Область техники
В данном изобретении предложены ингибиторы эмбрионального развития эктодермы (EED), синтетические промежуточные соединения, используемые для получения ингибиторов EED, и терапевтические способы лечения патологических состояний и заболеваний, например, рака, при которых ингибирование белка EED обеспечивает положительный эффект.
Уровень техники
Белки группы Polycomb (PcG) представляют собой ферменты, модифицирующие хроматин, которые разрегулированы во многих видах рака человека. Репрессивный комплекс Polycomb 2 (PRC2), который содержит SUZ12 (супрессор zeste 12), EED и каталитическую субъединицу EZH2 (энхансер гомолога zeste 2), подавляет гены посредством метилирования лизина 27 корового гистона H3 (H3K27me3) в промоторных областях и вблизи промоторных областей генов-мишеней. PRC2 является важнейшим компонентом клеточного механизма, участвующим в эпигенетической регуляции генной транскрипции, и выполняет важнейшую функцию в развитии, дифференцировке и регенерации тканей. См., например, Moritz and Trievel, J. Biol. Chem. 293(36):13805-13814 (2018); Fiskus et al., Mol Cancer Ther 5(12):3096-3014 (2006).
Для обеспечения активности метилтрансферазы PRC2 необходимы по меньшей мере EED и SUZ12. EED, SUZ12 и EZH2 сверхэкспрессируются во многих видах рака, включая, но не ограничиваясь ими, рак молочной железы, рак предстательной железы и гепатоцеллюлярную карциному. В данной области техники существует в низкомолекулярных соединениях, которые ингибируют активность EED, для лечения рака и других заболеваний.
Краткая сущность изобретения
В одном аспекте данного изобретения предложены соединения, представленные любой из формул I-XI, XI-A, XI-B, XII, XII-A, XII-B, XIII, XIII-A, XIII-B, XIV, XIV-A, XIV-B, XV, XV-A, XV-B или XVI, изображенных ниже, и их фармацевтически приемлемые соли и сольваты, например, гидраты, обобщенно упоминаемые как «соединения по данному изобретению». Соединения по данному изобретению представляют собой ингибиторы EED и/или синтетические промежуточные соединения, которые могут быть использованы для получения ингибиторов EED. Таким образом, некоторые соединения по данному изобретению пригодны для лечения или предотвращения заболеваний или патологических состояний, таких как рак, при которых ингибирование белка EED обеспечивает положительный эффект.
В другом аспекте данного изобретения предложены способы лечения или предотвращения патологического состояния или заболевания посредством введения терапевтически эффективного количества по данному изобретению субъекту, например, человеку-пациенту, нуждающемуся в этом. Рассматриваемое заболевание или патологическое состояние, которое можно лечить или предотвращать посредством ингибирования EED, представляет собой, например, рак, хроническое аутоиммунное расстройство, воспалительное состояние, пролиферативное расстройство, сепсис или вирусную инфекцию. Также предложены способы предотвращения пролиферации нежелательных пролиферирующих клеток, таких как раковые клетки, у субъекта, включающие введение терапевтически эффективного количества соединения по данному изобретению субъекту, имеющему риск развития патологического состояния, характеризующегося нежелательными пролиферирующими клетками. В некоторых вариантах реализации соединения по данному изобретению могут уменьшать пролиферацию нежелательных клеток, вызывая апоптоз указанных клеток. В некоторых вариантах реализации соединения по данному изобретению вводят в комбинации с необязательным терапевтическим агентом.
В другом аспекте данного изобретения предложен способ ингибирования EED у субъекта, включающий введение субъекту терапевтически эффективного количества соединения по данному изобретению.
В другом аспекте данного изобретения предложена фармацевтическая композиция, содержащая соединение по данному изобретению и вспомогательное вещество и/или фармацевтически приемлемый носитель.
В другом аспекте данного изобретения предложена композиция, содержащая соединение по данному изобретению и вспомогательное вещество и/или фармацевтически приемлемый носитель, для применения для лечения или предотвращения заболеваний или патологических состояний, при которых ингибирование EED обеспечивает положительный эффект, например, рака.
В другом аспекте данного изобретения предложена композиция, содержащая: (a) соединение по данному изобретению; (b) второй терапевтически активный агент; и (c) необязательно вспомогательное вещество и/или фармацевтически приемлемый носитель.
В другом аспекте данного изобретения предложено соединение по данному изобретению для применения для лечения или предотвращения рассматриваемого заболевания или патологического состояния, например, рака.
В другом аспекте данного изобретения предложено применение соединения по данному изобретению для производства лекарственного средства для лечения рассматриваемого заболевания или патологического состояния, например, рака.
В другом аспекте данного изобретения предложен набор, содержащий соединение по данному изобретению и необязательно упакованную композицию, содержащую необязательный терапевтический агент, пригодный для лечения рассматриваемого заболевания или патологического состояния, а также вкладыш упаковки, содержащий инструкции по применению для лечения заболевания или патологического состояния, например, рака.
В другом аспекте данного изобретения предложены способы получения соединений по данному изобретению и промежуточных соединений по данному изобретению.
Дополнительные варианты реализации и преимущества данного изобретения изложены, отчасти, далее в контексте следующего описания, и они вытекают из указанного описания или могут быть изучены при практическом осуществлении данного изобретения. Варианты реализации и преимущества настоящего изобретения будут реализованы и достигнуты с помощью элементов и комбинаций, конкретно указанных в прилагаемой формуле изобретения.
Следует понимать, что и представленное выше краткое описание, и следующее подробное описание являются лишь иллюстративными и пояснительными, и они не ограничивают заявленное изобретение.
КРАТКОЕ ОПИСАНИЕ ГРАФИЧЕСКИХ МАТЕРИАЛОВ
На Фиг. 1 представлен линейный график, демонстрирующий противоопухолевую эффективность иллюстративных соединений по данному изобретению в модели опухоли KARPAS422 у мышей.
На Фиг. 2 представлен линейный график, демонстрирующий изменение массы тела мышей-опухоленосителей, которых лечили иллюстративными соединениями по данному изобретению в модели опухоли KARPAS422 у мышей.
Подробное описание изобретения
I. Соединения по данному изобретению
Соединения по данному изобретению представляют собой ингибиторы EED и/или синтетические промежуточные соединения, которые могут быть использованы для получения ингибиторов EED.
В одном варианте реализации соединения по данному изобретению представляют собой соединения формулы I:
I,
где:
R1 представляет собой аралкил;
R2 выбран из группы, состоящей из водорода и C1-C4 алкила;
R3 и R4 вместе с атомами углерода, к которым они присоединены, образуют радикал формулы I-A, I-B или I-C:
I-A,
I-B или
I-C;
X выбран из группы, состоящей из -C(R5a)(R5b)-, -C(=O)- и -S(=O)2-;
R5a и R5b независимо выбраны из группы, состоящей из водорода и C1-C4 алкила;
Y выбран из группы, состоящей из -C(R6a)(R6b)-, -S-, -O- и -N(R7)-; или
X и Y вместе образуют 5-членный гетероариленил;
Z представляет собой -C(R6c)(R6d)m-;
R6a и R6b независимо выбраны из группы, состоящей из водорода и C1-C4 алкила;
каждый R6c и R6d независимо выбран из группы, состоящей из водорода и C1-C4 алкила;
m равен 0, 1 или 2;
R7 выбран из группы, состоящей из водорода, C1-C6 алкила, C1-C6 галогеналкила, необязательно замещенного C3-C8 циклоалкила, необязательно замещенного C4-C8 гетероцикло, гидроксиалкила, (алкокси)алкила, (циклоалкил)алкила и (гетероцикло)алкила;
R8a, R8b и R8c независимо выбраны из группы, состоящей из водорода, галогена, C1-C4 алкила, C1-C4 галогеналкила, C1-C4 алкокси, карбоксамидо, необязательно замещенного C3-C8 циклоалкила, необязательно замещенного 4-8-членного гетероцикло, (гетероцикло)C1-C4 алкила и алкилсульфонила;
представляет собой конденсированный фенил, конденсированный 5-членный гетероарил или конденсированный 6-членный гетероарил;
представляет собой необязательно замещенный конденсированный 3-8-членный циклоалкил или необязательно замещенный конденсированный 4-8-членный гетероцикло;
представляет собой необязательно замещенный конденсированный 4-8-членный гетероцикло; и
связь, обозначенная символом «
», присоединена в положении R3 формулы I, а связь, обозначенная символом «*», присоединена в положении R4 формулы I; или
R3 представляет собой R3a;
R4 представляет собой R4a;
R3a выбран из группы, состоящей из необязательно замещенного арила, необязательно замещенного 5-10-членного гетероарила и необязательно замещенного 4-8-членного гетероцикло; и
R4a выбран из группы, состоящей из водорода, галогена, C1-C4 галогеналкила, -S(=O)2R9, -P(=O)(R10a)(R10b), -C(=O)OR11a, -C(=O)NR11bR11c и -S(=O)(=NR13a)R13b;
R9 выбран из группы, состоящей из C1-C4 алкила и C3-C6 циклоалкила;
R10a и R10b независимо представляют собой C1-C4 алкил;
R11a выбран из группы, состоящей из водорода и C1-C4 алкила;
R11b и R11c независимо выбраны из группы, состоящей из водорода и C1-C4 алкила; или
R11b и R11c вместе с атомом азота, к которому они присоединены, образуют 4-6-членный необязательно замещенный гетероцикло;
R13a выбран из группы, состоящей из водорода, C1-C6 алкила, C3-C6 циклоалкила и гидроксиалкила;
R13b выбран из группы, состоящей из C1-C6 алкила и C3-C6 циклоалкила; или
R13a и R13b вместе образуют 5-7-членный гетероцикло; и
представляет собой одинарную или двойную связь, или их фармацевтически приемлемые соли или сольваты.
В другом варианте реализации соединения по данному изобретению представляют собой соединения формулы I, где:
X выбран из группы, состоящей из -C(R5a)(R5b)-, -C(=O)- и -S(=O)2-;
Y выбран из группы, состоящей из -C(R6a)(R6b)-, -S-, -O- и -N(R7)-; и
R8a, R8b и R8c независимо выбраны из группы, состоящей из водорода, галогена, C1-C4 алкила, C1-C4 галогеналкила, C1-C4 алкокси и алкилсульфонила, или их фармацевтически приемлемые соли или сольваты.
В другом варианте реализации соединения по данному изобретению представляют собой соединения формулы I, где R3 и R4 вместе с атомами углерода, к которым они присоединены, образуют радикал формулы I-A, I-B или I-C, или их фармацевтически приемлемые соли или сольваты.
В другом варианте реализации соединения по данному изобретению представляют собой соединения формулы II:
II,
где R1, R2, R8a, R8b, R8c, X, Y, Z,
и
имеют значения, определенные для формулы I, или их фармацевтически приемлемые соли или сольваты.
В другом варианте реализации соединения по данному изобретению представляют собой соединения формулы III:
III,
где L выбран из группы, состоящей из -C(R8b)= и -N=; и R1, R2, R8a, R8b, R8c, X, Y и Z имеют значения, определенные для формулы I, или их фармацевтически приемлемые соли или сольваты.
В другом варианте реализации соединения по данному изобретению представляют собой соединения формулы IV:
IV,
где L выбран из группы, состоящей из -C(R8b)= и -N=; и R1, R2, R8a, R8b, R8c, X, Y и Z имеют значения, определенные для формулы I, или их фармацевтически приемлемые соли или сольваты.
В другом варианте реализации соединения по данному изобретению представляют собой соединения формулы V:
V,
где L выбран из группы, состоящей из -C(R8b)= и -N=; и R1, R2, R8a, R8b, R8c, X, Y и Z имеют значения, определенные для формулы I, или их фармацевтически приемлемые соли или сольваты.
В другом варианте реализации соединения по данному изобретению представляют собой соединения формулы VI:
VI,
где L выбран из группы, состоящей из -C(R8b)= и -N=; и R1, R2, R8a, R8b, R8c, X, Y и Z имеют значения, определенные для формулы I, или их фармацевтически приемлемые соли или сольваты.
В другом варианте реализации соединения по данному изобретению представляют собой соединения любой из формул III-VI, где L представляет собой -C(R8b)=, или их фармацевтически приемлемые соли или сольваты.
В другом варианте реализации соединения по данному изобретению представляют собой соединения любой из формул III-VI, где L представляет собой -N=, или их фармацевтически приемлемые соли или сольваты.
В другом варианте реализации соединения по данному изобретению представляют собой соединения любой из формул I-VI, где R8a, R8b и R8c независимо выбраны из группы, состоящей из водорода, C1-C4 алкила, C1-C4 галогеналкила и C3-C6 циклоалкила, или их фармацевтически приемлемые соли или сольваты. В другом варианте реализации R8a выбран из группы, состоящей из -CHF2, -CF3, -CH3, -CD3 и циклопропила; и R8b и R8c представляют собой водород. В другом варианте реализации R8a выбран из группы, состоящей из -CF3 или -CH3; и R8b и R8c представляют собой водород.
В другом варианте реализации соединения по данному изобретению представляют собой соединения любой из формул I-VI, где R8a выбран из группы, состоящей из C1-C4 алкила, 4-8-членного гетероцикло и (гетероцикло)C1-C4 алкила; и R8b и R8c представляют собой водород, или их фармацевтически приемлемые соли или сольваты. В другом варианте реализации R8a представляет собой C1-C4 алкил. В другом варианте реализации R8a представляет собой 4-8-членный гетероцикло. В другом варианте реализации R8a представляет собой (гетероцикло)C1-C4 алкил. В другом варианте реализации R8a выбран из группы, состоящей из:
,
,
,
,
,
и
.
В другом варианте реализации соединения по данному изобретению представляют собой соединения формулы VII:
VII,
где:
L1 выбран из группы, состоящей из -S-, -O- и -N(R8a)-;
L2 выбран из группы, состоящей из -C(R8b)= и -N=;
L3 выбран из группы, состоящей из -C(R8c)= и -N=;
R8a выбран из группы, состоящей из водорода и C1-C4 алкила;
R8b выбран из группы, состоящей из водорода, C1-C4 алкила и C1-C4 галогеналкила;
R8c выбран из группы, состоящей из водорода, C1-C4 алкила и C1-C4 галогеналкила; и
R1, R2, X, Y и Z имеют значения, определенные для формулы I, или их фармацевтически приемлемые соли или сольваты.
В другом варианте реализации соединения по данному изобретению представляют собой соединения формулы VIII:
VIII,
где:
L1 выбран из группы, состоящей из -S-, -O- и -N(R8a)-;
L2 выбран из группы, состоящей из -C(R8b)= и -N=;
L3 выбран из группы, состоящей из -C(R8c)= и -N=;
R8a выбран из группы, состоящей из водорода и C1-C4 алкила;
R8b выбран из группы, состоящей из водорода, C1-C4 алкила и C1-C4 галогеналкила;
R8c выбран из группы, состоящей из водорода, C1-C4 алкила и C1-C4 галогеналкила; и
R1, R2, X, Y и Z имеют значения, определенные для формулы I, или их фармацевтически приемлемые соли или сольваты.
В другом варианте реализации соединения по данному изобретению представляют собой соединения формулы IX:
IX,
где:
L1 выбран из группы, состоящей из -S-, -O- и -N(R8a)-;
R8a выбран из группы, состоящей из водорода и C1-C4 алкила;
R8b выбран из группы, состоящей из водорода, C1-C4 алкила и C1-C4 галогеналкила;
R8c выбран из группы, состоящей из водорода, C1-C4 алкила и C1-C4 галогеналкила; и
R1, R2, X, Y и Z имеют значения, определенные для формулы I, или их фармацевтически приемлемые соли или сольваты.
В другом варианте реализации соединения по данному изобретению представляют собой соединения формулы X:
X,
где R1, R2, X, Y, Z,
и
имеют значения, определенные для формулы I, или их фармацевтически приемлемые соли или сольваты.
В другом варианте реализации соединения по данному изобретению представляют собой соединения формулы XI:
XI,
где:
R8d, R8e и R8f независимо выбраны из группы, состоящей из водорода, галогена и C1-C4 алкила;
n равен 1, 2 или 3; и
R1, R2, X, Y и Z имеют значения, определенные для формулы I, или их фармацевтически приемлемые соли или сольваты.
В другом варианте реализации соединения по данному изобретению представляют собой соединения формулы XI-A:
XI-A,
где R1, R2, R8d, R8e, R8f, n, X, Y и Z имеют значения, определенные для формулы XI, или их фармацевтически приемлемые соли или сольваты.
В другом варианте реализации соединения по данному изобретению представляют собой соединения формулы XI-B:
XI-B,
где R1, R2, R8d, R8e, R8f, n, X, Y и Z имеют значения, определенные для формулы XI, или их фармацевтически приемлемые соли или сольваты.
В другом варианте реализации соединения по данному изобретению представляют собой соединения формулы XII:
XII,
где:
L4 выбран из группы, состоящей из -S-, -O- и -N(R8g)-;
R8g выбран из группы, состоящей из водорода, C1-C4 алкила, необязательно замещенного C3-C6 циклоалкила и необязательно замещенного 4-8-членного гетероцикло;
o равен 0, 1, 2 или 3;
р равен 0, 1, 2 или 3;
причем сумма o и p равна 1, 2, 3, 4 или 5; и
R1, R2, X, Y и Z имеют значения, определенные для формулы I, или их фармацевтически приемлемые соли или сольваты.
В другом варианте реализации соединения по данному изобретению представляют собой соединения формулы XII-A:
XII-A,
где R1, R2, L4, o, p, X, Y и Z имеют значения, определенные для формулы XII, или их фармацевтически приемлемые соли или сольваты.
В другом варианте реализации соединения по данному изобретению представляют собой соединения формулы XII-B:
XII-B,
где R1, R2, L4, o, p, X, Y и Z имеют значения, определенные для формулы XII, или их фармацевтически приемлемые соли или сольваты.
В другом варианте реализации соединения по данному изобретению представляют собой соединения формулы XIII:
XIII,
где R1, R2, X, Y, Z и
имеют значения, определенные для формулы I, или их фармацевтически приемлемые соли или сольваты.
В другом варианте реализации соединения по данному изобретению представляют собой соединения формулы XIII-A:
XIII-A,
где R1, R2, X, Y, Z и
имеют значения, определенные для формулы I, или их фармацевтически приемлемые соли или сольваты.
В другом варианте реализации соединения по данному изобретению представляют собой соединения формулы XIII-B:
XIII-B,
где R1, R2, X, Y, Z и
имеют значения, определенные для формулы I, или их фармацевтически приемлемые соли или сольваты.
В другом варианте реализации соединения по данному изобретению представляют собой соединения формулы XIV:
XIV,
где:
R8d, R8e и R8f независимо выбраны из группы, состоящей из водорода и C1-C4 алкила;
q равен 1, 2 или 3; и
R1, R2, X, Y и Z имеют значения, определенные для формулы I, или их фармацевтически приемлемые соли или сольваты.
В другом варианте реализации соединения по данному изобретению представляют собой соединения формулы XIV-A:
XIV-A,
где R1, R2, R8d, R8e, R8f, q, X, Y и Z имеют значения, определенные для формулы XIV, или их фармацевтически приемлемые соли или сольваты.
В другом варианте реализации соединения по данному изобретению представляют собой соединения формулы XIV-B:
XIV-B,
где R1, R2, R8d, R8e, R8f, q, X, Y и Z имеют значения, определенные для формулы XIV, или их фармацевтически приемлемые соли или сольваты.
В другом варианте реализации соединения по данному изобретению представляют собой соединения формулы XV:
XV,
где:
L5 выбран из группы, состоящей из -S-, -O- и -N(R8h)-;
R8h выбран из группы, состоящей из водорода, C1-C4 алкила, необязательно замещенного C3-C6 циклоалкила, необязательно замещенного 4-8-членного гетероцикло, -C(=O)R14a и -S(=O)2R14b;
R14a и R14b независимо выбраны из группы, состоящей из C1-C6 алкила и необязательно замещенного C3-C8 циклоалкила;
r равен 1, 2 или 3;
s равен 1, 2 или 3; и
R1, R2, X, Y и Z имеют значения, определенные для формулы I, или их фармацевтически приемлемые соли или сольваты.
В другом варианте реализации соединения по данному изобретению представляют собой соединения формулы XV-A:
XV-A,
где R1, R2, L5, r, s, X, Y и Z имеют значения, определенные для формулы XV, или их фармацевтически приемлемые соли или сольваты.
В другом варианте реализации соединения по данному изобретению представляют собой соединения формулы XV-B:
XV-B,
где R1, R2, L5, r, s, X, Y и Z имеют значения, определенные для формулы XV, или их фармацевтически приемлемые соли или сольваты.
В другом варианте реализации соединения по данному изобретению представляют собой соединения любой из формул I-XI, XI-A, XI-B, XII, XII-A, XII-B, XIII, XIII-A, XIII-B, XIV, XIV-A, XIV-B, XV, XV-A или XV-B, где Z представляет собой -CH2-, или их фармацевтически приемлемые соли или сольваты.
В другом варианте реализации соединения по данному изобретению представляют собой соединения любой из формул I-XI, XI-A, XI-B, XII, XII-A, XII-B, XIII, XIII-A, XIII-B, XIV, XIV-A, XIV-B, XV, XV-A или XV-B, где X представляет собой -CH2-, или их фармацевтически приемлемые соли или сольваты.
В другом варианте реализации соединения по данному изобретению представляют собой соединения любой из формул I-XI, XI-A, XI-B, XII, XII-A, XII-B, XIII, XIII-A, XIII-B, XIV, XIV-A, XIV-B, XV, XV-A или XV-B, где X представляет собой -C(=O)-, или их фармацевтически приемлемые соли или сольваты.
В другом варианте реализации соединения по данному изобретению представляют собой соединения любой из формул I-XI, XI-A, XI-B, XII, XII-A, XII-B, XIII, XIII-A, XIII-B, XIV, XIV-A, XIV-B, XV, XV-A или XV-B, где X представляет собой -S(=O)2-, или их фармацевтически приемлемые соли или сольваты.
В другом варианте реализации соединения по данному изобретению представляют собой соединения любой из формул I-XI, XI-A, XI-B, XII, XII-A, XII-B, XIII, XIII-A, XIII-B, XIV, XIV-A, XIV-B, XV, XV-A или XV-B, где Y представляет собой -O-, или их фармацевтически приемлемые соли или сольваты.
В другом варианте реализации соединения по данному изобретению представляют собой соединения любой из формул I-XI, XI-A, XI-B, XII, XII-A, XII-B, XIII, XIII-A, XIII-B, XIV, XIV-A, XIV-B, XV, XV-A или XV-B, где Y представляет собой -N(R7)-, или их фармацевтически приемлемые соли или сольваты. В другом варианте реализации R7 выбран из группы, состоящей из C1-C6 алкила, C1-C6 галогеналкила и необязательно замещенного C3-C8 циклоалкила, или их фармацевтически приемлемые соли или сольваты.
В другом варианте реализации соединения по данному изобретению представляют собой соединения любой из формул I-XI, XI-A, XI-B, XII, XII-A, XII-B, XIII, XIII-A, XIII-B, XIV, XIV-A, XIV-B, XV, XV-A или XV-B, где Z представляет собой -CH2-, X представляет собой -C(=O)-, и Y представляет собой -N(R7)-, или их фармацевтически приемлемые соли или сольваты. В другом варианте реализации R7 выбран из группы, состоящей из C1-C6 алкила, C1-C6 галогеналкила и необязательно замещенного C3-C8 циклоалкила. В другом варианте реализации R7 представляет собой C1-C4 алкил. В другом варианте реализации R7 выбран из группы, состоящей из метила, этила, пропила или изопропила.
В другом варианте реализации соединения по данному изобретению представляют собой соединения любой из формул I-XI, XI-A, XI-B, XII, XII-A, XII-B, XIII, XIII-A, XIII-B, XIV, XIV-A, XIV-B, XV, XV-A или XV-B, где X-Y вместе образуют необязательно замещенный конденсированный 5- или 6-членный гетероарил, или их фармацевтически приемлемые соли или сольваты. В другом варианте реализации X и Y вместе образуют 5-членный гетероариленил.
В другом варианте реализации соединения по данному изобретению представляют собой соединения любой из формул I-XI, XI-A, XI-B, XII, XII-A, XII-B, XIII, XIII-A, XIII-B, XIV, XIV-A, XIV-B, XV, XV-A или XV-B, где X и Y вместе образуют 5-членный гетероариленил формулы I-D:
I-D,
где:
X1 выбран из группы, состоящей из =CR15a- и =N-;
Y1 выбран из группы, состоящей из -O-, -S- и -NR15c-;
Z1 выбран из группы, состоящей из =CR15b- и =N-;
R15a и R15b независимо выбраны из группы, состоящей из водорода, C1-C4 алкила, C1-C4 галогеналкила и C3-C6 циклоалкила;
R15c выбран из группы, состоящей из водорода, C1-C4 алкила и C3-C6 циклоалкила; и
связь, обозначенная как «
», присоединена к Z, или их фармацевтически приемлемые соли или сольваты.
В другом варианте реализации соединения по данному изобретению представляют собой соединения любой из формул I-XI, XI-A, XI-B, XII, XII-A, XII-B, XIII, XIII-A, XIII-B, XIV, XIV-A, XIV-B, XV, XV-A или XV-B, где X и Y вместе образуют 5-членный гетероариленил формулы I-E:
I-E,
где:
X2 выбран из группы, состоящей из =CR16a- и =N-;
Y2 выбран из группы, состоящей из =CR16b- и =N-;
Z2 выбран из группы, состоящей из =CR16b- и =N-; и
R16a, R16b и R16c независимо выбраны из группы, состоящей из водорода, C1-C4 алкила и C3-C6 циклоалкила; и
связь, обозначенная как «
», присоединена к Z, или их фармацевтически приемлемые соли или сольваты.
В другом варианте реализации соединения по данному изобретению представляют собой соединения любой из формул I-XI, XI-A, XI-B, XII, XII-A, XII-B, XIII, XIII-A, XIII-B, XIV, XIV-A, XIV-B, XV, XV-A или XV-B, где X и Y вместе образуют 5-членный гетероариленил, выбранный из группы, состоящей из:
,
, 
и
,
где связь, обозначенная как «
», присоединена к Z, или их фармацевтически приемлемые соли или сольваты.
В другом варианте реализации соединения по данному изобретению представляют собой соединения формулы XVI:
XVI,
где R1, R2, R3a и R4a имеют значения, определенные для формулы I, или их фармацевтически приемлемые соли или сольваты.
В другом варианте реализации соединения по данному изобретению представляют собой соединения формулы XVI, где R3a представляет собой необязательно замещенный фенил, или их фармацевтически приемлемые соли или сольваты.
В другом варианте реализации соединения по данному изобретению представляют собой соединения формулы XVI, где R3a представляет собой необязательно замещенный 5-членный гетероарил, или их фармацевтически приемлемые соли или сольваты.
В другом варианте реализации соединения по данному изобретению представляют собой соединения формулы XVI, где R3a представляет собой необязательно замещенный 6-членный гетероарил, или их фармацевтически приемлемые соли или сольваты. В другом варианте реализации R3a выбран из группы, состоящей из:
.
В другом варианте реализации соединения по данному изобретению представляют собой соединения формулы XVI, где R3a выбран из группы, состоящей из:
.
В другом варианте реализации соединения по данному изобретению представляют собой соединения формулы XVI, где R3a выбран из группы, состоящей из:
,
,
,
,
,
,
,
,
и
.
В другом варианте реализации соединения по данному изобретению представляют собой соединения формулы XVI, где R3a представляет собой необязательно замещенный 4-6-членный гетероцикло, или их фармацевтически приемлемые соли или сольваты.
В другом варианте реализации соединения по данному изобретению представляют собой соединения формулы XVI, где R4a представляет собой C1-C4 галогеналкил, или их фармацевтически приемлемые соли или сольваты.
В другом варианте реализации соединения по данному изобретению представляют собой соединения формулы XVI, где R4a представляет собой -S(=O)2R9, или их фармацевтически приемлемые соли или сольваты.
В другом варианте реализации соединения по данному изобретению представляют собой соединения формулы XVI, где R4a представляет собой -P(=O)(R10a)(R10b), или их фармацевтически приемлемые соли или сольваты.
В другом варианте реализации соединения по данному изобретению представляют собой соединения формулы XVI, где R4a представляет собой -C(=O)OR11a, или их фармацевтически приемлемые соли или сольваты. В другом варианте реализации R11a представляет собой водород.
В другом варианте реализации соединения по данному изобретению представляют собой соединения формулы XVI, где R4a представляет собой -C(=O)NR11bR11c, или их фармацевтически приемлемые соли или сольваты.
В другом варианте реализации соединения по данному изобретению представляют собой соединения формулы XVI, где R4a представляет собой -S(=O)(=NR13a)R13b, или их фармацевтически приемлемые соли или сольваты. В другом варианте реализации R13a выбран из группы, состоящей из водорода и C1-C4 алкила, и R13b представляет собой C1-C4 алкил. В другом варианте реализации R13a и R13b вместе образуют 6-членный гетероцикло, например,
.
В другом варианте реализации соединения по данному изобретению представляют собой соединения любой из формул I-XI, XI-A, XI-B, XII, XII-A, XII-B, XIII, XIII-A, XIII-B, XIV, XIV-A, XIV-B, XV, XV-A, XV-B или XVI, где R2 представляет собой водород, или их фармацевтически приемлемые соли или сольваты.
В другом варианте реализации соединения по данному изобретению представляют собой соединения любой из формул I-XI, XI-A, XI-B, XII, XII-A, XII-B, XIII, XIII-A, XIII-B, XIV, XIV-A, XIV-B, XV, XV-A, XV-B или XVI, где:
R1 представляет собой R1-1:
R1-1;
каждый R12a, R12b и R12c независимо выбран из группы, состоящей из водорода, галогена, C1-C4 алкила, C1-C4 галогеналкила и C1-C4 алкокси;
W выбран из группы, состоящей из -CH2- и -C(=O)-; и
t равен 1 или 2, или их фармацевтически приемлемые соли или сольваты.
В другом варианте реализации соединения по данному изобретению представляют собой соединения любой из формул I-XI, XI-A, XI-B, XII, XII-A, XII-B, XIII, XIII-A, XIII-B, XIV, XIV-A, XIV-B, XV, XV-A, XV-B или XVI, где R1 представляет собой R1-1, R12a представляет собой фтор; и R12b и R12c независимо выбраны из группы, состоящей из водорода и фтора. В другом варианте реализации R12a представляет собой фтор; и R12b и R12c представляют собой водород.
В другом варианте реализации соединения по данному изобретению представляют собой соединения любой из формул I-XI, XI-A, XI-B, XII, XII-A, XII-B, XIII, XIII-A, XIII-B, XIV, XIV-A, XIV-B, XV, XV-A, XV-B или XVI, где:
R1 представляет собой R1-2:
R1-2;
каждый R12a, R12b и R12c независимо выбран из группы, состоящей из водорода, галогена, C1-C4 алкила, C1-C4 галогеналкила и C1-C4 алкокси; и
t равен 1 или 2, или их фармацевтически приемлемые соли или сольваты.
В другом варианте реализации соединения по данному изобретению представляют собой соединения любой из формул I-XI, XI-A, XI-B, XII, XII-A, XII-B, XIII, XIII-A, XIII-B, XIV, XIV-A, XIV-B, XV, XV-A, XV-B или XVI, где R1 представляет собой R1-2, R12a представляет собой фтор; и R12b и R12c независимо выбраны из группы, состоящей из водорода и фтора. В другом варианте реализации R12a представляет собой фтор; и R12b и R12c представляют собой водород.
В другом варианте реализации соединения по данному изобретению представляют собой соединения любой из формул I-XI, XI-A, XI-B, XII, XII-A, XII-B, XIII, XIII-A, XIII-B, XIV, XIV-A, XIV-B, XV, XV-A, XV-B или XVI, где:
R1 представляет собой R1-3:
R1-3; и
каждый R12a, R12b и R12c независимо выбран из группы, состоящей из водорода, галогена, C1-C4 алкила, C1-C4 галогеналкила и C1-C4 алкокси, или их фармацевтически приемлемые соли или сольваты.
В другом варианте реализации соединения по данному изобретению представляют собой соединения любой из формул I-XI, XI-A, XI-B, XII, XII-A, XII-B, XIII, XIII-A, XIII-B, XIV, XIV-A, XIV-B, XV, XV-A, XV-B или XVI, где R1 представляет собой R1-3, R12a представляет собой фтор; и R12b и R12c независимо выбраны из группы, состоящей из водорода и фтора. В другом варианте реализации R12a представляет собой фтор; и R12b и R12c представляют собой водород.
В другом варианте реализации соединения по данному изобретению представляют собой соединения любой из формул I-XI, XI-A, XI-B, XII, XII-A, XII-B, XIII, XIII-A, XIII-B, XIV, XIV-A, XIV-B, XV, XV-A, XV-B или XVI, где:
R1 представляет собой R1-4:
R1-4; и
каждый R12a, R12b и R12c независимо выбран из группы, состоящей из водорода, галогена, C1-C4 алкила, C1-C4 галогеналкила и C1-C4 алкокси, или их фармацевтически приемлемые соли или сольваты.
В другом варианте реализации соединения по данному изобретению представляют собой соединения любой из формул I-XI, XI-A, XI-B, XII, XII-A, XII-B, XIII, XIII-A, XIII-B, XIV, XIV-A, XIV-B, XV, XV-A, XV-B или XVI, где R1 представляет собой R1-4, R12a представляет собой фтор; и R12b и R12c независимо выбраны из группы, состоящей из водорода и фтора. В другом варианте реализации R12a представляет собой фтор; и R12b и R12c представляют собой водород.
В другом варианте реализации соединения по данному изобретению представляют собой соединения любой из формул I-XI, XI-A, XI-B, XII, XII-A, XII-B, XIII, XIII-A, XIII-B, XIV, XIV-A, XIV-B, XV, XV-A, XV-B или XVI, где R1 выбран из группы, состоящей из:
,
или их фармацевтически приемлемые соли или сольваты.
В другом варианте реализации соединения по данному изобретению представляют собой соединения любой из формул I-XI, XI-A, XI-B, XII, XII-A, XII-B, XIII, XIII-A, XIII-B, XIV, XIV-A, XIV-B, XV, XV-A, XV-B или XVI, где R1 выбран из группы, состоящей из:
или их фармацевтически приемлемые соли или сольваты.
В другом варианте реализации соединения по данному изобретению представляют собой соединения любой из формул I-XI, XI-A, XI-B, XII, XII-A, XII-B, XIII, XIII-A, XIII-B, XIV, XIV-A, XIV-B, XV, XV-A, XV-B или XVI, где R1 выбран из группы, состоящей из:
,
и
,
или их фармацевтически приемлемые соли или сольваты.
В другом варианте реализации соединения по данному изобретению представляют собой любое одно или более соединений, перечисленных в таблице 1, или их фармацевтически приемлемые соли или сольваты.
Таблица 1
В другом варианте реализации соединения по данному изобретению представляют собой соединения формулы I, выбранные из группы, состоящей из:
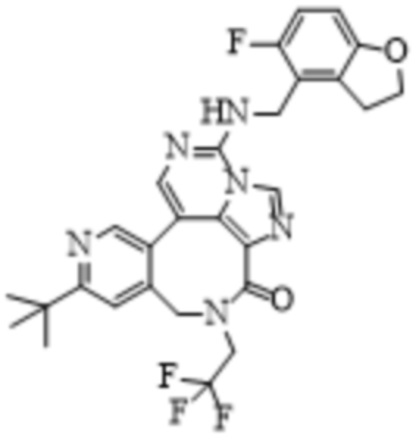
4-этил-12-(((5-фтор-2,3-дигидробензофуран-4-ил)метил)амино)-7-(трифторметил)-4,5-дигидро-3H-2,4,8,11,12a-пентаазабензо[4,5]циклоокта[1,2,3-cd]инден-3-она;
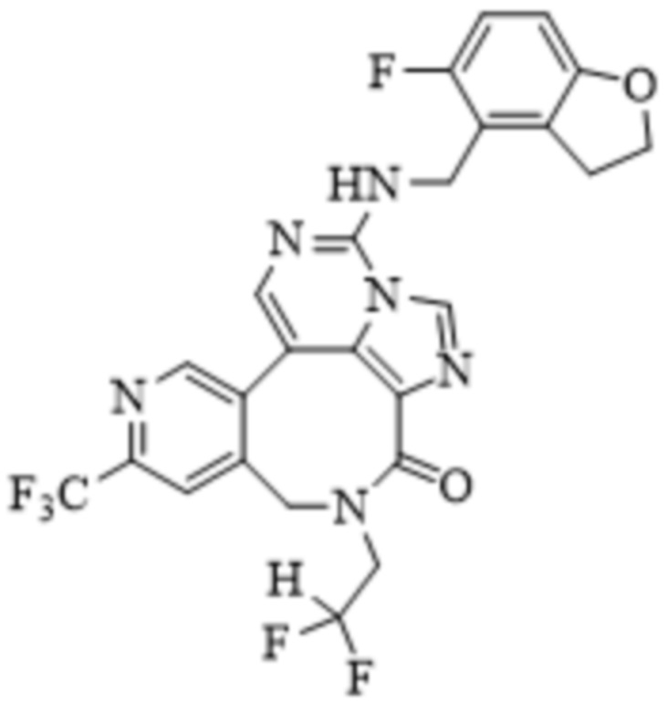
12-(((5-фтор-2,3-дигидробензофуран-4-ил)метил)амино)-4-(2,2,2-трифторэтил)-7-(трифторметил)-4,5-дигидро-3H-2,4,8,11,12a-пентаазабензо[4,5]циклоокта[1,2,3-cd]инден-3-она;
4-циклопропил-12-(((5-фтор-2,3-дигидробензофуран-4-ил)метил)амино)-7-(трифторметил)-4,5-дигидро-3H-2,4,8,11,12a-пентаазабензо[4,5]циклоокта[1,2,3-cd]инден-3-она;
12-(((5-фтор-2,3-дигидробензофуран-4-ил)метил)амино)-4-изопропил-7-(трифторметил)-4,5-дигидро-3H-2,4,8,11,12a-пентаазабензо[4,5]циклоокта[1,2,3-cd]инден-3-она; и
11-(((5-фтор-2,3-дигидробензофуран-4-ил)метил)амино)-6-метил-4H-3-тиа-2,5,10,11a-тетраазадибензо[cd,f]азулен-3,3-диоксида,
или их фармацевтически приемлемые соли или сольваты.
Данное изобретение предусматривает получение и применение солей соединений по данному изобретению. В данном контексте термин «фармацевтически приемлемая соль» относится к солям или цвиттер-ионным формам соединений по данному изобретению. Соли соединений по данному изобретению могут быть получены во время окончательного выделения и очистки соединений или отдельно, посредством взаимодействия соединения с подходящей кислотой. Фармацевтически приемлемые соли соединений по данному изобретению могут представлять собой соли присоединения кислот, полученные с фармацевтически приемлемыми кислотами. Примеры кислот, которые могут быть использованы для получения фармацевтически приемлемых солей, включают неорганические кислоты, такие как азотная, борная, хлористоводородная, бромистоводородная, серная и фосфорная, и органические кислоты, такие как щавелевая, малеиновая, янтарная и лимонная. Неограничивающие примеры солей соединений по данному изобретению включают, но не ограничиваются ими, гидрохлоридные, гидробромидные, гидройодидные, сульфатные, бисульфатные, 2-гидроксиэтансульфонатные, фосфатные, гидрофосфатные, ацетатные, адипинатные, альгинатные, аспартатные, бензоатные, бисульфатные, бутиратные, камфоратные, камфорсульфонатные, диглюконатные, глицерофосфатные, гемисульфатные, гептаноатные, гексаноатные, формиатные, сукцинатные, фумаратные, малеатные, аскорбатные, изетионатные, салицилатные, метансульфонатные, мезитиленсульфонатные, нафтиленсульфонатные, никотинатные, 2-нафталинсульфонатные, оксалатные, памоатные, пектинатные, персульфатные, 3-фенилпропионатные, пикратные, пивалатные, пропионатные, трихлорацетатные, трифторацетатные, фосфатные, глутаматные, бикарбонатные, пара-толуолсульфонатные, ундеканоатные, лактатные, цитратные, тартратные, глюконатные, метансульфонатные, этандисульфонатные, бензолсульфонатные и п-толуолсульфонатные соли. Кроме того, доступные аминогруппы, присутствующие в соединениях по данному изобретению, могут быть кватернизованы метил-, этил-, пропил- и бутилхлоридами, -бромидами и -йодидами; диметил-, диэтил-, дибутил- и диамилсульфатами; децил-, лаурил-, миристил- и стеарилхлоридами, -бромидами и -йодидами; и бензил- и фенэтилбромидами. В свете вышесказанного, любое упоминание соединений по данному изобретению, встречающееся в данном контексте, включает соединения по данному изобретению, а также их фармацевтически приемлемые соли, гидраты или сольваты.
Данное изобретение предусматривает получение и применение сольватов соединений по данному изобретению. Сольваты обычно существенно не изменяют физиологическую активность или токсичность соединений и, следовательно, могут действовать как фармакологические эквиваленты. Термин «сольват» в данном контексте представляет собой комбинацию, физическую связь и/или сольватацию соединения по данному изобретению с молекулой растворителя, такую как, например, дисольват, моносольват или полусольват, в которых отношение молекулы растворителя к соединению по данному изобретению составляет около 2:1, около 1:1 или около 1:2, соответственно. Такая физическая связь включает переменные степени ионного и ковалентного связывания, в том числе водородного связывания. В некоторых случаях сольват может быть выделен, например, если одна или более молекул растворителя внедрены в кристаллическую решетку кристаллического вещества. Таким образом, «сольват» включает фазу в растворе и поддающиеся выделению сольваты. Соединение по данному изобретению могут быть представлены в виде сольватированных форм с фармацевтически приемлемым растворителем, таким как вода, метанол, этанол, и предусмотрено, что данное описание включает как сольватированные, так и несольватированные формы соединений по данному изобретению. Один из типов сольватов представляет собой гидрат. «Гидрат» относится к определенной подгруппе сольватов, в которых молекула растворителя представляет собой воду. Обычно сольваты могут действовать в качестве фармакологических эквивалентов. Получение сольватов известно в данной области техники. См., например, M. Caira et al, J. Pharmaceut. Sci., 93(3):601-611 (2004), где описано получение сольватов флуконазола с этилацетатом и с водой. Подобные способы получения сольватов, полусольватов, гидратов и т.п. описаны в публикациях E.C. van Tonder et al., AAPS Pharm. Sci. Tech., 5(1):Article 12 (2004), и A.L. Bingham et al., Chem. Commun. 603-604 (2001). Типичный неограничивающий способ получения сольвата включает растворение соединения по данному изобретению в требуемом растворителе (в органическом растворителе, в воде или их смеси) при температурах от выше 20 °С до около 25 °С, затем охлаждение раствора со скоростью, достаточной для образования кристаллов, и выделение кристаллов известными способами, например, фильтрованием. Для подтверждения наличия сольвата в кристалле сольвата могут быть использованы аналитические технологии, такие как инфракрасная спектроскопия.
II. Промежуточные соединения по данному изобретению
В данном изобретении также предложены синтетические промежуточные соединения, в совокупности упоминаемые как «Промежуточные соединения по данному изобретению», которые могут быть использованы для получения соединений по данному изобретению.
В одном варианте реализации промежуточные соединения по данному изобретению представляют собой соединения формулы I, где:
R3 представляет собой R3a;
R4 представляет собой R4a;
R3a выбран из группы, состоящей из замещенного арила, замещенного 5-10-членного гетероарила и замещенного 4-8-членного гетероцикло;
причем по меньшей мере один из указанного арила, 5-10-членного гетероарила или 4-8-членного гетероцикло-заместителя представляет собой амино, гидроксиалкил или (амино)алкил; и
R4a представляет собой галоген или -C(=O)OR11a, или их фармацевтически приемлемые соли или сольваты.
В одном варианте реализации промежуточные соединения по данному изобретению представляют собой соединения формулы XVII:
XVII,
где
представляет собой фенил, 5-членный гетероарил или 6-членный гетероарил; и R1, R2, R7, R8a, R8b, R8c и
имеют значения, определенные для формулы I, или их фармацевтически приемлемые соли или сольваты.
В другом варианте реализации промежуточные соединения по данному изобретению представляют собой соединения формулы XVIII:
XVIII,
где
представляет собой необязательно замещенный 3-8-членный циклоалкил или необязательно замещенный 4-8-членный гетероцикло; и R1, R2, R7 и
имеют значения, определенные для формулы I, или их фармацевтически приемлемые соли или сольваты.
В другом варианте реализации промежуточные соединения по данному изобретению представляют собой соединения формулы XIX:
XIX,
где
представляет собой необязательно замещенный 4-8-членный гетероцикло; и R1, R2 и R7 имеют значения, определенные для формулы I, или их фармацевтически приемлемые соли или сольваты.
В одном варианте реализации промежуточные соединения по данному изобретению представляют собой соединения формулы XX:
XX,
где
представляет собой фенил, 5-членный гетероарил или 6-членный гетероарил; и R1, R2, R8a, R8b, R8c и
имеют значения, определенные для формулы I, или их фармацевтически приемлемые соли или сольваты.
В другом варианте реализации промежуточные соединения по данному изобретению представляют собой соединения формулы XXI:
XXI,
где
представляет собой необязательно замещенный 3-8-членный циклоалкил или необязательно замещенный 4-8-членный гетероцикло; и R1, R2 и
имеют значения, определенные для формулы I, или их фармацевтически приемлемые соли или сольваты.
В другом варианте реализации промежуточные соединения по данному изобретению представляют собой соединения формулы XXII:
XXII,
где
представляет собой необязательно замещенный 4-8-членный гетероцикло; и R1 и R2 имеют значения, определенные для формулы I, или их фармацевтически приемлемые соли или сольваты.
Примеры промежуточных соединений по данному изобретению включают, но не ограничиваются ими, E 12-8 и E 12-9 из примера 1, E 16-1 и E-16-2 из примера 2, E 3-1 из примера 3, E 36-6 и E 36-7 из примера 4, E 10-8 из примера 5, E 95-3 из примера 6, E-2211.2 и E-2211.3 из примера 26, E-2189.1 и E-2189.2 из примера 27, и E-2206.2 и E-2206.3 из примера 28.
III. Способы получения соединений и промежуточных соединений по данному изобретению
В данном изобретении также предложены способы получения соединений по данному изобретению и/или промежуточных соединений по данному изобретению.
Примеры способов получения соединений по данному изобретению и/или промежуточных соединений по данному изобретению представлены в примерах 1-6 и 17.
IV. Способы лечения заболеваний с применением соединений по данному изобретению
Соединения по данному изобретению ингибируют EED и, следовательно, пригодны для лечения или предотвращения различных заболеваний и патологических состояний. В частности, соединения по данному изобретению пригодны в способах лечения или предотвращения заболевания или патологического состояния, при котором ингибирование EED обеспечивает положительный эффект. Среди указанных заболеваний и патологических состояний основными являются раковые и пролиферативные заболевания. В одном варианте реализации такой рак упомянут как «рак, опосредованный EED». Раковые заболевания, опосредованные EED, известны в данной области техники. Терапевтические способы по данному изобретению включают введение терапевтически эффективного количества соединения по данному изобретению субъекту, например, человеку, нуждающемуся в этом. Предложенные способы также включают необязательно введение субъекту необязательного терапевтического агента, помимо соединения по данному изобретению. Необязательный терапевтический агент выбран из лекарственных средств, которые, как известно, пригодны для лечения заболевания или патологического состояния, поражающего субъекта, нуждающегося в этом, например, из химиотерапевтического агента и/или ионизирующего излучения, которое, как известно, пригодно для лечения конкретного вида рака.
В другом варианте реализации данное изобретение относится к способу лечения индивидуума, страдающего от заболевания или патологического состояния, при котором ингибирование EED обеспечивает положительный эффект, указанный способ включает введение терапевтически эффективного количества соединения по данному изобретению.
Поскольку соединения по данному изобретению являются ингибиторами белка EED, то с применением указанных соединений можно лечить многие заболевания и патологические состояния, опосредованные EED. Таким образом, данное изобретение относится, в целом, к способу лечения патологического состояния или расстройства, чувствительного к ингибированию EED, у субъекта, например, у субъекта-человека, страдающего или имеющего риск возникновения такого патологического состояния или расстройства, указанный способ включает введение субъекту эффективного количества одного или более соединений по данному изобретению.
В другом варианте реализации данное изобретение относится к способу ингибирования EED у субъекта, нуждающегося в этом, указанный способ включает введение субъекту эффективного количества по меньшей мере одного соединения по данному изобретению.
Способы по данному изобретению могут быть осуществлены посредством введения соединения по данному изобретению в виде чистого соединения или в виде фармацевтической композиции. Введение фармацевтической композиции или чистого соединения по данному изобретению можно осуществлять во время или после возникновения рассматриваемого заболевания или патологического состояния. Обычно фармацевтические композиции являются стерильными и не содержат токсичные, канцерогенные или мутагенные соединения, которые вызывают нежелательную реакцию при введении. Дополнительно предложены наборы, содержащие соединение по данному изобретению и необязательно необязательный терапевтический агент, упакованный отдельно или совместно, а также вкладыш, содержащий инструкции по применению указанных активных агентов.
В одном варианте реализации соединение по данному изобретению вводят в сочетании с необязательным терапевтическим агентом, пригодным для лечения заболевания или патологического состояния, при котором ингибирование EED обеспечивает положительный эффект. Необязательный терапевтический агент отличен от соединения по данному изобретению. Соединение по данному изобретению и необязательный терапевтический агент можно вводить одновременно или последовательно для достижения требуемого эффекта. Кроме того, соединение по данному изобретению и необязательный терапевтический агент можно вводить из одной композиции или из двух отдельных композиций.
Необязательный терапевтический агент вводят в количестве, обеспечивающем его требуемый терапевтический эффект. Диапазон эффективных доз для каждого необязательного терапевтического агента известен в данной области техники, и необязательный терапевтический агент вводят индивидууму, нуждающемуся в этом, в указанных установленных диапазонах.
Соединение по данному изобретению и необязательный терапевтический агент можно вводить вместе в виде единой разовой дозы или по отдельности в виде нескольких разовых доз, причем соединение по данному изобретению вводят до необязательного терапевтического агента или наоборот. Можно вводить одну или более доз соединения по данному изобретению и/или одну или более доз необязательного терапевтического агента. Таким образом, соединение по данному изобретению может быть использовано в сочетании с одним или более необязательными терапевтическими агентами, например, но не ограничиваясь ими, противораковыми агентами.
Заболевания и патологические состояния, которые можно лечить способами по данному изобретению, включают, но не ограничиваясь ими, рак и другие пролиферативные расстройства, воспалительные заболевания, сепсис, аутоиммунные заболевания и вирусные инфекции. В одном варианте реализации осуществляют лечение субъекта-человека соединением по данному изобретению или фармацевтической композицией, содержащей соединение по данному изобретению, причем указанное соединение вводят в количестве, достаточном для ингибирования белка EED у субъекта.
В другом аспекте данного изобретения предложен способ лечения рака у субъекта, включающий введение терапевтически эффективного количества соединения по данному изобретению. Не ограничиваясь конкретным механизмом, в некоторых вариантах реализации соединения по данному изобретению обеспечивают лечение рака посредством ингибирования EED. Примеры пригодных для лечения раковых заболеваний включают, но не ограничиваясь ими, любое одно или более из раковых заболеваний, указанных в таблице 3.
Таблица 3
В другом варианте реализации рак представляет собой солидную опухоль. В другом варианте реализации рак представляет собой гематологический рак. Иллюстративные гематологические виды рака включают, но не ограничиваясь ими, раковые заболевания, перечисленные в таблице 4. В другом варианте реализации гематологический рак представляет собой острый лимфоцитарный лейкоз, хронический лимфоцитарный лейкоз (включая хронический B-клеточный лимфоцитарный лейкоз) или острый миелоидный лейкоз.
Таблица 4
В другом варианте реализации рак представляет собой лейкоз, например, лейкоз, выбранный из острого моноцитарного лейкоза, острого миелогенного лейкоза, хронического миелогенного лейкоза, хронического лимфоцитарного лейкоза и лейкоза смешанного происхождения (MLL). В другом варианте реализации рак представляет собой срединную карциному, имеющую NUT-перегруппировку. В другом варианте реализации рак представляет собой множественную миелому. В другом варианте реализации рак представляет собой рак легких, такой как мелкоклеточный рак легких (SCLC). В другом варианте реализации рак представляет собой нейробластому. В другом варианте реализации рак представляет собой лимфому Беркитта. В другом варианте реализации рак представляет собой рак шейки матки. В другом варианте реализации рак представляет собой рак пищевода. В другом варианте реализации рак представляет собой рак яичника. В другом варианте реализации рак представляет собой рак толстой и прямой кишок. В другом варианте реализации рак представляет собой рак предстательной железы. В другом варианте реализации рак представляет собой рак молочной железы.
В другом варианте реализации рак выбран из группы, состоящей из острого моноцитарного лейкоза, острого миелогенного лейкоза, хронического миелогенного лейкоза, хронического лимфоцитарного лейкоза, лейкоза смешанного происхождения, срединной карциномы, имеющей NUT-перегруппировку, множественной миеломы, мелкоклеточного рака легких, немелкоклеточного рака легких, нейробластомы, лимфомы Беркитта, рака шейки матки, рака пищевода, рака яичника, рака толстой и прямой кишок, рака предстательной железы, рака молочной железы, рака мочевого пузыря, рака яичника, глиомы, саркомы, плоскоклеточной карциномы пищевода и папиллярной карциномы щитовидной железы.
В другом варианте реализации данного изобретения предложен способ лечения доброкачественного пролиферативного расстройства, такого как, но не ограничиваясь ими, доброкачественные опухоли мягких тканей, опухоли костей, опухоли головного и спинного мозга, опухоли век и глазниц, гранулема, липома, менингиома, множественная эндокринная неоплазия, носовые полипы, опухоли гипофиза, пролактинома, псевдоопухоль головного мозга, себорейный кератоз, полипы желудка, узлы щитовидной железы, кистозные новообразования поджелудочной железы, гемангиома, узелки на голосовых связках, полипы и кисты, болезнь Кастлемена, хроническая пилонидальная болезнь, дерматофиброма, волосяная киста, гнойная гранулема и синдром юношеского полипоза.
Соединения по данному изобретению могут также обеспечивать лечение инфекционных и неинфекционных воспалительных событий, а также аутоиммунных и других воспалительных заболеваний посредством введения эффективного количества предложенного соединения млекопитающему, в частности, человеку, нуждающемуся в таком лечении. Примеры аутоиммунных и воспалительных заболеваний, расстройств и синдромов, которые можно лечить с применением соединений и способов, описанных в данном документе, включают воспалительные тазовые заболевания, уретрит, солнечные ожоги кожи, синусит, пневмонит, энцефалит, менингит, миокардит, нефрит, остеомиелит, миозит, гепатит, гастрит, энтерит, дерматит, гингивит, аппендицит, панкреатит, холецистит, агаммаглобулинемию, псориаз, аллергию, болезнь Крона, синдром раздраженного кишечника, язвенный колит, болезнь Шегрена, отторжение тканевого трансплантата, сверхострое отторжение трансплантированных органов, астму, аллергический ринит, хроническую обструктивную болезнь легких (ХОБЛ), аутоиммунное полигландулярное заболевание (также известное как аутоиммунный полигландулярный синдром), аутоиммунную алопецию, пернициозную анемию, гломерулонефрит, дерматомиозит, рассеянный склероз, склеродермию, васкулит, аутоиммунные гемолитические и тромбоцитопенические состояния, синдром Гудпасчера, атеросклероз, болезнь Аддисона, болезнь Паркинсона, болезнь Альцгеймера, диабет I типа, септический шок, системную красную волчанку (СКВ), ревматоидный артрит, псориатический артрит, ювенильный артрит, остеоартрит, хроническую идиопатическую тромбоцитопеническую пурпуру, макроглобулинемиию Вальденстрема, миастению гравис, тиреоидит Хашимото, атопический дерматит, дегенеративное заболевание суставов, витилиго, аутоиммунный гипопитуитаризм, синдром Гийена-Барре, болезнь Бехчета, склеродермию, грибовидный микоз, острые воспалительные реакции (такие как острый респираторный дистресс-синдром и ишемическое/реперфузионное повреждение) и болезнь Грейвса.
В другом варианте реализации данного изобретения предложен способ лечения синдромов системных воспалительных реакций, таких как LPS-индуцированный эндотоксический шок и/или сепсис, вызванный бактериями, посредством введения эффективного количества соединения по данному изобретению млекопитающему, в частности, человеку, нуждающемуся в таком лечении.
В другом варианте реализации данного изобретения предложен способ лечения вирусных инфекций и заболеваний. Примеры вирусных инфекций и заболеваний, которые можно лечить с применением соединений и способов, описанных в данном документе, включают эписомные ДНК-вирусы, включая, но не ограничиваясь ими, вирус папилломы человека, вирус герпеса, вирус Эпштейна-Барра, вирус иммунодефицита человека, вирус гепатита В и вирус гепатита С.
В другом варианте реализации данного изобретения предложен терапевтический способ модулирования метилирования белков, генной экспрессии, клеточной пролиферации, клеточной дифференцировки и/или апоптоза in vivo при заболеваниях, упомянутых выше, в частности, при раке, воспалительном заболевании и/или вирусном заболевании, посредством введения субъекту, нуждающемуся в такой терапии, терапевтически эффективного количества соединения по данному изобретению.
В другом варианте реализации данного изобретения предложен способ регулирования активности эндогенного или гетерологичного промотора посредством приведения в контакт клетки с соединением по данному изобретению.
В способах по данному изобретению человеку, нуждающемуся в этом, вводят терапевтически эффективное количество соединения по данному изобретению, обычно составленного в композицию в соответствии с фармацевтической практикой. Показано ли такое лечение, зависит от конкретного случая и подлежит медицинской оценке (диагнозу), в которой учитывают присутствующие признаки, симптомы и/или нарушения, риски развития конкретных признаков, симптомов и/или нарушения и другие факторы.
Соединение по данному изобретению можно вводить любым подходящим способом, например, посредством перорального, буккального, ингаляционного, сублингвального, ректального, вагинального, интрацистернального или интратекального введения через поясничный прокол, посредством трансуретрального, назального, чрескожного, т.е. трансдермального или парентерального (включая внутривенную, внутримышечную, подкожную, интракоронарную, интрадермальную, интрамаммарную, интраперитонеальную, внутрисуставную, интратекальную, ретробульбарную, внутрилегочную инъекцию и/или хирургическую имплантацию в требуемом положении) введения. Парентеральное введение может быть осуществлено с помощью иглы и шприца или с применением технологии высокого давления.
Фармацевтические композиции включают те, в которых соединение по данному изобретению вводят в эффективном количестве для достижения предполагаемой цели. Точный состав, способ введения и дозу определяет конкретный врач с учетом диагностированного состояния или заболевания. Размер дозы и интервал введения могут быть подобраны индивидуально для обеспечения такого уровня соединения по данному изобретению, которое является достаточным для поддержания терапевтического эффекта.
Токсичность и терапевтическая эффективность соединения по данному изобретению могут быть установлены стандартными фармацевтическими способами в клеточных культурах или на экспериментальных животных, например, для определения максимальной переносимой дозы (MTD) соединения, которую определяют как наивысшую дозу, не вызывающую токсичность у животных. Соотношение доз между максимально переносимой дозой и концентрацией, обеспечивающей терапевтический эффект (например, ингибирование роста опухоли), представляет собой терапевтический индекс. Доза может варьироваться в указанном диапазоне в зависимости от используемой лекарственной формы и способа введения. Определение терапевтически эффективного количества входит в объем знаний специалиста в данной области, особенно в свете подробного описания, представленного в данном документе.
Терапевтически эффективное количество соединения по данному изобретению, необходимое для применения в терапии, варьируется в зависимости от природы патологического состояния, подлежащего лечению, продолжительности времени, в течение которого необходима такая активность, а также от возраста и состояния субъекта, и, в конечном итоге, его определяет лечащий врач. Размер дозы и интервал введения могут быть подобраны индивидуально для обеспечения такого уровня соединения по данному изобретению в плазме, которое является достаточным для поддержания требуемого терапевтического эффекта. Требуемая доза может быть введена в виде однократной дозы или нескольких доз, вводимых с соответствующими интервалами, например, в виде одной, двух, трех, четырех или более субдоз в сутки. Часто желательно или необходимо вводить несколько доз. Например, соединение по данному изобретению можно вводить с частотой: четыре дозы, доставляемые в форме однократной суточной дозы с интервалами в четыре дня (q4d x 4); четыре дозы, доставляемые в форме однократной суточной дозы с интервалами в три дня (q3d x 4); одна доза в сутки с интервалами в пять дней (qd х 5); одна доза в неделю в течение трех недель (qwk3); пять суточных доз с двумя днями перерыва и еще пять суточных доз (5/2/5); или в соответствии с любой схемой введения доз, которая является подходящей в конкретных обстоятельствах.
Соединение по данному изобретению, используемое в способе по данному изобретению, можно вводить в количестве от около 0,005 до около 500 миллиграмм на дозу, от около 0,05 до около 250 миллиграмм на дозу или от около 0,5 до около 100 миллиграмм на дозу. Например, соединение по данному изобретению можно вводить, в пересчете на дозу, в количестве около 0,005, около 0,05, около 0,5, около 5, около 10, около 20, около 30, около 40, около 50, около 100, около 150, около 200, около 250, около 300, около 350, около 400, около 450 или около 500 миллиграмм, включая все дозы от 0,005 до 500 миллиграмм.
Доза композиции, содержащей соединение по данному изобретению, или композиции, содержащей его, может составлять от около 1 нг/кг до около 200 мг/кг, от около 1 мкг/кг до около 100 мг/кг или от около 1 мг/кг до около 50 мг/кг. Доза композиции может представлять собой любую дозу, включая, но не ограничиваясь этим, около 1 мкг/кг. Доза композиции может представлять собой любую дозу, включая, но не ограничиваясь ими, около 1 мкг/кг, около 10 мкг/кг, около 25 мкг/кг, около 50 мкг/кг, около 75 мкг/кг, около 100 мкг/кг, около 125 мкг/кг, около 150 мкг/кг, около 175 мкг/кг, около 200 мкг/кг, около 225 мкг/кг, около 250 мкг/кг, около 275 мкг/кг, около 300 мкг/кг, около 325 мкг/кг, около 350 мкг/кг, около 375 мкг/кг, около 400 мкг/кг, около 425 мкг/кг, около 450 мкг/кг, около 475 мкг/кг, около 500 мкг/кг, около 525 мкг/кг, около 550 мкг/кг, около 575 мкг/кг, около 600 мкг/кг, около 625 мкг/кг, около 650 мкг/кг, около 675 мкг/кг, около 700 мкг/кг, около 725 мкг/кг, около 750 мкг/кг, около 775 мкг/кг, около 800 мкг/кг, около 825 мкг/кг, около 850 мкг/кг, около 875 мкг/кг, около 900 мкг/кг, около 925 мкг/кг, около 950 мкг/кг, около 975 мкг/кг, около 1 мг/кг, около 5 мг/кг, около 10 мг/кг, около 15 мг/кг, около 20 мг/кг, около 25 мг/кг, около 30 мг/кг, около 35 мг/кг, около 40 мг/кг, около 45 мг/кг, около 50 мг/кг, около 60 мг/кг, около 70 мг/кг, около 80 мг/кг, около 90 мг/кг, около 100 мг/кг, около 125 мг/кг, около 150 мг/кг, около 175 мг/кг, около 200 мг/кг или более. Вышеуказанные дозы являются иллюстративными для среднего случая, но могут иметь место отдельные случаи, в которых уместны более высокие или низкие диапазоны доз, и они входят в объем данного изобретения. На практике врач определяет фактическую схему введения доз, которая является наиболее подходящей для индивидуального субъекта, которая может варьироваться в зависимости от возраста, массы и ответа конкретного субъекта.
Соединения по данному изобретению обычно вводят в смеси с фармацевтическим носителем, с получением фармацевтической композиции, выбранной с учетом предполагаемого способа введения и стандартной фармацевтической практики. Фармацевтические композиции для применения в соответствии с данным изобретением, составляют обычным образом, используя один или более физиологически приемлемых носителей, содержащих вспомогательные вещества и/или добавки, которые облегчают переработку соединения по данному изобретению.
Такие фармацевтические композиции могут быть получены, например, посредством обычных процессов смешивания, растворения, гранулирования, дражирования, эмульгирования, инкапсулирования, заливки или лиофилизации. Подходящая лекарственная форма зависит от выбранного способа введения. Если терапевтически эффективное количество соединения по данному изобретению вводят перорально, то композиция обычно представлена в форме таблетки, капсулы, порошка, раствора или эликсира. При введении в форме таблетки композиция может дополнительно содержать твердый носитель, такой как желатин, или вспомогательное вещество. Таблетка, капсула и порошок содержат от около 0,01% до около 95% и предпочтительно от около 1% до около 50% соединения по данному изобретению. При введении в жидкой форме может быть добавлен жидкий носитель, такой как вода, масло минерального происхождения или масла животного или растительного происхождения. Жидкая форма композиции может дополнительно содержать физиологический солевой раствор, раствор декстрозы или других сахаридов, или гликоли. При введении в жидкой форме композиция содержит от около 0,1% до около 90% и предпочтительно от около 1% до около 50% по массе соединения по данному изобретению.
Если терапевтически эффективное количество соединения по данному изобретению вводят внутривенной, кожной или подкожной инъекцией, то композиция представлена в форме апирогенного, парентерально приемлемого водного раствора. Получение таких парентерально приемлемых растворов, имеющих соответствующий рН, изотоничность, стабильность и т.п., известно в данной области техники. Предпочтительная композиция для внутривенной, кожной или подкожной инъекции обычно содержит изотоничный жидкий носитель.
Соединения по данному изобретению могут быть без труда объединены с фармацевтически приемлемыми носителями, известными в данной области техники. Стандартные фармацевтические носители описаны в публикации Remington's Pharmaceutical Sciences, Mack Publishing Co., Истон, штат Пенсильвания, 19е изд. 1995. Такие носители обеспечивают возможность составления активных агентов в таблетки, пилюли, драже, капсулы, жидкости, гели, сиропы, взвеси, суспензии и т.п. для перорального проглатывания субъектом, подлежащим лечению. Фармацевтические препараты для перорального применения могут быть получены посредством добавления соединения по данному изобретению к твердому вспомогательному веществу, необязательного измельчения полученной смеси и переработки указанной смеси в гранулы после добавления, при необходимости, соответствующих вспомогательных веществ, с получением таблеток или ядер драже. Подходящие вспомогательные вещества включают, например, наполнители и препараты целлюлозы. При необходимости могут быть добавлены разрыхлители.
Соединения по данному изобретению могут быть составлены для парентерального введения посредством инъекции, например, болюсной инъекции или непрерывной инфузии. Лекарственные формы для инъекций могут быть представлены в единичной лекарственной форме, например, в ампулах, или в многодозовых контейнерах с добавлением консерванта. Композиции могут принимать такие формы как суспензии, растворы или эмульсии в масляных или водных носителях, и могут содержать формообразующие агенты, такие как суспендирующие, стабилизирующие и/или диспергирующие агенты.
Фармацевтические композиции для парентерального введения включают водные растворы активного агента в водорастворимой форме. Кроме того, суспензии соединения по данному изобретению могут быть получены в виде соответствующих масляных суспензий для инъекций. Подходящие липофильные растворители или носители включают жирные масла или синтетические сложные эфиры жирных кислот. Водные суспензии для инъекций могут содержать вещества, повышающие вязкость суспензии. Необязательно, суспензия также может содержать подходящие стабилизаторы или агенты, повышающие растворимость соединений и обеспечивающие возможность получения высококонцентрированных растворов. Альтернативно, предложенная композиция может быть в порошкообразной форме для разведения подходящим носителем, например, стерильной апирогенной водой, перед применением.
Соединения по данному изобретению также могут быть составлены в ректальные композиции, такие как суппозитории или удерживающие клизмы, например, содержащие обычные основы для суппозиториев. Помимо лекарственных форм, описанных выше, соединение по данному изобретению также может быть составлено в форме препарата депо. Такие долгодействующие лекарственные формы можно вводить посредством имплантации (например, подкожно или внутримышечно) или посредством внутримышечной инъекции. Так, например, соединение по данному изобретению может быть составлено в композицию с подходящими полимерными или гидрофобными материалами (например, в форме эмульсии в приемлемом масле) или с ионообменными смолами.
В частности, соединения по данному изобретению можно вводить перорально, буккально или сублингвально в форме таблеток, содержащих вспомогательные вещества, такие как крахмал или лактоза, или в форме капсул или капсул яйцевидной формы, в чистом виде или в смеси со вспомогательными веществами, или в форме эликсиров или суспензий, содержащих ароматизаторы или окрашивающие агенты. Такие жидкие препараты могут быть получены с фармацевтически приемлемыми добавками, такими как суспендирующие агенты. Соединения по данному изобретению также можно вводить посредством парентеральной инъекции, например, внутривенно, внутримышечно, подкожно или интракоронарно. Для парентерального введения соединение по данному изобретению обычно используют в форме стерильного водного раствора, который может содержать другие вещества, например, соли или моносахариды, такие как маннит или глюкоза, для обеспечения изотоничности раствора с кровью.
V. Необязательные терапевтические агенты
В некоторых терапевтических способах и способах по данному изобретению, соединение по данному изобретению вводят субъекту, имеющему заболевание, расстройство или патологическое состояние, например, рак, в качестве единственного агента. В других терапевтических способах и способах по данному изобретению, соединение по данному изобретению вводят субъекту, имеющему заболевание, расстройство или патологическое состояние, например, рак, в комбинации с одним или более необязательными терапевтическими агентами. В одном варианте реализации соединение по данному изобретению вводят в комбинации с одним необязательным терапевтическим агентом. В другом варианте реализации соединение по данному изобретению вводят в комбинации с двумя необязательными терапевтическими агентами. В другом варианте реализации соединение по данному изобретению вводят в комбинации с тремя необязательными терапевтическими агентами. Необязательные терапевтические агенты, пригодные для лечения онкологических пациентов, включают те, которые известны в данной области техники, а также те, которые будут разработаны в будущем.
Необязательные терапевтические агенты вводят в количестве, обеспечивающем их требуемый терапевтический эффект. Диапазон эффективных доз для каждого необязательного терапевтического агента известен в данной области техники, и необязательный терапевтический агент вводят индивидууму, нуждающемуся в этом, в указанных установленных диапазонах.
Соединение по данному изобретению и необязательный терапевтический агент(ы) можно вводить вместе в виде единой разовой дозы или по отдельности в виде нескольких разовых доз, и в любом порядке, например, соединение по данному изобретению вводят до необязательного терапевтического агента(ов) или наоборот. Субъекту можно вводить одну или более доз соединения по данному изобретению и необязательного терапевтического агента(ов).
В одном варианте реализации необязательный терапевтический агент представляет собой ингибитор иммунной контрольной точки. Ингибиторы иммунной контрольной точки представляют собой терапевтические препараты, которые блокируют ингибиторы контрольных точек иммунной системы. Иммунные контрольные точки могут быть стимулирующими или ингибирующими. Блокада ингибирующей иммунной контрольной точки активирует функцию иммунной системы и может быть использована для иммунотерапии рака. Pardoll, Nature Reviews. Cancer 12:252-64 (2012). Опухолевые клетки отключают активированные T-клетки, когда они прикрепляются к специфическим T-клеточным рецепторам. Ингибиторы иммунной контрольной точки препятствуют прикреплению опухолевых клеток к T-клеткам, в результате чего T-клетки остаются активированными. В сущности, скоординированное действие клеточных и растворимых компонентов борется с патогенами и поражениями, обусловленными раком. Модулирование путей иммунной системы может включать изменение экспрессии или функциональной активности по меньшей мере одного компонента пути, что впоследствии обеспечивает изменение ответа иммунной системы. Публикация U.S. 2015/0250853. Примеры ингибиторов иммунной контрольной точки включают ингибиторы PD-1, ингибиторы PD-L1, ингибиторы CTLA-4, ингибиторы LAG3, ингибиторы TIM3, ингибиторы cd47 и ингибиторы B7-H1. Таким образом, в одном варианте реализации ингибитор иммунной контрольной точки выбран из группы, состоящей из ингибитора PD-1, ингибитора PD-L1, ингибитора CTLA-4, ингибитора LAG3, ингибитора TIM3 и ингибитора cd47.
В другом варианте реализации ингибитор иммунной контрольной точки представляет собой ингибитор запрограммированной гибели клетки (PD-1). PD-1 представляет собой коингибирующий рецептор T-клеток, который играет ключевую роль в способности опухолевых клеток ускользать от иммунной системы хозяина. Блокирование взаимодействий между PD-1 и PD-L1, лигандом PD-1, усиливает иммунную функцию и опосредует противоопухолевую активность. Примеры ингибиторов PD-1 включают антитела, которые специфически связываются с PD-1. Конкретные анти-PD-1 антитела включают, но не ограничиваясь ими, ниволумаб, пембролизумаб, STI-A1014, пидилзумаб и цемиплимаб-rwlc. Общее описание доступности, способов получения, механизма действия и клинических исследований анти-PD-1 антител представлено в публикациях U.S. 2013/0309250, U.S. 6808710, U.S. 7595048, U.S. 8008449, U.S. 8728474, U.S. 8779105, U.S. 8952136, U.S. 8900587, U.S. 9073994, U.S. 9084776, а также Naido et al., British Journal of Cancer 111:2214-19 (2014).
В другом варианте реализации ингибитор иммунной контрольной точки представляет собой ингибитор PD-L1 (также известного как B7-H1 или CD274). Примеры ингибиторов PD-L1 включают антитела, которые специфически связываются с PD-L1. Конкретные анти-PD-L1 антитела включают, но не ограничиваясь ими, авелумаб, атезолизумаб, дурвалумаб и BMS-936559. Общее описание доступности, способов получения, механизма действия и клинических исследований представлено в публикациях U.S. 8217149, U.S. 2014/0341917, U.S. 2013/0071403, WO 2015036499, а также Naido et al., British Journal of Cancer 111:2214-19 (2014).
В другом варианте реализации ингибитор иммунной контрольной точки представляет собой ингибитор CTLA-4. CTLA-4, также известный как цитотоксичный T-лимфоцитарный антиген 4, представляет собой белковый рецептор, который подавляет иммунную систему. CTLA-4 характеризуется как «тормоз», который связывает костимулирующие молекулы на антиген-презентирующих клетках, который препятствует взаимодействию с CD28 на T-клетках, а также генерирует явный ингибирующий сигнал, затрудняющий активацию T-клеток. Примеры ингибиторов CTLA-4 включают антитела, которые специфически связываются с CTLA-4. Конкретные анти-CTLA-4 антитела включают, но не ограничиваясь ими, ипилимумаб и тремелимумаб. Общее описание доступности, способов получения, механизма действия и клинических исследований представлено в публикациях U.S. 6984720, U.S. 6207156, а также Naido et al., British Journal of Cancer 111:2214-19 (2014).
В другом варианте реализации ингибитор иммунной контрольной точки представляет собой ингибитор LAG3. LAG3, ген активации лимфоцитов 3, представляет собой негативный костимулирующий рецептор, который модулирует гомеостаз, пролиферацию и активацию T-клеток. Кроме того, описано, что LAG3 участвует в супрессорной функции регуляторных T-клеток (Treg). Значительная часть молекул LAG3 задерживается в клетке вблизи центра организации микротрубочек и активируется только после активации антиген-специфических T-клеток. Публикация U.S. 2014/0286935. Примеры ингибиторов LAG3 включают антитела, которые специфически связываются с LAG3. Конкретные анти-LAG3 антитела включают, но не ограничиваясь этим, GSK2831781. Общее описание доступности, способов получения, механизма действия и исследований представлено в публикациях U.S. 2011/0150892, U.S. 2014/0093511, U.S. 20150259420 и Huang et al., Immunity 21:503-13 (2004).
В другом варианте реализации ингибитор иммунной контрольной точки представляет собой ингибитор TIM3. TIM3, домен иммуноглобулина Т-клеток и домен 3 муцина, представляет собой рецептор иммунной контрольной точки, который действует, ограничивая продолжительность и степень ответа T-клеток TH1 и TC1. Каскад TIM3 рассматривают как мишень для противоопухолевой иммунотерапии благодаря его экспрессии на дисфункциональных T-клетках CD8+ и Treg, которые представляют собой две описанные популяции иммунных клеток, обеспечивающие иммуносупрессию в опухолевой ткани. Anderson, Cancer Immunology Research 2:393-98 (2014). Примеры ингибиторов TIM3 включают антитела, которые специфически связываются с TIM3. Общее описание доступности, способов получения, механизма действия и исследований ингибиторов TIM3 представлено в публикациях U.S. 20150225457, U.S. 20130022623, U.S. 8,522,156, Ngiow et al., Cancer Res 71: 6567-71 (2011), Ngiow, et al., Cancer Res 71:3540-51 (2011), и Anderson, Cancer Immunology Res 2:393-98 (2014).
В другом варианте реализации ингибитор иммунной контрольной точки представляет собой ингибитор cd47. См. Unanue, E.R., PNAS 110:10886-87 (2013).
Термин «антитело» включает интактные моноклональные антитела, поликлональные антитела, мультиспецифические антитела, образованные из по меньшей мере двух интактных антител, и фрагменты антител, при условии, что они проявляют требуемую биологическую активность. В другом варианте реализации «антитело» включает растворимые рецепторы, которые не содержат Fc часть антитела. В одном варианте реализации антитела представляют собой гуманизированные моноклональные антитела и их фрагменты, полученные методами рекомбинантной генной инженерии.
Другой класс ингибиторов иммунной контрольной точки включает полипептиды, которые связываются с рецепторами PD-1 и блокируют их на T-клетках, не инициируя передачу сигнала ингибитора. Такие пептиды включают полипептиды B7-DC, полипептиды B7-H1, полипептиды B7-1 и полипептиды B7-2, а также их растворимые фрагменты, описанные в патенте США 8114845.
Другой класс ингибиторов иммунной контрольной точки включает соединения с пептидными фрагментами, которые ингибируют передачу сигналов PD-1. Примеры таких соединений описаны в патенте США 8907053 и имеют структуру:
или их фармацевтически приемлемые соли, причем указанное соединение содержит по меньшей мере 5 аминокислот, пригодных в качестве терапевтических агентов, способных ингибировать путь передачи сигналов PD-1.
Другой класс ингибиторов иммунной контрольной точки включает ингибиторы некоторых метаболических ферментов, таких как индоламин-2,3-диоксигеназа (IDO), которая экспрессируется инфильтрующимися миелоидными клетками и опухолевыми клетками, и изоцитратдегидрогеназа (IDH), которая является мутированной в лейкозных клетках. Мутанты фермента IDH обусловливают повышенные уровни 2-гидроксиглутарата (2-HG), который препятствует миелоидной дифференцировке. Stein et al., Blood 130:722-31 (2017); Wouters, Blood 130:693-94 (2017). Конкретные агенты, блокирующие мутантный IDH, включают, но не ограничиваясь ими, ивосидениб и энасидениб мезилат. Dalle and DiNardo, Ther Adv Hematol 9(7):163-73 (2018); Nassereddine et al., Onco Targets Ther 12:303-08 (2018). Фермент IDO ингибирует иммунный ответ посредством истощения аминокислот, необходимых для анаболической функции в T-клетках, или посредством синтеза определенных природных лигандов к цитозольным рецепторам, которые могут изменять функции лимфоцитов. Pardoll, Nature Reviews. Cancer 12:252-64 (2012); Löb, Cancer Immunol Immunother 58:153-57 (2009). Конкретные агенты, блокирующие IDO, включают, но не ограничиваясь ими, лево-1-метилтриптофан (L-1MT) и 1-метилтриптофан (1MT). Qian et al., Cancer Res 69:5498-504 (2009); и Löb et al., Cancer Immunol Immunother 58:153-7 (2009).
В одном варианте реализации ингибитор иммунной контрольной точки представляет собой ниволумаб, пембролизумаб, пидилизумаб, STI-A1110, авелумаб, атезолизумаб, дурвалумаб, STI-A1014, ипилимумаб, тремелимумаб, GSK2831781, BMS-936559 или MED14736.
В другом варианте реализации необязательный терапевтический агент представляет собой эпигенетический лекарственный агент. В данном контексте термин «эпигенетический лекарственный агент» относится к терапевтическому агенту, направленно воздействующему на эпигенетический регулятор. Примеры эпигенетических регуляторов включают гистоновые лизинметилтрансферазы, гистоновые аргининметилтрансферазы, гистоновые деметилазы, гистоновые деацетилазы, гистоновые ацетилазы и ДНК-метилтрансферазы. Ингибиторы гистоновой деацетилазы включают, но не ограничиваясь ими, вориностат и лактат панобиностата.
В другом варианте реализации необязательный терапевтический агент представляет собой химиотерапевтический агент или другой антипролиферативный агент, который можно вводить в комбинации с соединением по данному изобретению для лечения рака. Примеры традиционных терапевтических препаратов и противораковых агентов, которые можно использовать в комбинации с соединением по данному изобретению, включают хирургию, лучевую терапию (например, гамма-излучение, лучевую терапию нейтронным пучком, лучевую терапию электронным пучком, протонную терапию, брахитерапию и системные радиоактивные изотопы), эндокринную терапию, модификаторы биологического ответа (например, интерферон, интерлейкин, фактор некроза опухоли (TNF)), гипертермию и криотерапию, агент для ослабления нежелательного эффекта (например, противорвотное средство) и любую другую одобренную биологическую терапию или химиотерапию, например, схемы лечения, в которых используют лекарственные средства для остановки роста раковых клеток, либо посредством уничтожения клеток, либо посредством остановки их деления. Химиотерапию можно вводить перорально, посредством инъекции или инфузии, или на кожу, в зависимости от типа и стадии рака, подлежащего лечению.
Неограничивающие примеры антипролиферативных соединений включают ингибитор ароматазы; анти-эстроген; анти-андроген; агонист гонадорелина; ингибитор топоизомеразы I; ингибитор топоизомеразы II; микротубулиновый активный агент; алкилирующий агент, например, темозоломид; ретиноид, каротеноид или токоферол; ингибитор циклооксигеназы; ингибитор MMP; ингибитор mTOR; антиметаболит; соединение платины; ингибитор метионин-аминопептидазы; биофосфонат; антипролиферативное антитело; ингибитор гепараназы; ингибитор онкогенных изоформ Ras; ингибитор теломеразы; ингибитор протеасом; соединение, используемое для лечения гематологических злокачественных образований; ингибитор Flt-3; ингибитор Hsp90; ингибитор кинезинового белка веретена; ингибитор MEK; противоопухолевый антибиотик; нитрозомочевину; соединение, направленно воздействующее/снижающее активность протеин- или липидкиназы; соединение, направленно воздействующее/снижающее активность протеин- или липидфосфатазы, или любое дополнительное анти-ангиогенное соединение.
Неограничивающие примеры ингибиторов ароматазы включают стероиды, такие как атаместан, экземестан и форместан, и нестероидные агенты, такие как аминоглютетимид, роглетимид, пиридоглютетимид, трилостан, тестолактон, кетоконазол, ворозол, фадрозол, анастрозол и летрозол.
Неограничивающие антиэстрогены включают тамоксифен, фулвестрант, ралоксифен и гидрохлорид ралоксифена. Анти-андрогены включают, но не ограничиваясь ими, бикалутамид и апалутамид. Агонисты гонадорелина включают, но не ограничиваясь ими, абареликс, гозерелин и ацетат гозерелина.
Неограничивающие примеры ингибиторов топоизомеразы I включают топотекан, гиматекан, иринотекан, камптотецин и его аналоги, 9-нитрокамптотецин и макромолекулярный конъюгат камптотецина PNU-166148. Ингибиторы топоизомеразы II включают, но не ограничиваясь ими, антрациклины, такие как доксорубицин, даунорубицин, эпирубицин, идарубицин и неморубицин; антрахиноны, такие как митоксантрон и лозоксантрон; и подофиллотоксины этопозид и тенипозид.
Микротубулиновые активные агенты включают соединения, стабилизирующие микротрубочки, соединения, дестабилизирующие микротрубочки, и ингибиторы полимеризации микротубулина, включая, но не ограничиваясь ими, таксаны, такие как паклитаксел и доцетаксел; дискодермолиды; кохицин и эпотилоны, а также их производные.
Неограничивающие примеры алкилирующих агентов включают циклофосфамид, ифосфамид, мелфалан, трабектедин или нитрозомочевины, такие как кармустин и ломустин.
Неограничивающие примеры ингибиторов матриксной металлопротеиназы («ингибиторов MMP») включают коллагеновые ингибиторы, которые относятся к пептидомиметикам и не относятся к пептидомиметикам, тетрациклиновые производные, батимастат, маримастат, приномастат, метастат, BMS-279251, BAY 12-9566, TAA211, MMI270B и AAJ996.
Неограничивающие примеры ингибиторов mTOR включают соединения, которые ингибируют мишень рапамицина в клетках млекопитающих (mTOR) и обладают антипролиферативной активностью, такие как сиролимус, эверолимус, CCI-779 и ABT578.
Неограничивающие примеры антиметаболитов включают 5-фторурацил (5-FU), капецитабин, гемцитабин, ДНК-деметилирующие соединения, такие как 5-азацитидин и децитабин, метотрексат и эдатрексат, а также антагонисты фолиевой кислоты, такие как пеметрексед.
Неограничивающие примеры соединений платины включают карбоплатин, цис-платин, цисплатин и оксалиплатин.
Неограничивающие примеры ингибиторов метионин-аминопептидазы включают бенгамид или его производные и PPI-2458.
Неограничивающие примеры бифосфонатов включают этидроновую кислоту, клодроновую кислоту, тилудроновую кислоту, памидроновую кислоту, алендроновую кислоту, ибандроновую кислоту, ризедроновую кислоту и золедроновую кислоту.
Неограничивающие примеры ингибиторов гепараназы включают соединения, которые направленно воздействую, снижают или ингибируют разложение сульфата гепарина, такие как PI-88 и OGT2115.
Неограничивающие примеры соединений, которые направленно воздействуют, снижают или ингибируют онкогенную активность Ras, включают ингибиторы фарнезилтрансферазы, такие как L-744832, DK8G557, типифарниб и лонафарниб.
Неограничивающие примеры ингибиторов теломеразы включают соединения, которые направленно воздействуют, снижают или ингибируют активность теломеразы, такие как соединения, которые ингибируют рецептор теломеразы, такие как теломестатин.
Неограничивающие примеры ингибиторов протеасом включают соединения, которые направленно воздействуют, снижают или ингибируют активность протеасом, включая, но не ограничиваясь им, бортезомиб. В некоторых вариантах реализации ингибитор протеасом представляет собой карфилзомиб или иксазомиб.
Неограничивающие примеры ингибиторов FMS-подобной тирозинкиназы, которые представляют собой соединения, направленно воздействующие, снижающие или ингибирующие активность рецепторов FMS-подобной тирозинкиназы (Flt-3R), включают гилтеритиниб, интерферон, Ι-β-D-арабинофуранзилцитозин (ara-c) и бисульфан; и ингибиторы ALK, которые представляют собой соединения, направленно воздействующие, снижающие или ингибирующие киназу анапластической лимфомы, включают алектиниб, бригатиниб и лорлатиниб.
Неограничивающие примеры ингибиторов Flt-3 включают PKC412, мидостаурин, стауроспориновые производные, SU11248, MLN518 и гилтеритиниб.
Неограничивающие примеры ингибиторов HSP90 включают соединения, направленно воздействующие, снижающие или ингибирующие собственную АТФ-азную активность HSP90; или разрушающие, направленно воздействующие, снижающие или ингибирующие клиентские белки HSP90 по убиквитин-протеосомному пути. Соединения, направленно воздействующие, снижающие или ингибирующие собственную АТФ-азную активность HSP90, представляют собой, в частности, соединения, белки или антитела, которые ингибируют АТФ-азную активность HSP90, такие как 17-аллиламино-17-деметоксигелданамицин (17AAG), гелданамициновые производные; другие родственные соединения гелданамицина; радицикол и ингибиторы HDAC.
Неограничивающие примеры ингибиторов протеин-тирозинкиназы и/или -серин- и/или -треонинкиназы или ингибиторы липидкиназы включают a) соединения, направленно воздействующие, снижающие или ингибирующие активность рецепторов тромбоцитарного фактора роста (PDGFR), такие как соединения, направленно воздействующие, снижающие или ингибирующие активность PDGFR, включая оларатумаб и производные N-фенил-2-пиримидинамина, такие как иматиниб, SUlOl, SU6668 и GFB-111; b) соединения, направленно воздействующие, снижающие или ингибирующие активность рецепторов фактора роста фибробластов (FGFR), такие как эрдафитиниб и ленватиниб; c) соединения, направленно воздействующие, снижающие или ингибирующие активность рецептора инсулиноподобного фактора роста I (IGF-IR), такие как бригатиниб; d) соединения, направленно воздействующие, снижающие или ингибирующие активность рецепторов фактора роста сосудистого эндотелия (VEGFR), такие как ленватиниб; e) соединения, направленно воздействующие, снижающие или ингибирующие активность семейства рецепторных тирозинкиназ Trk, или ингибиторы эфрина B4, такие как ларотректиниб; f) соединения, направленно воздействующие, снижающие или ингибирующие активность семейства рецепторных тирозинкиназ Axl; g) соединения, направленно воздействующие, снижающие или ингибирующие активность рецепторной тирозинкиназы Ret, такие как алектиниб; h) соединения, направленно воздействующие, снижающие или ингибирующие активность рецепторной тирозинкиназы Kit/SCFR, такие как иматиниб; i) соединения, направленно воздействующие, снижающие или ингибирующие активность рецепторных тирозинкиназ c-Kit, такие как иматиниб; j) соединения, направленно воздействующие, снижающие или ингибирующие активность членов семейства c-Abl, продуктов слияния их генов (например, киназы Bcr-Abl) и их мутантов, такие как производные N-фенил-2-пиримидинамина, такие как иматиниб или нилотиниб; PD180970; AG957; NSC 680410; PD173955; или дазатиниб; k) соединения, направленно воздействующие, снижающие или ингибирующие активность членов семейства протеинкиназы C (PKC) и семейства серин/треонинкиназ Raf, членов семейства MEK, SRC, JAK, FAK, PDK1, PKB/Akt и/или Ras/MAPK, и/или членов семейства циклинзависимой киназы (CDK), такие как производные стауроспорина, описанные в патенте США № 5093330, такие как мидостаурин; примеры дополнительных соединений включают UCN-01, сафингол, BAY 43-9006, бриостатин 1, перифосин; илмофосин; RO 318220 и RO 320432; GO 6976; Isis 3521; LY333531/LY379196; изохинолиновые соединения; ингибиторы фарнезилтрансферазы; PD184352 или QAN697, или AT7519; абемациклиб; биниметиниб; кобиметиниб; энкорафениб; нератиниб; палбоциклиб; рибоциклиб; l) соединения, направленно воздействующие, снижающие или ингибирующие активность протеин-тирозинкиназы, такие как акалабрутиниб, мезилат иматиниба или тирфостин, такой как тирфостин A23/RG-50810; AG 99; тирфостин AG 213; тирфостин AG 1748; тирфостин AG 490; тирфостин B44; тирфостин B44 (+)-энантиомер; тирфостин AG 555; AG 494; тирфостин AG 556, AG957 и адафостин (адамантиловый эфир 4-{[(2,5-дигидроксифенил)метил]амино}бензойной кислоты; NSC 680410, адафостин); m) соединения, направленно воздействующие, снижающие или ингибирующие активность семейства рецепторных тирозинкиназ эпидермального фактора роста (EGFR, ErbB2, ErbB3, ErbB4 в виде гомо- или гетеродимеров) и их мутантов, такие как бригатиниб, CP 358774, ZD 1839, ZM 105180; трастузумаб, цетуксимаб, гефитиниб, эрлотиниб, осимертиниб, дакомитиниб, нецитумумаб, нератиниб, OSI-774, Cl-1033, EKB-569, GW-2016, антитела El.l, E2.4, E2.5, E6.2, E6.4, E2.11, E6.3 и E7.6.3, и производные 7H-пирроло[2,3-d]пиримидина; n) соединения, направленно воздействующие, снижающие или ингибирующие активность фосфатидилинозитол-3-киназы (PI3K), такие как алпелисиб, копанлисиб и дувелисиб; и o) соединения, направленно воздействующие, снижающие или ингибирующие активность рецептора c-Met.
Неограничивающие примеры соединений, которые направленно воздействуют, снижают или ингибируют активность протеин- или липидфосфатазы, включают ингибиторы фосфатазы 1, фосфатазы 2А или CDC25, такие как окадаиковая кислота или ее производные.
Дополнительные антиангиогенные соединения включат соединения, имеющие другой механизм их активности, не связанный с ингибированием протеин- или липидкиназы, например, талидомид и TNP-470.
Дополнительные, неограничивающие примеры химиотерапевтических соединений, одно или несколько из которых могут быть использованы в комбинации с соединением по данному изобретению, включают: авастин, даунорубицин, адриамицин, Ara-C, VP-16, тенипозид, митоксантрон, идарубицин, карбоплатин, PKC412, 6-меркаптопурин (6-MP), фосфат флударабина, октреотид, SOM230, FTY720, 6-тиогуанин, кладрибин, 6-меркаптопурин, пентостатин, гидроксимочевину, производные 2-гидрокси-1Н-изоиндол-1,3-диона, 1-(4-хлоранилино)-4-(4-пиридилметил)фталазин или его фармацевтически приемлемые соли, сукцинат 1-(4-хлоранилино)-4-(4-пиридилметил)фталазина, ангиостатин, эндостатин, амиды антраниловой кислоты, ZD4190, ZD6474, SU5416, SU6668, бевацизумаб, rhuMAb, rhuFab, макугон; ингибиторы FLT-4, ингибиторы FLT-3, -2 антитело IgGI VEGFR, RPI 4610, порфимер натрия, анекортав, триамцинолон, гидрокортизон, 11-a-эпигидрокортизол, кортексолон, 17a-гидроксипрогестерон, корикостерон, дезоксикортикостерон, тестостерон, эстрон, дексаметазон, флуоцинолон, растительные алкалоиды, гормональные соединения и/или антагонисты, модификаторы биологического ответа, такие как лимфокин или интерферон, антисмысловые олигонуклеотиды или производные олигонуклеотидов, кшРНК и миРНК.
Для применения в терапевтических способах, предложенных в данном документе, предусмотрены многие подходящие необязательные терапевтические, например, противораковые агенты. Действительно, способы, предложенные в данном документе, могут включать, но не ограничиваясь этим, введение многих необязательных терапевтических агентов, таких как: агенты, которые вызывают апоптоз; полинуклеотиды (например, антисмысловые, рибозимы, миРНК); полипептиды (например, ферменты и антитела); биологические миметики (например, миметики госсипола или BH3); агенты, которые связываются (например, олигомеризуются или образуют комплекс) с белком семейства Bcl-2, таким как Bax; алкалоиды; алкилирующие агенты; противоопухолевые антибиотики; антиметаболиты; гормоны; соединения платины; моноклональные или поликлональные антитела (например, антитела, конъюгированные с противораковыми лекарственными агентами, токсинами, дефенсинами), токсины; радионуклиды; модификаторы биологического ответа (например, интерфероны (например, IFN-б) и интерлейкины (например, IL-2)); агенты адоптивной иммунотерапии; гепатопоэтические факторы роста; агенты, которые вызывают дифференцировку опухолевых клеток (например, полностью транс-ретиноевая кислота); агенты генной терапии (например, агенты антисмысловой терапии и нуклеотиды); противоопухолевые вакцины; ингибиторы ангиогенеза; ингибиторы протеосом; модуляторы NF-КB; анти-CDK соединения; ингибиторы HDAC; и т.п. Многочисленные другие примеры необязательных терапевтических агентов, таких как химиотерапевтические соединения и противораковые терапевтические агенты, пригодные для совместного введения с описанными соединениями, известны специалистам в данной области техники.
В некоторых вариантах реализации противораковые агенты включают агенты, которые вызывают или стимулируют апоптоз. Агенты, которые вызывают или стимулируют апоптоз, включают, например, агенты, которые взаимодействуют с ДНК или модифицируют ее, например, посредством интеркаляции, поперечного сшивания, алкилирования или иного повреждения или химической модификации ДНК. Агенты, которые вызывают апоптоз, включают, но не ограничиваясь ими, радиационное излучение (например, рентгеновские лучи, гамма-лучи, УФ); факторы, родственные фактору некроза опухоли (TNF) (например, белки рецепторов семейства TNF, лиганды семейства TNF, TRAIL, антитела к TRAIL-R1 или TRAIL-R2); ингибиторы киназ (например, ингибиторы киназы рецептора эпидермального фактора роста (EGFR). Дополнительные противораковые агенты включают: ингибиторы киназы рецептора васкулярного фактора роста (VGFR), ингибиторы киназы рецептора фактора роста фибробластов (FGFR), ингибиторы киназы рецептора тромбоцитарного фактора роста (PDGFR) и ингибиторы киназы Bcr-Abl (такие как GLEEVEC)); антисмысловые молекулы; антитела (например, герцептин, ритуксан, зевалин и авастин); анти-эстрогены (например, ралоксифен и тамоксифен); анти-андрогены (например, флутамид, апалутамид, бикалутамид, финастерид, аминоглутетамид, кетоконазол и кортикостероиды); ингибиторы BCL-2 (например, венетоклакс); ингибиторы циклооксигеназы 2 (COX-2) (например, целекоксиб, мелоксикам, NS-398 и нестероидные противовоспалительные агенты (NSAID)); противовоспалительные препараты (например, бутазолидин, декадрон, делтазон, дексаметазон, дексаметазон интенсол, дексон, гексадрол, гидроксихлорохин, метикортен, орадексон, оразон, оксифенбутазон, педиапред, фенилбутазон, плаквенил, преднизон, прелон и тандеарил); и противораковые химиотерапевтические агенты (например, иринотекан (камптосар), CPT-11, флударабин (флудара), дакарбазин (DTIC), дексаметазон, митоксантрон, MYLOTARG, VP-16, цисплатин, карбоплатин, оксалиплатин, 5-FU, доксорубицин, гемцитабин, бортезомиб, гефитиниб, бевацизумаб, таксотер или таксол); молекулы передачи клеточных сигналов; церамиды и цитокины; стауроспорин и т.п.
В других вариантах реализации терапевтические способы, предложенные в данном документе, включают введение субъекту, имеющему рак (онкологическому пациенту), терапевтически эффективного количества соединения по данному изобретению, ингибитора иммунной контрольной точки и по меньшей мере одного дополнительного необязательного терапевтического агента, например, антигиперпролиферативного или антинеопластического агента, выбранного из алкилирующих агентов, антиметаболитов и природных продуктов (например, соединений, полученных из трав и других растений, и/или животного происхождения).
Алкилирующие агенты, пригодные для применения в предложенных способах, включают, но не ограничиваясь ими: 1) азотистые иприты (например, мехлоретамин, циклофосфамид, ифосфамид, мелфалан (L-сарколизин); и хлорамбуцил); 2) этиленимины и метилмеламины (например, гексаметилмеламин и тиотепа); 3) алкилсульфонаты (например, бусульфан); 4) нитрозомочевины (например, кармустин (BCNU); ломустин (CCNU); семустин (метил-CCNU); и стрептозоцин (стрептозотоцин)); и 5) триазены (например, дакарбазин (DTIC; диметилтриазеноимид-азолкарбоксамид).
В некоторых вариантах реализации антиметаболиты, пригодные для применения в предложенных способах, включают, но не ограничиваясь ими: 1) аналоги фолиевой кислоты (например, метотрексат (аметоптерин)); 2) аналоги пиримидина (например, фторурацил (5-фторурацил; 5-FU), флоксуридин (флуород-оксиуридин; FudR) и цитарабин (цитозин-арабинозид)); и 3) аналоги пурина (например, меркаптопурин (6-меркаптопурин; 6-MP), тиогуанин (6-тиогуанин; TG) и пентостатин (2'-дезоксикоформицин)).
В дополнительных вариантах реализации химиотерапевтические агенты, пригодные для применения в способах по данному изобретению, включают, но не ограничиваясь ими: 1) алкалоиды барвинка (например, винбластин (VLB), винкристин); 2) эпиподофилллотоксины (например, этопозид и тенипозид); 3) антибиотики (например, дактиномицин (актиномицин D), даунорубицин (дауномицин; рубидомицин), доксорубицин, блеомицин, пликамицин (митрамицин) и митомицин (митомицин C)); 4) ферменты (например, L-аспарагиназа); 5) модификаторы биологического ответа (например, интерферон-альфа); 6) координационные комплексы платины (например, цисплатин (цис-DDP) и карбоплатин); 7) антрацендионы (например, митоксантрон); 8) замещенные мочевины (например, гидроксимочевина); 9) производные метилгидразина (например, прокарбазин (N-метилгидразин; MIH)); 10) адренокортикальные супрессанты (например, митотан (о,п'-ДДД) и аминоглутетимид); 11) адренокортикостероиды (например, преднизон); 12) прогестины (например, капроат гидроксипрогестерона, ацетат медроксипрогестерона и ацетат мегестрола); 13) эстрогены (например, диэтилстильбэстрол и этинилэстрадиол); 14) антиэстрогены (например, тамоксифен); 15) андрогены (например, пропионат тестостерона и флуоксиместерон); 16) антиангдрогены (например, флутамид); и 17) аналоги гонадотропин-высвобождающего гормона (например, лейпролид).
В терапевтических способах по данному изобретению находит применение любой онколитический агент, обычно используемый в противораковой терапии. Например, Управлением по санитарному надзору за качеством пищевых продуктов и медикаментов (FDA) утвержден формуляр онколитических агентов, одобренных для применения в США. Международными агентствами, аналогичными FDA, утверждены подобные формуляры. Специалистам в данной области техники понятно, что «листки-вкладыши продукта», требуемые для всех одобренных в США химиотерапевтических препаратов, описывают утвержденные показания, информацию о введении доз, данные о токсичности и т.п., для иллюстративных агентов.
Противораковые агенты дополнительно включают соединения, которые обладают установленной противораковой активностью. Примеры включают, но не ограничиваясь ими, 3-AP, 12-O-тетрадеканоилфорбол-13-ацетат, 17AAG, 852A, ABI-007, ABR-217620, ABT-751, ADI-PEG 20, AE-941, AG-013736, AGRO100, аланозин, AMG 706, антитело G250, антинеопластоны, AP23573, апазиквон, APC8015, атипримод, ATN-161, атрасентен, азацитидин, BB-10901, BCX-1777, бевацизумаб, BG00001, бикалутамид, BMS 247550, бортезомиб, бриостатин-1, бусерелин, каласпаргаза-пегол-mknl, кальцитриол, CCI-779, CDB-2914, цефиксим, цетуксимаб, CG0070, циленгитид, клофарабин, комбретастатин A4 фосфат, CP-675,206, CP-724,714, CpG 7909, куркумин, даратумумаб, децитабин, DENSPM, динутуксимаб, доксеркальциферол, E7070, E7389, эктейнасцидин 743, эфапроксирал, эфлорнитин, EKB-569, элотузумаб, энзастаурин, эрлотиниб, эксисулинд, фенретинид, флавопиридол, флударабин, флутамид, фотемустин, FR901228, G17DT, галиксимаб, гефитиниб, генистеин, гласдегиб, глуфосфамид, GTI-2040, гистрелин, HKI-272, гомогаррингтонин, HSPPC-96, белок слияния hu14.18-интерлейкин-2, HuMax-CD4, илопрост, имиквимод, инфликсимаб, инотузумаб озогамицин, интерлейкин-12, IPI-504, ирофульвен, иксабепилон, лапатиниб, леналидомид, лестауртиниб, лейпролид, иммунотоксин LMB-9, лонафарниб, луниликсимаб, дотатат лютеция Lu 177, мафосфамид, MB07133, MDX-010, MLN2704, могамулизумаб-kpkc, моноклональное антитело 3F8, моноклональное антитело J591, мотексафин, моксетумомаб пасудотокс-tdfk, MS-275, MVA-MUC1-IL2, нилутамид, нирапариб, нитрокамптотецин, дигидрохлорид нолатрекседа, нолвадекс, NS-9, O6-бензилгуанин, облимерсен натрия, ONYX-015, ореговомаб, OSI-774, панитумумаб, параплатин, PD-0325901, пеметрексед, PHY906, пиоглитазон, пирфенидон, пиксантрон, полатузумаб ведотин-piiq, PS-341, PSC 833, PXD101, пиразолоакридин, R115777, RAD001, ранпирназу, аналог ребеккамицина, белок rhu-ангиостатин, rhuMab 2C4, росиглитазон, рубитекан, рукапариб, S-1, S-8184, сатраплатин, SB-, 15992, SGN-0010, SGN-40, сонидегиб, сорафениб, SR31747A, ST1571, SU011248, субероиланилид гидроксамовой кислоты, сурамин, таграксофусп-erzs, талабостат, талампанел, талазопариб, тариквидар, темсиролимус, иммунотоксин TGFa-PE38, талидомид, тималфазин, типифарниб, тирапазамин, TLK286, трабектидин, трифлуридин и гидрохлорид типирацила, глюкуронат триметрексата, TroVax, UCN-1, вальпроевую кислоту, винфлунин, VNP40101M, волоциксимаб, вориностат, VX-680, ZD1839, ZD6474, цилейтон и тригидрохлорид зосуквидара.
В одном варианте реализации необязательный терапевтический агент включает одно из противораковых лекарственных средств или комбинации противораковых лекарственных средств, перечисленных в таблице 5.
Таблица 5
В данном изобретении предложены следующие конкретные варианты реализации, связанные с лечением заболевания у субъекта.
Вариант реализации I. Способ лечения субъекта, включающий введение субъекту терапевтически эффективного количества соединения по данному изобретению, причем указанный субъект страдает от рака, хронического аутоиммунного расстройства, воспалительного состояния, пролиферативного расстройства, сепсиса или вирусной инфекции.
Вариант реализации II. Способ по варианту реализации I, отличающийся тем, что субъект болен раком.
Вариант реализации III. Способ по варианту реализации II, отличающийся тем, что рак представляет собой один или более видов рака, указанных в таблице 3.
Вариант реализации IV. Способ по варианту реализации II, отличающийся тем, что рак выбран из группы, состоящей из острого моноцитарного лейкоза, острого миелогенного лейкоза, хронического миелогенного лейкоза, хронического лимфоцитарного лейкоза, лейкоза смешанного происхождения, срединной карциномы, имеющей NUT-перегруппировку, множественной миеломы, мелкоклеточного рака легких, немелкоклеточного рака легких, нейробластомы, лимфомы Беркитта, рака шейки матки, рака пищевода, рака яичника, рака толстой и прямой кишок, рака предстательной железы, рака молочной железы, рака мочевого пузыря, рака яичника, глиомы, саркомы, плоскоклеточной карциномы пищевода и папиллярной карциномы щитовидной железы.
Вариант реализации V. Способ по варианту реализации II, отличающийся тем, что рак представляет собой один или более видов рака, указанных в таблице 4.
Вариант реализации VI. Способ по любому из вариантов реализации I-V, дополнительно включающий введение терапевтически эффективного количества необязательного терапевтического агента, пригодного для лечения заболевания или патологического состояния, например, ингибитора иммунной контрольной точки или другого противоракового агента.
Вариант реализации VII. Способ по любому из вариантов реализации I-VI, отличающийся тем, что соединение по данному изобретению или его фармацевтически приемлемая соль или сольват представляет собой соединение любой из формул I-XI, XI-A, XI-B, XII, XII-A, XII-B, XIII, XIII-A, XIII-B, XIV, XIV-A, XIV-B, XV, XV-A или XV-B.
Вариант реализации VIII. Способ по любому из вариантов реализации I-VI, отличающийся тем, что соединение по данному изобретению или его фармацевтически приемлемая соль или сольват представляет собой соединение формулы XVI.
Вариант реализации IX. Фармацевтическая композиция, содержащая соединение по данному изобретению и фармацевтически приемлемое вспомогательное вещество, для применения для лечения рака, хронического аутоиммунного расстройства, воспалительного состояния, пролиферативного расстройства, сепсиса или вирусной инфекции.
Вариант реализации X. Фармацевтическая композиция по варианту реализации IX для применения для лечения рака.
Вариант реализации XI. Фармацевтическая композиция по варианту реализации X, отличающаяся тем, что рак представляет собой один или более видов рака, указанных в таблице 3.
Вариант реализации XII. Фармацевтическая композиция по варианту реализации X, отличающаяся тем, что рак выбран из группы, состоящей из острого моноцитарного лейкоза, острого миелогенного лейкоза, хронического миелогенного лейкоза, хронического лимфоцитарного лейкоза, лейкоза смешанного происхождения, срединной карциномы, имеющей NUT-перегруппировку, множественной миеломы, мелкоклеточного рака легких, немелкоклеточного рака легких, нейробластомы, лимфомы Беркитта, рака шейки матки, рака пищевода, рака яичника, рака толстой и прямой кишок, рака предстательной железы, рака молочной железы, рака мочевого пузыря, рака яичника, глиомы, саркомы, плоскоклеточной карциномы пищевода и папиллярной карциномы щитовидной железы.
Вариант реализации XIII. Фармацевтическая композиция по варианту реализации X, отличающаяся тем, что рак представляет собой один или более видов рака, указанных в таблице 4.
Вариант реализации XIV. Фармацевтическая композиция по любому из вариантов реализации IX-XIII, отличающаяся тем, что соединение по данному изобретению или его фармацевтически приемлемая соль или сольват представляет собой соединение любой из формул I-XI, XI-A, XI-B, XII, XII-A, XII-B, XIII, XIII-A, XIII-B, XIV, XIV-A, XIV-B, XV, XV-A или XV-B.
Вариант реализации XV. Фармацевтическая композиция по любому из вариантов реализации IX-XIII, отличающаяся тем, что соединение по данному изобретению или его фармацевтически приемлемая соль или сольват представляет собой соединение формулы XVI.
Вариант реализации XVI. Соединение по данному изобретению для лечения рака, хронического аутоиммунного расстройства, воспалительного состояния, пролиферативного расстройства, сепсиса или вирусной инфекции.
Вариант реализации XVII. Соединение по варианту реализации XVI для применения для лечения рака.
Вариант реализации XVIII. Соединение по варианту реализации XVII, отличающееся тем, что рак представляет собой один или более видов рака, указанных в таблице 3.
Вариант реализации XIX. Соединение по варианту реализации XVII, отличающееся тем, что рак выбран из группы, состоящей из острого моноцитарного лейкоза, острого миелогенного лейкоза, хронического миелогенного лейкоза, хронического лимфоцитарного лейкоза, лейкоза смешанного происхождения, срединной карциномы, имеющей NUT-перегруппировку, множественной миеломы, мелкоклеточного рака легких, немелкоклеточного рака легких, нейробластомы, лимфомы Беркитта, рака шейки матки, рака пищевода, рака яичника, рака толстой и прямой кишок, рака предстательной железы, рака молочной железы, рака мочевого пузыря, рака яичника, глиомы, саркомы, плоскоклеточной карциномы пищевода и папиллярной карциномы щитовидной железы.
Вариант реализации XX. Соединение по варианту реализации XVII, отличающееся тем, что рак представляет собой один или более видов рака, указанных в таблице 4.
Вариант реализации XXI. Соединение по любому из вариантов реализации XVI-XX, отличающееся тем, что соединение по данному изобретению или его фармацевтически приемлемая соль или сольват представляет собой соединение любой из формул I-XI, XI-A, XI-B, XII, XII-A, XII-B, XIII, XIII-A, XIII-B, XIV, XIV-A, XIV-B, XV, XV-A или XV-B.
Вариант реализации XXII. Соединение по любому из вариантов реализации XVI-XX, отличающееся тем, что соединение по данному изобретению или его фармацевтически приемлемая соль или сольват представляет собой соединение формулы XVI.
Вариант реализации XXIII. Применение соединения по данному изобретению для производства лекарственного средства для лечения рака, хронического аутоиммунного расстройства, воспалительного состояния, пролиферативного расстройства, сепсиса или вирусной инфекции.
Вариант реализации XXIV. Применение по варианту реализации XXIII для лечения рака.
Вариант реализации XXV. Применение по варианту реализации XXIV, отличающееся тем, что рак представляет собой один или более видов рака, указанных в таблице 3.
Вариант реализации XXVI. Применение по варианту реализации XXIII, отличающееся тем, что рак выбран из группы, состоящей из острого моноцитарного лейкоза, острого миелогенного лейкоза, хронического миелогенного лейкоза, хронического лимфоцитарного лейкоза, лейкоза смешанного происхождения, срединной карциномы, имеющей NUT-перегруппировку, множественной миеломы, мелкоклеточного рака легких, немелкоклеточного рака легких, нейробластомы, лимфомы Беркитта, рака шейки матки, рака пищевода, рака яичника, рака толстой и прямой кишок, рака предстательной железы, рака молочной железы, рака мочевого пузыря, рака яичника, глиомы, саркомы, плоскоклеточной карциномы пищевода и папиллярной карциномы щитовидной железы.
Вариант реализации XXVII. Применение по варианту реализации XXIV, отличающееся тем, что рак представляет собой один или более видов рака, указанных в таблице 4.
Вариант реализации XXVIII. Применение по любому из вариантов реализации XXIII-XXVII, отличающееся тем, что соединение по данному изобретению или его фармацевтически приемлемая соль или сольват представляет собой соединение любой из формул I-XI, XI-A, XI-B, XII, XII-A, XII-B, XIII, XIII-A, XIII-B, XIV, XIV-A, XIV-B, XV, XV-A или XV-B.
Вариант реализации XXIX. Применение по любому из вариантов реализации XXIII-XXVII, отличающееся тем, что соединение по данному изобретению или его фармацевтически приемлемая соль или сольват представляет собой соединение формулы XVI.
Вариант реализации XXX. Способ ингибирования белка EED в клетке субъекта, нуждающегося в этом, включающий введение субъекту соединения любой из формул I-XI, XI-A, XI-B, XII, XII-A, XII-B, XIII, XIII-A, XIII-B, XIV, XIV-A, XIV-B, XV, XV-A или XV-B, или его фармацевтически приемлемой соли или сольвата.
Вариант реализации XXXI. Способ ингибирования белка EED в клетке субъекта, нуждающегося в этом, включающий введение субъекту соединения формулы XVI или его фармацевтически приемлемой соли или сольвата.
V. Наборы по данному изобретению
В другом варианте реализации данного изобретения предложены наборы, которые содержат соединение по данному изобретению (или композицию, содержащую соединение по данному изобретению), упакованное таким образом, который облегчает его применение для практического осуществления способов по данному изобретению. В одном варианте реализации набор содержит соединение по данному изобретению (или композицию, содержащую соединение по данному изобретению), упакованное в контейнер, такой как герметично закрытая бутылка или флакон, с этикеткой, прикрепленной к контейнеру или вложенной в набор, на которой представлено описание применения соединения или композиции для практического осуществления способа по данному изобретению, например, способа по любому из вариантов реализации I-VI. В одном варианте реализации соединение или композиция упакована в единичную лекарственную форму. Набор может дополнительно содержать устройство, подходящее для введения композиции в соответствии с предполагаемым способом введения.
VI. Определения
Термин «заболевание или патологическое состояние, при котором ингибирование EED обеспечивает положительный эффект» и подобные термины относятся к заболеванию или патологическому состоянию, при котором EED является важным или необходимым, например, для возникновения, прогрессирования, проявления указанного заболевания или патологического состояния, или к заболеванию или патологическому состоянию, которое, как известно, подлежит лечению ингибитором EED. Примеры таких патологических состояний включают, но не ограничиваясь ими, рак, хроническое аутоиммунное заболевание, воспалительное заболевание, пролиферативное заболевание, сепсис и вирусную инфекцию. Специалисты в данной области техники могут без труда определить, обеспечивает ли данное соединение лечение заболевания или патологического состояния, опосредованного ингибитором EED, для любого конкретного типа клеток, например, с помощью анализов, которые обычно можно использовать для оценки активности конкретных соединений. См., например, Yue and Turkson, Expert Opinion Invest Drugs 18:45-56 (2009).
Термин «EED» относится к белку эмбрионального развития эктодермы. См. Moritz and Trievel, J. Biol. Chem. 293(36):13805-13814 (2018).
Термин «необязательный терапевтический агент» относится к терапевтическому агенту, отличному от соединения по данному изобретению, который является известным средством лечения рассматриваемого заболевания или патологического состояния. Например, если рассматриваемое заболевание или патологическое состояние представляет собой рак, то необязательный терапевтический агент может представлять собой известный химиотерапевтический препарат, такой как таксол, или, например, лучевую терапию.
Термин «заболевание» или «патологическое состояние» означает нарушения и/или отклонения от нормы, которые обычно считаются патологическими состояниями или функциями и которые могут сами проявляться в форме определенных признаков, симптомов и/или нарушений. Соединения по данному изобретению являются ингибиторами EED и могут быть использованы для лечения или предотвращения заболеваний или патологических состояний, при которых ингибирование EED обеспечивает положительный эффект.
В данном контексте термины «лечить», «лечение», «лечащий» и т.п. относятся к исключению, ослаблению или облегчению заболевания или патологического состояния и/или симптомов, связанных с ним. Несмотря на то, что не исключено полное устранение заболевания, патологического состояния или симптомов, связанных с ним, лечение заболевания или патологического состояния не требует такового. Термин «лечение» и синонимы предусматривают введение терапевтически эффективного количества соединения по данному изобретению субъекту, нуждающемуся в таком лечении. Лечение может быть симптоматическим, например, для подавления симптомов. Его можно проводить в течение короткого периода времени, оно может быть ориентировано на средний период или может быть длительным лечением, например, в контексте поддерживающей терапии.
В данном контексте термины «предотвращать», «предотвращающий» и «предотвращение» относятся к способу предотвращения возникновения заболевания и/или патологического состояния, и/или его сопутствующих симптомов или исключения приобретения субъектом заболевания. В данном контексте «предотвращать», «предотвращающий» и «предотвращение» также включают отсрочку возникновения заболевания и/или его сопутствующих симптомов и уменьшение риска приобретения субъектом заболевания. Термины «предотвращать», «предотвращающий» и «предотвращение» могут включать «профилактическое лечение», которое относится к снижению вероятности повторного развития заболевания или патологического состояния или рецидива леченного ранее заболевания или патологического состояния у субъекта, который не имеет, но подвержен риску или восприимчив к повторному развитию заболевания или патологического состояния или к рецидиву заболевания или патологического состояния.
Термин «терапевтически эффективное количество» или «эффективная доза» в данном контексте относится к такому количеству активного ингредиента(ов), которое является достаточным, при введении способом по данному изобретению, для эффективной доставки субъекту, нуждающемуся в этом, активного ингредиента(ов) для лечения рассматриваемого патологического состояния или заболевания. В случае рака или другого пролиферативного расстройства терапевтически эффективное количество агента может обеспечивать уменьшение (т.е. замедление до некоторой степени или остановку) нежелательной клеточной пролиферации; уменьшение количества раковых клеток; уменьшение размера опухоли; ингибирование (т.е. замедление до некоторой степени или остановку) инфильтрации раковых клеток в периферические органы; ингибирование (т.е. замедление до некоторой степени или остановку) метастаза опухоли; до некоторой степени замедление роста опухоли; и/или до некоторой степени облегчение одного или более симптомов, связанных с раком. В той степени, в которой введенное соединение или композиция предотвращает рост и/или уничтожает существующие раковые клетки, оно (она) может быть цитостатическим(ой) и/или цитотоксическим(ой).
Термин «контейнер» означает любую тару и крышку, подходящие для хранения, транспортировки, дозирования и/или обращения с фармацевтическим продуктом.
Термин «вкладыш» означает информационный листок, сопровождающий фармацевтический продукт, где представлено описание способа введения продукта, а также данные о безопасности и эффективности, необходимые для того, чтобы врач, фармацевт и субъект могли принять информированное решение касаемо применения продукта. Вкладыш упаковки обычно рассматривают как «этикетку» фармацевтического продукта.
«Параллельное введение», «введение в комбинации», «одновременное введение» и подобные выражения означают, что два или более агентов вводят субъекту, подлежащему лечению, параллельно. «Параллельно» означает, что каждый агент вводят либо одновременно, либо последовательно в любом порядке в разные моменты времени. Однако в случае неодновременного введения подразумевается, что их вводят субъекту последовательно и с достаточно коротким интервалом времени для обеспечения требуемого терапевтического эффекта и возможности их совместного действия. Например, соединение по данному изобретению можно вводить одновременно или последовательно в любом порядке в разные моменты времени относительно необязательного терапевтического агента. Соединение по данному изобретению и необязательный терапевтический агент можно вводить отдельно, в любой соответствующей форме и любым подходящим способом. Если соединение по данному изобретению и необязательный терапевтический агент вводят не одновременно, то следует понимать, что их можно вводить субъекту, нуждающемуся в этом, в любом порядке. Например, соединение по данному изобретению можно вводить субъекту, нуждающемуся в этом, до (например, на 5 минут, 15 минут, 30 минут, 45 минут, 1 час, 2 часа, 4 часа, 6 часов, 12 часов, 24 часа, 48 часов, 72 часа, 96 часов, 1 неделю, 2 недели, 3 недели, 4 недели, 5 недель, 6 недель, 8 недель или 12 недель раньше), одновременно или после (например, через 5 минут, 15 минут, 30 минут, 45 минут, 1 час, 2 часа, 4 часа, 6 часов, 12 часов, 24 часа, 48 часов, 72 часа, 96 часов, 1 неделю, 2 недели, 3 недели, 4 недели, 5 недель, 6 недель, 8 недель или 12 недель) введения необязательного терапевтического агента или способа лечения (например, лучевой терапии). В различных вариантах реализации соединение по данному изобретению и необязательный терапевтический агент вводят с интервалом 1 минута, с интервалом 10 минут, с интервалом 30 минут, с интервалом менее 1 часа, с интервалом 1 час, с интервалом от 1 часа до 2 часов, с интервалом от 2 часов до 3 часов, с интервалом от 3 часов до 4 часов, с интервалом от 4 часов до 5 часов, с интервалом от 5 часов до 6 часов, с интервалом от 6 часов до 7 часов, с интервалом от 7 часов до 8 часов, с интервалом от 8 часов до 9 часов, с интервалом от 9 часов до 10 часов, с интервалом от 10 часов до 11 часов, с интервалом от 11 часов до 12 часов, с интервалом не более 24 часов или с интервалом не более 48 часов. В одном варианте реализации компоненты комбинированной терапии вводят с интервалом от около 1 минуты до около 24 часов.
Использование терминов в единственном числе в контексте описания данного изобретения (особенно в контексте формулы изобретения) следует толковать как включение форм единственного и множественного числа, если не указано иное. Перечисление диапазонов значений в данном документе предназначено лишь для краткости отдельного упоминания каждого отдельного значения, входящего в указанный диапазон, если не указано иное, и каждое отдельное значение включено в данное описание, как если бы оно было специально перечислено в данном документе. Применение любого или всех примеров или иллюстративной формулировки (например, «такой как»), представленных в данном документе, предназначено для лучшей иллюстрации данного изобретения и не является ограничением объема данного изобретения, если не заявлено иное. Никакие формулировки данного описания не следует толковать как указывающие на незаявленный элемент, существенный для практического осуществления данного изобретения.
Термин «галоген» в данном контексте, используемый отдельно или как часть другой группы, относится к -Cl, -F, -Br или -I.
Термин «нитро» в данном контексте, используемый отдельно или как часть другой группы, относится к -NO2.
Термин «циано» в данном контексте, используемый отдельно или как часть другой группы, относится к -CN.
Термин «гидрокси» в данном контексте, используемый отдельно или как часть другой группы, относится к -OH.
Термин «алкил» в данном контексте, используемый отдельно или как часть другой группы, относится к неразветвленному или разветвленному алифатическому углеводороду, содержащему от одного до двенадцати атомов углерода, т.е. к C1-C12 алкилу, или содержащему указанное количество атомов углерода, например, к C1 алкилу, такому как метил, к C2 алкилу, такому как этил, и т.д. В одном варианте реализации алкил представляет собой C1-C10 алкил. В другом варианте реализации алкил представляет собой C1-C6 алкил. В другом варианте реализации алкил представляет собой C1-C4 алкил. В другом варианте реализации алкил представляет собой C1-C3 алкил, т.е. метил, этил, пропил или изопропил. Неограничивающие примеры C1-C12 алкильных групп включают метил, этил, пропил, изопропил, бутил, втор-бутил, трет-бутил, изо-бутил, 3-пентил, гексил, гептил, октил, нонил и децил. В другом варианте реализации один или более атомов водорода алкильной группы заменены атомами дейтерия, т.е. алкильная группа является изотопно меченой дейтерием. Неограничивающий пример дейтерированной алкильной группы представляет собой -CD3.
Термин «необязательно замещенный алкил», используемый в данном контексте отдельно или как часть другой группы, относится к алкильной группе, которая является незамещенной или замещена одним, двумя или тремя заместителями, причем каждый заместитель независимо представляет собой нитро, галогеналкокси, арилокси, аралкилокси, алкилтио, сульфонамидо, алкилкарбонил, арилкарбонил, алкилсульфонил, арилсульфонил, уреидо, гуанидино, карбамат, карбокси, алкоксикарбонил, карбоксиалкил, -N(R56a)C(=O)R56b, -N(R56c)S(=O)2R56d, -C(=O)R57, -S(=O)R56e или -S(=O)2R58; где:
R56a представляет собой водород или алкил;
R56b представляет собой алкил, галогеналкил, необязательно замещенный циклоалкил, алкокси, (алкокси)алкил, (арил)алкил, (гетероарил)алкил, (амино)алкил, (гидрокси)алкил, (циано)алкил, необязательно замещенный алкенил, необязательно замещенный алкинил, необязательно замещенный циклоалкил, необязательно замещенный гетероцикл, необязательно замещенный C6-C10 арил или необязательно замещенный гетероарил;
R56c представляет собой водород или алкил;
R56d представляет собой алкил, галогеналкил, необязательно замещенный циклоалкил, алкокси, (алкокси)алкил, (арил)алкил, (гетероарил)алкил, (амино)алкил, (гидрокси)алкил, (циано)алкил, необязательно замещенный алкенил, необязательно замещенный алкинил, необязательно замещенный циклоалкил, необязательно замещенный гетероцикл, необязательно замещенный C6-C10 арил или необязательно замещенный гетероарил;
R56e представляет собой алкил, галогеналкил, необязательно замещенный циклоалкил, алкокси, (алкокси)алкил, (арил)алкил, (гетероарил)алкил, (амино)алкил, (гидрокси)алкил, (циано)алкил, необязательно замещенный алкенил, необязательно замещенный алкинил, необязательно замещенный циклоалкил, необязательно замещенный гетероцикл, необязательно замещенный C6-C10 арил или необязательно замещенный гетероарил;
R57 представляет собой галогеналкил, необязательно замещенный циклоалкил, алкокси, (алкокси)алкил, (арил)алкил, (гетероарил)алкил, (амино)алкил, (гидрокси)алкил, (циано)алкил, необязательно замещенный алкенил, необязательно замещенный алкинил, необязательно замещенный циклоалкил, необязательно замещенный гетероцикл или необязательно замещенный гетероарил; и
R58 представляет собой галогеналкил, необязательно замещенный циклоалкил, алкокси, (алкокси)алкил, (арил)алкил, (гетероарил)алкил, (амино)алкил, (гидрокси)алкил, (циано)алкил, необязательно замещенный алкенил, необязательно замещенный алкинил, необязательно замещенный циклоалкил, необязательно замещенный гетероцикл или необязательно замещенный гетероарил. Неограничивающие примеры необязательно замещенных алкильных групп включают -CH(CO2Me)CH2CO2Me и -CH(CH3)CH2N(H)C(=O)O(CH3)3.
Термин «алкенил», используемый в данном контексте отдельно или как часть другой группы, относится к алкильной группе, содержащей одну, две или три двойные углерод-углеродные связи. В одном варианте реализации алкенильная группа представляет собой C2-C6 алкенильную группу. В другом варианте реализации алкенильная группа представляет собой C2-C4 алкенильную группу. В другом варианте реализации алкенильная группа содержит одну двойную углерод-углеродную связь. Неограничивающие примеры алкенильных групп включают этенил, пропенил, изопропенил, бутенил, втор-бутенил, пентенил и гексенил.
Термин «необязательно замещенный алкенил», используемый в данном контексте отдельно или как часть другой группы, относится к алкенильной группе, которая является незамещенной или замещена одним, двумя или тремя заместителями, причем каждый заместитель независимо представляет собой галоген, нитро, циано, гидрокси, амино (например, алкиламино, диалкиламино), галогеналкил, гидроксиалкил, алкокси, галогеналкокси, арилокси, аралкилокси, алкилтио, карбоксамидо, сульфонамидо, алкилкарбонил, арилкарбонил, алкилсульфонил, арилсульфонил, уреидо, гуанидино, карбокси, карбоксиалкил, необязательно замещенный циклоалкил, алкенил, алкинил, необязательно замещенный арил, необязательно замещенный гетероарил или необязательно замещенный гетероцикло. Неограничивающий пример необязательно замещенных алкенильных групп включает -CH=CHPh.
Термин «алкинил», используемый в данном контексте отдельно или как часть другой группы, относится к алкильной группе, содержащей одну, две или три тройные углерод-углеродные связи. В одном варианте реализации алкинил представляет собой C2-C6 алкинил. В другом варианте реализации алкинил представляет собой C2-C4 алкинил. В другом варианте реализации алкинил содержит одну тройную углерод-углеродную связь. Неограничивающие примеры алкинильных групп включают этинил, пропинил, бутинил, 2-бутинил, пентинил и гексинильные группы.
Термин «необязательно замещенный алкинил», используемый в данном контексте отдельно или как часть другой группы, относится к алкинильной группе, которая является незамещенной или замещена одним, двумя или тремя заместителями, причем каждый заместитель независимо представляет собой галоген, нитро, циано, гидрокси, амино (например, алкиламино, диалкиламино), галогеналкил, гидроксиалкил, алкокси, галогеналкокси, арилокси, аралкилокси, алкилтио, карбоксамидо, сульфонамидо, алкилкарбонил, арилкарбонил, алкилсульфонил, арилсульфонил, уреидо, гуанидино, карбокси, карбоксиалкил, необязательно замещенный циклоалкил, алкенил, алкинил, необязательно замещенный арил, необязательно замещенный гетероарил или необязательно замещенный гетероцикло. Неограничивающие примеры необязательно замещенных алкинильных групп включают -C≡CPh и -CH(Ph)C≡CH.
Термин «галогеналкил», используемый в данном контексте отдельно или как часть другой группы, относится к алкильной группе, замещенной одним или более атомами фтора, хлора, брома и/или йода. В одном варианте реализации алкил замещен одним, двумя или тремя атомами фтора и/или хлора. В другом варианте реализации алкил замещен одним, двумя или тремя атомами фтора. В другом варианте реализации алкил представляет собой C1-C6 алкил. В другом варианте реализации алкил представляет собой C1-C4 алкил. В другом варианте реализации алкильная группа представляет собой C1 или C2 алкил. Неограничивающие примеры галогеналкильных групп включают фторметил, дифторметил, трифторметил, пентафторэтил, 1,1-дифторэтил, 2,2-дифторэтил, 2,2,2-трифторэтил, 3,3,3-трифторпропил, 4,4,4-трифторбутил и трихлорметильные группы.
Термины «гидроксиалкил» или «(гидрокси)алкил», используемые в данном контексте отдельно или как часть другой группы, относятся к алкильной группе, замещенной одной, двумя или тремя гидрокси-группами. В одном варианте реализации алкил представляет собой C1-C6 алкил. В другом варианте реализации алкил представляет собой C1-C4 алкил. В другом варианте реализации алкил представляет собой C1 или C2 алкил. В другом варианте реализации гидроксиалкил представляет собой моногидроксиалкильную группу, т.е. замещен одной гидрокси-группой. В другом варианте реализации гидроксиалкильная группа представляет собой дигидроксиалкильную группу, т.е. замещена двумя гидрокси-группами. Неограничивающие примеры (гидрокси)алкильных групп включают гидроксиметил, гидроксиэтил, гидроксипропил и гидроксибутильные группы, такие как 1-гидроксиэтил, 2-гидроксиэтил, 1,2-дигидроксиэтил, 2-гидроксипропил, 3-гидроксипропил, 3-гидроксибутил, 4-гидроксибутил, 2-гидрокси-1-метилпропил и 1,3-дигидроксипроп-2-ил.
Термин «алкокси», используемый в данном контексте отдельно или как часть другой группы, относится к алкильной группе, присоединенной к концевому атому кислорода. В одном варианте реализации алкил представляет собой C1-C6 алкил, и, следовательно, образованный алкокси упомянут как «C1-C6 алкокси». В другом варианте реализации алкил представляет собой C1-C4 алкильную группу. Неограничивающие примеры алкокси-групп включают метокси, этокси и трет-бутокси.
Термин «галогеналкокси», используемый в данном контексте отдельно или как часть другой группы, относится к галогеналкильной группе, присоединенной к концевому атому кислорода. В одном варианте реализации галогеналкильная группа представляет собой C1-C6 галогеналкил. В другом варианте реализации галогеналкильная группа представляет собой C1-C4 галогеналкильную группу. Неограничивающие примеры галогеналкокси-групп включают фторметокси, дифторметокси, трифторметокси и 2,2,2-трифторэтокси.
Термин «алкилтио», используемый в данном контексте отдельно или как часть другой группы, относится к алкильной группе, присоединенной к концевому атому серы. В одном варианте реализации алкильная группа представляет собой C1-C4 алкильную группу. Неограничивающие примеры алкилтио-групп включают -SCH3 и -SCH2CH3.
Термины «алкоксиалкил» или «(алкокси)алкил», используемые в данном контексте отдельно или как часть другой группы, относятся к алкильной группе, замещенной одной алкокси-группой. В одном варианте реализации алкокси представляет собой C1-C6 алкокси. В другом варианте реализации алкокси представляет собой C1-C4 алкокси. В другом варианте реализации алкил представляет собой C1-C6 алкил. В другом варианте реализации алкил представляет собой C1-C4 алкил. Неограничивающие примеры алкоксиалкильных групп включают метоксиметил, метоксиэтил, метоксипропил, метоксибутил, этоксиметил, этоксиэтил, этоксипропил, этоксибутил, пропоксиметил, изо-пропоксиметил, пропоксиэтил, пропоксипропил, бутоксиметил, трет-бутоксиметил, изо-бутоксиметил, втор-бутоксиметил и пентилоксиметил.
Термин «гетероалкил», используемый в данном контексте отдельно или как часть другой группы, относится к незамещенным неразветвленным или разветвленным алифатическим углеводородам, содержащим от трех до двадцати атомов в цепи, т.е. к 3-20-членному гетероалкилу, или содержащим указанное количество атомов в цепи, причем по меньшей мере один фрагмент -CH2- заменен по меньшей мере одним из -O-, -N(H)-, -N(C1-C4 алкила)- или -S-. Фрагмент -O-, -N(H)-, -N(C1-C4 алкил)- или -S- может независимо находиться в любом внутреннем положении алифатической углеводородной цепи, при условии, что каждая группа -O-, -N(H)-, -N(C1-C4 алкил)- и -S- отделена по меньшей мере двумя группами -CH2-. В одном варианте реализации одна группа -CH2- заменена одной группой -O-. В другом варианте реализации две группы -CH2- заменены двумя группами -O-. В другом варианте реализации три группы -CH2- заменены тремя группами -O-. В другом варианте реализации четыре группы -CH2- заменены четырьмя группами -O-. Неограничивающие примеры гетероалкильных групп включают -CH2OCH3, -CH2OCH2CH2CH3, -CH2CH2CH2OCH3, -CH2CH2OCH2CH2OCH2CH3, -CH2CH2OCH2CH2OCH2CH2OCH2CH3.
Термин «циклоалкил», используемый в данном контексте отдельно или как часть другой группы, относится к насыщенным и частично ненасыщенным, например, содержащим одну или две двойные связи, моноциклическим, бициклическим или трициклическим алифатическим углеводородам, содержащим от трех до двенадцати атомов углерода, т.е. к C3-12 циклоалкилу, или содержащим указанное количество атомов углерода, например, к C3 циклоалкилу, такому как циклопропил, к C4 циклоалкилу, такому как циклобутил, и т.д. В одном варианте реализации циклоалкил является бициклическим, т.е. содержит два кольца. В другом варианте реализации циклоалкил является моноциклическим, т.е. содержит одно кольцо. В другом варианте реализации циклоалкил представляет собой C3-8 циклоалкил. В другом варианте реализации циклоалкил представляет собой C3-6 циклоалкил, т.е. циклопропил, циклобутил, циклопентил или циклогексил. В другом варианте реализации циклоалкил представляет собой C5 циклоалкил, т.е. циклопентил. В другом варианте реализации циклоалкил представляет собой C6 циклоалкил, т.е. циклогексил. Неограничивающие примеры C3-12 циклоалкильных групп включают циклопропил, циклобутил, циклопентил, циклогексил, циклогептил, циклооктил, норборнил, декалин, адамантил, циклогексенил и спиро[3.3]гептан.
Термин «необязательно замещенный циклоалкил», используемый в данном контексте отдельно или как часть другой группы, относится к циклоалкильной группе, которая является незамещенной или замещена одним, двумя или тремя заместителями, причем каждый заместитель независимо представляет собой галоген, нитро, циано, гидрокси, амино (например, -NH2, алкиламино, диалкиламино, аралкиламино, гидроксиалкиламино или (гетероцикло)алкиламино), гетероалкил, галогеналкил, гидроксиалкил, алкокси, галогеналкокси, арилокси, аралкил, аралкилокси, алкилтио, карбоксамидо, сульфонамидо, алкилкарбонил, арилкарбонил, алкилсульфонил, арилсульфонил, уреидо, гуанидино, карбокси, карбоксиалкил, необязательно замещенный алкил, необязательно замещенный циклоалкил, алкенил, алкинил, необязательно замещенный арил, необязательно замещенный гетероарил, необязательно замещенный гетероцикло, алкоксиалкил, (амино)алкил, (циано)алкил, (карбоксамидо)алкил, меркаптоалкил, (гетероцикло)алкил, (гетероарил)алкил, -N(R56a)C(=O)R56b,-N(R56c)S(=O)2R56d, -C(=O)R57, -S(=O)R56e, -S(=O)2R58 или -OR59, где R56a, R56b, R56c, R56d, R56e, R57 и R58 имеют значения, определенные для термина «необязательно замещенный алкил», и R59 представляет собой (гидрокси)алкил или (амино)алкил. Термин «необязательно замещенный циклоалкил» также включает циклоалкильные группы, содержащие конденсированные необязательно замещенные арильные или необязательно замещенные гетероарильные группы, такие как
,
,
и
.
Неограничивающие примеры необязательно замещенных циклоалкильных групп включают:
,
и
.
Термин «гетероцикло», используемый в данном документе отдельно или как часть другой группы, относится к насыщенным и частично ненасыщенным, например, содержащим одну или две двойные связи, моноциклическим, бициклическим или трициклическим группам, содержащим от трех до четырнадцати кольцевых членов, т.е. к 3-14-членному гетероцикло, содержащему один, два, три или четыре гетероатома. Каждый гетероатом независимо представляет собой кислород, серу или азот. Каждый атом серы независимо окислен с образованием сульфоксида, т.е. S(=O), или сульфона, т.е. S(=O)2.
Термин «гетероцикло» включает группы, в которых одна или более групп -CH2- заменены одной или более группами -C(=O)-, включая циклические уреидо-группы, такие как имидазолидинил-2-он, циклические амидные группы, такие как пирролидин-2-он или пиперидин-2-он, и циклические карбаматные группы, такие как оксазолидинил-2-он.
Термин «гетероцикло» также включает группы, содержащие конденсированные необязательно замещенные арильные или необязательно замещенные гетероарильные группы, такие как индолин, индолин-2-он, 2,3-дигидро-1H-пирроло[2,3-c]пиридин, 2,3,4,5-тетрагидро-1H-бензо[d]азепин или 1,3,4,5-тетрагидро-2H-бензо[d]азепин-2-он.
В одном варианте реализации гетероцикло-группа представляет собой 4-8-членную циклическую группу, содержащую одно кольцо и один или два атома кислорода, например, тетрагидрофуран или тетрагидропиран, или один или два атома азота, например, пирролидин, пиперидин или пиперазин, или один атом кислорода и один атом азота, например, морфолин, и необязательно одна группа -CH2- заменена одной группой -C(=O)-, например, пирролидин-2-он или пиперазин-2-он. В другом варианте реализации гетероцикло-группа представляет собой 5-8-членную циклическую группу, содержащую одно кольцо и один или два атома азота, и необязательно одна группа -CH2- заменена одной группой -C(=O)-. В другом варианте реализации гетероцикло-группа представляет собой 5- или 6-членную циклическую группу, содержащую одно кольцо и один или два атома азота, и необязательно одна группа -CH2- заменена одной группой -C(=O)-. В другом варианте реализации гетероцикло-группа представляет собой 8-12-членную циклическую группу, содержащую два кольца и один или два атома азота. Гетероцикло-группа может быть связана с остальной частью молекулы через любой доступный атом углерода или азота. Неограничивающие примеры гетероцикло-групп включают:
,
и
.
Термин «необязательно замещенный гетероцикло», используемый в данном контексте отдельно или как часть другой группы, относится к гетероцикло-группе, которая является незамещенной или замещена одним-четырьмя заместителями, причем каждый заместитель независимо представляет собой галоген, нитро, циано, гидрокси, амино (например, -NH2, алкиламино, диалкиламино, аралкиламино, гидроксиалкиламино или (гетероцикло)алкиламино), гетероалкил, галогеналкил, гидроксиалкил, алкокси, галогеналкокси, арилокси, аралкил, аралкилокси, алкилтио, карбоксамидо, сульфонамидо, алкилкарбонил, арилкарбонил, алкилсульфонил, арилсульфонил, уреидо, гуанидино, карбокси, карбоксиалкил, необязательно замещенный алкил, необязательно замещенный циклоалкил, алкенил, алкинил, необязательно замещенный арил, необязательно замещенный гетероарил, необязательно замещенный гетероцикло, алкоксиалкил, (амино)алкил, (циано)алкил, (карбоксамидо)алкил, меркаптоалкил, (гетероцикло)алкил, (гетероарил)алкил, -N(R56a)C(=O)R56b, -N(R56c)S(=O)2R56d, -C(=O)R57, -S(=O)R56e, -S(=O)2R58 или -OR59, где R56a, R56b, R56c, R56d, R56e, R57, R58 и R59 имеют значения, определенные для термина «необязательно замещенный циклоалкил». Замещение может иметь место у любого доступного атома углерода или азота гетероцикло-группы. Неограничивающие примеры необязательно замещенных гетероцикло-групп включают:
,
,
,
и
.
Термин «арил», используемый в данном контексте отдельно или как часть другой группы, относится к ароматической кольцевой системе, содержащей от шести до четырнадцати атомов углерода, т.е. к C6-C14 арилу. Неограничивающие примеры арильных групп включают группы фенила (сокращенно «Ph»), нафтила, фенантрила, антраценила, инденила, азуленила, бифенила, бифениленила и флуоренила. В одном варианте реализации арильная группа представляет собой фенил или нафтил. В другом варианте реализации арильная группа представляет собой фенил.
Термин «необязательно замещенный арил», используемый в данном контексте отдельно или как часть другой группы, относится к арилу, который является незамещенным или замещен одним-пятью заместителями, причем каждый заместитель независимо представляет собой галоген, нитро, циано, гидрокси, амино (например, -NH2, алкиламино, диалкиламино, аралкиламино, гидроксиалкиламино или (гетероцикло)алкиламино), гетероалкил, галогеналкил, гидроксиалкил, алкокси, галогеналкокси, арилокси, аралкил, аралкилокси, алкилтио, карбоксамидо, сульфонамидо, алкилкарбонил, арилкарбонил, алкилсульфонил, арилсульфонил, уреидо, гуанидино, карбокси, карбоксиалкил, необязательно замещенный алкил, необязательно замещенный циклоалкил, алкенил, алкинил, необязательно замещенный арил, необязательно замещенный гетероарил, необязательно замещенный гетероцикло, алкоксиалкил, (амино)алкил, (циано)алкил, (карбоксамидо)алкил, меркаптоалкил, (гетероцикло)алкил, (гетероарил)алкил, -N(R56a)C(=O)R56b, -N(R56c)S(=O)2R56d, -C(=O)R57, -S(=O)R56e, -S(=O)2R58 или -OR59, где R56a, R56b, R56c, R56d, R56e, R57, R58 и R59 имеют значения, определенные для термина «необязательно замещенный циклоалкил».
В одном варианте реализации необязательно замещенный арил представляет собой необязательно замещенный фенил. В другом варианте реализации необязательно замещенный фенил имеет четыре заместителя. В другом варианте реализации необязательно замещенный фенил имеет три заместителя. В другом варианте реализации необязательно замещенный фенил имеет два заместителя. В другом варианте реализации необязательно замещенный фенил имеет один заместитель. Неограничивающие примеры необязательно замещенных арильных групп включают 2-метилфенил, 2-метоксифенил, 2-фторфенил, 2-хлорфенил, 2-бромфенил, 3-метилфенил, 3-метоксифенил, 3-фторфенил, 3-хлорфенил, 4-метилфенил, 4-этилфенил, 4-метоксифенил, 4-фторфенил, 4-хлорфенил, 2,6-дифторфенил, 2,6-ди-хлорфенил, 2-метил, 3-метоксифенил, 2-этил, 3-метоксифенил, 3,4-диметоксифенил, 3,5-дифторфенил 3,5-диметилфенил, 3,5-диметокси, 4-метилфенил, 2-фтор-3-хлорфенил, 3-хлор-4-фторфенил и 2-фенилпропан-2-амин. Термин «необязательно замещенный арил» включает арильные группы, содержащие конденсированные необязательно замещенные циклоалкильные группы и конденсированные необязательно замещенные гетероцикло-группы. Неограничивающие примеры включают: 2,3-дигидро-1H-инден-1-ил, 1,2,3,4-тетрагидронафталин-1-ил, 1,3,4,5-тетрагидро-2H-бензо[c]азепин-2-ил, 1,2,3,4-тетрагидроизохинолин-1-ил и 2-оксо-2,3,4,5-тетрагидро-1H-бензо[d]азепин-1-ил.
Термин «гетероарил», используемый в данном контексте отдельно или как часть другой группы, относится к моноциклическим и бициклическим ароматическим кольцевым системам, содержащим от пяти до 14 (четырнадцати) кольцевых членов, т.е. к 5-14-членному гетероарилу, содержащему один, два, три или четыре гетероатома. Каждый гетероатом независимо представляет собой кислород, серу или азот. В одном варианте реализации гетероарил содержит три гетероатома. В другом варианте реализации гетероарил содержит два гетероатома. В другом варианте реализации гетероарил содержит один гетероатом. В другом варианте реализации гетероарил представляет собой 5-10-членный гетероарил. В другом варианте реализации гетероарил содержит 5 кольцевых атомов, например, тиенил, 5-членный гетероарил, содержащий четыре атома углерода и один атом серы. В другом варианте реализации гетероарил содержит 6 кольцевых атомов, например, пиридил, 6-членный гетероарил, содержащий пять атомов углерода и один атом азота. Неограничивающие примеры гетероарильных групп включают тиенил, бензо[b]тиенил, нафто[2,3-b]тиенил, тиантренил, фурил, бензофурил, пиранил, изобензофуранил, бензооксазонил, хроменил, ксантенил, 2H-пирролил, пирролил, имидазолил, пиразолил, пиридил, пиразинил, пиримидинил, пиридазинил, изоиндолил, 3H-индолил, индолил, индазолил, пуринил, изохинолил, хинолил, фталазинил, нафтиридинил, циннолинил, хиназолинил, птеридинил, 4aH-карбазолил, карбазолил, в-карболинил, фенантридинил, акридинил, пиримидинил, фенантролинил, феназинил, тиазолил, изотиазолил, фенотиазолил, изоксазолил, фуразанил и феноксазинил. В одном варианте реализации гетероарил выбран из тиенила (например, тиен-2-ила и тиен-3-ила), фурила (например, 2-фурила и 3-фурила), пирролила (например, 1H-пиррол-2-ила и 1H-пиррол-3-ила), имидазолила (например, 2H-имидазол-2-ила и 2H-имидазол-4-ила), пиразолила (например, 1H-пиразол-3-ила, 1H-пиразол-4-ила и 1H-пиразол-5-ила), пиридила (например, пиридин-2-ила, пиридин-3-ила и пиридин-4-ила), пиримидинила (например, пиримидин-2-ила, пиримидин-4-ила и пиримидин-5-ила), тиазолила (например, тиазол-2-ила, тиазол-4-ила и тиазол-5-ила), изотиазолила (например, изотиазол-3-ила, изотиазол-4-ила и изотиазол-5-ила), оксазолила (например, оксазол-2-ила, оксазол-4-ила и оксазол-5-ила) и изоксазолила (например, изоксазол-3-ила, изоксазол-4-ила и изоксазол-5-ила). Термин «гетероарил» также включает N-оксиды. Неограничивающий пример N-оксида представляет собой пиридил-N-оксид.
Термин «необязательно замещенный гетероарил», используемый в данном контексте отдельно или как часть другой группы, относится к гетероарилу, который является незамещенным или замещен одним-четырьмя заместителями, причем указанные заместители независимо представляют собой галоген, нитро, циано, гидрокси, амино (например, -NH2, алкиламино, диалкиламино, аралкиламино, гидроксиалкиламино или (гетероцикло)алкиламино), гетероалкил, галогеналкил, гидроксиалкил, алкокси, галогеналкокси, арилокси, аралкил, аралкилокси, алкилтио, карбоксамидо, сульфонамидо, алкилкарбонил, арилкарбонил, алкилсульфонил, арилсульфонил, уреидо, гуанидино, карбокси, карбоксиалкил, необязательно замещенный алкил, необязательно замещенный циклоалкил, алкенил, алкинил, необязательно замещенный арил, необязательно замещенный гетероарил, необязательно замещенный гетероцикло, алкоксиалкил, (амино)алкил, (циано)алкил, (карбоксамидо)алкил, меркаптоалкил, (гетероцикло)алкил, (гетероарил)алкил, -N(R56a)C(=O)R56b, -N(R56c)S(=O)2R56d, -C(=O)R57, -S(=O)R56e, -S(=O)2R58 или -OR59, где R56a, R56b, R56c, R56d, R56e, R57, R58 и R59 имеют значения, определенные для термина «необязательно замещенный циклоалкил».
В одном варианте реализации необязательно замещенный гетероарил имеет два заместителя. В другом варианте реализации необязательно замещенный гетероарил имеет один заместитель. Замещенным может быть любой доступный атом углерода или азота.
Термин «5-членный гетероариленил», используемый в данном контексте отдельно или как часть другой группы, относится к двухвалентной форме необязательно замещенной 5-членной гетероарильной группы. В одном варианте реализации гетероариленил представляет собой замещенный 5-членный гетероариленил. В одном варианте реализации гетероариленил представляет собой незамещенный 5-членный гетероариленил. Неограничивающие примеры 5-членных гетероариленилов включают:
,
,
и
.
Термин «арилокси», используемый в данном контексте отдельно или как часть другой группы, относится к необязательно замещенному арилу, присоединенному к концевому атому кислорода. Неограничивающий пример арилокси-группы представляет собой PhO-.
Термин «гетероарилокси», используемый в данном контексте отдельно или как часть другой группы, относится к необязательно замещенному гетероарилу, присоединенному к концевому атому кислорода. Неограничивающий пример арилокси-группы представляет собой пиридил-O-.
Термин «аралкокси», используемый в данном контексте отдельно или как часть другой группы, относится к аралкилу, присоединенному к концевому атому кислорода. Неограничивающий пример аралкилокси-группы представляет собой PhCH2O-.
Термин «(циано)алкил», используемый в данном контексте отдельно или как часть другой группы, относится к алкилу, замещенному одной, двумя или тремя циано-группами. В одном варианте реализации алкил замещен одной циано-группой. В другом варианте реализации алкил представляет собой C1-C6 алкил. В другом варианте реализации алкил представляет собой C1-C4 алкил. Неограничивающие примеры (циано)алкильных групп включают -CH2CH2CN и -CH2CH2CH2CN.
Термин «(циклоалкил)алкил», используемый в данном контексте отдельно или как часть другой группы, относится к алкилу, замещенному одной или двумя необязательно замещенными циклоалкильными группами. В одном варианте реализации циклоалкильная группа(ы) представляет собой необязательно замещенный C3-C6 циклоалкил. В другом варианте реализации алкил представляет собой C1-C6 алкил. В другом варианте реализации алкил представляет собой C1-C4 алкил. В другом варианте реализации алкил представляет собой C1 или C2 алкил. В другом варианте реализации алкил замещен одной необязательно замещенной циклоалкильной группой. В другом варианте реализации алкил замещен двумя необязательно замещенными циклоалкильными группами. Неограничивающие примеры (циклоалкил)алкильных групп включают:
.
Термин «сульфонамидо», используемый в данном контексте отдельно или как часть другой группы, относится к радикалу формулы -SO2NR50aR50b, где каждый R50a и R50b независимо представляет собой водород, алкил, необязательно замещенный циклоалкил, необязательно замещенный гетероцикло, необязательно замещенный арил или необязательно замещенный гетероарил; или R50a и R50b вместе с атомом азота, к которому они присоединены, образуют 3-8-членную необязательно замещенную гетероцикло-группу. Неограничивающие примеры сульфонамидо-групп включают -SO2NH2, -SO2N(H)CH3 и -SO2N(H)Ph.
Термин «карбоксамидо», используемый в данном контексте отдельно или как часть другой группы, относится к радикалу формулы -C(=O)NR50cR50d, где каждый R50c и R50d независимо представляет собой водород, алкил, необязательно замещенный циклоалкил, необязательно замещенный гетероцикло, необязательно замещенный арил или необязательно замещенный гетероарил; или R50c и R50d вместе с атомом азота, к которому они присоединены, образуют 3-8-членную необязательно замещенную гетероцикло-группу. Неограничивающие примеры карбоксамидо-групп включают -C(=O)NH2, -C(=O)(H)CH3 и -C(=O)N(CH3)2.
Термин «алкилкарбонил», используемый в данном контексте отдельно или как часть другой группы, относится к карбонильной группе, т.е. -C(=O)-, замещенной алкильной группой. В одном варианте реализации алкил представляет собой C1-C4 алкил. Неограничивающий пример алкилкарбонильной группы представляет собой -COCH3.
Термин «арилкарбонил», используемый в данном контексте отдельно или как часть другой группы, относится к карбонильной группе, т.е. -C(=O)-, замещенной необязательно замещенной арильной группой. Неограничивающий пример арилкарбонильной группы представляет собой -COPh.
Термин «алкилсульфонил», используемый в данном контексте отдельно или как часть другой группы, относится к сульфонильной группе, т.е. -SO2-, замещенной алкильной группой. Неограничивающий пример алкилсульфонильной группы представляет собой -SO2CH3.
Термин «арилсульфонил», используемый в данном контексте отдельно или как часть другой группы, относится к сульфонильной группе, т.е. -SO2-, замещенной необязательно замещенной арильной группой. Неограничивающий пример арилсульфонильной группы представляет собой -SO2Ph.
Термин «меркаптоалкил», используемый в данном контексте отдельно или как часть другой группы, относится к алкилу, замещенному группой -SH.
Термин «карбокси», используемый в данном контексте отдельно или как часть другой группы, относится к радикалу формулы -C(=O)OH.
Термин «уреидо», используемый в данном контексте отдельно или как часть другой группы, относится к радикалу формулы -NR51a-C(=O)-NR51bR51c, где R51a представляет собой водород или алкил; и каждый R51b и R51c независимо представляет собой водород, алкил, необязательно замещенный циклоалкил, необязательно замещенный гетероцикло, необязательно замещенный арил или необязательно замещенный гетероарил; или R51b и R51c вместе с атомом азота, к которому они присоединены, образуют 4-8-членную необязательно замещенную гетероцикло-группу. Неограничивающие примеры уреидо-групп включают -NH-C(C=O)-NH2 и -NH-C(C=O)-NHCH3.
Термин «гуанидино», используемый в данном контексте отдельно или как часть другой группы, относится к радикалу формулы -NR52a-C(=NR53)-NR52bR52c, где R52a представляет собой водород или алкил; каждый R52b и R53c независимо представляет собой водород, алкил, необязательно замещенный циклоалкил, необязательно замещенный гетероцикло, необязательно замещенный арил или необязательно замещенный гетероарил; или R52b и R52c вместе с атомом азота, к которому они присоединены, образуют 4-8-членную необязательно замещенную гетероцикло-группу; и R53 представляет собой водород, алкил, циано, алкилсульфонил, алкилкарбонил, карбоксамидо или сульфонамидо. Неограничивающие примеры гуанидино-групп включают -NH-C(C=NH)-NH2, -NH-C(C=NCN)-NH2 и -NH-C(C=NH)-NHCH3.
Термин «(гетероцикло)алкил», используемый в данном контексте отдельно или как часть другой группы, относится к алкилу, замещенному одной, двумя или тремя необязательно замещенными гетероцикло-группами. В одном варианте реализации алкил замещен одной необязательно замещенной 5-8-членной гетероцикло-группой. В другом варианте реализации алкил представляет собой C1-C6 алкил. В другом варианте реализации алкил представляет собой C1-C4 алкил. Гетероцикло-группа может быть связана с алкильной группой через атом углерода или азота. Неограничивающие примеры (гетероцикло)алкильных групп включают:
.
Термин «карбамат», используемый в данном контексте отдельно или как часть другой группы, относится к радикалу формулы -NR54a-C(=O)-OR54b, где R54a представляет собой водород или алкил, и R54b представляет собой водород, алкил, необязательно замещенный циклоалкил, необязательно замещенный гетероцикло, необязательно замещенный арил или необязательно замещенный гетероарил. Неограничивающий пример карбаматной группы представляет собой -NH-(C=O)-OtBu.
Термин «(гетероарил)алкил», используемый в данном контексте отдельно или как часть другой группы, относится к алкилу, замещенному одной или двумя необязательно замещенными гетероарильными группами. В одном варианте реализации алкильная группа замещена одной необязательно замещенной 5-14-членной гетероарильной группой. В другом варианте реализации алкильная группа замещена двумя необязательно замещенными 5-14-членными гетероарильными группами. В другом варианте реализации алкильная группа замещена одной необязательно замещенной 5-9-членной гетероарильной группой. В другом варианте реализации алкильная группа замещена двумя необязательно замещенными 5-9-членными гетероарильными группами. В другом варианте реализации алкильная группа замещена одной необязательно замещенной 5- или 6-членной гетероарильной группой. В другом варианте реализации алкильная группа замещена двумя необязательно замещенными 5- или 6-членными гетероарильными группами. В одном варианте реализации алкильная группа представляет собой C1-C6 алкил. В другом варианте реализации алкильная группа представляет собой C1-C4 алкил. В другом варианте реализации алкильная группа представляет собой C1 или C2 алкил. Неограничивающие примеры (гетероарил)алкильных групп включают:
.
Термины «аралкил» или «(арил)алкил», используемые в данном контексте отдельно или как часть другой группы, относятся к алкилу, замещенному одной, двумя или тремя необязательно замещенными арильными группами. В одном варианте реализации алкил замещен одной необязательно замещенной арильной группой. В другом варианте реализации алкил замещен двумя необязательно замещенными арильными группами. В одном варианте реализации арил представляет собой необязательно замещенный фенил или необязательно замещенный нафтил. В другом варианте реализации арил представляет собой необязательно замещенный фенил. В одном варианте реализации алкил представляет собой C1-C6 алкил. В другом варианте реализации алкил представляет собой C1-C4 алкил. В другом варианте реализации алкил представляет собой C1 или C2 алкил. Неограничивающие примеры (арил)алкильных групп включают бензил, фенэтил, -CHPh2 и -CH(4-F-Ph)2.
Термин «амидо», используемый в данном контексте отдельно или как часть другой группы, относится к радикалу формулы -C(=O)NR60aR60b, где каждый R60a и R60b независимо представляет собой водород, необязательно замещенный алкил, необязательно замещенный алкенил, необязательно замещенный алкинил, галогеналкил, (алкокси)алкил, (гидрокси)алкил, (циано)алкил, необязательно замещенный циклоалкил, необязательно замещенный гетероцикло, необязательно замещенный арил, необязательно замещенный гетероарил, (арил)алкил, (циклоалкил)алкил, (гетероцикло)алкил или (гетероарил)алкил; или R60a и R60b вместе с атомом азота, к которому они присоединены, образуют 4-8-членную необязательно замещенную гетероцикло-группу. В одном варианте реализации каждый R60a и R60b независимо представляет собой водород или C1-C6 алкил.
Термин «амино», используемый в данном контексте отдельно или как часть другой группы, относится к радикалу формулы -NR55aR55b, где R55a и R55b независимо представляют собой водород, необязательно замещенный алкил, галогеналкил, (гидрокси)алкил, (алкокси)алкил, (амино)алкил, гетероалкил, необязательно замещенный циклоалкил, необязательно замещенный гетероцикло, необязательно замещенный арил, необязательно замещенный гетероарил, (арил)алкил, (циклоалкил)алкил, (гетероцикло)алкил или (гетероарил)алкил.
В одном варианте реализации амино представляет собой -NH2.
В другом варианте реализации амино представляет собой «алкиламино», т.е. аминогруппу, в которой R55a представляет собой C1-6 алкил, и R55b представляет собой водород. В одном варианте реализации R55a представляет собой C1-C4 алкил. Неограничивающие примеры алкиламино-групп включают -N(H)CH3 и -N(H)CH2CH3.
В другом варианте реализации амино представляет собой «диалкиламино», т.е. аминогруппу, в которой каждый R55a и R55b независимо представляет собой C1-6 алкил. В одном варианте реализации каждый R55a и R55b независимо представляет собой C1-C4 алкил. Неограничивающие примеры диалкиламино-групп включают -N(CH3)2 и -N(CH3)CH2CH(CH3)2.
В другом варианте реализации амино представляет собой «гидроксиалкиламино», т.е. аминогруппу, в которой R55a представляет собой (гидроксил)алкил, и R55b представляет собой водород или C1-C4 алкил.
В другом варианте реализации амино представляет собой «циклоалкиламино», т.е. аминогруппу, в которой R55a представляет собой необязательно замещенный циклоалкил, и R55b представляет собой водород или C1-C4 алкил.
В другом варианте реализации амино представляет собой «аралкиламино», т.е. аминогруппу, в которой R55a представляет собой аралкил, и R55b представляет собой водород или C1-C4 алкил. Неограничивающие примеры аралкиламино-групп включают -N(H)CH2Ph, -N(H)CHPh2 и -N(CH3)CH2Ph.
В другом варианте реализации амино представляет собой «(циклоалкил)алкиламино», т.е. аминогруппу, в которой R55a представляет собой (циклоалкил)алкил, и R55b представляет собой водород или C1-C4 алкил. Неограничивающие примеры (циклоалкил)алкиламино-групп включают:
.
В другом варианте реализации амино представляет собой «(гетероцикло)алкиламино», т.е. аминогруппу, в которой R55a представляет собой (гетероцикло)алкил, и R55b представляет собой водород или C1-C4 алкил. Неограничивающие примеры (гетероцикло)алкиламино-групп включают:
.
Термин «(амино)алкил», используемый в данном контексте отдельно или как часть другой группы, относится к алкилу, замещенному одной аминогруппой. В одном варианте реализации аминогруппа представляет собой -NH2. В одном варианте реализации аминогруппа представляет собой алкиламино. В другом варианте реализации аминогруппа представляет собой диалкиламино. В другом варианте реализации алкил представляет собой C1-C6 алкил. В другом варианте реализации алкил представляет собой C1-C4 алкил. Неограничивающие примеры (амино)алкильных групп включают -CH2NH2, CH2CH2N(H)CH3, -CH2CH2N(CH3)2, CH2N(H)циклопропил, -CH2N(H)циклобутил и -CH2N(H)циклогексил, а также -CH2CH2CH2N(H)CH2Ph и -CH2CH2CH2N(H)CH2(4-CF3-Ph).
Данное изобретение включает любые соединения по данному изобретению, меченные изотопами (т.е. с радиоактивной меткой), в которых один или более атомов заменены атомом, имеющим другую атомную массу или массовое число. Примеры изотопов, которые могут быть внедрены в описанные соединения, включают изотопы водорода, углерода, азота, кислорода, фосфора, фтора и хлора, такие как 2H (или дейтерий (D)), 3H, 11C, 13C, 14C, 15N, 18O, 17O, 31P, 32P, 35S, 18F и 36Cl, соответственно, например, 3H, 11C и 14C. В одном варианте реализации предложено соединение, в котором по существу все атомы, находящиеся во внутреннем положении соединения по данному изобретению, заменены атомом, имеющим другую атомную массу или массовое число. В другом варианте реализации предложено соединение, в котором по существу все атомы, находящиеся во внутреннем положении соединения по данному изобретению, заменены атомами дейтерия, например, все атомы водорода группы -CH3 заменены атомами дейтерия с образованием группы -CD3. В другом варианте реализации предложено соединение, в котором заменена часть атомов, находящихся во внутреннем положении соединения по данному изобретению, т.е. соединение по данному изобретению в определенном положении обогащено атомом, имеющим другую атомную массу или массовое число. В другом варианте реализации предложено соединение, в котором ни один из атомов соединения по данному изобретению не заменен атомом, имеющим другую атомную массу или массовое число. Соединения по данному изобретению с изотопной меткой могут быть получены способами, известными в данной области техники.
Соединения по данному изобретению могут содержать один или более асимметричных центров и, следовательно, могут образовывать энантиомеры, диастереомеры и другие стереоизомерные формы. Данное изобретение включает применение всех таких возможных форм, а также их рацемических и выделенных форм, и их смесей. Отдельные энантиомеры могут быть выделены способами, известными в данной области техники, с учетом данного описания. Если соединения, описанные в данном документе, содержат олефиновые двойные связи или другие центры геометрической асимметрии, и если не указано иное, то предусмотрено, что они включают и E, и Z геометрические изомеры. В данное изобретение включены также все таутомеры.
В данном контексте термин «стереоизомеры» представляет собой общий термин для всех изомеров отдельных молекул, которые отличаются только ориентацией их атомов в пространстве. Он включает энантиомеры и изомеры соединений с более чем одним хиральным центром, которые не являются зеркальными отображениями друг друга (диастереомеры).
Термин «хиральный центр» или «асимметричный атом углерода» относится к атому углерода, к которому присоединены четыре различные группы.
Термины «энантиомер» и «энантиомерная» относятся к молекуле, которая не может быть совмещена со своим зеркальным отображением и, следовательно, является оптически активной, при этом один энантиомер вращает плоскость поляризованного света в одном направлении, а его зеркальное соединение вращает плоскость поляризованного света в противоположном направлении.
Термин «рацемическая» относится к смеси равных частей энантиомеров, которая является оптически неактивной. В одном варианте реализации соединения по данному изобретению являются рацемическими.
Термин «абсолютная конфигурация» относится к пространственному расположению атомов хирального молекулярного соединения (или группы) и его стереохимическому описанию, например, R или S.
Стереохимические термины и условные обозначения, используемые в данном описании, соответствуют тем, которые описаны в публикации Pure & Appl. Chem 68:2193 (1996), если не указано иное.
Термин «энантиомерный избыток» или «э.и.» относится к мере избытка одного энантиомера по сравнению с другим. Для смеси R и S энантиомеров процентный энантиомерный избыток определяют как │R - S│*100, где R и S представляют юсобой соответствующие молярные или массовые доли энантиомеров в смеси, так что R+S=1. Зная оптическое вращение хирального вещества, определяют процентный энантиомерный избыток как ([a]факт./[a]max)*100, где [a]факт. представляет собой оптическое вращение смеси энантиомеров, и [a]max представляет собой оптическое вращение чистого энантиомера. Определение энантиомерного избытка можно осуществлять различными аналитическими технологиями, включая спектроскопию ЯМР, хиральную колоночную хроматографию или оптическую поляриметрию.
Термин «около» в данном контексте включает указанное значение ± 10%. Так, «около 10» означает от 9 до 11.
ПРИМЕРЫ
ПРИМЕР 1
Синтез 12-(((5-фтор-2,3-дигидробензофуран-4-ил)метил)амино)-3H,5H-4-окса-2,6,11,12a-тетраазабензо[4,5]циклоокта[1,2,3-cd]инден-3-она (соединение №12)
Раствор этил-2-(дифенилметиленамино)ацетата (18,4 г, 69 ммоль) в ДМСО (50 мл) по каплям добавляли при 0°C к суспензии NaH (60%) (5,0 г, 125,5 ммоль) в 70 мл безводного ДМСО. Реакционная смесь сразу становилась оранжевой. Через 5 минут по каплям добавляли этил-2-((дифенилметилен)амино)ацетат (15 г, 62,7 ммоль) в 50 мл ДМСО. Перемешивали смесь при комнатной температуре в течение 2 часов. После этого реакционную смесь гасили, осторожно добавляя водный раствор NH4Cl. Затем экстрагировали смесь этилацетатом, промывали насыщенным солевым раствором, сушили и концентрировали, и использовали в неочищенном виде на следующей стадии. ЖХ-МС: [M+H]+=470,01.
К раствору соединения E 12-2 (неочищенное, 5,0 г, 10,6 ммоль) в ТГФ (50 мл) добавляли 10 мл 3 н. раствора HCl в воде при 0 °C. Перемешивали смесь при комнатной температуре в течение 1 часа и концентрировали реакционную смесь, затем подщелачивали до pH 8~9 водным раствором Na2CO3. Экстрагировали смесь ДХМ, промывали насыщенным солевым раствором. Концентрировали при пониженном давлении, затем очищали флэш-хроматографией (0-100% EtOAc/гексан) с получением требуемого соединения E 12-3 с общим выходом 80%. ЖХ-МС: [M+H]+=305,95.
Смесь HCOOH (4 мл) и Ac2O (4 мл) нагревали при 50 °С в течение 1 часа. Реакционную смесь охлаждали до комнатной температуры и добавляли к раствору этил-2-амино-2-(метилтио)пиримидин-4-ил)ацетата (соединение E 12-3, 2,0 г, 6,55 ммоль) в 20 мл ДХМ. Перемешивали смесь при комнатной температуре в течение 2 часов. После завершения реакции концентрировали смесь. Экстрагировали смесь ДХМ (2×50 мл), последовательно промывали водой (20 мл) и насыщенным солевым раствором (10 мл). Органическую фазу сушили (Na2SO4), фильтровали и концентрировали с получением неочищенного указанного в заголовке соединения E 12-4 в виде маслянистого вещества, которое использовали на следующих стадиях без дополнительной очистки. ЖХ-МС: [M+H]+=334,05.
К раствору соединения E 12-4 (2,0 г, неочищенное) в диоксане (20 мл) по каплям добавляли POCl3 (1,5 мл). Реакционную смесь нагревали при кипении с обратным холодильником в течение 4 часов. Охлаждали смесь до комнатной температуры и концентрировали. Добавляли ледяную воду (50 мл) и доводили рН смеси до 8 насыщенным водным раствором NaHCO3. Экстрагировали смесь ДХМ (2×50 мл), промывали насыщенным солевым раствором (10 мл), сушили (Na2SO4) и фильтровали. Концентрировали фильтрат и очищали остаток колоночной хроматографией на силикагеле (элюировали, используя 50-100% EtOAc/гексан) с получением указанного в заголовке соединения E 12-5 в виде белого твердого вещества (1,42 г, 4,59 ммоль) с общим выходом за две стадии 70%. ЖХ-МС: [M+H]+=315,70. 1H ЯМР (400 МГц, ДМСО d6): 8,67 (с, 1H), 7,99 (с, 1H), 4,33 (к, 2H), 2,76 (с, 3H), 1,34 (т, 3H).
К раствору соединения E 12-5 (567 мг, 1,8 ммоль, 1,0 экв.) в ДХМ (18 мл) добавляли m-CPBA (464 мг, 2,7 ммоль, ≤77%, 1,5 экв.) при 0 °C. Через 45 минут добавляли Et3N (1 мл, 7,6 ммоль, 4 экв.) при 0°C и перемешивали в течение 2 минут, затем добавляли соединение A.1 (300 мг, 1,8 ммоль). Затем перемешивали реакционную смесь при комнатной температуре в течение 3 часов. Затем концентрировали реакционную смесь и очищали остаток колоночной хроматографией на силикагеле (элюировали, используя 50-100% EtOAc/гексан) с получением E 12-7 (429 мг, 0,99 ммоль) с выходом 55%. ЖХ-МС: [M+H]+=434,03. 1H ЯМР (400 МГц, ДМСО-d6) δ 8,75 (с, 1H), 8,65 (т, J=5,1 Гц, 1H), 7,68 (с, 1H), 6,94 (т, J=9,5 Гц, 1H), 6,70 (дд, J=8,7, 3,9 Гц, 1H), 4,68 (д, J=5,0 Гц, 2H), 4,54 (т, J=8,7 Гц, 2H), 4,29 (к, J=7,1 Гц, 2H), 3,27 (т, J=8,8 Гц, 2H), 1,32 (т, J=7,1 Гц, 3H).
Ацетат палладия (II) (70 мг, 0,31 ммоль, 0,1 экв.) и CataCXium A (221 мг, 0,62 ммоль, 0,2 экв.) смешивали в ДМЭ (2,0 мл, дегазированный) и с помощью пипетки добавляли полученный раствор в перемешиваемый раствор соединения E 12-7 (1,34 г, 3,1 ммоль, 1,0 экв.), соединения B.1 (1,86 г, 6,2 ммоль, 2,0 экв.), бис-пинаколатдибора (1,6 г, 6,2 ммоль, 2,0 экв.) и K2CO3 (1,71 г, 12,4 ммоль, 4,0 экв.) в ДМЭ/H2O (10:1, 22 мл, дегазированный) при 70 °С. Перемешивали реакционную смесь в течение 12 часов. Затем концентрировали реакционную смесь и экстрагировали этилацетатом (2×50 мл), промывали водой и насыщенным солевым раствором и затем сушили над Na2SO4. Концентрировали смесь и очищали остаток с помощью ВЭЖХ с получением требуемого соединения, из которого после обработки ТФК/ДХМ получали требуемое соединение E 12-8 (719 мг, 1,55 ммоль) в виде белого твердого вещества с выходом 50%. ЖХ-МС: [M+H]+=464,16.
Смесь E 12-8 (40 мг, 0,090 ммоль, 1 экв.) и LiOH (20 мг, 0,90 ммоль, 10 экв.) в ТГФ (4 мл) и воде (1,0 мл) нагревали при 70°C в течение ночи. По каплям добавляли 3 н. водный раствор HCl при 0°C до pH 2-3. Концентрировали смесь и очищали остаток с помощью ВЭЖХ с получением указанного в заголовке соединения E 12-9 (35 мг, 0,081 ммоль) в виде белого твердого вещества с выходом 90%. ЖХ-МС: [M+H]+=436,13.
К мутной смеси 2,4,6-трихлорбензоилхлорида (24 мг, 0,01 ммоль, 1,5 экв.), DIPEA (85 мг, 0,66 ммоль, 10,0 экв.) и DMAP (4 мг, 0,033 ммоль, 0,5 экв.) в толуоле (2 мл) медленно, через канюлю добавляли прозрачный раствор секокислоты E 12-9 (31 мг, 0,066 ммоль) в толуоле (1 мл). Через 2 часа концентрировали реакционную смесь. Неочищенный продукт экстрагировали этилацетатом (2×10 мл), промывали насыщенным солевым раствором и сушили над Na2SO4. Концентрировали смесь и очищали остаток с помощью ВЭЖХ с получением соединения №12 (16 мг, 0,039 ммоль) в виде белого твердого вещества с выходом 60%. ЖХ-МС: [M+H]+=418,12. 1H ЯМР (400 МГц, ацетон-d6) δ 8,77 (с, 1H), 8,66 (д, J=4,7 Гц, 1H), 8,20 (с, 1H), 8,04 (д, J=7,9 Гц, 1H), 7,75 (с, 1H), 7,56 (дд, J=8,0, 4,6 Гц, 1H), 6,90 (т, J=9,4 Гц, 1H), 6,67 (дд, J=8,6, 3,8 Гц, 1H), 6,04 (с, 1H), 5,08 (с, 1H), 4,90 (с, 2H), 4,59 (т, J=8,6 Гц, 2H), 3,49 (т, J=8,6 Гц, 2H).
ПРИМЕР 2
12-(((5-фтор-2,3-дигидробензофуран-4-ил)метил)амино)-4,5-дигидро-3H-2,4,6,11,12a-пентаазабензо[4,5]циклоокта[1,2,3-cd]инден-3-он (соединение №16):
Ацетат палладия (II) (70 мг, 0,31 ммоль, 0,1 экв.) и CataCXium A (221 мг, 0,62 ммоль, 0,2 экв.) смешивали в ДМЭ (2,0 мл, дегазированный) и с помощью пипетки добавляли полученный раствор к перемешиваемому раствору соединения E 10-7 (1,34 г, 3,1 ммоль, 1,0 экв.), соединения B.2 (1,77 г, 6,2 ммоль, 2,0 экв.), бис-пинаколатдибора (1,6 г, 6,2 ммоль, 2,0 экв.) и K2CO3 (1,71 г, 12,4 ммоль, 4,0 экв.) в ДМЭ/H2O (10:1, 22 мл, дегазированный) при 70 °С. Перемешивали реакционную смесь в течение 12 часов. Затем концентрировали реакционную смесь и экстрагировали этилацетатом (2×50 мл), промывали водой и насыщенным солевым раствором и затем сушили над Na2SO4. Концентрировали смесь и очищали остаток с помощью ВЭЖХ с получением указанного в заголовке соединения E 16-1 (871 мг, 1,55 ммоль) в виде белого твердого вещества с выходом 50%. ЖХ-МС: [M+H]+=563,16.
Соединение E 16-1 обрабатывали 25% ТФК/ДХМ при комнатной температуре в течение 1 часа, после чего удаляли летучие вещества в вакууме. Неочищенный продукт разбавляли этилацетатом, промывали насыщенным водным раствором Na2CO3, затем насыщенным солевым раствором. Органический слой сушили над Na2SO4 и концентрировали в вакууме с получением соединения E 16-2, которое использовали на следующей стадии без очистки.
Смесь E 16-2 (40 мг, 0,09 ммоль, 1 экв.) и LiOH (20 мг, 0,90 ммоль, 10 экв.) в ТГФ (4 мл) и воде (1,0 мл) нагревали при 70°C в течение ночи. По каплям добавляли 3 н. водный раствор HCl при 0 °С до pH 2-3. Концентрировали смесь и очищали остаток с помощью ВЭЖХ с получением соединения №16 в виде белого твердого вещества с выходом 90%. ЖХ-МС: [M+H]+=416,14. 1H ЯМР (400 МГц, ДМСО-d6) δ 8,82 (с, 1H), 8,65 (т, J=5,1 Гц, 1H), 8,54 (дд, J=4,8, 1,6 Гц, 1H), 8,47 (с, 1H), 7,92 (дд, J=7,8, 1,6 Гц, 1H), 7,53-7,48 (м, 2H), 6,96 (дд, J=10,3, 8,7 Гц, 1H), 6,72 (дд, J=8,7, 3,9 Гц, 1H), 4,98-4,94 (м, 1H), 4,75 (с, 2H), 4,57-4,53 (м, 2H), 4,03 (м, 1H), 3,35 (т, J=8,7 Гц, 2H).
ПРИМЕР 3
Синтез 11-(((5-фтор-2,3-дигидробензофуран-4-ил)метил)амино)-2,4,10,11a-тетраазадибензо[cd, f]азулен-3(4H)-она (соединение №3):
Ацетат палладия (II) (70 мг, 0,31 ммоль, 0,1 экв.) и CataCXium A (221 мг, 0,62 ммоль, 0,2 экв.) смешивали в ДМЭ (2,0 мл, дегазированный) и с помощью пипетки добавляли полученный раствор к перемешиваемому раствору соединения E 10-7 (1,34 г, 3,1 ммоль, 1,0 экв.), соединения B.3 (1,05 г, 6,2 ммоль, 2,0 экв.), бис-пинаколатдибора (1,6 г, 6,2 ммоль, 2,0 экв.) и K2CO3 (1,71 г, 12,4 ммоль, 4,0 экв.) в ДМЭ/H2O (10:1, 22 мл, дегазированный) при 70 °С. Реакционную смесь перемешивали в течение 12 часов. Затем концентрировали реакционную смесь и экстрагировали этилацетатом (2×50 мл), промывали водой и насыщенным солевым раствором и затем сушили над Na2SO4. Концентрировали смесь и очищали остаток с помощью ВЭЖХ с получением указанного в заголовке соединения E 3-1 (692 мг, 1,55 ммоль) в виде белого твердого вещества с выходом 50%. ЖХ-МС: [M+H]+=563,16.
Смесь E 3-1 (40 мг, 0,090 ммоль, 1 экв.) и LiOH (20 мг, 0,90 ммоль, 10 экв.) в ТГФ (4 мл) и воде (1,0 мл) нагревали при 70 °С в течение ночи. По каплям добавляли 3 н. водный раствор HCl до pH 2-3. Концентрировали смесь и очищали остаток с помощью ВЭЖХ с получением соединения №3 (32 мг, 0,081 ммоль) в виде белого твердого вещества с выходом 90%. ЖХ-МС: [M+H]+=402,13. 1H ЯМР (400 МГц, ДМСО-d6) δ 9,50 (с, 1H), 8,67 (с, 1H), 8,53 (т, J=5,1 Гц, 1H), 7,99 (с, 1H), 7,88-7,80 (м, 1H), 7,19 (дд, J=6,1, 1,6 Гц, 2H), 7,02 (ддд, J=8,3, 6,1, 2,4 Гц, 1H), 6,96 (дд, J=10,3, 8,7 Гц, 1H), 6,71 (дд, J=8,6, 3,9 Гц, 1H), 4,73 (д, J=4,8 Гц, 2H), 4,56 (т, J=8,7 Гц, 2H), 3,31 (д, J=8,5 Гц, 2H).
ПРИМЕР 4
Синтез 4-циклопропил-12-(((5-фтор-2,3-дигидробензофуран-4-ил)метил)амино)-7-(трифторметил)-4,5-дигидро-3H-2,4,8,11,12a-пентаазабензо[4,5]циклоокта[1,2,3-cd]инден-3-она (соединение №36)
Аликвоту (5-бром-2-(трифторметил)пиридин-4-ил)метанола (E 36-1) растворяли в сухом ДХМ (~0,2 M), затем к полученному раствору добавляли 1,5 экв. периодинана Десс-Мартина и оставляли реакционную смесь перемешиваться на 1 час, контролируя по ТСХ. После завершения гасили смесь насыщенным раствором NH4Cl, затем экстрагировали ДХМ и промывали водой и насыщенным солевым раствором. Собирали и объединяли органические слои, промывали насыщенным солевым раствором, сушили над безводным Na2SO4 и концентрировали в вакууме. Очистку проводили с помощью нормально-фазовой колоночной хроматографии на силикагеле с увеличивающимся количеством этилацетата в гексанах с получением требуемого альдегида E 36-2 (выход ~90%).
К полученному альдегиду добавляли метанол (~0,2 M), затем 2,2 экв. циклопропанамина, 2 экв. Na(CN)BH3 и 2 экв. уксусной кислоты на ледяной бане. Затем убирали ледяную баню и оставляли реакционную смесь перемешиваться на 3 часа, контролируя по ТСХ. После завершения концентрировали реакционную смесь и очищали остаток с помощью ВЭЖХ с получением указанного в заголовке соединения E 36-3 с выходом 70%. ЖХ-МС: [M+H]+=294,99.
К полученному вторичному амину добавляли 1,5 экв. (Boc)2O, растворенного в сухом ДХМ (~0,2 M), затем добавляли 3 экв. ТЭА, оставляли реакционную смесь перемешиваться на 1 час, контролируя по ТСХ. После завершения гасили смесь насыщенным раствором NH4Cl, затем экстрагировали ДХМ и промывали насыщенным солевым раствором. Органические слои собирали и объединяли, сушили над безводным Na2SO4 и концентрировали в вакууме. Очистку проводили нормально-фазовой колоночной хроматографией на силикагеле с увеличивающимся количеством этилацетата в гексанах с получением Boc-защищенного вторичного амина E 36-4 (выход ~90%). ЖХ-МС: [M+H]+=395,10.
Ацетат палладия (II) (0,1 экв.) и CataCXium A (0,2 экв.) смешивали в ДМЭ (0,5 мл, дегазированный) и с помощью пипетки добавляли полученный раствор к смеси этил-8-бром-5-(((5-фтор-2,3-дигидробензофуран-4-ил)метил)амино)имидазо[1,5-c]пиримидин-1-карбоксилата (1 экв.), Boc-защищенного вторичного амина E 36-4 (2 экв.), бис-пинаколатдибора (2,0 экв.) и K2CO3 (4,0 экв.) в ДМЭ/H2O (10:1, 10 мл, дегазированный) при 70 °C. Перемешивали реакционную смесь в течение 12 часов. Затем концентрировали реакционную смесь и экстрагировали этилацетатом (2×50 мл), промывали водой и насыщенным солевым раствором и затем сушили над Na2SO4. Концентрировали смесь и очищали остаток с помощью ВЭЖХ с получением указанного в заголовке соединения E 36-5 с выходом 40%. ЖХ-МС: [M+H]+=671,25.
Соединение E 36-5 обрабатывали 25% ТФК/ДХМ при 0 °С в течение 1 часа, затем удаляли летучие вещества в вакууме, полученный продукт использовали (E 36-6) на следующей стадии без очистки. ЖХ-МС: [M+H]+=571,25.
Смесь соединения E 36-6 (1 экв.) и LiOH (10 экв.) в ТГФ (10 мл/ммоль) и воде (5 мл/ммоль) нагревали при 70 °С в течение ночи. Концентрировали смесь и затем очищали остаток препаративной ВЭЖХ с получением E 36 и соединения E 36-7 в соотношении ~1:1.
К смеси соединения E 36-7 (1 экв.) и HATU (2 экв.) в ДМФА (5 мл/ммоль) добавляли DIPEA (5 экв.). Оставляли реакционную смесь перемешиваться в течение ночи. Затем ее концентрировали и очищали остаток препаративной ВЭЖХ с получением соединения №36. Суммарный выход для обоих соединений составил ~90%. ЖХ-МС: [M+H]+=525,15. 1H ЯМР (400 МГц, метанол-d4) δ 8,84 (с, 1H), 8,74 (с, 1H), 7,86 (с, 1H), 7,70 (с, 1H), 6,86 (т, J=9,6 Гц, 1H), 6,65 (дд, J=8,7, 4,0 Гц, 1H), 5,42 (д, J=14,7 Гц, 1H), 4,81 (д, J=6,1 Гц, 2H), 4,59 (т, J=8,9 Гц, 2H), 4,37 (д, J=14,9 Гц, 1H), 3,42 (т, J=8,7 Гц, 2H), 2,55 (с, 1H), 1,16 (с, 1H), 1,00 (д, J=5,5 Гц, 2H), 0,94-0,77 (м, 1H).
ПРИМЕР 5
Синтез N-((5-фтор-2,3-дигидробензофуран-4-ил)метил)-3H,5H-4-окса-2,6,11,12a-тетраазабензо[4,5]циклоокта[1,2,3-cd]инден-12-амина (соединение №2)
Соединение E 10-8 (25 мг, 0,053 ммоль) в 2 мл ТГФ обрабатывали LAH (0,2 мл 1 M раствора LAH в ТГФ) при 0 °С. Затем повышали температуру до 50 °С и перемешивали в течение ночи. После охлаждения до комнатной температуры реакцию медленно гасили насыщенным раствором Na2SO4 при 0 °С. Фильтровали смесь и несколько раз промывали этилацетатом. Очищали флэш-хроматографией (0-10% MeOH в ДХМ) с получением соединения №2 (10 мг, 0,024 ммоль) с выходом 50%. ЖХ-МС: [M+H]+=404,14.
ПРИМЕР 6
Синтез 11-(((5-фтор-2,3-дигидробензофуран-4-ил)метил)амино)-6-метил-4H-3-тиа-2,5,10,11a-тетраазадибензо[cd, f]азулен-3,3-диоксида (соединение №95)
Синтез 8-(2-(((трет-бутилдиметилсилил)окси)метил)-6-метилпиридин-3-ил)-N-((5-фтор-2,3-дигидробензофуран-4-ил)метил)имидазо[1,5-c]пиримидин-5-амина (E 95-1):
8-Бром-N-((5-фтор-2,3-дигидробензофуран-4-ил)метил)имидазо[1,5-c]пиримидин-5-амин (795 мг, 2,19 ммоль), 3-бром-2-(((трет-бутилдиметилсилил)окси)метил)-6-метилпиридин (1,393 г, 4,38 ммоль), ацетат палладия (II) (0,1 экв.), CataCXium A (0,2 экв.), бис-пинаколатдибор (2,0 экв.) и K2CO3 (5,0 экв.) объединяли друг с другом в смеси ДМЭ:вода (10:1, 17,4 мл, дегазированный) в атмосфере N2. Реакционную смесь перемешивали в течение 12 часов при 70 °С. После этого реакционную смесь концентрировали и экстрагировали этилацетатом (2×200 мл), промывали водой и насыщенным солевым раствором и затем сушили над Na2SO4. Концентрировали смесь и очищали остаток с помощью ВЭЖХ с получением указанного в заголовке соединения E 95-1 (304 мг, 0,585 ммоль) с выходом 38%. ЖХ-МС: [M+H]+=520,30.
Синтез 8-(2-(((трет-бутилдиметилсилил)окси)метил)-6-метилпиридин-3-ил)-N-((5-фтор-2,3-дигидробензофуран-4-ил)метил)-1-йодимидазо[1,5-c]пиримидин-5-амина (E 95-2):
К раствору 8-(2-(((трет-бутилдиметилсилил)окси)метил)-6-метилпиридин-3-ил)-N-((5-фтор-2,3-дигидробензофуран-4-ил)метил)имидазо[1,5-c]пиримидин-5-амина (304 мг, 0,585 ммоль) в ДМФА (5 мл) при 0 °С добавляли NIS (125 мг, 0,95 ммоль) и перемешивали при комнатной температуре в течение 15 минут. Экстрагировали смесь EA (4×50 мл), промывали насыщенным солевым раствором (30 мл), сушили (Na2SO4) и фильтровали. Концентрировали фильтрат и очищали остаток колоночной хроматографией (силикагель, для элюирования использовали 20-80% EtOAc/гексан) с получением E 95-2 в виде желтого твердого вещества (190 мг, 0,29 ммоль, 50%). ЖХ-МС: [M+H]+=646,21.
Синтез (3-(5-(((5-фтор-2,3-дигидробензофуран-4-ил)метил)амино)-1-йодимидазо[1,5-c]пиримидин-8-ил)-6-метилпиридин-2-ил)метанола (E 95-3):
К раствору 8-(2-(((трет-бутилдиметилсилил)окси)метил)-6-метилпиридин-3-ил)-N-((5-фтор-2,3-дигидробензофуран-4-ил)метил)-1-йодимидазо[1,5-c]пиримидин-5-амина (190 мг, 0,29 ммоль) в ТГФ (6 мл) добавляли TBAF (3 мл) и перемешивали при комнатной температуре в течение ночи. После завершения экстрагировали смесь EA (3×60 мл), промывали насыщенным солевым раствором (30 мл), сушили над Na2SO4 и фильтровали. Концентрировали фильтрат и очищали остаток колоночной хроматографией (силикагель, элюировали 0-15% MeOH/ДХМ) с получением E 95-3 (125 мг, 0,24 ммоль, 80%). ЖХ-МС: [M+H]+=532,19.
Синтез S-((3-(5-(((5-фтор-2,3-дигидробензофуран-4-ил)метил)амино)-1-йодимидазо[1,5-c]пиримидин-8-ил)-6-метилпиридин-2-ил)метил)этантиоата (E 95-4):
MsCl (41 мг, 0,352 ммоль) в ТГФ (0,5 мл) по каплям добавляли к раствору (3-(5-(((5-фтор-2,3-дигидробензофуран-4-ил)метил)амино)-1-йодимидазо[1,5-c]пиримидин-8-ил)-6-метилпиридин-2-ил)метанола (125 мг, 0,24 ммоль) и Et3N (36 мг, 0,352 ммоль) в ТГФ (2 мл) при 0 °С. Сразу образовался белый осадок гидрохлорида Et3N. Реакционную смесь перемешивали в течение 2-3 часов, после завершения добавляли тиоацетат калия (81 мг, 0,704 ммоль) в ДМФА (1,0 мл) с получением оранжевого раствора, который через несколько часов менял цвет на красный. Реакцию контролировали с помощью СВЭЖХ, после завершения реакционную смесь останавливали и концентрировали, затем растворяли в ДХМ. Полученный раствор смеси дважды промывали насыщенным раствором LiCl, затем водой и насыщенным солевым раствором. Объединяли промывочные растворы насыщенного LiCl, насыщенного солевого раствора и воды и по отдельности снова экстрагировали этилацетатом. Все органические слои объединяли, сушили над Na2SO4, фильтровали и концентрировали до темного маслянистого вещества. Проводили флэш-хроматографию (силикагель, для элюирования использовали 20-100% EtOAc/гексан) с получением E 95-4 в виде желтого твердого вещества (78 мг, 0,13 ммоль, 56%). ЖХ-МС: [M+H]+=590,03.
Синтез 8,8'-((дисульфандиилбис(метилен))бис(6-метилпиридин-2,3-диил))бис(N-((5-фтор-2,3-дигидробензофуран-4-ил)метил)-1-йодимидазо[1,5-c]пиримидин-5-амина) (E 95-5):
К раствору S-((3-(5-(((5-фтор-2,3-дигидробензофуран-4-ил)метил)амино)-1-йодимидазо[1,5-c]пиримидин-8-ил)-6-метилпиридин-2-ил)метил)этантиоата (78 мг, 0,13 ммоль) в метаноле (5,0 мл, дегазированный) добавляли 0,9 экв. NaOMe (7 мг, 0,12 ммоль) в атмосфере N2. Реакционную смесь кипятили с обратным холодильником при 80 °С в течение одного часа. Проводили флэш-хроматографию (силикагель, для элюирования использовали 20-100% EtOAc/гексан) с получением E 95-5 в виде желтого твердого вещества (57 мг, 0,052 ммоль, 79%). ЖХ-МС: [M/2+H]+=547,14.
Синтез N-((5-фтор-2,3-дигидробензофуран-4-ил)метил)-6-метил-4H-3-тиа-2,5,10,11a-тетраазадибензо[cd, f]азулен-11-амина (E 95-6):
К раствору 8,8'-((дисульфандиилбис(метилен))бис(6-метилпиридин-2,3-диил))бис(N-((5-фтор-2,3-дигидробензофуран-4-ил)метил)-1-йодимидазо[1,5-c]пиримидин-5-амина) (57 мг, 0,052 ммоль) в ДМФА (3,0 мл, дегазированный) добавляли 1,2 экв. TCEP (18 мг, 0,0626 ммоль) в атмосфере N2. Перемешивали реакционную смесь при комнатной температуре в течение 24 часов. Реакцию контролировали с помощью СВЭЖХ. После завершения очищали смесь обращенно-фазовой ВЭЖХ с получением E 95-6 в виде бледно-желтого твердого вещества (38 мг, 0,091 ммоль, 87%). ЖХ-МС: [M+H]+=420,15.
Синтез 11-(((5-фтор-2,3-дигидробензофуран-4-ил)метил)амино)-6-метил-4H-3-тиа-2,5,10,11a-тетраазадибензо[cd, f]азулен-3,3-диоксида (E 95):
К раствору N-((5-фтор-2,3-дигидробензофуран-4-ил)метил)-6-метил-4H-3-тиа-2,5,10,11a-тетраазадибензо[cd, f]азулен-11-амина (38 мг, 0,091 ммоль) в смешанном растворителе из MeOH : H2O : ТГФ (4,0 мл, 5:5:10) добавляли 5 экв. оксона (279 мг, 0,45 ммоль). Реакционную смесь перемешивали в течение 5 часов. После завершения проводили обращенно-фазовую ВЭЖХ с получением соединения №95 в виде бледно-желтого твердого вещества (17 мг, 0,038 ммоль, 41%). ЖХ-МС: [M+H]+=452,25.
ПРИМЕР 7
Синтез (5-фтор-2,3-дигидробензофуран-4-ил)метанамина (A.1)
К раствору 3-бром-4-фторфенола (A.1-1, 50 г, 0,26 моль, 1 экв.) и 2-бром-1,1-диэтоксиэтана (67 г, 0,34 моль, 1,3 экв.) в 250 мл ДМФА добавляли K2CO3 (109 г, 0,78 моль, 3 экв.) одной порцией. Суспензию нагревали при 110 °С и перемешивали в течение ночи в атмосфере N2. После охлаждения до комнатной температуры реакционную смесь разбавляли водой и экстрагировали этилацетатом (2×500 мл). Объединенную органическую фазу промывали насыщенным солевым раствором и сушили над безводным Na2SO4. Остаток очищали на силикагеле (0-10% EtOAc/гексан) с получением указанного в заголовке соединения (A.1-2) в виде желтого маслянистого вещества (60,12 г, 196 ммоль, выход 75%). ЖХ-МС: [M+H]+=307,02. 1H ЯМР (400 МГц, метанол-d4) δ 7,13 (д, 1H), 7,04 (дд, 1H), 6,84 (дд, 1H), 4,82 (т, 1H), 3,97 (д, 2H), 3,78 (к, 2H), 3,65 (к, 2H), 1,27 (т, 6H).
Раствор PPA (132,4 г, 0,39 моль) и толуола (300 мл) нагревали при 100°С и медленно добавляли соединение A.1-2 (81 г, 0,26 моль) в 50 мл толуола. Реакционную смесь нагревали при 100°С в течение 4 часов. После охлаждения до комнатной температуры добавляли 400 мл ледяной воды и дважды экстрагировали гексаном. Объединенную органическую фазу промывали насыщенным солевым раствором и сушили над безводным Na2SO4. Остаток очищали на силикагеле (0-10% EtOAc/гексан) с получением указанного в заголовке соединения (A.1-3, A.1-4) в виде неразделимой диастереомерной смеси с общим выходом 45%. ЖХ-МС: [M+H]+=214,94.
К раствору A.1-3 и A.1-4 (31 г, 0,144 моль) и Zn(CN)2 (25,3 г, 0,216 моль) в 100 мл ДМФА добавляли Pd(PPh3)4 (16,2 г, 14 ммоль). Реакционную смесь дегазировали N2 и перемешивали в атмосфере N2 в течение 24 часов при 100 °С. После охлаждения до комнатной температуры добавляли воду и экстрагировали этилацетатом (2×100 мл). Объединенную органическую фазу промывали насыщенным солевым раствором и сушили над безводным Na2SO4. Остаток очищали на силикагеле (0-20% EtOAc/гексан) с выделением требуемого изомера (A.1-5) в виде белого твердого вещества. Структуру подтверждали с помощью ЯМР. ЖХ-МС: [M+H]+=162,02. Соединение A.1-5: 1H ЯМР (400 МГц, метанол-d4) δ 8,10 (дд, 1H), 7,89 (дд, 1H), 7,30 (дд, 1H), 7,07 (д, 1H).
Требуемый изомер A.1-5 (2,3 г, 14,55 ммоль) в 10 мл ТГФ обрабатывали LAH (36 мл 1 M раствора LAH в ТГФ) при 0 °С. Затем повышали температуру до 50 °С и перемешивали в течение ночи. После охлаждения до комнатной температуры реакцию медленно гасили насыщенным раствором Na2SO4 при 0 °С. Фильтровали смесь и несколько раз промывали этилацетатом. После очистки флэш-хроматографией (0-10% MeOH в ДХМ, содержащем 1% триметиламина) получали требуемое соединение A.1-7 (1,63 г, 10,1 ммоль) с выходом 70%. ЖХ-МС: [M+H]+=166,02.
К раствору соединения A.1-7 (1 г, 6,02 ммоль) в MeOH (50 мл) добавляли Pd/C (100 мг, 10% мас.). Реакционную смесь дегазировали с помощью H2 и перемешивали в атмосфере H2 в течение 6 часов при 40 °С. Затем фильтровали смесь через целит и промывали MeOH. Концентрировали при пониженном давлении, затем очищали флэш-хроматографией (0-10% MeOH в ДХМ, содержащем 1% триметиламина) с получением требуемого промежуточного соединения A.1 (859 мг, 5,11 ммоль) с выходом 85%. ЖХ-МС: [M+H]+=168,07. 1H ЯМР (400 МГц, метанол-d4): 6,81 (дд, 1H), 6,59 (дд, 1H), 4,56 (т, 2H), 3,77 (с, 2H), 3,27 (т, 2H).
ПРИМЕР 8
Синтез 3-бром-2-(((трет-бутилдиметилсилил)окси)метил)-6-метилпиридина (B.4)
H2SO4 (1,2 мл, 23,4 ммоль, 1,0 экв.) добавляли к раствору 3-бром-6-метилпиколиновой кислоты (B.4-1, 5,0 г, 23,4 ммоль, 1,0 экв.) в MeOH (50 мл). Полученный раствор перемешивали в течение 14 часов, поддерживая температуру кипения на масляной бане. Охлаждали смесь до комнатной температуры и концентрировали под вакуумом. Остаток растворяли в этилацетате (50 мл) и промывали водой и насыщенным водным раствором NaCl (2×100 мл), сушили над безводным Na2SO4 и концентрировали под вакуумом. Остаток очищали на силикагелевой колонке и элюировали смесью EtOAc/гексан (1:5) с получением метил-3-бром-6-метилпиколината (B.4-2, 4,7 г) с выходом 90%. ЖХ-МС [M+H]+=229,97.
К раствору метил-3-бром-6-метилпиколината (B.4-2, 520 мг, 2,28 ммоль) в ДХМ (15 мл) при -60°C по каплям добавляли DIBAL-H (4,6 мл, 4,60 ммоль, 1 M в циклогексане). Реакционную смесь поддерживали при температуре от -60°C до -15°C в течение 30 минут, затем оставляли нагреваться до комнатной температуры и перемешивали еще 12 часов. Реакционную смесь снова охлаждали до 0 °С и гасили насыщенным водным раствором NH4Cl (50 мл). Полученную смесь экстрагировали ДХМ (3×100 мл), промывали насыщенным солевым раствором (50 мл), сушили (Na2SO4), фильтровали и концентрировали. Остаток очищали на силикагелевой колонке и элюировали смесью EtOAc/гексан (1:3) с получением указанного в заголовке соединения (B.4-3) в виде бесцветной жидкости (1,36 ммоль, 273 мг, 60%). ЖХ-МС [M+H]+=201,97.
Раствор (3-бром-6-метилпиридин-2-ил)метанола (B.4-3, 273 мг, 1,36 ммоль), имидазола (138 мг, 2,04 ммоль) и TBSCl (300 мг, 2,04 ммоль) в ДХМ (10 мл) перемешивали при комнатной температуре в течение 3 часов. Добавляли H2O (5 мл) и разделяли слои. Водную фазу экстрагировали ДХМ (2 × 20 мл) и сушили объединенные органические экстракты (Na2SO4), и удаляли растворитель при пониженном давлении. Остаток очищали колоночной хроматографией на силикагеле и элюировали смесью EtOAc/гексан (1:5) с получением указанного в заголовке соединения (B.4, 1,22 ммоль, 386 мг, 90%) в виде бесцветной жидкости. ЖХ-МС [M+H]+=316,06.
ПРИМЕР 9
Синтез трет-бутил-(2-бром-5-(трифторметил)бензил)карбамата (B.5):
NaBH4 (0,66 г, 14,81 ммоль) загружали в колбу объемом 100 мл, затем добавляли 20 мл ТГФ. Охлаждали смесь на ледяной бане. Добавляли ТФК (1,5 мл) к ТГФ (4 мл) при указанной температуре в течение 0,5 часа. Убирали ледяную баню и перемешивали полученную смесь при комнатной температуре в течение 2 часов. Растворяли 2-бром-5-трифторметилбензонитрил (B.5-1, 2 г, 8,0 ммоль) в ТГФ (10 мл). Смесь ТФК/NaBH4 снова охлаждали на ледяной бане и добавляли раствор нитрила в течение 0,5 часа. Оставляли смесь достигать комнатной температуры при перемешивании в течение 16 часов. Анализ ЖХ аликвоты показал завершение реакции. Охлаждали смесь на ледяной бане и медленно добавляли 10 мл метанола. Удаляли летучие вещества в вакууме и добавляли этилацетат (50 мл). Полученную смесь промывали водой (10 мл). Водный слой промывали этилацетатом (10 мл) и промывали объединенный органический слой насыщенным солевым раствором (10 мл), сушили над Na2SO4, фильтровали и концентрировали. Остаток очищали обращенно-фазовой хроматографией на системе CombiFlash (для элюирования использовали 1-20% ацетонитрил/H2O) с получением указанного в заголовке соединения (B.5-2, 1,6 г, 80%) в виде бесцветной жидкости. ЖХ-МС [M+H]+=256,96.
Соединение (B.5-2, 512 мг, 2 ммоль) перемешивали при комнатной температуре в течение 3 часов с (Boc)2O (0,51 г, 2,4 ммоль, 1,2 экв.) и Et3N (2 экв., 4 ммоль, 380 мг) в 20 мл ДХМ. После этого очищали остаток колоночной хроматографией, используя 0-50% EtOAc/гексан, с получением требуемого соединения (B.5, 560 мг) с общим выходом 80%. ЖХ-МС [M+H]+=355,16.
ПРИМЕР 10
Синтез 3-бром-2-(((трет-бутилдиметилсилил)окси)метил)-6-(трифторметил)пиридина (B.6):
К раствору метил-3-бром-6-(трифторметил)пиколината (B.6-1, 1 г, 3,53 ммоль) в MeOH (50 мл) при 0°C добавляли NaBH4 (671 мг, 17,65 ммоль). Перемешивали реакционную смесь при комнатной температуре в течение ночи, затем концентрировали при пониженном давлении. Полученный остаток растворяли в этилацетате (50 мл), промывали водным раствором NH4Cl (3×20 мл), сушили над Na2SO4, фильтровали и концентрировали с получением указанного в заголовке соединения. Очищали остаток колоночной хроматографией (для элюирования использовали 0-50% EtOAc/гексан) с получением указанного в заголовке соединения (B.6-2, 3,17 ммоль, 806 мг, 90%) в виде бесцветной жидкости. ЖХ-МС [M+H]+=255,95.
Введение защитной группы TBS осуществляли так, как описано в примере 8. ЖХ-МС [M+H]+=370,03.
ПРИМЕР 11
Синтез трет-бутил-((5-бром-2-(трифторметил)пиридин-4-ил)метил)карбамата (B.7):
В круглодонную колбу объемом 500 мл, оснащенную мешалкой, конденсатором и отверстием подачи азота, загружали 38,9 г (144 ммоль) 5-бром-2-трифторметилизоникотиновой кислоты. К твердому веществу добавляли 250 мл безводного ДХМ, затем 13,2 мл (151 ммоль, 1,05 экв.) оксалилхлорида. К полученной смеси добавляли 0,5 мл безводного ДМФА и перемешивали смесь при комнатной температуре в течение 2 часов. Удаляли растворитель в вакууме. В колбу Эрленмейера объемом 1 л, оснащенную мешалкой, на ледяной бане загружали 500 мл водного раствора NH4OH. К охлажденному раствору по каплям добавляли полученный неочищенный хлорангидрид кислоты. Остаток переносили, используя небольшое количество ацетонитрила. Перемешивали смесь в течение 20 минут после добавления. Полученный осадок собирали фильтрованием и промывали водой. Осадок на фильтре сушили в вакууме при 45 °С с получением 5-бром-2-трифторметилизоникотинамида (B.7-2, 118 ммоль, 31,52 г, выход 82%) в виде грязновато-белого твердого вещества. ЖХ-МС [M+H]+=269,95.
В круглодонную колбу объемом 100 мл, оснащенную мешалкой, конденсатором и отверстием подачи азота, загружали 5,2 г (19,3 ммоль) 5-бром-2-трифторметилизоникотинамида (B.7-2). Твердое вещество разбавляли, используя 12 мл POCl3. Нагревали смесь при 70 °С в течение 3 часов. Охлаждали смесь до комнатной температуры и выливали на лед. Нейтрализовали смесь, осторожно добавляя 50% гидроксид натрия. Полученное грязновато-белое твердое вещество собирали фильтрованием, промывали водой и сушили в вакууме при 50 °С в течение 18 часов. В результате получали 4,5 г 5-бром-2-трифторметилизоникотинонитрила (B.7-3, 4,53 г, 18,1 ммоль) в виде грязновато-белого твердого вещества с выходом 94%. ЖХ-МС [M+H]+=250,95. 1H ЯМР (CDCl3): δ, 9,03 (с, 1H), 7,91 (с, 1H).
Восстановление нитрила и внедрение защитной группы Boc осуществляли так, как описано в примере 9.
ПРИМЕР 12
Синтез трет-бутил-((3-бром-6-метилпиридин-2-ил)метил)карбамата (B.8):
К раствору 5-бром-2-метилпиридина (B.8-1, 510 мг, 3,0 ммоль, 1,0 экв.) в CHCl3 (8 мл, 0,38 M) добавляли 77% mCPBA (5,44 г, 12,0 ммоль, 4,0 экв.) и нагревали при 60 °С в течение 20 часов. После охлаждения до комнатной температуры добавляли Ca(OH)2 (1,5 г, 15,9 ммоль, 5,3 экв.) и перемешивали образовавшийся осадок в течение 30 минут. Осадок отфильтровывали и промывали смесью 3:1 CHCl3/метанол. Концентрировали фильтрат в вакууме с получением твердого вещества, которое перемешивали в 30% смеси этилацетата в гексане и фильтровали с получением требуемого N-оксида. Концентрировали фильтрат в вакууме и очищали остаток колоночной хроматографией, используя 0-100% этилацетата в гексане, с получением дополнительного количества требуемого N-оксида (B.8-2, 410 мг, 2,4 ммоль).
К раствору 5-бром-2-метилпиридин-1-оксида (B.8-2, 372 мг, 2,0 ммоль) в ацетонитриле (10 мл, 0,2 M) добавляли триметилсилилцианид (TMSCN) (793 мг, 8,0 ммоль, 4,0 экв.) и триэтиламин (606 мг, 6,0 ммоль, 3,0 экв.). Нагревали реакционную смесь при 100 °С в течение ночи. После охлаждения до комнатной температуры концентрировали растворитель в вакууме и очищали остаток колоночной хроматографией, используя 0-50% этилацетата в гексане, с получением 3-бром-6-метилпиколинонитрила (B.8-3, 273 мг, 1,4 ммоль, выход 70%).
3-Бром-6-метилпиколинонитрил (B.8-3, 273 мг, 1,4 ммоль) растворяли в 15 мл сухого ТГФ. Перемешивая раствор, по каплям добавляли 3,5 мл комплекса BH3.ДМС (2 M) (5 экв.). Затем перемешивали смесь в течение ночи и затем гасили, медленно добавляя 30 мл MeOH при 0 °C. После перемешивания в течение 1 часа концентрировали органические слои при пониженном давлении, затем очищали флэш-хроматографией (0-10% MeOH в ДХМ, содержащем 1% триметиламина) с получением требуемого соединения (B.8-4, 199 мг, 0,98 ммоль, выход 70%).
Внедрение защитной группы Boc осуществляли так, как описано в примере 9.
ПРИМЕР 13
Синтез N-(фуран-2-илметил)-8-фенилимидазо[1,5-c]пиримидин-5-амина (соединение №126):
(a) CH3COCl, MeOH, 79%; (b) Dibal-H, 56%; (c) DIAD, PPh3, талидомид, 70% (d) NH2.NH2.H2O, EtOH, 80%; (e) HCO2H, Ac2O, 60,0%; (f) POCl3, диоксан, 47,0%; (g) (i) mCPBA, ДХМ, (ii) фуран-2-илметанамин, комн. т-ра, 3 ч., 52%; (h) фенилбороновая кислота, Pd(PPh3)4, K2CO3, диоксан−H2O, 90°C в течение ночи, 88%.
Синтез метил-5-бром-2-(метилтио)пиримидин-4-карбоксилата (E 28-1):
Ацетилхлорид (3,1 мл, 43,8 ммоль) по каплям добавляли в метанол (50 мл) при 0-5 °C. Полученную смесь перемешивали при указанной температуре в течение 5 минут и добавляли 5-бром-2-(метилтио)пиримидин-4-карбоновую кислоту (5,5 г, 22,2 ммоль). Нагревали реакционную смесь до кипения с обратным холодильником в течение 1 часа, затем охлаждали до комнатной температуры. Реакционную смесь выливали в насыщенный водный раствор NaHCO3 (100 мл). Экстрагировали смесь ДХМ (3×100 мл), промывали водой (50 мл), сушили (Na2SO4), фильтровали и концентрировали, и перекристаллизовывали остаток из петролейного эфира с получением указанного в заголовке соединения (E 28-1) в виде желтого твердого вещества (4,6 г, 34,6 ммоль) с выходом 79%. ЖХ-МС: [M+H]+=263,10.
Синтез (5-бром-2-(метилтио)пиримидин-4-ил)метанола (E 28-2):
К раствору метил-5-бром-2-(метилтио)пиримидин-4-карбоксилата (E 28-1, 600 мг, 2,28 ммоль) в ДХМ (15 мл) при -60°C по каплям добавляли DIBAL-H (4,6 мл, 4,60 ммоль, 1 M в циклогексане). Поддерживали реакционную смесь при температуре от -60 до -15°C в течение 30 минут и затем оставляли нагреваться до комнатной температуры и перемешивали еще 12 часов. Реакционную смесь снова охлаждали до 0 °С и гасили насыщенным водным раствором NH4Cl (50 мл). Полученную смесь экстрагировали ДХМ (3×100 мл), промывали насыщенным солевым раствором (50 мл), сушили (Na2SO4), фильтровали и концентрировали. Остаток очищали колоночной хроматографией (для элюирования использовали 0-50% EtOAc/гексан) с получением указанного в заголовке соединения (E 28-2) в виде желтого твердого вещества (300 мг) с выходом 56%. ЖХ-МС: [M+H]+=235,02.
Синтез 2-((5-бром-2-(метилтио)пиримидин-4-ил)метил)изоиндолин-1,3-диона (E 28-3):
Раствор (5-бром-2-(метилтио)пиримидин-4-ил)метанола (1,69 г, 7,22 ммоль), фталимида (1,27 г, 8,66 ммоль) и трифенилфосфина (2,19 г, 10,84 ммоль) в ТГФ (10 мл) смешивали с DIAD (1,88 г, 10,84 ммоль) при охлаждении на льду и перемешивали при комнатной температуре в течение ночи. После завершения реакции разбавляли смесь этилацетатом и промывали органический слой насыщенным солевым раствором, сушили над Na2SO4 и выпаривали при пониженном давлении. Остаток очищали колоночной хроматографией (для элюирования использовали 0-50% EtOAc/гексан) с получением требуемого продукта (E 28-3, 479 мг) с выходом 70%. ЖХ-МС: [M+H]+=363,12.
Синтез (5-бром-2-(метилтио)пиримидин-4-ил)метанамина (E 28-4):
2-((5-Бром-2-(метилтио)пиримидин-4-ил)метил)изоиндолин-1,3-дион (910 мг, 2,51 ммоль) в этаноле (10 мл) перемешивали с NH2NH2.H2O (0,16 мл, 5,02 ммоль) при комнатной температуре в течение 4 часов. После завершения реакции отфильтровывали твердое вещество с этанолом и выпаривали фильтрат при пониженном давлении. Его очищали обращенно-фазовой хроматографией на системе CombiFlash (для элюирования использовали 0-20% ацетонитрил/H2O) с получением указанного в заголовке соединения (E 28-4) в виде бесцветной жидкости с выходом 80%. ЖХ-МС: [M+H]+=236,10
Синтез N-((5-бром-2-(метилтио)пиримидин-4-ил)метил)формамида (E 28-5):
Смесь HCO2H (4 мл) и Ac2O (4 мл) нагревали при 50 °С в течение 1 часа. Реакционную смесь охлаждали до комнатной температуры и добавляли к раствору 5-бром-2-(метилтио)пиримидин-4-ил)метанамина (1,52 г, 6,55 ммоль) в 20 мл ДХМ. Перемешивали смесь при комнатной температуре в течение 2 часов. После завершения реакции концентрировали смесь. Экстрагировали смесь ДХМ (2×50 мл), последовательно промывали водой (20 мл) и насыщенным солевым раствором (10 мл). Органическую фазу сушили (Na2SO4), фильтровали и концентрировали с получением неочищенного указанного в заголовке соединения (E 28-5) в виде маслянистого вещества, которое использовали на следующих стадиях без дополнительной очистки. ЖХ-МС: [M+H]+ =262,12.
Синтез 8-бром-5-(метилтио)имидазо[1,5-c]пиримидина (E 28-6):
К раствору N-((5-бром-2-(метилтио)пиримидин-4-ил)метил)формамида (800 мг, 3,06 ммоль) в диоксане (30 мл) по каплям добавляли POCl3 (0,43 мл, 4,60 ммоль). Реакционную смесь нагревали при кипении с обратным холодильником в течение 2 часов. Добавляли ледяную воду (50 мл) и доводили смесь до рН 8 насыщенным водным раствором NaHCO3. Экстрагировали смесь ДХМ (4×50 мл), промывали насыщенным солевым раствором (30 мл), сушили (Na2SO4) и фильтровали. Концентрировали фильтрат и очищали остаток колоночной хроматографией (силикагель, для элюирования использовали 0-50% EtOAc/гексан) с получением указанного в заголовке соединения (E 28-6) в виде желтого твердого вещества (350 мг, 47,0%). ЖХ-МС: [M+H]+=244,0.
Синтез 8-бром-N-(фуран-2-илметил)имидазо[1,5-c]пиримидин-5-амина (E 28-7):
К раствору соединения E 28-6 (439 мг, 1,8 ммоль, 1,0 экв.) в ДХМ (18 мл) добавляли m-CPBA (464 мг, 2,7 ммоль, ≤77%, 1,5 экв.) при 0 °C. Через 45 минут добавляли Et3N (1 мл, 7,6 ммоль, 4 экв.) при 0°C и перемешивали в течение 2 минут, затем добавляли фуран-2-илметанамин (175 мг, 1,8 ммоль). Затем перемешивали реакционную смесь при комнатной температуре в течение 3 часов. Затем концентрировали смесь и очищали остаток колоночной хроматографией на силикагеле (для элюирования использовали 50-100% EtOAc/гексан) с получением указанного в заголовке соединения E 28-7 (274 мг, 0,93 ммоль) с выходом 52%. ЖХ-МС: [M+H]+=294,12.
Синтез N-(фуран-2-илметил)-8-фенилимидазо[1,5-c]пиримидин-5-амина (соединение №126):
К раствору 8-бром-N-(фуран-2-илметил)имидазо[1,5-c]пиримидин-5-амина (160 мг, 0,55 ммоль) в смешанном растворителе (диоксан/вода=10 мл : 2,5 мл) добавляли карбонат калия (227 мг, 1,64 ммоль), фенилбороновую кислоту (168 мг, 0,82 ммоль) и Pd(PPh3)4 (63 мг, 0,055 ммоль). Полученную смесь перемешивали в атмосфере N2 при 90°C в течение ночи. Затем смесь охлаждали до комнатной температуры и удаляли растворитель в вакууме. Очищали остаток хроматографией на силикагеле (для элюирования использовали 0-10% MeOH/ДХМ) с получением соединения №126 (159 мг, 0,34 ммоль) с выходом 80%. ЖХ-МС: [M+H]+=291,11; 1H ЯМР (400 МГц, CDCl3) δ 10,13 (с, 1H), 7,66 (с, 1H), 7,61 (д, J=1,0 Гц, 1H), 7,57-7,51 (м, 4H), 7,51-7,45 (м, 1H), 7,37 (дд, J=1,8, 0,8 Гц, 1H), 6,41 (дд, J=3,2, 0,8 Гц, 1H), 6,34 (дд, J=3,2, 1,8 Гц, 1H), 4,89 (с, 2H).
ПРИМЕР 14
Синтез N-((5-фтор-2,3-дигидробензофуран-4-ил)метил)-1-(метилсульфонил)-8-фенилимидазо[1,5-c]пиримидин-5-амина (соединение №99),
N-((5-фтор-2,3-дигидробензофуран-4-ил)метил)-8-фенил-1-(трифторметил)имидазо[1,5-c]пиримидин-5-амина (соединение №143)
и
(5-(((5-фтор-2,3-дигидробензофуран-4-ил)метил)амино)-8-фенилимидазо[1,5-c]пиримидин-1-ил)диметилфосфиноксида (соединение №144)
(a) (5-фтор-2,3-дигидробензофуран-4-ил)метанамин, 40 °C, 24 ч., 60%; (b) фенилбороновая кислота, Pd(PPh3)4, K2CO3, диоксан−H2O, 90°C в течение ночи, 88%; (c) NIS, ДМФА, 0 °C, 70%; (d) метил-2,2-дифтор-2-(фторсульфонил)ацетат, CuI, PdCl2(dppf)Cl2, ДМФА, 90°C 42%; (e) диметилфосфиноксид, Pd(dba)3, Xantphos, Et3N, диоксан, 40%; (f) MeSO2Na, CuI, ДМСО, 50%
Синтез 8-бром-N-((5-фтор-2,3-дигидробензофуран-4-ил)метил)имидазо[1,5-c]пиримидин-5-амина (E 28-8):
Смесь 8-бром-5-(метилтио)имидазо[1,5-c]пиримидина (E 28-6, 1,0 г, 4,1 ммоль) и (5-фтор-2,3-дигидробензофуран-4-ил)метанамина (1,41 г, 8,2 ммоль) нагревали при 40 °С и перемешивали в течение 24 часов. После охлаждения до комнатной температуры очищали неочищенную смесь обращенно-фазовой хроматографией на системе CombiFlash (для элюирования использовали 0-70% ацетонитрил/H2O) с получением указанного в заголовке соединения (E 28-8) в виде желтого твердого вещества с выходом 60%. ЖХ-МС: [M+H]+=363,01; 1H ЯМР (400 МГц, метанол-d4) δ 8,58 (с, 1H), 7,38 (с, 1H), 7,32 (с, 1H), 6,91-6,80 (м, 1H), 6,65 (дд, J=8,7, 3,9 Гц, 1H), 4,74 (с, 2H), 4,62-4,52 (м, 2H), 3,37 (с, 2H).
Синтез N-((5-фтор-2,3-дигидробензофуран-4-ил)метил)-8-фенилимидазо[1,5-c]пиримидин-5-амина (E 28-9):
К раствору 8-бром-N-((5-фтор-2,3-дигидробензофуран-4-ил)метил)имидазо[1,5-c]пиримидин-5-амина (200 мг, 0,55 ммоль) в смешанном растворителе (диоксан : вода=10 мл : 2,5 мл) добавляли карбонат калия (227 мг, 1,64 ммоль), фенилбороновую кислоту (168 мг, 0,82 ммоль) и Pd(PPh3)4 (63 мг, 0,055 ммоль). Полученную смесь перемешивали в атмосфере N2 при 90°C в течение ночи. Затем смесь охлаждали до комнатной температуры и удаляли растворитель в вакууме. Очищали остаток хроматографией на силикагеле, элюируя 0-10% MeOH/ДХМ, с получением указанного в заголовке соединения E 28-9 (174 мг, 0,34 ммоль) с выходом 88%. ЖХ-МС: [M+H]+=361,13.
Синтез N-((5-фтор-2,3-дигидробензофуран-4-ил)метил)-1-йод-8-фенилимидазо[1,5-c]пиримидин-5-амина (E 28-10):
К раствору N-((5-фтор-2,3-дигидробензофуран-4-ил)метил)-8-фенилимидазо[1,5-c]пиримидин-5-амина (500 мг, 1,38 ммоль) в ДМФА (10 мл) при 0 °С добавляли NIS (278 мг, 1,24 ммоль) и перемешивали при комнатной температуре в течение 15 минут. Экстрагировали смесь ДХМ (4×50 мл), промывали насыщенным солевым раствором (30 мл), сушили (Na2SO4) и фильтровали. Концентрировали фильтрат и очищали остаток колоночной хроматографией (силикагель, для элюирования использовали 20-50% EtOAc/гексан) с получением указанного в заголовке соединения (E 28-10) в виде желтого твердого вещества (610 мг, 1,26 ммоль, 70%). ЖХ-МС: [M+H]+=487,03
Синтез N-((5-фтор-2,3-дигидробензофуран-4-ил)метил)-8-фенил-1-(трифторметил)имидазо[1,5-c]пиримидин-5-амина (соединение №143):
Раствор N-((5-фтор-2,3-дигидробензофуран-4-ил)метил)-1-йод-8-фенилимидазо[1,5-c]пиримидин-5-амина (50 мг, 0,1 ммоль) в ДМФА (5 мл) добавляли к смеси йодида меди (I) (190 мг, 1,0 ммоль), метил-2,2-дифтор-2-(фторсульфонил)ацетата (192 мг, 1,0 ммоль) и PdCl2(dppf)Cl2 (7 мг, 0,01 ммоль). Перемешивали реакционную смесь при 90 °С в течение ночи и затем охлаждали до комнатной температуры, и гасили, выливая в воду. Фильтровали смесь и экстрагировали фильтрат диэтиловым эфиром. Концентрировали эфирный экстракт и очищали остаток с помощью ВЭЖХ с получением соединения №143 (16 мг, 0,04 ммоль) с выходом 42%. ЖХ-МС: [M+H]+=429,12. 1H ЯМР (400 МГц, ДМСО-d6) δ 8,85 (с, 1H), 8,61 (с, 1H), 7,44-7,31 (м, 6H), 6,94 (т, J=8,8 Гц, 1H), 6,71 (дд, J=8,4, 4,0 Гц, 1H), 4,73 (д, 2H), 4,54 (т, J=8,8 Гц, 2H), 3,31 (т, J=8,8 Гц, 2H).
Синтез (5-(((5-фтор-2,3-дигидробензофуран-4-ил)метил)амино)-8-фенилимидазо[1,5-c]пиримидин-1-ил)диметилфосфиноксида (соединение №144):
К раствору N-((5-фтор-2,3-дигидробензофуран-4-ил)метил)-1-йод-8-фенилимидазо[1,5-c]пиримидин-5-амина (50 мг, 0,1 ммоль) в 2 мл диоксана добавляли диметилфосфиноксид (22 мг, 0,3 ммоль), Pd(dba)3 (9 мг, 0,01 ммоль), Xantphos (6 мг, 0,01 ммоль) и Et3N (0,2 мл). Продували смесь аргоном и нагревали при 100 °С в течение ночи. Концентрировали смесь и очищали остаток с помощью ВЭЖХ с получением соединения №144 (17 мг, 0,04 ммоль) с выходом 40%. ЖХ-МС: [M+H]+=437,14. 1H ЯМР (400 МГц, ДМСО-d6) δ 8,85 (с, 1H), 8,52 (с, 1H), 7,58-7,56 (м, 2H), 7,42-7,41 (м, 2H), 7,29 (с, 1H), 6,94 (т, J=9,2 Гц, 1H), 6,70 (дд, J=8,4, 4,0 Гц, 1H), 4,73 (д, J=4,0 Гц, 2H), 4,54 (т, J=8,8 Гц, 2H), 3,31 (т, J=8,8 Гц, 2H), 1,21 (с, 1H), 1,18 (с, 1H).
N-((5-фтор-2,3-дигидробензофуран-4-ил)метил)-1-(метилсульфонил)-8-фенилимидазо[1,5-c]пиримидин-5-амин (соединение №99)
Через смесь соединения E 28-10 (50 мг, 0,1 ммоль), MeSO2Na (30 мг, 0,3 ммоль) и CuI (57 мг, 0,3 ммоль) в ДМСО (2 мл) пропускали N2 в течение 5 минут и затем нагревали герметично закрытую пробирку в микроволновом реакторе при 120 °С в течение 20 минут, и затем при 100 °С в течение 3 часов. Концентрировали смесь и очищали остаток с помощью ВЭЖХ с получением соединения №99 (21 мг, 0,05 ммоль) с выходом 50%. 1H ЯМР (400 МГц, CDCl3) δ 8,60 (с, 1H), 7,55-7,35 (м, 6H), 6,77 (дд, J=10,1, 8,7 Гц, 1H), 6,61 (дд, J=8,7, 3,9 Гц, 1H), 4,82 (с, 2H), 4,61 (т, J=8,7 Гц, 2H), 3,40 (т, J=8,7 Гц, 2H), 2,86 (с, 3H). ЖХ-МС: [M+H]+=439,12.
ПРИМЕР 15
Синтез этил-5-((фуран-2-илметил)амино)-8-фенилимидазо[1,5-c]пиримидин-1-карбоксилата (соединение №127) и 5-((фуран-2-илметил)амино)-N-метил-8-фенилимидазо[1,5-c]пиримидин-1-карбоксамида (соединение №128)
(a) этил-2-(дифенилметиленамино)ацетат, NaH, комн. т-ра, 2 ч.; (b) 3 н. HCl в ТГФ, комн. т-ра, 1 ч., 70%; (c) HCO2H, Ac2O, комн. т-ра, 2 ч.; (d) POCl3, диоксан, кипячение с обратным холодильником, 4 ч., 70%; (e) (i) mCPBA, ДХМ, (ii) фуран-2-илметанамин, комн. т-ра, 3 ч., 55%; (f) фенилбороновая кислота, Pd(PPh3)4, K2CO3, диоксан−H2O, 90°C в течение ночи, 90%; (g) Li(OH)2, ТГФ-H2O, 90%; (h) NHMe.HCl, DIPEA, HATU, 90%
Синтез этил-2-(5-бром-2-(метилтио)пиримидин-4-ил)-2-((дифенилметилен)амино)ацетата (E 29-1):
Раствор этил-2-(дифенилметиленамино)ацетата (18,4 г, 69 ммоль) в ДМСО (50 мл) при 0°C по каплям добавляли к суспензии NaH (60%) (5,0 г, 125,5 ммоль) в 70 мл безводного ДМСО. Реакционная смесь сразу стала оранжевой. Через 5 минут по каплям добавляли 5-бром-4-хлор-2-(метилтио)пиримидин (15 г, 62,7 ммоль) в 50 мл ДМСО. Затем перемешивали смесь при комнатной температуре в течение 2 часов. Затем гасили реакционную сюмесь, осторожно добавляя водный раствор NH4Cl. Затем экстрагировали смесь этилацетатом, промывали насыщенным солевым раствором, сушили и концентрировали и использовали без очистки на следующей стадии. ЖХ-МС: [M+H]+=470,01.
Синтез этил-2-амино-2-(5-бром-2-(метилтио)пиримидин-4-ил)ацетата (E 29-2):
К раствору соединения E 29-1 (неочищенное, 5,0 г, 10,6 ммоль) в ТГФ (50 мл) добавляли 10 мл 3 н. раствора HCl в воде при 0 °C. Перемешивали смесь при комнатной температуре в течение 1 часа и затем концентрировали реакционную смесь, затем подщелачивали до pH 8~9 водным раствором Na2CO3. Экстрагировали смесь ДХМ, промывали насыщенным солевым раствором. Концентрировали при пониженном давлении, затем очищали флэш-хроматографией (0-100% EtOAc/гексан) с получением требуемого соединения 8-2 (2,26 г) с общим выходом 70%. ЖХ-МС: [M+H]+=305,95.
Синтез этил-2-(5-бром-2-(метилтио)пиримидин-4-ил)-2-формамидоацетата (E 29-3):
Смесь HCO2H (4 мл) и Ac2O (4 мл) нагревали при 50 °С в течение 1 часа. Реакционную смесь охлаждали до комнатной температуры и добавляли к раствору этил-2-амино-2-(метилтио)пиримидин-4-ил)ацетата (2,0 г, 6,55 ммоль) в 20 мл ДХМ. Перемешивали смесь при комнатной температуре в течение 2 часов. После завершения реакции концентрировали смесь. Экстрагировали смесь ДХМ (2×50 мл), последовательно промывали водой (20 мл) и насыщенным солевым раствором (10 мл). Органическую фазу сушили (Na2SO4), фильтровали и концентрировали с получением неочищенного указанного в заголовке соединения E 29-3 в виде маслянистого вещества, которое использовали на следующих стадиях без дополнительной очистки. ЖХ-МС: [M+H]+=334,05.
Синтез этил-8-бром-5-(метилтио)имидазо[1,5-c]пиримидин-1-карбоксилата (E 29-4):
К раствору соединения E 29-3 (2,0 г, неочищенное) в диоксане (20 мл) по каплям добавляли POCl3 (1,5 мл). Реакционную смесь нагревали при кипении с обратным холодильником в течение 4 часов. Охлаждали смесь до комнатной температуры и концентрировали. Добавляли ледяную воду (50 мл) и доводили смесь до рН 8 насыщенным водным раствором NaHCO3. Экстрагировали смесь ДХМ (2×50 мл), промывали насыщенным солевым раствором (10 мл), сушили (Na2SO4) и фильтровали. Концентрировали фильтрат и очищали остаток колоночной хроматографией на силикагеле (для элюирования использовали 50-100% EtOAc/гексан) с получением указанного в заголовке соединения E 29-4 в виде белого твердого вещества (1,42 г, 4,59 ммоль) с общим выходом 70% за две стадии. ЖХ-МС: [M+H]+=315,70. 1H ЯМР (400 МГц, ДМСО d6): 8,67 (с, 1H), 7,99 (с, 1H), 4,33 (к, 2H), 2,76 (с, 3H), 1,34 (т, 3H).
Синтез этил-8-бром-5-((фуран-2-илметил)амино)имидазо[1,5-c]пиримидин-1-карбоксилата (E 29-5):
К раствору соединения E 29-4 (567 мг, 1,8 ммоль, 1,0 экв.) в ДХМ (18 мл) добавляли m-CPBA (464 мг, 2,7 ммоль, ≤77%, 1,5 экв.) при 0 °C. Через 45 минут добавляли Et3N (1 мл, 7,6 ммоль, 4 экв.) при 0°C и перемешивали в течение 2 минут, затем добавляли фуран-2-илметанамин (175 мг, 1,8 ммоль). Затем перемешивали реакционную смесь при комнатной температуре в течение 3 часов. После этого концентрировали реакционную смесь и очищали остаток колоночной хроматографией на силикагеле (для элюирования использовали 50-100% EtOAc/гексан) с получением указанного в заголовке соединения E 29-5 (361 мг, 0,99 ммоль) с выходом 55%. ЖХ-МС: [M+H]+=365,017. 1H ЯМР (400 МГц, MeOD) δ 8,58 (с, 1H), 7,70 (д, J=2,1 Гц, 1H), 7,47 (дд, J=1,8, 1,0 Гц, 1H), 6,39 (дт, J=3,2, 1,1 Гц, 2H), 4,78 (т, J=0,9 Гц, 2H), 4,46-4,36 (м, 2H), 1,43-1,35 (м, 3H).
Синтез этил-5-((фуран-2-илметил)амино)-8-фенилимидазо[1,5-c]пиримидин-1-карбоксилата (соединение №127):
К раствору этил-8-бром-5-((фуран-2-илметил)амино)имидазо[1,5-c]пиримидин-1-карбоксилата (200 мг, 0,55 ммоль) в смешанном растворителе (диоксан : вода=10 мл : 2,5 мл) добавляли карбонат калия (227 мг, 1,64 ммоль), фенилбороновую кислоту (168 мг, 0,82 ммоль) и Pd(PPh3)4 (63 мг, 0,055 ммоль). Полученную смесь перемешивали в атмосфере N2 при 90°C в течение ночи. Затем смесь охлаждали до комнатной температуры и удаляли растворитель в вакууме. Очищали остаток хроматографией на силикагеле, элюируя 0-10% MeOH/ДХМ, с получением соединения №127 (159 мг, 0,34 ммоль) с выходом 80%. ЖХ-МС: [M+H]+=363,017. 1H ЯМР (400 МГц, CDCl3) δ 8,81 (с, 1H), 7,49 (д, J=1,0 Гц, 1H), 7,41 (д, J=6,7 Гц, 3H), 7,34 (дк, J=3,3, 1,7 Гц, 3H), 6,35 (д, J=3,2 Гц, 1H), 6,30 (дт, J=3,1, 1,4 Гц, 1H), 4,87 (с, 2H), 3,87 (к, J=7,1 Гц, 2H), 0,88 (т, J=7,1 Гц, 3H).
Синтез 5-((фуран-2-илметил)амино)-8-фенилимидазо[1,5-c]пиримидин-1-карбоновой кислоты (E 29-6):
Смесь E 29 (40 мг, 0,11 ммоль, 1 экв.) и LiOH (26 мг, 1,10 ммоль, 10 экв.) в ТГФ (4 мл) и воде (2,0 мл) нагревали при 70 °с в течение ночи. По каплям добавляли 3 н. водный раствор HCl при 0 °С до pH 2-3. Концентрировали смесь и очищали остаток с помощью ВЭЖХ с получением указанного в заголовке соединения E 29-6 (33 мг, 0,099 ммоль) с выходом 90%. ЖХ-МС: [M+H]+=335,10.
Синтез N-(фуран-2-илметил)-1-(((метиламино)окси)карбонил)-8-фенилимидазо[1,5-c]пиримидин-5-амина (соединение №128):
К раствору соединения E 29-6 (10 мг, 0,029 ммоль) в ДМФА (1 мл) добавляли гидрохлорид метиламина (4 мг, 0,058 ммоль) и диизопропилэтиламин (50 мкл, 0,29 ммоль). Перемешивали реакционную смесь при комнатной температуре в течение 10 минут и затем добавляли HATU (11 мг, 0,029 ммоль). Реакционную смесь оставляли нагреваться до комнатной температуры, перемешивали при комнатной температуре в течение ночи. Концентрировали смесь и очищали остаток с помощью ВЭЖХ с получением соединения №128 (9 мг, 0,026 ммоль) с выходом 90%. ЖХ-МС: [M+H]+=348,13. 1H ЯМР (400 МГц, CDCl3) δ 9,22 (с, 1H), 7,55-7,43 (м, 3H), 7,38 -7,30 (м, 3H), 6,40 (с, 1H), 6,36 (с, 1H), 6,31 (brs, 1H), 4,86 (с, 2H), 2,54 (с, 3H).
ПРИМЕР 16
Синтез 8-(3,6-дигидро-2H-пиран-4-ил)-N-((5-фтор-2,3-дигидробензофуран-4-ил)метил)-1-(метилсульфонил)имидазо[1,5-c]пиримидин-5-амина (соединение №146) и 8-(3,6-дигидро-2H-пиран-4-ил)-N-((5-фтор-2,3-дигидробензофуран-4-ил)метил)-1-(метилсульфонил)имидазо[1,5-c]пиримидин-5-амина (соединение №169):
Синтез 8-(3,6-дигидро-2H-пиран-4-ил)-N-((5-фтор-2,3-дигидробензофуран-4-ил)метил)имидазо[1,5-c]пиримидин-5-амина (E 47-1):
К раствору (диоксан : вода=10 мл : 2,5 мл) соединения E 28-8 (250 мг, 0,69 ммоль), пинаколового эфира 3,6-дигидро-2H-пиран-4-бороновой кислоты (290 мг, 1,38 ммоль), Pd(PPh3)4 (80 мг, 0,069 ммоль) добавляли 285 мг Na2CO3. Перемешивали полученную смесь в атмосфере N2 при 90°C в течение ночи. Затем смесь охлаждали до комнатной температуры и удаляли растворитель в вакууме, и очищали колоночной хроматографией ДХМ:MeOH=20:1) с получением указанного в заголовке соединения E 47-1 в виде белого твердого вещества с выходом 80%. ЖХ-МС: [M+H]+=366,14.
Синтез 8-(3,6-дигидро-2H-пиран-4-ил)-N-((5-фтор-2,3-дигидробензофуран-4-ил)метил)-1-йодимидазо[1,5-c]пиримидин-5-амина (E 47-2):
К раствору соединения E 47-1 (160 мг, 0,43 ммоль) в ДМФА (4 мл) при 0 °С добавляли NIS (82 мг, 0,4 ммоль) и перемешивали при комнатной температуре в течение 15 минут. Экстрагировали смесь ДХМ (4×50 мл), промывали насыщенным солевым раствором (30 мл), сушили (Na2SO4) и фильтровали. Концентрировали фильтрат и очищали остаток колоночной хроматографией (силикагель, для элюирования использовали 20-50% EtOAc/гексан) с получением указанного в заголовке соединения (E 47-2) с выходом 60% (127 мг, 0,25 ммоль, 70%). ЖХ-МС: [M+H]+=493,04
Синтез 8-(3,6-дигидро-2H-пиран-4-ил)-N-((5-фтор-2,3-дигидробензофуран-4-ил)метил)-1-(метилсульфонил)имидазо[1,5-c]пиримидин-5-амина (соединение №146):
Через смесь соединения E 47-2 (50 мг, 0,1 ммоль), MeSO2Na (30 мг, 0,3 ммоль) и CuI (57 мг, 0,3 ммоль) в ДМСО (2 мл) пропускали N2 в течение 5 минут и затем нагревали герметично закрытую пробирку в микроволновом реакторе при 120 °С в течение 20 минут, и затем при 100 °С в течение 3 часов. Концентрировали смесь и очищали остаток с помощью ВЭЖХ с получением соединения №146 (21 мг, 0,05 ммоль) с выходом 50%. ЖХ-МС: [M+H]+=445,12.
Синтез N-((5-фтор-2,3-дигидробензофуран-4-ил)метил)-1-(метилсульфонил)-8-(тетрагидро-2H-пиран-4-ил)имидазо[1,5-c]пиримидин-5-амина (соединение №169):
К раствору соединения №146 (10 мг) в MeOH (1 мл) добавляли Pd/C (2 мг, 20% мас.). Дегазировали реакционную смесь с помощью H2 и перемешивали в атмосфере H2 при комнатной температуре в течение 6 часов. Затем смесь фильтровали через целит и промывали MeOH. Концентрировали при пониженном давлении, затем очищали с помощью ВЭЖХ с получением соединения №169 (10 мг) с количественным выходом. ЖХ-МС: [M+H]+=447,14.
ПРИМЕР 17
Синтез (S)-4-циклопропил-12-(((5-фтор-2,3-дигидробензофуран-4-ил)метил)амино)-4,5,5a,6,8,9-гексагидро-3H-7-окса-2,4,9a,11,12a-пентаазабензо[4,5]циклоокта[1,2,3-cd]инден-3-она (соединение №147)
Общий способ проведения реакции аминирования на палладиевом катализаторе:
В высушенную в печи колбу объемом 40 мл загружали E 28-8 (1,0 ммоль), Pd(OAc)2 (5% мол.), DPEphos (10% мол.), K3PO4 (2,5 ммоль) и требуемый амин (1,5 ммоль). На колбу устанавливали перевернутую прижимную крышку и вставляли иглу (в качестве воздуховода), одновременно продувая полученную смесь аргоном в течение нескольких минут через вторую иглу. Через прижимную крышку вводили диоксан (4 мл). Полученную суспензию продували аргоном в течение 3 минут. Затем быстро закрывали колбу, затем нагревали до 85 °С в течение ночи. Смесь абсорбировали на силикагель и очищали флэш-хроматографией (0-10% MeOH в ДХМ) с получением требуемого соединения E 1-1 (293 мг) с выходом 50%. ЖХ-МС: [M+H]+=586,27.
TBAF (1 M в ТГФ, 1 мл, 1,0 ммоль) по каплям добавляли к раствору E 1-1 (293 мг, 0,5 ммоль) в ТГФ (2 мл) при комнатной температуре. Реакционную смесь перемешивали в течение 2 часов, после чего ее концентрировали в вакууме. После очистки флэш-хроматографией (0-10% MeOH в ДХМ) получали требуемое соединение E 99-2 (188 мг, 0,4 ммоль) с выходом 80%. ЖХ-МС: [M+H]+=472,19.
Соединение (E 1-2) растворяли в сухом ДХМ (~0,2 M), затем к полученному раствору добавляли 1,5 экв. DMP и оставляли реакционную смесь перемешиваться в течение 1 часа, контролировали по ТСХ. После завершения гасили насыщенным раствором NH4Cl, затем экстрагировали ДХМ и промывали водой и насыщенным солевым раствором. Органические слои собирали и объединяли, промывали насыщенным солевым раствором, сушили над безводным Na2SO4 и концентрировали в вакууме. Очистку проводили нормально-фазовой колоночной хроматографией на силикагеле с увеличивающимся количеством этилацетата в гексанах с получением требуемого альдегида.
К полученному альдегиду добавляли метанол (~0,2 M), затем 2,2 экв. циклопропанамина, затем 2,2 экв. циклопропанамина, 2 экв. Na(CN)BH3 и 2 экв. уксусной кислоты на ледяной бане. Затем убирали ледяную баню и оставляли реакционную смесь перемешиваться в течение 3 часов, контролируя по ТСХ. После завершения концентрировали реакционную смесь и очищали остаток с помощью ВЭЖХ с получением соединения E 1-3 (100 мг, 0,2 ммоль) с выходом 50% за две стадии. ЖХ-МС: [M+H]+=511,23.
Смесь соединения E 1-3 (1 экв.) и LiOH (10 экв.) в ТГФ (10 мл/ммоль) и воде (5 мл/ммоль) нагревали при 70°C в течение ночи. Концентрировали смесь и затем очищали остаток препаративной ВЭЖХ с получением соединения №147 с выходом 80%.
ПРИМЕР 18
Синтез (5-(((5-фтор-2,3-дигидробензофуран-4-ил)метил)амино)-8-фенилимидазо[1,5-c]пиримидин-1-ил)(имино)(метил)-16-сульфанона (соединение №178); (5-(((5-фтор-2,3-дигидробензофуран-4-ил)метил)амино)-8-фенилимидазо[1,5-c]пиримидин-1-ил)(метил)(метилимино)-16-сульфанона (соединение №182); 1-(5-(((5-фтор-2,3-дигидробензофуран-4-ил)метил)амино)-8-фенилимидазо[1,5-c]пиримидин-1-ил)-3,4,5,6-тетрагидро-1,2-тиазин-1-оксида (соединение №186)
ПРИМЕР 19
Синтез (6-фторхроман-5-ил)метанамина (A.2):
В круглодонную колбу добавляли 2-бром-3-фтор-6-гидроксибензальдегид (1 экв.), этилбромацетат (1,5 экв.), насыщенный водный раствор NaHCO3 (2 мл/ммоль) и PPh3 (1,4 экв.) в (1 мл/ммоль) EtOAc. Реакционную смесь энергично перемешивали при комнатной температуре в течение ночи. После расходования исходных материалов разбавляли реакционную смесь водой и экстрагировали EtOAc (x3). Органические фазы объединяли, промывали насыщенным солевым раствором, сушили над MgSO4 и концентрировали под вакуумом. Остаток очищали на силикагеле (0-10% EtOAc/гексан) с получением A.2.2 с выходом 80%. ЖХ-МС: [M+H]+=288,97
Смесь A.2.2 (1 экв.), CuCl (1,1 экв.) в 20 мл MeOH охлаждали до 0 °С в атмосфере аргона. По частям добавляли NaBH4 (2 экв.). После расходования исходных материалов разбавляли реакционную смесь водой и экстрагировали EtOAc (x3). Органические фазы объединяли, промывали насыщенным солевым раствором, сушили над MgSO4, концентрировали под вакуумом и очищали флэш-хроматографией с получением A.2.3 с выходом 70% в виде белого твердого вещества. ЖХ-МС: [M+H]+=290,97
К раствору A.2.3 (1 экв.) в ТГФ (4 мл) добавляли LAH (1 экв.) при 0 °С в атмосфере аргона. Перемешивали реакционную смесь при комнатной температуре в течение 2 часов, затем гасили водой и разбавляли EtOAc. Затем фильтровали реакционную смесь и очищали флэш-хроматографией с получением A.2.4 с выходом 65%. ЖХ-МС: [M+H]+=248,98.
Добавляли йод (1,30 экв.) к раствору трифенилфосфина (1,30 экв.) и имидазола (1,35 экв.) в 25 мл дихлорметана при 0 °С. Реакционную смесь перемешивали в течение 15 минут, затем добавляли соединение A.2.4 в дихлорметане. Во время реакции с небольшим экзотермическим эффектом наблюдали исчезновение желтого осадка, а гидрохлорид имидазола выпадал в осадок в виде белого рыхлого вещества. Перемешивали смесь при комнатной температуре в течение по меньшей мере 1 часа и добавляли 3 мл метанола. Продолжали перемешивание в течение 30 минут. Разбавляли раствор дихлорметаном и промывали водой и насыщенным солевым раствором. Сушили органическую фазу над MgSO4 и выпаривали на ротационном испарителе. Неочищенный материал использовали на следующей стадии без дополнительной очистки.
К раствору 3-бром-4-фтор-2-(3-йодпропил)фенола (1 экв.) в ацетоне добавляли K2CO3 (2 экв.). Перемешивали смесь при 50 °С в течение 12 часов. Реакционную смесь фильтровали и концентрировали в вакууме. Затем очищали реакционную смесь флэш-хроматографией с получением A.2.5 с общим выходом 65%. ЖХ-МС: [M+H]+=230,97.
К раствору A.2.5 (1 экв.) и Zn(CN)2 (2 экв.) в ДМФА (2 мл/ммоль) добавляли Pd(PPh3)4 (0,1 экв.). Дегазировали реакционную смесь с помощью N2 и перемешивали в атмосфере N2 в течение 24 часов при 100 °С. После охлаждения до комнатной температуры разбавляли реакционную смесь водой и экстрагировали этилацетатом (2×100 мл). Объединенную органическую фазу промывали насыщенным солевым раствором и сушили над безводным Na2SO4. Очищали остаток на силикагеле (0-20% EtOAc/гексан) с получением A.2.6 с выходом 60%. ЖХ-МС: [M+H]+=178,05.
Раствор A.2.6 (1 экв.) в ТГФ обрабатывали LAH (2 экв., 1 M раствор LAH в ТГФ) при 0 °С. Повышали температуру до 50 °С и перемешивали реакционную смесь в течение ночи. После охлаждения до комнатной температуры реакцию медленно гасили насыщенным раствором Na2SO4 при 0 °С. Фильтровали смесь и несколько раз промывали этилацетатом. Очищали флэш-хроматографией (0-10% MeOH в ДХМ, содержащем 1% триметиламина) с получением требуемого соединения A.2 с выходом 70%. ЖХ-МС: [M+H]+=182,09.
ПРИМЕР 20
Синтез 5-фтор-2,3-дигидробензофуран-4-ил)метан-d2-амина (A.3):
К раствору 5-фторбензофуран-4-карбонитрила (2,00 г, 12,4 ммоль, 1,0 экв.) в ДМСО (20 мл) добавляли H2O2 (7,04 г, 62,1 ммоль, 6 мл) и K2CO3 (1,72 г, 12,4 ммоль, 1,0 экв.) при 0 °C. Перемешивали реакционную смесь при комнатной температуре в течение 1 часа, выливали в ледяную воду (5,0 мл) и перемешивали в течение 10 минут. Фильтровали реакционную смесь и концентрировали под вакуумом с получением 5-фторбензофуран-4-карбоксамида (A.3.1, 1,80 г, 10,1 ммоль, выход 80%) в виде белого твердого вещества. ЖХ-МС: [M+H]+=180,03.
К раствору соединения A.3.1 (1 г, 5,05 ммоль) в MeOH (50 мл) добавляли Pd/C (100 мг, 10% мас.). Дегазировали реакционную смесь с помощью H2 и перемешивали в атмосфере H2 в течение 6 часов при 40 °С. Затем фильтровали смесь через целит и промывали MeOH. Концентрировали при пониженном давлении, затем очищали флэш-хроматографией (0-10% MeOH в ДХМ, содержащем 1% триметиламина) с получением требуемого промежуточного соединения A.3.2 (859 мг, 4,71 ммоль) с выходом 85%. ЖХ-МС: [M+H]+=182,05.
Соединение A.3.2 (2,3 г, 12,63 ммоль) в 15 мл ТГФ обрабатывали LAD (36 мл 1 M раствора LAD в ТГФ) при 0 °С. Затем повышали температуру до 50 °С и перемешивали реакционную смесь в течение ночи. После охлаждения до комнатной температуры реакцию медленно гасили насыщенным раствором Na2SO4 при 0 °С. Затем фильтровали смесь и несколько раз промывали этилацетатом. Очищали флэш-хроматографией (0-10% MeOH в ДХМ, содержащем 1% триэтиламина) с получением требуемого соединения A.3 (1,50 г, 8,84 ммоль) с выходом 70%. ЖХ-МС: [M+H]+=170,08. 1H ЯМР (400 МГц, CDCl3): 6,82-6,76 (м, 1H), 6,59 (дд, J=8,8, 4,0 Гц, 1H), 4,59 (т, J= 8,8 Гц, 2H), 3,27 (т, J= 8,8 Гц, 2H).
ПРИМЕР 21
Синтез N-((3-бром-6-метилпиридин-2-ил)метил)-2,2,2-трифторэтан-1-амина (A.4)
К раствору 5-бром-2-этилпиридина (A.4.1, 554 мг, 3,0 ммоль, 1,0 экв.) в CHCl3 (8 мл, 0,38 M) добавляли 77% mCPBA (5,44 г, 12,0 ммоль, 4,0 экв.) и перемешивали реакционную смесь при комнатной температуре в течение ночи. После охлаждения до комнатной температуры добавляли Ca(OH)2 (1,5 г, 15,9 ммоль, 5,3 экв.) и перемешивали полученный осадок в течение 30 минут. Отфильтровывали осадок и промывали 3:1 смесью CHCl3/метанол. Затем концентрировали фильтрат в вакууме и очищали остаток колоночной хроматографией, используя 0-100% этилацетата в гексане, с получением требуемого N-оксида (A.4.2, 482 мг, 2,4 ммоль). ЖХ-МС: [M+H]+=201,97.
К раствору 5-бром-2-этилпиридин-1-оксида (A.4.2, 400 мг, 2,0 ммоль) в ацетонитриле (10 мл, 0,2 M) добавляли триметилсилилцианид (TMSCN) (793 мг, 8,0 ммоль, 4,0 экв.) и триэтиламин (606 мг, 6,0 ммоль, 3,0 экв.). Нагревали реакционную смесь при 100 °С в течение ночи. После охлаждения до комнатной температуры концентрировали растворитель под вакуумом и очищали остаток колоночной хроматографией, используя 0-50% этилацетата в гексане, с получением 3-бром-6-этилпиколинонитрила (A.4.3, 293 мг, 1,4 ммоль, выход 70%). ЖХ-МС: [M+H]+=210,97.
3-Бром-6-этилпиколинонитрил (A.4.3, 1 г, 4,78 ммоль) растворяли в концентрированной хлористоводородной кислоте (20 мл) и перемешивали при 110 °С в течение 2 дней. Реакционную смесь оставляли охлаждаться до комнатной температуры и выпаривали досуха. Неочищенный продукт использовали на следующей стадии без дополнительной очистки. ЖХ-МС: [M+H]+=229,97.
3-Бром-6-этилпиколиновую кислоту (A.4.4, 5,33 г, 23,3 ммоль) растворяли в MeOH (50 мл) и охлаждали до 0 °С, и по каплям добавляли 1,0 мл H2SO4. Затем перемешивали реакционную смесь при 90 °С в течение ночи. Охлаждали смесь до комнатной температуры и концентрировали под вакуумом. Растворяли остаток в этилацетате (50 мл) и промывали водой и насыщенным водным раствором NaCl (2×100 мл), сушили над безводным Na2SO4 и концентрировали под вакуумом. Очищали остаток колоночной хроматографией на силикагеле и элюировали смесью EtOAc/гексан (1:5) с получением метил-3-бром-6-этилпиколината (A.4.5, 5,09 г, 20,97 ммоль) с выходом 90%. ЖХ-МС [M+H]+=243,98
К раствору метил-3-бром-6-этилпиколината (A.4.5, 522 мг, 2,15 ммоль) в ДХМ (15 мл) при -60°C по каплям добавляли DIBAL-H (4,6 мл, 4,60 ммоль, 1 M в циклогексане). Реакционную смесь поддерживали при температуре от -60°C до -15°C в течение 30 минут, затем оставляли нагреваться до комнатной температуры и перемешивали еще 12 часов. Охлаждали реакционную смесь до 0 °С и гасили насыщенным водным раствором NH4Cl (50 мл). Полученную смесь экстрагировали ДХМ (3×100 мл), промывали насыщенным солевым раствором (50 мл), сушили (Na2SO4), фильтровали и концентрировали. Очищали остаток колоночной хроматографией на силикагеле и элюировали смесью EtOAc/гексан (1:3) с получением A.4.6 в виде бесцветной жидкости (1,36 ммоль, 293 мг, 60%). ЖХ-МС [M+H]+=215,99
Аликвоту (3-бром-6-этилпиридин-2-ил)метанола (A.4.6) растворяли в сухом ДХМ (~0,2 M), затем к полученному раствору добавляли 1,5 экв. DMP и оставляли реакционную смесь перемешиваться в течение 1 часа. После завершения (контролировали по ТСХ) гасили реакцию насыщенным раствором NH4Cl, затем экстрагировали ДХМ и промывали водой и насыщенным солевым раствором. Органические слои собирали и объединяли, промывали насыщенным солевым раствором, сушили над безводным Na2SO4 и концентрировали в вакууме. Очистку проводили нормально-фазовой колоночной хроматографией на силикагеле с увеличивающимся количеством этилацетата в гексанах с получением требуемого альдегида.
К полученному альдегиду добавляли метанол (~0,2 M), затем 2,2 экв. 2,2,2-трифторэтан-1-амина, 2 экв. Na(CN)BH3 и 2 экв. уксусной кислоты при 0 °C. Убирали ледяную баню и оставляли реакционную смесь перемешиваться в течение 3 часов. После завершения (контролировали по ТСХ) концентрировали реакционную смесь и очищали остаток с помощью ВЭЖХ с получением A.4 с выходом 70%. ЖХ-МС: [M+H]+=297,01.
ПРИМЕР 22
Синтез (5-бром-2-(дифторметил)пиридин-4-ил)метанола (A.6):
В колбу объемом 100 мл, оснащенную мешалкой, добавляли порошкообразную медь (380 мг, 5,94 ммоль, 2,25 экв.) и (2,5-дибромпиридин-4-ил)триэтилсилилметанол (A.6.2, 1,006 г, 2,64 ммоль, 1,0 экв.). Вакуумировали колбу и наполняли атмосферой N2. Добавляли безводный ДМСО (6 мл) и этилбромдифторацетат (589 мг, 2,90 ммоль, 1,1 экв.). Начинали перемешивание и нагревали смесь на масляной бане до 70 °С. Через 2 часа разбавляли аликвоту реакционной смеси в 1,27 M водном растворе KH2PO4 и добавляли EtOAc. После обработки ультразвуком отделяли верхний органический слой. Медленно добавляли KH2PO4 (1,27 M, 40 мл), поддерживая внутреннюю температуру ниже 10 °С. Перемешивали смесь при 0 °С в течение 0,5 часа, затем фильтровали через целит. Осадок на фильтре промывали EtOAc (40 мл). Разделяли слои двухфазного фильтрата. Органический слой промывали водой и насыщенным солевым раствором, затем концентрировали и очищали флэш-хроматографией с получением соединения A.6.3 (825 мг, выход 74%).
К раствору A.6.3 (825 мг, 1,95 ммоль) в метаноле (2 мл), охлажденному до 0 °С, по каплям добавляли 6 н. NaOH (1 мл, 3,0 экв.). Полученный прозрачный раствор перемешивали при 0 °С. Через 3 часа анализ СВЭЖХ-МС показал полное превращение в требуемый продукт. Реакционную смесь подкисляли 4 н. раствором HCl (1,5 мл) до pH 3 при 0 °С. После ВЭЖХ очистки получали A.6.4 (412 мг, 1,46 ммоль, 75%) в виде бледно-желтого твердого вещества.
В колбу объемом 50 мл, оснащенную мешалкой, добавляли дифторкислоту A.6.4 (412 мг, 1,46 ммоль). Вакуумировали колбу и наполняли атмосферой N2. Добавляли NMP (2 мл) и 85% H3PO4 (169 мг, 1,46 ммоль). Полученную смесь нагревали на масляной бане до 145 °С и перемешивали. Через 2 часа СВЭЖХ-МС показала полное превращение в требуемый продукт. Охлаждали смесь до 15 °С и гасили 1 н. раствором NaOH. Очищали смесь с помощью ВЭЖХ с получением требуемого соединения A.6 (274 мг, 1,15 ммоль, 79%) в виде бледно-желтого твердого вещества.
ПРИМЕР 23
Синтез 12-(((5-фтор-2,3-дигидробензофуран-4-ил)метил)амино)-7-(метил-d3)-4-(2,2,2-трифторэтил)-4,5-дигидро-3H-2,4,6,11,12a-пентаазабензо[4,5]циклоокта[1,2,3-cd]инден-3-она (соединение №E 19):
В высушенную в пламени колбу добавляли 3-бром-6-метилпиколиновую кислоту (1 г, 4,67 ммоль), затем трет-бутоксид калия (1,0 г, 9,34 ммоль) и ДМСО-d6 (12 мл) и перемешивали смесь при комнатной температуре в атмосфере аргона в течение 12 часов. Реакционную смесь разбавляли холодной водой (10 мл) и экстрагировали этилацетатом (20 мл). Этилацетатный слой промывали насыщенным солевым раствором (20 мл × 2), сушили над безводным сульфатом натрия и концентрировали с получением неочищенного продукта (E 19.1) с выходом 90%. ЖХ-МС: [M+H]+=215,95.
Добавляли H2SO4 (1,0 экв.) к раствору 3-бром-6-(метил-d3)пиколиновой кислоты-d (E 19.1, 5,0 г, 23,3 ммоль, 1,0 экв.) в MeOH (50 мл). Полученный раствор перемешивали в течение 14 часов, поддерживая при температуре кипения на масляной бане. Охлаждали смесь до комнатной температуры и концентрировали под вакуумом. Остаток растворяли в этилацетате (50 мл) и промывали водой и насыщенным водным раствором NaCl (2×100 мл), сушили над безводным Na2SO4 и концентрировали под вакуумом. Остаток очищали колоночной хроматографией на силикагеле и элюировали смесью EtOAc/гексан (1:5) с получением метил-3-бром-6-метилпиколината (E 19.2, 4,7 г) с выходом 90%. ЖХ-МС [M+H]+=232,99.
К раствору метил-3-бром-6-(метил-d3)пиколината (E 19.2, 520 мг, 2,15 ммоль) в ДХМ (15 мл) при -60°C по каплям добавляли DIBAL-H (4,6 мл, 4,60 ммоль, 1 M в циклогексане). Реакционную смесь поддерживали при температуре от -60°C до -15°C в течение 30 минут, оставляли нагреваться до комнатной температуры и перемешивали еще 12 часов. Реакционную смесь снова охлаждали до 0 °С и гасили насыщенным водным раствором NH4Cl (50 мл). Полученную смесь экстрагировали ДХМ (3×100 мл), промывали насыщенным солевым раствором (50 мл), сушили (Na2SO4), фильтровали и концентрировали. Очищали остаток колоночной хроматографией на силикагеле и элюировали смесью EtOAc/гексан (1:3) с получением E 19.3 в виде бесцветной жидкости (1,36 ммоль, 273 мг, 60%). ЖХ-МС [M+H]+=204,99.
Аликвоту (3-бром-6-(метил-d3)пиридин-2-ил)метанола (E 19.3) растворяли в сухом ДХМ (~0,2 M). К полученному раствору добавляли 1,5 экв. DMP и оставляли реакционную смесь перемешиваться в течение 1 часа (контролировали по ТСХ). После завершения гасили реакцию насыщенным раствором NH4Cl, экстрагировали ДХМ и промывали водой и насыщенным солевым раствором. Органические слои собирали и объединяли, промывали насыщенным солевым раствором, сушили над безводным Na2SO4 и концентрировали в вакууме. Очистку проводили нормально-фазовой колоночной хроматографией на силикагеле с увеличивающимся количеством этилацетата в гексанах с получением требуемого альдегида.
К полученному альдегиду добавляли метанол (~0,2 M), затем 2,2 экв. трифторэтан-1-амина, 2 экв. Na(CN)BH3 и 2 экв. уксусной кислоты при 0 °С. Убирали ледяную баню и оставляли реакционную смесь перемешиваться в течение 3 часов. После завершения концентрировали реакционную смесь и очищали остаток с помощью ВЭЖХ с получением E 19.4 с выходом 70%. ЖХ-МС: [M+H]+=286,01.
Ацетат палладия (II) (0,1 экв.) и CataCXium A (0,2 экв.) смешивали в ДМЭ (0,5 мл, дегазированный) и с помощью пипетки добавляли полученный раствор в смесь этил-8-бром-5-(((5-фтор-2,3-дигидробензофуран-4-ил)метил)амино)имидазо[1,5-c]пиримидин-1-карбоксилата (1 экв.), вторичного амина E 19.4 (2 экв.), бис-пинаколатдибора (2,0 экв.) и K2CO3 (4,0 экв.) в ДМЭ/H2O (10:1, 10 мл, дегазированный) при 70 °C. Реакционную смесь перемешивали в течение 12 часов. Реакционную смесь концентрировали и экстрагировали этилацетатом (2×50 мл), промывали водой и насыщенным солевым раствором и сушили над Na2SO4. Концентрировали смесь и очищали остаток с помощью ВЭЖХ с получением E19.5 с выходом 50%. ЖХ-МС: [M+H]+=561,21.
Смесь соединения E 19.5 (1 экв.) и LiOH (10 экв.) в ТГФ (10 мл/ммоль) и воде (5 мл/ммоль) нагревали при 70 °С в течение ночи. Концентрировали смесь и затем очищали остаток препаративной ВЭЖХ с получением E 19.6 с выходом 80%. ЖХ-МС: [M+H]+=534,18.
К смеси соединения E 19.6 (1 экв.) и HATU (2 экв.) в ДМФА (5 мл/ммоль) добавляли DIPEA (5 экв.). Реакционную смесь оставляли перемешиваться в течение ночи и концентрировали. Остаток очищали препаративной ВЭЖХ с получением соединения № E 19 с выходом 90%. ЖХ-МС: [M+H]+=516,17. 1H ЯМР (400 МГц, ДМСО-d6) δ 8,85 (с, 1H), 8,71 (т, J=5,1 Гц, 1H), 7,93 (д, J=8,0 Гц, 1H), 7,54 (с, 1H), 7,44 (д, J=8,1 Гц, 1H), 6,96 (дд, J=10,3, 8,6 Гц, 1H), 6,71 (дд, J=8,7, 3,9 Гц, 1H), 5,46 (д, J=15,0 Гц, 1H), 4,75 (д, J=4,5 Гц, 2H), 4,71-4,61 (м, 1H), 4,56 (т, J=8,8 Гц, 2H), 4,19 (д, J=15,0 Гц, 1H), 4,08 (дк, J=15,2, 9,0 Гц, 1H), 3,34 (т, J=8,7 Гц, 2H), 2,57 (с, 3H).
ПРИМЕР 24
Синтез 8-(6-циклопропилпиридин-3-ил)-5-(((5-фтор-2,3-дигидробензофуран-4-ил)метил)амино)-1-(метилсульфонил)имидазо[1,5-a]пиридин-6-карбонитрила (соединение №E 26)
Смесь 5-бром-6-метил-2-оксо-1,2-дигидропиридин-3-карбонитрила (E 26.1, 120 мг, 0,55 ммоль) и DIPEA (145 мг, 1,14 ммоль) в POCl3 (2,0 мл) кипятили с обратным холодильником в течение 3 часов. Полученную коричневую смесь выпаривали в вакууме и добавляли 10 мл EtOAc и 5 мл водного раствора NaHCO3. Смесь экстрагировали EtOAc (20 мл x3), сушили (Na2SO4), фильтровали и концентрировали. Остаток очищали флэш-хроматографией (силикагель, для элюирования использовали PE/ЭА=1/3 ~ 1/5) с получением E 26.2 (70 мг, выход 54%) в виде белого твердого вещества. ЖХ-МС: [M+H]+=230,1.
К раствору 5-бром-2-хлор-6-метилникотинонитрила (4,46 г, 19,4 ммоль) и NBS (3,79 мг, 21,3 ммоль) в CCl4 (80 мл) добавляли BPO (469 мг, 1,94 ммоль) при комнатной температуре. Полученную смесь дегазировали и перемешивали при 80 °С в течение 4 часов в атмосфере азота. Реакционную смесь фильтровали, промывали насыщенным солевым раствором, сушили (Na2SO4), фильтровали и концентрировали. Неочищенный продукт очищали колоночной хроматографией на силикагеле (для элюирования использовали 10% EtOAc/петролейный эфир) с получением 5-бром-6-(бромметил)-2-хлорникотинонитрила (E 26.3) в виде желтого маслянистого вещества (4,1 г, 74%). ЖХ-МС: [M+H]+=308,83.
К раствору 5-бром-6-(бромметил)-2-хлорникотинонитрила (4,46 г, 14,5 ммоль) в ДМФА (50 мл) добавляли NaN3 (1,89 г, 29 ммоль). Перемешивали смесь при комнатной температуре в течение 2 часов, выливали в воду и экстрагировали EtOAc (30 мл x 3). Объединенные органические слои промывали насыщенным солевым раствором, сушили (Na2SO4), фильтровали и концентрировали с получением 6-(азидометил)-5-бром-2-хлорникотинонитрила в виде желтого маслянистого вещества (3,4 г, выход: 87%), которое напрямую использовали на следующей стадии. ЖХ-МС: [M+H]+=271,92.
К раствору 6-(азидометил)-5-бром-2-хлорникотинонитрила (3,4 г, 12,6 ммоль) в ТГФ (50 мл) и H2O (5 мл) добавляли PPh3 (4,93 г, 18,9 ммоль). Полученную смесь нагревали при 50 °С в течение 1 часа и концентрировали. Растворяли остаток в 50 мл водного раствора HCl и промывали ДХМ (20 мл x 2). Водный слой подщелачивали, добавляя водный раствор NaOH до pH~ 8, и экстрагировали EtOAc (30 мл x 3). Органические слои сушили (Na2SO4), фильтровали и концентрировали с получением требуемого продукта, 6-(аминометил)-5-бром-2-хлорникотинонитрила в виде желтого маслянистого вещества (2,28 г, 74%). ЖХ-МС: [M+H]+=245,93.
К раствору 6-(аминометил)-5-бром-2-хлорникотинонитрила (2,25 г, 9,3 ммоль) в этилформиате (40 мл) добавляли NaHCO3 (391 мг, 4,6 ммоль). Перемешивали смесь при комнатной температуре в течение 24 часов и фильтровали. Концентрировали фильтрат с получением требуемого соединения в виде коричневого маслянистого вещества (2,1 г, 90%), которое напрямую использовали на следующей стадии. ЖХ-МС: [M+H]+=273,93.
К раствору полученного неочищенного соединения в диоксане (30 мл) добавляли POCl3 (2,59 г, 16,8 ммоль). Кипятили смесь с обратным холодильником в течение 3 часов. Реакционную смесь гасили водным раствором NaHCO3 и экстрагировали EtOAc (30×3). Органические слои промывали насыщенным солевым раствором, сушили (Na2SO4), фильтровали и концентрировали. Неочищенный продукт очищали колоночной хроматографией на силикагеле (10% EtOAc/петролейный эфир) с получением требуемого соединения (E.26.6) в виде светло-желтого твердого вещества (1,6 г, 83%). ЖХ-МС: [M+H]+=255,91.
Смесь 8-бром-5-хлоримидазо[1,5-a]пиридин-6-карбонитрила (60 мг, 0,24 ммоль), (6-циклопропилпиридин-3-ил)бороновой кислоты (50 мг, 0,31 ммоль), Pd(dppf)Cl2 (12 мг, 0,015 ммоль) и Na2CO3 (81 мг, 0,77 ммоль) в H2O (0,5 мл) и диоксане (1,5 мл) нагревали при 110 °С в течение 1 часа в атмосфере N2. Реакционную смесь фильтровали и концентрировали. Неочищенный продукт очищали препаративной ВЭЖХ с получением 5-хлор-8-(6-циклопропилпиридин-3-ил)имидазо[1,5-a]пиридин-6-карбонитрила (E 26.7, 74 мг, выход: 90%). ЖХ-МС: [M+H]+=295,06.
К раствору 5-хлор-8-(6-циклопропилпиридин-3-ил)имидазо[1,5-a]пиридин-6-карбонитрила (38 мг, 0,13 ммоль) и (5-фтор-2,3-дигидробензофуран-4-ил)метанамина (65 мг, 0,39 ммоль) в NMP (0,5 мл) добавляли триэтиламин (39 мг, 0,39 ммоль) при комнатной температуре. Полученный раствор нагревали при 130 °С в микроволновом реакторе в течение 1 часа. Реакционную смесь концентрировали и очищали колоночной хроматографией на силикагеле (элюировали, используя PE:EA=1:1) с получением желтого твердого вещества (E 26.8, 66%). ЖХ-МС (m/z): 426,16 [M+H]+.
К раствору N-((5-фтор-2,3-дигидробензофуран-4-ил)метил)-8-фенилимидазо[1,5-c]пиримидин-5-амина (500 мг, 1,38 ммоль) в ДМФА (10 мл) при 0 °С добавляли NIS (278 мг, 1,24 ммоль). Перемешивали смесь при комнатной температуре в течение 15 минут. Экстрагировали смесь ДХМ (4×50 мл), промывали насыщенным солевым раствором (30 мл), сушили (Na2SO4) и фильтровали. Концентрировали фильтрат и очищали остаток колоночной хроматографией (силикагель, для элюирования использовали 20-50% EtOAc/гексан) с получением указанного в заголовке соединения (E 26.9) в виде желтого твердого вещества (610 мг, 1,26 ммоль, 70%). ЖХ-МС: [M+H]+=552,06.
Через смесь соединения E 26.9 (50 мг, 0,09 ммоль), MeSO2Na (30 мг, 0,3 ммоль) и CuI (57 мг, 0,3 ммоль) в ДМСО (2 мл) пропускали N2 в течение 5 минут и затем нагревали герметично закрытую пробирку в микроволновом реакторе при 120 °С в течение 20 минут, и затем при 100 °С в течение 3 часов. Концентрировали смесь и очищали остаток с помощью ВЭЖХ с получением соединения №E 26 (25 мг, 0,05 ммоль) с выходом 50%. ЖХ-МС: [M+H]+=504,14.
ПРИМЕР 25
Синтез N-((5-фтор-2,3-дигидробензофуран-4-ил)метил)-5-метил-8-(трифторметил)-6H-2,3,5a,9,12,13a-гексаазабензо[4,5]циклопента[7,8]циклоокта[1,2,3-cd]инден-13-амина (соединение №E 10)
В круглодонную колбу объемом 500 мл, оснащенную мешалкой, конденсатором и отверстием подачи азота, загружали 38,9 г (144 ммоль) 5-бром-2-трифторметилизоникотиновой кислоты (E 10.1). К твердому веществу добавляли 250 мл безводного ДХМ, затем 13,2 мл (151 ммоль, 1,05 экв.) оксалилхлорида. К смеси добавляли 0,5 мл безводного ДМФА и перемешивали смесь при комнатной температуре в течение 2 часов. Удаляли растворитель в вакууме. В колбу Эрленмейера объемом 1 л, оснащенную мешалкой, на ледяной бане загружали 500 мл водного раствора NH4OH. К указанному охлажденному раствору по каплям добавляли неочищенный хлорангидрид кислоты. Переносили остаток с небольшим количеством ацетонитрила. Перемешивали смесь в течение 20 минут после добавления. Полученный осадок собирали фильтрованием и промывали водой. Осадок на фильтре сушили в вакууме при 45 °С с получением 5-бром-2-трифторметилизоникотинамида (E 10.2, 118 ммоль, 31,52 г, выход 82%) в виде грязновато-белого твердого вещества. ЖХ-МС [M+H]+=269,95.
В круглодонную колбу объемом 100 мл, оснащенную мешалкой, конденсатором и отверстием подачи азота, загружали 5,2 г (19,3 ммоль) 5-бром-2-трифторметилизоникотинамида (E 10.2). Твердое вещество разбавляли, используя 12 мл POCl3. Нагревали смесь при 70 °С в течение 3 часов. Охлаждали смесь до комнатной температуры и выливали на лед. Нейтрализовали смесь, осторожно добавляя 50% гидроксид натрия. Полученное грязновато-белое твердое вещество собирали фильтрованием, промывали водой и сушили в вакууме при 50 °С в течение 18 часов. В результате получали 4,5 г 5-бром-2-трифторметилизоникотинонитрила (E 10,3, 4,53 г, 18,1 ммоль) в виде грязновато-белого твердого вещества с выходом 94%. ЖХ-МС [M+H]+=250,95. 1H ЯМР (CDCl3): δ, 9,03 (с, 1H), 7,91 (с, 1H).
В колбу объемом 100 мл загружали NaBH4 (0,66 г, 14,81ммоль), затем 20 мл безводного ТГФ. Охлаждали смесь на ледяной бане. Добавляли ТФК (1,5 мл) к ТГФ (4 мл) при указанной температуре в течение 0,5 часа. Убирали ледяную баню и перемешивали полученную смесь при комнатной температуре в течение 2 часов. Растворяли 5-бром-2-(трифторметил)изоникотинонитрил (E 10.3, 2 г, 8,0 ммоль) в ТГФ (10 мл). Снова охлаждали смесь ТФК/NaBH4 на ледяной бане и добавляли раствор нитрила в течение 0,5 часа. Оставляли смесь достигать комнатной температуры при перемешивании в течение 16 часов. Анализ ЖХ аликвотны показал завершение реакции. Охлаждали смесь на ледяной бане и медленно добавляли 10 мл метанола. Удаляли летучие вещества под вакуумом и добавляли этилацетат (50 мл). Полученную смесь промывали водой (10 мл). Водный слой промывали этилацетатом (10 мл), и объединенные органические слои промывали насыщенным солевым раствором (10 мл), сушили над Na2SO4, фильтровали и концентрировали. Остаток очищали обращенно-фазовой хроматографией на системе CombiFlash (для элюирования использовали 1-20% ацетонитрил/H2O) с получением указанного в заголовке соединения (E 10.4, 1,6 г, 80%) в виде бесцветной жидкости. ЖХ-МС [M+H]+=254,96.
Соединение (E 10.4, 512 мг, 2 ммоль) перемешивали при комнатной температуре в течение 3 часов с (Boc)2O (0,51 г, 2,4 ммоль, 1,2 экв.) и Et3N (2 экв., 4 ммоль, 380 мг) в 20 мл ДХМ. Очищали остаток колоночной хроматографией, используя 0-50% EtOAc/гексан, с получением требуемого соединения (E 10.5, 560 мг) с общим выходом 80%. ЖХ-МС [M+H]+=355,16.
Ацетат палладия (II) (0,1 экв.) и CataCXium A (0,2 экв.) смешивали в ДМЭ (0,5 мл, дегазированный) и с помощью пипетки добавляли полученный раствор к смеси этил-8-бром-5-(((5-фтор-2,3-дигидробензофуран-4-ил)метил)амино)имидазо[1,5-c]пиримидин-1-карбоксилата (1 экв.), вторичного амина E 10.5 (2 экв.), бис-пинаколатдибора (2,0 экв.) и K2CO3 (4,0 экв.) в ДМЭ/H2O (10:1, 10 мл, дегазированный) при 70 °C. Реакционную смесь перемешивали в течение 12 часов. Концентрировали реакционную смесь и экстрагировали этилацетатом (2×50 мл), промывали водой и насыщенным солевым раствором, и затем сушили над Na2SO4. Концентрировали смесь и очищали остаток с помощью ВЭЖХ с получением E 10.6 с выходом 50%. ЖХ-МС: [M+H]+=631,22
Смесь соединения E 10.6 (1 экв.) и LiOH (10 экв.) в ТГФ (10 мл/ммоль) и воде (5 мл/ммоль) нагревали при 70 °С в течение ночи. Концентрировали смесь и затем очищали остаток препаративной ВЭЖХ с получением E 10.7 с выходом 80%. ЖХ-МС: [M+H]+=603,19.
В круглодонной колбе объемом 250 мл обрабатывали перемешанный раствор E 10.7 (3,29 г, 5,47 ммоль) и проп-2-ин-1-амина (0,601 г, 10,94 ммоль) в ДМФА (15 мл), последовательно добавляя EDCI.HCl (2,28 г, 11,94 ммоль), HOBt (1,61 г, 11,93 ммоль) и Et3N (2,03 мл, 14,92 ммоль) при комнатной температуре в атмосфере азота. Реакционную смесь перемешивали при комнатной температуре в течение 12 часов в атмосфере азота. После завершения реакции (ТСХ) реакционную смесь разбавляли ледяной водой. Концентрировали смесь и затем очищали остаток препаративной ВЭЖХ с получением E 10.8 с выходом 80%. ЖХ-МС: [M+H]+=640,22
Соединение E 10.8 обрабатывали 25% ТФК/ДХМ при комнатной температуре в течение 1 часа и удаляли летучие вещества в вакууме. Неочищенный продукт разбавляли этилацетатом, промывали насыщенным водным раствором Na2CO3 и насыщенным солевым раствором. Органический слой сушили над Na2SO4 и концентрировали под вакуумом с получением соединения E 10.9, которое использовали без очистки на следующей стадии. ЖХ-МС: [M+H]+=540,22.
В 20 мл колбе для микроволнового реактора раствор соединения E 10.9 (0,22 г, 0,42 ммоль) и (2-метоксифенил)метанамина (0,086 г, 0,63 ммоль) в толуоле (5) обрабатывали Zn(OTf)2 (0,009 г, 0,021 ммоль) при комнатной температуре в атмосфере азота. Реакционную смесь обрабатывали микроволновым излучением при 140 °С в течение 1 часа. После завершения реакции (ТСХ) реакционную смесь разбавляли водой и экстрагировали EtOAc (30 мл). Органический экстракт промывали насыщенным раствором NaHCO3 и насыщенным солевым раствором и сушили над безводным Na2SO4. Концентрировали раствор при пониженном давлении и очищали полученный остаток препаративной ВЭЖХ с получением соединения № E 10 с выходом 40%. ЖХ-МС: [M+H]+=522,15.
ПРИМЕР 26
Синтез 12-(((5-фтор-2,3-дигидробензофуран-4-ил)метил)амино)-7-(тетрагидро-2H-пиран-4-ил)-4-(2,2,2-трифторэтил)-4,5-дигидро-3H-2,4,6,11,12a-пентаазабензо[4,5]циклоокта[1,2,3-cd]инден-3-она (соединение №E 45)

К раствору 5-бром-2-(тетрагидро-2H-пиран-4-ил)пиридина (5,00 г, 20,65 ммоль) в ДХМ (100 мл) медленно добавляли 1,5 экв. mCPBA (5,35 г, 30,97 ммоль). Через 4 часа гасили реакционную смесь, используя 2,0 экв. Ca(OH)2 (3,90 г, 41,3 ммоль), и перемешивали полученный осадок в течение 30 минут. Осадок отфильтровывали и промывали 3:1 смесью ДХМ/метанол. Фильтрат концентрировали в вакууме с получением 5-бром-2-(тетрагидро-2H-пиран-4-ил)пиридин-1-оксида в виде неочищенного твердого вещества, которое использовали для следующей реакции без дополнительной очистки.
К раствору неочищенного 5-бром-2-(тетрагидро-2H-пиран-4-ил)пиридин-1-оксида (4,00 г, 15,63 ммоль), полученного на предыдущей стадии, в ацетонитриле (78 мл, 0,2 M) добавляли 6,0 экв. триметилсилилцианида (TMSCN) (9,48 г, 94,00 ммоль) и 4,5 экв. триэтиламина (5,26 г, 70,34 ммоль). Нагревали реакционную смесь при 100 °С в течение ночи. После охлаждения до комнатной температуры концентрировали растворитель в вакууме и очищали остаток с помощью ВЭЖХ (ацетонитрил/H2O, начиная с 25% ACN, с получением соединения при 42% ACN в H2O) с получением 3-бром-6-(тетрагидро-2H-пиран-4-ил)пиколинонитрила (1,60 г, 5,97 ммоль, выход 29% за 2 стадии). ЖХ-МС [M+H]+=266,97/268,96. 1H ЯМР (400 МГц, ДМСО-d6) δ 8,30 (д, J=8,4 Гц, 1H), 7,64 (д, J=8,4 Гц, 1H), 3,96-3,93 (м, 2H), 3,46-3,40 (м, 2H), 3,05-2,98 (м, 1H), 1,79-1,68 (м, 4H).
3-Бром-6-(тетрагидро-2H-пиран-4-ил)пиколинонитрил (1,60 г, 5,97 ммоль) растворяли в 50 мл сухого ДХМ и охлаждали до -78 °C. Перемешивая раствор, по каплям добавляли 2 экв. раствора DIBAL-H в толуоле (12 мл, 11,94 ммоль). Перемешивали смесь в течение 5 часов, гасили, медленно добавляя насыщенный водный раствор соли Рошель (тартрат калия-натрия), нагревали до комнатной температуры, разбавляли этилацетатом и перемешивали до образования двух прозрачных, легко поддающихся разделению слоев. После очистки с помощью ВЭЖХ получали (3-бром-6-(тетрагидро-2H-пиран-4-ил)пиридин-2-ил)метанамин (1,12 г, 4,12 ммоль, 69%) в виде жидкости. ЖХ-МС [M+H]+=271,04/273,03. 1H ЯМР (400 МГц, ДМСО-d6) δ 8,29 (с, широкий, 2H), 8,07 (д, J=8,4 Гц, 1H), 7,29 (д, J=8,4 Гц, 1H), 4,53-4,22 (м, 2H), 3,48-3,42 (м, 2H), 3,00-2,93 (м, 1H), 1,91-1,69 (м, 4H).
К раствору (3-бром-6-(тетрагидро-2H-пиран-4-ил)пиридин-2-ил)метанамина (181 мг, 0,67 ммоль) в ДХМ (10 мл) добавляли 2,0 экв. 2,2,2-трифторэтил-4-метилбензолсульфоната (311 мг, 1,34 ммоль) и 2,0 экв. DIPEA (173 мг, 1,34 ммоль). Через 3 часа реакционную смесь гасили ТФК и H2O, затем проводили очистки с помощью ВЭЖХ с получением N-((3-бром-6-(тетрагидро-2H-пиран-4-ил)пиридин-2-ил)метил)-2,2,2-трифторэтан-1-амина. ЖХ-МС: [M+H]+=354,01.
После сушки замораживанием посредством лиофилизации перемешивали полученное соединение при комнатной температуре в течение 5 часов с 2 экв. (Boc)2O (292 мг, 1,34 ммоль) и 3 экв. Et3N (2,01 ммоль, 203 мг) в 4 мл ДХМ. После завершения очищали остаток колоночной хроматографией на системе Combiflash, используя 0-100% EtOAc/гексан, с получением соединения, трет-бутил-((3-бром-6-(тетрагидро-2H-пиран-4-ил)пиридин-2-ил)метил)(2,2,2-трифторэтил)карбамата (85 мг, 0,19 ммоль, выход 28% за 2 стадии). ЖХ-МС [M+H]+=454,07.
Ацетат палладия (II) (0,2 экв.) и CataCXium A (0,4 экв.) смешивали в ДМЭ (0,5 мл, дегазированный) и с помощью пипетки добавляли полученный раствор к смеси этил-8-бром-5-(((5-фтор-2,3-дигидробензофуран-4-ил)метил)амино)имидазо[1,5-c]пиримидин-1-карбоксилата (1 экв.), трет-бутил-((3-бром-6-(тетрагидро-2H-пиран-4-ил)пиридин-2-ил)метил)(2,2,2-трифторэтил)карбамата (83 мг, 0,18 ммоль, 1,2 экв.), биспинаколатдибора (2 экв.) и K2CO3 (5 экв.) в ДМЭ/H2O (10:1, 5,0 мл, дегазированный) при 70 °С. Перемешивали реакционную смесь в течение ночи. Затем ее концентрировали и экстрагировали этилацетатом (2×30 мл), промывали водой и насыщенным солевым раствором и сушили над безводным Na2SO4. Концентрировали смесь, затем очищали с помощью препаративной ВЭЖХ с получением E-2211.1. ЖХ-МС: [M+H]+=729,29. После удаления защитной группы Boc из E-2211.1 получали E-2211.2. ЖХ-МС: [M+H]+=629,21.
Смесь соединения E-2211.2 (1 экв.) и LiOH (10 экв.) в ТГФ (10 мл/ммоль) и воде (5 мл/ммоль) нагревали при 80 °С в течение ночи. Концентрировали смесь и затем очищали остаток препаративной ВЭЖХ с получением E-2211.3 с выходом 50% за 3 стадии.
К смеси соединения E-2211.3 (1 экв.) и HATU (2 экв.) в ДМФА (5 мл/ммоль) добавляли DIPEA (5 экв.). Реакционную смесь оставляли перемешиваться в течение 2 часов и концентрировали. Очищали остаток препаративной ВЭЖХ с получением соединения № E 45 с количественным выходом. ЖХ-МС: [M+H]+=583,09. 1H ЯМР (400 МГц, ДМСО-d6) δ 8,83 (с, 1H), 8,68 (т, J=4,8 Гц, 1H), 7,90 (д, J=8,4 Гц, 1H), 7,54 (с, 1H), 7,43 (д, J=8,4 Гц, 1H), 6,95 (дд, J=9,6, 8,8 Гц, 1H), 6,72 (дд, J=8,8, 4,0 Гц, 1H), 5,47 (д, J=14,8 Гц, 1H), 4,74 (д, J=4,8 Гц, 2H), 4,70-4,63 (м, 1H), 4,55 (т, J=8,8 Гц, 2H), 4,16 (д, J=14,8 Гц, 1H), 4,07-4,03 (м, 4H), 3,45-3,51 (м, 2H), 3,33 (т, J=8,4 Гц, 2H), 2,97-3,05 (м, 1H), 1,75-1,84 (м, 4H).
ПРИМЕР 27
Синтез 7-(трет-бутил)-12-(((5-фтор-2,3-дигидробензофуран-4-ил)метил)амино)-4-(2,2,2-трифторэтил)-4,5-дигидро-3H-2,4,8,11,12a-пентаазабензо[4,5]циклоокта[1,2,3-cd]инден-3-она (соединение №E 46)
Добавляли H2SO4 (0,5 мл, 9,69 ммоль, 1,0 экв.) к раствору 5-бром-2-(трет-бутил)изоникотиновой кислоты (2,5 г, 9,69 ммоль, 1,0 экв.) в MeOH (25 мл). Полученный раствор перемешивали в течение 14 часов при кипении с обратным холодильником. Охлаждали смесь до комнатной температуры и концентрировали под вакуумом. Растворяли остаток в этилацетате (50 мл), промывали водой и насыщенным водным раствором NaCl (2×50 мл), сушили над безводным Na2SO4 и концентрировали под вакуумом. Остаток очищали колоночной хроматографией на силикагеле, для элюирования использовали EtOAc/гексан, с получением метил-5-бром-2-(трет-бутил)изоникотината.
К раствору метил-5-бром-2-(трет-бутил)изоникотината в ДХМ (50 мл) при -78 °C по каплям добавляли DIBAL-H (18 мл, 18,90 ммоль, 1,05 M в толуоле). Реакционную смесь поддерживали при температуре от -78°C до -15°C в течение 30 минут, затем оставляли нагреваться до комнатной температуры и перемешивали еще 12 часов. Реакционную смесь охлаждали до 0°C и гасили насыщенным водным раствором NH4Cl (50 мл). Полученную смесь экстрагировали ДХМ (3×250 мл), промывали насыщенным солевым раствором (150 мл), сушили над безводным (Na2SO4), фильтровали и концентрировали. Остаток очищали колоночной хроматографией на силикагеле, для элюирования использовали EtOAc/гексан, с получением (5-бром-2-(трет-бутил)пиридин-4-ил)метанола (1,78 г, 7,28 ммоль, 75% за 2 стадии). ЖХ-МС [M+H]+=243,98/245,99.
Аликвоту (5-бром-2-(трет-бутил)пиридин-4-ил)метанола (1,78 г, 7,28 ммоль) растворяли в сухом ДХМ (~0,2 M), затем к полученному раствору добавляли 1,3 экв. периодинана Десс-Мартина (4,11 г, 9,46 ммоль) и оставляли реакционную смесь перемешиваться в течение 1 часа, контролировали по ТСХ. По завершении гасили насыщенным раствором NH4Cl, затем экстрагировали ДХМ. Органические слои собирали и объединяли, промывали насыщенным солевым раствором, сушили над безводным Na2SO4 и концентрировали в вакууме. Очистку проводили нормально-фазовой колоночной хроматографией на силикагеле с увеличивающимся количеством этилацетата в гексанах с получением требуемого 5-бром-2-(трет-бутил)изоникотинальдегида.
К 5-бром-2-(трет-бутил)изоникотинальдегиду добавляли метанол (~0,2 M), затем 2,2 экв. 2,2,2-трифторэтан-1-амина, 2 экв. Na(CN)BH3 и 2 экв. уксусной кислоты на ледяной бане. Ледяную баню убирали и оставляли реакционную смесь перемешиваться в течение 3 часов, контролировали по ТСХ. По завершении концентрировали реакционную смесь и очищали остаток с помощью ВЭЖХ с получением N-((5-бром-2-(трет-бутил)пиридин-4-ил)метил)-2,2,2-трифторэтан-1-амина (800 мг, 2,27 ммоль, 31% за 2 стадии). ЖХ-МС: [M+H]+=324,89/326,86.
Ацетат палладия (II) (0,1 экв.) и CataCXium A (0,2 экв.) смешивали в ДМЭ (0,5 мл, дегазированный) и с помощью пипетки добавляли полученный раствор к смеси этил-8-бром-5-(((5-фтор-2,3-дигидробензофуран-4-ил)метил)амино)имидазо[1,5-c]пиримидин-1-карбоксилата (1 экв.), N-((5-бром-2-(трет-бутил)пиридин-4-ил)метил)-2,2,2-трифторэтан-1-амина (2 экв.), биспинаколатдибора (2 экв.) и K2CO3 (5 экв.) в ДМЭ/H2O (10:1, 22 мл, дегазированный) при 70 °C. Реакционную смесь перемешивали в течение ночи. Концентрировали реакционную смесь и экстрагировали этилацетатом (2×50 мл), промывали водой и насыщенным солевым раствором, и сушили над Na2SO4. Концентрировали смесь и очищали остаток с помощью ВЭЖХ с получением E-2189.1 с выходом ~15%. ЖХ-МС: [M+H]+=601,20.
Смесь соединения E-2189.1 (1 экв.) и LiOH (10 экв.) в ТГФ (10 мл/ммоль) и воде (5 мл/ммоль) нагревали при 80°C в течение ночи. Концентрировали смесь и очищали остаток препаративной ВЭЖХ с получением E-2189.2 и соединения № E 46 в соотношении ~5:1. ЖХ-МС: [M+H]+=573,15.
К смеси соединения E-2189.2 (1 экв.) и HATU (2 экв.) в ДМФА (5 мл/ммоль) добавляли DIPEA (5 экв.). Реакционную смесь оставляли перемешиваться в течение 2 часов. Концентрировали реакционную смесь и очищали остаток препаративной ВЭЖХ с получением соединения № E 46 с общим выходом ~90%. ЖХ-МС: [M+H]+=555,10. 1H ЯМР (400 МГц, ДМСО-d6) δ 8,85 (с, 1H), 8,72 (т, 1H), 8,65 (д, J=2,4, 1H), 7,91 (д, J=7,8 Гц, 1H), 7,58 (д, J=1,6 Гц, 1H), 6,96 (т, J=8,8 Гц, 1H), 6,71 (дд, J=8,8, 4,0 Гц, 1H), 5,34 (д, J=14,8 Гц, 1H), 4,75 (д, J=4,0 Гц, 2H), 4,56 (т, J=8,8 Гц, 2H), 4,29 (д, J=14,8 Гц, 1H), 4,06-4,12 (м, 1H), 3,34 (т, J=8,8 Гц, 2H), 1,40 (с, 9H).
ПРИМЕР 28
Синтез 4-(2,2-дифторэтил)-12-(((5-фтор-2,3-дигидробензофуран-4-ил)метил)амино)-7-изопропил-4,5-дигидро-3H-2,4,6,11,12a-пентаазабензо[4,5]циклоокта[1,2,3-cd]инден-3-она (соединение №E 47)
К раствору 5-бром-2-изопропилпиридина (1,00 г, 5,00 ммоль) в ДХМ (20 мл) добавляли 1,5 экв. mCPBA. Через 4 часа реакционную смесь гасили, используя 2,0 экв. Ca(OH)2, и перемешивали полученный осадок в течение 30 минут. Отфильтровывали осадок и промывали 3:1 смесью ДХМ/метанол. Концентрировали фильтрат в вакууме с получением 5-бром-2-изопропилпиридин-1-оксида в виде неочищенного твердого вещества, которое использовали для следующей реакции без дополнительной очистки.
К раствору неочищенного 5-бром-2-изопропилпиридин-1-оксида, полученного на предыдущей стадии, в ацетонитриле (20 мл, 0,2 M) добавляли 6,0 экв. триметилсилилцианида (TMSCN) и 4,5 экв. триэтиламина. Реакционную смесь нагревали при 100°C в течение ночи. После охлаждения до комнатной температуры концентрировали растворитель в вакууме и очищали остаток препаративной ВЭЖХ с получением 3-бром-6-изопропилпиколинонитрила (443 мг, 1,97 ммоль, выход 39% за 2 стадии). ЖХ-МС [M+H]+=225,01/227,03.
3-Бром-6-изопропилпиколинонитрил (443 мг, 1,97 ммоль) растворяли в 10 мл сухого ДХМ и охлаждали до -78 °С. Перемешивая раствор, по каплям добавляли 2 экв. раствора DIBAL-H в толуоле. Перемешивали смесь в течение 5 часов, затем гасили, медленно добавляя насыщенный водный раствор соли Рошель (тартрат калия-натрия). Реакционную смесь оставляли нагреваться, разбавляли этилацетатом и перемешивали до образования двух прозрачных, легко поддающихся разделению слоев. После очистки с помощью ВЭЖХ получали (3-бром-6-изопропилпиридин-2-ил)метанамин в виде жидкости. ЖХ-МС [M+H]+=229,01/230,97. 1H ЯМР (400 МГц, ДМСО-d6) δ 8,34 (с, широкий, 2H), 8,04 (д, J=8,4 Гц, 1H), 7,28 (д, J=8,4 Гц, 1H), 4,24-4,23 (м, 2H), 3,33-3,02 (м, 1H), 1,26 (д, J=6,8 Гц, 6H).
К раствору (3-бром-6-изопропилпиридин-2-ил)метанамина (107 мг, 0,47 ммоль) в ДХМ (10 мл) добавляли 2,0 экв. 2,2-дифторэтил-4-метилбензолсульфоната (200 мг, 0,94 ммоль) и 2,0 экв. DIPEA. Через 3 часа реакционную смесь гасили ТФК и H2O. После очистки с помощью ВЭЖХ получали N-((3-бром-6-изопропилпиридин-2-ил)метил)-2,2-дифторэтан-1-амин. ЖХ-МС [M+H]+=293,04/285,09.
После сушки замораживанием посредством лиофилизации перемешивали N-((3-бром-6-изопропилпиридин-2-ил)метил)-2,2-дифторэтан-1-амин (103 мг, 0,35 ммоль) при комнатной температуре в течение 5 часов с 2 экв. (Boc)2O (153 мг, 0,70 ммоль) и 3 экв. Et3N (203 мг, 1,05 ммоль) в 3 мл сухого ДХМ. После завершения очищали остаток колоночной хроматографией на системе Combiflush используя 0-100% EtOAc/гексан, с получением трет-бутил-((3-бром-6-изопропилпиридин-2-ил)метил)(2,2-дифторэтил)карбамата (52 мг, 0,13 ммоль, выход 28% за 2 стадии).
Ацетат палладия (II) (0.2 экв.) и CataCXium A (0,4 экв.) смешивали в ДМЭ (0,5 мл, дегазированный) и с помощью пипетки добавляли полученный раствор к смеси этил-8-бром-5-(((5-фтор-2.3-дигидробензофуран-4-ил)метил)амино)имидазо[1,5-c]пиримидин-1-карбоксилата (1 экв.), трет-бутил-((3-бром-6-изопропилпиридин-2-ил)метил)(2,2-дифторэтил)карбамата (52 мг, 0,13 ммоль, 1,2 экв.), биспинаколатдибора (2,0 экв.) и K2CO3 (5,0 экв.) в ДМЭ/H2O (10:1, 4,0 мл, дегазированный) при 70 °C. Перемешивали реакционную смесь в течение ночи. Затем ее концентрировали и экстрагировали этилацетатом (2×30 мл), промывали водой и насыщенным солевым раствором и сушили над Na2SO4. Концентрировали смесь и очищали с помощью ВЭЖХ с получением E-2206.1. ЖХ-МС: [M+H]+=669,33. Удаляли защитную группу Boc из E-2206.1 с получением E-2206.2. ЖХ-МС: [M+H]+=569,17.
Смесь E-2206.2 (1 экв.) и LiOH (10 экв.) в ТГФ (10 мл/ммоль) и воде (5 мл/ммоль) нагревали при 80°C в течение ночи. Концентрировали смесь и затем очищали остаток препаративной ВЭЖХ с получением E-2206.3. ЖХ-МС: [M+H]+=541,10.
К смеси E-2206.3 (1 экв.) и HATU (2 экв.) в ДМФА (3 мл/ммоль) добавляли DIPEA (5 экв.). Реакционную смесь оставляли перемешиваться в течение 2 часов и концентрировали. Очищали остаток препаративной ВЭЖХ с получением соединения № E 47 с количественным выходом. ЖХ-МС: [M+H]+=523,15. 1H ЯМР (400 МГц, ДМСО-d6) δ 8,80 (с, 1H), 8,63 (т, 1H), 7,85 (д, J=8,0 Гц, 1H), 7,49 (с, 1H), 7,37 (д, J=8,0 Гц, 1H), 6,94 (дд, J=9,6, 8,8 Гц, 1H), 6,70 (дд, J=8,8, 4,0 Гц, 1H), 6,29 (т, J=57,2 Гц, 1H), 5,40 (д, J=8,4 Гц, 1H), 4,72 (д, J=3,6 Гц, 2H), 4,54 (т, J=8,8 Гц, 2H), 4,14 (д, J=14,8 Гц, 1H), 4,09-4,03 (м, 1H), 3,75-3,33 (м, 1H), 3,33 (т, J=8,8 Гц, 2H), 3,10-3,03 (м, 2H), 1,29-1,22 (м, 6H).
ПРИМЕР 29
Синтез 7-(1,4-диоксан-2-ил)-12-(((5-фтор-2,3-дигидробензофуран-4-ил)метил)амино)-4-(2,2,2-трифторэтил)-4,5-дигидро-3H-2,4,6,11,12a-пентаазабензо[4,5]циклоокта[1,2,3-cd]инден-3-она (соединение №E 48)
Соединение №E 48 может быть получено способами, описанными в приведенных выше примерах, исходя из 5-бром-2-(1,4-диоксан-2-ил)пиридина.
ПРИМЕР 30
Синтез 7-((1,4-диоксан-2-ил)метил)-12-(((5-фтор-2,3-дигидробензофуран-4-ил)метил)амино)-4-(2,2,2-трифторэтил)-4,5-дигидро-3H-2,4,6,11,12a-пентаазабензо[4,5]циклоокта[1,2,3-cd]инден-3-она (соединение №E 49)
Соединение №E 49 может быть получено способами, описанными в приведенных выше примерах, исходя из 2-((1,4-диоксан-2-ил)метил)-5-бромпиридина.
ПРИМЕР 31
Характеристика соединений
Соединения из таблицы 2 получали способами, описанными в ПРИМЕРАХ 1-17, см., например, столбец «Способ синтеза», и известными в данной области техники. Все соединения характеризовали с помощью масс-спектроскопии и/или 1H ЯМР в форме соли с ТФК.
Таблица 2
ЖХ-МС: [M+H]+=402,12
ЖХ-МС: [M+H]+=403,12
ЖХ-МС: [M+H]+=480,11
ЖХ-МС: [M+H]+=417,13
ЖХ-МС: [M+H]+=435,12
ЖХ-МС: [M+H]+=485,12
ЖХ-МС: [M+H]+=435,12
ЖХ-МС: [M+H]+=486,11
ЖХ-МС: [M+H]+=486,11
δ 8,79 (с, 1H), 8,53 (т, J=5,1 Гц, 1H), 8,24 (т, J=7,4 Гц, 1H), 7,53-7,35 (м, 4H), 7,33-7,24 (м, 1H), 7,03-6,90 (м, 1H), 6,72 (дд, J=8,7, 3,9 Гц, 1H), 4,83-4,70 (м, 3H), 4,57 (т, J=8,8 Гц, 2H), 4,03 (дд, J=14,2, 5,7 Гц, 1H), 3,35 (т, J=8,7 Гц, 2H).
ЖХ-МС: [M+H]+=416,14
ЖХ-МС: [M+H]+=434,14
ЖХ-МС: [M+H]+=432,14
ЖХ-МС: [M+H]+=484,13
ЖХ-МС: [M+H]+=434,14
ЖХ-МС: [M+H]+=431,15
ЖХ-МС: [M+H]+=485,13
ЖХ-МС: [M+H]+=434,14
ЖХ-МС: [M+H]+=485,12
ЖХ-МС: [M+H]+=485,12
ЖХ-МС: [M+H]+=484,13
ЖХ-МС: [M+H]+=469,10
ЖХ-МС: [M+H]+=473,11
ЖХ-МС: [M+H]+=486,11
ЖХ-МС: [M+H]+=486,11
ЖХ-МС: [M+H]+=501,11
ЖХ-МС: [M+H]+=486,11
ЖХ-МС: [M+H]+=499,14
ЖХ-МС: [M+H]+=499,14
ЖХ-МС: [M+H]+=485,17
ЖХ-МС: [M+H]+=585,17
ЖХ-МС: [M+H]+=596,23
ЖХ-МС: [M+H]+=499,14
ЖХ-МС: [M+H]+=585,17
ЖХ-МС: [M+H]+=525,15
ЖХ-МС: [M+H]+=596,23
ЖХ-МС: [M+H]+=555,16
ЖХ-МС: [M+H]+=555,16
ЖХ-МС: [M+H]+=583,20
ЖХ-МС: [M+H]+=583,20
ЖХ-МС: [M+H]+=583,20
ЖХ-МС: [M+H]+=557,18
ЖХ-МС: [M+H]+=583,20
ЖХ-МС: [M+H]+=529,22
ЖХ-МС: [M+H]+=569,18
ЖХ-МС: [M+H]+=569,18
ЖХ-МС: [M+H]+=420,15
ЖХ-МС: [M+H]+=421,15
ЖХ-МС: [M+H]+=539,17
ЖХ-МС: [M+H]+=474,20
ЖХ-МС: [M+H]+=543,16
ЖХ-МС: [M+H]+=557,18
ЖХ-МС: [M+H]+=527,17
ЖХ-МС: [M+H]+=568,54
ЖХ-МС: [M+H]+=558,52
ЖХ-МС: [M+H]+=562,48
ЖХ-МС: [M+H]+=518,53
ЖХ-МС: [M+H]+=582,20
ЖХ-МС: [M+H]+=524,49
ЖХ-МС: [M+H]+=584,54
ЖХ-МС: [M+H]+=513,46
ЖХ-МС: [M+H]+=513,46
ЖХ-МС: [M+H]+=515,48
ЖХ-МС: [M+H]+=527,49
ЖХ-МС: [M+H]+=530,22
ЖХ-МС: [M+H]+=512,48
ЖХ-МС: [M+H]+=563,48
ЖХ-МС: [M+H]+=508,52
ЖХ-МС: [M+H]+=480,46
ЖХ-МС: [M+H]+=548,46
ЖХ-МС: [M+H]+=548,46
ЖХ-МС: [M+H]+=563,15
ЖХ-МС: [M+H]+=566,13
ЖХ-МС: [M+H]+=567,13
ЖХ-МС: [M+H]+=575,15
ЖХ-МС: [M+H]+=477,14
ЖХ-МС: [M+H]+=462,13
ЖХ-МС: [M+H]+=462,13
ЖХ-МС: [M+H]+=549,13
ЖХ-МС: [M+H]+=513,15
ЖХ-МС: [M+H]+=531,11
ЖХ-МС: [M+H]+=596,22
ЖХ-МС: [M+H]+=438,09
ЖХ-МС: [M+H]+=452,11
ЖХ-МС: [M+H]+=439,12,
ЖХ-МС: [M+H]+=517,09
ЖХ-МС: [M+H]+=454,12.
ЖХ-МС: [M+H]+=508,09.
ЖХ-МС: [M+H]+=454,12
ЖХ-МС: [M+H]+=457,10
ЖХ-МС: [M+H]+=518,08
ЖХ-МС: [M+H]+=443,12
ЖХ-МС: [M+H]+=490,10
ЖХ-МС: [M+H]+=468,14
ЖХ-МС: [M+H]+=531,10.
ЖХ-МС: [M+H]+=480,14
ЖХ-МС: [M+H]+=507,10
ЖХ-МС: [M+H]+=497,11
ЖХ-МС: [M+H]+=447,11
ЖХ-МС: [M+H]+=458,15
ЖХ-МС: [M+H]+=498,10
ЖХ-МС: [M+H]+=488,13
ЖХ-МС: [M+H]+=455,13
ЖХ-МС: [M+H]+=506,12
ЖХ-МС: [M+H]+=534,06
ЖХ-МС: [M+H]+=533,06
ЖХ-МС: [M+H]+=543,15
ЖХ-МС: [M+H]+=466,17
ЖХ-МС: [M+H]+=483,16
ЖХ-МС: [M+H]+=493,20
ЖХ-МС: [M+H]+=291,11
ЖХ-МС: [M+H]+=363,017
ЖХ-МС: [M+H]+=348,13.
ЖХ-МС: [M+H]+=403,16
ЖХ-МС: [M+H]+=421,15
ЖХ-МС: [M+H]+=455,12
ЖХ-МС: [M+H]+=417,14
ЖХ-МС: [M+H]+=388,16
ЖХ-МС: [M+H]+=406,16
ЖХ-МС: [M+H]+=424,15
ЖХ-МС: [M+H]+=406,16
ЖХ-МС: [M+H]+=440,12
ЖХ-МС: [M+H]+=402,14
ЖХ-МС: [M+H]+=418,16
ЖХ-МС: [M+H]+=429,12
ЖХ-МС: [M+H]+=437,14
ЖХ-МС: [M+H]+=473,20
ЖХ-МС: [M+H]+=473,20
ЖХ-МС: [M+H]+=513,15
ЖХ-МС: [M+H]+=483,19
ЖХ-МС: [M+H]+=539,17
ЖХ-МС: [M+H]+=495,47
ЖХ-МС: [M+H]+=509,18
ЖХ-МС: [M+H]+=549,13
ЖХ-МС: [M+H]+=495,16
ЖХ-МС: [M+H]+=522,16
ЖХ-МС: [M+H]+=509,18
ЖХ-МС: [M+H]+=527,49
ЖХ-МС: [M+H]+=509,50
ЖХ-МС: [M+H]+=539,17
ЖХ-МС: [M+H]+=541,18
ЖХ-МС: [M+H]+=523,19
ЖХ-МС: [M+H]+=454,17
ЖХ-МС: [M+H]+=468,18
ЖХ-МС: [M+H]+=516,15
ЖХ-МС: [M+H]+=430,16
ЖХ-МС: [M+H]+=527,17
ЖХ-МС: [M+H]+=509,18
ЖХ-МС: [M+H]+=549,13
ЖХ-МС: [M+H]+=531,14
ПРИМЕР 27
Биологические анализы
Иллюстративные соединения по данному изобретению испытывали в анализе связывания EED AlphaScreen, а антипролиферативную активность (значения IC50) определяли в клеточных линиях Karpas 422 и Pfeiffer для 7-дневной обработки. «Н/О» означает «не определено».
Анализ клеточной пролиферации:
Клетки B-клеточной лимфомы человека KARPAS422 приобретали в Американской коллекции типовых культур (ATCC) и выращивали, используя стандартные условия выращивания клеток в среде RPMI-1640 (Invitrogen, кат. № 11875) с добавлением 10% FBS (Invitrogen, кат. № 10099-141) в увлажненном инкубаторе при 37 °C, 5% CO2. Для оценки влиняия ингибирования PRC2 на рост клеток высевали клетки в 96-луночные планшеты для культру с плотностью 2000-3000 клеток на лунку в 200 мкл культуральной среды и обрабатывали серийно разбавленными соединениями в течение 7 дней при 37°C в атмосфере 5% CO2. Рост клеток оценивали с помощью анализа на основе лактатдегидрогеназы WST-8 (Dojindo Molecular Technologies), используя многорежимный микропланшет-ридер Tecan Infinite M1000 (Tecan, Моррисвилл, штат Северная Каролина). Реагент WST-8 добавляли на планшет, инкубировали в течение 1-4 часов и считывали при 450 нм. Полученные значения нормализовали по клеткам, обработанным ДМСО, и рассчитывали IC50 анализом нелинейной регрессии, используя программное обеспечение GraphPad Prism 6.
Анализ конкурентного связывания пептида EED-H3K27Me3 с применением AlphaScreen (α-Screen):
Для оценки эффективности в анализе конкурентного связывания EED-H3K27Me3 проводили серийное 3-кратное разбавление иллюстративных соединений по данному изобретению в ДМСО с получением, в целом, двенадцати концентраций. Соединения при каждой концентрации (по 2,5 мкл) переносили в 384-луночные белые планшеты Perkin Elmer OptiPlate-384. В лунки добавляли 5 мкл растворов, содержащих 20 нМ белка EED (1-441)-His в буфере (25 мМ HEPES, pH 8, 0,02% Tween-20, 0,5% BSA), и затем инкубировали с соединением в течение 15 минут. В лунки добавляли 2,5 мкл растворов, содержащих 20 нМ пептида биотин-H3K27Me3 (19-33) в буфере (25 мМ HEPES, pH 8, 0,02% Tween-20, 0,5% BSA), и затем инкубировали с соединением в течение 30 минут. Смесь гранул для обнаружения AlphaScreen получали непосредственно перед использованием посредством смешивания акцепторных гранул хелата никеля и донорных гранул стрептавидина в соотношении 1:1 (Perkin Elmer, продукт № 6760619C/M/R) в буфере, описанном выше. Затем на планшет добавляли 10 мкл смеси гранул для обнаружения и инкубировали в темноте при комнатной температуре в течение 1 часа. Конечные концентрации донорных и акцепторных гранул составляли по 10 мкг/мл. Планшеты считывали на планшетридере CLARIOStar (BMG Labtech), используя настройки AlphaScreen, подобранные для оптимального обнаружения сигнала, с фильтром 615 нм после возбуждения образца при 680 нм. Сигнал испускания при 615 нм использовали для количественного определения ингибирования под действием соединения. Сигналы AlphaScreen нормализовали на основании значений, полученных для положительного контроля (контрольный образец с максимальным сигналом) и отрицательного контроля (контрольный образец с минимальным значением), с получением процента оставшейся активности. Затем данные подгоняли к уравнению зависимости от дозы с получением значений IC50.
Результаты представлены в таблицах 2A и 2B.
Таблица 2A
(нМ)
(нМ)
Таблица 2B
Определение IC50: A=< 10 нМ; B=> 10 нМ-< 100 нМ; и C=> 100 нМ
ПРИМЕР 28
In vivo эффективность
Эксперименты на животных проводили в соответствии с руководством Университета Мичиганского комитета по использованию и содержанию животных, используя одобренный протокол использования животных. Ксенотрансплантатные опухоли создавали посредством подкожной инъекции 1×107 клеток B-клеточной лимфомы человека Karpas 422 в 50% матригеле в области спины мышей с тяжелым комбинированным иммунодефицитом (SCID), которых приобретали у компании Charles River, по одной опухоли на мышь. По достижении объема опухоли ~100 мм3, мышей случайным образом распределяли по группам лечения и контроля с носителем. Животных ежедневно наблюдали на возникновение любых признаков токсичности и взвешивали 2-3 раза в неделю в течение экспериментального периода и по меньшей мере один раз в неделю по окончании лечения. Размер опухоли измеряли электронным штангенциркулем 2-3 раза в неделю в течение экспериментального периода и по меньшей мере один раз в неделю по окончании лечения. Объем опухоли рассчитывали по уравнению V=L×W2/2, где L представляет собой длину, и W представляет собой ширину опухоли. Соединения составляли в форму суспензии в ПЭГ 200 и вводили перорально через желудочный зонд в определенных дозах. В конкретных случаях результаты представлены как среднее значение ± СОС. Построение графика и статистический анализ проводили с помощью GraphPad Prism 7.00 (программное обеспечение GraphPad).
Противоопухолевая активность иллюстративных соединений по данному изобретению представлена на Фиг. 1. Масса тела экспериментальных животных представлена на Фиг. 2.
После полного описания способов, соединений и композиций, представленного в данном документе, специалистам в данной области техники будет понятно, что некоторые из них могут быть осуществлены в пределах широкого и эквивалентного диапазона условий, составов и других параметров, без нарушения сущности способов, соединений и композиций, предложенных в данном документе, или любых их вариантов реализации.
Все патенты, патентные заявки и публикации, упомянутые в данном документе, в полном объеме включены в данный документ посредством ссылки.
| название | год | авторы | номер документа |
|---|---|---|---|
| N-(ФЕНИЛСУЛЬФОНИЛ) БЕНЗАМИДЫ И РОДСТВЕННЫЕ СОЕДИНЕНИЯ В КАЧЕСТВЕ ИНГИБИТОРОВ BCL-2 | 2017 |
|
RU2744358C2 |
| N-(ФЕНИЛСУЛЬФОНИЛ) БЕНЗАМИДЫ И РОДСТВЕННЫЕ СОЕДИНЕНИЯ В КАЧЕСТВЕ ИНГИБИТОРОВ BCL-2 | 2020 |
|
RU2831159C2 |
| N-(ФЕНИЛСУЛЬФОНИЛ) БЕНЗАМИДЫ И РОДСТВЕННЫЕ СОЕДИНЕНИЯ В КАЧЕСТВЕ ИНГИБИТОРОВ BCL-2 | 2017 |
|
RU2722560C1 |
| СУЛЬФОНАМИДНОЕ СОЕДИНЕНИЕ ИЛИ ЕГО СОЛЬ | 2017 |
|
RU2732572C2 |
| ПРОТИВООПУХОЛЕВЫЙ АГЕНТ | 2018 |
|
RU2770824C2 |
| СПОСОБЫ ЛЕЧЕНИЯ ИЛИ ПРОФИЛАКТИКИ АУТОИММУННЫХ ЗАБОЛЕВАНИЙ С ПОМОЩЬЮ СОЕДИНЕНИЙ 2,4-ПИРИМИДИНДИАМИНА | 2013 |
|
RU2659777C2 |
| СУЛЬФОНИЛМОЧЕВИНЫ И РОДСТВЕННЫЕ СОЕДИНЕНИЯ И ИХ ПРИМЕНЕНИЕ | 2016 |
|
RU2795512C2 |
| ГЕТЕРОЦИКЛИЧЕСКИЕ ПРОИЗВОДНЫЕ И ИХ ПРИМЕНЕНИЕ | 2015 |
|
RU2711502C2 |
| ЗАМЕЩЕННЫЕ ХРОМАНЫ | 2015 |
|
RU2718060C2 |
| ДЕСТРУКТОРЫ БЕЛКА MDM2 | 2017 |
|
RU2743432C2 |
Изобретение относится к соединению имидазопиримидинов, выбранному из группы соединений, указанных в формуле изобретения. Также изобретение относится к фармацевтической композиции, содержащей соединение, способу лечения рака, опосредованного активностью белка EED, применению соединения для производства лекарственного средства для лечения рака, опосредованного активностью белка EED, способу ингибирования белка EED и набору для лечения рака, опосредованного активностью белка EED. Технический результат – соединения имидазопиримидинов, обладающие ингибирующей активностью в отношении EED для лечения заболеваний, опосредованных EED. 6 н. и 8 з.п. ф-лы, 2 ил., 7 табл., 33 пр.
1. Соединение, выбранное из любого одного или более следующих соединений:
или его фармацевтически приемлемая соль.
2. Соединение по п. 1, выбранное из группы, состоящей из:
4-этил-12-(((5-фтор-2,3-дигидробензофуран-4-ил)метил)амино)-7-(трифторметил)-4,5-дигидро-3H-2,4,8,11,12a-пентаазабензо[4,5]циклоокта[1,2,3-cd]инден-3-она;
12-(((5-фтор-2,3-дигидробензофуран-4-ил)метил)амино)-4-(2,2,2-трифторэтил)-7-(трифторметил)-4,5-дигидро-3H-2,4,8,11,12a-пентаазабензо[4,5]циклоокта[1,2,3-cd]инден-3-она;
4-циклопропил-12-(((5-фтор-2,3-дигидробензофуран-4-ил)метил)амино)-7-(трифторметил)-4,5-дигидро-3H-2,4,8,11,12a-пентаазабензо[4,5]циклоокта[1,2,3-cd]инден-3-она;
12-(((5-фтор-2,3-дигидробензофуран-4-ил)метил)амино)-4-изопропил-7-(трифторметил)-4,5-дигидро-3H-2,4,8,11,12a-пентаазабензо[4,5]циклоокта[1,2,3-cd]инден-3-она; и
11-(((5-фтор-2,3-дигидробензофуран-4-ил)метил)амино)-6-метил-4H-3-тиа-2,5,10,11a-тетраазадибензо[cd,f]азулен-3,3-диоксида,
или его фармацевтически приемлемая соль.
3. Фармацевтическая композиция, обладающая ингибирующей активностью в отношении белка эмбрионального развития эктодермы (EED), содержащая эффективное количество соединения по любому из пп. 1 или 2 или его фармацевтически приемлемую соль и фармацевтически приемлемый носитель.
4. Способ лечения рака, опосредованного активностью белка EED, у субъекта, нуждающегося в этом, включающий введение субъекту терапевтически эффективного количества соединения по любому из пп. 1 или 2 или его фармацевтически приемлемой соли.
5. Способ по п. 4, отличающийся тем, что рак представляет собой один или более видов рака, выбранных из:
6. Фармацевтическая композиция по п. 3 для применения для лечения рака, опосредованного активностью белка EED.
7. Фармацевтическая композиция по п. 6, отличающаяся тем, что рак представляет собой один или более видов рака, выбранных из:
8. Соединение по любому из пп. 1 или 2 или его фармацевтически приемлемая соль для применения для лечения рака, опосредованного активностью белка EED.
9. Соединение для применения по п. 8, отличающееся тем, что рак представляет собой один или более видов рака, выбранных из:
10. Применение соединения по любому из пп. 1 или 2 или его фармацевтически приемлемой соли для производства лекарственного средства для лечения рака, опосредованного активностью белка EED.
11. Применение по п. 10, отличающееся тем, что рак представляет собой один или более видов рака, выбранных из:
12. Способ ингибирования белка EED в клетке субъекта, нуждающегося в этом, включающий введение субъекту эффективного количества соединения по любому из пп. 1 или 2 или его фармацевтически приемлемой соли.
13. Набор для лечения рака, опосредованного активностью белка EED, содержащий соединение по любому из пп. 1 или 2 или его фармацевтически приемлемую соль и инструкции по введению соединения или его фармацевтически приемлемой соли субъекту, имеющему рак, опосредованный активностью белка EED.
14. Набор по п. 13, отличающийся тем, что рак представляет собой один или более видов рака, выбранных из:
| WO 2017221100 A1, 28.12.2017 | |||
| WO 2017221092 A1, 28.12.2017 | |||
| WO 2016103155 A1, 30.06.2016 | |||
| REJ, R | |||
| K et al | |||
| Вертикальный трубчатый котел | 1924 |
|
SU5285A1 |
| Journal of Medical Chemistry, 2020, 63(13), p.7252-7267 | |||
| WO 2014144747 A1, 18.09.2014 | |||
| RU 2011101898 A, 27.07.2012. | |||
Авторы
Даты
2025-03-11—Публикация
2020-07-16—Подача