ЛИПИДНЫЕ НАНОЧАСТИЦЫ Российский патент 2025 года по МПК A61K9/00 A61K47/14 A61K47/24 A61K38/00 

Описание патента на изобретение RU2837542C1

ОБЛАСТЬ ТЕХНИКИ, К КОТОРОЙ ОТНОСИТСЯ ИЗОБРЕТЕНИЕ

Настоящее изобретение относится к области липидных наночастиц (LNP), более конкретно содержащих ионизируемый липид, фосфолипид, стерол, ПЭГ-липид и одну или более нуклеиновых кислот. LNP по настоящему изобретению отличаются тем, что содержат менее приблизительно 1 мол.% ПЭГ-липида (такого как липид diC18-PEG2000). В настоящем изобретении представлено применение LNP для иммуногенной доставки молекул нуклеиновой кислоты, в частности мРНК, что делает их особенно подходящими для применения в вакцинах, таких как предназначенных для лечения рака или инфекционных заболеваний. И наконец, представлены способы получения таких LNP.

УРОВЕНЬ ТЕХНИКИ

Одной из основных проблем в области направленной доставки биологически активных веществ зачастую является их нестабильность и низкий потенциал проникновения в клетку. Особенно это относится к доставке молекул нуклеиновой кислоты, в частности молекул (м)РНК. Поэтому надлежащая упаковка имеет решающее значение для эффективной защиты и доставки. Следовательно, существует постоянная потребность в способах и композициях для упаковки биологически активных веществ, таких как нуклеиновые кислоты.

В связи с этим композиции наночастиц на основе липидов, такие как липоплексы и липосомы, использовали в качестве пакующих везикул для биологически активных веществ, обеспечивающих возможность их транспортировки в клетки и/или внутриклеточные компартменты. Эти композиции наночастиц на основе липидов, как правило, содержат смесь различных липидов, таких как катионные липиды, ионизируемые липиды, фосфолипиды, структурные липиды (такие как стеролы или холестерин), ПЭГ-липиды (полиэтиленгликоль), … (согласно обзору в публикации Reichmuth et al., 2016).

Наночастицы на основе липидов, состоящие из смеси 4 липидов - катионного или ионизируемого липида, фосфолипида, стерола и пегилированного липида - были разработаны для неиммуногенной доставки миРНК и мРНК в печень после системного введения. Хотя многие из таких липидных композиций известны в данной области техники, композиции, используемые для in vivo доставки мРНК, как правило, содержат ПЭГ-липиды в количестве по меньшей мере 1,5 мол.% и очень часто содержат ПЭГ-липид на основе diC14 (липиды DMG-PEG).

Однако авторы настоящего изобретения неожиданно установили, что ПЭГ-липиды, которые присутствуют в низких количествах (т. е. менее приблизительно 1 мол.%) в LNP, обеспечивают образование наночастиц, которые особенно пригодны для иммуногенной доставки мРНК при системном введении LNP. Кроме того, указанные эффекты более выражены у ПЭГ-липидов с более длинной цепью, таких как липиды diC18-PEG.

СУТЬ ИЗОБРЕТЕНИЯ

В первом аспекте настоящего изобретения представлена вакцина на основе мРНК, содержащая одну или более липидных наночастиц, которые содержат:

- ионизируемый липид;

- фосфолипид;

- стерол;

- ПЭГ-липид и

- одну или более молекул мРНК;

отличающаяся тем, что указанная LNP содержит менее приблизительно 1 мол.% указанного ПЭГ-липида, предпочтительно от приблизительно 0,5 до 0,9 мол.% указанного ПЭГ-липида.

В дополнительном аспекте настоящего изобретения представлена липидная наночастица (LNP) для применения в вакцинации посредством мРНК, при этом указанная LNP содержит:

- ионизируемый липид;

- фосфолипид;

- стерол;

- ПЭГ-липид и

- одну или более молекул мРНК;

отличающаяся тем, что указанная LNP содержит менее приблизительно 1 мол.% указанного ПЭГ-липида, предпочтительно от приблизительно 0,5 до 0,9 мол.% указанного ПЭГ-липида.

В еще одном дополнительном аспекте настоящего изобретения представлена липидная наночастица (LNP), содержащая:

- ионизируемый липид;

- фосфолипид;

- стерол;

- ПЭГ-липид и

- одну или более молекул нуклеиновой кислоты;

отличающаяся тем, что указанный ПЭГ-липид представляет собой липид diC18-PEG2000, и тем, что указанная LNP содержит менее приблизительно 1 мол.% указанного ПЭГ-липида.

В конкретном варианте осуществления настоящего изобретения указанный липид diC18-PEG2000 выбран из перечня, включающего липид (дистеароилсодержащий)-PEG2000, такой как липид DSG-PEG2000 или липид DSPE-PEG2000; или липид (диолеоилсодержащий)-PEG2000, такой как липид DOG-PEG2000 или липид DOPE-PEG2000.

В дополнительном конкретном варианте осуществления настоящего изобретения указанная LNP содержит приблизительно 0,5 мол.% указанного ПЭГ-липида.

В другом конкретном варианте осуществления настоящего изобретения указанный ионизируемый липид выбран из перечня, включающего:

- 1,1'-((2-(4-(2-((2-(бис(2-гидроксидодецил)амино)этил)(2-гидроксидодецил)амино)этил)пиперазин-1-ил)этил)азандиил)бис(додекан-2-ол) (C12-200);

- дилинолеилметил-4-диметиламинобутират (DLin-MC3-DMA) или

- соединение формулы (I):

где:

RCOO выбран из перечня, включающего миристоил, α-D-токоферолсукциноил, линолеоил и олеоил; и

X выбран из перечня, включающего

и .

В предпочтительном варианте осуществления указанный ионизируемый липид представляет собой липид формулы (I), где RCOO представляет собой α-D-токоферолсукциноил, и X представляет собой

.

В еще одном дополнительном варианте осуществления настоящего изобретения указанный фосфолипид выбран из перечня, включающего 1,2-диолеоил-sn-глицеро-3-фосфоэтаноламин (DOPE), 1,2-диолеоил-sn-глицеро-3-фосфохолин (DOPC) и их смеси.

В еще одном дополнительном варианте осуществления настоящего изобретения указанный стерол выбран из перечня, включающего холестерин, эргостерол, кампестерол, оксистерол, антростерол, десмостерол, никастерол, ситостерол и стигмастерол; предпочтительно холестерин.

В дополнительном конкретном варианте осуществления указанная LNP содержит от 30 до 70 мол.% указанного ионизируемого липида, предпочтительно от 45 до 65 мол.%.

В еще одном дополнительном варианте осуществления настоящего изобретения указанная LNP содержит приблизительно или менее 45 мол.% указанного стерола.

В дополнительном варианте осуществления указанная LNP содержит от 5 до 25 мол.% фосфолипида, предпочтительно от 4 до 15 мол.%.

В конкретном варианте осуществления настоящего изобретения указанная LNP содержит:

- от приблизительно 45 до 65 мол.% указанного ионизируемого липида;

- от приблизительно 4 до 15 мол.% указанного фосфолипида;

- от приблизительно 0,5 до 0,9 мол.% указанного ПЭГ-липида, и

при этом уравновешенная некоторым количеством указанного стерола.

В особенно конкретном варианте осуществления настоящего изобретения указанная LNP содержит:

- приблизительно 64 мол.% указанного ионизируемого липида;

- приблизительно 8 мол.% указанного фосфолипида;

- от приблизительно 0,5 до 0,9 мол.% указанного ПЭГ-липида, и

при этом уравновешенная некоторым количеством указанного стерола.

В другом особенно конкретном варианте осуществления настоящего изобретения указанная LNP содержит:

- приблизительно 64 мол.% указанного ионизируемого липида;

- приблизительно 8 мол.% указанного фосфолипида;

- приблизительно 0,5 мол.% указанного ПЭГ-липида, и

при этом уравновешенная некоторым количеством указанного стерола.

В другом особенно конкретном варианте осуществления настоящего изобретения указанная LNP содержит:

- приблизительно 50 мол.% указанного ионизируемого липида;

- приблизительно 6 мол.% указанного фосфолипида;

- от приблизительно 0,5 до 0,9 мол.% указанного ПЭГ-липида, и

при этом уравновешенная некоторым количеством указанного стерола.

В другом особенно конкретном варианте осуществления настоящего изобретения указанная LNP содержит:

- приблизительно 50 мол.% указанного ионизируемого липида;

- приблизительно 8 мол.% указанного фосфолипида;

- от приблизительно 0,5 до 0,9 мол.% указанного ПЭГ-липида, и

при этом уравновешенная некоторым количеством указанного стерола.

В другом особенно конкретном варианте осуществления настоящего изобретения указанная LNP содержит:

- приблизительно 60 мол.% указанного ионизируемого липида;

- приблизительно 12 мол.% указанного фосфолипида;

- от приблизительно 0,5 до 0,9 мол.% указанного ПЭГ-липида, и

при этом уравновешенная некоторым количеством указанного стерола.

В другом варианте осуществления настоящего изобретения указанные одна или более молекул нуклеиновой кислоты выбраны из перечня, включающего мРНК и ДНК, предпочтительно мРНК.

В более конкретном варианте осуществления указанные одна или более молекул мРНК выбраны из перечня, включающего мРНК, кодирующую иммуномодулирующий полипептид, и/или мРНК, кодирующую антиген. Указанная мРНК, кодирующая иммуномодулирующий полипептид, может, например, быть выбрана из перечня, включающего молекулы мРНК, кодирующие CD40L, CD70 и caTLR4.

В еще одном аспекте настоящего изобретения представлена фармацевтическая композиция или вакцина, содержащие одну или более липидных наночастиц, определенных в данном документе, и фармацевтически приемлемый носитель.

В настоящем изобретении также представлены липидные наночастицы, фармацевтические композиции или вакцины, определенные в данном документе, для применения в медицине или ветеринарной медицине; в частности, для применения в лечении рака или инфекционных заболеваний.

КРАТКОЕ ОПИСАНИЕ ЧЕРТЕЖЕЙ

Ссылаясь конкретно на фигуры, следует подчеркнуть, что подробности представлены в только качестве примера и в целях иллюстративного обсуждения различных вариантов осуществления настоящего изобретения. Они представлены с целью предоставления того, что считается наиболее применимым и в доступной форме описывает принципы и содержательные аспекты настоящего изобретения. В связи с этим не предпринимаются попытки изложить структурные подробности настоящего изобретения более детально, чем это необходимо для понимания принципов настоящего изобретения. Описание в сопровождении чертежей делает очевидным для специалистов в данной области техники то, как несколько вариантов осуществления настоящего изобретения могут быть реализованы на практике.

Фигура 1: интенсивность E7-специфического CD8 Т-клеточного ответа, измеренная после первой иммунизации посредством внутривенного введения мРНК, упакованной в LNP, составленными с разными процентными долями DMG-PEG2000 и DSG-PEG2000 в cоставе LNP. Двухфакторный дисперсионный анализ с критерием множественных сравнений Тьюки; нз: не значимо; *** р < 0,001.

Фигура 2: интенсивность E7-специфического CD8 Т-клеточного ответа, измеренная после второй иммунизации посредством внутривенного введения мРНК, упакованной в LNP, составленными с фиксированной процентной долей DMG-PEG2000 и DPG-PEG2000 в LNP.

Фигура 3: интенсивность E7-специфического CD8 Т-клеточного ответа, измеренная после четвертой иммунизации посредством внутривенного введения мРНК, упакованной в LNP, или синтетического длинного пептида. Однофакторный дисперсионный анализ с критерием множественных сравнений Тьюки; нз: не значимо; *** р < 0,0001.

Фигура 4: оптимизация состава LNP для максимальных Т-клеточных ответов, зависимая от планирования эксперимента. A. E7-специфические Т-клетки в крови после трех иммунизаций (с недельным интервалом) посредством E7 мРНК в LNP из библиотеки, полученной согласно планированию эксперимента. B. График, изображающий E7-специфический CD8 Т-клеточный ответ в зависимости от % DSG-PEG2000. Высокозначимую отрицательную корреляцию выявляли между % ПЭГ-липида и интенсивностью Е7-специфического CD8 Т-клеточного ответа после 3-й иммунизации. C. E7-специфические Т-клетки в крови после трех иммунизаций (с недельным интервалом) с прогностически оптимальной (LNP36) и неоптимальной по DSG-PEG2000 LNP (LNP37). Показано среднее значение ± стандартное отклонение. Статистические данные оценивали посредством однофакторного дисперсионного анализа с критерием множественных сравнений Сидака. ***р < 0,001

Фигура 5: вакцины на основе мРНК с оптимизированной LNP индуцируют качественные Т-клеточные ответы и высокую противоопухолевую эффективность. A. Кинетика Е7-специфических CD8+ Т-клеток в крови. B. Концентрация IFN-γ в сыворотке крови повышается при повторной иммунизации C. Продуцирование IFN-γ и TNF-α селезеночными E7-специфичными CD8+ Т-клетками в селезенке после трех иммунизаций. D. Средний показатель роста опухоли TC-1 у мышей, иммунизированных с использованием LNP36. E. Выживаемость мышей, иммунизированных с использованием LNP36. F. Лимфоциты, инфильтрирующие опухоль TC-1 (TIL), после двух иммунизаций с использованием LNP36. G. E7-специфичность клеток TIL. A, F, G. Показано среднее значение ± стандартное отклонение. B. Диаграмма размаха. D. Показано среднее значение ± стандартная погрешность среднего. F, G. Статистические данные оценивали посредством однофакторного дисперсионного анализа с критерием множественных сравнений Тьюки. E. Статистические данные оценивали посредством логарифмического рангового критерия Мантеля-Кокса. ** р < 0,01, *** p < 0,001, нз = не значимо.

Фигура 6: LNP захватываются множеством (врожденных) иммунных клеток и активируют их. A. Активность люциферазы в почках, легких, сердце, печени и селезенке в % от общей активности люциферазы. B. Захват LNP несколькими типами клеток, измеренный по разнице в средней интенсивности флуоресценции (MFI) Cy5 у мышей, которым инъекционно вводили LNP, по сравнению с мышами, которым инъекционно вводили буфер TBS. C. Активность люциферазы в почках, легких, сердце, печени и селезенке в % от общей активности люциферазы. Оптимальная LNP36 продемонстрировала повышенную активность люциферазы в селезенке по сравнению с неоптимальной LNP37. D. Клеточный захват оптимальной LNP36 более высокий по сравнению с неоптимальной LNP37. E. Значительное количество мРНК Е7 накапливалось в селезенке F. Наблюдали транзиторное повышение цитокинов IFN-α и IP-10 в сыворотке крови (через 6 часов по сравнению с 24 часами после введения LNP). G. Экспрессия CD86 на cDC1 и cDC2 слабо активируется неоптимальной LNP37 и сильно активируется оптимальной LNP36. A, B; C, D, E, F. Показано среднее значение ± стандартное отклонение.

ПОДРОБНОЕ ОПИСАНИЕ ИЗОБРЕТЕНИЯ

Как уже подробно описано выше, в настоящем изобретении представлена вакцина на основе мРНК, содержащая одну или более липидных наночастиц, которые содержат:

- ионизируемый липид;

- фосфолипид;

- стерол;

- ПЭГ-липид и

- одну или более молекул мРНК;

отличающаяся тем, что указанная LNP содержит менее приблизительно 1 мол.% указанного ПЭГ-липида, предпочтительно от приблизительно 0,5 до 0,9 мол.% указанного ПЭГ-липида.

В конкретном варианте осуществления настоящего изобретения представлена вакцина на основе мРНК, содержащая одну или более липидных наночастиц, которые содержат:

- от приблизительно 45 до 65 мол.% ионизируемого липида;

- от приблизительно 4 до 15 мол.% фосфолипида;

- стерол;

- ПЭГ-липид и

- одну или более молекул мРНК;

отличающаяся тем, что указанная LNP содержит менее приблизительно 1 мол.% указанного ПЭГ-липида, предпочтительно от приблизительно 0,5 до 0,9 мол.% указанного ПЭГ-липида.

В настоящем изобретении также представлена липидная наночастица (LNP) для применения в вакцинации посредством мРНК, при этом указанная LNP содержит:

- ионизируемый липид;

- фосфолипид;

- стерол;

- ПЭГ-липид и

- одну или более молекул мРНК;

отличающаяся тем, что указанная LNP содержит менее приблизительно 1 мол.% указанного ПЭГ-липида, предпочтительно от приблизительно 0,5 до 0,9 мол.% указанного ПЭГ-липида.

В конкретном варианте осуществления настоящего изобретения представлена липидная наночастица (LNP) для применения в вакцинации посредством мРНК, при этом указанная LNP содержит:

- от приблизительно 45 до 65 мол.% ионизируемого липида;

- от приблизительно 4 до 15 мол.% фосфолипида;

- стерол;

- ПЭГ-липид и

- одну или более молекул мРНК;

отличающаяся тем, что указанная LNP содержит менее приблизительно 1 мол.% указанного ПЭГ-липида, предпочтительно от приблизительно 0,5 до 0,9 мол.% указанного ПЭГ-липида.

Таким образом, в настоящем изобретении представлены LNP, содержащие ПЭГ-липиды, присутствующие в относительно низком количестве (например, менее приблизительно 1 мол.%, в частности, от приблизительно 0,5 до 0,9 мол.%), в отношении которых авторы настоящего изобретения неожиданно обнаружили, что они особенно пригодны для иммуногенной доставки нуклеиновых кислот, в частности мРНК. В частности, было обнаружено, что данный эффект в еще большей степени выражен у LNP, содержащих ПЭГ-липиды с длинной цепью, такие как липиды C18-PEG, еще более конкретно липиды C18-PEG2000. «Иммуногенная доставка молекул нуклеиновой кислоты» означает доставку молекул нуклеиновой кислоты в клетки, при которой контакт с клетками, интернализация и/или экспрессия внутри клеток указанных молекул нуклеиновой кислоты приводят к индуцированию иммунного ответа.

Соответственно, в дополнительном аспекте настоящего изобретения представлена липидная наночастица (LNP), содержащая:

- ионизируемый липид;

- фосфолипид;

- стерол;

- ПЭГ-липид и

- одну или более молекул нуклеиновой кислоты; в частности молекул мРНК;

отличающаяся тем, что указанный ПЭГ-липид представляет собой липид C18-PEG2000, и тем, что указанная LNP содержит менее приблизительно 1 мол.% указанного ПЭГ-липида.

В конкретном варианте осуществления настоящего изобретения представлена липидная наночастица (LNP), содержащая:

- от приблизительно 45 до 65 мол.% ионизируемого липида;

- от приблизительно 4 до 15 мол.% фосфолипида;

- стерол;

- ПЭГ-липид и

- одну или более молекул нуклеиновой кислоты;

отличающаяся тем, что указанный ПЭГ-липид представляет собой липид C18-PEG2000, и тем, что указанная LNP содержит менее приблизительно 1 мол.% указанного ПЭГ-липида, предпочтительно от приблизительно 0,5 до 0,9 мол.% указанного ПЭГ-липида.

Липидная наночастица (LNP) широко известна как наноразмерная частица, состоящая из комбинации разных липидов. Хотя в состав таких LNP могут быть включены многие липиды различных типов, LNP по настоящему изобретению могут, как правило, состоять из комбинации ионизируемого липида, фосфолипида, стерола и ПЭГ-липида.

Везде, где в контексте настоящей заявки представлены конкретные варианты осуществления в отношении липидных наночастиц, раскрытых в данном документе, ограничения, представленные в таких вариантах осуществления, в равной степени распространяются на липидные наночастицы как компонент заявляемых вакцин на основе мРНК или предназначенных для использования в вакцинации посредством мРНК.

Используемый в данном документе термин «наночастица» относится к любой частице, имеющей диаметр, которой делает частицу подходящей для системного, в частности внутривенного введения, в особенности нуклеиновых кислот, диаметр которых составляет, как правило, менее 1000 нанометров (нм), предпочтительно менее 500 нм, еще более предпочтительно менее 200 нм, как, например, от 50 до 200 нм, предпочтительно от 80 до 160 нм.

В контексте настоящего изобретения термин «ПЭГ-липид» или в качестве альтернативы «пегилированный липид» означает любой подходящий липид, модифицированный посредством группы ПЭГ (полиэтиленгликоля). Особенно подходящие ПЭГ-липиды в контексте настоящего изобретения отличаются тем, что они представляют собой липиды diC18-PEG. Там, где в контексте настоящего изобретения используется термин «липиды C18-PEG», он обозначает липиды diC18-PEG, то есть липиды, имеющие 2 липидных хвоста C18. Однако также можно использовать ПЭГ-липиды с более короткой цепью, такие как липиды dC14-PiEG (например, DMG-PEG, более конкретно DMG-PEG2000, или DMPE-PEG, более конкретно DMPE-PEG2000) или липиды diC16-PEG. Липиды diC18-PEG содержат фрагмент полиэтиленгликоля, который определяет молекулярную массу липидов, а также хвост жирной кислоты, состоящий из 18 атомов С. В конкретном варианте осуществления указанный липид diC18-PEG2000 выбран из перечня, включающего липид (дистеароилсодержащий)-PEG2000, такой как липид DSG-PEG2000 (2-дистеароил-рац-глицеро-3-метоксиполиэтиленгликоль-2000) или липид DSPE-PEG2000 (1,2-дистеароил-sn-глицеро-3-фосфоэтаноламин-N-[метокси(полиэтиленгликоль)-2000]); или липид (диолеоилсодержащий)-PEG2000, такой как липид DOG-PEG2000 (1,2-диолеоил-рац-глицерин) или липид DOPE-PEG2000 (1,2-диолеоил-sn-глицеро-3-фосфоэтаноламин-N-[амино(полиэтиленгликоль)-2000]):

DSG-PEG2000,

DSPE-PEG2000,

DOG-PEG2000,

DOPE-PEG2000.

В контексте настоящего изобретения термин «ионизируемый» (или в качестве альтернативы «катионный») в контексте соединения или липида означает присутствие любой незаряженной группы в указанном соединении или липиде, которая способна диссоциировать с образованием иона (обычно иона H+) и, таким образом, сама становится положительно заряженной. В качестве альтернативы любая незаряженная группа в указанном соединении или липиде может отдавать электрон и, таким образом, становиться отрицательно заряженной.

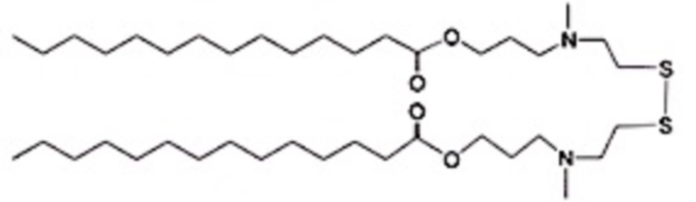
В контексте настоящего изобретения соответственно может быть использован любой тип ионизируемого липида. В частности, подходящие ионизируемые липиды представляют собой ионизируемые аминолипиды, которые содержат 2 идентичных или разных хвоста, соединенных связью S-S, при этом каждый из указанных хвостов содержит ионизируемый амин, такой как представленный

или .

В конкретном варианте осуществления указанный ионизируемый липид представляет собой соединение формулы (I):

где:

RCOO выбран из перечня, включающего миристоил, α-D-токоферолсукциноил, линолеоил и олеоил; и

X выбран из перечня, включающего

и .

Такие ионизируемые липиды могут быть конкретно представлены любым из следующих соединений формулы:

,,

(Coatsome SS-EC).

Более конкретно указанный ионизируемый липид представляет собой липид формулы (I), где RCOO представляет собой α-D-токоферолсукциноил, и X представляет собой

,

как, например, представленный формулой

.

Другие подходящие ионизируемые липиды могут быть выбраны из 1,1'-((2-(4-(2-((2-(бис(2-гидроксидодецил)амино)этил)(2-гидроксидодецил)амино)этил)пиперазин-1-ил)этил)азандиил)бис(додекан-2-ол) (C12-200) и дилинолеилметил-4-диметиламинобутирата (DLin-MC3-DMA).

C12-200 DLin-MC3-DMA

Следовательно, в конкретном варианте осуществления настоящего изобретения представлена липидная наночастица, содержащая:

- ионизируемый липид формулы (I):

где:

RCOO выбран из перечня, включающего миристоил, α-D-токоферолсукциноил, линолеоил и олеоил; и

X выбран из перечня, включающего

и ;

в частности, липид формулы (I), где RCOO представляет собой α-D-токоферолсукциноил, и X представляет собой

,

- фосфолипид;

- стерол;

- липид diC18-PEG2000, присутствующий в количестве менее приблизительно 1 мол.%; и

- одну или более молекул нуклеиновой кислоты.

В контексте настоящего изобретения термин «фосфолипид» означает молекулу липида, состоящую из двух гидрофобных «хвостов» жирной кислоты и гидрофильной «головы», состоящей из фосфатных групп. Два компонента чаще всего соединены вместе молекулой глицерина, поэтому фосфолипид в настоящем изобретении предпочтительно представляет собой глицерин-фосфолипид. Кроме того, фосфатную группу часто модифицируют простыми органическими молекулами, такими как холин (т. е. с превращением в фосфохолин) или этаноламин (т. е. с превращением в фосфоэтаноламин).

Подходящие фосфолипиды в контексте настоящего изобретения могут быть выбраны из перечня, включающего 1,2-диолеоил-sn-глицеро-3-фосфоэтаноламин (DOPE), 1,2-диолеоил-sn-глицеро-3-фосфохолин (DOPC), 1,2-дилинолеоил-sn-глицеро-3-фосфохолин (DLPC), 1,2-димиристоил-sn-глицеро-фосфохолин (DMPC), 1,2-диолеоил-sn-глицеро-3-фосфохолин (DOPC), 1,2-дипальмитоил-sn-глицеро-3-фосфохолин (DPPC), 1,2-дистеароил-sn-глицеро-3-фосфохолин (DSPC), 1,2-диундеканоил-sn-глицерофосфохолин (DUPC), 1-пальмитоил-2-олеоил-sn-глицеро-3-фосфохолин (POPC), 1,2-ди-O-октадеценил-sn-глицеро-3-фосфохолин (18:0 Diether PC), 1-олеоил-2-холестерилгемисукциноил-sn-глицеро-3-фосфохолин (OChemsPC), 1-гексадецил-sn-глицеро-3-фосфохолин (C 16 Lyso PC), 1,2-дилиноленоил-sn-глицеро-3-фосфохолин, 1,2-диарахидоноил-sn-глицеро-3-фосфохолин, 1,2-дидокозагексаноил-sn-глицеро-3-фосфохолин, 1,2-дифитаноил-sn-глицеро-3-фосфоэтаноламин (ME 16,0 PE), 1,2-дистеароил-sn-глицеро-3-фосфоэтаноламин, 1,2-дилинолеоил-sn-глицеро-3-фосфоэтаноламин, 1,2-дилиноленоил-sn-глицеро-3-фосфоэтаноламин, 1,2-диарахидоноил-sn-глицеро-3-фосфоэтаноламин, 1,2-дидокозагексаеноил-sn-глицеро-3-фосфоэтаноламин, 1,2-диолеоил-sn-глицеро-3-фосфо-рац-(1-глицерин) натриевая соль (DOPG), сфингомиелин и их смеси.

В более конкретном варианте осуществления указанный фосфолипид выбран из перечня, включающего 1,2-диолеоил-sn-глицеро-3-фосфоэтаноламин (DOPE), 1,2-диолеоил-sn-глицеро-3-фосфохолин (DOPC), 1,2-дистеароил-snглицеро-3-фосфохолин (DSPC) и их смеси.

Следовательно, в конкретном варианте осуществления настоящего изобретения представлена липидная наночастица, содержащая:

- ионизируемый липид формулы (I):

где:

RCOO выбран из перечня, включающего миристоил, α-D-токоферолсукциноил, линолеоил и олеоил; и

X выбран из перечня, включающего

и ;

в частности, липид формулы (I), где RCOO представляет собой α-D-токоферолсукциноил, и X представляет собой

,

- фосфолипид, выбранный из DOPC и DOPE или их смесей;

- стерол;

- липид diC18-PEG2000, присутствующий в количестве менее приблизительно 1 мол.%; и

- одну или более молекул нуклеиновой кислоты.

В контексте настоящего изобретения термин «стерол», также известный как стероидный спирт, представляет собой подгруппу стероидов, которые в природе встречаются в растениях, животных и грибах или могут продуцироваться некоторыми бактериями. В контексте настоящего изобретения можно использовать любой подходящий стерол, такой как выбранный из перечня, включающего холестерин, эргостерол, кампестерол, оксистерол, антростерол, десмостерол, никастерол, ситостерол и стигмастерол; предпочтительно холестерин.

Следовательно, в конкретном варианте осуществления настоящего изобретения представлена липидная наночастица, содержащая:

- ионизируемый липид формулы (I):

где:

RCOO выбран из перечня, включающего миристоил, α-D-токоферолсукциноил, линолеоил и олеоил; и

X выбран из перечня, включающего

и ;

в частности, липид формулы (I), где RCOO представляет собой α-D-токоферолсукциноил, и X представляет собой

,

- фосфолипид, выбранный из DOPC и DOPE или их смесей;

- холестерин;

- липид diC18-PEG2000, присутствующий в количестве менее приблизительно 1 мол.%; и

- одну или более молекул нуклеиновой кислоты.

В особенно конкретном варианте осуществления настоящего изобретения указанная липидная наночастица содержит:

- ионизируемый липид формулы (I):

где:

RCOO выбран из перечня, включающего миристоил, α-D-токоферолсукциноил, линолеоил и олеоил; и

X выбран из перечня, включающего

и ;

в частности, липид формулы (I), где RCOO представляет собой α-D-токоферолсукциноил, и X представляет собой

,

- фосфолипид, выбранный из DOPC и DOPE или их смесей;

- холестерин;

- липид DSG-PEG2000, присутствующий в количестве менее приблизительно 1 мол.%; и

- одну или более молекул нуклеиновой кислоты.

В другом особенно конкретном варианте осуществления настоящего изобретения указанная липидная наночастица содержит:

- ионизируемый липид формулы (I):

где:

RCOO выбран из перечня, включающего миристоил, α-D-токоферолсукциноил, линолеоил и олеоил; и

X выбран из перечня, включающего

и ;

в частности, липид формулы (I), где RCOO представляет собой α-D-токоферолсукциноил, и X представляет собой

,

- фосфолипид, выбранный из DOPC и DOPE или их смесей;

- холестерин;

- липид DSPE-PEG2000, присутствующий в количестве менее приблизительно 1 мол.%; и

- одну или более молекул нуклеиновой кислоты.

В конкретном варианте осуществления настоящего изобретения указанная LNP характеризуется соотношением ионизируемого липида и фосфолипида, составляющим приблизительно 8:1, в качестве альтернативы приблизительно 6:1, приблизительно 4:1 или приблизительно 2:1.

В дополнительном конкретном варианте осуществления указанная LNP содержит от приблизительно 30 до 70 мол.% указанного ионизируемого липида; предпочтительно от приблизительно 45 до 65 мол.%; как, например, приблизительно 65 мол.%, приблизительно или более 45 мол.%, приблизительно или более 50 мол.%, приблизительно или более 55 мол.%, приблизительно или более 60 мол.%.

В дополнительном варианте осуществления указанная LNP содержит от 4 до 25 мол.% фосфолипида; предпочтительно от 4 до 15 мол.%; как, например, приблизительно 4 мол.%, приблизительно 5 мол.%, приблизительно 6 мол.%, приблизительно 7 мол.%, приблизительно 8 мол.%, приблизительно 9 мол.%, приблизительно 10 мол.%, приблизительно 11 мол.%, приблизительно 12 мол.%, приблизительно 13 мол.%, приблизительно 14 мол.% или приблизительно 15 мол.%; предпочтительно от приблизительно 6 мол.% до 9 мол.%.

Следовательно, в конкретном варианте осуществления настоящего изобретения применимо одно или более из следующего:

- указанная LNP содержит от приблизительно 45 мол.% до 65 мол.% указанного ионизируемого липида;

- указанная LNP содержит от приблизительно 4 мол.% до 15 мол.% указанного фосфолипида;

- указанная LNP содержит от приблизительно 0,5 мол.% до 0,9 мол.% указанного ПЭГ-липида,

при этом уравновешенная некоторым количеством указанного стерола.

Соответственно, в особенно конкретном варианте осуществления настоящего изобретения указанная LNP содержит:

- от приблизительно 45 до 65 мол.% ионизируемого липида формулы (I):

где:

RCOO выбран из перечня, включающего миристоил, α-D-токоферолсукциноил, линолеоил и олеоил; и

X выбран из перечня, включающего

и ;

в частности, липида формулы (I), где RCOO представляет собой α-D-токоферолсукциноил, и X представляет собой

,

- от приблизительно 4 до 15 мол.% фосфолипида, выбранного из DOPC и DOPE или их смесей;

- холестерин для уравновешивания;

- от приблизительно 0,5 до 0,9 мол.% липида DSG-PEG2000 или липида DSPE-PEG2000 и

- одну или более молекул нуклеиновой кислоты.

Если в контексте настоящего изобретения используется мол.%, это означает мол.% указанного компонента по отношению к пустой наночастице, то есть частице без нуклеиновых кислот. Это означает, что мол.% компонента рассчитывают по отношению к общему количеству ионизируемых липидов, фосфолипидов, стеролов и ПЭГ-липидов, присутствующих в указанной LNP.

В еще одном дополнительном конкретном варианте осуществления настоящего изобретения представлена липидная наночастица, содержащая:

- более 60 мол.% указанного ионизируемого липида;

- приблизительно 8 мол.% указанного фосфолипида;

- от приблизительно 0,5 до 0,9 мол.% указанного ПЭГ-липида, и

при этом уравновешенная некоторым количеством указанного стерола.

Более конкретно в настоящем изобретении представлена липидная наночастица, содержащая:

- приблизительно 64 мол.% указанного ионизируемого липида;

- приблизительно 8 мол.% указанного фосфолипида;

- от приблизительно 0,5 до 0,9 мол.% указанного ПЭГ-липида, и

при этом уравновешенная некоторым количеством указанного стерола.

Более конкретно в настоящем изобретении представлена липидная наночастица, содержащая:

- приблизительно 64 мол.% указанного ионизируемого липида;

- приблизительно 8 мол.% указанного фосфолипида;

- приблизительно 0,5 мол.% указанного ПЭГ-липида, и

при этом уравновешенная некоторым количеством указанного стерола.

В особенно конкретном варианте осуществления настоящего изобретения указанная LNP содержит:

- приблизительно 64,4 мол.% указанного ионизируемого липида;

- приблизительно 8 мол.% указанного фосфолипида;

- приблизительно 27,1 мол.% указанного стерола и

- приблизительно 0,5 мол.% указанного ПЭГ-липида.

Соответственно, в особенно конкретном варианте осуществления настоящего изобретения указанная LNP содержит:

- приблизительно 64,4 мол.% ионизируемого липида формулы (I):

где:

RCOO представляет собой α-D-токоферолсукциноил, и X представляет собой:

,

- приблизительно 8 мол.% фосфолипида, выбранного из DOPC и DOPE или их смесей;

- приблизительно 27,1 мол.% холестерина;

- приблизительно 0,5 мол.% липида DSG-PEG2000 или липида DSPE-PEG2000; и

- одну или более молекул нуклеиновой кислоты.

Состав других особенно подходящих LNP в контексте настоящего изобретения представлен в таблице 1.

- 64,4/8/27,1/0,5,

- 58/14,5/27/0,5,

- 48/25,5/27/0,5,

- 53/17,67/28,58/0,75.

Авторы настоящего изобретения установили, что LNP по настоящему изобретению особенно пригодны для иммуногенной доставки нуклеиновых кислот. Таким образом, в настоящем изобретении представлены LNP, содержащие одну или более молекул нуклеиновой кислоты, такой как ДНК или РНК, более конкретно мРНК.

Количество нуклеиновой кислоты в указанных LNP обычно представлено соотношением N/P, то есть соотношением атомов азота в ионизируемых липидах и фосфатных групп в нуклеиновых кислотах. В контексте настоящего изобретения соотношение N/P в LNP составляет от приблизительно 4:1 до 16:1.

«Нуклеиновая кислота» в контексте изобретения представляет собой дезоксирибонуклеиновую кислоту (ДНК) или предпочтительно рибонуклеиновую кислоту (РНК), более предпочтительно мРНК. Нуклеиновые кислоты согласно настоящему изобретению включают геномную ДНК, кДНК, мРНК, рекомбинантно полученные и химически синтезированные молекулы. Нуклеиновая кислота согласно настоящему изобретению может быть в форме молекулы, которая является однонитевой или двухнитевой и линейной или ковалентно замкнутой с образованием кольца. Нуклеиновая кислота может быть использована для введения в клетку, т. е. для трансфекции, например в форме РНК, которую можно получить путем транскрипции in vitro с ДНК-матрицы. Кроме того, РНК можно модифицировать перед применением путем стабилизации последовательностей, кэпирования и/или полиаденилирования.

В контексте настоящего изобретения термин «РНК» относится к молекуле, которая содержит рибонуклеотидные остатки и предпочтительно полностью или по сути состоит из рибонуклеотидных остатков. «Рибонуклеотид» относится к нуклеотиду с гидроксильной группой в 2'-положении β-D-рибофуранозильной группы. Данный термин включает двухнитевую РНК, однонитевую РНК, выделенную РНК, такую как частично очищенная РНК, по сути очищенная РНК, синтетическую РНК, рекомбинантно полученную РНК, а также модифицированную РНК, которая отличается от встречающейся в природе РНК по добавлению, делеции, замене и/или изменению одного или более нуклеотидов. Такие изменения могут включать добавление материала, отличного от нуклеотидного, на конец (концах) или внутри РНК, например, на одном или более нуклеотидов РНК. Нуклеотиды в молекулах РНК также могут содержать нестандартные нуклеотиды, которые не встречаются в природе, либо химически синтезированные нуклеотиды или дезоксинуклеотиды. Такие измененные РНК могут называться аналогами. Нуклеиновые кислоты могут быть встроены в вектор. Используемый в данном документе термин «вектор» включает любые векторы, известные специалистам в данной области техники, включая плазмидные векторы, космидные векторы, фаговые векторы, такие как фаг лямбда, вирусные векторы, такие как аденовирусные или бакуловирусные векторы, или векторы, представляющие собой искусственные хромосомы, как, например: искусственные бактериальные хромосомы (ВАС), искусственные дрожжевые хромосомы, или аналоги встречающихся в природе РНК.

Согласно настоящему изобретению термин «РНК» включает и предпочтительно относится к «мРНК», что означает «матричная РНК», и относится к «транскрипту», который может быть получен с использованием ДНК в качестве матрицы и кодирует пептид или белок. МРНК обычно содержит 5'-нетранслируемую область (5'-UTR), область, кодирующую белок или пептид, и 3'-нетранслируемую область (3'-UTR). МРНК характеризуется ограниченным временем полужизни в клетках и in vitro. Предпочтительно мРНК получают путем транскрипции in vitro с использованием ДНК-матрицы. В одном варианте осуществления настоящего изобретения РНК получают путем транскрипции in vitro или химического синтеза. Методология транскрипции in vitro известна специалистам в данной области техники. Например, коммерчески доступны множество наборов для транскрипции in vitro.

В конкретном варианте осуществления настоящего изобретения указанные молекулы мРНК представляют собой молекулы мРНК, кодирующие иммуномодулирующие белки.

В контексте настоящего изобретения термин «молекулы мРНК, кодирующие иммуномодулирующие белки» означает молекулы мРНК, кодирующие белки, которые модифицируют функциональную способность антигенпрезентирующих клеток, более конкретно дендритных клеток. Такие молекулы могут быть выбраны из перечня, включающего CD40L, CD70, caTLR4, IL-12p70, EL-селектин, CCR7 и/или 4-1 BBL, ICOSL, OX40L, IL-21; более конкретно одну или более молекул из CD40L, CD70 и caTLR4. Предпочтительной комбинацией иммуностимулирующих факторов, используемых в способах по настоящему изобретению, является CD40L и caTLR4 (т. е. «DiMix»). В другом предпочтительном варианте осуществления используют комбинацию иммуностимулирующих молекул CD40L, CD70 и caTLR4, которая в данном документе также называется как «TriMix».

В другом конкретном варианте осуществления указанные молекулы мРНК представляют собой молекулы мРНК, кодирующие белки, специфичные для антигена и/или заболевания.

В соответствии с настоящим изобретением термин «антиген» включает любую молекулу, предпочтительно пептид или белок, которая содержит по меньшей мере один эпитоп, вызывающий иммунный ответ и/или против которого направлен иммунный ответ; соответственно, термин «антиген» также охватывает минимальные эпитопы антигенов. Под термином «минимальный эпитоп», определенным в данном документе, подразумевается наименьшая структура, которая способна вызывать иммунный ответ. Предпочтительно антиген в контексте настоящего изобретения представляет собой молекулу, которая необязательно после процессинга индуцирует иммунный ответ, преимущественно специфический для антигена или клеток, экспрессирующих антиген. В частности, «антиген» относится к молекуле, которая необязательно после процессинга представлена молекулами МНС и специфически реагирует с Т-лимфоцитами (Т-клетками).

В конкретном варианте осуществления антиген представляет собой мишень-специфический антиген, который может являться опухолевым антигеном, бактериальным, вирусным или грибным антигеном. Указанный мишень-специфический антиген может быть получен из любого из следующих: общей мРНК, выделенной из клетки-мишени (клеток-мишеней), одной или более молекул целевой мРНК, белковых лизатов клетки-мишени (клеток-мишеней), специфических белков из клетки-мишени (клеток-мишеней) или синтетического мишень-специфического пептида или мишень-специфического белка и синтетической мРНК или ДНК, кодирующей мишень-специфический антиген или его производные пептиды.

Чтобы избежать любых недоразумений, LNP в настоящем изобретении могут содержать одну молекулу мРНК или они могут содержать несколько молекул мРНК, как, например, комбинацию одной или более молекул мРНК, кодирующих иммуномодулирующие белки, и/или одной или более молекул мРНК, кодирующих белки, специфичные для антигена и/или заболевания.

В особенно конкретном варианте осуществления указанные молекулы мРНК, кодирующие иммуномодулирующие молекулы, могут быть объединены в комбинацию с одной или более молекулами мРНК, кодирующими белки, специфичные для антигена и/или заболевания. Например, LNP по настоящему изобретению могут содержать молекулы мРНК, кодирующие иммуностимулирующие молекулы CD40L, CD70 и/или caTLR4 (такие как Dimix или Trimix), в комбинации с одной или более молекулами мРНК, кодирующими белки, специфичные для антигена и/или заболевания. Таким образом, в особенно конкретном варианте осуществления LNP по настоящему изобретению содержат молекулу мРНК, кодирующую CD40L, CD70 и/или caTLR4, в комбинации с одной или более молекулами мРНК, кодирующими белки, специфичные для антигена и/или заболевания.

В дополнительном аспекте настоящего изобретения представлена фармацевтическая композиция, содержащая одну или более LNP, определенных в данном документе. Такие фармацевтические композиции являются особенно подходящими в качестве вакцины. Таким образом, в настоящем изобретении также представлена вакцина, содержащая одну или более LNP согласно настоящему изобретению.

В контексте настоящего изобретения термин «вакцина», используемый в данном документе, означает любой препарат, предназначенный для обеспечения адаптивного иммунитета (антител и/или Т-клеточного ответа) против заболевания. С этой целью вакцина, представленная в данном документе, содержит по меньшей мере одну молекулу мРНК, кодирующую антиген, к которому формируется адаптивный иммунный ответ. Данный антиген может присутствовать в виде ослабленной или убитой формы микроорганизма, белка или пептида, либо антигена, кодирующего нуклеиновую кислоту. Под антигеном в контексте настоящего изобретения следует понимать белок или пептид, распознаваемый иммунной системой хозяина как чужеродный, в результате чего стимулируется выработка антител к нему с целью борьбы с такими антигенами. Вакцины могут быть профилактическими (например, предназначенные для предотвращения или смягчения последствий возможной инфекции, вызываемой любым природным или «диким» патогеном) или терапевтическими (например, предназначенные для активного лечения или уменьшения тяжести симптомов существующего заболевания). Введение вакцин называется вакцинацией.

Вакцину по настоящему изобретению можно использовать для индуцирования иммунного ответа, в частности, иммунного ответа против антигена, ассоциированного с заболеванием, или клеток, экспрессирующих антиген, ассоциированный с заболеванием, такого как противораковый иммунный ответ. Соответственно, данная вакцина может быть использована для профилактического и/или терапевтического лечения заболевания, которое связано с антигеном, ассоциированным с заболеванием, или клетками, экспрессирующими антиген, ассоциированный с заболеванием, таким как рак. Предпочтительно указанный иммунный ответ представляет собой Т-клеточный ответ. В одном варианте осуществления антиген, ассоциированный с заболеванием, представляет собой опухолевый антиген. Антиген, который кодируется РНК, содержащейся в описанных в данном документе наночастицах, предпочтительно представляет собой антиген, ассоциированный с заболеванием, или он вызывает иммунный ответ против антигена, ассоциированного с заболеванием, или клеток, экспрессирующих ассоциированный с заболеванием антиген.

LNP и вакцины по настоящему изобретению специально предназначены для внутривенного введения, то есть вливания жидкого вещества непосредственно в вену. Внутривенный путь представляет собой наиболее быстрый способ доставки жидкостей и лекарственных препаратов по всему телу, т. е. системно. Таким образом, в настоящем изобретении представлены вакцины для внутривенного введения, а также применение раскрытых в данном документе вакцин и LNP для внутривенного введения. Следовательно, вакцины и LNP по настоящему изобретению можно вводить внутривенно. В настоящем изобретении также представлено применение вакцин и LNP согласно настоящему изобретению, при котором вакцина вводится внутривенно.

В настоящем изобретении также представлены LNP, фармацевтические композиции и вакцины согласно настоящему изобретению для применения в медицине или ветеринарной медицине. Также предполагается применение LNP, фармацевтических композиций и вакцин согласно настоящему изобретению в медицине или ветеринарной медицине. Кроме того, в настоящем изобретении представлен способ профилактики и лечения заболеваний у человека и животных посредством введения LNP, фармацевтических композиций и вакцин согласно настоящему изобретению субъекту, нуждающемуся в этом.

В настоящем изобретении дополнительно представлено применение LNP, фармацевтической композиции или вакцины согласно настоящему изобретению для иммуногенной доставки указанных одной или более молекул нуклеиновой кислоты. В связи с этим LNP, фармацевтические композиции и вакцины по настоящему изобретению являются особенно применимыми в лечении некоторых нарушений у человека и животных. Таким образом, в настоящем изобретении представлены LNP, фармацевтические композиции и вакцины по настоящему изобретению для применения в лечении рака или инфекционных заболеваний.

Липидные наночастицы по настоящему изобретению могут быть получены в соответствии с протоколами, изложенными в разделе «Примеры». В более общем плане LNP могут быть получены с применением способа, включающего:

- получение первой спиртовой композиции, содержащей указанный ионизируемый липид, указанный фосфолипид, указанный стерол, указанный ПЭГ-липид и подходящий спиртовой растворитель;

- получение второй водной композиции, содержащей указанные одну или более нуклеиновых кислот и водный растворитель;

- смешивание указанных первой и второй композиций в микрофлюидном смешивающем устройстве.

Вдаваясь в подробности, липидные компоненты смешивают в подходящих концентрациях в спиртовом носителе, таком как этанол. Туда же добавляют водную композицию, содержащую определенную нуклеиновую кислоту, а затем загружают в микрофлюидное смешивающее устройство.

Целью микрофлюидного смешивания является тщательное и быстрое смешивание нескольких образцов (т. е. липидной фазы и фазы, содержащей нуклеиновую кислоту) в устройстве для смешивания в микромасштабе. Такого смешивания проб обычно достигают за счет усиления эффекта диффузии между потоками различных частиц. Для этой цели можно использовать несколько микрофлюидных смешивающих устройств, как, например, рассмотренных в публикации Lee et al., 2011. Особенно подходящим микрофлюидным смешивающим устройством согласно настоящему изобретению является NanoAssembler от Precision Nanosystems.

Другие технологии, подходящие для получения LNP по настоящему изобретению, включают диспергирование компонентов в подходящей диспергирующей среде, например, в водном растворителе и спиртовом растворителе, и применение одного или более из следующих способов: способа разбавления этанолом, способа прямой гидратации, обработки ультразвуком, нагревания, перемешивания вихревым способом, способа с введением простого эфира, способа с использованием френч-пресса, способа синтеза с использованием холевой кислоты, способа Ca2+-зависимого слияния, способа замораживания-оттаивания, способа обращенно-фазового выпаривания, смешивания в Т-образном смесителе, микрофлюидного гидродинамического фокусирования, ступенчато-елочного смешивания и тому подобных.

ПРИМЕРЫ

Материалы и методики для примеров 1 и 2

Мыши

Самок мышей C57BL/6 приобретали у Charles River Laboratories (Франция) и помещали в клетки с индивидуальной вентиляцией, со стандартными подстилочным материалом и с элементами, улучшающими условия содержания в клетках. Животных содержали и подвергали лечению в соответствии с правилами, принятыми в данном научном учреждении (Брюссельский свободный университет) и Европейским союзом в отношении проведения экспериментов на животных. Мыши имели неограниченный доступ к пище и воде. Эксперименты начинали при достижении мышами возраста 6-10 недель.. Вес мышей измеряли каждые 2 дня.

В случае вакцинации синтетическим длинным пептидом (SLP) ADPGK мышам внутрибрюшинно вводили комбинацию из 50 мкг SLP ADPGK (GIPVHLELASMTNMELMSSIVHQQVFPT (SEQ ID NO: 3), Genscript), 50 мкг моноклонального антитела к CD40 (Clone FJK45, BioXCell) и 100 мкг pIC HMW (InvivoGen) в 200 мкл PBS с одинаковыми временными интервалами.

Синтез и очистка мРНК

Кэпированную, немодифицированную нуклеозидами мРНК Е7 и ADPGK получали в eTheRNA посредством транскрипции in vitro (IVT) из плазмиды pEtherna eTheRNA в соответствии с протоколом, описанным в WO2015071295. Последовательность, кодирующую белок HPV16-E7 или ADPGK, клонировали внутри рамки считывания между сигнальной последовательностью и трансмембранной и цитоплазматической областями DC-LAMP человека. Данный химерный ген клонировали в плазмиде pEtherna, которая была дополнена усилителем трансляции на 5'-конце и стабилизирующей РНК последовательностью на 3'-конце. После IVT манипуляций dsRNA удаляли посредством целлюлозной очистки. Порошок целлюлозы приобретали у Sigma и промывали в 1x буфере STE (натрия хлорид-трис-ЭДТА) с 16% этанолом. IVT мРНК (в 1x буфере STE с 16% этанолом) добавляли к промытому целлюлозному осадку и встряхивали при комнатной температуре в течение 20 минут. Затем данный раствор пропускали через вакуумный фильтр (Corning). Элюат содержал фракцию ssRNA и его использовали во всех экспериментах. Качество мРНК контролировали посредством капиллярного гель-электрофореза (Agilent, Бельгия).

Получение наночастиц на основе липидов, предназначенных для инкапсуляции мРНК

Наночастицы на основе липидов получали посредством микрофлюидного смешивания раствора мРНК в натрий-ацетатном буфере (100 мМ, pH 4) и раствора липидов при соотношении по объему 2:1 со скоростью 9 мл/мин с использованием системы NanoAssemblr® Benchtop (Precision Nanosystems). Липидный раствор содержал смесь из Coatsome-EC (NOF Сorporation), DOPE (Avanti), холестерина (Sigma) и одного из следующих ПЭГ-липидов: DMG-PEG2000 (липид C14) (Sunbright GM-020, NOF Сorporation), DPG-PEG2000 (липид C16) (Sunbright GP-020, NOF Сorporation), DSG-PEG2000 (липид C18) (Sunbright GS-020, NOF Сorporation). Эти 4 липида смешивали в различных молярных соотношениях. LNP подвергали диализу против TBS (в объеме TBS, который в 10000 раз превышал объем LNP) с применением кассет для диализа Slide-A-Lyzer™ (с номинальным отсечение по молекулярной массе 20000 дальтон, 3 мл, ThermoFisher). Размер, полидисперсность и дзета-потенциал измеряли с помощью Zetasizer Nano (Malvern). % инкапсуляции мРНК измеряли с помощью анализа RiboGreen (ThermoFisher).

Проточная цитометрия

Кровь отбирали у подвергнутых лечению и контрольных мышей через примерно 6 дней после иммунизации. Эритроциты лизировали, а оставшиеся лейкоциты окрашивали APC-меченым E7(RAHYNIVTF)-тетрамером (SEQ ID NO: 1) или ADPGK (ASMTNMELM)-тетрамером (SEQ ID NO: 2) в соответствии с инструкциями производителя (MBL International). Избыток тетрамера вымывали. После этого к клеткам добавляли смесь антител к поверхностным молекулам (перечислены в таблице 2) и инкубировали в течение 30 минут при 4°C. Данные получали на цитометре LSR Fortessa или Attune и анализировали с помощью программного обеспечения FlowJo.

ПОЛУЧЕННЫЕ РЕЗУЛЬТАТЫ

Отбор C18-PEG2000 с низкой процентной долей ПЭГ

Пример 1 - антиген Е7

Мышам однократно (фиг. 1) или двукратно (фиг. 2) внутривенно вводили 10 мкг мРНК Е7, упакованную в LNP (50/10/(40-x)/x ионизируемый липид/DOPE/холестерин/ПЭГ-липид). Процентную долю Е7-специфических CD8+ Т-клеток в крови подсчитывали через 6 дней после иммунизации. На фигуре 1 показано, что LNP с низкой процентной долей ПЭГ (0,5%) индуцируют более сильный антигенспецифический иммунный ответ, чем LNP со средней (1,5%) или высокой (4,5%) процентной долей ПЭГ. На фигурах 1 и 2 показано, что DSG-PEG2000 (C18) в отношении индуцирования иммунного ответа превосходит ПЭГ-липиды с более короткой углеродной цепью, такие как DMG-PEG2000 (C14) и DPG-PEG2000 (C16).

Пример 2 - антиген ADPGK

Мышам четыре раза внутривенно вводили 10 мкг мРНК ADPGK, упакованную в LNP с низкой процентной долей ПЭГ (50/10/39,5/0,5 ионизируемые липиды/DOPE/холестерин/ПЭГ-липид), или 50 мкг синтетического длинного пептида (SLP) ADPGK. Процентную долю ADPGK-специфических CD8+ Т-клеток в крови подсчитывали через 6 дней после четвертой иммунизации. В отношении индуцирования антигенспецифического иммунного ответа LNP, содержащие DSG-PEG2000 (C18), превосходят LNP, содержащие DMG-PEG2000 (C14) (фиг. 3). Обе LNP являются более иммуногенными, чем SLP.

МАТЕРИАЛЫ И МЕТОДИКИ ДЛЯ ПРИМЕРОВ 3-6

Животные

Все эксперименты на мышах проводили после одобрения Утрехтским органом контроля в сфере обращения с животными Университетского медицинского центра Утреха или Этическим комитетом по обращению с животными Гентского университета. Уход за животными осуществляли в соответствии с утвержденными руководствами. Всем мышам предоставляли неограниченный доступ к воде и стандартному корму для лабораторных животных. Самок мышей C57Bl/6J получали от Charles River Laboratories, Inc. (Германия/Франция). Мышей µMT получали от The Jackson Laboratory (США). Исследование на приматах, отличных от человека, не предусматривающее использования правил GLP, проводили в Charles River Laboratories (Франция) в соответствии с местными нормативными актами.

Синтез и очистка мРНК

Оптимизированные по кодонам мРНК E7, TriMix и люциферазы получали в eTheRNA посредством транскрипции in vitro (IVT) из плазмид eTheRNA. Модификации нуклеотидов не использовали. Используемую в планировании эксперимента мРНК E7 кэпировали с использованием ARCA. Все последующие эксперименты осуществляли с использованием мРНК CleanCapped. После IVT dsRNA удаляли посредством целлюлозной очистки. Качество мРНК контролировали посредством капиллярного гель-электрофореза (Agilent, Бельгия).

Получение и определение характеристик LNP

Для исследований биораспределения и клеточного захвата LNP загружали смесью из мРНК, которая кодирует люциферазу Firefly (Fluc) (eTheRNA Immunotherapies NV), и мРНК Fluc Cleancap®, меченную Cy5 (TriLink Biotechnologies), в соотношении 1:1. Согласно планированию эксперимента для исследования иммуногенности в LNP загружали мРНК E7. Все остальные исследования проводили со смесью из мРНК E7, CD40L, CD70 и TLR4 в соотношении 3:1:1:1. В 100 мМ натрий-ацетатном буфере (pH 4) разводили мРНК, а липиды растворяли и разводили в этаноле. Растворы мРНК и липидов смешивали с использованием микрофлюидной смешивающей системы NanoAssemblr Benchtop (Precision Nanosystems) с последующим диализом в течение ночи против трис-буферного солевого раствора (TBS, 20 мМ трис, 0,9% NaCl, pH 7,4). Для концентрирования LNP использовали центрифужные фильтры Amicon Ultra (10 кДа). Размер, индекс полидисперсности и дзета-потенциал измеряли с помощью Zetasizer Nano (Malvern). Эффективность инкапсуляции мРНК определяли посредством анализа RiboGreen (ThermoFisher). Состав всех LNP обобщен в таблице 3 примера 3.

Биораспределение и клеточный захват

Мышам внутривенно через хвостовую вену вводили 10 мкг мРНК в выбранных составах на основе LNP. Через 4 часа мышей анестезировали с использованием 250 мкл пентобарбитала (6 мг/мл). Образцы крови отбирали в пробирки с разделительным гелем и фактором свертывания крови (Sarstedt). Затем мышам вскрывали грудную полость, перерезали воротную вену и через правый желудочек перфузировали 7 мл PBS. Органы удаляли и сразу замораживали в жидком азоте. В том, что касается тканей печени и селезенки, то части этих органов хранили в ледяном PBS для анализа посредством проточной цитометрии.

Клеточный захват

Ткани печени и селезенки помещали в чашки Петри со средой RPMI 1640, содержащей 1 мг/мл Коллагеназы А (Roche) или 20 мкг/мл Либеразы™ (Roche) соответственно и 10 мкг/мл ДНКазы I класса II (Roche). Ткани измельчали лезвиями скальпеля и инкубировали в течение 30 мин при 37°С. Затем суспензии тканей пропускали через нейлоновые клеточные фильтры с размером пор 100 мкм. Суспензии тканей печени центрифугировали в течение 3 мин с ускорением 70xg для удаления паренхиматозных клеток. Супернатанты и суспензии тканей селезенки центрифугировали 7 мин с ускорением 500xg для осаждения клеток. Эритроциты лизировали в буфере ACK (Gibco) в течение 5 мин, инактивировали с использованием PBS и затем пропускали через клеточный фильтр с размером пор 100 мкм. Клетки промывали с использованием RPMI 1640, содержащей 1% фетальной бычьей сыворотки крови (FBS), смешивали с трипановым синим и подсчитывали с использованием автоматизированного счетчика клеток Luna-II (Logos Biosystems). Живые клетки в количестве 3 × 105 (печень) или 6 × 105 (селезенка) высевали в 96-луночные планшеты, осаждали в течение 5 мин с ускорением 500xg и ресуспендировали в 2% BSA в PBS (2% PBSA), содержащем 50% Brilliant Stain Buffer (BD Biosciences) и 2 мкг/мл TruStain FcX (BioLegend). Клетки инкубировали в течение 10 мин на льду и смешивали 1:1 с 2% PBSA, содержащим соответствующие смеси антител (всего три) в двух повторностях. Клетки инкубировали в течение 15 мин при комнатной температуре на шейкере, дважды промывали с использованием 2% PBSA и ресуспендировали в 2% PBSA, содержащем 0,25 мкг/мл 7-AAD Viability Stain (BioLegend). Образцы загружали в проточный цитометр с 4 лазерами BD LSRFortessa. Анализ выполняли с использованием программного обеспечения FlowJo.

Распределение по всему телу

Примерно 50-100 мг каждой ткани вырезали, взвешивали и помещали в микропробирки объемом 2 мл со слоем керамических гранул (диаметром 1,4 мм) толщиной примерно 5 мм (Qiagen). На каждый мг ткани добавляли 3 мкл холодного реагента для лизиса клеточных культур Cell Culture Lysis Reagent (Promega) и гомогенизировали ткани посредством Mini-BeadBeater-8 (BioSpec) на полной скорости в течение 60 с при 4°C. Гомогенаты хранили при -80°С, размораживали, центрифугировали с ускорением 10000xg в течение 10 мин при 4°С для удаления гранул и дебриса, а затем супернатанты снова помещали на хранение при -80°С. Десять микролитров каждого лизата разделяли на аликвоты в двух повторах в белом 96-луночном планшете. Используя планшет-ридер SpectraMax iD3, оснащенный инжектором, в каждую лунку при перемешивании вносили по 50 мкл реагента для анализа гена люциферазы Luciferase Assay Reagent (Promega) с последующими задержкой 2 секунды и регистрацией эмиссии люциферазы в течение 10 с. Активность люциферазы нормализовали по фоновому сигналу, полученному для лизатов органов мышей, которым инъекцией вводили TBS.

Т-клеточный ответ

Мышей иммунизировали посредством внутривенного введения через хвостовую вену 10 мкг мРНК в выбранных LNP с недельным интервалом. Кровь отбирали через 5-7 дней после иммунизации с целью окрашивания для проточной цитометрии. После лизиса эритроцитов клетки инкубировали с реагентом, блокирующим опосредованное FcR связывание, и красителем для определения жизнеспособности. После инкубации и промывки добавляли E7(RAHYNIVTF)-тетрамер, меченый APC, и инкубировали при комнатной температуре в течение 30 минут. Избыток тетрамера отмывали, к клеткам добавляли смесь антител к поверхностным молекулам CD3 и CD8 и инкубировали в течение 30 минут при 4°C. Образцы загружали в проточный цитометр с 3 лазерами AtuneNxt или проточный цитометр с 4 лазерами BD LSRFortessa.

Внутриклеточное продуцирование цитокинов определяли в селезенке через 7 дней после третьей иммунизации. Суспензию отдельных клеток спленоцитов получали путем измельчения селезенки, лизиса эритроцитов и пропускания образцов через клеточный фильтр с размером пор 40 мкМ. 200000 клеток/лунка/образец высевали в двух повторах в 96-луночный планшет. 4 мкг пептида Е7 (Genscript) добавляли для стимуляции перед тем, как клетки инкубировали при 37°С. Через 1 час стимуляции пептидом добавляли GolgiPlug (набор BD Cytofix/Cytoperm (BD Biosciences)). Клетки инкубировали в течение дополнительных 4 часов. После этого клетки инкубировали с реагентом, блокирующим опосредованное FcR связывание, и красителем для определения жизнеспособности. После инкубации и промывки добавляли E7(RAHYNIVTF)-тетрамер, меченый APC, и инкубировали при комнатной температуре в течение 30 минут. Избыток тетрамера отмывали, к клеткам добавляли смесь антител к поверхностным молекулам CD3 и CD8 и инкубировали в течение 30 минут при 4°C. Дальнейшие стадии выполняли в соответствии с инструкциями производителя набора BD Cytofix/Cytoperm (BD Biosciences). После пермеабилизации клетки окрашивали в отношении IFN-γ и TNF-α. Образцы загружали в проточный цитометр с 4 лазерами BD LSRFortessa. Анализ выполняли с использованием программного обеспечения FlowJo.

Активация иммунных клеток

Мышам внутривенно через хвостовую вену вводили 5 мкг мРНК в выбранных LNP. Селезенки отбирали у животных через 4 часа с целью окрашивания для проточной цитометрии. Готовили суспензии отдельных клеток спленоцитов и инкубировали их с буфером для расщепления (DMEM с ДНКазой-1 и коллагеназой-III) в течение 20 минут при регулярном встряхивании. После этого образцы инкубировали с реагентом, блокирующим опосредованное Fc связывание, и красителем для определения жизнеспособности. После инкубации и промывки клетки окрашивали маркерами линий дифференцировки клеток и маркерами активации. Образцы загружали в проточный цитометр с 3 лазерами AtuneNxt. Анализ выполняли с использованием программного обеспечения FlowJo.

Эксперимент с опухолевыми клетками TC-1

Клетки ТС-1 были получены из Медицинского центра Лейденского университета. 0,5 миллиона клеток TC-1 в 50 мкл PBS вводили подкожно в правый бок мышей. Измерения опухоли проводили с помощью штангенциркуля. Объем опухоли рассчитывали как (наименьший диаметр² x наибольший диаметр)/2. Антитело к PD-1 и изотипическое контрольное антитело разбавляли непосредственно перед использованием в PBS до концентрации 200 мкг в 200 мкл на мышь и вводили животным внутрибрюшинно. Мышам вводили либо антитело к PD-1 (в режиме монотерапии или в комбинации с иммунизацией с введением мРНК, упакованной в LNP), либо изотипический контроль (в комбинации с иммунизацией с введением LNP). Антитела вводили один раз в 3-4 дня, начиная с 3 дня после первой иммунизации посредством введения мРНК, упакованной в LNP, и заканчивая через 2 недели после последнего введения LNP. Для анализа опухоль-инфильтрирующих лимфоцитов опухоли выделяли через 3 дня после второй иммунизации с введением мРНК, упакованной в LNP, и помещали в 24-луночный планшет, заполненный буфером для хранения тканей MACS (Miltenyi Biotec). Опухоли измельчали и инкубировали в буфере для расщепления в течение 1 часа при регулярном встряхивании. После этого эритроциты лизировали и все образцы пропускали через клеточный фильтр с размером пор 70 мкМ. Перед процедурой окрашивания обогащение лимфоцитов осуществляли посредством очистки в градиенте плотности с использованием раствора Ficoll-Paque. Сначала клетки инкубировали с реагентом, блокирующим опосредованное FcR связывание, и красителем для определения жизнеспособности. После инкубации и промывки добавляли E7(RAHYNIVTF)-тетрамер, меченый APC, и инкубировали при комнатной температуре в течение 30 минут. Избыток тетрамера отмывали, к клеткам добавляли смесь антител к поверхностным молекулам CD45 и CD8 и инкубировали в течение 30 минут при 4°C. Образцы загружали в проточный цитометр с 3 лазерами AtuneNxt или в проточный цитометр с 4 лазерами BD LSRFortessa. Анализ выполняли с использованием программного обеспечения FlowJo.

Воспалительные цитокины

Образцы крови отбирали в пробирки с разделительным гелем и фактором свертывания крови (Sarstedt). Образцы свернувшейся крови центрифугировали в течение 5 мин с ускорением 10000 g для получения сыворотки крови. До анализа образцы сыворотки крови хранили при -80°C. Мультиплексный анализ ProcartaPlex (ThermoFisher) использовали для определения концентрации воспалительных цитокинов, таких как IFN-γ, TNF-α, IP-10. Образцы сыворотки крови разбавляли в 3 раза буфером для анализа и инкубировали с флуоресцентно мечеными гранулами в течение 120 минут. Дальнейшие этапы выполняли согласно протоколу. Образцы загружали в прибор MagPix (Luminex). Данные анализировали с использованием программного обеспечения ProcartaPlex Analyst.

Пример 3 - оптимизация состава LNP для максимального Т-клеточного ответа, зависимая от планирования эксперимента

Библиотеки LNP создавали посредством объединения коммерчески доступного ионизируемого липида Coatsome SS-EC с холестерином, DOPE и пегилированным липидом. DOPE уже присутствовал в составе нескольких одобренных липосомальных продуктов и исследуемых вакцин на основе мРНК. Для данного эксперимента исследовали различные составы LNP, содержащие липиды DSG-PEG2000. Было описано, что отличия в свойствах ПЭГ-липидов оказывают сильное влияние на фармакокинетику и фармакодинамику миРНК, упакованных в LNP, при в/в введении.

Первую библиотеку LNP разрабатывали для определения того, действительно ли молярные соотношения липида и химический состав ПЭГ-липида влияют на Т-клеточный ответ, вызываемый в/в введением вакцины на основе мРНК, упакованной в LNP, и, таким образом, представляют собой переменные параметры, которые можно оптимизировать для повышения эффективности вакцины. Молярные процентные доли SS-EC, DOPE и ПЭГ-липида рассматривали как независимые переменные параметры, тогда как холестерин рассматривали в качестве липида-наполнителя для уравновешивания молярной процентной доли до 100%. С использованием методологии планирования эксперимента разработали экспериментальный план, включающий 11 LNP (см. состав в таблице 3).

Таблица 3. Cостав LNP на основе DSG-PEG2000, используемых эксперимента, выполняемым в соответствии с планированием эксперимента

Соотношения 11 липидов были равномерно распределены в данной области эксперимента (данные не показаны). Для скрининга иммуногенности процентную долю Е7-специфических CD8 Т-клеток в крови после трех в/в иммунизаций считали результирующей переменной ответа, которая должна быть максимальной. С этой целью все мРНК, упакованные в LNP, кодировали онкопротеин E7 вируса папилломы человека 16 (HPV16) в качестве антигена. Результаты подтверждают наше предположение о том, что интенсивность CD8 Т-клеточного ответа сильно зависит от состава LNP. Некоторые вакцины на основе мРНК, упакованной в LNP, индуцировали E7-специфические CD8 T-клеточные ответы, превышающие 50%, тогда как другие вакцины на основе мРНК, упакованной в LNP, вообще не индуцировали какой-либо ответ (фиг. 4a). Химический состав ПЭГ-липида и мол.% ПЭГ-липида были идентифицированы как ключевые параметры в отношении интенсивности Е7-специфического CD8 Т-клеточного ответа. Для достижения максимального Т-клеточного ответа требовались низкие молярные процентные доли ПЭГ-липида (фиг. 4b). Для LNP на основе DSG-PEG2000 процентная доля ионизируемого липида также оказывала значительное влияние на иммуногенность.

В отношении этих данных использовали байесовское регрессионное моделирование для создания моделей поверхности отклика (данные не показаны), с помощью которых можно прогнозировать иммуногенность определенного состава LNP. Качество моделей поверхности отлика для каждого из химических составов ПЭГ-липидов выражается коэффициентом детерминации R2, который указывает на способность модели объяснять изменчивость Т-клеточных ответов на основе входных переменных параметров (% SS-EC, DOPE и ПЭГ-липида). Для LNP DSG-PEG2000 были получены средние значения R2, составляющие 0,74. Для подтверждения прогностической значимости моделей оценивали 2 новых состава LNP (таблица 4).

Таблица 4. Cостав LNP на основе DSG-PEG2000, используемых в плане эксперимента

У мышей иммунизация с использованием LNP36 (DSG-PEG2000) с вероятностью более 90% индуцировала E7-специфический CD8 T-клеточные ответа > 30% (оптимальные LNP), в то время как LNP37 (DSG-PEG2000) согласно прогнозам индуцировали неудовлетворительный Т-клеточный ответ (неоптимальные LNP) (фиг. 4с). Экспериментальные данные в значительной степени совпали с прогнозами и, следовательно, успешно обосновали модель. У всех мышей, иммунизированных с использованием прогностически оптимальных LNP, действительно формировался E7-специфический CD8 Т-клеточный ответ, превышающий 30%, в то время, как ни у одной из мышей иммунизация с использованием LNP37 не вызывала Т-клеточный ответ, который бы превысил данное пороговое значение (фиг. 4c).

Пример 4 - вакцины на основе мРНК, упакованной в оптимальные LNP, индуцируют высокоинтенсивные Т-клеточные ответы

На эффективность иммунотерапии рака влияет множество факторов, включающих фенотип Т-клеток, функциональность и инфильтрацию опухоли. Сначала оценивали качество и возможность усиления Т-клеточного ответа, вызванного оптимальными LNP. С этой целью мышам проводили три первичные иммунизации в дни 0, 7 и 14, а затем последнюю иммунизацию в день 50. МРНК Е7 была дополнена TriMix, смесью из 3-х иммуностимулирующих мРНК (Bonehill et al., 2008), которая усиливала Т-клеточный ответ.

После 3-х иммунизаций с использованием E7-TriMix в крови присутствовало более 70% Е7-специфических Т-клеток (фиг. 5а). Через пять недель после третьей иммунизации процентная доля Е7-специфических CD8 Т-клеток оставалась существенно повышенной. После последней бустерной иммунизации наблюдали быстрое размножение Е7-специфических эффекторных Т-клеток, что свидетельствовало о том, что вакцину можно использовать для бустерной вакцинации (фиг. 5а). Более высокие концентрации IFN-γ в сыворотке крови выявляли при каждой иммунизации (фиг. 5b), что отражает повышение количеств E7-специфических Т-клеток.

Чтобы оценить функциональность Т-клеток, выполняли окрашивание на внутриклеточные цитокины после трех иммунизаций с использованием LNP36. Полифункциональные CD8 Т-клетки, которые продуцируют более одного цитокина одновременно, ассоциированы с лучшим контролем инфекционных заболеваний и опухолей и составляют примерно 30% от E7-специфических CD8 Т-клеток (фиг. 5с).

Пример 5 - вакцины на основе мРНК, упакованной в оптимальную LNP, индуцируют регрессию опухоли

Терапевтическую противоопухолевую эффективность оценивали в мышиной модели сингенной опухоли ТС-1, полученной посредством ретровирусной трансдукции антигенами Е6/Е7 HPV16. Когда средний диаметр опухолей достигал 55 мм3, начинали лечение с введением 5 мкг E7-TriMix, доставляемого с использованием LNP36. Кроме того, лечение мышей осуществляли с использованием антитела к PD-1 (изотипического контрольного антитела). PD-1 экспрессируется на активированных Т-клетках, и при взаимодействии с PD-L1 подавляет функцию Т-клеток и индуцирует толерантность. Блокирование контрольной точки иммунного ответа PD-1 поддерживает реактивность Т-клеток и одобрено для лечения первой линии пациентов с метастатическим или неоперабельным рецидивирующим HNSCC. Вакцинация с использованием LNP36 приводила к сильной регрессии опухолей ТС-1 (фиг. 5d) и значительно пролонгированному времени выживания (фиг. 5e), однако после прекращения лечения происходил рецидив опухолей. Монотерапия антителами к PD1 не обеспечивала какого-либо терапевтического эффекта у мышей, несущих TC-1. Иммунизация с использованием LNP36 в комбинации с антителом к PD-1 улучшала контроль роста опухоли.

И наконец, оценивали способность Т-клеток, индуцированных вакцинацией, достигать опухолевого ложе. Две вакцинации соответствующими вакцинами на основе мРНК, упакованными в LNP, приводили к сильной инфильтрации опухоль-инфильтрирующими CD8+ Т-клетками опухоли (фиг. 5f), причем более 70% клеток были специфичными для E7 (фиг. 5g). Добавление антитела к PD-1 в схему лечения вакциной значимо не изменяло процентную долю E7-специфических CD8 T-клеток, проникающих в опухоль.

Пример 6 - оптимальные LNP обеспечивают повышение клеточного захвата и активируют иммунные клетки в селезенке

Чтобы выяснить, существует ли корреляция между интенсивностью вызываемого Т-клеточного ответа и биораспределением захвата и экспрессии мРНК на уровне органов и типов клеток, осуществляли инкапсулирование мРНК люциферазы светлячка, меченной Cy5, в LNP DSG-PEG2000, которые ранее были скринированы в отношении иммуногенности. Активность люциферазы измеряли в выделенных печени, селезенке, легких, сердце и почках через четыре часа после введения LNP. Как и предполагали, состав LNP оказывал сильное влияние на интенсивность и органоспецифичность экспрессии мРНК. Основным органом-мишенью была печень, за ней селезенка, но соотношение накопления в печени и селезенке сильно отличалось между LNP (фиг. 6а). Интенсивность E7-специфического CD8 Т-клеточного ответа после третьей иммунизации положительно коррелировала с экспрессией в селезенке (данные не показаны).

Затем оценивали, связана ли иммуногенность с ранним захватом мРНК и активацией определенных типов иммунных клеток в селезенке. LNP накапливались главным образом в макрофагах и моноцитах (фиг. 6b). Между Т-клеточным ответом и поглощением LNP селезеночными макрофагами, моноцитами, плазмоцитоидными DC (pDC) и B-клетками существовали сильные общие корреляции (данные не показаны).

Чтобы дополнительно подтвердить роль поглощения и экспрессии мРНК в селезенке, сравнивали профили биораспределения и клеточного захвата оптимальных высокоиммуногенных LNP (LNP36) с неоптимальными слабоиммуногенными LNP (LNP37). По сравнению с неоптимальными LNP LNP36 резко увеличивала экспрессию мРНК в селезенке (фиг. 6c) и захват селезеночными моноцитами, макрофагами и DC (фиг. 6d).

По сравнению с LNP37, составленными с 1,5% DSGPEG2000, мРНК, упакованная в LNP с оптимальным составом (LNP36), индуцировала более высокие уровни воспалительных цитокинов в крови и повышенную экспрессию CD86 в субпопуляциях селезеночных DC (фиг. 6g), что свидетельствует об повышении активации врожденного иммунитета (фиг. 6f).

Ранее провели пилотное исследование на приматах, отличных от человека (NHP), для оценки трансляционного показателя у оптимизированных LNP (LNP36). У NHP было выявлено наиболее высокое накопление мРНК E7 на грамм ткани в селезенке, далее следуют печень и костный мозг. (фиг. 6e).

Выводы

Состав LNP является ключевым фактором, определяющим Т-клеточный ответ, вызываемый системным введением вакцин на основе мРНК. LNP, содержащие DSG-PEG2000 в качестве ПЭГ-липида, стабилизирующего LNP, вызывали повышенные Т-клеточные ответы по сравнению с LNP, содержащими DPG-PEG2000 и DMG-PEG2000. Более того, снижение молярной процентной доли DSG-PEG2000 до 0,5-0,9% сильно повышало Т-клеточный ответ. Вакцины на основе мРНК, доставляемые посредством таких оптимизированных LNP, индуцируют высокоинтенсивные/высококачественные Т-клеточные ответы, которые могут быть усилены путем повторного введения и обеспечивать противоопухолевую эффективность в мышиных моделях сингенных опухолей. Механистически LNP с оптимальными составами характеризуются повышенной экспрессией мРНК в селезенке, в том числе повышенным захватом мРНК различными типами антигенпрезентирующих клеток. LNP с оптимальными составами вызывают повышенную активацию дендритных клеток селезенки и приводят к усиленному выбросу IFN-α и IP-10 в кровь.

--->

ПЕРЕЧЕНЬ ПОСЛЕДОВАТЕЛЬНОСТЕЙ

<110> ИЗеЭрЭнЭй ИММЬЮНОТЕРАПИС НВ

<120> Липидные наночастицы

<130> ETR-058

<150> EP20179434.4

<151> 2020-06-11

<150> EP20152938.5

<151> 2020-01-21

<150> EP20152995.5

<151> 2020-01-21

<160> 3

<170> BiSSAP 1.3.6

<210> 1

<211> 9

<212> БЕЛОК

<213> Искусственная последовательность

<220>

<223> Тетрамер E7

<400> 1

Arg Ala His Tyr Asn Ile Val Thr Phe

1 5

<210> 2

<211> 9

<212> БЕЛОК

<213> Искусственная последовательность

<220>

<223> Тетрамер ADPGK

<400> 2

Ala Ser Met Thr Asn Met Glu Leu Met

1 5

<210> 3

<211> 28

<212> БЕЛОК

<213> Искусственная последовательность

<220>

<223> Синтетический длинный пептид ADPGK

<400> 3

Gly Ile Pro Val His Leu Glu Leu Ala Ser Met Thr Asn Met Glu Leu

1 5 10 15

Met Ser Ser Ile Val His Gln Gln Val Phe Pro Thr

20 25

<---

Похожие патенты RU2837542C1

название год авторы номер документа
ЛИПИДНЫЕ НАНОЧАСТИЦЫ ДЛЯ ДОСТАВКИ ЛЕКАРСТВЕННОГО СРЕДСТВА IN VIVO И ИХ ПРИМЕНЕНИЕ 2020
  • Ли Хёкчжин
  • Ким Минджон
  • Чон Хансэм
  • Квон Хёкён
  • Со Юнми
  • Чон Микаэла
RU2799045C1
РНК-ЧАСТИЦЫ, ВКЛЮЧАЮЩИЕ ПОЛИСАРКОЗИН 2019
  • Барц, Маттиас
  • Вебер, Беньямин
  • Хаас, Хайнрих
  • Хеллер, Филипп
  • Ногуэйра, Сара
  • Шлегель, Анне
RU2792644C2
ФУЗОГЕННЫЕ СОЕДИНЕНИЯ ДЛЯ ДОСТАВКИ БИОЛОГИЧЕСКИ АКТИВНЫХ МОЛЕКУЛ 2018
  • Ин, Венбин
  • Тсанг, Квок Йин
  • Маджети, Бхарат
  • Годетт, Джон
  • Адами, Роджер
  • Баи, Хао
RU2808990C2
ЛИПИДНОЕ СОЕДИНЕНИЕ И КОМПОЗИЦИЯ НА ЕГО ОСНОВЕ 2021
  • Чжан, Билл Билян
  • Чжао, Хаотин
  • Вэнь, Цзянь
RU2825571C1
ИОНИЗИРУЕМЫЕ ЛИПИДЫ И ИХ КОМПОЗИЦИИ В ФОРМЕ НАНОЧАСТИЦ 2020
  • Стэнтон, Мэттью Г.
  • Нолтинг, Берт
  • Фейнштейн, Грегори
  • Леблан, Мишель
  • Чэттертон, Джон Эдвард
RU2836646C1
СОСТАВЫ НЕВИРУСНЫХ БЕСКАПСИДНЫХ ДНК-ВЕКТОРОВ НА ОСНОВЕ ЛИПИДНЫХ НАНОЧАСТИЦ 2018
  • Котин, Роберт Майкл
  • Алкан, Озан
  • Керр, Дуглас Энтони
  • Малакиан, Ара Карл
  • Симмонс, Мэтью Джон
  • Стантон, Мэтью Дж.
  • Су, Джи
  • Райт, Тереза Л.
RU2778407C2
ПРОТИВОРАКОВЫЕ РНК-ВАКЦИНЫ 2017
  • Велиант, Николас
  • Эшберн, Тед
  • Хопсон, Кристен
RU2768829C2
СОДЕРЖАЩИЕ НУКЛЕИНОВЫЕ КИСЛОТЫ ЛИПИДНЫЕ ЧАСТИЦЫ И ОТНОСЯЩИЕСЯ К НИМ СПОСОБЫ 2010
  • Каллис Пиетер Р.
  • Белливо Нейтан М.
  • Хансен Карл Ларс Генгис
  • Хуфт Йенс
  • Тэйлор Джеймс
  • Уайлд Андрэ
  • Малком Стюарт
  • Хафез Исмаил
  • Льюнг Алекс
  • Уолкер Дэвид
RU2573409C2
Катионный липид для доставки нуклеиновых кислот в клетки млекопитающих, способ его получения и его применение. 2024
  • Гинцбург Александр Леонидович
  • Логунов Денис Юрьевич
  • Гущин Владимир Алексеевич
  • Иванов Роман Алексеевич
  • Ковальчук Сергей Игоревич
  • Тухватулина Наталья Михайловна
  • Клейменов Денис Александрович
  • Джаруллаева Алина Шахмировна
  • Быконя Евгения Николаевна
  • Мазунина Елена Петровна
  • Иванов Игорь Андреевич
  • Карп Ольга Эдвиновна
  • Вердиев Бахтияр Исраил Оглы
  • Почтовый Андрей Андреевич
  • Щербинин Дмитрий Николаевич
  • Усачев Евгений Валерьевич
  • Васина Дарья Владимировна
  • Тухватулин Амир Ильдарович
  • Дмитриев Сергей Евгеньевич
  • Кузнецова Надежда Анатольевна
  • Синявин Андрей Эдуардович
  • Козлова Софья Рубеновна
  • Антонова Наталия Петровна
  • Шидловская Елена Владимировна
  • Тутыхина Ирина Леонидовна
  • Егорова Дарья Андреевна
  • Ремизов Тимофей Андреевич
  • Захарова Анастасия Андреевна
  • Богданов Андрей Юрьевич
  • Карпов Андрей Павлович
  • Семихин Александр Сергеевич
  • Государев Андрей Игоревич
  • Токарская Елизавета Александровна
  • Лубенец Надежда Леонидовна
  • Веревейко Юлия Романовна
  • Комякова Марина Евгеньевна
  • Ерохова Алина Сергеевна
  • Унгур Анастасия Сергеевна
RU2836309C1
СПОСОБ ПОЛУЧЕНИЯ ЛИПИДНЫХ НАНОЧАСТИЦ ДЛЯ ДОСТАВКИ ЛЕКАРСТВЕННОГО СРЕДСТВА 2012
  • Кнопов Виктор
  • Витте Ричард П.
  • Кармали Прия
  • Ли Робин
  • Вебб Дэвид
  • Акопян Виолетта
RU2647476C2

Иллюстрации к изобретению RU 2 837 542 C1

Реферат патента 2025 года ЛИПИДНЫЕ НАНОЧАСТИЦЫ

Изобретение относится к биотехнологии. Описана вакцина на основе мРНК, содержащая одну или более липидных наночастиц (LNP), которые содержат: от 50 до 65 мол.% ионизируемого липида; от 6 до 15 мол.% фосфолипида; стерол; ПЭГ-липид и одну или более молекул мРНК, согласно изобретению указанный ПЭГ-липид представляет собой липид C18-PEG2000, указанная LNP содержит менее 1 мол.% указанного ПЭГ-липида, предпочтительно от 0,5 до 0,9 мол.% указанного ПЭГ-липида. Представлена липидная наночастица (LNP) для применения в вакцинации посредством мРНК, при этом указанная LNP содержит: от 50 до 65 мол.% ионизируемого липида; от 6 до 15 мол.% фосфолипида; стерол; ПЭГ-липид и одну или более молекул мРНК, согласно изобретению указанный ПЭГ-липид представляет собой липид C18-PEG2000, указанная LNP содержит менее 1 мол.% указанного ПЭГ-липида, предпочтительно от 0,5 до 0,9 мол.% указанного ПЭГ-липида. Также представлена липидная наночастица (LNP) для применения в фармацевтической композиции, содержащая: от 50 до 65 мол.% ионизируемого липида; от 6 до 15 мол.% фосфолипида; стерол; ПЭГ-липид и одну или более молекул нуклеиновой кислоты, согласно изобретению указанный ПЭГ-липид представляет собой липид C18-PEG2000 и указанная LNP содержит менее приблизительно 1 мол.% указанного ПЭГ-липида, предпочтительно от 0,5 до 0,9 мол.% указанного ПЭГ-липида. Раскрыто применение фармацевтической композиции в медицине, например в лечении рака или инфекционных заболеваний, при этом указанная композиция содержит одну или более указанных липидных наночастиц и фармацевтически приемлемый носитель, и при этом указанные наночастицы выбраны из группы, включающей мРНК, кодирующую иммуномодулирующий полипептид, и/или мРНК, кодирующую антиген. Также раскрыто применение липидной наночастицы в медицине, например в лечении рака или инфекционных заболеваний. Авторы изобретения неожиданно установили, что ПЭГ-липиды, которые присутствуют в низких количествах, т. е. менее приблизительно 1 мол.%, в LNP, обеспечивают образование наночастиц, которые особенно пригодны для иммуногенной доставки мРНК при системном введении LNP. Кроме того, указанные эффекты более выражены у ПЭГ-липидов с более длинной цепью, таких как липиды diC18-PEG. 5 н. и 12 з.п. ф-лы, 6 ил., 4 табл., 6 пр.

Формула изобретения RU 2 837 542 C1

1. Вакцина на основе мРНК, содержащая одну или более липидных наночастиц (LNP), которые содержат:

- от 50 до 65 мол.% ионизируемого липида;

- от 6 до 15 мол.% фосфолипида;

- стерол;

- ПЭГ-липид и

- одну или более молекул мРНК;

отличающаяся тем, что указанный ПЭГ-липид представляет собой липид C18-PEG2000;

отличающаяся тем, что указанная LNP содержит менее 1 мол.% указанного ПЭГ-липида; предпочтительно от 0,5 до 0,9 мол.% указанного ПЭГ-липида.

2. Липидная наночастица (LNP) для применения в вакцинации посредством мРНК, при этом указанная LNP содержит:

- от 50 до 65 мол.% ионизируемого липида;

- от 6 до 15 мол.% фосфолипида;

- стерол;

- ПЭГ-липид и

- одну или более молекул мРНК;

отличающаяся тем, что указанный ПЭГ-липид представляет собой липид C18-PEG2000;

отличающаяся тем, что указанная LNP содержит менее 1 мол.% указанногоПЭГ-липида; предпочтительно от 0,5 до 0,9 мол.% указанного ПЭГ-липида.

3. Липидная наночастица (LNP) для применения в фармацевтической композиции, содержащая:

- от 50 до 65 мол.% ионизируемого липида;

- от 6 до 15 мол.% фосфолипида;

- стерол;

- ПЭГ-липид и

- одну или более молекул нуклеиновой кислоты;

отличающаяся тем, что указанный ПЭГ-липид представляет собой липид C18-PEG2000, и тем, что указанная LNP содержит менее приблизительно 1 мол.% указанного ПЭГ-липида; предпочтительно от 0,5 до 0,9 мол.% указанного ПЭГ-липида.

4. Липидная наночастица по п. 3, где указанный липид C18-PEG2000 выбран из перечня, включающего липид (дистеароилсодержащий)-PEG2000, такой как липид DSG-PEG2000 или липид DSPE-PEG2000; или липид (диолеоилсодержащий)-PEG2000, такой как липид DOG-PEG2000 или липид DOPE-PEG2000.

5. Липидная наночастица по п. 3 или 4, где указанный ионизируемый липид выбран из перечня, включающего:

- 1,1'-((2-(4-(2-((2-(бис(2-гидроксидодецил)амино)этил)(2-гидроксидодецил)амино)этил)пиперазин-1-ил)этил)азандиил)бис(додекан-2-ол) (C12-200);

- дилинолеилметил-4-диметиламинобутират (DLin-MC3-DMA) или

- соединение формулы (I):

(I),

где:

RCOO выбран из перечня, включающего миристоил, α-D-токоферолсукциноил, линолеоил и олеоил; и X выбран из перечня, включающего:

и ;

предпочтительно указанный ионизируемый липид представляет собой липид формулы (I), где RCOO представляет собой α-D-токоферолсукциноил, и X представляет собой

.

6. Липидная наночастица по любому из пп. 3–5, где указанный фосфолипид выбран из перечня, включающего DOPE, DOPC и их смеси.

7. Липидная наночастица по любому из пп. 3–6, где указанный стерол выбран из перечня, включающего холестерин, эргостерол, кампестерол, оксистерол, антростерол, десмостерол, никастерол, ситостерол и стигмастерол, предпочтительно холестерин.

8. Липидная наночастица по любому из пп. 3-7, содержащая:

- более 60 мол.% указанного ионизируемого липида;

- 8 мол.% указанного фосфолипида;

- от 0,5 до 0,9 мол.% указанного ПЭГ-липида, и

при этом уравновешенная некоторым количеством указанного стерола.

9. Липидная наночастица по любому из пп. 3-7, содержащая:

- 64 мол.% указанного ионизируемого липида;

- 8 мол.% указанного фосфолипида;

- от 0,5 до 0,9 мол.% указанного ПЭГ-липида, и

при этом уравновешенная некоторым количеством указанного стерола.

10. Липидная наночастица по п. 3, содержащая:

- 64 мол.% CoatsomeSS-EC;

- 8 мол.% DOPE;

- 0,5 мол.% DSG-PEG2000 и

- 27,5 мол.% холестерина.

11. Липидная наночастица по п. 3, содержащая:

- 59,5 мол.% CoatsomeSS-EC;

- 12,24 мол.% DOPE;

- 0,78 мол.% DSG-PEG2000 и

- 27,48 мол.% холестерина.

12. Липидная наночастица по п. 3, содержащая:

- 50 мол.% CoatsomeSS-EC;

- 7,76 мол.% DOPE;

- 0,58 мол.% DSG-PEG2000 и

- 41,66 мол.% холестерина.

13. Липидная наночастица по любому из пп. 3–12, где указанные одна или более молекул нуклеиновой кислоты выбраны из перечня, включающего мРНК и ДНК, предпочтительно мРНК.

14. Липидная наночастица по любому из пп. 3–13, где указанные одна или более молекул мРНК выбраны из группы, включающей мРНК, кодирующую иммуномодулирующий полипептид, и/или мРНК, кодирующую антиген.

15. Липидная наночастица по п. 14, где указанная мРНК, кодирующая иммуномодулирующий полипептид, выбрана из перечня, включающего молекулы мРНК, кодирующие CD40L, CD70 и caTLR4.

16. Применение фармацевтической композиции в медицине, например в лечении рака или инфекционных заболеваний, при этом указанная композиция содержит одну или более липидных наночастиц по любому из пп. 3–15 и фармацевтически приемлемый носитель, и при этом указанные наночастицы выбраны из группы, включающей мРНК, кодирующую иммуномодулирующий полипептид, и/или мРНК, кодирующую антиген.

17. Применение липидной наночастицы по любому из пп. 3–15 в медицине, например в лечении рака или инфекционных заболеваний.

Документы, цитированные в отчете о поиске Патент 2025 года RU2837542C1

WO 2018141814 A1, 09.08.2018
WO 2016118725 A1, 28.07.2016
RU 2016145597 A, 24.05.2018.

RU 2 837 542 C1

Авторы

Де Кокер, Стефан

Беверс, Санне

Схиффелерс, Раймонд, Михел

Коэйманс, Сандер, Александер, Антониус

Даты

2025-04-01Публикация

2021-01-21Подача