Область техники, которой относится изобретение
Настоящее изобретение касается соединения, выбранного из нового тризамещенного производного пиримидина с ингибирующей активностью в отношении протеинкиназ, его фармацевтически приемлемой соли, его гидрата и его стереоизомера, способа получения этого соединения и фармацевтической композиции для предотвращения, снижения степени тяжести или лечения ракового заболевания, вызванного аномальным ростом клеток, содержащей указанное соединение в качестве активного ингредиента.
Предшествующий уровень техники
Протеинкиназы представляют собой ферменты, которые катализируют реакции фосфорилирования, в которых гамма-фосфатные группы АТФ переносятся на гидроксильные группы тирозина, серина и треонина в белках. Протеинкиназы отвечают за метаболизм клеток, экспрессирование генов, рост и дифференциацию клеток, деление клеток и играют важную роль в передаче сигналов. Протеинкиназы занимают почти 2% генома эукариотов. Геном человека содержит примерно 518 протеинкиназ. Протеинкиназы делят на тирозин-фосфорилирующие тирозинпротеинкиназы и серин- и треонин-фосфорилирующие серин/треонинкиназы. По меньшей мере около 90 протеинкиназ являются тирозинкиназами, которые делятся на рецепторные тирозинкиназы (RTK) и нерецепторные тирозинкиназы (NRTK). Рецепторные тирозинкиназы представляют собой мембранные белки, имеющие домены, способные связываться с факторами роста на поверхности клеток, и активные сайты, на которых фосфорилируются тирозиновые остатки в цитоплазме. Протеинкиназы являются молекулярными переключателями, и необходима плавная регулировка их перехода между активным и неактивным состоянием в клетках. Нарушение регулировки этого перехода приводит к избыточной активации внутриклеточной передачи сигнала, что вызывает неконтролируемое деление и пролиферацию клеток. Кроме того, аномальная активация протеинкиназ при генетических изменениях, амплификации и сверхэкспрессировании генов играет ключевую роль в росте и метастазах раковых клеток вследствие их связи с появлением и развитием различных опухолей.
Рак легкого представляет собой злокачественную опухоль в легком как органе дыхания. Рак легкого подразделяют на немелкоклеточный рак легкого и мелкоклеточный рак легкого, в зависимости от размера и формы раковых клеток. Немелкоклеточный рак легкого составляет 80% всех случаев рака легкого. Немелкоклеточный рак легкого можно полностью вылечить хирургически при раннем обнаружении, но у 20 - 50% пациентов с немелкоклеточным раком легкого, подвергшихся хирургической операции, наблюдаются рецидивы. У немелкоклеточного рака легкого больше вероятность развития метастазов в мозг, кости, печень и второе легкое, чем у других видов рака.
Наиболее распространенными причинами немелкоклеточного рака легкого являются мутации в гене тирозинкиназного рецептора эпидермального фактора роста (EGFR). 30-40% пациентов с немелкоклеточным раком легкого в Азии, 10-15% пациентов с немелкоклеточным раком легкого в США и Европе, и 40-50% некурящих женщин-пациентов с немелкоклеточным раком легкого в Азии имеют мутации EGFR. Мутации в гене EGFR вызывают рак легкого вне зависимости от того курит пациент или нет. 90% всех мутаций EGFR являются активирующими мутациями (мутация в виде делеция 19 экзона (43%) и мутации в точке L858R (41%)), при которых EGFR может активироваться даже без эпидермального фактора роста.
EGFR представляет собой трансмембранный тирозинкиназный рецептор, который формирует димер с лигандом, таким как эпидермальный фактор роста, и активируется при фосфорилировании тирозиновых остатков. Активированный EGFR создает условия для легкого связывания с молекулами, находящимися далее в сигнальном пути, и фосфорилирует их, активируя дальнейший механизм передачи сигнала (например, митоген-активируемая протеинкиназа (MAPK), фосфоинозитид-3-киназа (PI3-K)-Akt, фосфолипаза-Cγ (PLC)/протеинкиназа-C (PKC), а также передатчик сигнала и активатор транскрипции (STAT)), ингибируя апоптоз, вызывая рост и пролиферацию клеток, и управляя экспрессированием генов. Появление активирующих мутаций, таких как мутации делеция 19 экзона или мутации по точке L858R, вызывает бесконечную пролиферацию клеток и приводит к возникновению рака, поскольку активированные структуры при таких мутациях поддерживаются даже без лигандов.
Цефитиниб (Iressa®, AstraZeneca) и эрлотиниб (Tarceva®, Roche) являются первым поколением ингибиторов EGFR тирозинкиназы, которые можно принимать перорально. Эти ингибиторы первого поколения увеличивают выживаемость пациентов на 10 месяцев по сравнению со стандартной терапией существующими цитотоксическими противораковыми препаратами, что показывает их превосходство. Однако у 60% пациентов наблюдается мутация T790M и резистентность к ингибиторам первого поколения. Афатиниб (Gilotrif®, Boehringer Ingelheim) был выпущен как ингибитор EGFR тирозинкиназы второго поколения, который может ингибировать мутацию T790M. Хотя афатиниб показал клиническую эффективность, ему не удалось продемонстрировать терапевтическое окно. Ингибиторы второго поколения с относительно узкими показаниями к применению были одобрены только как терапевтические агенты первой линии для локального или метастатического немелкоклеточного рака легкого с мутациями EGFR. Осимертиниб (Tagrisso®, AstraZeneca) является ингибитором EGFR тирозинкиназы третьего поколения, в который был введен акцептор Михаэля, способный ковалентно связываться с цистеином. Осимертиниб был сначала одобрен FDA и выпущен как EGFR-таргетированное противораковое лекарство третьего поколения. Однако осимертиниб вызывал приобретенную резистентность у пациентов с мутацией C797S, принимающих осимертиниб в течение примерно 10 месяцев. Мутация C797S означает мутацию, при которой цистеиновый остаток в связывающем сайте Tagrisso заменен на серин. Мутация C797S нейтрализует ковалентные связи в Tagrisso. Поскольку Tagrisso может применяться при мутации T790M, наблюдающейся после лечения ингибиторами EGFR первого и второго поколения, то пациенты, у которых развилась резистентность к Tagrisso, имеют три мутации, включающих EGFR-активирующие мутации (делеция 19 экзона или L858R), мутации T790M и C797S. Поэтому ингибиторы EGFR четвертого поколения должны иметь приемлемую эффективность против двойных мутаций (делеция 19 экзона/T790M или L858R/T790M) и активирующих мутаций (делеция 19 экзона или L858R), а также против тройных мутаций (делеция 19 экзона/T790M/C797S или L858R/T790M/C797S).
Ингибиторы третьего поколения, содержащие акцепторы Михаэля, такие как Tagrisso, были сняты с клинических испытаний из-за своих серьезных побочных эффектов (включая синдром Стивенса-Джонсона, кожную сыпь и заболевания сердца). Поэтому имеется потребность в разработке ингибиторов EGFR четвертого поколения, обладающих меньшими побочными эффектами, но при этом преодолевающих резистентность к ингибиторам третьего поколения. Такие ингибиторы четвертого поколения должны быть способны различать дикий тип EGFR и мутанты, чтобы уменьшить побочные эффекты. Несмотря на их высокую эффективность, разработанные до настоящего момента лекарственные средства имеют узкое окно между EGFR дикого типа и мутантами, что приводит к их высокой токсичности.
Рак легкого является в высшей степени летальным видом рака, и более 20000 новых случаев заболевания фиксируется в Южной Корее каждый год. Рак легкого по статистике находится на первом месте среди причин смерти в Южной Корее. В частности, рак легкого имеет показатель 5-летней выживаемости всего 8.9%, когда имеются метастазы в другие органы. Число пациентов с раком легкого в Южной Корее в 2021 году составляло примерно 30000, из которых 30-40% имеют мутацию EGFR. Мутации EGFR обнаруживаются также при нескольких видах саркомы, таких как глиобластома (50%), трижды негативный рак молочной железы (13%-30%) и колоректальный рак (25%-77%), а также при раке легкого. Ингибиторы EGFR тестируются клинически в отношении широкого ряда карцином, включая рак легкого и рак головы и шеи.
Учитывая вышесказанное, авторы настоящего изобретения провели исследование с целью разработки новых веществ, способных преодолеть ограничения ингибиторов EGFR третьего поколения, и результатом этих исследований стало настоящее изобретение.
Документы предшествующего уровня техники
Патентные документы
Патентный документ 1 PCT заявка на патент № WO/2018/230934/Al
Патентный документ 2 Заявка на патент США № 20200207768Al
Патентный документ 3 Заявка на патент Кореи № 10-2019-0114910
Патентный документ 4 PCT заявка на патент № WO/2019/112344/A1
Патентный документ 5 PCT заявка на патент № WO/2020/147702/A1
Непатентные документы
Непатентный документ 1 J. Med. Chem. 2018, 61, 4290-4300
Непатентный документ 2 J. Med. Chem. 2019, 62, 10272-10293
Подробное описание
Технические проблемы
Одной целью настоящего изобретения является разработка нового производного пиримидина, обладающего ингибирующей активностью в отношении протеинкиназ.
Другой целью настоящего изобретения является разработка фармацевтической композиции, которую можно применять для лечения, предотвращения и облегчения степени тяжести ракового заболевания, содержащей в качестве активного ингредиента новое производное пиримидина, его фармацевтически приемлемую соль, гидрат, сольват или стереоизомер.
Другой целью настоящего изобретения является разработка терапевтического агента против ракового заболевания, вызванного мутацией EGFR, содержащего в качестве активного ингредиента новое производное пиримидина, его фармацевтически приемлемую соль, гидрат, сольват или стереоизомер.
Один аспект настоящего изобретения касается разработки способа получения указанного нового соединения.
Один аспект настоящего изобретения касается разработки нового интермедиата, синтезированного в ходе получения указанного нового соединения.
Способы решения указанных проблем
В одном аспекте настоящего изобретения описано соединение, выбранное из пиримидинового производного формулы 10, 11 или 12:
[Формула 10]
где R1 представляет собой атом водорода, гидроксил, галоген, C1-C13 алкил или C1-C6 алкокси,
R2 представляет собой атом водорода, галоген, C1-C13 алкил, C3-C10 циклил, амино (-NR8R9) или нитро-группу (-N(O)2),
R3 и R4 каждый независимо представляют собой атом водорода, C1-C13 алкил, C3-C10 циклил, сульфидо-группу (-SR8), сульфонил (-S(O)2R8) или фосфорил (-P(O)R8R9),
R5, R6, и R7 каждый независимо представляют собой атом водорода, гидроксил, галоген, C1-C13 алкил, C1-C6 алкокси, C3-C10 циклил, C3-C10 гетероциклил, -C(O)-(C1-C13 алкил), амино (-NR8R9), нитро-группу (-N(O)2), амидо-группу (-(C=O)NR8R9), карбоксил (-C(O)OH), нитрил (-CN), уреидо-группу (-NR8(C=O)NR9-), сульфонамидо-группу (-NHS(O)2R8), сульфидо-группу (-SR8), сульфонил (-S(O)2R8) или фосфорил (-P(O)R8R9),
X1, X2 и X3 каждый независимо представляют собой углерод или азот,
A представляет собой C1-C13 алкил, амино (-NR8R9), C6-C10 арил, C3-C10 циклил, C3-C10 гетероарил или C3-C10 гетероциклил, или вместе с атомом углерода, к которому R6 присоединен, формирует 3-7-членное насыщенное кольцо, необязательно содержащее по меньшей мере один из N, O, S, NH, C=N, C=O, -NHC(O)-, -NHC(O)NH-, -NHS(O)2- и SO2, и необязательно замещенное по меньшей мере одним из следующих заместителей: атом водорода, C1-C13 алкил, C6-C10 арил, C3-C10 гетероарил, гидроксил, галоген и циано-группа,
B представляет собой C6-C10 арил, C3-C10 циклил, C3-C10 гетероарил или C3-C10 гетероциклил, при условии что
когда X1 и X3 каждый независимо представляют собой атом азота, R2 или R7 отсутствует,
C1-C6 алкокси, C1-C13 алкил или C3-C10 циклил содержит один или больше заместителей, выбранных из группы, состоящей из атома водорода, гидроксила, галогена, C1-C13 алкила, C1-C6 алкокси, амино (-NR8R9), нитро-группы (-N(O)2), амидо-группы (-(C=O)NR8R9), карбоксила (-C(O)OH), нитрила (-CN), уреидо-группы (-NR8(C=O)NR9-), сульфонамидо-группы (-NHS(O)2-), сульфидо-группы (-S-), сульфонила (-S(O)2-), фосфорила (-P(O)R8R9),
C6-C10 арил, C3-C10 гетероарил и C3-C10 гетероциклил, где C6-C10 арил, C3-C10 гетероарил или C3-C10 гетероциклил содержит один или больше заместителей, выбранных из группы, состоящей из атома водорода, гидроксила, галогена, карбонила (-(C=O)R8R9), C1-C3 алкила, незамещенного или замещенного галогеном или C3-C10 гетероциклилом, C1-C3 алкокси-группы, незамещенной или замещенной галогеном или C3-C10 гетероциклилом, C6-C10 фенокси, амино (-NR8R9), нитро-группы (-N(O)2), амидо-группы (-(C=O)NR8R9), карбоксила (-C(O)OH), нитрила (-CN), уреидо-группы (-NR8(C=O)NR9-), сульфонамидо-группы (-NHS(O)2-), сульфидо-группы (-S-), сульфонила (-S(O)2-), фосфорила (-P(O)R8R9), C6-C10 арила, C3-C10 гетероарила и C3-C10 гетероциклила,
R8 и R9 каждый независимо представляют собой атом водорода, C1-C6 алкил, C1-C6 алкенил, C1-C6 алкинил, C6-C10 арил, C3-C10 гетероарил или C3-C10 гетероциклил, при условии что R8 вместе с атомом азота или углерода, к которому R9 присоединен, опционально формирует 3-7-членное насыщенное кольцо, необязательно содержащее по меньшей мере один из N, O, S, NH, C=N, C=O, -NHC(O)-, -NHC(O)NH-, -NHS(O)2- и SO2, и необязательно замещенное по меньшей мере одним из следующих заместителей: атом водорода, C1-C13 алкил, C6-C10 арил, C3-C10 гетероарил, гидроксил, галоген и циано-группа, и C3-C10 гетероарил и
C3-C10 гетероциклил включает по меньшей мере один гетероатом, выбранный из группы, состоящей из N, O, и S,
[Формула 11]
где R1 - R6, X1 - X3, A, и B имеют значения, указанные для формулы 10,
[Формула 12]
где R1 - R7, X1 - X3, A и B имеют значения, указанные для формулы 10; его фармацевтически приемлемая соль; его гидрат; и его стереоизомер.
В другом аспекте настоящего изобретения описана фармацевтическая композиция для предотвращения, снижения степени тяжести или лечения заболевания, вызванного EGFR протеинкиназой, содержащая указанное соединение в качестве активного ингредиента.
В другом аспекте настоящего изобретения, заболевание, вызванное EGFR протеинкиназой, может представлять собой метаболическое заболевание, вызванное EGFR протеинкиназой, или опухолевое заболевание, возникающее вследствие аномального роста клеток, вызванного EGFR протеинкиназой.
В другом аспекте настоящего изобретения, указанное заболевание может быть выбрано из группы, состоящей из следующих: рак легкого, рак печени, рак пищевода, рак желудка, колоректальный рак, рак тонкого кишечника, рак поджелудочной железы, меланома, рак молочной железы, рак ротовой полости, опухоль мозга, рак щитовидной железы, рак паращитовидной железы, рак почки, рак шейки матки, саркома, рак простаты, рак уретры, рак мочевого пузыря, рак яичка, рак крови, лимфома, рак кожи, псориаз и фиброаденома.
В другом аспекте настоящего изобретения, активный ингредиент может ингибировать активность EGFR киназы или мутацию EGFR для предотвращения, уменьшения степени тяжести или лечения указанного заболевания.
В другом аспекте настоящего изобретения, мутация EGFR может представлять собой del19, L858R, T790M или C797S, или их комбинацию.
В другом аспекте настоящего изобретения, активный ингредиент можно вводить совместно с цитотоксическим терапевтическим агентом.
В другом аспекте настоящего изобретения, 100 вес. частей активного ингредиента можно вводить совместно с 10 - 1000 вес. частями цитотоксического терапевтического агента.
Эффект изобретения
Соединение по настоящему изобретению можно применять в качестве активного ингредиента фармацевтической композиции для предотвращения и лечения заболевания, вызванного патологическим ростом клеток и метаболизмом, благодаря его выдающейся способности ингибировать активность EGFR протеинкиназы.
Поэтому соединение по настоящему изобретению можно применять в качестве профилактического и терапевтического агента против заболеваний, вызванных патологическим ростом клеток и метаболизмом, например, метаболических заболеваний, таких как диабет и ожирение, и различных опухолевых заболеваний, выбранных из следующих: рак эндометрия, рак мочевого пузыря, рак желудка, рак легкого, рак печени, колоректальный рак, рак тонкого кишечника, рак поджелудочной железы, рак мозга, рак костей, меланома, рак молочной железы, склерозирующий аденоз, рак головы и шеи, рак пищевода, рак щитовидной железы, рак паращитовидной железы, рак почки, саркома, рак простаты, рак уретры, рак крови, такой как лейкоз, множественная миелома и миелодиспластический синдром, лимфомы, такие как болезнь Ходжкина и неходжкинская лимфома, и фиброаденома.
Наилучшие способы практической реализации изобретения
Определения
Если не указано иное, все цифры и/или числовые значения, касающиеся компонентов, условий реакции и содержания компонентов, в настоящем тексте означают, что указанные значения являются приближениями, отражающими различные погрешности измерений, неизбежно возникающие при регистрации этих значений, и они во всех случаях должны пониматься как модифицированные термином «примерно». Когда в настоящем тексте указан числовой интервал, он является непрерывным, включающим минимальное и максимальное значение интервала, равно как и каждое значение между указанными минимальными и максимальными значениями, если не указано иное. Кроме того, когда интервал состоит из целых чисел, он включает каждое целое число между минимальным и максимальным значением интервала, если не указано иное.
В настоящей спецификации, когда указан интервал для значений переменной, следует понимать, что он включает все значения внутри указанного интервала, включая его конечные точки. Например, интервал “от 5 до 10” следует понимать как включающий любые подынтервалы, такие как от 6 до 10, от 7 до 10, от 6 до 9, и от 7 до 9, а также индивидуальные значения 5, 6, 7, 8, 9 и 10, и также его следует понимать как включающий любое значение между входящими в него целыми числами, например 5.5, 6.5, 7.5, от 5.5 до 8.5, и от 6.5 до 9. Также, например, интервал “от 10% до 30%” следует понимать как включающий любые подынтервалы, такие как от 10% до 15%, от 12% до 18%, и от 20% до 30%, а также все целые числа, включая 10%, 11%, 12% и 13%, и далее вплоть до 30%, также его следует понимать как включающий любое значение между входящими в него целыми числами, например 10.5%, 15.5% и 25.5%.
При использовании в настоящем тексте, термины “субъект(ы)” и “пациент(ы)” означают любое млекопитающее. В некоторых вариантах осуществления, млекопитающее представляет собой человека. В некоторых вариантах осуществления, млекопитающее представляет собой млекопитающее, отличное от человека. Ни один из этих терминов не требует и не ограничивается ситуациями, характеризующимися надзором (например, постоянным или периодическим) медицинского сотрудника (например, врача, медсестры, ассистента, работника дома престарелых или хосписа).
“Лечение” означает вмешательство, осуществляемое с целью предотвратить развитие или изменить патологию или симптомы заболевания. Соответственно, «лечение» означает как терапевтическое лечение, так и профилактические меры. Нуждающиеся в лечении включают пациентов, у которых уже имеется заболевание, а также тех, у кого необходимо предотвратить появление заболевания. При лечении опухолей (например, раковых) терапевтический агент может напрямую снижать патологию опухолевых клеток или делать опухолевые клетки более восприимчивыми к лечению другими терапевтическими средствами, например, к лучевой терапии и/или химиотерапии и/или иммунотерапии. При использовании в настоящем тексте, термин “облегчение” или “лечение” означает симптом, который возвращается к нормальному значению (например, к значению, наблюдающемуся у здорового пациента или субъекта), например, к значению, отличающемуся от нормального значения менее чем на 50%, предпочтительно - отличающемуся от нормального значения менее чем на 25%, более предпочтительно - отличающемуся от нормального значения менее чем на 10%, еще более предпочтительно - не отличающемуся в заметной степени от нормального значения, при определении стандартными статистическим тестами.
“Лечение рака” означает один или больше из следующих эффектов: (1) ингибирование роста опухоли, включая (i) замедление и (ii) полную остановку роста; (2) уменьшение числа опухолевых клеток; (3) сохранение размера опухоли; (4) уменьшение размера опухоли; (5) ингибирование, включая (i) снижение, (ii) замедление или (iii) полное предотвращение инфильтрации опухолевых клеток в периферические органы; (6) ингибирование, включая (i) снижение, (ii) замедление или (iii) полное предотвращение метастазов; и (7) усиление противоопухолевого иммунного ответа, что может приводить к (i) сохранению размера опухоли, (ii) уменьшению размера опухоли, (iii) замедлению роста опухоли, (iv) уменьшению, замедлению или предотвращению инвазии.
При использовании в настоящем тексте, термин “эффективное количество” или “терапевтически эффективное количество” означает количество соединения по настоящему изобретению, достаточное для облегчения в определенной степени одного или больше симптомов заболевания или патологического состояния, подвергающегося лечению. В некоторых вариантах осуществления, результатом является 1) уменьшение выраженности и/или облегчение симптомов или причин заболевания, или 2) любое другое желаемое изменение биологической системы в клинических условиях. В некоторых вариантах осуществления, подходящее “эффективное” количество в каждом отдельном случае определяется с использованием любой подходящей методики, такой как исследование с повышением дозы.
В некоторых вариантах осуществления, “эффективное количество” означает количество соединения по настоящему изобретению, которое при введении субъекту в виде одной или больше доз, в виде монотерапии или комбинированной терапии, является эффективным для ингибирования EGFR примерно на 20% (20% ингибирование), по меньшей мере примерно на 30% (30% ингибирование), по меньшей мере примерно на 40% (40% ингибирование), по меньшей мере примерно на 50% (50% ингибирование), примерно на 60% или больше (60% ингибирование), примерно на 70% или больше (70% ингибирование), примерно на 80% или больше (80% ингибирование) или примерно на 90% или больше (90% ингибирование), по сравнению с активностью EGFR у субъекта в отсутствие лечения данным соединением, или по сравнению с активностью EGFR у субъекта до или после лечения данным соединением.
В некоторых вариантах осуществления, “терапевтически эффективное количество” означает количество соединения по настоящему изобретению, которое при введении субъекту в виде одной или больше доз, в виде монотерапии или комбинированной терапии, является эффективным для уменьшения массы опухоли у субъекта примерно на 20%, примерно на 30% или больше, примерно на 40% или больше, примерно на 50% или больше, примерно на 60% или больше, примерно на 70% или больше, примерно на 80% или больше, или примерно на 90% или больше, по сравнению с массой опухоли у субъекта в отсутствие лечения данным соединением, или по сравнению с массой опухоли у субъекта до или после лечения данным соединением. При использовании в настоящем тексте, термин “масса опухоли” означает общую массу тканей опухоли у субъекта с раковым заболеванием.
В некоторых вариантах осуществления, “терапевтически эффективное количество” означает количество соединения по настоящему изобретению, которое при введении субъекту в виде одной или больше доз, в виде монотерапии или комбинированной терапии, является эффективным для уменьшения дозы при лучевой терапии, необходимой для уменьшения опухоли у субъекта примерно на 20%, примерно на 30% или больше, примерно на 40% или больше, примерно на 50% или больше, примерно на 60% или больше, примерно на 70% или больше, примерно на 80% или больше, или примерно на 90% или больше, по сравнению с дозой при лучевой терапии, необходимой для уменьшения опухоли у субъекта в отсутствие лечения данным соединением.
Фармацевтическая композиция
Фармацевтически приемлемые вспомогательные вещества, такие как носители, адъюванты и разбавители, легко доступны квалифицированным специалистам в данной области. Фармацевтически приемлемые вспомогательные вещества, такие как pH регуляторы, буферы, регуляторы тоничности, стабилизаторы и увлажняющие вещества, также легко доступны квалифицированным специалистам в данной области.
В некоторых вариантах осуществления, соединение по настоящему изобретению может вводиться в состав препарата с водным буфером. Подходящие водные буферы включают (но не ограничиваются только ими) ацетатный, сукцинатный, цитратный и фосфатный буферы, варьирующиеся по силе от 5 мM до 1000 мM. В некоторых вариантах осуществления, водный буфер включает реагенты, обеспечивающие изотоничность раствора. Такие реагенты включают (но не ограничиваются только ими) хлорид натрия и сахара, например, маннит, декстрозу, сахарозу и т.д.. В некоторых вариантах осуществления, водный буфер дополнительно включает неионное поверхностно-активное вещество, такое как полисорбат 20 или 80. Препараты могут также дополнительно содержать консервант. Подходящие консерванты включают (но не ограничиваются только ими) бензиловый спирт, фенол, хлорбутанол, бензалконий хлорид и т.д.. В других вариантах осуществления, препараты можно хранить при температуре примерно 4°C. Препараты могут быть также лиофилизованными, и в этом случае они обычно содержат криопротекторы, такие как сахароза, трегалоза, лактоза, мальтоза и маннит. В случае лиофилизованных препаратов, препараты могут храниться продолжительное время даже при комнатной температуре.
В настоящем изобретении описана фармацевтическая композиция, содержащая или состоящая главным образом из соединения по настоящему изобретению, его фармацевтически приемлемой соли, его изомера, его таутомера, и дополнительно содержащая или состоящая главным образом из одного или больше дополнительных активных агентов. Любые подходящие активные агенты можно применять в способе по настоящему изобретению в комбинации с соединением по настоящему изобретению. В одном варианте осуществления, соединение по настоящему изобретению и ингибитор иммунных контрольных точек, а также описанные в настоящем тексте дополнительные терапевтические агенты для комбинированной терапии, можно вводить перорально, подкожно, внутримышечно, интраназально, парентерально или другим путем. В других вариантах осуществления, соединение по настоящему изобретению и агент химиотерапии (в частности, который может индуцировать выработку cGAMP в организме), а также описанные в настоящем тексте дополнительные терапевтические агенты для комбинированной терапии, можно вводить перорально, подкожно, внутримышечно, интраназально, парентерально или другим путем. Соединение по настоящему изобретению и второй активный агент (в случае его использования) можно вводить одним путем введения или разными путями. Терапевтические агенты можно вводить любыми подходящими путями, включая (но не ограничиваясь только ими), например, пероральный, ректальный, назальный, местный, вагинальный, парентеральный, внутривенный, интраназальный или внутриопухолевые инъекции в пораженный орган.
Соединение по настоящему изобретению можно вводить в виде дозированной формы для однократного применения, которые можно готовить по любым методикам, хорошо известным в данной области. Такие методики включают комбинирование соединения по настоящему изобретению с фармацевтически приемлемым носителем или разбавителем, которые содержат один или больше опциональных ингредиентов. Фармацевтически приемлемый носитель выбирают в соответствии с выбранным путем введения и согласно стандратной фармацевтической практике. Каждый носитель должен быть “фармацевтически приемлемым”, то есть совместимым с остальными ингредиентами препарата и не наносящим вреда субъекту или пациенту. Такой носитель может быть твердым или жидким, и его тип в целом выбирают в соответствии с применяющимся способом введения.
Примеры подходящих твердых носителей включают лактозу, сахарозу, желатин, агар и порошкообразные вещества. Примеры подходящих жидких носителей включают воду, фармацевтически приемлемые жиры и масла, спирты или другие органические растворители, включая сложные эфиры, эмульсии, сиропы или эликсиры, суспензии и растворы и/или суспензии, приготовляемые из нешипучих гранул. Такие жидкие носители могут содержать, например, подходящие растворители, консерванты, эмульгаторы, суспендирующие агенты, разбавители, подсластители, загустители и вещества, понижающие температуру плавления.
Настоящее изобретение далее описано более подробно.
В одном аспекте настоящего изобретения описано соединение, выбранное из производного пиримидина, имеющего формулу 10, 11 или 12:
[Формула 10]
где R1 представляет собой атом водорода, гидроксил, галоген, C1-C13 алкил или C1-C6 алкокси,
R2 представляет собой атом водорода, галоген, C1-C13 алкил, C3-C10 циклил, амино (-NR8R9) или нитро-группу (-N(O)2),
R3 и R4 каждый независимо представляют собой атом водорода, C1-C13 алкил, C3-C10 циклил, сульфидо-группу (-SR8), сульфонил (-S(O)2R8) или фосфорил (-P(O)R8R9),
R5, R6, и R7 каждый независимо представляют собой атом водорода, гидроксил, галоген, C1-C13 алкил, C1-C6 алкокси, C3-C10 циклил, C3-C10 гетероциклил, -C(O)-(C1-C13 алкил), амино (-NR8R9), нитро-группу (-N(O)2), амидо-группу (-(C=O)NR8R9), карбоксил (-C(O)OH), нитрил (-CN), уреидо-группу (-NR8(C=O)NR9-), сульфонамидо-группу (-NHS(O)2R8), сульфидо-группу (-SR8), сульфонил (-S(O)2R8) или фосфорил (-P(O)R8R9),
X1, X2 и X3 каждый независимо представляют собой углерод или азот,
A представляет собой C1-C13 алкил, амино (-NR8R9), C6-C10 арил, C3-C10 циклил, C3-C10 гетероарил или C3-C10 гетероциклил или вместе с атомом углерода, к которому присоединен R6, формирует 3-7-членное насыщенное кольцо, необязательно содержащее по меньшей мере один из N, O, S, NH, C=N, C=O, -NHC(O)-, -NHC(O)NH-, -NHS(O)2- и SO2 и необязательно замещенное по меньшей мере одним из следующих заместителей: атом водорода, C1-C13 алкил, C6-C10 арил, C3-C10 гетероарил, гидроксил, галоген и циано-группа,
B представляет собой C6-C10 арил, C3-C10 циклил, C3-C10 гетероарил или C3-C10 гетероциклил, при условии что
когда X1 и X3 каждый независимо представляют собой атом азота, R2 или R7 отсутствует,
C1-C6 алкокси, C1-C13 алкил или C3-C10 циклил содержит один или больше заместителей, выбранных из группы, состоящей из атома водорода, гидроксила, галогена, C1-C13 алкила, C1-C6 алкокси, амино (-NR8R9), нитро-группы (-N(O)2), амидо-группы (-(C=O)NR8R9), карбоксила (-C(O)OH), нитрила (-CN), уреидо-группы (-NR8(C=O)NR9-), сульфонамидо-группы (-NHS(O)2-), сульфидо-группы (-S-), сульфонила (-S(O)2-), фосфорила (-P(O)R8R9),
C6-C10 арил, C3-C10 гетероарил или C3-C10 гетероциклил содержит один или больше заместителей, выбранных из группы, состоящей из атома водорода, гидроксила, галогена, карбонила (-(C=O)R8R9), C1-C3 алкила, незамещенного или замещенного галогеном или C3-C10 гетероциклила, C1-C3 алкокси-группы, незамещенной или замещенной галогеном или C3-C10 гетероциклилом, C6-C10 фенокси, амино (-NR8R9), нитро-группы (-N(O)2), амидо-группы (-(C=O)NR8R9), карбоксила (-C(O)OH), нитрила (-CN), уреидо-группы (-NR8(C=O)NR9-), сульфонамидо-группы (-NHS(O)2-), сульфидо-группы (-S-), сульфонила (-S(O)2-), фосфорила (-P(O)R8R9), C6-C10 арила, C3-C10 гетероарила и C3-C10 гетероциклила,
R8 и R9 каждый независимо представляют собой атом водорода, C1-C6 алкил, C1-C6 алкенил, C1-C6 алкинил, C6-C10 арил, C3-C10 гетероарил или C3-C10 гетероциклил, при условии что R8 вместе с атомом азота или углерода, к которому R9 присоединен, опционально формирует 3-7-членное насыщенное кольцо, необязательно содержащее по меньшей мере один из N, O, S, NH, C=N, C=O, -NHC(O)-, -NHC(O)NH-, -NHS(O)2- и SO2 и необязательно замещенное по меньшей мере одним из следующих заместителей: атом водорода, C1-C13 алкил, C6-C10 арил, C3-C10 гетероарил, гидроксил, галоген и циано-группа, и
C3-C10 гетероарил и C3-C10 гетероциклил содержат по меньшей мере один гетероатом, выбранный из группы, состоящей из N, O и S,
[Формула 11]
где R1 - R6, X1 - X3, A и B имеют значения, указанные для формулы 10,
[Формула 12]
где R1 - R7, X1 - X3, A и B имеют значения, указанные для формулы 10, его фармацевтически приемлемая соль, его гидрат и его стереоизомер.
Фармацевтически приемлемую соль пиримидинового соединения формулы 10, 11 или 12 по настоящему изобретению можно получить по общим методикам, известным в данной области. Фармацевтически приемлемая соль должна иметь низкую токсичность для человека и не оказывать побочных эффектов на биологическую активность и физикохимические свойства материнского соединения. Свободные кислоты, которые можно использовать для получения фармацевтически приемлемой соли, можно разделить на неорганические кислоты и органические кислоты. Неорганическими кислотами могут быть, например, соляная кислота, серная кислота, азотная кислота, фосфорная кислота, перхлорная кислота и бромистоводородная кислота. Органическими кислотами могут быть, например, уксусная кислота, метансульфокислота, этансульфокислота, п-толуолсульфокислота, фумаровая кислота, малеиновая кислота, малоновая кислота, фталевая кислота, янтарная кислота, молочная кислота, лимонная кислота, глюконовая кислота, винная кислота, салициловая кислота, яблочная кислота, щавелевая кислота, бензойная кислота, эмбоновая кислота, аспарагиновая кислота, глутаминовая кислота и т.д. Примеры органических оснований, которые можно использовать для получения солей с основанием, включают трис(гидроксиметил)метиламин, дициклогексиламин и т.д. Примеры аминокислот, которые можно использовать для получения солей с аминокислотами, включают соли с природными аминокислотами, такими как аланин и глицин.
Пиримидиновое соединение формулы 10, 11 или 12 по настоящему изобретению включает все гидраты и сольваты, в дополнение к фармацевтически приемлемым солям. Гидрат и сольват соединения формулы 10, 11 или 12 можно получить растворением соединения формулы 10, 11 или 12 в смешивающемся с водой растворителе, таком как метанол, этанол, ацетон или 1,4-диоксан, добавлением в раствор свободной кислоты или основания и кристаллизации или перекристаллизации полученной смеси. Соответственно, соединение по настоящему изобретению включает стехиометрические сольваты, включая гидраты, в дополнение к соединениям, содержащим различные количества воды, которые можно приготовить подходящими методами, такими как лиофилизация.
Далее более подробно описаны заместители, применяющиеся в определениях соединений по настоящему изобретению.
В контексте заместителей по настоящему изобретению, термин “алкил” означает алифатический углеводородный радикал. Алкил может представлять собой “насыщенный алкил”, не содержащий алкенильных или алкинильных фрагментов, или “ненасыщенный алкил”, содержащий по меньшей мере один алкенильный или алкинильный фрагмент. Термин “алкенил” означает группу, содержащую по меньшей мере одну углерод-углеродную двойную связь, а термин “алкинил” означает группу, содержащую по меньшей мере одну углерод-углеродную тройную связь. Алкил может быть циклическим, разветвленным или линейным, в отдельности или в комбинации с другим радикалом.
Термин “арил” при использовании в настоящем тексте, в отдельности или в комбинации с другим радикалом, означает карбоциклическую ароматическую моноциклическую группу, содержащую 6 атомов углерода, которая может быть дополнительно сконденсирована со второй 5- или 6-членной карбоциклической группой, которая может быть ароматической, насыщенной или ненасыщенной. Такие арильные группы включают (но не ограничиваются только ими) фенил, инданил, 1-нафтил, 2-нафтил и тетрагидронафтил. Арил может быть соединен с одной или больше другими группами в подходящих положениях ароматического кольца.
Термин “алкокси” при использовании в настоящем тексте означает алкильную группу, соединенную с другой группой через атом кислорода (т.е. -O-алкил). Алкокси-группа может быть незамещенной или замещенной одним или больше подходящими заместителями. Примеры алкокси-групп включают (но не ограничиваются только ими) (C1-C6) алкокси-группы, такие как -O-метил, -O-этил, -O-пропил, -O-изопропил, -O-2-метил-1-пропил, -O-2-метил-2-пропил, -O-2-метил-1-бутил, -O-3-метил-1-бутил, -O-2-метил-3-бутил, -O-2,2-диметил-1-пропил, -O-2-метил-1-пентил, 3-O-метил-1-пентил, -O-4-метил-1-пентил, -O-2-метил-2-пентил, -O-3-метил-2-пентил, -O-4-метил-2-пентил, -O-2,2-диметил-1-бутил, -O-3,3-диметил-бутил, -O-2-этил-1-бутил, -O-бутил, -O-изобутил, -O-t-бутил, -O-пентил, -O-изопентил, -O-неопентил и -O-гексил.
Термин “фенокси” означает фенильную группу, соединенную с другой группой через атом кислорода (т.е. -O-арил). Фенокси-группа может быть незамещенной или замещенной одним или больше заместителями, выбранными из (но не ограничиваясь только ими) галогена, алкильных, арильных и гетероарильных групп.
Термин “амино” означает алкильную группу, соединенную с другой группой через атом азота (т.е. -NH- или -N-алкил). Амино-группа может быть незамещенной или замещенной одним или больше подходящими заместителями. Примеры амино-групп включают (но не ограничиваются только ими) (C1-C6) амино-группы, такие как -NH-метил, -NH-этил, -NH-пропил, -NH-изопропил, -NH-2-метил-1-пропил, -NH-2-метил-2-пропил, -NH-2-метил-1-бутил, -NH-3-метил-1-бутил, -NH-2-метил-3-бутил, -NH-2,2-диметил-1-пропил, -NH-2-метил-1-пентил, 3-NH-метил-1-пентил, -NH-4-метил-1-пентил,
-NH-2-метил-2-пентил, -NH-3-метил-2-пентил, -NH-4-метил-2-пентил, -NH-2,2-диметил-1-бутил, -NH-3,3-диметил-бутил, -NH-2-этил-1-бутил, -NH-бутил, -NH-изобутил, -NH-т-бутил, -NH-пентил, -NH-изопентил, -NH-неопентил, -NH-гексил, -N,N-диметил, -N-метил-N-этил, -N-метил-N-пропил, -N-метил-изопропил, -N-метил-N-бутил, -N-метил-N-изобутил, -N-метил-N-пентил, -N-метил-N-изопентил, N-метил-N-гексил, N-метил-N-изогексил, -N,N-диэтил, -N-этил-N-пропил, -N-этил-N-изопропил, -N-этил-N-бутил, -N-этил-N-изобутил, -N-этил-N-пентил, -N-этил-N-изопентил, -N-этил-N-гексил, -N-этил-N-изогексил, -N,N-дипропил, -N-пропил-N-изопропил, -N-пропил-N-бутил, -N-пропил-N-изобутил, -N-пропил-N-пентил, -N-пропил-N-изопентил, -N-пропил-N-гексил, -N-пропил-N-изогексил, -N,N-дибутил, -N-бутил-N-изобутил, -N-бутил-N-пентил, -N-бутил-N-изопентил, -N-бутил-N-гексил, -N-бутил-N-изогексил, -N,N-дипентил, -N-пентил-N-гексил, -N-пентил-N-изогексил и -N,N-дигексил.
Термин “галоген” означает фтор, хлор, бром или иод.
Термин “гетероциклил” означает гетероароматическую группу, содержащую по меньшей мере один гетероатом, выбранный из группы, состоящей из N, O и S, если не указано иное. Примеры предпочтительных гетероциклильных групп включают (но не ограничиваются только ими) пирролидиновые, фурановые, морфолиновые, пиперазиновые и пиперидиновые группу. Примеры более предпочтительных гетероциклильных групп включают (но не ограничиваются только ими) пирролидиновые, пиперидиновые, пиперазиновые и морфолиновые группы.
Термин “гетероарил” означает гетероароматическую группу, содержащую по меньшей мере один гетероатом, выбранный из группы, состоящей из N, O и S, если не указано иное. Примеры предпочтительных гетероарильных групп включают (но не ограничиваются только ими) пиридиновые, пиразиновые, пиримидиновые, пиридазиновые, пиразольные, имидазольные, триазольные, индольные, оксадиазольные, тиадиазольные, хинолиновые, изохинолиновые, изоксазольные, оксазольные, тиазольные и пиррольные группы.
В одном аспекте настоящего изобретения, R1 представляет собой атом водорода, галоген или C1-C3 алкил, R2 представляет собой атом водорода, C1-C3 алкил или амино-группу (-NR8R9), R3 представляет собой атом водорода, C1-C3 алкил, сульфидо-группу (-SR8) или сульфонил (-S(O)2R8), R4 представляет собой атом водорода или C1-C3 алкил, R5 представляет собой атом водорода, гидроксил, галоген, C1-C3 алкил или C1-C6 алкокси, R6 представляет собой атом водорода, галоген или C1-C3 алкил, и R7 представляет собой атом водорода или C1-C3 алкил.
В одном аспекте настоящего изобретения, A представляет собой амино-группу (-NR8R9), C3-C10 гетероарил или C3-C10 гетероциклил, или вместе с атомом углерода, к которому R6 присоединен, формирует 3-7-членное насыщенное кольцо, необязательно содержащее по меньшей мере один из N, O, S, NH, C=N, C=O, -NHC(O)-, -NHC(O)NH-, -NHS(O)2- и SO2 и необязательно замещенное по меньшей мере одним из следующих заместителей: атом водорода, C1-C13 алкил, C6-C10 арил, C3-C10 гетероарил, гидроксил, галоген и циано-группа, и B представляет собой C6-C10 арил или C3-C10 гетероарил.
В одном аспекте настоящего изобретения, R1 представляет собой галоген, R2 представляет собой атом водорода или амино-группу (-NR8R9), R3 представляет собой атом водорода, C1-C3 алкил или сульфонил (-S(O)2R8), R4 представляет собой атом водорода, R5 представляет собой атом водорода, галоген или C1-C6 алкокси, R6 представляет собой атом водорода, галоген или C1-C3 алкил, R7 представляет собой атом водорода, A выбран из группы, состоящей из пиперазина, пиперидина, морфолина, пирролидина и имидазола, и B выбран из группы, состоящей из бензола, тиазола, тиофена, пиразола, бензотиофена, пиридазина, пиразина, имидазола, оксадиазола, триазола, фурана, пиримидина, оксазола, пиррола, пиридина, оксадиазола, триазина, тиадиазола, изоксазола и тетразола.
В одном аспекте настоящего изобретения, R1 представляет собой Cl или Br, R2 представляет собой атом водорода или -NH2, R3 представляет собой атом водорода, -CH3 или -S(O)2CH3, R4 представляет собой атом водорода, R5 представляет собой атом водорода, Cl, Br, -OCH3, -OCH2CH3 или -OCH2CF3, R6 представляет собой атом водорода, Cl, Br, F, -CH3 или -CF3, R7 представляет собой атом водорода, A выбран из группы, состоящей из пиперазина, пиперидина, морфолина и пирролидина, и B выбран из группы, состоящей из бензола, бензотиазола, хинолина и хиноксалина.
В одном аспекте настоящего изобретения, A выбран из группы, состоящей из следующих:
В одном аспекте настоящего изобретения, B выбран из группы, состоящей из следующих:
В одном аспекте настоящего изобретения, R1 представляет собой Cl или Br, R2 представляет собой атом водорода или -NH2, R3 представляет собой атом водорода, -CH3 или -S(O)2CH3, R4 представляет собой атом водорода, R5 представляет собой атом водорода, Cl, Br, -OCH3, -OCH2CH3 или -OCH2CF3, R6 представляет собой атом водорода, Cl, Br, F -CH3 или -CF3, R7 представляет собой атом водорода, A выбран из группы, состоящей из
, и B выбран из группы, состоящей из 
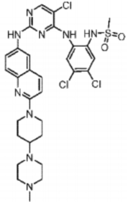
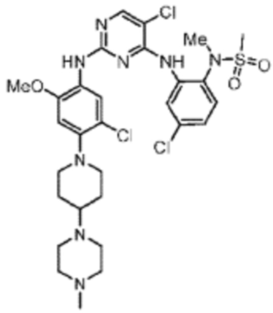
В одном аспекте настоящего изобретения, соединение выбрано из группы, состоящей из перечисленных ниже соединений № 1 - № 283:
Соединение № 1: N-(2-((5-хлор-2-((6-(4-этилпиперазин-1-ил)-2-метоксипиридин-3-ил)амино)-4-ил)амино)фенил)метансульфонамид;
Соединение № 2: N-(2-((5-хлор-2-((2-метокси-5-метил-4-(4-(4-метилпиперазин-1-ил)пиперидин-1-ил)фенил)амино)пиримидин-4-ил)амино)фенил)метансульфонамид;
Соединение № 3: N-(2-((5-хлор-2-((6-(4-(4-метилпиперазин-1-ил)пиперидин-1-ил)пиридин-3-ил)амино)пиримидин-4-ил)амино)фенил)метансульфонамид;
Соединение № 4: N-(2-((5-хлор-2-((6-(4-(4-метилпиперазин-1-ил)пиперидин-1-ил)-2-(2,2,2-трифторэтокси)пиридин-3-ил)амино)пиримидин-4-ил)амино)фенил) метансульфонамид;
Соединение № 5: N-(2-((5-хлор-2-((3-фтор-4-(4-(4-метилпиперазин-1-ил) пиперидин-1-ил)фенил)амино)пиримидин-4-ил)амино)фенил)метансульфонамид;
Соединение № 6: N-(2-((5-хлор-2-((6-(1,1-диокситиоморфолино)-2-метоксипиридин-3-ил)амино)пиримидин-4-ил)амино)фенил)метансульфонамид;
Соединение № 7: N-(2-((5-хлор-2-((5-хлор-2-метокси-4-(4-(4-метилпиперазин-1-ил)пиперидин-1-ил)фенил)амино)пиримидин-4-ил)амино)фенил)метансульфонамид;
Соединение № 8: N-(5-хлор-2-((6-(3-(диметиламино)пирролидин-1-ил)-2-метоксипиридин-3-ил)амино)пиримидин-4-ил)-N-(2-(метилсульфонамидо)фенил) метансульфонамид;
Соединение № 9: N-(5-хлор-2-((2-метокси-5-метил-4-(4-(4-метилпиперазин-1-ил)пиперидин-1-ил)фенил)амино)пиримидин-4-ил)-N-(2-(метилсульфонамидо)фенил) метансульфонамид;
Соединение № 10: N-(5-хлор-2-((2-метокси-6-(4-(4-метилпиперазин-1-ил) пиперидин-1-ил)пиридин-3-ил)амино)пиримидин-4-ил)-N-(2-(метилсульфонамидо)фенил) метансульфонамид;
Соединение № 11: N-(2-((5-хлор-2-((2-метокси-5-метил-4-(4-(4-метилпиперазин-1-ил)пиперидин-1-ил)фенил)амино)пиримидин-4-ил)(метил)амино)фенил)-N-метилсульфонамид;
Соединение № 12: N-(2-((5-хлор-2-((2-метокси-5-метил-4-(4-(4-метилпиперазин-1-ил)пиперидин-1-ил)фенил)амино)пиримидин-4-ил)амидо)-5-фторфенил) метансульфонамид;
Соединение № 13: N-(2-((5-хлор-2-((6-морфолинопиридин-3-ил)амино) пиримидин-4-ил)амидо)-5-фторфенил)метансульфонамид;
Соединение № 14: N-(2-((5-хлор-2-((6-(4-(4-метилпиперазин-1-ил)пиперидин-1-ил)пиридин-3-ил)амидо)пиримидин-4-ил)амино)-5-фторфенил)метансульфонамид;
Соединение № 15: N-(2-((5-хлор-2-((2-метокси-5-метил-6-(4-(4-метилпиперазин-1-ил)пиперидин-1-ил)пиридин-3-ил)амино)пиримидин-4-ил)амино)-5-фторфенил) метансульфонамид;
Соединение № 16: N-(2-((5-хлор-2-((5-фтор-6-(4-(4-метилпиперазин-1-ил) пиперидин-1-ил)пиридин-3-ил)амино)пиримидин-4-ил)амино)-5-фторфенил) метансульфонамид;
Соединение № 17: N-(2-((5-хлор-2-((2-метокси-6-(4-(4-метилпиперазин-1-ил) пиперидин-1-ил)пиридин-3-ил)амино)пиримидин-4-ил)амино)-5-фторфенил) метансульфонамид;
Соединение № 18: N-(2-((5-хлор-2-((6-(4-(2-гидроксиметил)пиперазин-1-ил)-2-метоксипиридин-3-ил)амино)пиримидин-4-ил)амино)-5-фторфенил)метансульфонамид;
Соединение № 19: N-(2-((2-((6-(4-ацетилпиперазин-1-ил)-2-метоксипиридин-3-ил)амино)-5-хлорпиримидин-4-ил)амино)-5-фторфенил)метансульфонамид;
Соединение № 20: N-(2-((5-хлор-2-((2-метокси-6-((3S,5R)-3,4,5-триметилпиперазин-1-ил)пиридин-3-ил)амино)пиримидин-4-ил)амино)-5-фторфенил) метансульфонамид;
Соединение № 21: N-(2-((5-хлор-((6-(4-гидроксипиперидин-1-ил)-2-метоксипиридин-3-ил)амино)пиримидин-4-ил)амино)-5-фторфенил)метансульфонамид;
Соединение № 22: N-(2-((5-хлор-2-((2-метокси-6-(4-(оксетан-3-ил)пиперазин-1-ил)пиридин-3-ил)амино)пиримидин-4-ил)амино)-5-фторфенил)метансульфонамид;
Соединение № 23: N-(2-((5-хлор-2-((6-(3-(диметиламино)пирролидин-1-ил)-2-метоксипиридин-3-ил)амино)пиримидин-4-ил)амино)-5-фторфенил)метансульфонамид;
Соединение № 24: N-(2-((5-бром-2-((2-метокси-5-метил-4-(4-(4-метилпиперазин-1-ил)пиперидин-1-ил)фенил)амино)пиримидин-4-ил)амидо)-5-фторфенил) метансульфонамид;
Соединение № 25: N-(2-((5-бром-2-((5-фтор-6-(4-(4-метилпиперазин-1-ил) пиперидин-1-ил)пиридин-3-ил)амино)пиримидин-4-ил)амино)-5-фторфенил) метансульфонамид;
Соединение № 26: N-(2-((5-бром-2-((5-хлор-2-метокси-4-(4-(4-метилпиперазин-1-ил)пиперидин-1-ил)фенил)амино)пиримидин-4-ил)амино)-5-фторфенил) метансульфонамид;
Соединение № 27: N-(2-((5-бром-2-((2-хлор-4-(4-(4-метилпиперазин-1-ил) пиперидин-1-ил)фенил)амино)пиримидин-4-ил)амино)-5-фторфенил)метансульфонамид;
Соединение № 28: N-(2-((5-бром-2-((2-метокси-6-(4-(4-метилпиперазин-1-ил) пиперидин-1-ил)пиридин-3-ил)амино)пиримидин-4-ил)амино)-5-фторфенил) метансульфонамид;
Соединение № 29: N-(2-((5-бром-2-((2-метокси-6-морфолинопиридин-3-ил)амино) пиримидин-4-ил)амино)-5-фторфенил)метансульфонамид;
Соединение № 30: N-(2-((5-бром-2-((6-(4-циклопропилпиперазин-1-ил)-2-метоксипиридин-3-ил)амино)пиримидин-4-ил)амино)-5-фторфенил)метансульфонамид;
Соединение № 31: N-(2-((5-бром-2-((2-метокси-6-(4-морфолинопиперидин-1-ил) пиридин-3-ил)амино)пиримидин-4-ил)амино)-5-фторфенил)метансульфонамид;
Соединение № 32: N-(2-((5-бром-2-((6-(4,4-диметилпиперидин-1-ил)-2-метоксипиридин-3-ил)амино)пиримидин-4-ил)амино)-5-фторфенил)метансульфонамид;
Соединение № 33: N-(2-((5-бром-2-((6-(4,4-дифторпиперидин-1-ил)-2-метоксипиридин-3-ил)амино)пиримидин-4-ил)амино)-5-фторфенил)метансульфонамид;
Соединение № 34: N-(2-((5-бром-2-((2-хлор-6-(4-(4-метилпиперазин-1-ил) пиперидин-1-ил)-5-(трифторметил)пиридин-3-ил)амино)пиримидин-4-ил)амино)-5-фторфенил)метансульфонамид;
Соединение № 35: N-(2-((5-бром-2-((2-(4-(4-метилпиперазин-1-ил)пиперидин-1-ил)хинолин-6-ил)амино)пиримидин-4-ил)амино)-5-фторфенил)метансульфонамид;
Соединение № 36: N-(2-((5-бром-2-((2-метокси-6-(4-(1-метилпиперидин-4-ил) пиперазин-1-ил)пиридин-3-ил)амино)пиримидин-4-ил)амино)-5-фторфенил) метансульфонамид;
Соединение № 37: N-(2-((5-бром-2-((2-метокси-6-(4-(1-метил-4-ил)пиперазин-1-ил)-5-(трифторметил)пиридин-3-ил)амино)пиримидин-4-ил)амино)-5-фторфенил) метансульфонамид;
Соединение № 38: N-(2-((5-бром-2-((2-метокси-5-метил-4-(4-(4-метил-1,4-диазепан-1-ил)пиперидин-1-ил)фенил)амино)пиримидин-4-ил)амино)-5-фторфенил) метансульфонамид;
Соединение № 39: N-(2-((5-бром-2-((4-(3-(диметиламино)-[1,4’-бипиперидин]-1’-ил)-2-метокси-5-метилфенил)амино)пиримидин-4-ил)амино)-5-фторфенил) метансульфонамид;
Соединение № 40: N-(2-((5-бром-2-((4-(4-(3-(диметиламино)пирролидин-1-ил) пиперидин-1-ил)-2-метокси-5-метилфенил)амино)пиримидин-4-ил)амино)-5-фторфенил)метансульфонамид;
Соединение № 41: N-(2-((5-бром-2-((2-метокси-5-метил-4-(4-((1-метил-1H-пиразол-5-ил)амино)пиперидин-1-ил)фенил)амино)пиримидин-4-ил)амино)-5-фторфенил) метансульфонамид;
Соединение № 42: N-(2-((5-бром-2-((4-(4-(4-циклопропилпиперазин-1-ил) пиперидин-1-ил)-2-метокси-5-метилфенил)амино)пиримидин-4-ил)амино)-5-фторфенил) метансульфонамид;
Соединение № 43: N-(2-((5-бром-2-((2-хлор-5-метил-4-(4-(4-метилпиперидин-1-ил) пиперидин-1-ил)фенил)амино)пиримидин-4-ил)амино)-5-фторфенил)метансульфонамид;
Соединение № 44: N-(2-((5-бром-2-((2-хлор-5-метил-4-(4-(4-метил-1,4-диазепан-1-ил)пиперидин-1-ил)фенил)амино)пиримидин-4-ил)амино)-5-фторфенил) метансульфонамид;
Соединение № 45: N-(2-((5-бром-2-((2-хлор-4-(3-(диметиламино)-[1,4’-бипиперидин]-1’-ил)-5-метилфенил)амино)пиримидин-4-ил)амино)фторфенил) метансульфонамид;
Соединение № 46: 5-хлор-N2-(2-метокси-5-метил-4-(4-(4-метилпиперазин-1-ил) пиперидин-1-ил)фенил)-N4-(2-(трифторметил)фенил)пиримидин-2,4-диамин;
Соединение № 47: 5-хлор-N2-(2-метокси-4-(4-(4-метилпиперазин-1-ил)пиперидин-1-ил)фенил)-N4-(2-(трифторметил)фенил)пиримидин-2,4-диамин;
Соединение № 48: 5-хлор-N2-(4-(4-этилпиперазин-1-ил)фенил)-N4-(2-(трифторметил)фенил)пиримидин-2,4-диамин;
Соединение № 49: 5-хлор-N2-(6-морфолинопиридин-3-ил)-N4-(2-(трифторметил) фенил)пиримидин-2,4-диамин;
Соединение № 50: 2-((5-хлор-2-((2-метокси-5-метил-4-(4-(4-метилпиперазин-1-ил) пиперидин-1-ил)фенил)амино)пиримидин-4-ил)амино)-N-метилбензолсульфонамид;
Соединение № 51: 2-((5-хлор-2-((2-метокси-4-(4-(4-метилпиперазин-1-ил) пиперидин-1-ил)фенил)амино)пиримидин-4-ил)амино)-N-метилбензолсульфонамид;
Соединение № 52: 2-((5-хлор-2-((6-(4-(4-метилпиперазин-1-ил)пиперидин-1-ил) пиридин-3-ил)амино)пиримидин-4-ил)амино)-N-метилбензолсульфонамид;
Соединение № 53: 2-((5-хлор-2-((6-морфолинопиридин-3-ил)амино)пиримидин-4-ил)амино)-N-метилбензолсульфонамид;
Соединение № 54: 2-((5-хлор-2-((6-(4-этилпиперазин-1-ил)-2-метоксипиридин-3-ил)амино)пиримидин-4-ил)амино)-N-метилбензолсульфонамид;
Соединение № 55: 2-((5-хлор-2-((2-метокси-6-(4-(4-метилпиперазин-1-ил) пиперидин-1-ил)пиридин-3-ил)амино)пиримидин-4-ил)амино)-N-метилбензолсульфонамид;
Соединение № 56: 2-((5-хлор-2-((6-(4-(2-гидроксиэтил)пиперазин-1-ил)-2-метоксипиридин-3-ил)амино)пиримидин-4-ил)амино)-N-метилбензолсульфонамид;
Соединение № 57: 2-((5-хлор-2-((6-(3-(диметиламино)пирролидин-1-ил)-2-метоксипиридин-3-ил)амино)пиримидин-4-ил)амино)-N-метилбензолсульфонамид;
Соединение № 58: 2-((5-хлор-2-((2-метокси-5-метил-6-(4-(4-метилпиперазин-1-ил) пиперидин-1-ил)пиридин-3-ил)амино)пиримидин-4-ил)амино)-N-метилбензолсульфонамид;
Соединение № 59: 2-((5-хлор-2-((2-метокси-5-метил-4-(4-(4-метилпиперазин-1-ил) пиперидин-1-ил)фенил)амино)пиримидин-4-ил)амино)-N-циклопропилбензолсульфонамид;
Соединение № 60: 2-((5-хлор-2-((3-фтор-4-(4-(4-метилпиперазин-1-ил)пиперидин-1-ил)фенил)амино)пиримидин-4-ил)амино)-N-циклопропилбензолсульфонамид;
Соединение № 61: 2-((5-хлор-2-((2-метокси-6-(4-(4-метилпиперазин-1-ил) пиперидин-1-ил)пиридин-3-ил)амино)пиримидин-4-ил)амино)-N-циклопропилбензолсульфонамид;
Соединение № 62: 5-хлор-N2-(2-метокси-5-метил-4-(4-(4-метилпиперазин-1-ил)пиперидин-1-ил)фенил)-N4-(2-((метилсульфонил)метил)фенил)пиримидин-2,4-диамин;
Соединение № 63: 5-хлор-N2-(3-фтор-4-(4-(4-метилпиперазин-1-ил)пиперидин-1-ил)фенил)-N4-(2-((метилсульфонил)метил)фенил)пиримидин-2,4-диамин;
Соединение № 64: 5-хлор-N2-(2-метокси-6-(4-(4-метилпиперазин-1-ил)пиперидин-1-ил)пиридин-3-ил)-N4-(2-((метилсульфонил)метил)фенил)пиримидин-2,4-диамин;
Соединение № 65: N-(4-хлор-2-((5-хлор-2-((2-метокси-5-метил-4-(4-(4-метилпиперазин-1-ил)пиперидин-1-ил)фенил)амино)пиримидин-4-ил)амино)фенил) ацетамид;
Соединение № 66: N-(4-хлор-2-((5-хлор-2-((2-метокси-5-метил-6-(4-(4-метилпиперазин-1-ил)пиперидин-1-ил)пиридин-3-ил)амино)пиримидин-4-ил)амино) фенил)ацетамид;
Соединение № 67: N-(4-хлор-2-((5-хлор-2-((3-фтор-4-(4-(4-метилпиперазин-1-ил) пиперидин-1-ил)фенил)амино)пиримидин-4-ил)амино)фенил)ацетамид;
Соединение № 68: N-(2-((5-хлор-2-((2-метокси-5-метил-4-(4-(4-метилпиперазин-1-ил)пиперидин-1-ил)фенил)амино)пиримидин-4-ил)амино)фенил)ацетамид;
Соединение № 69: N-(2-((5-хлор-2-((3-фтор-4-(4-(4-метилпиперазин-1-ил) пиперидин-1-ил)фенил)амино)пиримидин-4-ил)амино)фенил)ацетамид;
Соединение № 70: N-(2-((5-хлор-2-((5-фтор-6-(4-(4-метилпиперазин-1-ил) пиперидин-1-ил) пиридин-3-ил)- амино)пиримидин-4-ил)амино)фенил)ацетамид;
Соединение № 71: N-(4,5-дихлор-2-((5-хлор-2-((2-метокси-5-метил-4-(4-(4-метилпиперазин-1-ил)пиперидин-1-ил)фенил)амино)пиримидин-4-ил)амино)фенил) ацетамид;
Соединение № 72: N-(4,5-дихлор-2-((5-хлор-2-((2-метокси-6-(4-(4-метилпиперазин-1-ил)пиперидин-1-ил)пиридин-3-ил)амино)пиримидин-4-ил)амино) фенил)ацетамид;
Соединение № 73: N-(4,5-дихлор-2-((5-хлор-2-((5-фтор-6-(4-(4-метилпиперазин-1-ил)пиперидин-1-ил)пиридин-3-ил)амино)пиримидин-4-ил)амино)фенил)ацетамид;
Соединение № 74: N-(4,5-дихлор-2-((5-хлор-2-((6-морфолинопиридин-3-ил)амино) пиримидин-4-ил)амино)фенил)ацетамид;
Соединение № 75: N-(4,5-дихлор-2-((5-хлор-2-((2-метокси-4-(4-(4-метилпиперазин-1-ил)пиперидин-1-ил)фенил)амино)пиримидин-4-ил)амино)фенил) ацетамид;
Соединение № 76: N-(4,5-дихлор-2-((5-хлор-2-((3-фтор-4-(4-(4-метилпиперазин-1-ил)пиперидин-1-ил)фенил)амино)пиримидин-4-ил)амино)фенил)ацетамид;
Соединение № 77: N-(4,5-дихлор-2-((5-хлор-2-((2-хлор-4-(4-(4-метилпиперазин-1-ил)пиперидин-1-ил)фенил)амино)пиримидин-4-ил)амино)фенил)ацетамид;
Соединение № 78: N-(4,5-дихлор-2-((5-хлор-2-((2-метокси-5-метил-4-(4-(4-метилпиперазин-1-ил)пиперидин-1-ил)фенил)амино)пиримидин-4-ил)(метил)амино) фенил)-N-метилацетамид;
Соединение № 79: N-(4,5-дихлор-2-((5-хлор-2-((2-метокси-6-(4-(4-метилпиперазин-1-ил)пиперидин-1-ил)пиридин-3-ил)амино)пиримидин-4-ил)(метил) амино)фенил)-N-метилацетамид;
Соединение № 80: N-(4-хлор-2-((5-хлор-2-((2-метокси-5-метил-4-(4-(4-метилпиперазин-1-ил)пиперидин-1-ил)фенил)амино)пиримидин-4-ил)амино)фенил) метансульфонамид;
Соединение № 81: N-(4-хлор-2-((5-хлор-2-((2-метокси-6-(4-(4-метилпиперазин-1-ил)пиперидин-1-ил)пиридин-3-ил)амино)пиримидин-4-ил)аминофенил) метансульфонамид;
Соединение № 82: N-(4-хлор-2-((5-хлор-2-((2-метокси-4-(4-(4-метилпиперазин-1-ил)пиперидин-1-ил)фенил)амино)пиримидин-4-ил)амино)фенил)метансульфонамид;
Соединение № 83: N-(4-хлор-2-((5-хлор-2-((2-метокси-5-метил-6-(4-(4-метилпиперазин-1-ил)пиперидин-1-ил)пиридин-3-ил)амино)пиримидин-4-ил)амино) фенил)метансульфонамид;
Соединение № 84: N-(4-хлор-2-((5-хлор-2-((3-фтор-4-(4-(4-метилпиперазин-1-ил)пиперидин-1-ил)фенил)амино)пиримидин-4-ил)амино)фенил)метансульфонамид;
Соединение № 85: N-(2-((5-бром-2-((2-метокси-5-метил-4-(4-(4-метилпиперазин-1-ил)пиперидин-1-ил)фенил)амино)пиримидин-4-ил)амино-4-хлорфенил) метансульфонамид;
Соединение № 86: N-(2-((5-бром-2-((2-метокси-5-метил-6-(4-(4-метилпиперазин-1-ил)пиперидин-1-ил)пиридин-3-ил)амино)пиримидин-4-ил)амино)-4-хлорфенил) метансульфонамид;
Соединение № 87: N-(2-((5-бром-2-((3-фтор-4-(4-(4-метилпиперазин-1-ил) пиперидин-1-ил)фенил)амино)пиримидин-4-ил)амино)-4-хлорфенил)метансульфонамид;
Соединение № 88: N-(2-((5-бром-2-((5-хлор-2-метокси-4-(4-(4-метилпиперазин-1-ил)пиперидин-1-ил)фенил)амино)пиримидин-4-ил)амино)-4-хлорфенил) метансульфонамид;
Соединение № 89: N-(2-((5-бром-2-((2-метокси-5-метил-4-(4-(4-метил-1,4-диазепан-1-ил)пиперидин-1-ил)фенил)амино)пиримидин-4-ил)амино)-4-хлорфенил) метансульфониламид;
Соединение № 90: N-(2-((5-бром-2-((4-(3-(диметиламино)-[1,4’-бипиперидин]-1’-ил)-2-метокси-5-метилфенил)амино)пиримидин-4-ил)амино)-4-хлорфенил) метансульфонамид;
Соединение № 91: N-(2-((5-бром-2-((4-(4-(3-(диметиламино)пирролидин-1-ил) пиперидин-1-ил)-2-метокси-5-метилфенил)амино)пиримидин-4-ил)амино)-4-хлорфенил) метансульфонамид;
Соединение № 92: N-(2-((5-бром-2-((5-фтор-2-метокси-4-(4-(4-метилпиперазин-1-ил)пиперидин-1-ил)фенил)амино)пиримидин-4-ил)амино)-4-хлорфенил) метансульфонамид;
Соединение № 93: N-(2-((5-бром-2-((2-хлор-5-метил-4-(4-(4-метилпиперазин-1-ил) пиперидин-1-ил)фенил)амино)пиримидин-4-ил)амино)-4-хлорфенил)метансульфонамид;
Соединение № 94: N-(2-((5-бром-2-((2-метокси-5-метил-4-(4-(пиперазин-1-ил) пиперидин-1-ил)фенил)амино)пиримидин-4-ил)амино)-4-хлорфенил)метансульфонамид;
Соединение № 95: N-(2-((5-бром-2-((5-хлор-2-метокси-4-(4-(4-метил-1,4-диазепан-1-ил)пиперидин-1-ил)фенил)амино)пиримидин-4-ил)амино)-4-хлорфенил) метансульфонамид;
Соединение № 96: N-(2-((5-бром-2-((2-хлор-4-(4-(3-(диметиламино)пирролидин-1-ил)пиперидин-1-ил)-5-метилфенил)амино)пиримидин-4-ил)амино)-4-хлорфенил) метансульфонамид;
Соединение № 97: N-(2-((5-бром-2-((2-хлор-5-метил-4-(4-(4-метил-1,4-диазепан-1-ил)пиперидин-1-ил)фенил)амино)пиримидин-4-ил)амино)-4-хлорфенил) метансульфонамид;
Соединение № 98: N-(2-((5-бром-2-((2-хлор-4-(3-(диметиламино)-[1,4’-бипиперидин]-1’-ил)-5-метилфенил)амино)пиримидин-4-ил)амино)-4-хлорфенил) метансульфонамид;
Соединение № 99: N-(4,5-дихлор-2-((5-хлор-2-((2-метокси-5-метил-4-(4-(4-метилпиперазин-1-ил)пиперидин-1-ил)фенил)амино)пиримидин-4-ил)амино)фенил) метансульфонамид;
Соединение № 100: N-(4,5-дихлор-2-((5-хлор-2-((2-метокси-5-метил-6-(4-(4-метилпиперазин-1-ил)пиперидин-1-ил)пиридин-3-ил)амино)пиримидин-4-ил)амино) фенилметансульфонамид;
Соединение № 101: N-(4,5-дихлор-2-((5-хлор-2-((3-фтор-4-(4-(4-метилпиперазин-1-ил)пиперидин-1-ил)фенил)амино)пиримидин-4-ил)амино)фенил)метансульфонамид;
Соединение № 102: N-(4,5-дихлор-2-((5-хлор-2-((2-(4-(4-метилпиперазин-1-ил) пиперидин-1-ил)хинолин-6-ил)амино)пиримидин-4-ил)амино)фенил)метансульфонамид;
Соединение № 103: N-(4,5-дихлор-2-((5-хлор-2-((5-хлор-2-метокси-4-(4-(4-метилпиперазин-1-ил)пиперидин-1-ил)фенил)амино)пиримидин-4-ил)аминофенил) метансульфонамид;
Соединение № 104: N-(4,5-дихлор-2-((5-хлор-2-((4-(4-((2-(диметиламино)этил) (метил)амино)пиперидин-1-ил)-2-метокси-5-метилфенил)амино)пиримидин-4-ил)амино) фенил)метансульфонамид;
Соединение № 105: N-(4,5-дихлор-2-((5-хлор-2-((2-метокси-5-метил-4-(метил(3-(4-метилпиперазин-1-ил)пропил)амино)фенил)амино)пиримидин-4-ил)амино)фенил) метансульфонамид;
Соединение № 106: N-(2-((5-бром-2-((2-метокси-5-метил-4-(4-(4-метилпиперазин-1-ил)пиперидин-1-ил)фенил)амино)пиримидин-4-ил)амино)-4-метилфенил) метансульфонамид;
Соединение № 107: N-(2-((5-бром-2-((5-хлор-2-метокси-4-(4-(4-метилпиперазин-1-ил)пиперидин-1-ил)фенил)амино)пиримидин-4-ил)амино)-4-метилфенил) метансульфонамид;
Соединение № 108: N-(2-((5-бром-2-((5-фтор-2-метокси-4-(4-(4-метокси-1-ил) пиперидин-1-ил)фенил)амино)пиримидин-4-ил)амино)-4-метилфенил)метансульфонамид;
Соединение № 109: N-(2-((5-бром-2-((2-хлор-5-метил-4-(4-(4-метилпиперазин-1-ил)пиперидин-1-ил)фенил)амино)пиримидин-4-ил)амино)-4-метилфенил) метансульфонамид;
Соединение № 110: N-(5-хлор-2-((2-метокси-5-метил-4-(4-(4-метилпиперазин-1-ил)пиперидин-1-ил)фенил)амино)пиримидин-4-ил)-N-(4-(метилсульфонамидо) бензо[d]тиазол-5-ил)метансульфонамид;
Соединение № 111: N-(5-хлор-2-((2-метокси-6-(4-(4-метилпиперазин-1-ил) пиперидин-1-ил)пиридин-3-ил)амино)пиримидин-4-ил)-N-(4-(метилсульфонамидо) бензо[d]тиазол-5-ил)метансульфонамид;
Соединение № 112: N-(5-хлор-2-((3-фтор-4-(4-(4-метилпиперазин-1-ил)пиперидин-1-ил)фенил)амино)пиримидин-4-ил)-N-(4-(метилсульфонамидо)бензо[d]тиазол-5-ил) метансульфонамид;
Соединение № 113: N-(5-хлор-2-((5-фтор-6-(4-(4-метилпиперазин-1-ил)пиперидин-1-ил)пиридин-3-ил)амино)пиримидин-4-ил)-N-(4-(метилсульфонамидо)бензо[d]тиазол-5-ил)метансульфонамид;
Соединение № 114: N-(5-хлор-2-((5-хлор-2-метокси-4-(4-(4-метилпиперазин-1-ил) пиперидин-1-ил)фенил)амино)пиримидин-4-ил)-N-(4-(метилсульфонамидо) бензо[d]тиазол-5-ил)метансульфонамид;
Соединение № 115: N-(6-((5-хлор-2-((2-метокси-5-метил-4-(4-(4-метилпиперазин-1-ил)пиперидин-1-ил)фенил)амино)пиримидин-4-ил)амино)хинолин-5-ил) метансульфонамид;
Соединение № 116: N-(6-((5-хлор-2-((2-метокси-5-метил-6-(4-(4-метилпиперазин-1-ил)пиперидин-1-ил)пиридин-3-ил)амино)пиримидин-4-ил)амино)хинолин-5-ил) метансульфонамид;
Соединение № 117: N-(6-((5-хлор-2-((2-метокси-6-(4-морфолинопиперидин-1-ил) пиридин-3-ил)амино)пиримидин-4-ил)амино)хинолин-5-ил)метансульфонамид;
Соединение № 118: N-(6-((5-хлор-2-((5-хлор-2-метокси-4-(4-(4-метоксипиперазин-1-ил)пиперидин-1-ил)фенил)амино)пиримидин-4-ил)амино)хинолин-5-ил) метансульфонамид;
Соединение № 119: N-(6-((5-хлор-2-((2-метокси-4-(4-метилпиперазин-1-ил)фенил) амино)пиримидин-4-ил)амино)хинолин-5-ил)метансульфонамид;
Соединение № 120: N-(2-((5-хлор-2-((2-метокси-5-метил-4-(4-(4-метилпиперазин-1-ил)пиперидин-1-ил)фенил)амино)пиримидин-4-ил)(метил)амино)фенил) метансульфонамид;
Соединение № 121: N-(2-((5-хлор-2-((2-метокси-5-метил-6-(4-(4-метилпиперазин-1-ил)пиперидин-1-ил)пиридин-3-ил)амино)пиримидин-4-ил)(метил)амино)фенил) метансульфонамид;
Соединение № 122: (6-((5-хлор-2-((2-метокси-5-метил-6-(4-(4-метилпиперазин-1-ил)пиперидин-1-ил)пиридин-3-ил)амино)пиримидин-4-ил)амино)хиноксалин-5-ил) диметилфосфиноксид;
Соединение № 123: (6-((5-хлор-2-((2-метокси-6-(4-(4-метилпиперазин-1-ил) пиперидин-1-ил)пиридин-3-ил)амино)пиримидин-4-ил)амино)хиноксалин-5-ил) диметилфосфиноксид;
Соединение № 124: (6-((5-хлор-2-((5-фтор-6-(4-(4-метилпиперазин-1-ил) пиперидин-1-ил)пиридин-3-ил)амино)пиримидин-4-ил)амино)хиноксалин-5-ил) диметилфосфиноксид;
Соединение № 125: (6-((5-хлор-2-((3-фтор-4-(4-(4-метилпиперазин-1-ил) пиперидин-1-ил)фенил)амино)пиримидин-4-ил)амино)хиноксалин-5-ил) диметилфосфиноксид;
Соединение № 126: (6-((5-хлор-2-((2-метокси-6-((3S,5R)-3,4,5-триметилпиперазин-1-ил)пиридин-3-ил)амино)пиримидин-4-ил)амино)хиноксалин-5-ил)диметилфосфиноксид;
Соединение № 127: (6-((5-хлор-2-((6-(3-(диметиламино)пирролидин-1-ил)-2-метоксипиридин-3-ил)амино)пиримидин-4-ил)амино)хиноксалин-5-ил) диметилфосфиноксид;
Соединение № 128: (6-((5-хлор-2-((2-метокси-6-(пиперазин-1-ил)пиридин-3-ил) амино)пиримидин-4-ил)амино)хиноксалин-5-ил)диметилфосфиноксид;
Соединение № 129: 4-(5-((5-хлор-4-((5-(диметилфосфорил)хиноксалин-6-ил) амино)пиримидин-2-ил)амино)-6-метоксипиридин-2-ил)тиоморфолин 1,1-диоксид;
Соединение № 130: (6-((5-бром-2-((2-метокси-5-метил-4-(4-(4-метилпиперазин-1-ил)пиперидин-1-ил)фенил)амино)пиримидин-4-ил)амино)хиноксалин-5-ил) диметилфосфиноксид;
Соединение № 131: N-(6-((5-хлор-2-((2-метокси-5-метил-4-(4-(4-метилпиперазин-1-ил)пиперидин-1-ил)фенил)амино)пиримидин-4-ил)амино)хиноксалин-5-ил) метансульфонамид;
Соединение № 132: N-(6-((5-хлор-2-((2-метокси-6-(4-(4-метилпиперазин-1-ил) пиперидин-1-ил)пиридин-3-ил)амино)пиримидин-4-ил)амино)хиноксалин-5-ил) метансульфонамид;
Соединение № 133: N-(6-((5-хлор-2-((2-метокси-4-(4-(4-метилпиперазин-1-ил) пиперидин-1-ил)фенил)амино)пиримидин-4-ил)амино)хиноксалин-5-ил) метансульфонамид;
Соединение № 134: N-(6-((5-хлор-2-((2-метокси-5-метил-6-(4-(4-метилпиперазин-1-ил)пиперидин-1-ил)пиридин-3-ил)амино)пиримидин-4-ил)амино)хиноксалин-5-ил) метансульфонамид;
Соединение № 135: N-(6-((5-хлор-2-((2-метокси-6-((3S,5R)-3,4,5-триметилпиперазин-1-ил)пиридин-3-ил)амино)пиримидин-4-ил)амино)хиноксалин-5-ил) метансульфонамид;
Соединение № 136: N-(6-((5-хлор-2-((5-хлор-2-метокси-4-(4-(4-метилпиперазин-1-ил)пиперидин-1-ил)фенил)амино)пиримидин-4-ил)амино)хиноксалин-5-ил) метансульфонамид;
Соединение № 137: N-(2-((5-хлор-2-((5-хлор-2-метокси-4-(4-(4-метилпиперазин-1-ил)пиперидин-1-ил)фенил)амино)пиримидин-4-ил)амино)-4-(трифторметил)фенил) метансульфонамид;
Соединение № 138: N-(2-((5-хлор-2-((2-метокси-5-метил-4-(4-(4-метилпиперазин-1-ил)пиперидин-1-ил)фенил)амино)пиримидин-4-ил)амино)-4-(трифторметил)фенил) метансульфонамид;
Соединение № 139: N-(2-((5-хлор-2-((4-(4-(4-циклопропилпиперазин-1-ил) пиперидин-1-ил)-2-метокси-5-метилфенил)амино)пиримидин-4-ил)амино)-4-(трифторметил)фенил)метансульфонамид;
Соединение № 140: N-(6-((5-хлор-2-((2-метокси-5-метил-4-(4-(4-метилпиперазин-1-ил)пиперидин-1-ил)фенил)амино)пиримидин-4-ил)амино)-2,3-дигидробензофуран-5-ил) метансульфонамид;
Соединение № 141: N-(2-((6-амино-5-хлор-2-((2-метокси-5-метил-4-(4-(4-метилпиперазин-1-ил)пиперидин-1-ил)фенил)амино)пиримидин-4-ил)амино)-5-фторфенил)метансульфонамид;
Соединение № 142: ((2-((5-бром-2-((2-метокси-5-метил-4-(4-(4-метилпиперазин-1-ил)пиперидин-1-ил)фенил)амино)пиримидин-4-ил)амино)фенил)имино)диметил-λ6-сульфанон;
Соединение № 143: ((2-((5-бром-2-((5-хлор-2-метокси-4-(4-(4-метилпиперазин-1-ил)пиперидин-1-ил)фенил)амино)пиримидин-4-ил)амино)фенил)имино)диметил-λ6-сульфанон;
Соединение № 144: ((2-((5-бром-2-((2-хлор-5-метил-4-(4-(4-метилпиперазин-1-ил) пиперидин-1-ил)фенил)амино)пиримидин-4-ил)амино)фенил)имино)диметил-λ6-сульфанон;
Соединение № 145: N-(2-((5-бром-2-((2-метокси-6-(1-метилазепан-4-ил)пиридин-3-ил)амино)пиримидин-4-ил)амино)-5-фторфенил)метансульфонамид;
Соединение № 146: N-(2-((5-бром-2-((5-фтор-2-метокси-4-(4-(4-метилпиперазин-1-ил)пиперидин-1-ил)фенил)амино)пиримидин-4-ил)амино)-5-фторфенил) метансульфонамид;
Соединение № 147: N-(2-((5-бром-2-((2-метокси-6-(4-(4-метилпиперазин-1-ил) пиперидин-1-ил)пиридин-3-ил)амино)пиримидин-4-ил)амино)-5-фторфенил) метансульфонамид;
Соединение № 148: N-(2-((5-бром-2-((2-метокси-5-метил-4-(4-(трифторметил)-[1,4’-бипиперидин]-1’-ил)фенил)амино)пиримидин-4-ил)амино)-5-фторфенил) метансульфонамид;
Соединение № 149: N-(2-((5-бром-2-((5-хлор-4-(3-(диметиламино)-[1,4’-бипиперидин]-1’-ил)-2-метоксифенил)амино)пиримидин-4-ил)амино)-5-фторфенил) метансульфонамид;
Соединение № 150: N-(2-((5-бром-2-((2-метокси-5-метил-4-(4-(трифторметил)-[1,4’-бипиперидин]-1’-ил)фенил)амино)пиримидин-4-ил)амино)-4-хлорфенил) метансульфонамид;
Соединение № 151: N-(4-хлор-2-((5-хлор-2-((5-хлор-2-метокси-4-(4-(4-метилпиперазин-1-ил)пиперидин-1-ил)фенил)амино)пиримидин-4-ил)амино)фенил) метансульфонамид;
Соединение № 152: N-(4-хлор-2-((6-хлор-3-((-2-метокси-5-метил-4-(4-(4-метилпиперазин-1-ил)пиперидин-1-ил)фенил)амино)-1,2,4-триазин-5-ил)амино)фенил) метансульфонамид;
Соединение № 153: (4-хлор-2-((5-хлор-2-((2-метокси-5-метил-4-(4-(4-метилпиперазин-1-ил)пиперидин-1-ил)фенил)амино)пиримидин-4-ил)амино)фенил) диметилфосфиноксид;
Соединение № 154: (4-хлор-2-((5-хлор-2-((2-хлор-5-метил-4-(4-(4-метилпиперазин-1-ил)пиперидин-1-ил)фенил)амино)пиримидин-4-ил)амино)фенил) диметилфосфиноксид;
Соединение № 155: N-(2-((5-бром-2-((2-метокси-5-метил-4-(4-(4-метилпиперазин-1-ил)пиперидин-1-ил)фенил)амино)пиримидин-4-ил)амино)-4-хлорфенил)-N-метилметансульфонамид;
Соединение № 156: N-(2-((5-бром-2-((5-хлор-2-метокси-4-(4-(4-метилпиперазин-1-ил)пиперидин-1-ил)фенил)амино)пиримидин-4-ил)амино)-4-хлорфенил)-N-метилметансульфонамид;
Соединение № 157: N-(4-хлор-2-((5-хлор-2-((2-хлор-4-(4-(3-(диметиламино) пирролидин-1-ил)пиперидин-1-ил)-5-метилфенил)амино)пиримидин-4-ил)амино)фенил) метансульфонамид;
Соединение № 158: N-(4-хлор-2-((5-хлор-2-((2-хлор-5-метил-4-(4-(4-метилпиперазин-1-ил)пиперидин-1-ил)фенил)амино)пиримидин-4-ил)амино)фенил) метансульфонамид;
Соединение № 159: N-(4-хлор-2-((5-хлор-2-((5-хлор-2-метокси-4-(4-(4-метилпиперазин-1-ил)пиперидин-1-ил)фенил)амино)пиримидин-4-ил)амино)фенил) метансульфонамид;
Соединение № 160: N-(2-((5-хлор-2-((2-метокси-5-метил-4-(4-(4-метилпиперазин-1-ил)пиперидин-1-ил)фенил)амино)пиримидин-4-ил)амино)-4-изопропилфенил) метансульфонамид;
Соединение № 161: N-(2-((5-хлор-2-((5-хлор-2-метокси-4-(4-(4-метилпиперазин-1-ил)пиперидин-1-ил)фенил)амино)пиримидин-4-ил)амино)-4-изопропилфенил) метансульфонамид;
Соединение № 162: N-(4-хлор-2-((5-хлор-2-((2-хлор-5-метил-4-(4-(4-метил-1,4-диазепан-1-ил)пиперидин-1-ил)фенил)амино)пиримидин-4-ил)амино)фенил) метансульфонамид;
Соединение № 163: N-(4-хлор-2-((5-хлор-2-((5-хлор-2-метокси-4-(4-(4-метил-1,4-диазепан-1-ил)пиперидин-1-ил)фенил)амино)пиримидин-4-ил)амино)фенил) метансульфонамид;
Соединение № 164: N-(2-((6-хлор-3-((2-метокси-5-метил-4-(4-(4-метилпиперазин-1-ил)пиперидин-1-ил)фенил)амино)-1,2,4-триазин-5-ил)амино)-5-фторфенил) метансульфонамид;
Соединение № 165: N-(6-((5-хлор-2-((2-метокси-5-метил-4-(4-(4-метил-1,4-диазепан-1-ил)пиперидин-1-ил)фенил)амино)пиримидин-4-ил)амино)-2,3-дигидробензофуран-5-ил)метансульфонамид;
Соединение № 166: 5-хлор-N4-(5-хлор-2-(1H-1,2,3-триазол-4-ил)фенил)-N2-(2-метокси-5-метил-4-(4-(4-метилпиперазин-1-ил)пиперидин-1-ил)фенил)пиримидин-2,4-диамин;
Соединение № 167: N-(4-хлор-2-((5-хлор-2-((1-(3-(диметиламино)пропил)-1H-пиразол-4-ил)амино)пиримидин-4-ил)амино)фенил)метансульфонамид;
Соединение № 168: N-(6-((5-хлор-2-((5-хлор-2-метокси-4-(4-(4-метилпиперазин-1-ил)пиперидин-1-ил)фенил)амино)пиримидин-4-ил)амино)-2,3-дигидробензофуран-5-ил) метансульфонамид;
Соединение № 169: N-(6-((5-бром-2-((2-метокси-5-метил-4-(4-(4-метилпиперазин-1-ил)пиперидин-1-ил)фенил)амино)пиримидин-4-ил)амино)-2,3-дигидробензофуран-5-ил) метансульфонамид;
Соединение № 170: N-(4-хлор-2-((5-хлор-2-((5-хлор-2-метокси-4-(4-(4-метилпиперазин-1-ил)пиперидин-1-ил)фенил)амино)пиримидин-4-ил)амино)фенил)-N-метилметансульфонамид;
Соединение № 171: N-(4-хлор-2-((5-хлор-2-((2-хлор-5-метил-4-(4-(4-метилпиперазин-1-ил)пиперидин-1-ил)фенил)амино)пиримидин-4-ил)амино)фенил)-N-метилметансульфонамид;
Соединение № 172: N-(6-((5-хлор-2-((2-хлор-5-метил-4-(4-(4-метил-1,4-диазепан-1-ил)пиперидин-1-ил)фенил)амино)пиримидин-4-ил)амино)-2,3-дигидробензофуран-5-ил) метансульфонамид;
Соединение № 173: N-(6-((5-хлор-2-((2-хлор-5-метил-4-(4-(4-метилпиперазин-1-ил)пиперидин-1-ил)фенил)амино)пиримидин-4-ил)амино)-2,3-дигидробензофуран-5-ил) метансульфонамид;
Соединение № 174: N-(6-((5-хлор-2-((5-хлор-2-метокси-4-(4-(4-метил-1,4-диазепан-1-ил)пиперидин-1-ил)фенил)амино)пиримидин-4-ил)амино)-2,3-дигидробензофуран-5-ил)метансульфонамид;
Соединение № 175: N-(6-((5-бром-2-((2-хлор-5-метил-4-(4-(4-метилпиперазин-1-ил)пиперидин-1-ил)фенил)амино)пиримидин-4-ил)амино)-2,3-дигидробензофуран-5-ил)метансульфонамид;
Соединение № 176: N-(4-хлор-2-((5-хлор-2-((2-метокси-5-метил-4-(4-(4-метилпиперазин-1-ил)пиперидин-1-ил)фенил)амино)пиримидин-4-ил)амино)-5-фторфенил)метансульфонамид;
Соединение № 177: N-(2-((5-бром-2-((2-хлор-5-метил-4-(4-(4-метилпиперазин-1-ил)пиперидин-1-ил)фенил)амино)пиримидин-4-ил)амино)-4-хлор-5-фторфенил) метансульфонамид;
Соединение № 178: N-(2-((5-бром-2-((5-хлор-2-метокси-4-(4-(4-метилпиперазин-1-ил)пиперидин-1-ил)фенил)амино)пиримидин-4-ил)амино)-4-хлор-5-фторфенил) метансульфонамид;
Соединение № 179: N-(4-хлор-2-((5-хлор-2-((2-хлор-4-(4-(3-(диметиламино) пирролидин-1-ил)пиперидин-1-ил)-5-метилфенил)амино)пиримидин-4-ил)амино)фенил)-N-метилметансульфонамид;
Соединение № 180: N-(4-хлор-2-((5-хлор-2-((2-хлор-5-метил-4-(4-(4-метил-1,4-диазепан-1-ил)пиперидин-1-ил)фенил)амино)пиримидин-4-ил)амино)фенил)-N-метилметансульфонамид;
Соединение № 181: N-(4-хлор-2-((5-хлор-2-((5-хлор-2-метокси-4-(4-(4-метилпиперазин-1-ил)пиперидин-1-ил)фенил)амино)пиримидин-4-ил)амино)-5-фторфенил)метансульфонамид;
Соединение № 182: N-(4-хлор-2-((5-хлор-2-((2-хлор-5-метил-4-(4-(4-метилпиперазин-1-ил)пиперидин-1-ил)фенил)амино)пиримидин-4-ил)амино)-5-фторфенил)метансульфонамид;
Соединение № 183: N-(6-((5-бром-2-((5-хлор-2-метокси-4-(4-(4-метилпиперазин-1-ил)пиперидин-1-ил)фенил)амино)пиримидин-4-ил)амино)-2,3-дигидробензофуран-5-ил) метансульфонамид;
Соединение № 184: N-(6-((5-бром-2-((5-этил-2-метокси-4-(4-(4-метилпиперазин-1-ил)пиперидин-1-ил)фенил)амино)пиримидин-4-ил)амино)-2,3-дигидробензофуран-5-ил) метансульфонамид;
Соединение № 185: 5-хлор-N4-(5-хлор-2-(1H-1,2,3-триазол-5-ил)фенил)-N2-(2-хлор-5-метил-4-(4-(4-метилпиперазин-1-ил)пиперидин-1-ил)фенил)пиримидин-2,4-диамин;
Соединение № 186: 5-хлор-N4-(5-хлор-2-(1H-1,2,3-триазол-5-ил)фенил)-N2-(5-хлор-2-метокси-4-(4-(4-метилпиперазин-1-ил)пиперидин-1-ил)фенил)пиримидин-2,4-диамин;
Соединение № 187: 5-бром-N4-(5-хлор-2-(1H-1,2,3-триазол-5-ил)фенил)-N2-(2-метокси-5-метил-4-(4-(4-метилпиперазин-1-ил)пиперидин-1-ил)фенил)пиримидин-2,4-диамин;
Соединение № 188: N-(6-((5-бром-2-((2-метокси-5-метил-4-(4-(4-метил-1,4-диазепан-1-ил)пиперидин-1-ил)фенил)амино)пиримидин-4-ил)амино)-2,3-дигидробензофуран-5-ил)метансульфонамид;
Соединение № 189: N-(6-((5-бром-2-((5-хлор-2-метокси-4-(4-(4-метил-1,4-диазепан-1-ил)пиперидин-1-ил)фенил)амино)пиримидин-4-ил)амино)-2,3-дигидробензофуран-5-ил)метансульфонамид;
Соединение № 190: (6-((5-хлор-2-((5-этил-2-метокси-4-(4-(4-метилпиперазин-1-ил)пиперидин-1-ил)фенил)амино)пиримидин-4-ил)амино)хиноксалин-5-ил) диметилфосфиноксид;
Соединение № 191: N-(2-((5-бром-2-((5-этил-2-метокси-4-(4-(4-метилпиперазин-1-ил)пиперидин-1-ил)фенил)амино)пиримидин-4-ил)амино)-4-хлорфенил) метансульфонамид;
Соединение № 192: (6-((5-бром-2-((5-этил-2-метокси-4-(4-(4-метилпиперазин-1-ил)пиперидин-1-ил)фенил)амино)пиримидин-4-ил)амино)хиноксалин-5-ил) диметилфосфиноксид;
Соединение № 193: (6-((5-бром-2-((2-хлор-5-метил-4-(4-(4-метилпиперазин-1-ил) пиперидин-1-ил)фенил)амино)пиримидин-4-ил)амино)хиноксалин-5-ил) диметилфосфиноксид;
Соединение № 194: (6-((5-бром-2-((5-хлор-2-метокси-4-(4-(4-метилпиперазин-1-ил)пиперидин-1-ил)фенил)амино)пиримидин-4-ил)амино)хиноксалин-5-ил) диметилфосфиноксид;
Соединение № 195: 5-бром-N4-(5-хлор-2-(1H-1,2,3-триазол-5-ил)фенил)-N2-(5-хлор-2-метокси-4-(4-(4-метилпиперазин-1-ил)пиперидин-1-ил)фенил)пиримидин-2,4-диамин;
Соединение № 196: N-(6-((5-бром-2-((4-(3-(диметиламино)-[1,4’-бипиперидин]-1’-ил)-2-метокси-5-метилфенил)амино)пиримидин-4-ил)амино)-2,3-дигидробензофуран-5-ил)метансульфонамид;
Соединение № 197: N-(6-((5-хлор-2-((2-хлор-4-(3-(диметиламино)-[1,4’-бипиперидин]-1’-ил)-5-метилфенил)амино)пиримидин-4-ил)амино)-2,3-дигидробензофуран-5-ил)метансульфонамид;
Соединение № 198: N-(4-хлор-2-((5-хлор-2-((2,5-дихлор-4-(4-(4-метилпиперазин-1-ил)пиперидин-1-ил)фенил)амино)пиримидин-4-ил)амино)фенил)метансульфонамид;
Соединение № 199: N-(2-((5-хлор-2-((2-метокси-5-метил-4-(4-(4-метилпиперазин-1-ил)пиперидин-1-ил)фенил)амино)пиримидин-4-ил)амино)-4-метоксифенил) метансульфонамид;
Соединение № 200: N-(2-((5-хлор-2-((2-хлор-5-метил-4-(4-(4-метилпиперазин-1-ил)пиперидин-1-ил)фенил)амино)пиримидин-4-ил)амино)-4-метоксифенил) метансульфонамид;
Соединение № 201: N-(2-((5-хлор-2-((5-хлор-2-метокси-4-(4-(4-метилпиперазин-1-ил)пиперидин-1-ил)фенил)амино)пиримидин-4-ил)амино)-4-метоксифенил) метансульфонамид;
Соединение № 202: N-(2-((5-хлор-2-((2,5-дихлор-4-(4-(4-метилпиперазин-1-ил) пиперидин-1-ил)фенил)амино)пиримидин-4-ил)амино)-4-метоксифенил) метансульфонамид;
Соединение № 203: N-(2-((5-хлор-2-((5-этил-2-метокси-4-(4-(4-метилпиперазин-1-ил)пиперидин-1-ил)фенил)амино)пиримидин-4-ил)амино)-4-метоксифенил) метансульфонамид;
Соединение № 204: N-(2-((5-хлор-2-((2-метокси-5-метил-4-(4-(4-метил-1,4-диазепан-1-ил)пиперидин-1-ил)фенил)амино)пиримидин-4-ил)амино)-4-метоксифенил) метансульфонамид;
Соединение № 205: N-(6-((5-хлор-2-((2,5-дихлор-4-(4-(4-метилпиперазин-1-ил) пиперидин-1-ил)фенил)амино)пиримидин-4-ил)амино)-2,3-дигидробензофуран-5-ил) метансульфонамид;
Соединение № 206: N-(6-((5-хлор-2-((5-этил-2-метокси-4-(4-(4-метилпиперазин-1-ил)пиперидин-1-ил)фенил)амино)пиримидин-4-ил)амино)-2,3-дигидробензофуран-5-ил) метансульфонамид;
Соединение № 207: N-(6-((5-хлор-2-((2-метокси-5-метил-4-(4-(пиперазин-1-ил) пиперидин-1-ил)фенил)амино)пиримидин-4-ил)амино)-2,3-дигидробензофуран-5-ил) метансульфонамид;
Соединение № 208: N-(6-((5-хлор-2-((4-(4-(4-циклопропилпиперазин-1-ил) пиперидин-1-ил)-2-метокси-5-метилфенил)амино)пиримидин-4-ил)амино)-2,3-дигидробензофуран-5-ил)метансульфонамид;
Соединение № 209: N-(6-((5-хлор-2-((4-(4-(3-(диметиламино)пирролидин-1-ил) пиперидин-1-ил)-2-метокси-5-метилфенил)амино)пиримидин-4-ил)амино)-2,3-дигидробензофуран-5-ил)метансульфонамид;
Соединение № 210: N-(6-((5-хлор-2-((2-хлор-4-(4-(3-(диметиламино)пирролидин-1-ил)пиперидин-1-ил)-5-метилфенил)амино)пиримидин-4-ил)амино)-2,3-дигидробензофуран-5-ил)метансульфонамид;
Соединение № 211: N-(6-((5-бром-2-((4-(4-(3-(диметиламино)пирролидин-1-ил) пиперидин-1-ил)-2-метокси-5-метилфенил)амино)пиримидин-4-ил)амино)-2,3-дигидробензофуран-5-ил)метансульфонамид;
Соединение № 212: N-(6-((5-бром-2-((4-(4-(4-циклопропилпиперазин-1-ил) пиперидин-1-ил)-2-метокси-5-метилфенил)амино)пиримидин-4-ил)амино)-2,3-дигидробензофуран-5-ил)метансульфонамид;
Соединение № 213: N-(6-((5-бром-2-((2-хлор-4-(4-(3-(диметиламино)пирролидин-1-ил)пиперидин-1-ил)-5-метилфенил)амино)пиримидин-4-ил)амино)-2,3-дигидробензофуран-5-ил)метансульфонамид;
Соединение № 214: N-(6-((5-бром-2-((2-хлор-4-(3-(диметиламино)-[1,4’-бипиперидин]-1’-ил)-5-метилфенил)амино)пиримидин-4-ил)амино)-2,3-дигидробензофуран-5-ил)метансульфонамид;
Соединение № 215: N-(6-((5-бром-2-((2-метокси-5-метил-4-(4-(пиперазин-1-ил) пиперидин-1-ил)фенил)амино)пиримидин-4-ил)амино)-2,3-дигидробензофуран-5-ил) метансульфонамид;
Соединение № 216: N-(6-((5-бром-2-((5-хлор-4-(3-(диметиламино)-[1,4’-бипиперидин]-1’-ил)-2-метоксифенил)амино)пиримидин-4-ил)амино)-2,3-дигидробензофуран-5-ил)метансульфонамид;
Соединение № 217: N-(6-((5-бром-2-((2,5-дихлор-4-(4-(4-метилпиперазин-1-ил)пиперидин-1-ил)фенил)амино)пиримидин-4-ил)амино)-2,3-дигидробензофуран-5-ил)метансульфонамид;
Соединение № 218: N-(6-((5-хлор-2-((4-(3-(диметиламино)-[1,4’-бипиперидин]-1’-ил)-2-метокси-5-метилфенил)амино)пиримидин-4-ил)амино)-2,3-дигидробензофуран-5-ил)метансульфонамид;
Соединение № 219: N-(6-((5-хлор-2-((5-хлор-4-(3-(диметиламино)-[1,4’-бипиперидин]-1’-ил)-2-метоксифенил)амино)пиримидин-4-ил)амино)-2,3-дигидробензофуран-5-ил)метансульфонамид;
Соединение № 220: N-(6-((5-хлор-2-((2-метокси-4-(4-(4-метилпиперазин-1-ил)пиперидин-1-ил)фенил)амино)пиримидин-4-ил)амино)-2,3-дигидробензофуран-5-ил)метансульфонамид;
Соединение № 221: N-(6-((5-хлор-2-((2-хлор-4-(4-(4-метилпиперазин-1-ил)пиперидин-1-ил)фенил)амино)пиримидин-4-ил)амино)-2,3-дигидробензофуран-5-ил)метансульфонамид;
Соединение № 222: N-(6-((5-хлор-2-((5-фтор-2-метокси-4-(4-(4-метилпиперазин-1-ил)пиперидин-1-ил)фенил)амино)пиримидин-4-ил)амино)-2,3-дигидробензофуран-5-ил)метансульфонамид;
Соединение № 223: N-(6-((5-хлор-2-((2-(4-(4-метилпиперазин-1-ил)пиперидин-1-ил)хинолин-6-ил)амино)пиримидин-4-ил)амино)-2,3-дигидробензофуран-5-ил)метансульфонамид;
Соединение № 224: N-(6-((5-хлор-2-((2-метокси-5-метил-4-(4-((1-метил-1H-пиразол-5-ил)амино)пиперидин-1-ил)фенил)амино)пиримидин-4-ил)амино)-2,3-дигидробензофуран-5-ил)метансульфонамид;
Соединение № 225: N-(6-((5-хлор-2-((2-метокси-5-метил-4-(4-(4-(трифторметил) пиперазин-1-ил)пиперидин-1-ил)фенил)амино)пиримидин-4-ил)амино)-2,3-дигидробензофуран-5-ил)метансульфонамид;
Соединение № 226: N-(4-хлор-2-((5-хлор-2-((2,5-дихлор-4-(4-(4-метилпиперазин-1-ил)пиперидин-1-ил)фенил)амино)пиримидин-4-ил)амино)фенил)-N-метилметансульфонамид;
Соединение № 227: N-(2-((5-бром-2-((2-хлор-4-(4-(3-(диметиламино)пирролидин-1-ил)пиперидин-1-ил)-5-метилфенил)амино)пиримидин-4-ил)амино)-4-хлорфенил)-N-метилметансульфонамид;
Соединение № 228: N-(2-((5-бром-2-((2,5-дихлор-4-(4-(4-метилпиперазин-1-ил)пиперидин-1-ил)фенил)амино)пиримидин-4-ил)амино)-4-хлорфенил)-N-метилметансульфонамид;
Соединение № 229: N-(2-((5-хлор-2-((5-хлор-2-метокси-4-(4-(4-метил-1,4-диазепан-1-ил)пиперидин-1-ил)фенил)амино)пиримидин-4-ил)амино)-4-метоксифенил)метансульфонамид;
Соединение № 230: N-(2-((5-хлор-2-((2-хлор-4-(4-(3-(диметиламино)пирролидин-1-ил)пиперидин-1-ил)-5-метилфенил)амино)пиримидин-4-ил)амино)-4-метоксифенил)метансульфонамид;
Соединение № 231: N-(2-((5-хлор-2-((2-метокси-4-(4-(4-метилпиперазин-1-ил)пиперидин-1-ил)фенил)амино)пиримидин-4-ил)амино)-4-метоксифенил)метансульфонамид;
Соединение № 232: N-(2-((5-хлор-2-((4-(3-(диметиламино)-[1,4’-бипиперидин]-1’-ил)-2-метокси-5-метилфенил)амино)пиримидин-4-ил)амино)-4-метоксифенил)метансульфонамид;
Соединение № 233: N-(2-((5-хлор-2-((4-(4-(4-циклопропилпиперазин-1-ил)пиперидин-1-ил)-2-метокси-5-метилфенил)амино)пиримидин-4-ил)амино)-4-метоксифенил)метансульфонамид;
Соединение № 234: N-(2-((5-хлор-2-((2-метокси-5-метил-4-(4-(трифторметил)-[1,4’-бипиперидин]-1’-ил)фенил)амино)пиримидин-4-ил)амино)-4-метоксифенил)метансульфонамид;
Соединение № 235: N-(2-((5-хлор-2-((4-(4-(3-(диметиламино)пирролидин-1-ил)пиперидин-1-ил)-2-метокси-5-метилфенил)амино)пиримидин-4-ил)амино)-4-метоксифенил)метансульфонамид;
Соединение № 236: N-(2-((5-хлор-2-((2-хлор-4-(3-(диметиламино)-[1,4’-бипиперидин]-1’-ил)-5-метилфенил)амино)пиримидин-4-ил)амино)-4-метоксифенил)метансульфонамид;
Соединение № 237: N-(2-((5-хлор-2-((5-хлор-4-(3-(диметиламино)-[1,4’-бипиперидин]-1’-ил)-2-метоксифенил)амино)пиримидин-4-ил)амино)-4-метоксифенил)метансульфонамид;
Соединение № 238: N-(6-((5-бром-2-((2-метокси-6-(4-метил-1,4-диазепан-1-ил)пиридин-3-ил)амино)пиримидин-4-ил)амино)-2,3-дигидробензофуран-5-ил)метансульфонамид;
Соединение № 239: N-(6-((5-бром-2-((5-фтор-6-(4-(4-метилпиперазин-1-ил)пиперидин-1-ил)пиридин-3-ил)амино)пиримидин-4-ил)амино)-2,3-дигидробензофуран-5-ил)метансульфонамид;
Соединение № 240: N-(6-((5-бром-2-((2-метокси-5-метил-6-(4-(4-метилпиперазин-1-ил)пиперидин-1-ил)пиридин-3-ил)амино)пиримидин-4-ил)амино)-2,3-дигидробензофуран-5-ил)метансульфонамид;
Соединение № 241: N-(6-((5-хлор-2-((2-метокси-5-метил-6-(4-(4-метилпиперазин-1-ил)пиперидин-1-ил)пиридин-3-ил)амино)пиримидин-4-ил)амино)-2,3-дигидробензофуран-5-ил)метансульфонамид;
Соединение № 242: N-(6-((5-хлор-2-((5-фтор-6-(4-(4-метилпиперазин-1-ил)пиперидин-1-ил)пиридин-3-ил)амино)пиримидин-4-ил)амино)-2,3-дигидробензофуран-5-ил)метансульфонамид;
Соединение № 243: N-(6-((5-бром-2-((2-метокси-4-(4-(4-метилпиперазин-1-ил)пиперидин-1-ил)фенил)амино)пиримидин-4-ил)амино)-2,3-дигидробензофуран-5-ил)метансульфонамид;
Соединение № 244: N-(6-((5-бром-2-((3-фтор-4-(4-(4-метилпиперазин-1-ил)пиперидин-1-ил)фенил)амино)пиримидин-4-ил)амино)-2,3-дигидробензофуран-5-ил)метансульфонамид;
Соединение № 245: N-(6-((5-бром-2-((2-метокси-5-метил-4-(4-(трифторметил)-[1,4’-бипиперидин]-1’-ил)фенил)амино)пиримидин-4-ил)амино)-2,3-дигидробензофуран-5-ил)метансульфонамид;
Соединение № 246: N-(6-((5-бром-2-((2-хлор-4-(4-(4-метилпиперазин-1-ил)пиперидин-1-ил)фенил)амино)пиримидин-4-ил)амино)-2,3-дигидробензофуран-5-ил)метансульфониламид;
Соединение № 247: N-(6-((5-бром-2-((2-(4-(4-метилпиперазин-1-ил)пиперидин-1-ил)хинолин-6-ил)амино)пиримидин-4-ил)амино)-2,3-дигидробензофуран-5-ил)метансульфонамид;
Соединение № 248: N-(6-((5-хлор-2-((2-метокси-5-метил-4-(4-(4-метилпиперазин-1-ил)пиперидин-1-ил)фенил)амино)пиримидин-4-ил)амино)-2,3-дигидробензофуран-5-ил)-N-метилметансульфонамид;
Соединение № 249: N-(6-((5-хлор-2-((5-хлор-2-метокси-4-(4-(4-метилпиперазин-1-ил)пиперидин-1-ил)фенил)амино)пиримидин-4-ил)амино)-2,3-дигидробензофуран-5-ил)-N-метилметансульфонамид;
Соединение № 250: N-(6-((5-бром-2-((2-метокси-5-метил-4-(4-(4-метилпиперазин-1-ил)пиперидин-1-ил)фенил)амино)пиримидин-4-ил)амино)-2,3-дигидробензофуран-5-ил)-N-метилметансульфонамид;
Соединение № 251: N-(6-((5-бром-2-((2-хлор-5-метил-4-(4-(4-метилпиперазин-1-ил)пиперидин-1-ил)фенил)амино)пиримидин-4-ил)амино)-2,3-дигидробензофуран-5-ил)-N-метилметансульфонамид;
Соединение № 252: N-(6-((5-бром-2-((5-хлор-2-метокси-4-(4-(4-метилпиперазин-1-ил)пиперидин-1-ил)фенил)амино)пиримидин-4-ил)амино)-2,3-дигидробензофуран-5-ил)-N-метилметансульфонамид;
Соединение № 253: N-(6-((5-бром-2-((2,5-дихлор-4-(4-(4-метилпиперазин-1-ил)пиперидин-1-ил)фенил)амино)пиримидин-4-ил)амино)-2,3-дигидробензофуран-5-ил)-N-метилметансульфонамид;
Соединение № 254: N-(6-((5-бром-2-((5-этил-2-метокси-4-(4-(4-метилпиперазин-1-ил)пиперидин-1-ил)фенил)амино)пиримидин-4-ил)амино)-2,3-дигидробензофуран-5-ил)-N-метилметансульфонамид;
Соединение № 255: N-(6-((5-бром-2-((2-метокси-5-метил-4-(4-(4-(трифторметил)пиперазин-1-ил)пиперидин-1-ил)фенил)амино)пиримидин-4-ил)амино)-2,3-дигидробензофуран-5-ил)-N-метилметансульфонамид;
Соединение № 256: N-(6-((5-бром-2-((5-фтор-2-метокси-4-(4-(4-метилпиперазин-1-ил)пиперидин-1-ил)фенил)амино)пиримидин-4-ил)амино)-2,3-дигидробензофуран-5-ил)-N-метилметансульфонамид;
Соединение № 257: N-(6-((5-бром-2-((5-фтор-2-метокси-4-(4-(4-метил-1,4-диазепан-1-ил)пиперидин-1-ил)фенил)амино)пиримидин-4-ил)амино)-2,3-дигидробензофуран-5-ил)-N-метилметансульфонамид;
Соединение № 258: N-(6-((5-бром-2-((4-(3-(диметиламино)-[1,4’-бипиперидин]-1’-ил)-2-метокси-5-метоксифенил)амино)пиримидин-4-ил)амино)-2,3-дигидробензофуран-5-ил)-N-метилметансульфонамид;
Соединение № 259: N-(6-((5-хлор-2-((2,5-дихлор-4-(4-(4-метилпиперазин-1-ил)пиперидин-1-ил)фенил)амино)пиримидин-4-ил)амино)-2,3-дигидробензофуран-5-ил)-N-метилметансульфонамид;
Соединение № 260: N-(2-((5-хлор-2-((2-метокси-5-метил-4-(4-(4-метилпиперазин-1-ил)пиперидин-1-ил)фенил)амино)пиримидин-4-ил)амино)-4-метоксифенил)-N-метилметансульфонамид;
Соединение № 261: N-(6-((5-бром-2-((4-(4-(4-циклопропилпиперазин-1-ил)пиперидин-1-ил)-2-метокси-5-метилфенил)амино)пиримидин-4-ил)амино)-2,3-дигидробензофуран-5-ил)-N-метилметансульфонамид;
Соединение № 262: N-(6-((5-бром-2-((4-(4-(3-(диметиламино)пирролидин-1-ил)пиперидин-1-ил)-2-метокси-5-метилфенил)амино)пиримидин-4-ил)амино)-2,3-дигидробензофуран-5-ил)-N-метилметансульфонамид;
Соединение № 263: N-(6-((5-хлор-2-((2-хлор-5-метил-4-(4-(4-метилпиперазин-1-ил)пиперидин-1-ил)фенил)амино)пиримидин-4-ил)амино)-2,3-дигидробензофуран-5-ил)-N-метилметансульфонамид;
Соединение № 264: N-(6-((5-хлор-2-((5-хлор-2-метокси-4-(4-(4-метил-1,4-диазепан-1-ил)пиперидин-1-ил)фенил)амино)пиримидин-4-ил)амино)-2,3-дигидробензофуран-5-ил)-N-метилметансульфонамид;
Соединение № 265: N-(6-((5-хлор-2-((2-метокси-5-метил-4-(4-(4-метил-1,4-диазепан-1-ил)пиперидин-1-ил)фенил)амино)пиримидин-4-ил)амино)-2,3-дигидробензофуран-5-ил)-N-метилметансульфонамид;
Соединение № 266: N-(6-((5-хлор-2-((4-(4-(4-циклопропилпиперазин-1-ил)пиперидин-1-ил)-2-метокси-5-метилфенил)амино)пиримидин-4-ил)амино)-2,3-дигидробензофуран-5-ил)-N-метилметансульфонамид;
Соединение № 267: N-(6-((5-хлор-2-((4-(3-(диметиламино)-[1,4’-бипиперидин]-1’-ил)-2-метокси-5-метилфенил)амино)пиримидин-4-ил)амино)-2,3-дигидробензофуран-5-ил)-N-метилметансульфонамид;
Соединение № 268: N-(6-((5-хлор-2-((2,5-дифтор-4-(4-(4-метилпиперазин-1-ил)пиперидин-1-ил)фенил)амино)пиримидин-4-ил)амино)-2,3-дигидробензофуран-5-ил)метансульфонамид;
Соединение № 269: N-(5-((5-бром-2-((2,5-дифтор-4-(4-(4-метилпиперазин-1-ил)пиперидин-1-ил)фенил)амино)пиримидин-4-ил)амино)-2,3-дигидробензофуран-4-ил)метансульфонамид;
Соединение № 270: N-(6-((2-((5-бром-2-метокси-4-(4-(4-метилпиперазин-1-ил)пиперидин-1-ил)фенил)амино)-5-хлорпиримидин-4-ил)амино)-2,3-дигидробензофуран-5-ил)метансульфонамид;
Соединение № 271: N-(6-((2-((5-бром-2-метокси-4-(4-(4-метилпиперазин-1-ил)пиперидин-1-ил)фенил)амино)-5-бромпиримидин-4-ил)амино)-2,3-дигидробензофуран-5-ил)метансульфонамид;
Соединение № 272: 5-хлор-N2-(2-метокси-5-метил-4-(4-(4-метилпиперазин-1-ил)пиперидин-1-ил)фенил)-N4-(1-метилиндолин-6-ил)пиримидин-2,4-диамин;
Соединение № 273: 5-хлор-N2-(5-хлор-2-метокси-4-(4-(4-метилпиперазин-1-ил)пиперидин-1-ил)фенил)-N4-(1-метилиндолин-6-ил)пиримидин-2,4-диамин;
Соединение № 274: 5-хлор-N2-(2-хлор-5-метил-4-(4-(4-метилпиперазин-1-ил)пиперидин-1-ил)фенил)-N4-(1-метилиндолин-6-ил)пиримидин-2,4-диамин;
Соединение № 275: 5-хлор-N2-(2-метокси-5-метил-4-(4-(4-метил-1,4-диазепан-1-ил)пиперидин-1-ил)фенил)-N4-(1-метилиндолин-6-ил)пиримидин-2,4-диамин;
Соединение № 276: N-(6-((5-хлор-2-((2-метокси-5-метил-4-(4-(4-метилпиперазин-1-ил)пиперидин-1-ил)фенил)амино)пиримидин-4-ил)амино)-1-метилиндолин-5-ил)метансульфонамид;
Соединение № 277: 5-хлор-N2-(2-хлор-5-метил-4-(4-(4-метилпиперазин-1-ил)пиперидин-1-ил)фенил)-N4-(индолин-6-ил)пиримидин-2,4-диамин;
Соединение № 278: 5-хлор-N2-(5-хлор-2-метокси-4-(4-(4-метилпиперазин-1-ил)пиперидин-1-ил)фенил)-N4-(индолин-6-ил)пиримидин-2,4-диамин;
Соединение № 279: 5-хлор-N4-(индолин-6-ил)-N2-(2-метокси-4-(4-(4-метилпиперазин-1-ил)пиперидин-1-ил)фенил)пиримидин-2,4-диамин;
Соединение № 280: N-(6-((2-((5-бром-4-(3-(диметиламино)-[1,4’-бипиперидин]-1’-ил)-2-метоксифенил)амино)-5-хлорпиримидин-4-ил)амино)-2,3-дигидробензофуран-5-ил)метансульфонамид;
Соединение № 281: N-(6-((5-бром-2-((5-бром-4-(3-(диметиламино)-[1,4’-бипиперидин]-1’-ил)-2-метоксифенил)амино)пиримидин-4-ил)амино)-2,3-дигидробензофуран-5-ил)метансульфонамид;
Соединение № 282: N-(6-((2-((5-бром-2-метокси-4-(4-(4-метил-1,4-диазепан-1-ил)пиперидин-1-ил)фенил)амино)-5-хлорпиримидин-4-ил)амино)-2,3-дигидробензофуран-5-ил)метансульфонамид; и
Соединение № 283: N-(6-((2-((5-бром-4-(4-(3-(диметиламино)пирролидин-1-ил)пиперидин-1-ил)-2-метоксифенил)амино)-5-хлорпиримидин-4-ил)амино)-2,3-дигидробензофуран-5-ил)метансульфонамид.
В одном аспекте настоящего изобретения, фармацевтически приемлемая соль представляет собой соль неорганической или органической кислоты, выбранной из группы, состоящей из соляной кислоты, бромистоводородной кислоты, серной кислоты, фосфорной кислоты, азотной кислоты, уксусной кислоты, гликолевой кислоты, молочной кислоты, виноградной кислоты, малоновой кислоты, янтарной кислоты, глутаровой кислоты, фумаровой кислоты, яблочной кислоты, миндальной кислоты, винной кислоты, лимонной кислоты, аскорбиновой кислоты, пальмитиновой кислоты, малеиновой кислоты, гидроксималеиновой кислоты, бензойной кислоты, гидроксибензойной кислоты, фенилуксусной кислоты, коричной кислоты, салициловой кислоты, метансульфокислоты, бензолсульфокислоты и толуолсульфокислоты.
В другом аспекте настоящего изобретения описана фармацевтическая композиция для предотвращения, снижения степени тяжести или лечения рака, содержащая соединение по любому из аспектов настоящего изобретения в качестве активного ингредиента.
В другом аспекте настоящего изобретения, рак вызван EGFR мутацией.
В другом аспекте настоящего изобретения, фармацевтическую композицию применяют в отношении пациента с EGFR мутацией.
В другом аспекте настоящего изобретения, рак выбран из группы, состоящей из глиобластомы, трижды негативного рака молочной железы, колоректального рака, рака легкого, рака головы и шеи, и их комбинаций.
В другом аспекте настоящего изобретения, рак представляет собой рак легкого.
В другом аспекте настоящего изобретения, фармацевтическую композицию вводят пациенту с тройной мутацией делеция 19 экзона/T790M/C797S или тройной мутацией L858R/T790M/C797S в качестве EFGR-связанной мутации.
В другом аспекте настоящего изобретения, фармацевтическую композицию вводят пациенту с двойной мутацией делеция 19 экзона/T790M или двойной мутацией L858R/T790M в качестве EFGR-связанной мутации.
В другом аспекте настоящего изобретения, фармацевтическую композицию вводят пациенту с мутацией делеция 19 экзона или мутацией L858R в качестве EFGR-связанной мутации.
Фармацевтическую композицию можно вводить лабораторным животным, таким как мыши, кролики, крысы, морские свинки и хомяки, и приматам, включая людей, предпочтительно людям, более предпочтительно людям (но не ограничиваясь только ими).
При использовании в настоящем тексте, термин “лечить” и “лечение” включает облегчение симптомов, снижение степени тяжести заболевания, отсрочивание или замедление развития заболевания, ослабление или стабилизацию болезненного состояния, частичную или полную ремиссию, удлинение выживаемости или другие положительные результаты терапии.
При использовании в настоящем тексте, лечение рака означает лечение всех раковых клеток. Рак также включает ангиогенез эндотелиальных клеток и их митоз (солидные опухоли, метастазирующие опухоли и злокачественные опухоли). Примеры рака включают (но не ограничиваются только ими) рак молочной железы, рак яичника, рак шейки матки, рак простаты, рак яичка, рак мочеполового тракта, рак пищевода, рак гортани, глиобластому, рак желудка, рак кожи, кератоакантому, рак легкого, плоскоклеточную карциному, крупноклеточный рак, мелкоклеточный рак, аденокарциному легкого, рак костей, рак толстого кишечника, аденому, рак поджелудочной железы, аденокарциному, рак щитовидной железы, фолликулярный рак, недифференцированный рак, папиллярную карциному, семиному, меланому, саркому, рак мочевого пузыря, рак печени, рак желчных протоков, рак почки, миелоидные заболевания, болезни лимфатической системы, болезнь Ходжкина, лейкоз волосатых клеток, рак ротовой полости, рак глотки, рак губы, рак языка, рак тонкого кишечника, колоректальный рак, рак прямой кишки, рак мозга, рак центральной нервной системы, лейкоз, гемангиому, трахому и пиогенную гранулему.
Содержание соединения формулы 10, 11 или 12, его фармацевтически приемлемой соли или его гидрата в качестве активного ингредиента можно нужным образом регулировать в зависимости от цели и способа применения фармацевтической композиции по настоящему изобретению.
Например, фармацевтическая композиция может содержать от 0.1 до 10 вес.%, предпочтительно от 0.5 до 5 вес.% соединения формулы 10, 11 или 12, его фармацевтически приемлемой соли или его гидрата, относительно общего веса композиции.
Соединение формулы 10, 11 или 12, его фармацевтически приемлемая соль или его гидрат могут присутствовать в фармацевтической композиции в отдельности или в комбинации с одним или больше другими фармацевтически приемлемыми носителями, вспомогательными веществами, разбавителями или дополнительными агентами.
Примеры фармацевтически приемлемых носителей, вспомогательных веществ или разбавителей включают (но не ограничиваются только ими) лактозу, декстрозу, сахарозу, сорбит, маннит, ксилит, эритрит, мальтит, крахмал, смолу акации, альгинат, желатин, фосфат кальция, силикат кальция, целлюлозу, метилцеллюлозу, микрокристаллическую целлюлозу, поливинилпирролидон, воду, метилгидроксибензоат, пропилгидроксибензоат, тальк, стеарат магния, минеральное масло, декстрин, карбонат кальция, пропиленгликоль, жидкий парафин и физиологический раствор. Фармацевтически приемлемые носители, вспомогательные вещества или разбавители могут быть известными в данной области. Фармацевтическая композиция может дополнительно содержать одну или больше добавок, выбранных из известных в данной области наполнителей, связующих веществ, разрыхлителей, антикоагулянтов, лубрикантов, увлажняющих агентов, рН регуляторов, питательных веществ, витаминов, электролитов, альгиновой кислоты и ее солей, пектиновой кислоты и ее солей, защитных коллоидов, глицерина, ароматизаторов, эмульгаторов и консервантов.
Соединение формулы 10, 11 или 12 или его фармацевтически приемлемую соль по настоящему изобретению можно вводить совместно с одним или больше другими противораковыми средствами для лечения рака или опухоли, для повышения терапевтического эффекта противораковых агентов.
Фармацевтическая композиция может быть для перорального введения или для парентерального введения. Например, фармацевтическую композицию можно вводить различными путями, включая пероральный, чрезкожный, подкожный, внутривенный или внутримышечный. Композиции можно готовить в виде различных препаратов, в зависимости от способа введения. Композицию можно вводить в состав препаратов методами, хорошо известными в данной области, для обеспечивания быстрого, замедленного или отложенного высвобождения активного ингредиента после введения млекопитающим. В целом, твердые препараты для перорального введения включают таблетки, пастилки, мягкие или твердые капсулы, пилюли, порошки и гранулы, и в их состав могут входить одно или больше вспомогательных веществ, например, крахмал, карбонат кальция, сахароза, лактоза или желатин. В дополнение к простым вспомогательным веществам можно также применять лубриканты, такие как стеарат магния и тальк. Жидкие препараты для перорального введения представляют собой суспензии, растворы для внутреннего применения, эмульсии и сиропы. Такие жидкие препараты могут включать различные вспомогательные вещества, например, увлажняющие агенты, подсластители, ароматизаторы и консерванты, в дополнение к воде и жидкому парафину, которые являются обычно применяющимися простыми разбавителями. Препараты для парентерального введения включают кремы, лосьоны, мази, пластыри, жидкости, растворы, аэрозоли, жидкие экстракты, эликсиры, растворы для инфузий, саше, пластыри и инъекции. Инъецируемые препараты предпочтительно имеют форму изотонических водных растворов или суспензий.
Фармацевтическая композиция может дополнительно содержать один или больше адъювантов, таких как стерилизующие агенты, консерванты, стабилизаторы, увлажняющие агенты, акселераторы эмульсий, соли для регулировки осмотического давления, и/или буферные растворы, и одно или больше других фармацевтически приемлемых веществ. Фармацевтическую композицию можно вводить в состав препарат обычными методами смешивания или грануляции. Любую подходящую методику, известную в данной области, можно использовать для приготовления фармацевтической композиции.
Дозировку фармацевтической композиции можно определить, принимая во внимание способ введения, возраст и пол пациента, степень тяжести заболевания, состояние пациента, скорость всасывания активного ингредиента в организме, скорость инактивации и тип дополнительного лекарственного средства. Фармацевтическую композицию можно вводить в виде единичной дозы или в виде нескольких разделенных доз. Активный ингредиент фармацевтической композиции можно вводить млекопитающему, включая человека, в количестве от 0.001 до 100 мг/кг веса тела, предпочтительно от 0.01 до 35 мг/кг веса тела, ежедневно в виде одной или в виде нескольких раздельных доз в сутки via пероральный или парентеральный путь введения.
В другом варианте осуществления настоящего изобретения описан способ лечения рака, включающий введение терапевтически эффективного количества соединения формулы 10, 11 или 12, его фармацевтически приемлемой соли или его гидрата.
Предпочтительно, данный способ может дополнительно включать идентификацию пациента, нуждающегося в предотвращении или лечении рака, перед введением.
При использовании в настоящем тексте, термин “терапевтически эффективное количество” означает количество активного ингредиента, эффективное для предотвращения или лечения рака у млекопитающего. Терапевтически эффективное количество можно определить в зависимости от различных факторов, включая тип и степень тяжести заболевания, тип и содержание активного ингредиента и других ингредиентов в композиции, тип препарата, возраст пациента, его вес, общее состояние здоровья, пол и питание, время и способ введения, выведение композиции из крови, длительность лечения и тип применяющихся в комбинации лекарственных средств. Как описано выше активный ингредиент предпочтительно вводят в количестве от 0.001 до 100 мг/кг веса тела, предпочтительно от 0.01 до 35 мг/кг веса тела, ежедневно один раз в сутки или в виде разделенных доз, перорально или парентерально.
В настоящем изобретении описан также способ получения соединения формулы 1.
[Формула 1]
где R1 представляет собой атом водорода, -Cl или -Br,
R2 представляет собой атом водорода, C1-C5 алкил, -SO2CH3 или -SO2CF3,
R3, R4, R8 и R9 каждый независимо выбраны из атома водорода, галогена, амино-группы, C1-C5 галогеналкила, алкокси и C1-C5 алкила,
R5 и R6 каждый независимо выбраны из атома водорода, галогена, -CF3, C1-C5 галогеналкила и C1-C5 алкила,
R7 выбран из -CF3, C1-C5 галогеналкила и C1-C5 алкила,
A представляет собой C3-C10 гетероциклоалкил, C6-C13 гетеробициклоалкил или C3-C15 линейный или разветвленный гетероалкил, при условии, что гетероциклоалкил, гетеробициклоалкил и линейный или разветвленный гетероалкил опционально замещены одним или больше заместителями, выбранными из галогена, гидроксила, алканола и C1-C5 алкила,
X представляет собой углерод или азот,
Y выбран из -N-, -NH-, -CH2- и -CO-,
Z выбран из -NH-, -SO2- и -SO-(CH3)2, и
B представляет собой C6 арил, гетероарил или C3-C10 гетеробициклоарил.
В одном аспекте настоящего изобретения, B представляет собой моноциклическую арильную группу или замещенную или незамещенную бициклическую ароматическую группу, содержащую один или больше гетероатомов, выбранных из N, S и O. Примеры бициклических гетероарильных групп включают (но не ограничиваются только ими) индолил, бензотиофенил, бензофуранил, бензимидазолил, бензоксазолил, бензоизоксазолил, бензтиазолил, бензотиадиазолил, бензотриазолил, хинолинил, изохинолинил, пуринил, фуропиридинил, оксохромен, диоксоизоиндолинил, пиразолoпиридинил, пиразолo[1,5-a]пиридинил, изохиноксалинил и сходные с ними группы.
Пиримидиновое соединение формулы 1 можно получить сочетанием коммерчески доступного пиримидинового соединения формулы 2 с амином формулы 3, как показано на Схеме реакции 1:
[Схема реакции 1]
где R1, R2, R3, R4, R5, R6, R7, R8, R9, X, Y, Z, A и B имеют значения, указанные для формулы 1.
Сначала, как показано на Схеме реакции 1, коммерчески доступное пиримидиновое соединение формулы 2 вводят в реакцию сочетания с коммерчески доступным амином формулы 3, получая соединение формулы 4. Эта реакция проходит при перемешивании при температуре 60°C. Растворителем в этой реакции может быть органический растворитель, такой как тетрагидрофуран, диоксан, N,N-диметилформамид, N,N-диметилсульфоксид, 2-бутанол или 2-пентанол.
Затем соединение формулы 4 реагирует с коммерчески доступным сульфонилхлоридом или метилиодидом в присутствии основания, такого как гидрид натрия, в растворителе, таком как N,N-диметилформамид, при комнатной температуре. В результате этой реакции происходит замещение сульфонильной или метильной группой в соединении формулы 4 с получением соединения формулы 6.
Соединение формулы 4 или 6 и амин формулы 5 перемешивают при 120°C в присутствии 1.25 M метанольного раствора хлороводорода и уксусной кислоты, получая соединение формулы 1.
[Схема реакции 2]
На Схеме реакции 2 показаны реакции получения аминного интермедиата формулы 5. На Схеме реакции 2, R3, R4, R8, X, и A имеют значения, указанные для формулы 1, и R8 представляет собой фтор или хлор.
Как показано на Схеме реакции 2, коммерчески доступное нитро-соединение формулы 7 вводят в реакцию сочетания с A, получая соединение формулы 8.
Затем соединение формулы 8, железо и хлорид аммония перемешивают в смеси тетрагидрофурана, метанола и воды при 85°C. В результате этой реакции нитро-группа соединения формулы 8 восстанавливается до амино-группы, давая соединение формулы 5.
В настоящем изобретении описана также фармацевтическая композиция, содержащая пиримидиновое соединение формулы 1, 10, 11 или 12, его фармацевтически приемлемую соль, сольват, гидрат или энантиомер в качестве активного ингредиента.
Соединение по настоящему изобретению можно использовать в качестве активного ингредиента фармацевтической композиции для предотвращения и лечения заболевания, вызванного аномальным метаболизмом клеток и метаболизмом глюкозы, благодаря его выдающейся способности ингибировать активность EGFR протеинкиназы. Поэтому соединение по настоящему изобретению можно применять в качестве профилактического и терапевтического агента против заболеваний, вызванных аномальным метаболизмом клеток и метаболизмом глюкозы, например, метаболических заболеваний, таких как диабет и ожирение, и различных опухолевых заболеваний, выбранных из следующих: рак эндометрия, рак мочевого пузыря, рак желудка, рак легкого, рак печени, колоректальный рак, рак тонкого кишечника, рак поджелудочной железы, рак мозга, рак костей, меланома, рак молочной железы, склерозирующий аденоз, рак головы и шеи, рак пищевода, рак щитовидной железы, рак паращитовидной железы, рак почки, саркома, рак простаты, рак уретры, рак крови, такой как лейкоз, множественная миелома и миелодиспластический синдром, лимфомы, такие как болезнь Ходжкина и неходжкинская лимфома, и фиброаденома.
Так, в настоящем изобретении описана фармацевтическая композиция, содержащая пиримидиновое соединение формулы 1, 10, 11 или 12, его фармацевтически приемлемую соль, сольват или гидрат в качестве активного ингредиента и профилактического и терапевтического агента против заболевания, вызванного аномальным метаболизмом клеток и метаболизмом глюкозы.
Фармацевтическая композиция по настоящему изобретению содержит в качестве активного ингредиента по меньшей мере один, выбранный из пиримидинового соединения формулы 1, 10, 11 или 12, его фармацевтически приемлемой соли, сольвата и гидрата. Фармацевтическую композицию по настоящему изобретению можно вводить в состав известных в области фармацевтики препаратов с фармацевтически приемлемыми носителями, усилителями действия и вспомогательными веществами, например, препаратов для перорального или парентерального введения, таких как таблетки, капсулы, пастилки, жидкости и суспензии.
Примеры вспомогательных веществ, которые можно применять в фармацевтической композиции по настоящему изобретению, включают подсластители, связующие вещества, солюбилизаторы, вещества для улучшения растворения, увлажняющие агенты, эмульгаторы, изотонические агенты, адсорбенты, разрыхлители, антиоксиданты, консерванты, лубриканты, наполнители и ароматизаторы. Например, вспомогательными веществами могут являться лактоза, декстроза, сахароза, маннит, сорбит, целлюлоза, глицин, силикагель, тальк, стеариновая кислота, стеарин, стеарат магния, алюмосиликат магния, крахмал, желатин, трагакантовая камедь, альгиновая кислота, альгинат натрия, метилцеллюлоза, натрия карбоксиметилцеллюлоза, агар, вода, этанол, полиэтиленгликоль, поливинилпирролидон, хлорид натрия, хлорид кальция, апельсиновый, клубничный и ванильный ароматизатор.
Дозировка соединения по настоящему изобретению для человепка может варьироваться в зависимости от возраста, веса тела и пола человека, вида дозированной формы, состояния здоровья пациента и степени тяжести заболевания, и обычно составляет от 0.01 до 1000 мг/сутки для взрослого человека весом 70 кг. Соединение по настоящему изобретению можно вводить в количестве от 0.01 до 1000 мг/сутки взрослому человеку весом 70 кг, в виде однократной или нескольких разделенных доз в сутки, через регулярные интервалы времени согласно предписаниям лечащего врача или фармацевта.
Способы практической реализации изобретения
Настоящее изобретение далее описано более подробно с использованием описанных ниже примеров, включая примеры препаратов и экспериментальные примеры. Однако приведенные примеры являются исключительно иллюстративными и объем настоящего изобретения не ограничивается только ими.
Примеры
Пример 1: Получение N-(2-((5-хлор-2-((6-(4-этилпиперазин-1-ил)-2-метоксипиридин-3-ил)амино)-4-ил)амино)фенил)метансульфонамида
Стадия 1) Получение N-(2-((2,5-дихлорпиримидин-4-ил)амино)фенил) метансульфонамида
5.0 г (26.9 ммоль) N-(2-аминофенил)метансульфонамида и 3.37 мл (35.0 ммоль) 2,4,5-трихлорпиримидина разводили добавлением 54 мл изопропилового спирта и добавляли 9.3 мл (53.8 ммоль) N,N-диизопропилэтиламина. Полученную смесь перемешивали при 60°C в течение 12 часов. После завершения реакции реакционную смесь охлаждали до комнатной температуры, разводили этилацетатом и промывали дистиллированной водой. Полученный остаток очищали методом колоночной хроматографии (50% этилацетат/гексан), получая 4.66 г (выход: 52%) указанного в заголовке соединения.
Стадия 2) Получение 6-(4-этилпиперазин-1-ил)-2-метоксипиридин-3-амина
1.0 г (5.38 ммоль) 6-хлор-2-метокси-3-нитропиридина и 0.82 мл (5.38 ммоль) 1-этилпиперазина разводили добавлением 10 мл ДМСО и добавляли 1.48 г (10.8 ммоль) карбоната калия. Полученную смесь перемешивали при 85°C в течение 5 часов. Реакционную смесь экстрагировали дихлорметаном и дистиллированной водой. Органический слой сушили над сульфатом магния. Полученный остаток растворяли в 10 мл смеси тетрагидрофурана, метанола и воды в весовом соотношении 18:1:1, без дополнительной очистки. В раствор добавляли 0.3 г (2.7 ммоль) порошка железа и 0.16 г (2.7 ммоль) хлорида аммония, затем перемешивали при 85°C в течение 3 часов. После завершения реакции реакционную смесь промывали дихлорметаном на фильтре со слоем целита, фильтровали при пониженном давлении и упаривали, получая 1.2 г (выход: 94%) указанного в заголовке соединения.
Стадия 3) Получение N-(2-((5-хлор-2-((6-(4-этилпиперазин-1-ил)-2-метоксипиридин-3-ил)амино)-4-ил)амино)фенил)метансульфонамида
100 мг (0.3 ммоль) соединения, полученного на стадии 1), и 57 мг (0.24 ммоль) соединения, полученного на стадии 2), растворяли в 1.5 мл смеси уксусной кислоты и 1.25М раствора HCl/метанол в объемном соотношении 1:1, герметично закрывали и перемешивали при 120°C в течение 3 часов. После завершения реакции реакционную смесь охлаждали до комнатной температуры, экстрагировали смесью изопропилового спирта и хлороформа (объемное соотношение 1:4) и насыщенным водным раствором бикарбоната натрия. Затем органический слой сушили над безводным сульфатом натрия, фильтровали при пониженном давлении и упаривали при пониженном давлении. Полученный остаток очищали методом колоночной хроматографии (10% метанол/дихлорметан), получая 30 мг (выход: 20%) указанного в заголовке соединения. [M+H]+ = 534.
Пример 2: Получение N-(2-((5-хлор-2-((2-метокси-5-метил-4-(4-(4-метилпиперазин-1-ил)пиперидин-1-ил)фенил)амино)пиримидин-4-ил)амино)фенил) метансульфонамида
Указанное в заголовке соединение получали из соединения, полученного на стадии 1) Примера 1, и соответствующего анилина по методике, аналогичной описанной в Примере 1. [M+H]+ = 614.
Пример 3: Получение N-(2-((5-хлор-2-((6-(4-(4-метилпиперазин-1-ил)пиперидин-1-ил)пиридин-3-ил)амино)пиримидин-4-ил)амино)фенил)метансульфонамида
Указанное в заголовке соединение получали из соединения, полученного на стадии 1) Примера 1, и соответствующего анилина по методике, аналогичной описанной в Примере 1. [M+H]+ = 571.
Пример 4: Получение N-(2-((5-хлор-2-((6-(4-(4-метилпиперазин-1-ил)пиперидин-1-ил)-2-(2,2,2-трифторэтокси)пиридин-3-ил)амино)пиримидин-4-ил)амино)фенил) метансульфонамида
Указанное в заголовке соединение получали из соединения, полученного на стадии 1) Примера 1, и соответствующего анилина по методике, аналогичной описанной в Примере 1. [M+H]+ = 669.
Пример 5: Получение N-(2-((5-хлор-2-((3-фтор-4-(4-(4-метилпиперазин-1-ил) пиперидин-1-ил)фенил)амино)пиримидин-4-ил)амино)фенил)метансульфонамида
Указанное в заголовке соединение получали из соединения, полученного на стадии 1) Примера 1, и соответствующего анилина по методике, аналогичной описанной в Примере 1. [M+H]+ = 558.
Пример 6: Получение N-(2-((5-хлор-2-((6-(1,1-диокситиоморфолино)-2-метоксипиридин-3-ил)амино)пиримидин-4-ил)амино)фенил)метансульфонамида
Указанное в заголовке соединение получали из соединения, полученного на стадии 1) Примера 1, и соответствующего анилина по методике, аналогичной описанной в Примере 1. [M+H]+ = 553.
Пример 7: Получение N-(2-((5-хлор-2-((5-хлор-2-метокси-4-(4-(4-метилпиперазин-1-ил)пиперидин-1-ил)фенил)амино)пиримидин-4-ил)амино)фенил)метансульфонамида
Указанное в заголовке соединение получали из соединения, полученного на стадии 1) Примера 1, и соответствующего анилина по методике, аналогичной описанной в Примере 1. [M+H]+ = 634.
Пример 8: Получение N-(5-хлор-2-((6-(3-(диметиламино)пирролидин-1-ил)-2-метоксипиридин-3-ил)амино)пиримидин-4-ил)-N-(2-(метилсульфонамидо)фенил) метансульфонамида
Стадия 1) Получение N-(2,5-дихлорпиримидин-4-ил)-N-(2-(метилсульфонамидо) фенил)метансульфонамида
1.0 г (3.0 ммоль) соединения, полученного на стадии 1) Примера 1, разводили добавлением 6 мл N,N-диметилформамида и медленно добавляли 138 мг (6.0 ммоль) 60%-ного гидрида натрия при 0°C. Полученную смесь перемешивали при комнатной температуре в течение 30 минут. В реакционную смесь медленно добавляли 0.27 мл (3.6 ммоль) метансульфонилхлорида при 0°C, затем перемешивали при комнатной температуре 2 часа. После завершения реакции реакционную смесь разводили добавлением этилацетата и промывали дистиллированной водой и насыщенным раствором хлорида натрия. Органический слой отделяли, сушили над безводным сульфатом натрия, фильтровали при пониженном давлении и упаривали при пониженном давлении. Полученный остаток очищали методом хроматографии (50% этилацетат/ гексан), получая 1.95 г (выход: 65%) указанного в заголовке соединения.
Стадия 2) Получение N-(5-хлор-2-((6-(3-(диметиламино)пирролидин-1-ил)-2-метоксипиридин-3-ил)амино)пиримидин-4-ил)-N-(2-(метилсульфонамидо)фенил) метансульфонамида
Указанное в заголовке соединение получали по методике, аналогичной описанной в Примере 1, за исключением того, что использовали соединение, полученное на стадии 1), и N,N-диметилпирролидин-3-амин использовали на стадии 2) Примера 1. [M+H]+ = 610.
Пример 9: Получение N-(5-хлор-2-((2-метокси-5-метил-4-(4-(4-метилпиперазин-1-ил)пиперидин-1-ил)фенил)амино)пиримидин-4-ил)-N-(2-(метилсульфонамидо)фенил) метансульфонамида
Указанное в заголовке соединение получали из соединения, полученного на стадии 1) Примера 8, и соответствующего анилина по методике, аналогичной описанной в Примере 1. [M+H]+ = 692.
Пример 10: Получение N-(5-хлор-2-((2-метокси-6-(4-(4-метилпиперазин-1-ил) пиперидин-1-ил)пиридин-3-ил)амино)пиримидин-4-ил)-N-(2-(метилсульфонамидо)фенил) метансульфонамида
Указанное в заголовке соединение получали из соединения, полученного на стадии 1) Примера 8, и соответствующего анилина по методике, аналогичной описанной в Примере 1. [M+H]+ = 679.
Пример 11: Получение N-(2-((5-хлор-2-((2-метокси-5-метил-4-(4-(4-метилпиперазин-1-ил)пиперидин-1-ил)фенил)амино)пиримидин-4-ил)(метил)амино) фенил)-N-метилсульфонамида
Стадия 1) Получение N-(2-((2,5-дихлорпиримидин-4-ил)(метил)амино)фенил)-N-метилметансульфонамида
1.0 г (3.0 ммоль) соединения, полученного на стадии 1) Примера 1, разводили добавлением 6 мл N,N-диметилформамида и медленно добавляли 138 мг (6.0 ммоль) 60%-ного гидрида натрия при 0°C. Полученную смесь перемешивали при комнатной температуре в течение 30 минут. В реакционную смесь медленно добавляли 0.22 мл (3.6 ммоль) метилиодида при 0°C, затем перемешивали при комнатной температуре 2 часа. После завершения реакции реакционную смесь разводили добавлением этилацетата и промывали дистиллированной водой и насыщенным раствором хлорида натрия. Органический слой отделяли, сушили над безводным сульфатом натрия, фильтровали при пониженном давлении и упаривали при пониженном давлении. Полученный остаток очищали методом хроматографии (50% этилацетат/гексан), получая 600 мг (выход: 53%) указанного в заголовке соединения.
Стадия 2) Получение N-(2-((5-хлор-2-((2-метокси-5-метил-4-(4-(4-метилпиперазин-1-ил)пиперидин-1-ил)фенил)амино)пиримидин-4-ил)(метил)амино) фенил)-N-метилсульфонамида
Указанное в заголовке соединение получали по методике, аналогичной описанной в Примере 1, за исключением того, что использовали соединение, полученное на стадии 1), и 1-хлор-5-метокси-2-метил-4-нитробензол и 1-метил-4-пиперидин-4-ил-пиперазин гидрохлорид использовали на стадии 2) Примера 1. [M+H]+ = 679.
Пример 12: Получение N-(2-((5-хлор-2-((2-метокси-5-метил-4-(4-(4-метилпиперазин-1-ил)пиперидин-1-ил)фенил)амино)пиримидин-4-ил)амидо)-5-фторфенил)метансульфонамида
Стадия 1) Получение N-(2-((2,5-дихлорпиримидин-4-ил)амино)-5-фторфенил) метансульфониламида
Указанное в заголовке соединение получали из N-(2-амино-5-фторфенил)метансульфонамида по методике, аналогичной описанной для стадии 1) Примера 1.
Стадия 2) Получение N-(2-((5-хлор-2-((2-метокси-5-метил-4-(4-(4-метилпиперазин-1-ил)пиперидин-1-ил)фенил)амино)пиримидин-4-ил)амидо)-5-фторфенил)метансульфонамида
Указанное в заголовке соединение получали по методике, аналогичной описанной в Примере 1, за исключением того, что использовали соединение, полученное на стадии 1), и 1-хлор-5-метокси-2-метил-4-нитробензол и 1-метил-4-пиперидин-4-ил-пиперазин гидрохлорид использовали на стадии 2) Примера 1.
Пример 13: Получение N-(2-((5-хлор-2-((6-морфолинопиридин-3-ил)амино) пиримидин-4-ил)амидо)-5-фторфенил)метансульфонамида
Указанное в заголовке соединение получали из соединения, полученного на стадии 1) Примера 12, и соответствующего анилина по методике, аналогичной описанной в Примере 1. [M+H]+ = 493.
Пример 14: Получение N-(2-((5-хлор-2-((6-(4-(4-метилпиперазин-1-ил)пиперидин-1-ил)пиридин-3-ил)амидо)пиримидин-4-ил)амино)-5-фторфенил)метансульфонамида
Указанное в заголовке соединение получали из соединения, полученного на стадии 1) Примера 12, и соответствующего анилина по методике, аналогичной описанной в Примере 1. [M+H]+ = 589.
Пример 15: Получение N-(2-((5-хлор-2-((2-метокси-5-метил-6-(4-(4-метилпиперазин-1-ил)пиперидин-1-ил)пиридин-3-ил)амино)пиримидин-4-ил)амино)-5-фторфенил)метансульфонамида
Указанное в заголовке соединение получали из соединения, полученного на стадии 1) Примера 12, и соответствующего анилина по методике, аналогичной описанной в Примере 1. [M+H]+ = 633.
Пример 16: Получение N-(2-((5-хлор-2-((5-фтор-6-(4-(4-метилпиперазин-1-ил) пиперидин-1-ил)пиридин-3-ил)амино)пиримидин-4-ил)амино)-5-фторфенил) метансульфонамида
Указанное в заголовке соединение получали из соединения, полученного на стадии 1) Примера 12, и соответствующего анилина по методике, аналогичной описанной в Примере 1. [M+H]+ = 607.
Пример 17: Получение N-(2-((5-хлор-2-((2-метокси-6-(4-(4-метилпиперазин-1-ил) пиперидин-1-ил)пиридин-3-ил)амино)пиримидин-4-ил)амино)-5-фторфенил) метансульфонамида
Указанное в заголовке соединение получали из соединения, полученного на стадии 1) Примера 12, и соответствующего анилина по методике, аналогичной описанной в Примере 1. [M+H]+ = 619.
Пример 18: Получение N-(2-((5-хлор-2-((6-(4-(2-гидроксиметил)пиперазин-1-ил)-2-метоксипиридин-3-ил)амино)пиримидин-4-ил)амино)-5-фторфенил)метансульфонамида
Указанное в заголовке соединение получали из соединения, полученного на стадии 1) Примера 12, и соответствующего анилина по методике, аналогичной описанной в Примере 1. [M+H]+ = 566.
Пример 19: Получение N-(2-((2-((6-(4-ацетилпиперазин-1-ил)-2-метоксипиридин-3-ил)амино)-5-хлорпиримидин-4-ил)амино)-5-фторфенил)метансульфонамида
Указанное в заголовке соединение получали из соединения, полученного на стадии 1) Примера 12, и соответствующего анилина по методике, аналогичной описанной в Примере 1. [M+H]+ = 565.
Пример 20: Получение N-(2-((5-хлор-2-((2-метокси-6-((3S,5R)-3,4,5-триметилпиперазин-1-ил)пиридин-3-ил)амино)пиримидин-4-ил)амино)-5-фторфенил) метансульфонамида
Указанное в заголовке соединение получали из соединения, полученного на стадии 1) Примера 12, и соответствующего анилина по методике, аналогичной описанной в Примере 1. [M+H]+ = 565.
Пример 21: Получение N-(2-((5-хлор-((6-(4-гидроксипиперидин-1-ил)-2-метоксипиридин-3-ил)амино)пиримидин-4-ил)амино)-5-фторфенил)метансульфонамида
Указанное в заголовке соединение получали из соединения, полученного на стадии 1) Примера 12, и соответствующего анилина по методике, аналогичной описанной в Примере 1. [M+H]+ = 538.
Пример 22: Получение N-(2-((5-хлор-2-((2-метокси-6-(4-(оксетан-3-ил)пиперазин-1-ил)пиридин-3-ил)амино)пиримидин-4-ил)амино)-5-фторфенил)метансульфонамида
Указанное в заголовке соединение получали из соединения, полученного на стадии 1) Примера 12, и соответствующего анилина по методике, аналогичной описанной в Примере 1. [M+H]+ = 578.
Пример 23: Получение N-(2-((5-хлор-2-((6-(3-(диметиламино)пирролидин-1-ил)-2-метоксипиридин-3-ил)амино)пиримидин-4-ил)амино)-5-фторфенил)метансульфонамида
Указанное в заголовке соединение получали из соединения, полученного на стадии 1) Примера 12, и соответствующего анилина по методике, аналогичной описанной в Примере 1. [M+H]+ = 550.
Пример 24: Получение N-(2-((5-бром-2-((2-метокси-5-метил-4-(4-(4-метилпиперазин-1-ил)пиперидин-1-ил)фенил)амино)пиримидин-4-ил)амидо)-5-фторфенил)метансульфонамида
Стадия 1) Получение N-(2-((5-бром-2-хлорпиримидин-4-ил)амино)-5-фторфенил) метансульфонамида
Указанное в заголовке соединение получали из 5-бром-2,4-дихлорпиримидина и N-(2-амино-5-фторфенил)метансульфонамида по методике, аналогичной описанной для стадии 1 Примера 1.
Стадия 2) Получение N-(2-((5-бром-2-((2-метокси-5-метил-4-(4-(4-метилпиперазин-1-ил)пиперидин-1-ил)фенил)амино)пиримидин-4-ил)амидо)-5-фторфенил)метансульфонамида
Указанное в заголовке соединение получали по методике, аналогичной описанной в Примере 1, за исключением того, что использовали соединение, полученное на стадии 1), и 1-хлор-5-метокси-2-метил-4-нитробензол и 1-метил-4-пиперидин-4-ил-пиперазин гидрохлорид использовали на стадии 2) Примера 1.
1H ЯМР (400 МГц, ДМСО-d6) δ 8.64 (с, 1H), 8.12 (с, 1H), 7.93-7.73 (м, 2H), 7.43 (с, 1H), 7.14 (дд, J = 10.9, 2.8 Гц, 1H), 6.79-6.58 (м, 2H), 3.76 (с, 3H), 3.06 (д, J = 11.1 Гц, 2H), 2.84 (с, 3H), 2.78-2.26 (м, 14H), 2.04 (с, 3H), 1.93-1.80 (м, 2H), 1.68-1.50 (м, 2H). [M+H]+ = 677.
Пример 25: Получение N-(2-((5-бром-2-((5-фтор-6-(4-(4-метилпиперазин-1-ил) пиперидин-1-ил)пиридин-3-ил)амино)пиримидин-4-ил)амино)-5-фторфенил) метансульфонамида
Указанное в заголовке соединение получали из соединения, полученного на стадии 1) Примера 24, и соответствующего анилина по методике, аналогичной описанной в Примере 1. [M+H]+ = 652.
Пример 26: Получение N-(2-((5-бром-2-((5-хлор-2-метокси-4-(4-(4-метилпиперазин-1-ил)пиперидин-1-ил)фенил)амино)пиримидин-4-ил)амино)-5-фторфенил)метансульфонамида
Указанное в заголовке соединение получали из соединения, полученного на стадии 1) Примера 24, и соответствующего анилина по методике, аналогичной описанной в Примере 1. [M+H]+ = 697.
Пример 27: Получение N-(2-((5-бром-2-((2-хлор-4-(4-(4-метилпиперазин-1-ил) пиперидин-1-ил)фенил)амино)пиримидин-4-ил)амино)-5-фторфенил)метансульфонамида
Указанное в заголовке соединение получали из соединения, полученного на стадии 1) Примера 24, и соответствующего анилина по методике, аналогичной описанной в Примере 1. [M+H]+ = 667.
Пример 28: Получение N-(2-((5-бром-2-((2-метокси-6-(4-(4-метилпиперазин-1-ил) пиперидин-1-ил)пиридин-3-ил)амино)пиримидин-4-ил)амино)-5-фторфенил) метансульфонамида
Указанное в заголовке соединение получали из соединения, полученного на стадии 1) Примера 24, и соответствующего анилина по методике, аналогичной описанной в Примере 1. [M+H]+ = 664.
Пример 29: Получение N-(2-((5-бром-2-((2-метокси-6-морфолинопиридин-3-ил) амино)пиримидин-4-ил)амино)-5-фторфенил)метансульфонамида
Указанное в заголовке соединение получали из соединения, полученного на стадии 1) Примера 24, и соответствующего анилина по методике, аналогичной описанной в Примере 1. [M+H]+ = 568.
Пример 30: Получение N-(2-((5-бром-2-((6-(4-циклопропилпиперазин-1-ил)-2-метоксипиридин-3-ил)амино)пиримидин-4-ил)амино)-5-фторфенил)метансульфонамида
Указанное в заголовке соединение получали из соединения, полученного на стадии 1) Примера 24, и соответствующего анилина по методике, аналогичной описанной в Примере 1. [M+H]+ = 607.
Пример 31: Получение N-(2-((5-бром-2-((2-метокси-6-(4-морфолинопиперидин-1-ил)пиридин-3-ил)амино)пиримидин-4-ил)амино)-5-фторфенил)метансульфонамида
Указанное в заголовке соединение получали из соединения, полученного на стадии 1) Примера 24, и соответствующего анилина по методике, аналогичной описанной в Примере 1. [M+H]+ = 651.
Пример 32: Получение N-(2-((5-бром-2-((6-(4,4-диметилпиперидин-1-ил)-2-метоксипиридин-3-ил)амино)пиримидин-4-ил)амино)-5-фторфенил)метансульфонамида
Указанное в заголовке соединение получали из соединения, полученного на стадии 1) Примера 24, и соответствующего анилина по методике, аналогичной описанной в Примере 1. [M+H]+ = 594.
Пример 33: Получение N-(2-((5-Бром-2-((6-(4,4-дифторпиперидин-1-ил)-2-метоксипиридин-3-ил)амино)пиримидин-4-ил)амино)-5-фторфенил)метансульфонамида
Указанное в заголовке соединение получали из соединения, полученного на стадии 1) Примера 24, и соответствующего анилина по методике, аналогичной описанной в Примере 1. [M+H]+ = 602.
Пример 34: Получение N-(2-((5-бром-2-((2-хлор-6-(4-(4-метилпиперазин-1-ил)пиперидин-1-ил)-5-(трифторметил)пиридин-3-ил)амино)пиримидин-4-ил)амино)-5-фторфенил)метансульфонамида
Указанное в заголовке соединение получали из соединения, полученного на стадии 1) Примера 24, и соответствующего анилина по методике, аналогичной описанной в Примере 1. [M+H]+ = 736.
Пример 35: Получение N-(2-((5-бром-2-((2-(4-(4-метилпиперазин-1-ил)пиперидин-1-ил)хинолин-6-ил)амино)пиримидин-4-ил)амино)-5-фторфенил)метансульфонамида
Указанное в заголовке соединение получали из соединения, полученного на стадии 1) Примера 24, и соответствующего анилина по методике, аналогичной описанной в Примере 1. [M+H]+ = 684.
Пример 36: Получение N-(2-((5-бром-2-((2-метокси-6-(4-(1-метилпиперидин-4-ил) пиперазин-1-ил)пиридин-3-ил)амино)пиримидин-4-ил)амино)-5-фторфенил) метансульфонамида
Указанное в заголовке соединение получали из соединения, полученного на стадии 1) Примера 24, и соответствующего анилина по методике, аналогичной описанной в Примере 1. [M+H]+ = 664.
Пример 37: Получение N-(2-((5-бром-2-((2-метокси-6-(4-(1-метил-4-ил)пиперазин-1-ил)-5-(трифторметил)пиридин-3-ил)амино)пиримидин-4-ил)амино)-5-фторфенил) метансульфонамида
Указанное в заголовке соединение получали из соединения, полученного на стадии 1) Примера 24, и соответствующего анилина по методике, аналогичной описанной в Примере 1. [M+H]+ = 732.
Пример 38: Получение N-(2-((5-бром-2-((2-метокси-5-метил-4-(4-(4-метил-1,4-диазепан-1-ил)пиперидин-1-ил)фенил)амино)пиримидин-4-ил)амино)-5-фторфенил) метансульфонамида
Указанное в заголовке соединение получали из соединения, полученного на стадии 1) Примера 24, и соответствующего анилина по методике, аналогичной описанной в Примере 1. [M+H]+ = 690.
Пример 39: Получение N-(2-((5-бром-2-((4-(3-(диметиламино)-[1,4’-бипиперидин]-1’-ил)-2-метокси-5-метилфенил)амино)пиримидин-4-ил)амино)-5-фторфенил) метансульфонамида
Указанное в заголовке соединение получали из соединения, полученного на стадии 1) Примера 24, и соответствующего анилина по методике, аналогичной описанной в Примере 1. [M+H]+ = 705.
Пример 40: Получение N-(2-((5-бром-2-((4-(4-(3-(диметиламино)пирролидин-1-ил) пиперидин-1-ил)-2-метокси-5-метилфенил)амино)пиримидин-4-ил)амино)-5-фторфенил) метансульфонамида
Указанное в заголовке соединение получали из соединения, полученного на стадии 1) Примера 24, и соответствующего анилина по методике, аналогичной описанной в Примере 1. [M+H]+ = 691.
Пример 41: Получение N-(2-((5-бром-2-((2-метокси-5-метил-4-(4-((1-метил-1H-пиразол-5-ил)амино)пиперидин-1-ил)фенил)амино)пиримидин-4-ил)амино)-5-фторфенил) метансульфонамида
Указанное в заголовке соединение получали из соединения, полученного на стадии 1) Примера 24, и соответствующего анилина по методике, аналогичной описанной в Примере 1. [M+H]+ = 691.
Пример 42: Получение N-(2-((5-бром-2-((4-(4-(4-циклопропилпиперазин-1-ил)пиперидин-1-ил)-2-метокси-5-метилфенил)амино)пиримидин-4-ил)амино)-5-фторфенил)метансульфонамида
Указанное в заголовке соединение получали из соединения, полученного на стадии 1) Примера 24, и соответствующего анилина по методике, аналогичной описанной в Примере 1. [M+H]+ = 703.
Пример 43: Получение N-(2-((5-бром-2-((2-хлор-5-метил-4-(4-(4-метилпиперидин-1-ил)пиперидин-1-ил)фенил)амино)пиримидин-4-ил)амино)-5-фторфенил) метансульфонамида
Указанное в заголовке соединение получали из соединения, полученного на стадии 1) Примера 24, и соответствующего анилина по методике, аналогичной описанной в Примере 1. [M+H]+ = 681.
Пример 44: Получение N-(2-((5-бром-2-((2-хлор-5-метил-4-(4-(4-метил-1,4-диазепан-1-ил)пиперидин-1-ил)фенил)амино)пиримидин-4-ил)амино)-5-фторфенил) метансульфонамида
Указанное в заголовке соединение получали из соединения, полученного на стадии 1) Примера 24, и соответствующего анилина по методике, аналогичной описанной в Примере 1. [M+H]+ = 696.
Пример 45: Получение N-(2-((5-бром-2-((2-хлор-4-(3-(диметиламино)-[1,4’-бипиперидин]-1’-ил)-5-метилфенил)амино)пиримидин-4-ил)амино)фторфенил) метансульфонамида
Указанное в заголовке соединение получали из соединения, полученного на стадии 1) Примера 24, и соответствующего анилина по методике, аналогичной описанной в Примере 1. [M+H]+ = 710.
Пример 46: Получение 5-хлор-N2-(2-метокси-5-метил-4-(4-(4-метилпиперазин-1-ил)пиперидин-1-ил)фенил)-N4-(2-(трифторметил)фенил)пиримидин-2,4-диамина
Стадия 1) Получение 2,5-дихлор-N-(2-(трифторметил)фенил)пиримидин-4-амина
Указанное в заголовке соединение получали из 2-(трифторметил)анилина по методике, аналогичной описанной для стадии 1) Примера 1.
Стадия 2) Получение 5-хлор-N2-(2-метокси-5-метил-4-(4-(4-метилпиперазин-1-ил)пиперидин-1-ил)фенил)-N4-(2-(трифторметил)фенил)пиримидин-2,4-диамина
Указанное в заголовке соединение получали по методике, аналогичной описанной в Примере 1, за исключением того, что использовали соединение, полученное на стадии 1), и 1-хлор-5-метокси-2-метил-4-нитробензол и 1-метил-4-пиперидин-4-ил-пиперазин гидрохлорид использовали на стадии 2) Примера 1.
Пример 47: Получение 5-хлор-N2-(2-метокси-4-(4-(4-метилпиперазин-1-ил)пиперидин-1-ил)фенил)-N4-(2-(трифторметил)фенил)пиримидин-2,4-диамина
Указанное в заголовке соединение получали из соединения, полученного на стадии 1) Примера 46, и соответствующего анилина по методике, аналогичной описанной в Примере 1. [M+H]+ = 576.
Пример 48: Получение 5-хлор-N2-(4-(4-этилпиперазин-1-ил)фенил)-N4-(2-(трифторметил)фенил)пиримидин-2,4-диамина
Указанное в заголовке соединение получали из соединения, полученного на стадии 1) Примера 46, и соответствующего анилина по методике, аналогичной описанной в Примере 1. [M+H]+ = 477.
Пример 49: Получение 5-хлор-N2-(6-морфолинопиридин-3-ил)-N4-(2-(трифторметил)фенил)пиримидин-2,4-диамина
Указанное в заголовке соединение получали из соединения, полученного на стадии 1) Примера 46, и соответствующего анилина по методике, аналогичной описанной в Примере 1.
1H ЯМР (400 МГц, CDCl3) δ 8.20 (д, J = 2.6 Гц, 1H), 8.16 (д, J = 8.4 Гц, 1H), 8.07 (с, 1H), 7.78 (дд, J = 9.0, 2.5 Гц, 1H), 7.67 (д, J = 7.7 Гц, 1H), 7.57-7.47 (м, 2H), 7.30-7.24 (м, 6H), 6.86 (с, 1H), 6.59 (д, J = 9.0 Гц), 1H), 3.89-3.77 (м, 4H), 3.52-3.28 (м, 4H). [M+H]+ = 451.
Пример 50: Получение 2-((5-хлор-2-((2-метокси-5-метил-4-(4-(4-метилпиперазин-1-ил)пиперидин-1-ил)фенил)амино)пиримидин-4-ил)амино)-N-метилбензолсульфонамида
Стадия 1) Получение 2-((2,5-дихлорпиримидин-4-ил)амино)-N-метилбензолсульфонамида
Указанное в заголовке соединение получали из 2-амино-N-метилбензолсульфонамида по методике, аналогичной описанной для стадии 1) Примера 1.
Стадия 2) Получение 2-((5-хлор-2-((2-метокси-5-метил-4-(4-(4-метилпиперазин-1-ил)пиперидин-1-ил)фенил)амино)пиримидин-4-ил)амино)-N-метилбензолсульфонамида
Указанное в заголовке соединение получали по методике, аналогичной описанной в Примере 1, за исключением того, что использовали соединение, полученное на стадии 1), и 1-хлор-5-метокси-2-метил-4-нитробензол и 1-метил-4-пиперидин-4-ил-пиперазин гидрохлорид использовали на стадии 2) Примера 1.
Пример 51: Получение 2-((5-хлор-2-((2-метокси-4-(4-(4-метилпиперазин-1-ил) пиперидин-1-ил)фенил)амино)пиримидин-4-ил)амино)-N-метилбензолсульфонамида
Указанное в заголовке соединение получали из соединения, полученного на стадии 1) Примера 50, и соответствующего анилина по методике, аналогичной описанной в Примере 1. [M+H]+ = 601.
Пример 52: Получение 2-((5-хлор-2-((6-(4-(4-метилпиперазин-1-ил)пиперидин-1-ил)пиридин-3-ил)амино)пиримидин-4-ил)амино)-N-метилбензолсульфонамида
Указанное в заголовке соединение получали из соединения, полученного на стадии 1) Примера 50, и соответствующего анилина по методике, аналогичной описанной в Примере 1. [M+H]+ = 572.
Пример 53: Получение 2-((5-хлор-2-((6-морфолинопиридин-3-ил)амино) пиримидин-4-ил)амино)-N-метилбензолсульфонамида
Указанное в заголовке соединение получали из соединения, полученного на стадии 1) Примера 50, и соответствующего анилина по методике, аналогичной описанной в Примере 1. 1H ЯМР (400 МГц, ДМСО) δ 9.28 (с, 2H), 8.52 (с, 1H), 8.30 (с, 1H), 8.22 (с, 1H), 7.81 (дд, J = 12.1, 5.4 Гц, 3H), 7.60 (т, J = 7.4 Гц, 1H), 7.28 (т, J = 7.6 Гц, 1H), 6.81 (д, J = 9.1 Гц, 1H), 3.83-3.47 (м, 4H), 3.43-3.18 (м, 4H), 2.44 (с, 3H). [M+H]+ = 476.
Пример 54: Получение 2-((5-хлор-2-((6-(4-этилпиперазин-1-ил)-2-метоксипиридин-3-ил)амино)пиримидин-4-ил)амино)-N-метилбензолсульфонамида
Указанное в заголовке соединение получали из соединения, полученного на стадии 1) Примера 50, и соответствующего анилина по методике, аналогичной описанной в Примере 1. [M+H]+ = 533.
Пример 55: Получение 2-((5-хлор-2-((2-метокси-6-(4-(4-метилпиперазин-1-ил) пиперидин-1-ил)пиридин-3-ил)амино)пиримидин-4-ил)амино)-N-метилбензолсульфонамида
Указанное в заголовке соединение получали из соединения, полученного на стадии 1) Примера 50, и соответствующего анилина по методике, аналогичной описанной в Примере 1. [M+H]+ = 602.
Пример 56: Получение 2-((5-хлор-2-((6-(4-(2-гидроксиэтил)пиперазин-1-ил)-2-метоксипиридин-3-ил)амино)пиримидин-4-ил)амино)-N-метилбензолсульфонамида
Указанное в заголовке соединение получали из соединения, полученного на стадии 1) Примера 50, и соответствующего анилина по методике, аналогичной описанной в Примере 1. [M+H]+ = 549.
Пример 57: Получение 2-((5-хлор-2-((6-(3-(диметиламино)пирролидин-1-ил)-2-метоксипиридин-3-ил)амино)пиримидин-4-ил)амино)-N-метилбензолсульфонамида
Указанное в заголовке соединение получали из соединения, полученного на стадии 1) Примера 50, и соответствующего анилина по методике, аналогичной описанной в Примере 1. [M+H]+ = 533.
Пример 58: Получение 2-((5-хлор-2-((2-метокси-5-метил-6-(4-(4-метилпиперазин-1-ил)пиперидин-1-ил)пиридин-3-ил)амино)пиримидин-4-ил)амино)-N-метилбензолсульфонамида
Указанное в заголовке соединение получали из соединения, полученного на стадии 1) Примера 50, и соответствующего анилина по методике, аналогичной описанной в Примере 1. [M+H]+ = 616.
Пример 59: Получение 2-((5-хлор-2-((2-метокси-5-метил-4-(4-(4-метилпиперазин-1-ил)пиперидин-1-ил)фенил)амино)пиримидин-4-ил)амино)-N-циклопропил-бензолсульфонамида
Стадия 1) Получение N-циклопропил-2-((2,5-дихлорпиримидин-4-ил)амино) бензолсульфонамида
Указанное в заголовке соединение получали из 2-амино-N-циклопропилбензолсульфонамида по методике, аналогичной описанной для стадии 1) Примера 1.
Стадия 2) Получение 2-((5-хлор-2-((2-метокси-5-метил-4-(4-(4-метилпиперазин-1-ил)пиперидин-1-ил)фенил)амино)пиримидин-4-ил)амино)-N-циклопропил-бензолсульфонамида
Указанное в заголовке соединение получали по методике, аналогичной описанной в Примере 1, за исключением того, что использовали соединение, полученное на стадии 1, и 1-хлор-5-метокси-2-метил-4-нитробензол и 1-метил-4-пиперидин-4-ил-пиперазин гидрохлорид использовали на стадии 2) Примера 1.
Пример 60: Получение 2-((5-хлор-2-((3-фтор-4-(4-(4-метилпиперазин-1-ил) пиперидин-1-ил)фенил)амино)пиримидин-4-ил)амино)-N-циклопропил-бензолсульфонамида
Указанное в заголовке соединение получали из соединения, полученного на стадии 1) Примера 59, и соответствующего анилина по методике, аналогичной описанной в Примере 1. [M+H]+ = 615.
Пример 61: Получение 2-((5-хлор-2-((2-метокси-6-(4-(4-метилпиперазин-1-ил) пиперадин-1-ил)пиридин-3-ил)амино)пиримидин-4-ил)амино)-N-циклопропил-бензолсульфонамида
Указанное в заголовке соединение получали из соединения, полученного на стадии 1) Примера 59, и соответствующего анилина по методике, аналогичной описанной в Примере 1. [M+H]+ = 628.
Пример 62: Получение 5-хлор-N2-(2-метокси-5-метил-4-(4-(4-метилпиперазин-1-ил)пиперидин-1-ил)фенил)-N4-(2-((метилсульфонил)метил)фенил)пиримидин-2,4-диамина
Стадия 1) 2,5-дихлор-N-(2-((метилсульфонил)метил)фенил)пиримидин-4-амин
Указанное в заголовке соединение получали из 2-((метилсульфонил)метил) анилина по методике, аналогичной описанной для стадии 1) Примера 1.
Стадия 2) Получение 5-хлор-N2-(2-метокси-5-метил-4-(4-(4-метилпиперазин-1-ил)пиперидин-1-ил)фенил)-N4-(2-((метилсульфонил)метил)фенил)пиримидин-2,4-диамина
Указанное в заголовке соединение получали по методике, аналогичной описанной в Примере 1, за исключением того, что использовали соединение, полученное на стадии 2) Примера 1, и 1-хлор-5-метокси-2-метил-4-нитробензол и 1-метил-4-пиперидин-4-ил-пиперазин гидрохлорид использовали на стадии 2) Примера 1.
Пример 63: Получение 5-хлор-N2-(3-фтор-4-(4-(4-метилпиперазин-1-ил) пиперидин-1-ил)фенил)-N4-(2-((метилсульфонил)метил)фенил)пиримидин-2,4-диамина
Указанное в заголовке соединение получали из соединения, полученного на стадии 1) Примера 62, и соответствующего анилина по методике, аналогичной описанной в Примере 1. [M+H]+ = 588.
Пример 64: Получение 5-хлор-N2-(2-метокси-6-(4-(4-метилпиперазин-1-ил) пиперидин-1-ил)пиридин-3-ил)-N4-(2-((метилсульфонил)метил)фенил)пиримидин-2,4-диамина
Указанное в заголовке соединение получали из соединения, полученного на стадии 1) Примера 62, и соответствующего анилина по методике, аналогичной описанной в Примере 1. [M+H]+ = 601.
Пример 65: Получение N-(4-хлор-2-((5-хлор-2-((2-метокси-5-метил-4-(4-(4-метилпиперазин-1-ил)пиперидин-1-ил)фенил)амино)пиримидин-4-ил)амино)фенил) ацетамида
Стадия 1) Получение N-(4-хлор-2-((2,5-дихлорпиримидин-4-ил)амино)фенил) ацетамида
Указанное в заголовке соединение получали из N-(2-амино-4-хлорфенил) ацетамида по методике, аналогичной описанной для стадии 1) Примера 1.
Стадия 2) Получение N-(4-хлор-2-((5-хлор-2-((2-метокси-5-метил-4-(4-(4-метилпиперазин-1-ил)пиперидин-1-ил)фенил)амино)пиримидин-4-ил)амино)фенил) ацетамида
Указанное в заголовке соединение получали по методике, аналогичной описанной в Примере 1, за исключением того, что использовали соединение, полученное на стадии 1), и 1-хлор-5-метокси-2-метил-4-нитробензол и 1-метил-4-пиперидин-4-ил-пиперазин гидрохлорид использовали на стадии 2) Примера 1.
Пример 66: Получение N-(4-хлор-2-((5-хлор-2-((2-метокси-5-метил-6-(4-(4-метилпиперазин-1-ил)пиперидин-1-ил)пиридин-3-ил)амино)пиримидин-4-ил)амино) фенил)ацетамида
Указанное в заголовке соединение получали из соединения, полученного на стадии 1) Примера 65, и соответствующего анилина по методике, аналогичной описанной в Примере 1. [M+H]+ = 614.
Пример 67: Получение N-(4-хлор-2-((5-хлор-2-((3-фтор-4-(4-(4-метилпиперазин-1-ил)пиперидин-1-ил)фенил)амино)пиримидин-4-ил)амино)фенил)ацетамида
Указанное в заголовке соединение получали из соединения, полученного на стадии 1) Примера 65, и соответствующего анилина по методике, аналогичной описанной в Примере 1. [M+H]+ = 587.
Пример 68: Получение N-(2-((5-хлор-2-((2-метокси-5-метил-4-(4-(4-метилпиперазин-1-ил)пиперидин-1-ил)фенил)амино)пиримидин-4-ил)амино)фенил) ацетамида
Стадия 1) Получение N-(2-((2,5-дихлорпиримидин-4-ил)амино)фенил)ацетамида
Указанное в заголовке соединение получали из N-(2-аминофенил)ацетамида по методике, аналогичной описанной для стадии 1) Примера 1.
Стадия 2) Получение N-(2-((5-хлор-2-((2-метокси-5-метил-4-(4-(4-метилпиперазин-1-ил)пиперидин-1-ил)фенил)амино)пиримидин-4-ил)амино)фенил) ацетамида
Указанное в заголовке соединение получали по методике, аналогичной описанной в Примере 1, за исключением того, что использовали соединение, полученное на стадии 1), и 1-хлор-5-метокси-2-метил-4-нитробензол и 1-метил-4-пиперидин-4-ил-пиперазин гидрохлорид использовали на стадии 2) Примера 1.
Пример 69: Получение N-(2-((5-хлор-2-((3-фтор-4-(4-(4-метилпиперазин-1-ил) пиперидин-1-ил)фенил)амино)пиримидин-4-ил)амино)фенил)ацетамида
Указанное в заголовке соединение получали из соединения, полученного на стадии 1) Примера 68, и соответствующего анилина по методике, аналогичной описанной в Примере 1. [M+H]+ = 553.
Пример 70: Получение N-(2-((5-хлор-2-((5-фтор-6-(4-(4-метилпиперазин-1-ил) пиперидин-1-ил) пиридин-3-ил)- амино)пиримидин-4-ил)амино)фенил)ацетамида
Указанное в заголовке соединение получали из соединения, полученного на стадии 1) Примера 68, и соответствующего анилина по методике, аналогичной описанной в Примере 1. [M+H]+ = 554.
Пример 71: Получение N-(4,5-дихлор-2-((5-хлор-2-((2-метокси-5-метил-4-(4-(4-метилпиперазин-1-ил)пиперидин-1-ил)фенил)амино)пиримидин-4-ил)амино)фенил) ацетамида
Стадия 1) Получение N-(2-((2,5-дихлорпиримидин-4-ил)амино)фенил)ацетамида
5.0 г (22.8 ммоль) N-(2-амино-4,5-дихлорфенил)ацетамида и 3.37 мл (35.0 ммоль) 2,4,5-трихлорпиримидина разводили добавлением 54 мл диметилсульфоксида, и добавляли 7.54 мл (53.8 ммоль) триэтиламина и 841 мг (2.28 ммоль) тетрабутиламмония иодида. Полученную смесь перемешивали при комнатной температуре 24 часа. После завершения реакции реакционную смесь охлаждали до комнатной температуры, разводили этилацетатом и промывали дистиллированной водой. Полученный остаток очищали методом колоночной хроматографии (50% этилацетат/гексан), получая 5.01 г (выход: 60%) указанного в заголовке соединения.
Стадия 2) Получение N-(4,5-дихлор-2-((5-хлор-2-((2-метокси-5-метил-4-(4-(4-метилпиперазин-1-ил)пиперидин-1-ил)фенил)амино)пиримидин-4-ил)амино)фенил)
ацетамида
Указанное в заголовке соединение получали по методике, аналогичной описанной в Примере 1, за исключением того, что использовали соединение, полученное на стадии 1), и 1-хлор-5-метокси-2-метил-4-нитробензол и 1-метил-4-пиперидин-4-ил-пиперазин гидрохлорид использовали на стадии 2) Примера 1.
Пример 72: Получение N-(4,5-дихлор-2-((5-хлор-2-((2-метокси-6-(4-(4-метилпиперазин-1-ил)пиперидин-1-ил)пиридин-3-ил)амино)пиримидин-4-ил)амино) фенил)ацетамида
Указанное в заголовке соединение получали из соединения, полученного на стадии 1) Примера 71 и соответствующего анилина по методике, аналогичной описанной в Примере 1.
1H ЯМР (400 МГц, ДМСО-d6) δ 9.97 (ушир.с, 1H), 8.37 (с, 1H), 8.10-7.88 (м, 3H), 7.69 (с, 1H), 7.51 (д, J = 8.5 Гц, 1H), 6.21 (д, J = 8.5 Гц, 1H), 4.19 (д, J = 12.7 Гц, 2H), 3.76 (с, 3H), 2.75 (т, J = 11.6 Гц, 3H), 2.64-2.30 (м, 11H), 2.09 (с, 3H), 1.87-1.75 (м, 2H), 1.46-1.32 (м, 2H). [M+H]+ = 639.
Пример 73: Получение N-(4,5-дихлор-2-((5-хлор-2-((5-фтор-6-(4-(4-метилпиперазин-1-ил)пиперидин-1-ил)пиридин-3-ил)амино)пиримидин-4-ил)амино) фенил)ацетамида
Указанное в заголовке соединение получали из соединения, полученного на стадии 1) Примера 71, и соответствующего анилина по методике, аналогичной описанной в Примере 1. [M+H]+ = 622.
Пример 74: Получение N-(4,5-дихлор-2-((5-хлор-2-((6-морфолинопиридин-3-ил) амино)пиримидин-4-ил)амино)фенил)ацетамида
Указанное в заголовке соединение получали из соединения, полученного на стадии 1) Примера 71, и соответствующего анилина по методике, аналогичной описанной в Примере 1. [M+H]+ = 508.
Пример 75: Получение N-(4,5-дихлор-2-((5-хлор-2-((2-метокси-4-(4-(4-метилпиперазин-1-ил)пиперидин-1-ил)фенил)амино)пиримидин-4-ил)амино)фенил) ацетамида
Указанное в заголовке соединение получали из соединения, полученного на стадии 1) Примера 71, и соответствующего анилина по методике, аналогичной описанной в Примере 1. [M+H]+ = 634.
Пример 76: Получение N-(4,5-дихлор-2-((5-хлор-2-((3-фтор-4-(4-(4-метилпиперазин-1-ил)пиперидин-1-ил)фенил)амино)пиримидин-4-ил)амино)фенил) ацетамида
Указанное в заголовке соединение получали из соединения, полученного на стадии 1) Примера 71, и соответствующего анилина по методике, аналогичной описанной в Примере 1. [M+H]+ = 621.
Пример 77: Получение N-(4,5-дихлор-2-((5-хлор-2-((2-хлор-4-(4-(4-метилпиперазин-1-ил)пиперидин-1-ил)фенил)амино)пиримидин-4-ил)амино)фенил) ацетамида
Указанное в заголовке соединение получали из соединения, полученного на стадии 1) Примера 71, и соответствующего анилина по методике, аналогичной описанной в Примере 1. [M+H]+ = 621.
Пример 78: Получение N-(4,5-дихлор-2-((5-хлор-2-((2-метокси-5-метил-4-(4-(4-метилпиперазин-1-ил)пиперидин-1-ил)фенил)амино)пиримидин-4-ил)(метил)амино) фенил)-N-метилацетамида
Стадия 1) Получение N-(4,5-дихлор-2-((2,5-дихлорпиримидин-4-ил)(метил)амино) фенил)-N-метилацетамида
1.0 г (2.73 ммоль) соединения, полученного на стадии 1) Примера 22, разводили добавлением 6 мл N,N-диметилформамид и медленно добавляли 138 мг (6.0 ммоль) 60%-ного гидрида натрия при 0°C. Полученную смесь перемешивали при комнатной температуре в течение 30 минут. В реакционную смесь медленно добавляли 0.22 мл (3.6 ммоль) метилиодида при 0°C, затем перемешивали при комнатной температуре 2 часа. После завершения реакции реакционную смесь разводили добавлением этилацетата и промывали дистиллированной водой и насыщенным раствором хлорида натрия. Органический слой отделяли, сушили над безводным сульфатом натрия, фильтровали при пониженном давлении и упаривали при пониженном давлении. Полученный остаток очищали методом хроматографии (50% этилацетат/гексан), получая 720 мг (выход: 66%) указанного в заголовке соединения.
Стадия 2) Получение N-(4,5-дихлор-2-((5-хлор-2-((2-метокси-5-метил-4-(4-(4-метилпиперазин-1-ил)пиперидин-1-ил)фенил)амино)пиримидин-4-ил)(метил)амино) фенил)-N-метилацетамида
Указанное в заголовке соединение получали по методике, аналогичной описанной в Примере 1, за исключением того, что использовали соединение, полученное на стадии 1), и 1-хлор-5-метокси-2-метил-4-нитробензол и 1-метил-4-пиперидин-4-ил-пиперазин гидрохлорид использовали на стадии 2) Примера 1.
Пример 79: Получение N-(4,5-дихлор-2-((5-хлор-2-((2-метокси-6-(4-(4-метилпиперазин-1-ил)пиперидин-1-ил)пиридин-3-ил)амино)пиримидин-4-ил)(метил) амино)фенил)-N-метилацетамида
Указанное в заголовке соединение получали по методике, аналогичной описанной в Примере 1, за исключением того, что использовали соединение, полученное на стадии 1) Примера 78, и 6-хлор-2-метокси-3-нитропиридин и 1-метил-4-пиперидин-4-ил-пиперазин гидрохлорид использовали на стадии 2) Примера 1.
Пример 80: Получение N-(4-хлор-2-((5-хлор-2-((2-метокси-5-метил-4-(4-(4-метилпиперазин-1-ил)пиперидин-1-ил)фенил)амино)пиримидин-4-ил)амино)фенил) метансульфонамида
Стадия 1) Получение N-(4-хлор-2-нитрофенил)метансульфонамида
5.0 г (29.0 ммоль) 4-хлор-2-нитроанилина разводили добавлением 60 мл N,N-диметилформамида и медленно добавляли 1.33 г (58.0 ммоль) 60%-ного гидрида натрия при 0°C. Полученную смесь перемешивали при комнатной температуре в течение 30 минут. В реакционную смесь медленно добавляли 2.68 мл (34.8 ммоль) метансульфонилхлорида при 0°C, затем перемешивали при комнатной температуре 2 часа. После завершения реакции реакционную смесь разводили добавлением этилацетата и промывали дистиллированной водой и насыщенным раствором хлорида натрия. Органический слой отделяли, сушили над безводным сульфатом натрия, фильтровали при пониженном давлении и упаривали при пониженном давлении. Полученный остаток очищали методом хроматографии (20% этилацетат/гексан), получая 5.1 г (выход: 70%) указанного в заголовке соединения.
Стадия 2) Получение N-(2-амино-4-хлорфенил)метансульфонамида
5.1 г (20.0 ммоль) соединения, полученного на стадии 1), растворяли в 100 мл смеси тетрагидрофурана, метанола и воды с объемным соотношением 18:1:1. В раствор добавляли 11.2 г (200 ммоль) порошка железа и 10.8 г (200 ммоль) хлорида аммония, затем перемешивали при 85°C в течение 3 часов. После завершения реакции реакционную смесь промывали дихлорметаном на фильтре со слоем целита, фильтровали при пониженном давлении и упаривали, получая 3.96 г (выход: 90%) указанного в заголовке соединения.
Стадия 3) Получение N-(4-хлор-2-((2,5-дихлорпиримидин-4-ил)амино)фенил) метансульфонамида
Указанное в заголовке соединение получали по методике, аналогичной описанной в Примере 21, за исключением того, что использовали соединение, полученное на стадии 2), на стадии 2) Примера 21.
Стадия 4) Получение N-(4-хлор-2-((5-хлор-2-((2-метокси-5-метил-4-(4-(4-метилпиперазин-1-ил)пиперидин-1-ил)фенил)амино)пиримидин-4-ил)амино)фенил) метансульфонамида
Указанное в заголовке соединение получали по методике, аналогичной описанной в Примере 1, за исключением того, что использовали соединение, полученное на стадии 3), и 1-хлор-5-метокси-2-метил-4-нитробензол и 1-метил-4-пиперидин-4-ил-пиперазин гидрохлорид использовали на стадии 2) Примера 1.
1H ЯМР (400 МГц, ДМСО-d6) δ 8.74 (ушир.с, 1H), 8.13-8.07 (м, 2H), 8.04 (ушир.с, 1H), 7.36-7.26 (м, 2H), 7.09 (дд, J = 8.6, 2.4 Гц, 1H), 6.68 (с, 1H), 3.76 (с, 3H), 3.14-3.02 (м, 2H), 2.88 (с, 3H), 2.77-2.24 (м, 14H), 2.06 (с, 3H), 1.94-1.80 (м, 2H), 1.64-1.48 (м, 2H).
Пример 81: Получение N-(4-хлор-2-((5-хлор-2-((2-метокси-6-(4-(4-метилпиперазин-1-ил)пиперидин-1-ил)пиридин-3-ил)амино)пиримидин-4-ил)аминофенил) метансульфонамида
Указанное в заголовке соединение получали из соединения, полученного на стадии 3) Примера 80, и соответствующего анилина по методике, аналогичной описанной в Примере 1.
1H ЯМР (400 МГц, ДМСО-d6) δ 8.66 (с, 1H), 8.23 (ушир.с, 1H), 8.17-8.04 (м, 2H), 7.52 (д, J = 8.4 Гц, 1H), 7.28 (д, J = 8.5 Гц, 1H), 7.05 (д, J = 6.9 Гц, 1H), 6.31 (д, J = 8.5 Гц, 1H), 4.25 (д, J = 13.0 Гц, 2H), 3.78 (с, 3H)), 2.94 (д, J = 19.2 Гц, 3H), 2.76 (т, J = 11.8 Гц, 3H), 2.68-2.42 (м, 8H), 2.32 (с, 3H), 1.90-1.79 (м, 2H), 1.48-1.33 (м, 2H). [M+H]+ = 636.
Пример 82: Получение N-(4-хлор-2-((5-хлор-2-((2-метокси-4-(4-(4-метилпиперазин-1-ил)пиперидин-1-ил)фенил)амино)пиримидин-4-ил)амино)фенил) метансульфонамида
Указанное в заголовке соединение получали из соединения, полученного на стадии 3) Примера 80, и соответствующего анилина по методике, аналогичной описанной в Примере 1. 1H ЯМР (400 МГц, ДМСО-d6) δ 8.73 (ушир.с, 1H), 8.14 (ушир.с, 1H), 8.12-8.02 (м, 2H), 7.38 (д, J = 8.6 Гц, 1H), 7.29 (д, J = 8.5 Гц, 1H), 7.06 (дд, J = 8.5, 2.3 Гц, 1H), 6.61 (д, J = 1.9 Гц, 1H), 6.50-6.41 (м, 1H), 3.83-3.63 (м, 5H), 2.89 (с, 3H), 2.76-2.20 (м, 14H), 1.92-1.80 (м, 2H), 1.60-1.44 (м, 2H). [M+H]+ = 635.
Пример 83: Получение N-(4-хлор-2-((5-хлор-2-((2-метокси-5-метил-6-(4-(4-метилпиперазин-1-ил)пиперидин-1-ил)пиридин-3-ил)амино)пиримидин-4-ил)амино) фенил)метансульфонамида
Указанное в заголовке соединение получали из соединения, полученного на стадии 3) Примера 80, и соответствующего анилина по методике, аналогичной описанной в Примере 1. [M+H]+ = 650.
Пример 84: Получение N-(4-хлор-2-((5-хлор-2-((3-фтор-4-(4-(4-метилпиперазин-1-ил)пиперидин-1-ил)фенил)амино)пиримидин-4-ил)амино)фенил)метансульфонамида
Указанное в заголовке соединение получали из соединения, полученного на стадии 3) Примера 80, и соответствующего анилина по методике, аналогичной описанной в Примере 1. [M+H]+ = 623.
Пример 85: Получение N-(2-((5-бром-2-((2-метокси-5-метил-4-(4-(4-метилпиперазин-1-ил)пиперидин-1-ил)фенил)амино)пиримидин-4-ил)амино-4-хлорфенил) метансульфонамида
Стадия 1) Получение N-(2-((5-бром-2-хлор-4-ил)амино)-4-хлорфенил) метансульфонамида
Указанное в заголовке соединение получали по методике, аналогичной описанной для стадии 3) Примера 80, за исключением того, что использовали 5-бром-2,4-дихлорпиримидин.
Стадия 2)
Указанное в заголовке соединение получали по методике, аналогичной описанной в Примере 1, за исключением того, что использовали соединение, полученное на стадии 1), и 1-хлор-5-метокси-2-метил-4-нитробензол и 1-метил-4-пиперидин-4-ил-пиперазин гидрохлорид использовали на стадии 2) Примера 1.
1H ЯМР (400 МГц, ДМСО-d6) δ 8.67 (ушир.с, 1H), 8.19-8.11 (м, 2H), 8.07 (ушир.с, 1H), 7.33-7.26 (м, 2H), 7.07 (дд, J = 8.5, 2.4 Гц, 1H), 6.69 (с, 1H), 3.76 (с, 3H), 3.14-3.03 (м, 2H), 2.90 (с, 3H), 2.78-2.24 (м, 14H), 2.09 (с, 3H), 1.92-1.81 (м, 2H), 1.64-1.49 (м, 2H).
Пример 86: Получение N-(2-((5-бром-2-((2-метокси-5-метил-6-(4-(4-метилпиперазин-1-ил)пиперидин-1-ил)пиридин-3-ил)амино)пиримидин-4-ил)амино)-4-хлорфенил)метансульфонамида
Указанное в заголовке соединение получали из соединения, полученного на стадии 1) Примера 85, и соответствующего анилина по методике, аналогичной описанной в Примере 1. [M+H]+ = 694.
Пример 87: Получение N-(2-((5-бром-2-((3-фтор-4-(4-(4-метилпиперазин-1-ил) пиперидин-1-ил)фенил)амино)пиримидин-4-ил)амино)-4-хлорфенил)метансульфонамида
Указанное в заголовке соединение получали из соединения, полученного на стадии 1) Примера 85, и соответствующего анилина по методике, аналогичной описанной в Примере 1. [M+H]+ = 667.
Пример 88: Получение N-(2-((5-бром-2-((5-хлор-2-метокси-4-(4-(4-метилпиперазин-1-ил)пиперидин-1-ил)фенил)амино)пиримидин-4-ил)амино)-4-хлорфенил)метансульфонамида
Указанное в заголовке соединение получали из соединения, полученного на стадии 1) Примера 85, и соответствующего анилина по методике, аналогичной описанной в Примере 1.
1H ЯМР (400 МГц, ДМСО-d6) δ 8.68 (ушир.с, 1H), 8.25-8.20 (м, 2H), 8.04 (ушир.с, 1H), 7.58 (с, 1H), 7.30 (т, J = 8.7 Гц, 1H), 7.10 (дд, J = 8.5, 2.4 Гц, 1H), 6.78 (с, 1H), 3.80 (с, 3H), 3.36-3.25 (м, 2H), 2.92 (с, 3H), 2.80-2.27 (м, 14H), 1.94-1.80 (м, 2H), 1.66-1.52 (м, 2H). [M+H]+ = 713.
Пример 89: Получение N-(2-((5-бром-2-((2-метокси-5-метил-4-(4-(4-метил-1,4-диазепан-1-ил)пиперидин-1-ил)фенил)амино)пиримидин-4-ил)амино)-4-хлорфенил) метансульфониламида
Указанное в заголовке соединение получали из соединения, полученного на стадии 1) Примера 85, и соответствующего анилина по методике, аналогичной описанной в Примере 1. [M+H]+ = 707.
Пример 90: Получение N-(2-((5-Бром-2-((4-(3-(диметиламино)-[1,4’-бипиперидин]-1’-ил)-2-метокси-5-метилфенил)амино)пиримидин-4-ил)амино)-4-хлорфенил) метансульфонамида
Указанное в заголовке соединение получали из соединения, полученного на стадии 1) Примера 85, и соответствующего анилина по методике, аналогичной описанной в Примере 1. [M+H]+ = 721.
Пример 91: Получение N-(2-((5-бром-2-((4-(4-(3-(диметиламино)пирролидин-1-ил) пиперидин-1-ил)-2-метокси-5-метилфенил)амино)пиримидин-4-ил)амино)-4-хлорфенил) метансульфонамида
Указанное в заголовке соединение получали из соединения, полученного на стадии 1) Примера 85, и соответствующего анилина по методике, аналогичной описанной в Примере 1. [M+H]+ = 707.
Пример 92: Получение N-(2-((5-бром-2-((5-фтор-2-метокси-4-(4-(4-метилпиперазин-1-ил)пиперидин-1-ил)фенил)амино)пиримидин-4-ил)амино)-4-хлорфенил)метансульфонамида
Указанное в заголовке соединение получали из соединения, полученного на стадии 1) Примера 85, и соответствующего анилина по методике, аналогичной описанной в Примере 1. [M+H]+ = 696.
Пример 93: Получение N-(2-((5-бром-2-((2-хлор-5-метил-4-(4-(4-метилпиперазин-1-ил)пиперидин-1-ил)фенил)амино)пиримидин-4-ил)амино)-4-хлорфенил) метансульфонамида
Указанное в заголовке соединение получали из соединения, полученного на стадии 1) Примера 85, и соответствующего анилина по методике, аналогичной описанной в Примере 1. [M+H]+ = 698.
Пример 94: Получение N-(2-((5-бром-2-((2-метокси-5-метил-4-(4-(пиперазин-1-ил) пиперидин-1-ил)фенил)амино)пиримидин-4-ил)амино)-4-хлорфенил)метансульфонамида
Указанное в заголовке соединение получали из соединения, полученного на стадии 1) Примера 85, и соответствующего анилина по методике, аналогичной описанной в Примере 1. [M+H]+ = 680.
Пример 95: Получение N-(2-((5-бром-2-((5-хлор-2-метокси-4-(4-(4-метил-1,4-диазепан-1-ил)пиперидин-1-ил)фенил)амино)пиримидин-4-ил)амино)-4-хлорфенил) метансульфонамида
Указанное в заголовке соединение получали из соединения, полученного на стадии 1) Примера 85, и соответствующего анилина по методике, аналогичной описанной в Примере 1. [M+H]+ = 728.
Пример 96: Получение N-(2-((5-бром-2-((2-хлор-4-(4-(3-(диметиламино) пирролидин-1-ил)пиперидин-1-ил)-5-метилфенил)амино)пиримидин-4-ил)амино)-4-хлорфенил)метансульфонамида
Указанное в заголовке соединение получали из соединения, полученного на стадии 1) Примера 85, и соответствующего анилина по методике, аналогичной описанной в Примере 1. [M+H]+ = 712.
Пример 97: Получение N-(2-((5-бром-2-((2-хлор-5-метил-4-(4-(4-метил-1,4-диазепан-1-ил)пиперидин-1-ил)фенил)амино)пиримидин-4-ил)амино)-4-хлорфенил) метансульфонамида
Указанное в заголовке соединение получали из соединения, полученного на стадии 1) Примера 85, и соответствующего анилина по методике, аналогичной описанной в Примере 1. [M+H]+ = 712.
Пример 98: Получение N-(2-((5-бром-2-((2-хлор-4-(3-(диметиламино)-[1,4’-бипиперидин]-1’-ил)-5-метилфенил)амино)пиримидин-4-ил)амино)-4-хлорфенил) метансульфонамида
Указанное в заголовке соединение получали из соединения, полученного на стадии 1) Примера 85, и соответствующего анилина по методике, аналогичной описанной в Примере 1. [M+H]+ = 726.
Пример 99: Получение N-(4,5-дихлор-2-((5-хлор-2-((2-метокси-5-метил-4-(4-(4-метилпиперазин-1-ил)пиперидин-1-ил)фенил)амино)пиримидин-4-ил)амино)фенил) метансульфонамида
Стадия 1) Получение N-(4,5-дихлор-2-((2,5-дихлорпиримидин-4-ил)амино)фенил) метансульфонамида
Указанное в заголовке соединение получали по методике, аналогичной описанной для стадии 3) Примера 80, за исключением того, что 4,5-дихлор-2-нитроанилин использовали на стадии 1) Примера 80.
Стадия 2) Получение N-(4,5-дихлор-2-((5-хлор-2-((2-метокси-5-метил-4-(4-(4-метилпиперазин-1-ил)пиперидин-1-ил)фенил)амино)пиримидин-4-ил)амино)фенил) метансульфонамида
Указанное в заголовке соединение получали по методике, аналогичной описанной в Примере 1, за исключением того, что использовали соединение, полученное на стадии 1), и 1-хлор-5-метокси-2-метил-4-нитробензол и 1-метил-4-пиперидин-4-ил-пиперазин гидрохлорид использовали на стадии 2) Примера 1. [M+H]+ = 684.
Пример 100: Получение N-(4,5-дихлор-2-((5-хлор-2-((2-метокси-5-метил-6-(4-(4-метилпиперазин-1-ил)пиперидин-1-ил)пиридин-3-ил)амино)пиримидин-4-ил)амино) фенилметансульфонамида
Указанное в заголовке соединение получали из соединения, полученного на стадии 1) Примера 99, и соответствующего анилина по методике, аналогичной описанной в Примере 1. [M+H]+ = 685.
Пример 101: Получение N-(4,5-дихлор-2-((5-хлор-2-((3-фтор-4-(4-(4-метилпиперазин-1-ил)пиперидин-1-ил)фенил)амино)пиримидин-4-ил)амино)фенил) метансульфонамида
Указанное в заголовке соединение получали из соединения, полученного на стадии 1) Примера 99, и соответствующего анилина по методике, аналогичной описанной в Примере 1. [M+H]+ = 658.
Пример 102: Получение N-(4,5-дихлор-2-((5-хлор-2-((2-(4-(4-метилпиперазин-1-ил)пиперидин-1-ил)хинолин-6-ил)амино)пиримидин-4-ил)амино)фенил) метансульфонамида
Указанное в заголовке соединение получали из соединения, полученного на стадии 1) Примера 99, и соответствующего анилина по методике, аналогичной описанной в Примере 1. [M+H]+ = 691.
Пример 103: Получение N-(4,5-дихлор-2-((5-хлор-2-((5-хлор-2-метокси-4-(4-(4-метилпиперазин-1-ил)пиперидин-1-ил)фенил)амино)пиримидин-4-ил)аминофенил) метансульфонамида
Указанное в заголовке соединение получали из соединения, полученного на стадии 1) Примера 99, и соответствующего анилина по методике, аналогичной описанной в Примере 1. [M+H]+ = 704.
Пример 104: Получение N-(4,5-дихлор-2-((5-хлор-2-((4-(4-((2-(диметиламино)этил)(метил)амино)пиперидин-1-ил)-2-метокси-5-метилфенил)амино) пиримидин-4-ил)амино)фенил)метансульфонамида
Указанное в заголовке соединение получали из соединения, полученного на стадии 1) Примера 99, и соответствующего анилина по методике, аналогичной описанной в Примере 1. [M+H]+ = 686.
Пример 105: Получение N-(4,5-дихлор-2-((5-хлор-2-((2-метокси-5-метил-4-(метил (3-(4-метилпиперазин-1-ил)пропил)амино)фенил)амино)пиримидин-4-ил)амино)фенил) метансульфонамида
Указанное в заголовке соединение получали из соединения, полученного на стадии 1) Примера 99, и соответствующего анилина по методике, аналогичной описанной в Примере 1. [M+H]+ = 672.
Пример 106: Получение N-(2-((5-бром-2-((2-метокси-5-метил-4-(4-(4-метилпиперазин-1-ил)пиперидин-1-ил)фенил)амино)пиримидин-4-ил)амино)-4-метилфенил)метансульфонамида
Стадия 1) Получение N-(2-((5-бром-2-хлорпиримидин-4-ил)амино)-4-метилфенил) метансульфонамида
Указанное в заголовке соединение получали по методике, аналогичной описанной для стадии 3) Примера 24, за исключением того, что 4-метил-2-нитроанилин использовали на стадии 1) Примера 24, и 5-бром-2,4-дихлорпиримидин использовали на стадии 3) Примера 24.
Стадия 2) Получение N-(2-((5-бром-2-((2-метокси-5-метил-4-(4-(4-метилпиперазин-1-ил)пиперидин-1-ил)фенил)амино)пиримидин-4-ил)амино)-4-метилфенил)метансульфонамида
Указанное в заголовке соединение получали по методике, аналогичной описанной в Примере 1, за исключением того, что использовали соединение, полученное на стадии 1), и 1-хлор-5-метокси-2-метил-4-нитробензол и 1-метил-4-пиперидин-4-ил-пиперазин гидрохлорид использовали на стадии 2) Примера 1.
Пример 107: Получение N-(2-((5-бром-2-((5-хлор-2-метокси-4-(4-(4-метилпиперазин-1-ил)пиперидин-1-ил)фенил)амино)пиримидин-4-ил)амино)-4-метилфенил)метансульфонамида
Указанное в заголовке соединение получали из соединения, полученного на стадии 1) Примера 106, и соответствующего анилина по методике, аналогичной описанной в Примере 1. [M+H]+ = 694.
Пример 108: Получение N-(2-((5-бром-2-((5-фтор-2-метокси-4-(4-(4-метокси-1-ил) пиперидин-1-ил)фенил)амино)пиримидин-4-ил)амино)-4-метилфенил)метансульфонамида
Указанное в заголовке соединение получали из соединения, полученного на стадии 1) Примера 106, и соответствующего анилина по методике, аналогичной описанной в Примере 1. [M+H]+ = 677.
Пример 109: Получение N-(2-((5-бром-2-((2-хлор-5-метил-4-(4-(4-метилпиперазин-1-ил)пиперидин-1-ил)фенил)амино)пиримидин-4-ил)амино)-4-метилфенил) метансульфонамида
Указанное в заголовке соединение получали из соединения, полученного на стадии 1) Примера 106, и соответствующего анилина по методике, аналогичной описанной в Примере 1. [M+H]+ = 678.
Пример 110: Получение N-(5-хлор-2-((2-метокси-5-метил-4-(4-(4-метилпиперазин-1-ил)пиперидин-1-ил)фенил)амино)пиримидин-4-ил)-N-(4-(метилсульфонамидо)бензо[d] тиазол-5-ил)метансульфонамида
Стадия 1) Получение N-(2,5-дихлорпиримидин-4-ил)-4-нитробензо[d]тиазол-5-амина
5.0 г (25.6 ммоль) 4-нитробензо[d]тиазол-5-амина разводили добавлением 50 мл N,N-диметилформамида и медленно добавляли 883 мг (38.4 ммоль) 60%-ного гидрида натрия при 0°C. Полученную смесь перемешивали при комнатной температуре в течение 30 минут. В реакционную смесь медленно добавляли 3.5 мл (30.7 ммоль) 2,4,5-трихлорпиримидина при 0°C, затем перемешивали при комнатной температуре 2 часа. После завершения реакции реакционную смесь разводили добавлением этилацетата и промывали дистиллированной водой и насыщенным раствором хлорида натрия. Органический слой отделяли, сушили над безводным сульфатом натрия, фильтровали при пониженном давлении и упаривали при пониженном давлении. Полученный остаток очищали методом хроматографии (40% этилацетат/гексан), получая 6.84 г (выход: 52%).
Стадия 2) Получение N5-(2,5-дихлорпиримидин-4-ил)бензо[d]тиазол-4,5-диамина
6.84 г (20.0 ммоль) соединения, полученного на стадии 1), разводили добавлением 40 мл смеси тетрагидрофурана, метанола и воды в весовом соотношении 18:1:1в разведенную смесь добавляли 11.2 г (200 ммоль) порошка железа и 10.8 г (200 ммоль) хлорида аммония, затем перемешивали при 85°C в течение 3 часов. После завершения реакции реакционную смесь промывали дихлорметаном на фильтре со слоем целита, фильтровали при пониженном давлении и упаривали, получая 5.6 г (выход: 90%) указанного в заголовке соединения.
Стадия 3) Получение N-(2,5-дихлорпиримидин-4-ил)-N-(4-(метилсульфонамидо) бензо[d]тиазол-5-ил)метансульфонамида
5.6 г (18.0 ммоль) соединения, полученного на стадии 2), разводили добавлением 40 мл N,N-диметилформамида и медленно добавляли 5.0 мл (36.0 ммоль) триэтиламина и 3.2 мл (45.0 ммоль) метансульфонилхлорида при 0°C. Полученную смесь перемешивали при комнатной температуре 2 часа. После завершения реакции реакционную смесь разводили добавлением этилацетата и промывали дистиллированной водой и насыщенным раствором хлорида натрия. Органический слой отделяли, сушили над безводным сульфатом натрия, фильтровали при пониженном давлении и упаривали при пониженном давлении. Полученный остаток очищали методом хроматографии (50% этилацетат/гексан), получая 7.02 г (выход: 83%) указанного в заголовке соединения.
Стадия 4) Получение N-(5-хлор-2-((2-метокси-5-метил-4-(4-(4-метилпиперазин-1-ил)пиперидин-1-ил)фенил)амино)пиримидин-4-ил)-N-(4-(метилсульфонамидо)бензо [d]тиазол-5-ил)метансульфонамида
Указанное в заголовке соединение получали по методике, аналогичной описанной в Примере 1, за исключением того, что использовали соединение, полученное на стадии 1), и 1-хлор-5-метокси-2-метил-4-нитробензол и 1-метил-4-пиперидин-4-ил-пиперазин гидрохлорид использовали на стадии 2) Примера 1. [M+H]+ = 750.
Пример 111: Получение N-(5-хлор-2-((2-метокси-6-(4-(4-метилпиперазин-1-ил) пиперидин-1-ил)пиридин-3-ил)амино)пиримидин-4-ил)-N-(4-(метилсульфонамидо)бензо [d]тиазол-5-ил)метансульфонамида
Указанное в заголовке соединение получали из соединения, полученного на стадии 3) Примера 110, и соответствующего анилина по методике, аналогичной описанной в Примере 1. [M+H]+ = 737.
Пример 112: Получение N-(5-хлор-2-((3-фтор-4-(4-(4-метилпиперазин-1-ил) пиперидин-1-ил)фенил)амино)пиримидин-4-ил)-N-(4-(метилсульфонамидо)бензо [d]тиазол-5-ил)метансульфонамида
Указанное в заголовке соединение получали из соединения, полученного на стадии 3) Примера 110, и соответствующего анилина по методике, аналогичной описанной в Примере 1. [M+H]+ = 724.
Пример 113: Получение N-(5-хлор-2-((5-фтор-6-(4-(4-метилпиперазин-1-ил) пиперидин-1-ил)пиридин-3-ил)амино)пиримидин-4-ил)-N-(4-(метилсульфонамидо)бензо [d]тиазол-5-ил)метансульфонамида
Указанное в заголовке соединение получали из соединения, полученного на стадии 3) Примера 110, и соответствующего анилина по методике, аналогичной описанной в Примере 1. [M+H]+ = 725.
Пример 114: Получение N-(5-хлор-2-((5-хлор-2-метокси-4-(4-(4-метилпиперазин-1-ил)пиперидин-1-ил)фенил)амино)пиримидин-4-ил)-N-(4-(метилсульфонамидо)бензо [d]тиазол-5-ил)метансульфонамида
Указанное в заголовке соединение получали из соединения, полученного на стадии 3) Примера 110, и соответствующего анилина по методике, аналогичной описанной в Примере 1. [M+H]+ = 770.
Пример 115: Получение N-(6-((5-хлор-2-((2-метокси-5-метил-4-(4-(4-метилпиперазин-1-ил)пиперидин-1-ил)фенил)амино)пиримидин-4-ил)амино)хинолин-5-ил)метансульфонамида
Стадия 1) Получение N-(6-((2,5-дихлорпиримидин-4-ил)амино)хинолин-5-ил)метансульфонамида
Указанное в заголовке соединение получали по методике, аналогичной описанной в Примере 80, за исключением того, что 6-нитрохинолин-5-амин и 2,4-дихлорпиримидин использовали на стадии 1) Примера 80.
Стадия 2)
Указанное в заголовке соединение получали по методике, аналогичной описанной в Примере 1, за исключением того, что использовали соединение, полученное в Примере 1, и 1-хлор-5-метокси-2-метил-4-нитробензол и 1-метил-4-пиперидин-4-ил-пиперазин гидрохлорид использовали на стадии 2) Примера 1.
Пример 116: Получение N-(6-((5-хлор-2-((2-метокси-5-метил-6-(4-(4-метилпиперазин-1-ил)пиперидин-1-ил)пиридин-3-ил)амино)пиримидин-4-ил)амино) хинолин-5-ил)метансульфонамида
Указанное в заголовке соединение получали из соединения, полученного на стадии 1) Примера 115, и соответствующего анилина по методике, аналогичной описанной в Примере 1. [M+H]+ = 667.
Пример 117: Получение N-(6-((5-хлор-2-((2-метокси-6-(4-морфолинопиперидин-1-ил)пиридин-3-ил)амино)пиримидин-4-ил)амино)хинолин-5-ил)метансульфонамида
Указанное в заголовке соединение получали из соединения, полученного на стадии 1) Примера 115, и соответствующего анилина по методике, аналогичной описанной в Примере 1. [M+H]+ = 640.
Пример 118: Получение N-(6-((5-хлор-2-((5-хлор-2-метокси-4-(4-(4-метоксипиперазин-1-ил)пиперидин-1-ил)фенил)амино)пиримидин-4-ил)амино)хинолин-5-ил)метансульфонамида
Указанное в заголовке соединение получали из соединения, полученного на стадии 1) Примера 115, и соответствующего анилина по методике, аналогичной описанной в Примере 1. [M+H]+ = 686.
Пример 119: Получение N-(6-((5-хлор-2-((2-метокси-4-(4-метилпиперазин-1-ил)фенил)амино)пиримидин-4-ил)амино)хинолин-5-ил)метансульфонамида
Указанное в заголовке соединение получали из соединения, полученного на стадии 1) Примера 115, и соответствующего анилина по методике, аналогичной описанной в Примере 1. [M+H]+ = 569.
Пример 120: Получение N-(2-((5-хлор-2-((2-метокси-5-метил-4-(4-(4-метилпиперазин-1-ил)пиперидин-1-ил)фенил)амино)пиримидин-4-ил)(метил)амино) фенил)метансульфонамида
Стадия 1) Получение 2,5-дихлор-N-метил-N-(2-нитрофенил)пиримидин-4-амина
5.0 г (32.9 ммоль) N-метил-2-нитроанилина разводили добавлением 50 мл N,N-диметилформамида и медленно добавляли 883 мг (38.4 ммоль) 60%-ного гидрида натрия при 0°C. Полученную смесь перемешивали при комнатной температуре в течение 30 минут. В реакционную смесь медленно добавляли 4.6 мл (40.0 ммоль) 2,4,5-трихлорпиримидина при 0°C, затем перемешивали при комнатной температуре 2 часа. После завершения реакции реакционную смесь разводили добавлением этилацетата и промывали дистиллированной водой и насыщенным раствором хлорида натрия. Органический слой отделяли, сушили над безводным сульфатом натрия, фильтровали при пониженном давлении и упаривали при пониженном давлении. Полученный остаток очищали методом хроматографии (20% этилацетат/гексан), получая 5.98 г (выход: 61%) указанного в заголовке соединения.
Стадия 2) Получение N1-(2,5-дихлорпиримидин-4-ил)-N1-метилбензол-1,2-диамина
5.98 г (20.0 ммоль) соединения, полученного на стадии 1), растворяли в 40 мл смеси тетрагидрофурана, метанола и воды в весовом соотношении 18:1:1. В раствор добавляли 11.8 г (200 ммоль) порошка железа и 10.8 г (200 ммоль) хлорида аммония, затем перемешивали при 85°C в течение 3 часов. После завершения реакции реакционную смесь экстрагировали дихлорметаном на фильтре со слоем целита, фильтровали при пониженном давлении и упаривали, получая 4.8 г (выход: 90%) указанного в заголовке соединения.
Стадия 3) Получение N-(2-((2,5-дихлорпиримидин-4-ил)(метил)амино)фенил) метансульфонамида
Указанное в заголовке соединение получали из 4.8 г (18.0 ммоль) соединения, полученного на стадии 2), по методике, аналогичной описанной для стадии 1) Примера 26.
Стадия 4) Получение N-(2-((5-хлор-2-((2-метокси-5-метил-4-(4-(4-метилпиперазин-1-ил)пиперидин-1-ил)фенил)амино)пиримидин-4-ил)(метил)амино) фенил)метансульфонамида
Указанное в заголовке соединение получали по методике, аналогичной описанной в Примере 1, за исключением того, что использовали соединение, полученное на стадии 3), и 1-хлор-5-метокси-2-метил-4-нитробензол и 1-метил-4-пиперидин-4-ил-пиперазин гидрохлорид использовали на стадии 2) Примера 1.
Пример 121: Получение N-(2-((5-хлор-2-((2-метокси-5-метил-6-(4-(4-метилпиперазин-1-ил)пиперидин-1-ил)пиридин-3-ил)амино)пиримидин-4-ил)(метил) амино)фенил)метансульфонамида
Указанное в заголовке соединение получали по методике, аналогичной описанной в Примере 1, за исключением того, что использовали соединение, полученное на стадии 3) Примера 120, и 2-хлор-6-метокси-3-метил-5-нитропиридин и 1-метил-4-пиперидин-4-ил-пиперазин гидрохлорид использовали на стадии 2) Примера 1.
Пример 122: Получение (6-((5-хлор-2-((2-метокси-5-метил-6-(4-(4-метилпиперазин-1-ил)пиперидин-1-ил)пиридин-3-ил)амино)пиримидин-4-ил)амино) хиноксалин-5-ил)диметилфосфиноксида
Стадия 1) Получение 6-нитрохиноксалина
5.0 г 4-нитробензол-1,2-диамина (32.7 ммоль) разводили добавлением 70 мл этанола и добавляли 40%-ный раствор глиоксаля (35 ммоль). Полученную смесь перемешивали при 80°C в течение 12 часов. После завершения реакции реакционную смесь охлаждали до комнатной температуры, экстрагировали этилацетатом и дистиллированной водой, фильтровали при пониженном давлении и упаривали, получая 4.9 г (выход: 86%) указанного в заголовке соединения.
Стадия 2) Получение хиноксалин-6-амина
4.9 г (28.0 ммоль) соединения, полученного на стадии 1), растворяли в 60 мл смеси тетрагидрофурана, метанола и воды в весовом соотношении 18:1:1. В раствор добавляли 11.8 г (200 ммоль) порошка железа и 10.8 г (200 ммоль) хлорида аммония, затем перемешивали при 85°C в течение 3 часов. После завершения реакции реакционную смесь охлаждали до комнатной температуры, экстрагировали дихлорметаном на фильтре со слоем целита, фильтровали при пониженном давлении и упаривали, получая 3.6 г (выход: 89%) указанного в заголовке соединения.
Стадия 3) Получение 5-иодхиноксалин-6-амина
3.6 г (25.0 ммоль) соединения, полученного на стадии 2), разводили добавлением 60 мл уксусной кислоты и добавляли 4.9 г (30.0 ммоль) монохлорида иода. Полученную смесь перемешивали при комнатной температуре 2 часа. После завершения реакции реакционную смесь промывали концентрированным раствором бикарбоната натрия и дихлорметаном, получая 4.9 г (выход: 72%) указанного в заголовке соединения.
Стадия 4) Получение (6-аминохиноксалин-5-ил)диметилфосфиноксида
4.9 г (18.0 ммоль) соединения, полученного на стадии 3), 1.68 г (21.6 ммоль) диметилфосфиноксида и 7.6 г (36.0 ммоль) трикалий фосфата разводили добавлением 60 мл смеси N,N-диметилформамида и дистиллированной воды в объемном соотношении 5:1, в разведенную смесь добавляли каталитические количества xantphos и диацетата палладия, затем перемешивали при 120°C в течение 24 часов. После завершения реакции реакционную смесь охлаждали до комнатной температуры, экстрагировали дихлорметаном на фильтре со слоем целита, фильтровали при пониженном давлении и упаривали, получая 2.2 г (выход: 56%) указанного в заголовке соединения.
Стадия 5) Получение 6-((2,5-дихлорпиримидин-4-ил)амино)хиноксалин-5-ил)диметилфосфиноксида
2.2 г (10.0 ммоль) соединения, полученного на стадии 4), разводили добавлением 20 мл N,N-диметилформамида и медленно добавляли 440 мг (19.2 ммоль) 60%-ного гидрида натрия при 0°C. Полученную смесь перемешивали при комнатной температуре в течение 30 минут. В реакционную смесь медленно добавляли 2.3 мл (20.0 ммоль) 2,4,5-трихлорпиримидина при 0°C, затем перемешивали при комнатной температуре 2 часа. После завершения реакции реакционную смесь разводили добавлением этилацетата и промывали дистиллированной водой и насыщенным раствором хлорида натрия. Органический слой отделяли, сушили над безводным сульфатом натрия, фильтровали при пониженном давлении и упаривали при пониженном давлении. Полученный остаток очищали методом хроматографии (50% этилацетат/гексан), получая 2.2 г (выход: 60%) указанного в заголовке соединения.
Стадия 6) Получение (6-((5-хлор-2-((2-метокси-5-метил-6-(4-(4-метилпиперазин-1-ил)пиперидин-1-ил)пиридин-3-ил)амино)пиримидин-4-ил)амино)хиноксалин-5-ил)диметилфосфиноксида
Указанное в заголовке соединение получали по методике, аналогичной описанной в Примере 1, за исключением того, что использовали соединение, полученное на стадии 5), и 2-хлор-6-метокси-3-метил-5-нитропиридин и 1-метил-4-пиперидин-4-ил-пиперазин гидрохлорид использовали на стадии 2) Примера 1.
Пример 123: Получение (6-((5-хлор-2-((2-метокси-6-(4-(4-метилпиперазин-1-ил) пиперидин-1-ил)пиридин-3-ил)амино)пиримидин-4-ил)амино)хиноксалин-5-ил)диметилфосфиноксида
Указанное в заголовке соединение получали из соединения, полученного на стадии 5) Примера 122, и соответствующего анилина по методике, аналогичной описанной в Примере 1. [M+H]+ = 637.
Пример 124: Получение (6-((5-хлор-2-((5-фтор-6-(4-(4-метилпиперазин-1-ил) пиперидин-1-ил)пиридин-3-ил)амино)пиримидин-4-ил)амино)хиноксалин-5-ил)диметилфосфиноксида
Указанное в заголовке соединение получали из соединения, полученного на стадии 5) Примера 122, и соответствующего анилина по методике, аналогичной описанной в Примере 1. [M+H]+ = 623.
Пример 125: Получение (6-((5-хлор-2-((3-фтор-4-(4-(4-метилпиперазин-1-ил) пиперидин-1-ил)фенил)амино)пиримидин-4-ил)амино)хиноксалин-5-ил)диметилфосфиноксида
Указанное в заголовке соединение получали из соединения, полученного на стадии 5) Примера 122, и соответствующего анилина по методике, аналогичной описанной в Примере 1. [M+H]+ = 624.
Пример 126: Получение (6-((5-хлор-2-((2-метокси-6-((3S,5R)-3,4,5-триметилпиперазин-1-ил)пиридин-3-ил)амино)пиримидин-4-ил)амино)хиноксалин-5-ил)диметилфосфиноксида
Указанное в заголовке соединение получали из соединения, полученного на стадии 5) Примера 122, и соответствующего анилина по методике, аналогичной описанной в Примере 1. [M+H]+ = 582.
Пример 127: Получение (6-((5-хлор-2-((6-(3-(диметиламино)пирролидин-1-ил)-2-метоксипиридин-3-ил)амино)пиримидин-4-ил)амино)хиноксалин-5-ил)диметилфосфиноксида
Указанное в заголовке соединение получали из соединения, полученного на стадии 5) Примера 122, и соответствующего анилина по методике, аналогичной описанной в Примере 1. [M+H]+ = 568.
Пример 128: Получение (6-((5-хлор-2-((2-метокси-6-(пиперазин-1-ил)пиридин-3-ил)амино)пиримидин-4-ил)амино)хиноксалин-5-ил)диметилфосфиноксида
Указанное в заголовке соединение получали из соединения, полученного на стадии 5) Примера 122, и соответствующего анилина по методике, аналогичной описанной в Примере 1. [M+H]+ = 540.
Пример 129: Получение 4-(5-((5-хлор-4-((5-(диметилфосфорил)хиноксалин-6-ил)амино)пиримидин-2-ил)амино)-6-метоксипиридин-2-ил)тиоморфолин 1,1-диоксида
Указанное в заголовке соединение получали из соединения, полученного на стадии 5) Примера 122, и соответствующего анилина по методике, аналогичной описанной в Примере 1. [M+H]+ = 589.
Пример 130: Получение (6-((5-бром-2-((2-метокси-5-метил-4-(4-(4-метилпиперазин-1-ил)пиперидин-1-ил)фенил)амино)пиримидин-4-ил)амино)хиноксалин-5-ил)диметилфосфиноксида
Стадия 1) Получение 6-нитрохиноксалин-5-амин
5.0 г (28.5 ммоль) соединения, полученного на стадии 1) Примера 122, разводили добавлением 60 мл метанола и добавляли 5.8 г (60 ммоль) т-бутоксида натрия и 4.1 г (60 ммоль) гидроксиламина гидрохлорида при 0°C. Полученную смесь перемешивали при 65°C в течение 4 часов. После завершения реакции реакционную смесь охлаждали до комнатной температуры, экстрагировали дихлорметаном, фильтровали при пониженном давлении и упаривали, получая 3.2 г (выход: 60%) указанного в заголовке соединения.
Стадия 2) Получение N-(метилсульфонил)-N-(6-нитрохиноксалин-5-ил)метансульфонамида
3.2 г (17 ммоль) соединения, полученного на стадии 1), разводили добавлением 30 мл N,N-диметилформамида и медленно добавляли 575 мг (25 ммоль) 60%-ного гидрида натрия при 0°C. Полученную смесь перемешивали при комнатной температуре в течение 30 минут. В реакционную смесь медленно добавляли 2.7 мл (36.0 ммоль) метансульфонилхлорида при 0°C, затем перемешивали при комнатной температуре 2 часа. После завершения реакции реакционную смесь разводили добавлением этилацетата и промывали дистиллированной водой и насыщенным раствором хлорида натрия. Органический слой отделяли, сушили над безводным сульфатом натрия, фильтровали при пониженном давлении и упаривали при пониженном давлении. Полученный остаток очищали методом хроматографии (50% этилацетат/гексан), получая 4.8 г (выход: 82%) указанного в заголовке соединения.
Стадия 3) Получение N-(6-аминохиноксалин-5-ил)-N-(метилсульфонил) метансульфонамида
4.8 г (14.0 ммоль) соединения, полученного на стадии 2), растворяли в 30 мл смеси тетрагидрофурана, метанола и воды в весовом соотношении 18:1:1. В раствор добавляли 7.8 г (140 ммоль) порошка железа и 7.6 г (140 ммоль) хлорида аммония, затем перемешивали при 85°C в течение 3 часов. После завершения реакции реакционную смесь промывали дихлорметаном на фильтре со слоем целита, фильтровали при пониженном давлении и упаривали, получая 3.16 г (выход: 71%) указанного в заголовке соединения.
Стадия 4) Получение (6-((5-бром-2-((2-метокси-5-метил-4-(4-(4-метилпиперазин-1-ил)пиперидин-1-ил)фенил)амино)пиримидин-4-ил)амино)хиноксалин-5-ил)диметилфосфиноксида
Указанное в заголовке соединение получали из соединения, полученного на стадии 3), по методикам, аналогичным описанным на стадиях 1) и 3) Примера 1. [M+H]+ = 745.
Пример 131: Получение N-(6-((5-хлор-2-((2-метокси-5-метил-4-(4-(4-метилпиперазин-1-ил)пиперидин-1-ил)фенил)амино)пиримидин-4-ил)амино)хиноксалин-5-ил)метансульфонамида
Стадия 1) Получение N-(6-нитрохиноксалин-5-ил)метансульфонамида
5.0 г (28.5 ммоль) соединения, полученного по методике, аналогичной описанной для стадии 2) Примера 130, разводили добавлением 40 мл 2н. раствора гидроксида натрия в тетрагидрофуране. Полученный раствор перемешивали при комнатной температуре в течение 4 часов. После завершения реакции реакционную смесь охлаждали до комнатной температуры, экстрагировали дихлорметаном, фильтровали при пониженном давлении и упаривали, получая 6.7 г (выход: 87%) указанного в заголовке соединения.
Стадия 2) Получение N-(6-((5-хлор-2-((2-метокси-5-метил-4-(4-(4-метилпиперазин-1-ил)пиперидин-1-ил)фенил)амино)пиримидин-4-ил)амино)хиноксалин-5-ил)метансульфонамида
Указанное в заголовке соединение получали по методикам, аналогичным описанным на стадиях 3) и 4) Примера 130.
1H ЯМР (400 МГц, ДМСО-d6) δ 9.92 (ушир.с, 1H), 9.00 (д, J = 1.8 Гц, 1H), 8.96 (ушир.с, 1H), 8.93 (д, J = 1.8 Гц, 1H), 8.71 (д, J = 8.5 Гц, 1H), 8.25-8.22 (м, 2H), 7.90 (д, J = 9.3 Гц, 1H), 7.38 (с, 1H), 6.72 (с, 1H), 3.76 (с, 3H), 3.16-2.96 (м, 5H), 2.74-2.27 (м, 11H), 2.21 (с, 3H), 2.02 (с, 3H), 1.93-1.80 (м, 2H), 1.65-1.48 (м, 2H). [M+H]+ = 667.
Пример 132: Получение N-(6-((5-хлор-2-((2-метокси-6-(4-(4-метилпиперазин-1-ил)пиперидин-1-ил)пиридин-3-ил)амино)пиримидин-4-ил)амино)хиноксалин-5-ил)метансульфонамида
Указанное в заголовке соединение получали из соответствующего анилина по методике, аналогичной описанной в Примере 131. [M+H]+ = 654.
Пример 133: Получение N-(6-((5-хлор-2-((2-метокси-4-(4-(4-метилпиперазин-1-ил) пиперидин-1-ил)фенил)амино)пиримидин-4-ил)амино)хиноксалин-5-ил)метансульфонамида
Указанное в заголовке соединение получали из соответствующего анилина по методике, аналогичной описанной в Примере 131. [M+H]+ = 653.
Пример 134: Получение N-(6-((5-хлор-2-((2-метокси-5-метил-6-(4-(4-метилпиперазин-1-ил)пиперидин-1-ил)пиридин-3-ил)амино)пиримидин-4-ил)амино) хиноксалин-5-ил)метансульфонамида
Указанное в заголовке соединение получали из соответствующего анилина по методике, аналогичной описанной в Примере 131. [M+H]+ = 667.
Пример 135: Получение N-(6-((5-хлор-2-((2-метокси-6-((3S,5R)-3,4,5-триметилпиперазин-1-ил)пиридин-3-ил)амино)пиримидин-4-ил)амино)хиноксалин-5-ил)метансульфонамида
Указанное в заголовке соединение получали из соответствующего анилина по методике, аналогичной описанной в Примере 131. [M+H]+ = 598.
Пример 136: Получение N-(6-((5-хлор-2-((5-хлор-2-метокси-4-(4-(4-метилпиперазин-1-ил)пиперидин-1-ил)фенил)амино)пиримидин-4-ил)амино)хиноксалин-5-ил)метансульфонамида
Указанное в заголовке соединение получали из соответствующего анилина по методике, аналогичной описанной в Примере 131. [M+H]+ = 686.
Пример 137: Получение N-(2-((5-хлор-2-((5-хлор-2-метокси-4-(4-(4-метилпиперазин-1-ил)пиперидин-1-ил)фенил)амино)пиримидин-4-ил)амино)-4-(трифторметил)фенил)метансульфонамида
Указанное в заголовке соединение получали по методике, аналогичной описанной в Примере 1, за исключением того, что N-(2-амино-4-(трифторметил)фенил) метансульфонамид и соответствующий анилин использовали на стадиях 1) и 2), соответственно. [M+H]+ = 703.
Пример 138: Получение N-(2-((5-хлор-2-((2-метокси-5-метил-4-(4-(4-метилпиперазин-1-ил)пиперидин-1-ил)фенил)амино)пиримидин-4-ил)амино)-4-(трифторметил)фенил)метансульфонамида
Указанное в заголовке соединение получали по методике, аналогичной описанной в Примере 137, за исключением того, что использовали соответствующий анилин. [M+H]+ = 683.
Пример 139: Получение N-(2-((5-хлор-2-((4-(4-(4-циклопропилпиперазин-1-ил)пиперидин-1-ил)-2-метокси-5-метилфенил)амино)пиримидин-4-ил)амино)-4-(трифторметил)фенил)метансульфонамида
Указанное в заголовке соединение получали по методике, аналогичной описанной в Примере 137, за исключением того, что использовали соответствующий анилин. [M+H]+ = 709.
Пример 140: Получение N-(6-((5-хлор-2-((2-метокси-5-метил-4-(4-(4-метилпиперазин-1-ил)пиперидин-1-ил)фенил)амино)пиримидин-4-ил)амино)-2,3-дигидробензофуран-5-ил)метансульфонамида
Указанное в заголовке соединение получали по методике, аналогичной описанной в Примере 83, за исключением того, что 6-нитро-2,3-дигидробензофуран-5-амин использовали на стадии 1) Примера 80. [M+H]+ = 657.
Пример 141: Получение N-(2-((6-амино-5-хлор-2-((2-метокси-5-метил-4-(4-(4-метилпиперазин-1-ил)пиперидин-1-ил)фенил)амино)пиримидин-4-ил)амино)-5-фторфенил)метансульфонамида
Указанное в заголовке соединение получали по методике, аналогичной описанной в Примере 1, за исключением того, что 2,5,6-трихлорпиримидин-4-амин использовали на стадии 1) Примера 1. [M+H]+ = 648.
Пример 142: Получение ((2-((5-бром-2-((2-метокси-5-метил-4-(4-(4-метилпиперазин-1-ил)пиперидин-1-ил)фенил)амино)пиримидин-4-ил)амино)фенил) имино)диметил-λ6-сульфанона
Стадия 1) Получение N-(диметилоксидо-λ4-сульфанилиден)-2-нитро-бензоламина
5.0 г (40.3 ммоль) 1-оксо-1,7a-дигидробензо[c][1,2,5]оксадиазол-1-ия разводили добавлением 80 мл диметилсульфоксида. Полученный раствор перемешивали при 120°C в течение 12 часов. После завершения реакции реакционную смесь охлаждали до комнатной температуры, разводили этилацетатом и промывали дистиллированной водой. Полученный остаток очищали методом колоночной хроматографии (20% этилацетат/гексан), получая 4.28 г (выход: 50%) указанного в заголовке соединения.
Стадия 2) Получение диметил((2-нитрофенил)имино)-l6-сульфанона
4.28 г (20 ммоль) соединения, полученного на стадии 1), растворяли в 40 мл смеси тетрагидрофурана, метанола и воды в весовом соотношении 18:1:1. В раствор добавляли 0.3 г (2.7 ммоль) порошка железа и 0.16 г (2.7 ммоль) хлорида аммония, затем перемешивали при 85°C в течение 3 часов. После завершения реакции реакционную смесь промывали дихлорметаном на фильтре со слоем целита, фильтровали при пониженном давлении и упаривали, получая 3.3 г (выход: 90%) указанного в заголовке соединения.
Стадия 3) Получение ((2-((2,5-дихлорпиримидин-4-ил)амино)фенил)имино) диметил-16-сульфанона
3.3 г (18 ммоль) соединения, полученного на стадии 2), и 3.37 мл (35.0 ммоль) 5-бром-2,4-дихлорпиримидина разводили добавлением 54 мл изопропилового спирта и добавляли 9.3 мл (53.8 ммоль) N,N-диизопропилэтиламина. Полученную смесь перемешивали при 60°C в течение 12 часов. После завершения реакции реакционную смесь охлаждали до комнатной температуры, разводили этилацетатом и промывали дистиллированной водой. Полученный остаток очищали методом колоночной хроматографии (50% этилацетат/гексан), получая 3.31 г (выход: 55%) указанного в заголовке соединения.
Стадия 4) Получение ((2-((5-бром-2-((2-метокси-5-метил-4-(4-(4-метилпиперазин-1-ил)пиперидин-1-ил)фенил)амино)пиримидин-4-ил)амино)фенил)имино)диметил-λ6-сульфанона
Указанное в заголовке соединение получали из соединения, полученного на стадии 3), и соответствующего анилина по методике, аналогичной описанной в Примере 1.
[M+H]+ = 657
Пример 143: Получение ((2-((5-бром-2-((5-хлор-2-метокси-4-(4-(4-метилпиперазин-1-ил)пиперидин-1-ил)фенил)амино)пиримидин-4-ил)амино)фенил) имино)диметил-λ6-сульфанона
Указанное в заголовке соединение получали по методикам, аналогичным описанным на стадиях 3) и 4) Примера 142. [M+H]+ = 678.
Пример 144: Получение ((2-((5-бром-2-((2-хлор-5-метил-4-(4-(4-метилпиперазин-1-ил)пиперидин-1-ил)фенил)амино)пиримидин-4-ил)амино)фенил)имино)диметил-λ6-сульфанона
Указанное в заголовке соединение получали по методикам, аналогичным описанным на стадиях 3) и 4) Примера 142. [M+H]+ = 662.
Пример 145: Получение N-(2-((5-бром-2-((2-метокси-6-(1-метилазепан-4-ил)пиридин-3-ил)амино)пиримидин-4-ил)амино)-5-фторфенил)метансульфонамида
Указанное в заголовке соединение получали из соединения, полученного на стадии 1) Примера 24, и соответствующего анилина по методике, аналогичной описанной в Примере 1. [M+H]+ = 594.
Пример 146: Получение N-(2-((5-бром-2-((5-фтор-2-метокси-4-(4-(4-метилпиперазин-1-ил)пиперидин-1-ил)фенил)амино)пиримидин-4-ил)амино)-5-фторфенил)метансульфонамида
Указанное в заголовке соединение получали из соединения, полученного на стадии 1) Примера 24, и соответствующего анилина по методике, аналогичной описанной в Примере 1. [M+H]+ = 681.
Пример 147: Получение N-(2-((5-бром-2-((2-метокси-6-(4-(4-метилпиперазин-1-ил) пиперидин-1-ил)пиридин-3-ил)амино)пиримидин-4-ил)амино)-5-фторфенил) метансульфонамида
Указанное в заголовке соединение получали из соединения, полученного на стадии 1) Примера 24, и соответствующего анилина по методике, аналогичной описанной в Примере 1. [M+H]+ = 696.
Пример 148: Получение N-(2-((5-бром-2-((2-метокси-5-метил-4-(4-(трифторметил)-[1,4’-бипиперидин]-1’-ил)фенил)амино)пиримидин-4-ил)амино)-5-фторфенил) метансульфонамида
Указанное в заголовке соединение получали из соединения, полученного на стадии 1) Примера 24, и соответствующего анилина по методике, аналогичной описанной в Примере 1. [M+H]+ = 730.
Пример 149: Получение N-(2-((5-бром-2-((5-хлор-4-(3-(диметиламино)-[1,4’-бипиперидин]-1’-ил)-2-метоксифенил)амино)пиримидин-4-ил)амино)-5-фторфенил) метансульфонамида
Указанное в заголовке соединение получали из соединения, полученного на стадии 1) Примера 24, и соответствующего анилина по методике, аналогичной описанной в Примере 1. [M+H]+ = 726.
Пример 150: Получение N-(2-((5-бром-2-((2-метокси-5-метил-4-(4-(трифторметил)-[1,4’-бипиперидин]-1’-ил)фенил)амино)пиримидин-4-ил)амино)-4-хлорфенил) метансульфонамида
Указанное в заголовке соединение получали из соединения, полученного на стадии 3) Примера 85, и соответствующего анилина по методике, аналогичной описанной в Примере 1. [M+H]+ = 747.
Пример 151: Получение N-(4-хлор-2-((5-хлор-2-((5-хлор-2-метокси-4-(4-(4-метилпиперазин-1-ил)пиперидин-1-ил)фенил)амино)пиримидин-4-ил)амино)фенил) метансульфонамида
Указанное в заголовке соединение получали из соединения, полученного на стадии 3) Примера 80, и соответствующего анилина по методике, аналогичной описанной в Примере 1. [M+H]+ = 650.
Пример 152: Получение N-(4-хлор-2-((6-хлор-3-((-2-метокси-5-метил-4-(4-(4-метилпиперазин-1-ил)пиперидин-1-ил)фенил)амино)-1,2,4-триазин-5-ил)амино)фенил) метансульфонамида
Стадия 1) Получение N-(4-хлор-2-((3,6-дихлор-1,2,4-триазин-5-ил)амино)фенил) метансульфонамида
Указанное в заголовке соединение получали из 3,5,6-трихлор-1,2,4-триазина и N-(2-амино-4-хлорфенил)метансульфонамида по методике, аналогичной описанной для стадии 1) Примера 1.
Стадия 2) Получение N-(4-хлор-2-((6-хлор-3-((-2-метокси-5-метил-4-(4-(4-метилпиперазин-1-ил)пиперидин-1-ил)фенил)амино)-1,2,4-триазин-5-ил)амино)фенил) метансульфонамида
Указанное в заголовке соединение получали по методике, аналогичной описанной в Примере 1, за исключением того, что использовали соединение, полученное на стадии 1), и 1-хлор-5-метокси-2-метил-4-нитробензол и 1-метил-4-пиперидин-4-ил-пиперазин гидрохлорид использовали на стадии 2) Примера 1. [M+H]+ = 650.
Пример 153: Получение (4-хлор-2-((5-хлор-2-((2-метокси-5-метил-4-(4-(4-метилпиперазин-1-ил)пиперидин-1-ил)фенил)амино)пиримидин-4-ил)амино)фенил) диметилфосфиноксида
Указанное в заголовке соединение получали из (2-амино-4-хлорфенил) диметилфосфиноксида по методике, аналогичной описанной для стадии 1) Примера 1. [M+H]+ = 632.
Пример 154: Получение (4-хлор-2-((5-хлор-2-((2-хлор-5-метил-4-(4-(4-метилпиперазин-1-ил)пиперидин-1-ил)фенил)амино)пиримидин-4-ил)амино)фенил) диметилфосфиноксида
Указанное в заголовке соединение получали из соответствующего анилина по методике, аналогичной описанной в Примере 153. [M+H]+ = 637.
Пример 155: Получение N-(2-((5-бром-2-((2-метокси-5-метил-4-(4-(4-метилпиперазин-1-ил)пиперидин-1-ил)фенил)амино)пиримидин-4-ил)амино)-4-хлорфенил)-N-метилметансульфонамида
Стадия 1) Получение N-(2-((5-бром-2-хлорпиримидин-4-ил)амино)-4-хлорфенил)-N-метилметансульфонамида
Указанное в заголовке соединение получали по методике, аналогичной описанной для стадии 1) Примера 1, за исключением того, что N-(2-амино-4-хлорфенил)-N-метилметансульфонамид использовали на стадии 1) Примера 1, и 5-бром-2,4-дихлорпиримидин использовали на стадии 3) Примера 24.
Стадия 2) Получение N-(2-((5-бром-2-((2-метокси-5-метил-4-(4-(4-метилпиперазин-1-ил)пиперидин-1-ил)фенил)амино)пиримидин-4-ил)амино)-4-хлорфенил)-N-метилметансульфонамида
Указанное в заголовке соединение получали из соединения, полученного на стадии 1), по методике, аналогичной описанной для стадии 2) Примера 1. [M+H]+ = 708.
Пример 156: Получение N-(2-((5-бром-2-((5-хлор-2-метокси-4-(4-(4-метилпиперазин-1-ил)пиперидин-1-ил)фенил)амино)пиримидин-4-ил)амино)-4-хлорфенил)-N-метилметансульфонамида
Указанное в заголовке соединение получали из соответствующего анилина по методике, аналогичной описанной в Примере 155. [M+H]+ = 728.
Пример 157: Получение N-(4-хлор-2-((5-хлор-2-((2-хлор-4-(4-(3-(диметиламино)пирролидин-1-ил)пиперидин-1-ил)-5-метилфенил)амино)пиримидин-4-ил)амино)фенил)метансульфонамида
Указанное в заголовке соединение получали из соединения, полученного на стадии 3) Примера 80, и соответствующего анилина по методике, аналогичной описанной в Примере 1. [M+H]+ = 668.
Пример 158: Получение N-(4-хлор-2-((5-хлор-2-((2-хлор-5-метил-4-(4-(4-метилпиперазин-1-ил)пиперидин-1-ил)фенил)амино)пиримидин-4-ил)амино)фенил) метансульфонамида
Указанное в заголовке соединение получали из соединения, полученного на стадии 3) Примера 80, и соответствующего анилина по методике, аналогичной описанной в Примере 1. [M+H]+ = 654.
Пример 159: Получение N-(4-хлор-2-((5-хлор-2-((5-хлор-2-метокси-4-(4-(4-метилпиперазин-1-ил)пиперидин-1-ил)фенил)амино)пиримидин-4-ил)амино)фенил) метансульфонамида
Указанное в заголовке соединение получали из соединения, полученного на стадии 3) Примера 80, и соответствующего анилина по методике, аналогичной описанной в Примере 1. [M+H]+ = 670.
Пример 160: Получение N-(2-((5-хлор-2-((2-метокси-5-метил-4-(4-(4-метилпиперазин-1-ил)пиперидин-1-ил)фенил)амино)пиримидин-4-ил)амино)-4-изопропилфенил)метансульфонамида
Стадия 1) Получение N-(2-((2,5-дихлорпиримидин-4-ил)амино)-4-изопропилфенил)метансульфонамида
N-(2-амино-4-изопропилфенил)метансульфонамид (1 экв.) разводили добавлением изопропилового спирта (0.3 M), и 2,4,5-трихлорпиримидин (2 экв.) и добавляли бикарбонат натрия (4 экв.). Полученную смесь перемешивали в атмосфере азота при 65°C в течение 40 часов. После завершения реакции реакционную смесь охлаждали до комнатной температуры, промывали дихлорметаном на фильтре со слоем целита, фильтровали при пониженном давлении, разводили смесью изопропилового спирта и хлороформа в объемном соотношении 1:4, и промывали дистиллированной водой. Затем органический слой сушили над безводным сульфатом натрия, фильтровали при пониженном давлении и упаривали при пониженном давлении. Полученный остаток очищали методом колоночной хроматографии (40% тетрагидрофуран/гексан), получая указанное в заголовке соединение (выход: 69%).
Стадия 2) Получение N-(2-((5-хлор-2-((2-метокси-5-метил-4-(4-(4-метилпиперазин-1-ил)пиперидин-1-ил)фенил)амино)пиримидин-4-ил)амино)-4-изопропилфенил)метансульфонамида
Соединение (1 экв.), полученное на стадии 1), и соответствующий анилин (0.6 экв.) растворяли в смеси уксусной кислоты (0.3 M) и 1.25М раствора HCl/метанол в объемном соотношении 1:1, герметично закрывали и перемешивали при 120°C в течение 3 часов. После завершения реакции реакционную смесь охлаждали до комнатной температуры, экстрагировали смесью изопропилового спирта и хлороформа (объемное соотношение 1:4) и насыщенным водным раствором бикарбоната натрия. Затем органический слой сушили над безводным сульфатом натрия, фильтровали при пониженном давлении и упаривали при пониженном давлении. Полученный остаток очищали методом колоночной хроматографии (10% метанол/дихлорметан), получая указанное в заголовке соединение (выход: 30%). [M+H]+ = 657.
Пример 161: Получение N-(2-((5-хлор-2-((5-хлор-2-метокси-4-(4-(4-метилпиперазин-1-ил)пиперидин-1-ил)фенил)амино)пиримидин-4-ил)амино)-4-изопропилфенил)метансульфонамида
Указанное в заголовке соединение получали по методике, аналогичной описанной для стадии 2) Примера 160. [M+H]+ = 677.
Пример 162: Получение N-(4-хлор-2-((5-хлор-2-((2-хлор-5-метил-4-(4-(4-метил-1,4-диазепан-1-ил)пиперидин-1-ил)фенил)амино)пиримидин-4-ил)амино)фенил) метансульфонамида
Указанное в заголовке соединение получали из соединения, полученного на стадии 3) Примера 80, и соответствующего анилина по методике, аналогичной описанной в Примере 1. [M+H]+ = 667.
Пример 163: Получение N-(4-хлор-2-((5-хлор-2-((5-хлор-2-метокси-4-(4-(4-метил-1,4-диазепан-1-ил)пиперидин-1-ил)фенил)амино)пиримидин-4-ил)амино)фенил) метансульфонамида
Указанное в заголовке соединение получали из соединения, полученного на стадии 3) Примера 80, и соответствующего анилина по методике, аналогичной описанной в Примере 1. [M+H]+ = 683.
Пример 164: Получение N-(2-((6-хлор-3-((2-метокси-5-метил-4-(4-(4-метилпиперазин-1-ил)пиперидин-1-ил)фенил)амино)-1,2,4-триазин-5-ил)амино)-5-фторфенил)метансульфонамида
Стадия 1) Получение N-(2-((3,6-дихлор-1,2,4-триазин-5-ил)амино)-5-фторфенил) метансульфонамида
N-(2-амино-5-фторфенил)метансульфонамид (1 экв.) разводили добавлением изопропилового спирта (0.3 M) и добавляли 3,5,6-трихлор-1,2,4-триазин (2 экв.) и диизопропилэтиламин (4 экв.). Полученную смесь перемешивали в атмосфере азота при 65°C в течение 40 часов. После завершения реакции реакционную смесь охлаждали до комнатной температуры, промывали дихлорметаном на фильтре со слоем целита, фильтровали при пониженном давлении, разводили смесью изопропилового спирта и хлороформа в объемном соотношении 1:4, и промывали дистиллированной водой. Затем органический слой сушили над безводным сульфатом натрия, фильтровали при пониженном давлении и упаривали при пониженном давлении. Полученный остаток очищали методом колоночной хроматографии (40% тетрагидрофуран/гексан), получая указанное в заголовке соединение (выход: 55%).
Стадия 2) Получение N-(2-((6-хлор-3-((2-метокси-5-метил-4-(4-(4-метилпиперазин-1-ил)пиперидин-1-ил)фенил)амино)-1,2,4-триазин-5-ил)амино)-5-фторфенил)метансульфонамида
Соединение (1 экв.), полученное на стадии 1), и соответствующий анилин (0.6 экв.) растворяли в смеси уксусной кислоты (0.3 M) и 1.25М раствора HCl/метанол в объемном соотношении 1:1, герметично закрывали и перемешивали при 120°C в течение 3 часов. После завершения реакции реакционную смесь охлаждали до комнатной температуры, экстрагировали смесью изопропилового спирта и хлороформа (объемное соотношение 1:4) и насыщенным водным раствором бикарбоната натрия. Затем органический слой сушили над безводным сульфатом натрия, фильтровали при пониженном давлении и упаривали при пониженном давлении. Полученный остаток очищали методом колоночной хроматографии (10% метанол/дихлорметан), получая указанное в заголовке соединение (выход: 34%).
[M+H]+ = 634.
Пример 165: Получение N-(6-((5-хлор-2-((2-метокси-5-метил-4-(4-(4-метил-1,4-диазепан-1-ил)пиперидин-1-ил)фенил)амино)пиримидин-4-ил)амино)-2,3-дигидробензофуран-5-ил)метансульфонамида
Стадия 1) Получение N-(метилсульфонил)-N-(6-нитро-2,3-дигидробензофуран-5-ил)метансульфонамида
6-нитро-2,3-дигидробензофуран-5-амин (1 экв.) растворяли в дихлорметане (0.3M) и добавляли триэтиламин (4 экв.) при 0°C. В полученную смесь медленно добавляли метансульфонил хлорид (MsCl, 3 экв.), затем перемешивали при комнатной температуре в течение 30 минут. После завершения реакции реакционную смесь разводили добавлением гексана и перемешивали еще 15 минут. Желтое твердое вещество отделяли фильтрованием при пониженном давлении, получая указанное в заголовке соединение.
Стадия 2) Получение N-(6-нитро-2,3-дигидробензофуран-5-ил) метансульфониламида
Соединение, полученное на стадии 1), растворяли в смеси тетрагидрофурана и 4н. раствора NaOH (1:1, 0.2 M). Раствор перемешивали при комнатной температуре 2 часа. После завершения реакции реакционную смесь упаривали при пониженном давлении и доводили до pH 5-6 добавлением 1н. раствора HCl при 0°C. Желтое твердое вещество отделяли фильтрованием при пониженном давлении, получая указанное в заголовке соединение.
Стадия 3) Получение N-(6-амино-2,3-дигидробензофуран-5-ил)метансульфонамида
Соединение, полученное на стадии 2), растворяли в смеси тетрагидрофурана, метанола и воды в весовом соотношении 18:1:1. В раствор добавляли порошок железа и хлорид аммония, затем перемешивали при 85°C в течение 3 часов. После завершения реакции реакционную смесь промывали дихлорметаном на фильтре со слоем целита, фильтровали при пониженном давлении и упаривали, получая указанное в заголовке соединение (выход: 91%).
Стадия 4) Получение N-(6-((2,5-дихлорпиримидин-4-ил)амино)-2,3-дигидробензофуран-5-ил)метансульфонамида
Соединение (1 экв.), полученное на стадии 3), разводили добавлением изопропилового спирта (0.3 M) и добавляли 2,4,5-трихлорпиримидин (2 экв.) и бикарбонат натрия (4 экв.). Полученную смесь перемешивали в атмосфере азота при 65°C в течение 40 часов. После завершения реакции реакционную смесь охлаждали до комнатной температуры, промывали дихлорметаном на фильтре со слоем целита, фильтровали при пониженном давлении, разводили смесью изопропилового спирта и хлороформа в объемном соотношении 1:4, и промывали дистиллированной водой. Затем органический слой сушили над безводным сульфатом натрия, фильтровали при пониженном давлении и упаривали при пониженном давлении. Полученный остаток очищали методом колоночной хроматографии (40% тетрагидрофуран/гексан), получая указанное в заголовке соединение (выход: 62%).
Стадия 5) Получение N-(6-((5-хлор-2-((2-метокси-5-метил-4-(4-(4-метил-1,4-диазепан-1-ил)пиперидин-1-ил)фенил)амино)пиримидин-4-ил)амино)-2,3-дигидробензофуран-5-ил)метансульфонамида
Соединение (1 экв.), полученное на стадии 4), и соответствующий анилин (0.6 экв.) растворяли в смеси уксусной кислоты (0.3 M) и 1.25М раствора HCl/метанол в объемном соотношении 1:1, герметично закрывали и перемешивали при 120°C в течение 3 часов. После завершения реакции реакционную смесь охлаждали до комнатной температуры, экстрагировали смесью изопропилового спирта и хлороформа (объемное соотношение 1:4) и насыщенным водным раствором бикарбоната натрия. Затем органический слой сушили над безводным сульфатом натрия, фильтровали при пониженном давлении и упаривали при пониженном давлении. Полученный остаток очищали методом колоночной хроматографии (10% метанол/дихлорметан), получая указанное в заголовке соединение (выход: 33%). [M+H]+ = 671.
Пример 166: Получение 5-хлор-N4-(5-хлор-2-(1H-1,2,3-триазол-4-ил)фенил)-N2-(2-метокси-5-метил-4-(4-(4-метилпиперазин-1-ил)пиперидин-1-ил)фенил)пиримидин-2,4-диамина
Стадия 1) Получение 2,5-дихлор-N-(5-хлор-2-иодфенил)пиримидин-4-амина
5-Хлор-2-иоданилин (1 экв.) разводили добавлением изопропилового спирта (0.3M) и добавляли 2,4,5-трихлорпиримидин (2 экв.) и бикарбонат натрия (4 экв.). Полученную смесь перемешивали в атмосфере азота при 65°C в течение 40 часов. После завершения реакции реакционную смесь охлаждали до комнатной температуры, промывали дихлорметаном на фильтре со слоем целита, фильтровали при пониженном давлении, разводили смесью изопропилового спирта и хлороформа в объемном соотношении 1:4, и промывали дистиллированной водой. Затем органический слой сушили над безводным сульфатом натрия, фильтровали при пониженном давлении и упаривали при пониженном давлении. Полученный остаток очищали методом колоночной хроматографии (40% тетрагидрофуран/гексан), получая указанное в заголовке соединение (выход: 62%).
Стадия 2) Получение 5-хлор-N4-(5-хлор-2-иодфенил)-N2-(2-метокси-5-метил-4-(4-(4-метилпиперазин-1-ил))пиперидин-1-ил)фенил)пиримидин-2,4-диамина
Соединение (1 экв.), полученное на стадии 1), и соответствующий анилин (0.6 экв.) растворяли в смеси уксусной кислоты (0.3 M) и 1.25М раствора HCl/метанол в объемном соотношении 1:1, герметично закрывали и перемешивали при 120°C в течение 3 часов. После завершения реакции реакционную смесь охлаждали до комнатной температуры, экстрагировали смесью изопропилового спирта и хлороформа (объемное соотношение 1:4) и насыщенным водным раствором бикарбоната натрия. Затем органический слой сушили над безводным сульфатом натрия, фильтровали при пониженном давлении и упаривали при пониженном давлении. Полученный остаток очищали методом колоночной хроматографии (10% метанол/дихлорметан), получая указанное в заголовке соединение (выход: 45%).
Стадия 3) Получение 5-хлор-N4-(5-хлор-2-этинилфенил)-N2-(2-метокси-5-метил-4-(4-(4-метилпиперазин-1-ил)пиперидин-1-ил)фенил)пиримидин-2,4-диамина
Использовали соединение, полученное на стадии 2) (1 экв.), триметилсилил ацетилен (1.5 экв.), Pd(PPh3)Cl2 (0.3 экв.) и CuI (0.2 экв.) растворяли в смеси тетрагидрофурана и триэтиламина (соотношение 2:1). Полученный раствор перемешивали при комнатной температуре в течение 30 минут. После завершения реакции реакционную смесь фильтровали через фильтр со слоем целита при пониженном давлении и упаривали при пониженном давлении. Полученный остаток разводили добавлением метанола (0.3M), и добавляли карбонат калия (3 экв.). Полученную смесь перемешивали при комнатной температуре 5 минут. После завершения реакции реакционную смесь разводили добавлением дихлорметана, промывали насыщенным раствором хлорида натрия и очищали методом колоночной хроматографии (выход: 42%).
Стадия 4) Получение 5-хлор-N4-(5-хлор-2-(1H-1,2,3-триазол-4-ил)фенил)-N2-(2-метокси-5-метил-4-(4-(4-метилпиперазин-1-ил)пиперидин-1-ил)фенил)пиримидин-2,4-диамина
Соединение, полученное на стадии 3) (1 экв.), триметилсилил азид (1.5 экв.), сульфат меди (0.1 экв.) и аскорбат натрия (0.2 экв.) разводили дистиллированной водой (0.3 M). Полученный раствор перемешивали при 50°C в течение 3 часов. После завершения реакции реакционную смесь экстрагировали смесью изопропилового спирта и хлороформа (объемное соотношение 1:4) и насыщенным водным раствором бикарбоната натрия. Экстракт очищали методом колоночной хроматографии, получая указанное в заголовке соединение (выход: 33%). [M+H]+ = 623.
Пример 167: Получение N-(4-хлор-2-((5-хлор-2-((1-(3-(диметиламино)пропил)-1H-пиразол-4-ил)амино)пиримидин-4-ил)амино)фенил)метансульфонамида
Указанное в заголовке соединение получали из соединения, полученного на стадии 3) Примера 80, и соответствующего анилина по методике, аналогичной описанной в Примере 1. [M+H]+ = 499.
Пример 168: Получение N-(6-((5-хлор-2-((5-хлор-2-метокси-4-(4-(4-метилпиперазин-1-ил)пиперидин-1-ил)фенил)амино)пиримидин-4-ил)амино)-2,3-дигидробензофуран-5-ил)метансульфонамида
Указанное в заголовке соединение получали по методике, аналогичной описанной для стадии 5) Примера 165. 1H ЯМР (300 МГц, ДМСО) δ 8.45 (с, 1H), 8.14 (с, 1H), 8.09 (с, 1H), 7.70 (с, 1H), 7.43 (с, 1H), 7.20 (с, 1H), 6.77 (с, 1H), 4.56 (т, J = 8.6 Гц, 2H), 3.81 (с, 3H), 3.37-3.22 (м, 4H), 3.18 (т, J = 8.6 Гц, 3H), 2.9 (с, 3H), 2.64 (т, J = 11.0 Гц, 3H), 2.43-2.22 (м, 5H), 2.16 (с, 3H), 1.91-1.79 (м, 2H), 1.67-1.48 (м, 2H). [M+H]+ = 677.
Пример 169: Получение N-(6-((5-бром-2-((2-метокси-5-метил-4-(4-(4-метилпиперазин-1-ил)пиперидин-1-ил)фенил)амино)пиримидин-4-ил)амино)-2,3-дигидробензофуран-5-ил)метансульфонамида
Стадия 1) Получение N-(6-((5-бром-2-хлорпиримидин-4-ил)амино)-2,3-дигидробензофуран-5-ил)метансульфонамида
Соединение (1 экв.), полученное на стадии 3) Примера 165, разводили добавлением изопропилового спирта (0.3 M) и добавляли 5-бром-2,4-дихлорпиримидин (2 экв.) и бикарбонат натрия (4 экв.). Полученную смесь перемешивали в атмосфере азота при 65°C в течение 40 часов. После завершения реакции реакционную смесь охлаждали до комнатной температуры, промывали дихлорметаном на фильтре со слоем целита, фильтровали при пониженном давлении, разводили смесью изопропилового спирта и хлороформа в объемном соотношении 1:4, и промывали дистиллированной водой. Затем органический слой сушили над безводным сульфатом натрия, фильтровали при пониженном давлении и упаривали при пониженном давлении. Полученный остаток очищали методом колоночной хроматографии (40% тетрагидрофуран/гексан), получая указанное в заголовке соединение (выход: 60%).
Стадия 2) Получение N-(6-((5-бром-2-((2-метокси-5-метил-4-(4-(4-метилпиперазин-1-ил)пиперидин-1-ил)фенил)амино)пиримидин-4-ил)амино)-2,3-дигидробензофуран-5-ил)метансульфонамида
Соединение (1 экв.), полученное на стадии 1), и соответствующий анилин (0.6 экв.) растворяли в смеси уксусной кислоты (0.3 M) и 1.25М раствора HCl/метанол в объемном соотношении 1:1, герметично закрывали и перемешивали при 120°C в течение 3 часов. После завершения реакции реакционную смесь охлаждали до комнатной температуры, экстрагировали смесью изопропилового спирта и хлороформа (объемное соотношение 1:4) и насыщенным водным раствором бикарбоната натрия. Затем органический слой сушили над безводным сульфатом натрия, фильтровали при пониженном давлении и упаривали при пониженном давлении. Полученный остаток очищали методом колоночной хроматографии (10% метанол/дихлорметан), получая указанное в заголовке соединение (выход: 34%). 1H ЯМР (300 МГц, ДМСО) δ 8.32 (с, 1H), 8.16 (с, 1H), 8.03 (с, 1H), 7.52 (с, 1H), 7.39 (с, 1H), 7.20 (с, 1H), 6.68 (с, 1H), 4.55 (т, J = 8.7 Гц, 2H), 3.77 (с, 3H), 3.22-3.09 (м, 6H), 2.96 (с, 3H), 2.89-2.76 (м, 6H)), 2.62 (т, J = 11.0 Гц, 3H), 2.50 (с, 3H), 2.08 (с, 3H), 1.96-1.85 (м, 2H), 1.69-1.57 (м, 2H). [M+H]+ = 701.
Пример 170: Получение N-(4-хлор-2-((5-хлор-2-((5-хлор-2-метокси-4-(4-(4-метилпиперазин-1-ил)пиперидин-1-ил)фенил)амино)пиримидин-4-ил)амино)фенил)-N-метилметансульфонамида
Стадия 1) Получение N-(4-хлор-2-((2,5-дихлорпиримидин-4-ил)амино)фенил)-N-метилметансульфонамида
Указанное в заголовке соединение получали по методике, аналогичной описанной для стадии 1) Примера 1, за исключением того, что использовали N-(2-амино-4-хлорфенил)-N-метилметансульфонамид.
Стадия 2) Получение N-(4-хлор-2-((5-хлор-2-((5-хлор-2-метокси-4-(4-(4-метилпиперазин-1-ил)пиперидин-1-ил)фенил)амино)пиримидин-4-ил)амино)фенил)-N-метилметансульфонамида
Соединение (1 экв.), полученное на стадии 1), и соответствующий анилин (0.6 экв.) растворяли в смеси уксусной кислоты (0.3 M) и 1.25М раствора HCl/метанол в объемном соотношении 1:1, герметично закрывали и перемешивали при 120°C в течение 3 часов. После завершения реакции реакционную смесь охлаждали до комнатной температуры, экстрагировали смесью изопропилового спирта и хлороформа (объемное соотношение 1:4) и насыщенным водным раствором бикарбоната натрия. Затем органический слой сушили над безводным сульфатом натрия, фильтровали при пониженном давлении и упаривали при пониженном давлении. Полученный остаток очищали методом колоночной хроматографии (10% метанол/дихлорметан), получая указанное в заголовке соединение (выход: 32%). [M+H]+ = 683.
Пример 171: Получение N-(4-хлор-2-((5-хлор-2-((2-хлор-5-метил-4-(4-(4-метилпиперазин-1-ил)пиперидин-1-ил)фенил)амино)пиримидин-4-ил)амино)фенил)-N-метилметансульфонамида
Указанное в заголовке соединение получали по методике, аналогичной описанной для стадии 2) Примера 170. [M+H]+ = 667.
Пример 172: Получение N-(6-((5-хлор-2-((2-хлор-5-метил-4-(4-(4-метил-1,4-диазепан-1-ил)пиперидин-1-ил)фенил)амино)пиримидин-4-ил)амино)-2,3-дигидробензофуран-5-ил)метансульфонамида
Указанное в заголовке соединение получали по методике, аналогичной описанной для стадии 5) Примера 165. [M+H]+ = 675.
Пример 173: Получение N-(6-((5-хлор-2-((2-хлор-5-метил-4-(4-(4-метилпиперазин-1-ил)пиперидин-1-ил)фенил)амино)пиримидин-4-ил)амино)-2,3-дигидробензофуран-5-ил)метансульфонамида
Указанное в заголовке соединение получали по методике, аналогичной описанной для стадии 5) Примера 165. [M+H]+ = 661.
Пример 174: Получение N-(6-((5-хлор-2-((5-хлор-2-метокси-4-(4-(4-метил-1,4-диазепан-1-ил)пиперидин-1-ил)фенил)амино)пиримидин-4-ил)амино)-2,3-дигидробензофуран-5-ил)метансульфонамида
Указанное в заголовке соединение получали по методике, аналогичной описанной для стадии 5) Примера 165. 1H ЯМР (300 МГц, ДМСО) δ 8.48 (с, 1H), 8.14 (с, 1H), 8.09 (с, 1H), 7.69 (с, 1H), 7.44 (с, 1H), 7.20 (с, 1H), 6.77 (с, 1H), 4.55 (т, J = 8.7 Гц, 2H), 3.81 (с, 3H), 3.22-3.12 (м, 3H), 2.93 (с, 3H), 2.82-2.64 (м, 6H)), 2.64-2.52 (м, 6H), 2.28 (с, 3H), 1.84-1.68 (м, 4H), 1.65-1.53 (м, 2H) [M+H]+ = 691.
Пример 175: Получение N-(6-((5-бром-2-((2-хлор-5-метил-4-(4-(4-метилпиперазин-1-ил)пиперидин-1-ил)фенил)амино)пиримидин-4-ил)амино)-2,3-дигидробензофуран-5-ил)метансульфонамида
Указанное в заголовке соединение получали по методике, аналогичной описанной для стадии 2) Примера 169. [M+H]+ = 706.
Пример 176: Получение N-(4-хлор-2-((5-хлор-2-((2-метокси-5-метил-4-(4-(4-метилпиперазин-1-ил)пиперидин-1-ил)фенил)амино)пиримидин-4-ил)амино)-5-фторфенил)метансульфонамида
Стадия 1) Получение N-(4-хлор-2-((2,5-дихлорпиримидин-4-ил)амино)-5-фторфенил)метансульфонамида
Указанное в заголовке соединение получали по методике, аналогичной описанной для стадии 1) Примера 1, за исключением того, что использовали N-(2-амино-4-хлор-5-фторфенил)метансульфонамид.
Стадия 2) Получение N-(4-хлор-2-((5-хлор-2-((2-метокси-5-метил-4-(4-(4-метилпиперазин-1-ил)пиперидин-1-ил)фенил)амино)пиримидин-4-ил)амино)-5-фторфенил)метансульфонамида
Соединение (1 экв.), полученное на стадии 1), и соответствующий анилин (0.6 экв.) растворяли в смеси уксусной кислоты (0.3 M) и 1.25М раствора HCl/метанол в объемном соотношении 1:1, герметично закрывали и перемешивали при 120°C в течение 3 часов. После завершения реакции реакционную смесь охлаждали до комнатной температуры, экстрагировали смесью изопропилового спирта и хлороформа (объемное соотношение 1:4) и насыщенным водным раствором бикарбоната натрия. Затем органический слой сушили над безводным сульфатом натрия, фильтровали при пониженном давлении и упаривали при пониженном давлении. Полученный остаток очищали методом колоночной хроматографии (10% метанол/дихлорметан), получая указанное в заголовке соединение (выход: 35%). 1H ЯМР (300 МГц, ДМСО) δ 8.94 (с, 1H), 8.09 (с, 1H), 8.06 (с, 1H), 8.00 (с, 1H), 7.33 (с, 1H), 7.24 (с, 1H), 7.21 (с, 1H), 6.69 (с, 1H), 3.76 (с, 3H), 3.16-3.03 (м, 3H), 2.89-2.78 (м, 7H), 2.78 (с, 3H), 2.69-2.55 (м, 3H), 2.50 (с, 3H), 2.08 (с, 3H), 1.96-1.82 (м, 2H), 1.70-1.50 (м, 2H). [M+H]+ = 667.
Пример 177: Получение N-(2-((5-бром-2-((2-хлор-5-метил-4-(4-(4-метилпиперазин-1-ил)пиперидин-1-ил)фенил)амино)пиримидин-4-ил)амино)-4-хлор-5-фторфенил)метансульфонамида
Стадия 1) Получение N-(2-((5-бром-2-хлорпиримидин-4-ил)амино)-4-хлор-5-фторфенил)метансульфонамида
Указанное в заголовке соединение получали по методике, аналогичной описанной для стадии 1) Примера 1, за исключением того, что использовали N-(2-амино-4-хлор-5-фторфенил)метансульфонамид и 5-бром-2,4-дихлорпиримидин.
Стадия 2) Получение N-(2-((5-бром-2-((2-хлор-5-метил-4-(4-(4-метилпиперазин-1-ил)пиперидин-1-ил)фенил)амино)пиримидин-4-ил)амино)-4-хлор-5-фторфенил) метансульфонамида
Соединение (1 экв.), полученное на стадии 1), и соответствующий анилин (0.6 экв.) растворяли в смеси уксусной кислоты (0.3 M) и 1.25М раствора HCl/метанол в объемном соотношении 1:1, герметично закрывали и перемешивали при 120°C в течение 3 часов. После завершения реакции реакционную смесь охлаждали до комнатной температуры, экстрагировали смесью изопропилового спирта и хлороформа (объемное соотношение 1:4) и насыщенным водным раствором бикарбоната натрия. Затем органический слой сушили над безводным сульфатом натрия, фильтровали при пониженном давлении и упаривали при пониженном давлении. Полученный остаток очищали методом колоночной хроматографии (10% метанол/дихлорметан), получая указанное в заголовке соединение (выход: 33%). [M+H]+ = 716.
Пример 178: Получение N-(2-((5-бром-2-((5-хлор-2-метокси-4-(4-(4-метилпиперазин-1-ил)пиперидин-1-ил)фенил)амино)пиримидин-4-ил)амино)-4-хлор-5-фторфенил)метансульфонамида
Указанное в заголовке соединение получали по методике, аналогичной описанной для стадии 2) Примера 177. [M+H]+ = 732.
Пример 179: Получение N-(4-хлор-2-((5-хлор-2-((2-хлор-4-(4-(3-(диметиламино)пирролидин-1-ил)пиперидин-1-ил)-5-метилфенил)амино)пиримидин-4-ил)амино)фенил)-N-метилметансульфонамида
Указанное в заголовке соединение получали по методике, аналогичной описанной для стадии 2) Примера 170. [M+H]+ = 682.
Пример 180: Получение N-(4-хлор-2-((5-хлор-2-((2-хлор-5-метил-4-(4-(4-метил-1,4-диазепан-1-ил)пиперидин-1-ил)фенил)амино)пиримидин-4-ил)амино)фенил)-N-метилметансульфонамида
Указанное в заголовке соединение получали по методике, аналогичной описанной для стадии 2) Примера 170. [M+H]+ = 682.
Пример 181: Получение N-(4-хлор-2-((5-хлор-2-((5-хлор-2-метокси-4-(4-(4-метилпиперазин-1-ил)пиперидин-1-ил)фенил)амино)пиримидин-4-ил)амино)-5-фторфенил)метансульфонамида
Указанное в заголовке соединение получали по методике, аналогичной описанной для стадии 2) Примера 176. [M+H]+ = 688.
Пример 182: Получение N-(4-хлор-2-((5-хлор-2-((2-хлор-5-метил-4-(4-(4-метилпиперазин-1-ил)пиперидин-1-ил)фенил)амино)пиримидин-4-ил)амино)-5-фторфенил)метансульфонамида
Указанное в заголовке соединение получали по методике, аналогичной описанной для стадии 2) Примера 176. [M+H]+ = 671.
Пример 183: Получение N-(6-((5-бром-2-((5-хлор-2-метокси-4-(4-(4-метилпиперазин-1-ил)пиперидин-1-ил)фенил)амино)пиримидин-4-ил)амино)-2,3-дигидробензофуран-5-ил)метансульфонамида
Указанное в заголовке соединение получали по методике, аналогичной описанной для стадии 2) Примера 169. [M+H]+ = 772.
Пример 184: Получение N-(6-((5-бром-2-((5-этил-2-метокси-4-(4-(4-метилпиперазин-1-ил)пиперидин-1-ил)фенил)амино)пиримидин-4-ил)амино)-2,3-дигидробензофуран-5-ил)метансульфонамида
Указанное в заголовке соединение получали по методике, аналогичной описанной для стадии 2) Примера 169. [M+H]+ = 715.
Пример 185: Получение 5-хлор-N4-(5-хлор-2-(1H-1,2,3-триазол-5-ил)фенил)-N2-(2-хлор-5-метил-4-(4-(4-метилпиперазин-1-ил)пиперидин-1-ил)фенил)пиримидин-2,4-диамин
Указанное в заголовке соединение получали из соответствующего иодо-соединения по методике, аналогичной описанной для стадии 4) Примера 166. [M+H]+ = 627.
Пример 186: Получение 5-хлор-N4-(5-хлор-2-(1H-1,2,3-триазол-5-ил)фенил)-N2-(5-хлор-2-метокси-4-(4-(4-метилпиперазин-1-ил)пиперидин-1-ил)фенил)пиримидин-2,4-диамина
Указанное в заголовке соединение получали из соответствующего иодо-соединения по методике, аналогичной описанной для стадии 4) Примера 166. [M+H]+ = 643.
Пример 187: Получение 5-бром-N4-(5-хлор-2-(1H-1,2,3-триазол-5-ил)фенил)-N2-(2-метокси-5-метил-4-(4-(4-метилпиперазин-1-ил)пиперидин-1-ил)фенил)пиримидин-2,4-диамина
Указанное в заголовке соединение получали из соответствующего иодо-соединения по методике, аналогичной описанной для стадии 4) Примера 166. [M+H]+ = 668.
Пример 188: Получение N-(6-((5-бром-2-((2-метокси-5-метил-4-(4-(4-метил-1,4-диазепан-1-ил)пиперидин-1-ил)фенил)амино)пиримидин-4-ил)амино)-2,3-дигидробензофуран-5-ил)метансульфонамида
Указанное в заголовке соединение получали по методике, аналогичной описанной для стадии 2) Примера 169. [M+H]+ = 716.
Пример 189: Получение N-(6-((5-бром-2-((5-хлор-2-метокси-4-(4-(4-метил-1,4-диазепан-1-ил)пиперидин-1-ил)фенил)амино)пиримидин-4-ил)амино)-2,3-дигидробензофуран-5-ил)метансульфонамида
Указанное в заголовке соединение получали по методике, аналогичной описанной для стадии 2) Примера 169. [M+H]+ = 736.
Пример 190: Получение (6-((5-хлор-2-((5-этил-2-метокси-4-(4-(4-метилпиперазин-1-ил)пиперидин-1-ил)фенил)амино)пиримидин-4-ил)амино)хиноксалин-5-ил)диметилфосфиноксида
Указанное в заголовке соединение получали по методике, аналогичной описанной для стадии 6) Примера 122. [M+H]+ = 664.
Пример 191: Получение N-(2-((5-бром-2-((5-этил-2-метокси-4-(4-(4-метилпиперазин-1-ил)пиперидин-1-ил)фенил)амино)пиримидин-4-ил)амино)-4-хлорфенил)метансульфонамида
Указанное в заголовке соединение получали из соединения, полученного на стадии 3) Примера 80, и соответствующего анилина по методике, аналогичной описанной в Примере 1. [M+H]+ = 708.
Пример 192: Получение (6-((5-бром-2-((5-этил-2-метокси-4-(4-(4-метилпиперазин-1-ил)пиперидин-1-ил)фенил)амино)пиримидин-4-ил)амино)хиноксалин-5-ил)диметилфосфиноксида
Стадия 1) Получение (6-((5-бром-2-хлор-4-ил)амино)хиноксалин-5-ил)диметилфосфиноксида
Соединение (1 экв.), полученное на стадии 4) Примера 122, разводили добавлением N,N-диметилформамида (0.3 M) и медленно добавляли 60%-ный гидрид натрия (1.5 экв.) при 0°C. Полученную смесь перемешивали при комнатной температуре в течение 30 минут. В реакционную смесь медленно добавляли 5-бром-5-трихлорпиримидин (2 экв.) при 0°C, затем перемешивали при комнатной температуре 2 часа. После завершения реакции реакционную смесь разводили добавлением этилацетата и промывали дистиллированной водой и насыщенным раствором хлорида натрия. Органический слой отделяли, сушили над безводным сульфатом натрия, фильтровали при пониженном давлении и упаривали при пониженном давлении. Полученный остаток очищали методом хроматографии (50% этилацетат/гексан), получая указанное в заголовке соединение (выход: 60%).
Стадия 2) Получение (6-((5-бром-2-((5-этил-2-метокси-4-(4-(4-метилпиперазин-1-ил)пиперидин-1-ил)фенил)амино)пиримидин-4-ил)амино)хиноксалин-5-ил)диметилфосфиноксида
Соединение (1 экв.), полученное на стадии 1), и соответствующий анилин (0.6 экв.) растворяли в смеси уксусной кислоты (0.3 M) и 1.25М раствора HCl/метанол в объемном соотношении 1:1, герметично закрывали и перемешивали при 120°C в течение 3 часов. После завершения реакции реакционную смесь охлаждали до комнатной температуры, экстрагировали смесью изопропилового спирта и хлороформа (объемное соотношение 1:4) и насыщенным водным раствором бикарбоната натрия. Затем органический слой сушили над безводным сульфатом натрия, фильтровали при пониженном давлении и упаривали при пониженном давлении. Полученный остаток очищали методом колоночной хроматографии (10% метанол/дихлорметан), получая указанное в заголовке соединение (выход: 33%). [M+H]+ = 709.
Пример 193: Получение (6-((5-бром-2-((2-хлор-5-метил-4-(4-(4-метилпиперазин-1-ил)пиперидин-1-ил)фенил)амино)пиримидин-4-ил)амино)хиноксалин-5-ил)диметилфосфиноксида
Указанное в заголовке соединение получали по методике, аналогичной описанной для стадии 2) Примера 192. [M+H]+ = 699.
Пример 194: Получение (6-((5-бром-2-((5-хлор-2-метокси-4-(4-(4-метилпиперазин-1-ил)пиперидин-1-ил)фенил)амино)пиримидин-4-ил)амино)хиноксалин-5-ил)диметилфосфиноксида
Указанное в заголовке соединение получали по методике, аналогичной описанной для стадии 2) Примера 192. [M+H]+ = 715.
Пример 195: Получение 5-бром-N4-(5-хлор-2-(1H-1,2,3-триазол-5-ил)фенил)-N2-(5-хлор-2-метокси-4-(4-(4-метилпиперазин-1-ил)пиперидин-1-ил)фенил)пиримидин-2,4-диамина
Указанное в заголовке соединение получали из соответствующего иодо-соединения по методике, аналогичной описанной для стадии 4) Примера 166. [M+H]+ = 688.
Пример 196: Получение N-(6-((5-бром-2-((4-(3-(диметиламино)-[1,4’-бипиперидин]-1’-ил)-2-метокси-5-метилфенил)амино)пиримидин-4-ил)амино)-2,3-дигидробензофуран-5-ил)метансульфонамида
Указанное в заголовке соединение получали по методике, аналогичной описанной для стадии 2) Примера 169. [M+H]+ = 730.
Пример 197: Получение N-(6-((5-хлор-2-((2-хлор-4-(3-(диметиламино)-[1,4’-бипиперидин]-1’-ил)-5-метилфенил)амино)пиримидин-4-ил)амино)-2,3-дигидробензофуран-5-ил)метансульфонамида
Указанное в заголовке соединение получали по методике, аналогичной описанной для стадии 5) Примера 165. [M+H]+ = 689.
Пример 198: Получение N-(4-хлор-2-((5-хлор-2-((2,5-дихлор-4-(4-(4-метилпиперазин-1-ил)пиперидин-1-ил)фенил)амино)пиримидин-4-ил)амино)фенил) метансульфонамида
Указанное в заголовке соединение получали из соединения, полученного на стадии 3) Примера 80, и соответствующего анилина по методике, аналогичной описанной в Примере 1. [M+H]+ = 673.
Пример 199: Получение N-(2-((5-хлор-2-((2-метокси-5-метил-4-(4-(4-метилпиперазин-1-ил)пиперидин-1-ил)фенил)амино)пиримидин-4-ил)амино)-4-метоксифенил)метансульфонамида
Стадия 1) Получение N-(2-амино-4-метоксифенил)метансульфонамида
Указанное в заголовке соединение получали по методикам, аналогичным описанным на стадиях 1) - 3) Примера 165, за исключением того, что 4-метокси-2-нитроанилин использовали на стадии 1) Примера 165.
Стадия 2) Получение N-(2-((2,5-дихлорпиримидин-4-ил)амино)-4-метоксифенил) метансульфонамида
Соединение (1 экв.), полученное на стадии 1), разводили добавлением изопропилового спирта (0.3 M) и добавляли 2,4,5-трихлорпиримидин (2 экв.) и бикарбонат натрия (4 экв.). Полученную смесь перемешивали в атмосфере азота при 65°C в течение 40 часов. После завершения реакции реакционную смесь охлаждали до комнатной температуры, промывали дихлорметаном на фильтре со слоем целита, фильтровали при пониженном давлении, разводили смесью изопропилового спирта и хлороформа в объемном соотношении 1:4, и промывали дистиллированной водой. Затем органический слой сушили над безводным сульфатом натрия, фильтровали при пониженном давлении и упаривали при пониженном давлении. Полученный остаток очищали методом колоночной хроматографии (40% тетрагидрофуран/гексан), получая указанное в заголовке соединение (выход: 60%).
Стадия 3) Получение N-(2-((5-хлор-2-((2-метокси-5-метил-4-(4-(4-метилпиперазин-1-ил)пиперидин-1-ил)фенил)амино)пиримидин-4-ил)амино)-4-метоксифенил)метансульфонамида
Соединение (1 экв.), полученное на стадии 2), и соответствующий анилин (0.6 экв.) растворяли в смеси уксусной кислоты (0.3 M) и 1.25М раствора HCl/метанол в объемном соотношении 1:1, герметично закрывали и перемешивали при 120°C в течение 3 часов. После завершения реакции реакционную смесь охлаждали до комнатной температуры, экстрагировали смесью изопропилового спирта и хлороформа (объемное соотношение 1:4) и насыщенным водным раствором бикарбоната натрия. Затем органический слой сушили над безводным сульфатом натрия, фильтровали при пониженном давлении и упаривали при пониженном давлении. Полученный остаток очищали методом колоночной хроматографии (10% метанол/дихлорметан), получая указанное в заголовке соединение (выход: 30%). [M+H]+ = 645.
Пример 200: Получение N-(2-((5-хлор-2-((2-хлор-5-метил-4-(4-(4-метилпиперазин-1-ил)пиперидин-1-ил)фенил)амино)пиримидин-4-ил)амино)-4-метоксифенил) метансульфонамида
Указанное в заголовке соединение получали по методике, аналогичной описанной для стадии 3) Примера 199. [M+H]+ = 649.
Пример 201: Получение N-(2-((5-хлор-2-((5-хлор-2-метокси-4-(4-(4-метилпиперазин-1-ил)пиперидин-1-ил)фенил)амино)пиримидин-4-ил)амино)-4-метоксифенил)метансульфонамида
Указанное в заголовке соединение получали по методике, аналогичной описанной для стадии 3) Примера 199. [M+H]+ = 665.
Пример 202: Получение N-(2-((5-хлор-2-((2,5-дихлор-4-(4-(4-метилпиперазин-1-ил)пиперидин-1-ил)фенил)амино)пиримидин-4-ил)амино)-4-метоксифенил) метансульфонамида
Указанное в заголовке соединение получали по методике, аналогичной описанной для стадии 3) Примера 199. [M+H]+ = 669.
Пример 203: Получение N-(2-((5-хлор-2-((5-этил-2-метокси-4-(4-(4-метилпиперазин-1-ил)пиперидин-1-ил)фенил)амино)пиримидин-4-ил)амино)-4-метоксифенил)метансульфонамида
Указанное в заголовке соединение получали по методике, аналогичной описанной для стадии 3) Примера 199. [M+H]+ = 659.
Пример 204: Получение N-(2-((5-хлор-2-((2-метокси-5-метил-4-(4-(4-метил-1,4-диазепан-1-ил)пиперидин-1-ил)фенил)амино)пиримидин-4-ил)амино)-4-метоксифенил) метансульфонамида
Указанное в заголовке соединение получали по методике, аналогичной описанной для стадии 3) Примера 199. [M+H]+ = 659.
Пример 205: Получение N-(6-((5-хлор-2-((2,5-дихлор-4-(4-(4-метилпиперазин-1-ил)пиперидин-1-ил)фенил)амино)пиримидин-4-ил)амино)-2,3-дигидробензофуран-5-ил)метансульфонамида
Указанное в заголовке соединение получали по методике, аналогичной описанной для стадии 5) Примера 165. [M+H]+ = 681.
Пример 206: Получение N-(6-((5-хлор-2-((5-этил-2-метокси-4-(4-(4-метилпиперазин-1-ил)пиперидин-1-ил)фенил)амино)пиримидин-4-ил)амино)-2,3-дигидробензофуран-5-ил)метансульфонамида
Указанное в заголовке соединение получали по методике, аналогичной описанной для стадии 5) Примера 165. [M+H]+ = 671.
Пример 207: Получение N-(6-((5-хлор-2-((2-метокси-5-метил-4-(4-(пиперазин-1-ил)пиперидин-1-ил)фенил)амино)пиримидин-4-ил)амино)-2,3-дигидробензофуран-5-ил)метансульфонамида
Указанное в заголовке соединение получали по методике, аналогичной описанной для стадии 5) Примера 165. [M+H]+ = 643.
Пример 208: Получение N-(6-((5-хлор-2-((4-(4-(4-циклопропилпиперазин-1-ил)пиперидин-1-ил)-2-метокси-5-метилфенил)амино)пиримидин-4-ил)амино)-2,3-дигидробензофуран-5-ил)метансульфонамида
Указанное в заголовке соединение получали по методике, аналогичной описанной для стадии 5) Примера 165. [M+H]+ = 683.
Пример 209: Получение N-(6-((5-хлор-2-((4-(4-(3-(диметиламино)пирролидин-1-ил)пиперидин-1-ил)-2-метокси-5-метилфенил)амино)пиримидин-4-ил)амино)-2,3-дигидробензофуран-5-ил)метансульфонамида
Указанное в заголовке соединение получали по методике, аналогичной описанной для стадии 5) Примера 165. [M+H]+ = 671.
Пример 210: Получение N-(6-((5-хлор-2-((2-хлор-4-(4-(3-(диметиламино) пирролидин-1-ил)пиперидин-1-ил)-5-метилфенил)амино)пиримидин-4-ил)амино)-2,3-дигидробензофуран-5-ил)метансульфонамида
Указанное в заголовке соединение получали по методике, аналогичной описанной для стадии 5) Примера 165. [M+H]+ = 675.
Пример 211: Получение N-(6-((5-бром-2-((4-(4-(3-(диметиламино)пирролидин-1-ил)пиперидин-1-ил)-2-метокси-5-метилфенил)амино)пиримидин-4-ил)амино)-2,3-дигидробензофуран-5-ил)метансульфонамида
Указанное в заголовке соединение получали по методике, аналогичной описанной для стадии 2) Примера 169. [M+H]+ = 716.
Пример 212: Получение N-(6-((5-бром-2-((4-(4-(4-циклопропилпиперазин-1-ил)пиперидин-1-ил)-2-метокси-5-метилфенил)амино)пиримидин-4-ил)амино)-2,3-дигидробензофуран-5-ил)метансульфонамида
Указанное в заголовке соединение получали по методике, аналогичной описанной для стадии 2) Примера 169. [M+H]+ = 728.
Пример 213: Получение N-(6-((5-бром-2-((2-хлор-4-(4-(3-(диметиламино) пирролидин-1-ил)пиперидин-1-ил)-5-метилфенил)амино)пиримидин-4-ил)амино)-2,3-дигидробензофуран-5-ил)метансульфонамида
Указанное в заголовке соединение получали по методике, аналогичной описанной для стадии 2) Примера 169. [M+H]+ = 720.
Пример 214: Получение N-(6-((5-бром-2-((2-хлор-4-(3-(диметиламино)-[1,4’-бипиперидин]-1’-ил)-5-метилфенил)амино)пиримидин-4-ил)амино)-2,3-дигидробензофуран-5-ил)метансульфонамида
Указанное в заголовке соединение получали по методике, аналогичной описанной для стадии 2) Примера 169. [M+H]+ = 734.
Пример 215: Получение N-(6-((5-бром-2-((2-метокси-5-метил-4-(4-(пиперазин-1-ил)пиперидин-1-ил)фенил)амино)пиримидин-4-ил)амино)-2,3-дигидробензофуран-5-ил)метансульфонамида
Указанное в заголовке соединение получали по методике, аналогичной описанной для стадии 2) Примера 169. [M+H]+ = 688.
Пример 216: Получение N-(6-((5-бром-2-((5-хлор-4-(3-(диметиламино)-[1,4’-бипиперидин]-1’-ил)-2-метоксифенил)амино)пиримидин-4-ил)амино)-2,3-дигидробензофуран-5-ил)метансульфонамида
Указанное в заголовке соединение получали по методике, аналогичной описанной для стадии 2) Примера 169. [M+H]+ = 750.
Пример 217: Получение N-(6-((5-бром-2-((2,5-дихлор-4-(4-(4-метилпиперазин-1-ил)пиперидин-1-ил)фенил)амино)пиримидин-4-ил)амино)-2,3-дигидробензофуран-5-ил)метансульфонамида
Указанное в заголовке соединение получали по методике, аналогичной описанной для стадии 2) Примера 169. [M+H]+ = 726.
Пример 218: Получение N-(6-((5-хлор-2-((4-(3-(диметиламино)-[1,4’-бипиперидин]-1’-ил)-2-метокси-5-метилфенил)амино)пиримидин-4-ил)амино)-2,3-дигидробензофуран-5-ил)метансульфонамида
Указанное в заголовке соединение получали по методике, аналогичной описанной для стадии 5) Примера 165. [M+H]+ = 685.
Пример 219: Получение N-(6-((5-хлор-2-((5-хлор-4-(3-(диметиламино)-[1,4’-бипиперидин]-1’-ил)-2-метоксифенил)амино)пиримидин-4-ил)амино)-2,3-дигидробензофуран-5-ил)метансульфонамида
Указанное в заголовке соединение получали по методике, аналогичной описанной для стадии 5) Примера 165. [M+H]+ = 705.
Пример 220: Получение N-(6-((5-хлор-2-((2-метокси-4-(4-(4-метилпиперазин-1-ил)пиперидин-1-ил)фенил)амино)пиримидин-4-ил)амино)-2,3-дигидробензофуран-5-ил)метансульфонамида
Указанное в заголовке соединение получали по методике, аналогичной описанной для стадии 5) Примера 165. [M+H]+ = 643.
Пример 221: Получение N-(6-((5-хлор-2-((2-хлор-4-(4-(4-метилпиперазин-1-ил)пиперидин-1-ил)фенил)амино)пиримидин-4-ил)амино)-2,3-дигидробензофуран-5-ил)метансульфонамида
Указанное в заголовке соединение получали по методике, аналогичной описанной для стадии 5) Примера 165. [M+H]+ = 647.
Пример 222: Получение N-(6-((5-хлор-2-((5-фтор-2-метокси-4-(4-(4-метилпиперазин-1-ил)пиперидин-1-ил)фенил)амино)пиримидин-4-ил)амино)-2,3-дигидробензофуран-5-ил)метансульфонамида
Указанное в заголовке соединение получали по методике, аналогичной описанной для стадии 5) Примера 165. [M+H]+ = 661.
Пример 223: Получение N-(6-((5-хлор-2-((2-(4-(4-метилпиперазин-1-ил)пиперидин-1-ил)хинолин-6-ил)амино)пиримидин-4-ил)амино)-2,3-дигидробензофуран-5-ил)метансульфонамида
Указанное в заголовке соединение получали по методике, аналогичной описанной для стадии 5) Примера 165. [M+H]+ = 664.
Пример 224: Получение N-(6-((5-хлор-2-((2-метокси-5-метил-4-(4-((1-метил-1H-пиразол-5-ил)амино)пиперидин-1-ил)фенил)амино)пиримидин-4-ил)амино)-2,3-дигидробензофуран-5-ил)метансульфонамида
Указанное в заголовке соединение получали по методике, аналогичной описанной для стадии 5) Примера 165. [M+H]+ = 654.
Пример 225: Получение N-(6-((5-хлор-2-((2-метокси-5-метил-4-(4-(4-(трифторметил)пиперазин-1-ил)пиперидин-1-ил)фенил)амино)пиримидин-4-ил)амино)-2,3-дигидробензофуран-5-ил)метансульфонамида
Указанное в заголовке соединение получали по методике, аналогичной описанной для стадии 5) Примера 165. [M+H]+ = 711.
Пример 226: Получение N-(4-хлор-2-((5-хлор-2-((2,5-дихлор-4-(4-(4-метилпиперазин-1-ил)пиперидин-1-ил)фенил)амино)пиримидин-4-ил)амино)фенил)-N-метилметансульфонамида
Указанное в заголовке соединение получали по методике, аналогичной описанной для стадии 2) Примера 170. [M+H]+ = 688.
Пример 227: Получение N-(2-((5-бром-2-((2-хлор-4-(4-(3-(диметиламино)пирролидин-1-ил)пиперидин-1-ил)-5-метилфенил)амино)пиримидин-4-ил)амино)-4-хлорфенил)-N-метилметансульфонамида
Указанное в заголовке соединение получали из соответствующего анилина по методике, аналогичной описанной в Примере 170, за исключением того, что 5-бром-2,4-дихлорпиримидин использовали на стадии 2) Примера 170. [M+H]+ = 726.
Пример 228: Получение N-(2-((5-бром-2-((2,5-дихлор-4-(4-(4-метилпиперазин-1-ил)пиперидин-1-ил)фенил)амино)пиримидин-4-ил)амино)-4-хлорфенил)-N-метилметансульфонамида
Указанное в заголовке соединение получали из соответствующего анилина по методике, аналогичной описанной в Примере 170, за исключением того, что 5-бром-2,4-дихлорпиримидин использовали на стадии 2) Примера 170. [M+H]+ = 732.
Пример 229: Получение N-(2-((5-хлор-2-((5-хлор-2-метокси-4-(4-(4-метил-1,4-диазепан-1-ил)пиперидин-1-ил)фенил)амино)пиримидин-4-ил)амино)-4-метоксифенил) метансульфонамида
Указанное в заголовке соединение получали по методике, аналогичной описанной для стадии 3) Примера 199. [M+H]+ = 679.
Пример 230: Получение N-(2-((5-хлор-2-((2-хлор-4-(4-(3-(диметиламино)пирролидин-1-ил)пиперидин-1-ил)-5-метилфенил)амино)пиримидин-4-ил)амино)-4-метоксифенил)метансульфонамида
Указанное в заголовке соединение получали по методике, аналогичной описанной для стадии 3) Примера 199. [M+H]+ = 663.
Пример 231: Получение N-(2-((5-хлор-2-((2-метокси-4-(4-(4-метилпиперазин-1-ил) пиперидин-1-ил)фенил)амино)пиримидин-4-ил)амино)-4-метоксифенил) метансульфонамида
Указанное в заголовке соединение получали по методике, аналогичной описанной для стадии 3) Примера 199. [M+H]+ = 631.
Пример 232: Получение N-(2-((5-хлор-2-((4-(3-(диметиламино)-[1,4’-бипиперидин]-1’-ил)-2-метокси-5-метилфенил)амино)пиримидин-4-ил)амино)-4-метоксифенил)метансульфонамида
Указанное в заголовке соединение получали по методике, аналогичной описанной для стадии 3) Примера 199. [M+H]+ = 673.
Пример 233: Получение N-(2-((5-хлор-2-((4-(4-(4-циклопропилпиперазин-1-ил)пиперидин-1-ил)-2-метокси-5-метилфенил)амино)пиримидин-4-ил)амино)-4-метоксифенил)метансульфонамида
Указанное в заголовке соединение получали по методике, аналогичной описанной для стадии 3) Примера 199. [M+H]+ = 671.
Пример 234: Получение N-(2-((5-хлор-2-((2-метокси-5-метил-4-(4-(трифторметил)-[1,4’-бипиперидин]-1’-ил)фенил)амино)пиримидин-4-ил)амино)-4-метоксифенил) метансульфонамида
Указанное в заголовке соединение получали по методике, аналогичной описанной для стадии 3) Примера 199. [M+H]+ = 698.
Пример 235: Получение N-(2-((5-хлор-2-((4-(4-(3-(диметиламино)пирролидин-1-ил)пиперидин-1-ил)-2-метокси-5-метилфенил)амино)пиримидин-4-ил)амино)-4-метоксифенил)метансульфонамида
Указанное в заголовке соединение получали по методике, аналогичной описанной для стадии 3) Примера 199. [M+H]+ = 659.
Пример 236: Получение N-(2-((5-хлор-2-((2-хлор-4-(3-(диметиламино)-[1,4’-бипиперидин]-1’-ил)-5-метилфенил)амино)пиримидин-4-ил)амино)-4-метоксифенил)метансульфонамида
Указанное в заголовке соединение получали по методике, аналогичной описанной для стадии 3) Примера 199. [M+H]+ = 677.
Пример 237: Получение N-(2-((5-хлор-2-((5-хлор-4-(3-(диметиламино)-[1,4’-бипиперидин]-1’-ил)-2-метоксифенил)амино)пиримидин-4-ил)амино)-4-метоксифенил) метансульфонамида
Указанное в заголовке соединение получали по методике, аналогичной описанной для стадии 3) Примера 199. [M+H]+ = 693.
Пример 238: Получение N-(6-((5-бром-2-((2-метокси-6-(4-метил-1,4-диазепан-1-ил)пиридин-3-ил)амино)пиримидин-4-ил)амино)-2,3-дигидробензофуран-5-ил)метансульфонамида
Указанное в заголовке соединение получали по методике, аналогичной описанной для стадии 2) Примера 169. [M+H]+ = 620.
Пример 239: Получение N-(6-((5-бром-2-((5-фтор-6-(4-(4-метилпиперазин-1-ил)пиперидин-1-ил)пиридин-3-ил)амино)пиримидин-4-ил)амино)-2,3-дигидробензофуран-5-ил)метансульфонамида
Указанное в заголовке соединение получали по методике, аналогичной описанной для стадии 2) Примера 169. [M+H]+ = 677.
Пример 240: Получение N-(6-((5-бром-2-((2-метокси-5-метил-6-(4-(4-метилпиперазин-1-ил)пиперидин-1-ил)пиридин-3-ил)амино)пиримидин-4-ил)амино)-2,3-дигидробензофуран-5-ил)метансульфонамида
Указанное в заголовке соединение получали по методике, аналогичной описанной для стадии 2) Примера 169. [M+H]+ = 703.
Пример 241: Получение N-(6-((5-хлор-2-((2-метокси-5-метил-6-(4-(4-метилпиперазин-1-ил)пиперидин-1-ил)пиридин-3-ил)амино)пиримидин-4-ил)амино)-2,3-дигидробензофуран-5-ил)метансульфонамида
Указанное в заголовке соединение получали по методике, аналогичной описанной для стадии 5) Примера 165. [M+H]+ = 658.
Пример 242: Получение N-(6-((5-хлор-2-((5-фтор-6-(4-(4-метилпиперазин-1-ил)пиперидин-1-ил)пиридин-3-ил)амино)пиримидин-4-ил)амино)-2,3-дигидробензофуран-5-ил)метансульфонамида
Указанное в заголовке соединение получали по методике, аналогичной описанной для стадии 5) Примера 165. [M+H]+ = 632.
Пример 243: Получение N-(6-((5-бром-2-((2-метокси-4-(4-(4-метилпиперазин-1-ил)пиперидин-1-ил)фенил)амино)пиримидин-4-ил)амино)-2,3-дигидробензофуран-5-ил)метансульфонамида
Указанное в заголовке соединение получали по методике, аналогичной описанной для стадии 2) Примера 169. [M+H]+ = 688.
Пример 244: Получение N-(6-((5-бром-2-((3-фтор-4-(4-(4-метилпиперазин-1-ил)пиперидин-1-ил)фенил)амино)пиримидин-4-ил)амино)-2,3-дигидробензофуран-5-ил)метансульфонамида
Указанное в заголовке соединение получали по методике, аналогичной описанной для стадии 2) Примера 169. [M+H]+ = 676.
Пример 245: Получение N-(6-((5-бром-2-((2-метокси-5-метил-4-(4-(трифторметил)-[1,4’-бипиперидин]-1’-ил)фенил)амино)пиримидин-4-ил)амино)-2,3-дигидробензофуран-5-ил)метансульфонамида
Указанное в заголовке соединение получали по методике, аналогичной описанной для стадии 2) Примера 169. [M+H]+ = 755.
Пример 246: Получение N-(6-((5-бром-2-((2-хлор-4-(4-(4-метилпиперазин-1-ил)пиперидин-1-ил)фенил)амино)пиримидин-4-ил)амино)-2,3-дигидробензофуран-5-ил)метансульфониламида
Указанное в заголовке соединение получали по методике, аналогичной описанной для стадии 2) Примера 169. [M+H]+ = 692.
Пример 247: Получение N-(6-((5-бром-2-((2-(4-(4-метилпиперазин-1-ил)пиперидин-1-ил)хинолин-6-ил)амино)пиримидин-4-ил)амино)-2,3-дигидробензофуран-5-ил)метансульфонамида
Указанное в заголовке соединение получали по методике, аналогичной описанной для стадии 2) Примера 169. [M+H]+ = 709.
Пример 248: Получение N-(6-((5-хлор-2-((2-метокси-5-метил-4-(4-(4-метилпиперазин-1-ил)пиперидин-1-ил)фенил)амино)пиримидин-4-ил)амино)-2,3-дигидробензофуран-5-ил)-N-метилметансульфонамида
Стадия 1) Получение N-метил-N-(6-нитро-2,3-дигидробензофуран-5-ил)метансульфонамида
Соединение, полученное на стадии 3) Примера 165, разводили добавлением ацетона (0.3 M) и добавляли 4н. раствор NaOH (10 экв.). В полученную смесь медленно добавляли диметилсульфат (1.8 экв.) при 0°C, затем перемешивали при комнатной температуре 2 часа. После завершения реакции реакционную смесь упаривали при пониженном давлении и доводили до pH 5-6 добавлением 1н. раствора HCl при 0°C. Желтое твердое вещество отделяли фильтрованием при пониженном давлении и использовали в следующей стадии без дополнительной очистки.
Стадия 2) Получение N-(6-амино-2,3-дигидробензофуран-5-ил)-N-метилсульфонамида
Соединение, полученное на стадии 1), растворяли в смеси тетрагидрофурана, метанола и воды в весовом соотношении 18:1:1. В раствор добавляли порошок железа и хлорид аммония, затем перемешивали при 85°C в течение 3 часов. После завершения реакции реакционную смесь промывали дихлорметаном на фильтре со слоем целита, фильтровали при пониженном давлении и упаривали, получая указанное в заголовке соединение (выход: 95%, стадия 2).
Стадия 3) Получение N-(6-((2,5-дихлорпиримидин-4-ил)амино)-2,3-дигидробензофуран-5-ил)-N-метилметансульфонамида
Соединение (1 экв.), полученное на стадии 2), разводили добавлением изопропилового спирта (0.3 M) и добавляли 2,4,5-трихлорпиримидин (2 экв.) и бикарбонат натрия (4 экв.). Полученную смесь перемешивали в атмосфере азота при 65°C в течение 40 часов. После завершения реакции реакционную смесь охлаждали до комнатной температуры, промывали дихлорметаном на фильтре со слоем целита, фильтровали при пониженном давлении, разводили смесью изопропилового спирта и хлороформа в объемном соотношении 1:4, и промывали дистиллированной водой. Затем органический слой сушили над безводным сульфатом натрия, фильтровали при пониженном давлении и упаривали при пониженном давлении. Полученный остаток очищали методом колоночной хроматографии (40% тетрагидрофуран/гексан), получая указанное в заголовке соединение (выход: 60%).
Стадия 4) Получение N-(6-((5-хлор-2-((2-метокси-5-метил-4-(4-(4-метилпиперазин-1-ил)пиперидин-1-ил)фенил)амино)пиримидин-4-ил)амино)-2,3-дигидробензофуран-5-ил)-N-метилметансульфонамида
Соединение (1 экв.), полученное на стадии 3), и соответствующий анилин (0.6 экв.) растворяли в смеси уксусной кислоты (0.3 M) и 1.25М раствора HCl/метанол в объемном соотношении 1:1, герметично закрывали и перемешивали при 120°C в течение 3 часов. После завершения реакции реакционную смесь охлаждали до комнатной температуры, экстрагировали смесью изопропилового спирта и хлороформа (объемное соотношение 1:4) и насыщенным водным раствором бикарбоната натрия. Затем органический слой сушили над безводным сульфатом натрия, фильтровали при пониженном давлении и упаривали при пониженном давлении. Полученный остаток очищали методом колоночной хроматографии (10% метанол/дихлорметан), получая указанное в заголовке соединение (выход: 35%). [M+H]+ = 671.
Пример 249: Получение N-(6-((5-хлор-2-((5-хлор-2-метокси-4-(4-(4-метилпиперазин-1-ил)пиперидин-1-ил)фенил)амино)пиримидин-4-ил)амино)-2,3-дигидробензофуран-5-ил)-N-метилметансульфонамида
Указанное в заголовке соединение получали по методике, аналогичной описанной для стадии 4) Примера 248. [M+H]+ = 691.
Пример 250: Получение N-(6-((5-бром-2-((2-метокси-5-метил-4-(4-(4-метилпиперазин-1-ил)пиперидин-1-ил)фенил)амино)пиримидин-4-ил)амино)-2,3-дигидробензофуран-5-ил)-N-метилметансульфонамида
Стадия 1) Получение N-(6-((5-бром-2-хлорпиримидин-4-ил)амино)-2,3-дигидробензофуран-5-ил)-N-метилметансульфонамида
Соединение (1 экв.), полученное на стадии 2) Примера 248, разводили добавлением изопропилового спирта (0.3 M) и добавляли 5-бром-2,4-дихлорпиримидин (2 экв.) и бикарбонат натрия (4 экв.). Полученную смесь перемешивали в атмосфере азота при 65°C в течение 40 часов. После завершения реакции реакционную смесь охлаждали до комнатной температуры, промывали дихлорметаном на фильтре со слоем целита, фильтровали при пониженном давлении, разводили смесью изопропилового спирта и хлороформа в объемном соотношении 1:4, и промывали дистиллированной водой. Затем органический слой сушили над безводным сульфатом натрия, фильтровали при пониженном давлении и упаривали при пониженном давлении. Полученный остаток очищали методом колоночной хроматографии (40% тетрагидрофуран/гексан), получая указанное в заголовке соединение (выход: 52%).
Стадия 2) Получение N-(6-((5-бром-2-((2-метокси-5-метил-4-(4-(4-метилпиперазин-1-ил)пиперидин-1-ил)фенил)амино)пиримидин-4-ил)амино)-2,3-дигидробензофуран-5-ил)-N-метилметансульфонамида
Соединение (1 экв.), полученное на стадии 1), и соответствующий анилин (0.6 экв.) растворяли в смеси уксусной кислоты (0.3 M) и 1.25М раствора HCl/метанол в объемном соотношении 1:1, герметично закрывали и перемешивали при 120°C в течение 3 часов. После завершения реакции реакционную смесь охлаждали до комнатной температуры, экстрагировали смесью изопропилового спирта и хлороформа (объемное соотношение 1:4) и насыщенным водным раствором бикарбоната натрия. Затем органический слой сушили над безводным сульфатом натрия, фильтровали при пониженном давлении и упаривали при пониженном давлении. Полученный остаток очищали методом колоночной хроматографии (10% метанол/дихлорметан), получая указанное в заголовке соединение (выход: 29%). 1H ЯМР (300 МГц, ДМСО) δ 8.22 (с, 1H), 8.19 (с, 1H), 8.17 (с, 1H), 7.71 (с, 1H), 7.44 (с, 1H), 7.32 (с, 1H), 6.70 (с, 1H), 4.55 (т, J = 8.7 Гц, 2H), 3.76 (с, 3H), 3.23-3.13 (м, 4H), 3.14 (с, 3H), 3.10 (с, 3H), 2.68-2.54 (м, 5H), 2.45-2.23 (м, 6H), 2.18 (с, 3H), 2.12 (с, 3H), 1.91-1.80 (м, 2H), 1.67-1.50 (м, 2H). [M+H]+ = 716.
Пример 251: Получение N-(6-((5-бром-2-((2-хлор-5-метил-4-(4-(4-метилпиперазин-1-ил)пиперидин-1-ил)фенил)амино)пиримидин-4-ил)амино)-2,3-дигидробензофуран-5-ил)-N-метилметансульфонамида
Указанное в заголовке соединение получали по методике, аналогичной описанной для стадии 2) Примера 250. [M+H]+ = 720.
Пример 252: Получение N-(6-((5-бром-2-((5-хлор-2-метокси-4-(4-(4-метилпиперазин-1-ил)пиперидин-1-ил)фенил)амино)пиримидин-4-ил)амино)-2,3-дигидробензофуран-5-ил)-N-метилметансульфонамида
Указанное в заголовке соединение получали по методике, аналогичной описанной для стадии 2) Примера 250. [M+H]+ = 736.
Пример 253: Получение N-(6-((5-бром-2-((2,5-дихлор-4-(4-(4-метилпиперазин-1-ил)пиперидин-1-ил)фенил)амино)пиримидин-4-ил)амино)-2,3-дигидробензофуран-5-ил)-N-метилметансульфонамида
Указанное в заголовке соединение получали по методике, аналогичной описанной для стадии 2) Примера 250. [M+H]+ = 740.
Пример 254: Получение N-(6-((5-бром-2-((5-этил-2-метокси-4-(4-(4-метилпиперазин-1-ил)пиперидин-1-ил)фенил)амино)пиримидин-4-ил)амино)-2,3-дигидробензофуран-5-ил)-N-метилметансульфонамида
Указанное в заголовке соединение получали по методике, аналогичной описанной для стадии 2) Примера 250. [M+H]+ = 730.
Пример 255: Получение N-(6-((5-бром-2-((2-метокси-5-метил-4-(4-(4-(трифторметил)пиперазин-1-ил)пиперидин-1-ил)фенил)амино)пиримидин-4-ил)амино)-2,3-дигидробензофуран-5-ил)-N-метилметансульфонамида
Указанное в заголовке соединение получали по методике, аналогичной описанной для стадии 2) Примера 250. [M+H]+ = 770.
Пример 256: Получение N-(6-((5-бром-2-((5-фтор-2-метокси-4-(4-(4-метилпиперазин-1-ил)пиперидин-1-ил)фенил)амино)пиримидин-4-ил)амино)-2,3-дигидробензофуран-5-ил)-N-метилметансульфонамида
Указанное в заголовке соединение получали по методике, аналогичной описанной для стадии 2) Примера 250. [M+H]+ = 720.
Пример 257: Получение N-(6-((5-бром-2-((5-фтор-2-метокси-4-(4-(4-метил-1,4-диазепан-1-ил)пиперидин-1-ил)фенил)амино)пиримидин-4-ил)амино)-2,3-дигидробензофуран-5-ил)-N-метилметансульфонамида
Указанное в заголовке соединение получали по методике, аналогичной описанной для стадии 2) Примера 250. [M+H]+ = 730.
Пример 258: Получение N-(6-((5-бром-2-((4-(3-(диметиламино)-[1,4’-бипиперидин]-1’-ил)-2-метокси-5-метоксифенил)амино)пиримидин-4-ил)амино)-2,3-дигидробензофуран-5-ил)-N-метилметансульфонамида
Указанное в заголовке соединение получали по методике, аналогичной описанной для стадии 2) Примера 250. [M+H]+ = 744.
Пример 259: Получение N-(6-((5-хлор-2-((2,5-дихлор-4-(4-(4-метилпиперазин-1-ил)пиперидин-1-ил)фенил)амино)пиримидин-4-ил)амино)-2,3-дигидробензофуран-5-ил)-N-метилметансульфонамида
Указанное в заголовке соединение получали по методике, аналогичной описанной для стадии 4) Примера 248. [M+H]+ = 696.
Пример 260: Получение N-(2-((5-хлор-2-((2-метокси-5-метил-4-(4-(4-метилпиперазин-1-ил)пиперидин-1-ил)фенил)амино)пиримидин-4-ил)амино)-4-метоксифенил)-N-метилметансульфонамида
Стадия 1) Получение N-(4-метокси-2-нитрофенил)-N-метилметансульфонамида
Соединение (1 экв.), полученное на стадии 1) Примера 229, разводили добавлением ацетона и добавляли 4 н. раствор NaOH (10 экв.). В полученную смесь медленно добавляли диметилсульфат (1.8 экв.) при 0°C, затем перемешивали при комнатной температуре 2 часа. После завершения реакции реакционную смесь упаривали при пониженном давлении и доводили до pH 5-6 добавлением 1н. раствора HCl при 0°C. Желтое твердое вещество отделяли фильтрованием при пониженном давлении и использовали в следующей стадии без дополнительной очистки.
Стадия 2) Получение N-(2-амино-4-метоксифенил)-N-метилметансульфонамида
Соединение, полученное на стадии 1), растворяли в смеси тетрагидрофурана, метанола и воды в весовом соотношении 18:1:1. В раствор добавляли порошок железа и хлорид аммония, затем перемешивали при 85°C в течение 3 часов. После завершения реакции реакционную смесь промывали дихлорметаном на фильтре со слоем целита, фильтровали при пониженном давлении и упаривали, получая указанное в заголовке соединение (выход: 95%).
Стадия 3) Получение N-(2-((2,5-дихлорпиримидин-4-ил)(метил)амино)-4-метоксифенил)метансульфонамида
Соединение (1 экв.), полученное на стадии 2), разводили добавлением изопропилового спирта (0.3 M) и добавляли 2,4,5-трихлорпиримидин (2 экв.) и бикарбонат натрия (4 экв.). Полученную смесь перемешивали в атмосфере азота при 65°C в течение 40 часов. После завершения реакции реакционную смесь охлаждали до комнатной температуры, промывали дихлорметаном на фильтре со слоем целита, фильтровали при пониженном давлении, разводили смесью изопропилового спирта и хлороформа в объемном соотношении 1:4, и промывали дистиллированной водой. Затем органический слой сушили над безводным сульфатом натрия, фильтровали при пониженном давлении и упаривали при пониженном давлении. Полученный остаток очищали методом колоночной хроматографии (40% тетрагидрофуран/гексан), получая указанное в заголовке соединение (выход: 60%).
Стадия 4) Получение N-(2-((5-хлор-2-((2-метокси-5-метил-4-(4-(4-метилпиперазин-1-ил)пиперидин-1-ил)фенил)амино)пиримидин-4-ил)амино)-4-метоксифенил)-N-метилметансульфонамида
Соединение (1 экв.), полученное на стадии 3), и соответствующий анилин (0.6 экв.) растворяли в смеси уксусной кислоты (0.3 M) и 1.25М раствора HCl/метанол в объемном соотношении 1:1, герметично закрывали и перемешивали при 120°C в течение 3 часов. После завершения реакции реакционную смесь охлаждали до комнатной температуры, экстрагировали смесью изопропилового спирта и хлороформа (объемное соотношение 1:4) и насыщенным водным раствором бикарбоната натрия. Затем органический слой сушили над безводным сульфатом натрия, фильтровали при пониженном давлении и упаривали при пониженном давлении. Полученный остаток очищали методом колоночной хроматографии (10% метанол/дихлорметан), получая указанное в заголовке соединение (выход: 35%). [M+H]+ = 659.
Пример 261: Получение N-(6-((5-бром-2-((4-(4-(4-циклопропилпиперазин-1-ил) пиперидин-1-ил)-2-метокси-5-метилфенил)амино)пиримидин-4-ил)амино)-2,3-дигидробензофуран-5-ил)-N-метилметансульфонамида
Указанное в заголовке соединение получали из соединения, полученного на стадии 2) Примера 250, и соответствующего анилина по методике, аналогичной описанной в Примере 1. [M+H]+ = 742.
Пример 262: Получение N-(6-((5-бром-2-((4-(4-(3-(диметиламино)пирролидин-1-ил)пиперидин-1-ил)-2-метокси-5-метилфенил)амино)пиримидин-4-ил)амино)-2,3-дигидробензофуран-5-ил)-N-метилметансульфонамида
Указанное в заголовке соединение получали из соединения, полученного на стадии 2) Примера 250, и соответствующего анилина по методике, аналогичной описанной в Примере 1. [M+H]+ = 730.
Пример 263: Получение N-(6-((5-хлор-2-((2-хлор-5-метил-4-(4-(4-метилпиперазин-1-ил)пиперидин-1-ил)фенил)амино)пиримидин-4-ил)амино)-2,3-дигидробензофуран-5-ил)-N-метилметансульфонамида
Указанное в заголовке соединение получали по методике, аналогичной описанной для стадии 4) Примера 248. [M+H]+ = 675.
Пример 264: Получение N-(6-((5-хлор-2-((5-хлор-2-метокси-4-(4-(4-метил-1,4-диазепан-1-ил)пиперидин-1-ил)фенил)амино)пиримидин-4-ил)амино)-2,3-дигидробензофуран-5-ил)-N-метилметансульфонамида
Указанное в заголовке соединение получали по методике, аналогичной описанной для стадии 4) Примера 248. [M+H]+ = 705.
Пример 265: Получение N-(6-((5-хлор-2-((2-метокси-5-метил-4-(4-(4-метил-1,4-диазепан-1-ил)пиперидин-1-ил)фенил)амино)пиримидин-4-ил)амино)-2,3-дигидробензофуран-5-ил)-N-метилметансульфонамида
Указанное в заголовке соединение получали по методике, аналогичной описанной для стадии 4) Примера 248. [M+H]+ = 685.
Пример 266: Получение N-(6-((5-хлор-2-((4-(4-(4-циклопропилпиперазин-1-ил)пиперидин-1-ил)-2-метокси-5-метилфенил)амино)пиримидин-4-ил)амино)-2,3-дигидробензофуран-5-ил)-N-метилметансульфонамида
Указанное в заголовке соединение получали по методике, аналогичной описанной для стадии 4) Примера 248. [M+H]+ = 697.
Пример 267: Получение N-(6-((5-хлор-2-((4-(3-(диметиламино)-[1,4’-бипиперидин]-1’-ил)-2-метокси-5-метилфенил)амино)пиримидин-4-ил)амино)-2,3-дигидробензофуран-5-ил)-N-метилметансульфонамида
Указанное в заголовке соединение получали по методике, аналогичной описанной для стадии 4) Примера 248. [M+H]+ = 699.
Пример 268: Получение N-(6-((5-хлор-2-((2,5-дифтор-4-(4-(4-метилпиперазин-1-ил)пиперидин-1-ил)фенил)амино)пиримидин-4-ил)амино)-2,3-дигидробензофуран-5-ил)метансульфонамида
Указанное в заголовке соединение получали по методике, аналогичной описанной для стадии 5) Примера 165. [M+H]+ = 649.
Пример 269: Получение N-(5-((5-бром-2-((2,5-дифтор-4-(4-(4-метилпиперазин-1-ил)пиперидин-1-ил)фенил)амино)пиримидин-4-ил)амино)-2,3-дигидробензофуран-4-ил)метансульфонамида
Указанное в заголовке соединение получали по методике, аналогичной описанной для стадии 2) Примера 169. [M+H]+ = 649.
Пример 270: Получение N-(6-((2-((5-Бром-2-метокси-4-(4-(4-метилпиперазин-1-ил)пиперидин-1-ил)фенил)амино)-5-хлорпиримидин-4-ил)амино)-2,3-дигидробензофуран-5-ил)метансульфонамида
Указанное в заголовке соединение получали по методике, аналогичной описанной для стадии 5) Примера 165. 1H ЯМР (300 МГц, ДМСО) δ 8.43 (с, 1H), 8.14 (д, J = 1.8 Гц, 2H), 7.82 (с, 1H), 7.43 (с, 1H), 7.19 (с, 1H), 6.80 (с, 1H), 4.56 (т, J = 8.7 Гц, 2H), 3.81 (с, 3H), 3.18 (т, J = 8.7 Гц, 3H), 2.95 (с, 3H), 2.65 (т, J = 10.8 Гц, 3H), 2.59-2.50 (м, 4H), 2.43-2.25 (м, 5H), 2.18 (с, 3H), 1.93-1.79 (м, 2H), 1.68-1.50 (м, 2H). [M+H]+ = 722.
Пример 271: Получение N-(6-((2-((5-бром-2-метокси-4-(4-(4-метилпиперазин-1-ил)пиперидин-1-ил)фенил)амино)-5-бромпиримидин-4-ил)амино)-2,3-дигидробензофуран-5-ил)метансульфонамида
Указанное в заголовке соединение получали по методике, аналогичной описанной для стадии 2) Примера 169. [M+H]+ = 766.
Пример 272: Получение 5-хлор-N2-(2-метокси-5-метил-4-(4-(4-метилпиперазин-1-ил)пиперидин-1-ил)фенил)-N4-(1-метилиндолин-6-ил)пиримидин-2,4-диамина
Стадия 1) Получение 1-метил-6-нитроиндолина
6-нитроиндолин (1 экв.) разводили добавлением ацетона (0.3 M) и добавляли карбонат калия (4 экв.). В полученную смесь добавляли метилиодид (2 экв.), затем перемешивали при 50°C в течение 12 часов. После завершения реакции реакционную смесь упаривали при пониженном давлении и очищали методом колоночной хроматографии, получая указанное в заголовке соединение (выход: 68%).
Стадия 2) Получение 1-метилиндолин-6-амина
Соединение, полученное на стадии 2), растворяли в смеси тетрагидрофурана, метанола и воды в весовом соотношении 18:1:1. В раствор добавляли порошок железа и хлорид аммония, затем перемешивали при 85°C в течение 3 часов. После завершения реакции реакционную смесь промывали дихлорметаном на фильтре со слоем целита, фильтровали при пониженном давлении и упаривали, получая указанное в заголовке соединение (выход: 70%).
Стадия 3) Получение N-(2,5-дихлорпиримидин-4-ил)-1-метилиндолин-6-амина
Соединение (1 экв.), полученное на стадии 3), разводили добавлением изопропилового спирта (0.3 M) и добавляли 2,4,5-трихлорпиримидин (2 экв.) и бикарбонат натрия (4 экв.). Полученную смесь перемешивали в атмосфере азота при 65°C в течение 40 часов. После завершения реакции реакционную смесь охлаждали до комнатной температуры, промывали дихлорметаном на фильтре со слоем целита, фильтровали при пониженном давлении, разводили смесью изопропилового спирта и хлороформа в объемном соотношении 1:4, и промывали дистиллированной водой. Затем органический слой сушили над безводным сульфатом натрия, фильтровали при пониженном давлении и упаривали при пониженном давлении. Полученный остаток очищали методом колоночной хроматографии (40% тетрагидрофуран/гексан), получая указанное в заголовке соединение (выход: 61%).
Стадия 4) Получение 5-хлор-N2-(2-метокси-5-метил-4-(4-(4-метилпиперазин-1-ил)пиперидин-1-ил)фенил)-N4-(1-метилиндолин-6-ил)пиримидин-2,4-диамина
Соединение (1 экв.), полученное на стадии 4), и соответствующий анилин (0.6 экв.) растворяли в смеси уксусной кислоты (0.3 M) и 1.25М раствора HCl/метанол в объемном соотношении 1:1, герметично закрывали и перемешивали при 120°C в течение 3 часов. После завершения реакции реакционную смесь охлаждали до комнатной температуры, экстрагировали смесью изопропилового спирта и хлороформа (объемное соотношение 1:4) и насыщенным водным раствором бикарбоната натрия. Затем органический слой сушили над безводным сульфатом натрия, фильтровали при пониженном давлении и упаривали при пониженном давлении. Полученный остаток очищали методом колоночной хроматографии (10% метанол/дихлорметан), получая указанное в заголовке соединение (выход: 35%). [M+H]+ = 577.
Пример 273: Получение 5-хлор-N2-(5-хлор-2-метокси-4-(4-(4-метилпиперазин-1-ил)пиперидин-1-ил)фенил)-N4-(1-метилиндолин-6-ил)пиримидин-2,4-диамина
Указанное в заголовке соединение получали по методике, аналогичной описанной для стадии 4) Примера 272. [M+H]+ = 597.
Пример 274: Получение 5-хлор-N2-(2-хлор-5-метил-4-(4-(4-метилпиперазин-1-ил)пиперидин-1-ил)фенил)-N4-(1-метилиндолин-6-ил)пиримидин-2,4-диамина
Указанное в заголовке соединение получали по методике, аналогичной описанной для стадии 4) Примера 272. [M+H]+ = 581.
Пример 275: Получение 5-хлор-N2-(2-метокси-5-метил-4-(4-(4-метил-1,4-диазепан-1-ил)пиперидин-1-ил)фенил)-N4-(1-метилиндолин-6-ил)пиримидин-2,4-диамина
Указанное в заголовке соединение получали по методике, аналогичной описанной для стадии 4) Примера 272. [M+H]+ = 591.
Пример 276: Получение N-(6-((5-хлор-2-((2-метокси-5-метил-4-(4-(4-метилпиперазин-1-ил)пиперидин-1-ил)фенил)амино)пиримидин-4-ил)амино)-1-метилиндолин-5-ил)метансульфонамида
Стадия 1) Получение 5-бром-6-нитроиндолина
5-Броминдолин (4.5 г, 22.7 ммоль) растворяли в серной кислоте (98%, 20 мл) и медленно добавляли нитрат калия (2.35 г, 23 ммоль) при 0°C. Полученную смесь перемешивали при 0-10°C в течение 4 часов. После завершения реакции реакционную смесь медленно добавляли в ледяную воду и доводили до pH 8 насыщенным раствором карбоната натрия. Выпавший осадок отделяли фильтрованием при пониженном давлении и использовали в следующей стадии без дополнительной очистки.
Стадия 2) Получение 5-бром-1-метил-6-нитроиндолина
Соединение (2.2 г, 9 ммоль), полученное на стадии 1), разводили добавлением ацетона (30 мл) и добавляли карбонат калия (5 г, 36 ммоль). В полученную смесь добавляли метилиодид (0.9 мл, 14.4 ммоль), затем перемешивали при 50°C в течение 12 часов. После завершения реакции реакционную смесь упаривали при пониженном давлении и очищали методом колоночной хроматографии, получая указанное в заголовке соединение (1.57 г, выход: 68%).
Стадия 3) Получение N-(1-метил-6-нитроиндолин-5-ил)метансульфонамида
Соединение (200 мг, 0.78 ммоль), полученное на стадии 2), метансульфонамид (220 мг, 3 экв.), карбонат цезия (1 г, 4 экв.), xantphos (90 мг, 0.2 экв.) и Pd(OAc)2 (20 мг, 0.1 экв.) разводили добавлением диоксана, дегазировали 10 минут и перемешивали при 100°C в течение 24 часов. После завершения реакции реакционную смесь фильтровали через фильтр со слоем целита при пониженном давлении и промывали этилацетатом, дистиллированной водой и насыщенным раствором хлорида натрия. Полученный остаток очищали методом колоночной хроматографии, получая указанное в заголовке соединение (88 мг, выход: 42%).
Стадия 4) Получение N-(6-амино-1-метилиндолин-5-ил)метансульфонамида
Соединение, полученное на стадии 3), растворяли в смеси тетрагидрофурана, метанола и воды в весовом соотношении 18:1:1. В раствор добавляли порошок железа и хлорид аммония, затем перемешивали при 85°C в течение 3 часов. После завершения реакции реакционную смесь промывали дихлорметаном на фильтре со слоем целита, фильтровали при пониженном давлении и упаривали, получая указанное в заголовке соединение (выход: 61%).
Стадия 5) Получение N-(6-((2,5-дихлор-4-ил)амино)-1-метилиндолин-5-ил)метансульфонамида
Соединение (1 экв.), полученное на стадии 4), разводили добавлением изопропилового спирта (0.3 M) и добавляли 2,4,5-трихлорпиримидин (2 экв.) и бикарбонат натрия (4 экв.). Полученную смесь перемешивали в атмосфере азота при 65°C в течение 40 часов. После завершения реакции реакционную смесь охлаждали до комнатной температуры, промывали дихлорметаном на фильтре со слоем целита, фильтровали при пониженном давлении, разводили смесью изопропилового спирта и хлороформа в объемном соотношении 1:4, и промывали дистиллированной водой. Затем органический слой сушили над безводным сульфатом натрия, фильтровали при пониженном давлении и упаривали при пониженном давлении. Полученный остаток очищали методом колоночной хроматографии (40% тетрагидрофуран/гексан), получая указанное в заголовке соединение (выход: 61%).
Стадия 6) Получение N-(6-((5-хлор-2-((2-метокси-5-метил-4-(4-(4-метилпиперазин-1-ил)пиперидин-1-ил)фенил)амино)пиримидин-4-ил)амино)-1-метилиндолин-5-ил)метансульфонамида
Соединение (1 экв.), полученное на стадии 5), и соответствующий анилин (0.6 экв.) растворяли в смеси уксусной кислоты (0.3 M) и 1.25М раствора HCl/метанол в объемном соотношении 1:1, герметично закрывали и перемешивали при 120°C в течение 3 часов. После завершения реакции реакционную смесь охлаждали до комнатной температуры, экстрагировали смесью изопропилового спирта и хлороформа (объемное соотношение 1:4) и насыщенным водным раствором бикарбоната натрия. Затем органический слой сушили над безводным сульфатом натрия, фильтровали при пониженном давлении и упаривали при пониженном давлении. Полученный остаток очищали методом колоночной хроматографии (10% метанол/дихлорметан), получая указанное в заголовке соединение (выход: 35%). [M+H]+ = 670.
Пример 277: Получение 5-хлор-N2-(2-хлор-5-метил-4-(4-(4-метилпиперазин-1-ил)пиперидин-1-ил)фенил)-N4-(индолин-6-ил)пиримидин-2,4-диамина
Стадия 1) Получение трет-бутил6-нитроиндол-1-карбоксилата
6-нитроиндолин (1 экв.) разводили добавлением дихлорметана (0.3 M) и добавляли ди-трет-бутилдикарбонат (2 экв.) и DMAP (0.1 экв.). Полученную смесь перемешивали при комнатной температуре в течение 12 часов. После завершения реакции реакционную смесь разводили добавлением дихлорметан, промывали насыщенным раствором хлорида натрия, фильтровали при пониженном давлении и упаривали при пониженном давлении. Полученный остаток использовали в следующей реакции без дополнительной очистки.
Стадия 2) Получение трет-бутил6-аминоиндолин-1-карбоксилата
Соединение, полученное на стадии 1), растворяли в смеси тетрагидрофурана, метанола и воды в весовом соотношении 18:1:1. В раствор добавляли порошок железа и хлорид аммония, затем перемешивали при 85°C в течение 3 часов. После завершения реакции реакционную смесь промывали дихлорметаном на фильтре со слоем целита, фильтровали при пониженном давлении и упаривали, получая указанное в заголовке соединение (выход: 75%).
Стадия 3) Получение трет-бутил 6-((2,5-дихлорпиримидин-4-ил)амино)индолин-1-карбоксилата
Соединение (1 экв.), полученное на стадии 2), разводили добавлением изопропилового спирта (0.3 M) и добавляли 2,4,5-трихлорпиримидин (2 экв.) и бикарбонат натрия (4 экв.). Полученную смесь перемешивали в атмосфере азота при 65°C в течение 40 часов. После завершения реакции реакционную смесь охлаждали до комнатной температуры, промывали дихлорметаном на фильтре со слоем целита, фильтровали при пониженном давлении, разводили смесью изопропилового спирта и хлороформа в объемном соотношении 1:4, и промывали дистиллированной водой. Затем органический слой сушили над безводным сульфатом натрия, фильтровали при пониженном давлении и упаривали при пониженном давлении. Полученный остаток очищали методом колоночной хроматографии (40% тетрагидрофуран/гексан), получая указанное в заголовке соединение (выход: 65%).
Стадия 4) Получение 5-хлор-N2-(2-хлор-5-метил-4-(4-(4-метилпиперазин-1-ил)пиперидин-1-ил)фенил)-N4-(индолин-6-ил)пиримидин-2,4-диамина
Соединение (1 экв.), полученное на стадии 5), и соответствующий анилин (0.6 экв.) растворяли в смеси уксусной кислоты (0.3 M) и 1.25М раствора HCl/метанол в объемном соотношении 1:1, герметично закрывали и перемешивали при 120°C в течение 3 часов. После завершения реакции реакционную смесь охлаждали до комнатной температуры, экстрагировали смесью изопропилового спирта и хлороформа (объемное соотношение 1:4) и насыщенным водным раствором бикарбоната натрия. Затем органический слой сушили над безводным сульфатом натрия, фильтровали при пониженном давлении и упаривали при пониженном давлении. Полученный остаток очищали методом колоночной хроматографии (10% метанол/дихлорметан), получая указанное в заголовке соединение (выход: 35%). [M+H]+ = 567.
Пример 278: Получение 5-хлор-N2-(5-хлор-2-метокси-4-(4-(4-метилпиперазин-1-ил)пиперидин-1-ил)фенил)-N4-(индолин-6-ил)пиримидин-2,4-диамина
Указанное в заголовке соединение получали по методике, аналогичной описанной для стадии 4) Примера 277. [M+H]+ = 583.
Пример 279: Получение 5-хлор-N4-(индолин-6-ил)-N2-(2-метокси-4-(4-(4-метилпиперазин-1-ил)пиперидин-1-ил)фенил)пиримидин-2,4-диамина
Указанное в заголовке соединение получали по методике, аналогичной описанной для стадии 4) Примера 277. [M+H]+ = 549.
Пример 280: Получение N-(6-((2-((5-бром-4-(3-(диметиламино)-[1,4’-бипиперидин]-1’-ил)-2-метоксифенил)амино)-5-хлорпиримидин-4-ил)амино)-2,3-дигидробензофуран-5-ил)метансульфонамида
Указанное в заголовке соединение получали по методике, аналогичной описанной для стадии 5) Примера 165. [M+H]+ = 750.
Пример 281: Получение N-(6-((5-бром-2-((5-бром-4-(3-(диметиламино)-[1,4’-бипиперидин]-1’-ил)-2-метоксифенил)амино)пиримидин-4-ил)амино)-2,3-дигидробензофуран-5-ил)метансульфонамида
Указанное в заголовке соединение получали по методике, аналогичной описанной для стадии 2) Примера 169. [M+H]+ = 794.
Пример 282: Получение N-(6-((2-((5-бром-2-метокси-4-(4-(4-метил-1,4-диазепан-1-ил)пиперидин-1-ил)фенил)амино)-5-хлорпиримидин-4-ил)амино)-2,3-дигидробензофуран-5-ил)метансульфонамида
Указанное в заголовке соединение получали по методике, аналогичной описанной для стадии 5) Примера 165. [M+H]+ = 735.
Пример 283: Получение N-(6-((2-((5-бром-4-(4-(3-(диметиламино)пирролидин-1-ил)пиперидин-1-ил)-2-метоксифенил)амино)-5-хлорпиримидин-4-ил)амино)-2,3-дигидробензофуран-5-ил)метансульфонамида
Указанное в заголовке соединение получали по методике, аналогичной описанной для стадии 5) Примера 165. [M+H]+ = 735.
Новое соединение формулы 1 по настоящему изобретению можно вводить в состав различных готовых форм, в зависимости от поставленной задачи. Далее описаны примеры некоторых методов приготовления препаратов, содержащих соединение формулы 1 по настоящему изобретению в качестве активного ингредиента, но настоящее изобретение не ограничивается только ими.
Примеры препаратов
Пример препарата 1: Таблетки (прямое прессование)
5.0 мг активного ингредиента просеивали, смешивали с 14.1 мг лактозы, 0.8 мг кросповидона USNF и 0.1 мг стеарата магния, и прессовали в таблетки.
Пример препарата 2: Таблетки (влажное гранулирование)
5.0 мг активного ингредиента просеивали и смешивали с 16.0 мг лактозы и 4.0 мг крахмала. В полученную смесь добавляли необходимое количество раствора 0.3 мг Полисорбата 80 в очищенной воде. Полученную смесь тонко измельчали, сушили, просеивали, смешивали с 2.7 мг коллоидного диоксида кремния и 2.0 мг стеарата магния, и прессовали в таблетки.
Пример препарата 3: Порошок и капсулы
5.0 мг активного ингредиента просеивали и смешивали с 14.8 мг лактозы, 10.0 мг поливинилпирролидона и 0.2 мг стеарата магния. Полученную смесь заполняли в твердые желатиновые капсулы № 5 с применением соответствующего устройства.
Пример препарата 4: Инъекция
Готовили инъекцию, содержащую 100 мг активного ингредиента, 180 мг маннита, 26 мг Na2HPO4·12H2O и 2974 мг дистиллированной воды.
Экспериментальные примеры
Экспериментальный пример 1. Определение активности ингибирования EGFR киназы
В этом экспериментальном примере оценивали способность соединений, полученных в Примерах 1-283, ингибировать рост Ba/F3 клеток, экспрессирующих EGFR-wt, del19/T790M/C797S (EGFR-DTC), L858R/T790M/C797S (EGFR-LTC), del19/T790M (EGFR-DT) и L858R/T790M (EGFR-LT) варианты.
Материнская линия клеток Ba/F3 представляет собой популяцию клеток, в которую не включены EGFR варианты. 100 мкл линии клеток, экспрессирующих каждый вариант, помещали в 96-луночный планшет с плотностью 100000 клеток/мл. Готовили серию из десяти концентраций каждого соединения последовательным 4-кратным разведением, начиная с концентрации 2 мM. Через 4 часа добавляли 0.5 мкл раствора соединения (0.5% ДМСО), затем инкубировали при 37°C и 5% CO2 в течение 72 часов. После инкубирования определяли число жизнеспособных клеток с помощью набора Celltiter glo assay kit (Promega) и вычисляли GI50 для каждого соединения. Термин “GI50” означает мольную концентрацию (мкM) соединения, необходимую для 50%-ного ингибирования роста клеток. Полученные результаты приведены в Таблице 1.
[Таблица 1]
Промышленная применимость
Из вышесказанного очевидно, что благодаря своей ингибирующей активности в отношении EGFR протеинкиназы пиримидиновое соединение формулы 1 или его фармацевтически приемлемая соль по настоящему изобретению может применяться в качестве профилактического и терапевтического агента против заболеваний, вызванных аномальным метаболизмом клеток и метаболизмом глюкозы, связанных с EGFR протеинкиназой, например, метаболических заболеваний, таких как диабет и ожирение, и опухолевых заболеваний, выбранных из группы, состоящей из следующих: рак эндометрия, рак мочевого пузыря, рак желудка, рак легкого, рак печени, колоректальный рак, рак тонкого кишечника, рак поджелудочной железы, рак мозга, рак костей, меланома, рак молочной железы, склерозирующий аденоз, рак головы и шеи, рак пищевода, рак щитовидной железы, рак паращитовидной железы, рак почки, саркома, рак простаты, рак уретры, рак крови, такой как лейкоз, множественная миелома и миелодиспластический синдром, лимфомы, такие как болезнь Ходжкина и неходжкинская лимфома, и фиброаденома.
| название | год | авторы | номер документа |
|---|---|---|---|
| ИНГИБИТОРЫ ALK-КИНАЗЫ | 2013 |
|
RU2675850C2 |
| ЗАМЕЩЕННЫЙ 2-АМИНОПИРИДИН В КАЧЕСТВЕ ИНГИБИТОРА ПРОТЕИНКИНАЗЫ | 2014 |
|
RU2671212C2 |
| ПРОИЗВОДНОЕ АКРИЛАНИЛИДА, СПОСОБ ЕГО ПОЛУЧЕНИЯ И ЕГО ПРИМЕНЕНИЯ В ФАРМАКОЛОГИИ | 2016 |
|
RU2742372C2 |
| НОВЫЕ ТИЕНОПИРИМИДИНОВЫЕ ПРОИЗВОДНЫЕ, СПОСОБ ИХ ПОЛУЧЕНИЯ И ФАРМАЦЕВТИЧЕСКИЕ КОМПОЗИЦИИ, СОДЕРЖАЩИЕ ИХ | 2014 |
|
RU2605403C2 |
| ПРОИЗВОДНЫЕ ДИГИДРОПТЕРИДИНОНА, СПОСОБ ИХ ПОЛУЧЕНИЯ И ФАРМАЦЕВТИЧЕСКОЕ ПРИМЕНЕНИЕ | 2010 |
|
RU2559881C2 |
| (5,6-дигидро)пиримидо[4,5-е]индолизины | 2015 |
|
RU2692479C2 |
| НОВОЕ ПИРИМИДИНОВОЕ ПРОИЗВОДНОЕ, ОБЛАДАЮЩЕЕ ЭФФЕКТОМ ИНГИБИРОВАНИЯ РОСТА РАКОВЫХ КЛЕТОК, И СОДЕРЖАЩАЯ ЕГО ФАРМАЦЕВТИЧЕСКАЯ КОМПОЗИЦИЯ | 2018 |
|
RU2744168C1 |
| 2,6-ЗАМЕЩЕННЫЕ-4-МОНОЗАМЕЩЕННЫЕ АМИНОПИРИМИДИНЫ КАК АНТАГОНИСТЫ РЕЦЕПТОРОВ ПРОСТАГЛАНДИНА D2 | 2007 |
|
RU2431631C2 |
| НОВЫЕ ИНДОЛЬНЫЕ И ПИРРОЛЬНЫЕ СОЕДИНЕНИЯ, СПОСОБ ИХ ПОЛУЧЕНИЯ И ФАРМАЦЕВТИЧЕСКИЕ КОМПОЗИЦИИ, СОДЕРЖАЩИЕ ИХ | 2014 |
|
RU2693404C2 |
| НОВОЕ ЗАМЕЩЕННОЕ ДЕЙТЕРИЕМ ПРОИЗВОДНОЕ ПИРИМИДИНА И СОДЕРЖАЩАЯ ЕГО ФАРМАЦЕВТИЧЕСКАЯ КОМПОЗИЦИЯ | 2020 |
|
RU2811770C1 |
Группа изобретений относится к соединению, выбранному из производного пиримидина формулы 10, или его фармацевтически приемлемой соли и фармацевтической композиции для предотвращения и лечения ракового заболевания, содержащей указанное производное пиримидина. В формуле 10 значения переменных следующие: R1 представляет собой атом водорода, галоген, C1-C13 алкил или C1-C6 алкокси, R2 представляет собой атом водорода, R3 и R4 каждый независимо представляют собой атом водорода, R5, R6 и R7 каждый независимо представляют собой атом водорода, гидроксил, галоген, C1-C13 алкил, C1-C6 алкокси, X1 и X3 каждый независимо представляет собой углерод, X2 представляет собой СН или азот, A представляет собой C3-C10 гетероциклил, В выбран из
и
При этом C1-C6 алкокси или C1-C13 алкил содержит один или больше заместителей, выбранных из группы, состоящей из атома водорода и галогена, C3-C10 гетероциклил содержит один или больше заместителей, выбранных из группы, состоящей из атома водорода, галогена, C1-C3 алкила, незамещенного или замещенного галогеном, C1-C3 алкокси-группы, незамещенной или замещенной галогеном, и C3-C10 гетероциклила, и C3-C10 гетероциклил содержат по меньшей мере один гетероатом N. Предложенные соединения обладают ингибирующей активностью в отношении протеинкиназ, включая EGFR, в частности, оказывают сильное ингибирующее действие в отношении различных лекарственно-устойчивых EGFR мутантов, включая мутанты делеция 19 экзона-T790M-C797S-EGFR, L858R-T790M-C797S-EGFR, делеция 19 экзона-T790M-EGFR и L858R-T790M-EGFR, и могут применяться в качестве профилактического и терапевтического агента против раковых заболеваний, вызванных мутацией EGFR. 4 н. и 8 з.п. ф-лы, 1 табл., 288 пр.
1. Соединение, выбранное из производного пиримидина формулы 10:
[Формула 10]
где R1 представляет собой атом водорода, галоген, C1-C13 алкил или C1-C6 алкокси,
R2 представляет собой атом водорода,
R3 и R4 каждый независимо представляют собой атом водорода,
R5, R6 и R7 каждый независимо представляют собой атом водорода, гидроксил, галоген, C1-C13 алкил, C1-C6 алкокси,
X1 и X3 каждый независимо представляет собой углерод, X2 представляет собой СН или азот,
A представляет собой C3-C10 гетероциклил,
В выбран из
C1-C6 алкокси или C1-C13 алкил содержит один или больше заместителей, выбранных из группы, состоящей из атома водорода и галогена,
C3-C10 гетероциклил содержит один или больше заместителей, выбранных из группы, состоящей из атома водорода, галогена, C1-C3 алкила, незамещенного или замещенного галогеном, C1-C3 алкокси-группы, незамещенной или замещенной галогеном, и C3-C10 гетероциклила, и
C3-C10 гетероциклил содержат по меньшей мере один гетероатом N;
или его фармацевтически приемлемая соль.
2. Соединение, выбранное из производного пиримидина формулы 10:
[Формула 10]
где R1 представляет собой атом водорода или галоген,
R2 представляет собой атом водорода,
R3 и R4 каждый независимо представляют собой атом водорода,
R5, R6 и R7 каждый независимо представляют собой атом водорода, галоген, C1-C13 алкил или C1-C6 алкокси,
X1 и X3 каждый независимо представляет собой углерод, X2 представляет собой СН или азот,
A выбран из
В выбран из
C1-C6 алкокси или C1-C13 алкил содержит один или больше заместителей, выбранных из группы, состоящей из атома водорода и галогена,
или его фармацевтически приемлемая соль.
3. Соединение по п. 2, где A выбран из группы, состоящей из
4. Соединение или его фармацевтически приемлемая соль, выбранное из группы, состоящей из приведенных ниже соединений №№ 140, 165, 168, 169, 172 - 175, 183, 184, 188, 189, 196, 197, 205 - 225, 238 - 259 и 261 - 283:
Соединение № 140: N-(6-((5-хлор-2-((2-метокси-5-метил-4-(4-(4-метилпиперазин-1-ил)пиперидин-1-ил)фенил)амино)пиримидин-4-ил)амино)-2,3-дигидробензофуран-5-ил)метансульфонамид;
Соединение № 165: N-(6-((5-хлор-2-((2-метокси-5-метил-4-(4-(4-метил-1,4-диазепан-1-ил)пиперидин-1-ил)фенил)амино)пиримидин-4-ил)амино)-2,3-дигидробензофуран-5-ил)метансульфонамид;
Соединение № 168: N-(6-((5-хлор-2-((5-хлор-2-метокси-4-(4-(4-метилпиперазин-1-ил)пиперидин-1-ил)фенил)амино)пиримидин-4-ил)амино)-2,3-дигидробензофуран-5-ил)метансульфонамид;
Соединение № 169: N-(6-((5-бром-2-((2-метокси-5-метил-4-(4-(4-метилпиперазин-1-ил)пиперидин-1-ил)фенил)амино)пиримидин-4-ил)амино)-2,3-дигидробензофуран-5-ил)метансульфонамид;
Соединение № 172: N-(6-((5-хлор-2-((2-хлор-5-метил-4-(4-(4-метил-1,4-диазепан-1-ил)пиперидин-1-ил)фенил)амино)пиримидин-4-ил)амино)-2,3-дигидробензофуран-5-ил)метансульфонамид;
Соединение № 173: N-(6-((5-хлор-2-((2-хлор-5-метил-4-(4-(4-метилпиперазин-1-ил)пиперидин-1-ил)фенил)амино)пиримидин-4-ил)амино)-2,3-дигидробензофуран-5-ил)метансульфонамид;
Соединение № 174: N-(6-((5-хлор-2-((5-хлор-2-метокси-4-(4-(4-метил-1,4-диазепан-1-ил)пиперидин-1-ил)фенил)амино)пиримидин-4-ил)амино)-2,3-дигидробензофуран-5-ил)метансульфонамид;
Соединение № 175: N-(6-((5-бром-2-((2-хлор-5-метил-4-(4-(4-метилпиперазин-1-ил)пиперидин-1-ил)фенил)амино)пиримидин-4-ил)амино)-2,3-дигидробензофуран-5-ил)метансульфонамид;
Соединение № 183: N-(6-((5-бром-2-((5-хлор-2-метокси-4-(4-(4-метилпиперазин-1-ил)пиперидин-1-ил)фенил)амино)пиримидин-4-ил)амино)-2,3-дигидробензофуран-5-ил)метансульфонамид;
Соединение № 184: N-(6-((5-бром-2-((5-этил-2-метокси-4-(4-(4-метилпиперазин-1-ил)пиперидин-1-ил)фенил)амино)пиримидин-4-ил)амино)-2,3-дигидробензофуран-5-ил)метансульфонамид;
Соединение № 188: N-(6-((5-бром-2-((2-метокси-5-метил-4-(4-(4-метил-1,4-диазепан-1-ил)пиперидин-1-ил)фенил)амино)пиримидин-4-ил)амино)-2,3-дигидробензофуран-5-ил)метансульфонамид;
Соединение № 189: N-(6-((5-бром-2-((5-хлор-2-метокси-4-(4-(4-метил-1,4-диазепан-1-ил)пиперидин-1-ил)фенил)амино)пиримидин-4-ил)амино)-2,3-дигидробензофуран-5-ил)метансульфонамид;
Соединение № 196: N-(6-((5-бром-2-((4-(3-(диметиламино)-[1,4’-бипиперидин]-1’-ил)-2-метокси-5-метилфенил)амино)пиримидин-4-ил)амино)-2,3-дигидробензофуран-5-ил)метансульфонамид;
Соединение № 197: N-(6-((5-хлор-2-((2-хлор-4-(3-(диметиламино)-[1,4’-бипиперидин]-1’-ил)-5-метилфенил)амино)пиримидин-4-ил)амино)-2,3-дигидробензофуран-5-ил)метансульфонамид;
Соединение № 205: N-(6-((5-хлор-2-((2,5-дихлор-4-(4-(4-метилпиперазин-1-ил)пиперидин-1-ил)фенил)амино)пиримидин-4-ил)амино)-2,3-дигидробензофуран-5-ил)метансульфонамид;
Соединение № 206: N-(6-((5-хлор-2-((5-этил-2-метокси-4-(4-(4-метилпиперазин-1-ил)пиперидин-1-ил)фенил)амино)пиримидин-4-ил)амино)-2,3-дигидробензофуран-5-ил)метансульфонамид;
Соединение № 207: N-(6-((5-хлор-2-((2-метокси-5-метил-4-(4-(пиперазин-1-ил)пиперидин-1-ил)фенил)амино)пиримидин-4-ил)амино)-2,3-дигидробензофуран-5-ил)метансульфонамид;
Соединение № 208: N-(6-((5-хлор-2-((4-(4-(4-циклопропилпиперазин-1-ил)пиперидин-1-ил)-2-метокси-5-метилфенил)амино)пиримидин-4-ил)амино)-2,3-дигидробензофуран-5-ил)метансульфонамид;
Соединение № 209: N-(6-((5-хлор-2-((4-(4-(3-(диметиламино)пирролидин-1-ил)пиперидин-1-ил)-2-метокси-5-метилфенил)амино)пиримидин-4-ил)амино)-2,3-дигидробензофуран-5-ил)метансульфонамид;
Соединение № 210: N-(6-((5-хлор-2-((2-хлор-4-(4-(3-(диметиламино)пирролидин-1-ил)пиперидин-1-ил)-5-метилфенил)амино)пиримидин-4-ил)амино)-2,3-дигидробензофуран-5-ил)метансульфонамид;
Соединение № 211: N-(6-((5-бром-2-((4-(4-(3-(диметиламино)пирролидин-1-ил)пиперидин-1-ил)-2-метокси-5-метилфенил)амино)пиримидин-4-ил)амино)-2,3-дигидробензофуран-5-ил)метансульфонамид;
Соединение № 212: N-(6-((5-бром-2-((4-(4-(4-циклопропилпиперазин-1-ил)пиперидин-1-ил)-2-метокси-5-метилфенил)амино)пиримидин-4-ил)амино)-2,3-дигидробензофуран-5-ил)метансульфонамид;
Соединение № 213: N-(6-((5-бром-2-((2-хлор-4-(4-(3-(диметиламино)пирролидин-1-ил)пиперидин-1-ил)-5-метилфенил)амино)пиримидин-4-ил)амино)-2,3-дигидробензофуран-5-ил)метансульфонамид;
Соединение № 214: N-(6-((5-бром-2-((2-хлор-4-(3-(диметиламино)-[1,4’-бипиперидин]-1’-ил)-5-метилфенил)амино)пиримидин-4-ил)амино)-2,3-дигидробензофуран-5-ил)метансульфонамид;
Соединение № 215: N-(6-((5-бром-2-((2-метокси-5-метил-4-(4-(пиперазин-1-ил)пиперидин-1-ил)фенил)амино)пиримидин-4-ил)амино)-2,3-дигидробензофуран-5-ил)метансульфонамид;
Соединение № 216: N-(6-((5-бром-2-((5-хлор-4-(3-(диметиламино)-[1,4’-бипиперидин]-1’-ил)-2-метоксифенил)амино)пиримидин-4-ил)амино)-2,3-дигидробензофуран-5-ил)метансульфонамид;
Соединение № 217: N-(6-((5-бром-2-((2,5-дихлор-4-(4-(4-метилпиперазин-1-ил)пиперидин-1-ил)фенил)амино)пиримидин-4-ил)амино)-2,3-дигидробензофуран-5-ил)метансульфонамид;
Соединение № 218: N-(6-((5-хлор-2-((4-(3-(диметиламино)-[1,4’-бипиперидин]-1’-ил)-2-метокси-5-метилфенил)амино)пиримидин-4-ил)амино)-2,3-дигидробензофуран-5-ил)метансульфонамид;
Соединение № 219: N-(6-((5-хлор-2-((5-хлор-4-(3-(диметиламино)-[1,4’-бипиперидин]-1’-ил)-2-метоксифенил)амино)пиримидин-4-ил)амино)-2,3-дигидробензофуран-5-ил)метансульфонамид;
Соединение № 220: N-(6-((5-хлор-2-((2-метокси-4-(4-(4-метилпиперазин-1-ил)пиперидин-1-ил)фенил)амино)пиримидин-4-ил)амино)-2,3-дигидробензофуран-5-ил)метансульфонамид;
Соединение № 221: N-(6-((5-хлор-2-((2-хлор-4-(4-(4-метилпиперазин-1-ил)пиперидин-1-ил)фенил)амино)пиримидин-4-ил)амино)-2,3-дигидробензофуран-5-ил)метансульфонамид;
Соединение № 222: N-(6-((5-хлор-2-((5-фтор-2-метокси-4-(4-(4-метилпиперазин-1-ил)пиперидин-1-ил)фенил)амино)пиримидин-4-ил)амино)-2,3-дигидробензофуран-5-ил)метансульфонамид;
Соединение № 223: N-(6-((5-хлор-2-((2-(4-(4-метилпиперазин-1-ил)пиперидин-1-ил)хинолин-6-ил)амино)пиримидин-4-ил)амино)-2,3-дигидробензофуран-5-ил)метансульфонамид;
Соединение № 224: N-(6-((5-хлор-2-((2-метокси-5-метил-4-(4-((1-метил-1H-пиразол-5-ил)амино)пиперидин-1-ил)фенил)амино)пиримидин-4-ил)амино)-2,3-дигидробензофуран-5-ил)метансульфонамид;
Соединение № 225: N-(6-((5-хлор-2-((2-метокси-5-метил-4-(4-(4-(трифторметил) пиперазин-1-ил)пиперидин-1-ил)фенил)амино)пиримидин-4-ил)амино)-2,3-дигидробензофуран-5-ил)метансульфонамид;
Соединение № 238: N-(6-((5-бром-2-((2-метокси-6-(4-метил-1,4-диазепан-1-ил)пиридин-3-ил)амино)пиримидин-4-ил)амино)-2,3-дигидробензофуран-5-ил)метансульфонамид;
Соединение № 239: N-(6-((5-бром-2-((5-фтор-6-(4-(4-метилпиперазин-1-ил)пиперидин-1-ил)пиридин-3-ил)амино)пиримидин-4-ил)амино)-2,3-дигидробензофуран-5-ил)метансульфонамид;
Соединение № 240: N-(6-((5-бром-2-((2-метокси-5-метил-6-(4-(4-метилпиперазин-1-ил)пиперидин-1-ил)пиридин-3-ил)амино)пиримидин-4-ил)амино)-2,3-дигидробензофуран-5-ил)метансульфонамид;
Соединение № 241: N-(6-((5-хлор-2-((2-метокси-5-метил-6-(4-(4-метилпиперазин-1-ил)пиперидин-1-ил)пиридин-3-ил)амино)пиримидин-4-ил)амино)-2,3-дигидробензофуран-5-ил)метансульфонамид;
Соединение № 242: N-(6-((5-хлор-2-((5-фтор-6-(4-(4-метилпиперазин-1-ил)пиперидин-1-ил)пиридин-3-ил)амино)пиримидин-4-ил)амино)-2,3-дигидробензофуран-5-ил)метансульфонамид;
Соединение № 243: N-(6-((5-бром-2-((2-метокси-4-(4-(4-метилпиперазин-1-ил)пиперидин-1-ил)фенил)амино)пиримидин-4-ил)амино)-2,3-дигидробензофуран-5-ил)метансульфонамид;
Соединение № 244: N-(6-((5-бром-2-((3-фтор-4-(4-(4-метилпиперазин-1-ил)пиперидин-1-ил)фенил)амино)пиримидин-4-ил)амино)-2,3-дигидробензофуран-5-ил)метансульфонамид;
Соединение № 245: N-(6-((5-бром-2-((2-метокси-5-метил-4-(4-(трифторметил)-[1,4’-бипиперидин]-1’-ил)фенил)амино)пиримидин-4-ил)амино)-2,3-дигидробензофуран-5-ил)метансульфонамид;
Соединение № 246: N-(6-((5-бром-2-((2-хлор-4-(4-(4-метилпиперазин-1-ил)пиперидин-1-ил)фенил)амино)пиримидин-4-ил)амино)-2,3-дигидробензофуран-5-ил)метансульфониламид;
Соединение № 247: N-(6-((5-бром-2-((2-(4-(4-метилпиперазин-1-ил)пиперидин-1-ил)хинолин-6-ил)амино)пиримидин-4-ил)амино)-2,3-дигидробензофуран-5-ил)метансульфонамид;
Соединение № 248: N-(6-((5-хлор-2-((2-метокси-5-метил-4-(4-(4-метилпиперазин-1-ил)пиперидин-1-ил)фенил)амино)пиримидин-4-ил)амино)-2,3-дигидробензофуран-5-ил)-N-метилметансульфонамид;
Соединение № 249: N-(6-((5-хлор-2-((5-хлор-2-метокси-4-(4-(4-метилпиперазин-1-ил)пиперидин-1-ил)фенил)амино)пиримидин-4-ил)амино)-2,3-дигидробензофуран-5-ил)-N-метилметансульфонамид;
Соединение № 250: N-(6-((5-бром-2-((2-метокси-5-метил-4-(4-(4-метилпиперазин-1-ил)пиперидин-1-ил)фенил)амино)пиримидин-4-ил)амино)-2,3-дигидробензофуран-5-ил)-N-метилметансульфонамид;
Соединение № 251: N-(6-((5-бром-2-((2-хлор-5-метил-4-(4-(4-метилпиперазин-1-ил)пиперидин-1-ил)фенил)амино)пиримидин-4-ил)амино)-2,3-дигидробензофуран-5-ил)-N-метилметансульфонамид;
Соединение № 252: N-(6-((5-бром-2-((5-хлор-2-метокси-4-(4-(4-метилпиперазин-1-ил)пиперидин-1-ил)фенил)амино)пиримидин-4-ил)амино)-2,3-дигидробензофуран-5-ил)-N-метилметансульфонамид;
Соединение № 253: N-(6-((5-бром-2-((2,5-дихлор-4-(4-(4-метилпиперазин-1-ил)пиперидин-1-ил)фенил)амино)пиримидин-4-ил)амино)-2,3-дигидробензофуран-5-ил)-N-метилметансульфонамид;
Соединение № 254: N-(6-((5-бром-2-((5-этил-2-метокси-4-(4-(4-метилпиперазин-1-ил)пиперидин-1-ил)фенил)амино)пиримидин-4-ил)амино)-2,3-дигидробензофуран-5-ил)-N-метилметансульфонамид;
Соединение № 255: N-(6-((5-бром-2-((2-метокси-5-метил-4-(4-(4-(трифторметил)пиперазин-1-ил)пиперидин-1-ил)фенил)амино)пиримидин-4-ил)амино)-2,3-дигидробензофуран-5-ил)-N-метилметансульфонамид;
Соединение № 256: N-(6-((5-бром-2-((5-фтор-2-метокси-4-(4-(4-метилпиперазин-1-ил)пиперидин-1-ил)фенил)амино)пиримидин-4-ил)амино)-2,3-дигидробензофуран-5-ил)-N-метилметансульфонамид;
Соединение № 257: N-(6-((5-бром-2-((5-фтор-2-метокси-4-(4-(4-метил-1,4-диазепан-1-ил)пиперидин-1-ил)фенил)амино)пиримидин-4-ил)амино)-2,3-дигидробензофуран-5-ил)-N-метилметансульфонамид;
Соединение № 258: N-(6-((5-бром-2-((4-(3-(диметиламино)-[1,4’-бипиперидин]-1’-ил)-2-метокси-5-метоксифенил)амино)пиримидин-4-ил)амино)-2,3-дигидробензофуран-5-ил)-N-метилметансульфонамид;
Соединение № 259: N-(6-((5-хлор-2-((2,5-дихлор-4-(4-(4-метилпиперазин-1-ил)пиперидин-1-ил)фенил)амино)пиримидин-4-ил)амино)-2,3-дигидробензофуран-5-ил)-N-метилметансульфонамид;
Соединение № 261: N-(6-((5-бром-2-((4-(4-(4-циклопропилпиперазин-1-ил) пиперидин-1-ил)-2-метокси-5-метилфенил)амино)пиримидин-4-ил)амино)-2,3-дигидробензофуран-5-ил)-N-метилметансульфонамид;
Соединение № 262: N-(6-((5-бром-2-((4-(4-(3-(диметиламино)пирролидин-1-ил)пиперидин-1-ил)-2-метокси-5-метилфенил)амино)пиримидин-4-ил)амино)-2,3-дигидробензофуран-5-ил)-N-метилметансульфонамид;
Соединение № 263: N-(6-((5-хлор-2-((2-хлор-5-метил-4-(4-(4-метилпиперазин-1-ил)пиперидин-1-ил)фенил)амино)пиримидин-4-ил)амино)-2,3-дигидробензофуран-5-ил)-N-метилметансульфонамид;
Соединение № 264: N-(6-((5-хлор-2-((5-хлор-2-метокси-4-(4-(4-метил-1,4-диазепан-1-ил)пиперидин-1-ил)фенил)амино)пиримидин-4-ил)амино)-2,3-дигидробензофуран-5-ил)-N-метилметансульфонамид;
Соединение № 265: N-(6-((5-хлор-2-((2-метокси-5-метил-4-(4-(4-метил-1,4-диазепан-1-ил)пиперидин-1-ил)фенил)амино)пиримидин-4-ил)амино)-2,3-дигидробензофуран-5-ил)-N-метилметансульфонамид;
Соединение № 266: N-(6-((5-хлор-2-((4-(4-(4-циклопропилпиперазин-1-ил)пиперидин-1-ил)-2-метокси-5-метилфенил)амино)пиримидин-4-ил)амино)-2,3-дигидробензофуран-5-ил)-N-метилметансульфонамид;
Соединение № 267: N-(6-((5-хлор-2-((4-(3-(диметиламино)-[1,4’-бипиперидин]-1’-ил)-2-метокси-5-метилфенил)амино)пиримидин-4-ил)амино)-2,3-дигидробензофуран-5-ил)-N-метилметансульфонамид;
Соединение № 268: N-(6-((5-хлор-2-((2,5-дифтор-4-(4-(4-метилпиперазин-1-ил)пиперидин-1-ил)фенил)амино)пиримидин-4-ил)амино)-2,3-дигидробензофуран-5-ил)метансульфонамид;
Соединение № 269: N-(5-((5-бром-2-((2,5-дифтор-4-(4-(4-метилпиперазин-1-ил)пиперидин-1-ил)фенил)амино)пиримидин-4-ил)амино)-2,3-дигидробензофуран-4-ил)метансульфонамид;
Соединение № 270: N-(6-((2-((5-бром-2-метокси-4-(4-(4-метилпиперазин-1-ил)пиперидин-1-ил)фенил)амино)-5-хлорпиримидин-4-ил)амино)-2,3-дигидробензофуран-5-ил)метансульфонамид;
Соединение № 271: N-(6-((2-((5-бром-2-метокси-4-(4-(4-метилпиперазин-1-ил)пиперидин-1-ил)фенил)амино)-5-бромпиримидин-4-ил)амино)-2,3-дигидробензофуран-5-ил)метансульфонамид;
Соединение № 272: 5-хлор-N2-(2-метокси-5-метил-4-(4-(4-метилпиперазин-1-ил)пиперидин-1-ил)фенил)-N4-(1-метилиндолин-6-ил)пиримидин-2,4-диамин;
Соединение № 273: 5-хлор-N2-(5-хлор-2-метокси-4-(4-(4-метилпиперазин-1-ил)пиперидин-1-ил)фенил)-N4-(1-метилиндолин-6-ил)пиримидин-2,4-диамин;
Соединение № 274: 5-хлор-N2-(2-хлор-5-метил-4-(4-(4-метилпиперазин-1-ил)пиперидин-1-ил)фенил)-N4-(1-метилиндолин-6-ил)пиримидин-2,4-диамин;
Соединение № 275: 5-хлор-N2-(2-метокси-5-метил-4-(4-(4-метил-1,4-диазепан-1-ил)пиперидин-1-ил)фенил)-N4-(1-метилиндолин-6-ил)пиримидин-2,4-диамин;
Соединение № 276: N-(6-((5-хлор-2-((2-метокси-5-метил-4-(4-(4-метилпиперазин-1-ил)пиперидин-1-ил)фенил)амино)пиримидин-4-ил)амино)-1-метилиндолин-5-ил)метансульфонамид;
Соединение № 277: 5-хлор-N2-(2-хлор-5-метил-4-(4-(4-метилпиперазин-1-ил)пиперидин-1-ил)фенил)-N4-(индолин-6-ил)пиримидин-2,4-диамин;
Соединение № 278: 5-хлор-N2-(5-хлор-2-метокси-4-(4-(4-метилпиперазин-1-ил)пиперидин-1-ил)фенил)-N4-(индолин-6-ил)пиримидин-2,4-диамин;
Соединение № 279: 5-хлор-N4-(индолин-6-ил)-N2-(2-метокси-4-(4-(4-метилпиперазин-1-ил)пиперидин-1-ил)фенил)пиримидин-2,4-диамин;
Соединение № 280: N-(6-((2-((5-бром-4-(3-(диметиламино)-[1,4’-бипиперидин]-1’-ил)-2-метоксифенил)амино)-5-хлорпиримидин-4-ил)амино)-2,3-дигидробензофуран-5-ил)метансульфонамид;
Соединение № 281: N-(6-((5-бром-2-((5-бром-4-(3-(диметиламино)-[1,4’-бипиперидин]-1’-ил)-2-метоксифенил)амино)пиримидин-4-ил)амино)-2,3-дигидробензофуран-5-ил)метансульфонамид;
Соединение № 282: N-(6-((2-((5-бром-2-метокси-4-(4-(4-метил-1,4-диазепан-1-ил)пиперидин-1-ил)фенил)амино)-5-хлорпиримидин-4-ил)амино)-2,3-дигидробензофуран-5-ил)метансульфонамид; и
Соединение № 283: N-(6-((2-((5-бром-4-(4-(3-(диметиламино)пирролидин-1-ил)пиперидин-1-ил)-2-метоксифенил)амино)-5-хлорпиримидин-4-ил)амино)-2,3-дигидробензофуран-5-ил)метансульфонамид.
5. Соединение по п. 2, где фармацевтически приемлемая соль представляет собой соль неорганической или органической кислоты, выбранной из группы, состоящей из соляной кислоты, бромистоводородной кислоты, серной кислоты, фосфорной кислоты, азотной кислоты, уксусной кислоты, гликолевой кислоты, молочной кислоты, виноградной кислоты, малоновой кислоты, янтарной кислоты, глутаровой кислоты, фумаровой кислоты, яблочной кислоты, миндальной кислоты, винной кислоты, лимонной кислоты, аскорбиновой кислоты, пальмитиновой кислоты, малеиновой кислоты, гидроксималеиновой кислоты, бензойной кислоты, гидроксибензойной кислоты, фенилуксусной кислоты, коричной кислоты, салициловой кислоты, метансульфокислоты, бензолсульфокислоты и толуолсульфокислоты.
6. Фармацевтическая композиция для предотвращения, снижения степени тяжести или лечения рака, содержащая соединение или его фармацевтически приемлемую соль по любому из пп. 1-5 в качестве активного ингредиента, где рак вызван мутацией EGFR.
7. Фармацевтическая композиция по п. 6, где фармацевтическую композицию применяют в отношении пациента с мутацией EGFR.
8. Фармацевтическая композиция по п. 6, где рак выбран из группы, состоящей из глиобластомы, трижды негативного рака молочной железы, колоректального рака, рака легкого, анапластической крупноклеточной лимфомы, желудочно-кишечной стромальной опухоли, множественной миеломы, острого миелолейкоза, рака печени, рака желудка, рака щитовидной железы, рака головы и шеи, и их комбинаций.
9. Фармацевтическая композиция по п.6, где рак представляет собой рак легкого.
10. Фармацевтическая композиция по п. 6, где фармацевтическую композицию вводят пациенту с тройной мутацией делеция 19 экзона/T790M/C797S или тройной мутацией L858R/T790M/C797S в качестве EFGR-связанной мутации.
11. Фармацевтическая композиция по п. 6, где фармацевтическую композицию вводят пациенту с двойной мутацией делеция 19 экзона/T790M или двойной мутацией L858R/T790M в качестве EFGR-связанной мутации.
12. Фармацевтическая композиция по п. 6, где фармацевтическую композицию вводят пациенту с мутацией делеция 19 экзона или мутацией L858R в качестве EFGR-связанной мутации.
| KR 1020180135781 A, 21.12.2018 | |||
| WO 2020216371 A1, 29.10.2020 | |||
| CN 112538072 A, 23.03.2021 | |||
| CN 110305161 A, 08.10.2019 | |||
| WO 2010146133 A1, 23.12.2010 | |||
| ИНГИБИТОР EGFR И ЕГО ПОЛУЧЕНИЕ И ПРИМЕНЕНИЕ | 2015 |
|
RU2702631C2 |
Авторы
Даты
2025-01-21—Публикация
2022-04-01—Подача