Область техники, к которой относится изобретение
Настоящее изобретение относится к области технологии пестицидов и, в частности, к типу замещенного тиазольного ароматического кольцевого соединения, способу получения, гербицидной композиции и ее применению.
Предпосылки создания изобретения
Борьба с сорняками является одним из важнейших звеньев в пути достижения высокой эффективности сельского хозяйства. На рынке доступны различные гербициды, например, патенты WO 00/50409 и др. раскрывают использование соединения общей формулы 1-арил-4-тиотриазин в качестве гербицида, а WO 2004/056785 раскрывает новое соединение урацила с гербицидной активностью и его гербицидное применение. Однако гербицидные свойства этих известных соединений в отношении вредных растений и их селективность в отношении сельскохозяйственных культур не вполне удовлетворительны. И ученым по-прежнему необходимо проводить постоянные исследования и разрабатывать новые гербициды с высокой эффективностью, безопасностью, экономичностью и различными способами действия из-за таких проблем, как растущий рынок, устойчивость сорняков, срок службы и экономичность пестицидов, а также растущей заботы людей об окружающей среде.
Сущность изобретения
Настоящее изобретение обеспечивает тип замещенного тиазольного ароматического кольцевого соединения, способ получения, гербицидную композицию и ее применение. Соединение обладает превосходной гербицидной активностью против злаковых сорняков, широколиственных сорняков и т.д. даже при низких нормах внесения и обладает высокой селективностью в отношении сельскохозяйственных культур.
Техническое решение, принятое изобретением, заключается в следующем:
Замещенное тиазольное ароматическое кольцевое соединение, показанное в общей формуле I:
где
Y представляет собой галоген, галогенированный алкил, циано, нитро или амино;
Q представляет собой
или
;
Q1, Q2, Q3, Q4, Q5 каждый независимо представляет собой O или S;
R1, R2 каждый независимо представляет собой водород, циано, алкил, алкенил, алкинил, формилалкил, цианоалкил, амино, аминоалкил, аминокарбонил, аминокарбонилалкил, аминосульфонил, циклоалкил, циклоалкилалкил, циклоалкенил, циклоалкенилалкил, гетероциклил, гетероциклилалкил, арил, арилалкил, R4R5N-(CO)-NR3-,
, R3-S(O)m-(алкил)n-, R3-O-(алкил)n-, R3-(CO)-(алкил)n-, R3-O-(алкил)n-(CO)-, R3-(CO)-O-(алкил)n-, R3-S-(CO)-(алкил)n-, R3-O-(CO)-алкил- или R3-O-(CO)-O-алкил-; где
“алкил”, “алкенил” или “алкинил” каждый независимо является незамещенным или замещен галогеном;
“амино”, “аминоалкил”, “аминокарбонил”, “аминокарбонилалкил” или “аминосульфонил” каждый независимо является незамещенным или замещен одним или двумя заместителями, выбранными из -R11, -OR11, -(CO)R11, -(CO)OR11, -O(CO)R11, -алкил-(CO)OR11, -(SO2)R11, -(SO2)OR11, -алкил-(SO2)R11, -(CO)N(R12)2 или -(SO2)N(R12)2;
“циклоалкил”, “циклоалкилалкил”, “циклоалкенил”, “циклоалкенилалкил”, “гетероциклил”, “гетероциклилалкил”, “арил” или “арилалкил” каждый независимо является незамещенным или замещен по меньшей мере одним заместителем, выбранным из оксо, галогена, циано, нитро, алкила, алкенила, алкинила, циклоалкила, галогенированного алкила, галогенированного алкенила, галогенированного алкинила, галогенированного циклоалкила, замещенного алкилом циклоалкила, -OR13, -SR13, -(CO)OR13, -(SO2)R13, -N(R13)2 или -O-алкил-(CO)OR13, или два смежных атома углерода в кольце вместе с незамещенным или галогензамещенным -OCH2CH2- или -OCH2O- образуют конденсированное кольцо;
R6, R7 каждый независимо представляет собой водород, алкил или галогенированный алкил;
M представляет собой CH или N;
X представляет собой
;
X1 представляет собой O или S;
X2 представляет собой OX3, SX3 или N(X3)2;
X3 каждый независимо представляет собой водород, алкил, алкенил, алкинил, циклоалкил, циклоалкилалкил, циклоалкенил, циклоалкенилалкил, гетероциклил, гетероциклилалкил, арил, арилалкил, 
; где “алкил”, “алкенил” или “алкинил” каждый независимо является незамещенным или замещен по меньшей мере одним заместителем, выбранным из галогена, циано, нитро, триалкилсилила, 
; “циклоалкил”, “циклоалкилалкил”, “циклоалкенил”, “циклоалкенилалкил”, “гетероциклил”, “гетероциклилалкил”, “арил” или “арилалкил” каждый независимо является незамещенным или замещен по меньшей мере одним заместителем, выбранным из оксо, галогена, циано, нитро, алкила, алкенила, алкинила, циклоалкила, галогенированного алкила, галогенированного алкенила, галогенированного алкинила, галогенированного циклоалкила, циклоалкила, замещенного алкилом, -OR13, -SR13, -(CO)OR13, -(SO2)R13, -N(R13)2 или -O-алкил-(CO)OR13, или два смежных атома углерода в кольце вместе с незамещенным или галогензамещенным -OCH2CH2- или -OCH2O- образуют конденсированное кольцо;
или N(X3)2 представляет собой незамещенный или замещенный гетероциклил с атомом азота в 1-положении;
X11 каждый независимо представляет собой алкил, алкенил, алкинил, циклоалкил, циклоалкилалкил, циклоалкенил, циклоалкенилалкил, гетероциклил, гетероциклилалкил, арил или арилалкил; где “циклоалкил”, “циклоалкилалкил”, “циклоалкенил”, “циклоалкенилалкил”, “гетероциклил”, “гетероциклилалкил”, “арил” или “арилалкил” каждый независимо является незамещенным или замещен по меньшей мере одним заместителем, выбранным из оксо, галогена, циано, нитро, алкила, алкенила, алкинила, циклоалкила, галогенированного алкила, галогенированного алкенила, галогенированного алкинила, галогенированного циклоалкила, циклоалкила, замещенного алкилом, -OR13, -SR13, -(CO)OR13, -(SO2)R13, -N(R13)2 или -O-алкил-(CO)OR13, или два смежных атома углерода в кольце вместе с незамещенным или галогензамещенным -OCH2CH2- или -OCH2O- образуют конденсированное кольцо;
X12 каждый независимо представляет собой водород, алкил, алкенил, алкинил, циклоалкил, циклоалкилалкил, циклоалкенил, циклоалкенилалкил, гетероциклил, гетероциклилалкил, арил или арилалкил; где “циклоалкил”, “циклоалкилалкил”, “циклоалкенил”, “циклоалкенилалкил”, “гетероциклил”, “гетероциклилалкил”, “арил” или “арилалкил” каждый независимо является незамещенным или замещен по меньшей мере одним заместителем, выбранным из оксо, галогена, циано, нитро, алкила, алкенила, алкинила, циклоалкила, галогенированного алкила, галогенированного алкенила, галогенированного алкинила, галогенированного циклоалкила, циклоалкила, замещенного алкилом, -OR13, -SR13, -(CO)OR13, -(SO2)R13, -N(R13)2 или -O-алкил-(CO)OR13, или два смежных атома углерода в кольце вместе с незамещенным или галогензамещенным -OCH2CH2- или -OCH2O- образуют конденсированное кольцо;
X13, X14 каждый независимо представляет собой водород, галоген, циано, алкокси, алкоксиалкил, алкилкарбонил, алкоксикарбонил, алкилсульфонил, алкил, алкенил, алкинил, циклоалкил, циклоалкилалкил, циклоалкенил, циклоалкенилалкил, арил, арилалкил, гетероциклил или гетероциклилалкил, или группа CX13X14 вместе образует незамещенную или замещенную кольцевую структуру, или группа NX13X14 вместе образует незамещенный или замещенный гетероциклил с атомом азота в 1-положении; где “алкил”, “алкенил” или “алкинил” каждый независимо является незамещенным или замещен галогеном; “циклоалкил”, “циклоалкилалкил”, “циклоалкенил”, “циклоалкенилалкил”, “арил”, “арилалкил”, “гетероциклил” или “гетероциклилалкил” каждый независимо является незамещенным или замещен по меньшей мере одним заместителем, выбранным из оксо, галогена, циано, нитро, алкила, алкенила, алкинила, циклоалкила, галогенированного алкила, галогенированного алкенила, галогенированного алкинила, галогенированного циклоалкила, циклоалкила, замещенного алкилом, -OR13, -SR13, -(CO)OR13, -(SO2)R13, -N(R13)2 или -O-алкил-(CO)OR13, или два смежных атома углерода в кольце вместе с незамещенным или галогензамещенным -OCH2CH2- или -OCH2O- образуют конденсированное кольцо;
R3, R4, R5 каждый независимо представляет собой водород, алкил, алкенил, алкинил, циклоалкил, циклоалкилалкил, циклоалкенил, циклоалкенилалкил, гетероциклил, гетероциклилалкил, арил или арилалкил; где “алкил”, “алкенил” или “алкинил” каждый независимо является незамещенным или замещен галогеном; “циклоалкил”, “циклоалкилалкил”, “циклоалкенил”, “циклоалкенилалкил”, “гетероциклил”, “гетероциклилалкил”, “арил” или “арилалкил” каждый независимо является незамещенным или замещен по меньшей мере одним заместителем, выбранным из оксо, галогена, циано, нитро, алкила, алкенила, алкинила, циклоалкила, галогенированного алкила, галогенированного алкенила, галогенированного алкинила, галогенированного циклоалкила, циклоалкила, замещенного алкилом, -OR13, -SR13, -(CO)OR13, -(SO2)R13, -N(R13)2 или -O-алкил-(CO)OR13, или два смежных атома углерода в кольце вместе с незамещенным или галогензамещенным -OCH2CH2- или -OCH2O- образуют конденсированное кольцо;
R11 каждый независимо представляет собой алкил, алкенил, алкинил, циклоалкил, циклоалкилалкил, циклоалкенил, циклоалкенилалкил, фенил или бензил; где “алкил”, “алкенил” или “алкинил” каждый независимо является незамещенным или замещен галогеном; “фенил” или “бензил” каждый независимо является незамещенным или замещен по меньшей мере одним заместителем, выбранным из галогена, циано, нитро, алкила, галогенированного алкила, алкоксикарбонила, алкилтио, алкилсульфонила, алкокси или галогенированного алкокси;
R12 каждый независимо представляет собой водород, алкил, алкенил, алкинил, алкокси, алкилсульфонил, циклоалкил, циклоалкилалкил, циклоалкенил или циклоалкенилалкил; или группа N(R12)2 из -(CO)N(R12)2 или -(SO2)N(R12)2, каждая независимо, представляет собой незамещенный или замещенный гетероциклил с атомом азота в 1-положении;
R13 каждый независимо представляет собой водород, алкил, галогенированный алкил, фенил или фенил, замещенный по меньшей мере одним заместителем, выбранным из галогена, циано, нитро, алкила, галогенированного алкила, алкоксикарбонила, алкилтио, алкилсульфонила, алкокси или галогенированного алкокси;
m имеет значение 0, 1 или 2; n независимо имеет значение 0 или 1.
Предпочтительно, Y представляет собой галоген, галогенированный C1-C8 алкил, циано, нитро или амино;
R1, R2 каждый независимо представляет собой водород, циано, C1-C8 алкил, C2-C8 алкенил, C2-C8 алкинил, формил C1-C8 алкил, циано C1-C8 алкил, амино, амино C1-C8 алкил, аминокарбонил, аминокарбонил C1-C8 алкил, аминосульфонил, C3-C8 циклоалкил, C3-C8 циклоалкил C1-C8 алкил, C3-C8 циклоалкенил, C3-C8 циклоалкенил C1-C8 алкил, гетероциклил, гетероциклил C1-C8 алкил, арил, арил C1-C8 алкил, R4R5N-(CO)-NR3-,
, R3-S(O)m-(C1-C8 алкил)n-, R3-O-(C1-C8 алкил)n-, R3-(CO)-(C1-C8 алкил)n-, R3-O-(C1-C8 алкил)n-(CO)-, R3-(CO)-O-(C1-C8 алкил)n-, R3-S-(CO)-(C1-C8 алкил)n-, R3-O-(CO)-(C1-C8 алкил)- или R3-O-(CO)-O-(C1-C8 алкил)-; где
“C1-C8 алкил”, “C2-C8 алкенил” или “C2-C8 алкинил” каждый независимо является незамещенным или замещен галогеном;
“амино”, “амино C1-C8 алкил”, “аминокарбонил”, “аминокарбонил C1-C8 алкил” или “аминосульфонил” каждый независимо является незамещенным или замещен одним или двумя заместителями, выбранными из -R11, -OR11, -(CO)R11, -(CO)OR11, -O(CO)R11, -(C1-C8 алкил)-(CO)OR11, -(SO2)R11, -(SO2)OR11, -(C1-C8 алкил)-(SO2)R11, -(CO)N(R12)2 или -(SO2)N(R12)2;
“C3-C8 циклоалкил”, “C3-C8 циклоалкил C1-C8 алкил”, “C3-C8 циклоалкенил”, “C3-C8 циклоалкенил C1-C8 алкил”, “гетероциклил”, “гетероциклил C1-C8 алкил”, “арил” или “арил C1-C8 алкил” каждый независимо является незамещенным или замещен по меньшей мере одним заместителем, выбранным из оксо, галогена, циано, нитро, C1-C8 алкила, C2-C8 алкенила, C2-C8 алкинила, C3-C8 циклоалкила, галогенированного C1-C8 алкила, галогенированного C2-C8 алкенила, галогенированного C2-C8 алкинила, галогенированного C3-C8 циклоалкила, C3-C8 циклоалкила, замещенного C1-C8 алкилом, -OR13, -SR13, -(CO)OR13, -(SO2)R13, -N(R13)2 или -O-(C1-C8 алкил)-(CO)OR13, или два смежных атома углерода в кольце вместе с незамещенным или галогензамещенным -OCH2CH2- или -OCH2O- образуют конденсированное кольцо;
R6, R7 каждый независимо представляет собой водород, C1-C8 алкил или галогенированный C1-C8 алкил;
X3 каждый независимо представляет собой водород, C1-C8 алкил, C2-C8 алкенил, C2-C8 алкинил, C3-C8 циклоалкил, C3-C8 циклоалкил C1-C8 алкил, C3-C8 циклоалкенил, C3-C8 циклоалкенил C1-C8 алкил, гетероциклил, гетероциклил C1-C8 алкил, арил, арил C1-C8 алкил,
; где “C1-C8 алкил”, “C2-C8 алкенил” или “C2-C8 алкинил” каждый независимо является незамещенным или замещен по меньшей мере одним заместителем, выбранным из галогена, циано, нитро, три-C1-C8 алкилсилила, 
или
; “C3-C8 циклоалкил”, “C3-C8 циклоалкил C1-C8 алкил”, “C3-C8 циклоалкенил”, “C3-C8 циклоалкенил C1-C8 алкил”, “гетероциклил”, “гетероциклил C1-C8 алкил”, “арил” или “арил C1-C8 алкил” каждый независимо является незамещенным или замещен по меньшей мере одним заместителем, выбранным из оксо, галогена, циано, нитро, C1-C8 алкила, C2-C8 алкенила, C2-C8 алкинила, C3-C8 циклоалкила, галогенированного C1-C8 алкила, галогенированного C2-C8 алкенила, галогенированного C2-C8 алкинила, галогенированного C3-C8 циклоалкила, C3-C8 циклоалкила, замещенного C1-C8 алкилом, -OR13, -SR13, -(CO)OR13, -(SO2)R13, -N(R13)2 или -O-(C1-C8 алкил)-(CO)OR13, или два смежных атома углерода в кольце вместе с незамещенным или галогензамещенным -OCH2CH2- или -OCH2O- образуют конденсированное кольцо;
или N(X3)2 представляет собой
, который является незамещенным или замещен по меньшей мере одним заместителем, выбранным из C1-C8 алкила;
X11 каждый независимо представляет собой C1-C8 алкил, C2-C8 алкенил, C2-C8 алкинил, C3-C8 циклоалкил, C3-C8 циклоалкил C1-C8 алкил, C3-C8 циклоалкенил, C3-C8 циклоалкенил C1-C8 алкил, гетероциклил, гетероциклил C1-C8 алкил, арил или арил C1-C8 алкил; где “C3-C8 циклоалкил”, “C3-C8 циклоалкил C1-C8 алкил”, “C3-C8 циклоалкенил”, “C3-C8 циклоалкенил C1-C8 алкил”, “гетероциклил”, “гетероциклил C1-C8 алкил”, “арил” или “арил C1-C8 алкил” каждый независимо является незамещенным или замещен по меньшей мере одним заместителем, выбранным из оксо, галогена, циано, нитро, C1-C8 алкила, C2-C8 алкенила, C2-C8 алкинила, C3-C8 циклоалкила, галогенированного C1-C8 алкила, галогенированного C2-C8 алкенила, галогенированного C2-C8 алкинила, галогенированного C3-C8 циклоалкила, C3-C8 циклоалкила, замещенного C1-C8 алкилом, -OR13, -SR13, -(CO)OR13, -(SO2)R13, -N(R13)2 или -O-(C1-C8 алкил)-(CO)OR13, или два смежных атома углерода в кольце вместе с незамещенным или галогензамещенным -OCH2CH2- или -OCH2O- образуют конденсированное кольцо;
X12 каждый независимо представляет собой водород, C1-C8 алкил, C2-C8 алкенил, C2-C8 алкинил, C3-C8 циклоалкил, C3-C8 циклоалкил C1-C8 алкил, C3-C8 циклоалкенил, C3-C8 циклоалкенил C1-C8 алкил, гетероциклил, гетероциклил C1-C8 алкил, арил или арил C1-C8 алкил; где “C3-C8 циклоалкил”, “C3-C8 циклоалкил C1-C8 алкил”, “C3-C8 циклоалкенил”, “C3-C8 циклоалкенил C1-C8 алкил”, “гетероциклил”, “гетероциклил C1-C8 алкил”, “арил” или “арил C1-C8 алкил” каждый независимо является незамещенным или замещен по меньшей мере одним заместителем, выбранным из оксо, галогена, циано, нитро, C1-C8 алкила, C2-C8 алкенила, C2-C8 алкинила, C3-C8 циклоалкила, галогенированного C1-C8 алкила, галогенированного C2-C8 алкенила, галогенированного C2-C8 алкинила, галогенированного C3-C8 циклоалкила, C3-C8 циклоалкила, замещенного C1-C8 алкилом, -OR13, -SR13, -(CO)OR13, -(SO2)R13, -N(R13)2 или -O-(C1-C8 алкил)-(CO)OR13, или два смежных атома углерода в кольце вместе с незамещенным или галогензамещенным -OCH2CH2- или -OCH2O- образуют конденсированное кольцо;
X13, X14 каждый независимо представляет собой водород, галоген, циано, C1-C8 алкокси, C1-C8 алкокси C1-C8 алкил, C1-C8 алкилкарбонил, C1-C8 алкоксикарбонил, C1-C8 алкилсульфонил, C1-C8 алкил, C2-C8 алкенил, C2-C8 алкинил, C3-C8 циклоалкил, C3-C8 циклоалкил C1-C8 алкил, C3-C8 циклоалкенил, C3-C8 циклоалкенил C1-C8 алкил, арил, арил C1-C8 алкил, гетероциклил или гетероциклил C1-C8 алкил, или группа CX13X14 вместе образует 5-8-членный (например, 5-, 6-, 7- или 8-) карбоциклил или кислород-, сера- или азот-содержащий гетероциклил, или группа NX13X14 вместе образует гетероциклил
с атомом азота в 1-положении; где “C1-C8 алкил”, “C2-C8 алкенил” или “C2-C8 алкинил” каждый независимо является незамещенным или замещен галогеном; “C3-C8 циклоалкил”, “C3-C8 циклоалкил C1-C8 алкил”, “C3-C8 циклоалкенил”, “C3-C8 циклоалкенил C1-C8 алкил”, “арил”, “арил C1-C8 алкил”, “гетероциклил” или “гетероциклил C1-C8 алкил” каждый независимо является незамещенным или замещен по меньшей мере одним заместителем, выбранным из оксо, галогена, циано, нитро, C1-C8 алкила, C2-C8 алкенила, C2-C8 алкинила, C3-C8 циклоалкила, галогенированного C1-C8 алкила, галогенированного C2-C8 алкенила, галогенированного C2-C8 алкинила, галогенированного C3-C8 циклоалкила, C3-C8 циклоалкила, замещенного C1-C8 алкилом, -OR13, -SR13, -(CO)OR13, -(SO2)R13, -N(R13)2 или -O-(C1-C8 алкил)-(CO)OR13, или два смежных атома углерода в кольце вместе с незамещенным или галогензамещенным -OCH2CH2- или -OCH2O- образуют конденсированное кольцо; “5-8-членный карбоциклил или кислород-, сера- или азот-содержащий гетероциклил” является незамещенным или замещен по меньшей мере одним заместителем, выбранным из C1-C8 алкила, C1-C8 алкоксикарбонила или бензила, или образует конденсированную кольцевую структуру с арилом или гетероциклилом; “
” является незамещенным или замещен по меньшей мере одним заместителем, выбранным из C1-C8 алкила;
R3, R4, R5 каждый независимо представляет собой водород, C1-C8 алкил, C2-C8 алкенил, C2-C8 алкинил, C3-C8 циклоалкил, C3-C8 циклоалкил C1-C8 алкил, C3-C8 циклоалкенил, C3-C8 циклоалкенил C1-C8 алкил, гетероциклил, гетероциклил C1-C8 алкил, арил или арил C1-C8 алкил; где “C1-C8 алкил”, “C2-C8 алкенил” или “C2-C8 алкинил” каждый независимо является незамещенным или замещен галогеном; “C3-C8 циклоалкил”, “C3-C8 циклоалкил C1-C8 алкил”, “C3-C8 циклоалкенил”, “C3-C8 циклоалкенил C1-C8 алкил”, “гетероциклил”, “гетероциклил C1-C8 алкил”, “арил” или “арил C1-C8 алкил” каждый независимо является незамещенным или замещен по меньшей мере одним заместителем, выбранным из оксо, галогена, циано, нитро, C1-C8 алкила, C2-C8 алкенила, C2-C8 алкинила, C3-C8 циклоалкила, галогенированного C1-C8 алкила, галогенированного C2-C8 алкенила, галогенированного C2-C8 алкинила, галогенированного C3-C8 циклоалкила, C3-C8 циклоалкила, замещенного C1-C8 алкилом, -OR13, -SR13, -(CO)OR13, -(SO2)R13, -N(R13)2 или -O-(C1-C8 алкил)-(CO)OR13, или два смежных атома углерода в кольце вместе с незамещенным или галогензамещенным -OCH2CH2- или -OCH2O- образуют конденсированное кольцо;
R11 каждый независимо представляет собой C1-C8 алкил, C2-C8 алкенил, C2-C8 алкинил, C3-C8 циклоалкил, C3-C8 циклоалкил C1-C8 алкил, C3-C8 циклоалкенил, C3-C8 циклоалкенил C1-C8 алкил, фенил или бензил; где “C1-C8 алкил”, “C2-C8 алкенил” или “C2-C8 алкинил” каждый независимо является незамещенным или замещен галогеном; “фенил” или “бензил” каждый независимо является незамещенным или замещен по меньшей мере одним заместителем, выбранным из галогена, циано, нитро, C1-C8 алкила, галогенированного C1-C8 алкила, C1-C8 алкоксикарбонила, C1-C8 алкилтио, C1-C8 алкилсульфонила, C1-C8 алкокси или галогенированного C1-C8 алкокси;
R12 каждый независимо представляет собой водород, C1-C8 алкил, C2-C8 алкенил, C2-C8 алкинил, C1-C8 алкокси, C1-C8 алкилсульфонил, C3-C8 циклоалкил, C3-C8 циклоалкил C1-C8 алкил, C3-C8 циклоалкенил или C3-C8 циклоалкенил C1-C8 алкил; или группа N(R12)2 из -(CO)N(R12)2 или -(SO2)N(R12)2, каждая независимо, представляет собой
, который является незамещенным или замещен по меньшей мере одним заместителем, выбранным из C1-C8 алкила;
R13 каждый независимо представляет собой водород, C1-C8 алкил, галогенированный C1-C8 алкил, фенил или фенил, замещенный по меньшей мере одним заместителем, выбранным из галогена, циано, нитро, C1-C8 алкила, галогенированного C1-C8 алкила, C1-C8 алкоксикарбонила, C1-C8 алкилтио, C1-C8 алкилсульфонила, C1-C8 алкокси или галогенированного C1-C8 алкокси.
Более предпочтительно Y представляет собой галоген, галогенированный C1-C6 алкил, циано, нитро или амино;
R1, R2 каждый независимо представляет собой водород, циано, C1-C6 алкил, C2-C6 алкенил, C2-C6 алкинил, формил C1-C6 алкил, циано C1-C6 алкил, амино, амино C1-C6 алкил, аминокарбонил, аминокарбонил C1-C6 алкил, аминосульфонил, C3-C6 циклоалкил, C3-C6 циклоалкил C1-C6 алкил, C3-C6 циклоалкенил, C3-C6 циклоалкенил C1-C6 алкил, гетероциклил, гетероциклил C1-C6 алкил, арил, арил C1-C6 алкил, R4R5N-(CO)-NR3-,
, R3-S(O)m-(C1-C6 алкил)n-, R3-O-(C1-C6 алкил)n-, R3-(CO)-(C1-C6 алкил)n-, R3-O-(C1-C6 алкил)n-(CO)-, R3-(CO)-O-(C1-C6 алкил)n-, R3-S-(CO)-(C1-C6 алкил)n-, R3-O-(CO)-(C1-C6 алкил)- или R3-O-(CO)-O-(C1-C6 алкил)-; где
“C1-C6 алкил”, “C2-C6 алкенил” или “C2-C6 алкинил” каждый независимо является незамещенным или замещен галогеном;
“амино”, “амино C1-C6 алкил”, “аминокарбонил”, “аминокарбонил C1-C6 алкил” или “аминосульфонил” каждый независимо является незамещенным или замещен одним или двумя заместителями, выбранными из -R11, -OR11, -(CO)R11, -(CO)OR11, -O(CO)R11, -(C1-C6 алкил)-(CO)OR11, -(SO2)R11, -(SO2)OR11, -(C1-C6 алкил)-(SO2)R11, -(CO)N(R12)2 или -(SO2)N(R12)2;
“C3-C6 циклоалкил”, “C3-C6 циклоалкил C1-C6 алкил”, “C3-C6 циклоалкенил”, “C3-C6 циклоалкенил C1-C6 алкил”, “гетероциклил”, “гетероциклил C1-C6 алкил”, “арил” или “арил C1-C6 алкил” каждый независимо является незамещенным или замещен одним, двумя или тремя заместителями, выбранными из оксо, галогена, циано, нитро, C1-C6 алкила, C2-C6 алкенила, C2-C6 алкинила, C3-C6 циклоалкила, галогенированного C1-C6 алкила, галогенированного C2-C6 алкенила, галогенированного C2-C6 алкинила, галогенированного C3-C6 циклоалкила, C3-C6 циклоалкила, замещенного C1-C6 алкилом, -OR13, -SR13, -(CO)OR13, -(SO2)R13, -N(R13)2 или -O-(C1-C6 алкил)-(CO)OR13, или два смежных атома углерода в кольце вместе с незамещенным или галогензамещенным -OCH2CH2- или -OCH2O- образуют конденсированное кольцо;
R6, R7 каждый независимо представляет собой водород, C1-C6 алкил или галогенированный C1-C6 алкил;
X3 каждый независимо представляет собой водород, C1-C6 алкил, C2-C6 алкенил, C2-C6 алкинил, C3-C6 циклоалкил, C3-C6 циклоалкил C1-C6 алкил, C3-C6 циклоалкенил, C3-C6 циклоалкенил C1-C6 алкил, гетероциклил, гетероциклил C1-C6 алкил, арил, арил C1-C6 алкил,
; где “C1-C6 алкил”, “C2-C6 алкенил” или “C2-C6 алкинил” каждый независимо является незамещенным или замещен одним, двумя или тремя заместителями, выбранными из галогена, циано, нитро, три-C1-C6 алкилсилила, 
или
; “C3-C6 циклоалкил”, “C3-C6 циклоалкил C1-C6 алкил”, “C3-C6 циклоалкенил”, “C3-C6 циклоалкенил C1-C6 алкил”, “гетероциклил”, “гетероциклил C1-C6 алкил”, “арил” или “арил C1-C6 алкил” каждый независимо является незамещенным или замещен одним, двумя или тремя заместителями, выбранными из оксо, галогена, циано, нитро, C1-C6 алкила, C2-C6 алкенила, C2-C6 алкинила, C3-C6 циклоалкила, галогенированного C1-C6 алкила, галогенированного C2-C6 алкенила, галогенированного C2-C6 алкинила, галогенированного C3-C6 циклоалкила, C3-C6 циклоалкила, замещенного C1-C6 алкилом, -OR13, -SR13, -(CO)OR13, -(SO2)R13, -N(R13)2 или -O-(C1-C6 алкил)-(CO)OR13, или два смежных атома углерода в кольце вместе с незамещенным или галогензамещенным -OCH2CH2- или -OCH2O- образуют конденсированное кольцо;
или N(X3)2 представляет собой
, который является незамещенным или замещен одним, двумя или тремя заместителями, выбранными из C1-C6 алкила;
X11 каждый независимо представляет собой C1-C6 алкил, C2-C6 алкенил, C2-C6 алкинил, C3-C6 циклоалкил, C3-C6 циклоалкил C1-C6 алкил, C3-C6 циклоалкенил, C3-C6 циклоалкенил C1-C6 алкил, гетероциклил, гетероциклил C1-C6 алкил, арил или арил C1-C6 алкил; где “C3-C6 циклоалкил”, “C3-C6 циклоалкил C1-C6 алкил”, “C3-C6 циклоалкенил”, “C3-C6 циклоалкенил C1-C6 алкил”, “гетероциклил”, “гетероциклил C1-C6 алкил”, “арил” или “арил C1-C6 алкил” каждый независимо является незамещенным или замещен одним, двумя или тремя заместителями, выбранными из оксо, галогена, циано, нитро, C1-C6 алкила, C2-C6 алкенила, C2-C6 алкинила, C3-C6 циклоалкила, галогенированного C1-C6 алкила, галогенированного C2-C6 алкенила, галогенированного C2-C6 алкинила, галогенированного C3-C6 циклоалкила, C3-C6 циклоалкила, замещенного C1-C6 алкилом, -OR13, -SR13, -(CO)OR13, -(SO2)R13, -N(R13)2 или -O-(C1-C6 алкил)-(CO)OR13, или два смежных атома углерода в кольце вместе с незамещенным или галогензамещенным -OCH2CH2- или -OCH2O- образуют конденсированное кольцо;
X12 каждый независимо представляет собой водород, C1-C6 алкил, C2-C6 алкенил, C2-C6 алкинил, C3-C6 циклоалкил, C3-C6 циклоалкил C1-C6 алкил, C3-C6 циклоалкенил, C3-C6 циклоалкенил C1-C6 алкил, гетероциклил, гетероциклил C1-C6 алкил, арил или арил C1-C6 алкил; где “C3-C6 циклоалкил”, “C3-C6 циклоалкил C1-C6 алкил”, “C3-C6 циклоалкенил”, “C3-C6 циклоалкенил C1-C6 алкил”, “гетероциклил”, “гетероциклил C1-C6 алкил”, “арил” или “арил C1-C6 алкил” каждый независимо является незамещенным или замещен одним, двумя или тремя заместителями, выбранными из оксо, галогена, циано, нитро, C1-C6 алкила, C2-C6 алкенила, C2-C6 алкинила, C3-C6 циклоалкила, галогенированного C1-C6 алкила, галогенированного C2-C6 алкенила, галогенированного C2-C6 алкинила, галогенированного C3-C6 циклоалкила, C3-C6 циклоалкила, замещенного C1-C6 алкилом, -OR13, -SR13, -(CO)OR13, -(SO2)R13, -N(R13)2 или -O-(C1-C6 алкил)-(CO)OR13, или два смежных атома углерода в кольце вместе с незамещенным или галогензамещенным -OCH2CH2- или -OCH2O- образуют конденсированное кольцо;
X13, X14 каждый независимо представляет собой водород, галоген, циано, C1-C6 алкокси, C1-C6 алкокси C1-C6 алкил, C1-C6 алкилкарбонил, C1-C6 алкоксикарбонил, C1-C6 алкилсульфонил, C1-C6 алкил, C2-C6 алкенил, C2-C6 алкинил, C3-C6 циклоалкил, C3-C6 циклоалкил C1-C6 алкил, C3-C6 циклоалкенил, C3-C6 циклоалкенил C1-C6 алкил, арил, арил C1-C6 алкил, гетероциклил или гетероциклил C1-C6 алкил, или группа CX13X14 вместе образует 5-8-членный (например, 5-, 6-, 7- или 8-) насыщенный карбоциклил,
или
, или группа NX13X14 вместе образует 
или
; где “C1-C6 алкил”, “C2-C6 алкенил” или “C2-C6 алкинил” каждый независимо является незамещенным или замещен галогеном; “C3-C6 циклоалкил”, “C3-C6 циклоалкил C1-C6 алкил”, “C3-C6 циклоалкенил”, “C3-C6 циклоалкенил C1-C6 алкил”, “арил”, “арил C1-C6 алкил”, “гетероциклил” или “гетероциклил C1-C6 алкил” каждый независимо является незамещенным или замещен одним, двумя или тремя заместителями, выбранными из оксо, галогена, циано, нитро, C1-C6 алкила, C2-C6 алкенила, C2-C6 алкинила, C3-C6 циклоалкила, галогенированного C1-C6 алкила, галогенированного C2-C6 алкенила, галогенированного C2-C6 алкинила, галогенированного C3-C6 циклоалкила, C3-C6 циклоалкила, замещенного C1-C6 алкилом, -OR13, -SR13, -(CO)OR13, -(SO2)R13, -N(R13)2 или -O-(C1-C6 алкил)-(CO)OR13, или два смежных атома углерода в кольце вместе с незамещенным или галогензамещенным -OCH2CH2- или -OCH2O- образуют конденсированное кольцо; “5-8-членный насыщенный карбоциклил,
или
” является незамещенным или замещен одним, двумя или тремя заместителями, выбранными из C1-C6 алкила, C1-C6 алкоксикарбонила или бензила, или образует конденсированную кольцевую структуру с арилом или гетероциклилом; “
или
” является незамещенным или замещен одним, двумя или тремя заместителями, выбранными из C1-C6 алкила;
R3, R4, R5 каждый независимо представляет собой водород, C1-C6 алкил, C2-C6 алкенил, C2-C6 алкинил, C3-C6 циклоалкил, C3-C6 циклоалкил C1-C6 алкил, C3-C6 циклоалкенил, C3-C6 циклоалкенил C1-C6 алкил, гетероциклил, гетероциклил C1-C6 алкил, арил или арил C1-C6 алкил; где “C1-C6 алкил”, “C2-C6 алкенил” или “C2-C6 алкинил” каждый независимо является незамещенным или замещен галогеном; “C3-C6 циклоалкил”, “C3-C6 циклоалкил C1-C6 алкил”, “C3-C6 циклоалкенил”, “C3-C6 циклоалкенил C1-C6 алкил”, “гетероциклил”, “гетероциклил C1-C6 алкил”, “арил” или “арил C1-C6 алкил” каждый независимо является незамещенным или замещен одним, двумя или тремя заместителями, выбранными из оксо, галогена, циано, нитро, C1-C6 алкила, C2-C6 алкенила, C2-C6 алкинила, C3-C6 циклоалкила, галогенированного C1-C6 алкила, галогенированного C2-C6 алкенила, галогенированного C2-C6 алкинила, галогенированного C3-C6 циклоалкила, C3-C6 циклоалкила, замещенного C1-C6 алкилом, -OR13, -SR13, -(CO)OR13, -(SO2)R13, -N(R13)2 или -O-(C1-C6 алкил)-(CO)OR13, или два смежных атома углерода в кольце вместе с незамещенным или галогензамещенным -OCH2CH2- или -OCH2O- образуют конденсированное кольцо;
R11 каждый независимо представляет собой C1-C6 алкил, C2-C6 алкенил, C2-C6 алкинил, C3-C6 циклоалкил, C3-C6 циклоалкил C1-C6 алкил, C3-C6 циклоалкенил, C3-C6 циклоалкенил C1-C6 алкил, фенил или бензил; где “C1-C6 алкил”, “C2-C6 алкенил” или “C2-C6 алкинил” каждый независимо является незамещенным или замещен галогеном; “фенил” или “бензил” каждый независимо является незамещенным или замещен одним, двумя или тремя заместителями, выбранными из галогена, циано, нитро, C1-C6 алкила, галогенированного C1-C6 алкила, C1-C6 алкоксикарбонила, C1-C6 алкилтио, C1-C6 алкилсульфонила, C1-C6 алкокси или галогенированного C1-C6 алкокси;
R12 каждый независимо представляет собой водород, C1-C6 алкил, C2-C6 алкенил, C2-C6 алкинил, C1-C6 алкокси, C1-C6 алкилсульфонил, C3-C6 циклоалкил, C3-C6 циклоалкил C1-C6 алкил, C3-C6 циклоалкенил или C3-C6 циклоалкенил C1-C6 алкил; или группа N(R12)2 из -(CO)N(R12)2 или -(SO2)N(R12)2, каждая независимо, представляет собой
или
, который является незамещенным или замещен одним, двумя или тремя заместителями, выбранными из C1-C6 алкила;
R13 каждый независимо представляет собой водород, C1-C6 алкил, галогенированный C1-C6 алкил, фенил или фенил, замещенный одним, двумя или тремя заместителями, выбранными из галогена, циано, нитро, C1-C6 алкила, галогенированного C1-C6 алкила, C1-C6 алкоксикарбонила, C1-C6 алкилтио, C1-C6 алкилсульфонила, C1-C6 алкокси или галогенированного C1-C6 алкокси.
Еще более предпочтительно X3 каждый независимо представляет собой водород, C1-C6 алкил, C2-C6 алкенил, C2-C6 алкинил, C3-C6 циклоалкил, C3-C6 циклоалкил C1-C3 алкил, C3-C6 циклоалкенил, C3-C6 циклоалкенил C1-C3 алкил, гетероциклил, гетероциклил C1-C3 алкил, арил, арил C1-C3 алкил,
,
или
; где “C1-C6 алкил”, “C2-C6 алкенил” или “C2-C6 алкинил” каждый независимо является незамещенным или замещен одним, двумя или тремя заместителями, выбранными из галогена, циано, нитро, три-C1-C6 алкилсилила, 
или
; “C3-C6 циклоалкил”, “C3-C6 циклоалкил C1-C3 алкил”, “C3-C6 циклоалкенил”, “C3-C6 циклоалкенил C1-C3 алкил”, “гетероциклил”, “гетероциклил C1-C3 алкил”, “арил” или “арил C1-C3 алкил” каждый независимо является незамещенным или замещен одним, двумя или тремя заместителями, выбранными из оксо, галогена, циано, нитро, C1-C6 алкила, C2-C6 алкенила, C2-C6 алкинила, C3-C6 циклоалкила, галогенированного C1-C6 алкила, галогенированного C2-C6 алкенила, галогенированного C2-C6 алкинила, галогенированного C3-C6 циклоалкила, C3-C6 циклоалкила, замещенного C1-C6 алкилом, -OR13, -SR13, -(CO)OR13, -(SO2)R13, -N(R13)2 или -O-(C1-C3 алкил)-(CO)OR13, или два смежных атома углерода в кольце вместе с незамещенным или галогензамещенным -OCH2CH2- или -OCH2O- образуют конденсированное кольцо;
или N(X3)2 представляет собой
или
, который является незамещенным или замещен одним, двумя или тремя заместителями, выбранными из C1-C6 алкила;
X11 каждый независимо представляет собой C1-C6 алкил, C2-C6 алкенил, C2-C6 алкинил, C3-C6 циклоалкил, C3-C6 циклоалкил C1-C3 алкил, C3-C6 циклоалкенил, C3-C6 циклоалкенил C1-C3 алкил, гетероциклил, гетероциклил C1-C3 алкил, арил или арил C1-C3 алкил; где “C3-C6 циклоалкил”, “C3-C6 циклоалкил C1-C3 алкил”, “C3-C6 циклоалкенил”, “C3-C6 циклоалкенил C1-C3 алкил”, “гетероциклил”, “гетероциклил C1-C3 алкил”, “арил” или “арил C1-C3 алкил” каждый независимо является незамещенным или замещен одним, двумя или тремя заместителями, выбранными из оксо, галогена, циано, нитро, C1-C6 алкила, C2-C6 алкенила, C2-C6 алкинила, C3-C6 циклоалкила, галогенированного C1-C6 алкила, галогенированного C2-C6 алкенила, галогенированного C2-C6 алкинила, галогенированного C3-C6 циклоалкила, C3-C6 циклоалкила, замещенного C1-C6 алкилом, -OR13, -SR13, -(CO)OR13, -(SO2)R13, -N(R13)2 или -O-(C1-C3 алкил)-(CO)OR13, или два смежных атома углерода в кольце вместе с незамещенным или галогензамещенным -OCH2CH2- или -OCH2O- образуют конденсированное кольцо;
X12 каждый независимо представляет собой водород, C1-C6 алкил, C2-C6 алкенил, C2-C6 алкинил, C3-C6 циклоалкил, C3-C6 циклоалкил C1-C3 алкил, C3-C6 циклоалкенил, C3-C6 циклоалкенил C1-C3 алкил, гетероциклил, гетероциклил C1-C3 алкил, арил или арил C1-C3 алкил; где “C3-C6 циклоалкил”, “C3-C6 циклоалкил C1-C3 алкил”, “C3-C6 циклоалкенил”, “C3-C6 циклоалкенил C1-C3 алкил”, “гетероциклил”, “гетероциклил C1-C3 алкил”, “арил” или “арил C1-C3 алкил” каждый независимо является незамещенным или замещен одним, двумя или тремя заместителями, выбранными из оксо, галогена, циано, нитро, C1-C6 алкила, C2-C6 алкенила, C2-C6 алкинила, C3-C6 циклоалкила, галогенированного C1-C6 алкила, галогенированного C2-C6 алкенила, галогенированного C2-C6 алкинила, галогенированного C3-C6 циклоалкила, C3-C6 циклоалкила, замещенного C1-C6 алкилом, -OR13, -SR13, -(CO)OR13, -(SO2)R13, -N(R13)2 или -O-(C1-C3 алкил)-(CO)OR13, или два смежных атома углерода в кольце вместе с незамещенным или галогензамещенным -OCH2CH2- или -OCH2O- образуют конденсированное кольцо;
X13, X14 каждый независимо представляет собой водород, галоген, циано, C1-C6 алкокси, C1-C6 алкокси C1-C3 алкил, C1-C6 алкилкарбонил, C1-C6 алкоксикарбонил, C1-C6 алкилсульфонил, C1-C6 алкил, C2-C6 алкенил, C2-C6 алкинил, C3-C6 циклоалкил, C3-C6 циклоалкил C1-C3 алкил, C3-C6 циклоалкенил, C3-C6 циклоалкенил C1-C3 алкил, арил, арил C1-C3 алкил, гетероциклил или гетероциклил C1-C3 алкил, или группа CX13X14 вместе образует 5-8-членный (например, 5-, 6-, 7- или 8-) насыщенный карбоциклил,
или
, или группа NX13X14 вместе образует 
или
; где “C1-C6 алкил”, “C2-C6 алкенил” или “C2-C6 алкинил” каждый независимо является незамещенным или замещен галогеном; “C3-C6 циклоалкил”, “C3-C6 циклоалкил C1-C3 алкил”, “C3-C6 циклоалкенил”, “C3-C6 циклоалкенил C1-C3 алкил”, “арил”, “арил C1-C3 алкил”, “гетероциклил” или “гетероциклил C1-C3 алкил” каждый независимо является незамещенным или замещен одним, двумя или тремя заместителями, выбранными из оксо, галогена, циано, нитро, C1-C6 алкила, C2-C6 алкенила, C2-C6 алкинила, C3-C6 циклоалкила, галогенированного C1-C6 алкила, галогенированного C2-C6 алкенила, галогенированного C2-C6 алкинила, галогенированного C3-C6 циклоалкила, C3-C6 циклоалкила, замещенного C1-C6 алкилом, -OR13, -SR13, -(CO)OR13, -(SO2)R13, -N(R13)2 или -O-(C1-C3 алкил)-(CO)OR13, или два смежных атома углерода в кольце вместе с незамещенным или галогензамещенным -OCH2CH2- или -OCH2O- образуют конденсированное кольцо; “5-8-членный насыщенный карбоциклил,
или
” является незамещенным или замещен одним, двумя или тремя заместителями, выбранными из C1-C6 алкила, C1-C6 алкоксикарбонила или бензила, или образует конденсированную кольцевую структуру с фенилом или тиенилом; “
или
” является незамещенным или замещен одним, двумя или тремя заместителями, выбранными из C1-C6 алкила;
R13 каждый независимо представляет собой водород, C1-C6 алкил, галогенированный C1-C6 алкил, фенил или фенил, замещенный одним, двумя или тремя заместителями, выбранными из галогена, циано, нитро, C1-C6 алкила, галогенированного C1-C6 алкила, C1-C6 алкоксикарбонила, C1-C6 алкилтио, C1-C6 алкилсульфонила, C1-C6 алкокси или галогенированного C1-C6 алкокси.
Более предпочтительно Y представляет собой хлор;
R1, R2 каждый независимо представляет собой C1-C6 алкил;
R6 представляет собой C1-C6 алкил;
R7 представляет собой галогенированный C1-C6 алкил;
X1 представляет собой O;
X2 представляет собой OX3;
X3 каждый независимо представляет собой C1-C6 алкил, C2-C6 алкенил, C2-C6 алкинил,
, бензил или
; где “C1-C6 алкил” каждый независимо является незамещенным или замещен одним, двумя или тремя заместителями, выбранными из
;
X12 каждый независимо представляет собой C1-C6 алкил;
X13, X14 каждый независимо представляет собой C1-C6 алкокси C1-C3 алкил или C1-C6 алкил.
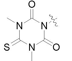
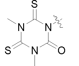
Более предпочтительно Q представляет собой
,
или
.
Кроме того, настоящее изобретение также обеспечивает соединение, показанное в общей формуле II:
где заместители Q, Y и M имеют значение, определенное выше.
При определении соединения, представленного приведенной выше формулой и всеми следующими структурными формулами, используемые технические термины, независимо от того, используются ли они отдельно или в сложносоставном слове, представляют собой следующие заместители: алкил, имеющий более двух атомов углерода, может быть линейным или разветвленным. Например, алкил в сложносоставном слове "-алкил-(CO)OR11" может представлять собой -CH2-, -CH2CH2-, -CH(CH3)-, -C(CH3)2- и т.п. Алкил представляет собой, например, C1 алкил: метил; C2 алкил: этил; C3 алкил: пропил, такой как н-пропил или изопропил; C4 алкил: бутил, такой как н-бутил, изобутил, трет-бутил или 2-бутил; C5 алкил: пентил, такой как н-пентил; C6 алкил: гексил, такой как н-гексил, изогексил и 1,3-диметилбутил. Аналогично, алкенил представляет собой, например, винил, аллил, 1-метилпроп-2-ен-1-ил, 2-метилпроп-2-ен-1-ил, бут-2-ен-1-ил, бутил-3-ен-1-ил, 1-метилбут-3-ен-1-ил и 1-метилбут-2-ен-1-ил. Алкинил представляет собой, например, этинил, пропаргил, бут-2-ин-1-ил, бут-3-ин-1-ил, 1-метилбут-3-ин-1-ил. Многократная связь (связи) может быть в любом положении каждой ненасыщенной группы. Циклоалкил представляет собой карбоциклическую насыщенную кольцевую систему, содержащую, например, от трех до шести атомов углерода, такую как циклопропил, циклобутил, циклопентил или циклогексил. Аналогично, циклоалкенил представляет собой моноциклоалкенил, имеющий, например, от трех до шести атомов углерода в кольце, такой как циклопропенил, циклобутенил, циклопентенил и циклогексенил, где двойная связь может находиться в любом положении. Галоген представляет собой фтор, хлор, бром или йод.
Если не указано иное, "арил" в настоящем изобретении включает, но не ограничивается этим, фенил, нафтил,
или
; "гетероциклил" включает, но не ограничивается этим, не только насыщенную или ненасыщенную неароматическую циклическую группу,
или
и т.д., но также включает, но не ограничивается этим, "гетероарил", который представляет собой ароматическую циклическую группу, имеющую, например, от 3 до 6 атомов в кольце и необязательно конденсированную с бензокольцом, и от 1 до 4 (например, 1, 2, 3 или 4) гетероатомов кольца выбраны из группы, состоящей из кислорода, азота и серы. Например, 


Если группа замещена какой-либо группой, это следует понимать как означающее, что группа замещена одной или несколькими группами, которые являются одинаковыми или разными группами, выбранными из указанных групп. Кроме того, одинаковые или разные характеры замещения, содержащиеся в одних и тех же или разных заместителях, выбраны независимо и могут быть одинаковыми или разными. Это также применимо к кольцевым системам, образованным различными атомами и звеньями. Между тем, объем формулы изобретения исключает соединения, химически нестабильные в стандартных условиях, известных специалистам в данной области.
Кроме того, если не указано иное, "замещенный по меньшей мере одной группой" в настоящем изобретении означает замещенный, например, 1, 2, 3, 4 или 5 группами; группа (включая гетероциклил, арил и т.д.) без указания положения связывания может быть присоединена в любом положении, включая C- или N- положение; если он замещен, заместитель может быть замещен в любом положении, если это соответствует теории валентной связи. Например, если гетероарил
замещен одним метилом, он может представлять собой
и т.д.
В зависимости от свойств заместителей и способа их связывания соединение формулы I и его производные могут существовать в виде стереоизомера. Например, если соединение имеет один или несколько асимметричных атомов углерода, оно может иметь энантиомеры и диастереомеры. Стереоизомер можно получить из полученных смесей, когда при получении используют обычные методы разделения, например хроматографическое разделение. Стереоизомер также можно получить селективно с использованием стереоселективных реакций и с использованием оптически активных исходных веществ и/или вспомогательных веществ. Настоящее изобретение также относится ко всем стереоизомерам и их смесям, которые включены в общую формулу I, но конкретно не определены.
Способ получения замещенного тиазольного ароматического кольцевого соединения включает следующие стадии:
соединение, показанное в общей формуле, II и соединение, показанное в общей формуле III, подвергают реакции борилирования с получением соединения, показанного в общей формуле I, при этом уравнение химической реакции представлено следующим образом:
где Hal представляет собой галоген (предпочтительно бром), другие заместители Q, Y, X и M имеют значение, определенное выше.
Реакцию осуществляют в присутствии катализатора, основания и растворителя.
Катализатор представляет собой Pd(dppf)Cl2CH2Cl2, Pd(dba)2, Pd2(dba)3, Pd(PPh3)4, PdCl2, Pd(OAc)2, Pd(dppf)Cl2, Pd(PPh3)2Cl2 или Ni(dppf)Cl2.
Основание представляет собой одно или несколько, выбранных из группы, состоящей из K2CO3, K3PO4, Na2CO3, CsF, Cs2CO3, t-Bu-Na и NaOH.
Растворитель представляет собой DMSO, DMF, DMA, толуол, ацетонитрил, 1,4-диоксан, систему 1,4-диоксан/вода, толуол/этанол/вода или ацетонитрил/вода.
Когда по меньшей мере один из заместителей Q1, Q2 и Q3 в Q (
или
) представляет собой S, или по меньшей мере один из Q4 и Q5 представляет собой S, такое соединение также можно получить обычной реакцией замещения серой в присутствии реагента Лавессона (
) или пентасульфида фосфора с использованием соответствующего соединения, где Q представляет собой
или
, в качестве исходного вещества.
Гербицидная композиция, которая включает по меньшей мере одно из замещенных тиазольных ароматических кольцевых соединений в гербицидно эффективном количестве; предпочтительно, дополнительно включает вспомогательное вещество для формулирования композиции.
Способ борьбы с сорняками, который включает нанесение по меньшей мере одного из замещенных тиазольных ароматических кольцевых соединений или гербицидной композиции в гербицидно эффективном количестве на участок с растением или сорняком.
Применение по меньшей мере одного из замещенных тиазольных ароматических кольцевых соединений или гербицидной композиции для борьбы с сорняками; предпочтительно, замещенное тиазольное ароматическое кольцевое соединение используют для борьбы с сорняками в полезной культуре, полезной культурой является трансгенная культура или культура, обработанная методом редактирования генома.
Соединения формулы I по настоящему изобретению обладают выдающейся гербицидной активностью против широкого спектра важных с экономической точки зрения однодольных и двудольных вредных растений. Активные соединения также эффективно воздействуют на многолетние сорняки, которые образуют побеги из корневищ, корневых побегов или других многолетних органов и с которыми трудно бороться. В этом контексте, как правило, не имеет значения, наносят ли вещества до посева, до появления всходов или после появления всходов. В частности, можно привести примеры некоторых представителей флоры однодольных и двудольных сорняков, с которыми можно бороться при помощи соединений по изобретению, не ограничиваясь определенными видами. Примерами видов сорняков, на которые эффективно действуют активные соединения, являются, среди однодольных, Avena, Lolium, Alopecurus, Phalaris, Echinochloa, Digitaria, Setaria, а также виды Cyperus из однолетнего сектора и из многолетних видов Agropyron, Cynodon, Imperata и Sorghum, а также многолетние виды Cyperus.
В случае двудольных видов сорняков спектр действия распространяется на такие виды, как например, Galium, Viola, Veronica, Lamium, Stellaria, Amaranthus, Sinapis, Ipomoea, Sida, Matricaria и Abutilon из числа однолетних растений, и Convolvulus, Cirsium, Rumex и Artemisia в случае многолетних сорняков. Активные соединения по настоящему изобретению также эффективно борются с вредными растениями, которые встречаются в определенных условиях выращивания риса, такими как, например, Echinochloa, Sagittaria, Alisma, Eleocharis, Scirpus и Cyperus. Если соединения по настоящему изобретению наносят на поверхность почвы до прорастания, то это полностью предотвращает появление всходов сорняков, либо сорняки растут до тех пор, пока не достигнут стадии семядолей, но затем их рост прекращается, и в результате по прошествии трех-четырех недель они полностью погибают. В частности, соединения по настоящему изобретению проявляют превосходную активность против Apera spica venti, Chenopodium album, Lamium purpureum, Polygonum convulvulus, Stellaria media, Veronica hederifolia, Veronica persica, Viola tricolor и против видов Amaranthus, Galium и Kochia.
Хотя соединения по настоящему изобретению обладают превосходной гербицидной активностью против однодольных и двудольных сорняков, культурные растения хозяйственно важных культур, таких как, например, пшеница, ячмень, рожь, рис, кукуруза, сахарная свекла, хлопок и соя, не повреждаются совсем или только в незначительной степени. В частности, они имеют прекрасную совместимость со злаками, такими как пшеница, ячмень и кукуруза, особенно с пшеницей. По этим причинам соединения по настоящему изобретению очень подходят для селективного контроля нежелательного роста растений в насаждениях сельскохозяйственного назначения или в насаждениях декоративных растений.
Благодаря своим гербицидным свойствам эти активные соединения могут быть также использованы для борьбы с вредными растениями в посевах известных или еще находящихся в стадии разработки генетически модифицированных растений. Трансгенные растения обычно обладают особенно полезными свойствами, например, устойчивостью к некоторым пестицидам, в частности к некоторым гербицидам, устойчивостью к болезням растений или организмам-возбудителям болезней растений, таким как определенные насекомые или микроорганизмы, такие как грибы, бактерии или вирусы. Другие конкретные свойства относятся, например, к количеству, качеству, стабильности при хранении, композиции и конкретным ингредиентам собранного продукта. Таким образом, известны трансгенные растения, имеющие повышенное содержание крахмала или модифицированное качество крахмала, или растения, имеющие другой состав жирных кислот в собранном продукте.
Применение соединения формулы I по настоящему изобретению или их солей при возделывании хозяйственно важных трансгенных культур полезных и декоративных растений, например злаковых, таких как пшеница, ячмень, рожь, овес, просо, рис, маниок и кукуруза, или же в посевах сахарной свеклы, хлопка, сои, рапса, картофеля, помидоров, гороха и других видов овощных культур является предпочтительным. Соединения формулы I предпочтительно можно использовать в качестве гербицидов в посевах полезных растений, которые являются устойчивыми, или которым была придана устойчивость методами генной инженерии, к фитотоксическим эффектам гербицидов.
Обычные способы получения новых растений, которые обладают модифицированными свойствами по сравнению с известными растениями, включают, например, традиционные методы селекции и получения мутантов. Альтернативно, новые растения с модифицированными свойствами могут быть получены методами генной инженерии (см., например, EP-A0221044, EP-A0131624). Например, было описано несколько случаев, представляющих собой следующее:
- генно-инженерные изменения в сельскохозяйственных культурах для модификации крахмала, синтезируемого в растениях (например, WO 92/11376, WO 92/14827, WO 91/19806),
- трансгенные сельскохозяйственные растения, устойчивые к некоторым гербицидам глюфосинатного (см., например, EP-A0242236, EP-A0242246) или глифосатного типа (WO 92/00377), или сульфонилмочевинного типа (EP-A0257993, патент США № 5013659A),
- трансгенные сельскохозяйственные растения, например, хлопок, обладающие способностью продуцировать токсины Bacillus thuringiensis (Bt-токсины), которые придают растениям устойчивость к определенным вредителям (EP-A0142924, EP-A0193259),
- трансгенные сельскохозяйственные растения, имеющие модифицированный состав жирных кислот (WO 91/13972).
В принципе, известны многочисленные молекулярно-биологические методы, позволяющие получать новые трансгенные растения с модифицированными свойствами; см., например, Sambrook et al., 1989, Molecular Cloning, A Laboratory Manual, 2nd ed. Cold Spring Harbor Laboratory Press, Cold Spring Harbor, N.Y.; или Winnacker "Gene und Klone" [Genes and Clones], VCH Weinheim, 2nd edition 1996, or Christou, "Trends in Plant Science" 1 (1996) 423-431). Для осуществления таких генно-инженерных манипуляций можно вводить молекулы нуклеиновой кислоты в плазмиды, которые позволяют осуществить мутагенез или изменение последовательности путем рекомбинации последовательностей ДНК. Используя вышеуказанные стандартные способы, можно, например, заменять основания, удалять частичные последовательности или добавлять природные или синтетические последовательности. Чтобы связать фрагменты ДНК друг с другом, к фрагментам можно присоединить адаптеры или линкеры.
Клетки растений со сниженной активностью генного продукта могут быть получены, например, путем экспрессии по меньшей мере одной подходящей антисмысловой РНК, смысловой РНК для достижения эффекта косупрессии или путем экспрессии по меньшей мере одного соответствующим образом сконструированного рибозима, который специфически расщепляет транскрипты вышеуказанного генного продукта.
С этой целью можно использовать как молекулы ДНК, которые включают всю кодирующую последовательность генного продукта, включая любые фланкирующие последовательности, которые могут присутствовать, так и молекулы ДНК, которые включают только части кодирующей последовательности, при этом необходимо, чтобы эти части были достаточно длинными, чтобы вызвать антисмысловой эффект в клетках. Также можно использовать последовательности ДНК, которые имеют высокую степень гомологии с кодирующими последовательностями генного продукта, но не являются полностью идентичными.
При экспрессии молекул нуклеиновых кислот в растениях синтезированный белок может быть локализован в любом желаемом компартменте клеток растений. Однако для достижения локализации в определенном компартменте можно, например, связать кодирующую область с последовательностями ДНК, обеспечивающими локализацию в определенном компартменте. Такие последовательности известны специалистам в данной области (см., например, Braun et al., EMBO J. 11 (1992), 3219-3227; Wolter et al., Proc. Natl. Acad. Sci. USA 85 (1988), 846-850; Sonnewald et al., Plant J. 1 (1991), 95-106).
Клетки трансгенных растений могут быть регенерированы в целые растения с использованием известных способов. Трансгенные растения, в принципе, могут быть растениями любого желаемого вида растений, т.е. как однодольными, так и двудольными растениями. Таким образом, можно получить трансгенные растения, свойства которых модифицированы путем сверхэкспрессии, подавления или ингибирования гомологичных (=природных) генов или последовательностей генов или путем экспрессии гетерологичных (=чужеродных) генов или последовательностей генов.
При использовании активных соединений по настоящему изобретению в трансгенных культурах помимо действия на вредные растения, которое можно наблюдать в других культурах, часто проявляются эффекты, специфичные для применения в соответствующей трансгенной культуре, например модифицированный или специфически расширенный спектр сорняков, с которыми можно бороться, модифицированные нормы внесения, которые можно использовать, предпочтительно хорошая сочетаемость с гербицидами, к которым устойчивы трансгенные культуры, и эффект на рост и урожайность трансгенных сельскохозяйственных растений. Таким образом, настоящее изобретение также обеспечивает применение соединений по настоящему изобретению в качестве гербицидов для борьбы с вредными растениями в трансгенных сельскохозяйственных растениях.
Кроме того, вещества в соответствии с настоящим изобретением обладают выдающимися свойствами регулирования роста в сельскохозяйственных растениях. Они участвуют в метаболизме растений регулирующим образом, и это можно использовать для целенаправленного контроля компонентов растений и облегчения сбора урожая, например, вызывая высыхание и задержку роста. Кроме того, они также подходят для общего регулирования и ингибирования нежелательного вегетативного роста, не разрушая при этом растения. Ингибирование вегетативного роста играет важную роль во многих однодольных и двудольных культурах, поскольку таким образом можно уменьшить или полностью предотвратить полегание.
Соединения по настоящему изобретению можно применять в обычных составах в форме смачивающихся порошков, эмульгируемых концентратов, распыляемых растворов, дустов или гранул. Таким образом, изобретение также обеспечивает гербицидные композиции, включающие соединения формулы I. Соединения формулы I можно формулировать различными способами в зависимости от преобладающих биологических и/или химико-физических параметров. Примеры подходящих вариантов композиций включают: смачивающиеся порошки (WP), водорастворимые порошки (SP), водорастворимые концентраты, эмульгируемые концентраты (EC), эмульсии (EW), такие как эмульсии масло-в-воде и вода-в-масле, распыляемые растворы, концентраты суспензий (SC), масляные дисперсии (OD), дисперсии на масляной или водной основе, маслосмешиваемые растворы, дусты (DP), капсульные суспензии (CS), композиции для протравливания семян, гранулы для разбрасывания и внесения в почву, гранулы (GR) в виде микрогранул, гранулы для распыления, гранулы для покрытия и гранулы для адсорбции, вододиспергируемые гранулы (WG), водорастворимые гранулы (SG), ULV композиции (жидкие пестициды), микрокапсулы и воски. Эти отдельные типы композиций в принципе известны и описаны, например, в Winnacker-Küchler, "Chemische Technologie" [Chemical Technology], Volume 7, C. Hauser Verlag Munich, 4th Edition 1986; Wade van Valkenburg, "Pesticide Formulations", Marcel Dekker, N.Y., 1973; K. Martens, "Spray Drying" Handbook, 3rd Ed. 1979, G. Goodwin Ltd. London.
Необходимые вспомогательные вещества для формулирования композиций, такие как инертные вещества, поверхностно-активные вещества, растворители и другие добавки, также известны и описаны, например, в Watkins, "Handbook of Insecticide Dust Diluents and Carriers", 2nd Ed., Darland Books, Caldwell N.J., H. v. Olphen, "Introduction to Clay Colloid Chemistry"; 2nd Ed., J. Wiley & Sons, N.Y.; C. Marsden, "Solvents Guide"; 2nd Ed., Interscience, N.Y. 1963; McCutcheon's "Detergents and Emulsifiers Annual", MC Publ. Corp., Ridgewood N.J.; Sisley and Wood, "Encyclopedia of Surface Active Agents", Chem. Publ. Co. Inc., N.Y. 1964; Schönfeldt, "Grenzflüchenaktive Äthylenoxidaddkte" [Surface-active ethylene oxide adducts], Wiss. Verlagagesell. Stuttgart 1976; Winnacker-Küchler, "Chemische Technologie" [Chemical Technology], Volume 7, C. Hauser Verlag Munich, 4th Edition 1986.
Смачивающиеся порошки представляют собой препараты, которые равномерно диспергируются в воде и содержат помимо активного вещества, а также разбавителя или инертного вещества, поверхностно-активные вещества ионогенного и/или неионогенного типа (смачивающие агенты, диспергаторы), например, полиэтоксилированные алкилфенолы, полиэтоксилированные жирные спирты, полиэтоксилированные жирные амины, сульфаты полигликолевых эфиров жирных спиртов, алкансульфонаты, алкилбензолсульфонаты, лигнинсульфонат натрия, 2,2'-динафтилметан-6,6'-дисульфонат натрия, дибутилнафталинсульфонат натрия или также олеоилметилтауринат натрия. Для получения смачивающихся порошков гербицидно активные соединения тонко измельчают, например, в обычных устройствах, таких как молотковые мельницы, вентиляторные мельницы и воздушно-струйные мельницы, и смешивают одновременно или последовательно с вспомогательными веществами для формулирования композиции.
Эмульгируемые концентраты получают растворением активного соединения в органическом растворителе, например, бутаноле, циклогексаноне, диметилформамиде, ксилоле, или относительно высококипящих ароматических соединениях или углеводородах, или смесях растворителей, с добавлением одного или нескольких поверхностно-активных веществ ионогенного и /или неионогенного типа (эмульгаторы). Примерами эмульгаторов, которые можно использовать, являются алкиларилсульфонаты кальция, такие как додецилбензолсульфонат Са, или неионогенные эмульгаторы, такие как полигликолевые эфиры жирных кислот, алкиларилполигликолевые эфиры, полигликолевые эфиры жирных спиртов, продукты конденсации пропиленоксида-этиленоксида, алкилполиэфиры, сложные эфиры сорбитана, например сложные эфиры сорбитана и жирной кислоты или сложные эфиры полиоксиэтиленсорбитана, например сложные эфиры полиоксиэтиленсорбитана и жирных кислот.
Дусты получают путем перемалывания активного соединения с тонкоизмельченными твердыми веществами, например, тальком, природными глинами, такими как каолин, бентонит и пирофиллит, или диатомовой землей. Концентраты суспензий могут быть на водной или масляной основе. Их можно получить, например, путем мокрого помола с использованием обычных шаровых мельниц с добавлением или без добавления поверхностно-активных веществ, как уже указывалось выше, например, в случае других типов композиций.
Эмульсии, например, эмульсии масло-в-воде (EW), можно получить, например, с использованием мешалок, коллоидных мельниц и/или статических смесителей с использованием водных органических растворителей и, при желании, поверхностно-активных веществ, как уже указывалось выше, например, в случае других типов композиций.
Гранулы можно получить либо распылением активного соединения на адсорбирующий, гранулированный инертный материал, либо нанесением концентратов активного соединения на поверхность носителей, таких как песок, каолиниты или гранулированный инертный материал, с использованием адгезивных связующих, например, поливинилового спирта, полиакрилата натрия или минеральных масел. Подходящие активные соединения также можно гранулировать способом, обычным для получения гранул удобрений, при необходимости в виде смеси с удобрениями. Диспергируемые в воде гранулы обычно получают стандартными способами, такими как распылительная сушка, грануляция в псевдоожиженном слое, дисковая грануляция, перемешивание с использованием высокоскоростных смесителей и экструзия без твердого инертного материала.
Для получения гранул с использованием дискового гранулятора, псевдоожиженного слоя, экструдера и распыления см., например, способы, описанные в "Spray-Drying Handbook" 3rd ed. 1979, G. Goodwin Ltd., London; J. E. Browning, "Agglomeration", Chemical and Engineering 1967, pages 147 ff.; "Perry's Chemical Engineer's Handbook", 5th Ed., McGraw-Hill, New York 1973, pp. 8-57. Дополнительную информацию, касающуюся композиций продуктов для защиты сельскохозяйственных культур, см., например, в G. C. Klingman, "Weed Control as a Science", John Wiley and Sons Inc., New York, 1961, pages 81-96 and J. D. Freyer, S. A. Evans, "Weed Control Handbook", 5th Ed., Blackwell Scientific Publications, Oxford, 1968, pages 101-103.
Агрохимические композиции обычно содержат от 0,1 до 99% масс., в частности от 0,1 до 95% масс. активного соединения формулы I. В смачивающихся порошках концентрация активного соединения составляет, например, от около 10 до 99% по массе, остальное до 100% по массе составляют обычные компоненты композиции. В эмульгируемых концентратах концентрация активного соединения может составлять от около 1 до 90%, предпочтительно от 5 до 80%, по массе. Композиции в форме дустов содержат от 1 до 30% по массе активного соединения, более типично предпочтительно от 5 до 20% по массе активного соединения, в то время как распыляемые растворы содержат от около 0,05 до 80%, предпочтительно от 2 до 50% по массе активного соединения. В случае вододиспергируемых гранул содержание активного соединения частично зависит от того, находится ли активное соединение в жидкой или твердой форме, а также от используемых вспомогательных веществ для грануляции, наполнителей и т.д. В вододиспергируемых гранулах содержание активного соединения составляет, например, от 1 до 95% по массе, предпочтительно от 10 до 80% по массе.
Кроме того, композиции активного соединения могут включать вещества для повышения клейкости, смачивающие агенты, диспергаторы, эмульгаторы, пенетранты, консерванты, антифризы, растворители, наполнители, носители, красители, пеногасители, ингибиторы испарения и регуляторы рН и вязкости, которые являются обычными в каждом конкретном случае.
На основе этих композиций также можно получать комбинации с другими пестицидно-активными веществами, например, инсектицидами, акарицидами, гербицидами и фунгицидами, а также с антидотами, удобрениями и/или регуляторами роста, например, в виде готовой смеси или баковой смеси.
Подходящими активными соединениями, которые можно объединить с активными соединениями по настоящему изобретению в смешанных композициях или в баковой смеси, являются, например, известные активные соединения, описанные, например, в World Herbicide New Product Technology Handbook, China Agricultural Science and Farming Techniques Press, 2010.9 и в цитируемой в этом справочнике литературе. Например, следующие активные соединения могут быть указанны как гербициды, которые можно комбинировать с соединениями формулы I (примечание: соединения указаны либо под "общепринятым названием" в соответствии с Международной организацией по стандартизации (ISO), либо под химическими названиями, при необходимости вместе с обычным кодовым номером): ацетохлор, бутахлор, алахлор, пропизохлор, метолахлор, s-метолахлор, претилахлор, пропахлор, этахлор, напропамид, R- левовращающийся напропамид, пропанил, мефенацет, дифенамид, дифлуфеникан, этапрохлор, бефлубутамид, бромбутид, диметенамид, диметенамид-P, этобензанид, флуфенацет, тенилхлор, метазахлор, изоксабен, флампроп-М-метил, флампроп-М-пропил, аллидохлор, петоксамид, хлоранокрил, ципразин, мефлюидид, моналид, делахлор, принахлор, тербухлор, ксилахлор, диметахлор, цизанилид, тримексахлор, кломепроп, пропизамид, пентанохлор, карбетамид, бензоилпроп-этил, ципразол, бутенахлор, тебутам, бензипрам, могртон, дихлофлюанид, напроанилид, диэтатил-этил, напталам, флуфенацет, EL-177, бензадокс, хлортиамид, хлорофталимид, изокарбамид, пиколинафен, атразин, симазин, прометрин, цианатрин, симетрин, аметрин, пропазин, дипропетрин, SSH-108, тербутрин, тербутилазин, триазифлам, ципразин, проглиназин, триэтазин, прометон, симетон, азипротрин, десметрин, диметаметрин, проциазин, мезопразин, себутилазин, секбуметон, тербуметон, метопротрин, цианатрин, ипазин, хлоразин, атратон, пендиметалин, эглиназин, циануровая кислота, индазифлам, хлорсульфурон, метсульфурон-метил, бенсульфурон-метил, хлоримурон-этил, трибенурон-метил, тифенсульфурон-метил, пиразосульфурон-этил, мезосульфурон, йодосульфурон-метил-натрий, форамсульфурон, циносульфурон, триасульфурон, сульфометурон метил, никосульфурон, этаметсульфурон-метил, амидосульфурон, этоксисульфурон, циклосульфамурон, римсульфурон, азимсульфурон, флазасульфурон, моносульфурон, моносульфурон-эфир, флукарбазон-натрий, флупирсульфурон-метил, галосульфурон-метил, оксасульфурон, имазосульфурон, примисульфурон, пропоксикарбазон, просульфурон, сульфосульфурон, трифлоксисульфурон, трифлусульфурон-метил, тритосульфурон, натрий метсульфурон метил, флуцетосульфурон, HNPC-C, ортосульфамурон, пропилисульфурон, метазосульфурон, ацифлуорфен, фомесафен, лактофен, флюорогликофен, оксифлуорфен, хлорнитрофен, аклонифен, этоксифен-этил, бифенокс, нитрофлуорфен, хлометоксифен, фтордифен, фторнитрофен, фурилоксифен, нитрофен, TOPE, DMNP, PPG1013, AKH-7088, галосафен, хлортолурон, изопротурон, линурон, диурон, димрон, флуометурон, бензтиазурон, метабензтиазурон, кумилурон, этидимурон, изоурон, тебутиурон, бутурон, хлорбромурон, метилдимрон, фенобензурон, SK-85, метобромурон, метоксурон, афезин, монурон, сидурон, фенурон, флуотиурон, небурон, хлороксурон, норурон, изонорурон, 3-циклооктил-1, тиазфлурон, тебутиурон, дифеноксурон, парафлурон, метиламин трибунил, карбутилат, триметурон, димефурон, монисоурон, анисурон, метиурон, хлоретурон, тетрафлурон, фенмедифам, фенмедифам-этил, десмедифам, асулам, тербукарб, барбан, профам, хлорпрофам, роумат, свип, хлорбуфам, карбоксазол, хлорпрокарб, фенасулам, BCPC, CPPC, карбасулам, бутилат, бентиокарб, вернолат, молинат, триаллат, димепиперат, эпрокарб, пирибутикарб, циклоат, авадекс, EPTC, этиолат, орбенкарб, пебулат, просульфокарб, тиокарбазил, CDEC, димексано, изополинат, метиобенкарб, 2,4-D бутиловый эфир, MCPA-Na, 2,4-D изооктиловый эфир, MCPA изооктиловый эфир, 2,4-D натриевая соль, 2,4-D диметилaминовая соль, MCPA-тиоэтил, MCPA, 2,4-D пропионовая кислота, соль 2,4-D пропионовой кислоты высшего порядка, 2,4-D масляная кислота, MCPA пропионовая кислота, соль MCPA пропионовой кислоты, MCPA масляная кислота, 2,4,5-D, 2,4,5-D пропионовая кислота, 2,4,5-D масляная кислота, MCPA аминная соль, дикамба, эрбон, хлорфенак, saison, TBA, хлорамбен, метокси-TBA, диклофоп-метил, флуазифоп-бутил, флуазифоп-п-бутил, галоксифоп-метил, галоксифоп-P, квизалофоп-этил, квизалофоп-п-этил, феноксапроп-этил, феноксапроп-п-этил, пропаквизафоп, цигалофоп-бутил, метамифоп, клодинафоп-пропаргил, фентиапроп-этил, хлоразифоп-пропинил, поппенат-метил, трифопсим, изоксапирифоп, паракват, дикват, оризалин, эталфлуралин, изопропалин, нитралин, профлуралин, продинамин, бенфлуралин, флухлоралин, динитрамина, дипропалин, хлорнидин, металпропалин, динопроп, глифосат, анилофос, глюфосинат аммония, амипрофос-метил, сульфосат, пиперофос, биалафос-натрий, бенсулид, бутамифос, фокарб, 2,4-DEP, H-9201, зитрон, имазапир, имазетапир, имазахин, имазамокс, имазамокс аммониевая соль, имазапик, имазаметабенз-метил, флуроксипир, изооктиловый эфир флуроксипира, клопиралид, пиклорам, трихлопир, дитиопир, галоксидин, 3,5,6-трихлор-2-пиридинол, тиазопир, флуридон, аминопиралид, дифлуфензопир, триклопир-бутил, клиодинат, сетоксидим, клетодим, циклоксидим, алоксидим, клефоксидим, бутрооксидим, тралкоксидим, тепралоксидим, бутидазол, метрибузин, гексазинон, метамитрон, этиозин, аметридион, амибузин, бромоксинил, бромоксинил октаноат, иоксинил октаноат, иоксинил, дихлобенил, дифенатрил, пираклонил, хлороксинил, йодобонил, флуметсулам, флорасулам, пеноксулам, метосулам, клорансулам-метил, диклосулам, пироксулам, бенфуресат, биспирибак-натрий, пирибензоксим, пирифталид, пириминобак-метил, пиритиобак-натрий, бензобицилон, мезотрион, сулкотрион, темботрион, тефурилтрион, бициклопирон, кетодпирадокс, изоксафлутол, кломазон, феноксасульфон, метиозолин, флуазолат, пирафлуфен-этил, пиразолинат, дифензокват, пиразоксифен, бензофенап, нипираклофен, пирасульфотол, топрамезон, пироксасульфон, кафенстрол, флупоксам, аминотриазол, амикарбазон, азафенидин, карфентразон-этил, сульфентразон, бенкарбазон, бензфендизон, бутафенацил, бромацил, изоцил, ленацил, тербацил, флупропацил, цинидон-этил, флумиклорак-пентил, флумиоксазин, пропизамид, MK-129, флумезин, пентахлорфенол, диносеб, динотерб, динотерб ацетат, диносам, DNOC, хлорнитрофен, мединотерб ацетат, динофенат, оксадиаргил, оксадиазон, пентоксазон, флуфенацет, флутиацет-метил, фентразамид, флуфенпир-этил, пиразон, бромпиразон, метфлуразон, кусакира, димидазон, оксапиразон, норфлуразон, пиридафол, квинклорак, квинмерак, бентазон, пиридат, оксазикломефон, беназолин, кломазон, цинметилин, ZJ0702, пирибамбензпропил, инданофан, хлорат натрия, далапон, трихлоруксусная кислота, монохлоруксусная кислота, гексахлорацетон, флупропанат, циперкват, бромфеноксим, эпроназ, метазол, флуртамон, бенфуресат, этофумезат, тиоклорим, хлортал, фторхлоридон, таврон, акролеин, бентранил, тридифан, хлорфенпропметил, тидиаризонамин, фенизофам, бузоксинон, метоксифенон, сафлуфенацил, клацифос, хлоропон, алорак, диэтамкват, этнипромид, ипримидам, ипфенкарбазон, тиенкарбазон-метил, пиримисульфан, хлорфлуразол, трипропиндан, сульгликапин, просульфалин, камбендихлор, аминоциклопирахлор, родетанил, беноксакор, фенклорим, флуразол, фенхлоразол-этил, клоквинтоцет-мексил, оксабетринил, MG/91, циометринил, DKA-24, мефенпир-диэтил, фурилазол, флуксофеним, изоксадифен-этил, дихлормид, галауксифен-метил, DOW флорпирауксифен, UBH-509, D489, LS 82-556, KPP-300, NC-324, NC-330, KH-218, DPX-N8189, SC-0744, DOWCO535, DK-8910, V-53482, PP-600, MBH-001, KIH-9201, ET-751, KIH-6127 и KIH-2023.
Для применения композиции, которые присутствуют в коммерчески доступной форме, при необходимости разбавляют обычным образом, например, водой в случае смачивающихся порошков, эмульгируемых концентратов, дисперсий и вододиспергируемых гранул. Продукты в виде дуста, гранул для внесения в почву или разбрызгивания и растворов для опрыскивания обычно не разбавляют перед применением другими инертными веществами. Требуемая норма внесения соединений формулы I варьируется в зависимости от внешних условий, таких как температура, влажность, природа используемого гербицида и т.п. Она может варьироваться в широких пределах, например, от 0,001 до 1,0 кг а.и./га или более активного вещества, но предпочтительно составляет от 0,005 до 750 г а.и./га, особенно от 0,005 до 250 г а.и./га.
Конкретный способ осуществления изобретения
Следующие варианты осуществления используются для подробной иллюстрации настоящего изобретения и не должны восприниматься как какое-либо ограничение настоящего изобретения. Объем изобретения поясняется формулой изобретения.
С точки зрения экономичности и разнообразия соединений авторы изобретения предпочтительно синтезировали несколько соединений, часть из которых указана в следующей Таблице 1. Структура и информация, относящиеся к конкретному соединению, показаны в Таблице 1. Соединения в Таблице 1 перечислены для дальнейшего пояснения настоящего изобретения, а не для его ограничения. Специалистам в данной области не следует интерпретировать предмет настоящего изобретения как ограничивающийся следующими соединениями.
Структуры и 1H ЯМР данные соединений
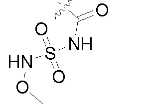
Кроме того, настоящее изобретение также относится к указанным ниже соединениям другой общей формулы, где каждый заместитель имеет значения, указанные в Таблице 1, и соответствующие соединения пронумерованы от 2-1 до 2-301, от 3-1 до 3-301, и т.д. Например, соединение 2-1 представляет собой Q (
), X (
), Y (Cl), M (CH).
1H ЯМР данные некоторых соединений
Способ получения соединения по настоящему изобретению подробно объясняется в следующей программе и варианте осуществления. Вещество является коммерчески доступным или получено известным способом, описанным в литературе или показанным как путь синтеза. Специалистам в данной области должно быть понятно, что соединение по настоящему изобретению также можно синтезировать другим путем синтеза. Хотя подробное описание веществ и условий реакции в пути синтеза описано ниже, их легко заменить другими подобными веществами и условиями. Изомер соединения, полученный, например, при изменении способа получения по настоящему изобретению, входит в объем настоящего изобретения. Кроме того, следующий способ получения может быть дополнительно модифицирован в соответствии с раскрытием настоящего изобретения путем использования обычного химического способа, известного специалистам в данной области, например, защиты подходящей группы в процессе реакции и т.д.
Можно использовать следующий способ применения для лучшего понимания способа получения по настоящему изобретению. Конкретное вещество, класс и условия определены для лучшего объяснения настоящего изобретения, а не для какого-либо ограничения его справедливого объема. Реагенты для следующего синтетического соединения, показанные в таблице, могут быть либо приобретены на рынке, либо легко получены специалистами в данной области.
Ниже приведены примеры репрезентативных соединений, способы синтеза других соединений являются аналогичными и подробно здесь не описаны.
1. Синтез Соединения 1-2
(1) Соединение 2-1 (20 г, 105,3 ммоль), NCS (14,05 г, 105,3 ммоль) и безводный ацетонитрил (200 мл) помещали в круглодонную колбу. Смесь нагревали до 35°C и перемешивали в течение 16 часов. После того как исходное вещество полностью прореагировало, по данным ВЭЖХ-МС, реакционный раствор концентрировали для удаления ацетонитрила. Неочищенный продукт экстрагировали водой (200 мл) и этилацетатом (200 мл ×2) и органическую фазу промывали один раз насыщенным солевым раствором (200 мл), сушили и концентрировали с получением неочищенного соединения 2-2 (24 г, использовали непосредственно на следующей стадии без очистки) в виде коричневого маслянистого вещества.
(2) Соединение 2-2 (24 г, 106,9 ммоль), соединение a (47,6 г, 160,4 ммоль) и безводный дихлорметан (200 мл) помещали в круглодонную колбу. Смесь охлаждали до 0°C и медленно по каплям добавляли триэтиламин (16,23 г, 160,4 ммоль) при температуре не выше 10°C в ходе процесса и затем перемешивали при 0-10°C в течение 20 минут. После того как исходное вещество полностью прореагировало, по данным ВЭЖХ-МС, продукт сразу использовали на следующей стадии без обработки, учитывая нестабильность Соединения 2-3.
(3) Безводный этанол (240 мл, 10об.) добавляли по каплям в указанный выше реакционный раствор Соединения 2-3 при температуре 0-10°C. Смесь перемешивали в течение 1 часа при комнатной температуре, основной пик, полученный с использованием ВЭЖХ-МС, принадлежал продукту. Реакционный раствор концентрировали и неочищенный продукт экстрагировали водой (200 мл) и дихлорметаном (200 мл ×2). Органическую фазу сушили и концентрировали, очищали колоночной хроматографией с получением соединения 2-4 (20 г, 67,4 ммоль, выход 74%) в виде желтого твердого вещества.
(4) Соединение 2-4 (20 г, 67,4 ммоль), соединение b (13,1 г, 70,8 ммоль), карбонат цезия (43,95 г, 134,9 ммоль) и N,N-диметилацетамид (200 мл) помещали в круглодонную колбу. Смесь нагревали до 130°C и перемешивали в течение 16 часов, исходное вещество полностью прореагировало по данным ВЭЖХ-МС. Реакционный раствор охлаждали до комнатной температуры и затем экстрагировали этилацетатом (200 мл ×2) и водой. Органическую фазу сушили и концентрировали, очищали колоночной хроматографией с получением соединения 2-5 (15 г, выход 57%) в виде желтого твердого вещества.
(5) Соединение 2-5 (15 г, 38,7 ммоль), карбонат калия (10,7 г, 77,4 ммоль) и ацетонитрил (150 мл) помещали в круглодонную колбу. По каплям добавляли йодметан (16,5 г, 116,1 ммоль) при комнатной температуре. Смесь нагревали до 80°C и перемешивали в течение 1 часа, исходное вещество полностью прореагировало по данным ВЭЖХ-МС. Реакционный раствор концентрировали для удаления ацетонитрила. Неочищенный продукт экстрагировали этилацетатом (200 мл ×2) и водой и органическую фазу сушили и концентрировали, затем очищали колоночной хроматографией с получением соединения 2-6 (15 г, выход 96%) в виде желтого твердого вещества.
(6) Соединение 2-6 (15 г, 37,6 ммоль), ацетат калия (11 г, 112 ммоль), соединение c (19,0 г, 74,7 ммоль) и диоксан (150 мл) помещали в круглодонную колбу. Воздух из реакционной колбы выпускали под защитой азота и затем осуществляли замещение азотом три раза. В смесь добавляли каталитическое количество Pd(dppf)Cl2 (150 мг) под защитой азота, затем осуществляли замещение атмосферы азотом три раза и затем нагревали до 100°C, подвергали взаимодействию в течение 16 часов, исходное вещество полностью прореагировало по данным ВЭЖХ-МС. Реакционный раствор концентрировали и затем очищали колоночной хроматографией с получением соединения 2-7 (13 г, выход 77%) в виде белого твердого вещества.
(7) Соединение 2-7 (1 г, 2,23 ммоль), безводный карбонат калия (616 мг, 4,46 ммоль), соединение d (631 мг, 2,67 ммоль) и диоксан (30 мл) помещали в круглодонную колбу. Воздух из реакционной колбы выпускали под защитой азота и затем осуществляли замещение азотом три раза. В смесь добавляли каталитическое количество Pd(dppf)Cl2 (30 мг) под защитой азота, затем осуществляли замещение атмосферы азотом три раза и затем нагревали до 65°C и подвергали взаимодействию в течение 10 часов, пока исходное вещество полностью не прореагировало по данным ВЭЖХ-МС. Реакционный раствор концентрировали, и затем очищали колоночной хроматографией с получением соединения 1-2 (500 мг, 0,3347 ммоль, чистота 95%, выход 47%) в виде белого твердого вещества.
2. Синтез Соединения 1-103
Соединение 2 (200 мг, 0,42 ммоль), соединение e (186,3 мг, 0,46 ммоль) и бикарбонат натрия (141 мг, 1,68 ммоль) помещали в 100-мл круглодонную одногорлую колбу. Добавляли толуол и хорошо перемешивали, затем подвергали кипячению с обратным холодильником при 110°C в течение 12 часов. После того как исходное вещество почти прореагировало, по данным ВЭЖХ-МС, реакционный раствор концентрировали и неочищенный продукт очищали колоночной хроматографией с получением соединения 1-103 (100 мг, 0,20 ммоль, чистота 91%, выход 48,4%) в виде желтого твердого вещества.
3. Синтез Соединения 1-113
(1) Соединение 2-2 (5 г, 22,3 ммоль) и соединение 113-1 (3,84 г, 24,5 ммоль) помещали в 100-мл круглодонную одногорлую колбу. Добавляли толуол (50 мл) и хорошо перемешивали, затем подвергали кипячению с обратным холодильником при 110°C в течение 1 часа. После того как исходное вещество почти прореагировало по данным ВЭЖХ-МС, реакционный раствор концентрировали и неочищенный продукт очищали колоночной хроматографией с получением соединения 113-2 (6 г, выход 78%) в виде белого твердого вещества.
(2) Соединение 113-3 (5,86 г, 26,1 ммоль), ацетат натрия (714 мг, 8,71 ммоль) и N,N-диметилформамид (20 мл) помещали в 100-мл круглодонную одногорлую колбу. Смесь нагревали до 60°C, добавляли соединение 113-2 (6 г, 17,4 ммоль) при 60°C и перемешивали при 60°C в течение 1 часа. После того как исходное вещество полностью прореагировало, по данным ВЭЖХ-МС, к реакционному раствору добавляли воду (100 мл), затем экстрагировали этилацетатом (100 мл ×2). Органическую фазу промывали насыщенным солевым раствором (100 мл ×1) и затем концентрировали. Неочищенный продукт выделяли колоночной хроматографией с получением соединения 113-4 (5 г, выход 75%) в виде желтого твердого вещества.
(3) Соединение 113-4 (5 г, 13,14 ммоль), ацетат калия (3,87 г, 39,4 ммоль), соединение c (6,67 г, 26,27 ммоль) и диоксан (50 мл) помещали в круглодонную колбу. Воздух выпускали из реакционной колбы путем замещения азотом три раза под защитой азота. В смесь добавляли каталитическое количество Pd(dppf)Cl2 (50 мг) под защитой азота, затем осуществляли замещение атмосферы азотом три раза, нагревали до 100°C и подвергали взаимодействию в течение 16 часов. После того как исходное вещество полностью прореагировало, по данным ВЭЖХ-МС, реакционный раствор концентрировали, затем очищали колоночной хроматографией с получением соединения 113-5 (4 г, выход 71%) в виде желтого твердого вещества.
(4) Соединение 113-5 (0,3 г, 0,7 ммоль), безводный карбонат калия (194 мг, 1,4 ммоль), соединение d (199 мг, 0,84 ммоль) и диоксан (20 мл) помещали в круглодонную колбу. Воздух выпускали из реакционной колбы путем замещения азотом три раза под защитой азота. В смесь добавляли каталитическое количество Pd(dppf)Cl2 (30 мг) под защитой азота, затем осуществляли замещение атмосферы азотом три раза, нагревали до 65°C и подвергали взаимодействию в течение 10 часов. После того как исходное вещество полностью прореагировало, по данным ВЭЖХ-МС, реакционный раствор концентрировали и затем очищали колоночной хроматографией с получением соединения 1-113 (56 г, чистота 90%, выход 17%) в виде белого твердого вещества.
Оценка биологической активности:
Критерии определения уровня активности для повреждения растений (т.е. процент подавления роста) следующие:
Уровень 5: процент подавления роста выше 85%;
Уровень 4: процент подавления роста больше или равен 60% и меньше 85%;
Уровень 3: процент подавления роста больше или равен 40% и меньше 60%;
Уровень 2: процент подавления роста больше или равен 20% и меньше 40%;
Уровень 1: процент подавления роста больше или равен 5% и меньше 20%;
Уровень 0: процент подавления роста меньше 5%.
Вышеуказанные проценты подавления роста указаны в расчете на сырую массу.
Эксперимент по определению эффекта на сорняки в послевсходовой стадии:
Семена однодольных и двудольных сорняков (Descurainia sophia, Capsella bursa-pastoris, Abutilon theophrasti, Galium aparine, Stellaria media, Lithospermum arvense, rorippa indica, Alopecurus aequalis, Alopecurus japonicus, Beckmannia syzigachne, Sclerochloa dura, Conyza Canadensis, Phleum paniculatum, Veronica didyma Tenore, Eleusine indica, Bromus japonicus, Aegilops tauschii, Phalaris arundinacea, Amaranthus retroflexus, Chenopodium album, Commelina communis, Sonchus arvensis, Convolvulus arvensis, Cirsium setosum, Solanum nigrum, Acalypha australis, Digitaria sanguinalis, Echinochloa crusgalli, Setaria viridis, Setaria glauca, Leptochloa chinensis, Monochoria vaginalis, Sagittaria trifolia, Scirpus juncoides, Cyperus rotundus, Cyperus iria, Cyperus difformis, Fimbristylis, Portulaca oleracea, Xanthium sibiricum, Pharbitis nil) и семена основных сельскохозяйственных культур (пшеница, кукуруза, рис, соя, хлопчатник, рапс, просо, сорго, картофель, кунжут, клещевина) помещали в пластиковые горшки, заполненные почвой, затем засыпали сверху 0,5-2 см почвы, оставляли расти в хороших тепличных условиях. Через 2 недели после посева испытываемые растения обрабатывали в фазе 2-3 листьев. Испытываемые соединения по настоящему изобретению соответственно растворяли в ацетоне, затем добавляли Tween 80 и 1,5 л/га эмульгируемого концентрата метилолеата в качестве синергиста, разбавляли определенным количеством воды до получения раствора с определенной концентрацией и опрыскивали при помощи оросительной колонны на растения. После нанесения растения культивировали в течение 3 недель в теплице, а затем подсчитывали экспериментальные результаты уничтожения сорняков. Дозы используемых соединений составляли 500, 250, 125, 60, 15 г а.и./га, и средние значения получали при трехкратном повторении. Репрезентативные данные представлены в Таблице 8.
Результаты определения эффекта на сорняки в послевсходовой стадии
(г а.и./га)
Контрольное соединение A: 
Эксперимент по определению эффекта на сорняки в предвсходовой стадии:
Семена однодольных и двудольных сорняков и основных сельскохозяйственных культур (пшеница, кукуруза, рис, соя, хлопчатник, рапс, просо и сорго) помещали в пластиковый горшок с почвой и засыпали сверху слоем почвы 0,5-2 см. Испытываемые соединения по настоящему изобретению растворяли в ацетоне, затем добавляли tween 80, разбавляли определенным количеством воды до достижения определенной концентрации и распыляли сразу после посева. Полученные семена инкубировали в течение 4 недель в теплице после опрыскивания и наблюдали за результатами испытаний. Было замечено, что гербицид в основном оказывает превосходный эффект при норме внесения 250 г а.и./га, особенно в отношении таких сорняков, как Echinochloa crusgalli, Digitaria sanguinalis и Abutilon theophrasti и т.д. И многие соединения обладали хорошей селективностью в отношении кукурузы, пшеницы, риса и сои.
Эксперименты с основными сорняками на пшеничных и рисовых полях показали, что соединение по настоящему изобретению обычно обладает хорошей эффективностью в борьбе с сорняками. Прежде всего, отмечено, что соединения по настоящему изобретению обладают чрезвычайно высокой активностью в отношении широколиственных сорняков и осоковых сорняков, устойчивых к ингибитору ALS, таких как Sagittaria trifolia, Scirpus juncoides, Cyperus difformis, Descurainia sophia, Capsella bursa-pastoris, Lithospermum arvense, Galium aparine и Cyperus rotundus L. и т.д., и имеют превосходную коммерческую ценность.
Оценка безопасности рассадного риса и оценка эффективности борьбы с сорняками на рисовом поле:
Почву из рисового поля загружали в горшок площадью 1/1000000 га. Семена Echinochloa crusgalli, Scirpus juncoides и Bidens tripartita L. высевали и аккуратно засыпали почвой, затем оставляли стоять в теплице при 0,5-1 см запаса воды. Клубень Sagittaria trifolia высаживали на следующий день или через 2 дня. После этого его хранили при 3-4 см запаса воды. Сорняки обрабатывали путем капельного полива разбавленных водой WP или SC, полученных в соответствии с обычным способом получения соединений по настоящему изобретению, равномерным нанесением через пипетку до достижения заданного эффективного количества, когда Echinochloa crusgalli, Scirpus juncoides и Bidens tripartita L. достигли стадии 0,5 листа, а Sagittaria trifolia в момент времени достижения стадии первичного листа.
Кроме того, почву рисового поля, загруженную в горшок площадью 1/1000000 га, выравнивали для поддержания запаса воды на глубине 3-4 см. Рис на стадии 3 листьев (японский рис) высаживали на глубину 3 см на следующий день. Обработку соединением по настоящему изобретению осуществляли таким же образом через 5 дней после высадки.
Состояние фертильности Echinochloa crusgalli, Scirpus juncoides, Bidens tripartita L. и Sagittaria trifolia через 14 дней после обработки соединением по изобретению и состояние фертильности риса через 21 день после обработки соединением по изобретению, соответственно, определенное невооруженным глазом. Оценивали эффект борьбы с сорняками с указанным выше стандартным уровнем активности. Многие соединения проявляли превосходную активность и селективность.
Примечание: Семена Echinochloa crusgalli, Scirpus juncoides и Bidens tripartita L. собраны в китайской провинции Хэйлунцзян. Испытания показали, что сорняки устойчивы к обычным дозам пиразосульфурон-этила.
В то же время после нескольких испытаний было обнаружено, что соединения и композиции по настоящему изобретению обладают хорошей селективностью в отношении многих злаковых трав, таких как цойсия японская, бермудская трава, овсяница тростниковая, мятлик луговой, плевел и прибрежный паспалум и т.д., и способны контролировать многие важные злаковые сорняки и широколиственные сорняки. Соединения также показали превосходную селективность и коммерческую ценность в испытаниях на сахарном тростнике, сое, хлопчатнике, масличном подсолнечнике, картофеле, плодовых и овощных культурах при различных способах применения гербицидов.
Изобретение относится к замещенному тиазольному ароматическому соединению формулы I-1, I-2 или I-4, способу его получения, гербицидной композиции и ее применению, а также способу борьбы с сорняками. 1. Замещенное тиазольное ароматическое кольцевое соединение, как показано в общей формуле I-1, I-2 или I-4:
где Y представляет собой галоген, нитро или амино;
Q представляет собой
или
; Q1, Q2, Q3, Q4, Q5 каждый независимо представляют собой O или S;M представляет собой CH или N;
X представляет собой
; X1 представляет собой O; X2 представляет собой OX3, или N(X3)2; R1, R2 каждый независимо представляет собой водород, C1-C2 алкил, R6, R7 каждый независимо представляет собой водород, C1-C2 алкил или галогенированный C1-C2 алкил; X3 каждый независимо представляет собой C1-C3 алкил, C2-C3 алкенил, C2-C3 алкинил, гетероциклил C1-C2 алкил, арил C1-C2 алкил,
; где «C1-C3 алкил», «C2-C3 алкенил» или «C2-C3 алкинил» каждый независимо является незамещенным или замещен по меньшей мере одним заместителем, выбранным из
; X12 каждый независимо представляет собой водород, C1-C3 алкил; X13, X14 каждый независимо представляет собой C1-C3 алкокси C1-C3 алкил, C1-C3 алкил; «арил» представляет собой фенил, «гетероциклил» представляет собой
. Технический результат: получены новые соединения, которые обладают гербицидной активностью и могут применяться для борьбы с сорняками. 6 н. и 4 з.п. ф-лы., 8 табл.
1. Замещенное тиазольное ароматическое кольцевое соединение, как показано в общей формуле I-1, I-2 или I-4:
где
Y представляет собой галоген, нитро или амино;
Q представляет собой
или
;
Q1, Q2, Q3, Q4, Q5 каждый независимо представляют собой O или S;
M представляет собой CH или N;
X представляет собой
;
X1 представляет собой O;
X2 представляет собой OX3, или N(X3)2;
R1, R2 каждый независимо представляет собой водород, C1-C2 алкил,
R6, R7 каждый независимо представляет собой водород, C1-C2 алкил или галогенированный C1-C2 алкил;
X3 каждый независимо представляет собой C1-C3 алкил, C2-C3 алкенил, C2-C3 алкинил, гетероциклил C1-C2 алкил, арил C1-C2 алкил,
; где «C1-C3 алкил», «C2-C3 алкенил» или «C2-C3 алкинил» каждый независимо является незамещенным или замещен по меньшей мере одним заместителем, выбранным из
;
X12 каждый независимо представляет собой водород, C1-C3 алкил;
X13, X14 каждый независимо представляет собой C1-C3 алкокси C1-C3 алкил, C1-C3 алкил;
«арил» представляет собой фенил, «гетероциклил» представляет собой
.
2. Замещенное тиазольное ароматическое кольцевое соединение по п. 1, отличающееся тем, что
X3 каждый независимо представляет собой C1-C3 алкил, C2-C3 алкенил, C2-C3 алкинил, гетероциклил C1-C2 алкил, арил C1-C2 алкил,
; где «C1-C3 алкил», «C2-C3 алкенил» или «C2-C3 алкинил» каждый независимо является незамещенным или замещен одним, двумя или тремя заместителями, выбранными из
X12 каждый независимо представляет собой C1-C3 алкил;
X13, X14 каждый независимо представляет собой C1-C3 алкокси C1-C3 алкил, C1-C6 алкил;
«арил» представляет собой фенил, «гетероциклил» представляет собой
.
3. Замещенное тиазольное ароматическое кольцевое соединение по п. 1 или 2, отличающееся тем, что
Y представляет собой хлор;
R1, R2 каждый независимо представляет собой C1-C2 алкил;
R6 представляет собой C1-C2 алкил;
R7 представляет собой галогенированный C1-C2 алкил;
X1 представляет собой O;
X2 представляет собой OX3;
X3 каждый независимо представляет собой C1-C3 алкил, C2-C3 алкенил, C2-C3 алкинил,
бензил или
; где «C1-C3 алкил» является незамещенным или замещен одним, двумя или тремя заместителями, выбранными из
;
X12 каждый независимо представляет собой C1-C3 алкил;
X13, X14 каждый независимо представляет собой C1-C3 алкокси C1-C3 алкил или C1-C3 алкил.
4. Замещенное тиазольное ароматическое кольцевое соединение по любому из пунктов 1-3, отличающееся тем, что
Q представляет собой
или
.
5. Замещенное тиазольное ароматическое кольцевое соединение по любому из пунктов 1-4, отличающееся тем, что оно выбрано из любого из следующих соединений:
6. Соединение общей формулы II:
где заместители Q, Y и M определены в соответствии с пп. 1-4.
7. Способ получения замещенного тиазольного ароматического кольцевого соединения по любому из пп. 1-5, отличающийся тем, что он включает следующие стадии:
соединение общей формулы II и соединение общей формулы III-1, III-2 или III-4 подвергают реакции борилирования с получением соединения общей формулы I-1, I-2 или I-4, при этом уравнение химической реакции представлено следующим образом:
где Hal представляет собой галоген, другие заместители Q, Y, X и M определены в соответствии с пп. 1-4.
8. Гербицидная композиция, отличающаяся тем, что она включает по меньшей мере одно из замещенных тиазольных ароматических кольцевых соединений по любому из пп. 1-5 в гербицидно эффективном количестве.
9. Способ борьбы с сорняками, отличающийся тем, что он включает нанесение по меньшей мере одного из замещенных тиазольных ароматических кольцевых соединений по любому из пп. 1-5 или гербицидной композиции по п. 8 в гербицидно эффективном количестве на участок с растением или сорняком.
10. Применение по меньшей мере одного из замещенных тиазольных ароматических кольцевых соединений по любому из пп. 1-5 или гербицидной композиции по п. 8 для борьбы с сорняками.
| WO 2004056785 A2, 08.07.2004 | |||
| US 5612481 A, 18.03.1997 | |||
| WO 9952892 A2, 21.10.1999 | |||
| ПЕСТИЦИДНЫЕ КОМПОЗИЦИИ | 2010 |
|
RU2550352C2 |
Авторы
Даты
2024-11-19—Публикация
2020-11-02—Подача