Ссылка на родственные заявки
Согласно настоящей заявке испрашивается приоритет по предварительной заявке на патент США 62/833107, поданной 12 апреля 2019 года, полный объем которой тем самым включен в данный документ посредством ссылки для всех целей.
Область техники, к которой относится настоящее изобретение
Настоящее изобретение относится к связывающим цереблон молекулам для разрушения белка Ikaros (IKZF1) или белка Aiolos (IKZF3) посредством убиквитин-протеасомного пути для терапевтических применений, которые описаны в ниже в данном документе.
Предшествующий уровень техники настоящего изобретения
Разрушение белка представляет собой точно регулируемый и жизненно важный процесс, который поддерживает клеточный гомеостаз. Селективная идентификация и удаление поврежденных, неправильно свернутых или излишних белков осуществляется посредством убиквитин-протеасомного пути (UPP). UPP является важнейшим для регуляции почти всех клеточных процессов, в том числе процессирования антигена, апоптоза, биогенеза органелл, продвижения клетки по клеточному циклу, транскрипции и репарации ДНК. дифференцировки и развития, иммунного ответа и воспаления, нервной и мышечной дегенерации, морфогенеза нервных сетей, модуляции рецепторов клеточной поверхности, ионных каналов и секреторного пути, реакции на стресс и внеклеточные модуляторы, биогенеза рибосом и вирусной инфекции.
Ковалентное прикрепление нескольких убиквитиновых молекул с помощью Е3 убиквитинлигазы к концевому лизиновому остатку маркирует белок для разрушения в протеасоме, где белок расщепляется на небольшие пептиды и, в конечном счете, на составляющие его аминокислоты, которые служат в качестве строительных блоков для новых белков. Дефектное протеасомальное разрушение связывали с рядом клинических расстройств, в том числе с болезнью Альцгеймера, болезнью Паркинсона, болезнью Хантингтона, мышечными дистрофиями, сердечно-сосудистым заболеванием и раком наряду с прочими.
Семейство белков Ikaros (Икарос) («IKZF») представляет собой ряд белков-транскрипционных факторов типа «цинковые пальцы», которые являются важными для определенных физиологических процессов, в особенности, для развития лимфоцитов (см. Fan, Y. and Lu, D. "The Ikaros family of zinc-finger proteins" Acta Pharmaceutica Sinica B, 2016, 6:513-521). Белок Ikaros («IKZF1») был впервые открыт в 1992 году (см. Georgopoulos, K. et al. "Ikaros, an early lymphoid-specific transcription factor and a putative mediator for T cell commitment" Science, 1992, 258:802-812), и за последующие два десятилетия были идентифицированы четыре дополнительных гомолога: белок Helios («FKZF2»), белок Aiolos («FKZF3»), белок Eos («IKZF4») и белок Pegasus («IKZF5») (см. John, L.В., and Ward, A.C. The Ikaros gene family: transcriptional regulators of hematopoiesis and immunity" Mol Immunol, 2011, 48:1272-1278). Ген каждого гомолога может продуцировать несколько изоформ белка посредством альтернативного сплайсинга, в теории обеспечивающего возможность образования большого количества белковых комплексов, благодаря разным комбинациям различных гомологов. Высококонсервативным среди членов этого семейства является набор из двух мотивов «цинковых пальцев» Cys2His2 на С-конце, который опосредует белковые взаимодействия у различных членов семейства белков. До четырех мотивов типа «цинковые пальцы» на N-конце присутствуют для распознавания последовательностей ДНК; причем количество этих N-концевых «цинковых пальцев» варьирует вследствие альтернативного сплайсинга. Изоформы без этих N-концевых цинковых пальцев демонстрируют доминантный отрицательный эффект в отношении активации транскрипции (см. Winandy, S. et al. "A dominant mutation in the Ikaros gene leads to rapid development of leukemia and lymphoma" Cell, 1995, 83:289-299).
Распределение различных белков-членов семейства Ikaros в организме значительно варьирует. Белки Ikaros, Helios и Aiolos преимущественно присутствуют в лимфоидных клетках и их соответствующих предшественниках, кроме того, белок Ikaros также выявляют в головном мозге, а белки Ikaros и Helios также выявляют в эритроидных клетках. Белки Eos и Pegasus являются более распространенными и обнаруживаются в скелетных мышцах, печени, головном мозге и сердце (см. Perdomo, J. et al. "Eos and Pegasus, two members of the Ikaros family of proteins with distinct DNA binding activities: J Biol Chem, 2000, 275:38347-38354; Schmitt, C. et al. "Aiolos and Ikaros: regulators of lymphocyte development, homeostasis and lymphoproliferation" Apoptosis, 2002, 7:277-284; Yoshida, T. and Georgopoulos, K. "Ikaros fingers on lymphocyte differentiation" Int J Hematol, 2014, 100:220-229).
Белок Ikaros важен для правильного развития лимфоцитов. Делеция экзонов, кодирующих первые три N-концевых «цинковых пальца» приводит к отсутствию у мышей Т-клеток, В-клеток, клеток-натуральных киллеров (NK) и их предшественников. Генетические изменения в белке Ikaros коррелируют с неблагоприятными исходами при лечении острого лимфобластного лейкоза (ALL). Белки Ikaros и Aiolos вовлечены в пролиферацию клеток множественной миеломы, что говорит о возможной роли в развитии злокачественного новообразования.
Лекарственное средство талидомид и его аналоги леналидомид и помалидомид вызвали интерес в качестве иммуномодуляторов и противоопухолевых средств, особенно, при множественной миеломе (см. Martiniani, R. et al. "Biological activity of lenalidomide and its underlying therapeutic effects in multiple myeloma" Adv Hematol, 2012, 2012:842945; и Terpos, E. et al. "Pomalidomide: a novel drug to treat relapsed and refractory multiple myeloma" Oncotargets and Therapy, 2013, 6:531). Несмотря на то, что точный терапевтический механизм действия талидомида, леналидомида и помалидомида является неизвестным, данные соединения применяют в лечении некоторых форм рака, в том числе множественной миеломы. Также существуют клинические и доклинческие исследования, связанные с лечением почечно-клеточной карциномы, глиобластомы, рака предстательной железы, меланомы, рака ободочной и прямой кишки, болезни Крона, ревматоидного артрита, синдрома Бехчета, рака молочной железы, рака головы и шеи, рака яичника, хронической сердечной недостаточности, реакции «трансплантат против хозяина» и туберкулезного менингита.
Было обнаружено, что талидомид и его аналоги связываются с убиквитинлигазой цереблоном и перенаправляют его убиквитинирующую активность (см. Ito, Т. et al. "Identification of a primary target of thalidomide teratogenicity" Science, 2010, 327:1345). Цереблон формирует часть комплекса Е3 убиквитинлигазы, который взаимодействует с поврежденным ДНК-связывающим белком 1, образуя комплекс Е3 убиквитинлигазы с куллином 4 и Е2-связывающим белком ROC1 (известным как RBX1), в котором он функционирует в качестве субстратного рецептора для отбора белков для убиквитинирования.
Связывание леналидомида с цереблоном облегчает последующее связывание цереблона с белками Ikaros и Aiolos, приводящее к их убиквитинированию и разрушению с помощью протеасомы (см. Lu, G. et al. "The myeloma drug lenalidomide promotes the cereblon-dependent destruction of Ikaros proteins" Science, 2014, 343:305-309; Kronke, J. et al. "Lenalidomide causes selective degradation of IKZF1 and IKZF3 in multiple myeloma cells" Science, 2014, 343:301-305).
Раскрытие того, что талидомид связывается с убиквитинлигазой Е3 цереблоном, привело к исследованию, изучающему включение талидомида и определенных производных в соединения с целью направленного разрушения белков. Компания Celgene раскрыла имиды для подобных применений, в том числе соединения в патентах США №№6045501; 6315720; 6395754; 6561976; 6561977; 6755784; 6869399; 6908432; 7141018; 7230012; 7820697; 7874984; 7959566; 8204763; 8315886; 8589188; 8626531; 8673939; 8735428; 8741929; 8828427; 9056120; 9101621 и 9101622.
В международной заявке WO 2020/006262, поданной институтом онкологии Дана-Фарбер (Dana Farber Cancer Institute), раскрыты модуляторы цереблона.
В патентной заявке PCT/US19/24094, поданной С4 Therapeutics, Inc., раскрыты связывающие цереблон молекулы для разрушения белка Ikaros.
Целью настоящего изобретения является обеспечение новых соединений, которые вызывают разрушение белка Ikaros или белка Aiolos, для лекарственной терапии, их применений и процессов получения, в том числе для лечения гемопоэтических нарушений, которые включают аномальную клеточную пролиферацию, в том числе опухолей и рака.
Сущность настоящего изобретения
Обеспечены новые соединения, которые связываются с цереблоном, а также их применения и получение. Полагают, что связывание раскрытых соединений с цереблоном приводит в результате к повышенному взаимодействию цереблона с белком Ikaros (IKZF1) или белком Aiolos (IKZF3), приводящему к их последующему убиквитинированию и разрушению в протеасоме. Пониженные уровни белка Ikaros или белка Aiolos приводят к изменениям в регуляции транскрипции белков, следующих за ними в каскаде передачи сигнала. Оба выбранных соединения оказываются связывающими молекулами, обеспечивающими сильное связывание с цереблоном, а также демонстрируют сильное ингибирование пролиферации клеток множественной миеломы по сравнению с помалидомидом.
Выбранное соединение, раскрытое в данном документе, его фармацевтически приемлемую соль или фармацевтически приемлемую композицию с ним можно применять для лечения нарушения, опосредованного белком Ikaros или белком Aiolos, например, злокачественного новообразования из гемопоэтических клеток, такого как множественная миелома, лейкоз, острый миелоидный лейкоз, острый лимфобластный лейкоз, хронический лимфобластный лейкоз, миелодиспластический синдром или другие целевые показания. Таким образом, в соответствии с одним вариантом осуществления обеспечен способ лечения хозяина (как правило, человека) с нарушением, опосредованным белком Ikaros или белком Aiolos, который включает в себя введение эффективного количества раскрытого соединения или его фармацевтически приемлемой соли, описанной в данном документе, хозяину, необязательно, в виде фармацевтически приемлемой композиции.
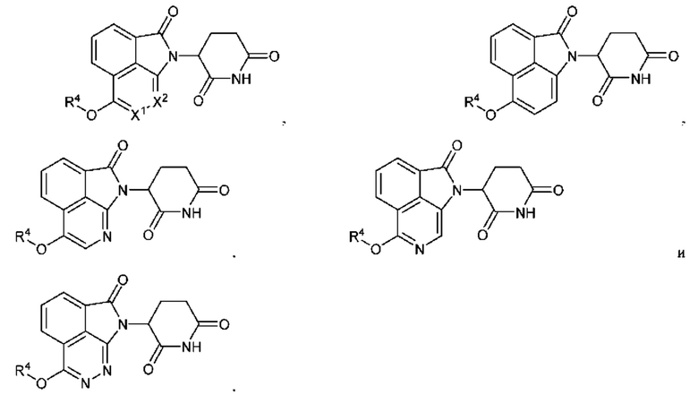
В соответствии с одним аспектом представлено соединение формулы I:
или его фармацевтически приемлемая соль, N-оксид, изотопное производное или пролекарство, необязательно в фармацевтически приемлемом носителе с образованием композиции;
где:
X1 и X2 независимо выбраны из СН и N;
R1 выбран из водорода, галогена, циано, нитро, алкила, галогеналкила, -NR2R2', -OR2, -NR2R4, -OR4, -NR2R5, -OR5, -(CR3R3')-R4, -(CR3R3')-R5, -(CR3R3')-NR2R4, -(CR3R3')-NR2R5, -(CR3R3')-OR4, -(CR3R3')-OR5, -C(O)R4, -SR4, -SR5, -S(O)R4 и -S(O)2R4;
R2 и R2' независимо в каждом случае выбраны из водорода, алкила, галогеналкила, циклоалкила, гетероцикла, арила, гетероарила, -C(O)R8, -C(O)OR8, -C(O)-NR8R8', -S(O)R8, -SO2R8, -SO2-OR8 и -SO2-NR8R8';
R3 выбран из водорода, галогена, алкила, галогеналкила, -OR8 и NR8R8';
R3' выбран из водорода, галогена, алкила и галогеналкила;
или R3 и R3' могут быть объединены с атомом углерода, к которому они присоединены, с образованием 3-6-членного циклоалкильного кольца;
R4 выбран из циклоалкила, гетероцикла, арила и гетероарила, где каждый R4 необязательно замещен одной группой, выбранной из R6, и где каждый R4 также необязательно замещен 1, 2, 3 или 4 группами, независимо выбранными из R7;
R5 представляет собой -C(O)R6;
R6 выбран из алкила, циклоалкила, гетероцикла, арила и гетероарила, где каждый R6 необязательно замещен 1, 2, 3 или 4 группами, независимо выбранными из R9;
или R6 выбран из алкила, циклоалкила, гетероцикла, арила, гетероарила, -СО-алкила, -СО-циклоалкила, -СО-гетероцикла, -СО-арила, -СО-гетероарила, -О-алкила, -О-циклоалкила, -О-гетероцикла, -О-арила, -О-гетероарила, -NR2-алкила, -NR2-циклоалкила, -NR2-гетероцикла, -NR2-арила и -NR2-гетероарила, где каждый R6 необязательно замещен 1, 2, 3 или 4 группами, независимо выбранными из R9;
R7 независимо в каждом случае выбран из водорода, галогена, гидроксила, циано, нитро, алкила, галогеналкила, алкенила, алкинила, циклоалкила, гетероцикла, арила, гетероарила, -OR8, -NR8R8', -C(O)R8, -C(O)OR8, -C(O)-NR8R8', -OC(O)R8, -NR2-C(O)R8, -S(O)R8, -SO2R8, -SO2-OR8 и -SO2-NR8R8';
или два R7 на том же атоме углерода могут быть соединены вместе с образованием оксогруппы;
R8 и R8' независимо в каждом случае выбраны из водорода, алкила, галогеналкила, алкенила, алкинила, циклоалкила, гетероцикла, арила и гетероарила;
R9 независимо в каждом случае выбран из водорода, галогена, циано, нитро, R10, -CH2R10, -OR10, -NR2R10, -C(O)R10, -C(O)CH2R10, -C(O)CH2OR10, -C(O)CH2NR2R10, -OC(O)R10, -NR2-C(O)R10, -C(O)OR10, -C(O)NR2R10, -S(O)R10, -SO2R10, SO2CH2R10, -SO2CH2OR10, -SO2CH2NR2R10, -NR2SO2R10, -SO2-OR10 и -SO2-NR2R10;
R10 выбран из алкила, галогеналкила, алкенила, алкинила, циклоалкила, гетероцикла, арила и гетероарила, где каждый R10 необязательно замещен 1, 2, 3 или 4 группами, независимо выбранными из R11; и
R11 выбран из: водорода; галогена; гидроксила; циано; нитро; алкила; галогеналкила; алкенила, необязательно замещенного арильной или гетероарильной группой; алкинила, необязательно замещенного арильной или гетероарильной группой; циклоалкила; гетероцикла; арила, необязательно замещенного 1, 2, 3 или 4 галогеновыми, алкильными или -OR8 группами; гетероарила, необязательно замещенного 1, 2, 3 или 4 галогеновыми, алкильными или -OR8 группами; -СН2арила, необязательно замещенного 1, 2, 3 или 4 галогеновыми, алкильными или -OR8 группами; -СН2 гетероарила, необязательно замещенного 1, 2, 3 или 4 галогеновыми, алкильными или -OR8 группами; -OR8; -NR8R8'; -C(O)R8; -C(O)OR8; -C(O)-NR8R8'; -C(O)CH2R8; -C(O)CH2OR8; -C(O)CH2-NR8R8'; -OC(O)R8; -NR2-C(O)R8; -CH2-OC(O)R8; -CH2-NR2-C(O)R8; -S(O)R8; -SO2R8; -SO2-OR8 и -SO2-NR8R8';
или две R11 группы на том же атоме углерода могут быть соединены вместе с образованием оксогруппы.
или R11 независимо в каждом случае выбран из: галогена; гидроксила; циано; нитро; алкила; галогеналкила; алкенила; алкинила; циклоалкила; гетероцикла; арила; гетероарила; -СН2арила; -СН2 гетероарила; -OR8; -NR8R8'; -C(O)R8; -C(O)OR8; -C(O)-NR8R8'; -C(O)CH2R8; -C(O)CH2OR8; -C(O)CH2-NR8R8'; -OC(O)R8; -NR2-C(O)R8; -CH2-OC(O)R8; -CH2-NR2-C(O)R8; -S(O)R8; -SO2R8; -SO2-OR8; оксо и -SO2-NR8R8'; каждая из таких R11 групп необязательно замещена 1, 2, 3 или 4 группами, независимо выбранными из R12; и
R12 независимо в каждом случае выбран из: галогена; гидроксила; циано; нитро; алкила; галогеналкила; алкенила; алкинила; циклоалкила; гетероцикла; арила; гетероарила; -СН2арила; -СН2 гетероарила; -OR8; -NR8R8'; -C(O)R8; -C(O)OR8; -C(O)-NR8R8'; -C(O)CH2R8; -C(O)CH2OR8; -C(O)CH2-NR8R8'; -OC(O)R8; -NR2-C(O)R8; -CH2-OC(O)R8; -CH2-NR2-C(O)R8; -S(O)R8; -SO2R8; -SO2-OR8; и -SO2-NR8R8'.
В соответствии с одним вариантом осуществления соединение формулы I выбрано из формулы I-а, формулы I-b и формулы I-е:
где все переменные определены в настоящем изобретении.
В соответствии с другим вариантом осуществления соединение формулы I выбрано из формулы I-d, формулы I-е, формулы I-f и формулы I-g:
где все переменные определены в настоящем изобретении.
В соответствии с другим аспектом соединение формулы I выбрано из формулы I-h:
где все переменные определены в настоящем изобретении.
В соответствии с одним аспектом представлено соединение формулы (II):
или его фармацевтически приемлемая соль, N-оксид, изотопное производное или пролекарство, необязательно в фармацевтически приемлемом носителе с образованием композиции;
где:
X3 выбран из связи, NR2, C(R3R3'), О, С(О), C(S), S, S(O) и S(O)2;
R20, R21, R22, R23 и R24 независимо в каждом случае выбраны из группы, состоящей из связи, алкила, -С(О)-, -С(O)O-, -ОС(О)-, -SO2-, -S(O)-, -C(S)-, -C(O)NR2-, -NR2C(O)-, -О-, -S-, -NR2-, -P(O)(R28)-, -P(O)-, алкена, алкина, галогеналкила, арила, гетероцикла, гетероарила, бицикла и карбоцикла; каждый из которых необязательно замещен 1, 2, 3 или 4 заместителями, независимо выбранными из R40; и где R20, R21, R22, R23 и R24 не могут быть выбраны таким образом, что
i. -С(О)-, -С(O)O-, -ОС(О)-, -SO2-, -S(O)-, -P(O)(R28)-, -Р(О)- и -C(S)- фрагменты смежные друг с другом; или
ii. -О-, -S- или -NR2- фрагменты смежные друг с другом; или
iii. иным образом фрагменты выбраны в порядке, который приводит к нестабильной молекуле (определяемый как образующий молекулу со сроком хранения при температуре окружающей среды менее, чем около четыре месяца (или альтернативно менее, чем около шесть или пять месяцев) вследствие распада, вызванного выбором и порядком фрагментов R20, R21, R22, R23 и R24);
R25 выбран из водорода, алкила, алкена, алкина, галогена, гидроксила, алкокси, азида, амино, циано, -OR2, -NR2R2', -NR2SO2R28, -OSO2R28, -SO2R28, галогеналкила, арила, гетероарила, гетероцикла, бицикла и циклоалкила; каждая из таких R25 групп необязательно замещена 1, 2, 3 или 4 группами, независимо выбранными из R12;
R28 независимо в каждом случае выбран из водорода, -NR2R2', -OR2, -SR2, алкила, галогеналкила, алкенила, алкинила, циклоалкила, гетероцикла, арила и гетероарила;
R40 независимо в каждом случае выбран из группы, состоящей из водорода, алкила, алкена, алкина, галогена, гидроксила, алкокси, азида, амино, циано, -NR2R2', -NR2SO2R28, -0SO2R28, -SO2R28, галогеналкила, арила, гетероарила, гетероцикла и циклоалкила; каждая из таких R40 групп необязательно замещена 1, 2, 3 или 4 группами, независимо выбранными из R12;
или два R40 вместе образуют оксогруппу;
и где все другие переменные определены в настоящем описании.
В соответствии с одним вариантом осуществления соединения, описанные в данном документе, связываются с цереблоном, повышая взаимодействие между цереблоном и белком Ikaros (IKZF1) или белком Aiolos (IKZF3) и приводя к последующему убиквитинированию и разрушению белка в протеасоме.
В соответствии с одним вариантом осуществления соединение согласно настоящему изобретению селективно разрушает IKZF1 и/или 3 по сравнению с одним или несколькими из FKZF2, и/или 4, и/или 5.
Таким образом, исходя из этого открытия, в соответствии с некоторыми вариантами осуществления обеспечены соединения и способы для лечения пациента с нарушением, опосредованным белком Ikaros (IKZF1) или белком Aiolos (IKZF3). На белок Ikaros (FKZF1) или белок Aiolos (IKZF3) оказывают целенаправленное воздействие с целью селективного разрушения с помощью способа, который включает в себя введение пациенту (как правило, человеку), нуждающемуся в этом, эффективного количества селективного соединения, которое описано в данном документе, отдельно или в комбинации с другим активным средством, необязательно, в фармацевтически приемлемом носителе с образованием композиции. В соответствии с одним вариантом осуществления нарушение представляет собой лимфоидное нарушение. В соответствии с одним вариантом осуществления нарушение представляет собой лейкоз. В соответствии с одним вариантом осуществления нарушение представляет собой лимфоидный лейкоз. В соответствии с одним вариантом осуществления нарушение представляет собой лимфобластный лейкоз. В соответствии с некоторыми вариантами осуществления нарушение представляет собой гемобластоз, например множественную миелому, миелодиспластический синдром, такой как 5q-минус синдром, острый лимфобластный лейкоз, хронический лимфоцитарный лейкоз, лимфому Ходжкина, неходжкинскую лимфому или хронический лимфоцитарный лейкоз. В соответствии с еще одним вариантом осуществления выбранное соединение согласно настоящему изобретению вводят для достижения иммуномодуляции и для сокращения ангиогенеза.
В соответствии с другими вариантами осуществления представлены соединения и способы для лечения нарушения, включающего в себя, без ограничения, доброкачественную опухоль, новообразование, опухоль, рак, аномальную клеточную пролиферацию, иммунологические нарушения, воспалительные нарушения, реакцию «трансплантат против хозяина», вирусную инфекцию, бактериальную инфекцию, протеинопатию, основанную на накоплении амилоида, протеинопатию или фиброзное нарушение. Кроме того, ниже описаны другие нарушения, лечение которых можно осуществлять с использованием эффективного количества соединения, описанного в данном документе.
В соответствии с определенными вариантами осуществления любое из соединений, описанных в данном документе, имеет по меньшей мере одно желаемое изотопное замещение атома в количестве, приблизительно соответствующем распространенности изотопа в природе, т.е. обогащено. В соответствии с одним вариантом осуществления соединение включает в себя дейтерий или несколько атомов дейтерия.
Другие признаки и преимущества настоящего изобретения станут очевидными из следующего подробного описания и пунктов формулы изобретения.
Следовательно, настоящее изобретение включает в себя по меньшей мере следующие признаки:
(a) соединение с формулой I или формулой II, которые описаны в данном документе, или его фармацевтически приемлемая соль, изотопное производное (в том числе дейтерированное производное) или пролекарство;
(b) соединение с формулой I или формулой II, которые описаны в данном документе, или его фармацевтически приемлемая соль, изотопное производное или пролекарство для лечения нарушения, которое опосредовано белком Ikaros или белком Aiolos;
(c) применение соединения с формулой I или формулой II, которые описаны в данном документе, или его фармацевтически приемлемой соли, изотопного производного или пролекарства в эффективном количестве в лечении пациента, как правило, человека, с любым из нарушений, описанных в данном документе, в том числе с нарушениями, опосредованными белком Ikaros или белком Aiolos;
(d) применение соединения с формулой I или формулой II, которые описаны в данном документе, или его фармацевтически приемлемой соли, изотопного производного или пролекарства в получении лекарственного препарата для лечения медицинского нарушения, чувствительного к соединению, как дополнительно описано в данном документе;
(e) способ получения лекарственного препарата для лечения нарушения, описанного в данном документе, у хозяина, характеризующийся тем, что соединение с формулой I или формулой II применяют в получении:
(f) соединение с формулой I или формулой II, которые описаны в данном документе, или его фармацевтически приемлемая соль, изотопное производное или пролекарство для лечения рака у хозяина, в том числе любой из форм рака, описанных в данном документе;
(g) применение соединения с формулой I или формулой II, которые описаны в данном документе, или его фармацевтически приемлемой соли, изотопного производного или пролекарства в получении лекарственного препарата для лечения рака, в том числе любой из форм рака, описанных в данном документе;
(h) способ получения лекарственного препарата для лечения рака у хозяина, в том числе любой из форм рака, описанных в данном документе, характеризующийся тем, что соединение с формулой I или формулой II применяют в получении;
(i) соединение с формулой I или формулой II, которые описаны в данном документе, или его фармацевтически приемлемая соль, изотопное производное или пролекарство для лечения опухоли у хозяина, в том числе любой из опухолей, описанных в данном документе;
(j) применение соединения с формулой I или формулой II, которые описаны в данном документе, или его фармацевтически приемлемой соли, изотопного производного или пролекарства в получении лекарственного препарата для лечения опухоли, в том числе любой из опухолей, описанных в данном документе;
(k) способ получения лекарственного препарата для лечения опухоли у хозяина, в том числе любой из опухолей, описанных в данном документе, характеризующийся тем, что соединение с формулой I или формулой II применяют в получении;
(l) соединение с формулой I или формулой II, которые описаны в данном документе, или его фармацевтически приемлемая соль, изотопное производное или пролекарство для лечения иммунного, аутоиммунного или воспалительного нарушения у хозяина;
(m) применения соединения с формулой I или формулой II, которые описаны в данном документе, или его фармацевтически приемлемой соли, изотопного производного или его пролекарства в получении лекарственного препарата для лечения иммунного, аутоиммунного или воспалительного нарушения;
(n) способ получения лекарственного препарата для лечения иммунного, аутоиммунного или воспалительного нарушения у хозяина, характеризующийся тем, что соединение с формулой I или формулой II применяют в получении;
(о) соединение с формулой I или формулой II, которые описаны в данном документе, или его фармацевтически приемлемая соль, изотопное производное или пролекарство для лечения гемобластоза, такого как множественная миелома, лейкоз, лимфобластный лейкоз, хронический лимфоцитарный лейкоз, лимфома Ходжкина или неходжкинская лимфома;
(р) применение соединения с формулой I или формулой II, которые описаны в данном документе, или его фармацевтически приемлемой соли, изотопного производного или пролекарства в получении лекарственного препарата для лечения гемобластоза, такого как множественная миелома, лейкоз, лимфобластный лейкоз, хронический лимфоцитарный лейкоз, лимфома Ходжкина или неходжкинская лимфома;
(q) способ получения лекарственного препарата для лечения гемобластоза у хозяина, такого как множественная миелома, лейкоз, лимфобластный лейкоз, хронический лимфоци тарный лейкоз, лимфома Ходжкина или неходжкинская лимфома, характеризующийся тем, что соединение с формулой I или формулой II применяют в получении;
(r) фармацевтическая композиция, содержащая эффективное для лечения хозяина количество соединения с формулой I или формулой II, которые описаны в данном документе, или его фармацевтически приемлемой соли, изотопного производного или пролекарства с фармацевтически приемлемым носителем или разбавителем;
(s) соединение, описанное в данном документе, в виде смеси энантиомеров или диастереомеров (в соответствующих случаях), включающей в себя рацемат;
(t) соединение, которое описано в данном документе, в энантиомерно или диастереомерно (в соответствующих случаях) обогащенной форме, включающей в себя выделенный энантиомер или диастереомер (т.е. чистый более чем на 85, 90, 95, 97 или 99%); и
(u) процесс для получения терапевтических продуктов, которые содержат эффективное количество соединения с формулой I или формулой II, которые описаны в данном документе.
Подробное описание настоящего изобретения
I. Определения
Если не указано иное, все технические и научные термины, используемые в настоящем документе, характеризуются тем же значением, которое обычно понимается специалистом в области техники, к которой принадлежит настоящая заявка. В настоящей заявке формы единственного числа также включают в себя множественное число, если в контексте четко не указано иное. Хотя способы и вещества, подобные или эквивалентные описанным в настоящем изобретении, могут быть использованы на практике и исследовании по настоящей заявке, подходящие способы и вещества описаны ниже. Все публикации, патентные заявки, патенты и другие ссылки, упомянутые в настоящем описании, включены при помощи ссылки. Перечисленные в настоящем описании ссылки не предусмотрены как известный уровень техники указанной заявки. В случае конфликта настоящее описание, включая определения, будет главным. Кроме того, вещества, способы и примеры являются только иллюстративными и не предусмотрены для ограничения.
Соединения описаны с применением стандартной номенклатуры. Если не отмечено иное, все используемые в настоящем описании технические и научные термины характеризуются тем же значением, что и обычно понятно специалисту настоящей области техники, к которой принадлежит настоящее изобретение.
В соответствии с одним вариантом осуществления каждого соединения, описанного в настоящем изобретении, соединение может быть в форме рацемата, энантиомера, смеси энантиомеров, диастереомера, смеси диастереомеров, таутомера, N-оксида или изомера, такого как ротамер, как если бы каждое было описано конкретно, если конкретно не было исключено контекстом.
Формы единственного числа не обозначают ограничение количества, а скорее обозначают присутствие по меньшей мере одной из упомянутых единиц. Термин «или» означает «и/или». Перечисление диапазонов значений предназначено только служить в качестве сокращенного способа ссылки отдельно на каждое отдельное значение, попадающее в предел диапазона, если в настоящем описании не отмечено иное, и каждое отдельное значение включено в описание, как если бы оно было отдельно упомянуто в настоящем описании. Конечные точки всех диапазонов включены в диапазон и являются независимо комбинируемыми. Все описанные в настоящем изобретении способы могут быть выполнены в подходящем порядке, если не отмечено иное или иное четко не противоречит контексту. Применение примеров или языка примеров (например, «такой как») предназначено только для лучшей иллюстрации настоящего изобретения и не задает ограничения объема настоящего изобретения, если не заявлено иное.
Настоящее изобретение включает в себя соединения, описанные в настоящем изобретении, по меньшей мере с одним необходимым изотопным замещением атома, в количестве, которое превышает распространенность в природе изотопа, т.е., обогащенные. Изотопы представляют собой атомы, характеризующиеся тем же атомным числом, но разными массовыми числами, т.е., то же число протонов, но разное число нейтронов. При использовании изотопных замещений, обычной заменой является по меньшей мере один дейтерий водородом.
В более общем смысле примеры изотопов, которые могут быть включены в соединения по настоящему изобретению, включают в себя изотопы водорода, углерода, азота, кислорода, фтора и хлора, такие как 2Н, 3Н, 11C, 13С, 14С, 15N, 17O, 18O, 18F, 35S и 36Cl, соответственно. В соответствии с одним неограничивающим вариантом осуществления изотопно меченные соединения могут быть использованы при изучениях метаболизма (с, например, 14С), изучениях кинетических реакций (с, например, 2Н или 3Н), методах определения или визуализации, таких как позитронно-эмиссионная томография (PET) или однофотонная эмиссионная компьютерная томография (SPECT), включая анализы распределения в тканях лекарственного средства или субстрата или при радиоактивной терапии пациентов. Кроме того, любой атом водорода, что присутствует в соединении по настоящему изобретению, может быть замещен атомом 18F, замещение, которое может быть особенно желательным для PET или SPECT изучений. Изотопно меченные соединения по настоящему изобретению и их пролекарства обычно могут быть получены проведением процедур, раскрытых в схемах или в примерах и получениях, описанных ниже, замещением легко доступного изотопно меченного реагента не меченым изотопом реагентом.
В качестве общего примера и без ограничения изотопы водорода, например, дейтерий (2Н) и тритий (3Н), могут быть использованы где угодно в описанных структурах, для достижения требуемого результата. Альтернативно или в дополнение, могут быть использованы изотопы углерода, например, 13С и 14С.
Изотопные замещения, например, дейтериевые замещения, могут быть частичными или полными. Частичное дейтериевое замещение означает, что по меньшей мере один водород замещен дейтерием. В соответствии с определенными вариантами осуществления изотоп является на 90, 95 или 99% или более обогащенным в изотопе в любом интересующем положении. В соответствии с одним неограничивающим вариантом осуществления дейтерий является на 90, 95 или 99% обогащенным в требуемом положении.
В соответствии с одним неограничивающим вариантом осуществления замещение атома водорода атомом дейтерия может быть обеспечено в любом описанном в настоящем изобретении соединении. Например, если любая из групп представляет собой или содержит, например, через замещение, метил, этил или метокси, алкильный остаток может быть дейтерирован (в неограничивающих вариантах осуществления, CDH2, CD2H, CD3, CH2CD3, CD2CD3, CHDCH2D, CH2CD3, CHDCHD2, OCDH2, OCD2H или OCD3 и т.п.). Если два заместителя объединены с образованием цикла, незамещенные атомы углерода могут быть дейтерированы. В соответствии с одним вариантом осуществления по меньшей мере один дейтерий помещен на атоме, который содержит связь, которая разрывается в течение метаболизма соединения in vivo, или является одним, двумя или тремя атомами, удаленными от метаболизированной связи (например, которая может быть названа как α, β или γ или первичный, вторичный или третичный изотопный эффект).
Соединения по настоящему изобретению могут образовывать сольват с растворителем (включая воду). Таким образом, согласно одному варианту осуществления настоящее изобретение включает в себя сольватированную форму описанных в настоящем изобретении соединений. Термин «сольват» относится к молекулярному комплексу соединения по настоящему изобретению (включая его соль) с одной или несколькими молекулами растворителя. Неограничивающими примерами растворителей являются вода, этанол, изопропанол, диметилсульфоксид, ацетон и другие обычные органические растворители. Термин «гидрат» относится к молекулярному комплексу, содержащему соединение по настоящему изобретению и воду. Фармацевтически приемлемые сольваты в соответствии с настоящим изобретением включают в себя такие сольваты, где растворитель может быть изотопно замещенным, например, D2O, d6-ацетон, d6-DMSO. Сольват может быть в жидкой или твердой форме.
Черточка («-»), которая расположена не между двумя буквами или символами, используется для обозначения точки присоединения заместителя. Например, -(C=O)NH2 присоединен через атом углерода кето(С=O) группы.
«Алкил» представляет собой насыщенную алифатическую углеводородную группу с разветвленной или неразветвленной цепью. В соответствии с одним неограничивающим вариантом осуществления алкильная группа содержит от 1 до около 12 атомов углерода, более в общем от 1 до около 6 атомов углерода или от 1 до около 4 атомов углерода. В соответствии с одним неограничивающим вариантом осуществления алкил содержит от 1 до около 8 атомов углерода. В соответствии с определенными вариантами осуществления алкил представляет собой С1-С2, С1-С3, С1-С4, С1-С5 или C1-C6. Используемые в настоящем описании конкретные диапазоны означают алкильную группу, содержащую каждый член диапазона, описанный как отдельное соединение. Например, используемый в настоящем описании термин C1-С6 алкил означает неразветвленную или разветвленную алкильную группу, содержащую от 1, 2, 3, 4, 5 или 6 атомов углерода, и подразумевается, что каждая из них описана как отдельное соединение. Например, используемый в настоящем описании термин С1-С4 алкил означает неразветвленную или разветвленную алкильную группу, содержащую от 1, 2, 3 или 4 атомов углерода, и подразумевается, что каждая из них описана как отдельное соединение. Примеры алкила включают в себя без ограничения метил, этил, н-пропил, изопропил, н-бутил, изобутил, втор-бутил, трет-бутил, н-пентил, изопентил, трет-пентил, неопентил, н-гексил, 2-метилпентан, 3-метилпентан, 2,2-диметилбутан и 2,3-диметилбутан.
«Алкенил» представляет собой алифатическую углеводородную группу с неразветвленной или разветвленной цепью, содержащую одну или несколько двойных связей углерод-углерод, которые могут возникать в устойчивой точке вдоль цепи. Используемые в настоящем описании конкретные диапазоны означают алкенильную группу с каждым членом диапазона, описанным как отдельное соединение, как описано выше для алкильного фрагмента. В соответствии с одним неограничивающим вариантом осуществления алкенил содержит от 2 до около 12 атомов углерода, более в общем от 2 до около 6 атомов углерода или от 2 до около 4 атомов углерода. В соответствии с определенными вариантами осуществления алкенил представляет собой С2, С2-С3, С2-С4, С2-С5 или С2-С6. Примеры алкенильных радикалов включают в себя без ограничения этенил, пропенил, аллил, пропенил, бутенил и 4-метилбутенил. Термин «алкенил» также включает в себя «цис» и «транс» алкенильную геометрию или альтернативно, «Е» и «Z» алкенильную геометрию. Термин «алкенил» также охватывает циклоалкильные или карбоциклические группы, обладающие по меньшей мере одной точкой ненасыщенности.
«Алкинил» представляет собой алифатическую углеводородную группу с неразветвленной или разветвленной цепью, содержащую одну или несколько тройных связей углерод-углерод, которые могут возникать при любой стабильной точке вдоль цепи. Используемые в настоящем описании конкретные диапазоны означают алкинильную группу с каждым членом диапазона, описанным как отдельное соединение, как описано выше для алкильного фрагмента. В соответствии с одним неограничивающим вариантом осуществления алкинил содержит от 2 до около 12 атомов углерода, более в общем от 2 до около 6 атомов углерода или от 2 до около 4 атомов углерода. В соответствии с определенными вариантами осуществления алкинил представляет собой С2, С2-С3, С2-С4, С2-С5 или С2-С6. Примеры алкинила включают в себя без ограничения этинил, пропинил, 11-бутинил, 2-бутинил, 3-бутинил, 1-пентинил, 2-пентинил, 3-пентинил, 4-пентинил, 1-гексинил, 2-гексинил, 3-гексинил, 4-гексинил и 5-гексинил.
«Гало» или «галоген» независимо представляет собой фтор, хлор, бром или йод.
«Галогеналкил» представляет собой алкильные группы с разветвленной или неразветвленной цепью, замещенные 1 или несколькими атомами галогена, описанными выше, вплоть до максимально допустимого числа атомов галогена. Примеры галогеналкильных групп включают в себя без ограничения фторметил, дифторметил, трифторметил, хлорметил, дихлорметил, трихлорметил, пентафторэтил, гептафторпропил, дифторхлорметил, дихлорфторметил, дифторэтил, дифторпропил, дихлорэтил и дихлорпропил. «Пергалогеналкил» означает алкильную группу, содержащую все атомы водорода, замененные атомами галогена. Примеры включают в себя без ограничения трифторметил и пентафторэтил.
Используемый в настоящем описании «арил» относится к радикалу моноциклической или полициклической (например, бициклической или трициклической) 4n+2 ароматической кольцевой системы (например, содержащей 6, 10 или 14 π электронов, распределенных в циклической структуре), содержащей 6-14 кольцевых атомов углерода и не содержащей гетероатомы, обеспеченные в ароматической кольцевой системе («С6-14 арил»). В соответствии с некоторыми вариантами осуществления арильная группа содержит 6 кольцевых атомов углерода («С6 арил», например, фенил). В соответствии с некоторыми вариантами осуществления арильная группа содержит 10 кольцевых атомов углерода («С10 арил»; например, нафтил, такой как 1-нафтил и 2-нафтил). В соответствии с некоторыми вариантами осуществления арильная группа содержит 14 кольцевых атомов углерода («С14 арил»; например, антрацил). «Арил» также включает в себя кольцевые системы, где арильное кольцо, как определено выше, конденсировано с одной или несколькими циклоалкильными или гетероциклическими группами, где радикал или точка присоединения находится на арильном кольце, и в таких случаях число атомов углерода продолжает обозначать число атомов углерода в арильной кольцевой системе. Одна или несколько конденсированных циклоалкильных или гетероциклических групп могут быть 4-7-членными насыщенными или частично ненасыщенными циклоалкильными или гетероциклическими группами.
Термин «гетероцикл» означает насыщенные или частично ненасыщенные, содержащие гетероатом кольцевые радикалы, где 1, 2, 3 или 4 гетероатома независимо выбраны из азота, серы, бора, кремния и кислорода. Гетероциклические кольца могут содержать моноциклические 3-10-членные кольца, а также 5-16-членные бициклические кольцевые системы (которые могут включать в себя с мостиковыми связями, конденсированные и спироконденсированные бициклические кольцевые системы). Он не включает в себя кольца, содержащие -О-О-, -O-S- или -S-S- части. Примеры насыщенных гетероциклических групп включают в себя насыщенные 3-6-членные гетеромоноциклические группы, содержащие от 1 до 4 атомов азота [например, пирролидинил, имидазолидинил, пиперидинил, пирролинил, пиперазинил]; насыщенную 3-6-членную гетеромоноциклическую группу, содержащую от 1 до 2 атомов кислорода и от 1 до 3 атомов азота [например, морфолинил]; насыщенную 3-6-членную гетеромоноциклическую группу, содержащую от 1 до 2 атомов серы и от 1 до 3 атомов азота [например, тиазолидинил]. Примеры частично насыщенных гетероциклических радикалов включают в себя без ограничения дигидротиенил, дигидропиранил, дигидрофурил и дигидротиазолил. Примеры частично насыщенных и насыщенных гетероциклических радикалов включают в себя без ограничения пирролидинил, имидазолидинил, пиперидинил, пирролинил, пиразолидинил, пиперазинил, морфолинил, тетрагидропиранил, тиазолидинил, дигидротиенил, 2,3-дигидробензо[1,4]диоксанил, индолинил, изоиндолинил, дигидробензотиенил, дигидробензофурил, изохроманил, хроманил, 1,2-дигидрохинолил, 1,2,3,4-тетрагидроизохинолил, 1,2,3,4-тетрагидрохинолил, 2,3,4,4а,9,9а-гексагидро-1Н-3-аза-флуоренил, 5,6,7-тригидро-1,2,4-триазоло[3,4-а]изохинолил, 3,4-дигидро-2Н-бензо[1,4]оксазинил, бензо[1,4]диоксанил, 2,3-дигидро-1Н-1λ'-бензо[d]изотиазол-6-ил, дигидропиранил, дигидрофурил и дигидротиазолил.
«Гетероцикл» также включает в себя группы, где гетероциклический радикал соединен/конденсирован с арильным или карбоциклическим радикалом, где точка присоединения находится на гетероциклическом кольце. «Гетероцикл» также включает в себя группы, где гетероциклический радикал замещен оксогруппой (т.е.,
). Например, частично ненасыщенная конденсированная гетероциклическая группа, содержащая от 1 до 5 атомов азота, например, индолин или изоиндолин; частично ненасыщенная конденсированная гетероциклическая группа, содержащая от 1 до 2 атомов кислорода и от 1 до 3 атомов азота; частично ненасыщенная конденсированная гетероциклическая группа, содержащая от 1 до 2 атомов серы и от 1 до 3 атомов азота; и насыщенная конденсированная гетероциклическая группа, содержащая от 1 до 2 атомов кислорода или серы.
Термин «гетероцикл» также включает в себя «бициклический гетероцикл». Термин «бициклический гетероцикл» означает гетероцикл, как определено в настоящем изобретении, где присутствует одна с мостиковыми связями, конденсированная или спироциклическая часть гетероцикла. С мостиковыми связями, конденсированная или спироциклическая часть гетероцикла может быть карбоциклической, гетероциклической или арильной группой, поскольку приводит к стабильной молекуле. Если не исключено контекстом, термин «гетероцикл» включает в себя бициклические гетероциклы. Бициклические гетероциклы включают в себя группы, где конденсированный гетероцикл замещен оксогруппой.
Неограничивающие примеры бициклических гетероциклов включают в себя:

Термин «гетероарил» означает стабильные ароматические кольцевые системы, которые содержат 1, 2, 3 или 4 гетероатома, независимо выбранные из О, N и S, где кольцевой(ые) атом(ы) азота и серы необязательно окислен(ы) и атом(ы) азота необязательно кватернизирован(ы). Примеры включают в себя без ограничения ненасыщенные 5-6-членные гетеромоноциклильные группы, содержащие от 1 до 4 атомов азота, такие как пирролил, имидазолил, пиразолил, 2-пиридил, 3-пиридил, 4-пиридил, пиримидил, пиразинил, пиридазинил, триазолил [например, 4Н-1,2,4-триазолил, 1Н-1,2,3-триазолил, 2Н-1,2,3-триазолил]; ненасыщенные 5-6-членные гетеромоноциклические группы, содержащие атом кислорода, например, пиранил, 2-фурил, 3-фурил и т.п.; ненасыщенные 5-6-членные гетеромоноциклические группы, содержащие атом серы, например, 2-тиенил, 3-тиенил и т.п.; ненасыщенные 5-6-членные гетеромоноциклические группы, содержащие от 1 до 2 атомов кислорода и от 1 до 3 атомов азота, например, оксазолил, изоксазолил, оксадиазолил [например, 1,2,4-оксадиазолил, 1,3,4-оксадиазолил, 1,2,5-оксадиазолил]; ненасыщенные 5-6-членные гетеромоноциклические группы, содержащие от 1 до 2 атомов серы и от 1 до 3 атомов азота, например, тиазолил, тиодиазолил [например, 1,2,4-тиадиазолил, 1,3,4-тиадиазолил, 1,2,5-тиадиазолил]. В соответствии с одним вариантом осуществления «гетероарильная» группа представляет собой 8-, 9- или 10-членную бициклическую кольцевую систему. Примеры 8-, 9- или 10-членных бициклических гетероарильных групп включают в себя бензофуразанил, бензотиофенил, бензотиазолил, бензоксазолил, хиназолинил, хиноксалинил, нафтиридинил, хинолинил, изохинолинил, бензофуранил, индолил, индазолил и бензотриазолил.
Используемый в настоящем описании «карбоциклический», «карбоцикл» или «циклоалкил» включает в себя насыщенную или частично ненасыщенную (т.е., не ароматическую) группу, содержащую все атомы углеродного кольца и от 3 до 14 кольцевых атомов углерода («С3-14 карбоциклил») и которая не содержит гетероатомов в не ароматической кольцевой системе. В соответствии с некоторыми вариантами осуществления циклоалкильная группа содержит от 3 до 10 кольцевых атомов углерода («С3-10 циклоалкил»). В соответствии с некоторыми вариантами осуществления циклоалкильная группа содержит от 3 до 9 кольцевых атомов углерода («С3-9 циклоалкил»). В соответствии с некоторыми вариантами осуществления циклоалкильная группа содержит от 3 до 8 кольцевых атомов углерода («С3-8 циклоалкил»). В соответствии с некоторыми вариантами осуществления циклоалкильная группа содержит от 3 до 7 кольцевых атомов углерода («С3-7 циклоалкил»). В соответствии с некоторыми вариантами осуществления циклоалкильная группа содержит от 3 до 6 кольцевых атомов углерода («С3-6 циклоалкил»). В соответствии с некоторыми вариантами осуществления циклоалкильная группа содержит от 4 до 6 кольцевых атомов углерода («С4-6 циклоалкил»). В соответствии с некоторыми вариантами осуществления а циклоалкильная группа содержит от 5 до 6 кольцевых атомов углерода («С5-6 циклоалкил»). В соответствии с некоторыми вариантами осуществления циклоалкильная группа содержит от 5 до 10 кольцевых атомов углерода («С5-10 циклоалкил»). Приводимые в качестве примера С3-6 циклоалкильные группы в себя без ограничения циклопропил (С3), циклопропенил (С3), циклобутил (С4), циклобутенил (С4), циклопентил (С5), циклопентенил (С5), циклогексил (С6), циклогексенил (С6), циклогексадиенил (С6) и т.п. Приводимые в качестве примера С3-8 циклоалкильные группы включают в себя без ограничения вышеупомянутые С3-6 циклоалкильные группы, а также циклогептил (С7), циклогептенил (С7), циклогептадиенил (С7), циклогептатриенил (С7), циклооктил (C8), циклооктенил (С8) и т.п. Приводимые в качестве примера С3-10 циклоалкильные группы включают в себя без ограничения вышеупомянутые С3-8 циклоалкильные группы, а также циклононил (С9), циклононенил (С9), циклодецил (С10), циклодеценил (С10) и т.п. Как показано в вышеупомянутых примерах, в соответствии с определенными вариантами осуществления циклоалкильная группа может быть насыщенной или может содержать одну или несколько двойных связей углерод-углерод. Термин «циклоалкил» также включает в себя кольцевые системы, где циклоалкильное кольцо, как определено выше, конденсировано с одним гетероциклическим, арильным или гетероарильным кольцом, где точка присоединения находится на циклоалкильном кольце, и в таких случаях число атомов углерода продолжает обозначать число атомов углерода в карбоциклической кольцевой системе. Термин «циклоалкил» также включает в себя кольцевые системы, где циклоалкильное кольцо, как определено выше, содержит спироциклическое гетероцикльное, арильное или гетероарильное кольцо, где точка присоединения находится на циклоалкильном кольце, и в таких случаях число атомов углерода продолжает обозначать число атомов углерода в карбоциклической кольцевой системе. Термин «циклоалкил» также включает в себя бициклические или полициклические конденсированные, с мостиковыми связями или спирокольцевые системы, которые содержат от 5 до 14 атомов углерода и не содержат гетероатомы в неароматической кольцевой системе. Иллюстративные примеры «циклоалкила» включают в себя без ограничения

Термин «бицикл» относится к кольцевой системе, где два кольца конденсированы вместе и каждое кольцо независимо выбрано из карбоцикла, гетероцикла, арила и гетероарила. Неограничивающие примеры бициклических групп включают в себя:
При использовании термина «бицикл» в контексте бивалентного остатка, такого как R20, R21, R22, R23 или R24, точки присоединения могут быть на отдельных кольцах или на том же кольце. В соответствии с определенными вариантами осуществления обе точки присоединения находятся на том же кольце. В соответствии с определенными вариантами осуществления обе точки присоединения находятся на разных кольцах. Неограничивающие примеры бивалентных бициклических групп включают в себя:
«Лекарственная форма» означает единицу введения активного средства. Примеры лекарственных форм включают в себя таблетки, капсулы, инъекции, суспензии, жидкости, эмульсии, имплантаты, частицы, сферы, кремы, мази, суппозитории, ингалируемые формы, трансдермальные формы, трансбуккальные, сублингвальные, местные, гель, для слизистой и т.п. «Лекарственная форма» также может включать в себя имплантат, например, глазной имплантат.
Используемый в настоящем описании «эндогенный» относится к любому веществу из или воспроизводимому внутри организма, клетки, ткани или системы.
Используемый в настоящем описании термин «экзогенный» относится к любому веществу, введенному из или воспроизводимому за пределами организма, клетки, ткани или системы.
Под термином «модуляция», используемым в настоящем изобретении, подразумевается опосредование обнаруживаемого увеличения или снижения уровня ответа у субъекта по сравнению с уровнем ответа у субъекта при отсутствии лечения или соединения, и/или сравнение с уровнем ответа у идентичного в основном субъекта, но которого не лечили. Термин охватывает искажение и/или поражение нативного сигнала или ответа, тем самым опосредуя полезный терапевтический ответ у субъекта, предпочтительно человека.
«Парентеральное» введение соединения включает в себя, например, подкожную (п.к.), внутривенную (в.в.), внутримышечную (в.м.) или интрастернальную инъекцию или техники инфузии.
Используемые в настоящем описании «фармацевтические композиции» представляют собой композицию, содержащую по меньшей мере одно активное средство, такое как выбранное активное соединение, описанное в настоящем изобретении, и по меньшей мере одно другое вещество, такое как носитель. «Фармацевтические комбинации» представляют собой комбинации по меньшей мере двух активных средств, которые могут быть объединены в лекарственной форме для однократного приема или обеспечены вместе в отдельных лекарственных формах с инструкциями, что активные средства использовались вместе для лечения любого описанного в настоящем изобретении нарушения.
Используемая в настоящем описании «фармацевтически приемлемая соль» является производным раскрытого соединения, в котором исходное соединение модифицировано образованием его неорганических и органических, кислотно- или основно-аддитивных солей с биологически приемлемым отсутствием токсичности. Соли соединений по настоящему изобретению могут быть синтезированы из исходного соединения, которое содержит основный или кислотный фрагмент, традиционными химическими способами. Как правило, такие соли могут быть получены путем осуществления взаимодействия свободных кислотных форм этих соединений со стехиометрическим количеством соответствующего основания (такого как гидроксид, карбонат, бикарбонат Na, Са, Mg или K или т.п.) или путем осуществления взаимодействия свободных основных форм этих соединений со стехиометрическим количеством соответствующей кислоты. Такие реакции обычно проводили в воде или в органическим растворителе, или в их смеси. Как правило, неводная среда, такая как эфир, этилацетат, этанол, изопропанол или ацетонитрил, являются типичными при наличии возможности. Соли соединений по настоящему изобретению дополнительно включат в себя сольваты соединений и солей соединений.
Примеры фармацевтически приемлемых солей включают в себя без ограничения соли неорганической или органической кислоты основных остатков, таких как амины; щелочные или органические соли кислотных остатков, таких как карбоновые кислоты; и т.п. Фармацевтически приемлемые соли включают в себя традиционные нетоксичные соли и четвертичные аммонийные соли исходного соединения, образованные, например, из нетоксичных неорганических или органических кислот. Например, традиционные нетоксичные кислотные соли включают в себя соли, полученные из неорганических кислот, таких как хлористоводородная, бромистоводородная, серная, сульфамовая, фосфорная, азотная и т.п.; и соли, полученные из органических кислот, таких как уксусная, пропионовая, янтарная, гликолевая, стеариновая, молочная, яблочная, виннокаменная, лимонная, аскорбиновая, памовая, малеиновая, гидроксималеиновая, фенилуксусная, глутаминовая, бензойная, салициловая, мезиловая, эзиловая, безиловая, сульфаниловая, 2-ацетоксибензойная, фумаровая, толуолсульфоновая, метансульфоновая, этандисульфоновая, щавелевая, изетиновая, НООС-(СН2)n-СООН, где n представляет собой 0-4 и т.п., или с применением другой кислоты, которая дает тот же противоион. Перечни дополнительных подходящих солей могут быть получены, например, из Remington's Pharmaceutical Sciences, 17th ed., Mack Publishing Company, Easton, Pa., p. 1418 (1985).
Термин «носитель» означает разбавитель, вспомогательное вещество или несущая среда, в которой использовали или доставляли активное средство.
«Фармацевтически приемлемое вспомогательное вещество» означает вспомогательное вещество, которое применимо при получении фармацевтической композиции/комбинации, которая в целом является безопасной, и ни биологически, ни иным образом непригодной для введения реципиенту, типично, человеку. В соответствии с одним вариантом осуществления использовали вспомогательное вещество, которое является приемлемым для ветеринарного применения.
«Пациент» или «реципиент» или «субъект» представляет собой человека или не принадлежащего к человеческому роду животного, нуждающегося в лечении любых из нарушений, как конкретно описано в настоящем изобретении. Как правило, реципиентом является человек. «Реципиент» может альтернативно относиться к, например, млекопитающему, примату (например, человеку), корове, овце, козе, лошади, собаке, кошке, кролику, крысе, мыши, рыбе, птице и т.п.
«Терапевтически эффективное количество» фармацевтической композиции/комбинации в соответствии с настоящим изобретением означает количество, эффективное при введении реципиенту для обеспечения терапевтической пользы, такой как облегчение симптомов, или уменьшение, или снижение самого заболевания.
В настоящем раскрытии различные аспекты настоящего изобретения могут быть представлены в формате диапазона. Следует понимать, что описание в формате диапазона представлено только для удобства и его не следует рассматривать как ограничение объема настоящего изобретения. Описание диапазона следует рассматривать как конкретно раскрытые все возможные поддиапазоны, а также отдельные числовые значения в пределах такого диапазона. Например, описание диапазона, такое как от 1 до 6, следует рассматривать как конкретно раскрытые поддиапазоны, такие как от 1 до 3, от 1 до 4, от 1 до 5, от 2 до 4, от 2 до 6, от 3 до 6 и т.п., а также отдельные числа в пределах такого диапазона, например, 1, 2, 2,7, 3, 4, 5, 5,3 и 6. Это применимо независимо от ширины диапазона.
П. Соединения по настоящему изобретению Варианты осуществления «алкила»
В соответствии с одним вариантом осуществления «алкил» представляет собой C1-С10алкил, C1-С9алкил, С1-С8алкил, C1-С7алкил, C1-С6алкил, C1-С5алкил, С1-С4алкил, C1-С3алкил или С1-С2алкил.
В соответствии с одним вариантом осуществления «алкил» содержит один углерод.
В соответствии с одним вариантом осуществления «алкил» содержит два углерода.
В соответствии с одним вариантом осуществления «алкил» содержит три углерода.
В соответствии с одним вариантом осуществления «алкил» содержит четыре углерода.
В соответствии с одним вариантом осуществления «алкил» содержит пять углеродов.
В соответствии с одним вариантом осуществления «алкил» содержит шесть углеродов.
Неограничивающие примеры «алкила» включают в себя: метил, этил, пропил, бутил, пентил и гексил.
Дополнительные неограничивающие примеры «алкила» включают в себя: изопропил, изобутил, изопентил и изогексил.
Дополнительные неограничивающие примеры «алкила» включают в себя: втор-бутип, втор-пентил и втор-гекскп.
Дополнительные неограничивающие примеры «алкила» включают в себя: трет-бутил, трет-пептил и трет-гексия.
Дополнительные неограничивающие примеры «алкила» включают в себя: неопентил, 3-пентил и активный пентил.
Варианты осуществления «галоген ал кил а»
В соответствии с одним вариантом осуществления «галогеналкил» представляет собой C1-С10галогеналкил, C1-С9галогеналкил, С1-С8 галогеналкил, C1-С7галогеналкил, C1-С6галогеналкил, C1-С5галогеналкил, С1-С4 галогеналкил, C1-С3галогеналкил и С1-С2 галогеналкил.
В соответствии с одним вариантом осуществления «галогеналкил» содержит один углерод.
В соответствии с одним вариантом осуществления «галогеналкил» содержит один углерод и один галоген.
В соответствии с одним вариантом осуществления «галогеналкил» содержит один углерод и два галогена.
В соответствии с одним вариантом осуществления «галогеналкил» содержит один углерод и три галогена.
В соответствии с одним вариантом осуществления «галогеналкил» содержит два углерода.
В соответствии с одним вариантом осуществления «галогеналкил» содержит три углерода.
В соответствии с одним вариантом осуществления «галогеналкил» содержит четыре углерода.
В соответствии с одним вариантом осуществления «галогеналкил» содержит пять углеродов.
В соответствии с одним вариантом осуществления «галогеналкил» содержит шесть углеродов.
Неограничивающие примеры «галогеналкила» включают в себя:
Дополнительные неограничивающие примеры «галогеналкила» включают в себя:

Дополнительные неограничивающие примеры «галогеналкила» включают в себя: 
Дополнительные неограничивающие примеры «галогеналкила» включают в себя:
Варианты осуществления «арила»
В соответствии с одним вариантом осуществления «арил» представляет собой 6-углеродную ароматическую группу (фенил)
В соответствии с одним вариантом осуществления «арил» представляет собой 10-углеродную ароматическую группу (нафтил)
В соответствии с одним вариантом осуществления «арил» представляет собой 6-углеродную ароматическую группу, конденсированную с гетероциклом, где точка присоединения находится на арильном кольце. Неограничивающие примеры «арила» включают в себя индолин, тетрагидрохинолин, тетрагидроизохинолин и дигидробензофуран, где точка присоединения для каждой группы находится на ароматическом кольце.
Например,
представляет собой «арильную» группу.
Тем не менее,
представляет собой «гетероциклическую» группу.
В соответствии с одним вариантом осуществления «арил» представляет собой 6-углеродную ароматическую группу, конденсированную с циклоалкилом, где точка присоединения находится на арильном кольце. Неограничивающие примеры «арила» включают в себя дигидроинден и тетрагидронафталин, где точка присоединения для каждой группы находится на ароматическом кольце.
Например,
представляет собой «арильную» группу.
Тем не менее,
представляет собой «циклоалкильную» группу.
Варианты осуществления «гетероарила»
В соответствии с одним вариантом осуществления «гетероарил» представляет собой 5-членную ароматическую группу, содержащую 1, 2, 3 или 4 атома азота.
Неограничивающие примеры 5-членных «гетероарильных» групп включают в себя пиррол, фуран, тиофен, пиразол, имидазол, триазол, тетразол, изоксазол, оксазол, оксадиазол, оксатриазол, изотиазол, тиазол, тиадиазол и тиатриазол.
Дополнительные неограничивающие примеры 5-членных «гетероарильных» групп включают в себя:
В соответствии с одним вариантом осуществления «гетероарил» представляет собой 6-членную ароматическую группу, содержащую 1, 2 или 3 атома азота (т.е., пиридинил, пиридазинил, триазинил, пиримидинил и пиразинил).
Неограничивающие примеры 6-членных «гетероарильных» групп с 1 или 2 атомами азота включают в себя:

В соответствии с одним вариантом осуществления «гетероарил» представляет собой 9-членную бициклическую ароматическую группу, содержащую 1 или 2 атома, выбранных из азота, кислорода и серы.
Неограничивающие примеры «гетероарильных» групп, которые являются бициклическими, включают в себя индол, бензофуран, изоиндол, индазол, бензимидазол, азаиндол, азаиндазол, пурин, изобензофуран, бензотиофен, бензоизоксазол, бензоизотиазол, бензооксазол и бензотиазол.
Дополнительные неограничивающие примеры «гетероарильных» групп, которые являются бициклическими, включают в себя:
Дополнительные неограничивающие примеры «гетероарильных» групп, которые являются бициклическими, включают в себя:
Дополнительные неограничивающие примеры «гетероарильных» групп, которые являются бициклическими, включают в себя:
В соответствии с одним вариантом осуществления «гетероарил» представляет собой 10-членную бициклическую ароматическую группу, содержащую 1 или 2 атома, выбранных из азота, кислорода и серы.
Неограничивающие примеры «гетероарильных» групп, которые являются бициклическими, включают в себя хинолин, изохинолин, хиноксалин, фталазин, хиназолин, циннолин и нафтиридин.
Дополнительные неограничивающие примеры «гетероарильных» групп, которые являются бициклическими, включают в себя:
Варианты осуществления «циклоалкила»
В соответствии с одним вариантом осуществления «циклоалкил» представляет собой С3-С8циклоалкил, С3-С7циклоалкил, С3-С6циклоалкил, С3-С5циклоалкил, С3-С4циклоалкил, С4-С8циклоалкил, С5-С8циклоалкил или С6-С8циклоалкил.
В соответствии с одним вариантом осуществления «циклоалкил» содержит три углерода.
В соответствии с одним вариантом осуществления «циклоалкил» содержит четыре углерода.
В соответствии с одним вариантом осуществления «циклоалкил» содержит пять углеродов.
В соответствии с одним вариантом осуществления «циклоалкил» содержит шесть углеродов.
В соответствии с одним вариантом осуществления «циклоалкил» содержит семь углеродов.
В соответствии с одним вариантом осуществления «циклоалкил» содержит восемь углеродов.
В соответствии с одним вариантом осуществления «циклоалкил» содержит девять углеродов.
В соответствии с одним вариантом осуществления «циклоалкил» содержит десять углеродов.
Неограничивающие примеры «циклоалкил» включает в себя: циклопропил, циклобутил, циклопентил, циклогексил, циклогептил, циклооктил и циклодецил.
Дополнительные неограничивающие примеры «циклоалкил» включает в себя дигидроинден и тетрагидронафталин, где точка присоединения для каждой группы находится на циклоалкильном кольце.
Например,
представляет собой «циклоалкильную» группу.
Тем не менее,
представляет собой «арильную» группу.
Дополнительные примеры «циклоалкильных» групп включают в себя

Варианты осуществления «гетероцикла»
В соответствии с одним вариантом осуществления «гетероцикл» относится к циклическому кольцу с одним азотом и 3, 4, 5, 6, 7 или 8 атомами углерода.
В соответствии с одним вариантом осуществления «гетероцикл» относится к циклическому кольцу с одним азотом и одним кислородом и 3, 4, 5, 6, 7 или 8 атомами углерода.
В соответствии с одним вариантом осуществления «гетероцикл» относится к циклическому кольцу с двумя азотами и 3, 4, 5, 6, 7 или 8 атомами углерода.
В соответствии с одним вариантом осуществления «гетероцикл» относится к циклическому кольцу с одним кислородом и 3, 4, 5, 6, 7 или 8 атомами углерода.
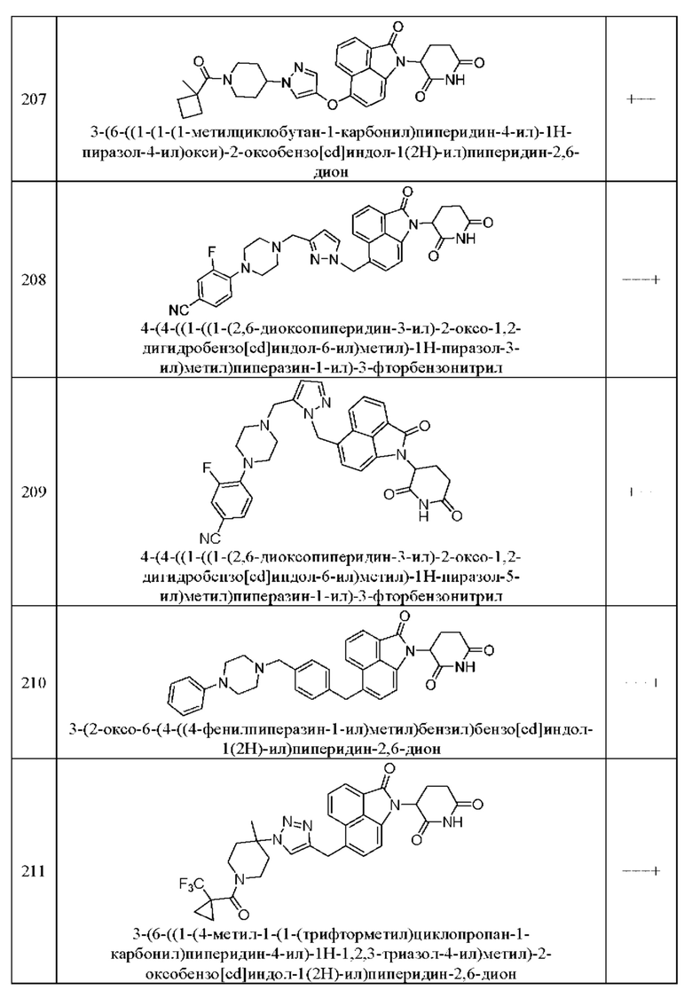
В соответствии с одним вариантом осуществления «гетероцикл» относится к циклическому кольцу с одной серой и 3, 4, 5, 6, 7 или 8 атомами углерода.
Неограничивающие примеры «гетероцикла» включают в себя азиридин, оксиран, тииран, азетидин, 1,3-диазетидин, оксетан и тиетан.
Дополнительные неограничивающие примеры «гетероцикла» включат в себя пирролидин, 3-пирролин, 2-пирролин, пиразолидин и имидазолидин.
Дополнительные неограничивающие примеры «гетероцикла» включат в себя тетрагидрофуран, 1,3-Диоксолан, тетрагидротиофен, 1,2-оксатиолан и 1,3-оксатиолан.
Дополнительные неограничивающие примеры «гетероцикла» включат в себя пиперидин, пиперазин, тетрагидропиран, 1,4-диоксан, тиан, 1,3-дитиан, 1,4-дитиан, морфолин и тиоморфолин.
Дополнительные неограничивающие примеры «гетероцикл» включает в себя индолин, тетрагидрохинолин, тетрагидроизохинолин и дигидробензофуран, где точка присоединения для каждой группы находится на гетероциклическом кольце.
Например,
представляет собой «гетероцикльную» группу.
Тем не менее,
представляет собой «арильную» группу.
Неограничивающие примеры «гетероцикла» также включают в себя:
Дополнительные неограничивающие примеры «гетероцикла» включают в себя:
Дополнительные неограничивающие примеры «гетероцикла» включают в себя:
Неограничивающие примеры «гетероцикла» также включают в себя:
Неограничивающие примеры «гетероцикла» также включают в себя:
Дополнительные неограничивающие примеры «гетероцикла» включают в себя:
Дополнительные неограничивающие примеры «гетероцикла» включают в себя:
Необязательные заместители
В соответствии с одним вариантом осуществления фрагмент, описанный в настоящем изобретении, который может быть замещен 1, 2, 3 или 4 заместителями, замещен одним заместителем.
В соответствии с одним вариантом осуществления фрагмент, описанный в настоящем изобретении, который может быть замещен 1, 2, 3 или 4 заместителями, замещен двумя заместителями.
В соответствии с одним вариантом осуществления фрагмент, описанный в настоящем изобретении, который может быть замещен 1, 2, 3 или 4 заместителями, замещен тремя заместителями.
В соответствии с одним вариантом осуществления фрагмент, описанный в настоящем изобретении, который может быть замещен 1, 2, 3 или 4 заместителями, замещен четырьмя заместителями.
Неограничивающие варианты осуществления три циклического ядра
Фрагмент трициклического ядра содержит 1, 2 или 3 атома азота.
В соответствии с одним вариантом осуществления соединение формулы I выбрано из:

Неограничивающие варианты осуществления формулы I:
В соответствии с определенными вариантами осуществления соединение по настоящему изобретению выбрано из формулы:

или его фармацевтически приемлемая соль.
В соответствии с определенными вариантами осуществления соединение по настоящему изобретению выбрано из формулы:
или его фармацевтически приемлемая соль.
В соответствии с определенными вариантами осуществления соединение по настоящему изобретению выбрано из формулы:
или его фармацевтически приемлемая соль.
В соответствии с определенными вариантами осуществления соединение по настоящему изобретению выбрано из формулы:
или его фармацевтически приемлемая соль.
В соответствии с определенными вариантами осуществления соединение по настоящему изобретению выбрано из формулы:
7
или его фармацевтически приемлемая соль.
В соответствии с определенными вариантами осуществления соединение по настоящему изобретению выбрано из формулы:
или его фармацевтически приемлемая соль.
В соответствии с определенными вариантами осуществления соединение по настоящему изобретению выбрано из формулы:
или его фармацевтически приемлемая соль.
В соответствии с определенными вариантами осуществления соединение по настоящему изобретению выбрано из формулы:
или его фармацевтически приемлемая соль.
В соответствии с определенными вариантами осуществления соединение по настоящему изобретению выбрано из формулы:
или его фармацевтически приемлемая соль.
В соответствии с определенными вариантами осуществления соединение по настоящему изобретению выбрано из формулы:
и 
или его фармацевтически приемлемая соль.
В соответствии с определенными вариантами осуществления соединение по настоящему изобретению выбрано из:
В соответствии с одним вариантом осуществления соединение формулы I выбрано из:
В соответствии с одним вариантом осуществления соединение формулы I выбрано из:
В соответствии с одним вариантом осуществления соединение формулы I выбрано из:
В соответствии с одним вариантом осуществления соединение формулы I выбрано из:
В соответствии с одним вариантом осуществления соединение формулы I выбрано из:
В соответствии с одним вариантом осуществления соединение формулы I выбрано из:
В соответствии с одним вариантом осуществления соединение формулы I выбрано из:
В соответствии с одним вариантом осуществления соединение формулы I выбрано из:
В соответствии с одним вариантом осуществления соединение формулы I выбрано из:
В соответствии с одним вариантом осуществления соединение формулы I выбрано из:
В соответствии с одним вариантом осуществления соединение формулы I выбрано из:
В соответствии с одним вариантом осуществления соединение формулы I выбрано из:
В соответствии с одним вариантом осуществления соединение формулы I выбрано из:
В соответствии с одним вариантом осуществления соединение формулы I выбрано из:
В соответствии с одним вариантом осуществления соединение формулы I выбрано из:
В соответствии с одним вариантом осуществления соединение формулы I выбрано из:
В соответствии с одним вариантом осуществления соединение формулы I выбрано из:
Неограничивающие варианты осуществления R1
В соответствии с одним вариантом осуществления формулы I R1 выбран из -NH(циклоалкил, замещенный R6). В соответствии с одним вариантом осуществления формулы I R1 выбран из -NH(гетероцикл, замещенный R6). В соответствии с одним вариантом осуществления формулы I R1 выбран из -NH(арил, замещенный R6). В соответствии с одним вариантом осуществления формулы I R1 выбран из -NH(гетероарил, замещенный R6). В соответствии с одним вариантом осуществления формулы I R1 выбран из -N(СН3)(циклоалкил, замещенный R6). В соответствии с одним вариантом осуществления формулы I R1 выбран из -N(СН3)(гетероцикл, замещенный R6). В соответствии с одним вариантом осуществления формулы I R1 выбран из -N(СН3)(арил, замещенный R6). В соответствии с одним вариантом осуществления формулы I R1 выбран из -N(СН3)(гетероарил, замещенный R6).
В соответствии с одним вариантом осуществления формулы I R1 выбран из -O(циклоалкил, замещенный R6). В соответствии с одним вариантом осуществления формулы I R1 выбран из -O(гетероцикл, замещенный R6). В соответствии с одним вариантом осуществления формулы I R1 выбран из -O(арил, замещенный R6). В соответствии с одним вариантом осуществления формулы I R1 выбран из -O(гетероарил, замещенный R6).
В соответствии с одним вариантом осуществления формулы I R1 выбран из -S(циклоалкил, замещенный R6). В соответствии с одним вариантом осуществления формулы I R1 выбран из -S(гетероцикл, замещенный R6). В соответствии с одним вариантом осуществления формулы I R1 выбран из -S(арил, замещенный R6). В соответствии с одним вариантом осуществления формулы I R1 выбран из -S(гетероарил, замещенный R6).
В соответствии с одним вариантом осуществления формулы I R1 выбран из -NH-С(O)-(алкил). В соответствии с одним вариантом осуществления формулы I R1 выбран из -NH-С(O)-(циклоалкил). В соответствии с одним вариантом осуществления формулы I R1 выбран из -NH-С(O)-(гетероцикл). В соответствии с одним вариантом осуществления формулы I R1 выбран из -NH-С(O)-(арил). В соответствии с одним вариантом осуществления формулы I R1 выбран из -NH-С(O)-(гетероарил). В соответствии с одним вариантом осуществления формулы I R1 выбран из -N(СН3)-С(O)-(алкил). В соответствии с одним вариантом осуществления формулы I R1 выбран из -N(СН3)-С(O)-(циклоалкил). В соответствии с одним вариантом осуществления формулы I R1 выбран из -N(СН3)-С(O)-(гетероцикл). В соответствии с одним вариантом осуществления формулы I R1 выбран из -N(СН3)-С(O)-(арил). В соответствии с одним вариантом осуществления формулы I R1 выбран из -N(СН3)-С(O)-(гетероарил).
В соответствии с одним вариантом осуществления формулы I R1 выбран из -O-С(O)-(алкил). В соответствии с одним вариантом осуществления формулы I R1 выбран из -O-С(O)-(циклоалкил). В соответствии с одним вариантом осуществления формулы I R1 выбран из -O-С(O)-(гетероцикл). В соответствии с одним вариантом осуществления формулы I R1 выбран из -O-С(O)-(арил). В соответствии с одним вариантом осуществления формулы I R1 выбран из O-С(O)-(гетероарил).
В соответствии с одним вариантом осуществления формулы I R1 выбран из -S-С(O)-(алкил). В соответствии с одним вариантом осуществления формулы I R1 выбран из -S-С(O)-(циклоалкил). В соответствии с одним вариантом осуществления формулы I R1 выбран из -S-С(O)-(гетероцикл). В соответствии с одним вариантом осуществления формулы I R1 выбран из -S-С(O)-(арил). В соответствии с одним вариантом осуществления формулы I R1 выбран из -S-С(O)-(гетероарил).
В соответствии с одним вариантом осуществления формулы I R1 выбран из -СН2(циклоалкил, замещенный R6). В соответствии с одним вариантом осуществления формулы I R1 выбран из -СН2(гетероцикл, замещенный R6). В соответствии с одним вариантом осуществления формулы I R1 выбран из -CH2(арил, замещенный R6). В соответствии с одним вариантом осуществления формулы I R1 выбран из -СН2(гетероарил, замещенный R6). В соответствии с одним вариантом осуществления формулы I R1 выбран из -CF2(циклоалкил, замещенный R6). В соответствии с одним вариантом осуществления формулы I R1 выбран из -CF2(гетероцикл, замещенный R6). В соответствии с одним вариантом осуществления формулы I R1 выбран из -CF2(арил, замещенный R6). В соответствии с одним вариантом осуществления формулы I R1 выбран из -CF2(гетероарил, замещенный R6). В соответствии с одним вариантом осуществления формулы I R1 выбран из СН(ОН)(циклоалкил, замещенный R6). В соответствии с одним вариантом осуществления формулы I R1 выбран из СН(ОН)(гетероцикл, замещенный R6). В соответствии с одним вариантом осуществления формулы I R1 выбран из СН(ОН)(арил, замещенный R6). В соответствии с одним вариантом осуществления формулы I R1 выбран из -СН(ОН)(гетероарил, замещенный R6).
В соответствии с одним вариантом осуществления формулы I R1 выбран из СН2-С(O)-(алкил). В соответствии с одним вариантом осуществления формулы I R1 выбран из -СН2-С(O)-(циклоалкил). В соответствии с одним вариантом осуществления формулы I R1 выбран из СН2-С(O)-(гетероцикл). В соответствии с одним вариантом осуществления формулы I R1 выбран из -СН2-С(O)-(арил). В соответствии с одним вариантом осуществления формулы I R1 выбран из -СН2-С(O)-(гетероарил). В соответствии с одним вариантом осуществления формулы I R1 выбран из -CF2-С(O)-(алкил). В соответствии с одним вариантом осуществления формулы I R1 выбран из -CF2-С(O)-(циклоалкил). В соответствии с одним вариантом осуществления формулы I R1 выбран из -CF2-С(O)-(гетероцикл). В соответствии с одним вариантом осуществления формулы I R1 выбран из -CF2-С(O)-(арил). В соответствии с одним вариантом осуществления формулы I R1 выбран из -CF2-С(O)-(гетероарил). В соответствии с одним вариантом осуществления формулы I R1 выбран из -СН(ОН)-С(O)-(алкил). В соответствии с одним вариантом осуществления формулы I R1 выбран из СН(ОН)-С(O)-(циклоалкил). В соответствии с одним вариантом осуществления формулы I R1 выбран из -СН(ОН)-С(O)-(гетероцикл). В соответствии с одним вариантом осуществления формулы I R1 выбран из -СН(ОН)-С(O)-(арил). В соответствии с одним вариантом осуществления формулы I R1 выбран из СН(ОН)-С(O)-(гетероарил).
В соответствии с одним вариантом осуществления формулы I R1 выбран из -СН2-NH(циклоалкил, замещенный R6). В соответствии с одним вариантом осуществления формулы I R1 выбран из -СН2-NH(гетероцикл, замещенный R6). В соответствии с одним вариантом осуществления формулы I R1 выбран из -CH2-NH(арил, замещенный R6). В соответствии с одним вариантом осуществления формулы I R1 выбран из -СН2-NH(гетероарил, замещенный R6). В соответствии с одним вариантом осуществления формулы I R1 выбран из -СН2-N(СН3)(циклоалкил, замещенный R6). В соответствии с одним вариантом осуществления формулы I R1 выбран из -СН2-N(СН3)(гетероцикл, замещенный R6). В соответствии с одним вариантом осуществления формулы I R1 выбран из -CH2-N(СН3)(арил, замещенный R6). В соответствии с одним вариантом осуществления формулы I R1 выбран из -СН2-N(СН3)(гетероарил, замещенный R6).
В соответствии с одним вариантом осуществления формулы I R1 выбран из -СН2-O(циклоалкил, замещенный R6). В соответствии с одним вариантом осуществления формулы I R1 выбран из -СН2-O(гетероцикл, замещенный R6). В соответствии с одним вариантом осуществления формулы I R1 выбран из -СН2-O(арил, замещенный R6). В соответствии с одним вариантом осуществления формулы I R1 выбран из -СН2-O(гетероарил, замещенный R6).
В соответствии с одним вариантом осуществления формулы I R1 выбран из -СН2-NH-С(O)-(алкил). В соответствии с одним вариантом осуществления формулы I R1 выбран из -СН2-NH-С(O)-(циклоалкил). В соответствии с одним вариантом осуществления формулы I R1 выбран из -СН2-NH-С(O)-(гетероцикл). В соответствии с одним вариантом осуществления формулы I R1 выбран из -СН2-NH-С(O)-(арил). В соответствии с одним вариантом осуществления формулы I R1 выбран из -СН2-NH-С(O)-(гетероарил). В соответствии с одним вариантом осуществления формулы I R1 выбран из -СН2-N(СН3)-С(O)-(алкил). В соответствии с одним вариантом осуществления формулы I R1 выбран из -CH2-N(СН3)-С(O)-(циклоалкил). В соответствии с одним вариантом осуществления формулы I R1 выбран из -СН2-N(СН3)-С(O)-(гетероцикл). В соответствии с одним вариантом осуществления формулы I R1 выбран из -СН2-N(СН3)-С(O)-(арил). В соответствии с одним вариантом осуществления формулы I R1 выбран из -СН2-N(СН3)-С(O)-(гетероарил).
В соответствии с одним вариантом осуществления формулы I R1 выбран из -CH2-O-С(O)-(алкил). В соответствии с одним вариантом осуществления формулы I R1 выбран из -СН2-O-С(O)-(циклоалкил). В соответствии с одним вариантом осуществления формулы I R1 выбран из -СН2-O-С(O)-(гетероцикл). В соответствии с одним вариантом осуществления формулы I R1 выбран из -СН2-O-С(O)-(арил). В соответствии с одним вариантом осуществления формулы I R1 выбран из -СН2-O-С(O)-(гетероарил).
В соответствии с одним вариантом осуществления формулы I R1 выбран из -С(O)-(циклоалкил, замещенный R6). В соответствии с одним вариантом осуществления формулы I R1 выбран из -С(O)-(гетероцикл, замещенный R6). В соответствии с одним вариантом осуществления формулы I R1 выбран из -С(O)-(арил, замещенный R6). В соответствии с одним вариантом осуществления формулы I R1 выбран из -С(O)-(гетероарил, замещенный R6).
В соответствии с одним вариантом осуществления формулы I R1 выбран из -S(O)-(циклоалкил, замещенный R6). В соответствии с одним вариантом осуществления формулы I R1 выбран из -S(O)-(гетероцикл, замещенный R6). В соответствии с одним вариантом осуществления формулы I R1 выбран из -S(O)-(арил, замещенный R6). В соответствии с одним вариантом осуществления формулы I R1 выбран из -S(O)-(гетероарил, замещенный R6).
В соответствии с одним вариантом осуществления формулы I R1 выбран из S(O)2-(циклоалкил, замещенный R6). В соответствии с одним вариантом осуществления формулы I R1 выбран из -S(O)2-(гетероцикл, замещенный R6). В соответствии с одним вариантом осуществления формулы I R1 выбран из -S(O)2-(арил, замещенный R6). В соответствии с одним вариантом осуществления формулы I R1 выбран из -S(O)2-(гетероарил, замещенный R6).
В соответствии с одним вариантом осуществления формулы I R1 выбран из:
В соответствии с определенными вариантами осуществления R1 выбран из галогена, водорода, амино или циано. В соответствии с одним вариантом осуществления R1 представляет собой бром.
В соответствии с определенными вариантами осуществления R1 представляет собой -(CH2)-R4, где R4 представляет собой гетероарил, необязательно замещенный R6, и R6 представляет собой гетероцикл, необязательно замещенный 1 или 2 группами, выбранными из R9. В соответствии с дополнительным вариантом осуществления R9 выбран из водорода и алкила. Неограничивающие примеры такого варианта осуществления включают в себя:
В соответствии с определенными вариантами осуществления R1 представляет собой -(CH2)-R4, где R4 представляет собой гетероарил, необязательно замещенный R6, и R6 представляет собой гетероцикл, необязательно замещенный 1 или 2 группами, выбранными из R9. В соответствии с дополнительным вариантом осуществления R9 выбран из алкила и -C(O)R10, где R10 представляет собой гетероцикл. Неограничивающие примеры такого варианта осуществления включают в себя:
В соответствии с определенными вариантами осуществления R1 представляет собой -(CH2)-R4, где R4 представляет собой гетероарил, необязательно замещенный R6, и R6 представляет собой гетероцикл, необязательно замещенный 1 или 2 группами, выбранными из R9. В соответствии с дополнительным вариантом осуществления R9 выбран из алкила и -C(O)R10, где R10 представляет собой гетероцикл, необязательно замещенный R11, и R11 представляет собой алкил. Неограничивающие примеры такого варианта осуществления включают в себя:
В соответствии с определенными вариантами осуществления R1 представляет собой -(CH2)-R4, где R4 представляет собой гетероарил, необязательно замещенный R6, и R6 представляет собой гетероцикл, необязательно замещенный 1 или 2 группами, выбранными из R9. В соответствии с дополнительным вариантом осуществления R9 выбран из алкила и -C(O)R10, где R10 представляет собой циклоалкил. Неограничивающие примеры такого варианта осуществления включают в себя:
В соответствии с определенными вариантами осуществления R1 представляет собой -(CH2)-R4, где R4 представляет собой гетероарил, необязательно замещенный R6, и R6 представляет собой гетероцикл, необязательно замещенный 1 или 2 группами, выбранными из R9. В соответствии с дополнительным вариантом осуществления R9 выбран из алкила и -C(O)R10, где R10 представляет собой циклоалкил, необязательно замещенный R11, и R11 представляет собой циано. Неограничивающие примеры такого варианта осуществления включают в себя:
В соответствии с определенными вариантами осуществления R1 представляет собой -(CH2)-R4, где R4 представляет собой гетероарил, необязательно замещенный R6, и R6 представляет собой гетероцикл, необязательно замещенный 1 или 2 группами, выбранными из R9. В соответствии с дополнительным вариантом осуществления R9 выбран из алкила и -C(O)R10, где R10 представляет собой циклоалкил, необязательно замещенный R11, и R11 представляет собой алкил. Неограничивающие примеры такого варианта осуществления включают в себя:
В соответствии с определенными вариантами осуществления R1 представляет собой -(CH2)-R4, где R4 представляет собой гетероарил, необязательно замещенный R6, и R6 представляет собой гетероцикл, необязательно замещенный 1 или 2 группами, выбранными из R9. В соответствии с дополнительным вариантом осуществления R9 выбран из алкила и -C(O)R10, где R10 представляет собой циклоалкил, необязательно замещенный R11, и R11 представляет собой галогеналкил. Неограничивающие примеры такого варианта осуществления включают в себя:
В соответствии с определенными вариантами осуществления R1 представляет собой -(CH2)-R4, где R4 представляет собой гетероарил, необязательно замещенный R6, и R6 представляет собой гетероцикл, необязательно замещенный 1 или 2 группами, выбранными из R9. В соответствии с дополнительным вариантом осуществления R9 выбран из алкила и -C(O)R10, где R10 представляет собой алкил, необязательно замещенный R11, и R11 выбран из водорода, гидроксила и циано. Неограничивающие примеры такого варианта осуществления включают в себя:
В соответствии с определенными вариантами осуществления R1 представляет собой -(CH2)-R4, где R4 представляет собой гетероарил, необязательно замещенный R6, и R6 представляет собой гетероцикл, необязательно замещенный 1 или 2 группами, выбранными из R9. В соответствии с дополнительным вариантом осуществления R9 выбран из алкила и -C(O)R10, где R10 представляет собой галогеналкил. Неограничивающие примеры такого варианта осуществления включают в себя:
В соответствии с определенными вариантами осуществления R1 представляет собой -(CH2)-R4, где R4 представляет собой гетероарил, необязательно замещенный R6, и R6 представляет собой гетероцикл, необязательно замещенный 1 или 2 группами, выбранными из R9. В соответствии с дополнительным вариантом осуществления R9 выбран из алкила и -C(O)R10, где R10 представляет собой алкил, необязательно замещенный R11, и R11 представляет собой OR8. Неограничивающие примеры такого варианта осуществления включают в себя:
В соответствии с определенными вариантами осуществления R1 представляет собой -(CH2)-R4, где R4 представляет собой гетероарил, необязательно замещенный R6, и R6 представляет собой гетероцикл, необязательно замещенный R9. В соответствии с дополнительным вариантом осуществления R9 представляет собой -C(O)R10, где R10 представляет собой гетероарил или арил, необязательно замещенный R11, и R11 выбран из водорода и алкила. Неограничивающие примеры такого варианта осуществления включают в себя:
В соответствии с определенными вариантами осуществления R1 представляет собой -(CH2)-R4, где R4 представляет собой гетероарил, необязательно замещенный R6, и R6 представляет собой гетероцикл, необязательно замещенный R9. В соответствии с дополнительным вариантом осуществления R9 представляет собой -C(O)NR2R10 или -C(O)OR10, где R10 представляет собой алкил. Неограничивающие примеры такого варианта осуществления включают в себя:
В соответствии с определенными вариантами осуществления R1 представляет собой -(CH2)-R4, где R4 представляет собой гетероарил, необязательно замещенный R6, и R6 представляет собой гетероцикл, необязательно замещенный 1 или 2 группами, выбранными из R9. В соответствии с дополнительным вариантом осуществления R9 выбран из алкила и -CH2R10, где R10 представляет собой циклоалкил, необязательно замещенный R11, и R11 представляет собой алкил. Неограничивающие примеры такого варианта осуществления включают в себя:
В соответствии с определенными вариантами осуществления R1 представляет собой -(CH2)-R4, где R4 представляет собой гетероарил, необязательно замещенный R6, и R6 представляет собой гетероцикл, необязательно замещенный 1 или 2 группами, выбранными из R9. В соответствии с дополнительным вариантом осуществления R9 выбран из алкила и -CH2R10, где R10 представляет собой циклоалкил, необязательно замещенный R11, и R11 выбран из галогеналкила или циано. Неограничивающие примеры такого варианта осуществления включают в себя:
В соответствии с определенными вариантами осуществления R1 представляет собой -(CH2)-R4, где R4 представляет собой гетероарил, необязательно замещенный R6, и R6 представляет собой гетероцикл, необязательно замещенный 1 или 2 группами, выбранными из R9. В соответствии с дополнительным вариантом осуществления R9 выбран из алкила и -CH2R10, где R10 представляет собой циклоалкил, необязательно замещенный R11, и R11 представляет собой OR8. Неограничивающие примеры такого варианта осуществления включают в себя:
В соответствии с определенными вариантами осуществления R1 представляет собой -(CH2)-R4, где R4 представляет собой гетероарил, необязательно замещенный R6, и R6 представляет собой гетероцикл, необязательно замещенный 1 или 2 группами, выбранными из R9. В соответствии с дополнительным вариантом осуществления R9 выбран из алкила и -CH2R10, где R10 представляет собой алкил, необязательно замещенный R11, и R11 выбран из водорода, циано и OR8. Неограничивающие примеры такого варианта осуществления включают в себя:
В соответствии с определенными вариантами осуществления R1 представляет собой -(CH2)-R4, где R4 представляет собой гетероарил, необязательно замещенный R6, и R6 представляет собой гетероцикл, необязательно замещенный R9. В соответствии с дополнительным вариантом осуществления R9 представляет собой R10, и R10 представляет собой циклоалкил. Неограничивающие примеры такого варианта осуществления включают в себя:
В соответствии с определенными вариантами осуществления R1 представляет собой -(CH2)-R4, где R4 представляет собой гетероарил, замещенный R7 и замещенный R6, где R6 представляет собой гетероцикл, необязательно замещенный 1 или 2 группами, выбранными из R9. В соответствии с дополнительным вариантом осуществления R9 выбран из алкила и -C(O)R10, и R10 представляет собой циклоалкил, необязательно замещенный R11, и R11 представляет собой алкил. Неограничивающий пример такого варианта осуществления включает в себя:
В соответствии с определенными вариантами осуществления R1 представляет собой -(CH2)-R4, где R4 представляет собой гетероарил, необязательно замещенный R6, и R6 представляет собой циклоалкил. Неограничивающий пример такого варианта осуществления включает в себя:
В соответствии с определенными вариантами осуществления R1 представляет собой -C(O)R4, где R4 представляет собой гетероарил, необязательно замещенный R6, и R6 представляет собой гетероцикл. В соответствии с дополнительным вариантом осуществления R6 необязательно замещен R9 и R9 представляет собой -C(O)OR10, где R10 представляет собой алкил. Неограничивающий пример такого варианта осуществления включает в себя:
В соответствии с определенными вариантами осуществления R1 представляет собой -CH(CH3)R4, где R4 представляет собой гетероарил, необязательно замещенный R6, и R6 представляет собой гетероцикл. В соответствии с дополнительным вариантом осуществления R6 необязательно замещен R9 и R9 представляет собой -C(O)OR10 или -C(O)R10, где R10 представляет собой алкил или циклоалкил, необязательно замещенный R11, и R11 выбран из алкила и водорода. Неограничивающие примеры такого варианта осуществления включают в себя:
В соответствии с определенными вариантами осуществления R1 представляет собой -CH(NH2)R4, где R4 представляет собой гетероарил, необязательно замещенный R6, и R6 представляет собой гетероцикл. В соответствии с дополнительным вариантом осуществления R6 необязательно замещен R9 и R9 представляет собой -C(O)OR10 или -C(O)R10, где R10 представляет собой алкил или циклоалкил, необязательно замещенный R11, и R11 выбран из алкила и водорода. Неограничивающие примеры такого варианта осуществления включают в себя:
В соответствии с определенными вариантами осуществления R1 представляет собой -SR4, -S(O)R4 или -S(O)2R4, где R4 представляет собой гетероарил, необязательно замещенный R6, и R6 представляет собой гетероцикл, необязательно замещенный R9. В соответствии с дополнительным вариантом осуществления R9 представляет собой -C(O)R10, где R10 представляет собой циклоалкил, необязательно замещенный R11, и R11 представляет собой алкил. Неограничивающие примеры такого варианта осуществления включают в себя:
В соответствии с определенными вариантами осуществления R1 представляет собой -(CH2)-R4, где R4 представляет собой гетероарил, необязательно замещенный R6, и R6 представляет собой циклоалкил, необязательно замещенный R9. В соответствии с дополнительным вариантом осуществления R9 выбран из -OR10, где R10 представляет собой алкил, необязательно замещенный R11, и R11 представляет собой арил. Неограничивающий пример такого варианта осуществления включает в себя:
В соответствии с определенными вариантами осуществления R1 представляет собой -(CR3R3')-R4, где R3 и R3' соединены вместе с атомом углерода, к которому они присоединены, с образованием 3-членного циклоалкильного кольца, и R4 представляет собой гетероарил, необязательно замещенный R6, где R6 представляет собой гетероцикл, необязательно замещенный R9. В соответствии с дополнительным вариантом осуществления R9 представляет собой -C(O)R10 или -CH2R10, где R10 представляет собой циклоалкил, необязательно замещенный R11, и R11 представляет собой алкил. Неограничивающие примеры такого варианта осуществления включают в себя:
В соответствии с определенными вариантами осуществления R1 представляет собой -(CH2)-R4, где R4 представляет собой арил, замещенный R6, и R6 представляет собой алкил, необязательно замещенный R9. В соответствии с дополнительным вариантом осуществления R9 представляет собой R10 и R10 представляет собой гетероцикл, необязательно замещенный R11, где R11 представляет собой -C(O)OR8, -C(O)R8 или -SO2R8 и R8 представляет собой алкил, циклоалкил, галогеналкил или арил. Неограничивающие примеры такого варианта осуществления включают в себя:
В соответствии с определенными вариантами осуществления R1 представляет собой -(CH2)-R4, где R4 представляет собой арил, замещенный R6, и R6 представляет собой алкил, необязательно замещенный R9. В соответствии с дополнительным вариантом осуществления R9 представляет собой R10 и R10 представляет собой гетероцикл или гетероарил. Неограничивающие примеры такого варианта осуществления включают в себя:
В соответствии с определенными вариантами осуществления R1 представляет собой -(CH2)-R4, где R4 представляет собой арил, замещенный R6, и R6 представляет собой алкил, необязательно замещенный R9. В соответствии с дополнительным вариантом осуществления R9 представляет собой R10 и R10 представляет собой гетероцикл или гетероарил, необязательно замещенный R11, где R11 выбран из водорода, алкила или галогеналкила. В соответствии с одним вариантом осуществления две R11 группы на том же атоме углерода соединены вместе с образованием оксогруппы. Неограничивающие примеры такого варианта осуществления включают в себя:
В соответствии с определенными вариантами осуществления R1 представляет собой -CH2-R4, где R4 представляет собой арил, необязательно замещенный R6, и R6 представляет собой алкил, необязательно замещенный R9. В соответствии с дополнительным вариантом осуществления R9 представляет собой R10, где R10 представляет собой гетероцикл, необязательно замещенный R11, и R11 представляет собой -СH2арил, необязательно замещенный галогеном. Неограничивающие примеры такого варианта осуществления включают в себя:
В соответствии с определенными вариантами осуществления R1 представляет собой -CH2-R4, где R4 представляет собой арил, необязательно замещенный R6, и R6 представляет собой алкил, необязательно замещенный R9. В соответствии с дополнительным вариантом осуществления R9 представляет собой R10, где R10 представляет собой гетероцикл, необязательно замещенный R11, и R11 представляет собой арил, необязательно замещенный галогеном. Неограничивающий пример такого варианта осуществления включает в себя:
В соответствии с определенными вариантами осуществления R1 представляет собой -CH2-R4, где R4 представляет собой арил, необязательно замещенный R6, и R6 представляет собой гетероцикл, необязательно замещенный R9. В соответствии с дополнительным вариантом осуществления R9 представляет собой -CH2R10 или -C(O)R10, где R10 представляет собой циклоалкил, необязательно замещенный R11, и R11 представляет собой водород или алкил. Неограничивающие примеры такого варианта осуществления включают в себя:
В соответствии с определенными вариантами осуществления R1 представляет собой -(CH2)-R4, где R4 представляет собой гетероарил, необязательно замещенный R6, и R6 представляет собой гетероцикл, необязательно замещенный R9. В соответствии с дополнительным вариантом осуществления R9 выбран из R10, где R10 представляет собой гетероарил, необязательно замещенный R11 группами, выбранными из галогена и водорода.
Неограничивающие примеры такого варианта осуществления включают в себя:
В соответствии с определенными вариантами осуществления R1 выбран из
Неограничивающие варианты осуществления R4
В соответствии с одним вариантом осуществления формулы I R4 выбран из:
В соответствии с одним вариантом осуществления формулы I R4 выбран из:
В соответствии с одним вариантом осуществления формулы I R4 выбран из:
В соответствии с одним вариантом осуществления формулы I R4 выбран из:
В соответствии с одним вариантом осуществления формулы I R4 выбран из:
В соответствии с одним вариантом осуществления формулы I R4 выбран из:
В соответствии с одним вариантом осуществления формулы I R4 выбран из:
В соответствии с одним вариантом осуществления формулы I R4 выбран из:
В соответствии с одним вариантом осуществления формулы I R4 выбран из:
В соответствии с одним вариантом осуществления формулы I R4 выбран из:
В соответствии с одним вариантом осуществления формулы I R4 выбран из:
В соответствии с одним вариантом осуществления формулы I R4 выбран из:
В соответствии с определенными вариантами осуществления R4 выбран из:
В соответствии с одним вариантом осуществления соединение формулы I выбрано из:
В соответствии с одним вариантом осуществления соединение формулы I выбрано из:
В соответствии с одним вариантом осуществления соединение формулы I выбрано из:
В соответствии с одним вариантом осуществления соединение формулы I выбрано из:
В соответствии с одним вариантом осуществления соединение формулы I выбрано из:
В соответствии с одним вариантом осуществления соединение формулы I выбрано из:
В соответствии с одним вариантом осуществления соединение формулы I выбрано из:
В соответствии с одним вариантом осуществления соединение формулы I выбрано из:
В соответствии с одним вариантом осуществления соединение формулы I выбрано из:
В соответствии с одним вариантом осуществления соединение формулы I выбрано из:
В соответствии с одним вариантом осуществления соединение формулы I выбрано из:
В соответствии с одним вариантом осуществления соединение формулы I выбрано из:
В соответствии с одним вариантом осуществления соединение формулы I выбрано из:
В соответствии с одним вариантом осуществления соединение формулы I выбрано из:
В соответствии с одним вариантом осуществления соединение формулы I выбрано из:
В соответствии с одним вариантом осуществления соединение формулы I выбрано из:
В соответствии с одним вариантом осуществления соединение формулы I выбрано из:
В соответствии с одним вариантом осуществления соединение формулы I выбрано из:
Неограничивающие варианты осуществления R6
В соответствии с одним вариантом осуществления формулы I R6 выбран из:
В соответствии с одним вариантом осуществления формулы I R6 выбран из:
В соответствии с одним вариантом осуществления формулы I R6 выбран из:
В соответствии с одним вариантом осуществления формулы I R6 выбран из:
В соответствии с одним вариантом осуществления формулы I R6 выбран из:
В соответствии с одним вариантом осуществления формулы I R6 выбран из:
В соответствии с определенными вариантами осуществления R6 выбран из:
Неограничивающие варианты осуществления R9
В соответствии с одним вариантом осуществления R9 выбран из:
В соответствии с одним вариантом осуществления R9 выбран из:
В соответствии с одним вариантом осуществления R9 выбран из:
В соответствии с одним вариантом осуществления R9 выбран из:
В соответствии с одним вариантом осуществления R9 представляет собой
.
В соответствии с одним вариантом осуществления R9 выбран из:
В соответствии с одним вариантом осуществления R9 выбран из:

В соответствии с одним вариантом осуществления R9 выбран из:
В соответствии с одним вариантом осуществления R9 выбран из:
В соответствии с одним вариантом осуществления R9 выбран из:
В соответствии с одним вариантом осуществления R9 выбран из:
В соответствии с одним вариантом осуществления R9 выбран из:
В соответствии с одним вариантом осуществления R9 выбран из:
В соответствии с одним вариантом осуществления R9 выбран из:
В соответствии с одним вариантом осуществления R9 выбран из:
В соответствии с одним вариантом осуществления R9 выбран из:
В соответствии с одним вариантом осуществления R9 выбран из:
В соответствии с одним вариантом осуществления R9 представляет собой
.
В соответствии с одним вариантом осуществления R9 представляет собой
.
В соответствии с одним вариантом осуществления R9 выбран из:
В соответствии с одним вариантом осуществления R9 представляет собой
.
В соответствии с одним вариантом осуществления R9 выбран из 
В соответствии с одним вариантом осуществления R9 выбран из
.
В соответствии с одним вариантом осуществления R9 представляет собой
.
В соответствии с вариантом осуществления R9 представляет собой
.
В соответствии с одним вариантом осуществления R9 представляет собой
.
В соответствии с одним вариантом осуществления R9 представляет собой
.
В соответствии с одним вариантом осуществления R9 представляет собой
.
В соответствии с одним вариантом осуществления R9 представляет собой
.
В соответствии с одним вариантом осуществления R9 выбран из:
В соответствии с одним вариантом осуществления R9 выбран из:
В соответствии с одним вариантом осуществления R9 представляет собой
.
В соответствии с одним вариантом осуществления R9 выбран из:
В соответствии с одним вариантом осуществления R9 выбран из:
В соответствии с одним вариантом осуществления R9 представляет собой
.
В соответствии с одним вариантом осуществления R9 выбран из:
В соответствии с одним вариантом осуществления R9 выбран из:
В соответствии с одним вариантом осуществления R9 представляет собой
.
В соответствии с одним вариантом осуществления R9 выбран из:
В соответствии с одним вариантом осуществления R9 выбран из:
В соответствии с одним вариантом осуществления R9 выбран из:
В соответствии с одним вариантом осуществления R9 выбран из
.
В соответствии с одним вариантом осуществления R9 представляет собой
.
В соответствии с одним вариантом осуществления R9 представляет собой
.
В соответствии с одним вариантом осуществления R9 выбран из:
В соответствии с одним вариантом осуществления R9 выбран из:
В соответствии с одним вариантом осуществления R9 выбран из:
В соответствии с одним вариантом осуществления R9 выбран из:
В соответствии с одним вариантом осуществления R9 выбран из:
В соответствии с одним вариантом осуществления R9 выбран из:
В соответствии с одним вариантом осуществления R9 представляет собой
.
В соответствии с одним вариантом осуществления R9 представляет собой
.
В соответствии с одним вариантом осуществления R9 выбран из:
В соответствии с одним вариантом осуществления R9 выбран из:
В соответствии с одним вариантом осуществления R9 представляет собой
.
В соответствии с одним вариантом осуществления R9 выбран из:
В соответствии с одним вариантом осуществления R9 выбран из:
В соответствии с одним вариантом осуществления R9 выбран из:
В соответствии с одним вариантом осуществления R9 выбран из:
В соответствии с одним вариантом осуществления R9 выбран из:
В соответствии с одним вариантом осуществления R9 выбран из:
В соответствии с одним вариантом осуществления R9 представляет собой
.
В соответствии с одним вариантом осуществления R9 представляет собой
.
В соответствии с одним вариантом осуществления R9 выбран из:
В соответствии с одним вариантом осуществления R9 представляет собой
.
В соответствии с одним вариантом осуществления R9 выбран из:
В соответствии с одним вариантом осуществления R9 выбран из:
В соответствии с одним вариантом осуществления R9 выбран из:
В соответствии с одним вариантом осуществления R9 представляет собой
.
В соответствии с одним вариантом осуществления R9 выбран из:
В соответствии с одним вариантом осуществления R9 выбран из:
В соответствии с одним вариантом осуществления R9 представляет собой
В соответствии с одним вариантом осуществления R9 выбран из:
В соответствии с одним вариантом осуществления R9 выбран из:
В соответствии с одним вариантом осуществления R9 выбран из:
В соответствии с одним вариантом осуществления R9 выбран из:
В соответствии с одним вариантом осуществления R9 выбран из:
В соответствии с одним вариантом осуществления R9 выбран из:
Неограничивающие варианты осуществления R10
Неограничивающие примеры -C(O)R10 включают в себя:
Неограничивающие примеры -CH2R10 включают в себя:
Неограничивающие примеры R10 включают в себя:
Неограничивающие примеры соединений формулы I или формулы II:
Иллюстративные примеры соединений формулы I или формулы II включают в себя:
Дополнительные иллюстративные примеры соединений формулы I или формулы II включают в себя:
Дополнительные иллюстративные примеры соединений формулы I или II включают в себя:
В соответствии с определенными вариантами осуществления соединение по настоящему изобретению выбрано из:
В соответствии с одним вариантом осуществления соединение по настоящему изобретению представляет собой:
или его фармацевтически приемлемую соль.
Неограничивающие изотопные варианты осуществления
В соответствии с одним вариантом осуществления соединение является изотопно меченым. В соответствии с одним вариантом осуществления по меньшей мере одна R группа, независимо выбранная из R1, R2, R3, R3', R4, R5, R6, R7, R8, R9, R10, R11, R12, R20, R21, R22, R23, R24, R25, R26, R28 или R40, является изотопно меченой 1, 2 или более изотопами, как позволено валентностью. В соответствии с одним вариантом осуществления изотопной меткой является дейтерий. В соответствии с одним вариантом осуществления по меньшей мере один дейтерий помещали на атом, содержащий связь, которая ломается в течение метаболизма соединения in vivo, или является одним, двумя или тремя атомами, отдаленными от метаболизированной связи (например, что может называться как α, β или γ или первичный, вторичный или третичный изотопный эффект). В соответствии с другим вариантом осуществления изотопной меткой является 13С. В соответствии с другим вариантом осуществления изотопной меткой является 18F.
В соответствии с определенными вариантами осуществления соединение по настоящему изобретению выбрано из:
или его фармацевтически приемлемая соль.
В соответствии с определенными вариантами осуществления соединение по настоящему изобретению выбрано из:
или его фармацевтически приемлемая соль.
В соответствии с определенными вариантами осуществления соединение по настоящему изобретению выбрано из:
или его фармацевтически приемлемая соль.
В соответствии с определенными вариантами осуществления соединение по настоящему изобретению выбрано из формулы:
или его фармацевтически приемлемая соль.
В соответствии с определенными вариантами осуществления соединение по настоящему изобретению выбрано из формулы:
или его фармацевтически приемлемая соль.
В соответствии с определенными вариантами осуществления соединение по настоящему изобретению выбрано из формулы:
или его фармацевтически приемлемая соль.
В соответствии с определенными вариантами осуществления соединение по настоящему изобретению выбрано из:
или его фармацевтически приемлемая соль.
В соответствии с определенными вариантами осуществления соединение по настоящему изобретению выбрано из:
или его фармацевтически приемлемая соль.
В соответствии с определенными вариантами осуществления соединение по настоящему изобретению выбрано из:
или его фармацевтически приемлемая соль.
В соответствии с определенными вариантами осуществления соединение по настоящему изобретению выбрано из:
или его фармацевтически приемлемая соль.
В соответствии с определенными вариантами осуществления соединение по настоящему изобретению выбрано из:
и 
или его фармацевтически приемлемая соль.
В соответствии с определенными вариантами осуществления соединение по настоящему изобретению выбрано из:
и 
или его фармацевтически приемлемая соль.
В соответствии с определенными вариантами осуществления соединение по настоящему изобретению выбрано из:
или его фармацевтически приемлемая соль.
В соответствии с определенными вариантами осуществления соединение по настоящему изобретению выбрано из:
или его фармацевтически приемлемая соль.
В любой из вышеуказанных структур, если присутствует два дейтерия на метилене, предусмотрена та же молекула с одним дейтерием при том же положении. В любой из вышеуказанных структур, если присутствует три дейтерия на метиле, предусмотрена та же молекула с одним или двумя дейтериями при том же положении.
Дополнительные варианты осуществления
1. В соответствии с определенными вариантами осуществления представлено соединение формулы I или формулы II
или
или его фармацевтически приемлемая соль, N-оксид, изотопное производное или пролекарство; где:
X1 и X2 независимо выбраны из СН и N;
X3 выбран из связи, NR2, C(R3R3'), О, С(О), C(S), S, S(O) и S(O)2;
R1 выбран из водорода, галогена, циано, нитро, алкила, галогеналкила, -NR2R2', -OR2, -NR2R4, -OR4, -NR2R5, -OR5, -(CR3R3')-R4, -(CR3R3')-R5, -(CR3R3')-NR2R4, -(CR3R3')-NR2R5, -(CR3R3')-OR4, -(CR3R3')-OR5, -C(O)R4, -SR4, -SR5, -S(O)R4 и -S(O)2R4;
R2 и R2' независимо в каждом случае выбраны из водорода, алкила, галогеналкила, циклоалкила, гетероцикла, арила, гетероарила, -C(O)R8, -C(O)OR8, -C(O)-NR8R8', -S(O)R8, -SO2R8, -SO2-OR8 и -SO2-NR8R8';
R3 выбран из водорода, галогена, алкила, галогеналкила, -OR8 и NR8R8';
R3' выбран из водорода, галогена, алкила и галогеналкила;
или R3 и R3' могут быть объединены с атомом углерода, к которому они присоединены, с образованием 3-6-членного циклоалкильного кольца;
R4 выбран из циклоалкила, гетероцикла, арила и гетероарила, где каждый R4 необязательно замещен одной группой, выбранной из R6, и где каждый R4 также необязательно замещен 1, 2, 3 или 4 группами, независимо выбранными из R7;
R5 представляет собой -C(O)R6;
R6 выбран из алкила, циклоалкила, гетероцикла, арила и гетероарила, где каждый R6 необязательно замещен 1, 2, 3 или 4 группами, независимо выбранными из R9;
или R6 выбран из алкила, циклоалкила, гетероцикла, арила, гетероарила, -СО-алкила, -СО-циклоалкила, -СО-гетероцикла, -СО-арила, -СО-гетероарила, -О-алкила, -О-циклоалкила, -О-гетероцикла, -О-арила, -О-гетероарила, -NR2-алкила, -NR2-циклоалкила, -NR2-гетероцикла, -NR2-арила и -NR2-гетероарила, где каждый R6 необязательно замещен 1, 2, 3 или 4 группами, независимо выбранными из R9;
R7 независимо в каждом случае выбран из водорода, галогена, гидроксила, циано, нитро, алкила, галогеналкила, алкенила, алкинила, циклоалкила, гетероцикла, арила, гетероарила, -OR8, -NR8R8', -C(O)R8, -C(O)OR8, -C(O)-NR8R8', -OC(O)R8, -NR2-C(O)R8, -S(O)R8, -SO2R8, -SO2-OR8 и -SO2-NR8R8';
или два R7 на том же атоме углерода могут быть соединены вместе с образованием оксогруппы;
R8 и R8' независимо в каждом случае выбраны из водорода, алкила, галогеналкила, алкенила, алкинила, циклоалкила, гетероцикла, арила и гетероарила;
R9 независимо в каждом случае выбран из водорода, галогена, циано, нитро, R10, -CH2R10, -OR10, -NR2R10, -C(O)R10, -C(O)CH2R10, -C(O)CH2OR10, -C(O)CH2NR2R10, -OC(O)R10, -NR2-C(O)R10, -C(O)OR10, -C(O)NR2R10, -S(O)R10, -SO2R10, SO2CH2R10, -SO2CH2OR10, -SO2CH2NR2R10, -NR2SO2R10, -SO2-OR10 и -SO2-NR2R10;
R10 выбран из алкила, галогеналкила, алкенила, алкинила, циклоалкила, гетероцикла, арила и гетероарила, где каждый R10 необязательно замещен 1, 2, 3 или 4 группами, независимо выбранными из R11; и
R11 выбран из: водорода; галогена; гидроксила; циано; нитро; алкила; галогеналкила; алкенила, необязательно замещенного арильной или гетероарильной группой; алкинила, необязательно замещенного арильной или гетероарильной группой; циклоалкила; гетероцикла; арила, необязательно замещенного 1, 2, 3 или 4 галогеновыми, алкильными или -OR8 группами; гетероарила, необязательно замещенного 1, 2, 3 или 4 галогеновыми, алкильными или -OR8 группами; -СН2арила, необязательно замещенного 1, 2, 3 или 4 галогеновыми, алкильными или -OR8 группами; -СН2гетероарила, необязательно замещенного 1, 2, 3 или 4 галогеновыми, алкильными или -OR8 группами; -OR8; -NR8R8'; -C(O)R8; -C(O)OR8; -C(O)-NR8R8'; -C(O)CH2R8; -C(O)CH2OR8; -C(O)CH2-NR8R8'; -OC(O)R8; -NR2-C(O)R8; -CH2-OC(O)R8; -CH2-NR2-C(O)R8; -S(O)R8; -SO2R8; -SO2-OR8; и -SO2-NR8R8';
или две R11 группы на том же атоме углерода могут быть соединены вместе с образованием оксогруппы.
или R11 независимо в каждом случае выбран из: галогена; гидроксила; циано; нитро; алкила; галогеналкила; алкенила; алкинила; циклоалкила; гетероцикла; арила; гетероарила; -СН2арила; -СН2 гетероарила; -OR8; -NR8R8'; -C(O)R8; -C(O)OR8; -C(O)-NR8R8'; -C(O)CH2R8; -C(O)CH2OR8; -C(O)CH2-NR8R8'; -OC(O)R8; -NR2-C(O)R8; -CH2-OC(O)R8; -CH2-NR2-C(O)R8; -S(O)R8; -SO2R8; -SO2-OR8; оксо и -SO2-NR8R8'; каждая из таких R11 групп необязательно замещена 1, 2, 3 или 4 группами, независимо выбранными из R12;
R12 независимо в каждом случае выбран из: галогена; гидроксила; циано; нитро; алкила; галогеналкила; алкенила; алкинила; циклоалкила; гетероцикла; арила; гетероарила; -СН2арила; -СН2гетероарила; -OR8; -NR8R8'; -C(O)R8; -C(O)OR8; -C(O)-NR8R8'; -C(O)CH2R8; -C(O)CH2OR8; -C(O)CH2-NR8R8'; -OC(O)R8; -NR2-C(O)R8; -CH2-OC(O)R8; -CH2-NR2-C(O)R8; -S(O)R8; -SO2R8; -SO2-OR8; оксо и -SO2-NR8R8';
R20, R21, R22, R23 и R24 независимо в каждом случае выбраны из группы, состоящей из связи, алкила, -С(О)-, -С(O)O-, -ОС(О)-, -SO2-, -S(O)-, -C(S)-, -C(O)NR2-, -NR2C(O)-, -O-, -S-, -NR2-, -P(O)(R28)-, -P(O)-, алкена, алкина, галогеналкила, арила, гетероцикла, гетероарила, бицикла и карбоцикла; каждый из них необязательно замещен 1, 2, 3 или 4 заместителями, независимо выбранными из R40; и где R20, R21, R22, R23 и R24 не могут быть выбраны таким образом, что
i. -С(О)-, -С(O)O-, -ОС(О)-, -SO2-, -S(O)-, -P(O)(R28)-, -Р(O)- и -C(S)- фрагменты смежные друг с другом; или
ii. -O-, -S- или -NR2- фрагменты смежные друг с другом; или
iii. иным образом фрагменты выбраны в порядке, который приводит к нестабильной молекуле (определяемый как образующий молекулу со сроком хранения при температуре окружающей среды менее, чем около четыре месяца (или альтернативно менее, чем около шесть или пять месяцев) вследствие распада, вызванного выбором и порядком фрагментов R20, R21, R22, R23 и R24);
R25 выбран из водорода, алкила, алкена, алкина, галогена, гидроксила, алкокси, азида, амино, циано, -OR2, -NR2R2', -NR2SO2R28, -OSO2R28, -SO2R28, галогеналкила, арила, гетероарила, гетероцикла, бицикла и циклоалкила; каждая из таких R25 групп необязательно замещена 1, 2, 3 или 4 группами, независимо выбранными из R12;
R28 независимо в каждом случае выбран из водорода, -NR2R2', -OR2, -SR2, алкила, галогеналкила, алкенила, алкинила, циклоалкила, гетероцикла, арила и гетероарила;
R40 независимо в каждом случае выбран из группы, состоящей из водорода, алкила, алкена, алкина, галогена, гидроксила, алкокси, азида, амино, циано, -NR2R2, -NR2SO2R28, -OSO2R28, -SO2R28, галогеналкила, арила, гетероарила, гетероцикла, оксо и циклоалкила; каждая из таких R40 групп необязательно замещена 1, 2, 3 или 4 группами, независимо выбранными из R12.
2. Соединение по варианту осуществления 1 формулы:
или его фармацевтически приемлемая соль, N-оксид, изотопное производное или пролекарство.
3. Соединение по варианту осуществления 2, где:
R6 выбран из алкила, циклоалкила, гетероцикла, арила и гетероарила, где каждый R6 необязательно замещен 1, 2, 3 или 4 группами, независимо выбранными из R9; и
R11 выбран из: водорода; галогена; гидроксила; циано; нитро; алкила; галогеналкила; алкенила, необязательно замещенного арильной или гетероарильной группой; алкинила, необязательно замещенного арильной или гетероарильной группой; циклоалкила; гетероцикла; арила, необязательно замещенного 1, 2, 3 или 4 галогеновыми, алкильными или -OR8 группами; гетероарила, необязательно замещенного 1, 2, 3 или 4 галогеновыми, алкильными или -OR8 группами; -СН2арила, необязательно замещенного 1, 2, 3 или 4 галогеновыми, алкильными или -OR8 группами; -СН2гетероарила, необязательно замещенного 1, 2, 3 или 4 галогеновыми, алкильными или -OR8 группами; -OR8; -NR8R8'; -C(O)R8; -C(O)OR8; -C(O)-NR8R8'; -C(O)CH2R8; -C(O)CH2OR8; -C(O)CH2-NR8R8'; -OC(O)R8; -NR2-C(O)R8; -CH2-OC(O)R8; -CH2-NR2-C(O)R8; -S(O)R8; -SO2R8; -SO2-OR8 и -SO2-NR8R8';
или две R11 группы на том же атоме углерода могут быть соединены вместе с образованием оксогруппы.
4. Соединение по варианту осуществления 1 или по варианту осуществления 2, где R12 выбран из галогена, алкила и галогеналкила.
5. Соединение по варианту осуществления 1 или по варианту осуществления 2, где R12 выбран из гидроксила, циано, нитро, алкенила, алкинила, циклоалкила, гетероцикла, арила и гетероарила.
6. Соединение по варианту осуществления 1 или по варианту осуществления 2, где R12 выбран из -СН2арила; -СН2 гетероарила; -OR8; -NR8R8'; -C(O)R8; -C(O)OR8; -C(O)-NR8R8'; -C(O)CH2R8; -C(O)CH2OR8; -C(O)CH2-NR8R8'; -OC(O)R8; -NR2-C(O)R8; -CH2-OC(O)R8; -CH2-NR2-C(O)R8; -S(O)R8; -SO2R8; -SO2-OR8; оксо и -SO2-NR8R8'.
7. Соединение по варианту осуществления 1 или 2, где один R12 заместитель представляет собой галоген.
8. Соединение по варианту осуществления 1 или 2, где два R12 заместителя представляют собой галоген.
9. Соединение по варианту осуществления 1 или 2, где один R12 заместитель представляет собой алкил.
10. Соединение по варианту осуществления 1 или 2, где два R12 заместителя представляют собой алкил.
11. Соединение по варианту осуществления 1 или 2, где один R12 заместитель представляет собой галогеналкил.
12. Соединение по варианту осуществления 1 или 2, где один R12 заместитель представляет собой циклоалкил.
13. Соединение по любому из вариантов осуществления 4-12, где R11 представляет собой алкил, необязательно замещенный 1, 2, 3 или 4 заместителями, выбранными из R12.
14. Соединение по любому из вариантов осуществления 4-12, где R11 представляет собой циклоалкил, необязательно замещенный 1, 2, 3 или 4 заместителями, выбранными из R12.
15. Соединение по любому из вариантов осуществления 4-12, где R11 представляет собой гетероцикл, необязательно замещенный 1, 2, 3 или 4 заместителями, выбранными из R12.
16. Соединение по любому из вариантов осуществления 4-12, где R11 представляет собой арил, необязательно замещенный 1, 2, 3 или 4 заместителями, выбранными из R12.
17. Соединение по любому из вариантов осуществления 4-12, где R11 представляет собой гетероарил, необязательно замещенный 1, 2, 3 или 4 заместителями, выбранными из R12.
18. Соединение по любому из вариантов осуществления 1-12, где R11 представляет собой алкил.
19. Соединение по любому из вариантов осуществления 1-12, где R11 представляет собой циано.
20. Соединение по любому из вариантов осуществления 1-12, где R11 представляет собой галогеналкил.
21. Соединение по любому из вариантов осуществления 1-12, где R11 представляет собой водород.
22. Соединение по любому из вариантов осуществления 1-12, где R11 представляет собой гидроксил.
23. Соединение по любому из вариантов осуществления 1-12, где R11 представляет собой OR8.
24. Соединение по любому из вариантов осуществления 1-12, где R11 представляет собой арил.
25. Соединение по любому из вариантов осуществления 1-12, где R11 представляет собой гетероарил.
26. Соединение по любому из вариантов осуществления 1-12, где R11 представляет собой -C(O)OR8, -C(O)R8 или -SO2R8.
27. Соединение по любому из вариантов осуществления 1-12, где R11 представляет собой -СН2арил.
28. Соединение по любому из вариантов осуществления 1-27, где R1 представляет собой -NR2R4.
29. Соединение по любому из вариантов осуществления 1-27, где R1 представляет собой -OR4.
30. Соединение по любому из вариантов осуществления 1-27, где R1 представляет собой -C(O)R4.
31. Соединение по любому из вариантов осуществления 1-27, где R1 представляет собой -SR4.
32. Соединение по любому из вариантов осуществления 1-27, где R1 представляет собой -S(O)R4.
33. Соединение по любому из вариантов осуществления 1-27, где R1 представляет собой -S(O)2R4.
34. Соединение по любому из вариантов осуществления 1-27, где соединение представляет собой соединение формулы:
или его фармацевтически приемлемая соль.
35. Соединение по любому из вариантов осуществления 1-27, где соединение представляет собой соединение формулы:
или его фармацевтически приемлемая соль.
36. Соединение по любому из вариантов осуществления 1-27, где соединение представляет собой соединение формулы:
или его фармацевтически приемлемая соль.
37. Соединение по любому из вариантов осуществления 1-27, где соединение представляет собой соединение формулы:
или его фармацевтически приемлемая соль.
38. Соединение по любому из вариантов осуществления 1-27, где R1 представляет собой -(CR3R3')-R5.
39. Соединение по варианту осуществления 37 или 38, где R3 представляет собой водород.
40. Соединение по варианту осуществления 37 или 38, где R3 представляет собой -NR8R8'.
41. Соединение по варианту осуществления 37 или 38, где R3 представляет собой алкил.
42. Соединение по любому из вариантов осуществления 37-41, где R3' представляет собой водород.
43. Соединение по любому из вариантов осуществления 1-27, где R1 представляет собой -NR2R5.
44. Соединение по любому из вариантов осуществления 1-27, где R1 представляет собой -OR5.
45. Соединение по любому из вариантов осуществления 38-44, где R5 представляет собой -С(O)алкил, необязательно замещенный 1, 2, 3 или 4 группами, независимо выбранными из R9.
46. Соединение по любому из вариантов осуществления 38-44, где R5 представляет собой -С(O)гетероцикл, необязательно замещенный 1, 2, 3 или 4 группами, независимо выбранными из R9.
47. Соединение по любому из вариантов осуществления 38-44, где R5 представляет собой -С(O)арил, необязательно замещенный 1, 2, 3 или 4 группами, независимо выбранными из R9.
48. Соединение по любому из вариантов осуществления 38-44, где R5 представляет собой -С(O)гетероарил, необязательно замещенный 1, 2, 3 или 4 группами, независимо выбранными из R9.
49. Соединение по любому из вариантов осуществления 1-48, где соединение представляет собой соединение формулы:
или его фармацевтически приемлемая соль.
50. Соединение по любому из вариантов осуществления 1-48, где соединение представляет собой соединение формулы:
или его фармацевтически приемлемая соль.
51. Соединение по любому из вариантов осуществления 1-48, где соединение представляет собой соединение формулы:
или его фармацевтически приемлемая соль.
52. Соединение по любому из вариантов осуществления 49-51, где R4 представляет собой циклоалкил, замещенный одной группой, выбранной из R6, и необязательно замещенный 1, 2, 3 или 4 группами, независимо выбранными из R7.
53. Соединение по любому из вариантов осуществления 49-51, где R4 представляет собой гетероцикл, замещенный одной группой, выбранной из R6, и необязательно замещенный 1, 2, 3 или 4 группами, независимо выбранными из R7.
54. Соединение по любому из вариантов осуществления 49-51, где R4 представляет собой арил, замещенный одной группой, выбранной из R6, и необязательно замещенный 1, 2, 3 или 4 группами, независимо выбранными из R7.
55. Соединение по любому из вариантов осуществления 49-51, где R4 представляет собой гетероарил, замещенный одной группой, выбранной из R6, и необязательно замещенный 1, 2, 3 или 4 группами, независимо выбранными из R7.
56. Соединение по любому из вариантов осуществления 49-51, где R4 представляет собой 
57. Соединение по любому из вариантов осуществления 49-51, где R4 представляет собой 
58. Соединение по любому из вариантов осуществления 49-51, где R4 представляет собой 
59. Соединение по любому из вариантов осуществления 49-51, где R4 представляет собой 
60. Соединение по любому из вариантов осуществления 49-51, где R4 представляет собой 
61. Соединение по любому из вариантов осуществления 1-60, где R7 выбран из водорода, галогена, гидроксила, циано, нитро, алкила, галогеналкила, алкенила, алкинила, циклоалкила, гетероцикла, арила, гетероарила, -OR8 и -NR8R8'.
62. Соединение по любому из вариантов осуществления 1-60, где R7 выбран из водорода, галогена, алкила, галогеналкила, -C(O)R8, -C(O)OR8, -C(O)-NR8R8', -OC(O)R8, -NR2-C(O)R8, -S(O)R8, -SO2R8, -SO2-OR8 и -SO2-NR8R8'.
63. Соединение по любому из вариантов осуществления 1-60, где один R7 представляет собой водород.
64. Соединение по любому из вариантов осуществления 1-60, где два R7 представляют собой водород.
65. Соединение по любому из вариантов осуществления 1-60, где три R7 представляют собой водород.
66. Соединение по любому из вариантов осуществления 1-65, где один R7 представляет собой галоген.
67. Соединение по любому из вариантов осуществления 1-64, где два R7 представляют собой галоген.
68. Соединение по любому из вариантов осуществления 1-65, где один R7 представляет собой алкил.
69. Соединение по любому из вариантов осуществления 1-64, где два R7 представляют собой алкил.
70. Соединение по любому из вариантов осуществления 1-65, где один R7 представляет собой галогеналкил.
71. Соединение по любому из вариантов осуществления 1-64, где два R7 представляют собой галогеналкил.
72. Соединение по любому из вариантов осуществления 1-71, где R6 выбран из:
и
73. Соединение по любому из вариантов осуществления 1-71, где R6 выбран из:
и 
74. Соединение по любому из вариантов осуществления 1-71, где R6 выбран из:
и 
75. Соединение по любому из вариантов осуществления 1-71, где R6 представляет собой алкил, необязательно замещенный 1, 2, 3 или 4 группами, независимо выбранными из R9.
76. Соединение по любому из вариантов осуществления 1-71, где R6 представляет собой циклоалкил, необязательно замещенный 1, 2, 3 или 4 группами, независимо выбранными из R9.
77. Соединение по любому из вариантов осуществления 1-71, где R6 представляет собой гетероцикл, необязательно замещенный 1, 2, 3 или 4 группами, независимо выбранными из R9.
78. Соединение по любому из вариантов осуществления 1-71, где R6 представляет собой арил, необязательно замещенный 1, 2, 3 или 4 группами, независимо выбранными из R9.
79. Соединение по любому из вариантов осуществления 1-71, где R6 представляет собой гетероарил, необязательно замещенный 1, 2, 3 или 4 группами, независимо выбранными из R9.
80. Соединение по любому из вариантов осуществления 75-79, где R6 не является замещенным.
81. Соединение по любому из вариантов осуществления 75-79, где R6 замещен 1 группой, выбранной из R9.
82. Соединение по любому из вариантов осуществления 75-79, где R6 замещен 2 группами, независимо выбранными из R9.
83. Соединение по любому из вариантов осуществления 75-79, где R6 замещен 3 группами, независимо выбранными из R9.
84. Соединение по любому из вариантов осуществления 75-79, где R6 замещен 4 группами, независимо выбранными из R9.
85. Соединение по любому из вариантов осуществления 1-84, где R9 выбран из водорода, галогена, алкила, галогеналкила, циано и нитро.
86. Соединение по любому из вариантов осуществления 1-84, где R9 выбран из R10.
87. Соединение по любому из вариантов осуществления 1-84, где R9 выбран из -CH2R10, -OR10, -NR2R10, -C(O)R10, -C(O)CH2R10, -C(O)CH2OR10, -C(O)CH2NR2R10, -OC(O)R10, -NR2-C(O)R10, -C(O)OR10, -C(O)NR2R10, -S(O)R10, -SO2R10, SO2CH2R10, -SO2CH2OR10, -SO2CH2NR2R10, -NR2SO2R10, -SO2-OR10 и -SO2-NR2R10.
88. Соединение по варианту осуществления 86 или 87, где R10 представляет собой алкил, необязательно замещенный 1, 2, 3 или 4 группами, независимо выбранными из R11.
89. Соединение по варианту осуществления 86 или 87, где R10 представляет собой галогеналкил, необязательно замещенный 1, 2, 3 или 4 группами, независимо выбранными из R11.
90. Соединение по варианту осуществления 86 или 87, где R10 представляет собой алкенил, необязательно замещенный 1, 2, 3 или 4 группами, независимо выбранными из R11.
91. Соединение по варианту осуществления 86 или 87, где R10 представляет собой алкинил, необязательно замещенный 1, 2, 3 или 4 группами, независимо выбранными из R11.
92. Соединение по варианту осуществления 86 или 87, где R10 представляет собой циклоалкил, необязательно замещенный 1, 2, 3 или 4 группами, независимо выбранными из R11.
93. Соединение по варианту осуществления 86 или 87, где R10 представляет собой гетероцикл, необязательно замещенный 1, 2, 3 или 4 группами, независимо выбранными из R11.
94. Соединение по варианту осуществления 86 или 87, где R10 представляет собой арил, необязательно замещенный 1, 2, 3 или 4 группами, независимо выбранными из R11.
95. Соединение по варианту осуществления 86 или 87, где R10 представляет собой гетероарил, необязательно замещенный 1, 2, 3 или 4 группами, независимо выбранными из R11.
96. Соединение по любому из вариантов осуществления 88-95, где R10 не является замещенным.
97. Соединение по любому из вариантов осуществления 88-95, где R10 замещен 1 группой, выбранной из R11.
98. Соединение по любому из вариантов осуществления 88-95, где R10 замещен 2 группами, независимо выбранными из R11.
99. Соединение по любому из вариантов осуществления 88-95, где R10 замещен 3 группами, независимо выбранными из R11.
100. Соединение по любому из вариантов осуществления 88-95, где R10 замещен 4 группами, независимо выбранными из R11.
101. Соединение по любому из вариантов осуществления 1-100, где R2, R8 и R8' представляют собой водород.
102. Соединение по любому из вариантов осуществления 1-100, где R2, R8 и R8' представляют собой алкил.
103. Соединение по любому из вариантов осуществления 1-71, где R6 выбран из:
и 
104. Соединение по любому из вариантов осуществления 1-71, где R6 выбран из:
и 
105. Соединение по любому из вариантов осуществления 1-71, где R6 выбран из:
и 
106. Соединение по варианту осуществления 1, где соединение представляет собой соединение формулы:
или его фармацевтически приемлемая соль, N-оксид, изотопное производное или пролекарство.
107. Соединение по варианту осуществления 106, где соединение представляет собой соединение формулы:
или его фармацевтически приемлемая соль, N-оксид, изотопное производное или пролекарство.
108. Соединение по варианту осуществления 106, где соединение представляет собой соединение формулы:
или его фармацевтически приемлемая соль, N-оксид, изотопное производное или пролекарство.
109. Соединение по варианту осуществления 106, где соединение представляет собой соединение формулы:
или его фармацевтически приемлемая соль, N-оксид, изотопное производное или пролекарство.
110. Соединение по любому из вариантов осуществления 106-109, где X3 представляет собой связь.
111. Соединение по любому из вариантов осуществления 106-109, где X3 представляет собой C(R3R3').
112. Соединение по любому из вариантов осуществления 106-109, где X3 представляет собой С(О).
113. Соединение по любому из вариантов осуществления 106-109, где X3 представляет собой C(S).
114. Соединение по любому из вариантов осуществления 106-109, где X3 представляет собой S(O).
115. Соединение по любому из вариантов осуществления 106-109, где X3 представляет собой S(O)2
116. Соединение по любому из вариантов осуществления 106-109, где X3 представляет собой NR2.
117. Соединение по любому из вариантов осуществления 106-109, где X3 представляет собой О.
118. Соединение по любому из вариантов осуществления 106-109, где X3 представляет собой NR2.
119. Соединение по любому из вариантов осуществления 106-109, где X3 представляет собой О.
120. Соединение по любому из вариантов осуществления 106-109, где X3 представляет собой S.
121. Соединение по любому из вариантов осуществления 106-120, где R20 представляет собой связь.
122. Соединение по любому из вариантов осуществления 106-120, где R20 представляет собой алкил, необязательно замещенный 1, 2, 3 или 4 заместителями, независимо выбранными из R40.
123. Соединение по любому из вариантов осуществления 106-120, где R20 представляет собой алкен или алкин, необязательно замещенный 1, 2, 3 или 4 заместителями, независимо выбранными из R40.
124. Соединение по любому из вариантов осуществления 106-120, где R20 представляет собой галогеналкил, необязательно замещенный 1, 2, 3 или 4 заместителями, независимо выбранными из R40.
125. Соединение по любому из вариантов осуществления 106-120, где R20 представляет собой арил, необязательно замещенный 1, 2, 3 или 4 заместителями, независимо выбранными из R40.
126. Соединение по любому из вариантов осуществления 106-120, где R20 представляет собой гетероарил, необязательно замещенный 1, 2, 3 или 4 заместителями, независимо выбранными из R40.
127. Соединение по любому из вариантов осуществления 106-120, где R20 представляет собой гетероцикл, необязательно замещенный 1, 2, 3 или 4 заместителями, независимо выбранными из R40.
128. Соединение по любому из вариантов осуществления 106-120, где R20 представляет собой бицикл, необязательно замещенный 1, 2, 3 или 4 заместителями, независимо выбранными из R40.
129. Соединение по любому из вариантов осуществления 106-115, где R20 представляет собой -О-.
130. Соединение по любому из вариантов осуществления 106-115, где R20 представляет собой -S-.
131. Соединение по любому из вариантов осуществления 106-115, где R20 представляет собой -NR2-.
132. Соединение по любому из вариантов осуществления 106-111, где R20 представляет собой -С(О)-, -С(O)O-, -ОС(О)-, -SO2-, -S(O)-, -C(S)-, -C(O)NR2-, -P(O)(R28)- или -P(O)-.
133. Соединение по любому из вариантов осуществления 106-132, где R21 представляет собой связь.
134. Соединение по любому из вариантов осуществления 106-132, где R21 представляет собой алкил, необязательно замещенный 1, 2, 3 или 4 заместителями, независимо выбранными из R40.
135. Соединение по любому из вариантов осуществления 106-132, где R21 представляет собой алкен или алкин, необязательно замещенный 1, 2, 3 или 4 заместителями, независимо выбранными из R40.
136. Соединение по любому из вариантов осуществления 106-132, где R21 представляет собой галогеналкил, необязательно замещенный 1, 2, 3 или 4 заместителями, независимо выбранными из R40.
137. Соединение по любому из вариантов осуществления 106-132, где R21 представляет собой арил, необязательно замещенный 1, 2, 3 или 4 заместителями, независимо выбранными из R40.
138. Соединение по любому из вариантов осуществления 106-132, где R21 представляет собой гетероарил, необязательно замещенный 1, 2, 3 или 4 заместителями, независимо выбранными из R40.
139. Соединение по любому из вариантов осуществления 106-132, где R21 представляет собой гетероцикл, необязательно замещенный 1, 2, 3 или 4 заместителями, независимо выбранными из R40.
140. Соединение по любому из вариантов осуществления 106-132, где R21 представляет собой бицикл, необязательно замещенный 1, 2, 3 или 4 заместителями, независимо выбранными из R40.
141. Соединение по любому из вариантов осуществления 106-128, где R21 представляет собой -О-.
142. Соединение по любому из вариантов осуществления 106-128, где R21 представляет собой -S-.
143. Соединение по любому из вариантов осуществления 106-128, где R21 представляет собой -NR2-.
144. Соединение по любому из вариантов осуществления 106-131, где R21 представляет собой -С(О)-, -С(O)O-, -ОС(О)-, -SO2-, -S(O)-, -C(S)-, -C(O)NR2-, -P(O)(R28)- или -P(O)-.
145. Соединение по любому из вариантов осуществления 106-144, где R22 представляет собой связь.
146. Соединение по любому из вариантов осуществления 106-144, где R22 представляет собой алкил, необязательно замещенный 1, 2, 3 или 4 заместителями, независимо выбранными из R40.
147. Соединение по любому из вариантов осуществления 106-144, где R22 представляет собой алкен или алкин, необязательно замещенный 1, 2, 3 или 4 заместителями, независимо выбранными из R40.
148. Соединение по любому из вариантов осуществления 106-144, где R22 представляет собой галогеналкил, необязательно замещенный 1, 2, 3 или 4 заместителями, независимо выбранными из R40.
149. Соединение по любому из вариантов осуществления 106-144, где R22 представляет собой арил, необязательно замещенный 1, 2, 3 или 4 заместителями, независимо выбранными из R40.
150. Соединение по любому из вариантов осуществления 106-144, где R22 представляет собой гетероарил, необязательно замещенный 1, 2, 3 или 4 заместителями, независимо выбранными из R40.
151. Соединение по любому из вариантов осуществления 106-144, где R22 представляет собой гетероцикл, необязательно замещенный 1, 2, 3 или 4 заместителями, независимо выбранными из R40.
152. Соединение по любому из вариантов осуществления 106-144, где R22 представляет собой бицикл, необязательно замещенный 1, 2, 3 или 4 заместителями, независимо выбранными из R40.
153. Соединение по любому из вариантов осуществления 106-143, где R22 представляет собой -С(О)-, -С(O)O-, -ОС(О)-, -SO2-, -S(O)-, -C(S)-, -C(O)NR2-, -P(O)(R28)- или -P(O)-.
154. Соединение по любому из вариантов осуществления 106-140, где R22 представляет собой -О-.
155. Соединение по любому из вариантов осуществления 106-140, где R22 представляет собой -S-.
156. Соединение по любому из вариантов осуществления 106-140, где R22 представляет собой -NR2-.
157. Соединение по любому из вариантов осуществления 106-156, где R23 или R24 представляет собой связь.
158. Соединение по любому из вариантов осуществления 106-156, где R23 или R24 представляет собой алкил, необязательно замещенный 1, 2, 3 или 4 заместителями, независимо выбранными из R40.
159. Соединение по любому из вариантов осуществления 106-156, где R23 или R24 представляет собой алкен или алкин, необязательно замещенный 1, 2, 3 или 4 заместителями, независимо выбранными из R40.
160. Соединение по любому из вариантов осуществления 106-156, где R23 или R24 представляет собой галогеналкил, необязательно замещенный 1, 2, 3 или 4 заместителями, независимо выбранными из R40.
161. Соединение по любому из вариантов осуществления 106-156, где R23 или R24 представляет собой арил, необязательно замещенный 1, 2, 3 или 4 заместителями, независимо выбранными из R40.
162. Соединение по любому из вариантов осуществления 106-156, где R23 или R24 представляет собой гетероарил, необязательно замещенный 1, 2, 3 или 4 заместителями, независимо выбранными из R40.
163. Соединение по любому из вариантов осуществления 106-156, где R23 или R24 представляет собой гетероцикл, необязательно замещенный 1, 2, 3 или 4 заместителями, независимо выбранными из R40.
164. Соединение по любому из вариантов осуществления 106-156, где R23 или R24 представляет собой бицикл, необязательно замещенный 1, 2, 3 или 4 заместителями, независимо выбранными из R40.
165. Соединение по любому из вариантов осуществления 106-156, где R23 или R24 представляет собой -С(О)-, -С(O)0-, -ОС(О)-, -SO2-, -S(O)-, -C(S)-, -C(O)NR2-, -P(O)(R28)- или -P(O)-.
166. Соединение по любому из вариантов осуществления 106-156, где R23 или R24 представляет собой -О-.
167. Соединение по любому из вариантов осуществления 106-156, где R23 или R24 представляет собой -S-.
168. Соединение по любому из вариантов осуществления 106-156, где R23 или R24 представляет собой -NR2-.
169. Соединение по любому из вариантов осуществления 106-168, где R25 представляет собой водород.
170. Соединение по любому из вариантов осуществления 106-168, где R25 представляет собой галоген.
171. Соединение по любому из вариантов осуществления 106-168, где R25 представляет собой алкил, необязательно замещенный 1, 2, 3 или 4 группами, независимо выбранными из R12.
172. Соединение по любому из вариантов осуществления 106-168, где R25 выбран из алкена, алкина, гидроксила, алкокси, азида, амино, циано, -OR2, -NR2R2, -NR2SO2R28, -OSO2R28, -SO2R28, галогеналкила, арила, гетероарила, гетероцикла, бицикла и циклоалкила; каждая из таких R25 групп необязательно замещена 1, 2, 3 или 4 группами, независимо выбранными из R12;
173. Соединение по любому из вариантов осуществления 106-172, где R40 выбран из алкила, алкена, алкина, галогена, гидроксила, алкокси, азида, амино, циано, галогеналкила, арила, гетероарила, гетероцикла, оксо и циклоалкила; каждая из таких R40 групп необязательно замещен 1, 2, 3 или 4 группами, независимо выбранными из R12.
174. Соединение по варианту осуществления 173, где R40 не является замещенным.
175. Соединение по варианту осуществления 1, где соединение выбрано из:
и 
или его фармацевтически приемлемая соль.
176. Соединение по варианту осуществления 1, где соединение выбрано из таблицы 2, или его фармацевтически приемлемая соль.
177. Соединение по варианту осуществления 1, где соединение представляет собой соединение структуры:
или его фармацевтически приемлемая соль.
178. Соединение по варианту осуществления 1, где соединение представляет собой соединение структуры:
или его фармацевтически приемлемая соль.
179. Соединение по варианту осуществления 1, где соединение представляет собой соединение структуры:
или его фармацевтически приемлемая соль.
180. Соединение по варианту осуществления 1, где соединение представляет собой соединение структуры:
или его фармацевтически приемлемая соль.
181. Соединение по варианту осуществления 1, где соединение представляет собой соединение структуры:
или его фармацевтически приемлемая соль.
182. В соответствии с определенными вариантами осуществления представлена фармацевтическая композиция, содержащая соединение по любому из вариантов осуществления 1-181 или его фармацевтическую соль и фармацевтически приемлемое вспомогательное вещество.
183. В соответствии с определенными вариантами осуществления представлен способ лечения нарушения, опосредованного цереблоном у человека, при этом способ предусматривает введение эффективной дозы соединения по любому из вариантов осуществления 1-181 или его фармацевтически приемлемой соли или композиции человеку, нуждающемуся в таком лечении.
184. Способ по варианту осуществления 183, при котором нарушение опосредовано белком Ikaros или белком Aiolos.
185. Способ по варианту осуществления 183 или 184, при котором нарушение представляет собой рак.
186. Способ по варианту осуществления 183 или 184, при котором нарушение представляет собой опухоль.
187. Способ по варианту осуществления 183 или 184, при котором нарушение представляет собой иммунное, аутоиммунное или воспалительное нарушение.
188. Способ по варианту осуществления 183 или 184, при котором нарушение представляет собой гемобластоз.
189. Способ по варианту осуществления 183 или 184, при котором нарушение представляет собой множественную миелому, лейкоз, лимфобластный лейкоз, хронический лимфоцитарный лейкоз, лимфому Ходжкина или неходжкинскую лимфому.
190. В соответствии с определенными вариантами осуществления представлено соединение для применения в изготовлении лекарственного средства для лечения нарушения, опосредованного цереблоном у человека, при этом соединение выбрано из любого из вариантов осуществления 1-181, или его фармацевтически приемлемая соль или композиция.
191. Соединение для применения по варианту осуществления 190, где нарушение опосредовано белком Ikaros или белком Aiolos.
192. Соединение для применения по варианту осуществления 190 или 191, где нарушение представляет собой рак.
193. Соединение для применения по варианту осуществления 190 или 191, где нарушение представляет собой опухоль.
194. Соединение для применения по варианту осуществления 190 или 191, где нарушение представляет собой иммунное, аутоиммунное или воспалительное нарушение.
195. Соединение для применения по варианту осуществления 190 или 191, где нарушение представляет собой гемобластоз.
196. Соединение для применения по варианту осуществления 190 или 191, где нарушение представляет собой множественную миелому, лейкоз, лимфобластный лейкоз, хронический лимфоцитарный лейкоз, лимфому Ходжкина или неходжкинскую лимфому.
197. В соответствии с определенными вариантами осуществления представлено применение соединения при лечении нарушения, опосредованного цереблоном у человека, при этом соединение выбрано из любого из вариантов осуществления 1-181, или его фармацевтически приемлемой соли или композиции.
198. Применение по варианту осуществления 197, при котором нарушение опосредовано белком Ikaros или белком Aiolos.
199. Применение по варианту осуществления 197 или 198, при котором нарушение представляет собой рак.
200. Применение по варианту осуществления 197 или 198, при котором нарушение представляет собой опухоль.
201. Применение по варианту осуществления 197 или 198, при котором нарушение представляет собой иммунное, аутоиммунное или воспалительное нарушение.
202. Применение по варианту осуществления 197 или 198, при котором нарушение представляет собой гемобластоз.
203. Применение по варианту осуществления 197 или 198, при котором нарушение представляет собой множественную миелому, лейкоз, лимфобластный лейкоз, хронический лимфоцитарный лейкоз, лимфому Ходжкина или неходжкинскую лимфому.
III. Способы лечения
Любое из соединений, описанных в данном документе, можно применять в эффективном количестве для лечения хозяина, в том числе человека, нуждающегося в этом, необязательно, в фармацевтически приемлемом носителе, для лечения любого из нарушений, описанных в данном документе. В соответствии с определенными вариантами осуществления способ предусматривает введение эффективного количества активного соединения соединения или его соли, которая описана в данном документе, необязательно, включающего в себя фармацевтически приемлемое вспомогательное вещество, носитель или вспомогательное средство (т.е. фармацевтически приемлемой композиции), необязательно, совместно или в очередном порядке с дополнительным терапевтически активным средством или комбинацией средств.
В соответствии с одним вариантом осуществления соединение согласно настоящему изобретению селективно разрушает IKZF1 и/или 3 по сравнению с одним или несколькими из IKZF2, и/или 4, и/или 5.
В соответствии с одним вариантом осуществления соединение формулы I применяли для лечения нарушения, описанного в настоящем изобретении.
В соответствии с одним вариантом осуществления соединение формулы II применяли для лечения нарушения, описанного в настоящем изобретении.
В соответствии с одним вариантом осуществления соединение формулы I-а применяли для лечения нарушения, описанного в настоящем изобретении.
В соответствии с одним вариантом осуществления соединение формулы I-b применяли для лечения нарушения, описанного в настоящем изобретении.
В соответствии с одним вариантом осуществления соединение формулы I-c применяли для лечения нарушения, описанного в настоящем изобретении.
В соответствии с одним вариантом осуществления соединение формулы I-d применяли для лечения нарушения, описанного в настоящем изобретении.
В соответствии с одним вариантом осуществления соединение формулы I-е применяли для лечения нарушения, описанного в настоящем изобретении.
В соответствии с одним вариантом осуществления соединение формулы I-f применяли для лечения нарушения, описанного в настоящем изобретении.
В соответствии с одним вариантом осуществления соединение формулы I-g применяли для лечения нарушения, описанного в настоящем изобретении.
В соответствии с одним вариантом осуществления нарушение, лечение которого осуществляют с помощью соединения согласно настоящему изобретению, представляет собой нарушение, требующее применения иммуномодуляторов. В соответствии с одним вариантом осуществления нарушение, лечение которого осуществляют с помощью соединения согласно настоящему изобретению, опосредовано ангиогенезом. В соответствии с одним вариантом осуществления нарушение, лечение которого осуществляют с помощью соединения согласно настоящему изобретению, связано с лимфатической системой.
В соответствии с одним вариантом осуществления соединение согласно настоящему изобретению, его фармацевтическую соль, необязательно, в фармацевтической композиции, которая описана в данном документе, применяют для разрушения белка Ikaros или белка Aiolos, который является медиатором нарушения, поражающего пациента, такого как человек. Контроль уровня белка, обеспечиваемый любым из соединений согласно настоящему изобретению, обеспечивает лечение болезненного состояния или состояния, которое модулируется через белок Ikaros или белок Aiolos, посредством снижения уровня этого белка в клетке, например, в клетке пациента, или посредством снижения уровня в клетке белков, последующих в каскаде передачи сигнала. В соответствии с определенными вариантами осуществления способ предусматривает введение эффективного количества соединения, которое описано в данном документе, необязательно, включающего в себя фармацевтически приемлемое вспомогательное вещество, носитель, вспомогательное средство (т.е. фармацевтически приемлемой композиции), необязательно, совместно или в очередном порядке с дополнительным терапевтически активным средством или комбинацией средств.
В соответствии с одним вариантом осуществления соединение согласно настоящему изобретению применяют для лечения нарушения, включающего в себя, без ограничения, доброкачественную опухоль, новообразование, опухоль, рак, аномальную клеточную пролиферацию, иммунологическое нарушение, воспалительное нарушение, реакцию «трансплантат против хозяина», вирусную инфекцию, бактериальную инфекцию, протеинопатию, основанную на накоплении амилоида, протеинопатию или фиброзное нарушение.
Подразумевается, что термин «болезненное состояние» или «состояние» при использовании совместно с любым из соединений относится к любому болезненному состоянию или состоянию, которое опосредовано белком Ikaros или белком Aiolos, такому как клеточная пролиферация, или опосредовано белками, следующими в каскаде передачи сигнала за белком Ikaros или белком Aiolos, и при котором разрушение такого белка у пациента может обеспечивать благоприятное терапевтическое воздействие или облегчение симптомов у пациента, нуждающегося в этом. В определенных случаях болезненное состояние или состояние может быть излечено.
В соответствии с одним вариантом осуществления соединение или его соответствующую фармацевтически приемлемую соль, изотопное производное или пролекарство, которые описаны в данном документе, можно применять в эффективном количестве для лечения хозяина, например, человека, с лимфомой или нарушением или аномалией пролиферации лимфоцитарных или миелоцитарных клеток. Например, соединение, которое описано в данном документе, можно вводить хозяину, страдающему от лимфомы Ходжкина или неходжкинской лимфомы. Например, хозяин может страдать отнеходжкинской лимфомы, такой как, без ограничения: СПИД-ассоциированная лимфома; анапластическая крупноклеточная лимфома; ангиоиммунобластная лимфома; NK-клеточная бластная лимфома; лимфома Беркитта; беркиттоподобная лимфома (мелкоклеточная лимфома с нерассеченными ядрами); диффузная мелкоклеточная лимфома с расщепленными ядрами (DSCCL); хронический лимфоцитарный лейкоз/мелкоклеточная лимфоцитарная лимфома; кожная Т-клеточная лимфома; диффузная В-крупноклеточная лимфома; Т-клеточная лимфома типа энтеропатии; фолликулярная лимфома; печеночно-селезеночная гамма-дельта Т-клеточная лимфома; лимфобластная лимфома; лимфома из клеток мантийной зоны; лимфома из клеток маргинальной зоны; назальная Т-клеточная лимфома; лимфома в детском возрасте; периферические Т-клеточные лимфомы; первичная лимфома центральной нервной системы; Т-клеточные лейкозы; трансформированные лимфомы; связанные с проведением лечения Т-клеточные лимфомы, гистиоцитоз из клеток Лангерганса или макроглобулинемия Вальденстрема.
В соответствии с еще одним вариантом осуществления соединение или его соответствующая фармацевтически приемлемую соль, изотопное производное или пролекарство, которые описаны в данном документе, можно применять в эффективном количестве для лечения хозяина, например, человека, с лимфомой Ходжкина, такой как, без ограничения: лимфома Ходжкина с нодулярным склерозом (CHL); смешанно-клеточная CHL; CHL с истощением лимфоидной ткани; богатая лимфоцидной тканью CHL; лимфома Ходжкина с преобладанием лимфоидной ткани или нодулярная HL с преобладанием лимфоидной ткани.
В соответствии с еще одним вариантом осуществления соединение или его соответствующую фармацевтически приемлемую соль, изотопное производное или пролекарство, которые описаны в данном документе, можно применять в эффективном количестве для лечения хозяина, например, человека, с состоянием, требующим применения иммуномодуляторов. Неограничивающие примеры состояний, требующих применения иммуномодуляторов, включают в себя: артрит, волчанку, целиакию, синдром Шегрена, ревматическую полимиалгию, рассеянный склероз, анкилозирующий спондилит, сахарный диабет 1 типа, гнездную алопецию, васкулит и височный артериит.
В соответствии с определенными вариантами осуществления состояние, лечение которого осуществляют с помощью соединения согласно настоящему изобретению, представляет собой нарушение, связанное с аномальной клеточной пролиферацией. Аномальная клеточная пролиферация, в частности, гиперпролиферация, может возникать в результате широкого спектра факторов, включающих в себя генетическую мутацию, инфекцию, воздействие токсинов, аутоиммунные нарушения и индукцию доброкачественных или злокачественных опухолей.
Аномальная пролиферация В-клеток, Т-клеток и/или NK-клеток может приводить в результате к широкому спектру заболеваний, таких как рак, пролиферативные нарушения и воспалительные/иммунные заболевания. Хозяин, например, человек, пораженный любым из этих нарушений, может получать лечение эффективным количеством соединения, которое описано в данном документе, для достижения уменьшения симптомов (паллиативное средство) или ослабления первопричинного заболевания (средство, модифицирующее заболевание).
В соответствии с одним вариантом осуществления соединение или его соответствующую фармацевтически приемлемую соль, изотопное производное или пролекарство, которые описаны в данном документе, можно применять в эффективном количестве для лечения хозяина, например, человека, с конкретной В-клеточной лимфомой или пролиферативным нарушением, таким как, без ограничения: множественная миелома; диффузная В-крупноклеточная лимфома; фолликулярная лимфома; лимфома из ассоциированной со слизистой лимфоидной ткани (MALT); мелкоклеточная лимфоцитарная лимфома; диффузная слабодифференцированная лимфоцитарная лимфома; средостенная В-крупноклеточная лимфома; нодальная В-клеточная лимфома из клеток маргинальной зоны (NMZL); селезеночная лимфома из клеток маргинальной зоны (SMZL); внутрисосудистая В-крупноклеточная лимфома; первичная выпотная лимфома или лимфоматоидный гранулематоз; В-клеточный пролимфоцитарный лейкоз; волосатоклеточный лейкоз; селезеночная лимфома/лейкоз, не поддающиеся классификации; диффузная мелкоклеточная В-клеточная лимфома из красной пульпы селезенки; волосатоклеточный лейкоз-вариант; лимфоплазмацитарная лимфома; болезни тяжелых цепей, например, болезнь тяжелых альфа-цепей, болезнь тяжелых гамма-цепей, болезнь тяжелых мю-цепей; плазмаклеточная миелома; солитарная плазмацитома кости; экстраоссальная плазмоцитома; первичная кожная лимфома из клеток фолликулярных центров; богатая Т-клетками/гистиоцитами В-крупноклеточная лимфома; DLBCL, ассоциированная с хроническим воспалением; вирус Эпштейна-Барр (EBV)+ DLBCL в пожилом возрасте; первичная медиастинальная (тимическая) В-крупноклеточная лимфома; первичная кожная DLBCL с поражением нижних конечностей; ALK+ В-крупноклеточная лимфома; плазмобластная лимфома; В-крупноклеточная лимфома, возникающая при HHV8-ассоциириованной мультицентрической форме; болезнь Кастлемана; В-клеточная лимфома, не поддающаяся классификации, с симптомами, промежуточными относительно диффузной В-крупноклеточной лимфомы; или В-клеточная лимфома, не поддающаяся классификации, с симптомами, промежуточными относительно диффузной В-крупноклеточной лимфомы и классической лимфомы Ходжкина.
В соответствии с одним вариантом осуществления соединение или его соответствующую фармацевтическую соль, изотопное производное или пролекарство, которые описаны в данном документе, можно применять в эффективном количестве для лечения хозяина, например, человека, с Т-клеточной или NK-клеточной лимфомой, такой как, без ограничения: киназа анапластической лимфомы (ALK)-положительная, ALK-отрицательная анапластическая крупно клеточная лимфома или первичная кожная анапластическая крупноклеточная лимфома; ангиоиммунобластная лимфома; кожная Т-клеточная лимфома, например, грибовидный микоз, синдром Сезари, первичная кожная анапластическая крупноклеточная лимфома, первичное кожное лимфопролиферативное нарушение из CD30+ Т-клеток; первичная кожная агрессивная эпидермотропическая лимфома из CD8+ цитотоксических Т-клеток; первичная кожная гамма-дельта Т-клеточная лимфома; первичная кожная лимфома из мелких/средних CD4+ Т-клеток и лимфоматоидный папулез; Т-клеточный лейкоз/лимфома взрослых (ATLL); NK-клеточная бластная лимфома; Т-клеточная лимфома типа энтеропатии; гемато-селезеночная гамма-дельта Т-клеточная лимфома; лимфобластная лимфома; назальные NK/T-клеточные лимфомы; связанные с осуществлением лечения Т-клеточных лимфом; например, лимфомы, которые возникают после трансплантации паренхиматозного органа или костного мозга; Т-клеточный пролимфоцитарный лейкоз; Т-клеточный лейкоз из больших гранулярных лимфоцитов; хроническое лимфопролиферативное нарушение из NK-клеток; агрессивный NK-клеточный лейкоз; системное EBV+ Т-клеточное лимфопролиферативное заболевание в детском возрасте (ассоциированное с хронически активной инфекцией EBV); лимфома, подобная световой оспе; Т-клеточный лейкоз/лимфома взрослых; ассоциированная с энтеропатией Т-клеточная лимфома; печеночно-селезеночная Т-клеточная лимфома или подкожная панникулит-подобная Т-клеточная лимфома.
В соответствии с одним вариантом осуществления соединение или его соответствующую фармацевтически приемлемую соль, изотопное производное или пролекарство, которые описаны в данном документе, можно применять для лечения хозяина, например, человека, с лейкозом. Например, хозяин может страдать от острого или хронического лейкоза лимфоцитарного или миелогенного происхождения, такого как, без ограничения: острый лимфобластный лейкоз (ALL); острый миелогенный лейкоз (AML); хронический лимфоцитарный лейкоз (CLL); хронический миелогенный лейкоз (CML); ювенильный миеломоноцитарный лейкоз (JMML); волосатоклеточный лейкоз (HCL); острый промиелоцитарный лейкоз (подтип AML); лейкоз из больших гранулярных лимфоцитов или хронический Т-клеточный лейкоз взрослых. В соответствии с одним вариантом осуществления пациент страдает от острого миелогенного лейкоза, например, недифференцированного AML (М0); миелобластного лейкоза (M1; с минимальным созреванием клеток/без него); миелобластного лейкоза (М2; с созреванием клеток); промиелоцитарного лейкоза (М3 или вариант М3 [M3V]); миеломоноцитарного лейкоза (М4 или вариант М4 с эозинофилией [М4Е]); моноцитарного лейкоза (М5); эритролейкоза (М6) или мегакариобластного лейкоза (М7).
Существует ряд кожных нарушений, ассоциированных с клеточной гиперпролиферацией. Например, псориаз представляет собой заболевание с доброкачественными новообразованиями в коже человека, которые обычно характеризуются пятнами, покрытыми утолщенными чешуйками. Заболевание вызвано повышенной пролиферацией эпидермальных клеток по невыясненной причине. Хроническая экзема также ассоциирована со значительной гиперпролиферацией эпидермиса. Другие заболевания, вызванные гиперпролиферацией клеток кожи, включают в себя атопический дерматит, красный плоский лишай, бородавки, обыкновенную пузырчатку, актинический кератоз, базальноклеточную карциному и плоскоклеточную карциному.
Другие гиперпролиферативные клеточные нарушения включают в себя нарушения пролиферации кровеносных сосудов, фиброзные нарушения, аутоиммунные нарушения, реакцию «трансплантат против хозяина», опухоли и формы рака.
Пролиферативные нарушения кровеносных сосудов включают в себя ангиогенные и васкулогенные нарушения. Пролиферация гладкомышечных клеток в процессе развития пятен в сосудистой ткани вызывают, например, рестеноз, ретинопатии и атеросклероз. Как миграция клеток, так и пролиферация клеток играют роль в образовании атеросклеротических очагов.
Фиброзные нарушения часто обусловлены аномальным формированием внеклеточного матрикса. Примеры фиброзных нарушений включают в себя цирроз печени и нарушения пролиферации мезангиальных клеток. Цирроз печени характеризуется повышением содержания составляющих внеклеточного матрикса, приводящим в результате к образованию рубца в печени. Цирроз печени может вызывать такие заболевания, как цирроз печени. Повышенное содержание внеклеточного матрикса, приводящее в результате к рубцу в печени, также могут быть вызваны вирусной инфекцией, такой как гепатит. Оказывается, что липоциты играют главную роль в циррозе печени.
Мезангиальные нарушения обусловлены аномальной пролиферацией мезангиальных клеток. Гиперпролиферативные нарушения мезангиальных клеток включают в себя различные заболевания почек человека, такие как гломерулонефрит, диабетическая нефропатия, злокачественный нефросклероз, тромботические микроангиопатические синдромы, отторжение трансплантата и гломерулопатии.
Еще одним заболеванием с пролиферативной составляющей является ревматоидный артрит. Ревматоидный артрит обычно считают аутоиммунным заболеванием, которое, как полагают, ассоциировано с активностью аутореактивных Т-клеток и вызывается аутоантителами, продуцируемыми против коллагена и IgE.
Другие нарушения, которые могут включать составляющую в виде аномальной клеточной пролиферации, включают в себя синдром Бехчета, острый респираторный дистресс-синдром (ARDS), ишемическую болезнь сердца, постдиализный синдром, лейкоз, синдром приобретенного иммунодефицита, васкулит, липидный гистиоцитоз, септический шок и общее воспаление.
Соединение или его фармацевтически приемлемую соль, изотопный аналог или пролекарство, которые описаны в данном документе, можно применять в эффективном количестве для лечения хозяина, например, человека, с пролиферативным состоянием, таким как миелопролиферативное нарушение (MPD), истинная полицитемия (PV), эссенциальная тромбоцитемия (ЕТ), миелоидная метаплазия с миелофиброзом (МММ), хронический миеломоноцитарный лейкоз (CMML), гиперэозинофильный синдром (HES), системная болезнь тучных клеток (SMCD) и т.п. В соответствии с еще одним вариантом осуществления соединение, представленное в данном документе, является пригодным для лечения первичного миелофиброза, миелофиброза после истинной полицитемии, миелофиброза после эссенциальной тромбоцитемии и вторичного острого миелогенного лейкоза.
В соответствии с одним вариантом осуществления соединение или его фармацевтически приемлемую соль, изотопный аналог или пролекарство, которые описаны в данном документе, можно применять в эффективном количестве для лечения хозяина, например, человека, с миелодиспластическим синдромом (MDS), таким как, без ограничения: рефракторная цитопения с однолинейной дисплазией, рефракторная анемия с кольцевыми сидеробластами (RARS), рефракторная анемия с кольцевыми сидеробластами-тромбоцитозом (RARS-t), рефракторная цитопения с мультилинейной дисплазией (RCMD), в том числе RCMD с мультилинейной дисплазией и кольцевыми сидеробластами (RCMD-RS), рефракторные анемии с избытком бластов I типа (RAEB-I) и II типа (RAEB-II), 5q-минус синдром, рефрактерная цитопения у детей и т.п.
В соответствии с одним вариантом осуществления соединение согласно настоящему изобретению может обеспечивать терапевтический эффект посредством прямого разрушения белка Ikaros или белка Aiolos, которые могут изменять транскрипционную регуляцию белка, который следует в каскаде передачи сигнала за белком Ikaros или белком Aiolos.
Используемые термины «неоплазия» или «рак» относятся к патологическому процессу, который приводит в результате к образованию и росту ракового или злокачественного новообразования, т.е. аномальной ткани, которая растет вследствие клеточной пролиферации, часто быстрее чем нормальная, и продолжает расти после стимулов, которые инициируют прекращение нового роста. Злокачественные новообразования демонстрируют частичное или полное отсутствие структурной организации и функциональной координации с нормальной тканью и в большинстве случаев внедряются в окружающие ткани, дают метастазы в несколько мест и, вероятно, повторно возникают после попыток удаления и вызывают смерть пациента при отсутствии соответствующего лечения. При использовании в контексте данного документа термин «неоплазия» используют для описания всех раковых болезненных состояний, и он охватывает или включает патологический процесс, ассоциированный со злокачественными новообразованиями из клеток крови, асцитными и солидными злокачественными опухолями. Иллюстративные формы рака, лечение которых можно осуществлять с помощью соединений согласно настоящему изобретению либо отдельно, либо в комбинации по меньшей мере с одним дополнительным противораковым средством, включают в себя плоскоклеточную карциному, базальноклеточную карциному, аденокарциному, гепатоцеллюлярные карциномы и почечно-клеточные карциномы, рак мочевого пузыря, кишечника, молочной железы, шейки матки, ободочной кишки, пищевода, головы, почки, печени, легкого, шеи, яичника, поджелудочной железы, предстательной железы и желудка; лезкозы; доброкачественные и злокачественные лимфомы, в частности, лимфому Беркитта и неходжкинскую лимфому; доброкачественные и злокачественные меланомы; миелопролиферативные заболевания; саркомы, в том числе саркома Юинга, гемангиосаркома, саркому Капоши, липосаркому, миосаркомы, периферическую нейроэпителиому, синовиальную саркому, глиомы, астроцитомы, олигодендроглиомы, эпендимомы, глиобластомы, нейробластомы, ганглионевромы, ганглиоглиомы, медуллобластомы, опухоли из пинеалоцитов, менингиомы, менингеальные саркомы, нейрофибромы и шванномы; рак кишечника, рак молочной железы, рак предстательной железы, рак шейки матки, рак матки, рак легкого, рак яичника, рак яичка, рак щитовидной железы, астроцитому, рак пищевода, рак поджелудочной железы, рак желудка, рак печени, рак ободочной кишки, меланому; карциносаркому, болезнь Ходжкина, опухоль Вильмса и тератокарциномы. Дополнительные формы рака, лечение которых можно осуществлять с применением соединений согласно настоящему изобретению, включают в себя, например, Т-линейный острый лимфобластный лейкоз (Т-ALL), Т-линейную лимфобластную лимфому (T-LL), периферическую Т-клеточную лимфому, Т-клеточный лейкоз у взрослых, пре-В-клеточный ALL, пре-В-клеточные лимфомы, В-крупноклеточную лимфому, лимфому Беркитта, В-клеточный ALL, положительный по филадельфийской хромосоме ALL и положительный по филадельфийской хромосоме CML.
Дополнительные формы рака, лечение которых можно осуществлять с применением раскрытых соединений согласно настоящему изобретению, включают в себя, например, острый гранулоцитарный лейкоз, острый лимфоцитарный лейкоз (ALL), острый миелогенный лейкоз (AML), аденокарциному, аденосаркому, рак надпочечников, адрено кортикальную карциному, рак анального канала, анапластическую астроцитому, ангиосаркому, рак червеобразного отростка, астроцитому, базальноклеточную карциному, В-клеточную лимфому, рак желчного протока, рак мочевого пузыря, рак костей, рак костного мозга, рак кишечника, рак головного мозга, глиому ствола мозга, рак молочной железы, трижды негативный (по эстрогену, прогестерону и HER-2) рак молочной железы, дважды негативный рак молочной железы (является негативным по двум из эстрогена, прогестерона и HER-2), негативный по одному признаку (негативный по эстрогену, прогестерону и HER-2), позитивный по эстрогеновому рецептору, HER2-негативный рак молочной железы, негативный по эстрогеновому рецептору рак молочной железы, позитивный по эстрогеновому рецептору рак молочной железы, метастатический рак молочной железы, люминальный рак молочной железы А типа, люминальный рак молочной железы В типа, Her2-негативный рак молочной железы, HER2-позитивный или негативный рак молочной железы, негативный по прогестероновому рецептору рак молочной железы, позитивный по прогестероновому рецептору рак молочной железы, рецидивирующий рак молочной железы, карциноидные опухоли, рак шейки матки, холангиокарциному, хондросаркому, хронический лимфоцитарный лейкоз (CLL), хронический миелогенный лейкоз (CML), рак ободочной кишки, рак ободочной и прямой кишки, краниофарингиому, лимфому кожи, меланому кожи, диффузную астроцитому, протоковую карциному in situ (DCIS), рак эндометрия, эпендимому, эпителиоидную саркому, рак пищевода, саркому Юинга, рак внепеченочных желчных протоков, рак глаза, рак фаллопиевой трубы, фибросаркому, рак желчного пузыря, рак желудка, рак желудочно-кишечного тракта, карциноидный рак желудочно-кишечного тракта, стромальные опухоли желудочно-кишечного тракта (GIST), герминогенную опухоль, мультиформную глиобластому (GBM), глиому, волосато клеточный лейкоз, рак головы и шеи, гемангиоэндотелиому, лимфому Ходжкина, гипофарингеальный рак, инфильтрирующую протоковую карциному (IDC), инфильтрирующую дольковую карциному (ILC), воспалительный рак молочной железы (IBC), рак кишечника, рак внутрипеченочных желчных протоков, инвазивный/инфильтрирующий рак молочной железы, рак из островковых клеток, рак челюсти, саркому Капоши, рак почки, рак гортани, лейомиосаркому, лептоменингеальные метастазы, лейкоз, рак губы, липосаркому, рак печени, дольковую карциному in situ, астроцитому низкой степени злокачественности, рак легкого, рак лимфатических узлов, лимфому, рак молочной железы у мужчин, медуллярную карциному, медуллобластому, меланому, менингиому, карциному из клеток Меркеля, мезенхимальную хондросаркому, мезенхимальную мезотелиому, метастатический рак молочной железы, метастатическую меланому, метастатический плоскоклеточный рак шеи, смешанные глиомы, монодермальную тератому, рак ротовой полости, муцинозную карциному, меланому слизистых оболочек, множественную миелому, грибовидный микоз, миелодиспластический синдром, рак носовой полости, рак носоглотки, рак шеи, нейробластому, нейроэндокринные опухоли (NET), неходжкинскую лимфому, немелкоклеточный рак легкого (NSCLC), овсяноклеточный рак, рак глаза, меланому глаза, олигодендроглиому, рак ротовой полости, рак полости рта, рак ротоглотки, остеогенную саркому, остеосаркому, рак яичника, эпителиальный рак яичника, герминогенную опухоль яичника, первичную перитонеальную карциному яичника, стромальную опухоль яичника из клеток зародышевого шнура, болезнь Педжета, рак поджелудочной железы, папиллярную карциному, рак придаточных пазух носа, рак паращитовидной железы, рак тазовой кости, рак полового члена, рак периферического нерва, перитонеальный рак, рак глотки, феохромоцитому, пилоцитарную астроцитому, опухоль пинеальной области, пинеобластому, рак гипофиза, первичную лимфому центральной нервной системы (ЦНС), рак предстательной железы, рак прямой кишки, почечно-клеточную карциному, рак почечной лоханки, рабдомиосаркому, рак слюнной железы, саркому мягких тканей, саркому кости, саркому, рак придаточной пазухи, рак кожи, мелкоклеточный рак легкого (SCLC), рак тонкого кишечника, рак позвоночника, рак позвоночного столба, рак спинного мозга, плоскоклеточную карциному, рак желудка, синовиальную саркому, Т-клеточную лимфому, рак яичка, рак горла, тимому/карциному тимуса, рак щитовидной железы, рак языка, рак небной миндалины, рак из переходных клеток, рак фаллопиевых труб, тубулярную карциному, недиагностированный рак, рак мочеточника, рак уретры, аденокарциному матки, рак матки, саркому матки, рак влагалища, рак вульвы, Т-клеточный острый лимфобластный лейкоз (T-ALL), Т-клеточную лимфобластную лимфому (T-LL), периферическую Т-клеточную лимфому, Т-клеточный лейкоз у взрослых, пре-В-клеточный ALL, пре-В-клеточные лимфомы, В-крупноклеточную лимфому, лимфому Беркитта, В-клеточный ALL, положительный по филадельфийской хромосоме ALL, положительный по филадельфийской хромосоме CML, ювенильный миеломоноцитарный лейкоз (JMML), острый промиелоцитарный лейкоз (подтип AML), лейкоз из крупных гранулярных лимфоцитов, хронический Т-клеточный лейкоз у взрослых, диффузную В-крупноклеточную лимфому, фолликулярную лимфому; лимфому из лимфоидной ткани, ассоциированной со слизистыми оболочками (MALT), мелкоклеточную лимфоцитарную лимфому, медиастинальную В-крупноклеточную лимфому, узловую В-клеточную лимфому из клеток маргинальной зоны (NMZL); лимфому селезенки из клеток маргинальной зоны (SMZL); внутрисосудистую В-крупноклеточную лимфому; первичную выпотную лимфому; или лимфоматоидный гранулематоз; В-клеточный пролимфоцитарный лейкоз; селезеночную лимфому/лейкоз, не поддающиеся классификации, диффузную мелко клеточную В-клеточную лимфому из красной пульпы селезенки; лимфоплазмоцитарную лимфому; болезни тяжелых цепей, например, болезнь альфа-тяжелых цепей, болезнь гамма-тяжелых цепей, болезнь мю-тяжелых цепей, плазмоклеточную миелому, солитарную плазмоцитому кости; экстраоссальную плазмоцитому; первичную кожную лимфому из клеток фолликулярных центров, богатую Т-клетками/гистиоцитами В-крупноклеточную лимфому, DLBCL, ассоциированную с хроническим воспалением; позитивную по вирусу Эпштейна-Барр (EBV)+ DLBCL у пожилых людей; первичную медиастинальную (тимич ее кую) В-крупноклеточную лимфому, первичную кожную DLBCL, тип с вовлечением нижних конечностей, ALK+ В-крупноклеточную лимфому, плазмобластную лимфому; В-крупноклеточную лимфому, возникающую при ассоциированной с HHV8 мультицентрической болезнью Кастлемана; В-клеточную лимфому, не поддающуюся классификации, с признаками, промежуточными относительно диффузной В-крупноклеточной лимфомы, или В-клеточную лимфому, не поддающуюся классификации, с признаками, промежуточными относительно диффузной В-крупноклеточной лимфомы и классической лимфомы Ходжкина. В соответствии с одним вариантом осуществления нарушение представляет собой аденокистозную карциному. В соответствии с одним вариантом осуществления нарушение представляет собой NUT-карциному средней линии.
В соответствии с еще одним вариантом осуществления соединение или его фармацевтически приемлемую соль, изотопное производное или пролекарство, которые описаны в данном документе, можно применять в эффективном количестве для лечения хозяина, например, человека, с аутоиммунным нарушением. Примеры включают в себя, без ограничения: острый диссеминированный энцефаломиелит (ADEM); болезнь Аддисона; агаммаглобулинемию; гнездную алопецию; боковой амиотрофический склероз (также болезнь Лу Герига; болезнь двигательного нейрона); анкилозирующий спондилит; антифосфолипидный синдром; антисинтетазный синдром; атопическую аллергию; атопический дерматит; аутоиммунную апластическую анемию; аутоиммунный артрит; аутоиммунную кардиомиопатию; аутоиммунную энтеропатию; аутоиммунную гранулоцитопению; аутоиммунную гемолитическую анемию; аутоиммунный гепатит; аутоиммунный гипопаратиреоз; аутоиммунное заболевание внутреннего уха; аутоиммунный лимфопролиферативный синдром; аутоиммунный миокардит; аутоиммунный панкреатит; аутоиммунную периферическую невропатию; аутоиммунное нарушение функции яичников; аутоиммунный полиэндокринный синдром; аутоиммунный прогестероновый дерматит; аутоиммунную тромбоцитопеническую пурпуру; аутоиммунные нарушения щитовидной железы; аутоиммунную крапивницу; аутоиммунный увеит; аутоиммунный васкулит; болезнь Бало/концентрический склероз Бало; болезнь Бехчета; болезнь Бергера; энцефалит Бикерстаффа; синдром Блау; буллезный пемфигоид; рак; болезнь Кастлемана; целиакию; болезнь Шагаса; хроническую воспалительную демиелинизирующую полиневропатию; хроническую воспалительную демиелинизирующую полиневропатию; хроническое обструктивное заболевание легких; хронический рецидивирующий мультифокальный остеомиелит; синдром Черджа-Стросса; рубцующий пемфигоид; синдром Когана; болезнь холодовых агглютининов; недостаточность компонента 2 комплемента; контактный дерматит; височный артериит; CREST-синдром; болезнь Крона; синдром Кушинга; кожный лейкокластический ангиит; болезнь Дего; болезнь Деркума; герпетиформный дерматит; дерматомиозит; сахарный диабет 1 типа; диффузный кожный системный склероз; дискоидную красную волчанку; синдром Дресслера; лекарственно-индуцированную красную волчанку; экзему; эндометриоз; артрит, связанный с энтезитом; эозинофильный фасциит; эозинофильный гастроэнтерит; эозинофильную пневмонию; приобретенный буллезный эпидермолиз; узловатую эритему; гемолдитическую болезнь новорожденных; первичную криоглобулинемию смешанного типа; синдром Эванса; заболевания дыхательных путей, вызванные реакциями на внешние и внутренние факторы, (бронхиальная астма); прогрессирующую оссифицирующую фибродисплазию; фиброзирующий альвеолит (или идиопатический легочный фиброз); гастрит; пемфигоид в желудочно-кишечном тракте; гломерулонефрит; синдром Гудпасчера; болезнь Грейвса; синдром Гийена-Барре (GBS); энцефалопатию Хашимото; тиреоидитХашимото; гемолитическую анемию; пурпуру Генохза-Шенлейна; герпес беременных (пемфигоид беременных); гнойный гидраденит; синдром Хьюза-Стовина; гипогаммаглобулинемию; идиопатические воспалительные демиелинизирующие заболевания; идиопатический легочный фиброз; идиопатическую тромбоцитопеническую пурпуру; IgA-нефроматию; иммунный гломерулонефрит; иммунный нефрит; иммунный пневмонит; миозит с тельцами включения; воспалительное заболевание кишечника; интерстициальный цистит; ювенильный идиопатический артрит, также известный как ювенильный ревматоидный артрит; синдром Кавасаки; миастенический синдром Ламберта-Итона; лейкоцитокластический васкулит; красный плоский лишай; склеротический лишай; линейный IgA-зависимый дерматоз (LAD); волчаночный гепатит, также известный как аутоиммунный гепатит; красную волчанку; синдром Маджида; микроскопический полангиит; синдром Миллера-Фишера; смешанное заболевание соединительной ткани; локализованную склеродермию; болезнь Муха-Габерманна, также известную как острый лихеноидный оспенновидный парапсориаз; рассеянный склероз; миастению гравис; воспаление мышц; болезнь Меньера; нарколепсию; нейромиелит зрительного нерва (также болезнь Девика); нейромиотонию; глазной рубцующий паемфигоид; опсо-миоклональный синдром; тиреоидит Орда; палиндромный ревматизм; PANDAS (педиатрические аутоиммунный нейропсихиатрические расстройства, ассоциированные с инфекцией стрептококком); паранеопластическую мозжечковую дегенерацию; ночную пароксизмальную гемоглобинурию (PNH); синдром Парри-Ромберга; промежуточный увеит; синдром Парсонейджа-Тернера; обыкновенную пузырчатку; перивенозный энцефаолмиелит; злокачественную анемию; POEMS-синдром; узелковый полиартериит; ревматическую полимиалгию; полимиозит; первичный билиарный цирроз; первичный склерозирующий холангит; прогрессирующую воспалительную невропатию; псориаз; псориатический артрит, истинную эритроцитарную аплазию; гангренозную пиодермию; энцефалит Расмуссена; синдром Рейно; синдром Рейтера; рецидивирующий полихондрит; синдром беспокойных ног; ретроперитонеальный фиброз; острую ревматическую лихорадку; ревматоидный артрит; саркоидоз; шизофрению; синдром Шмидта; синдром Шницлера; склерит; склеродермию; склерозирующий холангит; сывороточную болезнь; синдром Шегрена; спондилоартропатию; синдром мышечной скованности; болезнь Стилла; подострый бактериальный эндокардит (SBE); синдром Сусака; синдром Свита; хорею Сиденгама; симпатическую офтальмию; системную красную волчанку; артериит Такаясу; височный артериит (также известный как «гиганте клеточный артериит»); тромбоцитопению; синдром Толоса-Ханта; поперечный миелит; язвенный колит; недифференцированное заболевание соединительной ткани; недифференцированную однообразный спондилоартропатию; уртикарный васкулит; васкулит; витилиго; вирусные заболевания, такие как вирус Эпштейна-Барр (EBV), гепатит В, гепатит С, БИЧ, HTLV1, вирус ветряной оспы (VZV) и вирус папилломы человека (HPV); или гранулематоз Вегенера. В соответствии с некоторыми вариантами осуществления аутоиммунное заболевание представляет собой аллергическое состояние, включающее в себя аллергические состояния вследствие бронхиальной астмы, пищевых аллергий, атопического дерматита, хронической боли и ринита.
Контактная гиперчувствительность кожи и бронхиальная астма являются лишь двумя примерами иммунных ответов, которые могут быть связаны со значительными клиническими проявлениями. Другие включают в себя атопический дерматит, экзему, синдром Шегрена, в том числе сухой кератоконъюнктивит, вторичный относительно синдрома Шегрена, гнездную алопецию, аллергические реакции вследствие реакций на укусы членистоногих, болезнь Крона, афтозную язву, ирит, конъюнктивит, кератоконъюнктивит, язвенный колит, кожную красную волчанку, склеродермию, вагинит, проктит и дерматиты, вызванные действием лекарственного средства. Эти состояния могут приводить в результате к любому одному или нескольким из следующих симптомов или признаков: зуд, отек, покраснение, буллезное поражение, образование струпьев, изъязвление, боль, шелушение кожи, образование трещин, потеря волос, рубцевание или выделение жидкости, затрагивающее кожу, глаз или слизистые оболочки.
При атоническом дерматите и, в целом, экземе иммунологически опосредованная инфильтрация лейкоцитов (в особенности, инфильтрация мононуклеарных клеток, лимфоцитов, нейтрофилов и эозинофилов) в кожу вносит важный вклад в патогенез этих заболеваний. Хроническая экзема также ассоциирована со значительной гиперпролиферацией эпидермиса. Иммунологически опосредованная инфильтрация лейкоцитов также возникает в местах, отличных от кожи, как например, в дыхательных путях при бронхиальной астме и в слезной железе в глазу при сухом кератоконъюнктивите.
Соединение или его фармацевтически приемлемую соль, изотопный вариант или пролекарство, которые описаны в данном документе, можно применять в эффективном количестве для лечения хозяина, например, человека, с кожным нарушением, таким как псориаз (например, обыкновенный псориаз), атопический дерматит, кожная сыпь, раздражение кожи, сенсибилизация кожи (например, контактный дерматит или аллергический контактный дерматит). Например, определенные вещества, в том числе некоторые фармацевтические препараты, при местном нанесении могут вызывать сенсибилизацию кожи. В соответствии с некоторыми вариантами осуществления кожное нарушение, лечение которого осуществляют с помощью местного применения соединений, известных в уровне техники, в комбинации с соединениями, раскрытыми в данном документе. В соответствии с одним неограничивающим вариантом осуществления соединения согласно настоящему изобретению применяют в качестве местных средств при лечении контактного дерматита, атопического дерматита, экзематозного дерматита, псориаза, синдрома Шегрена, в том числе сухого кератоконъюнктивита, вторичного относительно синдрома Шегрена, гнездной алопеции, аллергических реакций вследствие реакций на укусы членистоногих, болезни Крона, афтозной язвы, ирита, конъюнктивита, кератоконъюнктивита, язвенного колита, бронхиальной астмы, аллергической бронхиальной астмы, кожной красной волчанки, склеродермии, вагинита, проктита и дерматитов, вызванных действием лекарственного средства. Новый способ также может быть пригодным в сокращении инфильтрации в кожу злокачественных лейкоцитов при таких заболеваниях, как грибовидный микоз.
Болезненные состояния из числа состояний, лечение которых можно осуществлять с применением соединений согласно настоящему изобретению, включают в себя, например, бронхиальную астму, аутоиммунные заболевания, такие как рассеянный склероз, различные формы рака, цилиопатии, расщепление неба, сахарный диабет, болезнь сердца, гипертензию, воспалительное заболевание кишечника, умственную отсталость, аффективное расстройство, ожирение, рефракционную аномалию, бесплодие, синдром Ангельмана, болезнь Канавана, целиакию, болезнь Шарко-Мари-Тута, муковисцидоз, мышечную дистрофию Дюшенна, гемохроматоз, гемофилию, синдром Клайнфельтера, нейрофиброматоз, фенилкетонурию, поликистоз почек 1 (PKD1) или почек 2 (PKD2), синдром Прадера-Вилли, серповидно-клеточную болезнь, болезнь Тея-Сакса, синдром Тернера.
Дополнительные болезненные состояния или состояния, лечение которых можно осуществлять с помощью соединений согласно настоящему изобретению, включают в себя болезнь Альцгеймера, боковой амиотрофический склероз (болезнь Лу Герига), нервную анорексию, тревожное расстройство, атеросклероз, синдром дефицита внимания с гиперактивностью, аутизм, биполярное расстройство, синдром хронической усталости, хроническое обструктивное заболевание легких, болезнь Крона, ишемическую болезнь сердца, деменцию, депрессию, сахарный диабет 1 типа, сахарный диабет 2 типа, эпилепсию, синдром Гийена-Барре, синдром раздраженного кишечника, волчанку, метаболический синдром, рассеянный склероз, инфаркт миокарда, ожирение, обсессивно-компульсивное расстройство, паническое расстройство, болезнь Паркинсона, псориаз, ревматоидный артрит, саркоидоз, шизофрению, инсульт, облитерирующий тромбангиит, синдром Туретта, васкулит.
Дополнительные болезненные состояния или состояния, лечение которых можно осуществлять с помощью соединений согласно настоящему изобретению, включают в себя ацерулоплазминемию, ахондрогенез II типа, ахондроплазию, акроцефалию, болезнь Гоше 2 типа, острую перемежающуюся порфирию, болезнь Канавана, аденоматозный полипоз толстой кишки, недостаточность ALA дегидратазы, недостаточность аденилосукцинат-лиазы, адреногенитальный синдром, адренолейкодистрофию, ALA-D порфирию, недостаточность ALA дегидратазы, алкаптонурию, болезнь Александера, алкаптонурический охроноз, недостаточность альфа-1-антитрипсина, ингибитор альфа-1-протеиназы, эмфизему, боковой амиотрофический склероз, синдром Альстрема, болезнь Александера, несовершенный амелогенез, недостаточность ALA дегидратазы, болезнь Андерсона-Фабри, синдром нечувствительности к андрогенам, анемию, диффузную ангиокератому туловища, ангиоматоз сетчатки (болезнь фон Гиппеля-Линдау), синдром Аперта, арахнодактилию (синдром Марфана), синдром Стиклера, врожденную множественную артрохалазию (синдром Элерса-Данлоса#тип артрохалазии), телеангиоэктатическую атаксию, синдром Ретта, первичную легочную гипертензию, болезнь Сандхоффа, нейрофиброматоз II типа, синдром Бира-Стивенсона кутисовой извилины, семейную средиземноморскую лихорадку, синдром Бенджамина, бета-талассемию, двусторонний нейрофиброматоз слухового нерва (нейрофиброматоз II типа), тромбофилию с мутацией в факторе V Лейдена, синдром Блоха-Сульцбергера (недержание пигмента), синдром Блума, Х-сцепленную сидеробластную анемию, синдром Бонневи Улльриха (синдром Тернера), болезнь Бурневилля (туберозный склероз), прионную болезнь, синдром Бирта-Хогга-Дюба, синдром ломких костей, голубых склер и глухоты (несовершенный остеогенез), синдром широкого I пальца конечностей (синдром Рубинштейна-Тейби), бронзовый диабет/бронзовый цирроз печени (гемохроматоз), бульбоспинальную мышечную атрофию (болезнь Кеннеди), синдром Бюргера-Грютца (недостаточность липопротеинлипазы), CGD хроническую гранулематозную болезнь, кампомелическая дисплазия, недостаточность биотинидазы, кардиомиопатию (синдром Нунана), синдром кошачьего крика, CAVD (врожденное отсутствие семявыносящих протоков), кардиофациальный синдром Кайлера (CBAVD), СЕР (врожденную эритропоэтическую порфирию), муквисцидоз, врожденный гипотиреоз, хондродистрофический синдром (ахондроплазию), отоспондиломегаэпифизарную дисплазию, синдром Леша-Найхана, галактоземию, синдром Элерса-Данлоса, танатофорную дисплазию, синдром Коффина-Лоури, синдром Коккейна, (семейный аденоматозный полипоз), врожденную эритропоэтическую порфирию, врожденный порок сердца, метгемоглобинемию/врожденную метгемоглобинемию, ахондроплазию, Х-сцепленную сидеробластную анемию, заболевание соединительной ткани, велокардиофасциальный синдром, анемию Кули (бета-талассемию), гепатолентикулярную дистрофию (болезнь Вильсона), нарушение транспорта меди (болезнь Менкеса), наследственную копропорфирию, синдром Коудена, черепно-лицевой дизостоз (синдром Крузона), болезнь Крейтцфельда-Якоба (прионную болезнь), синдром Коккейна, синдром Коудена, синдром Куршманна-Баттена-Штейнерта (миотоническую дистрофию), синдром Бира-Стивенсона кутисовой извилины, первичную гипероксалурию, спондилоэпиметафизарную дисплазию (тип Струдвика), мышечную дистрофию типов Дюшенна и Беккера (DBMD), синдром Ушера, нейродегенеративные заболевания, в том числе синдром де Груши и синдром Дежерина-Сотта, нарушения развития, дистальную спинальную мышечную атрофию, тип V, синдром нечувствительности к андрогенам, диффузный глобоидноклеточный склероз (болезнь Краббе), синдром Ди Джорджи, недостаточность рецептора дигидротестостерона, синдром нечувствительности к андрогенам, синдром Дауна, карликовость, эритропоэтическую протопорфирию, недостаточность 5-аминолевулинат-синтетазы в эритроидных клетках, эритропоэтическую порфирию, эритропоэтическую протопорфирию, эритропоэтическую уропорфирию, атаксию Фридрейха-семейный пароксизмальный полисерозит, позднюю кожную порфирию, наследственную невропатию со склонностью к параличам от сдавления, первичную легочную гипертензию (РРН), фиброзно-кистозную дегенерацию поджелудочной железы, синдром ломкой Х-хромосомы, галактоземии, генетические нарушения головного мозга, гигантоклеточный гепатит (неонатальный гемохроматоз), синдром Гренблада-Страндберга (эластическую псевдоксантому), болезнь Гюнтера (врожденную эритропоэтическую порфирию), гемохроматоз, синдром Халлгрена, серповидноклеточную анемию, гемофилию, гепато-эритропоэтическую порфирию (НЕР), болезнь Гиппеля-Линдау (болезнь фон Гиппеля-Линдау), болезнь Хантингтона, синдром прогерии Хатчинсона-Гилфорда (прогерию), гиперандрогению, гипохондроплазию, гипохромную анемию, нарушения иммунной системы, в том числе Х-сцепленный тяжелый комбинированный иммунодефицит, синдром Инсли-Эстли, синдром Джексона-Вейсса, синдром Жубера, синдром Леша-Найхана, синдром Джексона-Вейсса, заболевания почек, в том числе гипероксалурию, синдром Клайнфелтера, дисплазию Книста, лакунарную деменцию, ахондрогенез типа Лангера-Салдино, телеангиоэктатическую атаксию, синдром Линча, недостаточность лизилгидроксилазы, болезнь Мачадо-Джозефа, метаболические нарушения, в том числе дисплазию Книста, синдром Марфана, двигательные расстройства, синдром Моуата-Уилсона, муковисцидоз, синдром Мюнке, множественный нейрофиброматоз, синдром Нэнси-Инсли, хондродисплазию Нэнси-Суини, болезнь Ниманна-Пика, синдром Ноака (синдром Пфайффера), болезнь Рандю-Вебера-Ослера, синдром Пейтца-Егерса, поликистозное заболевание почек, полиоссальную фиброзную остеодисплазию (синдром Мак-Кьюна-Олбрайта), синдром Пейтца-Егерса, синдром Прадера-Лабхарта-Вилли, гемохроматоз, синдром первичной гиперурикемии (синдром Леша-Найхана), первичную легочную гипертензию, первичную старческую дегенеративную деменцию, прионную болезнь, прогерию (синдром прогерии Хатчинсона-Гилфорда), прогрессирующую хорею, хроническую наследственную болезнь Хангтингтона, прогрессирующую мышечную атрофию, спинальную мышечную атрофию, пропионовую ацидемию, протопорфирию, проксимальную миотоническую дистрофию, легочную артериальную гипертензию, РХЕ (эластическую псевдоксантому), Rb (ретинобластому), болезнь Реклингхаузена (нейрофиброматоз I типа), рецидивирующий повторяющийся время от времени полисерозит, нарушения сетчатки, ретинобластому, синдром Ретта, RFALS 3 типа, синдром Рикера, синдром Райли-Дея, синдром Русси-Леви, тяжелую ахондроплазию с задержкой развития и черным акантозом (SADDAN), синдром Ли-Фраумени, синдром с характерной саркомой, опухолями молочной железы, лейкозом и опухолями надпочечников (SBLA), туберозный склероз (эпилойя), SDAT, врожденную SED (врожденную спондилоэпифизарную дисплазию), SED типа Струдвика (спондилоэпиметафизарную дисплазию типа Струдвика), SED (врожденную спондилоэпифизарную дисплазию), SEMD типа Струдвика (спондилоэпиметафизарную дисплазию типа Струдвика), синдром Шпринтцена, нарушения пигментации кожи, синдром Смита-Лемли-Опитца, южноафриканскую генетическую порфирию (вариегатную порфирию), восходящий наследственный спастический паралич с младенческим началом, речевые и коммуникативные расстройства, сфинголипидоз, болезнь Тея-Сакса, спиноцеребеллярную атаксию, синдром Стиклера, инсульт, синдром нечувствительности к андрогенам, недостаточность тетрагидробиоптерина, бета-талассемию, заболевание щитовидной железы, томакулезную невропатию (наследственную невропатию со склонностью к параличам от сдавливания), синдром Тричера-Коллинза, синдром трипло-Х (синдром трисомии X-хромосомы), трисомию по хромосоме 21 (синдром Дауна), трисомию Х хромосомы, синдром VHL (болезнь фон Гиппеля-Линдау), нарушения зрения и слепоту (синдром Альстрема), болезнь Фролика, синдром Ваарденбурга, синдром Варбурга-Сьо-Фледелиуса, синдром Вольфа-Хиршхорна, периодическую болезнь Вольфа, синдром В айссенбахера-Цвеймюллера и пигментную ксеродерму среди прочих.
В соответствии с одним вариантом осуществления обеспечен способ лечения множественной миеломы, предусматривающий введение пациенту эффективного количества соединения с формулой I или формулой II или его фармацевтически приемлемой соли, изотопного аналога или пролекарства, необязательно, в фармацевтически приемлемом носителе с образованием композиции. В соответствии с еще одним вариантом осуществления соединение с формулой I или формулой II или его фармацевтически приемлемую соль, изотопный аналог или пролекарство, необязательно, в фармацевтически приемлемом носителе с образованием композиции, для применения в способе лечения множественной миеломы, причем способ предусматривает введение соединения пациенту.
В соответствии с одним вариантом осуществления обеспечен способ контроля развития множественной миеломы, предусматривающий введение пациенту эффективного количества соединения с формулой I или формулой II или его фармацевтически приемлемой соли, изотопного аналога или пролекарства, необязательно, в фармацевтически приемлемом носителе с образованием композиции. В соответствии с еще одним вариантом осуществления соединение с формулой I или формулой II или его фармацевтически приемлемую соль, изотопный аналог или пролекарство, необязательно, в фармацевтически приемлемом носителе с образованием композиции, предназначено для применения в способе контроля развития множественной миеломы, причем способ предусматривает введение соединения пациенту.
В соответствии с одним вариантом осуществления обеспечен способ индукции терапевтического ответа, который оценивают с помощью Международных единых критериев ответа (International Uniform Response Criteria) (IURC) для множественной миеломы (описаны в Durie В. G. M; et al. "International uniform response criteria for multiple myeloma. Leukemia 2006, 10(10):1-7), у пациента, имеющего множественную миелому, предусматривающий введение пациенту эффективного количества соединения с формулой I или формулой II или его фармацевтически приемлемой соли, изотопного аналога или пролекарства, необязательно, в фармацевтически приемлемом носителе с образованием композиции.
В соответствии с еще одним вариантом осуществления обеспечен способ для достижения стойкого полного ответа, полного ответа или очень хорошего частичного ответа, который оценивают с помощью IURC для множественной миеломы, у пациента, имеющего множественную миелому, предусматривающий введение пациенту эффективного количества соединения с формулой I или формулой II или его фармацевтически приемлемой соли, изотопного аналога или пролекарства, необязательно, в фармацевтически приемлемом носителе с образованием композиции.
В соответствии с еще одним вариантом осуществления обеспечен способ для достижения повышения общей выживаемости, выживаемости без прогрессирования, бессобытийной выживаемости, времени до прогрессирования или безрецидивной выживаемости у пациента, имеющего множественную миелому, предусматривающий введение пациенту эффективного количества соединения с формулой I или формулой II или его фармацевтически приемлемой соли, изотопного аналога или пролекарства, необязательно, в фармацевтически приемлемом носителе с образованием композиции.
В соответствии с еще одним вариантом осуществления обеспечен способ для достижения повышения общей выживаемости у пациента, имеющего множественную миелому, предусматривающий введение пациенту эффективного количества соединения с формулой I или формулой II или его фармацевтически приемлемой соли, изотопного аналога или пролекарства, необязательно, в фармацевтически приемлемом носителе с образованием композиции.
В соответствии с еще одним вариантом осуществления обеспечен способ для достижения повышения выживаемости без прогресирования у пациента, имеющего множественную миелому, предусматривающий введение пациенту эффективного количества соединения с формулой I или формулой II или его фармацевтически приемлемой соли, изотопного аналога или пролекарства, необязательно, в фармацевтически приемлемом носителе с образованием композиции.
В соответствии с еще одним вариантом осуществления обеспечен способ для достижения повышения бессобытийной выживаемости у пациента, имеющего множественную миелому, предусматривающий введение пациенту эффективного количества соединения с формулой I или формулой II или его фармацевтически приемлемой соли, изотопного аналога или пролекарства, необязательно, в фармацевтически приемлемом носителе с образованием композиции.
В соответствии с еще одним вариантом осуществления обеспечен способ для достижения повышения времени до прогрессирования у пациента, имеющего множественную миелому, предусматривающий введение пациенту эффективного количества соединения с формулой I или формулой II или его фармацевтически приемлемой соли, изотопного аналога или пролекарства, необязательно, в фармацевтически приемлемом носителе с образованием композиции.
В соответствии с еще одним вариантом осуществления обеспечен способ для достижения повышения безрецидивной выживаемости у пациента, имеющего множественную миелому, предусматривающий введение пациенту эффективного количества соединения с формулой I или формулой II или его фармацевтически приемлемой соли, изотопного аналога или пролекарства, необязательно, в фармацевтически приемлемом носителе с образованием композиции.
Также обеспечены способы лечения пациентов, которые ранее получали лечение множественной миеломы, но не отвечали на стандартные терапевтические средства, дополнительно к тем пациентам, которые ранее не получали лечение. Обеспечены дополнительные способы лечения пациентов, которые подверглись хирургическому вмешательству с целью лечения множественной миеломы, дополнительно к тем пацентам, которые не подвергались хирургическому вмешательству. Также обеспечены способы лечения пациентов, которые ранее подверглись терапии с использованием трансплантата, дополнительно к тем пациентам, которые не подвергались этой терапии.
Соединения, описанные в данном документе, можно применять в лечении или контроле множественной миеломы, которая является рецидивирующей, рефракторной или резистентной. В соответствии с некоторыми вариантами осуществления множественная миелома рецидивирует впервые, во второй раз, в третий раз, в четвертый раз или в пятый раз. В соответствии с одним вариантом осуществления соединения, описанные в данном документе, можно применять для снижения, поддержания или устранения минимальной остаточной болезни (MRD).
Типы множественной миеломы, лечение которых можно осуществлять с применением соединений, описанных в данном документе, включают в себя, без ограничения: моноклональную гаммапатию неопределенного значения (MGUS); множественную миелому низкого риска, промежуточного риска или высокого риска; впервые диагностированную множественную миелому, в том числе впервые диагностированную множественную миелому низкого риска, промежуточного риска или высокого риска); допускающую трансплантацию и не допускающую трансплантацию множественную миелому; тлеющую (медленно растущую) множественную миелому (в том числе тлеющую множественную миелому низкого риска, промежуточного риска или высокого риска); активную множественную миелому; единичную плазмоцитому; плазмоклеточный лейкоз; множественную миелому центральной нервной системы; миелому легких цепей; несекреторную миелому; миелому, секретирующую иммуноглобулин D, и миелому, секретирующую иммуноглобулин Е.
В соответствии с некоторыми вариантами осуществления соединения, описанные в данном документе, можно применять в лечении или контроле множественной миеломы, характеризующейся генетическими аномалиями, например, без ограничения: транслокациями в циклине D (например, t(11;14)(q13;q32); t(6;14)(p21;32); t(12;14)(p13;q32) или t(6;20)); транслокациями в MMSET (например, t(4;14)(p16;q32)); транс локациями в MAF (например, t(14;16)(q32;a32); t(20;22); t(16;22)(q11;q13); или t(14;20)(q32;q11)); или другими хромосомными факторами (например, делеция в 17р13 или хромосоме 13; del(17/17p), негипердиплоидия и прирост (1q)).
В соответствии с одним вариантом осуществления обеспечен способ лечения или контроля множественной миеломы, предусматривающий введение пациенту эффективного количества соединения с формулой I или формулой II или его фармацевтически приемлемой соли, изотопного аналога или пролекарства, необязательно, в фармацевтически приемлемом носителе с образованием композиции, в качестве индукционной терапии.
В соответствии с одним вариантом осуществления обеспечен способ лечения или контроля множественной миеломы, предусматривающий введение пациенту эффективного количества соединения с формулой I или формулой II или его фармацевтически приемлемой соли, изотопного аналога или пролекарства, необязательно, в фармацевтически приемлемом носителе с образованием композиции, в качестве консолидационной терапии.
В соответствии с одним вариантом осуществления обеспечен способ лечения или контроля множественной миеломы, предусматривающий введение пациенту эффективного количества соединения с формулой I или формулой II или его фармацевтически приемлемой соли, изотопного аналога или пролекарства, необязательно, в фармацевтически приемлемом носителе с образованием композиции, в качестве поддерживающей терапии.
В соответствии с одним вариантом осуществления множественная миелома представляет собой плазмоклеточный лейкоз.
В соответствии с одним вариантом осуществления множественная миелома представляет собой множественную миелому высокого риска. В соответствии с некоторыми вариантами осуществления множественная миелома высокого риска является рецидивирующей или рефракторной. В соответствии с одним вариантом осуществления множественная миелома высокого риска рецидивировала в течение 12 месяцев после первого лечения. В соответствии с еще одним вариантом осуществления множественная миелома высокого риска характеризуется генетическими аномалиями, например, одной или несколькими из del(17/17p) и t(14;16)(q32;q32). В соответствии с некоторыми вариантами осуществления множественная миелома высокого риска является рецидивирующей или рефракторной по отношению к одному, двум или трем предшествующим курсам лечения.
В соответствии с одним вариантом осуществления множественная миелома имеет мутацию в р53. В соответствии с одним вариантом осуществления мутация в р53 представляет собой мутацию Q331. В соответствии с одним вариантом осуществления мутация в р53 представляет собой мутацию R273H. В соответствии с одним вариантом осуществления мутация в р53 представляет собой мутацию K132. В соответствии с одним вариантом осуществления мутация в р53 представляет собой мутацию K132N. В соответствии с одним вариантом осуществления мутация в р53 представляет собой мутацию R337. В соответствии с одним вариантом осуществления мутация в р53 представляет собой мутацию R337L. В соответствии с одним вариантом осуществления мутация в р53 представляет собой мутацию W146. В соответствии с одним вариантом осуществления мутация в р53 представляет собой мутацию S261. В соответствии с одним вариантом осуществления мутация в р53 представляет собой мутацию S261T. В соответствии с одним вариантом осуществления мутация в р53 представляет собой мутацию Е286. В соответствии с одним вариантом осуществления мутация в р53 представляет собой мутацию E286K. В соответствии с одним вариантом осуществления мутация в р53 представляет собой мутацию R175. В соответствии с одним вариантом осуществления мутация в р53 представляет собой мутацию R175H. В соответствии с одним вариантом осуществления мутация в р53 представляет собой мутацию Е258. В соответствии с одним вариантом осуществления мутация в р53 представляет собой мутацию E258K. В соответствии с одним вариантом осуществления мутация в р53 представляет собой мутацию А161. В соответствии с одним вариантом осуществления мутация в р53 представляет собой мутацию А161Т.
В соответствии с одним вариантом осуществления множественная миелома имеет гомозиготную делецию р53. В соответствии с одним вариантом осуществления множественная миелома имеет гомозиготную делецию р53 дикого типа. В соответствии с одним вариантом осуществления множественная миелома имеет р53 дикого типа.
В соответствии с одним вариантом осуществления множественная миелома демонстрирует активацию одного или нескольких онкогенов. В соответствии с одним вариантом осуществления один или несколько онкогенов выбраны из группы, состоящей из С-MAF, MAFB, FGFR3, MMset, циклина D1 и циклина D. В соответствии с одним вариантом осуществления множественная миелома демонстрирует активацию C-MAF. В соответствии с одним вариантом осуществления множественная миелома демонстрирует активацию MAFB. В соответствии с одним вариантом осуществления множественная миелома демонстрирует активацию FGFR3 и MMset. В соответствии с одним вариантом осуществления множественная миелома демонстрирует активацию C-MAF, FGFR3 и MMset. В соответствии с одним вариантом осуществления множественная миелома демонстрирует активацию циклина D1. В соответствии с одним вариантом осуществления множественная миелома демонстрирует активацию MAFB и циклина D1. В соответствии с одним вариантом осуществления множественная миелома демонстрирует активацию циклина D.
В соответствии с одним вариантом осуществления множественная миелома имеет одну или несколько хромосомных транслокаций. В соответствии с одним вариантом осуществления хромосомная транслокация представляет собой t(14;16). В соответствии с одним вариантом осуществления хромосомная транслокация представляет собой t(14;20). В соответствии с одним вариантом осуществления хромосомная транслокация представляет собой t(4;14). В соответствии с одним вариантом осуществления хромосомные транслокации представляют собой t(4;14) и t(14;16). В соответствии с одним вариантом осуществления хромосомная транслокация представляет собой t(11;14). В соответствии с одним вариантом осуществления хромосомная транслокация представляет собой t(6;20). В соответствии с одним вариантом осуществления хромосомная транслокация представляет собой t(20;22). В соответствии с одним вариантом осуществления хромосомные транслокации представляют собой t(6;20) и t(20;22). В соответствии с одним вариантом осуществления хромосомная транслокация представляет собой t(16;22). В соответствии с одним вариантом осуществления хромосомные транслокации представляют собой t(14;16) и t(16;22). В соответствии с одним вариантом осуществления хромосомные транслокации представляют собой t(14;20) и t(11;14).
В соответствии с одним вариантом осуществления множественная миелома имеет мутацию по Q331 в р53, активацию C-MAF и хромосомную транслокацию в t(14;16). В соответствии с одним вариантом осуществления множественная миелома имеет гомозиготную делецию в р53, активацию C-MAF и хромосомную транслокацию в t(14;16). В соответствии с одним вариантом осуществления множественная миелома имеет мутацию K132N в р53, активацию MAFB и хромосомную транслокацию в t(14;20). В соответствии с одним вариантом осуществления множественная миелома имеет р53 дикого типа, активацию FGFR3 и MMset и хромосомную транслокацию в t(4;14). В соответствии с одним вариантом осуществления множественная миелома имеет р53 дикого типа, активацию C-MAF и хромосомную транслокацию в t(14;16). В соответствии с одним вариантом осуществления множественная миелома имеет гомозиготную делецию р53, активацию FGFR3, MMset и C-MAF, а также хромосомные транслокации в t(4;14) и t(14;16). В соответствии с одним вариантом осуществления множественная миелома имеет гомозиготную делецию р53, активацию циклина D1 и хромосомную транслокацию в t(11;14). В соответствии с одним вариантом осуществления множественная миелома имеет мутацию R337L в р53, активацию циклина D1 и хромосомную транслокацию в t(11;14). В соответствии с одним вариантом осуществления множественная миелома имеет мутацию по W146 в р53, активацию FGFR3 и MMset и хромосомную транслокацию в t(4;14). В соответствии с одним вариантом осуществления множественная миелома имеет мутацию S261T в р53, активацию MAFB и хромосомные транслокации в t(6;20) и t(20,22). В соответствии с одним вариантом осуществления множественная миелома имеет мутацию E286K в р53, активацию FGFR3 и MMset и хромосомную транслокацию в t(4;14). В соответствии с одним вариантом осуществления множественная миелома имеет мутацию по R175H в р53, активацию FGFR3 и MMset и хромосомную транслокацию в t(4;14). В соответствии с одним вариантом осуществления множественная миелома имеет мутацию E258K в р53, активацию C-MAF, а также хромосомные транслокации в t(14;16) и t(16;22). В соответствии с одним вариантом осуществления множественная миелома имеет р53 дикого типа, активацию MAFB и циклина D1, а также хромосомные транслокации в t(14;20) и t(11;14). В соответствии с одним вариантом осуществления множественная миелома имеет мутацию А161Т в р53, активацию циклина D и хромосомную транслокацию в t(11;14).
В соответствии с некоторыми вариантами осуществления множественная миелома представляет собой допускающую трансплантацию впервые диагностированную множественную миелому. В соответствии с другими вариантами осуществления множественная миелома представляет собой не допускающую трансплантацию впервые диагностированную множественную миелому.
В соответствии с некоторыми вариантами осуществления множественная миелома демонстрирует раннее развитие (например, менее чем 12 месяцев) после первоначального лечения. В соответствии с другими вариантами осуществления множественная миелома демонстрирует ранее развитие (например, менее чем 12 месяцев) после трансплантации аутологичных стволовых клеток. В соответствии с еще одним вариантом осуществления множественная миелома является рефракторной к леналидомиду. В соответствии с еще одним вариантом осуществления множественная миелома является рефракторной к помалидомиду. В соответствии с некоторыми такими вариантами осуществления множественная миелома согласно прогнозу является рефракторной к помалидомиду (например, на основании молекулярного исследования). В соответствии с еще одним вариантом осуществления множественная миелома является рецидивирующей или рефракторной к 3 или более методам лечения, и на нее воздействовали ингибитором протеасомы (например, бортезомиб, карфилзомиб, иксазомиб, опрозомиб или маризомиб) и иммуномодулирующим соединением (например, талидомид, леналидомид, помалидомид, ибердомид или авадомид), или проявляет двойную рефрактерность к ингибитору протеасомы и иммуномодулирующему соединению. В соответствии с другими вариантами осуществления множественная миелома является рецидивирующей или рефракторной к 3 или более предшествующим терапевтическим средствам, в том числе, например, моноклон альному антителу к CD38 (mAb к CD38, например, даратумумаб или изатуксимаб), ингибитору протеасомы (например, бортезомиб, карфилзомиб, иксазомиб или маризомиб) и иммуномодулирующему соединениею (например, талидомид, леналидомид, помалидомид, ибердомид или авадомид), или проявляет двойную рефрактерность к ингибитору протеасомы или иммуномодулирующему соединению и mAb к CD38. В соответствии с другими вариантами осуществления множественная миелома проявляет тройную рефрактерность, например, множественная миелома является рефракторной к ингибитору протеасомы (например, бортезомиб, карфилзомиб, иксазомиб, опрозомиб или маризомиб), иммуномодулирующему соединению (например, талидомид, леналидомид, помалидомид, ибердомид или авадомид) и одному другому активному средству, которое описано в данном документе.
В соответствии с одним вариантом осуществления обеспечен способ лечения или контроля рецидивирующей или рефракторной множественной миеломы у пациентов с нарушенной функцией почек или ее симптомом, предусматривающий введение пациенту эффективного количества соединения с формулой I или формулой II или его фармацевтически приемлемой соли, изотопного аналога или пролекарства, необязательно, в фармацевтически приемлемом носителе с образованием композиции.
В соответствии с еще одним вариантом осуществления обеспечен способ лечения или контроля рецидивирующей или рефракторной множественной миеломы у слабых пациентов, предусматривающий введение пациенту эффективного количества соединения с формулой I или формулой II или его фармацевтически приемлемой соли, изотопного аналога или пролекарства, необязательно, в фармацевтически приемлемом носителе с образованием композиции, причем слабый пациент характеризуется отсутствием возможности проведения индукционной терапии или непереносимостью к лечению дексаметазоном. В соответствии с другими вариантами осуществления слабый пациент является пожилым, например, имеет возраст более 65 лет.
В соответствии с еще одним вариантом осуществления обеспечен способ лечения или контроля четвертой линии рецидивирующей или рефракторной множественной миеломы, предусматривающий введение пациенту эффективного количества соединения с формулой I или формулой II или его фармацевтически приемлемой соли, изотопного аналога или пролекарства, необязательно, в фармацевтически приемлемом носителе с образованием композиции.
В соответствии с еще одним вариантом осуществления обеспечен способ лечения или контроля впервые диагностированной, не допускающей трансплантацию множественной миеломы, предусматривающий введение пациенту эффективного количества соединения с формулой I или формулой II или его фармацевтически приемлемой соли, изотопного аналога или пролекарства, необязательно, в фармацевтически приемлемом носителе с образованием композиции.
В соответствии с еще одним вариантом осуществления обеспечен способ лечения или контроля впервые диагностированной, не допускающей трансплантацию множественной миеломы, предусматривающий введение пациенту эффективного количества соединения с формулой I или формулой II или его фармацевтически приемлемой соли, изотопного аналога или пролекарства, необязательно, в фармацевтически приемлемом носителе с образованием композиции, в качестве поддерживающей терапии после другой терапии или трансплантата.
В соответствии с еще одним вариантом осуществления обеспечен способ лечения или контроля множественной миеломы высокого риска, которая является рецидивирующей или рефрактерной к одному, двум или трем предшествующим курсам лечения, предусматривающий введение пациенту эффективного количества соединения с формулой I или формулой II или его фармацевтически приемлемой соли, изотопного аналога или пролекарства, необязательно, в фармацевтически приемлемом носителе с образованием композиции.
В соответствии с некоторыми вариантами осуществления пациент, который будет получать лечение одним из соединений, описанных в данном документе, не получал лечение терапевтическим средством против множественной миеломы перед введением. В соответствии с некоторыми вариантами осуществления пациент, который будет получать лечение одним из соединений, описанных в данном документе, получил лечение терапевтическим средством против множественной миеломы перед введением. В соответствии с некоторыми вариантами осуществления у пациента, который будет получать лечение одним из соединений, описанных в данном документе, развилась устойчивость к воздействию лекарственных средств для терапии множественной миеломы. В соответствии с некоторыми вариантами осуществления у пациента, который будет получать лечение одним из соединений, описанных в данном документе, развилась устойчивость к одному, двум или трем терапевтическим средствам против множественной миеломы, причем терапевтические средства выбраны из антитела к CD38 (mAB к CD38, например, даратумумаб или изатуксимаб), ингибитора протеасомы (например, бортезомиб, карфилзомиб, иксазомиб или маризомиб) и иммуномодулирующим соединением (например, талидомид, леналидомид, помалидомид, ибердомид или аводомид).
Соединения, описанные в данном документе, можно применять для лечения пациента вне зависимости от возраста пациента. В соответствии с некоторыми вариантами осуществления субъект имеет возраст 18 лет или старше. В соответствии с другими вариантами осуществления субъект имеет возраст более 18, 25, 35, 40, 45, 50, 55, 60, 65 или 70 лет. В соответствии с другими вариантами осуществления пациент имеет возраст менее 65 лет. В соответствии с другими вариантами осуществления пациент имеет возраст более 65 лет. В соответствии с одним вариантом осуществления пациент является пожилым пациентом с множественной миеломой, таким как пациент возрастом более 65 лет. В соответствии с одним вариантом осуществления пациент является пожилым пациентом с множественной миеломой, таким как пациент возрастом более 75 лет.
IV. Комплексная терапия
Любое из соединений, описанных в данном документе, можно применять в эффективном количестве отдельно или в комбинации для лечения хозяина, такого как человек, с нарушением, которое описано в данном документе.
Термин «биологически активное средство» или «дополнительное терапевтически активное средство» используют для описания средства, отличного от соединения согласно настоящему изобретению, которое можно применять совместно или в очередном порядке с соединением согласно настоящему изобретению для достижения желаемого результата терапии. В соответствии с одним вариантом осуществления соединение согласно настоящему изобретению и дополнительное терапевтически активное средство вводят таким образом, чтобы они являлись активными in vivo в течение перекрывающихся периодов времени, например, имеют Cmax, Tmax, AUC или другой фармакокинетический параметр в перекрывающиеся периоды времени. В соответствии с еще одним вариантом осуществления хозяину, нуждающемуся в этом, вводят соединение согласно настоящему изобретению и дополнительное терапевтически активное средство, которые не имеют перекрывающийся фармакокинетический параметр, тем не менее, одно оказывает терапевтическое воздействие на терапевтическую эффективность другого.
В одном аспекте этого варианта осуществления дополнительное терапевтически активное средство представляет собой иммуномодулятор, включающий в себя, без ограничения, ингибитор контрольных точек, включающий в себя в качестве неограничивающих примеров ингибитор PD-1, ингибитор PD-L1, ингибитор PD-L2, ингибитор CTLA-4, ингибитор LAG-3, ингибитор TIM-3, ингибиторы V-доменного Ig супрессора активации Т-клеток (VISTA), малую молекулу, пептид, нуклеотид или другой ингибитор. В определенных аспектах иммуномодулятор представляет собой антитело, такое как моноклональное антитело.
Ингибиторы PD-1, которые блокируют взаимодействие PD-1 и PD-L1 посредством связывания с рецептором PD-1 и, в свою очередь, ингибируют иммунодепрессию, включают в себя, например, ниволумаб (Opdivo), пембролизумаб (Keytruda), пидилизумаб, АМР-224 (AstraZeneca и Medbnmune), PF-06801591 (Pfizer), MEDI0680 (AstraZeneca), PDR001 (Novartis), REGN2810 (Regeneron), SHR-12-1 (Jiangsu Hengrui Medicine Company и mcyte Corporation), TSR-042 (Tesaro) и ингибитор PD-L1/VISTA CA-170 (Curis Inc.). Ингибиторы PD-L1, которые блокируют взаимодействие PD-1 и PD-L1 посредством связывания с рецептором PD-L1 и, в свою очередь, ингибируют иммунодепрессию, включают в себя, например, атезолизумаб (Tecentriq), дурвалумаб (AstraZeneca и Medlmmune), KN035 (Alphamab) и BMS-936559 (Bristol-Myers Squibb). Ингибиторы контрольной точки CTLA-4, которые связываются с CTLA-4 и ингибируют иммунодепрессию, включают в себя, без ограничения, иплимумаб, тремелимумаб (AstraZeneca и Medlmmune), AGEN1884 и AGEN2041 (Agenus). Ингибиторы контрольной точки LAG-3 включают в себя, без ограничения, BMS-986016 (Bristol-Myers Squibb), GSK2831781 (GlaxoSmithKline), IMP321 (Prima BioMed), LAG525 (Novartis) и двойной ингибитор PD-1 и LAG-3 MGD013 (MacroGenics). Примером ингибитора TIM-3 является TSR-022 (Tesaro). В соответствии с одним вариантом осуществления ингибитор PD-1 представляет собой BGB-A317. В соответствии с одним вариантом осуществления ингибитор PD-L1 представляет собой MED14736. В соответствии с одним вариантом осуществления ингибитор PD-L2 представляет собой rHIgM12B7A.
В соответствии с одним вариантом осуществления ингибитор контрольных точек представляет собой ингибитор В7, например, ингибитор В7-Н3 или ингибитор В7-Н4. В соответствии с одним вариантом осуществления ингибитор В7-Н3 представляет собой MGA271.
В соответствии с одним вариантом осуществления ингибитор контрольных точек представляет собой агонист OX40. В соответствии с одним вариантом осуществления ингибитор контрольных точек представляет собой антитело к OX40, например, антитело к ОХ-40 или MEDI6469.
В соответствии с одним вариантом осуществления ингибитор контрольных точек представляет собой агонист GITR. В соответствии с одним вариантом осуществления агонист GITR представляет собой антитело к GITR, например, TRX518.
В соответствии с одним вариантом осуществления ингибитор контрольных точек представляет собой агонист CD137. В соответствии с одним вариантом осуществления агонист CD137 представляет собой антитело KCD137, например, PF-05082566.
В соответствии с одним вариантом осуществления ингибитор контрольных точек представляет собой агонист CD40. В соответствии с одним вариантом осуществления агонист CD40 представляет собой антитело к CD40, например, CF-870893.
В соответствии с одним вариантом осуществления ингибитор контрольных точек представляет собой ингибитор IDO, например, INCB24360 или индоксимод.
В соответствии с еще одним вариантом осуществления активные соединения, описанные в данном документе, можно вводить в эффективном количестве для лечения ненормальной ткани в мужской репродуктивной системе, такой как злокачественная опухоль рак предстательной железы или злокачественная опухоль яичка, совместно или в очередном порядке с эффективным количеством ингибитора андрогена (такого как тестостерон), включающего в себя, без ограничения, селективный модулятор андрогенового рецептора, селективное средство, расщепляющее андрогеновый рецептор, средство, полностью расщепляющее андрогеновый рецептор, или другую форму частичного или полного антагониста андрогена. В соответствии с одним вариантом осуществления злокачественная опухоль предстательной железы или яичка является устойчивой к андрогену. Неограничивающие примеры антиандрогеновых соединений представлены в международной заявке WO 2011/156518 и патентах США №8455534 и №8299112. Дополнительные неограничивающие примеры антиандрогеновых соединений включают в себя: энзалутамид, апалутамид, ципротерона ацетат, хлормадинона ацетат, спиронолактон, канренон, дроспиренон, кетоконазол, топилутамид, абиратерона ацетат и циметидин.
В соответствии с одним вариантом осуществления дополнительное терапевтически активное средство представляет собой ингибитор ALK. Примеры ингибиторов ALK включают в себя, без ограничения, кризотиниб, алектиниб, церитиниб, ТАЕ684 (NVP-TAE684), GSK1838705A, AZD3463, ASP3026, PF-06463922, энтректиниб (RXDX-101) и АР26113.
В соответствии с одним вариантом осуществления дополнительное терапевтически активное средство представляет собой ингибитор EGFR. Примеры ингибиторов EGFR включают в себя эрлотиниб (Tarceva), гефитиниб (Iressa), афатиниб (Gilotrif), роцилетиниб (СО-1686), осимертиниб (Tagrisso), олмутиниб (Olita), наквотиниб (ASP8273), назартиниб (EGF816), PF-06747775 (Pfizer), икотиниб (BPI-2009), нератиниб (HKI-272; PB272); авитиниб (АС0010), EAI045, тарлоксотиниб (ТН-4000; PR-610), PF-06459988 (Pfizer), тесеватиниб (XL647; EXEL-7647; KD-019), транстиниб, WZ-3146, WZ8040, CNX-2006 и дакомитиниб (PF-00299804; Pfizer).
В соответствии с одним вариантом осуществления дополнительное терапевтически активное средство представляет собой ингибитор HER-2. Примеры ингибиторов HER-2 включают в себя трастузумаб, лапатиниб, адо-трастузумаб эмтанзин и пертузумаб.
В соответствии с одним вариантом осуществления дополнительное терапевтически активное средство представляет собой ингибитор CD20. Примеры ингибиторов CD20 включают в себя обинутузумаб, ритуксимаб, фатумумаб, ибритумомаб, тозитумомаб и окрелизумаб.
В соответствии с одним вариантом осуществления дополнительное терапевтически активное средство представляет собой ингибитор JAK3. Примеры ингибиторов JAK3 включают в себя тасоцитиниб.
В соответствии с одним вариантом осуществления дополнительное терапевтически активное средство представляет собой ингибитор BCL-2. Примеры BCL-2 ингибиторов включают в себя венетоклакс, АВТ-199 (4-[4-[[2-(4-хлорфенил)-4,4-диметилциклогекс-1-ен-1-ил]метил]пиперазин-1-ил]-N-[[3-нитро-4-[[(тетрагидро-2Н-пиран-4-ил)метил]амино]фенил]сульфонил]-2-[(1Н-пирроло[2,3-b]пиридин-5-ил)окси]бензамид), АВТ-737 (4-[4-[[2-(4-хлорфенил)фенил]метил]пиперазин-1-ил]-N-[4-[[(2R)-4-(диметиламино)-1-фенилсульфанилбутан-2-ил]амино]-3-нитрофенил]сульфонилбензамид) (навитоклакс), АВТ-263 ((R)-4-(4-((4'-хлор-4,4-диметил-3,4,5,6-тетрагидро-[1,1'-бифенил]-2-ил)метил)пиперазин-1-ил)-N-((4-((4-морфолино-1-(фенилтио)бутан-2-ил)амино)-3((трифторметил)сульфонил)фенил)сульфонил)бензамид), GX15-070 (обатоклакс мезилат, (2Z)-2-[(5Z)-5-[(3,5-диметил-1Н-пиррол-2-ил)метилиден]-4-метоксипиррол-2-илиден]индол; метансульфоновая кислота))), 2-метоксиантимицин A3, YC137 (4-(4,9-диоксо-4,9-дигидронафто[2,3-d]тиазол-2-иламино)-фениловый сложный эфир), погосин, этил-2-амино-6-бром-4-(1-циано-2-этокси-2-оксоэтил)-4Н-хромен-3-карбоксилат, нилотиниб-d3, TW-37 (N-[4-[[2-(1,1-диметилэтил)фенил]сульфонил]фенил]-2,3,4-тригидрокси-5-[[2-(1-метилэтил)фенил]метил]бензамид), апогоссиполон (ApoG2), НА14-1, АТ101, сабутоклакс, гамбоджовую кислоту или G3139 (Oblimersen).
В соответствии с одним вариантом осуществления дополнительное терапевтически активное средство представляет собой ингибитор киназы. В соответствии с одним вариантом осуществления ингибитор киназы выбран из ингибитора фосфоинозитид-3-киназы (PI3K), ингибитора тирозинкиназы Брутона (BTK) или ингибитора киназы тирозина хандры (Syk) или их комбинации.
Примеры ингибиторов киназы PI3 включают в себя без ограничения вортманнин, деметоксивиридин, перифосин, иделалисиб, пиктилисиб, памолид 529, ZSTK474, PWT33597, CUDC-907 и AEZS-136, дувелисиб, GS-9820, BKM120, GDC-0032 (таселисиб) (2-[4-[2-(2-изопропил-5-метил-1,2,4-триазол-3-ил)-5,6-дигидроимидазо[1,2-d][1,4]бензоксазепин-9-ил]пиразол-1-ил]-2-метилпропанамид), MLN-1117 ((2R)-1-фенокси-2-бутанилводород(S)-метилфосфонат или метил(оксо){[(2R)-1-фенокси-2-бутанил]окси}фосфоний)), BYL-719 ((2S)-N1-[4-метил-5-[2-(2,2,2-трифтор-1,1-диметилэтил)-4-пиридинил]-2-тиазолил]-1,2-пирролидиндикарбоксамид), GSK2126458 (2,4-дифтор-N-{2-(метилокси)-5-[4-(4-пиридазинил)-6-хинолинил]-3-пиридинил}бензолсульфонамид) (омипалисиб), TGX-221 ((±)-7-метил-2-(морфолин-4-ил)-9-(1-фениламиноэтил)-пиридо[1,2-а]-пиримидин-4-он), GSK2636771 (2-метил-1-(2-метил-3-(трифторметил)бензил)-6-морфолино-1Н-бензо[d]имидазол-4-карбоновая кислота, дигидрохлорид), KIN-193 ((R)-2-((1-(7-метил-2-морфолино-4-оксо-4Н-пиридо[1,2-а]пиримидин-9-ил)этил)амино)бензойная кислота), TGR-1202/RP5264, GS-9820 ((S)-1-(4-((2-(2-аминопиримидин-5-ил)-7-метил-4-могидроксипропан-1-он), GS-1101 (5-фтор-3-фенил-2-([S)]-1-[9Н-пурин-6-иламино]-пропил)-3Н-хиназолин-4-он), AMG-319, GSK-2269557, SAR245409 (N-(4-(N-(3-((3,5-диметоксифенил)амино)хиноксалин-2-ил)сульфамоил)фенил)-3-метокси-4-метилбензамид), BAY80-6946 (2-амино-N-(7-метокси-8-(3-морфолинопропокси)-2,3-дигидроимидазо[1,2-с]хиназ), AS 252424 (5-[1-[5-(4-фтор-2-гидроксифенил)-фуран-2-ил]-мет-(Z)-илиден]-тиазолидин-2,4-дион), CZ 24832 (5-(2-амино-8-фтор-[1,2,4]триазоло[1,5-а]пиридин-6-ил)-N-трет-бутилпиридин-3-сульфонамид), бупарлисиб (5-[2,6-ди(4-морфолинил)-4-пиримидинил]-4-(трифторметил)-2-пиридинамин), GDC-0941 (2-(1Н-индазол-4-ил)-6-[[4-(метилсульфонил)-1-пиперазинил]метил]-4-(4-морфолинил)тиено[3,2-d]пиримидин), GDC-0980 ((S)-1-(4-((2-(2-аминопиримидин-5-ил)-7-метил-4-морфолинотиено[3,2-d]пиримидин-6-ил)метил)пиперазин-1-ил)-2-гидроксипропан-1-он (также известный как RG7422)), SF1126 ((8S,14S,17S)-14-(карбоксиметил)-8-(3-гуанидинопропил)-17-(гидроксиметил)-3,6,9,12,15-пентаоксо-1-(4-(4-оксо-8-фенил-4Н-хромен-2-ил)морфолино-4-ий)-2-окса-7,10,13,16-тетраазаоктадекан-18-оат), PF-05212384 (N-[4-[[4-(диметиламино)-1-пиперидинил]карбонил]фенил]-N'-[4-(4,6-ди-4-морфолинил-1,3,5-триазин-2-ил)фенил]мочевина) (гедатолисиб), LY3023414, BEZ235 (2-метил-2-{4-[3-метил-2-оксо-8-(хинолин-3-ил)-2,3-дигидро-1Н-имидазо[4,5-с]хинолин-1-ил]фенил}пропаннитрил) (диктолисиб), XL-765 (N-(3-(N-(3-(3,5-диметоксифениламино)хиноксалин-2-ил)сульфамоил)фенил)-3-метокси-4-метилбензамид) и GSK1059615 (5-[[4-(4-пиридинил)-6-хинолинил]метилен]-2,4-тиазолидендион), РХ886 ([(3aR,6E,9S,9aR,10R,11aS)-6-[[бис(проп-2-енил)амино]метилиден]-5-гидрокси-9-(метоксиметил)-9а,11а-диметил-1,4,7-триоксо-2,3,3а,9,10,11-гексагидроиндено[4,5h]изохромен-10-ил]ацетат (также известный как сонолисиб)), LY294002, AZD8186, PF-4989216, пиларалисиб, GNE-317, PI-3065, PI-103, NU7441 (KU-57788), HS 173, VS-5584 (SB2343), CZC24832, TG100-115, А66, YM201636, CAY10505, PIK-75, PIK-93, AS-605240, BGT226 (NVP-BGT226), AZD6482, воксталисиб, алпелисиб, IC-87114, TGI100713, СН5132799, PKI-402, копанлисиб (BAY 80-6946), XL 147, PIK-90, PIK-293, PIK-294, 3-MA (3-метиладенин), AS-252424, AS-604850, апитолисиб (GDC-0980; RG7422) и структуру, описанную в WO 2014/071109.
Примеры ингибиторов ВТК включают в себя ибрутиниб (также известный как PCI-32765) (Imbruvica™) (1-[(3R)-3-[4-амино-3-(4-фенокси-фенил)пиразоло[3,4-d]пиримидин-1-ил]пиперидин-1-ил]проп-2-ен-1-он), ингибиторы на основе дианилинопиримидина, такие как AVL-101 и AVL-291/292 (N-(3-((5-фтор-2-((4-(2-метоксиэтокси)фенил)амино)пиримидин-4-ил)амино)фенил)акриламид) (Avila Therapeutics) (см. публикацию патента США №2011/0117073, включенную в настоящее описание во всей полноте), дасатиниб ([N-(2-хлор-6-метилфенил)-2-(6-(4-(2-гидроксиэтил)пиперазин-1-ил)-2-метилпиримидин-4-иламино)тиазол-5-карбоксамид], LFM-A13 (альфа-циано-бета-гидрокси-бета-метил-N-(2,5-бромфенил)пропенамид), GDC-0834 ([R-N-(3-(6-(4-(1,4-диметил-3-оксопиперазин-2-ил)фениламино)-4-метил-5-оксо-4,5-дигидропиразин-2-ил)-2-метилфенил)-4,5,6,7-тетрагидробензо[b]тиофен-2-карбоксамид], CGI-560 4-(трет-бутил)-N-(3-(8-(фениламино)имидазо[1,2-а]пиразин-6-ил)фенил)бензамид, CGI-1746 (4-(трет-бутил)-N-(2-метил-3-(4-метил-6-((4-(морфолин-4-карбонил)фенил)амино)-5-оксо-4,5-дигидропиразин-2-ил)фенил)бензамид), CNX-774 (4-(4-((4-((3-акриламидофенил)амино)-5-фторпиримидин-2-ил)амино)фенокси)-N-метилпиколинамид), СТА056 (7-бензил-1-(3-(пиперидин-1-ил)пропил)-2-(4-(пиридин-4-ил)фенил)-1Н-имидазо[4,5-g]хиноксалин-6(5Н)-он), GDC-0834 ((R)-N-(3-(6-((4-(1,4-диметил-3-оксопиперазин-2-ил)фенил)амино)-4-метил-5-оксо-4,5-дигидропиразин-2-ил)-2-метилфенил)-4,5,6,7-тетрагидробензо[b]тиофен-2-карбоксамид), GDC-0837 ((R)-N-(3-(6-((4-(1,4-диметил-3-оксопиперазин-2-ил)фенил)амино)-4-метил-5-оксо-4,5-дигидропиразин-2-ил)-2-метилфенил)-4,5,6,7-тетрагидробензо[b]тиофен-2-карбоксамид), НМ-71224, АСР-196, ONO-4059 (Ono Pharmaceuticals), PRT062607 (4-((3-(2Н-1,2,3-триазол-2-ил)фенил)амино)-2-(((1R,2S)-2-аминоциклогексил)амино)пиримидин-5-карбоксамида гидрохлорид), QL-47 (1-(1-акрилоилиндолин-6-ил)-9-(1-метил-1Н-пиразол-4-ил)бензо[b][1,6]нафтиридин-2(1Н)-он) и RN486 (6-циклопропил-8-фтор-2-(2-гидроксиметил-3-{1-метил-5-[5-(4-метил-пиперазин-1-ил)-пиридин-2-иламино]-6-оксо-1,6-дигидро-пиридин-3-ил}-фенил)-2Н-изохинолин-1-он) и другие молекулы, способные ингибировать активность BTK, например, такие ингибиторы ВТК, раскрытые в Akinleye et ah. Journal of Hematology & Oncology, 2013, 6:59, полное описание которого включено в настоящее описание при помощи ссылки.
Ингибиторы Syk включают в себя, например, цердулатиниб (4-(пиклопропиламино)-2-((4-(4-(этилсульфонил)пиперазин-1-ил)фенил)амино)пиримидин-5-карбоксамид), энтосплетиниб (6-(1Н-индазол-6-ил)-N-(4-морфолинофенил)имидазо[1,2-а]пиразин-8-амин), фостаматиниб ([6-({5-фтор-2-[(3,4,5-триметоксифенил)амино]-4-пиримидинил}амино)-2,2-диметил-3-оксо-2,3-дигидро-4Н-пиридо[3,2-b][1,4]оксазин-4-ил]метилдигидрофосфат), динатриевая соль фостаматиниба (натрия (6-((5-фтор-2-((3,4,5-триметоксифенил)амино)пиримидин-4-ил)амино)-2,2-диметил-3-оксо-2Н-пиридо[3,2-b][1,4]оксазин-4(3Н)-ил)метилфосфат)), BAY 61-3606 (2-(7-(3,4-диметоксифенил)-имидазо[1,2-с]пиримидин-5-иламино)-никотинамид НС1), R09021 (6-[(1R,2S)-2-амино-циклогексиламино]-4-(5,6-диметилпиридин-2-иламино)-пиридазин-3-карбоновой кислоты амид), иматиниб (Gleevac; 4-[(4-метилпиперазин-1-ил)метил]-N-(4-метил-3-{[4-(пиридин-3-ил)пиримидин-2-ил]амино}фенил)бензамид), стауроспорин, GSK143 (2-(((3R,4R)-3-аминотетрагидро-2Н-пиран-4-ил)амино)-4-(пара-толиламино)пиримидин-5-карбоксамид), РР2 (1-(трет-бутил)-3-(4-хлорфенил)-1Н-пиразоло[3,4-d]пиримидин-4-амин), PRT-060318 (2-(((1R,2S)-2-аминоциклогексил)амино)-4-(мета-толиламино)пиримидин-5-карбоксамид), PRT062607 (4-((3-(2Н-1,2,3-триазол-2-ил)фенил)амино)-2-(((1R,2S)-2-аминоциклогексил)амино)пиримидин-5-карбоксамида гидрохлорид), R112 (3,3'-((5-фторпиримидин-2,4-диил)бис(азандиил))дифенол), R348 (3-этил-4-метилпиридин), R406 (6-((5-фтор-2-((3,4,5-триметоксифенил)амино)пиримидин-4-ил)амино)-2,2-диметил-2Н-пиридо[3,2-b][1,4]оксазин-3(4Н)-он), пикеатаннол (3-гидроксиресвератол), YM193306 (см. Singh et al. Discovery and Development of Spleen Tyrosine Kinase (SYK) Inhibitors, J. Med. Chem. 2012, 55, 3614-3643), 7-азаиндол, пикеатаннол, ER-27319 (см. Singh et al. Discovery and Development of Spleen Tyrosine Kinase (SYK) Inhibitors, J. Med. Chem. 2012, 55, 3614-3643, включено в своей полноте в настоящее описание), соединение D (см. Singh et al. Discovery and Development of Spleen Tyrosine Kinase (SYK) Inhibitors, J. Med. Chem. 2012, 55, 3614-3643, включено в своей полноте в настоящее описание), PRT060318 (см. Singh et al. Discovery and Development of Spleen Tyrosine Kinase (SYK) Inhibitors, J. Med. Chem. 2012, 55, 3614-3643, включено в своей полноте в настоящее описание), лутеолин (см. Singh et al. Discovery and Development of Spleen Tyrosine Kinase (SYK) Inhibitors, J. Med. Chem. 2012, 55, 3614-3643, включено в своей полноте в настоящее описание), апигенин (см. Singh et al. Discovery and Development of Spleen Tyrosine Kinase (SYK) Inhibitors, J. Med. Chem. 2012, 55, 3614-3643, включено в своей полноте в настоящее описание), кверцетин (см. Singh et al. Discovery and Development of Spleen Tyrosine Kinase (SYK) Inhibitors, J. Med. Chem. 2012, 55, 3614-3643, включено в своей полноте в настоящее описание), физетин (см. Singh et al. Discovery and Development of Spleen Tyrosine Kinase (SYK) Inhibitors, J. Med. Chem. 2012, 55, 3614-3643, включено в своей полноте в настоящее описание), мирицетин (см. Singh et al. Discovery and Development of Spleen Tyrosine Kinase (SYK) Inhibitors, J. Med. Chem. 2012, 55, 3614-3643, включено в своей полноте в настоящее описание), морин (см. Singh et al. Discovery and Development of Spleen Tyrosine Kinase (SYK) Inhibitors, J. Med. Chem. 2012, 55, 3614-3643, включено в своей полноте в настоящее описание).
В соответствии с одним вариантом осуществления дополнительное терапевтически активное средство представляет собой ингибитор MEK. Ингибиторы MEK являются хорошо известными и включают в себя, например, траметиниб/CSK1120212 (N-(3-{3-циклопропил-5-[(2-фтор-4-йодфенил)амино]-6,8-диметил-2,4,7-триоксо-3,4,6,7-тетрагидропиридо[4,3-d]пиримидин-1(2H-ил}фенил)ацетамид), селуметиниб (6-(4-бром-2-хлоранилино)-7-фтор-N-(2-гидроксиэтокси)-3-метилбензимидазол-5-карбоксамид), пимасертиб/AS703026/MSC 1935369 ((S)-N-(2,3-дигидроксипропил)-3-((2-фтор-4-йодфенил)амино)изоникотинамид), XL-518/GDC-0973 (1-({3,4-дифтор-2-[(2-фтор-4-йодфенил)амино]фенил}карбонил)-3-[(2S)-пиперидин-2-ил]азетидин-3-ол), рефаметиниб/BAY869766/RDEA1 19 (N-(3,4-дифтор-2-(2-фтор-4-йодфениламино)-6-метоксифенил)-1-(2,3-дигидроксипропил)циклопропан-1-сульфонамид), PD-0325901 (N-[(2R)-2,3-дигидроксипропокси]-3,4-дифтор-2-[(2-фтор-4-йодфенил)амино]-бензамид), TAK733 ((R)-3-(2,3-дигидроксипропил)-6-фтор-5-(2-фтор-4-йодфениламино)-8-метилпиридо[2,3-d]пиримидин-4,7(3Н,8Н)-дион), MEK162/ARRY438162 (5-[(4-бром-2-фторфенил)амино]-4-фтор-N-(2-гидроксиэтокси)-1-метил-1Н-бензимидазол-6-карбоксамид), R05126766 (3-[[3-фтор-2-(метилсульфамоиламино)-4-пиридил]метил]-4-метил-7-пиримидин-2-илоксихромен-2-он), WX-554, R04987655/CH4987655 (3,4-дифтор-2-((2-фтор-4-йодфенил)амино)-N-(2-гидроксиэтокси)-5-((3-оксо-1,2-оксазинан-2-ил)метил)бензамид) или AZD8330 (2-((2-фтор-4-йодфенил)амино)-N-(2-гидроксиэтокси)-1,5-диметил-6-оксо-1,6-дигидропиридин-3-карбоксамид), U0126-EtOH, PD184352 (CI-1040), GDC-0623, BI-847325, кобиметиниб, PD98059, BIX 02189, BIX 02188, биниметиниб, SL-327, TAK-733, PD318088.
В соответствии с одним вариантом осуществления дополнительное терапевтически активное средство представляет собой ингибитор Raf. Ингибиторы Raf являются известными и включают в себя, например, вемурафениб (N-[3-[[5-(4-хлорфенил)-1Н-пирроло[2,3-b]пиридин-3-ил]карбонил]-2,4-дифторфенил]-1-пропансульфонамид), сорафениба тозилат (4-[4-[[4-хлор-3-(трифторметил)фенил]карбамоиламино]фенокси]-N-метилпиридин-2-карбоксамид; 4-метилбензолсульфонат), AZ628 (3-(2-цианопропан-2-ил)-N-(4-метил-3-(3-метил-4-оксо-3,4-дигидрохиназолин-6-иламино)фенил)бензамид), NVP-BHG712 (4-метил-3-(1-метил-6-(пиридин-3-ил)-1Н-пиразоло[3,4-(1]пиримидин-4-иламино)-N-(3-(трифторметил)фенил)бензамид), RAF-265 (1-метил-5-[2-[5-(трифторметил)-1Н-имидазол-2-ил]пиридин-4-ил]окси-N-[4-(трифторметил)фенил]бензимидазол-2-амин), 2-бромалдисин (2-бром-6,7-дигидро-1Н,5Н-пирроло[2,3-с]азепин-4,8-дион), ингибитор Raf киназы IV (2-хлор-5-(2-фенил-5-(пиридин-4-ил)-1Н-имидазол-4-ил)фенол), сорафениба N-оксид (4-[4-[[[[4-хлор-3(трифторметил)фенил]амино]карбонил]амино]фенокси]-N-метил-2-пиридинкарбоксамид 1-оксид), PLX-4720, дабрафениб (GSK2118436), GDC-0879, RAF265, AZ 628, SB590885, ZM336372, GW5074, TAK-632, СЕР-32496, LY3009120 и GX818 (энкорафениб).
В соответствии с одним вариантом осуществления дополнительное терапевтически активное средство представляет собой ингибитор АКТ, включая в себя без ограничения MK-2206, GSK690693, перифозин, (KRX-0401), GDC-0068, трицирибин, AZD5363, хонокиол, PF-04691502 и милтефозин, ингибитор FLT-3, включая в себя без ограничения Р406, довитиниб, квизартиниб (АС220), амуватиниб (МР-470), тандутиниб (MLN518), ENMD-2076 и KW-2449 или из комбинация.
В соответствии с одним вариантом осуществления дополнительное терапевтически активное средство представляет собой ингибитор mTOR. Примеры ингибиторов mTOR включают в себя без ограничения рапамицин и его аналоги, эверолимус (Afinitor), темсиролимус, ридафоролимус, сиролимус и дефоролимус. Примеры ингибиторов MEK включают в себя без ограничения траметиниб/GCKl120212 (N-(3-{3-циклопропил-5-[(2-фтор-4-йодфенил)амино]-6,8-диметил-2,4,7-триоксо-3,4,6,7-тетрагидропиридо[4,3-d]пиримидин-1(2Н-ил}фенил)ацетамид), селуметиниб (6-(4-бром-2-хлоранилино)-7-фтор-N-(2-гидроксиэтокси)-3-метилбензимидазол-5-карбоксамид), пимасертиб/А8703026/MSC193 5369 ((S)-N(2,3-дигидроксипропил)-3-((2-фтор-4-йодфенил)амино)изоникотинамид), XL-518/GDC-0973 (1-({3,4-дифтор-2-[(2-фтор-4-йодфенил)амино]фенил}карбонил)-3-[(2S)-пиперидин-2-ил]азетидин-3-ол) (кобиметиниб), рефаметиниб/BAY869766/RDEAl19 (N-(3,4-дифтор-2-(2-фтор-4-йодфениламино)-6-метоксифенил)-1-(2,3-дигидроксипропил)циклопропан-1-сульфонамид), PD-0325901 (N-[(2R)-2,3-дигидроксипропокси]-3,4-дифтор-2-[(2-фтор-4-йодфенил)амино]-бензамид), ТАК733 ((R)-3-(2,3-дигидроксипропил)-6-фтор-5-(2-фтор-4-йодфениламино)-8-метилпиридо[2,3d]пиримидин-4,7(3Н,8Н)-дион), MEK162/ARRY438162 (5-[(4-бром-2-фторфенил)амино]-4-фтор-N(2-гидроксиэтокси)-1-метил-1Н-бензимидазол-6-карбоксамид), R05126766 (3-[[3-фтор-2-(метилсульфамоиламино)-4-пиридил]метил]-4-метил-7-пиримидин-2-илоксихромен-2-он), WX-554, R04987655/CH4987655 (3,4-дифтор-2-((2-фтор-4-йодфенил)амино)-N-(2-гидроксиэтокси)-5-((3-оксо-1,2-оксазинан-2-ил)метил)бензамид) или AZD8330 (2-((2-фтор-4-йодфенил)амино)-N-(2-гидроксиэтокси)-1,5-диметил-6-оксо-1,6-дигидропиридин-3-карбоксамид).
В соответствии с одним вариантом осуществления дополнительное терапевтически активное средство представляет собой ингибитор RAS. Примеры ингибиторов RAS включают в себя, без ограничения, реолизин и siG12D LODER.
В соответствии с одним вариантом осуществления дополнительное терапевтически активное средство представляет собой ингибитор HSP. Ингибиторы HSP включают в себя, без ограничения, гелданамицин или 17-N-аллиламино-17-деметоксигелданамицин (17AAG) и радицикол.
Дополнительные биологически активные соединения включают в себя, например, эверолимус, трабектедин, абраксан, TLK 286, AV-299, DN-101, пазопаниб, GSK690693, RTA 744, ON 0910.Na, AZD 6244 (ARRY-142886), AMN-107, TKI-258, GSK461364, AZD 1152, энзастаурин, вандетаниб, ARQ-197, MK-0457, MLN8054, PHA-739358, R-763, AT-9263, ингибитор FLT-3, ингибитор VEGFR, ингибитор аврора-киназы, модулятор PIK-1, ингибитор HDAC, ингибитор c-MET, ингибитор PARP, ингибитор Cdk, ингибитор IGFR-TK, антитело к HGF, ингибитор фокальной адгезионной киназы, ингибитор Мар-киназы (mek), антитело-ловушку для VEGF, перметрексед, панитумумаб, амрубицин, ореговомаб, Lep-etu, нолатрексед, azd2171, батабулин, офатумумаб, занолимумаб, эдотекарин, тетрандрин, рубитекан, тесмилифен, облимерсен, тицилимумаб, иплимумаб, госсипол, Bio 111, 131-I-ТМ-601, ALT-110, BIO 140, СС 8490, циленгитид, гиматекан, IL13-PE38QQR, INO 1001, IPdR1 KRX-0402, лукантон, LY317615, неурадиаб, витеспан, Rta 744, Sdx 102, талампанель, атрасентан, Xr 311, ромедипсин, ADS-100380, сунитиниб, 5-фторурацил, вориностат, этопозид, гемцитабин, доксорубицин, липосомальный доксорубицин, 5'-дезокси-5-фторуридин, винкристин, темозоломид, ZK-304709, селициклиб; PD0325901, AZD-6244, капецитабин, L-глутаминовую кислоту, гептагидрат динатриевой соли N-[4-[2-(2-амино-4,7-дигидро-4-оксо-1Н-пирроло[2,3-d]пиримидин-5-ил)этил]бензоила]-, камптотецин, меченый ПЭГ иринотекан, тамоксифен, торемифена цитрат, анастразол, эксеместан, летрозол, DES(диэтилстильбэстрол), эстрадиол, эстроген, конъюгированный эстроген, бевацизумаб, IMC-1C11, CHIR-258); 3-[5-(метилсульфонилпиперадинметил)-индолил-хинолон, ваталаниб, AG-013736, AVE-0005, гозерелина ацетат, лейпролида ацетат, трипторелина памоат, медроксипрогестерона ацетат, гидроксипрогестерона капроат, мегестрола ацетат, ралоксифен, бикалутамид, флутамид, нилутамид, мегестрола ацетат, СР-724714; TAK-165, HKI-272, эрлотиниб, лапатаниб, канертиниб, антитело ABX-EGF, эрбитукс, EKB-569, PKI-166, GW-572016, лонафарниб, BMS-214662, типифарниб; амифостин, NVP-LAQ824, субероиланалид гидроксамовой кислоты, вальпроевую кислоту, трихостатин A, FK-228, SU11248, сорафениб, KRN951, аминоглутенимид, арнсакрин, анагрелид, L-аспарагиназу, вакцину на основе бациллы Кальмета-Герена (BCG), адриамицин, блеомицин, бузерелин, бусульфан, карбоплатин, кармустин, хлорамбуцил, цисплатин, кладрибин, клодронат, ципротерон, цитарабин, дакарбазин, дактиномицин, даунорубицин, диэтилстильбэстрол, эпирубицин, флударабин, флудрокортизон, флуоксиместерон, флутамид, гливек, гемцитабин, гидроксимочевину, идарубицин, ифосфамид, иматиниб, лейпролид, левамизол, ломустин, мехлорэтамин, мелфалан, 6-меркаптопурин, месну, метотрексат, митомицин, митотан, митоксантрон, нилутамид, октреотид, оксалиплатин, памидронат, пентостатин, пликамицин, порфимер, прокарбазин, ралтитрексед, ритуксимаб, стрептозоцин, тенипозид, тестостерон, талидомид, тиогуанин, тиотепу, третиноин, виндесин, 13-цис-ретиноевую кислоту, фенилаланиновый иприт, урациловый иприт, эстрамустин, алтретамин, флоксуридин, 5-дезоксиуридин, цитозин-арабинозид, 6-меркаптопурин, дезоксикоформицин, кальцитриол, валрубицин, митрамицин, винбластин, винорелбин, топотекан, разоксин, маримастат, COL-3, неовастат, BMS-275291, скваламин, эндостатин, SU5416, SU6668, EMD121974, интерлейкин-12, IM862, ангиостатин, витаксин, дролоксифен, идоксифен, спиронолактон, финастерид, циметидин, трастузумаб, денилейкин дифтитокс, гефитиниб, бортезомиб, паклитаксел, паклитаксел, не содержащий кремофор, доцетаксел, эпитилон В, BMS-247550, BMS-310705, дролоксифен, 4-гидрокситамоксифен, пипендоксифен, ERA-923, арзоксифен, фулвестрант, аколбифен, лазофоксифен, идоксифен, TSE-424, HMR-3339, ZK186619, топотекан, PTK787/ZK 222584, VX-745, PD 184352, рапамицин, 40-О-(2-гидроксиэтил)-рапамицин, темсиролимус, АР-23573, RAD001, АВТ-578, ВС-210, LY294002, LY292223, LY292696, LY293684, LY293646, вортманнин, ZM336372, L-779,450, ПЭГ-филграстим, дарбэпоэтин, эритропоэтин, гранулоцитарный колониестимулирующий фактор, золендронат, преднизон, цетуксимаб, гранулоцитарно-макрофагальный колониестимулирующий фактор, гистрелин, пегилированный интерферон альфа-2а, интерферон альфа-2а, пегилированный интерферон альфа-2b, интерферон альфа-2b, азацитидин, ПЭГ-L-аспарагиназу, леналидомид, гемтузумаб, гидрокортизон, интерлейкин-11, дексразоксан, алемтузумаб, полностью транс-ретиноевую кислоту, кетоконазол, интерлейкин-2, мегестрол, иммунный глобулин, азотистый иприт, метилпреднизолон, ибритутомаб тиуксетан, андрогены, децитабин, гексаметиламин, бексаротен, тозитумомаб, триоксид мышьяка, кортизон, эдитронат, митотан, циклоспорин, липосомальный даунорубицин, Edwina-аспарагиназу, стронций 89, касопитант, нетупитант, антагонист рецептора NK-1, палоносетрон, апрепитант, дифенгидрамин, гидроксизин, метоклопрамид, лоразепам, алпразолам, галоперидол, дроперидол, дронабинол, дексаметазон, метилпреднизолон, прохлорперазин, гранисетрон, ондансетрон, доласетрон, трописетрон, пегфилграстим, эритропоэтин, эпоэтин альфа, дарбэпоэтин альфа и их смеси.
В соответствии с одним вариантом осуществления дополнительное терапевтически активное средство является выбранным, без ограничения, из иматиниба мезилата (Gleevac®), дазатиниба (Sprycel®), нилотиниба (Tasigna®), бозутиниба (Bosulif®), трастузумаба (Herceptin®), трастузумаб-DMl, пертузумаба (PerjetaTM), лапатиниба (Tykerb®), гефитиниба (Iressa®), эрлотиниба (Tarceva®), цетуксимаба (Erbitux®), панитумумаба (V ectibix®), вандетаниба (Caprelsa®), вемурафениба (Zelboraf®), вориностата (Zolinza®), ромидепсина (Istodax®), бексаротена (Tagretin®), алитретиноина (Panretin®), третиноина (Vesanoid®), карфилзомиба (KyprolisTM), пралатрексата (Folotyn®), бевацизумаба (Avastin®), зив-афлиберцепта (Zaltrap®), сорафениба (Nexavar®), сунитиниба (Sutent®), пазопаниба (Votrient®), регорафениба (Stivarga®) и кабозантиниб (CometriqTM).
В соответствии с определенными аспектами дополнительное терапевтически активное средство представляет собой противовоспалительное средство, химиотерапевтическое средство, радиотерапевтическое средство, дополнительное терапевтическое средство или иммунодепрессивное средство.
Подходящие химиотерапевтические дополнительные терапевтически активные средства включают в себя, без ограничения, радиоактивную молекулу, токсин, также называемый цитотоксином или цитотоксическим средством, которое включает в себя любое средство, являющееся вредным для жизнеспособности клеток, и липосомы или другие пузырьки, содержащие химиотерапевтические соединения. Распространенные противораковые фармацевтические средства включают в себя следующие: винкристин (Oncovin®) или липосомальный винкристин (Marqibo®), даунорубицин (дауномицин или Cerubidine®) или доксорубицин (Adriamycin®), цитарабин (цитозин-арабинозид, ara-С или Cytosar®), L-аспарагиназа (Elspar®) или ПЭГ-L-аспарагиназа (пегаспаргаза или Oncaspar®), этопозид (VP-16), тенипозид (Vumon®), 6-меркаптопурин (6-МР или Purinethol®), метотрексат, циклофосфамид (Cytoxan®), преднизон, дексаметазон (Decadron), иматиниб (Gleevec®), дасатиниб (Sprycel®), нилотиниб (Tasigna®), бозутиниб (Bosulif®) и понатиниб (Iclusig™). Примеры дополнительных подходящих химиотерапевтических средств включают в себя, без ограничения, 1-дегидротестостерон, 5-фторурацил, дакарбазин, 6-меркаптопурин, 6-тиогуанин, актиномицин D, адриамицин, альдеслейкин, алкилирущее средство, аллопуринол натрия, алтретамин, амифостин, анастрозол, антрамицин (АМС), антимитотическое средство, цис-дихлордиамин-платину (II) (DDP) (цисплатин), диамино-дихлор-платину, антрациклин, антибиотик, антиметаболит, аспарагиназу, живую BCG (интравезикальную), бетаметазона натрия фосфат и бетаметазона ацетат, бикалутамид, блеомицина сульфат, бусульфан, лейковорин кальция, калихеамицин, капецитабин, карбоплатин, ломустин (CCNU), кармустин (BSNU), хлорамбуцил, цисплатин, кладрибин, колхицин, конъюгированные эстрогены, циклофосфамид, циклофосфамид, цитарабин, цитарабин, цитохалазин В, цитоксан, дакарбазин, дактиномицин, дактиномицин (ранее актиномицин), даунорубицин HCL, даунорубицина цитрат, денилейкин дифтитокс, дексразоксан, дибромманнит, дигидроксиантрацин-дион, доцетаксел, доласетрона мезилат, доксорубицин HCL, дронабинол, L-аспарагиназу Е. coli, эметин, эпоэтин-α, L-аспарагиназу Erwinia, эстерифицированные эстрогены, эстрадиол, эстрамустина натрия фосфат, этидия бромид, этинилэстрадиол, этидронат, этопозид, цитроворум-фактор, этопозида фосфат, филграстим, флоксуридин, флуконазол, флударабина фосфат, фторурацил, флутамид, фолиновую кислоту, гемцитабин HCL, глюкокортикоиды, гозерелина ацетат, грамицидин D, гранисетрон HCL, гидроксимочевину, идарубицин HCL, ифосфамид, интерферон α-2b, иринотекан HCL, летрозол, лейковорин кальция, лейпролида ацетат, левамизол HCL, лидокаин, ломустин, майтансиноид, мехлорэтамин HCL, медроксипрогестерон-ацетат, мегестрол-ацетат, мелфалан HCL, меркаптопурин, месну, метотрексат, метилтестостерон, митрамицин, митомицин С, митотан, митоксантрон, нилутамид, октреотида ацетат, ондансетрон HCL, паклитаксел, памидронат динатрия, пентостатин, пилокарпин HCL, плимицин, полифепросан 20 с кармустиновым имплантатом, порфимер натрия, прокаин, прокарбазин HCL, пропанолол, ритуксимаб, сарграмостим, стрептозоцин, тамоксифен, таксол, тенипозид, тенопозид, тестолактон, тетракаин, тиотепу, хлорамбуцил, тиогуанин, тиотепу, топотекан HCL, торемифена цитрат, трастузумаб, третиноин, валрубицин, винбластина сульфат, винкристина сульфат и винорелбина тартрат.
Дополнительные терапевтические средства, которые можно вводить в комбинации с соединением, обеспечивающим разрушение, раскрытым в данном документе, могут включать в себя бевацизумаб, сутиниб, сорафениб, 2-метоксиэстрадиол или 2МЕ2, финасунат, ваталаниб, вандетаниб, афлиберцепт, волоциксимаб, этарацизумаб (MEDI-522), циленгитид, эрлотиниб, цетуксимаб, панитумумаб, гефитиниб, трастузумаб, довитиниб, фигитумумаб, атацицепт, ритуксимаб, алемтузумаб, альдеслейкин, атлизумаб, тоцилизумаб, темсиролимус, эверолимус, лукатумумаб, дацетузумаб, HLL1, huN901-DMl, атипримод, натализумаб, бортезомиб, карфилзомиб, маризомиб, танеспимицин, саквинавир мезилат, ритонавир, нелфинавир мезилат, индинавир сульфат, белиностат, панобиностат, мапатумумаб, лексатумумаб, дуланермин, АВТ-737, облимерсен, плитидепсин, талмапимод, Р276-00, энзастаурин, типифарниб, перифозин, иматиниб, дазатиниб, леналидомид, талидомид, симвастатин, целекоксиб, базедоксифен, AZD4547, рилотумумаб, оксалиплатин (Eloxatin), PD0332991, рибоциклиб (LEE011), амебациклиб (LY2835219), HDM201, фулвестрант (Faslodex), эксеместан (Aromasin), PIM447, руксолитиниб (INC424), BGJ398, нецитумумаб, перметрексед (Alimta) и рамуцирумаб (IMC-1121B).
В соответствии с одним вариантом осуществления дополнительное терапевтическое средство представляет собой моноклональное антитело (MAb). Некоторые MAb стимулируют иммунный ответ, который разрушает раковые клетки. Подобно антителам, продуцируемым в природных условиях В-клетками, эти MAb могут «покрывать» поверхность раковой клетки, запуская ее уничтожение иммунной системой. Например, бевацизумаб нацеливается на фактор роста сосудистого эндотелия (VEGF) - белок, секретируемый опухолевыми клетками и другими клетками в микроокружении опухоли, который стимулирует развитие кровеносных сосудов в опухоли. Когда он связан с бевацизумабом, VEGF не может взаимодействовать со своим клеточным рецептором, что предотвращает передачу сигнала, который приводит к росту новых кровеносных сосудов. Аналогично, цетуксимаб и панитумумаб нацелены на рецептор эпидермального фактора роста (EGFR), и трастузумаб нацелен на рецептор 2 эпидермального фактора роста (HER-2). MAb, которые связываются с рецепторами факторов роста на клеточной поверхности, предотвращают отправку рецепторами-мишенями своих нормальных стимулирующих рост сигналов. Они также могут запускать апоптоз и активировать иммунную систему для уничтожения опухолевых клеток.
В соответствии с одним аспектом настоящего изобретения дополнительное терапевтически активное средство представляет собой иммунодепрессивное средство. Иммунодепрессивное средство может представлять собой ингибитор кальциневрина, например, циклоспорин или аскомицин, например, циклоспорин A (NEORAL®), FK506 (такролимус), пимекролимус, ингибитор mTOR, например, рапамицин или его производное, например, сиролимус (RAPAMUNE®), эверолимус (Certican®), темсиролимус, зотаролимус, биолимус-7, биолимус-9, рапалог, например, ридафоролимус, азатиоприн, кампат 1Н, модулятор S1P рецептора, например, финголимод или его аналог, антитело к IL-8, микофеноловую кислоту или ее соль, например, натриевую соль, или ее пролекарство, например микофенолат мофетил (CELLCEPT®), OKT3 (ORTHOCLONE OKT3®), преднизон, ATGAM®, THYMOGLOBULIN®, бреквинар натрия, OKT4, Т10 В9.А-3А, 33В3.1, 15-деоксиспергуалин, тресперимус, лефлуномид ARAVA®, CTLAI-Ig, антитело к CD25, антитело к IL2R, базиликсимаб (SEV1ULECT®), даклизумаб (ZENAPAX®), мизорбин, метотрексат, дексаметазон, ISAtx-247, SDZ ASM 981 (пимекролимус, Elidel®), CTLA41g (абатацепт), белатацепт, LFA31g„ этанерцепт (реализуемый какЕпЬге1® компанией Immunex), адалимумаб (Humira®), инфликсимаб (Remicade®), антитело к LFA-1, натализумаб (Antegren®), энлимомаб, гавилимомаб, антитимоцитарный иммуноглобулин, сиплизумаб, алефацепт эфализумаб, пентасу, месалазин, асакол, кодеина фосфат, бенорилат, фенбуфен, напросин, диклофенак, этодолак и индометацин, аспирин и ибупрофен.
В соответствии с одним вариантом осуществления дополнительное терапевтическое средство представляет собой бендамустин. В соответствии с одним вариантом осуществления дополнительное терапевтическое средство представляет собой обинутузумаб. В соответствии с одним вариантом осуществления дополнительное терапевтическое средство представляет собой ингибитор протеасомы, например, иксазомиб или опрозомиб. В соответствии с одним вариантом осуществления дополнительное терапевтическое средство представляет собой ингибитор гистондеацетилазы, например, ACY241. В соответствии с одним вариантом осуществления дополнительное терапевтическое средство представляет собой ингибитор BET, например, GSK525762A, ОТХ015, BMS-986158, TEN-010, CPI-0610, INCB54329, BAY1238097, FT-1101, ABBV-075, BI 894999, GS-5829, GSK1210151A (I-BET-151), CPI-203, RVX-208, XD46, MS436, PFI-1, RVX2135, ZEN3365, XD14, ARV-771, MZ-1, PLX5117, 4-[2-(циклопропилметокси)-5-(метансульфонил)фенил]-2-метилизохинолин-1(2Н)-он, EP11313 и EP11336. В соответствии с одним вариантом осуществления дополнительное терапевтическое средство представляет собой ингибитор MCL-1, например, AZD5991, AMG176, MFK665. S64315 или S63845. В соответствии с одним вариантом осуществления дополнительное терапевтическое средство представляет собой ингибитор LSD-1, например, ORY-1001, ORY-2001, INCB-59872, IMG-7289, ТАК-418, GSK-2879552, 4-[2-(4-амино-пиперидин-1-ил)-5-(3-фтор-4-метокси-фенил)-1-метил-6-оксо-1,6-дигидропиримидин-4-ил]-2-фтор-бензонитрил или его соль. В соответствии с одним вариантом осуществления дополнительное терапевтическое средство представляет собой антитело к CS1, например, элотузумаб. В соответствии с одним вариантом осуществления дополнительное терапевтическое средство представляет собой антитело к CD38, например, даратумумаб или изатуксимаб. В соответствии с одним вариантом осуществления дополнительное терапевтическое средство представляет собой антитело к ВСМА или конъюгат с антителом, например, GSK2857916 или BI 836909.
В соответствии с некоторыми вариантами осуществления соединение, обеспечивающее разрушение, описанное в данном документе, вводят совместно или в очередном порядке с одним или несколькими клеточными иммунотерапевтическими средствами. В соответствии с некоторыми вариантами осуществления клеточное иммунотерапевтическое средство представляет собой подвергнутую воздействию методов генной инженерии иммунную клетку. Подвергнутые воздействию методов генной инженерии иммунные клетки включают в себя, например, без ограничения, подвергнутые воздействию методов генной инженерии с целью экспрессии Т-клеточного рецептора (TCR) клетки и подвергнутые воздействию методов генной инженерии с целью экспрессии химерного антигенного рецептора (CAR) клетки. Терапия с применением экспрессируемого с помощью методов генной инженерии Т-клеточного рецептора (TCR) обычно включает введение экспрессируемого с помощью методов генной инженерии Т-клеточного рецептора, нацеленного на конкретные раковые антигены, в полученную от пациента или донора эффекторную иммунную клетку, например, Т-клетку или клетку-натуральный киллер. В качестве альтернативы, терапия с применением химерного антигенного рецептора (CAR) обычно включает введение химерного антигенного рецептора, нацеленного на конкретный раковый антиген, в полученную от пациента или донора эффекторную иммунную клетку, например, Т-клетку, клетки-натуральные клетки или макрофаг. Одним ключевым преимуществом CAR по сравнению с TCR является их способность к связыванию с раковыми клетками, даже если их антигены не презентируются на поверхности с помощью МНС, что может делать уязвимыми к их атакам большее число раковых клеток. Тем не менее, клетки с CAR могут только распознавать антигены, которые сами экспрессируются в природных условиях на клеточной поверхности, поэтому диапазон потенциальных антигенов-мишеней является меньшим, чем в случае TCR.
В соответствии с некоторыми вариантами осуществления иммунотерапевтическое средство представляет собой подвергнутую воздействию методов генной инженерии с целью экспрессии TCR или CAR иммунную клетку, причем TCR или CAR нацелен на один или несколько ассоциированных с опухолью антигенов, выбранных из следующих: ВСМА - важный рецептор для передачи сигнала, в естественных условиях обнаруживающийся на зрелых В-клетках; часто экспрессирующийся клетками лимфомы и миеломы; CD19 - рецептор, обнаруживающийся на поверхности почти всех В-клеток, который оказывает влияние на их рост, развитие и активность, часто экспрессирующийся клетками лейкоза, лимфомы и миеломы; CD22 - рецептор, обнаруживающийся преимущественно на поверхности зрелых В-клеток; часто экспрессирующийся клетками лейкоза и лимфомы; CD30 - рецептор, который экспрессируется на определенных типах активированных иммунных клеток, часто экспрессирующийся клетками лейкоза и лимфомы; CD33 - поверхностный рецептор, обнаруживающийся на нескольких типах иммунных клеток; часто экспрессирующийся клетками лейкоза; CD56 - белок, обнаруживающийся как на нейронах, так и на иммунных клетках-натуральных киллерах; CD123 (также известный как IL-3R) - рецептор, обнаруживающийся на иммунных клетках, который вовлечен в пролиферацию и дифференцировку и часто экспрессируется клетками лейкоза и лимфомы; СЕА - белок, вовлеченный в клеточную адгезию, в норме продуцирующийся только до рождения, часто аномально экспрессирующийся при раке, и он может способствовать метастазированию; связанные с EBV антигены - чужеродные вирусные белки, экспрессирующиеся инфицированными вирусом Эпштейна-Барр (EBV) раковыми клетками; EGFR - путь, который контролирует клеточный рост и часто подвергается мутации при раке; GD2 - путь, который контролирует рост, адгезию и миграцию клеток и часто аномально сверхэкспрессируется в раковых клетках; GPC3 - клеточный поверхностный белок, который, как полагают, вовлечен в регуляцию роста и деления клеток; HER2 - путь, который контролирует клеточный рост и зачастую сверхэкспрессируется при некоторых формах рака, в особенности, при раке молочной железы, и ассоциирован с метастазированием; связанные с HPV антигены - чужеродные вирусные белки, экспрессирующиеся раковыми клетками, которые развиваются вследствие инфицирования вирусом папилломы человека (HPV); антигены MAGE: гены, которые продуцируют эти белки в норме являются выключенными во взрослых клетках, но могут становиться повторно активированными в раковых клетках, маркируя их как ненормальные для иммунной системы; мезотелин - белок, который зачастую сверхэкспрессируется при раке и может способствовать метастазированию; MUC-1 - покрытый сахарами белок, который зачастую сверхэкспрессируется при раке; NY-ESO-1 - белок, который в норме продуцируется только до рождения, но часто аномально экспрессируется при раке; PSCA - поверхностный белок, который обнаруживается на нескольких типах клеток и часто экспрессируется раковыми клетками; PSMA - поверхностный белок, обнаруживающийся на клетках предстательной железы, который часто сверхэкспрессируется клетками при злокачественной опухоли предстательной железы; ROR1 - тирозинкиназа-подобный орфанный рецептор, который в основном экспрессируется до рождения, а не во взрослых тканях, но часто аномально экспрессируется при раке и может стимулировать метастазирование раковых клеток, а также предотвращать гибель раковых клеток; WT1 - белок, который стимулирует развитие рака, аномально экспрессируется у пациентов с раком, в особенности, с лейкозом; и клаудин 18.2 - поверхностный белок, сверхэкспрессирующийся при некоторых формах рака пищевода и вовлеченный в прорастание и выживание. В соответствии с некоторыми вариантами осуществления терапевтическое средство в виде экспрессируемого с помощью методов генной инженерии CAR представляет собой аксикабтаген силолейсел (Yescarta®): иммунотерапевтическое средство в виде Т-клеточного CAR, нацеленного на CD19; одобренное для субпопуляций пациентов с лимфомой. В соответствии с некоторыми вариантами осуществления терапевтическое средство в виде экспрессируемого с помощью методов генной инженерии CAR представляет собой тисагенлеклейсел (Kymriah®): иммунотерапевтическое средство в виде Т-клеточного CAR, нацеленного на CD19; одобренное для субпопуляций пациентов с лейкозом и лимфомой. В соответствии с некоторыми вариантами осуществления терапевтическое средство в виде экспрессируемого с помощью методов генной инженерии CAR представляет собой лизокабтаген маралейсел (Bristol-Myers Squibb Co.): иммунотерапевтическое средство в виде Т-клеточного CAR, нацеленного на CD19, которое применяют для лечения рецидивирующей/рефрактерной В-крупноклеточной лимфомы, в том числе диффузной В-крупноклеточной лимфомы (DLBCL). В соответствии с некоторыми вариантами осуществления терапевтическое средство в виде экспрессируемого с помощью методов генной инженерии CAR представляет собой терапевтическое средство в виде CAR-T к ВСМА, например, без ограничения, JNJ-4528 (Johnson & Johnson) и KITE-585 (Gilead). В соответствии с некоторыми вариантами осуществления терапевтическое средство в виде экспрессируемого с помощью методов генной инженерии CAR-T представляет собой CAR-T с двойной специфичностью, нацеленный на ВСМА и CD38. В соответствии с некоторыми вариантами осуществления терапевтическое средство в виде экспрессируемого с помощью методов генной инженерии CAR представляет собой терапевтическое средство в виде Т-клеточного CAR, характеризующегося двойным нацеливанием на CD20/CD22. Композиции и способы для получения иммунных клеток с CAR описаны, например, в патенте США №5359046 (Cell Genesys); патенте США №5712149 (Cell Genesys); патенте США №6103521 (Cell Genesys); патенте США №7446190 (Memorial Sloan Kettering Cancer Center); патенте США №7446179 (City of Hope); патенте США №7638325 (U. Penn); патенте США №8911993 (U. Penn); патенте США №8399645 (St. Jude's Children's Hospital); патенте США №8906682 (U. Penn); патенте США №8916381 (U. Penn); патенте США №8975071 (U. Penn); патенте США №9102760 (U. Penn); патентном документе США U.S. 94644 (U. Penn); патенте США №9855298 (Gilead); патенте США №10144770 (St. Jude Children's Hospital); патенте США №10266580 (U. Penn); патенте США №10189903 (Seattle Children's Hospital); международной заявке WO 2014/011988 (U. Penn); международной заявке WO 2014/145252; международной заявке WO 2014/153270 (Novartis AG); патентном документе US 2018/0360880 (Memorial Sloan Kettering Cancer Center); международной заявке WO 2017/0243 (Dana Farber Cancer Institute); международной заявке WO 2016/115177 (Juno Therapeutics, Inc.); причем каждый из этих источников включен в данный документ посредством ссылки.
В соответствии с некоторыми вариантами осуществления иммунотерапевтическое средство представляет собой адоптивную клеточную терапию не подвергнутыми воздействию методов генной инженерии клетками. Адоптивная клеточная терапия представляет собой подход, применяемый для усиления способности иммунной системы противостоять заболеванию, такому как опухоль и вирусные инфекции. Согласно этому подходу иммунные клетки, например, Т-клетки или NK-клетки, собирают у пациента или донора, стимулируют в присутствии антиген-презентирующих клеток, несущих ассоциированные с опухолью или вирусом антигены, а затем разращивают ex vivo. В соответствии с некоторыми вариантами осуществления адоптивная клеточная терапия представляет собой терапию опухоль-инфильтрирующими лимфоцитами (TIL), при которой собирают встречающиеся в природных условиях Т-клетки, которые уже инфильтрировали в опухоли пациентов, а затем их активируют и разращивают, затем повторно вводят инфузией пациентам. В соответствии с некоторыми вариантами осуществления адоптивная клеточная терапия не подвергнутыми воздействию методов генной инженерии клетками включает в себя аутологичные или аллогенные иммунные клетки, например, αβ Т-клетки, активированные для нацеливания на несколько потенциальных антигенов. Одна стратегия, применяемая для разработки нацеленных не подвергнутых воздействию методов генной инженерии Т-клеток, включает ех vivo разращивание Т-клеток с помощью антиген-специфической стимуляции полученных от пациента (аутологичных) или полученных от донора (аллогенных) Т-клеток ex vivo. Эти стратегии обычно включают выделение мононуклеарных клеток периферической крови (РВМС) и воздействие на клетки одним или несколькими ассоциированными с опухолью антигенами. В частности, подходы к созданию специфичных к нескольким антигенам Т-клеток сосредоточились на примировании и активации Т-клеток с применением библиотек перекрывающихся пептидов из нескольких антигенов-мишеней, например, нескольких библиотек из пептидов из 15 мономерных звеньев, перекрывающихся с 11 аминокислотами, охватывающих всю аминокислотную последовательность из нескольких антигенов-мишеней (см., например, коммерчески доступные продукты в виде библиотеки перекрывающихся пептидов от JPT Technologies или Miltenyi). Стратегии ex vivo активации аутологичных или аллогенных иммунных эффекторных клеток для нацеливания на ассоциированные с опухолью антигены описаны, например, в заявке на патент США US2011/0182870 (Baylor College of Medicine); заявке на патент США US 2015/0010519 (Baylor College of Medicine); заявке на патент США US2015/0017723 (Baylor College of Medicine); международной заявке WO2006026746 (United States Government, Department of Health and Human Services); заявке на патент США US 2015/0044258 (Cell Medica/Kurr Therapeutics); международной заявке WO2016/154112 (Children's National Medical Center); международной заявке WO 2017/203356 (Queensland Institute of Medical Research); международной заявке WO 2018/005712 (Geneius Biotechnology, Inc.); Vera et al. Accelerated Production of Antigen-Specific T Cells for Pre-clinical and Clinical Applications using Gas-permeable Rapid Expansion Cultureware (G-Rex), April 2010 Journal of Immunotherapy 33(3):305-315; Shafer et al. Antigen-specific Cytotoxic T Lymphocytes can Target Chemoresistant Side-Population Tumor Cells in Hodgkin's Lymphoma; May 2010 Leukemia Lymphoma 51(5): 870-880; Quintarelli et al. High Avidity Cytotoxic T Lymphocytes Specific for a New PRAME-derived Peptide can Target Leukemic and Leukemic-precursor cells, March 24, 2011 Blood 117(12): 3353-3362; Bollard et al. Manufacture of GMP-grade Cytotoxic T Lymphocytes Specific for LMP1 and LMP2 for Patients with EBV-associated Lymphoma, May 2011 Cytotherapy 13(5): 518-522; Ramos et al. Human Papillomavirus Type 16 E6/E7-Specific Cytotoxic T Lymphocytes for Adoptive Immunotherapy of HPV-associated Malignancies, January 2013 Immunotherapy 36(1): 66-76; Weber et al. Generation of tumor antigen-specific T cell lines from pediatric patients with acute lymphoblastic leukemia - implications for immunotherapy, Clinical Cancer Research 2013 September 15; 19(18): 5079-5091; Ngo et al. Complementation of antigen presenting cells to generate T lymphocytes with broad target specificity, Journal of Immunotherapy. 2014 May; 37(4): 193-203; причем каждый из указанных источников включен в данный документ посредством ссылки. В соответствии с некоторыми вариантами осуществления не подвергнутая воздействию методов генной инженерии, активированная иммунная клетка, которую вводят совместно или в очередном порядке с композицией соединения, обеспечивающего разрушение, описанной в данном документе, является выбранной из активированных CD4+ Т-клеток (Т-хелперных клеток), CD8+ Т-клеток (цитотоксических Т-лимфоцитов), CD3+/CD56+ Т-клеток-натуральных киллеров (CD3+ NKT) и γδ Т-клеток (γδ Т-клеток) или их комбинаций. В соответствии с некоторыми вариантами осуществления средство для адоптивной клеточной терапии представляет собой композицию, содержащую CD4+ Т-клетки (Т-хелперные клетки). В соответствии с некоторыми вариантами осуществления средство для адоптивной клеточной терапии представляет собой композицию, содержащую CD8+ Т-клетки (цитотоксические Т-лимфоциты). В соответствии с некоторыми вариантами осуществления средство для адоптивной клеточной терапии представляет собой композицию, содержащую CD3+/CD56+ Т-клетки-натуральные клетки (CD3+ NKT). В соответствии с некоторыми вариантами осуществления средство для адоптивной клеточной терапии представляет собой композицию, содержащую CD4+ Т-клетки (Т-хелперные клетки), CD8+ Т-клетки (цитотоксические Т-лимфоциты), CD3+/CD56+ Т-клетки-натуральные киллеры (CD3+ NKT) и γδ Т-клетки (γδ Т-клетки).
В соответствии с некоторыми вариантами осуществления средство для иммунотерапии представляет собой биспецифический активатор Т-клеток (BiTE). Биспецифический активатор Т-клеток направляет Т-клетки к мишени, нацеливая их на конкретный антиген на поверхности раковой клетки и связываясь с ним. Например, блинатумомаб (Amgen), BiTE, был недавно одобрен в качестве терапии второй линии при негативном по филадельфийской хромосоме рецидивирующем или рефрактерном остром лимфобластном лейкозе. Блинатумомаб вводят посредством непрерывной внутривенной инфузии за 4-недельные циклы.
В соответствии с определенными вариантами осуществления дополнительное терапевтически активное средство представляет собой дополнительный ингибитор белка Ikaros («IKZF1») и/или белка Aiolos («IKZF3»). В соответствии с еще одним вариантом осуществления дополнительное терапевтически активное средство представляет собой ингибитор белка Helios («IKZF2»). В соответствии с еще одним вариантом осуществления дополнительное терапевтически активное средство представляет собой ингибитор белка Eos («IKZF4»). В соответствии с еще одним вариантом осуществления дополнительное терапевтически активное средство представляет собой ингибитор белка Pegasus («IKZF5»). В соответствии с еще одним вариантом осуществления дополнительное терапевтически активное средство представляет собой лиганд цереблона.
Неограничивающие примеры лигандов цереблона, которые можно применять в комбинации с соединением согласно настоящему изобретению, включают в себя: талидомид, леналидомид, помалидомид и ибердомид.
В соответствии с другим вариантом осуществления дополнительное соединение, которое может применяться в комбинации с соединением по настоящему изобретению, выбрано из соединений, описанных в WO2012/175481, WO2015/085172, WO2015/085172, WO2017/067530, WO2017/121388, WO2017/201069, WO2018/108147, WO2018/118947, WO2019/038717, WO2019/191112, WO2020/006233, WO2020/006262, WO2020/006265 или WO2020/012334.
В соответствии с другим вариантом осуществления дополнительное соединение, которое может применяться в комбинации с соединением по настоящему изобретению, выбрано из соединений, описанных в WO2019/060693, WO2019/060742, WO2019/133531, WO2019/140380, WO2019/140387, WO2010/010177, WO2020/010210 или WO2020/010227.
В соответствии с другим вариантом осуществления дополнительное соединение, которое может применяться в комбинации с соединением по настоящему изобретению, выбрано из соединений, описанных в WO2015/160845, WO2016/118666, WO2016/149668, WO2016/197032, WO2016/197114, WO2017/011371, WO2017/0115901, WO2017/030814, WO2017/176708, WO2018/053354, WO2018/0716060, WO2018/102067, WO2018/118598, WO2018/119357, WO2018/119441, WO2018/119448, WO2018/140809, WO2018/226542, WO2019/023553, WO2019/099926, WO2019/195201, WO2019/195609, WO2019/199816, WO2020/023851, WO2020/041331 или WO2020/051564.
В соответствии с другим вариантом осуществления дополнительное соединение, которое может применяться в комбинации с соединением по настоящему изобретению, выбрано из соединений, описанных в WO2016/105518, WO2017/007612, WO2017/024317, WO2017/024318, WO2017/024319, WO2017/117473, WO2017/117474, WO2017/185036, WO2018/064589, WO2018/148440, WO2018/148443, WO2018/226978, WO2019/014429, WO2019/079701, WO2019/094718, WO2019/09495 5, WO2019/118893, WO2019/165229, WO2020/006262, WO2020/018788, WO2020/069105, WO2020/069117 или WO2020/069125.
В соответствии с другим вариантом осуществления дополнительное соединение, которое может применяться в комбинации с соединением по настоящему изобретению, выбрано из соединений, описанных в WO2017/197036, WO2017/197046, WO2017/197051, WO2017/197055, WO2017/197056, WO 2017/115218, WO2018/220149, WO2018/237026, WO2019/09986 8, WO2019/121562, WO2019/149922, WO2019/191112, WO2019/204354, WO2019/236483 или WO2020/051235.
V. Фармацевтические композиции
Любые из соединений, описанные в настоящем изобретении, могут быть введены в виде чистых химических веществ, но более типично их вводили в виде фармацевтической композиции, которая включает в себя эффективное количество для реципиента, типично человека, нуждающегося в таком лечении для любого из нарушений, описанных в настоящем изобретении. Соответственно, настоящее раскрытие относится к фармацевтическим композициям, содержащим эффективное количество соединения или его фармацевтически приемлемой соли вместе с по меньшей мере одним фармацевтически приемлемым носителем для любого из применений, описанных в настоящем изобретении. Фармацевтическая композиция может содержать соединение или соль только как одно активное средство или согласно альтернативному варианту осуществления соединение и по меньшей мере одно дополнительное активное средство.
В соответствии с определенными вариантами осуществления фармацевтическая композиция находится в лекарственной форме, которая содержит от около 0,0005 мг до около 2000 мг, от около 0,001 мг до около 1000 мг, от около 0,001 мг до около 600 мг или от около 0,001 мг до около 1, 5, 10, 15, 20, 25, 50, 100, 200 или 300 мг активного соединения. В соответствии с другим вариантом осуществления фармацевтическая композиция находится в лекарственной форме, которая содержит от около 0,01 мг до около 1, 5, 10, 15, 20, 25, 50 или 100 мг, от около 0,05 мг до около 1, 5, 10, 15, 20, 25, 50 или 100 мг, от около 0,1 мг до около 1, 5, 10, 15, 20, 25 или 50 мг, от около 0,02 мг до около 1, 5, 10, 15, 20, 25 или 50 мг активного соединения, от около 0,5 мг до около 1, 5, 10, 15, 20, 25 или 50 мг. В соответствии с другим вариантом осуществления фармацевтическая композиция находится в лекарственной форме, которая содержит от около 0,01 мг до около 10 мг, от около 0,05 мг до около 8 мг или от около 0,05 мг до около 6 мг или от около 0,05 мг до около 5 мг активного соединения. В соответствии с другим вариантом осуществления фармацевтическая композиция находится в лекарственной форме, которая содержит от около 0,1 мг до около 10 мг, от около 0,5 мг до около 8 мг или от около 0,5 мг до около 6 мг или от около 0,5 мг до около 5 мг активного соединения. Неограничивающие примеры представляют собой лекарственные формы по меньшей мере с около 0,0005, 0,001, 0,01, 0,1, 1, 2,5, 5, 10, 25, 50, 100, 200, 250, 300, 400, 500, 600, 700 или 750 мг активного соединения или его соли. Альтернативные неограничивающие примеры представляют собой лекарственные формы с не более, чем около 0,01, 0,1, 1, 2,5, 5, 10, 25, 50, 100, 200, 250, 300, 400, 500, 600, 700 или 750 мг активного соединения или его соли.
Фармацевтическая композиция также может включать в себя молярное соотношение активного соединения и дополнительного активного средства. В соответствии с неограничивающими иллюстративными вариантами осуществления фармацевтическая композиция может содержать молярное соотношение около до 0,5:1, около до 1:1, около до 2:1, около до 3:1 или от около 1,5:1 до около 4:1 противовоспалительного или иммуносупрессирующего средства к соединению по настоящему изобретению. Раскрытые в настоящем изобретении соединения могут быть введены перорально, местно, парентерально, ингаляцией или в форме спрея, сублингвально, при помощи имплантата, включая глазной имплантат, трансдермально, путем трансбуккального введения, ректально, в виде офтальмологического раствора, инъекции, включая глазную инъекцию, внутривенно, внутриаортально, внутричерепным способом, субдермально, внутрибрюшинно, подкожно, трансназально, сублингвально или ректально или другими способами в составах с дозирующим устройством, содержащих традиционные фармацевтически приемлемые носители. Для глазной доставки соединение может быть введено, при необходимости, например, при помощи интравитреальной, интрастромальной, внутрикамерной, субтеноновой, субретинальной, ретробульбарной, околобульбарной, супрахориоидальной, коньюнктивальной, субконъюктивальной, эписклеральной, окологлазничной, транссклеральной, ретробульбарной, около склеральной в заднюю стенку глазного яблока, перикорнеальной инъекции или инъекций в слезный проток или через слизь, муцин или мукозальный барьер, незамедлительный способом или способом контролируемого высвобождения или при помощи глазного прибора.
Фармацевтическая композиция может быть составлена в виде любой фармацевтически пригодной формы, например, в виде аэрозоля, крема, геля, пилюли, инъекционного или инфузионного раствора, капсулы, таблетки, сиропа, трансдермального пластыря, подкожного пластыря, сухого порошка, ингаляционного состава, в медицинском устройстве, суппозитория, трансбуккального или сублингвального состава, паретнерального состава или офтальмологического раствора. Некоторые лекарственные формы, такие как таблетки и капсулы, подразделены на однократные дозы подходящего размера, содержащие соответствующие количества активных компонентов, например, эффективное количество для достижения требуемой цели.
Носители включают в себя наполнители и разбавители и должны быть достаточно высокой степени чистоты и с достаточно низкой токсичностью, чтобы они подходили для введения пациенту, которого лечили. Носитель может быть инертным или он может обладать собственным лекарственным обеспечением. Количество носителя, применяемого в сочетании с соединением, достаточно для обеспечения практического количества вещества для введения однократной дозы соединения.
Классы носителей включают в себя без ограничения связующие вещества, буферные средства, красители, разбавители, разрыхлители, эмульгаторы, ароматизаторы, глиданты, смазывающие вещества, консерванты, стабилизаторы, поверхностно-активные вещества, таблетирующие средства и смачивающие средства. Некоторые носители могут быть перечислены в более чем одном классе, например, растительное масло может применяться в качестве смазывающего вещества в некоторых составах и разбавителя в других. Фармацевтически приемлемые носители представляют собой носители, которые не вызывают никаких сильных побочных реакций в человеческом организме при дозировании в количестве, которое будет применяться в соответствующей фармацевтической композиции. Приводимые в качестве примера фармацевтически приемлемые носители включают в себя сахара, крахмалы, целлюлозы, порошкообразную трагакантовую камедь, солод, желатин, тальк и растительные масла. Необязательные активные средства могут быть включены в фармацевтическую композицию, которая в основном не взаимодействует с активностью соединения по настоящему изобретению.
Фармацевтические композиции/комбинации могут быть составлены для перорального введения. Эти композиции могут содержать любое количество активного соединения, что дает требуемый результат, например, от 0,1 до 99 массовых % (масс. %) соединения, включая, например, по меньшей мере около 5 масс. % соединения. Некоторые варианты осуществления содержат по меньшей мере от около 25 масс. % до около 50 масс. % или от около 5 масс. % до около 75 масс. % соединения.
Составы, подходящие для ректального введения, обычно представлены в виде суппозиториев однократной дозы. Они могут быть получены смешиваем активного соединения с одним или несколькими традиционными твердыми носителями, например, какао-масло, а затем формированием полученной смеси.
Составы, подходящие для местного нанесения на кожу, предпочтительно имеют форму мази, крема, лосьона, пасты, геля, спрея, аэрозоля или масла. Носители, которые могут применяться, включают в себя технический вазелин, ланолин, полиэтиленгликоли, спирты, трансдермальные усилители и комбинации двух или нескольких из этого.
Составы, подходящие для трансдермального введения, могут быть представлены в виде отдельных пластырей, адаптированных, чтобы оставаться в тесном контакте с эпидермисом реципиента в течение длительного периода времени. Составы, подходящие для трансдермального введения, также могут быть доставлены ионтофорезом (см., например, Pharmaceutical Research 3 (6):318 (1986)), и типично принимают форму необязательно буферизованного водного раствора активного соединения. В соответствии с одним вариантом осуществления пластыри с микроиглами или устройства обеспечены для доставки лекарственных средств по или в биологическую ткань, в частности, в кожу. Пластыри с микроиглами или устройства позволяют доставку лекарственного средства при клинически соответствующих скоростях по или в кожу или другие тканевые перегородки с минимальным вредом или без вреда, боли или раздражения ткани.
Составы, подходящие для введения в легкие, могут быть доставлены широким диапазоном приводимых в действие пассивным дыханием и приводимых в действие активным действием одно/-многодозовых порошковых ингаляторов (DPI). Устройства, чаще всего применяемые для респираторной доставки, включают в себя небулайзеры, дозирующие ингаляторы и порошковые ингаляторы. Некоторые типы небулайзеров являются доступными, включая струйные небулайзеры, ультразвуковые небулайзеры и небулайзеры на основе технологии вибрирующего сита. Выбор подходящего устройства для доставки в легкие зависит от параметров, таких как природа лекарственного средства и его состав, места приложения действия и патофизиологии легкого.
Многие способы и устройства для доставки лекарственных средств известны из области техники. Неограничивающие примеры описаны в следующих патентах и патентных заявках (полностью включены в настоящее описание путем ссылки). Примерами являются патент США №8192408 с названием «Ocular trocar assembly» (Psivida Us, Inc.); патент США №7585517 с названием «Transcleral delivery» (Macusight, Inc.); патент США №5710182 и патент США №5795913 с названием «Ophthalmic composition» (Santen OY); патент США №8663639 с названием «Formulations for treating ocular diseases and conditions», патент США №8486960 с названием «Formulations and methods for vascular permeability-related diseases or conditions», патент США №8367097 и патент США №8927005 с названием «Liquid formulations for treatment of diseases or conditions», патент США №7455855 с названием «Delivering substance and drug delivery system using the same» (Santen Pharmaceutical Co., Ltd.); WO/2011/050365 с названием «Conformable Therapeutic Shield For Vision and Pain» и WO/2009/145842 с названием «Therapeutic Device for Pain Management and Vision» (Forsight Labs, LLC); патент США №9066779 и патент США №8623395 с названием «Implantable therapeutic device», WO/2014/160884 с названием «Ophthalmic Implant for Delivering Therapeutic Substances», патент США №8399006, патент США №8277830, патент США №8795712, патент США №8808727, патент США №8298578 и WO/2010/088548 с названием «Posterior segment drug delivery», WO/2014/152959 и заявка на патент США №20140276482 с названием «Systems for Sustained Intraocular Delivery of Low Solubility Compounds from a Port Delivery System Implant», патент США №8905963 и патент США №9033911 с названием «Injector apparatus and method for drug delivery)), WO/2015/057554 с названием «Formulations and Methods for Increasing or Reducing Mucus», патент США №8715712 и патент США №8939948 с названием «Ocular insert apparatus and methods)), WO/2013/116061 с названием «Insertion and Removal Methods and Apparatus for Therapeutic Devices», WO/2014/066775 с названием «Ophthalmic System for Sustained Release of Drug to the Eye», WO/2015/085234 и WO/2012/019176 с названием implantable Therapeutic Device», WO/2012/065006 с названием «Methods and Apparatus to determine Porous Structures for Drug Delivery», WO/2010/141729 с названием «Anterior Segment Drug Delivery», WO/2011/050327 с названием «Corneal Denervation for Treatment of Ocular Pain», WO/2013/022801 с названием «Small Molecule Delivery with Implantable Therapeutic Device», WO/2012/019047 с названием «Subconjunctival Implant for Posterior Segment Drug Delivery», WO/2012/068549 с названием «Therapeutic Agent Formulations for Implanted Devices», WO/2012/019139 с названием «Combined Delivery Methods and Apparatus», WO/2013/040426 с названием «Ocular Insert Apparatus and Methods», WO/2012/019136 с названием «Injector Apparatus and Method for Drug Delivery», WO/2013/040247 с названием «Fluid Exchange Apparatus and Methods» (ForSight Vision 4, Inc.); заявка на патент США №2014/0352690 с названием «Inhalation Device with Feedback System», патент США №8910625 и заявка на патент США №2015/0165137 с названием «Inhalation Device for Use in Aerosol Therapy» (Vectura GmbH); патент США №6948496 с названием «Inhalers», заявка на патент США № 2005/0152849 с названием «Powders comprising anti-adherent materials for use in dry powder inhalers», патент США №6582678, патент США №8137657, заявка на патент США №2003/0202944 и заявка на патент США №2010/0330188 с названием «Carrier particles for use in dry powder inhalers», патент США №6221338 с названием «Method of producing particles for use in dry powder inhalers», патент США №6989155 с названием «Powders», заявка на патент США №2007/0043030 с названием Pharmaceutical compositions for treating premature ejaculation by pulmonary inhalation», патент США №7845349 с названием «Inhaler», заявка на патент США №2012/0114709 и патент США №8101160 с названием «Formulations for Use in Inhaler Devices», заявка на патент США №2013/0287854 с названием «Compositions and Uses», заявка на патент США №2014/0037737 и патент США №8580306 с названием «Particles for Use in a Pharmaceutical Composition», заявка на патент США №2015/0174343 с названием «Mixing Channel for an Inhalation Device», патент США №7744855 и заявка патент США №2010/0285142 с названием «Method of making particles for use in a pharmaceutical composition», патент США №7541022, заявка на патент США №2009/0269412 и заявка на патент США №2015/0050350 с названием Pharmaceutical formulations for dry powder inhalers» (Vectura Limited).
Дополнительные неограничивающие примеры доставки активных соединений представлены в WO/2015/085251 с названием «Intracameral Implant for Treatment of an Ocular Condition» (Envisia Therapeutics, Inc.); WO/2011/008737 с названием «Engineered Aerosol Particles and Associated Methods», WO/2013/082111 с названием «Geometrically Engineered Particles and Methods for Modulating Macrophage or Immune Responses», WO/2009/132265 с названием «Degradable compounds and methods of use thereof, particularly with particle replication in non-wetting templates», WO/2010/099321 с названием interventional drug delivery system and associated methods», WO/2008/100304 с названием «Polymer particle composite having high fidelity order, size and shape particles», WO/2007/024323 с названием «Nanoparticle fabrication methods, systems and materials» (Liquidia Technologies, Inc. и the University of North Carolina at Chapel Hill); WO/2010/009087 с названием «Iontophoretic Delivery of a Controlled-Release Formulation in the Eye», (Liquidia Technologies, Inc. и Eyegate Pharmaceuticals, Inc.) и WO/2009/132206 с названием «Compositions and Methods for Intracellular Delivery and Release of Cargo», WO/2007/133808 с названием «Nano-particles for cosmetic applications», WO/2007/056561 с названием «Medical device, materials and methods», WO/2010/065748 с названием «Method for producing patterned materials», WO/2007/081876 с названием «Nanostructured surfaces for biomedical/biomaterial applications and processes thereof» (Liquidia Technologies, Inc.).
Дополнительные неограничивающие примеры устройств для доставки лекарственного средства и способов включают в себя, например, заявку на патент США №20090203709 с названием Pharmaceutical Dosage Form For Oral Administration Of Tyrosine Kinase Inhibitor» (Abbott Laboratories); заявку на патент США №20050009910 с названием «Delivery of an active drug to the posterior part of the eye via subconjunctival or periocular delivery of a prodrug», заявку на патент США №20130071349 с названием «Biodegradable polymers for lowering intraocular pressure», патент США №8481069 с названием «Tyrosine kinase microspheres», патент США №8465778 с названием «Method of making tyrosine kinase microspheres», патент США №8409607 с названием «Sustained release intraocular implants containing tyrosine kinase inhibitors and related methods», патент США №8512738 и заявку на патент США №2014/0031408 с названием «Biodegradable intravitreal tyrosine kinase implants», заявку на патент США №2014/0294986 с названием «Microsphere Drug Delivery System for Sustained Intraocular Release», патент США №8911768 с названием «Methods For Treating Retinopathy With Extended Therapeutic Effect» (Allergan, Inc.); патент США №6495164 с названием Preparation of injectable suspensions having improved injectability» (Alkermes Controlled Therapeutics, Inc.); WO 2014/047439 с названием «Biodegradable Microcapsules Containing Filling Material» (Akina, Inc.); WO 2010/132664 с названием «Compositions and Methods For Drug Delivery» (Baxter International Inc. Baxter Healthcare SA); заявку на патент США №20120052041 с названием «Polymeric nanoparticles with enhanced drug loading and methods of use thereof» (The Brigham и Women's Hospital, Inc.); заявку на патент США №20140178475, заявку на патент США №20140248358 и заявку на патент США №20140249158 с названием «Therapeutic Nanoparticles Comprising a Therapeutic Agent and Methods of Making and Using Same» (BIND Therapeutics, Inc.); патент США №5869103 с названием «Polymer microparticles for drug delivery» (Danbiosyst UK Ltd.); патент США №8628801 с названием «Pegylated Nanoparticles» (Universidad de Navarra); заявку на патент США №2014/0107025 с названием «Ocular drug delivery system» (Jade Therapeutics, LLC); патент США №6287588 с названием «Agent delivering system comprised of microparticle and biodegradable gel with an improved releasing profile and methods of use thereof», патент США №6589549 с названием «Bioactive agent delivering system comprised of microparticles within a biodegradable to improve release profiles» (Macromed, Inc.); патент США №6007845 и патент США №5578325 с названием «Nanoparticles and microparticles of non-linear hydrophilichydrophobic multiblock copolymers» (Massachusetts Institute of Technology); заявку на патент США 20040234611, заявку на патент США №20080305172, заявку на патент США № 20120269894 и заявку на патент США №20130122064 с названием «Ophthalmic depot formulations for periocular or subconjunctival administration» (Novartis Ag); патент США №6,413,539 с названием «В lock polymer» (Poly-Med, Inc.); заявку на патент США №20070071756 с названием «Delivery of an agent to ameliorate inflammation» (Peyman); заявку на патент США №20080166411 с названием «Injectable Depot Formulations and Methods For Providing Sustained Release Of Poorly Soluble Drugs Comprising Nanoparticles» (Pfizer, Inc.); патент США №6706289 с названием «Methods and compositions for enhanced delivery of bioactive molecules» (PR Pharmaceuticals, Inc.); и патент США №8663674 с названием «Microparticle containing matrices for drug delivery» (Surmodics).
VI. Общий синтез
Описанные в настоящем изобретении соединения могут быть получены способами, известными специалистам настоящей области техники. В одном неограничивающем примере раскрытые соединения могут быть получены с применением схем ниже.
Соединения по настоящему изобретению со стереоцентрами могут быть изображены для удобства без стереохимии. Специалистом настоящей области техники будет принято во внимание, что чистые или обогащенные энантиомеры и диастереомеры могут быть получены способами, известными из области техники. Примеры способов получения оптически активных веществ включают в себя по меньшей мере следующее:
i) физическое разделение кристаллов - техника, при помощи которой макроскопические кристаллы отдельных энантиомеров отделяли вручную. Такая техника может быть использована, если кристаллы отдельных энантиомеров существуют, т.е., вещество является конгломератом и кристаллы визуально четкие;
ii) одновременная кристаллизация - техника, при помощи которой отдельные энантиомеры отдельно кристаллизовались из раствора рацемата, возможно только если энантиомер является конгломератом в твердом состоянии;
iii) ферментативные расщепления техника, при помощи которой проводят частичное или полное разделение рацемата посредством разных скоростей реакции для энантиомеров с ферментом;
iv) ферментативный асимметричный синтез техника синтеза, при помощи которой по меньшей мере на одной стадии синтеза использовали ферментативную реакцию с получением энантиомерно чистого или обогащенного синтетического прекурсора требуемого энантиомера;
v) химический асимметричный синтез техника синтеза, при помощи которой требуемый энантиомер синтезировали из ахирального прекурсора при условиях, что дают асимметрию (т.е., хиральность) в продукте, что может быть достигнуто хиральными катализаторами или хиральными вспомогательными элементами;
vi) диастереомерные разделения- техника, при помощи которой рацемическое соединение взаимодействует с энантиомерно чистым реагентом (хиральный вспомогательный элемент), что превращает отдельные энантиомеры в диастереомеры. Полученные диастереомеры затем отделяли методом хроматографии или кристаллизации в силу их теперь более явных структурных различий, которые затем удаляли хиральные вспомогательные элементы с получением требуемого энантиомера;
vii) асимметричные превращения первого и второго порядка - техника, при помощи которой диастереомеры из рацемата быстро уравновешиваются с получением преобладания в растворе диастереомера из требуемого энантиомера, где преобладающая кристаллизация диастереомера из требуемого энантиомера нарушает равновесие, так что в конечном итоге в основном все вещество превращается в кристаллический диастереомер из требуемых энантиомеров. Требуемый энантиомер затем высвобождался из диастереомера;
viii) кинетические расщепления такая техника относится к достижению частичного или полного расщепления рацемата (или дополнительного расщепления частично расщепленного соединения) в силу неравных скоростей реакции энантиомеров с хиральным, не рацемическим реагентом или катализатором при кинетических условиях;
ix) энантиоспецифический синтез из не рацемических прекурсоров техника синтеза, при помощи которой требуемый энантиомер получали из не хиральных исходных веществ, и где стереохимическая целостность не нарушена или только минимально нарушена в течение синтеза;
x) хиральная жидкостная хроматография техника, при помощи которой энантиомеры рацемата отделяли в жидкой подвижной фазе в силу их различных взаимодействий с неподвижной фазой (включая сосуд для хиральной HPLC). Неподвижная фаза может быть сделана из хирального вещества или подвижная фаза может содержать дополнительное хиральное вещество с вызыванием различных взаимодействий;
xi) хиральная газовая хроматография техника, при помощи которой рацемат испаряли и энантиомеры отделяли в силу их различных взаимодействий в газообразной подвижной фазе с колонкой, содержащей неподвижную не рацемическую хиральную адсорбирующую фазу;
xii) экстракция при помощи хиральных растворителей техника, при помощи которой энантиомеры отделяли в силу их преимущественного растворения одного энантиомера в конкретном хиральном растворителе;
xiii) транспорт через хиральные мембраны - техника, при помощи которой рацемат находится в контакте с барьером тонкой мембраны. Барьер типично разделяет две смешивающиеся жидкости, одна содержит рацемат и движущую силу, такую как разница концентраций или давления вызывает преимущественный транспорт через мембранный барьер. Разделение происходит в результате не рацемической хиральной природы мембраны, что позволяет прохождение только одного энантиомера рацемата;
xiv) хроматографию с псевдодвижущимся слоем использовали в соответствии с одним вариантом осуществления. Широкий спектр хиральных неподвижных фаз является коммерчески доступным.
Общая схема синтеза 1
В соответствии с некоторыми аспектами соединение формулы I или формулы II может быть синтезировано путем, что представлен на общей схеме синтеза 1. На стадии 1 осуществляли взаимодействие соединения G1-1 с бутиллитием (или альтернативно другим литийорганическим реагентом, таким как, например, трет-бутиллитий, втор-бути л литий, фениллитий или метиллитий, или реактивом Гриньяра, таким как, например, изопропилмагния бромид или этилмагния бромид) в органическом растворителе (например, тетрагидрофуран или диэтиловый эфир) при низкой температуре (типично от -78°С до -40°С) с последующим добавлением соединения G1-2 с получением соединения G1-3. На стадии 2 осуществляли взаимодействие соединения G1-3 с трифторуксусной кислотой (или альтернативно другой сильной оксикислотой, такой как, например, трифлатная кислота) и триэтилсиланом (или альтернативно другим органосиланом, таким как, например, фенилсилан, или оловоорганическим гидридом, таким как, например, трибутилолова гидрид) в органическом растворителе (например, 1,2-дихлорэтане) с нагреванием (например, около 60°С или альтернативно с микроволновым облучением) с получением соединения G1-4. На стадии 3 осуществляли взаимодействие соединения G1-4 с основанием (например, гидридом натрия) в органическом растворителе (например, диметилформамиде или дихлорметане) с последующим добавлением соединения G1-5 с получением соединения G1-6.
Общая схема синтеза 2
В соответствии с некоторыми аспектами соединение формулы I или формулы II может быть синтезировано путем, что представлен на общей схеме синтеза 2. На стадии 1 осуществляли взаимодействие соединения G2-1 (полученного согласно процедурам, изложенным на общей схеме синтеза 1 для соединения G1-3) с окислителем (например, диоксидом магния или другим подходящим реагентом для окисления спиртов) в органическом растворителе (например, ацетонитриле) с получением соединения G2-2. На стадии 2 осуществляли взаимодействие соединения G2-2 с основанием (например, гидридом натрия) в органическом растворителе (например, диметилформамиде или дихлорметане) с последующим добавлением соединения G2-3 с получением соединения G2-4. На стадии 3 осуществляли взаимодействие соединения G2-4 с подходящим карбонильным восстановителем (например, цианоборгидридом натрия) в органическом растворителе (например, этаноле или метаноле) с получением соединения G2-5.
Общая схема синтеза 3
В соответствии с некоторыми аспектами соединение формулы I или формулы II может быть синтезировано путем, что представлен на общей схеме синтеза 3. На стадии 1 осуществляли взаимодействие соединения G3-1 (полученного согласно процедурам, изложенным на общей схеме синтеза 2 для соединения G2-2) с DAST (или другим подходящим нуклеофильным реагентом фторирования, таким как, например, деоксофтор) в органическом растворителе (например, дихлорметане) с получением соединения G3-2. На стадии 2 осуществляли взаимодействие соединения G3-2 с основанием (например, гидридом натрия) в органическом растворителе (например, диметилформамиде или дихлорметане) с последующим добавлением соединения G3-3 с получением соединения G3-4.
Общая схема синтеза 4
В соответствии с некоторыми аспектами соединение формулы I или формулы II может быть синтезировано путем, что представлен на общей схеме синтеза 4. На стадии 1 осуществляли взаимодействие соединения G4-1 (полученного согласно процедурам, изложенным на общей схеме синтеза 1 для соединения G1-3) с DAST (или другим подходящим нуклеофильным реагентом фторирования, таким как, например, деоксофтор) в органическом растворителе (например, дихлорметане) с получением соединения G4-2. На стадии 2 осуществляли взаимодействие соединения G4-2 с основанием (например, гидридом натрия) в органическом растворителе (например, диметилформамиде или дихлорметане) с последующим добавлением соединения G4-3 с получением соединения G4-4.
Общая схема синтеза 5
В соответствии с некоторыми аспектами соединение формулы I или формулы II может быть синтезировано путем, что представлен на общей схеме синтеза 5. На стадии 1 осуществляли взаимодействие соединения G5-1 с соединением G5-2 в присутствии палладиевого катализатора (например, ацетата палладия (II), Pd2(dba)3 или другого подходящего палладиевого катализатора, используемого при условиях сочетания Бухвальда-Хартвига), фосфинового лиганда (например, BINAP, XantPhos или другого подходящего фосфинового лиганда, используемого при реакциях условиях Бухвальда-Хартвига) и основания (например, трет-бутилата калия, карбоната цезия или другого подходящего основания, используемого при условиях сочетания Бухвальда-Хартвига) в органическом растворителе (например, толуоле, THF, диоксане или DMF) при повышенной температуре с получением соединения G5-3. На стадии 2 осуществляли взаимодействие соединения G5-3 с основанием (например, гидридом натрия) в органическом растворителе (например, диметилформамиде или дихлорметане) с последующим добавлением соединения G5-4 с получением соединения G5-5.
Общая схема синтеза 6
В соответствии с некоторыми аспектами соединение формулы I или формулы II может быть синтезировано путем, что представлен на общей схеме синтеза 6. На стадии 1 осуществляли взаимодействие соединения G6-1 с гидроксидом металла (например, гидроксидом натрия или гидроксидом калия) в присутствии палладиевого катализатора (например, Pd2(dba)3) и фосфинового лиганда (например, XantPhos) в органическом растворителе (например, диоксане) и воде с получением соединения G6-2. На стадии 2 соединение G6-2 защищали соответствующей защитной группой (например, Вое или Cbz группой) с применением стандартных условий с получением соединения G6-3. На стадии 3 осуществляли взаимодействие соединения G6-3 с соединением G6-5 в присутствии медного катализатора (например, ацетата меди) и основания (например, пиридина или DMAP) в органическом растворителе (например, 1,2-дихлорэтане) при повышенной температуре (например, около 80°С) с получением соединения G6-6. На стадии 4 защитную группу PG в соединении G6-6 удаляли с применением стандартных условий, подходящих для конкретной группы с получением соединения G6-7. На стадии 5 осуществляли взаимодействие соединения G6-7 с основанием (например, гидридом натрия) в органическом растворителе (например, диметилформамиде или дихлорметане) с последующим добавлением соединения G6-8 с получением соединения G6-9.
Неограничивающие примеры настоящего изобретения
Если хиральность изображена в схемах синтеза ниже, обозначение показывает относительную хиральность такого стереоцентра и не абсолютное обозначение. Например,
изображено с клинообразной связью, чтобы показать, что обозначенный хиральный центр был расщеплен методом хиральной хроматографии. Тем не менее, абсолютная хиральность такого стереоцентра альтернативно может быть
При этом, если осуществляли взаимодействие промежуточного соединения 3а с рацемическим бромглутаримидом, полученное соединение 280 может быть смесью диастереомеров.
или
Подобным образом, если осуществляли взаимодействие ахирального лактама в экспериментальной части ниже с рацемическим глутаримидом, полученное соединение может быть смесью энангиомеров. Например, если осуществляли взаимодействие промежуточного соединения 7 с рацемическим бромглутаримидом, полученное промежуточное соединение 9 может быть смесью энантиомеров.
Полученные соединения, если не указано иное, чтобы характеризоваться конкретной стереохимией, могут быть смесью энантиомеров. Например,
Такие смеси энантиомеров могут быть разделены специалистом настоящей области техники с применением техник, известных из области техники, включая хиральную хроматографию, кристаллизацию, транспортировку через хиральную мембрану или экстракцию при помощи хирального растворителя. Более того, такие техники использовали для разделения нескольких соединений ниже. Например, промежуточные соединения
разделяли методом хиральной хроматографии с применением техники препаративной HPLC. Подобным образом, энантиомерные смеси глутаримидов могут быть расщеплены такими техниками, включая хиральную хроматографию. Например, смесь соединений 67 и соединений 68 расщепляли методом хиральной хроматографии с применением техники препаративной HPLC. Полученные отдельные соединения характеризовались энантиомерным избытком 99%.
После разделения абсолютная хиральность может быть обозначена известными техниками, включая различные формы структурных определений кристаллов. Например, рентгеноструктурный анализ может быть использован на кристаллах соединений, таких как соединение 67 и соединение 68, для определения, являются они (R) или (S).
Смеси энантиомеров также могут быть расщеплены в течение последовательности синтеза с применением техник, известных из области техники. Например, ферментативное расщепление и ферментативный асимметричный синтез могут быть использованы для расщепления хиральных центров. Кроме того, смеси энантиомеров могут быть расщеплены внедрением защитной группы или с применением хиральной соли. При использовании хиральных защитных групп или солей смесь энантиомеров временно становится смесью диастереомеров, что позволяет физическое разделение с применением известных методик.
Если соединения по настоящему изобретению представляют собой смесь диастереомеров, они также могут быть расщеплены методиками, известными из области техники. Например, смесь диастереомеров может быть разделена хроматографическими методиками, включая HPLC с обращенной или нормальной фазой, хроматографию на силикагеле, хроматографию с подвижным слоем и препаративную TLC. Диастереомерные смеси также могут быть разделены кристаллизацией.
Пример 1: Синтез 3-(2-Оксобензо[cd]индол-1-ил)пиперидин-2,6-дион (Соединение 1):
К перемешиваемому раствору 1Н-бензо[cd]индол-2-она 1 (100,0 мг, 591,09 мкмоль) в DMF (2 мл) добавляли гидрид натрия (60% дисперсия в минеральном масле, 24,91 мг, 650,20 мкмоль, 60% чистота) при 0°С и затем реакционную смесь нагревали при 60°С в течение 30 минут.3-бромпиперидин-2,6-дион 2 (113,50 мг, 591,09 мкмоль) добавляли и реакционную смесь нагревали при 60°С в течение 24 часов. Новое пятно образовывалось помимо непрореагировавшего исходного вещества. Дополнительное количество 3-бромпиперидин-2,6-диона 2 (113,50 мг, 591,09 мкмоль) добавляли и реакционную смесь вновь нагревали в течение 24 часов. Реакционную смесь разбавляли этилацетатом, промывали водой и органическую фракцию отделяли. Реакционную смесь затем сушили безводным сульфатом натрия и упаривали в условиях пониженного давления с получением неочищенного соединения, которое очищали с помощью пластинки для препаративной ТСХ (элюируя 2% MeOH-DCM) с получением 3-(2-оксобензо[cd]индол-1-ил)пиперидин-2,6-диона (Соединение 1) (10 мг, 34,35 мкмоль, 5,81% выход, 96,28% чистота) в виде бледно-желтого твердого вещества. 1Н ЯМР (d6-DMSO, 400 МГц) δ 11,13 (s, 1H), 8,24 (d, J=8,08 Гц, 1Н), 8,11 (d, J=6,92 Гц, 1H), 7,84 (t, J=7,56 Гц, 1H), 7,68 (d, J=8,4 Гц, 1H), 7,54 (t, J=7,76 Гц, 1H), 7,17 (d, J=7,12 Гц, 1H), 5,46 (dd, J=12,76, 5,08 Гц, 1Н), 3,00-2,91 (m, 1Н), 2,82-2,71 (m, 1Н), 2,67-2,63 (m, 1H), 2,12-2,09 (m, 1Н); ЖХ-МС: ЭС+ 281,2.
Пример 2: Синтез трет-бутил-4-(4-((1-(2,6-Диоксопиперидин-3-ил)-2-оксо-1,2-дигидробензо[cd]индол-6-ил)метил)-1Н-пиразол-1-ил)пиперидин-1-карбоксилат
(Соединение 2)
Стадия 1: Получение 6-Бромбензо[cd]индол-2(1Н)-она (2): К перемешиваемой суспензии 1Н-бензо[cd]индол-2-она 1 (3,0 г, 17,73 ммоль) в CHCl3 (50,0 мл) добавляли бром (2,15 г, 26,60 ммоль, 1,44 мл) капельно при охлаждении и реакционную смесь перемешивали при комнатной температуре в течение 48 часов. Раствор тиосульфата натрия вливали в реакционную смесь при охлаждении и образовавшееся желтое твердое вещество отфильтровывали через шоттовскую воронку. Полученное твердое вещество промывали холодной водой и пентаном и подвергали азеотропной перегонке с толуолом с получением 6-бром-1Н-бензо[cd]индол-2-она 2-2 (4 г, 16,12 ммоль, 90,93% выход) в виде желтого твердого вещества. ЖХ-МС: ЭС+ 248,1, 250,0 (спектр брома).
Стадия 2: Получение трет-бутил-4-(4-(Гидрокси(2-оксо-1,2-дигидробензо[cd]индол-6-ил)метил)-1Н-пиразол-1-ил)пиперидин-1-карбоксилата (4): К перемешиваемому раствору 6-бром-1Н-бензо[cd]индол-2-она 2-2 (1,6 г, 6,45 ммоль) в THF (7 мл) добавляли бутиллитий (2,2 М, 9,38 мл) при -78°С. По завершении добавления температуре позволяли повыситься до -40°С и реакционную смесь перемешивали при той же температуре в течение 30 минут, трет-бутил-4-(4-формилпиразол-1-ил)пиперидин-1-карбоксилат 3 (1,80 г, 6,45 ммоль) в THF (7 мл) добавляли при -78°С и реакционной смеси позволяли нагреться до комнатной температуры и перемешивали в течение 16 часов. Реакционную смесь гасили насыщенным водным раствором хлорида аммония и разбавляли этилацетатом. Слои разделяли и органический слой промывали водой. Органический слой затем сушили безводным сульфатом натрия и упаривали в условиях пониженного давления с получением неочищенного соединения, которое очищали методом флэш-хроматографии с использованием 0-5% MeOH-DCM с получением трет-бутил-4-[4-[гидрокси-(2-оксо-1Н-бензо[cd]индол-6-ил)метил]пиразол-1-ил]пиперидин-1-карбоксилата 4 (527 мг, 1,17 ммоль, 18,22% выход) в виде коричневого твердого вещества. 1Н ЯМР (d6-DMSO, 400 МГц) δ 10,70 (s, 1Н), 8,34 (d, J=8,28 Гц, 1H), 7,95 (d, J=6,96 Гц, 1H), 7,72 (t, J=7,6 Гц, 1H), 7,59-7,52 (m, 2Н), 7,28 (s, 1H), 6,93 (d, J=7,2 Гц, 1Н), 6,22 (br s, 1Н), 5,80 (br s, 1H), 4,27-4,21 (m, 1H), 4,00-3,96 (m, 2Н), 2,84-2,82 (m, 2Н), 1,91-1,87 (m, 2Н), 1,72-1,64 (m, 2Н), 1,39 (s, 9Н).
Стадия 3: Получение 2,2,2-Трифторацетата 6-((1-(Пиперидин-4-ил)-1Н-пиразол-4-ил)метил)бензо[cd]индол-2(1Н)-она (5): К перемешиваемому раствору трет-бутил-4-[4-[гидрокси-(2-оксо-1Н-бензо[cd]индол-6-ил)метил]пиразол-1-ил]пиперидин-1-карбоксилата 4 (500,0 мг, 1,11 ммоль) в DCE (3 мл) добавляли триэтилсилан (518,51 мг, 4,46 ммоль, 712,24 мкл) и трифторуксусную кислоту (1,02 г, 8,92 ммоль, 687,08 мкл) и реакционную смесь перемешивали в течение 30 минут при микроволновом облучении при 70°С. Растворитель упаривали из реакционной смеси в условиях пониженного давления с получением неочищенного продукта, который промывали эфиром и пентаном с получением 6-[(1-пиперидин-1-ий-4-илпиразол-4-ил)метил]-1Н-бензо[cd]индол-2-она;2,2,2-трифторацетата 5 (500,0 мг, 1,12 ммоль, 100,47% выход) в виде коричневой смолы, которую использовали без дальнейшей очистки. ЖХ-МС: ЭС+ 333,0.
Стадия 4: Получение трет-бутил-4-(4-((2-Оксо-1,2-дигидробензо[cd]индол-6-ил)метил)-1Н-пиразол-1-ил)пиперидин-1-карбоксилат (6): К перемешиваемому раствору 6-[(1-пиперидин-1-ий-4-илпиразол-4-ил)метил]-1Н-бензо[cd]индол-2-она;2,2,2-трифторацетата 5 (500,0 мг, 1,12 ммоль) в DCM (5 мл) добавляли триэтиламин (340,00 мг, 3,36 ммоль, 468,32 мкл) при охлаждении с последующим добавлением ди-трет-бутилдикарбоната (366,67 мг, 1,68 ммоль, 385,56 мкл) и реакцию продолжали при комнатной температуре в течение 16 часов. Реакционную смесь разбавляли этилацетатом, промывали водой и насыщенным солевым раствором и органическую фракцию отделяли. Органический слой затем сушили безводным сульфатом натрия и упаривали в условиях пониженного давления с получением неочищенного соединения, которое очищали методом флэш-хроматографии (с использованием 0-5% МеОН-DCM) с получением трет-бутил-4-[4-[(2-оксо-1Н-бензо[cd]индол-6-ил)метил]пиразол-1-ил]пиперидин-1-карбоксилата 6 (300,0 мг, 693,62 мкмоль, 61,93% выход) в виде желтого липкого твердого вещества. ЖХ-МС: ЭС+ 433,0.
Стадия 5: Получение трет-бутил-4-(4-((1-(2,6-Диоксопиперидин-3-ил)-2-оксо-1,2-дигидробензо[cd]индол-6-ил)метил)-1Н-пиразол-1-ил)пиперидин-1-карбоксилата (Соединение 2): К перемешиваемому раствору трет-бутил-4-[4-[(2-оксо-1Н-бензо[cd]индол-6-ил)метил]пиразол-1-ил]пиперидин-1-карбоксилата 6 (300,0 мг, 693,62 мкмоль) в DMF (1 мл) добавляли гидрид натрия (60% дисперсия в минеральном масле, 53,15 мг, 1,39 ммоль, 60% чистота) при охлаждении и реакционную смесь нагревали при 60°С в течение 30 минут. 3-бромпиперидин-2,6-дион 7 (133,18 мг, 693,62 мкмоль) затем добавляли, реакционную смесь нагревали при 60°С в течение 4 часов с последующим дальнейшим добавлением 3-бромпиперидин-2,6-диона (133,18 мг, 693,62 мкмоль) и реакционную смесь далее перемешивали в течение 16 часов при 60°С. Реакционную смесь разбавляли этилацетатом и промывали водой и органическую фракцию отделяли. Реакционную смесь затем сушили безводным сульфатом натрия и упаривали в условиях пониженного давления с получением неочищенного соединения, которое сначала очищали методом колоночной хроматографии с последующей препаративной ТСХ (элюируя 60% этилацетат-гексан) с получением трет-бутил-4-[4-[[1-(2,6-диоксо-3-пиперидил)-2-оксобензо[cd]индол-6-ил]метил]пиразол-1-ил]пиперидин-1-карбоксилата (Соединение 2) (20,0 мг, 33,11 мкмоль, 4,77% выход, 90% чистота) в виде бледно-желтого твердого вещества. 1Н ЯМР (d6-DMSO, 400 МГц) δ 11,11 (s, 1H), 8,37 (d, J=8,24 Гц, 1Н), 8,08 (d, J=6,92 Гц, 1H), 7,83 (t, J=7,58 Гц, 1H), 7,59 (s, 1Н), 7,35 (d, J=7,36 Гц, 1H), 7,31 (s, 1Н), 7,07 (d, J=7,28 Гц, 1Н), 5,43 (dd, J=12,76, 5,0 Гц, 1H), 4,24-4,23 (m, 1H), 4,17 (s, 2Н), 4,00-3,96 (m, 2Н), 2,96-2,66 (m, 5Н), 2,09-2,06 (m, 1Н), 1,91-1,88 (m, 2Н), 1,72-1,66 (m, 2Н), 1,39 (m, 9Н); ЖХ-МС: ЭС+ 544,3.
Пример 3. Синтез 3-(6-((1-(1-(Кубан-1-карбонил)пиперидин-4-ил)-1Н-пиразол-4-ил)метил)-2-оксобензо[cd]индол-1(2Н)-ил)пиперидин-2,6-диона (Соединение 3)
Стадия 1: Получение 3-(2-Оксо-6-((1-(пиперидин-4-ил)-1Н-пиразол-4-ил)метил)бензо[cd]индол-1(2Н)-ил)пиперидин-2,6-дионгидрохлорид (2): К перемешиваемому раствору трет-бутил-4-[4-[[1-(2,6-диоксо-3-пиперидил)-2-оксобензо[d]индол-6-ил]метил]пиразол-1-ил]пиперидин-1-карбоксилата 1 (100,0 мг, 183,95 мкмоль) в диоксане (1 мл) добавляли соляную кислоту в диоксане (183,95 мкмоль, 8 мл) и реакционную смесь перемешивали при комнатной температуре в течение 2 часов. ТСХ анализ показывал полное расходование исходного вещества. Растворитель упаривали из реакционной смеси в условиях пониженного давления и остаток промывали эфиром и пентаном с получением 3-[6-[[1-(1-хлор-4-пиперидил)пиразол-4-ил]метил]-2-оксобензо[d]индол-1-ил]пиперидин-2,6-диона 2 (88,0 мг, 183,35 мкмоль, 99,67% выход) в виде желтого твердого вещества. ЖХ-МС: ЭС+ 444,1.
Стадия 2: Получение 3-(6-((1-(1-(Кубан-1-карбонил)пиперидин-4-ил)-1Н-пиразол-4-ил)метил)-2-оксобензо[cd]индол-1(2Н)-ил)пиперидин-2,6-диона (Соединение 3): К перемешиваемому раствору 3-[6-[[1-(1-хлор-4-пиперидил)пиразол-4-ил]метил]-2-оксобензо[сd]индол-1-ил]пиперидин-2,6-диона 2 (88,0 мг, 183,35 мкмоль) в DMF (3,0 мл) добавляли кубан-1-карбоновую кислоту (27,16 мг, 183,35 мкмоль) с последующим добавлением HATU (104,57 мг, 275,02 мкмоль) и N,N-диизопропилэтиламина (71,09 мг, 550,05 мкмоль, 95,81 мкл) при 0°С. Реакционную смесь затем перемешивали при комнатной температуре в течение 16 часов. Ее разбавляли этилацетатом и водой и слои разделяли. Органический слой промывали насыщенным водным раствором NaHCO3, водой и насыщенным солевым раствором, сушили над сульфатом натрия и концентрировали. Неочищенное соединение очищали методом препаративной ТСХ (элюируя 3% МеОН/DCM) с получением 3-[6-[[1-[1-(кубан-1-карбонил)-4-пиперидил]пиразол-4-ил]метил]-2-оксобензо[cd]индол-1-ил]пиперидин-2,6-диона (Соединение 3) (55,0 мг, 94,77 мкмоль, 51,69% выход, 98,84% чистота) в виде желтого твердого вещества. 1Н ЯМР (d6-DMSO, 400 МГц) δ 11,09 (s, 1H), 8,36 (d, J=8,16 Гц, 1H), 8,08 (d, J=7,0 Гц, 1Н), 7,83 (t, J=7,62 Гц, 1H), 7,60 (s, 1H), 7,35 (d, J=7,32 Гц, 1H), 7,31 (s, 1H), 7,06 (d, J=7,24 Гц, 1H), 5,42 (dd, J=12,48, 5,24 Гц, 1H), 4,33-4,31 (m, 2Н), 4,18 (br s, 5Н), 3,97 (br s, 4Н), 3,38-3,34 (m, 1Н), 3,20-3,13 (m, 1H), 2,97-2,90 (m, 1H), 2,79-2,62 (m, 3Н), 2,10-2,07 (m, 1Н), 2,01-1,92 (m, 2Н), 1,83-1,79 (m, 1H), 1,67-1,64 (m, 1H); ЖХ-МС: ЭС+ 574,5.
Пример 4: Синтез 3-(6-((1-(1-(1-Метилциклобутан-1-карбонил)пиперидин-4-ил)-1Н-пиразол-4-ил)метил)-2-оксобензо[cd]индол-1(2Н)-ил)пиперидин-2,6-диона (Соединение 4)
Стадия 1: Получение 6-((1-(Пиперидин-4-ил)-1Н-пиразол-4-ил)метил)бензо[cd]индол-2(1Н)-онгидрохлорида (2): К перемешиваемому раствору трет-бутил-4-[4-[[1-(2,6-диоксо-3-пиперидил)-2-оксобензо[cd]индол-6-ил]метил]пиразол-1-ил]пиперидин-1-карбоксилата 1 (100,0 мг, 183,95 мкмоль) в диоксане (1 мл) добавляли соляную кислоту в диоксане (183,95 мкмоль, 8 мл) и реакционную смесь перемешивали при комнатной температуре в течение 2 часов. Растворитель упаривали из реакционной смеси в условиях пониженного давления и остаток промывали эфиром и пентаном с получением 3-[6-[[1-(1-хлор-4-пиперидил)пиразол-4-ил]метил]-2-оксобензо[cd]индол-1-ил]пиперидин-2,6-диона 2 (88,0 мг, 183,35 мкмоль, 99,67% выход) в виде желтого твердого вещества. ЖХ-МС: ЭС+ 444,1.
Стадия 2: Получение 6-((1-(1-(1-Метилциклобутан-1-карбонил)пиперидин-4-ил)-1Н-пиразол-4-ил)метил)бензо[cd]индол-2(1Н)-она: К перемешиваемому раствору 6-[[1-(1-хлор-4-пиперидил)пиразол-4-ил]метил]-1Н-бензо[cd]индол-2-она 2 (98,0 мг, 265,68 мкмоль) и 1-метилциклобутанкарбоновой кислоты 3 (30,33 мг, 265,68 мкмоль) в DMF (2,0 мл) при 0°С добавляли HATU (151,53 мг, 398,53 мкмоль) и N,N-диизопропилэтиламин (171,69 мг, 1,33 ммоль, 231,38 мкл) и реакционную смесь перемешивали при комнатной температуре в течение 16 часов. Реакционную смесь затем экстрагировали добавлением этилацетата и объединенный органический слой промывали водой и насыщенным раствором бикарбоната и сушили над сульфатом натрия. Органический слой затем концентрировали в условиях пониженного давления с получением неочищенного продукта. Неочищенный остаток очищали методом хроматографии CombiFlash (элюируя 1%-1,5% МеОН в DCM) с получением 6-[[1-[1-(1-метилциклобутанкарбонил)-4-пиперидил]пиразол-4-ил]метил]-1Н-бензо[cd]индол-2-она 4 (66 мг, 154,02 мкмоль, 57,97% выход) в виде бледно-желтого твердого вещества. ЖХ-МС: ЭС+ 429,3
Стадия 3: Получение 3-(6-((1-(1-(1-Метилциклобутан-1-карбонил)пиперидин-4-ил)-1Н-пиразол-4-ил)метил)-2-оксобензо[cd]индол-1(2Н)-ил)пиперидин-2,6-диона (Соединение 4): К перемешиваемому раствору 6-[[1-[1-(1-метилциклобутанкарбонил)-4-пиперидил]пиразол-4-ил]метил]-1Н-бензо[сd]индол-2-она 4 (66,0 мг, 154,02 мкмоль) в DMF (1 мл) добавляли гидрид натрия (60% дисперсия в минеральном масле, 11,80 мг, 308,03 мкмоль) при охлаждении и реакционную смесь нагревали при 60°С в течение 30 минут. 3-бромпиперидин-2,6-дион 5 (29,57 мг, 154,02 мкмоль) затем добавляли и реакционную смесь нагревали при 60°С в течение 4 часов с последующим дальнейшим добавлением 3-бромпиперидин-2,6-диона (29,57 мг, 154,02 мкмоль) и реакцию далее продолжали в течение 16 часов при 60°С. Реакционную смесь разбавляли этилацетатом и промывали водой и органическую фракцию отделяли. Органический слой затем сушили безводным сульфатом натрия и упаривали в условиях пониженного давления с получением неочищенного продукта, который сначала очищали методом колоночной хроматографии с последующей препаративной ТСХ (с проявлением пластинки в 60% этилацетате-DCM) с получением 3-[6-[[1-[1-(1-метилциклобутанкарбонил)-4-пиперидил]пиразол-4-ил]метил]-2-оксобензо[cd]индол-1-ил]пиперидин-2,6-диона (Соединение 4) (15,0 мг, 27,21 мкмоль, 17,66% выход, 97,87% чистота) в виде бледно-желтого твердого вещества. 1Н ЯМР (d6-DMSO, 400 МГц) δ 11,11 (s, 1H), 8,37 (d, J=8,44 Гц, 1H), 8,08 (d, J=6,44 Гц, 1H), 7,85-7,83 (m, 1H), 7,60 (s, 1H), 7,35 (d, J=7,12 Гц, 1H), 7,31 (s, 1H), 7,07 (d, J=6,84 Гц, 1Н), 5,46-5,42 (m, 1H), 4,39-4,37 (m, 1Н), 4,31-4,29 (m, 1H), 4,18 (s, 2Н), 3,60-3,58 (m, 1Н), 3,04-2,91 (m, 3H), 2,77-2,62 (m, 2Н), 2,41-2,32 (m, 3H), 2,09-2,07 (m, 1H), 1,92-1,90 (m, 3H), 1,78-1,76 (m, 3H), 1,64-1,61 (m, 2Н), 1,33 (s, 3H); ЖХ-МС: ЭС+ 540,4.
Пример 5. Синтез N-(трет-бутил)-4-(4-((1-(2,6-диоксопиперидин-3-ил)-2-оксо-1,2-дигидробензо[cd]индол-6-ил)метил)-1Н-пиразол-1-ил)-N-метилпиперидин-1-карбоксамида (Соединение 5)
К эквимолярной смеси гидрохлорида 1 и хлорангидрида трет-бутил(метил)карбаминовой кислоты в DMF (6 мл/ммоль) добавляли DIPEA (4,0 эквив.) при 0°С. Полученный раствор перемешивали при температуре окружающей среды в течение 16 часов. Реакционную смесь затем разбавляли этилацетатом и промывали водным раствором NaHCO3, водой (х 3) и насыщенным солевым раствором. Органический слой затем сушили над безводным Na2SO4 и концентрировали в условиях пониженного давления. Неочищенную массу затем очищали с помощью ISCO колонки CombiFlash, элюируя 2% метанола в DCM с получением N-(трет-бутил)-4-(4-((1-(2,6-диоксопиперидин-3-ил)-2-оксо-1,2-дигидробензо[cd]индол-6-ил)метил)-1Н-пиразол-1-ил)-N-метилпиперидин-1-карбоксамида (Соединение 5).
Пример 6. Синтез трет-бутил-4-(4-(1-(2,6-Диоксопиперидин-3-ил)-2-оксо-1,2-дигидробензо[cd]индол-6-карбонил)-1Н-пиразол-1-ил)пиперидин-1-карбоксилата (Соединение 6) и трет-бутил-4-(4-((1-(2,6-Диоксопиперидин-3-ил)-2-оксо-1,2-дигидробензо[cd]индол-6-ил)(гидрокси)метил)-1Н-пиразол-1-ил)пиперидин-1-карбоксилата (Соединение 7)
Стадия 1: Синтез трет-бутил-4-(4-(2-Оксо-1,2-дигидробензо[cd]индол-6-карбонил)-1Н-пиразол-1-ил)пиперидин-1-карбоксилата (2): К перемешиваемому раствору трет-бутил-4-(4-(гидрокси(2-оксо-1,2-дигидробензо[cd]индол-6-ил)метил)-1Н-пиразол-1-ил)пиперидин-1-карбоксилата 1 в ацетонитриле добавляли оксид марганца(IV) (10 эквив.) и реакционную смесь перемешивали при комнатной температуре в течение 16 ч. ТСХ и ЖХМС свидетельствовали об образовании продукта. Реакционную смесь фильтровали через слой целита и фильтрат концентрировали в условиях пониженного давления с получением неочищенной массы, которую очищали методом хроматографии CombiFlash с использованием 1,5% MeOH-DCM в качестве элюента с получением желаемого продукта трет-бутил-4-(4-(2-оксо-1,2-дигидробензо[cd]индол-6-карбонил)-1Н-пиразол-1-ил)пиперидин-1-карбоксилата 2. Стадия 2: Синтез трет-бутил-4-(4-(1-(2,6-Диоксопиперидин-3-ил)-2-оксо-1,2-дигидробензо[cd]индол-6-карбонил)-1Н-пиразол-1-ил)пиперидин-1-карбоксилата (Соединение 6): К перемешиваемому раствору соединения 2 в THF добавляли гидрид натрия (60% дисперсия в минеральном масле, 1 эквив.) и реакционную смесь нагревали с обратным холодильником при 60°С в течение 30 минут. Раствор (3-бромпиперидин-2,6-диона) (0,5 эквив.) в THF также нагревали при 60°С. Через 30 минут первую суспензию добавляли ко второму раствору и нагревание продолжали в течение 3 часов. Реакционную смесь разбавляли этилацетатом и промывали водой и насыщенным солевым раствором. Органическую фракцию затем сушили безводным сульфатом натрия и упаривали в условиях пониженного давления с получением неочищенного соединения. Неочищенное соединение затем очищали методом флэш-хроматографии с получением Соединения 6.
Стадия 3: Синтез трет-бутил-4-(4-((1-(2,6-Диоксопиперидин-3-ил)-2-оксо-1,2-дигидробензо[cd]индол-6-ил)(гидрокси)метил)-1Н-пиразол-1-ил)пиперидин-1-карбоксилата (Соединение 7): Перемешиваемый раствор Соединения 6 в этаноле охлаждали до 0°С и бортриацетоксигидрид натрия (1,2 эквив.) добавляли в реакционную смесь. Реакционную смесь перемешивали при комнатной температуре в течение 16 часов. Ее гасили водой и экстрагировали добавлением этилацетата. Объединенную органическую фазу сушили над сульфатом натрия, концентрировали и очищали методом колоночной хроматографии с использованием (силикагель, градиент, 0%-2% метанола в DCM) с получением Соединения 7.
Пример 7. Синтез трет-бутил-4-(4-((1-(2,6-Диоксопиперидин-3-ил)-2-оксо-1,2-дигидробензо[cd]индол-6-ил)дифторметил)-1Н-пиразол-1-ил)пиперидин-1-карбоксилат (Соединение 8)
Стадия 1: Синтез трет-бутил-4-(4-(Дифтор(2-оксо-1,2-дигидробензо[cd]индол-6-ил)метил)-1Н-пиразол-1-ил)пиперидин-1-карбоксилата (2): К перемешиваемому раствору 1 в DCM добавляли DAST (3 эквив.) при -30°С и реакционную смесь перемешивали при той же температуре в течение 30 минут и затем медленно доводили до комнатной температуры. ЖХ-МС свидетельствовала о получении желаемого продукта. Реакционную смесь гасили водой и экстрагировали добавлением этилацетата. Объединенную органическую фазу сушили над сульфатом натрия, концентрировали и очищали методом колоночной хроматографии с использованием (силикагель, градиент, 0%-2% метанола в DCM) с получением 2. Стадия 2: Синтез трет-бутил-4-(4-((1-(2,6-Диоксопиперидин-3-ил)-2-оксо-1,2-дигидробензо[cd]индол-6-ил)дифторметил)-1Н-пиразол-1-ил)пиперидин-1-карбоксилата (Соединение 8): К перемешиваемому раствору соединения 2 в THF добавляли гидрид натрия (60% дисперсия в минеральном масле, 1 эквив.) и реакционную смесь нагревали с обратным холодильником при 60°С в течение 30 минут. Раствор 3-бромпиперидин-2,6-диона 3 (0,5 эквив.) в THF также нагревали при 60°С. Через 30 минут первую суспензию добавляли ко второму раствору при нагревании и нагревание продолжали в течение 3 часов. Реакционную смесь разбавляли этилацетатом и промывали водой и насыщенным солевым раствором. Органическую фазу затем сушили безводным сульфатом натрия и упаривали в условиях пониженного давления с получением неочищенного соединения. Неочищенное соединение затем очищали методом флэш-хроматографии до Соединения 8.
Пример 8: Синтез 3-(6-(4-(Морфолинометил)бензил)-2-оксобензо[cd]индол-1(2Н)-ил)пиперидин-2,6-диона (Соединение 9)
Стадия 1-3: 4-(Морфолинометил)бензальдегид получали стадиями 1-3 в соответствии с описанной в литературе методикой, представленной в WO 2015/086636.
Стадия 4: Синтез 6-(Гидрокси(4-(морфолинометил)фенил)метил)бензо[cd]индол-2(1Н)-она (7): К перемешиваемому раствору 6-бром-1Н-бензо[cd]индол-2-она 6 (1 эквив.) в THF добавляли бутиллитий (2,2 эквив.) при -78°С. По окончании добавления температуре позволяли повыситься до -40°С и реакционную смесь перемешивали при той же температуре в течение 30 минут. 5 (1 экв.) в THF (7 мл) добавляли при -78°С и затем реакционной смеси позволяли нагреться до комнатной температуры и перемешивали в течение 16 часов. Реакционную смесь гасили насыщенным водным раствором хлорида аммония и разбавляли этилацетатом. Слои разделяли и органическую фазу промывали водой. Органическую фазу затем сушили безводным сульфатом натрия и упаривали в условиях пониженного давления с получением неочищенного соединения, которое очищали методом флэш-хроматографии с использованием 0-5% MeOH-DCM с получением желаемого продукта 7.
Стадия 5: Синтез 6-(4-(Морфолинометил)бензил)бензо[cd]индол-2(1Н)-она (8): К перемешиваемому раствору 7 в DCE добавляли триэтилсилан (3 эквив.) и трифторуксусную кислоту (10 эквив.) и реакционную смесь перемешивали в течение 30 минут при микроволновом облучении при 70°С. Растворитель из реакционной смеси упаривали в условиях пониженного давления с получением неочищенного продукта, который промывали эфиром и пентаном с получением 8 в виде коричневой смолы, которую использовали без дальнейшей очистки.
Стадия 6: Синтез 3-(6-(4-(Морфолинометил)бензил)-2-оксобензо[cd]индол-1(2Н)-ил)пиперидин-2,6-диона (Соединение 9): К перемешиваемому раствору 8 в THF добавляли гидрид натрия (60% дисперсия в минеральном масле, 1 эквив.) и реакционную смесь нагревали с обратным холодильником при 60°С в течение 30 минут. Раствор 3-бромпиперидин-2,6-диона 9 (0,5 эквив.) в THF также нагревали при 60°С. Через 30 минут первую суспензию добавляли ко второму раствору при нагревании и нагревание продолжали в течение 3 часов. Реакционную смесь разбавляли этилацетатом и промывали водой и насыщенным солевым раствором. Органическую фракцию затем сушили безводным сульфатом натрия и упаривали в условиях пониженного давления с получением неочищенного соединения. Неочищенное соединение затем очищали методом флэш-хроматографии с получением Соединения 9.
Пример 9. Синтез 3-(6-Амино-2-оксобензо[cd]индол-1(2Н)-ил)пиперидин-2,6-диона (Соединение 10)
Стадия 1: Синтез 6-Нитробензо[cd]индол-2(1Н)-она (2): К перемешиваемому раствору 1 в уксусной кислоте добавляли азотную кислоту при 0°С и полученную реакционную смесь перемешивали при комнатной температуре в течение 1 ч. За ходом реакции наблюдали с помощью ТСХ. По окончании реакции смесь добавляли в ледяную воду и экстрагировали добавлением этилацетата. Объединенный органический слой промывали насыщенным солевым раствором и сушили над безводным Na2SO4, фильтровали и концентрировали в условиях пониженного давления с получением желаемого продукта 2, который далее очищали методом колоночной хроматографии или перекристаллизации.
Стадия 2: Синтез 3-(6-Нитро-2-оксобензо[cd]индол-1(2Н)-ил)пиперидин-2,6-диона (4): К перемешиваемому раствору соединения 2 в THF добавляли гидрид натрия (60% дисперсия в минеральном масле, 1 эквив.) и реакционную смесь нагревали с обратным холодильником при 60°С в течение 30 минут. Раствор 3-бромпиперидин-2,6-диона 3 (0,5 эквив.) в THF также нагревали при 60°С. Через 30 минут первую суспензию добавляли ко второму раствору при нагревании и нагревание продолжали в течение 3 часов. Реакционную смесь разбавляли этилацетатом и промывали водой и насыщенным солевым раствором. Органическую фракцию затем сушили безводным сульфатом натрия и упаривали в условиях пониженного давления с получением неочищенного соединения. Неочищенное соединение затем очищали методом флэш-хроматографии с получением 4.
Стадия 3: Синтез 3-(6-Амино-2-оксобензо[cd]индол-1(2Н)-ил)пиперидин-2,6-диона (Соединение 10): Перемешиваемый раствор 4 в этаноле дегазировали аргоном в течение 10 минут.10% Pd/C (30 масс. %) добавляли в реакционную смесь и ее подвергали гидрированию с помощью баллона с водородом в течение 16 часов. Ее фильтровали через целит и концентрировали в условиях пониженного давления с получением Соединения 10 в виде твердого вещества.
Пример 10. Синтез трет-бутил-4-(4-((1-(2,6-Диоксопиперидин-3-ил)-2-оксо-1,2-дигидробензо[cd]индол-6-ил)амино)-1Н-пиразол-1-ил)пиперидин-1-карбоксилата (Соединение 11) и 3-(6-((1-(1-((2r,3r,5r,6r,7r,8r)-Кубан-1-карбонил)пиперидин-4-ил)-1Н-пиразол-4-ил)амино)-2-оксобензо[cd]индол-1(2Н)-ил)пиперидин-2,6-диона (Соединение 12)
Стадия 1: Синтез трет-бутил-4-(4-((2-Оксо-1,2-дигидробензо[cd]индол-6-ил)амино)-1Н-пиразол-1-ил)пиперидин-1-карбоксилата (3): К перемешиваемому раствору трет-бутил-4-(4-аминопиразол-1-ил)пиперидин-1-карбоксилата (20 мг, 75,09 мкмоль) и 6-бром-1Н-бензо[cd]индол-2-она (18,63 мг, 75,09 мкмоль) в толуоле (5 мл) в укупоренной пробирке добавляли трет-бутоксид калия (25,28 мг, 225,28 мкмоль) и реакционную смесь дегазировали в течение 5 мин в атмосфере аргона. Pd2(dba)3 (6,88 мг, 7,51 мкмоль) и BINAP (4,68 мг, 7,51 мкмоль) добавляли и реакционную смесь вновь продували в течение 2 мин в атмосфере аргона. Реакционную смесь нагревали до 90°С в течение 16 ч. После полного расходования исх. вещ. Реакционную смесь фильтровали через слой целита и концентрировали в вакууме. Очистка методом колоночной хроматографии CombiFlash (элюируя 15% этилацетата в н-гексане) позволяла получить трет-бутил-4-[4-[(2-оксо-1H-бензо[cd]индол-6-ил)амино]пиразол-1-ил]пиперидин-1-карбоксилат 3 в виде желтой жидкости. ЖХМС (ЭС+)=249,9 [М+Н]+.
Стадия 2: Синтез трет-бутил-4-(4-((1-(2,6-Диоксопиперидин-3-ил)-2-оксо-1,2-дигидробензо[cd]индол-6-ил)амино)-1Н-пиразол-1-ил)пиперидин-1-карбоксилата (Соединение 11): К перемешиваемому раствору соединения 3 в THF добавляли гидрид натрия (60% дисперсия в минеральном масле, 1 эквив.) и реакционную смесь нагревали с обратным холодильником при 60°С в течение 30 минут. Раствор 3-бромпиперидин-2,6-диона 4 (0,5 эквив.) в THF также нагревали при 60°С. Через 30 минут первую суспензию добавляли ко второму раствору при нагревании и нагревание продолжали в течение 3 часов. Реакционную смесь разбавляли этилацетатом и промывали водой и насыщенным солевым раствором. Органическую фракцию затем сушили безводным сульфатом натрия и упаривали в условиях пониженного давления с получением неочищенного соединения. Неочищенное соединение затем очищали методом флэш-хроматографии с получением Соединения 11.
Стадия 3: Синтез 3-(2-Оксо-6-((1-(пиперидин-4-ил)-1Н-пиразол-4-ил)амино)бензо[cd]индол-1(2Н)-ил)пиперидин-2,6-диона (5): К перемешиваемому раствору соединения 11 в 1,4-диоксане добавляли HCl в диоксане (4 М). Реакционную смесь перемешивали при 25°С в течение 16 ч. После полного расходования исходного вещества реакционную смесь концентрировали в условиях пониженного давления. Полученное твердое вещество промывали 10-20% этилацетата в н-гексане и сушили с получением указанного в заголовке соединения 5.
Стадия 4: Синтез 3-(6-((1-(1-((2r,3r,5r,6r,7r,8r)-Кубан-1-карбонил)пиперидин-4-ил)-1Н-пиразол-4-ил)амино)-2-оксобензо[cd]индол-1(2Н)-ил)пиперидин-2,6-диона (Соединение 12): К перемешиваемому раствору 5 и кубан-1-карбоновой кислоты (1 эквив.) в DMF (2 мл) добавляли HATU (1,5 эквив.) hDIPEA (3 эквив.) и реакционную смесь перемешивали при 25°С в течение 16 ч. Завершение реакции определяли с помощью ЖХ-МС. Реакционную смесь разбавляли этилацетатом и промывали водой. Органический слой отделяли, сушили над сульфатом натрия и концентрировали в условиях пониженного давления с получением неочищенного соединения. Это неочищенное вещество очищали методом препаративной ТСХ (с использованием 100% этилацетата) с получением Соединения 12 в виде твердого вещества.
Пример 11. Синтез 3-(6-(4-(Морфолинометил)фенокси)-2-оксобензо[cd]индол-1(2Н)-ил)пиперидин-2,6-диона (Соединение 13)
Стадия 1: Синтез 6-Гидроксибензо[cd]индол-2(1Н)-она (2): К перемешиваемому раствору 1 в диоксане (8 мл) и воде (2 мл), гидроксид калия (2 эквив.) добавляли и полученный раствор дегазировали N2 в течение 15 минут с последующим добавлением (1Е,4Е)-1,5-дифенилпента-1,4-диен-3-онпалладия (5%) и трет-бутил-Xphos (15%). Реакционную смесь нагревали при 100°С в укупоренной пробирке в течение 12 ч. После образования желаемого продукта по данным ЖХ-МС реакционную смесь фильтровали через слой целита и промывали этилацетатом. Объединенный органический слой отделяли и упаривали. Неочищенный остаток очищали методом колоночной хроматографии с получением 2 в виде твердого вещества.
Стадия 2: Синтез трет-бутил-6-Гидрокси-2-оксобензо[cd]индол-1(2Н)-карбоксилата (3): К перемешиваемому раствору 2 в метаноле (5 мл) и триэтиламине (2 эквив.) медленно добавляли ди-трет-бутилдикарбонат (1,5 экв.). По окончании реакции по данным ТСХ и ЖХ-МС, растворитель удаляли. Неочищенное соединение экстрагировали добавлением этилацетата и воды. Органический слой сушили Na2SO4. Растворитель удаляли в вакууме с получением желаемого продукта 3.
Стадия 3: Синтез трет-бутил-6-(4-(Морфолинометил)фенокси)-2-оксобензо[cd]индол-1(2Н)-карбоксилата (5): К перемешиваемому раствору 3 и 4 в DCE добавляли пиридин (2 эквив.). Реакционную смесь дегазировали кислородом с последующим добавлением ацетата меди (0,1 эквив.) и DMAP (ОД эквив.). Реакционную смесь нагревали при 80°С в течение 24 ч. По окончании реакции растворитель удаляли и неочищенное соединение экстрагировали добавлением этилацетата и воды. Органический слой сушили Na2SO4 и растворитель удаляли в вакууме с получением желаемого продукта 5.
Стадия 4: Синтез 6-(4-(Морфолинометил)фенокси)бензо[cd]индол-2(1Н)-он (6): К перемешиваемому раствору 5 (1 эквив.) в DCM добавляли TFA (10,0 эквив.). Полученный раствор перемешивали при к.т. в течение 4 ч. За ходом реакции следили с помощью ЖХМС и ТСХ. По окончании реакции смесь концентрировали в условиях пониженного давления с получением неочищенного соединения 6, которое непосредственно использовали на следующей стадии без какой-либо дальнейшей очистки.
Стадия 5: Синтез 3-(6-(4-(Морфолинометил)фенокси)-2-оксобензо[cd]индол-1(2Н)-ил)пиперидин-2,6-диона (Соединение 13): К перемешиваемому раствору соединения 6 в THF добавляли гидрид натрия (60% дисперсия в минеральном масле, 1 эквив.) и реакционную смесь нагревали с обратным холодильником при 60°С в течение 30 минут. Раствор 3-бромпиперидин-2,6-диона 7 (0,5 эквив.) в THF также нагревали при 60°С. Через 30 минут первую суспензию добавляли ко второму раствору при нагревании и нагревание продолжали в течение 3 часов. Реакционную смесь разбавляли этилацетатом и промывали водой и насыщенным солевым раствором. Органическую фракцию затем сушили безводным сульфатом натрия и упаривали в условиях пониженного давления с получением неочищенного соединения. Неочищенное соединение затем очищали методом флэш-хроматографии с получением Соединения 13.
Пример 12. Синтез 3-(6-((1-(1-((1-Метилциклобутил)метил)пиперидин-4-ил)-1Н-пиразол-4-ил)метил)-2-оксобензо[cd]индол-1(2Н)-ил)пиперидин-2,6-диона (Соединение 14)
Стадия 1: Синтез 6-((1-(1-((1-Метилциклобутил)метил)пиперидин-4-ил)-1Н-пиразол-4-ил)метил)бензо[cd]индол-2(1Н)-она (3): К перемешиваемому раствору 1 и 1-метилциклобутан-1-карбальдегида 2 (1 эквив.) в сухом дихлорэтане (3 мл) добавляли цианоборгидрид натрия (2 эквив.) при 0°С и реакционную смесь перемешивали при 0°С в течение 2 ч. Реакционную смесь нагревали до к.т. в течение 1 ч и перемешивали при к.т. в течение 12 ч. Завершение реакции подтверждали с помощью ТСХ. Реакционную смесь гасили водой (25 мл) и экстрагировали добавлением DCM (2 × 25 мл). Объединенный органический слой далее промывали насыщенным солевым раствором (1 × 25 мл), сушили над безводным Na2SO4 и концентрировали с получением неочищенного продукта 3.
Стадия 2: Синтез 3-(6-((1-(1-((1-Метилциклобутил)метил)пиперидин-4-ил)-1Н-пиразол-4-ил)метил)-2-оксобензо[cd]индол-1(2Н)-ил)пиперидин-2,6-диона (Соединение 14): К перемешиваемому раствору соединения 3 в THF добавляли гидрид натрия (60% дисперсия в минеральном масле, 1 эквив.) и реакционную смесь нагревали с обратным холодильником при 60°С в течение 30 минут. Раствор 3-бромпиперидин-2,6-диона 4 (0,5 эквив.) в THF также нагревали при 60°С. Через 30 минут первую суспензию добавляли ко второму раствору при нагревании и нагревание продолжали в течение 3 часов. Реакционную смесь разбавляли этилацетатом и промывали водой и насыщенным солевым раствором. Органическую фракцию затем сушили безводным сульфатом натрия и упаривали в условиях пониженного давления с получением неочищенного соединения. Неочищенное соединение затем очищали методом флэш-хроматографии с получением Соединения 14.
Пример 13: Синтез 3-(6-((1-(1-(1-Метилциклобутан-1-карбонил)пиперидин-4-ил)-1Н-1,2,3-триазол-4-ил)метил)-2-оксобензо[cd]индол-1(2Н)-ил)пиперидин-2,6-диона (Соединение 15)
Стадия 1: Синтез трет-бутил-4-Азидопиперидин-1-карбоксилата (2): К DMF раствору 1 добавляли азид натрия (3 эквив.) и реакционную смесь нагревали с обратным холодильником при 70°С в течение 2 часов. За ходом реакции следили с помощью ТСХ для наблюдения за расходованием исходного вещества. Реакционную смесь гасили водой и экстрагировали добавлением этилацетата. Этилацетатный слой промывали насыщенным солевым раствором, сушили над безводным Na2SO4 и упаривали с получением неочищенного соединения. Неочищенное соединение очищали методом колоночной хроматографии на силикагеле с получением чистого соединения 2 в виде белого твердого вещества.
Стадия 2: Синтез трет-бутил-4-(4-(Диэтоксиметил)-1Н-1,2,3-триазол-1-ил)пиперидин-1-карбоксилата 3: К перемешиваемому раствору трет-бутил-4-азидопиперидин-1-карбоксилата 2 и 3,3-диэтоксипроп-1-ина в воде и DMSO (1:4) добавляли сульфат меди (5%) при 25°С. Реакционную смесь перемешивали в течение 5 мин с последующим добавлением аскорбата натрия (15%). Реакционную смесь затем перемешивали в течение 2 ч при 25°С. Реакционную смесь разбавляли холодной водой и экстрагировали добавлением этилацетата (2 х). Объединенные органические слои сушили безводным сульфатом натрия и концентрировали в условиях пониженного давления с получением неочищенного продукта. Неочищенный продукт очищали методом колоночной хроматографии на силикагеле с получением 3.
Стадия 3: Синтез 1-(Пиперидин-4-ил)-1Н-1,2,3-триазол-4-карбальдегида 4: К перемешиваемому раствору 3 в 1,4-диоксане добавляли HCl в диоксане (4 М). Реакционную смесь перемешивали при 25°С в течение 16 ч. По завершении расходования исх. вещ. реакционную смесь концентрировали в условиях пониженного давления, промывали 10-20% этилацетата в н-гексане и сушили с получением указанного в заголовке соединения 4 в виде твердого вещества.
Стадия 4: Синтез 1-(1-(1-Метилциклобутан-1-карбонил)пиперидин-4-ил)-1Н-1,2,3-триазол-4-карбальдегида (6): К перемешиваемому раствору 4 и 1-метилциклобутан-1-карбоновой кислоты 5 (1 эквив.) в DMF (2 мл) добавляли HATU (1,5 эквив.) и DIPEA (3 эквив.) и реакционную смесь перемешивали при 25°С в течение 16 ч. Завершение реакции подтверждали с помощью ЖХ-МС и реакционную смесь разбавляли этилацетатом и промывали водой. Органический слой отделяли, сушили над сульфатом натрия и концентрировали в условиях пониженного давления с получением неочищенного соединения. Неочищенное соединение очищали методом колоночной хроматографии на силикагеле с получением указанного в заголовке соединения 6 в виде твердого вещества.
Стадия 5: Синтез 6-(Гидрокси(1-(1-(1-метилциклобутан-1-карбонил)пиперидин-4-ил)-1Н-1,2,3-триазол-4-ил)метил)бензо[cd]индол-2(1Н)-она (8): К перемешиваемому раствору 6-бром-1Н-бензо[cd]индол-2-она 7 (1 эквив.) в THF добавляли бутиллитий (2,2 эквив.) при -78°С и температуре позволяли повыситься до -40°С. Реакционную смесь перемешивали при той же температуре в течение 30 минут с последующим добавлением 6 (1 эквив.) в THF при -78°С и затем реакционной смеси позволяли нагреться до комнатной температуры и перемешивали в течение 16 часов. Реакционную смесь гасили насыщенным водным раствором хлорида аммония и разбавляли этилацетатом. Слои разделяли и органическую фазу промывали водой. Органический слой сушили безводным сульфатом натрия и упаривали в условиях пониженного давления с получением неочищенного соединения, которое очищали методом флэш-хроматографии с использованием 0-5%MeOH-DCM с получением желаемого продукта 8.
Стадия 6: Синтез 6-((1-(1-(1-Метилциклобутан-1-карбонил)пиперидин-4-ил)-1Н-1,2,3-триазол-4-ил)метил)бензо[cd]индол-2(1Н)-она (9): К перемешиваемому раствору 8 в DCE добавляли триэтилсилан (2 эквив.) и трифторуксусную кислоту (5 эквив.) и реакционную смесь перемешивали в течение 30 минут при микроволновом облучении при 70°С. Растворитель упаривали в условиях пониженного давления с получением неочищенного соединения, которое промывали эфиром и пентаном с получением 9 в виде коричневой смолы в качестве неочищенного соединения.
Стадия 7: Синтез 3-(6-((1-(1-(1-Метилциклобутан-1-карбонил)пиперидин-4-ил)-1Н-1,2,3-триазол-4-ил)метил)-2-оксобензо[cd]индол-1(2Н)-ил)пиперидин-2,6-диона (Соединение 15): К перемешиваемому раствору соединения 9 в THF добавляли гидрид натрия (60% дисперсия в минеральном масле, 1 эквив.) и реакционную смесь нагревали с обратным холодильником при 60°С в течение 30 минут. Раствор 3-бромпиперидин-2,6-диона 10 (0,5 эквив.) в THF также нагревали при 60°С. Через 30 минут первую суспензию добавляли ко второму раствору при нагревании и нагревание продолжали в течение 3 часов. Реакционную смесь разбавляли этилацетатом и промывали водой и насыщенным солевым раствором. Органическую фракцию затем сушили безводным сульфатом натрия и упаривали в условиях пониженного давления с получением неочищенного соединения. Неочищенное соединение затем очищали методом флэш-хроматографии с получением Соединения 15.
Пример 14. Синтез 3-(6-((3-Хлор-1-(1-(1-метилциклобутан-1-карбонил)пиперидин-4-ил)-1Н-пиразол-4-ил)метил)-2-оксобензо[cd]индол-1(2Н)-ил)пиперидин-2,6-диона (Соединение 16)
Стадия 1: Синтез трет-бутил-4-(5-Амино-4-(этоксикарбонил)-1Н-пиразол-1-ил)пиперидин-1-карбоксилата (3а) и трет-бутил-4-(3-амино-4-(этоксикарбонил)-1Н-пиразол-1-ил)пиперидин-1-карбоксилата (3b): К перемешиваемому раствору этил-5-амино-1Н-пиразол-4-карбоксилата 1 (10,0 г, 64,45 ммоль) в DMF (100 мл) добавляли трет-бутил-4-метилсульфонилоксипиперидин-1-карбоксилат 2 (25,21 г, 90,23 ммоль) и карбонат цезия (42,00 г, 128,90 ммоль) и реакционную смесь перемешивали при 80°С в течение 16 часов. ТСХ свидетельствовала об образовании двух новых изомерных пятен и полное расходование обоих исходных веществ. Реакционную смесь затем охлаждали до комнатной температуры, разбавляли этилацетатом и промывали водой. Органический слой сушили над сульфатом натрия и концентрировали в условиях пониженного давления. Неочищенное соединение затем очищали методом колоночной хроматографии, элюируя 10-12% этилацетата в дихлорметане с получением 3а (4,5 г, 13,30 ммоль, 20,63% выход) в виде белого твердого вещества и, элюируя 15-20% этилацетата в дихлорметане с получением 3b (4,8 г, 14,18 ммоль, 22,01% выход) в виде белого твердого вещества.
Стадия 2: Синтез трет-бутил-4-(3-Хлор-4-(этоксикарбонил)-1Н-пиразол-1-ил)пиперидин-1-карбоксилата (4): К перемешиваемому раствору трет-бутил-4-(3-амино-4-этоксикарбонилпиразол-1-ил)пиперидин-1-карбоксилата (2,1 г, 6,21 ммоль) в ацетонитриле (10,0 мл) при 0°С добавляли трет-бутилнитрит (тех. 90%, 959,89 мг, 9,31 ммоль, 1,11 мл) с последующим добавлением CuCl (921,53 мг, 9,31 ммоль) и реакционную смесь перемешивали при комнатной температуре в течение 1 часа. Реакционную смесь нагревали при 65°С в течение 2 часов. ТСХ свидетельствовала о появлении нового неполярного пятна и полном расходовании исходного вещества. Реакционную смесь затем охлаждали до комнатной температуры, разбавляли этилацетатом и промывали водой. Органический слой промывали насыщенным раствором бикарбоната натрия и насыщенным солевым раствором, сушили над сульфатом натрия и концентрировали в условиях пониженного давления с получением неочищенного продукта. Неочищенное соединение затем очищали методом колоночной хроматографии, элюируя 1-1,5% MeOH-DCM с получением трет-бутил-4-(3-хлор-4-этоксикарбонилпиразол-1-ил)пиперидин-1-карбоксилата 4 (1 г, 2,79 ммоль, 45,03% выход) в виде смолистой зеленой жидкости.
Стадия 3: Синтез трет-бутил-4-(3-Хлор-4-(гидроксиметил)-1Н-пиразол-1-ил)пиперидин-1-карбоксилата (5): К перемешиваемому раствору 4 в THF при 0°С в инертной атмосфере добавляли DIBAL-H (4 эквив., 25% в толуоле) капельно. По окончании добавления смесь перемешивали при той же температуре в течение 1 ч. После того, как ТСХ свидетельствовала о полном расходовании исходного вещества, смесь гасили водой и разбавляли EtOAc. Твердый осадок фильтровали через слой целита и фильтрат концентрировали досуха с получением 5 в качестве неочищенного соединения.
Стадия 4: Синтез трет-бутил-4-(3-Хлор-4-формил-1Н-пиразол-1-ил)пиперидин-1-карбоксилата (6): К перемешиваемому раствору 5 в DCM добавляли диоксид марганца (10 эквив.) и реакционную смесь перемешивали при комнатной температуре в течение ночи. По завершении реакции реакционную смесь фильтровали и фильтрат упаривали в условиях пониженного давления. Неочищенное вещество затем очищали методом колоночной хроматографии с получением 6.
Стадия 5: Синтез трет-бутил-4-(3-Хлор-4-(гидрокси(2-оксо-1,2-дигидробензо[cd]индол-6-ил)метил)-1Н-пиразол-1-ил)пиперидин-1-карбоксилата (8): К перемешиваемому раствору 6-бром-1Н-бензо[cd]индол-2-она 7 (1 эквив.) в THF добавляли бутиллитий (2,2 эквив.) при -78°С и по окончании добавления температуре позволяли повыситься до -40°С и перемешивали в течение 30 минут. 6 (1 эквив.) в THF добавляли при -78°С и затем реакционной смеси позволяли нагреться до комнатной температуры и перемешивали в течение 16 часов. Реакционную смесь гасили насыщенным водным раствором хлорида аммония и разбавляли этилацетатом. Слои разделяли и органический слой промывали водой. Органическую фазу сушили безводным сульфатом натрия и упаривали в условиях пониженного давления с получением неочищенного соединения, которое очищали методом флэш-хроматографии с использованием 0-5% MeOH-DCM с получением желаемого продукта 8.
Стадия 6: Синтез трет-бутил-4-(3-Хлор-4-((2-оксо-1,2-дигидробензо[cd]индол-6-ил)метил)-1Н-пиразол-1-ил)пиперидин-1-карбоксилата (9): К перемешиваемому раствору 8 в DCE добавляли триэтилсилан (2 эквив.) и трифторуксусную кислоту (5 эквив.) и реакционную смесь перемешивали в течение 30 минут при микроволновом облучении при 70°С. Растворитель упаривали в условиях пониженного давления с получением неочищенного соединения, которое промывали эфиром и пентаном с получением 9 в виде коричневой смолы в качестве неочищенного соединения.
Стадия 7: Синтез трет-бутил-4-(3-Хлор-4-((1-(2,6-диоксопиперидин-3-ил)-2-оксо-1,2-дигидробензо[cd]индол-6-ил)метил)-1Н-пиразол-1-ил)пиперидин-1-карбоксилата (11): К перемешиваемому раствору соединения 9 в THF добавляли гидрид натрия (60% дисперсия в минеральном масле, 1 эквив.) и реакционную смесь нагревали с обратным холодильником при 60°С в течение 30 минут. Раствор 3-бромпиперидин-2,6-диона 10 (0,5 эквив.) в THF также нагревали при 60°С. Через 30 минут первую суспензию добавляли ко второму раствору при нагревании и нагревание продолжали в течение 3 часов. Реакционную смесь разбавляли этилацетатом и промывали водой и насыщенным солевым раствором. Органическую фракцию затем сушили безводным сульфатом натрия и упаривали в условиях пониженного давления с получением неочищенного соединения. Неочищенное соединение затем очищали методом флэш-хроматографии с получением 11.
Стадия 8: Синтез 3-(6-((3-Хлор-1-(пиперидин-4-ил)-1Н-пиразол-4-ил)метил)-2-оксобензо[cd]индол-1(2Н)-ил)пиперидин-2,6-диона (12): К перемешиваемому раствору 11 в диоксане добавляли соляную кислоту в диоксане (10 эквив.) и реакционную смесь перемешивали при комнатной температуре в течение 2 часов. ТСХ свидетельствовала о полном расходовании исходного вещества. Растворитель из реакционной смеси упаривали в условиях пониженного давления и неочищенное соединение промывали эфиром и пентаном с получением 12 в виде твердого вещества.
Стадия 9: Синтез 3-(6-((3-Хлор-1-(1-(1-метилциклобутан-1-карбонил)пиперидин-4-ил)-1Н-пиразол-4-ил)метил)-2-оксобензо[cd]индол-1(2Н)-ил)пиперидин-2,6-диона (Соединение 16): К перемешиваемому раствору 12 и 1-метилциклобутан-1-карбоновой кислоты 13 (1 эквив.) в DMF (2 мл) добавляли HATU (1,5 экв.) и DIPEA (3 экв.) и реакционную смесь перемешивали при 25°С в течение 16 ч. По завершении реакции по данным ЖХ-МС реакционную смесь разбавляли этилацетатом и промывали водой. Органический слой отделяли, сушили над сульфатом натрия и концентрировали в условиях пониженного давления с получением неочищенного соединения. Это неочищенное вещество очищали методом колоночной хроматографии на силикагеле с получением Соединения 16 в виде твердого вещества.
Пример 15. Синтез 3-(6-((1-(1-(1-Метилциклобутан-1-карбонил)пиперидин-4-ил)-1Н-пирроло[2,3-с]пиридин-3-ил)метил)-2-оксобензо[cd]индол-1(2Н)-ил)пиперидин-2,6-диона (Соединение 17):
Стадия 1: Синтез трет-бутил-4-(3-Формил-1Н-пирроло[2,3-с]пиридин-1-ил)пиперидин-1-карбоксилата (3): К раствору 1Н-пирроло[2,3-с]пиридин-3-карбальдегида 1 (250 мг, 1,71 ммоль) и трет-бутил-4-метилсульфонилоксипиперидин-1-карбоксилата 2 (1 эквив.) в DMF (5 мл) добавляли карбонат цезия (1,11 г, 3,42 ммоль) и реакционную смесь нагревали до 80°С в течение 16 ч. ЖХ-МС свидетельствовала об образовании продукта с большей частью исх. вещ. Еще один эквив. трет-бутил-4-метилсульфонилоксипиперидин-1-карбоксилата добавляли и реакционную смесь нагревали при 90°С в течение дополнительных 16 ч. ЖХ-МС свидетельствовала об образовании большей части продукта. Реакционную смесь охлаждали до к. т., разбавляли водой и экстрагировали добавлением EtOAc последовательно. Объединенную органическую фазу промывали водой и насыщенным солевым раствором и сушили над сульфатом натрия. Неочищенное соединение очищали с помощью CombiFlash, элюируя 100% EtOAc, с получением трет-бутил-4-(3-формилпирроло[2,3-с]пиридин-1-ил)пиперидин-1-карбоксилата 3 (300 мг, 910,77 мкмоль, 53,24% выход) в виде чистого продукта. ЖХМС (ЭС+)=330,2 [М+Н]+.
Стадия 2: Синтез 1-(Пиперидин-4-ил)-1Н-пирроло[2,3-с]пиридин-3-карбальдегида (4): К раствору трет-бутил-4-(3-формилпирроло[2,3-с]пиридин-1-ил)пиперидин-1-карбоксилата 3 (200 мг, 607,18 мкмоль) в диоксане (15 мл) добавляли диоксан-HCl (4 М, 455,38 мкл) и реакционную смесь перемешивали при 25°С в течение 16 ч. ЖХ-МС свидетельствовала об образовании продукта. Реакционную смесь упаривали досуха с получением 1-(4-пиперидил)пирроло[2,3-с]пиридин-3-карбальдегидгидрохлорида 4 (155 мг, 583,28 мкмоль, 96,06% выход) в виде белого твердого вещества.
Стадия 3: Синтез 1-(1-(1-Метилциклобутан-1-карбонил)пиперидин-4-ил)-1Н-пирроло[2,3-с]пиридин-3-карбальдегида (6): К раствору 1-(4-пиперидил)пирроло[2,3-с]пиридин-3-карбальдегидгидрохлорида 4 (780 мг, 2,94 ммоль) и 1-метилциклобутанкарбоновой кислоты 5 (335,03 мг, 2,94 ммоль) в DMF (50 мл) добавляли DIPEA (1,14 г, 8,81 ммоль, 1,53 мл) и реакционную смесь перемешивали в течение нескольких минут при 25°С. HATU (1,34 г, 3,52 ммоль) добавляли в реакционную смесь и перемешивание продолжали в течение 16 ч. ЖХ-МС свидетельствовала об образовании продукта. Воду добавляли и реакционную смесь экстрагировали добавлением EtOAc. Органическую фазу промывали водой, насыщенным солевым раствором и сушили над Na2SO4. Неочищенное соединение выпаривали досуха и очищали с помощью преп. ТСХ, элюируя 3% МеОН в DCM с получением 1-[1-(1-метилциклобутанкарбонил)-4-пиперидил]пирроло[2,3-с]пиридин-3-карбальдегида 6 (820 мг, 2,52 ммоль, 85,85% выход) в виде желтого твердого вещества. ЖХМС (ЭС+)=326,2 [М+Н]+.
Стадия 4: Синтез 6-(Гидрокси(1-(1-(1-метилциклобутан-1-карбонил)пиперидин-4-ил)-1Н-пирроло[2,3-с]пиридин-3-ил)метил)бензо[cd]индол-2(1Н)-она (8): К перемешиваемому раствору 6-бром-1Н-бензо[cd]индол-2-она 7 (1 эквив.) в THF добавляли бутиллитий (2,2 эквив.) при -78°С. По завершении добавления температуре позволяли повыситься до -40°С и реакционную смесь перемешивали при той же температуре в течение 30 минут. 6 (1 эквив.) в THF добавляли при -78°С и реакционной смеси позволяли нагреться до комнатной температуры и перемешивали в течение 16 часов. Реакционную смесь гасили насыщенным водным раствором хлорида аммония и разбавляли этилацетатом. Слои разделяли и органическую фазу промывали водой. Органический слой сушили безводным сульфатом натрия и упаривали в условиях пониженного давления с получением неочищенного соединения, которое очищали методом флэш-хроматографии с использованием 0-5% МеОН-DCM с получением желаемого продукта 8.
Стадия 5: Синтез 6-((1-(1-(1-Метилциклобутан-1-карбонил)пиперидин-4-ил)-1Н-пирроло[2,3-с]пиридин-3-ил)метил)бензо[cd]индол-2(1Н)-она (9): К перемешиваемому раствору 8 в DCE добавляли триэтилсилан (2 эквив.) и трифторуксусную кислоту (5 эквив.) и реакционную смесь перемешивали в течение 30 минут при микроволновом облучении при 70°С. Растворитель упаривали в условиях пониженного давления с получением неочищенного соединения, которое промывали эфиром и пентаном с получением 9 в виде коричневой смолы в качестве неочищенного соединения.
Стадия 6: Синтез 3-(6-((1-(1-(1-Метилциклобутан-1-карбонил)пиперидин-4-ил)-1Н-пирроло[2,3-с]пиридин-3-ил)метил)-2-оксобензо[cd]индол-1(2Н)-ил)пиперидин-2,6-диона (Соединение 17): К перемешиваемому раствору соединения 9 в THF добавляли гидрид натрия (60% дисперсия в минеральном масле, 1 эквив.) и реакционную смесь нагревали с обратным холодильником при 60°С в течение 30 минут. Раствор 3-бромпиперидин-2,6-диона 10 (0,5 эквив.) в THF также нагревали при 60°С. Через 30 минут первую суспензию добавляли ко второму раствору при нагревании и нагревание продолжали в течение 3 часов. Реакционную смесь разбавляли этилацетатом и промывали водой и насыщенным солевым раствором. Органическую фракцию затем сушили безводным сульфатом натрия и упаривали в условиях пониженного давления с получением неочищенного соединения. Неочищенное соединение затем очищали методом флэш-хроматографии с получением Соединения 17.
Пример 16. Синтез 3-(6-((1-(1-(Кубан-1-карбонил)-4-метилпиперидин-4-ил)-1Н-пиразол-4-ил)метил)-2-оксобензо[cd]индол-1(2Н)-ил)пиперидин-2,6-диона (Соединение 18)
Стадия 1: Получение трет-бутил-4-(4-(Гидрокси(2-оксо-1,2-дигидробензо[cd]индол-6-ил)метил)-1Н-пиразол-1-ил)-4-метилпиперидин-1-карбоксилата (3): К перемешиваемому раствору 6-бром-1Н-бензо[cd]индол-2-она 1 (430,0 мг, 1,73 ммоль) в THF (5 мл) добавляли н-бутиллитий (2,36 М, 2,35 мл) при -78°С и по завершении добавления температуру повышали до -40°С и реакционную смесь перемешивали 30 минут. трет-Бутил-4-(4-формилпиразол-1-ил)-4-метилпиперидин-1-карбоксилат 2 (508,50 мг, 1,73 ммоль) в THF (5 мл) добавляли при -78°С и затем реакционную смесь нагревали до комнатной температуры и перемешивали в течение 16 часов. Реакционную смесь гасили раствором хлорида аммония, разбавляли этилацетатом и промывали водой и органический слой отделяли. Органическую фазу сушили безводным сульфатом натрия и упаривали в условиях пониженного давления с получением неочищенного соединения, которое очищали методом флэш-хроматографии (с использованием 0%-5% MeOH-DCM) с получением трет-бутил-4-[4-[гидрокси-(2-оксо-1Н-бензо[cd]индол-6-ил)метил]пиразол-1-ил]-4-метилпиперидин-1-карбоксилата 3 (75 мг, 162,15 мкмоль, 9,35% выход) в виде коричневого твердого вещества. ЖХ-МС: ЭС+ 445,5 (-18 due to deoxygenated fragment).
Стадия 2: Получение Трифторацетата 6-((1-(4-Метилпиперидин-4-ил)-1Н-пиразол-4-ил)метил)бензо[cd]индол-2(1Н)-она (4): К перемешиваемому раствору 6-[[1-(4-метил-4-пиперидил)пиразол-4-ил]метил]-1Н-бензо[cd]индол-2-она 3 (75,0 мг, 162,15 мкмоль) в DCE (1 мл) добавляли триэтилсилан (75,42 мг, 648,59 мкмоль, 103,59 мкл) и трифторуксусную кислоту (147,91 мг, 1,30 ммоль, 99,94 мкл) и реакционную смесь перемешивали при 80°С в течение 2 часов. Реакционную смесь концентрировали в условиях пониженного давления и растирали с диэтиловым эфиром с получением [4-метил-4-[4-[(2-оксо-1Н-бензо[cd]индол-6-ил)метил]пиразол-1-ил]-1-пиперидил]-2,2,2-трифторацетата 4 (72 мг, 156,37 мкмоль, 96,44% выход) в виде коричневого смолистого твердого вещества. ЖХ-МС: ЭС+ 347,2.
Стадия 3: Получение трет-бутил-4-Метил-4-(4-((2-оксо-1,2-дигидробензо[cd]индол-6-ил)метил)-1Н-пиразол-1-ил)пиперидин-1-карбоксилата (5): К перемешиваемому раствору [4-метил-4-[4-[(2-оксо-1Н-бензо[cd]индол-6-ил)метил]пиразол-1-ил]-1-пиперидил]2,2,2-трифторацетата 4 (72,0 мг, 156,37 мкмоль) в DCM (6 мл) добавляли триэтиламин (47,47 мг, 469,11 мкмоль, 65,38 мкл) при охлаждении с последующим добавлением ди-трет-бутилдикарбоната (51,19 мг, 234,55 мкмоль, 53,83 мкл) и реакционную смесь перемешивали при комнатной температуре в течение 16 часов. Реакционную смесь разбавляли этилацетатом, промывали водой и насыщенным солевым раствором и органический слой отделяли. Органическую фазу сушили безводным сульфатом натрия и упаривали в условиях пониженного давления с получением неочищенного соединения, которое очищали методом флэш-хроматографии (с использованием 0%-5% MeOH-DCM с получением трет-бутил-4-метил-4-[4-[(2-оксо-1Н-бензо[cd]индол-6-ил)метил]пиразол-1-ил]пиперидин-1-карбоксилата 5 (40,0 мг, 89,58 мкмоль, 57,29% выход) в виде желтого липкого твердого вещества. ЖХ-МС: ЭС+ 447,4.
Стадия 4: Получение 6-((1-(4-Метилпиперидин-4-ил)-1Н-пиразол-4-ил)метил)бензо[cd]индол-2(1Н)-онгидрохлорида (6): К перемешиваемому раствору трет-бутил-4-метил-4-[4-[(2-оксо-1Н-бензо[cd]индол-6-ил)метил]пиразол-1-ил]пиперидин-1-карбоксилата 5 (40,0 мг, 89,58 мкмоль) в 1,4-диоксане (1 мл) добавляли соляную кислоту в диоксане (89,58 мкмоль, 2 мл), и реакционную смесь перемешивали при комнатной температуре в течение 2 часов. Растворитель упаривали в условиях пониженного давления и неочищенное соединение промывали эфиром и пентаном с получением 6-[[1-(1-хлор-4-метил-4-пиперидил)пиразол-4-ил]метил]-1Н-бензо[cd]индол-2-она 6 (34 мг, 88,80 мкмоль, 99,13% выход) в виде желтого твердого вещества. ЖХ-МС: ЭС+ 347,4.
Стадия 5: Получение 6-((1-(1-(Кубан-1-карбонил)-4-метилпиперидин-4-ил)-1Н-пиразол-4-ил)метил)бензо[cd]индол-2(1Н)-она (8): К перемешиваемому раствору 6-[[1-(1-хлор-4-метил-4-пиперидил)пиразол-4-ил]метил]-1Н-бензо[cd]индол-2-она 6 (34,0 мг, 88,80 мкмоль) в DMF (1 мл) добавляли N,N-диизопропилэтиламин (34,43 мг, 266,40 мкмоль, 46,40 мкл) при охлаждении с последующим добавлением кубан-1-карбоновой кислоты 7 (13,16 мг, 88,80 мкмоль) и HATU (50,65 мг, 133,20 мкмоль) и реакционную смесь перемешивали при комнатной температуре в течение 16 часов. Реакционную смесь разбавляли этилацетатом и промывали раствором бикарбоната натрия, водой и насыщенным солевым раствором. Органическую фракцию отделяли, сушили безводным сульфатом натрия и упаривали в условиях пониженного давления с получением неочищенного соединения, которое очищали с помощью пластинки для препаративной ТСХ (элюируя 3% MeOH-DCM) с получением 6-[[1-[1-(кубан-1-карбонил)-4-метил-4-пиперидил]пиразол-4-ил]метил]-1Н-бензо[cd]индол-2-она 8 (20,0 мг, 41,97 мкмоль, 47,26% выход) в виде желтого твердого вещества. ЖХ-МС: ЭС+477,3. Стадия 6: Получение 3-(6-((1-(1-(Кубан-1-карбонил)-4-метилпиперидин-4-ил)-1Н-пиразол-4-ил)метил)-2-оксобензо[cd]индол-1(2Н)-ил)пиперидин-2,6-диона (Соединение 18): К перемешиваемому раствору 6-[[1-[1-(кубан-1-карбонил)-4-метил-4-пиперидил]пиразол-4-ил]метил]-1Н-бензо[cd]индол-2-она 8 (20,0 мг, 41,97 мкмоль) в DMF (1 мл) добавляли гидрид натрия (60% дисперсия в минеральном масле, 3,22 мг, 83,93 мкмоль) при охлаждении и реакционную смесь нагревали при 60°С в течение 30 минут. 3-Бромпиперидин-2,6-дион 9 (8,06 мг, 41,97 мкмоль) добавляли при нагревании и реакцию продолжали в течение 4 часов при 60°С. ТСХ свидетельствовали о полном расходовании 9, так что 3-бромпиперидин-2,6-дион (8,06 мг, 41,97 мкмоль) далее добавляли, и реакционную смесь нагревали при 60°С в течение 16 часов. Реакционную смесь разбавляли этилацетатом, промывали водой и органическую фракцию отделяли. Органическую фазу затем сушили безводным сульфатом натрия и упаривали в условиях пониженного давления с получением неочищенного соединения, которое очищали с помощью пластинки для препаративной ТСХ (элюируя 40% этилацетат-DCM) с получением 3-[6-[[1-[1-(кубан-1-карбонил)-4-метил-4-пиперидил]пиразол-4-ил]метил]-2-оксобензо[cd]индол-1-ил]пиперидин-2,6-диона (Соединение 18) (7 мг, 11,75 мкмоль, 27,99% выход, 98,62% чистота) в виде желтого твердого вещества. 1H ЯМР (d6-DMSO, 400 МГц) δ 11,10 (s, 1H), 8,39 (d, J=8,28 Гц, 1Н), 8,08 (d, J=6,96 Гц, 1Н), 7,84 (d, J=7,52 Гц, 1H), 7,81 (s, 1H), 7,36-7,33 (m, 2Н), 7,07 (d, J=7,32 Гц, 1H), 5,43 (dd, J=12,68, 5,16 Гц, 1H), 4,21 (s, 2Н), 4,15 (br s, 3H), 3,96 (br s, 4Н), 3,74-3,70 (m, 1H), 3,23-3,18 (m, 1H), 3,05-2,88 (m, 3H), 2,80-2,72 (m, 1H), 2,66-2,62 (m, 1H), 2,40-2,27 (m, 2Н), 2,10-2,07 (m, 1H), 1,86-1,71 (m, 2Н), 1,34 (s, 3H); ЖХ-МС: ЭС+ 588,5.
Пример 17. Синтез 3-(6-((1-(4-Метил-1-(1-метилциклобутан-1-карбонил)пиперидин-4-ил)-1Н-пиразол-4-ил)метил)-2-оксобензо[cd]индол-1(2Н)-ил)пиперидин-2,6-диона (Соединение 19)
Стадия 1: Синтез трет-бутил-4-(4-((1-(2,6-Диоксопиперидин-3-ил)-2-оксо-1,2-дигидробензо[cd]индол-6-ил)метил)-1Н-пиразол-1-ил)-4-1У1етилпиперидин-1-карбоксилата (3): К перемешиваемому раствору 6-бром-1Н-бензо[cd]индол-2-она 2 (1 эквив.) в THF добавляли бутиллитий (2,2 эквив.) при -78°С и по завершении добавления температуре позволяли повыситься до -40°С и перемешивали в течение 30 минут. 1 (1 эквив.) в THF добавляли при -78°С и реакционной смеси позволяли нагреться до комнатной температуры и перемешивали в течение 16 часов. Реакционную смесь гасили насыщенным водным раствором хлорида аммония и разбавляли этилацетатом. Слои разделяли и органический слой промывали водой. Органическую фазу сушили безводным сульфатом натрия и упаривали в условиях пониженного давления с получением неочищенного соединения, которое очищали методом флэш-хроматографии с использованием 0-5% MeOH-DCM с получением желаемого продукта 3.
Стадия 2: Синтез 3-(6-((1-(4-Метилпиперидин-4-ил)-1Н-пиразол-4-ил)метил)-2-оксобензо[cd]индол-1(2Н)-ил)пиперидин-2,6-диона (4): К перемешиваемому раствору 3 в диоксане добавляли соляную кислоту в диоксане (10 экв.) и реакционную смесь перемешивали при комнатной температуре в течение 2 часов. ТСХ свидетельствовала о полном расходовании исходного вещества. Растворитель из реакционной смеси упаривали в условиях пониженного давления и промывали эфиром и пентаном с получением 4 в виде твердого вещества.
Стадия 3: Синтез 3-(6-((1-(4-Метил-1-(1-метилциклобутан-1-карбонил)пиперидин-4-ил)-1Н-пиразол-4-ил)метил)-2-оксобензо[cd]индол-1(2Н)-ил)пиперидин-2,6-диона (Соединение 19): К перемешиваемому раствору 4 и 1-метилциклобутан-1-карбоновой кислоты 5 (1 эквив.) в DMF (2 мл) добавляли HATU (1,5 эквив.) и DIPEA (3 эквив.) и реакционную смесь перемешивали при 25°С в течение 16 ч. Реакционную смесь разбавляли этилацетатом и промывали водой. Органический слой отделяли, сушили над сульфатом натрия и концентрировали в условиях пониженного давления с получением неочищенного соединения. Это неочищенное вещество очищали методом колоночной хроматографии на силикагеле с получением Соединения 19 в виде твердого вещества.
Пример 18. Синтез трет-бутил-4-(4-((1-(2,6-Диоксопиперидин-3-ил)-2-оксо-1,2-дигидробензо[cd]индол-6-ил)(гидрокси)метил)-1Н-пиразол-1-ил)-4-метилпиперидин-1-карбоксилата (Соединение 20)
Стадия 1: Синтез трет-бутил-4-Метил-4-(4-(2-оксо-1,2-дигидробензо[cd]индол-6-карбонил)-1Н-пиразол-1-ил)пиперидин-1-карбоксилата (2): К перемешиваемому раствору 1 в DCM добавляли диоксид марганца (10 эквив.) при комнатной температуре и реакционную смесь перемешивали в течение ночи. По окончании реакции смесь фильтровали и часть фильтрата упаривали в условиях пониженного давления. Неочищенное вещество затем очищали методом колоночной хроматографии с получением 2.
Стадия 2: Синтез трет-бутил-4-(4-(1-(2,6-Диоксопиперидин-3-ил)-2-оксо-1,2-дигидробензо[cd]индол-6-карбонил)-1Н-пиразол-1-ил)-4-метилпиперидин-1-карбоксилата (4): К перемешиваемому раствору соединения 2 в THF добавляли гидрид натрия (60% дисперсия в минеральном масле, 1 эквив.) и реакционную смесь нагревали с обратным холодильником при 60°С в течение 30 минут. Раствор (3-бромпиперидин-2,6-диона) 3 (0,5 эквив.) в THF также нагревали при 60°С. Через 30 минут, первую суспензию добавляли ко второму раствору при нагревании и нагревание продолжали в течение 3 часов. Реакционную смесь разбавляли этилацетатом и промывали водой и насыщенным солевым раствором. Органическую фракцию затем сушили безводным сульфатом натрия и упаривали в условиях пониженного давления с получением неочищенного соединения. Неочищенное соединение затем очищали методом флэш-хроматографии с получением 4.
Стадия 3: Синтез трет-бутил-4-(4-((1-(2,6-Диоксопиперидин-3-ил)-2-оксо-1,2-дигидробензо[cd]индол-6-ил)(гидрокси)метил)-1Н-пиразол-1-ил)-4-метилпиперидин-1-карбоксилата (Соединение 20): К перемешиваемому раствору 4 в сухом дихлорэтане добавляли цианоборгидрид натрия (2 эквив.) при 0°С и реакционную смесь перемешивали при 0°С в течение 2 ч. Реакционную смесь нагревали до к.т. в течение 1 ч и перемешивали при к.т. в течение 12 ч. Завершение реакции подтверждали с помощью ТСХ. Реакционную смесь гасили водой (25 мл) и экстрагировали добавлением DCM (2 × 25 мл). Объединенный органический слой далее промывали насыщенным солевым раствором (1 × 25 мл), сушили над безводным Na2SO4, концентрировали с получением неочищенного продукта Соединения 20.
Пример 19. Синтез 3-(6-((1-(4-Метил-1-((1-метилциклобутил)метил)пиперидин-4-ил)-1Н-пиразол-4-ил)метил)-2-оксобензо[cd]индол-1(2Н)-ил)пиперидин-2,6-диона (Соединение 21)
Стадия 1: Синтез 6-((1-(4-Метил-1-((1-метилциклобутил)метил)пиперидин-4-ил)-1Н-пиразол-4-ил)метил)бензо[cd]индол-2(1Н)-она (3): К перемешиваемому раствору 1 в THF в сосуде для микроволновой обработки добавляли 1-метилциклобутан-1-карбальдегид 2 (1 эквив.) с последующим добавлением дихлорида дибутилолова (2 эквив.) и реакционную смесь перемешивали в течение 1 часа при к.т. Фенилсилана (1 эквив.) добавляли к смеси и реакционную смесь облучали микроволнами в течение 2 ч. Завершение реакции подтверждали с помощью ТСХ. Реакционную смесь гасили водой (25 мл) и экстрагировали добавлением DCM (2×25 мл). Объединенный органический слой далее промывали насыщенным солевым раствором (1×25 мл), сушили над безводным Na2SO4 и концентрировали с получением неочищенного продукта 3.
Стадия 2: Синтез 3-(6-((1-(4-Метил-1-((1-метилциклобутил)метил)пиперидин-4-ил)-1Н-пиразол-4-ил)метил)-2-оксобензо[cd]индол-1(2Н)-ил)пиперидин-2,6-диона (Соединение 21): К перемешиваемому раствору 3 в THF добавляли гидрид натрия (60% дисперсия в минеральном масле, 1 эквив.) и реакционную смесь нагревали с обратным холодильником при 60°С в течение 30 минут. Раствор (3-бромпиперидин-2,6-диона) (0,5 эквив.) в THF также нагревали при 60°С. Через 30 минут, первую суспензию добавляли ко второму раствору при нагревании и нагревание продолжали в течение 3 часов. Реакционную смесь разбавляли этилацетатом и промывали водой и насыщенным солевым раствором. Органическую фракцию затем сушили безводным сульфатом натрия и упаривали в условиях пониженного давления с получением неочищенного соединения. Неочищенное соединение затем очищали методом флэш-хроматографии с получением Соединения 21.
Пример 20: Синтез трет-бутил-4-(4-((1-(2,6-Диоксопиперидин-3-ил)-2-оксо-1,2-дигидропирроло[4,3,2-ij]изохинолин-6-ил)метил)-1Н-пиразол-1-ил)пиперидин-1-карбоксилата (Соединение 22) и 3-(6-((1-(1-(Кубан-1-карбонил)пиперидин-4-ил)-1Н-пиразол-4-ил)метил)-2-оксопирроло[4,3,2-ij]изохинолин-1(2Н)-ил)пиперидин-2,6-диона (Соединение 23)
Стадия 1: Синтез 6-Бромпирроло[4,3,2-ij]изохинолин-2(1Н)-она (2): К перемешиваемому раствору трифосгена (332,58 мг, 1,12 ммоль) в DCM (10 мл) добавляли пиридин (620,55 мг, 7,85 ммоль, 634,51 мкл) при -15°С и реакционную смесь перемешивали в течение 10 минут.4-бромизохинолин-1-амин 1 (500 мг, 2,24 ммоль) добавляли при -15°С и реакционную смесь постепенно нагревали до к.т. и перемешивали в течение 6 ч. Хлорид алюминия (298,88 мг, 2,24 ммоль, 122,49 мкл) добавляли в реакционную смесь и ее перемешивали при к.т. в течение 16 ч. Ее разбавляли водой, экстрагировали добавлением этилацетата и промывали водой и насыщенным солевым раствором. Органический слой сушили над сульфатом натрия и концентрировали в условиях пониженного давления. Неочищенное соединение очищали с помощью CombiFlash, элюируя 25% этилацетата в гексане с получением 155 мг 2.
Стадия 2: Синтез трет-бутил-4-(4-(Гидрокси(2-оксо-1,2-дигидропирроло[4,3,2-ij]изохинолин-6-ил)метил)-1Н-пиразол-1-ил)пиперидин-1-карбоксилата (4): К перемешиваемому раствору 6-бромпирроло[4,3,2-ij]изохинолин-2(1Н)-она 2 (1 эквив.) в THF добавляли бутиллитий (2,2 эквив.) при -78°С. По окончании добавления температуре позволяли повыситься до -40°С и реакционную смесь перемешивали при той же температуре в течение 30 минут. 3 (1 эквив.) в THF добавляли при -78°С и затем реакционной смеси позволяли нагреться до комнатной температуры и перемешивали в течение 16 часов. Реакционную смесь гасили насыщенным водным раствором хлорида аммония и разбавляли этилацетатом. Слои разделяли и органическую фазу промывали водой. Органический слой затем сушили безводным сульфатом натрия и упаривали в условиях пониженного давления с получением неочищенного соединения, которое очищали методом флэш-хроматографии с использованием 0-5% MeOH-DCM с получением желаемого продукта 4.
Стадия 3: Синтез трет-бутил-4-(4-((2-Оксо-1,2-дигидропирроло[4,3,2-ij]изохинолин-6-ил)метил)-1Н-пиразол-1-ил)пиперидин-1-карбоксилата (5): К перемешиваемому раствору 4 в DCE добавляли триэтилсилан (2 эквив.) и трифторуксусную кислоту (5 эквив.) и реакционную смесь перемешивали в течение 30 минут при микроволновом облучении при 70°С. Растворитель из реакционной смеси упаривали в условиях пониженного давления с получением неочищенного соединения, которое промывали эфиром и пентаном с получением 5.
Стадия 4: Синтез трет-бутил-4-(4-((1-(2,6-Диоксопиперидин-3-ил)-2-оксо-1,2-дигидропирроло[4,3,2-ij]изохинолин-6-ил)метил)-1Н-пиразол-1-ил)пиперидин-1-карбоксилата (Соединение 22): К перемешиваемому раствору соединения 5 в THF добавляли гидрид натрия (60% дисперсия в минеральном масле, 1 эквив.) и реакционную смесь нагревали с обратным холодильником при 60°С в течение 30 минут. Раствор (3-бромпиперидин-2,6-диона) 6 (0,5 эквив.) в THF также нагревали при 60°С. Через 30 минут первую суспензию добавляли ко второму раствору при нагревании и нагревание продолжали в течение 3 часов. Реакционную смесь разбавляли этилацетатом и промывали водой и насыщенным солевым раствором. Органическую фракцию затем сушили безводным сульфатом натрия и упаривали в условиях пониженного давления с получением неочищенного соединения. Неочищенное соединение затем очищали методом флэш-хроматографии с получением Соединения 22.
Стадия 5: Синтез 3-(2-Оксо-6-((1-(пиперидин-4-ил)-1Н-пиразол-4-ил)метил)пирроло[4,3,2-ij]изохинолин-1(2Н)-ил)пиперидин-2,6-диона (7): К перемешиваемому раствору соединения 22 в диоксане добавляли соляную кислоту в диоксане (10 эквив.), и реакционную смесь перемешивали при комнатной температуре в течение 2 часов. По завершении реакции по данным ТСХ растворитель из реакционной смеси упаривали в условиях пониженного давления и промывали эфиром и пентаном с получением 7.
Стадия 6: Синтез 3-(6-((1-(1-(Кубан-1-карбонил)пиперидин-4-ил)-1Н-пиразол-4-ил)метил)-2-оксопирроло[4,3,2-ij]изохинолин-1(2Н)-ил)пиперидин-2,6-диона (Соединение 23): К перемешиваемому раствору 7 и кубан-1-карбоновой кислоты 8 (1 эквив.) в DMF (2 мл) добавляли HATU (1,5 эквив.) и DIPEA (3 эквив.) и реакционную смесь перемешивали при 25°С в течение 16 ч. Когда ЖХМС показывала желаемую массу, реакционную смесь разбавляли этилацетатом и промывали водой. Органический слой отделяли, сушили над сульфатом натрия и концентрировали в условиях пониженного давления с получением неочищенного соединения 23. Это неочищенное вещество очищали с помощью преп. ТСХ (с использованием 100% этилацетата) с получением Соединения 23 в виде твердого вещества.
Пример 21. Синтез трет-бутил-4-(4-((1-(2,6-Диоксопиперидин-3-ил)-2-оксо-1,2-дигидропирроло[2,3,4-de]изохинолин-6-ил)метил)-1Н-пиразол-1-ил)пиперидин-1-карбоксилата (Соединение 24) и 3-(6-((1-(1-(Кубан-1-карбонил)пиперидин-4-ил)-1Н-пиразол-4-ил)метил)-2-оксопирроло[2,3,4-de]изохинолин-1(2Н)-ил)пиперидин-2,6-диона (Соединение 25)
Стадия 1: Синтез 6-Бромпирроло[2,3,4-de]изохинолин-2(1Н)-она (2): К перемешиваемому раствору трифосгена (0,5 эквив.) в DCM добавляли пиридин (3 эквив.) при -15°С и реакционную смесь перемешивали в течение 10 минут. 1-бромизохинолин-4-амин 1 (1 эквив.) добавляли при -15°С и реакционную смесь постепенно нагревали до к.т. и перемешивали в течение 6 ч. Хлорид алюминия (1 эквив.) добавляли к реакционной смеси и реакционную смесь перемешивали при к.т. в течение 16 ч. Реакционную смесь разбавляли водой, экстрагировали добавлением этилацетата и промывали водой и насыщенным солевым раствором. Реакционную смесь затем сушили над сульфатом натрия и концентрировали в условиях пониженного давления. Неочищенное соединение очищали с помощью CombiFlash, элюируя при 25% этилацетата в гексане с получением 2.
Стадия 2: Синтез трет-бутил-4-(4-(Гидрокси(2-оксо-1,2-дигидропирроло[2,3,4-de]изохинолин-6-ил)метил)-1Н-пиразол-1-ил)пиперидин-1-карбоксилата (4): К перемешиваемому раствору 6-бромпирроло[2,3,4-de]изохинолин-2(1Н)-она 2 (1 эквив.) в THF добавляли бутиллитий (2,2 эквив.) при -78°С. По завершении добавления температуре позволяли повыситься до -40°С и реакционную смесь перемешивали при той же температуре в течение 30 минут.3 (1 эквив.) в THF добавляли при -78°С и затем реакционной смеси позволяли нагреться до комнатной температуры и перемешивали в течение 16 часов. Реакционную смесь гасили насыщенным водным раствором хлорида аммония и разбавляли этилацетатом. Слои разделяли и органический слой промывали водой. Объединенные органические слои затем сушили безводным сульфатом натрия и упаривали в условиях пониженного давления с получением неочищенного соединения, которое очищали методом флэш-хроматографии с использованием 0-5%MeOH-DCM с получением желаемого продукта 4.
Стадия 3: Синтез трет-бутил-4-(4-((2-Оксо-1,2-дигидропирроло[2,3,4-de]изохинолин-6-ил)метил)-1Н-пиразол-1-ил)пиперидин-1-карбоксилата (5): К перемешиваемому раствору 4 в DCE добавляли триэтилсилан (2 эквив.) и трифторуксусную кислоту (5 эквив.) и реакционную смесь перемешивали в течение 30 минут при микроволновом облучении при 70°С. Растворитель из реакционной смеси упаривали в условиях пониженного давления с получением неочищенного соединения, которое промывали эфиром и пентаном с получением 5.
Стадия 4: Синтез трет-бутил-4-(4-((1-(2,6-Диоксопиперидин-3-ил)-2-оксо-1,2-дигидропирроло[2,3,4-de]изохинолин-6-ил)метил)-1Н-пиразол-1-ил)пиперидин-1-карбоксилата (Соединение 24): К перемешиваемому раствору соединения 5 в DMF добавляли гидрид натрия (60% дисперсия в минеральном масле, 1 эквив.) и реакционную смесь нагревали с обратным холодильником при 60°С в течение 30 минут. Раствор 3-бромпиперидин-2,6-диона 6 (0,5 эквив.) в DMF также нагревали при 60°С. Через 30 минут первую суспензию добавляли ко второму раствору при нагревании и нагревание продолжали в течение 3 часов. Реакционную смесь разбавляли этилацетатом и промывали водой и насыщенным солевым раствором. Органическую фракцию затем сушили безводным сульфатом натрия и упаривали в условиях пониженного давления с получением неочищенного соединения. Неочищенное соединение затем очищали методом флэш-хроматографии с получением Соединения 24.
Стадия 5: Синтез 3-(2-Оксо-6-((1-(пиперидин-4-ил)-1Н-пиразол-4-ил)метил)пирроло[2,3,4-de]изохинолин-1(2Н)-ил)пиперидин-2,6-диона (7): к перемешиваемому раствору соединения 24 в диоксане добавляли соляную кислоту в диоксане (10 эквив.), и реакционную смесь перемешивали при комнатной температуре в течение 2 часов. По завершении расходования исх. вещ. по данным ТСХ растворитель из реакционной смеси упаривали в условиях пониженного давления и промывали эфиром и пентаном с получением 7 в виде твердого вещества.
Стадия 6: Синтез 3-(6-((1-(1-(Кубан-1-карбонил)пиперидин-4-ил)-1Н-пиразол-4-ил)метил)-2-оксопирроло[2,3,4-de]изохинолин-1(2Н)-ил)пиперидин-2,6-диона (Соединение 25): К перемешиваемому раствору 7 и кубан-1-карбоновой кислоты 8 (1 эквив.) в DMF (2 мл) добавляли HATU (1,5 эквив.) и DIPEA (3 эквив.) и реакционную смесь перемешивали при 25°С в течение 16 ч. Когда ЖХМС показывала желаемую массу, реакционную смесь разбавляли этилацетатом и промывали водой. Органический слой отделяли, сушили над сульфатом натрия и концентрировали в условиях пониженного давления с получением неочищенного соединения. Это неочищенное вещество очищали с помощью преп. ТСХ (с использованием 100% этилацетата) с получением Соединения 25 в виде твердого вещества.
Пример 22. Синтез 3-(6-((4-(1-(1-Метилциклобутан-1-карбонил)пиперидин-4-ил)-1Н-пиразол-1-ил)метил)-2-оксобензо[cd]индол-1(2Н)-ил)пиперидин-2,6-диона (Соединение 26)
Стадия 1: Синтез 4-Бром-1-(тетрагидро-2Н-пиран-2-ил)-1Н-пиразола (2): К перемешиваемому раствору 4-бром-1Н-пиразола 1 (3,0 г, 20,41 ммоль) в 3,4-дигидро-2Н-пиране (2,58 г, 30,62 ммоль, 2,78 мл) при 0°С добавляли трифторуксусную кислоту (116,37 мг, 1,02 ммоль, 78,63 мкл) капельно и реакционную смесь перемешивали при 80°С в течение ночи. По завершении расходования исходного вещества по данным ТСХ реакционную смесь разбавляли DCM и промывали 1М раствором NaOH. Реакционную смесь сушили над Na2SO4, фильтровали и упаривали в вакууме. Неочищенное соединение очищали с помощью CombiFlash с получением чистого соединения 4-бром-1-тетрагидропиран-2-илпиразола 2 (3,44 г, 14,89 ммоль, 72,93% выход).
Стадия 2: Синтез 1-Бензил-4-(1-(тетрагидро-2Н-пиран-2-ил)-1Н-пиразол-4-ил)-1,2,3,6-тетрагидропиридина (4): К перемешиваемому раствору 4-бром-1-тетрагидропиран-2-илпиразола 2 (700 мг, 3,03 ммоль) в воде (4,0 мл) и DMF (16,0 мл) добавляли карбонат натрия (642,11 мг, 6,06 ммоль, 253,80 мкл) и 1-бензил-4-(4,4,5,5-тетраметил-1,3,2-диоксаборолан-2-ил)-3,6-дигидро-2Н-пиридин 3 (1,09 г, 3,63 ммоль) и реакционную смесь дегазировали аргоном в течение 10 мин. Затем хлорид [1,1'-бис(дифенилфосфино)ферроцен]палладия(II) в дихлорметане (247,37 мг, 302,91 мкмоль) добавляли и реакционную смесь перемешивали при 100°С в течение ночи в укупоренной пробирке. По завершении расходования исх. вещ. по данным ТСХ реакционную смесь разбавляли этилацетатом и промывали водой и насыщенным солевым раствором. Органический слой сушили над Na2SO4 и фильтровали. Реакционную смесь упаривали в вакууме и неочищенное соединение очищали с помощью CombiFlash с получением чистого соединения 1-бензил-4-(1-тетрагидропиран-2-илпиразол-4-ил)-3,6-дигидро-2Н-пиридина 4 (230 мг, 711,13 мкмоль, 23,48% выход).
Стадия 3: Синтез 4-(1-(Тетрагидро-2Н-пиран-2-ил)-1Н-пиразол-4-ил)пиперидина (5): Перемешиваемый раствор 4 в этаноле дегазировали аргоном в течение 10 минут. 10% Pd/C (30 масс. %) добавляли в реакционную смесь и ее подвергали гидрированию с помощью баллона с водородом в течение 16 часов. Реакционную смесь фильтровали через целит и концентрировали в условиях пониженного давления с получением 5 в качестве желаемого продукта.
Стадия 4: Синтез (1-Метилциклобутил)(4-(1-(тетрагидро-2Н-пиран-2-ил)-1Н-пиразол-4-ил)пиперидин-1-ил)метанона (7): К перемешиваемому раствору 1-метилциклобутанкарбоновой кислоты 6 (194,26 мг, 1,70 ммоль) в DMF (2,0 мл) добавляли N-этил-N-изопропилпропан-2-амин 5 (439,91 мг, 3,40 ммоль, 592,87 мкл) и реакционную смесь перемешивали при к.т.в течение 5 мин. HATU (647,12 мг, 1,70 ммоль) добавляли и реакционную смесь перемешивали в течение дополнительных 5 мин. После этого 4-(1-тетрагидропиран-2-илпиразол-4-ил)пиперидин 5 (267 мг, 1,13 ммоль) в DMF (2,0 мл) добавляли к реакционной смеси капельно, реакционную смесь перемешивали при к.т. в течение ночи. По завершении расходования исх. вещ. по данным ТСХ реакционную смесь разбавляли этилацетатом и промывали холодным раствором NaHCO3. Реакционную смесь сушили над Na2SO4, фильтровали и концентрировали в условиях пониженного давления с получением неочищенного продукта, который очищали методом колоночной хроматографии с получением 7.
Стадия 5: Синтез (4-(1Н-Пиразол-4-ил)пиперидин-1-ил)(1-метилциклобутил)метанона (8): К перемешиваемому раствору (1-метилциклобутил)(4-(1-(тетрагидро-2Н-пиран-2-ил)-1Н-пиразол-4-ил)пиперидин-1-ил)метанона 7 в диоксане добавляли 4М HCl в диоксане (2 эквив.) и реакционную смесь перемешивали при к.т. в течение 1 ч. Раствор концентрировали в условиях пониженного давления с получением (4-(1Н-пиразол-4-ил)пиперидин-1-ил)(1-метилциклобутил)метанона 8 в виде твердого вещества.
Стадия 6: 1-Аллил-6-((4-(1-(1-метилциклобутан-1-карбонил)пиперидин-4-ил)-1Н-пиразол-1-ил)метил)бензо[cd]индол-2(1Н)-он (10): Перемешиваемый магнитной мешалкой раствор 8 (1,2 эквив.) и 9 (1 эквив.) в DMF обрабатывали Cs2CO3 (2,5 эквив.) и перемешивали при к.т. в течение 4 ч. Реакционную смесь мониторировали в течение 24 ч (темп. 25-50°С) методом ТСХ и ЖХ-МС. После полного расходования исх. вещ. реакционную смесь промывали водой. Фазы разделяли и водный слой далее экстрагировали добавлением EtOAc. Органические слои объединяли, сушили над MgSO4 и фильтровали. Растворители удаляли в условиях пониженного давления с получением остатка, который очищали методом колоночной хроматографии (элюируя 80% ЕА/Нех) с получением продукта 10 в виде белого твердого вещества.
Стадия 7: Синтез 6-((4-(1-(1-Метилциклобутан-1-карбонил)пиперидин-4-ил)-1Н-пиразол-1-ил)метил)бензо[cd]индол-2(1Н)-она (11): Раствор 10 (1 эквив.) в сухом DCM добавляли к смеси Pd(PPh3)4 (10%) и 1,3-диметилбарбитуровой кислоты (3 эквив.) в атмосфере аргона. Реакционную смесь перемешивали в течение 5 ч при 35°С, гасили насыщенным водным раствором NaHCO3 и экстрагировали добавлением CH2Cl2. Объединенные органические слои сушили над MgSO4, фильтровали и концентрировали. Неочищенное соединение очищали методом колоночной хроматографии в 100-200 силикагеле в 3-4% МеОН в DCM с получением желаемого соединения 11 в виде твердого вещества.
Стадия 8: Синтез 3-(6-((4-(1-(1-Метилциклобутан-1-карбонил)пиперидин-4-ил)-1Н-пиразол-1-ил)метил)-2-оксобензо[cd]индол-1(2Н)-ил)пиперидин-2,6-диона (Соединение 26): К перемешиваемому раствору соединения 11 в DMF добавляли гидрид натрия (60% дисперсия в минеральном масле, 1 эквив.) и реакционную смесь нагревали с обратным холодильником при 60°С в течение 30 минут. Раствор 3-бромпиперидин-2,6-диона (0,5 эквив.) в DMF также нагревали при 60°С. Через 30 минут первую суспензию добавляли ко второму раствору при нагревании и нагревание продолжали в течение 3 часов. Реакционную смесь разбавляли этилацетатом и промывали водой и насыщенным солевым раствором. Органическую фракцию затем сушили безводным сульфатом натрия и упаривали в условиях пониженного давления с получением неочищенного соединения. Неочищенное соединение затем очищали методом флэш-хроматографии с получением Соединения 26.
Пример 23. Синтез 4-(4-(4-((1-(2,6-Диоксопиперидин-3-ил)-2-оксо-1,2-дигидробензо[cd]индол-6-ил)метил)бензил)пиперазин-1-ил)-3-фторбензонитрила (Соединение 27)
Стадия 1: Синтез 3-Фтор-4-(4-(4-(гидрокси(2-оксо-1,2-дигидробензо[cd]индол-6-ил)метил)бензил)пиперазин-1-ил)бензонитрила (3): К перемешиваемому раствору 6-бром-1Н-бензо[cd]индол-2-она 2 (1 эквив.) в THF добавляли бутиллитий (2,2 эквив.) при -78°С. По завершении добавления температуре позволяли повыситься до -40°С и реакционную смесь перемешивали при той же температуре в течение 30 минут. 3-фтор-4-(4-(4-формилбензил)пиперазин-1-ил)бензонитрил 1 (1 эквив.) добавляли в THF при -78°С и затем реакционной смеси позволяли нагреться до комнатной температуры и перемешивали в течение 16 часов. Реакционную смесь гасили насыщенным водным раствором хлорида аммония и разбавляли этилацетатом. Слои разделяли и органический слой промывали водой. Органические фазы затем сушили безводным сульфатом натрия и упаривали в условиях пониженного давления с получением неочищенного соединения, которое очищали методом флэш-хроматографии с использованием 0-5%MeOH-DCM с получением желаемого продукта 3.
Стадия 2: Синтез 3-Фтор-4-(4-(4-((2-оксо-1,2-дигидробензо[cd]индол-6-ил)метил)бензил)пиперазин-1-ил)бензонитрила (4): К перемешиваемому раствору 3 в DCE добавляли триэтилсилан (3 эквив.) и трифторуксусную кислоту (10 эквив.) и реакционную смесь перемешивали в течение 30 минут при микроволновом облучении при 70°С. Растворитель из реакционной смеси упаривали в условиях пониженного давления с получением неочищенного соединения, которое промывали эфиром и пентаном с получением 4 в виде коричневой смолы в качестве неочищенного соединения.
Стадия 3: Синтез 4-(4-(4-((1-(2,6-Диоксопиперидин-3-ил)-2-оксо-1,2-дигидробензо[cd]индол-6-ил)метил)бензил)пиперазин-1-ил)-3-фторбензонитрила (Соединение 27): К перемешиваемому раствору соединения 4 в THF добавляли гидрид натрия (60% дисперсия в минеральном масле, 1 эквив.) и реакционную смесь нагревали с обратным холодильником при 60°С в течение 30 минут. Раствор (3-бромпиперидин-2,6-диона) 5 (0,5 эквив.) в THF также нагревали при 60°С. Через 30 минут первую суспензию добавляли ко второму раствору при нагревании и нагревание продолжали в течение 3 часов. Реакционную смесь разбавляли этилацетатом и промывали водой и насыщенным солевым раствором. Органическую фракцию затем сушили безводным сульфатом натрия и упаривали в условиях пониженного давления с получением неочищенного соединения. Неочищенное соединение затем очищали методом флэш-хроматографии с получением Соединения 27.
Пример 24. Синтез 3-(6-((1-(1-(Кубан-1-карбонил)пиперидин-4-ил)-1Н-пиразол-4-ил)амино)-2-оксопирроло[2,3,4-de]изохинолин-1(2Н)-ил)пиперидин-2,6-диона (Соединение 28)
Стадия 1: Синтез трет-бутил-4-(4-((2-Оксо-1,2-дигидропирроло[2,3,4-de]изохинолин-6-ил)амино)-1Н-пиразол-1-ил)пиперидин-1-карбоксилата (3): К перемешиваемому раствору трет-бутил-4-(4-аминопиразол-1-ил)пиперидин-1-карбоксилата 2 (1 эквив.) и 6-бромпирроло[2,3,4-de]изохинолин-2(1Н)-она 1 (1 эквив.) в толуоле в укупоренной пробирке добавляли карбонат цезия (2,5 эквив.) и реакционную смесь дегазировали в течение 5 мин в атмосфере аргона. Затем pd2(dba)3 (10%) и Xantphos (20%) добавляли и раствор вновь продували в течение 2 мин в атмосфере аргона. После этого реакционную смесь нагревали до 90°С в течение 16 ч. После регистрации полного расходования исх. вещ. реакционную смесь фильтровали через слой целита и концентрировали в вакууме. Очистка методом колоночной хроматографии CombiFlash (элюируя 15% этилацетата в н-гексане) позволяла получить указанное в заголовке соединение 3.
Стадия 2: трет-бутил-4-(4-((1-(2,6-Диоксопиперидин-3-ил)-2-оксо-1,2-дигидропирроло[2,3,4-de]изохинолин-6-ил)амино)-1Н-пиразол-1-ил)пиперидин-1-карбоксилат (5): К перемешиваемому раствору соединения 3 в DMF добавляли гидрид натрия (60% дисперсия в минеральном масле, 1 эквив.) и реакционную смесь нагревали с обратным холодильником при 60°С в течение 30 минут. Раствор (3-бромпиперидин-2,6-диона) 4 (0,5 эквив.) в DMF также нагревали при 60°С. Через 30 минут первую суспензию добавляли ко второму раствору при нагревании и нагревание продолжали в течение 3 часов. Реакционную смесь разбавляли этилацетатом и промывали водой и насыщенным солевым раствором. Органическую фракцию затем сушили безводным сульфатом натрия и упаривали в условиях пониженного давления с получением неочищенного соединения. Неочищенное соединение затем очищали методом флэш-хроматографии с получением 5.
Стадия 3: Синтез 3-(2-Оксо-6-((1-(пиперидин-4-ил)-1Н-пиразол-4-ил)амино)пирроло[2,3,4-de]изохинолин-1(2Н)-ил)пиперидин-2,б-диона (6): К перемешиваемому раствору 5 в диоксане добавляли соляную кислоту в диоксане (10 эквив.), и реакционную смесь перемешивали при комнатной температуре в течение 2 часов. Проверяли ТСХ до регистрации полного расходования исходного вещества. В этот момент Растворитель из реакционной смеси упаривали в условиях пониженного давления и промывали эфиром и пентаном с получением 6.
Стадия 4: Синтез 3-(6-((1-(1-(Кубан-1-карбонил)пиперидин-4-ил)-1Н-пиразол-4-ил)амино)-2-оксопирроло[2,3,4-de]изохинолин-1(2Н)-ил)пиперидин-2,6-диона (Соединение 28): К перемешиваемому раствору 6 и кубан-1-карбоновой кислоты 7 (1 эквив.) в DMF (2 мл) добавляли HATU (1,5 эквив.) и DTPEA (3 эквив.) и реакционную смесь перемешивали при 25°С в течение 16 ч. Когда по данным ЖХМС наблюдали желаемую массу, реакционную смесь разбавляли этилацетатом и промывали водой. Органический слой отделяли, сушили над сульфатом натрия и концентрировали в условиях пониженного давления с получением неочищенного соединения. Это неочищенное вещество очищали с помощью преп. ТСХ (с использованием 100% этилацетата) с получением Соединения 28 в виде твердого вещества.
Пример 25. Синтез 3-(6-Гидрокси-2-оксобензо[cd]индол-1(2Н)-ил)пиперидин-2,6-диона (Соединение 29), трет-бутил-4-(4-((1-(2,6-Диоксопиперидин-3-ил)-2-оксо-1,2-дигидробензо[cd]индол-6-ил)окси)-1Н-пиразол-1-ил)пиперидин-1-карбоксилата (Соединение 30) и 3-(6-((1-(1-((2r,3r,5r,6r,7r,8r)-Кубан-1-карбонил)пиперидин-4-ил)-1Н-пиразол-4-ил)окси)-2-оксобензо[cd]индол-1(2Н)-ил)пиперидин-2,6-диона (Соединение 31)
Стадия 1: Синтез 1-(2,6-Бис(бензилокси)пиридин-3-ил)-6-бромбензо[cd]индол-2(1Н)-она (3): К перемешиваемому раствору 2,6-дибензилокси-3-йодпиридина 2 (1 эквив.) и 6-бромбензо[cd]индол-2(1Н)-она 1 (1,2 эквив.) в диоксане добавляли трехосновный фосфат калия (1 эквив.) и реакционную смесь дегазировали в течение 10 мин. Впоследствие (1R,2R)-(-)-1,2-диаминоциклогексан (0,1 эквив.) добавляли с последующим добавлением йодида меди(1) (2%). и вновь раствор дегазировали в течение 5 мин. Реакционную смесь затем перемешивали при 100°С в течение 16 ч. Реакционной смеси затем позволяли охладиться до к.т. и экстрагировали добавлением этилацетата. Органическую фазу промывали насыщенным солевым раствором и сушили над безвод. Na2SO4. Растворитель упаривали и остаток очищали методом колоночной хроматографии (элюируя 40% этилацетата в гексане) на силикагеле с получением желаемого продукта 1-(2,6-бис(бензилокси)пиридин-3-ил)-6-бромбензо[cd]индол-2(1Н)-она 3 в виде твердого вещества.
Стадия 2: Синтез 1-(2,6-Бис(бензилокси)пиридин-3-ил)-6-гидроксибензо[cd]индол-2(1Н)-она (4): К перемешиваемому раствору 1-(2,6-бис(бензилокси)пиридин-3-ил)-6-бромбензо[cd]индол-2(1Н)-она 3 в диоксане (8 мл) и воде (2 мл) добавляли гидроксид калия (2 эквив.) и полученный раствор дегазировали N2 в течение 15 минут с последующим добавлением (1Е,4Е)-1,5-дифенилпента-1,4-диен-3-онпалладия (5%) и Трет-бутил-Xphos -2-Ди-трет-бутилфосфино-2',4',6 (15%). Реакционную смесь далее нагревали при 100°С в укупоренной пробирке в течение 12 ч. После образования желаемого продукта по данным ЖХМС, реакционную смесь фильтровали через слой целита и промывали этилацетатом. Объединенные органические слои отделяли и упаривали. Неочищенный остаток очищали методом колоночной хроматографии с получением 1-(2,6-бис(бензилокси)пиридин-3-ил)-6-гидроксибензо[cd]индол-2(1Н)-она 4 в виде твердого вещества.
Стадия 3: Синтез 3-(6-Гидрокси-2-оксобензо[cd]индол-1(2Н)-ил)пиперидин-2,6-диона (Соединение 29): Раствор 1-(2,6-бис(бензилокси)пиридин-3-ил)-6-гидроксибензо[cd]индол-2(1Н)-она 4 в этилацетате / этаноле (1/1) гидрировали с использованием палладия, 10% на угле, Тип 487, (10%) при нагнетании давления с помощью баллона в течение 12 ч при к.т. По окончании реакции реакционную смесь фильтровали через слой целита и промывали этилацетатом несколько раз. Фильтрат собирали и концентрировали в условиях пониженного давления с получением 3-(6-гидрокси-2-оксобензо[cd]индол-1(2Н)-ил)пиперидин-2,6-диона (Соединение 29) в качестве неочищенного продукта.
Стадия 4: Синтез трет-бутил-4-(4-((1-(2,6-Диоксопиперидин-3-ил)-2-оксо-1,2-дигидробензо[cd]индол-6-ил)окси)-1Н-пиразол-1-ил)пиперидин-1-карбоксилата (Соединение 30): После стандартных циклов откачивания и обратного заполнения сухим и чистым азотом, высушенный в печи сосуд Шленка, оборудованный магнитной мешалкой, заряженный Cu2O (0,1 ммоль), rel-(1R,2R)-N1,N2-Бис(2-пиридинилметилен)-1,2-циклогександиамином (0,4 ммоль), Cs2CO3 (4,0 ммоль), активированными и порошкообразными
молекулярными ситами (600 мг), 3-(6-гидрокси-2-оксобензо[cd]индол-1(2Н)-ил)пиперидин-2,6-дионом Соединением 29 (2,0 ммоль) и трет-бутил-4-(4-бром-1Н-пиразол-1-ил)пиперидин-1-карбоксилатом 5 (3,0 ммоль), если это твердое вещество. Пробирку откачивали, обратно заполняли азотом и укупоривали резиновой пробкой. Если это жидкости, фенол и арилгалогенид добавляли при вводимом с помощью шприца потоке азота при комнатной температуре, с последующим добавлением безводного и дегазированного ацетонитрила или DMF (1,2 мл). Пробку удаляли, сосуд укупоривали при положительном давлении азота и перемешивали на масляной бане (предварительно нагретой до 82°С или 110°С) в течение необходимого периода времени. Реакционной смеси позволяли охладиться до комнатной температуры, разбавляли дихлорметаном и фильтровали через слой Celite®, осадок с фильтра далее промывали дихлорметаном (~ 20 мл). Фильтрат концентрировали в вакууме с получением неочищенного продукта, который очищали методом хроматографии на силикагеле с получением Соединения 30.
Стадия 5: Синтез 3-(2-Оксо-6-((1-(пиперидин-4-ил)-1Н-пиразол-4-ил)окси)бензо[cd]индол-1(2Н)-ил)пиперидин-2,6-диона (6): К перемешиваемому раствору соединения 30 в диоксане добавляли соляную кислоту в диоксане (10 эквив.), и реакционную смесь перемешивали при комнатной температуре в течение 2 часов. ТСХ свидетельствовала о полном расходовании исходного вещества. Растворитель из реакционной смеси упаривали в условиях пониженного давления и промывали эфиром и пентаном с получением 6 в виде твердого вещества.
Стадия 6: Синтез 3-(6-((1-(1-((2r,3r,5r,6r,7r,8r)-Кубан-1-карбонил)пиперидин-4-ил)-1Н-пиразол-4-ил)окси)-2-оксобензо[cd]индол-1(2Н)-ил)пиперидин-2,6-диона (Соединение 31): К перемешиваемому раствору 6 и кубан-1-карбоновой кислоты (1 эквив.) в DMF (2 мл) добавляли HATU (1,5 эквив.) и DIPEA (3 эквив.) и реакционную смесь перемешивали при 25°С в течение 16 ч. Когда по данным ЖХМС наблюдали желаемую массу, реакционную смесь разбавляли этилацетатом и промывали водой. Органический слой отделяли, сушили над сульфатом натрия и концентрировали в условиях пониженного давления с получением неочищенного соединения. Это неочищенное вещество очищали методом хроматографии на силикагеле с получением Соединения 31 в виде твердого вещества.
Пример 26. Синтез трет-бутил-4-(4-((1-(2,6-Диоксопиперидин-3-ил)-2-оксо-1,2-дигидропирроло[2,3,4-de]изохинолин-6-ил)окси)-1Н-пиразол-1-ил)пиперидин-1-карбоксилата (Соединение 32)
Стадия 1: Синтез 1-(2,6-Бис(бензилокси)пиридин-3-ил)-6-бромпирроло[2,3,4-de]изохинолин-2(1Н)-она (3): К перемешиваемому раствору 2,6-дибензилокси-3-йодпиридина 2 (1 эквив.) и 6-бромпирроло[2,3,4-de]изохинолин-2(1Н)-она 1 (1,2 эквив.) в диоксане добавляли трехосновный фосфат калия (1 эквив.) и раствор дегазировали в течение 10 мин. Впоследствие (1R,2R)-(-)-1,2-диаминоциклогексан (0,1 эквив.) добавляли с последующим добавлением йодида меди(I) (2%) и вновь раствор дегазировали в течение 5 мин. Реакционную смесь затем перемешивали при 100°С в течение 16 ч. Реакционной смеси затем позволяли охладиться до к.т. и экстрагировали добавлением этилацетата. Органическую фазу промывали насыщенным солевым раствором и в итоге сушили над безвод. Na2SO4. Растворитель упаривали и остаток очищали методом колоночной хроматографии (элюируя 40% этилацетата в гексане) на силикагеле с получением желаемого продукта 1-(2,6-бис(бензилокси)пиридин-3-ил)-6-бромпирроло[2,3,4-de]изохинолин-2(1Н)-она 3 в виде твердого вещества.
Стадия 2: Синтез 1-(2,6-Бис(бензилокси)пиридин-3-ил)-6-гидроксипирроло[2,3,4-de]изохинолин-2(1Н)-она (4): К перемешиваемому раствору 1-(2,6-бис(бензилокси)пиридин-3-ил)-6-бромпирроло[2,3,4-de]изохинолин-2(1Н)-она 3 в диоксане (8 мл) и воде (2 мл) добавляли гидроксид калия (2 эквив.) и полученный раствор дегазировали N2 в течение 15 минут с последующим добавлением (1Е,4Е)-1,5-дифенилпента-1,4-диен-3-онпалладия (5%) и Трет-бутил-Xphos - 2-Ди-трет-бутилфосфино-2',4',6 (15%). Реакционную смесь нагревали при 100°С в укупоренной пробирке в течение 12 ч. После образования желаемого продукта по данным ЖХМС, реакционную смесь фильтровали через слой целита и промывали этилацетатом. Объединенный органический слой отделяли и упаривали. Неочищенный остаток очищали методом колоночной хроматографии с получением 1-(2,6-бис(бензилокси)пиридин-3-ил)-6-гидроксипирроло[2,3,4-de]изохинолин-2(1Н)-она 4 в виде твердого вещества.
Стадия 3: Синтез 3-(6-гидрокси-2-Оксопирроло[2,3,4-de]изохинолин-1(2Н)-ил)пиперидин-2,6-диона (5): Раствор 1-(2,6-бис(бензилокси)пиридин-3-ил)-6-гидроксипирроло[2,3,4-de]изохинолин-2(1Н)-она 4 в этилацетате / этаноле (1/1) гидрировали с использованием палладия, 10% на угле, Тип 487, (10%) при нагнетании давления с помощью баллона в течение 12 ч при к.т. По окончании реакции реакционную смесь фильтровали через слой целита и промывали этилацетатом несколько раз. Фильтрат собирали и концентрировали в условиях пониженного давления с получением 3-(6-гидрокси-2-оксопирроло[2,3,4-de]изохинолин-1(2Н)-ил)пиперидин-2,6-диона 5 в качестве неочищенного продукта.
Стадия 4: Синтез трет-бутил-4-(4-((1-(2,6-Диоксопиперидин-3-ил)-2-оксо-1,2-дигидропирроло[2,3,4-de]изохинолин-6-ил)окси)-1Н-пиразол-1-ил)пиперидин-1-карбоксилата (Соединение 32): После стандартных циклов откачивания и обратного заполнения сухим и чистым азотом, высушенный в печи сосуд Шленка, оборудованный магнитной мешалкой, заряженный Cu2O (0,1 ммоль), rel-(1R,2R)-N1,N2-Бис(2-пиридинилметилен)-1,2-циклогександиамином (0,4 ммоль), Cs2CO3 (4,0 ммоль), активированными и порошкообразными
молекулярными ситами (600 мг), 3-(6-гидрокси-2-оксопирроло[2,3,4-de]изохинолин-1(2Н)-ил)пиперидин-2,6-дионом (2,0 ммоль) 5 и трет-бутил-4-(4-бром-1Н-пиразол-1-ил)пиперидин-1-карбоксилатом (3,0 ммоль) 6, если это твердое вещество. Пробирку откачивали, обратно заполняли азотом и укупоривали резиновой пробкой. Если это жидкости, фенол и арилгалогенид добавляли при вводимом с помощью шприца потоке азота при комнатной температуре, с последующим добавлением безводного и дегазированного ацетонитрила или DMF (1,2 мл). Пробку удаляли, сосуд укупоривали при положительном давлении азота и перемешивали на масляной бане (предварительно нагретой до 82°С или 110°С), в течение необходимого периода времени. Реакционной смеси позволяли охладиться до комнатной температуры, разбавляли дихлорметаном и фильтровали через слой Celite®, осадок с фильтра далее промывали дихлорметаном (~ 20 мл). Фильтрат концентрировали в вакууме с получением неочищенного продукта и очищали методом хроматографии на силикагеле с получением Соединения 32.
Пример 27. Синтез трет-бутил-4-(4-((1-(2,6-Диоксопиперидин-3-ил)-2-оксо-1,2-дигидропирроло[4,3,2-ij]изохинолин-6-ил)амино)-1Н-пиразол-1-ил)пиперидин-1-карбоксилата (Соединение 33)
Стадия 1: Синтез трет-бутил-4-(4-((2-Оксо-1,2-дигидропирроло[4,3,2-ij]изохинолин-6-ил)амино)-1Н-пиразол-1-ил)пиперидин-1-карбоксилата (3): в укупоренной пробирке перемешивали раствор трет-бутил-4-(4-аминопиразол-1-ил)пиперидин-1-карбоксилата 2 (1 эквив.) и 3-(6-бром-2-оксопирроло[4,3,2-ij]изохинолин-1(2Н)-ил)пиперидин-2,6-диона 1 (1 эквив.) в толуоле добавляли карбонат цезия (2,5 эквив.) и затем реакционную смесь дегазировали в течение 5 мин в атмосфере аргона. К раствору добавляли pd2(dba)3 (10%) и Xantphos (20%) и раствор продували в течение 2 мин в атмосфере аргона. Реакционную смесь нагревали до 90°С в течение 16 ч. После полного расходования исх. вещ. реакционную смесь фильтровали через слой целита и концентрировали в вакууме. Очистка методом колоночной хроматографии CombiFlash (элюируя 15% этилацетата в н-гексане) с получением указанного в заголовке соединения 3.
Стадия 2: Синтез трет-бутил-4-(4-((1-(2,6-Диоксопиперидин-3-ил)-2-оксо-1,2-дигидропирроло[4,3,2-ij]изохинолин-6-ил)амино)-1Н-пиразол-1-ил)пиперидин-1-карбоксилата (Соединение 33): К перемешиваемому раствору соединения 3 в DMF добавляли гидрид натрия (i60% дисперсия в минеральном масле, 1 эквив.) и реакционную смесь нагревали с обратным холодильником при 60°С в течение 30 минут. Раствор (3-бромпиперидин-2,6-диона) 4 (0,5 эквив.) в DMF также нагревали при 60°С.Через 30 минут первую суспензию добавляли ко второму раствору при нагревании и нагревание продолжали в течение 3 часов. Реакционную смесь разбавляли этилацетатом и промывали водой и насыщенным солевым раствором. Органическую фракцию затем сушили безводным сульфатом натрия и упаривали в условиях пониженного давления с получением неочищенного соединения. Неочищенное соединение затем очищали методом флэш-хроматографии с получением Соединения 33.
Пример 28: Синтез трет-бутил-4-(4-((1-(2,6-Диоксопиперидин-3-ил)-2-оксо-1,2-дигидропирроло[4,3,2-ij]изохинолин-6-ил)окси)-1Н-пиразол-1-ил)пиперидин-1-карбоксилата (Соединение 34)
Сосуд Шленка, оборудованный магнитной мешалкой, заряжали Cu2O (0,1 ммоль), rel-(1R,2R)-N1,N2-Бис(2-пиридинилметилен)-1,2-циклогександиамином (0,4 ммоль), Cs2CO3 (4,0 ммоль), активированными и порошкообразными
молекулярными ситами (600 мг), трет-бутил-4-(4-гидрокси-1Н-пиразол-1-ил)пиперидин-1-карбоксилатом 2 (2,0 ммоль) и 3-(6-бром-2-оксопирроло[4,3,2-ij]изохинолин-1(2Н)-ил)пиперидин-2,6-дионом 1 (3,0 ммоль), если это твердое вещество. Пробирку откачивали, обратно заполняли азотом и укупоривали резиновой пробкой. Если это жидкости, фенол и арилгалогенид добавляли при вводимом с помощью шприца потоке азота при комнатной температуре, с последующим добавлением безводного и дегазированного ацетонитрила или DMF (1,2 мл), пробку удаляли, сосуд укупоривали при положительном давлении азота и перемешивали на масляной бане (предварительно нагретой до 110°С), в течение необходимого периода времени. Реакционной смеси позволяли охладиться до комнатной температуры, разбавляли дихлорметаном и фильтровали через слой Celite®, осадок с фильтра далее промывали дихлорметаном (~ 20 мл). Фильтрат концентрировали в вакууме с получением неочищенного продукта, который очищали методом хроматографии на силикагеле с получением Соединения 33.
Пример 29. Синтез 6-(хлорметил)-1-(4-метоксибензил)бензо[cd]индол-2(1Н)-она (Соединение 35)
Стадия 1: Синтез 1-(4-метоксибензил)бензо[cd]индол-2(1Н)-она: К перемешиваемому раствору 1Н-бензо[cd]индол-2-она 1 (25 г, 147,77 ммоль) в DMF (500 мл) добавляли гидрид натрия (в масляной дисперсии) в виде 60% дисперсии в минеральном масле (8,14 г, 203,43 ммоль, 60% чистота) при 0°С порциями и перемешивали в течение 1 часа при 0°С. После этого п-метоксибензилбромид (44,57 г, 221,66 ммоль, 31,83 мл) добавляли медленно и реакционную массу перемешивали при 25°С в течение 16 ч. За ходом реакции наблюдали с помощью ТСХ, исх. вещ. расходовалось по данным ТСХ. Затем реакционную массу гасили ледяной водой при 0°С и образовавшийся осадок (твердое вещество) фильтровали через шоттовскую воронку. Твердое вещество затем промывали водой и диэтиловым эфиром и сушили с помощью роторного испарителя с получением 1-[(4-метоксифенил)метил]бензо[cd]индол-2-она 2 (40 г, 121,66 ммоль, 82,33% выход, 88% чистота) в виде бледно-желтого твердого вещества. ЖХ-МС: ЭС+ 290,4.
Стадия 2: Синтез 1-(4-метоксибензил)-2-оксо-1,2-дигидробензо[cd]индол-6-карбальдегида: К перемешиваемому раствору DMF (113,68 г, 1,56 моль, 120,42 мл) добавляли оксихлорид фосфора (238,48 г, 1,56 моль, 145,42 мл) при 0°С и перемешивали в течение 1 ч при к.т. После этого 1-[(4-метоксифенил)метил]бензо[cd]индол-2-он 2 (30 г, 103,69 ммоль) добавляли при 0°С. Затем реакционную смесь перемешивали при комнатной температуре вновь в течение 1 ч. Реакционную массу затем нагревали при 90°С в течение 16 ч. ТСХ совпадала с эталонной, и исходное вещество полностью расходовалось. Реакционную смесь охлаждали до 25°С и гасили ледяной водой, образовавшееся твердое вещество отфильтровывали через шоттовскую воронку и промывали водой последовательно. Твердое вещество сушили в условиях пониженного давления с получением неочищенного продукта. Неочищенное соединение затем очищали методом колоночной хроматографии, элюируя DCM/MeOH с получением 1-[(4-метоксифенил)метил]-2-оксобензо[cd]индол-6-карбальдегида 3 (15 г, 44,90 ммоль, 43,31% выход, 95% чистота). ЖХ-МС: ЭС+ 318,4.
Стадия 3: Синтез 6-(гидроксиметил)-1-(4-метоксибензил)бензо[cd]индол-2(1Н)-она: К перемешиваемой суспензии 1-[(4-метоксифенил)метил]-2-оксобензо[cd]индол-6-карбальдегида 3 (10,2 г, 32,14 ммоль) в метаноле (500 мл) добавляли боргидрид натрия (6,08 г, 160,71 ммоль, 5,68 мл) при 0°С и реакционную смесь перемешивали при комнатной температуре в течение 3 ч. ТСХ свидетельствовали о полном расходовании исх. вещ. и образовании полярного пятна. Реакционную смесь гасили холодной водой (5 мл) и концентрировали в условиях пониженного давления с получением желтого твердого остатка, который промывали водой, фильтровали и сушили в условиях пониженного давления с получением 6-(гидроксиметил)-1-[(4- метоксифенил)метил]бензо[cd]индол-2-она 4 (10 г, 31,31 ммоль, 97,42% выход) в виде желтоватого твердого вещества. ЖХ-МС: ЭС+ 320,2.
Стадия 4: Синтез 6-(хлорметил)-1-(4-метоксибензил)бензо[cd]индол-2(1Н)-он: К перемешиваемой суспензии 6-(гидроксиметил)-1-[(4-метоксифенил)метил]бензо[cd]индол-2-она 4 (10 г, 31,31 ммоль) в DCM (220 мл) добавляли TEA (9,51 г, 93,94 ммоль, 13,09 мл) и перемешивали при 0°С и тионилхлорид (11,18 г, 93,94 ммоль, 6,86 мл) добавляли капельно. По окончании добавления реакционную смесь перемешивали при комнатной температуре в течение ночи. Реакционную смесь концентрировали в условиях пониженного давления с получением остатка, который разбавляли EtOAc и нейтрализовывали насыщенным раствором NaHCO3. Слои отделяли, органический слой промывали водой, насыщенным солевым раствором, сушили Na2SO4 и концентрировали в условиях пониженного давления досуха с получением Соединения 35 (8 г, 23,68 ммоль, 75,63% выход) в виде коричневого твердого вещества. ЖХ-МС: ЭС+ 338,2.
Пример 30. Синтез 3-(2-оксо-6-((1-(пиперидин-4-ил)-1Н-пиразол-4-ил)метил)бензо[cd]индол-1(2Н)-ил)пиперидин-2,6-дионгидрохлорида (Соединение 36)
Стадия 1: Синтез трет-бутил-4-(4-(4,4,5,5-тетраметил-1,3,2-диоксаборолан-2-ил)-1Н-пиразол-1-ил)пиперидин-1-карбоксилата: К перемешиваемому раствору 4-(4,4,5,5-тетраметил-1,3,2-диоксаборолан-2-ил)-1Н-пиразола 1 (15 г, 77,30 ммоль) и трет-бутил-4-метилсульфонилоксипиперидин-1-карбоксилата 2 (21,60 г, 77,30 ммоль) в DMF (130,0 мл) добавляли карбонат цезия (50,37 г, 154,61 ммоль) и затем реакционную массу нагревали при 80°С в течение 16 часов. Реакционную массу затем охлаждали до комнатной температуры и затем ее экстрагировали добавлением этилацетата. Органическую часть затем сушили над сульфатом натрия и концентрировали в условиях пониженного давления с получением неочищенного вещества. Неочищенное соединение затем очищали методом колоночной хроматографии, элюируя 1,5-2% метанола в DCM с получением трет-бутил-4-[4-(4,4,5,5-тетраметил-1,3,2-диоксаборолан-2-ил)пиразол-1-ил]пиперидин-1-карбоксилата 3 (10,0 г, 25,18 ммоль, 32,57% выход, 95% чистота) в виде белого твердого вещества. ЖХ-МС: ЭС+ 378,1.
Стадия 2: Синтез трет-бутил-4-(4-((1-(4-метоксибензил)-2-оксо-1,2-дигидробензо[cd]индол-6-ил)метил)-1Н-пиразол-1-ил)пиперидин-1-карбоксилата: К перемешиваемому раствору 6-(хлорметил)-1-[(4-метоксифенил)метил]бензо[cd]индол-2-она 4 (3800 мг, 11,25 ммоль) и трет-бутил-4-[4-(4,4,5,5-тетраметил-1,3,2-диоксаборолан-2-ил)пиразол-1- ил]пиперидин-1-карбоксилата 3 (6,37 г, 16,87 ммоль) в укупоренной пробирке в этаноле (7 мл), толуола (14 мл) и 4 капель воды добавляли трехзамещенный фосфат калия (5,97 г, 28,12 ммоль). Реакционную смесь дегазировали аргоном в течение 10 минут.Затем трис-о-толилфосфан (684,78 мг, 2,25 ммоль) и (1Е,4Е)-1,5-дифенилпента-1,4-диен-3-он;палладия (1,03 г, 1,12 ммоль) добавляли к реакционной смеси и ее нагревали при 90°С в течение 16 ч. Реакционную смесь охлаждали до к.т, разбавляли этилацетатом, промывали водой, насыщенным солевым раствором, сушили над сульфатом натрия и концентрировали в условиях пониженного давления. Неочищенное вещество очищали методом колоночной хроматографии, элюируя при 40% этилацетата в гексане с получением трет-бутил-4-[4-[[1-[(4-метоксифенил)метил]-2-оксобензо[cd]индол-6-ил]метил]пиразол-1-ил]пиперидин-1-карбоксилата 5 (4,6 г, 7,82 ммоль, 69,55% выход, 94% чистота) в виде желтого твердого вещества. ЖХ-МС: ЭС+ 553,4.
Стадия 3: Синтез соединения 2,2,2-трифторацетальдегида с 6-((1-(пиперидин-4-ил)-1Н-пиразол-4-ил)метил)бензо[cd]индол-2(1Н)-оном (1:1): К перемешиваемому раствору трет-бутил-4-[4-[[1-[(4-метоксифенил)метил]-2-оксобензо[cd]индол-6-ил]метил]пиразол-1-ил]пиперидин-1-карбоксилата 5 (4,5 г, 8,14 ммоль) в TFA (10 мл) добавляли трифторметансульфоновую кислоту (6,11 г, 40,71 ммоль, 3,57 мл) при 0°С и реакционную смесь перемешивали при к.т.в течение 16 ч. Реакционную смесь концентрировали в условиях пониженного давления с получением 6-[[1-(4-пиперидил)пиразол-4-ил]метил]-1Н-бензо[cd]индол-2-она 6 (3,63 г, 6,51 ммоль, 79,89% выход, 80% чистота) в виде коричневой смолы. Это неочищенное вещество переносили на следующую стадию без дальнейшей очистки, ЖХ-МС: ЭС+ 333,3.
Стадия 4: Синтез трет-бутил-4-(4-((2-оксо-1,2-дигидробензо[cd]индол-6-ил)метил)-1Н-пиразол-1-ил)пиперидин-1-карбоксилата: К перемешиваемому раствору 6-[[1-(4-пиперидил)пиразол-4-ил]метил]-1Н-бензо[cd]индол-2-она 6 (3,62 г, 10,89 ммоль) в DCM (10 мл) добавляли триэтиламин (3,31 г, 32,67 ммоль, 4,55 мл), с последующим добавлением ди-трет-бутилдикарбоната (3,57 г, 16,34 ммоль, 3,75 мл) при 0°С. Реакционную смесь перемешивали при к.т. в течение 16 ч. Реакционную смесь разбавляли этилацетатом, промывали насыщенным раствором бикарбоната натрия, насыщенным солевым раствором, сушили над сульфатом натрия и концентрировали в условиях пониженного давления. Неочищенное вещество очищали с помощью CombiFlash, элюируя 60% этилацетата в гексане с получением трет-бутил-4-[4-[(2-оксо-1Н-бензо[cd]индол-6-ил)метил]пиразол-1-ил]пиперидин-1-карбоксилата 7 (3,2 г, 6,73 ммоль, 61,82% выход, 91%чистота) в виде желтого твердого вещества, ЖХ-МС: ES+ 433,4.
Стадия 5: Синтез трет-бутил-4-(4-((1-(2,6-диоксопиперидин-3-ил)-2-оксо-1,2-дигидробензо[cd]индол-6-ил)метил)-1Н-пиразол-1-ил)пиперидин-1-карбоксилата: К перемешиваемому раствору трет-бутил-4-[4-[(2-оксо-1Н-бензо[cd]индол-6- ил)метил]пиразол-1-ил]пиперидин-1-карбоксилата 7 (1 г, 2,31 ммоль) в THF (20 мл) добавляли гидрид натрия (в масляной дисперсии) в виде 60% дисперсии в минеральном масле (924,74 мг, 23,12 ммоль, 60% чистота) в холодных условиях и реакционную смесь перемешивали при комнатной температуре в течение 10 минут с последующим добавлением 3-бромпиперидин-2,6-диона 8 (2,22 г, 11,56 ммоль) порциями. Ее затем перемешивали при комнатной температуре в течение 10 минут и нагревали при 70°С в течение 30 минут. ТСХ проводили, что показывало почти полное расходование исходного вещества и образование желаемого пятна. Реакционную смесь разбавляли этилацетатом, промывали холодной водой и органическую фракцию отделяли. Ее затем сушили над безводным сульфатом натрия и упаривали в условиях пониженного давления с получением неочищенного соединения, которое промывали эфиром и пентаном с получением трет-бутил-4-[4-[[1-(2,6-диоксо-3-пиперидил)-2-оксобензо[cd]индол-6-ил]метил]пиразол-1-ил]пиперидин-1-карбоксилата 9 (1 г, 1,84 ммоль, 79,56% выход) в виде желтого твердого вещества, ЖХ-МС: ЭС+ 544,3.
Стадия 6: Синтез 3-(2-оксо-6-((1-(пиперидин-4-ил)-1Н-пиразол-4-ил)метил)бензо[cd]индол-1(2Н)-ил)пиперидин-2,6-дионгидрохлорида: К перемешиваемому раствору трет-бутил-4-[4-[[1-(2,6-диоксо-3-пиперидил)-2-оксобензо[cd]индол-6-ил]метил]пиразол-1-ил]пиперидин-1-карбоксилата 9 (380,0 мг, 699,03 ммоль) в диоксане (5 мл) добавляли соляную кислоту в диоксане (699,03 ммоль, 15,0 мл) и реакционную смесь перемешивали при комнатной температуре в течение 2 часов. ТСХ проводили, что показывало полное расходование исходного вещества. Растворитель упаривали из реакционной смеси в условиях пониженного давления с получением желтого твердого вещества, которое промывали эфиром и пентаном с получением 3-[6-[[1-(1-хлор-4-пиперидил)пиразол-4-ил]метил]-2-оксобензо[cd]индол-1-ил]пиперидин-2,6-диона Соединения 36 (330,0 мг, 687,56 ммоль, 98,36% выход) в виде желтого твердого вещества. ЖХ-МС: ЭС+ 444,4.
Пример 31. Общая методика синтеза Соединения 37- Соединения 54
К эквимолярной смеси амина и кислоты DMF (6 мл / ммоль) добавляли HATU (1,5 эквив.) и DIPEA (5,0 эквив.) при 0°С. Полученный раствор перемешивали при температуре окружающей среды в течение 16 часов. Реакционную смесь затем разбавляли этилацетатом и промывали водным раствором NaHCO3, водой (х3) и насыщенным солевым раствором. Органический слой затем сушили над безводным Na2SO4 и концентрировали в условиях пониженного давления. Неочищенную массу затем очищали с помощью ISCO колонки CombiFlash, элюируя 2% метанола в DCM с получением 3:
Соединение 37:
1Н ЯМР (400 МГц, DMSO-d6) δ 11,11 (s, 1H), 8,37 (d, J=8,36 Гц, 1H), 8,08 (d, J=6,8 Гц, 1H), 7,85-7,81 (m, 1H), 7,58 (s, 1H), 7,35 (d, J=7,32 Гц, 1H), 7,32 (s, 1H), 7,07 (d, J=7,56 Гц, 1H), 4,40 (s, 2Н), 4,31-4,30 (m, 1H), 4,18 (s, 2Н), 3,70-3,66 (m, 3Н), 3,13-3,12 (m, 1H), 3,00-2,92 (m, 2Н), 2,75-2,67 (m, 2Н), 2,09-2,07 (m, 2Н), 1,97-1,95 (m, 2Н), 1,74-1,72 (m, 3Н), 1,26-1,24 (m, 2Н); ЖХ-МС: ЭС+ 554,5.
Соединение 38:
Желтое твердое вещество, 105,0 мг, 45,54% выход, 96,98% чистота. 1Н ЯМР (400 МГц, DMSO-d6) δ 11,10 (s, 1Н), 8,37 (d, J=8,24 Гц, 1H), 8,08 (d, J=6,96 Гц, 1H), 7,83 (t, J=7,6 Гц, 1H), 7,59 (s, 1H), 7,36 (d, J=7,4 Гц, 1H), 7,33 (s, 1H), 7,07 (d, J=7,24 Гц, 1H), 5,43 (dd, J=12,44, 4,76 Гц, 1H), 4,39-4,35 (m, 1H), 4,29-4,25 (m, 2H), 4,19 (s, 2H), 2,97-2,90 (m, 1H), 2,79-2,72 (m, 1H), 2,67-2,62 (m, 1H), 2,10-2,00 (m, 5H), 1,82-1,80 (m, 2H), 1,58-1,57 (m, 2H), 1,50-1,49 (m, 2H); ЖХ-МС: ЭС+ 537,2.
Соединение 39:
Желтое твердое вещество, 145,0 мг, 58,63% выход, 99,73% чистота. 1Н ЯМР (400 МГц, DMSO-d6) δ 11,10 (s, 1Н), 8,37 (d, J=8,24, 1H), 8,08 (d, J=6,96 Гц, 1H), 7,83 (t, J=7,64 Гц, 1H), 7,59 (s, 1H), 7,36 (d, J=7,32 Гц, 1H), 7,33 (s, 1H), 7,07 (d, J=7,28 Гц, 1H), 5,43 (dd, J=12,8, 5,16 Гц, 1H), 4,38-4,34 (m, 2H), 4,18 (s, 2H), 3,68-3,65 (m, 1H), 3,26-3,20 (m, 1H), 2,97-2,62 (m, 6H), 2,61-2,56 (m, 2H), 2,15-2,08 (m, 2H), 1,99-1,97 (m, 2H), 1,90-1,83 (m, 2H), 1,75-1,72 (m, 1H); ЖХ-МС: ЭС+551,2.
Соединение 40:
Желтое твердое вещество, 160,0 мг, 66,04% выход, 99,59% чистота. 1Н ЯМР (400 МГц, DMSO-d6) δ 11,11 (s, 1Н), 8,37 (d, J=8,28 Гц, 1H), 7,83 (t, J=7,62 Гц, 1H), 7,60 (s, 1H), 7,36 (d, J=Гц, 1H), 7,33 (s, 1H), 7,07 (d, J=7,28 Гц, 1H), 5,43 (dd, J=12,64, 5,08 Гц, 1H), 4,40-4,31 (m, 3H), 4,18 (s, 2H), 3,11-2,90 (m, 3H), 2,77-2,72 (m, 1H), 2,66-2,62 (m, 1H), 2,09-1,99 (m, 3H), 1,83-1,81 (m, 2H), 1,52 (s, 6H); ЖХ-МС: ЭС+ 539,2.
Соединение 41:
Желтое твердое вещество, 34 мг, 44,47% выход, 99,23% чистота. 1Н ЯМР (400 МГц, DMSO-d6) δ 11,10 (s, 1H), 8,37 (d, J=8,72 Гц, 1H), 8,08 (d, J=6,92 Гц, 1H), 7,83 (t, J=7,28 Гц, 1H), 7,59 (s, 1H), 7,35 (d, J=7,24 Гц, 1Н), 7,31 (s, 1H), 7,07 (d, J=7,2 Гц, 1H), 5,44-5,42 (m, 1H), 4,33-4,30 (m, 2H), 4,18 (s, 2H), 3,62-3,61 (m, 2H), 3,48-3,43 (m, 2H), 2,95-2,87 (m, 4H), 2,76-2,73 (m, 1H), 2,66-2,60 (m, 2H), 2,10-2,07 (m, 1H), 1,95-1,94 (m, 3H), 1,70-1,64 (m, 2H), 1,44-1,43 (m, 2H), 1,24 (s, 3Н); ЖХ-МС: ЭС+ 570,54.
Соединение 42:
Желтое твердое вещество, 35 мг, 45,94% выход, 95,90% чистота. 1H ЯМР (400 МГц, DMSO-d6) δ 11,11 (s, 1Н), 8,65 (d, J=4,36 Гц, 2H), 8,36 (d, J=7,68 Гц, 1H), 8,08 (d, J=6,88 Гц, 1H), 7,83 (t, J=7,3 Гц, 1H), 7,59 (s, 1H), 7,40-7,33 (m, 4H), 7,07 (d, J=7,28 Гц, 1H), 5,44-5,42 (m, 1H), 4,51-4,48 (m, 1H), 4,38-4,36 (m, 1H), 4,19 (s, 2H), 3,49-3,45 (m, 1H), 3,23-3,17 (m, 1H), 2,95-2,94 (m, 2H), 2,79-2,73 (m, 1H), 2,67-2,63 (m, 1H), 2,08-2,07 (m, 2H), 1,87-1,86 (m, 3Н); ЖХ-МС: ЭС+ 549,5.
Соединение 43:
Желтое твердое вещество, 44 мг, 60,00% выход, 99,63% чистота. 1H ЯМР (400 МГц, DMSO-d6) δ 11,10 (s, 1Н), 8,65-8,61 (m, 2H), 8,37 (d, J=8,24 Гц, 1H), 8,08 (d, J=6,96 Гц, 1H), 7,85-7,81 (m, 2H), 7,60 (s, 1H), 7,48-7,45 (m, 1H), 7,36 (d, J=7,36 Гц, 1H), 7,33 (s, 1H), 7,07 (d, J=7,28 Гц, 1H), 5,43 (dd, J=12,76, 5,16 Гц, 1H), 4,52-4,50 (m, 1H), 4,40-4,34 (m, 1H), 4,19 (s, 2H), 3,58-3,57 (m, 1H), 2,97-2,90 (m, 2H), 2,80-2,72 (m, 1H), 2,70-2,60 (m, 2H), 2,10-2,07 (m, 2H), 1,95-1,80 (m, 3H); ЖХ-МС: ЭС+ 549,5.
Соединение 44:
Желтое твердое вещество, 38 мг, 53,21% выход, 98,40% чистота. 1H ЯМР (400 МГц, DMSO-d6) δ 11,11 (s, 1Н), 8,37 (d, J=7,96 Гц, 1H), 8,08 (d, J=6,92 Гц, 1H), 7,83 (t, J=7,8 Гц, 1H), 7,60 (s, 1H), 7,35 (d, J=7,32 Гц, 1H), 7,31 (s, 1H), 7,07 (d, J=7,4 Гц, 1H), 5,44-5,42 (m, 1H), 4,33-4,30 (m, 3H), 4,18 (s, 2H), 2,92-2,85 (m, 3H), 2,76-2,72 (m, 1H), 2,66-2,57 (m, 1H), 2,08-2,06 (m, 1H), 1,96-1,93 (m, 2H), 1,73-1,67 (m, 2H), 1,18 (s, 9H); ЖХ-МС: ЭС+ 528,51.
Соединение 45:
Желтое твердое вещество, 21 мг, 26,89% выход, 98,16% чистота. 1Н ЯМР (400 МГц, DMSO-d6) δ 11,11 (s, 1Н), 8,37 (d, J=8,28 Гц, 1H), 8,08 (d, J=6,96 Гц, 1H), 7,82 (t, J=7,64 Гц, 1H), 7,59 (s, 1H), 7,35 (d, J=7,36 Гц, 1H), 7,33 (s, 1H), 7,16 (t, J=7,52 Гц, 1H), 7,07-7,04 (m, 3H), 5,43 (dd, J=12,76, 5,24 Гц, 1H), 4,65-4,61 (m, 1H), 4,34-4,33 (m, 1H), 4,18 (s, 2H), 3,26-3,23 (m, 1H), 3,13-3,10 (m, 1H), 2,94-2,88 (m, 2H), 2,76-2,72 (m, 1H), 2,66-2,62 (m, 1H), 2,20 (s, 3H), 2,11 (s, 3H), 2,07-2,04 (m, 2H), 1,89-1,86 (m, 1H), 1,81-1,78 (m, 1H), 1,77-1,66 (m, 1H); ЖХ-МС: ЭС+ 576,49.
Соединение 46:
Желтое твердое вещество, 32 мг, 43,71% выход, 99,79%чистота. 1H ЯМР (400 МГц, DMSO-d6) δ 11,12 (s, 1Н), 8,58-8,57 (m, 1H), 8,37 (d, J=8,2 Гц, 1H), 8,08 (d, J=6,96 Гц, 1H), 7,91 (t, J=7,06 Гц, 1H), 7,83 (t, J=7,62 Гц, 1H), 7,61 (s, 1H), 7,56 (d, J=7,64 Гц, 1H), 7,48-7,45 (m, 1H), 7,36 (d, J=7,2 Гц, 1H), 7,32 (s, 1H), 7,07 (d, J=7,16 Гц, 1H), 5,44-5,42 (m, 1H), 4,55-4,52 (m, 1H), 4,39-4,38 (m, 1H), 4,18 (s, 2H), 3,74-3,70 (m, 1H), 3,18-3,12 (m, 1H), 2,96-2,90 (m, 2H), 2,79-2,72 (m, 1H), 2,66-2,62 (m, 1H), 2,07-2,03 (m, 2H), 1,86-1,82 (m, 3Н); ЖХ-МС: ЭС+ 549,5.
Соединение 47:
Желтое твердое вещество, 32 мг, 43,29% выход, 98,66% чистота. 1Н ЯМР (400 МГц, DMSO-d6) δ 11,12 (s, 1Н), 8,37 (d, J=8,16 Гц, 1H), 8,08 (d, J=6,92 Гц, 1H), 7,83 (t, J=7,58 Гц, 1H), 7,61 (s, 1H), 7,44-7,33 (m, 7H), 7,07 (d, J=7,28 Гц, 1H), 5,44-5,42 (m, 1H), 4,52-4,51 (m, 1H), 4,36-4,35 (m, 1H), 4,19 (s, 2H), 3,62-3,61 (m, 1H), 3,15-3,14 (m, 1H), 2,99-2,91 (m, 2H), 2,79-2,72 (m, 1H), 2,66-2,62 (m, 1H), 2,09-1,80 (m, 5H); ЖХ-МС: ЭС+ 548,5.
Соединение 48:
Желтое твердое вещество, 55,0 мг, 68,12% выход, 100,00% чистота. 1H ЯМР (400 МГц, DMSO-d6) δ 11,11 (s, 1Н), 8,37 (d, J=7,96 Гц, 1H), 8,08 (d, J=6,44 Гц, 1H), 7,83 (t, J=7,34 Гц, 1H), 7,59 (s, 1H), 7,35 (d, J=7,44 Гц, 1H), 7,31 (s, 1H), 7,07 (d, J=7,0 Гц, 1H), 5,44-5,42 (m, 1H), 4,36-4,33 (m, 2H), 4,24-4,21 (m, 1H), 4,18 (s, 2H), 3,76 (s, 2H), 3,10-3,08 (m, 1H), 2,95-2,93 (m, 2H), 2,85-2,83 (m, 1H), 2,76-2,69 (m, 1H), 2,67-2,62 (m, 1H), 2,08-2,01 (m, 1H), 1,99-1,93 (m, 4H), 1,72-1,60 (m, 4H); ЖХ-МС: ЭС+ 554,2.
Соединение 49:
Желтое твердое вещество, 55,0 мг, 64,65% выход, 99,71% чистота. 1Н ЯМР (400 МГц, DMSO-d6) δ 11,11 (s, 1Н), 8,36 (d, J=7,92 Гц, 1H), 8,08 (d, J=6,68 Гц, 1H), 7,83 (t, J=7,3 Гц, 1H), 7,58 (s, 1H), 7,35 (d, J=7,2 Гц, 1H), 7,32 (s, 1H), 7,07 (d, J=6,8 Гц, 1H), 5,44-5,42 (m, 1H), 4,33-4,31 (m, 2H), 4,18 (s, 2H), 3,97-3,96 (m, 2H), 3,82-3,81 (m, 1H), 3,09-3,08 (m, 1H), 2,98-2,91 (m, 1H), 2,79-2,72 (m, 1H), 2,66-2,63 (m, 2H), 2,15-1,90 (m, 9H), 1,72-1,64 (m, 2H), 1,12 (s, 3Н); ЖХ-МС: ЭС+ 582,3.
Соединение 50:
Желтое твердое вещество, 50,0 мг, 52,01% выход, 98,07% чистота. 1Н ЯМР (400 МГц, DMSO-d6) δ 11,11 (s, 1Н), 8,37 (d, J=8,2 Гц, 1H), 8,08 (d, J=7,08 Гц, 1H), 7,83 (t, J=7,48 Гц, 1H), 7,59 (s, 1H), 7,35 (d, J=6,96 Гц, 1H), 7,31 (s, 1H), 7,07 (d, J=7,16 Гц, 1H), 5,45-5,42 (m, 1H), 4,32-4,26 (m, 2H), 4,18 (s, 2H), 3,75-3,73 (m, 1H), 3,06-2,90 (m, 2H), 2,76-2,71 (m, 1H), 2,66-2,62 (m, 3H), 2,11-2,07 (m, 4H), 1,94-1,92 (m, 2H), 1,82-1,81 (m, 4H), 1,72-1,70 (m, 2H), 1,64-1,63 (m, 3H); ЖХ-МС: ЭС+ 566,2.
Соединение 51:
Желтое твердое вещество, 140,0 мг, 60,42% выход, 96,07% чистота. 1H ЯМР (400 МГц, DMSO-d6) δ 11,10 (s, 1Н), 8,37 (d, J=7,48 Гц, 1H), 8,08 (d, J=6,28 Гц, 1H), 7,83 (t, J=6,82 Гц, 1H), 7,58 (s, 1H), 7,36 (d, J=7,36 Гц, 1H), 7,32 (s, 1H), 7,07 (d, J=6,84 Гц, 1H), 5,44-5,42 (m, 1H), 4,42-4,41 (m, 1H), 4,34-4,33 (m, 1H), 4,18 (s, 2H), 3,55-3,53 (m, 1H), 3,17-3,12 (m, 1H), 2,95-2,91 (m, 1H), 2,77-2,62 (m, 5H), 2,43-2,30 (m, 2H), 2,10-2,07 (m, 1H), 1,95-1,94 (m, 3H), 1,76-1,74 (m, 3H); ЖХ-МС: ЭС+ 594,5.
Соединение 52:
Желтое твердое вещество, 140,0 мг, 63,80% выход, 99,06% чистота. 1H ЯМР (400 МГц, DMSO-d6) δ 11,11 (s, 1Н), 8,36 (d, J=7,84 Гц, 1H), 8,08 (d, J=6,48 Гц, 1H), 7,85-7,82 (m, 1H), 7,58 (s, 1H), 7,36-7,33 (m, 2H), 7,07 (d, J=6,96 Гц, 1H), 5,44-5,42 (m, 1H), 4,35-4,27 (m, 3H), 4,18 (s, 2H), 2,96-2,90 (m, 3H), 2,77-2,73 (m, 1H), 2,67-2,62 (m, 1H), 2,10-2,07 (m, 1H), 2,00-1,96 (m, 2H), 1,76-1,74 (m, 2H), 1,28-1,19 (m, 4H); ЖХ-МС: ЭС+ 580,2.
Соединение 53:
Желтое твердое вещество, 255,0 мг, 45,02% выход, 99,45% чистота. 1Н ЯМР (400 МГц, DMSO-d6) δ 11,11 (s, 1H), 8,37 (d, J=8,24 Гц, 1H), 8,08 (d, J=6,96 Гц, 1H), 7,83 (t, J=7,6 Гц, 1H), 7,60 (s, 1Н), 7,35 (d, J=7,28 Гц, 1H), 7,31 (s, 1H), 7,07 (d, J=7,2 Гц, 1H), 5,44-5,42 (m, 1H), 4,40-4,39 (m, 1H), 4,32-4,29 (m, 1H), 4,18 (s, 2H), 3,58-3,57 (m, 1H), 3,05-2,91 (m, 2H), 2,76-2,72 (m, 1H), 2,66-2,63 (m, 2H), 2,40-2,33 (m, 2H), 2,09-2,08 (m, 1H), 1,94-1,87 (m, 3H), 1,78-1,59 (m, 5H), 1,33 (s, 3Н); ЖХ-МС: ЭС+ 540,5.
Соединение 54:
Желтое твердое вещество, 45,0 мг, 35,77% выход, 95% чистота. 1H ЯМР (400 МГц, DMSO-d6) δ 11,09 (s, 1Н), 8,36 (d, J=8,2 Гц, 1H), 8,08 (d, J=6,84 Гц, 1H), 7,83 (t, J=7,54 Гц, 1H), 7,60 (s, 1H), 7,35 (d, J=7,28 Гц, 1H), 7,32 (s, 1H), 7,07 (d, J=7,16 Гц, 1H), 5,43-5,40 (m, 1H), 4,33-4,31 (m, 2H), 4,18 (s, 5H), 3,98 (s, 4H), 3,34-3,31 (m, 1H), 3,20-3,14 (m, 1H), 2,98-2,91 (m, 1H), 2,75-2,63 (m, 3H), 2,10-2,07 (m, 1H), 2,01-1,92 (m, 2H), 1,83-1,80 (m, 1H), 1,67-1,64 (m, 1H); ЖХ-МС: ЭС+ 574,2.
Пример 32. Общая методика синтеза Соединения 55 - Соединения 66
К перемешиваемому раствору амина (1,0 эквив.) в THF (6 мл / ммоль) добавляли триэтиламин (2,0 эквив.) при 0°С. Затем Альдегид (1,0 эквив.), фенилсилана (1,0 эквив.) и дихлорид дибутилолова (1,2 эквив.) добавляли в реакционную смесь. Полученный раствор перемешивали при 90°С в течение 16 часов. Реакционную смесь затем разбавляли этилацетатом и промывали водным раствором NaHCO3, водой (х3) и насыщенным солевым раствором. Органический слой затем сушили над безводным Na2SO4 и концентрировали в условиях пониженного давления. Неочищенную массу затем очищали с помощью ISCO колонки CombiFlash, элюируя 3% метанола в DCM с получением целевого соединения.
Соединение 55:
Желтое твердое вещество, 3,8 г, 71,92% выход, 99,49% чистота. 1H ЯМР (400 МГц, DMSO-d6) δ 11,11 (s, 1H), 8,37 (d, J=8,2 Гц, 1H), 8,08 (d, J=6,96 Гц, 1H), 7,82 (t, J=7,6 Гц, 1Н), 7,57 (s, 1H), 7,35 (d, J=7,24 Гц, 1H), 7,28 (s, 1H), 7,06 (d, J=7,24 Гц, 1H), 5,43 (dd, J=12,64, 4,8 Гц, 1H), 4,17 (s, 2H), 3,99-3,96 (m, 1H), 2,94-2,90 (m, 1H), 2,75-2,62 (m, 4H), 2,22 (s, 2H), 2,09-2,02 (m, 3Н), 1,99-1,69 (m, 8H), 1,61-1,56 (m, 2H), 1,13 (s, 3Н); ЖХ-МС: ЭС+ 526,4.
Соединение 56:
Желтое твердое вещество, 95 мг, 40,71% выход, 96,71% чистота. 1H ЯМР (400 МГц, DMSO-d6) δ 11,12 (s, 1H), 8,37 (d, J=8,04 Гц, 1H), 8,08 (d, J=6,84 Гц, 1Н), 7,82 (t, J=7,44 Гц, 1H), 7,58 (s, 1H), 7,35 (d, J=7,12 Гц, 1H), 7,28 (s, 1H), 7,06 (d, J=7,24 Гц, 1H), 5,44-5,42 (m, 1H), 4,17 (s, 2H), 3,98-3,97 (m, 1H), 3,05 (s, 3H), 2,98-2,91 (m, 3H), 2,79-2,72 (m, 1H), 2,66-2,62 (m, 1H), 2,46 (s, 2H), 2,19-2,07 (m, 3H), 1,98-1,93 (m, 2H), 1,85-1,83 (m, 6H), 1,66-1,64 (m, 1H), 1,55-1,50 (m, 1H); ЖХ-МС: ЭС+ 542,3.
Соединение 57:
Желтое твердое вещество, 179,0 мг, 58,52% выход, 98,70% чистота. 1Н ЯМР (400 МГц, DMSO-d6) δ 11,11 (s, 1Н), 8,37 (d, J=8,2 Гц, 1H), 8,08 (d, J=6,88 Гц, 1H), 7,83 (t, J=7,62 Гц, 1H), 7,58 (s, 1H), 7,35 (d, J=7,32 Гц, 1H), 7,29 (s, 1H), 7,07 (d, J=7,24 Гц, 1H), 5,43 (dd, J=12,2, 4,72 Гц, 1H), 4,17 (s, 2H), 4,03-4,00 (m, 1H), 2,95-2,91 (m, 1H), 2,84-2,81 (m, 2H), 2,77-2,72 (m, 1H), 2,66-2,62 (m, 1H), 2,56 (s, 2H), 2,28-2,21 (m, 2H), 2,19-2,01 (m, 5H), 1,93-1,86 (m, 6H); ЖХ-МС: ЭС+ 580,5.
Соединение 58:
Желтое твердое вещество, 75,0 мг, 54,65% выход, 96,49% чистота. 1H ЯМР (400 МГц, DMSO-d6) δ 11,11 (s, 1Н), 8,37 (d, J=8,28 Гц, 1H), 8,08 (d, J=6,6 Гц, 1H), 7,83 (t, J=7,72 Гц, 1H), 7,57 (s, 1H), 7,35 (d, J=7,24 Гц, 1H), 7,28 (s, 1H), 7,07 (d, J=7,16 Гц, 1H), 5,45-5,42 (m, 1H), 4,17 (s, 2H), 3,98-3,97 (m, 1H), 3,07 (s, 3H), 2,96-2,94 (m, 3H), 2,76-2,62 (m, 2H), 2,26 (s, 2H), 2,18-2,15 (m, 2H), 2,09-2,08 (m, 1H), 1,86-1,83 (m, 4H), 1,07 (s, 6H); ЖХ-МС: ЭС+ 530,3.
Соединение 59:
Желтое твердое вещество, 20,0 мг, 14,35% выход, 95,02% чистота. 1Н ЯМР (400 МГц, DMSO-d6) δ 11,11 (s, 1H), 8,37 (d, J=8,2 Гц, 1H), 8,08 (d, J=6,92 Гц, 1H), 7,83 (t, J=7,62 Гц, 1H), 7,58 (s, 1H), 7,35 (d, J=7,32 Гц, 1H), 7,29 (s, 1H), 7,07 (d, J=7,28 Гц, 1H), 4,17 (s, 2Н), 4,01-3,98 (m, 1H), 2,98-2,91 (m, 3Н), 2,77-2,72 (m, 1Н), 2,67-2,62 (m, 2H), 2,55-2,50 (m, 2H), 2,19-2,04 (m, 6H), 1,88-1,84 (m, 4H), 1,73-1,71 (m, 1H), 1,47-1,45 (m, 1H); ЖХ-МС: ЭС+ 530,2.
Соединение 60:
Желтое твердое вещество, 30 мг, 20,51% выход, 99,39% чистота. 1H ЯМР (400 МГц, DMSO-d6) δ 11,11 (s, 1H), 8,38 (d, J=8,24 Гц, 1H), 8,08 (d, J=6,96 Гц, 1Н), 7,83 (t, J=7,62 Гц, 1H), 7,59 (s, 1H), 7,35 (d, J=7,32 Гц, 1H), 7,29 (s, 1H), 7,07 (d, J=7,32 Гц, 1H), 5,43 (dd, J=12,52, 4,64 Гц, 1H), 4,17 (s, 2H), 4,04-4,00 (m, 1H), 2,96-2,89 (m, 3H), 2,77-2,72 (m, 1H), 2,65-2,62 (m, 3H), 2,38-2,32 (m, 2H), 2,27-2,20 (m, 2H), 2,18-2,05 (m, 4H), 1,98-1,96 (m, 1H), 1,87-1,85 (m, 4H); ЖХ-МС: ЭС+ 537,6.
Соединение 61:
Желтое твердое вещество, 15,0 мг, 5,19% выход, 94,51% чистота. 1Н ЯМР (400 МГц, DMSO-d6) δ 11,11 (s, 1Н), 8,38 (d, J=8,28 Гц, 1H), 8,08 (d, J=6,96 Гц, 1H), 7,83 (t, J=7,6 Гц, 1H), 7,58 (s, 1H), 7,36 (d, J=7,36 Гц, 1H), 7,30 (s, 1H), 7,07 (d, J=7,24 Гц, 1H), 5,43 (dd, J=13,04, 5,28 Гц, 1H), 4,18 (s, 2H), 4,03-4,01 (m, 1H), 2,96-2,93 (m, 3H), 2,77-2,62 (m, 2H), 2,45 (s, 2H), 2,42-2,32 (m, 2H), 2,09-2,06 (m, 1H), 1,90-1,85 (m, 4H), 1,25 (s, 6H); ЖХ-МС: ЭС+ 525,5.
Соединение 62:
Желтое твердое вещество, 120,0 мг, 60,46% выход, 95% чистота. 1Н ЯМР (400 МГц, DMSO-d6) δ 11,11 (s, 1H), 8,37 (d, J=8,08 Гц, 1H), 8,08 (d, J=6,0 Гц, 1H), 7,85-7,83 (m, 1H), 7,58 (s, 1H), 7,35 (d, J=7,0 Гц, 1H), 7,29 (s, 1H), 7,07 (d, J=6,52 Гц, 1H), 5,44-5,42 (m, 1H), 4,17 (s, 2Н), 4,02-4,01 (m, 1H), 2,95-2,93 (m, 3Н), 2,76-2,72 (m, 1Н), 2,66-2,62 (m, 1H), 2,06-1,99 (m, 3Н), 1,88-1,86 (m, 4H), 0,94 (s, 2H), 0,70 (s, 2H); ЖХ-МС: ЭС+ 566,4.
Соединение 63:
Желтое твердое вещество, 75,0 мг, 42,55% выход, 97,14% чистота. 1Н ЯМР (400 МГц, DMSO-d6) δ 11,12 (s, 1Н), 8,38 (d, J=8,32 Гц, 1H), 8,08 (d, J=6,76 Гц, 1H), 7,83 (t, J=7,54 Гц, 1H), 7,57 (s, 1H), 7,36 (d, J=7,64 Гц, 1H), 7,29 (s, 1H), 7,07 (d, J=7,24 Гц, 1H), 5,44-5,42 (m, 1H), 4,17 (s, 2H), 3,99-3,97 (m, 1H), 2,99-2,91 (m, 1H), 2,81-2,77 (m, 2H), 2,67-2,62 (m, 1H), 2,33-2,27 (m, 2H), 2,05-2,04 (m, 3H), 1,89-1,83 (m, 4H), 1,60-1,58 (m, 1H), 0,83 (s, 9H); ЖХ-МС: ЭС+ 514,7.
Соединение 64:
Желтое твердое вещество, 119,0 мг, 43,26% выход, 96,88% чистота. 1Н ЯМР (400 МГц, DMSO-d6) δ 11,11 (s, 1Н), 8,37 (d, J=8,16 Гц, 1H), 8,08 (d, J=6,88 Гц, 1H), 7,83 (t, J=7,64 Гц, 1H), 7,58 (s, 1H), 7,35 (d, J=7,24 Гц, 1H), 7,29 (s, 1H), 7,07 (d, J=7,24 Гц, 1H), 5,44-5,42 (m, 1H), 4,18 (s, 2H), 4,00-3,99 (m, 1H), 3,00-2,91 (m, 3H), 2,80-2,73 (m, 1H), 2,67-2,62 (m, 1H), 2,11-2,10 (m, 3H), 1,91-1,88 (m, 6H), 1,01 (s, 3H), 0,26-0,21 (m, 4H); ЖХ-МС: ЭС+ 512,3.
Соединение 65:
Желтое твердое вещество, 100,0 мг, 59,76% выход, 96,30% чистота. 1Н ЯМР (400 МГц, DMSO-d6) δ 11,11 (s, 1H), 8,37 (d, J=8,24 Гц, 1H), 8,08 (d, J=6,96 Гц, 1H), 7,83 (t, J=7,6 Гц, 1H), 7,59 (s, 1H), 7,35 (d, J=7,32 Гц, 1H), 7,30 (s, 1H), 7,07 (d, J=7,28 Гц, 1Н), 5,43 (dd, J=12,6, 5,0 Гц, 1H), 4,18 (s, 2H), 4,03-4,01 (m, 1H), 3,12-2,90 (m, 3Н), 2,80-2,62 (m, 4H), 2,22-2,19 (m, 2H), 2,09-2,07 (m, 1H), 1,90-1,88 (m, 4H), 0,99-0,95 (m, 2H), 0,66-0,65 (m, 2H); ЖХ-МС: ЭС+ 516,3.
Соединение 66:
Желтое твердое вещество, 50 мг, 29,55% выход, 97,44% чистота.1H ЯМР (400 МГц, DMSO-d6) δ 11,11 (s, 1H), 8,38 (d, J=8,24 Гц, 1H), 8,08 (d, J=6,92 Гц, 1Н), 7,83 (t, J=7,66 Гц, 1H), 7,59 (s, 1H), 7,35 (d, J=7,28 Гц, 1H), 7,29 (s, 1H), 7,07 (d, J=7,28 Гц, 1H), 5,43 (dd, J=12,64, 4,88 Гц, 1H), 4,18 (s, 2H), 4,01-3,99 (m, 1H), 3,20 (s, 3H), 3,13-3,05 (m, 2H), 3,03-2,90 (m, 1H), 2,80-2,62 (m, 2H), 2,50-2,48 (m, 2H), 2,10-2,07 (m, 3H), 1,88-1,85 (m, 4H), 0,67 (s, 2H), 0,42 (s, 2H); ЖХ-MC: ЭС+ 528,2.
Пример 33. Синтез 3-[6-[[1-[1-(1-метилциклобутанкарбонил)-4-пиперидил]пиразол-4-ил]метил]-2-оксобензо[cd]индол-1-ил]пиперидин-2,6-диона (Соединение 67) и 3-[6-[[1-[1-(1-метилциклобутанкарбонил)-4-пиперидил]пиразол-4-ил]метил]-2-оксобензо[cd]индол-1-ил]пиперидин-2,6-диона (Соединение 68)
Стадия 1: Синтез 3-[6-[[1-[1-(1-метилциклобутанкарбонил)-4-пиперидил]пиразол-4-ил]метил]-2-оксобензо[cd]индол-1-ил]пиперидин-2,6-диона и 3-[6-[[1-[1-(1-метилциклобутанкарбонил)-4-пиперидил]пиразол-4-ил]метил]-2-оксобензо[с(1]индол-1-ил]пиперидин-2,6-диона: 300 мг рацемического 3-(6-((1-(1-(1-метилциклобутан-1-карбонил)пиперидин-4-ил)-1H-пиразол-4-ил)метил)-2-оксобензо[cd]индол-1(2Н)-ил)пиперидин-2,6-диона разделяли на его энантиомеры методом обращенно-фазовой преп. ВЭЖХ с получением 3-[6-[[1-[1-(1-метилциклобутанкарбонил)-4-пиперидил]пиразол-4-ил]метил]-2-оксобензо[cd]индол-1-ил]пиперидин-2,6-диона Соединения 67 (100,0 мг, 33% выход, элюированного в первой фракции, %ее 99) и 3-[6-[[1-[1-(1-метилциклобутанкарбонил)-4-пиперидил]пиразол-4-ил]метил]-2-оксобензо[cd]индол-l-ил]пиперидин-2,6-диона Соединения 68 (85,0 мг, 28% выход, элюированного во второй фракции, %ее 99) в виде желтых твердых веществ. 1H ЯМР (400 МГц, DMSO-d6) δ11,11 (s, 1H), 8,37 (d, J=8,24 Гц, 1H), 8,08 (d, J=6,96 Гц, 1H), 7,83 (t, J=7,6 Гц, 1H), 7,60 (s, 1H), 7,35 (d, J=7,28 Гц, 1H), 7,31 (s, 1H), 7,07 (d, J=7,2 Гц, 1H), 5,44-5,42 (m, 1H), 4,40-4,39 (m, 1H), 4,32-4,29 (m, 1H), 4,18 (s, 2Н), 3,58-3,57 (m, 1H), 3,05-2,91 (m, 2H), 2,76-2,72 (m, 1H), 2,66-2,63 (m, 2H), 2,40-2,33 (m, 2H), 2,09-2,08 (m, 1H), 1,94-1,87 (m, 3Н), 1,78-1,59 (m, 5H), 1,33 (s, 3Н); ЖХ-МС: ЭС+ 540,5.
Пример 34. Синтез 3-(6-((1-(4-метилпиперидин-4-ил)-1Н-пиразол-4-ил)метил)-2-оксобензо[cd]индол-1(2Н)-ил)пиперидин-2,6-дионгидрохлорида (Соединение 69)
Стадия 1: Синтез бромид 1-бензил-1-бром-4-метилпиридиния (2): К перемешиваемому раствору 4-метилпиридина (20 г, 214,76 ммоль, 20,90 мл) в сухом ацетонитриле (100 мл), Бензилбромид (44,08 г, 257,71 ммоль, 30,61 мл) добавляли при к.т.и полученную реакционную смесь нагревали при 100°С в течение 12 ч. По окончании реакции (по данным ТСХ), летучие вещества удаляли в вакууме и полученное таким образом твердое вещество растирали с этилацетатом и эфиром с получением 1-бензил-1-бром-4-метилпиридина (2) (56 г, 211,99 ммоль, 98,71% выход) в виде желтоватого твердого вещества. ЖХ-МС: ЭС+ 183,9.
Стадия 2: Синтез 1-бензил-4-метил-3,6-дигидро-2Н-пиридина (3): К перемешиваемому раствору бромида 1-бензил-1-бром-4-метилпиридиния (2) (56,0 г, 211,99 ммоль) в смешанном растворителе из EtOH (72 мл) и воды (8 мл), боргидрид натрия (20,05 г, 529,98 ммоль, 18,74 мл) добавляли порциями при 0°С. После полного завершения добавления реакционную массу перемешивали в течение 12 ч при температуре окружающей среды. По окончании реакции по данным ЖХ-МС, реакционную смесь гасили добавлением воды (30 мл) и этанол удаляли в условиях пониженного давления. Водную часть экстрагировали добавлением этилацетата (2х 200 мл). Объединенную органическую часть сушили над безводным Na2SO4 и концентрировали в вакууме. Неочищенный остаток очищали методом колоночной хроматографии (100-200 силикагель; 2% EtOAc в гексане) с получением 1-бензил-4-метил-3,6-дигидро-2Н-пиридина (3) (39,3 г, 209,85 ммоль, 98,99% выход) в виде желтого масла, ЖХ-МС: ЭС+ 187,8.
Стадия 3: Синтез трет-бутил-N-(1-бензил-4-метил-4-пиперидил)-N-(m рет-бутоксикарбониламино)карбамата (4): К хорошо дегазированному перемешиваемому раствору 1-бензил-4-метил-3,6-дигидро-2Н-пиридина (3) (25,0 г, 133,49 ммоль) в 2-пропаноле (20 мл), фенилсилана (14,44 г, 133,49 ммоль, 16,45 мл) и [(2)-1-трет-бутил-3-гидрокси-4,4-диметилпент-2-енилиден]оксония; марганец (1,61 г, 2,67 ммоль) добавляли при 0°С с последующим добавлением трет-бутил-N-трет-бутоксикарбонилиминокарбамата (46,11 г, 200,23 ммоль) в атмосфере азота. После полного завершения добавления реакционную смесь перемешивали при той же температуре в течение 6 ч. По окончании реакции (по данным ТСХ), реакционную массу упаривали и полученное таким образом неочищенное соединение очищали методом колоночной хроматографии (100-200 силикагель; 30% EtOAc в гексане) с получением трет-бутил-N-(1-бензил-4-метил-4-пиперидил)-N-(m рет-бутоксикарбониламино)карбамата (4) (15 г, 35,75 ммоль, 26,78% выход) в виде желтого липкого твердого вещества, ЖХ-МС: ЭС+ 420,0.
Стадия 4: Синтез (1-бензил-4-метил-4-пиперидил)гидразина (5): 4 М диоксан-HCl (30 мл) добавляли к трет-бутил-N-(1-бензил-4-метил-4-пиперидил)-N-(m рет-бутоксикарбониламино)карбамату (4) (15,0 г, 35,75 ммоль), при 0°С и перемешивали в течение 8 ч при к.т.По окончании реакции по данным ЖХМС, летучие вещества удаляли в вакууме. Полученное таким образом неочищенное соединение растворяли в 10% МеОН в DCM и нейтрализовывали смолой Amberlyst-A21. Твердый полимер отфильтровывали и промывали 10% МеОН в DCM несколько раз. Объединенный фильтрат концентрировали в условиях пониженного давления с получением (1-бензил-4-метил-4-пиперидил)гидразина (5) (7,4 г, 33,74 ммоль, 94,37% выход, 90% чистота) в виде желтого твердого вещества, ЖХ-МС: ЭС+ 220,0.
Стадия 5: Синтез этил-1-(1-бензил-4-метил-4-пиперидил)пиразол-4-карбоксилата (7): К перемешиваемому раствору этил-2-формил-3-оксопропаноата (6) (4,73 г, 32,83 ммоль) в толуоле (15 мл) неочищенное соединение (1-бензил-4-метил-4-пиперидил)гидразин (5) (6,0 г, 27,36 ммоль) добавляли при 0°С и нагревали в течение 12 ч при 90°С. По окончании реакции (по данным ЖХ-МС) все летучие вещества упаривали и полученное таким образом неочищенное соединение очищали методом колоночной хроматографии (100-200 Силикагель; 30% EtOAc в гексане в качестве элюента) с получением этил-1-(1-бензил-4-метил-4-пиперидил)пиразол-4-карбоксилата (7) (4,36 г, 13,33 ммоль, 48,72% выход) в виде светло-желтой смолы, ЖХ-МС: ЭС+ 328,3.
Стадия 6: Синтез трет-бутил-4-(4-этоксикарбонилпиразол-1-ил)-4-метилпиперидин-1-карбоксилата (8): К перемешиваемому раствору этил-1-(1-бензил-4-метил-4-пиперидил)пиразол-4-карбоксилата (7) (6,0 г, 18,33 ммоль) в EtOH (20 мл), трет-бутоксикарбонил-трет-бутилкарбонат (10,85 г, 49,73 ммоль, 11,41 мл) и триэтиламин (7,55 г, 74,59 ммоль, 10,40 мл) добавляли. Затем реакционную смесь дегазировали аргоном в течение 15 минут с последующим добавлением 20% Палладия на угле (влаж.) (2,93 г, 27,49 ммоль) и полученную реакционную смесь перемешивали в атмосфере водорода в течение 16 ч при к.т. По окончании реакции (по данным ТСХ и ЖХМС), реакционную смесь фильтровали через целит. Фильтрат затем концентрировали и очищали методом колоночной хроматографии (100-200 Силикагель; 2% метанола в DCM) с получением желаемого соединения трет-бутил-4-(4-этоксикарбонилпиразол-1-ил)-4-метилпиперидин-1-карбоксилата (8) (4,8 г, 14,23 ммоль, 57,22% выход, 99% чистота) в виде коричневой смолы, ЖХ-МС: ЭС+ 338,3.
Стадия 7: Синтез трет-бутил-4-[4-(гидроксиметил)пиразол-1-ил]-4-метилпиперидин-1-карбоксилата (9): К перемешиваемому раствору трет-бутил-4-(4-этоксикарбонилпиразол-1-ил)-4-метилпиперидин-1-карбоксилата (8) (4,8 г, 10,67 ммоль) в THF (50 мл), диизобутилалюминийгидрид (10,12 г, 71,13 ммоль, 60 мл) добавляли капельно при -78°С и перемешивали в течение 1 ч при к.т.в атмосфере N2. После полного расходования, по данным ТСХ, реакционную массу разбавляли этилацетатом (300 мл) и гасили водой (50 мл). Органическую фазу отделяли, сушили над безводным и концентрировали в условиях пониженного давления с получением трет-бутил-4-[4-(гидроксиметил)пиразол-1-ил]-4-метилпиперидин-1-карбоксилата (9) (4,05 г, 13,72 ммоль, 96,43% выход) в виде коричневой смолы, которую переносили на следующую стадию без какой-либо дальнейшей очистки, ЖХМС: ЭС+ 296,2.
Стадия 8: Синтез трет-бутил-4-(4-формилпиразол-1-ил)-4-метилпиперидин-1-карбоксилата (10): К перемешиваемому раствору трет-бутил-4-[4-(гидроксиметил)пиразол-1-ил]-4-метилпиперидин-1-карбоксилата (9) (4,0 г, 13,54 ммоль) в ацетонитриле (20 мл), добавляли активированный MnO2 (9,42 г, 108,34 ммоль) и перемешивали при к.т.в течение 24 ч. По окончании реакции (по данным ТСХ и ЖХ-МС), реакционную массу фильтровали через целит и фильтрат концентрировали в условиях пониженного давления. Неочищенную массу очищали методом колоночной хроматографии (100-200 силикагель; 2-3% МеОН в DCM в качестве элюента) с получением трет-бутил-4-(4-формилпиразол-1-ил)-4-метилпиперидин-1-карбоксилата (10) (3,0 г, 10,23 ммоль, 75,52% выход) в виде бесцветного липкого твердого вещества. ЖХ-МС: ЭС+ 294,3.
Стадия 9: Синтез трет-бутил-4-(4-(гидрокси(2-оксо-1,2-дигидробензо[cd]индол-6-ил)метил)-1Н-пиразол-1-ил)-4-метилпиперидин-1-карбоксилата: К перемешиваемому раствору 6-бром-1Н-бензо[cd]индол-2-она 11 (4,3 г, 17,33 ммоль) в THF (50,0 мл) добавляли фениллитий, как правило 1,9 М в ди-н-бути ловом эфире (1,8 М, 9,63 мл) при -78°С и реакционную смесь перемешивали при той же температуре в течение 1 часа с последующим добавлением Бутиллития (1,9 М, 10,04 мл) при -78°С и по завершении добавления температуре позволяли повыситься до -40°С и реакционную смесь перемешивали при той же температуре в течение 30 минут с последующим добавлением трет-бутил-4-(4-формилпиразол-1-ил)-4-метилпиперидин-1-карбоксилат 10 (5,08 г, 17,33 ммоль) в THF (50,0 мл) при -78°С и затем реакционной смеси позволяли нагреться до комнатной температуры и продолжали в течение 16 часов. Реакционную смесь гасили раствором хлорида аммония, разбавляли этилацетатом, промывали водой и органическую фракцию отделяли. Ее затем сушили над безводным сульфатом натрия и упаривали в условиях пониженного давления с получением неочищенного соединения, которое очищали методом флэш-хроматографии с использованием 0-5% МеОН-DCM с получением трет-бутил-4-[4-[гидрокси-(2-оксо-1Н-бензо[cd]индол-6-ил)метил]пиразол-1-ил]-4-метилпиперидин-1-карбоксилата 12 (1,5 г, 2,26 ммоль, 13,02% выход, 69,6% чистота) в виде коричневого твердого вещества. ЖХ-МС: ЭС+ 462,9.
Стадия 10: Синтез соединения 2,2,2-трифторацетальдегида с 6-((1-(4-метилпиперидин-4-ил)-1Н-пиразол-4-ил)метил)бензо[cd]индол-2(1Н)-оном (1:1): К перемешиваемому раствору трет-бутил-4-[4-[гидрокси-(2-оксо-1Н-бензо[cd]индол-6-ил)метил]пиразол-1-ил]-4-метилпиперидин-1-карбоксилата 12 (1,43 г, 3,09 ммоль) в DCE (6 мл) добавляли триэтилсилан (1,44 г, 12,37 ммоль, 1,98 мл), трифторуксусную кислоту (2,82 г, 24,73 ммоль, 1,91 мл) и реакционную смесь нагревали при 80°С в течение 2 часов в укупоренной пробирке. Растворитель упаривали из реакционной смеси в условиях пониженного давления и растирали с эфиром с получением [4-метил-4-[4-[(2-оксо-1Н-бензо[cd]индол-6-ил)метил]пиразол-1-ил]-1-пиперидил]-2,2,2-трифторацетата 13 (1,5 г, 1,92 ммоль, 62,24% выход, 73,7% чистота) в качестве неочищенного соединения, которое непосредственно использовали на следующей стадии. ЖХ-МС: ЭС+ 347,2.
Стадия 11: Синтез трет-бутил-4-метил-4-(4-((2-оксо-1,2-дигидробензо[cd]индол-6-ил)метил)-1Н-пиразол-1-ил)пиперидин-1-карбоксилата: К перемешиваемому раствору [4-метил-4-[4-[(2-оксо-1Н-бензо[cd]индол-6-ил)метил]пиразол-1-ил]-1-пиперидил]-2,2,2-трифторацетата 13 (1,4 г, 3,04 ммоль) в DCM (10,0 мл) добавляли триэтиламин (923,01 мг, 9,12 ммоль, 1,27 мл) при 0°С с последующим добавлением ди-трет-бутилдикарбоната (995,39 мг, 4,56 ммоль, 1,05 мл) и реакционную смесь перемешивали при комнатной температуре в течение 16 часов. Реакционную смесь разбавляли этилацетатом, промывали водой и органическую фракцию отделяли. Ее сушили над безводным сульфатом натрия и упаривали в условиях пониженного давления с получением неочищенного соединения, которое очищали методом флэш-хроматографии с использованием 0-5% MeOH-DCM с получением трет-бутил-4-метил-4-[4-[(2-оксо-1Н-бензо[cd]индол-6-ил)метил]пиразол-1-ил]пиперидин-1-карбоксилата 14 (800,0 мг, 1,67 ммоль, 54,80% выход, 93% чистота) в виде коричневого твердого вещества. ЖХ-МС: ЭС+ 447,3.
Стадия 12: Синтез трет-бутил-4-(4-((1-(2,6-диоксопиперидин-3-ил)-2-оксо-1,2-дигидробензо[cd]индол-6-ил)метил)-1Н-пиразол-1-ил)-4-метилпиперидин-1-карбоксилата: К перемешиваемому раствору трет-бутил-4-метил-4-[4-[(2-оксо-1Н-бензо[cd]индол-6-ил)метил]пиразол-1-ил]пиперидин-1-карбоксилата 14 (800,0 мг, 1,79 ммоль) в THF (20 мл) добавляли гидрид натрия (в масляной дисперсии) в виде 60% дисперсии в минеральном масле (686,46 мг, 17,92 ммоль, 60% чистота) в холодных условиях и реакционную смесь перемешивали при комнатной температуре в течение 10 минут с последующим добавлением 3-бромпиперидин-2,6-диона 15 (1,72 г, 8,96 ммоль) порциями. Ее затем перемешивали при комнатной температуре в течение 10 минут и нагревали при 70°С в течение 30 минут. Реакционную смесь затем разбавляли этилацетатом, промывали холодной водой и органическую фракцию отделяли. Ее затем сушили над безводным сульфатом натрия и упаривали в условиях пониженного давления с получением неочищенного соединения, которое промывали эфиром и пентаном с получением трет-бутил-4-[4-[[1-(2,6-диоксо-3-пиперидил)-2-оксобензо[cd]индол-6-ил]метил]пиразол-1-ил]-4-метилпиперидин-1 -карбоксилата 16 (780,0 мг, 1,39 ммоль, 77,76% выход, 99,6% чистота) в виде желтого твердого вещества. ЖХ-МС: ЭС+ 558,0.
Стадия 13: Синтез 3-(6-((1-(4-метилпиперидин-4-ил)-1Н-пиразол-4-ил)метил)-2-оксобензо[cd]индол-1(2Н)-ил)пиперидин-2,6-дионгидрохлорида: К перемешиваемому раствору трет-бутил-4-[4-[[1-(2,6-диоксо-3-пиперидил)-2-оксобензо[cd]индол-6-ил]метил]пиразол-1-ил]-4-метилпиперидин-1-карбоксилата 16 (780,0 мг, 1,40 ммоль) в диоксане (5 мл) добавляли соляную кислоту в диоксане (1,40 ммоль, 10 мл) и реакционную смесь перемешивали при комнатной температуре в течение 2 часов. Растворитель упаривали из реакционной смеси в условиях пониженного давления с получением желтого твердого вещества, которое промывали эфиром и пентаном с получением 3-[6-[[1-(1-хлор-4-метил-4-пиперидил)пиразол-4-ил]метил]-2-оксобензо[cd]индол-1-ил]пиперидин-2,6-диона Соединения 69 (690,0 мг, 1,21 ммоль, 86,30% выход, 92,8% чистота) в виде желтого твердого вещества. ЖХ-МС: ЭС+ 458,3.
Пример 35. Общая методика синтеза Соединения 70 - Соединения 93
К эквимолярной смеси амина и кислоты DMF (6 мл / ммоль) добавляли HATU (1,5 эквив.) и DIPEA (5,0 эквив.) при 0°С. Полученный раствор перемешивали при температуре окружающей среды в течение 16 часов. Реакционную смесь затем разбавляли этилацетатом и промывали водным раствором NaHCO3, водой (х3) и насыщенным солевым раствором. Органический слой затем сушили над безводным Na2SO4 и концентрировали в условиях пониженного давления. Неочищенную массу затем очищали с помощью ISCO колонки CombiFlash, элюируя 2% метанола в DCM с получением 3.
Соединение 70:
Желтое твердое вещество, 30,0 мг, 63,04% выход, 100% чистота. 1H ЯМР (400 МГц, DMSO-d6) δ 11,11 (s, 1Н), 8,39 (d, J=8,04 Гц, 1H), 8,08 (d, J=7,0 Гц, 1H), 7,85-7,81 (m, 2H), 7,36-7,33 (m, 2H), 7,07 (d, J=7,2 Гц, 1H), 5,45-5,42 (m, 1H), 4,20 (s, 2H), 4,15 (s, 3H), 3,96 (s, 4H), 3,74-3,70 (m, 1H), 3,22-3,18 (m, 1H), 3,05-2,91 (m, 3H), 2,77-2,72 (m, 1H), 2,67-2,62 (m, 1H), 2,41-2,27 (m, 2H), 2,08-2,07 (m, 1H), 1,83-1,82 (m, 1H), 1,72-1,71 (m, 1H), 1,34 (s, 3H); ЖХ-МС: ЭС+ 588,5.
Соединение 71:
Желтое твердое вещество 40,0 мг, 57,30% выход, 98,76% чистота. 1Н ЯМР (400 МГц, DMSO-d6) δ 11,11 (s, 1Н), 8,39 (d, J=8,24 Гц, 1H), 8,08 (d, J=6,92 Гц, 1H), 7,83 (t, J=7,64 Гц, 1H), 7,78 (s, 1H), 7,36-7,33 (m, 2H), 7,07 (d, J=7,32 Гц, 1H), 5,43 (dd, J=12,8, 5,2 Гц, 1H), 4,39 (s, 1H), 4,20 (s, 2H), 3,75-3,71 (m, 1H), 3,64 (s, 2H), 3,43-3,41 (m, 1H), 3,14-3,12 (m, 2H), 2,95-2,90 (m, 1H), 2,77-2,72 (m, 1H), 2,67-2,62 (m, 1H), 2,33-2,29 (m, 2H), 2,09-2,02 (m, 3H), 1,77-1,70 (m, 4H), 1,35 (s, 3Н); ЖХ-МС: ЭС+ 568,5.
Соединение 72:
Желтое твердое вещество, 35 мг, 47,95% выход, 98,63%чистота. 1H ЯМР (400 МГц, DMSO-d6) δ 11,10 (s, 1Н), 8,39 (d, J=8,28 Гц, 1H), 8,08 (d, J=7,0 Гц, 1H), 7,85-7,80 (m, 2H), 7,36-7,34 (m, 2H), 7,07 (d, J=7,2 Гц, 1H), 5,43 (dd, J=12,8, 5,2 Гц, 1H), 4,21 (s, 2H), 3,80-3,78 (m, 2H), 2,95-2,88 (m, 2H), 2,76-2,72 (m, 1H), 2,67-2,62 (m, 1H), 2,36-2,34 (m, 2H), 2,09-2,07 (m, 1H), 2,02-1,98 (m, 2H), 1,82-1,80 (m, 2H), 1,76-1,62 (m, 5H), 1,54-1,50 (m, 2H), 1,38 (s, 3H), 1,24-1,18 (m, 2H); ЖХ-МС: ЭС+ 593,3.
Соединение 73:
Желтое твердое вещество, 20 мг, 22,55% выход, 95% чистота. 1H ЯМР (400 МГц, DMSO-d6) δ 11,11 (s, 1H), 8,39 (d, J=8,08 Гц, 1H), 8,08 (d, J=6,56 Гц, 1H), 7,83 (t, J=7,48 Гц, 1Н), 7,76 (s, 1H), 7,36-7,33 (m, 2H), 7,07 (d, J=7,48 Гц, 1H), 5,45-5,42 (m, 1H), 4,20 (s, 2H), 3,76-3,74 (m, 2H), 3,54-3,52 (m, 1H), 3,27-3,25 (m, 2H), 3,14-3,01 (m, 2H), 2,86-2,84 (m, 5H), 2,32-2,25 (m, 2H), 2,10-2,07 (m, 2H), 1,77-1,75 (m, 7H), 1,36 (s, 3Н); ЖХ-МС: ЭС+ 595,3.
Соединение 74:
Желтое твердое вещество, 21 мг, 29,72% выход, 99,82% чистота. 1H ЯМР (400 МГц, DMSO-d6) δ 11,11 (s, 1H), 8,39 (d, J=8,6 Гц, 1H), 8,08 (d, J=7,2 Гц, 1H), 7,83 (t, J=7,66 Гц, 1Н), 7,78 (s, 1H), 7,36-7,34 (m, 2H), 7,07 (d, J=6,64 Гц, 1H), 5,45-5,42 (m, 1H), 4,21 (s, 2H), 3,70-3,69 (m, 2H), 3,31-3,24 (m, 3Н), 3,11-3,09 (m, 2H), 2,96-2,92 (m, 1H), 2,85-2,84 (m, 4H), 2,77-2,73 (m, 1H), 2,67-2,62 (m, 1H), 2,33-2,26 (m, 2H), 2,09-2,08 (m, 1H), 1,85-1,83 (m, 3H), 1,75-1,74 (m, 2H), 1,36 (s, 3Н); ЖХ-МС: ЭС+ 581,6.
Соединение 75:
Желтое твердое вещество, 60,0 мг, 70,33% выход, 99,57% чистота. 1Н ЯМР (400 МГц, DMSO-d6) δ 11,09 (s, 1Н), 8,36 (d, J=8,24 Гц, 1H), 8,06 (d, J=6,92 Гц, 1H), 7,80 (t, J=7,56 Гц, 1H), 7,76 (s, 1H), 7,33-7,31 (m, 2H), 7,05 (d, J=7,36 Гц, 1H), 5,44-5,39 (m, 1H), 4,18 (s, 2H), 3,68-3,64 (m, 1H), 3,47-3,45 (m, 1H), 3,17-3,12 (m, 1H), 3,07-3,02 (m, 1H), 2,94-2,89 (m, 1H), 2,74-2,70 (m, 1H), 2,65-2,59 (m, 1H), 2,31-2,29 (m, 1H), 2,23-2,20 (m, 1H), 2,07-2,05 (m, 1H), 1,94 (s, 3H), 1,79-1,73 (m, 1H), 1,69-1,63 (m, 1H), 1,32 (s, 3Н); ЖХ-МС: ЭС+ 500,2.
Соединение 76:
Желтое твердое вещество, 13 мг, 30,28% выход, 95% чистота. 1Н ЯМР (400 МГц, DMSO-d6) δ 11,11 (s, 1H), 8,39 (d, J=8,24 Гц, 1Н), 8,08 (d, J=6,96 Гц, 1H), 7,85-7,80 (m, 2H), 7,36-7,34 (m, 2H), 7,07 (d, J=7,28 Гц, 1H), 6,04-5,76 (m, 1H), 5,43 (dd, J=12,68, 5,0 Гц, 1H), 4,21 (s, 2H), 3,78-3,73 (m, 2H), 3,21-3,19 (m, 2H), 2,95-2,90 (m, 1H), 2,77-2,72 (m, 1H), 2,66-2,62 (m, 1H), 2,34-2,32 (m, 2H), 2,09-2,07 (m, 1H), 1,77-1,76 (m, 2H), 1,34 (s, 3H), 1,05-0,99 (m, 4H); ЖХ-МС: ЭС+ 576,5.
Соединение 77:
Желтое твердое вещество, 110,0 мг, 50,62% выход, 99,54% чистота. 1H ЯМР (400 МГц, DMSO-d6) δ 11,11 (s, 1Н), 8,39 (d, J=8,28 Гц, 1H), 8,08 (d, J=6,96 Гц, 1H), 7,82 (m, 2H), 7,36-7,34 (m, 2H), 7,07 (d, J=7,28 Гц, 1H), 5,43 (dd, J=12,72, 5,08 Гц, 1H), 4,21 (s, 2H), 3,79-3,75 (m, 2H), 3,29-3,22 (m, 2H), 2,96-2,88 (m, 1H), 2,77-2,72 (m, 1H), 2,67-2,62 (m, 1H), 2,36-2,32 (m, 2H), 2,09-2,07 (m, 1H), 1,79-1,78 (m, 2H), 1,35 (s, 3Н), 1,28-1,26 (m, 2H), 1,22-1,17 (m, 2H); ЖХ-МС: ЭС+ 594,3.
Соединение 78:
Желтое твердое вещество, 110,0 мг, 49,02% выход, 98,67% чистота. 1Н ЯМР (400 МГц, DMSO-d6) δ 11,11 (s, 1Н), 8,39 (d, J=8,28 Гц, 1H), 8,08 (d, J=7,0 Гц, 1H), 7,82 (t, J=7,68 Гц, 1H), 7,79 (s, 1H), 7,36-7,34 (m, 2H), 7,07 (d, J=7,32 Гц, 1H), 5,43 (dd, J=12,72, 5,08 Гц, 1H), 4,21 (s, 2H), 3,79-3,78 (m, 1H), 3,13-3,06 (m, 2H), 2,95-2,88 (m, 1H), 2,77-2,72 (m, 1H), 2,69-2,61 (m, 4H), 2,41-2,39 (m, 2H), 2,33-2,31 (m, 2H), 2,10-2,07 (m, 1H), 1,94-1,91 (m, 1H), 1,77-1,76 (m, 3H), 1,35 (s, 3Н); ЖХ-МС: ЭС+ 608,3.
Соединение 79:
Желтое твердое вещество, 122,0 мг, 53,98% выход, 98,63% чистота. 1Н ЯМР (400 МГц, DMSO-d6) δ 11,11 (s, 1H), 8,39 (d, J=8,24 Гц, 1H), 8,08 (d, J=6,92 Гц, 1H), 7,86-7,82 (m, 2Н), 7,36-7,31 (m, 2Н), 7,07 (d, J=7,24 Гц, 1H), 5,45-5,42 (m, 1Н), 4,21 (s, 2H), 3,81-3,80 (m, 2H), 3,19-3,18 (m, 1H), 2,97-2,88 (m, 1H), 2,80-2,62 (m, 2H), 2,39-2,38 (m, 2H), 2,08-2,07 (m, 2H), 1,85-1,84 (m, 2H), 1,56-1,47 (m, 4H), 1,37 (s, 3Н); ЖХ-МС: ЭС+ 551,2.
Соединение 80:
Желтое твердое вещество, 125,0 мг, 61,62% выход, 99,27% чистота. 1Н ЯМР (400 МГц, DMSO-d6) δ 11,11 (s, 1Н), 8,39 (d, J=8,28 Гц, 1H), 8,08 (d, J=6,6 Гц, 1H), 7,85-7,82 (m, 2H), 7,36-7,35 (m, 2H), 7,07 (d, J=6,96 Гц, 1H), 5,45-5,42 (m, 1H), 4,21 (s, 2H), 3,81-3,80 (m, 2H), 3,24-3,23 (m, 2H), 2,98-2,91 (m, 1H), 2,80-2,57 (m, 2H), 2,38-2,37 (m, 2H), 2,08-2,07 (m, 1H), 1,83-1,82 (m, 2H), 1,50 (s, 6H), 1,38 (s, 3Н); ЖХ-МС: ЭС+ 553,5.
Соединение 81:
Желтое твердое вещество, 110,0 мг, 51,39% выход, 99,37% чистота. 1Н ЯМР (400 МГц, DMSO-d6) δ 11,11 (s, 1H), 8,39 (d, J=8,28 Гц, 1Н), 7,82 (t, J=7,5 Гц, 1H), 7,77 (s, 1H), 7,36-7,33 (m, 2H), 7,07 (d, J=6,72 Гц, 1H), 5,45-5,42 (m, 1H), 4,20 (s, 2H), 3,70-3,69 (m, 2H), 3,59-3,57 (m, 2H), 3,46-3,38 (m, 2H), 3,27-3,23 (m, 2H), 2,98-2,90 (m, 1H), 2,80-2,72 (m, 1H), 2,67-2,62 (m, 1H), 2,29-2,26 (m, 2H), 2,08-2,07 (m, 1H), 2,00-1,87 (m, 2H), 1,76-1,72 (m, 2H), 1,42-1,39 (m, 2H), 1,35 (s, 3H), 1,21 (s, 3H); ЖХ-МС: ЭС+ 584,3.
Соединение 82:
Желтое твердое вещество, 35,0 мг, 40,38% выход, 97,37% чистота. 1Н ЯМР (400 МГц, DMSO-d6) δ 11,08 (br s, 1H), 8,39 (d, J=8,24 Гц, 1H), 8,08 (d, J=6,96 Гц, 1H), 7,83 (t, J=7,64 Гц, 1H), 7,78 (s, 1H), 7,36-7,34 (m, 2H), 7,07 (d, J=7,32 Гц, 1H), 5,43 (dd, J=12,76, 5,2 Гц, 1H), 4,21 (s, 2H), 3,76-3,72 (m, 2H), 3,23-3,18 (m, 2H), 2,96-2,91 (m, 1H), 2,77-2,72 (m, 1H), 2,67-2,62 (m, 1H), 2,33-2,30 (m, 2H), 2,09-2,07 (m, 1H), 1,81-1,75 (m, 2H), 1,44 (s, 6H), 1,36 (s, 3Н); ЖХ-МС: ЭС+ 596,2.
Соединение 83:
Желтое твердое вещество, 30,0 мг, 38,31% выход, 97,66% чистота. 1Н ЯМР (400 МГц, DMSO-d6) δ 11,10 (s, 1Н), 8,39 (d, J=8,24 Гц, 1H), 8,08 (d, J=6,96 Гц, 1H), 7,83 (t, J=7,66 Гц, 1H), 7,79 (s, 1H), 7,36-7,34 (m, 2H), 7,07 (d, J=7,32 Гц, 1H), 5,43 (dd, J=12,8, 5,12 Гц, 1H), 4,21 (s, 2H), 3,74-3,70 (m, 2H), 3,23-3,21 (m, 2H), 2,95-2,90 (m, 1H), 2,77-2,72 (m, 1H), 2,67-2,62 (m, 1H), 2,32-2,28 (m, 2H), 2,09-2,07 (m, 1H), 1,78-1,73 (m, 2H), 1,35 (s, 3H), 1,18 (s, 3H), 0,77-0,75 (m, 2H), 0,51-0,49 (m, 2H); ЖХ-МС: ЭС+ 540,3.
Соединение 84:
Желтое твердое вещество, 26,0 мг, 32,18% выход, 97,80% чистота. 1Н ЯМР (400 МГц, DMSO-d6) δ 11,09 (s, 1H), 8,39 (d, J=8,12 Гц, 1H), 8,08 (d, J=6,92 Гц, 1H), 7,85-7,80 (m, 2Н), 7,37-7,34 (m, 2Н), 7,07 (d, J=7,12 Гц, 1H), 5,45-5,42 (m, 1Н), 4,21 (s, 2H), 4,08-4,07 (m, 1H), 3,74-3,73 (m, 1H), 3,55-3,54 (m, 1H), 3,20-3,15 (m, 1H), 3,10 (s, 3H), 2,98-2,91 (m, 1H), 2,76-2,72 (m, 1H), 2,67-2,56 (m, 1H), 2,34-2,32 (m, 2H), 2,09-2,08 (m, 1H), 1,78-1,77 (m, 2H), 1,36 (s, 3H), 1,29 (s, 6H); ЖХ-МС: ЭС+ 558,3.
Соединение 85:
Желтое твердое вещество, 32,0 мг, 39,17% выход, 99,17% чистота. 1Н ЯМР (400 МГц, DMSO-d6) δ 11,11 (s, 1Н), 8,39 (d, J=8,24 Гц, 1H), 8,08 (d, J=6,92 Гц, 1H), 7,82 (t, J=7,64 Гц, 1H), 7,77 (s, 1H), 7,36-7,33 (m, 2H), 7,07 (d, J=7,36 Гц, 1H), 5,45-5,42 (m, 1H), 4,20 (s, 2H), 3,72-3,67 (m, 2H), 3,33-3,29 (m, 3H), 3,22-3,18 (m, 4H), 2,96-2,94 (m, 1H), 2,80-2,72 (m, 1H), 2,66-2,62 (m, 1H), 2,29-2,25 (m, 2H), 2,09-2,07 (m, 1H), 1,74-1,69 (m, 2H), 1,35 (s, 3H), 1,15 (s, 6H); ЖХ-МС: ЭС+ 572,3.
Соединение 86:
Желтое твердое вещество, 125,0 мг, 42,73% выход, 97,69% чистота. 1H ЯМР (400 МГц, DMSO-d6) δ 11,11 (s, 1H), 8,39 (d, J=8,24 Гц, 1H), 8,08 (d, J=7,0 Гц, 1Н), 7,85-7,80 (m, 2H), 7,36-7,34 (m, 2H), 7,07 (d, J=7,28 Гц, 1H), 5,43 (dd, J=12,84, 5,2 Гц, 1H), 4,21 (s, 2H), 3,80-3,75 (m, 1H), 3,45-3,42 (m, 1H), 3,18-3,14 (m, 2H), 2,96-2,91 (m, 1H), 2,76-2,62 (m, 4H), 2,57-2,54 (m, 2H), 2,41-2,32 (m, 2H), 2,11-2,07 (m, 2H), 1,87-1,78 (m, 3Н); ЖХ-МС: ЭС+ 565,2.
Соединение 87:
Желтое твердое вещество, 165,0 мг, 61,69% выход, 99,45% чистота. 1Н ЯМР (400 МГц, DMSO-d6) δ 11,11 (s, 1Н), 8,39 (d, J=8,24 Гц, 1H), 8,08 (d, J=6,96 Гц, 1H), 7,83 (t, J=7,64 Гц, 1H), 7,79 (s, 1H), 7,36-7,34 (m, 2H), 7,07 (d, J=7,32 Гц, 1H), 5,43 (dd, J=12,8, 5,12 Гц, 1H), 4,18 (s, 2H), 3,80-3,68 (m, 2H), 3,39-3,38 (m, 1H), 3,14-3,12 (m, 1H), 2,99-2,90 (m, 1H), 2,80-2,72 (m, 1H), 2,69-2,62 (m, 1H), 2,34-2,32 (m, 1H), 2,25-2,23 (m, 1H), 2,09-2,07 (m, 1H), 1,97-1,92 (m, 1H), 1,81-1,67 (m, 2H), 1,36 (s, 3H), 0,680-0,66 (m, 4H); ЖХ-МС: ЭС+ 526,2.
Соединение 88:
Желтое твердое вещество, 38,0 мг, 50,97% выход, 97,04% чистота. 1H ЯМР (400 МГц, DMSO-d6) δ 11,11 (s, 1Н), 8,39 (d, J=8,24 Гц, 1H), 8,08 (d, J=7,0 Гц, 1H), 7,82 (t, J=7,62 Гц, 1H), 7,77 (s, 1H), 7,36-7,33 (m, 2H), 7,07 (d, J=7,28 Гц, 1H), 5,43 (dd, J=12,68, 5,08 Гц, 1H), 4,20 (s, 2H), 3,95 (t, J=6,42 Гц, 2H), 3,66-3,65 (m, 1H), 3,46-3,45 (m, 1H), 3,10-3,08 (m, 2H), 2,94-2,90 (m, 1H), 2,77-2,72 (m, 1H), 2,67-2,62 (m, 1H), 2,33-2,27 (m, 2H), 2,10-1,99 (m, 7H), 1,74-1,73 (m, 2H), 1,34 (s, 3H), 1,11 (s, 3Н); ЖХ-МС: ЭС+ 596,3.
Соединение 89
Желтое твердое вещество, 40,0 мг, 54,86% выход, 96,57% чистота. 1H ЯМР (400 МГц, DMSO-d6) δ 11,11 (s, 1Н), 8,39 (d, J=8,24 Гц, 1H), 8,08 (d, J=6,96 Гц, 1H), 7,82 (t, J=7,62 Гц, 1H), 7,77 (s, 1H), 7,36-7,33 (m, 2H), 7,07 (d, J=7,28 Гц, 1H), 5,43 (dd, J=12,76, 5,16 Гц, 1H), 4,20 (s, 2H), 3,64-3,62 (m, 1H), 3,40-3,39 (m, 1H), 3,09-3,07 (m, 2H), 2,99-2,90 (m, 1H), 2,81-2,72 (m, 1H), 2,69-2,62 (m, 1H), 2,34-2,26 (m, 2H), 2,09-2,07 (m, 4H), 1,79-1,60 (m, 9H), 1,34 (s, 3Н); ЖХ-МС: ЭС+ 580,3.
Соединение 90:
Желтое твердое вещество, 40,0 мг, 56,75% выход, 97,82% чистота. 1Н ЯМР (400 МГц, DMSO-d6) δ 11,11 (s, 1Н), 8,39 (d, J=8,04 Гц, 1H), 8,08 (d, J=7,0 Гц, 1H), 7,83 (t, J=7,64 Гц, 1H), 7,78 (s, 1H), 7,35-7,33 (m, 2H), 7,07 (d, J=7,28 Гц, 1H), 5,45-5,42 (m, 1H), 4,20 (s, 2H), 3,75-3,67 (m, 4H), 3,14-3,09 (m, 1H), 2,95-2,91 (m, 1H), 2,83-2,79 (m, 1H), 2,76-2,72 (m, 1H), 2,67-2,62 (m, 1H), 2,49-2,47 (m, 1H), 2,33-2,29 (m, 2H), 2,08-2,07 (m, 1H), 1,98-1,96 (m, 2H), 1,76-1,72 (m, 2H), 1,60-1,57 (m, 2H), 1,35 (s, 3Н); ЖХ-МС: ЭС+ 568,3.
Соединение 91:
Желтое твердое вещество, 40,0 мг, 58,47% выход, 97,94% чистота. 1H ЯМР (400 МГц, DMSO-d6) δ 11,11 (s, 1Н), 8,39 (d, J=8,12 Гц, 1H), 8,08 (d, J=6,96 Гц, 1H), 7,83 (t, J=7,64 Гц, 1H), 7,77 (s, 1H), 7,36-7,33 (m, 2H), 7,07 (d, J=7,2 Гц, 1H), 5,45-5,42 (m, 1H), 4,20 (s, 2H), 3,69-3,63 (m, 2H), 3,09-3,06 (m, 1H), 2,98-2,90 (m, 1H), 2,79-2,72 (m, 1H), 2,67-2,62 (m, 1H), 2,43 (s, 2H), 2,33-2,22 (m, 2H), 2,06-2,00 (m, 7H), 1,75-1,72 (m, 2H), 1,35 (s, 3Н); ЖХ-МС: ЭС+ 552,3.
Соединение 92:
Желтое твердое вещество, ПО мг, 48,55% выход, 98,94% чистота. 1Н ЯМР (400 МГц, DMSO-d6) δ 11,11 (s, 1H), 8,39 (d, J=Гц, 1Н), 8,08 (d, J=Гц, 1H), 7,82 (t, J=Гц, 1H), 7,78 (s, 1H), 7,36-7,33 (m, 2H), 7,07 (d, J=Гц, 1H), 5,43 (dd, J=Гц, 1H), 4,20 (s, 2H), 3,69-3,67 (m, 1H), 3,29-3,28 (m, 1H), 3,07-3,05 (m, 2H), 2,99-2,90 (m, 1H), 2,80-2,69 (m, 1H), 2,67-2,62 (m, 1H), 2,39-2,28 (m, 4H), 2,09-2,07 (m, 1H), 1,94-1,83 (m, 1H), 1,78-1,74 (m, 4H), 1,62-1,55 (m, 1H), 1,34 (s, 3H), 1,31 (s, 3Н); ЖХ-МС: ЭС+ 554,2.
Соединение 93:
Желтое твердое вещество, 120 мг, 43,48% выход, 99,32% чистота. 1Н ЯМР (400 МГц, DMSO-d6) δ 11,11 (s, 1Н), 8,39 (d, J=8,2 Гц, 1H), 8,08 (d, J=6,92 Гц, 1H), 7,83 (t, J=7,58 Гц, 1H), 7,78 (s, 1H), 7,35-7,33 (m, 1H), 7,07 (d, J=7,08 Гц, 1H), 5,44-5,42 (m, 1H), 4,21 (s, 2H), 3,70-3,68 (m, 2Н), 3,25-3,22 (m, 2Н), 2,98-2,91 (m, 1H), 2,76-2,72 (m, 1H), 2,67-2,62 (m, 1H), 2,27-2,26 (m, 2Н), 2,09-2,08 (m, 1H), 1,76-1,71 (m, 2Н), 1,35 (s, 3Н), 1,16 (s, 9Н); ЖХ-МС: ЭС+ 542,2.
Пример 36. Общая методика синтеза Соединения 94-Соединения 98
К эквимолярной смеси амина и кислоты DMF (2 мл) добавляли HATU (1,5 эквив.) и DIPEA (5,0 эквив.) при 0°С. Полученный раствор перемешивали при температуре окружающей среды в течение 16 часов. Реакционную смесь затем разбавляли этилацетатом и промывали водным раствором NaHCO3, водой (х3) и насыщенным солевым раствором. Органический слой затем сушили над безводным Na2SO4 и концентрировали в условиях пониженного давления. Неочищенную массу затем очищали с помощью Combi-Flash (элюируя 2% метанола в DCM) с последующим проведением преп. ТСХ с получением 3.
Соединение 94:
Желтое твердое вещество 28 мг, 41,41% выход, 99,07% чистота. 1Н ЯМР (400 МГц, DMSO-d6): δ 11,10 (s, 1H), 8,39 (d, J=8,0 Гц, 1H), 8,09 (d, J=7,0 Гц, 1H), 7,85-7,81 (m, 1H), 7,79 (s, 1H), 7,36-7,34 (m, 2Н), 7,07 (d, J=7,2 Гц, 1H), 5,46-5,41 (m, 1H), 4,78-4,74 (m, 2Н), 4,24-4,21 (m , 4Н), 3,75 (m , 1H), 3,07 (m , 1H), 2,98-2,86 (m , 3Н), 2,76-2,62 (m , 2Н), 2,32-2,31 (m , 2Н), 2,09-2,08 (m , 1H), 1,78-1,75 (m , 2Н), 1,50 (s, 3Н), 1,35 (s, 3Н). ЖХМС: (ЭС+ )=556,4 [М+Н]+.
Соединение 95:
Желтое твердое вещество 40 мг, 56,44% выход, 98,61% чистота. 1Н ЯМР (400 МГц, DMSO-d6): δ 11,11 (s, 1Н), 8,39 (4 J=8,2 Гц, 1H), 8,08 {d, J=7,0 Гц, 1H), 7,85-7,81 (m, 1H), 7,78 (s, 1H), 7,36-7,34 (m, 2H), 7,07 (d, J=7,3 Гц, 1H), 5,46-5,41 (m, 1H), 4,42 (m, 1H), 4,29 (m, 1H), 4,21 (m, 2H), 3,73-3,69 (m, 1H), 3,24-3,19 (m, 2H), 2,96-2,90 (m, 1H), 2,77-2,73 (m, 1H), 2,69-2,63 (m, 2H), 2,32-2,28 (m, 2H), 2,09-2,07 (m, 1H), 1,78-1,73 (m, 2H), 1,36 (s, 3H), 1,22-1,21 (m, 6H). ЖХМС (ЭС+)=560,3 [M+H]+.
Соединение 96:
Желтое твердое вещество 32 мг, 47% выход, 98,2% чистота. 1H ЯМР (400 МГц, DMSO-d6): δ 11,12 (s, 1Н), 8,40 {d,J=8,2 Гц, 1H), 8,08 {d,J=6,9 Гц, 1H), 7,85-7,81 (m, 2H), 7,34 (m, 2H), 7,08 (d, J=7,2 Гц, 1H), 5,44-5,43 (m, 1H), 4,21 (s, 2H), 4,21 (m, 2H), 3,29 (m, 1H), 3,18 (m, 1H), 2,95-2,91 (m, 1H), 2,76-2,62 (m, 2H), 2,33 (m, 2H), 2,08 (m, 1H), 1,78 (m, 2H), 1,55-1,49 (m, 3H), 1,37 (s, 9H). ЖХМС (ЭС+ )=546,2 [M+H]+.
Соединение 97:
Желтое твердое вещество 36 мг, 51,71% выход, 98,93% чистота. 1H ЯМР (400 МГц, DMSO-d6): δ 11,11 (s, 1H), 8,40 (d, J=8,3 Гц, 1H), 8,08 (d, J=7,0 Гц, 1Н), 7,85-7,81 (m, 2Н), 7,36-7,34 (m , 2Н), 7,07 (d, J=7,2 Гц, 1Н), 5,44-5,42 (m , 1H), 4,20 (s, 2Н), 3,86 (m , 2Н), 2,98-2,91 (m , 1H), 2,79-2,73 (m , 1H), 2,69-2,62 (m , 2Н), 2,33 (m , 2Н), 2,08 (m , 1Н), 1,80 (m , 3Н), 1,73 (s, 6Н), 1,38 (s, 3Н). ЖХМС (ЭС+ )=562,4 [М+Н]+.
Соединение 98:
Желтое твердое вещество 15 мг, 18,59% выход, 99,44% чистота. 1Н ЯМР (400 МГц, DMSO-d6): δ 11,1 (s, 1Н), 8,39 (d,J=8,0 Гц, 1H), 8,08 {d,J=7,0 Гц, 1H), 7,83 (t, J=7,6 Гц, 1Н), 7,78 (s, 1H), 7,36-7,34 (m, 2H), 7,07 (d, J=7,2 Гц, 1H), 5,46-5,42 (m, 1H), 4,52-4,49 (m, 1H), 4,21 (s, 2H), 3,73-3,70 (m, 2H), 3,39-3,38 (m, 2H), 3,23-3,18 (m, 2H), 2,95-2,92 (m, 1H), 2,76-2,73 (m, 1H), 2,67-2,63 (m, 1H), 2,31-2,28 (m, 2H), 2,09-2,06 (m, 1H), 1,77-1,72 (m, 2H), 1,35 (s, 3H),1,13 (s, 6H). ЖХМС (ЭС+)=558,6 [M+H]+.
Пример 37. Общая методика синтеза Соединения 99-Соединения 106
К перемешиваемому раствору амина (1,0 эквив.) в THF (6 мл / ммоль) добавляли триэтиламин (2,0 эквив.) при 0°С. Затем Альдегид (1,0 эквив.), фенилсилана (1,0 эквив.) и дихлорид дибутилолова (1,2 эквив.) добавляли в реакционную смесь. Полученный раствор перемешивали при 90°С в течение 16 часов. Реакционную смесь затем разбавляли этилацетатом и промывали водным раствором NaHCO3, водой (х3) и насыщенным солевым раствором. Органический слой затем сушили над безводным Na2SO4 и концентрировали в условиях пониженного давления. Неочищенную массу затем очищали с помощью ISCO колонки CombiFlash, элюируя 3% метанола в DCM с получением 3.
Соединение 99:
Желтое твердое вещество, 125,0 мг, 45,53% выход, 99,48% чистота. 1Н ЯМР (400 МГц, DMSO-d6) δ 11,10 (s, 1Н), 8,38 (d, J=8,32 Гц, 1H), 8,08 (d, J=6,88 Гц, 1H), 7,82 (t, J=7,6 Гц, 1H), 7,70 (s, 1H), 7,36-7,30 (m, 2H), 7,07 (d, J=7,08 Гц, 1H), 5,44-5,42 (m, 1H), 4,20 (s, 2H), 2,95-2,91 (m, 1H), 2,77-2,73 (m, 1H), 2,68-2,62 (m, 1H), 2,50-2,49 (m, 2H), 2,37-2,26 (m, 4H), 2,14-2,10 (m, 4H), 1,90-1,88 (m, 1H), 1,76-1,74 (m, 4H), 1,57-1,55 (m, 2H), 1,28 (s, 3H), 1,11 (s, 3Н); ЖХ-МС: ЭС+ 540,3.
Соединение 100:
Желтое твердое вещество, 130,0 мг, 60,22% выход, 98,59% чистота. 1Н ЯМР (400 МГц, DMSO-d6) δ 11,11 (s, 1Н), 8,38 (d, J=8,24 Гц, 1H), 8,08 (d, J=6,88 Гц, 1H), 7,81 (t, J=7,58 Гц, 1H), 7,71 (s, 1H), 7,37-7,31 (m, 2H), 7,07 (d, J=7,24 Гц, 1H), 5,43 (dd, J=12,64, 4,8 Гц, 1H), 4,20 (s, 2H), 2,99-2,90 (m, 1H), 2,80-2,69 (m, 1H), 2,66-2,62 (m, 1H), 2,50-2,49 (m, 3H), 2,34-2,32 (m, 2H), 2,15-1,92 (m, 4H), 1,82-1,78 (m, 2H), 1,29 (s, 3H), 1,00 (s, 3Н); ЖХ-МС: ЭС+ 526,6.
Соединение 101:
Желтое твердое вещество, 62 мг, 42,40% выход, 97,48% чистота. 1H ЯМР (400 МГц, DMSO-d6) δ 11,08 (s, 1Н), 8,35 (d, J=8,24 Гц, 1H), 8,05 (d, J=7,0 Гц, 1H), 7,79 (t, J=7,62 Гц, 1H), 7,69 (s, 1H), 7,32 (d, J=6,96 Гц, 1H), 7,27 (s, 1H), 7,04 (d, J=7,28 Гц, 1H), 5,40 (dd, J=12,76, 5,08 Гц, 1H), 4,17 (s, 2H), 3,14 (s, 3H), 2,93-2,89 (m, 1H), 2,74-2,69 (m, 1H), 2,64-2,53 (m, 2H), 2,46-2,05 (m, 7H), 2,07-2,04 (m, 1H), 1,76-1,74 (m, 2H), 1,26 (s, 3H), 0,61 (s, 2H), 0,35 (s, 2H); ЖХ-МС: ЭС+ 541,7.
Соединение 102:
Желтое твердое вещество, 70 мг, 41,94% выход, 97,62% чистота. 1Н ЯМР (400 МГц, DMSO-d6) δ 11,11 (s, 1H), 8,38 (d, J=8,2 Гц, 1H), 8,08 (d, J=6,92 Гц, 1H), 7,82 (t, J=7,58 Гц, 1H), 7,73 (s, 1H), 7,35-7,30 (m, 2Н), 7,07 (d, J=7,24 Гц, 1H),. 5,43 (dd, J=12,56, 4,88 Гц, 1H), 4,20 (s, 2Н), 2,98-2,90 (m, 1Н), 2,79-2,72 (m, 1H), 2,69-2,59 (m, 3Н), 2,41-2,30 (m, 4H), 2,22-2,18 (m, 2H), 2,09-2,07 (m, 1H), 1,83-1,79 (m, 2H), 1,29 (s, 3Н), 1,20 (s, 2H), 0,85 (s, 2H); ЖХ-МС: ЭС+ 537,3.
Соединение 103:
Желтое твердое вещество, 59 мг, 34,51% выход, 98,70% чистота. 1Н ЯМР (400 МГц, DMSO-d6) δ 11,11 (s, 1H), 8,38 (d, J=8,28 Гц, 1H), 8,08 (d, J=6,96 Гц, 1Н), 7,82 (t, J=7,62 Гц, 1H), 7,71 (s, 1H), 7,35 (d, J=7,28 Гц, 1H), 7,30 (s, 1H), 7,07 (d, J=7,28 Гц, 1H), 5,43 (dd, J=12,6, 5,04 Гц, 1H), 4,20 (s, 2H), 3,02 (s, 3H), 2,94-2,90 (m, 1H), 2,78-2,72 (m, 1H), 2,67-2,62 (m, 1H), 2,51-2,50 (m, 2H), 2,36 (s, 2H), 2,33-2,22 (m, 4H), 2,10-2,07 (m, 1H), 1,99-1,90 (m, 2H), 1,88-1,82 (m, 2H), 1,78-1,74 (m, 2H), 1,66-1,61 (m, 1H), 1,53-1,49 (m, 1H), 1,28 (s, 3Н); ЖХ-МС: ЭС+ 556,7.
Соединение 104:
Желтое твердое вещество, 130,0 мг, 57,40% выход, 94,32% чистота. 1Н ЯМР (400 МГц, DMSO-d6) δ 11,10 (s, 1Н), 8,39 (d, J=8,24 Гц, 1H), 8,08 (d, J=6,96 Гц, 1H), 7,82 (t, J=7,62 Гц, 1H), 7,70 (s, 1H), 7,34 (d, J=7,24 Гц, 1H), 7,30 (s, 1H), 7,07 (d, J=7,24 Гц, 1H), 5,43 (dd, J=12,64, 4,88 Гц, 1H), 4,20 (s, 2H), 2,97-2,90 (m, 1H), 2,77-2,72 (m, 1H), 2,67-2,62 (m, 1H), 2,50-2,49 (m, 2H), 2,33-2,29 (m, 4H), 2,09-2,07 (m, 1H), 1,96 (s, 2H), 1,79-1,75 (m, 2H), 1,29 (s, 3H), 0,81 (s, 9H); ЖХ-МС: ЭС+ 528,5.
Соединение 105:
Желтое твердое вещество, 90,0 мг, 57,17% выход, 96,90% чистота. 1Н ЯМР (400 МГц, DMSO-d6) δ 11,11 (s, 1H), 8,39-8,37 (m, 1H), 8,09-8,07 (m, 1H), 7,83-7,81 (m, 1H), 7,71 (s, 1H), 7,36-7,30 (m, 2Н), 7,09-7,06 (m, 1H), 5,44-5,42 (m, 1H), 4,19 (s, 2Н), 3,03-2,91 (m, 1Н), 2,77-2,73 (m, 1H), 2,67-2,62 (m, 1H), 2,40 (s, 2H), 2,30-2,28 (m, 2H), 2,16-2,15 (m, 2H), 2,08-2,07 (m, 1H), 1,78-1,77 (m, 2H), 1,28 (s, 3Н), 0,92 (s, 2H), 0,66 (s, 2H); ЖХ-МС: ЭС+ 580,3.
Соединение 106:
Желтое твердое вещество, 100,0 мг, 70,18% выход, 97,81% чистота. 1Н ЯМР (400 МГц, DMSO-d6) δ 11,10 (s, 1Н), 8,38 (d, J=8,24 Гц, 1H), 8,08 (d, J=6,92 Гц, 1H), 7,82 (t, J=7,62 Гц, 1H), 7,73 (s, 1H), 7,34 (d, J=7,32 Гц, 1H), 7,30 (s, 1H), 7,07 (d, J=7,28 Гц, 1H), 5,43 (dd, J=12,84, 5,24 Гц, 1H), 4,20 (s, 2H), 2,95-2,90 (m, 1H), 2,78-2,72 (m, 1H), 2,67-2,57 (m, 5H), 2,33-2,29 (m, 4H), 2,09-2,07 (m, 1H), 1,83-1,78 (m, 2H), 1,29 (s, 3Н), 0,97-0,87 (m, 2H), 0,62-0,60 (m, 2H); ЖХ-МС: ЭС+ 530,2.
Пример 38. Синтез трет-бутил-4-(4-((1-(2,6-диоксопиперидин-3-ил)-2-оксо-1,2-дигидробензо[cd]индол-6-ил)метил)бензил)пиперазин-1-карбоксилата (Соединение 107)
Стадия 1: Синтез трет-бутил-4-(4-(хлорметил)бензил)пиперазин-1-карбоксилата: К перемешиваемому раствору трет-бутилпиперазин-1-карбоксилата 1 (10 г, 53,69 ммоль) в DMF (100 мл) добавляли DIPEA (20,82 г, 161,07 ммоль, 28,06 мл) и перемешивали в течение 5 мин. Затем 1,4-бис(хлорметил)бензол 2 (9,40 г, 53,69 ммоль, 6,62 мл) добавляли и реакционную смесь нагревали при 60°С в течение 16 часов. По окончании реакции (по данным ТСХ), реакционную смесь разбавляли этилацетатом и промывали водой и насыщенным солевым раствором, сушили над сульфатом натрия и концентрировали. Неочищенное вещество очищали методом колоночной хроматографии (100-200 силикагель, 25-30% EtOAc в гексане) с получением трет-бутил-4-[[4-(хлорметил)фенил]метил]пиперазин-1-карбоксилата 3 (7 г, 19,39 ммоль, 36,12% выход, 90% чистота) в виде беловатого твердого вещества. ЖХ-МС: ЭС+ 324,9.
Стадия 2: Синтез трет-бутил-4-(4-((2-оксо-1,2-дигидробензо[cd]индол-6-ил)метил)бензил)пиперазин-1-карбоксилата: К перемешиваемому раствору трет-бутил-4-[[4-(хлорметил)фенил]метил]пиперазин-1-карбоксилата 3 (4 г, 12,31 ммоль) и 6-(4,4,5,5-тетраметил-1,3,2-диоксаборолан-2-ил)-1Н-бензо[cd]индол-2-она 4 (7,27 г, 24,63 ммоль) в этаноле (20 мл) и толуол (40 мл) добавляли безводный трехосновный фосфат калия (7,84 г, 36,94 ммоль) и реакционную массу дегазировали в атмосфере азота в течение 10 минут. Три-о-толилфосфин (749,58 мг, 2,46 ммоль) и (1Е,4Е)-1,5-дифенилпента-1,4-диен-3-он;палладия (1,13 г, 1,23 ммоль) затем добавляли к этой реакционной массе и ее нагревали при 90°С в течение ночи. Затем реакционную смесь фильтровали через шоттовскую воронку через слой целита. Фильтрат разбавляли этилацетатом и промывали водой. Органическую часть сушили над Na2SO4 и упаривали в условиях пониженного давления. Полученное таким образом неочищенное соединение очищали методом хроматографии combi-flash (элюируя 0-30% EA/DCM) с получением чистого соединения трет-бутил-4-[[4-[(2-оксо-1Н-бензо[cd]индол-6-ил)метил]фенил]метил]пиперазин-1-карбоксилата 5 (3,2 г, 6,29 ммоль, 51,12% выход, 90% чистота) в виде желтого твердого вещества. ЖХ-МС: ЭС+ 458,4.
Стадия 3: Синтез трет-бутил-4-(4-((1-(2,6-диоксопиперидин-3-ил)-2-оксо-1,2-дигидробензо[cd]индол-6-ил)метил)бензил)пиперазин-1-карбоксилата: К перемешиваемому раствору трет-бутил-4-[[4-[(2-оксо-1Н-бензо[cd]индол-6-ил)метил]фенил]метил]пиперазин-1-карбоксилата 5 (3,1 г, 6,78 ммоль) в сухом THF (80 мл) добавляли гидрид натрия (в масляной дисперсии) в виде 60% дисперсии в минеральном масле (2,34 г, 101,63 ммоль) при 0°С и перемешивали в течение 15 минут с последующим добавлением 3-бромпиперидин-2,6-диона 6 (6,50 г, 33,88 ммоль). Полученную реакционную смесь перемешивали при 70°С в течение 1 часа. После полной конверсии реакционную смесь гасили ледяной водой и экстрагировали добавлением этилацетата (2×100 мл). Объединенный органический слой отделяли, сушили над сульфатом натрия и концентрировали. Неочищенную реакционную массу очищали методом колоночной хроматографии CombiFlash (0-30% этилацетата в DCM в качестве элюента) с получением трет-бутил-4-[[4-[[1-(2,6-диоксо-3-пиперидил)-2-оксобензо[cd]индол-6-ил]метил]фенил]метил]пиперазин-1-карбоксилата.
Соединение 107 (2,3 г, 3,85 ммоль, 56,83% выход, 95,20% чистота) в виде желтого твердого вещества. 1Н ЯМР (400 МГц, DMSO-d6) δ 11,12 (s, 1H), 8,32 (d, J=8,12 Гц, 1Н), 8,07 (d, J=6,88 Гц, 1H), 7,80 (t, J=7,58 Гц, 1H), 7,40 (d, J=7,2 Гц, 1H), 7,25-7,09 (m, 5H), 5,44 (dd, J=12,64, 4,76 Гц, 1H), 4,37 (s, 2H), 3,38 (s, 2H), 3,25 (s, 4H), 2,98-2,90 (m, 1H), 2,79-2,69 (m, 1H), 2,66-2,62 (m, 1H), 2,24 (s, 4H), 2,10-2,07 (m, 1H), 1,36 (s, 9H); ЖХ-МС: ЭС+ 569,3.
Стадия 4: Синтез 3-(2-оксо-6-(4-(пиперазин-1-илметил)бензил)бензо[cd]индол-1(2Н)-ил)пиперидин-2,б-дионгидрохлорида: К перемешиваемому раствору трет-бутил-4-[[4-[[1-(2,6-диоксо-3-пиперидил)-2-оксобензо[cd]индол-6-ил]метил]фенил]метил]пиперазин-1-карбоксилата 7 (2,3 г, 4,04 ммоль) в 1,4-диоксане (20 мл) добавляли диоксан-HCl (50 мл) при 0°С и перемешивали реакционную массу при комнатной температуре в течение 4 часов. Реакционную массу концентрировали в условиях пониженного давления, неочищенное соединение растирали с эфиром-пентаном с получением желаемого соединения 3-[2-оксо-6-[[4-(пиперазин-1-илметил)фенил]метил]бензо[cd]индол-1-ил]пиперидин-2,6-дионгидрохлоридаа Соединения 295 (2 г, 3,51 ммоль, 86,76% выход, 95% чистота) в виде светло-желтого твердого вещества. ЖХ-МС: ЭС+ 469,4.
Пример 39. Общая методика синтеза Соединения 108 - Соединения 112
К эквимолярной смеси амина и кислоты DMF (6 мл / ммоль) добавляли HATU (1,5 эквив.) и DIPEA (5,0 эквив.) при 0°С. Полученный раствор перемешивали при температуре окружающей среды в течение 16 часов. Реакционную смесь затем разбавляли этилацетатом и промывали водным раствором NaHCO3, водой (х3) и насыщенным солевым раствором. Органический слой затем сушили над безводным Na2SO4 и концентрировали в условиях пониженного давления. Неочищенную массу затем очищали с помощью ISCO колонки CombiFlash, элюируя 2% метанола в DCM с получением 3.
Соединение 108:
Желтое твердое вещество, 23,0 мг, 21,09% выход, 92,73% чистота. 1H ЯМР (400 МГц, DMSO-d6) δ 11,12 (s, 1H), 8,33 (d, J=8,32 Гц, 1H), 8,07 (d, J=6,96 Гц, 1H), 7,81 (t, J=7,6 Гц, 1H), 7,40 (d, J=7,44 Гц, 1H), 7,25-7,23 (m, 2H), 7,20-7,18 (m, 2H), 7,10 (d, J=7,32 Гц, 1H), 5,44 (dd, J=13,52, 5,4 Гц, 1H), 4,38 (s, 2H), 3,40-3,36 (m, 6H), 2,95-2,92 (m, 1H), 2,76-2,73 (m, 1H), 2,66-2,63 (m, 1H), 2,32-2,28 (m, 2H), 2,25-2,21 (m, 2H), 2,10-2,07 (m, 1H), 1,94 (s, 3Н); ЖХ-МС: 511,2.
Соединение 109:
Желтое твердое вещество, 45,0 мг, 36,97% выход, 100% чистота. 1Н ЯМР (400 МГц, DMSO-d6) δ 11,12 (s, 1Н), 8,33 (d, J=8,36 Гц, 1H), 8,07 (d, J=6,96 Гц, 1H), 7,81 (t, J=7,60 Гц, 1H), 7,41 (d, J=7,4 Гц, 1H), 7,26-7,18 (m,4H), 7,10 (d, J=7,08 Гц, 1H), 5,44-5,43 (m, 1H), 4,47 (q, J=10,28 Гц, 2H), 4,38 (s, 2H), 3,44 (s, 2H), 3,19 (brs, 4H), 2,96-2,92 (m, 1H), 2,76-2,73 (m, 1H), 2,67-2,62 (m, 1H), 2,39 (brs, 4H), 2,09-2,07 (m, 1H); ЖХ-МС: ЭС+ 615,2.
Соединение 110:
Желтое твердое вещество, 40,0 мг, 33,04% выход, 92,36% чистота. 1Н ЯМР (400 МГц, DMSO-d6) δ 11,12 (s, 1H), 8,32 (d, J=8,24 Гц, 1H), 8,07 (d, J=7,0 Гц, 1H), 7,80 (t, J=7,66 Гц, 1H), 7,40 (d, J=7,32 Гц, 1H), 7,25-7,11 (m, 5Н), 5,44 (dd, J=12, 4,44 Гц, 1H), 4,37 (s, 2Н), 3,39-3,32 (m, 4Н), 3,20-3,18 (m, 2Н), 2,94-2,90 (m, 1Н), 2,76-2,73 (m, 1H), 2,66-2,62 (m, 1H), 2,35-2,30 (m, 2H), 2,30-2,25 (m, 4H), 2,10-2,08 (m, 1H), 1,91-1,84 (m, 1H), 1,76-1,72 (m, 2H), 1,59-1,56 (m, 1H), 1,29 (s, 3Н); ЖХ-МС: ЭС+ 565,6.
Соединение 111:
Желтое твердое вещество, 70,0 мг, 60,98% выход, 98,78% чистота. 1Н ЯМР (400 МГц, DMSO-d6) δ 11,11 (s, 1H), 8,32 (d, J=8,28 Гц, 1H), 8,07 (d, J=6,96 Гц, 1H), 7,81 (t, J=7,56 Гц, 1H), 7,43-7,39 (m, 4Н), 7,36-7,33 (m, 2Н), 7,25-7,18 (m, 4Н), 7,10 (d, J=7,28 Гц, 1H), 5,43 (dd, J=12,8, 5,28 Гц, 1H), 4,38 (s, 2Н), 3,57 (brs, 2Н), 3,42 (s, 2Н), 2,94-2,90 (m, 1H), 2,76-2,73 (m, 1H), 2,66-2,62 (m, 1H), 2,34-2,32 (m, 4Н), 2,11-2,07 (m, 1Н); ЖХ-МС: ЭС+ 573,3.
Соединение 112:
Желтое твердое вещество, 55,0 мг, 49,51% выход, 95,65% чистота. 1Н ЯМР (400 МГц, DMSO-d6) δ 11,11 (s, 1Н), 8,32 (d, J=8,24 Гц, 1H), 8,07 (d, J=6,96 Гц, 1H), 7,80 (t, J=7,68 Гц, 1H), 7,41 (d, J=7,32 Гц, 1H), 7,26-7,19 (m, 4H), 7,10 (d, J=7,28 Гц, 1H), 5,44 (dd, J=12,72, 5,08 Гц, 1H), 4,38 (s, 2H), 3,61 (brs, 2H), 3,41 (s, 4H), 2,96-2,92 (m, 1H), 2,77-2,73 (m, 1H), 2,67-2,63 (m, 1H), 2,33-2,25 (m, 4H), 2,10-2,07 (m, 1H), 1,92-1,89 (m, 1H), 0,69-0,65 (m, 4 H); ЖХ-МС: ЭС+ 537,2.
Пример 40. Общая методика синтеза (Соединение 113)
К перемешиваемому раствору амина (1,0 эквив.) в THF (6 мл / ммоль) добавляли триэтиламин (2,0 эквив.) при 0°С. Затем Альдегид (1,0 эквив.), фенилсилана (1,0 эквив.) и дихлорид дибутилолова (1,2 эквив.) добавляли в реакционную смесь. Полученный раствор перемешивали при 90°С в течение 16 часов. Реакционную смесь затем разбавляли этилацетатом и промывали водным раствором NaHCO3, водой (х3) и насыщенным солевым раствором. Органический слой затем сушили над безводным Na2SO4 и концентрировали в условиях пониженного давления. Неочищенную массу затем очищали с помощью ISCO колонки CombiFlash, элюируя 2-3% метанола в DCM с получением целевого соединения.
Соединение 113:
Желтое твердое вещество, 75,0 мг, 54,68% выход, 98,08% чистота. 1Н ЯМР (400 МГц, DMSO-d6) δ 11,11 (s, 1Н), 8,32 (d, J=8,20 Гц, 1H), 8,07 (d, J=6,96 Гц, 1H), 7,80 (t, J=7,76 Гц, 1H), 7,40 (d, J=7,28 Гц, 1H), 7,22-7,16 (m, 4H), 7,10 (d, J=7,08 Гц, 1H), 5,45-5,41 (m, 1H), 4,37 (s, 2H), 3,37 (s, 2H), 2,95-2,92 (m, 1H), 2,76-2,73 (m, 1H), 2,67-2,63 (m, 1H), 2,63-2,50 (m, 1H), 2,40-2,32 (m, 7H), 2,12-2,09 (m, 3H), 0,77 (brm, 1H), 0,42 (brs, 2H), 0,03 (brs, 2H); ЖХ-МС: ЭС+ 523,2.
Пример 41. Общая методика синтеза Соединения 114 - Соединения 123
Стадия 1: Синтез 4-((2-оксо-1,2-дигидробензо[cd]индол-6-ил)метил)бензальдегида: К перемешиваемому раствору 4-(хлорметил)бензальдегида 1 (9,5 г, 61,45 ммоль) и 6-(4,4,5,5-тетраметил-1,3,2-диоксаборолан-2-ил)-1Н-бензо[cd]индол-2-она 2 (36,27 г, 122,90 ммоль) в этаноле (30 мл) и толуоле (60,0 мл) добавляли безводный трехосновный фосфат калия (39,13 г, 184,35 ммоль) и реакционную массу дегазировали в атмосфере азота в течение 10 минут. Три-о-толилфосфин (3,74 г, 12,29 ммоль) и (1Е,4Е)-1,5-дифенилпента-1,4-диен-3-ощпалладия (5,63 г, 6,15 ммоль) добавляли к этой реакционной массе и полученную реакционную смесь нагревали при 90°С в течение ночи. Реакционную смесь фильтровали через шоттовскую воронку через слой целита и фильтрат разбавляли этилацетатом. Органическую часть отделяли и промывали водой. Ее сушили над Na2SO4 и упаривали в условиях пониженного давления. Неочищенное вещество очищали методом хроматографии combi-flash с получением желаемого соединения 4-[(2-оксо-1Н-бензо[cd]индол-6-ил)метил]бензальдегида 3 (5,5 г, 7,27 ммоль, 11,84% выход, 38% чистота) в виде желтого твердого вещества. ЖХ-МС: ЭС+ 288,0.
Стадия 2: Синтез 4-((1-(2,6-диоксопиперидин-3-ил)-2-оксо-1,2-дигидробензо[cd]индол-6-ил)метил)бензальдегида: К перемешиваемому раствору 4-[(2-оксо-1Н-бензо[cd]индол-6-ил)метил]бензальдегида 3 (3,0 г, 10,44 ммоль) в сухом THF (30,0 мл), гидрид натрия (в масляной дисперсии) в виде 60% дисперсии в минеральном масле (4,00 г, 100,02 ммоль, 60% чистота) добавляли при 0°С и перемешивали в течение 15 минут с последующим добавлением 3-бромпиперидин-2,6-диона 4 (10,02 г, 52,21 ммоль). Полученную реакционную смесь перемешивали при 70°С в течение 1,5 часов. Реакционную смесь нагревали с обратным холодильником в течение 2 часов. После полной конверсии по данным ЖХМС, реакционную смесь гасили водой и экстрагировали добавлением этилацетата (2×20 мл). Объединенный органический слой отделяли, сушили над сульфатом натрия и концентрировали. Неочищенную реакционную массу очищали с помощью combi-flash (2,5% МеОН в DCM в качестве элюента) с получением 4-[[1-(2,6-диоксо-3-пиперидил)-2-оксобензо[cd]индол-6-ил]метил]бензальдегида 5 (1,4 г, 2,81 ммоль, 26,92% выход, 80% чистота) в виде желтого твердого вещества. ЖХ-МС: ЭС+ 399,2.
Стадия 3: Синтез аналогов: К перемешиваемому раствору амина (1,0 эквив.) в THF (6 мл / ммоль) добавляли триэтиламин (2,0 эквив.) при 0°С (если амин находится в форме гидрохлорида). Затем альдегид (1,0 эквив.), фенилсилана (1,0 эквив.) и дихлорид дибутилолова (1,2 эквив.) добавляли в реакционную смесь. Полученный раствор перемешивали при 90°С в течение 16 часов. Реакционную смесь затем разбавляли этилацетатом и промывали водным раствором ЫаНСОз, водой (хЗ) и насыщенным солевым раствором. Органический слой затем сушили над безводным Na2SO4 и концентрировали в условиях пониженного давления. Неочищенную массу затем очищали с помощью ISCO колонки CombiFlash, элюируя 2-3% метанола в DCM с получением аналога.
Соединение 114:
Желтое твердое вещество, 46,0 мг, 8,25% выход, 95,00% чистота. 1Н ЯМР (400 МГц, DMSO-d6) δ 11,12 (s, 1H), 8,32 (d, J=8,0 Гц, 1Н), 8,07 (d, J=7,0 Гц, 1H), 7,80 (t, J=7,92 Гц, 1H), 7,40 (d, J=7,36 Гц, 1H), 7,24-7,16 (m, 4H), 7,10 (d, J=7,20 Гц, 1H), 5,45-5,42 (m, 1H), 4,37 (s, 2H), 3,38 (s, 2H), 3,32 (s, 3Н), 2,95-2,90 (m, 1H), 2,76-2,73 (m, 1H), 2,70-2,65 (m, 1H), 2,65-2,62 (m, 1H), 2,40-2,30 (m, 5H), 2,17-2,10 (m, 2H), 2,10-2,07 (m, 1H); ЖХ-МС: ES- 481,2.
Соединение 115:
Желтое твердое вещество, 70,0 мг, 10,99% выход, 98,76% чистота. 1Н ЯМР (400 МГц, DMSO-d6) δ 11,12 (s, 1Н), 8,32 (d, J=8,24 Гц, 1H), 8,07 (d, J=6,92 Гц, 1H), 7,81 (t, J=7,44 Гц, 1H), 7,39 (d, J=7,4 Гц, 1Н), 7,24-7,16 (m, 4Н), 7,10 (d, J=7,24 Гц, 1H), 5,44 (dd, J=12,72, 4,96 Гц, 1Н), 4,37 (s, 2Н), 4,15 (s, 2Н), 3,35 (s, 2Н), 2,98-2,90 (m , 1H), 2,79-2,73 (m , 1Н), 2,69-2,62 (m , 1H), 2,50-2,42 (m , 2Н), 2,14-2,07 (m , 3Н), 1,82-1,75 (m , 2Н), 1,68-1,67 (m , 2Н): ЖХ-МС: ЭС+ 496,2.
Соединение 116:
Желтое твердое вещество, 76,0 мг, 12,35% выход, 99,00% чистота. 1Н ЯМР (400 МГц, DMSO-d6) δ 11,12 (s, 1H), 8,32 (d, J=8,16 Гц, 1Н), 8,07 (d, J=6,88 Гц, 1H), 7,80 (t, J=7,6 Гц, 1H), 7,40 (d, J=7,24 Гц, 1H), 7,26-7,19 (m, 4Н), 7,10 (d, J=7,24 Гц, 1Н), 5,45-5,41 (m, 1H), 4,38 (s, 2H), 3,44 (s, 2H), 3,20-2,16 (m, 2H), 2,89 (s, 3H), 2,78 (s, 4H), 2,74-2,69 (m, 1H), 2,66-2,62 (m, 2H), 2,10-2,07 (m, 1H); ЖХ-МС: ЭС+ 497,2.
Соединение 117:
Желтое твердое вещество, 42,0 мг, 7,03% выход, 95,09% чистота. 1Н ЯМР (400 МГц, DMSO-d6) δ 11,12 (s, 1H), 8,34 (d, J=8,24 Гц, 1Н), 8,08 (d, J=6,88 Гц, 1H), 7,82 (t, J=7,2 Гц, 1H), 7,42 (d, J=6,68 Гц, 1H), 7,31-7,26 (m, 4H), 7,17-7,10 (m, 5H), 5,45-5,43 (m, 1H), 4,39 (s, 2H), 3,78 (s, 6Н), 3,05-2,95 (m, 1Н), 2,92-2,87 (m, 1H), 2,76-2,66 (m, 1H), 2,10-2,07 (m, 1H); ЖХ-МС: ЭС+ 502,2.
Соединение 118:
Желтое твердое вещество, 50,0 мг, 14,70% выход, 98,09% чистота. 1Н ЯМР (400 МГц, DMSO-d6) δ 11,12 (s, 1H), 8,32 (d, J=8,16 Гц, 1H), 8,07 (d, J=6,8 Гц, 1H), 7,80 (t, J=7,56 Гц, 1H), 7,41 (dd, J=7,28 Гц, 1H), 7,26-7,09 (m, 6Н), 6,99-6,94 (m, 3Н), 5,45-5,42 (m, 1Н), 4,38 (s, 2H), 3,96 (br s, 2H), 3,69 (s, 2H), 3,53 (s, 2H), 2,96-2,90 (m, 3H), 2,76-2,62 (m, 2H), 2,08-2,07 (m, 1H); ЖХ-МС: ЭС+ 532,2.
Соединение 119:
Желтое твердое вещество, 50,0 мг, 23,20% выход, 98,45% чистота. 1Н ЯМР (400 МГц, DMSO-d6) δ 11,12 (s, 1H), 8,30 (d, J=8,2 Гц, 1H), 8,07 (d, J=6,96 Гц, 1Н), 7,79-7,77 (m, 1H), 7,39-7,32 (m, 3Н), 7,24-7,18 (m, 4H), 7,14-7,09 (m, 3Н), 5,46-5,43 (m, 1H), 4,47-4,44 (m, 1H), 4,37 (s, 2H), 3,88-3,86 (m, 1H), 3,64-3,58 (m, 1H), 3,47-3,38 (m, 2H), 2,99-2,91 (m, 1H), 2,79-2,73 (m, 2H), 2,69-2,64 (m, 2H), 2,09-2,07 (m, 2H), 1,93-1,87 (m, 1H); ЖХ-МС: ЭС+ 564,2.
Соединение 120:
Желтое твердое вещество, 32,0 мг, 7,58% выход, 97,99% чистота. 1Н ЯМР (400 МГц, DMSO-d6) δ 11,12 (s, 1Н), 8,31 (d, J=8,24 Гц, 1H), 8,07 (d, J=6,96 Гц, 1H), 7,80 (t, J=7,52 Гц, 1H), 7,40 (d, J=7,36 Гц, 1H), 7,23-7,15 (m, 4H), 7,11-7,05 (m, 3Н), 6,83-6,79 (m, 2H), 5,44-5,41 (m, 1H), 4,73-4,70 (m, 1H), 4,37 (s, 2H), 3,65 (t, J=6,64 Гц, 2H), 3,54 (s, 2H), 2,97-2,92 (m, 3H), 2,76-2,73 (m, 1H), 2,67-2,62 (m, 1H), 2,10-2,07 (m, 1H); ЖХ-МС: ЭС+ 550,3.
Соединение 121:
Желтое твердое вещество, 65,0 мг, 17,10% выход, 94,39% чистота. 1H ЯМР (400 МГц, DMSO-d6) δ 11,12 (s, 1H), 8,33 (d, J=8,24 Гц, 1Н), 8,07 (d, J=7,0 Гц, 1H), 7,81 (t, J=7,6 Гц, 1H), 7,41 (d, J=7,32 Гц, 1H), 7,29-7,24 (m, 4H), 7,10 (d, J=7,32 Гц, 1H), 5,47-5,43 (m, 1H), 4,39 (s, 2H), 4,10 (t, J=5,08 Гц, 2H), 3,78 (s, 2H), 3,69 (s, 2H), 2,99-2,90 (m, 1H), 2,86 (t, J=5,24 Гц, 1H), 2,78-2,72 (m, 1H), 2,67-2,62 (m, 1H), 2,08-2,07 (m, 1H); ЖХ-МС: ЭС+ 575,6.
Соединение 122:
Желтое твердое вещество, 45,0 мг, 17,16% выход, 99,09% чистота. 1Н ЯМР (400 МГц, DMSO-d6) δ 11,12 (s, 1H), 8,33 (d, J=8,28 Гц, 1H), 8,07 (dd, J=6,96 Гц, 1Н), 7,80 (t, J=7,62 Гц, 1H), 7,41 (d, J=7,32 Гц, 1H), 7,26-7,20 (m, 4H), 7,10 (d, J=7,28 Гц, 1H), 5,44 (dd, J=12,24, 4,8 Гц, 1H), 4,38 (s, 2H), 3,58 (s, 2H), 3,05 (br s, 4H), 2,95-2,90 (m, 1H), 2,81-2,79 (m, 5H), 2,73-2,62 (m, 1H), 2,10-2,07 (m, 1H); ЖХ-МС: ES- 516,2.
Соединение 123:
Желтое твердое вещество, 30,0 мг, 9,30% выход, 94,10% чистота. 1Н ЯМР (400 МГц, DMSO-d6) δ 11,12 (s, 1Н), 8,32 (d, J=8,2 Гц, 1H), 8,07 (d, J=6,92 Гц, 1H), 7,80 (t, J=7,56 Гц, 1H), 7,40 (d, J=7,0 Гц, 1H), 7,24-7,21 (m, 4H), 7,10 (d, J=7,24 Гц, 1H), 5,44 (dd, J=12,4, 5,12 Гц, 1H), 4,37 (s, 2H), 3,65 (t, J=5,92 Гц, 1H), 3,54-3,52 (m, 4H), 2,95-2,91 (m, 1H), 2,77-2,73 (m, 1H), 2,66-2,62 (m, 1H), 2,52-2,43 (m, 4H), 2,10-2,07 (m, 2H); ЖХ-МС: ЭС+ 484,5.
Пример 42. Синтез метил-1-(2,6-диоксо-3-пиперидил)-2-оксобензо[cd]индол-6-карбоксилата (Соединение 124)
Стадия 1: Синтез 2-оксо-1Н-бензо[cd]индол-6-карбоксилата (2): Перемешиваемый раствор 6-бром-1Н-бензо[cd]индол-2-она (1) (1 г, 4,03 моль) и DPPP (332,51 мг, 806,21 ммоль) в метаноле (30 мл) в автоклаве Парра дегазировали аргоном в течение 5 минут, с последующим добавлением TEA (1,63 г, 16,12 ммоль, 2,25 мл) и ацетат палладия (II) (90,50 мг, 403,10 ммоль). Полученную реакционную смесь нагревали при 100°С и в течение 16 ч в атмосфере моноксида углерода при давлении 70 фунтов на кв. дюйм в автоклаве Парра. По окончании реакции ТСХ показала новое пятно, реакционную смесь фильтровали через слой целита и фильтрат концентрировали с получением неочищенной массы, которую очищали методом хроматографии CombiFlash с использованием 10% EtOAc-Гексан в качестве элюента с получением метил-2-оксо-1Н-бензо[cd]индол-6-карбоксилата (2) (800 мг, 69,88% выход) в виде желтого твердого вещества. ЖХ-МС: ЭС+ 228,3.
Стадия 2: Синтез метил-1-(2,6-диоксо-3-пиперидил)-2-оксобензо[cd]индол-6-карбоксилата (4): К перемешиваемому раствору метил-2-оксо-1Н-бензо[cd]индол-6-карбоксилата (2) (100 мг, 440,11 ммоль) в DMF (3 мл) добавляли гидрид натрия (60% дисперсия в минеральном масле) (33,73 мг, 880,22 ммоль) и перемешивали при 70°С в течение 30 мин. Затем 3-бромпиперидин-2,6-дион (3) (84,51 мг, 440,11 ммоль) добавляли и реакционную смесь оставляли перемешиваться при этой темп, в течение 16 ч. ТСХ свидетельствовала об образовании нового полярного пятна наряду с непрореагировавшим исх. вещ. Реакционную смесь гасили водой и экстрагировали добавлением этилацетата. Органическую часть сушили над сульфатом натрия и концентрировали. Полученное таким образом неочищенное соединение очищали с помощью пластинки для прей. ТСХ в 2% МеОН в DCM с получением метил-1-(2,6-диоксо-3-пиперидил)-2-оксобензо[cd]индол-6-карбоксилата Соединения 124 (13 мг, 7,86% выход) в виде желтого твердого вещества. 1Н ЯМР (400 МГц, DMSO-d6) δ 11,15 (s, 1H), 8,98 (d, J=Гц, 1H), 8,31 (d, J=Гц, 1H), 8,16 (d, J=Гц, 1H), 7,95 (t, J=Гц, 1Н), 7,26 (d, J=Гц, 1H), 5,50-5,47 (m, 1H), 3,92 (s, 3H), 3,04-2,82 (m, 1H), 2,77-2,71 (m, 1H), 2,66-2,64 (m, 1H), 2,12-2,10 (m, 1H); ЖХ-МС: ЭС+ 339,1.
Пример 43. Синтез 3-[6-[[4-[1-(1-метилциклобутанкарбонил)-4-пиперидил]триазол-1-ил]метил]-2-оксобензо[cd]индол-1-ил]пиперидин-2,6-диона (Соединение 125)
Стадия 1: Синтез 6-(азидометил)-1-[(4-метоксифенил)метил]бензо[cd]индол-2-она (2): К перемешиваемому раствору 6-(хлорметил)-1-[(4-метоксифенил)метил]бензо[cd]индол-2-она (1) (600 мг, 1,78 ммоль) в DMF (10 мл) добавляли азид натрия (346,41 мг, 5,33 ммоль) при охлаждении и полученную реакционную смесь перемешивали при комнатной температуре в течение 16 ч. По окончании (по данным ТСХ) реакционную смесь разбавляли EtOAc и промывали водой и насыщенным солевым раствором, сушили над сульфатом натрия и концентрировали в условиях пониженного давления с получением 6-(азидометил)-1-[(4-метоксифенил)метил]бензо[cd]индол-2-она (2) (500 мг, 72,75% выход) в виде липкого твердого вещества. ЖХ-МС: ЭС+ 345,3.
Стадия 2: Синтез трет-бутил-4-[1-[[1-[(4-метоксифенил)метил]-2-оксобензо[cd]индол-6-ил]метил]триазол-4-ил]пиперидин-1-карбоксилата (4): К перемешиваемому раствору 6-(азидометил)-1-[(4-метоксифенил)метил]бензо[cd]индол-2-она (2) (500 мг, 1,45 ммоль) и трет-бутил-4-этинилпиперидин-1-карбоксилата (3) (303,87 мг, 1,45 ммоль) в THF (12 мл) раствор пентагидрата сульфата меди (36,25 мг, 145,19 ммоль) в воде (3 мл) добавляли и перемешивали в течение 15 минуте последующим добавлением (2R)-2-[1,2-дигидроксиэтил]-4-гидрокси-5-оксо-2Н-фуран-3-олята натрия (115,06 мг, 580,78 ммоль). Полученную реакционную смесь перемешивали при к.т. в течение 16 часов. По окончании (по данным ТСХ) реакционную смесь фильтровали через слой целита и фильтрат концентрировали в условиях пониженного давления. Полученное таким образом неочищенное соединение очищали методом колоночной хроматографии (Силикагель, Градиент 0-3% МеОН в DCM) с получением трет-бутил-4-[1-[[1-[(4-метоксифенил)метил]-2-оксобензо[cd]индол-6-ил]метил]триазол-4-ил]пиперидин-1-карбоксилата (4) (500 мг, 61,15% выход) в виде светло-желтого твердого вещества. ЖХ-МС: ЭС+ 554,6.
Стадия 3: Синтез 1-[(4-метоксифенил)метил]-6-[[4-(4-пиперидил)триазол-1-ил]метил]бензо[cd]индол-2-онгидрохлорида (5): К перемешиваемому раствору трет-бутил-4-[1-[[1-[(4-метоксифенил)метил]-2-оксобензо[cd]индол-6-ил]метил]триазол-4-ил]пиперидин-1-карбоксилата (4) (150 мг, 270,93 ммоль) в диоксане (2 мл) добавляли диоксан-HCl (4М) (4 мл) при охлаждении и полученную реакционную смесь перемешивали при к.т.в течение 4 часов. По окончании (по данным ТСХ) реакционную смесь концентрировали в условиях пониженного давления. Неочищенное соединение растирали с эфиром-пентаном с получением 1-[(4-метоксифенил)метил]-6-[[4-(4-пиперидил)триазол-1-ил]метил]бензо[cd]индол-2-онгидрохлоридаа (5) (110 мг, 69,4% выход) в виде светло-желтого твердого вещества. ЖХ-МС: ЭС+ 454,5.
Стадия 4: Синтез 1-[(4-метоксифенил)метил]-6-[[4-[1-(1-метилциклобутанкарбонил)-4-пиперидил]триазол-1-ил]метил]бензо[cd]индол-2-она (7): К перемешиваемому раствору 1-[(4-метоксифенил)метил]-6-[[4-(4-пиперидил)триазол-1-ил]метил]бензо[cd]индол-2-онгидрохлорида (5) (600 мг, 1,22 ммоль) и 1-метилциклобутанкарбоновой кислоты (6) (139,77 мг, 1,22 ммоль) в DMF (10 мл) добавляли DIPEA (791,27 мг, 6,12 ммоль, 1,07 мл) и перемешивали в течение 15 минуте последующим добавлением HATU (558,71 мг, 1,47 ммоль) и оставляли перемешиваться в течение 16 ч при к.т. По окончании (по данным ЖХМС), реакционную смесь разбавляли этилацетатом и промывали холодной водой, насыщенным солевым раствором, сушили над сульфатом натрия и концентрировали в условиях пониженного давления. Полученное таким образом неочищенное соединение очищали методом колоночной хроматографии (силикагель, градиент: 0-3% МеОН в DCM) с получением 1-[(4-метоксифенил)метил]-6-[[4-[1-(1-метилциклобутанкарбонил)-4-пиперидил]триазол-1-ил]метил]бензо[cd] индол-2-она (7) (400 мг, 53,4% выход) в виде смолистого твердого вещества. ЖХ-МС: ЭС+ 550,3.
Стадия 5: Синтез 6-[[4-[1-(1-метилциклобутанкарбонил)-4-пиперидил]триазол-1-ил]метил]-1Н-бензо[с(1]индол-2-она (8): К перемешиваемому раствору соединения 1-[(4-метоксифенил)метил]-6-[[4-[1-(1-метилциклобутанкарбонил)-4-пиперидил]триазол-1-ил]метил]бензо[cd]индол-2-она (7) (400 мг, 727,72 ммоль) в TFA (4,0 мл) добавляли трифторметансульфоновую кислоту (546,08 мг, 3,64 ммоль, 319,35 мкл) при охлаждении и полученную реакционную смесь перемешивали при к.т. в течение 16 ч. По окончании (по данным ТСХ) реакционную смесь концентрировали в условиях пониженного давления и неочищенную массу подщелачивали насыщенным раствором бикарбоната натрия и экстрагировали добавлением этилацетата. Слои разделяли и органическую часть сушили над сульфатом натрия и концентрировали в условиях пониженного давления. Полученное таким образом неочищенное соединение очищали с помощью колонки Combiflash (градиент 0-3% МеОН в DCM) с получением 6-[[4-[1-(1-метилциклобутанкарбонил)-4-пиперидил]триазол-1-ил]метил]-1Н-бензо[cd] индол-2-она (8) (300 мг, 91,18% выход) в виде светло-желтого твердого вещества. ЖХ-МС: ЭС+ 430,4.
Стадия 6: Синтез 3-[6-[[4-[1-(1-метилциклобутанкарбонил)-4-пиперидил]триазол-1-ил]метил]-2-оксобензо[cd]индол-1-ил]пиперидин-2,6-диона: К перемешиваемому раствору 6-[[4-[1-(1-метилциклобутанкарбонил)-4-пиперидил]триазол-1-ил]метил]-1Н-бензо[cd]индол-2-она (8) (140 мг, 325,95 ммоль) в THF (5 мл) добавляли гидрид натрия 60% в виде дисперсии в минеральном масле (22,48 мг, 977,85 ммоль) при 0°С и перемешивали в течение 5 мин. Затем 3-бромпиперидин-2,6-дион (9) (125,17 мг, 651,90 ммоль) добавляли при охлаждении и реакционную смесь перемешивали при 70°С в течение 60 мин. По окончании (по данным ТСХ) реакционную смесь гасили льдом и экстрагировали добавлением этилацетата. Органическую часть далее промывали водой и насыщенным солевым раствором, сушили над сульфатом натрия и концентрировали. Неочищенное соединение очищали с пластинки для преп. ТСХ в 2,5% МеОН в DCM с получением 3-[6-[[4-[1-(1-метилциклобутанкарбонил)-4-пиперидил]триазол-1-ил]метил]-2-оксобензо[cd]индол-1-ил]пиперидин-2,6-диона Соединения 125 (30 мг, 17% выход) в виде желтого твердого вещества. 1Н ЯМР (400 МГц, DMSO-d6) δ 11,13 (s, 1H), 8,43 (d, J=8,28 Гц, 1Н), 8,12 (d, J=7,0 Гц, 1H), 7,96 (s, 1H), 7,88 (t, J=7,66 Гц, 1H), 7,58 (d, J=7,44 Гц, 1H), 7,17 (d, J=7,36 Гц, 1H), 5,46 (dd, J=12,64, 4,84 Гц, 1H), 4,30-4,28 (m, 1H), 3,51-3,49 (m, 1H), 3,03-2,63 (m, 6H), 2,49-2,32 (m, 2H), 2,09-2,07 (m, 1H), 1,93-1,85 (m, 3H), 1,79-1,73 (m, 2H), 1,61-1,57 (m, 1H), 1,42-1,39 (m, 2H), 1,31 (s, 3Н); ЖХ-МС: ЭС+ 542,3.
Пример 44. Синтез 3-[6-[[1-[1-(3-фтор-2-пиридил)-4-метил-4-пиперидил]пиразол-4-ил]метил]-2-оксобензо[cd]индол-1-ил]пиперидин-2,6-диона (Соединение 126)
Стадия 1: Синтез 1-[1-(3-фтор-2-пиридил)-4-метил-4-пиперидил]пиразол-4-карбальдегида (3): К перемешиваемому раствору 1-(4-метил-4-пиперидил)пиразол-4-карбальдегида (1) (325 мг, 1,68 ммоль) в NMP (2,0 мл) добавляли N,N-диизопропилэтиламин (652,08 мг, 5,05 ммоль, 878,82 мкл) капельно с последующим добавлением 2,3-дифторпиридина (2) (193,54 мг, 1,68 ммоль) и полученный раствор нагревали при 135°С в укупоренной пробирке в течение 12 часов. По окончании реакции (по данным ЖХ-МС), реакционную смесь разбавляли этилацетатом (30 мл) и промывали холодной водой (2×15 мл). Органическую фазу отделяли, сушили безводным сульфатом натрия и упаривали в вакууме. Полученное таким образом неочищенное соединение очищали методом флэш-хроматографии (силикагель, градиент: 0 to 70% EtOAc в гексане) с получением 1-[1-(3-фтор-2-пиридил)-4-метил-4-пиперидил]пиразол-4-карбальдегида (3) (300 мг, 1,03 ммоль, 61,25% выход, 99% чистота). ЖХ-МС: ЭС+ 289,4.
Стадия 2: Синтез 6-[[1-[1-(3-фтор-2-пиридил)-4-метил-4-пиперидил]пиразол-4-ил]гидроксиметил]-1Н-бензо[cd]индол-2-он (5): К перемешиваемому раствору 6-бром-1Н-бензо[cd]индол-2-она (4) (270 мг, 1,09 ммоль) в сухом THF (5,0 мл), добавляли фениллитий, 1,9М в ди-н-бутиловом эфире (91,47 мг, 1,09 ммоль, 112,93 мкл) при -78°С в атмосфере N2 и реакционную смесь перемешивали при той же температуре в течение 30 минут с последующим добавлением н-бутиллития (76,69 мг, 1,20 ммоль) при той же температуре. После полного завершения добавления температуре позволяли повыситься до -40°С и реакционную смесь перемешивали при той же температуре в течение 30 минут. После образования пятна dess-bormo в ТСХ (30% этилацетата в гексане) раствор 1-[1-(3-фтор-2-пиридил)-4-метил-4-пиперидил]пиразол-4-карбальдегида (3) (260,45 мг, 903,36 ммоль) в сухом THF (5,0 мл) добавляли при -78°С и перемешивание продолжали в течение 16 ч при комнатной температуре. По окончании реакции (по данным ТСХ и ЖХ-МС), реакционную смесь гасили насыщенным раствором хлорида аммония и экстрагировали добавлением этилацетата (2×40 мл). Органическую фазу промывали водой (2×20 мл) и отделяли, сушили над безводным сульфатом натрия и упаривали в условиях пониженного давления с получением неочищенного соединения, которое очищали методом флэш-хроматографии (силикагель, градиент: 0-5% МеОН в DCM) с получением 6-[[1-[1-(3-фтор-2-пиридил)-4-метил-4-пиперидил]пиразол-4-ил]гидроксиметил]-1Н-бензо[cd]индол-2-она (5) (88 мг, 190,43 ммоль, 17,50% выход) в виде коричневого твердого вещества и хранили при температуре окружающей среды в круглодонной колбе. ЖХ-МС: ЭС+ 458,5.
Стадия 3: Синтез 6-[[1-[1-(3-фтор-2-пиридил)-4-метил-4-пиперидил]пиразол-4-ил]метил]-1Н-бензо[cd]индол-2-она (6): К перемешиваемому раствору 6-[[1-[1-(3-фтор-2-пиридил)-4-метил-4-пиперидил]пиразол-4-ил]гидроксиметил]-1Н-бензо[cd]индол-2-она (5) (86 мг, 187,98 ммоль) в DCE (2,0 мл) добавляли триэтилсилан (87,43 мг, 751,92 ммоль, 120,10 мкл) и трифторуксусную кислоту, 99% (171,47 мг, 1,50 ммоль, 115,86 мкл). Полученный раствор нагревали при 70°С при облучении микроволнами в течение 30 мин. По окончании реакции (по данным ТСХ и ЖХ-МС), летучие вещества удаляли. Твердый остаток повторно растворяли в этилацетате (50 мл) и промывали насыщенным раствором бикарбоната. Органическую фазу отделяли, сушили над безводным сульфатом натрия и концентрировали. Неочищенную реакционную массу очищали методом флэш-хроматографии (силикагель, градиент: 0-5% МеОН в DCM) с получением 6-[[1-[1-(3-фтор-2-пиридил)-4-метил-4-пиперидил]пиразол-4-ил]метил]-1Н-бензо[cd] индол-2-она (6) (56 мг, 120,50 ммоль, 64,10% выход) в виде желтого твердого вещества, которое хранили при температуре окружающей среды в круглодонной колбе. ЖХ-МС: ЭС+ 442,2.
Стадия 4: Синтез 3-[6-[[1-[1-(3-фтор-2-пиридил)-4-метил-4-пиперидил]пиразол-4-ил]метил]-2-оксобензо[cd]индол-1-ил]пиперидин-2,6-диона: К охлаждаемому на льду раствору 6-[[1-[1-(3-фтор-2-пиридил)-4-метил-4-пиперидил]пиразол-4-ил]метил]-1Н-бензо[cd] индол-2-она (55,00 мг, 124,58 ммоль) (6) в сухом THF (3 мл), гидрид натрия (60% дисперсия в минеральном масле) (28,64 мг, 1,25 ммоль) добавляли порциями, поддерживая темп. <5°С. По завершении добавления, полученную смесь перемешивали в течение 15 минут при к.т. Затем реакционную смесь вновь охлаждали до 0°С и 3-бромпиперидин-2,6-дион (7) (119,60 мг, 622,88 ммоль) добавляли к ней порциями. После полного завершения добавления полученный раствор нагревали при 70°С в течение 2 часов. По окончании (по данным ТСХ), реакционную смесь вновь охлаждали до 0°С и гасили ледяной водой (10 мл). Водную часть экстрагировали добавлением этилацетата (2×20 мл). Объединенные экстракты сушили безводным сульфатом натрия и концентрировали в условиях пониженного давления. Неочищенную массу очищали методом препаративной ТСХ (градиент: 2,5% МеОН в DCM) с получением 3-[6-[[1-[1-(3-фтор-2-пиридил)-4-метил-4-пиперидил]пиразол-4-ил]метил]-2-оксобензо[cd] индол-1-ил]пиперидин-2,6-диона Соединения 126 (30 мг, 54,02 ммоль, 43,37% выход) в виде желтого твердого вещества, которое хранили в круглодонной колбе при 5°С внутри холодильника. 1Н ЯМР (400 МГц, DMSO-d6) δ 11,11 (s, 1H), 8,40 (d, J=8,24 Гц, 1H), 8,08 (d, J=7,08 Гц, 1H), 7,98 (d, J=4,6 Гц, 1Н), 7,84-7,81 (m, 2H), 7,50-7,45 (m, 1H), 7,35-7,33 (m, 2H), 7,07 (d, J=7,32 Гц, 1H), 6,86-6,83 (m, 1H), 5,43 (dd, J=12,68, 4,96 Гц, 1H), 4,21 (s, 2H), 3,51 (m, 2H), 3,21-3,16 (m, 2H), 2,94 (m, 1H), 2,75-2,61 (m, 3H), 2,42-2,40 (m, 2H), 2,09-2,07 (m, 1H), 1,92-1,88 (m, 2H), 1,38 (s, 3Н); ЖХ-МС: ЭС+ 553,3.
Пример 45. Синтез 3-[6-[[4-[4-метил-1-[1-(трифторметил)циклопропанкарбонил]-4-пиперидил]триазол-1-ил]метил]-2-оксобензо[cd] индол-1-ил]пиперидин-2,6-диона (Соединение 127)
Стадия 1: Синтез трет-бутил-4-этинил-4-метилпиперидин-1-карбоксилата (3): К перемешиваемому раствору трет-бутил-4-формил-4-метилпиперидин-1-карбоксилата 1 (2,0 г, 8,80 ммоль) в безводном метаноле (10,0 мл) добавляли карбонат калия, безводный, 99% (2,43 г, 17,60 ммоль, 1,06 мл) и перемешивали при комнатной температуре в течение 30 мин. Диметил-(1-диазо-2-оксопропил)фосфонат 2 (2,03 г, 10,56 ммоль) добавляли капельно к реакционной смеси и перемешивали реакционную смесь при к.т. в течение ночи. По окончании реакции (по данным ТСХ), летучие вещества удаляли в вакууме. Полученное таким образом твердое вещество растворяли в этилацетате (100 мл) и промывали насыщенным раствором NaHCO3. Органическую часть отделяли, сушили над безводным Na2SO4 и упаривали в вакууме с получением неочищенного соединения трет-бутил-4-этинил-4-метилпиперидин-1-карбоксилата 3 (1,95 г, 7,86 ммоль, 89,32% выход), который использовали на следующей стадии без какой-либо очистки. ЖХ-МС: ЭС+ 224,2.
Стадия 2: Синтез трет-бутил-4-[1-[[1-[(4-метоксифенил)метил]-2-оксобензо[cd]индол-6-ил]метил]триазол-4-ил]-4-метилпиперидин-1-карбоксилата (5): К перемешиваемому раствору трет-бутил-4-этинил-4-метилпиперидин-1-карбоксилата 3 (800 мг, 3,58 ммоль) в THF (15,0 мл) добавляли 6-(азидометил)-1-[(4-метоксифенил)метил]бензо[cd] индол-2-он 4 (616,84 мг, 1,79 ммоль) при комнатной температуре. После этого раствор пентагидрата сульфата меди (111,81 мг, 447,81 ммоль) в воде (5,0 мл) добавляли капельно к реакционной смеси с последующим добавлением 2R)-2-[(1S)-1,2-дигидроксиэтил]-4-гидрокси-5-оксо-2Н-фуран-3-олята натрия (141,94 мг, 716,49 ммоль) и перемешивание продолжали в течение 4 часов при той же температуре. По окончании реакции затем реакционную смесь разбавляли этилацетатом (40 мл) и фильтровали через слой целита. Фильтрат собирали и упаривали в вакууме. Полученное таким образом неочищенное соединение очищали методом флэш-хроматографии (100-200 силикагель; 0-60% этилацетата в гексане) с получением трет-бутил-4-[1-[[1-[(4-метоксифенил)метил]-2-оксобензо[cd]индол-6-ил]метил]триазол-4-ил]-4-метилпиперидин-1-карбоксилата 5 (900 мг, 1,49 ммоль) в виде желтого твердого вещества и хранили в круглодонной колбе при температуре окружающей среды. ЖХ-МС: ЭС+ 568,2.
Стадия 3: Синтез 1-[(4-метоксифенил)метил]-6-[[4-(4-метил-4-пиперидил)триазол-1-ил]метил]бензо[cd]индол-2-онгидрохлорида (6): К холодному раствору трет-бутил-4-[1-[[1-[(4-метоксифенил)метил]-2-оксобензо[cd]индол-6-ил]метил]триазол-4-ил]-4-метилпиперидин-1-карбоксилата 5 (900 мг, 1,59 ммоль) в диоксане (5 мл) 4,0 М в диоксане-HCl (1,59 ммоль, 10,0 мл) добавляли капельно и перемешивали реакционную смесь при к.т.в течение 4 часов. По окончании реакции (по данным ЖХМС) летучие вещества упаривали в условиях пониженного давления. Полученное таким образом твердое вещество промывали диэтиловым эфиром (50 мл) и сушили в условиях пониженного давления с получением 1-[(4-метоксифенил)метил]-6-[[4-(4-метил-4-пиперидил)триазол-1-ил]метил]бензо[cd] индол-2-онгидрохлорида 6 (830 мг, 1,49 ммоль, 93,96% выход) в виде желтого твердого вещества и хранили в круглодонной колбе при 5°С в холодильнике. ЖХ-МС: ЭС+ 468,4.
Стадия 4: Синтез 1-[(4-метоксифенил)метил]-6-[[4-[4-метил-1-[1-(трифторметил)циклопропанкарбонил]-4-пиперидил]триазол-1-ил]метил]бензо[cd]индол-2-она (8): К перемешиваемому раствору 1-(трифторметил)циклопропанкарбоновой кислоты 7 (100,89 мг, 654,73 ммоль) в сухом DMF (5,0 мл) добавляли HATU (339,48 мг, 892,82 ммоль) и перемешивали в течение 15 минут при комнатной температуре в атмосфере N2. Раствор 1-[(4-метоксифенил)метил]-6-[[4-(4-метил-4-пиперидил)триазол-1-ил]метил]бензо[cd]индол-2-онгидрохлорида 6 (300 мг, 595,21 ммоль) и N-этил-N-изопропилпропан-2-амина (384,63 мг, 2,98 ммоль, 518,38 мкл) в сухом DMF (3,0 мл) добавляли к полученному раствору при 0°С и перемешивали в течение дополнительных 12 часов при комнатной температуре. По окончании реакции (по данным ЖХМС), ледяную воду (5 мл) добавляли к реакционной смеси и экстрагировали добавлением этилацетата (3×30 мл). Органическую часть отделяли, сушили безводным сульфатом натрия и концентрировали. Полученное таким образом неочищенное соединение промывали диэтиловым эфиром с получением чистого соединения 1-[(4-метоксифенил)метил]-6-[[4-[4-метил-1-[1-(трифторметил)циклопропанкарбонил]-4-пиперидил]триазол-1-ил]метил]бензо[cd]индол-2-она 8 (320 мг, 519,52 ммоль, 87,28% выход) в виде желтого твердого вещества, которое хранили в кругло донной колбе при температуре окружающей среды. ЖХ-МС: ЭС+ 604,3.
Стадия 5: Синтез 6-[[4-[4-метил-1-[1-(трифторметил)циклопропанкарбонил]-4-пиперидил]триазол-1-ил]метил]-1Н-бензо[cd]индол-2-она (9): К перемешиваемому раствору 1-[(4-метоксифенил)метил]-6-[[4-[4-метил-1-[1-(трифторметил)циклопропанкарбонил]-4-пиперидил]триазол-1-ил]метил]бензо[cd]индол-2-она 8 (320 мг, 530,12 ммоль) в TFA (2,0 мл), трифторметансульфоновую кислоту (477,36 мг, 3,18 ммоль, 279,16 мкл) добавляли при комнатной температуре и перемешивали в течение 12 часов при той же температуре. После полного расходования исходного вещества (по данным ТСХ), реакционную смесь гасили насыщенным раствором бикарбоната натрия (поддерживая рН~8) и экстрагировали добавлением этилацетата (40 мл). Органическую часть отделяли, сушили над сульфатом натрия и концентрировали в условиях пониженного давления. Полученное таким образом неочищенное соединение очищали методом флэш-хроматографии (100-200 силикагель; 0-100% этилацетата в гексане) с получением 6-[[4-[4-метил-1-[1-(трифторметил)циклопропанкарбонил]-4-пиперидил]триазол-1-ил]метил]-1Н-бензо[cd]индол-2-она 9 (234 мг, 479,15 ммоль, 90,38% выход), который хранили в кругло донной колбе при температуре окружающей среды. ЖХ-МС: ЭС+ 484,3.
Стадия 6: Синтез 3-[6-[[4-[4-метил-1-[1-(трифторметил)циклопропанкарбонил]-4-пиперидил]триазол-1-ил]метил]-2-оксобензо[cd]индол-1-ил]пиперидин-2,б-диона: К охлаждаемому на льду раствору 6-[[4-[4-метил-1-[1-(трифторметил)циклопропанкарбонил]-4-пиперидил]триазол-1-ил]метил]-1Н-бензо[cd] индол-2-она 9 (122 мг, 252,33 ммоль) в сухом THF (10,0 мл) гидрид натрия 60% в виде дисперсии в минеральном масле (55,57 мг, 2,42 ммоль) порциями, поддерживая темп. < 5°С. По завершении добавления, полученную смесь перемешивали в течение 15 минут при к.т. Затем реакционную смесь вновь охлаждали до 0°С и 3-бромпиперидин-2,6-дион 10 (242,25 мг, 1,26 ммоль) добавляли к ней порциями. После полного завершения добавления полученный раствор нагревали при 70°С в течение 1 часа. По окончании (по данным ТСХ), реакционную смесь вновь охлаждали до 0°С и гасили ледяной водой (40 мл). Водную часть экстрагировали добавлением этилацетата (3×50 мл). Объединенные экстракты сушили безводным сульфатом натрия и концентрировали в условиях пониженного давления. Неочищенную массу очищали методом флэш-хроматографии (силикагель, градиент: 2,5% МеОН в DCM) с получением 3-[6-[[4-[4-метил-1-[1-(трифторметил)циклопропанкарбонил]-4-пиперидил]триазол-1-ил]метил]-2-оксобензо[cd]индол-1-ил]пиперидин-2,6-диона Соединения 127 (48,0 мг, 80,01 ммоль, 31,71% выход, 99,11% чистота) в виде желтого твердого вещества, которое хранили в кругло донной колбе при 5°С внутри холодильника. 1Н ЯМР (400 МГц, DMSO-d6) δ 11,13 (s, 1Н), 8,42 (d, J=8,2 Гц, 1H), 8,13 (d, J=7,12 Гц, 1H), 8,06 (s, 1H), 7,89 (t, J=7,12 Гц, 1H), 7,56 (d, J=7,08 Гц, 1H), 7,17 (d, J=7,4 Гц, 1H), 5,99 (s, 2H), 5,47-5,45 (m, 1H), 3,76-3,73 (m, 2H), 2,98-2,92 (m, 1H), 2,76-2,50 (m, 4H), 2,10-1,99 (m, 3H), 1,53 (br m, 2H), 1,25-1,14 (m, 7H); ЖХ-МС: ЭС+ 593,4.
Пример 46. Синтез 4-[4-[[1-[[1-(2,6-диоксо-3-пиперидил)-2-оксобензо[cd]индол-6-ил]метил]пиразол-4-ил]метил]пиперазин-1-ил]-3-фторбензонитрила (Соединение 128)
Стадия 1: Синтез трет-бутил-4-(4-циано-2-фторфенил)пиперазин-1-карбоксилата (3): К перемешиваемому раствору 3,4-дифторбензонитрила (1) (13 г, 93,46 ммоль) в DMSO (80 мл), карбонат калия (19,37 г, 140,18 ммоль, 8,46 мл) итрет-бутилпиперазин-1-карбоксилат(2) (19,15 г, 102,80 ммоль) добавляли и полученную реакционную смесь нагревали при 100°С в течение 16 часов. По окончании (по данным ТСХ), реакционной смеси позволяли охладиться и к ней добавляли воду (500 мл). Полученное таким образом твердое вещество отфильтровывали, промывали водой и сушили в вакууме с получением трет-бутил-4-(4-циано-2-фторфенил)пиперазин-1-карбоксилата (3) (20 г, 66% выход) в виде белого твердого вещества. ЖХ-МС: ЭС+ 306,2.
Стадия 2: Синтез 3-фтор-4-пиперазин-1-илбензонитрилгидрохлорида (4): К перемешиваемому раствору трет-бутил-4-(4-циано-2-фторфенил)пиперазин-1-карбоксилата (3) (20 г, 65,50 ммоль) в диоксане (15 мл) добавляли диоксан-HCl (65,50 ммоль, 50 мл) и реакционную смесь перемешивали при к.т.в течение 3 часов. Все летучие вещества удаляли в условиях пониженного давления. Полученное твердое вещество растирали с эфиром с получением 3-фтор-4-пиперазин-1-илбензонитрилгидрохлорида (4) (17 г, 88% выход) в виде белого твердого вещества. ЖХ-МС: ЭС+ 206,4.
Стадия 3: Синтез 3-фтор-4-[4-(1Н-пиразол-4-илметил)пиперазин-1-ил]бензонитрила (6): К перемешиваемому раствору 3-фтор-4-пиперазин-1-илбензонитрилгидрохлорида (4) (2 г, 8,27 ммоль) в метаноле (20 мл) добавляли уксусную кислоту (496,93 мг, 8,27 ммоль, 473,27 мкл) и реакционную смесь перемешивали при к.т.в течение 10 мин. Затем добавляли 1Н-пиразол-4-карбальдегид (5) (1,19 г, 12,41 ммоль) с последующим добавлением цианоборгидрида натрия (780,03 мг, 12,41 ммоль) и триэтиламина (1,26 г, 12,41 ммоль, 1,73 мл) и реакционную смесь перемешивали при к.т. в течение 16 ч. По окончании реакции (по данным ТСХ) реакционную смесь разбавляли DCM и промывали водой, раствором бикарбоната натрия и насыщенным солевым раствором, сушили над сульфатом натрия и концентрировали в условиях пониженного давления. Неочищенное соединение очищали с помощью колонки combiflash (градиент 0-3% МеОН в DCM) с получением 3-фтор-4-[4-(1Н-пиразол-4-илметил)пиперазин-1-ил]бензонитрила (6) (1 г, 40,66% выход) в виде желтой смолы. ЖХ-МС: ЭС+ 286,3.
Стадия 4: Синтез 3-фтор-4-[4-[[1-[[1-[(4-метоксифенил)метил]-2-оксобензо[cd]индол-6-ил]метил]пиразол-3-ил]метил]пиперазин-1-ил]бензонитрила (8): К перемешиваемому раствору 3-фтор-4-[4-(1Н-пиразол-4-илметил)пиперазин-1-ил]бензонитрила (6) (2 г, 7,01 ммоль) в DMF (40 мл) добавляли карбонат цезия (5,71 г, 17,52 ммоль) и 6-(хлорметил)-1-[(4-метоксифенил)метил]бензо[cd] индол-2-он (7) (3,55 г, 10,51 ммоль) и полученную реакционную смесь нагревали при 90°С в течение 16 ч. По окончании реакции (по данным ТСХ) реакционную смесь разбавляли охлажденной водой и экстрагировали добавлением этилацетата (дважды). Объединенный органический слой далее промывали водой и насыщенным солевым раствором, сушили над сульфатом натрия и концентрировали в условиях пониженного давления. Полученное таким образом неочищенное вещество очищали с помощью колонки combiflash (градиент 0-1% МеОН в DCM) с получением 3-фтор-4-[4-[[1-[[1-[(4-метоксифенил)метил]-2-оксобензо[cd]индол-6-ил]метил]пиразол-3-ил]метил]пиперазин-1-ил]бензонитрила (8) (2,6 г, 56,90% выход) в виде светло-желтого твердого вещества. ЖХ-МС ЭС+ 587,4.
Стадия 5: Синтез 3-фтор-4-[4-[1-[(2-оксо-1Н-бензо[cd]индол-5-ил)метил]пиразол-4-ил]пиперазин-1-ил]бензонитрила (9): К перемешиваемому раствору 3-фтор-4-[4-[1-[[1-[(4-метоксифенил)метил]-2-оксобензо[cd] индол-5-ил]метил]пиразол-4-ил]пиперазин-1-ил]бензонитрила (8) (2,5 г, 4,37 ммоль) в TFA (20 мл) добавляли трифторметансульфоновую кислоту (6,55 г, 43,66 ммоль, 3,83 мл) и полученную реакционную смесь перемешивали при комнатной температуре в течение 16 ч. По окончании реакции (по данным ТСХ) реакционную массу концентрировали в условиях пониженного давления. Неочищенного соединения затем подщелачивали насыщенным раствором бикарбоната и экстрагировали добавлением этилацетата. Органический слой далее промывали водой и насыщенным солевым раствором, сушили над сульфатом натрия и концентрировали в условиях пониженного давления. Полученное таким образом неочищенное соединение очищали с помощью колонки combifllash (3% МеОН в DCM) с получением 3-фтор-4-[4-[1-[(2-оксо-1Н-бензо[cd] индол-5-ил)метил]пиразол-4-ил]пиперазин-1-ил]бензонитрила (9) (1,4 г, 67,33% выход) в виде светло-желтого твердого вещества. ЖХ-МС ЭС+ 467,3.
Стадия 6: Синтез 4-[4-[[1-[[1-(2,6-диоксо-3-пиперидил)-2-оксобензо[cd]индол-6-ил]метил]пиразол-4-ил]метил]пиперазин-1-ил]-3-фторбензонитрила: К охлажденному раствору 3-фтор-4-[4-[[1-[(2-оксо-1Н-бензо[cd]индол-6-ил)метил]пиразол-4-ил]метил]пиперазин-1-ил]бензонитрила (9) (800 мг, 1,71 ммоль) в сухом THF (7 мл), гидрид натрия (60% дисперсия в минеральном масле) (394,25 мг, 17,15 ммоль) добавляли порциями, поддерживая темп. < 5°С. По завершении добавления, полученную смесь перемешивали в течение 15 минут при к.т. Затем реакционную смесь вновь охлаждали до 0°С и 3-бромпиперидин-2,6-дион (10) (1,65 г, 8,57 ммоль) добавляли к ней порциями. После полного завершения добавления полученный раствор нагревали при 70°С в течение 1 часа. По окончании (по данным ТСХ), реакционную смесь охлаждали до 0°С и гасили добавлением ледяной воды. Водную часть экстрагировали добавлением этилацетата (дважды). Объединенные органические фазы отделяли, сушили над сульфатом натрия и концентрировали в условиях пониженного давления. Неочищенную массу очищали методом колоночной хроматографии (силикагель, градиент: 30-100% EtOAc в DCM) с получением 4-[4-[[1-[[1-(2,6-диоксо-3-пиперидил)-2-оксобензо[cd]индол-6-ил]метил]пиразол-4-ил]метил]пиперазин-1-ил]-3-фторбензонитрила Соединения 128 (600 мг, 60,5% выход) в виде желтого твердого вещества. 1Н ЯМР (400 МГц, DMSO-d6) δ 11,12 (s, 1H), 8,40 (d, J=8,16 Гц, 1H), 8,10 (d, J=6,88 Гц, 1H), 7,85 (t, J=7,66 Гц, 1H), 7,75 (s, 1H), 7,67 (m, 1H), 7,54 (d, J=8,36 Гц, 1Н), 7,48 (d, J=9,32 Гц, 1H), 7,35 (s, 1H), 7,14-7,08 (m, 2H), 5,72 (s, 2H), 5,47-5,44 (m, 1H), 3,36 (s, 2H), 3,13 (br s, 4H), 2,98-2,91 (m, 1H), 2,80-2,73 (m, 1H), 2,67-2,63 (m, 1H), 2,45 (br s, 4H), 2,09-2,07 (m, 1H); ЖХ-МС: ЭС+ 578,2.
Стадия 7: Хиральное разделение: Синтез 4-[4-[[1-[[1-[-2,6-диоксо-3-пиперидил]-2-оксобензо[cd]индол-6-ил]метил]пиразол-4-ил]метил]пиперазин-1-ил]-3-фторбензонитрила (Соединение 129) и 4-[4-[[1-[[1-[2,6-диоксо-3-пиперидил]-2-оксобензо[cd]индол-6-ил]метил]пиразол-4-ил]метил]пиперазин-1-ил]-3-фторбензонитрила (Соединение 130): Через 5 мкм колонку C-Amylose А (250×30 мм) пропускали подвижную фазу из 45% СО2+55% изопропилового спирта при скорости элюции 30 мл/мин, при температуре 35°С и ABPR 120 бар с получением 4-[4-[[1-[[1-(2,6-диоксо-3-пиперидил)-2-оксобензо[cd]индол-6-ил]метил]пиразол-4-ил]метил]пиперазин-1-ил]-3-фторбензонитрила (11) (600 мг, 1,04 ммоль), разделяли на энантиомеры методом хиральной SFC с получением 4-[4-[[1-[[1-[2,6-диоксо-3-пиперидил]-2-оксобензо[cd]индол-6-ил]метил]пиразол-4-ил]метил]пиперазин-1-ил]-3-фторбензонитрила Соединения 129 (220 мг, %ее 98,1)) в виде пика, снимаемого с колонки первым, 1H ЯМР (400 МГц, DMSO-d6) δ 11,12 (s, 1Н), 8,40 (d, J=8,16 Гц, 1H), 8,10 (d, J=6,88 Гц, 1H), 7,85 (t, J=7,66 Гц, 1H), 7,75 (s, 1H), 7,67 (m, 1H), 7,54 (d, J=8,36 Гц, 1H), 7,48 (d, J=9,32 Гц, 1H), 7,35 (s, 1H), 7,14-7,08 (m, 2H), 5.72 (s, 2H), 5,45 (dd, J=12,8, 5,12 Гц, 1H), 3,35 (s, 2H), 3,13 (br s, 4H), 2,98-2,91 (m, 1H), 2,80-2,73 (m, 1H), 2,67-2,63 (m, 1H), 2,45 (br s, 4H), 2,09-2,07 (m, 1H); ЖХ-МС: ЭС+ 578,6; и 4-[4-[[l-[[l-[2,6-диоксо-3-пиперидил]-2-оксобензо[cd]индол-6-ил]метил]пиразол-4-ил]метил]пиперазин-1-ил]-3-фторбензонитрила Соединения 130 (215 мг, %ee 100) в виде пика, снимаемого с колонки вторым, в виде желтых твердых веществ, 1H ЯМР (400 МГц, DMSO-d6) δ 11,12 (s, 1Н), 8,40 (d, J=8,16 Гц, 1Н), 8,10 (d, J=6,88 Гц, 1H), 7,85 (t, J=7,66 Гц, 1Н), 7,75 (s, 1H), 7,67 (m, 1H), 7,54 (d, J=8,36 Гц, 1H), 7,48 (d, J=9,32 Гц, 1H), 7,35 (s, 1H), 7,14-7,08 (m, 2H), 5,72 (s, 2H), 5,45 (dd, J=12,8, 5,12 Гц, 1H), 3,35 (s, 2H), 3,13 (br s, 4H), 2,98-2,91 (m, 1H), 2,80-2,73 (m, 1H), 2,67-2,63 (m, 1H), 2,45 (br s, 4H), 2,09-2,07 (m, 1H); ЖХ-МС: ЭС+ 578,6.
Пример 47. Синтез 4-[4-[[4-[[1-(2,6-диоксо-3-пиперидил)-2-оксобензо[cd]индол-6-ил]метил]фенил]метил]-4,7-диазаспиро[2.5]октан-7-ил]-3-фторбензонитрила (Соединение 131)
Стадия 1: Синтез трет-бутил-4-[[4-(хлорметил)фенил]метил]-4,7-диазаспиро[2.5]октан-7-карбоксилата (3): К перемешиваемому раствору трет-бутил-4,7-диазаспиро[2.5]октан-7-карбоксилата 1 (550 мг, 2,59 ммоль) в сухом ацетоне (5,0 мл) добавляли карбонат калия, безводный, 99% (1,07 г, 7,77 ммоль, 469,09 мкл) при к.т. и полученную реакционную смесь нагревали при 50°С в течение 20 минут. 1,4-бис(хлорметил)бензол 2 (453,53 мг, 2,59 ммоль, 319,39 мкл) затем добавляли к реакционной смеси и нагревание продолжали в течение 3 часов. По окончании реакции (по данным ТСХ и ЖХМС), летучие вещества удаляли в вакууме и полученное таким образом твердое вещество переносили в этилацетат (50 мл), промывали водой (3×20 мл), Насыщенным солевым раствором (2×15 мл), сушили безводным сульфатом натрия и концентрировали в условиях пониженного давления. Неочищенную массу очищали методом колоночной хроматографии (силикагель, градиент: 10-50% этилацетата в гексане) с получением трет-бутил-4-[[4-(хлорметил)фенил]метил]-4,7-диазаспиро[2.5]октан-7-карбоксилата 3 (300 мг, 795,14 ммоль, 30,69% выход) в виде бесцветного липкого твердого вещества, которое хранили в круглодонной колбе при 5°С внутри холодильника. ЖХ-МС: ЭС+ 351,4.
Стадия 2: Синтез трет-бутил-4-[[4-[(2-оксо-1Н-бензо[cd]индол-6-ил)метил]фенил]метил]-4,7-диазаспиро[2.5]октан-7-карбоксилата (5): К хорошо дегазированному раствору трет-бутил-4-[[4-(хлорметил)фенил]метил]-4,7-диазаспиро[2.5]октан-7-карбоксилата 3 (700 мг, 1,99 ммоль) и 6-(4,4,5,5-тетраметал-1,3,2-диоксаборолан-2-ил)-1Н-бензо[cd] индол-2-она 4 (1,18 г, 3,99 ммоль) в этаноле (2 мл) - толуоле (4 мл), трехосновный фосфат калия, безводный, (1,27 г, 5,98 ммоль) добавляли с последующим добавлением три-о-толилфосфина (121,44 мг, 398,99 ммоль) и Pd2(dba)3 (182,68 мг, 199,50 ммоль). Полученную смесь затем нагревали при 90°С в течение 12 часов. По окончании реакции (по данным ЖХМС), реакционную смесь фильтровали через слой целита, промывали этилацетатом (30 мл). Объединенный фильтрат затем промывали водой (3×20 мл) и насыщенным солевым раствором (2×15 мл), сушили безводным сульфатом натрия и концентрировали в условиях пониженного давления. Неочищенную массу очищали методом колоночной хроматографии (силикагель, градиент: 0-20% этилацетата в DCM) с получением трет-бутил-4-[[4-[(2-оксо-1Н-бензо[cd]индол-6-ил)метил]фенил]метил]-4,7-диазаспиро[2.5]октан-7-карбоксилата 5 (450 мг, 809,55 ммоль, 40,58% выход, 87% чистота) в виде желтого твердого вещества, которое хранили в пластиковой бутылке Tarson при температуре окружающей среды. ЖХ-МС: ЭС+ 484,4.
Стадия 3: Синтез трет-бутил-4-[[4-[[1-(2,6-диоксо-3-пиперидил)-2-оксобензо[cd]индол-6-ил]метил]фенил]метил]-4,7-диазаспиро[2.5]октан-7-карбоксилата (7): К охлаждаемому на льду раствору трет-бутил-4-[[4-[(2-оксо-1Н-бензо[cd]индол-6-ил)метил]фенил]метил]-4,7-диазаспиро[2.5]октан-7-карбоксилата 5 (425 мг, 878,83 ммоль) в сухом THF (10 мл), гидрид натрия (60% дисперсия в минеральном масле) (202,04 мг, 8,42 ммоль) добавляли порциями, поддерживая темп. < 5°С. По завершении добавления, полученную смесь перемешивали в течение 15 минут при к.т. Затем реакционную смесь вновь охлаждали до 0°С и 3-бромпиперидин-2,6-дион 6 (843,72 мг, 4,39 ммоль) добавляли к ней порциями. После полного завершения добавления полученный раствор нагревали при 70°С в течение 1 часа. По окончании (по данным ТСХ), реакционную смесь вновь охлаждали до 0°С и гасили ледяной водой (40 мл). Водную часть экстрагировали добавлением этилацетата (3×50 мл). Объединенные экстракты сушили безводным сульфатом натрия и концентрировали в условиях пониженного давления. Неочищенную массу очищали с помощью преп. ТСХ (50% этилацетата в DCM в качестве элюента) с получением трет-бутил-4-[[4-[[1-(2,6-диоксо-3-пиперидил)-2-оксобензо[cd]индол-6-ил]метил]фенил]метил]-4,7-диазаспиро[2.5]октан-7-карбоксилата 7 (320 мг, 414,33 ммоль, 47,15% выход) в виде желтого твердого вещества, которое хранили в круглодонной колбе при 5°С внутри холодильника. ЖХ-МС: ЭС+ 595,7.
Стадия 4: Синтез 3-[6-[[4-(4,7-диазаспиро[2.5]октан-4-илметил)фенил]метил]-2-оксобензо[cd]индол-1-ил]пиперидин-2,6-дионгидрохлорида (8): К перемешиваемому раствору трет-бутил-4-[[4-[[1-(2,6-диоксо-3-пиперидил)-2-оксобензо[cd]индол-6-ил]метил]фенил]метил]-4,7-диазаспиро[2.5]октан-7-карбоксилата 7 (200 мг, 336,30 ммоль) в сухом диоксане (5,0 мл), диоксан-HCl (336,30 ммоль, 5,0 мл) добавляли при 0°С и перемешивали в течение 2 ч при к.т. По окончании реакции (по данным ЖХ-МС), летучие вещества удаляли в условиях пониженного давления с получением неочищенного соединения 3-[6-[[4-(4,7-диазаспиро[2.5]октан-4-илметил)фенил]метил]-2-оксобензо[cd]индол-1-ил]пиперидин-2,6-дионгидрохлорида 8 (150 мг, 198,24 ммоль, 58,95% выход, 75% чистота)в виде желтого твердого вещества. ЖХ-МС: ЭС+ 495,4.
Стадия 5: Синтез 4-[4-[[4-[[1-(2,6-диоксо-3-пиперидил)-2-оксобензо[cd]индол-6-ил]метил]фенил]метил]-4,7-диазаспиро[2.5]октан-7-ил]-3-фторбензонитрила: К хорошо дегазированному раствору 3-[6-[[4-(4,7-диазаспиро[2.5]октан-4-илметил)фенил]метил]-2-оксобензо[се]индол-1-ил]пиперидин-2,6-дионгидрохлорида 8 (175 мг, 329,54 ммоль) в NMP (2,0 мл), N,N-диизопропилэтиламин (255,54 мг, 1,98 ммоль, 344,39 мкл) добавляли с последующим добавлением 3,4-дифторбензонитрила (68,76 мг, 494,31 ммоль). Полученный раствор затем нагревали при 110°С в течение 12 ч в укупоренной пробирке. По окончании реакции по данным ЖХ-МС, реакционную смесь охлаждали до к.т. и к ней добавляли ледяную воду (5 мл). Водную часть экстрагировали добавлением этилацетата (3×30 мл). Органическую фазу отделяли, сушили над сульфатом натрия и концентрировали. Неочищенный остаток очищали с помощью преп. ТСХ (40% этилацетата в DCM) с получением 4-[4-[[4-[[1-(2,6-диоксо-3-пиперидил)-2-оксобензо[cd]индол-6-ил]метил]фенил]метил]-4,7-диазаспиро[2.5]октан-7-ил]-3-фторбензонитрила Соединения 131 (40,0 мг, 64,57 ммоль, 19,60% выход) в виде желтого твердого вещества, которое хранили в круглодонной колбе при 5°С внутри холодильника. 1Н ЯМР (400 МГц, DMSO-d6) δ 11,12 (s, 1H), 8,31 (d, J=8,24 Гц, 1H), 8,07 (d, J=6,96 Гц, 1H), 7,80 (t, J=7,36 Гц, 1H), 7,65 (d, J=12,88 Гц, 1H), 7,54 (d, J=7,48 Гц, 1H), 7,39 (d, J=7,48 Гц, 1H), 7,23-7,16 (m, 4H), 7,12-7,08 (m, 2H), 5,44-5,42 (m, 1H), 4,36 (s, 2H), 3,76 (s, 2H), 3,18 (m, 2H), 3,07 (s, 2H), 2,98-2,91 (m, 1H), 2,77-2,74 (m, 3Н), 2,66-2,62 (m, 1H), 2,07 (br m, 1H), 0,64 (m, 2H), 0,54 (m, 2H); ЖХ-МС: ЭС+ 614,2.
Пример 48. Синтез N-трет-бутил-4-[4-[[1-(2,6-диоксо-3-пиперидил)-2-оксобензо[cd]индол-6-ил]метил]пиразол-1-ил]-N-метилпиперидин-1-карбоксамида (Соединение 132)
Стадия 1: Синтез N-трет-бутил-4-[4-[[1-(2,6-диоксо-3-пиперидил)-2-оксобензо[cd]индол-6-ил]метил]пиразол-1-ил]-N-метилпиперидин-1-карбоксамида: К перемешиваемому раствору бис(трихлорметил)карбоната (75,07 мг, 252,97 ммоль) в сухом DCM (20 мл), раствор 3-[2-оксо-6-[[1-(4-пиперидил)пиразол-4-ил]метил]бензо[cd]индол-1-ил]пиперидин-2,6-диона 1 (249,32 мг, 562,16 ммоль) в сухом DCM (20 мл) добавляли капельно при 0°С с последующим добавлением раствора N,N-диизопропилэтиламина (163,48 мг, 1,26 ммоль, 220,32 мкл) в DCM (5 мл) в инертной атмосфере. После полного завершения добавления реакционную смесь хранили при перемешивании при к.т.в течение 30 минут при к.т. Затем раствор N,2-диметилпропан-2-амина (49 мг, 562,16 ммоль, 67,40 мкл) в DCM (20 мл) добавляли к реакционной смеси при к.т. и перемешивали далее в течение 12 часов при той же температуре. По окончании реакции (по данным ЖХ-МС), реакционную смесь промывали водой (2×20 мл)/насыщенным солевым раствором (20 мл). Органическую часть отделяли, сушили безводным сульфатом натрия и концентрировали в условиях пониженного давления. Полученное таким образом неочищенное соединение очищали с помощью пластинки для препаративной ТСХ (элюируя 60% этилацетата в DCM) с получением N-трет-бутил-4-[4-[[1-(2,6-диоксо-3-пиперидил)-2-оксобензо[cd]индол-6-ил]метил]пиразол-1-ил]-N-метилпиперидин-1-карбоксамида Соединения 132 (20 мг, 34,13 ммоль, 6,07% выход, 95% чистота) в виде желтого твердого вещества. 1Н ЯМР (400 МГц, DMSO-d6) δ 11,11 (s, 1Н), 8,37 (d, J=8,28 Гц, 1H), 8,08 (d, J=6,8 Гц, 1H), 7,82 (t, J=7,28 Гц, 1H), 7,35 (d, J=7,2 Гц, 1H), 7,31 (s, 1H), 7,07 (d, J=7,28 Гц, 1H), 5,43 (dd, J=7,16 Гц, 1H), 4,18 (br s, 3H), 3,67 (m, 2H), 2,94-2,90 (m, 1H), 2,80-2,77 (m, 3H), 2,62 (br s, 4H), 1,90-1,87 (m, 1H), 1,74-1,66 (m, 4H), 1,22 (s, 9H);; ЖХ-МС: ЭС+ 557,3.
Пример 49. Синтез трет-бутил-4-[[4-[[1-(2,6-диоксо-3-пиперидил)-2-оксобензо[cd]индол-6-ил]метил]фенил]метил]-4,7-диазаспиро[2.5]октан-7-карбоксилата (Соединение 133)
Стадия 1: Синтез 3-амино-1-(1-бензил-4-метил-4-пиперидил)пиразол-4-карбоксилата (3):
Смесь раствора (1-бензил-4-метил-4-пиперидил)гидразина 1 (2 г, 9,12 ммоль) и этил(этоксиметилен)цианоацетата 2 (1,54 г, 9,12 ммоль) в метаноле (20 мл) нагревали при 80°С в течение 12 часов. По окончании реакции (по данным ТСХ), растворитель упаривали и полученное таким образом неочищенное соединение очищали методом колоночной хроматографии (силикагель, градиент: 0-5% DCM в МеОН) с получением этил-3-амино-1-(1-бензил-4-метил-4-пиперидил)пиразол-4-карбоксилата 3 (1,5 г, 3,94 ммоль, 43,23% выход, 90% чистота) в виде желтого смолистого твердого вещества, которое хранили в круглодонной колбе при 5°С внутри холодильника. ЖХ-МС: ЭС+ 343,0.
Стадия 2: Синтез 1-(1-бензил-4-метил-4-пиперидил)-3-хлорпиразол-4-карбоксилата (4):
К сухому ацетонитрилу (20 мл) добавляли трет-бутилнитрит, тех. 90% (677,56 мг, 6,57 ммоль, 781,50 мкл) с последующим добавлением CuCl (650,49 мг, 6,57 ммоль) и реакционную смесь затем медленно нагревали до 65°С в атмосфере N2. При этой температуре, этил-3-амино-1-(1-бензил-4-метил-4-пиперидил)пиразол-4-карбоксилат 3 (1,5 г, 4,38 ммоль) растворяли в сухом ацетонитриле (20 мл) медленно добавляли в реакционную смесь. Реакционную смесь перемешивали при этой температуре в течение 0,5 часа. Реакционную смесь затем охлаждали до комнатной температуры, воду (15 мл) добавляли и экстрагировали добавлением EtOAc (2×35 мл). Органическую часть затем промывали насыщенным раствором бикарбоната натрия / насыщенным солевым раствором (30 мл), отделяли, сушили безводным сульфатом натрия и концентрировали в условиях пониженного давления. Полученное таким образом неочищенное соединение затем очищали методом колоночной хроматографии, элюируя (силикагель, градиент: 0-10% EtOAc в гексане) с получением этил-1-(1-бензил-4-метил-4-пиперидил)-3-хлорпиразол-4-карбоксилата 4 (650 мг, 1,62 ммоль, 36,91% выход) в виде коричневого смолистого твердого вещества. ЖХ-МС: ЭС+ 362,0.
Стадия 3: Синтез трет-бутил-4-(3-хлор-4-этоксикарбонилпиразол-1-ил)-4-метилпиперидин-1-карбоксилата (5): К перемешиваемому раствору этил-1-(1-бензил-4-метил-4-пиперидил)-3-хлорпиразол-4-карбоксилата 4 (1,3 г, 3,59 ммоль) в DCM (20 мл), 1-хлорэтилхлорформиат (513,62 мг, 3,59 ммоль, 392,07 мкл) добавляли при 0°С и полученный раствор нагревали при 100°С в течение 90 минут. После полной конверсии по данным ТСХ, растворитель упаривали и повторно растворяли в МеОН (20 мл), реакционную смесь затем далее нагревали при 100°С в течение 1 часа. После полного расходования промежуточного соединения по данным ТСХ, метанол упаривали и неочищенное соединение повторно растворяли в DCM (20 мл). К этому раствору, триэтиламин (363,52 мг, 3,59 ммоль, 500,72 мкл) добавляли при 0°С для поддержания рН ~8, с последующим добавлением трет-бутоксикарбонил-трет-бутилкарбоната (784,05 мг, 3,59 ммоль, 824,45 мкл). Полученную реакционную смесь перемешивали при комнатной температуре в течение далее 16 часов. По окончании реакции (по данным ТСХ), реакционную смесь разбавляли этилацетатом (80 мл) и промывали водой (25 мл). Объединенный органический слой отделяли, сушили безводным сульфатом натрия и концентрировали. Неочищенный остаток очищали методом колоночной хроматографии (силикагель, градиент: 0-10% EtOAc в гексане) с получением трет-бутил-4-(3-хлор-4-этоксикарбонилпиразол-1-ил)-4-метилпиперидин-1-карбоксилата 5 (750 мг, 1,82 ммоль, 50,53% выход) в виде светло-коричневого липкого твердого вещества, которое хранили в круглодонной колбе при температуре окружающей среды. ЖХ-МС: ЭС+ 372,33.
Стадия 4: Синтез трет-бутил-4-[3-хлор-4-(гидроксиметил)пиразол-1-ил]-4-метилпиперидин-1-карбоксилата (6): К перемешиваемому раствору трет-бутил-4-(3-хлор-4-этоксикарбонилпиразол-1-ил)-4-метилпиперидин-1-карбоксилата 5 (750 мг, 2,02 ммоль) в THF (20,0 мл), диизобутилалюминийгидрид (25% в толуоле) (1,43 г, 10,08 ммоль, 1,80 мл) (60,0 мл) добавляли капельно при -78°С в течение 1,5 часов в атмосфере N2. После полного расходования, по данным ТСХ, реакционную массу разбавляли этилацетатом (60 мл) и гасили водой (30 мл). Органическую фазу отделяли, сушили над безводным Na2SO4 и концентрировали в условиях пониженного давления с получением трет-бутил-4-[3-хлор-4-(гидроксиметил)пиразол-1-ил]-4-метилпиперидин-1-карбоксилата 6 (560 мг, 1,53 ммоль, 75,76% выход, 90% чистота). Неочищенное соединение непосредственно использовали на следующей стадии без какой-либо очистки. ЖХ-МС: ЭС+ 330,3.
Стадия 5: Синтез трет-бутил-4-(3-хлор-4-формилпиразол-1-ил)-4-метилпиперидин-1-карбоксилата (7): К перемешиваемому раствору трет-бутил-4-[3-хлор-4-(гидроксиметил)пиразол-1-ил]-4-метилпиперидин-1-карбоксилата 6 (550 мг, 1,67 ммоль) в ацетонитриле (5 мл), добавляли активированный MnO2 (724,89 мг, 8,34 ммоль и перемешивали при комнатной температуре в течение 24 часов. По окончании реакции (по данным ТСХ и ЖХМС), реакционную массу фильтровали через слой целита и фильтрат концентрировали в условиях пониженного давления. Неочищенную массу очищали методом флэш-хроматографии (0-50% EtOAc в гексане в качестве элюента) с получением чистого соединения трет-бутил-4-(3-хлор-4-формилпиразол-1-ил)-4-метилпиперидин-1-карбоксилата 7 (360 мг, 988,39 ммоль, 59,27% выход, 90% чистота) в виде светло-желтого липкого твердого вещества и хранили в круглодонной колбе при 5°С внутри холодильника. ЖХ-МС: ЭС+ (М-100) 228,2 (М-100).
Стадия 6: Синтез трет-бутил-4-[3-хлор-4-[гидрокси-(2-оксо-1Н-бензо[cd]индол-6-ил)метил]пиразол-1-ил]-4-метилпиперидин-1-карбоксилата (9): К перемешиваемому раствору 6-бром-1Н-бензо[cd] индол-2-она 8 (270 мг, 1,09 ммоль) в сухом THF (5,0 мл), добавляли фениллитий, 1,8М в ди-н-бутиловом эфире (91,47 мг, 1,09 ммоль, 112,93 мкл) при -78°С в атмосфере N2 и реакционную смесь перемешивали при той же температуре в течение 30 минут с последующим добавлением бутиллития (76,69 мг, 1,20 ммоль) при -78°С и по завершении добавления температуре позволяли повыситься до -40°С и перемешивали при той же температуре в течение 30 минут. После образования пятна dessbormo в ТСХ (30% этилацетата в гексане) раствор трет-бутил-4-(3-хлор-4-формилпиразол-1-ил)-4-метилпиперидин-1-карбоксилата 7 (356,78 мг, 1,09 ммоль) в сухом THF (5,0 мл) добавляли при -78°С и полученный раствор оставляли нагреваться до комнатной температуры и перемешивание продолжали в течение 16 часов. По окончании реакции (по данным ТСХ и ЖХМС), реакционную смесь гасили насыщенным раствором хлорида аммония и экстрагировали добавлением этилацетата (2×40 мл). Органическую фазу промывали водой (2×20 мл) и отделяли, сушили над безводным сульфатом натрия и упаривали в условиях пониженного давления с получением неочищенного соединения, которое очищали методом флэш-хроматографии (силикагель, градиент: 0-5% МеОН в DCM) с получением трет-бутил-4-[3-хлор-4-[гидрокси-(2-оксо-1Н-бензо[cd]индол-6-ил)метил]пиразол-1-ил]-4-метилпиперидин-1-карбоксилата 9 (123 мг, 197,99 ммоль, 18,19% выход, 80% чистота) в виде коричневого твердого вещества. ЖХ-МС: ЭС+ 479,4 (m-16).
Стадия 7: Синтез [4-[3-хлор-4-[(2-оксо-1Н-бензо[cd]индол-6-ил)метил]пиразол-1-ил]-4-метил-1-пиперидил]-2,2,2-трифторацетата (10): К перемешиваемому раствору трет-бутил-4-[3-хлор-4-[гидрокси-(2-оксо-1Н-бензо[cd]индол-6-ил)метил]пиразол-1-ил]-4-метилпиперидин-1-карбоксилата 9 (123 мг, 247,49 ммоль) в DCE (2,0 мл) добавляли триэтилсилан (115,11 мг, 989,97 ммоль, 158,12 мкл) и трифторуксусную кислоту, 99% (225,75 мг, 1,98 ммоль, 152,54 мкл) при к.т. Полученную реакционную смесь нагревали при 70°С при облучении микроволнами в течение 30 мин. По окончании реакции (по данным ТСХ и ЖХМС), летучие вещества удаляли с получением неочищенного соединения [4-[3-хлор-4-[(2-оксо-1Н-бензо[cd]индол-6-ил)метил]пиразол-1-ил]-4-метил-1-пиперидил]-2,2,2-трифторацетата 10 (110 мг, 122,25 ммоль, 49,39% выход), который использовали на следующей стадии без очистки. ЖХМС: ЭС+ 381,2.
Стадия 8: Синтез 6-[[3-хлор-1-[4-метил-1-(1-метилциклобутанкарбонил)-4-пиперидил]пиразол-4-ил]метил]-1Н-бензо[cd] индол-2-она (11): К перемешиваемому раствору 6-[[3-хлор-1-(4-метил-4-пиперидил)пиразол-4-ил]метил]-1Н-бензо[cd]индол-2-она 10 (120 мг, 315,07 ммоль) в DMF (5,0 мл), HATU (179,70 мг, 472,60 ммоль) добавляли при 0°C с последующим добавлением смеси раствора 1-метилциклобутанкарбоновой кислоты (89,91 мг, 787,67 ммоль) и N,N-диизопропилэтиламина (203,60 мг, 1,58 ммоль, 274,39 мкл) в атмосфере N2. Полученный раствор перемешивали в течение 12 часов при той же температуре. По окончании реакции (по данным ЖХ-МС, ЖХ-МС неочищенного соединения показала массу диамидированного продукта), реакционную смесь гасили добавлением ледяной воды (5 мл). Водную часть экстрагировали добавлением этилацетата (3×30 мл). Органическую часть отделяли, сушили безводным сульфатом натрия и концентрировали. Неочищенный остаток затем повторно растворяли в метаноле (10 мл) и перемешивали в течение 30 минут в присутствии LiOH (1,5 экв.). После полного расходования диамида растворитель упаривали и повторно растворяли в этилацетате (30 мл). Органическую часть промывали 1н HCl (20 мл) и отделяли, сушили над сульфатом натрия, концентрировали в условиях пониженного давления с получением неочищенного соединения 6-[[3-хлор-1-[4-метил-1-(1-метилциклобутанкарбонил)-4-пиперидил]пиразол-4-ил]метил]-1Н бензо[cd] индол-2-она 11 (90 мг, 177,36 ммоль, 56,29% выход) в виде коричневого смолистого твердого вещества, которое было достаточно чистым для использования на следующей стадии. ЖХ-МС: ЭС+ 477,39
Стадия 9: Синтез трет-бутил-4-[[4-[[1-(2,6-диоксо-3-пиперидил)-2-оксобензо[cd]индол-6-ил]метил]фенил]метил]-4,7-диазаспиро[2.5]октан-7-карбоксилата: К охлаждаемому на льду раствору 6-[[3-хлор-1-[4-метил-1-(1-метилциклобутанкарбонил)-4-пиперидил]пиразол-4-ил]метил]-1Н-бензо[cd]индол-2-она 11 (90 мг, 188,68 ммоль) в сухом THF (5 мл), гидрид натрия (60% дисперсия в минеральном масле) (43,38 мг, 1,89 ммоль) добавляли порциями, поддерживая темп. <5°С. По завершении добавления, полученную смесь перемешивали в течение 15 минут при комнатной температуре. Затем реакционную смесь вновь охлаждали до 0°С и 3-бромпиперидин-2,6-дион 12 (181,14 мг, 943,40 ммоль) добавляли к ней порциями. После полного завершения добавления полученный раствор нагревали при 70°С в течение 2 часов. По окончании (по данным ТСХ), реакционную смесь вновь охлаждали до 0°С и гасили ледяной водой (40 мл). Водную часть экстрагировали добавлением этилацетата (2×20 мл). Объединенные экстракты сушили безводным сульфатом натрия и концентрировали в условиях пониженного давления. Неочищенную массу очищали с помощью пластинки для препаративной ТСХ (2,5% МеОН в DCM в качестве элюента) с получением трет-бутил-4-[[4-[[1-(2,6-диоксо-3-пиперидил)-2-оксобензо[cd]индол-6-ил]метил]фенил]метил]-4,7-диазаспиро[2.5]октан-7-карбоксилата Соединения 133 (320 мг, 414,33 ммоль, 47,15% выход) в виде желтого твердого вещества, которое хранили в круглодонной колбе при 5°С внутри холодильника. 1Н ЯМР (400 МГц, DMSO-d6) δ 11,11 (s, 1Н), 8,37 (d, J=8,24 Гц, 1H), 8,10 (d, J=7,0 Гц, 1H), 7,86 (t, J=7,48 Гц, 1H), 7,45 (s, 1H), 7,25 (d, J=7,28 Гц, 1H), 7,07 (d, J=7,16 Гц, 1H), 5,44 (dd, J=12,52, 5,4 Гц, 1H), 4,16 (s, 2H), 3,80 (br m, 1H), 3,33 (br m, 2H), 3,15- 3,06 (m, 2H), 2,98-2,91 (m, 1H), 2,78-2,62 (m, 4H), 2,37 (br, 2H), 2,10-2,07 (br m, 1H), 1,90-1,77 (m, 4H), 1,60 (m, 1H), 1,52 (s, 3H), 1,31 (s, 3Н); ЖХ-МС: ЭС+ 588,2.
Пример 50. Синтез 3-[6-[[4-[4-(2-фторфенил)пиперазин-1-карбонил]фенил]метил]-2-оксобензо[cd]индол-1-ил]пиперидин-2,6-диона (Соединение 134)
Стадия 1: Синтез [4-(хлорметил)фенил]-[4-(2-фторфенил)пиперазин-1-ил]метанона (3): К перемешиваемому раствору 1-(2-фторфенил)пиперазина 2 (1,0 г, 5,55 ммоль) в сухом DCM (20 мл), триэтиламин, 99% (1,68 г, 16,65 ммоль, 2,32 мл) добавляли при 0°C с последующим капельным добавлением 4-(хлорметил)бензоилхлорида 1 (1,26 г, 6,66 ммоль). После полного завершения добавления реакционную смесь перемешивали в течение 5 часов при комнатной температуре. Реакционную смесь разбавляли DCM (30 мл) и гасили насыщенным раствором бикарбоната натрия. Органическую фазу промывали водой (20 мл) /насыщенным солевым раствором (20 мл) и отделяли, сушили безводным сульфатом натрия и концентрировали. Полученное таким образом неочищенное соединение очищали методом колоночной хроматографии (силикагель, градиент: 0-30% этилацетата в гексане) с получением [4-(хлорметил)фенил]-[4-(2-фторфенил)пиперазин-1-ил]метанона 3 (671 мг, 1,63 ммоль, 29,43% выход, 81% чистота) в виде белого твердого вещества. ЖХ-МС: ЭС+ 333,3.
Стадия 2: Синтез 6-[[4-[4-(2-фторфенил)пиперазин-1-карбонил]фенил]метил]-1Н-бензо[cd]индол-2-она (5): К хорошо дегазированному раствору [4-(хлорметил)фенил]-[4-(2-фторфенил)пиперазин-1-ил]метанона 3 (650 мг, 1,95 ммоль) и 6-(4,4,5,5-тетраметил-1,3,2-диоксаборолан-2-ил)-1Н-бензо[cd]индол-2-она 4 (1,44 г, 4,88 ммоль) в этаноле (4 мл) - толуоле (8 мл), трехосновный фосфат калия, безводный, (1,24 г, 5,86 ммоль) добавляли с последующим добавлением три-о-толилфосфина (118,89 мг, 390,63 ммоль) и Pd2(dba)3 (178,85 мг, 195,31 ммоль). Полученную смесь затем нагревали при 90°С в течение 12 часов. По окончании реакции (по данным ЖХМС), реакционную смесь фильтровали через слой целита, промывали этилацетатом (30 мл). Объединенный фильтрат затем промывали водой (3×30 мл) и насыщенным солевым раствором (2×20 мл), сушили безводным сульфатом натрия и концентрировали в условиях пониженного давления. Неочищенную массу очищали методом флэш-хроматографии (градиент: 0-20% этилацетата в DCM) с получением 6-[[4-[4-(2-фторфенил)пиперазин-1-карбонил]фенил]метил]-1Н-бензо[cd]индол-2-она 5 (500 мг, 966,67 ммоль, 49,49% выход) в виде желтого твердого вещества, которое хранили в пластиковой бутылке Tarson при температуре окружающей среды. ЖХ-МС: ЭС+ 466,2.
Стадия 3: Синтез 3-[6-[[4-[4-(2-фторфенил)пиперазин-1-карбонил]фенил]метил]-2-оксобензо[cd]индол-1-ил]пиперидин-2,6-диона: К охлаждаемому на льду раствору 6-[[4-[4-(2-фторфенил)пиперазин-1-карбонил]фенил]метил]-1Н-бензо[cd]индол-2-она (130 мг, 279,26 ммоль) 5 в сухом THF (8 мл), гидрид натрия (60% дисперсия в минеральном масле) (64,20 мг, 2,79 ммоль) добавляли порциями, поддерживая темп. < 5°С. По завершении добавления, полученную смесь перемешивали в течение 15 минут при комнатной температуре. Затем реакционную смесь вновь охлаждали до 0°С и 3-бромпиперидин-2,6-дион 6 (268,10 мг, 1,40 ммоль) добавляли к ней порциями. После полного завершения добавления полученный раствор нагревали при 70°С в течение 1,5 часов. По окончании (по данным ТСХ), реакционную смесь вновь охлаждали до 0°С и гасили ледяной водой (20 мл). Водную часть экстрагировали добавлением этилацетата (2×20 мл). Объединенные экстракты сушили безводным сульфатом натрия и концентрировали в условиях пониженного давления. Неочищенную массу затем очищали с помощью пластинки для препаративной ТСХ (2,5% МеОН в DCM в качестве элюента) с получением 3-[6-[[4-[4-(2-фторфенил)пиперазин-1-карбонил]фенил]метил]-2-оксобензо[cd]индол-1-ил]пиперидин-2,6-диона Соединения 134 (42 мг, 70,24 ммоль, 25,15% выход) в виде желтого твердого вещества, которое хранили в круглодонной колбе при 5°С внутри холодильника. 1Н ЯМР (400 МГц, DMSO-d6) δ 11,12 (s, 1H), 8,35 (d, J=8,04 Гц, 1H), 8,08 (d, J=6,92 Гц, 1H), 7,82 (t, J=7,36 Гц, 1H), 7,45 (d, J=7,28 Гц, 1H), 7,36-7,35 (m, 4Н), 7,13-7,07 (m, 3Н), 7,04-7,0 (m, 2Н), 5,44 (dd, J=12,84 Гц, 1H), 4,45 (s, 2Н), 3,71 (br m, 2Н), 3,46 (br m, 2H), 2,96 (brm, 5H), 2,76-2,63 (m, 2H), 2,08 (m, 1H); ЖХ-МС: ЭС+ 577,2.
Пример 51. Синтез 3-[6-[[4-[[7-(2-фторфенил)-4,7-диазаспиро[2.5]октан-4-ил]метил]фенил]метил]-2-оксобензо[cd]индол-1-ил]пиперидин-2,б-диона (Соединение 135)
Стадия 1: Синтез трет-бутил-7-(2-фторфенил)-4,7-диазаспиро[2.5]октан-4-карбоксилата (3): К хорошо дегазированному раствору 1-фтор-2-йодбензола 1 (2,09 г, 9,42 ммоль, 1,10 мл) в толуоле (60 мл), трет-бутил-4,7-диазаспиро[2.5]октан-4-карбоксилат 2 (2,0 г, 9,42 ммоль) и трет-бутоксид натрия (1,81 г, 18,84 ммоль) добавляли с последующим добавлением Pd2(dba)3 (172,54 мг, 188,42 ммоль), 2,2'-Бис(дифенилфосфино)-1,1'-бинафталина (586,63 мг, 942,12 ммоль). Полученную смесь затем нагревали при 100°С в течение 12 часов. По окончании реакции (по данным ЖХМС), реакционную смесь фильтровали через слой целита, промывали этилацетатом (30 мл). Объединенный фильтрат затем промывали водой (3×50 мл) и насыщенным солевым раствором (20 мл), сушили безводным сульфатом натрия и концентрировали в условиях пониженного давления. Неочищенную массу очищали методом флэш-хроматографии (градиент: 0-10% этилацетата в гексане) с получением трет-бутил-7-(2-фторфенил)-4,7-диазаспиро[2.5]октан-4-карбоксилата 3 (810 мг, 2,56 ммоль, 27,22% выход) в виде желтого твердого вещества, которое хранили в пластиковой бутылке Tarson при температуре окружающей среды. ЖХ-МС: ЭС+ 307,16.
Стадия 2: Синтез 7-(2-фторфенил)-4,7-диазаспиро[2.5]октангидрохлорида (4): К перемешиваемому раствору трет-бутил-7-(2-фторфенил)-4,7-диазаспиро[2.5]октан-4-карбоксилата 3 (805 мг, 2,63 ммоль) в диоксане (10 мл), диоксан-HCl (2,63 ммоль, 10,0 мл) добавляли капельно при 0°С и перемешивали реакционную смесь при комнатной температуре в течение 16 часов. По окончании реакции (по данным ЖХ-МС), летучие вещества удаляли. Твердую реакционную массу растирали с диэтиловым эфиром с получением 7-(2-фторфенил)-4,7-диазаспиро[2.5]октангидрохлорида 4 (630 мг, 2,17 ммоль, 82,58% выход) и неочищенное соединение непосредственно использовали на следующей стадии без какой-либо дальнейшей очистки.
Стадия 3: Синтез 4-[[4-(хлорметил)фенил]метил]-7-(2-фторфенил)-4,7-диазаспиро[2.5]октана (6): К перемешиваемому раствору 7-(2-фторфенил)-4,7-диазаспиро[2.5]октангидрохлорида 4 (630 мг, 2,60 ммоль) в сухом ацетоне (5,0 мл) добавляли DIPEA (335,45 мг, 2,60 ммоль, 452,09 мкл) добавляли с последующим добавлением карбоната калия, безводного, 99% (1,08 г, 7,79 ммоль, 469,96 мкл) при к.т. и полученную реакционную смесь нагревали при 60°С в течение 20 минут. 1,4-бис(хлорметил)бензол 5 (454,37 мг, 2,60 ммоль, 319,98 мкл) затем добавляли к реакционной смеси и нагревание продолжали в течение 3 часов. По окончании реакции (по данным ТСХ и ЖХМС), летучие вещества удаляли в вакууме и полученное таким образом твердое вещество переносили в этилацетат (50 мл), промывали водой (3×25 мл) и насыщенным солевым раствором (2×15 мл), сушили безводным сульфатом натрия и концентрировали в условиях пониженного давления. Неочищенную массу очищали методом колоночной хроматографии (силикагель, градиент: 10-30% этилацетата в гексане) с получением 4-[[4-(хлорметил)фенил]метил]-7-(2-фторфенил)-4,7-диазаспиро[2.5]октана 6 (480 мг, 1,36 ммоль, 52,55% выход) в виде коричневого липкого твердого вещества, которое хранили в круглодонной колбе при 5°С внутри холодильника. ЖХМС: ЭС+ 345,32.
Стадия 4: Синтез 6-[[4-[[7-(2-фторфенил)-4,7-диазаспиро[2.5]октан-4-ил]метил]фенил]метил]-1Н-бензо[cd]индол-2-она: К хорошо дегазированному раствору 4-[[4-(хлорметил)фенил]метил]морфолина 6 (8 г, 35,44 ммоль) и 6-(4,4,5,5-тетраметил-1,3,2-диоксаборолан-2-ил)-1Н-бензо[cd] индол-2-она 7 (20,92 г, 70,89 ммоль) в этаноле (4 мл) - толуоле (8 мл), трехосновный фосфат калия, безводный, (886,38 мг, 4,18 ммоль) добавляли с последующим добавлением три-о-толилфосфина (84,73 мг, 278,38 ммоль) и Pd2(dba)3 (127,46 мг, 139,19 ммоль). Полученную смесь затем нагревали при 90°С в течение 12 часов. По окончании реакции (по данным ЖХМС), реакционную смесь фильтровали через слой целита, промывали этилацетатом (200 мл). Объединенный фильтрат затем промывали водой (3×70 мл) и насыщенным солевым раствором (2×50 мл), сушили безводным сульфатом натрия и концентрировали в условиях пониженного давления. Неочищенную массу очищали методом флэш-хроматографии (градиент: 0-50% этилацетата в гексане) с получением 6-[[4-[[7-(2-фторфенил)-4,7-диазаспиро[2.5]октан-4-ил]метил]фенил]метил]-1Н-бензо[cd]индол-2-она 8 (272 мг, 552,46 ммоль, 39,69% выход) в виде желтого твердого вещества, которое хранили в пластиковой бутылке Tarson при температуре окружающей среды. ЖХ-МС: ЭС+ 478,2.
Стадия 5: Синтез 3-[6-[[4-[[7-(2-фторфенил)-4,7-диазаспиро[2.5]октан-4-ил]метил]фенил]метил]-2-оксобензо[cd]индол-1-ил]пиперидин-2,6-диона: К охлаждаемому на льду раствору 6-[[4-[[7-(2-фторфенил)-4,7-диазаспиро[2.5]октан-4-ил]метил]фенил]метил]-1Н-бензо[cd]индол-2-она 8 (150 мг, 314,09 ммоль) в сухом THF (5 мл), гидрид натрия (60% дисперсия в минеральном масле) (120,35 мг, 3,01 ммоль) добавляли порциями, поддерживая темп. < 5°С. По завершении добавления, полученную смесь перемешивали в течение 15 минут при комнатной температуре. Затем реакционную смесь вновь охлаждали до 0°С и 3-бромпиперидин-2,6-дион 9 (301,54 мг, 1,57 ммоль) добавляли к ней порциями. После полного завершения добавления полученный раствор нагревали при 70°С в течение 1 часа. По окончании (по данным ТСХ), реакционную смесь вновь охлаждали до 0°С и гасили ледяной водой (15 мл). Водную часть экстрагировали добавлением этилацетата (2×20 мл). Объединенные экстракты сушили безводным сульфатом натрия и концентрировали в условиях пониженного давления. Неочищенную массу очищали с помощью пластинки для препаративной ТСХ (2,5% МеОН в DCM в качестве элюента) с получением 3-[6-[[4-[[7-(2-фторфенил)-4,7-диазаспиро[2.5]октан-4-ил]метил]фенил]метил]-2-оксобензо[cd]индол-1-ил]пиперидин-2,6-диона Соединения 135 (62 мг, 105,08 ммоль, 33,46% выход) в виде желтого твердого вещества, которое хранили в круглодонной колбе при 5°С внутри холодильника. 1Н ЯМР (400 МГц, DMSO-d6) δ 11,11 (s, 1Н), 8,31 (d, J=8,24 Гц, 1H), 8,07 (d, J=6,96 Гц, 1H), 7,80 (t, J=7,56 Гц, 1H), 7,38 (d, J=7,28 Гц, 1H), 7,23-7,17 (m, 4H), 7,10-7,01 (m, 4H), 6,95-6,93 (m, 1H), 5,44 (dd, J=12,68, 4,96 Гц, 1H), 4,36 (m, 2H), 3,75 (s, 2H), 2,99-2,98 (m, 2H), 2,94-2,87 (m, 3H), 2,79-2,62 (m, 4H), 2,10-2,07 (m, 1H), 0,65 (br s, 2H),0,54 (br s, 2H); ЖХ-МС: ЭС+ 589,6.
Пример 52. Синтез 3-[2-оксо-6-(проп-2-иниламино)бензо[cd]индол-1-ил]пиперидин-2,6-диона (Соединение 136)
Стадия 1: Синтез 6-(бензгидрилиденамино)-1Н-бензо[cd]индол-2-она: К перемешиваемому раствору 6-бром-1Н-бензо[cd]индол-2-она (1 г, 4,03 ммоль) и дифенилметанимина (1,10 г, 6,05 ммоль) в диоксане (15 мл), добавляли трет-бутоксид натрия (1,16 г, 12,09 ммоль). Полученную смесь дегазировали аргоном и tBuXPhos (342,35 мг, 806,21 ммоль) и Pd2(dba)3 (738,27 мг, 806,21 ммоль) добавляли в инертной атмосфере. Полученную смесь нагревали при 100°С в течение 16 ч. По окончании реакции смесь разбавляли этилацетатом, фильтровали через тонкий слой целита и промывали этилацетатом. Объединенную органическую часть промывали водой, насыщенным солевым раствором, сушили над безводным сульфатом натрия, фильтровали и концентрировали в условиях пониженного давления. Неочищенную массу очищали методом колоночной хроматографии (30% этилацетат-гексан) с получением 6-(бензгидрилиденамино)-1Н-бензо[cd]индол-2-она (350 мг, 1,00 ммоль, 25% выход) в виде желтого твердого вещества. ЖХМС: m/z 349 [М+Н]+.
Стадия 2: Синтез 3-(6-((дифенилметилен)амино)-2-оксобензо[cd]индол-1(2Н)-ил)пиперидин-2,6-диона: 3-(6-((дифенилметилен)амино)-2-оксобензо[cd] индол-1(2Н)-ил)пиперидин-2,6-дион синтезировали в соответствии с той же методикой, как описано в схеме 4, стадии 4 выше, в 36% выходе. ЖХМС: m/z 460 [М+Н]+.
Стадия 3: Синтез 3-(6-амино-2-оксобензо[cd]индол-1-ил)пиперидин-2,6-дионгидрохлорида: Диоксан-HCl (4М, 2 мл, 8 ммоль) добавляли 3-[6-(бензгидрилиденамино)-2-оксобензо[cd]индол-1-ил]пиперидин-2,6-дион (200 мг, 435,26 ммоль) при 0°С. Полученную смесь нагревали до температуры окружающей среды и перемешивали в течение 16 ч. По окончании реакции смесь концентрировали в условиях пониженного давления, растирали с эфиром и лиофилизировали с получением 3-(6-амино-2-оксобензо[cd]индол-1-ил)пиперидин-2,6-диона (110 мг, 331,57 ммоль, 76% выход, гидрохлорид) ЖХМС: m/z 296 [М+Н]+.
Стадия 4: Синтез 3-[2-оксо-6-(проп-2-иниламино)бензо[cd]индол-1-ил]пиперидин-2,6-диона: К перемешиваемому раствору 3-(6-амино-2-оксобензо[cd]индол-1-ил)пиперидин-2,6-диона (100 мг, 338,65 ммоль) в MeCN (10 мл) добавляли DIPEA (235,94 мкл 1,35 ммоль) при 0°С и оставляли перемешиваться при к.т. в течение 30 мин. 3-бромпроп-1-ин (60,43 мг, 507,97 ммоль, 4,81 мкл) добавляли при к.т. и полученную смесь перемешивали при к.т. в течение 3 ч. По окончании реакции смесь концентрировали в условиях пониженного давления, разбавляли этилацетатом и отделяли. Органическую часть промывали водой, насыщенным солевым раствором, сушили над безводным сульфатом натрия, фильтровали и концентрировали в условиях пониженного давления. Неочищенную массу очищали методом хроматографии CombiFlash (15-20% этилацетат-дихлорметан) с получением 3-[2-оксо-6-(проп-2-иниламино)бензо[cd]индол-1-ил]пиперидин-2,6-диона Соединения 136 (25 мг, 70,15 ммоль, 21% выход) ЖХ-МС: m/z 334 [М+Н]+. 1H ЯМР (400 МГц, DMSO-d6) δ 11,07 (bs, 1H), 8,42 (d, J=8,2 Гц, 1H), 8,05 (d, J=7,0 Гц, 1H), 7,75 (t, J=7,5 Гц, 1H), 6,98 (d, J=7,7 Гц, 1H), 6,84 (t, J=5,9 Гц, 1H), 6,45 (d, J=7,8 Гц, 1H), 5,40-5,36 (m, 1H), 4,06-4,04 (m, 2H), 3,09 (s, 1H), 2,97-2,90 (m, 1H), 2,76-2,61 (m, 2H), 2,07-2,05 (m, 1H).
Пример 53. Синтез 3-(2-оксо-6-проп-2-иноксибензо[cd]индол-1-ил)пиперидин-2,6-диона (Соединение 137)
Стадия 1: Синтез 6-гидрокси-1-[(4-метоксифенил)метил]бензо[cd]индол-2-она: К перемешиваемому раствору 1-[(4-метоксифенил)метил]-2-оксобензо[cd]индол-6-карбальдегида (1 г, 3,15 ммоль) в DCM (15 мл) добавляли mCPBA (60% pure, 906,32 мг, 3,15 ммоль). Полученную смесь перемешивали при 40°С в течение 16 ч По окончании реакции смесь охлаждали до 0°С и метанольный аммиак (2М) добавляли капельно до развития цвета красного вина. Реакционную смесь вновь перемешивали при 0°С в течение 3 ч. Реакционную смесь нейтрализовывали NaHCO3 и экстрагировали добавлением DCM. Объединенную органическую часть промывали водой, насыщенным солевым раствором, сушили над безводным сульфатом натрия, фильтровали и концентрировали в условиях пониженного давления. Неочищенную массу растирали с н-пентаном с получением 6-гидрокси-1-[(4-метоксифенил)метил]бензо[cd]индол-2-она (900 мг, 2,63 ммоль, 83% выход). ЖХМС: m/z 306 [М+Н]+.
Стадия 2: Синтез 1-[(4-метоксифенил) метил]-6-проп-2-иноксибензо[cd]индол-2-она:
К перемешиваемому раствору 6-гидрокси-1-[(4-метоксифенил)метил]бензо[cd]индол-2-она (700 мг, 2,29 ммоль) в ацетоне (10 мл) добавляли карбонат калия (950,56 мг, 6,88 ммоль) при к.т. и оставляли перемешиваться в течение 30 мин. Пропаргилбромид (246,07 мкл, 2,75 ммоль) добавляли и полученную реакционную смесь перемешивали при к.т. в течение 6 ч. По окончании реакции смесь вливали в воду, нейтрализовывали 0,1 М HCl и экстрагировали добавлением этилацетата. Объединенный органический слой промывали водой, насыщенным солевым раствором, сушили над безводным сульфатом натрия, фильтровали и концентрировали в условиях пониженного давления. Неочищенную массу растирали с н-пентаном с получением 1-[(4-метоксифенил)метил]-6-проп-2-иноксибензо[cd]индол-2-она (300 мг, 873,68 ммоль, 38% выход) ЖХМС: m/z 344 [М+Н]+.
Стадия 3: Синтез 6-проп-2-инокси-1H-бензо[cd]индол-2-она: К перемешиваемому раствору 1-[(4-метоксифенил)метил]-6-проп-2-иноксибензо[cd]индол-2-она (250 мг, 728,07 ммоль) в TFA (1,25 мл, 16,22 ммоль) добавляли анизол (158,41 мкл, 1,46 ммоль). Полученный раствор нагревали при 60°С в течение 24 ч. Реакционную смесь охлаждали до к.т. и TFA (1,25 мл, 16,22 ммоль) и анизол (158,41 мкл, 1,46 ммоль) вновь добавляли и продолжали нагревание при 60°С в течение еще 24 ч. По окончании реакции смесь охлаждали до к.т., концентрировали в условиях пониженного давления, разбавляли DCM и нейтрализовывали Егз№Ее промывали водой, насыщенным солевым раствором, сушили над безводным сульфатом натрия, фильтровали и концентрировали в условиях пониженного давления. Неочищенную массу очищали методом колоночной хроматографии CombiFlash (30% этилацетат-гексан) с получением 6-проп-2-инокси-1Н-бензо[cd]индол-2-она (90 мг, 385,08 ммоль, 55% выход) в виде смолы. ЖХМС: m/z 224 [М+Н]+.
Стадия 4: Синтез 3-(2-оксо-6-проп-2-иноксибензо[cd]индол-1-ил)пиперидин-2,6-диона: К перемешиваемому раствору 6-проп-2-инокси-1Н-бензо[cd]индол-2-она (100 мг, 447,98 ммоль) в THF (3 мл) добавляли гидрид натрия (60% в минеральном масле, 102,99 мг, 4,48 ммоль) медленно порциями при 0°С. Полученную смесь перемешивали при к.т. в течение 30 мин. 3-бромпиперидин-2,6-дион (430,08 мг, 2,24 ммоль) добавляли порциями при к.т. Полученную смесь нагревали при 60°С в течение 5 ч. По окончании реакции смесь гасили измельченным льдом и экстрагировали добавлением этилацетата. Объединенную органическую часть промывали водой, насыщенным солевым раствором, сушили над безводным сульфатом натрия, фильтровали и концентрировали в условиях пониженного давления. Неочищенную массу очищали методом колоночной хроматографии (70-80% этилацетат-гексан) с получением 3-(2-оксо-6-проп-2-иноксибензо[cd]индол-1-ил)пиперидин-2,6-диона Соединения 137 (11 мг, 32,61 ммоль, 8% выход). ЖХМС: m/z 335 [М+Н]+, 1H ЯМР (400 МГц, DMSO-d6) δ 11,10 (bs, 1H), 8,27 (d, J=8,1 Гц, 1H), 8,13 (d, J=7,0 Гц, 1H), 7,84 (t, J=7,6 Гц, 1H), 7,07 (d, J=7,8 Гц, 1H), 6,99 (d, J=7,8 Гц, 1H), 5,45-5,40 (m, 1H), 5,01 (s, 2H), 3,63 (s, 1H), 2,98-2,90 (m, 1H), 2,78-2,62 (m, 2H), 2,10-2,07 (m, 1H).
Пример 54. Синтез 3-(6-бром-2-оксобензо[cd]индол-1-ил)пиперидин-2,6-диона (Соединение 138)
Стадия 1: Синтез 3-(6-бром-2-оксобензо[cd]индол-1-ил)пиперидин-2,6-диона: К перемешиваемому раствору 6-бром-1Н-бензо[cd]индол-2-она (4 г, 16,12 ммоль) в THF (250 мл) и DMF (25 мл) добавляли гидрид натрия (60% дисперсия в минеральном масле) (6,18 г, 161,24 ммоль, 60% чистота) медленно порциями при 0°С. Полученную смесь перемешивали реакционную смесь в течение 30 мин при к.т. 3-бромпиперидин-2,6-дион (15,48 г, 80,62 ммоль) затем добавляли к ней порциями при к.т.и реакционную смесь нагревали до 70°С и продолжали в течение 3 ч. По окончании реакции смесь гасили измельченным льдом экстрагировали добавлением этилацетата. Объединенную органическую часть промывали водой и насыщенным солевым раствором. Органический слой сушили безводным сульфатом натрия, фильтровали и концентрировали в условиях пониженного давления. Неочищенную массу очищали методом колоночной хроматографии (70% ЕА-гексан) с получением 3-(6-бром-2-оксобензо[cd]индол-1-ил)пиперидин-2,6-диона Соединения 138 (2,6 г, 6,28 ммоль, 40% выход) в виде желтого твердого вещества. 1H ЯМР (400 МГц, DMSO-d6) d 11,14 (s, 1Н), 8,20 (d, J=7,0 Гц, 2H), 7,98 (t, J=7,7 Гц, 1H), 7,83 (d, J=7,5 Гц, 1H), 7,12 (d, J=7,6 Гц, 1H), 2,97-2,90 (m, 2H), 2,79-2,57 (m, 2H), 2,12-2,10 (m, 1H).
Пример 55. Синтез 3-(2-оксобензо[cd]индол-1(2Н)-ил)пиперидин-2,6-диона (Соединение 139)
Стадия 1: Синтез 3-(2-оксобензо[cd]индол-1(2Н)-ил)пиперидин-2,6-диона: К перемешиваемому раствору 1Н-бензо[cd]индол-2-она 1 (100,0 мг, 591,09 ммоль) в DMF (2 мл) добавляли гидрид натрия (в масляной дисперсии) в виде 60% дисперсии в минеральном масле (24,91 мг, 650,20 ммоль, 60% чистота) при 0°С и затем реакционную смесь нагревали при 60°С в течение 30 минут с последующим добавлением 3-бромпиперидин-2,6-диона 2 (113,50 мг, 591,09 ммоль) и реакционную смесь нагревали при 60°С в течение 24 часов. Наряду с непрореагировавшим исх. вещ. образовывалось новое пятно. 3-бромпиперидин-2,6-дион 2 (113,50 мг, 591,09 ммоль) добавляли и реакционную смесь вновь нагревали в течение 24 часов. Реакционную смесь разбавляли этилацетатом, промывали водой и органическую фракцию отделяли. Ее затем сушили над безводным сульфатом натрия и упаривали в условиях пониженного давления с получением неочищенного соединения, которое очищали с помощью пластинки для препаративной ТСХ (элюируя 2% MeOH-DCM) с получением 3-(2-оксобензо[cd]индол-1-ил)пиперидин-2,6-диона Соединения 139 (10 мг, 34,35 ммоль, 5,81% выход, 96,28% чистота) в виде бледно-желтого твердого вещества. 1Η ЯМР (d6-DMSO, 400 МГц) δ 11,13 (s, 1H), 8,24 (d, J=8,08 Гц, 1H), 8,11 (d, J=6,92 Гц, 1H), 7,84 (t, J=7,56 Гц, 1H), 7,68 (d, J=8,4 Гц, 1H), 7,54 (t, J=7,76 Гц, 1H), 7,17 (d, J=7,12 Гц, 1H), 5,46 (dd, J=12,76, 5,08 Гц, 1H), 3,00-2,91 (m, 1H), 2,82-2,71 (m, 1H), 2,67-2,63 (m, 1H), 2,12-2,09 (m, 1H); ЖХ-МС: ЭС+ 281,2.
Пример 56. Синтез трет-бутил-4-(4-((1-(2,6-диоксопиперидин-3-ил)-2-оксо-1,2-дигидробензо[cd]индол-6-ил)метил)-1Н-пиразол-1-ил)пиперидин-1-карбоксилата (Соединение 140)
Стадия 1: Синтез 6-бромбензо[cd]индол-2(1Н)-она: К перемешиваемой суспензии 1Н-бензо[cd]индол-2-она 1 (3,0 г, 17,73 ммоль) в CHCl3 (50,0 мл) добавляли бром (2,15 г, 26,60 ммоль, 1,44 мл) в холодных условиях капельно и реакционную смесь продолжали при комнатной температуре в течение 48 часов. Раствор тиосульфата натрия вливали в реакционную смесь в холодных условиях и образовавшееся желтое твердое вещество отфильтровывали через шоттовскую воронку. Полученное твердое вещество промывали холодной водой, пентаном и подвергали азеотропной перегонке с толуолом с получением 6-бром-1Н-бензо[cd]индол-2-она 2 (4 г, 16,12 ммоль, 90,93% выход) в виде желтого твердого вещества. ЖХ-МС: ЭС+248,1, 250,0 (Спектр брома).
Стадия 2: Синтез трет-бутил-4-(4-(гидрокси(2-оксо-1,2-дигидробензо[cd]индол-6-ил)метил)-1Н-пиразол-1-ил)пиперидин-1-карбоксилата: К перемешиваемому раствору 6-бром-1Н-бензо[cd]индол-2-она 2 (1,6 г, 6,45 ммоль) в THF (7 мл) добавляли бутиллитий (2,2 М, 9,38 мл) при -78°С и по завершении добавления температуре позволяли повыситься до -40°С и реакционную смесь перемешивали при той же температуре в течение 30 минут с последующим добавлением трет-бутил-4-(4-формилпиразол-1-ил)пиперидин-1-карбоксилата 3 (1,80 г, 6,45 ммоль) в THF (7 мл) при -78°С и затем реакционной смеси позволяли нагреться до комнатной температуры и продолжали в течение 16 часов. Реакционную смесь гасили насыщенным водным раствором хлорида аммония, разбавляли этилацетатом. Слои разделяли и органическую часть промывали водой. Ее затем сушили над безводным сульфатом натрия и упаривали в условиях пониженного давления с получением неочищенного соединения, которое очищали методом флэш-хроматографии с использованием 0-5% MeOH-DCM с получением трет-бутил-4-[4-[гидрокси-(2-оксо-1H-бензо[cd]индол-6-ил)метил]пиразол-1-ил]пиперидин-1-карбоксилата 4 (527 мг, 1,17 ммоль, 18,22% выход) в виде коричневого твердого вещества. 1H ЯМР (d6-DMSO, 400 МГц) δ 10,70 (s, 1H), 8,34 (d, J=8,28 Гц, 1H), 7,95 (d, J=6,96 Гц, 1H), 7,72 (t, J=7,6 Гц, 1H), 7,59-7,52 (m, 2Н), 7,28 (s, 1H), 6,93 (d, J=7,2 Гц, 1H), 6,22 (br s, 1H), 5,80 (br s, 1H), 4,27-4,21 (m, 1H), 4,00-3,96 (m, 2H), 2,84-2,82 (m, 2H), 1,91-1,87 (m, 2H), 1,72-1,64 (m, 2H), 1,39 (s, 9H).
Стадия 3: Синтез соединения 2,2,2-трифторацетальдегида с 6-((1-(пиперидин-4-ил)-1Н-пиразол-4-ил)метил)бензо[cd]индол-2(1Н)-оном (1:1): К перемешиваемому раствору трет-бутил-4-[4-[гидрокси-(2-оксо-1Н-бензо [cd]индол-6-ил)метил]пиразол-1-ил]пиперидин-1 -карбоксилата 4 (500,0 мг, 1,11 ммоль) в DCE (3 мл) добавляли триэтилсилан (518,51 мг, 4,46 ммоль, 712,24 мкл) и трифторуксусную кислоту (1,02 г, 8,92 ммоль, 687,08 мкл) и реакцию продолжали в течение 30 минут при облучении микроволнами при 70°С.Растворитель упаривали из реакционной смеси в условиях пониженного давления с получением неочищенного соединения, которое промывали эфиром и пентаном с получением 6-[(1-пиперидин-1-ий-4-илпиразол-4-ил)метил]-1Н-бензо[cd]индол-2-он-2,2,2-трифторацетата 5 (500,0 мг, 1,12 ммоль, 100,47% выход) в виде коричневой смолы в качестве неочищенного соединения. ЖХ-МС: ЭС+333,0.
Стадия 4: Синтез трет-бутил-4-(4-((2-оксо-1,2-дигидробензо[cd]индол-6-ил)метил)-1Н-пиразол-1-ил)пиперидин-1-карбоксилата: К перемешиваемому раствору 6-[(1-пиперидин-1-ий-4-илпиразол-4-ил)метил]-1Н-бензо[cd]индол-2-он-2,2,2-трифторацетата 5 (500,0 мг, 1,12 ммоль) в DCM (5 мл) добавляли триэтиламин (340,00 мг, 3,36 ммоль, 468,32 мкл) в холодных условиях с последующим добавлением ди-трет-бутилдикарбоната (366,67 мг, 1,68 ммоль, 385,56 мкл) и реакцию продолжали при комнатной температуре в течение 16 часов. Реакционную смесь разбавляли этилацетатом, промывали водой, насыщенным солевым раствором и органическую фракцию отделяли. Ее затем сушили над безводным сульфатом натрия и упаривали в условиях пониженного давления с получением неочищенного соединения, которое очищали методом флэш-хроматографии (с использованием 0-5% МеОН-DCM) с получением трет-бутил-4-[4-[(2-оксо-1Н-бензо[cd]индол-6-ил)метил]пиразол-1-ил]пиперидин-1-карбоксилата 6 (300,0 мг, 693,62 ммоль, 61,93% выход) в виде желтого липкого твердого вещества. ЖХ-МС: ЭС+ 433,0.
Стадия 5: Синтез трет-бутил-4-(4-((1-(2,6-диоксопиперидин-3-ил)-2-оксо-1,2-дигидробензо[cd]индол-6-ил)метил)-1Н-пиразол-1-ил)пиперидин-1-карбоксилата: К перемешиваемому раствору трет-бутил-4-[4-[(2-оксо-1Н-бензо[cd]индол-6-ил)метил]пиразол-1-ил]пиперидин-1-карбоксилата 6 (300,0 мг, 693,62 ммоль) в DMF (1 мл) добавляли гидрид натрия (в масляной дисперсии) в виде 60% дисперсии в минеральном масле (53,15 мг, 1,39 ммоль, 60% чистота) в холодных условиях и реакционную смесь нагревали при 60°С в течение 30 минут. Затем к ней добавляли 3-бромпиперидин-2,6-дион 7 (133,18 мг, 693,62 ммоль) и реакционную смесь нагревали при 60°С в течение 4 часов с последующим добавлением дальнейшим добавлением 3-бромпиперидин-2,6-диона (133,18 мг, 693,62 ммоль) и реакцию далее продолжали в течение 16 часов при 60°С. Реакционную смесь разбавляли этилацетатом, промывали водой и органическую фракцию отделяли. Ее затем сушили над безводным сульфатом натрия и упаривали в условиях пониженного давления с получением неочищенного соединения, которое сначала очищали методом колоночной хроматографии с последующей очисткой с помощью пластинки для препаративной ТСХ (элюируя 60% этилацетат-гексан) с получением трет-бутил-4-[4-[[1-(2,6-диоксо-3-пиперидил)-2-оксобензо[cd]индол-6-ил]метил]пиразол-1-ил]пиперидин-1-карбоксилата Соединения 140 (20,0 мг, 33,11 ммоль, 4,77% выход, 90% чистота) в виде бледно-желтого твердого вещества. 1H ЯМР (d6-DMSO, 400 МГц) δ 11,11 (s, 1H), 8,37 (d, J=8,24 Гц, 1H), 8,08 (d, J=6,92 Гц, 1H), 7,83 (t, J=7,58 Гц, 1H), 7,59 (s, 1H), 7,35 (d, J=7,36 Гц, 1H), 7,31 (s, 1H), 7,07 (d, J=7,28 Гц, 1H), 5,43 (dd, J=12,76, 5,0 Гц, 1H), 4,24-4,23 (m, 1H), 4,17 (s, 2Н), 4,00-3,96 (m, 2Н), 2,96-2,66 (m, 5Н), 2,09-2,06 (m, 1H), 1,91-1,88 (m, 2Н), 1,72-1,66 (m, 2Н), 1,39 (m, 9Н); ЖХ-МС: ЭС+ 544,3.
Пример 57. Синтез трет-бутил-4-[4-[[1-[2,6-диоксо-3-пиперидил]-2-оксобензо[cd]индол-6-ил]метил]пиразол-1-ил]пиперидин-1-карбоксилата (Соединение 141) и трет-бутил-4-[4-[[1-[2,6-диоксо-3-пиперидил]-2-оксобензо[cd]индол-6-ил]метил]пиразол-1-ил]пиперидин-1-карбоксилата (Соединение 142)
Стадия 1: Хиральное разделение: 150 мг рацемического Соединения 140 подвергали очистке методом хиральной преп.ВЭЖХ. Изомеры разделяли и выделяли методом обращенно-фазовой хиральной ВЭЖХ с получением трет-бутил-4-[4-[[1-[2,6-диоксо-3-пиперидил]-2-оксобензо[cd]индол-6-ил]метил]пиразол-1-ил]пиперидин-1-карбоксилата Соединения 141 (27,0 мг, 49,22 ммоль, 2,66% выход, 99,1% чистота) и трет-бутил-4-[4-[[1-[2,6-диоксо-3-пиперидил]-2-оксобензо[cd]индол-6-ил]метил]пиразол-l-ил]пиперидин-l-карбоксилата Соединения 142 (26,0 мг, 47,83 ммоль, 2,59% выход, 100% чистота), оба в виде желтого твердого вещества.
Пример 58. Синтез трет-бутил-4-(4-(1-(2,6-диоксопиперидин-3-ил)-2-оксо-1,2-дигидробензо[cd]индол-6-карбонил)-1Н-пиразол-1-ил)пиперидин-1-карбоксилата (Соединение 143)
Стадия 1: Синтез трет-бутил-4-(4-(2-оксо-1,2-дигидробензо[cd]индол-6-карбонил)-1Н-пиразол-1-ил)пиперидин-1-карбоксилата: К перемешиваемому раствору трет-бутил-4-[4-[гидрокси-(2-оксо-1Н-бензо[cd]индол-6-ил)метил]пиразол-1-ил]пиперидин-1-карбоксилата 1 (500 мг, 1,11 ммоль) в DCM (15,0 мл) добавляли диоксомарганец (969,17 мг, 11,15 ммоль) при 0°С и реакционную смесь перемешивали при комнатной температуре в течение 16 часов. Реакционную смесь затем фильтровали через слой целита и фильтрат затем концентрировали в условиях пониженного давления с получением неочищенного вещества. Неочищенное соединение затем очищали методом колоночной хроматографии (элюируя 1,5%-2% МеОН в DCM) с получением трет-бутил-4-[4-(2-оксо-1H-бензо[cd]индол-6-карбонил)пиразол-1-ил]пиперидин-1-карбоксилата 2 (220 мг, 492,72 ммоль, 44,20% выход) в виде зеленого твердого вещества. ЖХ-МС: ЭС+ 447,4.
Стадия 2: Синтез трет-бутил-4-(4-(1-(2,6-диоксопиперидин-3-ил)-2-оксо-1,2-дигидробензо[cd]индол-6-карбонил)-1Н-пиразол-1-ил)пиперидин-1-карбоксилата: в круглодонной колбе в атмосфере азота трет-бутил-4-[4-(2-оксо-1Н-бензо[cd]индол-6-карбонил)пиразол-1-ил]пиперидин-1-карбоксилат 2 (220 мг, 492,72 ммоль) переносили в DMF (3,0 мл) и затем при 0°С гидрид натрия (в масляной дисперсии) в виде 60% дисперсии в минеральном масле (22,66 мг, 985,45 ммоль) добавляли порциями в реакционную смесь. Ее затем нагревали при 60°С в течение 30 минут и затем 3-бромпиперидин-2,6-дион (94,61 мг, 492,72 ммоль) добавляли в реакционную смесь. Ее перемешивали в течение 16 часов при комнатной температуре. Вновь 3-бромпиперидин-2,6-дион (94,61 мг, 492,72 ммоль) добавляли и затем ее нагревали при 60°С в течение 16 часов. Реакционную смесь охлаждали до комнатной температуры и экстрагировали добавлением этилацетата. Органический слой отделяли, сушили над сульфатом натрия и концентрировали в условиях пониженного давления с получением неочищенного соединения. Неочищенное вещество очищали с помощью пластинки для препаративной ТСХ (элюируя 50% этилацетата в дихлорметане) с получением трет-бутил-4-[4-[1-(2,6-диоксо-3-пиперидил)-2-оксобензо[cd]индол-6-карбонил]пиразол-1-ил]пиперидин-1-карбоксилата Соединения 143 (15 мг, 26,90 ммоль, 5,46% выход) в виде белого твердого вещества. 1H ЯΜΡ (d6-DMSO, 400 МГц) δ 11,17 (s, 1H), 8,58 (d, J=8,32 Гц, 1H), 8,46 (s, 1H), 8,18 (d, J=6,96 Гц, 1H), 8,04 (d, J=7,6 Гц, 1H), 7,99 (s, 1H), 7,92 (t, J=7,7 Гц, 1H), 7,25 (d, J=7,56 Гц, 1H), 5,53 (dd, J=12,8, 5,28 Гц, 1H), 4,49-4,44 (m, 1H), 4,07-4,03 (m, 2H), 3,01-2,66 (m, 5H), 2,18-2,14 (m, 1H), 2,06-2,02 (m, 2H), 1,88-1,80 (m, 2H), 1,41 (s, 9H); ЖХ-МС: ЭС+ 558,5.
Пример 59. Синтез 3-(6-Амино-2-оксо-2Н-бензо[cd]индол-1-ил)пиперидин-2,6-дионгидрохлорида (Соединение 144)
Стадия 1: Синтез 6-(Бензгидрилиденамино)-1Н-бензо[cd]индол-2-она: К хорошо дегазированному перемешиваемому раствору 6-бром-1Н-бензо[cd]индол-2-она 1 (1,0 г, 4,03 ммоль) и дифенилметанимина 2 (1,10 г, 6,05 ммоль, 1,01 мл) в сухом толуоле (5,0 мл), 2-метилпропан-2-олята натрия (1,16 г, 12,09 ммоль), (5-дифенилфосфанил-9,9-диметилксантен-4-ил)дифенилфосфан (466,49 мг, 806,21 ммоль) и (1Е,4Е)-1,5-дифенилпента-1,4-диен-3-онпалладия (369,13 мг, 403,10 ммоль) добавляли. После полного завершения добавления реакционную смесь нагревали при 80°С в укупоренной пробирке в течение 12 часов. Реакционную массу фильтровали через целит и фильтрат концентрировали в условиях пониженного давления. Полученное таким образом неочищенное соединение очищали с помощью combi-flash с получением чистого соединения 6-(бензгидрилиденамино)-1Н-бензо[cd]индол-2-она 3 (565 мг, 1,62 ммоль, 40,23% выход) в виде светло-коричневого твердого вещества. ЖХ-МС: ЭС+ 349,2.
Стадия 2: Синтез 3-[6-(Бензгидрилиденамино)-2-оксо-2Н-бензо[cd]индол-1-ил]пиперидин-2,6-диона: К перемешиваемому раствору 6-(бензгидрилиденамино)-1Н-бензо[cd]индол-2-она 3 (293 мг, 841,00 ммоль) в сухом DMF (3,0 мл), гидрид натрия (в масляной дисперсии) в виде 60% дисперсии в минеральном масле (100,92 мг, 4,20 ммоль) добавляли при 0°С и полученный раствор нагревали при 70°С в течение 1 часа. После этого 3-бромпиперидин-2,6-дион 4 (322,96 мг, 1,68 ммоль) добавляли к реакционной смеси и нагревание продолжали в течение 12 часов. За ходом реакции следили с помощью ТСХ, которая свидетельствовала о неполном расходовании 6-(бензгидрилиденамино)-1Н-бензо[cd]индол-2-она 3 наряду с пятном желаемого продукта по данным ЖХМС.Для полного завершения реакции далее 3-бромпиперидин-2,6-дион (322,96 мг, 1,68 ммоль) добавляли к реакционной смеси и нагревание продолжали в течение далее 6 часов. После почти полного завершения реакции (-65% по данным ЖХ-МС), реакционную смесь гасили насыщенным раствором хлорида аммония и экстрагировали добавлением этилацетата. Органическую фазу отделяли, сушили над сульфатом натрия и концентрировали в вакууме. Оставшуюся часть неочищенного соединения очищали с помощью combi-flash (30% DCM в этилацетате) с получением 3-[6-(бензгидрилиденамино)-2-оксобензо[cd]индол-1-ил]пиперидин-2,6-диона 5 (70 мг, 152,34 ммоль, 18,11% выход) в виде светло-желтого твердого вещества. ЖХ-МС: ЭС+ 460,3.
Стадия 3: Синтез 3-(6-Амино-2-оксо-2Н-бензо[cd]индол-1-ил)пиперидин-2,6-дионгидрохлорида: 4,0 Μ диоксан-HCl (2,0 мл) добавляли к 3-[6-(бензгидрилиденамино)-2-оксобензо[cd]индол-1-ил]пиперидин-2,6-диону 5 (60 мг, 130,58 ммоль) с последующим добавлением 0,2 мл воды при 0°С и перемешивали в течение 3 часов при комнатной температуре. Летучие вещества удаляли в условиях пониженного давления. Неочищенное твердое вещество промывали DCM и эфиром несколько раз. Твердое вещество лиофилизировали с получением гидрохлорида 3-(6-амино-2-оксобензо[cd]индол-1-ил)пиперидин-2,6-диона Соединения 144 (45,0 мг, 122,08 ммоль, 93,49% выход, 90% чистота, 021) в виде коричневого твердого вещества. 1Н ЯМР (d6 DMSO, 400 МГц) δ 11,06 (s, 1Н); 8,40 (d, J=8,04 Гц, 1H), 8,05-8,03 (m, 1H), 7,72 (m, 1H), 6,91-6,89 (m, 1H), 6,62-6,59 (m, 1H), 5,37-5,35 (m, 1H), 2,92-2,88 (m, 1H), 2,71-2,59 (m, 2H), 2,06-2,04 (m, 1H); ЖХ-МС: ЭС+ 296,3.
Пример 60. Синтез 1-(2,6-диоксопиперидин-3-ил)-2-оксо-1,2-дигидробензо[cd]индол-6-карбонитрила (Соединение 145)
Стадия 1: Синтез 2-оксо-1,2-дигидробензо[cd]индол-6-карбонитрила: К перемешиваемому раствору 6-бром-1Н-бензо[cd]индол-2-она 1 (5 г, 20,16 ммоль) в NMP (25 мл) добавляли цианид меди (3,61 г, 40,31 ммоль, 1,24 мл) и реакционную смесь перемешивали при 120°С в течение 16 ч. ЖХМС свидетельствовала об образовании ~15% продукта наряду с непрореагировавшим исх. вещ. Вновь цианид меди (3,61 г, 40,31 ммоль, 1,24 мл) добавляли и реакцию продолжали в течение 48 ч. ЖХМС свидетельствовала об образовании желаемого соединения. Реакционную смесь разбавляли этилацетатом и промывали водой и насыщенным солевым раствором, сушили над сульфатом натрия и концентрировали. Неочищенное соединение очищали методом колоночной хроматографии на 100-200 силикагеле с получением 2-оксо-1Н-бензо[cd]индол-6-карбонитрила 2 (1,5 г, 6,18 ммоль, 30,66% выход, 80% чистота) в виде желтого твердого вещества. ЖХ-МС: ЭС+ 195,4.
Стадия 2: Синтез 1-(2,6-диоксопиперидин-3-ил)-2-оксо-1,2-дигидробензо[cd]индол-6-карбонитрила: К перемешиваемому раствору 2-оксо-1Н-бензо[cd]индол-6-карбонитрила 2 (250 мг, 1,29 ммоль) в DMF (4,0 мл) добавляли гидрид натрия (в масляной дисперсии) в виде 60% дисперсии в минеральном масле (98,66 мг, 2,57 ммоль, 60% чистота) и затем ее нагревали при 70°С в течение 1 часа. После этого к ней 3-бромпиперидин-2,6-дион 3 (247,20 мг, 1,29 ммоль) добавляли при комнатной температуре и затем ее перемешивали при 70°С в течение 16 часов. ТСХ проводили, что показывало наличие исходного вещества наряду с образованием нового полярного пятна. Вновь, к реакционной смеси 3-бромпиперидин-2,6-дион 3 (247,20 мг, 1,29 ммоль) добавляли и затем ее перемешивали при 70°С в течение 16 часов. Реакционную смесь затем охлаждали до комнатной температуры и ее затем экстрагировали добавлением этилацетата. Органическую часть затем сушили над сульфатом натрия с получением неочищенного вещества. Неочищенное соединение затем очищали методом препаративной ТСХ, элюируя (40% этилацетата в дихлорметане) с получением 1-(2,6-диоксо-3-пиперидил)-2-оксобензо[cd]индол-6-карбонитрила Соединения 145 (8 мг, 26,01 ммоль, 2,02% выход, 99,26% чистота) в виде белого твердого вещества. 1Н ЯМР (d6 DMSO, 400 МГц) δ 11,19 (s, 1Н), 8,31-8,22 (m, 3Н), 8,07-8,06 (m, 1H), 7,36 (d, J=7,28 Гц, 1H), 5,53-5,51 (m, 1H), 2,95-2,90 (m, 1H), 2,77-2,62 (m, 2H), 2,14-2,12 (m, 1H); ЖХ-МС: ES- 304,1.
Пример 61. Синтез 3-[6-[[4-(3-окса-6-азабицикло[3.1.1]гептан-6-илметил)фенил]метил]-2-оксобензо[cd]индол-1-ил]пиперидин-2,б-диона (Соединение 146)
Стадия 1: Синтез 6-[[4-(хлорметил)фенил]метил]-3-окса-6-азабицикло[3.1.1]гептана: К перемешиваемому раствору 3-окса-6-азабицикло[3.1.1]гептангидрохлорида (2) (800 мг, 5,90 ммоль, 1,00 мл) в ацетоне (15 мл), карбонат калия, безводный, 99% (1,22 г, 8,85 ммоль, 534,14 мкл) добавляли и полученную реакционную смесь перемешивали при 50°С в течение 20 минут с последующим добавлением 1,4-бис(хлорметил)бензола (1) (1,03 г, 5,90 ммоль, 727,35 мкл). Полученный раствор далее нагревали при той же температуре в течение 3 часов. По окончании (по данным ТСХ и ЖХМС), все летучие вещества удаляли в условиях пониженного давления и повторно растворяли в этилацетате. Органическую часть промывали водой и насыщенным солевым раствором, сушили над сульфатом натрия и концентрировали. Полученное таким образом неочищенное соединение очищали методом колоночной хроматографии в (градиент: 0-30% EtOAc в DCM) с получением 6-[[4-(хлорметил)фенил]метил]-3-окса-6-азабицикло[3.1.1]гептана 3 (800 мг, 51,33% выход) в виде желтой смолы. ЖХ-МС: ЭС+ 238,2.
Стадия 2: Синтез 6-[[4-(3-окса-6-азабицикло[3.1.1]гептан-6-илметил)фенил]метил]-1Н-бензо[cd]индол-2-она: К перемешиваемому раствору 6-[[4-(хлорметил)фенил]метил]-3-окса-6-азабицикло[3.1.1]гептана (3) (600 мг, 2,52 ммоль) и 6-(4,4,5,5-тетраметил-1,3,2-диоксаборолан-2-ил)-1Н-бензо[cd]индол-2-она (4) (1,49 г, 5,05 ммоль) в этаноле (5 мл) и толуоле (10 мл) добавляли безводный трехосновный фосфат калия (1,61 г, 7,57 ммоль) и реакционную массу дегазировали в атмосфере азота в течение 10 минут.Затем три-о-толилфосфин (153,64 мг, 504,79 ммоль) и (1Е,4Е)-1,5-дифенилпента-1,4-диен-3-онпалладий (231,12 мг, 252,39 ммоль) добавляли к этой реакционной массе и при 90°С в течение 18 часов. По окончании (по данным ТСХ) реакционную смесь пропускали через слой целита и промывали EtOAc. Фильтрат далее промывали водой и насыщенным солевым раствором, сушили над сульфатом натрия и концентрировали. Полученное таким образом неочищенное соединение очищали методом хроматографии CombiFlash в (градиент: 0-30% EtOAc в DCM) с получением желаемого соединения 6-[[4-(3-окса-6-азабицикло[3.1.1]гептан-6-илметил)фенил]метил]-1Н-бензо[cd]индол-2-она (5) (300 мг, 24,39% выход). ЖХ-МС: ЭС+ 371,3.
Стадия 3: Синтез 3-[6-[[4-(3-окса-6-азабицикло[3.1.1]гептан-6-илметил)фенил]метил]-2-оксобензо[cd]индол-1-ил]пиперидин-2,6-диона: К перемешиваемому раствору 6-[[4-(3-окса-6-азабицикло[3.1.1]гептан-6-илметил)фенил]метил]-1Н-бензо[cd]индол-2-она (5) (150 мг, 404,92 ммоль) в сухом THF (10 мл) гидрид натрия 60% в виде дисперсии в минеральном масле (93,09 мг, 4,05 ммоль) добавляли при 0°С и перемешивали в течение 15 минут с последующим добавлением 3-бромпиперидин-2,6-диона (6) (388,75 мг, 2,02 ммоль). Полученную реакционную смесь перемешивали при 70°С в течение 1 ч. По окончании (по данным ТСХ и ЖХМС), реакционную смесь гасили льдом и экстрагировали добавлением этилацетата. Органический слой далее промывали водой и насыщенным солевым раствором, сушили над сульфатом натрия и концентрировали. Полученное таким образом неочищенное соединение очищали с помощью преп.ТСХ (10% МеОН в EtOAc в качестве элюента) с получением 3-[6-[[4-(3-окса-6-азабицикло[3.1.1]гептан-6-илметил)фенил]метил]-2-оксобензо[cd]индол-1-ил]пиперидин-2,6-диона Соединения 146 (90,0 мг, 41,54% выход) в виде желтого твердого вещества. 1H ЯΜΡ (DMSO-d6, 400 МГц) δ 11,11 (s, 1Н), 8,32 (d, J=8,24 Гц, 1H), 8,07 (d, J=6,96 Гц, 1H), 7,80 (t, J=7,8 Гц, 1H), 7,40 (d, J=7,32 Гц, 1H), 7,26-7,20 (m, 4H), 7,09 (d, J=7,24 Гц, 1H), 5,46-5,41 (m, 1H), 4,36 (s, 2H), 4,10 (d, J=10,68 Гц, 1H), 3,69 (s, 2H), 3,57 (d, J=10,68 Гц, 1H), 3,39-3,33 (m, 2H), 2,97-2,90 (m, 1H), 2,79-2,73 (m, 1H), 2,70-2,63 (m, 1H), 2,10-2,07 (m, 2H), 1,87-1,85 (m, 2H), 1,71-1,67 (m, 1H); ЖХ-МС: ЭС+ 482,2.
Пример 62. Синтез трет-бутил-4-(4-(1-(1-(2,6-диоксопиперидин-3-ил)-2-оксо-1,2-дигидробензо[сс1]индол-6-ил)этил)-1Н-пиразол-1-ил)пиперидин-1-карбоксилата (Соединение 147)
Стадия 1: Синтез трет-бутил-4-(4-(1-гидрокси-1-(2-оксо-1,2-дигидробензо[cd]индол-6-ил)этил)-1Н-пиразол-1-ил)пиперидин-1-карбоксилата: К перемешиваемому раствору трет-бутил-4-[4-(2-оксо-1Н-бензо[cd]индол-6-карбонил)пиразол-1-ил]пиперидин-1-карбоксилата 1 (400,0 мг, 895,86 ммоль) в THF (10 мл) добавляли бромид метилмагния, 3М в эфире (3 М, 1,49 мл) при -50°С. По окончании добавления реакционной смеси позволяли нагреться до комнатной температуры и продолжали при комнатной температуре в течение 16 часов. Реакционную смесь гасили раствором хлорида аммония, разбавляли этилацетатом, промывали водой и органическую фракцию отделяли. Ее сушили над безводным сульфатом натрия и упаривали в условиях пониженного давления с получением неочищенного соединения, которое очищали методом флэш-хроматографии с использованием 0-5% MeOH-DCM с получением трет-бутил-4-[4-[1-гидрокси-1-(2-оксо-1Н-бензо[cd]индол-6-ил)этил]пиразол-1-ил]пиперидин-1-карбоксилата 2 (285,0 мг, 611,23 ммоль, 68,23% выход, 99,2% чистота) в виде коричневого твердого вещества. ЖХ-МС: ES- 461,2.
Стадия 2: Синтез соединения 2,2,2-трифторацетальдегида с 6-(1-(1-(пиперидин-4-ил)-1Н-пиразол-4-ил)этил)бензо[cd]индол-2(1Н)-оном (1:1): К перемешиваемому раствору трет-бутил-4-[4-[1-гидрокси-1-(2-оксо-1Н-бензо[cd]индол-6-ил)этил]пиразол-1-ил]пиперидин-1-карбоксилата 2 (284,0 мг, 614,00 ммоль) в DCE (2 мл) добавляли триэтилсилан (285,58 мг, 2,46 ммоль, 392,29 мкл), трифторуксусную кислоту (560,07 мг, 4,91 ммоль, 378,42 мкл) и реакционную смесь нагревали при 80°С в укупоренной пробирке в течение 2 часов. Растворитель упаривали из реакционной смеси в условиях пониженного давления с получением неочищенного соединения, которое растирали с эфиром с получением [4-[4-[1-(2-оксо-1Н-бензо[cd]индол-6-ил)этил]пиразол-1-ил]-1-пиперидил]-2,2,2-трифторацетата 3 (280,0 мг, 462,55 ммоль, 75,33% выход, 94,9% чистота) в виде коричневой смолы, которую непосредственно использовали на следующей стадии. ЖХ-МС: ЭС+347,2.
Стадия 3: Синтез трет-бутил-4-(4-(1-(2-оксо-1,2-дигидробензо[cd]индол-6-ил)этил)-1Н-пиразол-1-ил)пиперидин-1-карбоксилата: К перемешиваемому раствору [4-[4-[1-(2-оксо-1Н-бензо[cd]индол-6-ил)этил]пиразол-1-ил]-1-пиперидил]-2,2,2-трифторацетата 3 (280,0 мг, 608,10 ммоль) в DCM (5 мл) добавляли триэтиламин (184,60 мг, 1,82 ммоль, 254,27 мкл) при 0°С с последующим добавлением ди-трет-бутилдикарбоната (199,08 мг, 912,16 ммоль, 209,33 мкл) и реакцию продолжали при комнатной температуре в течение 16 часов. ТСХ проводили, что показывало полное расходование исходного вещества наряду с образованием желаемого пятна. Реакционную смесь разбавляли этилацетатом, промывали водой, органическую фракцию отделяли, сушили над безводным сульфатом натрия и упаривали в условиях пониженного давления с получением неочищенного соединения, которое очищали методом флэш-хроматографии с использованием 0-5% MeOH-DCM с получением трет-бутил-4-[4-[1-(2-оксо-1Н-бензо[cd]индол-6-ил)этил]пиразол-1-ил]пиперидин-1-карбоксилата 4 (190,0 мг, 414,01 ммоль, 68,08% выход, 97,3% чистота) в виде коричневого твердого вещества. ЖХ-МС: ЭС+447,3.
Стадия 4: Синтез трет-бутил-4-(4-(1-(1-(2,6-диоксопиперидин-3-ил)-2-оксо-1,2-дигидробензо[cd]индол-6-ил)этил)-1Н-пиразол-1-ил)пиперидин-1-карбоксилата: К перемешиваемому раствору трет-бутил-4-[4-[1-(2-оксо-1Н-бензо[cd]индол-6-ил)этил]пиразол-1-ил]пиперидин-1-карбоксилата 4 (190,0 мг, 425,49 ммоль) в DMF (2 мл) добавляли гидрид натрия (в масляной дисперсии) в виде 60% дисперсии в минеральном масле (81,52 мг, 2,04 ммоль, 60% чистота) в холодных условиях и реакционную смесь нагревали при 60°С в течение 1 часа с последующим добавлением 3-бромпиперидин-2,6-диона 5 (163,40 мг, 850,99 ммоль) и реакцию продолжали в течение 4 часов при 60°С с дальнейшим добавлением 3-бромпиперидин-2,6-диона 5 (163,40 мг, 850,99 ммоль) и реакцию продолжали в течение 16 часов при 60°С. Реакционную смесь добавляли к раствору лимонной кислоты (рН 5) и экстрагировали добавлением этилацетата. Органическую фракцию отделяли, сушили над безводным сульфатом натрия и упаривали в условиях пониженного давления с получением неочищенного соединения, которое сначала очищали методом флэш-хроматографии с использованием (0-60% этилацетата - DCM) с последующей дальнейшей очисткой методом препаративной ТСХ с проявлением пластинки в (45% этилацетат-DCM) с получением трет-бутил-4-[4-[1-[1-(2,6-диоксо-3-пиперидил)-2-оксобензо[cd]индол-6-ил]этил]пиразол-1-ил]пиперидин-1-карбоксилата Соединения 147 (20,0 мг, 35,87 ммоль, 8,43% выход, 100% чистота) в виде желтого твердого вещества. 1Н ЯМР (400 МГц, DMSO-d6): 11,11 (s, 1Н), 8,40 (d, J=8,2 Гц, 1H), 8,08 (d, J=6,92 Гц, 1H), 7,81 (t, J=7,68 Гц, 1H), 7,62 (d, J=4,72 Гц, 1H), 7,35-7,29 (m, 2H), 7,07 (d, J=7,44 Гц, 1H), 5,44-5,42 (m, 1H), 4,78-4,76 (m, 1H), 4,25-4,24 (m, 1H), 3,98-3,97 (m, 2H), 2,95-2,72 (m, 4H), 2,67-2,62 (m, 1H), 2,09-2,08 (m, 1H), 1,93-1,90 (m, 2H), 1,73-1,63 (m, 5H), 1,39 (s, 9H); ЖХ-МС: ES- 556,2.
Пример 63. Синтез 3-(6-(1-(1-(1-(1-метилциклобутан-1-карбонил)пиперидин-4-ил)-1Н-пиразол-4-ил)этил)-2-оксобензо[cd]индол-1(2Н)-ил)пиперидин-2,6-диона (Соединение 148) и 3-(6-(1-(1-(1-(1-метилциклобутан-1-карбонил)пиперидин-4-ил)-1Н-пиразол-4-ил)этил)-2-оксобензо[cd]индол-1(2Н)-ил)пиперидин-2,6-диона (Соединение 149) 
Стадия 1: Синтез 6-(1-(1-(1-(1-метилциклобутан-1-карбонил)пиперидин-4-ил)-1Н-пиразол-4-ил)этил)бензо[cd]индол-2(1Н)-она: К перемешиваемому раствору 6-[1-[1-(4-пиперидил)пиразол-4-ил]этил]-1Н-бензо[cd]индол-2-он-2,2,2-трифторуксусной кислоты 1 (589,26 мг, 1,28 ммоль) в DMF (2 мл) добавляли HATU (729,90 мг, 1,92 ммоль) в холодных условиях с последующим добавлением 1-метилциклобутанкарбоновой кислоты 2 (160,68 мг, 1,41 ммоль, 143,47 мкл) и реакцию продолжали при комнатной температуре в течение 16 часов. Реакционную смесь разбавляли этилацетатом, промывали раствором бикарбоната натрия, воду и органическую фракцию отделяли. Ее сушили над безводным сульфатом натрия и упаривали в условиях пониженного давления с получением неочищенного соединения, которое очищали методом флэш-хроматографии с использованием 0-5% MeOH-DCM с получением желаемого соединения в виде рацемической смеси (350,0 мг), которую подвергали нормально-фазовой преп. ВЭЖХ для разделения хиральных изомеров с получением 6-[1-[1-[1-(1-метилциклобутанкарбонил)-4-пиперидил]пиразол-4-ил]этил]-1Н-бензо[cd]индол-2-она 3а (145,0 мг, 325,58 ммоль, 25,44% выход, 99,37% чистота) и 6-[1-[1-[1-(1-метилциклобутанкарбонил)-4-пиперидил]пиразол-4-ил]этил]-1Н-бензо[cd]индол-2-она 3b (115,0 мг, 259,86 ммоль, 20,31% выход, 100% чистота), обоих в виде желтого твердого вещества. ЖХ-МС: ЭС+ 443,4.
Стадия 2а: Синтез 3-(6-(1-(1-(1-(1-метилциклобутан-1-карбонил)пиперидин-4-ил)-1Н-пиразол-4-ил)этил)-2-оксобензо[cd]индол-1(2Н)-ил)пиперидин-2,6-диона: К перемешиваемому раствору 6-[1-[1-[1-(1-метилциклобутанкарбонил)-4-пиперидил]пиразол-4-ил]этил]-1Н-бензо[cd]индол-2-она 3а (145,0 мг, 327,65 ммоль) в THF (6,0 мл) добавляли гидрид натрия (в масляной дисперсии) в виде 60% дисперсии в минеральном масле (125,54 мг, 3,28 ммоль, 60% чистота) в холодных условиях и реакционную смесь перемешивали при комнатной температуре в течение 10 минут с последующим добавлением 3-бромпиперидин-2,6-диона 4 (314,56 мг, 1,64 ммоль) порциями. Ее затем перемешивали при комнатной температуре в течение 10 минут и нагревали при 70°С в течение 30 минут. ТСХ проводили, что показывало образование желаемого пятна. Реакционную смесь разбавляли этилацетатом, промывали холодной водой и органическую фракцию отделяли. Ее затем сушили над безводным сульфатом натрия и упаривали в условиях пониженного давления с получением неочищенного соединения, которое очищали с помощью пластинки для препаративной ТСХ, элюируя пластинку 55% этилацетат-DCM с получением 3-[6-[1-[1-[1-(1-метилциклобутанкарбонил)-4-пиперидил]пиразол-4-ил]этил]-2-оксобензо[cd]индол-1-ил]пиперидин-2,6-диона Соединения 148 (70,0 мг, 125,90 ммоль, 38,43% выход, 99,58% чистота) в виде желтого твердого вещества. 1H ЯМР (400 МГц, DMSO-d6): 11,11 (s, 1Н), 8,40 (d, J=8,2 Гц, 1H), 8,08 (d, J=7,0 Гц, 1H), 7,81 (t, J=7,54 Гц, 1H), 7,64-7,63 (m, 1H), 7,35-7,29 (m, 2H), 7,07 (d, J=7,4 Гц, 1H), 5,44-5,42 (m, 1H), 4,78-4,76 (m, 1H), 4,40-4,29 (m, 2H), 3,59-3,58 (m, 1H), 3,06-3,01 (m, 1H), 2,98-2,91 (m, 1H), 2,78-2,62 (m, 3H), 2,41-2,32 (m, 3H), 2,08-2,07 (m, 1H), 1,97-1,85 (m, 3H), 1,80-1,78 (m, 3H), 1,65-1,63 (m, 4H), 1,34 (s, 3Н); ЖХ-МС: ЭС+ 554,5.
Стадия 2b: Синтез 3-(6-(1-(1-(1-(1-метилциклобутан-1-карбонил)пиперидин-4-ил)-1Н-пиразол-4-ил)этил)-2-оксобензо[cd]индол-1(2Н)-ил)пиперидин-2,6-диона: К перемешиваемому раствору 6-[1-[1-[1-(1-метилциклобутанкарбонил)-4-пиперидил]пиразол-4-ил]этил]-1Н-бензо[cd]индол-2-она 3b (115,0 мг, 259,86 ммоль) в THF (5 мл) добавляли гидрид натрия (в масляной дисперсии) в виде 60% дисперсии в минеральном масле (99,57 мг, 2,60 ммоль, 60% чистота) в холодных условиях и реакционную смесь перемешивали при комнатной температуре в течение 10 минут с последующим добавлением 3-бромпиперидин-2,6-диона 4 (249,48 мг, 1,30 ммоль) порциями. Ее затем перемешивали при комнатной температуре в течение 10 минут и нагревали при 70°С в течение 30 минут. ТСХ проводили, что показывало образование желаемого пятна. Реакционную смесь разбавляли этилацетатом, промывали холодной водой и органическую фракцию отделяли. Ее затем сушили над безводным сульфатом натрия и упаривали в условиях пониженного давления с получением неочищенного соединения, которое очищали с помощью пластинки для препаративной ТСХ, элюируя пластинку 55% этилацетат-DCM с получением 3-[6-[1-[1-[1-(1-метилциклобутанкарбонил)-4-пиперидил]пиразол-4-ил]этил]-2-оксобензо[cd]индол-1-ил]пиперидин-2,6-диона Соединения 149 (45,0 мг, 81,28 ммоль, 31,28% выход, 100% чистота) в виде желтого твердого вещества. 1H ЯМР (400 МГц, DMSO-d6): 11,10 (s, 1Н), 8,40 (d, J=8,16 Гц, 1H), 8,08 (d, J=6,72 Гц, 1H), 7,81 (t, J=7,38 Гц, 1H), 7,64-7,63 (m, 1H), 7,35-7,29 (m, 2H), 7,07 (d, J=7,2 Гц, 1H), 5,44-5,42 (m, 1H), 4,78-4,76 (m, 1H), 4,40-4,29 (m, 2H), 3,59-3,58 (m, 1H), 3,06-3,01 (m, 1H), 2,98-2,91 (m, 1H), 2,78-2,62 (m, 3H), 2,41-2,32 (m, 3H), 2,08-2,07 (m, 1H), 1,97-1,85 (m, 3H), 1,80-1,78 (m, 3H), 1,65-1,63 (m, 4H), 1,34 (s, 3Н); ЖХ-МС: ЭС+ 554,5.
Пример 64. Синтез 3-(6-(4-((1-(1-метилциклобутан-1-карбонил)пиперидин-4-ил)метил)бензил)-2-оксобензо[cd]индол-1(2Н)-ил)пиперидин-2,6-диона (Соединение 150)
Стадия 1: Синтез трет-бутил-4-(4-(этоксикарбонил)бензилиден)пиперидин-1-карбоксилата: К перемешиваемому раствору этил-4-бромбензоата 2 (7 г, 30,56 ммоль, 5,00 мл) в DMF (20 мл) добавляли трет-бутил-4-метиленпиперидин-1-карбоксилат 1 (18,09 г, 91,67 ммоль). Его дегазировали аргоном в течение 10 минут. Триэтиламин (15,46 г, 152,79 ммоль, 21,30 мл) и циклопентил(дифенил)фосфан; дихлорметан; дихлорпалладия; железо (2,50 г, 3,06 ммоль) добавляли в реакционную смесь. Ее нагревали при 100°С в течение 16 часов. Ее охлаждали до к.т., фильтровали через целит и промывали этилацетатом. Органическую часть промывали водой, насыщенным солевым раствором сушили над сульфатом натрия и концентрировали в условиях пониженного давления. Ее очищали с помощью combiflash, элюируя при 10% этилацетата в гексане с получением трет-бутил-4-[(4-этоксикарбонилфенил)метилен]пиперидин-1-карбоксилата 3 (8,2 г, 22,84 ммоль, 74,73% выход, 96,2% чистота) в виде бесцветной смолы. ЖХ-МС: ЭС+ 346,2.
Стадия 2: Синтез трет-бутил-4-(4-(этоксикарбонил)бензил)пиперидин-1-карбоксилата: трет-бутил-4-[(4-этоксикарбонилфенил)метилен]пиперидин-1-карбоксилат 3 (8,1 г, 23,45 ммоль, 6,09 мл) переносили в этилацетат (75 мл). Его дегазировали аргоном в течение 10 минут. Палладий на угле 10% (2,50 г, 2,34 ммоль, 0,1 чистота) добавляли в реакционную смесь. Ее перемешивали при к.т.в течение 16 часов. Ее фильтровали через целит, концентрировали в условиях пониженного давления с получением трет-бутил-4-[(4-этоксикарбонилфенил)метил]пиперидин-1-карбоксилата 4 (8 г, 22,22 ммоль, 94,78% выход, 96,52% чистота) в виде бесцветной смолы. ЖХ-МС: ЭС+ 348,4.
Стадия 3: Синтез трет-бутил-4-(4-(гидроксиметил)бензил)пиперидин-1-карбоксилата: К перемешиваемому раствору трет-бутил-4-[(4-этоксикарбонилфенил)метил]пиперидин-1-карбоксилата 4 (7,9 г, 22,74 ммоль) в THF (100 мл) добавляли диизобутилалюминийгидрид, 1М раствор в гексане (64,67 г, 113,69 ммоль, 92,26 мл, 0,25 чистота) при -78°С капельно. Его перемешивали при -78°С в течение 2 ч. Его гасили раствором тартрата натрия-калия, экстрагировали добавлением этилацетата, промывали насыщенным солевым раствором, сушили над сульфатом натрия и концентрировали в условиях пониженного давления. Его очищали с помощью combiflash, элюируя при 15% этилацетата в гексане с получением трет-бутил-4-[[4-(гидроксиметил)фенил]метил]пиперидин-1-карбоксилата 5 (4,5 г, 13,26 ммоль, 58,32% выход, 90% чистота) в виде бесцветной смолы. ЖХ-МС: ЭС+306,2.
Стадия 4: Синтез трет-бутил-4-(4-(хлорметил)бензил)пиперидин-1-карбоксилата: К перемешиваемому раствору трет-бутил-4-[[4-(гидроксиметил)фенил]метил]пиперидин-1-карбоксилата 5 (4,4 г, 14,41 ммоль) в DCM (40 мл) добавляли триэтиламин (8,75 г, 86,44 ммоль, 12,05 мл) капельно при 0°С. Тионилхлорид (5,14 г, 43,22 ммоль) добавляли к реакционной смеси очень медленно и перемешивали при к.т.в течение 16 часов. Ее разбавляли этилацетатом, промывали водой, насыщенным солевым раствором, сушили над сульфатом натрия и концентрировали в условиях пониженного давления. Ее очищали с помощью combiflash, элюируя при 15% этилацетата в гексане с получением трет-бутил-4-[[4-(хлорметил)фенил]метил]пиперидин-1-карбоксилата 6 (3,9 г, 11,44 ммоль, 79,41% выход, 95% чистота) в виде беловатого твердого вещества. 1Н ЯМР (400 МГц, DMSO-d6): δ 7,33 (d, J=7,8 Гц,2Н), 7,17 (d, J=7,76 Гц,2Н), 4,72 (s, 2H), 3,90-3,87 (m, 2H), 2,71-2,63 (m, 2H), 1,65-1,63 (m, 1H), 1,53-1,50 (m,2H), 1,37 (s, 9H), 1,04-0,92 (m, 2H).
Стадия 5: Синтез трет-бутил-4-(4-((2-оксо-1,2-дигидробензо[cd]индол-6-ил)метил)бензил)пиперидин-1-карбоксилата: К перемешиваемому раствору трет-бутил-4-[[4-(хлорметил)фенил]метил]пиперидин-1-карбоксилата 6 (780 мг, 2,41 ммоль) и 6-(4,4,5,5-тетраметил-1,3,2-диоксаборолан-2-ил)-1Н-бензо[cd]индол-2-она 7 (1,07 г, 3,61 ммоль) в укупоренной пробирке в этаноле (6 мл) и толуоле (12 мл) добавляли трех замещенный фосфат калия (1,28 г, 6,02 ммоль). Ее дегазировали аргоном в течение 10 минут. Трис-о-толилфосфан (146,61 мг, 481,69 ммоль) и (1Е,4Е)-1,5-дифенилпента-1,4-диен-3-онпалладий (220,55 мг, 240,85 ммоль) добавляли в реакционную смесь. Ее нагревали при 90°С в течение 16 часов. Ее охлаждали до к.т., фильтровали через целит, концентрировали в условиях пониженного давления. Ее очищали с помощью combiflash, элюируя при 30% этилацетата в гексане с получением трет-бутил-4-[[4-[(2-оксо-1Н-бензо[cd]индол-6-ил)метил]фенил]метил]пиперидин-1-карбоксилата 8 (680 мг, 1,34 ммоль, 55,65% выход, 90% чистота) в виде желтого твердого вещества. ЖХ-МС: ЭС+457,3.
Стадия 6: Синтез трет-бутил-4-(4-((1-(2,6-диоксопиперидин-3-ил)-2-оксо-1,2-дигидробензо[cd]индол-6-ил)метил)бензил)пиперидин-1-карбоксилата: К перемешиваемому раствору трет-бутил-4-[[4-[(2-оксо-1Н-бензо[cd]индол-6-ил)метил]фенил]метил]пиперидин-1-карбоксилата 8 (680 мг, 1,49 ммоль) в THF (10 мл) добавляли гидрид натрия (в масляной дисперсии) в виде 60% дисперсии в минеральном масле (570,67 мг, 14,89 ммоль, 0,6 чистота) порциями при 0°С. Его перемешивали при к.т.в течение 10 минут. трет-бутил-4-[[4-[(2-оксо-1Н-бензо[cd]индол-6-ил)метил]фенил]метил]пиперидин-1-карбоксилат 9 (680 мг, 1,49 ммоль) добавляли к реакционной смеси при к.т.порциями. Ее нагревали при 70°С в течение 1 часа. Ее охлаждали до к.т., разбавляли этилацетатом, вливали в ледяную воду, отделяли органическую часть, промывали водой, насыщенным солевым раствором и сушили над сульфатом натрия. Ее упаривали в условиях пониженного давления.
Ее очищали методом препаративной ТСХ (20% этилацетата в DCM) с получением трет-бутил-4-[[4-[[1-(2,6-диоксо-3-пиперидил)-2-оксобензо[cd]индол-6-ил]метил]фенил]метил]пиперидин-1-карбоксилата 10 (690 мг, 1,17 ммоль, 78,82% выход, 96,58% чистота) в виде желтого твердого вещества. ЖХ-МС: ЭС+ 568,6.
Стадия 7: Синтез 3-(2-оксо-6-(4-(пиперидин-4-илметил)бензил)бензо[cd]индол-1(2Н)-ил)пиперидин-2,6-дионгидрохлорида: К перемешиваемому раствору трет-бутил-4-[[4-[[1-(2,6-диоксо-3-пиперидил)-2-оксобензо[cd]индол-6-ил]метил]фенил]метил]пиперидин-1-карбоксилата 10 (685 мг, 1,21 ммоль) в диоксане (5 мл) добавляли 4М диоксан-HCl (1,21 ммоль, 10 мл) при 0°С. Ее перемешивали при к.т.в течение 3 часов. Ее концентрировали в условиях пониженного давления с получением 3-[2-оксо-6-[[4-(4-пиперидилметил) фенил]метил]бензо[cd]индол-1-ил]пиперидин-2,6-дионгидрохлорида 11 (650 мг, 1,01 ммоль, 84,06% выход, 90,76% чистота) в виде желтого твердого вещества. ЖХ-МС: ЭС+ 468,1.
Стадия 8: Синтез 3-(6-(4-((1-(1-метилциклобутан-1-карбонил)пиперидин-4-ил)метил)бензил)-2-оксобензо[cd]индол-1(2Н)-ил)пиперидин-2,6-диона: К перемешиваемому раствору 3-[6-[[4-[(1-хлор-4-пиперидил)метил]фенил]метил]-2-оксобензо[cd]индол-1-ил]пиперидин-2,6-дионгидрохлорида 11 (100 мг, 198,41 ммоль) в DMF (5 мл) добавляли DIPEA (128,21 мг, 992,03 ммоль, 172,79 мкл) при 0°С.Ее перемешивали при к.т.в течение 10 минут.1-метилциклобутанкарбоновую кислоту 12 (22,65 мг, 198,41 ммоль) добавляли в реакционную смесь с последующим добавлением HATU (90,53 мг, 238,09 ммоль). Ее перемешивали при к.т.в течение 16 ч. Ее разбавляли этилацетатом, промывали насыщенным раствором бикарбоната, насыщенным солевым раствором и сушили над сульфатом натрия. Ее очищали combiflash, элюируя при 20% этилацетата в дихлорметане с получением 3-[6-[[4-[[1-(1-метилциклобутанкарбонил)-4-пиперидил]метил]фенил]метил]-2-оксобензо[cd]индол-1-ил]пиперидин-2,6-диона Соединения 150 (40,0 мг, 68,61 ммоль, 34,58% выход, 96,68% чистота) в виде желтого твердого вещества. 1H ЯМР (400 МГц, DMSO-d6) δ 11,12 (s, 1H), 8,32 (d, J=8,2 Гц 1H), 8,07 (d, J=6,92 Гц 1H), 7,80 (t, J=7,6 Гц, 1H), 7,39 (d, J=7,24 Гц, 1H), 7,19 (d, J=7,84 Гц, 2H), 7,10-7,04 (m, 3H), 5,45-5,43 (m, 1H), 4,35 (s, 2H), 4,35-4,21(m, 1H), 3,5-3,4 (m, 1H), 2,94-2,30 (m, 1H), 2,84-2,70 (m, 2H), 2,70-2,62 (m, 1H), 2,44-2,41 (m, 2H), 2,37-2,39 (m,2H), 2,10-2,07 (m 1H), 1,88-1,86 (m, 1H), 1,38-1,52 (m, 6H), 1,28 (s, 3H), 0,98-0,92 (m, 3Н); ЖХ-МС: ЭС+ 564,2.
Пример 65. Синтез 4-(4-(4-((1-(2,6-диоксопиперидин-3-ил)-2-оксо-1,2-дигидробензо[cd]индол-6-ил)метил)бензил)пиперидин-1-ил)-3-фторбензонитрила (Соединение 151)
Стадия 1: Синтез 4-(4-(4-((1-(2,6-диоксопиперидин-3-ил)-2-оксо-1,2-дигидробензо[cd]индол-6-ил)метил)бензил)пиперидин-1-ил)-3-фторбензонитрила: К перемешиваемому раствору 3-[2-оксо-6-[[4-(4-пиперидилметил)фенил]метил]бензо[cd]индол-1-ил]пиперидин-2,6-дионгидрохлорида 1 (150 мг, 297,61 ммоль) в 1-метилпирролидин-2-оне (1,55 г, 15,59 ммоль, 1,5 мл), N-этил-N-изопропилпропан-2-амин (230,78 мг, 1,79 ммоль,311,03 мкл) добавляли к ней в инертной атмосфере в укупоренной пробирке. 3,4-дифторбензонитрил 2 (49,68 мг, 357,13 ммоль) добавляли к реакционной смеси и объединенную реакционную смесь помещали на предварительно нагретую масляную баню (70°С) и реакцию продолжали при той же температуре в течение 16 часов. Ход реакции мониторировали методом ТСХ. По окончании реакции этилацетат добавляли к реакционной смеси и органический слой промывали водой и насыщенным раствором бикарбоната. Этилацетатный слой сушили над сульфатом натрия и концентрировали в условиях пониженного давления. Неочищенный продукт очищали методом флэш-хроматографии с использованием 2% метанола DCM с получением 4-[4-[[4-[[1-(2,6-диоксо-3-пиперидил)-2-оксобензо[cd]индол-6-ил]метил]фенил]метил]-1-пиперидил]-3-фторбензонитрила Соединения 151 (40,0 мг, 67,50 ммоль, 22,68% выход, 99% чистота) в виде желтого твердого вещества. 1Н ЯМР (400 МГц, DMSO-d6) δ 11,11 (s, 1H), 8,33 (d, J=8,28 Гц, 1H), 8,07 (d, J=6,96 Гц, 1H), 7,80 (t, J=7,64 Гц, 1H), 7,63 (d, J=6,74 Гц, 1H), 7,51 (d, J=8,32 Гц, 1H), 7,40 (d, J=7,32 Гц, 1H), 7,20 (d, J=7,8 Гц, 2H), 7,11-7,04 (m, 4H), 5,44 (dd, J=12,76, 5,0 Гц, 1H), 4,36 (s, 2H), 3,51-3,48 (m, 2H), 2,30-2,92 (m, 1H), 2,77-2,62 (m, 4H), 2,50-2,41 (m, 2H), 2,10-2,07 (m, 1H), 1,62-1,59 (m, 3H), 1,27-1,25 (m, 2H); ЖХ-МС: ЭС+ 587,2.
Пример 66. Синтез 3-(6-(4-((1-бензилпиперидин-4-ил)метил)бензил)-2-оксобензо[cd]индол-1(2Н)-ил)пиперидин-2,6-диона (Соединение 152)
Стадия 1: Синтез 3-(6-(4-((1-бензилпиперидин-4-ил)метил)бензил)-2-оксобензо[cd]индол-1(2Н)-ил)пиперидин-2,6-диона: К перемешиваемому раствору 3-[2-оксо-6-[[4-(4-пиперидилметил)фенил]метил]бензо[cd]индол-1-ил]пиперидин-2,6-дионгидрохлорида 1 (150 мг, 297,61 ммоль) в THF (7 мл), N-этил-N-изопропилпропан-2-амин (38,46 мг, 297,61 ммоль, 51,84 мкл) добавляли и объединенную реакционную смесь перемешивали в течение 5 мин в атмосфере азота при 0°С в укупоренной пробирке. После этого бензальдегид 2 (31,58 мг, 297,61 ммоль, 30,37 мкл), дихлорид дибутилолова(2+) (108,51 мг, 357,13 ммоль, 79,79 мкл), фенилсилана (32,21 мг, 297,61 ммоль, 36,68 мкл) добавляли в реакционную смесь. Объединенную реакционную смесь помещали на предварительно нагретую масляную баню (90°С). Реакцию продолжали при той же температуре в течение 16 часов. Ход реакции мониторировали методом ТСХ. По окончании реакции THF часть концентрировали в условиях пониженного давления и этилацетат добавляли к неочищенной реакционной смеси. Этилацетатный слой промывали водой и насыщенным раствором бикарбоната и органический слой сушили над сульфатом натрия. Органический слой концентрировали в условиях пониженного давления и неочищенный продукт очищали методом флэш-хроматографии с использованием 1,5% - 2% метанола DCM с получением 3-[6-[[4-[(1-бензил-4-пиперидил)метил]фенил]метил]-2-оксобензо[cd] индол-1-ил] пиперидин-2,6-диона Соединения 152 (90,0 мг, 154,09 ммоль, 51,78% выход, 95,48% чистота) в виде желтого твердого вещества. 1H ЯМР (400 МГц, DMSO-d6) δ 11,11 (s, 1H), 8,31 (d, J=8,24 Гц, 1H), 8,06 (d, J=6,92 Гц, 1H), 7,79 (t, J=7,62 Гц, 1H), 7,38 (d, J=7,32 Гц, 1H), 7,31-7,18 (m, 7H), 7,09 (d, J=7,28 Гц, 1H), 7,03 (d, J=7,80 Гц, 2H), 5,43 (dd, J=12,72, 5,0 Гц, 1H), 4,34 (s, 2H), 3,38 (s, 2H), 2,94-2,91 (m, 1H), 280-2,62 (m, 4H), 2,42-2,40 (m, 2H), 2,09-2,07 (m, 1H), 1,82-1,77 (m, 2H), 1,48-1,41 (m, 3H), 1,17-1,09 (m, 2H); ЖХ-МС: ЭС+ 558,35.
Пример 67. Синтез 3-(6-(амино(1-(1-(1-метилциклобутан-1-карбонил)пиперидин-4-ил)-1Н-пиразол-4-ил)метил)-2-оксобензо[cd]индол-1(2Н)-ил)пиперидин-2,6-диона (Соединение 153)
Стадия 1: Синтез трет-бутил-4-(4-(2-оксо-1,2-дигидробензо[cd]индол-6-карбонил)-1Н-пиразол-1-ил)пиперидин-1-карбоксилата (2): К перемешиваемому раствору трет-бутил-4-[4-[гидрокси-(2-оксо-1H-бензо[cd]индол-6-ил)метил]пиразол-1-ил]пиперидин-1-карбоксилата 1 (2 г, 4,46 ммоль) в DCM при комнатной температуре диоксомарганец (3,88 г, 44,59 ммоль) добавляли в инертной атмосфере. Объединенную реакционную смесь перемешивали в течение 15 ч. Ход реакции мониторировали методом ТСХ. По окончании реакции реакционную смесь пропускали через целит для удаления диоксомарганца и фильтрат концентрировали в условиях пониженного давления. Неочищенный продукт очищали методом колоночной хроматографии с использованием 2% метанола DCM смеси в качестве элюента с получением трет-бутил-4-[4-(2-оксо-1Н-бензо[cd]индол-6-карбонил)пиразол-1-ил]пиперидин-1-карбоксилата 2 (1,5 г, 3,29 ммоль, 73,83% выход) в виде зеленовато-желтого твердого вещества. ЖХ-МС: ЭС+ 447,2.
Стадия 2: Синтез 6-(1-(пиперидин-4-ил)-1Н-пиразол-4-карбонил)бензо[cd]индол-2-онгидрохлорида (3): Диоксан (5 мл) добавляли к трет-бутил-4-[4-(2-оксо-1Н-бензо[cd]индол-6-карбонил)пиразол-1-ил]пиперидин-1-карбоксилату 2 (1,5 г, 3,36 ммоль) в одногорлую круглодонную колбу емкостью 100 мл с получением коллоидной суспензии. 4 Μ HCl в диоксане (10 мл) добавляли к суспензиии, перемешивали в течение 3 ч при комнатной температуре в инертной атмосфере. Ход реакции мониторировали методом ТСХ. По окончании реакции диоксан упаривали в условиях пониженного давления и неочищенное соединение промывали диэтиловым эфиром для удаления неполярных примесей. Объединенные соединение и эфирную часть хранили некоторое время для завершения процесса оседания. Супернатантную эфирную часть переносили в другую коническую колбу и осевшее чистое соединение сушили в условиях пониженного давления с получением 6-[1-(4-пиперидил)пиразол-4-карбонил]-1Н-бензо[cd]индол-2-онгидрохлорида 3 (1,30 г, 3,04 ммоль, 90,44% выход) в виде зеленоватого твердого вещества. ЖХ-МС: ЭС+347,3. Стадия 3: Синтез 6-(1-(1-(1-метилциклобутан-1-карбонил)пиперидин-4-ил)-1Н-пиразол-4-карбонил)бензо[cd]индол-2-она (5): К перемешиваемому раствору 6-[1-(4-пиперидил)пиразол-4-карбонил]-1Н-бензо[cd]индол-2-онгидрохлорида 3 (1,2 г, 3,13 ммоль) в DMF (10 мл), N-этил-N-изопропилпропан-2-амин (1,62 г, 12,54 ммоль, 2,18 мл) добавляли в атмосфере азота и при 0°С. Объединенную реакционную смесь перемешивали в течение 5 мин при той же температуре. 1-метилциклобутанкарбоновую кислоту 4 (393,55 мг, 3,45 ммоль) и HATU (1,79 г, 4,70 ммоль) добавляли в реакционную смесь. Объединенную реакционную смесь перемешивали в течение 16 часов при комнатной температуре. Ход реакции мониторировали методом ТСХ. По окончании реакции этилацетат добавляли в реакционную смесь. Органический слой промывали холодной водой и насыщенным солевым раствором для удаления DMF. Этилацетатный слой сушили над сульфатом натрия, фильтровали и концентрировали в условиях пониженного давления. Неочищенный продукт очищали методом колоночной хроматографии с использованием силикагеля 100-200 меш и 3% метанола DCM в качестве элюента с получением 6-[1-[1-(1-метилциклобутанкарбонил)-4-пиперидил]пиразол-4-карбонил]-1Н-бензо[cd]индол-2-она 5 (1 г, 2,21 ммоль, 70,66% выход) в виде желтоватого твердого вещества. ЖХ-МС: ЭС+ 443,3.
Стадия 4: Синтез 6-(гидрокси(1-(1-(1-метилциклобутан-1-карбонил)пиперидин-4-ил)-1Н-пиразол-4-ил)метил)бензо[cd]индол-2-она (6): К перемешиваемому раствору 6-[1-[1-(1-метилциклобутанкарбонил)-4-пиперидил]пиразол-4-карбонил]-1Н-бензо[cd]индол-2-она 5 (1 г, 2,26 ммоль) в смеси растворителей (Метанол (10 мл) и THF (10 мл)) при 0°С, боргидрид натрия (384,73 мг, 10,17 ммоль, 359,56 мкл) добавляли порциями в реакционную смесь. Реакционную смесь перемешивали в течение 16 ч при комнатной температуре. Ход реакции мониторировали методом ТСХ. По окончании реакции растворитель смесь концентрировали в условиях пониженного давления. Этилацетат добавляли к реакционной смеси и промывали водой. Органический слой сушили над сульфатом натрия, фильтровали и концентрировали в условиях пониженного давления. Неочищенный продукт очищали методом колоночной хроматографии с использованием 3% метанола DCM в качестве элюента и силикагеля 100-200 меш в качестве неподвижной фазы с получением 6-[гидрокси-[1-[1-(1-метилциклобутанкарбонил)-4-пиперидил]пиразол-4-ил]метил]-1Н-бензо[cd]индол-2-она 6 (1 г, 2,20 ммоль, 97,56% выход) в виде желтого твердого вещества. ЖХМС: ЭС+ [М-ОН]: 427,3.
Стадия 5: Синтез 6-((1-(1-(1-метилциклобутан-1-карбонил)пиперидин-4-ил)-1Н-пиразол-4-ил)((триметилсилил)окси)метил)бензо[cd]индол-2-она (7): К перемешиваемому раствору 6-[гидрокси-[1-[1-(1-метилциклобутанкарбонил)-4-пиперидил]пиразол-4-ил]метил]-1Н-бензо[cd]индол-2-она 6 (1 г, 2,25 ммоль) в DMF (7 мл), имидазол (459,44 мг, 6,75 ммоль) добавляли в инертных условиях. Реакционную смесь перемешивали при комнатной температуре в течение 5 мин. Хлортриметилсилан, 98+% (488,80 мг, 4,50 ммоль, 571,03 мкл) добавляли капельно в реакционную смесь при комнатной температуре. Реакционную смесь перемешивали при той же температуре в течение 1 ч. Ход реакции мониторировали методом ТСХ. По окончании реакции этилацетат добавляли в реакционную смесь. Объединенный органический слой промывали холодной водой и насыщенным солевым раствором для удаления DMF. Этилацетатную часть сушили над сульфатом натрия и концентрировали в условиях пониженного давления. Неочищенный продукт очищали методом колоночной хроматографии с использованием силикагеля 100-200 меш и 2% метанола DCM смеси в качестве элюента с получением 6-[[1-[1-(1-метилциклобутанкарбонил)-4-пиперидил]пиразол-4-ил]триметилсилилоксиметил]-1Н-бензо[cd]индол-2-она 7 (705 мг, 1,34 ммоль, 59,44% выход) в виде желтого твердого вещества. ЖХ-МС: ЭС+ [M-OTMS]: 427,4. Стадия 6: Синтез 6-[азидо-[1-[1-(1-метилциклобутанкарбонил)-4-пиперидил]пиразол-4-ил]метил]-1Н-бензо[cd]индол-2-она (8): К перемешиваемому раствору 6-[[1-[1-(1-метилциклобутанкарбонил)-4-пиперидил]пиразол-4-ил]триметилсилилоксиметил]-1Н-бензо[cd]индол-2-она 7 (700 мг, 1,35 ммоль) в DCM (7 мл), триметилсилилазида, 94% (171,69 мг, 1,49 ммоль, 196,89 мкл) добавляли в атмосфере аргона. После этого трихлопирон (10,99 мг, 67,74 ммоль) добавляли в реакционную смесь. Объединенную реакционную смесь перемешивали в течение 2 ч. Ход реакции мониторировали методом ТСХ. По окончании реакции этилацетат добавляли в реакционную смесь. Органический слой промывали водой. Органический слой сушили над сульфатом натрия и концентрировали в условиях пониженного давления с получением 6-[азидо-[1-[1-(1-метилциклобутанкарбонил)-4-пиперидил]пиразол-4-ил]метил]-1Н-бензо[cd]индол-2-она 8 (600 мг, 1,25 ммоль, 92,44% выход, 98% чистота) в виде желтого твердого вещества. ЖХМС: ЭС+ [М-N3]: 427,4.
Стадия 7: Синтез 6-(амино(1-(1-(1-метилциклобутан-1-карбонил)пиперидин-4-ил)-1Н-пиразол-4-ил)метил)бензо[cd]индол-2-она (9): 6-[азидо-[1-[1-(1-метилциклобутанкарбонил)-4-пиперидил]пиразол-4-ил]метил]-1Н-бензо[cd]индол-2-он 8 (450 мг, 958,39 ммоль) и трифенилфосфин (377,06 мг, 1,44 ммоль) растворяли в толуоле, THF смеси (1:1) и воду (0,5 мл) добавляли к ней. Объединенную реакционную смесь помещали на предварительно нагретую масляную баню (80°С) в течение 14 ч. По окончании реакции неочищенную реакционную смесь концентрировали в вакууме и этилацетат добавляли к ней. Этилацетатный слой промывали водой и органический слой сушили над сульфатом натрия и фильтровали. Органический слой концентрировали в условиях пониженного давления. Неочищенный продукт промывали 20% этилацетата гексана для удаления трифенилфосфиноксида и других примесей с получением желаемого 6-[амино-[1-[1-(1-метилциклобутанкарбонил)-4-пиперидил]пиразол-4-ил]метил]-1Н-бензо[cd]индол-2-она 9 (350 мг, 773,32 ммоль, 80,69%) в виде желтого твердого вещества. ЖХМС: ЭС+ [M-NH2]: 427,5.
Стадия 8: Синтез 3-(6-(амино(1-(1-(1-метилциклобутан-1-карбонил)пиперидин-4-ил)-1Н-пиразол-4-ил)метил)-2-оксобензо[cd]индол-1(2Н)-ил)пиперидин-2,6-диона: К перемешиваемому раствору 6-[амино-[1-[1-(1-метилциклобутанкарбонил)-4-пиперидил]пиразол-4-ил]метил]-1Н-бензо[cd]индол-2-она 9 (100 мг, 225,46 ммоль) в THF (6 мл) гидрид натрия (в масляной дисперсии) в виде 60% дисперсии в минеральном масле (86,39 мг, 2,25 ммоль, 60% чистота) добавляли при 0°С в инертной атмосфере, реакционную смесь перемешивали в течение 10 мин при 0°С. Далее реакционную смесь перемешивали в течение 10 мин при комнатной температуре. Порциями 3-бромпиперидин-2,6-дион 10 (216,45 мг, 1,13 ммоль) добавляли к реакционной смеси и после добавления реакционную смесь перемешивали в течение дополнительных 10 мин при комнатной температуре. Объединенную реакционную смесь помещали на предварительно нагретую масляную баню (80°С) и нагревали с обратным холодильником в течение 1 ч. Через 1 ч этилацетат добавляли к реакционной смеси и объединенную реакционную смесь промывали водой. Органический слой сушили над сульфатом натрия и концентрировали в условиях пониженного давления. Неочищенный продукт очищали методом обращенно-фазовой ВЭЖХ с получением 3-[6-[амино-[1-[1-(1-метилциклобутанкарбонил)-4-пиперидил]пиразол-4-ил]метил]-2-оксобензо[cd]индол-1-ил]пиперидин-2,6-диона Соединения 153 (15,0 мг, 26,25 ммоль, 11,64% выход) в виде желтого твердого вещества. 1H ЯΜΡ (400 МГц, DMSO-d6): δ 11,08 (s, 1H), 8,46-8,42 (m, 1H), 8,02 (d, J=6,6 Гц, 1H), 7,75 (t, J=7,8 Гц, 1H), 7,62-7,56 (m, 2Н), 7,31 (s, 1H), 7,08 (d, J=7,12, 1H), 5,68 (s, 1H), 5,42-5,40 (m, 1H), 4,35 (brs, 1H), 4,27-4,26 (m, 1H), 3,58-3,57 (m, 1H), 3,02-2,89 (m, 2H), 2,75-2,60 (m, 2H), 2,38-2,29 (m, 2H), 2,06-2,04 (m, 1H), 1,91-1,86 (m, 4H), 1,75-1,59 (m, 5H), 1,31 (s, 3H), ЖХ-МС: ES- [M-H]: 553,2.
Пример 68. Синтез трет-бутил-4-(4-(амино(1-(2,6-диоксопиперидин-3-ил)-2-оксо-1,2-дигидробензо[cd]индол-6-ил)метил)-1Н-пиразол-1-ил)пиперидин-1-карбоксилата (Соединение 154)
Стадия 1: Синтез трет-бутил-4-(4-((2-оксо-1,2-дигидробензо[сс1]индол-6-ил)((триметилсилил)окси)метил)-1Н-пиразол-1-ил)пиперидин-1-карбоксилата (2): К перемешиваемому раствору трет-бутил-4-[4-[гидрокси-(2-оксо-1H-бензо[cd]индол-6-ил)метил]пиразол-1-ил]пиперидин-1-карбоксилата 1 (1,8 г, 4,01 ммоль) в DMF, имидазол (819,64 мг, 12,04 ммоль) добавляли. Объединенную реакционную смесь перемешивали в течение 5 минут в атмосфере азота при комнатной температуре. Хлортриметилсилан, 98+% (872,02 мг, 8,03 ммоль, 1,02 мл) добавляли капельно к реакционной смеси при комнатной температуре. После добавления объединенную реакционную смесь перемешивали в течение 1 ч. Ход реакции мониторировали методом ТСХ. Реакционную смесь гасили водой и этилацетат.Органический слой промывали ледяной водой с последующей промывкой насыщенным солевым раствором для удаления DMF. Органический слой сушили над сульфатом натрия и фильтровали. Органический слой концентрировали в условиях пониженного давления. Неочищенный продукт очищали 40%-50% этилацетата и гексана с получением трет-бутил-4-[4-[(2-оксо-1Н-бензо[cd]индол-6-ил)-триметилсилилоксиметил]пиразол-1-ил]пиперидин-1-карбоксилата 2 (1 г, 1,82 ммоль, 45,46% выход) в виде желтого твердого вещества. ЖХМС: ЭС+ [M-OTMS]: 431,5.
Стадия 2: Синтез трет-бутил-4-(4-(азидо(2-оксо-1,2-дигидробензо[cd]индол-6-ил)метил)-1Н-пиразол-1-ил)пиперидин-1-карбоксилата (3): трет-бутил-4-[4-[(2-оксо-1Н-бензо[cd]индол-6-ил)-триметилсилилоксиметил]пиразол-1-ил]пиперидин-1 карбоксилат 2 (1 г, 1,92 ммоль) и триметилсилилазид, 94% (243,39 мг, 2,11 ммоль, 279,12 мкл) растворяли в DCM в атмосфере аргона. Хлорид железа (15,58 мг, 96,03 ммоль) добавляли к реакционной смеси и перемешивали в течение 2 ч при комнатной температуре. По окончании реакции этилацетат добавляли к реакционной смеси и промывали водой. Органический слой сушили над сульфатом натрия, фильтровали и концентрировали в условиях пониженного давления. Неочищенный продукт очищали методом колоночной хроматографии с использованием 25% этилацетата и DCM смеси с получением трет-бутил-4-[4-[азидо-(2-оксо-1Н-бензо[cd]индол-6-ил)метил]пиразол-1-ил]пиперидин-1-карбоксилата 3 (700 мг, 1,40 ммоль, 73,12% выход) в виде желтого твердого вещества. ЖХМС: ЭС+ [M-OTMS]: 431,3.
Стадия 3: Синтез трет-бутил-4-(4-(амино(2-оксо-1,2-дигидробензо[cd]индол-6-ил)метил)-1Н-пиразол-1-ил)пиперидин-1-карбоксилата (4): трет-бутил-4-[4-[азидо-(2-оксо-1Н-бензо[cd]индол-6-ил)метил]пиразол-1-ил]пиперидин-1-карбоксилат 3 (300 мг, 633,55 ммоль) растворяли в смеси (1:1) THF (3 мл) и толуола (3 мл) в двугорлой круглодонной колбе емкостью 50 мл. Трифенилфосфин (249,26 мг, 950,32 ммоль) добавляли в реакционную смесь. После этого несколько капель воды (0,200 мл) добавляли к ней. Объединенную реакционную смесь помещали на предварительно нагретую масляную баню (80°С) с обратным холодильником. Реакционную смесь нагревали при той же температуре в течение 12 ч. По окончании реакции реакционную смесь концентрировали в условиях пониженного давления и разбавляли этилацетатом. Этилацетатный слой промывали водой. Органический слой сушили над сульфатом натрия и фильтровали. Этилацетатную часть концентрировали в условиях пониженного давления с получением неочищенного продукта. Неочищенный продукт промывали смесью 20% этилацетата в гексане для удаления избытка трифенилфосфина и трифенилфосфиноксида с получением трет-бутил-4-[4-[амино-(2-оксо-1Н-бензо[cd]индол-6-ил)метил]пиразол-1-ил]пиперидин-1-карбоксилата 4 (250 мг, 335,17 ммоль, 52,90% выход) в виде желтого твердого вещества. ЖХ-МС: ЭС+ [М-№]: 431,2.
Стадия 4: Синтез трет-бутил-4-(4-(амино(1-(2,6-диоксопиперидин-3-ил)-2-оксо-1,2-дигидробензо[cd]индол-6-ил)метил)-1Н-пиразол-1-ил)пиперидин-1-карбоксилата: К перемешиваемому раствору трет-бутил-4-[4-[амино-(2-оксо-1Н-бензо[cd]индол-6-ил)метил]пиразол-1-ил]пиперидин-1-карбоксилата 4 (200 мг, 446,90 ммоль) в THF (6 мл) гидрид натрия (в масляной дисперсии) в виде 60% дисперсии в минеральном масле (171,24 мг, 4,47 ммоль, 60% чистота) добавляли при 0°С в инертной атмосфере. Реакционную смесь перемешивали в течение 10 мин при 0°С. Далее реакционную смесь перемешивали в течение 10 мин при комнатной температуре. Порциями 3-бромпиперидин-2,6-дион 5 (429,05 мг, 2,23 ммоль) добавляли к реакционной смеси и после добавления реакционную смесь перемешивали в течение дополнительных 10 мин при комнатной температуре. Объединенную реакционную смесь помещали на предварительно нагретую масляную баню (80°С) и нагревали с обратным холодильником в течение 1 ч. Через 1 ч, этилацетат добавляли к реакционной смеси и объединенную реакционную смесь промывали водой. Органический слой сушили над сульфатом натрия и концентрировали в условиях пониженного давления. Неочищенный продукт очищали методом обращенно-фазовой ВЭЖХ с получением трет-бутил-4-[4-[амино-[1-(2,6-диоксо-3-пиперидил)-2-оксобензо[cd]индол-6-ил]метил]пиразол-1-ил]пиперидин-1-карбоксилата Соединения 154 (22 мг, 38,91 ммоль, 8,71% выход). 1H ЯМР (400 МГц, DMSO-d6): 5 11,11 (s, 1Н), 8,48-8,46 (m, 1H), 8,05 (d, J=6,88 Гц, 1H), 7,78 (t, J=7,56 Гц, 1H), 7,63 (d, J=7,28 Гц, 1H), 7,58 (d, J=4,80 Гц, 1Н), 7,32 (s, 1H), 7,10 (d, J=7,16 Гц, 1H), 5,70 (s, 1H), 5,45-5,43 (m, 1H), 4,23-4,20 (m, 1H), 3,96-3,95 (m, 2H), 2,98-2,74 (m, 4H), 2,67-2,63 (m, 1H), 2,09-2,07 (m, 1H), 1,89-1,88 (m, 2H), 1,69-1,66 (m, 2H), 1,39 (s, 9H); ЖХ-МС: ES- [M-NH2]: 542,2.
Пример 69. Синтез 3-[6-[[4-(3,4-дигидро-1Н-изохинолин-2-илметил)фенил]метил]-2-оксобензо[cd]индол-1-ил]пиперидин-2,6-диона (Соединение 155)
Стадия 1: Синтез 2-[[4-(хлорметил)фенил]метил]-3,4-дигидро-1Н-изохинолина: К перемешиваемому раствору 1,2,3,4-тетрагидроизохинолина 2 (1 г, 7,51 ммоль, 1,00 мл) в ацетоне (10 мл) карбонат калия, безводный, 99% (1,04 г, 7,51 ммоль, 453,14 мкл) добавляли и перемешивали при 50°С в течение 20 минут с последующим добавлением 1,4-бис(хлорметил)бензола 1 (1,31 г, 7,51 ммоль, 925,58 мкл). Полученный раствор далее нагревали при той же температуре в течение 16 ч. После образования желаемого продукта, по данным ЖХМС, летучие вещества удаляли и повторно растворяли в этилацетате. Органическую часть промывали водой/насыщенным солевым раствором и отделяли, сушили над сульфатом натрия и концентрировали. Неочищенный остаток очищали методом колоночной хроматографии с использованием 30% EtOAc-Гексан с получением 2-[[4-(хлорметил)фенил]метил]-3,4-дигидро-1Н-изохинолина 3 (750 мг, 2,65 ммоль, 35,28% выход, 96% чистота) в виде белой смолы. ЖХ-МС: ЭС+ 272,2.
Стадия 2: Синтез 6-[[4-(3,4-дигидро-1Н-изохинолин-2-илметил)фенил]метил]-1Н-бензо[cd]индол-2-она: К перемешиваемому раствору 2-[[4-(хлорметил)фенил]метил]-3,4-дигидро-1Н-изохинолина 3 (400 мг, 1,47 ммоль) и 6-(4,4,5,5-тетраметил-1,3,2-диоксаборолан-2-ил)-1Н-бензо[cd]индол-2-она 4 (868,75 мг, 2,94 ммоль) в этаноле (2,5 мл) и толуоле (5 мл) добавляли безводный трехосновный фосфат калия (937,23 мг, 4,42 ммоль) и реакционную массу дегазировали в атмосфере аргона в течение 10 минут. Затем три-о-толилфосфин (89,59 мг, 294,35 ммоль) и (1Е,4Е)-1,5-дифенилпента-1,4-диен-3-онпалладий (134,77 мг, 147,18 ммоль) добавляли к этой реакционной массе и нагревали полученную реакционную смесь 90°С в течение ночи. ТСХ свидетельствовала о полном расходовании исходного вещества. Затем реакционную смесь фильтровали через шоттовскую воронку через слой целита и реакционную смесь разбавляли этилацетатом и промывали водой. Органическую часть сушили над Na2S04 и фильтровали. Реакционную смесь упаривали в условиях пониженного давления, неочищенное соединение очищали с помощью combi-flash с получением чистого соединения 6-[[4-(3,4-дигидро-1Н-изохинолин-2-илметил)фенил]метил]-1Н-бензо[cd]индол-2-она 5 (160 мг, 375,77 ммоль, 25,53% выход, 95% чистота) в виде светло-желтого твердого вещества. ЖХМС: ЭС+405,4.
Стадия 3: Синтез 3-[6-[[4-(3,4-дигидро-1Н-изохинолин-2-илметил)фенил]метил]-2-оксобензо[cd]индол-1-ил]пиперидин-2,6-диона: К перемешиваемому раствору 6-[[4-(3,4-дигидро-1Н-изохинолин-2-илметил)фенил]метил]-1Н-бензо[cd]индол-2-она 5 (159,21 мг, 393,59 ммоль) в THF (3 мл) добавляли гидрид натрия (в масляной дисперсии) в виде 60% дисперсии в минеральном масле (150,81 мг, 3,94 ммоль, 60% чистота) в холодных условиях и реакционную смесь перемешивали при комнатной температуре в течение 10 минут с последующим добавлением 3-бромпиперидин-2,6-диона 6 (377,86 мг, 1,97 ммоль) порциями. Ее затем перемешивали при комнатной температуре в течение 10 минут и нагревали при 70°С в течение 30 минут. ТСХ проводили, что показывало почти полное расходование исходного вещества и образование желаемого пятна. Реакционную смесь разбавляли этилацетатом, промывали холодной водой и органическую фракцию отделяли. Ее затем сушили над безводным сульфатом натрия и упаривали в условиях пониженного давления с получением неочищенного соединения, которое промывали эфиром и пентаном с получением 3-[6-[[4-(3,4-дигидро-1Н-изохинолин-2-илметил)фенил]метил]-2-оксобензо[cd]индол-1-ил]пиперидин-2,6-диона Соединения 155 (125,0 мг, 234,56 ммоль, 59,59% выход, 96,75% чистота) в виде желтого твердого вещества. 1H ЯМР (400 МГц, DMSO-d6): δ 11,12 (s, 1H), 8,33 (d, J=8,24 Гц, 1H), 8,07 (d, J=6,84 Гц, 1H), 7,80 (t, J=7,54 Гц, 1H), 7,41 (d, J=7,32 Гц, 1H), 7,25 (s, 4Н), 7,12-7,07 (m, 4Н), 6,98-6,95 (m, 1H), 5,44 (dd, J=12,36, 4,36 Гц, 1H), 4,38 (s, 2Н), 3,56 (s, 2Н), 3,48 (s, 2Н), 2,95-2,90 (m, 1Н), 2,78-2,76 (m, 3H), 2,70-2,61 (m, 3H), 2,10-2,07 (m, 1Н)ЖХ-МС: ЭС+ 516,5.
Пример 70. Синтез 3-[6-[[4-(3-окса-8-азабицикло[3.2.1]октан-8-илметил)фенил]метил]-2-оксобензо[cd]индол-1-ил]пиперидин-2,6-диона (Соединение 156)
Стадия 1: Синтез 8-[[4-(хлорметил)фенил]метил]-3-окса-8-азабицикло[3.2.1]октана: К перемешиваемому раствору 3-окса-8-азабицикло[3.2.1]октангидрохлорида 2 (1,00 г, 6,68 ммоль, 1,00 мл) в ацетоне (10 мл) добавляли DIPEA (863,82 мг, 6,68 ммоль, 1,16 мл) для подщелачивания, затем карбонат калия, безводный, 99% (923,75 мг, 6,68 ммоль, 403,39 мкл) добавляли и перемешивали при 50°С в течение 20 минут с последующим добавлением 1,4-бис(хлорметил)бензола 1 (1,17 г, 6,68 ммоль, 823,95 мкл). Полученный раствор далее нагревали при той же температуре в течение 16 часов. После образования желаемого продукта, по данным ЖХМС, летучие вещества удаляли и повторно растворяли в этилацетате. Органическую часть промывали водой/насыщенным солевым раствором и отделяли, сушили над сульфатом натрия и концентрировали в условиях пониженного давления. Неочищенную массу очищали методом колоночной хроматографии, используя 1-2% MeOH-DCM в качестве элюента с получением 8-[[4-(хлорметил)фенил]метил]-3-окса-8-азабицикло[3.2.1]октана 3 (750 мг, 2,83 ммоль, 42,34% выход, 95% чистота) в виде белой смолы. ЖХ-МС: ЭС+ 251,8
Стадия 2: Синтез 6-[[4-(3-окса-8-азабицикло[3.2.1]октан-8-илметил)фенил]метил]-1Н-бензо[cd]индол-2-она: К перемешиваемому раствору 8-[[4-(хлорметил)фенил]метил]-3-окса-8-азабицикло[3.2.1]октана 3 (400,00 мг, 1,59 ммоль) и 6-(4,4,5,5-тетраметил-1,3,2-диоксаборолан-2-ил)-1Н-бензо[cd]индол-2-она 4 (937,88 мг, 3,18 ммоль) в этаноле (2,5 мл) и толуоле (5 мл) добавляли безводный трехосновный фосфат калия (1,01 г, 4,77 ммоль) и реакционную массу дегазировали в атмосфере аргона в течение 10 минут.Затем три-о-толилфосфин (96,72 мг, 317,77 ммоль) и (1Е,4Е)-1,5-дифенилпента-1,4-диен-3-онпалладий (145,50 мг, 158,89 ммоль) добавляли к этой реакционной массе и нагревали полученную реакционную смесь 90°С в течение ночи. Проводили ТСХ, которая свидетельствовала о полном расходовании исходного вещества. Затем реакционную смесь фильтровали через шоттовскую воронку через слой целита и реакционную смесь разбавляли этилацетатом и промывали водой. Органическую часть сушили над Na2SO4 и фильтровали. Реакционную смесь упаривали в условиях пониженного давления, неочищенное соединение очищали с помощью combi-flash с получением чистого соединения 6-[[4-(3-окса-8-азабицикло[3.2.1]октан-8-илметил)фенил]метил]-1Н-бензо[cd]индол-2-она 5 (250 мг, 637,24 ммоль, 40,11% выход, 98% чистота) в виде светло-желтого твердого вещества. ЖХ-МС: ЭС+ 385,3.
Стадия 3: Синтез 3-[6-[[4-(3-окса-8-азабицикло[3.2.1]октан-8-илметил)фенил]метил]-2-оксобензо[cd]индол-1-ил]пиперидин-2,6-диона: К перемешиваемому раствору 6-[[4-(3-окса-8-азабицикло[3.2.1]октан-8-илметил)фенил]метил]-1Н-бензо[cd]индол-2-она 5 (250 мг, 650,25 ммоль) в THF (3 мл) добавляли гидрид натрия (в масляной дисперсии) в виде 60% дисперсии в минеральном масле (249,15 мг, 6,50 ммоль, 60% чистота) в холодных условиях и реакционную смесь перемешивали при комнатной температуре в течение 10 минут с последующим добавлением 3-бромпиперидин-2,6-диона 6 (624,27 мг, 3,25 ммоль) порциями. Ее затем перемешивали при комнатной температуре в течение 10 минут и нагревали при 70°С в течение 30 минут.ТСХ проводили, что показывало почти полное расходование исходного вещества и образование желаемого пятна. Реакционную смесь разбавляли этилацетатом, промывали холодной водой и органическую фракцию отделяли. Ее затем сушили над безводным сульфатом натрия и упаривали в условиях пониженного давления с получением неочищенного соединения, которое промывали эфиром и пентаном с получением 3-[6-[[4-(3-окса-8-азабицикло[3.2.1]октан-8-илметил)фенил]метил]-2-оксобензо[cd]индол-1-ил]пиперидин-2,6-диона Соединения 156 (145,0 мг, 287,91 ммоль, 44,28% выход, 98,40% чистота) в виде желтого твердого вещества. 1H ЯМР (400 МГц, DMSO-d6): δ 11,12 (s, 1Н), 8,33 (d, J=8,2 Гц, 1H), 8,07 (d, J=6,96 Гц, 1H), 7,80 (t, J=7,6 Гц, 1H), 7,40 (d, J=7,24 Гц, 1H), 7,25-7,21 (m, 4H), 7,10 (d, J=7,24 Гц, 1H), 5,44 (dd, J=12,52, 5,0 Гц, 1H), 4,36 (s, 2H), 3,49-3,46 (m, 2H), 3,37-3,29 (m, 4H), 2,99-2,90 (m, 3H), 2,80-2,62 (m, 2H), 2,10-2,07 (m, 1H), 1,91-1,88 (m, 2H), 1,71-1,69 (m, 2H) ЖХ-МС: ЭС+ 496,5.
Пример 71. Синтез 3-[6-[[4-[[4-[(4-фторфенил)метил]-1-пиперидил]метил]фенил]метил]-2-оксобензо[cd]индол-1-ил]пиперидин-2,6-диона (Соединение 157)
Стадия 1: Синтез 1-[[4-(хлорметил)фенил]метил]-4-[(4-фторфенил)метил]пиперидина: К перемешиваемому раствору 4-[(4-фторфенил)метил]пиперидина 2 (550 мг, 2,85 ммоль) в DMF (5 мл) добавляли Ν,Ν-диизопропилэтиламин (1,10 г, 8,54 ммоль, 1,49 мл) и перемешивали в течение 5 мин. Затем 1,4-бис(хлорметил)бензол 1 (498,19 мг, 2,85 ммоль) добавляли и реакционную смесь нагревали при 60°С в течение 16 часов. По окончании реакции (по данным ТСХ), реакционную смесь разбавляли этилацетатом и промывали водой и насыщенным солевым раствором, сушили над сульфатом натрия и концентрировали. Неочищенное вещество очищали методом колоночной хроматографии (100-200 силикагель, 25-30% EtOAc в гексане) с получением 1-[[4-(хлорметил)фенил]метил]-4-[(4-фторфенил)метил]пиперидина 3 (120 мг, 343,52 ммоль, 12,07% выход, 95% чистота) в виде светло-желтого масла. ЖХ-МС: ЭС+ 332,18.
Стадия 2: Синтез 6-[[4-[[4-[(4-фторфенил)метил]-1-пиперидил]метил]фенил]метил]-1Н-бензо[cd]индол-2-она: К перемешиваемому раствору 1-[[4-(хлорметил)фенил]метил]-4-[(4-фторфенил)метил]пиперидина 3 (150 мг, 452,01 ммоль) и 6-(4,4,5,5-тетраметил-1,3,2-диоксаборолан-2-ил)-1Н-бензо[cd]индол-2-она 4 (266,81 мг, 904,01 ммоль) в этаноле (2 мл) и толуоле (4 мл) добавляли безводный трехосновный фосфат калия (287,84 мг, 1,36 ммоль) и реакционную массу дегазировали в атмосфере аргона в течение 10 минут.Затем три-о-толилфосфин (27,52 мг, 90,40 ммоль) и (1Е,4Е)-1,5-дифенилпента-1,4-диен-3-онпалладий (41,39 мг, 45,20 ммоль) добавляли к этой реакционной массе и нагревали полученную реакционную смесь 90°С в течение ночи. Затем реакционную смесь фильтровали через шоттовскую воронку через слой целита и реакционную смесь разбавляли этилацетатом и промывали водой. Органическую часть сушили над Na2SO4 и упаривали в условиях пониженного давления. Неочищенное вещество очищали с помощью combi-flash с получением чистого соединения 6-[[4-[[4-[(4-фторфенил)метил]-1-пиперидил]метил]фенил]метил]-1Н-бензо[cd]индол-2-она 5 (160 мг, 327,18 ммоль, 72,38% выход, 95% чистота) в виде светло-желтого твердого вещества. ЖХ-МС: ЭС+ 465,3.
Стадия 3: Синтез 3-[6-[[4-[[4-[(4-фторфенил)метил]-1-пиперидил]метил]фенил]метил]-2-оксобензо[cd]индол-1-ил]пиперидин-2,6-диона: К перемешиваемому раствору 6-[[4-[[4-[(4-фторфенил)метил]-1-пиперидил]метил]фенил]метил]-1Н-бензо[cd]индол-2-она 5 (180 мг, 387,45 ммоль) в THF (5 мл) добавляли гидрид натрия (в масляной дисперсии) в виде 60% дисперсии в минеральном масле (148,46 мг, 3,87 ммоль, 60% чистота) в холодных условиях и реакционную смесь перемешивали при комнатной температуре в течение 10 минут с последующим добавлением 3-бромпиперидин-2,6-диона 6 (371,98 мг, 1,94 ммоль) порциями. Ее затем перемешивали при комнатной температуре в течение 10 минут и нагревали при 70°С в течение 30 минут. ТСХ проводили, что показывало почти полное расходование исходного вещества и образование желаемого пятна. Реакционную смесь разбавляли этилацетатом, промывали холодной водой и органическую фракцию отделяли. Ее затем сушили над безводным сульфатом натрия и упаривали в условиях пониженного давления с получением Неочищенную массу которое очищали с помощью преп. ТСХ с использованием 60% EtOAc-DCM в качестве элюента с получением 3-[6-[[4-[[4-[(4-фторфенил)метил]-1-пиперидил]метил]фенил]метил]-2-оксобензо[cd]индол-1-ил]пиперидин-2,6-диона
Соединения 157 (25,0 мг, 42,76 ммоль, 11,04% выход, 98,47% чистота) в виде желтого твердого вещества. 1Н ЯМР (400 МГц, DMSO-d6): δ 11,12 (s, 1Н), 8,32 (d, J=8,24 Гц, 1Н), 8,07 (d, J=6,96 Гц, 1Н), 7,80 (t, J=7,56 Гц, 1Н), 7,39 (d, J=7,36 Гц, 1Н), 7,21-7,04 (m, 9Н), 5,47-5,40 (m, 1Н), 4,37 (s, 2Н), 3,29 (s, 2Н), 2,90-2,80 (m, 1Н), 2,76-2,67 (m, 4Н), 2,46-2,44 (m, 2Н), 2,09-2,07 (m, 1Н), 1,80-1,70 (m, 2Н), 1,47-1,45 (m, 3Н), 1,14-1,11 (m, 2Н); ЖХ-МС: ЭС+ 476,5.
Пример 72. Синтез 3-[6-[[4-[(4-трет-бутил-1-пиперидил)метил]фенил]метил]-2-оксобензо[cd]индол-1-ил]пиперидин-2,6-диона (Соединение 158)
Стадия 1: Синтез 4-трет-бутил-1-[[4-(хлорметил)фенил]метил]пиперидина: К перемешиваемому раствору 4-трет-бутилпиперидина 2 (550 мг, 3,89 ммоль) в DMF (5 мл) добавляли N,N-диизопропилэтиламин (1,51 г, 11,68 ммоль, 2,03 мл) и перемешивали в течение 5 мин. Затем 1,4-бис(хлорметил)бензол 1 (681,61 мг, 3,89 ммоль) добавляли и реакционную смесь нагревали при 60°С в течение 16 часов. По окончании реакции (по данным ТСХ), реакционную смесь разбавляли этилацетатом и промывали водой и насыщенным солевым раствором, сушили над сульфатом натрия и концентрировали. Неочищенное соединение очищали методом колоночной хроматографии (100-200 силикагель, 25-30% EtOAc в гексане) с получением 4-трет-бутил-1-[[4-(хлорметил)фенил]метил]пиперидина 3 (170 мг, 577,10 ммоль, 14,82% выход, 95% чистота) в виде желтого масла. ЖХ-МС: ЭС+ 280,2.
Стадия 2: Синтез 6-[[4-[(4-трет-бутил-1-пиперидил)метил]фенил]метил]-1Н-бензо[cd]индол-2-она: К перемешиваемому раствору 4-трет-бутил-1-[[4-(хлорметил)фенил]метил]пиперидина 3 (170 мг, 607,47 ммоль) и 6-(4,4,5,5-тетраметил-1,3,2-диоксаборолан-2-ил)-1Н-бензо[cd]индол-2-она 4 (358,58 мг, 1,21 ммоль) в этаноле (2 мл) и толуоле (4 мл) добавляли безводный трехосновный фосфат калия (386,85 мг, 1,82 ммоль) и реакционную массу дегазировали в атмосфере аргона в течение 10 минут. Затем три-о-толилфосфин (36,98 мг, 121,49 ммоль) и (1Е,4Е)-1,5-дифенилпента-1,4-диен-3-онпалладий (55,63 мг, 60,75 ммоль) добавляли к этой реакционной массе и нагревали полученную реакционную смесь 90°С в течение ночи. Проводили ТСХ, которая свидетельствовала о полном расходовании исходного вещества. Затем реакционную смесь фильтровали через шоттовскую воронку через слой целита и реакционную смесь разбавляли этилацетатом и промывали водой. Органическую часть сушили над Na2SO4 и фильтровали. Реакционную смесь упаривали в условиях пониженного давления, неочищенное соединение очищали с помощью combi-flash с получением чистого соединения 6-[[4-[(4-трет-бутил-1-пиперидил)метил]фенил]метил]-1Н-бензо[cd]индол-2-она 5 (100 мг, 230,27 ммоль, 37,91% выход, 95% чистота) в виде светло-желтого твердого вещества. ЖХ-МС; ЭС+ 413,0.
Стадия 3: Синтез 3-[6-[[4-[(4-трет-бутил-1-пиперидил)метил]фенил]метил]-2-оксобензо[cd]индол-1-ил]пиперидин-2,6-диона: К перемешиваемому раствору 6-[[4-[(4-трет-бутил-1-пиперидил)метил]фенил]метил]-1Н-бензо[cd]индол-2-она 5 (100 мг, 242,39 ммоль) в THF (5 мл) добавляли гидрид натрия (в масляной дисперсии) в виде 60% дисперсии в минеральном масле (92,87 мг, 2,42 ммоль, 60% чистота) в холодных условиях и реакционную смесь перемешивали при комнатной температуре в течение 10 минут с последующим добавлением 3-бромпиперидин-2,6-диона 6 (232,70 мг, 1,21 ммоль) порциями. Ее затем перемешивали при комнатной температуре в течение 10 минут и нагревали при 70°С в течение 30 минут. Реакционную смесь разбавляли этилацетатом, промывали холодной водой и органическую фракцию отделяли. Ее затем сушили над безводным сульфатом натрия и упаривали в условиях пониженного давления с получением Неочищенную массу которое очищали с помощью преп. ТСХ с использованием 60% EtOAc-DCM в качестве элюента с получением 3-[6-[[4-[(4-трет-бутил-1-пиперидил)метил]фенил]метил]-2-оксобензо[cd]индол-1-ил]пиперидин-2,6-диона Соединения 158 (45,0 мг, 81,64 ммоль, 33,68% выход, 95% чистота) в виде желтого твердого вещества. 1Н ЯМР (400 МГц, DMSO-d6): δ 11,12 (s, 1Н), 8,32 (d, J=8,20 Гц, 1Н), 8,07 (d, J=6,96 Гц, 1Н), 7,80 (t, J=7,56 Гц, 1Н), 7,40 (d, J=7,32 Гц, 1Н), 7,23-7,17 (m, 4H), 7,10 (d, J=7,32 Гц, 1H), 5,46-5,41 (m, 1H), 4,37 (s, 2H), 3,29 (s, 2H), 2,95-2,90 (m, 1H), 2,80-2,73 (m, 2H), 2,66-2,62 (m, 2H), 2,10-2,07 (m, 1H), 1,80-1,70 (m, 2H), 1,55-1,52 (m, 2H), 1,17-1,14 (m, 2H), 0,95-0,85 (m, 1H), 0,79 (s, 9H); ЖХ-МС: ЭС+ 524,6.
Пример 73. Синтез и хиральное разделение 3-(2-Оксо-6-{4-[4-(2,2,2-трифторэтансульфонил)пиперазин-1-илметил]-бензил}-2Н-бензо[cd]индол-1-ил)пиперидин-2,6-диона (Соединение 159) и 3-(2-Оксо-6-{4-[4-(2,2,2-трифторэтансульфонил)пиперазин-1-илметил]-бензил}-2Н-бензо[cd]индол-1-ил)пиперидин-2,б-диона (Соединение 160)
Стадия 1: Хиральное разделение: 550 мг Соединения 109 отделяли методом нормально-фазовой препаративной хиральной ВЭЖХ с получением 3-[2-оксо-6-[[4-[[4-(2,2,2-трифторэтилсульфонил)пиперазин-1ил]метил]фенил]метил]бензо[cd]индол-1-ил]пиперидин-2,6-диона Соединения 159 (160,0 мг, 257,92 ммоль, 28,82% выход, 99,08% чистота, %ее-100) и 3-[2-оксо-6-[[4-[[4-(2,2,2-трифторэтилсульфонил)пиперазин-1ил]метил]фенил]метил]бензо[cd]индол-1-ил]пиперидин-2,6-диона Соединения 160 (165,0 мг, 266,17 ммоль, 29,74% выход, 99,15% чистота, %ее-100), обоих в виде желтого твердого вещества. 1H ЯМР (d6-DMSO, 400 МГц) d 11,12 (s, 1Н), 8,32 (d, J=8,36, 1H), 8,07 (d, J=6,96, 1H), 7,80 (t, J=7,6, 1H), 7,40 (d, J=7,4, 1H), 7,25 (d, J=7,84, 2H), 7,19 (d, J=7,84, 2H), 7,10 (d, J=7,08, 1H), 5,44-5,43 (dd, J=12,8, 5,2 Гц, 1H), 4,50-4,43 (m, 2H), 4,37 (s, 2H), 3,44 (s, 2H), 3,18 (br s, 4H), 2,94 (m, 1H), 2,76-2,73 (m, 1H), 2,66-2,62 (m, 1H), 2,39 (br s, 4H), 2,09-2,08 (m, 1H); ЖХ-МС: ЭС+ 615,1.
Пример 74. Синтез 3-(2-Оксо-6-{4-[4-(2,2,2-трифторэтил)пиперазин-1-илметил]-бензил}-2Н-бензо[cd]индол-1-ил)пиперидин-2,6-диона (Соединение 161)
Стадия 1: Синтез 1-(4-Хлорметилбензил)-4-(2,2,2-трифторэтил)пиперазина: К перемешиваемому раствору 1-(2,2,2-трифторэтил)пиперазина 1 (500,00 мг, 2,97 ммоль) в DMF (5 мл) добавляли N,N-диизопропилэтиламин (1,15 г, 8,92 ммоль, 1,55 мл) и перемешивали в течение 5 минут. Затем 1,4-бис(хлорметил)бензол 2 (520,50 мг, 2,97 ммоль) добавляли и реакционную смесь нагревали при 60°С в течение 16 часов. По окончании реакции (по данным ТСХ), реакционную смесь разбавляли этилацетатом и промывали водой и насыщенным солевым раствором, сушили над сульфатом натрия и концентрировали. Неочищенное соединение очищали методом флэш-хроматографии (0-5% МеОН в DCM) с получением 1-[[4-(хлорметил)фенил]метил]-4-(2,2,2-трифторэтил)пиперидина 3 (300,0 мг, 902,65 ммоль, 30,36% выход, 92% чистота) в виде желтой жидкости. ЖХ-МС: ЭС+ 306,8.
Стадия 2: Синтез 6-{4-[4-(2,2,2-Трифторэтил)пиперазин-1-илметил]-бензил}-1Н-бензо[cd]индол-2-она: К перемешиваемому раствору 1-[[4-(хлорметил)фенил]метил]-4-(2,2,2-трифторэтил)пиперазина 3 (300,0 мг, 977,98 ммоль) и 6-(4,4,5,5-тетраметил-1,3,2-диоксаборолан-2-ил)-1Н-бензо[cd]индол-2-она 4 (577,28 мг, 1,96 ммоль) в этаноле (2 мл) и толуоле (4 мл) добавляли безводный трехосновный фосфат калия (622,79 мг, 2,93 ммоль) и реакционную массу дегазировали в атмосфере аргона в течение 10 минут. Затем три-о-толилфосфин (59,53 мг, 195,60 ммоль) и (1Е,4Е)-1,5-дифенилпента-1,4-диен-3-онпалладий (89,56 мг, 97,80 ммоль) добавляли к этой реакционной массе и нагревали при 90°С 16 часов. Реакционную смесь фильтровали через шоттовскую воронку через слой целита и фильтрат упаривали в условиях пониженного давления которое очищали методом флэш-хроматографии с использованием 0-5% MeOH-DCM с получением 6-[[4-[[4-(2,2,2-трифторэтил)пиперазин-1-ил]метил]фенил]метил]-1Н-бензо[cd]индол-2-она 5 (177,0 мг, 397,12 ммоль, 40,61% выход, 98,6% чистота) в виде желтого твердого вещества. ЖХ-МС: ЭС+ 440,5.
Стадия 3: Синтез 3-(2-Оксо-6-{4-[4-(2,2,2-трифторэтил)пиперазин-1-илметил]-бензил}-2Н-бензо[cd]индол-1-ил)пиперидин-2,6-диона: К перемешиваемому раствору 6-[[4-[[4-(2,2,2-трифторэтил)пиперазин-1-ил]метил]фенил]метил]-1Н-бензо[cd]индол-2-она 5 (177,0 мг, 402,76 ммоль) в THF (10 мл) добавляли гидрид натрия (в масляной дисперсии) в виде 60% дисперсии в минеральном масле (185,19 мг, 4,83 ммоль, 60% чистота) в холодных условиях и реакционную смесь перемешивали при комнатной температуре в течение 10 минут с последующим добавлением 3-бромпиперидин-2,6-диона 6 (386,67 мг, 2,01 ммоль) порциями. Ее затем перемешивали при комнатной температуре в течение 10 минут и нагревали при 70°С в течение 30 минут. По окончании реакции (по данным ТСХ) реакционную смесь разбавляли этилацетатом, промывали холодной водой и органическую фракцию отделяли. Ее затем сушили над безводным сульфатом натрия и упаривали в условиях пониженного давления с получением неочищенного соединения, которое промывали эфиром и пентаном с получением 3-[2-оксо-6-[[4-[[4-(2,2,2-трифторэтил)пиперазин-1-ил]метил]фенил]метил]бензо[cd]индол-1-ил]пиперидин-2,6-диона Соединения 161 (120,0 мг, 217,96 ммоль, 54,12% выход, 100,00% чистота) в виде желтого твердого вещества. 1H ЯМР (d6-DMSO, 400 МГц) d 11,12 (s, 1Н), 8,32 (d, J=8,16, 1H), 8,07 (d, J=6,92, 1H), 7,80 (t, J=7,62, 1H), 7,39 (d, J=7,16, 1H), 7,22 (d, J=7,72, 2H), 7,16 (d, J=7,72, 2H), 7,10 (d, J=7,24, 1H), 5,46-5,43 (m, 1H), 4,37 (s, 2H), 3,36 (s, 2H), 3,14-3,06 (m, 2H), 2,98-2,90 (m, 1H), 2,79-2,73 (m, 1H), 2,66-2,62 (m, 1H), 2,56-2,49 (br s, 4H), 2,31 (br s, 4H), 2,10-2,07 (m, 1H); ЖХ-МС: ЭС+ 551,5.
Пример 75. Синтез 3-[6-[(1-циклогексилпиразол-4-ил)метил]-2-оксобензо[cd]индол-1-ил]пиперидин-2,6-диона (Соединение 162)
Стадия 1: Синтез циклогексилметансульфоната: К перемешиваемому раствору циклогексанола 1 (2 г, 19,97 ммоль, 2,08 мл) в DCM (20 мл), добавляли триэтиламин (4,45 г, 43,93 ммоль, 6,12 мл), охлаждали реакционную смесь до 0°С с последующим капельным добавлением метансульфонилхлорида (2,74 г, 23,96 ммоль, 1,85 мл), затем реакционную смесь нагревали до 25°С в течение 2 часов. После полного расходования исх. вещ., реакционную массу разбавляли водой и экстрагировали добавлением DCM, промывали насыщенным раствором NaHCO3, насыщенным солевым раствором, сушили над безводным сульфатом натрия и упаривали в условиях пониженного давления с получением неочищенного соединения циклогексилметансульфоната 2 (3,5 г, 19,64 ммоль, 98,33% выход, 100% чистота) в виде оранжевой жидкости, которую использовали на следующей стадии без дальнейшей очистки. 1H ЯМР (400 МГц, CDCl3) δ 4,72-4,65 (m, 1Н), 2,99 (s, 3Н), 1,96-1,95 (m, 2Н), 1,78-1,75 (m, 2H), 1,67-1,59 (m, 2Н), 1,55-1,50 (m, 1Н), 1,42-1,41 (m, 2Н), 1,34-1,32 (m, 1Н);
Стадия 2: Синтез 1-циклогексилпиразол-4-карбальдегида: К перемешиваемому раствору 1Н-пиразол-4-карбальдегида 3 (2 г, 20,81 ммоль) и циклогексилметансульфоната 2 (3,71 г, 20,81 ммоль) в DMF (20 мл) добавляли карбонат цезия (13,56 г, 41,63 ммоль) и реакционную смесь нагревали при 80°С в течение 16 часов. ТСХ проводили, что показывало полное расходование исходного вещества наряду с образованием желаемого пятна. Реакционную смесь разбавляли этилацетатом, промывали водой и органическую фракцию отделяли. Ее затем сушили над безводным сульфатом натрия и упаривали в условиях пониженного давления с получением неочищенного соединения, которое очищали методом флэш-хроматографии с использованием 0-20% этилацетат-гексан с получением 1-циклогексилпиразол-4-карбальдегида 4 (1,5 г, 8,33 ммоль, 40,03% выход, 99% чистота) в виде белого полутвердого вещества. ЖХ-МС: ЭС+ 179,0.
Стадия 3: Синтез 6-[(1-циклогексилпиразол-4-ил)-гидроксиметил]-1Н-бензо[cd]индол-2-она: К перемешиваемому раствору 6-бром-1Н-бензо[cd]индол-2-она 5 (1,39 г, 5,61 ммоль) в THF (20 мл) добавляли фениллитий, как правило 1,9М в ди-н-бутиловом эфире (1,8 М, 3,12 мл) при -78°С и реакционную смесь перемешивали при той же температуре в течение 30 минут с последующим добавлением бутиллития (2,00 М, 3,09 мл) при -78°С и по завершении добавления температуре позволяли повыситься до -40°С и реакционную смесь перемешивали при той же температуре в течение 30 минут с последующим добавлением 1-циклогексилпиразол-4-карбальдегида 4 (1 г, 5,61 ммоль) в THF (10 мл) при -78°С и затем реакционной смеси позволяли нагреться до комнатной температуры и продолжали в течение 16 часов. Ее гасили насыщенным раствором хлорида аммония, экстрагировали добавлением этилацетата, промывали водой, насыщенным солевым раствором, сушили над сульфатом натрия и концентрировали в условиях пониженного давления. Ее очищали с помощью combi-flash, элюируя при 1% метанола в дихлорметане с получением 6-[(1-циклогексилпиразол-4-ил)-гидроксиметил]-1Н-бензо[cd]индол-2-она 6 (280 мг, 773,40 ммоль, 13,78% выход, 95,96% чистота) в виде коричневого твердого вещества. ЖХ-МС: ЭС+ 348,3.
Стадия 3: Синтез 6-[(1-циклогексилпиразол-4-ил)метил]-1Н-бензо[cd]индол-2-она: К перемешиваемому раствору 6-[(1-циклогексилпиразол-4-ил)-гидроксиметил]-1Н-бензо[cd]индол-2-она 6 (280 мг, 805,97 ммоль) в DCE (5 мл) добавляли триэтилсилан (374,87 мг, 3,22 ммоль, 514,93 мкл), трифторуксусную кислоту (735,17 мг, 6,45 ммоль, 496,74 мкл) и реакционную смесь нагревали при 80°С в течение 2 часов. Реакционную смесь упаривали в условиях пониженного давления с получением неочищенного соединения, которое очищали методом флэш-хроматографии с использованием 0-3% MeOH-DCM с получением 6-[(1-циклогексилпиразол-4-ил)метил]-1Н-бензо[cd]индол-2-она 7 (160 мг, 458,65 ммоль, 56,91% выход, 95% чистота) в виде желтого твердого вещества. ЖХ-МС: ЭС+ 332,4.
Стадия 4: Синтез 3-[6-[(1-циклогексилпиразол-4-ил)метил]-2-оксобензо[cd]индол-1-ил]пиперидин-2,6-диона: К перемешиваемому раствору 6-[(1-циклогексилпиразол-4-ил)метил]-1Н-бензо[cd]индол-2-она 7 (60 мг, 181,04 ммоль) в DMF (2 мл) добавляли гидрид натрия (в масляной дисперсии) в виде 60% дисперсии в минеральном масле (13,87 мг, 362,09 ммоль, 60% чистота) в холодных условиях и реакционную смесь нагревали при 60°С в течение 1 часа с последующим добавлением 3-бромпиперидин-2,6-диона 8 (34,76 мг, 181,04 ммоль) и реакцию продолжали при 60°С в течение 4 часов с дальнейшим добавлением 3-бромпиперидин-2,6-диона 8 (34,76 мг, 181,04 ммоль) и реакцию продолжали в течение 16 часов при 70°С. Реакционную смесь гасили холодной водой и EtOAc добавляли, слои разделяли. Органический слой промывали водой, насыщенным солевым раствором, сушили над Na2SO4 и концентрировали в условиях пониженного давления с получением неочищенной массы, которую очищали с помощью преп. ТСХ с использованием 25% EtOAc-DCM в качестве элюента с получением 3-[6-[(1-циклогексилпиразол-4-ил)метил]-2-оксобензо[cd]индол-1-ил]пиперидин-2,6-диона Соединения 162 (8 мг, 18,08 ммоль, 9,99% выход, 100% чистота) в виде желтого твердого вещества. 1Н ЯМР (d6-DMSO, 400 МГц) d 11,11 (S, 1Н), 8,37 (d, J=Гц, 1Н), 8,08 (d, J=8,08 Гц, 1Н), 7,83 (t, J=7,38 Гц, 1Н), 7,52 (s, 1Н), 7,35 (d, J=7,28 Гц, 1Н), 7,27 (s, 1Н), 7,07 (d, J=7,24 Гц, 1Н), 5,44-5,42 (m, 1Н), 4,17 (s, 2Н), 4,01-3,99 (m, 1Н), 2,98-2,90 (m, 1Н), 2,79-2,72 (m, 1Н), 2,66-2,62 (m, 1Н), 2,08-2,07 (m, 1Н), 1,92-1,89 (m, 2Н), 1,76-1,73 (m, 2Н), 1,62-1,59 (m, 3Н), 1,37-1,30 (m, 2Н), 1,25-1,20 (m, 1Н); ЖХ-МС: ЭС+ 443,5.
Пример 76. Синтез 3-[6-[1-[1-[1-(1-метилциклобутанкарбонил)-4-пиперидил]пиразол-4-ил]циклопропил]-2-оксобензо[cd]индол-1-ил]пиперидин-2,6-диона (Соединение 163) и 3-[6-[1-[1-[1-[(1-метилциклобутил)метил]-4-пиперидил]пиразол-4-ил]циклопропил]-2-оксобензо[cd]индол-1-ил]пиперидин-2,6-диона (Соединение 164)
Стадия 1: Синтез этил-2-бромпроп-2-еноата: К перемешиваемому раствору этил-2,3-дибромпропаноата 1 (9,9 г, 38,09 ммоль, 5,53 мл) в THF (40 мл) охлаждали до 0°С с последующим капельным добавлением триэтиламина (3,85 г, 38,09 ммоль, 5,31 мл), реакционную смесь перемешивали в течение 8 часов при комнатной температуре. По окончании реакции реакционную смесь гасили водой и EtOAc, слои разделяли, органический слой промывали насыщенным раствором NaHCO3, насыщенным солевым раствором, сушили над Na2SO4 и концентрировали с помощью вакуумного насоса с получением этил-2-бромпроп-2-еноата 2 (5 г, 27,65 ммоль, 72,60% выход, 99% чистота) в виде бесцветной жидкости, которую использовали на следующей стадии без дальнейшей очистки. 1Н ЯМР (400 МГц, CDCl3) δ 6,94 (s, 1Н), 6,25 (s, 1Н), 4,27 (q, J=7,01 Гц, 2Н), 1,32 (t, J=7,1 Гц, 3Н).
Стадия 2: Синтез трет-бутил-4-[4-(1-этоксикарбонилвинил)пиразол-1-ил]пиперидин-1-карбоксилата: К перемешиваемому раствору этил-2-бромпроп-2-еноата 2 (3,8 г, 21,23 ммоль) в THF/H2O (5 мл, 8:2), добавляли трет-бутил-4-[4-(4,4,5,5-тетраметил-1,3,2-диоксаборолан-2-ил)пиразол-1-ил]пиперидин-1-карбоксилат 3 (11,21 г, 29,72 ммоль) и безводный трехосновный фосфат калия (22,53 г, 106,14 ммоль) в атмосфере азота. Реакционную смесь дегазировали в течение 10 минут с использованием аргона и добавляли Xphos палладацикл поколения 3 (1,80 г, 2,12 ммоль). Реакционную смесь нагревали до 60°С в течение 16 часов. По окончании реакции гасили водой и экстрагировали добавлением этилацетата (3×10 мл), органический слой концентрировали в условиях пониженного давления с получением трет-бутил-4-[4-(1-этоксикарбонилвинил)пиразол-1-ил]пиперидин-1-карбоксилата 4 (7 г, 17,63 ммоль, 83,05% выход, 88% чистота) в виде смолистой жидкости, которую использовали на следующей стадии (непосредственно) без дальнейшей очистки. ЖХ-МС: ЭС+ 350,4.
Стадия 3: Синтез трет-бутил-4-[4-(1-этоксикарбонилциклопропил)пиразол-1-ил]пиперидин-1-карбоксилата: К перемешиваемому раствору (Me3SOI)BLAHметанйодида (5,59 г, 25,41 ммоль) в DMSO (40 мл) добавляли трет-бутоксид калия (2,38 г, 21,18 ммоль) при комнатной температуре и перемешивали в течение 45 мин при температуре окружающей среды. Затем раствор трет-бутил-4-[4-(1-этоксикарбонилвинил)пиразол-1-ил]пиперидин-1-карбоксилата 4 (7,4 г, 21,18 ммоль) в толуоле (20 мл) и DMSO (20 мл) добавляли в течение 3 мин. Реакционную смесь нагревали при 50°С в течение 16 часов. Реакционную смесь охлаждали до к.т., промывали холодной водой. Водный слой экстрагировали добавлением этилацетата. Органический слой сушили над сульфатом натрия, концентрировали в условиях пониженного давления. Неочищенное вещество очищали методом хроматографии CombiFlash при 10% ЕА/Гексан с получением трет-бутил-4-[4-(1-этоксикарбонилциклопропил)пиразол-1-ил]пиперидин-1-карбоксилата 5 (3,8 г, 10,35 ммоль, 48,88% выход, 99% чистота) в виде смолистой жидкости. ЖХ-МС: ЭС+ 364,1.
Стадия 4: Синтез 1-[1-(1-трет-бутоксикарбонил-4-пиперидил)пиразол-4-ил]циклопропанкарбоновой кислоты: К перемешиваемому раствору трет-бутил-4-[4-(1-этоксикарбонилциклопропил)пиразол-1-ил]пиперидин-1-карбоксилата 5 (3,8 г, 10,46 ммоль) в THF (15 мл) (1:1) смесь добавляли гидроксид лития, моногидрат (658,06 мг, 15,68 ммоль, 435,80 мкл) и перемешивали реакционную смесь в течение 16 часов в 60°С. ТСХ показывала наличие непрореагировавшего исходного вещества. Небольшую щепоть KOH добавляли и реакционную смесь далее нагревали при 60°С в течение 16 часов. Реакционную смесь разбавляли водой и экстрагировали добавлением этилацетата; водный слой подкисляли 2н HCl до рН-5-6 и экстрагировали добавлением 20% IPA-DCM. Органический слой промывали насыщенным солевым раствором, сушили над сульфатом натрия и концентрировали с получением 1-[1-(1-трет-бутоксикарбонил-4-пиперидил)пиразол-4-ил]циклопропанкарбоновой кислоты 6 (2,2 г, 6,49 ммоль, 62,11% выход, 99% чистота) в виде белого твердого вещества. ЖХ-МС: ЭС+ 336,2.
Стадия 5: Синтез трет-бутил-4-[4-[1-(1,3-диоксоизоиндолин-2-ил)оксикарбонилциклопропил]пиразол-1-ил]пиперидин-1-карбоксилата: В оборудованную магнитной мешалкой круглодонную колбу помещали 1-[1-(1-трет-бутоксикарбонил-4-пиперидил)пиразол-4-ил]циклопропанкарбоновую кислоту 6 (1,27 г, 3,79 ммоль), 2-гидроксиизоиндолин-1,3-дион 7 (679,47 мг, 4,17 ммоль) и DMAP (46,26 мг, 378,66 ммоль). DCM (15 мл) добавляли (0,1-0,5 М) с последующим добавлением N,N'-диизопропилметандиимина (525,65 мг, 4,17 ммоль, 648,95 мкл) и смесь оставляли энергично перемешиваться в течение 2 часов, смесь фильтровали через целит и промывали дополнительным количеством DCM. Растворитель удаляли в условиях пониженного давления и очистка методом колоночной хроматографии с использованием (20-25% EtOAc-Гексан) в качестве элюента позволяла получить трет-бутил-4-[4-[1-(1,3-диоксоизоиндолин-2-ил)оксикарбонилциклопропил]пиразол-1-ил]пиперидин-1-карбоксилат 8 (1,8 г, 3,30 ммоль, 87,06% выход, 88% чистота) в виде липкого красного вещества. ЖХ-МС: ЭС+ 481,1.
Стадия 6: Синтез трет-бутил-4-[4-[1-(4,4,5,5-тетраметил-1,3,2-диоксаборолан-2-ил)циклопропил]пиразол-1-ил]пиперидин-1-карбоксилата: В оборудованный магнитной мешалкой культуральный флакон добавляли трет-бутил-4-[4-[1-(1,3-диоксоизоиндолин-2-ил)оксикарбонилциклопропил]пиразол-1-ил]пиперидин-1-карбоксилат 8 (2,5 г, 5,20 ммоль), 4,4,5,5-тетраметил-2-(4,4,5,5-тетраметил-1,3,2-диоксаборолан-2-ил)-1,3,2-диоксаборолан (3,96 г, 15,61 ммоль), гидроксид лития, моногидрат (3,27 г, 78,04 ммоль, 2,17 мл), дихлормагний (743,04 мг, 7,80 ммоль) и (Z)-4-оксопент-2-ен-2-олят меди (408,57 мг, 1,56 ммоль). Флакон откачивали и повторно наполняли аргоном трижды. Дегазированный диоксан (14 мл) и DMF (6,5 мл) в отношении 1:2 добавляли и полученную смесь перемешивали при 1000 об/мин при к.т.до появления темно-коричневого цвета (обычное время реакции <10 мин). Реакционную смесь разбавляли EtOAc и насыщенным раствором хлорида аммония и полученную смесь энергично встряхивали до образования явно двухфазного раствора. Органическую фазу собирали и сушили над безводным Na2SO4. Ее упаривали и очищали методом хроматографии на силикагеле с использованием 15%-20% EtOAc-Гексан в качестве элюента с получением трет-бутил-4-[4-[1-(4,4,5,5-тетраметил-1,3,2-диоксаборолан-2-ил)циклопропил]пиразол-1-ил]пиперидин-1-карбоксилата 9 (1,2 г, 2,73 ммоль, 52,50% выход, 95% чистота) в виде светло-желтой жидкости. ЖХ-МС: ЭС+ 418,0.
Стадия 7: Синтез [1-[1-(1-трет-бутоксикарбонил-4-пиперидил)пиразол-4-ил]циклопропил]трифторкалийбора: К перемешиваемому раствору трет-бутил-4-[4-[1-(4,4,5,5-тетраметил-1,3,2-диоксаборолан-2-ил)циклопропил]пиразол-1-ил]пиперидин-1-карбоксилата 9 (1,4 г, 3,35 ммоль) в метаноле (10 мл) добавляли фторид-гидрофторид калия (2,10 г, 26,84 ммоль) и перемешивали реакционную смесь при 80°С в течение 16 часов. Реакционную смесь охлаждали до комнатной температуры и концентрировали. Полученный остаток растирали с 50% эфиром в гептане (50 мл) в течение 10 мин. Осадок собирали фильтрованием и промывали 100% эфиром (фильтрат содержал пинакол). Осадок растворяли в горячем ацетонитриле (100 мл) и фильтровали для удаления KHF2. Фильтрат собирали и лиофилизировали с получением [1-[1-(1-трет-бутоксикарбонил-4-пиперидил)пиразол-4-ил]циклопропил]трифторкалийбора 10 (800 мг, 1,99 ммоль, 59,43% выход, 99% чистота) в виде мягкого белого твердого вещества. 1Н ЯМР (400 МГц, DMSO-d6) d 7,19 (s, 1Н), 7,02 (s, 1H), 4,14 (m, 1H), 4,00-3,97 (m, 2H), 2,85-2,82 (m, 2H), 1,91-1,88 (m, 2H), 1,70-1,63 (m, 2H), 1,40 (s, 9H), 0,47(s, 2H), 0,05 (s, 2H); ЖХ-МС: ЭС+ 339 (дифтор).
Стадия 8: Синтез трет-бутил-4-[4-[1-[1-[(4-метоксифенил)метил]-2-оксобензо[cd]индол-6-ил]циклопропил]пиразол-1-ил]пиперидин-1-карбоксилата: в закупоренный крышкой на винте флакон, снабженный прокладкой, добавляли 6-бром-1-[(4-метоксифенил)метил]бензо[cd]индол-2-он 11 (1,48 г, 4,03 ммоль) и [1-[1-(1-трет-бутоксикарбонил-4-пиперидил)пиразол-4-ил]циклопропил]трифторкалийбор 10 (800 мг, 2,01 ммоль) в толуоле (15,30 мл) и воде (1,70 мл), добавляли карбонат цезия (1,97 г, 6,04 ммоль). Полученную смесь дегазировали путем барботирования аргоном в течение 10 минут, cataCXium® А палладацикл поколения 3 (73,32 мг, 100,68 ммоль) добавляли в реакционную смесь. Реакционную смесь затем нагревали до 95°С в течение 16 часов. После охлаждения до комнатной температуры, реакционный раствор фильтровали через целит, элюируя EtOAc, и концентрировали с получением неочищенной массы, которую очищали с помощью преп. ТСХ с использованием 30% EtOAc-Гексан в качестве элюента с получением трет-бутил-4-[4-[1-[1-[(4-метоксифенил)метил]-2-оксобензо[cd]индол-6-ил]циклопропил]пиразол-1-ил]пиперидин-1-карбоксилата 12 (300 мг, 513,22 ммоль, 25,49% выход, 99% чистота) в виде желтого твердого вещества. ЖХ-МС: ЭС+ 579,6.
Стадия 9: Синтез 6-[1-[1-(4-пиперидил)пиразол-4-ил]циклопропил]-1Н-бензо[cd]индол-2-она:
К перемешиваемому раствору трет-бутил-4-[4-[1-[1-[(4-метоксифенил)метил]-2-оксобензо[cd]индол-6-ил]циклопропил]пиразол-1-ил]пиперидин-1-карбоксилата 12 (300 мг, 518,40 ммоль) в TFA (4 мл) добавляли трифторметансульфоновую кислоту (778,02 мг, 5,18 ммоль, 454,98 мкл) при комнатной температуре, затем реакционную смесь перемешивали при к.т. в течение ночи. ЖХМС показывала параметры массы продукта, затем реакционную смесь концентрировали в условиях пониженного давления с получением 6-[1-[1-(4-пиперидил)пиразол-4-ил]циклопропил]-1Н-бензо[cd]индол-2-она 13 (180 мг, 354,32 ммоль, 68,35% выход, 93% чистота), который использовали на следующей стадии в виде неочищенной массы TFA соли. ЖХ-МС: ЭС+ 359,3.
Стадия 10: Синтез трет-бутил-4-[4-[1-(2-оксо-1Н-бензо[cd]индол-6-ил)циклопропил]пиразол-1-ил]пиперидин-1-карбоксилата: К перемешиваемому раствору 6-[1-[1-(4-пиперидил)пиразол-4-ил]циклопропил]-1Н-бензо[cd]индол-2-он-2,2,2-трифторуксусной кислоты 13 (180 мг, 380,99 ммоль) в DCM (5 мл) добавляли триэтиламин (115,66 мг, 1,14 ммоль, 159,31 мкл), с последующим добавлением ди-трет-бутилдикарбоната (83,15 мг, 380,99 ммоль, 87,43 мкл). Его перемешивали при комнатной температуре в течение 16 часов. Реакционную смесь концентрировали в условиях пониженного давления, разбавляли водой, экстрагировали добавлением этилацетата, органический слой промывали насыщенным раствором бикарбоната натрия, насыщенным солевым раствором, сушили над сульфатом натрия и концентрировали в условиях пониженного давления. Неочищенное вещество очищали с помощью combi-flash, элюируя при 50% этилацетата в гексане с получением трет-бутил-4-[4-[1-(2-оксо-1Н-бензо[cd]индол-6-ил)циклопропил]пиразол-1-ил]пиперидин-1-карбоксилата 14 (160 мг, 345,44 ммоль, 90,67% выход, 99% чистота) в виде желтого твердого вещества. ЖХ-МС: ЭС+ 459,4.
Стадия 11: Синтез трет-бутил-4-[4-[1-[1-(2,6-диоксо-3-пиперидил)-2-оксобензо[cd]индол-6-ил]циклопропил]пиразол-1-ил]пиперидин-1-карбоксилата: К перемешиваемому раствору трет-бутил-4-[4-[1-(2-оксо-1Н-бензо[cd]индол-6-ил)циклопропил]пиразол-1-ил]пиперидин-1-карбоксилата 14 (160 мг, 348,93 ммоль) в THF (5 мл) добавляли гидрид натрия (в масляной дисперсии) в виде 60% дисперсии в минеральном масле (133,70 мг, 3,49 ммоль, 60% чистота) в холодных условиях и реакционную смесь перемешивали при комнатной температуре в течение 10 минут с последующим добавлением 3-бромпиперидин-2,6-диона 15 (334,99 мг, 1,74 ммоль) порциями. Ее затем перемешивали при комнатной температуре в течение 10 минут и нагревали при 70°С в течение 30 минут. Реакционную смесь разбавляли этилацетатом, промывали холодной водой и органическую фракцию отделяли. Ее затем сушили над безводным сульфатом натрия и упаривали в условиях пониженного давления с получением неочищенного соединения, которое промывали эфиром и пентаном с получением трет-бутил-4-[4-[1-[1-(2,6-диоксо-3-пиперидил)-2-оксобензо[cd]индол-6-ил]циклопропил]пиразол-1-ил]пиперидин-1-карбоксилата 16 (150 мг, 260,69 ммоль, 74,71% выход, 99% чистота) в виде желтого твердого вещества. ЖХ-МС: ЭС+ 570,6.
Стадия 12: Синтез 3-[2-оксо-6-[1-[1-(4-пиперидил)пиразол-4-ил]циклопропил]бензо[cd]индол-1-ил]пиперидин-2,б-диона: К перемешиваемому раствору трет-бутил-4-[4-[1-[1-(2,6-диоксо-3-пиперидил)-2-оксобензо[cd]индол-6-ил]циклопропил]пиразол-1-ил]пиперидин-1-карбоксилата 16 (150 мг, 263,32 ммоль) в диоксане (1 мл) и охлаждали реакционную смесь до 0°С с последующим капельным добавлением 4 М HCl в диоксане (4 мл), перемешивали реакционную смесь в течение 3 часов при к.т. Реакционную смесь концентрировали в условиях пониженного давления и растирали с эфиром, сушили с получением 3-[2-оксо-6-[1-[1-(4-пиперидил)пиразол-4-ил]циклопропил]бензо[cd]индол-1-ил]пиперидин-2,6-диона 17 (120 мг, 234,78 ммоль, 89,16% выход, 99% чистота) в виде желтого твердого вещества. ЖХ-МС: ЭС+ 470,4.
Стадия 13: Синтез 3-[6-[1-[1-[1-(1-метилциклобутанкарбонил)-4-пиперидил]пиразол-4-ил]циклопропил]-2-оксобензо[cd]индол-1-ил]пиперидин-2,6-диона: К перемешиваемому раствору 3-[6-[1-[1-(1-хлор-4-пиперидил)пиразол-4-ил]циклопропил]-2-оксобензо[cd]индол-1-ил]пиперидин-2,6-диона 17 (65 мг, 128,46 ммоль) в DMF (1 мл) добавляли 1-метилциклобутанкарбоновую кислоту 18 (14,66 мг, 128,46 ммоль, 13,09 мкл) с последующим добавлением HATU (73,27 мг, 192,69 ммоль) и реакционную смесь охлаждали до 0°С добавляли DIPEA (83,01 мг, 642,30 ммоль, 111,87 мкл), реакционную смесь оставляли перемешиваться при комнатной температуре в течение ночи. Реакционную смесь разбавляли водой и экстрагировали добавлением этилацетата, органический слой промывали насыщенным раствором бикарбоната натрия (3х) с последующим добавлением водой и насыщенным солевым раствором, сушили над сульфатом натрия и концентрировали в условиях пониженного давления с получением неочищенного продукта. Полученный таким образом неочищенный продукт очищали с помощью преп. ТСХ с использованием 2% МеОН в DCM в качестве элюента с получением 3-[6-[1-[1-[1-(1-метилциклобутанкарбонил)-4-пиперидил]пиразол-4-ил]циклопропил]-2-оксобензо[cd]индол-1-ил]пиперидин-2,6-диона
Соединения 163 (55 мг, 92,37 ммоль, 71,91% выход, 95% чистота) в виде светло-желтого твердого вещества. 1Н ЯМР (400 МГц, DMSO-d6) d 11,12 (s, 1Н), 8,35 (d, J=8,24 Гц, 1Н), 8,07 (d, J=6,96 Гц, 1Н), 7,81 (t, J=7,62 Гц, 1Н), 7,53 (d, J=7,32 Гц, 1Н), 7,39 (s, 1Н), 7,10-7,07 (m, 2Н), 5,44 (dd, J=12,8, 5,16 Гц, 1Н), 4,35-4,25 (m, 1Н), 4,22-4,19 (m, 1Н), 3,57-3,56 (m, 1Н), 2,99-2,91 (m, 2H), 2,77-2,73 (m, 1H), 2,67-2,63 (m, 2H), 2,39-2,34 (m, 2H), 2,10-2,07 (m, 1H), 1,93-1,86 (m, 3H), 1,78-1,75 (m, 1H), 1,64-1,58 (m, 2H), 1,32 (br s, 5H), 1,23 (br s, 2H); ЖХ-МС: ЭС+ 566,5. Стадия 14: Синтез 3-[6-[1-[1-[1-[(1-метилциклобутил)метил]-4-пиперидил]пиразол-4-ил]циклопропил]-2-оксобензо[cd]индол-1-ил]пиперидин-2,6-диона: К перемешиваемому раствору 3-[6-[1-[1-(1-хлор-4-пиперидил)пиразол-4-ил]циклопропил]-2-оксобензо[cd]индол-1-ил]пиперидин-2,6-диона 17 (40 мг, 79,05 ммоль) в THF (2 мл) добавляли триэтиламин (16,00 мг, 158,10 ммоль, 22,04 мкл) с последующим добавлением 1-метилциклобутанкарбальдегида 19 (7,76 мг, 79,05 ммоль, 7,68 мкл), дихлорида дибутилолова (28,82 мг, 94,86 ммоль, 21,19 мкл) и фенилсилана (8,55 мг, 79,05 ммоль, 9,74 мкл). Реакционную смесь затем перемешивали при 90°С в течение 16 часов. Реакционную смесь разбавляли этилацетатом, промывали раствором бикарбоната натрия, водой и насыщенным солевым раствором. Органическую фракцию отделяли. Ее сушили над безводным сульфатом натрия, упаривали в условиях пониженного давления с получением неочищенного соединения, которое очищали методом флэш-хроматографии с использованием 0-5% MeOH-DCM с получением 3-[6-[1-[1-[1-[(1-метилциклобутил)метил]-4-пиперидил]пиразол-4-ил]циклопропил]-2-оксобензо[cd]индол-1-ил]пиперидин-2,6-диона Соединения 164 (20 мг, 35,88 ммоль, 45,39% выход, 98,97% чистота) в виде желтого твердого вещества. 1Н ЯМР (400 МГц, DMSO-d6) d 11,11 (s, 1Н), 8,35 (d, J=8,32 Гц, 1H), 8,06 (d, J=6,48 Гц, 1H), 7,80 (t, J=7,72 Гц, 1H), 7,53 (d, J=7,56 Гц, 1H), 7,34 (s, 1H), 7,08-7,07 (m, 1H), 5,45-5,43 (m, 1H), 3,91-3,89 (m, 1H), 2,96-2,92 (m, 1H), 2,80-2,59 (m, 3H), 2,20 (s, 2H), 2,08-2,07 (m, 1H), 1,99-1,97 (m, 2H), 1,92-1,87 (m, 1H), 1,79-1,77 (m, 6H), 1,58-1,56 (m, 2H), 1,31-1,29 (m, 2H), 1,24-1,23 (m, 2H), 1,11 (s, ЗН); ЖХ-МС: ЭС+ 552,3.
Пример 77. Синтез 4-[4-[4-[[1-(2,6-диоксо-3-пиперидил)-2-оксобензо[cd]индол-6-ил]метил]-N-метиланилино]-1-пиперидил]-3-фторбензонитрила (Соединение 165)
Стадия 1: Синтез 6-[(4-нитрофенил)метил]-1Н-бензо[cd]индол-2-она: К перемешиваемому раствору 1-(бромметил)-4-нитробензола (1) (10 г, 46,29 ммоль) в толуоле (60 мл) и этаноле (30 мл) добавляли 6-(4,4,5,5-тетраметил-1,3,2-диоксаборолан-2-ил)-1Н-бензо[cd]индол-2-он (2) (20,49 г, 69,43 ммоль) и безводный трехосновный фосфат калия (29,48 г, 138,87 ммоль). Полученную реакционную смесь дегазировали аргоном в течение 10 мин, затем Pd2(dba)3 (4,24 г, 4,63 ммоль) и три-о-толилфосфин (2,82 г, 9,26 ммоль) добавляли и реакционную смесь нагревали при 100°С в течение 16 ч. По окончании реакции (по данным ТСХ) реакционную смесь разбавляли этилацетатом и промывали водой и насыщенным солевым раствором, сушили над сульфатом натрия и концентрировали. Неочищенное соединение очищали методом колоночной хроматографии на 100-200 силикагеле в 40-50% EtOAc в гексане с получением 6-[(4-нитрофенил)метил]-1Н-бензо[cd]индол-2-она (3) (5 г, 28,40% выход) в виде коричневого твердого вещества. ЖХ-МС: ЭС+ 305,21.
Стадия 2: Синтез 6-[(4-аминофенил)метил]-1Н-бензо[cd]индол-2-она: Перемешиваемый раствор 6-[(4-нитрофенил)метил]-1Н-бензо[cd]индол-2-она (3) (5 г, 16,43 ммоль) в метаноле (50 мл) продували аргоном в течение 10 мин, затем Pd-C (2,99 г, 24,65 ммоль) добавляли и реакционную смесь перемешивали в атмосфере водорода (баллон) в течение 16 часов при к.т. Реакционную смесь фильтровали через целит и промывали 10% МеОН в DCM. Полученный таким образом фильтрат концентрировали в условиях пониженного давления с получением 6-[(4-аминофенил)метил]-1Н-бензо[cd]индол-2-она (4) (3,5 г, 63,67% выход) в виде коричневого твердого вещества. ЖХ-МС: ЭС+ 275,15.
Стадия 3: Синтез трет-бутил-4-[4-[(2-оксо-1Н-бензо[cd]индол-6-ил)метил]анилино]пиперидин-1-карбоксилата: К перемешиваемому раствору 6-[(4-аминофенил)метил]-1Н-бензо[cd]индол-2-она (4) (1,75 г, 6,38 ммоль) в THF (30 мл) добавляли трет-бутил-4-оксопиперидин-1-карбоксилат (5) (1,40 г, 7,02 ммоль) с последующим добавлением дихлорида дибутилолова (2,33 г, 7,66 ммоль, 1,71 мл) и фенилсилана (690,33 мг, 6,38 ммоль, 786,25 мкл). Реакционную смесь затем перемешивали при 90°С в течение 16 часов в укупоренной пробирке. Реакционную смесь разбавляли этилацетатом, промывали раствором бикарбоната натрия, водой и насыщенным солевым раствором. Органическую фракцию отделяли. Ее сушили над безводным сульфатом натрия, упаривали в условиях пониженного давления с получением неочищенного соединения, которое очищали методом хроматографии CombiFlash с использованием 30-40% EtOAc в DCM с получением трет-бутил-4-[4-[(2-оксо-1Н-бензо[cd]индол-6-ил)метил]анилино]пиперидин-1-карбоксилата (6) (1,3 г, 39,64% выход) в виде желтого твердого вещества. ЖХ-МС: ЭС+ 458,4.
Стадия 4: Синтез трет-бутил-4-[Х-метил-4-[(2-оксо-1Н-бензо[cd]индол-6-ил)метил]анилино]пиперидин-1-карбоксилата: К перемешиваемому раствору трет-бутил-4-[4-[(2-оксо-1Н-бензо[cd]индол-6-ил)метил]анилино]пиперидин-1-карбоксилата (6) (550 мг, 1,20 ммоль) в ацетонитриле (7 мл) добавляли формальдегид, 37% масс. вод. раствор (360,61 мг, 12,02 ммоль, 1 мл) и уксусную кислоту (1,01 г, 16,83 ммоль, 962,42 мкл) при 0°С и реакционную смесь перемешивали при этой температуре в течение 1 часа. Затем к ней добавляли цианоборгидрид натрия (196,39 мг, 3,13 ммоль) при этой температуре и реакционную смесь медленно нагревали до к.т. и продолжали в течение 16 часов. По окончании реакции (по данным ТСХ) реакционную смесь разбавляли этилацетатом, промывали водой и насыщенным солевым раствором. Органическую фракцию сушили над безводным сульфатом натрия и упаривали в условиях пониженного давления с получением неочищенного соединения, которое очищали с помощью колонки combiflash (градиент 15% EtOAc в DCM) с получением трет-бутил-4-[N-метил-4-[(2-оксо-1Н-бензо[cd]индол-6-ил)метил]анилино]пиперидин-1-карбоксилата (7) (350 мг, 55,57% выход) в виде зеленовато-желтого твердого вещества. ЖХ-МС: ЭС+ 472,4.
Стадия 5: Синтез 6-[[4-[метил(4-пиперидил)амино]фенил]метил]-1Н-бензо[cd]индол-2-онгидрохлорида: К перемешиваемому раствору трет-бутил-4-[N-метил-4-[(2-оксо-1Н-бензо[cd]индол-6-ил)метил]анилино]пиперидин-1-карбоксилата (7) (350 мг, 742,17 ммоль) в диоксане (5 мл) добавляли диоксан-HCl (742,17 ммоль, 15 мл) и реакционную смесь перемешивали при к.т.в течение 3 часов. По окончании реакции (по данным ТСХ) реакционную смесь концентрировали досуха и растирали с эфиром с получением 6-[[4-[метил(4-пиперидил)амино]фенил]метил]-1Н-бензо[cd]индол-2-онгидрохлорида (8) (300 мг, 79,27% выход) в виде желтого твердого вещества. ЖХ-МС: ЭС+ 372,2.
Стадия 6: Синтез 3-фтор-4-[4-[N-метил-4-[(2-оксо-1Н-бензо[cd]индол-6-ил)метил]анилино]-1-пиперидил]бензонитрила: К перемешиваемому раствору 6-[[4-[метил(4-пиперидил)амино]фенил]метил]-1Н-бензо[cd]индол-2-онгидрохлорида (8) (300 мг, 735,41 ммоль) в NMP (4 мл) добавляли DIPEA (475,22 мг, 3,68 ммоль, 640,46 мкл) с последующим добавлением 3,4-дифторбензонитрила (9) (102,30 мг, 735,41 ммоль) и полученную реакционную смесь перемешивали при 90°С в течение 16 часов. По окончании (по данным ТСХ) реакционную смесь разбавляли этилацетатом и промывали водой и насыщенным солевым раствором, сушили над сульфатом натрия и концентрировали. Неочищенное соединение очищали с помощью колонки combiflash в 30% EtOAc в DCM с получением 3-фтор-4-[4-[N-метил-4-[(2-оксо-1Н-бензо[cd]индол-6-ил)метил]анилино]-1-пиперидил]бензонитрила (10) (100 мг, 20,51% выход) в виде желтой смолы. ЖХ-МС: ЭС+ 491,4.
Стадия 7: Синтез 4-[4-[4-[[1-(2,6-диоксо-3-пиперидил)-2-оксобензо[cd]индол-6-ил]|метил]-N-метиланилино]-1-пиперидил]-3-фторбензонитрила: К перемешиваемому раствору 3-фтор-4-[4-[N-метил-4-[(2-оксо-1Н-бензо[cd]индол-6-ил)метил]анилино]-1-пиперидил]бензонитрила (10) (100 мг, 203,84 ммоль) в THF (5 мл) добавляли гидрид натрия (в масляной дисперсии) в виде 60% дисперсии в минеральном масле (46,86 мг, 2,04 ммоль) при 0°С и перемешивали в течение 5 мин. Затем 3-бромпиперидин-2,6-дион (11) (195,70 мг, 1,02 ммоль) добавляли при охлаждении и реакционную смесь перемешивали при 70°С в течение 30 мин. По окончании (по данным ТСХ) реакционную смесь гасили льдом и экстрагировали добавлением этилацетата. Органическую часть далее промывали водой и насыщенным солевым раствором, сушили над сульфатом натрия и концентрировали. Неочищенное соединение очищали с помощью пластинки для преп. ТСХ в 20% EtOAc в DCM с получением 4-[4-[4-[[1-(2,6-диоксо-3-пиперидил)-2-оксобензо[cd]индол-6-ил]метил]-N-метиланилино]-1-пиперидил]-3-фторбензонитрила Соединения 165 (35 мг, 28,18% выход) в виде желтого твердого вещества. 1Н ЯМР (400 МГц, DMSO-d6) d 11,11 (s, 1Н), 8,33 (d, J=8,24 Гц, 1Н), 8,06 (d, J=6,96 Гц, 1H), 7,80 (t, J=7,58 Гц, 1H), 7,68-7,65 (m, 1H), 7,54 (d, J=8,44 Гц, 1H), 7,36 (d, J=7,24 Гц, 1H), 7,15-7,07 (m, 4H), 6,75 (d, J=8,52 Гц, 2H), 5,43 (dd, J=12,24, 5,08 Гц, 1H), 4,26 (s, 2H), 3,78-3,76 (m, 1H), 3,63-3,60 (m, 2H), 2,96-2,90 (m, 3H), 2,77-2,73 (m, 1H), 2,66-2,62 (m, 4H), 2,08-2,07 (m, 1H), 1,80-1,74 (m, 2H), 1,68-1,65 (m, 2H); ЖХ-МС: ЭС+ 602,2.
Пример 78. Синтез 4-[4-[4-[[1-(2,6-диоксо-3-пиперидил)-2-оксобензо[cd]индол-6-ил]метил]анилино]-1-пиперидил]-3-фторбензонитрила (Соединение 166)
Стадия 1: Синтез 6-[(4-нитрофенил)метил]-1Н-бензо[cd]индол-2-она: К перемешиваемому раствору 1-(бромметил)-4-нитробензола (1) (10 г, 46,29 ммоль) в толуоле (60 мл) и этаноле (30 мл) добавляли 6-(4,4,5,5-тетраметил-1,3,2-диоксаборолан-2-ил)-1Н-бензо[cd]индол-2-он (2) (20,49 г, 69,43 ммоль) и безводный трехосновный фосфат калия (29,48 г, 138,87 ммоль). Полученную реакционную смесь дегазировали аргоном в течение 10 мин, затем Pd2(dba)3 (4,24 г, 4,63 ммоль) и три-о-толилфосфин (2,82 г, 9,26 ммоль) добавляли и реакционную смесь нагревали при 100°С в течение 16 часов. По окончании реакции (по данным ТСХ) реакционную смесь разбавляли этилацетатом и промывали водой и насыщенным солевым раствором, сушили над сульфатом натрия и концентрировали. Неочищенное соединение очищали методом колоночной хроматографии (силикагель, градиент: 40-50% EtOAc в гексане) с получением 6-[(4-нитрофенил)метил]-1Н-бензо[cd]индол-2-она (3) (5 г, 28,40% выход) в виде коричневого твердого вещества. ЖХ-МС: ЭС+ 305,21.
Стадия 2: Синтез 6-[(4-аминофенил)метил]-1Н-бензо[cd]индол-2-она: Перемешиваемый раствор 6-[(4-нитрофенил)метил]-1Н-бензо[cd]индол-2-она (3) (5 г, 16,43 ммоль) в метаноле (50 мл) продували аргоном в течение 10 мин, затем Pd-C (2,99 г, 24,65 ммоль) добавляли и реакционную смесь перемешивали в атмосфере водорода (баллон) в течение 16 часов при к.т. Реакционную смесь фильтровали через целит и промывали 10% МеОН в DCM. Полученный таким образом фильтрат концентрировали в условиях пониженного давления с получением 6-[(4-аминофенил)метил]-1Н-бензо[cd]индол-2-она (4) (3,5 г, 63,67% выход) в виде коричневого твердого вещества. ЖХ-МС: ЭС+ 275,15.
Стадия 3: Синтез трет-бутил-4-[4-[(2-оксо-1Н-бензо[cd]индол-6-ил)метил]анилино]пиперидин-1-карбоксилата: К перемешиваемому раствору 6-[(4-аминофенил)метил]-1Н-бензо[cd]индол-2-она (4) (1,75 г, 6,38 ммоль) в THF (30 мл) добавляли трет-бутил-4-оксопиперидин-1-карбоксилат (5) (1,40 г, 7,02 ммоль) с последующим добавлением дихлорида дибутилолова (2,33 г, 7,66 ммоль, 1,71 мл) и фенилсилана (690,33 мг, 6,38 ммоль, 786,25 мкл). Реакционную смесь затем перемешивали при 90°С в течение 16 часов в укупоренной пробирке. По окончании реакции (по данным ТСХ) реакционную смесь разбавляли этилацетатом, промывали раствором бикарбоната натрия, водой и насыщенным солевым раствором. Органическую фракцию отделяли. Ее сушили над безводным сульфатом натрия, упаривали в условиях пониженного давления с получением неочищенного соединения, которое очищали методом хроматографии CombiFlash с использованием 30-40% EtOAc в DCM с получением трет-бутил-4-[4-[(2-оксо-1Н-бензо[cd]индол-6-ил)метил]анилино]пиперидин-1-карбоксилата (6) (1,3 г, 39,64% выход) в виде желтого твердого вещества. ЖХ-МС: ЭС+ 458,4. Стадия 4: Синтез 6-[[4-(4-пиперидиламино)фенил]метил]-1Н-бензо[cd]индол-2-онгидрохлорида: К перемешиваемому раствору трет-бутил-4-[4-[(2-оксо-1Н-бензо[cd]индол-6-ил)метил]анилино]пиперидин-1-карбоксилата (6) (500 мг, 1,09 ммоль) в диоксане HCl (5 мл) добавляли диоксан-HCl (15 мл) и реакционную смесь перемешивали при к.т.в течение 3 часов. По окончании реакции (по данным ТСХ) реакционную смесь концентрировали досуха и растирали с эфиром с получением 6-[[4-(4-пиперидиламино)фенил]метил]-1Н-бензо[cd]индол-2-онгидрохлорида (7) (350 мг, 81,31% выход) в виде желтого твердого вещества. ЖХ-МС: ЭС+ 357,1.
Стадия 5: Синтез 3-фтор-4-[4-[4-[(2-оксо-1Н-бензо[cd]индол-6-ил)метил]анилино]-1-пиперидил]бензонитрила: К перемешиваемому раствору 6-[[4-(4-пиперидиламино)фенил]метил]-1Н-бензо[cd]индол-2-онгидрохлорида (7) (350 мг, 888,53 ммоль) в DMF (4 мл) добавляли DIPEA (574,18 мг, 4,44 ммоль, 773,83 мкл) с последующим добавлением 3,4-дифторбензонитрила (8) (123,60 мг, 888,53 ммоль) и полученную реакционную смесь перемешивали при 90°С в течение 16 часов. По окончании реакции (по данным ТСХ) реакционную смесь разбавляли этилацетатом и промывали водой и насыщенным солевым раствором, сушили над сульфатом натрия и концентрировали. Неочищенное соединение очищали с помощью колонки combiflash в 30% EtOAc в DCM с получением 3-фтор-4-[4-[4-[(2-оксо-1Н-бензо[cd]индол-6-ил)метил]анилино]-1-пиперидил]бензонитрила (9) (200 мг, 33,06% выход) в виде желтой смолы. ЖХ-МС: ЭС+ 477,3.
Стадия 6: Синтез 4-[4-[4-[[1-(2,6-диоксо-3-пиперидил)-2-оксобензо[cd]индол-6-ил]метил]анилино]-1-пиперидил]-3-фторбензонитрила: К перемешиваемому раствору 3-фтор-4-[4-[4-[(2-оксо-1Н-бензо[cd]индол-6-ил)метил]анилино]-1-пиперидил]бензонитрила (9) (70 мг, 146,89 ммоль) в THF (5 мл) добавляли гидрид натрия (в масляной дисперсии) в виде 60% дисперсии в минеральном масле (56,28 мг, 1,47 ммоль, 60% чистота) при 0°С и перемешивали в течение 5 мин. Затем 3-бромпиперидин-2,6-дион (10) (141,02 мг, 734,46 ммоль) добавляли при охлаждении и реакционную смесь перемешивали при 70°С в течение 30 мин. По окончании реакции (по данным ТСХ) реакционную смесь гасили льдом и экстрагировали добавлением этилацетата. Органическую часть далее промывали водой и насыщенным солевым раствором, сушили над сульфатом натрия и концентрировали. Неочищенное соединение очищали с пластинки для преп. ТСХ в 20% EtOAc в DCM с получением 4-[4-[4-[[1-(2,6-диоксо-3-пиперидил)-2-оксобензо[cd]индол-6-ил]метил]анилино]-1-пиперидил]-3-фторбензонитрила Соединения 166 (30 мг, 34,21% выход) в виде желтого твердого вещества. 1Н ЯМР (400 МГц, DMSO-d6) d 11,11 (s, 1Н), 8,32 (d, J=8,44 Гц, 1Н), 8,06 (d, J=6,88 Гц, 1H), 7,80 (t, J=7,76 Гц, 1H), 7,67-7,64 (m, 1H), 7,54 (d, J=8,36 Гц, 1H), 7,34 (d, J=7,0 Гц, 1H), 7,14-7,06 (m, 2H), 6,99 (d, J=8,12 Гц, 2H), 6,52 (d, J=Гц, 2H), 5,45-5,42 (m, 1H), 5,35 (d, J=8,52 Гц, 1H), 4,21 (s, 2H), 3,54-3,51 (m, 2H), 2,98-2,92 (m, 4H), 2,76-2,73 (m, 1H), 2,66-2,63 (m, 1H), 2,09-2,07 (m, 1H), 1,98-1,94 (m, 2H), 1,46-1,43 (m, 2Н) ЖХ-МС: ЭС+ 588,2.
Пример 79. Синтез 3-[6-[[4-[4-(1-метилциклобутанкарбонил)пиперазин-1-ил]фенил]метил]-2-оксобензо[cd]индол-1-ил]пиперидин-2,6-диона (Соединение 167)
Стадия 1: Синтез трет-бутил-4-[4-[[1-[(4-метоксифенил)метил]-2-оксобензо[cd]индол-6-ил]метил]фенил]пиперазин-1-карбоксилата: К перемешиваемому раствору трет-бутил-4-[4-(4,4,5,5-тетраметил-1,3,2-диоксаборолан-2-ил)фенил]пиперазин-1-карбоксилата (1) (1,4 г, 3,61 ммоль) и 6-(хлорметил)-1-[(4-метоксифенил)метил]бензо[cd]индол-2-она (2) (2,44 г, 7,21 ммоль) в толуоле (30 мл) и этаноле (10 мл) добавляли безводный трехосновный фосфат калия (2,30 г, 10,82 ммоль) и реакционную массу дегазировали азотом в течение 10 минут. Затем три-о-толилфосфин (219,47 мг, 721,08 ммоль) и (1Е,4Е)-1,5-дифенилпента-1,4-диен-3-онпалладий (330,15 мг, 360,54 ммоль) добавляли и ее нагревали при 90°С в течение 16 часов. По окончании (по данным ТСХ) реакционную смесь пропускали через слой целита и промывали EtOAc. Фильтрат затем промывали водой и насыщенным солевым раствором, сушили над сульфатом натрия и концентрировали. Полученное таким образом неочищенное соединение очищали с помощью колонки combiflash в (градиент: 0-30% EtOAc в DCM) с получением желаемого соединения трет-бутил-4-[4-[[1-[(4-метоксифенил)метил]-2-оксобензо[cd] индол-6-ил]метил]фенил]пиперазин-1-карбоксилата (3) (1,4 г, 41,33% выход) в виде коричневой смолы. ЖХ-МС: ЭС+ 564,2.
Стадия 2: Синтез 6-[(4-пиперазин-1-илфенил)метил]-1Н-бензо[cd]индол-2-она: К перемешиваемому раствору трет-бутил-4-[4-[[1-[(4-метоксифенил)метил]-2-оксобензо[cd]индол-6-ил]метил]фенил]пиперазин-1-карбоксилата (3) (2,2 г, 3,90 ммоль) в TFA (10 мл) добавляли трифторметансульфоновую кислоту (5,86 г, 39,03 ммоль, 3,43 мл) в охлаждающих условиях. Затем реакционную смесь перемешивали при комнатной температуре в течение 16 ч. По окончании (по данным ТСХ и ЖХМС) реакционную массу гасили насыщенным раствором бикарбоната и экстрагировали добавлением этилацетата (дважды). Объединенную органическую часть сушили над сульфатом натрия и концентрировали в условиях пониженного давления с получением 6-[(4-пиперазин-1-илфенил)метил]-1Н-бензо[cd]индол-2-она (4) (1,3 г, 67,89% выход) в виде коричневой смолы. ЖХ-МС: ЭС+ 344,1. Стадия 3: Синтез трет-бутил-4-[4-[(2-оксо-1Н-бензо[cd]индол-6-ил)метил]фенил]пиперазин-1-карбоксилата: К перемешиваемому раствору 6-[(4-пиперазин-1-илфенил)метил]-1Н-бензо[cd]индол-2-она (4) (1,3 г, 3,79 ммоль) в DCM (20 мл) добавляли триэтиламин (1,15 г, 11,36 ммоль, 1,58 мл) в охлаждающих условиях. Затем ди-трет-бутилдикарбонат (991,41 мг, 4,54 ммоль, 1,04 мл) добавляли и полученную реакционную смесь перемешивали при комнатной температуре в течение 16 ч. По окончании (по данным ТСХ) реакционную смесь разбавляли DCM и промывали водой и насыщенным солевым раствором, сушили над Na2SO4 и концентрировали в условиях пониженного давления. Полученное таким образом неочищенное соединение очищали с помощью колонки combi-flash (градиент: 0-30% EtOAc в DCM) с получением чистого соединения трет-бутил-4-[4-[(2-оксо-1Н-бензо[cd]индол-6-ил)метил]фенил]пиперазин-1-карбоксилата (5) (730 мг, 42,10% выход) в виде желтого твердого вещества. ЖХ-МС: ЭС+ 444,5.
Стадия 4: Синтез трет-бутил-4-[4-[[1-(2,6-диоксо-3-пиперидил)-2-оксобензо[cd]индол-6-ил]метил]фенил]пиперазин-1-карбоксилата: К перемешиваемому раствору трет-бутил-4-[4-[(2-оксо-1Н-бензо[cd]индол-6-ил)метил]фенил]пиперазин-1-карбоксилата (5) (700 мг, 1,58 ммоль) в сухом THF (15 мл) добавляли гидрид натрия 60% в виде дисперсии в минеральном масле (604,72 мг, 15,78 ммоль) при 0°С и перемешивали в течение 15 минут с последующим добавлением 3-бромпиперидин-2,6-диона (6) (1,97 г, 10,26 ммоль). По окончании (по данным ТСХ) реакционную смесь гасили льдом и экстрагировали добавлением этилацетата. Органическую часть далее промывали водой и насыщенным солевым раствором, сушили над сульфатом натрия и концентрировали. Неочищенное соединение очищали с помощью колонки Combiflash (30% EtOAc в DCM) с получением трет-бутил-4-[4-[[1-(2,6-диоксо-3-пиперидил)-2-оксобензо[cd]индол-6-ил]метил]фенил]пиперазин-1-карбоксилата (7) (700 мг, 70,37% выход) в виде желтого твердого вещества. ЖХ-МС: ЭС+ 555,3.
Стадия 5: Синтез 3-[2-оксо-6-[(4-пиперазин-1-илфенил)метил]бензо[cd]индол-1-ил]пиперидин-2,6-дионгидрохлорида: К перемешиваемому раствору трет-бутил-4-[4-[[1-(2,6-диоксо-3-пиперидил)-2-оксобензо[cd]индол-6-ил]метил]фенил]пиперазин-1-карбоксилата (7) (700 мг, 1,26 ммоль) в диоксане (3 мл) добавляли диоксан-HCl (15 мл) при 0°С и полученную реакционную смесь перемешивали при комнатной температуре в течение 3 часов. По окончании (по данным ТСХ) реакционную смесь концентрировали в условиях пониженного давления. Неочищенное соединение растирали с эфиром с получением желаемого соединения 3-[2-оксо-6-[(4-пиперазин-1-илфенил)метил]бензо[cd]индол-1-ил]пиперидин-2,6-дионгидрохлорида (8) (550 мг, 86,19% выход) в виде желтого твердого вещества. ЖХ-МС: ЭС+ 455,5.
Стадия 6: Синтез 3-[6-[[4-[4-(1-метилциклобутанкарбонил)пиперазин-1-ил]фенил]метил]-2-оксобензо[cd]индол-1-ил]пиперидин-2,6-диона: К перемешиваемому раствору 1-метилциклобутанкарбоновой кислоты (9) (50,23 мг, 440,03 ммоль) в DMF (5 мл) добавляли DIPEA (284,34 мг, 2,20 ммоль, 383,21 мкл) и HATU (200,77 мг, 528,03 ммоль). Полученную реакционную смесь затем перемешивали при к.т. в течение 15 минут с последующим добавлением 3-[2-оксо-6-[(4-пиперазин-1-илфенил)метил]бензо[cd]индол-1-ил]пиперидин-2,6-диона (8) (200 мг, 440,03 ммоль) и перемешивали при к.т. в течение 16 часов. По окончании (по данным ЖХМС), реакционную смесь разбавляли этилацетатом и промывали холодной водой, насыщенным солевым раствором, сушили над сульфатом натрия и концентрировали в условиях пониженного давления. Полученное таким образом неочищенное соединение очищали с помощью пластинки для преп. ТСХ (50% этилацетата в DCM) с получением желаемого соединения 3-[6-[[4-[4-(1-метилциклобутанкарбонил)пиперазин-1-ил]фенил]метил]-2-оксобензо[cd]индол-1-ил]пиперидин-2,6-диона Соединения 167 (84,0 мг, 34,04% выход) в виде светло-желтого твердого вещества. 1Н ЯМР (400 МГц, DMSO-d6) d 11,09 (s, 1Н), 8,28 (d, J=8,28 Гц, 1Н), 8,03 (d, J=6,92 Гц, 1H), 7,76 (t, J=7,62 Гц, 1H), 7,34 (d, J=7,32 Гц, 1H), 7,13-7,05 (m, 3H), 6,82 (d, J=8,44 Гц, 2H), 5,40 (dd, J=12,88, 5,44 Гц, 1H), 4,26 (s, 2H), 3,52-3,50 (m, 2H), 3,30-3,29 (m, 2H), 2,98 (br s, 4H), 2,92-2,86 (m, 1H), 2,75-2,70 (m, 1H), 2,64-2,60 (m, 1H), 2,47-2,33 (m, 2H), 2,07-2,04 (m, 1H), 1,90-1,85 (m, 1H), 1,78-1,73 (m, 2H), 1,59-1,56 (m, 1H), 1,31 (s, 3Н); ЖХ-МС: ЭС+ 551,2.
Пример 80. Синтез 3-[6-[[4-[4-[(1-метилциклобутил)метил]пиперазин-1-ил]фенил]метил]-2-оксобензо[cd]индол-1-ил]пиперидин-2,6-диона (Соединение 168)
Стадия 1: Синтез 3-[6-[[4-[4-[(1-метилциклобутил)метил]пиперазин-1-ил]фенил]метил]-2-оксобензо[cd]индол-1-ил]пиперидин-2,6-диона: К перемешиваемому раствору 3-[6-[[4-(4-хлорпиперазин-1-ил)фенил]метил]-2-оксобензо[cd]индол-1-ил]пиперидин-2,6-диона (1) (200,0 мг, 407,35 ммоль) в THF (6 мл) добавляли триэтиламин (82,44 мг, 814,70 ммоль, 113,55 мкл) с последующим добавлением 1-метилциклобутанкарбальдегида (2) (39,98 мг, 407,35 ммоль, 39,19 мкл), дихлорида дибутилолова (148,53 мг, 488,82 ммоль, 109,21 мкл) и фенилсилана (44,08 мг, 407,35 ммоль, 50,20 мкл). Реакционную смесь затем перемешивали при 90°С в течение 16 часов. По окончании (по данным ТСХ и ЖХМС) реакционную массу гасили насыщенным раствором бикарбоната и экстрагировали добавлением этилацетата. Органический слой отделяли и промывали насыщенным солевым раствором, сушили над сульфатом натрия и концентрировали в условиях пониженного давления. Полученное таким образом неочищенное соединение очищали методом хроматографии CombiFlash (градиент: 0-1% МеоН в DCM) с получением желаемого соединения 3-[6-[[4-[4-[(1-метилциклобутил)метил]пиперазин-1-ил]фенил]метил]-2-оксобензо[cd]индол-1-ил]пиперидин-2,6-диона Соединения 168 (70 мг, 30,42% выход) в виде светло-желтого твердого вещества. 1Н ЯМР (400 МГц, DMSO-d6) d 11,11 (s, 1Н), 8,31 (d, J=8,24 Гц, 1Н), 8,06 (d, J=6,96 Гц, 1Н), 7,79 (t, J=7,62 Гц, 1Н), 7,36 (d, J=7,32 Гц, 1H), 7,11-7,07 (m, 3H), 6,80 (d, J=8,44 Гц, 2H), 5,43 (dd, J=12,76, 5,04 Гц, 1H), 4,27 (s, 2H), 3,00-2,99 (m, 4H), 2,94-2,90 (m, 1H), 2,77-2,72 (m, 1H), 2,66-2,62 (m, 1H), 2,40 (br s, 4H), 2,24 (s, 2H), 2,10-2,07 (m, 1H), 1,94-1,90 (m, 1H), 1,86-1,82 (m, 2H), 1,79-1,71 (m, 1H), 1,62-1,58 (m, 2H), 1,15 (s, 3Н); ЖХ-МС: ЭС+ 536,9.
Пример 81. Синтез 3-[6-[[4-[1-(1-метилциклобутанкарбонил)-4-пиперидил]фенил]метил]-2-оксобензо[cd]индол-1-ил]пиперидин-2,6-диона (Соединение 169)
Стадия 1: Синтез трет-бутил-4-[4-(4,4,5,5-тетраметил-1,3,2-диоксаборолан-2-ил)фенил]пиперидин-1-карбоксилата: К перемешиваемому раствору трет-бутил-4-(4-бромфенил)пиперидин-1-карбоксилата (1) (2 г, 5,88 ммоль) в 1,4-диоксане (40 мл) добавляли бис(пинаколато)дибор (2,24 г, 8,82 ммоль) и ацетат калия (1,73 г, 17,63 ммоль). Затем газообразный азот продували в течение 15 минут с последующим добавлением циклопентил(дифенил)фосфан; дихлорметан; дихлорпалладий; железо (480,02 мг, 587,80 ммоль). Полученную реакционную смесь затем перемешивали при 90°С в течение 16 часов. По окончании (по данным ТСХ и ЖХМС) реакционную смесь фильтровали через слой целита и промывали этилацетатом. Фильтрат затем промывали водой и насыщенным солевым раствором, сушили над сульфатом натрия и концентрировали с получением трет-бутил-4-[4-(4,4,5,5-тетраметил-1,3,2-диоксаборолан-2-ил)фенил]пиперидин-1-карбоксилата (2) (2,2 г, 96,63% выход). ЖХ-МС: ЭС+ 388,5.
Стадия 2: Синтез трет-бутил-4-[4-[[1-[(4-метоксифенил)метил]-2-оксобензо[cd]индол-6-ил]метил]фенил]пиперидин-1-карбоксилата: К перемешиваемому раствору 4-[4-(4,4,5,5-тетраметил-1,3,2-диоксаборолан-2-ил)фенил]пиперидин-1-карбоксилата (2) (2,06 г, 5,33 ммоль) и 6-(хлорметил)-1-[(4-метоксифенил)метил]бензо[cd]индол-2-она (3) (1,5 г, 4,44 ммоль) в толуоле (32 мл) и этаноле (16 мл) добавляли безводный трехосновный фосфат калия (2,83 г, 13,32 ммоль) и реакционную массу дегазировали азотом в течение 10 минут. Затем три-о-толилфосфин (270,31 мг, 888,10 ммоль) и (1Е,4Е)-1,5-дифенилпента-1,4-диен-3-онпалладий (406,63 мг, 444,05 ммоль) добавляли и ее нагревали при 90°С в течение 16 ч. По окончании (по данным ТСХ) реакционную смесь пропускали через слой целита и промывали EtOAc.Фильтрат затем промывали водой и насыщенным солевым раствором, сушили над сульфатом натрия и концентрировали. Полученное таким образом неочищенное соединение очищали с помощью колонки combiflash в (градиент: 0-20% EtOAc в гексане) с получением желаемого соединения трет-бутил-4-[4-[[1-[(4-метоксифенил)метил]-2-оксобензо[cd]индол-6-ил]метил]фенил]пиперидин-1-карбоксилата (4) (1,5 г, 57,03% выход) в виде беловатого твердого вещества. ЖХ-МС: ЭС+ 563,06.
Стадия 3: Синтез 6-[[4-(4-пиперидил)фенил]метил]-1Н-бензо[cd]индол-2-она: К перемешиваемому раствору трет-бутил-4-[4-[[1-[(4-метоксифенил)метил]-2-оксобензо[cd]индол-6-ил]метил]фенил]пиперидин-1-карбоксилата (4) (1,8 г, 3,20 ммоль) в TFA (5 мл) добавляли трифторметансульфоновую кислоту (4,80 г, 31,99 ммоль, 2,81 мл) в охлаждающих условиях. Затем реакционную смесь перемешивали при комнатной температуре в течение 16 часов. По окончании (по данным ТСХ и ЖХМС) реакционную массу гасили насыщенным раствором бикарбоната и экстрагировали добавлением этилацетата (дважды). Объединенную органическую часть сушили над сульфатом натрия и концентрировали в условиях пониженного давления с получением 6-[[4-(4-пиперидил)фенил]метил]-1Н-бензо[cd]индол-2-она (5) (800 мг, 65,73% выход) в виде коричневой смолы. ЖХ-МС: ЭС+ 343,1.
Стадия 4: Синтез трет-бутил-4-[4-[(2-оксо-1Н-бензо[cd]индол-6-ил)метил]фенил]пиперидин-1-карбоксилата: К перемешиваемому раствору 6-[[4-(4-пиперидил)фенил]метил]-1Н-бензо[cd]индол-2-она (5) (800 мг, 2,34 ммоль) в DCM (20 мл) добавляли триэтиламин (709,21 мг, 7,01 ммоль, 976,87 мкл) в охлаждающих условиях. Затем ди-трет-бутилдикарбонат (611,85 мг, 2,80 ммоль, 643,37 мкл) добавляли и полученную реакционную смесь перемешивали при комнатной температуре в течение 16 ч. По окончании (по данным ТСХ) реакционную смесь разбавляли DCM и промывали водой и насыщенным солевым раствором, сушили над Na2SO4 и концентрировали в условиях пониженного давления. Полученное таким образом неочищенное соединение очищали с помощью колонки combi-flash (градиент: 0-20% EtOAc в DCM) с получением чистого соединения трет-бутил-4-[4-[(2-оксо-1Н-бензо[cd]индол-6-ил)метил]фенил]пиперидин-1-карбоксилата (6) (400 мг, 36,75% выход) в виде желтого твердого вещества. ЖХ-МС: ЭС+ 387,6, (М-56 присутствует).
Стадия 5: Синтез 4-[4-[[1-(2,6-диоксо-3-пиперидил)-2-оксобензо[cd]индол-6-ил]метил]фенил]пиперидин-1-карбоксилата: К перемешиваемому раствору трет-бутил-1-[4-[(2-оксо-1Н-бензо[cd]индол-6-ил)метил]фенил]пиперидин-4-карбоксилата (6) (400 мг, 903,86 ммоль) в сухом THF (10 мл) добавляли гидрид натрия 60% в виде дисперсии в минеральном масле (519,49 мг, 13,56 ммоль) при 0°С и перемешивали в течение 15 минут с последующим добавлением 3-бромпиперидин-2,6-диона (7) (867,75 мг, 4,52 ммоль). По окончании (по данным ТСХ) реакционную смесь гасили льдом и экстрагировали добавлением этилацетата. Органическую часть далее промывали водой и насыщенным солевым раствором, сушили над сульфатом натрия и концентрировали. Неочищенное соединение очищали с помощью колонки Combiflash (30% EtOAC в DCM) с получением 4-[4-[[1-(2,6-диоксо-3-пиперидил)-2-оксобензо[cd]индол-6-ил]метил]фенил]пиперидин-1-карбоксилата (8) (300 мг, 53,95% выход) в виде желтого твердого вещества. ЖХ-МС: ЭС+ 454,5, (М+Н)-100 присутствует).
Стадия 6: Синтез 3-[2-оксо-6-[[4-(4-пиперидил)фенил]метил]бензо[cd]индол-1-ил]пиперидин-2,6-дионгидрохлорида: К перемешиваемому раствору трет-бутил-трет-бутил-1-[4-[[1-(2,6-диоксо-3-пиперидил)-2-оксобензо[cd]индол-6-ил]метил]фенил]пиперидин-4-карбоксилата (8) (300 мг, 541,86 ммоль) в диоксане (3 мл) добавляли диоксан-HCl (10 мл) при 0°С и полученную реакционную смесь перемешивали при комнатной температуре в течение 3 часов. По окончании (по данным ТСХ) реакционную смесь концентрировали в условиях пониженного давления. Неочищенное соединение растирали с эфиром-пентаном с получением желаемого соединения 3-[2-оксо-6-[[4-(4-пиперидил)фенил]метил]бензо[cd]индол-1-ил]пиперидин-2,6-диона (9) (260 мг, 97,03% выход) в виде желтого твердого вещества. ЖХ-МС: ЭС+ 454,38.
Стадия 7: Синтез 3-[6-[[4-[1-(1-метилциклобутанкарбонил)-4-пиперидил]фенил]метил]-2-оксобензо[cd]индол-1-ил]пиперидин-2,6-диона: К перемешиваемому раствору 3-[2-оксо-6-[[4-(4-пиперидил)фенил]метил]бензо[cd]индол-1-ил]пиперидин-2,6-диона (9) (110 мг, 242,54 ммоль) и 1-метилциклобутанкарбоновой кислоты (10) (27,68 мг, 242,54 ммоль) в DMF (50 мл) добавляли DIPEA (156,73 мг, 1,21 ммоль, 211,23 мкл) и перемешивали в течение 15 минут с последующим добавлением HATU (110,67 мг, 291,05 ммоль) и оставляли перемешиваться в течение 16 часов при к.т. По окончании (по данным ЖХМС), реакционную смесь разбавляли этилацетатом и промывали холодной водой, насыщенным солевым раствором, сушили над сульфатом натрия и концентрировали в условиях пониженного давления. Полученное таким образом неочищенное соединение очищали методом колоночной хроматографии (силикагель, градиент: 0-2% МеОН в DCM) с получением 3-[6-[[4-[1-(1-метилциклобутанкарбонил)-4-пиперидил]фенил]метил]-2-оксобензо[cd]индол-1-ил]пиперидин-2,6-диона Соединения 169 (72,0 мг, 53,75% выход) в виде светло-желтого твердого вещества. 1Н ЯМР (400 МГц, DMSO-d6) d 11,11 (s, 1Н), 8,33 (d, J=8,2 Гц, 1H), 8,06 (d, J=6,92 Гц, 1H), 7,80 (t, J=7,58 Гц, 1H), 7,40 (d, J=7,2 Гц, 1H), 7,22-7,19 (m, 2H), 7,15-7,07 (m, 3H), 5,43 (dd, J=12,52, 5,0 Гц, 1H), 4,47-4,45 (m, 1H), 4,34 (s, 2H), 3,58-3,57 (m, 1H), 2,99-2,88 (m, 2H), 2,80-2,56 (m, 4H), 2,41-2,39 (m, 2H), 2,10-2,07 (m, 1H), 1,93-1,84 (m, 1H), 1,77-1,70 (m, 4H), 1,63-1,61 (m, 1H), 1,58-1,40 (m, 2H), 1,33 (s, 3Н); ЖХ-МС: ЭС+ 550,3.
Пример 82. Синтез 3-[6-[[4-[1-[(1-метилциклобутил)метил]-4-пиперидил]фенил]метил]-2-оксобензо[cd]индол-1-ил]пиперидин-2,6-диона (Соединение 170)
Стадия 1: Синтез 3-[6-[[4-[1-[(1-метилциклобутил)метил]-4-пиперидил]фенил]метил]-2-оксобензо[cd]индол-1-ил]пиперидин-2,6-диона: К перемешиваемому раствору 3-[6-[[4-(1-хлор-4-пиперидил)фенил]метил]-2-оксобензо[cd]индол-l-ил]пиперидин-2,6-диона (1) (200 мг, 408,17 ммоль) в THF (6 мл) добавляли триэтиламин (82,44 мг, 814,70 ммоль, 113,55 мкл) с последующим добавлением 1-метилциклобутанкарбальдегида (2) (40,06 мг, 408,17 ммоль, 39,27 мкл), дихлорида дибутилолова (148,83 мг, 489,80 ммоль, 109,43 мкл) и фенилсилана (44,17 мг, 408,17 ммоль, 50,31 мкл). Реакционную смесь затем перемешивали при 90°С в течение 48 часов в укупоренной пробирке. По окончании (по данным ТСХ и ЖХМС) реакционную массу гасили насыщенным раствором бикарбоната и экстрагировали добавлением этилацетата. Органический слой отделяли и промывали насыщенным солевым раствором, сушили над сульфатом натрия и концентрировали в условиях пониженного давления. Полученное таким образом неочищенное соединение очищали методом хроматографии CombiFlash (градиент: 0-1% МеоН в DCM) с получением желаемого соединения 3-[6-[[4-[1-[(1-метилциклобутил)метил]-4-пиперидил]фенил]метил]-2-оксобензо[cd]индол-1-ил]пиперидин-2,6-диона Соединения 170 (50 мг, 22,87% выход) в виде светло-желтого твердого вещества. 1Н ЯМР (400 МГц, DMSO-d6) d 11,11 (s, 1Н), 8,33 (d, J=8,24 Гц, 1H), 8,07 (d, J=6,96 Гц, 1H), 7,80 (t, J=7,62 Гц, 1H), 7,42-7,40 (m, 1H), 7,25-7,18 (m, 2H), 7,13-7,09 (m, 3H), 5,46-5,43 (m, 1H), 4,34 (s, 2H), 3,33-3,31 (m, 1H), 3,13-3,10 (m, 1H), 2,96-2,92 (m, 1H), 2,78-2,74 (m, 2H), 2,70-2,62 (m, 1H), 2,33-2,31 (m, 1H), 2,21 (s, 1H), 2,10-2,07 (m, 1H), 1,99-1,72 (m, 6H), 1,62-1,60 (m, 4H), 1,31-1,30 (m, 1H), 1,14 (s, 2H); ЖХ-МС: ЭС+ 536,3.
Пример 83. Синтез 4-[4-[4-[[1-(2,6-диоксо-3-пиперидил)-2-оксобензо[cd]индол-6-ил]метил]фенокси]-1-пиперидил]-3-фторбензонитрила (Соединение 171)
Стадия 1: Синтез трет-бутил-4-(4-метоксикарбонилфенокси)пиперидин-1-карбоксилата: К перемешиваемому раствору трифенилфосфина (3,91 г, 14,91 ммоль) в THF (20 мл) добавляли диизопропилазодикарбоксилат (3,01 г, 14,91 ммоль, 2,93 мл) при 0°С и ее перемешивали при комнатной температуре в течение 15 минут, когда раствор становился мутным, к нему добавляли метил-4-гидроксибензоат (1) (2 г, 13,15 ммоль) с последующим добавлением трет-бутил-4-гидроксипиперидин-1-карбоксилата (2) (2 г, 9,94 ммоль) и реакцию продолжали при комнатной температуре в течение 16 часов. По окончании реакции (по данным ТСХ) реакционную смесь упаривали в условиях пониженного давления и очищали методом колоночной хроматографии (Силикагель; градиент 10-15% EtOAc в гексане) с получением трет-бутил-4-(4-метоксикарбонилфенокси)пиперидин-1-карбоксилата (3) (1,8 г, 53,25% выход) в виде белого твердого вещества. ЖХ-МС: ЭС+ (М-100) 236,2.
Стадия 2: Синтез трет-бутил-4-[4-(гидроксиметил)фенокси]пиперидин-1-карбоксилата: К перемешиваемому раствору трет-бутил-4-(4-метоксикарбонилфенокси)пиперидин-1-карбоксилата (3) (1,8 г, 5,37 ммоль) в THF (20 мл) добавляли литийалюминийгидрид (728,22 мг, 21,47 ммоль) (порциями) при охлаждении и реакционную смесь перемешивали при к.т. в течение 16 ч. По окончании реакции (по данным ТСХ) реакционную смесь разбавляли THF и охлаждали до 0°С и к ней добавляли воду (0,8 мл) с последующим добавлением 15% водного раствора NaOH (0,8 мл) и воды (2,4 мл) и затем реакционную смесь нагревали до к.т. и перемешивали в течение 15 мин. Затем ее отфильтровывали и фильтрат сушили в условиях пониженного давления. Неочищенное соединение вновь разбавляли этилацетатом и промывали водой и насыщенным солевым раствором, сушили над сульфатом натрия и концентрировали с получением трет-бутил-4-[4-(гидроксиметил)фенокси]пиперидин-1-карбоксилата (4) (1,2 г, 63,29% выход) в виде белого твердого вещества. ЖХ-МС: ЭС+ (М-100) 208.
Стадия 3: Синтез трет-бутил-4-[4-(хлорметил)фенокси]пиперидин-1-карбоксилата: К перемешиваемому раствору трет-бутил-4-[4-(гидроксиметил)фенокси]пиперидин-1-карбоксилата (4) (800 мг, 2,60 ммоль) в DCM (15 мл) добавляли триэтиламин (1,32 г, 13,01 ммоль, 1,81 мл) при охлаждении и реакционную смесь перемешивали в течение 5 мин. Затем мезилхлорид (1,19 г, 10,41 ммоль, 805,76 мкл) добавляли и реакционной смеси позволяли нагреться до к.т.и перемешивали в течение 16 часов. По окончании реакции (по данным ТСХ) реакционную смесь разбавляли DCM и промывали насыщ. раствором бикарбоната натрия и насыщенным солевым раствором, сушили над сульфатом натрия и концентрировали с получением трет-бутил-4-[4-(хлорметил)фенокси]пиперидин-1-карбоксилата (5) (800 мг, 75,47% выход) в виде желтой липкой смолы.
Стадия 4: Синтез трет-бутил-4-[4-[(2-оксо-1Н-бензо[cd]индол-6-ил)метил]фенокси]пиперидин-1-карбоксилата: К перемешиваемому раствору трет-бутил-4-[4-(хлорметил)фенокси]пиперидин-1-карбоксилата (5) (800 мг, 2,46 ммоль) в толуоле (12 мл) и этаноле (6 мл) добавляли 6-(4,4,5,5-тетраметил-1,3,2-диоксаборолан-2-ил)-1Н-бензо[cd]индол-2-он (6) (1,09 г, 3,68 ммоль) и безводный трехосновный фосфат калия (1,56 г, 7,37 ммоль). Полученную реакционную смесь дегазировали аргоном в течение 10 мин, затем Pd2(dba)3 (224,68 мг, 245,53 ммоль) и три-о-толилфосфин (149,46 мг, 491,05 ммоль) добавляли и реакционную смесь нагревали при 100°С в течение 16 ч. По окончании (по данным ТСХ), реакционную смесь разбавляли этилацетатом и промывали водой и насыщенным солевым раствором, сушили над сульфатом натрия и концентрировали. Полученное таким образом неочищенное соединение очищали с помощью колонки combiflash (градиент 20-30% EtOAc в DCM) с получением трет-бутил-4-[4-[(2-оксо-1Н-бензо[cd]индол-6-ил)метил]фенокси]пиперидин-1-карбоксилата (7) (400 мг, 31,98% выход) в виде желтого твердого вещества. ЖХ-МС: ЭС+ 459,5.
Стадия 5: Синтез 6-[[4-(4-пиперидилокси)фенил]метил]-1Н-бензо[cd]индол-2-онгидрохлорида: Диоксан-HCl (5 мл) добавляли к трет-бутил-4-[4-[(2-оксо-1Н-бензо[cd]индол-6-ил)метил]фенокси]пиперидин-1-карбоксилату (7) (400 мг, 872,32 ммоль) и полученную реакционную смесь перемешивали при к.т.в течение 2 часов. По окончании реакции (по данным ТСХ), реакционную смесь упаривали досуха и растирали с эфиром с получением 6-[[4-(4-пиперидилокси)фенил]метил]-1Н-бензо[cd]индол-2-онгидрохлорида (8) (340 мг, 72,29% выход) в виде желтого твердого вещества. ЖХ-МС: ЭС+ 359,3.
Стадия 6: Синтез 3-фтор-4-[4-[4-[(2-оксо-1Н-бензо[cd]индол-6-ил)метил]фенокси]-1-пиперидил]бензонитрила: К перемешиваемому раствору 6-[[4-(4-пиперидилокси)фенил]метил]-1Н-бензо[cd]индол-2-онгидрохлорида (8) (340 мг, 860,99 ммоль) в NMP (5 мл) добавляли DIPEA (556,39 мг, 4,30 ммоль, 749,85 мкл) с последующим добавлением 3,4-дифторбензонитрила (9) (119,77 мг, 860,99 ммоль) и полученную реакционную смесь перемешивали при 90°С в течение 16 часов. По окончании реакции (по данным ТСХ), реакционную смесь разбавляли этилацетатом и промывали водой и насыщенным солевым раствором, сушили над сульфатом натрия и концентрировали. Неочищенное соединение очищали с помощью колонки combiflash (градиент 0-30% EtOAc в DCM) с получением 3-фтор-4-[4-[4-[(2-оксо-1Н-бензо[cd]индол-6-ил)метил]фенокси]-1-пиперидил]бензонитрила (10) (120 мг, 27,14% выход) в виде желтой смолы. ЖХ-МС: ЭС+ 478,3.
Стадия 7: Синтез 4-[4-[4-[[1-(2,6-диоксо-3-пиперидил)-2-оксобензо[cd]индол-6-ил]метил]фенокси]-1-пиперидил]-3-фторбензонитрила: К перемешиваемому раствору 3-фтор-4-[4-[4-[(2-оксо-1Н-бензо[cd]индол-6-ил)метил]фенокси]-1-пиперидил]бензонитрила (10) (120 мг, 251,29 ммоль) в THF (5 мл) добавляли гидрид натрия 60% в виде дисперсии в минеральном масле (57,77 мг, 2,51 ммоль) при 0°С и перемешивали в течение 5 мин. Затем 3-бромпиперидин-2,6-дион (11) (241,26 мг, 1,26 ммоль) добавляли при охлаждении и реакционную смесь перемешивали при 70°С в течение 30 мин. По окончании реакции (по данным ТСХ) реакционную смесь гасили льдом и экстрагировали добавлением этилацетата. Органическую часть далее промывали водой и насыщенным солевым раствором, сушили над сульфатом натрия и концентрировали. Неочищенное соединение очищали с пластинки для преп. ТСХ в 20% EtOAc в DCM с получением 4-[4-[4-[[1-(2,6-диоксо-3-пиперидил)-2-оксобензо[cd]индол-6-ил]метил]фенокси]-1-пиперидил]-3-фторбензонитрила Соединения 171 (85 мг, 55,19% выход) в виде желтого твердого вещества. 1Н ЯМР (400 МГц, DMSO-d6) d 11,11 (s, 1Н), 8,33 (d, J=8,24 Гц, 1Н), 8,07 (d, J=6,72 Гц, 1Н), 7,81 (t, J=7,62 Гц, 1Н), 7,69-7,65 (m, 1Н), 7,54 (d, J=7,2 Гц, 1H), 7,39 (d, J=7,28 Гц, 1H), 7,21-7,08 (m, 4H), 6,89 (d, J=8,44 Гц, 1H), 5,45-5,41 (m, 1H), 4,52-4,51 (m, 1H), 4,32 (s, 2H), 3,41-3,35 (m, 2H), 3,11-3,07 (m, 2H), 2,96-2,90 (m, 1H), 2,77-2,73 (m, 1H), 2,66-2,62 (m, 1H), 2,09-2,07 (m, 1H), 2,01-2,00 (m, 2H), 1,73-1,72 (m, 2H) ЖХ-МС: ЭС+ 589,3.
Пример 84. Синтез 4-[4-[[4-[[1-(2,6-диоксо-3-пиперидил)-2-оксобензо[cd]индол-6-ил]метил]фенил]метил]-3-оксопиперазин-1-ил]-3-фторбензонитрила (Соединение 172)
Стадия 1: Синтез трет-бутил-4-[[4-(хлорметил)фенил]метил]-3-оксопиперазин-1-карбоксилата: К перемешиваемому раствору трет-бутил-3-оксопиперазин-1-карбоксилата (1) (2 г, 9,99 ммоль) в DMF (20 мл) гидрид натрия 60% в виде дисперсии в минеральном масле (275,56 мг, 11,99 ммоль) добавляли при охлаждении и реакционную смесь перемешивали в течение 20 мин. Затем 1,4-бис(хлорметил)бензол (2) (1,75 г, 9,99 ммоль, 1,23 мл) добавляли и реакционную смесь оставляли перемешиваться при к.т. в течение 16 ч. Реакционную смесь гасили льдом и экстрагировали добавлением этилацетата. Органическую часть сушили над сульфатом натрия и концентрировали. Неочищенное соединение очищали методом колоночной хроматографии в (100-200 силикагель; градиент 20-30% EtOAc в гексане) с получением трет-бутил-4-[[4-(хлорметил)фенил]метил]-3-оксопиперазин-1-карбоксилата (3) (1,5 г, 39,89% выход). ЖХ-МС: ЭС+ 339,0.
Стадия 2: Синтез 3-оксо-4-[[4-[(2-оксо-1Н-бензо[cd]индол-6-ил)метил]фенил]метил]пиперазин-1-карбоксилата: К перемешиваемому раствору трет-бутил-4-[[4-(хлорметил)фенил]метил]-3-оксопиперазин-1-карбоксилата (3) (1 г, 2,95 ммоль) и 6-(4,4,5,5-тетраметил-1,3,2-диоксаборолан-2-ил)-1Н-бензо[cd]индол-2-она (4) (1,05 г, 3,54 ммоль) в этаноле (5 мл) и толуоле (10 мл) добавляли безводный трехосновный фосфат калия (1,88 г, 8,85 ммоль) и реакционную массу продували азотом в течение 15 мин, затем три-о-толилфосфин (179,66 мг, 590,27 ммоль) и (1Е,4Е)-1,5-дифенилпента-1,4-диен-3-онпалладий (270,26 мг, 295,13 ммоль) добавляли и реакционную смесь нагревали при 90°С в течение 16 ч. По окончании (по данным ТСХ) реакционную смесь пропускали через слой целита и промывали EtOAc. Фильтрат затем промывали водой и насыщенным солевым раствором, сушили над сульфатом натрия и концентрировали. Полученное таким образом неочищенное соединение очищали с помощью колонки combiflash в (градиент: 0-30% EtOAc в DCM) с получением трет-бутил-3-оксо-4-[[4-[(2-оксо-1Н-бензо[cd]индол-6-ил)метил]фенил]метил]пиперазин-1-карбоксилата (5) (500 мг, 23,71% выход). ЖХ-МС: ЭС+ 472,6.
Стадия 3: Синтез 6-[[4-[(2-оксопиперазин-1-ил)метил]фенил]метил]-1Н-бензо[cd]индол-2-онгидрохлорида: Диоксан-HCl (10 мл) добавляли к трет-бутил-3-оксо-4-[[4-[(2-оксо-1Н-бензо[cd]индол-6-ил)метил]фенил]метил]пиперазин-1-карбоксилату (5) (500 мг, 1,06 ммоль) и перемешивали при к.т. в течение 3 часов. По окончании реакции (по данным ТСХ) реакционную смесь концентрировали досуха и растирали с эфиром с получением 6-[[4-[(2-оксопиперазин-1-ил)метил]фенил]метил]-1Н-бензо[cd]индол-2-онгидрохлорида (6) (400 мг, 71% выход). ЖХ-МС: ЭС+ 372,4.
Стадия 4: Синтез 3-метил-4-[3-оксо-4-[[4-[(2-оксо-1Н-бензо[cd]индол-6-ил)метил]фенил]метил]пиперазин-1-ил]бензонитрила: К перемешиваемому раствору 6-[[4-[(2-оксопиперазин-1-ил)метил]фенил]метил]-1Н-бензо[cd]индол-2-онгидрохлорида (6) (400 мг, 980,65 ммоль) и 3,4-дифторбензонитрила (7) (136,41 мг, 980,65 ммоль) в NMP (7 мл) добавляли DIPEA (633,71 мг, 4,90 ммоль, 854,06 мкл) и реакционную смесь перемешивали при 80°С в течение 16 часов. По окончании реакции (по данным ТСХ) реакционную смесь разбавляли этилацетатом и промывали водой и насыщенным солевым раствором, сушили над сульфатом натрия и концентрировали. Неочищенное соединение очищали с помощью колонки combiflash (градиент 50-100% EtOAc в гексане) с получением 3-метил-4-[3-оксо-4-[[4-[(2-оксо-1Н-бензо[cd]индол-6-ил)метил]фенил]метил]пиперазин-1-ил]бензонитрила (8) (150 мг, 29,86% выход) в виде желтого твердого вещества. ЖХ-МС: ЭС+ 491,01.
Стадия 5: Синтез 4-[4-[[4-[[1-(2,6-диоксо-3-пиперидил)-2-оксобензо[cd]индол-6-ил]метил]фенил]метил]-3-оксопиперазин-1-ил]-3-фторбензонитрила: К перемешиваемому раствору 3-фтор-4-[3-оксо-4-[[4-[(2-оксо-1Н-бензо[cd]индол-6-ил)метил]фенил]метил]пиперазин-1-ил]бензонитрила (8) (150 мг, 305,79 ммоль) в THF (10 мл) добавляли гидрид натрия 60% в виде дисперсии в минеральном масле (70,30 мг, 3,06 ммоль) порциями при 0°С и перемешивали в течение 10 мин при к.т. Реакционную смесь вновь охлаждали до 0°С и 3-бромпиперидин-2,6-дион (9) (293,58 мг, 1,53 ммоль) добавляли и реакционную смесь перемешивали при 70°С в течение 30 мин. По окончании реакции (по данным ТСХ) реакционную смесь гасили льдом и экстрагировали добавлением этилацетата. Органическую часть далее промывали водой и насыщенным солевым раствором, сушили над сульфатом натрия и концентрировали. Полученное таким образом неочищенное соединение очищали с помощью пластинки для преп. ТСХ в 30% EtOAc в DCM с получением 4-[4-[[4-[[1-(2,6-диоксо-3-пиперидил)-2-оксобензо[cd]индол-6-ил]метил]фенил]метил]-3-оксопиперазин-1-ил]-3-фторбензонитрила Соединения 172 (85 мг, 46,05% выход) в виде желтого твердого вещества. 1Н ЯМР (400 МГц, DMSO-d6) d 11,11 (s, 1Н), 8,33 (d, J=8,28 Гц, 1H), 8,07 (d, J=6,96 Гц, 1H), 7,80 (t, J=7,64 Гц, 1H), 7,74-7,70 (m, 1H), 7,56 (d, J=8,36 Гц, 1H), 7,40 (d, J=7,36 Гц, 1H), 7,27 (d, J=7,96 Гц, 1H), 7,16 (d, J=7,96 Гц, 1H), 7,13-7,09 (m, 2H), 5,43 (dd, J=12,84, 4,92 Гц, 1H), 4,50 (s, 2H), 4,38 (s, 2H), 3,91 (s, 2H), 3,49-3,46 (m, 2H), 2,97-2,90 (m, 1H), 2,78-2,72 (m, 1H), 2,69-2,62 (m, 1H), 2,10-2,09 (m, 1H) ЖХ-МС: ЭС+ 602,01.
Пример 85. Синтез [4-[4-[[1-[1-(1-метилциклобутанкарбонил)-4-пиперидил]пиразол-4-ил]дисульфанил]пиразол-1-ил]-1-пиперидил]-(1-метилциклобутил)метанона (Соединение 173)
Стадия 1: Синтез 2-бензилсульфанилпропандиаля: К перемешиваемому раствору фенилметантиола (1) (10 г, 80,51 ммоль), 2-бромпропандиаля (2) (12,76 г, 84,54 ммоль) в DMF (80 мл) добавляли карбонат калия (12,24 г, 88,56 ммоль) и полученную реакционную смесь перемешивали при 55°С в течение 5 часов. По окончании (по данным ТСХ) реакционную смесь разбавляли этилацетатом и промывали водой и насыщенным солевым раствором, сушили над сульфатом натрия и концентрировали в условиях пониженного давления с получением 2-бензилсульфанилпропандиаля (3) (9 г, 51,79% выход) в виде коричневого твердого вещества. ЖХ-МС: ES - 192,8.
Стадия 2: Синтез 4-бензилсульфанил-1Н-пиразола: К перемешиваемому раствору [бензил(формил)-$1^{4}-сульфанил]формальдегида (3) (9 г, 49,39 ммоль) в метаноле (90 мл) добавляли гидразингидрат (2,47 г, 49,39 ммоль, 2,40 мл) и полученную реакционную смесь нагревали при 90°С в течение 16 ч. По окончании реакции (по данным ТСХ) реакционную смесь концентрировали в условиях пониженного давления. Неочищенного соединения неочищенного соединения затем разбавляли EtOAc и промывали водой и насыщенным солевым раствором, сушили над сульфатом натрия и концентрировали в условиях пониженного давления. Полученное таким образом неочищенное соединение очищали с помощью колонки Combiflash (0-20% EtOAc в гексане) с получением 4-бензилсульфанил-1Н-пиразола (4) (7 г, 73,01% выход) в виде смолистого твердого вещества. ЖХ-МС: ЭС+ 191,1.
Стадия 3: Синтез трет-бутил-4-(4-бензилсульфанилпиразол-1-ил)пиперидин-1-карбоксилата: К перемешиваемому раствору соединения 4-бензилсульфанил-1Н-пиразола (4) (3,5 г, 18,40 ммоль) и трет-бутил-4-метилсульфонилоксипиперидин-1-карбоксилата (5) (5,14 г, 18,40 ммоль) в DMF (20 мл) добавляли карбонат цезия (17,98 г, 55,19 ммоль) и полученную реакционную смесь нагревали при 90°С в течение 16 часов. По окончании (по данным ТСХ) реакционную смесь разбавляли EtOAc и промывали водой и насыщенным солевым раствором, сушили над сульфатом натрия и концентрировали в условиях пониженного давления. Полученное таким образом неочищенное соединение Органический слой сушили над сульфатом натрия концентрировали в условиях пониженного давления. Полученное таким образом неочищенное соединение очищали с помощью колонки combi-flash (градиент: 0-15% EtOAc в гексане) с получением желаемого соединение трет-бутил-4-(4-бензилсульфанилпиразол-1-ил)пиперидин-1-карбоксилата (6) (4,5 г, 62,22% выход) в виде светло-желтого твердого вещества. ЖХ-МС: ЭС+ 374,2.
Стадия 4: Синтез 4-(4-бензилсульфанилпиразол-1-ил)пиперидингидрохлорида: К перемешиваемому раствору соединения трет-бутил-4-(4-бензилсульфанилпиразол-1-ил)пиперидин-1-карбоксилата (6) (7 г, 18,74 ммоль) в диоксане (15 мл) добавляли диоксан-HCl (4М; 50 мл) и полученную реакционную смесь перемешивали при комнатной температуре в течение 5 часов. По окончании реакции (по данным ТСХ) реакционную массу концентрировали в условиях пониженного давления и растирали с эфиром с получением 4-(4-бензилсульфанилпиразол-1-ил)пиперидингидрохлорида (7) (4,5 г, 79,92% выход) в виде беловатого твердого вещества. ЖХ-МС: ЭС+ 274,4.
Стадия 5: Синтез [4-(4-бензилсульфанилпиразол-1-ил)-1-пиперидил]-(1-метилциклобутил)метанона: К перемешиваемому раствору 4-(4-бензилсульфанилпиразол-1-ил)пиперидингидрохлорида (7) (4,5 г, 14,52 ммоль) и 1-метилциклобутанкарбоновой кислоты (1,66 г, 14,52 ммоль) в DMF (50 мл) добавляли DIPEA (9,38 г, 72,61 ммоль, 12,6 5 мл) и перемешивали в течение 15 минут при к.т. с последующим добавлением HATU (6,63 г, 17,43 ммоль). Полученную реакционную смесь затем оставляли перемешиваться при к.т. в течение 16 ч. По окончании реакции (по данным ТСХ и ЖХ-МС) реакционную смесь разбавляли этилацетатом и промывали водой и насыщенным солевым раствором, сушили над сульфатом натрия и концентрировали в условиях пониженного давления. Полученное таким образом неочищенное соединение очищали методом колоночной хроматографии (Силикагель; градиент 0-2% МеОН в DCM) с получением [4-(4-бензилсульфанилпиразол-1-ил)-1-пиперидил]-(1-метилциклобутил)метанона (8) (5 г, 91,31% выход) в виде светло-желтого твердого вещества. ЖХ-МС: ЭС+ 370,0.
Стадия 6: Синтез [4-[4-[[1-[1-(1-метилциклобутанкарбонил)-4-пиперидил]пиразол-4-ил]дисульфанил]пиразол-1-ил]-1-пиперидил]-(1-метилциклобутил)метанона: К перемешиваемому раствору [4-(4-бензилсульфанилпиразол-1-ил)-1-пиперидил]-(1-метилциклобутил)метанона (8) (3 г, 8,12 ммоль) в толуоле (50 мл) добавляли хлорид алюминия, безводный (3,25 г, 24,36 ммоль, 1,33 мл) и полученную реакционную смесь перемешивали при к.т. в течение 16 часов. ТСХ показывала наличие некоторого количества исх. вещ., реакционную смесь нагревали при 80°С в течение дополнительных 4 часов. По окончании (по данным ТСХ) реакционную смесь разбавляли холодной водой и экстрагировали добавлением EtOAc (дважды). Объединенный органический слой промывали насыщенным солевым раствором, сушили над сульфатом натрия и концентрировали в условиях пониженного давления. Полученное таким образом неочищенное соединение очищали методом колоночной хроматографии (градиент 0-2% МеОН в DCM) с получением [4-[4-[[1-[1-(1-метилциклобутанкарбонил)-4-пиперидил]пиразол-4-ил]дисульфанил]пиразол-1-ил]-1-пиперидил]-(1-метилциклобутил)метанона Соединения 173 (1,3 г, 25,88% выход) в виде беловатого твердого вещества. ЖХ-МС: ЭС+ 557,2.
Пример 86. Синтез 3-[6-[1-[1-(1-метилциклобутанкарбонил)-4-пиперидил]пиразол-4-ил]сульфанил-2-оксобензо[cd]индол-1-ил]пиперидин-2,6-диона (Соединение 174)
Стадия 1: Синтез 1-[(4-метоксифенил)метил]-6-(4,4,5,5-тетраметил-1,3,2-диоксаборолан-2-ил)бензо[cd]индол-2-она: К перемешиваемому раствору 6-бром-1-[(4-метоксифенил)метил]бензо[cd]индол-2-она (1) (10 г, 27,16 ммоль) в 1,4-диоксане (200 мл) добавляли бис(пинаколато)дибор (10,34 г, 40,74 ммоль) с последующим добавлением хорошо просушенного ацетата калия (8,00 г, 81,47 ммоль). Полученную реакционную массу хорошо дегазировали аргоном в течение 15 минут. PdCl2(dppf).DCM (2,22 г, 2,72 ммоль) добавляли и реакционную массу нагревали при 100°С в течение 16 часов. По окончании реакции (по данным ТСХ), реакционную смесь охлаждали до к.т., фильтровали через слой целита, промывали дополнительным количеством этилацетата. Объединенный фильтрат промывали холодной водой, сушили над сульфатом натрия и концентрировали в условиях пониженного давления. Полученное таким образом неочищенное соединение очищали с помощью колонки Combiflash (градиент 0-15% EtOAc в гексане) с получением 1-[(4-метоксифенил)метил]-6-(4,4,5,5-тетраметил-1,3,2-диоксаборолан-2-ил)бензо[cd]индол-2-она (2) (10 г, 78% выход) в виде желтого твердого вещества. ЖХ-МС: ЭС+ 416,1.
Стадия 2: Синтез [1-[(4-метоксифенил)метил]-2-оксобензо[cd]индол-6-ил]бороновой кислоты: К перемешиваемому раствору 1-[(4-метоксифенил)метил]-6-(4,4,5,5-тетраметил-1,3,2-диоксаборолан-2-ил)бензо[cd]индол-2-она (2) (4 г, 9,63 ммоль) в ацетоне (40 мл) добавляли раствор ацетата аммония (2,23 г, 28,90 ммоль) в воде (20 мл) с последующим добавлением перйодата натрия (8,24 г, 38,53 ммоль). Полученную реакционную смесь перемешивали при 70°С в течение 18 часов. По окончании (по данным ТСХ и ЖХМС) реакционную массу разбавляли холодной водой и экстрагировали добавлением EtOAc (дважды). Объединенный органический слой затем промывали насыщенным солевым раствором, сушили над сульфатом натрия и концентрировали в условиях пониженного давления. Полученное таким образом неочищенное соединение очищали с помощью колонки combiflash (градиент 0-3% МеОН в DCM) с получением [1-[(4-метоксифенил)метил]-2-оксобензо[cd]индол-6-ил]бороновой кислоты (3) (2 г, 57,65% выход) в виде желтого твердого вещества. ЖХ-МС: ЭС+ 334,2.
Стадия 3: Синтез 1-[(4-метоксифенил)метил]-6-[1-[1-(1-метилциклобутанкарбонил)-4-пиперидил]пиразол-4-ил]сульфанилбензо[cd]индол-2-она: К перемешиваемому раствору [1-[(4-метоксифенил)метил]-2-оксобензо[cd]индол-6-ил]бороновой кислоты (3) (299,17 мг, 898,01 ммоль) и [4-[4-[[1-[1-(1-метилциклобутанкарбонил)-4-пиперидил]пиразол-4-ил]дисульфанил]пиразол-1-ил]-1-пиперидил]-(1-метилциклобутил)метанона (9_схема-1) (500 мг, 898,01 ммоль) в этаноле (10 мл) добавляли гидроксид тетрабутиламмония (2,91 г, 4,49 ммоль, 3,20 мл, 40% чистота). Полученную реакционную смесь дегазировали кислородом в течение 10 минут, затем сульфат меди (28,67 мг, 179,60 ммоль, 7,96 мкл) и 1,10-фенантролин (32,37 мг, 179,60 ммоль) добавляли к реакционной смеси и перемешивали при к.т. в течение 16 ч. По окончании (по данным ТСХ) реакционную смесь фильтровали через слой целита и промывали этанолом и этилацетатом. Фильтрат концентрировали и вновь разбавляли этилацетатом и промывали водой и насыщенным солевым раствором, сушили над сульфатом натрия и концентрировали в условиях пониженного давления. Полученное таким образом неочищенное соединение очищали с помощью колонки Combiflash (градиент 0-1% МеОН в DCM) с получением 1-[(4-метоксифенил)метил]-6-[1-[1-(1-метилциклобутанкарбонил)-4-пиперидил]пиразол-4-ил]сульфанилбензо[cd]индол-2-она (4) (500 мг, 93,34% выход) в виде светло-желтого твердого вещества. ЖХ-МС: ЭС+ 567,4.
Стадия 4: Синтез 6-[1-[1-(1-метилциклобутанкарбонил)-4-пиперидил]пиразол-4-ил]сульфанил-1Н-бензо[cd]индол-2-она: К перемешиваемому раствору 1-[(4-метоксифенил)метил]-6-[1-[1-(1-метилциклобутанкарбонил)-4-пиперидил]пиразол-4-ил]сульфанилбензо[cd]индол-2-она (4) (500 мг, 882,28 ммоль) в TFA (4 мл) добавляли трифторметансульфоновую кислоту (662,05 мг, 4,41 ммоль, 387,16 мкл) и полученную реакционную смесь перемешивали при к.т. в течение 16 часов. По окончании реакции (по данным ТСХ) реакционную массу гасили насыщенным раствором бикарбоната и экстрагировали добавлением этилацетата (дважды). Объединенный органический слой промывали насыщенным солевым раствором, сушили над сульфатом натрия и концентрировали в условиях пониженного давления. Полученное таким образом неочищенное соединение очищали с помощью колонки combiflash (градиент 0-3% МеОН в DCM) с получением 6-[1-[1-(1-метилциклобутанкарбонил)-4-пиперидил]пиразол-4-ил]сульфанил-1Н-бензо[cd]индол-2-она (5) (300 мг, 75,38% выход) в виде светло-желтого твердого вещества. ЖХ-МС: ЭС+ 447,1.
Стадия 5: Синтез 3-[6-[1-[1-(1-метилциклобутанкарбонил)-4-пиперидил]пиразол-4-ил]сульфанил-2-оксобензо[cd]индол-1-ил]пиперидин-2,6-диона: К охлажденному раствору 6-[1-[1-(1-метилциклобутанкарбонил)-4-пиперидил]пиразол-4-ил]сульфанил-1Н-бензо[cd]индол-2-она (5) (200 мг, 417,92 ммоль) в сухом THF (3 мл), гидрид натрия (60% дисперсия в минеральном масле) (15,44 мг, 671,80 ммоль) добавляли порциями, поддерживая темп. <5°С. По завершении добавления, полученную смесь перемешивали в течение 15 минут при к.т. Затем реакционную смесь вновь охлаждали до 0°С и 3-бромпиперидин-2,6-дион (6) (64,50 мг, 335,90 ммоль) добавляли к ней порциями. После полного завершения добавления полученный раствор нагревали при 60°С в течение 30 мин. По окончании (по данным ТСХ), реакционную смесь охлаждали до 0°С и гасили добавлением ледяной воды. Водную часть экстрагировали добавлением этилацетата (3×100 мл). Объединенные органические фазы отделяли, сушили над сульфатом натрия и концентрировали в условиях пониженного давления. Неочищенную массу очищали с помощью пластинки для преп. ТСХ (30% EtOAc в DCM) с получением 3-[6-[1-[1-(1-метилциклобутанкарбонил)-4-пиперидил]пиразол-4-ил]сульфанил-2-оксобензо[cd]индол-1-ил]пиперидин-2,6-диона Соединения 174 (15 мг, 38% выход) в виде светло-желтого твердого вещества. 1H ЯМР (400 МГц, DMSO-d6) d 11,10 (s, 1Н), 8,48 (d, J=8,28 Гц, 1H), 8,20 (s, 1H), 8,15 (d, J=7,0 Гц, 1H), 7,91 (t, J=7,64 Гц, 1H), 7,65 (s, 1H), 7,33 (d, J=7,48 Гц, 1H), 7,08 (d, J=7,56 Гц, 1H), 5,42 (dd, J=12,48, 4,92 Гц, 1H), 4,45-4,39 (m, 2H), 3,63-3,62 (m, 1H), 3,11-3,10 (m, 1H), 2,93-2,89 (m, 1H), 2,72-2,61 (m, 3H), 2,43-2,40 (m, 2H), 2,10-2,00 (m, 3H), 1,95-1,78 (m, 5H), 1,62-1,59 (m, 1H), 1,35 (s, 3Н); ЖХ-МС: ЭС+ 558,4.
Пример 87. Синтез 3-[6-[1-[1-(1-метилциклобутанкарбонил)-4-пиперидил]пиразол-4-ил]сульфонил-2-оксобензо[cd]индол-1-ил]пиперидин-2,6-диона (Соединение 175)
Стадия 1: Синтез 6-[1-[1-(1-метилциклобутанкарбонил)-4-пиперидил]пиразол-4-ил]сульфонил-1Н-бензо[cd]индол-2-она: К перемешиваемому раствору 6-[1-[1-(1-метилциклобутанкарбонил)-4-пиперидил]пиразол-4-ил]сульфанил-1Н-бензо[cd]индол-2-она (1) (300 мг, 671,80 ммоль) в воде (1 мл) и метаноле (2 мл) добавляли оксон (1,24 г, 2,02 ммоль) и полученную реакционную смесь перемешивали при к.т. в течение 16 часов. По окончании реакции (по данным ТСХ) реакционную смесь пропускали через слой целита и промывали EtOAc. Фильтрат затем промывали холодной водой и насыщенным солевым раствором. Органическую часть сушили над сульфатом натрия и концентрировали в условиях пониженного давления. Полученное таким образом неочищенное соединение очищали с помощью колонки combiflash (градиент 0-2% МеОН в DCM) с получением 6-[1-[1-(1-метилциклобутанкарбонил)-4-пиперидил]пиразол-4-ил]сульфонил-1Н-бензо[cd]индол-2-она (2) (200 мг, 61,40% выход) в виде светло-желтого твердого вещества. ЖХ-МС ЭС+ 479,1.
Стадия 2: Синтез 3-[6-[1-[1-(1-метилциклобутанкарбонил)-4-пиперидил]пиразол-4-ил]сульфонил-2-оксобензо[cd]индол-1-ил]пиперидин-2,6-диона: К охлажденному раствору 6-[1-[1-(1-метилциклобутанкарбонил)-4-пиперидил]пиразол-4-ил]сульфонил-1H-бензо[cd]индол-2-она (2) (200 мг, 417,92 ммоль) в сухом THF (10 мл), гидрид натрия (60% дисперсия в минеральном масле) (96,08 мг, 4,18 ммоль) добавляли порциями, поддерживая темп. <5°С. По завершении добавления, полученную смесь перемешивали в течение 15 минут при к.т. Затем реакционную смесь вновь охлаждали до 0°С и 3-бромпиперидин-2,6-дион (3) (401,22 мг, 2,09 ммоль) добавляли к ней порциями. После полного завершения добавления полученный раствор нагревали при 60°С в течение 30 мин. По окончании (по данным ТСХ), реакционную смесь охлаждали до 0°С и гасили добавлением ледяной воды. Водную часть экстрагировали добавлением этилацетата (3×100 мл). Объединенные органические фазы отделяли, сушили над сульфатом натрия и концентрировали в условиях пониженного давления. Неочищенную массу очищали с помощью пластинки для преп. ТСХ (30% EtOAc в DCM) с получением 3-[6-[1-[1-(1-метилциклобутанкарбонил)-4-пиперидил]пиразол-4-ил]сульфонил-2-оксобензо[cd]индол-1-ил]пиперидин-2,6-диона Соединения 175 (50 мг, 19,2% выход) в виде светло-желтого твердого вещества. 1H ЯМР (400 МГц, DMSO-d6) d 11,18 (s, 1H), 8,79 (d, J=8,32 Гц, 1H), 8,70 (s, 1H), 8,29 (d, J=7,8 Гц, 1H), 8,21 (d, J=6,84 Гц, 1H), 8,06 (s, 1H), 7,99 (t, J=7,6 Гц, 1H), 7,34 (d, J=7,8 Гц, 1H), 5,52-5,49 (m, 1H), 4,43-4,41 (m, 1H), 3,58-3,57 (m, 1H), 3,07-3,06 (m, 1H), 2,94-2,90 (m, 1H), 2,78-2,64 (m, 3H), 2,41-2,38 (m, 2H), 2,14-2,12 (m, 1H), 1,98-1,87 (m, 3H), 1,78-1,76 (m, 4H), 1,69-1,59 (m, 1H), 1,33 (s, 3Н); ЖХ-МС: ЭС+ 590,5.
Пример 88. Синтез 4-[4-[[4-[[1-(2,6-диоксо-3-пиперидил)-2-оксобензо[cd]индол-6-ил]метил]фенил]метил]пиперазин-1-ил]-3-фторбензонитрила (Соединение 176)
Стадия 1: Синтез 6-[1-[1-(1-метилциклобутанкарбонил)-4-пиперидил]пиразол-4-ил]сульфинил-1Н-бензо[cd]индол-2-она: К перемешиваемому раствору 6-[1-[1-(1-метилциклобутанкарбонил)-4-пиперидил]пиразол-4-ил]сульфанил-1H-бензо[cd]индол-2-она (1) (300 мг, 671,80 ммоль) в DCM (20 мл) добавляли 3-хлорбензолкарбопероксоевую кислоту (69,56 мг, 403,08 ммоль) и полученную реакционную смесь перемешивали при к.т. в течение 16 часов. По окончании (по данным ТСХ) реакционную смесь разбавляли холодной водой и экстрагировали добавлением дихлорметана (дважды). Объединенный органический слой сушили над сульфатом натрия и концентрировали в условиях пониженного давления. Полученное таким образом неочищенное соединение очищали с помощью колонки combiflash (градиент 0-1% МеОН в DCM) с получением 6-[1-[1-(1-метилциклобутанкарбонил)-4-пиперидил]пиразол-4-ил]сульфинил-1Н-бензо[cd]индол-2-она (2) (200 мг, 63,55% выход) в виде светло-желтого твердого вещества. ЖХ-МС ЭС+ 463,3.
Стадия 2: Синтез 4-[4-[[4-[[1-(2,6-диоксо-3-пиперидил)-2-оксобензо[cd]индол-6-ил]метил]фенил]метил]пиперазин-1-ил]-3-фторбензонитрила: К охлажденному на льду раствору 6-[1-[1-(1-метилциклобутанкарбонил)-4-пиперидил]пиразол-4-ил]сульфинил-1Н-бензо[cd]индол-2-она (2) (170 мг, 367,52 ммоль) в сухом THF (10 мл), гидрид натрия (60% дисперсия в минеральном масле) (211,23 мг, 9,19 ммоль) добавляли порциями, поддерживая темп. <5°С. По завершении добавления, полученную смесь перемешивали в течение 15 минут при к.т. Затем реакционную смесь вновь охлаждали до 0°С и 3-бромпиперидин-2,6-дион (3) (352,84 мг, 1,84 ммоль) добавляли к ней порциями. После полного завершения добавления полученный раствор нагревали при 60°С в течение 30 мин. По окончании (по данным ТСХ), реакционную смесь охлаждали до 0°С и гасили добавлением ледяной воды. Водную часть экстрагировали добавлением этилацетата (3×100 мл). Объединенные органические фазы отделяли, сушили над сульфатом натрия и концентрировали в условиях пониженного давления. Неочищенную массу очищали с помощью пластинки для преп. ТСХ (30% EtOAc в DCM) с получением 4-[4-[[4-[[1-(2,6-диоксо-3-пиперидил)-2-оксобензо[cd]индол-6-ил]метил]фенил]метил]пиперазин-1-ил]-3-фторбензонитрила Соединения 176 (35 мг, 16,6% выход) светло-желтого твердого вещества. 1H ЯМР (400 МГц, DMSO-d6) d 11,10 (br, 1Н), 8,40-8,39 (m, 1H), 8,26-8,20 (m, 1H), 8,16 (d, J=6,96 Гц, 1H), 8,09 (d, J=6,84 Гц, 1H), 7,87-7,85 (m, 1H), 7,67 (s, 1H), 7,39-7,37 (m, 1H), 5,52-5,50 (m, 1H), 4,43-4,42 (m, 2H), 3,58-3,57 (m, 1H), 3,05-2,92 (m, 3H), 2,78-2,75 (m, 1H), 2,69-2,63 (m, 2H), 2,44-2,38 (m, 2H), 2,13-2,12 (m, 1H), 1,94-1,89 (m, 3H), 1,79-1,77 (m, 3H), 1,61-1,59 (m, 1H), 1,33 (s, 3Н); ЖХ-МС: ЭС+ 574,2.
Пример 89. Синтез 3-[6-[[1-(3-бензилоксициклобутил)пиразол-4-ил]метил]-2-оксобензо[cd]индол-1-ил]пиперидин-2,6-диона (Соединение 177)
Стадия 1: Синтез 1-тетрагидропиран-2-ил-4-(4,4,5,5-тетраметил-1,3,2-диоксаборолан-2-ил)пиразола: К перемешиваемому раствору 4-(4,4,5,5-тетраметил-1,3,2-диоксаборолан-2-ил)-1Н-пиразола 1 (5,00 г, 25,78 ммоль) в толуоле (60 мл) добавляли 3,4-дигидро-2Н-пиран (4,55 г, 54,13 ммоль, 4,92 мл) в атмосфере азота. К реакционной смеси, 2,2,2-трифторуксусную кислоту (88,17 мг, 773,30 ммоль, 59,58 мкл) добавляли и нагревали при 80°С в течение 4 часов. Реакционную смесь гасили насыщенным раствором бикарбоната натрия и экстрагировали добавлением этилацетата. Отделяли органический слой, сушили над сульфатом натрия. Фильтровали и концентрировали в условиях пониженного давления. Неочищенную массу очищали методом колоночной хроматографии с получением 1-тетрагидропиран-2-ил-4-(4,4,5,5-тетраметил-1,3,2-диоксаборолан-2-ил)пиразола 2 (7,1 г, 24,25 ммоль, 94,07% выход, 95% чистота) в виде желтого масла. ЖХМС: ЭС+ 279,1.
Стадия 2: Синтез 1-[(4-метоксифенил)метил]-6-[(1-тетрагидропиран-2-илпиразол-4-ил)метил]бензо[cd]индол-2-она: К перемешиваемому раствору 6-(хлорметил)-1-[(4-метоксифенил)метил]бензо[cd]индол-2-она 3 (1 г, 2,96 ммоль) и 1-тетрагидропиран-2-ил-4-(4,4,5,5-тетраметил-1,3,2-диоксаборолан-2-ил)пиразола 2 (1,32 г, 4,74 ммоль) в укупоренной пробирке в толуоле (4 мл) и этаноле (2 мл) и 4 капель воды добавляли трехзамещенный фосфат калия (1,57 г, 7,40 ммоль). Ее дегазировали аргоном в течение 10 минут. Трис-о-толилфосфан (180,21 мг, 592,07 ммоль) и (1Е,4Е)-1,5-дифенилпента-1,4-диен-3-онпалладий (271,08 мг, 296,03 ммоль) добавляли в реакционную смесь. Ее нагревали при 90°С в течение 16 часов. Реакционную смесь охлаждали до комнатной температуры, разбавляли этилацетатом и водой и слои разделяли. Органический слой промывали водой, насыщенным солевым раствором, сушили над сульфатом натрия и концентрировали в условиях пониженного давления. Его очищали методом колоночной хроматографии, элюируя при 40% этилацетата в гексане с получением 1-[(4-метоксифенил)метил]-6-[(1-тетрагидропиран-2-илпиразол-4-ил)метил]бензо[cd]индол-2-она 4 (550 мг, 1,15 ммоль, 38,92% выход, 95% чистота) в виде желтого твердого вещества. ЖХ-МС: ЭС+ 454,1.
Стадия 3: Синтез 6-(1Н-пиразол-4-илметил)-1Н-бензо[cd]индол-2-она: К перемешиваемому раствору 1-[(4-метоксифенил)метил]-6-[(1-тетрагидропиран-2-илпиразол-4-ил)метил]бензо[cd]индол-2-она 4 (550 мг, 1,21 ммоль) в TFA (4 мл) добавляли трифторметансульфоновую кислоту (1,46 г, 9,70 ммоль, 851,48 мкл) при комнатной температуре, затем реакционную смесь перемешивали при комнатной температуре в течение ночи. После проведения ТСХ (Rf=0,2 в 5% MeOH/DMF) она показывала образование одного полярного пятна и полное расходование исходного вещества, затем реакционную смесь концентрировали в условиях пониженного давления с получением неочищенной массы, которую разбавляли EtOAc и насыщенным раствором NaHCO3, слои разделяли. Объединенный органический слой промывали насыщенным солевым раствором и сушили с помощью вакуумного насоса с получением 6-(1Н-пиразол-4-илметил)-1Н-бензо[cd]индол-2-она 5 (280 мг, 1,11 ммоль, 91,70% выход, 99% чистота) в виде желтого твердого вещества. ЖХМС: ЭС+ 250,3.
Синтез (3-бензилоксициклобутил)метансульфоната: К перемешиваемому раствору 3-бензилоксициклобутанола (100 мг, 561,08 ммоль) в DCM (5 мл) добавляли триэтиламин (113,55 мг, 1,12 ммоль, 156,41 мкл), охлаждали реакционную смесь до 0°С с последующим капельным добавлением метансульфонилхлорида (77,13 мг, 673,30 ммоль, 52,11 мкл), затем реакционную смесь перемешивали при комнатной температуре в течение 4 часов. После полного расходования исх. вещ., реакционную массу разбавляли водой и экстрагировали добавлением DCM, промывали насыщенным раствором NaHCO3, насыщенным солевым раствором, сушили над безводным сульфатом натрия и упаривали в условиях пониженного давления с получением неочищенного соединения (3-бензилоксициклобутил)метансульфоната 6 (100 мг, 370,63 ммоль, 66,06% выход, 95% чистота) в виде оранжевой жидкости, которую использовали на следующей стадии без дальнейшей очистки. ЖХМС: ЭС+ 257,2.
Стадия 4: Синтез 6-[[1-(3-бензилоксициклобутил)пиразол-4-ил]метил]-1Н-бензо[cd]индол-2-она: К перемешиваемому раствору 6-(1Н-пиразол-4-илметил)-1Н-бензо[cd]индол-2-она 5 (115 мг, 461,35 ммоль) и (3-бензилоксициклобутил) метансульфоната 6 (130,08 мг, 507,49 ммоль) в DMF (10 мл) добавляли карбонат цезия (450,95 мг, 1,38 ммоль) при комнатной температуре затем реакционную смесь нагревали 80°С в течение ночи. После полного расходования исходного вещества затем реакционную смесь разбавляли охлажденной водой экстрагировали добавлением этилацетата. Объединенный органический слой промывали насыщенным солевым раствором и сушили в условиях пониженного давления с получением неочищенного соединения, которое очищали методом хроматографии CombiFlash с использованием 30-40% EtOAc-Гексана в качестве элюента с получением 6-[[1-(3-бензилоксициклобутил)пиразол-4-ил]метил]-1Н-бензо[cd]индол-2-она 7 (18 мг, 40,44 ммоль, 8,77% выход, 92% чистота) в виде светло-желтого твердого вещества. ЖХ-МС: ЭС+ 410,2.
Стадия 5: Получение 3-[6-[[1-(3-бензилоксициклобутил)пиразол-4-ил]метил]-2-оксобензо[cd]индол-1-ил]пиперидин-2,6-диона: К перемешиваемому раствору 6-[[1-(3-бензилоксициклобутил)пиразол-4-ил]метил]-1Н-бензо[cd]индол-2-она 7 (40,00 мг, 97,69 ммоль) в THF (3 мл) добавляли гидрид натрия (в масляной дисперсии) в виде 60% дисперсии в минеральном масле (37,43 мг, 976,85 ммоль, 60% чистота) в холодных условиях и реакционную смесь перемешивали при к.т. в течение 10 минут с последующим добавлением порциями 3-бромпиперидин-2,6-диона 8 (93,78 мг, 488,43 ммоль) и реакционную смесь нагревали при 70°С в течение 1 часов. По окончании реакции (методом ТСХ), реакционную смесь разбавляли этилацетатом и промывали водой, органическую фракцию отделяли. Ее сушили над безводным сульфатом натрия и упаривали в условиях пониженного давления с получением неочищенного соединения, которое очищали с помощью преп. ТСХ с использованием 20% EtOAc-DCM в качестве элюента с получением 3-[6-[[1-(3-бензилоксициклобутил)пиразол-4-ил]метил]-2-оксобензо[cd]индол-1-ил]пиперидин-2,6-диона Соединения 177 (14,0 мг, 25,42 ммоль, 26,03% выход, 94,54% чистота) в виде светло-желтого твердого вещества. 1Н ЯМР (d6-DMSO, 400 МГц) d 10,98 (s, 1Н), 8,20 (d, J=8,20 Гц, 1H), 8,02 (d, J=6,92 Гц, 1H), 7,80 (t, J=7,68 Гц, 1H), 7,55 (s, 1H), 7,39-7,29 (m, 8H), 5,27-5,23 (m, 1H), 5,19-5,15 (m, 1H), 4,47 (s, 2H), 4,46-4,43 (m, 1H), 4,21 (s, 2H), 3,04-2,97 (m, 2H), 2,75-2,72 (m, 1H), 2,70-2,61 (m, 3Н), 2,45-2,41 (m, 1H), 2,15-2,14 (m, 1H); ЖХ-МС: ЭС+ 521,2.
Пример 90. Синтез 3-[2-оксо-6-[[1-[1-[спиро[3.4]октан-8-ил]-4-пиперидил]пиразол-4-ил]метил]бензо[cd]индол-1-ил]пиперидин-2,6-диона (Соединение 178) и 3-[2-оксо-6-[[1-[1-[спиро[3.4]октан-8-ил]-4-пиперидил]пиразол-4-ил]метил]бензо[cd]индол-1-ил]пиперидин-2,6-диона (Соединение 179):
Стадия 1: Получение 6-[[1-(1-спиро[3.4]октан-8-ил-4-пиперидил)пиразол-4-ил]метил]-1Н-бензо[cd]индол-2-она] (3): К перемешиваемому раствору 6-[[1-(4-пиперидил)пиразол-4-ил]метил]-1Н-бензо[cd]индол-2-она (1) (500 мг, 1,50 ммоль) в сухом THF (12 мл) добавляли триэтиламин (304,42 мг, 3,01 ммоль, 419,32 мкл) с последующим добавлением спиро[3.4]октан-8-она 2 (186,79 мг, 1,50 ммоль), дихлорида дибутилолова (548,47 мг, 1,81 ммоль, 403,29 мкл) и фенилсилана (162,77 мг, 1,50 ммоль, 185,39 мкл). По завершении реакции смесь нагревали при 90°С в течение 16 часов в укупоренной пробирке. По окончании реакции (по данным ЖХ-МС), реакционную смесь охлаждали до к.т. и разбавляли этилацетатом (30 мл). Объединенную органическую фазу промывали раствором бикарбоната натрия, водой (2×20 мл) и насыщенным солевым раствором (30 мл). Органическую фракцию отделяли, сушили над безводным сульфатом натрия и упаривали в условиях пониженного давления с получением неочищенного соединения, которое очищали методом флэш-хроматографии (силикагель, градиент: 0-5% МеОН в DCM) с получением 6-[[1-(1-спиро[3.4]октан-8-ил-4-пиперидил)пиразол-4-ил]метил]-1Н-бензо[cd]индол-2-она (3) (26 мг, 56,06 ммоль, 3,73% выход, 95% чистота) в виде желтого твердого вещества. ЖХ-МС: ЭС+ 441,6.
Стадия 2: Хиральное разделение: Получение 6-[[1-(1-спиро[3.4]октан-8-ил-4-пиперидил)пиразол-4-ил]метил]-1Н-бензо[cd]индол-2-она (3а) и 6-[[1-(1-спиро[3.4]октан-8-ил-4-пиперидил)пиразол-4-ил]метил]-1Н-бензо[cd]индол-2-она (3b): 80 мг 6-[[1-(1-спиро[3.4]октан-8-ил-4-пиперидил)пиразол-4-ил]метил]-1Н-бензо[cd]индол-2-она (3) разделяли на энантиомеры методом хиральной нормально-фазовой препаративной ВЭЖХ. Преп. фракции сначала упаривали по отдельности в условиях пониженного давления с получением твердой массы. Твердое вещество затем суспендировали в смеси ацетонитрила и воды (2:3) и ее хранили на бане сухой лед/ацетон до затвердевания смеси ацетонитрил-вода. Замороженную смесь затем подвергали лиофильной сушке в течение 20 часов с получением 6-[[1-(1-спиро[3.4]октан-8-ил-4-пиперидил)пиразол-4-ил]метил]-1Н-бензо[cd]индол-2-она (3а) (первый элюированный пик, вр. удерж. = 5,31 мин, установлен экспериментально как 'S' ABS) (26 мг, %ее 96,46) и 6-[[1-(1-спиро[3.4]октан-8-ил-4-пиперидил)пиразол-4-ил]метил]-1Н-бензо[cd]индол-2-она (3b) (второй элюированный пик, вр. удерж. = 6,32 мин, установлен экспериментально как 'R' ABS) (25 мг, %ее 96,86) в виде желтых твердых веществ, которые хранили в круглодонной колбе при температуре окружающей среды. ЖХ-МС: ЭС+ 441,6.
Стадия 3: Синтез 3-[2-оксо-6-[[1-[1-[спиро[3.4]октан-8-ил]-4-пиперидил]пиразол-4-ил]метил]бензо[cd]индол-1-ил]пиперидин-2,6-диона и 3-[2-оксо-6-[[1-[1-[спиро[3.4]октан-8-ил]-4-пиперидил]пиразол-4-ил]метил]бензо[cd]индол-1-ил]пиперидин-2,6-диона: К охлажденному раствору 6-[[1-[1-[спиро[3.4]октан-8-ил]-4-пиперидил]пиразол-4-ил]метил]-1Н-бензо[cd]индол-2-она (3а) (25,00 мг, 56,74 ммоль) в сухом THF (4 мл), гидрид натрия 60% в виде дисперсии в минеральном масле (13,05 мг, 567,44 ммоль) добавляли порциями, поддерживая темп. <5°С. По завершении добавления, полученную смесь перемешивали в течение 15 минут при к.т. Затем реакционную смесь вновь охлаждали до 0°С и 3-бромпиперидин-2,6-дион (4) (54,48 мг, 283,72 ммоль) добавляли к ней порциями. После полного завершения добавления полученный раствор нагревали при 70°С 1 ч. По окончании (по данным ТСХ), реакционную смесь охлаждали до 0°С и гасили добавлением ледяной воды. Водную часть экстрагировали добавлением этилацетата (3×50 мл). Объединенные органические фазы отделяли, сушили над сульфатом натрия и концентрировали в условиях пониженного давления. Неочищенную массу очищали с помощью преп. ТСХ (градиент: 5% МеОН в DCM) с получением 3-[2-оксо-6-[[1-[1-[спиро[3.4]октан-8-ил]-4-пиперидил]пиразол-4-ил]метил]бензо[cd]индол-1-ил]пиперидин-2,6-диона Соединения 178 (17,0 мг, 28,21 ммоль, 49,71% выход, 91,54% чистота) в виде желтого твердого вещества. 1Н ЯМР (400 МГц, DMSO-d6) δ 1H ЯМР (400 МГц, DMSO-d6) δ 11,11 (s, 1H), 8,37 (d, J=8,24 Гц, 1H), 8,08 (d, J=6,96 Гц, 1H), 7,83 (t, J=7,52 Гц, 1H), 7,58 (s, 1H), 7,35 (d, J=7,24 Гц, 1H), 7,29 (s, 1H), 7,07 (d, J=7,28 Гц, 1H), 5,44 (dd, J=11,92, 4,48 Гц, 1H), 4,36 (s, 2H), 3,96 (m, 1H), 2,94-2,91 (m, 1H), 2,84-2,82 (m, 2H), 2,66-2,63 (m, 2H), 2,49-2,30 (m, 4H), 2,09-2,07 (m, 2H), 1,88-1,74 (m, 8H), 1,60-1,52 (m, 5H), 1,32-1,30 (m, 1H); ЖХ-МС: ЭС+ 552,3. К охлажденному раствору 6-[[1-[1-[спиро[3.4]октан-8-ил]-4-пиперидил]пиразол-4-ил]метил]-1H-бензо[cd]индол-2-она (3b) (25,00 мг, 56,74 ммоль) в сухом THF (4 мл), гидрид натрия 60% в виде дисперсии в минеральном масле (13,05 мг, 567,44 ммоль) добавляли порциями, поддерживая темп. <5°С. По завершении добавления, полученную смесь перемешивали в течение 15 минут при к.т. Затем реакционную смесь вновь охлаждали до 0°С и 3-бромпиперидин-2,6-дион (4) (54,48 мг, 283,72 ммоль) добавляли к ней порциями. После полного завершения добавления полученный раствор нагревали при 70°С в течение 1 часа. По окончании (по данным ТСХ), реакционную смесь охлаждали до 0°С и гасили добавлением ледяной воды. Водную часть экстрагировали добавлением этилацетата (3×50 мл). Объединенные органические фазы отделяли, сушили над сульфатом натрия и концентрировали в условиях пониженного давления. Неочищенную массу очищали с помощью преп. ТСХ (градиент: 5% МеОН в DCM) с получением 3-[2-оксо-6-[[1-[1-[спиро[3.4]октан-8-ил]-4-пиперидил]пиразол-4-ил]метил]бензо[cd]индол-1-ил]пиперидин-2,6-диона Соединения 179 (18,0 мг, 30,76 ммоль, 54,22% выход, 94,29% чистота) в виде желтого твердого вещества. 1H ЯМР (400 МГц, DMSO-d6) δ 11,11 (s, 1H), 8,37 (d, J=8,0 Гц, 1Н), 8,08 (d, J=6,96 Гц, 1H), 7,83 (t, J=7,44 Гц, 1H), 7,58 (s, 1H), 7,35 (d, J=7,36 Гц, 1H), 7,29 (s, 1H), 7,07 (d, J=7,28 Гц, 1H), 5,44 (dd, J=12,84, 5,08 Гц, 1H), 4,36 (s, 2H), 3,96 (m, 1H), 2,94-2,91 (m, 1H), 2,83-2,72 (m, 2H), 2,66-2,63 (m, 2H), 2,49-2,30 (m, 4H), 2,09-2,06 (m, 2H), 1,88-1,67 (m, 8H), 1,56-1,52 (m, 5H), 1,32-1,30 (m, 1H); ЖХ-МС: ЭС+ 552,3.
Пример 91. Синтез 3-[6-[[3-[1-(1-метилциклобутанкарбонил)-4-пиперидил]пиразол-1-ил]метил]-2-оксобензо[cd]индол-1-ил]пиперидин-2,6-диона (Соединение 180)
Стадия 1: Синтез трет-бутил-4-[1-[[1-[(4-метоксифенил)метил]-2-оксобензо[cd]индол-6-ил]метил]пиразол-3-ил]пиперидин-1-карбоксилата: К перемешиваемому раствору 6-(хлорметил)-1-[(4-метоксифенил)метил]бензо[cd]индол-2-она (пром.-А) (500,00 мг, 1,48 ммоль) и трет-бутил-4-(1Н-пиразол-3-ил)пиперидин-1-карбоксилата (1) (372 мг, 1,48 ммоль) в DMF (5 мл) добавляли карбонат цезия (1,21 г, 3,70 ммоль) при комнатной температуре и полученную реакционную смесь нагревали при 90°С в течение 16 ч. По окончании (по данным ТСХ) реакционную смесь разбавляли этилацетатом и промывали водой и насыщенным солевым раствором, сушили над сульфатом натрия и концентрировали в условиях пониженного давления. Полученное таким образом неочищенное соединение очищали с помощью колонки combiflash (градиент 20-30% EtOAc в гексане) с получением трет-бутил-4-[1-[[1-[(4-метоксифенил)метил]-2-оксобензо[cd]индол-6-ил]метил]пиразол-3-ил]пиперидин-1-карбоксилата (2) (400 мг, 43,03% выход) в виде светло-желтого твердого вещества. ЖХ-МС: ЭС+ 553,5.
Стадия 2: Синтез 1-[(4-метоксифенил)метил]-6-[[3-(4-пиперидил)пиразол-1-ил]метил]бензо[cd]индол-2-онгидрохлорида: К перемешиваемому раствору трет-бутил-4-[1-[[1-[(4-метоксифенил)метил]-2-оксобензо[cd]индол-6-ил]метил]пиразол-3-ил]пиперидин-1-карбоксилата (2) (400 мг, 723,77 ммоль) в диоксане (5 мл) добавляли диоксан-HCl (4М) (10 мл) при охлаждении и полученную реакционную смесь перемешивали при к.т. в течение 4 часов. По окончании (по данным ТСХ) реакционную смесь концентрировали в условиях пониженного давления. Неочищенное соединение растирали с эфиром-пентаном с получением 1-[(4-метоксифенил)метил]-6-[[3-(4-пиперидил)пиразол-1-ил]метил]бензо[cd]индол-2-онгидрохлорида (3) (300 мг, 70,9% выход) в виде светло-желтого твердого вещества. ЖХ-МС: ЭС+ 453,4.
Стадия 3: Синтез 1-[(4-метоксифенил)метил]-6-[[3-[1-(1-метилциклобутанкарбонил)-4-пиперидил]пиразол-1-ил]|метил]бензо[cd]индол-2-она: К перемешиваемому раствору 1-[(4-метоксифенил)метил]-6-[[3-(4-пиперидил)пиразол-1-ил]метил]бензо[cd]индол-2-онгидрохлорида (3) (300 мг, 613,49 ммоль) и 1-метилциклобутанкарбоновой кислоты (4) (70,02 мг, 613,49 ммоль) в DMF (10 мл) добавляли DIPEA (396,44 мг, 3,07 ммоль, 534,28 мкл) и перемешивали в течение 15 минут с последующим добавлением HATU (279,92 мг, 736,19 ммоль) и оставляли перемешиваться в течение 16 ч при к.т. По окончании (по данным ЖХМС), реакционную смесь разбавляли этилацетатом и промывали холодной водой, насыщенным солевым раствором, сушили над сульфатом натрия и концентрировали в условиях пониженного давления. Полученное таким образом неочищенное соединение очищали методом колоночной хроматографии (силикагель, градиент: 0-3% МеОН в DCM) с получением 1-[(4-метоксифенил)метил]-6-[[3-[1-(1-метилциклобутанкарбонил)-4-пиперидил]пиразол-1-ил]метил]бензо[cd]индол-2-она (5) (300 мг, 84,6% выход) в виде смолистого твердого вещества. ЖХ-МС: ЭС+ 549,5.
Стадия 4 и 4а: Синтез 6-[[3-[1-(1-метилциклобутанкарбонил)-4-пиперидил]пиразол-1-ил]метил]-1Н-бензо[cd]индол-2-она и 6-[[5-[1-(1-метилциклобутанкарбонил)-4-пиперидил]пиразол-1-ил]метил]-1Н-бензо[cd]индол-2-она: К перемешиваемому раствору соединения 1-[(4-метоксифенил)метил]-6-[[3-[1-(1-метилциклобутанкарбонил)-4-пиперидил]пиразол-1-ил]метил]бензо[cd]индол-2-она (5) (250 мг, 455,64 ммоль) в TFA (3 мл) добавляли трифторметансульфоновую кислоту (341,91 мг, 2,28 ммоль, 199,95 мкл) при охлаждении и полученную реакционную смесь перемешивали при к.т. в течение 16 часов. По окончании (по данным ТСХ) реакционную смесь концентрировали в условиях пониженного давления и неочищенную массу подщелачивали насыщенным раствором бикарбоната натрия и экстрагировали добавлением этилацетата. Слои разделяли и органическую часть сушили над сульфатом натрия и концентрировали в условиях пониженного давления. Полученное таким образом неочищенное соединение очищали с помощью колонки Combiflash (градиент 0-3% МеОН в DCM) с получением Соединения (6) (150 мг) в виде смеси региоизомеров. Эту смесь региоизомеров разделяли методом препаративной ВЭЖХ, которую выполняли с помощью прибора Waters с автоматической очисткой. Название колонки: Kinetex Evo C18 (250×20 мм, 5 мкм), оперировали при температуре окружающей среды и скорости элюции 16 мл/мин. Подвижная фаза: А=10 мМ ацетата аммония в воде, В = ацетонитрил; профиль градиента: первоначальный состав подвижной фазы 90% А и 10% В, затем 65% А и 35% В на 3 мин, затем до 50% А и 50% В на 25 мин., затем до 100% В на 25,5 мин., этот состав выдерживали до 27,5 мин для промывки колонки, затем возвращались к первоначальному составу на 28 мин. и выдерживали до 30 мин с получением желаемого соединения 6-[[3-[1-(1-метилциклобутанкарбонил)-4-пиперидил]пиразол-1-ил]метил]-1Н-бензо[cd]индол-2-она (7) (55 мг, 27,04% выход) в виде желтого твердого вещества и 6-[[5-[1-(1-метилциклобутанкарбонил)-4-пиперидил]пиразол-1-ил]метил]-1Н-бензо[cd]индол-2-она (7а) (30 мг, 15,06% выход) в виде желтого твердого вещества. ЖХ-МС: ЭС+ 429,4.
Стадия 5: Синтез 3-[6-[[3-[1-(1-метилциклобутанкарбонил)-4-пиперидил]пиразол-1-ил]метил]-2-оксобензо[cd]индол-1-ил]пиперидин-2,6-диона: К перемешиваемому раствору 6-[[3-[1-(1-метилциклобутанкарбонил)-4-пиперидил]пиразол-1-ил]метил]-1Н-бензо[cd]индол-2-она (7) (50 мг, 116,68 ммоль) в THF (5 мл) добавляли гидрид натрия 60% в виде дисперсии в минеральном масле (8,05 мг, 350,04 ммоль) при 0°С и перемешивали в течение 5 мин. Затем 3-бромпиперидин-2,6-дион (8) (44,81 мг, 233,36 ммоль) добавляли при охлаждении и реакционную смесь перемешивали при 70°С в течение 60 мин. По окончании (по данным ТСХ) реакционную смесь гасили льдом и экстрагировали добавлением этилацетата. Органическую часть далее промывали водой и насыщенным солевым раствором, сушили над сульфатом натрия и концентрировали. Неочищенное соединение очищали с пластинки для преп. ТСХ в 30% ацетоне в DCM с получением 3-[6-[[3-[1-(1-метилциклобутанкарбонил)-4-пиперидил]пиразол-1-ил]метил]-2-оксобензо[cd]индол-1-ил]пиперидин-2,6-диона Соединения 180 (17 мг, 26,4% выход) в виде желтого твердого вещества. 1Н ЯМР (400 МГц, DMSO-d6) δ 11,13 (s, 1H), 8,42 (d, J=8,28 Гц, 1H), 8,10 (d, J=6,96 Гц, 1H), 7,85 (t, J=7,56 Гц, 1H), 7,72 (s, 1H), 7,41 (d, J=7,20 Гц, 1H), 7,13 (d, J=7,28 Гц, 1H), 6,09 (s, 1H), 5,86 (s, 2H), 5,47-5,44 (m, 1H), 4,32-4,28 (m, 1H), 3,54-3,50 (m, 1H), 3,02-2,91 (m, 2H), 2,80-2,73 (m, 2H), 2,66-2,63 (m, 2H), 2,42-2,34 (m, 2H), 2,09-2,07 (m, 2H), 1,91-1,77 (m, 5H), 1,61-1,58 (m, 1H), 1,42-1,38 (m, 1H), 1,32 (s, 3Н). ЖХ-МС: ЭС+ 540,5.
Пример 92. Синтез 3-[6-[[3-[1-(1-метилциклобутанкарбонил)-4-пиперидил]-2-оксоимидазолидин-1-ил]метил]-2-оксобензо[cd]индол-1-ил]пиперидин-2,6-диона (Соединение 181)
Стадия 1: Синтез трет-бутил-4-[3-[[1-[(4-метоксифенил)метил]-2-оксобензо[cd]индол-6-ил]метил]-2-оксоимидазолидин-1-ил]пиперидин-1-карбоксилата: К перемешиваемому раствору трет-бутил-4-(2-оксоимидазолидин-1-ил)пиперидин-1-карбоксилата (1) (318,93 мг, 1,18 ммоль) в THF (10 мл) добавляли гидрид натрия 60% в виде дисперсии в минеральном масле (54,45 мг, 2,37 ммоль) при комнатной температуре и полученную реакционную смесь перемешивали при к.т. в течение 30 минут. Затем 6-(хлорметил)-1-[(4-метоксифенил)метил]бензо[cd]индол-2-он (пром.-А) (400 мг, 1,18 ммоль) добавляли и реакционную смесь оставляли перемешиваться при к.т. в течение 16 ч. По окончании (по данным ТСХ) реакционную смесь гасили измельченным льдом и экстрагировали добавлением EtOAc (дважды). Объединенный органический слой далее промывали водой и насыщенным солевым раствором, сушили над сульфатом натрия и концентрировали в условиях пониженного давления. Полученное таким образом неочищенное соединение очищали с помощью колонки combiflash (градиент 0-3% МеОН в DCM) с получением трет-бутил-4-[3-[[1-[(4-метоксифенил)метил]-2-оксобензо[cd]индол-6-ил]метил]-2-оксоимидазолидин-1-ил]пиперидин-1-карбоксилата (2) (320 мг, 28,41% выход) в виде светло-желтого твердого вещества. ЖХ-МС ЭС+ 571,6.
Стадия 2: Синтез 1-[(4-метоксифенил)метил]-6-[[2-оксо-3-(4-пиперидил)имидазолидин-1-ил]метил]бензо[cd]индол-2-онгидрохлорида: К перемешиваемому раствору трет-бутил-4-[3-[[1-[(4-метоксифенил)метил]-2-оксобензо[cd]индол-6-ил]метил]-2-оксоимидазолидин-1-ил]пиперидин-1-карбоксилата (2) (300 мг, 525,69 ммоль) в диоксане (5 мл) добавляли диоксан-HCl (4М) (10 мл) при охлаждении и полученную реакционную смесь перемешивали при к.т. в течение 4 часов. По окончании (по данным ТСХ) реакционную смесь концентрировали в условиях пониженного давления. Неочищенное соединение растирали с эфиром-пентаном с получением 1-[(4-метоксифенил)метил]-6-[[2-оксо-3-(4-пиперидил)имидазолидин-1-ил]метил]бензо[cd]индол-2-онгидрохлорида (3) (250 мг, 83,13% выход) в виде беловатого твердого вещества. ЖХ-МС: ЭС+ 471,1.
Стадия 3: Синтез 1-[(4-метоксифенил)метил]-6-[[3-[1-(1-метилциклобутанкарбонил)-4-пиперидил]-2-оксоимидазолидин-1-ил]метил]бензо[cd]индол-2-она: К перемешиваемому раствору 1-[(4-метоксифенил)метил]-6-[[2-оксо-3-(4-пиперидил)имидазолидин-1-ил]метил]бензо[cd]индол-2-онгидрохлорида (3) (250 мг, 493,07 ммоль) и 1-метилциклобутанкарбоновой кислоты (4) (56,28 мг, 493,07 ммоль) в DMF (2 мл) добавляли DIPEA (318,62 мг, 2,47 ммоль, 429,41 мкл) и перемешивали в течение 15 минут с последующим добавлением HATU (224,98 мг, 591,69 ммоль) и оставляли перемешиваться в течение 16 ч при к.т. По окончании (по данным ЖХМС), реакционную смесь разбавляли этилацетатом и промывали холодной водой, насыщенным солевым раствором, сушили над сульфатом натрия и концентрировали в условиях пониженного давления. Полученное таким образом неочищенное соединение очищали методом колоночной хроматографии (силикагель, градиент: 0-3% МеОН в DCM) с получением 1-[(4-метоксифенил)метил]-6-[[3-[1-(1-метилциклобутанкарбонил)-4-пиперидил]-2-оксоимидазолидин-1-ил]метил]бензо[cd]индол-2-она (5) (220 мг, 72,81% выход) в виде светло-желтого твердого вещества. ЖХ-МС: ЭС+ 567,6.
Стадия 4: Синтез 6-[[3-[1-(1-метилциклобутанкарбонил)-4-пиперидил]-2-оксоимидазолидин-1-ил]метил]-1Н-бензо[cd]индол-2-она: К перемешиваемому раствору 1-[(4-метоксифенил)метил]-6-[[3-[1-(1-метилциклобутанкарбонил)-4-пиперидил]-2-оксоимидазолидин-1-ил]метил]бензо[cd]индол-2-она (5) (200 мг, 352,93 ммоль) в TFA (3 мл) добавляли трифторметансульфоновую кислоту (264,84 мг, 1,76 ммоль, 154,88 мкл) в охлаждающих условиях. Затем реакционную смесь перемешивали при комнатной температуре в течение 16 ч. По окончании (по данным ТСХ и ЖХМС) реакционную массу гасили насыщенным раствором бикарбоната и экстрагировали добавлением этилацетата (дважды). Объединенную органическую часть сушили над сульфатом натрия и концентрировали в условиях пониженного давления. Полученное таким образом неочищенное соединение очищали с помощью колонки combiflash (градиент 0-3% МеОН в DCM) с получением 6-[[3-[1-(1-метилциклобутанкарбонил)-4-пиперидил]-2-оксоимидазолидин-1-ил]метил]-1Н-бензо[cd]индол-2-она (6) (100 мг, 57,11% выход) в виде светло-желтого твердого вещества. ЖХ-МС: ЭС+ 447,2.
Стадия 5: Синтез 3-[6-[[3-[1-(1-метилциклобутанкарбонил)-4-пиперидил]-2-оксоимидазолидин-1-ил]метил]-2-оксобензо[cd]индол-1-ил]пиперидин-2,6-диона: К перемешиваемому раствору 6-[[3-[1-(1-метилциклобутанкарбонил)-4-пиперидил]-2-оксоимидазолидин-1-ил]метил]-1Н-бензо[cd]индол-2-она (6) (90 мг, 201,55 ммоль) в THF (5 мл) добавляли гидрид натрия 60% в виде дисперсии в минеральном масле (13,90 мг, 604,65 ммоль) при 0°С и перемешивали в течение 5 мин. Затем 3-бромпиперидин-2,6-дион (7) (77,40 мг, 403,10 ммоль) добавляли при охлаждении и реакционную смесь перемешивали при 70°С в течение 30 мин. По окончании (по данным ТСХ) реакционную смесь гасили льдом и экстрагировали добавлением этилацетата. Органическую часть далее промывали водой и насыщенным солевым раствором, сушили над сульфатом натрия и концентрировали. Неочищенное соединение очищали с пластинки для преп. ТСХ в 30% ацетоне в DCM с получением 3-[6-[[3-[1-(1-метилциклобутанкарбонил)-4-пиперидил]-2-оксоимидазолидин-1-ил]метил]-2-оксобензо[cd]индол-1-ил]пиперидин-2,6-диона Соединения 181 (17 мг, 13,9% выход) в виде желтого твердого вещества. 1Н ЯМР (400 МГц, DMSO-d6) δ 11,12 (s, 1Н), 8,45 (d, J=8,36 Гц, 1H), 8,10 (d, J=6,84 Гц, 1H), 7,86 (t, J=7,36 Гц, 1H), 7,43 (d, J=7,28 Гц, 1H), 7,11 (d, J=7,32 Гц, 1H), 5,46-5,43 (m, 1H), 4,67 (s, 2H), 4,50-4,46 (m, 1H), 3,89-3,70 (m, 1H), 3,60-3,50 (m, 1H), 3,16-2,10 (m, 4H), 3,02-2,92 (m, 2H), 2,77-2,73 (m, 1H), 2,67-2,63 (m, 2H), 2,39-2,34 (m, 2H), 2,11-2,08 (m, 1H), 1,90-1,80 (m, 1H), 1,80-1,70 (m, 2H), 1,65-1,55 (m, 3H), 1,55-1,45 (m, 2H), 1,32 (s, 3H). ЖХ-МС: ЭС+ 558,3.
Пример 93. Синтез 6-(4,4,5,5-тетраметил-1,3,2-диоксаборолан-2-ил)-1Н-бензо[cd]индол-2-она (Соединение 182)
Стадия 1: Синтез 6-бром-1Н-бензо[cd]индол-2-она (2): К перемешиваемой суспензии 1Н-бензо[cd]индол-2-она (1) (250 г, 1,48 моль) в хлороформе (2,5 L), раствор молекулярного брома (354,23 г, 2,22 моль, 113,53 мл) в хлороформе (500 мл) добавляли капельно при 0°С и реакционную смесь перемешивали при комнатной температуре в течение 16 часов. По окончании реакции (по данным ТСХ), реакционную массу вливали в насыщенный вод. раствор тиосульфата натрия. Образовавшееся желтое твердое вещество отфильтровывали через шоттовскую воронку, промывали водой, пентаном и очищали толуолом с получением 6-бром-1Н-бензо[cd]индол-2-она (2) (350 г, 90% выход) в виде желтого твердого вещества. ЖХ-МС: ЭС+2 (248,2 и 250,2).
Стадия 2: Синтез 6-(4,4,5,5-тетраметил-1,3,2-диоксаборолан-2-ил)-1Н-бензо[cd]индол-2-она: К перемешиваемому раствору 6-бром-1Н-бензо[cd]индол-2-она (2) (100 г, 403,10 ммоль) в 1,4-диоксане (1 L) добавляли бис(пинаколато)дибор (153,55 г, 604,66 ммоль) с последующим добавлением хорошо просушенного ацетата калия (118,68 г, 1,21 моль, 75,60 мл). Полученную реакционную массу хорошо дегазировали аргоном в течение 15 минут. PdCl2(dppf).DCM (32,92 г, 40,31 ммоль) добавляли и реакционную массу нагревали при 100°С в течение 16 часов. По окончании реакции (по данным ТСХ), реакционную смесь охлаждали до к.т., фильтровали через слой целита, промывали дополнительным количеством этилацетата. Объединенный фильтрат промывали холодной водой, сушили над сульфатом натрия и концентрировали в условиях пониженного давления с получением 6-(4,4,5,5-тетраметил-1,3,2-диоксаборолан-2-ил)-1Н-бензо[cd]индол-2-она Соединения 182 (110 г, 64% выход) в виде коричневой смолы. ЖХ-МС: ЭС+ 295,7
Пример 94. Синтез 4-[4-[[4-[[1-(2,6-диоксо-3-пиперидил)-2-оксобензо[cd]индол-6-ил]метил]фенил]метил]пиперазин-1-ил]-3-фторбензонитрила (Соединение 183, Соединение 184 и Соединение 185)
Стадия 1: Синтез трет-бутил-4-(4-циано-2-фторфенил)пиперазин-1-карбоксилата (3): К перемешиваемому раствору 3,4-дифторбензонитрила (1) (13 г, 93,46 ммоль) в DMSO (80 мл), карбонат калия (19,37 г, 140,18 ммоль, 8,46 мл) и трет-бутилпиперазин-1-карбоксилат (2) (19,15 г, 102,80 ммоль) добавляли и полученную реакционную смесь нагревали при 100°С в течение 16 часов. По окончании (по данным ТСХ), реакционной смеси позволяли охладиться и к ней добавляли воду (500 мл). Полученное таким образом твердое вещество отфильтровывали, промывали водой и сушили в вакууме с получением трет-бутил-4-(4-циано-2-фторфенил)пиперазин-1-карбоксилата (3) (20 г, 66% выход) в виде белого твердого вещества. ЖХ-МС: ЭС+ 306,2.
Стадия 2: Синтез 3-фтор-4-пиперазин-1-илбензонитрилгидрохлорида (4): К перемешиваемому раствору трет-бутил-4-(4-циано-2-фторфенил)пиперазин-1-карбоксилата (3) (20 г, 65,50 ммоль) в диоксане (15 мл) добавляли диоксан-HCl (65,50 ммоль, 50 мл) и реакционную смесь перемешивали при к.т. в течение 3 часов. Все летучие вещества удаляли в условиях пониженного давления. Полученное твердое вещество растирали с эфиром с получением 3-фтор-4-пиперазин-1-илбензонитрилгидрохлорида (4) (17 г, 88% выход) в виде белого твердого вещества. ЖХ-МС: ЭС+ 206,4.
Стадия 3: Синтез 4-[4-[[4-(хлорметил)фенил]метил]пиперазин-1-ил]-3-фторбензонитрила (6): К перемешиваемому раствору 3-фтор-4-пиперазин-1-илбензонитрилгидрохлорида (4) (15 г, 62,06 ммоль) в DMF (75 мл) добавляли DIPEA (24,06 г, 186,19 ммоль, 32,43 мл) и реакционную смесь перемешивали в течение 5 минут. Затем 1,4-бис(хлорметил)бензол (5) (10,86 г, 62,06 ммоль, 7,65 мл) добавляли одной порцией и реакционную смесь нагревали при 60°С в течение 16 часов. По окончании (по данным ТСХ), реакционную смесь разбавляли этилацетатом и промывали водой и насыщенным солевым раствором, сушили над сульфатом натрия и концентрировали. Полученное таким образом неочищенное соединение очищали методом колоночной хроматографии (силикагель, градиент: 10-30% EtOAc в гексане) с получением 4-[4-[[4-(хлорметил)фенил]метил]пиперазин-1-ил]-3-фторбензонитрила (6) (7 г, 32% выход) в виде белого твердого вещества. ЖХ-МС: (Es, ЭС+2) 344,2, 346,4.
Стадия 4: Синтез 3-фтор-4-[4-[[4-[(2-оксо-1Н-бензо[cd]индол-6-ил)метил]фенил]метил]пиперазин-1-ил]бензонитрила (7): К хорошо дегазированному раствору 4-[4-[[4-(хлорметил)фенил]метил]пиперазин-1-ил]-3-фторбензонитрила (6) (7 г, 20,36 ммоль) и 6-(4,4,5,5-тетраметил-1,3-диоксолан-2-ил)-1Н-бензо[cd]индол-2-она (3) (9,08 г, 30,54 ммоль) в этаноле (30 мл) и толуоле (60 мл), трехосновный фосфат калия, безводный, (10,80 г, 50,90 ммоль) добавляли с последующим добавлением три-о-толилфосфина (1,24 г, 4,07 ммоль) и Pd2(dba)3 (1,86 г, 2,04 ммоль). Полученную смесь затем нагревали при 100°С в течение 16 часов. По окончании реакции (по данным ЖХМС), реакционную смесь фильтровали через слой целита, промывали этилацетатом. Объединенный фильтрат промывали водой и насыщенным солевым раствором, сушили над сульфатом натрия и концентрировали в условиях пониженного давления. Неочищенную массу очищали методом колоночной хроматографии (силикагель, градиент: 0-40% этилацетата в гексане) с получением 3-фтор-4-[4-[[4-[(2-оксо-1Н-бензо[cd]индол-6-ил)метил]фенил]метил]пиперазин-1-ил]бензонитрила (7) (5,5 г, 52% выход,) в виде желтого твердого вещества. ЖХ-МС: ЭС+ 477,4.
Стадия 5: Синтез 4-[4-[[4-[[1-(2,6-диоксо-3-пиперидил)-2-оксобензо[cd]индол-6-ил]метил]фенил]метил]пиперазин-1-ил]-3-фторбензонитрила: К охлажденному раствору фтор-4-[4-[[4-[(2-оксо-1Н-бензо[cd]индол-6-ил)метил]фенил]метил]пиперазин-1-ил]бензонитрила (7) (5,5 г, 11,54 ммоль) в сухом THF (30 мл), гидрид натрия (60% дисперсия в минеральном масле) (2,65 г, 115,41 ммоль) добавляли порциями, поддерживая темп. <5°С. По завершении добавления, полученную смесь перемешивали в течение 15 минут при к.т. Затем реакционную смесь вновь охлаждали до 0°С и 3-бромпиперидин-2,6-дион (8) (11,08 г, 57,71 ммоль) добавляли к ней порциями. После полного завершения добавления полученный раствор нагревали при 70°С в течение 1 часа. По окончании (по данным ТСХ), реакционную смесь охлаждали до 0°С и гасили добавлением ледяной воды. Водную часть экстрагировали добавлением этилацетата (3×100 мл). Объединенные органические фазы отделяли, сушили над сульфатом натрия и концентрировали в условиях пониженного давления. Неочищенную массу очищали методом колоночной хроматографии (силикагель, градиент: 30-100% EtOAc в DCM) с получением 4-[4-[[4-[[1-(2,6-диоксо-3-пиперидил)-2-оксобензо[cd]индол-6-ил]метил]фенил]метил]пиперазин-1-ил]-3-фторбензонитрила Соединения 183 (4,4 г, 63% выход) в виде желтого твердого вещества. 1Н ЯМР (400 МГц, DMSO-d6) δ 11,12 (s, 1Н), 8,32 (d, J=8,28 Гц, 1H), 8,07 (d, J=6,92 Гц, 1H), 7,80 (t, J=7,66 Гц, 1H), 7,66 (d, J=12,4 Гц, 1H), 7,54 (d, J=8,36 Гц, 1H), 7,40 (d, J=7,28 Гц, 1H), 7,26-7,19 (m, 4H), 7,11-7,05 (m, 2H), 5,44 (dd, J=12,64, 4,84 Гц, 1H), 4,37 (s, 2H), 3,49 (s, 2H), 3,12 (br s, 4H), 2,98-2,90 (m, 1H), 2,79-2,73 (m, 1H), 2,70-2,62 (m, 1H), 2,45 (br s, 4H), 2,10-2,07 (m, 1H); ЖХ-МС: ЭС+ 588,48.
Стадия 6 (Хиральное разделение): Получение 4-(4-(4-((1-(2,6-диоксопиперидин-3-ил)-2-оксо-1,2-дигидробензо[cd]индол-6-ил)метил)бензил)пиперазин-1-ил)-3-фторбензонитрила и 4-(4-(4-((1-(2,6-диоксопиперидин-3-ил)-2-оксо-1,2-дигидробензо[cd]индол-6-ил)метил)бензил)пиперазин-1-ил)-3-фторбензонитрила: 4,4 г 4-[4-[[4-[[1-(2,6-диоксо-3-пиперидил)-2-оксобензо[cd]индол-6-ил]метил]фенил]метил]пиперазин-1-ил]-3-фторбензонитрила Соединения 183 разделяли на энантиомеры методом хиральной SFC с получением 4-(4-(4-((1-(2,6-диоксопиперидин-3-ил)-2-оксо-1,2-дигидробензо[cd]индол-6-ил)метил)бензил)пиперазин-1-ил)-3-фторбензонитрила Соединения 184 (1,5 г, %ее 100) и 4-(4-(4-((1-(2,6-диоксопиперидин-3-ил)-2-оксо-1,2-дигидробензо[cd]индол-6-ил)метил)бензил)пиперазин-1-ил)-3-фторбензонитрила Соединения 185 (1,55 г, %ее 100) в виде желтых твердых веществ.
Пример 95. Синтез 3-(6-((1-(3,3-дифтор-1-((1-метилциклобутил)метил)пиперидин-4-ил)-1Н-пиразол-4-ил)метил)-2-оксобензо[cd]индол-1(2Н)-ил)пиперидин-2,6-диона (Соединение 186) и 3-(6-((1-(3,3-дифтор-1-((1-метилциклобутил)метил)пиперидин-4-ил)-1Н-пиразол-4-ил)метил)-2-оксобензо[cd]индол-1(2Н)-ил)пиперидин-2,6-диона (Соединение 187)
Стадия 1: Синтез трет-бутил-4-(2-трет-бутоксикарбонилгидразино)-3,3-дифторпиперидин-1-карбоксилата (2): Смесь раствора трет-бутил-3,3-дифтор-4-оксопиперидин-1-карбоксилата (1) (3,0 г, 12,75 ммоль) и трет-бутил-N-аминокарбамата (1,69 г, 12,75 ммоль) в уксусной кислоте (13 мл) перемешивали при к.т. в течение 2 часов. После этого цианоборгидрид натрия (1,04 г, 16,58 ммоль) добавляли к реакционной смеси и перемешивание продолжали в течение 12 часов при комнатной температуре. По окончании реакции (по данным ТСХ), летучие вещества удаляли в условиях пониженного давления. Полученное липкое твердое вещество затем гасили 5н NaOH для поддержания рН~9. Водную часть экстрагировали добавлением DCM (2×50 мл), отделяли, сушили безводным сульфатом натрия и концентрировали в условиях пониженного давления с получением неочищенного соединения трет-бутил-4-(2-трет-бутоксикарбонилгидразино)-3,3-дифторпиперидин-1-карбоксилата (2) (4,11 г, 9,36 ммоль, 73,37% выход). ЖХ-МС: ЭС+ 352,1.
Стадия 2: Синтез этил-1-(3,3-дифтор-4-пиперидил)пиразол-4-карбоксилатгидрохлорида (4): К смеси раствор трет-бутил-4-(2-трет-бутоксикарбонилгидразино)-3,3-дифторпиперидин-1-карбоксилата (2) (4,11 г, 11,70 ммоль) и этил-2-формил-3-оксопропаноата (3) (1,69 г, 11,70 ммоль) в этаноле (72 мл), 4М диоксан-HCl (38 мл) добавляли капельно при к.т. После полного завершения добавления реакционную смесь нагревали при 75°С в течение 5 часов. По окончании реакции (по данным ЖХ-МС), летучие вещества удаляли в условиях пониженного давления. Полученное коричневое смолистое твердое вещество гасили насыщенным раствором бикарбоната натрия. Водную часть экстрагировали добавлением этилацетата (2×50 мл), отделяли, сушили безводным сульфатом натрия и концентрировали с получением этил-1-(3,3-дифтор-4-пиперидил)пиразол-4-карбоксилатгидрохлорида (4) (3,0 г, 7,23 ммоль, 61,77% выход), который непосредственно использовали на следующей стадии без какой-либо очистки. ЖХ-МС: ЭС+ 260,4.
Стадия 3: Синтез трет-бутил-4-(4-этоксикарбонилпиразол-1-ил)-3,3-дифторпиперидин-1-карбоксилата (5): К перемешиваемому раствору этил-1-(3,3-дифтор-4-пиперидил)пиразол-4-карбоксилатгидрохлорида (4) (3,0 г, 10,14 ммоль) в сухом THF (10,0 мл) добавляли триэтиламин, 99% (2,05 г, 20,29 ммоль, 2,83 мл) и ди-трет-бутилдикарбонат (6,64 г, 30,43 ммоль, 6,98 мл) при 0°С и после полного завершения добавления реакционную смесь перемешивали при к.т. в течение 12 часов. По окончании реакции (по данным ЖХ-МС), летучие вещества удаляли и полученную реакционную массу повторно растворяли в этилацетате (50 мл). Органическую фазу промывали водой (40 мл)/насыщенным солевым раствором (30 мл), отделяли, сушили безводным сульфатом натрия и концентрировали. Полученное таким образом неочищенное соединение очищали методом колоночной хроматографии (силикагель, градиент: 0-40% этилацетата в гексане) с получением трет-бутил-4-(4-этоксикарбонилпиразол-1-ил)-3,3-дифторпиперидин-1-карбоксилата (5) (2,6 г, 7,16 ммоль, 70,60% выход) в виде липкого твердого вещества, которое хранили в круглодонной колбе при 5°С внутри холодильника. ЖХ-МС: ЭС+ 304,2 (М-56).
Стадия 4: Синтез трет-бутил-3,3-дифтор-4-[4-(гидроксиметил)пиразол-1-ил]пиперидин-1-карбоксилата (6): К перемешиваемому раствору трет-бутил-4-(4-этоксикарбонилпиразол-1-ил)-3,3-дифторпиперидин-1-карбоксилата (5) (1,0 г, 2,78 ммоль) в сухом THF (10,0 мл), диизобутилалюминийгидрид (7,91 г, 13,91 ммоль, 9,22 мл) добавляли капельно при -78°С и перемешивали в течение 4 часов при той же температуре в атмосфере N2. После полного расходования, по данным ТСХ, реакционную массу разбавляли этилацетатом (30 мл) и гасили водой (20 мл). Органическую фазу отделяли, сушили над безводным Na2SO4 и концентрировали в условиях пониженного давления с получением трет-бутил-3,3-дифтор-4-[4-(гидроксиметил)пиразол-1-ил]пиперидин-1-карбоксилата (6) (857 мг, 2,62 ммоль, 94,14% выход) в виде желтой смолы, которую переносили на следующую стадию без какой-либо дальнейшей очистки. ЖХ-МС: ЭС+ 318,1.
Стадия 5: Синтез трет-бутил-4-[4-(хлорметил)пиразол-1-ил]-3,3-дифторпиперидин-1-карбоксилата (7): Чистый N,N-диизопропилэтиламин (2,61 г, 20,17 ммоль, 3,51 мл) добавляли с помощью шприца к перемешиваемому раствору трет-бутил-3,3-дифтор-4-[4-(гидроксиметил)пиразол-1-ил]пиперидин-1-карбоксилата (6) (1,6 г, 5,04 ммоль) в сухом DCM (17 мл) при 0°С в атмосфере азота, с последующим добавлением чистого метансульфонилхлорида, 98% (1,44 г, 12,61 ммоль, 975,63 мкл) с помощью шприца и перемешивали реакционную смесь при к.т. в течение 16 часов. По окончании реакции (по данным ТСХ), реакционную смесь разбавляли до 50 мл DCM и промывали 2н HCl (10 мл). Органическую фазу далее промывали насыщенным раствором бикарбоната натрия и отделяли, сушили безводным сульфатом натрия и концентрировали с получением трет-бутил-4-[4-(хлорметил)пиразол-1-ил]-3,3-дифторпиперидин-1-карбоксилата (7) (1,65 г, 3,93 ммоль, 77,97% выход, 80% чистота) в виде коричневого смолистого твердого вещества, которое переносили на следующую стадию без какой-либо дальнейшей очистки. ЖХ-МС: ЭС+ 280,1 (М-56).
Стадия 6а: Синтез трет-бутил-3,3-дифтор-4-[4-[(2-оксо-1Н-бензо[cd]индол-6-ил)метил]пиразол-1-ил]пиперидин-1-карбоксилата (9): К хорошо дегазированному раствору трет-бутил-4-[4-(хлорметил)пиразол-1-ил]-3,3-дифторпиперидин-1-карбоксилата (7) (1,74 г, 5,18 ммоль и 6-(4,4,5,5-тетраметил-1,3,2-диоксаборолан-2-ил)-1Н-бензо[cd]индол-2-она (8) (20,92 г, 70,89 ммоль) в этаноле (4 мл) - толуоле (8 мл), трехосновный фосфат калия, безводный, ((3,30 г, 15,55 ммоль) добавляли с последующим добавлением три-о-толилфосфина (315,45 мг, 1,04 ммоль) и Pd2(dba)3 (474,53 мг, 518,20 ммоль). Полученную смесь затем нагревали при 90°С в течение 12 часов. По окончании реакции (по данным ЖХМС), реакционную смесь фильтровали через слой целита, промывали этилацетатом (200 мл). Объединенный фильтрат затем промывали водой (3×50 мл) и насыщенным солевым раствором (2×40 мл), сушили безводным сульфатом натрия и концентрировали в условиях пониженного давления. Неочищенную массу очищали методом колоночной хроматографии (силикагель, градиент: 0-20% этилацетата в DCM) с получением трет-бутил-3,3-дифтор-4-[4-[(2-оксо-1Н-бензо[cd]индол-6-ил)метил]пиразол-1-ил]пиперидин-1-карбоксилата (9) (225 мг, 256,14 ммоль, 4,94% выход) в виде желтого твердого вещества, которое хранили в пластиковой бутылке Tarson при температуре окружающей среды. ЖХ-МС: ЭС+ 469,2.
Стадия 6b: Хиральное разделение: Соединение отделяли методом нормально-фазовой хиральной ВЭЖХ в соответствии со следующей методикой с получением 4-[4-[[1-(2,6-диоксо-3-пиперидил)-2-оксобензо[cd]индол-6-ил]метил]пиразол-1-ил]-3,3-дифторпиперидин-1-карбоксилата Соединения 10а (100 мг) и 4-[4-[[1-(2,6-диоксо-3-пиперидил)-2-оксобензо[cd]индол-6-ил]метил]пиразол-1-ил]-3,3-дифторпиперидин-1-карбоксилата 10b (100 мг).
Стадия 7а: Синтез трет-бутил-4-[4-[[1-(2,6-диоксо-3-пиперидил)-2-оксобензо[cd]индол-6-ил]метил]пиразол-1-ил]-3,3-дифторпиперидин-1-карбоксилата (12а): К охлаждаемому на льду раствору 3,3-дифтор-4-[4-[(2-оксо-1Н-бензо[cd]индол-6-ил)метил]пиразол-1-ил]пиперидин-1-карбоксилата (100,00 мг, 213,45 ммоль) (10а) в сухом THF (5 мл), гидрид натрия (60% дисперсия в минеральном масле) (85,38 мг, 2,13 ммоль, 60% чистота) добавляли порциями, поддерживая темп. <5°С. По завершении добавления, полученную смесь перемешивали в течение 15 минут при к.т. Затем реакционную смесь вновь охлаждали до 0°С и 3-бромпиперидин-2,6-дион (11) (204,92 мг, 1,07 ммоль) добавляли к ней порциями. После полного завершения добавления полученный раствор нагревали при 70°С в течение 1 часа. По окончании (по данным ТСХ), реакционную смесь вновь охлаждали до 0°С и гасили ледяной водой (10 мл). Водную часть экстрагировали добавлением этилацетата (2×20 мл). Объединенные экстракты сушили безводным сульфатом натрия и концентрировали в условиях пониженного давления. Неочищенную массу очищали методом флэш-хроматографии (силикагель, градиент: 2,5% МеОН в DCM) до трет-бутил-4-[4-[[1-(2,6-диоксо-3-пиперидил)-2-оксобензо[cd]индол-6-ил]метил]пиразол-1-ил]-3,3-дифторпиперидин-1-карбоксилата (12а) (100 мг, 167,36 ммоль, 78,41% выход, 97% чистота) в виде желтого твердого вещества, которое хранили в кругло донной колбе при 5°С внутри холодильника; ЖХ-МС: ЭС+ 580,4.
Стадия 7b: Синтез трет-бутил-4-[4-[[1-(2,6-диоксо-3-пиперидил)-2-оксобензо[cd]индол-6-ил]метил]пиразол-1-ил]-3,3-дифторпиперидин-1-карбоксилата (12b): К перемешиваемому раствору трет-бутил-3,3-дифтор-4-[4-[(2-оксо-1Н-бензо[cd]индол-6-ил)метил]пиразол-1-ил]пиперидин-1-карбоксилата (10b) (100,00 мг, 213,45 ммоль) в сухом THF (5,0 мл), гидрид натрия (в масляной дисперсии) в виде 60% дисперсии в минеральном масле (85,38 мг, 2,13 ммоль, 60% чистота) добавляли при 0°С и перемешивали в течение 15 минут с последующим добавлением 3-бромпиперидин-2,6-диона 11 (204,92 мг, 1,07 ммоль). Полученную реакционную смесь перемешивали при 70°С в течение 1,5 часов. Поскольку большая часть исходного вещества оставалась непрореагировавшей по данным ТСХ и ЖХМС, реакционную смесь нагревали с обратным холодильником в течение 2 часов. После полной конверсии исх. вещ. по данным ЖХМС, реакционную смесь гасили водой и экстрагировали добавлением этилацетата (2×20 мл). Объединенный органический слой отделяли, сушили над сульфатом натрия и концентрировали. Неочищенную реакционную массу очищали с помощью преп. ТСХ (2,5% МеОН в DCM в качестве элюента) с получением трет-бутил-4-[4-[[1-(2,6-диоксо-3-пиперидил)-2-оксобензо[cd]индол-6-ил]метил]пиразол-1-ил]-3,3-дифторпиперидин-1-карбоксилата (12b) (100 мг, 155,28 ммоль, 72,75% выход, 90% чистота) в виде желтого твердого вещества; ЖХ-МС: ЭС+ 580,4.
Стадия 8а: Синтез 3-(6-((1-(3,3-дифторпиперидин-4-ил)-1Н-пиразол-4-ил)метил)-2-оксобензо[cd]индол-1(2Н)-ил)пиперидин-2,6-диона (13а): К перемешиваемому раствору трет-бутил-4-[4-[[1-(2,6-диоксо-3-пиперидил)-2-оксобензо[cd]индол-6-ил]метил]пиразол-1-ил]-3,3-дифторпиперидин-1-карбоксилата 12а (100 мг, 172,53 ммоль) в сухом диоксане (2,0 мл), диоксан/HCl (172,53 ммоль, 1,0 мл) добавляли при 0°С.Полученную реакционную смесь перемешивали при к.т. в течение 4 часов. После полной конверсии исх. вещ. по данным ЖХМС, реакционную смесь гасили раствором бикарбоната натрия и экстрагировали добавлением этилацетата (2×20 мл). Объединенный органический слой отделяли, сушили над сульфатом натрия и концентрировали. Неочищенную реакционную массу промывали диэтиловым эфиром с получением 3-[6-[[1-[3,3-дифтор-4-пиперидил]пиразол-4-ил]метил]-2-оксобензо[cd]индол-1-ил]пиперидин-2,6-диона 13а (82 мг, 157,34 ммоль, 91,19% выход, 92% чистота) в виде желтого твердого вещества.
Стадия 8b: Синтез 3-(6-((1-(3,3-дифторпиперидин-4-ил)-1Н-пиразол-4-ил)метил)-2-оксобензо[cd]индол-1(2Н)-ил)пиперидин-2,6-диона (13b): К перемешиваемому раствору трет-бутил-(4-[4-[[1-(2,6-диоксо-3-пиперидил)-2-оксобензо[cd]индол-6-ил]метил]пиразол-1-ил]-3,3-дифторпиперидин-1-карбоксилата (100 мг, 172,53 ммоль) в сухом диоксане (2,0 мл), диоксан/HCl (172,53 ммоль, 1,0 мл) добавляли при 0°С. Полученную реакционную смесь перемешивали при к.т. в течение 4 часов. После полной конверсии исх. вещ. по данным ЖХМС, реакционную смесь гасили раствором бикарбоната натрия и экстрагировали добавлением этилацетата (2×20 мл). Объединенный органический слой отделяли, сушили над сульфатом натрия и концентрировали. Неочищенную реакционную массу промывали диэтиловым эфиром с получением 3-[6-[[1-[3,3-дифтор-4-пиперидил]пиразол-4-ил]метил]-2-оксобензо[cd]индол-1-ил]пиперидин-2,6-диона 13b (60 мг, 120,13 ммоль, 69,63% выход, 96% чистота) в виде желтого твердого вещества.
Стадия 9а: Синтез 3-(6-((1-(3,3-дифтор-1-((1-метилциклобутил)метил)пиперидин-4-ил)-1Н-пиразол-4-ил)метил)-2-оксобензо[cd]индол-1(2Н)-ил)пиперидин-2,6-диона: К перемешиваемому раствору 3-[6-[[1-[3,3-дифтор-4-пиперидил]пиразол-4-ил]метил]-2-оксобензо[cd]индол-1-ил]пиперидин-2,6-диона 13а (82,0 мг, 171,02 ммоль) в THF (12,0 мл) добавляли 1-метилциклобутанкарбальдегид 14 (20,14 мг, 205,22 ммоль), с последующим добавлением дихлорида дибутилолова (62,36 мг, 205,22 ммоль, 45,85 мкл) и фенилсилана (18,51 мг, 171,02 ммоль). Реакционную смесь затем перемешивали при 90°С в течение 16 часов. Реакционную смесь разбавляли этилацетатом, промывали раствором бикарбоната натрия, водой и насыщенным солевым раствором. Органическую фракцию отделяли. Ее сушили над безводным сульфатом натрия, упаривали в условиях пониженного давления с получением неочищенного соединения, которое очищали методом флэш-хроматографии с использованием 0-5% MeOH-DCM с получением 3-[6-[[1-[3,3-дифтор-1-[(1-метилциклобутил)метил]-4-пиперидил]пиразол-4-ил]метил]-2-оксобензо[cd]индол-1-ил]пиперидин-2,6-диона Соединения 186 (25,0 мг, 43,68 ммоль, 25,54% выход, 98,13% чистота) в виде желтого твердого вещества. 1Н ЯМР (400 МГц, DMSO-d6) δ 11,11 (s, 1H), 8,39 (d, J=8,28 Гц, 1H), 8,08 (d, J=6,96 Гц, 1H), 7,82 (t, J=7,58 Гц, 1H), 7,61 (s, 1H), 7,39-7,36 (m, 2Н), 7,08 (d, J=7,16 Гц, 1Н), 5,44-5,42 (m, 1H), 4,65-4,60 (m, 1H), 4,20 (s, 2H), 2,97-2,91 (m, 2H), 2,81-2,62 (m, 3Н), 2,42-2,27 (m, 5H), 2,10-2,08 (m, 1H), 1,95-1,74 (m, 5H), 1,62-1,60 (m, 2H), 1,14 (s, 3Н); ЖХ-МС: ЭС+ 562,2.
Стадия 9b: Синтез 3-(6-((1-(3,3-дифтор-1-((1-метилциклобутил)метил)пиперидин-4-ил)-1Н-пиразол-4-ил)метил)-2-оксобензо[cd]индол-1(2Н)-ил)пиперидин-2,6-диона: К перемешиваемому раствору 3-[6-[[1-[3,3-дифтор-4-пиперидил]пиразол-4-ил]метил]-2-оксобензо[cd]индол-1-ил]пиперидин-2,6-диона 13b (60,0 мг, 125,14 ммоль) в THF (12,0 мл) добавляли 1-метилциклобутанкарбальдегид 14 (14,74 мг, 150,16 ммоль), дихлорид дибутилолова (45,63 мг, 150,16 ммоль, 33,55 мкл) и фенилсилан (13,54 мг, 125,14 ммоль). Реакционную смесь затем перемешивали при 90°С в течение 16 часов. Реакционную смесь разбавляли этилацетатом, промывали раствором бикарбоната натрия, водой и насыщенным солевым раствором. Органическую фракцию отделяли. Ее сушили над безводным сульфатом натрия, упаривали в условиях пониженного давления с получением неочищенного соединения, которое очищали методом флэш-хроматографии с использованием 0-5% MeOH-DCM с получением 3-[6-[[1-[3,3-дифтор-1-[(1-метилциклобутил)метил]-4-пиперидил]пиразол-4-ил]метил]-2-оксобензо[cd]индол-1-ил]пиперидин-2,6-диона Соединения 187 (5,0 мг, 8,42 ммоль, 6,73% выход, 94,61% чистота) в виде желтого твердого вещества. 1Н ЯМР (400 МГц, DMSO-d6) δ 11,11 (s, 1H), 8,39 (d, J=8,6 Гц, 1H), 8,08 (d, J=7,52 Гц, 1H), 7,85-7,82 (m, 1Н), 7,61 (s, 1H), 7,38-7,36 (m, 2H), 7,08 (d, J=7,32 Гц, 1H), 5,45-5,42 (m, 1H), 4,63-4,62 (m, 1H), 4,20 (s, 2H), 2,94-2,73 (m, 4H), 2,66-2,62 (m, 1H), 2,36-2,27 (m, 3H), 2,08-2,06 (m, 1H), 1,95-1,74 (m, 3H), 1,62-1,60 (m, 2H), 1,53-1,52 (m, 1H), 1,14 (s, 3H), 0,92-0,85 (m, 2H); ЖХ-МС: ЭС+562,3.
Пример 96. Синтез 3-[6-[[4-[[4-(2-фторфенил)пиперазин-1-ил]метил]фенил]метил]-2-оксобензо[cd]индол-1-ил]пиперидин-2,6-диона (Соединение 188, Соединение 189 и Соединение 190)
Стадия 1: Синтез 1-[[4-(хлорметил)фенил]метил]-4-(2-фторфенил)пиперазина (3): К перемешиваемому раствору 1-(2-фторфенил)пиперазина (1) (2 г, 11,10 ммоль) в сухом DMF (5 мл), DIPEA (4,30 г, 33,29 ммоль, 5,80 мл) добавляли 1,4-бис(хлорметил)бензол (2) (3,89 г, 22,19 ммоль, 2,74 мл). Полученную реакционную смесь нагревали при 60°С в течение 12 часов. По окончании реакции (по данным ЖХ-МС), ледяную воду (25 мл) добавляли к реакционной смеси и экстрагировали добавлением этилацетата (3x30 мл). Органическую часть отделяли, сушили безводным сульфатом натрия и концентрировали в условиях пониженного давления. Неочищенную реакционную массу очищали методом колоночной хроматографии (силикагель, градиент: 0-40% этилацетата в гексане) с получением 1-[[4-(хлорметил)фенил]метил]-4-(2-фторфенил)пиперазина (3) (3 г, 8,47 ммоль, 76,31% выход, 90% чистота) в виде желтого твердого вещества; ЖХ-МС: ЭС+319,4.
Стадия 2: Синтез 6-[[4-[[4-(2-фторфенил)пиперазин-1-ил]метил]фенил]метил]-1Н-бензо[cd]индол-2-она (5): К перемешиваемому раствору 6-(4,4,5,5-тетраметил-1,3-диоксолан-2-ил)-1Н-бензо[cd]индол-2-она (4) (500 мг, 1,68 ммоль) и 1-[[4-(хлорметил)фенил]метил]-4-(2-фторфенил)пиперазина (536,10 мг, 1,68 ммоль) (3) в этаноле (1 мл) и толуоле (2 мл) добавляли трехзамещенный фосфат калия (892,33 мг, 4,20 ммоль) с последующим добавлением 0,5 мл воды и реакционную массу дегазировали в атмосфере азота в течение 10 минут. Затем трис-о-толилфосфан (102,36 мг, 336,31 ммоль) и (1Е,4Е)-1,5-дифенилпента-1,4-диен-3-онпалладий (153,98 мг, 168,15 ммоль) добавляли к этой реакционной массе и нагревали полученную реакционную смесь 90°С в течение ночи. По окончании реакции реакционную смесь фильтровали через слой целита, промывали этилацетатом (50 мл). Фильтрат собирали и промывали водой (2 × 20 мл) /насыщенным солевым раствором (20 мл). Объединенный органический слой отделяли, сушили над сульфатом натрия и концентрировали в вакууме. Неочищенное соединение очищали методом колоночной хроматографии (силикагель, градиент: 0-40% этилацетата в гексане) с получением 6-[[4-[[4-(2-фторфенил)пиперазин-1-ил]метил]фенил]метил]-1Н-бензо[]индол-2-она (5) (280 мг, 539,49 ммоль, 32,08% выход, 87% чистота) в виде желтого твердого вещества; ЖХ-МС: 452,4.
Стадия 3: Получение 3-[6-[[4-[[4-(2-фторфенил)пиперазин-1-ил]метил]фенил]метил]-2-оксобензо[cd]индол-1-ил]пиперидин-2,б-диона: К охлаждаемому на льду раствору 6-[[4-[[4-(2-фторфенил)пиперазин-1-ил]метил]фенил]метил]-1Н-бензо[cd]индол-2-она 5 (80 мг, 177,17 ммоль) в сухом THF (8 мл), гидрид натрия (в масляной дисперсии) в виде 60% дисперсии в минеральном масле (67,89 мг, 1,77 ммоль, 60% чистота) добавляли порциями, поддерживая темп. <5°С. По завершении добавления, полученную смесь перемешивали в течение 15 минут при к.т.Затем реакционную смесь вновь охлаждали до 0°С и 3-бромпиперидин-2,6-дион 6 (170,10 мг, 885,87 ммоль) добавляли к ней порциями. После полного завершения добавления полученный раствор нагревали при 70°С в течение 1 часа. По окончании (по данным ТСХ), реакционную смесь вновь охлаждали до 0°С и гасили ледяной водой (40 мл). Водную часть экстрагировали добавлением этилацетата (3 × 50 мл). Объединенные экстракты сушили безводным сульфатом натрия и концентрировали в условиях пониженного давления. Неочищенную массу очищали методом флэш-хроматографии (силикагель, градиент: 3% МеОН в DCM) с получением 3-[6-[[4-[[4-(2-фторфенил)пиперазин-1-ил]метил]фенил]метил]-2-оксобензо[cd]индол-1-ил]пиперидин-2,6-диона Соединения 188 (20 мг, 34,69 ммоль, 19,58% выход, 97,59% чистота). 1Н ЯМР (400 МГц, DMSO-d6) δ 11,12 (s, 1Н), 8,32 (d, J=8,16 Гц, 1H), 8,07 (d, J=6,92 Гц, 1H), 7,81 (t, J=7,92 Гц, 1H), 7,41 (d, J=7,24 Гц, 1H), 7,26-7,20 (m, 4H), 7,11-7,05 (m, 3H), 7,0-6,93 (br m, 2H), 5,43 (dd, J=12,64, 4,76 Гц, 1H), 4,38 (s, 2H), 3,45 (s, 2H), 2,96 (br s, 5H), 2,76-2,73 (m, 1H), 2,66-2,62 (m, 1H), 2,50 (br s, 4H), 2,10-2,09 (m, 1H); ЖХ-МС: ЭС+563,5.
Стадия 4: Хиральное разделение: (Соединение 189 и Соединение 190): 550 мг 3-[6-[[4-[[4-(2-фторфенил)пиперазин-1-ил]метил]фенил]метил]-2-оксобензо[cd]индол-1-ил]пиперидин-2,6-диона Соединения 188 разделяли на энантиомеры методом SFC. Преп. фракции сначала упаривали по отдельности в условиях пониженного давления с получением твердой массы. Твердое вещество затем суспендировали в смеси ацетонитрила и воды (2:3) и ее хранили на бане сухой лед/ацетон до затвердевания смеси ацетонитрил-вода. Замороженную смесь затем подвергали лиофильной сушке в течение 20 часов с получением 3-[6-[[4-[[4-(2-фторфенил)пиперазин-1-ил]метил]фенил]метил]-2-оксобензо[cd]индол-1-ил]пиперидин-2,6-диона Соединения 189 (96 мг, 165,66 ммоль, 16,95% выход, 97,09% чистота) (первый элюированный пик, вр. удерж. =8,38 мин, установлен экспериментально как 'S' ABS) (96 мг, %ее 100) 3-[6-[[4-[[4-(2-фторфенил)пиперазин-1-ил]метил]фенил]метил]-2-оксобензо[cd]индол-1-ил]пиперидин-2,6-диона (100 мг, 164,78 ммоль, 16,86% выход, 92,71% чистота) Соединение 190 (второй элюированный пик, вр. удерж. =11,8 мин, установлен экспериментально как 'R' ABS) (100 мг, %ее 97,4) в виде желтых твердых веществ.
Пример 97. Синтез 3-[6-[[1-[1-[(1-метилциклобутил)метил]-4-(трифторметил)-4-пиперидил]пиразол-4-ил]метил]-2-оксобензо[cd]индол-1-ил]пиперидин-2,6-диона (Соединение 191)
Стадия 1: Синтез бензил-4-(бензоилгидразоно)пиперидин-1-карбоксилата (3): К перемешиваемому раствору бензил-4-оксопиперидин-1-карбоксилата (1) (5,0 г, 21,44 ммоль, 4,27 мл) в сухом метаноле (30,0 мл), бензогидразид (2) (2,92 г, 21,44 ммоль) добавляли и полученный раствор нагревали при 70°С в течение ночи. По окончании реакции по данным ЖХ-МС, реакционную смесь упаривали и полученное таким образом неочищенное соединение промывали пентаном с получением чистого бензил-4-(бензоилгидразоно)пиперидин-1-карбоксилата (3) (7,5 г, 17,07 ммоль, 79,66% выход); ЖХ-МС: ЭС+352,3.
Стадия 2: Синтез бензил-4-(2-бензоилгидразино)-4-(трифторметил)пиперидин-1-карбоксилата (5): Аллил(триметил)силан (4) (3,66 г, 32,01 ммоль, 5,10 мл) и диэтиловый эфират трифторида бора, 98+% (4,54 г, 32,01 ммоль, 4,02 мл) добавляли к перемешиваемому раствору бензил-4-(бензоилгидразоно)пиперидин-1-карбоксилата (3) (7,5 г, 21,34 ммоль, 856,88 мкл) в DCE (40,0 мл). После полного завершения добавления реакционную смесь осторожно нагревали с обратным холодильником в течение 10 мин. Затем растворитель упаривали в вакууме. После этого DMF (10,0 мл) добавляли к реакционной массе с последующим добавлением ацетата натрия (7,00 г, 85,37 ммоль, 4,58 мл) и трифторметилтриметилсилана (6,07 г, 42,69 ммоль, 6,31 мл) и перемешивали реакционную смесь при комнатной температуре в течение ночи. По окончании реакции (по данным ТСХ), ледяную воду (20 мл) добавляли к реакционной смеси и реакционную смесь экстрагировали добавлением этилацетата (3 × 50 мл) и промывали насыщенным солевым раствором (2 × 40 мл). Органическую часть отделяли, сушили над безводным Na2SO4 и концентрировали в вакууме. Полученную неочищенную реакционную массу очищали методом флэш-хроматографии (градиент: 0-40% этилацетата в гексане) с получением бензил-4-(2-бензоилгидразино)-4-(трифторметил)пиперидин-1-карбоксилата (5) (5,94 г, 14,10 ммоль, 66,04% выход) в виде бесцветного твердого вещества и хранили в круглодонной колбе при температуре окружающей среды; ЖХ-МС: ЭС+422,1.
Стадия 3: Синтез этил-1-[4-(трифторметил)-4-пиперидил]пиразол-4-карбоксилата (7): К раствору бензил-4-(2-бензоилгидразино)-4-(трифторметил)пиперидин-1-карбоксилата (5) (5,94 г, 14,08 ммоль) и этил-2-формил-3-оксопропаноата (6) (2,03 г, 14,08 ммоль) в этаноле (87 мл), 4(М)диоксан-HCl (46 мл) добавляли капельно. После полного завершения добавления реакционную смесь нагревали при 75°С в течение 16 часов. По окончании реакции по данным ЖХ-МС, летучие вещества удаляли в вакууме. Твердую реакционную массу делили между насыщ. раствором NHCO3 (рН:7-8) и EtOAc (100 мл). Органический слой промывали водой (50 мл) и насыщенным солевым раствором (50 мл), отделяли, сушили над MgSO4 и концентрировали в условиях пониженного давления с получением этил-1-[4-(трифторметил)-4-пиперидил]пиразол-4-карбоксилата (7) (4,0 г, 10,30 ммоль, 73,13% выход) в виде коричневого липкого твердого вещества, которое хранили в круглодонной колбе при температуре окружающей среды; ЖХ-МС: ЭС+292,0.
Стадия 4: Синтез трет-бутил-4-(4-этоксикарбонилпиразол-1-ил)-4-(трифторметил)пиперидин-1-карбоксилата (8): К перемешиваемому раствору этил-1-[4-(трифторметил)-4-пиперидил]пиразол-4-карбоксилата (7) (4,22 г, 14,49 ммоль) в THF (10,0 мл), добавляли триэтиламин, 99% (7,33 г, 72,44 ммоль, 10,10 мл) с последующим добавлением ди-трет-бутилдикарбоната (9,49 г, 43,46 ммоль, 9,98 мл) при 0°С. Полученный раствор перемешивали при к.т. в течение 12 часов. Реакционную смесь упаривали и неочищенного соединения растворяли в этилацетате (100 мл). Органическую фазу промывали водой (2 × 40 мл) и насыщенным солевым раствором (50 мл). После отделения органической фазы сушили над Na2SO4 и упаривали. Неочищенную реакционную массу очищали методом флэш- хроматографии (градиент: 0-30% этилацетата в гексане) с получением трет-бутил-4-(4- этоксикарбонилпиразол-1-ил)-4-(трифторметил)пиперидин-1-карбоксилата (8) (2,6 г, 6,24 ммоль, 43,10% выход) в виде желтого липкого твердого вещества, которое хранили в круглодонной колбе при температуре окружающей среды; ЖХ-МС: ES-390,25.
Стадия 5: Синтез трет-бутил-4-[4-(гидроксиметил)пиразол-1-ил]-4-(трифторметил)пиперидин-1-карбоксилата (9): К перемешиваемому раствору трет-бутил-4-(4-этоксикарбонилпиразол-1-ил)-4-(трифторметил)пиперидин-1-карбоксилата (8) (1,0 г, 2,56 ммоль) в THF (10 мл), диизобутилалюминийгидрид (7,27 г, 12,78 ммоль, 10,37 мл, 25% чистота) добавляли капельно при -78°С и перемешивали в течение 4 часов при к.т.в атмосфере N2. После полного расходования, по данным ТСХ, реакционную массу разбавляли этилацетатом (50 мл) и гасили водным раствором тартрата натрия-калия (20 мл). Органическую фазу отделяли, сушили над безводным Na2SO4 и концентрировали в условиях пониженного давления с получением трет-бутил-4-[4-(гидроксиметил)пиразол-1-ил]-4-(трифторметил)пиперидин-1-карбоксилата (9) (890 мг, 2,42 ммоль, 94,72% выход) в виде коричневой смолы, которую переносили на следующую стадию без какой-либо дальнейшей очистки; ЖХ-МС: ЭС+294,2 (М-56).
Стадия 6: Синтез трет-бутил-4-(4-формилпиразол-1-ил)-4-(трифторметил)пиперидин-1-карбоксилата (10): К перемешиваемому раствору трет-бутил-4-[4-(гидроксиметил)пиразол-1-ил]-4-(трифторметил)пиперидин-1-карбоксилата (9) (900 мг, 2,58 ммоль) в ацетонитриле (20 мл), добавляли активированный MnO2 (2,24 г, 25,76 ммоль) и перемешивали при к.т.в течение 24 часов. По окончании реакции (по данным ТСХ и ЖХ-МС), реакционную массу фильтровали через целит и фильтрат концентрировали в условиях пониженного давления. Неочищенную массу очищали методом флэш-хроматографии (градиент: 0-30% этилацетата в гексане) с получением трет-бутил-4-(4-формилпиразол-1-ил)-4-(трифторметил)пиперидин-1-карбоксилата 10 (630 мг, 1,72 ммоль, 66,89% выход) в виде бесцветного смолистого твердого вещества; ЖХ-МС: ЭС+292,1 (М-56).
Стадия 7: Синтез трет-бутил-4-[4-[гидрокси-(2-оксо-1Н-бензо[cd]индол-6- ил)метил]пиразол-1-ил]-4-(трифторметил)пиперидин-1-карбоксилата (12): К перемешиваемому раствору 6-бром-1Н-бензо[cd]индол-2-она (11) (450 мг, 1,81 ммоль) в сухом THF (20,0 мл), добавляли фениллитий, как правило 1,8М в ди-н-бутиловом эфире (152,45 мг, 1,81 ммоль, 188,20 мкл) при -78° и реакционную смесь перемешивали при той же температуре в течение 30 минуте последующим добавлением н-бутиллития (127,82 мг, 2,00 ммоль) при той же температуре в атмосфере N2. После полного завершения добавления температуре реакционной смеси позволяли повыситься до -40°С и перемешивали при той же температуре в течение 30 минут. После образования пятна дес-бром в ТСХ (30% этилацетата в гексане), раствор трет-бутил-4-(4-формилпиразол-1 -ил)-4-(трифторметил)пипери дин-1 -карбокси лата (10) (630,05 мг, 1,81 ммоль) в сухом THF (20,0 мл) добавляли при -78°С и перемешивание продолжали в течение 16 часов при комнатной температуре. Реакционную смесь гасили насыщенным раствором хлорида аммония и экстрагировали добавлением этилацетата (2 × 40 мл). Органическую фазу промывали водой (2 × 20 мл) и отделяли, сушили над безводным сульфатом натрия и упаривали в условиях пониженного давления с получением неочищенного соединения, которое очищали методом флэш-хроматографии (силикагель, градиент: 0-5% МеОН в DCM) с получением трет-бутил-4-[4-[гидрокси-(2-оксо-1Н-бензо[cd]индол-6-ил)метил]пиразол-1-ил]-4-(трифторметил)пиперидин-1-карбоксилата (12) (225 мг, 370,27 ммоль, 20,41% выход) в виде коричневого твердого вещества, которое хранили в круглодонной колбе при температуре окружающей среды; ЖХ-МС: ЭС+517,5.
Стадия 8: Синтез 6-[[1-[4-(трифторметил)-4-пиперидил]пиразол-4-ил]метил]-1Н-бензо[cd]индол-2-он-2,2,2-трифторацетата (13): К перемешиваемому раствору трет-бутил-4-[4-[гидрокси-(2-оксо-1Н-бензо[cd]индол-6-ил)метил]пиразол-1-ил]-4-(трифторметил)пиперидин-1 -карбоксилата (12) (223 мг, 431,74 ммоль) в DCE (2,0 мл) добавляли триэтилсилан (200,81 мг, 1,73 ммоль, 275,84 мкл) и трифторуксусную кислоту, 99% (393,82 мг, 3,45 ммоль, 266,09 мкл). Полученный раствор нагревали при 70°С при облучении микроволнами в течение 30 мин. По окончании реакции (по данным ТСХ и ЖХ-МС), летучие вещества удаляли. Твердый остаток повторно растворяли в этилацетате (30 мл) и промывали насыщенным раствором бикарбоната. Органическую фазу отделяли, сушили над безводным сульфатом натрия и концентрировали. Неочищенную реакционную массу очищали методом флэш-хроматографии (градиент: 0-5% МеОН в DCM) с получением 6-[[1-[4-(трифторметил)-4-пиперидил]пиразол-4-ил]метил]-1Н-бензо[cd]индол-2-он-2,2,2-трифторацетата (13) (140 мг, 178,50 ммоль, 41,35% выход) в виде желтого твердого вещества, которое хранили при температуре окружающей среды в круглодонной колбе; ЖХ-МС: ЭС+401,3.
Стадия 9: Синтез 6-[[1-[1-[(1-метилциклобутил)метил]-4-(трифторметил)-4-пиперидил]пиразол-4-ил]метил]-1Н-бензо[cd]индол-2-она (15): К перемешиваемому раствору 6-[[1-[4-(трифторметил)-4-пиперидил]пиразол-4-ил]метил]-1Н-бензо[cd]индол-2-она (13) (140 мг, 349,65 ммоль) в THF (12 мл), 1-метилциклобутанкарбальдегид (14) (37,75 мг, 384,62 ммоль) добавляли с последующим добавлением дихлорида дибутилолова (127,49 мг, 419,58 ммоль, 93,74 мкл) и фенилсилана (37,84 мг, 349,65 ммоль, 43,09 мкл). Полученную реакционную смесь затем нагревали при 90°С в укупоренной пробирке в течение 16 часов. По окончании реакции (по данным ТСХ), реакционную смесь разбавляли этилацетатом (20 мл), промывали раствором бикарбоната натрия, воду (10 мл) и насыщенным солевым раствором (10 мл), органическую часть отделяли, сушили над безводным сульфатом натрия и упаривали в условиях пониженного давления с получением неочищенного соединения, которое очищали методом флэш-хроматографии с использованием (градиент: 0-5% МеОН в DCM) с получением 6-[[1-[1-[(1-метилциклобутил)метил]-4-(трифторметил)-4-пиперидил]пиразол-4-ил]метил]-1Н-бензо[cd]индол-2-она (15) (45 мг, 74,61 ммоль, 21,34% выход, 80% чистота) в виде желтого твердого вещества, которое хранили при температуре окружающей среды в круглодонной колбе; ЖХ-МС: ЭС+483,4.
Стадия 10: Синтез 3-[6-[[1-[1-[(1-метилциклобутил)метил]-4-(трифторметил)-4-пиперидил]пиразол-4-ил]метил]-2-оксобензо[cd]индол-1-ил]пиперидин-2,6-диона: К охлаждаемому на льду раствору 6-[[1-[1-[(1-метилциклобутил)метил]-4-(трифторметил)-4-пиперидил]пиразол-4-ил]метил]-1Н-бензо[cd]индол-2-она (15) (42 мг, 87,04 ммоль) в сухом THF (5 мл), гидрид натрия (60% дисперсия в минеральном масле) ((33,35 мг, 870,40 ммоль) добавляли порциями, поддерживая темп. <5°С. По завершении добавления, полученную смесь перемешивали в течение 15 минут при к.т. Затем реакционную смесь вновь охлаждали до 0°С и 3-бромпиперидин-2,6-дион (16) (83,56 мг, 435,20 ммоль) добавляли к ней порциями. После полного завершения добавления полученный раствор нагревали при 70°С в течение 1 часа. По окончании (по данным ТСХ), реакционную смесь вновь охлаждали до 0°С и гасили ледяной водой (10 мл). Водную часть экстрагировали добавлением этилацетата (2 × 20 мл). Объединенные экстракты сушили безводным сульфатом натрия и концентрировали в условиях пониженного давления. Неочищенную массу очищали с помощью преп. ТСХ (2,5% МеОН в DCM в качестве элюента) с получением 3-[6-[[1-[1-[(1-метилциклобутил)метил]-4-(трифторметил)-4-пиперидил]пиразол-4-ил]метил]-2-оксобензо[cd]индол-1-ил]пиперидин-2,6-диона Соединения 191 (22 мг, 36,88 ммоль, 42,37% выход) в виде желтого твердого вещества, которое хранили в круглодонной колбе при 5°С внутри холодильника. 1Н ЯМР (400 МГц, DMSO-d6) δ 11,12 (s, 1H), 8,36 (d, J=8,24 Гц, 1H), 8,09 (d, J=7,0 Гц, 1H), 8,02 (s, 1H), 7,81 (t, J=7,76 Гц, 1H), 7,47 (s, 1H), 7,34 (d, J=7,24 Гц, 1Н), 7,10 (d, J=7,28 Гц, 1H), 5,43 (dd, J=12,6, 4,76 Гц, 1H), 4,25 (s, 2H), 2,97-2,91 (m, 1H), 2,8-2,67 (br m, 6H), 2,06 (s, 3H), 2,0-1,89 (m, 3H), 1,74-1,68 (m, 7H), 0,85 (s, 3H); ЖХ-МС: ЭС+594,7.
Пример 98. Синтез 3-[6-[[1-[1-(1-метилциклобутанкарбонил)-4-пиперидил]триазол-4-ил]метил]-2-оксобензо[cd]индол-1-ил]пиперидин-2,6-диона (Соединение 192)
Стадия 1: Синтез трет-бутил-4-азидопиперидин-1-карбоксилата (2): К перемешивали раствору трет-бутил-4-метилсульфонилоксипиперидин-1-карбоксилата (1) (10 г, 35,80 ммоль) в сухом DMF (50,0 мл), добавляли азид натрия (9,31 г, 143,19 ммоль, 5,03 мл) и полученный раствор нагревали с обратным холодильником при 100°С в течение 2 часов. По окончании реакции (по данным ТСХ), реакционную смесь вливали в измельченный лед и экстрагировали добавлением этилацетата (2 × 200 мл). Органическую фазу отделяли, сушили безводным сульфатом натрия и концентрировали с получением неочищенного соединения трет-бутил-4-азидопиперидин-1-карбоксилата (2) (8 г, 33,59 ммоль, 93,83% выход, 95% чистота), который непосредственно использовали на следующей стадии без какой-либо дальнейшей очистки; ЖХ-МС: ЭС+227,2.
Стадия 2: Синтез трет-бутил-4-[4-(диэтоксиметил)триазол-1-ил]пиперидин-1-карбоксилата (3): К перемешиваемому раствору 3,3-диэтоксипроп-1-ина (4,5 г, 35,11 ммоль) в THF (50 мл), добавляли трет-бутил-4-азидопиперидин-1-карбоксилат(2) (7,94 г, 35,11 ммоль) с последующим добавлением водного раствора (10 мл) пентагидрата сульфата меди (876,64 мг, 3,51 ммоль) и полученный раствор перемешивали при к.т.в течение 15 мин. После этого (2R)-2-[1,2-дигидроксиэтил]-4-гидрокси-5-оксо-2Н-фуран-3-олят натрия (2,78 г, 14,04 ммоль) добавляли к реакционной смеси и перемешивание продолжали в течение далее 12 часов при той же температуре. По завершении расходования исх. вещ. (по данным ТСХ), затем реакционную смесь разбавляли этилацетатом (100 мл) и фильтровали через слой целита. Фильтрат собирали и упаривали в вакууме. Полученное таким образом неочищенное соединение очищали методом флэш-хроматографии (силикагель, градиент: 0-5% МеОН в DCM) с получением трет-бутил-4-[4-(диэтоксиметил)триазол-1-ил]пиперидин-1-карбоксилата (3) (11,54 г, 29,30 ммоль, 83,46% выход), который хранили в круглодонной колбе при 5°С в холодильнике; ЖХ-МС: ЭС+355,3.
Стадия 3: Синтез 1-(4-пиперидил)триазол-4-карбальдегидгидрохлорида (4): К перемешиваемому раствору трет-бутил-4-[4-(диэтоксиметил)триазол-1-ил]пиперидин-1-карбоксилата (3) (9,5 г, 26,80 ммоль) в диоксане (10 мл) 4,0 М раствор хлороводорода в диоксане (977,22 мг, 26,80 ммоль, 40,0 мл) добавляли капельно при 0°С и перемешивали реакционную смесь в течение ночи при к.т.По окончании реакции (по данным ЖХ-МС), летучие вещества удаляли в условиях пониженного давления. Полученное таким образом твердое вещество растирали с диэтиловым эфиром с получением 1-(4-пиперидил)триазол-4-карбальдегидгидрохлорида (4) (5,6 г, 20,80 ммоль, 77,59% выход, 94% чистота); ЖХ-МС: ЭС+181,2.
Стадия 4: Синтез 1-[1-(1-метилциклобутанкарбонил)-4-пиперидил]триазол-4-карбальдегида (6): К перемешиваемому раствору 1-метилциклобутанкарбоновой кислоты (5) (3,06 г, 26,77 ммоль) в сухом DMF (10,0 мл), добавляли HATU (339,48 мг, 892,82 ммоль) и перемешивали в течение 15 минут при к. т. в атмосфере N2. Раствор 1-(4-пиперидил)триазол-4-карбальдегидгидрохлорида (4) (5,8 г, 26,77 ммоль) и ТчГ-этил-М-изопропилпропан-2-амина (17,30 г, 133,85 ммоль, 23,31 мл) в сухом DMF (3,0 мл) добавляли к полученному раствору при 0°С и перемешивали в течение дополнительных 12 ч при к.т. По окончании реакции (по данным ЖХМС), ледяную воду (5 мл) добавляли к реакционной смеси и экстрагировали добавлением этилацетата (3 × 70 мл). Органическую часть отделяли, сушили безводным сульфатом натрия и концентрировали. Полученное таким образом неочищенное соединение очищали методом флэш-хроматографии (силикагель, градиент: 0-5% МеОН в DCM) с получением 1-[1-(1-метилциклобутанкарбонил)-4-пиперидил]триазол-4-карбальдегида 6 (4,32 г, 14,23 ммоль, 53,14% выход) в виде желтого твердого вещества; ЖХ-МС: ЭС+277,3.
Стадия 5: Синтез 6-[гидрокси-[1-[1-(1-метилциклобутанкарбонил)-4-пиперидил]триазол-4-ил]метил]-1Н-бензо[cd]индол-2-она (8): К перемешиваемому раствору 6-бром-1Н-бензо[cd]индол-2-она (7) (1,65 г, 6,65 ммоль) в сухом THF (20,0 мл), добавляли фениллитий, 1,9М в ди-н-бутиловом эфире (559,00 мг, 6,65 ммоль, 690,12 мкл) при -78°С в атмосфере N2 и реакционную смесь перемешивали при той же температуре в течение 30 минут с последующим добавлением н-бутиллития (468,65 мг, 7,32 ммоль) при той же температуре. После полного завершения добавления температуре позволяли повыситься до -40°С и реакционную смесь перемешивали при той же температуре в течение 30 минут. После образования пятна дес-бром в ТСХ (30% этилацетата в гексане) раствор 1-[1-(1-метилциклобутанкарбонил)-4-пиперидил]триазол-4-карбальдегида (6) (1,84 г, 6,65 ммоль) в сухом THF (20,0 мл) добавляли при -78°С и перемешивание продолжали в течение 16 часов при комнатной температуре. Реакционную смесь гасили насыщенным раствором хлорида аммония и экстрагировали добавлением этилацетата (2 х 50 мл). Органическую фазу промывали водой (2 × 30 мл) и отделяли, сушили над безводным сульфатом натрия и упаривали в условиях пониженного давления с получением неочищенного соединения, которое очищали методом флэш-хроматографии (силикагель, градиент: 0-5% МеОН в DCM) с получением 6-[гидрокси-[1-[1-(1-метилциклобутанкарбонил)-4-пиперидил]триазол-4-ил]метил]-1Н-бензо[cd]индол-2-она (8) (281 мг, 523,51 ммоль, 7,87% выход, 83% чистота) в виде коричневого твердого вещества и хранили при температуре окружающей среды в круглодонной колбе; ЖХ-МС: ЭС+446,4.
Стадия 6: Синтез 6-[[1-[1-(1-метилциклобутанкарбонил)-4-пиперидил]триазол-4-ил]метил]-1Н-бензо[cd]индол-2-она (9): К перемешиваемому раствору 6-[гидрокси-[1-[1-(1-метилциклобутанкарбонил)-4-пиперидил]триазол-4-ил]метил]-1Н-бензо[cd]индол-2-она (8) (280 мг, 628,49 ммоль) в DCE (2,0 мл) добавляли триэтилсилан (292,32 мг, 2,51 ммоль, 401,54 мкл) и трифторуксусную кислоту, 99% (573,28 мг, 5,03 ммоль, 387,35 мкл). Полученный раствор нагревали при 70°С при облучении микроволнами в течение 30 мин. По окончании реакции (по данным ТСХ и ЖХ-МС), летучие вещества удаляли. Твердый остаток повторно растворяли в этилацетате (50 мл) и промывали насыщенным раствором бикарбоната. Органическую фазу отделяли, сушили над безводным сульфатом натрия и концентрировали. Неочищенную реакционную массу очищали методом флэш-хроматографии (силикагель, градиент: 0-5% МеОН в DCM) с получением 6-[[1-[1-(1-метилциклобутанкарбонил)-4-пиперидил]триазол-4-ил]метил]-1Н-бензо[cd]индол-2-она (9) (190 мг, 402,55 ммоль, 64,05% выход) в виде желтого твердого вещества, которое хранили при температуре окружающей среды в круглодонной колбе. ЖХ-МС: ЭС+430,4.
Стадия 7: Синтез 3-[6-[[1-[1-(1-метилциклобутанкарбонил)-4-пиперидил]триазол-4- ил]метил]-2-оксобензо[cd]индол-1-ил]пиперидин-2,6-диона: К охлаждаемому на льду раствору 6-[[1-[1-(1-метилциклобутанкарбонил)-4-пиперидил]триазол-4-ил]метил]-1Н-бензо[cd]индол-2-она (105 мг, 244,46 ммоль) (9) в сухом THF (10 мл), гидрид натрия (60% дисперсия в минеральном масле) (56,20 мг, 2,44 ммоль) добавляли порциями, поддерживая темп. <5°С. По завершении добавления, полученную смесь перемешивали в течение 15 минут при к.т. Затем реакционную смесь вновь охлаждали до 0°С и 3-бромпиперидин-2,6-дион (10) (187,76 мг, 977,85 ммоль) добавляли к ней порциями. После полного завершения добавления полученный раствор нагревали при 70°С в течение 2 часов. По окончании (по данным ТСХ), реакционную смесь вновь охлаждали до 0°С и гасили ледяной водой (10 мл). Водную часть экстрагировали добавлением этилацетата (3 × 30 мл). Объединенные экстракты сушили безводным сульфатом натрия и концентрировали в условиях пониженного давления. Неочищенную массу очищали методом флэш-хроматографии (силикагель, градиент: 2,5% МеОН в DCM) с получением 3-[6-[[1-[1-(1-метилциклобутанкарбонил)-4-пиперидил]триазол-4-ил]метил]-2-оксобензо[cd]индол-1-ил]пиперидин-2,6-диона Соединения 192 (42 мг, 74,95 ммоль, 30,66% выход) в виде желтого твердого вещества, которое хранили в круглодонной колбе при 5°С внутри холодильника. Н ЯМР (400 МГц, DMSO-d6) δ 11,12 (s, 1H), 8,39 (d, J=8,24 Гц, 1H), 8,09 (d, J=6,96 Гц, 1H), 7,96 (s, 1Н) 7,84 (t, J=7,16 Гц, 1H), 7,39 (d, J=7,4 Гц, 1H), 7,09 (d, J=7,16 Гц, 1H), 5,43 (dd, J=13,0, 5,24 Гц, 1H), 4,67-4,66 (m 1H), 4,41 (br s, 3H), 3,59 (m, 1H), 3,32-3,1 (m, 1H), 2,95-2,91 (m, 1H), 2,77-2,62 (m, 3H), 2,41-2,39 (m, 3H), 2,32-2,01 (m, 2H), 1,98-1,77 (m, 5H), 1,61-1,58 (m, 1H), 1,33 (s, 3H); ЖХ-МС: ЭС+541,5.
Пример 99. Синтез -[4-[[1-(2,6-диоксо-3-пиперидил)-2-оксобензо[сd]индол-6-ил]метил]пиразол-1-ил]-1-[(1-метилциклобутил)|У1етил]пиперидин-4-карбонитрила (Соединение 193)
Стадия 1: Синтез трет-бутил-4-циано-4-[4-[(2-оксо-1Н-бензо[cd]индол-6-ил)метил]пиразол-1-ил]пиперидин-1-карбоксилата (2): 1,3-дийод-5,5-диметилгидантоин (180,70 мг, 475,63 ммоль) добавляли к смеси трет-бутил-4-(гидроксиметил)-4-[4-[(2-оксо-1Н-бензо[cd]индол-6-ил)метил]пиразол-1-ил]пиперидин-1-карбоксилата (1) (200 мг, 432,40 ммоль) и TEMPO (3,38 мг, 21,62 ммоль) в DCM (5,0 мл) при к.т. в атмосфере аргона и смесь перемешивали при комнатной температуре до расходования спирта (1 ч). Молекулярный йод (164,62 мг, 648,59 ммоль) и 28-30% вод. раствор NH3 (432,40 ммоль, 1,0 мл) добавляли к реакционной смеси при к.т. и полученную смесь перемешивали при той же температуре в течение 2 ч. По окончании реакции (по данным ТСХ) реакционную смесь вливали в насыщ. вод. раствор Na2SO3 (20 мл) и экстрагировали добавлением DCM (3 × 20 мл). Органический слой сушили безводным сульфатом натрия и концентрировали в условиях пониженного давления с получением трет-бутил-4-циано-4-[4-[(2-оксо-1H-бензо[cd]индол-6-ил)метил]пиразол-1-ил]пиперидин-1-карбоксилата (2) (45 мг, 96,39 ммоль, 22,29% выход), который был достаточно чист и использовался на следующей стадии; ЖХ-МС: ЭС+458,5.
Стадия 2: Синтез трет-бутил-4-циано-4-[4-[[1-(2,6-диоксо-3-пиперидил)-2-оксобензо[cd]индол-6-ил][метил]пиразол-1-ил]пиперидин-1-карбоксилата (4): К перемешиваемому раствору трет-бутил-4-циано-4-[4-[(2-оксо-1Н-бензо[cd]индол-6-ил)метил]пиразол-1-ил]пиперидин-1-карбоксилата (2) (160 мг, 349,71 ммоль) в сухом THF (5 мл), гидрид натрия (60% дисперсия в минеральном масле (134,00 мг, 3,50 ммоль, 60% чистота) добавляли порциями, поддерживая темп. <5°С. По завершении добавления, полученную смесь перемешивали в течение 15 минут при комнатной температуре. Затем реакционную смесь вновь охлаждали до 0°С и 3-бромпиперидин-2,6-дион (3) (335,74 мг, 1,75 ммоль) добавляли к ней порциями. После полного завершения добавления полученный раствор нагревали при 70°С в течение 1 часа. По окончании (по данным ТСХ), реакционную смесь вновь охлаждали до 0°С и гасили ледяной водой (20 мл). Водную часть экстрагировали добавлением этилацетата (3 × 50 мл). Объединенные экстракты сушили безводным сульфатом натрия и концентрировали в условиях пониженного давления. Неочищенную массу очищали методом препаративной ТСХ (2,5% МеОН в DCM) с получением трет-бутил-4-циано-4-[4-[[1-(2,6-диоксо-3-пиперидил)-2-оксобензо[cd]индол-6-ил]метил]пиразол-1-ил]пиперидин-1-карбоксилата (4) (90 мг, 147,20 ммоль, 42,09% выход) в виде желтого твердого вещества; ЖХ-МС: ЭС+569,4. Стадия 3: Синтез 4-[4-[[1-(2,6-диоксо-3-пиперидил)-2-оксобензо[cd]индол-6-ил]метил]пиразол-1-ил]пиперидин-4-карбонитрилгидрохлорида (5): 4 М диоксан-HCL (3 мл) добавляли к охлажденному раствору трет-бутил-4-циано-4-[4-[[1-(2,6-диоксо-3-пиперидил)-2-оксобензо[cd]индол-6-ил]метил]пиразол-1-ил]пиперидин-1-карбоксилата (4) (90 мг, 158,28 ммоль) и перемешивали в течение 2 часов при комнатной температуре. По окончании реакции (по данным ЖХ-МС) летучие вещества удаляли с получением 4-[4-[[1-(2,6-диоксо-3-пиперидил)-2-оксобензо[cd]индол-6-ил]метил]пиразол-1-ил]пиперидин-4-карбонитрилгидрохлорида (5) (78 мг, 125,12 ммоль, 79,05% выход, 81% чистота) в виде желтого твердого вещества; ЖХ-МС: ЭС+469,39.
Стадия 4: Синтез 4-[4-[[1-(2,6-диоксо-3-пиперидил)-2-оксобензо[cd]индол-6-ил]метил]пиразол-1-ил]-1-[(1-метилциклобутил)|У1етил]пиперидин-4-карбонитрила: К перемешиваемому раствору 1-хлор-4-[4-[[1-(2,4-диоксоциклогексил)-2-оксобензо[cd]индол-6-ил]метил]пиразол-1-ил]пиперидин-4-карбонитрила (5) (70 мг, 138,89 ммоль) в сухом THF (12 мл) добавляли триэтиламин (28,11 мг, 277,79 ммоль, 38,72 мкл) с последующим добавлением 1-метилциклобутанкарбальдегида (6) (20,45 мг, 208,34 ммоль), дихлорида дибутилолова (50,64 мг, 166,67 ммоль, 37,24 мкл) и фенилсилана (15,03 мг, 138,89 ммоль, 17,12 мкл). После полного завершения добавления реакционную смесь затем перемешивали при 90°С в течение 16 часов. Реакционную смесь разбавляли этилацетатом (40 мл) и промывали раствором бикарбоната натрия, воду (2 × 20 мл) и насыщенным солевым раствором (25 мл). Органическую фракцию отделяли, сушили над безводным сульфатом натрия и упаривали в условиях пониженного давления с получением неочищенного соединения, которое очищали методом флэш-хроматографии (силикагель, градиент: 0-5%МеОН bDCM) с получением 4-[4-[[1-(2,6-диоксо-3-пиперидил)-2-оксобензо[cd]индол-6-ил]метил]пиразол-1-ил]-1-[(1-метилциклобутил)метил]пиперидин-4-карбонитрила Соединения 193 (38 мг, 68,69 ммоль, 49,46% выход, 99,54% чистота) в виде желтого твердого вещества хранили в азотном десиккаторе ("Terra Universal") приблизительно при 22°С. 1Н ЯМР (400 МГц, DMSO-d6) δ 11,12 (s, 1H), 8,39 (d, J=8,2 Гц, 1H), 8,09 (d, J=6,96 Гц, 1H), 7,92 (s, 1H), 7,83 (t, J=7,56 Гц, 1H), 7,51 (s, 1Н), 7,37 (d, J=7,32 Гц, 1H), 7,08 (d, J=7,24 Гц, 1H), 5,43 (dd, J=12,76, 5,08 Гц, 1H), 4,22 (s, 1H), 2,94-2,62 (m, 6H), 2,44-2,07 (m, 9H), 1,93-1,91 (m, 1H), 1,85-1,70 (m, 3H), 1,61-1,56 (m, 2H), 1,12 (s, 3H); ЖХ-МС: ЭС+551,3.
Пример 100. Синтез 3-[6-[[1-[4-(аминометил)-1-[1-(трифторметил)циклопропанкарбонил]-4-пиперидил]пиразол-4-ил]метил]-2-оксобензо[cd]индол-1-ил]пиперидин-2,6-диона (Соединение 194)
Стадия 1: Синтез [4-[4-[(2-оксо-1Н-бензо[cd]индол-6-ил)метил]пиразол-1-ил]-1-[1-(трифторметил)циклопропанкарбонил]-4-пиперидил]метилметансульфоната (2): К охлажденному раствору 6-[[1-[4-(гидроксиметил)-1-[1-(трифторметил)циклопропанкарбонил]-4-пиперидил]пиразол-4-ил]метил]-1Н-бензо[cd]индол-2-она (1) (200 мг, 401,21 ммоль) в сухом DCM (5,0 мл), N,N-диизопропилэтиламин (259,27 мг, 2,01 ммоль, 349,41 мкл) добавляли капельно и перемешивали реакционную смесь в течение 10 мин. Метансульфонилхлорид, 98% (91,92 мг, 802,41 ммоль, 62,11 мкл) добавляли к реакционной смеси при 0°С. Ее затем перемешивали при к.т. в течение 1 часа. По окончании реакции (по данным ТСХ) реакционную смесь разбавляли DCM (25 мл) и гасили раствором NaHCO3. Органическую часть промывали насыщенным солевым раствором (30 мл) и отделяли, сушили безводным сульфатом натрия, упаривали в условиях пониженного давления с получением неочищенного соединения [4-[4-[(2-оксо-1Н-бензо[cd]индол-6-ил)метил]пиразол-1-ил]-1-[1(трифторметил)циклопропанкарбонил]-4-пиперидил]метилметансульфоната (2) (230 мг, 378,95 ммоль, 94,45% выход, 95% чистота), который непосредственно использовали на следующей стадии без какой-либо очистки (ЖХ-МС нет сигнала).
Стадия 2: Синтез диазонио-[[4-[4-[(2-оксо-1Н-бензо[cd]индол-6-ил)метил]пиразол-1-ил]-1-[1-(трифторметил)циклопропанкарбонил]-4-пиперидил]метил]азанида (3): К перемешиваемому раствору 6-[[1-[4-(гидроксиметил)-1-[1-(трифторметил)циклопропанкарбонил]-4-пиперидил]пиразол-4-ил]метил]-1Н-бензо[cd]индол-2-она (2) (80 мг, 160,48 ммоль) в сухом DMF (4 мл), азид натрия (52,16 мг, 802,41 ммоль, 28,20 мкл) добавляли и полученный раствор нагревали при 150°С в течение 4 часов. По окончании реакции по данным ТСХ, реакционную смесь охлаждали при к.т. и ледяную воду (10 мл) добавляли к ней. Водную часть экстрагировали добавлением этилацетата (3 × 30 мл). Органическую фазу промывали насыщенным солевым раствором (30 мл), отделяли, сушили безводным сульфатом натрия и концентрировали в условиях пониженного давления с получением неочищенного соединения диазонио-[[4-[4-[(2-оксо-1Н-бензо[cd]индол-6-ил)метил]пиразол-1-ил]-1-[1-(трифторметил)циклопропанкарбонил]-4-пиперидил]метил]азанида (3) (40 мг, 57,31 ммоль, 35,71% выход, 75% чистота), который непосредственно использовали на следующей стадии без дальнейшей очистки; ЖХ-МС: ЭС+524,4.
Стадия 3: Синтез диазонио-[[4-[4-[[1-(2,6-диоксо-3-пиперидил)-2-оксобензо[cd]индол-6-ил]метил]пиразол-1-ил]-1-[1-(трифторметил)циклопропанкарбонил]-4-пиперидил]метил]азанида (5): К перемешиваемому раствору неочищенного соединения диазонио-[[4-[4-[(2-оксо-1Н-бензо[cd]индол-6-ил)метил]пиразол-1-ил]-1-[1-(трифторметил)циклопропанкарбонил]-4-пиперидил]метил]азанида (3) (80 г, 152,82 ммоль) в сухом THF (4 мл), добавляли гидрид натрия 60% в виде дисперсии в минеральном масле (58,55 г, 1,53 моль, 60% чистота) порциями, поддерживая темп. <5°С. По завершении добавления, полученную смесь перемешивали в течение 15 минут при к.т. Затем реакционную смесь вновь охлаждали до 0°С и 3-бромпиперидин-2,6-дион (4) (146,71 г, 764,08 ммоль) добавляли к ней порциями. После полного завершения добавления полученный раствор нагревали при 70°С в течение 1 часа. По окончании (по данным ТСХ), реакционную смесь вновь охлаждали до 0°С и гасили ледяной водой (40 мл). Водную часть экстрагировали добавлением этилацетата (3 × 50 мл). Объединенные экстракты сушили безводным сульфатом натрия и концентрировали в условиях пониженного давления. Полученное неочищенного соединения твердое вещество промывали эфиром и пентаном с получением диазонио-[[4-[4-[[1-(2,6-диоксо-3-пиперидил)-2-оксобензо[cd]индол-6-ил]метил]пиразол-1-ил]-1-[1-(трифторметил)циклопропанкарбонил]-4-пиперидил]метил]азанида (5) (60 мг, 71,86 ммоль, 47,02% выход) в виде желтого твердого вещества; ЖХ-МС: ЭС+635,6.
Стадия 4: Синтез трет-бутил-N-[[4-[4-[[1-(2,6-диоксо-3-пиперидил)-2-оксобензо[cd]индол-6-ил]метил]пиразол-1-ил]-1-[1-(трифторметил)циклопропанкарбонил]-4-пиперидил]метил]карбамата (6): К перемешиваемому раствору диазонио-[[4-[4-[[1-(2,6-диоксо-3-пиперидил)-2-оксобензо[cd]индол-6-ил]метил]пиразол-1-ил]-1-[1-(трифторметил)циклопропанкарбонил]-4-пиперидил]метил]азанида (5) (60 мг, 94,55 ммоль) в этаноле (4 мл) - этилацетате (4 мл), триэтиламин (19,13 мг, 189,09 ммоль, 26,36 мкл) и трет- бутоксикарбонил-трет-бутилкарбонат (30,95 мг, 141,82 ммоль, 32,55 мкл) добавляли с последующим добавлением 10 мол. % палладия (40,25 мг, 378,19 ммоль). Полученный раствор вакуумировали и гидрировали при нагнетании давления с помощью баллона в течение 12 часов. По окончании реакции (по данным ЖХ-МС), реакционную смесь фильтровали через слой целита и промывали этилацетатом (50 мл). Фильтрат собирали и упаривали. Неочищенный остаток очищали с помощью преп.ТСХ (40% этилацетата в гексане) с получением трет-бутил-N-[[4-[4-[[1-(2,6-диоксо-3-пиперидил)-2-оксобензо[cd]индол-6-ил]метил]пиразол-1-ил]-1-[1-(трифторметил)циклопропанкарбонил]-4-пиперидил]метил]карбамата (6) (35 мг, 42,96 ммоль, 45,44% выход, 87% чистота) в виде желтого твердого вещества и хранили в круглодонной колбе при температуре окружающей среды; ЖХ-МС: ЭС+709,65.
Стадия 5: Синтез 3-[6-[[1-[4-(аминометил)-1-[1-(трифторметил)циклопропанкарбонил]-4-пиперидил]пиразол-4-ил]метил]-2-оксобензо[cd]индол-1-ил]пиперидин-2,6-диона: 4М диоксан-НС1 (2 мл) добавляли к трет-бутил-N-[[4-[4-[[1-(2,6-диоксо-3-пиперидил)-2-оксобензо[cd]индол-6-ил]метил]пиразол-1-ил]-1-[1-(трифторметил)циклопропанкарбонил]-4-пиперидил]метил]карбамату (6) (35 мг, 49,38 ммоль) при 0°С и перемешивали в течение 3 часов. По окончании реакции по данным ЖХМС, летучие вещества удаляли и полученное твердое вещество растирали с диэтиловым эфиром и лиофилизировали с получением 3-[6-[[1-[4-(аминометил)-1-[1-(трифторметил)циклопропанкарбонил]-4-пиперидил]пиразол-4-ил]метил]-2-оксобензо[cd]индол-1-ил]пиперидин-2,6-диона Соединения 194 (22,0 мг, 32,87 ммоль, 66,55% выход) в виде желтого твердого вещества и хранили в азотном десиккаторе ("Terra Universal") приблизительно при 22°С. 1Н ЯМР(400 МГц, DMSO-d6) δ 11,12 (s, 1Н), 8,41 (d, J=8,24 Гц, 1H), 8,10 (d, J=6,88 Гц, 1H), 7,92 (s, 1H), 7,85-7,83 (br m, 3H), 7,50 (s, 1H),7,39 (d, J=7,32 Гц, 1H), 7,07 (d, J=7,2 Гц, 1H), 5,46-5,44 (m, 1H), 4,24 (s, 1H), 3,95-3,92 (m, 2H), 3,7-3,66 (m, 1H), 3,48-3,47 (m, 1H), 3,16 (s, 2H), 2,95 (t, 12,3 Гц, 2H), 2,83-2,50 (brm, 2H), 2,50 (m, 2H), 2,09-2,08 (m, 2H), 1,90 (m, 2H), 1,28-1,18 (m, 5 H); ЖХ-МС: ЭС+609,5.
Пример 101. Синтез 3-[6-[[1-[4-(гидроксиметил)-1-[1-(трифторметил)циклопропанкарбонил]-4-пиперидил]пиразол-4-ил]метил]-2-оксобензо[cd]индол-1-ил]пиперидин-2,6-диона (Соединение 195)
Стадия 1: Синтез этил-1-бензил-4-[трет-бутоксикарбонил-(трет-бутоксикарбониламино)амино]пиперидин-4-карбоксилата (3): К раствору диизопропиламина, 99+% (5,81 г, 57,39 ммоль, 8,09 мл) в сухом THF (50,0 мл) добавляли н-бутиллитий, 1,67М в гексане (2,45 г, 38,26 ммоль, 22,56 мл) при -78°С в атмосфере аргона и перемешивали реакционную смесь при -78°С в течение 1 часа. Затем пропил-1-бензилпиперидин-4-карбоксилат (1) (10,0 г, 38,26 ммоль) добавляли капельно к реакционной смеси при -78°С и перемешивали реакционную смесь при той же температуре. Через 1 час, трет-бутил (NE)-N-трет-бутоксикарбонилиминокарбамат (10,20 г, 44,30 ммоль) добавляли и перемешивали реакционную смесь при к.т.в течение ночи. По окончании реакции (по данным ТСХ), реакционную смесь разбавляли этилацетатом (100 мл) и гасили насыщенным раствором хлорида аммония. Органическую часть промывали насыщенным солевым раствором и отделяли, сушили безводным сульфатом натрия и упаривали в условиях пониженного давления. Полученную неочищенную реакционную массу очищали методом колоночной хроматографии (силикагель, градиент: 10-30% этилацетата в гексане) с получением чистого соединения этил-1-бензил-4-[трет-бутоксикарбонил-(трет-бутоксикарбониламино)амино]пиперидин-4-карбоксилата (3) (10,0 г, 18,84 ммоль, 49,25% выход); ЖХ-МС: ЭС+478,2.
Стадия 2: Синтез зтил-1-бензил-4-гидразинопиперидин-4-карбоксилата (4): К перемешиваемому охлажденному раствору этил-1-бензил-4-[трет-бутоксикарбонил-(трет-бутоксикарбониламино)амино]пиперидин-4-карбоксилата (3) (30,0 г, 62,82 ммоль) в диоксане (100 мл), диоксан/(62,82 ммоль, 70 мл) добавляли капельно и перемешивали реакционную смесь при комнатной температуре в течение 16 часов. По окончании реакции (по данным ЖХМС), летучие вещества удаляли в условиях пониженного давления. Полученное твердое вещество растворяли в (200 мл 5% МеОН в DCM) и нейтрализовывали добавлением амберлита 21. После нейтрализации (рН~ 8) ее фильтровали и твердую смолу промывали (10% МеОН в DCM) несколько раз. Фильтрат упаривали с получением неочищенного соединения этил-1-бензил-4-гидразинопиперидин-4-карбоксилата (4) (17 г, 56,39 ммоль, 89,77% выход) в виде светло-коричневого смолистого твердого вещества, которое хранили в круглодонной колбе при 5°С в холодильнике. Неочищенное соединение непосредственно использовали на следующей стадии без какой-либо дальнейшей очистки; ЖХ-МС: ЭС+278,0. Стадия 3: Синтез этил-1-бензил-4-(4-этоксикарбонилпиразол-1-ил)пиперидин-4-карбоксилата (6): К перемешиваемому раствору этил-1-бензил-4-гидразинопиперидин-4-карбоксилата (4) (2,0 г, 7,21 ммоль) в толуоле (15 мл) добавляли этил-2-формил-3-оксопропионат (5) (1,25 г, 8,65 ммоль) при 0°С и нагревали при 100°С в течение 6 часов. По окончании реакции (по данным ЖХ-МС) растворитель упаривали и полученное смолистое твердое вещество повторно растворяли в этилацетате (50 мл). Органическую часть промывали водой (2 × 30 мл) и насыщенным солевым раствором (40 мл). После отделения органической фазы ее сушили безводным сульфатом натрия и концентрировали и полученное таким образом неочищенное соединение очищали методом колоночной хроматографии (силикагель, градиент: 10-30% этилацетата в гексане) с получением соединения этил-1-бензил-4-(4-этоксикарбонилпиразол-1-ил)пиперидин-4-карбоксилата (6) (2,0 г, 4,51 ммоль, 62,60% выход, 87% чистота) в виде бесцветного липкого твердого вещества (2,0 г, 4,51 ммоль, 62,60% выход), который хранили в круглодонной колбе при температуре окружающей среды; ЖХ-МС: ЭС+385,9.
Стадия 4: Синтез O1-трет-бутил-O4-этил-4-(4-этоксикарбонилпиразол-1-ил)пиперидин-1,4-дикарбоксилата (7): К перемешиваемому раствору этил-1-бензил-4-(4-этоксикарбонилпиразол-1-ил)пиперидин-4-карбоксилата (6) (2,0 г, 5,19 ммоль) в EtOH (50 мл) - этилацетата (50 мл), трет-бутоксикарбонил-трет-бутилкарбонат (2,26 г, 10,38 ммоль, 2,38 мл) и триэтиламин, 99% (1,58 г, 15,57 ммоль, 2,17 мл) добавляли. Затем реакционную смесь дегазировали аргоном в течение 15 минут с последующим добавлением 20% палладия на угле (1,06 г, 9,98 ммоль) и полученную реакционную смесь перемешивали в атмосфере водорода в течение 16 часов при комнатной температуре. По окончании реакции (по данным ТСХ и ЖХМС), реакционную смесь фильтровали через слой целита, промывали этилацетатом (100 мл). Объединенный фильтрат затем промывали водой (3 × 50 мл) и насыщенным солевым раствором (2 × 40 мл), сушили безводным сульфатом натрия и концентрировали в условиях пониженного давления. Неочищенную массу очищали методом колоночной хроматографии (силикагель, градиент: 0-30% этилацетата в гексане) с получением желаемого соединения O1-трет-бутил-O4-этил-4-(4-этоксикарбонилпиразол-1-ил)пиперидин-1,4-дикарбоксилат (7) (1,24 г, 3,07 ммоль, 59,22% выход) в виде светло-коричневого липкого твердого вещества, которое хранили в круглодонной колбе при температуре окружающей среды; ЖХ-МС: ЭС+396,5.
Стадия 5: Синтез трет-бутил-4-(гидроксиметил)-4-[4-(гидроксиметил)пиразол-1-ил]пиперидин-1-карбоксилата (8): К охлажденному раствору O1-трет-бутил-O4-этил-4-(4-этоксикарбонилпиразол-1-ил)пиперидин-1,4-дикарбоксилата (7) (4,43 г, 11,20 ммоль) в сухом THF (50,0 мл), боргидрида лития (2,68 г, 123,23 ммоль) добавляли и перемешивали раствор при комнатной температуре в течение 16 часов в атмосфере N2. После полного расходования, по данным ТСХ, реакционную массу разбавляли этилацетатом (100 мл) и гасили водой (50 мл). Органическую фазу отделяли, сушили над безводным Na2SO4 и концентрировали в условиях пониженного давления с получением трет-бутил-4-(гидроксиметил)-4-[4-(гидроксиметил)пиразол-1-ил]пиперидин-1-карбоксилата (8) (3,2 г, 9,76 ммоль, 87,15% выход) в виде бесцветного липкого твердого вещества, которое хранили при температуре окружающей среды в круглодонной колбе. ЖХ-МС: ЭС+312,3. Неочищенное соединение непосредственно использовали на следующей стадии без какой-либо очистки.
Стадия 6: Синтез трет-бутил-4-(4-формилпиразол-1-ил)-4-(гидроксиметил)пиперидин-1-карбоксилата (9): К перемешиваемому раствору трет-бутил-4-(гидроксиметил)-4-[4-(гидроксиметил)пиразол-1-ил]пиперидин-1-карбоксилата (8) (1,7 г, 5,46 ммоль) в ацетонитриле степени чистоты ВЭЖХ (10 мл) добавляли активированный диоксомарганец (2,37 г, 27,30 ммоль) при к.т. и реакционную смесь перемешивали при к.т.в течение 12 часов. По окончании реакции (по данным ТСХ и ЖХ-МС), реакционную массу фильтровали через слой целита, промывали этилацетатом (100 мл). Фильтрат концентрировали в условиях пониженного давления и полученное таким образом неочищенное соединение очищали методом колоночной хроматографии (100-200 силикагель; этилацетат в гексане) с получением трет-бутил-4-(4-формилпиразол-1-ил)-4-(гидроксиметил)пиперидин-1-карбоксилата (9) (1,5 г, 4,80 ммоль, 87,92% выход) в виде бесцветного липкого твердого вещества, которое хранили в круглодонной колбе при 5°С в холодильнике; ЖХ-МС: ЭС+310,4.
Стадия 7: Синтез 4-[[трет-бутил(диметил)силил]оксиметил]-4-(4-формилпиразол-1-ил)пиперидин-1-карбоксилата (10): К перемешиваемому раствору трет-бутил-4-(4-формилпиразол-1-ил)-4-(гидроксиметил)пиперидин-1-карбоксилата (9) (180 мг, 581,85 ммоль) в сухом DMF (2 мл), имидазол (79,22 мг, 1,16 ммоль) и триэтиламин 176,63 мг, 1,75 ммоль, 243,29 мкл) добавляли с последующим добавлением трет-бутилхлордиметилсилана (105,24 мг, 698,22 ммоль, 129,92 мкл) при 0°С. Полученную реакционную смесь нагревали при 50°С в течение 3 часов. По завершении расходования исх. вещ. по данным ТСХ, ледяную воду (5 мл) добавляли к реакционной смеси и экстрагировали добавлением этилацетата (3 × 20 мл). Органическую часть отделяли, сушили безводным сульфатом натрия и упаривали под давлением. Полученное таким образом неочищенное соединение очищали методом колоночной хроматографии (100-200 силикагель; 0 - 25% этилацетата в гексане) с получением трет-бутил-4-[[трет-бутил(диметил)силил]оксиметил]-4-(4-формилпиразол-1-ил)пиперидин-1-карбоксилата (10) (150 мг, 318,68 ммоль, 54,77% выход) в виде бесцветного липкого твердого вещества, которое хранили в круглодонной колбе при 5°С в холодильнике; ЖХ-МС: ЭС+424,4.
Стадия 8: Синтез трет-бутил-4-[4-[гидрокси-(2-оксо-1Н-бензо[cd]индол-6-ил)метил]пиразол-1-ил]-4-(триметилсилилоксиметил)пиперидин-1-карбоксилата (12): К перемешиваемому раствору 6-бром-1Н-бензо[cd]индол-2-она (750 мг, 3,02 ммоль) (11) в сверхсухом THF (5,0 мл) добавляли фениллитий, как правило 1,9М в ди-н-бутиловом эфире (254,09 мг, 3,02 ммоль, 313,69 мкл) с помощью высушенного в печи шприца при -78°С в атмосфере N2 и реакционную смесь перемешивали при той же температуре в течение 30 минут. После этого н-бутиллитий, 2,2М в гексане (213,04 мг, 3,33 ммоль) добавляли к ней при -78°С. После полного завершения добавления температуре позволяли повыситься до -40°С и реакционную смесь перемешивали при той же температуре в течение 30 минут. После образования пятна дес-бром [по данным ТСХ (30% этилацетата в гексане)] раствор трет-бутил-4-[[трет-бутил(диметил)силил]оксиметил]-4-(4-формилпиразол-1-ил)пиперидин-1-карбоксилата (10) (1,28 г, 3,02 ммоль) в сухом THF (5,0 мл) добавляли при -78°С и затем реакционной смеси позволяли нагреться до комнатной температуры и продолжали в течение 16 часов. По окончании реакции [по данным ТСХ], реакционную смесь гасили насыщенным раствором хлорида аммония и разбавляли этилацетатом (50 мл). Органическую часть промывали водой (2 × 30 мл), отделяли, сушили над безводным сульфатом натрия и упаривали в условиях пониженного давления с получением неочищенного соединения, которое очищали методом флэш-хроматографии (силикагель, градиент: 0-5% MeOH-DCM) с получением трет-бутил-4-[4-[гидрокси-(2-оксо-1Н-бензо[cd]индол-6-ил)метил]пиразол-1-ил]-4-(триметилсилилоксиметил)пиперидин-1-карбоксилата (12) (639 мг, 1,02 ммоль, 33,87% выход) в виде коричневого твердого вещества, которое хранили в круглодонной колбе при температуре окружающей среды; ЖХ-МС: ЭС+593,4.
Стадия 9: Синтез [4-(гидроксиметил)-4-[4-[(2-оксо-1Н-бензо[cd]индол-6-ил)метил]пиразол-1-ил]-1-пиперидила] (13): К перемешиваемому раствору трет-бутил-4-[[трет-бутил(диметил)силил]оксиметил]-4-[4-[гидрокси-(2-оксо-1Н-бензо[cd]индол-6-ил)метил]пиразол-1-ил]пиперидин-1-карбоксилата (12) (639 мг, 1,08 ммоль) в DCE (2,0 мл) добавляли триэтилсилан (501,37 мг, 4,31 ммоль, 688,69 мкл) и трифторуксусную кислоту, 99% (983,25 мг, 8,62 ммоль, 664,36 мкл). Полученную реакционную смесь нагревали при 70°С при облучении микроволнами в течение 30 мин. По окончании реакции (по данным ЖХ-МС и ТСХ), летучие вещества удаляли в условиях пониженного давления с получением [4-(гидроксиметил)-4-[4-[(2-оксо-1Н-бензо[]индол-6-ил)метил]пиразол-1-ил]-1-пиперидила] (630 мг, 906,90 ммоль, 84,13% выход) в виде желтого твердого вещества и хранили в круглодонной колбе при температуре окружающей среды (13); ЖХ-МС: ЭС+477,5.
Стадия 10: Синтез 6-[[1-[4-(гидроксиметил)-1-[1-(трифторметил)циклопропанкарбонил]-4-пиперидил]пиразол-4-ил]метил]-1Н-бензо[cd]индол-2-она (15): К перемешиваемому раствору 1-(1,1-дифторэтил)циклопропанкарбоновой кислоты (14) (323,09 мг, 2,15 ммоль) в сухом DMF (5,0 мл), HATU (613,74 мг, 1,61 ммоль) добавляли при 0°С с последующим добавлением смеси раствора 6-[[1-[4-(гидроксиметил)-4-пиперидил]пиразол-4-ил]метил]-1Н- бензо[cd]индол-2-она (13) и N,N-диизопропилэтиламина (695,38 мг, 5,38 ммоль, 937,17 мкл) в атмосфере N2. После полного завершения добавления реакционную смесь перемешивали в течение 16 ч при комнатной температуре. По окончании реакции (по данным ЖХМС; ЖХМС неочищенного соединения показывала целевую массу наряду с пиком массы диамидирования), ледяную воду (5 мл) добавляли к реакционной смеси и экстрагировали добавлением этилацетата (3 × 30 мл). Органическую часть отделяли, сушили безводным сульфатом натрия и концентрировали. Полученное таким образом неочищенное соединение затем повторно растворяли в метаноле (10 мл) и перемешивали с LiOH (1,5 экв.) при к.т. в течение 30 минут. После полного расходования промежуточного соединения, растворитель упаривали и повторно растворяли в этилацетате (50 мл). Органическую часть промывали водой (2 × 30 мл) и отделяли, сушили безводным сульфатом натрия и концентрировали в условиях пониженного давления с получением 6-[[1-[4-(гидроксиметил)-1-[1-(трифторметил)циклопропанкарбонил]-4-пиперидил]пиразол-4-ил]метил]-1Н-бензо[cd]индол-2-она (15) (500 мг, 822,47 ммоль, 76,43% выход, 82% чистота) в виде коричневого смолистого твердого вещества, которое было достаточно чистым для использования на следующей стадии; ЖХ-МС: ЭС+499,4.
Стадия 11: Синтез 6-[[1-[4-[[трет-бутил(диметил)силил]оксиметил]-1-[1-(трифторметил)циклопропанкарбонил]-4-пиперидил]пиразол-4-ил][метил]-1Н-бензо[cd]индол-2-она (16): К перемешиваемому раствору 6-[[1-[4-(гидроксиметил)-1-[1-(трифторметил)циклопропанкарбонил]-4-пиперидил]пиразол-4-ил]метил]-1Н-бензо[cd]индол-2-она (15) (1,0 г, 2,01 ммоль) в сухом DMF (5,0 мл), триэтиламин, 99% (608,97 мг, 6,02 ммоль, 838,80 мкл) добавляли при 0°С с последующим добавлением трет-бутилдиметилсилилхлорида (453,52 мг, 3,01 ммоль, 559,91 мкл). После полного завершения добавления полученную смесь нагревали при 60°С в течение 1 ч. По окончании реакции [по данным ЖХМС, ЖХМС неочищенного соединения показывала пик целевой массы наряду с защищенной массой ди-TBDMS), реакционную смесь гасили добавлением ледяной воды (5 мл). Водную часть экстрагировали добавлением этилацетата (3 × 50 мл) и промывали насыщенным солевым раствором (2 × 40 мл). Органическую часть отделяли, сушили безводным сульфатом натрия и концентрировали. Полученное таким образом неочищенное соединение очищали методом колоночной хроматографии с получением ди- TBDMS защищенного продукта. Неочищенное вещество затем повторно растворяли в этаноле (10 мл) и перемешивали в присутствии K2CO3 (4 экв.) в течение 30 минут при к.т. После полного расходования промежуточного соединения, растворитель упаривали и повторно растворяли в этилацетате (100 мл). Органическую часть промывали водой (2 × 30 мл и отделяли, сушили безводным сульфатом натрия и концентрировали с получением 6-[[1-[4-[[трет-бутил(диметил)силил]оксиметил]-1-[1-(трифторметил)циклопропанкарбонил]-4-пиперидил]пиразол-4-ил]метил]-1Н-бензо[cd]индол-2-она (16) (1,0 г, 1,57 ммоль, 78,10% выход), который был достаточно чист и использовался на следующей стадии; ЖХ-МС: ЭС+613,2.
Стадия 12: Синтез 3-[6-[[1-[4-[[трет-бутил(диметил)силил]оксиметил]-1-[1-(трифторметил)циклопропанкарбонил]-4-пиперидил]пиразол-4-ил]|метил]-2-оксобензо[cd]индол-1-ил]пиперидин-2,6-диона (18): К перемешиваемому раствору 6-[[1-[4-[[трет-бутил(диметил)силил]оксиметил]-1-[1-(трифторметил)циклопропанкарбонил]-4-пиперидил]пиразол-4-ил]метил]-1Н-бензо[cd]индол-2-она (16) (200 мг, 326,39 ммоль) в сухом THF (10,0 мл), гидрид натрия 60% в виде дисперсии в минеральном масле (78,33 мг, 3,26 ммоль) добавляли при 0°С. По завершении добавления, полученную смесь перемешивали в течение 15 минут при к.т. Затем реакционную смесь вновь охлаждали до 0°С и 3-бромпиперидин-2,6-дион (17) (313,36 мг, 1,63 ммоль) добавляли к ней порциями. После полного завершения добавления полученный раствор нагревали при 70°С в течение 1 часа. По окончании (по данным ТСХ), реакционную смесь вновь охлаждали до 0°С и гасили ледяной водой (20 мл). Водную часть экстрагировали добавлением этилацетата (2 × 20 мл). Объединенные экстракты сушили безводным сульфатом натрия и концентрировали в условиях пониженного давления. Неочищенную массу очищали с помощью преп.ТСХ (2,5% МеОН в DCM в качестве элюента) с получением 3-[6-[[1-[4-[[трет-бутил(диметил)силил]оксиметил]-1-[1-(трифторметил)циклопропанкарбонил]-4-пиперидил]пиразол-4-ил]метил]-2-оксобензо[cd]индол-1-ил]пиперидин-2,6-диона (18) (120 мг, 149,20 ммоль, 45,71% выход, 90% чистота) в виде желтого твердого вещества; ЖХ-МС: ЭС+610,2.
Стадия 13: Синтез 3-[6-[[1-[4-(гидроксиметил)-1-[1-(трифторметил)циклопропанкарбонил]-4-пиперидил]пиразол-4-ил]метил]-2-оксобензо[cd]индол-1-ил]пиперидин-2,6-диона: 4М диоксан -(2 мл) добавляли к 3-[6-[[1-[4-[[трет-бутил(диметил)силил]оксиметил]-1-[1-(трифторметил)циклопропанкарбонил]-4-пиперидил]пиразол-4-ил]метил]-2-оксобензо[cd]индол-1-ил]пиперидин-2,6-диону (18) (60 мг, 82,89 ммоль) при 0°С и перемешивали в течение 16 ч при к.т. По окончании реакции по данным ЖХ-МС, летучие вещества удаляли. Неочищенное соединение повторно растворяли в этилацетате (15 мл) и гасили насыщенным раствором бикарбоната натрия (поддерживая рН~8). Органическую часть отделяли, сушили над сульфатом натрия и концентрировали в вакууме.
Неочищенное соединение очищали с помощью преп. ТСХ (5% МеОН в DCM) с получением 3-[6-[[1-[4-(гидроксиметил)-1-[1-(трифторметил)циклопропанкарбонил]-4-пиперидил]пиразол-4-ил]метил]-2-оксобензо[cd]индол-1-ил]пиперидин-2,6-диона Соединения 195 (30 мг, 47,97 ммоль, 57,88% выход) в виде желтого твердого вещества и хранили в азотном десиккаторе ("Terra Universal") приблизительно при 22°С. 1Н ЯМР(400 МГц, DMSO-d6) δ 11,11 (s, 1H), 8,40 (d, J=8,12 Гц, 1H), 8,08 (d, J=6,8 Гц, 1H), 7,84-7,87 (m, 2Н), 7,35 (br s, 2Н), 7,06 (d, J=7,12 Гц, 1H), 5,44 (dd, J=12,52, 4,76 Гц, 1H), 4,94 (s, 1H), 4,21 (s, 2H), 4,0-3,98 (br m, 2H), 3,39 (s, 2H), 2,94-2,91 (m, 2H), 2,76-2,73 (m, 1H), 2,66-2,62 (m, 1H), 2,38-2,34 (m, 2H), 2,08 (br m, 1H), 1,82-1,80 (m, 1H), 1,26-1,25 (m, 2H), 1,51-1,50 (m, 2H); ЖХ-МС: ЭС+610,2.
Пример 102. Синтез 4-[4-[4-[[1-(2,6-диоксо-3-пиперидил)-2-оксобензо[cd]индол-6-ил]метил]бензоил]пиперазин-1-ил]-3-фторбензонитрила (Соединение 196)
Стадия 1: Синтез трет-бутил-4-[4-(хлорметил)бензоил]пиперазин-1-карбоксилата (3): К перемешиваемому раствору трет-бутилпиперазин-1-карбоксилата (2) (2,0 г, 10,74 ммоль) в сухом DCM (10,0 мл), триэтиламин, 99% (3,26 г, 32,21 ммоль, 4,49 мл) добавляли при 0°С с последующим капельным добавлением 4-(хлорметил)бензоилхлорида (1) (2,44 г, 12,89 ммоль). После полного завершения добавления реакционную смесь перемешивали в течение 5 часов при комнатной температуре. После образования желаемого продукта (по данным ЖХМС), реакционную смесь разбавляли DCM (30 мл) и гасили насыщенным раствором бикарбоната натрия. Органическую фазу промывали водой (2 × 15 мл)/насыщенным солевым раствором (20 мл) и отделяли, сушили над сульфатом натрия и концентрировали. Неочищенное соединение очищали методом колоночной хроматографии ((силикагель, градиент: 0-30% этилацетата в гексане) с получением трет-бутил-4-[4-(хлорметил)бензоил]пиперазин-1-карбоксилата (3) (2,2 г, 6,10 ммоль, 56,84% выход, 94% чистота) в виде белого твердого вещества, которое хранили при температуре окружающей среды в круглодонной колбе. ЖХ-МС: ЭС+339,4.
Стадия 2: Синтез трет-бутил-4-[4-[(2-оксо-1Н-бензо[cd]индол-6-ил)метил]бензоил]пиперазин-1-карбоксилата (5): К хорошо дегазированному раствору трет-бутил-4-[4-(хлорметил)бензоил]пиперазин-1-карбоксилата (3) (600 мг, 1,77 ммоль) и 6-(4,4,5,5-тетраметил-1,3,2-диоксаборолан-2-ил)-1Н-бензо[cd]индол-2-она (4) (1,05 г, 3,54 ммоль) в этаноле (2 мл) - толуоле (4 мл), трехосновный фосфат калия, безводный, (1,13 г, 5,31 ммоль) добавляли с последующим добавлением три-о-толилфосфина (107,80 мг, 354,16 ммоль) и Pd2(dba)3 (162,16 мг, 177,08 ммоль). Полученную смесь затем нагревали при 90°С в течение 12 часов. По окончании реакции (по данным ЖХМС), реакционную смесь фильтровали через слой целита, промывали этилацетатом (30 мл). Объединенный фильтрат затем промывали водой (3 × 15 мл) и насыщенным солевым раствором (2 × 15 мл), сушили безводным сульфатом натрия и концентрировали в условиях пониженного давления. Неочищенную массу очищали методом колоночной хроматографии (силикагель, градиент: 0-20% этилацетата в DCM) с получением трет-бутил-4-[4-[(2-оксо-1Н-бензо[cd]индол-6-ил)метил]бензоил]пиперазин-1-карбоксилата (5) (350 мг, 526,99 ммоль, 29,76% выход) в виде желтого твердого вещества, которое хранили в пластиковой бутылке Tarson при температуре окружающей среды; ЖХ-МС: ЭС+472,3.
Стадия 3: Синтез трет-бутил-4-[4-[[1-(2,6-диоксо-3-пиперидил)-2-оксобензо[cd]индол-бил]метил]бензоил]пиперазин-1-карбоксилата (7): К охлаждаемому на льду раствору трет-бутил-4-[4-[(2-оксо-1Н-бензо[cd]индол-6-ил)метил]бензоил]пиперазин-1-карбоксилата (5) (680 мг, 1,44 ммоль) в сухом THF (10 мл), гидрид натрия (60% дисперсия в минеральном масле) (346,10 мг, 14,42 ммоль) добавляли порциями, поддерживая темп. <5°С. По завершении добавления, полученную смесь перемешивали в течение 15 минут при к.т. Затем реакционную смесь вновь охлаждали до 0°С и 3-бромпиперидин-2,6-дион (6) (1,38 г, 7,21 ммоль) добавляли к ней порциями. После полного завершения добавления полученный раствор нагревали при 70°С в течение 1 часа. По окончании (по данным ТСХ), реакционную смесь вновь охлаждали до 0°С и гасили ледяной водой (10 мл). Водную часть экстрагировали добавлением этилацетата (2 × 20 мл). Объединенные экстракты сушили безводным сульфатом натрия и концентрировали в условиях пониженного давления. Неочищенную массу очищали методом препаративной ТСХ (градиент: 50% EtOAc в DCM) с получением трет-бутил-4-[4-[[1-(2,6-диоксо-3-пиперидил)-2-оксобензо[cd]индол-6-ил]метил]бензоил]пиперазин-1-карбоксилата (7) (500 мг, 532,06 ммоль, 36,90% выход) в виде желтого твердого вещества, которое хранили в пластиковой бутылке Tarson при температуре окружающей среды; ЖХ-МС: ЭС+583,4.
Стадия 4: Синтез 3-[2-оксо-6-[[4-(пиперазин-1-карбонил)фенил][метил]бензо[cd]индол-1-ил]пиперидин-2,6-дионгидрохлорида (8): К перемешиваемому раствору трет-бутил-4-[4-[[1-(2,6-диоксо-3-пиперидил)-2-оксобензо[cd]индол-6-ил]метил]бензоил]пиперазин-1-карбоксилата (7) (500 мг, 858,16 ммоль) в сухом диоксане (5,0 мл), диоксан/НС1 (858,16 ммоль, 7,0 мл) добавляли при 0°С и перемешивали в течение 5 ч при к.т. По окончании реакции (по данным ЖХ-МС) летучие вещества удаляли в условиях пониженного давления. Полученное таким образом твердое вещество растирали с диэтиловым эфиром с получением 3-[2-оксо-6-[[4-(пиперазин-1-карбонил)фенил]метил]бензо[cd]индол-1-ил]пиперидин-2,6-дионгидрохлорида (8) (450 мг, 615,72 ммоль, 71,75% выход) в виде желтого твердого вещества; ЖХ-МС: ЭС+483,4.
Стадия 5: Синтез 4-[4-[4-[[1-(2,6-диоксо-3-пиперидил)-2-оксобензо[cd]индол-6- ил]метил]бензоил]пиперазин-1-ил]-3-фторбензонитрила: К хорошо дегазированному раствору 3-[2-оксо-6-[[4-(пиперазин-1-карбонил)фенил]метил]бензо[cd]индол-1-ил]пиперидин-2,6-дионгидрохлорида (8) (200 мг, 385,36 ммоль) в NMP (2,0 мл), N,N-диизопропилэтиламин (298,83 мг, 2,31 ммоль, 402,73 мкл) добавляли с последующим добавлением 3,4-дифторбензонитрила (9) (80,41 мг, 578,05 ммоль). Полученный раствор затем нагревали при 110°С в течение 12 ч. По окончании реакции (по данным ЖХ-МС), реакционную смесь охлаждали до к.т. и ледяную воду (5 мл) добавляли к ней. Водную часть экстрагировали добавлением этилацетата (3 × 30 мл). Органическую фазу отделяли, сушили над сульфатом натрия и концентрировали. Неочищенный остаток очищали методом препаративной ТСХ (градиент: 40% EtOAc в DCM) с получением 4-[4-[4-[[1-(2,6-диоксо-3-пиперидил)-2-оксобензо[cd]индол-6-ил]метил]бензоил]пиперазин-1-ил]-3-фторбензонитрила Соединения 196 (31,0 мг, 50,25 ммоль, 13,04% выход) в виде желтого твердого вещества, которое хранили в круглодонной колбе при 5°С внутри холодильника. 1H ЯМР (400 МГц, DMSO-d6) δ 11,12 (s, 1H), 8,35 (d, J=8,16 Гц, 1H), 8,08 (d, J=6,8 Гц, 1H), 7,82 (t, J=7,36 Гц, 1Н), 7,72 (d, J=13,28 Гц, 1H), 7,57 (d, J=8,44 Гц, 1H), 7,46 (d, J=7,24 Гц, 1H), 7,38-7,35 (m, 4H), 7,13-7,09 (m, 2H), 5,45-5,43 (m, 1H), 4,45 (s, 2H), 3,81 (br, 2H), 3,58 (br, 2H), 3,18 (br, 4H), 2,95-2,92 (m, 1H), 2,80-2,62 (m, 2H), 2,07 (m, 1H); ЖХ-МС: ЭС+600,2.
Пример 103. Синтез 3-[2-оксо-6-[[4-[(3-оксоморфолин-4-ил)метил]фенил]метил]бензо[cd]индол-1-ил]пиперидин-2,6-диона (Соединение 197)
Стадия 1: Синтез 4-[[4-(4,4,5,5-тетраметил-1,3,2-диоксаборолан-2-ил)фенил]метил]морфолин-3-она 3: К перемешиваемому раствору морфолин-3-она 2 (3 г, 29,67 ммоль) в DCM (100,0 мл), охлаждали до 0°С, добавляли гидрид натрия (60% дисперсия в минеральном масле; 3,56 г, 89,03 ммоль, 60% чистота) и перемешивали реакционную смесь при той же температуре в течение 30 мин. 2-[4-(бромметил)фенил]-4,4,5,5-тетраметил-1,3,2-диоксаборолан 1 (10,58 г, 35,61 ммоль) затем добавляли и перемешивали реакционную смесь при к.т. в течение 16 ч. ТСХ/ЖХ свидетельствовала о полном расходовании исх. вещ. Реакционную смесь затем переносили в условия охлаждения на льду и избыток NaH гасили льдом. Органическую фазу затем промывали водой, с последующей промывкой насыщенным солевым раствором и в итоге сушили над безвод. Na2SO4. Растворитель упаривали и остаток очищали методом колоночной хроматографии на силикагеле (50% ЕА/Нех) с получением желаемого продукта 4-[[4-(4,4,5,5-тетраметил-1,3,2-диоксаборолан-2-ил)фенил]метил]морфолин-3-она 3 (1,8 г, 5,11 ммоль, 17,21% выход, 90% чистота) в виде желтого твердого вещества; ЖХМС (ЭС+)=318,2 [М+Н]+.
Стадия 2: Синтез [4-[(3-оксоморфолин-4-ил)метил]фенил]бороновой кислоты 4: К перемешиваемому раствору 4-[[4-(4,4,5,5-тетраметил-1,3,2-диоксаборолан-2-ил)фенил]метил]морфолин-3-она 3 (1,8 г, 5,67 ммоль) в ацетоне (45 мл) - воде (15 мл), перйодат натрия (6,07 г, 28,37 ммоль) и ацетат аммония (2,19 г, 28,37 ммоль) добавляли при к.т. и перемешивали в течение 16 ч при той же температуре. По окончании реакции по данным ЖХ-МС, DCM добавляли и промывали водой. Органическую фазу отделяли, сушили над сульфатом натрия и концентрировали с получением [4-[(3-оксоморфолин-4-ил)метил]фенил]бороновой кислоты 4 (820 мг, 3,14 ммоль, 55,33% выход, 90% чистота) в виде бесцветного твердого вещества, которое использовали на следующей стадии без дальнейшей очистки.
Стадия 3: Синтез 4-[[4-[[1-[(4-метоксифенил)метил]-2-оксобензо[cd]индол-6-ил]метил]фенил]метил]морфолин-3-она 6: К перемешиваемому раствору 6-(хлорметил)-1-[(4-метоксифенил)метил]бензо[cd]индол-2-она 5 (1,44 г, 3,40 ммоль) и [4-[(3-оксоморфолин-4-ил)метил]фенил]бороновой кислоты 4 (1,2 г, 5,11 ммоль) в толуоле (25 мл) в укупоренной пробирке добавляли трехзамещенный фосфат калия (1,81 г, 8,51 ммоль) и дегазировали в течение 10 мин. Впоследствие тетракис(трифенилфосфин)палладий(0) (393,31 мг, 340,36 ммоль) добавляли и дегазировали в атмосфере аргона в течение 10 мин. Реакционную смесь нагревали при 100°С в течение 18 ч. Реакционной смеси затем позволяли охладиться до к.т., фильтровали через целит и промывали тщательно этилацетатом. Растворитель упаривали и остаток очищали методом колоночной хроматографии на силикагеле (элюируя 90% ЕА/Нех-100% ЕА) с получением желаемого продукта 4-[[4-[[1-[(4-метоксифенил)метил]-2-оксобензо[cd]индол-6-ил]метил]фенил]метил]морфолин-3-она 6 (350 мг, 639,51 ммоль, 18,79% выход, 90% чистота) в виде желтой вязкой жидкости; ЖХМС (ЭС+)=493,3 [М+Н]+.
Стадия 4: Синтез 4-[[4-[(2-оксо-1Н-бензо[сd]индол-6-ил)метил]фенил]метил]морфолин-3-она 7: К 4-[[4-[[1-[(4-метоксифенил)метил]-2-оксобензо[cd]индол-6-ил]метил]фенил]метил] морфолин-3-ону 6 (300 мг, 609,06 ммоль) (300 мг, 609,06 ммоль) в TFA (2 мл) добавляли трифторметансульфоновую кислоту (365,63 мг, 2,44 ммоль, 213,82 мкл) при к.т. и перемешивали в течение 16 ч при той же температуре. По завершении расходования исх. вещ. реакционную смесь упаривали для удаления избытка реагентов. Ее растворяли в DCM и промывали насыщ. раствором NaHCO3. Органическую часть отделяли, сушили над сульфатом натрия и концентрировали в условиях пониженного давления с получением остатка, который очищали методом колоночной хроматографии на силикагеле (элюируя 3% MeOH/DCM) с получением желаемого продукта 4-[[4-[(2-оксо-1Н-бензо[cd]индол-6-ил)метил]фенил]метил]морфолин-3-она 7 (150 мг, 362,50 ммоль, 59,52% выход, 90% чистота) в виде коричневого вязкой жидкости; ЖХМС (ЭС+)=373,2 [М+Н]+.
Стадия 5: Синтез 3-[2-оксо-6-[[4-[(3-оксоморфолин-4-ил)метил]фенил]метил]бензо[cd]индол-1-ил]пиперидин-2,6-диона: К перемешиваемому раствору 4-[[4-[(2-оксо-1Н-бензо[cd]индол-6-ил)метил]фенил]метил]морфолин-3-она 7 (250 мг, 671,29 ммоль) в DMF (5 мл), добавляли гидрид натрия (в масляной дисперсии) в виде 60% дисперсии в минеральном масле (77,17 мг, 2,01 ммоль, 60% чистота) при 0°С. Затем реакционную смесь затем нагревали до 0-60°С в течение 1 ч. 3-бромпиперидин-2,6-дион (154,67 мг, 805,55 ммоль) затем добавляли к реакционной смеси (дважды с промежутком в 1 ч) и нагревание продолжали в течение 16 ч. Поскольку исх. вещ. не было израсходовано полностью, дополнительное количество 3-бромпиперидин-2,6-диона (154,67 мг, 805,55 ммоль) добавляли и реакцию продолжали при 60°С в течение далее 16 ч. После этого реакционную смесь гасили холодной водой и экстрагировали добавлением этилацетата, сушили над сульфатом натрия и концентрировали в условиях пониженного давления с получением неочищенного соединения. Это неочищенное вещество очищали с помощью первой колоночной хроматографии Combi-Flash с последующим проведением преп. ВЭЖХ с получением в итоге указанного в заголовке соединения 3-[2-оксо-6-[[4-[(3-оксоморфолин-4-ил)метил]фенил]метил]бензо[cd]индол-1-ил]пиперидин-2,6-диона Соединения 197 (30 мг, 61,64 ммоль, 9,18% выход, 99,34% чистота в виде желтого твердого вещества. ЖХМС (ЭС+)=484,2 [М+Н]+. 1H ЯМР (400 МГц, DMSO-d6): δ 11,12 (s, 1H, D2O способный к обмену), 8,33 (d, J=8 Гц, 1H), 8,07 (d, J=6,8 Гц, 1H), 7,83-7,79 (m, 1H), 7,41 (d, J=6,9 Гц, 1H), 7,29-7,27 (m, 2Н), 7,16-7,09 (m, 3H), 5,45-5,43 (m, 1H), 4,47 (s, 2Н), 4,38 (s, 2Н), 4,07 (s, 2Н), 3,76 (m, 2Н), 3,19 (m, 2Н), 2,95-2,92 (m, 1H), 2,79-2,73 (m, 1H), 2,69-2,63 (m, 1H), 2,07 (m, 1Н).
Пример 104. Синтез 3-[6-[[1-(1-метилциклогексил)пиразол-4-ил]метил]-2-оксобензо[cd]индол-1-ил]пиперидин-2,б-диона (Соединение 198)
Стадия 1: Синтез трет-бутил-N-(трет-бутоксикарбониламино)-N-(1-метилциклогексил)карбамата 2: К хорошо перемешиваемому раствору 1-метилциклогексена 1 (2,5 г, 26,00 ммоль, 3,09 мл) в 2-пропаноле (50 мл) при 0°С добавляли ди-трет-бутилазодикарбоксилат (8,98 г, 38,99 ммоль) и трис(2,2,6,6-тетраметил-3,5-гептандионато)марганец(III) (314,41 мг, 519,91 ммоль) и в итоге фенилсилан (3,38 г, 31,19 ммоль, 3,84 мл). Реакционной смеси позволяли дойти до к.т. и перемешивали при этой темп, в течение 16 ч. По завершении расходования исх. вещ. реакционную массу упаривали и неочищенный остаток очищали методом колоночной хроматографии (1-5% ЕА/Нех) с получением трет-бутил-N-(трет-бутоксикарбониламино)-N-(1-метилциклогексил)карбамата 2 (1,5 г, 3,65 ммоль, 14,05% выход, 80% чистота).
Стадия 2: Синтез (1-метилциклогексил)гидразина 3: К перемешиваемому раствору трет-бутил-N-(трет-бутоксикарбониламино)-N-(1-метилциклогексил)карбамата 2 (12,5 г, 38,06 ммоль) в диоксане (100 мл) добавляли диоксан-(4 М, 190,29 мл) капельно при 0°С. Ему затем позволяли дойти до к.т и перемешивали в течение 16 ч. ЖХМС неочищенного соединения показывала полное расходование исходного вещества и образование продукта. Реакционную массу упаривали досуха и впоследствие промывали тщательно пентаном с получением в итоге (1-метилциклогексил)гидразина 3 (5 г, 11,44 ммоль, 30,05% выход, 60% чистота) в виде белого твердого вещества; ЖХМС (ЭС+)=128,3 [М+Н]+.
Стадия 3: Синтез этил-1-(1-метилциклогексил)пиразол-4-карбоксилата 5: К перемешиваемому раствору (1-метилциклогексил)гидразина 3 (7,5 г, 46,80 ммоль) в толуоле (100 мл) добавляли этил-2-формил-3-оксопропионат 4 (8,09 г, 56,16 ммоль) и перемешивали реакционную смесь при 100°С в течение 16 ч. Реакционную смесь затем упаривали в вакууме для удаления летучих веществ и полученный таким образом неочищенный остаток очищали методом колоночной хроматографии (2-3% ЕА/Нех) с получением этил-1-(1-метилциклогексил)пиразол-4-карбоксилата 5 (4 г, 13,54 ммоль, 28,94% выход, 80% чистота) в виде желтоватого масла; ЖХМС (ЭС+)=237,4 [М+Н]+.
Стадия 4: Синтез [1-(1-метилциклогексил)пиразол-4-ил][метанола 6: К перемешиваемому раствору этил-1-(1-метилциклогексил)пиразол-4-карбоксилата 5 (1,4 г, 5,92 ммоль) в THF (10,0 мл) добавляли DIBAL-H (1,6 М, 18,51 мл) при -78°С и перемешивали при этой темп, в течение 1 ч. Реакционной смеси позволяли медленно дойти до к.т. и перемешивали в течение 6 ч. Ход реакции отслеживали с помощью ТСХ/ЖХ-МС. Реакционную смесь затем вновь охлаждали до -78°С, гасили насыщ. раствором NH4Cl, медленно позволяли дойти до к.т. и перемешивали некоторое время. Твердый остаток выпадал в осадок, жидкую часть фильтровали через целит и тщательно промывали DCM. Органический слой промывали водой, насыщенным солевым раствором и сушили над безвод. Na2SO4. Упаривание органического слоя позволяло получить [1-(1-метилциклогексил)пиразол-4-ил]метанол 6 (700 мг, 3,24 ммоль, 54,74% выход, 90% чистота) в виде вязкой жидкости; ЖХМС (ЭС+)=195,3 [М+Н]+.
Стадия 5: Синтез 1-(1-метилциклогексил)пиразол-4-карбальдегида 7: К перемешиваемому раствору [1-(1-метилциклогексил)пиразол-4-ил]метанола 6 (1,83 г, 9,42 ммоль) в ацетонитриле (50 мл) добавляли диоксомарганец (8,19 г, 94,20 ммоль) при к.т.и перемешивали реакционную смесь в течение 16 ч. Ход реакции отслеживали с помощью ТСХ/ЖХ-МС, которые показывали образование альдегида, а также наличие непрореагировавшего исх. вещ. Реакционную смесь затем фильтровали через целит, тщательно промывали EtOAc. и упаривали в вакууме с получением неочищенного соединения, которое очищали методом колоночной хроматографии (элюируя 8-9% ЕА/Нех) с получением 1-(1-метилциклогексил)пиразол-4-карбальдегида 7 (740 мг, 3,46 ммоль, 36,78% выход, 90% чистота) в виде бесцветного вязкой жидкости; ЖХМС (ЭС+)=193,2 [М+Н]+.
Стадия 6: Синтез 6-[гидрокси-[1-(1-метилциклогексил)пиразол-4-ил]метил]-1Н-бензо[cd]индол-2-она 9: К перемешиваемому раствору 1-(1-метилциклогексил)пиразол-4-карбальдегида 7 (0,5 г, 2,60 ммоль) в THF (25 мл) добавляли фениллитий, как правило 1,9 М в ди-н-бутиловом эфире (1,8 М, 1,59 мл) при -78°С и реакционную смесь перемешивали при той же температуре в течение 30 минут с последующим добавлением бутиллития, как правило 2,5 М в н-гексане (1,7 М, 1,68 мл) при -78°С и по завершении добавления температуре позволяли повыситься до -40°С и реакционную смесь перемешивали при той же температуре в течение 30 минут с последующим добавлением 6-бром-1Н-бензо[cd]индол-2-она 8 (645,17 мг, 2,60 ммоль) в THF (25 мл) при -78°С и затем реакционной смеси позволяли нагреться до комнатной температуры и продолжали в течение 16 часов. Ее гасили насыщенным раствором хлорида аммония, экстрагировали добавлением этилацетата, промывали водой, насыщенным солевым раствором, сушили над сульфатом натрия и концентрировали в условиях пониженного давления. Ее очищали с помощью Combi-flash (элюируя 75-80% ЕА/Нех) с получением 6-[гидрокси-[1-(1-метилциклогексил)пиразол-4-ил]метил]-1Н-бензо[cd]индол-2-она 9 (220 мг, 547,81 ммоль, 21,06% выход, 90% чистота) в виде желтоватого твердого вещества; ЖХМС (ЭС+)=362,2 [М+Н]+.
Стадия 7: Синтез 6-[[1-(1-метилциклогексил)пиразол-4-ил]метил]-1Н-бензо[cd]индол-2-она 10: К перемешиваемому раствору 6-[гидрокси-[1-(1-метилциклогексил)пиразол-4-ил]метил]-1Н-бензо[cd]индол-2-она 9 (125 мг, 345,84 ммоль) в DCE (5 мл) добавляли триэтилсилан (160,86 мг, 1,38 ммоль, 220,96 мкл) и трифторуксусную кислоту (315,46 мг, 2,77 ммоль, 213,15 мкл) в укупоренной пробирке. Ее нагревали при 70°С в течение 2 ч. Ход реакции отслеживали с помощью ТСХ/ЖХ-МС. Летучие вещества удаляли в вакууме с получением неочищенной массы, которую растворяли в DCM, промывали тщательно насыщ. раствором NaHC03 и в итоге сушили над безвод. Na2SO4. Растворитель упаривали с получением неочищенного соединения желаемого продукта 6-[[1-(1-метилциклогексил)пиразол-4-ил]метил]-1Н-бензо[cd]индол-2-она 10 (105 мг, 273,57 ммоль, 79,10% выход, 90% чистота) в виде коричневатого мягкого твердого вещества. Его использовали на следующей стадии без дальнейшей очистки; ЖХМС (ЭС+)=346,2 [М+Н]+.
Стадия 8: Синтез 3-[6-[[1-(1-метилциклогексил)пиразол-4-ил]метил]-2-оксобензо[cd]индол-1-ил]пиперидин-2,6-диона: К перемешиваемому раствору 6-[[1-(1-метилциклогексил)пиразол-4-ил]метил]-1Н-бензо[cd]индол-2-она 10 (200 мг, 578,98 ммоль) в THF (5 мл) добавляли гидрид натрия (60% дисперсия в минеральном масле; 221,84 мг, 5,79 ммоль, 60% чистота) при 0°С и реакционную смесь перемешивали при этой температуре в течение 5 мин. Ледяную баню затем удаляли и реакционную смесь перемешивали в течение еще 10 мин, а затем 3-бромпиперидин-2,6-дион 11 (555,85 мг, 2,89 ммоль) добавляли к ней одной порцией и реакционную смесь перемешивали при этой температуре в течение дополнительных 10 мин. Впоследствие реакционную смесь нагревали при 70°С в течение 18 ч. После этого реакционную смесь гасили холодной водой и экстрагировали добавлением этилацетата, сушили над сульфатом натрия и концентрировали в условиях пониженного давления с получением неочищенного соединения. Это неочищенное вещество очищали методом колоночной хроматографии combi-flash (элюируя 60% ЕА/Нех) с получением в итоге указанного в заголовке соединения 3-[6-[[1-(1-метилциклогексил)пиразол-4-ил]метил]-2-оксобензо[cd]индол-1-ил]пиперидин-2,6-диона 12 (65 мг, 140,43 ммоль, 24,25% выход, 98,63% чистота) Соединения 198 в виде желтого твердого вещества (полученного в результате лиофилизации). ЖХМС (ЭС+)=457,2 [М+Н]+. 1H ЯМР (400 МГц, DMSO-d6): δ 11,12 (s, 1H, D20 способный к обмену), 8,40 (d, J=8,2 Гц, 1H), 8,09 (d, J=6,7 Гц, 1H), 7,85-7,81 (m, 1H), 7,69 (s, 1H), 7,35 (d, J=7,2 Гц, 1H), 7,29 (s, 1H), 7,08 (d, J=7,2 Гц, 1H), 5,46-5,41 (m, 1H), 4,20 (s, 2Н), 2,98-2,90 (m, 1H), 2,79-2,73 (m, 1Н), 2,69-2,62 (m, 1H), 2,18 (m, 2Н), 2,09-2,07 (m, 1H), 1,65-1,63 (m, 2Н), 1,46 (m, 2Н), 1,46 (m, 4Н), 1,35 (m, 3Н).
Пример 105. Синтез 1-[[4-[4-[[1-(2,6-диоксо-3-пиперидил)-2-оксобензо[cd]индол-6-ил]метил]пиразол-1-ил]-1-пиперидил]метил]циклопропанкарбонитрила (Соединение 199)
Стадия 1: Синтез 1-[[4-[4-[[1-(2,6-диоксо-3-пиперидил)-2-оксобензо[cd]индол-6-ил]метил]пиразол-1-ил]-1-пиперидил]метил]циклопропанкарбонитрила: К перемешиваемому раствору 3-[2-оксо-6-[[1-(4-пиперидил)пиразол-4-ил]метил]бензо[cd]индол-1-ил]пиперидин-2,6-диона 1 (300 мг, 676,44 ммоль) в THF (5 мл) в укупоренной пробирке добавляли триэтиламин (136,90 мг, 1,35 ммоль, 188,57 мкл) и перемешивали в течение 5 минут. К ней впоследствии добавляли 1-формилциклопропанкарбонитрил 2 (83,63 мг, 879,38 ммоль) с последующим добавлением дихлорида дибутилолова (246,64 мг, 811,73 ммоль, 181,36 мкл) и фенилсилана (73,20 мг, 676,44 ммоль, 83,37 мкл) и реакционную смесь перемешивали при 90°С в течение 14 ч. За ходом реакции наблюдали с помощью ТСХ и ЖХ. ТСХ свидетельствовала о появлении нового пятна. Реакционную смесь затем разбавляли EtOAc, промывали насыщ раствором NaHCO3 и экстрагировали добавлением EtOAc. Органический слой отделяли, сушили над безводным сульфатом натрия и упаривали в условиях пониженного давления с получением неочищенного соединения, которое подвергали колоночной хроматографии Combi-Flash (элюируя 0-5% MeOH/DCM; 2% MeOH/DCM) с получением 1-[[4-[4-[[1-(2,6-диоксо-3-пиперидил)-2-оксобензо[cd]индол-6-ил]метил]пиразол-1-ил]-1-пиперидил]метил]циклопропанкарбонитрила Соединения 199 (55 мг, 102,80 ммоль, 15,20% выход, 97,68% чистота в виде желтоватого твердого вещества. ЖХМС (ЭС+)=523,3 [М+Н]+. 1H ЯМР (400 МГц, DMSO-d6): δ 11,13 (s, 1H, D20 способный к обмену), 8,39 (d, J=8,2 Гц, 1H), 8,09 (d, J=6,9 Гц, 1H), 7,84 (t, J=7,5 Гц, 1H), 7,61 (s, 1H), 7,36 (d, J=7 Гц, 1H), 7,31 (s, 1H), 7,07 (d, J=7,5 Гц, 1H), 5,86 (s, 1H), 5,45-5,43 (m, 1H), 4,18 (s, 2Н), 4,04 (m, 1H), 3,31 (m, 2Н), 3,04-3,01 (m, 2Н), 2,95 (m, 1H), 2,67 (s, 1H), 2,62 (m, 1Н), 2,41 (m, 2Н), 2,11 (m, 2Н), 1,89 (m, 3Н), 1,23 (m, 4Н).
Пример 106. Синтез 3-[6-[[3-хлор-1-[1-[(1-метилциклобутил)метил]-4-пиперидил]пиразол-4-ил]метил]-2-оксобензо[cd]индол-1-ил]пиперидин-2,6-диона (Соединение 200)
Стадия 1: Синтез трет-бутил-4-(3-амино-4-бромпиразол-1-ил)пиперидин-1-карбоксилата
3: К перемешиваемому раствору 4-бром-1Н-пиразол-3-амина 1 (10 г, 61,73 ммоль) в DMF (150 мл) добавляли трет-бутил-4-метилсульфонилоксипиперидин-1-карбоксилат 2 (20,69 г, 74,08 ммоль) с последующим добавлением карбоната цезия (40,23 г, 123,47 ммоль) и реакционную смесь перемешивали в укупоренной пробирке при 90°С в течение 16 ч. Исх. вещ. расходовалось по данным ТСХ. Реакционную смесь затем разбавляли этилацетатом и промывали охлажденной водой с последующей промывкой насыщенным солевым раствором. Объединенный органический слой сушили безводным сульфатом натрия и концентрировали в условиях пониженного давления с получением неочищенного соединения, которое очищали методом колоночной хроматографии на силикагеле (элюируя 45% этилацетата в гексане с получением желаемого продукта трет-бутил-4-(3-амино-4-бромпиразол-1-ил)пиперидин-1-карбоксилата 3 (6 г, 13,90 ммоль, 22,52% выход, 80% чистота) в виде темно-зеленой полужидкости; ЖХ-МС (ЭС+)=347,3 [М+Н]+.
Стадия 2: Синтез трет-бутил-4-(4-бром-3-хлорпиразол-1-ил)пиперидин-1-карбоксилата 4:
К ацетонитрилу (20 мл) добавляли трет-бутилнитрит, тех. 90% (1,49 г, 13,03 ммоль, 1,72 мл, 90% чистота) с последующим добавлением CuCl (1,29 г, 13,03 ммоль) и реакционную смесь затем медленно нагревали до 65°С. В этот момент, трет-бутил-4-(3-амино-4-бромпиразол-1-ил)пиперидин-1-карбоксилат 3 (3 г, 8,69 ммоль), растворенный в ацетонитриле (10 мл), медленно добавляли в реакционную смесь. Реакционную смесь перемешивали при этой температуре в течение 0,5 ч. ТСХ показывала образование нового неполярного пятна и полное расходование исходного вещества. Воду затем добавляли. Реакционную смесь затем охлаждали до комнатной температуры; воду добавляли и экстрагировали добавлением EtOAc. Органическую часть затем промывали насыщенным раствором бикарбоната натрия и насыщенным солевым раствором и затем ее сушили над сульфатом натрия и органическую часть концентрировали в условиях пониженного давления с получением неочищенного продукта. Неочищенное соединение затем очищали методом колоночной хроматографии, элюируя 10% этилацетата в гексане с получением трет-бутил-4-(4-бром-3-хлорпиразол-1-ил)пиперидин-1-карбоксилата 4 (1 г, 2,47 ммоль, 28,40% выход, 90% чистота) в виде белого твердого вещества.
Стадия 3: Синтез трет-бутил-4-[3-хлор-4-(4,4,5,5-тетраметил-1,3,2-Диоксаборолан-2-ил)пиразол-1-ил]пиперидин-1-карбоксилата 6: Перемешиваемый раствор трет-бутил-4-(4-бром-3-хлорпиразол-1-ил)пиперидин-1-карбоксилата 4 (2 г, 5,48 ммоль) и 4,4,5,5-тетраметил-2-(4,4,5,5-тетраметил-1,3,2-диоксаборолан-2-ил)-1,3,2-диоксаборолана 5 (2,09 г, 8,23 ммоль) в 1,4-диоксане (20 мл) дегазировали аргоном и к этому раствору последовательно добавляли ацетат калия (1,61 г, 16,45 ммоль, 1,03 мл) и в итоге Pd(dppf)Cl2. DCM (447,88 мг, 548,45 ммоль) и вновь дегазировали в течение 5 минут, а затем реакционную смесь нагревали при 100°С в течение 16 ч. ТСХ проводили и ЖХ-МС анализировали что показывало целевую массу сложноэфирного производного бороната. Реакционную смесь разбавляли EtOAc, слои разделяли. Органический слой промывали водой, насыщенным солевым раствором сушили над NaSO4 и концентрировали в условиях пониженного давления с получением трет-бутил-4-[3-х лор-4-(4,4,5,5-тетраметил-1,3,2-диоксаборолан-2-ил)пиразол-1-ил]пипери дин-1-карбоксилата 6 (1,6 г, 1,17 ммоль, 21,26% выход, 30% чистота) в виде коричневого липкого твердого вещества, которое использовали на следующей стадии без дальнейшей очистки; ЖХМС (ЭС+)=412,2 [М+Н]+.
Стадия 4: Синтез трет-бутил-4-[3-хлор-4-[[1-[(4-метоксифенил)метил]-2- оксобензо[cd]индол-6-ил]метил]пиразол-1-ил]пиперидин-1-карбоксилата 8: К перемешиваемому раствору 6-(хлорметил)-1-[(4-метоксифенил)метил]бензо[cd]индол-2-она 7 (2Д г, 4,97 ммоль) и трет-бутил-4-[3-хлор-4-(4,4,5,5-тетраметил-1,3,2-диоксаборолан-2-ил)пиразол-1-ил]пиперидин-1-карбоксилата 6 (7,68 г, 7,46 ммоль) в укупоренной пробирке в толуоле (20 мл)добавляли трехзамещенный фосфат калия (3,69 г, 17,41 ммоль). Ее дегазировали аргоном в течение 10 минут. Тетракис(трифенилфосфин)палладий(0) (862,05 мг, 746,01 ммоль) затем добавляли в реакционную смесь и дегазировали в течение дополнительных 5 мин. Ее затем нагревали при 90°С в течение 16 ч. Реакционную смесь охлаждали до к.т., разбавляли этилацетатом, фильтровали через целит и концентрировали в условиях пониженного давления с получением неочищенной массы, которую очищали методом колоночной хроматографии combi-flash с использованием 35% EtOAc-Нех в качестве элюента с получением трет-бутил-4-[3-хлор-4-[[1-[(4-метоксифенил)метил]-2-оксобензо[cd]индол-6-ил]метил]пиразол-1-ил]пиперидин-1-карбоксилата 8 (800 мг, 1,09 ммоль, 21,92% выход, 80% чистота) в виде желтой вязкой жидкости; ЖХМС (ЭС+)=587,1 [М+Н]+.
Стадия 5: Синтез 6-[[3-хлор-1-(4-пиперидил)пиразол-4-ил]|метил]-1Н-бензо[cd]индол-2-она 9: К трет-бутил-4-[3-хлор-4-[[1-[(4-метоксифенил)метил]-2-оксобензо[cd]индол-6-ил]метил]пиразол-1-ил]пиперидин-1-карбоксилату 8 (500 мг, 851,63 ммоль) в трифторуксусной кислоте (10 мл) добавляли трифторметансульфоновую кислоту (2,56 г, 17,03 ммоль, 1,49 мл) при 0°С. Реакционной смеси позволяли дойти до к.т. и перемешивали в течение 16 ч при той же температуре. По завершении расходования исх. вещ. реакционную смесь упаривали для удаления избытка реагентов. Ее растворяли в DCM и промывали насыщ. раствором NaHCO3. Органическую часть отделяли, сушили над сульфатом натрия и концентрировали в условиях пониженного давления с получением желаемого продукта 6-[[3-хлор-1-(4-пиперидил)пиразол-4-ил]метил]-1Н-бензо[cd]индол-2-она 9 (200 мг, 381,63 ммоль, 44,81% выход, 70% чистота) в виде коричневого вязкой жидкости, которую использовали на следующей стадии без дальнейшей очистки; ЖХМС (ЭС+)=367,1 [М+Н]+. Стадия 6: Синтез трет-бутил-4-[3-хлор-4-[(2-оксо-1Н-бензо[cd]индол-6-ил)метил]пиразол-1-ил]пиперидин-1-карбоксилата 10: К перемешиваемому раствору 6-[[3-хлор-1-(4-пиперидил)пиразол-4-ил]метил]-1Н-бензо[cd]индол-2-она 9 (300 мг, 817,79 ммоль) в DCM (10 мл) добавляли триэтиламин (248,26 мг, 2,45 ммоль, 341,95 мкл) при 0°С с последующим добавлением триэтиламина (248,26 мг, 2,45 ммоль, 341,95 мкл) и реакционную смесь перемешивали при комнатной температуре в течение 16 часов. ТСХ проводили, что показывало полное расходование исходного вещества наряду с образованием желаемого пятна. Реакционную смесь разбавляли этилацетатом, промывали водой и органическую фракцию отделяли. Ее сушили над безводным сульфатом натрия и упаривали в условиях пониженного давления с получением неочищенного соединения, которое очищали методом флэш-хроматографии с использованием 70-75% ЕА-Нех с получением трет-бутил-4-[3-хлор-4-[(2-оксо-1Н-бензо[cd]индол-6-ил)метил]пиразол-1-ил]пиперидин-1-карбоксилата 10 (160 мг, 308,38 ммоль, 37,71% выход, 90% чистота) в виде коричневого твердого вещества; ЖХМС (ЭС+)=467,1 [М+Н]+.
Стадия 7: Синтез трет-бутил-4-[3-хлор-4-[[1-(2,6-диоксо-3-пиперидил)-2-оксобензо[cd]индол-6-ил]метил]пиразол-1-ил]пиперидин-1-карбоксилата 12: К перемешиваемому раствору трет-бутил-4-[3-хлор-4-[(2-оксо-1Н-бензо[cd]индол-6-ил)метил]пиразол-1-ил]пиперидин-1-карбоксилата 10 (220 мг, 471,13 ммоль) в THF (5 мл), добавляли гидрид натрия (376,87 мг, 9,42 ммоль, 60% чистота) при 0°С порциями и реакционную смесь перемешивали при этой температуре в течение 3-5 мин. Ледяную баню затем удаляли и реакционную смесь перемешивали в течение дополнительных 3-5 мин, а затем 3-бромпиперидин-2,6-дион 11 (452,31 мг, 2,36 ммоль) добавляли к ней при 0°С порциями и реакционную смесь перемешивали при этой температуре в течение дополнительных 1-2 мин. Впоследствие реакционную смесь нагревали при 70°С в течение 1 ч. После этого реакционную смесь гасили льдом и холодной водой и экстрагировали добавлением этилацетата, сушили над сульфатом натрия и концентрировали в условиях пониженного давления с получением неочищенного соединения. Это неочищенное вещество очищали с помощью неоднократной промывки диэтиловым эфиром с получением в итоге указанного в заголовке соединения трет-бутил-4-[3-хлор-4-[[1-(2,6-диоксо-3-пиперидил)-2-оксобензо[cd]индол-6-ил]метил]пиразол-1-ил]пиперидин-1-карбоксилата 12 (180 мг, 280,25 ммоль, 59,48% выход, 90% чистота) в виде желтого твердого вещества (полученного в результате лиофилизации); ЖХМС (ЭС+)=578,3 [М+Н]+.
Стадия 8: Синтез 3-[6-[[3-хлор-1-(4-пиперидил)пиразол-4-ил]метил]-2-оксобензо[cd]индол-1-ил]пиперидин-2,б-дионгидрохлорида 13: К перемешиваемому раствору трет-бутил-4-[3-хлор-4-[[1-(2,6-диоксо-3-пиперидил)-2-оксобензо[cd]индол-6-ил]метил]пиразол-1-ил]пиперидин-1-карбоксилата 12 (170,00 мг, 294,09 ммоль) в диоксане (10 мл) добавляли диоксан-HCl (4 М, 1,47 мл) капельно при 0°С. Ей затем позволяли дойти до к.т. и перемешивали в течение 16 ч. ЖХМС неочищенного соединения показывала полное расходование исходного вещества и образование продукта. Реакционную массу упаривали досуха с получением в итоге 3-[6-[[3-хлор-1-(4-пиперидил)пиразол-4-ил]метил]-2-оксобензо[cd]индол-1-ил]пиперидин-2,6-дионгидрохлорида 13 (100 мг, 184,68 ммоль, 62,80% выход, 95% чистота) в виде желтоватого твердого вещества; ЖХМС (ЭС+)=478,3 [М+Н]+. Стадия 9: Синтез 3-[6-[[3-хлор-1-[1-[(1-метилциклобутил)метил]-4-пиперидил]пиразол-4-ил]метил]-2-оксобензо[«1]индол-1-ил]пиперидин-2,6-диона: К перемешиваемому раствору 3-[6-[[3-хлор-1-(4-пиперидил)пиразол-4-ил]метил]-2-оксобензо[cd]индол-1-ил]пиперидин-2,6-диона 13 (в форме гидрохлорида; 150 мг, 313,85 ммоль) в THF (6 мл) в укупоренной пробирке добавляли триэтиламин (79,40 мг, 784,61 ммоль, 109,36 мкл) и перемешивали в течение 5 минут. К ней впоследствие добавляли 1-метилциклобутанкарбальдегид 14 (36,96 мг, 376,61 ммоль, 36,24 мкл) с последующим добавлением дихлорида дибутилолова (114,43 мг, 376,61 ммоль, 84,14 мкл) и фенилсилана (33,96 мг, 313,85 ммоль, 38,68 мкл) и реакционную смесь перемешивали при 90°С в течение 14 ч. За ходом реакции наблюдали с помощью ТСХ и ЖХ. ТСХ показывала образование нового пятна. Реакционную смесь затем разбавляли EtOAc, промывали насыщ. раствором NaHCO3 и экстрагировали добавлением EtOAc. рганический слой отделяли, сушили над безводным сульфатом натрия и упаривали в условиях пониженного давления с получением неочищенного соединения, которое подвергали колоночной хроматографии Combi-Flash (элюируя 0-5% MeOH/DCM; 2% MeOH/DCM) с получением 3-[6-[[3-хлор-1-[1-[(1-метилциклобутил)метил]-4-пиперидил]пиразол-4-ил]метил]-2-оксобензо[cd]индол-1-ил]пиперидин-2,6-диона Соединения 200 (65 мг, 109,50 ммоль, 34,89% выход, 94,35% чистота в виде светло-желтого твердого вещества; ЖХМС (ЭС+)=560,2 [М+Н]+. 1H ЯМР (400 МГц, DMSO-d6): δ 11,12 (s, 1Н, D20 способный к обмену), 8,38 (d, J=8,2 Гц, 1H), 8,10 (d, J=7 Гц, 1H), 7,85 (t, J=7,8 Гц, 1H), 7,69 (s, 1H), 7,30 (d, J=7,4 Гц, 1Н), 7,07 (d, J=7,4 Гц, 1H), 5,43 (dd, J=5,1, 12,8 Гц, 1Н), 4,13 (s, 2Н), 3,99 (m, 1H), 2,95 (m, 1Н), 2,75-2,50 (m, 4Н), 2,22 (m, 2Н), 2,09-1,99 (m, 3Н), 1,93-1,89 (m, 1H), 1,82-1,74 (m, 5Н), 1,72-1,69 (m, 1H), 1,61-1,56 (m, 3Н), 1,13 (s, 3Н).
Пример 107. Синтез трет-бутил-4-[(4-этоксикарбонилфенил)метилен]пиперидин-1-карбоксилата (Соединение 201)
Стадия 1: Синтез трет-бутил-4-[(4-этоксикарбонилфенил)метилен]пиперидин-1-карбоксилата: К перемешиваемому раствору 3-[6-[[3-хлор-1-(4-пиперидил)пиразол-4-ил]метил]-2-оксобензо[cd]индол-1-ил]пиперидин-2,6-диона 1 (в форме гидрохлорида; 150 мг, 313,85 ммоль) в THF (5 мл) в укупоренной пробирке добавляли триэтиламин (79,40 мг, 784,61 ммоль, 109,36 мкл) и перемешивали в течение 5 минут. ней впоследствие добавляли 1-(трифторметил)циклопропанкарбальдегид 2 (65,01 мг, 470,77 ммоль, 35,56 мкл) с последующим добавлением дихлорида дибутилолова (114,43 мг, 376,61 ммоль, 84,14 мкл) и фенилсилана (40,75 мг, 376,61 ммоль, 46,42 мкл) и реакционную смесь перемешивали при 90°С в течение 14 ч. За ходом реакции наблюдали с помощью ТСХ и ЖХ. ТСХ показывала образование нового пятна. Реакционную смесь затем разбавляли EtOAc, промывали насыщ. раствором NaHCO3 экстрагировали добавлением EtOAc. Органический слой отделяли, сушили над безводным сульфатом натрия и упаривали в условиях пониженного давления с получением неочищенного соединения, которое подвергали колоночной хроматографии Combi-Flash (элюируя 0-5% MeOH/DCM; 0,5% MeOH/DCM) с получением 3-[6-[[3-хлор-1-[1-[[1-(трифторметил)циклопропил]метил]-4-пиперидил]пиразол-4-ил]метил]-2-оксобензо[cd]индол-1-ил]пиперидин-2,6-диона Соединения 201 (57 мг, 90,69 ммоль, 28,90% выход, 95,47% чистота) в виде светло-желтого твердого вещества. ЖХМС (ЭС+)=600,5 [М+Н]+. 1H ЯМР (400 МГц, DMSO-d6): 8 11,12 (s, 1H, D20 способный к обмену), 8,37 (d, J=8,2 Гц, 1H), 8,10 (d, J=6,9 Гц, 1H), 7,85 (t, J=7,6 Гц, 1H), 7,69 (s, 1H), 7,30 (d, J=7,6 Гц, 1H), 7,08 (d, J=7,2 Гц, 1H), 5,45-5,43 (m, 1H), 4,13 (s, 2Н), 4,04-4,02 (m, 1H), 2,95-2,92 (m, 3Н), 2,67-2,72 (s, 1Н), 2,67-2,62 (m, 1Н), 2,49 (m, 2Н), 2,09-2,08 (m, 1Н), 2,04-1,98 (m, 2Н), 1,85-1,81 (m, 4Н), 0,94 (m, 2Н), 0,71 (m, 2Н).
Пример 108. Синтез 3-[6-[[4-[[4-(4-фторфенил)сульфонилпиперазин-1-ил]метил]фенил]метил]-2-оксобензо[cd]индол-1-ил]пиперидин-2,6-диона (Соединение 202)
Стадия 1: Синтез 1-[[4-(хлорметил)фенил]метил]-4-(4-фторфенил)сульфонилпиперазина
3: К перемешиваемому раствору 1-(4-фторфенил)сульфонилпиперазина 2 (1,00 г, 4,11 ммоль, 1,00 мл) в ацетоне (15 мл) добавляли карбонат калия, безводный, 99% (568,07 мг, 4,11 ммоль, 248,07 мкл) и перемешивали при 50°С в течение 20 минут. Впоследствие к ней добавляли 1,4-бис(хлорметил)бензол 1 (719,51 мг, 4,11 ммоль, 506,70 мкл) и реакционную смесь нагревали в течение дополнительных 6 ч. Реакционную смесь охлаждали до к.т., упаривали для удаления летучих веществ, воду добавляли и экстрагировали добавлением этилацетата. Объединенные органические слои промывали насыщенным солевым раствором, сушили над сульфатом натрия и концентрировали в условиях пониженного давления с получением неочищенного соединения. Это неочищенное вещество очищали методом колоночной хроматографии combi-flash с получением 1-[[4-(хлорметил)фенил]метил]-4-(4-фторфенил)сульфонилпиперазина 3 (700 мг, 1,74 ммоль, 42,26% выход, 95% чистота) в виде вязкой жидкости. Стадия 2: Синтез 6-[[4-[[4-(4-фторфенил)сульфонилпиперазин-1-ил]метил]фенил]метил]-1Н-бензо[cd]индол-2-она 5: К перемешиваемому раствору 1-[[4-(хлорметил)фенил]метил]-4-(4-фторфенил)сульфонилпиперазина 3 (700 мг, 1,83 ммоль) и 6-(4,4,5,5-тетраметил-1,3,2-диоксаборолан-2-ил)-1Н-бензо[cd]индол-2-она 4 (1,08 г, 3,66 ммоль) в этаноле (5 мл) и толуоле (10 мл) добавляли безводный трехосновный фосфат калия (1,16 г, 5,48 ммоль) и реакционную массу дегазировали в атмосфере азота в течение 5 минут. Затем три-о-толилфосфин (111,29 мг, 365,65 ммоль) и (1Е,4Е)-1,5-дифенилпента-1,4-диен-3-онпалладий (167,42 мг, 182,83 ммоль) добавляли к этой реакционной массе и дегазировали в течение дополнительных 5 мин. Ее затем нагревали при 90°С в течение 16 ч. Реакционную смесь охлаждали до к.т., разбавляли этилацетатом, фильтровали через целит и концентрировали в условиях пониженного давления с получением неочищенной массы, которую очищали методом колоночной хроматографии combi-flash с использованием 20% EtOAc-Нех в качестве элюента с получением 6-[[4-[[4-(4-фторфенил)сульфонилпиперазин-1-ил]метил]фенил]метил]-1Н-бензо[cd]индол-2-она 5 (450 мг, 829,14 ммоль, 45,35% выход, 95% чистота) в виде желтого твердого вещества; ЖХМС (ЭС+)=516,3 [М+Н]+.
Стадия 3: Синтез 3-[6-[[4-[[4-(4-фторфенил)сульфонилпиперазин-1-ил]метил]фенил]метил]-2-оксобензо[cd]индол-1-ил]пиперидин-2,б-диона: К перемешиваемому раствору 6-[[4-[[4-(4-фторфенил)сульфонилпиперазин-1-ил]метил]фенил]метил]-1Н-бензо[cd]индол-2-она 5 (100 мг, 193,95 ммоль) в THF (10 мл), добавляли гидрид натрия (168,15 мг, 4,20 ммоль, 60% чистота) при 0°С порциями и реакционную смесь перемешивали при этой температуре в течение 3-5 мин. Ледяную баню затем удаляли и реакционную смесь перемешивали в течение дополнительных 3-5 мин, а затем 3-бромпиперидин-2,6-дион (186,20 мг, 969,75 ммоль) добавляли к ней при 0°С порциями и реакционную смесь перемешивали при этой температуре в течение дополнительных 1-2 мин. Впоследствие реакционную смесь нагревали при 70°С в течение 1 ч. После этого реакционную смесь гасили льдом и холодной водой и экстрагировали добавлением этилацетата, сушили над сульфатом натрия и концентрировали в условиях пониженного давления с получением неочищенного соединения. Это неочищенное вещество очищали методом колоночной хроматографии combi-flash с получением указанного в заголовке соединения 3-[6-[[4-[[4-(4-фторфенил)сульфонилпиперазин-1-ил]метил]фенил]метил]-2-оксобензо[cd]индол-1-ил]пиперидин-2,6-диона Соединения 202 (65 мг, 94,11 ммоль, 48,53% выход, 90,74% чистота в виде желтого твердого вещества (полученного в результате лиофилизации); ЖХМС (ЭС+)=627,6 [М+Н]+. 1H ЯМР (400 МГц, DMSO-d6): δ 11,09 (s, 1H, D20 способный к обмену), 8,28 (d, J=8,3 Гц, 1H), 8,04 (d, J=7,0 Гц, 1H), 7,79-7,73 (ш, 3Н), 7,45 (t, J=7,7 Гц, 2Н), 7,36 (d, J=7,4 Гц, 1H), 7,19-7,17 (m, 2Н), 7,10-7,06 (m, 3Н), 5,44-5,39 (m, 1Н), 4,33 (s, 2Н), 3,36 (s, 2Н), 2,95-2,89 (m, 1H), 2,83 (m, 4Н), 2,75-2,71 (m, 1Н), 2,67-2,60 (m, 1Н), 2,34 (m, 4Н), 2,08-2,05 (m, 1H).
Пример 109. Синтез 3-[6-[[4-[[1-(4-фторфенил)-4-пиперидил]метил]фенил]метил]-2-оксобензо[cd]индол-1-ил]пиперидин-2,6-диона (Соединение 203)
Стадия 1: Синтез трет-бутил-4-[(4-этоксикарбонилфенил)метилен]пиперидин-1-карбоксилата 3: К перемешиваемому раствору этил-4-йодэтилбензоата 1 (5 г, 21,39 ммоль, 3,57 мл) в DMF (15 мл) в укупоренной пробирке добавляли трет-бутил-4-метиленпиперидин-1-карбоксилат 2 (12,66 г, 64,17 ммоль) и полученный раствор дегазировали аргоном в течение 5 минут с последующим добавлением триэтиламина (10,82 г, 106,95 ммоль, 14,91 мл) и циклопентил(дифенил)фосфан;дихлорметан;дихлорпалладий;железа (1,75 г, 2,14 ммоль). Его нагревали при 100°С в течение 16 ч. По завершении расходования исх. вещ. по данным ТСХ (20% этилацетата в гексане), реакционную смесь фильтровали через слой целита, промывали EtOAc и охлажденную на льду воду добавляли к фильтрату. Водную часть экстрагировали добавлением этилацетата. Органический слой промывали водой, насыщенным солевым раствором и сушили над NaSO4 и концентрировали в условиях пониженного давления с получением неочищенного соединения, которое очищали методом колоночной хроматографии combi-flash (элюируя при 5% этилацетата в гексане) с получением смеси изомеров трет-бутил-4-[(4-этоксикарбонилфенил)метилен]пиперидин-1-карбоксилата 3 (4 г, 10,42 ммоль, 48,72% выход, 90% чистота) в виде бесцветного смолы.
Стадия 2: Синтез трет-бутил-4-[(4-этоксикарбонилфенил)метил]пиперидин-1-карбоксилата 4: К перемешиваемому раствору трет-бутил-4-[(4-этоксикарбонилфенил)метилен]пиперидин-1-карбоксилата 3 (2 г, 5,79 ммоль) в EtOAc (100 мл) добавляли Pd-Уголь (2 г). Баллон с 1H прикрепляли и гидрировали с использованием вакуума. Ее затем перемешивали при к. т. По завершении реакции ее фильтровали через целит, упаривали и неочищенную массу подвергали хроматографии на силикагеле Combiflash с получением чистого трет-бутил-4-[(4-этоксикарбонилфенил)метил]пиперидин-1-карбоксилата 4 (1,5 г, 4,10 ммоль, 70,84% выход, 95% чистота) в виде бесцветного вязкой жидкости; ЖХМС (ЭС+)=348,4 [М+Н]+.
Стадия 3: Синтез этил-4-(4-пиперидилметил)бензоатгидрохлорида 5: К перемешиваемому раствору трет-бутил-4-[(4-этоксикарбонилфенил)метил]пиперидин-1-карбоксилата 4 (4 г, 11,51 ммоль) в диоксане (20 мл) добавляли диоксан-HCl (4 М, 57,56 мл) капельно при 0°С. Ее затем позволяли дойти до к.т. и перемешивали в течение 16 ч. ЖХМС неочищенного соединения показывала полное расходование исходного вещества и образование продукта. Реакционную массу упаривали досуха с получением в итоге этил-4-(4-пиперидилметил)бензоатгидрохлорида 5 (4 г, 9,09 ммоль, 78,99% выход, 95% чистота) в виде бесцветного твердого вещества; ЖХМС (ЭС+)=248,2 [М+Н]+.
Стадия 4: Синтез этил-4-[[1-(4-фторфенил)-4-пиперидил]метил]бензоата 7: К перемешиваемому раствору этил-4-(4-пиперидилметил)бензоатгидрохлорида 5 (2 г, 7,05 ммоль) в трет-бутаноле (40 мл) добавляли карбонат цезия (9,18 г, 28,19 ммоль) в атмосфере аргона в укупоренной пробирке и дегазировали в течение 10 минут. Ее перемешивали в течение дополнительных 20 мин в этих условиях. 1-фтор-4-йодбензол 6 (4,69 г, 21,14 ммоль, 2,43 мл) затем добавляли и дегазировали аргоном в течение 5 минут. Впоследствие RuPhos (328,85 мг, 704,74 ммоль) добавляли к реакционной смеси с последующим добавлением трис(дибензилиденацетон)дипалладия(0) (214,50 мг, 704,74 ммоль) и дегазировали в течение дополнительных 5 мин. Ее затем нагревали при 90°С в течение 16 ч. Реакционную смесь охлаждали до к.т., разбавляли этилацетатом, промывали насыщ. раствором NaHCO3 и экстрагировали добавлением этилацетата. Органический слой промывали водой, насыщенным солевым раствором и сушили над NaSO4 и концентрировали в условиях пониженного давления с получением неочищенного соединения, которое очищали методом колоночной хроматографии combi-flash с использованием 3,5% EtOAc-Нех в качестве элюента с получением этил-4-[[1-(4-фторфенил)-4-пиперидил]метил]бензоата 7 (550 мг, 1,53 ммоль, 21,72% выход, 95% чистота) в виде коричневой липкой жидкости; ЖХМС (ЭС+)=341,9 [М+Н]+.
Стадия 5: Синтез [4-[[1-(4-фторфенил)-4-пиперидил]метил]фенил]метанола 8: К перемешиваемому раствору этил-4-[[1-(4-фторфенил)-4-пиперидил]метил]бензоата 7 (1,3 г, 3,81 ммоль) в THF (5,0 мл) добавляли DIBAL-H (1,6 М, 9,52 мл) при -78°С и перемешивали в температурном интервале -78- -50°С в течение 2 ч. Ход реакции отслеживали с помощью ТСХ. После полного расходования исх. вещ. (4 ч), реакционную смесь затем гасили насыщ. раствором сегнетовой соли, медленно позволяли дойти до к.т. и перемешивали некоторое время. Твердый остаток выпадал в осадок, жидкую часть фильтровали через целит и тщательно промывали DCM. Органический слой промывали водой, насыщенным солевым раствором и сушили над безвод. Na2SO4. и концентрировали в условиях пониженного давления с получением неочищенного соединения, которое очищали методом колоночной хроматографии combi-flash с использованием 20% EtOAc-Нех в качестве элюента с получением [4-[[1-(4-фторфенил)-4-пиперидил]метил]фенил]метанола 8 (700 мг, 2,22 ммоль, 58,34% выход 95% чистота) в виде белого твердого вещества. ЖХМС (ЭС+)=300,3 [М+Н]+.
Стадия 6: Синтез 4-[[4-(хлорметил)фенил]метил]-1-(4-фторфенил)пиперидина 9: К перемешиваемой суспензии [4-[[1-(4-фторфенил)-4-пиперидил]метил]фенил]метанола 8 (450 мг, 1,50 ммоль) в DCM (10 мл) добавляли триэтиламин (760,49 мг, 7,52 ммоль, 1,05 мл) при 0°С и перемешивали в холодных условиях в течение 30 минут. Впоследствие мезилхлорид (688,73 мг, 6,01 ммоль, 465,36 мкл) добавляли капельно при 0°С и реакционной смеси позволяли дойти до к.т. и перемешивали при этой температуре в течение 16 ч. Летучие вещества удаляли с получением неочищенной массы, которую растворяли в DCM, промывали тщательно насыщ. раствором NaHCO3 и в итоге сушили над безвод. Na2SO4. Растворитель упаривали с получением желаемого продукта 4-[[4-(хлорметил)фенил]метил]-1-(4-фторфенил)пиперидина 9 (250 мг, 471,95 ммоль, 31,40% выход, 60% чистота) в виде вязкой жидкости (неочищенного соединения). При растирании с диэтиловым эфиром и пентаном продукт твердел; ЖХМС (ЭС+)=318,2 [М+Н]+.
Стадия 7: Синтез 6-[[4-[[1-(4-фторфенил)-4-пиперидил]метил]фенил]метил]-1Н-бензо[cd]индол-2-она 11: К перемешиваемому раствору 4-[[4-(хлорметил)фенил]метил]-1-(4-фторфенил)пиперидина 9 (450 мг, 1,42 ммоль) и 6-(4,4,5,5-тетраметил-1,3,2-диоксаборолан-2-ил)-1Н-бензо[cd]индол-2-она 10 (626,82 мг, 2,12 ммоль) в этаноле (5 мл) и толуоле (10 мл) добавляли безводный трехосновный фосфат калия (901,64 мг, 4,25 ммоль) и реакционную массу дегазировали в атмосфере азота в течение 5 минут. Затем три-о-толилфосфин (86,19 мг, 283,17 ммоль) и (1Е,4Е)-1,5-дифенилпента-1,4-диен-3-онпалладий (129,65 мг, 141,59 ммоль) добавляли к этой реакционной массе и дегазировали в течение дополнительных 5 мин. Ее затем нагревали при 90°С в течение 16 ч. Реакционную смесь охлаждали до к.т., разбавляли этилацетатом, фильтровали через целит и тщательно промывали этилацетатом. Органический слой промывали водой, насыщенным солевым раствором и сушили над NaSO4 и концентрировали в условиях пониженного давления с получением неочищенного соединения, которое очищали методом колоночной хроматографии combi-flash с использованием 18-20% EtOAc-Hex в качестве элюента с получением 6-[[4-[[1-(4-фторфенил)-4-пиперидил]метил]фенил]метал]-1Н-бензо[cd]индол-2-она 11 (200 мг, 399,52 ммоль, 28,22% выход, 90% чистота) в виде желтого твердого вещества; ЖХМС (ЭС+)=451,1 [М+Н]+. Стадия 8: Синтез 3-[6-[[4-[[1-(4-фторфенил)-4-пиперидил]метил]фенил]метил]-2-оксобензо[cd]индол-1-ил]пиперидин-2,б-диона: К перемешиваемому раствору 6-[[4-[[1-(4-фторфенил)-4-пиперидил]метил]фенил]метил]-1Н-бензо[cd]индол-2-она 11 (350 мг, 776,84 ммоль) в THF (10 мл), добавляли гидрид натрия (621,41 мг, 15,54 ммоль, 60% чистота) при 0°С порциями и реакционную смесь перемешивали при этой температуре в течение 3-5 мин. Ледяную баню затем удаляли и реакционную смесь перемешивали в течение дополнительных 3-5 мин, а затем 3-бромпиперидин-2,6-дион 12 (745,80 мг, 3,88 ммоль) добавляли к ней при 0°С порциями и реакционную смесь перемешивали при этой температуре в течение дополнительных 1-2 мин. Впоследствие реакционную смесь нагревали при 70°С в течение 1 ч. После этого реакционную смесь гасили льдом и холодной водой и экстрагировали добавлением этилацетата, сушили над сульфатом натрия и концентрировали в условиях пониженного давления с получением неочищенного соединения, которое очищали методом колоночной хроматографии combi-flash с использованием 40% EtOAc-Нех в качестве элюента с получением 3-[6-[[4-[[1-(4-фторфенил)-4-пиперидил]метил]фенил]метил]-2-оксобензо[cd]индол-1-ил]пиперидин-2,6-диона Соединения 203 (90 мг, 104,69 ммоль, 13,48% выход, 98% чистота в виде желтого твердого вещества (полученного в результате лиофилизации); ЖХМС (ЭС+)=562,5 [М+Н]+. 1H ЯМР (400 МГц, DMSO-d6): δ 11,12 (s, 1H, D20 способный к обмену), 8,33 (d, J=8,3 Гц, 1H), 8,07 (d, J=6,9 Гц, 1H), 7,82 (t, J=7,6 Гц, 1H), 7,39 (d, J=7,3 Гц, 1H), 7,20 (d, J=7,8 Гц, 2Н), 7,11-7,07 (m, 3Н), 6,98 (t, J=8,8 Гц, 2Н), 6,89-6,87 (m, 2Н), 5,46-5,42 (m, 1H), 4,36 (s, 2Н), 3,52 (d, J=12,0 Гц, 2Н), 2,95-2,91 (m, 1Н), 2,78-2,73 (m, 1H), 2,67-2,63 (m, 1H), 2,49-2,46 (m, 3Н), 2,10-2,07 (m, 1H), 1,61-1,58 (m, 3Н), 1,28-1,23 (m, 3Н).
Пример 110. Синтез 3-[6-[[1-[1-[1-[(диметиламино)метил]циклобутанкарбонил]-4-пиперидил]пиразол-4-ил]метил]-2-оксобензо[cd]индол-1-ил]пиперидин-2,6-диона (Соединение 204) и 3-[6-[[1-[1-[1-(гидроксиметил)циклобутанкарбонил]-4-пиперидил]пиразол-4-ил]метил]-2-оксобензо[cd]индол-1-ил]пиперидин-2,6-диона (Соединение 205)
Стадия 1: Синтез метил-1-[(диметиламино)метил]циклобутанкарбоксилата 2: К перемешиваемому раствору метил-1-формилциклобутанкарбоксилата 1 (100 мг, 703,47 ммоль) в THF (5 мл) в укупоренной пробирке добавляли триэтиламин (177,96 мг, 1,76 ммоль, 245,13 мкл) и перемешивали в течение 5 минут. К ней впоследствие добавляли N-метилметанамингидрохлорид (86,05 мг, 1,06 ммоль) с последующим добавлением дихлорида дибутилолова (256,50 мг, 844,17 ммоль, 188,60 мкл) и фенилсилана (91,35 мг, 844,17 ммоль, 104,04 мкл) и реакционную смесь перемешивали при 90°С в течение 14 ч. Реакционную смесь затем разбавляли EtOAc, промывали насыщ. раствором NaHCO3 и экстрагировали добавлением EtOAc. Органический слой отделяли, сушили над безводным сульфатом натрия и упаривали в условиях пониженного давления с получением метил-1-[(диметиламино)метил]циклобутанкарбоксилата 2 (40 мг, 116,80 ммоль, 16,60% выход, 50% чистота) (неочищенного соединения). [ЯМР и ГХ-МС подтверждали образование]. Стадия 2: Синтез 1-[(диметиламино)метил]циклобутанкарбоновой кислоты 3: К перемешиваемому раствору метил-1-[(диметиламино)метил]циклобутанкарбоксилата 2 (100,00 мг, 116,80 ммоль) в THF (2,5 мл) добавляли LiOH. H2O (5,88 мг, 140,16 ммоль, 247,34 Miofjat 0°С и реакционной смеси позволяли дойти до к.т. и продолжали перемешивание при к.т. в течение 16 ч. Реакционную смесь упаривали с получением неочищенной массы, которую подкисляли HCl в диоксане (4 М маточный раствор) до рН ~ 1. Объединенную реакционную массу затем лиофилизировали (с использованием смеси CH3CN/вода) с получением 1-[(диметиламино)метил]циклобутанкарбоновой кислоты 3 (60 мг, 76,33 ммоль, 65,35% выход, 20% чистота) в виде бесцветного твердого вещества, которое использовали на следующей стадии без дальнейшей очистки. N.B. Водную обработку провести не представлялось возможным, поскольку обнаружилось, что желаемое кислое соединение склонно к смешиванию с водной частью, следовательно, полученная масса содержит желаемую 1-[(диметиламино)метил]циклобутанкарбоновую кислоту 3 (60 мг, 76,33 ммоль, 65,35% выход, 20% чистота) вместе с NaCl. Ее планировали использовать на следующей стадии без дальнейшей очистки.
Стадия 3: Синтез 3-[6-[[1-[1-[1-[(диметиламино)метил]циклобутанкарбонил]-4-пиперидил]пиразол-4-ил]метил]-2-оксобензо[cd]индол-1-ил]пиперидин-2,6-диона: К перемешиваемому раствору 3-[2-оксо-6-[[1-(4-пиперидил)пиразол-4-ил]метил]бензо[cd]индол-1-ил]пиперидин-2,6-дионгидрохлорида 4 (30,53 мг, 63,61 ммоль) добавляли DIPEA (32,88 мг, 254,44 ммоль, 44,32 мкл) с последующим добавлением 1-[(диметиламино)метил]циклобутанкарбоновой кислоты 3 (60 мг, 76,33 ммоль) и HATU (36,28 мг, 95,41 ммоль) и реакционную смесь перемешивали при 25°С в течение 16 ч. Ход реакции отслеживали с помощью ТСХ и ЖХ-МС. Воду затем добавляли в реакционную смесь и водный слой экстрагировали добавлением EtOAc. Органические слои объединяли, сушили над безвод. Na2SO4 и фильтровали и растворители удаляли в условиях пониженного давления с получением остатка, которое очищали методом колоночной хроматографии (элюируя 3% MeOH/DCM) с получением смеси продуктов. Ее далее повторно очищали методом преп. ВЭЖХ с получением в итоге 3-[6-[[1-[1-[1-[(диметиламино)метил]циклобутанкарбонил]-4-пиперидил]пиразол-4-ил]метил]-2-оксобензо[cd]индол-1-ил]пиперидин-2,6-диона Соединения 204 (3 мг, 9,78 ммоль, 15,38% выход, 95% чистота) в виде желтого твердого вещества (после лиофилизации). ЖХМС (ЭС+)=583,7 [М+Н]+. Помимо этого, образовывался также один побочный продукт 5 а, возможно, при попытке получение настоящего исходного вещества 3 (через 2), предположительно, оно не образовывалось или образовывалось в следовых количествах, тогда как образовывалось За (через 2а), что в итоге приводило к получению нежелательного конденсированного продукта 3-[6-[[1-[1-[1-(гидроксиметил)циклобутанкарбонил]-4-пиперидил]пиразол-4-ил]метил]-2-оксобензо[cd]индол-1-ил]пиперидин-2,6-диона Соединения 205 (12 мг, 20,81 ммоль, 19,63% выход, 96,35% чистота) в виде желтого твердого вещества. ЖХМС (ЭС+)=556,6 [М+Н]+.
Пример 111. Синтез 3-[6-[[5-хлор-2-[1-[(1-метилциклобутил)метил]-4-пиперидил]пиразол-3-ил]метил]-2-оксобензо[cd]индол-1-ил]пиперидин-2,6-диона (Соединение 206
Стадия 1: Синтез трет-бутил-4-(3-амино-4-бромпиразол-1-ил)пиперидин-1-карбоксилата
3: К перемешиваемому раствору 4-бром-1Н-пиразол-3-амина 1 (10 г, 61,73 ммоль) в DMF (150 мл) добавляли трет-бутил-4-метилсульфонилоксипиперидин-1-карбоксилат 2 (20,69 г, 74,08 ммоль) с последующим добавлением карбоната цезия (40,23 г, 123,47 ммоль) и реакционную смесь перемешивали в укупоренной пробирке при 90°С в течение 16 ч. Исх. вещ. расходовалось по данным ТСХ. Реакционную смесь затем разбавляли этилацетатом и промывали охлажденной водой с последующей промывкой насыщенным солевым раствором. Объединенный органический слой сушили безводным сульфатом натрия и концентрировали в условиях пониженного давления с получением неочищенного соединения, которое очищали методом колоночной хроматографии на силикагеле (элюируя 45% этилацетата в гексане с получением желаемого продукта трет-бутил-4-(3-амино-4-бромпиразол-1-ил)пиперидин-1-карбоксилата 3 (6 г, 13,90 ммоль, 22,52% выход, 80% чистота) в виде темно-зеленой полужидкости. ЖХ-МС (ЭС+)=347,3 [М+Н]+.
Стадия 2: Синтез трет-бутил-4-(4-бром-3-хлорпиразол-1-ил)пиперидин-1-карбоксилат 4:
К ацетонитрилу (20 мл) добавляли трет-бутилнитрит, тех. 90% (1,49 г, 13,03 ммоль, 1,72 мл, 90% чистота) с последующим добавлением CuCl (1,29 г, 13,03 ммоль) и реакционную смесь затем медленно нагревали до 65°С. В этот момент, трет-бутил-4-(3-амино-4-бромпиразол-1-ил)пиперидин-1-карбоксилат 3 (3 г, 8,69 ммоль) растворяли в ацетонитриле (10 мл) медленно добавляли в реакционную смесь. Реакционную смесь перемешивали при этой температуре в течение 0,5 ч. ТСХ показывала образование нового неполярного пятна и полное расходование исходного вещества. Воду затем добавляли. Реакционную смесь затем охлаждали до комнатной температуры; воду добавляли и экстрагировали добавлением EtOAc. Органическую часть затем промывали насыщенным раствором бикарбоната натрия и насыщенным солевым раствором и затем ее сушили над сульфатом натрия и органическую часть концентрировали в условиях пониженного давления с получением неочищенного продукта. Неочищенное соединение затем очищали методом колоночной хроматографии, элюируя 10% этилацетата в гексане с получением трет-бутил-4-(4-бром-3-хлорпиразол-1-ил)пиперидин-1-карбоксилата 4 (1 г, 2,47 ммоль, 28,40% выход, 90% чистота) в виде белого твердого вещества. Стадия 3: Синтез [2-(1-трет-бутоксикарбонил-4-пиперидил)-5-хлорпиразол-3-ил]бороновой кислоты 6: К перемешиваемому раствору в трет-бутил-4-(4-бром-3-хлорпиразол-1-ил)пиперидин-1-карбоксилата 4 (2 г, 5,48 ммоль) в сухом THF (7 мл) в инертной атмосфере при -78°С добавляли н-бутиллитий (1,6 М, 3,43 мл) капельно. По окончании добавления реакционную смесь перемешивали в течение 1 ч при той же температуре и проводили ТСХ. Поскольку оказалось, что некоторое количество исх. вещ. присутствует наряду с желаемым соответствующим дес-бром вариантом, дополнительное количество 0,5 мл бутиллития добавляли. Через 30 мин, триметилборат 5 (854,86 мг, 8,23 ммоль, 934,27 мкл) добавляли капельно в реакционную смесь и перемешивали в течение 2 ч без дальнейшего добавления сухого льда (позволяя таким образом температуре реакционной смеси постепенно увеличиваться). Еще через 1 ч ТСХ проводили и ЖХ-МС анализировали, что показывало желаемую массу производного бороновой кислоты. Реакционную смесь гасили насыщ. раствором NH4CI и разбавляли EtOAc, слои разделяли. Органический слой промывали водой, насыщенным солевым раствором сушили над NaSO4 и концентрировали в условиях пониженного давления с получением [2-(1-трет-бутоксикарбонил-4-пиперидил)-5-хлорпиразол-3-ил]бороновой кислоты 6 (1,4 г, 3,40 ммоль, 61,96% выход, 80% чистота) в виде коричневого липкого твердого вещества, которое использовали на следующей стадии без дальнейшей очистки; ЖХМС (ЭС+)=330,3 [М+Н]+.
Стадия 4: Синтез трет-бутил-4-[3-хлор-5-[[1-[(4-метоксифенил)метил]-2-оксобензо[cd]индол-6-ил]метил]пиразол-1-ил]пиперидин-1-карбоксилата 8: К перемешиваемому раствору 6-(хлорметил)-1-[(4-метоксифенил)метил]бензо[cd]индол-2-она 7 (1,23 г, 3,64 ммоль) и [2-(1-трет-бутоксикарбонил-4-пиперидил)-5-хлорпиразол-3-ил]бороновой кислоты 6 (1,80 г, 4,37 ммоль) в укупоренной пробирке в толуоле (6 мл) и этаноле (3 мл) и 5 капель воды добавляли трехзамещенный фосфат калия (1,93 г, 9,10 ммоль). Ее дегазировали аргоном в течение 10 минут. Трис-о-толилфосфан (221,64 мг, 728,18 ммоль) и Pd2dba (333,41 мг, 364,09 ммоль) затем добавляли в реакционную смесь и дегазировали в течение дополнительных 5 мин. Ее затем нагревали при 90°С в течение 16 ч. Реакционную смесь охлаждали до к.т, разбавляли этилацетатом, фильтровали через целит, промывали EtOAc и концентрировали в условиях пониженного давления с получением неочищенной массы, которую очищали методом колоночной хроматографии combi-flash с использованием 35% EtOAc-Нех в качестве элюента с получением трет-бутил-4-[3-хлор-5-[[1-[(4-метоксифенил)метил]-2-оксобензо[cd]индол-6-ил]метил]пиразол-1-ил]пиперидин-1-карбоксилата 8 (750 мг, 1,15 ммоль, 31,58% выход, 90% чистота) в виде желтого твердого вещества; ЖХМС (ЭС+)=587,2 [М+Н]+.
Стадия 5: Синтез 6-[[5-хлор-2-(4-пиперидил)пиразол-3-ил]метил]-1Н-бензо[cd]индол-2-она 9: К трет-бутил-4-[3-хлор-5-[[1-[(4-метоксифенил)метил]-2-оксобензо[cd]индол-6-ил]метил]пиразол-1-ил]пиперидин-1-карбоксилату 8 (460,00 мг, 783,50 ммоль) в трифторуксусной кислоте (10 мл) добавляли трифторметансульфоновую кислоту (2,35 г, 15,67 ммоль, 1,38 мл) при 0°С.Реакционной смеси позволяли дойти до к.т. и перемешивали в течение 16 ч при той же температуре. По завершении расходования исх. вещ. реакционную смесь упаривали для удаления избытка реагентов. Ее растворяли в DCM и промывали насыщ. раствором NaHCO3. Органическую часть отделяли, сушили над сульфатом натрия и концентрировали в условиях пониженного давления с получением желаемого продукта 6-[[5-хлор-2-(4-пиперидил)пиразол-3-ил]метил]-1Н-бензо[cd]индол-2-она 9 (300 мг, 654,23 ммоль, 83,50% выход, 80% чистота) в виде коричневого вязкой жидкости, которую использовали на следующей стадии без дальнейшей очистки; ЖХМС (ЭС+)=367,1 [М+Н]+.
Стадия 6: Синтез трет-бутил-4-[3-хлор-5-[(2-оксо-1Н-бензо[cd]индол-6-ил)метил]пиразол-1-ил]пиперидин-1-карбоксилата 10: К перемешиваемому раствору 6-[[5-хлор-2-(4-пиперидил)пиразол-3-ил]метил]-1Н-бензо[cd]индол-2-она 9 (550 мг, 1,50 ммоль) в DCM (10 мл) добавляли триэтиламин (455,14 мг, 4,50 ммоль, 626,91 мкл) при 0°С с последующим добавлением ди-трет-бутилдикарбоната (392,66 мг, 1,80 ммоль, 412,89 мкл) и реакционную смесь перемешивали при комнатной температуре в течение 6 часов. ТСХ проводили, что показывало полное расходование исходного вещества наряду с образованием желаемого пятна. Реакционную смесь разбавляли этилацетатом, промывали водой и органическую фракцию отделяли. Ее сушили над безводным сульфатом натрия и упаривали в условиях пониженного давления с получением неочищенного соединения, которое очищали методом флэш-хроматографии с использованием 70-75% ЕА-Нех с получением трет-бутил-4-[3-хлор-5-[(2-оксо-1Н-бензо[cd]индол-6-ил)метил]пиразол-1-ил]пиперидин-1-карбоксилата 10 (350 мг, 674,58 ммоль, 44,99% выход, 90% чистота) в виде коричневого твердого вещества; ЖХМС (ЭС+)=467,2 [М+Н]+.
Стадия 7: Синтез трет-бутил-4-[3-хлор-5-[[1-(2,6-диоксо-3-пиперидил)-2-оксобензо[cd]индол-6-ил]метил]пиразол-1-ил]пиперидин-1-карбоксилата 12: К перемешиваемому раствору трет-бутил-4-[3-хлор-5-[(2-оксо-1Н-бензо[cd]индол-6-ил)метил]пиразол-1-ил]пиперидин-1-карбоксилата 10 (320,00 мг, 685,29 ммоль) в THF (5 мл), добавляли гидрид натрия (548,18 мг, 13,71 ммоль, 60% чистота) при 0°С порциями и реакционную смесь перемешивали при этой температуре в течение 3-5 мин. Ледяную баню затем удаляли и реакционную смесь перемешивали в течение дополнительных 3-5 мин, а затем 3-бромпиперидин-2,6-дион 11 (657,91 мг, 3,43 ммоль) добавляли к ней при 0°С порциями и реакционную смесь перемешивали при этой температуре в течение дополнительных 1-2 мин. Впоследствие реакционную смесь нагревали при 70°С в течение 1 ч. После этого реакционную смесь гасили льдом и холодной водой и экстрагировали добавлением этилацетата, сушили над сульфатом натрия и концентрировали в условиях пониженного давления с получением неочищенного соединения. Это неочищенное вещество очищали с помощью неоднократной промывки диэтиловым эфиром с получением в итоге указанного в заголовке соединения трет-бутил-4-[3-хлор-5-[[1-(2,6-диоксо-3-пиперидил)-2-оксобензо[cd]индол-6-ил]метил]пиразол-1-ил]пиперидин-1-карбоксилата 12 (350 мг, 544,93 ммоль, 79,52% выход, 90% чистота) в виде желтого твердого вещества (полученного в результате лиофилизации); ЖХМС (ЭС+)=578,2 [М+Н]+.
Стадия 8: Синтез 3-[6-[[5-хлор-2-(1-хлор-4-пиперидил)пиразол-3-ил]метил]-2-оксобензо[cd]индол-1-ил]пиперидин-2,б-дионгидрохлорида 13: К перемешиваемому раствору трет-бутил-4-[3-хлор-5-[[1-(2,6-диоксо-3-пиперидил)-2-оксобензо[cd]индол-6-ил]метил]пиразол-1-ил]пиперидин-1-карбоксилата 12 (350,00 мг, 605,48 ммоль) в диоксане (10 мл) добавляли диоксан-HCl (4 М, 3,03 мл) капельно при 0°С. Ему затем позволяли дойти до к.т. и перемешивали в течение 16 ч. ЖХМС неочищенного соединения показывала полное расходование исходного вещества и образование продукта. Реакционную массу упаривали досуха с получением в итоге 3-[6-[[5-хлор-2-(1-хлор-4-пиперидил)пиразол-3-ил]метил]-2-оксобензо[cd]индол-1-ил]пиперидин-2,6-дионгидрохлорида 13 (200 мг, 349,92 ммоль, 57,79% выход, 90% чистота) в виде желтоватого твердого вещества; ЖХМС (ЭС+)=478,2 [М+Н]+. Стадия 9: Синтез 3-[6-[[5-хлор-2-[1-[(1-метилциклобутил)метил]-4-пиперидил]пиразол-3-ил]метил]-2-оксобензо[cd]индол-1-ил]пиперидин-2,6-диона: К перемешиваемому раствору 3-[6-[[5-хлор-2-(4-пиперидил)пиразол-3-ил]метил]-2-оксобензо[cd]индол-1-ил]пиперидин-2,6-диона 13 (в форме гидрохлорида; 250 мг, 523,08 ммоль) в THF (8 мл) в укупоренной пробирке добавляли триэтиламин (105,86 мг, 1,05 ммоль, 145,81 мкл) и перемешивали в течение 5 минут. К ней впоследствие добавляли 1-метилциклобутанкарбальдегид 14 (61,60 мг, 627,69 ммоль) с последующим добавлением дихлорида дибутилолова (190,72 мг, 627,69 ммоль, 140,24 мкл) и фенилсилана (56,60 мг, 523,08 ммоль, 64,47 мкл) и реакционную смесь перемешивали при 90°С в течение 14 ч. За ходом реакции наблюдали с помощью ТСХ и ЖХ. ТСХ показывала образование нового пятна. Реакционную смесь затем разбавляли EtOAc, промывали насыщ. раствором NaHCO3 и экстрагировали добавлением EtOAc. органический слой отделяли, сушили над безводным сульфатом натрия и упаривали в условиях пониженного давления с получением неочищенного соединения, которое подвергали колоночной хроматографии Combi-Flash (элюируя 0-5% DCM/MeOH) с получением 3-[6-[[5-хлор-2-[1-[(1-метилциклобутил)метил]-4-пиперидил]пиразол-3-ил]метил]-2-оксобензо[cd]индол-1-ил]пиперидин-2,6-диона Соединения 206 (70 мг, 118,98 ммоль, 22,75% выход, 95,2% чистота в виде светло-желтого твердого вещества; ЖХМС (ЭС+)=560,2 [М+Н]+. 1H ЯМР (400 МГц, DMSO-d6): δ 11,13 (s, 1H, D20 способный к обмену), 8,36 (d, J=8,3 Гц, 1H), 8,12 (d, J=7 Гц, 1H), 7,87 (t, J=7,6 Гц, 1H), 7,31 (d, J=7,4 Гц, 1H), 7,11 (d, J=7,3 Гц, 1H), 5,86 (s, 1H), 5,45 (dd, J=5,1, 12,8 Гц, 1H), 4,51 (s, 2Н), 4,22 (m, 1H), 2,95 (m, 1H), 2,72-2,63 (m, 4Н), 2,22 (s, 2Н), 2,11-2,02 (m, 1H), 1,99-1,84 (m, 5Н), 1,89-1,82 (m, 2Н), 1,79-1,78 (m, 1H), 1,75-1,70 (m, 4Н), 1,14 (s, 3Н)
Пример 112. Синтез 3-(6-((1-(1-(1-метилциклобутан-1-карбонил)пиперидин-4-ил)-1Н-пиразол-4-ил)окси)-2-оксобензо[cd]индол-1(2Н)-ил)пиперидин-2,6-диона (Соединение 207)
Стадия 1: Синтез трет-бутилового эфира 4-(4-Формилпиразол-1-ил)пиперидин-1 карбоновой кислоты: К раствору 1H-пиразол-4-карбальдегида (4,7 г, 48,91 ммоль) и трет бутил-4-метоксисульфонилокси-пиперидин-1-карбоксилата (17,34 г, 58,70 ммоль) в DMF (5(мл) добавляли карбонат цезия (39,84 г, 122,28 ммоль) и нагревали до 90°С в укупоренное пробирке в течение 16 ч. ЖХМС неочищенного соединения свидетельствовала об образование продукта. Реакционную массу охлаждали и добавляли к воде. Органические фазы экстрагировали добавлением EtOAc. Объединенные органические фазы промывали водой насыщенным солевым раствором и сушили над Na2SO4. Объединенный растворителе упаривали досуха и очищали с помощью combiflash, элюируя растворителем 20-80% EtOAc в гексане с получением трет-бутил-4-(4-формилпиразол-1-ил)пиперидин-1-карбоксилата (4 г 11,46 ммоль, 23,42% выход, 80% чистота) в виде коричневого твердого вещества; ЖХМС (ЭС+)=280,4 [М+Н]+.
Стадия 2: Синтез (Е)-3-(диметиламино)-2-((1-(4-метоксибензил)-2-оксо-1,2 дигидробензо[cd]индол-6-ил)окси)акрилальдегида: оксихлорид фосфора (3,64 г, 23,7. ммоль, 2,22 мл) добавляли в диметилформамид (1,73 г, 23,73 ммоль, 1,84 мл) при 0°С перемешивали в течение 15 мин. Соединение 6-(2,2-диэтоксиэтокси)-1-[(4 метоксифенил)метил]бензо[cd]индол-2-он (1 г, 2,37 ммоль) добавляли при к.т. Затем реакционную смесь нагревали при 80°С в течение 3 ч. ТСХ показала новое пятно и полное расходование исходного вещества. Реакционную смесь охлаждали до 0°С и гасили льдом водой и экстрагировали добавлением EtOAc. Органическую часть промывали водой i насыщенным солевым раствором и затем ее сушили над сульфатом натрия и органическук часть концентрировали в условиях пониженного давления с получением (Z)-3 (диметиламино)-2-[1-[(4-метоксифенил)метил]-2-оксобензо[cd]индол-6-ил]оксипроп-2-еналя (800 мг, 1,69 ммоль, 71,22% выход, 85% чистота) в качестве неочищенного продукта; ЖХМС (ЭС+)=403,4 [М+Н]+.
Стадия 3: Синтез трет-бутил-4-(4-((1-(4-метоксибензил)-2-оксо-1,2-дигидробензо[cd]индол-6-ил)окси)-1Н-пиразол-1-ил)пиперидин-1-карбоксилата: (Z)-3-(диметиламино)-2-[1-[(4-метоксифенил)метил]-2-оксобензо[cd]индол-6-ил]оксипроп-2-еналь (1,3 г, 3,23 ммоль) растворяли в смеси метанола (20 мл) и воды (6 мл). Трет-бутил-4-(5,6-диоксо-1,4,2,3-диоксадиазинан-2-ил)пиперидин-1-карбоксилат (973,27 мг, 3,23 ммоль) затем добавляли и реакционную смесь перемешивали при 90°С в течение 16 ч. Ее затем концентрировали в условиях пониженного давления и остаток очищали с помощью combiflash, элюируя растворителем EtOAc: гексан с получением указанного в заголовке соединения трет-бутил-4-[4-[1-[(4-метоксифенил)метил]-2-оксобензо[cd]индол-6-ил]оксипиразол-1-ил]пиперидин-1-карбоксилата (800 мг, 1,15 ммоль, 35,72% выход, 80% чистота) в виде бледно-желтого твердого вещества; ЖХМС (ЭС+)=555,6 [М+Н]+.
Стадия 4: Синтез 6-((1-(пиперидин-4-ил)-1Н-пиразол-4-ил)окси)бензо[cd]индол-2(1Н)-она:
К ледяному раствору трет-бутил-4-[4-[1-[(4-метоксифенил)метил]-2-оксобензо[cd]индол-6-ил]-оксипиразол-1-ил]пиперидин-1-карбоксилата (180 мг, 324,54 ммоль) в TFA (6 мл) добавляли трифторметансульфоновую кислоту (146,12 мг, 973,61 ммоль, 85,95 мкл). Реакцию продолжали при 25°С в течение 16 ч. Реакционную массу упаривали досуха и добавляли к насыщенному раствору бикарбоната натрия и экстрагировали добавлением EtOAc. Органические фазы сушили над сульфатом натрия и упаривали досуха с получением 6-[1-(4-пиперидил)пиразол-4-ил]окси-1Н-бензо[cd]индол-2-она (100 мг, 209,35 ммоль, 64,51% выход, 70% чистота) в качестве неочищенного соединения; ЖХМС (ЭС+)=335,3 [М+Н]+. Стадия 5: Синтез 6-((1-(1-(1-метилциклобутан-1-карбонил)пиперидин-4-ил)-1Н-пиразол-4-ил)окси)бензо-[cd]индол-2(1Н)-она: К раствору 6-[1-(4-пиперидил)пиразол-4-ил]окси-1Н-бензо[cd]индол-2-она (200 мг, 598,14 ммоль) и 1-мети лциклобу тан кар бон овой кислоты (68,27 мг, 598,14 ммоль) в DMF (5 мл) добавляли DIPEA (231,92 мг, 1,79 ммоль, 312,55 мкл) и с последующим добавлением HATU (250,17 мг, 657,95 ммоль) и перемешивали при 25°С в течение 16 ч. ЖХМС неочищенного соединения свидетельствовала об образовании продукта. Реакционную смесь разбавляли водой и экстрагировали добавлением EtOAc. Объединенные органические фазы промывали водой и насыщенным солевым раствором и сушили над сульфатом натрия. Неочищенное соединение очищали с помощью combiflash, элюируя растворителем EtOAc: гексан с получением 6-[1-[1-(1-метилциклобутанкарбонил)-4-пиперидил]пиразол-4-ил]окси-1Н-бензо[cd]индол-2-она (70 мг, 157,72 ммоль, 26,37% выход, 97% чистота) в виде темно-коричневого твердого вещества; ЖХМС (ЭС+)=431,3 [М+Н]+. Стадия 6: Синтез 3-(6-((1-(1-(1-метилциклобутан-1-карбонил)пиперидин-4-ил)-1Н-пиразол-4-ил)окси)-2-оксобензо[cd]индол-1(2Н)-ил)пиперидин-2,6-диона: К ледяному раствору 6-[1-[1-(1-метилциклобутанкарбонил)-4-пиперид ил] пиразол-4-ил] окси-1 Н-бензо-[cd]индол-2-она (70 мг, 162,60 ммоль) в THF (5 мл) добавляли гидрид натрия (в масляной дисперсии) в виде 60% дисперсии в минеральном масле (65,03 мг, 1,63 ммоль, 60% чистота) перемешивали при 25°С в течение 10 мин. Соединение 3-бромпиперидин-2,6-дион (156,11 мг, 813,01 ммоль) добавляли в этот момент и вновь перемешивали в течение 10 мин при 25°С. Реакционную смесь затем нагревали до 70°С в течение 0,5 ч. ЖХМС неочищенного соединения свидетельствовала об образовании продукта. Реакционную смесь охлаждали до к.т.и разбавляли водой и экстрагировали добавлением EtOAc. Объединенные органические фазы промывали водой и насыщенным солевым раствором и сушили над сульфатом натрия. Неочищенное соединение выпаривали досуха и очищали с помощью преп. ВЭЖХ с получением 3-[6-[1-[1-(1-метилциклобутанкарбонил)-4-пиперидил] пиразол-4-ил] окси-2-оксобензо[cd]индол-1-ил]пиперидин-2,6-диона Соединения 207 (45 мг, 80,03 ммоль, 49,22% выход, 96,32% чистота) в виде желтого твердого вещества. 1H ЯМР (400 МГц, DMSO-d6): 6 11,10 (bs, 1Н), 8,36 (d, 1=8 Гц, 1H) 8,18 (d, 1=8 Гц, 1H), 7,96 (s, 1H), 7,91(t, 1=8 Гц, 1H), 7,49 (s, 1H), 7,03 (d,J=8r4, 1H) 6,92 (d, 1=8 Гц, 1H), 5,45-5,41 (m, 1H), 4,40-4,34 (m, 2H), 3,61 (m, 1H), 3,12 (m, 1H), 2,97-2,90 (m, 1H), 2,76-2,62 (m, 3H), 2,43-2,40 (m, 2H), 2,10-2,03 (m, 3H), 1,95-1,90 (m, 1H), 1,88 -1,79 (m, 4H), 1,62 (m, 1H),1,36 (s, 3Н); ЖХМС (ЭС+)=542,2 [M+H]+.
Пример 113. Синтез 4-(4-((1-((1-(2,6-диоксопиперидин-3-ил)-2-оксо-1,2-дигидробензо[cd]индол-6-ил)метил)-1-Н-пиразол-3-ил)метил)пиперазин-1-ил)-3-фторбензонитрила (Соединение 208) и 4-(4-((1-((1-(2,6-диоксопиперидин-3-ил)-2-оксо-1,2-дигидробензо[cd]индол-6-ил)метил)-1-Н-пиразол-5-ил)метил)пиперазин-1-ил)-3-фторбензонитрила (Соединение 209)
Стадия 1: Синтез 3-фтор-4-(4-((1-(тетрагидро-2Н-пиран-2-ил)-1Н-пиразол-5-ил)метил)пиперазин-1-ил)бензонитрила: К раствору 3-фтор-4-пиперазин-1-илбензонитрилгидрохлорида (3,61 г, 14,95 ммоль) в DMF (25 мл) добавляли DIPEA (5,80 г, 44,85 ммоль, 7,81 мл) и перемешивали при к.т. в течение 10 мин. Соединение 5-(хлорметил)-1-тетрагидропиран-2-илпиразол (5 г, 14,95 ммоль) добавляли к реакционной смеси и перемешивали при температуре окружающей среды в течение 18 ч. ЖХМС неочищенного соединения свидетельствовала об образовании продукта. Реакционную смесь охлаждали, добавляли к воду и экстрагировали добавлением EtOAc. Объединенные органические фазы промывали водой, насыщенным солевым раствором и сушили над сульфатом натрия. Неочищенное соединение очищали с помощью combiflash, элюируя растворителем MeOH/DCM с получением 3-фтор-4-[4-[(2-тетрагидропиран-2-илпиразол-3-ил)метил]пиперазин-1-ил]бензонитрила (3,6 г, 9,26 ммоль, 61,92% выход, 95% чистота) в виде липкого геля; ЖХМС (ЭС+)=370,2 [М+Н]+.
Стадия 2: Синтез 4-(4-((1Н-пиразол-5-ил)метил)пиперазин-1-ил)-3-фторбензонитрила: К раствору 3-фтор-4-[4-[(2-тетрагидропиран-2-илпиразол-3-ил)метил]пиперазин-1-ил]бензонитрила (4,2 г, 11,37 ммоль) в этаноле (30 мл) добавляли HCl (34,54 мг, 34,11 ммоль, 43,18 мкл, 36% чистота) и перемешивали при 25°С в течение 16 ч. Завершение реакции подтверждали с помощью ТСХ. Реакционную массу упаривали досуха. Неочищенную массу растворяли в EtOAc и промывали раствором бикарбоната и насыщенным солевым раствором и сушили над сульфатом натрия и выпаренное неочищенное соединение очищали с помощью combiflash МеОН в DCM с получением 3-фтор-4-[4-(1Н-пиразол-5-илметил)пиперазин-1-ил]бензонитрила (2,8 г, 8,54 ммоль, 75,10% выход, 87% чистота) в виде липкого твердого вещества; ЖХМС (ЭС+)=286,8 [М+Н]+.
Стадия 3: Синтез 3-фтор-4-(4-((1-((1-(4-метоксибензил)-2-оксо-1,2-дигидробензо[cd]индол-6-ил)метил)-1Н-пиразол-3-ил)метил)пиперазин-1-ил)бензонитрила и 3-фтор-4-(4-((1-((1-(4-метоксибензил)-2-оксо-1,2-дигидробензо[cd]индол-6-ил)метил)-1Н-пиразол-5-ил)метил)пиперазин-1-ил)бензонитрила: К перемешиваемому раствору 3-фтор-4-[4-(1Н-пиразол-5-илметил)пиперазин-1-ил]бензонитрила (1,5 г, 5,26 ммоль) и 6-(хлорметил)-1-[(4-метоксифенил)метил]бензо[cd]индол-2-она (1,78 г, 5,26 ммоль) в DMF (25 мл) добавляли карбонат цезия (5,14 г, 15,77 ммоль). Ее нагревали при 90°С в течение 16 ч. Ее охлаждали до к.т., разбавляли EtOAc, промывали водой, насыщенным солевым раствором, сушили над сульфатом натрия и концентрировали в условиях пониженного давления, Неочищенное соединение очищали с помощью combiflash, элюируя растворителем EtOAc/гексан и 5% МеОН в DCM с получением 3-фтор-4-[4-[[2-[[1-[(4-метоксифенил)метил]-2-оксобензо[cd]индол-6-ил]метил]пиразол-3-ил]метил]пиперазин-1-ил]бензонитрила (260 мг, 416,60 ммоль, 7,92% выход, 94% чистота) в виде коричневого твердого вещества и полярное пятно вновь очищали с помощью преп. ВЭЖХ с получением 3-фтор-4-[4-[[2-[[1-[(4-метокси-фенил)метил]-2-оксобензо[cd]индол-6-ил]метил]пиразол-3-ил]метил]пиперазин-1-ил]бензонитрила (260 мг, 416,60 ммоль, 7,92% выход, 94% чистота) в виде желтого твердого вещества; ЖХМС (ЭС+)=587,2 [М+Н]+.
Стадия 4а: Синтез 3-фтор-4-(4-((1-((2-оксо-1,2-дигидробензо[cd]индол-6-ил)метил)-1Н-пиразол-3-ил)метил)пиперазин-1-ил)бензонитрила: К ледяному раствору 3-фтор-4-[4-[[1-[[1-[(4-метоксифенил)метил]-2-оксобензо[cd]индол-6-ил]метил]пиразол-3-ил]метил]пиперазин-1-ил]бензонитрила (350,00 мг, 596,60 ммоль) в TFA (15 мл) добавляли трифторметансульфоновую кислоту, 98+% (268,61 мг, 1,79 ммоль, 157,08 мкл). Реакцию продолжали при 25°С в течение 16 ч. Реакционную массу упаривали досуха и добавляли к насыщенному раствору бикарбоната натрия и экстрагировали добавлением EtOAc. Органические фазы сушили над сульфатом натрия и упаривали досуха с получением 3-фтор-4-[4-[[1-[(2-оксо-1Н-бензо[cd]индол-6-ил)метил]пиразол-3-ил]метил]пиперазин-1-ил]бензонитрила (270 мг, 463,01 ммоль, 77,61% выход, 80% чистота) в качестве неочищенного соединения; ЖХМС (ЭС+)=467,3 [М+Н]+.
Стадия 4b: Синтез 3-фтор-4-(4-((1-((2-оксо-1,2-дигидробензо[cd]индол-6-ил)метил)-1Н-пиразол-5-ил)метил)пиперазин-1-ил)бензонитрил: К ледяному раствору 3-фтор-4-[4-[[2-[[1-[(4-метоксифенил)метил]-2-оксобензо[cd]индол-6-ил]метил]пиразол-3-ил]метил]пиперазин-1-ил]бензонитрила (250 мг, 426,14 ммоль) в TFA (5 мл) добавляли трифторметансульфоновую кислоту, 98+% (191,87 мг, 1,28 ммоль, 112,20 мкл). Реакцию продолжали при 25°С в течение 16 ч. Реакционную массу упаривали досуха и добавляли к насыщенному раствору бикарбоната натрия и экстрагировали добавлением EtOAc. Органические фазы сушили над сульфатом натрия и упаривали досуха с получением 3-фтор-4-[44ь[2-[(2-оксо-1Н-бензо[cd]индол-6-ил)метил]пиразол-3-ил]метил]пиперазин-1-ил]бензонитрила (192 мг, 370,41 ммоль, 86,92% выход, 90% чистота) в качестве неочищенного соединения; ЖХМС (ЭС+)=467,3 [М+Н]+.
Стадия 5а: Синтез 4-(4-((1-((1-(2,6-диоксопиперидин-3-ил)-2-оксо-1,2-дигидробензо[cd]индол-6-ил)метил)-1-Н-пиразол-3-ил)метил)пиперазин-1-ил)-3-фторбензонитрила: К ледяному раствору 3-фтор-4-[44ь[1-[(2-оксо-1Н-бензо[cd]индол-6-ил)метил]пиразол-3-ил]метил]пиперазин-1-ил]бензонитрила (100,00 мг, 214,36 ммоль) в THF (30 мл) добавляли гидрид натрия (в масляной дисперсии) в виде 60% дисперсии в минеральном масле (82,13 мг, 2,14 ммоль, 60% чистота) перемешивали при 25°С в течение 10 мин. Соединение 3-бромпиперидин-2,6-дион (205,80 мг, 1,07 ммоль) добавляли в этот момент и вновь перемешивали в течение 10 мин при 25°С. Реакционную смесь затем нагревали до 70°С в течение 0,5 ч. ЖХМС неочищенного соединения свидетельствовала об образовании продукта. Реакционную смесь охлаждали до к.т. и разбавляли водой и экстрагировали добавлением EtOAc. Объединенные органические фазы промывали водой и насыщенным солевым раствором и сушили над сульфатом натрия. Неочищенное соединение выпаривали досуха и очищали с помощью преп. ВЭЖХ с получением 4-[4-[[1-[[1-(2,6-диоксо-3-пиперидил)-2-оксобензо[cd]индол-6-ил]метил]пиразол-3-ил]метил]пиперазин-1-ил]-3-фторбензонитрила Соединения 208 (16 мг, 27,51 ммоль, 12,83% выход, 99,3% чистота) в виде желтого твердого вещества. 1Н ЯМР (400 МГц, DMSO-d6): δ 11,12 (bs, 1H), 8,41(d,. r=8 Гц, 1Н) 8,10 (d, Т=8 Гц, 1Н),7,85 (t, Т=8 Гц, 1Н),7,78 (s,lH),7,68 (d, J=12 Гц, 1Н), 7,55 (d, Т=8 Гц, 1H), 7,45 (d, Т=8 Гц, 1Н), 7,14-7,06 (m, 2H), 6,16 (s, 1H),5,72 (s, 2H), 5,46-5,44 (m, 1H), 3,46 (s, 2H),3,13 (bs, 4H), 2,94-2,92 (m, 1H), 2,79-2,73 (m, 1H), 2,67-2,63 (m, 1H), 2,43 (bs, 4H), 2,08-2,01 (m, 1H). ЖХМС (ЭС+)=578,2 [M+H]+.
Стадия 5b: Синтез 4-(4-((1-((1-(2,6-диоксопиперидин-3-ил)-2-оксо-1,2-дигидробензо[cd]индол-6-ил)метил)-1-Н-пиразол-5-ил)метил)пиперазин-1-ил)-3-фторбензонитрила: К ледяному раствору 3-фтор-4-[4-[[2-[(2-оксо-1Н-бензол]индол-6-ил)метил]пиразол-3-ил]метил]пиперазин-1-ил]бензонитрила (200 мг, 428,72 ммоль) в THF (10 мл) добавляли гидрид натрия (185,85 мг, 4,29 ммоль, 60% чистота) перемешивали при 25°С в течение 10 мин. Соединение 3-бромпиперидин-2,6-дион (411,59 мг, 2,14 ммоль) добавляли в этот момент и вновь перемешивали в течение 10 мин при 25°С. Реакционную смесь затем нагревали до 70°С в течение 0,5 ч. ЖХМС неочищенного соединения свидетельствовала об образовании продукта. Реакционную смесь охлаждали до к.т. и разбавляли водой и экстрагировали добавлением EtOAc. Объединенные органические фазы промывали водой и насыщенным солевым раствором и сушили над сульфатом натрия. Неочищенное соединение выпаривали досуха и очищали с помощью преп. ВЭЖХ с получением 4-[4-[[2-[[1-(2,6-диоксо-3-пиперидил)-2-оксобензо[cd]индол-6-ил]метил]пиразол-3-ил]метил]пиперазин-1-ил]-3-фторбензонитрила Соединения 209 (31 мг, 53,32 ммоль, 12,44% выход, 99,34% чистота) в виде желтого твердого вещества. 1Н ЯМР (400 МГц, DMSO-d6): δ 11,10 (bs, 1H), 8,47(d,.r=8 Гц, 1Н) 8,09 (d, m=8 Гц, 1Н),7,86 (t, m=8 Гц, 1Н), 7,67(dd, Т=12 Гц, J1=1,6 Гц,1Н),7,53 (dd, J=8 Гц, J1=1,6 Гц, 1H), 7,43 (s, 1H), 7,22 (d, m=4 Гц, 1H), 7,09 (d, Т=8 Гц, 1Н), 7,01 (t, Т=8 Гц, 1Н), 6,24 (s, 1Н),5,83 (s, 2Н), 5,45-5,41 (m, 1Н), 3,56 (s, 2Н), 2,96-2,89 (m, 1H), 2,85 (bs, 4Н), 2,76-2,61 (m, 2Н), 2,42 (bs, 4Н), 2,07-2,01 (m, 1H). ЖХМС (ЭС+)=578,2 [М+Н]+.
Пример 114. Синтез 3-(2-оксо-6-(4-((4-фенилпиперазин-1-ил)метил)бензил)бензо[cd]индол-1(2Н)-ил)пиперидин-2,6-диона (Соединение 210)
Стадия 1: Синтез 1-(4-(хлорметил)бензил)-4-фенилпиперазин: К перемешиваемому раствору 1-фенилпиперазина (2 г, 12,33 ммоль) в DMF (20 мл), DIPEA (4,78 г, 36,98 ммоль, 6,44 мл) добавляли с последующим добавлением 1,4-бис(хлорметил)бензола (4,32 г, 24,66 ммоль, 3,04 мл). Полученную реакционную смесь нагревали при 60°С в течение 12 ч. По окончании реакции охлажденную на льду воду добавляли к реакционной смеси и экстрагировали добавлением EtOAc. Органическую часть отделяли, сушили над сульфатом натрия и концентрировали. ЖХМС неочищенного соединения свидетельствовала об образовании продукта. Неочищенную массу упаривали и очищали с помощью combiflash, элюируя растворителем 10-30% EtOAc в гексане с получением 1-[[4-(хлорметил)фенил]метил]-4-фенилпиперазина (1,6 г, 4,79 ммоль, 38,83% выход, 90% чистота) в виде беловатого твердого вещества; ЖХМС (ЭС+)=301,4 [М+Н]+.
Стадия 2: Синтез 6-(4-((4-фенилпиперазин-1-ил)метил)бензил)бензо[cd]индол-2(1Н)-она:
К перемешиваемому раствору 6-(4,4,5,5-тетраметил-1,3,2-диоксаборолан-2-ил)-1Н-бензо[cd]индол-2-она (735,83 мг, 2,49 ммоль) и 1-[[4-(хлорметил)фенил]метил]-4-фенилпиперазина (500 мг, 1,66 ммоль) в этаноле (2 мл) и толуоле (7 мл) добавляли трехзамещенный фосфат калия (882,02 мг, 4,16 ммоль) и дегазировали в атмосфере азота в течение 10 минут. Затем трис-о-толилфосфан (101,18 мг, 332,42 ммоль) и (1Е,4Е)-1,5-дифенилпента-1,4-диен-3-онпалладий (152,20 мг, 166,21 ммоль) добавляли к реакционной массе и нагревали полученную реакционную смесь 90°С в течение 16 ч. По окончании реакции реакционную массу фильтровали через слой целита. Фильтрат собирали и разбавляли EtOAc и промывали водой и насыщенным солевым раствором. Объединенный органический растворитель отделяли, сушили над сульфатом натрия и концентрировали в вакууме. Неочищенное соединение очищали с помощью combiflash, элюируя растворителем 10-50% EtOAc в гексане с получением 6-[[4-[(4-фенилпиперазин-1-ил)метил]фенил]метил]-1Н-бензо[cd]индол-2-она (370 мг, 768,09 ммоль, 46,21% выход, 90% чистота) в виде коричневого геля.
Стадия 3: Синтез 3-(2-оксо-6-(4-((4-фенилпиперазин-1-ил)метил)бензил)бензо[cd]индол-1(2Н)-ил)пиперидин-2,6-диона: К ледяному раствору 6-[[4-[(4-фенилпиперазин-1-ил)метил]фенил]метил]-1Н-бензо[cd]индол-2-она (100,00 мг, 230,66 ммоль) в THF(30 мл) добавляли гидрид натрия (в масляной дисперсии) в виде 60% дисперсии в минеральном масле (8,84 мг, 220,97 ммоль, 60% чистота) перемешивали при 25°С в течение 10 мин. Соединение 3-бромпиперидин-2,6-дион (221,44 мг, 1,15 ммоль) добавляли в этот момент и вновь перемешивали в течение 10 мин при 25°С. Реакционную смесь затем нагревали до 70°С в течение 0,5 ч. ЖХМС неочищенного соединения свидетельствовала об образовании продукта. Реакционную смесь охлаждали до к.т. и разбавляли водой и экстрагировали добавлением EtOAc. Объединенные органические фазы промывали водой и насыщенным солевым раствором и сушили над сульфатом натрия. Неочищенное соединение выпаривали досуха и очищали с помощью преп. ВЭЖХ с получением 3-[2-оксо-6-[[4-[(4-фенилпиперазин-1-ил)метил]фенил]метил]бензо[cd]индол-1-ил]пиперидин-2,6-диона Соединения 210 (46 мг, 84,30 ммоль, 36,55% выход, 99,81% чистота) в виде желтого твердого вещества. 1H ЯМР (400 МГц, DMSO-d6): δ 11,11 (bs, 1H), 8,34(d, 1=8 Гц, 1H), 8,08 (d, J=8Hi, 1Н),7,83 (t, 1=8 Гц, 1H), 7,42 (d, 1=8 Гц, 1Н),7,26 (m, 6Н), 7,11 (d, 1=8 Гц, 1H), 6,89 (d, 1=8 Гц, 2Н), 6,76 (t, 1=8 Гц, 1H), 5,45-5,43 (m, 1H), 4,38 (s, 2Н), 3,44 (s, 2Н), 3,08 (bs, 4Н), 2,98-2,90 (m, 1H), 2,80-2,73 (m, 1H), 2,70-2,57 (m, 1H), 2,45 (bs, 4Н), 2,10 (m, 1H); ЖХМС (ЭС+)=545,3 [М+Н]+.
Пример 115. Синтез 3-(6-((1-(4-метил-1-(1-(трифторметил)циклопропан-1-карбонил)пиперидин-4-ил)-1Н-1,2,3-триазол-4-ил)метил)-2-оксобензо[cd]индол-1(2Н)-ил)пиперидин-2,6-диона (Соединение 211)
Стадия 1: Синтез трет-бутил-4-амино-4-метилпиперидин-1-карбоксилата: К 50 мл 50% тетрагидрофуран-водного раствора ацетата ртути(П), 98+% (1,78 г, 5,58 ммоль, 541,75 мкл), азид натрия (988,62 мг, 15,21 ммоль, 534,39 мкл) и трет-бутил-4-метиленпиперидин-1-карбоксилат (1 г, 5,07 ммоль) добавляли, с последующим перемешиванием в течение 17 часов при нагревании при 90°С. После охлаждения до комнатной температуры, 0,71 мл 15% водный раствор гидроксида калия и далее суспензию боргидрида натрия (143,83 мг, 3,80 ммоль, 134,42 мкл) в 0,71 мл 15% водного раствора гидроксида калия, добавляли, с последующим перемешиванием в течение 30 минут при комнатной температуре. Реакционную смесь разбавляли диэтиловым эфиром, промывали водой и насыщенным солевым раствором и сушили безводным сульфатом натрия, с последующей отгонкой растворителя в условиях пониженного давления с получением трет-бутил-4-амино-4-метилпиперидин-1-карбоксилата (1,1 г, 2,75 ммоль, 54,18% выход, 60% чистота) в виде указанного в заголовке соединения. Стадия 2: Синтез трет-бутил-4-азидо-4-метилпиперидин-1-карбоксилата: Трифторметансульфоновый ангидрид (1,32 г, 4,67 ммоль, 783,65 мкл) добавляли к смеси азида натрия (758,38 мг, 11,67 ммоль, 409,94 мкл), H2O (14 мл) и DCM (25 мл) при 0°С. Смесь перемешивали при 0°С в течение 2 ч, затем слои разделяли. Водный слой экстрагировали добавлением CH2Cl3 (2×10 мл). Объединенные экстракты промывали насыщенным водным раствором Na2CO3, затем добавляли к перемешиваемой смеси трет-бутил-4-амино-4-метилпиперидин-1-карбоксилата (500 мг, 2,33 ммоль), гранулированного карбоната калия (483,68 мг, 3,50 ммоль, 211,21 мкл), сульфата меди (37,24 мг, 233,31 ммоль, 10,34 мкл), H2O (27 мл) и метанола (45 мл). Полученную смесь перемешивали в течение 16 ч, затем упаривали и разбавляли Н2О (50 мл) и экстрагировали добавлением DCM. Объединенные органические фазы промывали водой и сушили над сульфатом натрия. Органические фазы упаривали досуха с получением трет-бутил-4-азидо-4-метилпиперидин-1-карбоксилата в качестве неочищенного соединения; ЖХМС (ЭС+)=241,4 [М+Н]+.
Стадия 3: Синтез трет-бутил-4-(4-(гидрокси(1-(4-метоксибензил)-2-оксо-1,2-дигидробензо[cd]индол-6-ил)метил)-1Н-1,2,3-триазол-1-ил)-4-метилпиперидин-1-карбоксилата: К перемешиваемому раствору трет-бутил-4-азидо-4-метилпиперидин-1-карбоксилата (200 мг, 832,29 ммоль) и 6-(1-гидроксипроп-2-инил)-1-[(4-метоксифенил)метил]бензо[cd]индол-2-она (285,79 мг, 832,29 ммоль) в THF (5 мл), раствор сульфата меди. SH2O (20,78 мг, 83,23 ммоль, 5,77 мкл) в воде (1 мл) добавляли и перемешивали в течение 15 минуте последующим добавлением (2K)-2-[1,2-дигидроксиэтил]-4-гидрокси-5-оксо-2Н-фуран-3-олята натрия (65,95 мг, 332,92 ммоль). Реакционную массу хранили при перемешивании в течение еще 24 ч при 25°С. По завершении расходования исх. вещ. реакционную массу фильтровали через слой целита и сушили над сульфатом натрия. Фильтрат упаривали и неочищенный остаток очищали с помощью combiflash, элюируя растворителем 30-100% EtOAc в гексане с получением трет-бутил-4-[4-[гидрокси-[1-[(4-метоксифенил)метил]-2-оксобензо[cd]индол-6-ил]метил]триазол-1-ил] -4-мети лпиперидин-1 -карбоксилата (97 мг, 113,01 ммоль,13,58% выход, 68% чистота) в виде липкого геля; ЖХМС (ЭС+)=584,4 [М+Н]+.
Стадия 4: Синтез 6-((1-(4-метилпиперидин-4-ил)-1Н-1,2,3-триазол-4-ил)метил)бензо[cd]индол-2(1Н)-она: К раствору трет-бутил-4-[4-[гидрокси-[1-[(4-метоксифенил)метил]-2-оксобензо[cd]индол-6-ил]метил]триазол-1-ил]-4-мети лпиперидин-1-карбоксилата (50 мг, 85,66 ммоль) в TFA (78,14 мг, 685,31 ммоль, 52,80 мкл) добавляли триэтилсилан (39,84 мг, 342,66 ммоль, 54,73 мкл) в укупоренной пробирке. Реакционную смесь нагревали до 90°С в течение 2 ч. ЖХМС неочищенного соединения свидетельствовала об образовании продукта. Реакционную смесь упаривали досуха и нейтрализовывали раствором бикарбоната натрия и экстрагировали добавлением EtOAc. Объединенные органические фазы сушили над сульфатом натрия и упаривали досуха и растирали с пентаном с получением 6-[[1-(4-метил-4-пиперидил)триазол-4-ил]метил]-1Н-бензо[cd]индол-2-она (22 мг, 50,66 ммоль, 59,14% выход, 80% чистота) в виде коричневого твердого вещества; ЖХМС (ЭС+)=348,4 [М+Н]+.
Стадия 5: Синтез 6-((1-(4-метил-1-(1-(трифторметил)циклопропан-1-карбонил)пиперидин-4-ил)-1Н-1,2,3-триазол-4-ил)метил)бензо[cd]индол-2(1Н)-она: К раствору 6-[[1-(4-метил-4-пиперидил)триазол-4-ил]метил]-1Н-бензо[cd]индол-2-она (300 мг, 863,53 ммоль) в DMF (10 мл) добавляли 1-(трифторметил)циклопропанкарбоновую кислоту (146,36 мг, 949,88 ммоль) и DIPEA (334,81 мг, 2,59 ммоль, 451,23 мкл) с последующим добавлением HATU (492,51 мг,1,30 ммоль) и перемешивали при 25°С в течение 16 ч. ЖХМС неочищенного соединения свидетельствовала об образовании продукта. Реакционную массу добавляли к воду и экстрагировали добавлением EtOAc. Объединенные органические фазы промывали водой, насыщенным солевым раствором и сушили над сульфатом натрия. Неочищенное соединение выпаривали досуха и очищали с помощью combiflash, элюируя растворителем EtOAc в гексане с получением 6-[[1-[4-метил-1-[1-(трифторметил)циклопропанкарбонил]-4-пиперидил]триазол-4-ил]метил]-1Н-бензо[cd]индол-2-она (130 мг, 241,99 ммоль, 28,02% выход, 90% чистота) в виде темно-коричневого геля; ЖХМС (ЭС+)=484,1 [М+Н]+.
Стадия 6: Синтез 3-(6-((1-(4-метил-1-(1-(трифтор-метил)циклопропан-1-карбонил)пиперидин-4-ил)-1Н-1,2,3-триазол-4-ил)метил)-2-оксобензо[cd]индол-1(2Н)-ил)пиперидин-2,б-диона: К ледяному раствору 6-[[1-[4-метил-1-[1-(трифторметил)циклопропанкарбонил]-4-пиперидил]триазол-4-ил]метил]-1Н-бензо[cd]индол-2-она (130 мг, 268,88 ммоль) в DMF (10 мл) добавляли гидрид натрия (в масляной дисперсии) в виде 60% дисперсии в минеральном масле (103,03 мг, 2,69 ммоль, 60% чистота) перемешивали при 25°С в течение 10 мин. Соединение 3-бромпиперидин-2,6-дион (258,14 мг, 1,34 ммоль) добавляли в этот момент и вновь перемешивали в течение 10 мин при 25°С. Реакционную смесь затем нагревали до 70°С в течение 0,5 ч. ЖХМС неочищенного соединения свидетельствовала об образовании продукта. Реакционную смесь охлаждали до к.т. и разбавляли водой и экстрагировали добавлением EtOAc. Объединенные органические фазы промывали водой и насыщенным солевым раствором и сушили над сульфатом натрия. Неочищенное соединение выпаривали досуха и очищали с помощью преп. ВЭЖХ с получением 3-[6-[[1-[4-метил-1-[1-(трифторметил)циклопропанкарбонил]-4-пиперидил]триазол-4-ил]метил]-2-оксобензо[cd]индол-1-ил]пиперидин-2,6-диона Соединения 211 (20 мг, 33,55 ммоль, 12,48% выход, 99,74%чистота) в виде желтого твердого вещества. 1Н ЯМР (400 МГц, DMSO-d6): δ 11,12 (bs, 1Н), 8,42(d, Д=12 Гц, 1H), 8,10-8,08 (d, Д=8 Гц, 2Н),7,85 (t, J=8 Гц, 1Н), 7,39 (d, 1=8 Гц, 1H),7,10 (d, Д=8 Гц, 1H), 5,45-5,43 (m, 1Н), 4,43 (s, 2H), 3,77 (m, 2Н), 2,94-2,92 (m, 1Н), 2,76-2,72 (m, 1H), 2,67-2,62 (m, 1H), 2,37 (bs, 2H), 2,09 (bs, 1H), 1,90 (bs, 2H), 1,45 (s, 3H), 1,26 (bs, 2H), 1,17 (bs, 2H); ЖХМС (ЭС+)=595,3 [M+H]+.
Пример 116. Синтез 3-[6-[[1-(4-трет-бутоксициклогексил)пиразол-4-ил]метил]-2-оксобензо[cd]индол-1-ил]пиперидин-2,6-диона (Соединение 212) и 3-[6-[[1-(4-трет-бутоксициклогексил)пиразол-4-ил]метил]-2-оксобензо[cd]индол-1-ил]пиперидин-2,6-диона (Соединение 213)
Стадия 1: Синтез 1-[(4-метоксифенил)метил]-6-[(1-тетрагидропиран-2-илпиразол-4-ил)метил]бензо[cd]индол-2-она: в укупоренной пробирке перемешивали раствор 1-тетрагидропиран-2-ил-4-(4,4,5,5-тетраметил-1,3,2-диоксаборолан-2-ил)пиразола (4,12 г, 14,80 ммоль) и 6-(хлорметил)-1-[(4-метоксифенил)метил]бензо[cd]индол-2-она (5 г, 14,80 ммоль) в смеси растворителей толуола (100 мл) и этанола (50 мл), добавляли безводный трехосновный фосфат калия (7,85 г, 37,00 ммоль), реакционную смесь дегазировали в атмосфере аргона в течение 10 мин. Затем добавляли трис(дибензилиденацетон)дипалладий(0) (1,36 г, 1,48 ммоль) и трис(о-толил)фосфин (901,04 мг, 2,96 ммоль), вновь дегазировали в течение 5 мин. Затем пробирку укупоривали и нагревали до 110°С в течение 16 ч. После полного расходования исх. вещ., реакционную смесь фильтровали через слой целита и концентрировали в условиях пониженного давления с получением неочищенного соединения. Его очищали методом колоночной хроматографии CombiFlash (с использованием 30% ЕА в гексане) с получением указанного в заголовке соединения 1-[(4-метоксифенил)метил]-6-[(1-тетрагидропиран-2-илпиразол-4-ил)метил]бензо[cd]индол-2-она (4,7 г, 9,33 ммоль, 63,01% выход, 90% чистота) в виде желтого твердого вещества; ЖХ-МС: (ЭС+)=454,4 [М+Н]+.
Стадия 2: Синтез 1-пиперидин-4-ил-1Н-пирроло[2,3-b]пиридин-3-карбальдегида: К перемешиваемому раствору трет-бутил-4-(3-формилпирроло[2,3-b]пиридин-1-ил)пиперидин-1-карбоксилата 3 (525 мг, 1,59 ммоль) в 1,4-диоксане (10 мл) добавляли HCl в диоксане (4 М, 11,95 мл). Реакционную смесь перемешивали при 25°С в течение 16 ч. После полного расходования исх. вещ., реакционную смесь концентрировали в условиях пониженного давления и затем промывали 10-20% этилацетата в н-гексане и в итоге сушили с получением указанного в заголовке соединения 1-(4-пиперидил)пирроло[2,3-b]пиридин-3-карбальдегида (350 мг, 1,53 ммоль, 95,78% выход) в виде беловатого твердого вещества; ЖХМС (ЭС+)=230,0 [М+Н]+.
Стадия 3: Синтез 6-[[1-(1,4-диоксаспиро[4.5]декан-8-ил)пиразол-4-ил]метил]-1-[(4-метоксифенил)метил]бензо[cd]индол-2-она: К перемешиваемому раствору 1-[(4-метоксифенил)метил]-6-(1Н-пиразол-4-илметил)бензо[cd]индол-2-она (2,7 г, 7,31 ммоль) и 1,4-диоксаспиро[4.5]декан-8-илметансульфоната (3,45 г, 14,62 ммоль) в DMF (20 мл), добавляли карбонат цезия (4,76 г, 14,62 ммоль), реакционную смесь нагревали до 90°С в течение 16 ч. После полного расходования исх. вещ., реакционную смесь гасили водой и экстрагировали добавлением этилацетата, сушили над сульфатом натрия, концентрировали в условиях пониженного давления с получением неочищенного соединения. Его очищали методом колоночной хроматографии CombiFlash (50% этилацетата в гексане) с получением указанного в заголовке соединения 6-[[1-(1,4-диоксаспиро[4.5]декан-8-ил)пиразол-4-ил]метил]-1-[(4-метоксифенил)метил]бензо[cd]индол-2-она (1,5 г, 2,65 ммоль, 36,25% выход, 90% чистота) в виде желтого твердого вещества; ЖХМС (ЭС+)=510,3 [М+Н]+.
Стадия 4: Синтез 1-[(4-метоксифенил)метил]-6-[[1-(4-оксоциклогексил)пиразол-4-ил]метил]бензо[cd]индол-2-она: К перемешиваемому раствору 6-[[1-(1,4-диоксаспиро[4.5]декан-8-ил)пиразол-4-ил]метил]-1-[(4-метоксифенил)метил]бензо[cd]индол-2-она (1,5 г, 2,94 ммоль) в THF (10 мл), добавляли HCl (5 М, 2,94 мл) и реакционную смесь перемешивали при 25°С в течение 20 ч. После полного расходования исх. вещ., растворитель концентрировали в условиях пониженного давления и нейтрализовывали бикарбонатом натрия и экстрагировали добавлением этилацетата, сушили над сульфатом натрия, концентрировали в условиях пониженного давления с получением указанного в заголовке соединения 1-[(4-метоксифенил)метил]-6-[[1-(4-оксоциклогексил)пиразол-4-ил]метил]бензо[cd]индол-2-она (1 г, 1,93 ммоль, 65,68% выход, 90% чистота) в виде желтого твердого вещества; ЖХМС (ЭС+)=466,5 [М+Н]+.
Стадия 5: Синтез 6-[[1-(оксоциклогексил)пиразол-4-ил]метил]-1Н-бензо[cd]индол-2-она: К перемешиваемому раствору 1-[(4-метоксифенил)метил]-6-[[1-(4-оксоциклогексил)пиразол-4-ил]метил]бензо[cd]индол-2-она (300 мг, 644,41 ммоль) в трифторуксусной кислоте (7 мл), добавляли анизол (696,87 мг, 6,44 ммоль, 701,07 мкл), реакционную смесь перемешивали при 60°С в течение 16 ч. После полного расходования исх. вещ., TFA удаляли и растворяли в ледяной воде и нейтрализовывали насыщенным раствором бикарбоната натрия и экстрагировали добавлением этилацетата; отделяли органический слой, сушили над сульфатом натрия, концентрировали в условиях пониженного давления, с получением неочищенного соединения. Его очищали методом колоночной хроматографии CombiFlash (с использованием этилацетата) с получением указанного в заголовке соединения 6-[[1-(4-оксоциклогексил)пиразол-4-ил]метил]-1Н-бензо[cd]индол-2-она (80 мг, 208,46 ммоль, 32,35% выход, 90% чистота) в виде желтого твердого вещества; ЖХМС (ЭС+)=346,2 [М+Н]+.
Стадия 6: Синтез 6-[[1-(4-гидроксициклогексил)пиразол-4-ил]метил]-1Н-бензо[cd]индол-2-она: К перемешиваемому раствору 6-[[1-(4-оксоциклогексил)пиразол-4-ил]метил]-1Н-бензо[cd]индол-2-она (100,00 мг, 289,52 ммоль) в этаноле (10 мл), реакционную смесь охлаждали до 0°С, боргидрид натрия (21,91 мг, 579,05 ммоль, 20,47 мкл) добавляли к ней и перемешивали при 25°С в течение 2 ч. После полного расходования исх. вещ., реакционную смесь гасили ледяной водой и затем растворитель удаляли в условиях пониженного давления, затем растворяли в воде и экстрагировали добавлением этилацетата, отделяли органический слой, сушили над сульфатом натрия, концентрировали в условиях пониженного давления, с получением неочищенного соединения. Его очищали методом колоночной хроматографии CombiFlash (с использованием этилацетата) с получением указанного в заголовке соединения 6-[[1-(4-гидроксициклогексил)пиразол-4-ил]метил]-1Н-бензо[cd]индол-2-она (75 мг, 194,30 ммоль, 67,11% выход, 90% чистота) в виде желтой липкой жидкости; ЖХМС (ЭС+)=348,2 [М+Н]+.
Стадия 7: Синтез 6-[[1-(4-трет-бутоксициклогексил)пиразол-4-ил]метил]-1-[(4-метоксифенил)метил]бензо[cd]индол-2-она: К перемешиваемому раствору 6-[[1-(4-гидроксициклогексил)пиразол-4-ил]метил]-1-[(4-метоксифенил)метил]бензо[cd]индол-2-она (750 мг, 1,60 ммоль) растворяли в ди-трет-бутилдикарбонате (805,21 мг, 3,69 ммоль, 846,70 мкл) при умеренном нагревании (до менее 40°С). Затем трифторметансульфонат эрбия(III) (98,57 мг, 160,41 ммоль) добавляли к смеси в атмосфере N2 и смесь перемешивали при 25°С в течение 16 ч. За ходом реакции следили с помощью ТСХ. После этого смесь разбавляли Et2O и Et2O слой промывали Н2О. Органическую фазу сушили над Na2SO4, фильтровали и затем упаривали в вакууме с получением неочищенного соединения. Это неочищенное вещество очищали методом колоночной хроматографии combi-flash с получением 6-[[1-(4-трет-бутоксициклогексил)пиразол-4-ил]метил]-1-[(4-метоксифенил)метил]бензо[cd]индол-2-она (200 мг, 351,37 ммоль, 21,90% выход, 92% чистота) в виде желтого твердого вещества. ЖХМС (ЭС+)=524,5 [М+Н]+. ПРИМЕЧАНИЕ: Изомеры разделяли путем очистки методом преп. ВЭЖХ и по отдельности переносили на следующую стадию.
Стадия 8: Синтез 3-[6-[[1-(4-трет-бутоксициклогексил)пиразол-4-ил]метил]-2-оксобензо[cd]индол-1-ил]пиперидин-2,6-диона: К перемешиваемому раствору 6-[[1-(4-трет-бутоксициклогексил)пиразол-4-ил]метил]-1Н-бензо[cd]индол-2-она (50,00 мг, 123,91 ммоль) в THF (10 мл), реакционную смесь охлаждали до 0°С, затем медленно добавляли гидрид натрия (в масляной дисперсии) в виде 60% дисперсии в минеральном масле (142,44 мг, 3,72 ммоль, 60% чистота). Затем реакционную смесь перемешивали в течение 5 мин до 0°С, затем добавляли 3-бромпиперидин-2,6-дион (118,96 мг, 619,55 ммоль) порциями, вновь перемешивали в течение 5 мин. Затем реакционную смесь нагревали до 60°С в течение 1 ч. После этого реакционную смесь гасили ледяной водой и экстрагировали добавлением этилацетата, отделяли органический слой, сушили над сульфатом натрия, концентрировали в условиях пониженного давления с получением неочищенного соединения. Это неочищенное вещество очищали с помощью пластинки для преп. ТСХ (с использованием 80% ЕА в гексане) с получением указанного в заголовке соединения 3-[6-[[1-(4-трет-бутоксициклогексил)пиразол-4-ил]метил]-2-оксобензо[cd]индол-1-ил]пиперидин-2,6-диона Соединения 212 (15 мг, 27,70 ммоль, 22,36% выход, 95,04% чистота) в виде желтого твердого вещества; ЖХМС (ЭС+)=515,3 [М+Н]+. 1Н ЯМР (400 МГц, DMSO-d6): δ 11,11 (s, 1H), 8,36-8,34 (d, 1H), 8,09-8,07 (d, 1H), 7,82 (t, 1H), 7,48 (s, 1H), 7,35-7,34 (d, 1H), 7,27 (s, 1H), 7,07-7,06 (d, 1H), 5,45-5,41 (m, 1H), 4,17 (s, 2Н), 3,98 (brs, 1H), 3,45 (brs, 1H), 2,94 (m, 1H), 2,75-2,72 (m, 1H), 2,66-2,62 (m, 1H), 2,09-2,06 (m, 1Н), 1,88-1,86 (m, 2H), 1,78-1,73 (m, 4H), 1,34-1,23 (m, 3Н), 1,11 (s, 9H).
Стадия 9: Синтез 3-[6-[[1-(4-трет-бутоксициклогексил)пиразол-4-ил]метил]-2-оксобензо[cd]индол-1-ил]пиперидин-2,6-диона: К перемешиваемому раствору 6-[[1-(4-трет-бутоксициклогексил)пиразол-4-ил]метил]-1H-бензо[cd]индол-2-она (50,00 мг, 123,91 ммоль) в THF (10 мл), реакционную смесь охлаждали до 0°С, затем медленно добавляли гидрид натрия (в масляной дисперсии) в виде 60% дисперсии в минеральном масле (142,44 мг, 3,72 ммоль, 60% чистота). Затем реакционную смесь перемешивали в течение 5 мин до 0°С, затем добавляли 3-бромпиперидин-2,6-дион (118,96 мг, 619,55 ммоль) порциями, вновь перемешивали в течение 5 мин. Затем реакционную смесь нагревали до 60°С в течение 1 ч. После этого реакционную смесь гасили ледяной водой и экстрагировали добавлением этилацетата, отделяли органический слой, сушили над сульфатом натрия, концентрировали в условиях пониженного давления с получением неочищенного соединения. Это неочищенное вещество очищали методом преп. ВЭЖХ с получением указанного в заголовке соединения 3-[6-[[1-(4-трет-бутоксициклогексил)пиразол-4-ил]метил]-2-оксобензо[cd]индол-1-ил]пиперидин-2,6-диона Соединения 213 (5 мг, 9,63 ммоль, 7,77% выход, 99,09% чистота) в виде желтого твердого вещества. ЖХМС (ЭС+)=515,3 [М+Н]+. 1Н ЯМР (400 МГц, DMSO-d6): δ 11,10 (s, 1H), 8,39-8,37 (d, 1H), 8,09-8,07 (d, 1H), 7,83 (t, 1H), 7,53 (s, 1H), 7,36-7,34 (d, 1H), 7,27 (s, 1H), 7,08-7,06 (d, 1H), 5,45-5,40 (m, 1H), 4,18 (s, 2H), 4,08-3,98 (m, 1H), 3,73 (brs, 1H), 2,99-2,90 (m, 2H), 2,79-2,69 (m, 1H), 2,66-2,62 (m, 1H), 2,09-2,05 (m, 1H), 2,01-1,95 (m, 1H), 1,70-1,68 (m, 2H), 1,60-1,46 (m, 4H), 1,12 (s, 9H).
Пример 117. Синтез 3-фтор-4-[4-[[2-фтор-4-[(2-оксо-1Н-бензо[cd]индол-6-ил)метил]фенил]метил]пиперазин-1-ил]бензонитрила (Соединение 214)
Стадия 1: Синтез трет-бутилового эфира 4-(4-циано-2-фторфенил)пиперазин-1-карбоновой кислоты: К перемешиваемому раствору 3,4-дифторбензонитрила (5,23 г, 37,58 ммоль) в DMSO (25 мл) добавляли гранулированный карбонат калия (10,39 г, 75,17 ммоль, 4,54 мл) и трет-бутилпиперазин-1-карбоксилат (7 г, 37,58 ммоль) и нагревали при 100°С в течение 16 ч. Реакционную смесь охлаждали и ледяную воду добавляли, белый твердый осадок образовывался. Твердый осадок фильтровали через шоттовскую воронку и промывали водой и сушили с помощью роторного испарителя с получением желаемого соединения трет-бутилового эфира 4-(4-циано-2-фторфенил)пиперазин-1-карбоновой кислоты в виде белого твердого вещества. ЖХМС (ЭС+)=306,3 [М+Н]+.
Стадия 2: Синтез 3-фтор-4-пиперазин-1-илбензонитрила: К перемешиваемому раствору 4-(4-трет-бутоксипиперазин-1-ил)-3-фторбензонитрилметангидрата (3,5 г, 11,31 ммоль) в диоксане (20 мл) добавляли HCl в диоксане (4 М, 28,28 мл) и перемешивали реакционную смесь при 25°С в течение 16 ч. После полного расходования исх. вещ., реакционную смесь сушили в условиях пониженного давления, растирали с пентаном с получением желаемого соединения 3-фтор-4-пиперазин-1-илбензонитрила (2,5 г, 10,14 ммоль, 89,60% выход, 98% чистота) в виде беловатого твердого вещества.
Стадия 3: Синтез 4-[4-[(4-бром-2-фторфенил)метил]пиперазин-1-ил]-3-фторбензонитрила: К перемешиваемому раствору 3-фтор-4-пиперазин-1-илбензонитрила (7 г, 34,11 ммоль) в DMF (70 мл) добавляли карбонат калия, безводный, 99% (11,79 г, 85,27 ммоль, 5,15 мл) перемешивали в течение 10 минут и затем 4-бром-1-(бромметил)-2-фторбензол (9,14 г, 34,11 ммоль) добавляли и перемешивали реакционную смесь при 60°С в течение 8 ч. После полного расходования исх. вещ., реакционную смесь гасили ледяной водой и твердого вещества фильтровали. Затем вновь твердое вещество промывали водой, сушили с помощью роторного испарителя с получением указанного в заголовке соединения 4-[4-[(4-бром-2-фторфенил)метил]пиперазин-1-ил]-3-фторбензонитрила (9 г, 21,80 ммоль, 63,91% выход, 95% чистота) в виде белого твердого вещества. ЖХМС (ЭС+)=394,1 [М+Н]+.
Стадия 4: Синтез 3-фтор-4-[4-[[2-фтор-4-(4,4,5,5-тетраметил-1,3,2-диоксаборолан-2-ил)фенил]метил]пиперазин-1-ил]бензонитрила: К перемешиваемому раствору 4-[4-[(4-бром-2-фторфенил)метил]пиперазин-1-ил]-3-фторбензонитрила (1 г, 2,55 ммоль) и 4,4,5,5-тетраметил-2-(4,4,5,5-тетраметил-1,3,2-диоксаборолан-2-ил)-1,3,2-диоксаборолана (776,88 мг, 3,06 ммоль) в 1,4-диоксане (5 мл) добавляли ацетат калия (625,51 мг, 6,37 ммоль, 398,41 мкл), затем дегазировали в течение 10 мин, затем [1,1'-бис(дифенилфосфино)ферроцен]дихлорпалладий(II), комплекс с дихлорметаном (208,04 мг, 254,95 ммоль) добавляли и вновь дегазировали в течение 5 мин, после дегазации пробирку закрывали тефлоновой крышкой и перемешивали при 90°С в течение 16 ч. За ходом реакции наблюдали с помощью ТСХ, по завершении реакции реакционную смесь фильтровали через слой целита и промывали этилацетатом и концентрировали в условиях пониженного давления с получением указанного в заголовке соединения 3-фтор-4-[4-[[2-фтор-4-(4,4,5,5-тетраметил-1,3,2-диоксаборолан-2-ил)фенил]метил]пиперазин-1-ил]бензонитрила (1 г, 682,90 ммоль, 26,79% выход, 30% чистота) в виде черной липкой жидкости. ЖХ-МС:(ЭС+)=440,4 [М+Н]+.
Стадия 5: Синтез (3-фтор-4-[4-[[2-фтор-4-[[1-[(4-метоксифенил)метил]-2-оксобензо[cd]индол-6-ил]метил]фенил]метил]пиперазин-1-ил]бензонитрила: в укупоренной пробирке перемешивали раствор 3-фтор-4-[4-[[2-фтор-4-(4,4,5,5-тетраметил-1,3,2-диоксаборолан-2-ил)фенил]метил]пиперазин-1-ил]бензонитрила (1,30 г, 2,96 ммоль) и 6-(хлорметил)-1-[(4-метоксифенил)метил]бензо[cd]индол-2-она (1 г, 2,96 ммоль) в смеси растворителей толуола (10 мл) и этанола (5 мл), добавляли безводный трехосновный фосфат калия (1,57 г, 7,40 ммоль), реакционную смесь дегазировали в атмосфере аргона в течение 10 мин. Затем добавляли трис(дибензилиденацетон)дипалладий(0) (271,08 мг, 296,03 ммоль) и трис(о-толил)фосфин (180,20 мг, 592,07 ммоль), вновь дегазировали в течение 5 мин. Затем пробирку закрывали и нагревали до 90°С в течение 16 ч. После полного расходования исх. вещ., реакционную смесь фильтровали через слой целита и концентрировали в условиях пониженного давления с получением неочищенного соединения. Его очищали методом колоночной хроматографии CombiFlash (с использованием 30% ЕА в гексане) с получением указанного в заголовке соединения 3-фтор-4-[4-[[2-фтор-4-[[1-[(4-метоксифенил)метил]-2-оксобензо[cd]индол-6-ил]метил]фенил]метил]пиперазин-1-ил]бензонитрила (800 мг, 1,17 ммоль, 39,57% выход, 90% чистота) в виде желтого твердого вещества. ЖХМС (ЭС+)=614,9 [М+Н]+.
Стадия 6: Синтез 3-фтор-4-[4-[[2-фтор-4-[(2-оксо-1Н-бензо[cd]индол-6-ил)метил]фенил]метил]пиперазин-1-ил]бензонитрила: К перемешиваемому раствору 3-фтор-4-[4-[[2-фтор-4-[[1-[(4-метоксифенил)метил]-2-оксобензо[cd]индол-6-ил]метил]фенил]метил]пиперазин-1-ил]бензонитрила (300 мг, 488,06 ммоль) в TFA (10 мл), добавляли трифторметансульфоновую кислоту (366,23 мг, 2,44 ммоль, 214,17 мкл), реакционную смесь перемешивали при 25°С в течение 16 ч. После полного расходования исх. вещ., TFA удаляли и растворяли в ледяной воде и нейтрализовывали насыщенным раствором бикарбоната натрия и экстрагировали добавлением этилацетата, отделяли органический слой, сушили над сульфатом натрия, концентрировали в условиях пониженного давления, с получением неочищенного соединения. Его очищали методом колоночной хроматографии CombiFlash (с использованием этилацетата) с получением указанного в заголовке соединения 3-фтор-4-[4-[[2-фтор-4-[(2-оксо-1Н-бензо[cd]индол-6-ил)метил]фенил]метил]пиперазин-1-ил]бензонитрила (210 мг, 394,92 ммоль, 80,92% выход, 93% чистота) в виде желтого твердого вещества. ЖХМС (ЭС+)=495,1 [М+Н]+.
Стадия 7: Синтез 3-фтор-4-[4-[[2-фтор-4-[(2-оксо-1Н-бензо[cd]индол-6-ил)метил]фенил]метил]пиперазин-1-ил]бензонитрила: К перемешиваемому раствору 3-фтор-4-[4-[[2-фтор-4-[(2-оксо-1Н-бензо[cd]индол-6-ил)метил]фенил]метил]пиперазин-1-ил]бензонитрила (210 мг, 424,64 ммоль) в THF (20 мл), реакционную смесь охлаждали до 0°С, затем медленно добавляли гидрид натрия (в масляной дисперсии) в виде 60% дисперсии в минеральном масле (488,12 мг, 12,74 ммоль, 60% чистота). Затем реакционную смесь перемешивали в течение 2 мин без ледяной бани и затем вновь охлаждали до 0°С, затем добавляли 3-бромпиперидин-2,6-дион (407,68 мг, 2,12 ммоль) порциями, вновь перемешивали в течение 2 мин без ледяной бани. Затем реакционную смесь нагревали до 60°С в течение 1 ч. После этого реакционную смесь гасили ледяной водой и экстрагировали добавлением этилацетата, отделяли органический слой, сушили над сульфатом натрия, концентрировали в условиях пониженного давления с получением неочищенного соединения. Это неочищенное вещество очищали методом колоночной хроматографии CombiFlash (50% ЕА в гексане) с получением указанного в заголовке соединения 4-[4-[[4-[[1-(2,6-диоксо-3-пиперидил)-2-оксобензо[cd]индол-6-ил]метил]-2-фторфенил]метил]пиперазин-1-ил]-3-фторбензонитрила Соединения 214 (48 мг, 77,74 ммоль, 18,31% выход, 98,09% чистота) в виде светло-желтого твердого вещества. ЖХМС (ЭС+)=606,5 [М+Н]+. 1H ЯМР (400 МГц, DMSO-d6): δ 11,13 (s, 1H), 8,36-8,34 (d, 1Н), 8,09-8,07 (d, 1H), 7,82 (t, 1H), 7,69-7,65 (d, 1H), 7,55-7,53 (d, 1H), 7,45-7,44 (d, 1H), 7,30 (t, 1H), 7,14-7,09 (m, 4H), 5,45 (t, 1H), 4,40 (s, 2H), 3,50 (s, 2H), 3,12 (brs, 4H), 2,95-2,91 (m, 1H), 2,77-2,73 (m, 1H), 2,66-2,62 (m, 1H), 2,50 (brs, 4H), 2,10-2,07(m, 1H).
Пример 118. Синтез 3-(6-(4-((1-окса-8-азаспиро[4.5]декан-8-ил)метил)бензил)-2-оксобензо[cd]индол-1(2Н)-ил)пиперидин-2,6-диона (Соединение 215), 3-[6-[[4-(1-окса-8-азаспиро[4.5]декан-8-илметил)фенил]метил]-2-оксобензо[cd]индол-1-ил]пиперидин-2,6-диона) (Соединение 216) и 3-[6-[[4-(1-окса-8-азаспиро[4.5]декан-8-илметил)фенил]метил]-2-оксобензо[cd]индол-1-ил]пиперидин-2,6-диона (Соединение 217):
Стадия 1: Синтез 6-бром-1Н-бензо[cd]индол-2-она (2): К перемешиваемой суспензии 1Н-бензо[cd]индол-2-она (1) (250 г, 1,48 моль) в хлороформе (2,5 L), раствор молекулярного брома (354,23 г, 2,22 моль, 113,53 мл) в хлороформе (500 мл) добавляли капельно при 0°С и реакционную смесь перемешивали при комнатной температуре в течение 16 часов. По окончании реакции (по данным ТСХ), реакционную массу вливали в насыщенный вод. раствор тиосульфата натрия. Образовавшееся желтое твердое вещество отфильтровывали через шоттовскую воронку, промывали водой, пентаном и очищали толуолом с получением 6-бром-1Н-бензо[cd]индол-2-она (2) (350 г, 90% выход) в виде желтого твердого вещества. ЖХ-МС: ЭС+2 (248,2 и 250,2).
Стадия 2: Синтез 6-(4,4,5,5-тетраметил-1,3,2-диоксаборолан-2-ил)-1Н-бензо[cd]индол-2-она: К перемешиваемому раствору 6-бром-1Н-бензо[cd]индол-2-она (2) (100 г, 403,10 ммоль) в 1,4-диоксане (1 L) добавляли бис(пинаколато)дибор (153,55 г, 604,66 ммоль) с последующим добавлением хорошо просушенного ацетата калия (118,68 г, 1,21 моль, 75,60 мл). Полученную реакционную массу хорошо дегазировали аргоном в течение 15 минут. PdCl2(dppf). DCM (32,92 г, 40,31 ммоль) добавляли и реакционную массу нагревали при 100°С в течение 16 часов. По окончании реакции (по данным ТСХ), реакционную смесь охлаждали до к.т., фильтровали через слой целита, промывали этилацетатом. Объединенный фильтрат затем промывали холодной водой, сушили над безводным сульфатом натрия и концентрировали в условиях пониженного давления с получением неочищенного соединения 6-(4,4,5,5-тетраметил-1,3,2-диоксаборолан-2-ил)-1Н-бензо[cd]индол-2-она (3) (110 г, 64% выход) в виде коричневой смолы. Это переносили далее без дальнейшей очистки, ЖХ-МС: ЭС+295,7.
Стадия 3: Синтез 8-(4-(хлорметил)бензил)-1-окса-8-азаспиро[4.5]декана (6): К перемешиваемому раствору 1-окса-8-азаспиро[4.5]декангидрохлорида (5) (5 г, 28,14 ммоль) в сухом ацетоне (50 мл) добавляли DIPEA (3,64 г, 28,14 ммоль, 4,90 мл) с последующим добавлением карбоната калия, безводного, 99% (11,67 г, 84,43 ммоль, 5,10 мл) при к.т. и полученную реакционную смесь нагревали при 50°С в течение 20 минут. 1,4-бис(хлорметил)бензол (4) (9,85 г, 56,28 ммоль, 6,94 мл) затем добавляли к реакционной смеси и нагревание продолжали в течение 3 часов. По окончании реакции (по данным ТСХ и ЖХМС), летучие вещества удаляли в вакууме и полученное таким образом твердое вещество переносили в этилацетат (20 мл), промывали водой (х3) и насыщенным солевым раствором, сушили безводным сульфатом натрия и концентрировали в условиях пониженного давления. Неочищенную массу очищали методом колоночной хроматографии (силикагель, градиент: 0-5% МеОН в DCM) с получением 8-[[4-(хлорметил)фенил]метил]-1-окса-8-азаспиро[4.5]декана (6) (4,68 г, 16,56 ммоль, 58,84% выход, 99% чистота) в виде бесцветного липкого твердого вещества. ЖХ-МС: ЭС+280,4.
Стадия 4: Синтез 6-(4-((1-окса-8-азаспиро[4.5]декан-8-ил)метил)бензил)бензо[cd]индол-2(1Н)-она (8): К хорошо дегазированному раствору 8-[[4-(хлорметил)фенил]метил]-1-окса-8-азаспиро[4.5]декана (6) (4,68 г, 16,73 ммоль) и 6-(4,4,5,5-тетраметил-1,3,2-диоксаборолан-2-ил)-1Н-бензо[cd]индол-2-она (7) (9,87 г, 33,45 ммоль) в этаноле (20,0 мл) - толуоле (40,0 мл), безводный трехосновный фосфат калия (10,65 г, 50,18 ммоль) добавляли с последующим добавлением три-о-толилфосфина (1,02 г, 3,35 ммоль) и Pd2(dba)3 (1,53 г, 1,67 ммоль). Полученную смесь затем нагревали при 90°С в течение 12 часов. По окончании реакции (по данным ЖХМС), реакционную смесь фильтровали через слой целита, промывали этилацетатом. Объединенный фильтрат промывали водой и насыщенным солевым раствором, сушили безводным сульфатом натрия и концентрировали в условиях пониженного давления. Неочищенную массу очищали методом колоночной хроматографии (силикагель, градиент: 0-5% МеОН в DCM) с получением 6-[[4-(1-окса-8-азаспиро[4.5]декан-8-илметил)фенил]метил]-1Н-бензо[cd]индол-2-она (8) (2,83 г, 6,17 ммоль, 36,91% выход, 90% чистота) в виде желтого твердого вещества. ЖХ-МС: ЭС+413,0.
Стадия 5: Синтез 3-(6-(4-((1-окса-8-азаспиро[4.5]декан-8-ил)метил)бензил)-2-оксобензо[cd]индол-1(2Н)-ил)пиперидин-2,6-диона: К охлаждаемому на льду раствору 6-[[4-(1-окса-8-азаспиро[4.5]декан-8-илметил)фенил]метил]-1Н-бензо[cd]индол-2-она (8) (2,83 г, 6,86 ммоль) в сухом THF (20 мл), гидрид натрия (60% дисперсия в минеральном масле) (2,63 г, 68,60 ммоль, 60% чистота) добавляли порциями, поддерживая темп. <5°С. По завершении добавления, полученную смесь перемешивали в течение 15 минут при к.т. Затем реакционную смесь вновь охлаждали до 0°С и 3-бромпиперидин-2,6-дион (9) (6,59 г, 34,30 ммоль) добавляли к ней порциями. После полного завершения добавления полученный раствор нагревали при 70°С в течение 1 часа. По окончании (по данным ТСХ), реакционную смесь вновь охлаждали до 0°С и гасили ледяной воды. Водную часть экстрагировали добавлением этилацетата (3×20 мл). Объединенный экстракт сушили безводным сульфатом натрия и концентрировали в условиях пониженного давления. Неочищенную массу промывали диэтиловым эфиром / пентаном с получением 3-[6-[[4-(1-окса-8-азаспиро[4.5]декан-8-илметил)фенил]метил]-2-оксобензо[cd]индол-1-ил]пиперидин-2,6-диона Соединения 215 (2,7 г, 5,15 ммоль, 75,1% выход) в виде желтого твердого вещества. ЖХ-МС: ЭС+524,3.
Стадия 6: Хиральное разделение: Синтез 3-[6-[[4-(1-окса-8-азаспиро[4.5]декан-8-илметил)фенил]метил]-2-оксобензо[cd]индол-1-ил]пиперидин-2,6-диона) и 3-[6-[[4-(1-окса-8-азаспиро[4.5]декан-8-илметил)фенил]метил]-2-оксобензо[cd]индол-1-ил]пиперидин-2,6-диона: 1,2 г 3-(6-(4-((1-окса-8-азаспиро[4.5]декан-8-ил)метил)бензил)-2-оксобензо[cd]индол-1(2Н)-ил)пиперидин-2,6-диона Соединения 215 разделяли на энантиомеры методом хиральной нормально-фазовой препаративной ВЭЖХ. Преп.фракции сначала упаривали по отдельности в условиях пониженного давления с получением твердой массы. Твердое вещество затем суспендировали в смеси ацетонитрила и воды (2:3) и ее хранили на бане сухой лед/ацетон до затвердевания смеси ацетонитрил-вода. Замороженную смесь затем подвергали лиофильной сушке в течение 20 часов с получением 3-[6-[[4-(1-окса-8-азаспиро[4.5]декан-8-илметил)фенил]метил]-2-оксобензо[cd]индол-1-ил]пиперидин-2,6-диона Соединения 216 (первый элюированный пик, вр. удерж.=6,29 мин, установлен экспериментально как 'S' ABS) (420 мг, %ее 99,28) и 3-[6-[[4-(1-окса-8-азаспиро[4.5]декан-8-илметил)фенил]метил]-2-оксобензо[cd]индол-1-ил]пиперидин-2,6-диона Соединения 217 (второй элюированный пик, RT=12,34 мин, установлен экспериментально как 'R' ABS) (360 мг, % ее 99,04) в виде желтых твердых веществ.
Пример 119. Синтез 3-(6-(4-(морфолинометил)бензил)-2-оксобензо[cd]индол-1(2Н)-ил)пиперидин-2,6-диона (Соединение 218), энантиомера 1 3-(6-(4-(морфолинометил)бензил)-2-оксобензо[cd]индол-1(2Н)-ил)пиперидин-2,6-диона (Соединение 219) и энантиомера 2 3-(6-(4-(морфолинометил)бензил)-2-оксобензо[cd]индол-1(2Н)-ил)пиперидин-2,6-диона (Соединение 220)
Стадия 1: Синтез 6-бром-1Н-бензо[cd]индол-2-она (2): К перемешиваемой суспензии 1Н-бензо[cd]индол-2-она (1) (250 г, 1,48 моль) в хлороформе (2,5 L), раствор молекулярного брома (354,23 г, 2,22 моль, 113,53 мл) в хлороформе (500 мл) добавляли капельно при 0°С и реакционную смесь перемешивали при комнатной температуре в течение 16 часов. По окончании реакции (по данным ТСХ), реакционную массу вливали в насыщенный вод. раствор тиосульфата натрия. Образовавшееся желтое твердое вещество отфильтровывали через шоттовскую воронку, промывали водой, пентаном и очищали толуолом с получением 6-бром-1Н-бензо[cd]индол-2-она (2) (350 г, 90% выход) в виде желтого твердого вещества, которое хранили в пластиковой бутылке Tarson при температуре окружающей среды. ЖХ-МС: ЭС+2 (248,2 и 250,2).
Стадия 2: Синтез 6-(4,4,5,5-тетраметил-1,3,2-диоксаборолан-2-ил)-1Н-бензо[cd]индол-2-она (3): К перемешиваемому раствору 6-бром-1Н-бензо[cd]индол-2-она (2) (20 г, 80,62 ммоль) в 1,4-диоксане (500 мл) добавляли бис(пинаколато)дибор (30,71 г, 120,93 ммоль) с последующим добавлением хорошо просушенного ацетата калия (23,74 г, 241,86 ммоль, 15,12 мл). Полученную реакционную массу хорошо дегазировали аргоном в течение 15 минут. Pd2(dba)3 (6,58 г, 8,06 ммоль) добавляли и реакционную массу нагревали при 100°С в течение 16 часов. По окончании реакции (по данным ТСХ), реакционную смесь охлаждали до к.т., фильтровали через слой целита, промывали этилацетатом (1 л). Объединенный фильтрат затем промывали холодной водой (3×300 мл), сушили над безводным сульфатом натрия и концентрировали в условиях пониженного давления с получением неочищенного соединения 6-(4,4,5,5-тетраметил-1,3,2-диоксаборолан-2-ил)-1H-бензо[cd]индол-2-она (3) (23 г, 46,76 ммоль, 58,00% выход) в виде коричневой смолы, которую хранили в круглодонной колбе при 5°С внутри холодильника. Это переносили далее без дальнейшей очистки; ЖХ-МС: ЭС+295,7.
Стадия 3: Синтез 4-(4-(хлорметил)бензил)морфолина (6): К перемешиваемому раствору морфолина (5) (8 г, 91,83 ммоль, 8,03 мл) в ацетоне аналитической степени чистоты (15 мл) добавляли карбонат калия, безводный, 99% (12,69 г, 91,83 ммоль, 5,54 мл) при к.т. и полученную реакционную смесь нагревали при 50°С в течение 20 минут. 1,4-бис(хлорметил)бензол (4) (16,07 г, 91,83 ммоль, 11,32 мл) затем добавляли к реакционной смеси и нагревание продолжали в течение 3 часов. По окончании реакции (по данным ТСХ и ЖХМС), летучие вещества удаляли в вакууме и полученное таким образом твердое вещество переносили в этилацетат (50 мл), промывали водой (3×25 мл) и насыщенным солевым раствором (2×15 мл), сушили безводным сульфатом натрия и концентрировали в условиях пониженного давления. Неочищенную массу очищали методом колоночной хроматографии (силикагель, градиент: 10-30% этилацетата в гексане) с получением 4-[[4-(хлорметил)фенил]метил]морфолина (6) (10 г, 44,30 ммоль, 48,25% выход) в виде бесцветного липкого твердого вещества, которое хранили в кругло донной колбе при 5°С внутри холодильника; ЖХ-МС: ЭС+226,2.
Стадия 4: Синтез 6-(4-(морфолинометил)бензил)бензо[cd]индол-2(1Н)-она (7): К хорошо дегазированному раствору 4-[[4-(хлорметил)фенил]метил]морфолина (6) (8 г, 35,44 ммоль) и 6-(4,4,5,5-тетраметил-1,3,2-диоксаборолан-2-ил)-1Н-бензо[cd]индол-2-она (3) (20,92 г, 70,89 ммоль) в этаноле (20 мл) - толуоле (40 мл), трехосновный фосфат калия, безводный, (22,57 г, 106,33 ммоль) добавляли с последующим добавлением три-о-толилфосфина (2,16 г, 7,09 ммоль) и Pd2(dba)3 (3,25 г, 3,54 ммоль). Полученную смесь затем нагревали при 90°С в течение 12 часов. По окончании реакции (по данным ЖХМС), реакционную смесь фильтровали через слой целита, промывали этилацетатом (200 мл). Объединенный фильтрат затем промывали водой (3×50 мл) и насыщенным солевым раствором (2×40 мл), сушили безводным сульфатом натрия и концентрировали в условиях пониженного давления. Неочищенную массу очищали методом колоночной хроматографии (силикагель, градиент: 0-20% этилацетата в DCM) с получением 6-[[4-(морфолинометил)фенил]метил]-1Н-бензо[cd]индол-2-она (7) (6,5 г, 17,59 ммоль, 49,63% выход) в виде желтого твердого вещества, которое хранили в пластиковой бутылке Tarson при температуре окружающей среды. ЖХ-МС: ЭС+359,3.
Стадия 5: Синтез 3-(6-(4-(морфолинометил)бензил)-2-оксобензо[cd]индол-1(2Н)-ил)пиперидин-2,6-диона: К охлаждаемому на льду раствору 6-[[4-(морфолинометил)фенил]метил]-1Н-бензо[cd]индол-2-она (7) (4,8 г, 13,39 ммоль) в сухом THF (50 мл), гидрид натрия (60% дисперсия в минеральном масле) (3,08 г, 133,92 ммоль) добавляли порциями, поддерживая темп. <5°С. По завершении добавления, полученную смесь перемешивали в течение 15 минут при к.т. Затем реакционную смесь вновь охлаждали до 0°С и 3-бромпиперидин-2,6-дион (8) (12,86 г, 66,96 ммоль) добавляли к ней порциями. После полного завершения добавления полученный раствор нагревали при 70°С в течение 1 часа. По окончании (по данным ТСХ), реакционную смесь вновь охлаждали до 0°С и гасили ледяной водой (40 мл). Водную часть экстрагировали добавлением этилацетата (3×50 мл). Объединенные экстракты сушили безводным сульфатом натрия и концентрировали в условиях пониженного давления. Неочищенную массу очищали методом флэш-хроматографии (силикагель, градиент: 2,5% МеОН в DCM) с получением 3-[6-[[4-(морфолинометил)фенил]метил]-2-оксобензо[cd]индол-1-ил]пиперидин-2,6-диона Соединения 218 (4 г, 8,36 ммоль, 62,44% выход) в виде желтого твердого вещества, которое хранили в кругло донной колбе при 5°С внутри холодильника. 1Н ЯМР (400 МГц, DMSO-d6) δ 11,12 (s, 1Н), 8,31 (d, J=8,2 Гц, 1H), 8,06 (d, J=6,92 Гц, 1H), 7,80 (t, J=7,58 Гц, 1H), 7,39 (d, J=7,24 Гц, 1H), 7,24-7,17 (m, 4H), 7,10 (d, J=7,2 Гц, 1H), 5,44 (dd, J=12,36, 4,76 Гц, 1H), 4,36 (s, 1H), 3,51 (brs, 4H), 3,36 (s, 2H), 2,98-2,90 (m, 1H), 2,79-2,73 (m, 1H), 2,69-2,62 (m, 1H), 2,28 (brs, 4H), 2,10-2,07 (m, 1H); ЖХ-МС: ЭС+470,2.
Стадия 6: Хиральное разделение: Получение 3-(6-(4-(морфолинометил)бензил)-2-оксобензо[cd]индол-1(2Н)-ил)пиперидин-2,6-диона и 3-(6-(4-(морфолинометил)бензил)-2-оксобензо[cd]индол-1(2Н)-ил)пиперидин-2,6-диона: 3,8 г 3-(6-(4-(морфолинометил)бензил)-2-оксобензо[cd]индол-1(2Н)-ил)пиперидин-2,6-диона Соединения 218 разделяли на энантиомеры методом хиральной нормально-фазовой препаративной ВЭЖХ. Преп.фракции сначала упаривали по отдельности в условиях пониженного давления с получением твердой массы. Твердое вещество затем суспендировали в смеси ацетонитрила и воды (2:3) и ее хранили на бане сухой лед/ацетон до затвердевания смеси ацетонитрил-вода. Замороженную смесь затем подвергали лиофильной сушке в течение 20 часов с получением 3-(6-(4-(морфолинометил)бензил)-2-оксобензо[cd]индол-1(2Н)-ил)пиперидин-2,6-диона Соединения 219 (первый элюированный пик, вр. удерж.=9,33 мин, установлен экспериментально как 'S' ABS) (1,3 г, %ее 99,9) и 3-(6-(4-(морфолинометил)бензил)-2-оксобензо[cd]индол-1(2Н)-ил)пиперидин-2,6-диона Соединения 220 (второй элюированный пик, вр. удерж.=21,99 мин, установлен экспериментально как 'R' ABS) (1,3 г, %ее 99,76) в виде желтых твердых веществ, которые переносили в прозрачные стеклянные сосуды со штрих-кодом емкостью 20 мл и хранили в азотном десиккаторе приблизительно при 22°С.
Пример 120. Синтез 3-[20-[[4-(морфолинометил)фенил]метил]-25-оксо-27,30-диазатрициклододека-(2),1(18),7(20),19(21),22(27)-пентаен-30-ил]пиперидин-2,6-диона (Соединение 221)
Стадия 1: Синтез 26-[(4-метоксифенил)метил]-15-(4,4,5,5-тетраметил-1,3,2-диоксаборолан-2-ил)-25,26-диазатрициклододека-6,8(19),13(15),18(20),21(25)-пентаен-22-она (2): К перемешиваемому раствору 14-бром-19-[(4-метоксифенил)метил]-18,19-диазатрициклододека-1,3(13),8(14),12(15),16(18)-пентаен-17-она (1) (1 г, 2,71 ммоль) в 1,4-диоксане (20 мл) добавляли бис(пинаколато)дибор (1,03 г, 4,06 ммоль) с последующим добавлением хорошо просушенного ацетата калия (797,45 мг, 8,13 ммоль, 507,93 мкл). Полученную реакционную массу хорошо дегазировали аргоном в течение 15 минут.циклопентил(дифенил)фосфан; дихлорметан; дихлорпалладий; железо (221,18 мг, 270,85 ммоль) добавляли и реакционную массу нагревали при 100°С в течение 16 часов. По окончании реакции (по данным ТСХ), реакционную смесь охлаждали до к.т., фильтровали через слой целита, промывали дополнительным количеством этилацетата. Объединенный фильтрат промывали холодной водой, сушили над сульфатом натрия и концентрировали в условиях пониженного давления с получением неочищенного соединения 26-[(4-метоксифенил)метил]-15-(4,4,5,5-тетраметил-1,3,2-диоксаборолан-2-ил)-25,26-диазатрициклододека-6,8(19),13(15),18(20),21(25)-пентаен-22-она 2 (1,5 г (неочищенного соединения), 2,16 ммоль, 79,82% выход, 60% чистота) в виде коричневой смолы. ЖХ-МС: ЭС+417,1.
Стадия 2: Синтез 4-[[4-(хлорметил)фенил]метил]морфолина (3): К перемешиваемому раствору морфолина 4 (5 г, 57,39 ммоль, 5,02 мл) в сухом ацетоне (200,0 мл) добавляли карбонат калия (23,80 г, 172,18 ммоль, 10,39 мл) при к.т. и полученную реакционную смесь нагревали при 60°С в течение 60 минут. 1,4-бис(хлорметил)бензол 3 (10,05 г, 57,39 ммоль, 7,08 мл) затем добавляли к реакционной смеси и нагревание продолжали в течение 16 часов. По окончании реакции (по данным ТСХ и ЖХМС), летучие вещества удаляли в вакууме и полученное таким образом твердое вещество переносили в этилацетат (70 мл), промывали водой (х3) и насыщенным солевым раствором, сушили безводным сульфатом натрия и концентрировали в условиях пониженного давления. Неочищенную массу очищали методом колоночной хроматографии (силикагель, градиент: 10-30% этилацетата в гексане) с получением 4-[[4-(хлорметил)фенил]метил]морфолина 5 (6,1 г, 25,67 ммоль, 44,73% выход, 95% чистота) в виде бесцветного липкого твердого вещества. ЖХ-МС: ЭС+226,09.
Стадия 3: Синтез 32-[(4-метоксифенил)метил]-26-[[4-(морфолинометил)фенил]метил]-30,32-диазатрициклододека-1(3),2(24),12(26),25(27),28(30)-пентаен-29-она: К хорошо дегазированному раствору 4-[[4-(хлорметил)фенил]метил]морфолина 5 (400 мг, 1,77 ммоль) и 26-[(4-метоксифенил)метил]-15-(4,4,5,5-тетраметил-1,3,2-диоксаборолан-2-ил)-25,26-диазатрициклододека-6(8),7(18),13(15),19,21(25)-пентаен-22-она 2 (1,48 г, 3,54 ммоль) в этаноле (5,0 мл) - толуоле (10 мл), безводный трехосновный фосфат калия (1,13 г, 5,32 ммоль) добавляли с последующим добавлением три-о-толилфосфина (107,88 мг, 354,43 ммоль) и (1Е,4Е)-1,5-дифенилпента-1,4-диен-3-онпалладия (162,28 мг, 177,22 ммоль). Полученную смесь затем нагревали при 90°С в течение 12 часов. По окончании реакции (по данным ЖХМС), реакционную смесь фильтровали через слой целита, промывали этилацетатом (100 мл). Объединенный фильтрат промывали водой (3×20 мл) и насыщенным солевым раствором (2×15 мл), сушили безводным сульфатом натрия и концентрировали в условиях пониженного давления. Неочищенную массу очищали методом колоночной хроматографии (силикагель, градиент: 0-5% МеОН в DCM) с получением 32-[(4-метоксифенил)метил]-26-[[4-(морфолинометил)фенил]метил]-30,32-диазатрициклододека-1(3),2(24),12(26),25(27),28(30)-пентаен-29-она 6 (420 мг, 788,21 ммоль, 44,48% выход, 90% чистота) в виде желтого твердого вещества и хранили в кругло донной колбе при к.т. ЖХ-МС: ЭС+480,1.
Стадия 4: Синтез 18-[[4-(морфолинометил)фенил]метил]-22,23-диазатрициклододека-(2),1(16),7(18),17(19),20(22)-пентаен-21-она (7): К перемешиваемому раствору 3 2-[(4-метоксифенил)метил]-26-[[4-(морфолинометил)фенил]метил]-30,32-диазатрициклододека-1(3),2(24),12(26),25(27),28(30)-пентаен-29-она 6 (420 мг, 875,79 ммоль) в TFA (10 мл) трифторметансульфоновую кислоту (1,97 г, 13,14 ммоль, 1,15 мл) добавляли капельно и реакционную смесь перемешивали при 25°С в течение 16 часов. По окончании реакции реакционную смесь упаривали и гасили насыщенным раствором бикарбоната натрия. Водную часть экстрагировали добавлением этилацетата (3×25 мл), промывали водой с последующей промывкой насыщенным солевым раствором. Органическую часть сушили над сульфатом натрия и концентрировали с получением неочищенного соединения 18-[[4-(морфолинометил)фенил]метил]-22,23-диазатрициклододека-(2),1(16),7(18),17(19),20(22)-пентаен-21-она 7 (230 мг, 531,13 ммоль, 60,65% выход, 83% чистота) в виде коричневого твердого вещества. ЖХ-МС: ЭС+360,2.
Стадия 5: Синтез 3-[20-[[4-(морфолинометил)фенил]метил]-25-оксо-27,30-диазатрициклододека-(2),1(18),7(20),19(21),22(27)-пентаен-30-ил]пиперидин-2,6-диона: К охлажденному раствору 18-[[4-(морфолинометил)фенил]метил]-22,23-диазатрициклододека-(2),1(16),7(18),17(19),20(22)-пентаен-21-она 7 (200 мг, 556,45 ммоль) в сухом THF (20 мл), гидрид натрия (в масляной дисперсии) в виде 60% дисперсии в минеральном масле (213,21 мг, 5,56 ммоль, 60% чистота) добавляли порциями, поддерживая темп. <5°С. По завершении добавления, полученную смесь перемешивали в течение 15 минут при к.т. Затем реакционную смесь вновь охлаждали до 0°С и 3-бромпиперидин-2,6-дион 8 (534,22 мг, 2,78 ммоль) добавляли к ней порциями. После полного завершения добавления полученный раствор нагревали при 70°С в течение 1 часа. По окончании (по данным ТСХ), реакционную смесь охлаждали до 0°С и гасили добавлением ледяной воды. Водную часть экстрагировали добавлением этилацетата (3×50 мл). Объединенные органические фазы отделяли, сушили над сульфатом натрия и концентрировали в условиях пониженного давления. Неочищенную массу очищали методом флэш-хроматографии (силикагель, градиент: 0-2,5% МеОН в DCM) с получением рацемического 3-[20-[[4-(морфолинометил)фенил]метил]-25-оксо-27,30-диазатрициклододека-(2),1(18),7(20),19(21),22(27)-пентаен-30-ил]пиперидин-2,6-диона Соединения 221 (16 мг, 31,87 ммоль, 5,73% выход, 93,73%чистота). 1Н ЯМР (400 МГц, DMSO-d6) δ 11,11 (s, 1H), 8,24 (d, J=8,2 Гц, 1H), 8,15-8,12 (m, 2Н), 7,97 (t, J=7,6 Гц, 1H), 7,27 (d, J=7,88 Гц, 2Н), 7,19 (d, J=7,84 Гц, 2Н), 5,40 (dd, J=12,68, 5,36 Гц, 1H), 4,29 (s, 2Н), 3,52-3,51 (m, 4Н), 3,40 (s, 2Н), 2,97-2,83 (m, 2Н), 2,67-2,63 (m, 1H), 2,32-2,28 (m, 4Н), 2,14-2,11 (m, 1H); ЖХМС: ЭС+471,6.
Пример 121. Синтез 3-[23-[[4-(1-окса-8-азаспиро[4.5]декан-8-илметил)фенил]метил]-28-оксо-31,34-диазатрициклододека-(2),1(21),7(23),22(24),25(31)-пентаен-34-ил]пиперидин-2,6-диона (Соединение 222)
Стадия 1: Синтез 8-(4-(хлорметил)бензил)-1-окса-8-азаспиро[4.5]декана: К перемешиваемому раствору 1-окса-8-азаспиро[4.5]декангидрохлорида 1 (1,0 г, 5,63 ммоль) в ацетоне (10 мл) добавляли и перемешивали при 60°С в течение 20 минут с последующим добавлением 1,4-бис(хлорметил)бензола 2 (1,97 г, 11,26 ммоль, 1,39 мл). Полученный раствор далее нагревали при той же температуре в течение 4 ч. После образования желаемого продукта, по данным ЖХМС, летучие вещества удаляли и повторно растворяли в этилацетате. Органическую часть промывали эфиром/насыщенным солевым раствором и отделяли, сушили над сульфатом натрия и концентрировали. Неочищенный остаток очищали методом колоночной хроматографии с получением 8-[[4-(хлорметил)фенил]метил]-1-окса-8-азаспиро[4.5]декана 3 (861 мг, 2,95 ммоль, 52,49% выход, 96% чистота) в виде желтой смолы. 1H ЯМР (400 МГц, DMSO-d6) δ 7,36 (d, J=7,8 Гц, 2Н), 7,28 (d, J=7,72 Гц, 2Н), 4,73 (s, 2Н), 3,67 (t, J=Гц, 2Н), 3,44 (s, 2Н), 2,39 (brs, 2Н), 2,31 (brs, 2H), 1,85-1,78 (m, 2H), 1,62-1,59 (m, 2H), 1,53-1,51 (m, 4H);
Стадия 2: Синтез 36-[(4-метоксифенил)метил]-29-[[4-(1-окса-8-азаспиро[4.5]декан-8-илметил)фенил]метил]-34,36-диазатрициклододека-1(3),2(27),12(29),28(30),31(34)-пентаен-32-она: К хорошо дегазированному раствору 8-[[4-(хлорметил)фенил]метил]-1-окса-8-азаспиро[4.5]декана 3 (400 мг, 1,43 ммоль) и 26-[(4-метоксифенил)метил]-15-(4,4,5,5-тетраметил-1,3,2-диоксаборолан-2-ил)-25,26-диазатрициклододека-6(8),7(18),13(15),19,21(25)-пентаен-22-она 4 (1,19 г, 2,86 ммоль) в этаноле (5,0 мл), безводный трехосновный фосфат калия (910,37 мг, 4,29 ммоль) добавляли с последующим добавлением три-о-толилфосфина (87,02 мг, 285,91 ммоль) и (1Е,4Е)-1,5-дифенилпента-1,4-диен-3-онпалладия (130,91 мг, 142,96 ммоль). Полученную смесь затем нагревали при 90°С в течение 12 часов. По окончании реакции (по данным ЖХМС), реакционную смесь фильтровали через слой целита, промывали этилацетатом (100 мл). Объединенный фильтрат промывали водой (3×20 мл) и насыщенным солевым раствором (2×15 мл), сушили безводным сульфатом натрия и концентрировали в условиях пониженного давления. Неочищенную массу очищали методом колоночной хроматографии (силикагель, градиент : 0-5% МеОН в DCM) с получением 36-[(4-метоксифенил)метил]-29-[[4-(1-окса-8-азаспиро[4.5]декан-8-илметил)фенил]метил]-34,36-диазатрициклододека-1(3),2(27),12(29),28(30),31(34)-пентаен-32-она 5 (300 мг, 505,94 ммоль, 35,39% выход, 90% чистота) в виде желтого твердого вещества и хранили в круглодонной колбе при к.т. ЖХ-МС: ЭС+534,2.
Стадия 3: Синтез 21-[[4-(1-окса-8-азаспиро[4.5]декан-8-илметил)фенил]метил]-26,27-диазатрициклододека-(2),1(19),7(21),20(22),23(26)-пентаен-24-она: К перемешиваемому раствору 36-[(4-метоксифенил)метил]-29-[[4-(1-окса-8-азаспиро[4.5]декан-8-илметил)фенил]метил]-34,36-диазатрициклододека-1(3),2(27),12(29),28(30),31(34)-пентаен-32-она 5 (300 мг, 562,16 ммоль) в TFA (10 мл) трифторметансульфоновую кислоту (1,27 г, 8,43 ммоль, 740,07 мкл) добавляли капельно. Реакционную смесь перемешивали при 25°С в течение 16 часов. По окончании реакции реакционную смесь упаривали и гасили насыщенным раствором бикарбоната натрия и экстрагировали добавлением этилацетата (3×25 мл), промывали водой с последующей промывкой насыщенным солевым раствором. Органическую часть сушили над сульфатом натрия и концентрировали с получением неочищенного соединения 21-[[4-(1-окса-8-азаспиро[4.5]декан-8-илметил)фенил]метил]-26,27-диазатрициклододека-(2),1(19),7(21),20(22),23(26)-пентаен-24-она 6 (216 мг, 511,91 ммоль, 91,06% выход, 98% чистота) в виде коричневого твердого вещества. ЖХ-МС: ЭС+414,1.
Стадия 4: Синтез 3-[23-[[4-(1-окса-8-азаспиро[4.5]декан-8-илметил)фенил]метил]-28-оксо-31,34-диазатрициклододека-(2),1(21),7(23),22(24),25(31)-пентаен-34-ил]пиперидин-2,6-диона: К охлаждаемому на льду раствору 21-[[4-(1-окса-8-азаспиро[4.5]декан-8-илметил)фенил]метил]-26,27-диазатрициклододека-(2),1(19),7(21),20(22),23(26)-пентаен-24-она 6 (70 мг, 169,28 ммоль) в сухом THF (3,0 мл), гидрид натрия (в масляной дисперсии) в виде 60% дисперсии в минеральном масле (67,71 мг, 1,69 ммоль, 60% чистота) добавляли порциями, поддерживая темп. <5°С. По завершении добавления, полученную смесь перемешивали в течение 15 минут при к.т. Затем реакционную смесь вновь охлаждали до 0°С и 3-бромпиперидин-2,6-дион 7 (162,52 мг, 846,41 ммоль) добавляли к ней порциями. После полного завершения добавления полученный раствор нагревали при 70°С в течение 1 часа. По окончании (по данным ТСХ), реакционную смесь вновь охлаждали до 0°С и гасили ледяной водой (20 мл). Водную часть экстрагировали добавлением этилацетата (3×50 мл). Объединенные экстракты сушили безводным сульфатом натрия и концентрировали в условиях пониженного давления. Неочищенную массу очищали с помощью преп. ТСХ (силикагель, градиент: 80% этилацетата в DCM) с получением 3-[23-[[4-(1-окса-8-азаспиро[4.5]декан-8-илметил)фенил]метил]-28-оксо-31,34-диазатрициклододека-(2),1(21),7(23),22(24),25(31)-пентаен-34-ил]пиперидин-2,6-диона Соединения 222 (7,0 мг, 12,44 ммоль, 7,35% выход, 93,24% чистота) в виде желтого твердого вещества, которое хранили в круглодонной колбе при 5°С внутри холодильника. 1Н ЯМР (400 МГц, DMSO-d6) δ 11,12 (s, 1H), 8,24 (d, J=8,08 Гц, 1Н), 8,15-8,12 (m, 2H), 7,99-7,96 (m, 1H), 7,26-7,19 (m, 4H), 5,40 (dd, J=12,44, 5,36 Гц, 1H), 4,30 (s, 2H), 3,67-3,64 (m, 2H), 3,34-3,32 (m, 2H), 3,00-2,84 (m, 2H), 2,67-2,63 (m, 1H), 2,42-2,13 (m, 5H), 1,82-1,81 (m, 2H), 1,60-1,59 (m, 2H), 1,50-1,49 (m, 4H); ЖХ-МС: ЭС+525,2.
Пример 122. Синтез 3-[6-[[1-[1-(1-циклопропилциклопропил)-4-пиперидил]пиразол-4-ил]метил]-2-оксобензо[cd]индол-1-ил]пиперидин-2,6-диона (Соединение 223)
Стадия 1: Синтез йодида 1,1-диметил-4-оксопиперидин-1-ия: К перемешиваемому раствору 1-метилпиперидин-4-она 1 (2,3 г, 20,35 ммоль) в 15 мл ацетона охлаждали до 0°С и 1,3 мл метилйодида медленно добавляли к реакционной смеси и затем ее перемешивали при температуре окружающей среды в течение 24 часов. Реакционную массу затем концентрировали и фильтровали через шоттовскую воронку и затем твердое соединение сушили в вакууме с получением 1,1-диметилпиперидин-4-она 2 (4,0 г) в виде коричневого твердого вещества.
Стадия 2: Синтез 1-(1-циклопропилциклопропил)пиперидин-4-она: К перемешиваемому раствору N-хлор-1-циклопропилциклопропанамина 3 (2,0 г, 14,97 ммоль) и 1-йод-1,1-диметил-1$1^{5}-азинан-4-она 2 (3,82 г, 14,97 ммоль) в этаноле (50,0 мл) гранулированный карбонат калия (2,48 г, 17,96 ммоль, 1,08 мл) в воде (24,0 мл) добавляли и реакционную смесь затем нагревали при 80°С в течение 3 часов. Реакционную массу затем охлаждали до комнатной температуры и затем ее разбавляли этилацетатом и слои разделяли. Ее сушили над сульфатом натрия и концентрировали в условиях пониженного давления при очень низкой температуре. Затем вновь ее экстрагировали добавлением дихлорметана и очень малого количества воды и затем сушили над сульфатом натрия. Неочищенное соединение затем растирали с диэтиловым эфиром и затем декантированную часть концентрировали в условиях пониженного давления с получением 1-(1-циклопропилциклопропил)пиперидин-4-она 4 (2,2 г, 10,34 ммоль, 69,06% выход, 84,22% чистота) в виде коричневой жидкости и ее использовали на следующей стадии без очистки. ЖХ-МС: ЭС+179,8. ПРИМЕЧАНИЕ: Все процессы концентрирования проводили при очень низкой температуре.
Стадия 3: Синтез трет-бутил-N-[[1-(1-циклопропилциклопропил)-4-пиперидил]амино]карбамата: К перемешиваемому раствору 1-(1-циклопропилциклопропил)пиперидин-4-она 4 (600,0 мг, 3,35 ммоль) в уксусной кислоте (7,0 мл) добавляли трет-бутил-N-аминокарбамат (442,36 мг, 3,35 ммоль) и затем ее перемешивали при 25°С в течение 2 часов. Цианоборгидрид натрия (252,41 мг, 4,02 ммоль) добавляли в порциями. После завершения добавления ее перемешивали при 25°С в течение 16 часов. Реакционную массу затем концентрировали в условиях пониженного давления и затем 5 и NaOH добавляли исключительно для поддержания рН-8 и экстрагировали добавлением дихлорметана. Органический слой отделяли и затем ее сушили безводным сульфатом натрия и затем его концентрировали в условиях пониженного давления с получением неочищенного вещества. Неочищенное соединение затем очищали методом колоночной хроматографии, элюируя 6-7% МеОН в DCM с получением трет-бутил-N-[[1-(1-циклопропилциклопропил)-4-пиперидил]амино]карбамата 5 (650,0 мг, 2,20 ммоль, 65,74% выход, 100% чистота) в виде коричневого липкого вещества. ЖХ-МС: ЭС+295,8.
Стадия 4: Синтез этил-1-[1-(1-циклопропилциклопропил)-4-пиперидил]пиразол-4-карбоксилата: К перемешиваемому раствору трет-бутил-N-[[1-(1-циклопропилциклопропил)-4-пиперидил]амино]карбамата 5 (620,0 мг, 2,10 ммоль) в этаноле (24 мл) добавляли этил-2-формил-3-оксопропаноат (302,48 мг, 2,10 ммоль, 264,63 мкл) и затем 4М диоксан - HCl (12 мл) при 25°С и затем реакционную массу перемешивали при 75°С в течение 5 часов. Реакционную массу затем концентрировали в условиях пониженного давления и затем ее экстрагировали добавлением этилацетата и органический слой промывали насыщенным раствором бикарбоната натрия и затем ее сушили безводным сульфатом натрия и концентрировали в условиях пониженного давления с получением неочищенного вещества. Неочищенное соединение затем очищали методом колоночной хроматографии, элюируя 5-7% МеОН в DCM, с получением этил-1-[1-(1-циклопропилциклопропил)-4-пиперидил]пиразол-4-карбоксилата 6 (550,0 мг, 1,60 ммоль, 76,37% выход, 88,41% чистота) в виде белого твердого вещества; ЖХ-МС: ЭС+303,9.
Стадия 5: Синтез [1-[1-(1-циклопропилциклопропил)-4-пиперидил]пиразол-4-ил]метанола: К перемешиваемому раствору этил-1-[1-(1-циклопропилциклопропил)-4-пиперидил]пиразол-4-карбоксилата 6 (2,2 г, 7,25 ммоль) в THF (35,0 мл) добавляли DIBAL (20,63 г, 36,26 ммоль, 29,42 мл, 25% чистота) при -78°С капельно и затем ее перемешивали при -50 - -65°С в течение 1 часа. Реакционную массу затем разбавляли этилацетатом и вливали в содержащую лед коническую колбу и затем к ней добавляли сегнетову соль. Ее перемешивали при температуре окружающей среды в течение 1 часа. Затем слои разделяли и органическую фракцию сушили безводным сульфатом натрия, концентрировали в условиях пониженного давления с получением [1-[1-(1-циклопропилциклопропил)-4-пиперидил]пиразол-4-ил]метанола 7 (1,8 г, 6,47 ммоль, 89,16% выход, 93,88% чистота) в виде коричневого твердого вещества. Ее которое использовали на следующей стадии без очистки; ЖХ-МС: ЭС+261,9.
Стадия 6: Синтез 4-[4-(хлорметил)пиразол-1-ил]-1-(1-циклопропилциклопропил)пиперидина: N,N-Диизопропилэтиламин (1,48 г, 11,48 ммоль, 2,00 мл) добавляли с помощью шприца к перемешиваемому раствору [1-[1-(1-циклопропилциклопропил)-4-пиперидил]пиразол-4-ил]метанола 7 (2,0 г, 7,65 ммоль) в DCM (50,0 мл) при 0°С в атмосфере азота, с последующим добавлением чистого метансульфонилхлорида, 98% (876,56 мг, 7,65 ммоль, 592,27 мкл) с помощью шприца и перемешивали реакционную смесь при комнатной температуре в течение ночи. Реакционную смесь разбавляли 100 мл DCM и охлаждали реакционную смесь затем реакционную смесь промывали 2н HCl и насыщенным раствором NaHCO3. Органические фазы отделяли, сушили над Na2SO4 и концентрировали с получением неочищенного соединения 4-[4-(хлорметил)пиразол-1-ил]-1-(1-циклопропилциклопропил)пиперидина 8 (1,7 г, 4,25 ммоль, 55,58% выход, 70% чистота) в виде светло-желтой смолы; ЖХ-МС: ЭС+281,1.
Стадия 7: Синтез 6-[[1-[1-(1-циклопропилциклопропил)-4-пиперидил]пиразол-4-ил]метил]-1Н-бензо[cd]индол-2-она: К перемешиваемому раствору 4-[4-(хлорметил)пиразол-1-ил]-1-(1-циклопропилциклопропил)пиперидина 8 (800 мг, 2,86 ммоль) и 6-(4,4,5,5-тетраметил-1,3,2-диоксаборолан-2-ил)-1Н-бензо[cd]индол-2-она 9 (1,69 г, 5,72 ммоль) в этаноле (2,0 мл) и толуоле (4,0 мл) добавляли безводный трехосновный фосфат калия (1,82 г, 8,58 ммоль) и реакционную массу дегазировали в атмосфере азота в течение 10 минут. Затем три-о-толилфосфин (174,05 мг, 571,82 ммоль) и (1Е,4Е)-1,5-дифенилпента-1,4-диен-3-онпалладий (261,81 мг, 285,91 ммоль) добавляли к этой реакционной массе и полученную реакционную смесь нагревали 90°С в течение ночи. Реакционную смесь фильтровали через шоттовскую воронку через слой целита и фильтрат разбавляли этилацетатом, промывали водой. Органическую часть сушили над Na2SO4, фильтровали и упаривали в условиях пониженного давления. Неочищенное вещество очищали методом хроматографии combi-flash с получением чистого соединения 6-[[1-[1-(1-циклопропилциклопропил)-4-пиперидил]пиразол-4-ил]метил]-1Н-бензо[cd]индол-2-она 10 (98 мг, 213,80 ммоль, 7,48% выход, 90% чистота) в виде зеленоватого твердого вещества. ЖХ-МС: ЭС+413,4.
Стадия 8: Синтез 3-[6-[[1-[1-(1-циклопропилциклопропил)-4-пиперидил]пиразол-4-ил]метил]-2-оксобензо[cd]индол-1-ил]пиперидин-2,6-диона: К охлаждаемому на льду раствору 6-[[1-[1-(1-циклопропилциклопропил)-4-пиперидил]пиразол-4-ил]метил]-1Н-бензо[cd]индол-2-она 10 (98 мг, 237,56 ммоль) в сухом THF (5,0 мл), гидрид натрия (в масляной дисперсии) в виде 60% дисперсии в минеральном масле (91,03 мг, 2,38 ммоль, 60% чистота) добавляли порциями, поддерживая темп. <5°С. По завершении добавления, полученную смесь перемешивали в течение 15 минут при к.т. Затем реакционную смесь вновь охлаждали до 0°С и 3-бромпиперидин-2,6-дион 11 (228,07 мг, 1,19 ммоль) добавляли к ней порциями. После полного завершения добавления полученный раствор нагревали при 70°С в течение 1 часа. По окончании (по данным ТСХ), реакционную смесь вновь охлаждали до 0°С и гасили ледяной водой (20 мл). Водную часть экстрагировали добавлением этилацетата (3×50 мл). Объединенные экстракты сушили безводным сульфатом натрия и концентрировали в условиях пониженного давления. Неочищенную массу очищали с помощью преп.ТСХ (силикагель, градиент: 80% этилацетата в DCM) с получением 3-[6-[[1-[1-(1-циклопропилциклопропил)-4-пиперидил]пиразол-4-ил]метил]-2-оксобензо[cd]индол-1-ил]пиперидин-2,6-диона Соединения 223 (17 мг, 30,67 ммоль, 12,91% выход, 94,46% чистота) в виде желтого твердого вещества, которое хранили в круглодонной колбе при 5°С внутри холодильника. 1Н ЯМР (400 МГц, DMSO-d6) δ 11,11 (s, 1H), 8,37 (d, J=8,28 Гц, 1H), 8,08 (d, J=6,96 Гц, 1H), 7,82 (t, J=7,6 Гц, 1H), 7,56 (s, 1H), 7,35 (d, J=7,32 Гц, 1H), 7,28 (s, 1H), 7,06 (d, J=7,24 Гц, 1H), 5,43 (dd, J=12,72, 5,08 Гц, 1H), 4,17 (s, 2H), 4,01-3,99 (m, 1H), 2,99-2,86 (m, 3H), 2,79-2,62 (m, 4H), 2,09-2,06 (m, 1H), 1,90-1,87 (m, 2H), 1,72-1,69 (m, 2H), 1,24-1,23 (m, 1H), 0,30 (brs, 4H), 0,23 (brs, 2H), 0,09 (brs, 2H); ЖХ-МС: ЭС+524,7.
Пример 123. Общая методика синтеза Соединения 224 - Соединения 231
Стадия 1: К перемешиваемому раствору амина 2 (1 экв.) в сухом ацетоне (15 мл) добавляли карбонат калия, безводный, 99% (3 экв.) при к.т. и полученную реакционную смесь нагревали при 50°С в течение 20 минут. 1,4-бис(хлорметил)бензол (1) (1 экв.) затем добавляли к реакционной смеси и нагревание продолжали в течение 3 часов. По окончании реакции (по данным ТСХ и ЖХМС), летучие вещества удаляли в вакууме и полученное таким образом твердое вещество переносили в этилацетат(50 мл), промывали водой (3×25 мл) и насыщенным солевым раствором (2×15 мл), сушили безводным сульфатом натрия и концентрировали в условиях пониженного давления. Неочищенную массу очищали методом колоночной хроматографии (силикагель, градиент: 10-30% этилацетата в гексане) с получением (3) в виде бесцветного липкого твердого вещества, которое хранили в круглодонной колбе при 5°С внутри холодильника.
Стадия 2: К хорошо дегазированному раствору (3) (1 экв.) и 6-(4,4,5,5-тетраметил-1,3,2-диоксаборолан-2-ил)-1Н-бензо[cd]индол-2-она (4) (2 экв.) в этаноле (2 мл) - толуоле (4 мл), трехосновный фосфат калия, безводный, (3 экв.) добавляли с последующим добавлением три-о-толилфосфина (0,2 экв.) и Pd2(dba)3 (0,1 экв.). Полученную смесь затем нагревали при 90°С в течение 12 часов. По окончании реакции (по данным ЖХМС), реакционную смесь фильтровали через слой целита, промывали этилацетатом. Объединенный фильтрат затем промывали водой и насыщенным солевым раствором, сушили безводным сульфатом натрия и концентрировали в условиях пониженного давления. Неочищенную массу очищали методом колоночной хроматографии (силикагель, градиент: 0-20% этилацетата в DCM) с получением (5) в виде желтого твердого вещества, которое хранили в пластиковой бутылке Tarson при температуре окружающей среды.
Стадия 3: К охлажденному на льду раствору (5) (1 экв.) в сухом THF (4 мл), гидрид натрия (60% дисперсия в минеральном масле) (10 экв.) добавляли порциями, поддерживая темп. <5°С. По завершении добавления, полученную смесь перемешивали в течение 15 минут при к.т.Затем реакционную смесь вновь охлаждали до 0°С и 3-бромпиперидин-2,6-дион (6) (5 экв.) добавляли к ней порциями. После полного завершения добавления полученный раствор нагревали при 70°С в течение 1 часа. По окончании (по данным ТСХ), реакционную смесь вновь охлаждали до 0°С и гасили ледяной воды. Водную часть экстрагировали добавлением этилацетата. Объединенные экстракты сушили безводным сульфатом натрия и концентрировали в условиях пониженного давления. Неочищенную массу очищали методом флэш-хроматографии (силикагель, градиент : 2,5% МеОН в DCM) с получением аналога в виде желтого твердого вещества, которое хранили в кругло донной колбе при 5°С внутри холодильника.
Соединение 224:
(55 мг, 98,74 ммоль, 26,53% выход, 96,17% чистота) в виде желтого твердого вещества. 1Н ЯМР (400 МГц, DMSO-d6) δ 11,12 (s, 1H), 8,28 (d, J=8,28 Гц, 1H), 8,07 (d, J=6,96 (Гц, 1Н), 7,80 (t, J=7,76 Гц, 1H), 7,41 (d, J=7,28 Гц, 1H), 7,24-7,21 (m, 4H), 7,10 (d, J=7,28 Гц, 1H), 5,44 (dd, J=12,72, 5,0 Гц, 1H), 4,38 (s, 2H), 3,38 (brs, 2H), 2,99-2,90 (m, 1H), 2,8-2,62 (m, 3H), 2,49-2,32 (brm, 4H), 2,1-2,07 (m, 1H), 1,34 (br, 9H), 1,26-1,23 (brm, 4H); ЖХ-МС: ЭС+536,3.
Соединение 225:
(42,0 мг, 78,75 ммоль, 21,55% выход, 97,81% чистота) в виде желтого твердого вещества. 1Н ЯМР (400 МГц, DMSO-d6) δ 11,13 (s, 1Н), 8,31 (d, J=8,16 Гц, 1H), 8,07 (d, J=6,96 Гц, 1H), 7,80 (t, J=7,68 Гц, 1H), 7,40 (d, J=7,48 Гц, 1H), 7,22-7,17 (m, 4H), 7,10 (d, J=7,28 Гц, 1H), 5,44 (dd, J=12,72, 5,36 Гц, 1H), 4,37 (s, 2H), 3,34 (s, 2H), 2,98-2,90 (m, 1H), 2,76-2,62 (m, 2H), 2,246 (br m, 4H), 2,10-2,07 (m, 1H), 1,528 (brs, 4H), 1,34-1,32 (m, 8H); ЖХ-МС: ЭС+522,6.
Соединение 226:
(23,0 мг, 45,78 ммоль, 33,92% выход, 95,85% чистота) в виде желтого твердого вещества. 1H ЯМР (400 МГц, DMSO-d6) δ 11,11 (s, 1Н), 8,33 (d, J=8,16 Гц, 1H), 8,07 (d, J=7,04 Гц, 1H), 7,80 (t, J=7,92 Гц, 1H), 7,40 (d, J=7,24 Гц, 1H), 7,23 (m, 4H), 7,10 (d, J=7,32 Гц, 1H), 5,44-5,42 (m, 1H), 4,37-4,35 (brs, 4H), 3,63 (s, 2H), 2,98-2,88 (m, 3H), 2,80-2,49 (m, 5H), 2,21 (d, J=7,4 Гц, 1H), 2,10 (br, 1H); ЖХ-МС: ЭС+482,2.
Соединение 227:
(82 мг, 144,32 ммоль, 31,21% выход, 95,68% чистота) в виде желтого твердого вещества. 1Н ЯМР (400 МГц, DMSO-d6) δ 11,12 (s, 1H), 8,34 (d, J=8,2 Гц, 1Н), 8,07 (d, J=7,0 Гц, 1H), 7,81 (t, J=7,84 Гц, 1H), 7,42 (d, J=7,4 Гц, 1H), 7,27-7,10 (m, 10H), 5,44 (dd, J=12,6, 4,8 Гц, 1H), 4,39 (s, 2H), 3,36 (brs, 2H), 2,98-2,92 (m, 3H), 2,79-2,62 (m, 3H), 2,32-2,08 (brm, 3H), 1,90 (m, 4H), ЖХ-МС: ЭС+544,3.
Соединение 228:
(32,0 мг, 58,15 ммоль, 25,84% выход, 97,70% чистота) в виде желтого твердого вещества, 1Н ЯМР (400 МГц, DMSO-d6) δ 11,12 (s, 1Н), 8,32 (d, J=8,28 Гц, 1H), 8,07 (d, J=7,08 Гц, 1H), 7,80 (t, J=7,68 Гц, 1H), 7,40 (d, J=7,16 Гц, 1H), 7,21-7,18 (m, 4H), 7,10 (d, J=7,4 Гц, 1H), 5,45-5,42 (m, 1H), 4,37 (s, 2H), 3,49 (m, 2H), 3,38 (br, 2H), 2,97-2,92 (m, 1H), 2,76-2,73 (m, 1H), 2,69-2,62 (m, 1H), 2,49-2,32 (br, 2H), 2,21-2,07 (brm, 3H), 1,52 (br, 2H), 1,39 (brm, 2H), 1,33-1,23 (m, 6H); ЖХ-МС: ЭС+538,5.
Соединение 229:
(60,0 мг, 122,03 ммоль, 23,09% выход, 99,57% чистота) в виде желтого твердого вещества. 1Н ЯМР (400 МГц, DMSO-d6) δ 11,11 (s, 1H), 8,31 (d, J=8,24 Гц, 1H), 8,06 (d, J=6,92 Гц, 1H), 7,79 (t, J=7,64 Гц, 1H), 7,38 (d, J=7,32 Гц, 1Н), 7,22 (d, J=7,88 Гц, 2H), 7,13-7,07 (m, 5H), 6,66 (d, J=8,08 Гц, 2H), 6,57 (t, J=7,16 Гц, 1H), 5,43 (dd, J=12,72, 4,88 Гц, 1H), 4,47 (s, 2H), 4,35 (s, 2H), 2,94 (s, 3Н), 2,93-2,91 (m, 1H), 2,79-2,62 (m, 2H), 2,09-2,06 (m, 1H); ЖХ-МС: ЭС+490,2.
Соединение 230:
(65 мг, 133,77 ммоль, 38,71% выход, 99,10% чистота) в виде желтого твердого вещества, 1Н ЯМР (400 МГц, DMSO-d6) δ 11,12 (s, 1Н), 8,30 (d, J=8,32 Гц, 1H), 8,07 (d, J=6,96 Гц, 1H), 7,80 (t, J=7,6 Гц, 1H), 7,39 (d, J=7,36 Гц, 1H), 7,20 (d, J=7,8 Гц, 2H), 7,13-7,09 (m, 3H), 5,44 (dd, J=12,68, 4,72 Гц, 1H), 4,55 (s, 4H), 4,36 (s, 2H), 3,39 (s, 2H), 3,20 (s, 4H), 2,98-2,90 (m, 1H), 2,79-2,62 (m, 2H), 2,10-2,07 (m, 1H); ЖХ-МС: ЭС+482,2.
Соединение 231:
(44,0 мг, 85,60 ммоль, 15,04% выход, 96,80% чистота) в виде желтого твердого вещества. 1H ЯМР (400 МГц, DMSO-d6) δ 11,12 (s, 1H), 8,32 (d, J=8,16 Гц, 1H), 8,07 (d, J=6,92 Гц, 1H), 7,80 (t, J=7,62 Гц, 1H), 7,40 (d, J=7,32 Гц, 1H), 7,23 (d, J=7,88 Гц, 2Н), 7,17 (d, J=7,6 Гц, 2Н), 7,10 (d, J=7,2 Гц, 1H), 5,46-5,42 (m, 1H), 4,37 (s, 2Н), 3,50-3,48 (m, 2Н), 3,34 (s, 2Н), 2,95-2,91 (m, 1H), 2,77-2,73 (m, 1H), 2,66-2,59 (m, 3H), 2,10-2,09 (m,1H), 1,57 (t, J=10,62 Гц, 2H), 0,98 (d, J=6.16 Гц, 6H); ЖХ-МС: ЭС+498,5.
Пример 124. Синтез 3-(6-(4-((4-(2-гидроксипропан-2-ил)пиперидин-1-ил)метил)бензил)-2-оксобензо[cd]индол-1(2Н)-ил)пиперидин-2,6-диона (Соединение 232)
Стадия 1: Синтез 3-(6-(4-((4-(2-гидроксипропан-2-ил)пиперидин-1-ил)метил)бензил)-2-оксобензо[cd]индол-1(2Н)-ил)пиперидин-2,6-диона Соединения 232 в соответствии с общей методикой восстановительного аминирования. (90,0 мг, 162,66 ммоль, 12,26% выход, 95,0% чистота) в виде желтого твердого вещества. 1H ЯМР (400 МГц, DMSO-d6) δ 11,11 (s, 1H), 8,32 (d, J=8,2 Гц, 1H), 8,07 (d, J=7,0 Гц, 1H), 7,80 (t, J=7,64 Гц, 1H), 7,40 (d, J=7,24 Гц, 1H), 7,25-7.17 (m, 4H), 7,10 (d, J=7,28 Гц, 1H), 5,44-5,41 (m, 1H), 4,37 (s, 2H), 4,00 (brs, 1H), 2,95-2,93 (m, 1H), 2,79-2,62 (m, 4H), 2,10-2,09 (m, 1H), 1,77-1,76 (m, 2H), 1,60-1,57 (m, 2H), 1,23-1,14 (m, 4H), 0,99 (s, 6H); ЖХ-МС: ЭС+526,2.
Пример 125. Синтез 3-(6-((1-(1-((1-фторциклопропил)метил)-4-метилпиперидин-4-ил)-1Н-пиразол-4-ил)метил)-2-оксобензо[cd]индол-1(2Н)-ил)пиперидин-2,6-диона (Соединение 106)
Стадия 1: Синтез 3-(6-((1-(1-((1-фторциклопропил)метил)-4-метилпиперидин-4-ил)-1Н-пиразол-4-ил)метил)-2-оксобензо[cd]индол-1(2Н)-ил)пиперидин-2,6-диона, Соединения 106 в соответствии с общей методикой восстановительного аминирования. (100,0 мг, 184,69 ммоль, 70,18% выход, 97,81% чистота) в виде желтого твердого вещества. 1Н ЯМР (400 МГц, DMSO-d6) δ 11,10 (s, 1H), 8,38 (d, J=8,24 Гц, 1H), 8,08 (d, J=6,92 Гц, 1H), 7,82 (t, J=7,62 Гц, 1H), 7,73 (s, 1H), 7,34 (d, J=7,32 Гц, 1H), 7,30 (s, 1H), 7,07 (d, J=7,28 Гц, 1H), 5,43 (dd, J=12,84, 5,24 Гц, 1H), 4,20 (s, 2H), 2,95-2,90 (m, 1H), 2,78-2,72 (m, 1H), 2,67-2,63 (m, 5H), 2,33-2,29 (m, 4H), 2,10-2,07 (m, 1H), 1,83-1,78 (m, 2H), 1,29 (s, 3H), 0,97-0,87 (m, 2H), 0,62-0,60 (m, 2H); ЖХ-МС: ЭС+530,2.
Пример 126. Синтез 3-(6-((1-(4-метил-1-((1-(трифторметил)циклопропил)метил)пиперидин-4-ил)-1Н-пиразол-4-ил)метил)-2-оксобензо[cd]индол-1(2Н)-ил)пиперидин-2,6-диона (Соединение 105)
Стадия 1: Синтез 3-(6-((1-(4-метил-1-((1-(трифторметил)циклопропил)метил)пиперидин-4-ил)-1H-пиразол-4-ил)метил)-2-оксобензо[cd]индол-l(2H)-ил)пиперидин-2,6-диона, Соединения 105 в соответствии с общей методикой восстановительного аминирования. (90,0 мг, 150,46 ммоль, 57,17% выход, 96,90% чистота) в виде желтого твердого вещества. 1H ЯМР (400 МГц, DMSO-d6) δ 11,11 (s, 1H), 8,38 (d, J=7,68 Гц, 1H), 8,08 (d, J=6,36 Гц, 1H), 7,83-7,81 (m, 1H), 7,71 (s, 1H), 7,36-7,30 (m, 2Н), 7,07 (d, J=6,04 Гц, 1H), 5,44-5,42 (m, 1H), 4,19 (s, 2Н), 3,03-2,91 (m, 1H), 2,77-2,62 (m, 2Н), 2,50-2,48 (m, 2Н), 2,40 (s, 2Н), 2,30-2,29 (m, 2Н), 2,15-2,07 (m, 3Н), 1,78-1,77 (m, 2Н), 1,28 (s, 3Н), 0,92 (brs, 2Н), 0,66 (brs, 2Н); ЖХ-МС: ЭС+580,3.
Пример 127. Синтез 3-(6-((1-(4-метил-1-((1-метилциклобутил)сульфонил)пиперидин-4-ил)-1Н-пиразол-4-ил)метил)-2-оксобензо[cd]индол-1(2Н)-ил)пиперидин-2,6-диона (Соединение 233)
Стадия 1: Синтез 3-(6-((1-(4-метил-1-((1-метилциклобутил)сульфонил)пиперидин-4-ил)-1Н-пиразол-4-ил)метил)-2-оксобензо[cd]индол-1(2Н)-ил)пиперидин-2,6-диона: К перемешиваемому раствору 3-[6-[[1-(1-хлор-4-метил-4-пиперидил)пиразол-4-ил]метил]-2-оксобензо[cd]индол-1-ил]пиперидин-2,6-диона 1 (80,0 мг, 161,95 ммоль) в DCM (1 мл) добавляли триэтиламин (49,16 мг, 485,85 ммоль, 67,72 мкл) в холодных условиях с последующим добавлением 1-метилциклобутансульфонилхлорида 2 (27,31 мг, 161,95 ммоль, 20,23 мкл) и реакцию продолжали при комнатной температуре в течение 16 часов. Реакционную смесь разбавляли этилацетатом, промывали раствором бикарбоната натрия, воду и органическую фракцию отделяли. Ее сушили над безводным сульфатом натрия и упаривали в условиях пониженного давления с получением неочищенного соединения, которое очищали с помощью пластинки для препаративной ТСХ с проявлением пластинки в 3% MeOH-DCM с получением 3-[6-[[1-[4-метил-1-(1-метилциклобутил)сульфонил-4-пиперидил]пиразол-4-ил]метил]-2-оксобензо[cd]индол-1-ил]пиперидин-2,6-диона Соединения 233 (18,0 мг, 29,90 ммоль, 18,47% выход, 97,97% чистота) в виде желтого твердого вещества. 1Н ЯМР (400 МГц, DMSO-d6) δ 11,11 (s, 1Н), 8,38 (d, J=8,08 Гц, 1H), 8,08 (d, J=6,92 Гц, 1H), 7,82 (t, J=7,74 Гц, 1H), 7,76 (s, 1H), 7,35 (s, 2H), 7,07 (d, J=7,24 Гц, 1H), 5,43-5,41 (m, 1H), 4,20 (s, 2H), 3,38-3,32 (m, 2H), 3,03-2,94 (m, 3H), 2,70-2,50 (m, 4H), 2,36-2,32 (m, 3H), 2,08-2,07 (m, 1H), 1,95-1,93 (m, 1H), 1,80-1,76 (m, 4H), 1,38 (s, 3H), 1,34 (s, 3Н); ЖХ-МС: ЭС+590,5.
Пример 128. Синтез 3-[6-[[1-[1-[(1-метилциклопропил)метил]-4-пиперидил]пиразол-4-ил]метил]-2-оксобензо[cd]индол-1-ил]пиперидин-2,6-диона (Соединение 234) и 3-[6-[[1-[1-[(1-метилциклопропил)метил]-4-пиперидил]пиразол-4-ил]метил]-2-оксобензо[си]индол-1-ил]пиперидин-2,6-диона (Соединение 235)
Стадия 1: Хиральное разделение: 3-[6-[[1-[1-[(1-метилциклопропил)метил]-4-пиперидил]пиразол-4-ил]метил]-2-оксобензо[cd]индол-l-ил]пиперидин-2,6-дион Соединения 64 (1,5 г, 2,93 ммоль) разделяли на энантиомеры методом нормально-фазовой хиральной преп. ВЭЖХ с получением 3-[6-[[1-[1-[(1-метилциклопропил)метил]-4-пиперидил]пиразол-4-ил]метил]-2-оксобензо[cd]индол-1-ил]пиперидин-2,6-диона Соединения 234 (600,0 мг, 39,94% выход, % ее 100, первая элюированная фракция) в виде желтого твердого вещества и 3-[6-[[1-[1-[(1-метилциклопропил)метил]-4-пиперидил]пиразол-4-ил]метил]-2-оксобензо[cd]индол-1-ил]пиперидин-2,6-диона Соединения 235 (550,0 мг, 36,53% выход, %ее 100, вторая элюированная фракция) в виде желтого твердого вещества.
Пример 129. Синтез 3-[6-[[1-[1-[(1-метилциклобутил)метил]-4-пиперидил]пиразол-4-ил]метил]-2-оксобензо[cd]индол-1-ил]пиперидин-2,6-диона (Соединение 236) и 3-[6-[[1-[1-[(1-метилциклобутил)метил]-4-пиперидил]пиразол-4-ил]метил]-2-оксобензо[cd]индол-1-ил]пиперидин-2,6-диона (Соединение 237)
Стадия 1: Хиральное разделение: 3-[6-[[1-[1-[(1-метилциклобутил)метил]-4-пиперидил]пиразол-4-ил]метил]-2-оксобензо[cd]индол-1-ил]пиперидин-2,6-дион (1,8 г, 3,42 ммоль) разделяли на энантиомеры методом нормально-фазовой хиральной преп. ВЭЖХ с получением 3-[6-[[1-[1-[(1-метилциклобутил)метил]-4-пиперидил]пиразол-4-ил]метил]-2-оксобензо[cd]индол-1-ил]пиперидин-2,6-диона Соединения 236 (840,0 мг, 46,51% выход, элюированного в первой фракции, % ее 99) и 3-[6-[[1-[1-[(1-метилциклобутил)метил]-4-пиперидил]пиразол-4-ил]метил]-2-оксобензо[cd]индол-1-ил]пиперидин-2,6-диона Соединения 237 (650,0 мг, 35,82% выход, элюированного во второй фракции, % ее 99) в виде желтых твердых веществ.
Пример 130. Синтез 3-[6-[[1-[4-метил-1-(2-оксабицикло[2.1.1]гексан-4-карбонил)-4-пиперидил]пиразол-4-ил]метил]-2-оксобензо[cd]индол-1-ил]пиперидин-2,6-диона (Соединение 238) и 3-[6-[[1-[4-метил-1-(2-оксабицикло[2.1.1]гексан-4-карбонил)-4-пиперидил]пиразол-4-ил]метил]-2-оксобензо[cd]индол-1-ил]пиперидин-2,6-диона (Соединение 239)
Стадия 1: Хиральное разделение: 250 мг 3-(6-{1-[4-Метил-1-(2-окса-бицикло[2.1.1]гексан-4-карбонил)пиперидин-4-ил]-1Н-пиразол-4-илметил}-2-оксо-2Н-бензо[cd]индол-1-ил)пиперидин-2,6-диона Соединения 71 разделяли на энантиомеры методом хиральной SFC с получением 3-[6-[[1-[4-метил-1-(2-оксабицикло[2.1.1]гексан-4-карбонил)-4-пиперидил]пиразол-4-ил]метил]-2-оксобензо[cd]индол-1-ил]пиперидин-2,6-диона Соединения 238 (85 мг, 24,47% выход, элюированного в первой фракции, %ее 100) и 3-[6-[[1-[4-метил-1-(2-оксабицикло[2.1.1]гексан-4-карбонил)-4-пиперидил]пиразол-4-ил]метил]-2-оксобензо[cd]индол-1-ил]пиперидин-2,6-диона Соединения 239 (92 мг, 26,56% выход, элюированного во второй фракции, %ее 95) в виде желтых твердых веществ.
Пример 131. Синтез 3-(2-оксо-6-((1-(1-(2,2,3,3-тетраметилциклопропил)пиперидин-4-ил)-1Н-пиразол-4-ил)метил)бензо[cd]индол-1(2Н)-ил)пиперидин-2,6-диона (Соединение 240)
Стадия 1: Синтез 6-((1-(пиперидин-4-ил)-1Н-пиразол-4-ил)метил)бензо[cd]индол-2(1Н)-онгидрохлорида: К перемешиваемому раствору трет-бутил-4-[4-[(2-оксо-1Н-бензо[cd]индол-6-ил)метил]пиразол-1-ил]пиперидин-1-карбоксилата 1 (200 мг, 462,41 ммоль) в диоксане (2 мл) добавляли 4М диоксан-HCl (462,41 ммоль, 5 мл) при 0°С. Его перемешивали при к.т.в течение 2 часов. Его концентрировали в условиях пониженного давления с получением 6-[[1-(4-пиперидил)пиразол-4-ил]метил]-1Н-бензо[cd]индол-2-она 2 (160 мг, 430,65 ммоль, 93,13% выход, 99,28% чистота) в виде желтого твердого вещества; ЖХ-МС: ЭС+ 333,2.
Стадия 2: Синтез 6-((1-(1-(2,2,3,3-тетраметилциклопропил)пиперидин-4-ил)-1Н-пиразол-4-ил)метил)бензо[cd]индол-2(1Н)-она: К перемешиваемому раствору 6-[[1-(4-пиперидил)пиразол-4-ил]метил]-1Н-бензо[cd]индол-2-она 2 (300 мг, 902,53 ммоль) в DMF (1 мл) добавляли карбонат калия (374,22 мг, 2,71 ммоль, 163,41 мкл) и с последующим добавлением 3-бром-1,1,2,2-тетраметилциклопропана 3 (191,79 мг, 1,08 ммоль) при 0°С и йодида калия (кат.). Ее нагревали при 60°С в течение 16 часов. Ее разбавляли этилацетатом, промывали водой, насыщенным солевым раствором, сушили над сульфатом натрия и концентрировали в условиях пониженного давления. Ее охлаждали до к.т., разбавляли этилацетатом, промывали ледяной водой, насыщенным солевым раствором, сушили над сульфатом натрия и концентрировали в условиях пониженного давления. Ее очищали методом препаративной ТСХ (1% метанола в этилацетате) с получением 6-[[1-[1-(2,2,3,3-тетраметилциклопропил)-4-пиперидил]пиразол-4-ил]метил]-1Н-бензо[cd]индол-2-она 4 (15 мг, 28,00 ммоль, 3,10% выход, 80% чистота) в виде желтого твердого вещества; ЖХ-МС: ЭС+ 428,3.
Стадия 3: Синтез 3-(2-оксо-6-((1-(1-(2,2,3,3-тетраметилциклопропил)пиперидин-4-ил)-1Н-пиразол-4-ил)метил)бензо[cd]индол-1(2Н)-ил)пиперидин-2,6-диона: К перемешиваемому раствору 6-[[1-[1-(2,2,3,3-тетраметилциклопропил)-4-пиперидил]пиразол-4-ил]метил]-1Н-бензо[cd]индол-2-она 4 (50 мг, 116,67 ммоль) в DMF (1 мл) добавляли гидрид натрия (в масляной дисперсии) в виде 60% дисперсии в минеральном масле (2,68 мг, 116,67 ммоль) при 0°С. Ее перемешивали при к.т.в течение 10 минут. 3-бромпиперидин-2,6-дион (44,80 мг, 233,34 ммоль) добавляли к реакционной смеси порциями при 0°С. После перемешивания при 0°С в течение 5 минут ее нагревали при 70°С в течение 1 часа. Ее охлаждали до к.т., разбавляли ледяной водой, экстрагировали добавлением этилацетата, промывали насыщенным солевым раствором, сушили над сульфатом натрия и концентрировали в условиях пониженного давления. Ее очищали методом препаративной ТСХ (3% метанола в дихлорметане) с получением 3-[2-оксо-6-[[1-[1-(2,2,3,3-тетраметилциклопропил)-4-пиперидил]пиразол-4-ил]метил]бензо[cd]индол-1-ил]пиперидин-2,6-диона Соединения 240 (18 мг, 33,00 ммоль, 28,29% выход, 98,94% чистота) в виде желтого твердого вещества. 1Н ЯМР (400 МГц, DMSO-d6) δ 11,11 (s, 1H), 8,37 (d, J=8,04 Гц, 1H), 8,08 (d, J=8,24 Гц, 1H), 7,83-7,81 (m, 1H), 7,55 (s, 1H), 7,35 (d, J=6,36 Гц, 1H), 7,28 (s, 1H), 7,07 (d, J=7,28 Гц, 1H), 5,45-5,42 (m, 1H), 5,02 (br s, 1H), 4,17 (s, 2Н), 3,95-3,93 (m, 1H), 3,03-2,94 (m, 3Н), 2,76-2,49 (m, 2Н), 2,32-2,10 (m, 3Н), 1,89-1,76 (m, 7Н), 1,63 (s, 3Н), 1,08 (s, 6Н); ЖХ-МС: ЭС+ 540,6.
Пример 132. Синтез трет-бутилового эфира 4-{4-[1-(2,6-диоксопиперидин-3-ил)-2-оксо-1,2-дигидробензо[cd]индол-6-карбонил]пиразол-1-ил}-4-метилпиперидин-1-карбоновой кислоты (Соединение 241)
Стадия 1: Синтез 6-бром-1Н-бензо[cd]индол-2-она: К перемешиваемой суспензии 1Н-бензо[cd]индол-2-она 1 (20 г, 118,22 ммоль) в CHCl3 (250 мл) добавляли молекулярный бром (28,34 г, 177,33 ммоль, 9,08 мл) в холодных условиях капельно и реакцию продолжали при комнатной температуре в течение 48 часов. По окончании реакции (по данным ТСХ и ЖХМС) реакционную смесь вливали в насыщенный вод. раствор тиосульфата натрия и образовавшееся желтое твердое вещество отфильтровывали через шоттовскую воронку, промывали водой, пентаном и подвергали азеотропной перегонке с толуолом с получением 6-бром-1Н-бензо[cd]индол-2-она 2 (23,5 г, 92,83 ммоль, 78,53% выход, 98% чистота) в виде желтого твердого вещества; ЖХМС: ЭС+ 250,1.
Стадия 2: Синтез трет-бутилового эфира 4-{4-[гидрокси-(2-оксо-1,2-дигидробензо[cd]индол-6-ил)метил]пиразол-1-ил}-4-метилпиперидин-1-карбоновой кислоты: К перемешиваемому раствору 6-бром-1Н-бензо[cd]индол-2-она 2 (510 мг, 2,06 ммоль) в THF (7 мл) добавляли бутиллитий (2,15 М, 2,10 мл) при -78°С и по завершении добавления температуре позволяли повыситься до -40°С и реакционную смесь перемешивали при той же температуре в течение 30 минут с последующим добавлением трет-бутил-4-(4-формилпиразол-1-ил)-4-метилпиперидин-1-карбоксилата 3 (603,10 мг, 2,06 ммоль) в THF (7 мл) при -78°С и затем реакционной смеси позволяли нагреться до комнатной температуры и продолжали в течение 16 часов. Реакционную смесь гасили раствором хлорида аммония, разбавляли этилацетатом, промывали водой и органическую фракцию отделяли. Ее затем сушили над безводным сульфатом натрия и упаривали в условиях пониженного давления с получением неочищенного соединения, которое очищали методом флэш-хроматографии с использованием 0-5% MeOH-DCM с получением трет-бутил-4-[4-[гидрокси-(2-оксо-1Н-бензо[cd]индол-6-ил)метил]пиразол-1-ил]-4-метилпиперидин-1-карбоксилата 4 (210,0 мг, 426,32 ммоль, 20,74% выход, 93,9% чистота) в виде коричневого твердого вещества; ЖХМС: ЭС+ 445,1 (масса без группы -ОН).
Стадия 3: Синтез трет-бутилового эфира 4-метил-4-[4-(2-оксо-1,2-дигидробензо[cd]индол-6-карбонил)пиразол-1-ил]пиперидин-1-карбоновой кислоты: К перемешиваемому раствору трет-бутил-4-[4-[гидрокси-(2-оксо-1Н-бензо[cd]индол-6-ил)метил]пиразол-1-ил]-4-метилпиперидин-1-карбоксилата 4 (210,0 мг, 454,02 ммоль) в DCM (4,0 мл) добавляли диоксид марганца (394,71 мг, 4,54 ммоль) и реакционную смесь перемешивали при комнатной температуре в течение 16 часов. По окончании реакции (по данным ТСХ) реакционную смесь фильтровали через слой целита, промывали этилацетатом и фильтрат упаривали в условиях пониженного давления с получением неочищенного соединения, которое очищали методом флэш-хроматографии с использованием 0-5% MeOH-DCM с получением трет-бутил-4-метил-4-[4-(2-оксо-1Н-бензо[cd]индол-6-карбонил)пиразол-1-ил]пиперидин-1-карбоксилата 5 (135,0 мг, 284,64 ммоль, 62,69% выход, 97,1% чистота) в виде бледно-желтого твердого вещества; ЖХМС: ЭС+ 461,4.
Стадия 4: Синтез трет-бутилового эфира 4-{4-[1-(2,6-диоксопиперидин-3-ил)-2-оксо-1,2-дигидробензо[cd]индол-6-карбонил]пиразол-1-ил}-4-метилпиперидин-1-карбоновой кислоты: К перемешиваемому раствору трет-бутил-4-метил-4-[4-(2-оксо-1Н-бензо[cd]индол-6-карбонил)пиразол-1-ил]пиперидин-1-карбоксилата 5 (135,0 мг, 293,14 ммоль) в DMF (1 мл) добавляли гидрид натрия (в масляной дисперсии) в виде 60% дисперсии в минеральном масле (29,31 мг, 732,86 ммоль, 60% чистота) в холодных условиях и реакционную смесь нагревали при 70°С в течение 1 часа с последующим добавлением 3-бромпиперидин-2,6-диона (56,29 мг, 293,14 ммоль) и реакционную смесь нагревали при 70°С в течение 4 часов с дальнейшим добавлением 3-бромпиперидин-2,6-диона 6 (56,29 мг, 293,14 ммоль). Реакцию продолжали при 70°С в течение 16 часов. Реакционную смесь разбавляли этилацетатом, промывали водой и органическую фракцию отделяли. Ее затем сушили над безводным сульфатом натрия и упаривали в условиях пониженного давления с получением неочищенного соединения, которое очищали с помощью пластинки для препаративной ТСХ с проявлением пластинки в 40% этилацетат- DCM с получением трет-бутил-4-[4-[1-(2,6-диоксо-3-пиперидил)-2-оксобензо[cd]индол-6-карбонил]пиразол-1-ил]-4-метилпиперидин-1-карбоксилата
Соединения 241 (10,0 мг, 17,38 ммоль, 5,93% выход, 99,34% чистота) в виде светло-желтого твердого вещества. 1Н ЯМР (400 МГц, DMSO-d6) δ 11,19 (s, 1H), 8,59 (d, J=8,36 Гц, 1Н), 8,51 (s, 1H), 8,18 (d, J=6,88 Гц, 1H), 8,07 (d, J=7,68 Гц, 1H), 8,03 (s, 1H), 7,92 (t, J=7,7 Гц, 1H), 7,27 (d, J=7,56 Гц, 1H), 5,53 (dd, J=12,64, 4,32 Гц, 1H), 3,52-3,48 (m, 2H), 3,20-3,19 (m, 2H), 2,97-2,93 (m, 2H), 2,83-2,76 (m, 1H), 2,70-2,67 (m, 1H), 2,40-2,27 (m, 2H), 2,16-2,15 (m, 1H), 1,87-1,84 (m, 2H), 1,47 (s, 3H), 1,39 (s, 9H); ЖХ-МС: ЭС+ 572,5.
Пример 133. Синтез 3-{2-Оксо-6-[1-(1-спиро[3.4]окт-5-илпиперидин-4-ил)-1Н-пиразол-4-илметил]-2Н-бензо[cd]индол-1-ил}пиперидин-2,6-диона (Соединение 242) и 3-{2-Оксо-6-[1-(1-спиро[3.4]окт-5-илпиперидин-4-ил)-1Н-пиразол-4-илметил]-2Н-бензо[cd]индол-1-ил}пиперидин-2,6-диона (Соединение 243)
Стадия 1: Синтез 6-(1-Пиперидин-4-ил-1Н-пиразол-4-илметил)-1Н-бензо[cd]индол-2-онгидрохлорида: К перемешиваемому раствору трет-бутил-4-[4-[(2-оксо-1Н-бензо[cd]индол-6-ил)метил]пиразол-1-ил]пиперидин-1-карбоксилата 1 (200 мг, 462,41 ммоль) в диоксане (2 мл) добавляли 4М диоксан-HCl (462,41 ммоль, 5 мл) при 0°С. Ее перемешивали при к.т.в течение 2 ч. Ее концентрировали в условиях пониженного давления с получением 6-[[1-(4-пиперидил)пиразол-4-ил]метил]-1Н-бензо[cd]индол-2-она 2 (160 мг, 430,65 ммоль, 93,13% выход, 99,28% чистота) в виде желтого твердого вещества. ЖХМС: ЭС+ 333,2.
Стадия 2: Синтез 6-[1-(1-Спиро[3.4]окт-5-илпиперидин-4-ил)-1Н-пиразол-4-илметил]-1Н-бензо[cd]индол-2-она: К перемешиваемому раствору 6-[[1-(1-хлор-4-пиперидил)пиразол-4-ил]метил]-1Н-бензо[cd]индол-2-она 2 (200 мг, 542,21 ммоль) в THF (5 мл) добавляли триэтиламин (109,73 мг, 1,08 ммоль, 151,15 мкл) с последующим добавлением спиро[3.4]октан-7-она 3 (67,33 мг, 542,21 ммоль), дихлорида дибутилолова (197,70 мг, 650,65 ммоль, 145,37 мкл) и фенилсилана (58,67 мг, 542,21 ммоль, 66,83 мкл). Реакционную смесь затем перемешивали при 90°С в течение 16 часов. По окончании реакции (по данным ЖХМС) реакционную смесь охлаждали до к.т., разбавляли этилацетатом, промывали водой, насыщенным солевым раствором сушили над сульфатом натрия и концентрировали в условиях пониженного давления. Ее очищали с помощью CombiFlash, элюируя при 1% метанола в дихлорметане с получением 6-[[1-(1-спиро[3.4]октан-7-ил-4-пиперидил)пиразол-4-ил]метил]-1Н-бензо[cd]индол-2-она 4 (175 мг, 378,18 ммоль, 69,75% выход, 95,21% чистота) в виде желтого твердого вещества. ЖХМС: ЭС+ 440,9
Стадия 3: Хиральное разделение 6-[1-(1-Спиро[3.4]окт-5-илпиперидин-4-ил)-1Н-пиразол-4-илметил]-1Н-бензо[cd]индол-2-она (4а) и 6-[1-(1-Спиро[3.4]окт-5-илпиперидин-4-ил)-1Н-пиразол-4-илметил]-1Н-бензо[cd]индол-2-она (4b): 6-[[1-(1-спиро[3.4]октан-7-ил-4-пиперидил)пиразол-4-ил]метил]-1Н-бензо[cd]индол-2-он 4 (175 мг, 397,20 ммоль) подвергали SFC для хирального разделения. Хиральные изомеры разделяли методом SFC с получением 6-[[1-[1-[спиро[3.4]октан-7-ил]-4-пиперидил]пиразол-4-ил]метил]-1Н-бензо[cd]индол-2-она 4b (70 мг, 158,88 ммоль, 40,00% выход, 100% чистота) (пик 1) в виде желтого твердого вещества ЖХМС: ЭС+ 441,6 и 6-[[1-[1-[спиро[3.4]октан-7-ил]-4-пиперидил]пиразол-4-ил]метил]-1Н-бензо[cd]индол-2-она 4а (70 мг, 155,39 ммоль, 39,12% выход, 97,80% чистота) (пик 2) в виде желтого твердого вещества. ЖХМС: ЭС+ 441,6.
Стадия 4: Синтез 3-{2-Оксо-6-[1-(1-спиро[3.4]окт-5-илпиперидин-4-ил)-1Н-пиразол-4-илметил]-2Н-бензо[cd]индол-1-ил}пиперидин-2,б-диона и 3-{2-Оксо-6-[1-(1-спиро[3.4]окт-5-илпиперидин-4-ил)-1Н-пиразол-4-илметил]-2Н-бензо[cd]индол-1-ил}пиперидин-2,6-диона: К перемешиваемому раствору 6-[[1-[1-[спиро[3.4]октан-7-ил]-4-пиперидил]пиразол-4-ил]метил]-1Н-бензо[cd]индол-2-она 4а (65,00 мг, 147,53 ммоль) в THF (7 мл) добавляли гидрид натрия (в масляной дисперсии) в виде 60% дисперсии в минеральном масле (56,53 мг, 1,48 ммоль, 60% чистота) порциями при 0°С. Ее перемешивали при к.т. в течение 10 минут. 3-бромпиперидин-2,6-дион 5 (141,64 мг, 737,67 ммоль) добавляли к реакционной смеси при к.т. порциями. Ее нагревали при 70°С в течение 1 часа. Ее охлаждали до к.т, разбавляли этилацетатом, вливали в ледяную воду, отделяли органическую часть, промывали водой, насыщенным солевым раствором и сушили над сульфатом натрия. Ее упаривали в условиях пониженного давления. Ее очищали методом препаративной ТСХ (5% метанола в этилацетате в DCM) с получением 3-[2-оксо-6-[[1-[1-[спиро[3.4]октан-7-ил]-4-пиперидил]пиразол-4-ил]метил]бензо[cd]индол-1-ил]пиперидин-2,6-диона Соединения 242 (28,0 мг, 46,78 ммоль, 31,70% выход, 92,16% чистота) в виде желтого твердого вещества. 1H ЯМР (400 МГц, DMSO-d6) δ 11,11 (s, 1H), 8,37 (d, J=8,24 Гц, 1H), 8,08 (d, J=7,00 Гц, 1H), 7,82 (t, J=7,64 Гц, 1Н), 7,57 (s, 1H), 7,34 (d, J=7,28 Гц, 1H), 7,28 (s, 1H), 7,06 (d, J=7,28 Гц, 1H), 5,43 (dd, J=12,68, 5,04 Гц, 1H), 4,17 (s, 2H), 3,99-3,97 (m, 1H), 2,92-2,90 (m, 3Н), 2,82-2,62 (m, 2H), 2,10-2,07 (m, 1H), 1,94-1,72 (m, 15H), 1,60-1,57 (m, 2H), 1,41-1,35 (m, 2H); ЖХ-МС: ЭС+ 552,72.
К перемешиваемому раствору 6-[[1-[1-[спиро[3.4]октан-7-ил]-4-пиперидил]пиразол-4-ил]метил]-1Н-бензо[cd]индол-2-она 4b (80,00 мг, 181,58 ммоль) в THF (5 мл) добавляли гидрид натрия (в масляной дисперсии) в виде 60% дисперсии в минеральном масле (66,65 мг, 1,74 ммоль, 0,6 чистота) порциями при 0°С. Ее перемешивали при к.т.в течение 10 минут. 3-бромпиперидин-2,6-дион 5 (174,33 мг, 907,90 ммоль) добавляли к реакционной смеси при к.т.порциями. Ее нагревали при 70°С в течение 1 ч. Ее охлаждали до к.т., разбавляли этилацетатом, вливали в ледяную воду, отделяли органическую часть, промывали водой, насыщенным солевым раствором и сушили над сульфатом натрия. Ее упаривали в условиях пониженного давления. Ее диэтиловым эфиром с получением 3-[2-оксо-6-[[1-[1-[спиро[3.4]октан-7-ил]-4-пиперидил]пиразол-4-ил]метил]бензо[cd]индол-1-ил]пиперидин-2,6-диона Соединения 243 (21,5 мг, 37,04 ммоль, 20,40% выход, 95,05% чистота) в виде светло-зеленого твердого вещества. 1H ЯМР (400 МГц, DMSO-d6) δ 11,12 (s, 1H), 8,37 (d, J=8,12 Гц, 1H), 8,08 (d, J=6,92 Гц, 1H), 7,82 (t, J=7,56 Гц, 1H), 7,57 (s, 1H), 7,34 (d, J=6,52 Гц, 1H), 7,28 (s, 1H), 7,06 (d, J=7,36 Гц, 1H), 5,44-5,41 (m, 1H), 4,17 (s, 2H), 3,99-3,97 (m, 1H), 2,91-2,49 (m, 4H), 2,09-1,77 (m, 16 H), 1,67-1,57 (m, 2H), 1,41-1,38 (m, 2H); ЖХ-МС: ЭС+ 552,3.
Пример 134. Синтез 3-{2-Оксо-6-[1-(1-спиро[3.3]гепт-1-илпиперидин-4-ил)-1Н-пиразол-4-илметил]-2Н-бензо[cd]индол-1-ил}пиперидин-2,6-диона (Соединение 244) и 3-{2-Оксо-6-[1-(1-спиро[3.3]гепт-1-илпиперидин-4-ил)-1Н-пиразол-4-илметил]-2Н-бензо[cd]индол-1-ил}пиперидин-2,6-диона (Соединение 245)
Стадия 1: Синтез 6-(1-Пиперидин-4-ил-1Н-пиразол-4-илметил)-1Н-бензо[cd]индол-2-онгидрохлорида: К перемешиваемому раствору трет-бутил-4-[4-[(2-оксо-1Н-бензо[cd]индол-6-ил)метил]пиразол-1-ил]пиперидин-1-карбоксилата 1 (500 мг, 1,16 ммоль) в диоксане (5 мл) добавляли 4М диоксан-HCl (1,16 ммоль, 5 мл) при 0°С. Ее перемешивали при к.т. в течение 3 часов. Ее концентрировали в условиях пониженного давления с получением 6-[[1-(4-пиперидил)пиразол-4-ил]метил]-1Н-бензо[cd]индол-2-она 2 (405 мг, 1,05 ммоль, 91,18% выход, 96% чистота) в виде желтого твердого вещества. ЖХМС: ЭС+ 333,4.
Стадия 2: Синтез 6-[1-(1-Спиро[3.3]гепт-1-илпиперидин-4-ил)-1Н-пиразол-4-илметил]-1Н-бензо[cd]индол-2-она: К перемешиваемому раствору 6-[[1-(1-хлор-4-пиперидил)пиразол-4-ил]метил]-1Н-бензо[cd]индол-2-она 2 (330 мг, 894,65 ммоль) в THF (5 мл) добавляли триэтиламин (181,06 мг, 1,79 ммоль, 249,39 мкл) с последующим добавлением спиро[3.3]гептан-3-она 3 (98,55 мг, 894,65 ммоль), дихлорида дибутилолова (326,21 мг, 1,07 ммоль, 239,86 мкл) и фенилсилана (96,81 мг, 894,65 ммоль, 110,26 мкл). Реакционную смесь затем перемешивали при 90°С в течение 16 часов. Ее охлаждали до к.т., разбавляли этилацетатом, промывали водой, насыщенным солевым раствором сушили над сульфатом натрия и концентрировали в условиях пониженного давления. Ее очищали с помощью combiflash, элюируя при 1% метанола в дихлорметане с получением 6-[[1-(1-спиро[3.3]гептан-3-ил-4-пиперидил)пиразол-4-ил]метил]-1Н-бензо[cd]индол-2-она 4 (225 мг, 496,68 ммоль, 55,52% выход, 94,16% чистота) в виде желтого твердого вещества, ЖХМС: ЭС+ 427,1.
Стадия 3: Хиральное разделение 6-[1-(1-Спиро[3.3]гепт-1-илпиперидин-4-ил)-1Н-пиразол-4-илметил]-1Н-бензо[cd]индол-2-она (4а) и 6-[1-(1-Спиро[3.3]гепт-1-илпиперидин-4-ил)-1Н-пиразол-4-илметил]-1Н-бензо[cd]индол-2-она (4b): 6-[[1-(1-спиро[3.3]гептан-3-ил-4-пиперидил)пиразол-4-ил]метил]-1Н-бензо[cd]индол-2-он 4 (225 мг, 527,49 ммоль) подвергали хиральному разделению методом SFC. Хиральные изомеры разделяли методом SFC с получением 6-[[1-[1-[спиро[3.3]гептан-3-ил]-4-пиперидил]пиразол-4-ил]метил]-1Н-бензо[cd]индол-2-она (4b) (85 мг, 199,27 ммоль, 37,78% выход, 100% чистота) (пик 1) в виде светло-желтого твердого вещества ЖХМС: ЭС+ 427,0 и 6-[[1-[1-[спиро[3.3]гептан-3-ил]-4-пиперидил]пиразол-4-ил]метил]-1Н-бензо[cd]индол-2-она (4а) (105 мг, 237,35 ммоль, 45,00% выход, 96,42% чистота) (пик 2) в виде светло-желтого твердого вещества; ЖХМС: ЭС+ 427,0.
Стадия 4: Синтез 3-{2-Оксо-6-[1-(1-спиро[3.3]гепт-1-илпиперидин-4-ил)-1Н-пиразол-4-илметил]-2Н-бензо[cd]индол-1-ил}пиперидин-2,6-диона и 3-{2-Оксо-6-[1-(1-спиро[3.3]гепт-1-илпиперидин-4-ил)-1Н-пиразол-4-илметил]-2Н-бензо[cd]индол-1-ил}пиперидин-2,6-диона: К перемешиваемому раствору 6-[[1-[1-[спиро[3.3]гептан-3-ил]-4-пиперидил]пиразол-4-ил]метил]-1Н-бензо[cd]индол-2-она 4а (80,00 мг, 187,55 ммоль) в THF (15 мл) добавляли гидрид натрия (в масляной дисперсии) в виде 60% дисперсии в минеральном масле (75,73 мг, 1,98 ммоль, 60% чистота) в холодных условиях и реакционную смесь перемешивали при комнатной температуре в течение 10 минут с последующим добавлением 3-бромпиперидин-2,6-диона 5 (180,06 мг, 937,75 ммоль) порциями. Ее затем перемешивали при комнатной температуре в течение 10 минут и нагревали при 80°С в течение 30 минут. ТСХ проводили, что показывало почти полное расходование исходного вещества и образование желаемого пятна. Реакционную смесь разбавляли этилацетатом, промывали холодной водой и органическую фракцию отделяли. Ее затем сушили над безводным сульфатом натрия и упаривали в условиях пониженного давления с получением неочищенного соединения, которое очищали с помощью пластинки для препаративной ТСХ с проявлением пластинки в 95% этилацетат-DCM с получением 3-[2-оксо-6-[[1-[1-[спиро[3.3]гептан-3-ил]-4-пиперидил]пиразол-4-ил]метил]бензо[cd]индол-1-ил]пиперидин-2,6-диона Соединения 244 (42,0 мг, 74,21 ммоль, 39,57% выход, 95% чистота) в виде желтого твердого вещества. 1Н ЯМР (400 МГц, DMSO-d6) δ 11,11 (s, 1H), 8,38 (d, J=8,4 Гц, 1H), 8,08 (d, J=7,00 Гц, 1H), 7,83 (t, J=7,6 Гц, 1H), 7,59 (s, 1H), 7,35 (d, J=Гц, 1H), 7,29 (s, 1Н), 7,07 (d, J=7,2 Гц, 1H), 5,44-5,41 (m, 1H), 4,18 (s, 2H), 4,03 (br s, 1H), 2,99-2,91 (m, 2H), 2,77-2,62 (m, 3H), 2,40-2,36 (m, 1H), 2,24-2,20 (m, 1H), 2,09-2,07 (m, 1H), 1,96-1,72 (m, 12H), 1,57-1,55 (m, 1H), 1,45-1,42 (m, 1H); ЖХ-МС: ЭС+ 538,3. К перемешиваемому раствору 6-[[1-[1-[спиро[3.3]гептан-3-ил]-4-пиперидил]пиразол-4-ил]метил]-1Н-бензо[cd]индол-2-она 4b (100,00 мг, 234,44 ммоль) в THF (4 мл) добавляли гидрид натрия (в масляной дисперсии) в виде 60% дисперсии в минеральном масле (89,83 мг, 2,34 ммоль, 0,6 чистота) при 0°С. Ее перемешивали при к.т.в течение 10 минут.3-бромпиперидин-2,6-дион 5 (225,07 мг, 1,17 ммоль) добавляли порциями. Ее перемешивали при к.т.в течение 10 минут. Ее нагревали при 80°С в течение 1 часа. Ее охлаждали до к.т., разбавляли этилацетатом, вливали в ледяную воду, отделяли органическую часть, промывали насыщенным солевым раствором, сушили над сульфатом натрия и концентрировали в условиях пониженного давления. Ее очищали методом препаративной ТСХ (80% этилацетата в дихлорметане) с получением 3-[2-оксо-6-[[1-[1-[спиро[3.3]гептан-3-ил]-4-пиперидил]пиразол-4-ил]метил]бензо[cd]индол-1-ил]пиперидин-2,6-диона Соединения 245 (48,0 мг, 84,81 ммоль, 36,18% выход, 95% чистота) в виде желтого твердого вещества. 1Н ЯМР (400 МГц, DMSO-d6) δ 11,11 (s, 1H), 8,38 (d, J=8,2 Гц, 1H), 8,08 (d, J=6,96 Гц, 1H), 7,83 (t, J=7,64 Гц, 1H), 7,59 (s, 1Н), 7,35 (d, J=7,32 Гц, 1H), 7,29 (s, 1H), 7,07 (d, J=7,28 Гц, 1H), 5,43 (dd, J=12,76, 5,16 Гц, 1H), 4,18 (s, 2H), 4,03-4,01 (m, 1H), 2,99-2,94 (m, 2H), 2,77-2,62 (m, 3Н), 2,39-2,36 (m, 1H), 2,24-2,20 (m, 1H), 2,09-2,06 (m, 1H), 1,95-1,65 (m, 13H), 1,57-1,55 (m, 1H), 1,45-1,40 (m, 1H); ЖХ-МС: ЭС+ 538,3.
Пример 135. Синтез 3-(6-((4-(4-(1-метилциклобутан-1-карбонил)пиперазин-1-ил)-1Н-пиразол-1-ил)метил)-2-оксобензо[cd]индол-1(2Н)-ил)пиперидин-2,6-диона (Соединение 246)
Стадия 1: Синтез трет-бутил-4-(1-(тетрагидро-2Н-пиран-2-ил)-1Н-пиразол-4-ил)пиперазин-1-карбоксилата: К перемешиваемому раствору 4-йод-1-тетрагидропиран-2-илпиразола2 (5,3 г, 19,06 ммоль) итрет-бутилпиперазин-1-карбоксилата 1 (3,55 г, 19,06 ммоль) в DMSO (30 мл) добавляли карбонат цезия (15,52 г, 47,65 ммоль) реакционную смесь дегазировали аргоном в течение 10 мин. В реакционную смесь, йодид меди(1) (1,09 г, 5,72 ммоль, 193,76 мкл) и 2-ацетилциклогексанон (801,49 мг, 5,72 ммоль, 756,12 мкл) добавляли и вновь дегазировали в течение 5 мин. Реакционную смесь затем нагревали при 110°С в течение 18 часов. Реакционную смесь разбавляли этилацетатом и водой, слои разделяли и органический слой промывали водой, насыщенным солевым раствором, сушили над Na2SO4 и концентрировали в условиях пониженного давления с получением неочищенной массы, которую очищали методом колоночной хроматографии с использованием 40-50% EtOAc-Гексан в качестве элюента с получением трет-бутил-4-(1-тетрагидропиран-2-илпиразол-4-ил)пиперазин-1-карбоксилата 3 (1 г, 2,69 ммоль, 14,14% выход, 90,66% чистота) в виде светлой черной смолы. ЖХ-МС: ЭС+ 337,5.
Стадия 2: Синтез 1-(1Н-пиразол-4-ил)пиперазингидрохлорида: К перемешиваемому раствору трет-бутил-4-(1-тетрагидропиран-2-илпиразол-4-ил)пиперазин-1-карбоксилата 3 (1 г, 2,97 ммоль) в 4М HCl в диоксане (10 мл) и охлаждали реакционную смесь до 0°С с последующим капельным добавлением 4М HCl в диоксане (10 мл), перемешивали реакционную смесь в течение 3 часа при к.т.ЖХМС показывала массу продукта, реакционную смесь концентрировали в условиях пониженного давления и промывали эфиром, сушили с получением 1-(1Н-пиразол-4-ил)пиперазингидрохлорида 4 (450 мг, 2,27 ммоль, 76,23% выход, 95% чистота) в виде белой смолы. ЖХ-МС хорошо не отвечала.
Стадия 3: Синтез (4-(1Н-пиразол-4-ил)пиперазин-1-ил)(1-метилциклобутил)метанона: К перемешиваемому раствору 1-(1Н-пиразол-4-ил)пиперазингидрохлорида 4 (500 мг, 2,65 ммоль) в DMF (8 мл) добавляли 1-метилциклобутанкарбоновую кислоту 5 (302,51 мг, 2,65 ммоль, 270,10 мкл) с последующим добавлением HATU (1,51 г, 3,98 ммоль) и реакционную смесь охлаждали до 0°С добавляли DIPEA (1,37 г, 10,60 ммоль, 1,85 мл), реакционную смесь оставляли перемешиваться при к.т.в течение ночи. Реакционную смесь разбавляли водой и экстрагировали добавлением этилацетата, органический слой промывали насыщенным раствором бикарбоната натрия (3х) с последующим добавлением водой и насыщенным солевым раствором, сушили над сульфатом натрия и концентрировали в условиях пониженного давления с получением неочищенного продукта. Полученный таким образом неочищенный продукт очищали методом колоночной хроматографии, элюируя 25% EtOAc в гексане с получением (1-метилциклобутил)-[4-(1Н-пиразол-4-ил)пиперазин-1-ил]метанона 6 (220 мг, 841,64 ммоль, 31,76% выход, 95% чистота) в виде белого полутвердого вещества. ЖХМС: ЭС+ 249,2. Примечание: в реакционной смеси образовывался диамид, который перемешивали с К2СО3 (1 экв.) в течение 30 мин с получением желаемого продукта.
Стадия 4: Синтез 1-(4-метоксибензил)-6-((4-(4-(1-метилциклобутан-1-карбонил)пиперазин-1-ил)-1Н-пиразол-1-ил)метил)бензо[cd]индол-2(1Н)-она: К перемешиваемому раствору 6-(хлорметил)-1-[(4-метоксифенил)метил]бензо[cd]индол-2-она 7 (367,29 мг, 1,09 ммоль) и (1-метилциклобутил)-[4-(1Н-пиразол-4-ил)пиперазин-1-ил]метанона 6 (270 мг, 1,09 ммоль) в DMF (5 мл) добавляли карбонат цезия (885,65 мг, 2,72 ммоль) при комнатной температуре затем реакционную смесь нагревали 80°С в течение ночи. Реакционную смесь разбавляли охлажденной водой, экстрагировали добавлением этилацетата. Объединенный органический слой промывали насыщенным солевым раствором и сушили в условиях пониженного давления с получением неочищенного соединения, которое очищали методом хроматографии CombiFlash с использованием 30-40% EtOAc-Гексан в качестве элюента с получением 1-[(4-метоксифенил)метил]-6-[[4-[4-(1-метилциклобутанкарбонил)пиперазин-1-ил]пиразол-1-ил]метил]бензо[cd]индол-2-она 8 (300 мг, 532,04 ммоль, 48,93% выход, 97,48% чистота) в виде светло-желтого твердого вещества. ЖХ-МС: ЭС+ 550,4.
Стадия 5: Синтез 6-((4-(4-(1-метилциклобутан-1-карбонил)пиперазин-1-ил)-1Н-пиразол-1-ил)метил)бензо[cd]индол-2(1Н)-она: К перемешиваемому раствору 1-[(4-метоксифенил)метил]-6-[[4-[4-(1-метилциклобутанкарбонил)пиперазин-1-ил]пиразол-1-ил]метил]бензо[cd]индол-2-она 8 (150,00 мг, 272,90 ммоль) в TFA (3 мл) добавляли трифторметансульфоновую кислоту (327,65 мг, 2,18 ммоль, 191,61 мкл) при комнатной температуре, затем реакционную смесь перемешивали при к.т.в течение ночи. Реакционную смесь концентрировали в условиях пониженного давления с получением неочищенной массы, которую разбавляли EtOAc и насыщенным раствором NaHCO3, слои разделяли. Объединенный органический слой промывали насыщенным солевым раствором и сушили в вакууме с помощью роторного испарителя с получением 6-[[4-[4-(1-метилциклобутанкарбонил)пиперазин-1-ил]пиразол-1-ил]метил]-1H-бензо[cd]индол-2-она 9 (115 мг, 238,29 ммоль, 87,32% выход, 89% чистота) в виде коричневой смолы. ЖХ-МС: ЭС+ 430,3.
Стадия 6: Синтез 3-(6-((4-(4-(1-метилциклобутан-1-карбонил)пиперазин-1-ил)-1Н-пиразол-1-ил)метил)-2-оксобензо[cd]индол-1(2Н)-ил)пиперидин-2,6-диона: К перемешиваемому раствору 6-[[4-[4-(1-метилциклобутанкарбонил)пиперазин-1-ил]пиразол-1-ил]метил]-1Н-бензо[cd]индол-2-она 9 (120,00 мг, 279,39 ммоль) в THF (5 мл) добавляли гидрид натрия (в масляной дисперсии) в виде 60% дисперсии в минеральном масле (107,05 мг, 2,79 ммоль, 60% чистота) в холодных условиях и реакционную смесь перемешивали при к.т.в течение 10 минут с последующим добавлением порциями 3-бромпиперидин-2,6-диона 10 (268,23 мг, 1,40 ммоль) и реакционную смесь нагревали при 70°С в течение 1 часов. Реакционную смесь разбавляли этилацетатом и промывали водой; органическую фракцию отделяли. Ее сушили над безводным сульфатом натрия и упаривали в условиях пониженного давления с получением неочищенного соединения, которое очищали с помощью преп.ТСХ с использованием 50% EtOAc-DCM в качестве элюента с получением 3-[6-[[4-[4-(1-метилциклобутанкарбонил)пиперазин-1-ил]пиразол-1-ил]метил]-2-оксобензо[cd]индол-1-ил]пиперидин-2,6-диона Соединения 246 (45 мг, 82,60 ммоль, 29,56% выход, 99,23% чистота) в виде светло-желтого твердого вещества. 1H ЯМР (400 МГц, DMSO-d6) δ 11,12 (s, 1Н), 8,39 (d, J=8,28 Гц, 1H), 8,10 (d, J=6,96 Гц, 1H), 7,85 (t, J=7,66 Гц, 1H), 7,44 (d, J=7,36 Гц, 1H), 7,39 (s, 1H), 7,20 (s, 1H), 7,12 (d, J=7,32 Гц, 1H), 5,62 (s, 2H), 5,44 (dd, J=12,44, 4,92 Гц, 1H), 3,49-3,48 (m, 2H), 3,33-3,31 (m, 2H), 2,95-2,93 (m, 1H), 2,77-2,76 (m, 5H), 2,66-2,62 (m, 1H), 2,41-2,34 (m, 2H), 2,09-2,07 (m, 1H), 1,91-1,89 (m, 1H), 1,79-1,74 (m, 2H), 1,61-1,58 (m, 1H), 1,32 (s, 3Н) ЖХ-МС: ЭС+ 541,5.
Пример 136. Синтез 3-[6-[метокси-[1-[1-(1-метилциклобутанкарбонил)-4-пиперидил]пиразол-4-ил]метил]-2-оксобензо[cd]индол-1-ил]пиперидин-2,6-диона (Соединение 247)
Стадия 1: Синтез 6-[метокси-[1-(4-пиперидил)пиразол-4-ил]метил]-1Н-бензо[cd]индол-2-она: К перемешиваемому раствору трет-бутил-4-[4-[гидрокси-(2-оксо-1Н-бензо[cd]индол-6-ил)метил]пиразол-1-ил]пиперидин-1-карбоксилата 1а (400 мг, 891,84 ммоль) в метаноле (2 мл) добавляли диэтилоксонио(трифтор)борануид (12,66 мг, 89,18 ммоль, 11,01 мкл) и полученную реакционную смесь перемешивали при 100°С в течение 1 часа. По окончании реакции (по данным ТСХ и ЖХМС) реакционную смесь концентрировали в условиях пониженного давления и разбавляли EtOAc. Органическую часть затем промывали водой и насыщенным солевым раствором, сушили над сульфатом натрия и концентрировали. Полученное таким образом неочищенное соединение очищали с помощью пластинки для преп. ТСХ (7% МеОН в DCM) с получением 6-[метокси-[1-(4-пиперидил)пиразол-4-ил]метил]-1Н-бензо[cd]индол-2-она (1) (320 мг, 99% выход) в виде желтого твердого вещества. ЖХ-МС ЭС+ 363,2.
Стадия 2: Синтез 6-[метокси-[1-[1-(1-метилциклобутанкарбонил)-4-пиперидил]пиразол-4-ил]метил]-1Н-бензо[cd]индол-2-она: К перемешиваемому раствору 6-[метокси-[1-(4-пиперидил)пиразол-4-ил]метил]-1Н-бензо[cd]индол-2-она (1) (325 мг, 896,74 ммоль) и 1-метилциклобутанкарбоновой кислоты (2) (102,36 мг, 896,74 ммоль) в DMF (3 мл) добавляли DIPEA (579,49 мг, 4,48 ммоль, 780,98 мкл) и перемешивали в течение 15 минут с последующим добавлением HATU (511,45 мг, 1,35 ммоль) и оставляли перемешиваться в течение 16 часов при к.т. По окончании (по данным ЖХМС), реакционную смесь разбавляли этилацетатом и промывали холодной водой, насыщенным солевым раствором, сушили над сульфатом натрия и концентрировали в условиях пониженного давления. Полученное таким образом неочищенное соединение очищали методом колоночной хроматографии (силикагель, градиент: 0-2,5% МеОН в DCM) с получением 6-[метокси-[1-[1-(1-метилциклобутанкарбонил)-4-пиперидил]пиразол-4-ил]метил]-1Н-бензо[cd]индол-2-она (3) (100 мг, 21,89% выход) в виде смолистого твердого вещества. ЖХ-МС: ЭС+ (М-31) 427,3
Стадия 3: Синтез 3-[6-[метокси-[1-[1-(1-метилциклобутанкарбонил)-4-пиперидил]пиразол-4-ил]метил]-2-оксобензо[cd]индол-1-ил]пиперидин-2,6-диона: К перемешиваемому раствору 6-[метокси-[1-[1-(1-метилциклобутанкарбонил)-4-пиперидил]пиразол-4-ил]метил]-1Н-бензо[cd]индол-2-она (3) (50 мг, 109,04 ммоль) в THF (3 мл) добавляли гидрид натрия 60% в виде дисперсии в минеральном масле (41,78 мг, 1,09 ммоль) при 0°С и перемешивали в течение 5 мин. Затем 3-бромпиперидин-2,6-дион (4) (104,68 мг, 545,20 ммоль) добавляли при охлаждении и реакционную смесь перемешивали при 70°С в течение 60 мин. По окончании (по данным ТСХ) реакционную смесь гасили льдом и экстрагировали добавлением этилацетата. Органическую часть далее промывали водой и насыщенным солевым раствором, сушили над сульфатом натрия и концентрировали. Полученное таким образом неочищенное соединение очищали с помощью пластинки для преп. ТСХ в 80% EtOAc в DCM с получением 3-[6-[метокси-[1-[1-(1-метилциклобутанкарбонил)-4-пиперидил]пиразол-4-ил]метил]-2-оксобензо[cd]индол-1-ил]пиперидин-2,6-диона Соединения 247 (20 мг, 30,59% выход) в виде желтого твердого вещества. 1Н ЯМР (400 МГц, DMSO-d6) δ 11,12 (s, 1H), 8,39 (d, J=8,32 Гц, 1H), 8,08 (d, J=6,96 Гц, 1H), 7,79 (t, J=7,64 Гц, 1H), 7,65 (s, 1H), 7,56 (d, J=7,12 Гц, 1H), 7,32 (s, 1H), 7,14 (d, J=7,36 Гц, 1H), 5,84 (s, 1H), 5,45 (dd, J=12,8, 5,2 Гц, 1H), 4,34-4,28 (m, 2H), 3,61-3,60 (m, 1H), 3,27 (s, 3H), 3,05-2,91 (m, 2H), 2,78-2,63 (m, 3H), 2,41-2,32 (m, 2H), 2,11-2,08 (m, 1H), 1,94-1,91 (m, 3H), 1,86-1,58 (m, 5H), 1,33 (s, 3Н)ЖХ-МС: ЭС+ (M-31) 538,5.
Пример 137. Синтез трет-бутил-4-[4-[[1-(2,6-диоксо-3-пиперидил)-2-оксобензо[cd]индол-6-ил]амино]пиразол-1-ил]пиперидин-1-карбоксилата (Соединение 248) и 3-[6-[[1-[1-(1-метилциклобутанкарбонил)-4-пиперидил]пиразол-4-ил]амино]-2-оксобензо[cd]индол-1-ил]пиперидин-2,6-диона (Соединение 249)
Стадия 1: Синтез трет-бутил-4-[4-[[1-[(4-метоксифенил)метил]-2-оксобензо[cd]индол-6-ил]амино]пиразол-1-ил]пиперидин-1-карбоксилата: в укупоренной пробирке перемешивали раствор трет-бутил-4-(4-аминопиразол-1-ил)пиперидин-1-карбоксилата (400 мг, 1,50 ммоль) и 6-бром-1-[(4-метоксифенил)метил]бензо[cd]индол-2-она (553,02 мг, 1,50 ммоль) в трет-бутаноле (2,50 мл), добавляли карбонат цезия (734,00 мг, 2,25 ммоль) затем реакционную смесь дегазировали в течение 5 мин в атмосфере аргона. Затем добавляли pd2(dba)3 (137,52 мг, 150,18 ммоль) и 2-дициклогексилфосфино-2',6'-ди-I-пропокси-1,1'-бифенил (70,08 мг, 150,18 ммоль) затем вновь продували в течение 2 мин в атмосфере аргона, затем реакционную смесь нагревали до 100°С в течение 16 ч. По окончании реакции добавляли воду, затем экстрагировали добавлением этилацетата, затем органические слои промывали насыщенным солевым раствором, затем сушили сульфатом натрия и затем упаривали в условиях пониженного давления с получением неочищенного соединения. Это неочищенное вещество очищали методом колоночной хроматографии CombiFlash (с использованием 50% этилацетата в гексане) с получением указанного в заголовке соединения трет-бутил-4-[4-[[1-[(4-метоксифенил)метил]-2-оксобензо[cd]индол-6-ил]амино]пиразол-1-ил]пиперидин-1-карбоксилата (500 мг, 812,79 ммоль, 54,12% выход, 90% чистота) в виде оранжевого твердого вещества. ЖХМС (ЭС+)=554,5 [М+Н]+.
Стадия 2: Синтез 6-[[1-(4-пиперидил)пиразол-4-ил]амино]-1Н-бензо[cd]индол-2-она: К перемешиваемому раствору трет-бутил-4-[4-[[1-[(4-метоксифенил)метил]-2-оксобензо[cd]индол-6-ил]амино]пиразол-1-ил]пиперидин-1-карбоксилата (300,00 мг, 541,86 ммоль) в трифторуксусной кислоте (10 мл), реакционную смесь охлаждали до 0°С, медленно добавляли трифторметансульфоновую кислоту (243,97 мг, 1,63 ммоль, 142,67 мкл) затем реакционную смесь перемешивали при 25°С в течение 16 ч. После полного расходования исх. вещ., реакционную смесь концентрировали в условиях пониженного давления, затем растворяли в ледяной воде и подщелачивали твердым бикарбонатом натрия и экстрагировали добавлением этилацетата, сушили над сульфатом натрия, концентрировали в условиях пониженного давления с получением указанного в заголовке соединения 6-[[1-(4-пиперидил)пиразол-4-ил]амино]-1Н-бензо[cd]индол-2-она (150 мг, 382,44 ммоль, 70,58% выход, 85% чистота) в виде оранжевого твердого вещества. ЖХМС (ЭС+)=334,4 [М+Н]+.
Стадия 3: Синтез трет-бутил-4-[4-[(2-оксо-1Н-бензо[cd]индол-6-ил)амино]пиразол-1-ил]пиперидин-1-карбоксилата: К перемешиваемому раствору 6-[[1-(4-пиперидил)пиразол-4-ил]амино]-1Н-бензо[cd]индол-2-она (180 мг, 539,91 ммоль) в DCM (10 мл), добавляли триэтиламин (163,90 мг, 1,62 ммоль, 225,76 мкл) и с последующим добавлением ди-трет-бутилдикарбоната (141,40 мг, 647,90 ммоль, 148,69 мкл), затем реакционную смесь перемешивали при 25°С в течение 16 ч. По окончании реакции добавляли воду затем экстрагировали добавлением DCM, затем органические слои промывали насыщенным солевым раствором, затем сушили сульфатом натрия и затем упаривали в условиях пониженного давления с получением неочищенного соединения. Это неочищенное вещество очищали методом колоночной хроматографии CombiFlash (с использованием этилацетата) с получением указанного в заголовке соединения трет-бутил-4-[4-[(2-оксо-1Н-бензо[cd]индол-6-ил)амино]пиразол-1-ил]пиперидин-1-карбоксилата (200 мг, 424,45 ммоль, 78,61% выход, 92% чистота) в виде оранжевого твердого вещества. ЖХМС (ЭС+)=434,5 [М+Н]+.
Стадия 4: Синтез трет-бутил-4-[4-[[1-(2,6-диоксо-3-пиперидил)-2-оксобензо[cd]индол-6-ил]амино]пиразол-1-ил]пиперидин-1-карбоксилата: К перемешиваемому раствору трет-бутил-4-[4-[(2-оксо-1Н-бензо[ссЦиндол-6-ил)амино]пиразол-1-ил]пиперидин-1-карбоксилата (150 мг, 346,02 ммоль) и 3-бромпиперидин-2,6-диона (664,39 мг, 3,46 ммоль) в THF (10 мл), реакционную смесь охлаждали до 0°С, затем медленно капельно добавляли гидрид натрия (в масляной дисперсии) в виде 60% дисперсии в минеральном масле (397,75 мг, 10,38 ммоль, 60% чистота). Температуру реакционной смеси медленно поднимали до к.т.и затем перемешивали в течение 10 мин и затем нагревали до 65°С в течение 16 ч. После этого реакционную смесь гасили ледяной водой и экстрагировали добавлением этилацетата, отделяли органический слой, сушили над сульфатом натрия, концентрировали в условиях пониженного давления с получением неочищенного соединения. Это неочищенное вещество очищали методом преп. ВЭЖХ (100% ацетонитрил) с получением указанного в заголовке соединения трет-бутил-4-[4-[[1-(2,6-диоксо-3-пиперидил)-2-оксобензо[cd]индол-6-ил]амино]пиразол-1-ил]пиперидин-1-карбоксилата Соединения 248 (30 мг, 53,89 ммоль, 15,57% выход, 97,82% чистота) в виде оранжевого твердого вещества. ЖХМС (ЭС+)=543,2 [М-Н]+. 1H ЯМР (400 МГц, DMSO-d6): δ 11,07 (s, 1H), 8,59-8,57 (d, 1H), 8,08-8,06 (t, 2Н), 7,86 (s, 1H), 7,80-7,76 (t, 1Н), 7,49 (s, 1H), 6,90-6,88 (d, 1H), 6,66-6,64 (d, 1H), 5,39-5,37 (m, 1H), 4,36-4,30 (m, 1H), 4,06-4,03 (m, 2H), 2,93-2,90 (m, 3H), 2,71-2,61 (m, 2H), 2,07-2,00 (m, 3H), 1,85-1,75 (m, 2H), 1,41 (s, 9H).
Стадия 5: Синтез 6-[[1-[1-(1-метилциклобутанкарбонил)-4-пиперидил]пиразол-4-ил]амино]-1Н-бензо[cd]индол-2-она: К перемешиваемому раствору 6-[[1-(4-пиперидил)пиразол-4-ил]амино]-1Н-бензо[cd]индол-2-она (180 мг, 539,91 ммоль) и 1-метилциклобутанкарбоновой кислоты (73,95 мг, 647,90 ммоль) в DMF (10 мл), добавляли DIPEA (209,34 мг, 1,62 ммоль, 282,12 мкл) и затем с последующим добавлением HATU (225,82 мг, 593,91 ммоль), затем реакционную смесь перемешивали при 25°С в течение 16 ч. По окончании реакции добавляли воду затем экстрагировали добавлением этилацетата, затем органические слои промывали насыщенным солевым раствором, затем сушили сульфатом натрия и затем упаривали в условиях пониженного давления с получением неочищенного соединения. Это неочищенное вещество очищали методом колоночной хроматографии CombiFlash (с использованием этилацетата) с получением указанного в заголовке соединения 6-[[1-[1-(1-метилциклобутанкарбонил)-4-пиперидил]пиразол-4-ил]амино]-1Н-бензо[cd]индол-2-она (105 мг, 220,02 ммоль, 40,75% выход, 90% чистота) в виде оранжевого твердого вещества. ЖХМС (ЭС+)=430,4 [М+Н]+.
Стадия 6: Синтез 3-[6-[[1-[1-(1-метилциклобутанкарбонил)-4-пиперидил]пиразол-4-ил]амино]-2-оксобензо[cd]индол-1-ил]пиперидин-2,6-диона: К перемешиваемому раствору 6-[[1-[1-(1-метилциклобутанкарбонил)-4-пиперидил]пиразол-4-ил]амино]-1Н-бензо[cd]индол-2-она (65 мг, 151,33 ммоль) и 3-бромпиперидин-2,6-диона (116,23 мг, 605,34 ммоль) в THF (15 мл), реакционную смесь охлаждали до 0°С, затем медленно капельно добавляли бис(триметилсилил)амид лития (1 М, 1,21 мл). Температуру реакционной смеси медленно поднимали до к.т.и затем перемешивали в течение 10 мин и затем нагревали до 65°С в течение 16 ч. После этого реакционную смесь гасили ледяной водой и экстрагировали добавлением этилацетата, отделяли органический слой, сушили над сульфатом натрия, концентрировали в условиях пониженного давления с получением неочищенного соединения. Это неочищенное вещество очищали с помощью преп.ТСХ (с использованием 80% этилацетата в DCM) с получением указанного в заголовке соединения 3-[6-[[1-[1-(1-метилциклобутанкарбонил)-4-пиперидил]пиразол-4-ил]амино]-2-оксобензо[cd]индол-1-ил]пиперидин-2,6-диона Соединения 249 (10 мг, 18,19 ммоль, 12,02% выход, 98,36% чистота) в виде оранжевого твердого вещества. ЖХМС (ЭС+)=541,2 [М+Н]+. 1H ЯМР (400 МГц, DMSO-d6): δ 11,08 (s, 1H), 8,59-8,57 (d, 1H), 8,08-8,06 (t, 2Н), 7,88 (s, 1H), 7,80-7,77 (t, 1H), 7,48 (s, 1H), 6,91-6,89 (d, 1H), 6,67-6,65 (d, 1H), 5,40-5,35 (m, 1H), 4,43-4,37 (m, 2H), 3,64 (m, 1H), 3,14 (m, 1H), 2,97-2,89 (m, 1H), 2,74-2,65 (m, 2H), 2,45-2,42 (m, 3H), 2,07-2,04 (m, 3H), 1,96-1,92 (m, 2H), 1,89-1,87 (m, 4H), 1,66 (m, 2H), 1,37-1,33 (s, 3H).
Пример 138. Синтез трет-бутил-4-[3-хлор-4-[[1-(2,6-диоксо-3-пиперидил)-2-оксобензо[cd]индол-6-ил]амино]пиразол-1-ил]пиперидин-1-карбоксилата (Соединение 250) и 3-[6-[[3-хлор-1-[1-(1-метилциклобутанкарбонил)-4-пиперидил]пиразол-4-ил]амино]-2-оксобензо[cd]индол-1-ил]пиперидин-2,6-диона (Соединение 251)
Стадия 1: Синтез трет-бутил-4-[3-хлор-4-[[1-[(4-метоксифенил)метил]-2-оксобензо[cd]индол-6-ил]амино]пиразол-1-ил]пиперидин-1-карбоксилата: в укупоренной пробирке перемешивали раствор трет-бутил-4-(4-амино-3-хлорпиразол-1-ил)пиперидин-1-карбоксилата (1,3 г, 4,32 ммоль) и 6-бром-1-[(4-метоксифенил)метил]бензо[cd]индол-2-она (1,59 г, 4,32 ммоль) в трет-бутаноле (25 мл), добавляли карбонат цезия (2,11 г, 6,48 ммоль), затем реакционную смесь дегазировали в течение 5 мин в атмосфере аргона. Затем добавляли pd2(dba)3 (395,77 мг, 432,20 ммоль) и 2-дициклогексилфосфино-2',6'-ди-I-пропокси-1,1'-бифенил (201,68 мг, 432,20 ммоль), затем вновь продували в течение 2 мин в атмосфере аргона, затем реакционную смесь нагревали до 100°С в течение 16 ч. По окончании реакции добавляли воду, затем экстрагировали добавлением этилацетата, затем органические слои промывали насыщенным солевым раствором, затем сушили сульфатом натрия и затем упаривали в условиях пониженного давления с получением неочищенного соединения. Это неочищенное вещество очищали методом колоночной хроматографии CombiFlash (с использованием 50% этилацетата в гексане) с получением указанного в заголовке соединения трет-бутил-4-[3-хлор-4-[[1-[(4-метоксифенил)метил]-2-оксобензо[cd] индол-6-ил]амино]пиразол-1-ил]пиперидин-1-карбоксилата (2 г, 3,23 ммоль, 74,75% выход, 95% чистота) в виде оранжевого твердого вещества. ЖХМС (ЭС+)=588,2 [М+Н]+.
Стадия 2: Синтез 6-[[3-хлор-1-(4-пиперидил)пиразол-4-ил]амино]-1Н-бензо[cd]индол-2-она: К перемешиваемому раствору трет-бутил-4-[3-хлор-4-[[1-[(4-метоксифенил)метил]-2-оксобензо[cd]индол-6-ил]амино]пиразол-1-ил]пиперидин-1-карбоксилата (1 г, 1,70 ммоль) в трифторуксусной кислоте (10 мл), реакционную смесь охлаждали до 0°С, медленно добавляли трифторметансульфоновую кислоту (765,59 мг, 5,10 ммоль, 447,71 мкл), затем реакционную смесь перемешивали при 25°С в течение 16 ч. После полного расходования исх. вещ., реакционную смесь концентрировали в условиях пониженного давления, затем растворяли в ледяной воде и подщелачивали твердым бикарбонатом натрия и экстрагировали добавлением этилацетата, сушили над сульфатом натрия, концентрировали в условиях пониженного давления с получением указанного в заголовке соединения 6-[[3-хлор-1-(4-пиперидил)пиразол-4-ил]амино]-1Н-бензо[cd]индол-2-она (600 мг, 1,55 ммоль, 91,13% выход, 95% чистота) в виде оранжевого твердого вещества; ЖХМС (ЭС+)=368,3 [М+Н]+.
Стадия 3: Синтез трет-бутил-4-[3-хлор-4-[(2-оксо-1Н-бензо[cd]индол-6-ил)амино]пиразол-1-ил]пиперидин-1-карбоксилата: К перемешиваемому раствору 6-[[3-хлор-1-(4-пиперидил)пиразол-4-ил]амино]-1Н-бензо[cd]индол-2-она (150 мг, 407,80 ммоль) в DCM (10 мл), добавляли триэтиламин (123,79 мг, 1,22 ммоль, 170,52 мкл) с последующим добавлением ди-трет-бутилдикарбоната (106,80 мг, 489,35 ммоль, 112,30 мкл), затем реакционную смесь перемешивали при 25°С в течение 16 ч. По окончании реакции добавляли воду, затем экстрагировали добавлением DCM, затем органические слои промывали насыщенным солевым раствором, затем сушили сульфатом натрия и затем упаривали в условиях пониженного давления с получением неочищенного соединения. Это неочищенное вещество очищали методом колоночной хроматографии CombiFlash (с использованием этилацетата) с получением указанного в заголовке соединения трет-бутил-4-[3-хлор-4-[(2-оксо-1Н-бензо[сс!]индол-6-ил)амино]пиразол-1-ил]пиперидин-1-карбоксилата (130 мг, 255,58 ммоль, 62,67% выход, 92% чистота) в виде оранжевого твердого вещества. ЖХМС (ЭС+)=468,1 [М+Н]+.
Стадия 4: Синтез трет-бутил-4-[3-хлор-4-[[1-(2,6-диоксо-3-пиперидил)-2-оксобензо[cd]индол-6-ил]амино]пиразол-1-ил]пиперидин-1-карбоксилата: К перемешиваемому раствору трет-бутил-4-[3-хлор-4-[(2-оксо-1Н-бензо[cd]индол-6-ил)амино]пиразол-1-ил]пиперидин-1-карбоксилата (30 мг, 64,11 ммоль) в THF (5 мл), реакционную смесь охлаждали до 0°С, затем порциями добавляли гидрид натрия (в масляной дисперсии) в виде 60% дисперсии в минеральном масле (24,56 мг, 641,10 ммоль, 60% чистота). Температуру реакционной смеси медленно поднимали до к.т.и затем перемешивали в течение 10 мин. После этого 3-бромпиперидин-2,6-дион (61,55 мг, 320,55 ммоль) добавляли медленно при к.т., затем вновь перемешивали в течение 10 мин и затем нагревали до 65°С в течение 1 ч. После полного расходования исх. вещ., реакционную смесь гасили ледяной водой и экстрагировали добавлением этилацетата, отделяли органический слой, сушили над сульфатом натрия, концентрировали в условиях пониженного давления с получением неочищенного соединения. Это неочищенное вещество очищали с помощью преп. ТСХ (с использованием 70% этилацетата в DCM) с получением указанного в заголовке соединения трет-бутил-4-[3-хлор-4-[[1-(2,6-диоксо-3-пиперидил)-2-оксобензо[cd]индол-6-ил]амино]пиразол-1-ил]пиперидин-1-карбоксилата Соединения 250 (2 мг, 3,36 ммоль, 5,24% выход, 97,28% чистота) в виде оранжевого твердого вещества. ЖХМС (ЭС+)=577,2 [М-Н]+. 1Н ЯМР (400 МГц, DMSO-d6): δ 11,07 (s, 1H), 8,60-8,57 (d, 1H), 8,09-8,08 (d, 1H), 8,03 (s, 1Н), 7,85 (s, 1H), 7,82-7,78 (t, 1H), 6,88-6,86 (d, 1H), 6,22-6,20 (d, 1H), 4,43-4,33 (m, 1H), 4,03 (m, 2H), 2,92-2,89 (m, 2H), 2,70-2,60 (m, 2H), 2,05-2,02 (m, 3H), 1,80-1,77 (m, 2H), 1,41 (m, 9H). Стадия 5: Синтез 6-[[3-хлор-1-[1-(1-метилциклобутанкарбонил)-4-пиперидил]пиразол-4-ил]амино]-1Н-бензо[cd]индол-2-она: К перемешиваемому раствору 6-[[3-хлор-1-(4-пиперидил)пиразол-4-ил]амино]-1Н-бензо[cd]индол-2-она (300 мг, 815,59 ммоль) и 1-метилциклобутанкарбоновой кислоты (111,71 мг, 978,71 ммоль) в DMF (15 мл), добавляли DIPEA (316,22 мг, 2,45 ммоль, 426,17 мкл) и затем с последующим добавлением HATU (341,12 мг, 897,15 ммоль), затем реакционную смесь перемешивали при 25°С в течение 16 ч. По окончании реакции добавляли воду, затем экстрагировали добавлением этилацетата, затем органические слои промывали насыщенным солевым раствором, затем сушили сульфатом натрия и затем упаривали в условиях пониженного давления с получением неочищенного соединения. Это неочищенное вещество очищали методом колоночной хроматографии CombiFlash (с использованием этилацетата) с получением указанного в заголовке соединения 6-[[3-хлор-1-[1-(1-метилциклобутанкарбонил)-4-пиперидил]пиразол-4-ил]амино]-1Н-бензо[cd]индол-2-она (120 мг, 237,95 ммоль, 29,18% выход, 92% чистота) в виде оранжевого твердого вещества. ЖХМС (ЭС+)=464,4 [М+Н]+.
Стадия 6: Синтез 3-[6-[[3-хлор-1-[1-(1-метилциклобутанкарбонил)-4-пиперидил]пиразол-4-ил]амино]-2-оксобензо[cd]индол-1-ил]пиперидин-2,6-диона: К перемешиваемому раствору 6-[[3-хлор-1-[1-(1-метилциклобутанкарбонил)-4-пиперидил]пиразол-4-ил]амино]-1H-бензо[cd]индол-2-она (64 мг, 137,94 ммоль) и 3-бромпиперидин-2,6-диона (79,46 мг, 413,83 ммоль) в THF (10 мл), реакционную смесь охлаждали до 0°С, затем медленно капельно добавляли Бис(триметилсилил)амид лития (1 М, 689,72 мкл). Температуру реакционной смеси медленно поднимали до к.т.и затем перемешивали в течение 10 мин и затем нагревали до 65°С в течение 16 ч. После этого реакционную смесь гасили ледяной водой и экстрагировали добавлением этилацетата, отделяли органический слой, сушили над сульфатом натрия, концентрировали в условиях пониженного давления с получением неочищенного соединения.
Это неочищенное вещество очищали с помощью преп. ТСХ (с использованием 80% этилацетата в DCM) с получением указанного в заголовке соединения 3-[6-[[3-хлор-1-[1-(1-метилциклобутанкарбонил)-4-пиперидил]пиразол-4-ил]амино]-2-оксобензо[cd]индол-1-ил]пиперидин-2,6-диона Соединения 251 (12 мг, 19,89 ммоль, 14,42% выход, 95,31% чистота) в виде оранжевого твердого вещества. ЖХМС (ЭС+)=575,2 [М+Н]+. 1H ЯМР (400 МГц, DMSO-d6): δ 11,08 (s, 1H), 8,60-8,58 (d, 1H), 8,10-8,08 (d, 1H), 8,05 (s, 1H), 7,86 (s, 1H), 7,82-7,78 (t, 1H), 6,89-6,87 (d, 1H), 6,22-6,21 (d, 1H), 5,38-5,35 (m, 1H), 4,41 (m, 3H), 3,63 (m, 1H), 3,13 (m, 1H), 2,93-2,89 (m, 2H), 2,71-2,67 (m, 3H), 2,05-1,98 (m, 3H), 1,94-1,92 (m, 2H), 1,87-1,80 (m, 4H), 1,63-1,61 (m, 1H), 1,37 (s, 3H).
Пример 139. Синтез трет-бутил-4-[4-[[1-(2,6-диоксо-3-пиперидил)-2-оксобензо[cd]индол-6-ил]-метил-амино]пиразол-1-ил]пиперидин-1-карбоксилата (Соединение 252)
Стадия 1: Синтез трет-бутил-4-[4-(бензилоксикарбониламино)пиразол-1-ил]пиперидин-1-карбоксилата: К перемешиваемому раствору трет-бутил-4-(4-аминопиразол-1-ил)пиперидин-1-карбоксилата (1,5 г, 5,63 ммоль) в DCM (20 мл), реакционную смесь охлаждали до 0°С затем добавляли триэтиламин (1,14 г, 11,26 ммоль, 1,57 мл) и каталитическое количество DMAP (68,80 мг, 563,19 ммоль) с последующим капельным добавлением бензилкарбонохлоридата (960,77 мг, 5,63 ммоль, 800,64 мкл). Затем реакционную смесь перемешивали при 25°С в течение 2 ч. После полного расходования исх. вещ., реакционную смесь гасили насыщенным раствором бикарбоната натрия, экстрагировали добавлением DCM, сушили над сульфатом натрия, концентрировали в условиях пониженного давления с получением неочищенного соединения. Его очищали методом колоночной хроматографии CombiFlash (элюируя 40% этилацетата в н-гексане) с получением указанного в заголовке соединения трет-бутил-4- [4-(бензилоксикарбониламино)пиразол-1-ил]пиперидин-1-карбоксилата (1,6 г, 3,92 ммоль, 69,52% выход, 98% чистота) в виде коричневой липкой жидкости. ЖХМС (ЭС+)=401,1 [М+Н]+.
Стадия 2: Синтез трет-бутил-4-[4-[бензилоксикарбонил(метил)амино]пиразол-1-ил]пиперидин-1-карбоксилата: К перемешиваемому раствору трет-бутил-4-[4-(бензилоксикарбониламино)пиразол-1-ил]пиперидин-1-карбоксилата (1,7 г, 4,25 ммоль) в THF (35 мл), реакционную смесь охлаждали до 0°С, затем гидрид натрия (в масляной дисперсии) в виде 60% дисперсии в минеральном масле (2,55 мг, 6,37 ммоль, 60 чистота) добавляли порциями. Затем реакционную смесь перемешивали при 0°С в течение 40 мин. После этого метилйодид (D3) в соединении с медью (1,21 г, 8,49 ммоль, 528,53 мкл) добавляли медленно капельно в реакционную смесь затем темп, повышали до к.т.и реакционную смесь перемешивали при к.т.в течение 16 ч. После полного расходования исх. вещ., реакционную смесь гасили ледяной водой, экстрагировали добавлением этилацетата, сушили над сульфатом натрия, концентрировали в условиях пониженного давления с получением неочищенного соединения. Его очищали методом колоночной хроматографии CombiFlash (элюируя 40% этилацетата в н-гексане) с получением указанного в заголовке соединения трет-бутил-4-[4-[бензилоксикарбонил(метил)амино]пиразол-1-ил]пиперидин-1-карбоксилата (1,5 г, 3,51 ммоль, 82,69% выход, 97% чистота) в виде коричневой липкой жидкости. ЖХМС (ЭС+)=415,1 [М+Н]+.
Стадия 3: Синтез трет-бутил-4-[4-(метиламино)пиразол-1-ил]пиперидин-1-карбоксилата: К перемешиваемому раствору трет-бутил-4-[4-[бензилоксикарбонил(метил)амино]пиразол-1-ил]пиперидин-1-карбоксилата (1,6 г, 3,86 ммоль) в этилацетате (30 мл) и метаноле (6 мл), добавляли палладий (1,64 г, 15,44 ммоль), затем реакционную смесь перемешивали при 25°С в течение 16 ч в атмосфере водорода. После полного расходования исх. вещ., реакционную смесь фильтровали через слой целита и раствор концентрировали в условиях пониженного давления с получением указанного в заголовке соединения трет-бутил-4-[4-(метиламино)пиразол-1-ил]пиперидин-1-карбоксилата (1 г, 3,39 ммоль, 87,78% выход, 95% чистота) в виде коричневой липкой жидкости. ЖХМС (ЭС+)=281,4 [М+Н]+.
Стадия 4: Синтез трет-бутил-4-[4-[метил-(2-оксо-1Н-бензо[cd]индол-6-ил)амино]пиразол-1-ил]пиперидин-1-карбоксилата: в укупоренной пробирке перемешивали раствор трет-бутил-4-[4-(метиламино)пиразол-1 -ил]пиперидин-1 -карбоксилата (500 мг, 1,78 ммоль) и 6-бром-1Н-бензо[cd]индол-2-она (442,41 мг, 1,78 ммоль) в трет-бутаноле (15 мл), добавляли карбонат цезия (871,60 мг, 2,68 ммоль), затем реакционную смесь дегазировали в течение 5 мин в атмосфере аргона. Затем добавляли pd2(dba)3 (163,30 мг, 178,34 ммоль) и 2-дициклогексилфосфино-2',6'-ди-I-пропокси-1,1'-бифенил (166,25 мг, 356,68 ммоль), затем вновь продували в течение 2 мин в атмосфере аргона, затем реакционную смесь нагревали до 90°С в течение 16 ч. После полного расходования исх. вещ. реакционную смесь фильтровали через слой целита и концентрировали в вакууме. Очистка методом колоночной хроматографии CombiFlash (элюируя 40% этилацетата в н-гексане) с получением указанного в заголовке соединения трет-бутил-4-[4-[метил-(2-оксо-1Н-бензо[cd] индол-6-ил)амино]пиразол-1-ил]пиперидин-1-карбоксилата (280 мг, 563,09 ммоль, 31,57% выход, 90% чистота) в виде желтой жидкости. ЖХМС (ЭС+)=448,4 [М+Н]+.
Стадия 5: Синтез трет-бутил-4-[4-[[1-(2,6-диоксо-3-пиперидил)-2-оксобензо[cd]индол-6-ил]-1цетиламино]пиразол-1-ил]пиперидин-1-карбоксилата: К перемешиваемому раствору трет-бутил-4-[4-[метил-(2-оксо-1Н-бензо[cd]индол-6-ил)амино]пиразол-1-ил]пиперидин-1-карбоксилата (80,00 мг, 178,76 ммоль) в DMF (5 мл), реакционную смесь охлаждали до 0°С, затем добавляли гидрид натрия (в масляной дисперсии) в виде 60% дисперсии в минеральном масле (20,55 мг, 536,28 ммоль, 60% чистота). Затем реакционную смесь нагревали до 60°С в течение 30 мин. После этого 3-бромпиперидин-2,6-дион (68,65 мг, 357,52 ммоль) добавляли к этой смеси, затем продолжали нагревание в течение 4-6 ч. Но исх. вещ. израсходовалось не полностью, затем вновь добавляли 3-бромпиперидин-2,6-дион (68,65 мг, 357,52 ммоль) и реакционную смесь продолжали в течение 16 ч. После этого реакционную смесь разбавляли водой и экстрагировали добавлением этилацетата, сушили над сульфатом натрия, концентрировали в условиях пониженного давления с получением неочищенного соединения. Это неочищенное вещество очищали с помощью преп. ТСХ (с использованием этилацетата) с получением указанного в заголовке соединения трет-бутил-4-[4-[[1-(2,6-диоксо-3-пиперидил)-2-оксобензо[cd]индол-6-ил]-метиламино]пиразол-1-ил]пиперидин-1-карбоксилата Соединения 252 (9 мг, 15,35 ммоль, 8,59% выход, 95,28% чистота) в виде оранжевого твердого вещества. ЖХМС (ЭС+)=559,6 [М+Н]+. 1H ЯМР (400 МГц, DMSO-d6): δ 11,11 (s, 1H), 8,06-8,04 (d, 1Н), 8,02-8,00 (d, 1H), 7,71 (t, 1H), 7,40 (s, 1H), 7,16-7,14 (d, 1H), 7,07-7,05 (d, 2H), 5,42 (t, 1H), 4,22-4,19 (d,lH), 3,99-3,96 (m, 2H), 3,23 (s, 3H), 2,98-2,90 (m, 1H), 2,84-2,80 (m, 1H), 2,76-2,73 (m, 1H), 2,67-2,63 (m, 1H), 2,44-2,41 (m, 1H), 2,10-2,09 (m, 1H), 1,93-1,90 (m, 2H), 1,71-1,66 (m, 2H), 1,39 (s, 9H).
Пример 140. Синтез 3-[6-[[1-[1-(1-метилциклобутанкарбонил)-4-пиперидил]пирроло[2,3-b]пиридин-3-ил]метил]-2-оксобензо[cd]индол-1-ил]пиперидин-2,6-диона (Соединение 253)
Стадия 1: Синтез трет-бутил-4-(3-формилпирроло[2,3-b]пиридин-1-ил)пиперидин-1-карбоксилата: К перемешиваемому раствору 1Н-пирроло[2,3-b]пиридин-3-карбальдегида (2 г, 13,68 ммоль) и трет-бутил-4-метилсульфонилоксипиперидин-1-карбоксилата (4,21 г, 15,05 ммоль) в DMF (30 мл), добавляли карбонат цезия (8,92 г, 27,37 ммоль) и реакционную смесь нагревали при 90°С в течение 16 ч. После полного расходования исх. вещ., реакционную смесь разбавляли этилацетатом, промывали водой, отделяли органический слой, сушили над сульфатом натрия, концентрировали в условиях пониженного давления с получением неочищенного соединения. Его очищали методом колоночной хроматографии CombiFlash (15% этилацетата в гексане) с получением указанного в заголовке соединения трет-бутил-4-(3-формилпирроло[2,3-b]пиридин-1-ил)пиперидин-1-карбоксилата (2 г, 5,89 ммоль, 43,04% выход, 97% чистота) в виде белого твердого вещества. ЖХМС (ЭС+)=330,2 [М+Н]+.
Стадия 2: Синтез трет-бутил-4-[3-[гидрокси-(2-оксо-1Н-бензо[cd]индол-6-ил)метил]пирроло[2,3-b]пиридин-1-ил]пиперидин-1-карбоксилата: К перемешиваемому раствору 6-бром-1Н-бензо[cd]индол-2-она (100,00 мг, 403,10 ммоль) в THF (10 мл), реакционную смесь охлаждали до -78°С, затем бутиллитий (2,2 М, 732,92 мкл) добавляли медленно капельно и реакционную смесь перемешивали при той же температуре в течение 40 мин. После этого трет-бутил-4-(3-формилпирроло[2,3-b]пиридин-1-ил)пиперидин-1-карбоксилат (132,78 мг, 403,10 ммоль) в THF (10 мл) добавляли медленно капельно в реакционную смесь и реакционную смесь перемешивали при той же температуре в течение 40 мин. После этого реакционную смесь гасили насыщенным раствором хлорида аммония, экстрагировали добавлением этилацетата, сушили над сульфатом натрия, концентрировали в условиях пониженного давления с получением неочищенного соединения. Его очищали методом колоночной хроматографии CombiFlash (элюируя 70% этилацетата в гексане) с получением указанного в заголовке соединения трет-бутил-4-[3-[гидрокси-(2-оксо-1Н-бензо[cd]индол-6-ил)метил]пирроло[2,3-b]пиридин-1-ил]пиперидин-1-карбоксилата (40 мг, 72,21 ммоль, 17,91% выход, 90% чистота) в виде коричневого твердого вещества. ЖХМС (ЭС+)=281,4 [М+Н]+.
Стадия 3: Синтез 6-[[1-(4-пиперидил)пирроло[2,3-b]пиридин-3-ил]метил]-1Н-бензо[cd]индол-2-она: при микроволновом облучении перемешивали раствор трет-бутил-4-[3-[гидрокси-(2-оксо-1Н-бензо[cd]индол-6-ил)метил]пирроло[2,3-b]пиридин-1-ил]пиперидин-1-карбоксилата (50 мг, 100,29 ммоль) в DCE (2 мл), добавляли три фтору ксу сную кислоту (91,48 мг, 802,29 ммоль, 61,81 мкл) и триэтилсилан (46,65 мг, 401,15 ммоль, 64,07 мкл), затем реакционную смесь нагревали до 70°С в течение 0,5 ч. ЖХМС неочищенного соединения показала массу продукта. Реакционную смесь концентрировали в вакууме с получением указанного в заголовке соединения 6-[[1-(4-пиперидил)пирроло[2,3-b]пиридин-3-ил]метил]-1Н-бензо[cd]индол-2-она (45 мг, 83,39 ммоль, 83,15% выход, 92% чистота) в виде коричневой липкой жидкости. ЖХМС (ЭС+)=383,3 [М+Н]+.
Стадия 4: Синтез 6-[[1-[1-(1-метилциклобутанкарбонил)-4-пиперидил]пирроло[2,3-b]пиридин-3-ил]метил]-1Н-бензо[cd]индол-2-она: К перемешиваемому раствору 6-[[1-(4-пиперидил)пирроло[2,3-b]пиридин-3-ил]метил]-1Н-бензо[cd]индол-2-она (250 мг, 653,67 ммоль) и 1-метилциклобутанкарбоновой кислоты (82,07 мг, 719,04 ммоль) в THF (10 мл) добавляли DIPEA (253,45 мг, 1,96 ммоль, 341,57 мкл) и циклический ангидрид 1-пропанфосфоновой кислоты (311,98 мг, 980,50 ммоль, 291,57 мкл) реакционную смесь перемешивали при 25°С в течение 16 ч. По данным ЖХМС наблюдалась целевая масса и реакционную смесь разбавляли этилацетатом и промывали водой, органический слой отделяли, сушили над сульфатом натрия и концентрировали в условиях пониженного давления с получением неочищенного соединения. Это неочищенное вещество очищали методом колоночной хроматографии (с использованием 10% метанола в DCM) с получением указанного в заголовке соединения 6-[[1-[1-(1-метилциклобутанкарбонил)-4-пиперидил]пирроло[2,3-b]пиридин-3-ил]метил]-1Н-бензо[cd]индол-2-она (120 мг, 225,67 ммоль, 34,52% выход, 90% чистота) в виде коричневого твердого вещества. ЖХМС (ЭС+)=479,3 [М+Н]+.
Стадия 6: Синтез 3-[6-[[1-[1-(1-метилциклобутанкарбонил)-4-пиперидил]пирроло[2,3-b]пиридин-3-ил]метил]-2-оксобензо[cd]индол-1-ил]пиперидин-2,6-диона: К перемешиваемому раствору 6-[[1-[1-(1-метилциклобутанкарбонил)-4-пиперидил]пирроло[2,3-b]пиридин-3-ил]метил]-1Н-бензо[cd]индол-2-она (40,00 мг, 83,58 ммоль) в DMF (5 мл), реакционную смесь охлаждали до 0°С, затем добавляли гидрид натрия (в масляной дисперсии) в виде 60% дисперсии в минеральном масле (5,76 мг, 250,74 ммоль). Затем реакционную смесь нагревали до 60°С в течение 30 мин. После этого 3-бромпиперидин-2,6-дион (32,10 мг, 167,16 ммоль) добавляли к этой смеси, затем продолжали нагревание в течение 4-6 ч. Но исх. вещ. израсходовалось не полностью, затем вновь добавляли 3-бромпиперидин-2,6-дион (32,10 мг, 167,16 ммоль) и реакционную смесь продолжали в течение 16 ч. После этого реакционную смесь разбавляли водой и экстрагировали добавлением этилацетатом, сушили над сульфатом натрия, концентрировали в условиях пониженного давления с получением неочищенного соединения. Это неочищенное вещество очищали с помощью преп. ТСХ (с использованием этилацетата) с получением указанного в заголовке соединения 3-[6-[[1-[1-(1-метилциклобутанкарбонил)-4-пиперидил]пирроло[2,3-b]пиридин-3-ил]метил]-2-оксобензо[cd]индол-1-ил]пиперидин-2,6-диона Соединения 253 (6 мг, 9,30 ммоль, 11,13% выход, 91,39% чистота) в виде светло-желтого твердого вещества. ЖХМС (ЭС+)=590,3 [М+Н]+. 1H ЯМР (400 МГц, DMSO-d6): δ 11,10 (s, 1H), 8,50-8,48 (d, 1Н), 8,19-8,18 (d, 1H), 8,07-8,06 (d, 1H), 7,93-7,91 (d, 1H), 7,82 (t, 1H), 7,64 (s, 1H), 7,45-7,44 (d, 1H), 7,06-7,00 (m, 2H), 5,44-5,41 (m, 1H), 4,89 (brs, 1H), 4,48 (s, 3Н), 3,65 (m, 1H), 3,17 (brs, 1H), 2,96-2,90 (m, 2H), 2,74-2,71 (m, 2H), 2,61 (m, 1H), 2,08-2,07 (m, 1H), 1,92-1,80 (m,7H), 1,65 (m, 1H).
Пример 141. Синтез 3-[6-[[4-[[4-(4-хлор-2-фторфенил)пиперазин-1-ил]метил]фенил]метил]-2-оксобензо[cd]индол-1-ил]пиперидин-2,6-диона (Соединение 254) и 3-[6-[[4-[[4-(4-хлор-2-фторфенил)пиперазин-1-ил]метил]фенил]метил]-2-оксобензо[cd]индол-1-ил]пиперидин-2,6-диона (Соединение 255):
Стадия 1: Синтез трет-бутил-4-(4-хлор-2-фторфенил)пиперазин-1-карбоксилата: в укупоренной пробирке перемешивали раствор 1-бром-4-хлор-2-фторбензола (300 мг, 1,43 ммоль, 178,57 мкл) и трет-бутилпиперазин-1-карбоксилата (213,42 мг, 1,15 ммоль) в толуоле (20 мл), добавляли бензил-[1-[2-[бензил(фенил)фосфанил]-1-нафтил]-2-нафтил]фенилфосфан (18,64 мг, 28,65 ммоль) и 2-метилпропан-2-олят натрия (344,14 мг, 3,58 ммоль), затем реакционную смесь дегазировали в течение 5 мин в атмосфере аргона. Затем добавляли трис(дибензилиденацетон)дипалладий(0) (26,23 мг, 28,65 ммоль), затем вновь продували в течение 2 мин в атмосфере аргона, затем реакционную смесь нагревали до 110°С в течение 0,5 ч. По окончании реакции добавляли к воду и экстрагировали добавлением EtOAc. Объединенные органические фазы промывали водой и насыщенным солевым раствором и сушили над сульфатом натрия. Неочищенное соединение очищали с помощью combi-flash, элюируя растворителем Нех-EtOAc с получением трет-бутил-4-(4-хлор-2-фторфенил)пиперазин-1-карбоксилата (220 мг, 629,01 ммоль, 43,91% выход, 90% чистота) в виде желтого твердого вещества.
Стадия 2: Синтез 1-(4-хлор-2-фторфенил)пиперазина: К ледяному раствору трет-бутил-4-(4-хлор-2-фторфенил)пиперазин-1-карбоксилата (1,3 г, 4,36 ммоль) в диоксане (20 мл) добавляли диоксан-HCl (4 М, 21,79 мл) и перемешивали при 25°С в течение 16 ч. ЖХМС неочищенного соединения показывала полное расходование исх. вещ. и образование продукта. Реакционную массу упаривали досуха с получением чистого соединения в виде гидрохлорида. ЖХМС (ЭС+)=215,2 [М+Н]+.
Стадия 3: Синтез 1-(4-хлор-2-фторфенил)-4-(4-(хлорметил)бензил)пиперазина: К перемешиваемому раствору 1-(4-хлор-2-фторфенил)пиперазингидрохлорида (2 г, 7,96 ммоль) в DMF (15 мл) добавляли DIPEA (3,09 г, 23,89 ммоль, 4,16 мл) и перемешивали в течение 5 мин. Затем 1,4-бис(хлорметил)бензол (1,67 г, 9,56 ммоль, 1,18 мл) добавляли и реакционную смесь нагревали при 60°С в течение 16 ч. По окончании реакции (по данным ТСХ), реакционную смесь разбавляли EtOAc и промывали водой и насыщенным солевым раствором, сушили над сульфатом натрия и концентрировали. Неочищенное соединение очищали методом колоночной хроматографии (100-200 силикагель, 25-30% EtOAc в гексане) с получением 1-(4-хлор-2-фторфенил)-4-[[4-(хлорметил)фенил]метил]пиперазина (1,3 г, 3,31 ммоль, 41,59% выход, 90% чистота) в виде белого твердого вещества. ЖХМС (ЭС+)=354,4 [М+Н]+.
Стадия 4: Синтез 6-(4-((4-(4-хлор-2-фторфенил)пиперазин-1-ил)метил)бензил)бензо[cd]индол-2(1Н)-она: К перемешиваемому раствору 1-(4-хлор-2-фторфенил)-4-[[4-(хлорметил)фенил]метил]пиперазина (700 мг, 1,98 ммоль) и 6-(4,4,5,5-тетраметил-1,3,2-диоксаборолан-2-ил)-1Н-бензо[cd]индол-2-она (643,31 мг, 2,18 ммоль) в этаноле (2 мл) и толуоле (4 мл) добавляли безводный трехосновный фосфат калия (1,26 г, 5,94 ммоль) и реакционную массу дегазировали в атмосфере азота в течение 5 минут. Затем три-о-толилфосфин (120,62 мг, 396,31 ммоль) и (1Е,4Е)-1,5-дифенилпента-1,4-диен-3-онпалладий (181,45 мг, 198,15 ммоль) добавляли к реакционной массе и дегазировали в течение дополнительных 5 мин. Ее затем нагревали при 90°С в течение 16 ч. Реакционную смесь охлаждали до к.т., разбавляли EtOAc, фильтровали через целит и концентрировали в условиях пониженного давления с получением неочищенной массы, которую очищали методом колоночной хроматографии combi-flash с использованием 20-80% EtOAc-Нех в качестве элюента с получением 6-[[4-[[4-(4-хлор-2-фторфенил)пиперазин-1-ил]метил]фенил]метил]-1Н-бензо[cd]индол-2-она в виде желтой вязкой жидкости. ЖХМС (ЭС+)=486,3 [М+Н]+.
Стадия 5: Синтез 3-(6-(4-((4-(4-хлор-2-фторфенил)пиперазин-1-ил)метил)бензил)-2-оксобензо[cd]индол-1(2Н)-ил)пиперидин-2,б-диона: К ледяному раствору 6-[[4-[[4-(4-хлор-2-фторфенил)пиперазин-1-ил]метил]фенил]метил]-1Н-бензо[cd]индол-2-она (280 мг, 576,16 ммоль) в THF (15 мл) добавляли гидрид натрия (в масляной дисперсии) в виде 60% дисперсии в минеральном масле (240,83 мг, 5,76 ммоль, 55% чистота), перемешивали при 25°С в течение 10 мин. Соединение 3-бромпиперидин-2,6-дион (553,14 мг, 2,88 ммоль) добавляли в этот момент и вновь перемешивали в течение 10 мин при 25°С.Реакционную смесь затем нагревали до 70°С в течение 0,5 ч. ЖХМС неочищенного соединения свидетельствовала об образовании продукта. Реакционную смесь охлаждали до к.т.и разбавляли водой и экстрагировали добавлением EtOAc. Объединенные органические фазы промывали водой и насыщенным солевым раствором и сушили над сульфатом натрия. Неочищенное соединение выпаривали досуха и очищали с помощью combiflash, элюируя растворителем EtOAc в DCM с получением 3-[6-[[4-[[4-(4-хлор-2-11ио-го-фенил)пиперазин-1-ил]метил]фенил]метил]-2-оксобензо[cd]индол-1-ил]пиперидин-2,6-диона (190 мг, 295,94 ммоль, 51,36% выход, 93% чистота) в виде желтого твердого вещества. ЖХМС (ЭС+)=597,6 [М+Н]+.
Стадия 6: Хиральное разделение: Соединение 3-[6-[[4-[[4-(4-хлор-2-фторфенил)пиперазин-1-ил]метил]фенил]метил]-2-оксобензо[cd]т-(1о1-1-ил]пиперидин-2,6-дион (166,59 мг, 279,01 ммоль) очищали с помощью следующей колоночной методики: Название колонки: Chiralpak 1С (21 × 250 мм), 5 мкм Подвижная фаза: DCM/изопропанол: 60/40, скорость элюции: 21,0 мл/мин, время элюции: 25 мин. длина волны: 254 нм растворимость: IPA и DCM с получением 3-[6-[[4-[[4-(4-хлор-2-фторфенил)пиперазин-1-ил]метил]фенил]метил]-2-оксобензо[cd]индол-1-ил]пиперидин-2,6-диона Соединения 254 (50 мг, 80,12 ммоль, 28,71% выход, 95,67% чистота) и 3-[6-[[4-[[4-(4-хлор-2-фторфенил)пиперазин-1-ил]метил]фенил]метил]-2оксобензо[cd]индол-1-ил]пиперидин-2,6-диона Соединения 255 (52 мг, 81,23 ммоль, 29,11% выход, 93,27% чистота) в виде желтого твердого вещества. Соединение 254: 1H ЯМР (400 МГц, MeOD): δ 8,25 (d, 1=8 Гц, 1Н), 8,05 (d, 1=8 Гц, 1Н), 7,76 (t, 1=8 Гц, 1Н), 7,36 (d, J=8 Гц,1Н), 7,26 (q, 1=8 Гц, 4Н), 7,09-6,94 (m, 4Н), 5,42-5,38 (m, 1H), 4,42 (s, 2Н), 3,53 (s, 2Н), 3,038 (m, 4 Н), 2,96-2,92 (m, 1H), 2,84-2,80 (m, 2Н), 2,59 (m, 4Н), 2,25-2,22 (m, 1Н).ЖХМС (ЭС+)=597,2 [М+Н]+. Соединение 255: 1H ЯМР (400 МГц, DMSO-d6): δ 11,11 (s, 1Н) 8,34 (d, 1=8 Гц, 1H), 8,08 (d, 1=8 Гц, 1H), 7,82 (t, J=8 Гц,1Н), 7,42 (d, J=8 Гц, 1H), 7,31-7,20 (m, 4Н), 7,16-7,09 (m, 2Н), 7,01 (t, 1=8 Гц, 1H), 5,46-5,41 (m, 1H), 4,38 (s, 2Н), 3,44 (s, 2Н), 2,95 (m, 4Н), 2,77-2,73 (m, 1H), 2,66-2,62 (m, 2Н), 2,10-2,07 (m, 2Н). ЖХМС (ЭС+)=597,2 [М+Н]+.
Пример 142. Синтез 3-(6-(4-((4-(2,4-дифторфенил)пиперазин-1-ил)метил)бензил)-2-оксобензо[cd]индол-1(2Н)-ил)пиперидин-2,6-диона (Соединение 256) и 3-(6-(4-((4-(2,4-дифторфенил)пиперазин-1-ил)метил)бензил)-2-оксобензо[cd]индол-1(2Н)-ил)пиперидин-2,6-диона (Соединение 257)
Стадия 1: Синтез трет-бутил-4-(2,4-дифторфенил)пиперазин-1-карбоксилата: в укупоренной пробирке перемешивали раствор 2,4-дифтор-1-йодбензола (2 г, 8,33 ммоль, 995,02 мкл) и трет-бутилпиперазин-1-карбоксилата (2,33 г, 12,50 ммоль) в диоксане (20 мл), добавляли 2-метилпропан-2-олят натрия (2,00 г, 20,83 ммоль) и дициклогексил-[2-(2,6-диметоксифенил)фенил]фосфан (342,12 мг, 833,37 ммоль), затем реакционную смесь дегазировали в течение 5 мин в атмосфере аргона. Затем добавляли (1Е,4Е)-1,5-дифенилпента-1,4-диен-3-онпалладий (763,13 мг, 833,37 ммоль), затем вновь продували в течение 2 мин в атмосфере аргона, затем реакционную смесь нагревали до 100°С в течение 16 ч. По окончании реакции массу добавляли к воде, затем экстрагировали добавлением EtOAc. Органический слой промывали водой, насыщенным солевым раствором и сушили над сульфатом натрия. Выпаренное неочищенное соединение очищали методом колоночной хроматографии CombiFlash (с использованием 50% EtOAc в гексане) с получением указанного в заголовке соединения трет-бутил-4-(2,4-дифторфенил)пиперазин-1-карбоксилата (1,3 г, 3,09 ммоль, 37,13% выход, 71% чистота) в виде беловатого твердого вещества. ЖХМС (ЭС+)=299,5 [М+Н]+.
Стадия 2: Синтез 1-(2,4-дифторфенил)пиперазина: К ледяному раствору трет-бутил-4-(2,4-дифторфенил)пиперазин-1-карбоксилаат (1,3 г, 4,36 ммоль) в диоксане (20 мл) добавляли диоксан-HCl (4 М, 21,79 мл) и перемешивали при 25°С в течение 16 ч. ЖХМС неочищенного соединения показывала полное расходование исх. вещ. и образование продукта. Реакционную массу упаривали досуха с получением чистого соединения в виде гидрохлорида. ЖХМС (ЭС+)=199,2 [М+Н]+.
Стадия 3: Синтез 1-(4-(хлорметил)бензил)-4-(2,4-дифторфенил)пиперазина: К перемешиваемому раствору 1-(2,4-дифторфенил)пиперазингидрохлорида (1 г, 4,26 ммоль) в DMF (30 мл) добавляли DTPEA (1,65 г, 12,78 ммоль, 2,23 мл) и перемешивали в течение 5 мин. Затем 1,4-бис(хлорметил)бензол (745,95 мг, 4,26 ммоль, 525,32 мкл) добавляли и реакционную смесь нагревали при 60°С в течение 16 ч. По окончании реакции (по данным ТСХ), реакционную смесь разбавляли EtOAc и промывали водой и насыщенным солевым раствором, сушили над сульфатом натрия и концентрировали. Неочищенное соединение очищали методом колоночной хроматографии (100-200 силикагель, 25-30% EtOAc в гексане) с получением 1-[[4-(хлорметил)фенил]метил]-4-(2,4-дифторфенил)пиперазина (400 мг, 1,16 ммоль, 27,31% выход, 98% чистота) в виде белого твердого вещества.
Стадия 4: Синтез 6-(4-((4-(2,4-дифторфенил)пиперазин-1-ил)метил)бензил)бензо[cd]индол-2(1Н)-она: К перемешиваемому раствору 1-[[4-(хлорметил)фенил]метил]-4-(2,4-дифторфенил)пиперазина (400 мг, 1,19 ммоль) и 6-(4,4,5,5-тетраметил-1,3,2-диоксаборолан-2-ил)-1Н-бензо[cd]индол-2-она (701,03 мг, 2,38 ммоль) в этаноле (2 мл) и толуоле (4 мл) добавляли безводный трехосновный фосфат калия (756,29 мг, 3,56 ммоль) и три-о-толилфосфин (72,30 мг, 237,53 ммоль) и реакционную смесь дегазировали в атмосфере аргона в течение 5 минут. Затем (1Е,4Е)-1,5-дифенилпента-1,4-диен-3-онпалладий (108,75 мг, 118,76 ммоль) добавляли к этой реакционной массе и дегазировали в течение дополнительных 5 мин. Ее затем нагревали при 100°С в течение 16 ч. Продукт образовывался по данным ЖХМС. Реакционную смесь охлаждали до к.т., разбавляли EtOAc и водой, фильтровали через целит, органические фазы отделяли, промывали водой с последующей промывкой насыщенным солевым раствором и сушили над сульфатом натрия и концентрировали в условиях пониженного давления с получением неочищенной массы, которое очищали методом колоночной хроматографии combi-flash с использованием 20-80% EtOAc-Hex в качестве элюента с получением 6-[[4-[[4-(2,4-дифторфенил)пиперазин-1-ил]метил]фенил]метил]-1Н-бензо[cd]индол-2-она (250 мг, 431,29 ммоль, 36,32% выход, 81% чистота) в виде беловатого твердого вещества. ЖХМС (ЭС+) = 470,3 [М+Н]+.
Стадия 5: Синтез 3-(6-(4-((4-(2,4-дифторфенил)пиперазин-1-ил)метил)бензил)-2-оксобензо[cd]индол-1-(2Н)ил)пиперидин-2,6-диона: К ледяному раствору 6-[[4-[[4-(2,4-дифторфенил)пиперазин-1-ил]метил]фенил]метил]-1Н-бензо[cd]-индол-2-она (250 мг, 532,45 ммоль) в THF (5 мл) добавляли гидрид натрия (в масляной дисперсии) в виде 60% дисперсии в минеральном масле (127,78 мг, 5,32 ммоль) перемешивали при 25°С в течение 10 мин. Соединение 3-бромпиперидин-2,6-дион (511,18 мг, 2,66 ммоль) добавляли в этот момент и вновь перемешивали в течение 10 мин при 25°С. Реакционную смесь затем нагревали до 70°С в течение 0,5 ч. ЖХМС неочищенного соединения свидетельствовала об образовании продукта. Реакционную смесь охлаждали до к.т. и разбавляли водой и экстрагировали добавлением EtOAc. Объединенные органические фазы промывали водой и насыщенным солевым раствором и сушили над сульфатом натрия. Неочищенное соединение выпаривали досуха и очищали с помощью combi-flash, элюируя растворителем EtOAc в DCM с получением 3-[6-[[4-[[4-(2,4-дифторфенил)пиперазин-1-ил]метил]фенил]метил]-2-оксобензо[cd]индол-1-ил]пиперидин-2,6-диона (190 мг, 317,42 ммоль, 59,61% выход, 97% чистота) в виде желтого твердого вещества. ЖХМС (ЭС+) = 581,6 [М+Н]+.
Стадия 6: Хиральное разделение: Соединение 3-[6-[[4-[[4-(2,4-дифторфенил)пиперазин-1-ил]метил]фенил]метил]-2-оксобензо[cd]индол-1-ил]пиперидин-2,6-дион (162 мг, 279,01 ммоль) очищали в соответствии со следующей колоночной методикой: Chiralpak 1C (20×250 мм), 5 мкм Подвижная фаза: DCM/IPA: 50/50, модификаторов не добавляли, скорость элюции: 18 мл/мин, время элюции: 18 мин. длина волны: 224 нм, растворимость: только DCM. Изомер I Соединение 256: 1Н ЯМР (400 МГц, DMSO-d6): δ 11,12 (s, 1H) 8,34 (d, J=8 Гц, 1Н), 8,08 (d, J=8 Гц, 1Н), 7,83 (t, J=8 Гц,1Н), 7,42 (d, J=8 Гц, 1Н), 7,26-7,18 (m, 4H), 7,05-6,98 (m, 2H), 7,05-7,01 (m, 2H), 5,46-5,42 (m, 1Н), 4,38 (s, 2H), 3,44 (s, 2H), 2,91 (m, 5H), 2,80-2,62 (m, 2H), 2,50-2,46 (m, 4H), 2,10-2,07 (m, 2H). ЖХМС (ЭС+) - 581,2 [М+Н]+. Изомер II Соединение 257: 1Н ЯМР (400 МГц, DMSO-d6): δ 11,12 (s, 1Н) 8,34 (d, J=8 Гц, 1Н), 8,08 (d, J=8 Гц, 1Н), 7,82 (t, J=8 Гц,1Н), 7,42 (d, J=8 Гц, 1Н), 7,26-7,09 (m, 5H), 7,05-6,98 (m, 2H), 5,46-5,42 (m, 1Н), 4,38 (s, 2H), 3,44 (s, 2H), 2,98-2,91 (m, 4H), 2,79-2,62 (m, 2H), 2,49 (m, 4H), 2,10-2,07 (m, 2H). ЖХМС (ЭС+)=581,2[M+H]+.
Пример 143. Синтез 3-(6-(4-((4-(4-фторфенокси)пиперидин-1-ил)метил)бензил)-2-оксобензо[cd]индол-1(2Н)-ил)пиперидин-2,6-диона (Соединение 258)
Стадия 1: Синтез 3-(6-(4-((4-(4-фторфенокси)пиперидин-1-ил)метил)бензил)-2-оксобензо[cd]индол-1(2Н)-ил)пиперидин-2,6-диона: К перемешиваемому раствору 4-[[1-(2,6-диоксо-3-пиперидил)-2-оксобензо[cd]индол-6-ил]метил]бензальдегида (250 мг, 627,49 ммоль) в THF (6 мл) добавляли 4-(4-фторфенокси)пиперидин (122,51 мг, 627,49 ммоль) с последующим добавлением дихлорида дибутилолова(2+) (228,79 мг, 752,99 ммоль, 168,23 мкл) и фенилсилана (67,90 мг, 627,49 ммоль,77,43 мкл). Реакционную смесь затем перемешивали при 90°С в течение 16 часов в укупоренной пробирке. ТСХ показывала образование нового пятна. Реакционную смесь разбавляли этилацетатом, промывали водой и насыщенным солевым раствором. Органическую фракцию отделяли. Ее сушили над безводным сульфатом натрия, упаривали в условиях пониженного давления с получением неочищенного соединения, которое очищали методом флэш-хроматографии с использованием 0-5% MeOH-DCM с получением 3-[6-[[4-[[4-(4-фторфенокси)-1-пиперидил]метил]фенил]метил]-2-оксобензо[cd]индол-1-ил]пиперидин-2,6-диона Соединения 258 (22 мг, 37,78 ммоль, 6,02% выход, 99,2% чистота) в виде желтого твердого вещества. 1Н ЯМР (400 МГц, DMSO-d6): δ 11,09 (s, 1Н), 8,31 (d, J=8 Гц, 1Н), 8,05 (d, J=8 Гц, 1H),7,80 (t, J=8 Гц, 1Н),7,39 (d, J=8 Гц, 1Н), 7.21-7,15 (m, 4H), 7,08-7,02 (m, 3H),6,90 (bs, 2H) 5,42-5,39 (m, 1Н), 4,34 (s, 2H), 4,24 (s, 1Н), 3,37 (s, 2H) 2.95-2,88 (m, 1Н), 2,77-2.70 (m, 1Н), 2,67-2,59 (m, 3H), 2,12-2,06 (m, 3H), 2,04 (m, 2H), 1,54 (m, 2H), ЖХМС (ЭС+) = 578,2 [М+Н]+.
Пример 144. Синтез 3-(6-((1-((1r,4r)-4-неопентилциклогексил)-1Н-пиразол-4-ил)метил)-2-оксобензо[cd]индол-1(2Н)-ил)пиперидин-2,6-диона (Соединение 259) и 3-(6-((1-((1s,4s)-4-неопентилциклогексил)-1Н-пиразол-4-ил)метил)-2-оксобензо[cd]индол-1(2Н)-ил)пиперидин-2,6-диона (Соединение 260)
Стадия 1: Синтез 4-неопентилциклогексан-1-ола: К раствору 4-(2,2-диметилпропил)фенола (1 г, 6,09 ммоль) в гексане (30 мл) добавляли трихлорродийгидрат (138,38 мг, 608,85 ммоль), однозамещенный сульфат тетрабутиламмония (206,73 мг, 608,85 ммоль) и буфер (6,09 ммоль, 30 мл) (фосфатный буфер рН 7,4), реакционную смесь перемешивали при давлении водорода 100 фунтов на кв. дюйм в сосуде Парра при 25°С в течение 48 ч. Продукт образовывался по данным GCMS. Реакционную смесь разбавляли водой и EtOAc. Органические фазы отделяли и промывали водой и насыщенным солевым раствором и сушили над сульфатом натрия. Упаривали органические фазы очищали с помощью combiflash с использованием 10-50% EtOAc в гексане с получением 4-(2,2-диметилпропил)ииклогексанола (380 мг, 2,01 ммоль, 32,99% выход, 90% чистота) в виде легкоплавкого твердого вещества. Фосфатный буфер: 800 мл дистиллированной воды переносили в подходящий контейнер, 20,214 г Na2HPO4-7H2O и 3,394 г NaH2PO4.H2O добавляли к раствору. Раствор доводили до окончательного желаемого рН с помощью HCl или NaOH. Дистиллированную воду добавляли до объема 1 л.
Стадия 2: Синтез 4-неопентилциклогексилметансульфоната: К ледяному раствору 4-(2,2-диметилпропил)пиклогексанола (120 мг, 704,68 ммоль) в DCM (10 мл) добавляли триэтиламин (142,61 мг, 1,41 ммоль, 196,44 мкл) с последующим добавлением мезилхлорида (88,79 мг, 775,14 ммоль, 60,00 мкл). Реакционной смеси позволяли нагреться до к.т. в течение 2 ч. ТСХ показывала образование нового пятна. Реакционную смесь разбавляли водой и DCM. Органические фазы отделяли. Объединенные органические фазы промывали водой, насыщенным солевым раствором и сушили над сульфатом натрия. Органические фазы упаривали досуха с получением [4-(2,2-диметилпропил)циклогексил]метансульфоната (170 мг, 342,22 ммоль, 48,56% выход, 50% чистота) в качестве неочищенного соединения.
Стадия 3: Синтез 1-(4-метоксибензил)-6-((1-(4-неопентилциклогексил)-1Н-пиразол-4-ил)метил)бензо-[cd]индол-2(1Н)-она: К раствору 1-[(4-метоксифенил)метил]-6-(1Н-пиразол-4-илметил)бензо[cd]индол-2-она (3,47 г, 9,39 ммоль) и [4-(2,2-диметилпропил)циклогексил]метансульфоната (3,50 г, 14,09 ммоль) в DMF (45 мл) в укупоренной пробирке добавляли карбонат цезия (6,12 г, 18,79 ммоль) и нагревали до 90°С в течение 16 ч. ЖХМС неочищенного соединения свидетельствовала об образовании продукта. Реакционную смесь охлаждали до к.т.и разбавляли водой, EtOAc. Органические фазы отделяли. Объединенные органические фазы промывали водой, насыщенным солевым раствором и сушили над сульфатом натрия. Неочищенного соединения органические фазы упаривали досуха и очищали с помощью combiflash с использованием EtOAc в гексане с получением 6-[[1-[4-(2,2-диметилпропил)циклогексил]пиразол-4-ил]метил]-1-[(4-метоксифенил)метил]бензо-[cd]индол-2-она (2,1 г, 3,62 ммоль, 38,57% выход, 90% чистота) в виде желтого липкого геля. ЖХМС (ЭС+) = 522,5 [М+Н]+.
Стадия 4: Синтез 6-((1-(4-неопентилциклогексил)-1Н-пиразол-4-ил)метил)бензо[cd]индол-2(1Н)-она: К перемешиваемому раствору 6-[[1-[4-(2,2-диметилпропил)циклогексил]пиразол-4-ил]метил]-1-[(4-метоксифенил)метил]бензо[cd]индол-2-она (200 мг, 383,37 ммоль) в TFA (3 мл) добавляли триэтилсилан (178,31 мг, 1,53 ммоль, 244,93 мкл) и реакционную смесь нагревали при 90°С в течение 2 ч в укупоренной пробирке. ТСХ показывала полное расходование исходного вещества наряду с образованием желаемого пятна. Растворитель упаривали из реакционной смеси в условиях пониженного давления и растирали с эфиром с получением 6-[[1-[4-(2,2-диметилпропил)циклогексил]пиразол-4-ил]метил]-1Н-бензо[cd]индол-2-она (18 мг, 42,59 ммоль, 11,11% выход, 95% чистота) в качестве неочищенного соединения.
Стадия 5: Разделение цис/транс-изомеров: Неочищенное соединение разделяли на цис/транс методом SFC, с использованием колонки: Regis Reflect C-Amylose A (250×30 мм) 5 мкм, поток: 25 г/мин, Подвижная фаза:50% CO2 +50% (0,3% Изопропиламин в МеОН) ABPR:100 бар, температура:35°С. Изомер I 6а (6-[[1-[4-(2,2-диметилпропил)циклогексил]пиразол-4-ил]метил]-1Н-бензо[cd]индол-2-он (18 мг, 42,59 ммоль, 11,11% выход, 95% чистота): 18 мг. Изомер 6b (6-[[1-[4-(2,2-диметилпропил)циклогексил]пиразол-4-ил]метил]-1Н-бензо[cd]индол-2-он (40 мг, 94,64 ммоль, 24,69% выход, 95% чистота): 40 мг.
Стадия 6а: Синтез 3-(6-((1-((1r,4r)-4-неопентилциклогексил)-1Н-пиразол-4-ил)метил)-2-оксобензо[cd]индол-1(2Н)-ил)пиперидин-2,6-диона: К ледяному раствору 6-[[1-[4-(2,2-диметилпропил)циклогексил]пиразол-4-ил]метил]-1Н-бензо[cd]индол-2-она (250 мг, 622,60 ммоль) (Изомер II) в THF (20 мл) добавляли гидрид натрия (в масляной дисперсии) в виде 60% дисперсии в минеральном масле (271,65 мг, 6,23 ммоль, 55% чистота) перемешивали при 25°С в течение 10 мин. Соединение 3-бромпиперидин-2,6-диона (119,55 мг, 622,60 ммоль) добавляли в этот момент и вновь перемешивали в течение 10 мин при 25°С. Реакционную смесь затем нагревали до 70°С в течение 0,5 ч. ЖХМС неочищенного соединения свидетельствовала об образовании продукта. Реакционную смесь охлаждали до к.т. и разбавляли водой и экстрагировали добавлением EtOAc. Объединенные органические фазы промывали водой и насыщенным солевым раствором и сушили над сульфатом натрия. Неочищенное соединение выпаривали досуха и очищали с помощью combiflash, элюируя растворителем EtOAc в DCM с получением 3-[6-[[1-[4-(2,2-диметилпропил)циклогексил]пиразол-4-ил]метил]-2-оксобензо[cd]индол-1-ил]пиперидин-2,6-диона Соединения 259 (235 мг, 448,14 ммоль, 71,98% выход, 97,76% чистота) в виде желтого твердого вещества. 1Н ЯМР (400 МГц, DMSO-d6): δ 11,11 (bs, 1H), 8,37 (d, J=8 Гц, 1Н), 8,09 (d, J=8 Гц, 1H),7,84 (t, J=8 Гц, 1H), 7,51 (s, 1H),7,35 (d, J=8 Гц, 1H), 7,27 (s, 1H),7,07 (d, J=8 Гц, 1Н), 5,45-5,41 (m, 1H), 4,17 (s, 2H), 3,99-3,93 (m, 1H), 2,94-2,90 (m, 1H), 2,75-2,72 (m, 1H), 2,66-2,62 (m, 1H), 2,09-2,06 (m, 1H), 1,90-1,87 (m, 2H), 1,77-1,62 (m, 4H), 1,35 (bs, 2H), 1,23 (bs, 2H), 1,17-I,03 (m, 4H), 0,87 (s, 9H). ЖХМС (ЭС+) = 513,3 [М+Н]+.
Стадия 6b: Синтез 3-(6-((1-((1s,4s)-4-неопентилциклогексил)-1Н-пиразол-4-ил)метил)-2-оксобензо[cd]индол-1(2Н)-ил)пиперидин-2,6-диона: К ледяному раствору 6-[[1-[4-(2,2-диметилпропил)циклогексил]пиразол-4-ил]метил]-1Н-бензо[cd]индол-2-она (68,00 мг, 169,35 ммоль) (Изомер I) в THF (20 мл) добавляли гидрид натрия (в масляной дисперсии) в виде 60% дисперсии в минеральном масле (73,89 мг, 1,69 ммоль, 55% чистота) перемешивали при 25°С в течение 10 мин. Соединение 3-бромпиперидин-2,6-дион (162,58 мг, 846,73 ммоль) добавляли в этот момент и вновь перемешивали в течение 10 мин при 25°С. Реакционную смесь затем нагревали до 70°С в течение 0,5 ч. ЖХМС неочищенного соединения свидетельствовала об образовании продукта. Реакционную смесь охлаждали до к.т. и разбавляли водой и экстрагировали добавлением EtOAc. Объединенные органические фазы промывали водой и насыщенным солевым раствором и сушили над сульфатом натрия. Неочищенное соединение выпаривали досуха и очищали с помощью combiflash, элюируя растворителем EtOAc в DCM с получением 3-[6-[[1-[4-(2,2-диметилпропил)циклогексил]пиразол-4-ил]метил]-2-оксобензо[cd]индол-1-ил]пиперидин-2,6-диона Соединения 260 (51 мг, 97,34 ммоль, 57,48% выход, 97,84% чистота) в виде желтого твердого вещества. 1H ЯМР (400 МГц, DMSO-d6): δ 11,11 (bs, 1H), 8,38 (d, J=8 Гц, 1H), 8,09 (d, J=8 Гц, 1Н),7,84 (t, J=8 Гц, 1H), 7,58 (s, 1H),7,36 (d, J=8 Гц, 1H), 7,28 (s, 1H),7,08 (d, J=8 Гц, 1Н), 5,44-5,42 (m, 1H), 4,18 (s, 2H), 4,038 (m, 1H), 2,94-2,91 (m, 1H), 2,76-2,72 (m, 1H), 2,66-2,62 (m, 1H), 2,07 (m, 1H), 1,92-1,89 (m, 2H), 1,72-1,65 (m, 3Н), 1,56-1,50 (bs, 2H), 1,40 (bs, 2H), 1,17-1,15 (m, 2H), 0,86 (s, 9H). ЖХМС (ЭС+) = 513,3 [М+Н]+.
Пример 145. Синтез N-циклопропил-4-(4-((1-(2,6-диоксопиперидин-3-ил)-2-оксо-1,2-дигидробензо[cd]индол-6-ил)метил)-1Н-пиразол-1-ил)-N-метилпиперидин-1-карбоксамида (Соединение 261)
Стадия 1: Синтез 4-нитрофенилциклопропил(метил)карбамата: К раствору (4-нитрофенил)карбонохлоридата (500 мг, 2,48 ммоль) в DCM (10 мл) добавляли триэтиламин (753,04 мг, 7,44 ммоль, 1,04 мл) с последующим добавлением N-метилциклопропанамина (176,42 мг, 2,48 ммоль, 297,41 мкл). Реакционную смесь перемешивали при к.т. в течение 3 ч. ТСХ неочищенного соединения показывала полное расходование исх. вещ. и образование нового полярного пятна. Реакционную смесь добавляли к воду и экстрагировали добавлением DCM. Объединенные органические фазы промывали водой и насыщенным солевым раствором и сушили над сульфатом натрия. Неочищенное соединение выпаривали досуха с получением (4-нитрофенил)-N-циклопропил-N-метилкарбамата(360 мг, 761,99 ммоль, 30,72% выход, 50% чистота) в виде беловатого твердого вещества. ЖХМС (ЭС+) = 237,2 [М+Н]+.
Стадия 2: Синтез N-циклопропил-4-(4-((1-(2,6-диоксопиперидин-3-ил)-2-оксо-1,2-дигидробензо[cd]индол-6-ил)метил)-1Н-пиразол-1-ил)-N-метилпиперидин-1-карбоксамида: К раствору 3-[2-оо-6-[[1-(4-пиперидил)пиразол-4-ил]метил]бензо[cd]индол-1-ил]пиперидин-2,б-диона (137,41 мг, 309,83 ммоль, 021) и (4-нитрофенил)-N-циклопропил-N-метилкарбамата (109,78 мг, 464,74 ммоль) в DMF (6 мл) добавляли триэтиламин (94,05 мг, 929,48 ммоль, 129,55 мкл) и продолжали при 100°С в течение 16 ч. ЖХМС неочищенного соединения свидетельствовала об образовании продукта с некоторым количеством исх. вещ.-2. Реакционную смесь охлаждали до к.т. и разбавляли водой. Всю массу экстрагировали добавлением EtOAc. Объединенные органические фазы промывали водой, насыщенным солевым раствором и сушили над сульфатом натрия. Выпаренную массу очищали с помощью преп. ТСХ, элюируя растворителем ацетон - DCM с получением N-циклопропил-4-[4-[[1-(2,6-диоксо-3-пиперидил)-2-оксобензо-[cd]индол-6-ил]метил]пиразол-1-ил]-N-метилпиперидин-1-карбоксамида Соединения 261 (40 мг, 71,48 ммоль, 23,07% выход, 96,61% чистота) в виде желтого твердого вещества. 1Н ЯМР (400 МГц, DMSO-d6): δ 11,11 (s, 1H), 8,38 (d, J=8 Гц, 1Н) 8,09 (d, J=8 Гц. 1H), 7,85(t, J=8 Гц, 1H), 7,58 (s, 1H), 7,36 (d, J=8 Гц, 1H), 7,31 (s, 1H), 7,08 (d, J=8 Гц, 1H), 5,45-5,42 (m, 1H), 4,21-4,18 (m, 3H), 3,76-3,72 (m, 2H), 2,94 (m, 1H), 2,82-2,73 (m, 2H). 2,71 (s, 3H), 2,66-2,62 (m, 1H),2,57 (m, 1H), 2,09-2,08 (m, 1H), 1,90-1,87 (m, 2H), 1,79 -1,74 (m, 2H), 1,23 (s, 1H), 0,63-0,62 (m, 2H), 0,47 (bs, 2H). ЖХМС (ЭС+) = 541,2 [М+Н]+.
Пример 146. Синтез 4-[4-(1-{4-[1-(2,6-диоксопиперидин-3-ил)-2-оксо-1,2-дигидробензо[cd]индол-6-илметил]фенил}циклопропил)пиперазин-1-ил]-3-фторбензонитрила (Соединение 262)
Стадия 1: Синтез 1-(4-Бромфенил)циклопропиламина: К перемешиваемому раствору трет-бутил-N-[1-(4-бромфенил)циклопропил]карбамата (3,0 г, 9,61 ммоль) в 1,4-диоксане (30 мл) добавляли раствор хлороводорода 4,0М в диоксане (4,0 М, 24,02 мл) при к.т. и реакционную смесь перемешивали при к.т. в течение 16 ч. За ходом реакции наблюдали с помощью ТСХ, по завершении реакции реакционную смесь концентрировали в условиях пониженного давления, полученное соединение растирали с эфиром с получением 1-(4-бромфенил)циклопропанамина (2,2 г, 8,41 ммоль, 87,51% выход, 95% чистота) в виде беловатого твердого вещества. ЖХ-МС:(ЭС+) = 212,0, 214,0 [М+Н]+.
Стадия 2: Синтез 1-[1-(4-Бромфенил)циклопропил]-4-(толуол-4-сульфонил)пиперазина:
Брали 1-(4-бромфенил)циклопропанамин (3,0 г, 12,07 ммоль, 021) и N,N-бис(2-хлорэтил)-4-метилбензолсульфонамид (3,58 г, 12,07 ммоль) в укупоренной пробирке и DIPEA (23,40 г, 181,05 ммоль, 31,54 мл) добавляли и реакционную смесь перемешивали при 120°С в течение 24 ч. За ходом реакции наблюдали с помощью ТСХ, по завершении реакции реакционную смесь разбавляли этилацетатом и промывали водой и насыщенным солевым раствором, органический слой отделяли, сушили безводным сульфатом натрия, фильтровали и концентрировали в условиях пониженного давления с получением неочищенного соединения и его очищали методом колоночной хроматографии, элюируя 0 - 20% этилацетата в гексане с получением 1-[1-(4-бромфенил)циклопропил]-4-(п-толилсульфонил)пиперазина (1,5 г, 3,27 ммоль, 27,12% выход, 95% чистота) в виде беловатого твердого вещества. ЖХ-МС:(ЭС+) = 434,8, 436,8 [М+Н]+.
Стадия 3: Синтез 1-[1-(4-Бромфенил)циклопропил]пиперазина: Бромистоводородную кислоту, 48% (29,80 г, 368,30 ммоль, 20 мл) добавляли к 1-[1-(4-бромфенил)циклопропил]-4-(п-толилсульфонил)пиперазину (1,0 г, 2,30 ммоль) при к.т. и реакционную смесь перемешивали при к.т. в течение 24 ч. За ходом реакции наблюдали с помощью ТСХ, по завершении реакции реакционную смесь концентрировали в условиях пониженного давления и полученное соединение растворяли в воде и доводили рН бикарбонатом натрия и экстрагировали добавлением этилацетата и органический слой промывали насыщенным солевым раствором, органический слой отделяли, сушили безводным сульфатом натрия, фильтровали и концентрировали в условиях пониженного давления с получением 1-[1-(4-бромфенил)циклопропил]пиперазина (0,600 г, 2,09 ммоль, 91,04% выход, 98% чистота) в виде беловатого твердого вещества. ЖХ-МС:(ЭС+) = 283,2 [М+Н]+.
Стадия 4: Синтез трет-бутилового эфира 4-[1-(4-бромфенил)циклопропил]пиперазин-1-карбоновой кислоты: К перемешиваемому раствору 1-[1-(4-бромфенил)циклопропил]пиперазина (0,600 г, 2,13 ммоль) в THF (10 мл) добавляли триэтиламин (323,88 мг, 3,20 ммоль, 446,11 мкл) и с последующим добавлением ди-трет-бутилдикарбоната (931,38 мг, 4,27 ммоль, 979,37 мкл) добавляли и реакционную смесь перемешивали при к.т.в течение 2 ч. За ходом реакции наблюдали с помощью ТСХ, по завершении реакции реакционную смесь концентрировали и непосредственно очищали методом колоночной хроматографии, элюируя 0 - 20% этилацетата в гексане, с получением трет-бутил-4-[1-(4-бромфенил)циклопропил]пиперазин-1-карбоксилата (0,500 г, 1,25 ммоль, 58,38% выход, 95% чистота) в виде беловатого твердого вещества. ЖХ-МС:(ЭС+) = 381,0 [М+Н]+.
Стадия 5: Синтез трет-бутилового эфира 4-{1-[4-(4,4,5,5-тетраметил-[1,3,2]диоксаборолан-2-ил)фенил]циклопропил}пиперазин-1-карбоновой кислоты: К перемешиваемому раствору трет-бутил-4-[1-(4-бромфенил)циклопропил]пиперазин-1-карбоксилата (2,0 г, 5,25 ммоль) в 1,4-диоксане (20 мл) в укупоренной пробирке добавляли 4,4,5,5-тетраметил-2-(4,4,5,5-тетраметил-1,3,2-диоксаборолан-2-ил)-1,3,2-диоксаборолан (1,33 г, 5,25 ммоль), затем ацетат калия (1,29 г, 13,11 ммоль, 819,70 мкл) добавляли и дегазировали в течение 10 мин, затем [1,1'-бис(дифенилфосфино)ферроцен]дихлорпалладий(II) в комплексе с дихлорметаном (214,17 мг, 262,26 ммоль) добавляли и вновь дегазировали в течение 10 мин, После дегазации реакционную смесь закрывали тефлоновой крышкой и перемешивали при 90°С в течение 16 ч. За ходом реакции наблюдали с помощью ТСХ, по завершении реакции реакционную смесь фильтровали и концентрировали и неочищенное соединение очищали методом колоночной хроматографии, элюируя 0 - 15% этилацетата в гексане, с получением трет-бутил-4-[1-[4-(4,4,5,5-тетраметил-1,3,2-диоксаборолан-2-ил)фенил]циклопропил]пиперазин-1-карбоксилата (2,0 г, 4,44 ммоль, 84,56% выход, 95% чистота) в виде беловатого твердого вещества. ЖХ-МС:(ЭС+) = 429,0 [М+Н]+.
Стадия 6: Синтез трет-бутилового эфира 4-(1-{4-[1-(4-метоксибензил)-2-оксо-1,2-дигидробензо[cd]индол-6-илметил]фенил}циклопропил)пиперазин-1-карбоновой кислоты: К перемешиваемому раствору 6-(хлорметил)-1-[(4-метоксифенил)метил]бензо[cd]индол-2-она (2,0 г, 5,92 ммоль) и трет-бутил-4-[1-[4-(4,4,5,5-тетраметил-1,3,2-диоксаборолан-2-ил)фенил]циклопропил]пиперазин-1-карбоксилата (2,54 г, 5,92 ммоль) в смеси толуола (12 мл) и этанола (6 мл) добавляли трехзамещенный фосфат калия (3,14 г, 14,80 ммоль), затем дегазировали в течение 10 мин, затем трис(о-толил)фосфин (360,41 мг, 1,18 ммоль) и трис(дибензилиденацетон)дипалладий(0) (542,17 мг, 592,07 ммоль) добавляли и вновь дегазировали в течение 10 мин, после дегазации реакционную смесь закрывали тефлоновой крышкой и перемешивали при 90°С в течение 16 ч. За ходом реакции наблюдали с помощью ТСХ, по завершении реакции реакционную смесь разбавляли этилацетатом, промывали водой и насыщенным солевым раствором, органический слой отделяли, сушили безводным сульфатом натрия, фильтровали и концентрировали в условиях пониженного давления с получением неочищенного соединения и его очищали методом колоночной хроматографии, элюируя 10-50% этилацетата в гексане с получением трет-бутил-4-[1-[4-[[1-[(4-метоксифенил)метил]-2-оксобензо[cd]индол-6-ил]метил]фенил]циклопропил]пиперазин-1-карбоксилата (0,900 г, 1,46 ммоль, 24,67% выход, 98% чистота) в виде беловатого твердого вещества. ЖХ-МС:(ЭС+) = 604,5 [М+Н]+.
Стадия 7: Синтез 6-[4-(1-Пиперазин-1-илциклопропил)бензил]-1Н-бензо[cd]индол-2-она: К перемешиваемому раствору трет-бутил-4-[1-[4-[[1-[(4-метоксифенил)метил]-2-оксобензо[cd]индол-6-ил]метил]фенил]циклопропил]пиперазин-1-карбоксилата (0,400 г, 662,53 ммоль) в трифторуксусной кислоте (5 мл) добавляли трифторметансульфоновую кислоту (994,30 мг, 6,63 ммоль, 581,46 мкл) при к.т., 0°С, затем реакционную смесь перемешивали при к.т. в течение 16 ч. За ходом реакции наблюдали с помощью ТСХ, по завершении реакции реакционную смесь концентрировали в условиях пониженного давления, затем неочищенного соединения, растворяли в воде и рН доводили бикарбонатом натрия до 8 и экстрагировали добавлением этилацетата, промывали насыщенным солевым раствором, органический слой отделяли, сушили безводным сульфатом натрия, фильтровали и концентрировали в условиях пониженного давления с получением соединения в виде желтого твердого вещества. ЖХ-МС:(ЭС+) = 384,3 [М+Н]+.
Стадия 8: Синтез 3-Фтор-4-(4-{1-[4-(2-оксо-1,2-дигидробензо[cd]индол-6-илметил)фенил]циклопропил}пиперазин-1-ил)бензонитрил: К перемешиваемому раствору 6-[[4-(1-пиперазин-1-илциклопропил)фенил]метил]-1Н-бензо[cd]индол-2-она (0,250 г, 651,92 ммоль) в NMP (2 мл) добавляли 3,4-дифторбензонитрил (181,37 мг, 1,30 ммоль), затем DIPEA (210,64 мг, 1,63 ммоль, 283,88 мкл) добавляли в укупоренной пробирке, затем закрывали тефлоновой крышкой и перемешивали при 100°С в течение 16 ч. За ходом реакции наблюдали с помощью ТСХ, по завершении реакции реакционную смесь гасили холодной водой и экстрагировали добавлением этилацетата, промывали насыщенным солевым раствором, органический слой отделяли, сушили безводным сульфатом натрия, фильтровали и концентрировали в условиях пониженного давления с получением неочищенного соединения и его очищали методом колоночной хроматографии, элюируя 1 - 5% МеОН в DCM с получением 3-фтор-4-[4-[1-[4-[(2-оксо-1Н-бензо[cd]индол-6-ил)метил]фенил]циклопропил]пиперазин-1-ил]бензонитрила (0,150 г, 283,54 ммоль, 43,49% выход, 95% чистота) в виде желтого твердого вещества. ЖХ-МС:(ЭС+) = 503,4 [М+Н]+.
Стадия 9: Синтез 4-[4-(1-{4-[1-(2,6-Диоксопиперидин-3-ил)-2-оксо-1,2-дигидробензо[cd]индол-6-илметил]фенил}циклопропил)пиперазин-1-ил]-3-фторбензонитрила: К перемешиваемому раствору 3-фтор-4-[4-[1-[4-[(2-оксо-1Н-бензо[cd]индол-6-ил)метил]фенил]циклопропил]пиперазин-1-ил]бензонитрила (0,150 г, 298,46 ммоль) в THF (5 мл) охлаждали до 0°С, затем гидрид натрия (в масляной дисперсии) в виде 60% дисперсии в минеральном масле (143,25 мг, 3,58 ммоль, 60% чистота) добавляли порциями, затем реакционную смесь перемешивали при 0°С в течение 15 мин, затем 3-бромпиперидин-2,6-дион (343,84 мг, 1,79 ммоль) добавляли и реакционную смесь перемешивали при к.т. в течение 30 мин, затем ее перемешивали при 70°С в течение 16 ч. За ходом реакции наблюдали с помощью ТСХ, по завершении реакции реакционную смесь гасили холодной водой и экстрагировали добавлением этилацетата, промывали насыщенным солевым раствором до органического слоя, отделяли органический слой, сушили безводным сульфатом натрия, фильтровали и концентрировали в условиях пониженного давления с получением неочищенного соединения и его очищали методом преп. ВЭЖХ с получением 4-[4-[1-[4-[[1-(2,6-диоксо-3-пиперидил)-2-оксобензо[cd]индол-6-ил]метил]фенил]циклопропил]пиперазин-1-ил]-3-фторбензонитрила Соединения 262 (10 мг, 16,09 ммоль, 5,39% выход, 98,76% чистота) в виде желтого твердого вещества. 1Н ЯМР (400 МГц, DMSO-d6): δ 11,11 (s, 1H), 8,35-8,33 (d, J=8 Гц, 1Н), 8,07-8,05 (d, J=8 Гц, 1Н), 7,82-7,78 (m, 1H). 7,64-7,60 (m, 1Н), 7,51-7,49 (m, 1Н), 7,41-7,39 (m, 1Н), 7,26-7,24 (m, 2H),7,19-7,17 (m, 2H), 7,11-7,09 (m, 1H), 7.04-7,00 (m, 1H). 5,44-5,42 (m, 1H), 4,38 (s, 2H), 3,16 (m, 4H), 2,97-2,91 (m, 2H). 2,79-2,72 (m, 2H), 2,66-2,62 (m, 2H), 2.08-2,07 (m, 2H), 0,85 (m, 2H), 0,71 (m. 2H), ЖХ-МС:(ЭС+)=614,3 [M+H]+.
Пример 147. Синтез 3-[6-(4-{1-14-(1-Метилциклобутанкарбонил)пиперазин-1-ил]циклопропил}бензил)-2-оксо-2Н-бензо[cd]индол-1-ил]пиперидин-2,6-диона (Соединение 263)
Стадия 1: Синтез 6-[4-(1-Пиперазин-1-илциклопропил)бензил]-1Н-бензо[cd]индол-2-она: К перемешиваемому раствору трет-бутил-4-[1-[4-[[1-[(4-метоксифенил)метил]-2-оксобензо[cd]индол-6-ил]метил]фенил]циклопропил]пиперазин-1-карбоксилата (0,400 г, 662,53 ммоль) в трифторуксусной кислоте (5 мл) добавляли трифторметансульфоновую кислоту (994,30 мг, 6,63 ммоль, 581,46 мкл) при к.т. 0°С затем реакционную смесь перемешивали при к.т. в течение 16 ч. За ходом реакции наблюдали с помощью ТСХ, по завершении реакции реакционную смесь концентрировали в условиях пониженного давления затем неочищенного соединения растворяли в воде и рН доводили бикарбонатом натрия до 8 и экстрагировали добавлением этилацетата, промывали насыщенным солевым раствором, органический слой отделяли, сушили безводным сульфатом натрия, фильтровали и концентрировали в условиях пониженного давления с получением соединения в виде желтого твердого вещества. ЖХ-МС:(ЭС+) = 384,3 [М+Н]+.
Стадия 2: Синтез 6-(4-{1-[4-(1-Метилциклобутанкарбонил)пиперазин-1-ил]циклопропил}бензил)-1Н-бензо[cd]индол-2-она: К перемешиваемому раствору 6-[[4-(1-пиперазин-1-илциклопропил)фенил]метил]-1Н-бензо[cd]индол-2-она (0,100 г, 260,77 ммоль) в DMF (2 мл) добавляли 1-метилциклобутанкарбоновую кислоту (59,53 мг, 521,53 ммоль), затем N,N-диизопропилэтиламин (101,11 мг, 782,30 ммоль, 136,26 мкл) добавляли и в итоге HATU (247,88 мг, 651,92 ммоль) добавляли и реакционную смесь перемешивали при к.т.в течение 16 ч. За ходом реакции наблюдали с помощью ТСХ, по завершении реакции реакционную смесь растворяли в этилацетате, промывали холодной водой и далее промывали насыщенным солевым раствором, органический слой отделяли, сушили безводным сульфатом натрия, фильтровали и концентрировали в условиях пониженного давления с получением неочищенного соединения и его очищали методом колоночной хроматографии, элюируя 1-5% МеОН в DCM с получением 6-[[4-[1-[4-(1-метилциклобутанкарбонил)пиперазин-1-ил]циклопропил]фенил]метил]-1Н-бензо[cd]индол-2-она (0,100 г, 166,80 ммоль, 63,97% выход, 80% чистота) в виде желтого твердого вещества. ЖХ-МС:(ЭС+) = 480,6 [М+Н]+.
Стадия 3: Синтез 3-[6-(4-{1-[4-(1-Метилциклобутанкарбонил)пиперазин-1-ил]циклопропил}бензил)-2-оксо-2Н-бензо[cd]индол-1-ил]пиперидин-2,6-диона: К перемешиваемому раствору 6-[[4-[1-[4-(1-метилциклобутанкарбонил)пиперазин-1-ил]циклопропил]фенил]метил]-1Н-бензо[cd]индол-2-она (0,100 г, 208,50 ммоль) в THF (5 мл), охлажденному до 0°С, затем гидрид натрия (в масляной дисперсии) в виде 60% дисперсии в минеральном масле (57,52 мг, 2,40 ммоль) добавляли в виде порциями, после завершения добавления реакционную смесь перемешивали при 0°С в течение 10 мин, затем 3-бромпиперидин-2,6-дион (240,21 мг, 1,25 ммоль) добавляли и реакционную смесь перемешивали при к.т. в течение 10 мин, затем реакционную смесь перемешивали при 70°С в течение 16 ч. За ходом реакции наблюдали с помощью ТСХ по завершении реакции, реакционную смесь гасили холодной водой, затем экстрагировали добавлением этилацетата, промывали насыщенным солевым раствором до органического слоя, органический слой отделяли, сушили безводным сульфатом натрия, фильтровали и концентрировали в условиях пониженного давления с получением неочищенного соединения и его очищали методом преп. ВЭЖХ с получением 3-[6-[[4-[1-[4-(1-метилциклобутанкарбонил)пиперазин-1-ил]циклопропил]фенил]метил]-2-оксобензо[cd]индол-1-ил]пиперидин-2,6-диона Соединения 263 (22 мг, 36,16 ммоль, 17,34% выход, 97,09% чистота) в виде светло-желтого твердого вещества. 1Н ЯМР (400 МГц, DMSO-d6): δ 11,12 (s, 1H), 8,32-8,30 (d, J=8 Гц, 1Н), 8,07-8,05 (d, J=8 Гц, 1H), 7,80-7,76 (m, 1H), 7,41-7,39 (d, J=8 Гц, 1H), 7,24-7,22 (d, J=8 Гц, 2Н), 7,14-7,08 (m, 3H). 5,45-5,41 (m, 1H), 4,37 (s, 2Н), 3,29 (brs, 2Н), 2,97-2,90 (m, 2Н), 2,79-2,72 (m, 1H), 2,69-2,62 (m, 2Н), 2,32 (m, 4H), 2,25-2,20 (m, 2Н), 2,10-2,07 (m, 1H), 1,90-1,81(m, 1H), 1,71-1,69 (m, 2Н), 1,54-1,52 (m. 1H), 1,23 (s, 3H), 0.88-0,76 (m, 2Н), 0,75-0,63(m, 2Н). ЖХ-МС:(ЭС+) = 591,3 [M+H]+.
Пример 148. Синтез 3-[6-(4-{1-[4-(2-Фторфенил)пиперазин-1-ил]циклопропил}бензил)-2-оксо-2Н-бензо[cd]индол-1-ил]пиперидин-2,6-диона (Соединение 264)
Стадия 1: Синтез 1-(4-Бромфенил)циклопропиламина: К перемешиваемому раствору трет-бутил-N-[1-(4-бромфенил)циклопропил]карбамата (3,0 г, 9,61 ммоль) в 1,4-диоксане (30 мл) добавляли раствор хлороводорода 4,0М в диоксане (4,0 М, 24,02 мл) при к.т.и реакционную смесь перемешивали при к.т. в течение 16 ч. За ходом реакции наблюдали с помощью ТСХ, по завершении реакции реакционную смесь концентрировали в условиях пониженного давления полученное соединение растирали с эфиром с получением 1-(4-бромфенил)циклопропанамина (2,2 г, 8,41 ммоль, 87,51% выход, 95% чистота) в виде беловатого твердого вещества. ЖХ-МС:(ЭС+) = 212,0, 214,0 [М+Н]+.
Стадия 2: Синтез 1-[1-(4-Бромфенил)циклопропил]-4-(толуол-4-сульфонил)пиперазина: Брали 1-(4-бромфенил)циклопропанамин (3,0 г, 12,07 ммоль, 021) и N,N-бис(2-хлорэтил)-4-метилбензолсульфонамид (3,58 г, 12,07 ммоль) в укупоренной пробирке и DIPEA (23,40 г, 181,05 ммоль, 31,54 мл) добавляли и реакционную смесь перемешивали при 120°С в течение 24 ч. За ходом реакции наблюдали с помощью ТСХ, по завершении реакции реакционную смесь разбавляли этилацетатом и промывали водой и насыщенным солевым раствором, органический слой отделяли, сушили безводным сульфатом натрия, фильтровали и концентрировали в условиях пониженного давления с получением неочищенного соединения и его очищали методом колоночной хроматографии, элюируя 0-20% этилацетата в гексане, с получением 1-[1-(4-бромфенил)циклопропил]-4-(п-толилсульфонил)пиперазина (1,5 г, 3,27 ммоль, 27,12% выход, 95% чистота) в виде беловатого твердого вещества. ЖХ-МС:(ЭС+) = 434,8, 436,8 [М+Н]+.
Стадия 3: Синтез 1-[1-(4-Бромфенил)циклопропил]пиперазина: Бромистоводородную кислоту, 48% (29,80 г, 368,30 ммоль, 20 мл) добавляли к 1-[1-(4-бромфенил)циклопропил]-4-(п-толилсульфонил)пиперазину (1,0 г, 2,30 ммоль) при к.т. и реакционную смесь перемешивали при к.т. в течение 24 ч. За ходом реакции наблюдали с помощью ТСХ, по завершении реакции реакционную смесь концентрировали в условиях пониженного давления и полученное соединение растворяли в воде и рН доводили бикарбонатом натрия и экстрагировали добавлением этилацетата и органический слой промывали насыщенным солевым раствором, органический слой отделяли, сушили безводным сульфатом натрия, фильтровали и концентрировали в условиях пониженного давления с получением 1-[1-(4-бромфенил)циклопропил]пиперазина (0,600 г, 2,09 ммоль, 91,04% выход, 98% чистота) в виде беловатого твердого вещества. ЖХ-МС:(ЭС+) = 283,2 [М+Н]+.
Стадия 4: Синтез 1-[1-(4-Бромфенил)циклопропил]-4-(2-фторфенил)пиперазина: К перемешиваемому раствору 1-[1-(4-бромфенил)циклопропил]пиперазина (0,300 г, 1,07 ммоль) и 1-бром-2-фторбензола (560,11 мг, 3,20 ммоль, 350,07 мкл) в трет-бутаноле (5 мл) добавляли карбонат цезия (869,03 мг, 2,67 ммоль), затем дегазировали в течение 10 мин, затем RuPhos (49,78 мг, 106,69 ммоль) и трис(дибензилиденацетон)дипалладий(0) (97,70 мг, 106,69 ммоль) добавляли и вновь дегазировали в течение 10 мин, затем пробирку герметично закрывали тефлоновой крышкой и перемешивали при 90°С в течение 16 ч. За ходом реакции наблюдали с помощью ТСХ, по завершении реакции реакционную смесь разбавляли этилацетатом и фильтровали через слой целита и весь растворитель перемешивали и концентрировали в условиях пониженного давления с получением неочищенного соединения и его очищали методом колоночной хроматографии, элюируя 0-30% этилацетата в гексане, с получением 1-[1-(4-бромфенил)циклопропил]-4-(2-фторфенил)пиперазина (0,160 г, 409,30 ммоль, 38,36% выход, 96% чистота) в виде светло-желтой жидкости. ЖХ-МС:(ЭС+) = 375,1,377,2 [М+Н]+.
Стадия 5: Синтез 1-(2-Фторфенил)-4-{1-[4-(4,4,5,5-тетраметил-[1,3,2]диоксаборолан-2-ил)фенил]циклопропил}пиперазина: К перемешиваемому раствору 1-[1-(4-бромфенил)циклопропил]-4-(2-фторфенил)пиперазина (0,160 г, 426,35 ммоль) в 1,4-диоксане (5 мл) добавляли 4,4,5,5-тетраметил-2-(4,4,5,5-тетраметил-1,3,2-диоксаборолан-2-ил)-1,3,2-диоксаборолана (129,92 мг, 511,62 ммоль) в укупоренной пробирке и ацетат калия (104,61 мг, 1,07 ммоль, 66,63 мкл) добавляли и дегазировали в течение 10 мин, затем [1,1'-Бис(дифенилфосфино)ферроцен]дихлорпалладий(II) в комплексе с дихлорметаном (34,82 мг, 42,64 ммоль) добавляли и вновь дегазировали в течение 10 мин, после дегазации реакционную смесь закрывали тефлоновой крышкой и реакционную смесь перемешивали при 90°С в течение 16 ч. За ходом реакции наблюдали с помощью ТСХ, по завершении реакции реакционную смесь разбавляли этилацетатом и фильтровали через слой целита и растворитель концентрировали в условиях пониженного давления с получением неочищенного соединения и его очищали методом колоночной хроматографии, элюируя 0-30% этилацетата в гексане с получением 1-(2-фторфенил)-4-[1-[4-(4,4,5,5-тетраметил-1,3,2-диоксаборолан-2-ил)фенил]циклопропил]пиперазина (0,100 г, 224,94 ммоль, 52,76% выход, 95% чистота) в виде коричневого твердого вещества. ЖХ-МС:(ЭС+) = 423,4 [М+Н]+.
Стадия 6: Синтез 6-(4-{1-[4-(2-Фторфенил)пиперазин-1-ил]циклопропил}бензил)-1-(4-метоксибензил)-1Н-бензо[cd]индол-2-она: К перемешиваемому раствору 6-(хлорметил)-1-[(4-метоксифенил)метил]бензо[cd]индол-2-она (0,080 г, 236,83 ммоль) и 1-(2-фторфенил)-4-[1-[4-(4,4,5,5-тетраметил-1,3,2-диоксаборолан-2-ил)фенил]циклопропил]пиперазина (100,02 мг, 236,83 ммоль) в смеси толуола (4 мл) и этанола (2 мл), добавляли фосфат калия (125,68 мг, 592,07 ммоль) в укупоренной пробирке при к.т. и дегазировали в течение 10 мин, затем три(о-толил)фосфин (14,42 мг, 47,37 ммоль) и трис(дибензилиденацетон)дипалладий(0) (21,69 мг, 23,68 ммоль) добавляли и вновь дегазировали в течение 10 мин, после дегазации реакционную смесь закрывали тефлоновой крышкой и перемешивали при 90°С в течение 16 ч. За ходом реакции наблюдали с помощью ТСХ, по завершении реакции реакционную смесь фильтровали через слой целита и слой промывали дважды этилацетатом, весь органический растворитель перемешивали и концентрировали в условиях пониженного давления с получением неочищенного соединения. Неочищенное соединение очищали методом колоночной хроматографии, элюируя 0 40% этилацетата в гексане, с получением 6-(4-{1-[4-(2-Фторфенил)пиперазин-1-ил]циклопропил}бензил)-1-(4-метоксибензил)-1Н-бензо[cd]индол-2-она в виде светло-желтого твердого вещества. ЖХ-МС:(ЭС+) = 598,1 [М+Н]+.
Стадия 7: Синтез 6-(4-{1-[4-(2-Фторфенил)пиперазин-1-ил]циклопропил}бензил)-1Н-бензо[cd]индол-2-она: К перемешиваемому раствору 6-[[4-[1-[4-(2-фторфенил)пиперазин-1-ил]циклопропил]фенил]метил]-1-[(4-метоксифенил)метил]бензо[cd]индол-2-она (0,100 г, 167,30 ммоль) в трифторуксусной кислоте (0,5 мл) добавляли трифторметансульфоновую кислоту (125,54 мг, 836,51 ммоль, 73,42 мкл) при к.т. и реакционную смесь перемешивали при к.т. в течение 16 ч. За ходом реакции наблюдали с помощью ТСХ, по завершении реакции реакционную смесь гасили холодной водой и экстрагировали добавлением этилацетата, органический слой отделяли и водный слой подщелачивали бикарбонатом натрия и экстрагировали добавлением этилацетата, промывали насыщенным солевым раствором до органического слоя, органический слой отделяли, сушили безводным сульфатом натрия, фильтровали и концентрировали в условиях пониженного давления с получением 6-[[4-[1-[4-(2-фторфенил)пиперазин-1-ил]циклопропил]фенил]метил]-1Н-бензо[cd]индол-2-она (0,060 г, 113,07 ммоль, 67,59% выход, 90% чистота) в виде желтого твердого вещества. ЖХ-МС:(ЭС+) = 478,3 [М+Н]+.
Стадия 8: Синтез 3-[6-(4-{1-[4-(2-Фторфенил)пиперазин-1-ил]циклопропил}бензил)-2-оксо-2Н-бензо[cd]индол-1-ил]пиперидин-2,6-диона: 6-[[4-[1-[4-(2-фторфенил)пиперазин-1-ил]циклопропил]фенил]метил]-1Н-бензо[cd]индол-2-он (0,060 г, 125,64 ммоль) растворяли в THF (5 мл), затем охлаждали до 0°С, затем гидрид натрия (в масляной дисперсии) в виде 60% дисперсии в минеральном масле (50,25 мг, 1,26 ммоль, 60% чистота) добавляли порциями при 0°С после завершения добавления реакционную смесь перемешивали при 0°С в течение 30 мин, затем 3-бромпиперидин-2,6-дион (120,62 мг, 628,18 ммоль) добавляли и реакционную смесь перемешивали при к.т. в течение 1 ч, затем реакционную смесь перемешивали при 70°С в течение 6 ч. За ходом реакции наблюдали с помощью ТСХ, по завершении реакции реакционную смесь гасили осторожно холодной водой и экстрагировали добавлением этилацетата, промывали насыщенным солевым раствором до органического слоя, органический слой отделяли, сушили безводным сульфатом натрия, фильтровали и концентрировали в условиях пониженного давления с получением неочищенного соединения и его очищали методом колоночной хроматографии, элюируя 10-60% этилацетата в гексане, с получением продукта и далее его очищали методом преп. ВЭЖХ с получением 3-[6-[[4-[1-[4-(2-фторфенил)пиперазин-1-ил]циклопропил]фенил]метил]-2-оксобензо[cd]индол-1-ил]пиперидин-2,6-диона Соединения 264 (0,020 г, 32,62 ммоль, 25,96% выход, 96% чистота) в виде желтого твердого вещества. 1Н ЯМР (400 МГц, MeOD-d6): δ 8,25-8,23 (d, J=8 Гц, 1Н), 8,05-8,04 (d, J=4 Гц, 1H), 7,77-7,73 (m, 1Н), 7,34-7,32 (d, J=8 Гц, 1Н), 7,23 (m, 4H), 7,02-6,90 (m, 5H), 5,42-5,38 (m, 1Н), 4,57 (s, 1Н), 4,43 (m, 2H), 2,96-2,92 (m, 5H), 2,83-2,78 (m, 2H), 2,65 (m, 4H), 2,2 (m, 1Н), 0,93-0,91 (m, 2H) 0,79-0,78 (m, 2H). ЖХ-МС:(ЭС+) = 589,2 [М+Н]+.
Пример 149. Синтез 3-(6-((1-(1-(3-метил-3-азабицикло[3.1.1]гептан-1-карбонил)пиперидин-4-ил)-1Н-пиразол-4-ил)метил)-2-оксобензо[cd]индол-1(2Н)-ил)пиперидин-2,6-диона (Соединение 265)
Стадия 1: Синтез трет-бутил-1-(4-(4-((1-(2,6-диоксопиперидин-3-ил)-2-оксо-1,2-дигидробензо[cd]индол-6-ил)метил)-1Н-пиразол-1-ил)пиперидин-1-карбонил)-3-азабицикло[3.1.1]гептан-3-карбоксилата: К перемешиваемому раствору 3-[2-оксо-6-[[1-(4-пиперидил)пиразол-4-ил]метил]бензо[cd]индол-1-ил]пиперидин-2,6-диона (0,120 г, 250,02 ммоль, 021) в DMF (2 мл) добавляли 3-трет-бутоксикарбонил-3-азабицикло[3.1.1]гептан-5-карбоновую кислоту (60,33 мг, 250,02 ммоль), затем HATU (285,20 мг, 750,07 ммоль) добавляли с последующим добавлением N,N-диизопропилэтиламина (161,57 мг, 1,25 ммоль, 217,75 мкл). N,N-Диизопропилэтиламин (161,57 мг, 1,25 ммоль, 217,75 мкл) добавляли и реакционную смесь перемешивали при к.т. в течение 16 ч. За ходом реакции наблюдали с помощью ТСХ, по завершении реакции реакционную смесь разбавляли этилацетатом, промывали водой и далее промывали насыщенным солевым раствором, органический слой отделяли, сушили безводным сульфатом натрия, фильтровали и концентрировали в условиях пониженного давления с получением неочищенного соединения и его очищали методом колоночной хроматографии, элюируя 1-5% МеОН в DCM, с получением трет-бутил-5-[4-[4-[[1-(2,6-диоксо-3-пиперидил)-2-оксобензо[cd]индол-6-ил]метил]пиразол-1-ил]пиперидин-1-карбонил]-3-азабицикло[3.1.1]гептан-3-карбоксилата (0,040 г, 58,79 ммоль, 23,51%выход, 98% чистота) в виде желтого твердого вещества. 1Н ЯМР (400 МГц, DMSO-d6): δ 11,11 (S, 1H), 8,38-8,36 (d, J=8 Гц, 1H), 8,09-8,07 (d, J=8 Гц, 1H), 7,84-7,81 (m, 1H), 7,59-7,57 (d, J=8 Гц, 1Н), 7,36-7,35 (d, J=4 Гц, 1H), 7,32 (s, 1H), 7,08-7,06 (d, J=8 Гц, 1H), 5,45-5,41 (m, 1H), 4,33-4,28 (m, 2H), 4,18 (s, 2H), 3,82 (m, 1H), 3,48-3,37 (m, 4H), 3,08 (m, 1H), 2,94-2,90 (m, 1H), 2,77-2,75 (m, 1H), 2,73-2,62 (m, 2H), 2,25-2,22 (m, 3Н), 2,09-2,06 (m, 1H), 1,92 (m, 2H), 1,65 (m, 4H), 1,41 (s, 9H). ЖХ-МС:(ЭС+) = 667,5 [М+Н]+.
Стадия 2: Синтез 3-(6-((1-(1-(3-азабицикло[3.1.1]гептан-1-карбонил)пиперидин-4-ил)-1Н-пиразол-4-ил)метил)-2-оксобензо[cd]индол-1(2Н)-ил)пиперидин-2,6-диона: К перемешиваемому раствору трет-бутил-5-[4-[4-[[1-(2,6-диоксо-3-пиперидил)-2-оксобензо[cd]индол-6-ил]метил]пиразол-1-ил]пиперидин-1-карбонил]-3-азабицикло[3.1.1]гептан-3-карбоксилата (0,060 г, 89,99 ммоль) в 1,4-диоксане (2 мл) добавляли 4,0М раствор хлороводорода в диоксане (4,0 M, 337,45 мкл) при к.т., затем реакционную смесь перемешивали при к.т. в течение 16 ч. За ходом реакции наблюдали с помощью ТСХ, по завершении реакции реакционную смесь концентрировали в условиях пониженного давления, затем полученное соединение растирали с диэтиловым эфиром с получением 3-[6-[[1-[1-(3-азабицикло[3.1.1]гептан-5-карбонил)-4-пиперидил]пиразол-4-ил]метил]-2-оксобензо[cd]индол-1-ил]пиперидин-2,6-диона (0,060 г, 78,76 ммоль, 87,52% выход, 95% чистота) в виде светло-желтого твердого вещества. ЖХ-МС:(ЭС+) = 567,2 [М+Н]+.
Стадия 3: Синтез 3-(6-((1-(1-(3-метил-3-азабицикло[3.1.1]гептан-1-карбонил)пиперидин-4-ил)-1Н-пиразол-4-ил)метил)-2-оксобензо[cd]индол-1(2Н)-ил)пиперидин-2,6-диона: К перемешиваемому раствору 3-[6-[[1-[1-(3-азабицикло[3.1.1]гептан-5-карбонил)-4-пиперидил]пиразол-4-ил]метил]-2-оксобензо[cd]индол-1-ил]пиперидин-2,6-диона (0,060 г, 105,89 ммоль) в ацетонитриле (5 мл) добавляли формальдегид, 37% масс. вод. раствор, (105,89 ммоль, 2,0 мл) и с последующим добавлением муравьиной кислоты (2,44 г, 53,01 ммоль, 2,0 мл) добавляли и реакционную смесь перемешивали при 90°С в течение 16 ч. За ходом реакции наблюдали с помощью ТСХ, по завершении реакции реакционную смесь концентрировали в условиях пониженного давления, затем полученное соединение растворяли в воде и рН доводили до 8 бикарбонатом натрия, затем экстрагировали добавлением этилацетата, промывали насыщенным солевым раствором, органический слой отделяли, сушили безводным сульфатом натрия, фильтровали и концентрировали в условиях пониженного давления с получением неочищенного соединения и его очищали методом преп. ВЭЖХ с получением 3-[6-[[1-[1-(3-метил-3-азабицикло[3.1.1]гептан-5-карбонил)-4-пиперидил]пиразол-4-ил]метил]-2-оксобензо[cd]индол-1-ил]пиперидин-2,6-диона Соединения 265 (20 мг, 33,75 ммоль, 31,88% выход, 98% чистота) в виде желтого твердого вещества. 1Н ЯМР (400 МГц, DMSO-d6): δ 11,12 (s, 1H), 8,38-8,36 (d, J=8 Гц, 1H), 8,09-8,07 (d, J=8 Гц, 1H), 7,84-7,81 (m, 1H), 7,59 (s, 1H), 7,59 (s, 1H). 7,36-7,34(d, J=8 Гц, 1H), 7,31 (s, 1H), 5,45-5,41 (m, 1H), 4,32-4,26 (m, 2H), 4,18 (s, 1H), 3.77-3,74 (m, 1H), 3,06 (m, 1H), 2,97-2,94 (m, 1H), 2,76-2,73 (m, 2H), 2,72-2,63 (m, 4H), 2,28 (s, 3H), 2,12-2,05 (m, 4H), 1,93-1,88 (m, 3H), 1.80-1,65 (m, 4H). ЖХ-МС:(ЭС+) = 581,3 [М+Н]+.
Пример 150. Синтез трет-бутил-4-[4-[[1-(2,6-диоксо-3-пиперидил)-2-оксобензо[cd]индол-6-ил]гидроксиметил]пиразол-1-ил]пиперидин-1-карбоксилата (Соединение 266)
Стадия 1: Синтез трет-бутил-4-[4-[гидрокси-(2-оксо-1Н-бензо[cd]индол-6-ил)метил]пиразол-1-ил]пиперидин-1-карбоксилата: К перемешиваемому раствору 6-бром-1Н-бензо[cd]индол-2-она (1) (6,48 г, 26,13 ммоль) в THF (100 мл) добавляли фениллитий, как правило 1,9М в ди-н-бутиловом эфире (1,8 М, 14,52 мл) при -78°С и реакционную смесь перемешивали при той же температуре в течение 30 минут с последующим добавлением бутиллития (2,00 М, 14,37 мл) при температуре -78°С, затем повышали до -40°С и перемешивали при той же температуре в течение 30 минут, температуру вновь снижали до -78°С и трет-бутил-4-(4-формилпиразол-1-ил)пиперидин-1-карбоксилат (2) (7,3 г, 26,13 ммоль) в THF (40 мл) добавляли и реакционной смеси позволяли нагреться до комнатной температуры и перемешивали в течение 16 ч. По окончании реакции (по данным ТСХ) реакционную смесь гасили насыщенным раствором хлорида аммония и экстрагировали добавлением EtOAc. Органическую часть затем промывали водой, насыщенным солевым раствором, сушили над сульфатом натрия и концентрировали в условиях пониженного давления. Полученное таким образом неочищенное соединение очищали с помощью combiflash (градиент: 0-1% МеОН в DCM) с получением трет-бутил-4-[4-[гидрокси-(2-оксо-1Н-бензо[cd]индол-6-ил)метил]пиразол-1-ил] пиперидин-1-карбоксилата (3) (6,1 г, 43,20% выход) в виде желтого твердого вещества; ЖХ-МС: ЭС+449,5.
Стадия 2: Синтез трет-бутил-4-[4-[[трет-бутил(дифенил)силил]окси-(2-оксо-1Н-бензо[cd]индол-6-ил)метил]пиразол-1-ил]пиперидин-1-карбоксилата: К перемешиваемому раствору трет-бутил-4-[4-[гидрокси-(2-оксо-1Н-бензо[cd]индол-6-ил)метил]пиразол-1-ил]пиперидин-1-карбоксилата (3) (250,0 мг, 557,40 ммоль) в DMF (2 мл) добавляли имидазол (113,84 мг, 1,67 ммоль) с последующим добавлением трет-бутилхлордифенилсилана (229,81 мг, 836,10 ммоль, 214,78 мкл) при 0°С и реакционную смесь перемешивали при комнатной температуре в течение 16 часов. ТСХ и ЖХ-МС проводили, что показывало присутствие непрореагировавшего исх. вещ. наряду с желаемым продуктом. Реакционную смесь затем разбавляли EtOAc, промывали водой и органическую фракцию отделяли. Ее затем сушили над безводным сульфатом натрия и концентрировали в условиях пониженного давления. Полученное таким образом неочищенное соединение очищали методом флэш-хроматографии (градиент: 0-5% МеОН в DCM) с получением трет-бутил-4-[4-[[трет-бутил(дифенил)силил]окси-(2-оксо-1Н-бензо[cd]индол-6-ил)метил]пиразол-1-ил] пиперидин-1-карбоксилата (4) (140,0 мг, 36,31% выход) в виде желтого твердого вещества; ЖХ-МС: ES-685,5.
Стадия 3: Синтез трет-бутил-4-[4-[[трет-бутил(дифенил)силил]окси-[1-(2,6-диоксо-3-пиперидил)-2-оксобензо[cd]индол-6-ил]метил]пиразол-1-ил]пиперидин-1-карбоксилата:
К охлажденному раствору 4-[4-[[трет-бутил(дифенил)силил]окси-(2-оксо-1Н-бензо[cd]индол-6-ил)метил]пиразол-1-ил]пиперидин-1-карбоксилата (4) (165,0 мг, 240,21 ммоль) в DMF (1 мл), гидрид натрия (60% дисперсия в минеральном масле) (43,23 мг, 1,08 ммоль) добавляли порциями и реакционную смесь нагревали при 70°С в течение 1 часа с последующим добавлением 3-бромпиперидин-2,6-диона (115,30 мг, 600,51 ммоль) и реакцию продолжали при 70°С в течение 16 часов. ТСХ проводили, которая свидетельствовала о неполном расходовании исходного вещества наряду с образованием желаемого пятна. Реакционную смесь разбавляли этилацетатом, промывали водой и органическую фракцию отделяли. Ее затем сушили над безводным сульфатом натрия и упаривали. Полученное таким образом неочищенное соединение очищали с помощью пластинки для преп. ТСХ 30% этилацетат-DCM с получением трет-бутил-4-[4-[[трет-бутил(дифенил)силил]окси-[1-(2,6-диоксо-3-пиперидил)-2-оксобензо[cd]индол-6-ил]метил]пиразол-1-ил]пиперидин-1-карбоксилата (5) (75,0 мг, 35,21% выход) в виде желтого твердого вещества; ЖХ-МС: ЭС+542,5.
Стадия 4: Синтез 3-[6-[[1-(1-хлор-4-пиперидил)пиразол-4-ил]гидроксиметил]-2-оксобензо[cd]индол-1-ил]пиперидин-2,6-диона: К перемешиваемому раствору трет-бутил-4-[4-[[трет-бутил(дифенил)силил]окси-[1-(2,6-диоксо-3-пиперидил)-2-оксобензо[cd]индол-6-ил]метил]пиразол-1-ил]пиперидин-1-карбоксилата (5) (70,0 мг, 87,72 ммоль) в диоксане (1 мл) добавляли соляную кислоту в диоксане (87,72 ммоль, 5 мл) и реакционную смесь перемешивали при комнатной температуре в течение 2 часов. По окончании реакции (по данным ТСХ) реакционную смесь концентрировали в условиях пониженного давления и растирали с эфиром и пентаном с получением 3-[6-[[1-(1-хлор-4-пиперидил)пиразол-4-ил]гидроксиметил]-2-оксобензо[cd]индол-1-ил]пиперидин-2,6-дионгидрохлорида (6) (40,0 мг, 50,10% выход) в виде желтого твердого вещества. ЖХ-МС: ЭС+460,4.
Стадия 5: Синтез трет-бутил-4-[4-[[1-(2,6-диоксо-3-пиперидил)-2-оксобензо[cd]индол-6-ил]гидроксиметил]пиразол-1-ил]пиперидин-1-карбоксилата: К перемешиваемому раствору 3-[6-[[1-(1-хлор-4-пиперидил)пиразол-4-ил]гидроксиметил]-2-оксобензо[cd]индол-1-ил]пиперидин-2,6-диона (6) (40,00 мг, 80,65 ммоль) в DCM (6 мл) добавляли триэтиламин (24,48 мг, 241,96 ммоль, 33,72 мкл) при 0°C с последующим добавлением ди-трет-бутилдикарбоната (26,40 мг, 120,98 ммоль, 27,76 мкл) и реакционную смесь перемешивали при комнатной температуре в течение 16 часов. По окончании реакции (по данным ТСХ) реакционную смесь разбавляли этилацетатом, промывали водой и органическую фракцию отделяли. Ее затем сушили над безводным сульфатом натрия и концентрировали в условиях пониженного давления. Полученное таким образом неочищенное соединение очищали с помощью пластинки для препаративной ТСХ в 4% MeOH-DCM с получением трет-бутил-4-[4-[[1-(2,6-диоксо-3-пиперидил)-2-оксобензо[cd]индол-6-ил]гидроксиметил]пиразол-1-ил]пиперидин-1-карбоксилата Соединения 266 (14,0 мг, 30,76% выход) в виде желтого твердого вещества. 1H ЯМР (400 МГц, DMSO-d6) δ 11,12 (s, 1H), 8,42-8,39 (m, 1H), 8,05 (d, J=6,92 Гц, 1H), 7,76 (t, J=7,6 Гц, 1H), 7,60-7,57 (m, 2H), 7,31 (s, 1H), 7,11 (d, J=7,28 Гц, 1H), 6,26-6,23 (m, 1H), 5,86-5,84 (m, 1H), 5,45-5,42 (m, 1H), 4,25-4,23 (m, 1H), 3,99-3,96 (m, 2H), 2,96-2,95 (m, 1H), 2,81-2,74 (m, 3H), 2,67-2,63 (m, 1H), 2,10-2,07 (m, 1H), 1,89-1,86 (m, 2H), 1,69-1,66 (m, 2H), 1,39 (s, 9H); ЖХ-МС: ES- 558,4.
Пример 151. Синтез 3-[24-[[4-(1-окса-8-азаспиро[4.5]декан-8-илметил)фенил]метил]-28-оксо-31,34-диазатрициклододека-,2(22),7(23),21(25),24(31)-пентаен-34-ил]пиперидин-2,6-диона (Соединение 267)
Стадия 1: Синтез 4-бромизохинолин-2-оксида (2): К перемешиваемому раствору 4-бромизохинолина 1 (50 г, 240,32 ммоль) в DCM (300 мл) при 0°С порциями 3-хлорбензолкарбопероксоевую кислоту (82,94 г, 480,64 ммоль) добавляли. Объединенную реакционную смесь перемешивали 15 мин при 0°С и затем перемешивали в течение 2 ч при комнатной температуре. По окончании реакции 30% IPA DCM раствор добавляли. 20 г сульфита натрия добавляли к гасящему избытку МСРВА. Сульфит натрия отфильтровывали через шоттовскую воронку и фильтрат (30% IPA DCM раствор) промывали насыщенным раствором бикарбоната трижды с последующим добавлением воды. Органический слой сушили над сульфатом натрия, фильтровали и концентрировали в условиях пониженного давления с получением 4-бром-2-оксидоизохинолин-2-ия 2 (46,5 г, 94,40 ммоль, 78,44% выход, 90% чистота) в виде беловатого твердого вещества. ЖХМС: ЭС+224,31.
Стадия 2: Синтез этил-(2Z)-2-(4-бромизохинолин-1(2Н)-илиден)-2-цианоацетата (3): К перемешиваемой суспензии 4-бром-2-оксидоизохинолин-2-ия 2 (46 г, 205,31 ммоль) в DCM (200 мл) этил-2-цианоацетат (27,87 г, 246,37 ммоль, 26,29 мл), пиридин (19,49 г, 246,37 ммоль, 19,93 мл) добавляли и объединенную реакционную смесь охлаждали до 0°С. Уксусный ангидрид (25,15 г, 246,37 ммоль, 23,29 мл) добавляли к реакционной смеси капельно. Реакционную смесь перемешивали при 0-5°С в течение 12 часов. Ее затем перемешивали при комнатной температуре в течение 2 суток. По окончании реакции (по данным ЖХМС), реакционную смесь упаривали в условиях пониженного давления, твердое вещество разбавляли DCM, промывали водой и насыщенным солевым раствором. Органическую фракцию отделяли, сушили над безводным сульфатом натрия, фильтровали и упаривали в условиях пониженного давления с получением неочищенного соединения. Неочищенное соединение очищали методом колоночной хроматографии с использованием DCM с получением этил-(2Z)-2-(4-бром-2Н-изохинолин-1-илиден)-2-цианоацетата 3 (38 г, 113,11 ммоль, 55,09% выход, 95% чистота) в виде желтого твердого вещества. ЖХ-МС: ЭС+319,1.
Стадия 3: Синтез 4-бром-1-метилизохинолина (4): К этил-(2Z)-2-(4-бром-2Н-изохинолин-1-илиден)-2-цианоацетату 3 (38 г, 113,11 ммоль), 35% H2SO4 раствор (400 мл) добавляли и объединенную реакционную смесь нагревали с обратным холодильником при 110°С в течение 48-72 часов. По окончании реакции (по данным ЖХМС), реакционную смесь вливали в измельченный лед и гасили 20% раствором NaOH, разбавляли дихлорметаном, промывали водой, раствором бикарбоната и насыщенным солевым раствором. Органическую фракцию отделяли, сушили над безводным сульфатом натрия и упаривали в условиях пониженного давления с получением 4-бром-1-метилизохинолина 4 (19 г, 84,70 ммоль, 99% чистота) в виде беловатого твердого вещества. ЖХ-МС: ЭС+222,3.
Стадия 4: Синтез 4-бром-1-метил-5-нитроизохинолина (5): К перемешиваемому раствору 4-бром-1-метилизохинолина 4 (19 г, 85,55 ммоль) в серной кислоте (80 мл) порциями нитрат калия, 99% (9,51 г, 94,11 ммоль, 4,51 мл) добавляли. Объединенную реакционную смесь нагревали при 65°С в течение 3 ч. Ход реакции мониторировали методом ТСХ. После полного расходования исходного вещества, реакционную смесь вливали в ледяную воду и кислый раствор нейтрализовывали карбонатом калия или 20% раствором NaOH. После нейтрализации водный слой экстрагировали добавлением этилацетата трижды и объединенный органический слой сушили над сульфатом натрия и фильтровали. Органический слой концентрировали в условиях пониженного давления и Неочищенный продукт промывали пентаном для удаления неполярных примесей. После промывки продукт сушили в условиях пониженного давления с получением 4-бром-1-метил-5-нитроизохинолина 5 (17 г, 63,02 ммоль, 73,66% выход, 99% чистота). ЖХ-МС: ЭС+266,9.
Стадия 5: Синтез 4-бром-1-метилизохинолин-5-амин (6): К перемешиваемому раствору 4-бром-1-метил-5-нитроизохинолина 5 (17 г, 63,65 ммоль) в этаноле (50 мл) воду (50 мл), Железный порошок (17,77 г, 318,26 ммоль, 2,26 мл) и дигидрат хлорида кальция (14,04 г, 95,48 ммоль) добавляли и объединенную реакционную смесь нагревали при 90°С в течение 3 ч. Ход реакции мониторировали методом ТСХ. По окончании реакции реакционную смесь пропускали через ватмановскую фильтровальную бумагу для удаления Fe порошка и CaCl2. Этилацетат добавляли к фильтрату и органический слой промывали водой и органический слой сушили над сульфатом натрия и фильтровали. Органическую часть концентрировали в условиях пониженного давления. Неочищенный продукт промывали пентаном для удаления неполярных примесей и сушили в условиях пониженного давления с получением 4-бром-1-метилизохинолин-5-амина 6 (14 г, 58,46 ммоль, 91,84% выход, 99% чистота). ЖХ-МС: ЭС+237,1.
Стадия 6: Синтез 4-бром-1-метилизохинолин-5-карбонитрила (7): К перемешиваемому раствору цианида меди (5,29 г, 59,05 ммоль) в трет-бутилнитрита (12,18 г, 118,09 ммоль, 14,05 мл) раствор 4-бром-1-метилизохинолин-5-амина 6 (14 г, 59,05 ммоль) в DMSO (85 мл) добавляли капельно. Объединенную реакционную смесь перемешивали в течение 16 ч при 65°С. По окончании реакции реакционную смесь фильтровали через ватмановскую фильтровальную бумагу и фильтрат промывали холодной водой и насыщенным солевым раствором. Органический слой сушили над сульфатом натрия и фильтровали. Органический слой концентрировали в условиях пониженного давления и неочищенный продукт очищали методом флэш-хроматографии с использованием 30% этилацетата и гексана с получением 4-бром-1-метилизохинолин-5-карбонитрила 7 (2,5 г, 10,163 ммоль, 17,21% выход, 98% чистота). ЖХ-МС: ЭС+247,01.
Стадия 7: Синтез 5-метил-11,12-диазатрициклододека-1(3),2(6),4(8),5(11),7(9)-пентаен-10-она (8): Смесь 4-бром-1-метилизохинолин-5-карбонитрила 7 (2,5 г, 10,12 ммоль), гидроксида калия, чешуйки, 85% (1,42 г, 25,29 ммоль, 695,67 мкл) и Трет-бутанол (20 мл) нагревали при 80°С в течение 18 ч на масляной бане. Ход реакции мониторировали методом ТСХ. По окончании реакции реакционную смесь концентрировали в условиях пониженного давления. Этилацетат добавляли к реакционной смеси и органический слой промывали водой. Органическую часть сушили над сульфатом натрия, фильтровали и концентрировали в условиях пониженного давления. Неочищенный продукт очищали методом колоночной флэш-хроматографии с использованием 3% метанола DCM в качестве элюента с получением 5-метил-11,12-диазатрициклододека-1(3),2(6),4(8),5(11),7(9)-пентаен-10-она 8 (1 г, 5,32 ммоль, 52,59% выход, 98% чистота) в виде желтого твердого вещества. ЖХ-МС: ЭС+185,11.
Стадия 8: Синтез 1-(4-метоксибензил)-6-метилпирроло[2,3,4-de]изохинолин-2(1Н)-она (9): К перемешиваемому раствору 5-метил-11,12-диазатрициклододека-1(3),2(6),4(8),5(11),7(9)-пентаен-10-она 8 (500 мг, 2,71 ммоль) в DMF (4,0 мл) гидрид натрия (в масляной дисперсии) в виде 60% дисперсии в минеральном масле (156,02 мг, 4,07 ммоль, 60% чистота) добавляли при 0°С. Реакционную смесь перемешивали в течение 30 мин при той же температуре. 1-(хлорметил)-4-метоксибензол (510,15 мг, 3,26 ммоль, 425,12 мкл) добавляли к реакционной смеси и объединенную реакционную смесь перемешивали в течение 30 мин при комнатной температуре. Ход реакции мониторировали методом ТСХ. После полного расходования исходного вещества, этилацетат добавляли в реакционную смесь. Органический слой промывали холодной водой с последующей промывкой насыщенным солевым раствором для удаления DMF. Органический слой сушили над сульфатом натрия, фильтровали и концентрировали в условиях пониженного давления. Неочищенный продукт очищали с помощью combi-flash с получением 20-[(4-метоксифенил)метил]-11-метил-19,20-диазатрициклододека-2(4),3(14),9(16),11(19),15(17)-пентаен-18-она 9 (515 мг, 1,64 ммоль, 60,47% выход, 97% чистота) в виде желтоватого твердого вещества. ЖХ-МС: ЭС+305,3.
Стадия 9: Синтез 6-(хлорметил)-1-(4-метоксибензил)пирроло[2,3,4-de]изохинолин-2(1Н)-она (10); К 20-[(4-метоксифенил)метил]-11-метил-19,20-диазатрициклододека-2,4(15),9(16),11(19),14(17)-пентаен-18-ону 9(200 мг, 657,16 ммоль) в хлороформе (15,0 мл) при нагревании с обратным холодильником добавляли 1,3,5-трихлор-1,3,5-триазинан-2,4,6-трион (122,18 мг, 525,72 ммоль, 59,03 мкл) порциями и смесь нагревали при нагревании с обратным холодильником 15 мин. После охлаждения, смесь фильтровали и фильтрат разбавляли хлороформом, промывали насыщенным солевым раствором, сушили (MgSO4) и упаривали с получением неочищенного соединения, которое очищали с помощью преп. ТСХ (элюент 5% этилацетат/гексан) с получением 16-(хлорметил)-20-[(4-метоксифенил)метил]-19,20-диазатрициклододека-1,3(14),8(15),13(17),16(19)-пентаен-18-она 10 (190 мг, 476,70 ммоль, 72,54% выход, 85% чистота); ЖХ-МС: ЭС+339,3.
Стадия 10: Синтез 6-(4-((1-окса-8-азаспиро[4.5]декан-8-ил)метил)бензил)-1-(4 метоксибензил)пирроло[2,3,4-de]изохинолин-2(1Н)-она (12): К хорошо дегазированному раствору 16-(хлорметил)-20-[(4-метоксифенил)метил]-19,20-диазатрициклододека-1,3(14),8(15),13(17),16(19)-пентаен-18-она 10 (190 мг, 560,82 ммоль) и 8-[[4-(4,4,5,5-тетраметил-1,3,2-диоксаборолан-2-ил)фенил]метил]-1-окса-8-азаспиро[4.5] декана 11 (240,45 мг, 672,99 ммоль) в этаноле (2,0 мл) - толуоле (4,0 мл), безводный трехосновный фосфат калия (238,09 мг, 1,12 ммоль) добавляли с последующим добавлением три-о-толилфосфина (27,31 мг, 89,73 ммоль) и (1Е,4Е)-1,5-дифенилпента-1,4-диен-3-онпалладия (41,08 мг, 44,87 ммоль). Полученную смесь затем нагревали при 90°С в течение 12 часов. По окончании реакции (по данным ЖХМС), реакционную смесь фильтровали через слой целита, промывали этилацетатом (100 мл). Объединенный фильтрат промывали водой (3×20 мл) и насыщенным солевым раствором (2×15 мл), сушили безводным сульфатом натрия и концентрировали в условиях пониженного давления. Неочищенную массу очищали методом колоночной хроматографии (силикагель, градиент: 0-5% МеОН в DCM) с получением 36-[(4-метоксифенил)метил]-30-[[4-(1-окса-8-азаспиро[4.5]декан-8-илметил)фенил]метил]-34,36-диазатрициклододека-1,3(28),12(29),27(31),30(34)-пентаен-32-она 12 (40 мг, 67,46 ммоль, 12,03% выход, 90% чистота) в виде желтого твердого вещества и хранили в кругло донной колбе при к.т. ЖХ-МС: ЭС+534,5.
Стадия 10 а: Синтез 8-(4-(4,4,5,5-тетраметил-1,3,2-диоксаборолан-2-ил)бензил)-1-окса-8-азаспиро[4.5]декана (11): К перемешиваемому раствору 1-окса-8-азаспиро[4.5] декана (1,0 г, 7,08 ммоль) в ACN (15 мл), N-этил-N-изопропилпропан-2-амин (1,10 г, 8,50 ммоль, 1,48 мл) добавляли. Через 10 мин 2-[4-(бромметил)фенил]-4,4,5,5-тетраметил-1,3,2-диоксаборолан (2,52 г, 8,50 ммоль) добавляли к раствору и перемешивали в течение 4 часов при комнатной температуре. Насыщенный раствор NaHCO3 добавляли и органическую часть экстрагировали добавлением этилацетата и далее промывали насыщенным солевым раствором. Органический раствор сушили над Na2SO4, концентрировали в вакууме с получением остатка, который очищали методом колоночной хроматографии с использованием 5% МеОН в DCM с получением 8-[[4-(4,4,5,5-тетраметил-1,3,2-диоксаборолан-2-ил)фенил]метил]-1-окса-8-азаспиро[4.5]декана 11 (0,67 г, 1,69 ммоль, 23,83% выход, 90% чистота). Стадия 11: Синтез 6-(4-((1-окса-8-азаспиро[4.5]декан-8-ил)метил)бензил)пирроло[2,3,4-de]изохинолин-2(1Н)-она (13); 36-[(4-метоксифенил)метил]-30-[[4-(1-окса-8-азаспиро[4.5] декан-8-илметил)фенил]метил]-34,36-диазатрициклододека-1,3(28),12(29),27(31),30(34)-пентаен-32-он 12 (50 мг, 93,69 ммоль) в TFA (3,0 мл), трифторметансульфоновую кислоту (211,31 мг, 1,41 ммоль, 123,57 мкл) капельно. Реакционную смесь перемешивали при 25°С в течение 16 часов. По окончании реакции летучие вещества упаривали и гасили насыщенным раствором бикарбоната натрия. Водную часть экстрагировали добавлением этилацетата (40 мл), промывали водой с последующей промывкой насыщенным солевым раствором. Органическую часть сушили над сульфатом натрия и концентрировали с получением неочищенного соединения 22-[[4-(1-окса-8-азаспиро[4.5]декан-8-илметил)фенил]метил]-26,27-диазатрициклододека-,2(20),7(21),19(23),22(26)-пентаен-24-она 13 (30 мг, 72,55 ммоль, 77,43% выход) в виде коричневого твердого вещества. Неочищенное соединение переносили на следующую стадию. ЖХ-МС: ЭС+414,5.
Стадия 12: Синтез 3-[24-[[4-(1-окса-8-азаспиро[4.5]декан-8-илметил)фенил]метил]-28-оксо-31,34-диазатрициклододека-,2(22),7(23),21(25),24(31)-пентаен-34-ил]пиперидин-2,6-диона: К охлажденному раствору 22-[[4-(1-окса-8-азаспиро[4.5]декан-8-илметил)фенил]метил]-26,27-диазатрициклододека-,2(20),7(21),19(23),22(26)-пентаен-24-она13 (30,00 мг, 72,55 ммоль) в сухом THF (250 мл), гидрид натрия (в масляной дисперсии) в виде 60% дисперсии в минеральном масле (27,80 мг, 725,50 ммоль, 60% чистота) добавляли порциями, поддерживая темп. <5°С. По завершении добавления, полученную смесь перемешивали в течение 15 минут при к.т., затем реакционную смесь вновь охлаждали до 0°С и 3-бромпиперидин-2,6-дион 14 (69,65 мг, 362,75 ммоль) добавляли к ней порциями. После полного завершения добавления полученный раствор нагревали при 70°С в течение 1 часа. По окончании (по данным ТСХ), реакционную смесь охлаждали до 0°С и гасили добавлением ледяной воды. Водную часть экстрагировали добавлением этилацетата (3×50 мл). Объединенные органические фазы отделяли, сушили над сульфатом натрия и концентрировали в условиях пониженного давления. Неочищенную массу очищали методом флэш-хроматографии (силикагель, градиент: 0%-2,5% МеОН в DCM) с получением 3-[24-[[4-(1-окса-8-азаспиро [4.5] декан-8-илметил)фенил]метил]-28-оксо-31,34-диазатрициклододека-,2(22),7(23),21(25),24(31)-пентаен-34-ил]пиперидин-2,6-диона Соединения 267 (10 мг, 17,87 ммоль, 24,63% выход, 93,75% чистота) в виде желтого твердого вещества. 1H ЯМР (400 МГц, DMSO-d6) δ 11,14 (s, 1H), 8,56 (d, J=8,2 Гц, 1Н), 8,31 (d, J=7,0 Гц, 1H), 8,21 (s, 1H), 7,94 (t, J=7,56 Гц, 1H), 7,29-7,27 (m, 2H), 7,18-7,17 (m, 2H), 5,48-5,46 (m, 1H), 4,56 (s, 2H), 3,65 (t, J=6,68 Гц, 2H), 3,35-3,31 (m, 2H), 2,98-2,92 (m, 1H), 2,82-2,78 (m, 1H), 2,67-2,63 (m, 1H), 2,36-2,27 (m, 4H), 2,13-2,10 (m, 1H), 1,82-1,78 (m, 2H), 1,60-1,56 (m, 2H), 1,50-1,45 (m, 4H); ЖХ-МС: ЭС+525,2.
Пример 152. Синтез 3-[6-[[6-(1-окса-8-азаспиро[4.5]декан-8-илметил)-3-пиридил]метил]-2-оксобензо[cd]индол-1-ил]пиперидин-2,6-диона (Соединение 268)
Стадия 1: Синтез метил-6-(хлорметил)пиридин-3-карбоксилата (2): Метил-6-(гидроксиметил)пиридин-3-карбоксилат (1) (2,0 г, 11,96 ммоль) добавляли порциями к тионилхлориду (28,47 г, 239,29 ммоль, 17,36 мл) в ледяных условиях и перемешивали реакционную смесь в течение 30 мин при к.т. По окончании реакции реакционную смесь упаривали и гасили раствором бикарбоната натрия. Водную часть экстрагировали добавлением этилацетата (50 мл). Органический слой промывали водой с последующей промывкой насыщенным солевым раствором, сушили над сульфатом натрия и концентрировали в условиях пониженного давления. Неочищенное соединение очищали методом колоночной хроматографии 20% этилацетата в гексане с получением желаемого соединения метил-6-(хлорметил)пиридин-3-карбоксилата (2) (1,15 г, 5,74 ммоль, 47,95% выход, 93% чистота) в виде желтоватого твердого вещества. ЖХ-МС: ЭС+186,16.
Стадия 2: Синтез [6-(хлорметил)-3-пиридил]метанола (3): К перемешиваемому раствору метил-6-(хлорметил)пиридин-3-карбоксилата (2) (1,15 г, 6,20 ммоль) в THF (20,0 мл), диизобутилалюминийгидрид (14,10 г, 24,78 ммоль, 20,11 мл) добавляли капельно при -78°С и перемешивали в течение 30 минут при к.т. в атмосфере N2. После полного расходования, по данным ТСХ, реакционную массу разбавляли этилацетатом (50 мл) и гасили 20% раствором натрия тартрата калия. Органическую фазу отделяли, сушили над безводным Na2SO4 и концентрировали в условиях пониженного давления с получением [6-(хлорметил)-3-пиридил]метанола (3) (938 мг, 5,65 ммоль, 91,26% выход, 95% чистота) в виде красноватого смолистого твердого вещества, которое переносили на следующую стадию без какой-либо дальнейшей очистки. ЖХ-МС: ЭС+157,9.
Стадия 3: Синтез [6-(1-окса-8-азаспиро[4.5]декан-8-илметил)-3-пиридил]метанола (5): К перемешиваемому раствору 1-окса-8-азаспиро[4.5]декангидрохлорида (4) (550 мг, 3,10 ммоль) в сухом ацетоне (10 мл) добавляли карбонат калия, безводный, 99% (1,28 г, 9,29 ммоль) при к.т. и полученную реакционную смесь нагревали при 50°С в течение 20 минут, [6-(хлорметил)-3-пиридил]метанол (3) (975,72 мг, 6,19 ммоль, 69,39 мл), затем добавляли к реакционной смеси и нагревание продолжали в течение 4 часов. По окончании реакции (по данным ТСХ и ЖХМС), летучие вещества удаляли в вакууме и полученное таким образом твердое вещество переносили в этилацетат (50 мл), промывали водой (20 мл) и насыщенным солевым раствором, сушили безводным сульфатом натрия и концентрировали в условиях пониженного давления. Неочищенную массу очищали методом колоночной хроматографии (силикагель, градиент: 1-5% МеОН в DCM) с получением [6-(1-окса-8-азаспиро[4.5]декан-8-илметил)-3-пиридил]метанола (5) (600 мг, 2,06 ммоль, 66,49% выход, 90% чистота) в виде бесцветного липкого твердого вещества. ЖХ-МС: ЭС+263,5.
Стадия 4: Синтез 8-[[5-(хлорметил)-2-пиридил]метил]-1-окса-8-азаспиро[4.5]декана (6):
К перемешиваемому раствору [6-(1-окса-8-азаспиро[4.5]декан-8-илметил)-3-пиридил]метанола (5) (600 мг, 2,29 ммоль) в DCM (5,0 мл), тионилхлорид (544,18 мг, 4,57 ммоль, 331,82 мкл) добавляли капельно при 0°С и перемешивали в течение 30 минут при к.т. По окончании реакции по данным ТСХ, летучие вещества удаляли в условиях пониженного давления. Твердую массу повторно растворяли в этилацетате (30 мл) и гасили насыщенным раствором бикарбоната натрия. Органическую фазу отделяли, сушили безводным сульфатом натрия и концентрировали с получением неочищенного соединения 8-[[5-(хлорметил)-2-пиридил]метил]-1-окса-8-азаспиро[4.5]декана (6) (550 мг, 1,86 ммоль, 81,36% выход, 95% чистота) в виде коричневого липкого твердого вещества, которое непосредственно использовали на следующей стадии без какой-либо очистки. ЖХ-МС: ЭС+281,1.
Стадия 5: Синтез 6-[[6-(1-окса-8-азаспиро[4.5]декан-8-илметил)-3-пиридил]метил]-1Н-бензо[cd]индол-2-она (8): К хорошо дегазированному раствору 8-[[5-(хлорметил)-2-пиридил]метил]-1-окса-8-азаспиро[4.5]декана (6) (450 мг, 1,60 ммоль) и 6-(4,4,5,5-тетраметил-1,3,2-диоксаборолан-2-ил)-1Н-бензо[cd]индол-2-она (7) (945,99 мг, 3,21 ммоль) в этаноле (2,0 мл) - толуоле (4,0 мл), безводный трехосновный фосфат калия (1,02 г, 4,81 ммоль) добавляли с последующим добавлением три-о-толилфосфина (97,56 мг, 320,52 ммоль) и (1Е,4Е)-1,5-дифенилпента-1,4-диен-3-онпалладия (146,75 мг, 160,26 ммоль). Полученную смесь затем нагревали при 90°С в течение 12 часов. По окончании реакции (по данным ЖХМС), реакционную смесь фильтровали через слой целита, промывали этилацетатом (100 мл). Объединенный фильтрат промывали водой (3×20 мл) и насыщенным солевым раствором (2×15 мл), сушили безводным сульфатом натрия и концентрировали в условиях пониженного давления. Неочищенную массу очищали методом колоночной хроматографии (силикагель, градиент: 0-5% МеОН в dcm) с получением 6-[[6-(1-окса-8-азаспиро[4.5]декан-8-илметил)-3-пиридил]метил]-1Н-бензо[cd]индол-2-она (8) (90 мг, 180,65 ммоль, 11,27% выход, 83% чистота) в виде желтого твердого вещества и хранили в круглодонной колбе при к.т. ЖХ-МС: ЭС+414,3.
Стадия 6: Синтез 3-[6-[[6-(1-окса-8-азаспиро[4.5]декан-8-илметил)-3-пиридил]метил]-2-оксобензо[cd]индол-1-ил]пиперидин-2,6-диона: К охлажденному раствору 6-[[6-(1-окса-8-азаспиро[4.5]декан-8-илметил)-3-пиридил]метил]-1Н-бензо[cd]индол-2-она (8) (86,00 мг, 207,98 ммоль) в сухом THF (5,0 мл), гидрид натрия (в масляной дисперсии) в виде 60% дисперсии в минеральном масле (79,69 мг, 2,08 ммоль, 60% чистота) добавляли порциями, поддерживая темп. <5°С. По завершении добавления, полученную смесь перемешивали в течение 15 минут при к.т., затем реакционную смесь вновь охлаждали до 0°С и 3-бромпиперидин-2,6-дион (9) (199,67 мг, 1,04 ммоль) добавляли к ней порциями. После полного завершения добавления полученный раствор нагревали при 70°С в течение 1 часа. По окончании (по данным ТСХ), реакционную смесь охлаждали до 0°С и гасили добавлением ледяной воды. Водную часть экстрагировали добавлением этилацетата (3×50 мл). Объединенные органические фазы отделяли, сушили над сульфатом натрия и концентрировали в условиях пониженного давления. Неочищенную массу очищали методом флэш-хроматографии (силикагель, градиент: 0 ТО 2,5% МеОН в DCM) с получением рацемического 3-[6-[[6-(1-окса-8-азаспиро[4.5]декан-8-илметил)-3-пиридил]метил]-2-оксобензо[cd]индол-1-ил]пиперидин-2,6-диона Соединения 268 (33 мг, 62,03 ммоль, 29,83% выход, 98,61% чистота) в виде желтого твердого вещества. 1H ЯМР (400 МГц, DMSO-d6) δ 11,12 (s, 1H), 8,52 (br s, 1H), 8,37 (d, J=8,24 Гц, 1Н), 8,08 (d, J=6,96 Гц, 1Н), 7,82 (t, J=7,64 Гц, 1H), 7,60-7,58 (m, 1H), 7,43 (d, J=7,32 Гц, 1H), 7,30 (d, J=7,96 Гц, 1H), 7,11 (d, J=7,32 Гц, 1H), 5,44 (dd, J=12,8, 5,08 Гц, 1H), 4,40 (s, 2H), 3,66 (t, J=6,68 Гц, 2Н), 3,49 (br s, 2H), 2,95-2,93 (m, 1H), 2,77-2,73 (m, 1H), 2,66-2,62 (m, 1H), 2,42-2,41 (m, 2H), 2,32 (br m, 2H), 2,10-2,07 (m, 1H), 1,82-1,77 (m, 2H), 1,61-1,57 (m, 2H), 1,50 (brs, 4H); ЖХ-МС: ЭС+525,68.
Пример 153. Синтез 3-[6-[[6-(морфолинометил)-3-пиридил]метил]-2-оксобензо[cd]индол-1-ил]пиперидин-2,6-диона (Соединение 269)
Стадия 1: Синтез [6-(1-окса-8-азаспиро[4.5]декан-8-илметил)-3-пиридил]метанола (5): К перемешиваемому раствору морфолина (2) (650 мг, 7,46 ммоль, 652,61 мкл) в сухом ацетоне (10,0 мл) добавляли карбонат калия (1,55 г, 11,19 ммоль, 675,45 мкл) при к.т. и полученную реакционную смесь нагревали при 60°С в течение 60 минут.[6-(хлорметил)-3-пиридил]метанол (1) (587,91 мг, 3,73 ммоль, 70,75 мл) затем добавляли к реакционной смеси и нагревание продолжали в течение 16 часов. По окончании реакции (по данным ТСХ и ЖХМС), летучие вещества удаляли в вакууме и полученное таким образом твердое вещество переносили в этилацетат (70 мл), промывали водой (×3) и насыщенным солевым раствором, сушили безводным сульфатом натрия и концентрировали в условиях пониженного давления. Неочищенную массу очищали методом колоночной хроматографии (силикагель, градиент: 10-30% этилацетата в гексане) с получением [6-(морфолинометил)-3-пиридил]метанола (3) (550 мг, 2,51 ммоль, 67,25% выход, 95% чистота) в виде светло-желтоватого твердого вещества. ЖХ-МС: ЭС+ 209,46.
Стадия 2: Синтез 4-[[5-(хлорметил)-2-пиридил]метил]морфолин (6): К перемешиваемому раствору [6-(морфолинометил)-3-пиридил]метанола (3) (276 мг, 1,33 ммоль) в DCM (5,0 мл) охлаждали до 0°С, затем чистый тионилхлорид (315,34 мг, 2,65 ммоль, 192,28 мкл) добавляли капельно к реакционной смеси и перемешивали реакционную смесь при к.т. в течение 1 ч. Проведенная ТСХ свидетельствовала о полном расходовании исх. вещ., затем реакционную смесь упаривали в условиях пониженного давления для удаления избытка тионилхлорида. После этого реакционную смесь гасили насыщенным раствором бикарбоната натрия и экстрагировали добавлением этилацетата (3×25 мл). Органическую часть промывали насыщенным солевым раствором., сушили над Na2SO4 и упаривали с помощью роторного испарителя с получением неочищенного соединения 4-[[5-(хлорметил)-2-пиридил]метил]морфолина (4) (288 мг, 1,26 ммоль, 94,90% выход, 99% чистота) в виде коричневой смолы. ЖХ-МС: ЭС+ 227,1.
Стадия 3: Синтез 6-[[6-(морфолинометил)-3-пиридил]метил]-1H-бензо[cd]индол-2-она (8): К хорошо дегазированному раствору 4-[[5-(хлорметил)-2-пиридил]метил]морфолина (4) (288 мг, 1,27 ммоль) и 6-(4,4,5,5-тетраметил-1,3,2-диоксаборолан-2-ил)-1Н-бензо[cd]индол-2-она (5) (749,89 мг, 2,54 ммоль) в этаноле (2,0 мл) - толуоле (4,0 мл), безводный трехосновный фосфат калия (809,00 мг, 3,81 ммоль) добавляли с последующим добавлением три-о-толилфосфина (77,33 мг, 254,08 ммоль) и (1Е,4Е)-1,5-дифенилпента-1,4-диен-3-онпалладия (116,33 мг, 127,04 ммоль). Полученную смесь затем нагревали при 90°С в течение 12 часов. По окончании реакции (по данным ЖХМС), реакционную смесь фильтровали через слой целита, промывали этилацетатом (100 мл). Объединенный фильтрат промывали водой (3×20 мл) и насыщенным солевым раствором (2×15 мл), сушили безводным сульфатом натрия и концентрировали в условиях пониженного давления. Неочищенную массу очищали методом колоночной хроматографии (силикагель, градиент: 0-5% МеОН в DCM) с получением 6-[[6-(морфолинометил)-3-пиридил]метил]-1Н-бензо[cd]индол-2-она (6) (65 мг, 126,59 ммоль, 9,96% выход, 70% чистота) в виде желтого твердого вещества и хранили в круглодонной колбе при к.т. ЖХ-МС: ЭС+ 360,4.
Стадия 4: Синтез 3-[6-[[6-(морфолинометил)-3-пиридил]метил]-2-оксобензо[cd]индол-1-ил]пиперидин-2,6-диона: К охлажденному раствору 6-[[6-(морфолинометил)-3-пиридил]метил]-1Н-бензо[cd]индол-2-она (6) (50,00 мг, 139,11 ммоль) в сухом THF (5,0 мл), гидрид натрия (в масляной дисперсии) в виде 60% дисперсии в минеральном масле (53,30 мг, 1,39 ммоль, 60% чистота) добавляли порциями, поддерживая темп. <5°С. По завершении добавления, полученную смесь перемешивали в течение 15 минут при к.т., затем реакционную смесь вновь охлаждали до 0°С и 3-бромпиперидин-2,6-дион (7) (133,56 мг, 695,56 ммоль) добавляли к ней порциями. После полного завершения добавления полученный раствор нагревали при 70°С в течение 1 часа. По окончании (по данным ТСХ), реакционную смесь охлаждали до 0°С и гасили добавлением ледяной воды. Водную часть экстрагировали добавлением этилацетата (3×50 мл). Объединенные органические фазы отделяли, сушили над сульфатом натрия и концентрировали в условиях пониженного давления. Неочищенную массу очищали методом флэш-хроматографии (силикагель, градиент: 0%-2,5% МеОН в DCM) с получением 3-[6-[[6-(морфолинометил)-3-пиридил]метил]-2-оксобензо[cd] индол-1-ил]пиперидин-2,6-диона Соединения 269 (15,0 мг, 29,24 ммоль, 21,02% выход, 91,72% чистота) в виде желтого твердого вещества. 1Н ЯМР (400 МГц, DMSO-d6) δ 11,11 (s, 1H), 8,53 (s, 1Н), 8,37 (d, J = 8,28 Гц, 1H), 8,08 (d, J = 6,96 Гц, 1H), 7,82 (t, J = 7,64 Гц, 1H), 7,61-7,59 (m, 1H), 7,42 (d, J = 7,44 Гц, 1H), 7,31 (d, J = 8,0 Гц, 1H), 7,11 (d, J = 7,28 Гц, 1H), 5,44 (dd, J = 12,76, 5,24 Гц, 1H), 4,40 (s, 2H), 3,54-3,50 (m, 6H), 2,95-2,94 (m, 1H), 2,77-2,73 (m, 1H), 2,66-2,62 (m, 1H), 2,34 (br s, 4H), 2,10-2,07 (m, 1H); ЖХ-МС: ЭС+ 471,58.
Пример 154. Синтез 3-[6-[[4-[1-(1-метилциклобутанкарбонил)-4-пиперидил]пиразол-1-ил]метил]-2-оксобензо[cd]индол-1-ил]пиперидин-2,6-диона (Соединение 270)
Стадия 1: Синтез 4-бром-1-тетрагидропиран-2-илпиразола: К перемешиваемому раствору 4-бром-1Н-пиразола (1) (10 г, 68,04 ммоль) в 3,4-дигидро-2Н-пиране (8,58 г, 102,06 ммоль, 9,27 мл), трифторуксусную кислоту (387,90 мг, 3,40 ммоль, 262,10 мкл) добавляли капельно при охлаждении и полученную реакционную смесь при 80°С в течение 16 ч.По окончании реакции (по данным ТСХ) реакционную смесь разбавляли DCM и промывали 1М раствором NaOH. Органическую часть затем сушили над Na2SO4 и концентрировали в условиях пониженного давления. Полученное таким образом неочищенное соединение очищали с помощью колонки combi-flash (градиент: 0-10% EtOAc в гексане) с получением 4-бром-1-тетрагидропиран-2-илпиразола (2) (14 г, 88,15% выход) в виде желтой смолы; ЖХ-МС: ЭС+ 231,1.
Стадия 2: Синтез 1-бензил-4-(1-тетрагидропиран-2-илпиразол-4-ил)-3,6-дигидро-2Н-пиридина: К перемешиваемому раствору 4-бром-1-тетрагидропиран-2-илпиразола (2) (700 мг, 3,03 ммоль) в воде (4,0 мл) и DMF (16,0 мл) добавляли карбонат натрия (642,11 мг, 6,06 ммоль), 1-бензил-4-(4,4,5,5-тетраметил-1,3,2-диоксаборолан-2-ил)-3,6-дигидро-2Н-пиридин (3) (1,09 г, 3,63 ммоль) и полученную реакционную смесь дегазировали аргоном в течение 15 мин., затем циклопентил(дифенил)фосфан;дихлорметан;дихлорпалладий;железо (247,37 мг, 302,91 ммоль) добавляли и перемешивали реакционную смесь перемешивали при 100°С в течение 16 ч в укупоренной пробирке. По окончании реакции (по данным ТСХ) реакционную смесь разбавляли EtOAc и промывали водой, насыщенным солевым раствором, сушили над Na2SO4 и концентрировали в условиях пониженного давления. Полученное таким образом неочищенное соединение очищали с помощью колонки combi-flash (градиент: 0-20% EtOAc в гексане) с получением 1-бензил-4-(1-тетрагидропиран-2-илпиразол-4-ил)-3,6-дигидро-2Н-пиридина (4) (230 мг, 22,07% выход) в виде бесцветной смолы; ЖХ-МС: ЭС+ 324,4.
Стадия 3: Синтез 4-(1-тетрагидропиран-2-илпиразол-4-ил)пиперидина: К перемешиваемому раствору 1-бензил-4-(1-тетрагидропиран-2-илпиразол-4-ил)-3,6-дигидро-2Н-пиридина (4) (230 мг, 711,13 ммоль) в этилацетате (5,0 мл) и этаноле (5,0 мл) Газообразный аргон продували в течение 10 мин., затем палладий на угле (20% масс, 151,36 мг, 1,42 ммоль) добавляли и реакционную смесь перемешивали в атмосфере водорода (баллон) в течение 16 ч. По окончании реакции (по данным ТСХ) реакционную смесь фильтровали через слой целита и промывали 10% МеОН в DCM. Собирали фильтрат и концентрировали в условиях пониженного давления с получением 4-(1-тетрагидропиран-2-илпиразол-4-ил)пиперидина (5) (150 мг, 76,19% выход) в виде светло-желтой смолы.
Стадия 4: Синтез (1-метилциклобутил)-[4-(1-тетрагидропиран-2-илпиразол-4-ил)-1-пиперидил]метанона: К перемешиваемому раствору 1-метилциклобутанкарбоновой кислоты (6) (194,26 мг, 1,70 ммоль) в DMF (2,0 мл) добавляли N-этил-N-изопропилпропан-2-амин (439,91 мг, 3,40 ммоль, 592,87 мкл) и полученную реакционную смесь перемешивали при к.т. в течение 5 мин, затем HATU (647,12 мг, 1,70 ммоль) добавляли и реакционную смесь перемешивали в течение дополнительных 5 мин. После этого раствор 4-(1-тетрагидропиран-2-илпиразол-4-ил)пиперидин (5) (267 мг, 1,13 ммоль) в DMF (2,0 мл) добавляли и реакционную смесь перемешивали при к.т. в течение 16 ч. По окончании реакции (по данным ТСХ) реакционную смесь разбавляли EtOAc и промывали холодным раствором NaHCO3, сушили над Na2SO4 и концентрировали в условиях пониженного давления. Полученное таким образом неочищенное соединение очищали с помощью колонки combi-flash (градиент: 0-30% EtOAc в гексане) с получением (1-метилциклобутил)-[4-(1-тетрагидропиран-2-илпиразол-4-ил)-1-пиперидил]метанон (7) (100 мг, 26,06% выход) в виде желтого липкого твердого вещества; ЖХ-МС: ЭС+ 332,4.
Стадия 5: Синтез (1-метилциклобутил)-[4-(1Н-пиразол-4-ил)-1-пиперидил]метанонгидрохлорида: К перемешиваемому раствору (1-метилциклобутил)-[4-(1-тетрагидропиран-2-илпиразол-4-ил)-1-пиперидил]метанона (7) (100 мг, 301,70 ммоль) в диоксане (2 мл) добавляли раствор хлороводорода 4,0 М в диоксане (5 мл) и полученную реакционную смесь перемешивали при к.т. в течение 16 ч. По окончании реакции (по данным ТСХ) реакционную смесь концентрировали досуха и растирали с эфиром с получением (1-метилциклобутил)-[4-(1Н-пиразол-4-ил)-1-пиперидил]метанонгидрохлорида (8) (90 мг, 74,52% выход) в виде желтого твердого вещества.
Стадия 6: Синтез 1-[(4-метоксифенил)метил]-6-[[4-[1-(1-метилциклобутанкарбонил)-4-пиперидил]пиразол-1-ил]|метил]бензо[cd]индол-2-она: К перемешиваемому раствору (1-метилциклобутил)-[4-(1Н-пиразол-4-ил)-1-пиперидил]метанона (8) (200,00 мг, 808,62 ммоль) и 6-(хлорметил)-1-[(4-метоксифенил)метил]бензо[cd]индол-2-она (пром.-А) (273,15 мг, 808,62 ммоль) в DMF (2 мл) добавляли карбонат цезия (526,93 мг, 1,62 ммоль) и реакционную смесь нагревали при 90°С в течение 16 ч. По окончании реакции (по данным ТСХ) реакционную смесь разбавляли EtOAc и промывали водой и насыщенным солевым раствором, сушили над сульфатом натрия и концентрировали. Полученное таким образом неочищенное соединение очищали с помощью колонки Combiflash (градиент: 0-2% МеОН в DCM) с получением 1-[(4-метоксифенил)метил]-6-[[4-[1-(1-метилциклобутанкарбонил)-4-пиперидил]пиразол-1-ил]метил]бензо[cd]индол-2-она (9) (300 мг, 60,86% выход) в виде светло-желтого твердого вещества. ЖХ-МС: ЭС+ 549,7.
Стадия 7: Синтез 6-[[4-[1-(1-метилциклобутанкарбонил)-4-пиперидил]пиразол-1-ил]метил]-1Н-бензо[cd]индол-2-она: К перемешиваемому раствору соединения 1-[(4-метоксифенил)метил]-6-[[4-[1-(1-метилциклобутанкарбонил)-4-пиперидил]пиразол-1-ил]метил]бензо[cd]индол-2-она (9) (500,00 мг, 911,29 ммоль) в TFA (4 мл) добавляли трифторметансульфоновую кислоту (683,83 мг, 4,56 ммоль, 399,90 мкл) при охлаждении и полученную реакционную смесь перемешивали при комнатной температуре в течение 16 ч. По окончании реакции (по данным ТСХ) реакционную смесь гасили насыщенным раствором бикарбоната и экстрагировали добавлением этилацетата. Органический слой затем сушили над сульфатом натрия и концентрировали в условиях пониженного давления. Полученное таким образом неочищенное соединение очищали методом хроматографии CombiFlash (градиент: 0-3% МеОН в DCM) с получением 6-[[4-[1-(1-метилциклобутанкарбонил)-4-пиперидил]пиразол-1-ил]метил]-1Н-бензо[cd]индол-2-она (10) (350 мг, 80,66% выход) в виде светло-желтого твердого вещества; ЖХ-МС: ЭС+ 429,4.
Стадия 8: Синтез 3-[6-[[4-[1-(1-метилциклобутанкарбонил)-4-пиперидил]пиразол-1-ил]метил]-2-оксобензо[cd]индол-1-ил]пиперидин-2,6-диона: К перемешиваемому раствору соединения 6-[[4-[1-(1-метилциклобутанкарбонил)-4-пиперидил]пиразол-1-ил]метил]-1Н-бензо[cd]индол-2-она (10) (175 мг, 408,38 ммоль) в DMF (3 мл) добавляли гидрид натрия (в масляной дисперсии) в виде 60% дисперсии в минеральном масле (23,47 мг, 1,02 ммоль) при охлаждении и затем реакционную смесь перемешивали при 70°С в течение 1 часа, затем 3-бромпиперидин-2,6-дион (11) (78,41 мг, 408,38 ммоль) добавляли и перемешивали при 70°С в течение дополнительных 2 ч. Вновь 3-бромпиперидин-2,6-дион (11) (78,41 мг, 408,38 ммоль) добавляли и реакцию продолжали при 70°С в течение 16 ч. По окончании реакции (по данным ТСХ) реакционную смесь гасили ледяной водой и экстрагировали добавлением EtOAc. Органическую часть затем сушили над сульфатом натрия и концентрировали. Полученное таким образом неочищенное соединение очищали с помощью пластинки для преп. ТСХ (5% МеОН в DCM) с получением 3-[6-[[4-[1-(1-метилциклобутанкарбонил)-4-пиперидил]пиразол-1-ил]метил]-2-оксобензо[cd]индол-1-ил]пиперидин-2,6-диона Соединения 270 (20 мг, 8,17% выход) в виде желтого твердого вещества. 1Н ЯМР (400 МГц, DMSO-d6) δ 11,12 (s, 1Н), 8,43 (d, J = 8,32 Гц, 1H), 8,10 (d, J = 6,96 Гц, 1H), 7,85 (t, J = 7,64 Гц, 1H), 7,67 (s, 1H), 7,45 (d, J = 7,52 Гц, 1Н), 7,32 (s, 1H), 7,12 (d, J = 7,4 Гц, 1H), 5,67 (s, 2H), 5,47-5,42 (m, 1H), 4,35-4,31 (m, 1H), 3,52-3,48 (m, 1H), 2,99-2,90 (m, 2H), 2,76-2,72 (m, 1H), 2,66-2,63 (m, 2H), 2,41-2,34 (m, 2H), 2,09-2,07 (m, 1H), 1,92-1,82 (m, 1H), 1,82-1,76 (m, 5H), 1,60-1,57 (m, 1H), 1,40-1,42 (m, 5H); ЖХ-МС: ES- 538,5.
Пример 155. Синтез 3-(6-((1-(4-метил-1-(4-метил-1-(пиридин-2-ил)пиперидин-4-карбонил)пиперидин-4-ил)-1Н-пиразол-4-ил)метил)-2-оксобензо[cd]индол-1(2Н)-ил)пиперидин-2,6-диона (Соединение 271)
Стадия 1: Синтез метил-4-метил-1-(пиридин-2-ил)пиперидин-4-карбоксилата: К перемешиваемому раствору метил-1-хлор-4-метилпиперидин-4-карбоксилата 2 (1,15 г, 5,94 ммоль, 575,47 мкл) в DMF (1 мл) в укупоренной пробирке добавляли триэтиламин (601,55 мг, 5,94 ммоль, 828,59 мкл). Его перемешивали при к.т. в течение 10 минут. 2-хлорпиридин 1 (450 мг, 3,96 ммоль, 371,90 мкл) добавляли в реакционную смесь. Ее нагревали при 100°С в течение 16 ч. Ее разбавляли водой, экстрагировали добавлением этилацетата, сушили над сульфатом натрия, концентрировали в условиях пониженного давления. Ее очищали с помощью combiflash, элюируя при 25% этилацетата в гексане с получением метил-4-метил-1-(2-пиридил)пиперидин-4-карбоксилата 3 (95 мг, 352,76 ммоль, 8,90% выход, 87% чистота) в виде бесцветной жидкости. ЖХ-МС: ЭС+ 235,3.
Стадия 2: Синтез 4-метил-1-(пиридин-2-ил)пиперидин-4-карбоновой кислоты: К перемешиваемому раствору метил-4-метил-1-(2-пиридил)пиперидин-4-карбоксилата 3 (85 мг, 362,79 ммоль) в THF (4 мл) и воду (1 мл) добавляли моногидрат гидроксида лития, 98% (30,45 мг, 725,59 ммоль, 20,16 мкл). Ее перемешивали при к.т. в течение 16 часов. Ее гасили 1н HCl для нейтрализации раствора и экстрагировали добавлением этилацетата четырежды. Объединенную органическую часть промывали насыщенным солевым раствором, сушили над сульфатом натрия, концентрировали в условиях пониженного давления с получением 4-метил-1-(2-пиридил)пиперидин-4-карбоновой кислоты 4 (35 мг, 143,01 ммоль, 39,42% выход, 90% чистота) в виде белого твердого вещества.
Стадия 3: Синтез 3-(6-((1-(4-метил-1-(4-метил-1-(пиридин-2-ил)пиперидин-4-карбонил)пиперидин-4-ил)-1Н-пиразол-4-ил)метил)-2-оксобензо[«1]индол-1(2Н)-ил)пиперидин-2,6-диона: К перемешиваемому раствору 3-[6-[[1-(1-хлор-4-метил-4-пиперидил)пиразол-4-ил]метил]-2-оксобензо[с(1]индол-1-ил]пиперидин-2,6-диона 5 (50,0 мг, 101,22 ммоль) в DMF (1 мл) добавляли N,N-диизопропилэтиламин (39,24 мг, 303,65 ммоль, 52,89 мкл) в холодных условиях с последующим добавлением 4-метил-1-(2-пиридил)пиперидин-4-карбоновой кислоты 4 (22,29 мг, 101,22 ммоль, 13,94 мкл) и HATU (57,73 мг, 151,83 ммоль) и реакцию продолжали при комнатной температуре в течение 16 часов. ТСХ и ЖХМС проводили, что показывало образование желаемого пятна. Реакционную смесь разбавляли этилацетатом, промывали раствором бикарбоната натрия, воду и органическую фракцию отделяли. Ее сушили над безводным сульфатом натрия и упаривали в условиях пониженного давления с получением неочищенного соединения, которое очищали с помощью пластинки для препаративной ТСХ с проявлением пластинки в 3% MeOH-DCM с получением 3-[6-[[1-[4-метил-1-[4-метил-1-(2-пиридил)пиперидин-4-карбонил]-4-пиперидил]пиразол-4-ил]метил]-2-оксобензо[cd]индол-1-ил]пиперидин-2,6-диона Соединения 271 (11 мг, 16,54 ммоль, 16,34% выход, 99,22% чистота) в виде желтого твердого вещества. 11,11 (s, 1Н), 8,39 (d, J = 8,28 Гц, 1H), 8,10-8,07 (m, 2Н), 7,85-7,78 (m, 2Н), 7,50-7,46 (m, 1H), 7,36-7,34 (m, 2Н), 7,07 (d, J = 7,24 Гц, 1H), 6,75 (d, J = 8,64 Гц, 1Н), 6,58-6,56 (m, 1Н), 5,45-5,42 (m, 1H), 4,21 (s, 2Н), 3,75-3,71 (m, 4Н), 3,31-3,26 (m, 3Н), 2,94-2,91 (m, 1H), 2,77-2,73 (m, 1Н), 2,66-2,62 (m, 1H), 2,57-2,50 (m, 2Н), 2,40-2,32 (m, 1H), 2,10-2,17 (m, 3Н), 1,76-1,72 (m, 2Н), 1,48-1,46 (m, 2Н), 1,36-1,33 (m, 3Н), 1,23 (s, 3Н); ЖХ-МС: ЭС+ 660,3.
Пример 156. Синтез 3-(6-((1-(4-метил-1-(1-(пиридин-2-ил)пиперидин-4-карбонил)пиперидин-4-ил)-1Н-пиразол-4-ил)метил)-2-оксобензо[cd]индол-1(2Н)-ил)пиперидин-2,6-диона (Соединение 272)
Стадия 1: Синтез метил-1-(пиридин-2-ил)пиперидин-4-карбоксилата: К перемешиваемому раствору 2-хлорпиридин 1 (483,73 мг, 4,26 ммоль, 399,78 мкл) в укупоренной пробирке добавляли метилпиперидин-4-карбоксилат 2 (610 мг, 4,26 ммоль, 575,47 мкл). Ее нагревали при 100°С в течение 16 часов. Ее разбавляли этилацетатом, промывали насыщенным раствором бикарбоната натрия, сушили над сульфатом натрия, концентрировали в условиях пониженного давления. Ее очищали с помощью combiflash, элюируя при 20% этилацетата в гексане с получением метил-1-(2-пиридил)пиперидин-4-карбоксилата 3 (210 мг, 905,72 ммоль, 21,26% выход, 95% чистота) в виде бесцветного liqiud. ЖХ-МС: ЭС+ 221,3.
Стадия 2: Синтез 1-(пиридин-2-ил)пиперидин-4-карбоновой кислоты: К перемешиваемому раствору метил- 1-(2-пиридил)пиперидин-4-карбоксилата 3 (200 мг, 907,99 ммоль) в THF (8 мл) и воде (2 мл) добавляли моногидрат гидроксида лития, 98% (114,30 мг, 2,72 ммоль, 75,69 мкл). Его перемешивали при к.т. в течение 16 ч. Его гасили 1н HCl для нейтрализации раствора и экстрагировали добавлением этилацетата четырежды. Объединенную органическую часть промывали насыщенным солевым раствором, сушили над сульфатом натрия, концентрировали в условиях пониженного давления с получением 1-(2-пиридил)пиперидин-4-карбоновой кислоты 4 (130 мг, 598,82 ммоль, 65,95% выход, 95% чистота) в виде белого твердого вещества. 12,21 (s, 1Н), 8,09-8,07 (m, 1Н), 7,51-7,47 (m, 1Н), 6,81 (d, J = 8,6 Гц, 1H), 6,60-6,57 (m, 1Н), 4,18-4,15 (m, 2Н), 2,94-2,87 (m, 2Н), 2,46-2,45 (m, 1Н), 1,86-1,82 (m, 2Н), 1,55-1,45 (m, 2Н).
Стадия 3: Синтез 3-(6-((1-(4-метил-1-(1-(пиридин-2-ил)пиперидин-4-карбонил)пиперидин-4-ил)-1Н-пиразол-4-ил)метил)-2-оксобензо[cd]индол-1(2Н)-ил)пиперидин-2,6-диона: К перемешиваемому раствору 3-[6-[[1-(1-хлор-4-метил-4-пиперидил)пиразол-4-ил]метил]-2-оксобензо[сd]индол-1-ил]пиперидин-2,6-диона 5 (50,0 мг, 101,22 ммоль) в DMF (1 мл) добавляли N,N-диизопропилэтиламин (39,24 мг, 303,65 ммоль, 52,89 мкл) в холодных условиях с последующим добавлением 1-(2-пиридил)пиперидин-4-карбоновой кислоты 4 (20,88 мг, 101,22 ммоль, 13,94 мкл) и HATU (57,73 мг, 151,83 ммоль) и реакцию продолжали при комнатной температуре в течение 16 часов. ТСХ (5% метанола в дихлорметане) и ЖХМС проводили, что показывало образование желаемого пятна. Реакционную смесь разбавляли этилацетатом, промывали раствором бикарбоната натрия, воду и органическую фракцию отделяли. Ее сушили над безводным сульфатом натрия и упаривали в условиях пониженного давления с получением неочищенного соединения, которое очищали методом препаративной ТСХ (3% метанола в дихлорметане) с получением 3-[6-[[1-[4-метил-1-[1-(2-пиридил)пиперидин-4-карбонил]-4-пиперидил]пиразол-4-ил]метил]-2-оксобензо[сd]индол-1-ил]пиперидин-2,6-диона Соединения 272 (27 мг, 41,59 ммоль, 41,09% выход, 99,46% чистота) в виде желтого твердого вещества. 11,11 (s, 1Н), 8,39 (d, J = 7,84 Гц, 1H), 8,09-8,08 (m, 2Н), 7,85-7,79 (m, 2Н), 7,51-7,47 (m, 1Н), 7,36-7,34 (m, 2Н), 7,07 (d, J = 7,08 Гц, 1H), 6,80 (d, J = 7,92 Гц, 1H), 6,59-6,56 (m, 1H), 5,45-5,42 (m, 1Н), 4,29-4,27 (m, 2Н), 4,21 (s, 2Н), 3,69-3,65 (m, 2Н), 3,13-3,10 (m, 1Н), 2,94-2,91 (m, 4Н), 2,76-2,63 (m, 2Н), 2,37-2,32 (m, 1Н), 2,25-2,23 (m, 1Н), 2,08-2,07 (m, 2Н), 1,80-1,48 (m, 6Н), 1,36 (s, 3Н); ЖХ-МС: ЭС+ 646,3.
Пример 157. Синтез 3-(6-(4-(морфолинометил)фенокси)-2-оксобензо[cd]индол-1(2Н)-ил)пиперидин-2,6-диона (Соединение 273)
Стадия 1: Синтез 6-гидрокси-1-[(4-метоксифенил)метил]бензо[cd]индол-2-она: К перемешиваемому раствору 1-[(4-метоксифенил)метил]-2-оксобензо[cd]индол-6-карбальдегида (1) (200 мг, 630,24 ммоль) в DCM (10 мл), mCPBA (108,76 мг, 630,24 ммоль) добавляли при к.т. и реакционную смесь нагревали to 40°С и перемешивали в течение 12 ч. По окончании реакции (по данным ТСХ), реакционную смесь охлаждали при 0°С и 2 М NH3-МеОН (3,15 ммоль) добавляли капельно до появления цвета красного вина и перемешивали в течение 2 ч при той же температуре. После этого реакционную смесь разбавляли EtOAc (20 мл) и гасили насыщенным раствором бикарбоната натрия и слои разделяли. Органическую часть затем сушили над сульфатом натрия и концентрировали. Полученное таким образом неочищенное соединение очищали методом колоночной хроматографии (100-200 силикагель, градиент: 0-50% EtOAc в гексане) с получением липкого 6-гидрокси-1-[(4-метоксифенил)метил]бензо[cd]индол-2-она (2) (145 мг, 68,57% выход) в виде желтого твердого вещества. ЖХ-МС: ЭС+ 306.
Стадия 2: Синтез 1-[(4-метоксифенил)метил]-6-[4-(морфолинометил)фенокси]бензо[cd]индол-2-она: К барботированному кислородом раствору 6-гидрокси-1-[(4-метоксифенил)метил]бензо[cd]индол-2-она (2) (1 г, 3,28 ммоль) и [4-(морфолинометил)фенил]бороновой кислоты (3) (724,01 мг, 3,28 ммоль) в метаноле (5 мл) куприосульфанилмедь (26,06 мг, 163,76 ммоль) и N,N,N',N'-тетраметилэтан-1,2-диамин (380,61 мг, 3,28 ммоль, 491,11 мкл) добавляли и реакционную смесь перемешивали при к.т. в течение 16 ч. По окончании реакции (по данным ТСХ) реакционную смесь фильтровали через слой целита и промывали EtOAc. Собранный фильтрат далее промывали водой (3 раза) и насыщенным солевым раствором, сушили над сульфатом натрия и концентрировали в условиях пониженного давления. Полученное таким образом неочищенное соединение очищали методом колоночной хроматографии (100-200 Силикагель; Градиент: 0-30% EtOAc в DCM) с получением 1-[(4-метоксифенил)метил]-6-[4-(морфолинометил)фенокси]бензо[cd]индол-2-она (4) (180 мг, 10,86% выход) в виде желтого твердого вещества; ЖХ-МС: ЭС+ 481,4.
Стадия 3: Синтез 6-[4-(морфолинометил)фенокси]-1Н-бензо[cd]индол-2-она: К перемешиваемому раствору 1-[(4-метоксифенил)метил]-6-[4-(морфолинометил)фенокси]бензо[cd]индол-2-она (4) (180 мг, 374,57 ммоль) в TFA (2 мл), трифторметансульфоновую кислоту (562,15 мг, 3,75 ммоль, 328,74 мкл) добавляли и полученную реакционную смесь перемешивали при к.т. перемешивали в течение 12 ч. По окончании реакции (по данным ТСХ) реакционную смесь гасили насыщенным раствором бикарбоната натрия и экстрагировали добавлением этилацетата (дважды)). Объединенную органическую часть затем сушили над сульфатом натрия и концентрировали в условиях пониженного давления. Полученное таким образом неочищенное соединение очищали методом колоночной хроматографии (100-200 силикагель; Градиент 0-2% МеОН в DCM) с получением 6-[4-(морфолинометил)фенокси]-1Н-бензо[cd]индол-2-она (5) (80 мг, 55,71% выход) в виде желтого твердого вещества; ЖХ-МС: ЭС+ 361,1.
Стадия 4: Синтез 3-(6-(4-(морфолинометил)фенокси)-2-оксобензо[cd]индол-1(2Н)-ил)пиперидин-2,6-диона: К перемешиваемому раствору 6-[4-(морфолинометил)фенокси]-1Н-бензо[cd]индол-2-она (5) (80 мг, 221,97 ммоль) в сухом DMF (2 мл), гидрид натрия (в масляной дисперсии) в виде 60% дисперсии в минеральном масле (17,01 мг, 443,95 ммоль, 60% чистота) добавляли при 0°С и полученную реакционную смесь нагревали при 70°С в течение 1 ч. После этого 3-бромпиперидин-2,6-дион (6) (42,62 мг, 221,97 ммоль) добавляли и реакцию продолжали в течение 12 ч при 70°С. За ходом реакции следили с помощью ТСХ и ЖХМС, которые показали наличие непрореагировавшего исх. вещ. Вновь 3-бромпиперидин-2,6-дион (6) (42,62 мг, 221,97 ммоль) добавляли к реакционной смеси и нагревание продолжали в течение дополнительных 6 ч. Реакционную смесь затем гасили холодной водой/раствором хлорида аммония и экстрагировали добавлением этилацетата (3 раза). Объединенную органическую часть затем сушили над сульфатом натрия и концентрировали в условиях пониженного давления. Полученное таким образом неочищенное соединение очищали с помощью пластинки для преп. ТСХ (30% EtOAc в DCM) с получением 3-[6-[4-(морфолинометил)фенокси]-2-оксобензо[cd]индол-1-ил]пиперидин-2,6-диона Соединения 273 (5 мг, 4,41% выход) в виде желтого твердого вещества. 1Н ЯМР (400 МГц, DMSO-d6) δ 11,15 (s, 1H), 8,17-8,13 (m, 2Н), 7,87-7,83 (m, 1H), 7,30 (d, J = 7,88 Гц, 2Н), 7,12-7,10 (m, 1Н), 7,05-7,00 (m, 3Н), 5,49-5,45 (m, 1H), 3,56 (br s, 4H), 3,42 (s, 2H), 2,96-2,95 (m, 2H), 2,67-2,62 (m, 1H), 2,32 (br s, 4H), 2,10-2,07 (m, 1H); ЖХ-МС: ЭС+ 472,5.
Пример 158. Синтез 3-[6-[[1-[4-[(1-метилциклобутил)метил]-4-азаспиро[2.5]октан-7-ил]пиразол-4-ил]|метил]-2-оксобензо[cd]индол-1-ил]пиперидин-2,6-диона (Соединение 274) и 3-[6-[[1-[4-[(1-метилциклобутил)метил]-4-азаспиро[2.5]октан-7-ил]пиразол-4-ил]метил]-2-оксобензо[cd]индол-1-ил]пиперидин-2,6-диона (Соединение 275)
Стадия 1: Синтез трет-бутил-5-гидроксиспиро[2.5]октан-8-карбоксилата: К перемешиваемому раствору трет-бутил-5-оксоспиро[2.5]октан-8-карбоксилата (1) (1 г, 4,46 ммоль) в метаноле (5 мл) добавляли боргидрид натрия (202,39 мг, 5,35 ммоль, 189,15 мкл) при охлаждении и реакционную массу перемешивали при к.т. в течение 4 ч. По окончании реакции (по данным ТСХ) реакционную массу концентрировали в условиях пониженного давления и разбавляли холодной водой. Водную часть затем экстрагировали добавлением EtOAc и органический слой далее промывали насыщенным солевым раствором, сушили над сульфатом натрия и концентрировали с получением трет-бутил-5-гидроксиспиро[2.5]октан-8-карбоксилата (2) (1 г, 94,15% выход) в виде желтого твердого вещества. 1Н ЯМР (400 МГц, DMSO-d6): δ 4,67-4,66 (d, J = 4,8 Гц, 1Н), 3,76-3,68 (m, 2Н), 2,84-2,80 (m, 2Н), 1,76-1,72 (m, 1H), 1,57-1,52 (m, 1Н), 1,39 (s, 9H), 1,25-1,16 (m, 2Н), 0,98-0,96 (m, 1H), 0,76-0,70 (m, 1H), 0,45-0,40 (m, 2Н).
Стадия 2: Синтез трет-бутил-5-метилсульфонилоксиспиро[2.5]октан-8-карбоксилата: К перемешиваемому раствору трет-бутил-5-гидроксиспиро[2.5]октан-8-карбоксилата (2) (1 г, 4,42 ммоль) в DCM (20 мл) добавляли триэтиламин (894,26 мг, 8,84 ммоль, 1,23 мл) при охлаждении и реакционную массу перемешивали в течение 10 минут, затем мезилхлорид (607,40 мг, 5,30 ммоль, 410,41 мкл) добавляли и полученную реакционную смесь перемешивали при к.т. в течение 16 часов. По окончании реакции (по данным ТСХ) реакционную смесь разбавляли DCM и промывали водой, насыщенным раствором бикарбоната натрия, насыщенным солевым раствором и сушили над сульфатом натрия и концентрировали с получением трет-бутил-5-метилсульфонилоксиспиро[2.5]октан-8-карбоксилата (3) (1,2 г, 84,75% выход) в виде бесцветной смолы. 1Н ЯМР (400 МГц, DMSO-d6): δ 4,90-4,85 (m, 1H), 3,71-3,67 (m, 1Н), 3,19 (s, 3Н), 3,11-3,06 (m, 1H), 1,97-1,96 (m, 1H), 1,77-1,72 (m, 1H), 1,65-1,62 (m, 1H), 1,55-1,51 (m, 1H), 1,40 (s, 9H), 1,17 (t, 1H), 0,98-,095 (m, 1H), 0,82-0,76 (m, 1H), 0,65-0,60 (m, 2H).
Стадия 3: Синтез трет-бутил-7-[4-[[1-[(4-метоксифенил)метил]-2-оксобензо[cd]индол-6-ил]метил]пиразол-1-ил]-4-азаспиро[2.5]октан-4-карбоксилата: К перемешиваемому раствору 1-[(4-метоксифенил)метил]-7-(1Н-пиразол-4-илметил)-2Н-бензо[de]хинолин-3-она (4) (1,2 г, 3,13 ммоль) и трет-бутил-7-метилсульфонилокси-4-азаспиро[2.5]октан-4-карбоксилата (3) (1,15 г, 3,76 ммоль) в DMF (15 мл) добавляли карбонат цезия (2,04 г, 6,26 ммоль) и полученную реакционную смесь перемешивали при 100°С в течение 16 часов. По окончании реакции (по данным ТСХ) реакционную смесь разбавляли EtOAc, промывали водой и насыщенным солевым раствором, сушили над сульфатом натрия и концентрировали. Полученное таким образом неочищенное соединение очищали методом хроматографии CombiFlash (градиент: 0-30% EtOAc в гексане) с получением трет-бутил-7-[4-[[1-[(4-метоксифенил)метил]-2-оксобензо[cd]индол-6-ил]метил]пиразол-1-ил]-4-азаспиро[2.5]октан-4-карбоксилата (5) (1 г, 48,39% выход) в виде светло-желтого твердого вещества; ЖХ-МС: ЭС+ 579,8.
Стадия 4, 4а и 4b: Синтез трет-бутил-7-[4-[(2-оксо-1Н-бензо[cd]индол-6-ил)метил]пиразол-1-ил]-4-азаспиро[2.5]октан-4-карбоксилата и трет-бутил-7-[4-[(2-оксо-1Н-бензо[cd]индол-6-ил)метил]пиразол-1-ил]-4-азаспиро[2.5]октан-4-карбоксилата: К перемешиваемому раствору трет-бутил-7-[4-[[1-[(4-метоксифенил)метил]-2-оксобензо[cd]индол-6-ил]метил]пиразол-1-ил]-4-азаспиро[2.5]октан-4-карбоксилата (5) (1 г, 1,73 ммоль) в TFA (5 мл) добавляли трифторметансульфоновую кислоту (2,59 г, 17,28 ммоль, 1,52 мл) и полученную реакционную смесь перемешивали при к.т. в течение 16 часов. По окончании реакции (по данным ТСХ и ЖХ-МС) реакционную массу концентрировали и полученное таким образом неочищенное соединение разбавляли DCM (10 мл) и TEA (874,29 мг, 8,64 ммоль, 1,20 мл) добавляли к ней при охлаждении с последующим добавлением трет-бутоксикарбонил-трет-бутилкарбоната (565,71 мг, 2,59 ммоль, 594,86 мкл). Полученную реакционную смесь затем перемешивали при к.т. в течение 16 часов. По окончании реакции (по данным ТСХ и ЖХ-МС) реакционную смесь разбавляли DCM и промывали водой, насыщенным солевым раствором, сушили над сульфатом натрия и концентрировали. Полученное таким образом неочищенное соединение очищали с помощью combi-flash (градиент: 0-30% EtOAc в гексане) с получением рацемического трет-бутилового эфира 7-[4-(2-Оксо-1,2-дигидробензо[cd]индол-6-илметил)-пиразол-1-ил]-4-азаспиро[2.5]октан-4-карбоновой кислоты (7) (600 мг). Этот рацемат разделяли на его энантиомеры методом хиральной преп. SFC с получением трет-бутил-7-[4-[(2-оксо-1Н-бензо[cd]индол-6-ил)метил]пиразол-1-ил]-4-азаспиро[2.5]октан-4-карбоксилата (7а) (250 мг, 31,55% выход, элюированного в первой фракции) и трет-бутил-7-[4-[(2-оксо-1Н-бензо[cd]индол-6-ил)метил]пиразол-1-ил]-4-азаспиро[2.5]октан-4-карбоксилата (7b) (250 мг, 31,55% выход, элюированного во второй фракции) в виде желтого твердого вещества. ЖХ-МС ЭС+ 459,61.
Стадия 5а: Синтез трет-бутил-7-[4-[[1-(2,6-диоксо-3-пиперидил)-2-оксобензо[cd]индол-6-ил]метил]пиразол-1-ил]-4-азаспиро[2.5]октан-4-карбоксилата: К охлажденному раствору трет-бутил-7-[4-[(2-оксо-1Н-бензо[cd]индол-6-ил)метил]пиразол-1-ил]-4-азаспиро[2.5]октан-4-карбоксилата (7а) (200 мг, 436,16 ммоль) в сухом THF (10 мл), гидрид натрия (60% дисперсия в минеральном масле) (167,12 мг, 4,36 ммоль) добавляли порциями, поддерживая темп. <5°С. По завершении добавления, полученную смесь перемешивали в течение 15 минут при к.т., затем реакционную смесь вновь охлаждали до 0°С и 3-бромпиперидин-2,6-дион (8) (83,75 мг, 436,16 ммоль) добавляли к ней порциями. После полного завершения добавления полученный раствор нагревали при 70°С в течение 1 часа. По окончании (по данным ТСХ), реакционную смесь охлаждали до 0°С и гасили добавлением ледяной воды. Водную часть экстрагировали добавлением этилацетата (3 раза). Объединенные органические фазы отделяли, сушили над сульфатом натрия и концентрировали в условиях пониженного давления. Неочищенную массу очищали с помощью колонки combiflash (градиент: 0-30% EtOAc в DCM) с получением трет-бутил-7-[4-[[1-(2,6-диоксо-3-пиперидил)-2-оксобензо[cd]индол-6-ил]метил]пиразол-1-ил]-4-азаспиро[2.5]октан-4-карбоксилата (9а) (200 мг, 75,67% выход) в виде желтого твердого вещества. ЖХ-МС ЭС+ 570,2.
Стадия 6а: Синтез [7-[4-[[1-(2,6-диоксо-3-пиперидил)-2-оксобензо[cd]индол-6-ил]метил]пиразол-1-ил]-4-азаспиро[2.5]октан-4-ил]-2,2,2-трифторацетата: К перемешиваемому раствору трет-бутил-7-[4-[[1-(2,6-диоксо-3-пиперидил)-2-оксобензо[cd]индол-6-ил]метил]пиразол-1-ил]-4-азаспиро[2.5]октан-4-карбоксилата (9а) (200 мг, 351,09 ммоль) в DCM (5 мл) добавляли TFA (600,48 мг, 5,27 ммоль, 405,73 мкл) и реакционную смесь перемешивали при к.т. в течение 4 часов. По окончании реакции (по данным ТСХ) реакционную массу концентрировали в условиях пониженного давления и полученное таким образом неочищенное соединение растирали с эфиром-пентаном с получением [7-[4-[[1-(2,6-диоксо-3-пиперидил)-2-оксобензо[cd]индол-6-ил]метил]пиразол-1-ил]-4-азаспиро[2.5]октан-4-ил]-2,2,2-трифторацетата (10а) (200 мг, 77,58% выход) в виде желтой смолы. ЖХ-МС ЭС+ 470,1.
Стадия 7а: Синтез 3-[6-[[1-[4-[(1-метилциклобутил)метил]-4-азаспиро[2.5]октан-7-ил]пиразол-4-ил]метил]-2-оксобензо[cd]индол-1-ил]пиперидин-2,6-диона: Раствор 3-[6-[[1-[4-азаспиро[2.5]октан-7-ил]пиразол-4-ил]метил]-2-оксобензо[cd]индол-1-ил]пиперидин-2,6-дион-2,2,2-трифторуксусной кислоты (10а) (100,00 мг, 171,36 ммоль) в DCE (4 мл) и триэтиламин (17,34 мг, 171,36 ммоль, 23,88 мкл) перемешивали при охлаждении в течение 15 мин. К ней уксусную кислоту (10,29 мг, 171,36 ммоль, 9,80 мкл) и 1-метилциклобутанкарбальдегид (11) (16,82 мг, 171,36 ммоль, 16,49 мкл) добавляли и реакционную смесь перемешивали при к.т. в течение 1 часа, затем цианоборгидрид натрия (16,15 мг, 257,04 ммоль) добавляли и реакционную смесь оставляли перемешиваться при к.т. в течение 16 ч. По окончании реакции (по данным ТСХ и ЖХМС), реакционную смесь разбавляли этилацетатом, промывали раствором бикарбоната натрия и органическую фракцию отделяли. Ее затем сушили над безводным сульфатом натрия и упаривали в условиях пониженного давления с получением неочищенного соединения, которое очищали с помощью пластинки для препаративной ТСХ (3% MeOH-DCM) с получением 3-[6-[[1-[4-[(1-метилциклобутил)метил]-4-азаспиро[2.5]октан-7-ил]пиразол-4-ил]метил]-2-оксобензо[cd]индол-1-ил]пиперидин-2,6-диона Соединения 274 (25,0 мг, 26,44% выход) в виде желтого твердого вещества. 1Н ЯМР (400 МГц, DMSO-d6): δ 11,11 (s, 1Н), 8,36 (d, J = 8,2 Гц, 1H), 8,08 (d, J = 7,0 Гц, 1H), 7,83 (t, J = 7,58 Гц, 1H), 7,58 (s, 1H), 7,35 (d, J = 7,28 Гц, 1H), 7,31 (s, 1H), 7,07 (d, J = 7,28 Гц, 1H), 5,43 (dd, J = 12,64, 5,36 Гц, 1H), 4,23-4,18 (m, 3H), 2,96-2,62 (m, 6H), 2,28-2,35 (m, 2H), 2,09-2,08 (m, 2H), 1,90-1,69 (m, 4H), 1,56-1,49 (m, 3H), 1,03 (m, 4H), 0,49-0,42 (m, 3H), 0,35-0,33 (m, 1H); ЖХ-МС: ЭС+ 552,24.
Стадия 5b: Синтез трет-бутил-7-[4-[[1-(2,6-диоксо-3-пиперидил)-2-оксобензо[cd]индол-6-ил]метил]пиразол-1-ил]-4-азаспиро[2.5]октан-4-карбоксилата: К охлажденному раствору трет-бутил-7-[4-[(2-оксо-1H-бензо[cd]индол-6-ил)метил]пиразол-1-ил]-4-азаспиро[2.5]октан-4-карбоксилата (7b) (250 мг, 545,16 ммоль) в сухом THF (10 мл), гидрид натрия (60% дисперсия в минеральном масле) (208,9 мг, 5,45 ммоль) добавляли порциями, поддерживая темп. <5°С. По завершении добавления, полученную смесь перемешивали в течение 15 минут при к.т., затем реакционную смесь вновь охлаждали до 0°С и 3-бромпиперидин-2,6-дион (8) (523 мг, 2,73 ммоль) добавляли к ней порциями. После полного завершения добавления полученный раствор нагревали при 70°С в течение 1 часа. По окончании (по данным ТСХ), реакционную смесь охлаждали до 0°С и гасили добавлением ледяной воды. Водную часть экстрагировали добавлением этилацетата (3 раза). Объединенные органические фазы отделяли, сушили над сульфатом натрия и концентрировали в условиях пониженного давления. Неочищенную массу очищали с помощью колонки combiflash (градиент: 0-30% EtOAc в DCM) с получением трет-бутил-7-[4-[[1-(2,6-диоксо-3-пиперидил)-2-оксобензо[cd]индол-6-ил]метил]пиразол-1-ил]-4-азаспиро[2.5]октан-4-карбоксилата (9b) (200 мг, 61% выход) в виде желтого твердого вещества. ЖХ-МС ЭС+ 570,2.
Стадия 6b: Синтез [7-[4-[[1-(2,6-диоксо-3-пиперидил)-2-оксобензо[cd]индол-6-ил]метил]пиразол-1-ил]-4-азаспиро[2.5]октан-4-ил]-2,2,2-трифторацетата: К перемешиваемому раствору трет-бутил-7-[4-[[1-(2,6-диоксо-3-пиперидил)-2-оксобензо[cd]индол-6-ил]метил]пиразол-1-ил]-4-азаспиро[2.5]октан-4-карбоксилата (9b) (143,14 мг, 263,32 ммоль) в DCM (5 мл) добавляли TFA (450,36 мг, 3,95 ммоль, 304,29 мкл) и реакционную смесь перемешивали при к.т. в течение 4 часов. По окончании реакции (по данным ТСХ) реакционную массу концентрировали в условиях пониженного давления и полученное таким образом неочищенное соединение растирали с эфиром-пентаном с получением [7-[4-[[1-(2,6-диоксо-3-пиперидил)-2-оксобензо[cd]индол-6-ил]метил]пиразол-1-ил]-4-азаспиро[2.5]октан-4-ил]-2,2,2-трифторацетата (10b) (150 мг, 72,1% выход) в виде желтой смолы. ЖХ-МС ЭС+ 470,1.
Стадия 7b: Синтез 3-[6-[[1-[4-[(1-метилциклобутил)метил]-4-азаспиро[2.5]октан-7-ил]пиразол-4-ил]метил]-2-оксобензо[cd]индол-1-ил]пиперидин-2,6-диона: Раствор 3-[6-[[1-[4-азаспиро[2.5]октан-7-ил]пиразол-4-ил]метил]-2-оксобензо[cd]индол-1-ил]пиперидин-2,6-дион-2,2,2-трифторуксусной кислоты (10b) (150,00 мг, 257,04 ммоль) в DCE (5 мл) и триэтиламине (26,01 мг, 257,04 ммоль, 35,83 мкл) перемешивали при охлаждении в течение 15 мин. К ней уксусную кислоту (10,29 мг, 171,36 ммоль, 9,80 мкл) и 1-метилциклобутанкарбальдегид (11) (16,82 мг, 171,36 ммоль, 16,49 мкл) добавляли и реакционную смесь перемешивали при к.т. в течение 1 часа, затем цианоборгидрид натрия (16,15 мг, 257,04 ммоль) добавляли и реакционную смесь оставляли перемешиваться при к.т. в течение 16 ч. По окончании реакции (по данным ТСХ и ЖХМС), реакционную смесь разбавляли этилацетатом, промывали раствором бикарбоната натрия и органическую фракцию отделяли. Ее затем сушили над безводным сульфатом натрия и упаривали в условиях пониженного давления с получением неочищенного соединения, которое очищали с помощью пластинки для препаративной ТСХ (3% MeOH-DCM) с получением 3-[6-[[1-[4-[(1-метилциклобутил)метил]-4-азаспиро[2.5]октан-7-ил]пиразол-4-ил]метил]-2-оксобензо[cd]индол-1-ил]пиперидин-2,6-диона Соединения 275 (40 мг, 28,08% выход) в виде желтого твердого вещества. 1Н ЯМР (400 МГц, DMSO-d6): 11,11 (s, 1H), 8,37 (d, J = 8,24 Гц, 1Н), 8,08 (d, J = 7,0 Гц, 1H), 7,83 (t, J = 7,64 Гц, 1H), 7,59 (s, 1H), 7,35 (d, J = 7,36 Гц, 1H), 7,31 (s, 1H), 7,07 (d, J = 7,28 Гц, 1H), 5,43 (dd, J = 12,8, 5,2 Гц, 1H), 4,25-4,23 (m, 1H), 4,18 (s, 2H), 2,94-2,62 (m, 6H), 2,28-2,23 (m, 2H), 2,10-2,07 (m, 2H), 1,90-1,67 (m, 4H), 1,56-1,47 (m, 3H), 1,03 (m, 4H), 0,49-0,42 (m, 3H), 0,35-0,33 (m, 1H); ЖХ-МС: ЭС+ 552,24.
Пример 159. Синтез трет-бутил-4-[1-(2,6-диоксо-3-пиперидил)-2-оксобензо[cd]индол-6-ил]пиперидин-1-карбоксилата (Соединение 276)
Стадия 1: Синтез 4-(2-оксо-1Н-бензо[cd]индол-6-ил)-3,6-дигидро-2Н-пиридин-1-карбоксилата: К перемешиваемому раствору 5-(-бром-1Н-бензо[cd]индол-2-она (4 г, 16,12 ммоль) и трет-бутил-4-(4,4,5,5-тетраметил-1,3,2-диоксаборолан-2-ил)-3,6-дигидро-2Н-пиридин-1-карбоксилата (4,99 г, 16,12 ммоль) в диоксане (15 мл), DMF (5 мл) и воде (5 мл) добавляли карбонат натрия ((6,84 г, 64,50 ммоль) и тщательно продували аргоном. Xphos pd G3 (682,41 мг, 806,21 ммоль) добавляли в инертной атмосфере. Полученную смесь нагревали при 90°С в течение 12 ч. По окончании реакции смесь разбавляли этилацетатом, фильтровали через тонкий слой целита и промывали этилацетатом. Объединенную органическую часть промывали водой и насыщенным солевым раствором, сушили над безводным сульфатом натрия, фильтровали и концентрировали в условиях пониженного давления. Неочищенную массу очищали методом колоночной хроматографии (50% этилацетат-гексан) с получением трет-бутил-4-(2-оксо-1Н-бензо[cd]индол-6-ил)-3,6-дигидро-2Н-пиридин-1-карбоксилата (4,5 г, 12,84 ммоль, 78% выход); ЖХ-МС: ЭС+ 351,2.
Стадия 2: Синтез трет-бутил-4-(2-оксо-1Н-бензо[cd]индол-6-ил)пиперидин-1-карбоксилата: К дегазированному раствору 4-(2-оксо-1Н-бензо[cd]индол-6-ил)-3,6-дигидро-2Н-пиридин-1-карбоксилата (4,5 г, 12,84 ммоль) в этилацетате (30 мл) Pd/C 10% мае. (50% влаж.) (3,5 г, 5,50 ммоль) добавляли. Полученную смесь перемешивали при к.т. с помощью баллона с водородом в течение 16 часов. По окончании реакции смесь фильтровали через тонкий слой целита, промывали этилацетатом и концентрировали в условиях пониженного давления. Неочищенную массу очищали методом хроматографии CombiFlash (50% этилацетата в гексане) с получением трет-бутил-4-(2-оксо-1Н-бензо[cd]индол-6-ил)пиперидин-1-карбоксилата (2,97 г, 66%).
Стадия 3: Синтез трет-бутил-4-[1-(2,6-диоксо-3-пиперидил)-2-оксобензо[cd]индол-6-ил]пиперидин-1-карбоксилата: К перемешиваемому раствору 6 трет-бутил-4-(2-оксо-1Н-бензо[^]индол-6-ил)пиперидин-1-карбоксилата (3 г, 8,51 ммоль) в THF (80 мл) и DMF (20 мл) добавляли гидрид натрия (60% дисперсия в минеральном масле) (3,26 г, 85,12 ммоль, 60% чистота) медленно порциями при 0°С. Полученную смесь перемешивали реакционную смесь в течение 30 мин при к.т. 3-бромпиперидин-2,6-дион (8,17 г, 42,56 ммоль), затем добавляли к ней порциями при к.т. и реакционную смесь нагревали до 70°С и продолжали в течение 3 ч. По окончании реакции смесь гасили измельченным льдом экстрагировали добавлением этилацетата. Объединенную органическую часть промывали водой и насыщенным солевым раствором. Органический слой сушили безводным сульфатом натрия, фильтровали и концентрировали в условиях пониженного давления. Неочищенную массу очищали методом колоночной хроматографии (70% ЕА-гексан) с получением трет-бутил-4-[1-(2,6-диоксо-3-пиперидил)-2-оксобензо[cd]индол-6-ил]пиперидин-1-карбоксилата (2,22 г, 4,70 ммоль, 55,22% выход) в виде желтого твердого вещества. 1H ЯМР (400 МГц, DMSO-d6) d 11,10 (s, 1Н), 8,46 (d, J = 8,3 Гц, 1H), 8,10 (d, J = 6,9 Гц, 1H), 7,86 (t, J = 7,4 Гц, 1H), 7,37 (d, J = 7,4 Гц, 1H), 7,08 (d, J = 7,4 Гц, 1H), 5,46-5,41 (m, 1H), 4,12 (d, J = 11,2 Гц, 2H), 3,50 (t, 1 = 11,8 Гц, 1H), 2,99-2,90 (m, 3H), 2,80-2,62 (m, 2H), 2,09-2,07 (m, 1H), 1,85 (d, J = 12,2 Гц, 2H), 1,67-1,59 (m, 2H), 1,43 (s, 9H); ЖХ-МС: ЭС+ 464,2.
Пример 160. Синтез 3-(6-бензил-2-оксобензо[cd]индол-1-ил)пиперидин-2,6-диона (Соединение 277)
Стадия 1: Синтез 6-бензил-1-(4-метоксибензил)-1Н-бензо[cd]индол-2-она: К перемешиваемому раствору 6-(хлорметил)-1-[(4-метоксифенил)метил]бензо[cd]индол-2-она (0,500 г, 1,48 ммоль) и фенилбороновой кислоты (360,95 мг, 2,96 ммоль) в смеси толуола (6,5 мл) и этанола (3,5 мл) в укупоренной пробирке добавляли фосфат калия (785,47 мг, 3,70 ммоль), затем дегазировали в течение 10 мин, затем трис(о-толил)фосфин (90,10 мг, 296,03 ммоль) и трис(дибензилиденацетон)дипалладий(0) (135,54 мг, 148,02 ммоль) добавляли и вновь дегазировали в течение 10 мин, после дегазации реакционную смесь закрывали тефлоновой крышкой и перемешивали при 90°С в течение 16 ч. За ходом реакции наблюдали с помощью ТСХ, по завершении реакции реакционную смесь фильтровали через слой целита и слой промывали дважды этилацетатом, затем собирали растворитель концентрировали в условиях пониженного давления с получением неочищенного соединения и его очищали методом колоночной хроматографии, элюируя 10-30% этилацетата в гексане с получением 6-бензил-1-[(4-этоксифенил)метил]бензо[cd]индол-2-она (0,300 г, 774,81 ммоль, 52,35% выход, 98% чистота) в виде желтого твердого вещества. ЖХ-МС:(ЭС+)=380,2 [М+Н]+.
Стадия 2: Синтез 6-бензил-1Н-бензо[cd]индол-2-она: 6-бензил-1-[(4-метоксифенил)метил]бензо[cd]индол-2-он (0,300 г, 790,62 ммоль) растворяли в трифторуксусной кислоте (5 мл) и охлаждали до 0°С, затем трифторметансульфоновую кислоту (593,27 мг, 3,95 ммоль, 346,94 мкл) добавляли и реакционную смесь перемешивали при к.т. в течение 16 ч. За ходом реакции наблюдали с помощью ТСХ, по завершении реакции реакционную смесь растворяли в воде и рН доводили до 6 водным раствором бикарбоната натрия, затем экстрагировали добавлением этилацетата, промывали насыщенным солевым раствором, органический слой отделяли, сушили безводным сульфатом натрия, фильтровали и концентрировали в условиях пониженного давления с получением неочищенного соединения и его очищали методом колоночной хроматографии, элюируя 10-50% этилацетата в гексане, с получением 6-бензил-1Н-бензо[cd]индол-2-она (0,190 г, 718,08 ммоль, 90,83% выход, 98% чистота) в виде желтого твердого вещества. ЖХ-МС:(ЭС+)=260,2 [М+Н]+.
Стадия 3: Синтез 3-(6-бензил-2-оксобензо[cd]индол-1-ил)пиперидин-2,6-диона: 6-бензил-1Н-бензо[cd]индол-2-он (0,100 г, 385,65 ммоль) растворяли в THF (10 мл), затем охлаждали до 0°С, затем гидрид натрия (в масляной дисперсии) в виде 60% дисперсии в минеральном масле (147,77 мг, 3,86 ммоль, 60% чистота) добавляли порциями и перемешивали при 0°С в течение 30 мин, затем 3-бромпиперидин-2,6-дион (370,25 мг, 1,93 ммоль) добавляли и реакционную смесь перемешивали при к.т. в течение 30 мин, затем перемешивали при 0°С в течение 16 ч. За ходом реакции наблюдали с помощью ТСХ, по завершении реакции реакционную смесь гасили холодной водой, затем экстрагировали добавлением этилацетата, промывали насыщенным солевым раствором, органический слой отделяли, сушили над сушили безводным сульфатом натрия, фильтровали и концентрировали в условиях пониженного давления с получением неочищенного соединения и его очищали методом колоночной хроматографии, элюируя 10-50% этилацетата в гексане и с последующим добавлением вновь очищали методом колоночной хроматографии, элюируя 5-20% МеОН в DCM, с получением 3-(6-бензил-2-оксобензо[cd]индол-1-ил)пиперидин-2,6-диона Соединения 277 (50 мг, 134,26 ммоль, 34,81% выход, 99,46% чистота) желтого твердого вещества. 1Н ЯМР (400 МГц, DMSO-d6): δ 11,11 (s, 1H), 8,33-8,30 (d, J = 12 Гц, 1Н), 8,07-8,06 (d, J = 4 Гц, 1Н), 7,82-7,78 (m, 1Н), 7,41-7,39 (d, J = 8 Гц, 1H), 7,29-7,24 (m, 4Н), 7,17-7,15 (m, 1H) 7,11-7,09(d, J = 8 Гц, 1H), 5,46-5,41 (m, 1H), 4,39 (s, 2Н), 2,98-2,90 (m, 1H), 2,79-2,70 (m, 1Н), 2,66-2,62 (m, 1Н), 2,10-2,09 (m, 1Н). ЖХ-МС:(ЭС+)=371,1 [М+Н]+.
Пример 161. Синтез 3-[6-[[3-фтор-4-(морфолинометил)фенил]метил]-2-оксобензо[cd]индол-1-ил]пиперидин-2,6-диона (Соединение 278)
Стадия 1: Синтез 4-[(4-бром-2-фторфенил)метил]морфолина: К перемешиваемому раствору морфолина (812 мг, 9,32 ммоль, 815,26 мкл) в ацетоне (100 мл) добавляли карбонат калия, безводный, 99% (3,22 г, 23,30 ммоль, 1,41 мл) перемешивали в течение 10 минут и затем 4-бром-1-(бромметил)-2-фторбензол (3,00 г, 11,18 ммоль) добавляли и перемешивали реакционную смесь при 60°С в течение 8 ч. После полного расходования исх. вещ., реакционную смесь концентрировали в условиях пониженного давления, затем разбавляли этилацетатом и промывали водой, органический слой отделяли, сушили над сульфатом натрия, сушили с помощью роторного испарителя с получением указанного в заголовке соединения 4-[(4-бром-2-фторфенил)метил]морфолина (2,5 г, 92,95% выход, 95% чистота) в виде белого твердого вещества. ЖХ-МС:(ЭС+)=276,1 [М+Н]+.
Стадия 2: Синтез 4-[[2-фтор-4-(4,4,5,5-тетраметил-1,3,2-диоксаборолан-2-ил)фенил]метил]морфолина: К перемешиваемому раствору 4-[(4-бром-2-фторфенил)метил]морфолина (1 г, 3,65 ммоль), 4,4,5,5-тетраметил-2-(4,4,5,5-тетраметил-1,3,2-диоксаборолан-2-ил)-1,3,2-диоксаборолана (1,20 г, 4,74 ммоль) и ацетата калия (895,02 мг, 9,12 ммоль, 570,07 мкл) в 1,4-диоксане (15 мл) продували аргоном в течение 10 минут, затем циклопентил(дифенил)фосфан;дихлорметан;дихлорпалладий;железо (297,90 мг, 364,79 ммоль) добавляли и нагревали реакционную смесь в течение 14 ч при 90°С. Реакционную смесь разбавляли этилацетатом и промывали водой с последующей промывкой насыщенным солевым раствором. Органический слой сушили над сульфатом натрия и концентрировали. Неочищенное соединение очищали методом колоночной хроматографии на силикагеле 15% этилацетата в гексане с получением 4-[[2-фтор-4-(4,4,5,5-тетраметил-1,3,2-диоксаборолан-2-ил)фенил]метил]морфолина (1 г, 72,54% выход, 85% чистота) в виде желтой липкой смолы. ЖХМС (ЭС+)=322,4 [М+Н]+.
Стадия 3: Синтез 6-[[3-фтор-4-(морфолинометил)фенил]метил]-1-[(4-метоксифенил)метил]бензо[cd]индол-2-она: К перемешиваемому раствору 4-[[2-фтор-4-(4,4,5,5-тетраметил-1,3,2-диоксаборолан-2-ил)фенил]метил]морфолина 4 (350 мг, 1,09 ммоль) в толуоле (10 мл) и этаноле (5 мл) добавляли 6-(хлорметил)-1-[(4-метоксифенил)метил]бензо[cd]индол-2-он 5 (552,14 мг, 1,63 ммоль), трехзамещенный фосфат калия (578,27 мг, 2,72 ммоль). Реакционную смесь дегазировали аргоном в течение 15 минут, затем трис-о-толилфосфан (66,33 мг, 217,94 ммоль) и трис(дибензилиденацетон)дипалладий(0) (99,78 мг, 108,97 ммоль) добавляли и вновь продували в течение 5 минут. Реакционную смесь перемешивали и нагревали при 100°С в течение 14 ч. Реакционную смесь упаривали и разбавляли этилацетатом и промывали водой, с последующей промывкой насыщенным солевым раствором. Органический слой сушили над сульфатом натрия и концентрировали и неочищенное соединение очищали методом колоночной хроматографии на силикагеле 15-20% этилацетата в гексане с получением 6-[[3-фтор-4-(морфолинометил)фенил]метил]-1-[(4-метоксифенил)метил]бензо[cd]индол-2-она (450 мг, 81,08% выход, 97,5% чистота) в виде желтоватого твердого вещества. ЖХМС (ЭС+)=497,5 [М+Н]+.
Стадия 4: Синтез 6-[[3-фтор-4-(морфолинометил)фенил]метил]-1Н-бензо[cd]индол-2-она: 6-[[3-фтор-4-(морфолинометил)фенил]метил]-1-[(4-метоксифенил)метил]бензо[cd]индол-2-он (450 мг, 906,21 ммоль) в TFA (10 мл) в охлаждающих условиях добавляли трифторметансульфоновую кислоту (2,04 г, 13,59 ммоль, 1,19 мл) капельно. Реакционную смесь перемешивали при 25°С в течение 16 ч. Реакционную смесь упаривали и гасили насыщенным раствором бикарбоната натрия, экстрагировали добавлением этилацетата, промывали водой с последующей промывкой насыщенным солевым раствором. Органическую часть сушили над сульфатом натрия и концентрировали с получением желаемого соединения 6-[[3-фтор-4-(морфолинометил)фенил]метил]-1Н-бензо[cd]индол-2-она (210 мг, 55,41% выход, 90% чистота) в виде коричневого твердого вещества. ЖХМС (ЭС+)=377,0 [М+Н].
Стадия 5: Синтез 3-[6-[[3-фтор-4-(морфолинометил)фенил]метил]-2-оксобензо[cd]индол-1-ил]пиперидин-2,6-диона: К перемешиваемому раствору 6-[[3-фтор-4-(морфолинометил)фенил]метил]-1Н-бензо[cd]индол-2-она (200 мг, 531,32 ммоль) в THF (15 мл) добавляли гидрид натрия (в масляной дисперсии) в виде 60% дисперсии в минеральном масле (212,51 мг, 5,31 ммоль, 60% чистота) порциями при 0°С и перемешивали в течение 10 мин поддерживая при 0°С. После этого медленно добавляли 3-бромпиперидин-2,6-дион (510,09 мг, 2,66 ммоль), затем реакционную массу при перемешивании давали нагреться до 85°С в течение 1 ч. За ходом реакции наблюдали с помощью ТСХ, исх. вещ. расходовалось по данным ТСХ., затем реакционную массу гасили ледяной водой и реакционную смесь экстрагировали добавлением этилацетата и этилацетатную часть промывали водой, с последующей промывкой насыщенным солевым раствором. Органическую часть сушили над сульфатом натрия и концентрировали в условиях пониженного давления с получением неочищенного соединения. Это неочищенное вещество очищали методом препаративной ВЭЖХ с получением 3-[6-[[3-фтор-4-(морфолинометил)фенил]метил]-2-оксобензо[cd]индол-1-ил]пиперидин-2,6-диона (50 мг, 19,13% выход, 99,12% чистота) в виде желтого твердого вещества. 1Н ЯМР (400 МГц, DMSO-d6): δ 11,12 (s, 1H), 8,34 (d, J = 8,2 Гц, 1Н), 8,08 (d, J = 6,9 Гц, 1H), 7,82 (t, J = 7,6 Гц, 1Н), 7,43 (d, J = 7,3 Гц, 1Н), 7,27 (t, J = 7,8 Гц, 1H), 7,12-7,07 (m, 3Н), 5,46-5,42 (m, 1H), 4,39 (s, 2Н), 3,52-3,50 (m, 4Н), 3,42 (s, 2Н), 2,99-2,91 (m, 1H), 2,79-2,73 (m, 1H), 2,70-2,63 (m, 1H), 2,31 (m, 4Н), 2,10-2,07 (m, 1H). ЖХМС (ЭС+)=488,2 [M+H]+.
Пример 162. Синтез 4-[4-[[5-[[1-(2,6-диоксо-3-пиперидил)-2-оксобензо[cd]индол-6-ил]метил]-2-пиридил]метил]пиперазин-1-ил]-3-фторбензонитрила (Соединение 279)
Стадия 1: Синтез метил-6-(хлорметил)пиридин-3-карбоксилата: Метил-6-(гидроксиметил)пиридин-3-карбоксилат (1 г, 5,98 ммоль) добавляли порциями к тионилхлориду (14,23 г, 119,60 ммоль, 8,68 мл) в ледяных условиях и перемешивали реакционную смесь в течение 2 ч при 25°С. Реакционную смесь упаривали, затем гасили раствором бикарбоната натрия экстрагировали добавлением этилацетата. Органический слой промывали водой с последующей промывкой насыщенным солевым раствором и сушили над сульфатом натрия и концентрировали. Неочищенное соединение очищали методом колоночной хроматографии 20% этилацетата в гексане с получением метил-6-(хлорметил)пиридин-3-карбоксилата (600 мг, 52,98% выход, 98% чистота) в виде желтоватого твердого вещества. ЖХМС (ЭС+)=186,2 [М+Н]+.
Стадия 2: Синтез [6-(хлорметил)-3-пиридил]метанола: К перемешиваемому раствору метил-6-(хлорметил)пиридин-3-карбоксилата (3,5 г, 18,86 ммоль) в THF (40 мл) охлаждали-40°С и диизобутилалюминийгидрид, 25% масс. в гексане (21,45 г, 37,71 ммоль, 30,61 мл, 25% чистота) добавляли капельно. Реакционную смесь перемешивали при температуре окружающей среды в течение 2 ч. Реакционную смесь гасили 20% раствором натрия тартрата натрия-калия и экстрагировали добавлением этилацетата. Органический слой промывали водой с последующей промывкой насыщенным солевым раствором и сушили над сульфатом натрия, концентрировали с получением [6-(хлорметил)-3-пиридил]метанола (1,9 г, 57,54% выход, 90% чистота) в виде темно-коричневой смолы. ЖХМС (ЭС+)=157,9 [М+Н]+.
Стадия 3: Синтез 3-фтор-4-[4-[[5-(гидроксиметил)-2-пиридил]метил]пиперазин-1-ил]бензонитрила: К перемешиваемому раствору 3-фтор-4-пиперазин-1-илбензонитрила (2 г, 8,11 ммоль, 021) в DMF (20 мл) добавляли карбонат калия, безводный, 99% (2,80 г, 20,26 ммоль, 1,22 мл) перемешивали в течение 10 минут и затем [6-(хлорметил)-3-пиридил]метанол (1,53 г, 9,73 ммоль) добавляли и перемешивали реакционную смесь при 60°С в течение 8 ч. ТСХ реакционную смесь фильтровали через слой целита и разбавляли этилацетатом и промывали водой с последующей промывкой насыщенным солевым раствором. Реакционную смесь сушили над сульфатом натрия и концентрировали. Очищали методом хроматографии на силикагеле 12-15% этилацетата в гексане с получением 3-фтор-4-[4-[[5-(гидроксиметил)-2-пиридил]метил]пиперазин-1-ил]бензонитрила (1,5 г, 55,84% выход, 100% чистота) в виде белого твердого вещества. ЖХМС (ЭС+)=327,5 [М+Н]+.
Стадия 4: Синтез 4-[4-[[5-(хлорметил)-2-пиридил]метил]пиперазин-1-ил]-3-фторбензонитрила: 3-фтор-4-[4-[[5-(гидроксиметил)-2-пиридил]метил]пиперазин-1-ил]бензонитрил (1,2 г, 3,68 ммоль) добавляли порциями к тионилхлориду (13,12 г, 110,31 ммоль, 8,00 мл) в ледяных условиях и перемешивали реакционную смесь в течение 2 ч при 25°С. Реакционную смесь упаривали, затем гасили раствором бикарбоната натрия экстрагировали добавлением этилацетата. Органический слой промывали водой с последующей промывкой насыщенным солевым раствором и сушили над сульфатом натрия и концентрировали. Вещество растирали с пентаном с получением 4-[4-[[5-(хлорметил)-2-пиридил]метил]пиперазин-1-ил]-3-фторбензонитрила (1 г, 74,93% выход, 95% чистота) в виде желтоватого твердого вещества. ЖХМС (ЭС+)=345,1 [М+Н]+.
Стадия 5: Синтез 3-фтор-4-[4-[[5-[(2-оксо-1Н-бензо[cd]индол-6-ил)метил]-2-пиридил]|метил]пиперазин-1-ил]бензонитрила: К перемешиваемому раствору 4-[4-[[5-(хлорметил)-2-пиридил]метил]пиперазин-1-ил]-3-фторбензонитрила (1 г, 2,90 ммоль) в толуоле (16 мл) и этаноле (8 мл) добавляли 6-(4,4,5,5-тетраметил-1,3,2-диоксаборолан-2-ил)-1Н-бензо[cd]индол-2-он 6 (1,71 г, 5,80 ммоль), трехзамещенный фосфат калия (1,54 г, 7,25 ммоль). Реакционную смесь дегазировали аргоном в течение 15 минут, затем трис-о-толилфосфан (176,54 мг, 580,02 ммоль) и трис(дибензилиденацетон)дипалладий (0) (265,57 мг, 290,01 ммоль) добавляли и вновь продували в течение 5 минут. Реакционную смесь перемешивали и нагревали при 100°С в течение 14 ч. Реакционную смесь упаривали и разбавляли этилацетатом и промывали водой, с последующей промывкой насыщенным солевым раствором. Органический слой сушили над сульфатом натрия и концентрировали. Неочищенное соединение очищали методом колоночной хроматографии на силикагеле 15-20% этилацетата в гексане с получением 3-фтор-4-[4-[[5-[(2-оксо-1Н-бензо[cd]индол-6-ил)метил]-2-пиридил]метил]пиперазин-1-ил]бензонитрила (400 мг, 25,99% выход, 90% чистота) в виде желтоватого твердого вещества. ЖХМС (ЭС+)=478,3 [М+Н]+.
Стадия 6: Получение 4-[4-[[5-[[1-(2,6-диоксо-3-пиперидил)-2-оксобензо[cd]индол-6-ил]метил]-2-пиридил]метил]пиперазин-1-ил]-3-фторбензонитрила: К перемешиваемому раствору 3-фтор-4-[4-[[5-[(2-оксо-1Н-бензо[cd]индол-6-ил)метил]-2-пиридил]метил]пиперазин-1-ил]бензонитрила 7 (400 мг, 837,64 ммоль) в THF (20 мл) добавляли гидрид натрия (в масляной дисперсии) в виде 60% дисперсии в минеральном масле (320,96 мг, 8,02 ммоль, 60% чистота) порциями при 0°С и перемешивали в течение 10 мин, поддерживая при 0°С. После этого медленно добавляли 3-бромпиперидин-2,6-дион (804,18 мг, 4,19 ммоль), затем реакционной массе при перемешивании позволяли нагреться до 85°С в течение 1 ч. За ходом реакции наблюдали с помощью ТСХ, исх. вещ. расходовалось по данным ТСХ., затем реакционную массу гасили ледяной водой и реакционную смесь разбавляли этилацетатом и промывали водой, органический слой отделяли, сушили над сульфатом натрия и концентрировали в условиях пониженного давления с получением неочищенного соединения. Это неочищенное вещество очищали методом препаративной ВЭЖХ с получением 4-[4-[[5-[[1 -(2,6-диоксо-3-пиперидил)-2-оксобензо[cd]индол-6-ил]метил]-2-пиридил]метил]пиперазин-1-ил]-3-фторбензонитрила 8 (88 мг, 17,49% выход, 97,98% чистота) Соединение 279 в виде желтого твердого вещества. ЖХМС (ЭС+)=589,2 [М+Н]+. 1H ЯМР (400 МГц, DMSO-d6): δ 11,12 (s, 1H), 8,55 (s, 1H), 8,38 (d, J = 8,3 Гц, 1H), 8,09 (d, J = 7,0 Гц, 1H), 7,32 (t, J = 7,7 Гц, 1H), 7,69-7,61 (m, 2Н), 7,55 (d, J = 8,4 Гц, 1H), 7,44 (d, J = 7,4 Гц, 1H), 7,34 (d, J = 8,0 Гц, 1H), 7,13-7,11 (m, 2Н), 5,46-5,42 (m, 1H), 4,41 (s, 2Н), 3,59 (s, 2Н), 3,15 (m, 4Н), 2,99-2,90 (m, 1H), 2,81-2,73 (m, 1H), 2,70-2,63 (m, 1H), 2,63-2,52 (m, 4Н, слился с пиком растворителя), 2,10 (m, 1H).
Пример 163. Синтез 3-[6-[[1-[1-[1-циклобутилэтил]-4-пиперидил]пиразол-4-ил]метил]-2-оксобензо[с(1]индол-1-ил]пиперидин-2,6-диона (Соединение 280) и 3-[6-[[1-[1-[1-циклобутилэтил]-4-пиперидил]пиразол-4-ил]метил]-2-оксобензо[cd]индол-1-ил]пиперидин-2,6-диона (Соединение 281)
Стадия 1: Синтез 6-[[1-(4-пиперидил)пиразол-4-ил]метил]-1Н-бензо[cd]индол-2-она: К 32-[(4-метоксифенил)метил]-23-[[1-(1-метил-4-пиперидил)пиразол-4-ил]метил]-28,32-диазатрициклододека-2(4),3(20),10(23),21(24),25(28)-пентаен-27-он-2-метилпропан-2-олгидрату (600 мг, 1,07 ммоль) в DCM (3 мл) в охлаждающих условиях добавляли TFA (2,44 г, 21,44 ммоль, 1,65 мл) капельно. Реакционную смесь перемешивали при 25°С в течение 14 ч. Реакционную смесь упаривали и гасили насыщенным раствором бикарбоната натрия, экстрагировали добавлением этилацетата, промывали водой с последующей промывкой насыщенным солевым раствором. Органическую часть сушили над сульфатом натрия и концентрировали с получением 6-[[1-(4-пиперидил)пиразол-4-ил]метил]-1Н-бензо[cd]индол-2-она (390 мг, 72,19% выход, 90% чистота) в виде твердого вещества. ЖХМС (ЭС+)=333,4 [М+Н]+.
Стадия 2 и Стадия 3: Синтез 6-[[1-[1-(1-циклобутилэтил)-4-пиперидил]пиразол-4-ил]метил]-1Н-бензо[cd]индол-2-она, 6-[[1-[1-[1-циклобутилэтил]-4-пиперидил]пиразол-4-ил]метил]-1Н-бензо[cd]индол-2-она и 6-[[1-[1-[1-циклобутилэтил]-4-пиперидил]пиразол-4-ил]метил]-1Н-бензо[cd]индол-2-она: К перемешиваемому раствору 6-[[1-(1-хлор-4-пиперидил)пиразол-4-ил]метил]-1Н-бензо[cd]индол-2-она (500 мг, 1,36 ммоль) в THF (10 мл) добавляли триэтиламин (274,33 мг, 2,71 ммоль, 377,87 мкл) с последующим добавлением 1-циклобутилэтанона (159,64 мг, 1,63 ммоль, 177,38 мкл), дихлорида дибутилолова (494,25 мг, 1,63 ммоль, 363,42 мкл) и фенилсилана (146,68 мг, 1,36 ммоль, 167,06 мкл). Реакционную смесь затем перемешивали при 90°С в течение 16 часов. ТСХ проводили, что показывало образование желаемого пятна. Реакционную смесь разбавляли этилацетатом, промывали раствором бикарбоната натрия, водой и насыщенным солевым раствором. Органическую фракцию отделяли. Ее сушили над безводным сульфатом натрия, упаривали в условиях пониженного давления с получением неочищенного соединения, которое очищали методом флэш-хроматографии с использованием 3-5% MeOH-DCM с получением соед.-3 6-[[1-[1-(1-циклобутилэтил)-4-пиперидил]пиразол-4-ил]метил]-1Н-бензо[cd]индол-2-она в виде смеси энантиомеров, которые далее очищали с помощью хиральной преп. ВЭЖХ с использованием С Amylose А (250×30 мм) 5 мкм, подвижная фаза 40% СО2 + 60% (0,3% Изопропиламин в МеОН, при скорости элюции 25 г/мин, ABPR: 100 бар, и температура: 35°С, с получением 3а 6-[[1-[1-[1-циклобутилэтил]-4-пиперидил]пиразол-4-ил]метил]-1Н-бензо[cd]индол-2-она (105 мг, 18,50% выход, 99% чистота, ее: 100%) первый элюат с хиральной колонки, обозначенный как пик-1, наряду с 3b 6-[[1-[1-[1-циклобутилэтил]-4-пиперидил]пиразол-4-ил]метил]-1Н-бензо[cd]индол-2-оном (110 мг, 19,38% выход, 99% чистота, ее: 98,10%), вторым элюатом с хиральной колонки, обозначенный как пик-2 ЖХ-МС:(ЭС+)=415,4 [М+Н]+.
Стадия 4 Синтез 4а: Синтез 3-(6-((1-(1-(1-циклобутилэтил)пиперидин-4-ил)-1Н-пиразол-4-ил)метил)-2-оксобензо[cd]индол-1(2Н)-ил)пиперидин-2,6-диона: К перемешиваемому раствору 6-[[1-[1-[1-циклобутилэтил]-4-пиперидил]пиразол-4-ил]метил]-1Н-бензо[cd]индол-2-она (100 мг, 241,23 ммоль) в THF (10 мл) добавляли гидрид натрия (в масляной дисперсии) в виде 60% дисперсии в минеральном масле (92,43 мг, 2,31 ммоль, 60% чистота) порциями при 0°С и перемешивали в течение 10 мин, поддерживая при 0°С. После этого медленно добавляли 3-бромпиперидин-2,6-дион (231,59 мг, 1,21 ммоль), затем реакционной массе при перемешивании позволяли нагреться до 85°С в течение 1 ч. За ходом реакции наблюдали с помощью ТСХ и ЖХМС, исх. вещ. расходовалось по данным ТСХ., затем реакционную массу гасили ледяной водой и реакционную смесь разбавляли этилацетатом и промывали водой, органический слой отделяли, сушили над сульфатом натрия и концентрировали в условиях пониженного давления с получением неочищенного соединения. Это неочищенное вещество очищали методом препаративной ВЭЖХ с получением 3-[6-[[1-[1-[1-циклобутилэтил]-4-пиперидил]пиразол-4-ил]метил]-2-оксобензо[cd]индол-1-ил]пиперидин-2,6-диона Соединения 280 (48 мг, 36,48% выход, 96,38% чистота) в виде желтого твердого вещества. ЖХМС (ЭС+)=526,2 [М+Н]+. 1H ЯМР (400 МГц, DMSO-d6): δ 11,12 (s, 1Н), 8,38 (d, J = 8,4 Гц, 1H), 8,08 (d, J = 6,9 Гц, 1H), 7,83 (t, J = 7,6 Гц, 1H), 7,56 (s, 1H), 7,35 (d, J = 7,3 Гц, 1H), 7,28 (s, 1H), 7,07 (d, J = 7,1 Гц, 1H), 5,45-5,42 (m, 1H), 4,17 (s, 2H), 3,94 (m, 1H), 2,95-2,92 (m, 1H), 2,76-2,57 (m, 4H), 2,45 (m, 1H), 2,37-2,32 (m, 2H), 2,19-2,14 (m, 1H), 2,09-2,08 (m, 1H), 1,89-1,81 (m, 4H), 1,77-1,67 (m, 5H), 1,61-1,59 (m, 1H), 0,79 (d, J = 6,4 Гц, 3H).
Стадия 4: Синтез 4b: Синтез 3-[6-[[1-[1-[1-циклобутилэтил]-4-пиперидил]пиразол-4-ил]метил]-2-оксобензо[cd]индол-1-ил]пиперидин-2,6-диона: К перемешиваемому раствору 6-[[1-[1-[1-циклобутилэтил]-4-пиперидил]пиразол-4-ил]метил]-1H-бензо[cd]индол-2-она (100,00 мг, 241,23 ммоль) в THF (10 мл) добавляли гидрид натрия (в масляной дисперсии) в виде 60% дисперсии в минеральном масле (92,43 мг, 2,31 ммоль, 60% чистота) порциями при 0°С и перемешивали в течение 10 мин, поддерживая при 0°С. После этого медленно добавляли 3-бромпиперидин-2,6-дион (231,59 мг, 1,21 ммоль), затем реакционной массе при перемешивании позволяли нагреться до 85°С в течение 1 ч. За ходом реакции наблюдали с помощью ТСХ и ЖХМС, исх. вещ. расходовалось по данным ТСХ., затем реакционную массу гасили ледяной водой и реакционную смесь разбавляли этилацетатом и промывали водой, органический слой отделяли, сушили над сульфатом натрия и концентрировали в условиях пониженного давления с получением неочищенного соединения. Это неочищенное вещество очищали методом препаративной ВЭЖХ с получением 3-[6-[[1-[1-[1-циклобутилэтил]-4-пиперидил]пиразол-4-ил]метил]-2-оксобензо[cd]индол-1-ил]пиперидин-2,6-диона Соединения 281 (44 мг, 33,45% выход, 96,4% чистота) в виде желтого твердого вещества. ЖХМС (ЭС+)=526,3 [М+Н]+. 1H ЯМР (400 МГц, DMSO-d6): δ 11,12 (s, 1H), 8,38 (d, J = 8,2 Гц, 1H), 8,08 (d, J = 6,9 Гц, 1H), 7,83 (t, J = 7,5 Гц, 1H), 7,56 (s, 1H), 7,35 (d, J = 7,3 Гц, 1H), 7,28 (s, 1H), 7,07 (d, J = 7,2 Гц, 1H), 5,44-5,42 (m, 1H), 4,17 (s, 2Н), 3,97-3,94 (m, 1H), 2,95-2,92 (m, 1H), 2,76-2,63 (m, 5Н), 2,37-2,30 (m, 2Н), 2,17-2,14 (m, 1H), 2,08-2,06 (m, 1H), 1,89-1,81 (m, 4Н), 1,77-1,67 (m, 5Н), 1,61-1,59 (m, 1H), 0,78 (d, J = 6,4 Гц, 3Н).
Пример 164. Синтез 3-(6-((1-(1-(1-циклопропилэтил)пиперидин-4-ил)-1Н-пиразол-4-ил)метил)-2-оксобензо[cd]индол-1(2Н)-ил)пиперидин-2,6-диона (Соединение 282) и 3-(6-((1-(1-(1-циклопропилэтил)пиперидин-4-ил)-1Н-пиразол-4-ил)метил)-2-оксобензо[с(1]индол-1(2Н)-ил)пиперидин-2,6-диона (Соединение 283)
Стадия 1 и Стадия 2: Синтез 6-((1-(1-(1-циклопропилэтил)пиперидин-4-ил)-1Н-пиразол-4-ил)метил)бензо[cd]индол-2(1Н)-она, 6-[[1-[1-[1-циклопропилэтил]-4-пиперидил]пиразол-4-ил]|метил]-1Н-бензо[cd]индол-2-она и 6-[[1-[1-[1-циклопропилэтил]-4-пиперидил]пиразол-4-ил]метил]-1Н-бензо[cd]индол-2-она: К перемешиваемому раствору 6-[[1-(1-хлор-4-пиперидил)пиразол-4-ил]метил]-1Н-бензо[cd]индол-2-она (750 мг, 2,03 ммоль) в THF (12 мл) добавляли триэтиламин (411,50 мг, 4,07 ммоль, 566,80 мкл) с последующим добавлением 1-циклопропилэтанона (205,24 мг, 2,44 ммоль, 241,74 мкл), дихлорида дибутилолова (741,38 мг, 2,44 ммоль, 545,13 мкл) и фенилсилана (220,02 мг, 2,03 ммоль, 250,60 мкл). Реакционную смесь затем перемешивали при 90°С в течение 16 часов. ТСХ проводили, что показывало образование желаемого пятна. Реакционную смесь разбавляли этилацетатом, промывали раствором бикарбоната натрия, водой и насыщенным солевым раствором. Органическую фракцию отделяли. Ее сушили над безводным сульфатом натрия, упаривали в условиях пониженного давления с получением неочищенного соединения, которое очищали методом флэш-хроматографии с использованием 3-5% MeOH-DCM с получением соед.-2 6-[[1-[1-(1-циклопропилэтил)-4-пиперидил]пиразол-4-ил]метил]-1Н-бензо[cd]индол-2-она в виде смеси энантиомеров, который далее очищали с помощью хиральной преп. ВЭЖХ с использованием Chiralpak IG (250×20 мм) 5 мкм, подвижная фаза 55% СО2 + 45% (0,5% изопропиламин в метаноле, при скорости элюции 25 г/мин, ABPR: 120 бар, и температура: 35°С, с получением 2а 6-[[1-[1-[1-циклопропилэтил]-4-пиперидил]пиразол-4-ил]метил]-1Н-бензо[cd]индол-2-она (90 мг, 10,94% выход, 99% чистота, ее: 97,56%) первый элюат с хиральной колонки, обозначенный как пик-1, наряду с 2b 6-[[1-[1-[1-циклопропилэтил]-4-пиперидил]пиразол-4-ил]метил]-1Н-бензо[cd]индол-2-оном (80 мг, 9,73% выход, 99% чистота, ее: 100%), вторым элюатом с хиральной колонки, обозначенным как пик-2 ЖХ-МС:(ЭС+)=401,1 [М+Н]+.
Стадия 3 часть 3а: Синтез 3-[6-[[1-[1-[1-циклопропилэтил]-4-пиперидил]пиразол-4-ил]метил]-2-оксобензо[cd]индол-1-ил]пиперидин-2,6-диона: К перемешиваемому раствору 6-[[1-[1-[1-циклопропилэтил]-4-пиперидил]пиразол-4-ил]метил]-1Н-бензо[с(1]индол-2-она (85 мг, 212,23 ммоль) в THF (10 мл) добавляли гидрид натрия (в масляной дисперсии) в виде 60% дисперсии в минеральном масле (81,32 мг, 2,03 ммоль, 60% чистота) порциями при 0°С и перемешивали в течение 10 мин, поддерживая при 0°С. После этого медленно добавляли 3-бромпиперидин-2,6-дион (203,75 мг, 1,06 ммоль), затем реакционной массе при перемешивании позволяли нагреться до 85°С в течение 1 ч. За ходом реакции наблюдали с помощью ТСХ и ЖХМС, исх. вещ. расходовалось по данным ТСХ., затем реакционную массу гасили ледяной водой и реакционную смесь разбавляли этилацетатом и промывали водой, органический слой отделяли, сушили над сульфатом натрия и концентрировали в условиях пониженного давления с получением неочищенного соединения. Это неочищенное вещество очищали методом препаративной ВЭЖХ с получением 3-[6-[[1-[1-[1-циклопропилэтил]-4-пиперидил]пиразол-4-ил]метил]-2-оксобензо[cd]индол-1-ил]пиперидин-2,6-диона Соединения 282 (50 мг, 44,41% выход, 96,43% чистота) в виде беловатого твердого вещества ЖХМС (ЭС+)=512,3 [М+Н]+. 1H ЯМР (400 МГц, DMSO-d6): δ 11,11 (s, 1Н), 8,38 (d, J = 8,2 Гц, 1H), 8,08 (d, J = 7,0 Гц, 1H), 7,83 (t, J = 7,6 Гц, 1H), 7,58 (s, 1H), 7,35 (d, J = 7,3 Гц, 1H), 7,29 (s, 1H), 7,07 (d, J = 7,3 Гц, 1H), 5,46-5,41 (m, 1H), 4,18 (s, 2H), 4,02-4,00 (m, 1H), 3,06 (m, 1H), 2,99-2,91 (m, 2H), 2,77-2,73 (m, 1H), 2,67-2,63 (m, 1H), 2,33 (m, 1H), 2,25 (m, 1H), 2,09-1,82 (m, 6H), 1,04 (s, 3H), 0,74 (m, 1H), 0,49 (m, 1H), 0,39 (m, 1H), 0,23 (m, 1H), 0,01 (m, 1H).
Стадия 3 part 3b: Синтез 3-[6-[[1-[1-[1-циклопропилэтил]-4-пиперидил]пиразол-4-ил]метил]-2-оксобензо[cd]индол-1-ил]пиперидин-2,6-диона: К перемешиваемому раствору 6-[[1-[1-[1-циклопропилэтил]-4-пиперидил]пиразол-4-ил]метил]-1Н-бензо[cd]индол-2-она (75,00 мг, 187,26 ммоль) в THF (10 мл) добавляли гидрид натрия (в масляной дисперсии) в виде 60% дисперсии в минеральном масле (71,75 мг, 1,79 ммоль, 60% чистота) порциями при 0°С и перемешивали в течение 10 мин поддерживая при 0°С. После этого медленно добавляли 3-бромпиперидин-2,6-дион (179,78 мг, 936,29 ммоль), затем реакционной массе при перемешивании позволяли нагреться до 85°С в течение 1 ч. За ходом реакции наблюдали с помощью ТСХ и ЖХМС, исх. вещ. расходовалось по данным ТСХ., затем реакционную массу гасили ледяной водой и реакционную смесь разбавляли этилацетатом и промывали водой, органический слой отделяли, сушили над сульфатом натрия и концентрировали в условиях пониженного давления с получением неочищенного соединения. Это неочищенное вещество очищали методом препаративной ВЭЖХ с получением 3-[6-[[1-[1-[1-циклопропилэтил]-4-пиперидил]пиразол-4-ил]метил]-2-оксобензо[cd]индол-1-ил]пиперидин-2,6-диона
Соединения 283 (47 мг, 48,66% выход, 99,19% чистота) в виде беловатого твердого вещества. ЖХМС (ЭС+)=512,5 [М+Н]+. 1H ЯМР (400 МГц, DMSO-d6): δ 11,12 (s, 1H), 8,38 (d, J = 8,2 Гц, 1H), 8,08 (d, J = 7,0 Гц, 1H), 7,83 (t, J = 7,6 Гц, 1H), 7,58 (s, 1Н), 7,35 (d, J = 7,3 Гц, 1Н), 7,29 (s, 1H), 7,07 (d, J = 7,3 Гц, 1Н), 5,44-5,41 (m, 1H), 4,18 (s, 2Н), 3,99 (m, 1H), 3,03 (m, 1H), 2,95-2,92 (m, 2Н), 2,76-2,73 (m, 1H), 2,67-2,63 (m, 1H), 2,33-2,24 (m, 2Н), 2,08 (m, 1H), 1,89-1,79 (m, 5Н), 1,02 (d, J = 6,2 Гц, 3Н), 0,72-0,71 (m, 1H), 0,48 (m, 1H), 0,37 (m, 1H), 0,22 (m, 1H), -0,02 (m, 1H).
Пример 165. Синтез 3-[6-[[4-[1-[4-(2-фторфенил)пиперазин-1-ил]этил]фенил]метил]-2-оксобензо[cd]индол-1-ил]пиперидин-2,6-диона (Соединение 284) и 3-[6-[[4-[1-[4-(2-фторфенил)пиперазин-1-ил]этил]фенил]метил]-2-оксобензо[cd]индол-1-ил]пиперидин-2,6-диона (Соединение 285)
Стадия 1: Синтез 1-(1-(4-бромфенил)этил)-4-(2-фторфенил)пиперазина: К перемешиваемому раствору 1-бром-4-(1-бромэтил)бензола (5,0 г, 18,94 ммоль) в DMF (50 мл) добавляли карбонат натрия (2,01 г, 18,94 ммоль, 793,56 мкл) и с последующим добавлением 1-(2-фторфенил)пиперазина (3,41 г, 18,94 ммоль) добавляли при к.т. и реакционную смесь перемешивали при к.т. в течение 16 ч. За ходом реакции наблюдали с помощью ТСХ, по завершении реакции реакционную смесь разбавляли этилацетатом и промывали водой и далее промывали насыщенным солевым раствором, органический слой отделяли, сушили безводным сульфатом натрия, фильтровали и концентрировали в условиях пониженного давления с получением неочищенного соединения и его очищали методом колоночной хроматографии, элюируя 0-30% этилацетата в гексане с получением 1-[1-(4-бромфенил)этил]-4-(2-фторфенил)пиперазина (5,0 г, 71,21% выход) в виде беловатого твердого вещества. ЖХ-МС (ЭС+)=362,7 [М+Н]+.
Стадия 2: Синтез 1-(2-фторфенил)-4-(1-(4-(4,4,5-триметил-1,3,2-диоксаборолан-2-ил)фенил)этил)пиперазина: К перемешиваемому раствору 1-[1-(4-бромфенил)этил]-4-(2-фторфенил)пиперазина (5,00 г, 13,76 ммоль) и 4,4,5,5-тетраметил-2-(4,4,5,5-тетраметил-1,3,2-диоксаборолан-2-ил)-1,3,2-диоксаборолана (3,50 г, 13,76 ммоль) и ацетата калия (3,38 г, 34,41 ммоль, 2,15 мл) в укупоренной пробирке 1,4-диоксан (10 мл) дегазировали в течение 10 мин, затем [1,1'-бис(дифенилфосфино)ферроцен]дихлорпалладий(II) в комплексе с дихлорметаном (562,01 мг, 688,20 ммоль) добавляли вновь дегазировали в течение 5 мин, после дегазации реакционную смесь перемешивали при 90°С в течение 16 ч. За ходом реакции наблюдали с помощью ТСХ, по завершении реакции реакционную смесь фильтровали через слой целита и слой промывали этилацетатом и растворитель перемешивали и концентрировали в условиях пониженного давления с получением неочищенного соединения и полученное неочищенное соединение очищали методом колоночной хроматографии, элюируя 0-20% этилацетата в гексане с получением 1-(2-фторфенил)-4-[1-[4-(4,4,5,5-тетраметил-1,3,2-диоксаборолан-2-ил)фенил]этил]пиперазина (4,0 г, 67,28% выход) в виде беловатого твердого вещества. ЖХМС:(ЭС+)=410,9 [М+Н]+.
Стадия 3: Синтез 6-(4-(1-(4-(2-фторфенил)пиперазин-1-ил)этил)бензил)-1-(4-метоксибензил)бензо[cd]индол-2(1Н)-она: в укупоренной пробирке 6-(хлорметил)-1-[(4-метоксифенил)метил]бензо[cd]индол-2-он (1,0 г, 2,96 ммоль),1-(2-фторфенил)-4-[1-[4-(4,4,5,5-тетраметил-1,3,2-диоксаборолан-2-ил)фенил]этил]пиперазин (1,50 г, 3,66 ммоль) и фосфат калия (1,57 г, 7,40 ммоль) добавляли в толуоле (24 мл) и этаноле (12 мл) и дегазировали в течение 10 мин, затем трис(о-толил)фосфин (180,20 мг, 592,07 ммоль) и трис(дибензилиденацетон)дипалладий(0) (271,08 мг, 296,03 ммоль) добавляли и вновь дегазировали в течение 10 мин, после дегазации пробирку герметично закрывали тефлоновой крышкой и перемешивали при 90°С в течение 6 ч. За ходом реакции наблюдали с помощью ТСХ, по завершении реакции реакционную смесь фильтровали через слой целита и промывали этилацетат, растворитель перемешивали и концентрировали в условиях пониженного давления с получением неочищенного соединения и его очищали методом колоночной хроматографии, элюируя 10-50%этилацетата в гексане, с получением 6-[[4-[1-[4-(2-фторфенил)пиперазин-1-ил]этил]фенил]метил]-1-[(4-метоксифенил)метил]бензо[cd]индол-2-она (0,600 г, 32,87% выход) в виде желтого твердого вещества. ЖХ-МС:(ЭС+) = 585,71 [М+Н]+.
Стадия 4: Синтез 6-(4-(1-(4-(2-фторфенил)пиперазин-1-ил)этил) бензил)бензо[cd]индол-2(1Н)-она, 6-[[4-[1-[4-(2-фторфенил)пиперазин-1-ил]этил]фенил]метил]-1Н-бензо[cd]индол-2-она и 6-[[4-[1-[4-(2-фторфенил)пиперазин-1-ил]этил]фенил]метил]-1Н-бензо[cd]индол-2-она: К перемешиваемому раствору 6-[[4-[1-[4-(2-фторфенил)пиперазин-1-ил]этил]фенил]метил]-1-[(4-метоксифенил)метил]бензо[cd]индол-2-она (0,600 г, 1,02 ммоль) в трифторуксусной кислоте (10 мл) охлаждали до 0°С, затем трифторметансульфоновую кислоту (768,71 мг, 5,12 ммоль, 449,54 мкл) добавляли, затем реакционную смесь перемешивали при к.т.в течение 16 ч. За ходом реакции наблюдали с помощью ТСХ, по завершении реакции реакционную смесь концентрировали, затем полученное соединение растворяли в этилацетате и позволяло получить насыщенным раствором бикарбоната натрия и с последующей промывкой насыщенным солевым раствором, органический слой отделяли, сушили безводным сульфатом натрия, фильтровали и концентрировали в условиях пониженного давления с получением неочищенного соединения и его очищали методом колоночной хроматографии, элюируя 0 - 60% этилацетата с получением соед. 7 6-[[4-[1-[4-(2 фторфенил)пиперазин-1-ил]этил]фенил]метил]-1Н-бензо[cd]индол-2-она в виде смеси энантиомеров., которые далее очищали с помощью хиральной преп. ВЭЖХ. Название колонки: Chiralpak IG (21 x 250 мм), 5 мкм; Подвижная фаза: Гексан/дихлор Метан/EtOH: 70/15/15; скорость элюции: 21,0 мл/мин, время элюции: 20 мин, длина волны: 252 нм и растворимость: МеОН с получением 7а 6-[[4-[1-[4-(2-фторфенил)пиперазин-1-ил]этил]фенил]метил]-1Н-бензо[cd]индол-2-она (0,150 г, 318,97 ммоль, 31,14% выход, 99% чистота), первый элюат с хиральной колонки, обозначенный как пик-1, наряду с 7b 6-[[4-[1-[4-(2-фторфенил)пиперазин-1-ил]этил]фенил]метил]-1Н-бензо[cd]индол-2-оном (0,150 г, 30,82% выход), вторым элюатом с хиральной колонки, обозначенным как пик-2. ЖХ-МС:(ЭС+)=466,0 [М+Н]+.
Стадия 5: Синтез 3-[6-[[4-[1-[4-(2-фторфенил)пиперазин-1-ил]этил]фенил]метил]-2-оксобензо[cd]индол-1-ил]пиперидин-2,б-диона: К перемешиваемому раствору 6-[[4-[1-[4-(2-фторфенил)пиперазин-1-ил]этил]фенил]метил]-1Н-бензо[cd]индол-2-она (100 мг, 214,80 ммоль) в THF (10 мл) добавляли гидрид натрия (в масляной дисперсии) в виде 60% дисперсии в минеральном масле (98,76 мг, 2,58 ммоль, 60% чистота) порциями при 0°С и перемешивали в течение 10 мин поддерживая при 0°С.После этого медленно добавляли 3-бромпиперидин-2,6-дион (247,46 мг, 1,29 ммоль), затем реакционной массе при перемешивании позволяли нагреться до 85°С в течение 2 ч. За ходом реакции наблюдали с помощью ТСХ, исх. вещ. расходовалось по данным ТСХ., затем реакционную массу гасили ледяной водой и реакционную смесь разбавляли этилацетатом и промывали водой, органический слой отделяли, сушили над сульфатом натрия и концентрировали в условиях пониженного давления с получением неочищенного соединения. Это неочищенное вещество очищали методом препаративной ВЭЖХ с получением 3-[6-[[4-[1-[4-(2-фторфенил)пиперазин-1-ил]этил]фенил]метил]-2-оксобензо[cd]индол-1-ил]пиперидин-2,6-диона Соединения 284 (45 мг, 36,30% выход) в виде желтого твердого вещества. ЖХМС (ЭС+) = 577,3 [М+Н]+. 1H ЯМР (400 МГц, DMSO-d6): δ 11,11 (s, 1H), 8,36 (d, J=8,2 Гц, 1H), 8,08 (d, J=6,8 Гц, 1H), 7,82 (t, J=7,6 Гц, 1H), 7,41 (d, J=7,3 Гц, 1H), 7,26-7,20 (m, 4H), 7,11-7,05 (m, 3H), 6,99-6,97 (m, 2H), 5,46-5,42 (m, 1H), 4,38 (s, 2H), 3,39-3,37 (m, 1H), 3,29 (m, 1H), 2,95 (m, 5H), 2,79-2,70 (m, 1H), 2,67-2,63 (m, 1H), 2,42-2,41 (m, 3H), 2,11-2,08 (m, 1H), 1,26 (t, J=6,5 Гц, 3H).
Стадия 5: Синтез 3-[6-[[4-[1-[4-(2-фторфенил)пиперазин-1-ил]этил]фенил]метил]-2-оксобензо[cd]индол-1-ил]пиперидин-2,6-диона: К перемешиваемому раствору 6-[[4-[1-[4-(2-фторфенил)пиперазин-1-ил]этил]фенил]метил]-1Н-бензо[cd]индол-2-она (100 мг, 214,80 ммоль) в THF (10 мл) добавляли гидрид натрия (в масляной дисперсии) в виде 60% дисперсии в минеральном масле (98,76 мг, 2,58 ммоль, 60% чистота) порциями при 0°С и перемешивали в течение 10 мин поддерживая при 0°С.После этого медленно добавляли 3-бромпиперидин-2,6-дион (247,46 мг, 1,29 ммоль), затем реакционной массе при перемешивании позволяли нагреться до 85°С в течение 2 ч. За ходом реакции наблюдали с помощью ТСХ, исх. вещ. расходовалось по данным ТСХ., затем реакционную массу гасили ледяной водой и реакционную смесь разбавляли этилацетатом и промывали водой, органический слой отделяли, сушили над сульфатом натрия и концентрировали в условиях пониженного давления с получением неочищенного соединения. Это неочищенное вещество очищали методом препаративной ВЭЖХ с получением 3-[6-[[4-[1-[4-(2-фторфенил)пиперазин-1-ил]этил]фенил]метил]-2-оксобензо[cd]индол-1-ил]пиперидин-2,6-диона Соединения 285 (50 мг, 40,35% выход) в виде желтого твердого вещества. ЖХМС (ЭС+)=577,3 [М+Н]+. 1H ЯМР (400 МГц, DMSO-d6): δ 11,11 (s, 1H), 8,36 (d, J=8,2 Гц, 1H), 8,08 (d, J=7,0 Гц, 1H), 7,82 (t, J=7,6 Гц, 1H), 7,41 (d, J=7,3 Гц, 1H), 7,26-7,20 (m, 4H), 7,11-7,05 (m, 3H), 6,99-6,97 (m, 2H), 5,46-5,42 (m, 1Η), 4,38 (s, 2H), 3,39-3,36 (m, 1H), 3,29 (m, 1H), 2,94 (m, 5H), 2,79-2,70 (m, 1H), 2,67-2,63 (m, 1H), 2,42-2,41 (m, 3H), 2,10-2,07 (m, 1H), 1,26 (t, J=6,5 Гц, 3H).
Пример 166. Синтез 3-[6-[[4-[[4-(2-фторфенил)пиперазин-1-ил]метил]-3-метил-фенил]метил]-2-оксобензо[cd]индол-1-ил]пиперидин-2,6-диона (Соединение 286)
Стадия 1: Синтез 1-[(4-бром-2-метилфенил)метил]-4-(2-фторфенил)пиперазина: К перемешиваемому раствору 1-(2-фторфенил)пиперазина (2 г, 11,10 ммоль) в DMF (10 мл) добавляли карбонат калия, безводный, 99% (3,07 г, 22,20 ммоль, 1,34 мл) перемешивали в течение 10 минут и затем 4-бром-1-(бромметил)-2-метилбензол (3,52 г, 13,32 ммоль) добавляли и перемешивали реакционную смесь при 25°С в течение 16 ч. ТСХ реакционную смесь фильтровали через слой целита и разбавляли этилацетатом и промывали водой с последующей промывкой насыщенным солевым раствором. Реакционную смесь сушили над сульфатом натрия и концентрировали. Очищали методом хроматографии на силикагеле 12-15% этилацетата в гексане с получением 1-[(4-бром-2-метил-фенил)метил]-4-(2-фторфенил)пиперазина (3,5 г, 85,06% выход, 98% чистота) в виде белого твердого вещества; ЖХМС (ЭС+) = 363,4 [М+Н]+.
Стадия 2: Синтез 1-(2-фторфенил)-4-[[2-метил-4-(4,4,5,5-тетраметил-1,3,2-диоксаборолан-2-ил)фенил]метил]пиперазина: К перемешиваемому раствору 1-[(4-бром-2-метил-фенил)метил]-4-(2-фторфенил)пиперазина (2 г, 5,51 ммоль), 4,4,5,5-тетраметил-2-(4,4,5,5-тетраметил-1,3,2-диоксаборолан-2-ил)-1,3,2-диоксаборолана (1,68 г, 6,61 ммоль) и ацетата калия (1,35 г, 13,76 ммоль, 860,40 мкл) в 1,4-диоксане (25 мл) продували аргоном в течение 10 минут, затем циклопентил(дифенил)фосфан; дихлорметан; дихлорпалладий; железо (449,61 мг, 550,56 ммоль) добавляли и нагревали реакционную смесь в течение 14 ч при 90°С. Реакционную смесь разбавляли этилацетатом и промывали водой с последующей промывкой насыщенным солевым раствором. Органический слой сушили над сульфатом натрия и концентрировали. Неочищенное соединение очищали методом колоночной хроматографии на силикагеле 15% этилацетата в гексане с получением 1-(2-фторфенил)-4-[[2-метил-4-(4,4,5,5-тетраметил-1,3,2-диоксаборолан-2-ил)фенил]метил]пиперазина (1 г, 41,17% выход, 93% чистота) в виде белого твердого вещества. ЖХМС (ЭС+) = 411,6 [М+Н]+.
Стадия 3: Синтез 6-[[4-[[4-(2-фторфенил)пиперазин-1-ил]метил]-3-метил-фенил]]У1етил]-1-[(4-метоксифенил)метил]бензо[cd]индол-2-она: К перемешиваемому раствору 1-(2-фторфенил)-4-[[2-метил-4-(4,4,5,5-тетраметил-1,3,2-диоксаборолан-2-ил)фенил]метил]пиперазина (500 мг, 1,22 ммоль) в толуоле (8 мл) и этаноле (4 мл) добавляли анизол-6-(хлорметил)-1-метилбензо[cd]индол-2-она (412,85 мг, 1,22 ммоль), трехзамещенный фосфат калия (646,63 мг, 3,05 ммоль). Реакционную смесь дегазировали аргоном в течение 15 минут, затем трис-о-толилфосфан (74,18 мг, 243,71 ммоль) и трис (дибензилиденацетон)дипалладий (0) (111,58 мг, 121,85 ммоль) добавляли и вновь продували в течение 5 минут. Реакционную смесь перемешивали и нагревали при 100°С в течение 14 ч. Реакционную смесь упаривали и разбавляли этилацетатом и промывали водой, с последующей промывкой насыщенным солевым раствором. Органический слой сушили над сульфатом натрия и концентрировали. Неочищенное соединение очищали методом колоночной хроматографии на силикагеле 15-20% этилацетата в гексане с получением 6-[[4-[[4-(2-фторфенил)пиперазин-1-ил]метил]-3-метил-фенил]метил]-1-[(4-метоксифенил)метил]бензо[cd]индол-2-она (350 мг, 41,61% выход, 85% чистота) в виде желтоватого твердого вещества. ЖХМС (ЭС+) = 586,3 [М+Н]+.
Стадия 4: Синтез 6-[[4-[[4-(2-фторфенил)пиперазин-1-ил]метил]-3-метил-фенил]метил]-1Н-бензо[cd]индол-2-она: К перемешиваемому раствору 6-[[4-[[4-(2-фторфенил)пиперазин-1-ил]метил]-3-метил-фенил]метил]-1-[(4-метоксифенил)метил]бензо[cd]индол-2-она (400 мг, 682,93 ммоль) в TFA (5 мл) добавляли трифторметансульфоновую кислоту (1,02 г, 6,83 ммоль, 599,37 мкл) и перемешивали реакционную смесь при 25°С в течение 16 ч. Реакционную смесь упаривали и гасили насыщенным раствором бикарбоната натрия, экстрагировали добавлением этилацетата, промывали водой с последующей промывкой насыщенным солевым раствором. Органическую часть сушили над сульфатом натрия и концентрировали и растирали с эфиром и пентаном с получением 6-[[4-[[4-(2-фторфенил)пиперазин-1-ил]метил]-3-метил-фенил]метил]-1Н-бензо[cd]индол-2-она (280 мг, 79,26% выход, 90% чистота) в виде желтого твердого вещества. ЖХМС (ЭС+) = 466 [М+Н]+.
Стадия 5: Синтез 3-[6-[[4-[[4-(2-фторфенил)пиперазин-1-ил]метил]-3-метил-фенил]метил]-2-оксобензо[cd]индол-1-ил]пиперидин-2,6-диона: К перемешиваемому раствору 6-[[4-[[4-(2-фторфенил)пиперазин-1-ил]метил]-3-метил-фенил]метил]-1Н-бензо[cd]индол-2-она (280 мг, 601,43 ммоль) в THF (20 мл) добавляли гидрид натрия (в масляной дисперсии) в виде 60% дисперсии в минеральном масле (276,53 мг, 7,22 ммоль, 60% чистота) порциями при 0°С и перемешивали в течение 10 мин поддерживая при 0°С.После этого медленно добавляли 3-бромпиперидин-2,6-дион (692,88 мг, 3,61 ммоль), затем реакционной массе при перемешивании позволяли нагреться до 85°С в течение 1 ч. За ходом реакции наблюдали с помощью ТСХ, исх. вещ. расходовалось по данным ТСХ., затем реакционную массу гасили ледяной водой и реакционную смесь разбавляли этилацетатом и промывали водой, органический слой отделяли, сушили над сульфатом натрия и концентрировали в условиях пониженного давления с получением неочищенного соединения. Это неочищенное вещество очищали методом препаративной ВЭЖХ с получением 3-[6-[[4-[[4-(2-фторфенил)пиперазин-1-ил]метил]-3-метил-фенил]метил]-2-оксобензо[cd]индол-1-ил]пиперидин-2,6-диона Соединения 286 (34 мг 9,76% выход, 99,59% чистота) в виде желтого твердого вещества, ЖХМС (ЭС+):577,3 [М+Н]+. 1Н ЯМР (400 МГц, DMSO-d6): δ 11,12 (s, 1H), 8,34 (d, J=8,2 Гц, 1H), 8,07 (d, J=6,9 Гц, 1H), 7,81 (t, J=1,6 Гц, 1H), 7,40 (d, J=7,3 Гц, 1H), 7,14-7,04 (m, 6H), 7,00-6,91 (m, 2H), 5,46-5,42 (m, 1H), 4,37 (s, 2H), 3,41 (s, 1H), 3,3 (m, 2H, слился с пиком растворителя), 2,94-2,91 (m, 5Н), 2,81-2,73 (m, 1H), 2,70-2,63 (m, 1H), 2,54 (m, 2Н), 2,27 (s, 3Н), 1,26 (m, 1Н).
Пример 167. Синтез 3-[6-[[1-[1-[1-(диметиламино)циклобутанкарбонил]-4-пиперидил]пиразол-4-ил]метил]-2-оксобензо[cd]индол-1-ил]пиперидин-2,6-диона (Соединение 287)
Стадия: 1: Синтез 3-[6-[[1-[1-[1-(диметиламино)циклобутанкарбонил]-4-пиперидил]пиразол-4-ил]метил]-2-оксобензо[cd]индол-1-ил]пиперидин-2,6-диона: К перемешиваемому раствору 1-(диметиламино)циклобутанкарбоновой кислоты (20 мг, 139,68 ммоль), гидрохлорида 3-[2-оксо-6-[[1-(4-пиперидил)пиразол-4-ил]метил]бензо[cd]индол-1-ил]пиперидин-2,6-диона (67,04 мг, 139,68 ммоль, 021) в DMF (2 мл) добавляли TBTU (179,40 мг, 279,36 ммоль, 169,59 мкл, 50% чистота) и диизопропилэтиламин (90,26 мг, 698,41 ммоль, 121,65 мкл) реакционную смесь перемешивали при 25°С в течение 16 ч. ЖХМС показывала целевую массу и реакционную смесь разбавляли этилацетатом и промывали водой, органический слой отделяли, сушили над сульфатом натрия и концентрировали в условиях пониженного давления с получением неочищенного соединения. Это неочищенное вещество очищали методом колоночной хроматографии на силикагеле (с использованием 2% МеОН в DCM) с получением 3-[6-[[1-[1-[1-(диметиламино)циклобутанкарбонил]-4-пиперидил]пиразол-4-ил]метил]-2-оксобензо[cd]индол-1-ил]пиперидин-2,6-диона Соединения 287 (15 мг, 18,50% выход, 97,97% чистота) в виде желтого твердого вещества. ЖХМС (ЭС+) = 569,3 [М+Н]+. 1H ЯМР (400 МГц, DMSO-d6): δ 11,11 (s, 1Н), 8,37 (d,J=8,3 Гц, 1H), 8,08 (d, J=7,0 Гц, 1H), 7,83 (t, J=7,6 Гц, 1H), 7,59 (s, 1H), 7,36 (d, J=7,3 Гц, 1H), 7,31 (s, 1H), 7,07 (d, J=7,3 Гц, 1H), 5,46-5,41 (m, 1H), 4,48-4,45 (m, 1h), 4,29-4,25 (m, 1H), 4,18 (s, 2Н; merged with еще 1H), 2,99-2,90 (m, 3H), 2,77-2,63 (m, 2H), 2,32 (m, 1H), 2,24-2,23 (m, 2H), 2,14 (s, 6H), 2,09-2,07 (m, 1H), 1,97-1,93 (m, 1H), 1,89-1,87 (m, 1H), 1,76-1,59 (m, 4H), 1,57-1,53 (m, 1H).
Пример 168. Синтез 3-[2-оксо-6-[[1-(1-спиро[3.3]гептан-2-ил-4-пиперидил)пиразол-4-ил]метил]бензо[cd]индол-1-ил]пиперидин-2,6-диона (Соединение 288)
Стадия: 1: Синтез 3-[2-оксо-6-[[1-(1-спиро[3.3]гептан-2-ил-4-пиперидил)пиразол-4-ил]метил]бензо[cd]индол-1-ил]пиперидин-2,6-диона: К перемешиваемому раствору гидрохлорида 3-[2-оксо-6-[[1-(4-пиперидил)пиразол-4-ил]метил]бензо[cd]индол-1-ил]пиперидин-2,6-диона (100 мг, 208,35 ммоль, 021) в THF (8 мл) добавляли триэтиламин, 99% (42,17 мг, 416,70 ммоль, 58,08 мкл) с последующим добавлением спиро[3.3]гептан-2-она (25,25 мг, 229,19 ммоль), дихлорида дибутилолова (75,97 мг, 250,02 ммоль, 55,86 мкл) и фенилсилана (22,55 мг, 208,35 ммоль, 25,68 мкл). Реакционную смесь затем перемешивали при 90°С в течение 16 часов. ТСХ проводили, что показывало образование желаемого пятна. Реакционную смесь разбавляли этилацетатом, промывали раствором бикарбоната натрия, водой и насыщенным солевым раствором. Органическую фракцию отделяли. Ее сушили над безводным сульфатом натрия, упаривали в условиях пониженного давления с получением неочищенного соединения, которое очищали методом флэш-хроматографии с использованием 3-4% MeOH-DCM с получением 3-[2-оксо-6-[[1-(1-спиро[3.3]гептан-2-ил-4-пиперидил)пиразол-4-ил]метил]бензо[cd]индол-1-ил]пиперидин-2,6-диона Соединения 288 (50 мг, 43,03% выход, 96,4%чистота) в виде желтого твердого вещества ЖХМС (ЭС+) = 538,3 [М+Н]+. 1Н ЯМР (400 МГц, DMSO-d6): δ 11,09 (s, 1H), 8,34 (d, J=8,2 Гц, 1Н), 8,05 (d, J=7,0 Гц, 1H), 7,80 (t, J=7,6 Гц, 1H), 7,54 (s, 1H), 7,32 (d, J=7,4 Гц, 1H), 7,26 (s, 1H), 7,04 (d, J=7,3 Гц, 1H), 5,43-5,38 (m, 1H), 4,15 (s, 2H), 3,97-3,95 (m, 1H), 2,96-2,88 (m, 1H), 2,75-2,69 (m, 2H), 2,67-2,64 (m, 1H), 2,48 (m, 4H, слился с пиком растворителя), 2,07-2,02 (m, 2Н), 1,95-1,91 (m, 2Н), 1,86-1,73 (m, 8Н), 1,69-1,68 (m, 3Н).
Пример 169. Синтез 3-[20-[[1-[1-(1-метилциклобутанкарбонил)-4-пиперидил]пиразол-4-ил]метил]-26-оксо-30,35-диазатрициклододека-1,3(18),5(20),17(21),22(30)-пентаен-35-ил]пиперидин-2,6-диона (Соединение 289)
Стадия 1: Синтез 8-бром-2-оксидоизохинолин-2-ия: К перемешиваемому раствору 8-бромизохинолина (100 г, 480,64 ммоль) в DCM (1500 мл) добавляли 3-хлорпероксибензойную кислоту, 50-55%, затем около 10% 3-хлорбензйной кислоты, воды (161,58 г, 720,96 ммоль, 77% чистота) порциями и перемешивали реакционную смесь при 25°С в течение 3 ч. ТСХ показывала полное расходование исходного вещества и образование нового полярного пятна. Реакционную смесь гасили 2н NaOH раствором до рН-10 и экстрагировали добавлением DCM. Органический слой сушили над сульфатом натрия и концентрировали с получением 8-бром-2-оксидоизохинолин-2-ия (80 г, 73,54% выход) в виде беловатого твердого вещества. ЖХМС (ЭС+) = 223,9 [М+Н]+.
Стадия 2: Синтез 8-бром-2Н-изохинолин-1-она: 8-бром-2-оксидоизохинолин-2-ий (80 г, 357,06 ммоль) суспендировали в уксусном ангидриде (729,03 г, 7,14 ммоль, 675,03 мл) и полученную смесь нагревали с обратным холодильником в течение 3 ч, затем позволяли охладиться до комнатной темп. Ас2О удаляли путем дистилляции в условиях пониженного давления с получением твердого остатка, который суспендировали в водном растворе NaOH (2 Μ, 600 мл). Полученную смесь нагревали при 100°С в течение 1 ч, затем позволяли охладиться до к.т. рН полученного раствора доводили до рН 6 добавлением водного раствора лимонной кислоты и смесь экстрагировали добавлением этилацетата. Объединенные органические слои сушили над сульфатом натрия и упаривали в условиях пониженного давления с получением неочищенного продукта 8-бром-2Н-изохинолин-1-она (70 г, 52,50% выход). ЖХМС (ЭС+) = 224,0 [М+Н]+.
Стадия 3: Синтез 8-бром-1-хлоризохинолина: К перемешиваемому раствору 8-бром-2Н-изохинолин-1-она (40 г, 178,53 ммоль) в оксихлориде фосфора (273,74 г, 1,79 моль, 165,90 мл) перемешивали при 80°С в течение 3 ч. ТСХ показывала полное расходование исходного вещества. Реакционную смесь упаривали досуха, подщелачивали насыщенным раствором бикарбоната натрия и экстрагировали добавлением этилацетата. Органический слой сушили над сульфатом натрия и концентрировали. Неочищенное соединение очищали методом колоночной хроматографии 10-15% этилацетата в гексане с получением 8-бром-1-хлоризохинолина (20 г, 45,73% выход) в виде беловатого твердого вещества. ЖХМС (ЭС+) = 242,0 [М+Н]+.
Стадия 4: Синтез 8-бром-N-[(4-метоксифенил)метил]изохинолин-1-амина: 8-бром-1-хлоризохинолин (22 г, 90,72 ммоль) переносили в укупоренный сосуд в DMA (120 мл) и 4-метоксибензиламин (18,67 г, 136,08 ммоль, 17,78 мл) добавляли и реакционную смесь нагревали при 120°С в течение 3 ч. ЖХМС показывала желаемую массу. Реакционную смесь разбавляли этилацетатом и водой. Органический слой сушили над сульфатом натрия и концентрировали. Реакционную смесь очищали методом колоночной хроматографии 5% этилацетата в гексане с получением 8-бром-N-[(4-метоксифенил)метил]изохинолин-1 -амина (23 г, 62,79%) в виде коричневой липкой смолы. ЖХМС (ЭС+) = 344,7 [М+Н]+.
Стадия 5: Синтез 19-[(4-метоксифенил)метил]-18,19-диазатрициклододека-1(3),2(12),8,14,16(18)-пентаен-17-она: 8-бром-М-[(4-метоксифенил)метил]изохинолин-1-амин (20 г, 58,27 ммоль) переносили в МеОН (500 мл), триэтиламин (23,59 г, 233,09 ммоль, 32,49 мл) добавляли и газообразный аргон продували в течение 10 минут, затем DPPP (4,81 г, 11,65 ммоль) и ацетат палладия (II) (1,31 г, 5,83 ммоль) добавляли и реакционную смесь подвергали карбонизации в сосуде Парра при 100°С при 70 фунтах на кв. дюйм в атмосфере моноксида углерода. Реакционную смесь фильтровали через слой целита и концентрировали. Неочищенное вещество обрабатывали этилацетатом и водой с последующей промывкой насыщенным солевым раствором. Органический слой сушили над сульфатом натрия и концентрировали. Неочищенное соединение очищали методом колоночной хроматографии 60% этилацетата в гексане с получением 19-[(4-метоксифенил)метил]-18,19-диазатрициклододека-1(3),2(12),8,14,16(18)-пентаен-17-она (9,5 г, 53,16% выход) в виде беловатого твердого вещества. ЖХМС (ЭС+) = 291,1 [М+Н]+.
Стадия 6: Синтез 14-бром-19-[(4-метоксифенил)метил]-18,19-диазатрициклододека-1(3),2(12),8(14),13(15),16(18)-пентаен-17-она: К перемешиваемой суспензии 19-[(4-метоксифенил)метил]-18,19-диазатрициклододека-1(3),2(12),8,14,16(18)-пентаен-17-она (7 г, 24,11 ммоль) в ацетонитриле (150 мл) добавляли N-бромсукцинимид (4,51 г, 25,32 ммоль, 2,15 мл) в холодных условиях капельно и реакцию продолжали при 25°С в течение 14 ч часов. ЖХМС показывала желаемую массу и ТСХ показала новые пятна. Реакционную смесь упаривали и гасили раствором Na2S2O3 экстрагировали добавлением этилацетата. Органический слой промывали водой с последующей промывкой насыщенным солевым раствором и сушили над сульфатом натрия и концентрировали. Неочищенное соединение очищали методом колоночной хроматографии с получением 14-бром-19-[(4-метоксифенил)метил]-18,19-диазатрициклододека-1(3),2(12),8(14),13(15),16(18)-пентаен-17-она (5 г, 53,92% выход) в виде желтого твердого вещества; ЖХМС (ЭС+) 369,1 [М+Н]+.
Стадия 7: Синтез 21-[(4-метоксифенил)метил]-16-винил-20,21-диазатрициклододека-2(4),3(14),9(16),15(17),18(20)-пентаен-19-она: К перемешиваемому раствору 14-бром-19-[(4-метоксифенил)метил]-18,19-диазатрициклододека-1(3),2(12),8(14),13(15),16(18)-пентаен-17-она (5 г, 13,54 ммоль) в толуоле (100 мл) добавляли трибутилвинилолово (6,44 г, 20,31 ммоль, 5,91 мл). Его дегазировали аргоном в течение 10 минут. Три-трет-бутилфосфин (2,5 М, 1,08 мл) и pd2(dba)3 (1,24 г, 1,35 ммоль) добавляли к реакционной смеси и далее дегазировали аргоном в течение 10 минут. Ее перемешивали при 70°С в течение 16 ч. Реакционной смеси затем позволяли охладиться до к.т., фильтровали и экстрагировали добавлением этилацетата. Органическую фазу промывали насыщенным солевым раствором и в итоге сушили над безвод. Na2SO4. Растворитель упаривали и остаток очищали методом колоночной хроматографии на силикагеле с получением 21-[(4-метоксифенил)метил]-16-винил-20,21-диазатрициклододека-2(4),3(14),9(16),15(17),18(20)-пентаен-19-она (1,4 г, 31,04% выход) в виде желтого твердого вещества. ЖХМС (ЭС+) = 317,2 [М+Н]+.
Стадия 8: Синтез 20-[(4-метоксифенил)метил]-18-оксо-19,20-диазатрициклододека-1(3),2(13),8(15),14(16),17(19)-пентаен-15-карбальдегида: К перемешиваемому раствору 21-[(4-метоксифенил)метил]-16-винил-20,21-диазатрициклододека-2(4),3(14),9(16, 15(17), 18(20)-пентаен-19-она(2 г, 6,32 ммоль) в EtOAc (30 мл) и воды(15 мл) добавляли метаперйодат натрия (3,38 г, 15,81 ммоль) и OsO4 (0,16 Μ, 790,26 мкл) и перемешивали при к.т.в течение 4 ч. После полного расходования исх. вещ., реакционную смесь экстрагировали добавлением EtOAc.Органическую фазу промывали насыщенным солевым раствором и в итоге сушили над безвод. Na2SO4. Растворитель упаривали с получением 20-[(4-метоксифенил)метил]-18-оксо-19,20-диазатрициклододека-1(3),2(13),8(15),14(16),17(19)-пентаен-15-карбальдегида (1,5 г, 70,81% выход) в виде белого твердого вещества. ЖХМС (ЭС+) = 319,0 [М+Н]+.
Стадия 9: Синтез 15-(гидроксиметил)-20-[(4-метоксифенил)метил]-19,20-диазатрициклододека-1(3),2(13),8(15),14(16),17(19)-пентаен-18-она: К перемешиваемому раствору 20-[(4-метоксифенил)метил]-18-оксо-19,20-диазатрициклододека-1(3),2(13),8(15),14(16),17(19)-пентаен-15-карбальдегида (1,5 г, 4,71 ммоль) в МеОН (50 мл) охлаждали до нуля градусов, затем боргидрид натрия (267,39 мг, 7,07 ммоль, 249,90 мкл) добавляли и перемешивали при 25°С в течение 4 ч. Реакционную смесь упаривали, затем разбавляли этилацетатом и промывали водой с последующей промывкой насыщенным солевым раствором. Органический слой сушили над сульфатом натрия и концентрировали с получением 15-(гидроксиметил)-20-[(4-метоксифенил)метил]-19,20-диазатрициклододека-1(3),2(13),8(15),14(16),17(19)-пентаен-18-она (1,2 г, 67,57% выход) в виде коричневого твердого вещества; ЖХ-МС:(ЭС+) 321,1 [М+Н]+.
Стадия 10: Синтез 15-(хлорметил)-20-[(4-метоксифенил)метил]-19,20-диазатрициклододека-1(3),2(13),8(15),14(16),17(19)-пентаен-18-она: Тионилхлорид (4,46 г, 37,46 ммоль, 2,72 мл) в холодных условиях добавляли к 15-(гидроксиметил)-20-[(4-метоксифенил)метил]-19,20-диазатрициклододека-1(3),2(13),8(15),14(16),17(19)-пентаен-18-ону (1,2 г, 3,75 ммоль) и перемешивали при 25°С в течение 3 ч. Реакционную смесь упаривали, затем гасили раствором бикарбоната натрия, экстрагировали добавлением этилацетата. Органический слой промывали водой с последующей промывкой насыщенным солевым раствором и сушили над сульфатом натрия и концентрировали. Неочищенное вещество растирали с пентаном и эфиром с получением 15-(хлорметил)-20-[(4-метоксифенил)метил]-19,20-диазатрициклододека-1(3),2(13),8(15),14(16),17(19)-пентаен-18-она (900 мг, 53,19% выход) в виде коричневого твердого вещества. ЖХМС (ЭС+) = 339 [М+Н]+.
Стадия 11: Синтез 32-[(4-метоксифенил)метил]-23-[[1-(1-метил-4-пиперидил)пиразол-4-ил]метил]-28,32-диазатрициклододека-2(4),3(20),10(23),21(24),25(28)-пентаен-27-он-2-метилпропан-2-олгидрата: К перемешиваемому раствору 15-(хлорметил)-20-[(4-метоксифенил)метил]-19,20-диазатрициклододека-1(3),2(13),8(15), 14(16), 17(19)-пентаен-18-она (900 мг, 2,66 ммоль) в толуоле (16 мл) и этаноле (8 мл) добавляли 1-гидрокси-4-[4-(4,4,5,5-тетраметил-1,3,2-диоксаборолан-2-ил)пиразол-1-ил]пиперидинметан-2-метилпропан-2-ол (1,01 г, 2,66 ммоль), трехзамещенный фосфат калия (1,41 г, 6,64 ммоль). Реакционную смесь дегазировали аргоном в течение 15 минут, затем трис-о-толилфосфан (161,71 мг, 531,31 ммоль) и трис(дибензилиденацетон)дипалладий (0) (243,26 мг, 265,65 ммоль) добавляли и вновь продували в течение 10 минут. Реакционную смесь перемешивали и нагревали при 100°С в течение 14 ч. Реакционную смесь упаривали и разбавляли этилацетатом и промывали водой, с последующей промывкой насыщенным солевым раствором. Органический слой сушили над сульфатом натрия и концентрировали. ЖХМС показывала желаемую массу и реакционную смесь очищали методом колоночной хроматографии 3-4% МеОН в DCM с получением 32-[(4-метоксифенил)метил]-23-[[1-(1-метил-4-пиперидил)пиразол-4-ил]метил]-28,32-диазатрициклододека-2(4),3(20),10(23),21(24),25(28)-пентаен-27-он-2-метилпропан-2-олгидрата (900 мг, 42,52% выход) в виде желтоватого твердого вещества. ЖХМС (ЭС+) = 554,5 [М+]+.
Стадия 12: Синтез 31-[(4-метоксифенил)метил]-22-[[1-(4-пиперидил)пиразол-4-ил]метил]-27,31-диазатрициклододека-1(3),2(19),9(22),20(23),24(27)-пентаен-26-она: 32-[(4-метоксифенил)метил]-23-[[1-(1-метил-4-пиперидил)пиразол-4-ил]метил]-28,32-диазатрициклододека-2(4),3(20),10(23),21(24),25(28)-пентаен-27-он-2-метилпропан-2-олгидрат(600 мг, 1,07 ммоль) в DCM (3 мл)в охлаждающих условиях добавляли к TFA (2,44 г, 21,44 ммоль, 1,65 мл) капельно. Реакционную смесь перемешивали при 25°С в течение 14 ч. Реакционную смесь упаривали и гасили насыщенным раствором бикарбоната натрия, экстрагировали добавлением этилацетата, промывали водой с последующей промывкой насыщенным солевым раствором. Органическую часть сушили над сульфатом натрия и концентрировали с получением 31-[(4-метоксифенил)метил]-22-[[1-(4-пиперидил)пиразол-4-ил]метил]-27,31-диазатрициклододека-1(3),2(19),9(22),20(23),24(27)-пентаен-26-она (390 мг, 72,19% выход) в виде желтоватого твердого вещества.
Стадия 13: Синтез 37-[(4-метоксифенил)метил]-26-[[1-[1-(1-метилциклобутанкарбонил)-4-пиперидил]пиразол-4-ил]метил]-33,37-диазатрициклододека-2(4),3(23),10(26),24(27),28(33)-пентаен-30-он: К перемешиваемому раствору 1 метилциклобутанкарбоновой кислоты (47,82 мг, 418,93 ммоль) и 31-[(4-метоксифенил)метил]-22-[[1-(4-пиперидил)пиразол-4-ил]метил]-27,31-диазатрициклододека-1(3),2(19),9(22). 20(23),24(27)-пентаен-26-она (190 мг, 418,93 ммоль) в DMF (3 мл) добавляли DIPEA (270,71 мг, 2,09 ммоль, 364,84 мкл) и HATU (238,94 мг, 628,40 ммоль) реакционную смесь перемешивали при 25°С в течение 16 ч. По данным ЖХМС наблюдалась целевая масса и реакционную смесь разбавляли этилацетатом и промывали водой, органический слой отделяли, сушили над сульфатом натрия и концентрировали в условиях пониженного давления с получением неочищенного соединения. Это неочищенное вещество очищали методом колоночной хроматографии (с использованием 3% МеОН в DCM) с получением 37-[(4-метоксифенил) метил]-26-[[1-[1-(1-метилциклобутанкарбонил)-4-пиперидил]пиразол-4-ил]метил]-33,37-диазатрициклододека-2(4),3(23),10(26),24(27),28(33)-пентаен-30-она (90 мг, 38,69% выход) в виде коричневого твердого вещества. ЖХМС (ЭС+) = 550,4 [М+Н]+.
Стадия 14: Синтез 18-[[1-[1-(1-метилциклобутанкарбонил)-4-пиперидил]пиразол-4-ил]метил]-25,27-диазатрициклододека-1,3(16),5(18),15(19),20(25)-пентаен-22-она: 37-[(4-метоксифенил)метил]-26-[[1-[1-(1-метилциклобутанкарбонил)-4-пиперидил]пиразол-4-ил]метил]-33,37-диазатрициклододека-2(4),3(23),10(26),24(27),28(33)-пентаен-30-он (90 мг, 163,74 ммоль) в TFA (3 мл)в охлаждающих условиях добавляли трифторметансульфоновую кислоту (368,61 мг, 2,46 ммоль, 215,56 мкл) капельно. Реакционную смесь перемешивали при 25°С в течение 16 ч. Реакционную смесь упаривали и гасили насыщенным раствором бикарбоната натрия, экстрагировали добавлением этилацетата, промывали водой с последующей промывкой насыщенным солевым раствором. Органическую часть сушили над сульфатом натрия и концентрировали с получением 18-[[1-[1-(1-метилциклобутанкарбонил)-4-пиперидил]пиразол-4-ил]метил]-25,27-диазатрициклододека-1,3(16),5(18),15(19),20(25)-пентаен-22-она (60 мг, 71,66% выход) в виде коричневого твердого вещества. ЖХМС (ЭС+) = 430,3 [М+Н].
Стадия 15: Синтез 3-[20-[[1-[1-(1-метилциклобутанкарбонил)-4-пиперидил]пиразол-4-ил]метил]-26-оксо-30,35-диазатрициклододека-1,3(18),5(20),17(21),22(30)-пентаен-35-ил]пиперидин-2,6-диона: К перемешиваемому раствору 18-[[1-[1-(1-метилциклобутанкарбонил)-4-пиперидил]пиразол-4-ил]метил]-25,27-диазатрициклододека-1,3(16),5(18),15(19),20(25)-пентаен-22-она (45,00 мг, 104,77 ммоль) и 3-бромпиперидин-2,6-диона (60,35 мг, 314,31 ммоль) в THF (3 мл) в атмосфере аргона добавляли бис(триметилсилил)амид лития (1 М, 628,62 мкл) капельно в ледяных условиях и нагревали реакционную смесь при 65°С в течение 4 ч. ЖХМС показывала желаемое соединение с непрореагировавшим исходным веществом. Реакционную смесь гасили льдом и экстрагировали добавлением этилацетата, органический слой промывали насыщенным солевым раствором и сушили над сульфатом натрия и концентрировали. Реакционную смесь очищали с помощью преп.ВЭЖХ с получением 3-[20-[[1-[1-(1-метилциклобутанкарбонил)-4-пиперидил]пиразол-4-ил]метил]-26-оксо-30,35-диазатрициклододека-1,3(18),5(20),17(21),22(30)-пентаен-35-ил]пиперидин-2,6-диона Соединения 289 (3 мг, 5,21% выход) в виде беловатого твердого вещества. ЖХМС (ЭС+) = 541,2 [М+Н]+. 1Н ЯМР (400 МГц, DMSO-d6): δ 11,09 (s, 1H), 8,31 (d, J=8,2 Гц, 1H), 8,14 (d, J=8,1 Гц, 1H), 8,09 (s, 1H), 8,00 (t, J=7,6 Гц, 1H), 7,65 (s, 1H), 7,35 (s, 1H), 5,41-5,37 (m, 1H), 4,38 (m, 1H), 4,32-4,27 (m, 1H), 4,11 (s, 2H), 3,56 (m, 1H), 3,31-2,81 (m, 3H), 2,67-2,63 (m, 2H), 2,41-2,36 (m, 2H), 2,13-2,11 (m, 1H), 1,99-1,85 (m, 3H), 1,79-1,75 (m, 3H), 1,67 (m, 1H),1,62-1,59 (m, 1H), 1,34 (s, 3H).
Пример 170. Синтез 3-[6-[[3-[1-(1-метилциклобутанкарбонил)-4-пиперидил]фенил]метил]-2-оксобензо[cd]индол-1-ил]пиперидин-2,б-диона (Соединение 290)
Стадия 1: Синтез 6-[(3-бромфенил)метил]-1-[(4-метоксифенил)метил]бензо[cd]индол-2-она: К раствору (3-бромфенил)бороновой кислоты (2,67 г, 13,28 ммоль) в толуоле (50 мл) и анизоле; 6-(хлорметил)-1-метилбензо[cd]индол-2-он (4,5 г, 13,28 ммоль) и безводный трехосновный фосфат калия (7,05 г, 33,20 ммоль) добавляли, смесь продували газообразным аргоном в течение 15 мин, затем добавляли тетракис(трифенилфосфин)палладий(0), 99,8% (по металлам), Pd 9% мин (1,53 г, 1,33 ммоль), добавляли вновь газообразный аргон, продували в течение 5 мин и смесь перемешивали при 90°С в течение 16 ч в укупоренной пробирке. Завершение реакции подтверждали с помощью ТСХ, по окончании реакции ее фильтровали через целит и разбавляли этилацетатом и промывали водой и насыщенным солевым раствором. Растворитель упаривали и остаток очищали методом колоночной хроматографии на силикагеле 2% этилацетата в петролейном эфире с получением 6-[(3-бромфенил)метил]-1-[(4-метоксифенил)метил]бензо[cd]индол-2-она (1,1 г, 9,92% выход, 55% чистота) в виде желтого твердого вещества. ЖХМС (ЭС+) = 460,6 [М+Н]+.
Стадия 2: Синтез трет-бутил-4-[3-[[1-[(4-метоксифенил)метил]-2-оксобензо[cd]индол-6-ил]метил]фенил]-3,6-дигидро-2Н-пиридин-1-карбоксилата: К раствору 6-[(3-бромфенил)метил]-1-[(4-метоксифенил)метил]бензо[cd]индол-2-она (1 г, 2,18 ммоль) в диоксане (20 мл) и воде (4 мл) добавляли трет-бутил-4-(4,4,5,5-тетраметил-1,3,2-диоксаборолан-2-ил)-3,6-дигидро-2Н-пиридин-1-карбоксилат (708,35 мг, 2,29 ммоль) и карбонат натрия (578,11 мг, 5,45 ммоль, 228,50 мкл) добавляли. Смесь продували газообразным аргоном в течение 15 мин, затем добавляли XPhos Pd G3 (92,34 мг, 109,09 ммоль) вновь газообразный аргон продували в течение 5 мин и смесь перемешивали при 90°С в течение 16 ч в укупоренной пробирке. Завершение реакции подтверждали с помощью ТСХ, по окончании реакции ее фильтровали через целит и разбавляли этилацетатом и промывали водой и насыщенным карбонатом натрия и насыщенным солевым раствором. Растворитель упаривали и получали неочищенное соединение. Очищали методом колоночной хроматографии на силикагеле 20% этилацетата в гексане с получением трет-бутил-4-[3-[[1-[(4-метоксифенил)метил]-2-оксобензо[cd]индол-6-ил]метил]фенил]-3,6-дигидро-2Н-пиридин-1-карбоксилата (600 мг, выход, 29,43% выход, 60% чистота) в виде желтого твердого вещества. ЖХМС (ЭС+) = 561 [М+Н]+.
Стадия 3: Синтез трет-бутил-4-[3-[[1-[(4-метоксифенил)метил]-2-оксобензо[cd]индол-6-ил]метил]фенил]пиперидин-1-карбоксилата: Перемешиваемый раствор трет-бутил-4-[3-[[1-[(4-метоксифенил)метил]-2-оксобензо[cd]индол-6-ил]метил]фенил]-3,6-дигидро-2Н-пиридин-1-карбоксилата (750 мг, 1,34 ммоль) в метаноле (50 мл) продували аргоном в течение 15 минут, затем палладий-уголь (10% влаж.) (200 мг, 1,34 ммоль) добавляли, вновь реакционную смесь продували аргоном. Реакционную смесь затем гидрировали при баллонном давлении в течение 16 ч. ЖХМС показывала желаемую массу, затем реакционную смесь фильтровали через слой целита. Фильтрат, затем упаривали и очищали методом преп. ВЭЖХ с получением трет-бутил-4-[3-[[1-[(4-метоксифенил)метил]-2-оксобензо[cd]индол-6-ил]метил]фенил]пиперидин-1-карбоксилата (130 мг, 17,01% выход, 98,5% чистота). ЖХМС (ЭС+) = 564 [М+Н]+.
Стадия 4: Синтез 6-[[3-(4-пиперидил)фенил]метил]-1Н-бензо[cd]индол-2-она: К трет-бутил-4-[3-[[1-[(4-метоксифенил)метил]-2-оксобензо[cd]индол-6-ил]метил]фенил]пиперидин-1-карбоксилату (210 мг, 373,20 ммоль) в TFA (3 мл) в охлаждающих условиях добавляли трифторметансульфоновую кислоту (280,05 мг, 1,87 ммоль, 163,77 мкл) капельно. Реакционную смесь перемешивали при 25°С в течение 16 ч. Реакционную смесь упаривали и гасили насыщенным раствором бикарбоната натрия, экстрагировали добавлением этилацетата, промывали водой с последующей промывкой насыщенным солевым раствором. Органическую часть сушили над сульфатом натрия и концентрировали с получением 6-[[3-(4-пиперидил)фенил]метил]-1Н-бензо[cd]индол-2-она (130 мг, 86,47% выход, 85% чистота). ЖХМС (ЭС+) = 343 [М+Н]+.
Стадия 5: Синтез 6-[[3-[1-(1-метилциклобутанкарбонил)-4-пиперидил]фенил]метил]-1Н-бензо[cd]индол-2-она: К перемешиваемому раствору 6-[[3-(4-пиперидил)фенил]метил]-1Н-бензо[cd]индол-2-она (130 мг, 379,64 ммоль) и 1-метилциклобутанкарбоновой кислоты (43,33 мг, 379,64 ммоль) в DMF (3 мл) добавляли DIPEA (245,32 мг, 1,90 ммоль, 330,62 мкл) и HATU (216,52 мг, 569,45 ммоль) реакционную смесь перемешивали при 25°С в течение 16 ч. По данным ЖХМС наблюдалась целевая масса и реакционную смесь разбавляли этилацетатом и промывали водой, органический слой отделяли, сушили над сульфатом натрия и концентрировали в условиях пониженного давления с получением неочищенного соединения. Это неочищенное вещество очищали методом колоночной хроматографии (с использованием 60% этилацетата в гексане) с получением указанного в заголовке соединения 6-[[3-[1-(1-метилциклобутанкарбонил)-4-пиперидил]фенил]метил]-1Н-бензо[cd]индол-2-она (100 мг, 58,86% выход, 98% чистота) в виде белого твердого вещества. ЖХМС (ЭС+) = 439,0[М+Н]+.
Стадия 6: Синтез 3-[6-[[3-[1-(1-метилциклобутанкарбонил)-4-пиперидил]фенил]метил]-2-оксобензо[cd]индол-1-ил]пиперидин-2,6-диона: К перемешиваемому раствору 6-[[3-[1-(1-метилциклобутанкарбонил)-4-пиперидил]фенил]метил]-1Н-бензо[cd]индол-2-она (100 мг, 228,02 ммоль) в THF (5 мл) добавляли гидрид натрия (в масляной дисперсии) в виде 60% дисперсии в минеральном масле (87,37 мг, 2,28 ммоль, 60% чистота) порциями при 0°С и перемешивали в течение 10 мин поддерживая при 0°С.После этого медленно добавляли 3-бромпиперидин-2,6-дион (218,91 мг, 1,14 ммоль), затем реакционной массе при перемешивании позволяли нагреться до 75°С в течение 20 мин. За ходом реакции наблюдали с помощью ТСХ, исх. вещ. расходовалось по данным ТСХ., затем реакционную массу гасили ледяной водой и реакционную смесь разбавляли этилацетатом и промывали водой, органический слой отделяли, сушили над сульфатом натрия и концентрировали в условиях пониженного давления с получением неочищенного соединения. Это неочищенное вещество очищали методом препаративной ВЭЖХ с получением 3-[6-[[3-[1-(1-метилциклобутанкарбонил)-4-пиперидил]фенил]метил]-2-оксобензо[cd]индол-1-ил]пиперидин-2,6-диона Соединения 290 (11 мг, 8,65% выход, 98,61% чистота), ЖХМС (ЭС+) = 550,5 [М+Н]+. 1Н ЯМР (400 МГц, DMSO-d6): δ 11,10 (s, 1H), 8,36 (d,J=7,8 Гц, 1H), 8,07 (4 J=6,6 Гц, 1H), 7,81 (t, J=7,4 Гц, 1Н), 7,40 (d,J=7,2 Гц, 1Н), 7,25 (s, 1Н), 7,18-7,16 (m, 1Н), 7,11-7,04 (m, 3Н), 5,45-5,43 (m, 1Н), 4,47 (m, 1H), 4,37 (s, 2Н), 3,60 (m, 1Н), 2,99-2,92 (m, 2Н), 2,79-2,63 (m, 3Н), 2,43 (m, 2Н), 2,07 (m, 2Н), 1,93-1,88 (m, 1Н), 1,78-1,72 (m, 4Н), 1,63-1,60 (m, 1Н), 1,46 (m, 2Н), 1,35 (s, 3Н).
Пример 171. Анализ жизнеспособности клеток к таблице 1 Материалы Среду RPMI1640, фетальную бычью сыворотку (FBS) и 2-меркаптоэтанол приобретали у Gibco (Grand Island, NY, USA). Аналитическую систему CellTiter-Glo® 2.0 приобретали у Promega (Madison, WI, USA). Клеточную линию NCIH929.1 приобретали у АТСС (Manassas, VA, USA). Флаконы для клеточных культур и 384-луночные микропланшеты приобретали у VWR (Radnor, PA, USA).
Анализ жизнеспособности клеток
Жизнеспособность клеток NCIH929.1 определяли на основании количественного определения АТФ с использованием люминесцентного аналитического набора CellTiter-Glo® 2.0, сигналы которого означают наличие метаболически активных клеток. Вкратце, исследуемое соединение вносили в 384-луночные планшеты при максимальной концентрации 1 мкМ в 10 точках, полулогарифмическое титрование в двух параллелях. Клетки NCIH929.1 высевали на 384-луночные планшеты в среде RPMI, содержащей 10% FBS и 0,05 мМ 2-меркаптоэтанола, при плотности клеток 750 клеток на лунку. Клетки, обработанные в отсутствие исследуемого соединения, представляли собой отрицательный контроль, а клетки, обработанные в отсутствие CellTiter-Glo® 2.0, - положительный контроль. В тот же день обработки соединениями CellTiter-Glo® 2.0 добавляли к планшету с клетками, обработанными в отсутствие исследуемого соединения, для оценки цитостатического контроля (Сто). Клетки, обработанные исследуемым соединением, инкубировали при 37°С при 5% СО2 в течение 96 ч. Реагент CellTiter-Glo, затем добавляли к клеткам и люминесценцию мерили с помощью многоканального ридера EnVision™ (PerkinElmer, Santa Clara, CA, USA).
Результаты
Используя значения IC50, полученные с помощью вышеуказанного анализа, определяли репрезентативные соединения в приведенной ниже таблице 1.
Пример 172. Анализ жизнеспособности клеток к таблице 2 Материалы Среду RPMI1640, фетальную бычью сыворотку (FBS) и 2-меркаптоэтанол приобретали у Gibco (Grand Island, NY, USA). Аналитическую систему CellTiter-Glo® 2.0 приобретали у Promega (Madison, WI, USA). Клеточную линию NCIH929.1 приобретали у АТСС (Manassas, VA, USA). Флаконы для клеточных культур и 384-луночные микропланшеты приобретали у VWR (Radnor, PA, USA).
Анализ жизнеспособности клеток
Жизнеспособность клеток NCIH929.1 определяли на основании количественного определения АТФ с использованием люминесцентного аналитического набора CellTiter-Glo® 2.0, сигналы которого означают наличие метаболически активных клеток. Вкратце, исследуемое соединение вносили в 384-луночные планшеты при максимальной концентрации 1 мкМ в 14 точках, полулогарифмическое титрование в двух параллелях. Клетки NCIH929.1 высевали на 384-луночные планшеты в среде RPMI, содержащей 10% FBS и 0,05 мМ 2-меркаптоэтанола, при плотности клеток 750 клеток на лунку. Клетки, обработанные в отсутствие исследуемого соединения, представляли собой отрицательный контроль, нормированный к 100% жизнеспособности, а клетки, обработанные в отсутствие CellTiter-Glo® 2.0, - положительный контроль, нормированный к 0% жизнеспособности. Клетки инкубировали при 37°С при 5% СО2 в течение 96 ч. Реагент CellTiter-Glo, затем добавляли к клеткам и люминесценцию мерили с помощью многоканального ридера EnVision™ (PerkinElmer, Santa Clara, CA, USA).
Результаты
Используя значения IC50, полученные с помощью вышеуказанного анализа, определяли репрезентативные соединения в приведенной ниже таблице 2.
Пример 173. Репрезентативные соединения
Если в приведенных ниже таблицах указана хиральность, значение показывает относительную хиральность этого стереоцентра, а не абсолютное значение. Если хиральный центр не обозначен, возможна смесь хиральностей при этом хиральном центре, например, 
В приведенной выше таблице: ++++ <1 нМ; +++ <100 нМ; ++ <999 нМ и +>999 нМ.
Все публикации и патентные заявки, перечисленные в настоящей заявке, включены в настоящее описание посредство ссылки, как если бы каждая отдельная публикация или патентная заявка были конкретно и отдельно обозначены как включенные ссылкой.
Хотя вышеуказанное изобретение было описано довольно подробно путем иллюстрации и примера в целях четкости понимания, специалисту настоящей области техники будет очевидно в свете идеи настоящего изобретения, что определенные изменения и модификации могут быть внесены без отклонения от сущности или объема настоящего изобретения, как определено в формуле изобретения.
| название | год | авторы | номер документа |
|---|---|---|---|
| PROTAC, ЦЕЛЕНАПРАВЛЕННО ВОЗДЕЙСТВУЮЩИЕ НА ТАУ-БЕЛОК, И СВЯЗАННЫЕ С НИМИ СПОСОБЫ ПРИМЕНЕНИЯ | 2017 |
|
RU2805523C2 |
| ПОЛИЦИКЛИЧЕСКИЕ СОЕДИНЕНИЯ И СПОСОБЫ ЦЕЛЕНАПРАВЛЕННОЙ ДЕГРАДАЦИИ ПОЛИПЕПТИДОВ БЫСТРО УСКОРЕННОЙ ФИБРОСАРКОМЫ | 2019 |
|
RU2830173C2 |
| ТИЕНОПИРАЗОЛЫ | 2004 |
|
RU2358978C2 |
| ГИДРОКСИПУРИНОВЫЕ СОЕДИНЕНИЯ И ИХ ПРИМЕНЕНИЕ | 2016 |
|
RU2685417C1 |
| СОЕДИНЕНИЯ 5-АЗАИНДАЗОЛА И СПОСОБЫ ИХ ПРИМЕНЕНИЯ | 2013 |
|
RU2665462C2 |
| ИНГИБИТОРЫ КИНАЗЫ | 2013 |
|
RU2637944C2 |
| АМИНОТРИАЗОЛОПИРИДИНЫ И ИХ ПРИМЕНЕНИЕ В КАЧЕСТВЕ ИНГИБИТОРОВ КИНАЗ | 2009 |
|
RU2552642C2 |
| ЗАМЕЩЕННЫЕ ПИРАЗОЛОПИРИМИДИНЫ И ЗАМЕЩЕННЫЕ ПУРИНЫ И ИХ ПРИМЕНЕНИЕ В КАЧЕСТВЕ ИНГИБИТОРОВ УБИКВИТИН-СПЕЦИФИЧЕСКОЙ ПРОЦЕССИРУЮЩЕЙ ПРОТЕАЗЫ 1 (USP1) | 2019 |
|
RU2833222C2 |
| КЛАСС БИФУНКЦИОНАЛЬНЫХ ХИМЕРНЫХ ГЕТЕРОЦИКЛИЧЕСКИХ СОЕДИНЕНИЙ ДЛЯ НАПРАВЛЕННОГО РАЗРУШЕНИЯ АНДРОГЕННЫХ РЕЦЕПТОРОВ И ИХ ПРИМЕНЕНИЕ | 2020 |
|
RU2825000C2 |
| ПРОИЗВОДНЫЕ 3-(1-ОКСОИЗОИНДОЛИН-2-ИЛ)ПИПЕРИДИН-2,6-ДИОНА И ВАРИАНТЫ ИХ ПРИМЕНЕНИЯ | 2018 |
|
RU2795850C2 |
Изобретение относится к области органической химии и фармацевтики, а именно раскрывается соединение формулы I или формулы II, или его фармацевтически приемлемая соль, соединение 218, его энантиомеры фармацевтически приемлемые соли, связывающие цереблон для разрушения белка Ikaros или белка Aiolos посредством убиквитин-протеасомного пути, фармацевтическая композиция на их основе, их применение для изготовления лекарственного средства для лечения и способ лечения нарушения, представляющего собой рак или опухоль, опосредованного цереблоном, у человека. В общей формуле I или формулы II X1 и X2 независимо выбраны из CH и N; X3 выбран из связи, NR2, C(R3R3’), O, C(O), C(S), S, S(O) и S(O)2; R1 выбран из водорода, галогена, циано, нитро, NH2, -OH, -NR2R4, -OR4, -(CR3R3’)-R4, -C(O)R4, -SR4, -S(O)R4 и -S(O)2R4; R20, R21, R22, R23 и R24 независимо в каждом случае выбраны из группы, состоящей из связи, C1-C4 алкила, -C(O)-, -C(O)O-, -OC(O)-, -SO2-, -S(O)-, -C(S)-, -C(O)NR2-, -NR2C(O)-, -O-, -S-, -NR2-, -P(O)(R28)-, -P(O)-, C2-C4 алкенила, C2-C4 алкинила, C1-C4 галогеналкила, C6-C14 арила, 3-14-членного гетероцикла с 1-3 гетероатомами, выбранными из азота, серы и кислорода, 5-10-членного гетероарила с 1-3 гетероатомами, выбранными из азота, серы и кислорода, бицикла и C3-C8 циклоалкила; каждый из них необязательно замещен 1, 2, 3 или 4 заместителями, независимо выбранными из R40; и где R20, R21, R22, R23 и R24 не могут быть выбраны таким образом, что -C(O)-, -C(O)O-, -OC(O)-, -SO2-, -S(O)-, -P(O)(R28)-, -P(O)- и -C(S)- фрагменты являются смежными друг с другом; или -O-, -S- или -NR2- фрагменты являются смежными друг с другом; R25 выбран из водорода, C1-C4 алкила, C2-C4 алкенила, C2-C4 алкинила, галогена, гидроксила, C1-C4 алкокси, азида, амино, циано, -OR2, -NR2R2’, -NR2SO2R28, -OSO2R28, -SO2R28, C1-C4 галогеналкила, C6-C14 арила, 5-10-членного гетероарила с 1-3 гетероатомами, выбранными из азота, серы и кислорода, 3-14-членного гетероцикла с 1-3 гетероатомами, выбранными из азота, серы и кислорода, бицикла и C3-C8 циклоалкила; каждая из таких R25 групп необязательно замещена 1, 2, 3 или 4 группами, независимо выбранными из R12. Остальные значения радикалов указаны в формуле изобретения. 22 н. и 211 з.п. ф-лы, 2 табл., 295 пр.
1. Соединение формулы I или формулы II
(I) или
(II)
или его фармацевтически приемлемая соль;
где X1 и X2 независимо выбраны из CH и N;
X3 выбран из связи, NR2, C(R3R3’), O, C(O), C(S), S, S(O) и S(O)2;
R1 выбран из водорода, галогена, циано, нитро, NH2, -OH, -NR2R4, -OR4, -(CR3R3’)-R4, -C(O)R4, -SR4, -S(O)R4 и -S(O)2R4;
R2 и R2’ независимо в каждом случае выбраны из водорода, C1-C4 алкила, C1-C4 галогеналкила, C3-C8 циклоалкила, 3-14-членного гетероцикла с 1-3 гетероатомами, выбранными из азота, серы и кислорода, C6-C14 арила, 5-10-членного гетероарила с 1-3 гетероатомами, выбранными из азота, серы и кислорода, -C(O)R8, -C(O)OR8, -C(O)-NR8R8’, -S(O)R8, -SO2R8, -SO2-OR8 и -SO2-NR8R8’;
R3 выбран из водорода, галогена, C1-C4 алкила C1-C4 галогеналкила, -OR8 и –NR8R8’;
R3’ выбран из водорода, галогена, C1-C4 алкила и C1-C4 галогеналкила;
или R3 и R3’ могут быть объединены с атомом углерода, к которому они присоединены, с образованием 3-6-членного циклоалкильного кольца;
R4 выбран из C3-C8 циклоалкила, 3-14-членного гетероцикла с 1-3 гетероатомами, выбранными из азота, серы и кислорода, C6-C14 арила и 5-10-членного гетероарила с 1-3 гетероатомами, выбранными из азота, серы и кислорода, где каждый R4 необязательно замещен одной группой, выбранной из R6, и где каждый R4 также необязательно замещен 1, 2, 3 или 4 группами, независимо выбранными из R7;
R6 выбран из C1-C4 алкила, C3-C8 циклоалкила, 3-14-членного гетероцикла с 1-3 гетероатомами, выбранными из азота, серы и кислорода, C6-C14 арила, 5-10-членного гетероарила с 1-3 гетероатомами, выбранными из азота, серы и кислорода, -CO-C1-C4 алкила, -CO-C3-C8 циклоалкила, -CO-(3-14-членного гетероцикла с 1-3 гетероатомами, выбранными из азота, серы и кислорода), -CO-C6-C14 арила, -CO-(5-10-членного гетероарила с 1-3 гетероатомами, выбранными из азота, серы и кислорода), -O-C1-C4 алкила, -O-C3-C8 циклоалкила, -O-(3-14-членного гетероцикла с 1-3 гетероатомами, выбранными из азота, серы и кислорода), -O-C6-C14 арила, -O-(5-10-членного гетероарила с 1-3 гетероатомами, выбранными из азота, серы и кислорода), -NR2-C1-C4 алкила, -NR2-C3-C8 циклоалкила, -NR2-(3-14-членного гетероцикла с 1-3 гетероатомами, выбранными из азота, серы и кислорода), -NR2-C6-C14 арила и -NR2-(5-10-членного гетероарила с 1-3 гетероатомами, выбранными из азота, серы и кислорода), где каждый R6 необязательно замещен 1, 2, 3 или 4 группами, независимо выбранными из R9;
R7 независимо в каждом случае выбран из водорода, галогена, гидроксила, циано, нитро, C1-C4 алкила, C1-C4 галогеналкила, C2-C4 алкенила, C2-C4 алкинила, C3-C8 циклоалкила, 3-14-членного гетероцикла с 1-3 гетероатомами, выбранными из азота, серы и кислорода, C6-C14 арила, 5-10-членного гетероарила с 1-3 гетероатомами, выбранными из азота, серы и кислорода, -OR8, -NR8R8’, -C(O)R8, -C(O)OR8, -C(O)-NR8R8’, -OC(O)R8, -NR2-C(O)R8, -S(O)R8, -SO2R8, -SO2-OR8 и -SO2-NR8R8’;
или два R7 на том же атоме углерода могут быть соединены вместе с образованием оксогруппы;
R8 и R8’ независимо в каждом случае выбраны из водорода, C1-C4 алкила, C1-C4 галогеналкила, C2-C4 алкенила, C2-C4 алкинила, C3-C8 циклоалкила, 3-14-членного гетероцикла с 1-3 гетероатомами, выбранными из азота, серы и кислорода, C6-C14 арила и 5-10-членного гетероарила с 1-3 гетероатомами, выбранными из азота, серы и кислорода;
R9 независимо в каждом случае выбран из водорода, галогена, циано, нитро, R10, -CH2R10, -OR10, -NR2R10, -C(O)R10, -C(O)CH2R10, -C(O)CH2OR10, -C(O)CH2NR2R10, -OC(O)R10, -NR2-C(O)R10, -C(O)OR10, -C(O)NR2R10, -S(O)R10, -SO2R10, SO2CH2R10, -SO2CH2OR10, -SO2CH2NR2R10, -NR2SO2R10, -SO2-OR10 и -SO2-NR2R10;
R10 выбран из C1-C6 алкила, C1-C6 галогеналкила, C2-C4 алкенила, C2-C4 алкинила, C3-C11 циклоалкила, 3-14-членного гетероцикла с 1-4 гетероатомами, выбранными из азота, серы и кислорода, C6-C14 арила и 5-10-членного гетероарила с 1-3 гетероатомами, выбранными из азота, серы и кислорода, где каждый R10 необязательно замещен 1, 2, 3 или 4 группами, независимо выбранными из R11;
R11 независимо в каждом случае выбран из галогена; гидроксила; циано; нитро; C1-C4 алкила; C1-C4 галогеналкила; C2-C4 алкенила; C2-C4 алкинила; C3-C8 циклоалкила; 3-14-членного гетероцикла с 1-3 гетероатомами, выбранными из азота, серы и кислорода; C6-C14 арила; 5-10-членного гетероарила с 1-3 гетероатомами, выбранными из азота, серы и кислорода; -CH2-C6-C14 арила; -CH2(5-10-членного гетероарила с 1-3 гетероатомами, выбранными из азота, серы и кислорода); -OR8; -NR8R8’; -C(O)R8; -C(O)OR8; -C(O)-NR8R8’; -C(O)CH2R8; -C(O)CH2OR8; -C(O)CH2-NR8R8’; -OC(O)R8; -NR2-C(O)R8; -CH2-OC(O)R8; -CH2-NR2-C(O)R8; -S(O)R8; -SO2R8; -SO2-OR8; оксо и -SO2-NR8R8’; каждая из таких R11 групп необязательно замещена 1, 2, 3 или 4 группами, независимо выбранными из R12;
или две группы R11 на одном и том же атоме углерода могут быть соединены вместе с образованием оксогруппы;
R12 независимо в каждом случае выбран из галогена; гидроксила; циано; нитро; C1-C4 алкила; C1-C4 галогеналкила; C2-C4 алкенила; C2-C4 алкинила; C3-C8 циклоалкила; 3-14-членного гетероцикла с 1-3 гетероатомами, выбранными из азота, серы и кислорода; C6-C14 арила; 5-10-членного гетероарила с 1-3 гетероатомами, выбранными из азота, серы и кислорода; -CH2-C6-C14 арила; -CH2(5-10-членного гетероарила с 1-3 гетероатомами, выбранными из азота, серы и кислорода); -OR8; -NR8R8’; -C(O)R8; -C(O)OR8; -C(O)-NR8R8’; -C(O)CH2R8; -C(O)CH2OR8; -C(O)CH2-NR8R8’; -OC(O)R8; -NR2-C(O)R8; -CH2-OC(O)R8; -CH2-NR2-C(O)R8; -S(O)R8; -SO2R8; -SO2-OR8; оксо и -SO2-NR8R8’;
R20, R21, R22, R23 и R24 независимо в каждом случае выбраны из группы, состоящей из связи, C1-C4 алкила, -C(O)-, -C(O)O-, -OC(O)-, -SO2-, -S(O)-, -C(S)-, -C(O)NR2-, -NR2C(O)-, -O-, -S-, -NR2-, -P(O)(R28)-, -P(O)-, C2-C4 алкенила, C2-C4 алкинила, C1-C4 галогеналкила, C6-C14 арила, 3-14-членного гетероцикла с 1-3 гетероатомами, выбранными из азота, серы и кислорода, 5-10-членного гетероарила с 1-3 гетероатомами, выбранными из азота, серы и кислорода, бицикла и C3-C8 циклоалкила; каждый из них необязательно замещен 1, 2, 3 или 4 заместителями, независимо выбранными из R40; и где R20, R21, R22, R23 и R24 не могут быть выбраны таким образом, что
i) -C(O)-, -C(O)O-, -OC(O)-, -SO2-, -S(O)-, -P(O)(R28)-, -P(O)- и -C(S)- фрагменты являются смежными друг с другом; или
ii) -O-, -S- или -NR2- фрагменты являются смежными друг с другом;
R25 выбран из водорода, C1-C4 алкила, C2-C4 алкенила, C2-C4 алкинила, галогена, гидроксила, C1-C4 алкокси, азида, амино, циано, -OR2, -NR2R2’, -NR2SO2R28, -OSO2R28, -SO2R28, C1-C4 галогеналкила, C6-C14 арила, 5-10-членного гетероарила с 1-3 гетероатомами, выбранными из азота, серы и кислорода, 3-14-членного гетероцикла с 1-3 гетероатомами, выбранными из азота, серы и кислорода, бицикла и C3-C8 циклоалкила; каждая из таких R25 групп необязательно замещена 1, 2, 3 или 4 группами, независимо выбранными из R12;
R28 независимо в каждом случае выбран из водорода, -NR2R2’, -OR2, -SR2, C1-C4 алкила, C1-C4 галогеналкила, C2-C4 алкенила, C2-C4 алкинила, C3-C8 циклоалкила, 3-14-членного гетероцикла с 1-3 гетероатомами, выбранными из азота, серы и кислорода, C6-C14 арила и 5-10-членного гетероарила с 1-3 гетероатомами, выбранными из азота, серы и кислорода; и
R40 независимо в каждом случае выбран из группы, состоящей из водорода, C1-C4 алкила, C2-C4 алкенила, C2-C4 алкинила, галогена, гидроксила, C1-C4 алкокси, азида, амино, циано, -NR2R2’, -NR2SO2R28, -OSO2R28, -SO2R28, C1-C4 галогеналкила, C6-C14 арила, 5-10-членного гетероарила с 1-3 гетероатомами, выбранными из азота, серы и кислорода, 3-14-членного гетероцикла с 1-3 гетероатомами, выбранными из азота, серы и кислорода, оксо и C3-C8 циклоалкила; каждая из таких R40 групп необязательно замещена 1, 2, 3 или 4 группами, независимо выбранными из R12.
2. Соединение по п. 1 формулы
(I)
или его фармацевтически приемлемая соль.
3. Соединение по п. 2, где
R6 выбран из C1-C4 алкила, C3-C8 циклоалкила, 3-14-членного гетероцикла с 1-3 гетероатомами, выбранными из азота, серы и кислорода, C6-C14 арила и 5-10-членного гетероарила с 1-3 гетероатомами, выбранными из азота, серы и кислорода, где каждый R6 необязательно замещен 1, 2, 3 или 4 группами, независимо выбранными из R9; и
R11 выбран из галогена; гидроксила; циано; нитро; C1-C4 алкила; C1-C4 галогеналкила; C2-C4 алкенила, необязательно замещенного C6-C14 арилом или 5-10-членным гетероарилом с 1-3 гетероатомами, выбранными из азота, серы и кислорода; C2-C4 алкинила, необязательно замещенного C6-C14 арилом или 5-10-членным гетероарилом с 1-3 гетероатомами, выбранными из азота, серы и кислорода; C3-C8 циклоалкила; 3-14-членного гетероцикла с 1-3 гетероатомами, выбранными из азота, серы и кислорода; C6-C14 арила, необязательно замещенного 1, 2, 3 или 4 галогеновыми, C1-C4 алкильными или -OR8 группами; 5-10-членного гетероарила с 1-3 гетероатомами, выбранными из азота, серы и кислорода, необязательно замещенного 1, 2, 3 или 4 галогеновыми, C1-C4 алкильными или -OR8 группами; -CH2-C6-C14 арила, необязательно замещенного 1, 2, 3 или 4 галогеновыми, C1-C4 алкильными или -OR8 группами; -CH2(5-10-членного гетероарила с 1-3 гетероатомами, выбранными из азота, серы и кислорода), необязательно замещенного 1, 2, 3 или 4 галогеновыми, C1-C4 алкильными или -OR8 группами; -OR8; -NR8R8’; -C(O)R8; -C(O)OR8; -C(O)-NR8R8’; -C(O)CH2R8; -C(O)CH2OR8; -C(O)CH2-NR8R8’; -OC(O)R8; -NR2-C(O)R8; -CH2-OC(O)R8; -CH2-NR2-C(O)R8; -S(O)R8; -SO2R8; -SO2-OR8 и -SO2-NR8R8’;
или две R11 группы на том же атоме углерода могут быть соединены вместе с образованием оксогруппы.
4. Соединение по п. 1 или 2, где R12 выбран из галогена, C1-C4 алкила и C1-C4 галогеналкила.
5. Соединение по п. 1 или 2, где R12 выбран из гидроксила, циано, нитро, C2-C4 алкенила, C2-C4 алкинила, C3-C8 циклоалкила, 3-14-членного гетероцикла с 1-3 гетероатомами, выбранными из азота, серы и кислорода, C6-C14 арила и 5-10-членного гетероарила с 1-3 гетероатомами, выбранными из азота, серы и кислорода.
6. Соединение по п. 1 или 2, где R12 выбран из -CH2-C6-C14 арила; -CH2(5-10-членного гетероарила с 1-3 гетероатомами, выбранными из азота, серы и кислорода); -OR8; -NR8R8’; -C(O)R8; -C(O)OR8; -C(O)-NR8R8’; -C(O)CH2R8; -C(O)CH2OR8; -C(O)CH2-NR8R8’; -OC(O)R8; -NR2-C(O)R8; -CH2-OC(O)R8; -CH2-NR2-C(O)R8; -S(O)R8; -SO2R8; -SO2-OR8; оксо и -SO2-NR8R8’.
7. Соединение по п. 1 или 2, где один R12 заместитель представляет собой галоген.
8. Соединение по п. 1 или 2, где два R12 заместителя представляют собой галоген.
9. Соединение по п. 1 или 2, где один R12 заместитель представляет собой C1-C4 алкил.
10. Соединение по п. 1 или 2, где два R12 заместителя представляют собой C1-C4 алкил.
11. Соединение по п. 1 или 2, где один R12 заместитель представляет собой C1-C4 галогеналкил.
12. Соединение по п. 1 или 2, где один R12 заместитель представляет собой C3-C8 циклоалкил.
13. Соединение по любому из пп. 4-12, где R11 представляет собой C1-C4 алкил, необязательно замещенный 1, 2, 3 или 4 заместителями, выбранными из R12.
14. Соединение по любому из пп. 4-12, где R11 представляет собой C3-C8 циклоалкил, необязательно замещенный 1, 2, 3 или 4 заместителями, выбранными из R12.
15. Соединение по любому из пп. 4-12, где R11 представляет собой 3-14-членный гетероцикл с 1-3 гетероатомами, выбранными из азота, серы и кислорода, необязательно замещенный 1, 2, 3 или 4 заместителями, выбранными из R12.
16. Соединение по любому из пп. 4-12, где R11 представляет собой C6-C14 арил, необязательно замещенный 1, 2, 3 или 4 заместителями, выбранными из R12.
17. Соединение по любому из пп. 4-12, где R11 представляет собой 5-10-членный гетероарил с 1-3 гетероатомами, выбранными из азота, серы и кислорода, необязательно замещенный 1, 2, 3 или 4 заместителями, выбранными из R12.
18. Соединение по любому из пп. 1-12, где R11 представляет собой C1-C4 алкил.
19. Соединение по любому из пп. 1-12, где R11 представляет собой циано.
20. Соединение по любому из пп. 1-12, где R11 представляет собой C1-C4 галогеналкил.
21. Соединение по любому из пп. 1-12, где R11 представляет собой водород.
22. Соединение по любому из пп. 1-12, где R11 представляет собой гидроксил.
23. Соединение по любому из пп. 1-12, где R11 представляет собой OR8.
24. Соединение по любому из пп. 1-12, где R11 представляет собой C6-C14 арил.
25. Соединение по любому из пп. 1-12, где R11 представляет собой 5-10-членный гетероарил с 1-3 гетероатомами, выбранными из азота, серы и кислорода.
26. Соединение по любому из пп. 1-12, где R11 представляет собой -C(O)OR8, -C(O)R8 или -SO2R8.
27. Соединение по любому из пп. 1-12, где R11 представляет собой -CH2-C6-C14 арил.
28. Соединение по любому из пп. 1-27, где R1 представляет собой -C(O)R4.
29. Соединение по любому из пп. 1-27, где R1 представляет собой -S(O)R4.
30. Соединение по любому из пп. 1-27, где R1 представляет собой -S(O)2R4.
31. Соединение по любому из пп. 1-27, где соединение представляет собой соединение формулы
(I-b),
или его фармацевтически приемлемая соль.
32. Соединение по любому из пп. 1-27, где соединение представляет собой соединение формулы
(I-c),
или его фармацевтически приемлемая соль.
33. Соединение по любому из пп. 1-27, где соединение представляет собой соединение формулы
(I-h) или
(I-g);
или его фармацевтически приемлемая соль.
34. Соединение по любому из пп. 1-27, где соединение представляет собой соединение формулы
(I-a),
или его фармацевтически приемлемая соль.
35. Соединение по п. 34, где R3 представляет собой водород.
36. Соединение по п. 34, где R3 представляет собой -NR8R8’.
37. Соединение по п. 34, где R3 представляет собой C1-C4 алкил.
38. Соединение по любому из пп. 34-37, где R3’ представляет собой водород.
39. Соединение по любому из пп. 1-27, где соединение представляет собой соединение формулы
(I-d),
или его фармацевтически приемлемая соль.
40. Соединение по любому из пп. 1-27, где соединение представляет собой соединение формулы
(I-e),
или его фармацевтически приемлемая соль.
41. Соединение по любому из пп. 1-27, где соединение представляет собой соединение формулы
(I-f),
или его фармацевтически приемлемая соль.
42. Соединение по любому из пп. 39-41, где R4 представляет собой C3-C8 циклоалкил, замещенный одной группой, выбранной из R6, и необязательно замещенный 1, 2, 3 или 4 группами, независимо выбранными из R7.
43. Соединение по любому из пп. 39-41, где R4 представляет собой 3-14-членный гетероцикл с 1-3 гетероатомами, выбранными из азота, серы и кислорода, замещенный одной группой, выбранной из R6, и необязательно замещенный 1, 2, 3 или 4 группами, независимо выбранными из R7.
44. Соединение по любому из пп. 39-41, где R4 представляет собой C6-C14 арил, замещенный одной группой, выбранной из R6, и необязательно замещенный 1, 2, 3 или 4 группами, независимо выбранными из R7.
45. Соединение по любому из пп. 39-41, где R4 представляет собой 5-10-членный гетероарил с 1-3 гетероатомами, выбранными из азота, серы и кислорода, замещенный одной группой, выбранной из R6, и необязательно замещенный 1, 2, 3 или 4 группами, независимо выбранными из R7.
46. Соединение по любому из пп. 39-41, где R4 представляет собой
.
47. Соединение по любому из пп. 39-41, где R4 представляет собой
.
48. Соединение по любому из пп. 39-41, где R4 представляет собой
.
49. Соединение по любому из пп. 39-41, где R4 представляет собой
.
50. Соединение по любому из пп. 39-41, где R4 представляет собой
.
51. Соединение по любому из пп. 1-50, где R7 выбран из водорода, галогена, гидроксила, циано, нитро, C1-C4 алкила, C1-C4 галогеналкила, C2-C4 алкенила, C2-C4 алкинила, C3-C8 циклоалкила, 3-14-членного гетероцикла с 1-3 гетероатомами, выбранными из азота, серы и кислорода, C6-C14 арила, 5-10-членного гетероарила с 1-3 гетероатомами, выбранными из азота, серы и кислорода, -OR8 и -NR8R8’.
52. Соединение по любому из пп. 1-50, где R7 выбран из водорода, галогена, C1-C4 алкила, C1-C4 галогеналкила, -C(O)R8, -C(O)OR8, -C(O)-NR8R8’, -OC(O)R8, -NR2-C(O)R8, -S(O)R8, -SO2R8, -SO2-OR8 и -SO2-NR8R8’.
53. Соединение по любому из пп. 1-50, где один R7 представляет собой водород.
54. Соединение по любому из пп. 1-50, где два R7 представляют собой водород.
55. Соединение по любому из пп. 1-50, где три R7 представляют собой водород.
56. Соединение по любому из пп. 1-55, где один R7 представляет собой галоген.
57. Соединение по любому из пп. 1-54, где два R7 представляют собой галоген.
58. Соединение по любому из пп. 1-55, где один R7 представляет собой C1-C4 алкил.
59. Соединение по любому из пп. 1-54, где два R7 представляют собой C1-C4 алкил.
60. Соединение по любому из пп. 1-55, где один R7 представляет собой C1-C4 галогеналкил.
61. Соединение по любому из пп. 1-54, где два R7 представляют собой C1-C4 галогеналкил.
62. Соединение по любому из пп. 1-61, где R6 выбран из:
,
,
,
,
и
.
63. Соединение по любому из пп. 1-61, где R6 выбран из:
,
,
,
,
,
и
.
64. Соединение по любому из пп. 1-61, где R6 выбран из:
,
,
,
,
,
и
.
65. Соединение по любому из пп. 1-61, где R6 представляет собой C1-C4 алкил, необязательно замещенный 1, 2, 3 или 4 группами, независимо выбранными из R9.
66. Соединение по любому из пп. 1-61, где R6 представляет собой C3-C8 циклоалкил, необязательно замещенный 1, 2, 3 или 4 группами, независимо выбранными из R9.
67. Соединение по любому из пп. 1-61, где R6 представляет собой 3-14-членный гетероцикл с 1-3 гетероатомами, выбранными из азота, серы и кислорода, необязательно замещенный 1, 2, 3 или 4 группами, независимо выбранными из R9.
68. Соединение по любому из пп. 1-61, где R6 представляет собой C6-C14 арил, необязательно замещенный 1, 2, 3 или 4 группами, независимо выбранными из R9.
69. Соединение по любому из пп. 1-61, где R6 представляет собой 5-10-членный гетероарил с 1-3 гетероатомами, выбранными из азота, серы и кислорода, необязательно замещенный 1, 2, 3 или 4 группами, независимо выбранными из R9.
70. Соединение по любому из пп. 65-69, где R6 не является замещенным.
71. Соединение по любому из пп. 65-69, где R6 замещен 1 группой, выбранной из R9.
72. Соединение по любому из пп. 65-69, где R6 замещен 2 группами, независимо выбранными из R9.
73. Соединение по любому из пп. 65-69, где R6 замещен 3 группами, независимо выбранными из R9.
74. Соединение по любому из пп. 65-69, где R6 замещен 4 группами, независимо выбранными из R9.
75. Соединение по любому из пп. 1-74, где R9 выбран из водорода, галогена, C1-C6 алкила, C1-C6 галогеналкила, циано и нитро.
76. Соединение по любому из пп. 1-74, где R9 выбран из R10.
77. Соединение по любому из пп. 1-74, где R9 выбран из -CH2R10, -OR10, -NR2R10, -C(O)R10, -C(O)CH2R10, -C(O)CH2OR10, -C(O)CH2NR2R10, -OC(O)R10, -NR2-C(O)R10, -C(O)OR10, -C(O)NR2R10, -S(O)R10, -SO2R10, SO2CH2R10, -SO2CH2OR10, -SO2CH2NR2R10, -NR2SO2R10, -SO2-OR10 и -SO2-NR2R10.
78. Соединение по п. 76 или 77, где R10 представляет собой C1-C6 алкил, необязательно замещенный 1, 2, 3 или 4 группами, независимо выбранными из R11.
79. Соединение по п. 76 или 77, где R10 представляет собой C1-C6 галогеналкил, необязательно замещенный 1, 2, 3 или 4 группами, независимо выбранными из R11.
80. Соединение по п. 76 или 77, где R10 представляет собой C2-C4 алкенил, необязательно замещенный 1, 2, 3 или 4 группами, независимо выбранными из R11.
81. Соединение по п. 76 или 77, где R10 представляет собой C2-C4 алкинил, необязательно замещенный 1, 2, 3 или 4 группами, независимо выбранными из R11.
82. Соединение по п. 76 или 77, где R10 представляет собой C3-C11 циклоалкил, необязательно замещенный 1, 2, 3 или 4 группами, независимо выбранными из R11.
83. Соединение по п. 76 или 77, где R10 представляет собой 3-14-членный гетероцикл с 1-4 гетероатомами, выбранными из азота, серы и кислорода, необязательно замещенный 1, 2, 3 или 4 группами, независимо выбранными из R11.
84. Соединение по п. 76 или 77, где R10 представляет собой C6-C14 арил, необязательно замещенный 1, 2, 3 или 4 группами, независимо выбранными из R11.
85. Соединение по п. 76 или 77, где R10 представляет собой 5-10-членный гетероарил с 1-3 гетероатомами, выбранными из азота, серы и кислорода, необязательно замещенный 1, 2, 3 или 4 группами, независимо выбранными из R11.
86. Соединение по любому из пп. 78-85, где R10 не является замещенным.
87. Соединение по любому из пп. 78-85, где R10 замещен 1 группой, выбранной из R11.
88. Соединение по любому из пп. 78-85, где R10 замещен 2 группами, независимо выбранными из R11.
89. Соединение по любому из пп. 78-85, где R10 замещен 3 группами, независимо выбранными из R11.
90. Соединение по любому из пп. 78-85, где R10 замещен 4 группами, независимо выбранными из R11.
91. Соединение по любому из пп. 1-90, где R2, R8 и R8’ представляют собой водород.
92. Соединение по любому из пп. 1-90, где R2, R8 и R8’ представляют собой C1-C4 алкил.
93. Соединение по любому из пп. 1-61, где R6 выбран из:
,
,
,
,
и
.
94. Соединение по любому из пп. 1-61, где R6 выбран из:
,
,
,
,
,
,
и
.
95. Соединение по любому из пп. 1-61, где R6 выбран из:
,
,
,
,
,
и
.
96. Соединение по п. 1, где соединение представляет собой соединение формулы
(II),
или его фармацевтически приемлемая соль.
97. Соединение по п. 96, где соединение представляет собой соединение формулы
,
или его фармацевтически приемлемая соль.
98. Соединение по п. 96, где соединение представляет собой соединение формулы
,
или его фармацевтически приемлемая соль.
99. Соединение по п. 96, где соединение представляет собой соединение формулы
,
или его фармацевтически приемлемая соль.
100. Соединение по любому из пп. 96-99, где X3 представляет собой связь.
101. Соединение по любому из пп. 96-99, где X3 представляет собой C(R3R3’).
102. Соединение по любому из пп. 96-99, где X3 представляет собой C(O).
103. Соединение по любому из пп. 96-99, где X3 представляет собой C(S).
104. Соединение по любому из пп. 96-99, где X3 представляет собой S(O).
105. Соединение по любому из пп. 96-99, где X3 представляет собой S(O)2
106. Соединение по любому из пп. 96-99, где X3 представляет собой NR2.
107. Соединение по любому из пп. 96-99, где X3 представляет собой O.
108. Соединение по любому из пп. 96-99, где X3 представляет собой NH.
109. Соединение по любому из пп. 96-99, где X3 представляет собой N(CH3).
110. Соединение по любому из пп. 96-99, где X3 представляет собой S.
111. Соединение по любому из пп. 96-110, где R20 представляет собой связь.
112. Соединение по любому из пп. 96-110, где R20 представляет собой C1-C4 алкил, необязательно замещенный 1, 2, 3 или 4 заместителями, независимо выбранными из R40.
113. Соединение по любому из пп. 96-110, где R20 представляет собой C2-C4 алкенил или C2-C4 алкинил, необязательно замещенный 1, 2, 3 или 4 заместителями, независимо выбранными из R40.
114. Соединение по любому из пп. 96-110, где R20 представляет собой C1-C4 галогеналкил, необязательно замещенный 1, 2, 3 или 4 заместителями, независимо выбранными из R40.
115. Соединение по любому из пп. 96-110, где R20 представляет собой C6-C14 арил, необязательно замещенный 1, 2, 3 или 4 заместителями, независимо выбранными из R40.
116. Соединение по любому из пп. 96-110, где R20 представляет собой 5-10-членный гетероарил с 1-3 гетероатомами, выбранными из азота, серы и кислорода, необязательно замещенный 1, 2, 3 или 4 заместителями, независимо выбранными из R40.
117. Соединение по любому из пп. 96-110, где R20 представляет собой 3-14-членный гетероцикл с 1-3 гетероатомами, выбранными из азота, серы и кислорода, необязательно замещенный 1, 2, 3 или 4 заместителями, независимо выбранными из R40.
118. Соединение по любому из пп. 96-110, где R20 представляет собой бицикл, необязательно замещенный 1, 2, 3 или 4 заместителями, независимо выбранными из R40.
119. Соединение по любому из пп. 96-105, где R20 представляет собой -O-.
120. Соединение по любому из пп. 96-105, где R20 представляет собой -S-.
121. Соединение по любому из пп. 96-105, где R20 представляет собой -NR2-.
122. Соединение по любому из пп. 96-101, где R20 представляет собой -C(O)-, -C(O)O-, -OC(O)-, -SO2-, -S(O)-, -C(S)-, -C(O)NR2-, -P(O)(R28)- или -P(O)-.
123. Соединение по любому из пп. 96-122, где R21 представляет собой связь.
124. Соединение по любому из пп. 96-122, где R21 представляет собой C1-C4 алкил, необязательно замещенный 1, 2, 3 или 4 заместителями, независимо выбранными из R40.
125. Соединение по любому из пп. 96-122, где R21 представляет собой C2-C4 алкенил или C2-C4 алкинил, необязательно замещенный 1, 2, 3 или 4 заместителями, независимо выбранными из R40.
126. Соединение по любому из пп. 96-122, где R21 представляет собой C1-C4 галогеналкил, необязательно замещенный 1, 2, 3 или 4 заместителями, независимо выбранными из R40.
127. Соединение по любому из пп. 96-122, где R21 представляет собой C6-C14 арил, необязательно замещенный 1, 2, 3 или 4 заместителями, независимо выбранными из R40.
128. Соединение по любому из пп. 96-122, где R21 представляет собой 5-10-членный гетероарил с 1-3 гетероатомами, выбранными из азота, серы и кислорода, необязательно замещенный 1, 2, 3 или 4 заместителями, независимо выбранными из R40.
129. Соединение по любому из пп. 96-122, где R21 представляет собой 3-14-членный гетероцикл с 1-3 гетероатомами, выбранными из азота, серы и кислорода, необязательно замещенный 1, 2, 3 или 4 заместителями, независимо выбранными из R40.
130. Соединение по любому из пп. 96-122, где R21 представляет собой бицикл, необязательно замещенный 1, 2, 3 или 4 заместителями, независимо выбранными из R40.
131. Соединение по любому из пп. 96-118, где R21 представляет собой -O-.
132. Соединение по любому из пп. 96-118, где R21 представляет собой -S-.
133. Соединение по любому из пп. 96-118, где R21 представляет собой -NR2-.
134. Соединение по любому из пп. 96-121, где R21 представляет собой -C(O)-, -C(O)O-, -OC(O)-, -SO2-, -S(O)-, -C(S)-, -C(O)NR2-, -P(O)(R28)- или -P(O)-.
135. Соединение по любому из пп. 96-134, где R22 представляет собой связь.
136. Соединение по любому из пп. 96-134, где R22 представляет собой C1-C4 алкил, необязательно замещенный 1, 2, 3 или 4 заместителями, независимо выбранными из R40.
137. Соединение по любому из пп. 96-134, где R22 представляет собой C2-C4 алкенил или C2-C4 алкинил, необязательно замещенный 1, 2, 3 или 4 заместителями, независимо выбранными из R40.
138. Соединение по любому из пп. 96-134, где R22 представляет собой C1-C4 галогеналкил, необязательно замещенный 1, 2, 3 или 4 заместителями, независимо выбранными из R40.
139. Соединение по любому из пп. 96-134, где R22 представляет собой C6-C14 арил, необязательно замещенный 1, 2, 3 или 4 заместителями, независимо выбранными из R40.
140. Соединение по любому из пп. 96-134, где R22 представляет собой 5-10-членный гетероарил с 1-3 гетероатомами, выбранными из азота, серы и кислорода, необязательно замещенный 1, 2, 3 или 4 заместителями, независимо выбранными из R40.
141. Соединение по любому из пп. 96-134, где R22 представляет собой 3-14-членный гетероцикл с 1-3 гетероатомами, выбранными из азота, серы и кислорода, необязательно замещенный 1, 2, 3 или 4 заместителями, независимо выбранными из R40.
142. Соединение по любому из пп. 96-134, где R22 представляет собой бицикл, необязательно замещенный 1, 2, 3 или 4 заместителями, независимо выбранными из R40.
143. Соединение по любому из пп. 96-133, где R22 представляет собой -C(O)-, -C(O)O-, -OC(O)-, -SO2-, -S(O)-, -C(S)-, -C(O)NR2-, -P(O)(R28)- или -P(O)-.
144. Соединение по любому из пп. 96-130, где R22 представляет собой -O-.
145. Соединение по любому из пп. 96-130, где R22 представляет собой -S-.
146. Соединение по любому из пп. 96-130, где R22 представляет собой -NR2-.
147. Соединение по любому из пп. 96-146, где R23 или R24 представляет собой связь.
148. Соединение по любому из пп. 96-146, где R23 или R24 представляет собой C1-C4 алкил, необязательно замещенный 1, 2, 3 или 4 заместителями, независимо выбранными из R40.
149. Соединение по любому из пп. 96-146, где R23 или R24 представляет собой C2-C4 алкенил или C2-C4 алкинил, необязательно замещенный 1, 2, 3 или 4 заместителями, независимо выбранными из R40.
150. Соединение по любому из пп. 96-146, где R23 или R24 представляет собой C1-C4 галогеналкил, необязательно замещенный 1, 2, 3 или 4 заместителями, независимо выбранными из R40.
151. Соединение по любому из пп. 96-146, где R23 или R24 представляет собой C6-C14 арил, необязательно замещенный 1, 2, 3 или 4 заместителями, независимо выбранными из R40.
152. Соединение по любому из пп. 96-146, где R23 или R24 представляет собой 5-10-членный гетероарил с 1-3 гетероатомами, выбранными из азота, серы и кислорода, необязательно замещенный 1, 2, 3 или 4 заместителями, независимо выбранными из R40.
153. Соединение по любому из пп. 96-146, где R23 или R24 представляет собой 3-14-членный гетероцикл с 1-3 гетероатомами, выбранными из азота, серы и кислорода, необязательно замещенный 1, 2, 3 или 4 заместителями, независимо выбранными из R40.
154. Соединение по любому из пп. 96-146, где R23 или R24 представляет собой бицикл, необязательно замещенный 1, 2, 3 или 4 заместителями, независимо выбранными из R40.
155. Соединение по любому из пп. 96-146, где R23 или R24 представляет собой -C(O)-, -C(O)O-, -OC(O)-, -SO2-, -S(O)-, -C(S)-, -C(O)NR2-, -P(O)(R28)- или -P(O)-.
156. Соединение по любому из пп. 96-146, где R23 или R24 представляет собой -O-.
157. Соединение по любому из пп. 96-146, где R23 или R24 представляет собой -S-.
158. Соединение по любому из пп. 96-146, где R23 или R24 представляет собой -NR2-.
159. Соединение по любому из пп. 96-158, где R25 представляет собой водород.
160. Соединение по любому из пп. 96-158, где R25 представляет собой галоген.
161. Соединение по любому из пп. 96-158, где R25 представляет собой C1-C4 алкил, необязательно замещенный 1, 2, 3 или 4 группами, независимо выбранными из R12.
162. Соединение по любому из пп. 96-158, где R25 выбран из C2-C4 алкенила, C2-C4 алкинила, гидроксила, C1-C4 алкокси, азида, амино, циано, -OR2, -NR2R2’, -NR2SO2R28, -OSO2R28, -SO2R28, C1-C4 галогеналкила, C6-C14 арила, 5-10-членного гетероарила с 1-3 гетероатомами, выбранными из азота, серы и кислорода, 3-14-членного гетероцикла с 1-3 гетероатомами, выбранными из азота, серы и кислорода, бицикла и C3-C8 циклоалкила; каждая из таких R25 групп необязательно замещена 1, 2, 3 или 4 группами, независимо выбранными из R12.
163. Соединение по любому из пп. 96-162, где R40 выбран из C1-C4 алкила, C2-C4 алкенила, C2-C4 алкинила, галогена, гидроксила, C1-C4 алкокси, азида, амино, циано, C1-C4 галогеналкила, C6-C14 арила, 5-10-членного гетероарила с 1-3 гетероатомами, выбранными из азота, серы и кислорода, 3-14-членного гетероцикла с 1-3 гетероатомами, выбранными из азота, серы и кислорода, оксо и C3-C8 циклоалкила; каждая из таких R40 групп необязательно замещена 1, 2, 3 или 4 группами, независимо выбранными из R12.
164. Соединение по п. 163, где R40 не является замещенным.
165. Соединение, выбранное из:
,
,
,
,
,
,
,
,
,
,
,
,
,
,
,
,
,
,
,
,
,
,
,
,
,
,
,
,
,
и
,
или его фармацевтически приемлемая соль.
166. Соединение, выбранное из:
,
,
,
,
,
,
,
,
,
,
,
,
,
,
,
,
,
,
,
,
,
,
,
,
,
,
,
,
,
,
,
,
,
,
,
,
,
,
,
,
,
,
,
,
,
,
,
,
,
,
,
,
,
,
,
,
,
,
,
,
,
,
,
,
,
,
,
,
,
,
,
,
,
,
,
,
,
,
,
,
,
,
,
,
,
,
,
,
,
,
,
,
,
,
,
,
,
,
,
,
,
,
,
,
,
,
,
,
,
,
,
,
,
,
,
,
,
,
,
,
,
,
,
,
,
,
,
,
,
,
,
,
,
,
,
,
,
,
,
,
,
,
,
,
,
,
,
,
,
,
,
,
,
,
,
,
,
,
,
,
,
,
,
,
,
,
,
,
,
,
,
,
,
,
,
,
,
,
,
,
,
,
,
,
,
,
,
,
,
,
,
,
,
,
,
,
,
,
,
,
,
,
,
,
,
,
,
,
,
,
,
,
,
,
,
,
,
,
,
,
,
,
,
,
,
,
,
,
,
,
,
,
,
,
,
,
,
,
,
,
,
,
,
,
,
,
,
,
,
,
,
,
,
,
,
,
,
или его фармацевтически приемлемая соль.
167. Соединение по п. 1, где соединение представляет собой соединение структуры
,
или его фармацевтически приемлемая соль.
168. Соединение по п. 1, где соединение представляет собой соединение структуры
,
или его фармацевтически приемлемая соль.
169. Соединение со следующей структурой:
,
или его фармацевтически приемлемая соль.
170. Соединение со следующей структурой:
или его фармацевтически приемлемая соль.
171. Соединение со следующей структурой:
или его фармацевтически приемлемая соль.
172. Соединение по п. 1, где соединение представляет собой соединение структуры
,
или его фармацевтически приемлемая соль.
173. Соединение по п. 1, где соединение представляет собой соединение структуры
,
или его фармацевтически приемлемая соль.
174. Фармацевтическая композиция для лечения рака или опухоли, опосредованных цереблоном, содержащая эффективное количество соединения по любому из пп. 1-173 или его фармацевтически приемлемую соль и фармацевтически приемлемое вспомогательное вещество.
175. Фармацевтическая композиция для лечения рака или опухоли опосредованных цереблоном, содержащая эффективное количество соединения со следующей структурой:
или его фармацевтически приемлемую соль и фармацевтически приемлемое вспомогательное вещество.
176. Фармацевтическая композиция для лечения рака или опухоли, опосредованных цереблоном, содержащая эффективное количество соединения со следующей структурой:
или его фармацевтически приемлемую соль и фармацевтически приемлемое вспомогательное вещество.
177. Фармацевтическая композиция для лечения рака или опухоли, опосредованных цереблоном, содержащая эффективное количество соединения со следующей структурой:
или его фармацевтически приемлемую соль и фармацевтически приемлемое вспомогательное вещество.
178. Способ лечения нарушения, опосредованного цереблоном, у человека, при этом способ предусматривает введение эффективной дозы соединения по любому из пп. 1-173 или его фармацевтически приемлемой соли или композиции по любому из пп. 174-177 человеку, нуждающемуся в таком лечении, причем нарушение представляет собой рак или опухоль.
179. Способ лечения нарушения, опосредованного цереблоном, у человека, при этом способ предусматривает введение эффективной дозы соединения человеку, нуждающемуся в таком лечении, причем нарушение представляет собой рак или опухоль и причем соединение является соединением со следующей структурой:
или его фармацевтически приемлемой солью.
180. Способ лечения нарушения, опосредованного цереблоном, у человека, при этом способ предусматривает введение эффективной дозы соединения человеку, нуждающемуся в таком лечении, причем нарушение представляет собой рак или опухоль и причем соединение является соединением со следующей структурой:
или его фармацевтически приемлемой солью.
181. Способ лечения нарушения, опосредованного цереблоном, у человека, при этом способ предусматривает введение эффективной дозы соединения человеку, нуждающемуся в таком лечении, причем нарушение представляет собой рак или опухоль и причем соединение является соединением со следующей структурой:
или его фармацевтически приемлемой солью.
182. Способ по любому из пп. 178-181, при котором нарушение опосредовано белком Ikaros или белком Aiolos.
183. Способ по любому из пп. 178-182, при котором нарушение представляет собой рак.
184. Способ по любому из пп. 178-182, при котором нарушение представляет собой опухоль.
185. Способ по любому из пп. 178-184, при котором нарушение представляет собой гемобластоз.
186. Способ по любому из пп. 178-185, при котором нарушение представляет собой множественную миелому.
187. Способ по любому из пп. 178-185, при котором нарушение представляет собой лейкоз.
188. Способ по любому из пп. 178-185, при котором нарушение представляет собой лимфобластный лейкоз.
189. Способ по любому из пп. 178-185, при котором нарушение представляет собой хронический лимфоцитарный лейкоз.
190. Способ по любому из пп. 178-185, при котором нарушение представляет собой лимфому Ходжкина.
191. Способ по любому из пп. 178-185, при котором нарушение представляет собой неходжкинскую лимфому.
192. Способ по любому из пп. 178-185, при котором нарушение представляет собой периферическую T-клеточную лимфому.
193. Способ по любому из пп. 178-185, при котором нарушение представляет собой анапластическую крупноклеточную лимфому.
194. Способ по любому из пп. 178-185, при котором нарушение представляет собой лимфому из клеток мантийной зоны.
195. Способ по любому из пп. 178-185, при котором нарушение представляет собой фолликулярную лимфому.
196. Способ по любому из пп. 178-185, при котором нарушение представляет собой диффузную B-крупноклеточную лимфому.
197. Способ по любому из пп. 178-185, при котором нарушение представляет собой T-клеточный лейкоз/лимфому взрослых (ATLL).
198. Способ по любому из пп. 178-185, при котором нарушение представляет собой T-клеточный лейкоз взрослых.
199. Способ по любому из пп. 178-185, при котором нарушение представляет собой кожную T-клеточную лимфому.
200. Способ по любому из пп. 178-185, при котором нарушение представляет собой B-клеточную лимфому.
201. Способ по любому из пп. 178-185, при котором нарушение представляет собой ангиоиммунобластную лимфому.
202. Способ по любому из пп. 178-185, при котором нарушение представляет собой лимфому из клеток маргинальной зоны.
203. Способ по любому из пп. 178-185, при котором нарушение представляет собой плазмобластную лимфому.
204. Применение соединения по любому из пп. 1-173 или его фармацевтически приемлемой соли или композиции по любому из пп. 174-177 для изготовления лекарственного средства для лечения нарушения, опосредованного цереблоном, у человека, где нарушение представляет собой рак или опухоль.
205. Применение соединения для изготовления лекарственного средства для лечения нарушения, опосредованного цереблоном, у человека, причем нарушение представляет собой рак или опухоль и причем соединение является соединением со следующей структурой:
или его фармацевтически приемлемой солью.
206. Применение соединения для изготовления лекарственного средства для лечения нарушения, опосредованного цереблоном, у человека, причем нарушение представляет собой рак или опухоль и причем соединение является соединением со следующей структурой:
или его фармацевтически приемлемой солью.
207. Применение соединения для изготовления лекарственного средства для лечения нарушения, опосредованного цереблоном, у человека, причем нарушение представляет собой рак или опухоль и причем соединение является соединением со следующей структурой:
или его фармацевтически приемлемой солью.
208. Применение соединения по любому из пп. 1-173 или его фармацевтически приемлемой соли или композиции по любому из пп. 174-177 при лечении нарушения, опосредованного цереблоном у человека, причем нарушение представляет собой рак или опухоль.
209. Применение соединения при лечении нарушения, опосредованного цереблоном, у человека, причем нарушение представляет собой рак или опухоль и причем соединение является соединением со следующей структурой:
или его фармацевтически приемлемой солью.
210. Применение соединения при лечении нарушения, опосредованного цереблоном, у человека, причем нарушение представляет собой рак или опухоль и причем соединение является соединением со следующей структурой:
или его фармацевтически приемлемой солью.
211. Применение соединения при лечении нарушения, опосредованного цереблоном, у человека, причем нарушение представляет собой рак или опухоль и причем соединение является соединением со следующей структурой:
или его фармацевтически приемлемой солью.
212. Применение по любому из пп. 204-211, при котором нарушение опосредовано белком Ikaros или белком Aiolos.
213. Применение по любому из пп. 204-212, при котором нарушение представляет собой рак.
214. Применение по любому из пп. 204-212, при котором нарушение представляет собой опухоль.
215. Применение по любому из пп. 204-214, при котором нарушение представляет собой гемобластоз.
216. Применение по любому из пп. 204-215, при котором нарушение представляет собой множественную миелому.
217. Применение по любому из пп. 204-215, при котором нарушение представляет собой лейкоз.
218. Применение по любому из пп. 204-215, при котором нарушение представляет собой лимфобластный лейкоз.
219. Применение по любому из пп. 204-215, при котором нарушение представляет собой хронический лимфоцитарный лейкоз.
220. Применение по любому из пп. 204-215, при котором нарушение представляет собой лимфому Ходжкина.
221. Применение по любому из пп. 204-215, при котором нарушение представляет собой неходжкинскую лимфому.
222. Применение по любому из пп. 204-215, при котором нарушение представляет собой периферическую T-клеточную лимфому.
223. Применение по любому из пп. 204-215, при котором нарушение представляет собой анапластическую крупноклеточную лимфому.
224. Применение по любому из пп. 204-215, при котором нарушение представляет собой лимфому из клеток мантийной зоны.
225. Применение по любому из пп. 204-215, при котором нарушение представляет собой фолликулярную лимфому.
226. Применение по любому из пп. 204-215, при котором нарушение представляет собой диффузную B-крупноклеточную лимфому.
227. Применение по любому из пп. 204-215, при котором нарушение представляет собой T-клеточный лейкоз/лимфому взрослых (ATLL).
228. Применение по любому из пп. 204-215, при котором нарушение представляет собой T-клеточный лейкоз взрослых.
229. Применение по любому из пп. 204-215, при котором нарушение представляет собой кожную T-клеточную лимфому.
230. Применение по любому из пп. 204-215, при котором нарушение представляет собой B-клеточную лимфому.
231. Применение по любому из пп. 204-215, при котором нарушение представляет собой ангиоиммунобластную лимфому.
232. Применение по любому из пп. 204-215, при котором нарушение представляет собой лимфому из клеток маргинальной зоны.
233. Применение по любому из пп. 204-215, при котором нарушение представляет собой плазмобластную лимфому.
| WO 2017197056 A1, 16.11.2017 | |||
| US 20180008574 A1, 11.01.2018 | |||
| GEORGE M | |||
| BURSLEM et al | |||
| Efficient Synthesis of Immunomodulatory Drug Analogues Enables Exploration of Structure-Degradation Relationships | |||
| ChemMedChem Communications, 10.08.2018, vol.13(15), pp.1508-1512 | |||
| US 20140377293 A1, 25.12.2014 | |||
| US 20020147343 A1, 10.10.2002 | |||
| 5-ЗАМЕЩЕННЫЕ ИЗОИНДОЛИНОВЫЕ СОЕДИНЕНИЯ | 2007 |
|
RU2448101C2 |
Авторы
Даты
2025-01-27—Публикация
2020-04-10—Подача