Изобретение относится к выращиванию монокристаллов из расплава зонной плавкой при температурном градиенте с использованием нагревательного элемента, находящегося в контакте с расплавленной зоной, форма которой управляется за счет ее нагревания, а сечение кристалла регулируется подачей питающего расплава, для чего используются механизмы для перемещения загрузки и нагревателей.
Наиболее распространенным методом бестигельного выращивания кристаллов является метод зонной плавки. Причем, помимо традиционного подхода, когда переплавлению подлежит питающий стержень такого же материала, в работе [1] продвигается идея подачи свежей порции расплава к плавающей зоне за счет расплавления в горячей зоне гранул или, как в работе [2], плавится шихта необходимого состава. В последнем случае для создания расплавленной зоны используется формообразователь. Обычно же расплавленная зона для проводящих материалов создается за счет воздействия электромагнитного поля или, как для диэлектрических материалов - оптическим способом.
Недостатком таких подходов является то, что управление формой расплавленной зоны осуществляется не в полном объеме. В частности, форма фазовой границы практически не управляема: создать плоский фронт кристаллизации на всем сечении кристалла, как правило, не удается; плохо поддается контролю температурный градиент на фронте кристаллизации, в котором растет кристалл, и величина которого во много определяет его качество.
Возможность управления формой фронта и величиной градиента температуры в процессе кристаллизации достигается при использовании погруженного в расплав нагревателя [3] в так называемом методе осевого теплового потока вблизи фронта кристаллизации роста кристаллов из расплава (ОТФ методе). Непосредственно для бестигельного варианта техническое решение с использованием ОТФ-нагревателя, находящегося в контакте с расплавленной зоной, предложено в устройстве (способе) [4]. В нем силами поверхностного натяжения под корпусом ОТФ-нагревателя удерживается слой расплава, свежая порция к которому стекает по боковой поверхности корпуса, образуясь после расплавления на его верхней более нагретой поверхности падающей сверху шихты. Другой вариант, близкий к традиционному методу плавающей зоны, реализуется при закреплении ОТФ-нагревателя с помощью элементов крепления, расположенных в горизонтальной плоскости камеры. Это позволяет в качестве питающего материала использовать кристаллический стержень, который по мере вытягивания кристалла опускается вниз и плавится. Поскольку расплав в расплавленную зону подается с краю, то при определенных условиях возникает проблема заполнения расплавом слоя целиком на все сечение ОТФ-нагревателя. Понятно, что в отсутствие затравочного кристалла диаметром, сопоставимым с диаметром ОТФ-нагревателя, метод вообще не реализуем.
Наиболее близкими к предлагаемому изобретению является способ и конструкция кристаллизатора для выращивания монокристаллов кремния и его сплава с германием бестигельным ОТФ методом [5]. В этом методе ОТФ-нагреватель, закрепленный в горизонтальной плоскости камеры через боковой фланец в ней, имеет в своем корпусе, по меньшей мере, одно сквозное вертикальное отверстие, через которое свежий расплав поступает в расплавленную зону под нагревателем, из которой кристалл растет. Плавление питающего стержня происходит непосредственно за счет нагрева от лампы, как в традиционном варианте, а также разогрева графитового корпуса ОТФ-нагревателя. Температура горячей (верхней) и холодной (нижней) поверхностей нагревателя контролируется термопарами. В этой конфигурации рост осуществляется из контролируемой по форме расплавленной зоны, конвекция в которой существенно подавлена. Автором в [6] найдены благоприятные условия устойчивого роста монокристаллов таким модифицированным методом плавающей зоны, которые определяются, в первую очередь, сочетанием величин поверхностного натяжения σ и плотности расплава ρ. Причем величина совокупно удерживаемого слоя расплава, равная примерно удвоенной величине капиллярной постоянной,
составляет для Si около 20 мм. Это вполне позволяет при небольшой высоте ОТФ-нагревателя, которая в [6] составила 8 мм, легко удерживать, как над ОТФ-нагревателем, так и под ним, слои расплава ~ 5-7 мм, что более чем достаточно как для заполнения капиллярного отверстия целиком, так и удержания рабочих слоев расплава перед началом кристаллизации вытягиванием затравки.
Для реализации описанного выше метода требуется решить две задачи: заполнить вертикальный капилляр расплавом и затем удерживать необходимый слой расплава у затравки в течение определенного времени, необходимого на установление близкого к стационарному температурного поля. В работе [7] автором приведены формулы для достижимой высоты мениска в капилляре hbot/top при заполнении отверстия расплавом с одной его стороны (снизу или сверху):
где θ - угол смачивания поверхности корпуса ОТФ-нагревателя расплавом, а также общей высоты столба жидкости H, удерживаемого между питающим стержнем и затравочным кристаллом, как это показано на Фиг. 1:
Следует отметить, что высота самого ОТФ-нагревателя, имеющего нагревательные элементы как в нижней его части для контроля осевого градиента температуры вблизи фронта кристаллизации, так и в верхней - для расплавления загрузки, конструктивно не может быть меньше 18-20 мм. Поэтому для некоторых важных кристаллов (в первую очередь, это относится к оксидам) решить обе эти задачи не всегда удается.
В плане конструкторского решения вариант радиального крепления ОТФ нагревателя держателем с одной стороны не обеспечивает полной его центровки относительно перемещаемых штоков с загрузкой и затравочным кристаллом. Крепление питающего стержня также может смещать его относительно ОТФ-нагревателя, что дополнительно усугубляется часто имеющейся несоосностью питающего стержня и затравочного кристалла, и, в первую очередь, сказывается на форме расплавленной зоны над ОТФ-нагревателем, которая становиться далека от симметричной даже при вращении штока. В результате расплав через боковую поверхность поступает в расплавленную зону неравномерно по окружности, что нарушает тепловую симметрию и зоны расплава, из которого растет кристалл. Последнее становится чрезвычайно актуальным при росте крупногабаритных кристаллов.
Техническим результатом заявляемого изобретения является создание перед началом кристаллизации расплавленной зоны необходимой высоты равномерно по всему сечению кристалла и обеспечение требуемых тепловых условий на границе фаз, т.е. в конечном итоге повышения качества выращиваемого кристалла и эффективности производства монокристаллов.
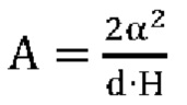
Технический результат достигается заявляемым способом выращивания монокристаллов из расплава зонной плавкой, в котором используют ОТФ-нагреватель в герметичном корпусе диаметром D и высотой Н со сквозным вертикально расположенным отверстием диаметром d в нем или без него, содержащий как минимум два нагревательных элемента в верхней и нижней его частях, находящийся в контакте с расплавленной зоной, образованной при плавлении загрузки в виде питающего стержня и удерживаемой силами поверхностного натяжения у растущего кристалла и питающего стержня в течение времени установления равновесной температуры расплава перед его кристаллизацией, для управления ее формой и создания совместно с фоновым многосекционным нагревателем необходимого температурного градиента на границах фаз, отличающийся тем, что диаметр затравочного кристалла, а также форму мениска расплавленной зоны выбирают в зависимости от физических свойств расплава и геометрических размеров ОТФ-нагревателя, характеризующихся обобщенным безразмерным параметром
где α - величина его капиллярной постоянной.
В случае большой по величине капиллярной постоянной расплава 2α ~ Н, что соответствует значениям А порядка нескольких единиц, практически не имеет значения, какой выбран размер отверстия в корпусе ОТФ-нагревателя и диаметр взятого затравочного кристалла. Расплав в нем удерживается легко: расчетная величина столба жидкости h (см. соотношение 1) заметно превышает высоту самого ОТФ-нагревателя. И также не представляет большого труда подобрать в соответствии с соотношением (2) разумные значения толщин слоя расплава над и под ОТФ-нагревателем. Желательная толщина слоя расплава, из которого растет кристалл, определяется в первую очередь диапазоном градиента температуры, который она позволяет реализовать при росте. Реализовать большой по величине градиент температуры при небольшой толщине слоя расплава не сложно. На толщине в 1-2 мм при перегреве в 10-20К градиент составит 50-200 К/см. Однако часто для роста кристаллов совершенной структуры требуется создание очень малых градиентов. Надежно удается поддерживать перегрев расплава в пределах 4-5К. При таких перепадах получить градиент температуры хотя бы в пределах 10 К/см можно только для слоев расплава не менее 5-6 мм.
При меньших значениях капиллярной постоянной, когда значения обобщенного безразмерного параметра А лежат в диапазоне меньше 2, но больше 1.6, еще можно обеспечить условия заполнения капилляра на всю его высоту, уменьшая диаметр отверстия в корпусе нагревателя, и затем удерживать до начала вытягивания кристалла в равновесном состоянии, но, только обеспечивая, как это следует из формулы (2), очень тонкий слой расплава между ОТФ-нагревателем и питающим стержнем.
На практике реализовать слои в 1 мм и меньше технически очень непросто, тем более поддерживать такую толщину устойчиво в течение ростового цикла. Поэтому предлагается до начала вытягивания заполнить зазор между ОТФ-нагревателем и затравочным кристаллом полностью, в отличие от неполного заполнения, показанного на фиг. 1в - левая часть, когда мениск имеет вогнутую форму. Кривизна его уменьшится, ослабляя величину силы поверхностного натяжения, вытягивающую расплав из зазора между кристаллом и ОТФ-нагревателем. Тем самым удается добиться удержания расплавленной зоны за счет большего по величине слоя расплава около питающего стержня. Еще большего эффекта можно добиться, если затравочный кристалл выбрать диаметром D1, большим диаметра нагревателя D на несколько миллиметров (см. фиг. 1в - правая часть). Мениск надежно зацепляется за кромку корпуса ОТФ-нагревателя и принимает, как показано в [8] выпуклую форму, а сама расплавленная зона становится более устойчивой. В этом случае вытягивающая расплав из капилляра сила поверхностного натяжения в нижнем зазоре меняет свое направление на противоположное, что позволяет обеспечить желаемый слой расплава у растущего кристалла, удерживая рядом с плавящимся питающим стержнем слой расплава еще большей величины, приближающейся к целевым 5-6 мм.
Формула по п. 1 предусматривает рост кристаллов с еще меньшей величиной капиллярной постоянной расплава, соответствующей выполнению условия 1<А<1.6. В этом случае никакой тонкий слой над ОТФ-нагревателем не может обеспечить постоянное удержание расплава внизу. По мере заполнения капилляра расплавом сверху в нижней его части формируется капля. По мере ее роста она касается торцевой поверхности затравки и быстро (примерно, за 0,1 секунды) заполняет весь зазор, который та образует с нижней поверхностью ОТФ-нагревателя. После чего необходимо сразу начинать вытягивание, иначе расплав перельется. Соответственно времени на дополнительную выдержку расплава, чтобы обеспечить равновесное по температуре состояние, нет. Поэтому диаметр затравочного кристалл выбирается значительно меньшим, чем диаметр ОТФ-нагревателя, чтобы уменьшить порцию расплава с неустановившейся температурой, объем которой зависит от геометрических размеров капли расплава, оказавшейся за пределами капилляра. Ее высота, а значит и величина зазора между кристаллом и нижней поверхностью ОТФ-нагревателя, который капля заполнит после касания затравочного кристалла, определяется соотношением:
найденным из оценки массы капли, удерживаемой силой поверхностного натяжения в капилляре при выпуклой ее геометрии за пределами отверстия в корпусе ОТФ-нагревателя. Оценки диаметра капли Dкап, смачивающей горизонтальную поверхность ОТФ-нагревателя [9] связывают ее величину с капиллярной постоянной соотношением:
Соответственно, диаметр затравочного кристалла D1, который «подхватит» каплю при касании ею кристалла, имеет такую же величину. Объем расплава в зазоре будет ненамного превышать объем капли, образованной под капилляром. К моменту затекания в зазор температура капли уже будет соответствовать температуре нижней поверхности ОТФ-нагревателя, поэтому уже с началом вытягивания кристалла вся система будет находиться близко к тепловому равновесию.
Наконец, у некоторых материалов капиллярная постоянная настолько мала (А<1), что заполнить отверстие целиком только с одного конца [7] не представляется возможным, а заполнение поочередно с двух сторон грозит образованием пузыря, который может мешать подпитке. Более того, ни при каких условиях, варьируя толщины слоев расплав сверху и снизу, удержать столб жидкости целиком в капилляре не удается. В этом случае в соответствии с п. 2 формулы изобретения отверстий, связывающих верхнюю и нижнюю поверхности корпуса ОТФ-нагревателя, не используют вообще. Такой подход позволяет разбить всю расплавленную зону на два независимых объема, каждый из которых самостоятельно удерживается силами поверхностного натяжения и связан между собой тонкой пленкой расплава, стекающей по боковой поверхности корпуса ОТФ-нагревателя. Поэтому толщину слоя расплава, как около питающего стержня, так и растущего кристалла, уверенно можно устанавливать в пределах нескольких миллиметров (и более), обеспечивающих необходимый режим выдержки перед началом вытягивания, так и сам процесс кристаллизации.
Перетекая из верхней зоны в нижнюю, свежий расплав попадает в зазор между нижней поверхностью ОТФ-нагревателя и кристаллом, если их диаметры близки друг к другу или хотя бы остается возможность для образующихся по краям корпуса ОТФ-нагревателя и висящих там капель коснуться затравочного кристалла до того, как они оторвутся от его донной части. Критический размер висящей капли определяется соотношением (4), которое налагает условия на минимально возможную величину диаметра затравки: D1=D-2⋅2.2α. В случае, когда имеющийся в наличии затравочный кристалл в диаметре заметно меньше, чем ОТФ- нагреватель, применяют технические решения, описанные в данном изобретении ниже.
Для некоторых соединений и сплавов бывает сложно приготовить питающий стержень однородного состава по его длине. Поэтому питающий расплав образуется плавлением шихты, подаваемой в виде гранул в центральную область крышки корпуса ОТФ-нагревателя. Там расплав плавится и течет к боковой поверхности аналогично [10].
Устройство для осуществления способа выращивания монокристаллов из расплава зонной плавкой по п. 1 или 2, включает ростовую камеру с перемещаемыми нижним и верхним штоками, затравочный кристалл и загрузку в виде питающего стержня или шихты в виде гранул, связанные соответственно с нижним и верхним штоками, фоновый многосекционный нагреватель и ОТФ-нагреватель в герметичном корпусе, снабженный как минимум двумя нагревательными элементами в его верхней и нижней частях.
Технический результат достигается также устройством (п.3 формулы изобретения), включающим ростовую камеру с перемещаемыми нижним и верхним штоками, затравочный кристалл и загрузку в виде питающего стержня или шихты, связанные соответственно с нижним и верхним штоками, фоновый многосекционный нагреватель и ОТФ-нагреватель в герметичном корпусе, снабженный как минимум двумя нагревательными элементами в его верхней и нижней частях, в котором для стабилизации формы расплавленной зоны в центральной части крышки и донной части корпуса ОТФ-нагревателя выполнена приточка глубиной 1-2 мм и диаметром на 5-15 мм больше диаметра питающего стержня или затравочного кристалла, а для равномерной по окружности подачи свежего расплава от плавящейся загрузки, в том числе, через боковую поверхность корпуса ОТФ- нагревателя профрезерованы дополнительные канавки шириной 0.5-1 и глубиной 0.2-0.3 мм, расположенные в них радиально.
Для контроля за расплавленной зоной, из которой вытягивают кристалл вниз в холодную зону, предусмотрен зазор между секциями фонового многосекционного нагревателя, нижняя часть которого согласно закрепляют в нижней части камеры, а верхнюю - в верхней ее крышке.
Величина зазора варьируется от 5 до 8 мм в зависимости от высоты расплавленной зоны так, чтобы захватить 1-2 мм от кромки кристалла и корпуса ОТФ-нагревателя.
При нагреве до рабочих температур каркас фонового многосекционного нагревателя удлиняется, причем, неравномерно по высоте камеры, что может приводить к заметному изменению просвета между верхней и нижней секциями фонового нагревателя. Для контроля за этой величиной предусмотрен специальный крепеж фонового нагревателя в крышке камеры и соответствующий механизм его перемещения в вертикальном направлении.
Размещение ОТФ-нагревателя по оси камеры осуществляется с помощью вертикально расположенных керамических опорных трубочек, которые поддерживают его, по меньшей мере, в трех точках под углом 120 градусов относительно друг друга, которые в своей нижней части крепятся в донной части камеры и имеют возможность перемещения вниз или вверх. Такая конструкция позволяет не только обеспечить горизонтальное расположение корпуса ОТФ- нагревателя и, соответственно, исключить разнотолщинность расплавленной зоны, но разместить ее в пределах зазора между нижней и верхней секциями фонового нагревателя, позволяя наблюдать за ней в процессе выращивания.
Помимо керамических опорных трубочек ОТФ-нагреватель связан с подводящими электродами его нагревательных элементов. Чтобы они не занимали в ограниченном пространстве кристаллизатора лишнее место электроды пропускают внутри них, причем в качестве материала трубочек выбирают таковой, имеющий близкий по значению коэффициенту температурного удлинения к материалу электродов.
Перечень фигур чертежей:
Фиг. 1 иллюстрирует схему бестигельного выращивания кристаллов с использованием ОТФ- нагревателя для формирования расплавленной зоны на стадии: а - заполнения капилляра диаметром d питающим расплавом, б - перед контактом питающего расплава в форме капли диаметром, Dкап, висящей на нижней поверхности ОТФ нагревателя, с затравочным кристаллом, в - заполнения зазора между ОТФ-нагревателем и затравочным кристаллом и последующей кристаллизации.
Фиг. 2 представляет собой общую (а) конструкцию устройства и более детально (б) механизм перемещения верхней секции фонового многосекционного нагревателя.
Фиг. 3 показывает способ крепления ОТФ-нагревателя в камере и механизм его юстировки.
Фиг. 4 иллюстрирует изменение профиля мениска по высоте и его устойчивость в зависимости от превышения радиуса R растущего кристалла радиуса RH ОТФ-нагревателя для оксидов на примере германата висмута (а) в безразмерных координатах [8], кремния и его сплава с германием (б) - в размерном виде (наши данные).
Фиг. 5 демонстрирует равномерную подачу питающего расплава канавками (капиллярами) по боковой поверхности.
Фиг. 6 содержит внешний вид кремний-германиевого сплава в разрезе, выращенного методом плавающей зоны без использования ОТФ-нагревателя (а) и с его использованием (б), а также табличные данные по высокой однородности последнего.
Для наблюдения за процессом кристаллизации через окно 1 в корпусе камеры 2 верхняя 3 и нижняя 4 секции фонового многосекционного нагревателя крепятся к камере, образуя зазор 5. Расплавленная зона 6, из которой вытягивают кристалл 7, закрепленный на нижнем штоке 8, удерживается ОТФ-нагревателем 9. Подпитка (питающий расплав) 10 образуется за счет плавления загрузки в виде питающего стержня 11, перемещаемого верхним штоком 12, или шихты, которая подается на верхнюю горячую поверхность ОТФ-нагревателя (на фиг.2 не показано). Если положение нижней секции зафиксировано, то верхнюю крепят подвижным образом, используя для этого три имеющиеся токоподвода 13 (см. фиг.2б), расположенные вокруг нее равномерно (под углом 120 градусов). Токоподводы герметично уплотнены в верхней крышке камеры 2 и связанны между собой за пределами камеры электроизолирующим кольцом 14. Перемещение кольца, а вместе с ним и токоподводов осуществляется с помощью винта 15, который своей нижней частью вставлен в карман 16 в крышке камеры.
ОТФ-нагреватель 9 (см. фиг.3) своей крышкой 17 корпуса 18 опирается на три керамические трубочки 19, расположенные под ним равномерно (под углом 120 градусов). Внутри трубочки проходят электроды 20, связанные с нагревательными элементами 21 и подводящие к ним электрический ток. Своими свободными концами электроды выходят из камеры. Снизу каждая из трубочек 19 поддерживается подставками 22, которые герметично уплотнены в корпусе камеры 2 с возможностью вертикального движения. В качестве механизма перемещения выступает винт 23, вращающийся во втулке 24, который связан с подставкой 22 за счет использования кармана 25. В крышке 17 и в донной части корпуса 18 ОТФ-нагревателя по их центру сделана приточка 26 в виде круговой выборки. Дополнительно в крышке и донной части профрезерованы на небольшую глубину канавки 27, проходящие в радиальном направлении от приточки до края корпуса 18.
Устройство работает следующим образом. В нижнюю часть камеры неподвижно устанавливают нижнюю секцию 4 фонового многосекционного нагревателя. Верхнюю секцию 3 закрепляют в крышке камеры 2 в таком положении, чтобы при сборке камеры зазор между секциями был в пределах 10-11 мм. На нижний шток 8 устанавливается кристалл 7 (изначально затравочный); после чего проводят монтаж ОТФ-нагревателя. Электроды 20 пропускают в трубочки 19 и ставят на них корпус ОТФ-нагревателя углублениями, имеющимися в крышке 17 корпуса 18. Трубочки, в свою очередь, устанавливают на подставки 22. Горизонтального расположения ОТФ-нагревателя добиваются, вращая винты 23 индивидуально для каждой из опорных керамических трубочек.
После опускания на место верхней крышки камеры с закрепленной на ней верхней секцией 3 фонового нагревателя, питающий стержень 11 с помощью верхнего штока 12 опускают непосредственно к ОТФ-нагревателю.
После разогрева устройства до рабочей температуры выставляют ОТФ-нагреватель винтами 23 на необходимую высоту, позволяющую наблюдать процесс в окно камеры установки.
Дополнительно этими же винтами юстируют положение ОТФ-нагревателя, компенсируя нарушение его горизонтальности после нагрева. После чего регулируют размеры зазора 5 винтами 15, расположенными над крышкой камеры, сохраняя вертикальное и осесимметричное положение всей верхней секции благодаря используемому механизму перемещения. Опускают питающий стержень 11, который при касании ОТФ-нагревателя подплавляется, образуя расплавленную зону 10. Диаметр питающего стержня, как правило, меньше диаметра ОТФ- нагревателя. Если в крышке сделана приточка 26, то расплав своим мениском цепляется за ее кромку, что обеспечивает симметрию расплавленной зоны питающего расплава. Чтобы мениск был устойчивым, диаметр приточки выбирают чуть больше диаметра питающего стержня на величину 2δ, которая в соответствии с формулой, полученной в [8] для высоты мениска, составляет от 2.5 до 7.5 мм в зависимости от выращиваемого материала и диаметра питающего стержня. Расплав под действием капиллярных сил заполняет отверстие (см. фиг.1а) и, вытекая из него, образует каплю (см. фиг.1б), которая затекает в зазор между нижней поверхностью ОТФ-нагревателя и затравочным кристаллом на весь его диаметр, как показано на фиг.1в.
Варьируя положение затравочного кристалла и питающего стержня, а также значения температуры горячей и холодной поверхностей ОТФ-нагревателя, добиваются заданных значений hbot/top толщин расплавленной зоны, из которой растет кристалл и, соответственно, идет запитка. Однородной толщины расплавленной зоны добиваются юстировкой положения ОТФ-нагревателя винтами 23. После выдержки начинают вытягивание кристалла.
Если конструкция ОТФ-нагревателя не предусматривает сквозного отверстия в нем, то питание расплавом целиком осуществляется по боковой поверхности корпуса ОТФ-нагревателя, на кромку которой расплав поступает равномерно по всей окружности корпуса благодаря радиальным канавкам 27 в крышке 17, играющим роль капилляров. Дальше расплав стекает вниз к донной части и течет по таким же капиллярам, которые не дают каплям упасть вниз, пока расплав не дотечет до уже растущего или еще затравочного кристалла. Наличие в донной части ОТФ-нагревателя приточки 26 диаметром, превышающим на величину 2δ диаметр кристалла, позволяет сформироваться устойчивой симметрично расположенной расплавленной зоне благодаря тому, что мениск расплава цепляется за кромку приточки и надежно удерживает расплав вблизи кристалла. Если питающий стержень необходимого состава по его длине приготовить не удается, в качестве загрузки используют шихту, которая в виде небольших гранул попадает на верхнюю горячую поверхность ОТФ нагревателя и там плавится. Круговая выборка наверху в крышке ОТФ-нагревателя в такой схеме аккумулирует питающий расплав.
Образовавшийся «резервуар» парирует колебания температуры, которые имеют место при падении гранул и их локального расплавления.
Конкретные примеры работоспособности заявляемого метода и возможности выращивания кристаллов с помощью заявляемого устройства.
Пример 1. Заполнения капилляра различными материалами. Для диаметров отверстий в 1-2 мм для кремния величина находится в диапазоне от 3 до 6.5, т.е. заведомо A>2. Высота удерживаемого столба расплава для кремния составляет 60-120 мм, поэтому заполнить сквозное отверстие в ОТФ-нагревателе не представляет труда. Похожая ситуация и для иттрий- алюминиевого граната, у которого 2<A<4, а высота заполнения капилляра составляет 21-40 мм, т.е. еще может заполнить отверстие в ОТФ-нагревателе. Для оксида галлия только при диаметре отверстия в 1 мм A = 2, и еще можно целиком заполнить капилляр высотой в 21 мм.
Соответственно, для всех этих расплавов имеется возможность и заполнить капилляр расплавом, и после формирования расплавленной зоны, пусть небольшой толщины, но обеспечить выдержку во времени перед началом вытягивания кристалла.
Пример 2. Обеспечение необходимой высоты и формы расплавленной зоны для различных материалов. Это необходимо для выращивания качественного кристалла. Если полагать оптимальной высоту расплавленной зоны, из которой растет кристалл порядка 4-5 мм, то только для кремния есть возможность варьировать в разумных пределах высоту питающей зоны, вплоть до 2 мм. Для таких же расплавов, как гранат и оксид галлия, эти толщины должны быть 1 мм и менее, что непрактично в плане обеспечения устойчивости процесса. Однако если добиться полного заполнения зазора между кристаллом и нижней поверхностью ОТФ-нагревателя или, взяв затравку большего размера, чем ОТФ-нагреватель, получить выпуклый мениск, то высота расплавленной зоны над ОТФ-нагревателем может быть увеличена, например, для кремния до 5 мм, для граната до 2.5 мм, а для оксида галлия превысить значение в 1 мм (вместо 0,8 мм для вогнутой формы мениска). Динамика изменения профиля мениска (от вогнутого до сильно выпуклого) по мере заполнения зазора расплавом кремния хорошо видна на фиг. 4б.
Пример 3. Выбор диаметра затравки. 1. D1<D. Высота капли, которая формируется под капилляром прежде, чем заполнить зазор, в соответствии с формулой (3) составляет, например, для кремния 7-9 мм, для граната 6-8 мм, для оксида галлия 5-6 мм, что вполне позволяет реализовать рекомендацию предыдущего примера выращивания из слоя расплава порядка 5 мм. Критический диаметр (см. соотношение (4)) такой капли для этих материалов соответственно составит примерно 18, 15 и 10 мм. Поэтому при работе с ОТФ-нагревателем, имеющим диаметр отверстия 2-3 мм (1<А<1.6), кристаллы граната или оксида галлия выращивают с использованием затравок диаметром 15 и 10 мм, соответственно. 2. D1>D. В работе [8] показано, что рост кристалла бестигельным методом с превышением размера ОТФ-нагревателя обеспечивает более устойчивую форму мениска и, соответственно, самого процесса кристаллизации. При этом достигается большая высота слоя расплава, из которого растет кристалл. Профиль мениска всегда выпуклый, что видно на фиг. 4. Допустимое превышение радиуса кристалла Rн (см. фиг.4а) определяется величиной капиллярной постоянной: Rн ≈ 0.4α. Из оксидов наименьшую величину капиллярной постоянной имеет диоксид теллура α=2.6 мм. Значит, оценка снизу для величины превышения диаметра дает около D1-D=2 мм, а оценка сверху (для кремния, имеющего наибольшую величину α=8 мм) - значение D1-D=13 мм или, если опираться на численно сделанные расчеты для него (см. фиг.4б), ее предельная величина достигает 14 мм.
Пример 4. ОТФ-нагреватель без сквозного отверстия. Примером материала, для которого обобщенный безразмерный параметр А меньше единицы, является парателлурит (А=0.4-0.7). Для него создать и обеспечить расплавленную зону необходимой высоты можно только без использования сквозного отверстия в ОТФ-нагревателе. Подача расплава из питающей зоны в центре наверху ОТФ-нагревателя через боковую его поверхность к растущему кристаллу осуществляется по радиальным канавкам равномерно по всей окружности (см. фиг.5). Поскольку канавки не имеют замкнутую внутреннюю поверхность, сила поверхностного натяжения в них примерно в два раза меньше по сравнению с полным капилляром. Для сопоставимой эффективности размер канавки в сечении следует выбирать примерно в 2 раза меньше диаметра капилляра d. Для отверстий в 1 и 2 мм размер канавки 0.5×α+b≈d/2, т.е. они должны иметь ширину 0.5-1 и глубину 0.2-0.3 мм. При разделении расплавленной зоны на две независимые. Согласно расчетам [6] при питании зоны через боковую поверхность тонкой пленкой расплава ее высота составляет удвоенную величину капиллярной постоянной. Для парателлурита она равна примерно 5 мм.
Пример 5. Выбор размера приточки. Естественная форма мениска расплава, удерживаемого между питающим (растущим) кристаллом и ОТФ-нагревателем рассмотрена в работе [9]. Для описания высота мениска и, соответственно, его ширины предложена формула: α⋅{1-sin(ϑ)+α⋅cosϑ4⋅R20.5-α2⋅coscosϑ4⋅R. При росте предложенным методом кристаллов до 100 мм эта величина составит для кремния, граната оксида галлия и парателлурита, соответственно, 7, 5.5, 5.7 и 2,3 мм для высоты и радиуса мениска. Соответственно, диаметр приточки должен быть больше диаметра питающего (растущего) кристалла на удвоенную величину радиуса мениска, а именно на 5-15 мм. Глубина самой приточки должна превышать, как минимум, глубину профрезерованных канавок, т.е. быть не менее 1 мм, чтобы обеспечить надежный захват ее кромки мениском. Верхний предел определяется толщиной верхней крышки корпуса ОТФ-нагревателя, которую больше, чем в 2-3 мм, особенно для драгоценных металлов не делают.
Пример 6. Опорные керамические трубочки. При длине платиновых токоподводов нагревательных элементов ОТФ-нагревателя в
и при температуре в рабочей области устройства в t=1000 К (для роста TeO2), удлинение составит
где k - коэффициент температурного удлинения, равный 9.9⋅10-6 С-1. Коэффициент 1/3 берется, исходя из существенно неравномерного нагрева токоподвода по длине. Получаем величину
Если растят оксид галлия или гранат при температуре около 2000 К или выше, удлинение может составить более 6-7 мм. Линейный коэффициент температурного расширения керамики составляет для оксида алюминия (алунда), бериллия, циркония и магния, соответственно, 7.9, 10.6, 10.5-11 и 13.5 (×10-6) С-1. В худшем случае при использовании алундовой керамики для изготовления стержней разница в величине удлинения по сравнению с платиной составит около 0.2 мм. При более высоких температурах разница будет больше, поскольку электроды при высоких температурах должны быть сделаны из более высокотемпературного материала такого, как, например, родий, с коэффициентом линейного расширения 12.6-13.5 (×10-6) С-1. Но легко компенсируется выбором более подходящей керамики. Общее абсолютное удлинение керамических стержней не приводит к значительному смещению по высоте положения ОТФ-нагревателя относительно зазора между секциями фонового многосекционного нагревателя, поскольку его каркас также сделан из керамики. Неравномерность нагрева стержней и возможный перекос ОТФ-нагревателя, который вызывает разнотолщинность расплавленной зоны устраняется подрегулировкой соответствующего винта.
Пример 7. Подача питающего расплава. Выращивание кремния проводили бестигельным методом зонной плавки с использованием ОТФ-нагревателя диаметром 15 мм в корпусе из графита, покрытом карбидом кремния для лучшего смачивания. В корпусе выполнены равномерно по окружности (через 45 градусов) канавки шириной 0.5 и глубиной 0.25 мм. Питающий стержень из поликристаллического кремния плавится при касании верхней горячей поверхности корпуса ОТФ-нагревателя. Образованный столб расплава высотой около 8 мм становится источником свежего расплава для кристаллизации, который сначала по одной канавке (фиг. 5а), а потом и по остальным (фиг. 5б) подтекает к нижней поверхности ОТФ-нагревателя. При накоплении определенного количества расплава последний после касания затравочного кристалла очень быстро затекает в зазор (фиг. 5в). После выдержки, добившись установления стабильной формы расплавленной зоны и ее температуры, начали вытягивание и вырастили монокристалл кремния.
Пример 8. Качество кристаллического материала. Кристаллы Si-Ge выращивали модифицированным методом плавающей зоны в установке бестигельной зонной плавки с радиационным нагревом. В качестве затравки использовали монокристаллический кристалл кремния, ориентированный в направлении<100>. Питающий стержень готовили из шихты составом 79.8 at% Si и 20 at% Ge, с добавками 0.2 at% В, которую спекали порциями по 800 мг в графитовых матрицах внутренним диаметром 10 мм в плазменном разряде. Рост шел при скорости вытягивания в диапазоне от 1.2 до 2.4 мм/час и без вращения как питающего, так и затравочного кристалла. После расплавления питающего стержня и затекания образованного расплава в зазор между ОТФ нагревателем и затравочным кристаллом систему выдерживали, чтобы расплавить затравку и выровнять температуру. После чего был начат рост, в процессе которого высоту слоя расплава поддерживали постоянной. В контрольном эксперименте, как и в аналогичных предыдущих без использования ОТФ-нагревателя, вырастить монокристалл не удалось, что видно на фиг. 6а. Использование ОТФ-нагревателя не только позволило впервые методом плавающей зоны получить большую монокристаллическую область Si-Ge сплава (см. фиг. 6б), но и обеспечить целевые значения содержания германия в кремнии, как это видно из данных табл.1 на фиг. 6в. Причем в поперечном сечении (линия между точками 1 и 2) удалось добиться распределения неосновной компоненты в пределах 0.5% и обеспечить отклонение содержания германия вдоль фазовой границы (выпуклая кривая через точки 1-2-3) более 0.02%.
1. Method for producing a single crystal composed of silicon by remelting granules (US 8834627 B2), 2014.
2. В.И. Горилецкий и др. «Рост кристаллов: галогениды щелочных металлов». - Харьков: Акта, 2002. - 536 с.
3. Устройство для выращивания кристаллов (RU №1800854), С30В 11/00, 1990.
4. Способ выращивания кристаллов бестигельным методом и устройство для его реализации, патент РФ №2009104734, 2011.
5. М.А. Gonik and A. Cröll. Silicon crystal growth by the modified FZ technique. CrystEngComm, 2013, 15 (12), 2287-2293.
6. M.A. Gonik. Potential for growth of Si-Ge bulk crystals by modified FZ technique. J. Crystal Growth 385 (2014) 38-43.
7. F. Baltaretu, M. Gonik: Modified FZ technique for oxides crystal growth. J. Cryst. Growth V. 585, 1 May 2022, 126587.
8. V.S. Yuferev. Capillary shaping of crystals pulled downward from a melt by the crucibleless AHP method. Crystallography Rep.2008, 53, 1214.
9. Цивинский С. В. ИФЖ, 1962. Т. 5, №9, с. 59-65.
10. V.D. Golyshev, М.А Gonik and V.B. Tsvetovski. Problems of Bi4Ge3O12 and Li2B4O7 Single Crystal Growth by Crucibleless Variant of AHP Method. J. Cryst. Growth, 198/199, 1999, 501-506.
Изобретение может быть использовано при выращивании монокристаллов из расплава зонной плавкой бестигельным методом. В корпусе ростовой камеры 2 с перемещаемыми нижним 8 и верхним 12 штоками вертикально располагают затравочный кристалл 7, загрузку в виде питающего стержня 11 или шихты в виде гранул, многосекционный фоновый нагреватель и ОТФ-нагреватель 9 в герметичном корпусе, имеющий диаметр D, высоту Н, снабжённый как минимум двумя нагревательными элементами в его верхней и нижней частях. Верхняя 3 и нижняя 4 секции фонового нагревателя расположены с зазором 5 для наблюдения за процессом кристаллизации через окно 1. Верхняя 3 секция фонового нагревателя снабжена, по меньшей мере, тремя равномерно расположенными токоподводами, закреплёнными в крышке ростовой камеры 2, связанными между собой за её пределами посредством электроизолирующего кольца. Возможность движения токоподводов в вертикальном направлении обеспечивает механизм перемещения, выполненный в виде винта, нижняя часть которого вставлена в карман, расположенный в крышке ростовой камеры 2. Размещение ОТФ-нагревателя 9 по оси ростовой камеры 2 и возможность его перемещения в вертикальном направлении обеспечены посредством керамических опорных трубочек, вертикально расположенных под углом 120 градусов относительно друг друга, закреплённых нижними частями в донной части ростовой камеры 2 с помощью подставок. Внутри керамических опорных трубочек пропущены подводящие электроды, связанные с нагревательными элементами ОТФ-нагревателя 9. Питающий стержень 11 или шихту нагревают до температуры плавления при контакте с верхней поверхностью ОТФ-нагревателя 9, в результате чего образуется расплавленная зона, представляющая собой питающий расплав 10, а в зазоре между нижней поверхностью ОТФ-нагревателя 9 и затравочным кристаллом 7 образуется расплавленная зона 6, из которой растёт монокристалл, удерживаемая силами поверхностного натяжения в течение времени, достаточного для установления равновесной температуры расплава перед его кристаллизацией, для управления формой расплавленной зоны 6 и создания совместно с многосекционным фоновым нагревателем необходимого температурного градиента на границах фаз. ОТФ-нагреватель 9 может быть снабжён сквозным вертикально расположенным отверстием диаметром d или выполнен без него. Если ОТФ-нагреватель 9 выполнен с отверстием, то оно заполняется питающим расплавом 10 с получением капли, затекающей в зазор между нижней поверхностью ОТФ-нагревателя 9 и затравочным кристаллом 7. В этом случае диаметр D1 затравочного кристалла 7 и форму мениска питающего расплава 10 в этом зазоре выбирают, руководствуясь обобщённым безразмерным параметром
, где α - величина его капиллярной постоянной. Если 1,6<А<2,0, то обеспечивают выпуклую форму мениска питающего расплава 10 и полностью заполняют им указанный зазор, диаметр D1 затравочного кристалла 7 выбирают большим диаметра ОТФ-нагревателя D на 2-14 мм, а вытягивание монокристалла начинают после выдержки расплавленной зоны 6. При 1<А<1,6 затравочный кристалл 7 подводят к нижней поверхности ОТФ-нагревателя на расстояние 2α ⋅ d1/3, диаметр D1 затравочного кристалла 7 выбирают меньшим, чем диаметр ОТФ-нагревателя 9 в соответствии с соотношением D1 = 2,2 ⋅ α, обеспечивают выпуклую форму мениска питающего расплава 10, а вытягивание монокристалла начинают сразу после заполнения питающим расплавом 10 зазора между нижней поверхностью ОТФ-нагревателя 9 и затравочным кристаллом 7. При А>2 диаметр затравочного кристалла 7 не имеет значения, а вытягивание монокристалла начинают после выдержки расплавленной зоны 6. Если ОТФ-нагреватель 9 выполнен без отверстия, то используют затравочный кристалл 7, диаметр D1 которого близок к диаметру D ОТФ-нагревателя 9, в соответствии с соотношением D1 = D - 2⋅2,2α. В этом случае в крышке и донной части корпуса ОТФ-нагревателя 9 выполняют приточку в виде круговой выборки глубиной 1-2 мм и диаметром, на 5-15 мм превышающим диаметр питающего стержня 11 или затравочного кристалла 7, и дополнительно профрезеровывают канавки в радиальном направлении от приточки до края корпуса шириной 0,5-1 мм и глубиной 0,2-0,3 мм, выполняющие функцию капилляров для равномерной подачи питающего расплава 10 по всей окружности корпуса ОТФ-нагревателя 9, стекания к его донной части и заполнения зазора между нижней поверхностью ОТФ-нагревателя 9 и затравочным кристаллом 7. Изобретение позволяет повысить качество выращиваемых монокристаллов и эффективность их производства за счёт создания расплавленной зоны 6 перед началом кристаллизации, имеющей необходимую высоту равномерно по всему сечению затравочного кристалла 7, и обеспечения требуемых тепловых условий на границе фаз. 3 н.п. ф-лы, 6 ил., 8 пр. 
1. Способ выращивания монокристаллов из расплава зонной плавкой, в котором используют расположенные вертикально в ростовой камере затравочный кристалл, загрузку в виде питающего стержня, многосекционный фоновый нагреватель и ОТФ-нагреватель в герметичном корпусе, имеющий диаметр D, высоту Н и снабжённый сквозным вертикально расположенным отверстием диаметром d, как минимум двумя нагревательными элементами в его верхней и нижней частях, включающий нагрев питающего стержня до температуры его плавления при контакте с верхней поверхностью ОТФ-нагревателя с образованием расплавленной зоны, представляющей собой питающий расплав, заполнение отверстия ОТФ-нагревателя питающим расплавом с получением капли, затекающей в зазор между нижней поверхностью ОТФ-нагревателя и затравочным кристаллом, образующей расплавленную зону, из которой растёт монокристалл, удержание расплавленной зоны силами поверхностного натяжения у растущего кристалла в течение времени, достаточного для установления равновесной температуры расплава перед его кристаллизацией для управления формой этой расплавленной зоны и создания совместно с многосекционным фоновым нагревателем необходимого температурного градиента на границах фаз, а также вытягивание кристалла, отличающийся тем, что диаметр затравочного кристалла и форму мениска питающего расплава в зазоре между кристаллом и донной частью ОТФ-нагревателя выбирают, руководствуясь обобщённым безразмерным параметром
, где α - величина его капиллярной постоянной, причём при 1,6<А<2,0 обеспечивают выпуклую форму мениска питающего расплава, зазор между нижней поверхностью ОТФ-нагревателя и затравочным кристаллом заполняют питающим расплавом полностью, диаметр затравочного кристалла выбирают большим диаметра ОТФ-нагревателя на 2-14 мм, а вытягивание монокристалла начинают после выдержки расплавленной зоны; при 1<А<1,6 затравочный кристалл подводят к нижней поверхности ОТФ-нагревателя на расстояние 2α ⋅ d1/3, диаметр затравочного кристалла D1 выбирают меньшим, чем диаметр ОТФ-нагревателя в соответствии с соотношением D1 = 2,2 ⋅ α, обеспечивают выпуклую форму мениска питающего расплава, а вытягивание монокристалла начинают сразу после заполнения зазора питающим расплавом; при А>2 диаметр затравочного кристалла не имеет значения, а вытягивание монокристалла начинают после выдержки расплавленной зоны.
2. Способ выращивания монокристаллов из расплава зонной плавкой, в котором используют расположенные вертикально в ростовой камере затравочный кристалл, загрузку в виде питающего стержня или шихты в виде гранул, многосекционный фоновый нагреватель и ОТФ-нагреватель в герметичном корпусе, имеющий диаметр D и снабжённый как минимум двумя нагревательными элементами в его верхней и нижней частях, включающий нагрев до температуры плавления питающего стержня или гранул шихты при контакте с верхней поверхностью ОТФ-нагревателя с образованием расплавленной зоны, представляющей собой питающий расплав, заполняющий зазор между нижней поверхностью ОТФ-нагревателя и затравочным кристаллом, с образованием расплавленной зоны, из которой растёт монокристалл, удержание расплавленной зоны силами поверхностного натяжения у растущего кристалла в течение времени, достаточного для установления равновесной температуры расплава перед его кристаллизацией для управления формой этой расплавленной зоны и создания совместно с многосекционным фоновым нагревателем необходимого температурного градиента на границах фаз, а также вытягивание кристалла, отличающийся тем, что используют ОТФ-нагреватель без сквозного отверстия и затравочный кристалл, диаметр которого D1 близок к диаметру ОТФ-нагревателя, и рассчитывают его исходя из соотношения D1 = D - 2⋅2,2α; в крышке и донной части ОТФ-нагревателя по их центру выполняют приточку в виде круговой выборки, а также канавки в радиальном направлении от приточки до края корпуса, выполняющие функцию капилляров для равномерной подачи питающего расплава по всей окружности ОТФ-нагревателя и его стекания к донной части ОТФ-нагревателя для заполнения зазора между его нижней поверхностью и затравочным кристаллом.
3. Устройство для осуществления способа выращивания монокристаллов из расплава зонной плавкой по п. 1 или 2, включающее ростовую камеру с перемещаемыми нижним и верхним штоками, затравочный кристалл и загрузку в виде питающего стержня или шихты в виде гранул, связанные соответственно с нижним и верхним штоками, фоновый многосекционный нагреватель и ОТФ-нагреватель в герметичном корпусе, снабжённый как минимум двумя нагревательными элементами в его верхней и нижней частях, отличающееся тем, что фоновый нагреватель состоит из двух частей, закреплённых, соответственно, внизу и вверху ростовой камеры с зазором между ними для наблюдения за процессом кристаллизации через окно, расположенное в стенке ростовой камеры, при этом верхняя часть фонового нагревателя снабжена, по меньшей мере, тремя токоподводами, равномерно расположенными вокруг него, связанными между собой за пределами ростовой камеры посредством электроизолирующего кольца, закреплёнными в крышке ростовой камеры с возможностью движения в вертикальном направлении с помощью механизма перемещения, выполненного в виде винта, нижняя часть которого вставлена в карман, расположенный в крышке ростовой камеры; ОТФ-нагреватель размещён по оси ростовой камеры посредством керамических опорных трубочек, вертикально расположенных под углом 120 градусов относительно друг друга, закреплённых своими нижними частями в донной части ростовой камеры с помощью подставок с возможностью перемещения в вертикальном направлении, причём внутри керамических опорных трубочек пропущены подводящие электроды, связанные с нагревательными элементами ОТФ-нагревателя, материалы указанных трубочек и электродов выбраны с близкими коэффициентами линейного термического расширения, ОТФ-нагреватель снабжён сквозным вертикально расположенным отверстием или выполнен без указанного отверстия, но с приточкой в крышке и донной части его корпуса, глубина которой 1-2 мм, а диаметр - на 5-15 мм больше диаметра питающего стержня или затравочного кристалла, при этом в крышке и донной части корпуса ОТФ-нагревателя дополнительно профрезерованы канавки в радиальном направлении от приточки до края корпуса, ширина которых 0,5-1 мм, а глубина 0,2-0,3 мм, выполняющие функцию капилляров для равномерной подачи питающего расплава по всей окружности корпуса ОТФ-нагревателя, стекания к его донной части и заполнения зазора между нижней поверхностью ОТФ-нагревателя и затравочным кристаллом.
| MICHAEL A | |||
| GONIK, ARNE CROLL | |||
| Silicon crystal growth by the modified FZ technique, CrystEnergComm., 2013, v | |||
| Прибор для нагревания перетягиваемых бандажей подвижного состава | 1917 |
|
SU15A1 |
| Разделитель нечистот | 1917 |
|
SU2287A1 |
| SU 1800854 A1, 20.06.1996 | |||
| УСТАНОВКА ДЛЯ ВЫРАЩИВАНИЯ МОНОКРИСТАЛЛОВ МЕТОДОМ ОСЕВОГО ТЕПЛОВОГО ПОТОКА ВБЛИЗИ ФРОНТА КРИСТАЛЛИЗАЦИИ | 2007 |
|
RU2357021C1 |
| УСТРОЙСТВО ДЛЯ ВЫРАЩИВАНИЯ МОНОКРИСТАЛЛОВ МЕТОДОМ ОСЕВОГО ТЕПЛОВОГО ПОТОКА ВБЛИЗИ ФРОНТА КРИСТАЛЛИЗАЦИИ (ОТФ-МЕТОДОМ) ПРИ ИЗБЫТОЧНОМ ДАВЛЕНИИ ГАЗА В РОСТОВОЙ КАМЕРЕ | 2007 |
|
RU2357022C1 |
| СПОСОБ ВЫРАЩИВАНИЯ КРИСТАЛЛОВ БЕСТИГЕЛЬНЫМ МЕТОДОМ И УСТРОЙСТВО ДЛЯ ЕГО РЕАЛИЗАЦИИ | 2009 |
|
RU2426824C2 |
| US 8834627 B2, 16.09.2014 | |||
| ГОНИК М.А., A | |||
| CROLL | |||
| К возможности выращивания объемных кристаллов Si-Ge методом | |||
Авторы
Даты
2024-11-18—Публикация
2023-01-20—Подача