ЭМУЛЬСИОННЫЕ ФОТОСЕНСИБИЛИЗАТОРЫ НА ОСНОВЕ ФУРАНОКУМАРИНОВ БОРЩЕВИКА СОСНОВСКОГО И СПОСОБЫ ИХ ПОЛУЧЕНИЯ Российский патент 2025 года по МПК A61K36/23 A61K31/37 A61P17/00 

Описание патента на изобретение RU2836649C2

Одними из широко применяемых в медицине для фотохимиотерапии являются вещества - фуранокумарины, среди которых клинически доказанный эффект имеется у производных псоралена (бергаптен, ксантотоксин и др.). (Фотодинамическая терапия рака - новый эффективный метод диагностики и лечения злокачественных опухолей Миронов А.Ф. // Соросовский образовательный журнал, 1996, №8, С. 32-40). Среди растений, содержащих высокие концентрации псоралена и его производных, выделяется борщевик Сосновского (Heracleum sosnowskyi Manden) (Sosnowsky hogweed: new ways to use // Andreeva L.V. / IOP Conference Series Earth and Environmental Science, 2020, 613, 012006). В ряде регионов земного шара, в том числе и в России, борщевик Сосновского, как и другие виды гигантских борщевиков признан опасным фитоинвазивным видом и повсеместно истребляется (The Giant Hogweed Best Practice Manual. Guidelines for the management and control of an invasive weed in Europe // Nielsen C, Ravn H.P., Nentwig W., Wade M. / Forest & Landscape, Denmark, Hoersholm, 2005). Так как борщевик Сосновского широко распространен и быстро наращивает фитомассу, то его растительное сырье весьма доступно для заготовки и фармацевтического использования. В настоящий момент исследуются и применяются различные фотосенсибилизаторы из природных источников. Этому могут служить следующие примеры.

Бразильский зеленый прополис (из растения Baccharis dracunculifolia), как источник протопорфирина IX (Brazilian Green Propolis Extract Synergizes with Protoporphyrin IX-mediated Photodynamic Therapy via Enhancement of Intracellular Accumulation of Protoporphyrin IX and Attenuation of NF-κВ and COX-2 // Wang C-C, Wang Y-X., Yu N-Q., Hu D., Wang X-Y., Chen X-G., Liao Y-W., Yao J., Wang H, He L., Wu L. / Molecules, 2017, 22, 732).

Однако, у данного экстракта имеются недостатки. Экстракт требует очистки от сопутствующих веществ и последующего получения активных полусинтетических производных. Сырье для получения фотосенсибилизатора возобновляется достаточно медленно и требует финансовых затрат, так как прополис - это продукт жизнедеятельности медоносной пчелы.

Примером разработки природного фотосенсибилизирующего средства, может быть, алкалоид берберин из различных растительных видов сырья (Coptis chinensis, Berberis aristata, Phellodendron amurense). Выделенный экстракт в нативном виде не обладает выраженными фотосенсибилизирующими свойствами, требует выделения чистой субстанции (Synthesis and In Vitro Photocytotoxicity of 9-/13-Lipophilic Substituted Berberine Derivatives as Potential Anticancer Agents // Lin H.J., Ho J.H., Tsai L.C., Yang F.Y., Yang L.L., Kuo CD., Chen L.G., Liu Y.W., Wu J.Y. / Molecules, 2020, 25, 677).

В настоящее время источником фуранокумаринов для производства фотосенсибилизирующего препарата Аммифурин является растение Амми большая (Ammi mqjus). Ее плоды содержат около 2% фуранокумаринов. Препараты из Амми используются, как антипсориатические средства для PUVA - терапии (8-methoxypsoralen reduces АКТ phosphorylation, induces intrinsic and extrinsic apoptotic pathways, and suppresses cell growth of SK-N-AS neuroblastoma and SW620 metastatic colon cancer cells // Bartnik M., Slawinska-Brych A., Zurek A., Kandefer-Szerszen M., Zdzisinska B. / J. Ethnopharmacol, 2017, 20719-20729).

Аммия большая уступает борщевику Сосновского по содержанию фуранокумаринов. Фуранокумарины Амми локализованы преимущественно в семенах растения и смешаны с большим количеством гидрофобных сопутствующих веществ. Амми большую в диком виде можно встретить только в условиях теплого климата (Flora Europaea 2 // Tutin T.G., Heywood U.H., Burges N.A., Moore D.M., Valentine D.H., Walters S.M., Webb D.A. / Cambridge University Press, UK, 1968, p.353; Bio-guided fractionation of prenylated benzaldehyde derivatives as potent antimicrobial and antibiofilm from Ammi majus L. fruits-associated Aspergillus amstelodami. Fathallah N., Raafat M.M., Issa M.Y., Abdel-Aziz M.M., Bishr M., Abdelkawy M.A., Salama O., Molecules, 2019, 24, 4118) и в других регионах она требует специальных условий культивирования.

Фуранокумарины - очень липофильные вещества. Но для реализации фотобиологического потенциала они должны находиться в водной среде. (LC-MS/MS for the detection of DNA interstrand cross-links formed by 8-methoxypsoralen and UVA irradiation in human cells // Cao H., Hearst J.E., Corash L., Wang Y. / Anal Chem, 2008, 80, 2932-2938). В различных исследованиях фуранокумарины тестируются в виде спиртовых растворов или растворов ДМСО (Psoralen inhibits malignant proliferation and induces apoptosis through triggering endoplasmic reticulum stress in human SMMC7721 hepatoma cells // Wang X., Peng P., Pan Z., Fang Z., Lu W., Liu X. / Biol Res, 2019, 52(1), 34; Psoralen inhibits the proliferation and promotes apoptosis through endoplasmic reticulum stress in human osteosarcoma cells // Li S., Tu H. / Folia Histochem Cytobiol, 2022, 60(1), 101-109), где фуранокумарины остаются стабильными в высоких концентрациях (более 1 мг/мл) при условии наличия не менее 80% диметилсульфоксида в растворителе.

Решением проблемы водной растворимости фуранокумаринов может являться создание эмульсионной формы. Существуют примеры патентов на изобретение, где авторы решают проблему плохой растворимости фармакологического средства с помощью создания эмульсионной формы.

В заявке RU 2370261 С2 заявители предлагают создание стабильной эмульсии противоопухолевых препаратов из группы таксанов для парентерального применения. Авторы утверждают о стабильности эмульсии при ее разведении инфузионными растворами. Однако тот факт, что в составе предлагаемой формы используется ДМСО, как сорастворитель паклитаксела в лецитине, говорит не в пользу стабильности формы, так как при разведении водными растворами ДМСО теряет свои растворяющие свойства и активный липофильный ингредиент может выпадать в осадок. Наши опыты с 8-метоксипсораленом показали невозможность стабилизировать эмульсию при применении необходимых концентраций ДМСО для полной растворимости фуранокумарина.

Другим примером создания стабильной эмульсии, является патент RU 2626600 С1 «Композиция для применения в фотодинамической терапии рака». Здесь исследователи использовали готовую наноэмульсию перфторуглеродных соединений «Перфторан». Гидрофобное вещество производное порфирина легко растворяется в перфторуглеродной фазе и становится частью эмульсии. Здесь нужно отметить то, что авторы утверждают о низкой темновой токсичности, полученной эмульсии для клеточных линий здоровых и раковых клеток и о высокой токсичности после освещения красным (633 нм) лазером. Недостатком данной эмульсии является то, что она может инъецироваться только интратуморально, не исследована ее токсичность и противоопухолевая активность in vivo, эмульсию необходимо хранить в состоянии полной заморозки (не выше - 18°С) и избегать частых циклов заморозки-разморозки эмульсии.

Известны эмульсионные композиции типа масло в воде, содержащие пропофол и эдетат. Данное изобретение (RU 2147432 С1) является модификацией создания препарата «Пропофол», который является эмульсионной формой, пригодной для внутривенного введения. Данная композиция является наиболее близкой к заявляемой по составу вспомогательных веществ и была выбрана в качестве прототипа.

Очень редко в периодической литературе можно встретить эмульсионные формы фуранокумаринов. Среди российских и зарубежных патентных свидетельств таковые отсутствуют. Некоторые разработки подобного рода можно встретить в периодических публикациях о создании микроэмульсий, наноэмульсий, липосом и этосом.

Например, микроэмульсия для транскутанной доставки фуранокумаринов, содержащая различные эмульгаторы (изопропилмиристат, твин-80, спан-80, октандиол) (Microemulsions for topical delivery of 8-methoxsalen // Baroli В., Lopez-Quintela M.A., Delgado-Charro M.B., Fadda A.M., Blanco-Mendez J. / J Control Release, 2000, 69(1), 209-218). Микроэмульсии 8-метоксипсоралена (8-МОП) предназначены для ПУВА-терапии, как локальные фотосенсибилизаторы. При этом вопрос системной токсичности в таких работах рассматривается несправедливо мало. Это несмотря на то, что эмульсии не вводятся внутривенно или энтерально. Однако для эмульсий не исключено накопление действующего вещества или формообразующих веществ, в том числе эмульгаторов в системном кровотоке, так как липофильные вещества достаточно хорошо проходят сквозь биологические барьеры.

Некоторые авторы, наоборот, не исключают общетоксических реакций при локальном применении эмульсионных форм фуранокумаринов. Поэтому для удержания фотосенсибилизатора в коже эмульсионные частицы по мнению авторов разработки требуется покрывать полимером (Microemulsions vs chitosan derivative-coated microemulsions for dermal delivery of 8-methoxypsoralen // Wu J.Y., Li Y.J., Liu T.T., Ou G., Ни X.B., Tang T.T., Wang J.M., Liu X.Y., Xiang D.X. / Int J Nanomedicine, 2019, 14, 2327-2340).

Для локального применения предложено использование наноэмульсий фуранокумаринов, где в качестве масляной фазы применяется эфирное масло. Показано, что несмотря на мелкодисперсный состав (около 30 нм), полученной эмульсии, она также хорошо удерживается в коже (Nanoemulsion containing 8-methoxypsoralen for topical treatment of dermatoses: Development, characterization and ex vivo permeation in porcine skin // Oliveira C.A., Gouvea M.M., Antunes G.R., Freitas Z.M.F., Marques F.F.C., Ricci-Junior E. Int J Pharm, 2018, 547(1-2), 1-9). Однако мы не можем применять такие эмульсии парентерально.

У исследователей, предлагающих эмульсионные составы для накожного нанесения, достаточно большой выбор растворителей, так как фуранокумарины могут растворяться во многих эфирных и жирных маслах. Однако если фотосенсибилизатор необходимо ввести парентерально, например, внутрисосудисто, то спектр возможных для применения масел резко сужается. Необходимость введения фотосенсибилизатора внутрисосудистым способом может быть продиктована более выраженным эффектом, в отличии от поверхностного нанесения, что не однократно показано различными исследователями (Photodynamic therapy of the canine prostate: intra-arterial drug delivery // Moore R.B., Xiao Z., Owen R.J., Ashforth R., Dickey D., Helps C, Tulip J. / Cardiovasc Intervent Radiol, 2008, 31(1),164-176; Efficacy of 5-Aminolevulinic Acid in Photodynamic Detection and Photodynamic Therapy in Veterinary Medicine // Osaki Т., Yokoe I., Sunden Y., Ota U., Ichikawa Т., Imazato H., Ishii Т., Takahashi K., Ishizuka M., Tanaka Т., Li L., Yamashita M., Murahata Y., Tsuka Т., Azuma K., Ito N., Imagawa Т., Okamoto Y. / Cancers, 2019, 11(4), 495. Парентеральная лекарственная форма фотосенсибилизатора необходима и для внутриопухолевого введения при терапии нерезектабельных опухолей (Huang Z., Xu Н., Meyers A.D., Musani A.I., Wang L., Tagg R., Barqawi A.B., Chen Y.K. // Photodynamic therapy for treatment of solid tumors - potential and technical challenges / Technol Cancer Res Treat, 2008, 7(4), 309-320; Foster Т.Н., Giesselman B.R., Hu R., Kenney M.E., Mitra S. // Intratumor administration of the photosensitizer pc 4 affords photodynamic therapy efficacy and selectivity at short drug-light intervals / Transl Oncol, 2010, 3(2), 135-141), либо при доставке активирующего излучения через оптоволокно в ткань опухоли (Shafirstein G., Bellnier D., Oakley E., Hamilton S., Potasek M., Beeson K., Parilov E // Interstitial Photodynamic Therapy-A Focused Review / Cancers, 2017, 9(2), 12).

Техническим результатом данного изобретения является получение стабильной для хранения эмульсионной формы фуранокумаринов борщевика Сосновского, предназначенная для внутривенного введения.

Технический результат достигается следующим образом.

Предложена эмульсия типа «масло в воде», обладающая фотосенсибилизирующим действием за счет содержания фуранокумаринов борщевика Сосновского, пригодная для внутривенного введения, при следующем соотношении компонентов, мас. %:

• Водная фаза - 85%, в том числе - вода - 82,5%, полисорбат - 80-2,5%

• Масляная фаза: 0,11% раствор 8-метоксипсоралена в персиковом масле - 15%

Предложена также эмульсия типа «масло в воде», обладающая фотосенсибилизирующим действием за счет содержания фуранокумаринов борщевика Сосновского, пригодная для внутривенного введения, при следующем соотношении компонентов, мас. %:

• Водная фаза - 83,48%, в том числе - вода - 81,36%, глицерин - 2,12%

• Масляная фаза - 16,52%: лецитин - 1,63%, 0,11% раствор 8-метоксипсоралена в персиковом масле - 14,89%).

Способ экстракции фуранокумаринов из борщевика Сосновского, заключается в том, что фракцию фуранокумаринов извлекают хлороформом из сока надземной части растения Heracleum Sosnowskyi Manden в соотношении 4:1, экстракцию проводят двукратно при постоянном перемешивании на магнитной мешалке в течение 24 часов и температуре 25°С; хлороформный экстракт отделяют на делительной воронке и высушивают на роторном испарителе при температуре 50°С, сухой остаток смывают 300 мл 10%) NaOH при 70°С, после чего четырьмя порциями хлороформа по 100 мл извлекают фуранокумарины на делительной воронке; экстракт борщевика Сосновского разделяют на колонке градиентным методом при смене состава элюента от липофильного к гидрофильному следующим образом - бензол, затем бензол/этил ацетат 3/1, затем бензол/этилацетат 1/1, затем бензол/этил ацетат 1/3, затем 100% этилацетат и далее 100% метанол.

Способ получения данной эмульсии заключается в том, что к 5 мл 2,5% раствора полисорбата-80 при интенсивном перемешивании и постоянной температуре 25°С по каплям добавляют 1 мл, 0,916 г, масляного раствора фуранокумаринов борщевика Сосновского с концентрацией 8-МОП 6,125 мг/мл, готовая смесь перемешивается в течение 10 минут, затем подвергается воздействию ультразвука 50 Вт в течение 10 минут.

Способ получения эмульсий данной эмульсии заключается в том, что к 5 мл деионизованной воды добавляют 0,1315 г глицерина, смесь перемешивают на магнитной мешалке температуре 70-75°С, при этом одновременно изготавливается масляная фаза из 0,1 г лецитина и 0,916 г масляного раствора фуранокумаринов борщевика Сосновского, к водной фазе при интенсивном перемешивании и температуре 70-75°С медленно по каплям добавляют масляную фазу, смесь перемешивают при температуре 90°С до получения однородной массы, полученная эмульсия перемешивают при температуре 70-75°С в течение 10 минут, затем смесь была подвергают гомогенизации с помощью ультразвука 200 Вт в течении 1 мин. до формирования эмульсионных глобул.

Способ экстракции фуранокумаринов из борщевика Сосновского, заключается в том, что фракцию фуранокумаринов извлекают хлороформом из сока надземной части растения Heracleum Sosnowskyi Manden в соотношении 4:1, экстракцию проводят двукратно при постоянном перемешивании на магнитной мешалке в течение 24 часов и температуре 25°С; хлороформный экстракт отделяют на делительной воронке и высушивают на роторном испарителе при температуре 50°С, сухой остаток смывают 300 мл 10%) NaOH при 70°С, после чего четырьмя порциями хлороформа по 100 мл извлекают фуранокумарины на делительной воронке; экстракт борщевика Сосновского разделяют на колонке градиентным методом при смене состава элюента от липофильного к гидрофильному следующим образом - бензол, затем бензол/этилацетат 3/1, затем бензол/этилацетат 1/1, затем бензол/этилацетат 1/3, затем 100% этилацетат и далее 100% метанол.

Изобретение описывается приведенными ниже примерами. В примерах 1 и 2 описано извлечение и идентификация фуранокумаринов борщевика Сосновского (БС) и способ приготовления эмульсий на их основе, в примере 3 описывается исследование токсикологических характеристик, полученных эмульсий. Образцы эмульсионных фотосенсибилизаторов из фуранокумаринов БС были протестированы на клеточной линии фибробластов легких человека (HLF), на здоровых крысах линии Wistar при УФ облучении с длиной волны 365 нм.

Перечень фигур.

Фиг. 1 Хроматограммы раствора фуранокумаринов (8 и 5-метоксипсоралена) в ацетонитриле (А) и раствора фракции сока БС, содержащей высокие концентрации этих же фуранокумаринов

Фиг. 2 Калибровочные графики зависимости площади хроматографического пика 5 и 8-метоксипсоралена от их концентрации в ацетонитриле.

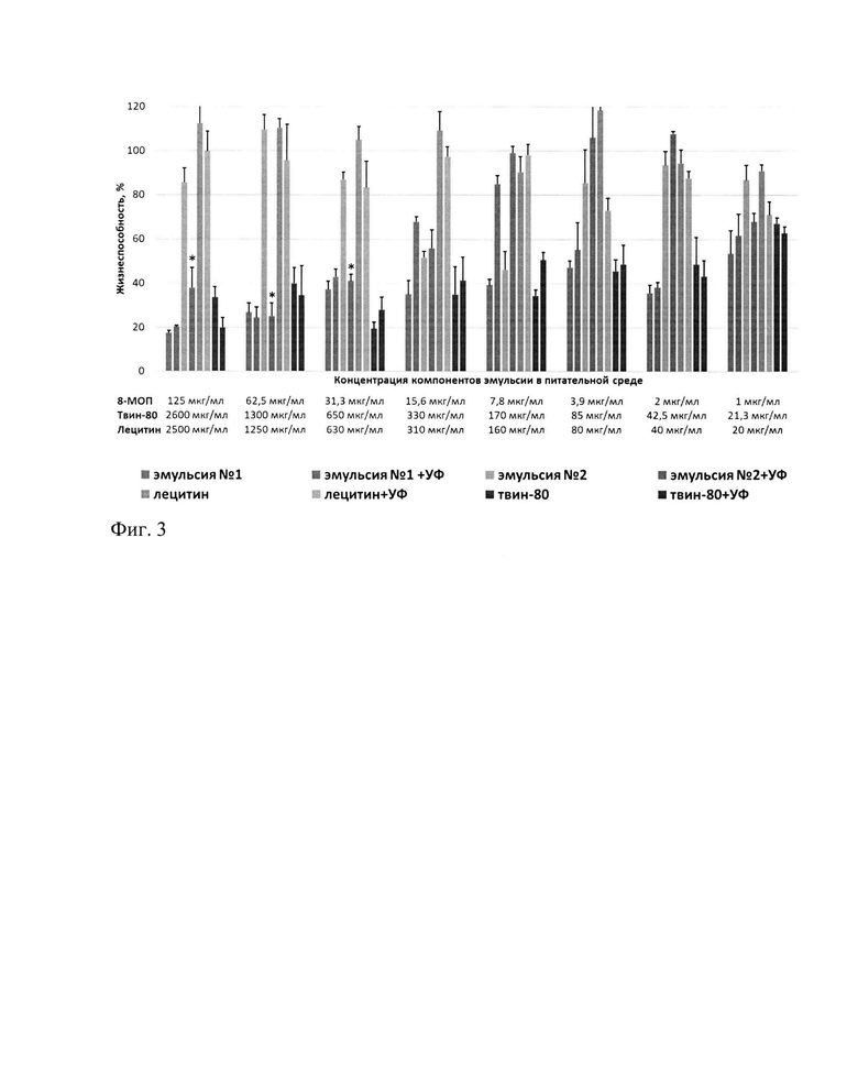
Фиг. 3 Жизнеспособность фибробластов легких человека (HLF) по данным МТТ-теста при воздействии эмульсионных фуранокумаринов борщевика Сосновского (темновая токсичность и фотоиндуцированная).

* - значение достоверно отличается от такового без УФ облучения.

Пример 1.

Фракцию фуранокумаринов извлекали из сока надземной части растения Heracleum sosnowskyi Manden, которое определяли согласно руководству The Giant Hogweed Best Practice Manual. Guidelines for the management and control of an invasive weed in Europe, 2005. Фуранокумарины извлекали хлороформом, который брали в соотношении 4 части на 1 часть сока. Экстракцию проводили двукратно при постоянном перемешивании на магнитной мешалке (C-MAG HS 7, IKA Германия) в течение 24 часов и температуре 25°С. Хлороформное извлечение отделяли на делительной воронке и высушивали на роторном испарителе Heidolph Laborota eco (Германия) при температуре 50°С. Сухой остаток смывали 300 мл 10% NaOH при нагревании до 70°С, после чего четырьмя порциями хлороформа по 100 мл извлекали фуранокумарины на делительной воронке. Порции экстрактов объединяли, добавляли 200 мл 5% раствора карбоната натрия и взбалтывали в течение 10 минут, после чего вновь отделяли органическую фазу и высушивали экстракт безводным сульфатом натрия в течение 24 часов. Полученный экстракт отфильтровывали через беззольный фильтр и высушивали до постоянной массы и перерастворяли в 15 мл хлороформа, смешивали с 4 г силикагеля (400 mesh) и высушили на роторном испарителе. Полученную смесь помещали в хроматографическую колонку с краном (d×L=10x200 мм), ISOLAB, (Германия), заполненную 40 г силикагеля, длинной 500 мм и диаметром 20 мм снабженную фриттой с размером пор 100 мкм. Экстракт борщевика Сосновского разделялся на колонке градиентным методом при смене состава элюента от липофильного к гидрофильному следующим образом - бензол: бензол/этилацетат 3/1: бензол/этилацетат 1/1: бензол/этилацетат 1/3: этилацетат: метанол. Было получено 6 основных фракций экстракта. Все полученные фракции были профильтрованы через беззольный фильтр и высушены до постоянной массы.

ВЭЖХ экстрактивных фракций производили в изократическом режиме с помощью хроматографа Gilson, (Франция) состоящего из насоса высокого давления Pump 306; модуля давления Rainin Pressure Module; спектрофотометрического детектора 155 UV/VIS Detectors Gilson. Подвижная фаза состояла из смеси воды и ацетонитрила (1:1). Скорость потока поддерживалась 0,8 мл/мин. Хроматографическая колонка Kromasil С18: 4,5 мм×5 мкм×250 мм. Детектирование проводили на длине волны: 250 нм (Rapid quantitation of furanocoumarins and flavonoids in grapefruit juice using ultra-performance liquid chromatography // Vandermolen K.M., Cech N.B., Paine M.F., Oberlies N.H. / Phytochem Anal, 2013, 24, 654-660) с использованием программы «Миллихром» (Россия). Хроматографии подвергали стандартные растворы 5-метоксипсоралена (5-МОП) и 8-метоксипсоралена (8-МОП) (Sigma-Aldrich, США), а также все полученные при колоночной хроматографии фракции экстракта БС. Образцы перед хроматографией растворяли в ацетонитриле. При помощи ВЭЖХ была найдена фракция с высоким содержанием фуранокумаринов (8 и 5-метоксипсоралена). Внешний вид хроматограмм показан на фигуре 1.

Время удержания веществ экстракта БС соответствовало времени удержания аналитических стандартов 8 и 5-МОП. Согласно калибровочному графику (зависимости площади пика от концентрации) построенному с использованием раствора 5 и 8-МОП в ацетонитриле (фигура 2) концентрация 8-МОП в исходном соке составила 506 мг/л, а 5-МОП 23 мг/л.

Пример 2. Исходя из преобладания в соке БС 8-МОП данный фуранокумарин был взят в качестве дозируемого действующего вещества в составе эмульсий.

Были приготовлены две эмульсии с разными эмульгирующими агентами. Для изготовления эмульсий высушенный экстракт сока БС, содержащий 100 мг 8-МОП, растворяли при нагревании в 10 мл персикового масла (Мирролла, Россия). При остывании до температуры 20°С происходило помутнение раствора, затем выпадение игольчатых кристаллов, которые набухали и образовывали вязкую, мазеподобную массу. Перемешивание и нагрев до 100П давало полное растворение 8-МОП, при котором не обнаруживались игольчатые кристаллы.

При концентрации 8-МОП 6,125 мг/мл при комнатной температуре (20°С) кристаллы не образовывались и получался стабильный масляный раствор, однако при помещении раствора в холодильник при температуре 4П произошло выпадение игольчатых кристаллов. Концентрация в масляном растворе 8-МОП, которая при температуре 20°С и 4°С не приводила к появлению кристаллов составила 3 мг/мл. Достигнутый экспериментально предел растворимости 8-МОП в масле схож с таковым, полученным Baroli В, et al. 2000. С нагретым масляным раствором экстракта с концентрацией 8-МОП 6,125 мг/мл проводилась дальнейшая работа по изготовлению эмульсий.

Первый способ изготовления эмульсии фуранокумаринов (Эмульсия №1) был осуществлен при использовании в качестве стабилизатора водного 2,5% раствора полисорбата 80 (Твин-80) (Sigma-Aldrich, США). При интенсивном перемешивании и постоянной температуре 25°С к 5 мл раствора полисорбата по каплям добавляли 1 мл (0,916 г) масляного раствора фуранокумаринов БС с концентрацией 8-МОП 6,125 мг/мл. Готовая смесь перемешивалась в течение 10 минут, затем подвергалась воздействию ультразвука (50 Вт) в течение 10 минут. Всего было проведено 3 повторяющихся цикла эмульгирования. Качество образовавшейся эмульсии контролировали с помощью световой микроскопии в три этапа: 1) сразу, после приготовления, 2) после хранения в холодильнике в течение 96 часов при температуре 4°С, 3) после хранения при температуре 20-22°С в течение 14 дней. Игольчатые кристаллы не обнаруживались во всех трех случаях.

Второй вариант эмульсиифуранокумаринов (Эмульсия №2). Изготовление водной фазы происходило путем добавления к 5 мл деионизованной воды 0,1315 г глицерина (Sigma-Aldrich, США), смесь перемешивалась на магнитной мешалке (C-MAG HS7 IKA, Германия) при температуре 70-75°С. Параллельно изготавливалась масляная фаза из 0,1 г лецитина (фосфатидилхолин, EPCS 10 8018-1/130, Lipoid, Германия) и 0,916 г масляного раствора фуранокумаринов БС, полученного по вышеописанному методу. Смесь перемешивалась при температуре 90°С до получения однородной массы. К водной фазе при интенсивном перемешивании и температуре 70-75°С медленно прикапывалась масляная фаза. Полученная эмульсия перемешивалась при температуре 70-75°С в течение 10 минут. Затем, смесь была подвергнута гомогенизации с помощью ультразвука (200 Вт 1 минута, цикл 2 сек / 2 сек) до формирования эмульсионных глобул. Количество ингредиентов эмульсии указано в таблице 2.

Полученная эмульсия имела гомогенный вид визуально и при микроскопии. Образцы эмульсии сохраняли стабильность в течение срока хранения 14 дней и более в диапазоне температур 4-20°С°.

Пример 3.

Исследование цитотоксичности эмульсий проводили на клеточной культуре фибробластов легких человека HLF. В экспоненциальную фазу роста клетки рассеивались в 96-луночный планшет в концентрации 5 тыс.клеток/лунка и инкубировались 24 ч в стандартных условиях на среде DMEM с добавлением 10% FBS и антибиотиков (пенициллин-стрептомицин) при 5% СО2 и температуре 37°С.

Фототоксические реакции фуранокумаринов индуцировали с помощью УФ-лампы 365 нм, мощностью 40 Вт (Camelion LH26-FS/BLB/E27, Китай), которую располагали на фиксированном расстоянии 20 см от клеток мишеней, чтобы получить постоянную интенсивность излучения в 37 мВт/см2. Интенсивность излучения измеряли с помощью радиометра ThorLabs PM100D (GmbH, Germany). Доза излучения была взята 11,1 Дж/см2, как не вызывающая цитопатического эффекта у более 90% клеток. Фотоцитотоксическое воздействие эмульсий определяли при концентрациях 8-МОП в лунке планшета: 125, 62,5, 31,3, 15,6, 7,8, 3,9, 2, 1 мкг/мл. Через 4 часа (Analyzing liposomal drug delivery systems in three-dimensional cell culture models using MALDI imaging mass spectrometry // Lukowski J.K., Weaver E.M., Hummon A.B. / Anal Chem, 2017, 89, 8453-8458) после внесения эмульсий клетки облучали УФ излучением. Через 1 ч после облучения клетки трипсинизировали и переносили в 96-луночный планшет со средой. Через 24 ч инкубации оценивали жизнеспособность клеток с помощью МТТ-теста (Heliantrone derivatives as anti-cancer agents // Mazur Y., Lavie G. / US 6,229,048 В1, 2001). Твин-80 и лецитин вносились отдельно для оценки их вклада в цитотоксическое действие. Контроль фототоксического действия проводился относительно клеток, которые после внесения тестируемых субстанций помещались в темноту. Жизнеспособность клеток во всех экспериментальных группах оценивали относительно контрольной серии лунок, в которые не помещался тест-компонент и не производилось УФ-облучения.

Через 24 ч инкубации среду заменяли на 5% раствор МТТ (3-(4,5-диметилтиазол-2-ил)-2,5-дифенил). МТТ восстанавливался до кристаллов формазана, что оценивалось с помощью инвертированного микроскопа (Микромед, Россия). Затем среду удаляли и добавляли 150 мкл ДМСО и шейкировали в течение 20 минут при 37°С. Оптическую плотность измеряли на приборе Varioskan Lux (Thermo scientific, США) при длине волны 570 нм против 650 нм референсной.

Результаты оптической плотности отображали в % OD(образца)/OD (контроля).

Из фигуры 3 мы видим, что эмульсия №1 оказывает цитотоксическое действие на клетки в достаточно низких концентрациях. При этом видно, что нет существенной разницы в выживаемости клеток без УФ облучения и после его воздействия.

Аналогичную картину токсичности различных разведений мы можем видеть при тестировании твина-80. Эмульсия №1 не повышает своей токсичности для клеток при УФ облучении, в то время как эмульсия №2 реагирует на УФ облучение и достоверно более выраженно снижает жизнеспособность клеток. При отсутствии УФ эмульсия №2 оказалась не токсична для клеток и IC50 при оценке темновой токсичности не достигалась (табл. 3).

Таким образом эмульсия №2 оказывает фотоцитотоксическое действие, за счет содержащихся в ней фуранокумаринов БС и не токсична для клеток человека в отсутствии УФ излучения. Эмульсия №1 за счет содержания твина-80 имеет собственную цитотоксичность, что тем не менее не отменяет наличие у нее фотоиндуцированной токсичности, так как токсичность твина-80 может ее перекрывать.

Для установления общетоксического и фотосенсибилизирующего действия полученных эмульсий in vivo были использованы белые беспородные крысы, молодые самцы массой 180-200 г. Животных разделили на 3 группы (2 опытные, 1 контрольная группа) по 3 особи в каждой. У животных была удален шерсть на участке спины ближе к хвосту с помощью крема для депиляции за 24 часа до эксперимента. Из хвостовой вены у крыс была взята кровь для клеточного анализа после чего крысам из опытных групп внутривенно ввели эмульсии фуранокумаринов с концентрацией 8-МОП 1 мг/мл. Доза 8-МОП для животных составила 3 мг/кг что соответствовало допустимому объему внутривенного введения крысе (Critical care management for laboratory mice and rats // Hankenson F.C. / New York: CRC Press; 2013). Животные в первой опытной группе получили эмульсию №1, содержащую экстрактивную фракцию фуранокумаринов БС и твин-80, во второй опытной группе животным ввели эмульсию №2 с фуранокумаринами БС, содержащую лецитин и глицерин. В контрольной группе животным внутривенно ввели равный по объему физиологический раствор. Спустя 10 и 60 минут после внутривенного введения у всех животных производили УФ - облучение участка кожи, лишенного шерсти. Излучение УФ лампы было направлено с помощью тубуса на поверхность кожи площадью 4 см2, источник излучения находился на расстоянии 20 см от поверхности кожи. Доза УФ облучения для каждого животного составила 44,4 Дж/см2. За животными наблюдали 7 дней и фиксировали изменения поведения, общего состояния, массы тела и состояние кожи в месте облучения. На 7-й день животных подвергали эвтаназии с помощью наркоза Золетил (Virbac, Франция) и Рометар (Bioveta, Чехия). У животных забирались кровь для анализа и осматривались внутренние органы.

Непосредственно после внутривенного введения эмульсий и спустя 7 дней все лабораторные животные в экспериментальных группах выжили. Изменения в поведении крыс на протяжении всего периода наблюдения не отмечалось. Средняя масса животных в опытных и контрольной группах имела прирост (табл. 4). На 7-е сутки у всех крыс опытных групп сформировался кожный струп, при этом в контрольной группе участок кожи, подвергнутый УФ облучению остался чистым и начал обрастать шерстью.

На общие гематологические показатели внутривенное введение эмульсий фуранокумаринов БС и физиологического раствора хлорида натрия влияет схожим образом (таблица 5), что может говорить о пригодности обеих вариантов эмульсий для внутривенного введения.

При осмотре внутренних органов животных каких-либо аномалий, кровоизлияний, явлений некроза выявлено не было. Поверхность внутренних органов ровная чистая, в брюшной и грудной полости отсутствовал экссудат. Из эксперимента на животных мы видим, что общетоксического действия при внутривенном введении эмульсии не оказывали. При этом, в указанных условиях оба технологических варианта эмульсий проявляли фотосенсибилизирующий эффект фуранокумаринов в виде выраженных явлений дерматоза участков кожи, подвергнутых УФ облучению. Таким образом цитопатический эффект твина-80, обнаруженный в исследовании in vitro, никак себя не проявил в исследовании на животных, при этом фотосенсибилизирующий эффект фуранокумаринов был выявлен in vivo у эмульсии №1 и 2.

Таким образом, предлагаемые эмульсионные формы фуранокумаринов борщевика Сосновского перспективны в качестве лекарственных форм, так как не токсичны в заявленных дозах в эксперименте in vivo. В эксперименте in vitro эмульсия фуранокумаринов борщевика Сосновского не обладает темновой токсичностью, при отсутствии в составе твина-80.

Похожие патенты RU2836649C2

название год авторы номер документа
ФОТОСЕНСИБИЛИЗАТОР НА ОСНОВЕ ЛИПОСОМ С КУРКУМИНОМ ДЛЯ ПРОВЕДЕНИЯ ФОТОДИНАМИЧЕСКОЙ ТЕРАПИИ 2023
  • Чаусская Ирина Юрьевна
  • Дробышев Алексей Юрьевич
  • Никогосова Диана Эдуардовна
  • Кириленко Владимир Владимирович
RU2826499C1
КОМПОЗИЦИЯ ДЛЯ ПРИМЕНЕНИЯ В ФОТОДИНАМИЧЕСКОЙ ТЕРАПИИ РАКА 2016
  • Беляева Елизавета Викторовна
  • Маркова Алина Александровна
  • Сиган Андрей Лейзорович
  • Гервиц Лев Львович
  • Букалов Сергей Сергеевич
  • Штиль Александр Альбертович
  • Чкаников Николай Дмитриевич
RU2626600C1
Способ количественного определения дексаметазона в биологических средах с помощью ВЭЖХ с ультрафиолетовым детектированием 2022
  • Куликов Олег Александрович
  • Шляпкина Василиса Игоревна
  • Заборовский Андрей Владимирович
  • Юнина Дина Владимировна
  • Тарарина Лариса Анатольевна
  • Агеев Валентин Павлович
  • Жарков Михаил Николаевич
  • Дадаева Изабелла Михайловна
  • Хеладзе Наталья Варламовна
  • Пятаев Николай Анатольевич
RU2792274C1
Применение N-(6,8,8-триметил-8,9-дигидрофуро[3,2-h]хинолин-5-ил)ацетамида в качестве средства для фототерапии псориаза и псориатического артрита 2018
  • Шевелев Алексей Борисович
  • Кузьмин Владимир Александрович
  • Некипелова Татьяна Дмитриевна
  • Ходот Евгений Никифорович
  • Бирюкова Юлия Константиновна
  • Зылькова Марина Валерьевна
  • Трубникова Елена Владимировна
  • Криушкина Ольга Николаевна
  • Мутных Елена Сергеевна
  • Волнухин Владимир Анатольевич
RU2686692C1
ПРИМЕНЕНИЕ 2-(ПИРЕН-1-ИЛ)НАФТО[1,2-D]ОКСАЗОЛИЛ-5-СУЛЬФОКИСЛОТЫ В КАЧЕСТВЕ МОНОМОЛЕКУЛЯРНОГО АГЕНТА ДЛЯ ФОТОДИНАМИЧЕСКОЙ ТЕРАПИИ 2022
  • Криночкин Алексей Петрович
  • Никонов Игорь Леонидович
  • Копчук Дмитрий Сергеевич
  • Ковалев Игорь Сергеевич
  • Тания Ольга Сергеевна
  • Платонов Вадим Александрович
  • Петрова Виктория Евгеньевна
  • Зырянов Григорий Васильевич
  • Штайц Ярослав Константинович
  • Старновская Екатерина Сергеевна
  • Валиева Мария Игоревна
  • Рыбакова Светлана Сергеевна
  • Словеснова Наталья Валерьевна
  • Чупахин Олег Николаевич
  • Чарушин Валерий Николаевич
RU2795221C1
ИНЪЕЦИРУЕМАЯ ГАЛЕНОВАЯ КОМПОЗИЦИЯ ДЛЯ ПРИМЕНЕНИЯ В ДИАГНОСТИКЕ ИЛИ ФОТОДИНАМИЧЕСКОЙ ТЕРАПИИ И СПОСОБ ЕЕ ПОЛУЧЕНИЯ 2002
  • Брэн Пьер-Эрве
  • Прюдом Ален
  • Барну Жан-Люк
RU2278665C2
СПОСОБ ЛЕЧЕНИЯ ГЛУБИННЫХ ОПУХОЛЕЙ ГОЛОВНОГО МОЗГА, РАСПОЛОЖЕННЫХ ВБЛИЗИ КОРТИКОСПИНАЛЬНОГО И КОРТИКОБУЛЬБАРНОГО ТРАКТОВ, С ПРИМЕНЕНИЕМ СТЕРЕОТАКСИЧЕСКОЙ ФОТОДИНАМИЧЕСКОЙ ТЕРАПИИ ПОД СПЕКТРАЛЬНО-ФЛУОРЕСЦЕНТНЫМ И НЕЙРОФИЗИОЛОГИЧЕСКИМ МОНИТОРИНГОМ 2023
  • Козликина Елизавета Игоревна
  • Трифонов Игорь Сергеевич
  • Синкин Михаил Владимирович
  • Скальная Анастасия Анатольевна
  • Левченко Олег Валерьевич
RU2830942C1
ТЕТРААЗАХЛОРИНЫ КАК ФОТОСЕНСИБИЛИЗАТОРЫ ДЛЯ ФОТОДИНАМИЧЕСКОЙ ТЕРАПИИ 2004
  • Барканова Светлана Васильевна
  • Быстрицкий Георгий Иосифович
  • Ворожцов Георгий Николаевич
  • Кармакова Татьяна Анатольевна
  • Лужков Юрий Михайлович
  • Лукьянец Евгений Антонович
  • Макарова Елена Александровна
  • Морозова Наталья Борисовна
  • Умнова Любовь Васильевна
  • Якубовская Раиса Ивановна
RU2278119C1
АЛКИЛТИОЗАМЕЩЕННЫЕ ФТАЛОЦИАНИНЫ, ИХ ЛЕКАРСТВЕННЫЕ ФОРМЫ И СПОСОБ ПРОВЕДЕНИЯ ФОТОДИНАМИЧЕСКОЙ ТЕРАПИИ 2007
  • Барканова Светлана Васильевна
  • Волков Константин Александрович
  • Ворожцов Георгий Николаевич
  • Лужков Юрий Михайлович
  • Лукьянец Евгений Антонович
  • Меерович Геннадий Александрович
  • Меерович Игорь Геннадиевич
  • Негримовский Владимир Михайлович
  • Стратонников Александр Аркадьевич
  • Умнова Любовь Васильевна
RU2340615C1
СОЕДИНЕНИЕ 2002
  • Римингтон Клауде
  • Берг Кристиан
  • Тран Дьем
  • Сельбо Поль Кристиан
RU2323940C2

Иллюстрации к изобретению RU 2 836 649 C2

Реферат патента 2025 года ЭМУЛЬСИОННЫЕ ФОТОСЕНСИБИЛИЗАТОРЫ НА ОСНОВЕ ФУРАНОКУМАРИНОВ БОРЩЕВИКА СОСНОВСКОГО И СПОСОБЫ ИХ ПОЛУЧЕНИЯ

Группа изобретений относится к лекарственным формам с фотосенсибилизирующими свойствами. Эмульсия типа «масло в воде», обладающая фотосенсибилизирующим действием за счет содержания фуранокумаринов борщевика Сосновского, пригодная для внутривенного введения, содержит, мас. %: водная фаза - 85%, в том числе вода - 82,5%, полисорбат-80 - 2,5%, масляная фаза: раствор фуранокумаринов борщевика Сосновского с концентрацией 8-метоксипсоралена 6,125 мг/мл в персиковом масле - 15%. Также раскрыты другой вариант выполнения эмульсии типа «масло в воде», обладающей фотосенсибилизирующим действием, и способ получения эмульсии. Группа изобретений обеспечивает фотосенсибилизирующее действие при воздействии ультрафиолетового излучения диапазона А и стабильность эмульсии. 3 н.п. ф-лы, 3 ил., 5 табл., 3 пр.

Формула изобретения RU 2 836 649 C2

1. Эмульсия типа «масло в воде», обладающая фотосенсибилизирующим действием за счет содержания фуранокумаринов борщевика Сосновского, пригодная для внутривенного введения, при следующем соотношении компонентов, мас. %:

• водная фаза - 85%, в том числе вода - 82,5%, полисорбат-80 - 2,5%,

• масляная фаза: раствор фуранокумаринов борщевика Сосновского с концентрацией 8-метоксипсоралена 6,125 мг/мл в персиковом масле - 15%.

2. Эмульсия типа «масло в воде», обладающая фотосенсибилизирующим действием за счет содержания фуранокумаринов борщевика Сосновского, пригодная для внутривенного введения, при следующем соотношении компонентов, мас. %:

• водная фаза - 83,48%, в том числе - вода - 81,36%, глицерин - 2,12%,

• масляная фаза - 16,52%: лецитин - 1,63%, раствор фуранокумаринов борщевика Сосновского с концентрацией 8-метоксипсоралена 6,125 мг/мл в персиковом масле - 14,89%.

3. Способ получения эмульсии по п. 1, заключающийся в том, что к 5 мл 2,5% раствора полисорбата-80 при интенсивном перемешивании и постоянной температуре 25°С по каплям добавляют 1 мл, 0,916 г, масляного раствора фуранокумаринов борщевика Сосновского с концентрацией 8-МОП 6,125 мг/мл, готовая смесь перемешивается в течение 10 минут, затем подвергается воздействию ультразвука 50 Вт в течение 10 минут.

Документы, цитированные в отчете о поиске Патент 2025 года RU2836649C2

BAROLI В
et al
Топка с несколькими решетками для твердого топлива 1918
  • Арбатский И.В.
SU8A1
Способ приготовления пищевого продукта сливкообразной консистенции 1917
  • Александров К.П.
SU69A1
Парный рычажный домкрат 1919
  • Устоев С.Г.
SU209A1
CN 106794126 A, 31.05.2017
БЕСПАЛОВ Д.С
Получение суммы фуранокумаринов борщевика Сосновского // Студенческая наука и медицина XXI века: традиции, инновации и приоритеты
SMART: Samara Medical Articles
сборник материалов XVII

RU 2 836 649 C2

Авторы

Куликов Олег Александрович

Шляпкина Василиса Игоревна

Жарков Михаил Николаевич

Пятаев Николай Анатольевич

Маев Игорь Вениаминович

Заборовский Андрей Владимирович

Агеев Валентин Павлович

Юнина Дина Владимировна

Таранина Лариса Анатольевна

Фоменко Алексей Константинович

Девкота Михаил Кумарович

Даты

2025-03-18Публикация

2023-09-15Подача