), 38,60 (СН2), 38,54 (СН2), 37,01 (СН2), 36,42 (СН2), 35,83 (СН2), 32,37 (СН2), 31,99 (СН2), 31,79 (СН2), 30,91 (СН2), 30,77 (СН2), 30,64 (СН2), 29,18 (СН2), 29,07 (СН2), 28,56 (С(СН3)3), 28,28 (С(СН3)3), 27,81 (С(СН3)3), 27,75 (С(СН3)3), 27,65 (С(СН3)3), 27,62 (С(СН3)3), 26,71 (СН2), 26,32 (СН2), 26,24 (СН2), 24,74 (СН2), 24,59 (СН2), 22,71 (СН2), 22,46 (СН2), 22,24 (СН2).

Синтез (2S,5S,8S,26S,30S)-5,8-дибензил-26,30-бис(трет-бутоксикарбонил)-2-(4-((трет-бутоксикарбонил)амино)бутил)-21-(4-(трет-бутоксикарбонил)бензил)-35,35-диметил-4,7,10,13,20,28,33-гептаоксо-34-окса-3,6,9,14,21,27,29-гептаазагексатриаконтан-1-овой кислоты (18)

Исходя из 336 мг соединения 12 (0,425 ммоль), 45 мг янтарного ангидрида (0,446 ммоль), 148 μл DIPEA (0,85 ммоль), 572 мг смолы с иммобилизованным трипептидом 13, 258 мг HBTU, 23 мг HOBt и 178 μл DIPEA со смолы было удалено и в дальнейшем выделено в индивидуальном виде методом обращенно-фазовой колоночной хроматографии (Interchim Puriflash С18 120 г, 15μ, градиент от 30% ацетонитрила до 60% ацетонитрила за 11 минут, затем, от 60% ацетонитрила до 100% за 15 минут, скорость потока - 40 мл/мин) 180 мг (выход 95%) соединения 18 в виде желтого маслянистого вещества.

Спектр ЯМР 1Н (400 МГц, ДМСО-d6, δ, м.д.): 12,56 (уш. с, 1H, СООН), 8,15 (д, J=7,89 Гц, 2Н, NH), 7,90-8,01 (м, 1H, NH), 7,79-7,89 (м, 3Н, Ar+NH), 7,11-7,30 (м, 12Н, Ar), 6,78 (м, 1H, NH), 6,21-6,31 (м, 2Н, NH), 4,47-4,63 (м, 3Н, СН+СН2), 4,35 (м, 1H, СН), 4,13 (м, 1H, СН), 3,89-4,05 (м, 2Н, СН), 3,04-3,23 (м, 3Н, СН2), 2,82-3,04 (м, 6Н, СН2), 2,56-2,67 (м, 1H, СН2), 2,31-2,37 (м, 1H, СН2), 2,10-2,30 (м, 6Н, СН2), 1,79-1,91 (м, 1H, СН2), 1,61-1,72 (м, 2Н, СН2), 1,42-1,61 (м, 16Н, СН2+С(СН3)3), 1,35 (м, 42Н, С(СН3)3+СН2), 1,10-1,30 (м, 8Н, СН2). Спектр ЯМР 13С (101 МГц, ДМСО-d6, δ, м.д.): 173,34 (СООН), 172,23 (СООС(СН3)3), 172,19 (СООС(СН3)3), 172,13 (С(О)), 172,06 (С(О)), 171,92 (СООС(СН3)3), 171,45 (СООС(СН3)3), 171,38 (С(О)), 171,05 (С(О)), 171,00 (С(О)), 164,82 (СООС(СН3)3), 164,74 (СООС(СН3)3), 157,13 (С(О)), 155,60 (СООС(СН3)3), 143,77 (Ar), 143,31 (Ar), 138,12 (Ar), 137,97 (Ar), 135,53 (Ar), 130,26 (Ar), 129,98 (Ar), 129,47 (Ar), 129,17 (Ar), 129,06 (Ar), 128,09 (Ar), 128,02 (Ar), 127,45 (Ar), 126,51 (Ar), 126,25 (Ar), 126,19 (Ar), 115,04 (Ar), 80,69 (С(СН3)3), 80,57 (С(СН3)3), 80,41 (С(СН3)3), 80,33 (С(СН3)3), 79,78 (С(СН3)3), 77,38 (С(СН3)3), 54,39 (СН), 53,77 (СН), 52,97 (СН), 52,82 (СН), 52,19 (СН), 51,97 (СН), 50,07 (СН2), 47,42 (СН2), 46,80 (СН2) 45,30 (СН2), 38,60 (СН2), 38,53 (СН2), 37,06 (СН2), 36,95 (СН2), 31,99 (СН2), 31,78 (СН2), 30,91 (СН2), 30,76 (СН2), 30,63 (СН2), 29,18 (СН2), 29,07 (СН2), 28,29 (С(СН3)), 27,81 (С(СН3)), 27,75 (С(СН3)), 27,65 (С(СН3)), 27,63 (С(СН3)), 26,71 (СН2), 26,32 (СН2), 26,24 (СН2), 24,75 (СН2), 24,59 (СН2), 22,54 (СН2), 22,24 (СН2), 22,73 (СН2).

4.2.6 Общая методика реакции ацилирования 3-азидопропиламина в присутствии HBTU и HOBt.

Лиганд (15-18, 1 экв.) растворили в ДМФА. Смесь довели до 0°С и последовательно прибавили 3-азидопропиламин (2 экв.), HOBt (1,5 экв.), DIPEA (2 экв.) и HBTU (1,5 экв.). Реакционную смесь перемешивали в течение 16 часов. Удалили ДМФА при пониженном давлении, сухой остаток растворили в дихлорметане и промыли два раза водой, два раза насыщенным раствором гидрокарбоната натрия и один раз насыщенным раствором хлорида натрия. Далее органическую фракцию сушили над безводным сульфатом натрия и удалили растворитель при пониженном давлении. Продукт в индивидуальном виде выделяли методом колоночной хроматографии, в качестве элюента была использована смесь дихлорметан - метанол.

Синтез (10S,13S,16S,34S,38S)-три-трет-бутилового эфира 10-((3-азидопропил)карбамоил)-16-бензил-13-(4-(трет-бутокси)бензил)-29-(3-хлорбензил)-2,2-диметил-4,12,15,18,21,28,36-гептаоксо-3-окса-5,11,14,17,22,29,35,37-октаазатетраконтан-34,38,40-трикарбоновой кислоты (19)

Из 927 мг (0,653 ммоль) соединения 15, 131 мг (1,306 ммоль) 3-азидопропиламина, 227 μл (1,306 ммоль) DIPEA, 132 мг (0,979 ммоль) HOBt и 371 мг (0,979 ммоль) HBTU в 30 мл ДМФА, после выделения методом колоночной хроматографии (Interchim Puriflash 120 г, 50μ, градиент от 0% метанола до 5% метанола за 30 минут, затем, от 5% метанола до 10% за 15 минут, далее от 10% метанола до 100% за 10 мин скорость потока - 40 мл/мин) было получено 796 мг (выход 81%) соединения 19 в виде желтого маслянистого вещества.

Спектр ЯМР 1Н (400 МГц, CDCl3, δ, м.д.): 7,97 (т, J=6,11 Гц, 1H, NH), 7,79 (м, 1H, NH), 7,29-7,35 (м, 2Н, Ar), 6,87-7,26 (м, 11Н, Ar), 6,08-6,23 (м, 1H, NH), 4,41-4,57 (м, 3Н, СН2+СН), 4,21-4,41 (м, 4Н, СН), 3,20-3,47 (м, 7Н, СН2), 2,85-3,20 (м, 6Н, СН2), 2,80 (м, 1H, СН2), 2,53 (м, 1H, СН2), 2,43 (м, 1H, СН2), 2,13-2,39 (м, 6Н, СН2), 1,99-2,13 (м, 2Н, СН2), 1,79-1,91 (м, 3Н, СН2), 1,50-1,74 (м, 9Н, СН2), 1,36-1,50 (м, 40Н, СН2+СН3), 1,19-1,36 (м, 17Н, СН2+СН3). Спектр ЯМР 13С (101 МГц, CDCl3, δ, м.д.): 174,83 (СООН), 172,85 (С(О)), 172,39 (СООС(СН3)3), 172,11 (СООС(СН3)3), 172,05 (С(О)), 172,00 (С(О)), 171,86 (СООС(СН3)3), 171,67 (С(О)), 171,63 (С(О)), 156,58 (С(О)), 156,10 (СООС(СН3)3), 154,94 (СООС(СН3)3), 153,57 (Ar), 139,58 (Ar), 138,75 (Ar), 135,18 (Ar), 134,45 (Ar), 133,92 (Ar), 132,78 (Ar), 129,82 (Ar), 129,40 (Ar), 128,99 (Ar), 128,54 (Ar), 128,24 (Ar), 127,25 (Ar), 126,96 (Ar), 125,76 (Ar), 125,51 (Ar), 123,84 (Ar), 81,46 (С(СН3)3), 81,33 (С(СН3)3), 81,06 (С(СН3)3), 80,11 (С(СН3)3), 80,04 (С(СН3)3), 78,98 (С(СН3)3), 77,95 (С(СН3)3), 77,91 (С(СН3)3), 76,89 (С(СН3)3), 56,72 (СН2), 56,64 (СН2), 56,39 (СН2), 53,49 (СН2), 52,91 (СН2), 52,70 (СН2), 52,48 (СН2), 52,38 (СН2), 50,02 (СН2), 48,33 (СН2), 47,46 (СН2), 46,79 (СН2), 45,35 (СН2), 40,29 (СН2), 39,13 (СН2), 36,49 (СН2), 36,17 (СН2), 34,62 (СН2), 32,52 (СН2), 32,22 (СН2), 31,78 (СН2), 31,17 (СН2), 30,84 (СН2), 30,35 (СН2), 28,79 (СН2), 28,43 (С(СН3)3), 28,15 (С(СН3)3), 27,98 (С(СН3)3), 27,95 (С(СН3)3), 27,76 (С(СН3)3), 27,64 (С(СН3)3), 27,59 (С(СН3)3), 27,56 (С(СН3)3), 26,28 (СН2), 24,39 (СН2), 23,78 (СН2), 22,05 (СН2).

Синтез (10S,13S,16S,34S,38S)-три-трет-бутилового эфира 10-((3-азидопропил)карбамоил)-16-бензил-29-(4-бромбензил)-13-(4-(трет-бутокси)бензил)-2,2-диметил-4,12,15,18,21,28,36-гептаоксо-3-окса-5,11,14,17,22,29,35,37-октаазатетраконтан-34,38,40-трикарбоновой кислоты (20)

Из 270 мг (0,1844 ммоль) соединения 16, 37 мг (0,369 ммоль) 3-азидопропиламина, 64 μл (0,369 ммоль) DIPEA, 37 мг (0,277 ммоль) HOBt и 105 мг (0,277 ммоль) HBTU в 23 мл ДМФА, после выделения методом колоночной хроматографии (Interchim Puriflash 25 г, 50μ, градиент от 0% метанола до 5% метанола за 25 минут, затем, от 5% метанола до 10% за 11 минут, далее от 10% метанола до 100% за 8 мин скорость потока - 20 мл/мин) было получено 218 мг (выход 76%) соединения 20 в виде желтого маслянистого вещества.

Спектр ЯМР 1Н (400 МГц, ДМСО-d6, δ, м.д.): 8,32 (д, J=7,09 Гц, 1H, NH), 8,16 (д, J=7,83 Гц, 1H, NH), 7,90-7,98 (м, 1H, NH), 7,67 (д, J=8,13 Гц, 1H, NH), 7,60 (м, 1H, NH), 7,53 (д, J=8,31 Гц, 1H, Ar), 7,47 (д, J=8,38 Гц, 1H, Ar), 7,18-7,23 (м, 2Н, Ar), 7,09-7,18 (м, 7Н, Ar), 6,85 (д, J=8,25 Гц, 2Н, Ar), 6,76 (м, 1H, NH), 6,27-6,31 (м, 1H, NH), 6,24 (м, 1H, NH), 4,49-4,43 (м, 2Н, СН2), 4,35-4,41 (м, 1H, СН), 4,28 (м, 1H, СН), 4,10 (м, 1H, СН), 3,98-4,05 (м, 1H, СН), 3,91-3,98 (м, 1H, СН), 3,30 (м, 2Н, СН2), 2,93-3,19 (м, 8Н, СН2), 2,82-2,92 (м, 4Н, СН2), 2,59-2,67 (м, 1H, СН2), 2,31 (t, J=7,06 Гц, 3Н, СН2), 2,23-2,28 (м, 1H, СН2), 2,13-2,23 (м, 4Н, СН2), 1,80-1,90 (м, 1H, СН2), 1,58-1,70 (м, 5Н, СН2), 1,40-1,58 (м, 8Н, СН2), 1,31-1,39 (м, 43Н, СНз+СН2), 1,13-1,27 (м, 17Н, СН3+СН2). Спектр ЯМР 13С (101 МГц, ДМСО-d6, δ, м.д.): 172,77 (С(О)), 172,24 (СООС(СН3)3), 172,20 (СООС(СН3)3), 172,04 (С(О)), 171,97 (С(О)), 171,92 (СООС(СН3)3), 171,70 (С(О)), 171,62 (С(О)), 171,45 (СООС(СН3)3), 171,29 (С(О)), 170,87 (С(О)), 157,12 (С(О)), 155,59 (СООС(СН3)3), 153,45 (Ar), 137,99 (Ar), 137,89 (Ar), 137,49 (Ar), 132,61 (Ar), 131,56 (Ar), 131,24 (Ar), 129,72 (Ar), 129,58 (Ar), 128,98 (Ar), 128,63 (Ar), 128,08 (Ar), 126,29 (Ar), 123,51 (Ar), 120,15 (Ar), 119,94 (Ar), 80,59 (С(СН3)3), 80,41 (С(СН3)3), 80,33 (С(СН3)3), 79,78 (С(СН3)3), 77,64 (С(СН3)3), 77,38 (С(СН3)3), 55,10 (СН), 54,70 (СН), 52,97 (СН), 52,83 (СН), 52,17 (СН), 49,56 (СН2), 48,23 (СН2), 46,93 (СН2), 46,64 (СН2), 45,13 (СН2), 38,69 (СН2), 36,92 (СН2), 35,81 (СН2), 32,33 (СН2), 31,97 (СН2), 31,80 (СН2), 31,60 (СН2), 30,91 (СН2), 30,73 (СН2), 30,58 (СН2), 29,25 (СН2), 29,07 (СН2), 29,00 (СН2), 28,55 (СН2), 28,28 (С(СН3)3), 27,75 (С(СН3)3), 27,65 (С(СН3)3), 27,63 (С(СН3)3), 26,70 (СН2), 26,33 (СН2), 26,24 (СН2), 24,72 (СН2), 24,60 (СН2), 22,80 (СН2), 22,45 (СН2), 22,26 (СН2).

Синтез (10S,13S,16S,34S,38S)-три-трет-бутилового эфира 10-((3-азидопропил)карбамоил)-16-бензил-13-(4-(трет-бутокси)бензил)-29-(4-(трет-бутоксикарбонил)бензил)-2,2-диметил-4,12,15,18,21,28,36-гептаоксо-3-окса-5,11,14,17,22,29,35,37-октаазатетраконтан-34,38,40-трикарбоновой кислоты (21)

Из 329 мг (0,2214 ммоль) соединения 17, 44 мг (0,443 ммоль) 3-азидопропиламина, 77 μл (0,443 ммоль) DIPEA, 45 мг (0,332 ммоль) HOBt и 126 мг (0,332 ммоль) HBTU в 25 мл ДМФА, после выделения методом колоночной хроматографии (Interchim Puriflash 25 г, 50μ, градиент от 0% метанола до 5% метанола за 25 минут, затем, от 5% метанола до 10% за 11 минут, далее от 10% метанола до 100% за 8 мин скорость потока - 20 мл/мин) было получено 300 мг (выход 86%) соединения 21 в виде желтого маслянистого вещества.

Спектр ЯМР 1Н (400 МГц, ДМСО-d6, δ, м.д.): 8,33 (д, J=7,03 Гц, 1H, NH), 8,17 (д, J=7,76 Гц, 1H, NH), 7,91-8,00 (м, 1H, NH), 7,87 (д, J=8,38 Гц, 1H, Ar), 7,82 (д, J=8,31 Гц, 1H, Ar), 7,66 (м, 1H, Ar), 7,59 (м, 1H, Ar), 7,24-7,31 (м, 2Н, Ar), 7,18-7,24 (м, 2Н, Ar), 7,10-7,18 (м, 5Н, Ar), 6,85 (м, 2Н, Ar), 6,76 (м, 1H, NH), 6,21-6,30 (м, 2Н, NH), 4,59 (м, 1H, СН2), 4,53 (м, 1H, СН2), 4,34-4,42 (м, 1H, СН), 4,28 (м, 1H, СН), 4,09 (м, 1H, СН), 3,98-4,05 (м, 1H, СН), 3,89-3,98 (м, 1H, СН), 3,30 (м, 2Н, СН2) 3,12-3,22 (м, 2Н, СН2), 3,05-3,12 (м, 2Н, СН2), 2,93-3,05 (м, 3Н, СН2), 2,81-2,93 (м, 4Н, СН2), 2,59-2,68 (м, 1H, СН2), 2,28-2,36 (м, 3Н, СН2), 2,12-2,28 (м, 5Н, СН2), 1,79-1,90 (м, 1H, СН2), 1,58-1,70 (м, 4Н, СН2), 1,52 (м, ЮН, СН2+СН3), 1,39-1,49 (м, 5Н, СН2), 1,31-1,39 (м, 39Н, СН2+СН3), 1,24-1,31 (м, 3Н, СН2), 1,12-1,24 (м, 15Н, СН2+СН3). Спектр ЯМР 13С (101 МГц, ДМСО-d6, δ, м.д.): 172,79 (С(О)), 172,18 (СООС(СН3)3), 172,09 (С(О)), 172,02 (С(О)), 171,92 (СООС(СН3)3), 171,71 (С(О)), 171,63 (С(О)), 171,45 (СООС(СН3)3), 171,29 (С(О)), 170,87 (С(О)), 164,81 (СООС(СН3)3), 164,73 (СООС(СН3)3), 157,12 (С(О)), 155,58 (СООС(СН3)3), 153,45 (Ar), 143,76 (Ar), 143,29 (Ar), 137,88 (Ar), 132,61 (Ar), 130,25 (Ar), 129,98 (Ar), 129,57 (Ar), 129,47 (Ar), 129,16 (Ar), 128,98 (Ar), 128,08 (Ar), 127,45 (Ar), 126,48 (Ar), 126,28 (Ar), 123,51 (Ar), 80,68 (С(СН3)3), 80,57 (С(СН3)3), 80,40 (С(СН3)3), 80,32 (С(СН3)3), 79,78 (С(СН3)3), 77,63 (С(СН3)3), 77,37 (С(СН3)3), 55,13 (СН), 54,71 (СН), 52,87 (СН), 52,18 (СН), 48,23 (СН2), 38,69 (СН2), 36,90 (СН2), 35,81 (СН2), 32,35 (СН2), 31,98 (СН2), 31,79 (СН2), 31,59 (СН2), 30,91 (СН2), 30,72 (СН2), 30,58 (СН2), 29,24 (СН2), 29,07 (СН2), 28,54 (С(СН3)3), 28,28 (С(СН3)3), 27,80 (С(СН3)3), 27,75 (С(СН3)3), 27,64 (С(СН3)3), 26,71 (СН2), 26,34 (СН2), 24,73 (СН2), 24,58 (СН2), 22,80 (СН2), 22,46 (СН2), 22,24 (СН2).

Синтез (10S,13S,16S,34S,38S)-три-трет-бутилового эфира 10-((3-азидопропил)карбамоил)-13,16-дибензил-29-(4-(трет-бутоксикарбонил)бензил)-2,2-диметил-4,12,15,18,21,28,36-гептаоксо-3-окса-5,11,14,17,22,29,35,37-октаазатетраконтан-34,38,40-трикарбоновой кислоты (22)

Из 179 мг (0,127 ммоль) соединения 18, 25 мг (0,253 ммоль) 3-азидопропиламина, 44 μл (0,253 ммоль) DIPEA, 26 мг (0,19 ммоль) HOBt и 72 мг (0,19 ммоль) HBTU в 15 мл ДМФА, после выделения методом колоночной хроматографии (Interchim Puriflash 25 г, 50μ, градиент от 0% метанола до 5% метанола за 25 минут, затем, от 5% метанола до 10% за 11 минут, далее от 10% метанола до 100% за 8 мин скорость потока - 20 мл/мин) было получено 129 мг (выход 47%) соединения 22 в виде желтого маслянистого вещества.

Спектр ЯМР 1Н (400 МГц, ДМСО-d6, δ, м.д.): 8,33 (д, J=7,21 Гц, 1H, NH), 8,19 (д, J=7,64 Гц, 1H, NH), 7,90-7,99 (м, 1H, NH), 7,87 (д, J=8,19 Гц, 1H, Ar), 7,82 (д, J=8,19 Гц, 1H, Ar), 7,66-7,75 (м, 1H, NH), 7,55-7,64 (м, 1H, NH), 7,22-7,29 (м, 6Н, Ar), 7,11-7,22 (м, 6Н, Ar), 6,76 (м, 1H, NH), 6,21-6,32 (м, 2Н, NH), 4,59 (м, 1H), 4,53 (м, 1H, СН), 4,38-4,47 (м, 1H, СН2), 4,30 (м, 1H, СН2), 4,10 (м, 1H, СН), 3,89-4,05 (м, 2Н, СН), 3,16-3,23 (м, 1H, СН2), 3,11-3,16 (м, 1H, СН2), 3,03-3,11 (м, 3Н, СН2), 2,91-3,03 (м, 3Н, СН2), 2,82-2,91 (м, 3Н, СН2), 2,27-2,35 (м, 3Н, СН2), 2,19-2,25 (м, 2Н, СН2), 2,12-2,19 (м, 2Н, СН2), 1,77-1,91 (м, 1H, СН2), 1,58-1,71 (м, 4Н, СН2), 1,52 (м, ПН, СН2+СН3), 1,29-1,50 (м, 49Н, СН2+СН3), 1,25 (м, 2Н, СН2), 1,11-1,23 (м, 6Н, СН2). Спектр ЯМР 13С (101 МГц, ДМСО-d6, δ, м.д.): 172,74 (С(О)), 172,23 (СООС(СН3)3), 172,18 (СООС(СН3)3), 172,11 (С(О)), 172,03 (С(О)), 171,92 (СООС(СН3)3), 171,75 (С(О)), 171,61 (С(О)), 171,45 (СООС(СН3)3), 171,30 (С(О)), 170,84 (С(О)), 164,82 (СООС(СН3)3), 164,73 (СООС(СН3)3), 157,13 (С(О)), 155,59 (СООС(СН3)3), 143,76 (Ar), 143,29 (Ar), 137,95 (Ar), 137,92 (Ar), 130,26 (Ar), 129,98 (Ar), 129,47 (Ar), 129,16 (Ar), 129,08 (Ar), 129,00 (Ar), 128,16 (Ar), 128,07 (Ar), 127,45 (Ar), 126,49 (Ar), 126,32 (Ar), 126,27 (Ar), 80,69 (С(СН3)3), 80,57 (С(СН3)3), 80,41 (С(СН3)3), 80,32 (С(СН3)3), 79,78 (С(СН3)3), 77,38 (С(СН3)3), 55,00 (СН), 54,62 (СН), 52,96 (СН), 52,90 (СН), 52,81 (СН), 52,18 (СН), 50,06 (СН2), 48,23 (СН2), 47,41 (СН2), 46,79 (СН2), 45,33 (СН2), 38,68 (СН2), 36,81 (СН2), 36,61 (СН2), 35,82 (СН2), 32,36 (СН2), 31,98 (СН2), 31,78 (СН2), 31,58 (СН2), 30,91 (СН2), 30,70 (СН2), 30,55 (СН2), 29,25 (СН2), 29,07 (СН2), 28,28 (С(СН3)3), 27,81 (С(СН3)3), 27,75 (С(СН3)3), 27,65 (С(СН3)3), 27,62 (С(СН3)3), 26,72 (СН2), 26,34 (СН2), 26,25 (СН2), 24,74 (СН2), 24,58 (СН2), 22,81 (СН2), 22,45 (СН2), 22,25 (СН2).

К тетрапептиду NH2-FFK(NHBoc)G на смоле 2-СТС (1 экв.; 200 мг; 0,13 ммоль) в ДМФ (5 мл) в полипропиленовом реакторе добавили продукт реакции янтарного ангидрида с соединением 10 (1,2 экв.; 129 мг; 0,156 ммоль), HOBt (0,5 экв.; 9 мг; 0,066 ммоль), HBTU (2 экв.; 100 мг; 0,26 ммоль), DIPEA (3 экв.; 71 мкл; 0,4 ммоль). Смесь оставили при перемешивании на 4 часа. Растворитель удалили фильтрованием на пористом фильтре реактора и смолу промыли ДМФ (3*5 мл), DCM (3*5 мл), а затем сушили от остатка растворителей.

После этого к смоле добавили смесь DCM/TFA (99,25%/0,75%, 6,5 мл) и оставили при перемешивании в течение 15 минут, затем раствор отфильтровывали от смолы. Растворитель удаляли при пониженном давлении и остаток трижды повторно переупарили с DCM. Продукт очищали колоночной хроматографией (Puriflash, колонка с PF-15C18AQ-F0025 (15 мкм, 40 г), элюент: H2O(80%)/MeCN(20%) => H2O(0%)/MeCN (100%) в течение 15 минут, после MeCN (100%) в течение 5 минут. В результате получили соединение 23 (121 мг, выход 65%).

1Н ЯМР (400 MHz, DMSO-d6, δ): 12,58 (br.s., 1H, G8COOH), 8,25-8,13 (m, 2Н, F5NH+F6NH), 8,04 (t, J=5,9 Hz, G8NH), 7,94-7,82 (m, 2H, K7NH+X3NHk(m+n)), 7,42-7,09 (m, 14H, X10Hdn+X10Hen+X10Hdm+X10Hem+F6He+F6Hd+X10Htmn+F5He+F6Hk+F5Hk+F5Hd+X10Hgmm), 6,78 (t, J=5,1 Hz, 1H,K7NHk), 6,35-6,22 (m, 2H, K2NH+E1NH, m+n), 4,60-4,44 (m, 3H, F6Ha+X10Ha(n+m)), 4,43-4,33 (m, 1H, F5Ha), 4,30-4,20 (m, 1H, K7Ha), 4,08-4,00 (m, 1H, E1Ha), 4,00-3,90 (m, 1H, K2Ha), 3,77 (dd, J=16,3, 5,9 Hz, 1H, G8Ha(a)), 3,71 (dd, J=16,3, 5,9 Hz, 1H, G8Ha(b)), 3,21 (t, J=7,3 Hz, n) и 3,17 (t, J=7,3 Hz, m) (2H, K2He, m+n, m/n=3/2), 3,13-3,05 (m, 1H, F6Hb(a)), 3,05-2,81 (m, 6H, F6Hb(b)+X3He+K7He+F5Hb(a)), 2,69-2,58 (m, 1H, F5Hb(b)), 2,39-2,12 (m, 8H, X4Hb+E1Hg+X4Ha+X3Ha), 1,92-1,80 (m, 1H, E1Hb(a)), 1,77-1,12 (m, 19H, E1Hb(b)+K2Hb(a)+K7Hb(a)+K7Hb(b)+K2Hb(b)+K7Hd+X3Hb+X3Hd+K2Hd+K2Hg+X3Hg, m+n), 1,40-1,32 (m, 36H, tBu).

13C ЯМР (100 MHz, DMSO-d6, δ): 172,27 (K2(n)), 172,23 (K2C(m)), 172,20 (X3C(n)+X4Cg(n)), 172,19 (X3C(m)+X4Cg(m)), 171,96 (E1C), 171,79 (G8C), 171,50 (E1Cd+X4C), 171,40 (F6C), 171,09 (F5C), 170,85 (K7C), 157,19 (U(m)), 157,17 (U(n)), 155,63 (K7Boc), 141,19 (X10Cb(m)), 140,78 (X10Cb(n)), 138,06 (F6Cg), 137,96 (F5Cg), 133,45 (X10Ck(n)), 133,10 (X10Ck(m)), 130,64 (X10Cd(n)), 130,29 (X10Cd(m)), 129,20 (F6Cd), 129,11 (F5Cd), 128,16 (F6Ce), 128,06 (F5Ce), 127,23 (X10Ct(m)), 127,19 (Х10Се(n)), 126,89 (Х10Се(m)), 126,31 (X10Ct(n)+F6Ck), 126,27 (F5Ck), 126,09 (X10Cg(m)), 124,99 (X10Cg(n)), 80,64 (E1tBu), 80,47 (K2tBu(m)), 80,38 (K2tBu(n)), 79,83 (E1dtBu), 77,43 (K7BoctBu), 54,43 (F5Ca), 54,24 (F6Ca), 53,04 (K2Ca(n)), 52,89 (K2Ca(m)), 52,51 (K7Ca), 52,20 (E1Ca), 49,64 (Х10Са(n)), 47,12 (Х10Са(m)), 46,83 (K2Ce(m)), 45,25 (K2Ce(n)), 40,72 (G8Ca), 39,10 (K7Ce(mn), 38,67 (Х3Се(m)), 38,66 (Х3Се(n)), 36,97 (F5Cb), 36,94 (F6Cb), 32,35 (Х3Са(n)), 31,98 (Х3Са(m)), 31,87 (K7Cb), 31,83 (K2Cb), 30,94 (E1Cg), 30,82 (Х4Са), 30,68 (X4Cb), 29,31 (K7Cd), 29,10 (X3Cd(m)), 29,01 (X3Cd(n)), 28,32 (tBuK7), 27,78 (tBuE1), 27,68 (tBuK2+K2Cd(m)), 27,66 (tBuE1d), 27,61 (E1Cb), 26,73 (K2Cd(n)), 26,33 (X3Cg(m)), 26,23 (X3Cg(n)), 24,78 (X3Cb(m)), 24,63 (X3Cb(n)), 22,60 (K7Cg), 22,46 (K2Cg(n)) 22,28 (K2Cg(m)).

По результатам LCMS 99% в режиме положительных ионов

ESI-MS C72H106ClN9O17: m/z рассчитано для [М+Н+]+: 1404,75, найдено: 1404,75

HRMS (m/z, ESI): рассчитано для C72H106ClN9O17 - [М+Н]+ 1404,7468, найдено: 1404,7513.

К тетрапептиду NH2-FFGK(NHBoc) на смоле 2-СТС (1 экв.; 120 мг; 0,094 ммоль) в ДМФ (3 мл) в полипропиленовом реакторе добавили продукт реакции янтарного ангидрида с соединением 10 (1,1 экв.; 86 мг; 0,104 ммоль), HOBt (0,5 экв.; 7 мг; 0,047 ммоль), HBTU (2 экв.; 71 мг; 0,188 ммоль), DIPEA (3 экв.; 49 мкл; 0,282 ммоль). Смесь оставили при перемешивании на 6 часов. Растворитель удалили фильтрованием на пористом фильтре реактора и смолу промыли ДМФ (3*3 мл), DCM (3*3 мл), а затем сушили от остатка растворителей.

После этого к смоле добавили смесь DCM/TFA (99,25%/0,75%, 3 мл) и оставили при перемешивании в течение 15 минут, затем раствор отфильтровывали от смолы. Растворитель удаляли при пониженном давлении и остаток трижды повторно переупарили с DCM. Продукт очищали колоночной хроматографией (Puriflash, колонка с PF-15C18AQ-F0025 (15 мкм, 20 г), элюент: H2O(80%)/MeCN(20%) => H2O(0%)/MeCN (100%) в течение 15 минут, после MeCN (100%) в течение 5 минут. В результате получили соединение 24 (74 мг, выход 56%).

1Н ЯМР (400 MHz, DMSO-d6, δ): 8,22-8,11 (m, 2Н, F5NH+F6NH), 8,08 (t, J=5,9 Hz, 1H, G7NH), 7,94 (d, J=7,0 Hz, 1H, K8NH), 7,84 (t, J=5,4 Hz, m) и 7,81 (t, J=5,4 Hz, n) (1H, X3NHk), 7,42-7,09 (m, 14H, X10Hdn+X10Hen+X10Hdm+X10Hem+F6He+F6Hd+X10Htmn+F5He+F6Hk+F5Hk+F5Hd+X10Hgmn), 6,77 (t, J=5,1 Hz, 1H,K8NHk), 6,35-6,20 (m, 2H, K2NH+E1NH, m+n), 4,60-4,42 (m, 3H, F6Ha+X10Ha(w+m)), 4,42-4,31 (m, 1H, F5Ha), 4,21-4,10 (m, 1H, K8Ha), 4,08-4,00 (m, 1H, E1Ha), 4,00-3,90 (m, 1H, K2Ha), 3,78-3,66 (m, 2H, G7Ha), 3,21 (t, J=7,3 Hz, n) и 3,17 (t, J=7,3 Hz, m) (2H, K2He, m+n, m/n=3/2), 3,12-3,04 (m, 1H, F6Hb(a)), 3,03-2,80 (m, 6H, F 6Hb (b)+X3 He+K7He+F 5Hb (a)), 2,70-2,60 (m, 1H, F5Hb(b)), 2,40-2,10 (m, 8H, X4Hb+E1Hg+X4Ha+X3Ha), 1,92-1,80 (m, 1H, E1Hb(a)), 1,77-1,12 (m, 19H, E1Hb(b)+K2Hb(a)+K7Hb(a)+K7Hb(b)+K2Hb(b)+K7Hd+X3Hb+X3Hd+K2Hd+K2Hg+X3Hg, m+n), 1,40 -1,32 (m, 36H, tBu).

13C ЯМР (100 MHz, DMSO-d6, δ): 173,60 (K8COOH), 172,26 (K2C(n)), 172,22 (K2C(m)), 172,19 (Х3С(n)), 172,17 (Х3С(m)), 172,05 (X4Cg(n)), 172,04 (X4Cg(m)), 171,94 (Е1С), 171,47 (E1Cd), 171,43 (X4C), 171,41 (F6C), 171,19 (F5C), 168,52 (G7C), 157,17 (U(mn)), 155,61 (K7Boc), 141,18 (X10Cb(m)), 140,78 (X10Cb(n)), 138,05 (F6Cg), 137,99 (F5Cg), 133,44 (X10Ck(n)), 133,10 (X10Ck(m)), 130,63 (X10Cd(n)), 130,26 (X10Cd(m)), 129,20 (F6Cd), 129,11 (F5Cd), 128,13 (F6Ce), 128,05 (F5Ce), 127,22 (X10Ct(m)), 127,17 (X10Ce(n)), 126,88 (Х10Се(m)), 126,33 (X10Ct(n)), 126,28 (F6Ck), 126,21 (F5Ck), 126,07 (X10Cg(m)), 124,97 (X10Cg(n)), 80,60 (E1tBu), 80,43 (K2tBu(m)), 80,34 (K2tBu(n)), 79,79 (E1dtBu), 77,38 (K8BoctBu), 54,35 (F5Ca), 54,29 (F6Ca), 53,02 (K2Ca(n)), 52,88 (K2Ca(m)), 52,21 (K8Ca), 51,92 (E1Ca), 49,64 (Х10Са(n)), 47,12 (Х10Са(m)), 46,82 (K2Ce(m)), 45,21 (K2Ce(n)), 41,84 (G7Ca), 39,10 (K7Ce(m), 38,60 (Х3Се(m)), 38,53 (Х3Се(n)), 37,10 (F5Cb), 37,02 (F6Cb), 32,34 (X3Ca(n)), 31,96 (Х3Са(m)), 31,83 (K8Cb+K2Cb), 30,93 (E1Cg), 30,82 (Х4Са), 30,73 (X4Cb), 29,16 (K8Cd), 29,10 (X3Cd(m)), 29,00 (X3Cd(n)), 28,31 (tBuK8), 27,76 (tBuE1), 27,67 (tBuK2+K2Cd(m)), 27,65 (tBuE1d+E1Cb), 26,72 (K2Cd(n)), 26,31 (X3Cg(m)), 26,21 (X3Cg(n)X 24,77 (X3Cb(m)), 24,63 (X3Cb(n)), 22,73 (K8Cg), 22,46 (K2Cg(n)) 22,27 (K2Cg(m)).

По результатам LCMS 100% в режиме отрицательных ионов

ESI-MS C72H106ClN9O17: m/z рассчитано для [М+Н+]+: 1404,75, найдено: 1404,75

HRMS (m/z, ESI): рассчитано для C72H106ClN9O17 - [M+Na]+1426,7287, найдено: 1426,7320.

К пентапептиду NH2-FFGK(NHBoc)G на смоле 2-СТС (1 экв.; 122 мг; 0,09 ммоль) в ДМФ (3 мл) в полипропиленовом реакторе добавили продукт реакции янтарного ангидрида с соединением 10 (1,1 экв.; 82 мг; 0,1 ммоль), HOBt (0,5 экв.; 6 мг; 0,045 ммоль), HBTU (2 экв.; 68 мг; 0,18 ммоль), DIPEA (3 экв.; 47 мкл; 0,27 ммоль). Смесь оставили при перемешивании на 6 часов. Растворитель удалили фильтрованием на пористом фильтре реактора и смолу промыли ДМФ (3*3 мл), DCM (3*3 мл), а затем сушили от остатка растворителей.

После этого к смоле добавили смесь DCM/TFA (99,25%/0,75%, 3 мл) и оставили при перемешивании в течение 15 минут, затем раствор отфильтровывали от смолы. Растворитель удаляли при пониженном давлении и остаток трижды повторно переупарили с DCM. Продукт очищали колоночной хроматографией (Puriflash, колонка с PF-15C18AQ-F0025 (15 мкм, 20 г), элюент: H2O(80%)/MeCN(20%) => H2O(0%)/MeCN (100%) в течение 15 минут, после MeCN (100%) в течение 5 минут. В результате получили соединение 25 (81 мг, выход 62%).

1Н ЯМР (400 MHz, DMSO-d6, δ): 12,53 (br.s, 1H, G9COOH), 8,25 (t, J=5,9 Hz, 1H, G9NH), 8,20-8,15 (br.d., 1H, F5NHmn), 8,14 (d, J=7,9 Hz, 1H, F6NH), 8,06 (t, J=5,9 Hz, 1H, G7NH), 7,91 (d, J=7,0 Hz, 1H, K8NH), 7,83 (t, J=5,4 Hz, m) и 7,80 (t, J=5,4 Hz, n) (1H, X3NHk), 7,42-7,09 (m, 14H, X10Hdn+X10Hen+X10Hdm+X10Hem+F6He+F6Hd+X10Htmn+F5He+F6Hk+F5Hk+F5Hd+X10Hgmn), 6,75 (t, J=5,1 Hz, 1H,K8NHk), 6,35-6,20 (m, 2H, K2NH+E1NH, m+n), 4,60-4,42 (m, 3H, F6Ha+X10Ha(n+m)), 4,42-4,32 (m, 1H, F5Ha), 4,32-4,20 (m, 1H, K8Ha), 4,08-4,00 (m, 1H, E1Ha), 4,00-3,90 (m, 1H, K2Ha), 3,81-3,65 (m, 4H, G7Ha+G9Ha), 3,21 (t, J=7,3 Hz, n) и 3,17 (t, J=7,3 Hz, m) (2H, K2He, m+n, m/n=3/2), 3,12-3,04 (m, 1H, F6Hb(a)), 3,03-2,80 (m, 6H, F6Hb(b)+X3He+K7He+F5Hb(a)), 2,71-2,58 (m, 1H, F5Hb(b)), 2,40-2,10 (m, 8H, X4Hb+E1Hg+X4Ha+X3Ha), 1,93-1,79 (m, 1H, E1Hb(a)), 1,73-1,12 (m, 19H, E1Hb(b)+K2Hb (a)+K7Hb (a)+K7Hb (b)+K2Hb (b)+K7Hd+X3Hb+X3Hd+K2Hd+K2Hg+X3Hg, m+n), 1,40-1,32 (m, 36H, tBu).

13C ЯМР (100 MHz, DMSO-d6, δ): 172,27 (K2C(n)), 172,24 (K2C(m)), 172,21 (Х3С(n)), 172,19 (Х3С(m)), 172,04 (X4Cg(n)), 172,01 (X4Cg(m)), 171,98 (G9COOH), 171,96 (E1C), 171,48 (E1Cd), 171,40 (X4C+F6C), 171,28 (K8C), 171,16 (F5C), 168,48 (G7C), 157,18 (U(mn)), 155,61 (K8Boc), 141,20 (X11Cb(m)), 140,79 (X11Cb(n)), 138,05 (F6Cg), 137,97 (F5Cg), 133,46 (X11Ck(n)), 133,11 (X11Ck(m)), 130,64 (X11Cd(n)), 130,28 (X11Cd(m)), 129,22 (F6Cd), 129,14 (F5Cd), 128,14 (F6Ce), 128,06 (F5Ce), 127,23 (X11Ct(m)), 127,19 (Х11Се(n)), 126,90 (Х10Се(m)), 126,34 (X10Ct(n)), 126,30 (F6Ck), 126,22 (F5Ck), 126,09 (X11Cg(m)), 124,99 (X11Cg(n)), 80,62 (E1tBu), 80,46 (K2tBu(m)), 80,36 (K2tBu(n)), 79,81 (E1dtBu), 77,40 (K8BoctBu), 54,32 (F5Ca), 54,25 (F6Ca), 53,02 (K2Ca(n)), 52,88 (K2Ca(m)), 52,34 (K8Ca), 52,21 (E1Ca), 49,66 (Х11Са(n)), 47,13 (Х11Са(m)), 46,82 (K2Ce(m)), 45,23 (K2Ce(n)), 42,10 (G7Ca), 40,65 (G9Ca), 39,10 (K7Ce(mn), 38,60 (Х3Се(m)), 38,55 (Х3Се(n)), 37,18 (F5Cb), 37,07 (F6Cb), 32,36 (Х3Са(n)), 31,98 (Х3Са(m)), 31,90 (K8Cb), 31,84 (K2Cb), 30,95 (E1Cg), 30,83 (Х4Са), 30,74 (X4Cb), 29,30 (K8Cd), 29,12 (X3Cd(m)), 29,02 (X3Cd(n)), 28,33 (tBuK8), 27,77 (tBuE1), 27,68 (tBuK2+K2Cd(m)), 27,66 (tBuE1d+E1Cb), 26,74 (K2Cd(n)), 26,32 (X3Cg(m)), 26,22 (X3Cg(n)), 24,79 (X3Cb(m)), 24,65 (X3Cb(n)), 22,63 (K8Cg), 22,46 (K2Cg(n)) 22,29 (K2Cg(m)).

По результатам LCMS 100% в режиме положительных ионов, 100% в режиме отрицательных ионов

ESI-MS C74H109ClN10O18: m/z рассчитано для [M+Na+]+: 1483,75, найдено: 1483,75

HRMS (m/z, ESI): рассчитано для C72H106ClN9O17- [M+Na]+1483.7502, найдено: 1483,7504.

К раствору соединения 23 (1 экв.; 130 мг; 0,093 ммоль) в ДМФА (10 мл) добавили

DIPEA (2 экв.; 32 мкл; 0,185 ммоль), HOBt (1,5 экв.; 19 мг; 0,139 ммоль) и HBTU (1,5 экв.; 53 мг; 0,139 ммоль). Смесь перемешивали 30 мин в инертной атмосфере. Затем добавили NH2-(CH2)3-N3 (2 экв.; 18 мг; 0,185 ммоль) и оставили при перемешивании на 12 часов. После удалили растворитель при пониженном давлении и дважды переупарили с DCM. Остаток растворили в 20 мл DCM и провели экстракцию; 1) Н2О (2*30 мл), 2) насыщенным раствором NaCl (2*30 мл). Затем органическую фракцию сушили над Na2SO4. После удалили растворитель. Остаток очищали колоночной хроматографией (Puriflash на колонке PF-15C18AQ-F00040 (15 мкм 40g); элюент: система H2O(80%)/MeCN(20%) => H2O(0%)/MeCN (100%) в течение 10 минут, после MeCN (100%) в течение 5 минут. Было получено соединение 26 (108 мг, выход 78%).

1Н ЯМР (400 MHz, DMSO-d6, δ): 8,28 (d, J=7,7 Hz, 1H, F5NH), 8,20 (d, J=7,6 Hz, 1H, F6NH), 7,99 (t, J=5,9 Hz, G8NH), 7,95-7,84 (m, 2H, K7NH+X3NHk(m+n)),7,73 (t, J=5,5 Hz, X10NH), 7,42-7,09 (m, 14H, X10Hdn+X10Hen+X10Hdm+X10Hem+F6He+F6Hd+X10Htmn+F5He+F6Hk+F5Hk+F5Hd+X10Hgmn), 6,78 (t, J=5,1 Hz, 1H,K7NHk), 6,34-6,21 (m, 2H, K2NH+E1NH, m+n), 4,60-4,42 (m, 30Т6На+Х9На(n+m)), 4,41-4,32 (m, 1H, F5Ha), 4,18-4,08 (m, 1H, K7Ha), 4,08-4,00 (m, 1H, E1Ha), 4,00-3,88 (m, 1H, K2Ha), 3,70 (dd, J=16,3, 5,9 Hz, 1H, G8Ha(a)), 3,60 (dd, J=16,3, 5,9 Hz, 1H, G8Ha(b)), 3,33-3,29 (m, 2H, X9Hg), 3,21 (t, J=7,3 Hz, n) и 3,17 (t, J=7,3Hz, m) (2H, K2He, m+n, m/n=3/2), 3,14-3,05 (m, 3Н, X9Ha+F6Hb(a)), 3,05-2,81 (m, 6H, F6Hb(b)+X3He+K7He+F5Hb(a)), 2,69-2,58 (m, 1H, F5Hb(b)), 2,38-2,12 (m, 8H, X4Hb+E1Hg+X4Ha+X3Ha), 1,92-1,80 (m, 1H, E1Hb(a)), 1,77-1,12 (m, 21H, E1Hb(b)+X9Hb+K2Hb(a)+K7Hb(a)+K7Hb(b)+K2Hb(b)+K7Hd+X3Hb+X3Hd+K2Hd+K2Hg+X3Hg m+n), 1,40-1,32 (m, 36H, tBu).

13C Я MP (100 MHz, DMSO-d6, δ): 172,55 (X4Cg(nm)) 172,23 (K2C(n)), 172,19 (K2C(m)), 172,12 (Х3С(n)), 172,10 (Х3С(m)), 171,91 (E1C), 171,69 (K7C), 171,63 (X4C), 171,53 (F6C), 171,44 (E1Cd), 171,36 (F5C), 168,64 (G8C), 157,13 (U(m)), 157,12 (U(n)), 155,59 (K7Boc), 141,16 (X10Cb(m)), 140,75 (X10Cb(n)), 137,98 (F6Cg), 137,93 (F5Cg), 133,43 (X10Ck(n)), 133,08 (X10Ck(m)), 130,59 (X10Cd(n)), 130,23 (X10Cd(m)), 129,09 (F6Cd), 129,04 (F5Cd), 128,16 (F6Ce), 128,03 (F5Ce), 127,21 (X10Ct(m)), 127,15 (Х10Се(n)), 126,86 (Х10Се(m)), 126,30 (X10Ct(n)+F6Ck), 126,23 (F5Ck), 126,06 (X10Cg(m)), 124,94 (X10Cg(ft)), 80,57 (E1tBu), 80,40 (K2tBu(m)), 80,31 (K2tBu(n)), 79,75 (E1dtBu), 77,36 (K7BoctBu), 54,67 (F5Ca), 54,39 (F6Ca), 53,19 (K7Ca), 52,98 (K2Ca(n)), 52,86 (K2Ca(m)), 52,18 (E1Ca), 49,62 (Х10Са(n)), 48,30 (X9Cg), 47,09 (Х10Са(m)), 46,79 (K2Ce(m)), 45,22 (K2Ce(n)), 42,18 (G8Ca), 39,10 (K7Ce(даи), 38,66 (Х3Се(m)), 38,61 (Х3Се(n)), 36,88 (F5Cb), 36,71 (F6Cb), 35,86 (Х9Са), 32,32 (Х3Са(n)), 31,94 (Х3Са(m)), 31,82 (K2Cb), 31,20 (K7Cb), 30,91 (E1Cg), 30,74 (Х4Са), 30,58 (X4Cb), 29,28 (K7Cd), 29,08 (X3Cd(m)), 28,99 (X3Cd(n)), 28,32 (X9Cb), 28,28 (tBuK7), 27,74 (tBuE1), 27,64 (tBuK2+K2Cd(m)), 27,62 (tBuE1d+E1Cb), 26,69 (K2Cd(n)), 26,31 (X3Cg(m)), 26,22 (X3Cg(n)), 24,74 (X3Cb(m)), 24,59 (X3Cb(n)), 22,64 (K7Cg), 22,44 (K2Cg(n)) 22,24 (K2Cg(m)).

По результатам LCMS 100% в режиме отрицательных ионов

ESI-MS C75H112ClN13O16: m/z рассчитано для [М+Н+]+: 1486,81, найдено: 1486,80

HRMS (m/z, ESI): рассчитано для C75H112ClN13O16 - [М+Н]+ 1486,8111, найдено: 1486,8180.

К раствору соединения 25 (1 экв.; 74 мг; 0,052 ммоль) в ДМФА (5 мл) добавили DIPEA (1,5 экв.; 14 мкл; 0,08 ммоль), NH2-(CH2)3-N3 (1,5 экв.; 8 мг; 0,079 ммоль), HOBt (0,6 экв.; 4 мг; 0,03 ммоль) и HBTU (1,2 экв.; 24 мг; 0,06 ммоль), и оставили при перемешивании на 12 часов. После удалили растворитель при пониженном давлении и дважды переупарили с DCM. Далее удалили растворитель при пониженном давлении и переупарили с DCM дважды, остаток растворили в 20 мл DCM и провели экстракцию; 1) Н2О (2*30 мл), 2) насыщенным раствором NaCl (2*30 мл). Затем органическую фракцию сушили над Na2SO4. После удалили растворитель. Остаток очищали колоночной хроматографией (Puriflash на колонке PF-15C18AQ-F0012 (15 мкм 20g); элюент: система H2O(80%)/MeCN(20%) => H2O(0%)/MeCN (100%) в течение 15 минут, после MeCN (100%) в течение 5 минут. Было получено соединение 27 (59 мг, выход 76%).

1Н ЯМР (400 MHz, DMSO-d6, δ): 8,22-8,11 (m, 2Н, F5NH+F6NH), 8,06 (t, J=5,9 Hz, 1H, G7NH), 7,93 (t, J=5,7 Hz, 1H, X9NH), 7,90-7,78 (m, 2H, K8NH+X3NHkmn), 7,42-7,09 (m, 14H, X10Hmn+X10Hen+X10Hdm+X10Hem+F6He+F6Hd+X10Htmn+F5He+F6Hk+F5Hk+F5Hd+X10Hgmn), 6,75 (t, J=5,1 Hz, 1H,K8NHk), 6,35-6,20 (m, 2H, K2NH+E1NH, m+n), 4,60-4,42 (m, 3H, F6Ha+X10Ha(n+m)), 4,42-4,31 (m, 1H, F5Ha), 4,21-4,10 (m, 1H, K8Ha), 4,08-4,00 (m, 1H, E1Ha), 4,00-3,90 (m, 1H, K2Ha), 3,79-3,64 (m, 2H, G7Ha), 3,33-3,29 (m, 2H, X9Hg), 3,21 (t, J=7,3 Hz, n) и 3,17 (t, J=7,3 Hz, m) (2H, K2He, m+n, m/n=3/2), 3,14-3,05 (m, 3H, X9Ha+F6Hb(a)), 3,05-2,81 (m, 6H, F6Hb(b)+X3He+K8He+F5Hb(a)), 2,70-2,58 (m, 1H, F5Hb(b)), 2,40-2,10 (m, 8H, X4Hb+E1Hg+X4Ha+X3Ha), 1,92-1,80 (m, 1H, E1Hb(a)), 1,77-1,12 (m, 21H, E1Hb(b)+X9Hb+K2Hb(a)+K7Hb(a)+K7Hb(b)+K2Hb(b)+K7Hd+X3Hb+X3Hd+K2Hd+K2Hg+X3Hg, m+n), 1,40 -1,32 (m, 36H, tBu),

13C ЯМР (100 MHz, DMSO-d6, δ): 172,23 (K2C(n)), 172,19 (K2C(m)), 172,18 (X3C(n)), 172,15 (Х3С(m)), 172,10 (X4Cg(nm)), 171,91 (E1C), 171,49 (K8C), 171,45 (E1Cd+X4C), 171,40 (F6C), 171,38 (F5C), 168,47 (G7C), 157,13 (U(m)), 157,12 (U(n)), 155,59 (K7Boc), 141,16 (X10Cb(m)), 140,75 (X10Cb(n)), 137,98 (F6Cg), 137,93 (F5Cg), 133,43 (Х10Ск(n)), 133,08 (Х10Ск(m)), 130,59 (X10Cd(n)), 130,23 (X10Cd(m)), 129,09 (F6Cd), 129,04 (F5Cd), 128,16 (F6Ce), 128,03 (F5Ce), 127,21 (X10Ct(m)), 127,15 (Х10Се(n)), 126,86 (Х10Се(m)), 126,30 (X10Ct(n)+F6Ck), 126,23 (F5Ck), 126,06 (X10Cg(m)), 124,94 (X10Cg(n)), 80,57 (E1tBu), 80,40 (K2tBu(m)), 80,31 (K2tBu(n)), 79,75 (E1dtBu), 77,36 (K7BoctBu), 54,67 (F5Ca), 54,39 (F6Ca), 53,19 (K7Ca), 52,98 (K2Ca(n)), 52,86 (K2Ca(m)), 52,18 (E1Ca), 49,62 (Х10Са(n)Х 48,30 (X9Cg), 47,09 (Х10Са(m)), 46,79 (K2Ce(m)), 45,22 (K2Ce(n)), 42,21 (G7Ca), 39,10 (K7Ce(mn), 38,66 (Х3Се(m)), 38,61 (Х3Се(n)), 36,88 (F5Cb), 36,71 (F6Cb), 35,86 (Х9Са), 32,32 (Х3Са(n)), 31,94 (Х3Са(m)), 31,82 (K2Cb), 31,72 (K7Cb), 30,91 (E1Cg), 30,74 (Х4Са), 30,58 (X4Cb), 29,28 (K7Cd), 29,08 (X3Cd(m)), 28,99 (X3Cd(n)), 28,32 (X9Cb), 28,28 (tBuK7), 27,74 (tBuE1), 27,64 (tBuK2+K2Cd(m)), 27,62 (tBuE1d+E1Cb), 26,69 (K2Cd(n)), 26,31 (X3Cg(m)), 26,22 (X3Cg(n)), 24,74 (X3Cb(m)), 24,59 (X3Cb(n)), 22,64 (K7Cg), 22,44 (K2Cg(n)) 22,24 (K2Cg(m)).

ESI-MS C75H112ClN13O16: m/z рассчитано для [M+H+]+: 1486,81, найдено: 1486,80

HRMS (m/z, ESI): рассчитано для C75H112ClN13O16 - [M+Na]+1508,7931, найдено: 1508,7942.

К раствору соединения 25 (1 экв.; 81 мг; 0,055 ммоль) в ДМФА (5 мл) добавили DIPEA (1,5 экв.; 14,5 мкл; 0,082 ммоль), NH2-(CH2)3-N3 (1,5 экв.; 8 мг; 0,082 ммоль), HOBt (0,6 экв.; 4 мг; 0,03 ммоль) и HBTU (1,5 экв.; 31 мг; 0,082 ммоль), и оставили при перемешивании на 12 часов. После удалили растворитель при пониженном давлении и дважды переупарили с DCM. Далее удалили растворитель при пониженном давлении и переупарили с DCM дважды, остаток растворили в 20 мл DCM и провели экстракцию; 1) H2O (2*30 мл), 2) насыщенным раствором NaCl (2*30 мл). Затем органическую фракцию сушили над Na2SO4. После удалили растворитель. Остаток очищали колоночной хроматографией (Puriflash на колонке PF-15C18AQ-F0012 (15 мкм 20g); элюент: система H2O(80%)/MeCN(20%) => H2O(0%)/MeCN (100%) в течение 15 минут, после MeCN (100%) в течение 5 минут. Было получено соединение 28 (66 мг, выход 78%).

1Н ЯМР (400 MHz, DMSO-d6, δ): 8,22 (t, J=5,9 Hz, 1H, G9NH), 8,20-8,15 (br.d., 1H, F5NHmn), 8,13 (d, J=7,9 Hz, 1H, F6NH), 8,07 (t, J=5,9 Hz, 1H, G7NH), 7,98 (d, J=7,0 Hz, 1H, K8NH), 7,83 (t, J=5,4 Hz, m) и 7,80 (t, J=5,4 Hz, n) (1H, X3NHk), 7,71 (t, J=5,7 Hz, 1H, X9NH), 7,42-7,09 (m, 14H, X11Hdn+X11Hen+X11Hdm+X11Hem+F6He+F6Hd+X11Htmn+F5He+F6Hk+F5Hk+F5Hd+X11Hmn), 6,1 A (t, J=5,1 Hz, 1H, K8NHk), 6,35-6,20 (m, 2H, K2NH+E1NH, m+n), 4,60-4,42 (m, 3H, F6Ha+X11Ha(n+m)), 4,42-4,31 (m, 1H, F5Ha), 4,21-4,10 (m, 1H, K8Ha), 4,08-4,00 (m, 1H, E1Ha), 4,00-3,90 (m, 1H, K2Ha), 3,80-3,54 (m, 4H, G7Ha+G9Ha), 3,33-3,29 (m, 2H, X10Hg), 3,21 (t, J=7,3 Hz, n) и 3,17 (t, J=7,3 Hz, m) (2H, K2He, m+n, m/n=3/2), 3,14-3,05 (m, 3H, X10Ha+F6Hb(a)), 3,05-2,81 (m, 6H, F6Hb(b)+X3He+K8He+F5Hb(a)), 2,70-2,58 (m, 1H, F5Hb(b)), 2,40-2,10 (m, 8H, X4Hb+E1Hg+X4Ha+X3Ha), 1,92-1,80 (m, 1H, E1Hb(a)), 1,77-1,12 (m, 21H, E1Hb(b)+X10Hb+K2Hb(a)+K7Hb(a)+K7Hb(b)+K2Hb(b)+K7Hd+X3Hb+X3Hd+K2Hd+K2Hg+X3Hg, m+n), 1,40-1,32 (m, 36H, tBu).

13C Я MP (100 MHz, DMSO-d6, δ): 172,22 (K2C(n)), 172,19 (K2C(m)+Х3С(n)), 172,15 (Х3С(m)), 172,07 (X4Cg(nm)), 171,91 (E1C+K8C), 171,44 (E1Cd+X4C), 171,39 (F6C), 171,33 (F5C), 169,06 (G7C), 168,74 (G7C), 157,13 (U(m)), 157,12 (U(n)), 15559 (K7Boc), 141,16 (X10Cb(m)Х 140,75 (X10Cb(n)), 137,98 (F6Cg), 137,93 (F5Cg), 133,43 (X10Ck(n)), 133,08 (X10Ck(m)), 130,59 (X10Cd(n)), 130,23 (X10Cd(m)), 129,09 (F6Cd), 129,04 (F5Cd), 128,16 (F6Ce), 128,03 (F5Ce), 127,21 (X10Ct(m)), 127,15 (X10Ce(n)), 126,86 (Х10Се(m)), 126,30 (X10Ct(n)+F6Ck), 126,23 (F5Ck), 126,06 (X10Cg(m)), 124,94 (X10Cg(n)), 80,57 (E1tBu), 80,40 (K2tBu(m)), 80,31 (K2tBu(n)), 79,75 (E1dtBu), 77,36 (K7BoctBu), 54,67 (F5Ca), 54,39 (F6Ca), 53,19 (K7Ca), 52,98 (K2Ca(n)), 52,86 (K2Ca(m)), 52,18 (E1Ca), 49,62 (Х10Са(n)), 48,30 (X9Cg), 47,09 (Х10Са(m)), 46,79 (K2Ce(m)), 45,22 (K2Ce(n)), 42,15 (G7Ca+G9Ca), 39,10 (K7Ce(mn), 38,66 (Х3Се(m)), 38,61 (Х3Се(n)), 36,88 (F5Cb), 36,71 (F6Cb), 35,86 (Х9Са), 32,32 (Х3Са(n)), 31,94 (Х3Са(m)), 31,82 (K2Cb), 31,29 (K7Cb), 30,91 (E1Cg), 30,74 (Х4Са), 30,58 (X4Cb), 29,28 (K7Cd), 29,08 (X3Cd(m)), 28,99 (X3Cd(n)), 28,32 (X9Cb), 28,28 (tBuK7), 27,74 (tBuE1), 27,64 (tBuK2+K2Cd(m)), 27,62 (tBuE1d+E1Cb), 26,69 (K2Cd(n)), 26,31 (X3Cg(m)), 26,22 (X3Cg(n)), 24,74 (X3Cb(m)), 24,59 (X3Cb(n)), 22,64 (K7Cg), 22,44 (K2Cg(n)) 22,24 (K2Cg(m)).

ESI-MS C77H115ClN14O17: m/z рассчитано для [M+2H+]2+: 772,42, найдено: 772,5

HRMS (m/z, ESI): рассчитано для C77H115ClN14O17 - [M+Na]+1565,8145, найдено: 1565,8168.

4.2.7 Общая методика удаления трет-бутильных и трет-бутоксикарбонильной защитных групп.

Лиганд (19-22) растворили в смеси трифторуксусной кислоты (50 об. %), дихлорметана (40 об. %), триизопропилсилана (5 об. %) и воды (5 об. %) из расчета 5 мл смеси на 100 мг лиганда. Реакционную смесь перемешивали в течение 4 ч. Далее удалили растворитель при пониженном давлении, после чего сухой остаток высаживали диэтиловым эфиром, декантировали и промывали осадок три раза Et20. Продукт выделяли в индивидуальном виде методом обращенно-фазовой колоночной хроматографии, в качестве элюента была использована смесь 0,1 об. % трифторуксусной кислоты в воде - ацетонитрил.

Синтез (3S,7S,25S,28S,31S)-31-(4-аминобутил)-36-азидо-25-бензил-12-(3-хлорбензил)-28-(4-гидроксибензил)-5,13,20,23,26,29,32-гептаоксо-4,6,12,19,24,27,30,33-октаазогексатриаконтан-1,3,7-трикарбоновой кислоты (29)

Из 795 мг (0,529 ммоль) соединения 19 и 15 мл смеси трифторуксусной кислоты, триизопропилсилана, воды и дихлорметана было выделено в индивидуальном виде методом обращенно-фазовой колоночной хроматографии (Interchim Puriflash С18 120 г, 15ц, градиент от 10% ацетонитрила до 100% ацетонитрила за 50 минут, скорость потока -40 мл/мин) 517 мг (выход 76%) соединения 29 в виде белого аморфного порошка.

Спектр ЯМР 1Н (400 МГц, ДМСО-d6, δ, м.д.): 8,30-8,36 (м, 1H, NH), 8,12 (д, J=7,52 Гц, 1H, NH), 7,91-8,00 (м, 1H, NH), 7,74 (м, 1H, NH), 7,49-7,57 (м, 1H, NH), 7,24-7,39 (м, 2Н, Ar), 7,07-7,24 (м, 7Н, Ar), 7,03 (м, 2Н, Ar), 6,65 (д, J=8,38 Гц, 2Н, Ar), 6,28-6,38 (м, 2Н, NH), 4,38-4,59 (м, 2Н, СН2), 4,22-4,35 (м, 2Н, СН), 3,96-4,13 (м, 3Н, СН), 3,25-3,33 (м, 2Н, СН2), 3,11-3,22 (м, 2Н,), 3,07 (м, 2Н, СН2), 2,86-3,04 (м, 4Н, СН2), 2,76-2,86 (м, 1H, СН2), 2,59-2,76 (м, 3Н, СН2), 2,11-2,39 (м, 8Н, СН2), 1,84-1,95 (м, 1H, СН2), 1,55-1,75 (м, 5Н, СН2), 1,32-1,55 (м, 10Н, СН2), 1,07-1,32 (м, 7Н, СН2). Спектр ЯМР 13С (101 МГц, ДМСО-d6, δ, м.д.): 174,87 (СООН), 174,58 (СООН), 174,15 (СООН), 173,07 (С(О)), 172,56 (С(О)), 171,95 (С(О)), 171,62 (С(О)), 171,46 (С(О)), 157,70 (С(О)), 156,28 (С(О)), 141,58 (Ar), 138,89 (Ar), 138,32 (Ar), 133,44 (Ar), 130,98 (Ar), 130,62 (Ar), 130,42 (Ar), 129,40 (Ar), 128,47 (Ar), 128,22 (Ar), 127,57 (Ar), 127,24 (Ar), 126,67 (Ar), 126,45 (Ar), 125,34 (Ar), 115,38 (Ar), 58,52 (СН), 55,38 (СН), 52,99 (СН), 52,55 (СН), 52,06 (СН), 48,63 (СН2), 47,29 (СН2), 45,72 (СН2), 39,07 (СН2), 37,41 (СН2), 37,28 (СН2), 36,25 (СН2), 32,16 (СН2), 31,57 (СН2), 31,16 (СН2), 30,98 (СН2), 30,31 (СН2), 29,47 (СН2), 29,37 (СН2), 28,64 (СН2), 27,95 (СН2), 27,01 (СН2), 26,67 (СН2), 25,10 (СН2), 22,68 (СН2). [α]20D = -11,0. ВЭЖХ-МС: чистота 100%, tR=11,05 мин. ESI-HRMS: для C56H77ClN12O14: m/z рассчитано для [М+Н]+ 1177,5371, найдено: 1177,5443; m/z рассчитано для [M+Na]+ 1199,5269, найдено: 1199,5263.

Синтез (3S,7S,25S,28S,31S)-31-(4-аминобутил)-36-азидо-25-бензил-12-(4-бромбензил)-28-(4-гидроксибензил)-5,13,20,23,26,29,32-гептаоксо-4,6,12,19,24,27,30,33-октаазогексатриаконтан-1,3,7-трикарбоновой кислоты (30)

Из 199 мг (128,7 ммоль) соединения 20 и 7 мл смеси трифторуксусной кислоты, триизопропилсилана, воды и дихлорметана было выделено в индивидуальном виде методом обращенно-фазовой колоночной хроматографии (Interchim Puriflash С18 40 г, 15μ, градиент от 10% ацетонитрила до 20% ацетонитрила за 2 минуты, от 20% ацетонитрила до 100% за 35 минут, скорость потока - 20 мл/мин) 126 мг (выход 80%) соединения 30 в виде белого аморфного порошка.

Спектр ЯМР 1Н (400 МГц, ДМСО-d6, δ, м.д.): 12,45 (уш. с, 3Н, СООН), 9,22 (уш. с, 1H, ОН), 8,29 (д, J=7,34 Гц, 1H, NH), 8,10 (д, J=8,13 Гц, 1H, NH), 7,88-7,96 (м, 1H, NH), 7,75-7,82 (м, 1H, NH), 7,65 (уш. с, 3Н, NH3+), 7,55-7,59 (м, 1H, NH), 7,54 (д, J=8,38 Гц, 1H, Ar), 7,48 (д, J=8,31 Гц, 1H, Ar), 7,19-7,25 (м, 2Н, Ar), 7,09-7,19 (м, 5Н, Ar), 7,03 (м, 2Н, Ar), 6,65 (д, J=8,38 Гц, 2Н, Ar), 6,26-6,37 (м, 2Н, NH), 4,49-4,43 (м, 2Н, СН2), 4,28-4,38 (м, 2Н, СН), 4,08 (м, 3Н, СН), 3,27-3,32 (м, 2Н, СН2), 3,12-3,21 (м, 2Н, СН2), 3,05-3,12 (м, 2Н, СН2), 2,88-3,05 (м, 4Н, СН2), 2,77-2,85 (м, 1H, СН2), 2,73 (м, 2Н, СН2), 2,61-2,69 (м, 1H, СН2), 2,26-2,35 (м, 3Н, СН2), 2,14-2,26 (м, 5Н, СН2), 1,85-1,96 (м, 1H, СН2), 1,65-1,75 (м, 2Н, СН2), 1,57-1,65 (м, 3Н, СН2), 1,45-1,55 (м, 6Н, СН2), 1,34-1,44 (м, 3Н, СН2), 1,31 (м, 1H, СН2), 1,12-1,29 (м, 6Н, СН2). Спектр ЯМР 13С (101 МГц, ДМСО-d6, δ, м.д.): 174,55 (СООН), 174,26 (СООН), 173,82 (СООН), 172,71 (С(О)), 172,07 (С(О)), 171,77 (С(О)), 171,59 (С(О)), 171,24 (С(О)), 171,08 (С(О)), 157,32 (С(О)), 155,91 (С(О)), 138,02 (Ar), 137,94 (Ar), 131,55 (Ar), 131,24 (Ar), 130,03 (Ar), 129,72 (Ar), 129,02 (Ar), 128,64 (Ar), 128,09 (Ar), 127,84 (Ar), 126,29 (Ar), 120,14 (Ar), 119,92 (Ar), 114,99 (Ar), 55,00 (СН), 52,61 (СН), 52,17 (СН), 51,73 (СН), 51,24 (СН), 48,23 (СН2), 46,74 (СН2) 38,66 (СН2), 36,87 (СН2), 35,85 (СН2), 31,90 (СН2), 31,17 (СН2), 30,77 (СН2), 30,58 (СН2), 29,97 (СН2), 29,07 (СН2), 28,26 (СН2), 27,59 (СН2), 26,65 (СН2), 26,29 (СН2), 24,72 (СН2), 24,59 (СН2), 22,31 (СН2). [α]20D = -9,0. ВЭЖХ-МС: чистота 100%, tR=10,8 мин. ESI-HRMS: для C56H77BrN12O14: m/z рассчитано для [М+Н]+ 1221,49383, найдено: 1221,4937.

Синтез (3S,7S,25S,28S,31S)-31-(4-аминобутил)-36-азидо-25-бензил-12-(4-карбоксибензил)-28-(4-гидроксибензил)-5,13,20,23,26,29,32-гептаоксо-4,6,12,19,24,27,30,33-октаазагексатриаконтан-1,3,7-трикарбоновой кислоты (31)

Из 282 мг (179,9 ммоль) соединения 21 и 11 мл смеси трифторуксусной кислоты, триизопропилсилана, воды и дихлорметана было выделено в индивидуальном виде методом обращенно-фазовой колоночной хроматографии (Interchim Puriflash С18 120 г, 15μ, градиент от 10% ацетонитрила до 100% ацетонитрила за 50 минут, скорость потока - 40 мл/мин) 126 мг (выход 80%) соединения 31 в виде белого аморфного порошка.

Спектр ЯМР 1Н (400 МГц, ДМСО-d6, δ, м.д.): 12,56 (уш. с, 3Н, СООН), 9,22 (уш. с, 1H, ОН), 8,29 (д, J=7,40 Гц, 1H, NH), 8,10 (д, J=7,70 Гц, 1H, NH), 7,89-7,97 (м, 2Н, NH+Ar), 7,87 (д, J=8,25 Гц, 1H, Ar), 7,74-7,82 (м, 1H, NH), 7,65 (м, 3Н, NH), 7,53-7,60 (м, 1H, NH), 7,25-7,32 (м, 2Н, Ar), 7,18-7,25 (м, 2Н, Ar), 7,12-7,18 (м, 3Н, Ar), 7,03 (м, 2Н, Ar), 6,60-6,69 (м, 2Н, Ar), 6,25-6,38 (м, 2Н, NH), 4,60-4,53 (м, 2Н, СН2), 4,26-4,38 (м, 2Н, СН), 3,98-4,16 (м, 3Н, СН), 3,32 (t, J=6,85 Гц, 2Н, СН2), 3,17 (м, 2Н, СН2), 3,05-3,13 (м, 2Н, СН2), 2,88-3,05 (м, 4Н, СН2), 2,69-2,86 (м, 3Н, СН2), 2,60-2,69 (м, 1H, СН2), 2,30-2,39 (м, 2Н, СН2), 2,24-2,30 (м, 2Н, СН2), 2,20 (м, 4Н, СН2), 1,84-1,96 (м, 1H, СН2), 1,56-1,74 (м, 5Н, СН2), 1,37-1,55 (м, 9Н, СН2), 1,32 (м, 1H, СН2), 1,14-1,29 (м, 6Н, СН2). Спектр ЯМР 13С (101 МГц, ДМСО-d6, δ, м.д.): 174,50 (СООН), 174,21 (СООН), 173,78 (СООН), 172,62 (С(О)), 171,73 (С(О)), 171,55 (С(О)), 171,23 (С(О)), 171,07 (С(О)), 167,21 (С(О)), 157,30 (С(О)), 155,89 (С(О)), 137,94 (Ar), 130,04 (Ar), 129,78 (Ar), 129,47 (Ar), 129,02 (Ar), 128,09 (Ar), 127,83 (Ar), 127,38 (Ar), 126,29 (Ar), 114,98 (Ar), 54,97 (СН), 52,56 (СН), 52,13 (СН), 51,67 (СН), 48,23 (СН2), 38,68 (СН2), 36,88 (СН2), 35,85 (СН2), 31,78 (СН2), 29,91 (СН2), 28,26 (СН2), 27,52 (СН2), 26,62 (СН2), 24,71 (СН2), 22,27 (СН2). [α]20D=-9,7. ВЭЖХ-МС: чистота 99%, tR=10,25 мин. ESI-HRMS: для C56H78N12O16: m/z рассчитано для [М+Н]+ 1187,57315, найдено: 1187,572.

Синтез (3S,7S,25S,28S,31S)-31-(4-аминобутил)-36-азидо-25,28-дибензил-12-(4-карбоксибензил)-5,13,20,23,26,29,32-гептаоксо-4,6,12,19,24,27,30,33-октаазагексатриаконтан-1,3,7-трикарбоновой кислоты (32)

Из 119 мг (79,6 μмоль) соединения 22 и 6 мл смеси трифторуксусной кислоты, триизопропилсилана, воды и дихлорметана было выделено в индивидуальном виде методом обращенно-фазовой колоночной хроматографии (Interchim Puriflash С18 20 г, 15μ, градиент от 10% ацетонитрила до 20% ацетонитрила за 2 минуты, от 20% ацетонитрила до 100% за 23 минут, скорость потока - 20 мл/мин) 71 мг (выход 76%) соединения 32 в виде белого аморфного порошка.

Спектр ЯМР 1Н (400 МГц, ДМСО-d6, δ, м.д.): 12,55 (уш. с, 3Н, СООН), 8,30 (д, J=7,28 Гц, 1H, NH), 8,17 (д, J=7,89 Гц, 1H, NH), 7,89-7,99 (м, 2Н, NH+Ar), 7,87 (д, J=8,19 Гц, 1H, Ar), 7,77-7,84 (м, 1H, NH), 7,56-7,68 (м, 3Н, NH+Ar), 7,22-7,30 (м, 6Н, Ar), 7,20 (м, 2Н, Ar), 7,15 (м, 3Н, Ar), 6,26-6,36 (м, 2Н, NH), 4,60-4,53 (м, 2Н, СН2), 4,39-4,48 (м, 1H, СН), 4,31 (м, 1H, СН), 3,98-4,17 (м, 3Н, СН), 3,32 (т, J=6,76 Гц, 2Н, СН2), 3,12-3,25 (м, 2Н, СН2), 3,07-3,12 (м, 2Н, СН2), 2,97-3,07 (м, 3Н, СН2), 2,87-2,97 (м, 3Н, СН2), 2,73 (м, 2Н, СН2), 2,59-2,69 (м, 1H, СН2), 2,30-2,38 (м, 2Н, СН2), 2,13-2,30 (м, 6Н, СН2), 1,85-1,96 (м, 1H, СН2), 1,64 (м, 5Н, СН2), 1,50 (м, 6Н, СН2), 1,41 (м, 3Н, СН2), 1,12-1,34 (м, 7Н, СН2). [α]20D=-7,9. ВЭЖХ-МС: чистота 100%, tR=10,7 мин. ESI-HRMS: для C56H78N12O15: m/z рассчитано для [М+Н]+ 1171,57824, найдено: 1171,5782.

Синтез соединения 33.

Соединение 26 (1 экв.; 36 мг; 0,024 ммоль) растворили в системе DCM/TFA/TIPS/H2O (46,25%/46,25%/2,5%/5%; V/V соответственно, 2 мл). Смесь перемешивалась в течение 3 часов, затем растворитель удалили при пониженном давлении и повторно переупарили с DCM три раза. Продукт высаживали Et2O и дважды промыли Et2O (1 мл). Остаток очищали с помощью колоночной хроматографии (Puriflash на колонке с PF-15C18AQ-F0004 (15 мкм, 6 г), элюент: H2O(80%)/MeCN (20%)⇒H2O(0%)/MeCN (100%) в течение 15 минут, после MeCN (100%) в течение 5 минут. Таким образом, было получено соединение 33 в виде соли с *1 TFA (23 мг, выход 79%).

1Н ЯМР (400 MHz, DMSO-d6, δ): 12,48 (br.s., 3Н, СООН), 8,24 (d, J=7,7 Hz, 1H, F5NH), 8,19 (d, J=7,6 Hz, 1H, F6NH), 8,05-7,94 (m, 2H, G8NH+K7NH), 7,94-7,86 (m, 1H, X3NHk(m+n)), 7,80 (t, J=5,5 Hz, X9NH), 7,72-7,56 (br.s., 3H, K7NHk3+ 7,42-7,09 (m, 14H, X10Hdn+X10Hen+X10Hdm +X10Hem+F6He+F6Hd+X10Htmn +F5He+F6Hk+F5Hk+F5Hd+X10Hgmn), 6,41-6,23 (m, 2H, K2NH+E1NH, m+n), 4,60-4,42 (m, 3HF6Ha+Х10На(n+m)), 4,41-4,32 (m, 1H, F5Ha), 4,22-4,13 (m, 1H, K7Ha), 4,13-3,97 (m, 2H, E1Ha+K2Ha), 3,75-3,58 (m, 2H, G8Ha), 3,36-3,29 (m, 2H, X9Hg), 3,24-2,85 (m, 9H, K2He+X9Ha+F6Hb(a))+F6Hb(b)+X3He+F5Hb(a)), 2,80-2,70 (m, 2H, K7He), 2,70-2,58 (m, 1H, F5Hb(b)), 2,40-2,10 (m, 8H, X4Hb+E1Hg+X4Ha+X3Ha), 1,98-1,83 (m, 1H, E1Hb(a)), 1,77-1,12 (m, 21H, E1Hb(b)+X9Hb+K2Hb(a)+K7Hb(a)+K7Hb(b)+K2Hb(b)+K7Hd+X3Hb+X3Hd+K2Hd+K2Hg+X3Hg+K7Hg, m+n).

13C ЯМР (100 MHz, DMSO-d6, δ): 174,55 (K2C(n)), 174,51 (K2C(m)), 174,21 (E1C), 173,80 (E1Cd), 172,48(X4Cg(n)), 172,45(X4Cg(m)), 172,23 (X3C(nm)), 171,65 (K7C), 171,60 (F5C), 171,53 (X4C), 171,36 (F6C), 168,70 (G8C), 157,34 (U), 141,23 (X10Cb(m)), 140,83 (X10Cb(n)), 138,00 (F6Cg), 137,88 (F5Cg), 133,44 (X10Ck(n)), 133,09 (X10Ck(m)), 130,64 (X10Cd(n)), 130,27 (X10Cd(m)), 129,15 (F6Cd), 129,05 (F5Cd), 128,20 (F6Ce), 128,09 (F5Ce), 127,21 (X10Ct(m)), 127,19 (Х10Се(n)), 126,88 (Х10Се(m)), 126,37 (F6Ck), 126,30 (X10Ct(n)+F5Ck), 126,11 (X10Cg(m)), 124,99 (X10Cg(n)), 54,61 (F5Ca), 54,37 (F6Ca), 52,84 (K7Ca), 52,28 (K2Ca(n)), 52,18 (K2Ca(m)), 51,71 (E1Ca), 49,67 (Х10Са(n)), 48,34 (X9Cg), 47,21 (Х10Са(m)), 46,94 (K2Ce(m)), 45,37 (K2Ce(n)), 42,15 (G8Ca), 38,73, 38,73 (K7Ce), 38,69 (Х3Се(m)), 38,61 (Х3Се(n)), 36,92 (F5Cb), 36,73 (F6Cb), 35,92 (Х9Са), 32,34 (Х3Са(n)), 31,92 (Х3Са(m)), 31,83 (K2Cb), 30,92 (K7Cb), 30,82 (Х4Са), 30,63 (X4Cb), 29,95 (E1Cg), 29,11 (X3Cd(m)), 29,00 (X3Cd(n)), 28,34 (X9Cb), 27,81 (K2Cd(m)), 27,58 (E1Cb), 26,76 (K2Cd(n)), 26,66 (K7Cd), 26,30 (X3Cg(m)), 26,22 (X3Cg(n)), 24,76 (X3Cb(m)), 24,61 (X3Cb(n)), 22,54 (K2Cg(n)), 22,35 (K2Cg(m)), 22,13 ((K7Cg).

По результатам LCMS 97% в режиме положительных ионов, 99% в режиме отрицательных ионов

ESI-MS C58H80N13O14: m/z рассчитано для [M+H+]+: 1218,57, найдено: 1218,55

HRMS (m/z, ESI): рассчитано C58H80N13O14 - [М+Н+]+: 1218,5709, найдено: 1218,5700

Синтез соединения 34.

Соединение 27 (1 экв.; 56 мг; 0,038 ммоль) растворили в системе DCM/TFA/TIPS/H2O (46,25%/46,25%/2,5%/5%; V/V соответственно, 2 мл). Смесь перемешивалась в течение 3 часов, затем растворитель удалили при пониженном давлении и повторно переупарили с DCM три раза. Продукт высаживали Et2O и дважды промыли Et2O (1 мл). Остаток очищали с помощью колоночной хроматографии (Puriflash на колонке с PF-15C18AQ-F0012 (15 мкм, 20 г), элюент: H2O(80%)/MeCN (20%)⇒H2O(0%)/MeCN (100%) в течение 15 минут, после MeCN (100%) в течение 5 минут. Таким образом, было получено соединение 34 в виде соли с *1 TFA(45 мг, выход 90%).

1Н ЯМР (400 MHz, DMSO-d6, δ: 12,34 (br.s., 3Н, СООН), 8,23-8,13 (m, 2Н, F5NH+F6NH), 8,12-8,02 (m, 1H, G7NH), 7,93 (t, J=5,7 Hz, X9NH), 7,90-7,78 (m, 2H, K8NH+X3NHk(m+n)), 7,72-7,56 (br.s., 3Н, K7NHk3+); 7,42-7,09 (m, 14H, X10Hdn+X10Hen+X10Hdm +X10Hem+F6He+F6Hd+X10Htmn +F5He+F6Hk+F5Hk+F5Hd+X10Hgmn), 6,41-6,23 (m, 2H, K2NH+E1NH, m+n), 4,60-4,42 (m, 30HF6Ha+Х10На(n+m)), 4,41-4,32 (m, 1H, F5Ha), 4,22-4,13 (m, 1H, K7Ha), 4,13-3,97 (m, 2H, E1Ha+K2Ha), 3,77-3,66 (m, 2H, G7Ha), 3,36-3,29 (m, 2H, X9Hg), 3,24-2,85 (m, 9H, K2He+X9Ha+F6Hb(a))+F6Hb(b)+X3He+F5Hb(a)), 2,80-2,70 (m, 2H, K7He), 2,70-2,58 (m, 1H, F5Hb(b)), 2,40-2,10 (m, 8H, X4Hb+E1Hg+X4Ha+X3Ha), 1,98-1,83 (m, 1H, E1Hb(a)), 1,77-1,12 (m, 21H, E1Hb(b)+X9Hb+K2Hb(a)+K7Hb(a)+K7Hb(b)+K2Hb(b)+K7Hd+X3Hb+X3Hd+K2Hd+K2Hg+X3Hg, m+n).

13C ЯМР (100 MHz, DMSO-d6, δ): 174,51 (K2C(n)), 174,47 (K2C(m)), 174,17 (E1C), 173,77 (E1Cd), 172,27 (X4Cg(nm)+X3C), 171,51 (F5C+X4C+F6C), 171,42 (K8C), 168,64 (G7C), 157,35 (U), 141,22 (X10Cb(m)), 140,82 (X10Cb(n)), 137,99 (F6Cg), 137,92 (F5Cg), 133,44 (X10Ck(n)), 133,09 (X10Ck(m)), 130,62 (X10Cd(n)), 130,26 (X10Cd(m)), 129,16 (F6Cd), 129,07 (F5Cd), 128,17 (F6Ce), 128,09 (F5Ce), 127,21 (X10Ct(m)), 127,16 (Х10Се(n)), 126,86 (Х10Се(m)), 126,35 (F6Ck), 126,31 (X10Ct(n)), 126,26 (F5Ck), 126,10 (X10Cg(m)), 125,01 (X10Cg(n)), 54,48 (F5Ca), 54,42 (F6Ca), 52,46 (K8Ca), 52,32 (K2Ca(n)), 52,19 (K2Ca(m)), 51,73 (E1Ca), 49,72 (X10Ca(n)), 48,39 (X9Cg), 47,24 (Х10Са(m)), 46,94 (K2Ce(m)), 45,36 (K2Ce(n)), 42,36 (G7Ca), 38,77 (K8Ce), 38,65 (Х3Се(m)), 38,58 (X3Ce(n)), 36,94 (F5Cb+F6Cb), 35,97 (X9Ca), 32,33 (X3Ca(n)), 31,92 (Х3Са(m)), 31,81 (K2Cb), 31,30 (K8Cb), 30,83 (X4Ca), 30,69 (X4Cb), 29,96 (E1Cg), 29,07 (X3Cd(m)), 28,96 (X3Cd(n)), 28,33 (X9Cb), 27,82 (K2Cd(m)), 27,58 (E1Cb), 26,75 (K2Cd(n)), 26,65 (K8Cd), 26,28 (X3Cg(m)), 26,20 (X3Cg(n)), 24,75 (X3Cb(m)), 24,61 (X3Cb(n)), 22,60 (K2Cg(n)), 22,32 (K2Cg(m)+K8Cg).

По результатам LCMS 95% в режиме положительных ионов, 100% в режиме отрицательных ионов.

ESI-MS C58H80N13O14: m/z рассчитано для [М+Н+]+: 1218,57, найдено: 1218,55

HRMS (m/z, ESI): рассчитано C58H80N13O14 - [М+Н+]+: 1218,5709, найдено: 1218,5674

Синтез соединения 35.

Соединение 28 (1 экв.; 66 мг; 0,043 ммоль) растворили в системе DCM/TFA/TIPS/H2O (46,25%/46,25%/2,5%/5%; V/V соответственно, 2 мл). Смесь перемешивалась в течение 3 часов, затем растворитель удалили при пониженном давлении и повторно переупарили с DCM три раза. Продукт высаживали Et2O и дважды промыли Et2O (1 мл). Остаток очищали с помощью колоночной хроматографии (Puriflash на колонке с PF-15C18AQ-F0012 (15 мкм, 20 г), элюент: H2O(80%)/MeCN (20%)⇒H2O(0%)/MeCN (100%) в течение 15 минут, после MeCN (100%) в течение 5 минут. Таким образом, было получено соединение 35 (49 мг, выход 83%).

1Н ЯМР (400 MHz, DMSO-d6, δ): 12,39 (br.s., 3Н, СООН), 8,35-8,12 (m, 3Н, G9NH+F5NH+F6NH), 8,12-8,04 (m, 1H, G7NH), 7,98 (d, J=7,3 Hz, K8NH), 7,89-7,79 (m, 1H, X3NHk(m+n)), 7,77 (t, J=5,7 Hz, X9NH), 7,72-7,56 (br.s., 3H, K7NHk3+); 7,42-7,09 (m, 14H, X10Hdn+X10Hen+X10Hdm +X10Hem+F6He+F6Hd+X10Htmn +F5He+F6Hk+F5Hk+F5Hd+X10Hgmn), 6,41-6,23 (m, 2H, K2NH+E1NH, m+n), 4,60-4,42 (m, 3H, F6Ha+X10Ha(n+m)), 4,41-4,32 (m, 1H, F5Ha), 4,26-4,16 (m, 1H, K7Ha), 4,13-3,97 (m, 2H, Е1На+K2Ha), 3,78-3,61 (m, 4Н, G7Ha+G9Ha), 3,36-3,29 (m, 2H, X9Hg), 3,24-2,85 (m, 9H, K2He+X9Ha+F6Hb(a))+F6Hb(b)+X3He+F5Hb(a)), 2,80-2,70 (m, 2H, K7He), 2,70-2,58 (m, 1H, F5Hb(b)), 2,40-2,10 (m, 8H, X4Hb+E1g+X4Ha+X3Ha), 1,98-1,83 (m, 1H, E1Hb(a)), 1,77-1,12 (m, 21H, E1Hb(b)+X9Hb+K2Hb(a)+K7Hb(a)+K7Hb(b)+K2Hb(b)+K7Hd+X3Hb+X3Hd+K2Hd+K2Hg+X3Hg, m+n).

13C ЯМР (100 MHz, DMSO-d6, δ): 38,75, 38,62, 38,54, 37,03, 36,93, 35,89, 32,31, 31,90, 31,80, 30,97, 30,81, 30,67, 29,94, 29,06, 28,95, 28,32, 27,81, 27,57, 26,61, 26,26, 26,19, 24,73, 24,59, 22,52, 22,36, 22,16.

174,49 (K2C(n)), 174,45 (K2C(m)), 174,15 (E1C), 173,75 (E1Cd), 172,22 (X3C+X4Cg(n)), 172,18 (X4Cg(nm)), 171,76 (F5C), 171,46 (X4C+F6C), 171,41 (K8C), 169,05 (G9C), 168,74 (G7C), 157,32 (U), 141,21 (X11Cb(m)), 140,81 (X11Cb(n)), 137,99 (F6Cg), 137,89 (F5Cg), 133,42 (X11Ck(n)), 133,07 (X11Ck(m)), 130,59 (X11Cd(n)), 130,23 (X11Cd(m)), 129,14 (F6Cd), 129,06 (F5Cd), 128,14 (F6Ce), 128,06 (F5Ce), 127,20 (X11Ct(m)), 127,14 (Х11Се(n)), 126,84 (Х11Се(m)), 126,32 (F6Ck+X11Ct(n)), 126,23 (F5Ck), 126,09 (X10Cg(m)), 124,99 (X10Cg(n)), 54,39 (F5Ca), 54,32 (F6Ca), 52,72 (K8Ca), 52,29 (K2Ca(n)), 52,18 (K2Ca(m)), 51,71 (E1Ca), 49,69 (Х11Са(n)), 48,32 (X10Cg), 47,21 (Х11Са(m)), 46,91 (K2Ce(m)), 45,34 (K2Ce(n)), 42,20 (G9Ca), 42,11 (G7Ca), 38,75 (K8Ce), 38,62 (Х3Се(m)), 38,54 (Х3Се(n)), 37,03 (F5Cb), 36,93 (F6Cb), 35,89 (X10Ca), 32,31 (Х3Са(n)), 31,90 (Х3Са(m)), 31,80 (K2Cb), 30,97 (K8Cb), 30,81 (X4Ca), 30,67 (X4Cb), 29,94 (E1Cg), 29,06 (X3Cd(m)), 28,95 (X3Cd(n)), 28,32 (X9Cb), 27,81 (K2Cd(m)), 27,57 (E1Cb), 26,75 (K2Cd(n)), 26,61 (K8Cd), 26,26 (X3Cg(m)), 26,19 (X3Cg(n)), 24,73 (X3Cb(m)), 24,59 (X3Cb(n)), 22,52 (K2Cg(n)), 22,36 (K2Cg(m)), 22,16 (K8Cg).

HRMS (m/z, ESI): рассчитано C60H83N14O15 - [M+H+]+: 1275,5924, найдено: 1275,5898

Синтез (3R,8S,9R,10S,13R,14R)-10,13-диметил-17-(пиридин-3-ил)-2,3,4,7,8,9,10,11,12,13,14,15-додекагидро-1Н-циклопента[а]фенантрен-3-ола (36)

1000 мг (2,554 ммоль) ацетата абиратерона растворили в 12,5 мл метанола, после чего прилили 20 мл 10% раствора гидроксида калия в метаноле. Реакционную смесь перемешивали до полного окончания реакции (контроль за протеканием реакции осуществляли по ТСХ в системе хлористый метилен/метанол=15/1). Удалили растворитель при пониженном давлении, сухой остаток растворили в хлористом метилене, к полученному раствору прилили воду и перемешивали в течение часа. Органическую фракцию отделили, промыли два раза водой, после чего сушили над безводным сульфатом натрия и удалили растворитель при пониженном давлении, получив 892 мг (выход 99%) соединения 36 в виде белого порошка.

Спектр ЯМР 1Н (400 МГц, CDCl3, δ, м.д.): 8,62 (д, J=1,65 Гц, 1H, Ру), 8,46 (дд, J=4,80, 1,56 Гц, 1H, Ру), 7,65 (дт, J=7,93, 1,93 Гц, 1H, Ру), 7,22 (дд, J=7,92, 4,86 Гц, 1H, Ру), 6,00 (дд, J=3,21, 1,74 Гц, 1H, СН), 5,37-5,42 (м, 1H, СН), 3,47-3,61 (м, 1H, СН), 2,21-2,37 (м, 3Н, СН2), 2,01-2,12 (м, 3Н, СН2), 1,82-1,90 (м, 2Н, СН2), 1,74-1,82 (м, 1H, СН2), 1,70-1,74 (м, 2Н, СН2), 1,64-1,70 (м, 3Н, СН+СН2), 1,44-1,64 (м, 4Н, СН2), 1,01-1,17 (м, 8Н, СН2+СН3).

Синтез 4-(((3R,8S,9R,10S,13R,14R)-10,13-диметил-17-(пиридин-3-ил)-2,3,4,7,8,9,10,11,12,13,14,15-додекагидро-1Н-циклопента[а]фенантрен-3-ил)окси)-4-оксобутановой кислоты (37)

300 мг (0,858 ммоль) соединения 36, 129 мг (1,287 ммоль, 1,5 экв.) янтарного ангидрида, 10 мг 4-диметиламинопиридина (0,0858 ммоль, 0,1 экв.) растворили в 20 мл дихлорметана. К смеси добавили 180 μл (1,287 ммоль, 1,5 экв.) триэтиламина и перемешивали в течение 75 часов при кипячении. Удалили растворитель при пониженном давлении, после чего сухой остаток высаживали 0,1М раствором соляной кислоты. Полученный твердый остаток промывали метанолом. Остаток метанола удалили при пониженном давлении. Получили 311 мг (выход 86%) вещества 37 в виде белого порошка.

Спектр ЯМР 1Н (400 МГц, ДМСО-d6, δ, м.д.): 8,75 (с, 1H, Ру), 8,61 (д, J=5,38 Гц, 1H, Ру), 8,42 (д, J=8,62 Гц, 1H, Ру), 7,86 (т, J=7,03 Гц, 1H, Ру), 6,39 (уш. с, 1H, СН), 5,35 (д, J=3,55 Гц, 1H, СН), 4,42 (д, J=7,46 Гц, 1H, СН), 2,44 (м, 4Н, СН2), 2,24 (м, 3Н, СН2), 2,00-2,14 (м, 2Н, СН2), 1,98 (м, 1H, СН2), 1,81 (м, 1H, СН2), 1,57-1,76 (м, 4Н, СН), 1,44-1,57 (м, 3Н, СН+СН2), 1,37 (м, 1H, СН2), 1,18 (с, 1H, СН2), 0,92-1,09 (м, 8Н, СН+СН3+СН2).

Синтез 4-(((3R,8S,9R,10S,13R,14R)-10,13-диметил-17-(пиридин-3-ил)-2,3,4,7,8,9,10,11,12,13,14,15-додекагидро-1H-циклопента[а]фенантрен-3-ил(2,5-диоксопирролидин-1-ил) сукцината (38)

303 мг (0,623 ммоль, 1 экв.) соединения 37, 188 мг (0,981 ммоль, 1,45 экв.) гидрохлорида N-(3-диметиламинопропил)-N'этилкарбодиимида, 113 мг (0,981 ммоль, 1,45 экв.) N-гидроксисукцинимида растворили в 15 мл хлористого метилена. К полученной смеси добавили 245 μ (1,758 ммоль, 2,8 экв.) триэтиламина. Реакционную смесь перемешивали в течение 20 часов, после чего удалили растворитель при пониженном давлении, сухой остаток растворили в дихлорметане и экстрагировали два раза водой, один раз насыщенным раствором гидрокарбоната натрия и один раз насыщенным раствором хлорида натрия. Органическую фракцию сушили над безводным сульфатом натрия, после чего удалили растворитель при пониженном давлении. Получили соединение 38 в виде белого порошка в количестве 354 мг (выход 96%).

Спектр ЯМР 1Н (400 МГц, ДМСО-d6, δ, м.д.): 8,75 (с, 1H, Ру), 8,61 (д, J=5,38 Гц, 1H, Ру), 8,42 (д, J=8,62 Гц, 1H, Ру), 7,86 (t, J=7,03 Гц, 1H, Ру), 6,39 (уш. с, 1H, СН), 5,35 (д, J=3,55 Гц, 1H, СН), 4,42 (м, 1H, СН), 2,44 (м, 4Н, СН2), 2,24 (м, 3Н, СН2), 1,98-2,12 (м, 3Н, СН2), 1,81 (м, 1H, СН2), 1,57-1,77 (м, 4Н, СН2), 1,45-1,57 (м, 3Н, СН2), 1,31-1,42 (м, 1H, СН), 1,18 (с, 1H, СН2), 0,94-1,08 (м, 8Н, СН+СН2+СН3).

4.2.8 Общая методика реакции моноконъюгата с NHS-эфиром абиратерона.

1 экв. соединения 29-32 растворили в ДМФА. К раствору прибавили соединение 38 (1,2 экв.) и DIPEA (6 экв.). Реакционную смесь перемешивали до полного окончания реакции (контроль за протеканием реакции проводили по ТСХ в системе 10% метанол в дихлорметане +1% трифторуксусной кислоты). Удалили растворитель при пониженном давлении. Сухой остаток высадили ацетонитрилом, после чего декантировали и промывали осадок три раза ацетонитрилом.

Синтез (3S,7S,25S,28S,31S)-31-((3-азидопропил)карбамоил)-25-бензил-12-(3-хлорбензил)-40-(((3R,8S,9R,10S,13R,14R)-10,13-диметил-17-(пиридин-3-ил)-2,3,4,7,8,9,10,11,12,13,14,15-додекагидро-1Н-циклопента[а]фенантрен-3-ил)окси)-28-(4-гидроксибензил)-5,13,20,23,26,29,37,40-октаоксо-4,6,12,19,24,27,30,36-октоазатетраконтан-1,3,7-трикарбоновой кислоты (39)

Из 100 мг (0,0774 ммоль) соединения 29, 51 мг (0,0929 ммоль) соединения 38 в присутствии 81 μл (0,4644 ммоль) DIPEA в 10 мл ДМФА было получено 131 мг (выход 85%) соединения 39 в виде белого порошка.

Спектр ЯМР 1Н (400 МГц, ДМСО-d6, δ, м.д.): 8,53 (с, 1H, Ру), 8,39 (д, J=4,59 Гц, 1H, Ру), 8,15 (д, J=6,79 Гц, 1H, NH), 8,01 (м, 1H, NH), 7,84-7,92 (м, 1H, NH), 7,74 (д, J=7,82 Гц, 1H, Ру), 7,55-7,64 (м, 1H, NH), 7,47 (м, 1H, NH), 7,23-7,40 (м, 3Н, Ar+Ру), 7,08-7,23 (м, 7Н, Ar), 6,98-7,08 (м, 2Н, Ar), 6,65 (д, J=8,01 Гц, 2Н, Ar), 6,28-6,38 (м, 2Н, NH), 6,08 (уш. с, 1H, СН), 5,27-5,38 (м, 1H, СН), 4,36-4,52 (м, 3Н, CH2+СН), 4,24 (м, 2Н, СН), 3,95-4,12 (м, 3Н, СН), 3,28 (т, J=6,72 Гц, 2Н, СН2), 3,14 (м, 2Н, СН2), 2,99-3,10 (м, 3Н, СН2), 2,97 (м, 3Н, СН2), 2,74-2,93 (м, 4Н, СН2), 2,58-2,69 (м, 1H, СН2), 2,42 (м, 2Н, СН2), 2,08-2,38 (м, 13Н,), 1,92-2,01 (м, 3Н, СН2), 1,89 (м, 1H, СН2), 1,78 (м, 2Н, СН2), 1,54-1,73 (м, 9Н, СН2), 1,26-1,53 (м, 14Н, СН2), 1,08-1,26 (м, 7Н, СН2+СН3), 0,84-1,08 (м, 9Н, СН2+СН3). ВЭЖХ-МС: чистота 97%), tR=8,26 мин.

Синтез (3S,7S,25S,28S,31S)-31-((3-азидопропил)карбамоил)-25-бензил-12-(4-бромбензил)-40-(((3R,8S,9R,10S,13R,14R)-10,13-диметил-17-(пиридин-3-ил)-2,3,4,7,8,9,10,11,12,13,14,15-додекагидро-1Н-циклопента[а]фенантрен-3-ил)окси)-28-(4-гидроксибензил)-5,13,20,23,26,29,37,40-октаоксо-4,6,12,19,24,27,30,36-октоазатетраконтан-1,3,7-трикарбоновой кислоты (40)

Из 81 мг (0,0606 ммоль) соединения 30, 40 мг (0,0727 ммоль) соединения соединения 38 в присутствии 63 μл (0,3637 ммоль) DIPEA в 9 мл ДМФА было получено 80 мг (выход 80%) соединения 40 в виде белого порошка.

Спектр ЯМР 1Н (400 МГц, ДМСО-d6, δ, м.д.): 8,54 (с, 1H, Ру), 8,39 (д, J=4,59 Гц, 1H, Ру), 8,28-8,34 (м, 1H, NH), 8,15 (м, 1H, NH), 7,97-8,05 (м, 1H, NH), 7,92-7,97 (м, 1H, NH), 7,82-7,92 (м, 1H, NH), 7,74 (д, J=8,07 Гц, 1H, Ру), 7,61 (t, J=8,34 Гц, 1H, NH), 7,41-7,55 (м, 3Н, Ar+NH), 7,33 (м, 1H, Ру), 6,98-7,24 (м, 9Н, Ar), 6,65 (д, J=7,58 Гц, 2Н, Ar), 6,26-6,36 (м, 2Н, NH), 6,08 (уш. с, 1H, СН), 5,32 (м, 1H, СН), 4,33-4,53 (м, 3Н, CH2+СН), 4,25 (м, 2Н, СН), 3,94-4,10 (м, 3Н, СН), 3,28 (t, J=6,82 Гц, 2Н, СН2), 2,74-3,22 (м, 13Н, СН2), 2,58-2,70 (м, 1H, СН2), 2,38-2,45 (м, 2Н, СН2), 2,08-2,38 (м, 14Н, СН2), 1,83-2,08 (м, 5Н, СН2), 1,26-1,82 (м, 26Н, СН2), 1,08-1,26 (м, 7Н, СН2+СН3), 0,84-1,07 (м, 9Н, СН2+СН3). ВЭЖХ-МС: чистота 97%, tR=8,40 мин.

Синтез (3S,7S,25S,28S,31S)-31-((3-азидопропил)карбамоил)-25-бензил-12-(4-карбоксибензил)-40-(((3R,8S,9R,10S,13r,14R)-10,13-диметил-17-(пиридин-3-ил)-2,3,4,7,8,9,10,11,12,13,14,15-додекагидро-1Н-циклопента[а]фенантрен-3-ил)окси)-28-(4-гидроксибензил)-5,13,20,23,26,29,37,40-октаоксо-4,6,12,19,24,27,30,36-октоазатетраконтан-1,3,7-трикарбоновой кислоты (41)

Из 32 мг (0,0246 ммоль) соединения 31, 16 мг (0,0295 ммоль) соединения 38 в присутствии 30 μл (0,1722 ммоль) DIPEA в 5 мл ДМФА было получено 31 мг (выход 78%) соединения 41 в виде белого порошка.

ВЭЖХ-МС: чистота 100%, tR=4,60 мин. ESI-HRMS: для C85H111N13O19: m/z рассчитано для [М+Н]+ 1618,8119, найдено: 1618,82.

Синтез (3S,7S,25S,28S,31S)-31-((3-азидопропил)карбомоил)-25,28-дибензил-12-(4-карбоксибензил)-40-(((3R,8S,9R,10S,13r,14R)-10,13-диметил-17-(пиридин-3-ил)-2,3,4,7,8,9,10,11,12,13,14,15-додекагидро-1Н-циклопента[а]фенантрен-3-ил)окси)-5,13,20,23,26,29,37,40-октаоксо-4,6,12,19,24,27,30,36-октоазатетраконтан-1,3,7-трикарбоновой кислоты (42)

Из 48 мг (0,0373 ммоль) соединения 32, 24 мг (0,0448 ммоль) соединения 38 в присутствии 45μдл (0,2611 ммоль) DIPEA в 7 мл ДМФА было получено 53 мг (выход 88%) соединения 42 в виде белого порошка.

Спектр ЯМР 1H (400 МГц, ДМСО-d6, δ, м.д.): 8,54 (с, 1H, Ру), 8,39 (м, 1H, Ру), 8,22 (м, 1H, NH), 8,05 (м, 1H, NH), 7,81-7,93 (м, 2Н, NH), 7,74 (м, 1H, Ру), 7,62 (м, 1H, NH), 7,53 (м, 1H, NH), 7,33 (м, 1H, Ру), 7,21-7,29 (м, 6Н, Ar), 7,06-7,21 (м, 6Н, Ar), 6,31 (м, 1H, NH), 6,08 (м, 1H, СН), 5,32 (м, 1H, СН), 4,50-4,57 (м, 2Н, СН2), 4,38 (м, 2Н, СН), 4,23 (м, 1H, СН), 4,06 (м, 2Н, СН), 4,01 (м, 1H, СН), 3,29 (м, 2Н, СН2), 2,78-3,13 (м, 13Н, СН2), 2,57-2,68 (м, 1H, СН2), 2,43 (м, 2Н, СН2), 2,15-2,30 (м, 13Н, СН2), 1,88-1,99 (м, 4Н, СН2), 1,77 (м, 2Н, СН2), 1,53-1,69 (м, 9Н, СН2), 1,30-1,50 (м, 14Н, СН2), 1,19 (м, 6Н, СН2+СН3), 0,97 (м, 9Н, СН2+СНз). ВЭЖХ-МС: чистота 100%, tR=6,89 мин.

4.2.9 Общая методика проведения медь-каталируемой клик-реакции моноконъюгата с доцетаксел-алкином.

Моноконъюгат 39-42 (1 экв.) и доцетаксел-алкин (1,2 экв.) растворили в смеси ДМФА и воды. Колбу заполнили аргоном, затем в систему ввели водные растворы аскорбата натрия (1,2 экв.) и пентагидрата сульфата меди (0,4 экв.). Реакционную смесь перемешивали в течение 18 часов. После этого прибавили ЭДТА (0,8 экв.) и мешали еще три часа. Удалили растворитель при пониженном давлении, затем сухой остаток высаживали ацетонитрилом и декантировали. Далее производили выделение продукта в индивидуальном виде методом обращенно-фазовой колоночной хроматографии, в качестве элюента была использована смесь ацетонитрил - вода.

Синтез (3S,7S,25S,28S,31S)-31-((3-(4-(4-(((2R,3S)-1-(((2aR,4S,4aS,6R,9S,11S,12S,12aR,12bS)-12b-ацетокси-12-(бензоилокси)-4,6,11-тригидрокси-4а,8,13,13-тетраметил-5-оксо-2а,3,4,4а,5,6,9,10,11,12,12а,12b-додекагидро-1Н-7,11-метаноциклодека[3,4]бензо[1,2-b]оксет-9-ил)окси)-3-((трет-бутоксикарбонил)амино)-1-оксо-3-фенилпропан-2-ил)окси)-4-оксобутил)-1Н-1,2,3-триазол-1-ил)пропил)карбамоил)-25-бензил-12-(3-хлорбензил)-40-(((3R,8S,9R,10S,13R,14R)-10,13-диметил-17-(пиридин-3-ил)-2,3,4,7,8,9,10,11,12,13,14,15-додекагидро-1Н-циклопента[а]фенантрен-3-ил)окси)-28-(4-гидроксибензил)-5,13,20,23,26,29,37,40-октаоксо-4,6,12,19,24,27,30,36-октаазатетраконтан-1,3,7-трикарбоновой кислоты (43)

Из 60 мг (0,0373 ммоль) соединения 39, 37 мг (0,040 ммоль) доцетаксел-алкина, 9 мг (0,04476 ммоль) аскорбата натрия, 4 мг (0,01492 ммоль) пентагидрата сульфата меди в 8 мл смеси ДМФА/вода (3/1), с последующим добавлением 9 мг (0,02984 ммоль) ЭДТА было выделено в индивидуальном виде методом обращенно-фазовой колоночной хроматографии (Interchim Puriflash С18 20 г, 15μ, градиент от 15% ацетонитрила до 100% ацетонитрила за 20 минут, скорость потока - 20 мл/мин) 85 мг (выход 90%) соединения 43 в виде белого порошка.

Спектр ЯМР 1Н (400 МГц, ДМСО-d6, δ, м.д.): 8,76 (с, 1H, Ру), 8,62 (д, J=5,32 Гц, 1H, Ру), 8,33 (д, J=8,3 Гц, 1H, Ру), 7,94 (д, J=7,40 Гц, 2Н, Ar), 7,82 (м, 1H, Ру), 7,78 (с, 1H, Triazole), 7,69 (м, 1H, Ar), 7,56-7,66 (м, 2Н, Ar), 7,21-7,44 (м, 6Н, Ar), 6,97-7,21 (м, 10Н, Ar), 6,65 (д, J=8,01 Гц, 2Н, Ar), 6,37 (уш. с, 1H, СН), 5,75 (м, 1H, СН), 5,36 (д, J=7,09 Гц, 1H, СН), 5,31-5,34 (м, 1H, СН), 4,98-5,09 (м, 3Н, СН), 4,84-4,90 (м, 1H, СН), 4,36-4,52 (м, 3Н, CH2+СН), 4,19-4,33 (м, 4Н, СН2+СН), 4,03-4,11 (м, 2Н, СН), 3,93-4,03 (м, 4Н, СН2), 3,14 (м, 2Н, СН2), 2,97 (м, 7Н, СН2), 2,77-2,90 (м, 2Н, СН2), 2,54-2,70 (м, 3Н, СН2), 2,37-2,46 (м, 4Н, СН2), 2,30 (д, J=6,42 Гц, 6Н, СН2), 2,20-2,26 (м, 6Н, СН2), 2,19 (м, 4Н, СН2), 2,15 (м, 2Н, СН2), 2,04-2,08 (м, 1H, СН2), 1,97-2,02 (м, 1H, СН2), 1,72-1,97 (м, 9Н, СН2), 1,68-1,72 (м, 2Н, СН2) 1,66 (м, 4Н, СН3+СН2), 1,54-1,64 (м, 5Н, СН2), 1,47 (м, 11Н, СН3+СН2), 1,29 (с, 10Н, СН3+СН2), 0,98 (д, J=3,24 Гц, 8Н, СН2), 0,94 (br. с, 6Н, СН3). Спектр ЯМР 13С (101 МГц, ДМСО-d6, δ, м.д.): 209,29 (С(О)), 174,39 (СООН), 174,05 (СООН), 173,76 (СООН), 172,45 (С(О)), 172,18 (С(О)), 171,87 (С(О)), 171,81 (С(О)), 171,57 (С(О)), 171,24 (С(О)), 170,89 (С(О)), 169,66 (С(О)), 169,20 (С(О)), 165,40 (С(О)), 157,34 (С(О)), 155,64 (С(О)), 155,23 (С(О)), 148,53 (Ar), 145,94 (Ar), 141,01 (Ar), 140,76 (Ar), 140,59 (Ar), 140,28 (Ar), 139,83 (Ar), 137,58 (Ar), 136,76 (Ar), 136,10 (Ar), 134,62 (Ar), 133,57 (Ar), 133,35 (Ar), 133,07 (Ar), 130,62 (Ar), 130,28 (Ar), 129,99 (Ar), 129,88 (Ar), 129,58 (Ar), 128,92 (Ar), 128,74 (Ar), 128,64 (Ar), 128,13 (Ar), 128,00 (Ar), 127,39 (Ar), 127,08 (Ar), 126,88 (Ar), 126,38 (Ar), 126,20 (Ar), 126,00 (Ar), 124,92 (Ar), 122,13 (Ar), 121,86 (Ar), 118,22 (Ar), 114,94 (Ar), 83,80 (СН), 80,22 (СН), 78,65 (СН), 76,75 (СН), 75,03 (СН2), 74,68 (СН), 73,62 (СН), 73,24 (СН), 71,20 (СН), 70,67 (СН), 56,96 (СН), 56,88 (СН), 55,22 (СН), 52,86 (СН), 52,13 (СН), 51,51 (СН), 49,49 (СН), 46,88 (СН2), 46,65 (СН2), 42,84 (СН2), 37,62 (СН2), 36,25 (СН2), 35,68 (СН2), 34,57 (СН2), 33,99 (СН2), 32,62 (СН2), 31,87 (СН2), 31,52 (СН2), 31,18 (СН2), 30,85 (СН2), 30,61 (СН2), 29,75 (СН2), 28,94 (СН2), 28,73 (СН2), 28,03 (СН3), 27,32 (СН2), 26,38 (СН3), 26,21 (СН2), 24,70 (СН2), 24,25 (СН2), 24,09 (СН2), 22,81 (СН2), 22,47 (СН3), 20,76 (СН3), 20,26 (СН2), 18,87 (СН3), 15,92 (СН3), 13,66 (СН3), 9,78 (СН3). ВЭЖХ-МС: чистота 100%, tR=9,96 мин. ESI-HRMS: для C133H169ClN14O32: m/z рассчитано для [М+Н]+ 2510,1716, найдено: 2510,18.

Синтез (3S,7S,25S,28S,31S)-31-((3-(4-(4-(((2R,3S)-1-(((2aR,4S,4aS,6R,9S,11S,12S,12aR,12bS)-12b-ацетокси-12-(бензоилокси)-4,6,11-тригидрокси-4а,8,13,13-тетраметил-5-оксо-2а,3,4,4а,5,6,9,10,11,12,12а,12b-додекагидро-1H-7,11-метаноциклодека[3,4]бензо[1,2-b]оксет-9-ил)окси)-3-((трет-бутоксикарбонил)амино)-1-оксо-3-фенилпропан-2-ил)окси)-4-оксобутил)-1Н-1,2,3-триазол-1-ил)пропил)карбамоил)-25-бензил-12-(4-бромбензил)-40-(((3R,8S,9R,10S,13R,14R)-10,13-диметил-17-(пиридин-3-ил)-2,3,4,7,8,9,10,11,12,13,14,15-додекагидро-1Н-циклопента[а]фенантрен-3-ил)окси)-28-(4-гидроксибензил)-5,13,20,23,26,29,37,40-октаоксо-4,6,12,19,24,27,30,36-октаазатетраконтан-1,3,7-трикарбоновой кислоты (44)

Из 40 мг (0,0242 ммоль) соединения 40, 24 мг (0,0266 ммоль) доцетаксел-алкина, 6 мг (0,029 ммоль) аскорбата натрия, 3 мг (0,0097 ммоль) пентагидрата сульфата меди в 8 мл смеси ДМФА/вода (3/1), с последующим добавлением 6 мг (0,0194 ммоль) ЭДТА было выделено в индивидуальном виде методом обращенно-фазовой колоночной хроматографии (Interchim Puriflash С18 20 г, 15μ, градиент от 15% ацетонитрила до 100% ацетонитрила за 20 минут, скорость потока - 20 мл/мин) 40 мг (выход 65%) соединения 44 в виде белого порошка.

Спектр ЯМР 1Н (400 МГц, ДМСО-d6, δ, м.д.): 8,73 (с, 1H, Ру), 8,60 (д, J=5,01 Гц, 1H, Ру), 8,26 (д, J=7,82 Гц, 1H, Ру), 7,94 (м, 2Н, Ar), 7,78 (с, 1H, Triazole), 7,66-7,77 (м, 2Н, Ar), 7,58-7,66 (м, 2Н, Ar), 7,50 (д, J=8,31 Гц, 1H, Ar), 7,45 (д, J=8,31 Гц, 1H, Ar), 7,38 (м, 2Н, Ar), 7,31 (м, 2Н, Ar), 7,13-7,22 (м, 3Н, Ar), 7,00-7,13 (м, 7Н, Ar), 6,65 (д, J=7,89 Гц, 2Н, Ar), 6,33 (уш. с, 1H, СН), 5,74 (т, J=8,34 Гц, 1H, СН), 5,29-5,40 (м, 2Н, СН), 4,97-5,10 (м, 3Н, СН+ОН), 4,87 (м, 1H, СН), 4,40-4,46 (м, 3Н, СН+CH2), 4,18-4,33 (м, 4Н, СН), 3,92-4,12 (м, 7Н, СН2+СН), 3,06-3,22 (м, 3Н, СН2), 2,90-3,06 (м, 8Н, СН2), 2,80-2,88 (м, 2Н, СН2), 2,66 (м, 1H, СН2), 2,58 (t, J=7,37 Гц, 2Н, СН2), 2,42 (м, 5Н, СН2), 2,26-2,37 (м, 7Н, СН2), 2,10-2,26 (м, 12Н, СН2), 1,54-1,92 (м, 21Н, СН2), 1,47 (м, 12Н, СН2), 1,33-1,42 (м, 6Н, СН2), 1,29 (м, 11Н, СН3+СН2), 1,07-1,25 (м, 8Н, СН2), 0,83-1,05 (м, 15Н, СН3+СН2). ВЭЖХ-МС: чистота 100%), tR=10,06 мин. ESI-HRMS: для C133H169BrN14O32: m/z рассчитано для [М+Н]+ 2554,1211, найдено: 2554,13.

Синтез (3S,7S,25S,28S,31S)-31-((3-(4-(4-(((2R,3S)-1-(((2aR,4S,4aS,6R,9S,11S,12S,12aR,12bS)-12b-ацетокси-12-(бензоилокси)-4,6,11-тригидрокси-4а,8,13,13-тетраметил-5-оксо-2а,3,4,4а,5,6,9,10,11,12,12а,12b-додекагидро-1Н-7,11-метаноциклодека[3,4]бензо[1,2-b]оксет-9-ил)окси)-3-((трет-бутоксикарбонил)амино)-1-оксо-3-фенилпропан-2-ил)окси)-4-оксобутил)-1Н-1,2,3-триазол-1-ил)пропил)карбамоил)-25-бензил-12-(4-карбоксибензил)-40-(((3R,8S,9R,10S,13R,14r)-10,13-диметил-17-(пиридин-3-ил)-2,3,4,7,8,9,10,11,12,13,14,15-додекагидро-1Н-циклопента[а]фенантрен-3-ил)окси)-28-(4-гидроксибензил)-5,13,20,23,26,29,37,40-октаоксо-4,6,12,19,24,27,30,36-октаазатетраконтан-1,3,7-трикарбоновой кислоты (45)

Из 15 мг (0,00926 ммоль) соединения 41, 10 мг (0,0111 ммоль) доцетаксел-алкина, 2,2 мг (0,0111 ммоль) аскорбата натрия, 1 мг (0,0037 ммоль) пентагидрата сульфата меди в 6,7 мл смеси ДМФА/вода (3/1), с последующим добавлением 2,2 мг (0,00741 ммоль) ЭДТА было выделено в индивидуальном виде методом обращенно-фазовой колоночной хроматографии (Interchim Puriflash С18 20 г, градиент 15μ, от 15% ацетонитрила до 100% ацетонитрила за 20 минут, скорость потока - 20 мл/мин) 14 мг (выход 77%) соединения 45 в виде белого порошка.

Спектр ЯМР 1Н (400 МГц, ДМСО-d6, δ, м.д.): 8,82 (уш. с, 1H, NH), 8,69 (уш. с, 1H, NH), 8,49 (д, J=8,07 Гц, 1H, Ру), 7,87-8,01 (м, 4Н, Ar+Ру), 7,85 (д, J=8,07 Гц, 1H, Ру), 7,78 (с, 1H, Triazole), 7,65-7,75 (м, 1H, Ру), 7,57-7,65 (м, 2Н, Ar), 7,34-7,47 (м, 2Н, Ar), 7,31 (м, 2Н, Ar), 7,25 (м, 2Н, Ar), 7,13 (м, 2Н, Ar), 7,17 (м, 2Н, Ar), 6,98-7,11 (м, 4Н, Ar), 6,65 (д, J=6,42 Гц, 2Н, Ar), 6,43 (уш. с, 1H, СН), 5,69-5,79 (м, 1H, СН), 5,29-5,39 (м, 2Н, СН+ОН), 4,97-5,08 (м, 3Н, СН), 4,87 (д, J=9,96 Гц, 1H, СН), 4,45-4,57 (м, 2Н, СН2), 4,40 (уш. с, 1H, ОН), 4,15-4,32 (м, 4Н, СН+СН2), 4,05 (м, 2Н, СН), 3,91-4,03 (м, 4Н, СН+СН2), 3,58-3,60 (м, 1H, СН), 3,15 (м, 2Н, СН2), 2,89-3,09 (м, 8Н, СН2), 2,84 (м, 2Н, СН2), 2,64 (м, 1H, СН2), 2,58 (м, 2Н, СН2), 2,42 (д, J=6,66 Гц, 4Н, СН2), 2,30 (м, 7Н, СН2), 2,10-2,26 (м, 11Н, СН2), 2,03-2,10 (м, 2Н, СН2), 1,97 (м, 1H, СН2), 1,72-1,93 (м, 8Н, СН2), 1,69 (м, 2Н, СН2), 1,66 (м, 4Н, СН2), 1,58 (s, 2Н,), 1,61 (s, 3Н,), 1,47 (br, s„ 12Н,), 1,31-1,41 (м, 6Н,), 1,29 (с, 9Н, СН2), 1,19 (м, 6Н, СН2+СН3), 1,08 (м, 2Н, СН2), 0,83-1,06 (м, 15Н, СН2+СН3). ВЭЖХ-МС: чистота 100%, tR=8,81 мин. ESI-HRMS: для C134H170N14O34: m/z рассчитано для [М+Н]+ 2520,2004, найдено: 2520,21.

Синтез (3S,7S,25S,28S,31S)-31-((3-(4-(4-(((2R,3S)-1-(((2aR,4S,4aS,6R,9S,11,12S,12aR,12bS)-12b-ацетокси-12-(бензоилокси)-4,6,11-тригидрокси-4а,8,13,13-тетраметил-5-оксо-2а,3,4,4а,5,6,9,10,11,12,12а,12b-додекагидро-1Н-7,11-метаноциклодека[3,4]бензо[1,2-b]оксет-9-ил)окси)-3-((трет-бутоксикарбонил)амино)-1-оксо-3-фенилпропан-2-ил)окси)-4-оксобутил)-1Н-1,2,3-триазол-1-ил)пропил)карбамоил)-25,28-дибензил-12-(4-карбоксибензил)-40-(((3R,8S,9R,10S,13R,14R)-10,13-диметил-17-(пиридин-3-ил)-2,3,4,7,8,9,10,11,12,13,14,15-додекагидро-1H-циклопента[а]фенантрен-3-ил)окси)-5,13,20,23,26,29,37,40-октаоксо-4,6,12,19,24,27,30,36-октаазатетраконтан-1,3,7-трикарбоновой кислоты (46)

Из 48 мг (0,0299 ммоль) соединения 42, 30 мг (0,0329 ммоль) доцетаксел-алкина, 7 мг (0,0359 ммоль) аскорбата натрия, 3 мг (0,0119 ммоль) пентагидрата сульфата меди в 10,6 мл смеси ДМФА/вода (3/1), с последующим добавлением 7 мг (0,0238 ммоль) ЭДТА было выделено в индивидуальном виде методом обращенно-фазовой колоночной хроматографии (Interchim Puriflash С18 20 г, 15μ, градиент от 15% ацетонитрила до 100% ацетонитрила за 20 минут, скорость потока - 20 мл/мин) 64 мг (выход 85%) соединения 46 в виде белого порошка.

Спектр ЯМР 1Н (400 МГц, ДМСО-d6, δ, м.д.): 8,82 (уш, с, 1H, Ру), 8,69 (д, J=5,32 Гц, 1H, Ру), 8,51 (д, J=7,95 Гц, 1H, Ру), 7,92-7,99 (м, 3Н, Ar), 7,80-7,92 (м, 2Н, Ру+Ar), 7,78 (с, 1H, Triazole), 7,65-7,75 (м, 1H, Ar), 7,58-7,65 (м, 2Н, Ar), 7,28-7,41 (м, 4Н, Ar), 7,20-7,28 (м, 7Н, Ar), 7,01-7,20 (м, 8Н, Ar), 6,44 (уш. с, 1H, СН), 5,67-5,79 (м, 1H, СН), 5,36 (д, J=7,09 Гц, 1H, СН), 5,31 (м, 1H, СН), 4,97-5,08 (м, 3Н, СН), 4,87 (д, J=9,54 Гц, 1H, СН), 4,50-4,57 (м, 2Н, СН2), 4,32-4,45 (м, 2Н, СН), 4,17-4,31 (м, 3Н, СН), 3,92-4,12 (м, 7Н, СН+СН2), 3,59 (д, J=6,36 Гц, 1H, СН2), 3,09-3,22 (м, 3Н, СН2), 2,89-3,09 (м, 9Н, СН2), 2,78-2,89 (м, 1H, СН2), 2,54-2,68 (м, 3Н, СН2), 2,41 (д, J=7,15 Гц, 4Н, СН2), 2,10-2,36 (м, 18Н, СН2), 1,77-2,10 (м, 11Н, СН2), 1,54-1,74 (м, 12Н, СН2), 1,47 (м, 12Н, СН2), 1,24-1,41 (м, 16Н, СН3+СН2), 1,06-1,24 (м, 8Н, СН2), 0,98 (д, J=5,87 Гц, 8Н, СН3+СН2), 0,94 (уш. с, 6Н, СН3). ВЭЖХ-МС: чистота 100%, tR=9,49 мин. ESI-HRMS: для C134H170N14O33: m/z рассчитано для [М+Н]+ 2504,2055, найдено: 2504,21.

Синтез (S)-2-((S)-2-амино-3-метилбутанамидо)-N-(4-(гидроксиметил)фенил)-5-уреидопентанамид (47)

450 мг (0,748 ммоль) Fmoc-Val-Cit-PAB-OH и диэтиламин (3,7 мл, 20 ммоль) растворили в 8 мл ДМФА. Полученный раствор перемешивали в течение 3 часов. Далее удалили растворитель при пониженном давлении и продукт осаждали этилацетатом (5×13 мл), полученный гель центрифугировали и промывали диэтиловым эфиром. Получили 220 мг (выход 78%) соединения 47 в виде белого порошка.

Спектр ЯМР 1Н (400 МГц, ДМСО-d6, δ, м.д.): 10,02 (с, 1H, NH), 8,10 (м, 1H, NH), 7,53 (д, J=8,2 Гц, 2Н, Ar), 7,23 (д, J=8,2 Гц, 2Н, Ar), 5,95 (с, 1H, NH), 5,39 (с, 2Н, NH2), 5,09 (т, J=5,5 Гц, 1H, ОН), 4,46 (м, 1H, СН), 4,42 (д, J=5,3 Гц, 2Н, СН2), 3,00-3,01 (д, 2Н, NH2), 2,91-2,98 (м, 2Н, СН2), 1,90-1,96 (м, 2Н, СН2), 1,79, 1,65-1,167, 1,55-1,57, 1,36-1,39 (м, 6Н, СН2), 0,87 (д, J=6,8 Гц, 3Н, СН3), 0,77 (д, J=6,7 Гц, 3Н, СН3). Спектр ЯМР 13С (101 МГц, ДМСО-d6, δ, м.д.): 175,31 (С(О)), 171,31 (С(О)), 159,68 (С(О)), 138,33 (Ar), 138,27 (Ar), 127,76 (Ar), 119,76 (Ar), 63,41 (СН2), 60,50 (СН2), 53,31 (СН2), 32,18 (СН2), 31,00 (СН(СН3)2), 27,54 (СН2), 20,40 (СН3), 17,74 (СН3), 14,92 (СН2).

Синтез N-((S)-1-(((S)-1-((4-(гидроксиметил)фенил)амино)-1-оксо-5-уреидопентан-2-ил)амино)-3-метил-1-оксобутан-2-ил)гекс-5-инамида (48).

1000 мг (2,635 ммоль) соединения 47 растворили в 20 мл ДМФА, добавили 505 μл (2,899 ммоль) DIPEA, 1,099 г (2,899 ммоль) HBTU и 325 мг (2,899 ммоль) 5-гексиновой кислоты. Реакционную смесь перемешивали в течение 24 часов. Целевой продукт выделили в индивидуальном виде методом обращенно-фазовой колоночной хроматографии, в качестве элюента была использована смесь вода - ацетонитрил (Interchim Puriflash CI8 120 г, 15μ, градиент от 10% ацетонитрила до 100% ацетонитрила за 30 минут, скорость потока - 40 мл/мин). Соединение 48 получили в виде белого порошка в количестве 1223 мг (выход 98%).

Спектр ЯМР 1H (400 МГц, ДМСО-d6, δ, м.д.): 9,89 (с, 1H, NH), 8,06 (д, J=7,6 Гц, 1H, NH), 7,88 (д, J=8,6 Гц, 1H, NH), 7,53 (д, J=8,3 Гц, 2Н, Ar), 7,22 (д, J=8,3 Гц, 2Н, Ar), 5,97 (т, J=5,5 Гц, 1H, NH), 5,40 (с, 2Н, NH2), 5,09 (т, J=5,6 Гц, 1H, ОН), 4,41 (д, J=5,4 Гц, 2Н, СН2), 4,34-4,37 (м, 1H, СН), 4,17 (т, J=7,6 Гц, 1H, СН), 2,90-3,03 (м, 2Н, СН2), 2,77 (т, J=2,4 Гц, 1H, СН), 2,21-2,31 (м, 2Н, СН2), 2,12-2,16 (м, 2Н, СН2), 1,92-1,99 (м, 1H, СН2), 1,56-1,69 (м, 4Н, СН2), 1,32-1,44 (м, 2Н, СН2), 1,11-1,22 (м, 2Н, СН2), 0,85 (д, J=6,7 Гц, 3Н, СН3), 0,82 (д, J=6,7 Гц, 3Н, СН3). Спектр ЯМР 13С (101 МГц, ДМСО-d6, δ, м.д.): 172,31 (С(О)), 171,70 (С(О)), 170,86 (С(О)), 159,35 (С(О)), 137,99 (Ar), 137,86 (Ar), 127,38 (Ar), 119,29 (Ar), 71,92 (НС≡С-), 70,26 (HC≡С-), 63,05 (СН2), 58,18 (СН), 53,55 (СН), 34,49 (СН2), 30,78 (СН(СН3)2), 29,79 (СН2), 27,28 (СН2), 24,91 (СН2), 19,70 (СН3), 18,66 (СН3), 17,85 (СН2). ESI-HRMS: m/z рассчитано для C24H35N5O5 [М+Н+]: 474,2711, найдено: 474,2715, m/z рассчитано для [M+Na+]: 496,2530, найдено: 496,2536, m/z рассчитано для [М+K+]: 512,2270, найдено: 512,2283.

Синтез 4-((S)-2-(S8)-2-(гекс-5-инамидо)-3-метилбутанамидо)-5-уреидопентанамидо)бензил (4-нитрофенил) карбоната (49)

1223 мг (2,582 ммоль) соединения 48, 2357 мг (7,747 ммоль) бис(4-паранитрофенил)карбонат, растворили в 40 мл ДМФА, прибавили 494 μл (2,84 ммоль) DIPEA и перемешивали в течение 5 часов. Далее растворитель удалили при пониженном давлении, полученный осадок промыли раствором этилацетата. Дальнейшее выделение осуществляли методом обращенно-фазовой колоночной хроматографии, в качестве элюента была использована смесь вода - ацетонитрил (Interchim Puriflash С18 120 г, 15μ, градиент от 10% ацетонитрила до 100% ацетонитрила за 40 минут, скорость потока - 40 мл/мин). Получили 1584 мг (выход 96%) соединение 49 в виде белого порошка.

Спектр ЯМР 1Н (400 МГц, ДМСО-d6, δ, м.д.): 10,06 (с, 1H, NH), 8,30 (д, J=9,0 Гц, 2Н, Ar) 8,11 (д, J=7,3 Гц, 1H, NH), 7,87 (д, J=8,7 Гц, 1H, NH), 7,64 (д, J=8,4 Гц, 2Н, Ar,), 7,56 (д, J=9,2 Гц, 2Н, Ar,), 7,22 (д, J=8,6 Гц, 2Н, Ar), 5,97 (т, J=5,5 Гц, 1H, NH), 5,41 (с, 2Н, NH2), 5,23 (с, 2Н, СН2), 4,35-4,40 (м, 1H, СН), 4,18 (т, J=7,6 Гц, 1H, СН), 2,90-3,03 (м, 2Н, СН2), 2,76-2,78 (м, 1H, СН), 2,22-2,32 (м, 2Н, СН2), 2,07-2,16 (м, 2Н, СН2), 1,92-2,01 (м, 1H, СН), 1,58-1,69 (м, 4Н, СН2), 1,33-1,44 (м, 2Н, СН2), 0,86 (д, J=6,8 Гц, 3Н, СН3), 0,83 (д, J=6,7 Гц, 3Н, СН3). Спектр ЯМР 13С (101 МГц, ДМСО-d6, δ, м.д.): 171,83 (С(О)), 171,30 (С(О)), 170,77 (С(О)), 158,91 (ОС(О)О), 155,29 (С(О)), 151,97 (Ar), 145,17 (Ar), 139,42 (Ar), 129,51 (Ar), 125,41 (Ar), 122,64 (Ar), 119,01 (Ar), 84,14 (СН2), 71,47 (НС≡С-), 70,26 (НС≡С-), 62,60 (NHCHC(O)), 57,67 (NHCHC(O)), 53,17 (NHCH2C(O)), 34,04 (CH2C(O)), 30,37 (СН(СН3)2), 29,22 (СН2), 26,86 (СН2), 24,47 (СН2), 19,24 (СН3), 18,22 (СН3), 17,40 (СН2). ESI-HRMS: m/z рассчитано для C31H38N6O9 [М+Н+]: 639,2773, найдено: 639,2787, m/z рассчитано для [M+Na+]: 661,2592, найдено: 661,2612, m/z рассчитано для [М+K+]: 677,2332, найдено: 677,2346.

Синтез 4-((S)-2-(R)-2-(гекс-5-инамидо)-3-метилбутанамидо)-5-уреидопентанамидо)бензил ((S)-1-(((S)-1-(((3R,4S,5S)-1-((S)-2-((1R,2R)-3-(((1S,2R)-1-гидрокси-1-фенилпропан-2-ил)амино)-1-метокси-2-метил-3-оксопропил)пирролидин-1-ил)-3-метокси-5-метил-1-оксогептан-4-ил)(метил)амино)-3-метил-1-оксобутан-2-ил)амино)-3-метил-1-оксобутан-2-ил)(метил)карбамата (50)

934 мг (1,436 ммоль) соединения 49, 1000 мг (1,393 ммоль) монометилауристатина Е и 40 мг (0,307 ммоль) HOBt растворили в 20 мл ДМФА. К полученной смеси прибавили 2,667 мл (33,11 ммоль) пиридина и перемешивали в течение 16 часов. Удалили растворитель при пониженном давлении. Полученную реакционную смесь вылили в 40 мл этилацетата. Выпавший осадок несколько раз промыли этилацетатом. Соединение 50 в количестве 1,276 г (выход 75%) в индивидуальном виде выделяли методом обращенно-фазовой колоночной хроматографии, в качестве элюента была использована смесь вода - ацетонитрил (Interchim Puriflash C18 120 г, 15μ, градиент от 10% ацетонитрила до 100% ацетонитрила за 40 минут, скорость потока - 40 мл/мин). Продукт был получен в виде бледно-желтого аморфного порошка.

Спектр ЯМР 1Н (400 МГц, ДМСО-d6, δ, м.д.): 9,98 (м, 1H, NH), 8,30 (м, 1H, NH), 8,10 (м, 2Н, NH), 7,84-7,93 (м, 2Н, NH), 7,64 (д, J=8,01 Гц, 1H, NH), 7,57 (д, J=7,89 Гц, 2Н, Ar), 7,20-7,35 (м, 6Н, Ar), 7,10-7,19 (м, 1H, NH), 5,97 (м, 1H, NH), 5,32-5,46 (м, 3Н, CH+NH2), 4,90-5,11 (м, 1H, СН), 4,30-4,51 (м, 1H, СН), 4,20-4,29 (м, 1H, СН), 4,17 (t, J=7,52 Гц, 1H, СН), 3,88-4,04 (м, 2Н, СН), 3,26-3,31 (м, 1H, СН2), 3,07-3,26 (м, 4Н, СН2), 2,79-3,06 (м, 4Н, СН+СН2), 2,76 (д, J=2,32 Гц, 1H, СН), 2,39 (д, J=15,83 Гц, 1H,), 2,25 (д, J=3,00 Гц, 3Н, СН2), 2,07-2,17 (м, 2Н, СН2), 1,96 (дд, J=13,69, 6,91 Гц, 1H, СН2), 1,60-1,86 (м, 3Н, СН2), 1,49-1,60 (м, 1H, СН2), 1,20-1,49 (м, 2Н, СН2), 0,94-1,07 (м, 3Н, СН3), 0,64-0,94 (м, 12Н, СНз+СН2). ESI-HRMS: для C64H100N10O13 m/z рассчитано для [М+Н]+ 1217,7544, найдено: 1217,7544; m/z рассчитано для [M+Na]+ 1239,7364, найдено: 1239,7361, m/z рассчитано для [М+K]+: 1255,7103, найдено: 1255,7090

4.2.10 Общая методика проведения медь-каталируемой клик-реакции лиганда с ММАЕ-алкином.

Лиганд 29-32 (1,1 экв.) и ММАЕ-алкин (соединение 50, 1 экв.) растворили в смеси ДМФА и воды. Колбу заполнили аргоном, затем в систему ввели водные растворы аскорбата натрия (1,2 экв.) и пентагидрата сульфата меди (0,4 экв.). Реакционную смесь перемешивали в течение 18 часов. После этого прибавили ЭДТА (0,8 экв.) и перемешивали еще три часа. Удалили растворитель при пониженном давлении, затем сухой остаток высаживали ацетонитрилом и декантировали. Далее производили выделение продукта в индивидуальном виде методом обращенно-фазовой колоночной хроматографии, в качестве элюента была использована смесь ацетонитрил - вода.

Синтез (3S,7S,25S,28S,31S)-31-(4-аминобутил)-25-бензил-36-(4-(4-(((R)-1-(((S)-1-((4-((5S,8S,11S,12R)-11-((S)-сек-бутил)-12-(2-((S)-2-((1R,2R)-3-(((1S,2R)-1-гидрокси-1-фенилпропан-2-ил)амино)-1-метокси-2-метил-3-оксопропил)пирролидин-1-ил)-2-оксоэтил)-5,8-диизопропил-4,10-диметил-3,6,9-триоксо-2,13-диокса-4,7,10-триазатетрадецил)фенил)амино)-1-оксо-5-уреидопентан-2-ил)амино)-3-метил-1-оксобутан-2-ил)амино)-4-оксобутил)-1Н-1,2,3-триазол-1-ил)-12-(3-хлорбензил)-28-(4-гидроксибензил)-5,13,20,23,26,29,32-гептаоксо-4,6,12,19,24,27,30,33-октоазагексатриаконтан-1,3,7-трикарбоновой кислоты (51)

Из 104 мг (0,0805 ммоль) соединения 29, 89 мг (0,0732 ммоль) соединения 50, 17 мг (0,08784 ммоль) аскорбата натрия, 6 мг (0,02928 ммоль) пентагидрата сульфата меди в 13,5 мл смеси ДМФА/вода (3/1), с последующим добавлением 17 мг (0,05856 ммоль) ЭДТА было выделено в индивидуальном виде методом обращенно-фазовой колоночной хроматографии (Interchim Puriflash С18 40 г, 15μ, градиент от 10% ацетонитрила до 100% ацетонитрила за 30 минут, скорость потока - 20 мл/мин) 86 мг (выход 49%) соединения 51 в виде белого порошка.

Спектр ЯМР 1Н (400 МГц, ДМСО-d6, δ, м.д.): 12,51 (уш. с, 3Н, СООН), 10,00 (м, 1H, NH), 9,22 (уш. с, 1H, ОН), 8,28 (м, 2Н, NH), 8,13 (м, 3Н, NH), 7,84-7,96 (м, 3Н, NH), 7,82 (с, 2Н, Triazole+NH), 7,52-7,74 (м, 6Н, Ar+NH), 7,09-7,40 (м, 16Н, Ar), 7,00-7,07 (м, 2Н, Ar), 6,65 (д, J=7,82 Гц, 2Н, Ar), 6,31 (м, 2Н, NH), 5,99 (уш. с, 1H, NH), 5,42 (уш. с, 2Н, NH2), 4,90-5,13 (м, 2Н, СН2), 4,59-4,77 (м, 1H, СН), 4,44-4,59 (м, 3Н, СН2+СН), 4,18-4,43 (м, 8Н, СН+СН2), 3,90-4,17 (м, 5Н, СН), 3,30 (м, 2Н, СН2), 3,14-3,26 (м, 9Н, СН2+СН3), 3,10 (с, 2Н, СН2), 2,91-3,07 (м, 9Н, СН2), 2,70-2,90 (м, 7Н, СН2), 2,61-2,69 (м, 1H, СН2), 2,56 (т, J=7,49 Гц, 2Н, СН2), 2,30-2,44 (м, 3Н, СН2), 2,14-2,29 (м, 9Н, СН2), 2,11 (м, 1H, СН2), 1,84-2,01 (м, 5Н, СН2), 1,56-1,84 (м, 10Н, СН2), 1,34-1,56 (м, 13Н, СН2+СН3), 1,10-1,34 (м, 8Н, СН2), 0,94-1,07 (м, 6Н, СН2), 0,67-0,89 (м, 23Н, СН2+СН3). Спектр ЯМР 13С (101 МГц, ДМСО-d6, δ, м.д.): 174,50 (СООН), 174,20 (СООН), 173,77 (СООН), 172,52 (С(О)), 172,17 (С(О)), 172,11 (С(О)), 171,71 (С(О)), 171,50 (С(О)), 171,34 (С(О)), 171,10 (С(О)), 170,62 (С(О)), 169,85 (С(О)), 168,75 (С(О)), 158,96 (С(О)), 157,29 (С(О)), 155,88 (Ar), 146,46 (Triazole), 143,69 (Ar), 141,22 (Ar), 137,88 (Ar), 133,41 (Ar), 133,05 (Ar), 130,62 (Ar), 130,26 (Ar), 130,05 (Ar), 129,03 (Ar), 128,18 (Ar), 128,08 (Ar), 127,83 (Ar), 127,77 (Ar), 127,19 (Ar), 126,86 (Ar), 126,68 (Ar), 126,43 (Ar), 126,29 (Ar), 126,09 (Ar), 124,97 (Ar), 121,96 (Ar), 118,81 (Ar), 114,98 (Ar), 114,84 (Ar), 81,64 (СН2), 74,82 (СН), 66,11 (СН), 63,29 (СН), 60,95 (СН3), 58,18 (СН), 57,56 (СН3), 57,14 (СН), 54,92 (СН), 53,18 (СН), 52,57 (СН2), 52,15 (СН), 51,66 (СН), 50,28 (СН), 49,75 (СН2), 49,18 (СН), 47,23 (СН2), 46,86 (СН2), 46,26 (СН2), 43,77 (СН2), 43,21 (СН2), 38,71 (СН2), 37,14 (СН2), 36,97 (СН2), 35,81 (СН2), 35,06 (СН2), 34,67 (СН2), 32,28 (СН2), 31,81 (СН2), 31,57 (СН2), 31,21 (СН2), 30,79 (СН2), 30,59 (СН2), 30,47 (СН2), 29,91 (СН3), 29,84 (СН2), 29,34 (СН2), 29,10 (СН2), 27,79 (СН2), 27,54 (СН2), 26,83 (СН2), 26,65 (СН2), 26,29 (СН2), 25,43 (СН2), 24,66 (СН2), 24,37 (СН2), 23,14 (СН2), 22,52 (СН2), 22,26 (СН2), 19,28 (СН3), 18,95 (СН3), 18,77 (СН3), 18,56 (СН3), 18,40 (СН3), 18,24 (СН3), 15,91 (СН3), 15,48 (СН3), 15,33 (СН3), 15,05 (СН3), 10,32 (СН3). ВЭЖХ-МС: чистота 100%, tR=11,47 мин. ESI-HRMS: для C120H177ClN22O27: m/z рассчитано для [М+2Н]2+ 1197,64938, найдено: 1197,645.

Синтез (3S,7S,25S,28S,31S)-31-(4-аминобутил)-25-бензил-12-(4-бромбензил)-36-(4-(4-(((R)-1-(((S)-1-((4-((5S,8S,11S,12R)-11-((S)-сек-бутил)-12-(2-((S)-2-((1R,2R)-3-(((1S,2R)-1-гидрокси-1-фенилпропан-2-ил)амино)-1-метокси-2-метил-3-оксопропил)пирролидин-1-ил)-2-оксоэтил)-5,8-диизопропил-4,10-диметил-3,6,9-триоксо-2,13-диокса-4,7,10-триазатетрадецил)фенил)амино)-1-оксо-5-уреидопентан-2-ил)амино)-3-метил-1-оксобутан-2-ил)амино)-4-оксобутил)-1Н-1,2,3-триазол-1-ил)-28-(4-гидроксибензил)-5,13,20,23,26,29,32-гептаоксо-4,6,12,19,24,27,30,33-октоазагексатриаконтан-1,3,7-трикарбоновой кислоты (52)

Из 80 мг (0,06546 ммоль) соединения 30, 73 мг (0,05951 ммоль) соединения 50, 14 мг (0,07141 ммоль) аскорбата натрия, 6 мг (0,0238 ммоль) пентагидрата сульфата меди в 10,8 мл смеси ДМФА/вода (3/1), с последующим добавлением 14 мг (0,04761 ммоль) ЭДТА было выделено в индивидуальном виде методом обращенно-фазовой колоночной хроматографии (Interchim Puriflash С18 40 г, 15μ, градиент от 10% ацетонитрила до 100% ацетонитрила за 30 минут, скорость потока - 20 мл/мин) 60 мг (выход 41%) соединения 52 в виде белого порошка.

Спектр ЯМР 1Н (400 МГц, ДМСО-d6, δ, м.д.): 12,52 (уш. с, 3Н, СООН), 9,99 (м, 1H, NH), 9,20 (уш. с, 1H, ОН), 8,24-8,37 (м, 2Н, NH), 8,11-8,15 (м, 3Н, NH), 7,84-7,96 (м, 3Н, NH), 7,82 (с, 2Н, NH+Triazole), 7,59-7,70 (м, 4Н, Ar), 7,51-7,59 (м, 3Н, NH+Ar), 7,48 (д, J=8,31 Гц, 1H, Ar), 7,08-7,35 (м, 13Н, Ar), 7,03 (м, 2Н, Ar), 6,65 (д, J=7,76 Гц, 2Н, Ar), 6,29-6,33 (м, 2Н, NH), 6,00 (уш. с, 1H, NH), 5,41 (уш. с, 2Н, NH), 4,95-5,14 (м, 2Н, СН2), 4,62-4,73 (м, 1H, СН), 4,23-4,53 (м, 10Н, СН+СН2), 3,38-4,23 (м, 27Н, H2O+СН+СН2), 3,08-3,26 (м, 10Н, СН2+СН3), 2,78-3,08 (м, 13Н, СН2+СН3), 2,70-2,78 (м, 2Н, СН2), 2,60-2,69 (м, 1H, СН2), 2,52-2,60 (м, 2Н, СН2), 2,15-2,42 (м, 11Н, СН2), 2,11 (м, 1H, СН2), 1,84-2,04 (м, 5Н, СН2), 1,63-1.84 (м, 7Н, СН2), 1,33-1,58 (м, 13Н, СН2+СН3), 1,11-1,33 (м, 7Н, СН2), 0,89-1,08 (м, 6Н, СН2), 0,65-0,89 (м, 21Н, СН2+СН3). Спектр ЯМР 13С (101 МГц, ДМСО-d6, δ, м.д.): 174,51 (СООН), 174,22 (СООН), 173,78 (СООН), 172,37 (С(О)), 172,09 (С(О)), 171,71 (С(О)), 171,50 (С(О)), 171,35 (С(О)), 171,10 (С(О)), 168,74 (С(О)), 158,96 (С(О)), 157,28 (С(О)), 155,88 (С(О)), 146,45 (Triazole), 143,70 (Ar), 138,03 (Ar), 137,88 (Ar), 131,57 (Ar), 131,25 (Ar), 130,05 (Ar), 129,73 (Ar), 129,03 (Ar), 128,65 (Ar), 128,19 (Ar), 128,08 (Ar), 127,83 (Ar), 126,47 (Ar), 121,97 (Ar), 119,93 (Ar), 114,98 (Ar), 74,80 (СН), 60,95 (СН3), 60,31 (СН), 57,18 (СН), 54,92 (СН), 54,15 (СН), 51,65 (СН), 46,86 (СН2), 43,21 (СН2), 38,70 (СН2), 37,48 (СН2), 36,99 (СН2), 35,80 (СН2), 34,67 (СН2), 31,80 (СН2), 30,48 (СН2), 29,91 (СН3), 29,02 (СН2), 27,54 (СН2), 26,65 (СН2), 26,30 (СН2), 25,43 (СН2), 24,65 (СН2), 24,36 (СН2), 22,27 (СН2), 19,28 (СН3), 18,24 (СН3), 15,49 (СН3), 15,32 (СН3), 10,31 (СН3). ВЭЖХ-МС: чистота 100%), tR=11,68 мин. ESI-HRMS: для C120H177BrN22O27: m/z рассчитано для [М+2Н]2+ 1219,62412, найдено: 1219,6244.

Синтез (3S,7S,25S,28s,31s)-31-(4-аминобутил)-25-бензил-36-(4-(4-(((R)-1-(((S)-1-((4-((5S,8S,11S,12R)-11-((S)-сек-бутил)-12-(2-((S)-2-((1R,2R)-3-(((1S,2R)-1-гидрокси-1-фенилпропан-2-ил)амино)-1-метокси-2-метил-3-оксопропил)пирролидин-1-ил)-2-оксоэтил)-5,8-диизопропил-4,10-диметил-3,6,9-триоксо-2,13-диокса-4,7,10-триазатетрадецил)фенил)амино)-1-оксо-5-уреидопентан-2-ил)амино)-3-метил-1-оксобутан-2-ил)амино)-4-оксобутил)-1Н-1,2,3-триазол-1-ил)-12-(4-карбоксибензил)-28-(4-гидроксибензил)-5,13,20,23,26,29,32-гептаоксо-4,6,12,19,24,27,30,33-октоазагексатриаконтан-1,3,7-трикарбоновой кислоты (53)

Из 100 мг (0,08423 ммоль) соединения 31, 93 мг (0,07657 ммоль) соединения 50, 18 мг (0,09188 ммоль) аскорбата натрия, 8 мг (0,03063 ммоль) пентагидрата сульфата меди в 13,5 мл смеси ДМФА/вода (3/1), с последующим добавлением 18 мг (0,06126 ммоль) ЭДТА было выделено в индивидуальном виде методом обращенно-фазовой колоночной хроматографии (Interchim Puriflash С18 40 г, 15μ, градиент от 10% ацетонитрила до 100% ацетонитрила за 30 минут, скорость потока - 20 мл/мин) 101 мг (выход 55%) соединения 53 в виде белого порошка.

Спектр ЯМР 1Н (400 МГц, ДМСО-d6, δ, м.д.): 12,62 (уш. с, 3Н, СООН), 9,99 (д, J=7,46 Гц, 1H, NH), 9,22 (уш. с, 1H, ОН), 8,24-8,37 (м, 2Н, NH), 8,10-8,16 (м, 3Н, NH), 7,84-7,96 (м, 5Н, Ar+NH), 7,82 (с, 2Н, NH+Triazole), 7,54-7,66 (м, 6Н, Ar+NH), 7,10-7,35 (м, 15Н, Ar), 7,03 (дд, J=8,41, 3,82 Гц, 2Н, Ar), 6,64 (дд, J=8,44, 1,96 Гц, 2Н, Ar), 6,23-6,40 (м, 2Н, NH), 6,00 (уш. с, 1H, NH), 5,41 (уш. с, 2Н, NH2), 4,91-5,13 (м, 2Н, СН2), 4,73 (уш. с, 1H, СН), 4,18-4,66 (м, 13Н, СН+СН2+СН3), 4,03-4,18 (м, 4Н, СН), 3,89-4,03 (м, 4Н, СН+H2O), 3,13-3,27 (м, 10Н, СН2+СН3), 2,91-3,10 (м, 12Н, СН2), 2,79-2,91 (м, 5Н, СН2), 2,54-2,79 (м, 6Н, СН2), 2,13-2,39 (м, 12Н, СН2), 2,11 (м, 1H, СН2), 1,84-2,01 (м, 5Н, СН2), 1,34-1,84 (м, 24Н, СН2+СН3), 1,10-1,34 (м, 9Н, СН2), 0,93-1,08 (м, 7Н, СН2), 0,64-0,90 (м, 26Н, СН2+СН3). Спектр ЯМР 13С (101 МГц, ДМСО-d6, δ, м.д.): 174,50 (СООН), 174,21 (СООН), 173,77 (СООН), 172,53 (С(О)), 172,31 (С(О)), 172,10 (С(О)), 171,71 (С(О)), 171,51 (С(О)), 171,34 (С(О)), 171,10 (С(О)), 170,60 (С(О)), 169,91 (С(О)), 169,85 (С(О)), 168,74 (С(О)), 167,21 (С(О)), 158,96 (С(О)), 157,89 (С(О)), 157,28 (С(О)), 155,88 (С(О)), 146,45 (Triazole), 143,77 (Ar), 143,69 (Ar), 137,88 (Ar), 130,05 (Ar), 129,78 (Ar), 129,47 (Ar), 129,02 (Ar), 128,19 (Ar), 128,08 (Ar), 127,83 (Ar), 127,77 (Ar), 127,39 (Ar), 126,67 (Ar), 126,47 (Ar), 126,42 (Ar), 126,28 (Ar), 121,96 (Ar), 118,95 (Ar), 114,98 (Ar), 89,66 (СН), 74,80 (СН), 60,95 (СН3), 60,31 (СН), 58,68 (СН), 57,57 (СН), 57,17 (СН), 54,95 (СН), 54,14 (СН), 53,15 (СН), 52,57 (СН), 52,12 (СН), 51,65 (СН), 46,87 (СН3), 40,44 (СН3), 38,71 (СН3), 37,02 (СН3), 35,81 (СН3), 34,68 (СН3), 32,32 (СН3), 31,78 (СН3), 31,54 (СН3), 31,22 (СН3), 30,80 (СН3), 30,48 (СН3), 29,91 (СН3), 29,84 (СН3), 29,35 (СН3), 29,12 (СН3), 27,53 (СН3), 26,65 (СН3), 26,31 (СН3), 25,43 (СН3), 25,37 (СН3), 24,66 (СН3), 24,36 (СН3), 23,14 (СН3), 22,52 (СН3), 22,25 (СН3), 19,28 (СН3), 18,98 (СН3), 18,24 (СН3), 15,49 (СН3), 15,32 (СН3), 15,05 (СН3), 10,33 (СН3). ВЭЖХ-МС: чистота 100%, tR=11,32 мин. ESI-HRMS: для C121H178N22O29: m/z рассчитано для [М+2Н]2+ 1202,66378, найдено: 1202,664.

Синтез (3S,7S,25S,28S,31S)-31-(4-аминобутил)-25,28-дибензил-36-(4-(4-(((R)-1-(((S)-1-((4-((5S,8S,11S,12R)-11-((S)-сек-бутил)-12-(2-((S)-2-((1R,2R)-3-(((1S,2R)-1-гидрокси-1-фенилпропан-2-ил)амино)-1-метокси-2-метил-3-оксопропил)пирролидин-1-ил)-2-оксоэтил)-5,8-диизопропил-4,10-диметил-3,6,9-триоксо-2,13-диокса-4,7,10-триазатетрадецил)фенил)амино)-1-оксо-5-уреидопентан-2-ил)амино)-3-метил-1-оксобутан-2-ил)амино)-4-оксобутил)-1Н-1,2,3-триазол-1-ил)-12-(4-карбоксибензил)-5,13,20,23,26,29,32-гептаоксо-4,6,12,19,24,27,30,33-октоазагексатриаконтан-1,3,7-трикарбоновой кислоты (54)

Из 50 мг (0,04269 ммоль) соединения 32, 47 мг (0,03881 ммоль) соединения 50, 9 мг (0,04657 ммоль) аскорбата натрия, 4 мг (0,01552 ммоль) пентагидрата сульфата меди в 9,5 мл смеси ДМФА/вода (3/1), с последующим добавлением 9 мг (0,03105 ммоль) ЭДТА было выделено в индивидуальном виде методом обращенно-фазовой колоночной хроматографии (Interchim Puriflash С18 40 г, 15μ, градиент от 10% ацетонитрила до 100% ацетонитрила за 30 минут, скорость потока - 20 мл/мин) 43 мг (выход 45%) соединения 54 в виде белого порошка.

Спектр ЯМР 1Н (400 МГц, ДМСО-d6, δ, м.д.): 12,45 (уш. с, 3Н), 9,99 (уш. с, 1H, NH), 8,23-8,39 (м, 2Н, NH), 8,02-8,23 (м, 2Н, NH), 7,79-8,01 (м, 6Н, Ar+NH+Triazole), 7,56-7,74 (м, 5Н, NH), 7,10-7,38 (м, 16Н, Ar), 6,17-6,44 (м, 2Н, NH), 6,00 (уш. с, 1H, NH), 4,93-5,18 (м, 3Н, СН3), 4,72 (уш. с, 1H, СН), 4,24-4,66 (м, 15Н, СН+СН2+СН32О), 3,56 (д, J=5,20 Гц, 1H,), 3,28-3,58 (м, 4Н, СН3), 3,08-3,26 (м, 10Н, СН3+СН2), 2,79-3,08 (м, 12Н, СН3), 2,75 (уш. с, 2Н, СН3), 2,53-2,61 (м, 2Н, СН3), 2,08-2,40 (м, 10Н, СН3), 1,85-2,00 (м, 4Н, СН3), 1,62-1,84 (м, 7Н, СН2), 1,34-1,62 (м, 12Н, СН2+СН3), 1,09-1,34 (м, 7Н, СН2),), 0,94-1,08 (м, 5Н, СН2), 0,66-0,92 (м, 19Н, СН2+СН3).

Спектр ЯМР 13С (101 МГц, ДМСО-d6, δ, м.д.): 174,55 (СООН), 174,50 (СООН), 174,21 (СООН), 173,78 (С(О)), 172,54 (С(О)), 172,09 (С(О)), 171,75 (С(О)), 171,53 (С(О)), 171,33 (С(О)), 170,94 (С(О)), 168,74 (С(О)), 158,95 (С(О)), 157,28 (С(О)), 146,46 (Triazole), 143,70 (Ar), 137,83 (Ar), 129,78 (Ar), 129,46 (Ar), 129,37 (Ar), 129,12 (Ar), 129,01 (Ar), 128,18 (Ar), 128,08 (Ar), 127,83 (Ar), 127,77 (Ar), 127,39 (Ar), 126,76 (Ar), 126,45 (Ar), 121,98 (Ar), 74,81 (СН), 57,14 (СН), 54,50 (СН), 52,60 (СН), 51,65 (СН), 46,87 (СН2), 38,71 (СН2), 35,83 (СН2), 31,80 (СН2), 30,55 (СН2), 29,91 (СН2), 29,12 (СН2), 27,55 (СН2), 26,65 (СН2), 26,33 (СН2), 25,44 (СН2), 24,70 (СН2), 23,14 (СН2), 22,27 (СН2), 19,28 (СН3), 18,96 (СН3), 18,24 (СН3), 15,49 (СН3), 15,32 (СН3), 15,06 (СН3), 10,32 (СН3). ВЭЖХ-МС: чистота 100%, tR=11,46 мин. ESI-HRMS: для C121H178N22O28: m/z рассчитано для [М+2Н]2+ 1194,66632, найдено: 1194,6669.

4.2.11 Общая методика проведения реакции моноконъюгата с NHS-эфиром абиратерона.

Моноконъюгат 51-54 (1 экв.) растворили в ДМФА, прибавили NHS-эфир абиратерона (38, 1,2 экв.) и DIPEA (6 экв.). Реакционную смесь перемешивали в течение 20 часов, после чего удалили растворитель при пониженном давлении. Сухой остаток высадили ацетонитрилом, полученный осадок декантировали и три раза промывали ацетонитрилом. Остаток растворителя удалили при пониженном давлении.

Синтез (3S,7S,25S,28S,31S)-25-бензил-31-((3-(4-(4-(((R)-1-(((S)-1-((4-((5S,8S,11S,12R)-11-((S)-сек-бутил)-12-(2-((S)-2-((1R,2R)-3-(((1S,2R)-1-гидрокси-1-фенилпропан-2-ил)амино)-1-метокси-2-метил-3-оксопропил)пирролидин-1-ил)-2-оксоэтил)-5,8-диизопропил-4,10-диметил-3,6,9-триоксо-2,13-диокса-4,7,10-триазатетрадецил)фенил)амино)-1-оксо-5-уреидопентан-2-ил)амино)-3-метил-1-оксобутан-2-ил)амино)-4-оксобутил)-1Н-1,2,3-триазол-1-ил)пропил)карбамоил)-12-(3-хлорбензил)-40-(((3R,8S,9R,10S,13R,14R)-10,13-диметил-17-(пиридин-3-ил)-2,3,4,7,8,9,10,11,12,13,14,15-додекагидро-1Н-циклопента[а]фенантрен-3-ил)окси)-28-(4-гидроксибензил)-5,13,20,23,26,29,37,40-октаоксо-4,6,12,19,24,27,30,36-октаазатетраконтан-1,3,7-трикарбоновой кислоты (55)

Из 34 мг (0,0142 ммоль) соединения 51, 9 мг (0,01703 ммоль)соединения 38 и 15 μл (0,08514 ммоль) DIPEA было получено 38 мг (выход 95%) соединения 55 в виде белого порошка.

Спектр ЯМР 1Н (400 МГц, ДМСО-d6, δ, м.д.): 12,46 (уш. с, 3Н, СООН), 9,99 (уш. с, 1H, NH), 9,20 (м, 1H, ОН), 8,58 (уш. с, 1H, Ру), 8,42 (м, 1H, Ру), 8,33 (д, У=6,58 Гц, 1H, Ру), 8,03-8,21 (м, 3Н, NH), 7,83-8,01 (м, 4Н, NH), 7,81 (с, 1H, Triazole), 7,68-7,78 (м, 2Н, Ar), 7,51-7,67 (м, 4Н, Ar), 7,08-7,40 (м, 18Н, Ar), 7,04 (д, J=8,50 Гц, 2Н, Ar), 6,64 (д, J=7,95 Гц, 2Н, Ar), 6,23-6,37 (м, 2Н, NH), 6,10 (с, 1H, СН), 5,98 (м, 1H, NH), 5,42 (уш. с, 2Н, NH2), 5,35 (м, 1H, СН), 4,91-5,15 (м, 2Н, СН2), 4,59-4,77 (м, 1H, СН), 4,16-4,59 (м, 12Н, СН2+СН), 4,03-4,16 (м, 3Н, СН), 3,88-4,03 (м, 2Н, СН), 3,57 (м, 1H, СН), 3,13-3,26 (м, 9Н, СН2+СН3), 3,11 (с, 2Н, СН2), 2,90-3,08 (м, 11Н, СН2+СН), 2,77-2,89 (м, 5Н, СН2), 2,60-2,70 (м, 1H, СН2), 2,53-2,60 (м, 2Н, СН2), 2,43 (м, 2Н, СН2), 2,13-2,40 (м, 7Н, СН2), 1,85-2,13 (м, 4Н, СН2), 1,74-1,84 (м, 2Н, СН2), 1,56-1,74 (м, 4Н, СН2), 1,44-1,56 (м, 4Н, СН2+СН3), 1,11-1,43 (м, 7Н, СН2+СН3), 0,92-1,11 (м, 6Н, СН2), 0,67-0,92 (м, 10Н, СН2+СН3). Спектр ЯМР 13С (101 МГц, ДМСО-d6, δ, м.д.): 174,50 (СООН), 174,20 (СООН), 173,77 (СООН), 172,38 (С(О)), 172,31 (С(О)), 172,10 (С(О)), 171,79 (С(О)), 171,58 (С(О)), 171,48 (С(О)), 171,34 (С(О)), 171,09 (С(О)), 170,56 (С(О)), 169,90 (С(О)), 169,84 (С(О)), 168,75 (С(О)), 158,92 (С(О)), 157,27 (С(О)), 155,86 (С(О)), 151,01 (Ar), 147,84 (Ar), 147,20 (Ar), 146,40 (Ar), 143,69 (Ar), 141,22 (Ar), 140,81 (Ar), 139,87 (Ar), 137,86 (Ar), 133,33 (Ar), 133,05 (Ar), 132,16 (Ar), 130,59 (Ar), 130,24 (Ar), 130,00 (Ar), 129,01 (Ar), 128,17 (Ar), 128,05 (Ar), 127,94 (Ar), 127,76 (Ar), 127,21 (Ar), 126,75 (Ar), 126,42 (Ar), 126,25 (Ar), 126,08 (Ar), 124,96 (Ar), 123,43 (Ar), 121,98 (Ar), 121,92 (Ar), 118,98 (Ar), 114,98 (Ar), 85,43 (СН), 74,81 (СН), 73,17 (СН), 60,94 (СН3), 60,30 (СН), 58,67 (СН), 58,19 (СН), 57,59 (СН), 57,14 (СН), 56,99 (СН), 54,99 (СН), 54,17 (СН), 53,17 (СН), 52,88 (СН), 52,17 (СН), 51,68 (СН), 49,63 (СН), 49,18 (СН), 47,16 (СН), 46,84 (СН2), 46,66 (СН2), 46,27 (СН2), 43,78 (СН2), 43,22 (СН2), 38,44 (СН2), 37,71 (СН2), 36,42 (СН2), 36,31 (СН2), 35,77 (СН2), 34,67 (СН2), 34,55 (СН2), 32,29 (СН2), 31,87 (СН2), 31,54 (СН2), 31,33 (СН2), 30,96 (СН2), 30,75 (СН2), 30,57 (СН2), 30,45 (СН2), 29,95 (СН2), 29,89 (СН2), 29,36 (СН2), 29,10 (СН2), 28,91 (СН2), 27,80 (СН2), 27,60 (СН2), 27,35 (СН2), 26,84 (СН2), 26,30 (СН2), 25,41 (СН2), 24,66 (СН2), 24,36 (СН2), 23,14 (СН2), 22,91 (СН2), 22,35 (СН2), 20,40 (СН2), 19,27 (СН3), 18,93 (СН3), 18,58 (СН3), 18,24 (СН3), 16,28 (СН3), 15,87 (СН3), 15,48 (СН3), 15,30 (СН3), 15,04 (СН3), 10,43 (СН3). ВЭЖХ-МС: чистота 99%, tR=8,78 мин. ESI-HRMS: для C148H210ClN23O30: m/z рассчитано для [M+2Na]2+ 1435,25435, найдено: 1435,2559.

Синтез (3S,7S,25S,28S,31S)-25-бензил-12-(4-бромбензил)-31-((3-(4-(4-(((R)-1-(((S)-1-((4-((5S,8S,11S,12R)-11-((S)-сек-бутил)-12-(2-((S)-2-((1R,2R)-3-(((1S,2R)-1-гидрокси-1-фенилпропан-2-ил)амино)-1-метокси-2-метил-3-оксопропил)пирролидин-1-ил)-2-оксоэтил)-5,8-диизопропил-4,10-диметил-3,6,9-триоксо-2,13-диокса-4,7,10-триазатетрадецил)фенил)амино)-1-оксо-5-уреидопентан-2-ил)амино)-3-метил-1-оксобутан-2-ил)амино)-4-оксобутил)-1Н-1,2,3-триазол-1-ил)пропил)карбамоил)-40-(((3R,8S,9R,10S,13R,14r)-10,13-диметил-17-(пиридин-3-ил)-2,3,4,7,8,9,10,11,12,13,14,15-додекагидро-1Н-циклопента[а]фенантрен-3-ил)окси)-28-(4-гидроксибензил)-5,13,20,23,26,29,37,40-октаоксо-4,6,12,19,24,27,30,36-октаазатетраконтан-1,3,7-трикарбоновой кислоты (56)

Из 35 мг (0,01435 ммоль) соединения 52, 10 мг (0,01722 ммоль)соединения 38 и 16 μл (0,0861 ммоль) DIPEA было получено 33 мг (выход 80%) соединения 56 в виде белого порошка.

Спектр ЯМР 1Н (400 МГц, ДМСО-d6, δ, м.д.): 12,40 (уш. с, 3Н, СООН), 9,98 (уш. с, 1H, NH), 9,21 (уш. с, 1H, ОН), 8,58 (уш. с, 1H, Ру), 8,42 (уш. с, 1H, Ру), 8,02-8,38 (м, 2Н, Ar+NH), 7,41-8,02 (м, 14Н, NH+Ar+Py+Triazole), 6,94-7,40 (м, 19Н, Ar), 6,64 (м, 2Н, Ar), 6,30 (м, 2Н, NH), 6,10 (уш. с, 1H, СН), 5,98 (уш. с, 1H, NH), 5,29-5,47 (м, 3Н, NH2+CH), 5,03 (м, 2Н, СН2), 4,16-4,64 (м, 13Н, СН+СН2), 3,87-4,16 (м, 6Н, СН+СН2), 3,08-3,25 (м, 14Н, СН2), 2,75-3,08 (м, 20Н, СН2+СН3), 2,62-2,75 (м, 2Н, СН2), 2,12-2,39 (м, 19Н, СН2), 1,85-2,12 (м, 12Н, СН2), 1,12-1,85 (м, 46Н, СН2+СН3), 1,00 (м, 17Н, СН2), 0,62-0,91 (м, 28Н, СН2+СН3). Спектр ЯМР 13С (101 МГц, ДМСО-d6, δ, м.д.): 174,53 (СООН), 174,24 (СООН), 173,81 (СООН), 172,38 (С(О)), 172,11 (С(О)), 171,80 (С(О)), 171,60 (С(О)), 171,49 (С(О)), 171,35 (С(О)), 171,12 (С(О)), 170,57 (С(О)), 169,85 (С(О)), 168,76 (С(О)), 158,93 (С(О)Х 157,28 (С(О)), 155,87 (С(О)), 151,00 (Ar), 147,84 (Ar), 147,19 (Ar), 146,40 (Ar), 143,69 (Ar), 139,87 (Ar), 137,85 (Ar), 133,33 (Ar), 132,14 (Ar), 131,56 (Ar), 131,24 (Ar), 130,01 (Ar), 129,73 (Ar), 129,01 (Ar), 128,66 (Ar), 128,18 (Ar), 128,06 (Ar), 127,94 (Ar), 127,83 (Ar), 127,77 (Ar), 126,74 (Ar), 126,47 (Ar), 126,27 (Ar), 123,45 (Ar), 121,99 (Ar), 120,15 (Ar), 119,93 (Ar), 118,96 (Ar), 114,99 (Ar), 81,64 (СН), 74,80 (СН), 73,17 (СН), 60,95 (СН3), 60,31 (СН), 57,59 (СН), 57,17 (СН), 56,99 (СН), 55,02 (СН), 54,17 (СН), 53,17 (СН), 52,89 (СН), 52,13 (СН), 51,69 (СН), 49,63 (СН), 46,83 (СН2), 46,65 (СН2), 46,28 (СН2), 43,78 (СН2), 43,23 (СН2), 38,44 (СН2), 37,71 (СН2), 36,41 (СН2), 36,31 (СН2), 35,83 (СН2), 34,66 (СН2), 34,54 (СН2), 31,80 (СН2), 31,33 (СН2), 30,96 (СН2), 30,45 (СН2), 29,89 (СН2), 29,36 (СН2), 29,10 (СН2), 28,91 (СН2), 27,74 (СН2), 27,62 (СН2), 27,35 (СН2), 26,84 (СН2), 26,32 (СН2), 25,41 (СН2), 24,73 (СН2), 24,65 (СН2), 24,36 (СН2), 22,92 (СН2), 22,36 (СН2), 20,40 (СН2), 19,27 (СН3), 18,94 (СН3), 18,55 (СН3), 18,25 (СН3), 16,28 (СН3), 15,86 (СН3), 15,65 (СН3), 15,48 (СН3), 15,31 (СН3), 15,05 (СН3), 10,32 (СН3). ВЭЖХ-МС: чистота 100%, tR=9,27 мин. ESI-HRMS: для C148H210BrN23O30: m/z рассчитано для [M+2Na]2+ 1457,22909, найдено: 1457,2319.

Синтез (3S,7S,25S,28S,31S)-25-бензил-31-((3-(4-(4-(((R)-1-(((S)-1-((4-((5S,8S,11S,12R)-11-((S)-сек-бутил)-12-(2-((S)-2-((1R,2R)-3-(((1S,2R)-1-гидрокси-1-фенилпропан-2-ил)амино)-1-метокси-2-метил-3-оксопропил)пирролидин-1-ил)-2-оксоэтил)-5,8-диизопропил-4,10-диметил-3,6,9-триоксо-2,13-диокса-4,7,10-триазатетрадецил)фенил)амино)-1-оксо-5-уреидопентан-2-ил)амино)-3-метил-1-оксобутан-2-ил)амино)-4-оксобутил)-1Н-1,2,3-триазол-1-ил)пропил)карбамоил)-12-(4-карбоксибензил)-40-(((3R,8S,9R,10S,13R,14R)-10,13-диметил-17-(пиридин-3-ил)-2,3,4,7,8,9,10,11,12,13,14,15-додекагидро-1Н-циклопента[а]фенантрен-3-ил)окси)-28-(4-гидроксибензил)-5,13,20,23,26,29,37,40-октаоксо-4,6,12,19,24,27,30,36-октаазатетраконтан-1,3,7-трикарбоновой кислоты (57)

Из 50 мг (0,02079 ммоль) соединения 53, 14 мг (0,02495 ммоль)соединения 38 и 22 μл (0,1247 ммоль) DIPEA было получено 49 мг (выход 83%) соединения 57 в виде белого порошка.

Спектр ЯМР 1H (400 МГц, ДМСО-d6, δ, м.д.): 12,53 (уш. с, 3Н, СООН), 9,99 (уш. с, 1H, NH), 9,21 (уш. с, 1H, ОН), 8,57 (м, 1H, Ру), 8,42 (м, 1H, Ру), 8,23-8,71 (м, 3Н, NH), 8,23-8,03 (м, 3Н, NH), 7,79-8,03 (м, 7Н, Py+Ar+NH), 7,49-7,79 (м, 6Н, Ar), 7,08-7,38 (м, 16Н, Ar), 6,96-7,08 (м, 2Н, Ar), 6,64 (д, J=6,91 Гц, 2Н, Ar), 6,23-6,37 (м, 2Н, NH), 6,10 (уш. с, 1H, СН), 5,98 (уш. с, 1H, NH), 5,31-5,48 (м, 4Н, NH2+CH2), 4,91-5,16 (м, 2Н, СН), 4,73 (уш. с, 1H, СН), 4,16-4,63 (м, 13Н, СН2+СН), 3,88-4,16 (м, 5Н, СН), 3,56 (м, 1H, СН), 3,13-3,26 (м, 11Н, СН2+СН3), 3,10 (уш. с, 2Н, СН2), 2,75-3,08 (м, 18Н, СН2), 2,66 (t, J=11,19 Гц, 1H, СН2), 2,53-2,60 (м, 2Н, СН2), 2,40-2,46 (м, 3Н, СН2), 2,13-2,38 (м, 18Н, СН2), 1,85-2,13 (м, 11Н, СН2), 1,63-1,84 (м, 13Н, СН2), 1,30-1,63 (м, 23Н, СН2+СН3), 1,13-1,30 (м, 8Н, СН2), 0,92-1,11 (м, 16Н, СН2), 0,62-0,91 (м, 27Н, СН2+СН3). Спектр ЯМР 13С (101 МГц, ДМСО-d6, δ, м.д.): 174,55 (СООН), 174,22 (СООН), 173,79 (СООН), 172,37 (С(О)), 172,31 (С(О)), 172,12 (С(О)), 171,79 (С(О)), 171,60 (С(О)), 171,49 (С(О)), 171,35 (С(О)), 171,11 (С(О)), 170,57 (С(О)), 169,84 (С(О)), 168,75 (С(О)), 167,22 (С(О)), 158,93 (С(О)), 157,28 (С(О)), 155,86 (С(О)), 151,01 (Ar), 147,81 (Ar), 147,16 (Ar), 146,40 (Ar), 143,76 (Ar), 143,69 (Ar), 139,86 (Ar), 137,85 (Ar), 133,30 (Ar), 130,01 (Ar), 129,77 (Ar), 129,46 (Ar), 129,01 (Ar), 128,18 (Ar), 128,06 (Ar), 127,94 (Ar), 127,82 (Ar), 127,77 (Ar), 127,39 (Ar), 126,67 (Ar), 126,47 (Ar), 126,27 (Ar), 121,98 (Ar), 121,92 (Ar), 118,98 (Ar), 114,98 (Ar), 85,42 (СН), 74,80 (СН), 73,17 (СН), 60,95 (СН3), 60,31 (СН), 58,18 (СН), 57,60 (СН), 57,14 (СН), 56,98 (СН), 55,07 (СН), 53,18 (СН), 52,89 (СН), 52,15 (СН), 51,68 (СН), 49,62 (СН), 49,18 (СН), 46,83 (СН2), 46,65 (СН2), 46,27 (СН2), 43,22 (СН2), 38,43 (СН2), 37,71 (СН2), 36,41 (СН2), 36,31 (СН2), 35,86 (СН2), 34,67 (СН2), 34,53 (СН2), 31,82 (СН2), 31,50 (СН2), 31,33 (СН2), 30,96 (СН2), 30,74 (СН2), 30,46 (СН2), 29,94 (СН2), 29,88 (СН2), 29,35 (СН2), 28,90 (СН2), 27,58 (СН2), 27,34 (СН2), 26,84 (СН2), 26,23 (СН2), 25,41 (СН2), 24,65 (СН2), 24,38 (СН2), 23,14 (СН2), 22,91 (СН2), 22,37 (СН2), 20,39 (СН2), 19,27 (СН3), 18,93 (СН3), 18,41 (СН3), 18,25 (СН3), 16,27 (СН3), 15,87 (СН3), 15,65 (СН3), 15,48 (СН3), 15,31 (СН3), 15,05 (СН3), 10,32 (СН3). ВЭЖХ-МС: чистота 100%, tR=7,53 мин. ESI-HRMS: для C149H211N23O32: m/z рассчитано для [M+2Na]2+ 1440,26875, найдено: 1440,2652.

Синтез (3S,7S,25S,28S,31S)-25,28-бензил-31-((3-(4-(4-(((R)-1-(((S)-1-((4-((5S,8S,11S,12R)-11-((S)-сек-бутил)-12-(2-((S)-2-((1R,2R)-3-(((1S,2r)-1-гидрокси-1-фенилпропан-2-ил)амино)-1-метокси-2-метил-3-оксопропил)пирролидин-1-ил)-2-оксоэтил)-5,8-диизопропил-4,10-диметил-3,6,9-триоксо-2,13-диокса-4,7,10-триазатетрадецил)фенил)амино)-1-оксо-5-уреидопентан-2-ил)амино)-3-метил-1-оксобутан-2-ил)амино)-4-оксобутил)-1Н-1,2,3-триазол-1-ил)пропил)карбамоил)-12-(4-карбоксибензил)-40-(((3R,8S,9R,10S,13R,14R)-10,13-диметил-17-(пиридин-3-ил)-2,3,4,7,8,9,10,11,12,13,14,15-додекагидро-1Н-циклопента[а]фенантрен-3-ил)окси)-5,13,20,23,26,29,37,40-октаоксо-4,6,12,19,24,27,30,36-октаазатетраконтан-1,3,7-трикарбоновой кислоты (58)

Из 38 мг (0,0159 ммоль) соединения 54, 11 мг (0,01909 ммоль)соединения 38 и 17 μл (0,0955 ммоль) DIPEA было получено 35 мг (выход 78%) соединения 58 в виде белого порошка.

Спектр ЯМР 1Н (400 МГц, ДМСО-d6, δ, м.д.): 12,53 (уш. с, 3Н, СООН), 9,98 (уш. с, 1H, NH), 8,57 (уш. с, 1H, Ру), 8,42 (уш. с, 1H, Ру), 8,05-8,36 (м, 4Н, NH), 7,79-8,01 (м, 7Н, Ar+Py+Triazole+NH), 7,74 (д, J=7,46 Гц, 2Н, NH), 7,53-7,70 (м, 3Н, NH+Ar), 7,02-7,40 (м, 21Н, Ar), 6,30 (м, 2Н, NH), 6,10 (уш. с, 1H, СН), 5,98 (уш. с, 1H, NH), 5,35-5,42 (м, 3Н, NH+CH), 4,93-5,14 (м, 2Н, СН2), 4,72 (уш. с, 1H, СН), 4,34-4,66 (м, 8Н, СН2+СН), 4,16-4,33 (м, 5Н, СН2+СН), 3,88-4,16 (м, 5Н, СН), 3,14-3,25 (м, 11Н, СН2), 2,79-3,14 (м, 20Н, СН2+СН3), 2,53-2,70 (м, 4Н, СН2), 2,43 (д, J=5,93 Гц, 2Н, СН2), 1,84-2,40 (м, 29Н, СН2), 1,10-1,84 (м, 43Н, СН+СН2+СН3), 0,93-1,10 (м, 15Н, СН2), 0,68-0,93 (м, 26Н, СН2+СН3). Спектр ЯМР 13С (101 МГц, ДМСО-d6, δ, м.д.): 174,53 (СООН), 174,23 (СООН), 173,80 (СООН), 172,10 (С(О)), 171,80 (С(О)), 171,62 (С(О)), 171,35 (С(О)), 170,96 (С(О)), 170,57 (С(О)), 169,85 (С(О)), 168,74 (С(О)), 156,93 (С(О)), 150,99 (Ar), 147,18 (Ar), 146,40 (Ar), 143,69 (Ar), 139,86 (Ar), 137,93 (Ar), 137,82 (Ar), 133,34 (Ar), 129,76 (Ar), 129,46 (Ar), 129,08 (Ar), 129,00 (Ar), 128,18 (Ar), 128,07 (Ar), 127,83 (Ar), 127,38 (Ar), 126,68 (Ar), 126,46 (Ar), 123,45 (Ar), 122,00 (Ar), 121,92 (Ar), 118,93 (Ar), 81,75 (СН3), 77,71 (СН), 74,80 (СН), 73,17 (СН), 60,95 (СН3), 60,31 (СН), 57,59 (СН), 57,14 (СН), 56,98 (СН), 54,99 (СН), 54,67 (СН), 53,17 (СН), 52,92 (СН), 49,62 (СН), 46,84 (СН2), 46,64 (СН2), 46,26 (СН2), 43,24 (СН2), 37,70 (СН2), 36,40 (СН2), 36,31 (СН2), 35,79 (СН2), 34,54 (СН2), 31,81 (СН2), 31,54 (СН2), 31,33 (СН2), 30,96 (СН2), 30,46 (СН2), 29,87 (СН2), 29,34 (СН2), 29,12 (СН2), 28,91 (СН2), 27,63 (СН2), 27,34 (СН2), 26,85 (СН2), 26,32 (СН2), 25,42 (СН2), 24,65 (СН2), 24,37 (СН2), 23,14 СН2 (), 22,91 (СН2), 20,40 (СН2), 19,27 (СН3), 18,93 (СН3), 18,42 (СН3), 18,25 (СН3), 16,27 (СН3), 15,48 (СН3), 15,31 (СН3), 15,05 (СН3), 10,31 (СН3). ВЭЖХ-МС: чистота 96%, tR=8,41 мин. ESI-HRMS: для C149H211N23O31: m/z рассчитано для [M+2Na]2+ 1432,27129, найдено: 1432,2719.

Синтез 2,5-диоксопирролидин-1-ил 4-(3-(4-циано-3-(трифторметил)фенил)-5,5-диметил-4-оксо-2-тиоксоимидазолидин-1-ил)-2-фторбензоата (59)

94 мг (0,208 ммоль, 1 экв.) 4-(3-(4-циано-3-(трифторметил)фенил)-5,5-диметил-4-оксо-2-тиоксоимидазолидин-1-ил)-2-фторбензойной кислоты, 50 мг (0,26 ммоль, 1,25 экв.) гидрохлорида N-(3-диметиламинопропил)-N'-этилкарбодиимида и 30 мг (0,26 ммоль, 1,25 экв.) N-гидроксисукцинимида растворили в 10 мл дихлорметана. Реакционную смесь перемешивали до полного окончания реакции. Полноту протекания реакции контролировали по ТСХ (в качестве элюента смесь ДХМ - метанол=15/1). Удалили растворитель при пониженном давлении. Сухой остаток растворили в 20 мл дихлорметана и экстрагировали водой, насыщенным раствором гидрокарбоната натрия и насыщенным раствором хлорида натрия. Органическую фракцию сушили над безводным сульфатом натрия. Удалили растворитель при пониженном давлении. Получили 96 мг (выход 84%) соединения 59 в виде белого порошка.

Спектр ЯМР 1Н (400 МГц, ДМСО-d6, δ, м.д.): 8,41 (д, J=8,25 Гц, 1H, Ar), 8,24-8,32 (м, 2Н, Ar), 8,06-8,11 (м, 1H, Ar), 7,69 (дд, J=11,19, 1,71 Гц, 1H, Ar), 7,54 (дд, J=8,38, 1,71 Гц, 1H, Ar), 2,90 (м, 4Н, СН2), 1,57 (с, 6Н, СН3).

Синтез (7S,10S,13S,31s,35S)-13-бензил-7-((3-(4-(4-(((R)-1-(((S)-1-((4-((5S,8S,11S,12R)-11-((S)-сек-бутил)-12-(2-((S)-2-((1R,2R)-3-(((1S,2R)-1-гидрокси-1-фенилпропан-2-ил)амино)-1-метокси-2-метил-3-оксопропил)пирролидин-1-ил)-2-оксоетил)-5,8-диизопропил-4,10-диметил-3,6,9-триоксо-2,13-диокса-4,7,10-триазатетрадецил)фенил)амино)-1-оксо-5-уреидопентан-2-ил)амино)-3-метил-1-оксобутан-2-ил)амино)-4-оксобутил)-1Н-1,2,3-триазол-1-ил)пропил)карбамоил)-26-(3-хлорбензил)-1-(4-(3-(4-циано-3-(трифторметил)фенил)-5,5-диметил-4-оксо-2-тиоксоимидазолидин-1-ил)-2-фторфенил)-10-(4-гидроксибензил)-1,9,12,15,18,25,33-гептаоксо-2,8,11,14,19,26,32,34-октаазагептатриаконтан-31,35,37-трикарбоновой кислоты (60)

86 мг (0,0359 ммоль, 1 экв.) соединения 51, 24 мг (0,0431 ммоль, 1,2 экв.) соединения 59 растворили в 20 мл ДМФА. К полученному раствору прилили 38 μл (0,2154 ммоль, 6 экв.) DIPEA. Реакционную смесь перемешивали 24 часа, после чего удалили растворитель при пониженном давлении. Затем высаживали продукт ацетонитрилом, декантировали и промывали образовавшийся осадок ацетонитрилом. Целевой продукт выделили в индивидуальном виде методом обращенно-фазовой колоночной хроматографии, в качестве элюента была использована смесь ацетонитрил вода (Interchim Puriflash C 18 20 г, 15 μ, градиент от 10% ацетонитрила до 100% ацетонитрила за 30 минут, скорость потока 20 мл/мин). Получили 20 мг (выход 20%) соединения 60 в виде белого порошка.

ВЭЖХ-МС: чистота 100%, tR=9,20 мин. ESI-HRMS: для C140H188ClF4N25O29S: m/z рассчитано для [M+2Na]2+1436,15673, найдено: 1436,1587.

Синтез соединения 61

Раствор доцетаксела (1 экв.; 500 мг; 0,619 ммоль), гекс-5-иновой кислоты (1,1 экв.; 76 мг; 0,68 ммоль) и DMAP (0,1 экв.; 7 мг; 0,062 ммоль) в DCM охладили до 0°С. Затем по каплям добавили DIC (1,5 экв.; 117 мг; 0,928 ммоль). Реакционную смесь перемешивали в течение 4 часов при 0°С, а затем оставили при перемешивании при комнатной температуре в течение ночи. Растворитель удалили при пониженном давлении. Остаток очищали колоночной хроматографией (Puriflash на колонке PF-15C18HP-F0040 (15 мкм 40 г), элюент: Hex (95%)/EtOAc (5%)⇒Hex (0%)/EtOAc (100%) в течение 25 минут, после EtOAc (100%) в течение 5 минут. Соединение 61 получали в виде белого кристаллического порошка (335 мг, выход 60%).

1Н ЯМР (400 MHz, DMSO-d6, δ): 7.99 (d, J=7.2 Hz, 2H, 25+29), 7.89 (d, J=8.9 Hz, 1H, NHBoc), 7.73 (t,J=7.3 Hz, 1H, 27), 7.65 (t,J=7.5 Hz, 2H, 26+28), 7.42 (t,J=7.5 Hz, 2H, 35+37), 7.39-7.32 (m, 2H, 34+38), 7.17 (t,J=7.2 Hz, 1H, 36), 5.83-5.70 (m,1H, 13), 5.40 (d, J=6.5 Hz, 1H, 2), 5.14-5.04 (m,3H, 31+10+32), 5.02 (d, J=7.2 Hz, 1H, 70H), 4.93 (d, J=2.5 Hz, 1H, 10OH), 4.92-4.87 (m, 1H, 5), 4.45(br.s, 1H, 1OH), 4.10-3.98 (m, 3H, 7+20a+20b), 3.63 (d, J=6.2 Hz, 1H, 3), 2.83 (t, J=2.6 Hz, 1H, X10Hk), 2.55-2.50 (m, 2H, X10Hb), 2.32-2.25 (m, 1H, 6Hb), 2.24 (s, 3H, 22), 2.23-2.16 (m, 2H, X10Hd), 1.87-1.78 (m, 1H, 14Hb), 1.77-1.71 (m, 2H, X10Hg), 1.69 (s, 3H, 18), 1.67-1.59 (m, 1H, 6Ha), 1.55-1.46 (m, 4H, 19+14Ha), 1.38 (s, 9H, tBu), 0.98 (s, 6H, 16+17).

13C ЯМР (100 MHz, DMSO-d6, δ): 209.35 (9), 171.81 (X10Ca), 169.61 (21), 169.11 (30), 165.32 (23), 155.21 (C(O)Boc), 137.49 (33), 136.93 (11), 135.93 (12), 133.46 (27), 130.06 (24), 129.60 (25/29), 128.71 (26/28), 128.61 (35/37), 128.10 (36), 127.46 (34/38), 83.80 (5), 83.51 (X10Ce), 80.30 (4), 78.52 (CBoc), 76.81 (1), 75.43 (20), 75.11 (31), 74.81 (2), 73.76 (10), 71.91 (X10Ck), 71.21 (13), 70.77 (7), 57.00 (8), 55.14 (32), 45.98 (3), 42.91 (15), 36.50 (6), 34.71 (14), 32.10 (X10Cb), 28.16 (tBu), 26.46 (16), 23.47 (X10Cg), 22.53 (22), 20.79 (17), 17.03 (X10Cd), 13.68 (18), 9.83 (19).

HRMS (m/z, ESI): рассчитано для C49H59N15O13-[M+H]+902.3957, найдено: 902.3981. Синтез соединения 62.

К раствору соединения 23 (1 экв.; 158 мг; 0,112 ммоль) в 5 мл DMF добавили TFA*NH2(CH2)3NHFmoc (1,01 экв.; 47 мг; 0,114 ммоль), DIPEA (2,5 экв.; 49 мкл; 0,281 ммоль) в 5 мл DMF, а затем, HOBt (0,8 экв.; 12 мг; 0,09 ммоль), HBTU (1,3 экв.; 55 мг; 0,146 ммоль). Смесь перемешивали 12 часов в инертной атмосфере. Далее удалили растворитель при пониженном давлении и переупарили с DCM дважды. Далее остаток растворили в 30 мл DCM и провели экстракцию; 1) Н2О (2*30 мл), 2) brine (2*30 мл). Затем органическую фракцию сушили над Na2SO4. После удалили растворитель. Остаток очищали с помощью метода колоночной хроматографии (Puriflash на колонке (50μ 40g)); элюент: DCM(100%)/MeOH(0%)⇒DCM(90%)/MeOH(10%) в течение 30 минут, после МеОН (100%) в течение 5 минут. Соединение 62 было получено в виде бледно-желтого аморфного вещества (169 мг, выход 92%).

1Н ЯМР (400 MHz, DMSO-d6, δ): 8,25 (d, J=7,3 Hz, 1H, F5NH), 8,21 (d, J=8,3 Hz, 1H, F6NHmn), 8,00-7,94 (m, 1H, G8NH), 7,94-7,82 (m, 4H, X3NHkn+FmocHt+K7NH), 7,73-7,58 (m, 1H, X9NH+FmocHd), 7,45-7,35 (m, FmocHk+X10Hdn), 7,42-7,09 (m, 14H, X10Hdn+X10Hen+X10Hdm+X10Hem+F6He+F6Hd+X10Htmn+F5He+F6Hk+F5Hk+F5Hd+X10Hgmn), 6,77 (t, J=5,1 Hz, 1H,K7NHk), 6,34-6,21 (m, 2H, K2NH+E1NH, m+n), 4,59-4,41 (m, 3H, F6Ha+X9Ha(n+m)), 4,41-4,32 (m, 1H, F5Ha), 4,31-4,22 (m, 3H, FmocHa), 4,22-4,08 (m, 3H, FmocHb+K7Ha), 4,08-4,00 (m, 1H, E1 Ha), 4,00-3,88 (m, 1H, K2Ha), 3,69 (dd, J=16,3, 5,9 Hz, 1H, G8Ha(a)), 3,60 (dd, J=16,3, 5,9 Hz, 1H, G8Ha(b)), 3,25-3,10 (m, 4H, К2Недаи), 3,10-2,85 (m, 11H, F6Hb(a)+X9Hg+X3He(mn)+X9Ha+K7He+F6Hb(b)+F5Hb(a)), 2,69-2,58 (m, 1H, F5Hb(b)), 2,38-2,12 (m, 8H, X4Hb+E1Hg+X4Ha+X3Ha), 1,92-1,80 (m, 1H, E1Hb(a)), 1,77-1,12 (m, 21H, E1 Hb (b)+X9Hb+K2Hb (a)+K7Hb (a)+K7Hb (b)+K2Hb (b)+K7Hd+X3Hb+X3Hd+K2Hd+K2Hg+X3Hg, m+n), 1,40-1,32 (m, 36H, tBu).

13C ЯМР (100 MHz, DMSO-d6, δ): 172,51 (X4Cg(mn)), 172,25 (K2C(n)), 172,21 (К2С(m)), 172,14 (Х3С(n)), 172,12 (Х3С(m)), 171,94 (E1C), 171,68 (K7C), 171,61 (X4C), 171,54 (F6C), 171,46 (E1Cd), 171,30 (F5C), 168,53 (G8C), 158,94 (C(O)TFA), 158,59 (C(O)TFA), 157,15 (U(m)), 157,14 (U(n)), 156,15 (C(O)Fmoc), 155,61 (K7Boc), 143,94 (FmocCg), 141,17 (X10Cb(m)), 140,77 (X10Cb(n)+FmocCte), 137,98 (F6Cg), 137,95 (F5Cg), 133,44 (X10Ck(n)), 133,09 (X10Ck(m)), 130,61 (X10Cd(m)), 130,25 (X10Cd(m)), 129,12 (F6Cd), 129,06 (F5Cd), 128,16 (F6Ce), 128,04 (F5Ce), 127,64 (FmocCk), 127,22 (X10Ct(m)), 127,16 (Х10Се(n)), 127,10 (FmocCt), 126,88 (X10Cb(m)), 126,30 (F6Ck+X10Ct(n)), 126,23 (F5Ck), 126,07 (X10Cg(m)), 125,18 (FmocCe), 124,94 (X10Cg(n)), 120,15 (FmocCd), 80,59 (E1tBu), 80,42 (K2tBu(m)), 80,33 (K2tBu(n)), 79,78 (E1dtBu), 77,39 (K7BoctBu), 65,31 (FmocCa), 54,65 (F5Ca), 54,39 (F6Ca), 53,10 (K7Ca), 53,01 (К2Са(n)), 52,87 (К2Са(m)), 52,19 (E1Ca), 49,61 (Х10Са(n)), 47,11 (Х10Са(m)), 46,79 (FmocCb+K2Ce(m)), 45,22 (К2Се(n)), 42,14 (G8Ca), 39,10 (K7Ce), 38,68 (Х3Се(m)), 38,59 (Х3Се(n)), 38,04 (X9Cg), 37,11 (F5Cb), 36,82 (F6Cb), 36,33 (X9Ca), 32,33 (Х3Са(n)), 31,95 (Х3Са(m)), 31,83 (K2Cb), 31,32 (K7Cb), 30,92 (E1Cg), 30,75 (X4Ca), 30,61 (X4Cb), 29,39 (X9Cb), 29,29 (K7Cd), 29,09 (X3Cd(m)), 29,00 (X3Cd(n)), 28,29 (tBuK7), 27,75 (tBuE1), 27,66 (tBuK2+K2Cd(m)), 27,63 (tBuE1d+E1Cb), 26,71 (K2Cd(n)), 26,33 (X3Cg(m)), 26,23 (X3Cg(n)), 24,76 (X3Cb(m)), 24,61 (X3Cb(n)), 22,66 (K7Cg), 22,44 (K2Cg(n)) 22,26 (K2Cg(m)).

HRMS (m/z, ESI): рассчитано для C75H114ClN11O16-[M+K+]+1705,8779, найдено: 1705,8699

Синтез соединения 63.

Соединение 62 (1 экв.; 160 мг; 0,095 ммоль) растворили в системе Et2NH/DMF (20 экв. Et2NH, 5 мл DMF) и перемешивали 20 минут в инертной атмосфере, после удалили растворитель при пониженном давлении и переупарили с DCM трижды. Продукт высадили ДЭК и промыли дважды ДЭК (2 мл). Остаток очищали методом обращенно-фазовой колоночной хроматографии (Puriflash PF-15C18AQ-F0025 (15μ 40g), элюент: H2O*TFA(0,1%) (80%)/MeCN(20%)⇒H2O*TFA(0,1%) (0%)/MeCN(100%) в течение 30 минут после MeCN (100%) в течение 5 минут. Соединение 63 было получено как соль *TFA в виде белого аморфного вещества (133 мг, выход 89%).

1Н ЯМР (400 MHz, DMSO-d6, δ): 8,31 (d, J=7,3 Hz, 1H, F5NH), 8,23 (d, J=8,3 Hz, 1H, F6NHmn), 8,07-8,00 (m, 1H, G8NH), 7,97 (t, J=5,4 Hz, m) и 7,94 (t, J=5,4 Hz, n) (1H, X3NHk, m+n), 7,90-7,78 (m, 1H, K7NH+X9NH), 7,66 (br.s, 3H, X9NH3+d), 7,42-7,09 (m, 14H, X10Hdn+X10Hen+X10Hdm+X10Hem+F6He+F6Hd+X10Htmn+F5He+F6Hk+F5Hk+F5Hd+X10Hgmn), 6,79 (t, J=5,1 Hz, 1H,K7NHk), 6,34-6,21 (m, 2H, K2NH+E1NH, m+n), 4,60-4,41 (m, 3HF6Ha+Х9На(n+m)), 4,41-4,32 (m, 1H, F5Ha), 4,18-4,08 (m, 1H, K7Ha), 4,08-4,00 (m, 1H, E1 Ha), 4,00-3,88 (m, 1H, K2Ha), 3,69 (dd, J=16,3, 5,9 Hz, 1H, G8Ha(a)), 3,61 (dd, J=16,3, 5,9 Hz, 1H, G8Ha(b)), 3,25-3,10 (m, 4H, K2Hemn+X9Hg), 3,10-2,85 (m, 7H, F6Hb(a)+X3He(mn)+K7He+F6Hb(b)+F5Hb(a)), 2,82-2,71 (m, 2H, X9Ha), 2,69-2,58 (m, 1H, F5Hb(b)), 2,38-2,12 (m, 8H, X4Hb+E1Hg+X4Ha+X3Ha), 1,92-1,80 (m, 1H, E1Hb(a)), 1,77-1,12 (m, 21H,E1Hb(b)+X9Hb+K2Hb(a)+K7Hb(a)+K7Hb(b)+K2Hb(b)+K7Hd+X3Hb+X3Hd+K2Hd+K2Hg+X3Hg, m+n), 1,40-1,32 (m, 36H, tBu).

13C ЯМР (100 MHz, DMSO-d6, δ): 172,73 (X4Cg(nm)), 172,27 (K2C(n)), 172,24 (К2С(m)), 172,15 (X3C(nm)), 171,96 (E1C), 171,84 (K7C), 171,69 (X4C), 171,64 (F6C), 171,49 (E1Cd), 171,45 (F5C), 169,14 (G8C), 158,94 (C(O)TFA), 158,59 (C(O)TFA), 157,20 (U(m)), 157,18 (U(n)), 155,64 (K7Boc), 141,19 (X10Cb(m)), 140,78 (X10Cb(n)), 138,02 (F6Cg), 137,98 (F5Cg), 133,46 (X10Ck(n)), 133,11 (X10Ck(m)), 130,62 (X10Cd(n)), 130,27 (X10Cd(m)), 129,13 (F6Cd), 129,06 (F5Cd), 128,21 (F6Ce), 128,09 (F5Ce), 127,22 (X10Ct(m)), 127,19 (Х10Се(n)), 126,89 (X10Cb(m)), 126,36 (F6Ck), 126,32 (X10Ct(n)), 126,29 (F5Ck), 126,09 (X10Cg(m)), 124,98 (X10Cg(n)), 80,60 (E1tBu), 80,42 (K2tBu(m)), 80,34 (K2tBu(n)), 79,80 (E1dtBu), 77,43 (K7BoctBu), 54,79 (F5Ca), 54,48 (F6Ca), 53,22 (K7Ca), 53,04 (K2Ca(n)), 52,90 (К2Са(m)), 52,22 (E1Ca), 49,77 (X10Ca(n)), 47,14 (Х10Са(m)), 46,84 (К2Се(m)), 45,25 (К2Се(n)), 42,19 (G8Ca), 39,10 (K7Ce), 38,72 (Х3Се(m)), 38,69 (X3Ce(n)), 36,77 (F5Cb+F6Cb+X9Cg+X9Ca), 32,33 (X3Ca(n)), 31,96 (Х3Са(m)), 31,81 (K2Cb), 31,24 (K7Cb), 30,94 (E1Cg), 30,78 (X4Ca), 30,59 (X4Cb), 29,32 (K7Cd), 29,10 (X3Cd(m)), 29,00 (X3Cd(n)), 28,31 (X9Cb+tBuK7), 27,76 (tBuE1), 27,67 (tBuK2+K2Cd(m)), 27,65 (tBuE1d+E1Cb), 26,72 (K2Cd(n)), 26,34 (X3Cg(m)), 26,25 (X3Cg(n)), 24,76 (X3Cb(m)), 24,62 (X3Cb(n)), 22,69 (K7Cg), 22,45 (K2Cg(n)) 22,29 (K2Cg(m)).

HRMS (m/z, ESI): рассчитано для C75H114ClN11O16-[M+K+]+1460,8206, найдено: 1460,8217

Синтез соединения 64.

К раствору DOTA(tBu)3-COOH (1 экв.; 17 мг; 31,77 мкмоль) в DMF (5 мл) добавили DIPEA (3 экв.; 17 мкл; 95,31 мкмоль), HOBt (0,8 экв.; 3,5 мг; 25,42 мкмоль), HBTU (1,3 экв.; 16 мг; 41,3 мкмоль), смесь перемешивали в течение 30 минут, затем добавили соединение 63 (1 экв.; 50 мг; 31,77 мкмоль) и перемешивали еще 12 часов. Далее удалили растворитель при пониженном давлении, остаток растворили в DCM (15 мл), и провели экстракцию: 1) H2O (1*15 мл), 2) NaHCO3 (2*15 мл). 2) насыщенным раствором NaCl (1*15 мл). Органическую фракцию сушили над Na2SO4, после удалили растворитель при пониженном давлении. Продукт высадили петролейным эфиром (3 мл). Соединение 64 было получено в виде бело-желтого порошка (62 мг, выход 97%).

1Н ЯМР (400 МГц, DMSO-d6, δ): 8,31 (d, J=7,3 Hz, 1H, F5NH), 8,23 (d, J=8,3 Hz, 1H, F6NHmn), 8,11-8,03 (m, 1H, G8NH), 7,99-7,87 (m, 2H, K7NH+X3NHk(m+n)), 7,87-7,77 (m, 1H, X9NH), 7,68 (t, J=5,5 Hz, X9NHd), 7,42-7,09 (m, 14H, X10Hdn+X10Hen+X10Hdm+X10Hem+F6He+F6Hd+X10Htmn+F5He+F6Hk+F5Hk+F5Hd+X10Hgmn), 6,77 (t, J=5,1 Hz, 1H,K7NHk), 6,34-6,21 (m, 2H, K2NH+E1NH, m+n), 4,60-4,42 (m, 3HF6Ha+Х9На(n+m)), 4,41-4,32 (m, 1H, F5Ha), 4,18-4,08 (m, 1H, K7Ha), 4,08-4,00 (m, 1H, E1 Ha), 4,00-3,88 (m, 1H, K2Ha), 3,73-3,56 (m, 2H, G8Ha), 3,80-1,60 (br.m, 24H, DOTA), 3,25-3,10 (m, 4H, K2Hemn+X9Hg), 3,10-2,85 (m, 9H, F6Hb(a)+X9Ha+X3He(mn)++K7He+F6Hb(b)+F5Hb(a)), 2,70-2,60 (m, 1H, F5Hb(b)), 2,40-2,10 (m, 8H, X3Ham+X4Hbmn+E1Hg+X4Hamn+X3Han), 1,92-1,80 (m, 1H, E1Hb(a)), 1,77-1,12 (m, 21H,E1 Hb (b)+X9Hb+K2Hb (a)+K7Hb (a)+K7Hb (b)+K2Hb (b)+K7Hd+X3Hb+X3Hd+K2Hd+K2Hg+X3Hg, m+n), 1,43 (s, 9H, 22), 1,40 (s, 18H, 18+26), 1,40-1,34 (m, 27H, tBu).

13C ЯМР (100 MHz, DMSO-d6, δ): 172,73 (X4Cg(mn)) 172,61 (1), 172,22 (К2С(n)+16+24+К2С(m)), 172,15 (Х3С(nm)), 171,94 (E1C), 171,68 (Х4С(mn)+К7С), 171,62 (F6C), 171,48 (E1Cd), 171,41 (20), 171,35 (F5C), 168,50 (G8C), 157,17 (U(mn)) 155,62 (K7Boc), 141,18 (X10Cb(m)), 140,77 (X10Cb(n)), 137,98 (F6Cg+F5Cg), 133,45 (X10Ck(n)), 133,10 (X10Ck(m)), 130,64 (X10Cd(n)), 130,27 (X10Cd(m)), 129,09 (F6Cd), 129,05 (F5Cd), 128,21 (F6Ce), 128,08 (F5Ce), 127,22 (X10Ct(m)), 127,18 (Х10Се(n)), 126,90 (X10Cb(m)), 126,36 (F6Ck), 126,30 (X10Ct(n)+F5Ck), 126,09 (X10Cg(m)), 124,98 (X10Cg(n)), 81,13 (21), 81,00 (17+25), 80,61 (E1tBu), 80,45 (K2tBu(m)), 80,36 (K2tBu(n)), 79,81 (E1dtBu), 77,42 (K7BoctBu), 55,87 (2), 55,38 (19), 55,27 (15+23), 54,84 (F5Ca), 54,53 (F6Ca), 53,17 (K7Ca), 53,02 (К2Са(n)), 52,88 (К2Са(m)), 52,20 (EICa), 49,62 (Х10Са(n)), 47,12 (Х10Са(m)), 46,82 (К2Се(m)), 45,26 (К2Се(n)), 42,11 (G8Ca), 39,50 (набор уш. пиков, DOTAcyclic), 39,10 (К7Се), 38,71 (Х3Се(m)), 38,66 (Х3Се(n)), 36,83 (F5Cb), 36,68 (F6Cb), 36,41 (X9Cg+X9Ca), 32,33 (Х3Са(n)), 31,96 (Х3Са(m)), 31,84 (K2Cb), 31,29 (K2Cb), 30,93 (E1Cg), 30,77 (X4Ca), 30,59 (X4Cb), 29,33 (K7Cd), 29,10 (X3Cd(m)), 29,01 (X3Cd(n)+X9Cb), 28,30 (tBuK7), 27,77 (tBuE1), 27,67 (22), 27,62 (18+26+tBuK2+K2Cd(m)+tBuE1d+(E1Cb), 26,72 (K2Cd(n)), 26,34 (X3Cg(m)), 26,24 (X3Cg(n)), 24,77 (X3Cb(m)), 24,64 (X3Cb(n)), 22,69 (K7Cg), 22,47 (K2Cg(n)) 22,28 (K2Cg(m)).

HRMS (m/z, ESI): рассчитано для C103H164C1N15O23-[M+K+]+2037,1705, найдено: 2037,1684

Синтез соединения 65.

Соединение 64 (1 экв.; 62 мг; 30,75 мкмоль) растворили в смеси, состоящей из TFA/TIPS/H2O (95%/2,5%/2,5%, V=4 мл). Смесь перемешивали 4 часа. Далее удалили растворитель. Продукт высадили ДЭК и промыли дважды ДЭК (2 мл). После остаток очищали с помощью метода обращенно-фазовой хроматографии (Puriflash PF-15C18AQ-F0012 (15μ 20g), элюент: H2O*TFA(0,1%) (90%)/MeCN(10%)⇒H2O*TFA(0,1%) (0%)/MeCN(100%) в течение 30 минут после MeCN (100%) в течение 5 минут. Соединение 65 было получено как соль *5 TFA в виде белого порошка (60,5 мг, выход 92%).

1Н ЯМР (400 МГц, DMSO-d6, δ): 8,50-8,40 (m, 1H, X9NHd), 8,27 (d, J=7,5 Hz, 1H, F5NHmn), 8,23 (d, J=8,3 Hz 1H, F6NH/w7), 8,02-7,87 (m, 3H, G8NH+K7NH+X3NHk/w+w), 7,84-7,76 (m, 1H, X9NH), 7,76-7,64 (уш.с, 3H, K7NHk), 7,42-7,10 (m, 14H, X10Hdn+X10Hen+X10Hdm+X10Hem+F6He+F6Hd+X10Htmn+F5He+F6Hk+F5Hk+F5Hd+X10Hgmn), 6,39-6,25 (m, 2H, K2NH+E1NH, m+n), 4,60-4,41 (m, 3H, F6Ha+X10Ha(n+m)), 4,41-4,31 (m, 1H, F5Ha), 4,24-4,14 (m, 1H, K7Ha), 4,14-3,97 (m, 4H, E1Ha+2+K2Ha), 3,97-3,82 (br.s, 2H, 19), 3,76-3,46 (m, 6H, G8Ha+15+23), 3,45-3,22 (br.m, 8H, Hcyclic), 3,22-2,83 (m, 19H, K2Hemn+F6Hb(a)+Hcyclic+X9Hg+X9Ha+X3He(mn)+F6Hb(b)+F5Hb(a)), 2,80-2,70 (m, 2H, K7He), 2,69-2,58 (m, 1H, F5Hb(b)), 2,40-2,10 (m, 8H, X3Ham+X4Hbmn+E1Hg+X4Hamn+X3Han), 1,98-1,84 (m, 1H, E1Hb(a)), 1,77-1,12 (m, 21H, E1Hb(b)+K2Hb(a))+X9Hb+K7Hb(a)+K7Hb(b)+K2Hb(b)+K7Hd+X3Hb+X3Hd+K2Hd+K2Hg+X3Hg+K7Hg, m+n).

13С ЯМР (100 МГц, DMSO-d6, δ): 174,58 (К2С(n)), 174,55 (К2С(m)), 174,25 (Е1С(nm)), 173,82 (E1Cd), 172,53 (X4Cg(n)), 172,51 (X4Cg(m)), 172,22 (Х3С(nm)), 171,83 (уш.пик 16+24), 171,67 (K7C), 171,65 (F5C), 171,58 (X4C), 171,33 (F6C), 169,71 (уш.пик, 20), 168,70 (G8C), 165,20 (уш.пик, 1), 158,64 (C(O)TFA), 158,29 (C(O)TFA), 157,37 (U), 141,27 (X10Cb(m)), 140,86 (X10Cb(n)), 138,03 (F6Cg), 137,97 (F5Cg), 133,45 (X10Ck(n)), 133,10 (X10Ck(m)), 130,66 (X10Cd(n)), 130,29 (X10Cd(m)), 129,16 (F6Cd), 129,09 (F5Cd), 128,24 (F6Ce), 128,12 (F5Ce), 127,23 (X10Ct(m)), 127,18 (Х10Се(n)), 126,90 (X10Cb(m)), 126,41 (F6Ck), 126,32 (X10Ct(n)+F5Ck), 126,13 (X10Cg(m)), 125,01 (X10Cg(n)), 117,64 (CF3), 114,72 (CF3), 54,70 (F5Ca+19), 54,41 (F6Ca), 54,03 (уш.пик, 19), 52,75 (K7Ca), 52,57 (уш.пик, 15+23), 52,33 (К2Са(n)), 52,21 (К2Са(m)), 51,73 (E1Ca), 50,54 (набор уш.пиков, DОТАцикл), 49,67 (Х10Са(n)), 48,37 (набор уш.пиков, DОТАцикл), 47,96 (набор уш.пиков, DОТАцикл), 47,19 (Х10Са(m)), 46,92 (К2Се(m)), 45,22 (К2Се(n)), 42,08 (G8Ca), 38,72 (К7Се+Х3Се(m)), 38,63 (Х3Се(n)), 36,95 (F5Cb), 36,80 (F6Cb+X9Cg), 36,42 (Х9Са), 32,34 (Х3Са(n)), 31,92 (Х3Са(m)), 31,82 (K2Cb), 31,05 (K7Cb), 30,81 (Х4Са), 30,64 (X4Cb), 29,97 (E1Cg), 29,14 (X3Cd(m)), 29,05 (X3Cd(n)), 28,82 (X9Cb), 27,82 (K2Cd(m)), 27,57 (E1Cb), 26,70 (K2Cd(n)+K7Cd), 26,33 (X3Cg(m)), 26,26 (X3Cg(n)), 24,78 (X3Cb(m)), 24,63 (X3Cb(n)), 22,55 (K7Cg) 22,39 (K2Cg(n)), 22,20 (K2Cg(m)).

HRMS (m/z, ESI): рассчитано для C74H108C1N15O21-[M+K+]+1616,7164, найдено: 1616,7115

Синтез соединения 66.

Соединение 65 (1 экв.; 20 мг; 9,3 мкмоль) и DIPEA (10 экв.; 12 мг; 16,2 мкмоль) растворили в ДМФ (2 мл), продули систему аргоном. К смеси добавили sulfo-Cy5 NHS-эфир (1,05 экв.; 7,6 мг; 9,77 мкмоль). Смесь перемешивали 12 часов, после чего упарили растворитель при пониженном давлении. После остаток очищали с помощью колоночной хроматографии (Puriflash на колонке с PF-15C18AQ-F0012 (15 мкм 20 г), элюент: H2O(90%)/MeCN(10%)⇒H2O(0%)/MeCN (100%). в течение 20 мин после MeCN (100%) в течение 5 мин получили соединение 66 в виде синего порошка (21,4 мг, выход 86%).

1Н ЯМР (600 MHz, DMSO-d6, δ): 12,62 (br.s., СООН), 8,48-8,12 (m, 5Н, X9NHd+18'+16'+F5NH+F6NH), 8,02-7,89 (m, 2Н, G8NH+X3NHk(m+n)), 7,88-7,78 (m, 3Н, K7NH+11'+23'), 7,78-7,67 (m, 2H, K7NHk+X9NH), 7,67-7,60 (m, 2H, 9'+25'), 7,42-7,09 (m, 16H, X10Hdn+X10Hen+X10Hdm+8'+26'+X10Hem+F6He+F6Hd+X10Htmn+F5He+F6Hk+F5Hk+F5Hd+X10Hgmn), 6,55 (t, J=12,2 Hz, 1H, 17'), 6,40-6,19 (m, 4H, K2NH+19'+E1NH+15', m+n), 4,60-4,41 (m, 3H, F6Ha+X10Ha(n+m)), 4,40-4,30 (m, 1H, F5Ha), 4,25-3,94 (m, 7H, K7Ha+E1Ha+6'+2+K2Ha), 3,94-3,77 (m, 2H, 19), 3,73-3,22 (m, 14H, G8Ha+15+23+Hcyclic), 3,58 (s, 3H, 28'), 3,24-2,85 (m, 21H, K2Hemn+F6Hb(a)+Hcyclic+X9Hg+X9Ha+X3He(mn))+K7He+F6Hb(b)+F5Hb(a)), 2,70-2,59 (m, 1H, F5Hb(b)), 2,40-2,10 (m, 8H, X4Hb+E1Hg+X4Ha+X3Ha), 2,02 (t, J=6,7 Hz, 2H, 2'), 1,95-1,85 (m, 1H, E1Hb(a)), 1,77-1,68 (m, 1H, E1Hb(b)), 1,68 (S, 12H, 29'+30'+31'+32'), 1,67-1,12 (m, 26H, X9Hb+K2Hb(a)+K7Hb(a)+K7Hb(b)+5'+K2Hb(b)+K7Hd+X3Hb+3'+X3Hd+K2Hd+4'+K2Hg+X3Hg+K7Hg, m+n).

13С ЯМР (100 МГц, DMSO-d6, δ): 174,49 (K2C(n)), 174,45 (К2С(m)), 174,16 (Е1С(nm)), 173,78 (20'), 173,73 (E1Cd), 172,80 (14'), 172,52 (X4Cg(n)), 172,49 (X4Cg(m)), 172,15 (Х3С(mn)), 171,83 (уш.пик 16+24), 171,78 (Г), 171,48 (К7С), 171,57 (F5C), 171,52 (Х4С), 171,26 (F6C), 168,66 (G8C), 168,61 (уш.пик, 20), 165,20 (уш.пик, 1), 158,25 (C(O)TFA), 157,93 (C(O)TFA), 157,28 (U), 154,26 (18'), 154,17 (16'), 145,30 (24'), 144,83 (10'), 142,74 (27'), 142,18 (7'), 141,20 (X10Cb(m)), 140,80 (X10Cb(n)), 140,49 (22'), 140,46 (12'), 137,96 (F6Cg), 137,92 (F5Cg), 133,37 (X10Ck(n)), 133,02 (X10Ck(m)), 130,59 (Х10Са(n)), 130,22 (Х10Са(m)), 129,09 (F6Cd), 129,01 (F5Cd), 128,16 (F6Ce), 128,04 (F5Ce), 127,16 (X10Ct(m)), 127,11 (Х10Се(n)), 126,82 (X10Cb(m)), 126,32 (F6Ck), 126,26 (X10Ct(n)+F5Ck), 126,06 (X10Cg(m)+25'), 126,02 (9'), 125,68 (17'), 124,95 (X10Cg(n)), 119,95 (11'), 119,85 (23'), 110,13 (8'+26'), 103,69 (15'), 103,36 (19'), 54,66 (F5Ca+19), 54,38 (F6Ca), 53,94 (уш.пик, 2), 53,02 (K7Ca), 52,53 (уш.пик, 15+23), 52,26 (К2Са(n)), 52,15 (К2Са(m)), 51,66 (E1Ca), 50,55 (набор уш.пиков, DОТАцикл), 49.63 (Х10Са(n)), 48,90 (21'), 48,84 (13'), 48,32 (набор уш.пиков, DОТАцикл), 47,98 (набор уш.пиков, DОТАцикл), 47,16 (Х10Са(m)), 46,87 (К2Се(m)), 45,32 (К2Се(n)), 43,36 (6'), 42,09 (G8Ca), 38,66 (Х3Се(m)), 38,59 (Х3Се(n)), 38,23 (К7Се), 36,85 (F5Cb), 36,71 (F6Cb+X9Cg), 36,33 (Х9Са), 35,09 (2'), 32,27 (Х3Са(n)), 31,86 (Х3Са(m)), 31,76 (K2Cb), 31,24 (28'), 31,18 (K7Cb), 30,76 (Х4Са), 30,57 (X4Cb), 29,90 (E1Cg), 29,06 (X3Cd(m)), 28,95 (X3Cd(n)), 28,86 (5'), 28,73 (X9Cb), 27,78 (K2Cd(m)), 27,52 (E1Cb), 27,12 (29'+30'), 26,92 (31'+32'), 26,73 (K2Cd(n)), 26,68 (K7Cd), 26,26 (X3Cg(m)), 26,18 (X3Cg(n)), 25,67 (4'), 24,92 (3'), 24,71 (X3Cb(m)), 24,56 (X3Cb(n)), 22,65 (K7Cg), 22,50 (K2Cg(n)) 22,33 (K2Cg(m)).

По результатам LCMS 95% в режиме положительных ионов.

ESI-MS C66H88C1N13O17: m/z рассчитано для [М+3Н+]3+: 734,99, найдено: 735,84.

Синтез соединения 67.

Соединение 33 (1 экв.; 15 мг; 11,3 мкмоль) и DIPEA (8 экв.; 16 мкл; 90 мкмоль) растворили в ДМФ (2 мл), продули систему аргоном. К смеси добавили sulfo-Cy5 NHS-эфир (1,05 экв.; 9 мг; 11,8 мкмоль). Смесь перемешивали 12 часов, после чего упарили растворитель при пониженном давлении. После остаток очищали с помощью колоночной хроматографии (Puriflash на колонке с PF-15C18AQ-F0012 (15 мкм 20 г), элюент: H2O(90%)/MeCN(10%)⇒H2O(0%)/MeCN (100%). в течение 20 мин после MeCN (100%) в течение 5 мин получили соединение 67 в виде синего порошка (17,7 мг, выход 86%).

1Н ЯМР (400 MHz, DMSO-d6, δ): 12,62 (br.s., СООН), 8,35 (t, J=12,9 Hz, 2H, 18'+16'), 8,30-8,23 (m, 1H, F5NH), 8,23-8,16 (m, 1H, F6NH), 8,05-7,97 (m, 1H, G8NH), 7,97-7,86 (m, 2H, K7NH+X3NHk(m+n)), 7,85-7,78 (m, 2H, 11'+23'), 7,78-7,68 (m, 2H, K7NHk+X9NH), 7,67-7,59 (m, 2H, 9'+25'), 7,42-7,09 (m, 16H, X10Han+X10Hen+X10Ham+8'+26'+X10Hem+F6He+F6Hd+X10Htmn+F5He+F6Hk+F5Hk+F5Hd+X10Hgmn), 6,55 (t, J=12,2 Hz, 1H, 17'), 6,40-6,19 (m, 4H, K2NH+19'+E1NH+15', m+n) 4,60-4,41 (m, 3H, F6Ha+X10Ha(n+m)), 4,40-4,30 (m, 1H, F5Ha), 4,17-3,96 (m, 7H, K7Ha+E1Ha+6'+K2Ha), 3,74-3,57 (m, 2H, G8Ha), 3,31 (t, J=6,8 Hz, 2H, X9Hg), 3,23-2,85 (m, 11H, K2Hemn+F6Hb(a)+X9Ha+X3He(mn)+K7He+F6Hb(b)+F5Hb(a)), 2,70-2,59 (m, 1H, F5Hb(b)), 2,38-2,10 (m, 8H, X4Hb+E1Hg+X4Ha+X3Ha), 2,02 (t, J=6,7 Hz, 2H, 2'), 1,95-1,85 (m, 1H, E1Hb(a)), 1,77-1,68 (m, 1H, E1Hb(b)), 1,68 (S, 12H, 29'+30'+31'+32'), 1,67-1,12 (m, 27H, E1Hb(b)+X9Hb+K2Hb(a)+K7Hb(a)+K7Hb(b)+5'+K2Hb(b)+K7Hd+X3Hb+3'+X3Hd+K2Hd+4'+K2Hg+X3Hg+K7Hg, m+n).

HRMS (m/z, ESI): рассчитано для C90H116C1N15O21S2-[M+2H+]2+1840,7527, найдено: 1840,7459.

Биологические испытания.

Использованные клеточные линии:

LNCaP андроген-чувствительная клеточная линия аденокарциномы человека, являются адгерентными эпителиальными клетками, растут в виде агрегатов и одиночных клеток. ПСМА-положительные.

Клетки линии LNCaP культивировались в среде RPMI с 10% FBS (Gibco), lxGlutamax (Gibco) и 1х смесью пенициллин-стрептомицин (Gibco).

Получение ПСМА-содержащего клеточного экстракта.

Для суспендирования клеток с 25 см2 флакона убирали культуральную среду, промывали клетки буфером PBS и инкубировали 5 минут с 0,25% трипсином (1 мл). Трипсин инактивировали полной культуральной средой (2 мл), промывали PBS, переносили 106 клеток в пробирку и добавляли 500 мкл лизирующего буфера (0,5% Triton Х-100, 50 mM Tris-HCl (рН 7,5), 1×Proteinase Inhibition cocktail). Суспензию инкубировали 30 минут во льду и обрабатывали ультразвуком (7 раз по 7 сек с интервалами 20-30 сек) во льду во избежание перегрева. Центрифугировали 10 мин 1000g на 4°С и надосадочный раствор использовали в дальнейшем анализе.

Протокол проведения измерения активности ПСМА.

Анализ ингибирования препаратами ПСМА проводился по нерадиоактивному протоколу с детекцией высвобождаемого в ходе реакции глутамата. Экстракт клеток линии LNCaP (10 μL) смешивался с 2 μL препарата соответствующего разведения. Для первичного тестирования использовалась серия разведений препаратов 2 нМ-100 мкМ с шагом разведения 3-5 раз. К полученной смеси добавлялся 1 μL 100 μМ раствора NAAG. Полученная смесь инкубировалась 2 часа при 37°С. После инкубации смесь разводилась вдвое реакционным буфером (13 μL) из набора Amplex Red Glutamic Acid Kit (Molecular Probes Inc., Eugene) и добавлялась многокомпонентная реакционная смесь для детекции глутамата, приготовленная в соответствии с протоколом производителя (26 μL). Рабочий раствор Amplex Red: 5 мкл Amplex® Red reagent stock solution, 1,25 мкл HRP stock solution, 8 мкл L-glutamate oxidase, 2,5 мкл L-glutamate-pyruvate transaminase, 0,5 мкл L-alanine, 483 мкл IX Reaction Buffer. Проводилась инкубация 1 час при 37°С. Флуоресценция резоруфина, полученного в результате сопряженных реакций глутамат-детектирующего набора детектировалась на планшетном мультидетекторе VICTORX5 (Perkin Elmer Inc.) при длине возбуждения 555 нм и детекции при 580 нм. В качестве контроля эндогенного уровня глутамата с заменой раствора NAAG на воду.

Оценка аффинности лигандов ПСМА

Ниже приведена оценка аффинности лигандов общей формулы (I), а также соединений сравнения к простатическому специфическому мембранному антигену.

Препарат DCL трифторацетат представляет собой известную модификацию вещества DUPA с повышенной растворимостью и является генетическим предшественником большинства протестированных препаратов. Его ингибирующее действие аналогично DUPA и он использовался как контрольный ингибитор в последующих анализах.

Ниже приведено описание ингибирования ПСМА рецептора разработанными соединениями. Чем меньше IC50 при ингибировании, тем лучше аффинность.

Наибольшее ингибирующее действие показало соединение формулы 32 с линкером, содержащим фрагмент L-Phe-L-Phe-Lys между ядром ингибитора и арильным фрагментом и производным 4-карбоксибензальдегида при s-атоме азота лизина. В таблице 1 приведены концентрации половинного ингибирования IC50 (нМ) ПСМА протестированными препаратами.

Таблица 1. Концентрации половинного ингибирования IC50(hM) ПСМА протестированными препаратами.

Соединения DCL, ZJ-43, 2-PMPA, «соединение 70» и «соединение 64» RU 2697519 C1 соединения для сравнения, и исследуемые соединения представлены ниже.

Проведение исследования цитотоксичности

В данной работе использовались клеточные линии: иммортализованные клетки LNCaP андроген-чувствительная клеточная линия аденокарциномы человека, являются адгезивными эпителиальными клетками, растут в виде агрегатов и одиночных клеток (ПСМА-положительные). 22Rv1 клеточная линия карциномы человека, являются адгезивными эпителиальными клетками (ПСМА-положительные). РС-3 клеточная линия аденокарциномы человека, являются адгезивными эпителиальными клетками (ПСМА-отрицательные).

При рутинном ведении клетки линии LNCaP, РС3, 22Rv1 культивировали в среде RPMI без фенолового красного с 10% FBS (Gibco), 1×Glutamax (Gibco), 1×смесью пенициллин-стрептомицин (Gibco), 1× смесью витаминов для RPMI среды. Клетки культивировали в культуральных флаконах Т25 в CO2 инкубаторе при 5% CO2 и температуре 37°С до достижения 80% конфлюэнтного монослоя. Клеточные культуры были проверены на отсутствие микоплазмы.

Проведение МТТ-теста (3-(4,5-диметилтриазол-2-ил)2,5-дифенил тетразолий бромид тест) был проведено в соответствии с методикой, опубликованной в статье Ferrari с соавторами.17 Клетки 22Rv1, LNCaP, РС-3 рассевались в количестве 2500 на лунку 96-луночного планшета в среде RPMI-1640 с 10% эмбриональной телячьей сыворотки FBS (Gibco, США), стрептомицином (0.05 мг/мл) и пенициллином (50 ед//мл). Через 24 часа после посева клеток к ним добавлялись химические препараты, разведенные в соответствующей культуральной среде. Для каждой концентрации препарата использовали три технических реплики. Далее клетки инкубировались 72 часа с препаратами при 37°С и 5% СО2.Затем к клеткам прибавлялся МТТ до 0,5 г/л (использовался 10× кратный раствор в стандартном буфере РВ S) и клетки инкубировались еще 2 часа. После инкубации среда отбиралась и осадок растворялся в 140 мкл ДМСО (ООО «Фармамед», Россия) в течение 15 минут при перемешивании на орбитальном шейкере (60 об/мин). Измеряли оптическую плотность каждой лунки при длине волны 565 нм. Каждый эксперимент проводился в трех репликах. Данные обрабатывали с помощью ПО "GraphPad Prism 5" (GraphPad Software, Inc., San Diego, CA), строя зависимости доза-ответ и определяя CC50.

In vitro исследование цитотоксичности двойных конъюгатов лигандов ПСМА с абиратероном и доцетакселом.

Для полученных двойных конъюгатов была исследована цитотоксичность in vitro на ключевых клеточных линиях рака предстательной железы: LNCaP, 22Rv1 (ПСМА-положительные) и РС-3 (ПСМА-отрицательная). Полученные результаты в графическом виде представлены на фиг. 23-25. Для оценки цитотоксичности использовали стандартный MTT/MTS-тест.

Анализ полученных данных свидетельствует о том, что вся серия конъюгатов 43-46 обладает близким цитотоксическим профилем на клеточных линиях LNCaP, 22Rv1. При этом большим потенциалом обладают конъюгаты 45 и 44 на примере данных клеточной линии 22Rv1. Также конъюгат 45 продемонстрировал несколько больший цитотоксический потенциал на клеточной культуре LNCaP. На данном этапе не удалось выявить явного соединения-лидера. Цитотоксичность данных конъюгатов уступает контрольному препарату доцетаксел, особенно в малых концентрациях используемого препарата. Также не удалось достигнуть явного ингибирования клеточного роста на клеточной линии РС-3 во всем исследуемом диапазоне концентраций, как для двойных конъюгатов так и для контрольного препарата (фиг. 25).

In vitro исследование цитотоксичности двойных конъюгатов лигандов ПСМА с абиратероном и монометилауристатином Е.

Цитотоксичность полученных бимодальных конъюгатов ММАЕ была протестирована на трех клеточных линия: двух ПСМА-экспрессирующих (LNCaP и 22Rv1) и одной ПСМА-неэкспрессирующей (РС-3). Также, для проведения сравнительного анализа, в рамках данного эксперимента тестировали цитотоксичность свободного препарата ММАЕ и моноконъюгата I, с линкером без лизинового фрагмента.

Структура монометил ауристатина Е и конъюгата I.

Из данных, полученных в результате исследования на ПСМА-экспрессирующих линиях LNCaPn 22Rv1, общий цитотоксический профиль для всех полученных бимодальных конъюгатов оказался схожим, однако для препаратов 56 и 55 наблюдается несколько большая эффективность воздействия на ПСМА-экспрессирующие клетки. При этом все полученные конъюгаты уступают в своей токсичности моноконъюгату с ММАЕ (I), что может быть вызвано снижением аффинности к мишени за счет наличия второго объемного терапевтического агента, однако данное гипотеза требует дополнительного подтверждения на in vivo моделях. Также, все конъюгаты с лигандами ПСМА уступают свободному монометил ауристатину Е. При этом ММАЕ обладает существенной неспецифичной цитотоксичностью данного препарата, что видно из результатов эксперимента на ПСМА-неэкспрессирующей клеточной линии РС-3. Также эти данные свидетельствуют о большей неспецифичной цитотоксичности конъюгата I в сравнении с полученными бимодальными конъюгатами 55-58.

Для более полного анализа влияния комбинации препаратов были проведены также исследования моноконъюгатов-предшественников 51-54, а также конъюгата II, содержащего только препарат абиратерон. Кроме исследования индивидуальных препаратов, также был проведен анализ эквимолярной смеси конъюгатов I и П. Для всего набора соединений были вычислены значения IC50, представленные в Таблице 2.

Таблица 2. Значения IC50 полученные для синтезированных бимодальных конъюгатов на трех клеточных линиях: 22Rv1, LNCaP (ПСМА-экспрессирующие) и РС-3 (ПСМА-неэкспрессирующая).

Введение абиратерона в структуру соединения ведет к увеличению цитотоксичности препарата, что видно из сравнения значений IC50 для конъюгатов 51-54 и 55-58. (например IC50(54, 22Rv1)=267,9±3,8 нМ против IC50(58, 22Rv1)=155,8±2,4 нМ) При этом, исходя из полученных данных, бимодальные конъюгаты 55-58 обладают меньшей цитотоксичностью в сравнении с конъюгатом I и его комбинации с конъюгатом II. Однако в обоих случаях (I и I+II) наблюдается гораздо более высокая цитотоксичность на ПСМА-неэкспрессирующей клеточной линии РС-3, что может указывать на большую, в сравнении с бимодальными препаратами неспецифичную токсичность. Также, анализ данных для соединения I и его комбинации I+II показывает, что на клеточной линии LNCaP с высокой экспрессией ПСМА комбинация препаратов превосходит в значениях IC50 препарат в индивидуальном виде (73,3±1,0 нМ против 77,7±1,3 нМ), однако на менее экспрессирующей клеточной линии 22Rv1 большая цитотоксичность наблюдается у индивидуального препарата (78,5±0,8 нМ для I против 93,3±1,1 нМ для I+II).

Результаты, полученные из данных in vitro исследований, свидетельствуют о перспективности данного подхода для пары препаратов абиратерон/монометил ауристатин Е. Полученные конъюгаты-лидеры 56 и 55 в будущем возможно исследовать в рамках in vivo эксперимента для более детального рассмотрения эффекта взаимодействия препаратов.

Синтез бимодального конъюгата с ММАЕ и энзалутамидом

В качестве альтернативы абиратерону при андроген-депривационной терапии рака предстательной железы часто применяют препарат энзалутамид. Исходя из результатов in vitro исследований конъюгатов 55-58 было принято решение синтезировать бимодальный конъюгат с монометил ауристатином Е и энзалутамидом на основе конъюгата 51, в связи с его высоким цитотоксическим потенциалом.

Схема получения бимодального конъюгата 60 с ММАЕ и энзалутамидом. Для получения бимодального конъюгат соединение 51 ввели в реакцию с полученным NHS-эфиром энзалутамида 59 (ENZ-NHS) в присутствии шестикратного избытка диизопропилэтиламина. Выделение продукта в индивидуальном виде изначально предполагали осуществлять высаживанием, по аналогии с методикой получения соединений 55-58, однако по результатам ВЭЖХ-МС анализа было выявлено наличие значительного количества побочных продуктов. Содержание целевого вещества в смеси в положительных ионах не превышало 42%, вследствие чего было принято решение выделять продукт методом обращенно-фазовой колоночной хроматографии. Таким образом, был выделен целевой конъюгат 60, структура которого была подтверждена масс-спектрометрией высокого разрешения спектроскопией ЯМР 1Н, а чистота методом ВЭЖХ-МС. Соединение было выделено с выходом 20%, что частично объясняется потерями вещества при хроматографии и указывает на необходимость дополнительной оптимизации условий проведения реакции и очистки. Синтез бимодального конъюгата с ММАЕ и испинесибом

Одним из перспективных препаратов для терапии РПЖ является испинесиб, который также имеет потенциал в комбинационной терапии. Механизм действия данного препарата основан на одновременном взаимодействии соединения со связывающим доменом микротрубочек и доменом аденозинтрифосфатазы (АТФ-азы), что приводит к ослаблению взаимодействия кинезина с микротрубочками и остановкой двигательной активности в АДФ-связанных состояниях. Исходя из результатов in vitro исследований конъюгатов 55-58 было принято решение синтезировать бимодальный конъюгат с монометил ауристатином Е и испинесибом на основе конъюгата 51, в связи с его высоким цитотоксическим потенциалом.

Схема получения бимодального конъюгата 73 с ММАЕ и испинесибом. Для получения бимодального конъюгат соединение 51 ввели в реакцию с полученным NHS-эфиром испинесиба (Isp-NHS) в присутствии шестикратного избытка диизопропилэтиламина. Выделение продукта в индивидуальном виде изначально предполагали осуществлять высаживанием, по аналогии с методикой получения соединений 55-58, однако, исходя из данных, полученных в результате тонкослойной хроматографии, было выявлено наличие значительного количества побочных продуктов, вследствие чего было принято решение выделять продукт методом обращенно-фазовой колоночной хроматографии. Таким образом, был выделен целевой конъюгат 73, структура которого была подтверждена масс-спектрометрией высокого разрешения, а чистота методом ВЭЖХ-МС. Соединение было выделено с выходом 23%, что частично объясняется потерями вещества при хроматографии и указывает на необходимость дополнительной оптимизации условий проведения реакции и очистки. Синтез бимодального диагностического конъюгата 66.

На основе Lys-содержащей векторной платформы также синтезировали бимодальный диагностический конъюгат 66, содержащий хелатирующий агент DOTA (для возможности координации 68Ga и проведения диагностики посредством ПЭТ) и флуоресцентный краситель Sulfo-Cy5 (для возможности интраоперационной диагностики), по схеме, приведенной ниже.

Структура бимодального диагностического конъюгата 66.

Поскольку флуоресцентная метка представляет собой наиболее лабильный фрагмент целевой молекулы, целесообразно вводить ее на последнем этапе синтеза в мягких условиях; следовательно, предшественник конечного соединения должен иметь в своем составе хелатирующий агент и свободные карбоксильные группы в фрагменте мочевины и хелатирующем агенте. Осуществить такое превращение можно реакцией пептидного синтеза с использованием активированного эфира NHS-SulfoCy5 по ζ-NFbrpynne фрагмента К7 векторной платформы. Последовательность предложенного синтеза двойного диагностического конъюгата 66 представлена на схеме ниже.

Вначале, в качестве ортогональной, относительно ζ-NH(Boc) группы фрагмента К7, функциональной группы в молекулу 23 был введен фрагмент NH2(CH2)3NHFmoc. В результате с выходом 92% получили соединение 62, охарактеризованное данными HRMS, LCMS, 1Н ЯМР, 13С ЯМР.

Далее провели удаление защитной группы Fmoc обработкой соединения 62 смесью Et2NH-DMF (20 экв.) в течение 20 минут с последующей очисткой высаживанием Et2O2 и обращенно-фазовой колоночной хроматографией. Продукт 63 был выделен с выходом 89%.

Для реакции биоконъюгирования соединения 63 с OH-DOTA(tBu)3 в качестве активирующих агентов карбоксильной группы использовали HBTU. В результате было получено соединение 64 с выходом 97%. Чистота продукта подтверждалась данными HRMS, LCMS, 1Н ЯМР, 13С ЯМР.

Последующее удаление дареда-бутильных и Вос защитных групп выполняли по оптимизированной методике с использованием системы TFA/TIPS/H2O (95%/2,5%/2,5%; V/V) в течение 4 часов, что позволило минимизировать количество образующихся побочных продуктов. Очистка осуществлялась методом обращено-фазовой колоночной хроматографии, соединение 65 было получено с выходом 92%.

На заключительном этапе была проведена реакция между NHS-SulfoCy5 и соединением 65. В результате был получен конечный конъюгат с выходом 86%. Структура и чистота продукта были подтверждены методами HRMS, LCMS, 1Н ЯМР, 13С ЯМР, а также 2D ЯМР.

Синтез бимодального диагностического конъюгата 66.

Реагенты и условия: (a) FmocNH(CH2)3NH3+TFA-, HBTU, HOBt, DIPEA, DMF; (e) Et2NH/DMF; (c) HO-DOTA(tBu)3, HBTU, HOBt, DIPEA, DMF; (d) TFA/TIPS/H2O (95%/2,5%/2,5%; V/V); (e) (1) DIPEA, DMF; (2) sulfo-Cyanine 5 NHS-активированный эфир.

Биологическое тестирование n vivo соединения 66

Для соединения 66 и его синтетического предшественника 65 было проведено первичное биологическое исследование с целью оценки нормального распределения в различных органах на животных моделях in vivo (Таблица 3).

Из полученных результатов видно, что для соединения 66 содержание в кровотоке практически не изменяется во времени, в отличие от моноконъюгата 65, максимум содержания в крови, для которого наблюдается при 30 мин., и далее постоянно снижается. Помимо этого, содержание бимодального конъюгата 66 в почках во всех временных точках оказалось заметно ниже, чем для соединения 65. Поскольку накопление в почках и быстрое выведение из кровотока представляет собой существенную проблему использования большинства ПСМА-направленных конъюгатов, соединение 66 тем самым демонстрирует потенциал для дальнейших более подробных исследований.

In vivo исследования конъюгатов-лидеров на ксенографтах рака предстательной железы человека 22Rv1 и РС-3.

Исходя из проведенной синтетической работы и предшествующих in vitro исследований, было установлено, что наиболее активными in vitro оказались конъюгаты тирона основе ММАЕ. В полученной серии данных конъюгатов были получены сопоставимые данные цитотоксичности в том числе в сравнении с контрольным моно-конъюгатом, на основе лиганда с м-хлор заместителем в бензильном фрагменте при атоме азота лизина и дипептидной последовательностью Phe-Tyr. По это причине было принято решение провести in vivo исследования двух бимодальных конъюгатов 55 и 60, полученных на основе одного и того же лиганда ПСМА для более корректного сравнения, на ксенографтных моделях рака предстательной железы человека. Также, в рамках данного эксперимента были проведены исследования мономодального конъюгата I, в качестве конъюгата сравнения. В качестве контроля также был выбран препарат ММАЕ в свободном виде.

Характеристика исследуемых конъюгатов и контрольного вещества

Конъюгаты:

- I (также в таблицах PSMA-MMAE), концентрация 0,221 мкмоль/мл; 0,5 мг/мл;

- 55 (также в таблицах PSMA-Abi-MMAE), концентрация 0,221 мкмоль/мл; 0,623 мг/мл;

- 60 (также в таблицах PSMA-Enza-MMAE), концентрация 0,221 мкмоль/мл; 0,624 мг/мл

- ММАЕ, концентрация 0,221 мкмоль/мл; 0,158 мг/мл.

Все исследуемые соединения хранились в морозильной камере при температуре минус 20±2°С.

В качестве контрольного вещества (отрицательный контроль) использовался изотонический (0,9%) раствор хлористого натрия для инъекций в ампулах (производитель ООО «ГРОТЕКС»; серия 460420; срок годности до 05.2023).

Оценка противоопухолевой эффективности in vivo

Для изучения противоопухолевой эффективности конъюгаты I, 55, 60 и ММАЕ вводили внутривенно в дозе 0,3 мг/кг мышам-опухоленосителям трехкратно с интервалом в 5 дней, введение начинали через 7-8 дней после инокуляции клеток животным, размер опухоли составлял 70-90 мм3. В качестве контрольного вещества использовали 0,9% раствор натрия хлорида. Экспериментальные группы состояли из 4 животных.

В ходе наблюдения за животными регистрировали наличие опухолевых образований и их размеры, а также массу тела мышей 1 раз в 5 дней. В соответствии с гуманными принципами эвтаназию животных проводили путем помещения мышей в ингаляционную СО2-камеру (ZOONLAB GmbH, Германия).

Объем опухоли рассчитывали по формуле: V=d1×d2×d3×0,52, где d1,d2 и d3 три взаимно перпендикулярных размера опухоли.

Оценку противоопухолевого эффекта проводили, сравнивая объемы опухолей в опытных и контрольных группах, а также по величине торможения роста опухоли (ТРО).

ТРО рассчитывали по формуле: TPO=[(Vk-Vo)/Vk]-100%, где Vk и Vo средний объем опухоли в опытной и контрольной группах, соответственно.

Дизайн исследования противоопухолевой эффективности I, 55, 60 и ММАЕ представлен в Таблице 4.

Ксенографты рака предстательной железы человека 22Rv1 и РС-3 у мышей линии BALB/c пи/пи

Противоопухолевая эффективность in vivo

С использованием оптимальных параметров воздействия (определены ранее) выполнено сравнение эффективности I, 55, 60 и ММАЕ на ксенографтах 22Rv1 и РС3, которые характеризуются разным уровнем экспрессии простатического специфического мембранного антигена, экспрессия ПСМА в опухоли 22Rv1 выше, чем РС-3.

На первом этапе была изучена эффективность конъюгата I у мышей с ксенографтами 22Rv1 и РС-3, а на втором конъюгатов 55, 60 и ММАЕ. Трехратное введение субстанций в дозе 0,221 мкмоль/мл (эквивалентно 0,3 мг/кг конъюгата I) не влияло на общее состояние и вес животных во всех группах, гибели мышей отмечено не было. Данные по массе тела животных представлены в Таблицах 5 и 6.

При воздействии на опухоль 22Rv1 достигался высокий противоопухолевый эффект, среднее значение объема опухоли увеличивалось медленно по отношению к среднему объему опухоли контрольной группы (Таблицы 7, 8), торможение роста опухоли при лечении I на весь срок наблюдения составило 59,1-84,5%, 55-60,6-80,6%, 60-53,9-71,3%, ММАЕ-43,0-64,7% (Таблица 9). При воздействии на опухоль РС-3 противоопухолевый эффект был значительно слабее: ТРО при лечении I не превышало 37,7%, 55-44,9%, 60-51,7%, ММАЕ-38,4% (Таблица 9).

Таким образом, при сравнительном изучении противоопухолевой эффективности конъюгатов I, 55, 60 у животных с ксенографтами предстательной железы 22Rv1 и РС-3, выявлены преимущества лечения животных с опухолями 22Rv1, что возможно связано с более высоким уровнем экспрессии ПСМА. Наиболее низкий эффект выявлен при использовании соединения ММАЕ. Следует отметить, что введение лиганда ПСМА в молекулу способствует увеличению эффективности противоопухолевой терапии ПСМА положительных опухолей.

Похожие патенты RU2841078C1

название год авторы номер документа
СОЕДИНЕНИЕ ПЕПТИДНОЙ ПРИРОДЫ, ОБЛАДАЮЩЕЕ СПОСОБНОСТЬЮ СВЯЗЫВАТЬСЯ С ПСМА, СПОСОБ ЕГО ПОЛУЧЕНИЯ И ПРИМЕНЕНИЯ 2021
  • Петров Станислав Александрович
  • Мачулкин Алексей Эдуардович
  • Ларенков Антон Алексеевич
  • Успенская Анастасия Алексеевна
  • Нименко Екатерина Алексеевна
  • Зык Николай Юрьевич
  • Скворцов Дмитрий Александрович
  • Шафиков Радик Радикович
  • Белоглазкина Елена Кимовна
  • Мажуга Александр Георгиевич
RU2823164C2
СРЕДСТВО ПЕПТИДНОЙ ПРИРОДЫ, ВКЛЮЧАЮЩЕЕ ПСМА-СВЯЗЫВАЮЩИЙ ЛИГАНД НА ОСНОВЕ ПРОИЗВОДНОГО МОЧЕВИНЫ, СПОСОБ ЕГО ПОЛУЧЕНИЯ И ПРИМЕНЕНИЕ ДЛЯ ПОЛУЧЕНИЯ КОНЪЮГАТА С ЛЕКАРСТВЕННЫМ И ДИАГНОСТИЧЕСКИМ АГЕНТОМ 2018
  • Мачулкин Алексей Эдуардович
  • Успенская Анастасия Алексеевна
  • Бер Антон Петрович
  • Петров Станислав Александрович
  • Салтыкова Ирина Владимировна
  • Иваненков Ян Андреевич
  • Скворцов Дмитрий Александрович
  • Ерофеев Александр Сергеевич
  • Горелкин Петр Владимирович
  • Белоглазкина Елена Кимовна
  • Белов Евгений Юрьевич
  • Хазанова Елена Сергеевна
  • Мажуга Александр Георгиевич
RU2697519C1
СОЕДИНЕНИЕ ДЛЯ ДИАГНОСТИКИ ОПУХОЛЕЙ, ЭКСПРЕССИРУЮЩИХ ПСМА, И КОМПОЗИЦИЯ НА ЕГО ОСНОВЕ 2019
  • Мачулкин Алексей Эдуардович
  • Мажуга Александр Георгиевич
  • Бер Антон Петрович
  • Петров Станислав Александрович
  • Иваненков Ян Андреевич
  • Скворцов Дмитрий Александрович
  • Белоглазкина Елена Кимовна
  • Егорова Байирта Владимировна
  • Калмыкова Таисия Петровна
RU2730507C1
НОВЫЕ 2',5'-ДИАРИЛСПИРО[ИНДОЛ-3,3'-ПИРРОЛИДИН]-2(1Н)-ОНЫ И СПОСОБ ИХ ПОЛУЧЕНИЯ 2019
  • Акаев Андрей Анатольевич
  • Кравцова Анна Александровна
  • Кириллова Елена Алексеевна
  • Будынина Екатерина Михайловна
  • Мельников Михаил Яковлевич
RU2730287C1
ГИДРОКСАМОВЫЕ КИСЛОТЫ, СОДЕРЖАЩИЕ ЯДРА 1,2,4- И 1,3,4-ОКСАДИАЗОЛА В КАЧЕСТВЕ ПОТЕНЦИАТОРОВ ДЕЙСТВИЯ АНТИБИОТИКОВ 2023
  • Чернышов Владимир Владимирович
  • Жуковец Анастасия Алексеевна
  • Альмухаметов Айдар Зуфарович
  • Митькевич Владимир Александрович
RU2830361C1
КОНЪЮГАТ ФЛУОРЕСЦЕНТНОГО КРАСИТЕЛЯ С ВЕЩЕСТВОМ ПЕПТИДНОЙ ПРИРОДЫ, ВКЛЮЧАЮЩИМ ПСМА-СВЯЗЫВАЮЩИЙ ЛИГАНД НА ОСНОВЕ ПРОИЗВОДНОГО МОЧЕВИНЫ ДЛЯ ВИЗУАЛИЗАЦИИ КЛЕТОК, ЭКСПРЕССИРУЮЩИХ ПСМА, СПОСОБ ЕГО ПОЛУЧЕНИЯ И ПРИМЕНЕНИЯ 2019
  • Мачулкин Алексей Эдуардович
  • Успенская Анастасия Алексеевна
  • Бер Антон Петрович
  • Петров Станислав Александрович
  • Ямансаров Эмиль Юлаевич
  • Финько Александр Валерьевич
  • Красновская Ольга Олеговна
  • Нименко Екатерина Алексеевна
  • Зык Николай Юрьевич
  • Иваненков Ян Андреевич
  • Скворцов Дмитрий Александрович
  • Ерофеев Александр Сергеевич
  • Горелкин Петр Владимирович
  • Белоглазкина Елена Кимовна
  • Хазанова Елена Сергеевна
  • Мажуга Александр Георгиевич
RU2713151C1
Ингибитор основной протеазы коронавируса SARS-CoV-2 2023
  • Кузнецова Александра Александровна
  • Булыгин Анатолий Алексеевич
  • Осипова Зинаида Михайловна
  • Ямпольский Илья Викторович
  • Кузнецов Никита Александрович
RU2840908C2
ДИСПИРОИНДОЛИНОНЫ НА ОСНОВЕ РОДАНИНОВ КАК ИНГИБИТОРЫ Р53-MDM2 БЕЛОК-БЕЛКОВОГО ВЗАИМОДЕЙСТВИЯ 2019
  • Белоглазкина Анастасия Александровна
  • Мажуга Александр Георгиевич
  • Белоглазкина Елена Кимовна
  • Мефедова София Романовна
  • Карпов Никита Александрович
RU2730286C1
СПОСОБ ПОЛУЧЕНИЯ ПРОИЗВОДНЫХ ХРОМАН-2-АМИНОВ 2016
  • Осянин Виталий Александрович
  • Мельникова Ирина Валерьевна
  • Осипов Дмитрий Владимирович
  • Климочкин Юрий Николаевич
RU2652119C1
СПОСОБЫ ПОЛУЧЕНИЯ ПРОИЗВОДНЫХ ЭСТЕИНАСЦИДИНА, СОЕДИНЕНИЯ, ПРОМЕЖУТОЧНЫЙ ПРОДУКТ 1997
  • Кори Элиас Дж.
  • Джин Дэвид
RU2194709C2

Иллюстрации к изобретению RU 2 841 078 C1

Реферат патента 2025 года ЛИГАНДЫ, ТРОПНЫЕ К ПРОСТАТИЧЕСКОМУ СПЕЦИФИЧЕСКОМУ МЕМБРАННОМУ АНТИГЕНУ И ИХ ПРИМЕНЕНИЕ ДЛЯ ПОЛУЧЕНИЯ ДВОЙНЫХ КОНЪЮГАТОВ С ТЕРАПЕВТИЧЕСКИМИ АГЕНТАМИ НА ИХ ОСНОВЕ ДЛЯ КОМБИНИРОВАННОЙ ТЕРАПИИ ПСМА ЭКСПРЕССИРУЮЩИХ ОПУХОЛЕЙ

Изобретение относится к области органической и медицинской химии, а также молекулярной биологии и касается нового класса соединений, которые являются кандидатами средств для доставки диагностических соединений (агентов) для диагностики, в том числе радиодиагностики или флуоресцентной диагностики, или терапии онкологических заболеваний, в том числе химиотерапии или радиотерапии. Предложено соединение общей формулы (I), которое предназначено для получения конъюгата с лекарственным или диагностическим агентом для диагностики или лечения заболеваний, вызванных клетками, экспрессирующими ПСМА, например такими, как клетки рака предстательной железы. Заявляемые средства доставки диагностических или терапевтических средств, включающие ПСМА-лиганд с линкером, обладают высокой аффинностью и селективностью действия в отношении клеток, экспрессирующих ПСМА. Данное свойство позволяет использовать их для лечения заболеваний, связанных с высокой экспрессией ПСМА, с меньшей дозировкой при избирательном действии на раковые клетки, не затрагивая здоровые клетки. Заявляемые средства доставки позволяют комбинировать в своем составе активные вещества различной природы и механизм их действия или применения, в том числе данные средства доставки позволяют осуществлять комбинированную химиотерапию опухолей, экспрессирующих простатический специфический мембранный антиген, за счет создания на их основе бимодальных конъюгатов. 4 н. и 10 з.п. ф-лы, 25 ил., 9 табл., 67 пр.

Формула изобретения RU 2 841 078 C1

1. Соединение общей формулы (I)

R1=Н или , где X, Y, Z независимо друг от друга представляют собой Н, NO2, Cl, Br, СООН;

R2=Н или ОН;

L1, L2, независимо друг от друга представляют собой, NH или любую другую аминокислоту (-NHCHRC(O)NH-) или аминокислотную последовательность (например, аминокислоту глицин (-NHCH2C(O)NH-));

R3=H, NO2;

L3 и L4 независимо друг от друга представляют собой NH2 или N3;

* конфигурация оптического цента аминокислот трипептидного фрагмента независимо друг от друга - L- или D-;

за исключением случая, когда R1=, X=Z=Н, Y=Cl, R2=Н; L1=L2=NH; R3=Н, конфигурация всех трех оптических центров * - L.

2. Соединение по п. 1, выбранное из группы:

3. Соединение по п. 1 или 2, характеризующееся тем, что оно способно связываться с простатическим специфическим мембранным антигеном.

4. Конъюгат соединения по п. 1 с лекарственным или диагностическим агентом, представляющее соединение общей формулы (II)

R1=Н или , где X, Y, Z независимо друг от друга представляют собой Н, NO2, Cl, Br, СООН;

R2=Н или ОН;

L1, L2, независимо друг от друга представляют собой, NH или любую другую аминокислоту (-NHCHRC(O)NH-) или аминокислотную последовательность (например, аминокислоту глицин (-NHCH2C(O)NH-));

R3=H, NO2;

L3 и L4 независимо друг от друга представляют собой NH, амидную связь или фрагмент 1,2,3-триазола;

* конфигурация оптического цента аминокислот трипептидного фрагмента независимо друг от друга - L- или D-;

R4 представляет собой лекарственный, флуоресцентный или хелатирующий агент или Н (в случае если L3 представляет собой NH);

R5 представляет собой лекарственный, флуоресцентный или хелатирующий агент;

за исключением случая, когда R1=, а X=Z=Н, Y=Cl, R2=Н; L1=L2=NH; R3=Н; конфигурация всех трех оптических центров * - L; L3 = амидная связь; L4 = фрагмент 1,2,3-триазола; R4 = флуоресцентную метку Sulfo-Cy5; R5 = доцетаксел.

5. Конъюгат по п. 4, характеризующийся тем, что лекарственный или диагностический агент является средством для диагностики или лечения заболеваний, вызванных клетками, экспрессирующими простатический специфический мембранный антиген.

6. Конъюгат по п. 5, характеризующийся тем, что представляет собой соединение общей формулы II, где R4 и/или R5 представляет собой соединение, пригодное для терапии РПЖ.

7. Конъюгат по п. 5, характеризующийся тем, что представляет собой соединение формулы II для флуоресцентной диагностики заболеваний, при этом R4 или R5 представляет собой флуоресцентную метку, пригодную для диагностики РПЖ.

8. Конъюгат по п. 5, характеризующийся тем, что представляет собой соединение общей формулы II, при этом R4 или R5 представляет собой радионуклидную метку, выбранную из группы, включающей хелатирующие агенты, способные координировать радионуклиды, используемые в терапии и диагностике РПЖ, а именно трехзарядные катионы металлов, выбранные из 111In, 67Ga, 68Ga, 90Y, 109Pb, 203Pb, 105Rh, 177Lu, 213Bi, 44Sc, 47Sc, 153Sm, 161Tb и 225Ac.

9. Композиция для диагностики или лечения опухолей предстательной железы, экспрессирующих ПСМА (PSMA), включающая соединение формулы (II) по п. 4 и фармацевтически приемлемый носитель, наполнитель или разбавитель для парентерального введения.

10. Применение соединения по п. 1 для получения конъюгата с лекарственным или диагностическим агентом.

11. Применение по п. 10, характеризующееся тем, что соединение выбрано из соединений формул (I-1) - (I-12).

12. Применение по п. 10, характеризующееся тем, что лекарственный или диагностический агент является средством для диагностики или лечения заболеваний, вызванных клетками, экспрессирующими простатический специфический мембранный антиген.

13. Применение по п. 10, характеризующееся тем, что лекарственным агентом является монометил ауристатин Е, доцетаксел, абиратерон, энзалутамид, испинесиб.

14. Применение по п. 10, характеризующееся тем, что таким заболеванием является рак предстательной железы.

Документы, цитированные в отчете о поиске Патент 2025 года RU2841078C1

Stanislav A
Petrov et
al
Кипятильник для воды 1921
  • Богач Б.И.
SU5A1
Machulkin, Aleksei E
et al
Synthesis and Biological Evaluation of PSMA Ligands with Aromatic Residues and Fluorescent Conjugates Based on

RU 2 841 078 C1

Авторы

Мачулкин Алексей Эдуардович

Зык Николай Юрьевич

Петров Станислав Александрович

Успенская Анастасия Алексеевна

Гаранина Анастасия Сергеевна

Скворцов Дмитрий Александрович

Шафиков Радик Радикович

Ларенков Антон Алексеевич

Белоглазкина Елена Кимовна

Мажуга Александр Георгиевич

Даты

2025-06-02Публикация

2023-12-19Подача