АНТИГЕЛЬМИНТНЫЕ СОЕДИНЕНИЯ, ВКЛЮЧАЮЩИЕ ХИНОЛИНОВУЮ СТРУКТУРУ Российский патент 2025 года по МПК C07D215/38 C07D215/42 C07D215/50 C07D405/12 C07D405/14 A61K31/47 A61K31/4706 A61K31/4709 A61K31/5377 A61P33/10 

Описание патента на изобретение RU2833552C1

Настоящее изобретение относится к новым антигельминтным соединениям. Эти соединения, например, можно использовать в лечении типа глистного заболевания, вызываемого гельминтами, такими как Dirofilaria, в частности Dirofilaria immitis.

Предпосылки создания изобретения

Некоторые тяжелые заболевания животных вызываются гельминтами, при этом гельминтов можно подразделить на следующие группы: a) цестоды: например, Anaplocephala spp.; Dipylidium spp.; Diphyllobothrium spp.; Echinococcus spp.; Moniezia spp.; Taenia spp.; b) трематоды, например, Dicrocoelium spp.; Fasciola spp.; Paramphistomum spp.; Schistosoma spp.; или c) нематоды, например, Acanthocheilonema spp.; Ancylostoma spp.; Anecator spp.; Ascaridia spp.; Ascaris spp.; Brugia spp.; Bunostomum spp.; Capillaria spp.; Chabertia spp.; Cooperia spp.; Cyathostomum spp.; Cylicocyclus spp.; Cylicodontophorus spp.; Cylicostephanus spp.; Craterostomum spp.; Dictyocaulus spp.; Dipetalonema spp; Dirofilaria spp.; Dracunculus spp.; Enterobius spp.; Filaroides spp.; Habronema spp.; Haemonchus spp.; Heterakis spp.; Hyostrongylus spp.; Metastrongylus spp.; Meullerius spp. Necator spp.; Nematodirus spp.; Nippostrongylus spp.; Oesophagostomum spp.; Onchocerca spp.; Onchocercidae spp; Ostertagia spp.; Oxyuris spp.; Parascaris spp.; Stephanurus spp.; Strongylus spp.; Syngamus spp.; Toxocara spp.; Strongyloides spp.; Teladorsagia spp.; Toxascaris spp.; Trichinella spp.; Trichuris spp.; Trichostrongylus spp.; Triodontophorous spp.; Uncinaria spp., и/или Wuchereria spp.

Перечисленные выше гельминты вызывают гельминтоз, также известный как глистная инфекция. Эти гельминты часто обитают в желудочно-кишечном тракте своего хозяина, но могут проникать и в другие органы, вызывая физиологические повреждения. Например, согласно сообщениям, Ascaridia spp. вызывают расстройства от инфекций тонкого кишечника до частичной или даже полной непроходимости желудочно-кишечного тракта пораженного животного, в частности пернатых животных, таких как птицы. Кроме того, известно, что другой гельминт, Haemonchus spp., поражает таких животных, как овцы и козы, причем такое заражение часто приводит к прикреплению к слизистой оболочке сычуга для сосания крови хозяина. Таким образом, пораженное животное может заболеть анемией и одышкой. Более того, известно, что Oesophagostomum spp. вызывают образование узелков в кишечнике инфицированных хозяев, что может привести к дизентерии.

Кроме того, сердечный червь, также известный как сердечно-сосудистый дирофиляриоз, является серьезным и в основном смертельным заболеванием, которое может поражать внутренние органы, такие как легкие и сердце, у домашних животных и некоторых млекопитающих. Болезнь вызывается паразитическими нематодами Dirofilaria immitis, которые во взрослом состоянии могут иметь длину примерно до 30 сантиметров и толщину около 1 миллиметра. Эти нематоды живут в сердце, легких и связанных с ними кровеносных сосудах, вызывая тяжелые заболевания легких, сердечную недостаточность и повреждение других внутренних органов, таких как печень и почки. Таким образом, заражение сердечным червем может привести к осложнениям для хозяина, обычно заканчивающимся смертью хозяина.

Известно, что дирофиляриоз поражает домашних животных, в частности собак, которые считаются окончательными хозяевами. Однако также кошки, хорьки, волки, койоты, шакалы, лисы, медведи, морские львы и в очень редких случаях даже люди (зооноз) могут быть поражены сердечными червями.

Сердечные черви должны пройти разные стадии, прежде чем они станут взрослыми, обитающими в животном-хозяине. Комар играет важную роль в жизненном цикле сердечного червя, поскольку он требуется в качестве промежуточного хозяина. Взрослые самки сердечного червя, живущие в инфицированном хозяине, рождают личинок, называемых микрофиляриями, которые могут циркулировать в кровотоке до двух лет и поедаются кровососущими комарами. Когда комар кусает и берет кровь от такого зараженного хозяина, он подхватывает указанные микрофилярии, которые начинают развиваться в комаре, так что первая и вторая личиночные стадии (L1) и (L2) сердечного червя происходят в организме комара. Как только указанные личинки созревают до третьей личиночной стадии (L3), инвазионной личиночной стадии, и комар находит и кусает хозяина, эти инфекционные личинки оседают на поверхности кожи хозяина и проникают в нового хозяина через укус комара, таким образом, они находятся под кожей в месте раны от укуса. После короткого периода около 2 недель для дальнейшего роста они развиваются в четвертую личиночную стадию (L4) и мигрируют в мышцы грудной и брюшной полости. Через 45-60 дней после заражения личинки становятся неполовозрелыми взрослыми особями (пятая личиночная стадия; L5), а через 75-120 дней после заражения (укуса комара) эти незрелые сердечные черви попадают в кровоток и переносятся в сердце и легочную систему, где они значительно увеличиваются в размерах в течение следующих примерно трех месяцев. К семи месяцам после заражения (укуса комара) взрослые черви спариваются, а самки начинают рожать вышеуказанных микрофилярий. Созревшие сердечные черви могут жить до 7 лет у собак и до 3 лет у кошек. Из-за долговечности этих червей каждый сезон комаров может привести к увеличению числа сердечных червей у зараженного домашнего животного.

Сообщается, что из-за широкого использования антигельминтных соединений возникла высокорезистентная популяция червей. Возникновение этой резистентности к известным антигельминтным средствам считается причиной растущих проблем для успешного лечения вышеуказанных заболеваний.

Обе заявки WO 2018/087036 A1 и WO 2019/025341 A1 раскрывают соединение, считающееся антигельминтным, а именно хинолин 3-карбоксамидное производное следующей структуры

где остатки R1, R2, R3, R4, R5, R6, A и Q соответственно определены.

Молекулы считаются модуляторами кальций-активированного калиевого канала slo-1 нематод, где slo-1 можно рассматривать как гельминтный ортолог человеческого KCa1.1 канала (подсемейство M альфа 1 кальций-активируемых калиевых каналов), который кодируется геном KCNMA1 (KCa1.1 и KCNMA1 часто используются как синонимы). Slo-1 проявляет активность активируемых кальцием калиевых каналов и активность потенциалзависимых калиевых каналов. Каналы Slo-1 играют важную роль в нервно-мышечной системе, а также, среди прочего, в секреторных клетках. Таким образом, согласно сообщениям, модуляторы slo-1 участвуют в нескольких процессах, включая поведенческую реакцию на этанол, локомоцию и фарингеальную насосную деятельность. В частности, они нарушают нервно-мышечную передачу, вызывая вялый паралич, а также влияют на питание и яйцекладку. Кроме того, они замедляют развитие личинок и взрослых особей соответствующего гельминта.

Тем не менее, особенно ввиду возникновения резистентности к известным антигельминтным соединениям, по-прежнему существует острая потребность в новых активных фармацевтических ингредиентах, способных бороться с инфекциями, вызываемыми гельминтами.

Следовательно, целью настоящего изобретения является преодоление одного или нескольких недостатков предшествующего уровня техники.

Целью является обеспечение новых антигельминтных соединений, которые можно использовать для лечения инфекций у млекопитающих, в частности у домашних питомцев, таких как кошки и собаки, особенно у собак. В частности, целью является обеспечение новых антигельминтных соединений, которые можно использовать для лечения инфекций у млекопитающих, вызываемых паразитическими гельминтами, такими как Ostertagia ostertagi, Cooperia oncophora, Cooperia punctata, Trichostrongylus axei, Haemonchus placei, Haemonchus contortus, Nematodirus helvetianus, Nematodirus spathiger, Trichostrongylus colubriformis, Trichostrongylus circumcincta, Oesophagostomum venulosum, Chabertia ovina, Dictyocaulus viviparous, Dictyocaulus filaria, Dirofilaria immitis, Dirofilaria repens; b) Трематоды: Fasciola hepatica, Fascioloides magna, Dicrocoelium dentriticum, Paramphistomum cervi, c) Цестоды: Monezia expansai, especially Ascaridia galli, Haemonchus contortus, Oesophagostomum dentatum, и Acanthocheilonema viteae и by Dirofilaria immitis, в частности инфекций, вызываемых Dirofilaria immitis (сердечный гельминт).

Другой целью является обеспечение новых антигельминтных соединений, которые можно использовать для лечения инфекций у млекопитающих, где указанные соединения совместимы со стандартными антипаразитическими лечениями домашних животных, в частности кошек и собак, особенно собак. В частности, целью является обеспечение новых антигельминтных соединений, которые можно использовать для лечения инфекций у домашних питомцев, таких как кошки и собаки, и которые можно вводить перорально или местно.

Более конкретно, целью является обеспечение новых антигельминтных соединений, которые можно использовать для лечения инфекций у млекопитающих, вызываемых паразитическими гельминтами, в частности инфекций, вызываемых Dirofilaria immitis (сердечный гельминт), но которые не оказывают негативного влияния на хозяина за счет нежелательных побочных эффектов.

Кроме того, цель состоит в том, чтобы указанные новые антигельминтные соединения можно было использовать в различных схемах лечения, в частности в схемах лечения продолжительностью месяц или более.

Сущность изобретения

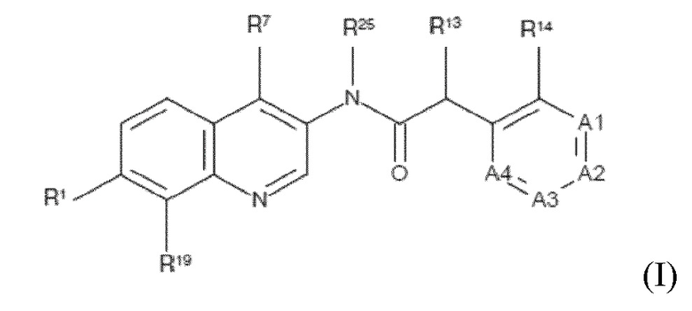
К удивлению, было обнаружено, что возможно достижение по меньшей мере одной из целей путем обеспечения соединения в соответствии с формулой (I)

Формула (I)

где

R1 независимо выбран из группы, состоящей из

водорода, C1-6-алкила, C2-6-алкенила, C2-6-алкинила, C3-10-циклоалкила, 5-10-членного гетероциклила, C6-10 арила, 5-10-членного гетероарила, C1-6-алкокси, C1-6-алкилмеркапто, галогена, циано, нитро, гидрокси, меркапто, NR2R3, COOH, C(=O)OR4, SR4, SOR4, SO2R4, SO2NR5R6 и C(=O)NR5R6,

где каждый C1-6-алкил, C2-6-алкенил, C2-6-алкинил, C3-10-циклоалкил, 5-10-членный гетероциклил, C6-10 арил, 5-10-членный гетероарил, C1-6-алкокси или C1-6-алкилмеркапто необязательно замещен одним или несколькими заместителями, независимо выбранными из группы, состоящей из

C1-6-алкила, C2-6-алкенила, C2-6-алкинила, C3-10-циклоалкила, 5-10-членного гетероциклила, C6-10-арила, 5-10-членного гетероарила, C1-6-алкокси, C1-6-алкилмеркапто, галогена, циано, нитро, гидрокси, меркапто, NR2’R3’, C(=O)OR4’, SR4’, SOR4’, SO2R4’, SO2NR5’R6’ и C(=O)NR5’R6’,

R2 и R3 независимо выбраны из группы, состоящей из

водорода, C1-6-алкила, C2-6-алкенила, C2-6-алкинила, C3-10-циклоалкила, 5-10-членного гетероциклил, C6-10-арила, 5-10-членного гетероарила, C1-6-алкокси-C1-6-алкила, C1-6-алкила, замещенного C3-10-циклоалкилом, C1-6-алкила, замещенного 5-10-членным гетероциклилом, C1-6-алкила, замещенного C6-10-арилом, и C1-6-алкила, замещенного 5-10-членным гетероарилом, или

R2 и R3 вместе с N атомом, к которому они присоединены, образуют насыщенное или ненасыщенное гетероциклическое кольцо, содержащее от 3 до 12 кольцевых атомов, где 0, 1, 2 или 3 других кольцевых атома выбраны из N, S и O,

где каждый C1-6-алкил, C2-6-алкенил, C2-6-алкинил, C3-10-циклоалкил, 5-10-членный гетероциклил, C6-10-арил, 5-10-членный гетероарил, C1-6-алкокси-C1-6-алкил, C1-6-алкил, замещенный C3-10-циклоалкилом, C1-6-алкил, замещенный 5-10-членным гетероциклилом, C1-6-алкил, замещенный C6-10-арилом, или C1-6-алкил, замещенный 5-10-членным гетероарилом, или гетероциклическое кольцо, образованное R2 и R3 вместе с N атомом, к которому они присоединены, необязательно замещены одним или несколькими заместителями, независимо выбранными из группы, состоящей из

C1-6-алкила, C2-6-алкенила, C2-6-алкинила, C3-10-циклоалкила, 5-10-членного гетероциклила, C6-10-арила, 5-10-членного гетероарила, C1-6-алкокси, карбонила, галогена, циано, гидрокси, меркапто, NR2’’R3’’, C(=O)OR4’’, SR4’’, SOR4, SO2R4’’, SO2NR5’’R6’’ и C(=O)NR5’’R6’’;

R4, R5 и R6 независимо выбраны из водорода и C1-6-алкила,

R2’, R3’, R4’, R5’ и R6’ независимо выбраны из водорода и C1-6-алкила,

R2’’, R3’’, R4’’, R5’’ и R6’’ независимо выбраны из водорода и C1-6-алкила,

R7 независимо выбран из группы, состоящей из

водорода, C1-6-алкила, C2-6-алкенила, C2-6-алкинила, C3-10-циклоалкила, 4-10-членного гетероциклила, C6-10 арила, 5-10-членного гетероарила, C1-6-алкокси, C1-6-алкилмеркапто, галогена, циано, нитро, гидрокси, меркапто, NR8R9, COOH, C(=O)OR10, SR10, SOR10, SO2R10, SO2NR11R12 и C(=O)NR11R12,

где каждый C1-6-алкил, C2-6-алкенил, C2-6-алкинил, C3-10-циклоалкил, 4-10-членный гетероциклил, C6-10 арил, 5-10-членный гетероарил, C1-6-алкокси или C1-6-алкилмеркапто необязательно замещен одним или несколькими заместителями, независимо выбранными из группы, состоящей из

C1-6-алкила, C2-6-алкенила, C2-6-алкинила, C3-10-циклоалкила, 5-10-членного гетероциклила, C6-10-арила, 5-10-членного гетероарила, C1-6-алкокси, C1-6-алкилмеркапто, галогена, циано, нитро, гидрокси, меркапто, NR8’R9’, C(=O)OR10’, SR10’, SOR10’, SO2R10’, SO2NR11’R12’ и C(=O)NR11’R12’,

R8 и R9 независимо выбраны из группы, состоящей из

водорода, C1-6-алкила, C2-6-алкенила, C2-6-алкинила, C3-10-циклоалкила, 5-10-членного гетероциклила, C6-10-арила, 5-10-членного гетероарила, C1-6-алкокси-C1-6-алкила, C1-6-алкила, замещенного C3-10-циклоалкилом, C1-6-алкила, замещенного 5-10-членным гетероциклилом, C1-6-алкила, замещенного C6-10-арилом, C1-6-алкила, замещенного 5-10-членным гетероарилом, или

R8 и R9 вместе с N атомом, к которому они присоединены, образуют насыщенное или ненасыщенное гетероциклическое кольцо, содержащее от 3 до 12 кольцевых атомов, где 0, 1, 2 или 3 других кольцевых атома выбраны из N, S и O,

где каждый C1-6-алкил, C2-6-алкенил, C2-6-алкинил, C3-10-циклоалкил, 5-10-членный гетероциклил, C6-10-арил, 5-10-членный гетероарил, C1-6-алкокси-C1-6-алкил, C1-6-алкил, замещенный C3-10-циклоалкилом, C1-6-алкил, замещенный 5-10-членным гетероциклилом, C1-6-алкил, замещенный C6-10-арилом или C1-6-алкил, замещенный 5-10-членным гетероарилом, или гетероциклическое кольцо, образованное R8 и R9 вместе с N атомом, к которому они присоединены, необязательно замещены одним или несколькими заместителями, независимо выбранными из группы, состоящей из

C1-6-алкила, C2-6-алкенила, C2-6-алкинила, C3-10-циклоалкила, 5-10-членного гетероциклила, C6-10-арила, 5-10-членного гетероарила, C1-6-алкокси, карбонила, галогена, циано, гидрокси, меркапто, NR8’’R9’’, C(=O)OR10’’, SR10’’, SOR10’’,SO2R10’’, SO2NR11’’R12’’ и C(=O)NR11’’R12’’;

R10, R11 и R12 независимо выбраны из водорода и C1-6-алкила,

R8’, R9’, R10’, R11’ и R12’ независимо выбраны из водорода и C1-6-алкила,

R8’’, R9’’, R10’’, R11’’ и R12’’ независимо выбраны из водорода и C1-6-алкила,

R13 представляет собой водород или C1-3 алкил,

R14 представляет собой водород, C1-3 алкил, C1-3 алкокси, NR14’R14’’, где R14’ и R14’’ независимо представляют собой C1-3-алкил, или

R13 и R14 вместе с атомами, к которым они присоединены, образуют содержащее 5 или 6 атомов углерода неароматическое кольцо, где содержащее 5 или 6 атомов углерода кольцо необязательно замещено одним или несколькими заместителями C1-3-алкил или =O, и/или где один или несколько из образующих кольцо атомов углерода необязательно замещены -NH-, -N=, =N-, -O-, -S(O)-, -S(O)2- или -S-, или

R13 и R14 вместе с атомами, к которым они присоединены, образуют содержащее 5 или 6 атомов углерода ароматическое кольцо, где содержащее 5 или 6 атомов углерода кольцо необязательно замещено одним или несколькими C1-3-алкильными заместителями и/или где один или несколько из образующих кольцо атомов углерода необязательно замещены -NH-, -N=, =N-, -O- или -S-,

A1 представляет собой N или CR15, где R15 независимо представляет собой водород, галоген, C1-3 алкил, C1-3 алкокси или NR15’R15’’, где R15’ и R15’’ независимо представляют собой C1-3-алкил,

A2 представляет собой N или CR16, где R16 независимо представляет собой водород, галоген, C1-3 алкил, C1-3 алкокси или NR16’R16’’, где R16’ и R16’’ независимо представляют собой C1-3-алкил,

A3 представляет собой N или CR17, где R17 независимо представляет собой водород, галоген, C1-3 алкил, C1-3 алкокси или NR17’R17’’, где R17’ и R17’’ независимо представляют собой C1-3-алкил,

A4 представляет собой N или CR18, где R18 независимо представляет собой водород, галоген C1-3 алкил, C1-3 алкокси или NR18’R18’’, где R18’ и R18’’ независимо представляют собой C1-3-алкил,

R19 независимо выбран из группы, состоящей из C6-10-арила и 5-10-членного гетероарила,

где каждый C6-10-арил или 5-10-членный гетероарил необязательно замещен одним или несколькими заместителями, независимо выбранными из группы, состоящей из

C1-6-алкила, C2-6-алкенила, C3-10-циклоалкила, 5-10-членного гетероциклила, C6-10-арила, 5-10-членного гетероарила, C1-6-алкокси, C1-6-алкилмеркапто, галогена, циано, нитро, гидрокси, меркапто, NR20R21, C(=O)OR22, SR22, SOR22, SO2R22, SO2NR23R24 и C(=O)NR23R24,

R20 и R21 независимо выбраны из группы, состоящей из

водорода, C1-6-алкила, C3-10-циклоалкила, C6-10-арила, 5-10-членного гетероарила, C1-6-алкокси-C1-6-алкила, C1-C6-алкила, замещенного C6-10-арилом, C1-6-алкила, замещенного 5-10-членным гетероарилом, или

R20 и R21 вместе с N атомом, к которому они присоединены, образуют насыщенное или ненасыщенное гетероциклическое кольцо, содержащее от 3 до 12 кольцевых атомов, где 0, 1, 2 или 3 других кольцевых атома выбраны из N, S и O;

где каждый C1-6-алкил, C2-6-алкенил, C3-10-циклоалкил, 5-10-членный гетероциклил, C6-10-арил, 5-10-членный гетероарил, C1-6-алкокси или C1-6-алкилмеркапто, или гетероциклическое кольцо, образованное R20 и R21 вместе с N атомом, к которому они присоединены, необязательно замещены одним или несколькими заместителями, независимо выбранными из группы, состоящей из

C1-6-алкила, C2-6-алкенила, C2-6-алкинила, C3-10-циклоалкила, 5-10-членного гетероциклила, C6-10-арила, 5-10-членного гетероарила, C1-6-алкокси, карбонила, галогена, циано, гидрокси, меркапто, NR20’R21’, C(=O)OR22’, SR22’, SOR22’, SO2R22’, SO2NR23’R24’ и C(=O)NR23’R24’

R22, R23 и R24 независимо выбраны из водорода и C1-6-алкила,

R20’, R21’, R22’, R23’ и R24’ независимо выбраны из водорода и C1-6-алкила,

R25 независимо выбран из водорода и C1-6-алкила,

или стереоизомера, физиологически приемлемой соли, сложного эфира, сольвата, полиморфа, пролекарства или смесей.

В одном варианте осуществления изобретения и/или его вариантах осуществления

R1 независимо выбран из группы, состоящей из

водорода, C1-6-алкила, C1-6-алкокси, галогена, циано, нитро, гидрокси, NR2R3, C(=O)OR4 и C(=O)NR5R6,

где каждый C1-6-алкил или C1-6-алкокси необязательно замещен одним или несколькими заместителями, независимо выбранными из группы, состоящей из

C1-6-алкил, C1-6-алкокси, галогена, циано, нитро, гидрокси и NR2’R3’,

R2 и R3 независимо выбраны из группы, состоящей из

водорода, C1-6-алкила, C3-10-циклоалкила, C6-10-арила и 5-10-членного гетероарила, или

R2 и R3 вместе с N атомом, к которому они присоединены, образуют насыщенное или ненасыщенное гетероциклическое кольцо, содержащее от 3 до 12 кольцевых атомов, где 1 кольцевой атом представляет собой N и где 0, 1, 2 или 3 других кольцевых атома выбраны из N, S и O;

где каждый C1-6-алкил, C3-10-циклоалкил, C6-10-арил или 5-10-членный гетероарил, или гетероциклическое кольцо, образованное R2 и R3 вместе с N атомом, к которому они присоединены, необязательно замещены одним или несколькими заместителями, независимо выбранными из группы, состоящей из

C1-6-алкила, C3-10-циклоалкила и C1-6-алкокси,

R4, R5 и R6 независимо выбраны из водорода и C1-6-алкила,

R2’ и R3’ независимо выбраны из водорода и C1-6-алкила.

В одном варианте осуществления изобретения и/или его вариантах осуществления

R1 независимо выбран из группы, состоящей из

водорода, C1-6-алкила, C1-6-алкокси и галогена,

где каждый C1-6-алкил или C1-6-алкокси необязательно замещен одним или несколькими заместителями, независимо выбранными из группы, состоящей из

C1-6-алкила, C1-6-алкокси, галогена, циано, гидрокси и NR2’R3’,

где R2’ и R3 независимо выбраны из водорода и C1-3-алкила.

В одном варианте осуществления изобретения и/или его вариантах осуществления

R1 независимо выбран из группы, состоящей из

водорода, метила, трифторметила, этила, метокси, этокси, фторида и хлорида.

В одном варианте осуществления изобретения и/или его вариантах осуществления

R7 независимо выбран из группы, состоящей из

водорода, C1-6-алкила, C2-6-алкенила, C3-10-циклоалкила, 4-10-членного гетероциклила, C1-6-алкокси, галогена, циано, гидрокси, NR8R9, C(=O)OR10, SR10, SOR10, SO2R10 и C(=O)NR11R12,

где каждый C1-6-алкил, C2-6-алкенил, C3-10-циклоалкил, 4-10-членный гетероциклил или C1-6-алкокси необязательно замещен одним или несколькими заместителями, независимо выбранными из группы, состоящей из

C1-6-алкила, C3-10-циклоалкила, 5-10-членного гетероциклила, C1-6-алкокси, галогена, циано, гидрокси, NR8’R9’, C(=O)OR10’ и C(=O)NR11’R12’,

R8 и R9 независимо выбраны из группы, состоящей из

водорода, C1-6-алкила, C3-10-циклоалкила, C6-10-арила, 5-10-членного гетероциклила и 5-10-членного гетероарила, или

R8 и R9 вместе с N атомом, к которому они присоединены, образуют насыщенное или ненасыщенное гетероциклическое кольцо, содержащее от 3 до 12 кольцевых атомов, где 1 кольцевой атом представляет собой N и где 0, 1, 2 или 3 других кольцевых атома выбраны из N, S и O;

где каждый C1-6-алкил, C3-10-циклоалкил, C6-10-арил, 5-10-членный гетероциклил и 5-10-членный гетероарил, или гетероциклическое кольцо, образованное R8 и R9 вместе с N атомом, к которому они присоединены, необязательно замещены одним или несколькими заместителями, независимо выбранными из группы, состоящей из

C1-6-алкила, C1-6-алкокси, галогена, циано, гидрокси, NR8’’R9’’, C(=O)-OR10’’ и C(=O)NR11’’R12’’;

R10, R11 и R12 независимо выбраны из водорода и C1-6-алкила,

R8’, R9’, R10’, R11’ и R12’ независимо выбраны из водорода и C1-6-алкила,

R8’’, R9’’, R10’’, R11’’ и R12’’ независимо выбраны из водорода и C1-6-алкила.

В одном варианте осуществления изобретения и/или его вариантах осуществления

R7 независимо выбран из группы, состоящей из

водорода, C1-6-алкила, C2-6-алкенила, 4-10-членного гетероциклила, C1-6-алкокси, гидрокси, NR8R9, C(=O)OR10, SR10, SOR10, SO2R10 и C(=O)NR11R12,

где каждый C1-6-алкил, C2-6-алкенил, 4-10-членный гетероциклил или C1-6-алкокси необязательно замещен одним или несколькими заместителями, независимо выбранными из группы, состоящей из

C1-6-алкила, 5-10-членного гетероциклила, C1-6-алкокси, галогена, циано, гидрокси, NR8’R9’, C(=O)OR10’ и C(=O)NR11’R12’,

R8 и R9 независимо выбраны из группы, состоящей из

водорода, C1-6-алкила, C6-10-арила и 5-10-членного гетероарила, или

R8 и R9 вместе с N атомом, к которому они присоединены, образуют насыщенное или ненасыщенное гетероциклическое кольцо, содержащее от 3 до 12 кольцевых атомов, где 1 кольцевой атом представляет собой N и где 0, 1, 2 или 3 других кольцевых атома выбраны из N, S и O;

где C1-6-алкил, C6-10-арил и 5-10-членный гетероарил, или гетероциклическое кольцо, образованное R8 и R9 вместе с N атомом, к которому они присоединены, необязательно замещены одним или несколькими заместителями, независимо выбранными из группы, состоящей из

C1-6-алкила, C1-6-алкокси, гидрокси и NR8’’R9’’;

R10, R11 и R12 независимо выбраны из водорода или C1-6-алкила,

R8’, R9’, R10’, R11’ и R12’ независимо выбраны из водорода или C1-6-алкила.

R8’’ и R9’’ независимо выбраны из водорода или C1-6-алкила.

В одном варианте осуществления изобретения и/или его вариантах осуществления

R7 независимо выбран из группы, состоящей из

метила, этила, пропила, изопропила, изопропенила, метокси, этокси, изопропокси, гидрокси, метилсульфоксила, метилсульфонила метилтио, амино, метиламино, этиламино, (этил)(метил)амино, изопропиламино, диметиламино, (изопропил)(метил)амино, гидроксиэтиламино, (гидроксиэтил)(метил)амино метоксиэтиламино, (метоксиэтил)(метил)амино, морфолин-4-ила, пирролидин-1-ила, 3-гидрокси-пирролидин-1-ила 3-фторазетидинила и 3,3-дифторазетидинила.

В одном варианте осуществления изобретения и/или его вариантах осуществления

R13 и R14 вместе с атомами, к которым они присоединены, образуют содержащее 5 или 6 атомов углерода неароматическое кольцо, где содержащее 5 или 6 атомов углерода кольцо необязательно замещено одним или несколькими заместителями C1-3-алкил или =O, и/или где один или несколько из образующих кольцо атомов углерода необязательно замещены -NH-, -N=, =N-, -O-, -S(O)-, -S(O)2- или -S-,

A1 представляет собой N или CR15, где R15 независимо представляет собой водород, галоген, C1-3 алкил, C1-3 алкокси или NR15’R15’’, где R15’ и R15’’ независимо представляют собой C1-3-алкил,

A2 представляет собой N или CR16, где R16 независимо представляет собой водород, галоген, C1-3 алкил, C1-3 алкокси или NR16’R16’’, где R16’ и R16’’ независимо представляют собой C1-3-алкил,

A3 представляет собой N или CR17, где R17 независимо представляет собой водород, галоген, C1-3 алкил, C1-3 алкокси или NR17’R17’’, где R17’ и R17’’ независимо представляют собой C1-3-алкил,

A4 представляет собой N или CR18, где R18 независимо представляет собой водород, галоген C1-3 алкил, C1-3 алкокси или NR18’R18’’, где R18’ и R18’’ независимо представляют собой C1-3-алкил,

В одном варианте осуществления изобретения и/или его вариантах осуществления

R13 и R14 вместе с атомами, к которым они присоединены, образуют содержащее 5 или 6 атомов углерода ароматическое кольцо, где содержащее 5 или 6 атомов углерода кольцо необязательно замещено одним или несколькими C1-3-алкильными заместителями и/или где один или несколько из образующих кольцо атомов углерода необязательно замещены -NH-, -N=, =N-, -O- или -S-,

A1 представляет собой N или CR15, где R15 независимо представляет собой водород, галоген, C1-3 алкил, C1-3 алкокси или NR15’R15’’, где R15’ и R15’’ независимо представляют собой C1-3-алкил,

A2 представляет собой N или CR16, где R16 независимо представляет собой водород, галоген, C1-3 алкил, C1-3 алкокси или NR16’R16’’, где R16’ и R16’’ независимо представляют собой C1-3-алкил,

A3 представляет собой N или CR17, где R17 независимо представляет собой водород, галоген, C1-3 алкил, C1-3 алкокси или NR17’R17’’, где R17’ и R17’’ независимо представляют собой C1-3-алкил,

A4 представляет собой N или CR18, где R18 независимо представляет собой водород, галоген C1-3 алкил, C1-3 алкокси или NR18’R18’’, где R18’ и R18’’ независимо представляют собой C1-3-алкил.

В одном варианте осуществления изобретения и/или его вариантах осуществления

ни один, один или два остатка из A1, A2, A3 и A4 представляют собой N.

В одном варианте осуществления изобретения и/или его вариантах осуществления

A1 представляет собой CR15, A2 представляет собой CR16, A3 представляет собой CR17 и A4 представляет собой CR18.

В одном варианте осуществления изобретения и/или его вариантах осуществления

R19 независимо выбран из группы, состоящей из

C6-10-арила и 5-10-членного гетероарила,

где каждый C6-10-арил или 5-10-членный гетероарил необязательно замещен одним или несколькими заместителями, независимо выбранными из группы, состоящей из

C1-6-алкила, C3-10-циклоалкила, 5-10-членного гетероциклила, C6-10-арила, 5-10-членного гетероарила, C1-6-алкокси, галогена, циано, нитро, гидрокси, NR20R21, C(=O)OR22 и C(=O)NR23R24,

R20 и R21 независимо выбраны из группы, состоящей из

водорода, C1-6-алкила, C3-10-циклоалкила и C6-10-арила, или

R20 и R21 вместе с N атомом, к которому они присоединены, образуют насыщенное или ненасыщенное гетероциклическое кольцо, содержащее от 3 до 12 кольцевых атомов, где 0, 1, 2 или 3 других кольцевых атома выбраны из N, S и O;

где каждый C1-6-алкил, C3-10-циклоалкил или C6-10-арил, или гетероциклическое кольцо, образованное R20 и R21 вместе с N атомом, к которому они присоединены, необязательно замещены одним или несколькими заместителями, независимо выбранными из группы, состоящей из

C1-6-алкила, C3-10-циклоалкила, 5-10-членного гетероциклила, C6-10-арила, 5-10-членного гетероарила, C1-6-алкокси, галогена, циано, гидрокси, NR20’R21’, C(=O)OR22’ и C(=O)NR23’R24’

R22, R23 и R24 независимо выбраны из водорода и C1-6-алкила,

R20’, R21’, R22’, R23’ и R24’ независимо выбраны из водорода и C1-6-алкила.

В одном варианте осуществления изобретения и/или его вариантах осуществления

R19 независимо выбран из группы, состоящей из

C6-10-арила и 5-10-членного гетероарила,

где каждый C6-10-арил или 5-10-членный гетероарил необязательно замещен одним или несколькими заместителями, независимо выбранными из группы, состоящей из

C1-6-алкила, C1-6-алкокси, галогена, циано, нитро и гидрокси.

В одном варианте осуществления изобретения и/или его вариантах осуществления

R19 представляет собой C6-10-арил, где C6-10-арил необязательно замещен одним или несколькими заместителями, независимо выбранными из группы, состоящей из

C1-6-алкила, галогена, циано и нитро.

В одном варианте осуществления изобретения и/или его вариантах осуществления

R19 представляет собой C6-10-арил, где C6-10-арил представляет собой фенил, замещенный одним, двумя или тремя заместителями, независимо выбранными из группы, состоящей из

фторида, хлорида и бромида.

В одном варианте осуществления изобретения и/или его вариантах осуществления R25 представляет собой водород.

В одном варианте осуществления изобретения и/или его вариантах осуществления соединение в соответствии с формулой (I) присутствует в форме (S)-энантиомера.

Кроме того, настоящее изобретение обеспечивает способ получения соединения в соответствии с формулой (I), включающий стадию

взаимодействия соединения формулы (A)

Формула (A)

с соединением формулы (B)

Формула (B)

где R1, R7, R13, R14, A1, A2, A3, A4, R19 и R25 имеют значение, определенное в любом из вариантов осуществления, раскрытых в настоящей заявке, с получением соединения в соответствии с формулой (I).

Кроме того, настоящее изобретение обеспечивает ветеринарную композицию, включающую

- соединение в соответствии с формулой (I), определенное в любом из вариантов осуществления, описанных в настоящей заявке, и

- один или несколько физиологически приемлемых эксципиентов.

В одном варианте осуществления изобретения и/или его вариантах осуществления один или несколько физиологически приемлемых эксципиентов выбраны из носителей, наполнителей, отдушек, связующих, антиоксидантов, буферов, компонентов сахаров, смазывающих веществ, поверхностно-активных веществ, стабилизаторов, агентов для повышения текучести, разрыхлителей и консервантов и смесей вышеуказанных.

Кроме того, настоящее изобретение обеспечивает соединения в соответствии с формулой (I), определенные в любом из вариантов осуществления, описанных в настоящей заявке, или ветеринарную композицию в соответствии с изобретением для применения в качестве лекарственного средства.

Кроме того, настоящее изобретение обеспечивает соединения в соответствии с формулой (I) или ветеринарную композицию в соответствии с изобретением для применения в лечении расстройств/заболеваний, вызываемых гельминтами.

В одном варианте осуществления изобретения и/или его вариантах осуществления заболевание представляет собой филяриоз и, в частности, дирофиляриоз сердца.

В одном варианте осуществления изобретения и/или его вариантах осуществления гельминты представляют собой Dirofilaria immitis.

Подробное описание

Было обнаружено, что соединения в соответствии с формулой (I) или стереоизомер, физиологически приемлемая соль, сложный эфир, сольват, полиморф, пролекарство и их смеси полезны в лечени расстройств/заболеваний, вызываемых гельминтами, такими как Ostertagia ostertagi, Cooperia oncophora, Cooperia punctata, Trichostrongylus axei, Haemonchus placei, Haemonchus contortus, Nematodirus helvetianus, Nematodirus spathiger, Trichostrongylus colubriformis, Trichostrongylus circumcincta, Oesophagostomum venulosum, Chabertia ovina, Dictyocaulus viviparous, Dictyocaulus filaria, Dirofilaria immitis, Dirofilaria repens; b) Трематоды: Fasciola hepatica, Fascioloides magna, Dicrocoelium dentriticum, Paramphistomum cervi, c) Цестоды: Monezia expansa. В частности, Ascaridia galli, Haemonchus contortus, Oesophagostomum dentatum и Dirofilaria immitis. В частности, соединения в соответствии с изобретением и/или его любыми вариантами осуществления полезны в лечении гельминтной инфекции, такой как филяриоз и, в частности, дирофиляриоз сердца. Необязательно, соединения в соответствии с изобретением и/или его любыми вариантами осуществления полезны в лечении расстройств/заболеваний, вызываемых гельминтами, такими как нематоды, в частности Dirofilaria immitis, где расстройство/заболевание, вызываемое Dirofilaria immitis, представляет собой дирофиляриоз сердца.

Предпочтительно соединения в соответствии с изобретением и/или любыми вариантами его осуществления эффективны против гельминтов, таких как Dirofilaria immitis, но не эффективны против бактерий, которые имеют важное значение для здоровья млекопитающих, в частности собак, таких как Acinetobacter baumanii или Staphylococcus spp. или Streptococcus spp.

Авторы изобретения обнаружили, что соединения по изобретению отвечают таким потребностям и поэтому чрезвычайно полезны для лечения (и профилактики) заболеваний, вызываемых гельминтами, таких как дирофиляриоз сердца.

Следующие аббревиатуры и определения повсеместно используются в настоящей заявке:

Как правило, ссылка на определенный элемент предполагает включение всех изотопов этого элемента. Например, если группа определена как включающая водород, или остаток представляет собой водород, он также включает дейтерий и тритий.

Термин "C1-6-алкил" относится к алкильным группам, содержащим от 1 до 6 атомов углерода, которые не содержат гетероатомов. Таким образом, термин включает линейные алкильные группы, такие как метил, этил, пропил, бутил, пентил и гексил. Термин также включает разветвленные изомеры линейных алкильных групп, включая, но не ограничиваясь этим, следующие, которые представлены в качестве примера: -CH(CH3)2, -CH(CH3)(CH2CH3), -CH(CH2CH3)2, -C(CH3)3, -CH2CH(CH3)2, -CH2CH(CH2CH3)2, -CH2C(CH3)3, -CH(CH3)CH(CH3)(CH2CH3), -CH2CH2CH(CH3)2, -CH2CH2CH(CH3)(CH2CH3), -CH2CH2C(CH3)3 и др. Таким образом, термин “C1-6-алкил’ включает первичные алкильные группы, содержащие от 1 до 6 атомов углерода, вторичные алкильные группы, содержащие от 3 до 6 атомов углерода, и третичные алкильные группы, содержащие от 4 до 6 атомов углерода.

Соответственно, термин "C1-3-алкил" относится к алкильным группам, содержащим от 1 до 3 атомов углерода, которые не содержат гетероатомов. Таким образом, термин включает линейные алкильные группы, такие как метил, этил и пропил. Термин также включает разветвленные изомеры линейных алкильных групп, такие как CH(CH3)2. Таким образом, термин “C1-3-алкил’ включает первичные алкильные группы, содержащие от 1 до 3 атомов углерода, и вторичные алкильные группы, содержащие 3 атома углерода.

Термин "C2-6-алкенил" относится к линейным и разветвленным алкенильным группам, таким как те, которые описаны в отношении “C2-6-алкила”, определенного выше, за исключением того, что существует по меньшей мере одна двойная связь между двумя атомами углерода. Примеры включают среди прочих, но не ограничиваются этим, -CH=CH2, -C(CH3)=CH2, -CH=CH(CH3), -CH=C(CH3)2, -CH=CH(CH3), -C(CH3)=CH(CH3), -C(CH2CH3)H=CH2, -CH2=CH(CH2CH3), -CH2CH2-CH=CH2, CH2CH2-C(CH3)=CH2, CH2CH2-CH=C(CH3)H, -CH=CH-(CH2)2CH3, -CH=C(CH3)-CH2CH3, -(CH2)3-CH=CH2, -(CH2)4-CH=CH2, -(CH2)2-CH=C(CH3)2, бутадиенил, пентадиенил и гексадиенил.

Термин "C2-6-алкинил" относится к линейным и разветвленным алкинильным группам, таким как те, которые описаны в отношении “C2-6-алкила”, определенного выше, за исключением того, что существует по меньшей мере одна тройная связь между двумя атомами углерода. Примеры включают среди прочих, но не ограничиваются этим, -C≡CH, -C≡CCH3, -C≡C-CH2CH3, -CH2-C≡CH, -CH(CH3)-C≡CH, -C(CH3)2-C≡CH, -CH2-C≡CCH3, -CH(CH3)-C≡CCH3, -C(CH3)2-C≡CCH3, -CH2-C≡C-CH2CH3, -CH(CH3)-C≡C-CH2CH3, -C(CH3)2-C≡C-CH2CH3, -(CH2)2- C≡C-CH2CH3, -(CH2)3- C≡C-CH3.

Термин “C3-10-циклоалкил" относится к неароматическим моноциклическим алкильным группам, содержащим от 3 до 10 атомов углерода, или неароматическим полициклическим алкильным группам, содержащим от 3 до 10 атомов углерода, при этом указанные группы состоят исключительно из атомов углерода и водорода. Циклоалкил может включать конденсированные или связанные мостиковой связью кольцевые системы, содержащие от 3 до 10 атомов углерода. Неароматические моноциклические алкильные группы, содержащие от 3 до 10 атомов углерода, включают, но не ограничиваются этим, циклопропил, циклобутил, циклопентил, циклогексил, циклогептил, циклооктил и т.п. Неароматические полициклические алкильные группы, содержащие от 3 до 10 атомов углерода, включают, но не ограничиваются этим, адамантин, норборнан, декалинил, 7,7-диметил-бицикло[2.2.1]гептанил и т.п.

Термин "5-10-членный гетероциклил" относится к циклическим группам, где 5-10 членов (атомов) образуют скелет, при этом скелет указанных циклических соединений включает по меньшей мере один атом углерода и по меньшей мере один гетероатом. Примеры гетероатомов включают, но не ограничиваются этим, N, O и S. Если в описании изобретения конкретно не указано иное, “5-10-членный гетероциклил” может представлять собой моноциклическую, бициклическую или полициклическую группу, которая может включать конденсированные или связанные мостиковой связью кольцевые системы, при этом часть конденсированной кольцевой системы может быть ароматической; атомы азота, кислорода или серы в “5-10-членном гетероциклиле” необязательно могут быть окисленными; атом азота необязательно может быть кватернизированным; и гетероциклильный радикал может быть частично насыщенным.

Примеры гетероциклильных групп включают, но не ограничиваются этим, пирролинил, 3H-пиразолил, 4H-пиразолил дигидропиридил, пирролидинил, имидазолидинил, пиперидинил, пиперазинил, гомопиперазинил, индолинил, хинуклидинил, морфолинил, тиоморфолинил тиазолодинил, дигидродитиинил, дигидродитионил, тетрагидротиофен, тетрагидротиопиран, бензотиазинил, такой как 2H-1,4-бензотиазинил, дигидробензотиазинил, такой как 2H-3,4-дигидробензотиазинил, бензодиоксолил, такой как 1,3-бензодиоксоил, дигидрооксатиинил, 1,4-оксатианил. Дополнительные примеры гетероциклильных групп включают, но не ограничиваются этим, группы, описанные выше, в которых один или несколько S атомов в кольце связаны двойной связью с одним или двумя атомами кислорода (сульфоксиды и сульфоны), такие как тетрагидротиофен, тетрагидротиофен оксид и тетрагидротиофен-1,1-диоксид, а также тиоморфолин, тиоморфолин оксид и тиоморфолин -1,1 диоксид.

Термин "C6-10 арил" относится к группе с ароматической скелетной структурой, где кольцевые атомы ароматической скелетной структуры представляют собой атомы углерода. Иначе говоря, "C6-10 арил" не содержит гетероатомов, таких как N, S, O, в ароматической скелетной структуре.

Примеры арильных групп включают, но не ограничиваются этим, фенил, бифенил и нафтил.

Термин "5-10-членный гетероарил" относится к ароматической группе, где 5-10 членов (атомов) образуют скелет, где скелет указанного циклического соединения включает по меньшей мере один атом углерода и по меньшей мере один гетероатом. Примеры гетероатомов включают, но не ограничиваются этим, N, O и S. Если в описании изобретения конкретно не указано иное, “5-10-членный гетероциклил” может представлять собой моноциклическую или бициклическую или полициклическую группу, которая может включать конденсированные кольцевые системы.

Примеры 5-10-членных гетероарильных групп включают, но не ограничиваются этим, пирролил, имидазолил, пиразолил, пиридил, пиримидил, пиразинил, пиридазинил, триазолил, такой как 1H-1,2,3-триазолил, 2H-1,2,3-триазолил,1H-1,2,4-триазолил и 4H-1,2,4-триазолил, тетразолил, такой как 1H-тетразолил, 2H тетразолил и 5H-тетразолил, индолил, изоиндолил, индолинил, индолизинил, бензимидазолил, хинолил, изохинолил, индазолил, нафтиридинил, бензотриазолил, оксазолил, изоксазолил, оксадиазолил, такой как 1,2,4-оксадиазолил, 1,3,4-оксадиазолил, 1,2,5-оксадиазолил, бензоксазолил, бензоксадиазолил, бензоксазинил, такой как 2H-1,4-бензоксазинил тиазолил, изотиазолил, тиадиазолил, такой как 1,2,3-тиадиазолил, 1,2,4-тиадиазолил, 1,3,4-тиадиазолил, 1,2,5-тиадиазолил, тиенил, бензотиазолил, бензотиадиазолил, бензотиазинил, бензофуранил, хинолинил, изохинолин, циннолинил, хинаксолинил хиноксалинил, триазинил, тетразинил, пуринил, птеридинил, фурил, бензодиоксолил, такой как 1,3-бензодиоксолил, бензотиенил, бензодитиинил и бензоксатиинил.

Термин "C1-6-алкокси" относится к группе, которая основана на алкильной группе, содержащей от 1 до 6 атомов углерода, связанной с кислородом. Алкильная группа, содержащая от 1 до 6 атомов углерода, относится к линейным и разветвленным цепям, таким как те, которые описаны в отношении “C1-6-алкила”, определенного выше.

Соответственно, термин "C1-3-алкокси" относится к группе, которая основана на алкильной группе, содержащей от 1 до 3 атомов углерода, связанной с кислородом. Алкильная группа, содержащая от 1 до 3 атомов углерода, относится к линейным и разветвленным цепям, таким как те, которые описаны в отношении “C1-3-алкила”, определенного выше.

Термин "C1-6-алкилмеркапто” относится к группе, которая основана на алкильной группе, содержащей от 1 до 6 атомов углерода, связанной с серой. Алкильная группа, содержащая от 1 до 6 атомов углерода, относится к линейным и разветвленным цепям, таким как те, которые описаны в отношении “C1-6-алкила”, определенного выше.

"Необязательно замещенный" относится к необязательному замещению одного или нескольких атомов водорода в группе, подлежащей замещению, одним или несколькими определенными заместителями.

Другие аминогруппы, гидроксильные и меркаптогруппы могут быть защищены. Термин «защищенный» в отношении этих групп относится к формам этих функциональных групп с защитной группой для предотвращения нежелательного взаимодействия указанных групп. Такие защитные группы известны специалистам в данной области техники, например, из Protective Groups in Organic Synthesis; Wuts, P. G. M. John Wiley & Sons, New York, NY, (53th Edition, 2014). Защитные группы могут быть добавлены или удалены с использованием описанных в этом ссылочном документе процедур.

Примеры защищенных гидроксильных групп включают, но не ограничиваются этим, простые силиловые эфиры, такие как те, которые получают взаимодействием гидроксильной группы с реагентом, таким как, но не ограничиваясь этим, трет-бутилдиметилхлорсилан, триметилхлорсилан, триизопропилхлорсилан, триэтилхлорсилан; замещенные метиловые и этиловые эфиры, такие как, но не ограничиваясь этим, метоксиметиловый эфир, метилтиометиловый эфир, бензилоксиметиловый эфир, трет-бутоксиметиловый эфир, 2-метоксиэтоксиметиловый эфир, тетрагидропираниловые эфиры, 1-этоксиэтиловый эфир, аллиловый эфир, бензиловый эфир; сложные эфиры, такие как, но не ограничиваясь этим, бензоилформиат, формиат, ацетат, трихлорацетат и трифторацетат.

Примеры защищенных аминогрупп включают, но не ограничиваются этим, амиды, такие как формамид, ацетамид, трифторацетамид и бензамид; имиды, такие как фталимид и дитиосукцинимид; карбамат, такой как трет-бутилоксикарбонил (Boc) и другие.

Примеры защищенных меркаптогрупп включают, но не ограничиваются этим, простой тиоэфир, такой как S-бензилтиоэфир и S-4-пиколилтиоэфир; замещенные S-метил-производные, такие как гемитио-, дитио- и аминотиоацетали и другие.

Стереоизомеры включают соединения, состоящие из одних и тех же атомов, соединенных в одной и той же последовательности, но атомы расположены по-разному в пространстве. Стереоизомеры включают диастереоизомеры и энантиомеры.

Под «физиологически приемлемой солью» понимается соль с неорганическим основанием, органическим основанием, неорганической кислотой, органической кислотой или основной или кислой аминокислотой.

Примеры подходящих неорганических кислот для получения (физиологически приемлемых) солей включают, но не ограничиваются этим, хлористоводородную, бромистоводородную, йодистоводородную, азотную, угольную, серную и фосфорную кислоты.

Примеры подходящих органических кислот для получения (фармацевтически приемлемых) солей включают, но не ограничиваются этим, холевую кислоту, сорбиновую кислоту, лауриновую кислоту, уксусную кислоту, трифторуксусную кислоту, муравьиную кислоту, пропионовую кислоту, янтарную кислоту, гликолевую кислоту, глюконовую кислоту, диглюконовую кислоту, молочную кислоту, яблочную кислоту, винную кислоту, лимонную кислоту, аскорбиновую кислоту, глюкуроновую кислоту, малеиновую кислоту, фумаровую кислоту, пирувиновую кислоту, аспарагиновую кислоту, глутаминовую кислоту, бензойную кислоту, антраниловую кислоту, мезиловую кислоту, стеариновую кислоту, салициловую кислоту, п-гидроксибензойную кислоту, фенилуксусную кислоту, миндальную кислоту, эмбоновую кислоту, этансульфоновую кислоту, бензолсульфоновую кислоту, толуолсульфоновую кислоту, пантотеновую кислоту, 2-гидроксиэтансульфоновую кислоту, сульфаниловую кислоту, циклогексиламиносульфоновую кислоту, β-гидроксимасляную кислоту, галактаровую кислоту, галактуроновую кислоту, адипиновую кислоту, альгиновую кислоту, масляную кислоту, камфорную кислоту, камфорсульфоновую кислоту, циклопентанпропионовую кислоту, додецилсульфоновую кислоту, гликогептановую кислоту, глицерофосфиновую кислоту, гептановую кислоту, гексановую кислоту, никотиновую кислоту, 2-нафталинсульфоновую кислоту, щавелевую кислоту, памоевую кислоту, пектиновую кислоту, 3-фенилпропионовую кислоту, пикриновую кислоту, пивалиновую кислоту, тиоциановую кислоту, тозиловую кислоту, ундекановую кислоту и кислые аминокислоты, такие как аспарагиновая кислота и глутаминовая кислота.

Примеры солей присоединения оснований могут включать, например, соли металлов и органические соли.

Соли металлов включают, но не ограничиваются этим, соли щелочных металлов (группа Ia), соли щелочноземельных металлов (группа IIa) и другие физиологически приемлемые соли металлов. Примеры таких солей могут быть получены из алюминия, кальция, лития, магния, калия, натрия и цинка. Например, соединение в форме свободной кислоты может быть смешано с гидроксидом натрия с образованием такой основно-аддитивной соли.

Органические соли могут быть получены из аминов, таких как триметиламин, диэтиламин, N, N'-дибензилэтилендиамин, хлорпрокаин, этаноламин, диэтаноламин, этилендиамин, N-метилглюкамин, прокаин и основные аминокислоты, такие как аргинин, лизин и орнитин.

В контексте настоящей заявки термин «фармацевтически приемлемый сложный эфир» относится к сложным эфирам, которые гидролизуются in vivo, и включают такие, которые легко расщепляются в организме человека с образованием исходного соединения или его соли. Подходящие сложноэфирные группы включают, например, группы, полученные из фармацевтически приемлемых алифатических карбоновых кислот, в частности, алкановой, алкеновой, циклоалкановой и алкандиовой кислот, в которых каждая алкильная или алкенильная группа преимущественно имеет не более 6 атомов углерода. Типичные примеры конкретных сложных эфиров включают, но не ограничиваются этим, формиаты, ацетаты, пропионаты, бутираты, акрилаты и этилсукцинаты.

Сольват соединения можно рассматривать как соединение, в котором органический растворитель или вода присоединены к указанному соединению. Органические растворители относятся к растворителям, известным специалистам в данной области. В случае, когда к соединению присоединяется вода, соответствующее соединение называется гидратом.

Термин «полиморф», в контексте настоящей заявки и в общем понимании специалиста, относится к различным кристаллическим формам одного и того же молекулярного соединения. Поэтому из-за их различного химического состава сольваты и гидраты, как обсуждалось выше, не включены в определение полиморфизма, а вместо этого обозначаются как «псевдополиморфы».

Термин «пролекарство» относится к соединениям, которые быстро преобразуются in vivo с получением исходного соединения вышеуказанной формулы ((I), например, путем гидролиза в крови. Подробное обсуждение представлено в T. Higuchi and V. Stella, Pro-drugs as Novel Delivery Systems, Vol. 14 of the A. C. S. Symposium Series, и в Edward B. Roche, Bioreversible Carriers in Drug Design, American Pharmaceutical Association and Pergamon Press, 1987.

Термин «фармацевтически приемлемые пролекарства» в контексте настоящей заявки относится к тем пролекарствам соединений по настоящему изобретению, которые, в рамках здравого медицинского суждения, подходят для применения в контакте с тканями человека и низших животных без чрезмерной токсичности, раздражения, аллергической реакции и т.п., соответствуя разумному соотношению польза/риск, и эффективны для их предполагаемого применения, а также к цвиттерионным формам, где это возможно, соединений по изобретению.

Изобретение обеспечивает соединение в соответствии с изобретением и/или его вариантами осуществления, где R1 имеет значение, определенное выше.

В одном варианте осуществления изобретения и/или его вариантах осуществления R1 независимо выбран из группы, состоящей из

водорода, C1-6-алкила, C1-6-алкокси, галогена, циано, нитро, гидрокси, NR2R3, C(=O)OR4 и C(=O)NR5R6,

где каждый C1-6-алкил или C1-6-алкокси необязательно замещен одним или несколькими заместителями, независимо выбранными из группы, состоящей из

C1-6-алкила, C1-6-алкокси, галогена, циано, нитро, гидрокси и NR2’R3’,

R2 и R3 независимо выбраны из группы, состоящей из

водорода, C1-6-алкила, C3-10-циклоалкила, C6-10-арила и 5-10-членного гетероарила, или

R2 и R3 вместе с N атомом, к которому они присоединены, образуют насыщенное или ненасыщенное гетероциклическое кольцо, содержащее от 3 до 12 кольцевых атомов, где 1 кольцевой атом представляет собой N и где 0, 1, 2 или 3 других кольцевых атома выбраны из N, S и O;

где каждый C1-6-алкил, C3-10-циклоалкил, C6-10-арил или 5-10-членный гетероарил, или гетероциклическое кольцо, образованное R2 и R3 вместе с N атомом, к которому они присоединены, необязательно замещены одним или несколькими заместителями, независимо выбранными из группы, состоящей из

C1-6-алкила, C3-10-циклоалкила и C1-6-алкокси,

R4, R5 и R6 независимо выбраны из водорода и C1-6-алкила, предпочтительно из водорода и C1-3-алкила,

R2’ и R3’ независимо выбраны из водорода и C1-6-алкила, предпочтительно из водорода и C1-3-алкила.

Необязательно, в одном варианте осуществления изобретения и/или его вариантах осуществления R1 независимо выбран из группы, состоящей из

водорода, C1-6-алкила, C1-6-алкокси, галогена, циано, нитро и C(=O)NR5R6,

где каждый C1-6-алкил или C1-6-алкокси необязательно замещен одним или несколькими заместителями, независимо выбранными из группы, состоящей из

C1-6-алкила, C1-6-алкокси, галогена, циано, нитро, гидрокси и NR2’R3’,

R5 и R6 независимо выбраны из водорода и C1-3-алкила,

R2’ и R3’ независимо выбраны из водорода и C1-3-алкила.

Необязательно, в одном варианте осуществления изобретения и/или его вариантах осуществления R1 независимо выбран из группы, состоящей из

водорода, C1-6-алкила, C1-6-алкокси и галогена,

где C1-6-алкил и C1-6-алкокси необязательно замещен одним или несколькими заместителями, независимо выбранными из группы, состоящей из

C1-6-алкила, C1-6-алкокси, галогена, циано, гидрокси и NR2’R3’,

где R2’ и R3’ независимо выбраны из водорода и C1-3-алкила, более предпочтительно из водорода и метила.

В одном варианте осуществления изобретения и/или его вариантах осуществления R1 независимо выбран из группы, состоящей из

водорода, метила, трифторметила, этила, метокси, этокси, фторида и хлорида.

В одном варианте осуществления изобретения и/или его вариантах осуществления представлены соединения в соответствии с формулой (Iai), (Iaii), (Iaiii), (Iaiv),(Iav) или (Iavi)

Формула (Iai)

Формула (Iavi)

или стереоизомер, физиологически приемлемая соль, сложный эфир, сольват, полиморф, пролекарство и их смеси, где R7, R13, R14, A1, A2, A3, A4, R19 и R25 имеют значение, определенное в любом из вариантов осуществления, описанных в настоящей заявке.

В одном варианте осуществления изобретения и/или его вариантах осуществления представлены соединения в соответствии с формулой (Iai), предпочтительно в форме (S)-энантиомера. В одном варианте осуществления изобретения и/или его вариантах осуществления представлены соединения в соответствии с формулой (Iaii), предпочтительно в форме (S)-энантиомера. В одном варианте осуществления изобретения и/или его вариантах осуществления представлены соединения в соответствии с формулой (Iaiii), предпочтительно в форме (S)-энантиомера. В одном варианте осуществления изобретения и/или его вариантах осуществления представлены соединения в соответствии с формулой (Iaiv), предпочтительно в форме (S)-энантиомера. В одном варианте осуществления изобретения и/или его вариантах осуществления представлены соединения в соответствии с формулой (Iav), предпочтительно в форме (S)-энантиомера. В одном варианте осуществления изобретения и/или его вариантах осуществления представлены соединения в соответствии с формулой (Iavi), предпочтительно в форме (S)-энантиомера.

Изобретение обеспечивает соединение в соответствии с изобретением и/или его вариантами осуществления, где R7 имеет значение, определенное выше.

В одном варианте осуществления изобретения и/или его вариантах осуществления R7 независимо выбран из группы, состоящей из

водорода, C1-6-алкила, C2-6-алкенила, C3-10-циклоалкила, 4-10-членного гетероциклила, C1-6-алкокси, галогена, циано, гидрокси, NR8R9, C(=O)OR10, SR10, SOR10, SO2R10 и C(=O)NR11R12,

где каждый C1-6-алкил, C2-6-алкенил, C3-10-циклоалкил, 4-10-членный гетероциклил или C1-6-алкокси необязательно замещен одним или несколькими заместителями, независимо выбранными из группы, состоящей из

C1-6-алкила, C3-10-циклоалкила, 5-10-членного гетероциклила, C1-6-алкокси, галогена, циано, гидрокси, NR8’R9’, C(=O)OR10’ и C(=O)NR11’R12’,

R8 и R9 независимо выбраны из группы, состоящей из

водорода, C1-6-алкила, C3-10-циклоалкила, C6-10-арила, 5-10-членного гетероциклила и 5-10-членного гетероарила, или

R8 и R9 вместе с N атомом, к которому они присоединены, образуют насыщенное или ненасыщенное гетероциклическое кольцо, содержащее от 3 до 12 кольцевых атомов, где 1 кольцевой атом представляет собой N и где 0, 1, 2 или 3 других кольцевых атома выбраны из N, S и O;

где C1-6-алкил, C3-10-циклоалкил, C6-10-арил, 5-10-членный гетероциклил или 5-10-членный гетероарил, или гетероциклическое кольцо, образованное R8 и R9 вместе с N атомом, к которому они присоединены, необязательно замещены одним или несколькими заместителями, независимо выбранными из группы, состоящей из

C1-6-алкила, C1-6-алкокси, галогена, циано, гидрокси, NR8’’R9’’, C(=O)OR10’’ и C(=O)NR11’’R12’’;

R10, R11 и R12 независимо выбраны из водорода и C1-6-алкила,

R8’, R9’, R10’, R11’ и R12’ независимо выбраны из водорода и C1-6-алкила,

R8’’, R9’’, R10’’, R11’’ и R12’’ независимо выбраны из водорода и C1-6-алкила.

В одном варианте осуществления изобретения и/или его вариантах осуществления, где R7 независимо выбран из группы, состоящей из

водорода, C1-6-алкила, C2-6-алкенила, 4-10-членного гетероциклила, C1-6-алкокси, гидрокси, NR8R9, C(=O)OR10, SR10, SOR10, SO2R10 и C(=O)NR11R12,

где каждый C1-6-алкил, C2-6-алкенил, 4-10-членный гетероциклил или C1-6-алкокси необязательно замещен одним или несколькими заместителями, независимо выбранными из группы, состоящей из

C1-6-алкила, 5-10-членного гетероциклила, C1-6-алкокси, галогена, циано, гидрокси, NR8’R9’, C(=O)OR10’ и C(=O)NR11’R12’,

R8 и R9 независимо выбраны из группы, состоящей из

водорода, C1-6-алкила, C6-10-арила и 5-10-членного гетероарила, или

R8 и R9 вместе с N атомом, к которому они присоединены, образуют насыщенное или ненасыщенное гетероциклическое кольцо, содержащее от 3 до 12 кольцевых атомов, где 1 кольцевой атом представляет собой N и где 0, 1, 2 или 3 других кольцевых атома выбраны из N, S и O;

где C1-6-алкил, C6-10-арил или 5-10-членный гетероарил, или гетероциклическое кольцо, образованное R8 и R9 вместе с N атомом, к которому они присоединены, необязательно замещены одним или несколькими заместителями, независимо выбранными из группы, состоящей из

C1-6-алкила, C1-6-алкокси, гидрокси и NR8’’R9’’;

R10, R11 и R12 независимо выбраны из водорода или C1-6-алкила, предпочтительно из водорода или C1-3-алкила,

R8’, R9’, R10’, R11’ и R12’ независимо выбраны из водорода или C1-6-алкила, предпочтительно из водорода или C1-3-алкила,

R8’’ и R9’’ независимо выбраны из водорода или C1-6-алкила, предпочтительно из водорода или C1-3-алкила.

В одном варианте осуществления изобретения и/или его вариантах осуществления R7 независимо выбран из группы, состоящей из

водорода, C1-6-алкила, C2-6-алкенила, 4-10-членного гетероциклила, C1-3-алкокси, гидрокси, NR8R9, SR10, SOR10 и SO2R10,

где каждый C1-6-алкил, C2-6-алкенил, 4-10-членный гетероциклил или C1-3-алкокси необязательно замещен одним или несколькими заместителями, независимо выбранными из группы, состоящей из

C1-3-алкила, 5-10-членного гетероциклила, C1-6-алкокси, галогена, циано, гидрокси, NR8’R9’, C(=O)OR10’ и C(=O)NR11’R12’,

R8 и R9 независимо выбраны из группы, состоящей из

водорода, C1-6-алкила, C6-10-арила и 5-10-членного гетероарила, или

R8 и R9 вместе с N атомом, к которому они присоединены, образуют насыщенное или ненасыщенное гетероциклическое кольцо, содержащее от 3 до 12 кольцевых атомов, где 1 кольцевой атом представляет собой N и где 0, 1, 2 или 3 других кольцевых атома выбраны из N, S и O;

где C1-6-алкил, C6-10-арил или 5-10-членный гетероарил, или гетероциклическое кольцо, образованное R8 и R9 вместе с N атомом, к которому они присоединены, необязательно замещены одним или несколькими заместителями, независимо выбранными из группы, состоящей из

C1-6-алкила, C1-6-алкокси, гидрокси и NR8’’R9’’;

R10 независимо выбран из водорода или C1-3-алкила, предпочтительно из водорода, метила или этила,

R8’, R9’, R10’, R11’ и R12’ независимо выбраны из водорода или C1-3-алкила, предпочтительно из водорода, метила или этила,

R8’’ и R9’’ независимо выбраны из водорода или C1-3-алкила, предпочтительно из водорода, метила или этила.

В одном варианте осуществления изобретения и/или его вариантах осуществления R7 независимо выбран из группы, состоящей из метила, этила, пропила, изопропила, изопропенила метокси, этокси, изопропокси, гидрокси, метилсульфоксила, метилсульфонила, метилтио, амино, метиламино, этиламино, (этил)(метил)амино, изопропиламино, диметиламино, (изопропил)(метил)амино, гидроксиэтиламино, (гидроксиэтил)(метил)амино, метоксиэтиламино, (метоксиэтил)(метил)амино, морфолин-4-ила, пирролидин-1-ила, 3-гидрокси-пирролидин-1-ила 3-фторазетидинила и 3,3-дифторазетидинила.

В одном варианте осуществления изобретения и/или его вариантах осуществления представлены соединения в соответствии с формулой (Ibi), (Ibii) (Ibiii). (Ibiv), (Ibv) (Ibvi), (Ibvii), (Ibviii) (Ibix), (Ibx), (Ibxi) или (Ibxii)

или стереоизомер, физиологически приемлемая соль, сложный эфир, сольват, полиморф, пролекарство и их смеси, где R1, R13, R14, A1, a2, A3, A4, R19 и R25 имеют значение, определенное в любом из вариантов осуществления, описанных в настоящей заявке.

В одном варианте осуществления изобретения и/или его вариантах осуществления представлены соединения в соответствии с формулой (Ibi), предпочтительно в форме (S)-энантиомера). В одном варианте осуществления изобретения и/или его вариантах осуществления представлены соединения в соответствии с формулой (Ibii), предпочтительно в форме (S)-энантиомера. В одном варианте осуществления изобретения и/или его вариантах осуществления представлены соединения в соответствии с формулой (Ibiii,), предпочтительно в форме (S)-энантиомера. В одном варианте осуществления изобретения и/или его вариантах осуществления представлены соединения в соответствии с формулой (Ibiv), предпочтительно в форме (S)-энантиомера). В одном варианте осуществления изобретения и/или его вариантах осуществления представлены соединения в соответствии с формулой (Ibv), предпочтительно в форме (S)-энантиомера. В одном варианте осуществления изобретения и/или его вариантах осуществления представлены соединения в соответствии с формулой (Ibvi,), предпочтительно в форме (S)-энантиомера. В одном варианте осуществления изобретения и/или его вариантах осуществления представлены соединения в соответствии с формулой (Ibvii), предпочтительно в форме (S)-энантиомера). В одном варианте осуществления изобретения и/или его вариантах осуществления представлены соединения в соответствии с формулой (Ibviii), предпочтительно в форме (S)-энантиомера. В одном варианте осуществления изобретения и/или его вариантах осуществления представлены соединения в соответствии с формулой (Ibix,), предпочтительно в форме (S)-энантиомера. В одном варианте осуществления изобретения и/или его вариантах осуществления представлены соединения в соответствии с формулой (Ibx), предпочтительно в форме (S)-энантиомера). В одном варианте осуществления изобретения и/или его вариантах осуществления представлены соединения в соответствии с формулой (Ibxi), предпочтительно в форме (S)-энантиомера. В одном варианте осуществления изобретения и/или его вариантах осуществления представлены соединения в соответствии с формулой (Ibxii,), предпочтительно в форме (S)-энантиомера.

Изобретение обеспечивает соединение в соответствии с изобретением и/или его вариантами осуществления, где R13 и R14, а также A1, A2, A3, A4 имеют значение, определенное выше.

В одном варианте осуществления изобретения и/или его вариантах осуществления

R13 представляет собой водород или C1-3 алкил, и

R14 представляет собой водород, C1-3 алкил или C1-3 алкокси.

Более предпочтительно, в одном варианте осуществления изобретения и/или его вариантах осуществления

R13 представляет собой водород или C1-3 алкил, и

R14 представляет собой водород или C1-3 алкил.

Более предпочтительно, в одном варианте осуществления изобретения и/или его вариантах осуществления

R13 представляет собой водород, метил или этил, предпочтительно водород или метил, и

R14 представляет собой водород или метил, предпочтительно водород.

A1 представляет собой N или CR15, где R15 независимо представляет собой водород, галоген, C1-3 алкил, C1-3 алкокси или NR15’R15’’, где R15’ и R15’’ независимо представляют собой C1-3-алкил,

A2 представляет собой N или CR16, где R16 независимо представляет собой водород, галоген, C1-3 алкил, C1-3 алкокси или NR16’R16’’, где R16’ и R16’’ независимо представляют собой C1-3-алкил,

A3 представляет собой N или CR17, где R17 независимо представляет собой водород, галоген, C1-3 алкил, C1-3 алкокси или NR17’R17’’, где R17’ и R17’’ независимо представляют собой C1-3-алкил,

A4 представляет собой N или CR18, где R18 независимо представляет собой водород, галоген C1-3 алкил, C1-3 алкокси или NR18’R18’’, где R18’ и R18’’ независимо представляют собой C1-3-алкил.

Более предпочтительно, в одном варианте осуществления изобретения и/или его вариантах осуществления

R13 представляет собой водород или C1-3 алкил, и R14 представляет собой водород или C1-3 алкил,

A1 представляет собой N или CR15, где R15 независимо представляет собой водород, C1-3 алкил, C1-3 алкокси,

A2 представляет собой N или CR16, где R16 независимо представляет собой водород, C1-3 алкил, C1-3 алкокси,

A3 представляет собой N или CR17, где R17 независимо представляет собой водород, C1-3 алкил, C1-3 алкокси,

A4 представляет собой N или CR18, где R18 независимо представляет собой водород, C1-3 алкил, C1-3 алкокси,

где ни один, один или два из остатков A1, A2, A3 и A4 представляют собой N.

Более предпочтительно, в одном варианте осуществления изобретения и/или его вариантах осуществления

R13 представляет собой водород, метил или этил, предпочтительно водород или метил, и R14 представляет собой водород или метил, предпочтительно водород,

A1 представляет собой N или CR15, где R15 независимо представляет собой водород или C1-3 алкил,

A2 представляет собой N или CR16, где R16 независимо представляет собой водород или C1-3 алкил,

A3 представляет собой N или CR17, где R17 независимо представляет собой водород или C1-3 алкил,

A4 представляет собой N или CR18, где R18 независимо представляет собой водород или C1-3 алкил,

где ни один, один или два из остатков A1, A2, A3 и A4 представляют собой N.

В другом варианте осуществления изобретения и/или его вариантах осуществления

A1 представляет собой CR15, где R15 независимо представляет собой водород, галоген, C1-3 алкил, C1-3 алкокси или NR15’R15’’, где R15’ и R15’’ независимо представляют собой C1-3-алкил,

A2 представляет собой CR16, где R16 независимо представляет собой водород, галоген, C1-3 алкил, C1-3 алкокси или NR16’R16’’, где R16’ и R16’’ независимо представляют собой C1-3-алкил,

A3 представляет собой CR17, где R17 независимо представляет собой водород, C1-3 алкил или C1-3 алкокси,

A4 представляет собой CR18, где R18 независимо представляет собой водород, C1-3 алкил или C1-3 алкокси.

В другом варианте осуществления изобретения и/или его вариантах осуществления

R13 представляет собой водород или C1-3-алкил,

R14 представляет собой водород, C1-3-алкил или C1-3-алкокси,

A1 представляет собой CR15, где R15 представляет собой водород, галоген, C1-3-алкил, C1-3-алкокси или NR15’R15’’, где R15’ и R15’’ независимо представляют собой C1-3-алкил,

A2 представляет собой CR16, где R16 представляет собой водород, галоген, C1-3-алкил, C1-3-алкокси или NR16’R16’’, где R16’ и R16’’ независимо представляют собой C1-3-алкил,

A3 представляет собой CR17, где R17 представляет собой водород или C1-3-алкил,

A4 представляет собой CR18, где R18 представляет собой водород или C1-3-алкил.

В другом варианте осуществления изобретения и/или его вариантах осуществления

R13 представляет собой водород, метил или этил, предпочтительно водород или метил,

R14 представляет собой водород или метил, предпочтительно водород,

A1 представляет собой CR15, где R15 представляет собой водород или C1-3 алкил, предпочтительно водород или метил,

A2 представляет собой CR16, где R16 водород или C1-3 алкил, предпочтительно водород или метил,

A3 представляет собой CR17 и A4 представляет собой CR18, где R17 и R18 представляют собой водород.

В другом варианте осуществления изобретения и/или его вариантах осуществления

R13 представляет собой водород, метил или этил, предпочтительно водород или метил,

R14 представляет собой водород или метил, предпочтительно водород,

A1 представляет собой CR15, A2 представляет собой CR16, A3 представляет собой CR17 и A4 представляет собой CR18, где R15, R16, R17 и R18 представляют собой водород.

В одном варианте осуществления изобретения и/или его вариантах осуществления представлены соединения в соответствии с формулой (Ic).

Формула (Ic)

или стереоизомер, физиологически приемлемая соль, сложный эфир, сольват, полиморф, пролекарство и их смеси, где R1, R7, R19 и R25 имеют значение, определенное в любом из вариантов осуществления, описанных в настоящей заявке.

В одном варианте осуществления изобретения и/или его вариантах осуществления представлены соединения в соответствии с формулой (Ic), предпочтительно в форме (S)-энантиомера.

В одном варианте осуществления изобретения и/или его вариантах осуществления R13 и R14 вместе с атомами, к которым они присоединены, образуют содержащее 5 или 6 атомов углерода неароматическое кольцо, где содержащее 5 или 6 атомов углерода кольцо необязательно замещено одним или несколькими заместителями C1-3-алкил или =O, и/или где один или несколько из образующих кольцо атомов углерода необязательно замещены -NH-, -N=, =N-, -O-, -S(O)-, -S(O)2- или -S-, или

R13 и R14 вместе с атомами, к которым они присоединены, образуют содержащее 5 или 6 атомов углерода ароматическое кольцо, где ароматическое кольцо необязательно замещено одним или несколькими C1-3-алкильными заместителями, и/или где один или несколько из образующих кольцо атомов углерода необязательно замещены -NH-, -N=, =N-, -O- или -S-.

Примеры содержащего 5 или 6 атомов углерода неароматического или ароматического кольца, где содержащее 5 или 6 атомов углерода неароматическое кольцо необязательно замещено одним или несколькими заместителями C1-3-алкил или =O, и/или где один или несколько из образующих кольцо атомов углерода необязательно замещены -NH-, -N=, =N-, -O-, -S(O)-, -S(O)2- или -S-; или где содержащее 5 или 6 атомов углерода ароматическое кольцо необязательно замещено одним или несколькими C1-3-алкильными заместителями, и/или где один или несколько из образующих кольцо атомов углерода необязательно замещены -NH-, -N=, =N-, -O- или -S-, включают, но не ограничиваются этим, остатки, которые представлены структурами, показанными ниже.

где

означает связь с амидной группой; и

означает связь, посредством которой указанная выше кольцевая система конденсирована с ароматическим кольцом, среди прочего включающим A1, A2, A3 и A4.

В одном варианте осуществления изобретения и/или его вариантах осуществления

R13 и R14 вместе с атомами, к которым они присоединены, образуют содержащее 5 или 6 атомов углерода неароматическое кольцо, где неароматическое кольцо необязательно замещено одним или несколькими заместителями C1-3-алкил или =O, и/или где один или несколько из образующих кольцо атомов углерода необязательно замещены -NH-, -O-, -S(O)-, -S(O)2- или -S-,

A1 представляет собой N или CR15, где R15 независимо представляет собой водород, галоген C1-3 алкил, C1-3 алкокси или NR15’R15’’, где R15’ и R15’’ независимо представляют собой C1-3-алкил,

A2 представляет собой N или CR16, где R16 независимо представляет собой водород, галоген, C1-3 алкил, C1-3 алкокси или NR16’R16’’, где R16’ и R16’’ независимо представляют собой C1-3-алкил,

A3 представляет собой N или CR17, где R17 независимо представляет собой водород, галоген, C1-3 алкил, C1-3 алкокси или NR15’R15’’, где R15’ и R15’’ независимо представляют собой C1-3-алкил,

A4 представляет собой N или CR18, где R18 независимо представляет собой водород, галоген, C1-3 алкил, C1-3 алкокси или NR15’R15’’, где R15’ и R15’’ независимо представляют собой C1-3-алкил.

В одном варианте осуществления изобретения и/или его вариантах осуществления

R13 и R14 вместе с атомами, к которым они присоединены, образуют содержащее 5 или 6 атомов углерода неароматическое кольцо, где один или несколько из образующих кольцо атомов углерода необязательно замещены -NH-, -O- или -S-,

A1 представляет собой N или CR15, где R15 независимо представляет собой водород, C1-3 алкил или C1-3 алкокси,

A2 представляет собой N или CR16, где R16 независимо представляет собой водород, C1-3 алкил или C1-3 алкокси,

A3 представляет собой N или CR17, где R17 независимо представляет собой водород, C1-3 алкил или C1-3 алкокси,

A4 представляет собой N или CR18, где R18 независимо представляет собой водород, C1-3 алкил или C1-3 алкокси,

где ни один, один или два из A1, A2, A3 и A4 представляют собой N.

В одном варианте осуществления изобретения и/или его вариантах осуществления

R13 и R14 вместе с атомами, к которым они присоединены, образуют содержащее 5 или 6 атомов углерода неароматическое кольцо, где неароматическое кольцо необязательно замещено одним или несколькими заместителями C1-3-алкил или =O, и/или где один или несколько из образующих кольцо атомов углерода необязательно замещены -NH- или -O-,

A1 представляет собой N или CR15, где R15 независимо представляет собой водород или C1-3 алкокси,

A2 представляет собой N или CR16, где R16 независимо представляет собой водород или C1-3 алкокси,

A3 представляет собой N или CR17, где R17 независимо представляет собой водород или C1-3 алкокси,

A4 представляет собой N или CR18, где R18 независимо представляет собой водород или C1-3 алкокси,

где ни один, один или два из A1, A2, A3 и A4 представляют собой N.

В одном варианте осуществления изобретения и/или его вариантах осуществления ни один из A1, A2, A3 и A4 не является N.

В одном варианте осуществления изобретения и/или его вариантах осуществления A1 представляет собой N. В одном варианте осуществления изобретения и/или его вариантах осуществления A2 представляет собой N. В одном варианте осуществления изобретения и/или его вариантах осуществления A3 представляет собой N. В одном варианте осуществления изобретения и/или его вариантах осуществления A4 представляет собой N.

В одном варианте осуществления изобретения и/или его вариантах осуществления представлены соединения в соответствии с формулой (Idi), (Idii) (Idiii) (Idiv), (Idv), (Idvi) или (Idvii)

Формула (Idi)

или стереоизомер, физиологически приемлемая соль, сложный эфир, сольват, полиморф, пролекарство и их смеси, где R1, R7, R19 и R25 имеют значение, определенное в любом из вариантов осуществления, описанных в настоящей заявке.

В одном варианте осуществления изобретения и/или его вариантах осуществления представлены соединения в соответствии с формулой (Idi), предпочтительно в форме (S)-энантиомера. В одном варианте осуществления изобретения и/или его вариантах осуществления представлены соединения в соответствии с формулой (Idii), предпочтительно в форме (S)-энантиомера. В одном варианте осуществления изобретения и/или его вариантах осуществления представлены соединения в соответствии с формулой (Idiii), предпочтительно в форме (S)-энантиомера. В одном варианте осуществления изобретения и/или его вариантах осуществления представлены соединения в соответствии с формулой (Idiv), предпочтительно в форме (S)-энантиомера. В одном варианте осуществления изобретения и/или его вариантах осуществления представлены соединения в соответствии с формулой (Idv), предпочтительно в форме (S)-энантиомера. В одном варианте осуществления изобретения и/или его вариантах осуществления представлены соединения в соответствии с формулой (Idvi), предпочтительно в форме (S)-энантиомера. В одном варианте осуществления изобретения и/или его вариантах осуществления представлены соединения в соответствии с формулой (Idvii), предпочтительно в форме (S)-энантиомера.

В одном варианте осуществления изобретения и/или его вариантах осуществления

R13 и R14 вместе с атомами, к которым они присоединены, образуют содержащее 5 или 6 атомов углерода ароматическое кольцо, где ароматическое кольцо необязательно замещено одним или несколькими C1-3-алкильными заместителями, и/или где один или несколько из образующих кольцо атомов углерода необязательно замещены -NH-, -N=, =N-, -O- или -S-,

A1 представляет собой N или CR15, где R15 независимо представляет собой водород, галоген C1-3 алкил, C1-3 алкокси или NR15’R15’’, где R15’ и R15’’ независимо представляют собой C1-3-алкил,

A2 представляет собой N или CR16, где R16 независимо представляет собой водород, галоген, C1-3 алкил, C1-3 алкокси или NR16’R16’’, где R16’ и R16’’ независимо представляют собой C1-3-алкил,

A3 представляет собой N или CR17, где R17 независимо представляет собой водород, галоген, C1-3 алкил, C1-3 алкокси или NR15’R15’’, где R15’ и R15’’ независимо представляют собой C1-3-алкил,

A4 представляет собой N или CR18, где R18 независимо представляет собой водород, галоген, C1-3 алкил, C1-3 алкокси или NR15’R15’’, где R15’ и R15’’ независимо представляют собой C1-3-алкил.

В одном варианте осуществления изобретения и/или его вариантах осуществления

R13 и R14 вместе с атомами, к которым они присоединены, образуют содержащее 5 или 6 атомов углерода ароматическое кольцо, где один или несколько из образующих кольцо атомов углерода необязательно замещены -NH-, -N=, =N-, -O- или -S-,

A1 представляет собой N или CR15, где R15 независимо представляет собой водород, C1-3 алкил или C1-3 алкокси,

A2 представляет собой N или CR16, где R16 независимо представляет собой водород, C1-3 алкил или C1-3 алкокси,

A3 представляет собой N или CR17, где R17 независимо представляет собой водород, C1-3 алкил или C1-3 алкокси,

A4 представляет собой N или CR18, где R18 независимо представляет собой водород, C1-3 алкил или C1-3 алкокси,

где ни один, один или два из A1, A2, A3 и A4 представляют собой N.

В одном варианте осуществления изобретения и/или его вариантах осуществления

R13 и R14 вместе с атомами, к которым они присоединены, образуют содержащее 5 или 6 атомов углерода ароматическое кольцо, где один или несколько из образующих кольцо атомов углерода необязательно замещены -NH-, -N=, =N- или -S-,

A1 представляет собой N или CR15, где R15 независимо представляет собой водород или C1-3 алкокси,

A2 представляет собой N или CR16, где R16 независимо представляет собой водород или C1-3 алкокси,

A3 представляет собой N или CR17, где R17 независимо представляет собой водород или C1-3 алкокси,

A4 представляет собой N или CR18, где R18 независимо представляет собой водород или C1-3 алкокси,

где ни один, один или два из A1, A2, A3 и A4 представляют собой N.

В одном варианте осуществления изобретения и/или его вариантах осуществления представлены соединения в соответствии с формулой (Idviii), (Idix), (Idx), (Idxi), (Idxii), (Idxiii), (Idxiv) или (Idxv)

Формула (Idix)

или стереоизомер, физиологически приемлемая соль, сложный эфир, сольват, полиморф, пролекарство и их смеси, где R1, R7, R19 и R25 имеют значение, определенное в любом из вариантов осуществления, описанных в настоящей заявке.

В одном варианте осуществления изобретения и/или его вариантах осуществления представлены соединения в соответствии с формулой (Idviii), предпочтительно в форме (S)-энантиомера. В одном варианте осуществления изобретения и/или его вариантах осуществления представлены соединения в соответствии с формулой (Idix), предпочтительно в форме (S)-энантиомера. В одном варианте осуществления изобретения и/или его вариантах осуществления представлены соединения в соответствии с формулой (Idx), предпочтительно в форме (S)-энантиомера. В одном варианте осуществления изобретения и/или его вариантах осуществления представлены соединения в соответствии с формулой (Idxi), предпочтительно в форме (S)-энантиомера. В одном варианте осуществления изобретения и/или его вариантах осуществления представлены соединения в соответствии с формулой (Idxii), предпочтительно в форме (S)-энантиомера. В одном варианте осуществления изобретения и/или его вариантах осуществления представлены соединения в соответствии с формулой (Idxiii), предпочтительно в форме (S)-энантиомера. В одном варианте осуществления изобретения и/или его вариантах осуществления представлены соединения в соответствии с формулой (Idxiv), предпочтительно в форме (S)-энантиомера. В одном варианте осуществления изобретения и/или его вариантах осуществления представлены соединения в соответствии с формулой (Idxv), предпочтительно в форме (S)-энантиомера.

Изобретение обеспечивает соединение в соответствии с изобретением и/или его вариантами осуществления, где R19 имеет значение, определенное выше.

В одном варианте осуществления изобретения и/или его вариантах осуществления R19 независимо выбран из группы, состоящей из

C6-10-арила и 5-10-членного гетероарила,

где каждый C6-10-арил или 5-10-членного гетероарил необязательно замещен одним или несколькими заместителями, независимо выбранными из группы, состоящей из

C1-6-алкила, C3-10-циклоалкила, C1-6-алкокси, 5-10-членного гетероциклила, C6-10-арила, 5-10-членного гетероарила, галогена, циано, нитро, гидрокси, NR20R21, C(=O)OR22 и C(=O)NR23R24,

R20 и R21 независимо выбраны из группы, состоящей из

водорода, C1-6-алкила, C3-10-циклоалкила и C6-10-арила, или

R20 и R21 вместе с N атомом, к которому они присоединены, образуют насыщенное или ненасыщенное гетероциклическое кольцо, содержащее от 3 до 12 кольцевых атомов, где 0, 1, 2 или 3 других кольцевых атома выбраны из N, S и O;

где каждый C1-6-алкил, C3-10-циклоалкил или C6-10-арил, или гетероциклическое кольцо, образованное R20 и R21 вместе с N атомом, к которому они присоединены, необязательно замещены одним или несколькими заместителями, независимо выбранными из группы, состоящей из

C1-6-алкила, C3-10-циклоалкила, C1-6-алкокси, 5-10-членного гетероциклила, C6-10-арила, 5-10-членного гетероарила, галогена, циано, гидрокси, NR20’R21’, C(=O)OR22’ и C(=O)NR23’R24’

R22, R23 и R24 независимо выбраны из водорода и C1-6-алкила,

R20’, R21’, R22’, R23’ и R24’ независимо выбраны из водорода и C1-6-алкила.

В одном варианте осуществления изобретения и/или его вариантах осуществления R19 независимо выбран из группы, состоящей из

C6-10-арила и 5-10-членного гетероарила,

где каждый C6-10-арил или 5-10-членный гетероарил необязательно замещен одним или несколькими заместителями, независимо выбранными из группы, состоящей из

C1-6-алкила, C1-6-алкокси, галогена, циано, нитро, гидрокси, C(=O)OR22, SO2R22, SO2NR23R24 и C(=O)NR23R24,

R22, R23 и R24 независимо выбраны из водорода и C1-6-алкила.

В одном варианте осуществления изобретения и/или его вариантах осуществления R19 независимо выбран из группы, состоящей из C6-10-арила и 5-10-членного гетероарила,

где каждый C6-10-арил или 5-10-членный гетероарил необязательно замещен одним или несколькими заместителями, независимо выбранными из группы, состоящей из

C1-6-алкила, C1-6-алкокси, галогена, циано, нитро, C(=O)OR22 и C(=O)NR23R24,

R22, R23 и R24 независимо выбраны из водорода и C1-6-алкила, предпочтительно из водорода и C1-3-алкила.

В одном варианте осуществления изобретения и/или его вариантах осуществления R19 независимо выбран из группы, состоящей из C6-10-арила и 5-10-членного гетероарила,

где каждый C6-10-арил или 5-10-членный гетероарил необязательно замещен одним или несколькими заместителями, независимо выбранными из группы, состоящей из

C1-6-алкил, C1-6-алкокси, галогена, циано, нитро и гидрокси.

В одном варианте осуществления изобретения и/или его вариантах осуществления R19 представляет собой 5-10-членный гетероарил,

где 5-10-членный гетероарил необязательно замещен одним или несколькими заместителями, независимо выбранными из группы, состоящей из C1-6-алкила, C1-6-алкокси, галогена, циано, нитро и гидрокси.

В одном варианте осуществления изобретения и/или его вариантах осуществления R19 представляет собой 5-10-членный гетероарил,

где 5-10-членный гетероарил необязательно замещен одним или несколькими заместителями, независимо выбранными из группы, состоящей из C1-6-алкила и галогена, предпочтительно галогена.

Примеры 5-10-членных гетероарильных групп включают, но не ограничиваются этим, пирролил, имидазолил, пиразолил, пиридин-2-ил, пиридин-3-ил, пиридин-4-ил, пиримидин-2-ил, пиримидин-3-ил, пиримидин-4-ил, пиразинил, пиридазинил, триазолил, такой как 1H-1,2,3-триазолил, 2H-1,2,3-триазолил,1H-1,2,4-триазолил и 4H-1,2,4-триазолил, тетразолил, такой как 1H-тетразолил, 2H тетразолил и 5H-тетразолил, индолил, изоиндолил, индолинил, индолизинил, бензимидазолил, хинолин 4-ил, хинолин-8-ил, изохинолил, индазолил, нафтиридинил, бензотриазолил, оксазолил, изоксазолил, оксадиазолил, такой как 1,2,4-оксадиазолил, 1,3,4-оксадиазолил, 1,2,5-оксадиазолил, бензоксазолил, бензоксадиазолил, бензоксазинил, такой как 2H-1,4-бензоксазинил тиазолил, изотиазолил, тиадиазолил, такой как 1,2,3-тиадиазолил, 1,2,4-тиадиазолил, 1,3,4-тиадиазолил, 1,2,5-тиадиазолил, тиен-2-ил, тиен-3-ил бензотиазолил, бензотиадиазолил, бензотиазинил, бензофуранил, хинолинил, изохинолин, циннолинил, хинаксолинил хиноксалинил, триазинил, тетразинил, пуринил, птеридинил, фурил, бензодиоксолил, такой как 1, 3-бензодиоксолил, бензотиенил, бензодитиинил и бензоксатиинил. Предпочтительны пиридин-2-ил, пиридин-3-ил, пиридин-4-ил, пиримидин-2-ил, пиримидин-3-ил, пиримидин-4-ил, хинолин-8-ил, тиен-2-ил и тиен-3-ил.

В одном варианте осуществления изобретения и/или его вариантах осуществления R19 представляет собой 5-10-членный гетероарил,

где 5-10-членный гетероарил замещен одним или несколькими заместителями, независимо выбранными из группы, состоящей из C1-6-алкила и галогена, предпочтительно галогена.

В одном варианте осуществления изобретения и/или его вариантах осуществления R19 выбран из группы, состоящей из пиридин-2-ила, пиридин-3-ила, пиридин-4-ил 2,5-дихлорпиридин-4-ила, 2,6-дихлорпиридин-4-ила, 5-хлортиен-2-ила, 5-хлортиен-3-ила, пиримидин-4-ила, хинолин-4-ила, хинолин-8-ила и 2,6-дифторпиридин-ила.

В одном варианте осуществления изобретения и/или его вариантах осуществления, где R19 представляет собой C6-10-арил,

где C6-10 арил необязательно замещен одним или несколькими заместителями, независимо выбранными из группы, состоящей из

C1-6-алкила, галогена, циано и нитро.

В одном варианте осуществления изобретения и/или его вариантах осуществления, где R19 представляет собой C6-10-арил,

где C6-10 арил представляет собой фенил, замещенный одним, двумя или тремя заместителями, независимо выбранными из группы, состоящей из

фторида, хлорида и бромида.

Примеры фенила, замещенного одним, двумя или тремя заместителями, независимо выбранными из группы, состоящей из фторида, хлорида и бромида, включают, но не ограничиваются этим, 2-фторфенил, 3-фторфенил, 4-фторфенил, 2-хлорфенил, 3-хлорфенил, 4-хлорфенил, 2-бромфенил, 3-бромфенил, 4-бромфенил, 2,3-дифторфенил, 2,4-дифторфенил, 2,5-дифторфенил, 3,4-дифторфенил, 3,5-дифторфенил, 2,3-дихлорфенил, 2,4-дихлорфенил, 2,5-дихлорфенил, 3,4-дихлорфенил, 3,5-дихлорфенил, 2,3-дибромфенил, 2,4-дибромфенил, 2,5-дибромфенил, 3,4-дибромфенил, 3,5-дибромфенил, 2,3,4-трифторфенил, 2,3,5-трифторфенил, 3,4,5-трифторфенил, 2,3,4-трихлорфенил, 2,3,5-трихлорфенил, 3,4,5-трихлорфенил, 2,3,4-трибромфенил, 2,3,5-трибромфенил, 3,4,5-трибромфенил, 2-хлор-3-фторфенил, 2-хлор-4-фторфенил, 2-хлор-5-фторфенил, 3-хлор-2-фторфенил, 3-хлор-4-фторфенил, 3-хлор-5-фторфенил, 4-хлор-2-фторфенил, 4-хлор-3-фтор-фенил, 4-хлор-5-фторфенил, 5-хлор-2-фторфенил, 5-хлор-3-фторфенил, 5-хлор-4-фторфенил, 3-бром-2фторфенил, 4-бром-2-хлорбромфенил, 4-бром-3-хлорфенил, 3,4-дихлор-2-фтор-фенил, 3,5-дихлор-2-фторфенил, 3,5-дихлор-4-фторфенил, 4,5-дихлор-3-фторфенил, 3,4-дибром-2-фтор-фенил, 3,5-дибром-2-фторфенил, 4,5-дибром-3-фторфенил, 2-хлор-3,4-дифторфенил, 2-хлор-3,5-дифторфенил, 3-хлор-4,5-дифторфенил, 3,4-дибром-2-хлорфенил, 3,5-дибром-2-хлорфенил, 4,5-дибром-3-хлорфенил, 2-бром-3,4-дифторфенил, 2-бром-3,5-дифторфенил, 3-бром-4,5-дифторфенил, 2-бром-3,4-дихлорфенил, 2-бром-3,5-дихлорфенил, 3-бром-4,5-дихлорфенил, 4-бром-3-хлор-2-фторфенил, 4-бром-2-хлор-3-фторфенил, 2-бром-3-хлор-4-фторфенил, 5-бром-3-хлор-2-фторфенил, 5-бром-2-хлор-3-фторфенил, 2-бром-3-хлор-5-фтoрфенил, 5-бром-4-хлор-3-фторфенил, 5-бром-3-хлор-4-фторфенил и 3-бром-4-хлор-5 фторфенил.

Предпочтительны 3-фторфенил, 3-хлорфенил, 2,3-дифторфенил 3,5-дифторфенил, 2,3-дихлорфенил, 3,5-дихлорфенил, 2-хлор-3-фторфенил, 3-хлор-2-фторфенил, 5-хлор-3-фторфенил, 5-хлор-3-фторфенил, 5-хлор-2-фторфенил, 3,4,5-трифторфенил, 2,3,5-трифторфенил, 3,5-дихлор-4-фторфенил и 3,4,5-трихлорфенил, более предпочтительны 3-хлорфенил, 2,3-дихлорфенил, 3,5-дихлорфенил, 3,5-дифторфенил, 2,3,5-трифторфенил, 3,4,5-трифторфенил, 3-хлор-2-фторфенил, 5-хлор-3-фторфенил,5-хлор-3-фторфенил, 3,5-дихлор-4-фторфенил, в частности 2,3,5-трифторфенил, 5-хлор-2-фторфенил, 2,3-дихлорфенил и 3,5-дихлорфенил.

В одном варианте осуществления изобретения и/или его вариантах осуществления представлены соединения в соответствии с формулой (Iei), (Ieii), (Ieiii) или (Ieiv)

Формула (Ieiv)

или стереоизомер, физиологически приемлемая соль, сложный эфир, сольват, полиморф, пролекарство и их смеси, где R1, R7, R13, R14, A1, A2, A3, A4 и R25 имеют значение, определенное в любом из вариантов осуществления, описанных в настоящей заявке.

В одном варианте осуществления изобретения и/или его вариантах осуществления представлены соединения в соответствии с формулой (Iei), предпочтительно в форме (S)-энантиомера. В одном варианте осуществления изобретения и/или его вариантах осуществления представлены соединения в соответствии с формулой (Ieii), предпочтительно в форме (S)-энантиомера. В одном варианте осуществления изобретения и/или его вариантах осуществления представлены соединения в соответствии с формулой (Ieiii), предпочтительно в форме (S)-энантиомера. В одном варианте осуществления изобретения и/или его вариантах осуществления представлены соединения в соответствии с формулой (Ieiv), предпочтительно в форме (S)-энантиомера.

Изобретение обеспечивает соединение в соответствии с изобретением и/или его вариантами осуществления, где R25 имеет значение, определенное выше.

В одном варианте осуществления изобретения и/или его вариантах осуществления R25 представляет собой водород или C1-3-алкил.

В одном варианте осуществления изобретения и/или его вариантах осуществления R25 представляет собой водород или метил.

В одном варианте осуществления изобретения и/или его вариантах осуществления представлены соединения в соответствии с формулой (Ifi) или (Ifii)

или стереоизомер, физиологически приемлемая соль, сложный эфир, сольват, полиморф, пролекарство и их смеси, где R1, R7, R13, R14, A1, A2, A3, A4 и R19 имеют значение, определенное в любом из вариантов осуществления, описанных в настоящей заявке.

В одном варианте осуществления изобретения и/или его вариантах осуществления представлены соединения в соответствии с формулой (Ifi), предпочтительно в форме (S)-энантиомера. В одном варианте осуществления изобретения и/или его вариантах осуществления представлены соединения в соответствии с формулой (Ifii), предпочтительно в форме (S)-энантиомера.

Изобретение обеспечивает соединение в соответствии с изобретением и/или его вариантами осуществления, где R1 и R7 имеют значение, определенное выше.

В одном варианте осуществления изобретения и/или его вариантах осуществления

R1 независимо выбран из группы, состоящей из

водорода, C1-6-алкила, C1-6-алкокси, галогена, циано, нитро, гидрокси, NR2R3, C(=O)OR4 и C(=O)NR5R6,

где каждый C1-6-алкил или C1-6-алкокси необязательно замещен одним или несколькими заместителями, независимо выбранными из группы, состоящей из

C1-6-алкила, C1-6-алкокси, галогена, циано, нитро, гидрокси и NR2’R3’,

R2 и R3 независимо выбраны из группы, состоящей из

водорода, C1-6-алкила, C3-10-циклоалкила, C6-10-арила и 5-10-членного гетероарила, или

R2 и R3 вместе с N атомом, к которому они присоединены, образуют насыщенное или ненасыщенное гетероциклическое кольцо, содержащее от 3 до 12 кольцевых атомов, где 1 кольцевой атом представляет собой N и где 0, 1, 2 или 3 других кольцевых атома выбраны из N, S и O;

где каждый C1-6-алкил, C3-10-циклоалкил, C6-10-арил или 5-10-членный гетероарил, или гетероциклическое кольцо, образованное R2 и R3 вместе с N атомом, к которому они присоединены, необязательно замещены одним или несколькими заместителями, независимо выбранными из группы, состоящей из

C1-6-алкила, C3-10-циклоалкила и C1-6-алкокси,

R4, R5 и R6 независимо выбраны из водорода и C1-6-алкила, предпочтительно из водорода и C1-3-алкила,

R2’ и R3’ независимо выбраны из водорода и C1-6-алкила, предпочтительно из водорода и C1-3-алкила,

и

R7 независимо выбран из группы, состоящей из

водорода, C1-6-алкила, C2-6-алкенила, C3-10-циклоалкила, 4-10-членного гетероциклила, C1-6-алкокси, галогена, циано, гидрокси, NR8R9, C(=O)OR10, SR10, SOR10, SO2R10 и C(=O)NR11R12,

где каждый C1-6-алкил, C2-6-алкенил, C3-10-циклоалкил, 4-10-членный гетероциклил или C1-6-алкокси необязательно замещен одним или несколькими заместителями, независимо выбранными из группы, состоящей из

C1-6-алкила, C3-10-циклоалкила, 5-10-членного гетероциклила, C1-6-алкокси, галогена, циано, гидрокси, NR8’R9’, C(=O)OR10’ и C(=O)NR11’R12’,

R8 и R9 независимо выбраны из группы, состоящей из

водорода, C1-6-алкила, C3-10-циклоалкила, C6-10-арила, 5-10-членного гетероциклила и 5-10-членного гетероарила, или

R8 и R9 вместе с N атомом, к которому они присоединены, образуют насыщенное или ненасыщенное гетероциклическое кольцо, содержащее от 3 до 12 кольцевых атомов, где 1 кольцевой атом представляет собой N и где 0, 1, 2 или 3 других кольцевых атома выбраны из N, S и O;

где C1-6-алкил, C3-10-циклоалкил, C6-10-арил, 5-10-членный гетероциклил или 5-10-членный гетероарил, или гетероциклическое кольцо, образованное R8 и R9 вместе с N атомом, к которому они присоединены, необязательно замещены одним или несколькими заместителями, независимо выбранными из группы, состоящей из

C1-6-алкила, C1-6-алкокси, галогена, циано, гидрокси, NR8’’R9’’, C(=O)-OR10’’ и C(=O)NR11’’R12’’;

R10, R11 и R12 независимо выбраны из водорода и C1-6-алкила,

R8’, R9’, R10’, R11’ и R12’ независимо выбраны из водорода и C1-6-алкила,

R8’’, R9’’, R10’’, R11’’ и R12’’ независимо выбраны из водорода и C1-6-алкила.

В одном варианте осуществления изобретения и/или его вариантах осуществления

R1 независимо выбран из группы, состоящей из

водорода, C1-6-алкила, C1-6-алкокси и галогена,

где C1-6-алкил и C1-6-алкокси необязательно замещены одним или несколькими заместителями, независимо выбранными из группы, состоящей из

C1-6-алкила, C1-6-алкокси, галогена, циано, гидрокси и NR2’R3’,

где R2’ и R3’ независимо выбраны из водорода и C1-3-алкила, более предпочтительно из водорода и метила,

и

R7 независимо выбран из группы, состоящей из

водорода, C1-6-алкила, C2-6-алкенила, 4-10-членного гетероциклила, C1-3-алкокси, гидрокси, NR8R9, SR10, SOR10 и SO2R10 ,

где каждый C1-6-алкил, C2-6-алкенил, 4-10-членный гетероциклил или C1-3-алкокси необязательно замещен одним или несколькими заместителями, независимо выбранными из группы, состоящей из

C1-3-алкила, 5-10-членного гетероциклила, C1-6-алкокси, галогена, циано, гидрокси, NR8’R9’, C(=O)OR10’ и C(=O)NR11’R12’,

R8 и R9 независимо выбраны из группы, состоящей из

водорода, C1-6-алкила, C6-10-арила и 5-10-членного гетероарила, или

R8 и R9 вместе с N атомом, к которому они присоединены, образуют насыщенное или ненасыщенное гетероциклическое кольцо, содержащее от 3 до 12 кольцевых атомов, где 1 кольцевой атом представляет собой N и где 0, 1, 2 или 3 других кольцевых атома выбраны из N, S и O;

где C1-6-алкил, C6-10-арил или 5-10-членный гетероарил, или гетероциклическое кольцо, образованное R8 и R9 вместе с N атомом, к которому они присоединены, необязательно замещены одним или несколькими заместителями, независимо выбранными из группы, состоящей из

C1-6-алкила, C1-6-алкокси, гидрокси и NR8’’R9’’;

R10 независимо выбран из водорода или C1-3-алкила, предпочтительно из водорода, метила или этила,

R8’, R9’, R10’, R11’ и R12’ независимо выбраны из водорода или C1-3-алкила, предпочтительно из водорода, метила или этила,

R8’’ и R9’’ независимо выбраны из водорода или C1-3-алкила, предпочтительно из водорода, метила или этила.

В одном варианте осуществления изобретения и/или его вариантах осуществления

R1 независимо выбран из группы, состоящей из

водорода, метила, трифторметила, этила, метокси, этокси, фторида и хлорида,

и

R7 независимо выбран из группы, состоящей из

метила, этила, пропила, изопропила, изопропенила метокси, этокси, изопропокси, гидрокси, метилсульфоксила, метилсульфонила метилтио, амино, метиламино, этиламино, (этил)(метил)амино, изопропиламино, диметиламино, (изопропил)(метил)амино, гидроксиэтиламино, (гидроксиэтил)(метил)амино, метоксиэтиламино, морфолин-4-ила, пирролин-1-ила, 3-гидрокси-пирролидина 3-фторазетидинила и 3,3-дифторазетидинила.

В одном варианте осуществления изобретения и/или его вариантах осуществления представлены соединения в соответствии с формулой (Igi), (Igii), (Igiii), (Igiv), (Igv) или (Igvi)

или стереоизомер, физиологически приемлемая соль, сложный эфир, сольват, полиморф, пролекарство и их смеси, где R13, R14, A1,A2, A3, A4, R19 и R25 имеют значение, определенное в любом из вариантов осуществления, описанных в настоящей заявке.

В одном варианте осуществления изобретения и/или его вариантах осуществления представлены соединения в соответствии с формулой (Igi), предпочтительно в форме (S)-энантиомера. В одном варианте осуществления изобретения и/или его вариантах осуществления представлены соединения в соответствии с формулой (Igii), предпочтительно в форме (S)-энантиомера. В одном варианте осуществления изобретения и/или его вариантах осуществления представлены соединения в соответствии с формулой (Igiii), предпочтительно в форме (S)-энантиомера. В одном варианте осуществления изобретения и/или его вариантах осуществления представлены соединения в соответствии с формулой (Igiv), предпочтительно в форме (S)-энантиомера. В одном варианте осуществления изобретения и/или его вариантах осуществления представлены соединения в соответствии с формулой (Igv, предпочтительно в форме (S)-энантиомера). В одном варианте осуществления изобретения и/или его вариантах осуществления представлены соединения в соответствии с формулой (Igvi, предпочтительно в форме (S)-энантиомера).

Изобретение обеспечивает соединение в соответствии с изобретением и/или его вариантами осуществления, где R1, а также R13, R14, A1, A2, A3 и A4 имеют значение, определенное выше.

В одном варианте осуществления изобретения и/или его вариантах осуществления

R1 независимо выбран из группы, состоящей из

водорода, C1-6-алкила, C1-6-алкокси, галогена, циано, нитро, гидрокси, NR2R3, C(=O)OR4 и C(=O)NR5R6,

где каждый C1-6-алкил или C1-6-алкокси необязательно замещен одним или несколькими заместителями, независимо выбранными из группы, состоящей из

C1-6-алкила, C1-6-алкокси, галогена, циано, нитро, гидрокси и NR2’R3’,

R2 и R3 независимо выбраны из группы, состоящей из

водорода, C1-6-алкила, C3-10-циклоалкила, C6-10-арила и 5-10-членного гетероарила, или

R2 и R3 вместе с N атомом, к которому они присоединены, образуют насыщенное или ненасыщенное гетероциклическое кольцо, содержащее от 3 до 12 кольцевых атомов, где 1 кольцевой атом представляет собой N и где 0, 1, 2 или 3 других кольцевых атома выбраны из N, S и O;

где каждый C1-6-алкил, C3-10-циклоалкил, C6-10-арил или 5-10-членный гетероарил, или гетероциклическое кольцо, образованное R2 и R3 вместе с N атомом, к которому они присоединены, необязательно замещены одним или несколькими заместителями, независимо выбранными из группы, состоящей из

C1-6-алкила, C3-10-циклоалкила и C1-6-алкокси,

R4, R5 и R6 независимо выбраны из водорода и C1-6-алкила, предпочтительно из водорода и C1-3-алкила,

R2’ и R3’ независимо выбраны из водорода и C1-6-алкила, предпочтительно из водорода и C1-3-алкила,

и

R13 и R14 вместе с атомами, к которым они присоединены, образуют содержащее 5 или 6 атомов углерода неароматическое кольцо, где неароматическое кольцо необязательно замещено одним или несколькими заместителями C1-3-алкил или =O, и/или где один или несколько из образующих кольцо атомов углерода необязательно замещены -NH-, -O-, -S(O)-, -S(O)2- или -S-,

A1 представляет собой N или CR15, где R15 независимо представляет собой водород, галоген, C1-3 алкил, C1-3 алкокси или NR15’R15’’, где R15’ и R15’’ независимо представляют собой C1-3-алкил,

A2 представляет собой N или CR16, где R16 независимо представляет собой водород, галоген, C1-3 алкил, C1-3 алкокси или NR16’R16’’, где R16’ и R16’’ независимо представляют собой C1-3-алкил,

A3 представляет собой N или CR17, где R17 независимо представляет собой водород, галоген, C1-3 алкил, C1-3 алкокси или NR17’R17’’, где R17’ и R17’’ независимо представляют собой C1-3-алкил,

A4 представляет собой N или CR18, где R18 независимо представляет собой водород, галоген, C1-3 алкил, C1-3 алкокси или NR18’R18’’, где R18’ и R18’’ независимо представляют собой C1-3-алкил.

Необязательно, в одном варианте осуществления изобретения и/или его вариантах осуществления

R1 независимо выбран из группы, состоящей из

водорода, C1-6-алкила, C1-6-алкокси и галогена,

где C1-6-алкил и C1-6-алкокси необязательно замещены одним или несколькими заместителями, независимо выбранными из группы, состоящей из

C1-6-алкила, C1-6-алкокси, галогена, циано, гидрокси и NR2’R3’,

где R2’ и R3’ независимо выбраны из водорода и C1-3-алкила, более предпочтительно из водорода и метила,

и

R13 и R14 вместе с атомами, к которым они присоединены, образуют содержащее 5 или 6 атомов углерода неароматическое кольцо, где один или несколько из образующих кольцо атомов углерода необязательно замещены -NH-, -O- или -S-,

A1 представляет собой N или CR15, где R15 независимо представляет собой водород, C1-3 алкил или C1-3 алкокси,

A2 представляет собой N или CR16, где R16 независимо представляет собой водород, C1-3 алкил или C1-3 алкокси,

A3 представляет собой N или CR17, где R17 независимо представляет собой водород, C1-3 алкил или C1-3 алкокси,

A4 представляет собой N или CR18, где R18 независимо представляет собой водород, C1-3 алкил или C1-3 алкокси,

где ни один, один или два из A1, A2, A3 и A4 представляют собой N.

В одном варианте осуществления изобретения и/или его вариантах осуществления

R1 независимо выбран из группы, состоящей из

водорода, метила, трифторметила, этила, метокси, этокси, фторида и хлорида,

и

R13 и R14 вместе с атомами, к которым они присоединены, образуют содержащее 5 или 6 атомов углерода неароматическое кольцо, где один или несколько из образующих кольцо атомов углерода необязательно замещены -NH- или -O-,

A1 представляет собой N или CR15, где R15 независимо представляет собой водород или C1-3 алкокси,

A2 представляет собой N или CR16, где R16 независимо представляет собой водород или C1-3 алкокси,

A3 представляет собой N или CR17, где R17 независимо представляет собой водород или C1-3 алкокси, предпочтительно водород,

A4 представляет собой N или CR18, где R18 независимо представляет собой водород или C1-3 алкокси, предпочтительно водород,

где ни один, один или два из A1, A2, A3 и A4 представляют собой N.

В одном варианте осуществления изобретения и/или его вариантах осуществления представлены соединения в соответствии с формулой (Ihi), (Ihii) (Ihiii), (Ihiv), (Ihv) или (Ihvi)

или стереоизомер, физиологически приемлемая соль, сложный эфир, сольват, полиморф, пролекарство и их смеси, где R7, R19 и R25 имеют значение, определенное в любом из вариантов осуществления, описанных в настоящей заявке.

В одном варианте осуществления изобретения и/или его вариантах осуществления представлены соединения в соответствии с формулой (Ihi), предпочтительно в форме (S)-энантиомера. В одном варианте осуществления изобретения и/или его вариантах осуществления представлены соединения в соответствии с формулой (Ihii), предпочтительно в форме (S)-энантиомера. В одном варианте осуществления изобретения и/или его вариантах осуществления представлены соединения в соответствии с формулой (Ihiii), предпочтительно в форме (S)-энантиомера. В одном варианте осуществления изобретения и/или его вариантах осуществления представлены соединения в соответствии с формулой (Ihiv), предпочтительно в форме (S)-энантиомера. В одном варианте осуществления изобретения и/или его вариантах осуществления представлены соединения в соответствии с формулой (Ihv). В одном варианте осуществления изобретения и/или его вариантах осуществления представлены соединения в соответствии с формулой (Ihvi), предпочтительно в форме (S)-энантиомера.

В одном варианте осуществления изобретения и/или его вариантах осуществления

R1 независимо выбран из группы, состоящей из

водорода, C1-6-алкила, C1-6-алкокси, галогена, циано, нитро, гидрокси, NR2R3, C(=O)OR4 и C(=O)NR5R6,

где каждый C1-6-алкил или C1-6-алкокси необязательно замещен одним или несколькими заместителями, независимо выбранными из группы, состоящей из

C1-6-алкила, C1-6-алкокси, галогена, циано, нитро, гидрокси и NR2’R3’,

R2 и R3 независимо выбраны из группы, состоящей из

водорода, C1-6-алкил, C3-10-циклоалкила, C6-10-арила и 5-10-членного гетероарила, или

R2 и R3 вместе с N атомом, к которому они присоединены, образуют насыщенное или ненасыщенное гетероциклическое кольцо, содержащее от 3 до 12 кольцевых атомов, где 1 кольцевой атом представляет собой N и где 0, 1, 2 или 3 других кольцевых атома выбраны из N, S и O;

где каждый C1-6-алкил, C3-10-циклоалкил, C6-10-арил или 5-10-членный гетероарил, или гетероциклическое кольцо, образованное R2 и R3 вместе с N атомом, к которому они присоединены, необязательно замещены одним или несколькими заместителями, независимо выбранными из группы, состоящей из

C1-6-алкила, C3-10-циклоалкила и C1-6-алкокси,

R4, R5 и R6 независимо выбраны из водорода и C1-6-алкила, предпочтительно из водорода и C1-3-алкила,

R2’ и R3’ независимо выбраны из водорода и C1-6-алкила, предпочтительно из водорода и C1-3-алкила,

и

R13 и R14 вместе с атомами, к которым они присоединены, образуют содержащее 5 или 6 атомов углерода ароматическое кольцо, где ароматическое кольцо необязательно замещено одним или несколькими C1-3-алкильными заместителями, и/или где один или несколько из образующих кольцо атомов углерода необязательно замещены -NH-, -N=, =N-, -O- или -S-,

A1 представляет собой N или CR15, где R15 независимо представляет собой водород, галоген C1-3 алкил, C1-3 алкокси или NR15’R15’’, где R15’ и R15’’ независимо представляют собой C1-3-алкил,

A2 представляет собой N или CR16, где R16 независимо представляет собой водород, галоген, C1-3 алкил, C1-3 алкокси или NR16’R16’’, где R16’ и R16’’ независимо представляют собой C1-3-алкил,

A3 представляет собой N или CR17, где R17 независимо представляет собой водород, галоген, C1-3 алкил, C1-3 алкокси или NR15’R15’’, где R15’ и R15’’ независимо представляют собой C1-3-алкил,

A4 представляет собой N или CR18, где R18 независимо представляет собой водород, галоген, C1-3 алкил, C1-3 алкокси или NR15’R15’’, где R15’ и R15’’ независимо представляют собой C1-3-алкил.

Необязательно, в одном варианте осуществления изобретения и/или его вариантах осуществления

R1 независимо выбран из группы, состоящей из

водорода, C1-6-алкила, C1-6-алкокси и галогена,

где C1-6-алкил и C1-6-алкокси необязательно замещен одним или несколькими заместителями, независимо выбранными из группы, состоящей из

C1-6-алкила, C1-6-алкокси, галогена, циано, гидрокси и NR2’R3’,

где R2’ и R3’ независимо выбраны из водорода и C1-3-алкила, более предпочтительно из водорода и метила,

и

R13 и R14 вместе с атомами, к которым они присоединены, образуют содержащее 5 или 6 атомов углерода ароматическое кольцо, где один или несколько из образующих кольцо атомов углерода необязательно замещены -NH-, -N=, =N-, -O- или -S-,

A1 представляет собой N или CR15, где R15 независимо представляет собой водород, C1-3 алкил или C1-3 алкокси,

A2 представляет собой N или CR16, где R16 независимо представляет собой водород, C1-3 алкил или C1-3 алкокси,

A3 представляет собой N или CR17, где R17 независимо представляет собой водород, C1-3 алкил или C1-3 алкокси,

A4 представляет собой N или CR18, где R18 независимо представляет собой водород, C1-3 алкил или C1-3 алкокси,

где ни один, один или два из A1, A2, A3 и A4 представляют собой N.

В одном варианте осуществления изобретения и/или его вариантах осуществления

R1 независимо выбран из группы, состоящей из

водорода, метила, трифторметила, этила, метокси, этокси, фторида и хлорида,

и

R13 и R14 вместе с атомами, к которым они присоединены, образуют содержащее 5 или 6 атомов углерода ароматическое кольцо, где один или несколько из образующих кольцо атомов углерода необязательно замещены -NH-, -N=, =N- или -S-,

A1 представляет собой N или CR15, где R15 независимо представляет собой водород или C1-3 алкокси,

A2 представляет собой N или CR16, где R16 независимо представляет собой водород или C1-3 алкокси,

A3 представляет собой N или CR17, где R17 независимо представляет собой водород или C1-3 алкокси, предпочтительно водород,

A4 представляет собой N или CR18, где R18 независимо представляет собой водород или C1-3 алкокси, предпочтительно водород,

где ни один, один или два из A1, A2, A3 и A4 представляют собой N.

В одном варианте осуществления изобретения и/или его вариантах осуществления представлены соединения в соответствии с формулой (Ihvii), (Ihviii) (Ihix), (Ihx), (Ihxi) или (Ihxii)

Формула (Ihvii)

Формула (Ihviii)

или стереоизомер, физиологически приемлемая соль, сложный эфир, сольват, полиморф, пролекарство и их смеси, где R7, R19 и R25 имеют значение, определенное в любом из вариантов осуществления, описанных в настоящей заявке.

В одном варианте осуществления изобретения и/или его вариантах осуществления представлены соединения в соответствии с формулой (Ihvii), предпочтительно в форме (S)-энантиомера. В одном варианте осуществления изобретения и/или его вариантах осуществления представлены соединения в соответствии с формулой (Ihviii), предпочтительно в форме (S)-энантиомера. В одном варианте осуществления изобретения и/или его вариантах осуществления представлены соединения в соответствии с формулой (Ihix), предпочтительно в форме (S)-энантиомера. В одном варианте осуществления изобретения и/или его вариантах осуществления представлены соединения в соответствии с формулой (Ihx), предпочтительно в форме (S)-энантиомера. В одном варианте осуществления изобретения и/или его вариантах осуществления представлены соединения в соответствии с формулой (Ihxi). В одном варианте осуществления изобретения и/или его вариантах осуществления представлены соединения в соответствии с формулой (Ihxii), предпочтительно в форме (S)-энантиомера.

Изобретение обеспечивает соединение в соответствии с изобретением и/или его вариантами осуществления, где R1 и R19 имеют значение, определенное выше.

В одном варианте осуществления изобретения и/или его вариантах осуществления

R1 независимо выбран из группы, состоящей из

водорода, C1-6-алкила, C1-6-алкокси, галогена, циано, нитро, гидрокси, NR2R3, C(=O)OR4 и C(=O)NR5R6,

где каждый C1-6-алкил или C1-6-алкокси необязательно замещен одним или несколькими заместителями, независимо выбранными из группы, состоящей из C1-6-алкила, C1-6-алкокси, галогена, циано, нитро, гидрокси и NR2’R3’,

R2 и R3 независимо выбраны из группы, состоящей из

водорода, C1-6-алкила, C3-10-циклоалкила, C6-10-арила и 5-10-членного гетероарила, или

R2 и R3 вместе с N атомом, к которому они присоединены, образуют насыщенное или ненасыщенное гетероциклическое кольцо, содержащее от 3 до 12 кольцевых атомов, где 1 кольцевой атом представляет собой N и где 0, 1, 2 или 3 других кольцевых атома выбраны из N, S и O;

где каждый C1-6-алкил, C3-10-циклоалкил, C6-10-арил или 5-10-членный гетероарил, или гетероциклическое кольцо, образованное R2 и R3 вместе с N атомом, к которому они присоединены, необязательно замещены одним или несколькими заместителями, независимо выбранными из группы, состоящей из

C1-6-алкила, C3-10-циклоалкила и C1-6-алкокси,

R4, R5 и R6 независимо выбраны из водорода и C1-6-алкила, предпочтительно из водорода и C1-3-алкила,

R2’ и R3’ независимо выбраны из водорода и C1-6-алкила, предпочтительно из водорода и C1-3-алкила,

и

R19 независимо выбран из группы, состоящей из

C6-10-арила и 5-10-членного гетероарила,

где каждый C6-10-арил или 5-10-членный гетероарил необязательно замещен одним или несколькими заместителями, независимо выбранными из группы, состоящей из C1-6-алкила, C3-10-циклоалкила, C1-6-алкокси,5-10-членного гетероциклила, C6-10-арила, 5-10-членного гетероарила, галогена, циано, нитро, гидрокси, NR20R21, C(=O)OR22 и C(=O)NR23R24,

R20 и R21 независимо выбраны из группы, состоящей из

водорода, C1-6-алкила, C3-10-циклоалкила и C6-10-арила, или

R20 и R21 вместе с N атомом, к которому они присоединены, образуют насыщенное или ненасыщенное гетероциклическое кольцо, содержащее от 3 до 12 кольцевых атомов, где 0, 1, 2 или 3 других кольцевых атома выбраны из N, S и O;

где каждый C1-6-алкил, C3-10-циклоалкил или C6-10-арил, или гетероциклическое кольцо, образованное R20 и R21 вместе с N атомом, к которому они присоединены, необязательно замещены одним или несколькими заместителями, независимо выбранными из группы, состоящей из

C1-6-алкила, C3-10-циклоалкила, C1-6-алкокси, 5-10-членного гетероциклила, C6-10-арила, 5-10-членного гетероарила, галогена, циано, гидрокси, NR20’R21’, C(=O)OR22’ и C(=O)NR23’R24’

R22, R23 и R24 независимо выбраны из водорода и C1-6-алкила,

R20’, R21’, R22’, R23’ и R24’ независимо выбраны из водорода и C1-6-алкила.

Необязательно, в одном варианте осуществления изобретения и/или его вариантах осуществления

R1 независимо выбран из группы, состоящей из

водорода, C1-6-алкила, C1-6-алкокси и галогена,

где C1-6-алкил и C1-6-алкокси необязательно замещены одним или несколькими заместителями, независимо выбранными из группы, состоящей из C1-6-алкила, C1-6-алкокси, галогена, циано, гидрокси и NR2’R3’,

где R2’ и R3’ независимо выбраны из водорода и C1-3-алкила, более предпочтительно из водорода и метила,

и

R19 независимо выбран из группы, состоящей из

C6-10-арила и 5-10-членного гетероарила,

где каждый C6-10-арил или 5-10-членный гетероарил необязательно замещен одним или несколькими заместителями, независимо выбранными из группы, состоящей из C1-6-алкила, C1-6-алкокси, галогена, циано, нитро и гидрокси.

В одном варианте осуществления изобретения и/или его вариантах осуществления

R1 независимо выбран из группы, состоящей из

водорода, метила, трифторметила, этила, метокси, этокси, фторида и хлорида,

и

R19 независимо выбран из группы, состоящей из

3-хлорфенила, 2,3-дихлорфенила, 3,5-дихлорфенила, 3,5-дифторфенила, 2,3,5-трифторфенила, 3,4,5-трифторфенила, 3-хлор-2-фторфенила, 5-хлор-3-фторфенила,5-хлор-3-фторфенила, 3,5-дихлор-4-фторфенила, в частности 2,3,5-трифторфенила, 5-хлор-2-фторфенила, 2,3-дихлорфенила и 3,5-дихлорфенила.

В одном варианте осуществления изобретения и/или его вариантах осуществления представлены соединения в соответствии с формулой (Iii), (Iiii), (Iiiii), (Iiiv), (Iiv) или (Iivi)

или стереоизомер, физиологически приемлемая соль, сложный эфир, сольват, полиморф, пролекарство и их смеси, где R7, R13, R14, A1, A2, A3, A4 и R25 имеют значение, определенное в любом из вариантов осуществления, описанных в настоящей заявке.

В одном варианте осуществления изобретения и/или его вариантах осуществления представлены соединения в соответствии с формулой (Iii), предпочтительно в форме (S)-энантиомера. В одном варианте осуществления изобретения и/или его вариантах осуществления представлены соединения в соответствии с формулой (Iiii), предпочтительно в форме (S)-энантиомера. В одном варианте осуществления изобретения и/или его вариантах осуществления представлены соединения в соответствии с формулой (Iiiii), предпочтительно в форме (S)-энантиомера. В одном варианте осуществления изобретения и/или его вариантах осуществления представлены соединения в соответствии с формулой (Iiiv), предпочтительно в форме (S)-энантиомера. В одном варианте осуществления изобретения и/или его вариантах осуществления представлены соединения в соответствии с формулой (Iiv), предпочтительно в форме (S)-энантиомера. В одном варианте осуществления изобретения и/или его вариантах осуществления представлены соединения в соответствии с формулой (Iivi), предпочтительно в форме (S)-энантиомера.

Изобретение обеспечивает соединение в соответствии с изобретением и/или его вариантами осуществления, где R1 и R25 имеют значение, определенное выше.

В одном варианте осуществления изобретения и/или его вариантах осуществления R1 независимо выбран из группы, состоящей из

водорода, C1-6-алкила, C1-6-алкокси, галогена, циано, нитро, гидрокси, NR2R3, C(=O)OR4 и C(=O)NR5R6,

где каждый C1-6-алкил или C1-6-алкокси необязательно замещен одним или несколькими заместителями, независимо выбранными из группы, состоящей из

C1-6-алкила, C1-6-алкокси, галогена, циано, нитро, гидрокси и NR2’R3’,

R2 и R3 независимо выбраны из группы, состоящей из

водорода, C1-6-алкила, C3-10-циклоалкила, C6-10-арила и 5-10-членного гетероарила, или

R2 и R3 вместе с N атомом, к которому они присоединены, образуют насыщенное или ненасыщенное гетероциклическое кольцо, содержащее от 3 до 12 кольцевых атомов, где 1 кольцевой атом представляет собой N и где 0, 1, 2 или 3 других кольцевых атома выбраны из N, S и O;

где каждый C1-6-алкил, C3-10-циклоалкил, C6-10-арил или 5-10-членный гетероарил, или гетероциклическое кольцо, образованное R2 и R3 вместе с N атомом, к которому они присоединены, необязательно замещены одним или несколькими заместителями, независимо выбранными из группы, состоящей из

C1-6-алкила, C3-10-циклоалкила и C1-6-алкокси,

R4, R5 и R6 независимо выбраны из водорода и C1-6-алкила, предпочтительно из водорода и C1-3-алкила,

R2’ и R3’ независимо выбраны из водорода и C1-6-алкила, предпочтительно из водорода и C1-3-алкила,

и

R25 представляет собой водород или C1-3-алкил.

В одном варианте осуществления изобретения и/или его вариантах осуществления R1 независимо выбран из группы, состоящей из

водорода, метила, трифторметила, этила, метокси, этокси, фторида и хлорида,

и

R25 представляет собой водород или метил.

В одном варианте осуществления изобретения и/или его вариантах осуществления представлены соединения в соответствии с формулой (Iji), (Ijii), (Ijiii) или (Ijiv)

Формула (Iji)

Формула (Ijii)

Формула (Ijiii)

Формула (Ijiv)

или стереоизомер, физиологически приемлемая соль, сложный эфир, сольват, полиморф, пролекарство и их смеси, где R7, R13, R14, A1, A2, A3 и A4 имеют значение, определенное в любом из вариантов осуществления, описанных в настоящей заявке.

В одном варианте осуществления изобретения и/или его вариантах осуществления представлены соединения в соответствии с формулой (Iji), предпочтительно в форме (S)-энантиомера. В одном варианте осуществления изобретения и/или его вариантах осуществления представлены соединения в соответствии с формулой (Ijii), предпочтительно в форме (S)-энантиомера. В одном варианте осуществления изобретения и/или его вариантах осуществления представлены соединения в соответствии с формулой (Ijiii), предпочтительно в форме (S)-энантиомера. В одном варианте осуществления изобретения и/или его вариантах осуществления представлены соединения в соответствии с формулой (Ijiv), предпочтительно в форме (S)-энантиомера.

Изобретение обеспечивает соединение в соответствии с изобретением и/или его вариантами осуществления, где R7, а также R13, R14, A1, A2; A3 и A4 имеют значение, определенное выше.

В одном варианте осуществления изобретения и/или его вариантах осуществления

R7 независимо выбран из группы, состоящей из

водорода, C1-6-алкила, C2-6-алкенила, C3-10-циклоалкила, 4-10-членного гетероциклила, C1-6-алкокси, галогена, циано, гидрокси, NR8R9, C(=O)OR10, SR10, SOR10, SO2R10 и C(=O)NR11R12,

где каждый C1-6-алкил, C2-6-алкенил, C3-10-циклоалкил, 4-10-членный гетероциклил или C1-6-алкокси необязательно замещен одним или несколькими заместителями, независимо выбранными из группы, состоящей из

C1-6-алкила, C3-10-циклоалкила, 5-10-членного гетероциклила, C1-6-алкокси, галогена, циано, гидрокси, NR8’R9’, C(=O)OR10’ и C(=O)NR11’R12’,

R8 и R9 независимо выбраны из группы, состоящей из

водорода, C1-6-алкила, C3-10-циклоалкила, C6-10-арила, 5-10-членного гетероциклила и 5-10-членного гетероарила, или

R8 и R9 вместе с N атомом, к которому они присоединены, образуют насыщенное или ненасыщенное гетероциклическое кольцо, содержащее от 3 до 12 кольцевых атомов, где 1 кольцевой атом представляет собой N и где 0, 1, 2 или 3 других кольцевых атома выбраны из N, S и O;

где C1-6-алкил, C3-10-циклоалкил, C6-10-арил, 5-10-членный гетероциклил или 5-10-членный гетероарил, или гетероциклическое кольцо, образованное R8 и R9 вместе с N атомом, к которому они присоединены, необязательно замещены одним или несколькими заместителями, независимо выбранными из группы, состоящей из

C1-6-алкила, C1-6-алкокси, галогена, циано, гидрокси, NR8’’R9’’, C(=O)-OR10’’ и C(=O)NR11’’R12’’;

R10, R11 и R12 независимо выбраны из водорода и C1-6-алкила,

R8’, R9’, R10’, R11’ и R12’ независимо выбраны из водорода и C1-6-алкила,

R8’’, R9’’, R10’’, R11’’ и R12’’ независимо выбраны из водорода и C1-6-алкила,

и

R13 и R14 вместе с атомами, к которым они присоединены, образуют содержащее 5 или 6 атомов углерода неароматическое кольцо, где неароматическое кольцо необязательно замещено одним или несколькими заместителями C1-3-алкил или =O, и/или где один или несколько из образующих кольцо атомов углерода необязательно замещены -NH-, -O-, -S(O)-, -S(O)2- или -S-,

A1 представляет собой N или CR15, где R15 независимо представляет собой водород, галоген, C1-3 алкил, C1-3 алкокси или NR15’R15’’, где R15’ и R15’’ независимо представляют собой C1-3-алкил,

A2 представляет собой N или CR16, где R16 независимо представляет собой водород, галоген, C1-3 алкил, C1-3 алкокси или NR16’R16’’, где R16’ и R16’’ независимо представляют собой C1-3-алкил,

A3 представляет собой N или CR17, где R17 независимо представляет собой водород, галоген, C1-3 алкил, C1-3 алкокси или NR17’R17’’, где R17’ и R17’’ независимо представляют собой C1-3-алкил,

A4 представляет собой N или CR18, где R18 независимо представляет собой водород, галоген, C1-3 алкил, C1-3 алкокси или NR18’R18’’, где R18’ и R18’’ независимо представляют собой C1-3-алкил.

В одном варианте осуществления изобретения и/или его вариантах осуществления

R7 независимо выбран из группы, состоящей из

водорода, C1-6-алкила, C2-6-алкенила, 4-10-членного гетероциклила, C1-3-алкокси, гидрокси, NR8R9, SR10, SOR10 и SO2R10,

где каждый C1-6-алкил, C2-6-алкенил, 4-10-членный гетероциклил или C1-3-алкокси необязательно замещен одним или несколькими заместителями, независимо выбранными из группы, состоящей из C1-3-алкила, 5-10-членного гетероциклила, C1-6-алкокси, галогена, циано, гидрокси, NR8’R9’, C(=O)OR10’ и C(=O)NR11’R12’,

R8 и R9 независимо выбраны из группы, состоящей из

водорода, C1-6-алкила, C6-10-арила и 5-10-членного гетероарила, или

R8 и R9 вместе с N атомом, к которому они присоединены, образуют насыщенное или ненасыщенное гетероциклическое кольцо, содержащее от 3 до 12 кольцевых атомов, где 1 кольцевой атом представляет собой N и где 0, 1, 2 или 3 других кольцевых атома выбраны из N, S и O;

где C1-6-алкил, C6-10-арил или 5-10-членный гетероарил, или гетероциклическое кольцо, образованное R8 и R9 вместе с N атомом, к которому они присоединены, необязательно замещены одним или несколькими заместителями, независимо выбранными из группы, состоящей из C1-6-алкила, C1-6-алкокси, гидрокси и NR8’’R9’’;

R10 независимо выбран из водорода или C1-3-алкила, предпочтительно из водорода, метила или этила

R8’, R9’, R10’, R11’ и R12’ независимо выбраны из водорода или C1-3-алкила, предпочтительно из водорода, метила или этила,

R8’’ и R9’’ независимо выбраны из водорода или C1-3-алкила, предпочтительно из водорода, метила или этила,

и

R13 и R14 вместе с атомами, к которым они присоединены, образуют содержащее 5 или 6 атомов углерода неароматическое кольцо, где один или несколько из образующих кольцо атомов углерода необязательно замещены -NH-, -O- или -S-,

A1 представляет собой N или CR15, где R15 независимо представляет собой водород, C1-3 алкил или C1-3 алкокси,

A2 представляет собой N или CR16, где R16 независимо представляет собой водород, C1-3 алкил или C1-3 алкокси,

A3 представляет собой N или CR17, где R17 независимо представляет собой водород, C1-3 алкил или C1-3 алкокси,

A4 представляет собой N или CR18, где R18 независимо представляет собой водород, C1-3 алкил или C1-3 алкокси,

где ни один, один или два из A1, A2, A3 и A4 представляют собой N.

В одном варианте осуществления изобретения и/или его вариантах осуществления

R7 независимо выбран из группы, состоящей из

метила, этила, изопропила, изопропенила метокси, этокси, пропила, изопропокси, гидрокси, метилсульфоксила, метилсульфонила метилтио, амино, метиламино, этиламино, (этил)(метил)амино изопропиламино, диметиламино, (изопропил)(метил)амино, гидроксиэтиламино, (гидроксиэтил)(метил)амино, метоксиэтиламино, морфолин-4-ила, (метоксиэтил)(метил)амино, пирролидин-1-ила, 3-гидрокси-пирролидин-1-ила 3-фторазетидинила и 3,3-дифторазетидинила,

и

R13 и R14 вместе с атомами, к которым они присоединены, образуют содержащее 5 или 6 атомов углерода неароматическое кольцо, где один или несколько из образующих кольцо атомов углерода необязательно замещены -NH- или -O-,

A1 представляет собой N или CR15, где R15 независимо представляет собой водород или C1-3 алкокси,

A2 представляет собой N или CR16, где R16 независимо представляет собой водород или C1-3 алкокси,

A3 представляет собой N или CR17, где R17 независимо представляет собой водород или C1-3 алкокси, предпочтительно водород,

A4 представляет собой N или CR18, где R18 независимо представляет собой водород или C1-3 алкокси, предпочтительно водород,

где ни один, один или два из A1, A2, A3 и A4 представляют собой N.

В одном варианте осуществления изобретения и/или его вариантах осуществления представлены соединения в соответствии с формулой (Iki), (Ikii), (Ikiii), (Ikiv), (Ikv), (Ikvi), (Ikvii), (Ikviii) или (Ikix)

Формула (Iki)

или стереоизомер, физиологически приемлемая соль, сложный эфир, сольват, полиморф, пролекарство и их смеси, где R1, R19 и R25 имеют значение, определенное в любом из вариантов осуществления, описанных в настоящей заявке.

В одном варианте осуществления изобретения и/или его вариантах осуществления представлены соединения в соответствии с формулой (Iki), предпочтительно в форме (S)-энантиомера. В одном варианте осуществления изобретения и/или его вариантах осуществления представлены соединения в соответствии с формулой (Ikii), предпочтительно в форме (S)-энантиомера. В одном варианте осуществления изобретения и/или его вариантах осуществления представлены соединения в соответствии с формулой (Ikiii), предпочтительно в форме (S)-энантиомера. В одном варианте осуществления изобретения и/или его вариантах осуществления представлены соединения в соответствии с формулой (Ikiv), предпочтительно в форме (S)-энантиомера. В одном варианте осуществления изобретения и/или его вариантах осуществления представлены соединения в соответствии с формулой (Ikv), предпочтительно в форме (S)-энантиомера. В одном варианте осуществления изобретения и/или его вариантах осуществления представлены соединения в соответствии с формулой (Ikvi), предпочтительно в форме (S)-энантиомера. В одном варианте осуществления изобретения и/или его вариантах осуществления представлены соединения в соответствии с формулой (Ikvii), предпочтительно в форме (S)-энантиомера. В одном варианте осуществления изобретения и/или его вариантах осуществления представлены соединения в соответствии с формулой (Ikviii), предпочтительно в форме (S)-энантиомера. В одном варианте осуществления изобретения и/или его вариантах осуществления представлены соединения в соответствии с формулой (Ikix), предпочтительно в форме (S)-энантиомера.

В одном варианте осуществления изобретения и/или его вариантах осуществления

R7 независимо выбран из группы, состоящей из

водорода, C1-6-алкила, C2-6-алкенила, C3-10-циклоалкила, 4-10-членного гетероциклила, C1-6-алкокси, галогена, циано, гидрокси, NR8R9, C(=O)OR10, SR10, SOR10, SO2R10 и C(=O)NR11R12,

где каждый C1-6-алкил, C2-6-алкенил, C3-10-циклоалкил, 4-10-членный гетероциклил или C1-6-алкокси необязательно замещен одним или несколькими заместителями, независимо выбранными из группы, состоящей из

C1-6-алкила, C3-10-циклоалкила, 5-10-членного гетероциклила, C1-6-алкокси, галогена, циано, гидрокси, NR8’R9’, C(=O)OR10’ и C(=O)NR11’R12’,

R8 и R9 независимо выбраны из группы, состоящей из

водорода, C1-6-алкила, C3-10-циклоалкила, C6-10-арила, 5-10-членного гетероциклила и 5-10-членного гетероарила, или

R8 и R9 вместе с N атомом, к которому они присоединены, образуют насыщенное или ненасыщенное гетероциклическое кольцо, содержащее от 3 до 12 кольцевых атомов, где 1 кольцевой атом представляет собой N и где 0, 1, 2 или 3 других кольцевых атома выбраны из N, S и O;

где C1-6-алкил, C3-10-циклоалкил, C6-10-арил, 5-10-членный гетероциклил или 5-10-членный гетероарил, или гетероциклическое кольцо, образованное R8 и R9 вместе с N атомом, к которому они присоединены, необязательно замещены одним или несколькими заместителями, независимо выбранными из группы, состоящей из

C1-6-алкила, C1-6-алкокси, галогена, циано, гидрокси, NR8’’R9’’, C(=O)-OR10’’ и C(=O)NR11’’R12’’;

R10, R11 и R12 независимо выбраны из водорода и C1-6-алкила,

R8’, R9’, R10’, R11’ и R12’ независимо выбраны из водорода и C1-6-алкила,

R8’’, R9’’, R10’’, R11’’ и R12’’ независимо выбраны из водорода и C1-6-алкила,

и

R13 и R14 вместе с атомами, к которым они присоединены, образуют содержащее 5 или 6 атомов углерода ароматическое кольцо, где ароматическое кольцо необязательно замещено одним или несколькими C1-3-алкильными заместителями, и/или где один или несколько из образующих кольцо атомов углерода необязательно замещены -NH-, -N=, =N-, -O- или -S-,

A1 представляет собой N или CR15, где R15 независимо представляет собой водород, галоген C1-3 алкил, C1-3 алкокси или NR15’R15’’, где R15’ и R15’’ независимо представляют собой C1-3-алкил,

A2 представляет собой N или CR16, где R16 независимо представляет собой водород, галоген, C1-3 алкил, C1-3 алкокси или NR16’R16’’, где R16’ и R16’’ независимо представляют собой C1-3-алкил,

A3 представляет собой N или CR17, где R17 независимо представляет собой водород, галоген, C1-3 алкил, C1-3 алкокси или NR15’R15’’, где R15’ и R15’’ независимо представляют собой C1-3-алкил,

A4 представляет собой N или CR18, где R18 независимо представляет собой водород, галоген, C1-3 алкил, C1-3 алкокси или NR15’R15’’, где R15’ и R15’’ независимо представляют собой C1-3-алкил.

В одном варианте осуществления изобретения и/или его вариантах осуществления

R7 независимо выбран из группы, состоящей из

водорода, C1-6-алкила, C2-6-алкенила, 4-10-членного гетероциклила, C1-3-алкокси, гидрокси, NR8R9, SR10, SOR10 и SO2R10 ,

где каждый C1-6-алкил, C2-6-алкенил, 4-10-членный гетероциклил или C1-3-алкокси необязательно замещен одним или несколькими заместителями, независимо выбранными из группы, состоящей из C1-3-алкила, 5-10-членного гетероциклила, C1-6-алкокси, галогена, циано, гидрокси, NR8’R9’, C(=O)OR10’ и C(=O)NR11’R12’,

R8 и R9 независимо выбраны из группы, состоящей из

водорода, C1-6-алкила, C6-10-арила и 5-10-членного гетероарила, или

R8 и R9 вместе с N атомом, к которому они присоединены, образуют насыщенное или ненасыщенное гетероциклическое кольцо, содержащее от 3 до 12 кольцевых атомов, где 1 кольцевой атом представляет собой N и где 0, 1, 2 или 3 других кольцевых атома выбраны из N, S и O;

где C1-6-алкил, C6-10-арил или 5-10-членный гетероарил, или гетероциклическое кольцо, образованное R8 и R9 вместе с N атомом, к которому они присоединены, необязательно замещены одним или несколькими заместителями, независимо выбранными из группы, состоящей из C1-6-алкила, C1-6-алкокси, гидрокси и NR8’’R9’’;

R10 независимо выбран из водорода или C1-3-алкила, предпочтительно из водорода, метила или этила,

R8’, R9’, R10’, R11’ и R12’ независимо выбраны из водорода или C1-3-алкила, предпочтительно из водорода, метила или этила,

R8’’ и R9’’ независимо выбраны из водорода или C1-3-алкила, предпочтительно из водорода, метила или этила,

и

R13 и R14 вместе с атомами, к которым они присоединены, образуют содержащее 5 или 6 атомов углерода ароматическое кольцо, где один или несколько из образующих кольцо атомов углерода необязательно замещены -NH-, -N=, =N-, -O- или -S-,

A1 представляет собой N или CR15, где R15 независимо представляет собой водород, C1-3 алкил или C1-3 алкокси,

A2 представляет собой N или CR16, где R16 независимо представляет собой водород, C1-3 алкил или C1-3 алкокси,

A3 представляет собой N или CR17, где R17 независимо представляет собой водород, C1-3 алкил или C1-3 алкокси,

A4 представляет собой N или CR18, где R18 независимо представляет собой водород, C1-3 алкил или C1-3 алкокси,

где ни один, один или два из A1, A2, A3 и A4 представляют собой N.

В одном варианте осуществления изобретения и/или его вариантах осуществления

R7 независимо выбран из группы, состоящей из

метила, этила, изопропила, изопропенила метокси, этокси, пропила, изопропокси, гидрокси, метилсульфоксила, метилсульфонила метилтио, амино, метиламино, этиламино, (этил)(метил)амино изопропиламино, диметиламино, (изопропил)(метил)амино, гидроксиэтиламино, (гидроксиэтил)(метил)амино, метоксиэтиламино, морфолин-4-ила, (метоксиэтил)(метил)амино, пирролидин-1-ила, 3-гидрокси-пирролидин-1-ила 3-фторазетидинила и 3,3-дифторазетидинила,

и

R13 и R14 вместе с атомами, к которым они присоединены, образуют содержащее 5 или 6 атомов углерода ароматическое кольцо, где один или несколько из образующих кольцо атомов углерода необязательно замещены -NH-, -N=, =N- или -S-,

A1 представляет собой N или CR15, где R15 независимо представляет собой водород или C1-3 алкокси,

A2 представляет собой N или CR16, где R16 независимо представляет собой водород или C1-3 алкокси,

A3 представляет собой N или CR17, где R17 независимо представляет собой водород или C1-3 алкокси, предпочтительно водород,

A4 представляет собой N или CR18, где R18 независимо представляет собой водород или C1-3 алкокси, предпочтительно водород,

где ни один, один или два из A1, A2, A3 и A4 представляют собой N.

В одном варианте осуществления изобретения и/или его вариантах осуществления представлены соединения в соответствии с формулой (Ikx), (Ikxi), (Ikxii), (Ikxiii), (Ikxiv), (Ikxv), (Ikxvi), (Ikvii) или (Ikxviii)

Формула (Ikxviii)

или стереоизомер, физиологически приемлемая соль, сложный эфир, сольват, полиморф, пролекарство и их смеси, где R1, R19 и R25 имеют значение, определенное в любом из вариантов осуществления, описанных в настоящей заявке.

В одном варианте осуществления изобретения и/или его вариантах осуществления представлены соединения в соответствии с формулой (Ikx), предпочтительно в форме (S)-энантиомера. В одном варианте осуществления изобретения и/или его вариантах осуществления представлены соединения в соответствии с формулой (Ikxi), предпочтительно в форме (S)-энантиомера. В одном варианте осуществления изобретения и/или его вариантах осуществления представлены соединения в соответствии с формулой (Ikxii), предпочтительно в форме (S)-энантиомера. В одном варианте осуществления изобретения и/или его вариантах осуществления представлены соединения в соответствии с формулой (Ikxiii), предпочтительно в форме (S)-энантиомера. В одном варианте осуществления изобретения и/или его вариантах осуществления представлены соединения в соответствии с формулой (Ikxiv), предпочтительно в форме (S)-энантиомера. В одном варианте осуществления изобретения и/или его вариантах осуществления представлены соединения в соответствии с формулой (Ikxv), предпочтительно в форме (S)-энантиомера. В одном варианте осуществления изобретения и/или его вариантах осуществления представлены соединения в соответствии с формулой (Ikxvi), предпочтительно в форме (S)-энантиомера. В одном варианте осуществления изобретения и/или его вариантах осуществления представлены соединения в соответствии с формулой (Ikxvii), предпочтительно в форме (S)-энантиомера. В одном варианте осуществления изобретения и/или его вариантах осуществления представлены соединения в соответствии с формулой (Ikxviii), предпочтительно в форме (S)-энантиомера.

Изобретение обеспечивает соединение в соответствии с изобретением и/или его вариантами осуществления, где R7 и R19 имеют значение, определенное выше.

В одном варианте осуществления изобретения и/или его вариантах осуществления

R7 независимо выбран из группы, состоящей из

водорода, C1-6-алкила, C2-6-алкенила, C3-10-циклоалкила, 4-10-членного гетероциклила, C1-6-алкокси, галогена, циано, гидрокси, NR8R9, C(=O)OR10, SR10, SOR10, SO2R10 и C(=O)NR11R12,

где каждый C1-6-алкил, C2-6-алкенил, C3-10-циклоалкил, 4-10-членный гетероциклил или C1-6-алкокси необязательно замещен одним или несколькими заместителями, независимо выбранными из группы, состоящей из

C1-6-алкила, C3-10-циклоалкила, 5-10-членного гетероциклила, C1-6-алкокси, галогена, циано, гидрокси, NR8’R9’, C(=O)OR10’ и C(=O)NR11’R12’,

R8 и R9 независимо выбраны из группы, состоящей из

водорода, C1-6-алкила, C3-10-циклоалкила, C6-10-арила, 5-10-членного гетероциклила и 5-10-членного гетероарила, или

R8 и R9 вместе с N атомом, к которому они присоединены, образуют насыщенное или ненасыщенное гетероциклическое кольцо, содержащее от 3 до 12 кольцевых атомов, где 1 кольцевой атом представляет собой N и где 0, 1, 2 или 3 других кольцевых атома выбраны из N, S и O;

где C1-6-алкил, C3-10-циклоалкил, C6-10-арил, 5-10-членный гетероциклил или 5-10-членный гетероарил, или гетероциклическое кольцо, образованное R8 и R9 вместе с N атомом, к которому они присоединены, необязательно замещены одним или несколькими заместителями, независимо выбранными из группы, состоящей из

C1-6-алкила, C1-6-алкокси, галогена, циано, гидрокси, NR8’’R9’’, C(=O)-OR10’’ и C(=O)NR11’’R12’’;

R10, R11 и R12 независимо выбраны из водорода и C1-6-алкила,

R8’, R9’, R10’, R11’ и R12’ независимо выбраны из водорода и C1-6-алкила,

R8’’, R9’’, R10’’, R11’’ и R12’’ независимо выбраны из водорода и C1-6-алкила,

и

R19 независимо выбран из группы, состоящей из

C6-10-арила и 5-10-членного гетероарила,

где каждый C6-10-арил или 5-10-членный гетероарил необязательно замещен одним или несколькими заместителями, независимо выбранными из группы, состоящей из

C1-6-алкила, C3-10-циклоалкила, C1-6-алкокси, 5-10-членного гетероциклила, C6-10-арила, 5-10-членного гетероарила, галогена, циано, нитро, гидрокси, NR20R21, C(=O)OR22 и C(=O)NR23R24,

R20 и R21 независимо выбраны из группы, состоящей из

водорода, C1-6-алкила, C3-10-циклоалкила и C6-10-арила, или

R20 и R21 вместе с N атомом, к которому они присоединены, образуют насыщенное или ненасыщенное гетероциклическое кольцо, содержащее от 3 до 12 кольцевых атомов, где 0, 1, 2 или 3 других кольцевых атома выбраны из N, S и O;

где каждый C1-6-алкил, C3-10-циклоалкил или C6-10-арил, или гетероциклическое кольцо, образованное R20 и R21 вместе с N атомом, к которому они присоединены, необязательно замещены одним или несколькими заместителями, независимо выбранными из группы, состоящей из

C1-6-алкила, C3-10-циклоалкила, C1-6-алкокси, 5-10-членного гетероциклила, C6-10-арила, 5-10-членного гетероарила, галогена, циано, гидрокси, NR20’R21’, C(=O)OR22’ и C(=O)NR23’R24’

R22, R23 и R24 независимо выбраны из водорода и C1-6-алкила,

R20’, R21’, R22’, R23’ и R24’ независимо выбраны из водорода и C1-6-алкила.

В одном варианте осуществления изобретения и/или его вариантах осуществления

R7 независимо выбран из группы, состоящей из

водорода, C1-6-алкила, C2-6-алкенила, 4-10-членного гетероциклила, C1-3-алкокси, гидрокси, NR8R9, SR10, SOR10 и SO2R10 ,

где каждый C1-6-алкил, C2-6-алкенил, 4-10-членный гетероциклил или C1-3-алкокси необязательно замещен одним или несколькими заместителями, независимо выбранными из группы, состоящей из

C1-3-алкила, 5-10-членного гетероциклила, C1-6-алкокси, галогена, циано, гидрокси, NR8’R9’, C(=O)OR10’ и C(=O)NR11’R12’,

R8 и R9 независимо выбраны из группы, состоящей из

водорода, C1-6-алкила, C6-10-арила и 5-10-членного гетероарила, или

R8 и R9 вместе с N атомом, к которому они присоединены, образуют насыщенное или ненасыщенное гетероциклическое кольцо, содержащее от 3 до 12 кольцевых атомов, где 1 кольцевой атом представляет собой N и где 0, 1, 2 или 3 других кольцевых атома выбраны из N, S и O;

где C1-6-алкил, C6-10-арил или 5-10-членный гетероарил, или гетероциклическое кольцо, образованное R8 и R9 вместе с N атомом, к которому они присоединены, необязательно замещены одним или несколькими заместителями, независимо выбранными из группы, состоящей из

C1-6-алкила, C1-6-алкокси, гидрокси и NR8’’R9’’;

R10 независимо выбран из водорода или C1-3-алкила, предпочтительно из водорода, метила или этила

R8’, R9’, R10’, R11’ и R12’ независимо выбраны из водорода или C1-3-алкила, предпочтительно из водорода, метила или этила,

R8’’ и R9’’ независимо выбраны из водорода или C1-3-алкила, предпочтительно из водорода, метила или этила,

и

R19 независимо выбран из группы, состоящей из

C6-10-арила и 5-10-членного гетероарила,

где каждый C6-10-арил или 5-10-членный гетероарил необязательно замещен одним или несколькими заместителями, независимо выбранными из группы, состоящей из

C1-6-алкила, C1-6-алкокси, галогена, циано, нитро и гидрокси.

В одном варианте осуществления изобретения и/или его вариантах осуществления

R7 независимо выбран из группы, состоящей из

метила, этила, изопропила, пропила, изопропенила метокси, этокси, изопропокси, гидрокси, метилсульфоксила, метилсульфонила метилтио, амино, метиламино, этиламино, (этил)(метил)амино изопропиламино, диметиламино, (изопропил)(метил)амино, гидроксиэтиламино, (гидроксиэтил)(метил)амино, метоксиэтиламино, (метоксиэтил)(метил)амино, морфолин-4-ила, пирролидин-1-ила, 3-гидрокси-пирролидин-1-ила 3-фторазетидинил и 3,3-дифторазетидинила,

и

R19 независимо выбран из группы, состоящей из

3-хлорфенила, 2,3-дихлорфенила, 3,5-дихлорфенила, 3,5-дифторфенила, 2,3,5-трифторфенила, 3,4,5-трифторфенила, 3-хлор-2-фторфенила, 5-хлор-3-фторфенила,5-хлор-3-фторфенила, 3,5-дихлор-4-фторфенила, в частности 2,3,5-трифторфенила, 5-хлор-2-фторфенила, 2,3-дихлорфенил и 3,5-дихлорфенила.

В одном варианте осуществления изобретения и/или его вариантах осуществления представлены соединения в соответствии с формулой (Ili), (Ilii), (Iliii), (Iliv), (Ilv), (Ilvi), (Ilvii), (Ilviii) или (Ilix)

Формула (Ili)

Формула (Ilii)

или стереоизомер, физиологически приемлемая соль, сложный эфир, сольват, полиморф, пролекарство и их смеси, где R1, R13 R14, A1, A2, A3, A4 и R25 имеют значение, определенное в любом из вариантов осуществления, описанных в настоящей заявке.

В одном варианте осуществления изобретения и/или его вариантах осуществления представлены соединения в соответствии с формулой (Ili), предпочтительно в форме (S)-энантиомера. В одном варианте осуществления изобретения и/или его вариантах осуществления представлены соединения в соответствии с формулой (Ilii), предпочтительно в форме (S)-энантиомера. В одном варианте осуществления изобретения и/или его вариантах осуществления представлены соединения в соответствии с формулой (Iliii), предпочтительно в форме (S)-энантиомера. В одном варианте осуществления изобретения и/или его вариантах осуществления представлены соединения в соответствии с формулой (Iliv), предпочтительно в форме (S)-энантиомера. В одном варианте осуществления изобретения и/или его вариантах осуществления представлены соединения в соответствии с формулой (Ilv), предпочтительно в форме (S)-энантиомера. В одном варианте осуществления изобретения и/или его вариантах осуществления представлены соединения в соответствии с формулой (Ilvi), предпочтительно в форме (S)-энантиомера. В одном варианте осуществления изобретения и/или его вариантах осуществления представлены соединения в соответствии с формулой (Ilvii), предпочтительно в форме (S)-энантиомера. В одном варианте осуществления изобретения и/или его вариантах осуществления представлены соединения в соответствии с формулой (Ilviii), предпочтительно в форме (S)-энантиомера. В одном варианте осуществления изобретения и/или его вариантах осуществления представлены соединения в соответствии с формулой (Ilix) предпочтительно в форме (S)-энантиомера.

Изобретение обеспечивает соединение в соответствии с изобретением и/или его вариантами осуществления, где R7 и R25 имеют значение, определенное выше.

В одном варианте осуществления изобретения и/или его вариантах осуществления

R7 независимо выбран из группы, состоящей из

водорода, C1-6-алкила, C2-6-алкенила, C3-10-циклоалкила, 4-10-членного гетероциклила, C1-6-алкокси, галогена, циано, гидрокси, NR8R9, C(=O)OR10, SR10, SOR10, SO2R10 и C(=O)NR11R12,

где каждый C1-6-алкил, C2-6-алкенил, C3-10-циклоалкил, 4-10-членный гетероциклил или C1-6-алкокси необязательно замещен одним или несколькими заместителями, независимо выбранными из группы, состоящей из

C1-6-алкила, C3-10-циклоалкила, 5-10-членного гетероциклила, C1-6-алкокси, галогена, циано, гидрокси, NR8’R9’, C(=O)OR10’ и C(=O)NR11’R12’,

R8 и R9 независимо выбраны из группы, состоящей из

водорода, C1-6-алкила, C3-10-циклоалкила, C6-10-арила, 5-10-членного гетероциклила и 5-10-членного гетероарила, или

R8 и R9 вместе с N атомом, к которому они присоединены, образуют насыщенное или ненасыщенное гетероциклическое кольцо, содержащее от 3 до 12 кольцевых атомов, где 1 кольцевой атом представляет собой N и где 0, 1, 2 или 3 других кольцевых атома выбраны из N, S и O;

где C1-6-алкил, C3-10-циклоалкил, C6-10-арил, 5-10-членный гетероциклил или 5-10-членный гетероарил, или гетероциклическое кольцо, образованное R8 и R9 вместе с N атомом, к которому они присоединены, необязательно замещены одним или несколькими заместителями, независимо выбранными из группы, состоящей из

C1-6-алкила, C1-6-алкокси, галогена, циано, гидрокси, NR8’’R9’’, C(=O)-OR10’’ и C(=O)NR11’’R12’’;

R10, R11 и R12 независимо выбраны из водорода и C1-6-алкила,

R8’, R9’, R10’, R11’ и R12’ независимо выбраны из водорода и C1-6-алкила,

R8’’, R9’’, R10’’, R11’’ и R12’’ независимо выбраны из водорода и C1-6-алкила,

и

R25 представляет собой водород или C1-3-алкил.

В одном варианте осуществления изобретения и/или его вариантах осуществления

R7 независимо выбран из группы, состоящей из

метила, этила, изопропила, пропила, изопропенила метокси, этокси, изопропокси, гидрокси, метилсульфоксила, метилсульфонила метилтио, амино, метиламино, этиламино, (этил)(метил)амино изопропиламино, диметиламино, (изопропил)(метил)амино, гидроксиэтиламино, (гидроксиэтил)(метил)амино, метоксиэтиламино, (метоксиэтил)(метил)амино, морфолин-4-ила, пирролидин-1-ила, 3-гидрокси-пирролидин-1-ила 3-фторазетидинила и 3,3-дифторазетидинила,

и

R25 представляет собой водород или метил, предпочтительно водород.

В одном варианте осуществления изобретения и/или его вариантах осуществления представлены соединения в соответствии с формулой (Imi), (Imii), (Imiii), (Imiv), (Imv) или (Imiv)

или стереоизомер, физиологически приемлемая соль, сложный эфир, сольват, полиморф, пролекарство и их смеси, где R1, R13 R14, A1, A2, A3, A4 и R19 имеют значение, определенное в любом из вариантов осуществления, описанных в настоящей заявке.

В одном варианте осуществления изобретения и/или его вариантах осуществления представлены соединения в соответствии с формулой (Imi), предпочтительно в форме (S)-энантиомера. В одном варианте осуществления изобретения и/или его вариантах осуществления представлены соединения в соответствии с формулой (Imii), предпочтительно в форме (S)-энантиомера. В одном варианте осуществления изобретения и/или его вариантах осуществления представлены соединения в соответствии с формулой (Imiii), предпочтительно в форме (S)-энантиомера. В одном варианте осуществления изобретения и/или его вариантах осуществления представлены соединения в соответствии с формулой (Imiv), предпочтительно в форме (S)-энантиомера. В одном варианте осуществления изобретения и/или его вариантах осуществления представлены соединения в соответствии с формулой (Imv), предпочтительно в форме (S)-энантиомера. В одном варианте осуществления изобретения и/или его вариантах осуществления представлены соединения в соответствии с формулой (Imvi), предпочтительно в форме (S)-энантиомера.

Изобретение обеспечивает соединение в соответствии с изобретением и/или его вариантами осуществления, где R13, R14, A1, A2, A3 и A4, а также R19 имеют значение, определенное выше.

В одном варианте осуществления изобретения и/или его вариантах осуществления

R13 и R14 вместе с атомами, к которым они присоединены, образуют содержащее 5 или 6 атомов углерода неароматическое кольцо, где неароматическое кольцо необязательно замещено одним или несколькими заместителями C1-3-алкил или =O, и/или где один или несколько из образующих кольцо атомов углерода необязательно замещены -NH-, -O-, -S(O)-, -S(O)2- или -S-,

A1 представляет собой N или CR15, где R15 независимо представляет собой водород, галоген, C1-3 алкил, C1-3 алкокси или NR15’R15’’, где R15’ и R15’’ независимо представляют собой C1-3-алкил,

A2 представляет собой N или CR16, где R16 независимо представляет собой водород, галоген, C1-3 алкил, C1-3 алкокси или NR16’R16’’, где R16’ и R16’’ независимо представляют собой C1-3-алкил,

A3 представляет собой N или CR17, где R17 независимо представляет собой водород, галоген, C1-3 алкил, C1-3 алкокси или NR17’R17’’, где R17’ и R17’’ независимо представляют собой C1-3-алкил,

A4 представляет собой N или CR18, где R18 независимо представляет собой водород, галоген, C1-3 алкил, C1-3 алкокси или NR18’R18’’, где R18’ и R18’’ независимо представляют собой C1-3-алкил

и

R19 независимо выбран из группы, состоящей из

C6-10-арила и 5-10-членного гетероарила,

где каждый C6-10-арил или 5-10-членный гетероарил необязательно замещен одним или несколькими заместителями, независимо выбранными из группы, состоящей из C1-6-алкила, C3-10-циклоалкила, C1-6-алкокси, 5-10-членного гетероциклила, C6-10-арила, 5-10-членного гетероарила, галогена, циано, нитро, гидрокси, NR20R21, C(=O)OR22 и C(=O)NR23R24,

R20 и R21 независимо выбраны из группы, состоящей из

водорода, C1-6-алкила, C3-10-циклоалкила и C6-10-арила, или

R20 и R21 вместе с N атомом, к которому они присоединены, образуют насыщенное или ненасыщенное гетероциклическое кольцо, содержащее от 3 до 12 кольцевых атомов, где 0, 1, 2 или 3 других кольцевых атома выбраны из N, S и O;

где каждый C1-6-алкил, C3-10-циклоалкил или C6-10-арил, или гетероциклическое кольцо, образованное R20 и R21 вместе с N атомом, к которому они присоединены, необязательно замещены одним или несколькими заместителями, независимо выбранными из группы, состоящей из

C1-6-алкила, C3-10-циклоалкила, C1-6-алкокси, 5-10-членного гетероциклила, C6-10-арила, 5-10-членного гетероарила, галогена, циано, гидрокси, NR20’R21’, C(=O)OR22’ и C(=O)NR23’R24’,

R22, R23 и R24 независимо выбраны из водорода и C1-6-алкила,

R20’, R21’, R22’, R23’ и R24’ независимо выбраны из водорода и C1-6-алкила.

В одном варианте осуществления изобретения и/или его вариантах осуществления

R13 и R14 вместе с атомами, к которым они присоединены, образуют содержащее 5 или 6 атомов углерода неароматическое кольцо, где один или несколько из образующих кольцо атомов углерода необязательно замещены -NH-, -O- или -S-,

A1 представляет собой N или CR15, где R15 независимо представляет собой водород, C1-3 алкил или C1-3 алкокси,

A2 представляет собой N или CR16, где R16 независимо представляет собой водород, C1-3 алкил или C1-3 алкокси,

A3 представляет собой N или CR17, где R17 независимо представляет собой водород, C1-3 алкил или C1-3 алкокси,

A4 представляет собой N или CR18, где R18 независимо представляет собой водород, C1-3 алкил или C1-3 алкокси,

где ни один, один или два из A1, A2, A3 и A4 представляют собой N

и

R19 независимо выбран из группы, состоящей из

C6-10-арила и 5-10-членного гетероарила,

где каждый C6-10-арил или 5-10-членный гетероарил необязательно замещен одним или несколькими заместителями, независимо выбранными из группы, состоящей из

C1-6-алкила, C1-6-алкокси, галогена, циано, нитро и гидрокси.

В одном варианте осуществления изобретения и/или его вариантах осуществления

R13 и R14 вместе с атомами, к которым они присоединены, образуют содержащее 5 или 6 атомов углерода неароматическое кольцо, где один или несколько из образующих кольцо атомов углерода необязательно замещены -NH- или -O-,

A1 представляет собой N или CR15, где R15 независимо представляет собой водород или C1-3 алкокси,

A2 представляет собой N или CR16, где R16 независимо представляет собой водород или C1-3 алкокси,

A3 представляет собой N или CR17, где R17 независимо представляет собой водород или C1-3 алкокси, предпочтительно водород,

A4 представляет собой N или CR18, где R18 независимо представляет собой водород или C1-3 алкокси, предпочтительно водород,

где ни один, один или два из A1, A2, A3 и A4 представляют собой N,

и

R19 независимо выбран из группы, состоящей из

3-хлорфенила, 2,3-дихлорфенила, 3,5-дихлорфенила, 3,5-дифторфенила, 2,3,5-трифторфенила, 3,4,5-трифторфенила, 3-хлор-2-фторфенила, 5-хлор-3-фторфенила,5-хлор-3-фторфенила, 3,5-дихлор-4-фторфенила, в частности 2,3,5-трифторфенила, 5-хлор-2-фторфенила, 2,3-дихлорфенила и 3,5-дихлорфенила.

В одном варианте осуществления изобретения и/или его вариантах осуществления представлены соединения в соответствии с формулой (Ini), (Inii), (Iniii), (Iniv), (Inv), (Invi), (Invii), (Inviii) или (Inix)

или стереоизомер, физиологически приемлемая соль, сложный эфир, сольват, полиморф, пролекарство и их смеси, где R1, R7 и R25 имеют значение, определенное в любом из вариантов осуществления, описанных в настоящей заявке.

В одном варианте осуществления изобретения и/или его вариантах осуществления представлены соединения в соответствии с формулой (Ini), предпочтительно в форме (S)-энантиомера. В одном варианте осуществления изобретения и/или его вариантах осуществления представлены соединения в соответствии с формулой (Inii), предпочтительно в форме (S)-энантиомера. В одном варианте осуществления изобретения и/или его вариантах осуществления представлены соединения в соответствии с формулой (Iniii), предпочтительно в форме (S)-энантиомера. В одном варианте осуществления изобретения и/или его вариантах осуществления представлены соединения в соответствии с формулой (Iniv), предпочтительно в форме (S)-энантиомера. В одном варианте осуществления изобретения и/или его вариантах осуществления представлены соединения в соответствии с формулой (Inv), предпочтительно в форме (S)-энантиомера. В одном варианте осуществления изобретения и/или его вариантах осуществления представлены соединения в соответствии с формулой (Invi), предпочтительно в форме (S)-энантиомера. В одном варианте осуществления изобретения и/или его вариантах осуществления представлены соединения в соответствии с формулой (Invii), предпочтительно в форме (S)-энантиомера. В одном варианте осуществления изобретения и/или его вариантах осуществления представлены соединения в соответствии с формулой (Inviii), предпочтительно в форме (S)-энантиомера. В одном варианте осуществления изобретения и/или его вариантах осуществления представлены соединения в соответствии с формулой (Inix), предпочтительно в форме (S)-энантиомера.

В одном варианте осуществления изобретения и/или его вариантах осуществления

R13 и R14 вместе с атомами, к которым они присоединены, образуют содержащее 5 или 6 атомов углерода ароматическое кольцо, где ароматическое кольцо необязательно замещено одним или несколькими C1-3-алкильными заместителями, и/или где один или несколько из образующих кольцо атомов углерода необязательно замещены -NH-, -N=, =N-, -O- или -S-,

A1 представляет собой N или CR15, где R15 независимо представляет собой водород, галоген C1-3 алкил, C1-3 алкокси или NR15’R15’’, где R15’ и R15’’ независимо представляют собой C1-3-алкил,

A2 представляет собой N или CR16, где R16 независимо представляет собой водород, галоген, C1-3 алкил, C1-3 алкокси или NR16’R16’’, где R16’ и R16’’ независимо представляют собой C1-3-алкил,

A3 представляет собой N или CR17, где R17 независимо представляет собой водород, галоген, C1-3 алкил, C1-3 алкокси или NR15’R15’’, где R15’ и R15’’ независимо представляют собой C1-3-алкил,

A4 представляет собой N или CR18, где R18 независимо представляет собой водород, галоген, C1-3 алкил, C1-3 алкокси или NR15’R15’’, где R15’ и R15’’ независимо представляют собой C1-3-алкил,

и

R19 независимо выбран из группы, состоящей из

C6-10-арила и 5-10-членного гетероарила,

где каждый C6-10-арил или 5-10-членный гетероарил необязательно замещен одним или несколькими заместителями, независимо выбранными из группы, состоящей из C1-6-алкила, C3-10-циклоалкила, C1-6-алкокси,5-10-членного гетероциклила, C6-10-арила, 5-10-членного гетероарила, галогена, циано, нитро, гидрокси, NR20R21, C(=O)OR22 и C(=O)NR23R24,

R20 и R21 независимо выбраны из группы, состоящей из

водорода, C1-6-алкила, C3-10-циклоалкила и C6-10-арила, или

R20 и R21 вместе с N атомом, к которому они присоединены, образуют насыщенное или ненасыщенное гетероциклическое кольцо, содержащее от 3 до 12 кольцевых атомов, где 0, 1, 2 или 3 других кольцевых атома выбраны из N, S и O;

где каждый C1-6-алкил, C3-10-циклоалкил или C6-10-арил, или гетероциклическое кольцо, образованное R20 и R21 вместе с N атомом, к которому они присоединены, необязательно замещены одним или несколькими заместителями, независимо выбранными из группы, состоящей из

C1-6-алкила, C3-10-циклоалкила, C1-6-алкокси, 5-10-членного гетероциклила, C6-10-арила, 5-10-членного гетероарила, галогена, циано, гидрокси, NR20’R21’, C(=O)OR22’ и C(=O)NR23’R24’

R22, R23 и R24 независимо выбраны из водорода и C1-6-алкила,

R20’, R21’, R22’, R23’ и R24’ независимо выбраны из водорода и C1-6-алкила.

Необязательно, в одном варианте осуществления изобретения и/или его вариантах осуществления

R13 и R14 вместе с атомами, к которым они присоединены, образуют содержащее 5 или 6 атомов углерода ароматическое кольцо, где один или несколько из образующих кольцо атомов углерода необязательно замещены -NH-, -N=, =N-, -O- или -S-,

A1 представляет собой N или CR15, где R15 независимо представляет собой водород, C1-3 алкил или C1-3 алкокси,

A2 представляет собой N или CR16, где R16 независимо представляет собой водород, C1-3 алкил или C1-3 алкокси,

A3 представляет собой N или CR17, где R17 независимо представляет собой водород, C1-3 алкил или C1-3 алкокси,

A4 представляет собой N или CR18, где R18 независимо представляет собой водород, C1-3 алкил или C1-3 алкокси,

где ни один, один или два из A1, A2, A3 и A4 представляют собой N.

и

R19 независимо выбран из группы, состоящей из

C6-10-арила и 5-10-членного гетероарила,

где каждый C6-10-арил или 5-10-членный гетероарил необязательно замещен одним или несколькими заместителями, независимо выбранными из группы, состоящей из

C1-6-алкила, C1-6-алкокси, галогена, циано, нитро и гидрокси.

В одном варианте осуществления изобретения и/или его вариантах осуществления

R13 и R14 вместе с атомами, к которым они присоединены, образуют содержащее 5 или 6 атомов углерода неароматическое кольцо, где один или несколько из образующих кольцо атомов углерода необязательно замещены -NH- или -O-,

R13 и R14 вместе с атомами, к которым они присоединены, образуют содержащее 5 или 6 атомов углерода ароматическое кольцо, где один или несколько из образующих кольцо атомов углерода необязательно замещены -NH-, -N=, =N- или -S-,

A1 представляет собой N или CR15, где R15 независимо представляет собой водород или C1-3 алкокси,

A2 представляет собой N или CR16, где R16 независимо представляет собой водород или C1-3 алкокси,

A3 представляет собой N или CR17, где R17 независимо представляет собой водород или C1-3 алкокси, предпочтительно водород,

A4 представляет собой N или CR18, где R18 независимо представляет собой водород или C1-3 алкокси, предпочтительно водород, где ни один, один или два из A1, A2, A3 и A4 представляют собой N,

и

R19 независимо выбран из группы, состоящей из

3-хлорфенила, 2,3-дихлорфенила, 3,5-дихлорфенила, 3,5-дифторфенила, 2,3,5-трифторфенила, 3,4,5-трифторфенила, 3-хлор-2-фторфенила, 5-хлор-3-фторфенила,5-хлор-3-фторфенила, 3,5-дихлор-4-фторфенила, в частности 2,3,5-трифторфенила, 5-хлор-2-фторфенила, 2,3-дихлорфенила и 3,5-дихлорфенил.

В одном варианте осуществления изобретения и/или его вариантах осуществления представлены соединения в соответствии с формулой (Inx), (Inxi), (Inxii), (Inxiii), (Inxiv), (Inxv), (Inxvi), (Inxvii) или (Inxviii)

или стереоизомер, физиологически приемлемая соль, сложный эфир, сольват, полиморф, пролекарство и их смеси, где R1, R7 и R25 имеют значение, определенное в любом из вариантов осуществления, описанных в настоящей заявке.

В одном варианте осуществления изобретения и/или его вариантах осуществления представлены соединения в соответствии с формулой (Inx), предпочтительно в форме (S)-энантиомера. В одном варианте осуществления изобретения и/или его вариантах осуществления представлены соединения в соответствии с формулой (Inxi), предпочтительно в форме (S)-энантиомера. В одном варианте осуществления изобретения и/или его вариантах осуществления представлены соединения в соответствии с формулой (Inxii), предпочтительно в форме (S)-энантиомера. В одном варианте осуществления изобретения и/или его вариантах осуществления представлены соединения в соответствии с формулой (Inxiii), предпочтительно в форме (S)-энантиомера. В одном варианте осуществления изобретения и/или его вариантах осуществления представлены соединения в соответствии с формулой (Inxiv), предпочтительно в форме (S)-энантиомера. В одном варианте осуществления изобретения и/или его вариантах осуществления представлены соединения в соответствии с формулой (Inxv), предпочтительно в форме (S)-энантиомера. В одном варианте осуществления изобретения и/или его вариантах осуществления представлены соединения в соответствии с формулой (Inxvi), предпочтительно в форме (S)-энантиомера. В одном варианте осуществления изобретения и/или его вариантах осуществления представлены соединения в соответствии с формулой (Inxvii), предпочтительно в форме (S)-энантиомера. В одном варианте осуществления изобретения и/или его вариантах осуществления представлены соединения в соответствии с формулой (Inxviii), предпочтительно в форме (S)-энантиомера.

Изобретение обеспечивает соединение в соответствии с изобретением и/или его вариантами осуществления, где R13, R14, A1, A2, A3 и A4, а также R25 имеют значение, определенное выше.

В одном варианте осуществления изобретения и/или его вариантах осуществления

R13 и R14 вместе с атомами, к которым они присоединены, образуют содержащее 5 или 6 атомов углерода неароматическое кольцо, где неароматическое кольцо необязательно замещено одним или несколькими заместителями C1-3-алкил или =O, и/или где один или несколько из образующих кольцо атомов углерода необязательно замещены -NH-, -O-, -S(O)-, -S(O)2- или -S-,

A1 представляет собой N или CR15, где R15 независимо представляет собой водород, галоген, C1-3 алкил, C1-3 алкокси или NR15’R15’’, где R15’ и R15’’ независимо представляют собой C1-3-алкил,

A2 представляет собой N или CR16, где R16 независимо представляет собой водород, галоген, C1-3 алкил, C1-3 алкокси или NR16’R16’’, где R16’ и R16’’ независимо представляют собой C1-3-алкил,

A3 представляет собой N или CR17, где R17 независимо представляет собой водород, галоген, C1-3 алкил, C1-3 алкокси или NR17’R17’’, где R17’ и R17’’ независимо представляют собой C1-3-алкил,

A4 представляет собой N или CR18, где R18 независимо представляет собой водород, галоген, C1-3 алкил, C1-3 алкокси или NR18’R18’’, где R18’ и R18’’ независимо представляют собой C1-3-алкил, и

R25 представляет собой водород или C1-3-алкил.

В одном варианте осуществления изобретения и/или его вариантах осуществления

R13 и R14 вместе с атомами, к которым они присоединены, образуют содержащее 5 или 6 атомов углерода неароматическое кольцо, где один или несколько из образующих кольцо атомов углерода необязательно замещены -NH- или -O-,

A1 представляет собой N или CR15, где R15 независимо представляет собой водород или C1-3 алкокси,

A2 представляет собой N или CR16, где R16 независимо представляет собой водород или C1-3 алкокси,

A3 представляет собой N или CR17, где R17 независимо представляет собой водород или C1-3 алкокси, предпочтительно водород,

A4 представляет собой N или CR18, где R18 независимо представляет собой водород или C1-3 алкокси, предпочтительно водород,

где ни один, один или два из A1, A2, A3 и A4 представляют собой N,

и

R25 представляет собой водород или метил, предпочтительно водород.

В одном варианте осуществления изобретения и/или его вариантах осуществления представлены соединения в соответствии с формулой (Ioi), (Ioii), (Ioiii), (Ioiv), (Iov) или (Iovi)

или стереоизомер, физиологически приемлемая соль, сложный эфир, сольват, полиморф, пролекарство и их смеси, где R1, R7 и R19 имеют значение, определенное в любом из вариантов осуществления, описанных в настоящей заявке.

В одном варианте осуществления изобретения и/или его вариантах осуществления представлены соединения в соответствии с формулой (Ioi), предпочтительно в форме (S)-энантиомера. В одном варианте осуществления изобретения и/или его вариантах осуществления представлены соединения в соответствии с формулой (Ioii), предпочтительно в форме (S)-энантиомера. В одном варианте осуществления изобретения и/или его вариантах осуществления представлены соединения в соответствии с формулой (Ioiii), предпочтительно в форме (S)-энантиомера. В одном варианте осуществления изобретения и/или его вариантах осуществления представлены соединения в соответствии с формулой (Ioiv), предпочтительно в форме (S)-энантиомера. В одном варианте осуществления изобретения и/или его вариантах осуществления представлены соединения в соответствии с формулой (Iov), предпочтительно в форме (S)-энантиомера. В одном варианте осуществления изобретения и/или его вариантах осуществления представлены соединения в соответствии с формулой (Iovi), предпочтительно в форме (S)-энантиомера.

В одном варианте осуществления изобретения и/или его вариантах осуществления

R13 и R14 вместе с атомами, к которым они присоединены, образуют содержащее 5 или 6 атомов углерода ароматическое кольцо, где ароматическое кольцо необязательно замещено одним или несколькими C1-3-алкильными заместителями, и/или где один или несколько из образующих кольцо атомов углерода необязательно замещены -NH-, -N=, =N-, -O- или -S-,

A1 представляет собой N или CR15, где R15 независимо представляет собой водород, галоген C1-3 алкил, C1-3 алкокси или NR15’R15’’, где R15’ и R15’’ независимо представляют собой C1-3-алкил,

A2 представляет собой N или CR16, где R16 независимо представляет собой водород, галоген, C1-3 алкил, C1-3 алкокси или NR16’R16’’, где R16’ и R16’’ независимо представляют собой C1-3-алкил,

A3 представляет собой N или CR17, где R17 независимо представляет собой водород, галоген, C1-3 алкил, C1-3 алкокси или NR15’R15’’, где R15’ и R15’’ независимо представляют собой C1-3-алкил,

A4 представляет собой N или CR18, где R18 независимо представляет собой водород, галоген, C1-3 алкил, C1-3 алкокси или NR15’R15’’, где R15’ и R15’’ независимо представляют собой C1-3-алкил,

и

R25 представляет собой водород или C1-3-алкил.

В одном варианте осуществления изобретения и/или его вариантах осуществления

R13 и R14 вместе с атомами, к которым они присоединены, образуют содержащее 5 или 6 атомов углерода ароматическое кольцо, где один или несколько из образующих кольцо атомов углерода необязательно замещены -NH-, -N=, =N- или -S-,

A1 представляет собой N или CR15, где R15 независимо представляет собой водород или C1-3 алкокси,

A2 представляет собой N или CR16, где R16 независимо представляет собой водород или C1-3 алкокси,

A3 представляет собой N или CR17, где R17 независимо представляет собой водород или C1-3 алкокси, предпочтительно водород,

A4 представляет собой N или CR18, где R18 независимо представляет собой водород или C1-3 алкокси, предпочтительно водород,

где ни один, один или два из A1, A2, A3 и A4 представляют собой N,

и

R25 представляет собой водород или метил, предпочтительно водород.

В одном варианте осуществления изобретения и/или его вариантах осуществления представлены соединения в соответствии с формулой (Iovii), (Ioviii), (Ioix), (Iox), (Ioxi) или (Ioxii)

или стереоизомер, физиологически приемлемая соль, сложный эфир, сольват, полиморф, пролекарство и их смеси, где R1, R7 и R19 имеют значение, определенное в любом из вариантов осуществления, описанных в настоящей заявке.

В одном варианте осуществления изобретения и/или его вариантах осуществления представлены соединения в соответствии с формулой (Iovii), предпочтительно в форме (S)-энантиомера. В одном варианте осуществления изобретения и/или его вариантах осуществления представлены соединения в соответствии с формулой (Ioviii), предпочтительно в форме (S)-энантиомера. В одном варианте осуществления изобретения и/или его вариантах осуществления представлены соединения в соответствии с формулой (Ioix), предпочтительно в форме (S)-энантиомера. В одном варианте осуществления изобретения и/или его вариантах осуществления представлены соединения в соответствии с формулой (Iox), предпочтительно в форме (S)-энантиомера. В одном варианте осуществления изобретения и/или его вариантах осуществления представлены соединения в соответствии с формулой (Ioxi), предпочтительно в форме (S)-энантиомера. В одном варианте осуществления изобретения и/или его вариантах осуществления представлены соединения в соответствии с формулой (Ioxii), предпочтительно в форме (S)-энантиомера.

Изобретение обеспечивает соединение в соответствии с изобретением и/или его вариантами осуществления, где R19 и R25 имеют значение, определенное выше.

В одном варианте осуществления изобретения и/или его вариантах осуществления

R19 независимо выбран из группы, состоящей из

C6-10-арила и 5-10-членного гетероарила,

где каждый C6-10-арил или 5-10-членный гетероарил необязательно замещен одним или несколькими заместителями, независимо выбранными из группы, состоящей из

C1-6-алкила, C3-10-циклоалкила, C1-6-алкокси, 5-10-членного гетероциклила, C6-10-арила, 5-10-членного гетероарила, галогена, циано, нитро, гидрокси, NR20R21, C(=O)OR22 и C(=O)NR23R24,

R20 и R21 независимо выбраны из группы, состоящей из

водорода, C1-6-алкила, C3-10-циклоалкила и C6-10-арила, или

R20 и R21 вместе с N атомом, к которому они присоединены, образуют насыщенное или ненасыщенное гетероциклическое кольцо, содержащее от 3 до 12 кольцевых атомов, где 0, 1, 2 или 3 других кольцевых атома выбраны из N, S и O;

где каждый C1-6-алкил, C3-10-циклоалкил или C6-10-арил, или гетероциклическое кольцо, образованное R20 и R21 вместе с N атомом, к которому они присоединены, необязательно замещены одним или несколькими заместителями, независимо выбранными из группы, состоящей из

C1-6-алкила, C3-10-циклоалкила, C1-6-алкокси, 5-10-членного гетероциклила, C6-10-арила, 5-10-членного гетероарила, галогена, циано, гидрокси, NR20’R21’, C(=O)OR22’ и C(=O)NR23’R24’

R22, R23 и R24 независимо выбраны из водорода и C1-6-алкила,

R20’, R21’, R22’, R23’ и R24’ независимо выбраны из водорода и C1-6-алкила,

и

R25 представляет собой водород или C1-3-алкил.

В одном варианте осуществления изобретения и/или его вариантах осуществления

R19 независимо выбран из группы, состоящей из

3-хлорфенила, 2,3-дихлорфенила, 3,5-дихлорфенила, 3,5-дифторфенила, 2,3,5-трифторфенила, 3,4,5-трифторфенила, 3-хлор-2-фторфенила, 5-хлор-3-фторфенила,5-хлор-3-фторфенила, 3,5-дихлор-4-фторфенила, в частности 2,3,5-трифторфенила, 5-хлор-2-фторфенила, 2,3-дихлорфенила и 3,5-дихлорфенила.

и

R25 представляет собой водород или метил, предпочтительно водород.

В одном варианте осуществления изобретения и/или его вариантах осуществления представлены соединения в соответствии с формулой (Ipi), (Ipii), (Ipiii), (Ipiv), (Ipv) или (Ipvi)

или стереоизомер, физиологически приемлемая соль, сложный эфир, сольват, полиморф, пролекарство и их смеси, где R1, R7 и R13, R14, A1, A2, A3 и A4 имеют значение, определенное в любом из вариантов осуществления, описанных в настоящей заявке.

В одном варианте осуществления изобретения и/или его вариантах осуществления представлены соединения в соответствии с формулой (Ipi), предпочтительно в форме (S)-энантиомера. В одном варианте осуществления изобретения и/или его вариантах осуществления представлены соединения в соответствии с формулой (Ipii), предпочтительно в форме (S)-энантиомера. В одном варианте осуществления изобретения и/или его вариантах осуществления представлены соединения в соответствии с формулой (Ipiii), предпочтительно в форме (S)-энантиомера. В одном варианте осуществления изобретения и/или его вариантах осуществления представлены соединения в соответствии с формулой (Ipiv), предпочтительно в форме (S)-энантиомера. В одном варианте осуществления изобретения и/или его вариантах осуществления представлены соединения в соответствии с формулой (Ipv), предпочтительно в форме (S)-энантиомера. В одном варианте осуществления изобретения и/или его вариантах осуществления представлены соединения в соответствии с формулой (Ipvi), предпочтительно в форме (S)-энантиомера.

Изобретение обеспечивает соединение в соответствии с изобретением и/или его вариантами осуществления, где R1, R7, а также R13, R14, A1, A2, A3 и A4 имеют значение, определенное выше.

Необязательно, в одном варианте осуществления изобретения и/или его вариантах осуществления

R1 независимо выбран из группы, состоящей из

водорода, C1-6-алкила, C1-6-алкокси и галогена,

где C1-6-алкил и C1-6-алкокси необязательно замещен одним или несколькими заместителями, независимо выбранными из группы, состоящей из

C1-6-алкила, C1-6-алкокси, галогена, циано, гидрокси и NR2’R3’,

где R2’ и R3’ независимо выбраны из водорода и C1-3-алкила, более предпочтительно из водорода и метила,

и

R7 независимо выбран из группы, состоящей из

водорода, C1-6-алкила, C2-6-алкенила, 4-10-членного гетероциклила, C1-3-алкокси, гидрокси, NR8R9, SR10, SOR10 и SO2R10,

где каждый C1-6-алкил, C2-6-алкенил, 4-10-членный гетероциклил или C1-3-алкокси необязательно замещен одним или несколькими заместителями, независимо выбранными из группы, состоящей из

C1-3-алкила, 5-10-членного гетероциклила, C1-6-алкокси, галогена, циано, гидрокси, NR8’R9’, C(=O)OR10’ и C(=O)NR11’R12’,

R8 и R9 независимо выбраны из группы, состоящей из

водорода, C1-6-алкила, C6-10-арила и 5-10-членного гетероарила, или

R8 и R9 вместе с N атомом, к которому они присоединены, образуют насыщенное или ненасыщенное гетероциклическое кольцо, содержащее от 3 до 12 кольцевых атомов, где 1 кольцевой атом представляет собой N и где 0, 1, 2 или 3 других кольцевых атома выбраны из N, S и O;

где C1-6-алкил, C6-10-арил или 5-10-членный гетероарил, или гетероциклическое кольцо, образованное R8 и R9 вместе с N атомом, к которому они присоединены, необязательно замещены одним или несколькими заместителями, независимо выбранными из группы, состоящей из

C1-6-алкила, C1-6-алкокси, гидрокси и NR8’’R9’’,

R10 независимо выбран из водорода или C1-3-алкила, предпочтительно из водорода, метила или этила,

R8’, R9’, R10’, R11’ и R12’ независимо выбраны из водорода или C1-3-алкила, предпочтительно из водорода, метила или этила,

R8’’ и R9’’ независимо выбраны из водорода или C1-3-алкила, предпочтительно из водорода, метила или этила,

и

R13 и R14 вместе с атомами, к которым они присоединены, образуют содержащее 5 или 6 атомов углерода неароматическое кольцо, где неароматическое кольцо необязательно замещено одним или несколькими заместителями C1-3-алкил или =O, и/или где один или несколько из образующих кольцо атомов углерода необязательно замещены -NH-, -O-, -S(O)-, -S(O)2- или -S-,

A1 представляет собой N или CR15, где R15 независимо представляет собой водород, галоген, C1-3 алкил, C1-3 алкокси или NR15’R15’’, где R15’ и R15’’ независимо представляют собой C1-3-алкил,

A2 представляет собой N или CR16, где R16 независимо представляет собой водород, галоген, C1-3 алкил, C1-3 алкокси или NR16’R16’’, где R16’ и R16’’ независимо представляют собой C1-3-алкил,

A3 представляет собой N или CR17, где R17 независимо представляет собой водород, галоген, C1-3 алкил, C1-3 алкокси или NR17’R17’’, где R17’ и R17’’ независимо представляют собой C1-3-алкил,

A4 представляет собой N или CR18, где R18 независимо представляет собой водород, галоген, C1-3 алкил, C1-3 алкокси или NR18’R18’’, где R18’ и R18’’ независимо представляют собой C1-3-алкил.

В одном варианте осуществления изобретения и/или его вариантах осуществления

R1 независимо выбран из группы, состоящей из

водорода, метила, трифторметила, этила, метокси, этокси, фторида и хлорида,

и

R7 независимо выбран из группы, состоящей из

метила, этила, пропила, изопропила, изопропенила метокси, этокси, изопропокси, гидрокси, метилсульфоксила, метилсульфонила метилтио, амино, метиламино, этиламино, (этил)(метил)амино, изопропиламино, диметиламино, (изопропил)(метил)амино, гидроксиэтиламино, (гидроксиэтил)(метил)амино, метоксиэтиламино, морфолин-4-ила, пирролидин-1-ила, 3-гидрокси-пирролидин-1-ила 3-фторазетидинил и 3,3-дифторазетидинила,

и

R13 и R14 вместе с атомами, к которым они присоединены, образуют содержащее 5 или 6 атомов углерода неароматическое кольцо, где один или несколько из образующих кольцо атомов углерода необязательно замещены -NH- или -O-,

A1 представляет собой N или CR15, где R15 независимо представляет собой водород или C1-3 алкокси,

A2 представляет собой N или CR16, где R16 независимо представляет собой водород или C1-3 алкокси,

A3 представляет собой N или CR17, где R17 независимо представляет собой водород или C1-3 алкокси, предпочтительно водород,

A4 представляет собой N или CR18, где R18 независимо представляет собой водород или C1-3 алкокси, предпочтительно водород,

где ни один, один или два из A1, A2, A3 и A4 представляют собой N.

В одном варианте осуществления изобретения и/или его вариантах осуществления представлены соединения в соответствии с формулой (Iqi), (Iqii), (Iqiii), (Iqiv), (Iqv) или (Iqvi)

или стереоизомер, физиологически приемлемая соль, сложный эфир, сольват, полиморф, пролекарство и их смеси, где R19 и R25 имеют значение, определенное в любом из вариантов осуществления, описанных в настоящей заявке.

В одном варианте осуществления изобретения и/или его вариантах осуществления представлены соединения в соответствии с формулой (Iqi), предпочтительно в форме (S)-энантиомера. В одном варианте осуществления изобретения и/или его вариантах осуществления представлены соединения в соответствии с формулой (Iqii), предпочтительно в форме (S)-энантиомера. В одном варианте осуществления изобретения и/или его вариантах осуществления представлены соединения в соответствии с формулой (Iqiii), предпочтительно в форме (S)-энантиомера. В одном варианте осуществления изобретения и/или его вариантах осуществления представлены соединения в соответствии с формулой (Iqiv), предпочтительно в форме (S)-энантиомера. В одном варианте осуществления изобретения и/или его вариантах осуществления представлены соединения в соответствии с формулой (Iqv), предпочтительно в форме (S)-энантиомера. В одном варианте осуществления изобретения и/или его вариантах осуществления представлены соединения в соответствии с формулой (Iqvi), предпочтительно в форме (S)-энантиомера.

Необязательно, в одном варианте осуществления изобретения и/или его вариантах осуществления

R1 независимо выбран из группы, состоящей из

водорода, C1-6-алкила, C1-6-алкокси и галогена,

где C1-6-алкил и C1-6-алкокси необязательно замещен одним или несколькими заместителями, независимо выбранными из группы, состоящей из

C1-6-алкила, C1-6-алкокси, галогена, циано, гидрокси и NR2’R3’,

где R2’ и R3’ независимо выбраны из водорода и C1-3-алкила, более предпочтительно из водорода и метила,

и

R7 независимо выбран из группы, состоящей из

водорода, C1-6-алкила, C2-6-алкенила, 4-10-членного гетероциклила, C1-3-алкокси, гидрокси, NR8R9, SR10, SOR10 и SO2R10,

где каждый C1-6-алкил, C2-6-алкенил, 4-10-членный гетероциклил или C1-3-алкокси необязательно замещен одним или несколькими заместителями, независимо выбранными из группы, состоящей из

C1-3-алкила, 5-10-членного гетероциклила, C1-6-алкокси, галогена, циано, гидрокси, NR8’R9’, C(=O)OR10’ и C(=O)NR11’R12’,

R8 и R9 независимо выбраны из группы, состоящей из

водорода, C1-6-алкила, C6-10-арила и 5-10-членного гетероарила, или

R8 и R9 вместе с N атомом, к которому они присоединены, образуют насыщенное или ненасыщенное гетероциклическое кольцо, содержащее от 3 до 12 кольцевых атомов, где 1 кольцевой атом представляет собой N и где 0, 1, 2 или 3 других кольцевых атома выбраны из N, S и O;

где C1-6-алкил, C6-10-арил или 5-10-членный гетероарил, или гетероциклическое кольцо, образованное R8 и R9 вместе с N атомом, к которому они присоединены, необязательно замещены одним или несколькими заместителями, независимо выбранными из группы, состоящей из

C1-6-алкила, C1-6-алкокси, гидрокси и NR8’’R9’’,

R10 независимо выбран из водорода или C1-3-алкила, предпочтительно из водорода, метила или этила,

R8’, R9’, R10’, R11’ и R12’ независимо выбраны из водорода или C1-3-алкила, предпочтительно из водорода, метила или этила,

R8’’ и R9’’ независимо выбраны из водорода или C1-3-алкила, предпочтительно из водорода, метила или этила,

и

R13 и R14 вместе с атомами, к которым они присоединены, образуют содержащее 5 или 6 атомов углерода ароматическое кольцо, где ароматическое кольцо необязательно замещено одним или несколькими C1-3-алкильными заместителями, и/или где один или несколько из образующих кольцо атомов углерода необязательно замещены -NH-, -N=, =N-, -O- или -S-,

A1 представляет собой N или CR15, где R15 независимо представляет собой водород, галоген C1-3 алкил, C1-3 алкокси или NR15’R15’’, где R15’ и R15’’ независимо представляют собой C1-3-алкил,

A2 представляет собой N или CR16, где R16 независимо представляет собой водород, галоген, C1-3 алкил, C1-3 алкокси или NR16’R16’’, где R16’ и R16’’ независимо представляют собой C1-3-алкил,

A3 представляет собой N или CR17, где R17 независимо представляет собой водород, галоген, C1-3 алкил, C1-3 алкокси или NR15’R15’’, где R15’ и R15’’ независимо представляют собой C1-3-алкил,

A4 представляет собой N или CR18, где R18 независимо представляет собой водород, галоген, C1-3 алкил, C1-3 алкокси или NR15’R15’’, где R15’ и R15’’ независимо представляют собой C1-3-алкил.

В одном варианте осуществления изобретения и/или его вариантах осуществления

R1 независимо выбран из группы, состоящей из

водорода, метила, трифторметила, этила, метокси, этокси, фторида и хлорида,

и

R7 независимо выбран из группы, состоящей из

метила, этила, пропила, изопропила, изопропенила метокси, этокси, изопропокси, гидрокси, метилсульфоксила, метилсульфонила метилтио, амино, метиламино, этиламино, (этил)(метил)амино, изопропиламино, диметиламино, (изопропил)(метил)амино, гидроксиэтиламино, (гидроксиэтил)(метил)амино, метоксиэтиламино, морфолин-4-ила, пирролидин-1-ила, 3-гидрокси-пирролидин-1-ила 3-фторазетидинила и 3,3-дифторазетидинила,

и

R13 и R14 вместе с атомами, к которым они присоединены, образуют содержащее 5 или 6 атомов углерода ароматическое кольцо, где один или несколько из образующих кольцо атомов углерода необязательно замещены -NH-, -N=, =N- или -S-,

A1 представляет собой N или CR15, где R15 независимо представляет собой водород или C1-3 алкокси,

A2 представляет собой N или CR16, где R16 независимо представляет собой водород или C1-3 алкокси,

A3 представляет собой N или CR17, где R17 независимо представляет собой водород или C1-3 алкокси, предпочтительно водород,

A4 представляет собой N или CR18, где R18 независимо представляет собой водород или C1-3 алкокси, предпочтительно водород,

где ни один, один или два из A1, A2, A3 и A4 представляют собой N.

В одном варианте осуществления изобретения и/или его вариантах осуществления представлены соединения в соответствии с формулой (Iqvii), (Iqviii), (Iqix), (Iqx), (Iqxi) или (Iqxii)

Формула (Iqvii)

или стереоизомер, физиологически приемлемая соль, сложный эфир, сольват, полиморф, пролекарство и их смеси, где R19 и R25 имеют значение, определенное в любом из вариантов осуществления, описанных в настоящей заявке.

В одном варианте осуществления изобретения и/или его вариантах осуществления представлены соединения в соответствии с формулой (Iqvii), предпочтительно в форме (S)-энантиомера. В одном варианте осуществления изобретения и/или его вариантах осуществления представлены соединения в соответствии с формулой (Iqviii), предпочтительно в форме (S)-энантиомера. В одном варианте осуществления изобретения и/или его вариантах осуществления представлены соединения в соответствии с формулой (Iqix). предпочтительно в форме (S)-энантиомера. В одном варианте осуществления изобретения и/или его вариантах осуществления представлены соединения в соответствии с формулой (Iqx), предпочтительно в форме (S)-энантиомера. В одном варианте осуществления изобретения и/или его вариантах осуществления представлены соединения в соответствии с формулой (Iqxi), предпочтительно в форме (S)-энантиомера). В одном варианте осуществления изобретения и/или его вариантах осуществления представлены соединения в соответствии с формулой (Iqxii), предпочтительно в форме (S)-энантиомера.

Изобретение обеспечивает соединение в соответствии с изобретением и/или его вариантами осуществления, где R1, R7 и R19 имеют значение, определенное выше.

Необязательно, в одном варианте осуществления изобретения и/или его вариантах осуществления

R1 независимо выбран из группы, состоящей из

водорода, C1-6-алкила, C1-6-алкокси и галогена,

где C1-6-алкил и C1-6-алкокси необязательно замещен одним или несколькими заместителями, независимо выбранными из группы, состоящей из

C1-6-алкила, C1-6-алкокси, галогена, циано, гидрокси и NR2’R3’,

где R2’ и R3’ независимо выбраны из водорода и C1-3-алкила, более предпочтительно из водорода и метила,

и

R7 независимо выбран из группы, состоящей из

водорода, C1-6-алкила, C2-6-алкенила, 4-10-членного гетероциклила, C1-3-алкокси, гидрокси, NR8R9, SR10, SOR10 и SO2R10 ,

где каждый C1-6-алкил, C2-6-алкенил, 4-10-членный гетероциклил или C1-3-алкокси необязательно замещен одним или несколькими заместителями, независимо выбранными из группы, состоящей из

C1-3-алкила, 5-10-членного гетероциклила, C1-6-алкокси, галогена, циано, гидрокси, NR8’R9’, C(=O)OR10’ и C(=O)NR11’R12’,

R8 и R9 независимо выбраны из группы, состоящей из

водорода, C1-6-алкила, C6-10-арила и 5-10-членного гетероарила, или

R8 и R9 вместе с N атомом, к которому они присоединены, образуют насыщенное или ненасыщенное гетероциклическое кольцо, содержащее от 3 до 12 кольцевых атомов, где 1 кольцевой атом представляет собой N и где 0, 1, 2 или 3 других кольцевых атома выбраны из N, S и O;

где C1-6-алкил, C6-10-арил или 5-10-членный гетероарил, или гетероциклическое кольцо, образованное R8 и R9 вместе с N атомом, к которому они присоединены, необязательно замещены одним или несколькими заместителями, независимо выбранными из группы, состоящей из

C1-6-алкила, C1-6-алкокси, гидрокси и NR8’’R9’’;

R10 независимо выбран из водорода или C1-3-алкила, предпочтительно из водорода, метила или этила,

R8’, R9’, R10’, R11’ и R12’ независимо выбраны из водорода или C1-3-алкила, предпочтительно из водорода, метила или этила,

R8’’ и R9’’ независимо выбраны из водорода или C1-3-алкила, предпочтительно из водорода, метила или этила,

и

R19 независимо выбран из группы, состоящей из

C6-10-арила и 5-10-членного гетероарила,

где каждый C6-10-арил или 5-10-членный гетероарил необязательно замещен одним или несколькими заместителями, независимо выбранными из группы, состоящей из

C1-6-алкила, C1-6-алкокси, галогена, циано, нитро и гидрокси.

В одном варианте осуществления изобретения и/или его вариантах осуществления

R1 независимо выбран из группы, состоящей из

водорода, метила, трифторметила, этила, метокси, этокси, фторида и хлорида,

и

R7 независимо выбран из группы, состоящей из

метила, этила, изопропила, пропила, изопропенила метокси, этокси, изопропокси, гидрокси, метилсульфоксила, метилсульфонила метилтио, амино, метиламино, этиламино, (этил)(метил)амино изопропиламино, диметиламино, (изопропил)(метил)амино, гидроксиэтиламино, (гидроксиэтил)(метил)амино, метоксиэтиламино, (метоксиэтил)(метил)амино, морфолин-4-ила, пирролидин-1-ила, 3-гидрокси-пирролидин-1-ила 3-фторазетидинила и 3,3-дифторазетидинила,

и

R19 выбран из группы, состоящей из

3-хлорфенила, 2,3-дихлорфенила, 3,5-дихлорфенила, 3,5-дифторфенила, 2,3,5-трифторфенила, 3,4,5-трифторфенила, 3-хлор-2-фторфенила, 5-хлор-3-фторфенила,5-хлор-3-фторфенила, 3,5-дихлор-4-фторфенила, в частности 2,3,5-трифторфенила, 5-хлор-2-фторфенила, 2,3-дихлорфенила и 3,5-дихлорфенила.

В одном варианте осуществления изобретения и/или его вариантах осуществления представлены соединения в соответствии с формулой (Iri), (Irii), (Iriii), (Iriv), (Irv) или (Irvi)

или стереоизомер, физиологически приемлемая соль, сложный эфир, сольват, полиморф, пролекарство и их смеси, где R13, R14, A1, A2, A3, A4 и R25 имеют значение, определенное в любом из вариантов осуществления, описанных в настоящей заявке.

В одном варианте осуществления изобретения и/или его вариантах осуществления представлены соединения в соответствии с формулой (Iri), предпочтительно в форме (S)-энантиомера. В одном варианте осуществления изобретения и/или его вариантах осуществления представлены соединения в соответствии с формулой (Irii), предпочтительно в форме (S)-энантиомера. В одном варианте осуществления изобретения и/или его вариантах осуществления представлены соединения в соответствии с формулой (Iriii), предпочтительно в форме (S)-энантиомера. В одном варианте осуществления изобретения и/или его вариантах осуществления представлены соединения в соответствии с формулой (Iriv), предпочтительно в форме (S)-энантиомера. В одном варианте осуществления изобретения и/или его вариантах осуществления представлены соединения в соответствии с формулой (Irv), предпочтительно в форме (S)-энантиомера. В одном варианте осуществления изобретения и/или его вариантах осуществления представлены соединения в соответствии с формулой (Irvi), предпочтительно в форме (S)-энантиомера.

Изобретение обеспечивает соединение в соответствии с изобретением и/или его вариантами осуществления, где R1, R7 и R25 имеют значение, определенное выше.

Необязательно, в одном варианте осуществления изобретения и/или его вариантах осуществления

R1 независимо выбран из группы, состоящей из

водорода, C1-6-алкила, C1-6-алкокси и галогена,

где C1-6-алкил и C1-6-алкокси необязательно замещен одним или несколькими заместителями, независимо выбранными из группы, состоящей из

C1-6-алкила, C1-6-алкокси, галогена, циано, гидрокси и NR2’R3’,

где R2’ и R3’ независимо выбраны из водорода и C1-3-алкила, более предпочтительно из водорода и метила,

и

R7 независимо выбран из группы, состоящей из

водорода, C1-6-алкила, C2-6-алкенила, 4-10-членного гетероциклил, C1-3-алкокси, гидрокси, NR8R9, SR10, SOR10 и SO2R10,

где каждый C1-6-алкил, C2-6-алкенил, 4-10-членный гетероциклил или C1-3-алкокси необязательно замещен одним или несколькими заместителями, независимо выбранными из группы, состоящей из

C1-3-алкила, 5-10-членного гетероциклил, C1-6-алкокси, галогена, циано, гидрокси, NR8’R9’, C(=O)OR10’ и C(=O)NR11’R12’,

R8 и R9 независимо выбраны из группы, состоящей из

водорода, C1-6-алкила, C6-10-арила и 5-10-членного гетероарила, или

R8 и R9 вместе с N атомом, к которому они присоединены, образуют насыщенное или ненасыщенное гетероциклическое кольцо, содержащее от 3 до 12 кольцевых атомов, где 1 кольцевой атом представляет собой N и где 0, 1, 2 или 3 других кольцевых атома выбраны из N, S и O;

где C1-6-алкил, C6-10-арил или 5-10-членный гетероарил, или гетероциклическое кольцо, образованное R8 и R9 вместе с N атомом, к которому они присоединены, необязательно замещены одним или несколькими заместителями, независимо выбранными из группы, состоящей из

C1-6-алкила, C1-6-алкокси, гидрокси и NR8’’R9’’;

R10 независимо выбран из водорода или C1-3-алкила, предпочтительно из водорода, метила или этила,

R8’, R9’, R10’, R11’ и R12’ независимо выбраны из водорода или C1-3-алкила, предпочтительно из водорода, метила или этила,

R8’’ и R9’’ независимо выбраны из водорода или C1-3-алкила, предпочтительно из водорода, метила или этила,

и

R25 представляет собой водород или C1-3-алкил.

Необязательно, в одном варианте осуществления изобретения и/или его вариантах осуществления

R1 независимо выбран из группы, состоящей из

водорода, метила, трифторметила, этила, метокси, этокси, фторида и хлорида,

и

R7 независимо выбран из группы, состоящей из

метила, этила, изопропила, пропила, изопропенила метокси, этокси, изопропокси, гидрокси, метилсульфоксила, метилсульфонила метилтио, амино, метиламино, этиламино, (этил)(метил)амино изопропиламино, диметиламино, (изопропил)(метил)амино, гидроксиэтиламино, (гидроксиэтил)(метил)амино, метоксиэтиламино, (метоксиэтил)(метил)амино, морфолин-4-ила, пирролидин-1-ила,3-гидрокси-пирролидин-1-ила 3-фторазетидинила и 3,3-дифторазетидинила,

и

R25 представляет собой водород или метил, предпочтительно водород.

В одном варианте осуществления изобретения и/или его вариантах осуществления представлены соединения в соответствии с формулой (Isi), (Isii), (Isiii) или (Isiv)

или стереоизомер, физиологически приемлемая соль, сложный эфир, сольват, полиморф, пролекарство и их смеси, где R13, R14, A1, A2, A3, A4 и R29 имеют значение, определенное в любом из вариантов осуществления, описанных в настоящей заявке.

В одном варианте осуществления изобретения и/или его вариантах осуществления представлены соединения в соответствии с формулой (Isi), предпочтительно в форме (S)-энантиомера. В одном варианте осуществления изобретения и/или его вариантах осуществления представлены соединения в соответствии с формулой (Isii), предпочтительно в форме (S)-энантиомера. В одном варианте осуществления изобретения и/или его вариантах осуществления представлены соединения в соответствии с формулой (Isiii), предпочтительно в форме (S)-энантиомера. В одном варианте осуществления изобретения и/или его вариантах осуществления представлены соединения в соответствии с формулой (Isiv), предпочтительно в форме (S)-энантиомера.

Изобретение обеспечивает соединение в соответствии с изобретением и/или его вариантами осуществления, где R1, R13, R14, A1, A2, A3, A4 и R19 имеют значение, определенное выше.

Необязательно, в одном варианте осуществления изобретения и/или его вариантах осуществления

R1 независимо выбран из группы, состоящей из

водорода, C1-6-алкила, C1-6-алкокси и галогена,

где C1-6-алкил и C1-6-алкокси необязательно замещен одним или несколькими заместителями, независимо выбранными из группы, состоящей из

C1-6-алкила, C1-6-алкокси, галогена, циано, гидрокси и NR2’R3’,

где R2’ и R3’ независимо выбраны из водорода и C1-3-алкила, более предпочтительно из водорода и метила,

и

R13 и R14 вместе с атомами, к которым они присоединены, образуют содержащее 5 или 6 атомов углерода неароматическое кольцо, где неароматическое кольцо необязательно замещено одним или несколькими заместителями C1-3-алкил или =O, и/или где один или несколько из образующих кольцо атомов углерода необязательно замещены -NH-, -O-, -S(O)-, -S(O)2- или -S-,

A1 представляет собой N или CR15, где R15 независимо представляет собой водород, галоген, C1-3 алкил, C1-3 алкокси или NR15’R15’’, где R15’ и R15’’ независимо представляют собой C1-3-алкил,

A2 представляет собой N или CR16, где R16 независимо представляет собой водород, галоген, C1-3 алкил, C1-3 алкокси или NR16’R16’’, где R16’ и R16’’ независимо представляют собой C1-3-алкил,

A3 представляет собой N или CR17, где R17 независимо представляет собой водород, галоген, C1-3 алкил, C1-3 алкокси или NR17’R17’’, где R17’ и R17’’ независимо представляют собой C1-3-алкил,

A4 представляет собой N или CR18, где R18 независимо представляет собой водород, галоген, C1-3 алкил, C1-3 алкокси или NR18’R18’’, где R18’ и R18’’ независимо представляют собой C1-3-алкил,

и

R19 независимо выбран из группы, состоящей из

C6-10-арила и 5-10-членного гетероарила

где каждый C6-10-арил или 5-10-членный гетероарил необязательно замещен одним или несколькими заместителями, независимо выбранными из группы, состоящей из

C1-6-алкила, C1-6-алкокси, галогена, циано, нитро и гидрокси.

В одном варианте осуществления изобретения и/или его вариантах осуществления

R1 независимо выбран из группы, состоящей из

водорода, метила, трифторметила, этила, метокси, этокси, фторида и хлорида,

и

R13 и R14 вместе с атомами, к которым они присоединены, образуют содержащее 5 или 6 атомов углерода неароматическое кольцо, где один или несколько из образующих кольцо атомов углерода необязательно замещены -NH- или -O-,

A1 представляет собой N или CR15, где R15 независимо представляет собой водород или C1-3 алкокси,

A2 представляет собой N или CR16, где R16 независимо представляет собой водород или C1-3 алкокси,

A3 представляет собой N или CR17, где R17 независимо представляет собой водород или C1-3 алкокси, предпочтительно водород,

A4 представляет собой N или CR18, где R18 независимо представляет собой водород или C1-3 алкокси, предпочтительно водород,

где ни один, один или два из A1, A2, A3 и A4 представляют собой N,

и

R19 независимо выбран из группы, состоящей из

3-хлорфенила, 2,3-дихлорфенила, 3,5-дихлорфенила, 3,5-дифторфенила, 2,3,5-трифторфенила, 3,4,5-трифторфенила, 3-хлор-2-фторфенила, 5-хлор-3-фторфенила,5-хлор-3-фторфенила, 3,5-дихлор-4-фторфенила, в частности 2,3,5-трифторфенила, 5-хлор-2-фторфенила, 2,3-дихлорфенила и 3,5-дихлорфенила.

В одном варианте осуществления изобретения и/или его вариантах осуществления представлены соединения в соответствии с формулой (Iti), (Itii), (Itiii), (Itiv), (Itv) или (Itvi)

или стереоизомер, физиологически приемлемая соль, сложный эфир, сольват, полиморф, пролекарство и их смеси, где R7 и R25 имеют значение, определенное в любом из вариантов осуществления, описанных в настоящей заявке.

В одном варианте осуществления изобретения и/или его вариантах осуществления представлены соединения в соответствии с формулой (Iti), предпочтительно в форме (S)-энантиомера. В одном варианте осуществления изобретения и/или его вариантах осуществления представлены соединения в соответствии с формулой (Itii), предпочтительно в форме (S)-энантиомера. В одном варианте осуществления изобретения и/или его вариантах осуществления представлены соединения в соответствии с формулой (Itiii), предпочтительно в форме (S)-энантиомера. В одном варианте осуществления изобретения и/или его вариантах осуществления представлены соединения в соответствии с формулой (Itiv), предпочтительно в форме (S)-энантиомера. В одном варианте осуществления изобретения и/или его вариантах осуществления представлены соединения в соответствии с формулой (Itv), предпочтительно в форме (S)-энантиомера. В одном варианте осуществления изобретения и/или его вариантах осуществления представлены соединения в соответствии с формулой (Itvi), предпочтительно в форме (S)-энантиомера.

Необязательно, в одном варианте осуществления изобретения и/или его вариантах осуществления

R1 независимо выбран из группы, состоящей из

водорода, C1-6-алкила, C1-6-алкокси и галогена,

где C1-6-алкил и C1-6-алкокси необязательно замещены одним или несколькими заместителями, независимо выбранными из группы, состоящей из

C1-6-алкила, C1-6-алкокси, галогена, циано, гидрокси и NR2’R3’,

где R2’ и R3’ независимо выбраны из водорода и C1-3-алкила, более предпочтительно из водорода и метила,

и

R13 и R14 вместе с атомами, к которым они присоединены, образуют содержащее 5 или 6 атомов углерода ароматическое кольцо, где ароматическое кольцо необязательно замещено одним или несколькими C1-3-алкильными заместителями, и/или где один или несколько из образующих кольцо атомов углерода необязательно замещены -NH-, -N=, =N-, -O- или -S-,

A1 представляет собой N или CR15, где R15 независимо представляет собой водород, галоген C1-3 алкил, C1-3 алкокси или NR15’R15’’, где R15’ и R15’’ независимо представляют собой C1-3-алкил,

A2 представляет собой N или CR16, где R16 независимо представляет собой водород, галоген, C1-3 алкил, C1-3 алкокси или NR16’R16’’, где R16’ и R16’’ независимо представляют собой C1-3-алкил,

A3 представляет собой N или CR17, где R17 независимо представляет собой водород, галоген, C1-3 алкил, C1-3 алкокси или NR15’R15’’, где R15’ и R15’’ независимо представляют собой C1-3-алкил,

A4 представляет собой N или CR18, где R18 независимо представляет собой водород, галоген, C1-3 алкил, C1-3 алкокси или NR15’R15’’, где R15’ и R15’’ независимо представляют собой C1-3-алкил,

и

R19 независимо выбран из группы, состоящей из

C6-10-арила и 5-10-членного гетероарила,

где каждый C6-10-арил или 5-10-членный гетероарил необязательно замещен одним или несколькими заместителями, независимо выбранными из группы, состоящей из

C1-6-алкила, C1-6-алкокси, галогена, циано, нитро и гидрокси.

В одном варианте осуществления изобретения и/или его вариантах осуществления

R1 независимо выбран из группы, состоящей из

водорода, метила, трифторметила, этила, метокси, этокси, фторида и хлорида,

и

R13 и R14 вместе с атомами, к которым они присоединены, образуют содержащее 5 или 6 атомов углерода ароматическое кольцо, где один или несколько из образующих кольцо атомов углерода необязательно замещены -NH-, -N=, =N- или -S-,

A1 представляет собой N или CR15, где R15 независимо представляет собой водород или C1-3 алкокси,

A2 представляет собой N или CR16, где R16 независимо представляет собой водород или C1-3 алкокси,

A3 представляет собой N или CR17, где R17 независимо представляет собой водород или C1-3 алкокси, предпочтительно водород,

A4 представляет собой N или CR18, где R18 независимо представляет собой водород или C1-3 алкокси, предпочтительно водород,

где ни один, один или два из A1, A2, A3 и A4 представляют собой N,

и

R19 независимо выбран из группы, состоящей из

3-хлорфенила, 2,3-дихлорфенила, 3,5-дихлорфенила, 3,5-дифторфенила, 2,3,5-трифторфенила, 3,4,5-трифторфенила, 3-хлор-2-фторфенила, 5-хлор-3-фторфенила,5-хлор-3-фторфенила, 3,5-дихлор-4-фторфенила, в частности 2,3,5-трифторфенила, 5-хлор-2-фторфенила, 2,3-дихлорфенила и 3,5-дихлорфенила.

В одном варианте осуществления изобретения и/или его вариантах осуществления представлены соединения в соответствии с формулой (Itvii), (Itviii), (Itix), (Itx), (Itxi) или (Itxii)

Формула (Itix)

или стереоизомер, физиологически приемлемая соль, сложный эфир, сольват, полиморф, пролекарство и их смеси, где R7 и R25 имеют значение, определенное в любом из вариантов осуществления, описанных в настоящей заявке.

В одном варианте осуществления изобретения и/или его вариантах осуществления представлены соединения в соответствии с формулой (Itvii), предпочтительно в форме (S)-энантиомера. В одном варианте осуществления изобретения и/или его вариантах осуществления представлены соединения в соответствии с формулой (Itviii), предпочтительно в форме (S)-энантиомера. В одном варианте осуществления изобретения и/или его вариантах осуществления представлены соединения в соответствии с формулой (Itix), предпочтительно в форме (S)-энантиомера. В одном варианте осуществления изобретения и/или его вариантах осуществления представлены соединения в соответствии с формулой (Itx), предпочтительно в форме (S)-энантиомера. В одном варианте осуществления изобретения и/или его вариантах осуществления представлены соединения в соответствии с формулой (Itxi), предпочтительно в форме (S)-энантиомера. В одном варианте осуществления изобретения и/или его вариантах осуществления представлены соединения в соответствии с формулой (Itxii), предпочтительно в форме (S)-энантиомера.

Изобретение обеспечивает соединение в соответствии с изобретением и/или его вариантами осуществления, где R1, R13, R14, A1, A2, A3, A4 и R25 имеют значение, определенное выше.

Необязательно, в одном варианте осуществления изобретения и/или его вариантах осуществления

R1 независимо выбран из группы, состоящей из

водорода, C1-6-алкила, C1-6-алкокси и галогена,

где C1-6-алкил и C1-6-алкокси необязательно замещен одним или несколькими заместителями, независимо выбранными из группы, состоящей из

C1-6-алкила, C1-6-алкокси, галогена, циано, гидрокси и NR2’R3’,

где R2’ и R3’ независимо выбраны из водорода и C1-3-алкила, более предпочтительно из водорода и метила,

и

R13 и R14 вместе с атомами, к которым они присоединены, образуют содержащее 5 или 6 атомов углерода неароматическое кольцо, где неароматическое кольцо необязательно замещено одним или несколькими заместителями C1-3-алкил или =O, и/или где один или несколько из образующих кольцо атомов углерода необязательно замещены -NH-, -O-, -S(O)-, -S(O)2- или -S-,

A1 представляет собой N или CR15, где R15 независимо представляет собой водород, галоген, C1-3 алкил, C1-3 алкокси или NR15’R15’’, где R15’ и R15’’ независимо представляют собой C1-3-алкил,

A2 представляет собой N или CR16, где R16 независимо представляет собой водород, галоген, C1-3 алкил, C1-3 алкокси или NR16’R16’’, где R16’ и R16’’ независимо представляют собой C1-3-алкил,

A3 представляет собой N или CR17, где R17 независимо представляет собой водород, галоген, C1-3 алкил, C1-3 алкокси или NR17’R17’’, где R17’ и R17’’ независимо представляют собой C1-3-алкил,

A4 представляет собой N или CR18, где R18 независимо представляет собой водород, галоген, C1-3 алкил, C1-3 алкокси или NR18’R18’’, где R18’ и R18’’ независимо представляют собой C1-3-алкил,

и

R25 представляет собой водород или C1-3-алкил.

В одном варианте осуществления изобретения и/или его вариантах осуществления

R1 независимо выбран из группы, состоящей из

водорода, метила, трифторметила, этила, метокси, этокси, фторида и хлорида,

и

R13 и R14 вместе с атомами, к которым они присоединены, образуют содержащее 5 или 6 атомов углерода неароматическое кольцо, где один или несколько из образующих кольцо атомов углерода необязательно замещены -NH- или -O-,

A1 представляет собой N или CR15, где R15 независимо представляет собой водород или C1-3 алкокси,

A2 представляет собой N или CR16, где R16 независимо представляет собой водород или C1-3 алкокси,

A3 представляет собой N или CR17, где R17 независимо представляет собой водород или C1-3 алкокси, предпочтительно водород,

A4 представляет собой N или CR18, где R18 независимо представляет собой водород или C1-3 алкокси, предпочтительно водород,

где ни один, один или два из A1, A2, A3 и A4 представляют собой N,

и

R25 представляет собой водород или метил, предпочтительно водород.

В одном варианте осуществления изобретения и/или его вариантах осуществления представлены соединения в соответствии с формулой (Iui), (Iuii), (Iuiii), (Iuiv), (Iuv) или (Iuvi)

или стереоизомер, физиологически приемлемая соль, сложный эфир, сольват, полиморф, пролекарство и их смеси, где R7 и R19 имеют значение, определенное в любом из вариантов осуществления, описанных в настоящей заявке.

В одном варианте осуществления изобретения и/или его вариантах осуществления представлены соединения в соответствии с формулой (Iui), предпочтительно в форме (S)-энантиомера. В одном варианте осуществления изобретения и/или его вариантах осуществления представлены соединения в соответствии с формулой (Iuii), предпочтительно в форме (S)-энантиомера. В одном варианте осуществления изобретения и/или его вариантах осуществления представлены соединения в соответствии с формулой (Iuiii), предпочтительно в форме (S)-энантиомера. В одном варианте осуществления изобретения и/или его вариантах осуществления представлены соединения в соответствии с формулой (Iuiv), предпочтительно в форме (S)-энантиомера. В одном варианте осуществления изобретения и/или его вариантах осуществления представлены соединения в соответствии с формулой (Iuv), предпочтительно в форме (S)-энантиомера. В одном варианте осуществления изобретения и/или его вариантах осуществления представлены соединения в соответствии с формулой (Iuvi), предпочтительно в форме (S)-энантиомера.

Необязательно, в одном варианте осуществления изобретения и/или его вариантах осуществления

R1 независимо выбран из группы, состоящей из

водорода, C1-6-алкила, C1-6-алкокси и галогена,

где C1-6-алкил и C1-6-алкокси необязательно замещен одним или несколькими заместителями, независимо выбранными из группы, состоящей из

C1-6-алкила, C1-6-алкокси, галогена, циано, гидрокси и NR2’R3’,

где R2’ и R3’ независимо выбраны из водорода и C1-3-алкила, более предпочтительно из водорода и метила,

и

R13 и R14 вместе с атомами, к которым они присоединены, образуют содержащее 5 или 6 атомов углерода ароматическое кольцо, где ароматическое кольцо необязательно замещено одним или несколькими C1-3-алкильными заместителями, и/или где один или несколько из образующих кольцо атомов углерода необязательно замещены -NH-, -N=, =N-, -O- или -S-,

A1 представляет собой N или CR15, где R15 независимо представляет собой водород, галоген C1-3 алкил, C1-3 алкокси или NR15’R15’’, где R15’ и R15’’ независимо представляют собой C1-3-алкил,

A2 представляет собой N или CR16, где R16 независимо представляет собой водород, галоген, C1-3 алкил, C1-3 алкокси или NR16’R16’’, где R16’ и R16’’ независимо представляют собой C1-3-алкил,

A3 представляет собой N или CR17, где R17 независимо представляет собой водород, галоген, C1-3 алкил, C1-3 алкокси или NR15’R15’’, где R15’ и R15’’ независимо представляют собой C1-3-алкил,

A4 представляет собой N или CR18, где R18 независимо представляет собой водород, галоген, C1-3 алкил, C1-3 алкокси или NR15’R15’’, где R15’ и R15’’ независимо представляют собой C1-3-алкил,

и

R25 представляет собой водород или C1-3-алкил.

В одном варианте осуществления изобретения и/или его вариантах осуществления

R1 независимо выбран из группы, состоящей из

водорода, метила, трифторметила, этила, метокси, этокси, фторида и хлорида,

и

R13 и R14 вместе с атомами, к которым они присоединены, образуют содержащее 5 или 6 атомов углерода ароматическое кольцо, где один или несколько из образующих кольцо атомов углерода необязательно замещены -NH-, -N=, =N- или -S-,

A1 представляет собой N или CR15, где R15 независимо представляет собой водород или C1-3 алкокси,

A2 представляет собой N или CR16, где R16 независимо представляет собой водород или C1-3 алкокси,

A3 представляет собой N или CR17, где R17 независимо представляет собой водород или C1-3 алкокси, предпочтительно водород,

A4 представляет собой N или CR18, где R18 независимо представляет собой водород или C1-3 алкокси, предпочтительно водород,

где ни один, один или два из A1, A2, A3 и A4 представляют собой N,

и

R25 представляет собой водород или метил, предпочтительно водород.

В одном варианте осуществления изобретения и/или его вариантах осуществления представлены соединения в соответствии с формулой (Iuvii), (Iuviii), (Iuix), (Iux), (Iuxi) или (Iuxii)

или стереоизомер, физиологически приемлемая соль, сложный эфир, сольват, полиморф, пролекарство и их смеси, где R7 и R19 имеют значение, определенное в любом из вариантов осуществления, описанных в настоящей заявке.

В одном варианте осуществления изобретения и/или его вариантах осуществления представлены соединения в соответствии с формулой (Iuvii), предпочтительно в форме (S)-энантиомера. В одном варианте осуществления изобретения и/или его вариантах осуществления представлены соединения в соответствии с формулой (Iuviii), предпочтительно в форме (S)-энантиомера. В одном варианте осуществления изобретения и/или его вариантах осуществления представлены соединения в соответствии с формулой (Iuix), предпочтительно в форме (S)-энантиомера. В одном варианте осуществления изобретения и/или его вариантах осуществления представлены соединения в соответствии с формулой (Iux), предпочтительно в форме (S)-энантиомера. В одном варианте осуществления изобретения и/или его вариантах осуществления представлены соединения в соответствии с формулой (Iuxi), предпочтительно в форме (S)-энантиомера. В одном варианте осуществления изобретения и/или его вариантах осуществления представлены соединения в соответствии с формулой (Iuxii), предпочтительно в форме (S)-энантиомера.

Изобретение обеспечивает соединение в соответствии с изобретением и/или его вариантами осуществления, где R1, R19 и R25 имеют значение, определенное выше.

Необязательно, в одном варианте осуществления изобретения и/или его вариантах осуществления

R1 независимо выбран из группы, состоящей из

водорода, C1-6-алкила, C1-6-алкокси и галогена,

где C1-6-алкил и C1-6-алкокси необязательно замещен одним или несколькими заместителями, независимо выбранными из группы, состоящей из

C1-6-алкила, C1-6-алкокси, галогена, циано, гидрокси и NR2’R3’,

где R2’ и R3’ независимо выбраны из водорода и C1-3-алкила, более предпочтительно из водорода и метила,

и

R19 независимо выбран из группы, состоящей из

C6-10-арила и 5-10-членного гетероарила,

где каждый C6-10-арил или 5-10-членный гетероарил необязательно замещен одним или несколькими заместителями, независимо выбранными из группы, состоящей из

C1-6-алкила, C1-6-алкокси, галогена, циано, нитро и гидрокси,

и

R25 представляет собой водород или C1-3-алкил.

В одном варианте осуществления изобретения и/или его вариантах осуществления

R1 независимо выбран из группы, состоящей из

водорода, метила, трифторметила, этила, метокси, этокси, фторида и хлорида,

и

R19 независимо выбран из группы, состоящей из

3-хлорфенила, 2,3-дихлорфенила, 3,5-дихлорфенила, 3,5-дифторфенила, 2,3,5-трифторфенила, 3,4,5-трифторфенила, 3-хлор-2-фторфенила, 5-хлор-3-фторфенила,5-хлор-3-фторфенила, 3,5-дихлор-4-фторфенила, в частности 2,3,5-трифторфенила, 5-хлор-2-фторфенила, 2,3-дихлорфенила и 3,5-дихлорфенила, и

R25 представляет собой водород или метил, предпочтительно водород.

В одном варианте осуществления изобретения и/или его вариантах осуществления представлены соединения в соответствии с формулой (Ivi), (Ivii), (Iviii) или (Iviv)

Формула (Ivi)

Формула (Ivii)

или стереоизомер, физиологически приемлемая соль, сложный эфир, сольват, полиморф, пролекарство и их смеси, где R7 и R13, R14, A1, A2, A3 и A4 имеют значение, определенное в любом из вариантов осуществления, описанных в настоящей заявке.

В одном варианте осуществления изобретения и/или его вариантах осуществления представлены соединения в соответствии с формулой (Ivi), предпочтительно в форме (S)-энантиомера. В одном варианте осуществления изобретения и/или его вариантах осуществления представлены соединения в соответствии с формулой (Ivii), предпочтительно в форме (S)-энантиомера. В одном варианте осуществления изобретения и/или его вариантах осуществления представлены соединения в соответствии с формулой (Iviii), предпочтительно в форме (S)-энантиомера. В одном варианте осуществления изобретения и/или его вариантах осуществления представлены соединения в соответствии с формулой (Iviv), предпочтительно в форме (S)-энантиомера.

Изобретение обеспечивает соединение в соответствии с изобретением и/или его вариантами осуществления, где R7, R13, R14, A1, A2, A3, A4 и R19 имеют значение, определенное выше.

Необязательно, в одном варианте осуществления изобретения и/или его вариантах осуществления

R7 независимо выбран из группы, состоящей из

водорода, C1-6-алкила, C2-6-алкенила, 4-10-членного гетероциклила, C1-3-алкокси, гидрокси, NR8R9, SR10, SOR10 и SO2R10,

где каждый C1-6-алкил, C2-6-алкенил, 4-10-членный гетероциклил или C1-3-алкокси необязательно замещен одним или несколькими заместителями, независимо выбранными из группы, состоящей из

C1-3-алкила, 5-10-членного гетероциклила, C1-6-алкокси, галогена, циано, гидрокси, NR8’R9’, C(=O)OR10’ и C(=O)NR11’R12’,

R8 и R9 независимо выбраны из группы, состоящей из

водорода, C1-6-алкила, C6-10-арила и 5-10-членного гетероарила, или

R8 и R9 вместе с N атомом, к которому они присоединены, образуют насыщенное или ненасыщенное гетероциклическое кольцо, содержащее от 3 до 12 кольцевых атомов, где 1 кольцевой атом представляет собой N и где 0, 1, 2 или 3 других кольцевых атома выбраны из N, S и O;

где C1-6-алкил, C6-10-арил или 5-10-членный гетероарил, или гетероциклическое кольцо, образованное R8 и R9 вместе с N атомом, к которому они присоединены, необязательно замещены одним или несколькими заместителями, независимо выбранными из группы, состоящей из

C1-6-алкила, C1-6-алкокси, гидрокси и NR8’’R9’’;

R10 независимо выбран из водорода или C1-3-алкила, предпочтительно из водорода, метила или этила,

R8’, R9’, R10’, R11’ и R12’ независимо выбраны из водорода или C1-3-алкила, предпочтительно из водорода, метила или этила,

R8’’ и R9’’ независимо выбраны из водорода или C1-3-алкила, предпочтительно из водорода, метила или этила,

и

R13 и R14 вместе с атомами, к которым они присоединены, образуют содержащее 5 или 6 атомов углерода неароматическое кольцо, где неароматическое кольцо необязательно замещено одним или несколькими заместителями C1-3-алкил или =O, и/или где один или несколько из образующих кольцо атомов углерода необязательно замещены -NH-, -O-, -S(O)-, -S(O)2- или -S-,

A1 представляет собой N или CR15, где R15 независимо представляет собой водород, галоген, C1-3 алкил, C1-3 алкокси или NR15’R15’’, где R15’ и R15’’ независимо представляют собой C1-3-алкил,

A2 представляет собой N или CR16, где R16 независимо представляет собой водород, галоген, C1-3 алкил, C1-3 алкокси или NR16’R16’’, где R16’ и R16’’ независимо представляют собой C1-3-алкил,

A3 представляет собой N или CR17, где R17 независимо представляет собой водород, галоген, C1-3 алкил, C1-3 алкокси или NR17’R17’’, где R17’ и R17’’ независимо представляют собой C1-3-алкил,

A4 представляет собой N или CR18, где R18 независимо представляет собой водород, галоген, C1-3 алкил, C1-3 алкокси или NR18’R18’’, где R18’ и R18’’ независимо представляют собой C1-3-алкил,

и

R19 независимо выбран из группы, состоящей из

C6-10-арила и 5-10-членного гетероарила,

где каждый C6-10-арил или 5-10-членный гетероарил необязательно замещен одним или несколькими заместителями, независимо выбранными из группы, состоящей из

C1-6-алкила, C1-6-алкокси, галогена, циано, нитро и гидрокси.

В одном варианте осуществления изобретения и/или его вариантах осуществления

R7 независимо выбран из группы, состоящей из

метила, этила, пропила, изопропила, изопропенила метокси, этокси, изопропокси, гидрокси, метилсульфоксила, метилсульфонила метилтио, амино, метиламино, этиламино, (этил)(метил)амино, изопропиламино, диметиламино, (изопропил)(метил)амино, гидроксиэтиламино, (гидроксиэтил)(метил)амино, метоксиэтиламино, (метоксиэтил)l(метил)амино, морфолин-4-ила, пирролидин-1-ила, 3-гидрокси-пирролидин-1-ила 3-фторазетидинила и 3,3-дифторазетидинила,

и

R13 и R14 вместе с атомами, к которым они присоединены, образуют содержащее 5 или 6 атомов углерода неароматическое кольцо, где один или несколько из образующих кольцо атомов углерода необязательно замещены -NH- или -O-,

A1 представляет собой N или CR15, где R15 независимо представляет собой водород или C1-3 алкокси,

A2 представляет собой N или CR16, где R16 независимо представляет собой водород или C1-3 алкокси,

A3 представляет собой N или CR17, где R17 независимо представляет собой водород или C1-3 алкокси, предпочтительно водород,

A4 представляет собой N или CR18, где R18 независимо представляет собой водород или C1-3 алкокси, предпочтительно водород,

где ни один, один или два из A1, A2, A3 и A4 представляют собой N,

и

R19 независимо выбран из группы, состоящей из

3-хлорфенила, 2,3-дихлорфенила, 3,5-дихлорфенила, 3,5-дифторфенила, 2,3,5-трифторфенила, 3,4,5-трифторфенила, 3-хлор-2-фторфенила, 5-хлор-3-фторфенила,5-хлор-3-фторфенила, 3,5-дихлор-4-фторфенила, в частности 2,3,5-трифторфенила, 5-хлор-2-фторфенила, 2,3-дихлорфенила и 3,5-дихлорфенила.

В одном варианте осуществления изобретения и/или его вариантах осуществления представлены соединения в соответствии с формулой (Iwi), (Iwii), (Iwiii), (Iwiv), (Iwv), (Iwvi), (Iwvii), (Iwviii), (Iwix), (Iwx), (Iwxi) или (Iwxii)

Формула (Iwi)

или стереоизомер, физиологически приемлемая соль, сложный эфир, сольват, полиморф, пролекарство и их смеси, где R1 и R25 имеют значение, определенное в любом из вариантов осуществления, описанных в настоящей заявке.

В одном варианте осуществления изобретения и/или его вариантах осуществления представлены соединения в соответствии с формулой (Iwi), предпочтительно в форме (S)-энантиомера. В одном варианте осуществления изобретения и/или его вариантах осуществления представлены соединения в соответствии с формулой (Iwii), предпочтительно в форме (S)-энантиомера. В одном варианте осуществления изобретения и/или его вариантах осуществления представлены соединения в соответствии с формулой (Iwiii), предпочтительно в форме (S)-энантиомера. В одном варианте осуществления изобретения и/или его вариантах осуществления представлены соединения в соответствии с формулой (Iwiv), предпочтительно в форме (S)-энантиомера. В одном варианте осуществления изобретения и/или его вариантах осуществления представлены соединения в соответствии с формулой (Iwv). предпочтительно в форме (S)-энантиомера. В одном варианте осуществления изобретения и/или его вариантах осуществления представлены соединения в соответствии с формулой (Iwvi), предпочтительно в форме (S)-энантиомера. В одном варианте осуществления изобретения и/или его вариантах осуществления представлены соединения в соответствии с формулой (Iwvii), предпочтительно в форме (S)-энантиомера. В одном варианте осуществления изобретения и/или его вариантах осуществления представлены соединения в соответствии с формулой (Iwviii), предпочтительно в форме (S)-энантиомера. В одном варианте осуществления изобретения и/или его вариантах осуществления представлены соединения в соответствии с формулой (Iwix), предпочтительно в форме (S)-энантиомера. В одном варианте осуществления изобретения и/или его вариантах осуществления представлены соединения в соответствии с формулой (Iwx), предпочтительно в форме (S)-энантиомера. В одном варианте осуществления изобретения и/или его вариантах осуществления представлены соединения в соответствии с формулой (Iwxi), предпочтительно в форме (S)-энантиомера. В одном варианте осуществления изобретения и/или его вариантах осуществления представлены соединения в соответствии с формулой (Iwxii), предпочтительно в форме (S)-энантиомера.

Необязательно, в одном варианте осуществления изобретения и/или его вариантах осуществления

R7 независимо выбран из группы, состоящей из

водорода, C1-6-алкила, C2-6-алкенила, 4-10-членного гетероциклила, C1-3-алкокси, гидрокси, NR8R9, SR10, SOR10 и SO2R10,

где каждый C1-6-алкил, C2-6-алкенил, 4-10-членный гетероциклил или C1-3-алкокси необязательно замещен одним или несколькими заместителями, независимо выбранными из группы, состоящей из

C1-3-алкила, 5-10-членного гетероциклила, C1-6-алкокси, галогена, циано, гидрокси, NR8’R9’, C(=O)OR10’ и C(=O)NR11’R12’,

R8 и R9 независимо выбраны из группы, состоящей из

водорода, C1-6-алкила, C6-10-арила и 5-10-членного гетероарила, или

R8 и R9 вместе с N атомом, к которому они присоединены, образуют насыщенное или ненасыщенное гетероциклическое кольцо, содержащее от 3 до 12 кольцевых атомов, где 1 кольцевой атом представляет собой N и где 0, 1, 2 или 3 других кольцевых атома выбраны из N, S и O;

где C1-6-алкил, C6-10-арил или 5-10-членный гетероарил, или гетероциклическое кольцо, образованное R8 и R9 вместе с N атомом, к которому они присоединены, необязательно замещены одним или несколькими заместителями, независимо выбранными из группы, состоящей из

C1-6-алкила, C1-6-алкокси, гидрокси и NR8’’R9’’;

R10 независимо выбран из водорода или C1-3-алкила, предпочтительно из водорода, метила или этила,

R8’, R9’, R10’, R11’ и R12’ независимо выбраны из водорода или C1-3-алкила, предпочтительно из водорода, метила или этила,

R8’’ и R9’’ независимо выбраны из водорода или C1-3-алкила, предпочтительно из водорода, метила или этила,

и

R13 и R14 вместе с атомами, к которым они присоединены, образуют содержащее 5 или 6 атомов углерода ароматическое кольцо, где ароматическое кольцо необязательно замещено одним или несколькими C1-3-алкильными заместителями, и/или где один или несколько из образующих кольцо атомов углерода необязательно замещены -NH-, -N=, =N-, -O- или -S-,

A1 представляет собой N или CR15, где R15 независимо представляет собой водород, галоген C1-3 алкил, C1-3 алкокси или NR15’R15’’, где R15’ и R15’’ независимо представляют собой C1-3-алкил,

A2 представляет собой N или CR16, где R16 независимо представляет собой водород, галоген, C1-3 алкил, C1-3 алкокси или NR16’R16’’, где R16’ и R16’’ независимо представляют собой C1-3-алкил,

A3 представляет собой N или CR17, где R17 независимо представляет собой водород, галоген, C1-3 алкил, C1-3 алкокси или NR15’R15’’, где R15’ и R15’’ независимо представляют собой C1-3-алкил,

A4 представляет собой N или CR18, где R18 независимо представляет собой водород, галоген, C1-3 алкил, C1-3 алкокси или NR15’R15’’, где R15’ и R15’’ независимо представляют собой C1-3-алкил,

и

R19 независимо выбран из группы, состоящей из

C6-10-арила и 5-10-членного гетероарила,

где каждый C6-10-арил или 5-10-членный гетероарил необязательно замещен одним или несколькими заместителями, независимо выбранными из группы, состоящей из

C1-6-алкила, C1-6-алкокси, галогена, циано, нитро и гидрокси.

В одном варианте осуществления изобретения и/или его вариантах осуществления

R7 независимо выбран из группы, состоящей из

метила, этила, пропила, изопропила, изопропенил метокси, этокси, изопропокси, гидрокси, метилсульфоксила, метилсульфонила метилтио, амино, метиламино, этиламино, (этил)(метил)амино, изопропиламино, диметиламино, (изопропил)(метил)амино, гидроксиэтиламино, (гидроксиэтил)(метил)амино, метоксиэтиламино, (метоксиэтил)l(метил)амино, морфолин-4-ила, пирролидин-1-ила, 3-гидрокси-пирролидин-1-ила 3-фторазетидинила и 3,3-дифторазетидинила,

и

R13 и R14 вместе с атомами, к которым они присоединены, образуют содержащее 5 или 6 атомов углерода ароматическое кольцо, где один или несколько из образующих кольцо атомов углерода необязательно замещены -NH-, -N=, =N- или -S-,

A1 представляет собой N или CR15, где R15 независимо представляет собой водород или C1-3 алкокси,

A2 представляет собой N или CR16, где R16 независимо представляет собой водород или C1-3 алкокси,

A3 представляет собой N или CR17, где R17 независимо представляет собой водород или C1-3 алкокси, предпочтительно водород,

A4 представляет собой N или CR18, где R18 независимо представляет собой водород или C1-3 алкокси, предпочтительно водород,

где ни один, один или два из A1, A2, A3 и A4 представляют собой N,

и

R19 независимо выбран из группы, состоящей из

3-хлорфенила, 2,3-дихлорфенила, 3,5-дихлорфенила, 3,5-дифторфенила, 2,3,5-трифторфенила, 3,4,5-трифторфенила, 3-хлор-2-фторфенила, 5-хлор-3-фторфенила,5-хлор-3-фторфенила, 3,5-дихлор-4-фторфенила, в частности 2,3,5-трифторфенила, 5-хлор-2-фторфенила, 2,3-дихлорфенила и 3,5-дихлорфенила.

В одном варианте осуществления изобретения и/или его вариантах осуществления представлены соединения в соответствии с формулой (Iwxiii), (Iwxiv), (Iwxv), (Iwxvi), (Iwxvii), (Iwxviii), (Iwxix), (Iwxx), (Iwxxi), (Iwxxii), (Iwxxiii) или (Iwxxiv)

или стереоизомер, физиологически приемлемая соль, сложный эфир, сольват, полиморф, пролекарство и их смеси, где R1 и R25 имеют значение, определенное в любом из вариантов осуществления, описанных в настоящей заявке.

В одном варианте осуществления изобретения и/или его вариантах осуществления представлены соединения в соответствии с формулой (Iwxiii), предпочтительно в форме (S)-энантиомера. В одном варианте осуществления изобретения и/или его вариантах осуществления представлены соединения в соответствии с формулой (Iwxiv), предпочтительно в форме (S)-энантиомера. В одном варианте осуществления изобретения и/или его вариантах осуществления представлены соединения в соответствии с формулой (Iwxv), предпочтительно в форме (S)-энантиомера. В одном варианте осуществления изобретения и/или его вариантах осуществления представлены соединения в соответствии с формулой (Iwxvi), предпочтительно в форме (S)-энантиомера. В одном варианте осуществления изобретения и/или его вариантах осуществления представлены соединения в соответствии с формулой (Iwxvii). предпочтительно в форме (S)-энантиомера. В одном варианте осуществления изобретения и/или его вариантах осуществления представлены соединения в соответствии с формулой (Iwxviii), предпочтительно в форме (S)-энантиомера. В одном варианте осуществления изобретения и/или его вариантах осуществления представлены соединения в соответствии с формулой (Iwxix), предпочтительно в форме (S)-энантиомера. В одном варианте осуществления изобретения и/или его вариантах осуществления представлены соединения в соответствии с формулой (Iwxx), предпочтительно в форме (S)-энантиомера. В одном варианте осуществления изобретения и/или его вариантах осуществления представлены соединения в соответствии с формулой (Iwxxi), предпочтительно в форме (S)-энантиомера. В одном варианте осуществления изобретения и/или его вариантах осуществления представлены соединения в соответствии с формулой (Iwxxii), предпочтительно в форме (S)-энантиомера. В одном варианте осуществления изобретения и/или его вариантах осуществления представлены соединения в соответствии с формулой (Iwxxiii), предпочтительно в форме (S)-энантиомера. В одном варианте осуществления изобретения и/или его вариантах осуществления представлены соединения в соответствии с формулой (Iwxxiv), предпочтительно в форме (S)-энантиомера.

Изобретение обеспечивает соединение в соответствии с изобретением и/или его вариантами осуществления, где R7, R13, R14, A1, A2, A3, A4 и R25 имеют значение, определенное выше.

Необязательно, в одном варианте осуществления изобретения и/или его вариантах осуществления

R7 независимо выбран из группы, состоящей из

водорода, C1-6-алкила, C2-6-алкенила, 4-10-членного гетероциклила, C1-3-алкокси, гидрокси, NR8R9, SR10, SOR10 и SO2R10 ,

где каждый C1-6-алкил, C2-6-алкенил, 4-10-членный гетероциклил или C1-3-алкокси необязательно замещен одним или несколькими заместителями, независимо выбранными из группы, состоящей из

C1-3-алкила, 5-10-членного гетероциклила, C1-6-алкокси, галогена, циано, гидрокси, NR8’R9’, C(=O)OR10’ и C(=O)NR11’R12’,

R8 и R9 независимо выбраны из группы, состоящей из

водорода, C1-6-алкила, C6-10-арила и 5-10-членного гетероарила, или

R8 и R9 вместе с N атомом, к которому они присоединены, образуют насыщенное или ненасыщенное гетероциклическое кольцо, содержащее от 3 до 12 кольцевых атомов, где 1 кольцевой атом представляет собой N и где 0, 1, 2 или 3 других кольцевых атома выбраны из N, S и O;

где C1-6-алкил, C6-10-арил или 5-10-членный гетероарил, или гетероциклическое кольцо, образованное R8 и R9 вместе с N атомом, к которому они присоединены, необязательно замещены одним или несколькими заместителями, независимо выбранными из группы, состоящей из

C1-6-алкила, C1-6-алкокси, гидрокси и NR8’’R9’’,

R10 независимо выбран из водорода или C1-3-алкила, предпочтительно из водорода, метила или этила,

R8’, R9’, R10’, R11’ и R12’ независимо выбраны из водорода или C1-3-алкила, предпочтительно из водорода, метила или этила,

R8’’ и R9’’ независимо выбраны из водорода или C1-3-алкила, предпочтительно из водорода, метила или этила,

и

R13 и R14 вместе с атомами, к которым они присоединены, образуют содержащее 5 или 6 атомов углерода неароматическое кольцо, где неароматическое кольцо необязательно замещено одним или несколькими заместителями C1-3-алкил или =O, и/или где один или несколько из образующих кольцо атомов углерода необязательно замещены -NH-, -O-, -S(O)-, -S(O)2- или -S-,

A1 представляет собой N или CR15, где R15 независимо представляет собой водород, галоген, C1-3 алкил, C1-3 алкокси или NR15’R15’’, где R15’ и R15’’ независимо представляют собой C1-3-алкил,

A2 представляет собой N или CR16, где R16 независимо представляет собой водород, галоген, C1-3 алкил, C1-3 алкокси или NR16’R16’’, где R16’ и R16’’ независимо представляют собой C1-3-алкил,

A3 представляет собой N или CR17, где R17 независимо представляет собой водород, галоген, C1-3 алкил, C1-3 алкокси или NR17’R17’’, где R17’ и R17’’ независимо представляют собой C1-3-алкил,

A4 представляет собой N или CR18, где R18 независимо представляет собой водород, галоген, C1-3 алкил, C1-3 алкокси или NR18’R18’’, где R18’ и R18’’ независимо представляют собой C1-3-алкил, и

R25 представляет собой водород или C1-3-алкил.

В одном варианте осуществления изобретения и/или его вариантах осуществления

R7 независимо выбран из группы, состоящей из

метила, этила, пропила, изопропила, изопропенил метокси, этокси, изопропокси, гидрокси, метилсульфоксила, метилсульфонила метилтио, амино, метиламино, этиламино, (этил)(метил)амино, изопропиламино, диметиламино, (изопропил)(метил)амино, гидроксиэтиламино, (гидроксиэтил)(метил)амино, метоксиэтиламино, (метоксиэтил)(метил)амино, морфолин-4-ила, пирролидин-1-ила, 3-гидрокси-пирролидин-1-ила 3-фторазетидинила и 3,3-дифторазетидинила,

и

R13 и R14 вместе с атомами, к которым они присоединены, образуют содержащее 5 или 6 атомов углерода неароматическое кольцо, где один или несколько из образующих кольцо атомов углерода необязательно замещены -NH- или -O-,

A1 представляет собой N или CR15, где R15 независимо представляет собой водород или C1-3 алкокси,

A2 представляет собой N или CR16, где R16 независимо представляет собой водород или C1-3 алкокси,

A3 представляет собой N или CR17, где R17 независимо представляет собой водород или C1-3 алкокси, предпочтительно водород,

A4 представляет собой N или CR18, где R18 независимо представляет собой водород или C1-3 алкокси, предпочтительно водород,

где ни один, один или два из A1, A2, A3 и A4 представляют собой N,

и

R25 представляет собой водород или метил, предпочтительно водород.

В одном варианте осуществления изобретения и/или его вариантах осуществления представлены соединения в соответствии с формулой (Ixi), (Ixii), (Ixiii), (Ixiv), (Ixv) или (Ixvi)

или стереоизомер, физиологически приемлемая соль, сложный эфир, сольват, полиморф, пролекарство и их смеси, где R1 и R19 имеют значение, определенное в любом из вариантов осуществления, описанных в настоящей заявке.

В одном варианте осуществления изобретения и/или его вариантах осуществления представлены соединения в соответствии с формулой (Ixi), предпочтительно в форме (S)-энантиомера. В одном варианте осуществления изобретения и/или его вариантах осуществления представлены соединения в соответствии с формулой (Ixii), предпочтительно в форме (S)-энантиомера. В одном варианте осуществления изобретения и/или его вариантах осуществления представлены соединения в соответствии с формулой (Ixiii), предпочтительно в форме (S)-энантиомера. В одном варианте осуществления изобретения и/или его вариантах осуществления представлены соединения в соответствии с формулой (Ixiv), предпочтительно в форме (S)-энантиомера. В одном варианте осуществления изобретения и/или его вариантах осуществления представлены соединения в соответствии с формулой (Ixv), предпочтительно в форме (S)-энантиомера. В одном варианте осуществления изобретения и/или его вариантах осуществления представлены соединения в соответствии с формулой (Ixvi), предпочтительно в форме (S)-энантиомера.

Необязательно, в одном варианте осуществления изобретения и/или его вариантах осуществления

R7 независимо выбран из группы, состоящей из

водорода, C1-6-алкила, C2-6-алкенила, 4-10-членного гетероциклила, C1-3-алкокси, гидрокси, NR8R9, SR10, SOR10 и SO2R10,

где каждый C1-6-алкил, C2-6-алкенил, 4-10-членный гетероциклил или C1-3-алкокси необязательно замещен одним или несколькими заместителями, независимо выбранными из группы, состоящей из

C1-3-алкила, 5-10-членного гетероциклила, C1-6-алкокси, галогена, циано, гидрокси, NR8’R9’, C(=O)OR10’ и C(=O)NR11’R12’,

R8 и R9 независимо выбраны из группы, состоящей из

водорода, C1-6-алкила, C6-10-арила и 5-10-членного гетероарила, или

R8 и R9 вместе с N атомом, к которому они присоединены, образуют насыщенное или ненасыщенное гетероциклическое кольцо, содержащее от 3 до 12 кольцевых атомов, где 1 кольцевой атом представляет собой N и где 0, 1, 2 или 3 других кольцевых атома выбраны из N, S и O;

где C1-6-алкил, C6-10-арил или 5-10-членный гетероарил, или гетероциклическое кольцо, образованное R8 и R9 вместе с N атомом, к которому они присоединены, необязательно замещены одним или несколькими заместителями, независимо выбранными из группы, состоящей из

C1-6-алкила, C1-6-алкокси, гидрокси и NR8’’R9’’,

R10 независимо выбран из водорода или C1-3-алкила, предпочтительно из водорода, метила или этила,

R8’, R9’, R10’, R11’ и R12’ независимо выбраны из водорода или C1-3-алкила, предпочтительно из водорода, метила или этила,

R8’’ и R9’’ независимо выбраны из водорода или C1-3-алкила, предпочтительно из водорода, метила или этила,

и

R13 и R14 вместе с атомами, к которым они присоединены, образуют содержащее 5 или 6 атомов углерода ароматическое кольцо, где ароматическое кольцо необязательно замещено одним или несколькими C1-3-алкильными заместителями, и/или где один или несколько из образующих кольцо атомов углерода необязательно замещены -NH-, -N=, =N-, -O- или -S-,

A1 представляет собой N или CR15, где R15 независимо представляет собой водород, галоген C1-3 алкил, C1-3 алкокси или NR15’R15’’, где R15’ и R15’’ независимо представляют собой C1-3-алкил,

A2 представляет собой N или CR16, где R16 независимо представляет собой водород, галоген, C1-3 алкил, C1-3 алкокси или NR16’R16’’, где R16’ и R16’’ независимо представляют собой C1-3-алкил,

A3 представляет собой N или CR17, где R17 независимо представляет собой водород, галоген, C1-3 алкил, C1-3 алкокси или NR15’R15’’, где R15’ и R15’’ независимо представляют собой C1-3-алкил,

A4 представляет собой N или CR18, где R18 независимо представляет собой водород, галоген, C1-3 алкил, C1-3 алкокси или NR15’R15’’, где R15’ и R15’’ независимо представляют собой C1-3-алкил,

и

R25 представляет собой водород или C1-3-алкил.

В одном варианте осуществления изобретения и/или его вариантах осуществления

R7 независимо выбран из группы, состоящей из

метила, этила, пропила, изопропила, изопропенила метокси, этокси, изопропокси, гидрокси, метилсульфоксила, метилсульфонила метилтио, амино, метиламино, этиламино, (этил)(метил)амино, изопропиламино, диметиламино, (изопропил)(метил)амино, гидроксиэтиламино, (гидроксиэтил)(метил)амино, метоксиэтиламино, (метоксиэтил)(метил)амино, морфолин-4-ила, пирролидин-1-ила, 3-гидрокси-пирролидин-1-ила 3-фторазетидинил и 3,3-дифторазетидинила,

и

R13 и R14 вместе с атомами, к которым они присоединены, образуют содержащее 5 или 6 атомов углерода ароматическое кольцо, где один или несколько из образующих кольцо атомов углерода необязательно замещены -NH-, -N=, =N- или -S-,

A1 представляет собой N или CR15, где R15 независимо представляет собой водород или C1-3 алкокси,

A2 представляет собой N или CR16, где R16 независимо представляет собой водород или C1-3 алкокси,

A3 представляет собой N или CR17, где R17 независимо представляет собой водород или C1-3 алкокси, предпочтительно водород,

A4 представляет собой N или CR18, где R18 независимо представляет собой водород или C1-3 алкокси, предпочтительно водород,

где ни один, один или два из A1, A2, A3 и A4 представляют собой N,

и

R25 представляет собой водород или метил, предпочтительно водород.

В одном варианте осуществления изобретения и/или его вариантах осуществления представлены соединения в соответствии с формулой (Ixvii), (Ixviii), (Ixix), (Ixx), (Ixxi) или (Ixxii)

Формула (Ixvii)

или стереоизомер, физиологически приемлемая соль, сложный эфир, сольват, полиморф, пролекарство и их смеси, где R1 и R19 имеют значение, определенное в любом из вариантов осуществления, описанных в настоящей заявке.

В одном варианте осуществления изобретения и/или его вариантах осуществления представлены соединения в соответствии с формулой (Ixvii), предпочтительно в форме (S)-энантиомера. В одном варианте осуществления изобретения и/или его вариантах осуществления представлены соединения в соответствии с формулой (Ixviii), предпочтительно в форме (S)-энантиомера. В одном варианте осуществления изобретения и/или его вариантах осуществления представлены соединения в соответствии с формулой (Ixix), предпочтительно в форме (S)-энантиомера. В одном варианте осуществления изобретения и/или его вариантах осуществления представлены соединения в соответствии с формулой (Ixx), предпочтительно в форме (S)-энантиомера. В одном варианте осуществления изобретения и/или его вариантах осуществления представлены соединения в соответствии с формулой (Ixxi), предпочтительно в форме (S)-энантиомера. В одном варианте осуществления изобретения и/или его вариантах осуществления представлены соединения в соответствии с формулой (Ixxii), предпочтительно в форме (S)-энантиомера.

Изобретение обеспечивает соединение в соответствии с изобретением и/или его вариантами осуществления, где R7, R19 и R25 имеют значение, определенное выше.

Необязательно, в одном варианте осуществления изобретения и/или его вариантах осуществления

R7 независимо выбран из группы, состоящей из

водорода, C1-6-алкила, C2-6-алкенила, 4-10-членного гетероциклила, C1-3-алкокси, гидрокси, NR8R9, SR10, SOR10 и SO2R10,

где каждый C1-6-алкил, C2-6-алкенил, 4-10-членный гетероциклил или C1-3-алкокси необязательно замещен одним или несколькими заместителями, независимо выбранными из группы, состоящей из

C1-3-алкила, 5-10-членного гетероциклила, C1-6-алкокси, галогена, циано, гидрокси, NR8’R9’, C(=O)OR10’ и C(=O)NR11’R12’,

R8 и R9 независимо выбраны из группы, состоящей из

водорода, C1-6-алкила, C6-10-арила и 5-10-членного гетероарила, или

R8 и R9 вместе с N атомом, к которому они присоединены, образуют насыщенное или ненасыщенное гетероциклическое кольцо, содержащее от 3 до 12 кольцевых атомов, где 1 кольцевой атом представляет собой N и где 0, 1, 2 или 3 других кольцевых атома выбраны из N, S и O;

где C1-6-алкил, C6-10-арил или 5-10-членный гетероарил, или гетероциклическое кольцо, образованное R8 и R9 вместе с N атомом, к которому они присоединены, необязательно замещены одним или несколькими заместителями, независимо выбранными из группы, состоящей из

C1-6-алкила, C1-6-алкокси, гидрокси и NR8’’R9’’;

R10 независимо выбран из водорода или C1-3-алкила, предпочтительно из водорода, метила или этила,

R8’, R9’, R10’, R11’ и R12’ независимо выбраны из водорода или C1-3-алкила, предпочтительно из водорода, метила или этила,

R8’’и R9’’ независимо выбраны из водорода или C1-3-алкила, предпочтительно из водорода, метила или этила,

и

R19 независимо выбран из группы, состоящей из

C6-10-арила и 5-10-членного гетероарила,

где каждый C6-10-арил или 5-10-членный гетероарил необязательно замещен одним или несколькими заместителями, независимо выбранными из группы, состоящей из

C1-6-алкила, C1-6-алкокси, галогена, циано, нитро и гидрокси,

и

R25 представляет собой водород или C1-3-алкил.

В одном варианте осуществления изобретения и/или его вариантах осуществления

R7 независимо выбран из группы, состоящей из

метила, этила, пропила, изопропила, изопропенила метокси, этокси, изопропокси, гидрокси, метилсульфоксила, метилсульфонила метилтио, амино, метиламино, этиламино, (этил)(метил)амино изопропиламино, диметиламино, (изопропил)(метил)амино, гидроксиэтиламино, (гидроксиэтил)(метил)амино, метоксиэтиламино, (метоксиэтил)(метил)амино, морфолин-4-ила, пирролидин-1-ила, 3-гидрокси-пирролидин-1-ила 3-фторазетидинила и 3,3-дифторазетидинила,

и

R19 независимо выбран из группы, состоящей из

3-хлорфенила, 2,3-дихлорфенила, 3,5-дихлорфенила, 3,5-дифторфенила, 2,3,5-трифторфенила, 3,4,5-трифторфенила, 3-хлор-2-фторфенила, 5-хлор-3-фторфенила,5-хлор-3-фторфенила, 3,5-дихлор-4-фторфенила, в частности 2,3,5-трифторфенила, 5-хлор-2-фторфенила, 2,3-дихлорфенила и 3,5-дихлорфенила,

и

R25 представляет собой водород или метил, предпочтительно водород.

В одном варианте осуществления изобретения и/или его вариантах осуществления представлены соединения в соответствии с формулой (Iyi), (Iyii), (Iyiii) или (Iyiv)

Формула (Iyi)

или стереоизомер, физиологически приемлемая соль, сложный эфир, сольват, полиморф, пролекарство и их смеси, где R1, R13, R14, A1, A2, A3 и A4 имеют значение, определенное в любом из вариантов осуществления, описанных в настоящей заявке.

В одном варианте осуществления изобретения и/или его вариантах осуществления представлены соединения в соответствии с формулой (Iyi), предпочтительно в форме (S)-энантиомера. В одном варианте осуществления изобретения и/или его вариантах осуществления представлены соединения в соответствии с формулой (Iyii), предпочтительно в форме (S)-энантиомера. В одном варианте осуществления изобретения и/или его вариантах осуществления представлены соединения в соответствии с формулой (Iyiii), предпочтительно в форме (S)-энантиомера. В одном варианте осуществления изобретения и/или его вариантах осуществления представлены соединения в соответствии с формулой (Iyiv), предпочтительно в форме (S)-энантиомера.

Изобретение обеспечивает соединение в соответствии с изобретением и/или его вариантами осуществления, где R13, R14, A1, A2, A3, A4, R19 и R25 имеют значение, определенное выше.

Необязательно, в одном варианте осуществления изобретения и/или его вариантах осуществления

R13 и R14 вместе с атомами, к которым они присоединены, образуют содержащее 5 или 6 атомов углерода неароматическое кольцо, где неароматическое кольцо необязательно замещено одним или несколькими заместителями C1-3-алкил или =O, и/или где один или несколько из образующих кольцо атомов углерода необязательно замещены -NH-, -O-, -S(O)-, -S(O)2- или -S-,

A1 представляет собой N или CR15, где R15 независимо представляет собой водород, галоген, C1-3 алкил, C1-3 алкокси или NR15’R15’’, где R15’ и R15’’ независимо представляют собой C1-3-алкил,

A2 представляет собой N или CR16, где R16 независимо представляет собой водород, галоген, C1-3 алкил, C1-3 алкокси или NR16’R16’’, где R16’ и R16’’ независимо представляют собой C1-3-алкил,

A3 представляет собой N или CR17, где R17 независимо представляет собой водород, галоген, C1-3 алкил, C1-3 алкокси или NR17’R17’’, где R17’ и R17’’ независимо представляют собой C1-3-алкил,

A4 представляет собой N или CR18, где R18 независимо представляет собой водород, галоген, C1-3 алкил, C1-3 алкокси или NR18’R18’’, где R18’ и R18’’ независимо представляют собой C1-3-алкил,

и

R19 независимо выбран из группы, состоящей из

C6-10-арила и 5-10-членного гетероарила,

где каждый C6-10-арил или 5-10-членный гетероарил необязательно замещен одним или несколькими заместителями, независимо выбранными из группы, состоящей из

C1-6-алкила, C1-6-алкокси, галогена, циано, нитро и гидрокси,

и

R25 представляет собой водород или C1-3-алкил.

В одном варианте осуществления изобретения и/или его вариантах осуществления

R13 и R14 вместе с атомами, к которым они присоединены, образуют содержащее 5 или 6 атомов углерода неароматическое кольцо, где один или несколько из образующих кольцо атомов углерода необязательно замещены -NH- или -O-,

A1 представляет собой N или CR15, где R15 независимо представляет собой водород или C1-3 алкокси,

A2 представляет собой N или CR16, где R16 независимо представляет собой водород или C1-3 алкокси,

A3 представляет собой N или CR17, где R17 независимо представляет собой водород или C1-3 алкокси, предпочтительно водород,

A4 представляет собой N или CR18, где R18 независимо представляет собой водород или C1-3 алкокси, предпочтительно водород,

где ни один, один или два из A1, A2, A3 и A4 представляют собой N,

и

R19 независимо выбран из группы, состоящей из

3-хлорфенила, 2,3-дихлорфенила, 3,5-дихлорфенила, 3,5-дифторфенила, 2,3,5-трифторфенила, 3,4,5-трифторфенила, 3-хлор-2-фторфенила, 5-хлор-3-фторфенила,5-хлор-3-фторфенила, 3,5-дихлор-4-фторфенила, в частности 2,3,5-трифторфенила, 5-хлор-2-фторфенила, 2,3-дихлорфенила и 3,5-дихлорфенила,

и

R25 представляет собой водород или метил, предпочтительно водород.

В одном варианте осуществления изобретения и/или его вариантах осуществления представлены соединения в соответствии с формулой (Izi), (Izii), (Iziii), (Iziv), (Izv) или (Izvi)

или стереоизомер, физиологически приемлемая соль, сложный эфир, сольват, полиморф, пролекарство и их смеси, где R1 и R7 имеют значение, определенное в любом из вариантов осуществления, описанных в настоящей заявке.

В одном варианте осуществления изобретения и/или его вариантах осуществления представлены соединения в соответствии с формулой (Izi), предпочтительно в форме (S)-энантиомера. В одном варианте осуществления изобретения и/или его вариантах осуществления представлены соединения в соответствии с формулой (Izii), предпочтительно в форме (S)-энантиомера. В одном варианте осуществления изобретения и/или его вариантах осуществления представлены соединения в соответствии с формулой (Iziii), предпочтительно в форме (S)-энантиомера. В одном варианте осуществления изобретения и/или его вариантах осуществления представлены соединения в соответствии с формулой (Iziv), предпочтительно в форме (S)-энантиомера. В одном варианте осуществления изобретения и/или его вариантах осуществления представлены соединения в соответствии с формулой (Izv), предпочтительно в форме (S)-энантиомера. В одном варианте осуществления изобретения и/или его вариантах осуществления представлены соединения в соответствии с формулой (Izvi), предпочтительно в форме (S)-энантиомера.

Необязательно, в одном варианте осуществления изобретения и/или его вариантах осуществления

R13 и R14 вместе с атомами, к которым они присоединены, образуют содержащее 5 или 6 атомов углерода ароматическое кольцо, где ароматическое кольцо необязательно замещено одним или несколькими C1-3-алкильными заместителями, и/или где один или несколько из образующих кольцо атомов углерода необязательно замещены -NH-, -N=, =N-, -O- или -S-,

A1 представляет собой N или CR15, где R15 независимо представляет собой водород, галоген C1-3 алкил, C1-3 алкокси или NR15’R15’’, где R15’ и R15’’ независимо представляют собой C1-3-алкил,

A2 представляет собой N или CR16, где R16 независимо представляет собой водород, галоген, C1-3 алкил, C1-3 алкокси или NR16’R16’’, где R16’ и R16’’ независимо представляют собой C1-3-алкил,

A3 представляет собой N или CR17, где R17 независимо представляет собой водород, галоген, C1-3 алкил, C1-3 алкокси или NR15’R15’’, где R15’ и R15’’ независимо представляют собой C1-3-алкил,

A4 представляет собой N или CR18, где R18 независимо представляет собой водород, галоген, C1-3 алкил, C1-3 алкокси или NR15’R15’’, где R15’ и R15’’ независимо представляют собой C1-3-алкил,

и

R19 независимо выбран из группы, состоящей из

C6-10-арила и 5-10-членного гетероарила,

где каждый C6-10-арил или 5-10-членный гетероарил необязательно замещен одним или несколькими заместителями, независимо выбранными из группы, состоящей из

C1-6-алкила, C1-6-алкокси, галогена, циано, нитро и гидрокси,

и

R25 представляет собой водород или C1-3-алкил.

Необязательно, в одном варианте осуществления изобретения и/или его вариантах осуществления

R13 и R14 вместе с атомами, к которым они присоединены, образуют содержащее 5 или 6 атомов углерода ароматическое кольцо, где один или несколько из образующих кольцо атомов углерода необязательно замещены -NH-, -N=, =N- или -S-,

A1 представляет собой N или CR15, где R15 независимо представляет собой водород или C1-3 алкокси,

A2 представляет собой N или CR16, где R16 независимо представляет собой водород или C1-3 алкокси,

A3 представляет собой N или CR17, где R17 независимо представляет собой водород или C1-3 алкокси, предпочтительно водород,

A4 представляет собой N или CR18, где R18 независимо представляет собой водород или C1-3 алкокси, предпочтительно водород,

где ни один, один или два из A1, A2, A3 и A4 представляют собой N,

и

R19 независимо выбран из группы, состоящей из

3-хлорфенила, 2,3-дихлорфенила, 3,5-дихлорфенила, 3,5-дифторфенила, 2,3,5-трифторфенила, 3,4,5-трифторфенила, 3-хлор-2-фторфенила, 5-хлор-3-фторфенила,5-хлор-3-фторфенила, 3,5-дихлор-4-фторфенила, в частности 2,3,5-трифторфенила, 5-хлор-2-фторфенила, 2,3-дихлорфенила и 3,5-дихлорфенила,

и

R25 представляет собой водород или метил, предпочтительно водород.

В одном варианте осуществления изобретения и/или его вариантах осуществления представлены соединения в соответствии с формулой (Izvii), (Izviii), (Izix), (Izx), (Izxi) или (Izxii)

или стереоизомер, физиологически приемлемая соль, сложный эфир, сольват, полиморф, пролекарство и их смеси, где R1 и R7 имеют значение, определенное в любом из вариантов осуществления, описанных в настоящей заявке.

В одном варианте осуществления изобретения и/или его вариантах осуществления представлены соединения в соответствии с формулой (Izvii), предпочтительно в форме (S)-энантиомера. В одном варианте осуществления изобретения и/или его вариантах осуществления представлены соединения в соответствии с формулой (Izviii), предпочтительно в форме (S)-энантиомера. В одном варианте осуществления изобретения и/или его вариантах осуществления представлены соединения в соответствии с формулой (Izix), предпочтительно в форме (S)-энантиомера. В одном варианте осуществления изобретения и/или его вариантах осуществления представлены соединения в соответствии с формулой (Izx), предпочтительно в форме (S)-энантиомера. В одном варианте осуществления изобретения и/или его вариантах осуществления представлены соединения в соответствии с формулой (Izxi), предпочтительно в форме (S)-энантиомера. В одном варианте осуществления изобретения и/или его вариантах осуществления представлены соединения в соответствии с формулой (Izxii), предпочтительно в форме (S)-энантиомера.

Соединение в соответствии с изобретением может считаться "активным" веществом, которое в этом контексте рассматривается как вещество, которое будет ингибировать рост гельминтов, таких как Dirofilaria, в частности Dirofilaria immitis. Термин "ингибирование роста" означает, что скорость увеличения популяции гельминтов уменьшается. Таким образом, термин включает ситуации, когда популяция гельминтов увеличивается, но с меньшей скоростью, а также ситуации, когда рост популяции останавливается, а также ситуации, когда количество гельминтов в популяции уменьшается или популяция даже устраняется.

Кроме того, настоящее изобретение обеспечивает способ получения соединения в соответствии с формулой (I), включающий стадию

взаимодействия соединения формулы (A)

Формула (A)

с соединением формулы (B)

Формула (B)

где

R1 независимо выбран из группы, состоящей из

водорода, C1-6-алкила, C2-6-алкенила, C2-6-алкинила, C3-10-циклоалкила, 5-10-членного гетероциклила, C6-10 арила, 5-10-членного гетероарила, C1-6-алкокси, C1-6-алкилмеркапто, галогена, циано, нитро, гидрокси, меркапто, NR2R3, COOH, C(=O)OR4, SR4, SOR4, SO2R4, SO2NR5R6 и C(=O)NR5R6,

где каждый C1-6-алкил, C2-6-алкенил, C2-6-алкинил, C3-10-циклоалкил, 5-10-членный гетероциклил, C6-10 арил, 5-10-членный гетероарил, C1-6-алкокси или C1-6-алкилмеркапто необязательно замещен одним или несколькими заместителями, независимо выбранными из группы, состоящей из

C1-6-алкила, C2-6-алкенила, C2-6-алкинила, C3-10-циклоалкила, 5-10-членного гетероциклила, C6-10-арила, 5-10-членного гетероарила, C1-6-алкокси, C1-6-алкилмеркапто, галогена, циано, нитро, гидрокси, меркапто, NR2’R3’, C(=O)OR4’, SR4’, SOR4’, SO2R4’, SO2NR5’R6’ и C(=O)NR5’R6’,

R2 и R3 независимо выбраны из группы, состоящей из

водорода, C1-6-алкила, C2-6-алкенила, C2-6-алкинила, C3-10-циклоалкила, 5-10-членного гетероциклила, C6-10-арила, 5-10-членного гетероарила, C1-6-алкокси-C1-6-алкила, C1-6-алкила, замещенного C3-10-циклоалкилом, C1-6-алкила, замещенного 5-10-членным гетероциклилом, C1-6-алкила, замещенного C6-10-арилом, и C1-6-алкила, замещенного 5-10-членным гетероарилом, или

R2 и R3 вместе с N атомом, к которому они присоединены, образуют насыщенное или ненасыщенное гетероциклическое кольцо, содержащее от 3 до 12 кольцевых атомов, где 0, 1, 2 или 3 других кольцевых атома выбраны из N, S и O,

где каждый C1-6-алкил, C2-6-алкенил, C2-6-алкинил, C3-10-циклоалкил, 5-10-членный гетероциклил, C6-10-арил, 5-10-членный гетероарил, C1-6-алкокси-C1-6-алкил, C1-6-алкил, замещенный C3-10-циклоалкилом, C1-6-алкил, замещенный 5-10-членным гетероциклилом, C1-6-алкил, замещенный C6-10-арилом, или C1-6-алкил, замещенный 5-10-членным гетероарилом, или гетероциклическое кольцо, образованное R2 и R3 вместе с N атомом, к которому они присоединены, необязательно замещены одним или несколькими заместителями, независимо выбранными из группы, состоящей из

C1-6-алкила, C2-6-алкенила, C2-6-алкинила, C3-10-циклоалкила, 5-10-членного гетероциклила, C6-10-арила, 5-10-членного гетероарила, C1-6-алкокси, карбонила, галогена, циано, гидрокси, меркапто, NR2’’R3’’, C(=O)OR4’’, SR4’’, SOR4, SO2R4’’, SO2NR5’’R6’’ и C(=O)NR5’’R6’’;

R4, R5 и R6 независимо выбраны из водорода и C1-6-алкила,

R2’, R3’, R4’, R5’ и R6’ независимо выбраны из водорода и C1-6-алкила,

R2’’, R3’’, R4’’, R5’’ и R6’’ независимо выбраны из водорода и C1-6-алкила,

R7 независимо выбран из группы, состоящей из

водорода, C1-6-алкила, C2-6-алкенила, C2-6-алкинила, C3-10-циклоалкила, 4-10-членного гетероциклила, C6-10 арила, 5-10-членного гетероарила, C1-6-алкокси, C1-6-алкилмеркапто, галогена, циано, нитро, гидрокси, меркапто, NR8R9, COOH, C(=O)OR10, SR10, SOR10, SO2R10, SO2NR11R12 и C(=O)NR11R12,

где каждый C1-6-алкил, C2-6-алкенил, C2-6-алкинил, C3-10-циклоалкил, 4-10-членный гетероциклил, C6-10 арил, 5-10-членный гетероарил, C1-6-алкокси или C1-6-алкилмеркапто необязательно замещен одним или несколькими заместителями, независимо выбранными из группы, состоящей из

C1-6-алкила, C2-6-алкенила, C2-6-алкинила, C3-10-циклоалкила, 5-10-членного гетероциклила, C6-10-арила, 5-10-членного гетероарила, C1-6-алкокси, C1-6-алкилмеркапто, галогена, циано, нитро, гидрокси, меркапто, NR8’R9’, C(=O)OR10’, SR10’, SOR10’, SO2R10’, SO2NR11’R12’ и C(=O)NR11’R12’,

R8 и R9 независимо выбраны из группы, состоящей из

водорода, C1-6-алкила, C2-6-алкенила, C2-6-алкинила, C3-10-циклоалкила, 5-10-членного гетероциклила, C6-10-арила, 5-10-членного гетероарила, C1-6-алкокси-C1-6-алкила, C1-6-алкила, замещенного C3-10-циклоалкилом, C1-6-алкила, замещенного 5-10-членным гетероциклилом, C1-6-алкила, замещенного C6-10-арилом, C1-6-алкила, замещенного 5-10-членным гетероарилом, или

R8 и R9 вместе с N атомом, к которому они присоединены, образуют насыщенное или ненасыщенное гетероциклическое кольцо, содержащее от 3 до 12 кольцевых атомов, где 0, 1, 2 или 3 других кольцевых атома выбраны из N, S и O,

где каждый C1-6-алкил, C2-6-алкенил, C2-6-алкинил, C3-10-циклоалкил, 5-10-членный гетероциклил, C6-10-арил, 5-10-членный гетероарил, C1-6-алкокси-C1-6-алкил, C1-6-алкил, замещенный C3-10-циклоалкилом, C1-6-алкил, замещенный 5-10-членным гетероциклилом, C1-6-алкил, замещенный C6-10-арилом, или C1-6-алкил, замещенный 5-10-членным гетероарилом, или гетероциклическое кольцо, образованное R8 и R9 вместе с N атомом, к которому они присоединены, необязательно замещены одним или несколькими заместителями, независимо выбранными из группы, состоящей из

C1-6-алкила, C2-6-алкенила, C2-6-алкинила, C3-10-циклоалкила, 5-10-членного гетероциклила, C6-10-арила, 5-10-членного гетероарила, C1-6-алкокси, карбонила, галогена, циано, гидрокси, меркапто, NR8’’R9’’, C(=O)OR10’’, SR10’’, SOR10’’, SO2R10’’, SO2NR11’’R12’’ и C(=O)NR11’’R12’’;

R10, R11 и R12 независимо выбраны из водорода и C1-6-алкила,

R8’, R9’, R10’, R11’ и R12’ независимо выбраны из водорода и C1-6-алкила,

R8’’, R9’’, R10’’, R11’’ и R12’’ независимо выбраны из водорода и C1-6-алкила,

R13 представляет собой водород или C1-3 алкил,

R14 представляет собой водород, C1-3 алкил, C1-3 алкокси, NR14’R14’’, где R14’ и R14’’ независимо представляют собой C1-3-алкил, или

R13 и R14 вместе с атомами, к которым они присоединены, образуют содержащее 5 или 6 атомов углерода неароматическое кольцо, где содержащее 5 или 6 атомов углерода кольцо необязательно замещено одним или несколькими заместителями C1-3-алкил или =O, и/или где один или несколько из образующих кольцо атомов углерода необязательно замещены -NH-, -N=, =N-, -O-, -S(O)-, -S(O)2- или -S-,

или

R13 и R14 вместе с атомами, к которым они присоединены, образуют содержащее 5 или 6 атомов углерода ароматическое кольцо, где содержащее 5 или 6 атомов углерода кольцо необязательно замещено одним или несколькими C1-3-алкильными заместителями, и/или где один или несколько из образующих кольцо атомов углерода необязательно замещены -NH-, -N=, =N-, -O- или -S-,

A1 представляет собой N или CR15, где R15 независимо представляет собой водород, галоген, C1-3 алкил, C1-3 алкокси или NR15’R15’’, где R15’ и R15’’ независимо представляют собой C1-3-алкил,

A2 представляет собой N или CR16, где R16 независимо представляет собой водород, галоген, C1-3 алкил, C1-3 алкокси или NR16’R16’’, где R16’ и R16’’ независимо представляют собой C1-3-алкил,

A3 представляет собой N или CR17, где R17 независимо представляет собой водород, галоген, C1-3 алкил, C1-3 алкокси или NR17’R17’’, где R17’ и R17’’ независимо представляют собой C1-3-алкил,

A4 представляет собой N или CR18, где R18 независимо представляет собой водород, галоген C1-3 алкил, C1-3 алкокси или NR18’R18’’, где R18’ и R18’’ независимо представляют собой C1-3-алкил,

R19 независимо выбран из группы, состоящей из C6-10-арила и 5-10-членного гетероарила,

где каждый C6-10-арил или 5-10-членный гетероарил необязательно замещен одним или несколькими заместителями, независимо выбранными из группы, состоящей из

C1-6-алкила, C2-6-алкенила, C3-10-циклоалкила, 5-10-членного гетероциклила, C6-10-арила, 5-10-членного гетероарила, C1-6-алкокси, C1-6-алкилмеркапто, галогена, циано, нитро, гидрокси, меркапто, NR20R21, C(=O)OR22, SR22, SOR22, SO2R22, SO2NR23R24 и C(=O)NR23R24,

R20 и R21 независимо выбраны из группы, состоящей из

водорода, C1-6-алкила, C3-10-циклоалкила, C6-10-арила, 5-10-членного гетероарила, C1-6-алкокси-C1-6-алкила, C1-C6-алкила, замещенного C6-10-арилом, C1-6-алкила, замещенного 5-10-членным гетероарилом, или

R20 и R21 вместе с N атомом, к которому они присоединены, образуют насыщенное или ненасыщенное гетероциклическое кольцо, содержащее от 3 до 12 кольцевых атомов, где 0, 1, 2 или 3 других кольцевых атома выбраны из N, S и O;

где каждый C1-6-алкил, C2-6-алкенил, C3-10-циклоалкил, 5-10-членный гетероциклил, C6-10-арил, 5-10-членный гетероарил, C1-6-алкокси или C1-6-алкилмеркапто, или гетероциклическое кольцо, образованное R20 и R21 вместе с N атомом, к которому они присоединены, необязательно замещены одним или несколькими заместителями, независимо выбранными из группы, состоящей из

C1-6-алкила, C2-6-алкенила, C2-6-алкинила, C3-10-циклоалкила, 5-10-членного гетероциклила, C6-10-арила, 5-10-членного гетероарила, C1-6-алкокси, карбонила, галогена, циано, гидрокси, меркапто, NR20’R21’, C(=O)OR22’, SR22’, SOR22’, SO2R22’, SO2NR23’R24’, и C(=O)NR23’R24’

R22, R23 и R24 независимо выбраны из водорода и C1-6-алкила,

R20’, R21’, R22’, R23’ и R24’ независимо выбраны из водорода и C1-6-алкила,

R25 независимо выбран из водорода и C1-6-алкила,

с получением соединения в соответствии с формулой (I).

В одном варианте осуществления изобретения и/или его вариантах осуществления, что касается R1, R7, R13, R14, A1, A2, A3, A4, R19 и R25, применяется то же самое, что описано выше в отношении соединений в соответствии с изобретением.

Соединения формулы (A) и формулы (B) либо коммерчески доступны, либо могут быть получены путем синтеза.

В одном варианте осуществления изобретения и/или его вариантах осуществления амин формулы (A) и карбоновую кислоту в соответствии с формулой (B) можно подвергнуть взаимодействию с получением соответствующей амидной группы в органическом растворителе в присутствии связывающего агента.

Связывающий агент можно рассматривать как вещество, в основном способствующее образованию сложного эфира или амида. Связывающий агент взаимодействует с карбокси группой, образуя реакционноспособное промежуточное соединение, которое затем подвергают взаимодействию со спиртом или амином с образованием конечного продукта, т.е. сложного эфира или амида.

Примеры связывающих агентов включают, но не ограничиваются этим, карбодиимиды, такие как N, N’-дициклогексилкарбодиимид (DCC), диизопропилкарбодиимид (DIC), 1-этил-3-(3-диметиламинопропил)карбодиимид (EDC), 1-этил-3-(3-диметиламинопропил)карбодиимид гидрохлорид (EDC•HCl) и N-циклогексил-N′-(2-морфолинoэтил)карбодиимид-метил-п-толуолсульфонат (CMC), соли фосфония, такие как бензотриазол-1-ил-окситрипирролидинoфосфоний гексафторфосфат (PyBOP), соли аминия, такие как 3-[бис(диметиламино)метилиумил]-3H-бензотриазол-1-оксид-гексафторфосфат (HBTU) и карбонилдиимидазол (CDI).

В одном варианте осуществления изобретения и/или его вариантах осуществления связывающий агент выбран из N, N’-дициклогексилкарбодиимида (DCC), диизопропилкарбодиимида (DIC), 1-этил-3-(3-диметиламинопропил)карбодиимида (EDC), 1-этил-3-(3-диметиламинопропил)карбодиимид гидрохлорида (EDC•HCl) и карбонилдиимидазола (CDI). Более предпочтительно связывающий агент представляет собой 1-этил-3-(3-диметиламинопропил)карбодиимид гидрохлорид.

Органические растворители известны специалистам в данной области.

Подходящий органический растворитель для способа в соответствии с настоящим изобретением может представлять собой, например, ацетонитрил, диоксан, тетрагидрофуран (THF) и диметилформамид (DMF), диметилсульфоксид (DMSO), предпочтительно диметилформамид (DMF).

В одном варианте осуществления изобретения и/или его вариантах осуществления способ можно осуществить в присутствии вспомогательного щелочного соединения. Подходящие щелочные соединения могут включать, но не ограничиваются этим, пиридины, такие как 4-(диметиламино) пиридин (DMAP), амидины, такие как 1,8-диазабицикло[5.4.0]ундец-7-ен (DBU), и амины, такие как триэтиламин и диизопропилэтиламин (DIPEA), предпочтительно 4-(диметиламино)пиридин (DMAP).

В одном варианте осуществления изобретения и/или его вариантах осуществления способ можно осуществить при температуре 5°-120°C, предпочтительно при 20-100°C.

В альтернативном варианте осуществления изобретения и/или его вариантах осуществления карбоновую кислоту в соответствии с формулой (B) можно подвергнуть взаимодействию с тионилхлоридом или оксалилхлоридом, предпочтительно с оксалилхлоридом, с образованием соответствующего хлорангидрида кислоты. Затем соответствующий хлорангидрид кислоты можно подвергнуть взаимодействию с амином в соответствии с формулой (A) с получением соединения формулы (I).

В альтернативном варианте осуществления изобретения и/или его вариантах осуществления альтернативный способ можно осуществить в органическом растворителе и/или в присутствии вспомогательного щелочного соединения.

Подходящий органический растворитель может представлять собой, например, ацетонитрил, толуол, диоксан, тетрагидрофуран, хлороформ или дихлорметан.

Что касается вспомогательного щелочного соединения, применимы описанные выше, предпочтительными являются пиридин, DMAP, триэтиламин и диизопропилэтиламин

Кроме того, изобретение обеспечивает ветеринарную композицию, включающую соединение в соответствии с изобретением и один или несколько физиологически приемлемых эксципиентов.

Ветеринарные композиции настоящего изобретения и/или его вариантов осуществления включают терапевтически эффективное количество соединения в соответствии с настоящим изобретением и/или его вариантами осуществления, сформулированное вместе с одним или несколькими физиологически приемлемыми эксципиентами.

Физиологически приемлемые эксципиенты известны в данной области техники. Например, они описаны в “Gennaro, Remington: The Science and Practice of Pharmacy” (20th Edition, 2000). Все такие физиологически приемлемые эксципиенты должны быть по существу чистыми для применения в фармацевтике или ветеринарии и нетоксичными в используемых количествах, а также должны быть совместимы с активными ингредиентами.

В одном предпочтительном варианте осуществления изобретения и/или его вариантах осуществления один или несколько физиологически приемлемых эксципиентов выбирают из носителей, связующих, антиоксидантов, буферов, компонентов сахаров, поверхностно-активных веществ, смазывающих веществ, стабилизаторов, агентов для повышения текучести, разрыхлителей и консервантов и смесей вышеперечисленных.

В контексте настоящей заявки термин "носитель" означает нетоксичный, инертный, твердый, полутвердый или жидкий наполнитель или разбавитель, несущий/инкапсулирующий вещество любого типа. Некоторыми примерами веществ, которые могут служить в качестве физиологически приемлемых носителей, являются, но не ограничиваются этим, сахара, такие как лактоза, глюкоза и сахароза; крахмалы, такие как кукурузный крахмал и картофельный крахмал; целлюлоза и ее производные, такие как натрий карбоксиметилцеллюлоза, этилцеллюлоза и ацетат целлюлозы; порошкообразный трагакант; солод; желатин; тальк; эксципиенты, такие как масло какао и воски для суппозиториев; масла, такие как арахисовое масло, хлопковое масло, сафлоровое масло, кунжутное масло, оливковое масло, кукурузное масло и соевое масло; сложные эфиры, такие как этилолеат и этиллаурат; агар.

Связующее представляет собой вещество, способное соединять вместе другие вещества. Связующее представляет собой компонент, который, если связующим является полимер, предпочтительно имеет температуру плавления или температуру стеклования (Tg) в диапазоне от 25 до 100°С, предпочтительно от 35 до 85°С, в частности от 40 до 70°С. Температура стеклования означает температуру, при которой полимер становится хрупким при охлаждении и мягким при нагревании. Это означает, что гидрофильные полимеры становятся мягкими при температурах выше температуры стеклования (Tg) и становятся пластически деформируемыми без разрушения. Температуру стеклования или точку плавления определяют способами, известными специалистам в данной области техники.

В одном предпочтительном варианте осуществления изобретения и/или его вариантах осуществления связующее выбирают из полиэтиленгликоля, полипропиленгликоля, сополимера полиэтиленгликоля и полипропиленгликоля, микрокристаллического воска, моностеарата глицерина, гидрогенизированного касторового масла, полиэтиленгликоль-глицерингидроксистеарата, полисахаридов, поливинилпирролидона, поливинилового спирта, поли(мет)акрилатов, сополимера поливинилпирролидона-полиацетата и их смесей.

Антиоксиданты представляют собой вещества, которые используются для ингибирования окисления. Антиоксиданты, подходящие для включения в мягкую жевательную ветеринарную лекарственную форму по изобретению, включают, но не ограничиваются этим, аскорбиновую кислоту, глутатион, токоферол и его сложные эфиры, трет-бутилгидрохинон (TBHQ), бутилгидроксианизол (BHA, также обозначаемый как 2-трет-бутил-4-гидроксианизол, 3-трет-бутил-4-гидроксианизол или их смесь) и бутилгидрокситолуол (BHT, также обозначаемый как 2,6-ди-трет-бутил-4-метилфенол). Предпочтительно, чтобы антиоксидант присутствовал в конгломерате. В одном предпочтительном варианте осуществления изобретения и/или его вариантах осуществления антиоксиданты, содержащиеся в ветеринарной лекарственной форме, могут составлять от 0,001 до 1,00% масс.

Буферы представляют собой вещества для поддержания/регулирования значения рН продукта. Неограничивающими примерами буферов являются гидрокарбонатные соли, дигидрофосфатные соли, гидрофосфатные соли.

Компоненты сахаров используются для подслащивания вкуса продукта. Они включают натуральные сахара (углеводы), а также заменители сахара. В одном предпочтительном варианте осуществления изобретения и/или его вариантах осуществления буферы, содержащиеся в ветеринарной лекарственной форме, могут составлять от 1 до 10% масс.

Поверхностно-активные вещества можно рассматривать как вещества, снижающие межфазное натяжение между двумя фазами. Обычными поверхностно-активными веществами являются алкилсульфаты (например, лаурилсульфат натрия), алкилтриметиламмониевые соли, этоксилаты спиртов и т.п. В одном предпочтительном варианте осуществления изобретения и/или его вариантах осуществления поверхностно-активные вещества, содержащиеся в ветеринарной лекарственной форме, могут находиться в диапазоне от 0,1 до 10,0% масс.

Смазывающие вещества обычно можно рассматривать как вещества, подходящие для уменьшения трения, такого как статическое трение, трение скольжения и трение качения. Смазывающее вещество предпочтительно представляет собой стеарат или жирную кислоту, более предпочтительно стеарат щелочноземельного металла, такой как стеарат магния. В одном предпочтительном варианте осуществления изобретения и/или его вариантах осуществления смазывающие вещества, содержащиеся в ветеринарной лекарственной форме, могут находиться в диапазоне от 0,1 до 10,0% масс.

Стабилизатор представляет собой физиологически приемлемый эксципиент, помогающий сохранить продукт. Примеры включают, но не ограничиваются этим, альгинаты, карраген, желатин, пектин и природные камеди. В одном предпочтительном варианте осуществления изобретения и/или его вариантах осуществления поверхностно-активные вещества, содержащиеся в ветеринарной лекарственной форме, могут составлять от 0,01 до 3,0% масс.

Агенты для повышения текучести, также называемые глидантами, могут использоваться для улучшения текучести. Традиционно в качестве глиданта использовался тальк, но в настоящее время он почти полностью заменен коллоидным диоксидом кремния. В одном предпочтительном варианте осуществления изобретения и/или его вариантах осуществления агенты, повышающие текучесть, содержащиеся в ветеринарной лекарственной форме, могут находиться в диапазоне от 1 до 3% масс.

Разрыхлители, также называемые дезинтегрантами, представляют собой соединения, которые усиливают способность лекарственной формы, предпочтительно способность таблетки при контакте с жидкостью, предпочтительно водой, распадаться на более мелкие фрагменты. Неограничивающие примеры разрыхлителей включают натрий карбоксиметилкрахмал, натрий крахмал гликолят, сшитый поливинилпирролидон, карбоксиметилгликолят натрия, предпочтительно натрий крахмал гликолят. В одном предпочтительном варианте осуществления изобретения и/или его вариантах осуществления поверхностно-активные вещества, содержащиеся в ветеринарной лекарственной форме, могут находиться в диапазоне от 1,0 до 7,0% масс.

Консерванты представляют собой вещества, которые можно добавлять для предотвращения разложения в результате микробного роста или нежелательных химических изменений. Неограничивающие примеры включают молочную кислоту, бензойную кислоту, бензоаты и гидроксибензоаты. В одном предпочтительном варианте осуществления изобретения и/или его вариантах осуществления поверхностно-активные вещества, содержащиеся в ветеринарной лекарственной форме, могут находиться в диапазоне от 0,01 до 1,0% масс.

Соединения по настоящему изобретению можно вводить в различных лекарственных формах. Термин «лекарственная форма» означает, что соединения по настоящему изобретению сформулированы в виде продукта, подходящего для введения животному предусмотренным путем введения. Такие лекарственные формы иногда указаны в настоящей заявке как составы или фармацевтические композиции.

Фармацевтические композиции настоящего изобретения и/или его вариантов осуществления можно вводить животным перорально, ректально, интравагинально, парентерально, местно, трансбуккально или назально.

В одном предпочтительном варианте осуществления изобретения и/или его вариантах осуществления лекарственные формы, подходящие для перорального введения, могут быть жидкими или твердыми лекарственными формами.

Жидкие лекарственные формы соединений обычно представляют собой растворы, суспензии или эмульсии. Раствор представляет собой смесь двух или более компонентов, образующих единую фазу, гомогенную вплоть до молекулярного уровня. Суспензия состоит из нерастворимых твердых частиц, диспергированных в жидкой среде, при этом твердые частицы составляют от около 0,5% до около 30% суспензии. Жидкость может быть водной, маслянистой или и той, и другой. Эмульсия представляет собой гетерогенную дисперсию одной несмешивающейся жидкости в другой; это зависит от эмульгатора для стабильности. Сухой порошок (или гранулы) для восстановления смешивают и восстанавливают при помощи разбавителя (например, воды) в виде раствора или суспензии непосредственно перед инъекцией. Основное преимущество этой лекарственной формы заключается в том, что она решает проблему нестабильности в растворе или суспензии.

Жидкие лекарственные формы для перорального введения включают фармацевтически приемлемые эмульсии, микроэмульсии, растворы, суспензии, сиропы, составы для вливания, водные композиции для приема с пищей или питьем и эликсиры. Состав для вливания представляет собой жидкую пероральную композицию, которую вводят непосредственно в рот/горло животного, особенно собаки, при помощи «пистолета для вливания», или шприца, или другого подходящего устройства. Когда композицию вводят животному-реципиенту с питьевой водой или в виде вливания, может оказаться удобным использовать композицию в виде раствора или суспензии. Эта композиция может, например, представлять собой концентрированную суспензию, которую смешивают с водой, или сухой препарат, который смешивают и суспендируют в воде. В дополнение к активным соединениям жидкие лекарственные формы могут содержать инертные разбавители, обычно используемые в данной области техники, такие как, например, вода или другие растворители, солюбилизирующие агенты и эмульгаторы, такие как этиловый спирт, изопропиловый спирт, этилкарбонат, этилацетат, бензиловый спирт, бензилбензоат, пропиленгликоль, 1,3-бутиленгликоль, диметилформамид, масла (в частности, хлопковое, арахисовое, кукурузное, из зародышей, оливковое, касторовое и кунжутное масла), глицерин, тетрагидрофурфуриловый спирт, полиэтиленгликоли и сложные эфиры жирных кислот и сорбитана, и их смеси. Помимо инертных разбавителей, пероральные композиции могут также включать адъюванты, такие как смачивающие агенты, эмульгирующие и суспендирующие агенты, подсластители, ароматизаторы и отдушки.

Твердые лекарственные формы для перорального введения включают капсулы, таблетки, драже, пилюли, порошки и гранулы, жевательные лакомства, премиксы и пропитанные лекарством брикеты. В таких твердых лекарственных формах активное соединение смешивают по меньшей мере с одним инертным фармацевтически приемлемым эксципиентом или носителем, таким как цитрат натрия или дикальцийфосфат, и/или а) наполнители или создающие объем вещества, такие как крахмалы, лактоза, сахароза, глюкоза, маннит и кремниевая кислота; b) связующие, такие как, например, карбоксиметилцеллюлоза, альгинаты, желатин, поливинилпирролидинон, сахароза и аравийская камедь; c) увлажнители, такие как глицерин; d) разрыхлители, такие как агар-агар, карбонат кальция, картофельный или маниоковый крахмал, альгиновая кислота, некоторые силикаты и карбонат натрия; e) замедлители растворения, такие как парафин; f) ускорители абсорбции, такие как четвертичные аммониевые соединения; g) смачивающие агенты, такие как, например, ацетиловый спирт и глицерин моностеарат; h) абсорбенты, такие как каолин и бентонитовая глина, и i) смазывающие вещества, такие как тальк, стеарат кальция, стеарат магния, твердые полиэтиленгликоли, лаурилсульфат натрия и их смеси. В случае капсул, таблеток и пилюль лекарственная форма может также включать буферные агенты.

Активные соединения также могут быть в микрокапсулированной форме с одним или несколькими эксципиентами, как указано выше. Твердые лекарственные формы в виде таблеток, драже, капсул, пилюль и гранул могут быть получены с покрытиями и оболочками, такими как энтеросолюбильные покрытия и другие покрытия, хорошо известные в области составления фармацевтических препаратов, такие как энтеросолюбильные покрытия, покрытия, контролирующие высвобождение, и другие покрытия. В таких твердых лекарственных формах активное соединение может быть смешано по меньшей мере с одним инертным разбавителем, таким как сахароза, лактоза или крахмал. Такие лекарственные формы могут также включать, как это принято на практике, дополнительные вещества, отличные от инертных разбавителей, т.е. смазывающие вещества для таблетирования и другие вспомогательные вещества для таблетирования, такие как стеарат магния и микрокристаллическая целлюлоза. В случае капсул, таблеток и пилюль лекарственные формы могут также включать буферные агенты. Они могут необязательно содержать агенты, придающие непрозрачность, а также могут иметь такую композицию, чтобы высвобождать активный ингредиент(ингредиенты) только или предпочтительно в определенной части кишечного тракта, необязательно замедленным образом. Примеры композиций для заливки включают полимерные вещества и воски.

Твердые композиции аналогичного типа могут также использоваться в качестве наполнителей в мягких и твердых желатиновых капсулах с использованием таких эксципиентов, как лактоза или молочный сахар, а также высокомолекулярные полиэтиленгликоли и т.п.

Твердые пероральные препараты либо вводят непосредственно животному (таблетки, капсулы), либо смешивают с кормом, либо используют пропитанные лекарством кормовые брикеты.

Когда пероральную композицию вводят с кормом для животного, отличного от человека, ее можно, например, давать в виде отдельного корма или жевательного лакомства. В качестве альтернативы (или дополнительно) ее можно, например, тщательно диспергировать в обычном корме животного-реципиента, использовать в качестве подкормки или в виде твердых гранул, пасты или жидкости, которые добавляют к готовому корму. Когда пероральную композицию вводят в качестве кормовой добавки, может оказаться удобным приготовить «премикс», в котором пероральная композиция диспергирована в небольшом количестве жидкого или твердого носителя. Этот «премикс», в свою очередь, диспергируют в обычном корме для животного с использованием, например, обычного смесителя.

В одном предпочтительном варианте осуществления изобретения и/или его вариантах осуществления лекарственные формы, подходящие для ректального и вагинального введения, можно рассматривать как полутвердые лекарственные формы.

Композиции для ректального или вагинального введения можно получить путем смешивания соединений по настоящему изобретению с подходящими нераздражающими наполнителями или носителями, такими как масло какао, полиэтиленгликоль или воск для суппозиториев, которые являются твердыми при температуре окружающей среды, но жидкими при температуре тела и, следовательно, плавятся в прямой кишке или вагинальной полости и высвобождают активное соединение.

В одном предпочтительном варианте осуществления изобретения и/или его вариантах осуществления лекарственные формы являются подходящими для парентерального введения. Один путь дозирования (путь введения) представляет собой парентеральное, особенно инъекционное введение (например, подкожная инъекция, внутривенная инъекция, внутримышечная инъекция и т.д.). Парентеральные лекарственные формы и системы доставки для путей введения, отличных от перорального, включают жидкости (например, растворы, суспензии, эмульсии и сухие порошки для восстановления), полутвердые и твердые формы (например, имплантаты). Большинство имплантатов, которые используются в ветеринарии, представляют собой прессованные таблетки или диспергированные матричные системы, в которых лекарственное средство однородно диспергировано в неразлагаемом полимере, или, альтернативно, экструдированные продукты. В одном варианте осуществления соединения по настоящему изобретению вводят подкожно.

Композиции для инъекций, например стерильные водные или масляные суспензии для инъекций, можно сформулировать в соответствии с известными способами с использованием подходящих диспергирующих или смачивающих агентов и суспендирующих агентов. Стерильный препарат для инъекций может также представлять собой стерильный раствор, суспензию или эмульсию для инъекций в нетоксичном парентерально приемлемом разбавителе или растворителе, например, в виде раствора в 1,3-бутандиоле. В число приемлемых носителей и растворителей, которые можно использовать, входят вода, раствор Рингера и изотонический раствор хлорида натрия. Кроме того, в качестве растворителя или суспендирующей среды обычно используют стерильные нелетучие масла. Для этой цели можно использовать любое мягкое нелетучее масло, включая синтетические моно- или диглицериды. Кроме того, для получения инъекционных препаратов используют жирные кислоты, такие как олеиновая кислота.

Композиции для инъекций можно стерилизовать, например, путем фильтрации через удерживающий бактерии фильтр или путем включения стерилизующих агентов в виде стерильных твердых композиций, которые перед применением можно растворить или диспергировать в стерильной воде или другой стерильной среде для инъекций.

Чтобы продлить эффект лекарственного средства, часто желательно замедлить абсорбцию лекарственного средства из подкожной или внутримышечной инъекции. Это может достигаться за счет использования жидкой суспензии кристаллического или аморфного вещества с плохой растворимостью в воде. Тогда скорость абсорбции лекарственного средства зависит от скорости его растворения, которая, в свою очередь, может зависеть от размера кристаллов и кристаллической формы. Альтернативно, отсроченная абсорбция парентерально вводимой лекарственной формы может достигаться путем растворения или суспендирования лекарственного средства в масляном носителе. Инъекционные депо-формы получают путем формирования матриц для микроинкапсулирования лекарственного средства в биоразлагаемых полимерах, таких как полилактид-полигликолид. В зависимости от соотношения лекарственного средства и полимера и природы конкретного используемого полимера можно контролировать скорость высвобождения лекарственного средства. Примеры других биоразлагаемых полимеров включают поли(ортоэфиры) и поли(ангидриды). Депо-препараты для инъекций также можно получить путем включения лекарственного средства в липосомы или микроэмульсии, совместимые с тканями организма.

В одном предпочтительном варианте осуществления изобретения и/или его вариантах осуществления лекарственные формы, применимые для местного введения (также называемого трансдермальным введением) соединения по настоящему изобретению, включают мази, пасты, кремы, лосьоны, гели, порошки, растворы, спреи, ингаляционные препараты или пластыри. Активный компонент смешивают в стерильных условиях с фармацевтически приемлемым носителем и любыми необходимыми консервантами или буферами, которые могут потребоваться. Офтальмологические препараты, ушные капли и т.п. также входят в объем настоящего изобретения.

Мази, пасты, кремы и гели могут содержать помимо активного соединения по настоящему изобретению эксципиенты, такие как животные и растительные жиры, масла, воски, парафины, крахмал, трагакант, производные целлюлозы, полиэтиленгликоли, силиконы, бентониты, кремниевая кислота, тальк и оксид цинка или их смеси.

Соединения по настоящему изобретению также могут быть сформулированы для применения в виде порошков и спреев для местного применения, которые могут содержать, в дополнение к соединениям по настоящему изобретению, эксципиенты, такие как лактоза, тальк, кремниевая кислота, гидроксид алюминия, силикаты кальция и полиамидный порошок или смеси этих веществ.

Спреи могут дополнительно содержать обычные пропелленты, такие как хлорфторуглеводороды.

Трансдермальные пластыри имеют дополнительное преимущество, заключающееся в обеспечении контролируемой доставки соединения в организм. Такие лекарственные формы могут быть получены растворением или распределением соединения в подходящей среде. Усилители абсорбции также можно использовать для увеличения потока соединения через кожу.

Скорость можно контролировать либо путем обеспечения мембраны, контролирующей скорость, либо путем диспергирования соединения в полимерной матрице или геле.

В одном предпочтительном варианте осуществления изобретения и/или его вариантах осуществления лекарственные формы, подходящие для буккального введения соединения по настоящему изобретению, включают распадающиеся в полости рта таблетки (ODT), пленки, сублингвальные капли, пастилки, шипучие буккальные таблетки, зубную пасту и жидкость для полоскания рта.

В одном предпочтительном варианте осуществления изобретения и/или его вариантах осуществления лекарственные формы, подходящие для назального введения соединения по настоящему изобретению, включают жидкие аэрозоли или сухие порошки для ингаляции. Жидкие аэрозольные препараты могут распыляться преимущественно до размера частиц, которые могут быть доставлены в терминальные и респираторные бронхиолы.

Жидкие аэрозольные композиции и композиции в виде сухого порошка для ингаляций предпочтительно доставляются по всему эндобронхиальному дереву к терминальным бронхиолам и, в конечном счете, к паренхиматозной ткани.

Доставку аэрозольных композиций по изобретению можно обеспечить с использованием аэрозолеобразующего устройства, такого как струя, вибрирующая пористая пластина или ультразвуковой распылитель, предпочтительно выбранного для обеспечения образования аэрозольных частиц, имеющих средний массовый диаметр преимущественно от 1 до 5 пм.

Кроме того, композиция предпочтительно имеет сбалансированную осмолярную ионную силу и концентрацию хлоридов, а также наименьший объем аэролизации, способный доставлять эффективную дозу соединений по изобретению в очаг инфекции. Кроме того, аэрозольная композиция предпочтительно не оказывает негативного влияния на функциональность дыхательных путей и не вызывает нежелательных побочных эффектов.

Устройства для аэрозолизации, подходящие для введения аэрозольных композиций по изобретению, включают, например, струйные распылители, вибрирующую пористую пластину, ультразвуковые распылители и активируемые ингаляторы сухого порошка, которые способны распылять композицию по изобретению до размеров аэрозольных частиц преимущественно в размерном диапазоне 1-5 пм. Преимущественно в данном применении это означает, что по меньшей мере 70%, а предпочтительно более 90% всех образующихся аэрозольных частиц находятся в диапазоне от 1 до 5 пм. Струйный небулайзер работает под давлением воздуха, чтобы разбить жидкий раствор на капли аэрозоля. Небулайзеры с вибрирующей пористой пластиной работают за счет использования звукового вакуума, создаваемого быстро вибрирующей пористой пластиной, для выдавливания капли растворителя через пористую пластину. Ультразвуковой небулайзер работает за счет пьезоэлектрического кристалла, который разделяет жидкость на мелкие аэрозольные капли.

Концентрация соединений по настоящему изобретению в применяемой лекарственной форме может широко варьироваться в зависимости, например, от пути введения. Как правило, концентрация соединения настоящего изобретения или его вариантов осуществления в композиции в соответствии с настоящим изобретением или его вариантами осуществления составляет от 1 до 70% масс. в расчете на общую массу композиции. В некоторых вариантах осуществления концентрация составляет от 1 до 50% масс. или от 10 до 50% масс. В других вариантах осуществления концентрация составляет от 35 до 65% масс., от 40 до 60% масс., от 45 до 55% масс. или около 50% масс.

Предпочтительные концентрации соединения в соответствии с настоящим изобретением или его вариантами осуществления, растворенного в питьевой воде, составляют от 0,01 до 0,05% масс., в частности от 0,01 до 0,025%, и в пище от 100 до 400 ч/млн (г/метрическая тонна), в частности от 100 до 200 ч/млн.

В предпочтительном варианте осуществления изобретения и/или его вариантах осуществления ветеринарные композиции в соответствии с настоящим изобретением или его вариантами осуществления содержат терапевтически эффективное количество соединения в соответствии с настоящим изобретением или его вариантами осуществления в качестве единственного активного вещества.

В предпочтительном варианте осуществления изобретения и/или его вариантах осуществления ветеринарные композиции в соответствии с настоящим изобретением или его вариантами осуществления содержат терапевтически эффективное количество соединения в соответствии с настоящим изобретением или его вариантами осуществления в комбинации с одним или несколькими другими известными активными веществами. Эти одно или несколько других известных активных веществ могут иметь такой же спектр, как у соединения по изобретению, для синергетического усиления лечения инфекций, охватываемых спектром действия соединения по настоящему изобретению. Альтернативно, эти одно или несколько других известных активных веществ могут иметь другой спектр действия, отличный от спектра действия соединения по изобретению, когда подозревается несколько организмов, для которых может потребоваться другое средство другого спектра в дополнение к соединению по настоящему изобретению. Лечение может включать введение композиции, содержащей соединение по настоящему изобретению и одно или несколько дополнительных известных активных веществ, или введение соединений по изобретению с последующим или предшествующим введением одного или нескольких дополнительных активных веществ.

Другие аспекты, касающиеся формулирования композиций лекарственных средств и различных эксципиентов, можно найти, например, в Gennaro, A.R., et al., eds., Remington: The Science and Practice of Pharmacy (Lippincott Williams & Wilkins, 20th Ed., 2000). Кроме того, способы формулирования композиций хорошо известны в данной области техники и раскрыты, например, в Remington: The Science and Practice of Pharmacy, Mack Publishing Company, Easton, Pa., 19th Edition (1995).

Как указано выше, соединение в соответствии с изобретением может считаться "активным" веществом, которое рассматривают как вещество, которое будет ингибировать рост гельминтов, таких как Dirofilaria, в частности Dirofilaria immitis. Термин "ингибирование роста" означает, что скорость увеличения популяции гельминтов уменьшается.

В предпочтительном варианте осуществления соединения в соответствии с настоящим изобретением используются для лечения гельминтной инфекции, такой как инфекция, вызываемая одним или несколькими гельминтами, выбранными из группы, состоящей из a) цестод: например, Anaplocephala spp.; Dipylidium spp.; Diphyllobothrium spp.; Echinococcus spp.; Moniezia spp.; Taenia spp.; b) трематод например, Dicrocoelium spp.; Fasciola spp.; Paramphistomum spp.; Schistosoma spp.; или c) нематод, например, Acanthocheilonema spp.; Ancylostoma spp.; Anecator spp.; Ascaridia spp.; Ascaris spp.; Brugia spp.; Bunostomum spp.; Capillaria spp.; Chabertia spp.; Cooperia spp.; Cyathostomum spp.; Cylicocyclus spp.; Cylicodontophorus spp.; Cylicostephanus spp.; Craterostomum spp.; Dictyocaulus spp.; Dipetalonema spp; Dirofilaria spp.; Dracunculus spp.; Enterobius spp.; Filaroides spp.; Habronema spp.; Haemonchus spp.; Heterakis spp.; Hyostrongylus spp.; Metastrongylus spp.; Meullerius spp. Necator spp.; Nematodirus spp.; Nippostrongylus spp.; Oesophagostomum spp.; Onchocerca spp.; Oncocercidae spp; Ostertagia spp.; Oxyuris spp.; Parascaris spp.; Stephanurus spp.; Strongylus spp.; Syngamus spp.; Toxocara spp.; Strongyloides spp.; Teladorsagia spp.; Toxascaris spp.; Trichinella spp.; Trichuris spp.; Trichostrongylus spp.; Triodontophorous spp.; Uncinaria spp., и/или Wuchereria spp.; предпочтительно нематод; в частности Dirofilaria spp.; Haemonchus spp.; Ascaridia spp; Strongylus spp; особенно Dirofilaria immitis.

Должно быть понятно, что используемый термин «осуществлять лечение» или «лечение» включает профилактическое, метафилактическое и терапевтическое лечение или исцеляющее лечение. Профилактическое или метафилактическое лечение, т.е. дегельминтизация, обычно используется для предотвращения заражения гельминтами, а также для борьбы с паразитарными инфекциями у животных. Кроме того, гельминты могут заражать человека и, следовательно, представляют угрозу и для здоровья человека. Профилактические обработки включают обработки, которые проводятся через равные промежутки времени, например, 1-6 раз в год, или 2-4 раза в год, или 1-4 раза в месяц, или даже непрерывно, например, через питьевую воду. Метафилактическое лечение включает лечение всех животных, т.е. в том же районе, когда инфекция диагностирована у ряда животных, чтобы предотвратить распространение паразита на других животных. Метафилактическое и профилактическое лечение также может быть сезонным, например когда переносчик особенно активен.

При терапевтическом или исцеляющем лечении соединения вводят после клинической диагностики. В этом способе сокращаются затраты на антигельминтные препараты, значительно снижается возможность селекции на резистентность, если лечить только некоторых животных, и это обеспечит наличие восприимчивой популяции паразита в пределах стада или отары, но его недостаток в том, что требуется регулярный мониторинг, который увеличивает трудоемкость.

Настоящее изобретение обеспечивает соединения в соответствии с изобретением или ветеринарную композицию в соответствии с настоящим изобретением для применения в качестве лекарственного средства. В предпочтительном варианте осуществления соединения в соответствии с изобретением или ветеринарная композиция в соответствии с настоящим изобретением являются подходящими для применения в качестве лекарственного средства для лечения гельминтной инфекции, такой как филяриоз и, в частности, дирофиляриоз сердца.

Соединения в соответствии с настоящим изобретением или ветеринарную композицию в соответствии с настоящим изобретением используют для получения лекарственного средства. В предпочтительном варианте осуществления соединения в соответствии с настоящим изобретением или ветеринарную композицию в соответствии с настоящим изобретением используют для получения лекарственного средства для лечения гельминтной инфекции, такой как филяриоз и, в частности, дирофиляриоз сердца.

Кроме того, изобретение обеспечивает применение соединения в соответствии с настоящим изобретением или ветеринарной композиции в соответствии с настоящим изобретением для получения лекарственного средства.

Кроме того, изобретение обеспечивает применение соединений по настоящему изобретению или ветеринарной композиции в соответствии с настоящим изобретением для получения лекарственного средства для лечения гельминтной инфекции, такой как филяриоз и, в частности, дирофиляриоз сердца. Предпочтительно соединения по настоящему изобретению или ветеринарную композицию в соответствии с настоящим изобретением используют для получения лекарственного средства для лечения гельминтной инфекции, такой как филяриоз и, в частности, дирофиляриоз сердца.

Кроме того, настоящее изобретение обеспечивает соединения в соответствии с настоящим изобретением или композицию в соответствии с настоящим изобретением для применения в лечении расстройств/заболеваний, вызываемых гельминтами, предпочтительно одним или несколькими гельминтами, выбранными из группы, состоящей из a) цестод: например, Anaplocephala spp.; Dipylidium spp.; Diphyllobothrium spp.; Echinococcus spp.; Moniezia spp.; Taenia spp.; b) трематод, например, Dicrocoelium spp.; Fasciola spp.; Paramphistomum spp.; Schistosoma spp.; или c) нематод, например, Acanthocheilonema spp.; Ancylostoma spp.; Anecator spp.; Ascaridia spp.; Ascaris spp.; Brugia spp.; Bunostomum spp.; Capillaria spp.; Chabertia spp.; Cooperia spp.; Cyathostomum spp.; Cylicocyclus spp.; Cylicodontophorus spp.; Cylicostephanus spp.; Craterostomum spp.; Dictyocaulus spp.; Dipetalonema spp; Dirofilaria spp.; Dracunculus spp.; Enterobius spp.; Filaroides spp.; Habronema spp.; Haemonchus spp.; Heterakis spp.; Hyostrongylus spp.; Metastrongylus spp.; Meullerius spp. Necator spp.; Nematodirus spp.; Nippostrongylus spp.; Oesophagostomum spp.; Onchocerca spp.; Oncocercidae spp; Ostertagia spp.; Oxyuris spp.; Parascaris spp.; Stephanurus spp.; Strongylus spp.; Syngamus spp.; Toxocara spp.; Strongyloides spp.; Teladorsagia spp.; Toxascaris spp.; Trichinella spp.; Trichuris spp.; Trichostrongylus spp.; Triodontophorous spp.; Uncinaria spp., и/или Wuchereria spp.; более предпочтительно нематод, в частности Dirofilaria spp.; Haemonchus spp.; Ascaridia spp; Strongylus spp и Oesophagostomun dentatum, особенно Dirofilaria immitis.

В предпочтительном варианте осуществления изобретения или его вариантах осуществления соединения в соответствии с настоящим изобретением или композиция в соответствии с настоящим изобретением предназначены для применения в лечении гельминтной инфекции, такой как филяриоз и, в частности, дирофиляриоз сердца. В предпочтительном варианте осуществления изобретения или его вариантах осуществления соединения в соответствии с настоящим изобретением или композиция в соответствии с настоящим изобретением предназначены для применения в лечении расстройств/заболеваний, вызываемых гельминтами, где гельминты представляют собой Dirofilaria spp., более конкретно Dirofilaria repens или Dirofilaria immitis.

В предпочтительном варианте осуществления изобретения или его вариантах осуществления соединения в соответствии с настоящим изобретением или композиция в соответствии с настоящим изобретением предназначены для применения в лечении гемонкоза. В предпочтительном варианте осуществления изобретения или его вариантах осуществления соединения в соответствии с настоящим изобретением или композиция в соответствии с настоящим изобретением предназначены для применения в лечении расстройств/заболеваний, вызываемых гельминтами, где гельминты представляют собой Haemonchus spp. и, в частности, Haemonchus placei и Haemonchus contortus.

В предпочтительном варианте осуществления изобретения или его вариантах осуществления соединения в соответствии с настоящим изобретением или композиция в соответствии с настоящим изобретением предназначены для применения в лечении аскаридоза. В предпочтительном варианте осуществления изобретения или его вариантах осуществления соединения в соответствии с настоящим изобретением или композиция в соответствии с настоящим изобретением предназначены для применения в лечении расстройств/заболеваний, вызываемых гельминтами, где гельминты представляют собой Ascaridia galli.

В предпочтительном варианте осуществления изобретения или его вариантах осуществления соединения в соответствии с настоящим изобретением или композиция в соответствии с настоящим изобретением предназначены для применения в лечении эзофагостомоза. В предпочтительном варианте осуществления изобретения или его вариантах осуществления соединения в соответствии с настоящим изобретением или композиция в соответствии с настоящим изобретением предназначены для применения в лечении расстройств/заболеваний, вызываемых гельминтами, где гельминты представляют собой Oesophagostomum spp. и, в частности, Oesophagostomum venulosum и Oesophagostomum dentalum.

В предпочтительном варианте осуществления изобретения или его вариантах осуществления соединения в соответствии с настоящим изобретением или композиция в соответствии с настоящим изобретением предназначены для применения в лечении Trichostrongylus инфекции. В предпочтительном варианте осуществления изобретения или его вариантах осуществления соединения в соответствии с настоящим изобретением или композиция в соответствии с настоящим изобретением предназначены для применения в лечении расстройств/заболеваний, вызываемых гельминтами, где гельминты представляют собой Trichostrongylus spp. и, в частности, Trichostrongylus axei и Trichostrongylus colubriformis.

В предпочтительном варианте осуществления изобретения или его вариантах осуществления соединения в соответствии с настоящим изобретением или композиция в соответствии с настоящим изобретением предназначены для применения в лечении остертагиоза. В предпочтительном варианте осуществления изобретения или его вариантах осуществления соединения в соответствии с настоящим изобретением или композиция в соответствии с настоящим изобретением предназначены для применения в лечении расстройств/заболеваний, вызываемых гельминтами, где гельминты представляют собой Ostertagia spp. и, в частности, Ostertagia ostertagi.

В предпочтительном варианте осуществления изобретения или его вариантах осуществления соединения в соответствии с настоящим изобретением или композиция в соответствии с настоящим изобретением предназначены для применения в лечении Cooperia инфекции. В предпочтительном варианте осуществления изобретения или его вариантах осуществления соединения в соответствии с настоящим изобретением или композиция в соответствии с настоящим изобретением предназначены для применения в лечении расстройств/заболеваний, вызываемых гельминтами, где гельминты представляют собой Cooperia spp. и, в частности, Cooperia oncophora.

В предпочтительном варианте осуществления изобретения или его вариантах осуществления соединения в соответствии с настоящим изобретением или композиция в соответствии с настоящим изобретением предназначены для применения в лечении нематодироза. В предпочтительном варианте осуществления изобретения или его вариантах осуществления соединения в соответствии с настоящим изобретением или композиция в соответствии с настоящим изобретением предназначены для применения в лечении расстройств/заболеваний, вызываемых гельминтами, где гельминты представляют собой Nematodirus spp. и, в частности, Nematodirus helvetianus, Nematodirus spathiger.

Предусматривается, что соединения в соответствии с настоящим изобретением и соединения, соответствующие применению в соответствии с изобретением, можно использовать для лечения животных, включая человека и отличных от человека животных, особенно отличных от человека млекопитающих. Такие млекопитающие, отличные от человека, включают, например, домашних млекопитающих (например, свиней, жвачных животных, таких как крупный рогатый скот, овцы, козы и т.д.), лабораторных млекопитающих (например, мышей, крыс, песчанок и т.д.), млекопитающих-компаньонов (например, собак, кошек, лошадей и т.д.), а также диких и зоопарковых млекопитающих (например, буйволов, оленей и т.д.). Предполагается, что соединения также подходят для лечения не являющихся млекопитающими животных, таких как домашняя птица (например, индейки, цыплята, утки и т.д.) и рыба (например, лосось, форель, карп и т.д.).

Далее применение соединений, раскрытых и охватываемых общими структурами, раскрытыми в настоящей заявке, для применения в лечении гельминтной инфекции, такой как филяриоз и, в частности, дирофиляриоз сердца, особенно если это связано с Dirofilaria, в частности Dirofilaria immitis, иногда указано как “применение в соответствии с изобретением”.

Авторами изобретения было показано, что соединения в соответствии с настоящим изобретением, раскрытые и определенные выше, являются особенно подходящими для лечения гельминтной инфекции, такой как филяриоз и, в частности, дирофиляриоз сердца, особенно у собак.

Соединения в соответствии с настоящим изобретением или ветеринарную композицию в соответствии с настоящим изобретением вводят для лечения или профилактики расстройств/заболеваний, вызываемых одним или несколькими гельминтами, выбранными из группы, состоящей из a) цестод: например, Acanthocheilonema spp.; Anaplocephala spp.; Dipylidium spp.; Diphyllobothrium spp.; Echinococcus spp.; Moniezia spp.; Taenia spp.; b) трематод, например, Dicrocoelium spp.; Fasciola spp.; Paramphistomum spp.; Schistosoma spp.; или c) нематод, например, Ancylostoma spp.; Anecator spp.; Ascaridia spp.; Ascaris spp.; Brugia spp.; Bunostomum spp.; Capillaria spp.; Chabertia spp.; Cooperia spp.; Cyathostomum spp.; Cylicocyclus spp.; Cylicodontophorus spp.; Cylicostephanus spp.; Craterostomum spp.; Dictyocaulus spp.; Dipetalonema spp; Dirofilaria spp.; Dracunculus spp.; Enterobius spp.; Filaroides spp.; Habronema spp.; Haemonchus spp.; Heterakis spp.; Hyostrongylus spp.; Metastrongylus spp.; Meullerius spp. Necator spp.; Nematodirus spp.; Nippostrongylus spp.; Oesophagostomum spp.; Onchocerca spp.; Oncocercidae spp; Ostertagia spp.; Oxyuris spp.; Parascaris spp.; Stephanurus spp.; Strongylus spp.; Syngamus spp.; Toxocara spp.; Strongyloides spp.; Teladorsagia spp.; Toxascaris spp.; Trichinella spp.; Trichuris spp.; Trichostrongylus spp.; Triodontophorous spp.; Uncinaria spp., и/или Wuchereria spp.; более предпочтительно нематод, в частности Dirofilaria spp.; Haemonchus spp.; Ascaridia spp; Strongylus spp и Oesophagostomun dentatum, особенно Dirofilaria immitis.

В частности, соединения в соответствии с настоящим изобретением или ветеринарную композицию в соответствии с настоящим изобретением вводят для лечения или профилактики расстройств/заболеваний, вызываемых одним или несколькими гельминтами, выбранными из группы, состоящей из a) Цестод, таких как Monezia expansa; b) Трематод, таких как Fasciola hepatica, Fascioloides magna, Dicrocoelium dentriticum, Paramphistomum cervi; и c) нематод: Ostertagia ostertagi, Cooperia oncophora, Cooperia punctata, Trichostrongylus axei, Haemonchus placei, Haemonchus contortus, Nematodirus helvetianus, Nematodirus spathiger, Trichostrongylus colubriformis, Trichostrongylus circumcincta, Oesophagostomum venulosum, Chabertia ovina, Dictyocaulus viviparous, Dictyocaulus filaria, Dirofilaria immitis, Dirofilaria repens.

Более предпочтительно, соединения в соответствии с настоящим изобретением или ветеринарную композицию в соответствии с настоящим изобретением вводят для лечения или профилактики инфекции, вызываемой гельминтами, такой как филяриоз и, в частности, дирофиляриоз сердца.

Термин “лечение” в контексте настоящей заявки относится к реверсии, облегчению, ингибированию развития заболевания, расстройства или состояния. В случае гельминтной инфекции это означает, что клинические симптомы (пониженная функция легких, сердца, печени и/или почек) облегчаются.

Таким образом, изобретение обеспечивает способ лечения заболевания, вызываемого гельминтами, который включает введение животному, в частности собаке, терапевтически эффективного количества соединения в соответствии с настоящим изобретением или композиции в соответствии с настоящим изобретением. Иначе говоря, изобретение обеспечивает способ лечения гельминтной инфекции, такой как филяриоз и, в частности, дирофиляриоз сердца, включающий введение терапевтически эффективного количества соединения в соответствии с настоящим изобретением или композиции в соответствии с настоящим изобретением нуждающемуся в этом млекопитающему, в частности собаке.

Изобретение также направлено на способ лечения животного с заболеваниями, вызываемыми нематодой, включающий введение субъекту, нуждающемуся в этом, эффективного количества соединения в соответствии с настоящим изобретением или композиции в соответствии с настоящим изобретением и/или его вариантами осуществления, где нематода является по меньшей мере одной, выбранной из группы Dirofilaria, в частности Dirofilaria immitis. Предпочтительно субъект является млекопитающим, в частности собакой или кошкой, особенно собакой.

Изобретение также направлено на способ лечения млекопитающего, предпочтительно собаки, страдающего заболеванием, вызываемым гельминтом, в частности нематодой, включающий введение субъекту, нуждающемуся в этом, эффективного количества соединения в соответствии с настоящим изобретением или композиции в соответствии с настоящим изобретением и/или его вариантами осуществления, где нематода является по меньшей мере одной, выбранной из группы Dirofilaria, в частности Dirofilaria immitis.

В предпочтительном варианте осуществления соединения в соответствии с настоящим изобретением используют для лечения заболевания, вызываемого гельминтами, такими как нематоды, у животного, где нематода является по меньшей мере одним из гельминтов, таких как Dirofilaria, в частности Dirofilaria immitis, включающего введение эффективного количества соединения в соответствии с настоящим изобретением животному, нуждающемуся в этом.

В соответствии с лечением соединениями в соответствии с настоящим изобретением и/или его вариантами осуществления, заболевания, вызываемые гельминтами, в частности нематодами, особенно Dirofilaria, более конкретно Dirofilaria immitis, лечат или предотвращают у млекопитающего, в частности собаки, путем введения животному терапевтически эффективного количества соединения по изобретению в таких количествах и в течение такого времени, как это необходимо для достижения желаемого результата.

"Терапевтически эффективное количество" соединения в соответствии с изобретением и/или его вариантами осуществления означает достаточное количество соединения в соответствии с настоящим изобретением или композиции в соответствии с настоящим изобретением для лечения гельминтной инфекции, такой как филяриоз и, в частности, дирофиляриоз сердца, при разумном соотношении польза/риск, применимом к любому медицинскому лечению. Должно быть понятно, однако, что общее суточное количество соединения в соответствии с настоящим изобретением и композиции в соответствии с настоящим изобретением будет определять лечащий врач или ветеринар на основании тщательной клинической оценки. Конкретный уровень терапевтически эффективных доз для любого конкретного животного будет зависеть от множества факторов, включая заболевание, которое лечат, и тяжесть заболевания; активность конкретного используемого соединения; конкретную используемую композицию; возраст, массу тела, общее состояние здоровья, пол и режим питания животного; время введения, способ введения и скорость экскреции используемого конкретного соединения; продолжительность лечения; лекарственные средства, используемые в комбинации или одновременно с конкретным применяемым соединением; и подобные факторы, хорошо известные в медицине.

Когда соединение по настоящему изобретению вводят перорально или парентерально путем подкожной инъекции, общая доза предпочтительно больше чем около 0,001 мг/кг (т.е. 0,001 миллиграмма соединения по настоящему изобретению на килограмм массы тела подвергаемого лечению животного). В некоторых таких вариантах осуществления общая доза составляет от около 0,001 до около 200 мг/кг, от около 0,01 до около 20 мг/кг, от около 0,1 до около 10 мг/кг или от около 1 до около 20 мг/кг. Такой же диапазон доз может быть подходящим для других путей введения. Желаемая доза, однако, может быть меньше в некоторых случаях, когда соединение по настоящему изобретению вводят внутривенно.

Доза, используемая для контроля заболеваний, вызываемых Dirofilaria immitis, может варьироваться в зависимости от соединения, тяжести заболевания и возраста, массы тела и состояния животного, в частности собаки. Однако общая доза, необходимая для защиты в течение нескольких дней, обычно находится в диапазоне от около 0,1 до около 200 мг/кг массы тела и предпочтительно в диапазоне от около 1 до около 100 мг/кг. Одна инъекция может обеспечить защиту на срок до около семи дней; продолжительность защиты будет зависеть от вводимой дозы. Общая доза также может быть разделена на меньшие дозы, вводимые с интервалами, например, один раз в день в течение двух-семи дней. Очевидно, что могут быть разработаны другие подходящие схемы введения.

Особенно предпочтительно применение соединений в соответствии с настоящим изобретением или композиции в соответствии с настоящим изобретением для собак. Соединения в соответствии с настоящим изобретением или композицию в соответствии с настоящим изобретением можно использовать для животных с разной массой тела, включая животных с массой тела больше чем 35 кг.

Другими примерами животных, которых можно лечить соединениями в соответствии с настоящим изобретением или композицией в соответствии с настоящим изобретением, являются более мелкие домашние животные, такие как кошки. В одном варианте осуществления соединения в соответствии с настоящим изобретением или композицию в соответствии с настоящим изобретением используют для лечения заболеваний, таких как тяжелое легочное заболевание, сердечная недостаточность и повреждение других внутренних органов, вызываемое Dirofilaria, более конкретно Dirofilaria immitis.

В одном варианте осуществления животное, которое лечат, представляет собой собаку, и заболевание, которое лечат, представляет собой гельминтную инфекцию, такую как филяриоз и, в частности, дирофиляриоз сердца.

В предпочтительном варианте осуществления изобретения или его вариантах осуществления разового введения композиции в соответствии с настоящим изобретением достаточно для лечения заболевания, вызываемого нематодой, в частности Dirofilaria immitis, или по меньшей мере для уменьшения клинических симптомов у заболевшего животного. Это можно назвать “однократным” введением. Хотя введение такой “однократной” дозы является весьма подходящим, предусматривается, что можно использовать многократное введение доз, например, два введения с интервалом 12-24 часа или, альтернативно, два введения с интервалом 48-72 часа.

Защита предпочтительно обеспечивается по меньшей мере на 7 дней, более предпочтительно по меньшей мере на 10 дней, более предпочтительно по меньшей мере на 2 недели, более предпочтительно по меньшей мере на 3 недели, более предпочтительно по меньшей мере на 4 недели. Защита обеспечивается на 1, 2, 3, 4, 5, 6, 7, 8, 9, 10, 11, 12, 13, 14, 15, 16, 17, 18, 19, 20 недель или больше. Защита предпочтительно обеспечивается по меньшей мере на 1, 2, 3, 4, 5, 6, 7, 8, 9, 10, 11 или 12 месяцев или больше.

Факторы, влияющие на предпочтительную дозировку, могут включать, например, заболевание, подлежащее лечению, тип (например, вид и порода), возраст, размер, пол, режим питания, активность и состояние больного животного, путь введения, фармакологические соображения, такие как активность, эффективность, фармакокинетический и токсикологический профили конкретного соединения по настоящему изобретению и вводимой композиции, а также то, вводят ли соединение по настоящему изобретению как часть комбинации активных ингредиентов. Таким образом, предпочтительное количество соединения по настоящему изобретению может варьироваться и поэтому может отклоняться от типичных дозировок, указанных выше. Определение таких корректировок дозы обычно находится в компетенции специалистов в данной области. Эффективная доза будет варьироваться; например, для профилактического лечения следует вводить относительно низкие дозы в течение длительного времени. Тип композиции, выбранный для лекарственной формы, в любом случае будет зависеть от конкретной предполагаемой цели и физических, химических и биологических свойств соединения по настоящему изобретению.

Ветеринарные композиции, применения в качестве лекарственного средства и применения для лечения заболеваний, вызываемых гельминтами, в частности нематодами, особенно Dirofilaria immitis, и способы по настоящему изобретению охватывают способы, в которых соединение по настоящему изобретению является единственным активным ингредиентом, вводимым животному-реципиенту. Однако предполагается, что ветеринарные композиции, применения в качестве лекарственного средства и применения для лечения заболеваний, вызываемых гельминтами, такими как нематоды, в частности Dirofilaria immitis, и способы по настоящему изобретению также охватывают комбинированные терапии, когда соединение вводят в комбинации с одним или несколькими другими фармацевтически приемлемыми активными ингредиентами. Другим активным ингредиентом(ингредиентами) может быть, например, одно или несколько других соединений по настоящему изобретению. Альтернативно (или дополнительно) другим активным ингредиентом(ингредиентами) может быть одно или несколько фармацевтически приемлемых соединений, которые не являются соединениями по настоящему изобретению. Другой активный ингредиент(ингредиенты) может быть нацелен на те же и/или другие заболевания или состояния.

Предусматриваемые активные ингредиенты, которые можно вводить в комбинации с соединениями по настоящему изобретению, включают, например, антибактериальные средства, противовоспалительные средства, фармацевтически приемлемые антигельминтные средства, инсектициды и акарициды, регуляторы роста насекомых, гормоны, иммуностимуляторы, дерматологические препараты (например, антисептики и дезинфицирующие средства) и иммунобиологические препараты (например, вакцины и антисыворотки) для профилактики заболеваний.

Конкретные комбинации включают a) одно или несколько соединений в соответствии с настоящим изобретением с b) одним или несколькими фармацевтически приемлемыми активными соединениями, которые отличаются по структуре от компонента a). Активные соединения b) предпочтительно представляют собой антигельминтные соединения, более предпочтительно выбранные из группы, состоящей из авермектинов (например, ивермектин, селамектин, дорамектин, абамектин, эмамектин и эприномектин); милбемицинов (моксидектин и милбемицин оксим); про-бензимидазолов (например, фебантел, нетобимин и тиофанат); бензимидазольных производных, таких как тиазолбензимидазольное производное (например, тиабендазол и камбендазол) или карбаматбензимидазольные производные (например, фенбендазол, албендазол (оксид), мебендазол, оксфендазол, парбендазол, оксибендазол, флубендазол и триклабендазол); имидазотиазола (например, левамизол и тетрамизол); тетрагидропиримидина (морантел и пирантел), органофосфатов (например, трихлорфон, галоксон, дихлорвос и нафталофос); салициланилидов (например, клосантел, оксиклозанид, рафоксанид и никлозамид); нитрофеноловых соединений (например, нитроксинил и нитросканат); бензолдисульфонамидов (например, клорсулон); пиразинизохинолинов (например, празиквантел и эпсипрантел); гетероциклических соединений (например, пиперазин, диэтилкарбамазин, дихлорфен и фенотиазин); соединений мышьяка (например, триацетарсамид, мелорсамин и арсенамид); циклооктадепсипептидов (например, эмодепсид, PF1022A); парагерквамидов (например, дерквантел, парагеркванид); и амино-ацетонитрильных соединений (например, монепантел, AAD 1566); трибендимидина (амидиновое соединение); амидиновых соединений (например, амидантел и трибендимидин), включая все фармацевтически приемлемые формы, такие как соли, сольваты или N-оксиды.

Соединения, описанные в настоящем описании, можно использовать в комбинации с фармацевтически приемлемыми инсектицидами или акарицидами. Такие фармацевтически приемлемые инсектициды и акарициды включают, например, ацетамиприд, ацетопрол, амитраз, амидофлумет, авермектин, азадирактин, бифентрин, бифеназат, брофланилид, бупрофезин, бистрифлурон, хлорфенапир, хлорфлуазурон, хлорантранилирол, хлорпирифос, хромафенозид, клотианидин, циантранилипрол, цифлуметофен, 13-цифлутрин, цигалотрин, Ацигалотрин, цимиазол циперметрин, циромазин, дельтаметрин, демидитраз, диафентиурон, диазинон, дифлубензурон, димефлутрин, динотефуран, эмамектин, эсфенвалерат, этипрол, феноксикарб, фенпропатрин, фенвалерат, фипронил, флоникамид, флубендиамид, флуцитринат, тау-флувалинат, флуфеноксурон, галофенозид, гексафлумурон, имидаклоприд, индоксакарб, луфенурон, метафлумизон, метопрен, метофлутрин, метоксифенозид, нитепирам, новалурон, новифлумурон, перметрин, фосмет, профлутрин, протрифенбут, пиметрозин, пирафлупрол, пиретрин, пиридалил, пирифлухиназон, пирипрол, пирипроксифен, ротенон, рианодин, сисапронил, спинеторам, спиносад, спиродиклофен, спиромезифен, спиротетрамат, сульфоксафлор, тебуфенозид, тебуфенпирад, тефлубензурон, тефлутрин, тетрахлорвинфос, тетраметилфлутрин, тиаклоприд, тиаметоксам, тиголанер, толфенпирад, тралометрин и трифлумурон. Общие ссылочные документы, обсуждающие антипаразитические средства, такие как инсектициды и акарициды, включают, например, The Pesticide Manual, 18th Edition, J. A. Turner, Ed., British Crop Protection Council Publications, U.K. (2018).

Соединения, описанные в настоящем описании, можно использовать в комбинации с фармацевтически приемлемыми регуляторами роста насекомых. Такие фармацевтически приемлемые регуляторы роста насекомых включают, например, метопрен, пирипроксифен, тетрагидроазадирактин, хлорфлуазурон, циромазин, дифлубензурон, флуазурон, флуциклоксурон, флуфеноксурон, гексафлумурон, луфенурон, ифенурон, тебуфенозид и трифлумурон. Эти соединения преимущественно обеспечивают как начальное, так и продолжительное лечение паразитарных инфекций на всех стадиях развития насекомого, включая яйца, на субъекте-животном, а также в окружении субъекта-животного.

Соединения, описанные в настоящем описании, можно использовать в комбинации с фармацевтически приемлемыми антипротозойными средствами. Такие фармацевтически приемлемые антипротозойные средства включают, например, триазинтрионы, такие как, например, толтразурил и поназурил, и триазиндионы, такие как клазурил, диклазурил и летразурил. В некоторых рассматриваемых вариантах осуществления соединения вводят с дигидроазольными соединениями, такими как, например, соединения, обсуждаемые в WO 2010/75591.

В некоторых рассматриваемых вариантах осуществления соединения по настоящему изобретению вводят с антигельминтными белками, такими как, например, белки Bacillus thuringensiscrystal, например описанные в WO 2010/053517.

В некоторых рассматриваемых вариантах осуществления соединения вводят с пиридилметиламиновыми производными, такими как, например, пиридилметиламиновые производные, обсуждаемые в EP0539588 WO 2007/115643.

В некоторых рассматриваемых вариантах осуществления соединения вводят с нодулиспоровыми кислотами и их производными, такими как, например, соединения, обсуждаемые в US 5399582; US 5945317; US 5962499; US 5834260; US 6221894; или US 5595991; или WO 96/29073.

В некоторых рассматриваемых вариантах осуществления соединения вводят с изоксазолиновыми соединениями (например, сароланером, флураланером, лотиланером, афоксоланером, флуксаметамидом, изоциклосермом)

Другие антипаразитические соединения, рассматриваемые как полезные в комбинированных терапиях с соединениями, включают, например, имидазо[1,2-b]пиридазиновые соединения, обсуждаемые в US 2005/0182059; 1-(4-моно и дигалогенметилсульфонилфенил)-2-ациламино-3-фторпропаноловые соединения, обсуждаемые US7361689; эфиры трифторметансульфонанилидоксима, обсуждаемые в US7312248; н-[(фенилокси)фенил]-1,1,1-трифторметансульфонамидные и н-[(фенилсульфанил)фенил]-1,1,1-трифторметансульфонамидные соединения, обсуждаемые в US 2006/0281695; и 2-фенил-3-(1H-пиррол-2-ил)акрилонитрильные соединения, обсуждаемые в US 2006/0128779; азольные соединения, обсуждаемые в WO 2017/192385, WO 2019/170626, WO 2019/197468, WO 2019/201835, WO 2019/206799, WO 2019/215198, WO 2020/053364, WO 2020/053365, WO 2020/070049, WO 2020/079198, WO 2020/094363, WO 2020/169445, WO 2020/193341, WO 2020/201079, WO 2020/201398, WO 2020/208036, WO 2020/212235, и WO 2020/219871.

Характерные признаки изобретения были описаны в вариантах осуществления в настоящей заявке; однако, в целях краткости изложения не все комбинации характерных признаков были в буквальном смысле описаны. Комбинации характерных признаков, описанные выше, однако, определенно считаются частью изобретения.

Экспериментальная часть

Аналитические методы - Методы ВЭЖХ

Метод 1

Хроматографическая система:

Колонка: Xbridge BEH C18 Waters, 2,1×50 мм, 2,5мкм

Печь: 40°C

Элюенты: Растворитель A: вода/HCO2H (0,05%); Растворитель B: ацетонитрил/HCO2H (0,05%)

Поток: 0,8 мл/мин

Градиент:

Время [мин] Растворитель A [%] Растворитель B [%] 0,0 98 2 1,2 0 100 1,7 0 100 2,2 98 2 Время эксперимента: 2,2 мин+0,5 мин время уравновешивания

Метод 2

Хроматографическая система:

Колонка: Xbridge BEH C18 Waters, 2,1×50 мм, 2,5 мкм

Печь: 40°C

Элюенты: Растворитель A: вода/NH3 (0,1%); Растворитель B: ацетонитрил

Поток: 0,8 мл/мин

Градиент:

Время [мин] Растворитель A [%] Растворитель B [%] 0,0 98 2 1,2 0 100 1,7 0 100 1,8 98 2 Время эксперимента: 2,2 мин+0,5 мин время уравновешивания

Метод 3

Хроматографическая система:

Колонка: Xbridge BEH Фенил Waters, 2,1×50 мм, 2,5 мкм

Печь: 40°C

Элюенты: Растворитель A: вода/HCO2H (0,05%); Растворитель B: ацетонитрил/HCO2H (0,05%)

Поток: 0,8 мл/мин

Градиент:

Время [мин] Растворитель A [%] Растворитель B [%] 0,0 98 2 1,2 0 100 1,7 0 100 1,8 98 2 Время эксперимента: 2,2 мин+0,5 мин время уравновешивания

Метод 4

Хроматографическая система:

Колонка: Poroshell HPH-C18, 3×50 мм, 2,7 мкм

Печь: 40°C

Элюенты: Растворитель A: вода/NH4CO3 (5 мМ); Растворитель B: ацетонитрил

Поток: 1,2 мл/мин

Градиент:

Время [мин] Растворитель A [%] Растворитель B [%] 0,0 50 50 3,5 5 95 4,8 5 95 4,9 50 50 Время эксперимента: 4,9 мин+0,3 мин время уравновешивания

Метод 5

Хроматографическая система:

Колонка: Poroshell HPH-C18, 3×50 мм, 2,7 мкм

Печь: 40°C

Элюенты: Растворитель A: вода/NH4CO3 (5 мМ); Растворитель B: ацетонитрил

Поток: 1,2 мл/мин

Градиент:

Время [мин] Растворитель A [%] Растворитель B [%] 0,0 50 50 2,1 5 95 2,7 5 95 2,75 50 50 Время эксперимента: 2,75 мин+0,25 мин время уравновешивания

Метод 6

Хроматографическая система:

Колонка: Poroshell HPH-C18, 3×50 мм, 2,7 мкм

Печь: 40°C

Элюенты: Растворитель A: вода/NH4CO3 (5 мМ); Растворитель B: ацетонитрил

Поток: 1,2 мл/мин

Градиент:

Время [мин] Растворитель A [%] Растворитель B [%] 0,0 90 10 2,0 5 95 2,7 5 95 2,75 90 10 Время эксперимента: 2,75 мин+0,25 мин время уравновешивания

Метод 7

Хроматографическая система:

Колонка: Shim-pack XR-ODS, 3×50 мм, 2,2 мкм

Печь: 40°C

Элюенты: Растворитель A: вода/TFA (0,05%); Растворитель B: ацетонитрил/TFA (0,05%)

Поток: 1,2 мл/мин

Градиент:

Время [мин] Растворитель A [%] Растворитель B [%] 0,0 50 50 3,2 0 100 4,8 0 100 4,9 50 50 Время эксперимента: 4,9 мин+0,3 мин время уравновешивания

Метод 8

Хроматографическая система:

Колонка: Shim-pack XR-ODS, 3×50 мм, 2,2 мкм

Печь: 40°C

Элюенты: Растворитель A: вода/TFA (0,05%); Растворитель B: ацетонитрил/TFA (0,05%)

Поток: 1,2 мл/мин

Градиент:

Время [мин] Растворитель A [%] Растворитель B [%] 0,0 60 40 3,2 0 100 4,8 0 100 4,9 95 5 Время эксперимента: 4,9 мин+0,3 мин время уравновешивания

Метод 9

Хроматографическая система:

Колонка: Shim-pack XR-ODS, 3×50 мм, 2,2 мкм

Печь: 40°C

Элюенты: Растворитель A: вода/TFA (0,05%); Растворитель B: ацетонитрил/TFA (0,05%)

Поток: 1,2 мл/мин

Градиент:

Время [мин] Растворитель A [%] Растворитель B [%] 0,0 95 5 2,0 0 100 2,7 0 100 2,75 95 5 Время эксперимента: 2,75 мин+0,25 мин время уравновешивания

Метод 10

Хроматографическая система:

Колонка: Kinetex, EVO C18 100A, 3×50 мм, 2,7 мкм

Печь: 40°C

Элюенты: Растворитель A: вода/NH4CO3 (5 мМ); Растворитель B: ацетонитрил

Поток: 1,2 мл/мин

Градиент:

Время [мин] Растворитель A [%] Растворитель B [%] 0,0 70 30 3 30 70 4 5 95 4,8 5 95 4,9 90 10 Время эксперимента: 4,9 мин+0,3 мин время уравновешивания

Метод 11

Хроматографическая система:

Колонка: Kinetex, EVO C18 100A, 3×50 мм, 2,7 мкм

Печь: 40°C

Элюенты: Растворитель A: вода/NH4CO3 (5 мМ); Растворитель B: ацетонитрил

Поток: 1,2 мл/мин

Градиент:

Время [мин] Растворитель A [%] Растворитель B [%] 0,0 90 10 2,0 5 95 2,7 5 95 2,75 90 10 Время эксперимента: 2,75 мин+0,25 мин время уравновешивания

Метод 12

Хроматографическая система:

Колонка: Kinetex, XB C18, 3×50 мм, 2,6 мкм

Печь: 40°C

Элюенты: Растворитель A: вода/TFA (0,05%); Растворитель B: ацетонитрил/TFA (0,05%)

Поток: 1,2 мл/мин

Градиент:

Время [мин] Растворитель A [%] Растворитель B [%] 0,0 95 5 2 0 100 2,7 0 100 2,75 95 5 Время эксперимента: 2,75 мин+0,25 мин время уравновешивания

Метод 13

Хроматографическая система:

Колонка: Halo C18, 3×30 мм, 2 мкм

Печь: 40°C

Элюенты: Растворитель A: вода/TFA (0,05%); Растворитель B: ацетонитрил/TFA (0,05%)

Поток: 1,5 мл/мин

Градиент:

Время [мин] Растворитель A [%] Растворитель B [%] 0,0 95 5 2,5 5 95 2,8 5 95 2,81 95 5 Время эксперимента: 2,81 мин+0,19 мин время уравновешивания

Общие процедуры синтеза

Соединения формулы (I) можно синтезировать как показано на Схеме 1 ниже:

Схема 1:

Хинолиновое соединение 1-I подвергают нитрованию с получением 3-нитро производного 1-II. Хинолины коммерчески доступны, или их можно синтезировать как описано, например, в томе E7a, часть 1, Methods of Organic Chemistry (Houben-Weyl), 4th edition, Stuttgart-New York 1991. Нитрование можно осуществить путем нагревания с азотной кислотой в подходящем растворителе, таком как органическая высококипящая кислота, как описано в Journal of Medicinal Chemistry, 48(10), 3481-3491, 2005. Хлорирование путем нагревания с тионилхлоридом или фосфорилхлоридом дает 4-хлор-соединение 1-III. Нуклеофильное замещение хлора нуклеофилом HR7 в присутствии основания дает 1-IV. Нуклеофилы, такие как амины, можно ввести в присутствии аминового основания, такого как триэтиламин или EDIPA, спирты можно ввести с использованием более сильного основания, такого как алкоксид натрия. Реакция сочетания Сузуки с арил или гетарилбороновой кислотой 1-V дает 1-VI, как описано в Tetrahedron 58(48), 9633-9695, 2002. Восстановление нитро группы можно осуществить путем гидрирования с использованием катализатора, такого как платина на угле. В случае алкилирования азота амида в Формуле (I) алкильную группу можно ввести путем восстановительного алкилирования аминосоединения 1-VII с использованием альдегида и восстановителя, как описано в Eur. J. Med. Chem 127, 2017, 509-520, или путем алкилирования с использованием алкилгалогенида, как описано в Bioorg. Med. Chem. Lett. 2006, 16(13), 3484-3488, с получением алкилированного аминосоединения 1-VIII. Ацилирование соединения 1-VII или 1-VIII карбоновой кислотой 1-IX дает амид 1-X в условиях, описанных, например в томе E22a Methods of Organic Chemistry (Houben-Weyl), Synthesis of Peptides and Peptidomimetics, 4h edition, Georg Thieme Verlag, Stuttgart - New York, 2002.

Альтернативно, соединения формулы I, например, где R7 представляет собой алкильную или алкенильную группу, можно синтезировать как показано на Схеме 2.

Схема 2

Эфир хинолинкарбоновой кислоты 2-I подвергают реакции сочетания с бороновой кислотой 2-II с образованием биарильного соединения 2-III. В качестве альтернативы свободной бороновой кислоте 2-II можно использовать аналогичный эфир бороновой кислоты, например пинаколо-эфир. Хинолиновые сложные эфиры 2-I известны, или их можно синтезировать как описано, например, в WO2018/087036. Галогенирование соединения 2-III сульфонилхлоридом или фосфорилхлоридом дает 4-хлорхинолиновый сложный эфир 2-IV (аналогичный 4-бромид можно получить с использованием фосфорилбромида). Галоген может быть замещен алкилбороновой кислотой 2-V с получением 4-алкилхинолина 2-VI, как описано в ChemMedChem, 2014, 9(4), 719-723. Щелочной гидролиз приводит к карбоновой кислоте 2-VII, которую можно подвергнуть перегруппировке Курциуса с получением аминосоединения 2-VIII, как описано, например, в Eur. J. Med. Chem. 2017, 127, 509-520 или в Synthesis, 1983, 38-40. В случае алкилирования азота амида в Формуле (I) алкильную группу можно ввести путем восстановительного алкилирования аминосоединения 2-VIII с использованием альдегида и восстановителя, как описано в Eur. J. Med. Chem 127, 2017, 509-520, или путем алкилирования алкилгалогенидом, как описано в Bioorg. Med. Chem. Lett. 2006, 16(13), 3484-3488, с получением алкилированного аминосоединения 2-X. Ацилирование соединения 2-VIII или 2-X карбоновой кислотой 2-IX дает амид 2-X в условиях, описанных, например в томе E22a Methods of Organic Chemistry (Houben-Weyl), Synthesis of Peptides and Peptidomimetics, 4h edition, Georg Thieme Verlag, Stuttgart - New York, 2002.

Процедуры синтеза - конкретные соединения

Синтез N-(8-(2,3-дихлорфенил)-4-морфолинoхинолин-3-ил)хроман-4-карбоксамида (пример 83)

1. 8-Бром-3-нитрохинолин-4-ол

8-Бромхинолин-4-ол (1 г, 4,46 ммоль) добавляли к пропионовой кислоте (10 мл) и смесь нагревали до 125°C. При этой температуре добавляли по каплям азотную кислоту (0,675 мл, 9,82 ммоль) и нагревание продолжали в течение 2,5 ч. Смесь охлаждали до температуры окружающей среды, разбавляли этанолом и осадок отделяли фильтрованием. Его промывали водой и этанолом, сушили в течение ночи при пониженном давлении при 50°C с получением 502 мг твердого вещества (выход 42%).

2. 8-Бром-4-хлор-3-нитрохинолин

8-Бром-3-нитрохинолин-4-ол (502 мг, 1,866 ммоль) добавляли к хлороформу (10 мл). Добавляли DMF (0,159 мл, 2,052 ммоль) с последующим добавлением по каплям тионилхлорида (0,150 мл, 2,052 ммоль). Когда добавление было завершено, смесь перемешивали при кипячении с обратным холодильником в течение 2,5 ч, охлаждали до температуры окружающей среды и использовали непосредственно на следующей стадии.

3. 4-(8-Бром-3-нитрохинолин-4-ил)морфолин

Смесь со стадии 2. охлаждали до -15°C, добавляли TEA (0,390 мл, 2,80 ммоль) и морфолин (0,247 мл, 2,84 ммоль) при перемешивании. Через 2 минуты охлаждающую баню удаляли и смесь перемешивали при кипячении с обратным холодильником в течение 45 минут. Смесь охлаждали до температуры окружающей среды, растворитель выпаривали при пониженном давлении, остаток поглощали в воду и осадок отделяли фильтрованием, промывали водой и сушили в течение уикэнда при пониженном давлении при 50°C с получением 595 мг твердого вещества (выход 94%, 2 стадии). МС (ESI) 340,0 [M+H]+.

4. 4-(8-(2,3-дихлорфенил)-3-нитрохинолин-4-ил)морфолин

4-(8-Бром-3-нитрохинолин-4-ил)морфолин (595 мг, 1,760 ммоль), (2,3-дихлорфенил)бороновую кислоту (436 мг, 2,287 ммоль) и Pd(Ph3P)4 (122 мг, 0,106 ммоль) помещали в колбу, упаривали и снова заполняли аргоном три раза. Добавляли диоксан (14 мл) и карбонат натрия (559 мг, 5,28 ммоль), растворенный в воде (4 мл), и смесь продували аргоном. Смесь перемешивали при 100°C в течение 90 мин, концентрировали при пониженном давлении и остаток очищали хроматографией (силикагель, н-пентан/EtOAc) с получением 734 мг твердого вещества (выход 98%).

5. 8-(2,3-Дихлорфенил)-4-морфолинoхинолин-3-амин

К 4-(8-(2,3-Дихлорфенил)-3-нитрохинолин-4-ил)морфолину (734 мг, 1,725 ммоль) добавляли MeOH (10 мл) и THF (10,00 мл) с последующим добавлением платины на угле (67,3 мг, 0,017 ммоль). Колбу закрывали крышкой и суспензию перемешивали в атмосфере водорода в течение трех часов. Смесь фильтровали через слой целита, твердое вещество промывали последовательно MeOH, MeOH/DCM и THF. Объединенные фильтраты концентрировали при пониженном давлении и остаток очищали хроматографией (силикагель, DCM/EtOAc) с получением 282 мг твердого вещества (выход 44%).

6. N-(8-(2,3-Дихлорфенил)-4-морфолинoхинолин-3-ил)хроман-4-карбоксамид

8-(2,3-Дихлорфенил)-4-морфолинoхинолин-3-амин (60 мг, 0,16 ммоль), хроман-4-карбоновую кислоту (29 мг, 0,16 ммоль), EDC (46 мг, 0,24 ммоль) и DMAP (10 мг, 0,08 ммоль) помещали в сосуд, добавляли DMF (1 мл) и смесь перемешивали при температуре окружающей среды в течение ночи. Смесь разбавляли смесью ацетонитрила и воды (1:1) и очищали препаративной ВЭЖХ (Waters XBridge, элюируя с градиентом ацетонитрила, содержащего 10% THF, и воды, содержащей 0,1% муравьиной кислоты) с получением 30 мг твердого вещества (выход 34%). МС (ESI) m/z: 532,1 [M+H]+.

Синтез N-(8-(2,3-дихлорфенил)-4-этоксихинолин-3-ил)-2,3-дигидро-1H-инден-1-карбоксамида (пример 57)

1. 8-Бром-4-этокси-3-нитрохинолин

8-Бром-4-хлор-3-нитрохинолин (500 мг, 1,739 ммоль) суспендировали в EtOH (4 мл), добавляли этоксид натрия (237 мг, 3,48 ммоль), и смесь перемешивали при температуре окружающей среды в течение 30 мин. Смесь разбавляли водой и получали прозрачный раствор. Смесь экстрагировали дихлорметаном, экстракт сушили сульфатом натрия, фильтровали, концентрировали при пониженном давлении и использовали непосредственно на следующей стадии.

2. 8-(2,3-Дихлорфенил)-4-этокси-3-нитрохинолин

Остаток со стадии 1. объединяли с (2,3-дихлорфенил)бороновой кислотой (431 мг, 2,261 ммоль), Pd(Ph3P)4 (121 мг, 0,104 ммоль) и карбонатом натрия (553 мг, 5,22 ммоль) в колбе в атмосфере аргона. Добавляли смесь диоксана (15 мл) и дегазированной воды (5 мл) и полученную реакционную смесь перемешивали при 100°C в течение 75 мин. Смесь разбавляли водой и экстрагировали этилацетатом (3×), объединенные экстракты сушили сульфатом натрия, фильтровали и концентрировали при пониженном давлении. Остаток очищали колоночной хроматографией (силикагель, элюирование с градиентом н-пентан/ EtOAc) с получением 497 мг твердого вещества (выход 77%). МС (ESI) m/z: 363,0 [M+H]+.

3. 8-(2,3-Дихлорфенил)-4-этоксихинолин-3-амин

8-(2,3-Дихлорфенил)-4-этокси-3-нитрохинолин (497 мг, 1,368 ммоль) суспендировали в этаноле (5 мл), добавляли платину на угле (5%, 53,4 мг, 0,014 ммоль), смесь продували водородом и перемешивали в атмосфере водорода в течение ночи. Суспензию фильтровали через слой целита, фильтровальную лепешку промывали этанолом и объединенные фильтраты концентрировали при пониженном давлении с получением 417 мг твердого вещества (выход 87%). МС (ESI) m/z: 333,0 [M+H]+.

4. N-(8-(2,3-дихлорфенил)-4-этоксихинолин-3-ил)-2,3-дигидро-1H-инден-1-карбоксамид

8-(2,3-Дихлорфенил)-4-этоксихинолин-3-амин (40 мг, 0,120 ммоль), 2,3-дигидро-1H-инден-1-карбоновую кислоту (20 мг, 0,120 ммоль), EDC (34,5 мг, 0,180 ммоль) и DMAP (7,33 мг, 0,060 ммоль) помещали в сосуд, добавляли DMF (1 мл) и смесь перемешивали при температуре окружающей среды в течение ночи. Смесь очищали препаративной ВЭЖХ (Waters XBridge C18, элюируя ацетонитрилом/водой, содержащей 0,1% муравьиной кислоты) с получением 19,5 мг твердого вещества (выход 34%). МС (ESI) m/z: 477,1 [M+H]+.

Синтез N-(8-(3,5-дихлорфенил)-4-изопропоксихинолин-3-ил)-1,2,3,4-тетрагидронафталин-1-карбоксамида (пример 76)

1. 8-Бром-4-изопропокси-3-нитрохинолин

Изопропанол (15 мл) помещали в a колбу, добавляли натрий (78 мг, 3,4 ммоль) и смесь перемешивали при температуре окружающей среды в течение 2 часов. Затем добавляли 8-бром-4-хлор-3-нитрохинолин (520 мг, 1,7 ммоль) и смесь перемешивали при температуре окружающей среды в течение ночи. Смесь фильтровали, фильтрат концентрировали при пониженном давлении. Остаток растворяли в дихлорметане, раствор промывали водой, сушили над сульфатом натрия и концентрировали при пониженном давлении с получением твердого вещества (579 мг, выход 96%).

2. 8-(3,5-Дихлорфенил)-4-изопропокси-3-нитрохинолин

8-Бром-4-изопропокси-3-нитрохинолин (529 мг, 1,7 ммоль), (3,5-дихлорфенил)бороновую кислоту (422 мг, 2,21 ммоль), Pd(Ph3P)4 (118 мг, 0,1 ммоль) и карбонат натрия (541 мг, 5,1 ммоль) объединяли в колбе в атмосфере аргона. Добавляли смесь диоксана (15 мл) и дегазированной воды (5 мл) и полученную реакционную смесь перемешивали при 100°C в течение часа. Смесь охлаждали, разбавляли этилацетатом и насыщенным солевым раствором, фазы разделяли. Органическую фазу промывали насыщенным солевым раствором, концентрировали при пониженном давлении и полученный остаток очищали колоночной хроматографией (силикагель, элюирование с градиентом н-пентана/EtOAc) с получением 621 мг твердого вещества (выход 97%).

3. 8-(3,5-Дихлорфенил)-4-изопропоксихинолин-3-амин

8-(3,5-Дихлорфенил)-4-изопропокси-3-нитрохинолин (621 мг, 1,65 ммоль) суспендировали в изопропаноле (10 мл), добавляли платину на угле (5%, 64 мг, 0,016 ммоль), смесь продували водородом и перемешивали в атмосфере водорода в течение ночи. Добавляли дополнительное количество платины на угле (5%, 25 мг, 0,006 ммоль, суспендированной в 1 мл изопропанола) и перемешивание в атмосфере водорода продолжали в течение ночи. Добавление катализатора и перемешивание в течение ночи повторяли, затем суспензию фильтровали через слой целита, фильтровальную лепешку промывали изопропанолом и объединенные фильтраты концентрировали при пониженном давлении и полученный остаток очищали флэш-хроматографией (силикагель, н-пентан/этилацетат) с получением 354 мг твердого вещества (выход 62%). МС (ESI) m/z: 347,0 [M+H]+.

4. N-(8-(3,5-дихлорфенил)-4-изопропоксихинолин-3-ил)-1,2,3,4-тетрагидронафталин-1-карбоксамид

1,2,3,4-тетрагидронафталин-1-карбоновую кислоту (16 мг, 0,09 ммоль) растворяли в DCM (1 мл, содержащий остаточные количества DMF). Добавляли оксалилхлорид (8,7 мкл, 1 ммоль) и смесь перемешивали при температуре окружающей среды до прекращения выделения газа. Этот раствор добавляли к смеси 8-(3,5-дихлорфенил)-4-изопропоксихинолин-3-амина (31 мг, 0,09 ммоль) в толуоле (2 мл) и пиридине (15 мкл, 0,18 ммоль) и перемешивали при 100°C в течение 3 часов. Полученную смесь концентрировали при пониженном давлении и очищали препаративной ВЭЖХ (Waters XBridge C18, элюируя ацетонитрилом/водой, содержащей 0,1% муравьиной кислоты) с получением 12 мг твердого вещества (выход 26%). МС (ESI) m/z: 505,1 [M+H]+.

Таблица A: Примеры

Таблица A ниже представляет структуру для каждого из проиллюстрированных соединений (№) формулы (I), где во всех проиллюстрированных соединениях R17 и R18 представляют собой водород. R/S означает абсолютную стереоcхимию по углероду, несущему R13, пустая ячейка означает, что присутствует рацемат.

Формула (I)

Таблица A R/S R1 R7 R13 R14 A1 A2 A3 A4 R19 R25 1 H диметиламино H H CH CH CH CH 2,3-дихлорфенил H 2 H метокси H H CH CH CH CH 2,3-дихлорфенил H 3 H диметиламино H H CH CH CH CH 3,5-дихлорфенил H 4 H метокси H H CH CH CH CH 3,5-дихлорфенил H 5 H морфолин-4-ил H H CH CH CH CH 3,5-дихлорфенил H 6 H этокси H H CH CH CH CH 3,5-дихлорфенил H 7 H морфолин-4-ил -CH2-CH2-O- CH CH CH CH 3,5-дихлорфенил H 8 H морфолин-4-ил -CH2-CH2-CH2- CH CH CH CH 3,5-дихлорфенил H 9 H морфолин-4-ил CH3 H CH CH CH CH 3,5-дихлорфенил H 10 H диметиламино CH3 H CH CH CH CH 2,3-дихлорфенил H 11 H метокси CH3 H CH CH CH CH 2,3-дихлорфенил H 12 H диметиламино -CH2-CH2-O- CH CH CH CH 2,3-дихлорфенил H 13 H диметиламино -CH2-CH2-CH2- CH CH CH CH 2,3-дихлорфенил H 14 H метокси -CH2-CH2-CH2- CH CH CH CH 2,3-дихлорфенил H 15 H метокси -CH2-CH2-O- CH CH CH CH 2,3-дихлорфенил H 16 H метокси -CH2-CH2- CH CH CH CH 2,3-дихлорфенил H 17 H пирролидин-1-ил -CH2-CH2-O- CH CH CH CH 2,3-дихлорфенил H 18 H пирролидин-1-ил -CH2-CH2- CH CH CH CH 2,3-дихлорфенил H 19 H морфолин-4-ил -CH2-CH2-CH2- CH CH CH CH 2,3-дихлорфенил H 20 H морфолин-4-ил -CH2-CH2- CH CH CH CH 2,3-дихлорфенил H 21 H морфолин-4-ил CH3 H CH CH CH CH 2,3-дихлорфенил H 22 H морфолин-4-ил H H CH CH CH CH 2,3-дихлорфенил H 23 H диметиламино -CH2-CH2- CH CH CH CH 2,3-дихлорфенил H 24 H диметиламино CH3 H CH CH CH CH 2,3-дихлорфенил H 25 H диметиламино H H CH CCl CH CH 2,3-дихлорфенил H 26 H диметиламино H H CH C-CH3 CH CH 2,3-дихлорфенил H 27 H диметиламино H H CH C-OCH3 CH CH 2,3-дихлорфенил H 28 H диметиламино CH3 H C-Cl CH CH CH 2,3-дихлорфенил H 29 H диметиламино CH3 H C-OCH3 CH CH CH 2,3-дихлорфенил H 30 H диметиламино -CH2-C(=O)- CH CH CH CH 2,3-дихлорфенил H 31 H диметиламино =CH-CH=CH- CH CH CH CH 2,3-дихлорфенил H 32 H изопропокси -CH2-CH2-O- CH CH CH CH 2,3-дихлорфенил H 33 H диметиламино -CH2-CH2-CH2- CH CH CH CH 2,3-дихлорфенил H 34 H диметиламино H H CH CH CH CH 2,3-дихлорфенил H 35 H диметиламино H H C-CH3 CH CH CH 2,3-дихлорфенил H 36 H диметиламино H H C-OCH3 CH CH CH 2,3-дихлорфенил H 37 H 3-гидрокси-пирролидин-1-ил -CH2-CH2-O- CH CH CH CH 2,3-дихлорфенил H 38 H диметиламино -CH2-CH2-O- CH CH CH CH 3,5-дифторфенил H 39 H диметиламино -CH2-CH2-O- CH CH CH CH 3,4,5-трифторфенил H 40 H диметиламино -CH2-CH2-O- CH CH CH CH 3-хлорфенил H 41 H диметиламино -CH2-CH2-O- CH CH CH CH 5-хлор-3-фторфенил H 42 H диметиламино -CH2-CH2-O- CH CH CH CH 3-хлор-2-фторфенил H 43 H диметиламино -CH2-CH2-O- CH CH CH CH 5-хлор-2-фторфенил H 44 H диметиламино CH3 H C-CH3 CH CH CH 2,3-дихлорфенил H 45 H 3-гидрокси-пирролидин-1-ил -CH2-CH2- CH CH CH CH 2,3-дихлорфенил H 46 H диметиламино -CH2-CH2-O- CH CH CH CH 3,5-дихлор-4-фторфенил H 47 H диметиламино -CH2-CH2-O- CH CH CH CH 2,3,5-трифторфенил H 48 H диметиламино H H CH CN(CH3)2 CH CH 2,3-дихлорфенил H 49 H диметиламино H H CN(CH3)2 CH CH CH 2,3-дихлорфенил H 50 H диметиламино CH3 H CN(CH3)2 CH CH CH 2,3-дихлорфенил H 51 H морфолин-4-ил -CH2-CH2-O- CH CH CH CH 2,3-дихлорфенил H 52 H морфолин-4-ил =CH-CH=CH- CH CH CH CH 2,3-дихлорфенил H 53 S H морфолин-4-ил -CH2-CH2-CH2- CH CH CH CH 2,3-дихлорфенил H 54 S H этокси -CH2-CH2-CH2- CH CH CH CH 2,3-дихлорфенил H 55 H этокси -CH2-CH2-CH2- CH CH CH CH 2,3-дихлорфенил H 56 H этокси -CH2-CH2-O- CH CH CH CH 2,3-дихлорфенил H 57 H этокси -CH2-CH2- CH CH CH CH 2,3-дихлорфенил H 58 H этокси =CH-CH=CH- CH CH CH CH 2,3-дихлорфенил H 59 H изопропокси -CH2-CH2-CH2- CH CH CH CH 2,3-дихлорфенил H 60 H изопропокси -CH2-CH2- CH CH CH CH 2,3-дихлорфенил H 61 H изопропокси =CH-CH=CH- CH CH CH CH 2,3-дихлорфенил H 62 H метокси =CH-CH=CH- CH CH CH CH 2,3-дихлорфенил H 63 H гидрокси -CH2-CH2-CH2- CH CH CH CH 3,5-дихлорфенил H 64 H гидрокси -CH2-CH2-O- CH CH CH CH 3,5-дихлорфенил H 65 H гидрокси -CH2-CH2- CH CH CH CH 3,5-дихлорфенил H 66 H гидрокси =CH-CH=CH- CH CH CH CH 3,5-дихлорфенил H 67 H диметиламино -CH2-CH2-O- CH CH CH CH 3,5-дихлорфенил H 68 H диметиламино -CH2-CH2-CH2- CH CH CH CH 3,5-дихлорфенил H 69 H метокси -CH2-CH2-CH2- CH CH CH CH 3,5-дихлорфенил H 70 H метокси -CH2-CH2-O- CH CH CH CH 3,5-дихлорфенил H 71 H метокси -CH2-CH2- CH CH CH CH 3,5-дихлорфенил H 72 H метокси =CH-CH=CH- CH CH CH CH 3,5-дихлорфенил H 73 H диметиламино -CH2-CH2- CH CH CH CH 3,5-дихлорфенил H 74 H морфолин-4-ил =CH-CH=CH- CH CH CH CH 3,5-дихлорфенил H 75 H этокси -CH2-CH2-CH2- CH CH CH CH 3,5-дихлорфенил H 76 H изопропокси -CH2-CH2-CH2- CH CH CH CH 3,5-дихлорфенил H 77 H этокси -CH2-CH2-O- CH CH CH CH 3,5-дихлорфенил H 78 H изопропокси -CH2-CH2-O- CH CH CH CH 3,5-дихлорфенил H 79 H этокси -CH2-CH2- CH CH CH CH 3,5-дихлорфенил H 80 H изопропокси -CH2-CH2- CH CH CH CH 3,5-дихлорфенил H 81 H изопропокси =CH-CH=CH- CH CH CH CH 3,5-дихлорфенил H 82 H морфолин-4-ил -CH2-CH2- CH CH CH CH 3,5-дихлорфенил H 83 S H диметиламино -CH2-CH2- CH CH CH CH 3,5-дихлорфенил H 84 H амино -CH2-CH2-O- CH CH CH CH 2,3-дихлорфенил H 85 H метиламино -CH2-CH2-O- CH CH CH CH 2,3-дихлорфенил H 86 H этиламино -CH2-CH2-O- CH CH CH CH 2,3-дихлорфенил H 87 H изопропиламино -CH2-CH2-O- CH CH CH CH 2,3-дихлорфенил H 88 H N(Me)(Et) -CH2-CH2-O- CH CH CH CH 2,3-дихлорфенил H 89 H N-изопропил-N-метиламино -CH2-CH2-O- CH CH CH CH 2,3-дихлорфенил H 90 H NCH2CH2OH -CH2-CH2-O- CH CH CH CH 2,3-дихлорфенил H 91 H NHCH2CH2OCH3 -CH2-CH2-O- CH CH CH CH 2,3-дихлорфенил H 92 H N(CH2CH2OH)(CH3) -CH2-CH2-O- CH CH CH CH 2,3-дихлорфенил H 93 H N(CH3)(CH2CH2OCH3) -CH2-CH2-O- CH CH CH CH 2,3-дихлорфенил H 94 H амино -CH2-CH2-CH2- CH CH CH CH 2,3-дихлорфенил H 95 H метиламино -CH2-CH2-CH2- CH CH CH CH 2,3-дихлорфенил H 96 H этиламино -CH2-CH2-CH2- CH CH CH CH 2,3-дихлорфенил H 97 H изопропиламино -CH2-CH2-CH2- CH CH CH CH 2,3-дихлорфенил H 98 H N(Me)(Et) -CH2-CH2-CH2- CH CH CH CH 2,3-дихлорфенил H 99 H N-изопропил-N-метиламино -CH2-CH2-CH2- CH CH CH CH 2,3-дихлорфенил H 100 H NCH2CH2OH -CH2-CH2-CH2- CH CH CH CH 2,3-дихлорфенил H 101 H NHCH2CH2OCH3 -CH2-CH2-CH2- CH CH CH CH 2,3-дихлорфенил H 102 H N(CH2CH2OH)(CH3) -CH2-CH2-CH2- CH CH CH CH 2,3-дихлорфенил H 103 H N(CH3)(CH2CH2OCH3) -CH2-CH2-CH2- CH CH CH CH 2,3-дихлорфенил H 104 H этил =CH-CH=N- CH CH CH CH 2,3-дихлорфенил H 105 H этил -CH2-CH2-O- CH CH CH CH 2,3-дихлорфенил H 106 H метил =CH-CH=N- CH CH CH CH 2,3-дихлорфенил H 107 H этил -CH2-CH2- CH CH CH CH 2,3-дихлорфенил H 108 H этил -CH2-CH2-CH2- CH CH CH CH 2,3-дихлорфенил H 109 H изопропил -CH2-CH2-CH2- CH CH CH CH 2,3-дихлорфенил H 110 H этил =CH-CH=CH- CH CH CH CH 2,3-дихлорфенил H 111 H гидрокси -CH2-CH2- CH CH CH CH 2,3-дихлорфенил H 112 H гидрокси -CH2-CH2-O- CH CH CH CH 2,3-дихлорфенил H 113 F метокси -CH2-CH2-CH2- CH CH CH CH 3,5-дихлорфенил H 114 F этокси -CH2-CH2-CH2- CH CH CH CH 3,5-дихлорфенил H 115 F диметиламино -CH2-CH2-CH2- CH CH CH CH 3,5-дихлорфенил H 116 F морфолин-4-ил -CH2-CH2-CH2- CH CH CH CH 3,5-дихлорфенил H 117 F изопропокси -CH2-CH2-CH2- CH CH CH CH 3,5-дихлорфенил H 118 F метокси -CH2-CH2-CH2- CH CH CH CH 2,3-дихлорфенил H 119 F этокси -CH2-CH2-CH2- CH CH CH CH 2,3-дихлорфенил H 120 F диметиламино -CH2-CH2-CH2- CH CH CH CH 2,3-дихлорфенил H 121 F морфолин-4-ил -CH2-CH2-CH2- CH CH CH CH 2,3-дихлорфенил H 122 F изопропокси -CH2-CH2-CH2- CH CH CH CH 2,3-дихлорфенил H 123 F метокси -CH2-CH2-O- CH CH CH CH 3,5-дихлорфенил H 124 F этокси -CH2-CH2-O- CH CH CH CH 3,5-дихлорфенил H 125 F диметиламино -CH2-CH2-O- CH CH CH CH 3,5-дихлорфенил H 126 F морфолин-4-ил -CH2-CH2-O- CH CH CH CH 3,5-дихлорфенил H 127 F изопропокси -CH2-CH2-O- CH CH CH CH 3,5-дихлорфенил H 128 F метокси -CH2-CH2-O- CH CH CH CH 2,3-дихлорфенил H 129 F этокси -CH2-CH2-O- CH CH CH CH 2,3-дихлорфенил H 130 F диметиламино -CH2-CH2-O- CH CH CH CH 2,3-дихлорфенил H 131 F морфолин-4-ил -CH2-CH2-O- CH CH CH CH 2,3-дихлорфенил H 132 F изопропокси -CH2-CH2-O- CH CH CH CH 2,3-дихлорфенил H 133 F метокси -CH2-CH2- CH CH CH CH 3,5-дихлорфенил H 134 F этокси -CH2-CH2- CH CH CH CH 3,5-дихлорфенил H 135 F диметиламино -CH2-CH2- CH CH CH CH 3,5-дихлорфенил H 136 F морфолин-4-ил -CH2-CH2- CH CH CH CH 3,5-дихлорфенил H 137 F изопропокси -CH2-CH2- CH CH CH CH 3,5-дихлорфенил H 138 F метокси -CH2-CH2- CH CH CH CH 2,3-дихлорфенил H 139 F этокси -CH2-CH2- CH CH CH CH 2,3-дихлорфенил H 140 F диметиламино -CH2-CH2- CH CH CH CH 2,3-дихлорфенил H 141 F морфолин-4-ил -CH2-CH2- CH CH CH CH 2,3-дихлорфенил H 142 F изопропокси -CH2-CH2- CH CH CH CH 2,3-дихлорфенил H 143 F метокси =CH-CH=CH- CH CH CH CH 3,5-дихлорфенил H 144 F этокси =CH-CH=CH- CH CH CH CH 3,5-дихлорфенил H 145 F диметиламино =CH-CH=CH- CH CH CH CH 3,5-дихлорфенил H 146 F морфолин-4-ил =CH-CH=CH- CH CH CH CH 3,5-дихлорфенил H 147 F изопропокси =CH-CH=CH- CH CH CH CH 3,5-дихлорфенил H 148 F метокси =CH-CH=CH- CH CH CH CH 2,3-дихлорфенил H 149 F этокси =CH-CH=CH- CH CH CH CH 2,3-дихлорфенил H 150 F диметиламино =CH-CH=CH- CH CH CH CH 2,3-дихлорфенил H 151 F морфолин-4-ил =CH-CH=CH- CH CH CH CH 2,3-дихлорфенил H 152 F изопропокси =CH-CH=CH- CH CH CH CH 2,3-дихлорфенил H 153 H диметиламино =CH-CH=CH- CH CH CH CH 3,5-дихлорфенил H 154 S H этокси -CH2-CH2-CH2- CH CH CH CH 3,5-дихлорфенил H 155 S H метокси -CH2-CH2-CH2- CH CH CH CH 3,5-дихлорфенил H 156 S H диметиламино -CH2-CH2-CH2- CH CH CH CH 3,5-дихлорфенил H 157 H морфолин-4-ил -CH2-CH2-O- CH CH CH CH 3,5-дихлорфенил CH3 158 H морфолин-4-ил -CH2-CH2-O- CH CH CH CH 2,3-дихлорфенил CH3 159 H морфолин-4-ил -CH2-CH2-O- CH CH CH CH 2,3-дихлорфенил CH2CH3 160 H диметиламино -CH2-CH2-O- CH CH CH CH 2,3-дихлорфенил CH3 161 H диметиламино -CH2-CH2-O- CH CH CH CH 2,3-дихлорфенил CH2CH3 162 H диметиламино -CH2-CH2-O- CH CH CH CH 3,5-дихлорфенил CH2CH3 163 H морфолин-4-ил -CH2-CH2-O- CH CH CH CH 3,5-дихлорфенил CH2CH3 164 CH3 метокси -CH2-CH2-O- CH CH CH CH 2,3-дихлорфенил H 165 Cl метокси -CH2-CH2-O- CH CH CH CH 2,3-дихлорфенил H 166 Cl диметиламино -CH2-CH2-O- CH CH CH CH 2,3-дихлорфенил H 167 Cl морфолин-4-ил -CH2-CH2-O- CH CH CH CH 2,3-дихлорфенил H 168 CH3 диметиламино -CH2-CH2-O- CH CH CH CH 2,3-дихлорфенил H 169 CH3 морфолин-4-ил -CH2-CH2-O- CH CH CH CH 2,3-дихлорфенил H 170 Cl морфолин-4-ил -CH2-CH2-O- CH CH CH CH 3,5-дихлорфенил H 171 Cl диметиламино -CH2-CH2-O- CH CH CH CH 3,5-дихлорфенил H 172 Cl метокси -CH2-CH2-O- CH CH CH CH 3,5-дихлорфенил H 173 CH3 метокси -CH2-CH2-O- CH CH CH CH 3,5-дихлорфенил H 174 CH3 морфолин-4-ил -CH2-CH2-O- CH CH CH CH 3,5-дихлорфенил H 175 CH3 диметиламино -CH2-CH2-O- CH CH CH CH 3,5-дихлорфенил H 176 S CH3 метокси -CH2-CH2- CH CH CH CH 2,3-дихлорфенил H 177 S Cl метокси -CH2-CH2- CH CH CH CH 2,3-дихлорфенил H 178 S CH3 морфолин-4-ил -CH2-CH2- CH CH CH CH 2,3-дихлорфенил H 179 S Cl морфолин-4-ил -CH2-CH2- CH CH CH CH 3,5-дихлорфенил H 180 S Cl диметиламино -CH2-CH2- CH CH CH CH 3,5-дихлорфенил H 181 S CH3 морфолин-4-ил -CH2-CH2- CH CH CH CH 3,5-дихлорфенил H 182 S CH3 диметиламино -CH2-CH2- CH CH CH CH 3,5-дихлорфенил H 183 S CH3 метокси -CH2-CH2-CH2- CH CH CH CH 2,3-дихлорфенил H 184 S CH3 диметиламино -CH2-CH2-CH2- CH CH CH CH 2,3-дихлорфенил H 185 S Cl морфолин-4-ил -CH2-CH2-CH2- CH CH CH CH 3,5-дихлорфенил H 186 S Cl диметиламино -CH2-CH2-CH2- CH CH CH CH 3,5-дихлорфенил H 187 H н-пропил =CH-CH=CH- CH CH CH CH 2,3-дихлорфенил H 188 H н-пропил -CH2-CH2- CH CH CH CH 2,3-дихлорфенил H 189 H изопропенил =CH-CH=CH- CH CH CH CH 2,3-дихлорфенил H 190 H метил =CH-CH=CH- CH CH CH CH 2,3-дихлорфенил H 191 H этил -CH2-CH2-CH2- CH CH CH CH 3,5-дихлорфенил H 192 H метил -CH2-CH2-CH2- CH CH CH CH 3,5-дихлорфенил H 193 H изопропенил -CH2-CH2-CH2- CH CH CH CH 3,5-дихлорфенил H 194 H метил -CH2-CH2-O- CH CH CH CH 3,5-дихлорфенил H 195 H этил -CH2-CH2-O- CH CH CH CH 3,5-дихлорфенил H 196 H изопропенил -CH2-CH2-O- CH CH CH CH 3,5-дихлорфенил H 197 S H этил -CH2-CH2-CH2- CH CH CH CH 3,5-дихлорфенил H 198 H метил =CH-CH=CH- CH CH CH CH 3,5-дихлорфенил H 199 H этил =CH-CH=CH- CH CH CH CH 3,5-дихлорфенил H 200 H изопропенил =CH-CH=CH- CH CH CH CH 3,5-дихлорфенил H 201 H изопропенил -CH2-CH2- CH CH CH CH 2,3-дихлорфенил H 202 H изопропенил -CH2-CH2-CH2- CH CH CH CH 2,3-дихлорфенил H 203 H метил -CH2-CH2-O- CH CH CH CH 2,3-дихлорфенил H 204 S H этил -CH2-CH2-CH2- CH CH CH CH 2,3-дихлорфенил H 205 OCH3 морфолин-4-ил -CH2-CH2-O- CH CH CH CH 3,5-дихлорфенил H 206 OCH3 диметиламино -CH2-CH2-O- CH CH CH CH 2,3-дихлорфенил H 207 OCH3 диметиламино -CH2-CH2-O- CH CH CH CH 3,5-дихлорфенил H 208 OCH3 морфолин-4-ил -CH2-CH2-O- CH CH CH CH 2,3-дихлорфенил H 209 CF3 морфолин-4-ил -CH2-CH2-O- CH CH CH CH 2,3-дихлорфенил H 210 CF3 морфолин-4-ил -CH2-CH2-O- CH CH CH CH 3,5-дихлорфенил H 211 CF3 диметиламино -CH2-CH2-O- CH CH CH CH 2,3-дихлорфенил H 212 CF3 диметиламино -CH2-CH2-O- CH CH CH CH 3,5-дихлорфенил H 213 H метилтио 3 -CH2-CH2-O- CH CH CH CH 2,3-дихлорфенил H 214 H метилсульфонил 3 -CH2-CH2-O- CH CH CH CH 2,3-дихлорфенил H 215 H метилсульфоксил 3 -CH2-CH2-O- CH CH CH CH 2,3-дихлорфенил H 216 H метилтио -CH2-CH2-CH2- CH CH CH CH 2,3-дихлорфенил H 217 H метилсульфонил 3 -CH2-CH2-CH2- CH CH CH CH 2,3-дихлорфенил H 218 H метилсульфоксил -CH2-CH2-CH2- CH CH CH CH 2,3-дихлорфенил H 219 OCH3 морфолин-4-ил =CH-CH=CH- CH CH CH CH 3,5-дихлорфенил H 220 OCH3 морфолин-4-ил =CH-CH=CH- CH CH CH CH 2,3-дихлорфенил H 221 OCH3 диметиламино =CH-CH=CH- CH CH CH CH 2,3-дихлорфенил H 222 CF3 морфолин-4-ил =CH-CH=CH- CH CH CH CH 2,3-дихлорфенил H 223 CF3 морфолин-4-ил =CH-CH=CH- CH CH CH CH 3,5-дихлорфенил H 224 CF3 диметиламино =CH-CH=CH- CH CH CH CH 2,3-дихлорфенил H 225 CF3 диметиламино =CH-CH=CH- CH CH CH CH 3,5-дихлорфенил H 226 CF3 диметиламино =CH-CH=CH- N CH CH CH 3,5-дихлорфенил H 227 OCH3 диметиламино =CH-CH=CH- N CH CH CH 3,5-дихлорфенил H 228 OCH3 морфолин-4-ил =CH-CH=CH- N CH CH CH 2,3-дихлорфенил H 229 OCH3 морфолин-4-ил =CH-CH=CH- N CH CH CH 3,5-дихлорфенил H 230 CH3 диметиламино =CH-CH=CH- CH CH CH CH 3,5-дихлорфенил H 231 CH3 диметиламино =CH-CH=CH- CH CH CH CH 2,3-дихлорфенил H 232 CH3 морфолин-4-ил =CH-CH=CH- CH CH CH CH 2,3-дихлорфенил H 233 CH3 метокси =CH-CH=CH- CH CH CH CH 2,3-дихлорфенил H 234 CH3 морфолин-4-ил =CH-CH=CH- CH CH CH CH 3,5-дихлорфенил H 235 Cl диметиламино =CH-CH=CH- CH CH CH CH 3,5-дихлорфенил H 236 Cl морфолин-4-ил =CH-CH=CH- CH CH CH CH 3,5-дихлорфенил H 237 Cl диметиламино =CH-CH=CH- CH CH CH CH 2,3-дихлорфенил H 238 S F диметиламино -CH2-CH2- CH CH CH CH 2,3-дихлорфенил H 239 S F диметиламино -CH2-CH2-CH2- CH CH CH CH 2,3-дихлорфенил H 240 S F морфолин-4-ил -CH2-CH2-O- CH CH CH CH 3,5-дихлорфенил H 241 S F морфолин-4-ил -CH2-CH2-O- CH CH CH CH 2,3-дихлорфенил H 242 F морфолин-4-ил =CH-CH=CH- CH N CH CH 2,3-дихлорфенил H 243 F морфолин-4-ил =CH-CH=CH- N CH CH CH 2,3-дихлорфенил H 244 F диметиламино =CH-CH=CH- N CH CH CH 3,5-дихлорфенил H 245 F морфолин-4-ил =CH-CH=CH- N CH CH CH 3,5-дихлорфенил H 246 CH3 морфолин-4-ил =CH-CH=CH- N CH CH CH 3,5-дихлорфенил H 247 Cl диметиламино =CH-CH=CH- N CH CH CH 3,5-дихлорфенил H 248 Cl морфолин-4-ил =CH-CH=CH- N CH CH CH 3,5-дихлорфенил H 249 F диметиламино =CH-CH=CH- CH CH CH CH 2,3,5-трифторфенил H 250 F морфолин-4-ил =C(-OEt)-CH=CH- CH CH CH CH 2,3-дихлорфенил H 251 F морфолин-4-ил =C(-OEt)-CH=CH- CH CH CH CH 3,5-дихлорфенил H 252 F морфолин-4-ил =CH-CH=C(-Et)- CH CH CH CH 2,3-дихлорфенил H 253 F морфолин-4-ил =CH-CH=C(-Et)- CH CH CH CH 3,5-дихлорфенил H 254 F морфолин-4-ил =CH-CH=CF- CH CH CH CH 2,3-дихлорфенил H 255 F морфолин-4-ил =CH-CH=CF- CH CH CH CH 3,5-дихлорфенил H 256 F морфолин-4-ил =CH-CH=CH- CH CH CH N 2,3-дихлорфенил H 257 F морфолин-4-ил =CH-CH=CH- CH CH CH N 3,5-дихлорфенил H 258 F морфолин-4-ил =CH-CH=CH- N CH CH N 2,3-дихлорфенил H 259 F морфолин-4-ил =CH-CH=CH- N CH CH N 3,5-дихлорфенил H 260 F диметиламино =CH-CH=CH- N CH CH CH 2,3-дихлорфенил H 261 F диметиламино =CH-CH=CH- CH N CH CH 2,3-дихлорфенил H 262 F диметиламино =CH-CH=CH- CH N CH CH 3,5-дихлорфенил H

Таблица A продолжение R/S R1 R7 R13 R14 A1 A2 A3 A4 R19 R25 263 H метилтио -CH2-CH2-O- CH CH CH CH 2,3-дихлорфенил H 264 H метилсульфоксил -CH2-CH2-O- CH CH CH CH 2,3-дихлорфенил H 265 H метилсульфонил -CH2-CH2-O- CH CH CH CH 2,3-дихлорфенил H 266 H метилтио -CH2-CH2-CH2- CH CH CH CH 2,3-дихлорфенил H 267 H метилсульфоксил -CH2-CH2-CH2- CH CH CH CH 2,3-дихлорфенил H 268 H метилсульфонил -CH2-CH2-CH2- CH CH CH CH 2,3-дихлорфенил H 269 H метил -CH2-CH2-CH2- CH CH CH CH 2,3-дихлорфенил H 270 H изопропил -CH2-CH2-O- CH CH CH CH 2,3-дихлорфенил H 271 H изопропенил -CH2-CH2-O- CH CH CH CH 2,3-дихлорфенил H 272 H метил -CH2-CH2- CH CH CH CH 2,3-дихлорфенил H 273 H изопропил -CH2-CH2- CH CH CH CH 2,3-дихлорфенил H 274 H изопропил =CH-CH=CH- CH CH CH CH 2,3-дихлорфенил H 275 H изопропил -CH2-CH2-CH2- CH CH CH CH 3,5-дихлорфенил H 276 H изопропил -CH2-CH2-O- CH CH CH CH 3,5-дихлорфенил H 277 H метил -CH2-CH2- CH CH CH CH 3,5-дихлорфенил H 278 H этил -CH2-CH2- CH CH CH CH 3,5-дихлорфенил H 279 H изопропил -CH2-CH2- CH CH CH CH 3,5-дихлорфенил H 280 H изопропенил -CH2-CH2- CH CH CH CH 3,5-дихлорфенил H 281 H изопропил =CH-CH=CH- CH CH CH CH 3,5-дихлорфенил H 282 H диметиламино =CH-CH=N- CH CH CH CH 3,5-дихлорфенил H 283 H морфолин-4-ил =CH-CH=N- CH CH CH CH 3,5-дихлорфенил H 284 H диметиламино =CH-S- CH CH CH CH 3,5-дихлорфенил H 285 H морфолин-4-ил =CH-S- CH CH CH CH 3,5-дихлорфенил H 286 H диметиламино =CH-O- CH CH CH CH 3,5-дихлорфенил H 287 H морфолин-4-ил =CH-O- CH CH CH CH 3,5-дихлорфенил H 288 H диметиламино =CH-NH- CH CH CH CH 3,5-дихлорфенил H 289 H морфолин-4-ил =CH-NH- CH CH CH CH 3,5-дихлорфенил H 290 H диметиламино =CH-N(CH3)- CH CH CH CH 3,5-дихлорфенил H 291 H морфолин-4-ил =CH-N(CH3)- CH CH CH CH 3,5-дихлорфенил H 292 H диметиламино =CH-N=CH- CH CH CH CH 3,5-дихлорфенил H 293 H морфолин-4-ил =CH-N=CH- CH CH CH CH 3,5-дихлорфенил H 294 H диметиламино -CH2-S- CH CH CH CH 3,5-дихлорфенил H 295 H морфолин-4-ил -CH2-S- CH CH CH CH 3,5-дихлорфенил H 296 H диметиламино -CH2-O- CH CH CH CH 3,5-дихлорфенил H 297 H морфолин-4-ил -CH2-O- CH CH CH CH 3,5-дихлорфенил H 298 H диметиламино -CH2-NH- CH CH CH CH 3,5-дихлорфенил H 299 H морфолин-4-ил -CH2-NH- CH CH CH CH 3,5-дихлорфенил H 300 H диметиламино -CH2-N(CH3)- CH CH CH CH 3,5-дихлорфенил H 301 H морфолин-4-ил -CH2-N(CH3)- CH CH CH CH 3,5-дихлорфенил H 302 H диметиламино =CH-CH=N- CH CH CH CH 2,3-дихлорфенил H 303 H морфолин-4-ил =CH-CH=N- CH CH CH CH 2,3-дихлорфенил H 304 H диметиламино =CH-S- CH CH CH CH 2,3-дихлорфенил H 305 H морфолин-4-ил =CH-S- CH CH CH CH 2,3-дихлорфенил H 306 H диметиламино =CH-O- CH CH CH CH 2,3-дихлорфенил H 307 H морфолин-4-ил =CH-O- CH CH CH CH 2,3-дихлорфенил H 308 H диметиламино =CH-NH- CH CH CH CH 2,3-дихлорфенил H 309 H морфолин-4-ил =CH-NH- CH CH CH CH 2,3-дихлорфенил H 310 H диметиламино =CH-N(CH3)- CH CH CH CH 2,3-дихлорфенил H 311 H морфолин-4-ил =CH-N(CH3)- CH CH CH CH 2,3-дихлорфенил H 312 H диметиламино =CH-N=CH- CH CH CH CH 2,3-дихлорфенил H 313 H морфолин-4-ил =CH-N=CH- CH CH CH CH 2,3-дихлорфенил H 314 H диметиламино -CH2-S- CH CH CH CH 2,3-дихлорфенил H 315 H морфолин-4-ил -CH2-S- CH CH CH CH 2,3-дихлорфенил H 316 H диметиламино -CH2-O- CH CH CH CH 2,3-дихлорфенил H 317 H морфолин-4-ил -CH2-O- CH CH CH CH 2,3-дихлорфенил H 318 H диметиламино -CH2-NH- CH CH CH CH 2,3-дихлорфенил H 319 H морфолин-4-ил -CH2-NH- CH CH CH CH 2,3-дихлорфенил H 320 H диметиламино -CH2-N(CH3)- CH CH CH CH 2,3-дихлорфенил H 321 H морфолин-4-ил -CH2-N(CH3)- CH CH CH CH 2,3-дихлорфенил H 322 H диметиламино -CH2-CH2-O- CH CH CH CH 2,6-дихлорпиридин-4-ил H 323 H диметиламино -CH2-CH2-O- CH CH CH CH 2,6-дифторпиридин-4-ил H 324 H диметиламино -CH2-CH2-O- CH CH CH CH 2,5-дихлорпиридин-4-ил H 325 H диметиламино -CH2-CH2-O- CH CH CH CH 5-хлор-2-тиенил H 326 H диметиламино -CH2-CH2-O- CH CH CH CH 5-хлор-3-тиенил H 327 H диметиламино -CH2-CH2-O- CH CH CH CH хинолин-8-ил H 328 H морфолин-4-ил -CH2-CH2-O- CH CH CH CH 2,6-дихлорпиридин-4-ил H 329 H морфолин-4-ил -CH2-CH2-O- CH CH CH CH 2,6-дифторпиридин-4-ил H 330 H морфолин-4-ил -CH2-CH2-O- CH CH CH CH 2,5-дихлорпиридин-4-ил H 331 H морфолин-4-ил -CH2-CH2-O- CH CH CH CH 5-хлор-2-тиенил H 332 H морфолин-4-ил -CH2-CH2-O- CH CH CH CH 5-хлор-3-тиенил H 333 H морфолин-4-ил -CH2-CH2-O- CH CH CH CH хинолин-8-ил H 334 H морфолин-4-ил -CH2-CH2-O- CH CH CH CH хинолин-4-ил H 335 H морфолин-4-ил -CH2-CH2-O- CH CH CH CH пиридин-2-ил H 336 H морфолин-4-ил -CH2-CH2-O- CH CH CH CH пиридин-3-ил H 337 H морфолин-4-ил -CH2-CH2-O- CH CH CH CH пиримидин-4-ил H 338 H морфолин-4-ил -CH2-CH2-O- CH CH CH CH пиридин-4-ил H 339 H диметиламино -CH2-CH2-O- CH CH CH CH хинолин-8-ил H 340 H диметиламино -CH2-CH2-O- CH CH CH CH хинолин-4-ил H 341 H диметиламино -CH2-CH2-O- CH CH CH CH пиридин-2-ил H 342 H диметиламино -CH2-CH2-O- CH CH CH CH пиридин-3-ил H 343 H диметиламино -CH2-CH2-O- CH CH CH CH пиримидин-4-ил H 344 H диметиламино -CH2-CH2-O- CH CH CH CH пиридин-4-ил H 345 H морфолин-4-ил -CH2-CH2-O- CH CH CH CH 2,3,5-трифторфенил H 346 H морфолин-4-ил -CH2-CH2-CH2- CH CH CH CH 2,3,5-трифторфенил H 347 H морфолин-4-ил -CH2-CH2- CH CH CH CH 2,3,5-трифторфенил H 348 H диметиламино -CH2-CH2-O- CH CH CH CH 2,3,5-трифторфенил H 349 H диметиламино -CH2-CH2-CH2- CH CH CH CH 2,3,5-трифторфенил H 350 H диметиламино -CH2-CH2- CH CH CH CH 2,3,5-трифторфенил H 351 H метокси -CH2-CH2-O- CH CH CH CH 2,3,5-трифторфенил H 352 H метокси -CH2-CH2-CH2- CH CH CH CH 2,3,5-трифторфенил H 353 H метокси -CH2-CH2- CH CH CH CH 2,3,5-трифторфенил H 354 H морфолин-4-ил -CH2-CH2-O- CH CH CH CH 5-хлор-2-фторфенил H 355 H морфолин-4-ил -CH2-CH2-CH2- CH CH CH CH 5-хлор-2-фторфенил H 356 H морфолин-4-ил -CH2-CH2- CH CH CH CH 5-хлор-2-фторфенил H 357 H диметиламино -CH2-CH2-O- CH CH CH CH 5-хлор-2-фторфенил H 358 H диметиламино -CH2-CH2-CH2- CH CH CH CH 5-хлор-2-фторфенил H 359 H диметиламино -CH2-CH2- CH CH CH CH 5-хлор-2-фторфенил H 360 H метокси -CH2-CH2-O- CH CH CH CH 5-хлор-2-фторфенил H 361 H метокси -CH2-CH2-CH2- CH CH CH CH 5-хлор-2-фторфенил H 362 H метокси -CH2-CH2- CH CH CH CH 5-хлор-2-фторфенил H 363 OCH3 диметиламино -CH2-CH2-O- CH CH CH CH 2,3-дихлорфенил H 364 OCH3 диметиламино -CH2-CH2-O- CH CH CH CH 3,5-дихлорфенил H 365 OCH3 морфолин-4-ил -CH2-CH2-O- CH CH CH CH 2,3-дихлорфенил H 366 OCH3 морфолин-4-ил -CH2-CH2-O- CH CH CH CH 3,5-дихлорфенил H 367 Cl морфолин-4-ил -CH2-CH2-O- CH CH CH CH 2,3-дихлорфенил H 368 Cl морфолин-4-ил -CH2-CH2-O- CH CH CH CH 3,5-дихлорфенил H 369 OCH3 диметиламино -CH2-CH2-O- CH CH CH CH 2,3-дихлорфенил H 370 OCH3 диметиламино -CH2-CH2-O- CH CH CH CH 3,5-дихлорфенил H 371 OCH3 морфолин-4-ил -CH2-CH2-O- CH CH CH CH 2,3-дихлорфенил H 372 OCH3 морфолин-4-ил -CH2-CH2-O- CH CH CH CH 3,5-дихлорфенил H 373 Cl диметиламино -CH2-CH2-O- CH CH CH CH 2,3-дихлорфенил H 374 Cl диметиламино -CH2-CH2-O- CH CH CH CH 3,5-дихлорфенил H 375 Cl морфолин-4-ил -CH2-CH2-O- CH CH CH CH 2,3-дихлорфенил H 376 Cl морфолин-4-ил -CH2-CH2-O- CH CH CH CH 3,5-дихлорфенил H 377 CH3 диметиламино -CH2-CH2-O- CH CH CH CH 2,3-дихлорфенил H 378 CH3 диметиламино -CH2-CH2-O- CH CH CH CH 3,5-дихлорфенил H 379 CH3 морфолин-4-ил -CH2-CH2-O- CH CH CH CH 2,3-дихлорфенил H 380 CH3 морфолин-4-ил -CH2-CH2-O- CH CH CH CH 3,5-дихлорфенил H 381 H диметиламино -CH2-CH2-O- CH CH CH CH 2,3-дихлорфенил H 382 H диметиламино -CH2-CH2-O- CH CH CH CH 3,5-дихлорфенил H 383 H морфолин-4-ил -CH2-CH2-O- CH CH CH CH 2,3-дихлорфенил H 384 H морфолин-4-ил -CH2-CH2-O- CH CH CH CH 3,5-дихлорфенил H 385 H диметиламино -CH2-CH2-O- CH CH CH CH 2,3-дихлорфенил H 386 H диметиламино -CH2-CH2-O- CH CH CH CH 3,5-дихлорфенил H 387 H морфолин-4-ил -CH2-CH2-O- CH CH CH CH 2,3-дихлорфенил H 388 H морфолин-4-ил -CH2-CH2-O- CH CH CH CH 3,5-дихлорфенил H 389 H 3-фтор-азетидин-1-ил -CH2-CH2-O- CH CH CH CH 3,5-дихлорфенил H 390 F 3-фтор-азетидин-1-ил -CH2-CH2-O- CH CH CH CH 3,5-дихлорфенил H 391 H 3-фтор-азетидин-1-ил -CH2-CH2-O- CH CH CH CH 2,3-дихлорфенил H 392 F 3-фтор-азетидин-1-ил -CH2-CH2-O- CH CH CH CH 2,3-дихлорфенил H 393 F 3,3-дифторазетин-1-ил =CH-CH=CH- CH CH CH CH 2,3-дихлорфенил H 394 F 3,3-дифторазетин-1-ил =CH-CH=CH- CH CH CH CH 3,5-дихлорфенил H 395 F 3,3-дифторазетин-1-ил =CH-CH=CH- CH CH CH CH 2,3,5-трифторфенил H 396 F 3-фторазетин-1-ил =CH-CH=CH- CH CH CH CH 2,3-дихлорфенил H 397 F 3-фторазетин-1-ил =CH-CH=CH- CH CH CH CH 3,5-дихлорфенил H 398 F 3-фторазетин-1-ил =CH-CH=CH- CH CH CH CH 2,3,5-трифторфенил H 399 F морфолин-4-ил =CH-CH=CH- CH CH CH CH 2,3,5-трифторфенил H

Таблица B: аналитические данные

Таблица B показывает рассчитанную молекулярную массу (MW) (грамм/моль), наблюдаемый МС сигнал (m/z), ВЭЖХ время удерживания (Rt) в минутах, и ВЭЖХ-метод, описанный в выше (“Аналитические методы: ВЭЖХ-Методы”), используемые для анализа.

Таблица B ВЭЖХ Метод ВЭЖХ Rt МС сигнал MW 1 1 1,031 450,1 450,4 2 1 1,238 437,0 437,3 3 1 1,181 450,1 450,4 4 1 1,352 437,0 437,3 5 1 1,187 492,1 492,4 6 2 1,338 451,0 451,3 7 2 1,332 534,1 534,4 8 2 1,386 532,0 532,5 9 2 1,336 506,1 506,4 10 2 1,292 464,1 464,4 11 2 1,240 451,1 451,3 12 2 1,300 492,0 492,4 13 2 1,375 490,1 490,4 14 2 1,304 477,1 477,4 15 2 1,239 479,0 479,4 16 2 1,261 463,0 463,4 17 2 1,376 518,1 518,4 18 2 1,410 502,1 502,4 19 2 1,290 532,1 532,5 20 1 1,222 518,1 518,4 21 2 1,234 506,1 506,4 22 2 1,188 492,1 492,4 23 2 1,330 476,0 476,4 24 2 1,314 464,1 464,4 25 2 1,298 484,0 484,8 26 2 1,306 464,1 464,4 27 2 1,250 480,1 480,4 28 2 1,346 498,0 498,8 29 2 1,308 494,1 494,4 30 2 1,192 490,0 490,4 31 2 1,317 486,0 486,4 32 2 1,329 507,1 507,4 33 2 1,377 490,1 490,4 34 2 1,300 484,0 484,8 35 2 1,307 464,1 464,4 36 2 1,256 480,1 480,4 37 2 1,200 534,0 534,4 38 2 1,304 460,1 459,5 39 2 1,315 478,1 477,5 40 2 1,327 458,1 458,0 41 2 1,362 476,1 475,9 42 1 1,163 476,1 475,9 43 1 1,172 476,1 475,9 44 2 1,362 478,1 478,4 45 2 1,229 518,1 518,4 46 2 1,523 510,1 510,4 47 2 1,259 478,1 477,5 48 2 1,369 493,1 493,4 49 2 1,382 493,1 493,4 50 2 1,516 507,1 507,5 51 1 1,205 534,1 534,4 52 1 1,253 528,1 528,4 53 1 1,259 532,2 532,5 54 1 1,358 491,0 491,4 55 1 1,362 491,1 491,4 56 1 1,294 493,0 493,4 57 1 1,310 477,0 477,4 58 1 1,310 487,0 487,4 59 1 1,395 505,0 505,4 60 1 1,341 491,1 491,4 61 1 1,347 501,0 501,4 62 1 1,274 473,0 473,4 63 1 1,300 463,0 463,4 64 1 1,227 465,0 465,3 65 1 1,255 449,0 449,3 66 1 1,287 459,0 459,3 67 1 1,291 492,1 492,4 68 1 1,386 490,1 490,4 69 1 1,436 477,0 477,4 70 1 1,349 479,0 479,4 71 1 1,374 463,0 463,4 72 1 1,297 473,0 473,4 73 1 1,286 476,1 476,4 74 1 1,340 528,1 528,4 75 1 1,458 491,1 491,4 76 1 1,486 505,1 505,4 77 1 1,394 493,1 493,4 78 1 1,425 507,0 507,4 79 1 1,410 477,1 477,4 80 1 1,437 491,1 491,4 81 1 1,431 501,0 501,4 82 1 1,253 518,1 518,4 83 1 1,327 476,1 476,4 84 10 2,192 464,2 464,3 85 12 1,417 478,2 478,4 86 9 1,462 492,2 492,4 87 13 1,357 506,1 506,4 88 9 1,601 506,1 506,4 89 5 1,932 520,2 520,4 90 10 2,101 508,2 508,4 91 11 1,834 522,2 522,4 92 6 1,913 522,2 522,4 93 6 2,104 536,3 536,4 94 10 2,468 462,2 462,4 95 9 1,460 478,1 476,4 96 9 1,514 490,2 490,4 97 13 1,440 504,2 504,5 98 13 1,859 504,1 504,5 99 4 2,920 518,2 518,5 100 6 1,667 506,2 506,4 101 9 1,525 520,2 520,4 102 5 1,362 520,2 520,4 103 5 1,789 534,3 534,5 104 1 1,209 472,0 472,4 105 1 1,287 477,1 477,4 106 1 1,182 458,0 458,3 107 1 1,298 461,1 461,4 108 1 1,333 475,1 475,4 109 1 1,374 489,1 489,4 110 1 1,308 471,1 471,4 111 1 1,209 449,0 449,3 112 1 1,180 465,0 465,3 113 1 1,403 495,0 495,4 114 1 1,444 509,1 509,4 115 1 1,396 508,1 508,4 116 1 1,377 550,1 550,5 117 1 1,460 523,0 523,4 118 1 1,300 495,0 495,4 119 1 1,345 509,1 509,4 120 1 1,275 508,0 508,4 121 1 1,275 550,0 550,5 122 1 1,375 523,1 523,4 123 1 1,331 497,0 497,3 124 1 1,384 511,0 511,4 125 1 1,306 510,1 510,4 126 1 1,312 552,1 552,4 127 1 1,404 525,1 525,4 128 1 1,235 497,0 497,3 129 1 1,281 511,0 511,4 130 1 1,175 510,1 510,4 131 1 1,210 552,0 552,4 132 1 1,313 525,1 525,4 133 1 1,367 481,0 481,3 134 1 1,395 495,0 495,4 135 1 1,307 494,1 494,4 136 1 1,324 536,0 536,4 137 1 1,415 509,1 509,4 138 1 1,261 481,0 481,3 139 1 1,307 495,0 495,4 140 1 1,178 494,0 494,4 141 1 1,222 536,1 536,4 142 1 1,328 509,1 509,4 143 1 1,362 491,0 491,3 144 1 1,395 505,0 505,4 145 1 1,310 504,0 504,4 146 1 1,333 546,0 546,4 147 1 1,412 519,0 519,4 148 1 1,265 491,0 491,3 149 1 1,271 505,0 505,4 150 1 1,187 504,0 504,4 151 1 1,231 546,1 546,4 152 1 1,336 519,0 519,4 153 1 1,252 486,1 486,4 154 1 1,456 491,0 491,4 155 1 1,428 477,1 477,4 156 1 1,384 490,1 490,4 157 1 1,379 548,1 548,5 158 1 1,261 548,1 548,5 159 1 1,311 562,1 562,5 160 1 1,231 506,1 506,4 161 1 1,287 520,1 520,4 162 2 1,429 520,1 520,4 163 1 1,420 562,1 562,5 164 1 1,297 493,1 493,4 165 1 1,340 513,0 513,8 166 1 1,395 526,0 526,8 167 1 1,322 568,0 568,9 168 1 1,222 506,1 506,4 169 1 1,301 548,1 548,5 170 1 1,443 568,0 568,9 171 3 1,520 526,1 526,8 172 1 1,410 513,0 513,8 173 1 1,377 493,1 493,4 174 1 1,328 548,1 548,5 175 1 1,253 506,1 506,4 176 1 1,303 477,1 477,4 177 1 1,351 497,0 497,8 178 1 1,259 532,1 532,5 179 1 1,421 552,0 552,9 180 1 1,409 510,0 510,8 181 1 1,328 532,1 532,5 182 3 1,156 490,1 490,4 183 1 1,354 491,1 491,4 184 3 1,228 504,1 504,5 185 3 1,346 566,1 566,9 186 3 1,396 524,0 524,9 187 3 1,295 485,1 485,4 188 1 1,339 475,1 475,4 189 3 1,306 483,0 483,4 190 1 1,279 457,0 457,4 191 3 1,325 475,1 475,4 192 3 1,297 461,1 461,4 193 3 1,395 487,1 487,4 194 3 1,261 463,0 463,4 195 3 1,285 477,1 477,4 196 3 1,345 489,1 489,4 197 3 1,323 475,0 475,4 198 3 1,289 457,0 457,4 199 3 1,312 471,0 471,4 200 1 1,460 482,9 483,4 201 3 1,287 473,1 473,4 202 3 1,332 487,1 487,4 203 3 1,194 463,0 463,4 204 3 1,262 475,0 475,4 205 2 1,278 564,0 564,5 206 2 1,255 522,1 522,4 207 2 1,341 522,1 522,4 208 2 1,216 564,1 564,5 209 2 1,300 602,0 602,4 210 2 1,392 602,0 602,4 211 2 1,351 560,0 560,4 212 2 1,445 560,1 560,4 213 4 2,215 495,1 495,4 214 4 1,438 511,2 511,4 215 7 1,846 527,1 527,4 216 4 2,666 493,2 493,4 217 8 2,384 509,1 509,4 218 8 2,544 525,1 525,4 219 1 1,119 558,1 558,5 220 1 1,042 558,1 558,5 221 1 0,966 516,1 516,4 222 1 1,336 596,1 596,4 223 1 1,397 596,0 596,4 224 1 1,360 554,0 554,4 225 1 1,425 554,0 554,4 226 1 1,317 555,0 555,4 227 1 0,889 517,0 517,4 228 1 0,901 559,0 559,4 229 1 0,987 559,0 559,4 230 1 1,182 500,0 500,4 231 1 1,127 500,0 500,4 232 1 1,210 542,0 542,5 233 1 1,307 487,0 487,4 234 1 1,294 542,1 542,5 235 1 1,412 520,0 520,8 236 1 1,392 562,0 562,9 237 1 1,307 520,0 520,8 238 1 1,205 510,0 494,4 239 1 1,199 494,0 508,4 240 1 1,380 552,0 552,4 241 1 1,271 552,0 552,4 242 1 0,990 547,0 547,4 243 1 1,073 547,1 547,4 244 1 1,010 505,1 505,4 245 1 1,185 547,0 547,4 246 1 1,179 543,0 543,4 247 1 1,292 521,0 521,8 248 1 1,291 563,0 563,9 249 1 1,220 490,1 489,5 250 1 1,265 590,0 590,5 251 1 1,363 590,1 590,5 252 1 1,297 574,1 574,5 253 1 1,387 574,1 574,5 254 1 1,251 564,0 564,4 255 1 1,345 564,1 564,4 256 1 1,261 547,0 474,4 257 1 1,380 547,0 474,4 258 1 1,192 548,0 548,4 259 1 1,319 548,1 548,4 260 1 1,022 505,0 505,4 261 1 0,950 505,0 505,4 262 1 1,073 505,0 505,4

Биологические примеры

In vitro анализ: Ascaridia galli и Oesophagostumum dentatum

Ascaridia galli (кишечный круглый червь кур), личиночная стадия 3 ("L3"); и Oesophagostumum dentatum (узловой червь свиней) личинки в стадии 3 и 4 (соответственно "L3" и "L4") суспендировали в питательной среде и распределяли в 96-луночные планшеты по 20 личинок на лунку. В лунки добавляли растворы соединений в DMSO с уменьшающейся концентрацией. Антигельминтные эффекты определяли микроскопическим исследованием и определяли по минимальной эффективной концентрации ("MEC"), которая представляет собой концентрацию, при которой по меньшей мере одна из личинок демонстрирует смертность, изменение подвижности или изменение прогрессии развития.

Следующие соединения показали MEC 50 мкМ или меньше против Ascaridia galli L3:

1, 2, 3, 4, 5, 6, 7, 8, 9, 10, 11, 12, 13, 14, 15, 16, 17, 18, 19, 20, 21, 22, 23, 24, 28, 29, 30, 31, 32, 33, 34, 37, 38, 39, 40, 41, 42, 43, 44, 45, 46, 47, 50, 51, 52, 53, 54, 54, 55, 56, 57, 58, 59, 60, 61, 62, 66, 67, 68, 69, 70, 71, 73, 74, 75, 76, 77, 79, 83, 84, 86, 87, 88, 89, 90, 91, 93, 94, 95, 96, 97, 98, 99, 100, 101, 102, 103, 104, 105, 107, 108, 109, 110, 113, 115, 116, 118, 119, 120, 121, 122, 123, 124, 125, 126, 127, 128, 129, 130, 131, 132, 133, 135, 136, 138, 139, 140, 141, 142, 143, 144, 145, 146, 148, 149, 150, 151, 152, 153, 154, 155, 156, 157, 159, 160, 162, 164, 165, 166, 167, 168, 169, 170, 171, 172, 173, 174, 175, 176, 177, 178, 179, 180, 181, 182, 183, 184, 185, 186, 187, 189, 190, 192, 193, 194, 195, 196, 197, 198, 199, 200, 201, 202, 203, 204, 205, 206, 207, 208, 209, 210, 211, 212

Следующие соединения показали MEC 10 мкМ или меньше против Ascaridia galli L3:

5, 7, 8, 9, 11, 13, 19, 20, 22, 23, 31, 33, 42, 43, 47, 51, 52, 53, 54, 54, 55, 57, 58, 59, 61, 62, 68, 74, 87, 91, 93, 94, 97, 98, 100, 101, 103, 105, 108, 109, 110, 118, 119, 120, 121, 125, 126, 128, 129, 130, 131, 135, 139, 140, 141, 144, 145, 146, 148, 149, 150, 151, 152, 153, 156, 166, 167, 168, 169, 170, 171, 174, 178, 179, 181, 183, 184, 185, 186, 187, 189, 190, 192, 202, 203, 204, 205, 206, 207, 208, 209, 211

Следующие соединения показали MEC 50 мкМ или меньше против Oesophagostumum dentatum L3:

1, 2, 3, 4, 5, 6, 7, 8, 9, 10, 12, 13, 14, 15, 16, 17, 19, 20, 21, 22, 23, 24, 25, 26, 27, 30, 31, 32, 33, 34, 35, 36, 37, 38, 39, 40, 41, 42, 43, 44, 45, 46, 47, 48, 49, 51, 52, 53, 54, 54, 55, 56, 57, 58, 59, 62, 66, 67, 68, 69, 70, 71, 72, 73, 74, 75, 77, 79, 81, 82, 83, 84, 85, 86, 88, 90, 91, 92, 93, 94, 95, 96, 98, 99, 100, 101, 102, 103, 105, 107, 108, 109, 110, 111, 112, 113, 114, 115, 116, 117, 118, 119, 120, 121, 122, 123, 124, 125, 126, 127, 128, 129, 130, 131, 132, 133, 134, 135, 136, 137, 138, 139, 140, 141, 142, 143, 144, 145, 146, 147, 148, 149, 150, 151, 153, 154, 155, 156, 158, 160, 161, 162, 164, 165, 166, 167, 168, 169, 170, 171, 172, 173, 174, 175, 176, 177, 178, 179, 180, 181, 182, 183, 184, 185, 186, 187, 189, 190, 191, 193, 194, 195, 196, 197, 199, 200, 201, 202, 203, 204, 205, 206, 207, 208, 209, 211, 212

Следующие соединения показали MEC 10 мкМ или меньше против Oesophagostumum dentatum L3:

2, 5, 7, 8, 9, 12, 13, 14, 15, 16, 17, 19, 20, 21, 22, 23, 30, 31, 33, 36, 37, 38, 39, 40, 41, 42, 43, 44, 45, 46, 47, 49, 51, 52, 53, 54, 55, 58, 59, 62, 66, 67, 68, 69, 70, 71, 72, 73, 74, 82, 83, 84, 86, 88, 91, 92, 93, 94, 95, 96, 98, 100, 101, 102, 103, 105, 107, 108, 109, 110, 111, 113, 115, 116, 117, 118, 119, 120, 121, 123, 124, 125, 126, 128, 129, 130, 131, 133, 134, 135, 136, 138, 139, 140, 141, 143, 144, 145, 146, 148, 149, 150, 151, 153, 154, 155, 156, 164, 166, 167, 168, 169, 170, 171, 172, 173, 174, 175, 176, 178, 179, 180, 181, 182, 183, 184, 185, 186, 187, 189, 190, 194, 195, 197, 199, 200, 203, 204, 205, 206, 207, 208

Следующие соединения показали MEC 50 мкМ или меньше против Oesophagostumum dentatum L4:

1, 2, 3, 4, 5, 6, 7, 8, 9, 10, 12, 13, 14, 15, 16, 18, 19, 20, 21, 22, 23, 24, 25, 26, 27, 28, 29, 30, 31, 33, 34, 35, 36, 37, 38, 39, 40, 41, 42, 43, 45, 46, 47, 48, 49, 51, 52, 53, 54, 54, 55, 56, 57, 58, 62, 67, 68, 69, 70, 71, 72, 73, 74, 75, 77, 79, 82, 83, 84, 86, 88, 90, 91, 92, 93, 94, 95, 96, 98, 99, 100, 101, 102, 103, 105, 107, 108, 109, 110, 113, 114, 115, 116, 117, 118, 119, 120, 121, 122, 123, 124, 125, 126, 127, 128, 129, 130, 131, 132, 133, 134, 135, 136, 137, 138, 139, 140, 141, 142, 143, 144, 145, 146, 147, 148, 149, 150, 151, 153, 154, 155, 156, 158, 160, 163, 164, 165, 166, 167, 168, 169, 170, 171, 172, 173, 174, 175, 176, 177, 178, 179, 180, 181, 182, 183, 184, 185, 186, 187, 189, 190, 191, 192, 193, 194, 195, 196, 197, 199, 200, 201, 202, 203, 204, 205, 206, 207, 208, 209, 211, 212

Следующие соединения показали MEC 10 мкМ или меньше против Oesophagostumum dentatum L4:

1, 2, 3, 5, 6, 7, 8, 9, 12, 13, 14, 15, 16, 19, 20, 21, 22, 23, 24, 25, 26, 31, 33, 34, 35, 36, 38, 39, 40, 41, 42, 43, 46, 47, 51, 52, 53, 54, 54, 55, 56, 57, 58, 62, 67, 68, 69, 70, 71, 72, 73, 74, 75, 77, 79, 82, 83, 84, 86, 88, 90, 91, 93, 94, 95, 96, 98, 99, 100, 101, 102, 103, 105, 107, 108, 109, 110, 113, 114, 115, 116, 117, 118, 119, 120, 121, 122, 123, 124, 125, 126, 127, 128, 129, 130, 131, 132, 133, 134, 135, 136, 138, 139, 140, 141, 142, 143, 144, 145, 146, 147, 148, 149, 150, 151, 153, 154, 155, 156, 164, 165, 166, 167, 168, 169, 170, 171, 172, 173, 174, 175, 176, 177, 178, 179, 180, 181, 182, 183, 184, 185, 186, 187, 189, 190, 191, 193, 194, 195, 196, 197, 199, 200, 201, 202, 203, 204, 205, 206, 207, 208, 209, 211

In vitro анализ: Haemonchus contortus

Получали растворы соединений с уменьшающимися концентрациями в DMSO, разбавляли питательной средой и распределяли в 96-луночные микротитровальные планшеты. Извлеченные L3 личинки Haemonchus contortus инкубировали в течение 20 мин при 37°C на водяной бане, разделяли центрифугированием и добавляли в лунки по 300 личинок/лунка. После инкубации в течение 7 дней оценивали подвижность автоматизированной микроскопией. Ивермектин использовали в качестве положительного контроля, DMSO в качестве отрицательного контроля и рассчитывали ED50 значения, которые представляют собой концентрацию для индивидуального соединения, которая уменьшает подвижность на 50% по сравнению с положительным контролем.

Следующие соединения показали ED50 значение ниже 50 мкМ против Haemonchus contortus:

1, 2, 4, 5, 7, 8, 9, 12, 14, 15, 19, 20, 21, 22, 23, 24, 30, 31, 33, 38, 40, 41, 42, 43, 46, 47, 51, 52, 53, 54, 54, 55, 56, 57, 58, 62, 67, 68, 69, 70, 71, 73, 74, 75, 77, 79, 82, 83, 84, 86, 94, 95, 96, 100, 101, 108, 110, 115, 116, 118, 120, 121, 123, 124, 125, 126, 128, 129, 130, 131, 138, 140, 141, 145, 146, 148, 149, 150, 151, 155, 156

Следующие соединения показали ED50 значение ниже 10 мкМ против Haemonchus contortus:

1, 2, 5, 7, 9, 12, 14, 15, 19, 20, 21, 22, 30, 38, 41, 43, 47, 51, 52, 53, 54, 55, 56, 57, 58, 62, 67, 68, 69, 70, 71, 73, 74, 75, 77, 82, 83, 84, 94, 95, 96, 100, 101, 115, 118, 120, 121, 123, 124, 125, 126, 128, 129, 130, 131, 140, 141, 146, 148, 149, 150, 151, 155

In vitro анализ: Dirofilaria immitis L1

Примерно 500 микрофилярий D. immitis добавляли в микротитровальный планшет, содержащий питательную среду и испытываемое соединение в DMSO при изменяющихся концентрациях. После инкубации в течение 3 дней оценивали активность как уменьшение подвижности по сравнению с DMSO в качестве отрицательного контроля. Соединения испытывали в двух повторах. На основании кривых концентрация-ответ рассчитывали EC50 значения.

Следующие соединения показали EC50 значение ниже 10 мкМ: 1, 3, 5, 6, 7, 8, 9, 10, 11, 12, 13, 14, 15, 16, 19, 20, 21, 22, 23, 24, 25, 26, 28, 29, 30, 31, 33, 36, 38, 39, 40, 41, 42, 43, 45, 46, 47, 51, 52, 53, 54, 54, 55, 56, 57, 58, 62, 63, 65, 67, 68, 69, 70, 71, 72, 73, 74, 75, 77, 79, 82, 83, 84, 85, 86, 88, 90, 91, 92, 93, 94, 95, 96, 98, 99, 100, 101, 102, 103, 105, 107, 108, 109, 110, 113, 114, 115, 116, 117, 118, 119, 120, 121, 123, 124, 125, 126, 128, 129, 130, 131, 133, 134, 135, 136, 138, 139, 140, 141, 143, 144, 145, 146, 148, 149, 150, 151, 153, 154, 155, 156

Следующие соединения показали EC50 значение ниже 1 мкМ: 1, 3, 5, 6, 7, 8, 9, 10, 12, 13, 14, 15, 16, 19, 20, 21, 22, 23, 24, 25, 26, 30, 31, 33, 36, 38, 39, 40, 41, 42, 43, 45, 46, 47, 51, 52, 53, 54, 54, 55, 56, 57, 58, 62, 65, 67, 68, 69, 70, 71, 72, 73, 74, 75, 77, 79, 82, 83, 84, 85, 86, 88, 90, 91, 92, 93, 94, 95, 96, 98, 99, 100, 101, 102, 103, 105, 107, 108, 109, 110, 113, 114, 115, 116, 117, 118, 119, 120, 121, 123, 124, 125, 126, 128, 129, 130, 131, 133, 134, 135, 136, 138, 139, 140, 141, 143, 144, 145, 146, 148, 149, 150, 151, 153, 154, 155, 156

Следующие соединения показали EC50 значение ниже 0,1 мкМ: 5, 7, 8, 9, 12, 13, 14, 15, 16, 19, 20, 21, 22, 23, 31, 33, 38, 39, 40, 41, 42, 43, 45, 46, 47, 51, 52, 53, 54, 54, 55, 56, 57, 58, 62, 65, 67, 68, 69, 70, 71, 72, 73, 74, 75, 77, 79, 82, 83, 84, 86, 88, 90, 91, 92, 93, 94, 95, 96, 98, 99, 100, 101, 102, 103, 105, 107, 108, 109, 110, 113, 114, 115, 116, 117, 118, 119, 120, 121, 123, 124, 125, 126, 128, 129, 130, 131, 133, 134, 135, 136, 138, 139, 140, 141, 143, 144, 145, 146, 148, 149, 150, 151, 153, 154, 155, 156

In vitro анализ: Dirofilaria immitis L4

10 личинок L4 D. immitis добавляли в микротитровальный планшет, содержащий питательную среду и испытываемое соединение в DMSO при изменяющихся концентрациях. После инкубации в течение 3 дней оценивали активность как уменьшение подвижности по сравнению с DMSO в качестве отрицательного контроля. Соединения испытывали в двух повторах. На основании кривых концентрация-ответ рассчитывали EC50 значения.

Следующие соединения показали EC50 значение ниже 1 мкМ: 1, 3, 5, 7, 8, 12, 14, 19, 20, 31, 43, 55, 69, 74, 82

Следующие соединения показали EC50 значение ниже 0,1 мкМ: 1, 5, 7, 8, 12, 14, 19, 20, 31, 43, 55, 69, 74, 82

In vitro анализ: Acanthocheilonema viteae L1

Примерно 500 микрофилярий A. viteae добавляли в микротитровальный планшет, содержащий питательную среду и испытываемое соединение в DMSO при изменяющихся концентрациях. После инкубации в течение 3 дней оценивали активность как уменьшение подвижности по сравнению с DMSO в качестве отрицательного контроля. Соединения испытывали в двух повторах. На основании кривых концентрация-ответ рассчитывали EC50 значения.

Следующие соединения показали EC50 значение ниже 10 мкМ: 5, 7, 8, 19, 20, 43, 51, 52, 53, 53, 54, 54, 84, 85, 86, 87, 88, 90, 91, 92, 93, 94, 95, 96, 98, 100, 101, 102, 103, 108, 109, 110, 113, 114, 115, 116, 117, 118, 119, 120, 121, 123, 124, 125, 126, 127, 128, 129, 130, 131, 132, 133, 134, 135, 136, 138, 139, 140, 141, 143, 144, 145, 146, 147, 148, 149, 150, 151, 153, 154, 155, 156, 158, 159, 160, 161, 162, 163, 164, 165, 166, 167, 168, 169, 170, 171, 172, 173, 174, 175, 176, 177, 178, 179, 180, 181, 182, 183, 184, 185, 186, 187, 189, 190, 191, 192, 193, 194, 195, 196, 197, 198, 199, 200, 201, 202, 203, 204, 205, 206, 207, 208, 209, 210, 211, 212

Следующие соединения показали EC50 значение ниже 1 мкМ: 5, 7, 8, 19, 20, 43, 51, 52, 53, 53, 54, 54, 84, 85, 86, 88, 90, 91, 92, 93, 94, 95, 96, 100, 101, 102, 103, 108, 109, 110, 113, 114, 115, 116, 117, 118, 119, 120, 121, 123, 124, 125, 126, 128, 129, 130, 131, 133, 134, 135, 136, 138, 139, 140, 141, 143, 144, 145, 146, 148, 149, 150, 151, 153, 154, 155, 156, 158, 164, 165, 166, 167, 168, 169, 170, 171, 172, 173, 174, 175, 176, 177, 178, 179, 180, 181, 182, 183, 184, 185, 186, 187, 189, 190, 191, 192, 193, 194, 195, 196, 197, 198, 199, 200, 201, 202, 203, 204, 205, 206, 207, 208, 209, 210, 211, 212

Следующие соединения показали EC50 значение ниже 0,1 мкМ: 5, 7, 8, 19, 20, 43, 51, 52, 53, 53, 54, 54, 84, 86, 90, 91, 92, 93, 94, 95, 96, 100, 101, 102, 103, 108, 109, 110, 113, 114, 115, 116, 117, 118, 119, 120, 121, 123, 124, 125, 126, 128, 129, 130, 131, 133, 134, 135, 136, 138, 139, 140, 141, 143, 144, 145, 146, 148, 149, 150, 151, 153, 154, 155, 156, 164, 165, 166, 167, 168, 169, 170, 171, 172, 173, 174, 175, 176, 177, 178, 179, 180, 181, 182, 183, 184, 185, 186, 187, 189, 190, 191, 192, 193, 194, 195, 196, 197, 198, 199, 202, 203, 204, 205, 206, 207, 208, 209, 210

In vitro анализ: агонистическая активность в отношении slo-1a C. elegans

Устанавливали CHO K1 клеточную линию, стабильно трансфицированную slo-1a Caenorhabditis elegans (номер доступа Y51A2D.19a). Клетки высевали в микротитровальные планшеты (черные 384-луночные MTP, прозрачное дно) в концентрации 10000 клеток/лунка в 25мкл среды и культивировали в течение 20-24 часов при 37°C и 5% CO2. Клеточную среду удаляли, клетки промывали раствором Тирода. В каждую лунку добавляли 25 мкл FMP-краситель синий-раствор Тирода и инкубировали при комнатной температуре в течение 30 минут.

Для измерения мембранного потенциала подготовленные планшеты с клетками и планшеты с веществом помещали в FLIPR Tetra (Molecular Devices). Исходное измерение флуоресценции осуществляли в течение 20 сек (длина волны возбуждения 510-545 нм, длина волны эмиссии 565-625 нм). Клетки деполяризовали добавлением 25 мкл разведенных испытываемых соединений (конечная концентрация KCl-раствора Тирода для анализа: 70 мМ KCI, 2 мМ CaCl2, 1 мМ MgCl2, 0,8 мМ NaH2PO4, 5 мМ глюкозы, 28 мМ Hepes, pH 7,4, включая краситель, чувствительный к напряжению). Полное измерение занимает 150 секунд.

Значения EC50 определяли в трех повторах с использованием серии разведений соединения. Данные определяли по меньшей мере в двух независимых испытаниях. Данные обрабатывали с использованием программного обеспечения ActivityBase XE Runner (IDBS) для подбора кривой и расчета полумаксимальной эффективной концентрации.

Следующие соединения показали EC50 значение ниже 10 мкМ: 1, 3, 7, 8, 9, 10, 12, 13, 14, 15, 16, 19, 20, 21, 22, 23, 24, 25, 26, 27, 29, 30, 31, 33, 34, 35, 36, 37, 38, 39, 40, 41, 42, 43, 44, 45, 46, 47, 48, 49, 54, 54, 55, 56, 57, 58, 62, 65, 67, 68, 69, 70, 71, 73, 74, 75, 77, 79, 82, 83, 84, 85, 90, 92, 94, 95, 100, 102, 103, 105, 107, 108, 109, 110, 113, 115, 116, 118, 119, 120, 121, 123, 124, 125, 126, 128, 129, 130, 131, 135, 136, 138, 139, 140, 141, 144, 145, 146, 148, 149, 150, 151, 153, 154, 155, 156, 160, 164, 165, 166, 167, 168, 169, 170, 171, 172, 173, 174, 175, 176, 177, 178, 179, 180, 181, 182, 183, 184, 185, 186, 187, 190, 191, 192, 193, 194, 195, 196, 197, 199, 201, 202, 203, 204

Следующие соединения показали EC50 значение ниже 1 мкМ: 8, 9, 12, 13, 14, 15, 16, 19, 20, 23, 31, 33, 37, 40, 41, 42, 43, 45, 47, 54, 54, 55, 56, 57, 58, 62, 67, 68, 69, 74, 75, 82, 83, 94, 95, 100, 102, 103, 105, 108, 109, 110, 113, 115, 116, 118, 119, 120, 121, 123, 124, 125, 126, 128, 129, 130, 131, 135, 138, 139, 140, 141, 145, 146, 148, 149, 150, 151, 154, 155, 156, 165, 166, 167, 168, 169, 170, 171, 174, 176, 177, 178, 179, 180, 182, 183, 184, 185, 186, 187, 191, 195, 197, 201, 202, 203, 204

In vitro анализ: агонистическая активность в канале Maxi K человека (канал BK)

Клеточную линию CHO K1 стабильно трансфицировали субъединицами KCNMA1 (KCa1.1, U11058) и бета1 (KCNMB1) канала Maxi K человека (Ponte et al., Molecular Pharmacology 2012, 81(4), 567-577).

Клетки высевали в микротитровальные планшеты (черные 384-луночные МТР, прозрачное дно) в концентрации 10000 клеток/лунка в 25 мкл среды и культивировали в течение 20-24 часов при 37°С и 5% СО2. Клеточную среду удаляли, клетки промывали раствором Тирода. В каждую лунку добавляли по 25 мкл FMP-краситель синий-раствор Тирода и инкубировали при комнатной температуре в течение 30 мин.

Для измерения мембранного потенциала подготовленные планшеты с клетками и планшеты с веществом помещали в FLIPR Tetra (Molecular Devices). Исходное измерение флуоресценции осуществляли в течение 20 сек (длина волны возбуждения 510-545 нм, длина волны эмиссии 565-625 нм). Клетки деполяризовали добавлением 25 мкл разведенных испытываемых соединений (конечная концентрация KCl-раствор Тирода: 70 мМ KCl, 2 мМ CaCl2, 1 мМ MgCl2, 0,8 мМ NaH2PO4, 5 мМ глюкозы, 28 мМ Hepes, pH 7,4, включая чувствительный к напряжению краситель). Полное измерение занимает 150 сек.

Значения EC50 определяли в трех повторах с использованием серии разведений соединения. Данные определляли по меньшей мере в двух независимых испытаниях. Данные обрабатывали с использованием программного обеспечения ActivityBase XE Runner (IDBS) для подбора кривой и расчета полумаксимальной эффективной концентрации.

Следующие соединения показали EC50 значение между 1 и 10 мкМ: 13, 19, 20, 53, 100, 120, 121, 131, 141, 151.

Следующие соединения показали EC50 значение между 10 и 30 мкМ: 8, 33, 37, 45, 74, 82, 95, 96, 101, 102, 130, 140, 146, 150, 169, 178, 184, 185.

Следующие соединения показали EC50 значение выше 30 мкМ: 1, 3, 5, 7, 9, 10, 11, 12, 14, 15, 16, 17, 18, 21, 22, 23, 24, 25, 26, 27, 28, 29, 30, 31, 32, 34, 35, 36, 38, 39, 40, 41, 42, 43, 44, 46, 47, 48, 49, 50, 54, 54, 55, 56, 57, 58, 59, 60, 61, 62, 63, 64, 65, 66, 67, 68, 69, 70, 71, 72, 73, 75, 76, 77, 78, 79, 80, 81, 83, 84, 85, 86, 87, 88, 89, 90, 91, 92, 93, 94, 97, 98, 99, 103, 104, 105, 106, 107, 108, 109, 110, 111, 112, 113, 114, 115, 116, 117, 118, 119, 122, 123, 124, 125, 126, 127, 128, 129, 132, 133, 134, 135, 136, 137, 138, 139, 142, 143, 144, 145, 147, 148, 149, 152, 153, 154, 155, 156, 157, 158, 159, 160, 161, 162, 163, 164, 165, 166, 167, 168, 170, 171, 172, 173, 174, 175, 176, 177, 179, 180, 181, 182, 183, 186, 187, 189, 190, 191, 192, 193, 194, 195, 196, 197, 198, 199, 200, 201, 202, 203, 204.

Таким образом, из представленных результатов можно видеть, что соединения по изобретению эффективны, что касается лечения заболеваний, вызываемых гельминтами, такими как нематоды, особенно Dirofilaria, при этом потенциал для связанных с мишенью побочных реакций у хозяина, такого как млекопитающее (например, человек), является низким.

In vivo анализ: эффективность против Haemonchus contortus у песчанок

Соединения по настоящему изобретению испытывали in vivo с использованием Haemonchus contortus у песчанок (Meriones unguiculatus). Песчанок инфицировали перорально примерно 1500 личинками третьей стадии Haemonchus contortus. Через десять дней после заражения песчанок в группах обработки однократно обрабатывали либо перорально, либо подкожно соединениями в дозе 10 мг массы тела. Для обработки соединения растворяли в смеси 10% Транскутол, 10% Кремофор EL и 80% физиологический раствор хлорида натрия. Через три дня после обработки песчанок вскрывали и определяли количество личинок в желудке. Эффективность определяли как снижение среднего количества личинок в инфицированных песчанках в группе обработки по сравнению с инфицированными песчанками в необработанной контрольной группе (отрицательный контроль).

Соединение 151 уменьшало количество Haemonchus contortus по меньшей мере на 80% при введении перорально или подкожно в дозе 10 мг/кг массы тела.

Похожие патенты RU2833552C1

название год авторы номер документа
АНТИГЕЛЬМИНТНЫЕ СОЕДИНЕНИЯ, ВКЛЮЧАЮЩИЕ СТРУКТУРУ АЗАИНДОЛОВ 2020
  • Бергер, Михаэль
  • Линдер, Михаэль
  • Шнайдер, Каролин
  • Тенцлер, Янина
  • Зондерн, Ульрих
RU2833563C1
НОВЫЕ АЗАХИНОЛИНОВЫЕ ПРОИЗВОДНЫЕ 2018
  • Грибенов, Нильс
  • Чжуанг, Вей
  • Кёлер, Аделине
  • Кульке, Даниэль
  • Бём, Клаудиа
  • Бёрнген, Кирстен
  • Ильг, Томас
  • Шварц, Ханс-Георг
  • Халленбах, Вернер
  • Гёргенс, Ульрих
  • Хюбш, Вальтер
  • Алиг, Бернд
  • Хайслер, Иринг
  • Йанссен, Иса, Яна, Ирина
RU2773290C2
НОВЫЕ АНТИГЕЛЬМИНТНЫЕ СОЕДИНЕНИЯ 2019
  • Грибенов, Нильс
  • Хюбш, Вальтер
  • Шварц, Ханс-Георг
  • Чжуан, Вей
  • Алиг, Бернд
  • Келер, Аделине
  • Кульке, Даниэль
  • Хайслер, Иринг
  • Ильг, Томас
RU2828007C2
НОВЫЕ ПРОИЗВОДНЫЕ ИЗОХИНОЛИНА 2020
  • Алиг, Бернд
  • Хюбш, Вальтер
  • Грибенов, Нильс
  • Шварц, Ханс-Георг
  • Чжуан, Вэй
  • Кульке, Даниэль
  • Бём, Клаудия
  • Хайслер, Иринг
  • Янссен, Иза Яна Ирина
  • Бёрнген, Кирстен
RU2839897C2
НОВЫЕ БИЦИКЛИЧЕСКИЕ ПИРАЗОЛЬНЫЕ ПРОИЗВОДНЫЕ 2018
  • Грибенов, Нильс
  • Чжуанг, Вей
  • Кульке, Даниэль
  • Кёхлер, Аделине
  • Ильг, Томас
  • Вельц, Клаудиа
  • Шварц, Ханс-Георг
  • Гергенс, Ульрих
  • Хюбш, Вальтер
  • Кёбберлинг, Йоханнес
RU2781426C2
НОВЫЕ АНТИГЕЛЬМИНТНЫЕ ХИНОЛИН-3-КАРБОКСАМИДНЫЕ ПРОИЗВОДНЫЕ 2017
  • Хюбш, Вальтер
  • Кебберлинг, Йоханнес
  • Келер, Аделине
  • Шварц, Ханс-Георг
  • Кульке, Даниэль
  • Вельц, Клаудиа
  • Ильг, Томас
  • Бернген, Кирстен
  • Чжуанг, Вей
  • Грибенов, Нильс
  • Бем, Клаудиа
  • Линднер, Нильс
  • Хинк, Майке
  • Гергенс, Ульрих
RU2772283C2
СОЕДИНЕНИЯ, ПРИМЕНИМЫЕ ДЛЯ ЛЕЧЕНИЯ РЕСПИРАТОРНОГО ЗАБОЛЕВАНИЯ КРУПНОГО РОГАТОГО СКОТА ИЛИ СВИНЕЙ 2017
  • Мейер, Торстен
  • Варрасс, Ральф
  • Улльрих, Йоахим
  • Бергер, Михаэль
  • Линдер, Михаэль
RU2775529C2
N-ГЕТЕРОАРИЛЬНЫЕ СОЕДИНЕНИЯ 2011
  • Бергер Михаэль
  • Керн Кристофер
  • Эк Марко
  • Шредер Йорг
RU2596185C2
Азолины 2015
  • Бинджадлер Паскаль
  • Вон Дейн Вольфганг
RU2727307C2
СОЕДИНЕНИЯ, ПРИМЕНИМЫЕ ДЛЯ ЛЕЧЕНИЯ ИНФЕКЦИИ PASTEURELLA MULTOCIDA ИЛИ MANNHEIMIA HAEMOLYTICA 2017
  • Бергер, Михаэль
  • Мейер, Торстен
  • Улльрих, Иоахим
  • Варрасс, Ральф
RU2781450C2

Реферат патента 2025 года АНТИГЕЛЬМИНТНЫЕ СОЕДИНЕНИЯ, ВКЛЮЧАЮЩИЕ ХИНОЛИНОВУЮ СТРУКТУРУ

Группа изобретений относится к области органической химии и включает соединение формулы (I), его стереоизомеры, его способ получения и антигельминтную ветеринарную композицию, его содержащую. В формуле (I) R1 независимо выбран из группы, состоящей из водорода, C1-6-алкила, C1-6-алкокси и галогена, где C1-6-алкил необязательно замещен одним - тремя галогенами, R7 независимо выбран из группы, состоящей из C1-6-алкила, C2-6-алкенила, 5-10-членного гетероарила, содержащего 1-2 гетероатома, выбранные из N и O, C1-6-алкокси, гидрокси, NR8R9, SR10, SOR10, SO2R10, где каждый C1-6-алкил и 5-10-членный гетероарил, содержащий 1-2 гетероатома, выбранные из N и О, необязательно замещен гидрокси, R8 и R9 независимо выбраны из группы, состоящей из водорода и C1-6-алкила, который необязательно замещен C1-6-алкокси, гидрокси, NR8''R9'', R10 представляет собой C1-6-алкил, R8'', R9'' независимо выбраны из водорода и C1-6-алкила, R13 представляет собой водород или C1-3 алкил, R14 представляет собой водород, или R13 и R14 вместе с атомами, к которым они присоединены, образуют содержащее 5 или 6 атомов углерода неароматическое кольцо, где содержащее 5 или 6 атомов углерода кольцо необязательно замещено одним или несколькими заместителями, выбранными из C1-3-алкила или =O, и/или где один из образующих кольцо атомов углерода необязательно замещен -O-, или R13 и R14 вместе с атомами, к которым они присоединены, образуют содержащее 5 или 6 атомов углерода ароматическое кольцо, где содержащее 5 или 6 атомов углерода кольцо необязательно замещено одним C1-3-алкильным заместителем, и/или где один или несколько из образующих кольцо атомов углерода необязательно замещены -O-, A1 представляет собой N или CR15, где R15 независимо представляет собой водород, галоген, C1-3 алкил, C1-3 алкокси или NR15'R15'', где R15' и R15'' независимо представляют собой C1-3-алкил, A2 представляет собой N или CR16, где R16 независимо представляет собой водород, галоген, C1-3 алкил, C1-3 алкокси или NR16'R16'', где R16' и R16'' независимо представляют собой C1-3-алкил, A3 представляет собой CR17, где R17 представляет собой водород, A4 представляет собой N или CR18, где R18 независимо представляет собой водород, R19 представляет собой C6-10-арил необязательно замещенный одним - тремя галогенами, R25 независимо выбран из водорода и C1-6-алкила. Соединение формулы (I) и его стереоизомеры обладают выраженной антигельминтной активностью, в частности в отношении Dirofilaria immitis. 3 н. и 10 з.п. ф-лы, 2 табл.

Формула изобретения RU 2 833 552 C1

1. Соединение формулы (I)

Формула (I)

где

R1 независимо выбран из группы, состоящей из

водорода, C1-6-алкила, C1-6-алкокси и галогена,

где C1-6-алкил необязательно замещен одним - тремя галогенами,

R7 независимо выбран из группы, состоящей из C1-6-алкила, C2-6-алкенила, 5-10-членного гетероарила, содержащего 1-2 гетероатома, выбранные из N и O, C1-6-алкокси, гидрокси, NR8R9, SR10, SOR10, SO2R10,

где каждый C1-6-алкил и 5-10-членный гетероарил, содержащий 1-2 гетероатома, выбранные из N и О, необязательно замещен гидрокси,

R8 и R9 независимо выбраны из группы, состоящей из водорода и C1-6-алкила, который необязательно замещен C1-6-алкокси, гидрокси, NR8''R9'',

R10 представляет собой C1-6-алкил,

R8'', R9'' независимо выбраны из водорода и C1-6-алкила,

R13 представляет собой водород или C1-3 алкил,

R14 представляет собой водород, или

R13 и R14 вместе с атомами, к которым они присоединены, образуют содержащее 5 или 6 атомов углерода неароматическое кольцо, где содержащее 5 или 6 атомов углерода кольцо необязательно замещено одним или несколькими заместителями, выбранными из C1-3-алкила или =O, и/или где один из образующих кольцо атомов углерода необязательно замещен -O-, или

R13 и R14 вместе с атомами, к которым они присоединены, образуют содержащее 5 или 6 атомов углерода ароматическое кольцо, где содержащее 5 или 6 атомов углерода кольцо необязательно замещено одним C1-3-алкильным заместителем, и/или где один или несколько из образующих кольцо атомов углерода необязательно замещены -O-,

A1 представляет собой N или CR15, где R15 независимо представляет собой водород, галоген, C1-3 алкил, C1-3 алкокси или NR15'R15'', где R15' и R15'' независимо представляют собой C1-3-алкил,

A2 представляет собой N или CR16, где R16 независимо представляет собой водород, галоген, C1-3 алкил, C1-3 алкокси или NR16'R16'', где R16' и R16'' независимо представляют собой C1-3-алкил,

A3 представляет собой CR17, где R17 представляет собой водород,

A4 представляет собой N или CR18, где R18 независимо представляет собой водород,

R19 представляет собой C6-10-арил необязательно замещенный одним - тремя галогенами,

R25 независимо выбран из водорода и C1-6-алкила,

или его стереоизомер.

2. Соединение по п. 1, где R1 независимо выбран из группы, состоящей из

водорода, метила, трифторметила, этила, метокси, этокси, фторида и хлорида.

3. Соединение по п. 1 или 2, где R7 независимо выбран из группы, состоящей из метила, этила, пропила, изопропила, изопропенила, метокси, этокси, изопропокси, гидрокси, метилсульфоксила, метилсульфонила, метилтио, амино, метиламино, этиламино, (этил)(метил)амино изопропиламино, диметиламино, (изопропил)(метил)амино, гидроксиэтиламино, (гидроксиэтил)(метил)амино, метоксиэтиламино, (метоксиэтил)(метил)амино.

4. Соединение по любому из пп. 1-3, где ни один, один или два из остатков A1, A2, и A4 представляют собой N.

5. Соединение по любому из пп. 1-4, где A1 представляет собой CR15, A2 представляет собой CR16, A3 представляет собой CR17 и A4 представляет собой CR18.

6. Соединение по любому из пп. 1-5, где R19 представляет собой C6-10-арил,

где C6-10-арил представляет собой фенил, замещенный одним, двумя или тремя заместителями, независимо выбранными из группы, состоящей из фторида, хлорида и бромида.

7. Соединение по любому из пп. 1-6, присутствующее в форме (S)-энантиомера.

8. Способ получения соединения в соответствии с формулой (I), включающий стадию

взаимодействия соединения формулы (A)

Формула (A)

с соединением формулы (B)

где R1, R7, R13, R14, A1, A2, A3, A4, R19 и R25 имеют значение, определенное в любом из пп. 1-6,

с получением соединения в соответствии с формулой (I).

9. Антигельминтная ветеринарная композиция, включающая

- терапевтически эффективное количество соединения в соответствии с формулой (I) по любому из пп. 1-7 и

- один или несколько физиологически приемлемых эксципиентов.

10. Антигельминтная ветеринарная композиция по п.9, где один или несколько физиологически приемлемых эксципиентов выбраны из носителей, наполнителей, отдушек, связующих, антиоксидантов, буферов, компонентов сахаров, смазывающих веществ, поверхностно-активных веществ, стабилизаторов, агентов для повышения текучести, разрыхлителей и консервантов, и их смесей.

11. Соединение по любому из пп. 1-7 или антигельминтная ветеринарная композиция по п. 9 или 10 для лечения расстройств/заболеваний, вызываемых гельминтами.

12. Соединение или антигельминтная ветеринарная композиция по п.11, где заболевание представляет собой дирофиляриоз сердца.

13. Соединение или антигельминтная ветеринарная композиция по п. 11 или 12, где гельминты представляют собой Dirofilaria immitis.

Документы, цитированные в отчете о поиске Патент 2025 года RU2833552C1

WO 2018087036 A1, 17.05.2018
КОМБАЙН ДЛЯ УБОРКИ ЗЕРНОВЫХ ХЛЕБОВ, КОНОПЛИ, СОРГО, КЕНАФА И Т. П. 1932
  • Будрин В.И.
SU32822A1
WO 2017178416 A1, 19.10.2017.

RU 2 833 552 C1

Авторы

Бергер, Михаэль

Линдер, Михаэль

Шнайдер, Каролин

Тенцлер, Янина

Зондерн, Ульрих

Даты

2025-01-24Публикация

2020-12-17Подача