Способ пассивного определения дальностей до объектов с изменяемой точностью по изображениям с трех цифровых видеокамер Российский патент 2025 года по МПК G01C3/08 

Описание патента на изобретение RU2835007C1

Изобретение относится к области систем технического зрения робототехнических комплексов (РТК) при определении дальности до объектов без использования излучения сигналов.

Данное техническое решение в первую очередь предназначено для определения дальности до объектов на цифровом изображении без использования излучения за счет учета смещения изображения объекта на видеокамерах, размещенных на плоскости по углам равностороннего треугольника, причем для управления точностью измерений видеокамеры размещаются на подвижных платформах с возможностью перемещения на плоскости размещения с сохранением равносторонности образовавшегося треугольника, а для уменьшения вычислительной сложности используется заблаговременная аппроксимация зависимости дальности до объекта от площади треугольника образованного геометрическими центрами объекта на разных видеокамерах и использование данных о геометрических центрах объектов от систем обнаружения РТК.

Современной тенденцией развития техники является повсеместное использование РТК различного назначения. Одной из важнейших задач, решаемых при обеспечении их ориентации в пространстве является распознавание объектов и их характеристик на изображениях с камер. Данная задача вместе с важностью ее решения зачастую обладает и большой вычислительной сложностью.

При этом как показал анализ применяемых в современных робототехнических комплексах систем технического зрения задача обнаружения объектов в кадре видеокамеры решается, но полученные при этом полезные данные не всегда используются в полном объеме другими смежными системами технического зрения.

Стоит отметить что габаритные размеры РТК имеют важное значение для обеспечения скрытности работы и его мобильности, при этом обеспечить большую точность использованием близкорасположенной стереопары видеокамер.

Применяемые камеры высокого разрешения позволяют получить изображения высокой четкости и частоты кадров, что требует соответствующих больших вычислительных ресурсов при обнаружении и распознавании на них различных объектов.

В известных технических решениях данные недостатки рассмотрены фрагментарно, а предложенные подходы не в полном объеме применимы при создании РТК использующих для ориентации в пространстве не излучающие системы технического зрения.

Из уровня техники известен Способ измерения расстояний на цифровой фотокамере [1], который включает получение двух цифровых изображений объекта с использованием двух фотокамер, разнесенных по горизонтали на известное расстояние. Дальность до объекта определяется по сдвигу между изображениями по горизонтальной оси. Размер сканирующего окна с изображением объекта выбирают так, чтобы разность расстояний до отдельных фрагментов объекта была меньше инструментального разрешения по дальности. Осуществляют сканирование по горизонтали и вертикали, сдвиг между изображениями Δх определяют по положению максимального значения двухмерной нормированной корреляционной функции. Уточняют положение максимума корреляционной функции в субпиксельном диапазоне и осуществляют локализацию максимума между узлом сетки с наибольшим значением корреляционной функции и его соседними узлами. Определяют дальность и размеры объекта. Дальность до выделенной области объекта определяют из выражения:

где: L0 - расстояние между точками фотографирования в пространстве, ƒ - фокусное расстояние фотокамеры, Δх, Δу - сдвиги между изображениями по горизонтали и вертикали соответственно. Технический результат - повышение точности измерений расстояний.

Недостатком данного технического решения является невозможность управления точностью и использование тяжелых с вычислительной точки зрения сравнений изображений.

Из уровня техники известен Способ пассивного обнаружения и определения координат малогабаритных беспилотных летательных аппаратов [3], в котором прием и формирование изображений осуществляют в трех точках, размещенных на Г-образной платформе с двумя равными базами под углом 90°. В средней точке размещены четыре телевизионных датчика, размещенных по горизонтали через каждые 90°, тем самым в сумме создавая обзор пространства на 360° и возможность обнаруживать МБЛА в пассивном режиме. Две другие точки комплекта телевизионных датчиков размещены по горизонтали через 180° друг от друга, тем самым образуя стереопары с четырьмя телевизионными датчиками центральной точки для определения дальности и координат до МБЛА в пассивном режиме.

Недостатком данного технического решения является использование разнотипных камер, низкая скорость получения входных данных и невозможность управления точностью оценки дальности до объектов.

Из уровня техники известен Оптико-электронный стереоскопический дальномер [4], который содержит захватное устройство в виде двух цифровых камер, разнесенных в пространстве по горизонтали на известном расстоянии, и вычислительный блок, осуществляющий определение дальности до объектов путем определения сдвига между изображениями при сканировании полученных изображений по положению максимального значения двухмерной нормированной корреляционной функции в субпиксельном диапазоне. При этом левая и правая камеры установлены на внутренних рамах своих кардановых подвесов, каждый из которых содержит внешнюю и внутреннюю рамы, на осях которых установлены датчики угла поворота рам подвеса. Кроме того, левая и правая камеры, а также датчики угла поворота рам подвеса выполнены с возможностью передачи в вычислительный блок видеоданных и данных о текущей пространственной ориентации камер через кабели универсальной последовательной шины (USB), а вычислительный блок содержит обрабатывающую систему, являющуюся удаленным компьютером, таким как ноутбук или персональный компьютер (рабочая станция), и пользовательский интерфейс, обеспечивающий выбор пользователем изображений и/или ввод команд обработки. Технический результат заключается в возможности изменения параметров рабочей зоны, в уменьшении суммарного время на измерения дальностей до объектов и уменьшении времени на предварительную настройку дальномера к работе.

Недостатком данного технического решения является невозможность управления точностью оценки дальности и использование тяжелых с вычислительной точки зрения операций.

Из уровня техники известен Способ определения дальностей до объектов по изображениям с цифровых видеокамер [5]. Для осуществления заявленного способа могут использоваться по крайней мере две разнесенные в пространстве (причем в любой плоскости), произвольно ориентированные и разные по техническим данным цифровые видеокамеры оптического или инфракрасного диапазонов, обеспечивающие возможность захвата стереоизображений объектов интереса и совместно с обрабатывающей системой образующие измерительную систему. Технический результат - повышение точности определения дальностей до интересующих объектов при использовании произвольно размещенных цифровых видеокамер, с которых могут приниматься дисторсионно-искаженные изображения, а их фотоприемные устройства (например, ПЗС- или ПЗИ-матрицы) могут быть установлены с определенной погрешностью относительно оптических осей объективов. Дополнительным техническим результатом является повышение быстродействия процесса определения дальностей за счет отсутствия необходимости предварительной программной обработки (коррекции) принимаемых с камер изображений, а также удешевление измерительной системы за счет возможности применения малобюджетных неметрических видеокамер.

Недостатком данного технического решения является использование большого числа тяжелых с вычислительной точки зрения матричных вычислений и невозможность компактного размещения видеокамер.

Из уровня техники известен Способ и система измерения расстояния до удаленных объектов [6]. Компьютерно-реализуемый способ измерения расстояния до удаленных объектов с помощью камеры содержит этапы, на которых: получают данные о точке наблюдения за удаленным объектом, содержащей географические координаты камеры и высоту ее установки над поверхностью земли; определяют, по меньшей мере, одну точку удаленного объекта и, по меньшей мере, одну точку горизонта на кадре, полученном с упомянутой камеры; получают данные об азимуте наблюдения, по меньшей мере, одной точки удаленного объекта, азимуте наблюдения, по меньшей мере, одной точки горизонта и данные о рельефе местности по азимуту наблюдения объекта и азимуту наблюдения, по меньшей мере, одной точки горизонта.

На основании полученных данных определяют, по меньшей мере, одну разницу углов места между, по меньшей мере, одной точкой удаленного объекта и, по меньшей мере, одной точкой горизонта; определяют угол места наблюдения, по меньшей мере, одной точки горизонта на основании данных об азимуте наблюдения, по меньшей мере, одной точки горизонта, рельефе местности и заданной высоты наблюдения; определяют угол места наблюдения точки удаленного объекта на основе данных об угле места наблюдения, по меньшей мере, одной точки горизонта и разнице углов места между, по меньшей мере, одной точкой удаленного объекта и, по меньшей мере, одной точкой горизонта, определенных ранее; определяют расстояние до удаленного объекта на основании данных об угле места наблюдения точки удаленного объекта, рельефе местности, азимуте наблюдения удаленного объекта и заданной высоте наблюдения. Технический результат заключается в повышении точности определения расстояния до удаленных объектов.

Недостатком данного технического решения является использование конструкции больших габаритов, что невозможно в мобильных роботах, и невозможность управления точностью измерений.

Из уровня техники известен Оптико-электронный пассивный дальномер [7]. Дальномер включает в себя два канала, первый из которых является визирным и содержит короткофокусный объектив и матричный фотоприемник, сопряженный с дисплеем окулярного канала. Второй канал является дальномерным и включает в себя фрагмент длиннофокусного объектива, входной зрачок которого ограничен отверстием диафрагмы, смещенной с оптической оси к краю входного зрачка длиннофокусного объектива. Плоскость фотоприемника дальномерного канала имеет наклон относительно оптической оси длиннофокусного объектива. Оптическая ось визирного канала расположена между отверстием смещенной диафрагмы и оптической осью длиннофокусного объектива дальномерного канала. Технический результат заключается в уменьшении габаритных размеров и веса при обеспечении ошибки пассивного измерения дальности не хуже 1,0÷1,5% от измеряемой дальности на основных дистанциях точной стрельбы.

Недостатком данного технического решения является использование сложных вычислений и большие габариты предлагаемой системы.

Из уровня техники известен Способ обнаружения и определения характеристик целей на основе регистрации и обработки хода лучей от объектов в наблюдаемом пространстве и устройство для его реализации [8]. Способ обнаружения и определения характеристик целей на основе регистрации и обработки хода лучей от объектов в наблюдаемом пространстве, включающий в себя регистрацию изображения объема наблюдаемого пространства, алгоритмическое формирование изображений слоев пространства, обнаружение целей, алгоритмический анализ набора слоев изображений наблюдаемого пространства, вычисление линейных размеров целей и дальности до них, определение характеристик целей, отличающийся тем, что при регистрации объема наблюдаемого пространства дополнительно регистрируют двухмерный или трехмерный шаблон, при этом двухмерный шаблон формируют алгоритмически из динамической цифровой математической модели, по параметрам которой определяют динамические характеристики объектов наблюдаемой сцены, а трехмерный шаблон формируют из регистрации наблюдаемого пространства в ранний момент времени, по результатам сравнения определяют динамические характеристики целей, при алгоритмическом формировании изображений слоев пространства осуществляют формирование полного набора плоских изображений наблюдаемого пространства, соответствующих различной глубине резко отображаемого пространства, обнаружение цели осуществляют по всей глубине наблюдаемого пространства, алгоритмически синтезируемого на основе обработки массива субапертурных изображений, полученных пленооптической камерой, алгоритмический анализ полного набора слоев изображений наблюдаемого пространства производят путем анализа изображений, полученных морфологическим сравнением изображения слоев со слоем изображения шаблона с учетом возможности его масштабирования и поворота, при этом вычисления линейных размеров целей и дальностей до них осуществляют путем обработки двухмерных слоев изображения наблюдаемого пространства, имеющего наибольшую корреляцию со слоем изображения шаблона, при определении характеристик целей учитывается степень корреляции изображений слоев наблюдаемого пространства, на которых были обнаружены цели, соответствующие шаблону.

Недостатком данного технического решения является использование сложных вычислений и использование первоначально аналоговых камер.

Наиболее близким по технической сущности к заявленному способу и выбранным в качестве прототипа является Способ получения и обработки изображений для определения оптических передаточных функций и измерения расстояний (варианты) и устройство для его реализации (варианты), а также способ определения погрешности и исправления результатов проведенных измерений [2]:

Вариант 1. Заключающийся в том, что формируют по меньшей мере два изображения по меньшей мере одного наблюдаемого объекта с различной степенью размытия, и фиксируют с помощью светочувствительных матричных детекторов, предварительно калибруют устройство путем измерения и сохранения в памяти значений оптических передаточных функций каналов формирования и фиксации изображений устройства для расстояний в пределах диапазона измерений, по выбору оптимальных оптических передаточных функций из оптических передаточных функций для расстояний в пределах диапазона измерений определяют измеряемое расстояние для каждой области по меньшей мере одного наблюдаемого объекта, которым соответствуют области изображений, как расстояние, при котором устройство обладает выбранными оптимальными оптическими передаточными функциями, отличающийся тем, что измеряют уровень шума детекторов изображений и сохраняют в памяти амплитуды спектральной модели распределения шумов детекторов изображения, осуществляют выбор оптимальных оптических передаточных функций для каждой рассматриваемой области изображений путем извлечения из памяти значений оптических передаточных функций для расстояний в пределах диапазона измерений, которые соответствуют положениям детекторов, оптических элементов и формам диафрагм, при которых были сформированы и зафиксированы изображения, обработки областей изображений, в процессе которой находят целевую функцию пар оптических передаточных функций для каждого сочетания зафиксированных изображений по два, значения которой определяются для каждого возможного измеряемого расстояния как сумма по всем пространственным частотам отношений модулей минимальной к максимальной из двух величин -отношения значений пространственных спектров изображений тех пространственных частот, для которых амплитуды значений обоих спектров превышают максимальные значения амплитуд спектральной модели шума, и отношений извлеченных из памяти значений пар соответствующих оптических передаточных функций, вычисляют значения результирующей целевой функции как средней арифметической величины значений целевых функций пар оптических передаточных функций, выбирают оптимальные оптические передаточные функции, при которых указанная результирующая целевая функция принимает максимальное значение.

Вариант 2. Заключающийся в том, что формируют по меньшей мере два изображения по меньшей мере одного наблюдаемого объекта с различной степенью размытия, и фиксируют с помощью светочувствительных матричных детекторов, предварительно калибруют устройство путем измерения и сохранения в памяти значений оптических передаточных функций каждого канала формирования и фиксации изображений устройства для расстояний в пределах диапазона измерений, соответствующие положениям детекторов, оптических элементов и формам диафрагм, при которых формируются и фиксируются изображения, по выбору оптимальных оптических передаточных функций из оптических передаточных функций для расстояний в пределах диапазона измерений определяют измеряемое расстояние для каждой области по меньшей мере одного наблюдаемого объекта, которым соответствуют области изображений, как расстояние, при котором устройство обладает выбранными оптимальными оптическими передаточными функциями, отличающийся тем, что измеряют уровень шума детекторов изображений и сохраняют в памяти амплитуды спектральной модели распределения шумов детекторов изображения, осуществляют выбор оптимальных искажающих оптических передаточных функций для каждой рассматриваемой области изображений путем извлечения из памяти значений оптических передаточных функций для расстояний в пределах диапазона измерений, которые соответствуют положениям детекторов, оптических элементов и формам диафрагм, при которых были сформированы и зафиксированы изображения, обработки областей изображений, в процессе которой находят целевую функцию пар оптических передаточных функций для каждого сочетания зафиксированных изображений по два, значения которой определяются для каждого возможного измеряемого расстояния как сумма по всем пространственным частотам отношений модулей минимальной к максимальной из двух величин - отношения значений пространственных спектров изображений тех пространственных частот, для которых амплитуды значений обоих спектров превышают максимальные значения амплитуд спектральной модели шума, и отношений извлеченных из памяти значений пар соответствующих оптических передаточных функций, вычисляют значения результирующей целевой функции как средней арифметической величины значений целевых функций пар оптических передаточных функций, выбирают оптимальные оптические передаточные функции, при которых указанная результирующая целевая функция принимает максимальное значение, находят диапазон возможного положения наблюдаемого объекта для каждой рассматриваемой области изображений, затем исправляют измеренное расстояние, заменяют оптимальные оптические передаточные функции, а также определяют погрешность измерений, если погрешность измерений больше допустимой, перемещают один или более оптических элементов и/или по меньшей мере один детектор и/или изменяют форму по меньшей мере одной диафрагмы на величину, которая определяется на основе состава пространственного спектра участков зафиксированных изображений и данных предварительной калибровки устройства и позволяет уменьшить погрешность измерений, а затем производят один или серию циклов измерения расстояний.

Вариант 3. Заключающийся в том, что по результатам обработки пары и более изображений, сформированных с различной степенью размытия для каждой области по меньшей мере одного наблюдаемого объекта, которым соответствуют области изображений, осуществляют выбор оптимальных оптических передаточных функций каналов формирования и фиксации изображений из оптических передаточных функций для расстояний в пределах диапазона измерений, при которых целевая функция оптимизации имеет глобальный экстремум, определяют измеряемое расстояние как расстояние, при котором устройство обладает выбранными оптимальными оптическими передаточными функциями, где значения оптических передаточных функций измеряются при проведении предварительной калибровки и сохраняются в памяти, для каждой рассматриваемой области находят диапазон возможного положения наблюдаемых объектов путем сравнения целевых функций различных сочетаний пар каналов, полученных при измерениях, со значениями среднестатистических целевых функций пар каналов, уменьшенных на величину, пропорциональную среднеквадратическим отклонениям значений целевых функций для диапазона измерений, полученными при калибровке устройства для уровня шума, соответствующего шуму детекторов при фиксации изображений, затем исправляют измеренное расстояние, заменяя его на расстояние, соответствующее середине диапазона возможного положения наблюдаемого объекта, и заменяют оптимальные оптические передаточные функции на оптические передаточные функции, которыми устройство обладает при данном расстоянии, а также определяют погрешность измерений как половину диапазона возможного положения наблюдаемого объекта, дополнительно предварительно калибруют устройство для различных уровней шума детекторов изображений, используя в качестве калибровочных мишеней задаваемые распределения яркости, расположенные на известном расстоянии от устройства посредством нахождения целевых функций и вычисления по ним значений среднестатистических целевых функций и среднеквадратических отклонений целевых функций от среднестатистических целевых функций пар каналов для диапазона измерений.

Недостатками данного технического решения являются: использование передаточных функции, которые сильно зависят от уровня освещенности;

проведение тяжелых вычислений, создающих большие задержки, и не используемых для других подсистем технического зрения (например, для обнаружения и распознавания объектов);

невозможность определения расстояния до неизвестных объектов без предварительной калибровки;

использование систем подсветки, раскрывающих место нахождения измерительного устройства;

использование специализированных не стандартных оптических систем, делающих невозможным широкую промышленную применимость с использованием обычных цифровых камер;

невозможность определения дальностей до всех объектов на изображении.

Таким образом из уровня техники не известны подходы решения задач технического зрения в части определения расстояния до объекта по его нескольким изображениям без применения тяжелых вычислений в пассивном режиме с использованием распространенных цифровых камер и опирающихся на данные получаемые от других систем технического зрения с одновременным обеспечением небольших габаритов измерительных систем и достаточной для современных робототехнических комплексов точностью.

Проведенный анализ уровня аналогов позволил установить, что Способ пассивного определения дальностей до объектов с изменяемой точностью и небольшой вычислительной сложностью по изображениям с трех цифровых видеокамер с использованием априорных данных о расположении объектов в кадре, характеризующийся совокупностями признаков, соответствует условию патентоспособности «Новизна».

Технический результат предлагаемого способа заключается повышении точности, скорости и скрытности изменений при одновременном уменьшении габаритных размеров за счет унификации цифровых видеокамер, использования априорных данных от других систем, работы в пассивном режиме и изменяемого пространственного положения видеокамер с предварительной калибровкой.

Задача, которую решает предлагаемый способ, заключается в пассивном определении дальностей до объектов с изменяемой точностью и небольшой вычислительной сложностью по изображениям с трех цифровых видеокамер с использованием априорных данных о расположении объектов в кадре за счет изменяемого пространственного положения видеокамер с предварительной калибровкой для всех возможных комбинаций пространственного положения видеокамер и объектов на изображениях.

Для решения заявленной задачи предлагается Способ пассивного определения дальностей до объектов с изменяемой точностью и небольшой вычислительной сложностью по изображениям с трех цифровых видеокамер с использованием априорных данных о расположении объектов в кадре, заключающийся в том, что:

1. Размещают на робототехническом комплексе три идентичных видеокамеры на известном расстоянии в одной плоскости по углам равностороннего треугольника с возможностью перемещения на одной плоскости с сохранением равенства сторон треугольника, образованного вершинами, в которых размещены камеры.

При этом в качестве РТК могут использоваться роботы наземного, морского или воздушного базирования.

2. Заблаговременно экспериментальным способом определяют точечные зависимости дальности до объекта наблюдения от площади треугольника, образованного геометрическими центрами одноименных объектов, расположенных на совмещенном изображении с трех видеокамер с шагом единиц измерения площади для возможного диапазона перемещения видеокамер.

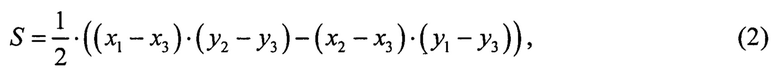
При этом расчет площади треугольника, образованного геометрическими центрами одного объекта на совмещенном изображении с разных видеокамер, осуществляется в соответствии с выражением вида:

где: (xi, yi) - координата i-й вершины.

Под геометрическим центром объекта понимается точка в которой минимизируется сумма расстояний до точек множества. В общем случае объекты, найденные на изображении, ограничены прямоугольной областью.

В результате получается совокупность зависимостей дальности до объекта наблюдения от площади треугольника, образованного геометрическими центрами одноименных объектов, расположенных на совмещенном изображении с трех видеокамер для всех возможных расстояний перемещения видеокамер в пределах технических возможностей РТК с сохранением свойства равносторонности треугольника.

3. Рассчитывают по полученным точкам для каждой зависимости коэффициенты интерполяционного полинома Лагранжа седьмой степени.

При этом получают совокупность интерполяционных полиномов Лагранжа седьмой степени для всех возможных расстояний перемещения видеокамер с сохранением свойства равносторонности треугольника, вида

где pi - i-й коэффициент полинома.

4. Устанавливают видеокамеры на минимальной дистанции при включении РТК.

При этом данная позиция является начальной и соответствует минимальной площади треугольника, образованного геометрическими центрами одноименных объектов, расположенных на совмещенном изображении с трех видеокамер. Данная позиция характеризуется наименьшей точностью изменений и наибольшей геометрической скрытностью.

5. Синхронно считывают изображения с трех видеокамер.

6. Получают данные об обнаруженных контурах объектов на считанных с трех видеокамер изображениях от систем технического зрения используемых на робототехническом комплексе.

7. Осуществляют совместное наложение всех трех считанных изображений.

8. Определяют геометрические центры расположения одноименных объектов на сформированном путем наложения изображении.

9. Вычисляют площадь треугольника, образованного геометрическими центрами одного объекта на изображении, полученном с помощью наложения.

10. Вычисляют дальность до объекта с использованием полученных интерполяционных полиномов Лагранжа.

11. Сравнивают дальности до объекта вычисленные по двум последовательным кадрам.

12. Перемещают видеокамеры для повышения точности определения дальности с шагом 1 сантиметр в сторону увеличения расстояния расположения при ошибке сравнения расстояний до объекта на соседних кадрах более 5% и производят повторное измерение дальности.

13. Уменьшают с шагом 1 сантиметр расстояние между видеокамерами при ошибке сравнения расстояний до объекта на соседних кадрах менее 5% и производят повторное измерение дальности.

«Промышленная применимость» способа обусловлена возможностью реализовать его программно-аппаратным способом на штатном оборудовании в робототехнических системах в которых реализованы элементы технического зрения, связанные с обнаружением контуров объектов в кадре видеокамеры.

Сопоставление заявленного Способа пассивного определения дальностей до объектов с изменяемой точностью и небольшой вычислительной сложностью по изображениям с трех цифровых видеокамер с использованием априорных данных о расположении объектов в кадре и прототипа показывает, что заявленный способ существенно отличается от прототипа.

Общие признаки заявляемого способа и прототипа:

1. Непрерывно считывают цифровые изображения с видеокамер установленных на РТК.

2. Обнаруживают объекты изображениях с видеокамер РТК.

3. Вычисляют дальность до объектов, найденных на изображениях с видеокамер РТК.

Отличительные признаки предлагаемого решения:

1. Размещают на робототехническом комплексе три идентичных видеокамеры на известном расстоянии в одной плоскости по углам равностороннего треугольника с возможностью перемещения на одной плоскости с сохранением равенства сторон треугольника, образованного вершинами, в которых размещены камеры.

2. Заблаговременно экспериментальным способом определяют аналитические зависимости дальности до объекта наблюдения от площади треугольника, образованного геометрическими центрами одноименных объектов, расположенных на совмещенном изображении с трех видеокамер.

3. Определяют геометрические центры расположения одноименных объектов на сформированном путем наложения изображений с трех видеокамер.

4. Вычисляют дальность до объекта с использованием экспериментально полученных полиномов.

5. Перемещают видеокамеры для повышения точности определения.

Таким образом, заявленный Способ пассивного определения дальностей до объектов с изменяемой точностью и небольшой вычислительной сложностью по изображениям с трех цифровых видеокамер с использованием априорных данных о расположении объектов в кадре, позволяет за счет использования заблаговременной аппроксимации зависимостей дальности до объекта наблюдения от площади треугольника, образованного геометрическими центрами одноименных объектов, расположенных на совмещенном изображении с трех видеокамер в форме точек с шагом единиц измерения площади для возможного диапазона перемещения видеокамер, а также изменения расстояния между видеокамерами в зависимости от требуемой точности в 5% и использовании априорных данных обнаружения объектов от других систем технического зрения робототехнического комплекса обеспечить повышении точности, скорости и скрытности изменений при одновременном уменьшении габаритных размеров.

Результаты поиска известных решений [1-8] в данной и смежной областях техники с целью выявления признаков, совпадающих с отличительными от прототипов признаками заявляемого изобретения, показали, что они не следуют явным образом из уровня техники. Из определенного уровня техники не выявлена известность влияния предусматриваемых существенными признаками заявленного изобретения на достижение указанного технического результата. Следовательно, заявленное изобретение соответствует условию патентоспособности «Изобретательский уровень».

ИСТОЧНИКИ ИНФОРМАЦИИ

1. RU 2485443 С1, опубликован 20.06.2013.

2. RU 2553339 С9, опубликован 10.06.2015.

3. RU 2574224 С1, опубликован 10.02.2016.

4. RU 2579532 С2, опубликован 10.04.2016.

5. RU 2626051 С2, опубликован 21.07.2017.

6. RU 2652535 С2, опубликован 26.04.2018.

7. RU 2721096 С1, опубликован 15.05.2020.

8. RU 2760845 С1, опубликован 30.11.2021.

Похожие патенты RU2835007C1

название год авторы номер документа
Способ определения дальности с помощью цифровой видеокамеры и трех источников света 2021
  • Рощин Дмитрий Александрович
RU2752687C1
ТРЁХКООРДИНАТНОЕ УСТРОЙСТВО ОБНАРУЖЕНИЯ И РАСПОЗНАВАНИЯ ОБЪЕКТОВ МОНОКУЛЯРНЫМИ ОПТИКО-ЭЛЕКТРОННЫМИ ПРИБОРАМИ НАЗЕМНЫХ И ВОЗДУШНЫХ РОБОТОТЕХНИЧЕСКИХ КОМПЛЕКСОВ НА ОСНОВЕ СТЕРЕОСКОПИЧЕСКОГО 3D-МОНИТОРИНГА 2021
  • Чебурков Юрий Викторович
  • Пархоменко Александр Васильевич
  • Ошкин Александр Александрович
  • Превезенцев Александр Александрович
  • Епифанов Алексей Игоревич
  • Кузнецов Дмитрий Владимирович
  • Шляхов Игорь Александрович
  • Намазов Руслан Серверович
  • Куторов Артур Алексеевич
RU2789117C2
Способ определения собственных координат по трем визирным светоизлучающим маркерам 2024
  • Штрунова Екатерина Сергеевна
RU2838123C1
СПОСОБ ПАРАЛЛЕЛЬНОЙ РАСПРЕДЕЛЁННОЙ РАБОТЫ ГРУППЫ РОБОТОТЕХНИЧЕСКИХ КОМПЛЕКСОВ ПРИ РЕШЕНИИ ЗАДАЧИ РАСПОЗНАВАНИЯ МНОЖЕСТВА ОБЪЕКТОВ НА ЦИФРОВЫХ ИЗОБРАЖЕНИЯХ 2024
  • Жуков Александр Олегович
  • Белов Павел Юрьевич
  • Бочаров Никита Алексеевич
  • Демьянов Виталий Владимирович
  • Куликов Андрей Кириллович
RU2828320C1
Способ определения собственных координат по трем визирным целям и видеограмметрическая система для его осуществления 2021
  • Рощин Дмитрий Александрович
RU2769637C1
ТЕЛЕВИЗИОННЫЙ МНОГОРАКУРСНЫЙ СПОСОБ ПОЛУЧЕНИЯ, ПЕРЕДАЧИ И ПРИЕМА СТЕРЕОИНФОРМАЦИИ О НАБЛЮДАЕМОМ ПРОСТРАНСТВЕ С ЕГО АВТОМАТИЧЕСКИМ ИЗМЕРЕНИЕМ. СИСТЕМА "ТРЕТИЙ ГЛАЗ" 2013
  • Соболев Сергей Александрович
RU2543549C2
Способ измерения дальности от маневрового тепловоза до вагона на прямолинейном участке железнодорожного пути 2020
  • Кудинов Игорь Алексеевич
  • Холопов Иван Сергеевич
RU2750364C1
СПОСОБ И СИСТЕМА ДАЛЬНЕГО ОПТИЧЕСКОГО ОБНАРУЖЕНИЯ И ОПРЕДЕЛЕНИЯ МЕСТОПОЛОЖЕНИЯ ЛЕТЯЩЕГО В СТРАТОСФЕРЕ ИЛИ НА БОЛЬШОЙ ВЫСОТЕ СО СВЕРХЗВУКОВОЙ СКОРОСТЬЮ ОБЪЕКТА ПО КРИТЕРИЯМ КОНДЕНСАЦИОННОГО СЛЕДА ЕГО СИЛОВОЙ УСТАНОВКИ В АТМОСФЕРЕ 2012
  • Смирнов Дмитрий Владимирович
RU2536769C2
Способ калибровки видеодатчиков многоспектральной системы технического зрения 2017
  • Кудинов Игорь Алексеевич
  • Павлов Олег Вячеславович
  • Холопов Иван Сергеевич
  • Храмов Михаил Юрьевич
RU2692970C2
Способ позиционирования подвижного объекта 2017
  • Монвиж-Монтвид Игорь Евгеньевич
  • Ермиков Сергей Иванович
RU2656361C1

Реферат патента 2025 года Способ пассивного определения дальностей до объектов с изменяемой точностью по изображениям с трех цифровых видеокамер

Изобретение относится к области систем технического зрения робототехнических комплексов (РТК) при определении дальности до объектов. Сущность заявленного технического решения заключается в определении дальности до объектов на цифровом изображении без использования излучения за счет учета смещения изображения объекта на трёх видеокамерах, размещенных на плоскости по углам равностороннего треугольника, причем для управления точностью измерений три видеокамеры размещаются на подвижных платформах с возможностью перемещения на плоскости с сохранением равносторонности образовавшегося треугольника. Техническим результатом заявленного изобретения является повышение точности и скорости измерений дальности до объектов.

Формула изобретения RU 2 835 007 C1

1. Способ пассивного определения дальностей до объектов с изменяемой точностью по изображениям с трех цифровых видеокамер, заключающийся в том, что: непрерывно считывают цифровые изображения с видеокамер, установленных на робототехническом комплексе (РТК); обнаруживают объекты на изображениях с видеокамер РТК; определяют дальность до объектов, найденных на изображениях с видеокамер РТК; отличающийся тем, что размещают на РТК три идентичных видеокамеры на известном расстоянии в одной плоскости по углам равностороннего треугольника с возможностью перемещения на одной плоскости с сохранением равенства сторон треугольника, образованного вершинами, в которых размещены камеры; определяют аналитические зависимости дальности до объекта наблюдения от площади треугольника, образованного геометрическими центрами одноименных объектов, расположенных на совмещенном изображении с трех видеокамер; определяют геометрические центры расположения одноименных объектов на изображении, сформированном путем наложения изображений с трех видеокамер; определяют дальность до объекта; перемещают видеокамеры для повышения точности определения; определяют точечные зависимости дальности до объекта наблюдения от площади треугольника, образованного геометрическими центрами одноименных объектов, расположенных на совмещенном изображении с трех видеокамер с установленным шагом единиц измерения площади; после получения точечных зависимостей рассчитывают по полученным точкам для каждой зависимости коэффициенты интерполяционного полинома Лагранжа седьмой степени; устанавливают видеокамеры на установленной дистанции при включении РТК; непрерывно получают данные об обнаруженных контурах объектов на считанных с трех видеокамер изображениях с видеокамер РТК; осуществляют совместное наложение всех трех считанных изображений; вычисляют площадь треугольника, образованного геометрическими центрами одного объекта на изображении, полученном с помощью наложения; вычисляют дальность до объекта с использованием полученных интерполяционных полиномов Лагранжа седьмой степени; сравнивают дальности до объекта, вычисленные по двум последовательным кадрам; перемещают видеокамеры для повышения точности определения дальности с шагом, равным одному сантиметру, в сторону увеличения расстояния при ошибке сравнения расстояний до объекта на соседних кадрах более пяти процентов; производят повторное измерение дальности; уменьшают с шагом, равным одному сантиметру, расстояние между видеокамерами при ошибке сравнения расстояний до объекта на соседних кадрах менее пяти процентов и производят повторное измерение дальности.

2. Способ по п. 1, в котором в качестве РТК применяются роботы наземного, морского или воздушного базирования.

Документы, цитированные в отчете о поиске Патент 2025 года RU2835007C1

СПОСОБ ПОЛУЧЕНИЯ И ОБРАБОТКИ ИЗОБРАЖЕНИЙ ДЛЯ ОПРЕДЕЛЕНИЯ ОПТИЧЕСКИХ ПЕРЕДАТОЧНЫХ ФУНКЦИЙ И ИЗМЕРЕНИЯ РАССТОЯНИЙ (ВАРИАНТЫ) И УСТРОЙСТВО ДЛЯ ЕГО РЕАЛИЗАЦИИ (ВАРИАНТЫ), А ТАКЖЕ СПОСОБ ОПРЕДЕЛЕНИЯ ПОГРЕШНОСТИ И ИСПРАВЛЕНИЯ РЕЗУЛЬТАТОВ ПРОВЕДЕННЫХ ИЗМЕРЕНИЙ 2013
  • Басов Игорь Вячеславович
  • Виноградов Николай Юрьевич
  • Токарев Дмитрий Сергеевич
RU2553339C9
СПОСОБ ОБНАРУЖЕНИЯ И ОПРЕДЕЛЕНИЯ ХАРАКТЕРИСТИК ЦЕЛЕЙ НА ОСНОВЕ РЕГИСТРАЦИИ И ОБРАБОТКИ ХОДА ЛУЧЕЙ ОТ ОБЪЕКТОВ В НАБЛЮДАЕМОМ ПРОСТРАНСТВЕ И УСТРОЙСТВО ДЛЯ ЕГО РЕАЛИЗАЦИИ 2021
  • Махов Владимир Евгеньевич
  • Широбоков Владислав Владимирович
  • Закутаев Александр Александрович
  • Кошкаров Александр Сергеевич
  • Петрушенко Владимир Михайлович
RU2760845C1
СПОСОБ ИЗМЕРЕНИЯ РАССТОЯНИЙ НА ЦИФРОВОЙ ФОТОКАМЕРЕ 2011
  • Козлов Владимир Леонидович
RU2485443C1
US 7831358 B2, 09.11.2010
US 7729516 B2, 01.06.2010.

RU 2 835 007 C1

Авторы

Сыцевич Николай Федорович

Белов Павел Юрьевич

Белов Даниил Юрьевич

Хомченков Александр Витальевич

Даты

2025-02-20Публикация

2024-05-03Подача