СПОСОБЫ ЛЕЧЕНИЯ ИЛИ ПРЕДУПРЕЖДЕНИЯ АСТМЫ ПОСРЕДСТВОМ ВВЕДЕНИЯ АНТАГОНИСТА IL-33 Российский патент 2025 года по МПК A61K38/17 A61K39/395 A61P11/06 

Описание патента на изобретение RU2838119C2

[0001] Данная заявка заявляет приоритет предварительных заявок на патент США с порядковым номером 62/841481, поданной 1 мая 2019 года, порядковым номером 62/848248, поданной 15 мая 2019 года, и порядковым номером 62/898900, поданной 11 сентября 2019 года. Полное раскрытие каждой из вышеуказанных заявок таким образом включено в данный документ посредством ссылки.

[0002] Настоящее изобретение относится к лечению и/или предупреждению астмы и связанных с ней состояний. В частности, настоящее изобретение относится к введению антагониста интерлейкина-33 (IL-33) для лечения или предупреждения астмы у нуждающегося в этом пациента. Настоящее изобретение также относится к введению антагониста IL-33 и антагониста рецептора интерлейкина-4 (IL-4R) для лечения или предупреждения астмы у нуждающегося в этом пациента.

[0003] Астма представляет собой хроническое воспалительное заболевание дыхательных путей, характеризующееся гиперчувствительностью дыхательных путей, острым и хроническим бронхоспазмом, отеком и закупоркой дыхательных путей слизью. Считается, что воспалительный компонент астмы охватывает много типов клеток, в том числе тучные клетки, эозинофилы, T-лимфоциты, нейтрофилы и эпителиальные клетки, а также их биологические продукты. У пациентов с астмой наиболее часто проявляются симптомы свистящего дыхания, одышки, кашля и сдавленности в груди. Для большинства пациентов с астмой схема терапии контролирующими препаратами и терапии бронходилататорами обеспечивает соответствующий продолжительный контроль. Ингаляционные кортикостероиды (ICS) считаются "золотым стандартом" в контроле симптомов астмы, а ингаляционные бета-2-агонисты являются наиболее эффективными бронходилататорами, доступными в настоящее время. Исследования показали, что комбинированная терапия ICS с ингаляционным бета-2-агонистом длительного действия (LABA) обеспечивает лучший контроль над астмой, чем высокие дозы ICS по отдельности. Следовательно, комбинированная терапия являлась рекомендованной терапий для субъектов, у которых не удавалось достичь контроля низкими дозами ICS по отдельности.

[0004] Тем не менее, по оценкам у 5% - 10% популяции астма имеет клиническое проявление, несмотря на максимальное рекомендованное лечение комбинациями противовоспалительных лекарственных средств и бронходилататоров. Кроме того, на эту популяцию с тяжелой астмой приходится до 50% всех затрат на поддержание здоровья при госпитализации, использование услуг неотложной помощи и внеплановые визиты врачей. Существует неудовлетворенная потребность в новом терапевтическом средстве в этой популяции с тяжелой астмой, поскольку многие из этих пациентов слабо реагируют на ICS вследствие ряда клеточных и молекулярных механизмов. Кроме того, отдаленные побочные эффекты системных и ингаляционных кортикостероидов в отношении метаболизма костной ткани, функции надпочечников и роста у детей приводят к попыткам свести к минимуму количество потребления кортикостероидов. Несмотря на то, что состояние большей части пациентов с астмой контролируют надлежащим образом с помощью существующих терапевтических средств, у пациентов с тяжелой не контролируемой астмой существует немного вариантов лечения, которые могут контролировать заболевание на должном уровне. Следствием невосприимчивости к терапии или отсутствия комплаентности терапии является потеря контроля астмы и в конечном итоге обострение астмы.

[0005] По оценкам 45% пациентов с тяжелой астмой нуждаются в системных глюкокортикоидах для контроля заболевания и предотвращения угрожающих жизни обострений, связанных с повышенным риском необратимого повреждения ткани легких, прогрессирующей стойкой обструкцией дыхательных путей и ускоренным снижением функции легких. Однако системные глюкокортикоиды действуют неселективно и ассоциированы со значительной полиорганной токсичностью и широкой иммуносупрессией. Существует потребность в более безопасных и более эффективных целенаправленно воздействующих средствах терапии, которые предотвращают обострения и нарушение функции легких, улучшают симптомы астмы и контроль, а также снижают или устраняют потребность в пероральных глюкокортикоидах.

[0006] У примерно 20% пациентов с астмой имеется неконтролируемое заболевание со степенью тяжести от умеренной до тяжелой с рецидивирующими обострениями и постоянным симптомокомплексом несмотря на оптимальную стандартную контролирующую терапию. Данная популяция населения подвержена повышенному риску заболеваемости (особенно обострений) и является причиной значительных затрат ресурсов здравоохранения. Эти пациенты характеризуются значительно сниженной функцией легких, несмотря на оптимальное лечение, и они обречены на неизбежное ухудшение функции легких в дальнейшем. Ни одно из утвержденных в настоящее время средств для лечения не продемонстрировало замедления этого неизбежного снижения у данных пациентов или последовательного и существенного улучшения функции легких.

[0007] Соответственно, в данной области существует необходимость в новых целенаправленно воздействующих средствах терапии для лечения и/или предупреждения астмы.

КРАТКОЕ ОПИСАНИЕ ИЗОБРЕТЕНИЯ

[0008] В соответствии с одним аспектом представлен способ лечения астмы у нуждающегося в этом субъекта, предусматривающий введение субъекту начальной дозы, составляющей приблизительно 300 мг антитела или его антигенсвязывающего фрагмента, которые специфически связывают интерлейкин-33 (IL-33) и содержат три последовательности определяющих комплементарность участков тяжелой цепи (HCDR), предусматривающие последовательности под SEQ ID NO: 4, 6 и 8, и три последовательности определяющих комплементарность участков легкой цепи (LCDR), предусматривающие последовательности под SEQ ID NO: 12, 14 и 16, и одной или нескольких поддерживающих доз, составляющих приблизительно 300 мг антитела или его антигенсвязывающего фрагмента.

[0009] В определенных иллюстративных вариантах осуществления у субъекта снижается потеря контроля астмы (LOAC).

[0010] В определенных иллюстративных вариантах осуществления у субъекта улучшаются один или несколько ассоциированных с астмой параметров.

[0011] В определенных иллюстративных вариантах осуществления ассоциированный с астмой параметр выбран из группы, состоящей из объема форсированного выдоха за 1 секунду (FEV1), пиковой объемной скорости выдоха (PEF), форсированной жизненной емкости легких (FVC), объемной форсированной скорости выдоха (FEF) в интервале 25-75% форсированной жизненной емкости легких, частоты приема или дозы длительнодействующего β2-адренергического агониста (LABA), частоты приема или дозы ингаляционного кортикостероида и частоты приема или дозы системного стероида.

[0012] В определенных иллюстративных вариантах осуществления параметр FEV1 до приема бронходилататора улучшается.

[0013] В определенных иллюстративных вариантах осуществления субъект характеризуется содержанием эозинофилов в крови, превышающим или равным приблизительно 300 клеток на мкл, от приблизительно 150 до 299 клеток/мкл или приблизительно < 150 клеток/мкл.

[0014] В определенных иллюстративных вариантах осуществления субъект характеризуется содержанием эозинофилов в крови, превышающим или равным приблизительно 300 клеток/мкл.

[0015] В определенных иллюстративных вариантах осуществления уровни эозинофилов в крови снижаются.

[0016] В определенных иллюстративных вариантах осуществления субъект характеризуется высокими уровнями периостина в крови, превышающими или равными приблизительно 60 нг/мл, превышающими или равными приблизительно 65 нг/мл, превышающими или равными приблизительно 70 нг/мл, превышающими или равными приблизительно 75 нг/мл, превышающими или равными приблизительно 80 нг/мл или превышающими или равными приблизительно 74,4 нг/мл, или субъект характеризуется высокими уровнями периостина в крови, составляющими менее приблизительно 80 нг/мл, менее приблизительно 75 нг/мл, менее приблизительно 70 нг/мл, менее приблизительно 65 нг/мл, или менее приблизительно 60 нг/мл, или менее приблизительно 74,4 нг/мл. В определенных иллюстративных вариантах осуществления субъект характеризуется высокими уровнями периостина в крови, превышающими или равными приблизительно 60 нг/мл, превышающими или равными приблизительно 65 нг/мл, превышающими или равными приблизительно 70 нг/мл, превышающими или равными приблизительно 75 нг/мл или превышающими или равными приблизительно 80 нг/мл. В определенных иллюстративных вариантах осуществления субъект характеризуется высокими уровнями периостина в крови, превышающими или равными приблизительно 74,4 нг/мл.

[0017] В определенных иллюстративных вариантах осуществления улучшаются один или оба из показателя по опроснику по контролю астмы в версии из 5 пунктов (ACQ-5) и показателя по опроснику по оценке качества жизни у больных астмой со стандартизованными видами деятельности (AQLQ).

[0018] В определенных иллюстративных вариантах осуществления улучшается показатель оценки эмоциональной функции по AQLQ.

[0019] В определенных иллюстративных вариантах осуществления снижается частота приема или доза длительнодействующего β2-адренергического агониста (LABA), снижается частота приема или доза ингаляционного кортикостероида или снижается частота приема или доза системного стероида.

[0020] В определенных иллюстративных вариантах осуществления астма представляет собой астму со степенью тяжести от умеренной до тяжелой, которая плохо контролируется фоновой терапией.

[0021] В определенных иллюстративных вариантах осуществления фоновая терапия предусматривает ингаляционный кортикостероид (ICS) и длительнодействующий β2-адренергический агонист (LABA).

[0022] В определенных иллюстративных вариантах осуществления фоновая терапия предусматривает прием ICS/LABA в дозе от умеренной до высокой.

[0023] В определенных иллюстративных вариантах осуществления антитело или его антигенсвязывающий фрагмент содержат вариабельный участок тяжелой цепи (HCVR), содержащий аминокислотную последовательность под SEQ ID NO: 2, и вариабельный участок легкой цепи (LCVR), содержащий аминокислотную последовательность под SEQ ID NO: 10.

[0024] В определенных иллюстративных вариантах осуществления антитело предусматривает SAR440340.

[0025] В определенных иллюстративных вариантах осуществления поддерживающую дозу антитела или его антигенсвязывающего фрагмента вводят один раз в две недели.

[0026] В определенных иллюстративных вариантах осуществления антитело или его антигенсвязывающий фрагмент вводят подкожно.

[0027] В определенных иллюстративных вариантах осуществления антитело или его антигенсвязывающий фрагмент вводят в виде двух инъекций.

[0028] В определенных иллюстративных вариантах осуществления антитело или его антигенсвязывающий фрагмент вводят подкожно с применением автоинъектора, иглы и шприца или устройства для доставки в виде шприца-ручки.

[0029] В соответствии с другим аспектом представлен способ лечения астмы у нуждающегося в этом субъекта, предусматривающий введение субъекту начальной дозы, составляющей приблизительно 300 мг первого антитела или его антигенсвязывающего фрагмента, которые специфически связывают интерлейкин-33 (IL-33) и содержат три последовательности определяющих комплементарность участков тяжелой цепи (HCDR), предусматривающие последовательности под SEQ ID NO: 4, 6 и 8, и три последовательности определяющих комплементарность участков легкой цепи (LCDR), предусматривающие последовательности под SEQ ID NO: 12, 14 и 16, одной или нескольких поддерживающих доз, составляющих приблизительно 300 мг первого антитела или его антигенсвязывающего фрагмента, начальной дозы, составляющей приблизительно 300 мг второго антитела или его антигенсвязывающего фрагмента, которые специфически связывают рецептор интерлейкина-4 (IL-4R) и содержат три последовательности определяющих комплементарность участков тяжелой цепи (HCDR), предусматривающие последовательности под SEQ ID NO: 21, 22 и 23, и три последовательности определяющих комплементарность участков легкой цепи (LCDR), предусматривающие последовательности под SEQ ID NO: 24, 25 и 26, и одной или нескольких поддерживающих доз, составляющих приблизительно 300 мг второго антитела или его антигенсвязывающего фрагмента.

[0030] В определенных иллюстративных вариантах осуществления у субъекта снижается параметр LOAC.

[0031] В определенных иллюстративных вариантах осуществления у субъекта улучшаются один или несколько ассоциированных с астмой параметров.

[0032] В определенных иллюстративных вариантах осуществления ассоциированный с астмой параметр выбран из группы, состоящей из объема форсированного выдоха за 1 секунду (FEV1), пиковой объемной скорости выдоха (PEF), форсированной жизненной емкости легких (FVC), объемной форсированной скорости выдоха (FEF) в интервале 25-75% форсированной жизненной емкости легких, частоты приема или дозы длительнодействующего β2-адренергического агониста (LABA), частоты приема или дозы ингаляционного кортикостероида и частоты приема или дозы системного стероида.

[0033] В определенных иллюстративных вариантах осуществления параметр FEV1 после приема бронходилататора улучшается.

[0034] В определенных иллюстративных вариантах осуществления субъект характеризуется содержанием эозинофилов в крови, превышающим или равным приблизительно 300 клеток на мкл, от приблизительно 150 до 299 клеток/мкл или приблизительно < 150 клеток/мкл.

[0035] В определенных иллюстративных вариантах осуществления субъект характеризуется высокими уровнями периостина в крови, превышающими или равными приблизительно 60 нг/мл, превышающими или равными приблизительно 65 нг/мл, превышающими или равными приблизительно 70 нг/мл, превышающими или равными приблизительно 75 нг/мл, превышающими или равными приблизительно 80 нг/мл или превышающими или равными приблизительно 74,4 нг/мл, или субъект характеризуется высокими уровнями периостина в крови, составляющими менее приблизительно 80 нг/мл, менее приблизительно 75 нг/мл, менее приблизительно 70 нг/мл, менее приблизительно 65 нг/мл, менее приблизительно 60 нг/мл или менее приблизительно 74,4 нг/мл. В определенных иллюстративных вариантах осуществления субъект характеризуется высокими уровнями периостина в крови, превышающими или равными приблизительно 60 нг/мл, превышающими или равными приблизительно 65 нг/мл, превышающими или равными приблизительно 70 нг/мл, превышающими или равными приблизительно 75 нг/мл, превышающими или равными приблизительно 80 нг/мл или превышающими или равными приблизительно 74,4 нг/мл.

[0036] В определенных иллюстративных вариантах осуществления астма представляет собой астму со степенью тяжести от умеренной до тяжелой, которая плохо контролируется фоновой терапией.

[0037] В определенных иллюстративных вариантах осуществления первое антитело или его антигенсвязывающий фрагмент содержат вариабельный участок тяжелой цепи (HCVR), содержащий аминокислотную последовательность под SEQ ID NO: 2, и вариабельный участок легкой цепи (LCVR), содержащий аминокислотную последовательность под SEQ ID NO: 10.

[0038] В определенных иллюстративных вариантах осуществления первое антитело предусматривает SAR440340.

[0039] В определенных иллюстративных вариантах осуществления второе антитело или его антигенсвязывающий фрагмент содержат вариабельный участок тяжелой цепи (HCVR), содержащий аминокислотную последовательность под SEQ ID NO: 27, и вариабельный участок легкой цепи (LCVR), содержащий аминокислотную последовательность под SEQ ID NO: 28.

[0040] В определенных иллюстративных вариантах осуществления второе антитело предусматривает дупилумаб.

[0041] В определенных иллюстративных вариантах осуществления каждое из первого антитела или его антигенсвязывающего фрагмента и второго антитела или его антигенсвязывающего фрагмента вводят один раз в две недели.

[0042] В определенных иллюстративных вариантах осуществления каждое из первого антитела или его антигенсвязывающего фрагмента и второго антитела или его антигенсвязывающего фрагмента вводят подкожно.

[0043] В определенных иллюстративных вариантах осуществления второе антитело или его антигенсвязывающий фрагмент вводят субъекту до, после первого антитела или его антигенсвязывающего фрагмента или одновременно с ними.

[0044] В определенных иллюстративных вариантах осуществления первое антитело или его антигенсвязывающий фрагмент вводят в виде двух инъекций, и второе антитело или его антигенсвязывающий фрагмент вводят в виде одной инъекции.

[0045] В определенных иллюстративных вариантах осуществления каждое из первого антитела или его антигенсвязывающего фрагмента и второго антитела или его антигенсвязывающего фрагмента вводят подкожно с применением автоинъектора, иглы и шприца или устройства для доставки в виде шприца-ручки.

[0046] В определенных иллюстративных вариантах осуществления субъекту вводят по меньшей мере одно дополнительное терапевтическое средство.

[0047] В определенных иллюстративных вариантах осуществления по меньшей мере одно дополнительное терапевтическое средство предусматривает одно из ICS и LABA или как ICS, так и LABA.

[0048] В определенных иллюстративных вариантах осуществления ICS представляет собой флутиказон или будесонид.

[0049] В определенных иллюстративных вариантах осуществления LABA представляет собой сальметерол или формотерол.

[0050] В определенных иллюстративных вариантах осуществления вводят как ICS, так и LABA, при этом ICS представляет собой флутиказон, и LABA представляет собой сальметерол.

[0051] В другом аспекте представлен способ лечения астмы со степенью тяжести от умеренной до тяжелой у нуждающегося в этом субъекта, предусматривающий введение субъекту начальной дозы, составляющей приблизительно 300 мг SAR440340, и одной или нескольких поддерживающих доз, составляющих приблизительно 300 мг SAR440340, где SAR440340 вводят подкожно один раз в две недели.

[0052] В другом аспекте представлен способ лечения астмы со степенью тяжести от умеренной до тяжелой у нуждающегося в этом субъекта, предусматривающий введение субъекту начальной дозы, составляющей приблизительно 300 мг SAR440340, одной или нескольких поддерживающих доз, составляющих приблизительно 300 мг SAR440340, начальной дозы, составляющей приблизительно 300 мг дупилумаба и одной или нескольких поддерживающих доз, составляющих приблизительно 300 мг дупилумаба, где SAR440340 и дупилумаб вводят подкожно один раз в две недели.

[0053] В другом аспекте представлен способ снижения у пациента с астмой зависимости от одного из или обоих из ингаляционного кортикостероида (ICS) и длительнодействующего β2-адренергического агониста (LABA), предназначенных для лечения одного или нескольких обострений астмы, который предусматривает введение субъекту с астмой со степенью тяжести от умеренной до тяжелой, которая частично контролируется или не контролируется фоновой терапией астмы, предусматривающей ICS, LABA или их комбинацию, определенной дозы антитела или его антигенсвязывающего фрагмента, которые специфически связываются с интерлейкином-33 (IL-33) и содержат три последовательности определяющих комплементарность участков тяжелой цепи (HCDR), предусматривающие последовательности под SEQ ID NO: 4, 6 и 8, и три последовательности определяющих комплементарность участков легкой цепи (LCDR), предусматривающие последовательности под SEQ ID NO: 12, 14 и 16, с определенной частотой в течение начального периода лечения с сохранением фоновой терапии астмы у субъекта в течение начального периода лечения и постепенное снижение или отмену дозы ICS, LABA или их комбинации, вводимых субъекту в течение курса последующего периода лечения, с продолжением введения субъекту антитела или его антигенсвязывающего фрагмента с определенной частотой и дозой, применяемых в течение начального периода лечения.

[0054] В определенных иллюстративных вариантах осуществления ICS представляет собой флутиказон, будесонид или мометазон, а LABA представляет собой сальметерол или формотерол.

[0055] В определенных иллюстративных вариантах осуществления комбинация ICS/LABA выбрана из группы, состоящей из флутиказона/сальметерола, будесонида/формотерола и мометазона/формотерола.

[0056] В определенных иллюстративных вариантах осуществления дозу одного из или обоих из LABA и ICS отменяют в конце начального периода лечения.

[0057] В определенных иллюстративных вариантах осуществления дозу одного из или обоих из LABA и ICS постепенно снижают или отменяют в течение курса длительностью от 2 до 8 недель.

[0058] В определенных иллюстративных вариантах осуществления способ дополнительно предусматривает введение субъекту второго антитела или его антигенсвязывающего фрагмента, которые специфически связывают рецептор интерлейкина-4 (IL-4R) и содержат три последовательности HCDR, предусматривающие последовательности под SEQ ID NO: 21, 22 и 23, и три последовательности LCDR, предусматривающие последовательности под SEQ ID NO: 24, 25 и 26.

[0059] В другом аспекте способ лечения астмы у нуждающегося в этом субъекта предусматривает введение субъекту дозы, составляющей приблизительно 300 мг антитела или его антигенсвязывающего фрагмента, которые специфически связывают интерлейкин-33 (IL-33) и содержат три последовательности определяющих комплементарность участков тяжелой цепи (HCDR), предусматривающие последовательности под SEQ ID NO: 4, 6 и 8, и три последовательности определяющих комплементарность участков легкой цепи (LCDR), предусматривающие последовательности под SEQ ID NO: 12, 14 и 16.

[0060] В определенных иллюстративных вариантах осуществления у субъекта снижается потеря контроля астмы (LOAC).

[0061] В определенных иллюстративных вариантах осуществления у субъекта улучшаются один или несколько ассоциированных с астмой параметров. В определенных иллюстративных вариантах осуществления ассоциированный с астмой параметр выбран из группы, состоящей из объема форсированного выдоха за 1 секунду (FEV1), пиковой объемной скорости выдоха (PEF), форсированной жизненной емкости легких (FVC), объемной форсированной скорости выдоха (FEF) в интервале 25-75% форсированной жизненной емкости легких, частоты приема или дозы длительнодействующего β2-адренергического агониста (LABA), частоты приема или дозы ингаляционного кортикостероида и частоты приема или дозы системного стероида.

[0062] В определенных иллюстративных вариантах осуществления параметр FEV1 до приема бронходилататора улучшается.

[0063] В определенных иллюстративных вариантах осуществления субъект характеризуется содержанием эозинофилов в крови, превышающим или равным приблизительно 300 клеток на мкл, от приблизительно 150 до 299 клеток/мкл или приблизительно < 150 клеток/мкл. В определенных иллюстративных вариантах осуществления субъект характеризуется содержанием эозинофилов в крови, превышающим или равным приблизительно 300 клеток/мкл. В определенных иллюстративных вариантах осуществления уровни эозинофилов в крови снижаются.

[0064] В определенных иллюстративных вариантах осуществления субъект характеризуется высокими уровнями периостина в крови или низкими уровнями периостина в крови. В определенных иллюстративных вариантах осуществления субъект характеризуется высокими уровнями периостина в крови, составляющими приблизительно≥74,4 нг/мл.

[0065] В определенных иллюстративных вариантах осуществления улучшаются один или оба из показателя по опроснику по контролю астмы в версии из 5 пунктов (ACQ-5) и показателя по опроснику по оценке качества жизни у больных астмой со стандартизованными видами деятельности (AQLQ). В определенных иллюстративных вариантах осуществления улучшается показатель оценки эмоциональной функции по AQLQ.

[0066] В определенных иллюстративных вариантах осуществления снижается частота приема или доза длительнодействующего β2-адренергического агониста (LABA), снижается частота приема или доза ингаляционного кортикостероида или снижается частота приема или доза системного стероида.

[0067] В определенных иллюстративных вариантах осуществления астма представляет собой астму со степенью тяжести от умеренной до тяжелой, которая плохо контролируется фоновой терапией.

[0068] В определенных иллюстративных вариантах осуществления фоновая терапия предусматривает ингаляционный кортикостероид (ICS) и длительнодействующий β2-адренергический агонист (LABA).

[0069] В определенных иллюстративных вариантах осуществления фоновая терапия предусматривает прием ICS/LABA в дозе от умеренной до высокой.

[0070] В определенных иллюстративных вариантах осуществления антитело или его антигенсвязывающий фрагмент вводят подкожно с применением автоинъектора, иглы и шприца или устройства для доставки в виде шприца-ручки.

[0071] В определенных иллюстративных вариантах осуществления антитело или его антигенсвязывающий фрагмент содержат вариабельный участок тяжелой цепи (HCVR), содержащий аминокислотную последовательность под SEQ ID NO: 2, и вариабельный участок легкой цепи (LCVR), содержащий аминокислотную последовательность под SEQ ID NO: 10. В определенных иллюстративных вариантах осуществления антитело предусматривает SAR440340.

[0072] В другом аспекте способ лечения астмы у нуждающегося в этом субъекта предусматривает введение субъекту дозы, составляющей приблизительно 300 мг первого антитела или его антигенсвязывающего фрагмента, которые специфически связывают интерлейкин-33 (IL-33) и содержат три последовательности определяющих комплементарность участков тяжелой цепи (HCDR), предусматривающие последовательности под SEQ ID NO: 4, 6 и 8, и три последовательности определяющих комплементарность участков легкой цепи (LCDR), предусматривающие последовательности под SEQ ID NO: 12, 14 и 16, дозы, составляющей приблизительно 300 мг второго антитела или его антигенсвязывающего фрагмента, которые специфически связывают рецептор интерлейкина-4 (IL-4R) и содержат три последовательности определяющих комплементарность участков тяжелой цепи (HCDR), предусматривающие последовательности под SEQ ID NO: 21, 22 и 23, и три последовательности определяющих комплементарность участков легкой цепи (LCDR), предусматривающие последовательности под SEQ ID NO: 24, 25 и 26.

[0073] В определенных иллюстративных вариантах осуществления у субъекта снижается потеря контроля астмы (LOAC).

[0074] В определенных иллюстративных вариантах осуществления у субъекта улучшаются один или несколько ассоциированных с астмой параметров. В определенных иллюстративных вариантах осуществления ассоциированный с астмой параметр выбран из группы, состоящей из объема форсированного выдоха за 1 секунду (FEV1), пиковой объемной скорости выдоха (PEF), форсированной жизненной емкости легких (FVC), объемной форсированной скорости выдоха (FEF) в интервале 25-75% форсированной жизненной емкости легких, частоты приема или дозы длительнодействующего β2-адренергического агониста (LABA), частоты приема или дозы ингаляционного кортикостероида и частоты приема или дозы системного стероида.

[0075] В определенных иллюстративных вариантах осуществления параметр FEV1 до приема бронходилататора улучшается.

[0076] В определенных иллюстративных вариантах осуществления субъект характеризуется содержанием эозинофилов в крови, превышающим или равным приблизительно 300 клеток на мкл, от приблизительно 150 до 299 клеток/мкл или приблизительно < 150 клеток/мкл. В определенных иллюстративных вариантах осуществления субъект характеризуется содержанием эозинофилов в крови, превышающим или равным приблизительно 300 клеток/мкл. В определенных иллюстративных вариантах осуществления уровни эозинофилов в крови снижаются.

[0077] В определенных иллюстративных вариантах осуществления субъект характеризуется высокими уровнями периостина в крови или низкими уровнями периостина в крови. В определенных иллюстративных вариантах осуществления субъект характеризуется высокими уровнями периостина в крови, составляющими приблизительно≥74,4 нг/мл.

[0078] В определенных иллюстративных вариантах осуществления улучшаются один или оба из показателя по опроснику по контролю астмы в версии из 5 пунктов (ACQ-5) и показателя по опроснику по оценке качества жизни у больных астмой со стандартизованными видами деятельности (AQLQ). В определенных иллюстративных вариантах осуществления улучшается показатель оценки эмоциональной функции по AQLQ.

[0079] В определенных иллюстративных вариантах осуществления снижается частота приема или доза длительнодействующего β2-адренергического агониста (LABA), снижается частота приема или доза ингаляционного кортикостероида или снижается частота приема или доза системного стероида.

[0080] В определенных иллюстративных вариантах осуществления астма представляет собой астму со степенью тяжести от умеренной до тяжелой, которая плохо контролируется фоновой терапией.

[0081] В определенных иллюстративных вариантах осуществления фоновая терапия предусматривает ингаляционный кортикостероид (ICS) и длительнодействующий β2-адренергический агонист (LABA).

[0082] В определенных иллюстративных вариантах осуществления фоновая терапия предусматривает прием ICS/LABA в дозе от умеренной до высокой.

[0083] В определенных иллюстративных вариантах осуществления антитело или его антигенсвязывающий фрагмент вводят подкожно с применением автоинъектора, иглы и шприца или устройства для доставки в виде шприца-ручки.

[0084] В определенных иллюстративных вариантах осуществления первое антитело или его антигенсвязывающий фрагмент содержат вариабельный участок тяжелой цепи (HCVR), содержащий аминокислотную последовательность под SEQ ID NO: 2, и вариабельный участок легкой цепи (LCVR), содержащий аминокислотную последовательность под SEQ ID NO: 10. В определенных иллюстративных вариантах осуществления первое антитело предусматривает SAR440340.

[0085] В определенных иллюстративных вариантах осуществления второе антитело или его антигенсвязывающий фрагмент содержат вариабельный участок тяжелой цепи (HCVR), содержащий аминокислотную последовательность под SEQ ID NO: 27, и вариабельный участок легкой цепи (LCVR), содержащий аминокислотную последовательность под SEQ ID NO: 28. В определенных иллюстративных вариантах осуществления второе антитело предусматривает дупилумаб.

[0086] Другие варианты осуществления будут очевидны из обзора последующего подробного описания, графических материалов, таблиц и прилагаемой формулы изобретения.

КРАТКОЕ ОПИСАНИЕ ГРАФИЧЕСКИХ МАТЕРИАЛОВ

[0087] Вышеизложенные и другие признаки и преимущества настоящего изобретения будут в большей степени понятны из следующего подробного описания иллюстративных вариантов осуществления во взаимосвязи с прилагаемыми графическими материалами. В файле настоящего патента содержится по меньшей мере один графический материал/фотография, выполненные в цвете. Копии настоящего патента с цветным(цветными) графическим(графическими) материалом(материалами)/фотографией(фотографиями) будут представлены патентным ведомством по запросу и при оплате необходимого взноса.

[0088] На фиг. 1 представлена блок-схема 12-недельного доказательного исследования (PoC), разработанного для оценки эффективности, безопасности и переносимости SAR440340, а также для оценки совместного введения SAR440340 и дупилумаба у пациентов с астмой со степенью тяжести от умеренной до тяжелой, которая плохо контролируются посредством ингаляционной терапии ICS/LABA.

[0089] На фиг. 2 представлена таблица, соответствующая блок-схеме, представленной на фиг. 1. Сокращения: ACQ-5 - опросник по контролю астмы-5; AQLQ(S) - опросник по оценке качества жизни у больных астмой; β-hCG - бета хорионический гонадотропин человека; Д - день; EOT - конец лечения; FEF - объемная форсированная скорость выдоха; FeNO - фракция оксида азота в выдыхаемом воздухе; FEV1 - объем форсированного выдоха за 1 секунду; ICS - ингаляционный кортикостероид; IgE - иммуноглобулин E; IMP - исследуемый лекарственный препарат; IL33 - интерлейкин-33; IVRS/IWRS - интерактивная система, обеспечивающая доступ путем голосового ответа и через интернет; LABA - длительнодействующий агонист β2-адренорецепторов; LOAC - потеря контроля астмы; BD - бронходилататор; PARC - легочный хемокин, регулируемый активацией; PEF - пиковая объемная скорость выдоха; PGx - фармакогеномика; PK - фармакокинетика; РНК - рибонуклеиновая кислота; RQLQ - опросник по оценке качества жизни у больных риноконъюнктивитом; SAE - серьезное нежелательное явление; sST2 - растворимый рецептор IL33; V - визит; Нд. - неделя. aВизиты исследования проводятся в запланированные даты (относительно первой инъекции) в соответствии с графиком. График визитов должен соблюдаться в пределах ± 3 дней для периода скрининга и периода рандомизированного лечения IMP и ± 5 дней для визитов в течение периода последующего наблюдения для оценки безопасности после лечения посредством IMP. bПосле 5 недель фазы отмены приема ICS/LABA пациенты с высокими дозами ICS (флутиказона) на исходном уровне на визите 2/исходном уровне будут получать лечение IMP без фоновой терапии в течение 3 недель. cПосле 4 недель фазы отмены приема ICS/LABA пациенты со средними дозами флутиказона на визите 2/исходном уровне будут получать лечение IMP без фоновой терапии в течение 4 недель. dВизит по окончании лечения IMP (EOT): пациенты, преждевременно прекратившие участие в исследовании (например, преждевременное прекращение лечения (ETD)) до завершения 12-недельного курса лечения IMP (например, из-за явления LOAC или по другим причинам), будут как можно скорее обследованы на индивидуальном визите по причине EOT пациента с использованием процедур, запланированных для визита EOT на неделе 12 (визит 14). В ходе визита EOT все пациенты возобновят доскрининговую фоновую терапию ICS/LABA и войдут в 20-недельный период лечения после IMP (от V15 до V17). Если астму у пациента невозможно надлежащим образом контролировать с помощью предшествовавшей скринингу терапии ICS/LABA, то по результатам клинического заключения исследователя могут быть назначены дополнительные контролирующие методы терапии. eПериод лечения после IMP будет начат на неделе 12 в случае пациентов, которые завершили период лечения IMP, и может быть начат раньше, чем на неделе 12 в случае пациентов, которые соответствуют критериям для LOAC или преждевременно прекратили лечение IMP (по иным причинам) до завершения 12-недельного курса лечения IMP. fВизит 16 может представлять собой либо визит в исследовательский центр, либо телефонный звонок. gПациенты с обратимостью по меньшей мере 12% и 200 мл FEV1 после 2-4 впрыскиваний (200-400 мкг) альбутерола/сальбутамола или левальбутерола/левосальбутамола в ходе скрининга или в задокументированном анамнезе по тесту на обратимость, который соответствует данному критерию в пределах 12 месяцев до визита 1 или задокументированном положительном ответе на провокационную пробу с метахолином (снижение FEV на 20% [PC20] < 8 мг/мл) в пределах до 12 месяцев до визита 1/скрининга, считаются приемлемыми для соответствия по данному критерию включения. Если субъект не соответствует квалификационным критериям обратимости на визите 1/скрининге, можно выполнить до 2 дополнительных попыток в ходе периода скрининга, каждая в разные дни до визита 2/исходного уровня. Если оценка обратимости повторяется в ходе периода скрининга, FEV1 до приема бронходилататора снова должен соответствовать критерию включения (I 03) на уровне > 40% от прогнозируемой нормы. hПациенты должны отслеживаться персоналом центра в течение по меньшей мере 30 минут после выполнения всех инъекций IMP. Период мониторинга может быть продлен в соответствии с конкретными требованиями страны. iЭлектронный дневник/измеритель PEF представляет собой портативное устройство, используемое для ежедневной регистрации приема сальбутамола/альбутерола или левосальбутамола/левальбутерола, приема лекарственных средств для контроля астмы, числовой оценочной шкалы для оценки симптомов астмы (NRS), ночных пробуждений из-за симптомов астмы и PEF до полудня и после полудня, а также регистрации ответов пациентов на опросники ACQ-5, AQLQ(S) и RQLQ в ходе запланированных визитов. Данное портативное устройство выдают на визите 1 (в том числе инструкции по применению), а зарегистрированную информацию загружают с данного устройства в другие указанные дни. Если это еще не сделано, пациент вернет электронные устройства в исследовательский центр на момент измерения количества эозинофилов. Самое позднее электронные устройства будут возвращены спонсору на момент измерения количества эозинофилов. jПосле оценки явлений LOAC у всех пациентов, которые не соответствуют критериям LOAC на неделе 4/V6, LABA (салметерол) будет отменен из их фоновой терапии и они будут переведены с комбинированной терапии флутиказоном/сальметеролом на клинически сопоставимую дозу ICS монотерапии флутиказоном. kПосле оценки явлений LOAC у всех пациентов, которые не соответствуют критериям LOAC на момент V8, V9, V10 (и V11) ICS (флутиказон) будет отменен к 3-й или 4-й стадиям снижения дозы в зависимости от их средней или высокой дозы ICS (флутиказона) в режиме фонового лечения к моменту визита 2/исходного уровня соответственно. lПолные физикальные обследования будут включать обследование кожи, носовых полостей, глаз, ушей, органов дыхания, сердечно-сосудистой системы, желудочно-кишечной системы, нервной системы, лимфатической системы и костно-мышечной систем. mПараметры жизненно важных функций, включающие систолическое и диастолическое артериальное давление (мм рт. ст.), сердечный ритм (число ударов в минуту) и частоту дыхания (число дыхательных движений в минуту), будут измерять на каждом визите, что подробно описано на блок-схеме. Рост (см) будут измерять только при скрининге (визит 1). Вес тела (кг) будут измерять на визите 1/скрининге, визите 2/исходном уровне и визите 14/EOT. nОбщий анализ крови будет включать следующие показатели: гемоглобин, гематокрит, количество тромбоцитов, общее количество лейкоцитов, дифференцированный подсчет лейкоцитов и общее количество эритроцитов. Биохимический анализ сыворотки крови будет включать следующие показатели: креатинин, азот мочевины в крови, глюкоза, мочевая кислота, общий холестерин, общий белок, альбумин, общий билирубин, аланинаминотрансфераза, аспартатаминотрансфераза, щелочная фосфатаза, электролиты (натрий, калий, хлорид), бикарбонат и креатинфосфокиназа. Анализ мочи будет включать следующие показатели: удельный вес, pH, глюкоза, кетоны, кровь в моче, белок, нитраты, лейкоцитарная эстераза, уробилиноген и билирубин. Если какой-либо параметр по анализу индикаторной полоской отклоняется от нормы, образец мочи следует отправить в центральную лабораторию для количественного измерения. В случае положительного результата на белок и/или эритроциты центральной лабораторией будет проведен микроскопический анализ. Клиническое лабораторное обследование при скрининговом визите 1 будет включать скрининговое обследование на гепатит, включающее поверхностный антиген вируса гепатита B (Ag HBs), антитела на поверхностные антигены вируса гепатита B (Ab HBs), антитела к ядерному антигену вируса гепатита В (Ab HBc), антитела к вирусу гепатита C (Ab HCV), скрининговое обследование на вирус иммунодефицита человека (ВИЧ) (антитела к ВИЧ-1 и ВИЧ-2) и антинуклеарное антитело (ANA). В случае получения результатов Ag HBs (отрицательный) и Ab HBc (положительный) можно провести тестирование на ДНК HBV до рандомизации, чтобы исключить ложноположительный результат, если исследователь полагает, что пациент является ложноположительным, или для уточнения серологического статуса, если исследователь считает сомнительной его интерпретацию при отсутствии в анамнезе инфекции HBV. В случае результатов Ab HCV (положительный) можно провести анализ на РНК HCV, чтобы исключить ложноположительный результат, если исследователь полагает, что пациент является ложноположительным. Примечание: если ANA будет положительным (титр ≥ 1:160), будет проведено тестирование на антитела к dsDNA. Образец крови для биохимического анализа сыворотки крови должен отбираться у пациента натощак, что означает отказ от приема пищи или напитков, кроме воды, в течение по меньшей мере 8 часов (если визит может быть осуществлен только в другое время дня и пациент не отказывается от приема пищи, тогда ему/ей рекомендуют принимать легкую пищу, а в исследовательском центре необходимо задокументировать, что результаты биохимического анализа сыворотки крови были получены без соблюдения условиях натощак). В ходе скринингового визита 1 должны быть собраны результаты квантиферонового теста Quantiferon gold у всех пациентов. Если результат подтвержден как положительный, пациента следует направить к специалисту по инфекционным заболеваниям. Для получения дополнительных сведений см. руководство от центральной лаборатории. pТолько в случае женщин детородного возраста: сывороточный тест на беременность при скрининге/v1 и тесты мочи на беременность в моменты V2, V6, V10, V14/EOT и V17/эозинофилов. До рандомизации должен быть получен отрицательный результат в моменты V1 и V2. В случае положительного результата анализа мочи лечение в рамках исследования будет приостановлено, и необходимо как можно скорее провести сывороточный тест на беременность для подтверждения беременности. Беременность приведет к однозначному прекращению лечения во всех случаях. qЕсли оценка ADA на неделе 12 (или в первый проанализированный момент времени после лечения) является положительной, можно провести дополнительные исследования образцов для оценки PK, собранных на неделе 4. rОбразец для общего анализа крови будут отбирать для оценки популяций эозинофилов и нейтрофилов (с регистрацией других критических показателей согласно лабораторному руководству). sОценку содержания оксида азота в выдыхаемом воздухе будут проводить до спирометрии и после по меньшей мере 1-часового воздержания от приема пищи. tСпирометрия (FEV1 до BD, FEV1 после BD и PEF, FVC, FEF) должна проводиться не ранее, чем через 6 часов после последней дозы альбутерола или левальбутерола (если их использовали) и отмены последней дозы LABA в течение по меньшей мере 12 часов и до введения исследуемого лекарственного препарата. Спирометрию после приема бронходилататора можно повторить несколько раз в течение 30 минут после приема бронходилататора. uОпросники ACQ-5, AQLQ(S) и RQLQ должны заполняться на портативном устройстве пациента в ходе визитов в клинику.

[0090] На фиг. 3 обобщены результаты эффективности. Антитело SAR440340 продемонстрировало значимую эффективность в нескольких конечных точках.

[0091] На фиг. 4 графически изображена потеря контроля астмы (LOAC) в популяции пациентов по назначенному лечению (ITT). Отмечено значительно снижение доли пациентов с явлениями LOAC как в группе SAR440340, так и в группе дупилумаба.

[0092] На фиг. 5 изображено распределение причин LOAC в популяции ITT. Наиболее частой причиной LOAC было несоответствие критериям пиковой объемной скорости выдоха (PEF).

[0093] На фиг. 6 графически изображены данные по времени до наступления LOAC в популяции ITT. Как в случае SAR440340, так и в случае дупилумаба имел место значимый эффект для времени до наступления LOAC.

[0094] На фиг. 7A - фиг. 7C графически изображены результаты по LOAC по подгруппам: (А) эозинофильной подгруппе; (B) подгруппе FeNO; (C) подгруппе периостина. SAR440340 продемонстрировало сбалансированное снижение LOAC по уровням эозинофилов и FeNO. SAR440340 продемонстрировало большую эффективность в субпопуляции с высоким уровнем периостина.

[0095] На фиг. 8A - фиг. 8D изображены форест-диаграммы частоты возникновения LOAC по содержанию эозинофилов в крови на исходном уровне для SAR440340 (A) и дупилумаба (B), а также LOAC по FeNO на исходном уровне и периостатина для SAR440340 (C) и дупилумаба (D).

[0096] На фиг. 9A - фиг. 9B изображено изменение параметра FEV1 до приема бронходилататора (до BD) на исходном уровне в виде среднего значения, полученного по методу наименьших квадратов (SE) (A), и в виде процента изменения относительно исходного уровня (B).

[0097] На фиг. 10 изображено среднее изменение параметра FEV1 до BD с течением времени в популяции ITT. Быстрое начало и стойкий эффект улучшения параметра FEV1 наблюдали как для SAR440340, так и для дупилумаба.

[0098] На фиг. 11 изображено среднее изменение относительно исходного уровня параметра FEV1 (л) до BD с течением времени в популяции ITT с количеством эозинофилов на исходном уровне, составляющим менее 0,3×109/л. Не наблюдали значимого эффекта по сравнению с плацебо в популяции с низким содержанием эозинофилов.

[0099] На фиг. 12 изображено изменение от исходного уровня параметра FEV1 (л) до BD с течением времени в популяции ITT с исходным содержанием эозинофилов, превышающим или равным 0,3×109/л. SAR440340 характеризуется быстрым началом и стойким эффектом в отношении FEV1 в течение 12 недель.

[00100] На фиг. 13 изображено среднее изменение FEV1 до BD относительно исходного уровня по подгруппам содержания эозинофилов.

[00101] На фиг. 14 изображено изменение относительно исходного уровня для уровня FEV1 (л) до приема бронходилататора в популяции ITT с FeNO на исходном уровне < 25 ppb. Отсутствовал значимый эффект в отношении FEV1 в популяции с низким уровнем FeNO.

[00102] На фиг. 15 изображено изменение относительно исходного уровня параметра FEV1 (л) до приема бронходилататора в популяции ITT с FeNO на исходном уровне >= 25 ppb. SAR440340 характеризовалось быстрым началом и стойким эффектом в отношении FEV1 в течение 12-недельного периода.

[00103] На фиг. 16 изображено среднее изменение FEV1 до BD относительно исходного уровня по подгруппам FeNO. SAR440340 продемонстрировало значимый эффект в отношении FEV1.

[00104] На фиг. 17 изображено среднее изменение FEV1 до BD относительно исходного уровня по подгруппам периостина. SAR440340 продемонстрировало значимый эффект в отношении FEV1 в группе с высоким уровнем периостина.

[00105] На фиг. 18 изображена форест-диаграмма изменения относительно исходного уровня FEV1 (л) до приема бронходилататора на неделе 12 по содержанию эозинофилов в крови на исходном уровне в популяции ITT. Высокий плацебо-эффект наблюдали в группе от 150 до менее 300, что могло привести к отрицательному эффекту в группах лечения.

[00106] На фиг. 19 изображена форест-диаграмма изменения относительно исходного уровня FEV1 (л) до BD на неделе 12 по подгруппам FeNO и периостина на исходном уровне в модифицированной группе ITT (mITT).

[00107] На фиг. 20 изображено абсолютное изменение FEV1 после BD относительно исходного уровня, среднее значение, полученных по методу наименьших квадратов. SAR440340 не оказывало значимого эффекта в отношении FEV1 после BD.

[00108] На фиг. 21 изображено среднее изменение параметра FEV1 после BD с течением времени в популяции ITT. Применение комбинации SAR440340 и дупилумаба, а также отдельно дупилумаба давало быстрый эффект в отношении параметра FEV1 после BD, однако эффект сохранялся только в группе дупилумаба.

[00109] На фиг. 22 изображено изменение ACQ-5 относительно исходного уровня в популяции ITT. SAR440340 продемонстрировало значимое улучшение ACQ-5 к неделе 12.

[00110] На фиг. 23 изображено изменение ACQ-5 относительно исходного уровня с течением времени в популяции mITT. Эффект SAR440340 в отношении ACQ-5 был быстрым и сохранялся в течение 12 недель.

[00111] На фиг. 24 изображен показатель по AQLQ в популяции ITT. SAR440340 продемонстрировал значимое улучшение показателя по AQLQ в течение 12 недель.

[00112] На фиг. 25 изображен показатель по AQLQ, изменение относительно исходного уровня общего показателя по AQLQ(S) с течением времени в популяции ITT. SAR440340 характеризовался быстрым и стойким эффектом в отношении показателя по AQLQ в течение 12-недельного периода.

[00113] На фиг. 26 изображен показатель по AQLQ, изменение относительно исходного уровня оценки эмоциональной функции по AQLQ(S) с течением времени в популяции ITT. SAR440340 продемонстрировало значимое улучшение показателя оценки эмоциональной функции по AQLQ.

[00114] На фиг. 27 изображено среднее содержание эозинофилов в крови (109/л) с течением времени в популяции ITT.

[00115] На фиг. 28 изображено среднее и медианное изменение относительно исходного уровня содержания эозинофилов в крови с течением времени в популяции ITT. SAR440340 стойко снижал содержание эозинофилов в течение 12-недельного периода.

[00116] На фиг. 29 изображен средний показатель FeNO (ppb) с течением времени в популяции ITT.

[00117] На фиг. 30 изображено среднее и медианное изменение относительно исходного уровня FeNO (ppb) с течением времени в популяции ITT. SAR440340 продемонстрировало умеренный эффект в отношении FeNO в течение 12-недельного периода.

[00118] На фиг. 31 изображен средний уровень периостина (нг/мл) с течением времени в популяции ITT.

[00119] На фиг. 32 изображено среднее и медианное изменение относительно исходного уровня периостина (нг/мл) с течением времени в популяции ITT. SAR440340 продемонстрировало умеренный эффект в отношении уровней периостина в течение 12 недель.

[00120] На фиг. 33 изображен средний уровень эотаксина-3 (пг/мл) с течением времени в популяции ITT.

[00121] На фиг. 34 изображено среднее и медианное изменение относительно исходного уровня эотаксина-3 (пг/мл) с течением времени в популяции ITT. SAR440340 не оказывал явного эффекта в отношении эотаксин-3.

[00122] На фиг. 35 изображен средний уровень PARC (пг/мл) с течением времени в популяции ITT.

[00123] На фиг. 36 изображено среднее и медианное изменение относительно исходного уровня PARC (пг/мл) с течением времени в популяции ITT. SAR440340 не оказывало явного эффекта в отношении PARC.

[00124] На фиг. 37 изображен средний уровень суммарного IgE (МЕ/мл) с течением времени в популяции ITT.

[00125] На фиг. 38 изображено среднее и медианное изменение относительно исходного уровня суммарного IgE (МЕ/мл) с течением времени в популяции ITT. SAR440340 не демонстрировал явного эффекта в отношении IgE.

[00126] На фиг. 39 изображен средний уровень суммарного IL33 (пг/мл) с течением времени.

[00127] На фиг. 40 изображено среднее и медианное изменение относительно исходного уровня общего IL33 (МЕ/мл) с течением времени в популяции по оценке безопасности. Как и ожидалось, SAR440340 обеспечивал повышение уровней IL-33.

[00128] На фиг. 41 изображен средний уровень sST2 (пг/мл) с течением времени в популяции ITT.

[00129] На фиг. 42 изображено среднее и медианное изменение относительно исходного уровня sST2 (пг/мл) с течением времени в популяции ITT. SAR440340 не демонстрировал явного эффекта в отношении уровней sST2.

[00130] На фиг. 43 изображен средний уровень кальцитонина (пг/мл) с течением времени в популяции ITT.

[00131] На фиг. 44 изображено среднее изменение относительно исходного уровня для кальцитонина (пг/мл) с течением времени в популяции ITT. SAR440340 не демонстрировал явного эффекта в отношении уровней кальцитонина.

[00132] На фиг. 45 изображено среднее содержание нейтрофилов в крови с течением времени в популяции ITT.

[00133] На фиг. 46 изображено среднее и медианное изменение относительно исходного уровня для содержания нейтрофилов в крови с течением времени в популяции ITT. SAR440340 продемонстрировал умеренный эффект в отношении уровней нейтрофилов в крови.

[00134] На фиг. 47 изображена концентрация в сыворотке SAR440340 (нг/мл) с течением времени в популяции оценки PK. Концентрация, превышающая 17 мг/л, была достигнута на неделе 2. Более низкую концентрацию SAR440340 получали в группе комбинации SAR440340 и дупилумаба на неделе 12.

[00135] На фиг. 48 изображено среднее изменение содержания эозинофилов в крови по стратам содержания эозинофилов в крови. Наблюдалось более выраженное снижение содержания эозинофилов в крови у пациентов подгруппы с высоким содержанием эозинофилов в крови.

[00136] На фиг. 49 изображено медианное изменение содержания эозинофилов в крови по стратам содержания эозинофилов в крови. Наблюдалось более выраженное снижение содержания эозинофилов в крови у пациентов подгруппы с высоким содержанием эозинофилов в крови.

[00137] На фиг. 50 изображено среднее изменение содержания эозинофилов в крови по стратам FeNO. Наблюдалось более выраженное снижение содержания эозинофилов в крови у пациентов с высоким уровнем FeNO.

[00138] На фиг. 51 изображено медианное изменение содержания эозинофилов в крови по стратам FeNO. Наблюдалось более выраженное снижение содержания эозинофилов в крови у пациентов с высоким уровнем FeNO.

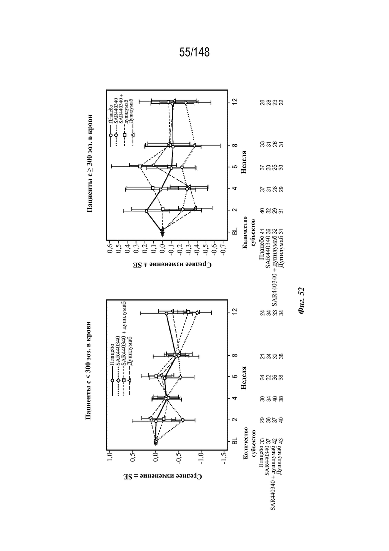
[00139] На фиг. 52 изображено среднее изменение содержания нейтрофилов по стратам содержания эозинофилов. Влияние уровня эозинофилов в крови на снижение (тренд) содержания нейтрофилов выявлено не было.

[00140] На фиг. 53 изображено медианное изменение содержания нейтрофилов по стратам содержания эозинофилов. Снижение количества нейтрофилов отсутствовало.

[00141] На фиг. 54 изображено среднее изменение содержания нейтрофилов в крови по стратам FeNO. Влияние уровня FeNO на снижение (тренд) количества нейтрофилов выявлено не было.

[00142] На фиг. 55 изображено медианное изменение содержания нейтрофилов в крови по стратам FeNO. Снижение количества нейтрофилов отсутствовало.

[00143] На фиг. 56 изображено среднее изменение уровня FeNO по стратам содержания эозинофилов в крови. У пациентов с высоким содержанием эозинофилов в крови наблюдали небольшое снижение уровня FeNO.

[00144] На фиг. 57 изображено медианное изменение уровня FeNO по стратам содержания эозинофилов в крови. У пациентов с высоким содержанием эозинофилов в крови наблюдали небольшое снижение уровня FeNO.

[00145] На фиг. 58 изображено среднее изменение параметр FeNO по стратам FeNO. У пациентов с высоким уровнем FeNO наблюдали небольшое снижение уровня FeNO.

[00146] На фиг. 59 изображено медианное изменение параметра FeNO по стратам FeNO. Даже у пациентов с высоким уровнем FeNO отсутствовало значимое снижение уровня FeNO.

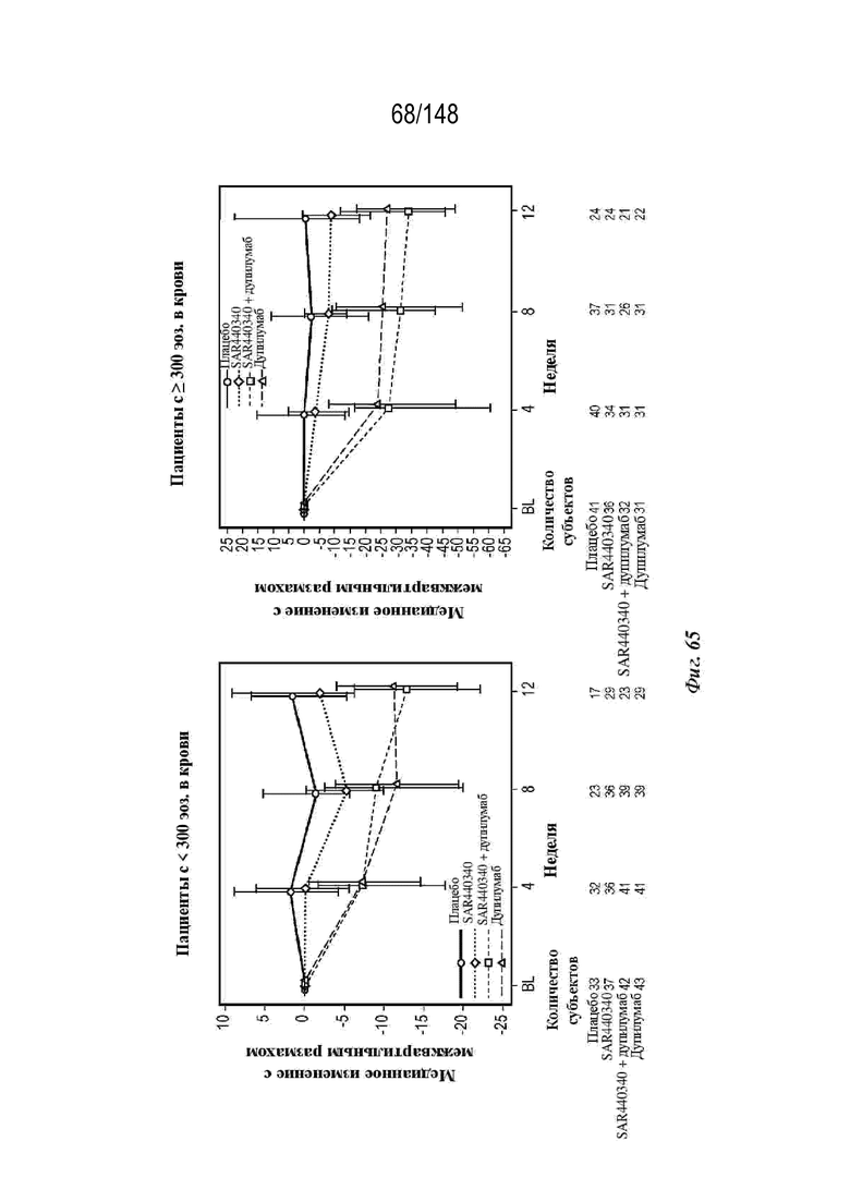
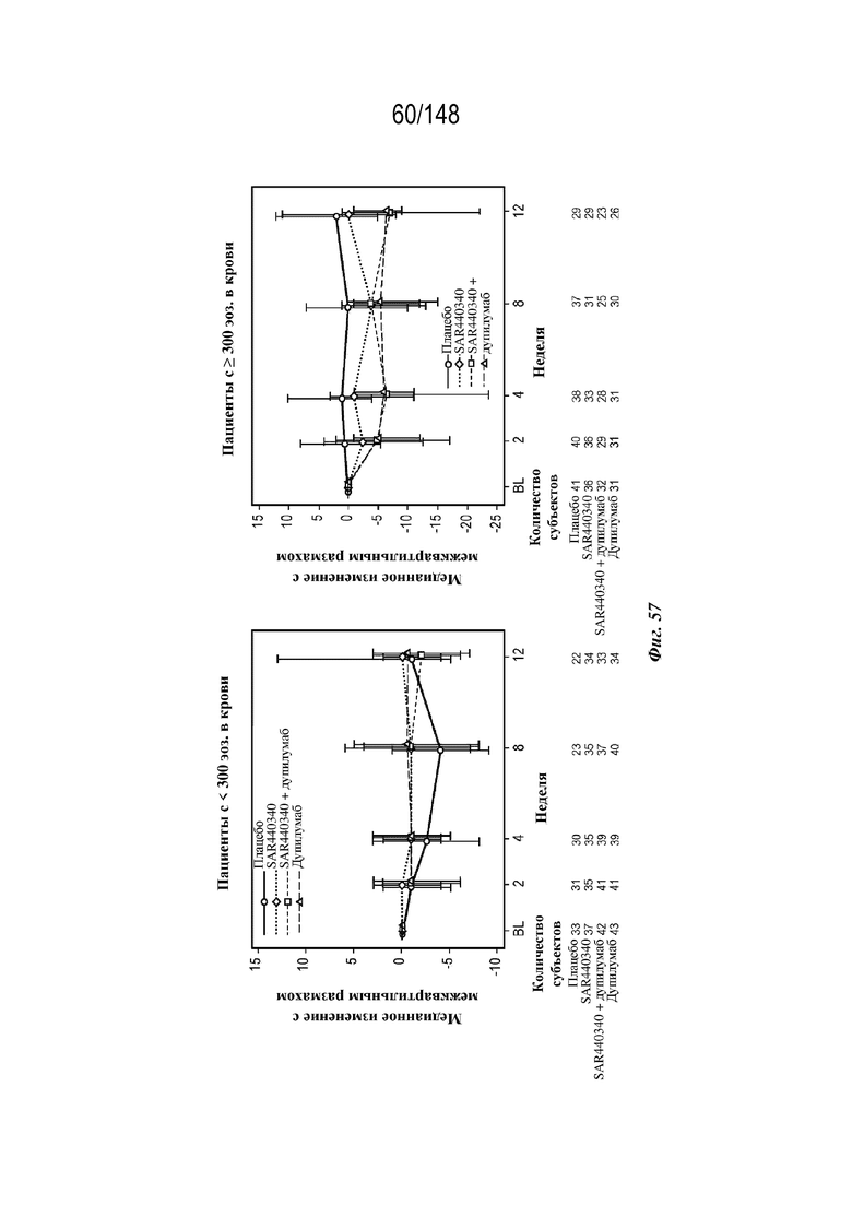
[00147] На фиг. 60 изображено среднее изменение уровня PARC по стратам содержания эозинофилов в крови. Только у пациентов с высоким содержанием эозинофилов в крови наблюдали значимое снижение уровня PARC.

[00148] На фиг. 61 изображено медианное изменение уровня PARC по стратам содержания эозинофилов в крови. У пациентов с высоким содержанием эозинофилов в крови отсутствовало значимое снижение уровня PARC.

[00149] На фиг. 62 изображено среднее изменение уровня PARC по стратам FeNO. Только у пациентов с высоким уровнем FeNO наблюдали снижение уровня PARC.

[00150] На фиг. 63 изображено медианное изменение параметра PARC по стратам FeNO. Значимое снижение уровня PARC отсутствовало.

[00151] На фиг. 64 изображено среднее изменение уровня эотаксина-3 по стратам содержания эозинофилов в крови. У пациентов с низким содержанием эозинофилов в крови наблюдали повышение уровня эотаксина-3 и отсутствие изменений у пациентов с высоким содержанием эозинофилов в крови.

[00152] На фиг. 65 изображено медианное изменение уровня эотаксина-3 по стратам содержания эозинофилов в крови. Значимое изменение уровня эотаксина-3 отсутствовало.

[00153] На фиг. 66 изображено среднее изменение уровня эотаксина-3 по стратам FeNO. У пациентов с высоким уровнем FeNO наблюдали небольшое повышение уровня эотаксина-3.

[00154] На фиг. 67 изображено медианное изменение уровня эотаксина-3 по стратам FeNO. Значимое изменение уровня эотаксина-3 отсутствовало.

[00155] На фиг. 68 изображено среднее изменение уровня IgE по стратам содержания эозинофилов в крови. У пациентов с высоким содержанием эозинофилов в крови наблюдали существенное снижение уровня FeNO.

[00156] На фиг. 69 изображено медианное изменение уровня IgE по стратам содержания эозинофилов в крови. Значимое снижение уровня IgE отсутствовало.

[00157] На фиг. 70 изображено среднее изменение уровня IgE по стратам FeNO. У пациентов с высоким уровнем FeNO наблюдали значительное снижение уровня IgE.

[00158] На фиг. 71 изображено медианное изменение уровня IgE по стратам FeNO. Значимое снижение уровня IgE отсутствовало.

[00159] На фиг. 72 изображено среднее изменение уровня периостина по стратам содержания эозинофилов в крови. Схожее снижение уровня периостина наблюдали во всех стратах содержания эозинофилов в крови.

[00160] На фиг. 73 изображено медианное изменение уровня периостина по стратам содержания эозинофилов в крови.

[00161] На фиг. 74 изображено среднее изменение уровня периостина по стратам FeNO. Только у пациентов с низким уровнем FeNO наблюдали снижение уровня периостина.

[00162] На фиг. 75 изображено медианное изменение уровня периостина по стратам FeNO.

[00163] На фиг. 76 изображена форест-диаграмма частоты случаев LOAC по уровню дозы ICS на исходном уровне в популяции mITT.

[00164] На фиг. 77 изображено среднее изменение FEV1 до BD относительно исходного уровня по подгруппам ICS.

[00165] На фиг. 78 изображена LOAC по подгруппам FeNO.

[00166] На фиг. 79 изображена LOAC в подгруппе ICS.

[00167] На фиг. 80 изображена LOAC в подгруппе периостина.

[00168] На фиг. 81 изображено процентное изменение FEV1 после BD относительно исходного уровня (%) в популяции ITT.

[00169] На фиг. 82 изображено абсолютное изменение FEV1 после BD относительно исходного уровня в подгруппе эозинофилов.

[00170] На фиг. 83 изображено абсолютное изменение FEV1 после BD относительно исходного уровня в подгруппе FeNO.

[00171] На фиг. 84 изображено абсолютное изменение FEV1 после BD относительно исходного уровня в подгруппе FeNO.

[00172] На фиг. 85 изображено абсолютное изменение FEV1 после BD относительно исходного уровня в подгруппе периостина.

[00173] На фиг. 86 изображена форест-диаграмма изменения относительно исходного уровня FEV1 (л) после приема бронходилататора на неделе 12 по содержанию эозинофилов в крови на исходном уровне в популяции ITT.

[00174] На фиг. 87 изображена форест-диаграмма изменения относительно исходного уровня FEV1 (л) после приема бронходилататора на неделе 12 по содержанию эозинофилов в крови на исходном уровне в популяции ITT.

[00175] На фиг. 88 изображена форест-диаграмма изменения относительно исходного уровня FEV1 (л) после приема бронходилататора на неделе 12 по уровню дозы ICS в популяции mITT.

[00176] На фиг. 89 изображена LOAC в подгруппе ICS.

[00177] На фиг. 90 изображен показатель по AQLQ в популяции ITT.

[00178] На фиг. 91 изображены результаты байесовских анализов.

[00179] На фиг. 92 изображены ключевые критерии включения и исключения в доказательное исследование лечения астмы. В исследование были включены пациенты с широким диапазоном уровня эозинофилов на исходном уровне.

[00180] На фиг. 93 описано распределение пациентов. *Критерием для прекращения лечения была потеря контроля астмы (LOAC). **Два пациента прекратили участие из-за неблагоприятных эффектов (AS) до завершения испытания (EOT). †Один пациент в группе дупилумаба умер в результате отравления этиловым спиртом в период последующего наблюдения после лечения (информация получена после закрытия базы данных).

[00181] На фиг. 94 показаны демографические данные на исходном уровне, которые в общем были пропорциональными среди 3 групп по варианту лечения и группы плацебо.

[00182] На фиг. 95 показаны признаки заболевания на исходном уровне, которые в общем были пропорциональными среди групп по варианту лечения.

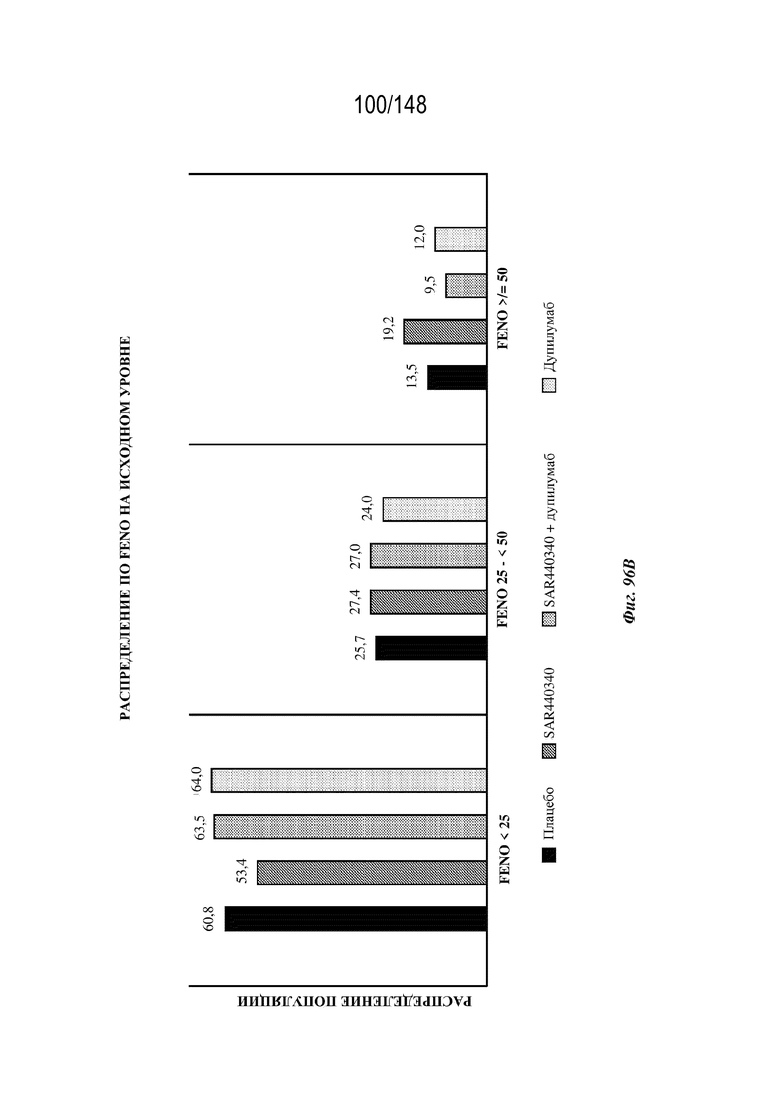
[00183] На фиг. 96A - 96C представлено графическое изображение уровней эозинофилов (A) на исходном уровне и уровней FeNO (B) на исходном уровне, которые были равномерно распределены между группами лечения активным лекарственным средством. (C) показано распределение на исходном уровне по ICS. Большинство пациентов (65,9%) получали высокие дозы ICS.

[00184] На фиг. 97 изображено среднее изменение параметра FEV1 до BD с течением времени до недели 32 в популяции ITT. SAR440340 продемонстрировало стойкую эффективность в течение нескольких недель после завершения участия в исследовании.

[00185] На фиг. 98 показаны распределения опрашиваемых по ACQ-5 и AQLQ по подгруппам на неделе 4 и неделе 12.

[00186] На фиг. 99 изображено изменение относительно исходного уровня параметра PEF до полудня и после полудня с течением времени в популяции ITT. SAR440340 не продемонстрировало каких-либо улучшений параметра PEF до полудня или после полудня.

[00187] На фиг. 100 изображено изменение относительно исходного уровня форсированной жизненной емкости легких (FVC) и объемной форсированной скорости выдоха в интервале 25-75% форсированной жизненной емкости легких (FEF25-75) с течением времени в популяции ITT. SAR440340 не продемонстрировало каких-либо улучшений параметров FVC или FEF25-75.

[00188] На фиг. 101 изображено изменение относительно исходного уровня оценки симптомов астмы до полудня и после полудня с течением времени в популяции ITT. SAR440340 не продемонстрировало каких-либо улучшений в показателе оценке симптомов астмы до полудня или после полудня.

[00189] На фиг. 102 изображено изменение относительно исходного уровня количества ночных пробуждений и применения лекарственного средства, облегчающего дыхание, с течением времени в популяции ITT. SAR440340 не продемонстрировало снижения в количестве ночных пробуждений и применении лекарственного средства, облегчающего дыхание.

[00190] На фиг. 103 изображено изменение относительно исходного уровня по общему показателю по RQLQ(S) с течением времени в популяции ITT с сопутствующим аллергическим ринитом. SAR440340 не продемонстрировало снижения показателя по RQLQ.

[00191] На фиг. 104 изображена концентрация SAR440340 (нг/мл) в сыворотке крови с течением времени. Концентрация, превышающая 17 мг/л (рассчитанная на мышиной модели с клещом домашней пыли (HDM)), достигалась на неделе 2. Более низкие концентрации SAR440340 наблюдали в группе комбинации с дупилумабом на неделе 12.

[00192] На фиг. 105 изображен уровень суммарного IL-33 (пг/мл) с течением времени, который согласовывался с результатами исследований 1-й фазы.

[00193] На фиг. 106 изображены результаты по фармакодинамическим биомаркерам (PD) 2-го типа (медианное изменение). SAR440340 индуцировало снижение уровня эозинофилов в крови и оказывало умеренный эффект в отношении других биомаркеров 2-го типа.

[00194] На фиг. 107 изображено медианное изменение уровней эозинофилов в крови до недели 32. SAR440340 продолжало сохранять сниженными уровни эозинофилов в крови после прекращения участия в исследовании.

[00195] На фиг. 108 изображены спагетти-графики изменения относительно исходного уровня для уровней эозинофилов в крови в популяции ITT. Несмотря на несколько выбросов, SAR440340 продемонстрировало последовательное снижение уровней эозинофилов в крови.

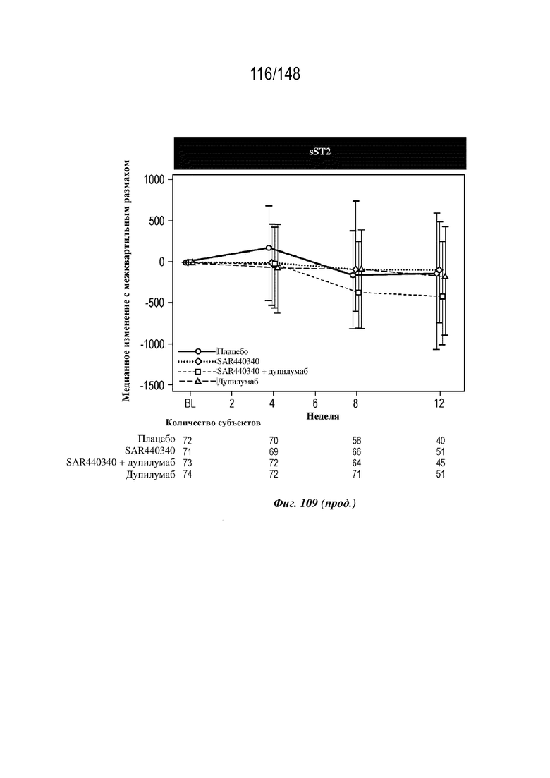
[00196] На фиг. 109 изображено медианное изменение количества нейтрофилов в крови, sST2 и кальцитониновых биомаркеров. SAR440340 индуцировало умеренное снижение количества нейтрофилов в крови.

[00197] На фиг. 110 изображены концентрации SAR440340 в сыворотке крови с течением времени по статусу антитела к лекарственному средству (ADA) в группах монотерапии SAR440340 и комбинированной терапии. Ни у одного пациента не было положительного результата по ADA к SAR440340.

[00198] На фиг. 111 изображен спагетти-график концентрации SAR440340 в сыворотке крови с течением времени по категории максимального титра после исходного уровня против SAR440340 в популяции для оценки ADA. Ни у одного пациента не было положительного результата по ADA к SAR440340.

[00199] На фиг. 112 изображен спагетти-график концентрации дупилумаба в сыворотке крови с течением времени по категории максимального титра после исходного уровня против дупилумаба. ADA к дупилумабу появлялись, как и предполагалось, в группе монотерапии. В группе комбинированной терапии был численно более высокая частота встречаемости ADA-положительных результатов.

[00200] На фиг. 113 изображен спагетти-график концентрации дупилумаба в сыворотке крови с течением времени по категории максимального титра после исходного уровня против дупилумаба в популяции для оценки ADA. ADA-положительные к дупилумабу пациенты характеризовались тенденцией к снижению концентрации (перекрытие ADA-положительных и ADA-отрицательных в ходе исследования PK-характеристик).

[00201] На фиг. 114 изображены форест-диаграммы изменения относительно исходного уровня FEV1 (л) до BD на неделе 12 в демографических подгруппах.

[00202] На фиг. 115 изображены форест-диаграммы изменения относительно исходного уровня FEV1 (л) до BD на неделе 12 в подгруппах характеристик заболевания.

[00203] На фиг. 116 изображены форест-диаграммы изменения относительно исходного уровня FEV1 (л) после BD на неделе 12 по демографическим подгруппам.

[00204] На фиг. 117 изображены форест-диаграммы изменения относительно исходного уровня FEV1 (л) после BD на неделе 12 в подгруппах характеристик заболевания.

[00205] На фиг. 118 изображены результаты исследования кинетики содержания эозинофилов в крови до недели 32 (среднее изменение).

[00206] На фиг. 119 изображено среднее изменение содержания эозинофилов в крови (109/л) относительно исходного уровня между визитами у пациентов по содержанию эозинофилов в крови на исходном уровне (предел отсечения на уровне менее 0,5 или превышающем или равном 0,5). SAR440340 уменьшало содержание эозинофилов в крови, хотя эффект был больше в группе с менее 0,5.

[00207] На фиг. 120 изображено медианное изменение содержания эозинофилов в крови по стратам FeNO. Наблюдалось более выраженное снижение содержания эозинофилов в крови у пациентов с высоким уровнем FeNO.

[00208] На фиг. 121 изображено медианное изменение уровня FeNO по стратам содержания эозинофилов в крови. У пациентов с высоким содержанием эозинофилов в крови наблюдали небольшое снижение уровня FeNO.

[00209] На фиг. 122 изображено медианное изменение уровня периостина по стратам содержания эозинофилов в крови. У пациентов с высоким количеством эозинофилов в крови наблюдалось снижение уровня периостина.

[00210] На фиг. 123 изображена блок-схема результатов исследования безопасности, переносимости, фармакокинетики и фармакодинамических эффектов многократного подкожного введения нарастающих доз SAR440340 у взрослых пациентов с астмой умеренной степени тяжести.

[00211] На фиг. 124 изображено процентное изменение уровней эозинофилов относительно исходного уровня. Уровни эозинофилов снижались на примерно 35% относительно исходного уровня к дню 29, причем эффект сохранялся до дня 197.

[00212] На фиг. 125 изображены средние уровни эозинофилов с течением времени.

[00213] На фиг. 126 изображены средние уровни эозинофилов с течением времени за исключением выброса для дозы 75 мг.

[00214] На фиг. 127 изображено процентное изменение уровней эозинофилов относительно исходного уровня. Дозы 75 мг и 150 мг значимо не отличались.

[00215] На фиг. 128 изображено процентное изменение уровней эозинофилов относительно исходного уровня в объединенной популяции 75 мг и 150 мг. Уровни эозинофилов снижались примерно на 35% относительно исходного уровня на день 29, причем эффект сохранялся до дня 197.

[00216] На фиг. 129 изображены индивидуальные профили уровня эозинофилов в соответствии со средними значениями в группах.

[00217] На фиг. 130 изображены средние уровни FeNO с течением времени. Исходные уровни в когорте 75 мг были выше, чем в когорте 150 мг и когорте плацебо.

[00218] На фиг. 131 изображено процентное изменения уровней FeNO с течением времени. В когорте 150 мг наблюдали умеренный эффект в отношении уровней FeNO.

[00219] На фиг. 132 изображено процентное изменение уровней FeNO с течением времени в объединенной популяции 75 мг и 150 мг. Наблюдали примерно 10% снижение в когортах SAR440340.

[00220] На фиг. 133 изображено процентное изменение уровней FeNO относительно исходного уровня с течением времени в объединенной популяции 75 мг и 150 мг.

[00221] На фиг. 134 изображены индивидуальные изменения уровней FeNO в соответствии со средними значениями для групп. Выброс в когорте 75 мг давал повышение средних уровней.

ПОДРОБНОЕ ОПИСАНИЕ

[00222] Перед описанием настоящего изобретения необходимо понимать, что настоящее изобретение не ограничивается конкретными описанными способами и условиями экспериментов, поскольку такие способы и условия могут варьироваться. Также необходимо понимать, что терминология, используемая в данном документе, предназначена лишь для описания конкретных вариантов осуществления и не предполагает ограничительный характер, поскольку объем настоящего изобретения будет ограничиваться лишь прилагаемой формулой изобретения.

[00223] Если не определено иное, все технические и научные термины, используемые в данном документе, имеют такое же значение, которое обычно понимается специалистом в данной области техники, к которой относится настоящее изобретение.

[00224] Используемый в данном документе термин "приблизительно", в случае его использования со ссылкой на конкретное описываемое числовое значение, означает, что значение может отличаться от описываемого значения на не более чем на 1%. Например, используемое в данном документе выражение "приблизительно 100" включает 99 и 101 и все значения между ними (например, 99,1, 99,2, 99,3, 99,4 и т. д.).

[00225] Используемые в данном документе выражения "лечить", "лечение" или им подобные означают облегчать симптомы, устранять причинность симптомов, либо на временной, либо на постоянной основе, или предупреждать или замедлять проявление симптомов указанного нарушения или состояния.

[00226] Хотя любые способы и материалы, подобные или эквивалентные тем, которые описаны в данном документе, можно использовать при реализации настоящего изобретения на практике, ниже описаны типичные способы и материалы. Все публикации, упомянутые в данном документе, включены в данный документ посредством ссылки в полном объеме.

Способы снижения частоты возникновения обострений астмы

[00227] Настоящее изобретение включает способы снижения частоты возникновения обострений астмы у нуждающегося в этом субъекта, предусматривающие введение субъекту фармацевтической композиции, содержащей антагонист интерлейкина-33 (IL-33). Способы, представленные в настоящем изобретении, дополнительно предусматривают введение нуждающемуся в этом субъекту первой терапевтической композиции, содержащей антагонист интерлейкина-33 (IL-33), и второй терапевтической композиции, содержащей антагонист рецептора интерлейкина-4 (IL-4R). Согласно определенным вариантам осуществления антагонист IL-33 представляет собой антитело или его антигенсвязывающий фрагмент, которые специфически связываются с IL-33. В данном документе описаны иллюстративные антитела к IL-33, которые можно применять в контексте способов, представленных в настоящем изобретении. Согласно определенным вариантам осуществления антагонист IL-4R представляет собой антитело или его антигенсвязывающий фрагмент, которые специфически связываются с IL-4R. В данном документе описаны иллюстративные антитела к IL-4R, которые можно применять в контексте способов, представленных в настоящем изобретении.

[00228] Используемое в данном документе выражение "обострение астмы" означает повышение тяжести и/или частоты возникновения и/или продолжительности одного или нескольких симптомов или проявлений астмы. Выражение "обострение астмы" также включает любое ухудшение состояния дыхательной системы субъекта, которое требует терапевтического вмешательства или подлежит лечению посредством терапевтического вмешательства по причине астмы (такого как, например, лечение стероидами, лечение ингаляционными кортикостероидами, госпитализация и т. д.). Существует два типа явлений обострения астмы: явление потери контроля астмы (LOAC) и явление тяжелого обострения.

[00229] Согласно определенным вариантам осуществления явление потери контроля астмы (LOAC) определяют как одно или несколько из следующего: (a) снижение утреннего PEF на 30% или больше от исходного уровня в течение 2 последних дней; (b) 6 или более дополнительных впрыскиваний облегчающего дыхание лекарственного средства сальбутамола/альбутерола или левосальбутамола/левальбутерола в течение 24-часового периода (по сравнению с исходным уровнем) в течение 2 последовательных дней; (c) увеличение дозы приема ICS, превышающее или равное 4-кратной последней назначенной дозе ICS (или ≥ 50% от назначенной дозы ICS в момент V2, если завершена отмена фоновой терапии); (d) применение системного стероида (перорального и/или парентерального) для лечения; или (e) госпитализация или визит в отделение неотложной помощи из-за астмы.

[00230] В определенных случаях обострение астмы можно обозначить как "явление тяжелого обострения астмы". Явление тяжелого обострения астмы означает случай, требующий незамедлительного вмешательства в форме лечения либо системными кортикостероидами, либо ингаляционными кортикостероидами в дозе, в четыре или больше раз превышающей дозу, принимаемую до этого случая. Согласно определенным вариантам осуществления явление тяжелого обострения астмы определяют как ухудшение астмы, требующее следующего: применения системных кортикостероидов в течение 3 дней или больше или госпитализации или визита в отделение неотложной помощи из-за астмы, требующей применения системных кортикостероидов. Таким образом, общее выражение "обострение астмы" включает и охватывает более специфическую подкатегорию "тяжелых обострений астмы". Соответственно, включены способы снижения частоты возникновения тяжелых обострений астмы у нуждающегося в этом пациента.

[00231] "Снижение частоты" обострения астмы означает, что у субъекта, который получал фармацевтическую композицию, содержащую антагонист IL-4R, наблюдается меньшее количество обострений астмы (т. е. количество, которое меньше на по меньшей мере одно обострение астмы) после лечения, чем до лечения, или не наблюдаются обострения астмы в течение по меньшей мере 4 недель (например, 4, 6, 8, 12, 14 или больше недель) после начала лечения фармацевтической композицией. "Снижение частоты" обострения астмы альтернативно означает, что после введения фармацевтической композиции вероятность того, что у субъекта возникнет обострение астмы снижается на по меньшей мере 10% (например, 10%, 15%, 20%, 25%, 30%, 35%, 40%, 45%, 50% или больше) по сравнению с субъектом, который не получал фармацевтической композиции.

[00232] Настоящее изобретение включает способы снижения частоты обострений астмы у нуждающегося в этом субъекта, предусматривающие введение субъекту фармацевтической композиции, содержащей антагонист IL-4R, а также введение субъекту одной или нескольких поддерживающих доз ингаляционного кортикостероида (ICS) и/или одной или нескольких поддерживающих доз второго контролирующего лекарственного препарата, например, длительнодействующего бета-агониста (LABA) или антагониста лейкотриеновых рецепторов (LTA). Подходящие ICS включают без ограничения флутиказон (например, флутиказона пропионат, например, FloventTM), будесонид, мометазон (например, мометазона фуроат, например, AsmanexTM), флунизолид (например, AerobidTM), дексаметазона ацетат/фенобарбитал/теофиллин (например, AzmacortTM), беклометазона дипропионат HFA (QvarTM) и т. п. Подходящие LABA включают без ограничения сальметерол (например, SereventTM), формотерол (например, ForadilTM) и т. п. Подходящие LTA включают без ограничения монтелукаст (например, SingulaireTM), зафирлукаст (например, AccolateTM) и т. п.

[00233] Настоящее изобретение включает способы снижения частоты обострений астмы у нуждающегося в этом субъекта, предусматривающие введение субъекту фармацевтической композиции, содержащей антагонист IL-4R, а также введение субъекту одного или нескольких лекарственных препаратов, облегчающих дыхание, для устранения или снижения одного или нескольких симптомов, ассоциированных с астмой. Подходящие лекарственные препараты, облегчающие дыхание, включают без ограничения длительнодействующие агонисты бета2-адренергических рецепторов, такие как, например, альбутерол (например, сальбутамол, например, ProventilTM, VentolinTM, XopenexTM и т. п.), пирбутерол (например, MaxairTM), метапротеренол (например, AlupentTM) и т. п.

Способы улучшения ассоциированных с астмой параметров

[00234] Настоящее изобретение также включает способы улучшения одного или нескольких ассоциированных с астмой параметров у нуждающегося в этом субъекта, где способы предусматривают введение субъекту фармацевтической композиции, содержащей антагонист IL-33. Настоящее изобретение также включает способы улучшения одного или нескольких связанных с астмой параметров у нуждающегося в этом субъекта, где способы предусматривают введение субъекту первой фармацевтической композиции, содержащей антагонист IL-33, и второй фармацевтической композиции, содержащей антагонист IL-4R. Снижение частоты обострения астмы (как описано выше) может быть взаимосвязано с улучшением одного или нескольких ассоциированных с астмой параметров; однако такая взаимосвязь необязательно наблюдается во всех случаях.

[00235] Примеры "ассоциированных с астмой параметров" включают (1) относительное процентное изменение от исходного уровня (например, на неделе 12) объема форсированного выдоха за 1 секунду (FEV1); (2) относительное процентное изменение от исходного уровня (например, на неделе 12), измеренное по объемной форсированной скорости выдоха в интервале 25-75% форсированной жизненной емкости легких (FEF25-75); (3) частоту в годовом исчислении явлений потери контроля астмы на протяжении периода лечения; (4) частоту в годовом исчислении явлений тяжелого обострения на протяжении периода лечения; (5) время до наступления явлений потери контроля астмы на протяжении периода лечения; (6) время до наступления явлений тяжелого обострения на протяжении периода исследования; (7) время до наступления явлений потери контроля астмы на протяжении всего периода исследования; (8) время до наступления явлений тяжелого обострения на протяжении всего периода исследования; (9) использование медицинских услуг; (10) изменение от исходного уровня до недели 12 i) показателей оценки симптомов астмы в утреннее и вечернее время, ii) показателя ACQ-5, iii) показателя AQLQ, iv) PEF в утреннее и вечернее время, v) числа ингаляций/день сальбутамола/альбутерола или левосальбутамола/левалбутерола для облегчения симптомов, vi) ночных пробуждений; (11) изменение от исходного уровня до недели 12 и недели 24 i) показателя теста для оценки исхода болезней носа и придаточных пазух носа из 22 пунктов (SNOT-22), ii) показателя по госпитальной шкале тревоги и депрессии (HADS), iii) показателя по опроснику EuroQual (EQ-5D-3L или EQ-5D-5L). "Улучшение ассоциированного с астмой параметра" означает повышение от исходного уровня одного или нескольких из FEV1, PEF до полудня или PEF после полудня и/или снижение от исходного уровня одного или нескольких из суточного применения альбутерола/левалбутерола, показателя ACQ5, среднего числа пробуждений в ночное время или показателя SNOT-22. Используемый в данном документе термин "исходный уровень" в отношении ассоциированного с астмой параметра означает числовое значение ассоциированного с астмой параметра для пациента до или во время введения фармацевтической композиции, содержащей антагонист IL-33, или числовое значение ассоциированного с астмой параметра для пациента до или во время введения субъекту первой фармацевтической композиции, содержащей антагонист IL-33, и второй фармацевтической композиции, содержащей антагонист IL-4R.

[00236] Чтобы определить, "улучшился ли" ассоциированный с астмой параметр, параметр измеряют количественно на исходном уровне и во временной точке после введения фармацевтической композиции, описанной в данном документе. Например, ассоциированный с астмой параметр можно измерять в день 1, день 2, день 3, день 4, день 5, день 6, день 7, день 8, день 9, день 10, день 11, день 12, день 14 или на неделе 3, неделе 4, неделе 5, неделе 6, неделе 7, неделе 8, неделе 9, неделе 10, неделе 11, неделе 12, неделе 13, неделе 14, неделе 15, неделе 16, неделе 17, неделе 18, неделе 19, неделе 20, неделе 21, неделе 22, неделе 23, неделе 24 или в течение более длительного периода после первичного лечения фармацевтической композицией. Разницу между величиной параметра в определенной временной точке после начала лечения и величиной параметра на исходном уровне используют для установления того, произошло ли "улучшение" ассоциированного с астмой параметра (например, повышение или снижение в зависимости от ситуации, в зависимости от конкретного измеряемого параметра).

[00237] Термины "получать" или "получение", используемые в данном документе, относятся к получению во владение физического объекта или величины, например, числовой величины, "непосредственным получением" или "опосредованным получением" физического объекта или величины, таких как ассоциированный с астмой параметр. "Непосредственное получение" означает осуществление способа (например, осуществление синтетического или аналитического способа) с получением физического объекта или величины. "Опосредованное получение" относится к получению физического объекта или величины от другой стороны или источника (например, лаборатории третьей стороны, которая непосредственно получила физический объект или величину). Непосредственное получение физического объекта включает осуществление способа, который предусматривает физическое изменение физического вещества, например, исходного материала. Иллюстративные изменения включают получение физического объекта из двух или более исходных материалов, разрезание или фрагментацию вещества, отделение или очистку вещества, объединение двух или более отдельных объектов в смесь, осуществление химической реакции, которая включает разрыв или образование ковалентной или нековалентной связи. Непосредственное получение величины включает осуществление способа, который предусматривает физическое изменение образца или другого вещества, например, осуществление аналитического способа, который предусматривает физическое изменение вещества, например, образца, аналита или реагента (иногда обозначаемое в данном документе как "физический анализ").

[00238] Информация, которую получают непосредственно, может быть представлена в форме отчета, например, представленного в бумажной или электронной форме, например, из базы данных или приложения в онлайн режиме ("App"). Отчет или информация может быть представлена, например, учреждением здравоохранения, таким как больница или клиника; или медицинским работником, таким как врач или медицинская сестра.

[00239] Объем форсированного выдоха за 1 секунду (FEV1). Согласно определенным вариантам осуществления введение пациенту антагониста IL-4R в результате приводит к повышению от исходного уровня объема форсированного выдоха за 1 секунду (FEV1). Способы измерения FEV1 известны из уровня техники. Например, для измерения FEV1 у пациента можно использовать спирометр, который соответствует рекомендациям Американского торакального общества (ATS)/Европейского респираторного общества (ERS) 2005 года. В качестве руководства можно использовать стандартизацию спирометрии согласно ATS/ERS. Спирометрию, как правило, проводят с 6 до 10 часов утра после воздержания от приема альбутерола в течение по меньшей мере 6 часов. Легочные функциональные тесты, как правило, выполняют в положении пациента сидя, а наибольшую величину записывают в качестве FEV1 (в литрах).

[00240] Настоящее изобретение включает терапевтические способы, которые в результате приводят к повышению FEV1 от исходного уровня на по меньшей мере 0,05 л на неделе 12 после начала лечения фармацевтической композицией, содержащей антагонист к IL-33, или первой фармацевтической композиции, содержащей антагонист IL-33, и второй фармацевтической композиции, содержащей антагонист IL-4R. Например, введение антагониста IL-33 или антагониста IL-33 и антагониста IL-4R приводит к увеличению FEV1 от исходного уровня на приблизительно 0.05 L, 0.10 L, 0.12 L, 0.14 L, 0.16 L, 0.18 L, 0.20 L, 0.22 L, 0.24 L, 0.26 L, 0.28 L, 0.30 L, 0.32 L, 0.34 L, 0.36 L, 0.38 L, 0.40 L, 0.42 L, 0.44 L, 0.46 L, 0.48 L, 0.50 L или больше на неделе 12.

[00241] FEF25-75%. Согласно определенным вариантам осуществления введение пациенту антагониста IL-33 или антагониста IL-33 и антагониста IL-4R в результате приводит к повышению FEF25-75% от исходного уровня. Способы измерения FEF известны из уровня техники. Например, для измерения FEV1 у пациента можно использовать спирометр, который соответствует рекомендациям Американского торакального общества (ATS)/Европейского респираторного общества (ERS) 2005 года. FEF25-75 (объемная форсированная скорость выдоха в интервале 25-75% форсированной жизненной емкости легких) представляет собой скорость (в литрах в секунду), с которой человек может высвобождать среднюю порцию своего воздуха во время максимального выдоха (т. e. форсированная жизненная емкость легких или FVC). Параметр относится к среднему потоку от точки, в которой 25 процентов FVC было выдохнуто, до точки, в которой 75 процентов FVC было выдохнуто. FEF25-75% субъекта предоставляет информацию о функции мелких дыхательных путей, такую как степень заболевания и/или воспаления малых дыхательных путей. Изменение FEF25-75 представляет собой ранний показатель обструктивной болезни легких. В определенных вариантах осуществления улучшение и/или увеличение параметра FEF25-75% представляет собой улучшение на по меньшей мере 10%, 25%, 50% или больше по сравнению с исходным уровнем. В определенных вариантах осуществления способы по настоящему изобретению обеспечивают достижение нормальных значений FEF25-75% у субъекта (например, значений в диапазоне от 50-60% и до 130% от среднего значения).

[00242] Пиковая объемная скорость выдоха в утреннее и вечернее время (PEF до полудня и PEF после полудня). Согласно определенным вариантам осуществления введение антагониста IL-33 или антагониста IL-33 и антагониста IL-4R пациенту в результате приводит к повышению от исходного уровня пиковой объемной скорости выдоха в утреннее (до полудня) и/или вечернее время (после полудня) (PEF до полудня и/или PEF после полудня). Способы измерения PEF известны из уровня техники. Например, согласно одному способу измерения PEF пациентам выдают электронный измеритель PEF с целью регистрации PEF в утреннее (до полудня) и вечернее время (после полудня) (а также суточного применения альбутерола, показателей оценок симптомов астмы в утреннее и вечернее время и числа пробуждений в ночное время вследствие симптомов астмы, которые требуют приема лекарственных препаратов неотложной помощи). Пациентов инструктируют относительно применения устройства и предоставляют пациентам инструкции по применению электронного измерителя PEF в письменном виде. Кроме того, медицинский работник может инструктировать пациентов в отношении того, как записывать соответствующие переменные в электронный измеритель PEF. PEF до полудня, как правило, определяют в течение 15 минут после пробуждения (с 6 до 10 часов утра) до приема альбутерола в любой дозе. PEF после полудня, как правило, определяют в вечернее время (с 6 до 10 часов вечера) до приема альбутерола в любой дозе. Субъекты должны стараться отказаться от приема альбутерола в течение по меньшей мере 6 часов до измерения своей PEF. Пациент предпринимает три попытки измерения PEF и все 3 величины регистрируют посредством электронного измерителя PEF. Обычно для оценки используют максимальное значение. PEF до полудня на исходном уровне можно рассчитать в виде среднего показателя до полудня, записанного в течение 7 дней до введения первой дозы фармацевтической композиции, содержащей антагонист IL-4R, а PEF после полудня на исходном уровне можно рассчитать в виде среднего показателя после полудня, записанного в течение 7 дней до введения первой дозы фармацевтической композиции, содержащей антагонист IL-33 или антагонист IL-33 и антагонист IL-4R.

[00243] Настоящее изобретение включает терапевтические способы, которые в результате приводят к повышению PEF до полудня и/или PEF после полудня от исходного уровня на по меньшей мере 1,0 л/мин на неделе 12 после начала лечения фармацевтической композицией, содержащей антагонист IL-33 или антагонист IL-33 и антагонист IL-4R. Например, согласно настоящему изобретению введение антагониста IL-33 или антагониста IL-33 и антагониста IL-4R нуждающемуся в этом субъекту приводит к повышению PEF от исходного уровня на приблизительно 0,5 л/мин, 1,0 л/мин, 1,5 л/мин, 2,0 л/мин, 2,5 л/мин, 3,0 л/мин, 3,5 л/мин, 4,0 л/мин, 4,5 л/мин, 5,0 л/мин, 5,5 л/мин, 6,0 л/мин, 6,5 л/мин, 7,0 л/мин, 7,5 л/мин, 8,0 л/мин, 8,5 л/мин, 9,0 л/мин, 9,5 л/мин, 10,0 л/мин, 10,5 л/мин, 11,0 л/мин, 12,0 л/мин, 15 л/мин, 20 л/мин или больше на неделе 12.

[00244] Применение альбутерола/левалбутерола. Согласно определенным вариантам осуществления введение пациенту антагониста IL-33 или антагониста IL-33 и антагониста IL-4R в результате приводит к снижению от исходного уровня ежедневного применения альбутерола или левальбутерола. Число ингаляций альбутерола/левалбутерола может записываться пациентами ежедневно в дневнике, измерителе PEF или другом записывающем устройстве. На протяжении лечения фармацевтической композицией, описанной в данном документе, применение альбутерола/левалбутерола, как правило, можно осуществлять при необходимости в зависимости от симптомов, а не на постоянной основе или профилактически. Исходное число ингаляций альбутерола/левалбутерола в сутки можно рассчитать на основе средней величины в течение 7 дней до введения первой дозы фармацевтической композиции, содержащей антагонист IL-4R.

[00245] Настоящее изобретение включает терапевтические способы, которые приводят к сокращению применения альбутерола/левальбутерола от исходного уровня на по меньшей мере 0,25 впрыскивания в день на неделе 12 после начала лечения фармацевтической композицией, содержащей антагониста к IL-33, или первой фармацевтической композицией, содержащей антагонист IL-33, и второй фармацевтической композицией, содержащей антагонист IL-4R. Например, введение антагониста IL-33 или антагониста IL-33 и антагониста IL-4R нуждающемуся в этом субъекту приводит к сокращению применения альбутерола/левалбутерола от исходного уровня на приблизительно 0,25 впрыскивания в день, 0,50 впрыскивания в день, 0,75 впрыскивания в день, 1,00 впрыскивания в день, 1,25 впрыскивания в день, 1,5 впрыскивания в день, 1,75 впрыскивания в день, 2,00 впрыскивания в день, 2,25 впрыскивания в день, 2,5 впрыскивания в день, 2,75 впрыскивания в день, 3,00 впрыскивания в день или больше на неделе 12.

[00246] Применение OCS. Согласно определенным вариантам осуществления введение антагониста IL-33 или антагониста IL-33 и антагониста IL-4R пациенту можно применять в комбинации с OCS, таким как преднизон для перорального применения. Количество введений OCS может ежедневно записываться пациентами в дневнике, измерителе PEF или другом записывающем устройстве. На протяжении лечения фармацевтической композицией, описанной в данном документе, периодическое кратковременное применение преднизона, как правило, можно использовать для контроля острых эпизодов астмы, например, эпизодов, при которых с помощью бронходилататоров и других противовоспалительных средств не удается контролировать симптомы. В других аспектах преднизон используют параллельно с другим ICS или в качестве замены другого ICS. Преднизон для перорального применения можно вводить в дозах, составляющих приблизительно 5 мг, 10 мг, 15 мг, 20 мг, 25 мг, 30 мг, 35 мг или 40 мг. OCS можно необязательно вводить один раз в сутки или несколько раз в сутки (например, два раза в сутки, три раза в сутки, четыре раза в сутки и т. п.)

[00247] В определенных иллюстративных вариантах осуществления в настоящем изобретении представлены способы снижения или устранения зависимости субъекта от применения OCS. Снижение или устранение зависимости от стероидов является исключительно предпочтительным и необходимым. В определенных вариантах осуществления снижение на 50% или более (например, 50%, 60%, 70%, 80%, 90% или более) дозы OCS достигается после проведения терапии антителом к IL-4R в течение определенного периода времени (например, на неделе 240). В определенных вариантах осуществления OCS фактически устраняется через 40 недель, 45 недель, 50 недель, 52 недели или больше после первой дозы, следующей за введением начальной дозы. В других вариантах осуществления уровень применения OCS снижается до менее 5 мг в сутки (например, менее 5 мг, 4 мг, 3 мг, 2 мг или меньше в сутки). В других вариантах осуществления зависимость от применения OCS фактически устраняется через 3 месяца, 6 месяцев, 9 месяцев или 1 год после лечения антагонистом IL-33 или антагонистом IL-33 и антагонистом IL-4R.

[00248] Показатель согласно опроснику по контролю астмы из 5 пунктов (ACQ). Согласно определенным вариантам осуществления введение пациенту антагониста IL-33 или антагониста IL-33 и антагониста IL-4R в результате приводит к снижению от исходного уровня показателя согласно опроснику по контролю астмы из пяти пунктов (ACQ5). ACQ5 представляет собой утвержденный опросник для оценки контроля астмы.

[00249] Настоящее изобретение включает терапевтические способы, которые в результате приводят к снижению показателя ACQ5 от исходного уровня на по меньшей мере 0,10 балла на неделе 12 после начала лечения фармацевтической композицией, содержащей антагонист к IL-33 или антагонист IL-33 и антагонист IL-4R. Например, введение антагониста IL-33 или антагониста IL-33 и антагониста IL-4R нуждающемуся в этом субъекту приводит к снижению показателя ACQ от исходного уровня на приблизительно 0,10 балла, 0,15 балла, 0,20 балла, 0,25 балла, 0,30 балла, 0,35 балла, 0,40 балла, 0,45 балла, 0,50 балла, 0,55 балла, 0,60 балла, 0,65 балла, 0,70 балла, 0,75 балла, 0,80 балла, 0,85 балла или больше на неделе 12.

[00250] Пробуждения в ночное время. Согласно определенным вариантам осуществления введение пациенту антагониста IL-33 или антагониста IL-33 и антагониста IL-4R в результате приводит к снижению от исходного уровня среднего числа пробуждений в ночное время.

[00251] В определенных вариантах осуществления способы обеспечивают снижение среднего числа пробуждений в ночное время от исходного уровня на по меньшей мере приблизительно 0,10 раза за ночь на неделе 12 после начала лечения. Например, введение антагониста IL-33 или антагониста IL-33 и антагониста IL-4R нуждающемуся в этом субъекту может приводить к снижению среднего числа пробуждений в ночное время от исходного уровня на приблизительно 0,10 раза за ночь, 0,15 раза за ночь, 0,20 раза за ночь, 0,25 раза за ночь, 0,30 раза за ночь, 0,35 раза за ночь, 0,40 раза за ночь, 0,45 раза за ночь, 0,50 раза за ночь, 0,55 раза за ночь, 0,60 раза за ночь, 0,65 раза за ночь, 0,70 раза за ночь, 0,75 раза за ночь, 0,80 раза за ночь, 0,85 раза за ночь, 0,90 раза за ночь, 0,95 раза за ночь, 1,0 раз за ночь, 2,0 раза за ночь или больше на неделе 12.

[00252] Показатель теста для оценки исхода болезней носа и придаточных пазух носа из 22 пунктов (SNOT-22). Согласно определенным вариантам осуществления введение пациенту антагониста IL-33 или антагониста IL-33 и антагониста IL-4R в результате приводит к снижению от исходного уровня показателя теста для оценки исхода болезней носа и придаточных пазух носа из 22 пунктов (SNOT-22). SNOT-22 представляет собой утвержденный опросник для определения влияния хронического риносинусита на качество жизни (Hopkins et al. 2009, Clin. Otolaryngol. 34: 447-454).

[00253] Настоящее изобретение включает терапевтические способы, которые в результате приводят к снижению показателя SNOT-22 от исходного уровня на по меньшей мере 1 балл на неделе 12 после начала лечения фармацевтической композицией, содержащей антагонист к IL-33 или антагонист IL-33 и антагонист IL-4R. Например, введение антагониста IL-33 или антагониста IL-33 и антагониста IL-4R нуждающемуся в этом субъекту может приводить к снижению показателя SNOT-22 от исходного уровня на приблизительно 1, 2, 3, 4, 5, 6, 7, 8, 9, 10, 11, 12, 13 баллов или больше на неделе 12.

[00254] Биомаркеры. В определенных вариантах осуществления у субъекта наблюдается улучшение функции легких, что измеряется посредством биомаркера. Например, биомаркером может быть фракция оксида азота в выдыхаемом воздухе (FeNO), эотаксин-3, суммарный IgE, периостин или хемокин, регулируемый тимусом и активацией (TARC). В определенных вариантах осуществления на улучшение функции легких указывает снижение или увеличение (в зависимости от ситуации) на неделе 4, неделе 12 или неделе 24 после лечения.

Способы лечения астмы

[00255] В некоторых вариантах осуществления в настоящем изобретении представлены способы лечения астмы, в том числе, например, астмы со степенью тяжести от умеренной до тяжелой, у нуждающегося в этом субъекта, где способы предусматривают введение субъекту фармацевтической композиции, содержащей антагонист IL-33 или антагонист IL-33 и антагонист IL-4R. В определенных вариантах осуществления способы применимы для лечения у субъекта астмы со степенью тяжести от умеренной до тяжелой.

[00256] Используемый в данном документе термин "астма" можно использовать взаимозаменяемо с "рецидивирующей астмой" или "бронхиальной астмой". "Астма", "бронхиальная астма" и "рецидивирующая астма" относятся к астме, для которой справедлива одна или любая комбинация из следующих: возникновение симптомов в течение 2 дней в неделю или реже; симптомы не нарушают повседневные виды деятельности; симптомы в ночное время появляются реже 2 дней в месяц; или результаты один или несколько легочных функциональных тестов (например, объем форсированного выдоха за одну секунду (FEV1) и/или пиковая объемная скорость выдоха (PEF) составляет более 80%) находятся в пределах нормальных, когда субъект не страдает от приступа астмы.

[00257] Используемый в данном документе термин "персистирующая астма" или "персистирующая бронхиальная астма" относится к астме, которая протекает более тяжело, чем (бронхиальная) астма/рецидивирующая (бронхиальная) астма. У субъекта, страдающего персистирующей астмой или персистирующей бронхиальной астмой, наблюдается одно или несколько из следующего: возникновение симптомов чаще 2 дней в неделю; симптомы, которые не нарушают повседневных видов деятельности; симптомы в ночное время, которые возникают более 2 дней в месяц; или результаты одного или нескольких легочных функциональных тестов (например, объем форсированного выдоха за одну секунду (FEV1) и/или пиковая объемная скорость выдоха (PEF) менее 80%) отклоняются от нормальных, когда субъект не страдает от приступов астмы; субъект зависит от ежедневного приема лекарственного препарата для контроля астмы; субъект принимал системный стероид чаще одного раза за последний год после тяжелого приступа астмы; или применение бета-2-агониста короткого действия более двух дней в неделю для облегчения симптомов астмы.

[00258] Астма/рецидивирующая астма, бронхиальная астма/рецидивирующая бронхиальная астма и персистирующая астма/персистирующая бронхиальная астма могут быть классифицированы как "слабая", "умеренная", "тяжелая" или "степень от умеренной до тяжелой". "Слабую рецидивирующую астму" или "слабую рецидивирующую бронхиальную астму" определяют по возникновению симптомов менее одного раза в неделю и объему форсированного выдоха за одну секунду (FEV1) или пиковой объемной скорости выдоха (PEF), составляющих ≥ 80%. "Слабая персистирующая астма" или "слабая персистирующая бронхиальная астма" отличается тем, что частота возникновения симптомов составляет более одного раза в неделю, но реже одного раза в день, а вариабельность FEV1 или PEF составляет < 20% - 30%. "Умеренную рецидивирующую астму" или "умеренную рецидивирующую бронхиальную астму" определяют по возникновению симптомов менее одного раза в неделю и объему форсированного выдоха за одну секунду (FEV1) или пиковой объемной скорости выдоха (PEF), составляющих 60-80%. "Умеренную персистирующую астму" или "умеренную персистирующую бронхиальную астму" определяют по возникновению ежедневных симптомов, обострений, которые могут влиять на деятельность и/или сон, ночных симптомов более одного раза в неделю, ежедневному применению ингаляционного бета-2-агониста короткого действия и объему форсированного выдоха за одну секунду (FEV1) или пиковой объемной скорости выдоха (PEF) на уровне 60-80%. "Тяжелую рецидивирующую астму" или "тяжелую рецидивирующую бронхиальную астму" определяют по возникновению симптомов менее одного раза в неделю и объему форсированного выдоха за одну секунду (FEV1) или пиковой объемной скорости выдоха (PEF) на уровне 60%. "Тяжелую персистирующую астму" или "тяжелую персистирующую бронхиальную астму" определяют по возникновению ежедневных симптомов, частых обострений, которые могут влиять на деятельность и/или сон, частых ночных симптомов, ограничению физической активности, ежедневному применению ингаляционного бета-2-агониста короткого действия и объему форсированного выдоха за одну секунду (FEV1) или пиковой объемной скорости выдоха (PEF), составляющих 60%. "Рецидивирующую астму со степенью тяжести от умеренной до тяжелой" или "рецидивирующую бронхиальную астму со степенью тяжести от умеренной до тяжелой" определяют по наличию симптомов между симптомами умеренной рецидивирующей астмы/умеренной рецидивирующей бронхиальной астмы и тяжелой рецидивирующей астмы/тяжелой рецидивирующей бронхиальной астмы. "Персистирующую астму со степенью тяжести от умеренной до тяжелой" или "персистирующую бронхиальную астму со степенью тяжести от умеренной до тяжелой" определяют по наличию симптомов между симптомами умеренной персистирующей астмы/умеренной персистирующей бронхиальной астмы и тяжелой персистирующей астмы/тяжелой персистирующей бронхиальной астмы.

[00259] Используемый в данном документе термин "недостаточно контролируемая астма" относится к пациентам, у которых астма либо "не контролируется надлежащим образом" либо "очень плохо контролируется", что определено в "Expert Panel Report 3: Guidelines for the Diagnosis and Management of Asthma," National Heart, Blood and Lung Institute, NIH, Aug. 28, 2007. "Не контролируемую надлежащим образом астму" определяют по наличию симптомов более двух дней в неделю, пробуждений в ночное время от одного до трех раз в неделю, некоторых ограничений повседневной деятельности, применению бета2-агониста короткого действия для контроля симптомов более двух раз в неделю, FEV1, составляющего 60-80% от прогнозируемой величины и/или личного наилучшего показателя, показателю ATAQ, составляющему 1-2, показателю ACQ, составляющему 1,5 или больше, и показателю ACT, составляющему 16-19. "Очень плохо контролируемую астму" определяют по наличию симптомов в течение дня, пробуждений в ночное время четыре раза или больше в неделю, существенных ограничений повседневной деятельности, применению бета2-агониста краткого действия для контроля симптомов несколько раз в день, FEV1, составляющего менее 60% от прогнозируемой величины и/или личного наилучшего показателя, по показателю ATAQ, составляющему 3-4, отсутствию данных о показателе ACQ и показателю ACT, составляющему 15 или меньше.

[00260] В некоторых вариантах осуществления субъекта идентифицируют как имеющего "неконтролируемую астму со степенью тяжести от умеренной до тяжелой", если врач поставил такой диагноз субъекту согласно Руководствам Глобальной инициативы по бронхиальной астме (GINA) 2009 года и с учетом одного или нескольких из следующих критериев: i) существующее лечение с использованием дозы ICS/LABA от умеренной до высокой (2 флутиказона пропионата по 250 мкг два раза в сутки или равноэффективная суточная доза ICS) с фиксированной дозой ICS/LABA в течение 1 месяца или больше до введения начальной дозы антагониста IL-33 или начальной дозы антагониста IL-33 и антагониста IL-4R; ii) FEV1 40-80% от прогнозируемой нормы до введения начальной дозы антагониста IL-33 или начальной дозы антагониста IL-33 и антагониста IL-4R; iii) показатель ACQ-5 1,5 или больше до введения начальной дозы антагониста IL-33 или начальной дозы антагониста IL-33 и антагониста IL-4R; iv) обратимость по меньшей мере 12% и 200 мл FEV1 после от 200 мкг до 400 мкг (от 2 до 4 ингаляций) сальбутамола/альбутерола до введения начальной дозы антагониста IL-33 или начальной дозы антагониста IL-33 и антагониста IL-4R; или v) перенесение в течение 1 года до введения начальной дозы антагониста IL-33 или начальной дозы антагониста IL-33 и антагониста IL-4R любого из следующих событий: (a) лечение с использованием 1 или больше системной стероидной пульс-терапии (пероральной или парентеральной) по причине обострения астмы, (b) госпитализация или визит в отделение неотложной/скорой медицинской помощи из-за обострения астмы.

[00261] Термин "тяжелая астма" относится к астме, при которой соответствующий контроль не может быть достигнут при лечении высокими дозами ингаляционных кортикостероидов и дополнительных контролирующих лекарственных препаратов (например, ингаляционных длительнодействующих бета 2-агонистов, монтелукаста и/или теофиллина) или при терапии пероральным кортикостероидом (например, в течение по меньшей мере шести месяцев в год), или он утрачивается при снижении лечения. В определенных вариантах осуществления тяжелая астма включает астму, лечение которой осуществляют высокими дозами ICS и по меньшей мере одним дополнительным контролирующим лекарственным препаратом (например, LABA, монтелукастом или теофиллином) или пероральными кортикостероидами > 6 месяцев/год, где по меньшей мере одно из следующего происходит или может произойти при снижении лечения: ACT < 20 или ACQ > 1,5; по меньшей мере 2 обострения за последние 12 месяцев; по меньшей мере 1 обострение, лечение которого осуществляли в больнице или требующее искусственной вентиляции легких за последние 12 месяцев; или FEV1<80% (если FEV1/FVC ниже нижней границы нормы).

[00262] Термин "стероидозависимая астма" относится к астме, которая требует одного или нескольких из следующих способов лечения: лечение в виде частыми курсами кратковременной пульс-терапии пероральными кортикостероидами в течение последних 12 месяцев; регулярное применение высоких доз ингаляционных кортикостероидов в течение последних 12 месяцев; регулярное применение инъекционных кортикостероидов длительного действия; ежедневное применение пероральных кортикостероидов; применение пероральных кортикостероидов через день или длительное применение пероральных кортикостероидов за прошедший год.

[00263] Термин "астма, зависимая от перорального кортикостероида" относится к субъекту, в анамнезе у которого имеется ≥ 3 30-дневных курсов приема перорального кортикостероида (OCS) в течение 12-месячного периода и первичный диагноз астмы в течение 12 месяцев после первого курса приема OCS. У субъектов с OCS-зависимой астмой могут также наблюдаться одно или любая комбинацию из следующего: получали назначенные врачом LABA и высокую дозу ICS (общая суточная доза > 500 мкг эквивалента сухого порошкообразного состава на основе флутиказона пропионата) в течение по меньшей мере 3 месяцев (ICS и LABA могут быть частями комбинированного лекарственного препарата или предоставлены в отдельных ингаляторах); получали дополнительные поддерживающие лекарственные препараты, контролирующие астму, в соответствии со стандартами лечения, например, антагонисты лейкотриеновых рецепторов (LTRA), теофиллин, антагонисты мускариновых рецепторов длительного действия (LAMA), вторичные ICS и кромоны; получали OCS для лечения астмы в дозе от ≥ 7,5 до ≤ 30 мг (преднизон или эквивалент преднизолона); получали дозу OCS, вводимую через день (или разные дозы через день); FEV1 в утреннее время до введения бронходилататора (BD) составлял < 80% от прогнозируемой нормы; наличие признаков астмы, подтверждаемых обратимостью FEV1 ≥ 12% и ≥ 200 мл после BD (альбутерол/сальбутатомол) (15-30 мин после 4 впрыскиваний альбутерола/сальбутатомола); или они имеют в анамнезе по меньшей мере одно явление обострения астмы в течение 12 месяцев.

[00264] В одном аспекте представлены способы лечения астмы, предусматривающие: (a) отбор пациента, который характеризуется уровнем эозинофилов в крови, составляющим по меньшей мере 300 клеток на микролитр; и (b) введение пациенту фармацевтической композиции, содержащей антагонист IL-33 или антагонист IL-33 и антагонист IL-4R.

[00265] В другом аспекте представлены способы лечения астмы, предусматривающие: (a) отбор пациента, который характеризуется уровнем эозинофилов в крови, составляющим 150-299 клеток на микролитр; и (b) введение пациенту фармацевтической композиции, содержащей антагонист IL-33 или антагонист IL-33 и антагонист IL-4R.

[00266] В другом аспекте представлены способы лечения астмы, предусматривающие: (a) отбор пациента, который характеризуется уровнем эозинофилов в крови, составляющим менее 150 клеток на микролитр; и (b) введение пациенту фармацевтической композиции, содержащей антагонист IL-33 или антагонист IL-33 и антагонист IL-4R.

[00267] В одном аспекте представлены способы лечения астмы, предусматривающие: (a) отбор пациента, который характеризуется низким уровнем периостина; и (b) введение пациенту фармацевтической композиции, содержащей антагонист IL-33 или антагонист IL-33 и антагонист IL-4R.

[00268] В другом аспекте представлены способы лечения астмы, предусматривающие: (a) отбор пациента, который характеризуется высоким уровнем периостина; и (b) введение пациенту фармацевтической композиции, содержащей антагонист IL-33 или антагонист IL-33 и антагонист IL-4R.

[00269] Используемое в данном документе выражение "высокий уровень периостина" относится к результату измерения уровня периостина в крови, который превышает или равен приблизительно 60 нг/мл, превышает или равен приблизительно 65 нг/мл, превышает или равен приблизительно 70 нг/мл, превышает или равен приблизительно 75 нг/мл, превышает или равен приблизительно 80 нг/мл, превышает или равен приблизительно 85 нг/мл, превышает или равен приблизительно 90 нг/мл, превышает или равен приблизительно 95 нг/мл, превышает или равен приблизительно 100 нг/мл. В конкретных иллюстративных вариантах осуществления высокий уровень периостина превышает или равен приблизительно 75,0 нг/мл или превышает или равен приблизительно 74,4 нг/мл.

[00270] Используемый в данном документе термин "низкий уровень периостина" относится к результату измерения уровня периостина в крови, который составляет менее приблизительно 100 нг/мл, менее приблизительно 95 нг/мл, менее приблизительно 90 нг/мл, менее приблизительно 85 нг/мл, менее приблизительно 80 нг/мл, менее приблизительно 75 нг/мл, менее приблизительно 70 нг/мл, менее приблизительно 65 нг/мл или менее приблизительно 60 нг/мл. В особо иллюстративных вариантах осуществления низкий уровень периостина составляет менее приблизительно 75,0 нг/мл или менее приблизительно 74,4 нг/мл.

[00271] В связанном аспекте представлены способы лечения астмы, предусматривающие дополнительную терапию к фоновой терапии. В определенных вариантах осуществления антагонист IL-33 или антагонист IL-33 и антагонист IL-4R вводят в режиме дополнительной терапии пациенту с астмой, который получает фоновую терапию в течение определенного периода времени (например, 1 недели, 2 недель, 3 недель, 1 месяца, 2 месяцев, 5 месяцев, 12 месяцев, 18 месяцев, 24 месяцев или более длительного периода) (также называемого "стабильной фазой"). В некоторых вариантах осуществления фоновая терапия предусматривает ICS и/или LABA.

[00272] В некоторых вариантах осуществления настоящее изобретение включает способ снижения зависимости пациента с астмой от ICS и/или LABA, предназначенных для лечения одного или нескольких обострений астмы, предусматривающий: (a) отбор пациента, у которого имеется астма со степенью тяжести от умеренной до тяжелой, которая плохо контролируется фоновой терапией астмы, предусматривающей ICS, LABA или их комбинацию; и (b) введение пациенту фармацевтической композиции, содержащей антагонист IL-33 или антагонист IL-33 и антагонист IL-4R.

[00273] В некоторых вариантах осуществления настоящее изобретение охватывает способы лечения или облегчения состояний или осложнений, ассоциированных с астмой, таких как хронический риносинусит, аллергический ринит, аллергический грибковый риносинусит, аллергический бронхолегочный аспергиллез, объединенное заболевание дыхательных путей, синдром Черджа-Стросса, васкулит, хроническая обструктивная болезнь легких (COPD) и бронхоспазм, вызванный физической нагрузкой.

[00274] Настоящее изобретение также включает способы лечения персистирующей астмы. Используемый в данном документе термин "персистирующая астма" означает, что у субъекта возникают симптомы по меньшей мере один раз в неделю днем и/или ночью, при этом симптомы длятся от нескольких часов до нескольких дней. В определенных альтернативных вариантах осуществления персистирующая астма является "слабо персистирующей" (например, более двух раз в неделю, но менее одного раза в день с симптомами, которые являются достаточно тяжелыми, чтобы нарушать виды повседневной деятельности или сон, и/или если дыхательная функция является нормальной или обратимой при ингаляции бронходилататора), "умеренно персистирующей" (например, симптомы возникают ежедневно, при этом сон прерывается по меньшей мере один раз в неделю и/или при этом дыхательная функция является умеренно нарушенной) или "тяжело персистирующей" (например, непрерывные симптомы, несмотря на корректное применение утвержденных лекарственных препаратов, и/или если дыхательная функция сильно нарушена).

Антагонисты интерлейкина-33 (IL-33) или антагонисты рецептора интерлейкина-4 (IL-4R)

[00275] Способы, представленные в настоящем изобретении, предусматривают введение нуждающемуся в этом субъекту терапевтической композиции, содержащей антагонист IL-33. Используемый в данном документе термин "антагонист IL-33" означает любое средство, которое связывается или взаимодействует с IL-33 человека и подавляет нормальную биологическую сигнальную функцию IL-33 при экспрессии IL-33 на клетке in vitro или in vivo.

[00276] Способы, представленные в настоящем изобретении, необязательно предусматривают введение нуждающемуся в этом субъекту терапевтической композиции, содержащей антагонист IL-4R. Используемый в данном документе термин "антагонист IL-4R" означает любое средство, которое связывается или взаимодействует с IL-4R человека и подавляет нормальную биологическую сигнальную функцию IL-4R при экспрессии IL-4R на клетке in vitro или in vivo.

[00277] Неограничивающие примеры категорий антагонистов IL-33 и антагонистов IL-4R включают низкомолекулярные антагонисты IL-33, низкомолекулярные антагонисты IL-4R, аптамеры к IL-33, аптамеры к IL-4R, пептидные антагонисты IL-33 или пептидные антагонисты IL-4R (например, молекулы "пептид-ассоциированных антител") и антитела или антигенсвязывающие фрагменты антител, которые специфически связывают IL-33 человека или IL-4R человека.

[00278] Согласно определенным вариантам осуществления антагонист IL-33 предусматривает антитело к IL-33 или его антигенсвязывающий фрагмент, которые можно использовать в контексте представленных в настоящем изобретении способов, описанных в других частях данного документа. Например, в одном варианте осуществления антагонистом IL-33 является антитело или его антигенсвязывающий фрагмент, которые специфически связываются с IL-33 и содержат последовательности CDR (определяющего комплементарность участка) тяжелой цепи и легкой цепи из вариабельного участка тяжелой цепи (HCVR) и вариабельного участка легкой цепи (LCVR) под SEQ ID NO: 2 и 10 соответственно. В другом варианте осуществления антагонист IL-33 представляет собой антитело или его антигенсвязывающий фрагмент, которые специфически связываются с IL-33 и содержат последовательности CDR тяжелой и легкой цепей под SEQ ID NO: 4, 6 и 8 и SEQ ID NO: 12, 14 и 16 соответственно. В другом варианте осуществления антагонист IL-33 представляет собой антитело или его антигенсвязывающий фрагмент, которые специфически связываются с IL-33 и содержат пару HCVR/LCVR под SEQ ID NO: 2 и 10 соответственно.

[00279] aggtgcagct ggtggagtct gggggaaact tggaacagcc tggggggtcc cttagactct cctgtacagc ctctggattc acctttagca gatctgccat gaactgggtc cgccgggctc cagggaaggg gctggagtgg gtctcaggaa ttagtggtag tggtggtcga acatactacg cagactccgt gaagggccgg ttcaccatct ccagagacaa ttccaagaat acgctatatc tgcaaatgaa cagcctgagc gccgaggaca cggccgcata ttactgtgcg aaagattcgt atactaccag ttggtacgga ggtatggacg tctggggcca cgggaccacg gtcaccgtct cctca (SEQ ID NO: 1), HCVR SAR440340, последовательность ДНК.

[00280] VQLVESGGNLEQPGGSLRLSCTASGFTFSRSAMNWVRRAPGKGLEWVSGISGSGGRTYYADSVKGRFTISRDNSKNTLYLQMNSLSAEDTAAYYCAKDSYTTSWYGGMDVWGHGTTVTVSS (SEQ ID NO: 2), SAR440340 HCVR, аминокислотная последовательность.

[00281] gattcacctt tagcagatct gcc (SEQ ID NO: 3), SAR440340 HCDR1, последовательность ДНК.

[00282] FTFSRSA (SEQ ID NO: 4), SAR440340 HCDR1, аминокислотная последовательность.

[00283] ttagtggtag tggtggtcga aca (SEQ ID NO: 5), SAR440340 HCDR2, последовательность ДНК.

[00284] SGSGGRT (SEQ ID NO: 6), SAR440340 HCDR2, аминокислотная последовательность.

[00285] cgaaagattc gtatactacc agttggtacg gaggtatgga cgtc (SEQ ID NO: 7), SAR440340 HCDR3, последовательность ДНК.

[00286] KDSYTTSWYGGMDV (SEQ ID NO: 8), SAR440340 HCDR3, аминокислотная последовательность.

[00287] acatccagat gacccagtct ccatcttccg tgtctgcatc tgtaggagac agagtcacca tcacttgtcg ggcgagtcag ggtattttca gctggttagc ctggtatcag cagaaaccag gaaaagcccc taagctcctg atctatgctg cttccagttt acaaagtggg gtcccatcaa gattcagcgg cagtggatct gggacagatt tcactctcac catcagcagc ctgcagcctg aggattttgc aatttactat tgtcaacagg ctaacagtgt cccgatcacc ttcggccaag ggacacgact ggagattaaa cga (SEQ ID NO: 9), SAR440340 LCVR, последовательность ДНК.

[00288] IQMTQSPSSVSASVGDRVTITCRASQGIFSWLAWYQQKPGKAPKLLIYAASSLQSGVPSRFSGSGSGTDFTLTISSLQPEDFAIYYCQQANSVPITFGQGTRLEIKR (SEQ ID NO: 10) SAR440340 LCVR, аминокислотная последовательность.

[00289] agggtatttt cagctgg (SEQ ID NO: 11), SAR440340 LCDR1, последовательность ДНК.

[00290] GIFSW (SEQ ID NO: 12), SAR440340 LCDR1, аминокислотная последовательность.

[00291] ctgcttcc (SEQ ID NO: 13), SAR440340 LCDR2, последовательность ДНК.

[00292] AS (SEQ ID NO: 14), SAR440340 LCDR2, аминокислотная последовательность.

[00293] aacaggctaa cagtgtcccg atcacc (SEQ ID NO: 15), SAR440340 LCDR3, последовательность ДНК.

[00294] QANSVPIT (SEQ ID NO: 16), SAR440340 LCDR3, аминокислотная последовательность.

[00295] aggtgcagct ggtggagtct gggggaaact tggaacagcc tggggggtcc cttagactct cctgtacagc ctctggattc acctttagca gatctgccat gaactgggtc cgccgggctc cagggaaggg gctggagtgg gtctcaggaa ttagtggtag tggtggtcga acatactacg cagactccgt gaagggccgg ttcaccatct ccagagacaa ttccaagaat acgctatatc tgcaaatgaa cagcctgagc gccgaggaca cggccgcata ttactgtgcg aaagattcgt atactaccag ttggtacgga ggtatggacg tctggggcca cgggaccacg gtcaccgtct cctcagcctc caccaagggc ccatcggtct tccccctggc gccctgctcc aggagcacct ccgagagcac agccgccctg ggctgcctgg tcaaggacta cttccccgaa ccggtgacgg tgtcgtggaa ctcaggcgcc ctgaccagcg gcgtgcacac cttcccggct gtcctacagt cctcaggact ctactccctc agcagcgtgg tgaccgtgcc ctccagcagc ttgggcacga agacctacac ctgcaacgta gatcacaagc ccagcaacac caaggtggac aagagagttg agtccaaata tggtccccca tgcccaccct gcccagcacc tgagttcctg gggggaccat cagtcttcct gttcccccca aaacccaagg acactctcat gatctcccgg acccctgagg tcacgtgcgt ggtggtggac gtgagccagg aagaccccga ggtccagttc aactggtacg tggatggcgt ggaggtgcat aatgccaaga caaagccgcg ggaggagcag ttcaacagca cgtaccgtgt ggtcagcgtc ctcaccgtcc tgcaccagga ctggctgaac ggcaaggagt acaagtgcaa ggtctccaac aaaggcctcc cgtcctccat cgagaaaacc atctccaaag ccaaagggca gccccgagag ccacaggtgt acaccctgcc cccatcccag gaggagatga ccaagaacca ggtcagcctg acctgcctgg tcaaaggctt ctaccccagc gacatcgccg tggagtggga gagcaatggg cagccggaga acaactacaa gaccacgcct cccgtgctgg actccgacgg ctccttcttc ctctacagca ggctcaccgt ggacaagagc aggtggcagg aggggaatgt cttctcatgc tccgtgatgc atgaggctct gcacaaccac tacacacaga agtccctctc cctgtctctg ggtaaatga (SEQ ID NO: 17), SAR440340 последовательность ДНК тяжелой цепи.

[00296] VQLVESGGNLEQPGGSLRLSCTASGFTFSRSAMNWVRRAPGKGLEWVSGISGSGGRTYYADSVKGRFTISRDNSKNTLYLQMNSLSAEDTAAYYCAKDSYTTSWYGGMDVWGHGTTVTVSSASTKGPSVFPLAPCSRSTSESTAALGCLVKDYFPEPVTVSWNSGALTSGVHTFPAVLQSSGLYSLSSVVTVPSSSLGTKTYTCNVDHKPSNTKVDKRVESKYGPPCPPCPAPEFLGGPSVFLFPPKPKDTLMISRTPEVTCVVVDVSQEDPEVQFNWYVDGVEVHNAKTKPREEQFNSTYRVVSVLTVLHQDWLNGKEYKCKVSNKGLPSSIEKTISKAKGQPREPQVYTLPPSQEEMTKNQVSLTCLVKGFYPSDIAVEWESNGQPENNYKTTPPVLDSDGSFFLYSRLTVDKSRWQEGNVFSCSVMHEALHNHYTQKSLSLSLGK (SEQ ID NO: 18), SAR440340 аминокислотная последовательность тяжелой цепи.

[00297] acatccagat gacccagtct ccatcttccg tgtctgcatc tgtaggagac agagtcacca tcacttgtcg ggcgagtcag ggtattttca gctggttagc ctggtatcag cagaaaccag gaaaagcccc taagctcctg atctatgctg cttccagttt acaaagtggg gtcccatcaa gattcagcgg cagtggatct gggacagatt tcactctcac catcagcagc ctgcagcctg aggattttgc aatttactat tgtcaacagg ctaacagtgt cccgatcacc ttcggccaag ggacacgact ggagattaaa cgaactgtgg ctgcaccatc tgtcttcatc ttcccgccat ctgatgagca gttgaaatct ggaactgcct ctgttgtgtg cctgctgaat aacttctatc ccagagaggc caaagtacag tggaaggtgg ataacgccct ccaatcgggt aactcccagg agagtgtcac agagcaggac agcaaggaca gcacctacag cctcagcagc accctgacgc tgagcaaagc agactacgag aaacacaaag tctacgcctg cgaagtcacc catcagggcc tgagctcgcc cgtcacaaag agcttcaaca ggggagagtg ttag (SEQ ID NO: 19), SAR440340 последовательность ДНК легкой цепи.

[00298] IQMTQSPSSVSASVGDRVTITCRASQGIFSWLAWYQQKPGKAPKLLIYAASSLQSGVPSRFSGSGSGTDFTLTISSLQPEDFAIYYCQQANSVPITFGQGTRLEIKRTVAAPSVFIFPPSDEQLKSGTASVVCLLNNFYPREAKVQWKVDNALQSGNSQESVTEQDSKDSTYSLSSTLTLSKADYEKHKVYACEVTHQGLSSPVTKSFNRGEC (SEQ ID NO: 20), SAR440340 аминокислотная последовательность тяжелой цепи.

[00299] Согласно определенным вариантам осуществления антагонист IL-4R предусматривает антитело к IL-4R или его антигенсвязывающий фрагмент, которые можно использовать в контексте представленных в настоящем изобретении способов, описанных в других частях данного документа. Например, в одном варианте осуществления антагонистом IL-4R является антитело или его антигенсвязывающий фрагмент, которые специфически связываются с IL-4R и содержат последовательности CDR (определяющего комплементарность участка) тяжелой цепи и легкой цепи из вариабельного участка тяжелой цепи (HCVR) и вариабельного участка легкой цепи (LCVR) под SEQ ID NO: 27 и 28 соответственно. В другом варианте осуществления антагонист IL-4R представляет собой антитело или его антигенсвязывающий фрагмент, которые специфически связываются с IL-4R и содержат последовательности CDR тяжелой и легкой цепей под SEQ ID NO: 21, 22 и 23 и SEQ ID NO: 24, 25 и 26 соответственно. В другом варианте осуществления антагонист IL-4R представляет собой антитело или его антигенсвязывающий фрагмент, которые специфически связываются с IL-4R и содержат пару HCVR/LCVR под SEQ ID NO: 27 и 28 соответственно.

[00300] GFTFRDYA (SEQ ID NO: 21), аминокислотная последовательность HCDR1 дупилумаба.

[00301] ISGSGGNT (SEQ ID NO: 22), аминокислотная последовательность HCDR2 дупилумаба.

[00302] AKDRLSITIRPRYYGL (SEQ ID NO: 23), аминокислотная последовательность HCDR3 дупилумаба.

[00303] QSLLYSIGYNY (SEQ ID NO: 24), аминокислотная последовательность LCDR1 дупилумаба.

[00304] LGS (SEQ ID NO: 25), аминокислотная последовательность LCDR2 дупилумаба.

[00305] MQALQTPYT (SEQ ID NO: 26), аминокислотная последовательность LCDR3 дупилумаба.

[00306] EVQLVESGGGLEQPGGSLRLSCAGSGFTFRDYAMTWVRQAPGKGLEWVSSISGSGGNTYYADSVKGRFTISRDNSKNTLYLQMNSLRAEDTAVYYCAKDRLSITIRPRYYGLDVWGQGTTVTVS (SEQ ID NO: 27) аминокислотная последовательность HCVR дупилумаба.

[00307] DIVMTQSPLSLPVTPGEPASISCRSSQSLLYSIGYNYLDWYLQKSGQSPQLLIYLGSNRASGVPDRFSGSGSGTDFTLKISRVEAEDVGFYYCMQALQTPYTFGQGTKLEIK (SEQ ID NO: 28), аминокислотная последовательность LCVR дупилумаба.

[00308] Термин "IL-33 человека" (hIL-33) относится к цитокиновому рецептору человека, который специфически связывается с интерлейкином-33 (IL-33). Термин "IL-4R человека" (hIL-4R) относится к цитокиновому рецептору человека, который специфически связывается с интерлейкином-4 (IL-4), такому как IL-4Rα.

[00309] Термин "антитело" относится к молекулам иммуноглобулинов, содержащим четыре полипептидные цепи, две тяжелые (H) цепи и две легкие (L) цепи, соединенные между собой дисульфидными связями, а также их мультимерам (например, IgM). Каждая тяжелая цепь содержит вариабельный участок тяжелой цепи (в данном документе обозначен аббревиатурой HCVR или VH) и константный участок тяжелой цепи. Константный участок тяжелой цепи содержит три домена: CH1, CH2 и CH3. Каждая легкая цепь содержит вариабельный участок легкой цепи (в данном документе обозначен аббревиатурой LCVR или VL) и константный участок легкой цепи. Константный участок легкой цепи содержит один домен (CL1). Участки VH и VL можно дополнительно подразделять на участки гипервариабельности, называемые участками, определяющими комплементарность (CDR), чередующиеся с более консервативными участками, называемыми каркасными участками (FR). Каждый VH и VL состоит из трех CDR и четырех FR, расположенных от аминоконца к карбоксиконцу в следующем порядке: FR1, CDR1, FR2, CDR2, FR3, CDR3, FR4. В различных вариантах осуществления FR антитела к IL-33 и антитела к IL-4R или его антигенсвязывающего участка могут быть идентичны последовательностям иммуноглобулина зародышевой линии человека или могут быть модифицированы естественным или искусственным путем. Аминокислотная консенсусная последовательность может быть определена на основании "параллельного" анализа двух или более CDR.

[00310] Термин "антитело" также включает антигенсвязывающие фрагменты полных молекул антител. Термины "антигенсвязывающий участок" антитела, "антигенсвязывающий фрагмент" антитела и т. п., используемые в данном документе, включают любые встречающиеся в природе, получаемые ферментативным путем, синтетические или получаемые посредством методик генной инженерии полипептид или гликопротеин, специфически связывающиеся с антигеном с образованием комплекса. Антигенсвязывающие фрагменты антитела могут быть получены, например, из полных молекул антител с помощью любых подходящих стандартных методик, таких как протеолитическое расщепление или рекомбинантные методики генной инженерии, включающие манипуляцию с ДНК, кодирующей вариабельные и необязательно константные домены антитела, и ее экспрессию. Такая ДНК известна и/или легкодоступна, например, из коммерческих источников, библиотек ДНК (в том числе, например, библиотек "фаг-антитело"), или ее можно синтезировать. ДНК можно секвенировать и с ней можно проводить манипуляции химическим путем или с помощью методик молекулярной биологии, например, для расположения одного или нескольких вариабельных и/или константных доменов в подходящей конфигурации или для введения кодонов, создания цистеиновых остатков, модификации, добавления или удаления аминокислот и т. д.

[00311] Неограничивающие примеры антигенсвязывающих фрагментов включают без ограничения: (i) Fab-фрагменты; (ii) F(ab')2-фрагменты; (iii) Fd-фрагменты; (iv) Fv-фрагменты; (v) одноцепочечные молекулы Fv (scFv); (vi) dAb-фрагменты и (vii) минимальные распознающие единицы, состоящие из аминокислотных остатков, имитирующих гипервариабельный участок антитела (например, выделенный участок, определяющий комплементарность (CDR), такой как пептид CDR3), или пептид c ограниченной конформационной свободой FR3-CDR3-FR4. Другие сконструированные молекулы, такие как домен-специфические антитела, однодоменные антитела, антитела с удаленным доменом, химерные антитела, CDR-привитые антитела, диантитела, триантитела, тетраантитела, миниантитела, наноантитела (например, моновалентные антитела, бивалентные антитела и т. д.), иммунофармацевтические средства на основе модульного белка малого размера (SMIP) и акульи вариабельные домены IgNAR, также включены в выражение "антигенсвязывающий фрагмент".

[00312] Антигенсвязывающий фрагмент антитела, как правило, будет содержать по меньшей мере один вариабельный домен. Вариабельный домен может иметь любой размер или аминокислотный состав и будет, как правило, содержать по меньшей мере один CDR, который располагается смежно с одной или нескольким каркасным последовательностям или находится в рамке считывания с ними. В антигенсвязывающих фрагментах, имеющих домен VH, связанный с доменом VL, домены VH и VL могут располагаться относительно другу друга в любом подходящем порядке. Например, вариабельный участок может быть димерным и содержать димеры VH-VH, VH-VL или VL-VL. Альтернативно антигенсвязывающий фрагмент антитела может содержать мономерный домен VH или VL.

[00313] В определенных вариантах осуществления антигенсвязывающий фрагмент антитела может содержать по меньшей мере один вариабельный домен, ковалентно связанный с по меньшей мере одним константным доменом. Неограничивающие иллюстративные конфигурации вариабельных и константных доменов, которые можно выявить в антигенсвязывающем фрагменте антитела, описанного в данном документе, включают: (i) VH-CH1; (ii) VH-CH2; (iii) VH-CH3; (iv) VH-CH1-CH2; (v) VH-CH1-CH2-CH3; (vi) VH-CH2-CH3; (vii) VH-CL; (viii) VL-CH1; (ix) VL-CH2; (x) VL-CH3; (xi) VL-CH1-CH2; (xii) VL-CH1-CH2-CH3; (xiii) VL-CH2-CH3 и (xiv) VL-CL. В любой конфигурации вариабельных и константных доменов, в том числе любых иллюстративных конфигурациях, перечисленных выше, вариабельные и константные домены могут быть либо непосредственно связаны друг с другом, либо могут быть связаны посредством полного или неполного шарнирного или линкерного участка. Шарнирный участок может состоять из по меньшей мере 2 (например, 5, 10, 15, 20, 40, 60 или больше) аминокислот, что в результате приводит к образованию гибкой или полугибкой связи между смежными вариабельными и/или константными доменами в одной молекуле полипептида, как правило, шарнирный участок может состоять из 2-60 аминокислот, как правило, 5-50 или, как правило, 10-40 аминокислот. Кроме того, антигенсвязывающий фрагмент антитела, описанного в данном документе, может содержать гомодимер или гетеродимер (или другой мультимер) из любых конфигураций вариабельных и константных доменов, изложенных выше, в нековалентной ассоциации друг с другом и/или с одним или несколькими мономерными доменами VH или VL (например, с помощью дисульфидной связи(связей)).

[00314] Как и в случае с целыми молекулами антител антигенсвязывающие фрагменты могут быть моноспецифическими или мультиспецифическими (например, биспецифическими). Мультиспецифический антигенсвязывающий фрагмент антитела будет, как правило, содержать по меньшей мере два различных вариабельных домена, где каждый вариабельный домен способен специфически связываться с отдельным антигеном или с другим эпитопом того же антигена. Любой формат мультиспецифических антител может быть адаптирован для применения в контексте антигенсвязывающего фрагмента антитела, описанного в данном документе, с помощью стандартных методик, доступных в данной области техники.

[00315] Константный участок антитела важен в плане способности антитела связывать комплемент и опосредовать клеточнозависимую цитотоксичность. Таким образом, изотип антитела может быть выбран исходя из того, желательно ли для антитела опосредование цитотоксичности.

[00316] Термин "человеческое антитело" включает антитела, имеющие вариабельные и константные участки, полученные из последовательностей иммуноглобулинов зародышевой линии человека. Человеческие антитела, представленные в настоящем изобретении, при этом могут включать аминокислотные остатки, не кодируемые последовательностями иммуноглобулинов зародышевой линии человека (например, мутации, вводимые случайным или сайт-специфичным мутагенезом in vitro или соматической мутацией in vivo), например, в CDR и, в частности, CDR3. Однако термин "человеческое антитело" не включает антитела, в которых последовательности CDR, полученные из зародышевой линии другого вида млекопитающего, такого как мышь, привиты на последовательности каркасных участков человека.

[00317] Термин "рекомбинантное человеческое антитело" включает все человеческие антитела, получаемые, экспрессируемые, синтезируемые или выделяемые посредством рекомбинантных методик, такие как антитела, экспрессируемые посредством рекомбинантного вектора экспрессии, трансфицированного в клетку-хозяина (описаны дополнительно ниже), антитела, выделяемые из комбинаторной библиотеки рекомбинантных антител человека (описаны дополнительно ниже), антитела, выделяемые из животного (например, мыши), которое является трансгенным по генам человеческих иммуноглобулинов (см., например, Taylor et al. (1992) Nucl. Acids Res. 20:6287-6295), или антитела, полученные, экспрессированные, синтезированные или выделенные посредством любых других способов, которые предусматривают сплайсинг последовательностей генов человеческих иммуноглобулинов с другими последовательностями ДНК. Такие рекомбинантные человеческие антитела имеют вариабельные и константные участки, полученные из последовательностей иммуноглобулинов зародышевой линии человека. Однако в определенных вариантах осуществления такие рекомбинантные человеческие антитела подвергают мутагенезу in vitro (или в случае использования животного, трансгенного по последовательностям человеческого Ig, соматическому мутагенезу in vivo) и, таким образом, аминокислотные последовательности участков VH и VL рекомбинантных антител представляют собой последовательности, которые, будучи полученными из последовательностей VH и VL зародышевой линии человека и родственными им, могут не встречаться в природе в репертуаре антител зародышевой линии человека in vivo.

[00318] Человеческие антитела могут встречаться в двух формах, что связано с гетерогенностью шарнирных участков. В одной форме молекула иммуноглобулина содержит стабильную четырехцепочечную конструкцию массой примерно 150-160 кДа, в которой димеры удерживаются вместе посредством межцепочечной дисульфидной связи, которая связывает тяжелые цепи. Во второй форме димеры не соединены межцепочечными дисульфидными связями, и образуется молекула массой приблизительно 75-80 кДа, состоящая из ковалентно связанных легкой и тяжелой цепей (полуантитело). Эти формы крайне сложно разделить даже после аффинной очистки.

[00319] Частота появления второй формы в различных изотипах интактных IgG обусловлена без ограничения структурными различиями, связанными с изотипом шарнирного участка антитела. Единственная аминокислотная замена в шарнирном участке шарнира IgG4 человека может значительно снизить появление второй формы (Angal et al. (1993) Molecular Immunology 30:105) до уровней, обычно наблюдаемых при использовании человеческого шарнира IgG1. Настоящее изобретение охватывает антитела с одной или несколькими мутациями в шарнире, участке CH2 или CH3, что может быть предпочтительным, например, в условиях получения, для повышения выхода предпочтительной формы антитела.

[00320] Термин "выделенное антитело" означает антитело, которое было идентифицировано и отделено от и/или извлечено из по меньшей мере одного компонента своего естественного окружения. Например, антитело, которое было отделено от или удалено из по меньшей мере одного компонента организма, или из ткани или клетки, в которой антитело изначально присутствует или продуцируется естественным путем, представляет собой "выделенное антитело". Выделенное антитело также включает антитело in situ в рекомбинантной клетке. Выделенные антитела представляют собой антитела, которые были подвергнуты по меньшей мере одной стадии очистки или выделения. Согласно определенным вариантам осуществления выделенное антитело может практически не содержать другой клеточный материал и/или другие химические соединения.

[00321] Термин "специфично связывает" и т. п. означает, что антитело или его антигенсвязывающий фрагмент образуют комплекс с антигеном, который является относительно стабильным в физиологических условиях. Способы определения наличия специфического связывания антитела с антигеном хорошо известны из уровня техники и включают, например, равновесный диализ, поверхностный плазмонный резонанс и т. п. Например, антитело, которое "специфически связывается" с IL-33 или IL-4R, как представлено в настоящем изобретении, включает антитела, которые связываются с IL-33 или IL-4R соответственно или его частью с KD менее, составляющей менее приблизительно 1000 нМ, менее приблизительно 500 нМ, менее приблизительно 300 нМ, менее приблизительно 200 нМ, менее приблизительно 100 нМ, менее приблизительно 90 нМ, менее приблизительно 80 нМ, менее приблизительно 70 нМ, менее приблизительно 60 нМ, менее приблизительно 50 нМ, менее приблизительно 40 нМ, менее приблизительно 30 нМ, менее приблизительно 20 нМ, менее приблизительно 10 нМ, менее приблизительно 5 нМ, менее приблизительно 4 нМ, менее приблизительно 3 нМ, менее приблизительно 2 нМ, менее приблизительно 1 нМ или менее приблизительно 0,5 нМ согласно результатам измерения в анализе поверхностного плазмонного резонанса. Однако выделенное антитело, которое специфически связывается с IL-33 человека или IL-4R человека, характеризуется перекрестной реактивностью по отношению к другим антигенам, таким как молекулы IL-33 или IL-4R из других (отличных от человека) видов.

[00322] Антитела к IL-33 или антитела к IL-4R, применимые для данных способов, могут содержать одну или несколько аминокислотных замен, вставок и/или делеций (например, 1, 2, 3, 4, 5, 6, 7, 8, 9 или 10 замен, и/или 1, 2, 3, 4, 5, 6, 7, 8, 9 или 10 вставок, и/или 1, 2, 3, 4, 5, 6, 7, 8, 9 или 10 делеций) в каркасных участках и/или участках CDR вариабельных доменов тяжелой и легкой цепей по сравнению с соответствующими последовательностями зародышевой линии, из которых были получены антитела. Такие мутации можно легко выявить посредством сравнения аминокислотных последовательностей, раскрытых в данном документе, с последовательностями зародышевого типа, доступными, например, из общедоступных баз данных последовательностей антител. Настоящее изобретение включает способы, предусматривающие применение антител и их антигенсвязывающих фрагментов, которые получены из любых аминокислотных последовательностей, раскрытых в данном документе, где одна или несколько аминокислот (например, . 1, 2, 3, 4, 5, 6, 7, 8, 9, или 10 аминокислот) в одном или нескольких каркасных участках и/или одном или нескольких (например, 1, 2, 3, 4, 5, 6, 7, 8, 9, 10, 11 или 12 по отношению к тетрамерному антителу 1, 2, 3, 4, 5 or 6 по отношению к HCVR и LCVR антитела) участках CDR подвергнуты мутации в соответствующий остаток(остатки) последовательности зародышевой линии, из которой получено антитело, или в соответствующий остаток(остатки) последовательности другой зародышевой линии человека, или в консервативную аминокислотную замену соответствующего остатка(остатков) зародышевой линии (такие изменения последовательностей называются в данном документе собирательно "мутациями зародышевой линии"). Специалист в данной области техники, начиная с последовательностей вариабельных участков тяжелой и легкой цепи, раскрытых в данном документе, может легко получить множество антител и антигенсвязывающих фрагментов, которые содержат одну или несколько отдельных мутаций зародышевой линии или их комбинации. В определенных вариантах осуществления все остатки каркасных участков и/или CDR в доменах VH и/или VL подвергнуты обратной мутации с получением остатков, встречающихся в исходной последовательности зародышевой линии, из которой было получено антитело. В других вариантах осуществления лишь определенные остатки подвергнуты обратной мутации в исходную последовательность зародышевой линии, к примеру лишь подвергнутые мутации остатки, обнаруженные в первых 8 аминокислотах FR1 или в последних 8 аминокислотах FR4, или лишь подвергнутые мутации остатки, обнаруженные в CDR1, CDR2 или CDR3. В других вариантах осуществления один или несколько остатков каркасных участков и/или CDR подвергнуты мутации в соответствующий остаток(остатки) последовательности другой зародышевой линии (т. е. последовательности зародышевой линии, которая отличается от последовательности зародышевой линии, из которой исходно получено антитело). Кроме того, антитела могут содержать любую комбинацию из двух или более мутаций зародышевых линий в каркасных участках и/или участках CDR, например, где определенные отдельные остатки подвергнуты мутации в соответствующий остаток последовательности определенной зародышевой линии, в то время как определенные другие остатки, которые отличаются от последовательности исходной зародышевой линии, сохраняются или подвергнуты мутации в соответствующий остаток последовательности другой зародышевой линии. Сразу после получения антитела и антигенсвязывающие фрагменты, которые содержат одну или несколько мутаций зародышевых линий, могут быть легко исследованы в отношении одного или нескольких предпочтительных свойств, таких как улучшенная специфичность связывания, повышенная аффинность связывания, улучшенные или усиленные биологические антагонистические или агонистические свойства (в зависимости от ситуации), сниженная иммуногенность и т. п. Применение антител и антигенсвязывающих фрагментов, полученных с помощью этого общего способа, охвачено в настоящем изобретении.

[00323] Настоящее изобретение также включает способы, предусматривающие применение антител к IL33 или к IL-4R, содержащих варианты любых из аминокислотных последовательностей HCVR, LCVR и/или CDR, раскрытых в данном документе, с одной или несколькими консервативными заменами. Например, настоящее изобретение включает применение антител к IL-4R с аминокислотными последовательностями HCVR, LCVR и/или CDR, например, с 10 или меньше, 8 или меньше, 6 или меньше, 4 или меньше и т. п. консервативными аминокислотными заменами по отношению к любой из аминокислотных последовательностей HCVR, LCVR и/или CDR, раскрытых в данном документе.

[00324] Термин "поверхностный плазмонный резонанс" относится к оптическому феномену, который обеспечивает анализ взаимодействий в реальном времени посредством выявления изменений концентраций белков в биосенсорной матрице, например, с помощью системы BIAcore™ (подразделение Biacore Life Sciences в GE Healthcare, Пискатауэй, Нью-Джерси).

[00325] Термин "KD" относится к равновесной константе диссоциации взаимодействия определенного антитела и антигена.

[00326] Термин "эпитоп" относится к антигенной детерминанте, которая взаимодействует со специфическим антигенсвязывающим сайтом в вариабельном участке молекулы антитела, известном как паратоп. Один антиген может иметь более одного эпитопа. Таким образом, различные антитела могут связываться с различными областями на антигене и могут оказывать различные биологические эффекты. Эпитопы могут быть конформационными или линейными. Конформационный эпитоп образован пространственно сближенными аминокислотами из различных сегментов линейной полипептидной цепи. Линейный эпитоп образован смежными аминокислотными остатками в полипептидной цепи. При определенных условиях эпитоп может включать фрагменты сахаридов, фосфорильных групп или сульфонильных групп антигена.

Получение человеческих антител

[00327] Из уровня техники известны способы получения человеческих антител в трансгенных мышах. Любые такие известные способы можно применять для конструирования антител человека, которые специфически связываются с IL-33 человека или IL-4R человека.

[00328] С помощью технологии VELOCIMMUNE® (см., например, US 6596541, Regeneron Pharmaceuticals) или любого другого известного способа получения моноклональных антител исходно выделяют высокоаффинные химерные антитела к IL-33 или IL-4R с человеческим вариабельным участком и мышиным константным участком. Технология VELOCIMMUNE® включает получение трансгенной мыши с геномом, содержащим человеческие вариабельные участки тяжелой и легкой цепей, функционально связанные с эндогенными локусами мышиного константного участка так, что мышь продуцирует антитело, содержащее человеческий вариабельный участок и мышиный константный участок в ответ на антигенную стимуляцию. ДНК, кодирующую вариабельные участки тяжелой и легкой цепей антитела, выделяют и функционально связывают с ДНК, кодирующей константные участки тяжелой и легкой цепей человека. Затем ДНК экспрессируют в клетке, способной экспрессировать полностью человеческое антитело.

[00329] Как правило, на мышь, полученную с помощью VELOCIMMUNE®, воздействуют антигеном, представляющим интерес, и из мышей, которые экспрессируют антитела, извлекают лимфатические клетки (такие как B-клетки). Лимфатические клетки можно сливать с линией клеток миеломы с получением иммортализированных линий клеток гибридомы, и такие линии клеток гибридомы подвергают скринингу и отбирают для идентификации линий клеток гибридомы, которые продуцируют антитела, специфические в отношении антигена, представляющего интерес. ДНК, кодирующую вариабельные участки тяжелой цепи и легкой цепи, можно выделить и связать с константными участками требуемых изотипов тяжелой цепи и легкой цепи. Такой белок-антитело можно получать в клетке, такой как клетка CHO. Альтернативно ДНК, кодирующую антиген-специфические химерные антитела или вариабельные домены легкой и тяжелой цепей, можно выделить непосредственно из антиген-специфических лимфоцитов.

[00330] Исходно выделяют высокоаффинные химерные антитела с человеческим вариабельным участком и мышиным константным участком. Антитела характеризуют и отбирают по предпочтительным характеристикам, в том числе по аффиности, селективности, эпитопу и т. д., с помощью стандартных процедур, известных специалистам в данной области техники. Мышиные константные участки заменяют требуемым человеческим константным участком с получением полностью человеческого антитела, представленного в настоящем изобретении, например, дикого типа или модифицированных IgG1 или IgG4. В то время как выбранный константный участок может варьироваться в зависимости от конкретного применения, у вариабельного участка сохраняются характеристики высокоаффинного связывания с антигеном и специфичности в отношении мишени.

[00331] Как правило, антитела, которые можно использовать в способах, характеризуются высокой аффинностью, как описано выше, при измерении связывания с антигеном как при иммобилизации на твердой фазе, так и в жидкой фазе. Мышиные константные участки заменяют требуемыми человеческими константными участками с получением полностью человеческих антител, представленных в настоящем изобретении. В то время как выбранный константный участок может варьироваться в зависимости от конкретного применения, у вариабельного участка сохраняются характеристики высокоаффинного связывания с антигеном и специфичности в отношении мишени.

[00332] В одном варианте осуществления человеческое антитело или его антигенсвязывающий фрагмент, которые специфически связываются с IL-33, которые можно использовать в контексте способов, представленных в настоящем изобретении, содержат три CDR тяжелой цепи (HCDR1, HCDR2 и HCDR3), содержащихся в вариабельном участке тяжелой цепи (HCVR) с аминокислотной последовательностью под SEQ ID NO: 2. Антитело или антигенсвязывающий фрагмент могут содержать три CDR легкой цепи (LCVR1, LCVR2, LCVR3), содержащиеся в вариабельном участке легкой цепи (LCVR) с аминокислотной последовательностью под SEQ ID NO: 10. В другом варианте осуществления человеческое антитело или его антигенсвязывающий фрагмент, которые специфически связываются с IL-4R, которые можно использовать в контексте способов, представленных в настоящем изобретении, содержат три CDR тяжелой цепи (HCDR1, HCDR2 и HCDR3), содержащихся в вариабельном участке тяжелой цепи (HCVR) с аминокислотной последовательностью под SEQ ID NO: 27. Антитело или антигенсвязывающий фрагмент могут содержать три CDR легкой цепи (LCVR1, LCVR2, LCVR3), содержащиеся в вариабельном участке легкой цепи (LCVR) с аминокислотной последовательностью под SEQ ID NO: 28.

[00333] Способы и методики идентификации CDR в аминокислотных последовательностях HCVR и LCVR хорошо известны из уровня техники и могут быть использованы для идентификации CDR в определенных аминокислотных последовательностях HCVR и/или LCVR, раскрытых в данном документе. К иллюстративным общепринятым способам, которые можно применять для идентификации границ CDR, относятся, например, определение по Кабату, определение по Чотиа и определение по AbM. В целом определение по Кабату основано на вариабельности последовательностей, определение по Чотиа основано на положении участков структурных петель и определение по AbM является компромиссным решением между подходами по Кабату и Чотиа. См., например, "Kabat, Sequences of Proteins of Immunological Interest", National Institutes of Health, Bethesda, Md. (1991); Al-Lazikani et al., J. Mol. Biol. 273:927-948 (1997); и Martin et al., Proc. Natl. Acad. Sci. USA 86:9268-9272 (1989). Общедоступные базы данных также доступны для идентификации последовательностей CDR в антителе.

[00334] В определенных вариантах осуществления антитело или его антигенсвязывающий фрагмент содержат шесть CDR (HCDR1, HCDR2, HCDR3, LCDR1, LCDR2 и LCDR3) из пар аминокислотных последовательностей вариабельного участка тяжелой и легкой цепей (HCVR/LCVR) под SEQ ID NO: 2 и 10.

[00335] В определенных вариантах осуществления антитело или его антигенсвязывающий фрагмент содержат шесть CDR (HCDR1/HCDR2/HCDR3/LCDR1/LCDR2/LCDR3) с аминокислотными последовательностями под SEQ ID NO: 4/6/8/12/14/16.

[00336] В определенных вариантах осуществления антитело или его антигенсвязывающий фрагмент содержат пары аминокислотных последовательностей HCVR/LCVR под SEQ ID NO: 2 и 10.

[00337] В одном варианте осуществления антитело представляет собой SAR440340, которое содержит пары аминокислотных последовательностей HCVR/LCVR под SEQ ID NO: 2 и 10.

[00338] В определенных вариантах осуществления антитело или его антигенсвязывающий фрагмент содержат шесть CDR (HCDR1, HCDR2, HCDR3, LCDR1, LCDR2 и LCDR3) из пар аминокислотных последовательностей вариабельного участка тяжелой и легкой цепей (HCVR/LCVR) под SEQ ID NO: 27 и 28.

[00339] В определенных вариантах осуществления антитело или его антигенсвязывающий фрагмент содержат шесть CDR (HCDR1/HCDR2/HCDR3/LCDR1/LCDR2/LCDR3) с аминокислотными последовательностями под SEQ ID NO: 21/22/23/24/25/26.

[00340] В определенных вариантах осуществления антитело или его антигенсвязывающий фрагмент содержат пары аминокислотных последовательностей HCVR/LCVR под SEQ ID NO: 27 и 28.

[00341] В одном варианте осуществления антителом является дупилумаб, который содержит пары аминокислотных последовательностей HCVR/LCVR под SEQ ID NO: 27 и 28.

Фармацевтические композиции

[00342] Настоящее изобретение включает способы, которые предусматривают введение пациенту антагониста IL-33 или антагониста IL-33 и антагониста IL-4R, при этом антагонист IL-33 или антагонист IL-33 и антагонист IL-4R содержатся в фармацевтической композиции. Фармацевтические композиции, представленные в настоящем изобретении, составляют с подходящими носителями, вспомогательными средствами и другими средствами, которые обеспечивают подходящий перенос, доставку, переносимость и т. п. Множество подходящих составов можно найти в справочнике, известном всем химикам-фармацевтам: Remington's Pharmaceutical Sciences, Mack Publishing Company, Истон, Пенсильвания. Эти составы включают, например, порошки, пасты, мази, желе, воска, масла, липиды, везикулы, содержащие (катионные или анионные) липиды (такие как LIPOFECTIN™), конъюгаты ДНК, безводные абсорбционные пасты, эмульсии типа "масло в воде" и "вода в масле", эмульсии карбовакс (полиэтиленгликоли с различной молекулярной массой), полужидкие гели и полужидкие смеси, содержащие карбовакс. См. также Powell et al. "Compendium of excipients for parenteral formulations" PDA (1998) J. Pharm. Sci. Technol. 52:238-311.

[00343] Доза антитела, вводимого пациенту, может варьироваться в зависимости от возраста и размерных характеристик пациента, симптомов, состояний, пути введения и т. п. Дозу обычно рассчитывают в соответствии с весом тела или площадью поверхности тела. В зависимости от тяжести состояния частоту и продолжительность лечения можно регулировать. Эффективные дозы и схемы введения фармацевтических композиций, содержащих антитела к IL-33 или антитела к IL-4R, можно определить эмпирически. Например, мониторинг течения заболевания у пациента можно осуществлять посредством периодической оценки и соответствующим образом корректировать дозу. Кроме того, межвидовой расчет дозировок можно осуществлять с помощью хорошо известных из уровня техники способов (например, Mordenti et al., 1991, Pharmaceut. Res. 8:1351).

[00344] Известны различные системы доставки и их можно применять для введения фармацевтических композиций, представленных в настоящем изобретении, например, инкапсулирование в липосомы, микрочастицы, микрокапсулы, рекомбинантные клетки, способные экспрессировать мутантные вирусы, опосредованный рецепторами эндоцитоз (смотри, например, Wu et al., 1987, J. Biol. Chem. 262:4429-4432). Способы введения включают без ограничения внутрикожные, внутримышечные, интраперитонеальные, внутривенные, подкожные, интраназальные, интратрахеальные, эпидуральные и пероральные пути. Композицию можно вводить любым удобным способом, например инфузией или болюсной инъекцией, абсорбцией через эпителиальные или кожно-слизистые покровы (например, слизистую ротовой полости, слизистую прямой кишки и кишечника и т. д.), и можно вводить совместно с другими биологически активными средствами.

[00345] Фармацевтическую композицию, представленную в настоящем изобретении, можно доставлять подкожно или внутривенно с помощью стандартной иглы и шприца. Кроме того, в отношении подкожной доставки при доставке фармацевтической композиции, представленной в настоящем изобретении, широко используется устройство для доставки в виде шприца-ручки (например, шприц-ручка для автоинъекции). Такое устройство для доставки в виде шприца-ручки может быть многоразового и одноразового применения. В устройстве для доставки в виде шприца-ручки многоразового применения, как правило, используется заменяемый картридж, который содержит фармацевтическую композицию. После введения всей фармацевтической композиции из картриджа и после опустошения картриджа пустой картридж можно легко утилизировать и заменить новым картриджем, который содержит фармацевтическую композицию. Затем устройство для доставки в виде шприца-ручки можно использовать повторно. В устройстве для доставки в виде шприца-ручки одноразового применения заменяемый картридж отсутствует. Вместо этого устройство для доставки в виде шприца-ручки одноразового применения выпускают предварительно заполненным фармацевтической композицией, содержащейся в резервуаре устройства. После того как резервуар опустошается от фармацевтической композиции, устройство полностью утилизируют.

[00346] Многочисленные многоразовые устройства для доставки в виде шприца-ручки и автоинъектора используются в подкожной доставке фармацевтической композиции. Примеры включают без ограничения AUTOPEN™ (Owen Mumford, Inc., Вудсток, Великобритания), шприц-ручку DISETRONIC™ (Disetronic Medical Systems, Бургдорф, Швейцария), шприц-ручку HUMALOG MIX 75/25™, шприц-ручку HUMALOG™, шприц-ручку HUMALIN 70/30™ (Eli Lilly and Co., Индианаполис, Индиана), NOVOPEN™ I, II и III (Novo Nordisk, Копенгаген, Дания), NOVOPEN JUNIOR™ (Novo Nordisk, Копенгаген, Дания), шприц-ручку BD™ (Becton Dickinson, Франклин-Лэйкс, Нью-Джерси), OPTIPEN™, OPTIPEN PRO™, OPTIPEN STARLET™ и OPTICLIK™ (Sanofi-Aventis, Франкфурт, Германия), при этом упомянуты лишь некоторые из них. Примеры многоразовых устройств для доставки в виде шприца-ручки, используемых при подкожном введении фармацевтической композиции, представленной в настоящем изобретении, включают без ограничения шприц-ручку SOLOSTAR™ (Sanofi-Aventis), FLEXPEN™ (Novo Nordisk) и KWIKPEN™ (Eli Lilly), автоинъектор SURECLICKTM (Amgen, Таузанд-Окс, Калифорния), PENLETTM (Haselmeier, Штутгарт, Германия), EPIPEN (Dey, L.P.) и шприц-ручку HUMIRATM (Abbott Labs, Эббот-Парк, Иллинойс), при этом упомянуты лишь некоторые из них. Примеры устройств для доставки большого объема (например, инъекторов большого объема) включают без ограничения болюсные инъекторы, такие как, например, BD Libertas West SmartDose, Enable Injections, SteadyMed PatchPump, Sensile SenseTrial, YPsomed YpsoDose, Bespak Lapas и т. п.

[00347] Для непосредственного введения в пазухи носа фармацевтические композиции, представленные в настоящем изобретении, можно вводить с помощью, например, микрокатетера (например, эндоскопа и микрокатетера), распылителя аэрозоля, дозатора порошка, небулайзера или ингалятора. Способы включают введение нуждающемуся в этом субъекту антагониста IL-33 или антагониста IL-4R в аэрозольном составе. Например, антитела к IL-33 или IL-4R в виде аэрозоля можно вводить пациенту для лечения астмы. Аэрозольные антитела можно получать так, как это описано, например, в US 8178098, включенном в данный документ посредством ссылки во всей своей полноте.

[00348] В определенных ситуациях фармацевтическую композицию можно доставлять в системе с контролируемым высвобождением. В одном варианте осуществления можно использовать насос (см. Langer, выше; Sefton, 1987, CRC Crit. Ref. Biomed. Eng. 14:201). В другом варианте осуществления можно использовать полимерные материалы; см. Medical Applications of Controlled Release, Langer and Wise (eds.), 1974, CRC Pres., Boca Raton, Florida. В еще одном другом варианте осуществления систему с контролируемым высвобождением можно разместить вблизи мишени для композиции, при этом требуется лишь часть системной дозы (см., например, Goodson, 1984, в Medical Applications of Controlled Release, выше, том. 2, стр. 115-138). Другие системы с контролируемым высвобождением описаны в обзоре Langer, 1990, Science 249:1527-1533.

[00349] Инъекционные препараты могут включать лекарственные формы для внутривенных, подкожных, внутрикожных и внутримышечных инъекций, капельных инфузий и т. д. Эти инъекционные препараты можно получать с помощью известных способов. Например, инъекционные препараты можно получать, к примеру, растворением, суспендированием или эмульгированием антитела или его соли, описанных выше, в стерильной водной среде или масляной среде, обычно используемых для инъекций. Водной средой для инъекций является, например, физиологический солевой раствор, изотонический раствор, содержащий глюкозу и другие вспомогательные средства и т. д., которые можно использовать в комбинации с подходящим солюбилизирующим средством, таким как спирт (например, этанол), многоатомный спирт (например, пропиленгликоль, полиэтиленгликоль), неионогенное поверхностно-активное вещество (например, полисорбат 80, HCO-50 (полиоксиэтиленовый (50 моль) аддукт гидрогенизированного касторового масла)) и т. д. В качестве масляной среды используют, например, кунжутное масло, соевое масло и т. д., которые можно использовать в комбинации с солюбилизирующим средством, таким как бензилбензоат, бензиловый спирт и т. д. Полученной таким способом инъекционной формой обычно наполняют подходящую ампулу.

[00350] Преимущественно фармацевтические композиции для перорального или парентерального применения, описанные выше, получают в лекарственных формах в стандартной дозе, подходящей для подбора дозы активных ингредиентов. Такие лекарственные формы в стандартной дозе включают, например, таблетки, пилюли, капсулы, инъекционные формы (ампулы), суппозитории и т. д.

[00351] Иллюстративные фармацевтические композиции, содержащие антитело к IL-4R, которые могут быть использованы в настоящем изобретении, раскрыты, например, в публикации заявки на патент США № 2012/0097565.

Доза

[00352] Количество антагониста IL-33 (например, антитела к IL-33 или его антигенсвязывающего фрагмента) или антагониста IL-4R (например, антитела к IL-4R или его антигенсвязывающего фрагмента), вводимого субъекту в соответствии со способами, представленными в настоящем изобретении, обычно представляет собой терапевтически эффективное количество. Используемое в данном документе выражение "терапевтически эффективное количество" означает количество антагониста IL-33 или антагониста IL-4R, которое в результате приводит к одному или нескольким из следующего: (a) снижения частоты обострений астмы; (b) улучшения одного или нескольких параметров, ассоциированных с астмой, (как определено в других частях данного документа) и/или (c) выявляемого улучшения одного или нескольких симптомов или признаков воспалительного состояния верхних дыхательных путей. Выражение "терапевтически эффективное количество" также включает количество антагониста IL-33 или антагониста IL-4R, которое подавляет, предупреждает, снижает или задерживает прогрессирование астмы у субъекта.

[00353] В случае антитела к IL-33 или антитела к IL-4R терапевтически эффективное количество может составлять от приблизительно 0,05 мг до приблизительно 700 мг, например, приблизительно 0,05 мг, приблизительно 0,1 мг, приблизительно 1,0 мг, приблизительно 1,5 мг, приблизительно 2,0 мг, приблизительно 3,0 мг, приблизительно 5,0 мг, приблизительно 7,0 мг, приблизительно 10 мг, приблизительно 20 мг, приблизительно 30 мг, приблизительно 40 мг, приблизительно 50 мг, приблизительно 60 мг, приблизительно 70 мг, приблизительно 80 мг, приблизительно 90 мг, приблизительно 100 мг, приблизительно 110 мг, приблизительно 120 мг, приблизительно 130 мг, приблизительно 140 мг, приблизительно 150 мг, приблизительно 160 мг, приблизительно 170 мг, приблизительно 180 мг, приблизительно 190 мг, приблизительно 200 мг, приблизительно 210 мг, приблизительно 220 мг, приблизительно 230 мг, приблизительно 240 мг, приблизительно 250 мг, приблизительно 260 мг, приблизительно 270 мг, приблизительно 280 мг, приблизительно 290 мг, приблизительно 300 мг, приблизительно 310 мг, приблизительно 320 мг, приблизительно 330 мг, приблизительно 340 мг, приблизительно 350 мг, приблизительно 360 мг, приблизительно 370 мг, приблизительно 380 мг, приблизительно 390 мг, приблизительно 400 мг, приблизительно 410 мг, приблизительно 420 мг, приблизительно 430 мг, приблизительно 440 мг, приблизительно 450 мг, приблизительно 460 мг, приблизительно 470 мг, приблизительно 480 мг, приблизительно 490 мг, приблизительно 500 мг, приблизительно 510 мг, приблизительно 520 мг, приблизительно 530 мг, приблизительно 540 мг, приблизительно 550 мг, приблизительно 560 мг, приблизительно 570 мг, приблизительно 580 мг, приблизительно 590 мг, приблизительно 600 мг, приблизительно 610 мг, приблизительно 620 мг, приблизительно 630 мг, приблизительно 640 мг, приблизительно 650 мг, приблизительно 660 мг, приблизительно 670 мг, приблизительно 680 мг, приблизительно 690 мг или приблизительно 700 мг антитела к IL-33 или антитела к IL-4R. В определенных вариантах осуществления вводят 300 мг антитела к IL-33. В определенных вариантах осуществления вводят 300 мг антитела к IL-33 или 300 мг антитела к IL-4R.

[00354] Количество антагониста IL-33 или антагониста IL-4R, содержащегося в отдельных дозах, можно выражать в миллиграммах антитела на килограмм веса тела пациента (т. е. мг/кг). Например, антагонист IL-4R можно вводить пациенту в дозе от приблизительно 0,0001 до приблизительно 10 мг/кг веса тела пациента. Например, антагонист IL-33 или антагонист IL-4R можно вводить в дозе 1 мг/кг, 2 мг/кг, 3 мг/кг или 4 мг/кг.

[00355] В некоторых вариантах осуществления доза антагониста IL-4R может варьировать в соответствии с содержанием эозинофилов. Например, субъект может характеризоваться содержанием эозинофилов в крови (высокое содержание эозинофилов в крови), составляющим ≥ 300 клеток/мкл, или 300-499 клеток/мкл, или ≥ 500 клеток/мкл (высокое содержание эозинофилов); содержанием эозинофилов в крови, составляющим 200-299 клеток/мкл (умеренное содержание эозинофилов в крови); или содержанием эозинофилов в крови, составляющим < 200 клеток/мкл (низкое содержание эозинофилов в крови).

[00356] В некоторых вариантах осуществления доза антагониста IL-4R может варьироваться в соответствии с уровнями периостина. Например, у субъекта могут быть высокие уровни периостина (например, ≥75,0 нг/мл или 74,4 нг/мл) или низкие уровни периостина (например, < 75,0 нг/мл или < 74,4 нг/мл).

[00357] В определенных вариантах осуществления способы предусматривают начальную дозу от приблизительно 200 до приблизительно 600 мг антагониста IL-33, например приблизительно 300 мг антагониста IL-33. В определенных вариантах осуществления способы предусматривают начальную дозу от приблизительно 200 до приблизительно 600 мг антагониста IL-4R, например приблизительно 300 мг антагониста IL-4R.

[00358] В определенных вариантах осуществления способы предусматривают одну или несколько поддерживающих доз от приблизительно 200 до приблизительно 300 мг антагониста IL-33. В определенных вариантах осуществления способы предусматривают одну или несколько поддерживающих доз от приблизительно 200 до приблизительно 300 мг антагониста IL-4R.

[00359] В определенных вариантах осуществления ICS и LABA вводят в течение всего периода введения антагониста IL-33. В определенных вариантах осуществления ICS и LABA вводят в течение всего периода введения антагониста IL-4R.

[00360] В определенных вариантах осуществления начальная доза предусматривает 300 мг антитела к IL-33 или его антигенсвязывающего фрагмента, и одна или несколько поддерживающих доз предусматривают 300 мг антитела или его антигенсвязывающего фрагмента, которые вводят раз в две недели.

[00361] В определенных вариантах осуществления начальная доза предусматривает 300 мг антитела к IL-4R или его антигенсвязывающего фрагмента, и одна или несколько поддерживающих доз предусматривают 300 мг антитела или его антигенсвязывающего фрагмента, которые вводят раз в две недели.

[00362] В других вариантах осуществления начальная доза предусматривает 300 мг антитела к IL-33 или его антигенсвязывающего фрагмента, и одна или несколько поддерживающих доз предусматривают 300 мг антитела или его антигенсвязывающего фрагмента, которые вводят раз в четыре недели.

[00363] В других вариантах осуществления начальная доза предусматривает 300 мг антитела к IL-4R или его антигенсвязывающего фрагмента, и одна или несколько поддерживающих доз предусматривают 300 мг антитела или его антигенсвязывающего фрагмента, которые вводят раз в четыре недели.

[00364] В других вариантах осуществления начальная доза предусматривает 300 мг антитела к IL-33 или его антигенсвязывающего фрагмента, a одна или несколько поддерживающих доз предусматривают 300 мг антитела или его антигенсвязывающего фрагмента, которые вводят раз в неделю.

[00365] В других вариантах осуществления начальная доза предусматривает 300 мг антитела к IL-4R или его антигенсвязывающего фрагмента, и одна или несколько поддерживающих доз предусматривают 300 мг антитела или его антигенсвязывающего фрагмента, которые вводят раз в неделю.

[00366] В других вариантах осуществления начальная доза предусматривает 300 мг антитела к IL-33 или его антигенсвязывающего фрагмента, и одна или несколько поддерживающих доз предусматривают 300 мг антитела или его антигенсвязывающего фрагмента, которые вводят раз в три недели.

[00367] В других вариантах осуществления начальная доза предусматривает 300 мг антитела к IL-4R или его антигенсвязывающего фрагмента, и одна или несколько поддерживающих доз предусматривают 300 мг антитела или его антигенсвязывающего фрагмента, которые вводят каждые три недели.

[00368] В одном варианте осуществления возраст субъекта составляет от 6 до < 18 лет, антитело к IL-33 или его антигенсвязывающий фрагмент или антитело к IL-4R или его антигенсвязывающий фрагмент вводят в дозе 2 мг/кг или 4 мг/кг.

[00369] В другом варианте осуществления возраст субъекта составляет от 12 до < 18 лет, антитело к IL-33 или его антигенсвязывающий фрагмент или антитело к IL-4R или его антигенсвязывающий фрагмент вводят в дозе 2 мг/кг или 4 мг/кг.

[00370] В другом варианте осуществления возраст субъекта составляет от 6 до < 12 лет, антитело к IL-33 или его антигенсвязывающий фрагмент или антитело к IL-4R или его антигенсвязывающий фрагмент вводят в дозе 2 мг/кг или 4 мг/кг.

[00371] В другом варианте осуществления возраст субъекта составляет от 2 до < 6 лет, антитело к IL-33 или его антигенсвязывающий фрагмент или антитело к IL-4R или его антигенсвязывающий фрагмент вводят в дозе 2 мг/кг или 4 мг/кг.

[00372] В еще одном варианте осуществления возраст субъекта составляет < 2 лет, антитело к IL-33 или его антигенсвязывающий фрагмент или антитело к IL-4R или его антигенсвязывающий фрагмент вводят в дозе 2 мг/кг или 4 мг/кг.

Средства комбинированной терапии

[00373] Определенные варианты осуществления способов, представленных в настоящем изобретении, предусматривают введение субъекту одного или нескольких дополнительных терапевтических средств в комбинации с антагонистом IL-33 или одного или нескольких дополнительных терапевтических средств в комбинации с антагонистом IL-33 и антагонистом IL-4R. Используемое в данном документе выражение "в комбинации с" означает, что дополнительные терапевтические средства вводят до, после фармацевтической композиции, содержащей антагонист IL-4R или антагонист IL-33 и антагонист IL-4R, или одновременно с ней. В некоторых вариантах осуществления термин "в комбинации с" включает последовательное или одновременное введение антагониста IL-33 или антагониста IL-33 и антагониста IL-4R и дополнительного терапевтического средства. Настоящее изобретение также включает способы лечения астмы или ассоциированного состояния или осложнения с целью снижения частоты возникновения по меньшей мере одного обострения, предусматривающие введение антагониста IL-33 или антагониста IL-33 и антагониста IL-4R в комбинации с дополнительным терапевтическим средством для аддитивной или синергетической активности.

[00374] Например, при введении "до" фармацевтической композиции, содержащей антагонист IL-33 или антагонист IL-33 и антагонист IL-4R, дополнительное терапевтическое средство можно вводить за приблизительно 72 часа, приблизительно 60 часов, приблизительно 48 часов, приблизительно 36 часов, приблизительно 24 часа, приблизительно 12 часов, приблизительно 10 часов, приблизительно 8 часов, приблизительно 6 часов, приблизительно 4 часа, приблизительно 2 часа, приблизительно 1 час, приблизительно 30 минут, приблизительно 15 минут или приблизительно 10 минут до введения фармацевтической композиции, содержащей антагонист IL-33 или антагонист IL-33 и антагонист IL-4R. При введении "после" фармацевтической композиции, содержащей антагонист IL-33 или антагонист IL-33 и антагонист IL-4R, дополнительное терапевтическое средство можно вводить через приблизительно 10 минут, приблизительно 15 минут, приблизительно 30 минут, приблизительно 1 час, приблизительно 2 часа, приблизительно 4 часа, приблизительно 6 часов, приблизительно 8 часов, приблизительно 10 часов, приблизительно 12 часов, приблизительно 24 часа, приблизительно 36 часов, приблизительно 48 часов, приблизительно 60 часов или приблизительно 72 часа после введения фармацевтической композиции, содержащей антагонист IL-33 или антагонист IL-33 и антагонист IL-4R. Введение "совместно" с фармацевтической композицией, содержащей антагонист IL-33 или антагонист IL-33 и антагонист IL-4R, означает, что дополнительное терапевтическое средство вводят субъекту в отдельной лекарственной форме в пределах менее 5 минут (до, после или в то же время) от введения фармацевтической композиции, содержащей антагонист IL-33 или антагонист IL-33 и антагонист IL-4R, или вводят субъекту в одном комбинированном лекарственном составе, содержащем как дополнительное терапевтическое средство, так и антагонист IL-33 или антагонист IL-33 и антагонист IL-4R.

[00375] Дополнительным терапевтическим средством может быть, например, другой антагонист IL-33, другой антагонист IL-4R, антагонист IL-1 (в том числе, например, антагонист IL-1, который изложен в патенте США № 6927044), антагонист IL-6, антагонист IL-6R (в том числе, например, антитело к IL-6R, которое изложено в патенте США № 7582298), антагонист TNF, антагонист IL-8, антагонист IL-9, антагонист IL-17, антагонист IL-5, антагонист IgE, антагонист CD48, ингибитор лейкотриена, противогрибковое средство, NSAID, длительнодействующий бета2-агонист (например, сальметерол или формотерол), ингаляционный кортикостероид (например, флутиказон или будесонид), системный кортикостероид (например, пероральный или внутривенный), метилксантин, натрия недокромил, натрия кромолин или их комбинации. Например, в определенных вариантах осуществления фармацевтическую композицию, содержащую антагонист IL-4R или антагонист IL-33 и антагонист IL-4R, вводят с комбинацией, содержащей длительнодействующий бета2-агонист и ингаляционный кортикостероид (например, флутиказон+сальметерол [например, Advair® (GlaxoSmithKline)] или будесонид+формотерол [например, SYMBICORT® (Astra Zeneca)]).

Схемы введения

[00376] Согласно определенным вариантам осуществления несколько доз антагониста IL-33 или антагониста IL-33 и антагониста IL-4R можно вводить субъекту в течение определенного периода времени. Данные способы предусматривают последовательное введение субъекту нескольких доз антагониста IL-33 или антагониста IL-33 и антагониста IL-4R. Используемое в данном документе выражение "последовательное введение" означает, что каждую дозу антагониста IL-33 или антагониста IL-33 и антагониста IL-4R вводят субъекту в различный момент времени, например, в различные дни, разделенные предварительно определенным интервалом (например, часами, днями, неделями или месяцами). В данный документ включены способы, которые предусматривают последовательное введение пациенту однократной начальной дозы антагониста IL-33 или антагониста IL-33 и антагониста IL-4R с последующим введением одной или нескольких вторичных доз антагониста IL-33 или антагониста IL-33 и антагониста IL-4R и необязательно с последующей одной или несколькими третичными дозами антагониста IL-33 или антагониста IL-33 и антагониста IL-4R.

[00377] Настоящее изобретение включает способы, предусматривающие введение субъекту фармацевтической композиции, содержащей антагонист IL-33 или антагонист IL-33 и антагонист IL-4R, с частотой введения дозы приблизительно четыре раза в неделю, два раза в неделю, один раз в неделю (q1w), один раз в две недели (раз в две недели или q2w), один раз в три недели (раз в три недели или q3w), один раз в четыре недели (ежемесячно или q4w), один раз в пять недель (q5w), один раз в шесть недель (q6w), один раз в восемь недель (q8w), один раз в двенадцать недель (q12w) или с меньшей частотой до тех пор, пока не будет достигнут терапевтический ответ. В определенных вариантах осуществления, включающих введение фармацевтической композиции, содержащей антитело к IL-33 или антитело к IL-4R, может быть использовано введение дозы в количестве приблизительно 75 мг, 100 мг, 150 мг, 200 мг или 300 мг один раз в неделю. В других вариантах осуществления, включающих введение фармацевтической композиции, содержащей антитело к IL-33 или антитело к IL-4R, может быть использовано введение дозы в количестве приблизительно 75 мг, 100 мг, 150 мг, 200 мг или 300 мг один раз в две недели (раз в две недели). В других вариантах осуществления, включающих введение фармацевтической композиции, содержащей антитело к IL-33 или антитело к IL-4R, можно использовать введение дозы в количестве приблизительно 75 мг, 100 мг, 150 мг, 200 мг или 300 мг один раз в три недели. В других вариантах осуществления, включающих введение фармацевтической композиции, содержащей антитело к IL-33 или антитело к IL-4R, можно использовать введение дозы в количестве приблизительно 75 мг, 100 мг, 150 мг, 200 мг или 300 мг один раз в четыре недели (ежемесячное введение дозы). В других вариантах осуществления, включающих введение фармацевтической композиции, содержащей антитело к IL-33 или антитело к IL-4R, можно использовать введение дозы в количестве приблизительно 75 мг, 100 мг, 150 мг, 200 мг или 300 мг один раз в пять недель. В других вариантах осуществления, включающих введение фармацевтической композиции, содержащей антитело к IL-33 или антитело к IL-4R, можно использовать введение дозы в количестве приблизительно 75 мг, 100 мг, 150 мг, 200 мг или 300 мг один раз в шесть недель. В других вариантах осуществления, включающих введение фармацевтической композиции, содержащей антитело к IL-33 или антитело к IL-4R, можно использовать введение дозы в количестве приблизительно 75 мг, 100 мг, 150 мг, 200 мг или 300 мг один раз в восемь недель. В других вариантах осуществления, включающих введение фармацевтической композиции, содержащей антитело к IL-33 или антитело к IL-4R, можно использовать введение дозы в количестве приблизительно 75 мг, 100 мг, 150 мг, 200 мг или 300 мг один раз в двенадцать недель. В других вариантах осуществления путь введения может быть подкожным.

[00378] Термин "неделя" или "недели" относится к периоду (n x 7 дней) ± 2 дня, например, (n x 7 дней) ± 1 день или (n x 7 дней), где "n" означает количество недель, например, 1, 2, 3, 4, 5, 6, 8, 12 или больше.

[00379] Термины "начальная доза", "вторичные дозы" и "третичные дозы" относятся к временной последовательности введения антагонистa IL-4R. Таким образом, "начальная доза" представляет собой дозу, которую вводят в начале схемы лечения (также обозначается как "исходная доза"); "вторичные дозы" представляют собой дозы, которые вводят после введения начальной дозы; и "третичные дозы" представляют собой дозы, которые вводят после вторичных доз. Все из начальных, вторичных и третичных доз могут содержать одинаковое количество антагониста IL-33 или антагониста IL-4R, но, как правило, могут отличаться друг от друга по частоте введения. Однако в определенных вариантах осуществления количество антагониста IL-33 или антагониста IL-4R, содержащегося в начальных, вторичных и/или третичных дозах, отличается друг от друга (например, при необходимости корректируется в сторону повышения или понижения) на протяжении курса лечения. В определенных вариантах осуществления две или больше (например, 2, 3, 4 или 5 или больше) доз вводят в начале схемы лечения в виде "начальных доз" или "нагрузочных доз", затем последующие дозы вводят с меньшей частотой (например, "поддерживающие дозы"). В одном варианте осуществления поддерживающая доза может быть ниже нагрузочной или начальной дозы. Например, одну или несколько нагрузочных доз, составляющих 600 мг антагониста IL-4R можно вводить после поддерживающих доз, составляющих от приблизительно 75 мг до приблизительно 300 мг.

[00380] В определенных вариантах осуществления начальная доза антагониста IL-33 или антагониста IL-4R составляет от приблизительно 400 до приблизительно 600 мг. В одном варианте осуществления начальная доза антагониста IL-33 или антагониста IL-4R составляет 400 мг. В другом варианте осуществления начальная доза антагониста IL-33 или антагониста IL-4R составляет 600 мг.

[00381] В определенных вариантах осуществления поддерживающая доза антагониста IL-33 или антагониста IL-4R составляет от приблизительно 200 до приблизительно 300 мг. В одном варианте осуществления поддерживающая доза антагониста IL-33 или антагониста IL-4R составляет 200 мг. В другом варианте осуществления поддерживающая доза антагониста IL-33 или антагониста IL-4R составляет 300 мг.

[00382] В определенных вариантах осуществления нагрузочная доза в два раза превышает поддерживающую дозу. В определенных вариантах осуществления начальная доза представляет собой такое же количество, как и поддерживающая доза.

[00383] В некоторых вариантах осуществления начальная доза предусматривает 300 мг антитела или его антигенсвязывающего фрагмента, а одна или несколько поддерживающих доз предусматривают 300 мг антитела или его антигенсвязывающего фрагмента, которые вводят один раз в две недели.

[00384] В некоторых вариантах осуществления у субъекта имеется астма со степенью тяжести от умеренной до тяжелой, и начальная доза предусматривает 300 мг антитела или его антигенсвязывающего фрагмента, а одна или несколько поддерживающих доз предусматривают 300 мг антитела или его антигенсвязывающего фрагмента, которые вводят один раз в две недели.

[00385] В некоторых вариантах осуществления начальная доза предусматривает 300 мг антитела или его антигенсвязывающего фрагмента, а одна или несколько поддерживающих доз предусматривают 300 мг антитела или его антигенсвязывающего фрагмента, которые вводят один раз в четыре недели.

[00386] В некоторых вариантах осуществления у субъекта имеется астма со степенью тяжести от умеренной до тяжелой, и начальная доза предусматривает 300 мг антитела или его антигенсвязывающего фрагмента, а одна или несколько поддерживающих доз предусматривают 300 мг антитела или его антигенсвязывающего фрагмента, которые вводят один раз в четыре недели.

[00387] В одном иллюстративном варианте осуществления каждую вторичную и/или третичную дозу вводят через 1-14 (например, ., 1, 1½, 2, 2½, 3, 3½, 4, 4½, 5, 5½, 6, 6½, 7, 7½, 8, 8½, 9, 9½, 10, 10½, 11, 11½, 12, 12½, 13, 13½, 14, 14½, или больше) недель после непосредственно предшествующей дозы. Выражение "непосредственно предшествующая доза" означает в последовательности нескольких введений дозу антагониста IL-33 или антагониста IL-4R, которую вводят пациенту до введения ближайшей следующей дозы в последовательности без промежуточных доз.

[00388] Способы могут предусматривать введение пациенту любого количества вторичных и/или третичных доз антагониста IL-33 или антагониста IL-4R. Например, в определенных вариантах осуществления пациенту вводят только одну вторичную дозу. В других вариантах осуществления пациенту вводят две или больше (например, 2, 3, 4, 5, 6, 7, 8, или больше) вторичных доз. Аналогично в определенных вариантах осуществления пациенту вводят только одну третичную дозу. В других вариантах осуществления пациенту вводят две или больше (например, 2, 3, 4, 5, 6, 7, 8, или больше) третичных доз.

[00389] В вариантах осуществления, включающих несколько вторичных доз, каждую вторичную дозу можно вводить с той же частотой, что и другие вторичные дозы. Например, каждую вторичную дозу можно вводить пациенту через 1-2 недели после непосредственно предшествующей дозы. Аналогично в вариантах осуществления, включающих несколько третичных доз, каждую третичную дозу можно вводить с той же частотой, что и остальные третичные дозы. Например, каждую третичную дозу можно вводить пациенту через 2-4 недели после непосредственно предшествующей дозы. Альтернативно частота, с которой вторичные и/или третичные дозы вводят пациенту, может варьироваться на протяжении схемы лечения. Частота введения может изменяться врачом на протяжении курса лечения в зависимости от потребностей отдельного пациента после клинического обследования.

[00390] Настоящее изобретение включает способы, предусматривающие последовательное введение пациенту антагониста IL-33 или антагониста IL-33 и антагониста IL-4R и дополнительного терапевтического средства для лечения астмы или ассоциированного состояния. В некоторых вариантах осуществления способы предусматривают введение одной или нескольких доз антагониста IL-33 или одной или нескольких доз как антагониста IL-33, так и антагониста IL-4R с последующим введением одной или нескольких доз (например,., 2, 3, 4, 5, 6, 7, 8, или больше) дополнительного терапевтического средства. Например, можно вводить одну или несколько доз от приблизительно 75 мг до приблизительно 300 мг антагониста IL-33 или одну или несколько доз как антагониста IL-33, так и антагониста IL-4R, после чего можно вводить одну или несколько доз (например,., 2, 3, 4, 5, 6, 7, 8, или больше) дополнительного терапевтического средства (например, ингаляционного кортикостероида, или бета-2-агониста, или любого другого терапевтического средства, описанного в других частях данного документа) для лечения, облегчения, снижения интенсивности или уменьшения тяжести одного или нескольких симптомов астмы. В некоторых вариантах осуществления антагонист IL-33 или антагонист IL-33 и антагонист IL-4R вводят в одной или нескольких дозах (например, 2, 3, 4, 5, 6, 7, 8, или больше), что приводит к улучшению одного или нескольких параметров, ассоциированных с астмой, после чего следует введение второго терапевтического средства для предупреждения повторного возникновения по меньшей мере одного симптома астмы. Альтернативные варианты осуществления относятся к сопутствующему введению антагониста IL-33 или как антагониста IL-33, так и антагониста IL-4R и дополнительного терапевтического средства. Например, вводят одну или несколько доз (например,2, 3, 4, 5, 6, 7, 8, или больше) антагониста IL-33 или как антагониста IL-33, так и антагониста IL-4R и вводят дополнительное терапевтическое средство в отдельной дозе с одинаковой или различной частотой по отношению к антагонисту IL-33 или как антагонисту IL-33, так и антагонисту IL-4R. В некоторых вариантах осуществления дополнительное терапевтическое средство вводят до, после антагониста IL-33 или антагониста IL-33 и антагониста IL-4R или одновременно с ними.

[00391] В определенных вариантах осуществления антагонист IL-33 или как антагонист IL-33, так и антагонист IL-4R вводят один раз в две недели в течение 12 недель, 14 недель, 16 недель, 18 недель, 20 недель, 22 недель, 24 недель, 26 недель, 28 недель, 30 недель, 32 недель, 34 недель, 36 недель, 38 недель, 40 недель, 42 недель, 44 недель, 46 недель, 48 недель или больше. В других вариантах осуществления антагонист IL-33 или как антагонист IL-33, так и антагонист IL-4R вводят один раз в четыре недели в течение 12 недель, 16 недель, 20 недель, 24 недель, 28 недель, 32 недель, 36 недель, 40 недель, 44 недель, 48 недель или больше. В конкретных вариантах осуществления антагонист IL-33 или как антагонист IL-33, так и антагонист IL-4R вводят в течение по меньшей мере 24 недель.

[00392] Настоящее изобретение включает способы лечения субъекта с астмой со степенью тяжести от умеренной до тяжелой, предусматривающие введение субъекту нагрузочной дозы антитела или его антигенсвязывающего фрагмента, которые специфически связываются с IL-4R, либо как антитела или его антигенсвязывающего фрагмента, которые специфически связываются с IL-33, так и антитела или его антигенсвязывающего фрагмента, которые специфически связываются с IL-4R. В определенных вариантах осуществления способы предусматривают введение субъекту множества поддерживающих доз антитела(антител) или его антигенсвязывающего(антигенсвязывающих) фрагмента(фрагментов), где множество поддерживающих доз вводят на протяжении фазы лечения. Фаза лечения включает фазу индукции, фазу снижения OCS и фазу поддержания OCS.

[00393] В определенных иллюстративных вариантах осуществления фаза индукции включает период, в течение которого субъекты непрерывно получают свою(свои) дозу(дозы) OCS. В определенных иллюстративных вариантах осуществления фаза снижения включает период, в течение которого субъекты получают более низкую дозу OCS по сравнению с дозой, полученной во время фазы индукции. В определенных иллюстративных вариантах осуществления фаза поддержания включает период, в течение которого субъект получает определенное стабильное количество или дозу(дозы) OCS. Альтернативно фаза поддержания включает период, в течение которого терапия/введение OCS снижается или отменяется. В определенных вариантах осуществления применение OCS пациентом полностью исключается, и пациент не получает стероидов в течение менее 1 года лечения антителом к IL4R или его фрагментом (например, в течение 1 года, 6 месяцев, 3 месяцев или 1 месяца после первичного лечения).

[00394] В другом аспекте способ лечения субъекта с астмой со степенью тяжести от умеренной до тяжелой предусматривает введение субъекту начальной дозы приблизительно 300 мг антитела или его антигенсвязывающего фрагмента, которые специфически связываются с рецептором интерлейкина-4 (IL-33), и введение субъекту множества поддерживающих доз антитела или его антигенсвязывающего фрагмента. Каждая поддерживающая доза составляет приблизительно 300 мг антитела или его антигенсвязывающего фрагмента, где множество поддерживающих доз вводят на протяжении фазы лечения, предусматривающей фазу индукции, фазу снижения перорального кортикостероида (OCS) и фазу поддержания, где антитело или его антигенсвязывающий фрагмент содержат последовательности CDR тяжелой и легкой цепей, предусматривающие последовательности под SEQ ID NO: 4, 6, 8, 12, 14 и 16.

Популяции лечения

[00395] Способы, представленные в настоящем изобретении, предусматривают введение нуждающемуся в этом субъекту терапевтической композиции, содержащей антагонист IL-4R или как антагонист IL-33, так и антагонист IL-4R. Выражение "нуждающийся в этом субъект" означает человека или животного, отличного от человека, у которых наблюдаются один или несколько симптомов или признаков астмы (например, астмы от со степенью от умеренной до тяжелой), или у которых была диагностирована астма. Например, "нуждающийся в этом субъект" может включать, например, субъектов, которые до лечения характеризуются (или характеризовались) одним или несколькими параметрами, ассоциированными с астмой, такими как, например, нарушенный FEV1 (например, менее 2,0 л), нарушенный FEF 25-75%; нарушенный PEF до полудня (например, менее 400 л/мин), нарушенный PEF после полудня (например, менее 400 л/мин), показатель ACQ5, составляющий по меньшей мере 2,5, по меньшей мере 1 пробуждение в ночное время в неделю и/или показатель SNOT-22, составляющий по меньшей мере 20. В различных вариантах осуществления данные способы можно использовать для лечения слабой, от умеренной до тяжелой или тяжелой астмы у нуждающихся в этом пациентов.

[00396] В связанном варианте осуществления "нуждающимся в этом субъектом" может быть субъект, которому до получения антагониста IL-4R или как антагониста IL-33, так и антагониста IL-4R назначали комбинацию ICS/LABA или он принимает ее в настоящее время. Примеры ICS включают мометазона фуроат, будесонид и флутиказона пропионат. Примеры LABA включают формотерол и сальметерол. Примеры средств терапии ICS/LABA включают средство комбинированной терапии флутиказон/сальметерол и средство комбинированной терапии будесонид/формотерол. Например, настоящее изобретение включает способы, которые предусматривают введение антагониста IL-4R или как антагониста IL-33, так и антагониста IL-4R пациенту, который проходил регулярный курс терапии посредством ICS/LABA в течение двух или более недель непосредственно до введения антагониста IL-4R или как антагониста IL-33, так и антагониста IL-4R (такие предшествующие средства лечения обозначены в данном документе как "средства фонового лечения"). Настоящее изобретение включает терапевтические способы, в которых средства фонового лечения продолжают принимать в комбинации с введением антагониста IL-4R или как антагониста IL-33, так и антагониста IL-4R. В еще одних других вариантах осуществления количество компонента ICS, компонента LABA или как первого, так и второго постепенно снижают до или после начала введения антагониста IL-4R или как антагониста IL-33, так и антагониста IL-4R. В некоторых вариантах осуществления настоящее изобретение включает способы лечения пациентов с персистирующей астмой в течение по меньшей мере ≥ 12 месяцев. В одном варианте осуществления пациент с персистирующей астмой со степенью тяжести от умеренной до тяжелой может быть устойчивым к лечению терапевтическим средством, таким как кортикостероид, и ему можно вводить антагонист IL-4R или как антагонист IL-33, так и антагонист IL-4R согласно способам по настоящему изобретению.

[00397] В некоторых вариантах осуществления "нуждающимся в этом субъектом" может быть субъект с повышенными уровнями биомаркера, ассоциированного с астмой. Примеры биомаркеров, ассоциированных с астмой, включают без ограничения IgE, хемокин, регулируемый тимусом и активацией (TARC), эотаксин-3, CEA, YKL-40 и периостин. В некоторых вариантах осуществления "нуждающимся в этом субъектом" может быть субъект с содержанием эозинофилов в крови ≥ 300 клеток/мкл, 150-299 клеток/мкл или < 150 клеток/мкл. В одном варианте осуществления "нуждающимся в этом субъектом" может быть субъект с повышенным уровнем воспаления в бронхах или дыхательных путях, измеренным по фракции выдыхаемого оксида азота (FeNO).

[00398] В некоторых вариантах осуществления "нуждающийся в этом субъект" выбран из группы, состоящей из субъекта возрастом 18 лет или старше, субъекта возрастом 12 лет или старше, субъекта возрастом от 12 до 17 лет (от 12 до < 18 лет), субъекта возрастом от 6 до 11 лет (от 6 до < 12 лет) и субъекта возрастом от 2 до 5 лет (от 2 до < 6 лет). В некоторых вариантах осуществления "нуждающийся в этом субъект" выбран из группы, состоящей из взрослого человека, подростка и ребенка. В некоторых вариантах осуществления "нуждающийся в этом субъект" выбран из группы, состоящей из взрослого человека возрастом от 18 лет или старше, подростка возрастом от 12 до 17 лет (от 12 до < 18 лет), ребенка возрастом от 6 до 11 лет (от 6 до < 12 лет) и ребенка возрастом от 2 до 5 лет (от 2 до < 6 лет). Возраст субъекта может быть менее 2 лет, например, от 12 до 23 месяцев или от 6 до 11 месяцев.

[00399] В некоторых вариантах осуществления "нуждающимся в этом субъектом" является субъект, который является активным курильщиком. В некоторых вариантах осуществления субъект является активным курильщиком, который курит, например, сигареты, сигары, трубки, кальяны и/или испарители (т. е. "вейпы"). В некоторых вариантах осуществления субъект является активным курильщиком, у которого в анамнезе курения указано, что он выкуривает 10 или больше пачек сигарет в год. В некоторых вариантах осуществления субъект является активным курильщиком и в анамнезе курения указано, что он выкуривает менее 10 пачек сигарет в год. В некоторых вариантах осуществления субъект является активным курильщиком и в анамнезе курения указано, что он выкуривает более 1, 5, 10, 15, 20, 25, 30, 35, 40, 45, 50 или больше пачек сигарет в год. В некоторых вариантах осуществления субъект является активным курильщиком, у которого в анамнезе курения указано, что он курит в течение 6 месяцев, 1 года, 2 лет, 3 года, 5 лет, 10 лет или в течение более длительного периода.

[00400] В некоторых вариантах осуществления "нуждающимся в этом субъектом" является субъект, который ранее являлся курильщиком. В некоторых вариантах осуществления субъект ранее являлся курильщиком, у которого в анамнезе курения указано, что он курил сигареты, сигары, трубки, кальяны и/или вейпы. В некоторых вариантах осуществления субъект ранее являлся курильщиком, у которого в анамнезе курения указано, что он выкуривал 10 или больше пачек сигарет в год. В некоторых вариантах осуществления субъект ранее являлся курильщиком, у которого в анамнезе курения указано, что он выкуривал менее 10 пачек за год. В некоторых вариантах осуществления субъект ранее являлся курильщиком, у которого в анамнезе курения указано, что он выкуривал более 1, 5, 10, 15, 20, 25, 30, 35, 40, 45, 50 или больше пачек сигарет за год. В некоторых вариантах осуществления субъект ранее являлся курильщиком, у которого в анамнезе курения указано, что он курил в течение 6 месяцев, 1 года, 2 лет, 3 года, 5 лет, 10 лет или в течение более длительного периода. В некоторых вариантах осуществления субъект ранее являлся курильщиком, который бросил курить по меньшей мере 1, 2, 3, 4, 5, 6, 7, 8, 9, 10, 11, or 12 месяцев назад. В некоторых вариантах осуществления субъект ранее являлся курильщиком, который бросил курить по меньшей мере 6 месяцев назад. В некоторых вариантах осуществления субъект ранее являлся курильщиком, который более не собирается начинать курить.

[00401] В некоторых вариантах осуществления "нуждающимся в этом субъектом" является субъект, который является некурящим. В некоторых вариантах осуществления субъектом является некурящий, который не имеет анамнеза курения сигарет, сигар, трубок, кальянов и/или вейпов. В некоторых вариантах осуществления субъектом является некурящий, который не имеет анамнеза курения табака.

[00402] Нормальный уровень IgE у здоровых субъектов составляет менее приблизительно 100 кЕ/л (например, измеренный с помощью анализа IMMUNOCAP® [Phadia Inc., Портедж, Мичиган]). Таким образом, настоящее изобретение включает способы, предусматривающие отбор субъекта, который характеризуется повышенным уровнем IgE в сыворотке крови, при этом уровень IgE в сыворотке крови составляет более приблизительно 100 кЕ/л, более приблизительно 150 кЕ/л, более приблизительно 500 кЕ/л, более приблизительно 1000 кЕ/л, более приблизительно 1500 кЕ/л, более приблизительно 2000 кЕ/л, более приблизительно 2500 кЕ/л, более приблизительно 3000 кЕ/л, более приблизительно 3500 кЕ/л, более приблизительно 4000 кЕ/л, более приблизительно 4500 кЕ/л или более приблизительно 5000 кЕ/л, и введение субъекту фармацевтической композиции, содержащей терапевтически эффективное количество антагониста IL-33 или антагониста IL-33 и антагониста IL-4R.

[00403] Уровни TARC у здоровых субъектов находятся в диапазоне от 106 нг/л до 431 нг/л, при этом среднее значение составляет приблизительно 239 нг/л. (иллюстративной аналитической системой для измерения уровня TARC является набор ELISA для количественного определения TARC, предлагаемый под каталожным № DDN00 от R&D Systems, Миннеаполис, Миннесота.) Таким образом, настоящее изобретение включает способы, предусматривающие отбор субъекта, который характеризуется повышенным уровнем TARC в сыворотке крови, при этом уровень TARC в сыворотке крови составляет более приблизительно 431 нг/л, более приблизительно 500 нг/л, более приблизительно 1000 нг/л, более приблизительно 1500 нг/л, более приблизительно 2000 нг/л, более приблизительно 2500 нг/л, более приблизительно 3000 нг/л, более приблизительно 3500 нг/л, более приблизительно 4000 нг/л, более приблизительно 4500 нг/л или более приблизительно 5000 нг/л, и введение субъекту фармацевтической композиции, содержащей терапевтически эффективное количество антагониста IL-33 или антагониста IL-33 и антагониста IL-4R.

[00404] Эотаксин-3 принадлежит к группе хемокинов, высвобождаемых эпителиальными клетками дыхательных путей, который положительно регулируется цитокинами Th2 IL-4 и IL-13 (Lilly et al 1999, J. Allergy Clin. Immunol. 104: 786-790). Настоящее изобретение включает способы, предусматривающие введение антагониста IL-4R для лечения пациентов с повышенными уровнями эотаксина-3, например, составляющими более приблизительно 100 пг/мл, более приблизительно 150 пг/мл, более приблизительно 200 пг/мл, более приблизительно 300 пг/мл или более приблизительно 350 пг/мл. Уровни эотаксина-3 в сыворотке крови можно измерить, например, с помощью ELISA.

[00405] Фракционный выдыхаемый NO (FeNO) представляет собой биомаркер воспаления бронхов или дыхательных путей. FeNO продуцируется эпителиальными клетками дыхательных путей в ответ на воспалительные цитокины, в том числе IL-4 и IL-13 (Alwing et al 1993, Eur. Respir. J. 6: 1368-1370). Уровни FeNO у здоровых взрослых людей находятся в диапазоне от 2 до 30 частей на миллиард (ppb). Иллюстративным анализом для измерения FeNO является использование устройства NIOX Aerocrine AB, Сольна, Швеция. Оценку можно проводить до спирометрии или после воздержания от пищи в течение по меньшей мере часа. В данный документ включены способы, предусматривающие введение антагониста IL-33 или антагониста IL-33 и антагониста IL-4R пациентам с повышенными уровнями выдыхаемого NO (FeNO), например, составляющими более приблизительно 30 ppb, более приблизительно 31 ppb, более приблизительно 32 ppb, более приблизительно 33 ppb, более приблизительно 34 ppb или более приблизительно 35 ppb.

[00406] Раково-эмбриональный антиген (CEA) (также известный как молекула клеточной адгезии 5 CEA [CEACAM5]) представляет собой опухолевый маркер, который, как было обнаружено, связан с заболеваниями легкого неопухолевой природы (Marechal et al 1988, Anticancer Res. 8: 677-680). Уровни CEA в сыворотке крови можно измерить с помощью ELISA. Настоящее изобретение включает способы, предусматривающие введение антагониста IL-33 или антагониста IL-33 и антагониста IL-4R пациентам с повышенными уровнями CEA, например, составляющими более приблизительно 1,0 нг/мл, более приблизительно 1,5 нг/мл, более приблизительно 2,0 нг/мл, более приблизительно 2,5 нг/мл, более приблизительно 3,0 нг/мл, более приблизительно 4,0 нг/мл или более приблизительно 5,0 нг/мл.

[00407] YKL-40 (названный по своим N-концевым аминокислотам тирозину (Y), лизину (K) и лейцину (L) и своей молекулярной массе 40 кДа) представляет собой хитиназа-подобный белок, который, как обнаружено, положительно регулируется и связан с обострением астмы, IgE и эозинофилами (Tang et al 2010 Eur. Respir. J. 35: 757-760). Уровни YKL-40 в сыворотке крови измеряют, например, с помощью ELISA. Настоящее изобретение включает способы, предусматривающие введение антагониста IL-33 или антагониста IL-33 и антагониста IL-4R пациентам с повышенными уровнями YKL-40, такими как составляющими более приблизительно 40 нг/мл, более приблизительно 50 нг/мл, более приблизительно 100 нг/мл, более приблизительно 150 нг/мл, более приблизительно 200 нг/мл или более приблизительно 250 нг/мл.

[00408] Периостин представляет собой секретируемый белок внеклеточного матрикса, ассоциированный с фиброзом, а его экспрессия положительно регулируется рекомбинантными IL-4 и IL-13 в культивируемых эпителиальных клетках бронхов и фибробластах бронхов (Jia et al. (2012) J. Allergy Clin. Immunol.130:647). У пациентов-людей с астмой уровни экспрессии периостина связаны с толщиной ретикулярной базальной мембраны, показателем субэпителиального фиброза. Там же. В данный документ включены способы, предусматривающие введение антагониста IL-33 или антагониста IL-33 и антагониста IL-4R пациентам с повышенными уровнями периостина (например, ≥74,4 нг/мл).

[00409] Эозинофилы и нейтрофилы в индуцированной мокроте являются общепринятыми прямыми маркерами воспаления дыхательных путей (Djukanovic et al 2002, Eur. Respire. J. 37: 1S-2S). Отделение мокроты индуцируют ингаляцией гипертонического солевого раствора и подсчитывают количество клеток в соответствии со способами, известными из уровня техники, например, в соответствии с руководствами Европейского респираторного общества.

[00410] В некоторых вариантах осуществления субъектов разделяют на следующие группы: содержание эозинофилов в крови (высокое содержание эозинофилов в крови) ≥ 300 клеток/мкл (высокое содержание эозинофилов), или 300-499 клеток/мкл, или ≥ 500 клеток/мкл, содержание эозинофилов в крови 200-299 клеток/мкл (умеренное содержание эозинофилов), или содержание эозинофилов в крови < 200 клеток/мкл (низкое содержание эозинофилов), и введение антагониста IL-33 или антагониста IL-33 и антагониста IL-4R осуществляют в дозе или согласно схеме введения на основании уровня эозинофилов.

[00411] В некоторых вариантах осуществления субъектов разделяют на следующие группы: содержание эозинофилов в крови ≥ 300 клеток/мкл, 300-499 клеток/мкл или ≥ 500 клеток/мкл (высокое содержание эозинофилов в крови); содержание эозинофилов в крови ≥ 150 клеток/мкл (умеренное содержание эозинофилов) или содержание эозинофилов в крови < 150 клеток/мкл (низкое содержание эозинофилов), и ведение антагониста IL-33 или антагониста IL-33 и антагониста IL-4R осуществляют в дозе или согласно схеме введения на основании уровня эозинофилов.

[00412] В некоторых вариантах осуществления у субъекта имеется астма "эозинофильного фенотипа", определяемая по содержанию эозинофилов в крови ≥ 150 клеток/мкл, содержанию эозинофилов в крови ≥ 300 клеток/мкл, содержанию эозинофилов в крови 300-499 клеток/мкл или содержанию эозинофилов в крови ≥ 500 клеток/мкл, и ему вводят антагонист IL-33 или антагонист IL-33 и антагонист IL-4R.

[00413] В некоторых вариантах осуществления у субъекта имеется астма с "периостиновым фенотипом", определяемая по высокому уровню периостина в крови, как определено в данном документе, и ему вводят антагонист IL-33 или антагонист IL-33 и антагонист IL-4R.

Способы определения фармакодинамических ассоциированных с астмой параметров

[00414] Настоящее изобретение также включает способы определения одного или нескольких фармакодинамических параметров, ассоциированных с астмой, у нуждающегося в этом субъекта в результате введения фармацевтической композиции, содержащей антагонист IL-33 или антагонист IL-33 и антагонист IL-4R. Снижение частоты обострения астмы (как описано выше) или улучшения одного или нескольких ассоциированных с астмой параметров (как описано выше) может быть связано с улучшением одного или нескольких фармакодинамических параметров, ассоциированных с астмой; однако такая связь необязательно наблюдается во всех случаях.

[00415] Примеры "фармакодинамических параметров, ассоциированных с астмой" включают, например, следующие: (a) уровни экспрессии биомаркеров; (b) анализ сывороточных белков и РНК; (c) уровни эозинофилов и нейтрофилов в индуцированной мокроте; (d) выдыхаемый оксид азота (FeNO) и (e) содержание эозинофилов в крови. "Улучшение фармакодинамического параметра, ассоциированного с астмой" означает, например, снижение от исходного уровня одного или нескольких биомаркеров, таких как периостин, TARC, эотаксин-3 или IgE, снижение содержания эозинофилов или нейтрофилов в мокроте, FeNO, периостина или содержания эозинофилов в крови. Используемый в данном документе термин "исходный уровень" по отношению к фармакодинамическому параметру, ассоциированному с астмой, означает числовую величину фармакодинамического параметра, ассоциированного с астмой, для пациента до или в течение всего периода введения фармацевтической композиции, описанной в данном документе.

[00416] Для оценки фармакодинамического параметра, ассоциированного с астмой, параметр измеряют количественно на исходном уровне и во временной точке после введения фармацевтической композиции. Например, фармакодинамический параметр, ассоциированный с астмой, можно измерять в день 1, день 2, день 3, день 4, день 5, день 6, день 7, день 8, день 9, день 10, день 11, день 12, день 14 или на неделе 3, неделе 4, неделе 5, неделе 6, неделе 7, неделе 8, неделе 9, неделе 10, неделе 11, неделе 12, неделе 13, неделе 14, неделе 15, неделе 16, неделе 17, неделе 18, неделе 19, неделе 20, неделе 21, неделе 22, неделе 23, неделе 24 или в течение более длительного после начального лечения фармацевтической композицией. Разница между величиной параметра в определенной временной точке после начала лечения и величиной параметра на исходном уровне используется для установления того, произошло ли изменение, такое как "улучшение" фармакодинамического параметра, ассоциированного с астмой (например, повышение или снижение в зависимости от ситуации, в зависимости от конкретного измеряемого параметра).

[00417] В определенных вариантах осуществления введение антагониста IL-33 или антагониста IL-33 и антагониста IL-4R пациенту вызывает изменение, такое как снижение или повышение экспрессии определенного биомаркера. Биомаркеры, ассоциированные с астмой, включают без ограничения следующие: (a) суммарный IgE; (b) хемокин, регулируемый тимусом и активацией (TARC); (c) YKL-40; (d) раково-эмбриональный антиген в сыворотке крови; (e) эотаксин-3 в плазме крови и (f) периостин в сыворотке крови. Например, введение антагониста IL-33 или антагониста IL-33 и антагониста IL-4R пациенту с астмой может привести к одному или нескольким из снижения уровней TARC или эотаксина-3 или снижения уровней суммарного IgE в сыворотке крови. Снижение может быть обнаружено на неделе 1, неделе 2, неделе 3, неделе 4, неделе 5 или позже после введения антагониста IL-33 или антагониста IL-33 и антагониста IL-4R. Экспрессию биомаркеров можно определить способами, известными в данной области техники. Например, уровни белка можно измерить с помощью ELISA (твердофазного иммуноферментного анализа). Уровни РНК можно измерить, например, с помощью полимеразной цепной реакции с обратной транскрипцией (RT-PCR).

[00418] Экспрессию биомаркеров, описанных выше, можно определить по выявлению белка или РНК в сыворотке крови. Образцы сыворотки крови также можно использовать для мониторинга дополнительных биомаркеров, представляющих собой белок или РНК, связанных с ответом на лечение антагонистом IL-33 или антагонистом IL-33 и антагонистом IL-4R, передачей сигнала IL-4/IL-13, астмой, атопией или эозинофильными заболеваниями (например, посредством измерения растворимых IL-4Rα, IL-4, IL-13, периостина и т. п.). В некоторых вариантах осуществления образцы РНК используют для определения уровней РНК (негенетического анализа), например, уровней РНК биомаркеров; и в других вариантах осуществления образцы РНК используют для секвенирования транскриптома (например, генетического анализа).

ПРИМЕРЫ

[00419] Следующие примеры изложены для того, чтобы обеспечить специалистов в данной области техники полным раскрытием и описанием получения и применения способов и композиций, описанных в настоящем изобретении, и они не предполагают ограничения объема того, что авторы настоящего изобретения рассматривают в качестве своего изобретения. Были приложены усилия для обеспечения точности в отношении используемых чисел (например, количеств, температуры и т. п.), однако необходимо учитывать некоторые экспериментальные ошибки и отклонения. Если не указано иное, то части являются частями по весу, молекулярная масса является средней молекулярной массой, температура представлена в градусах Цельсия, а давление является атмосферным или близким к атмосферному.

[00420] Иллюстративный антагонист IL-33, используемый в следующих примерах, представляет собой человеческое антитело к IL-33 под названием SAR440340. Иллюстративный антагонист IL-4R, используемый в следующих примерах, представляет собой человеческое антитело к IL-4R под названием дупилумаб.

Пример 1. Рандомизированное, двойное слепое, плацебо-контролируемое исследование с многократными нарастающими дозами для исследования безопасности, переносимости, фармакокинетики и фармакодинамических эффектов подкожно вводимого SAR440340 у взрослых пациентов с астмой умеренной степени тяжести

[00421] Основная цель исследования заключалась в оценке безопасности и переносимости многократных нарастающих доз SAR440340, вводимых пациентам с астмой умеренной степени тяжести.

[00422] Вторичными целями исследования были следующие: охарактеризовать фармакокинетику после многократных подкожных введений SAR440340 пациентам с астмой умеренной степени тяжести; оценить иммуногенность SAR440340 после многократных подкожных доз у пациентов с астмой умеренной степени тяжести; оценить клинический ответ дыхательных путей (объем форсированного выдоха за 1 секунду [FEV1]) для несколько подкожных доз SAR440340 у пациентов с астмой умеренной степени тяжести; и оценить изменения уровней биомаркеров (фракцию выдыхаемого оксида азота [FeNO] в выдыхаемом воздухе и кальцитонин, гипотетический маркер активности интерлейкина-33 (IL-33) в кровотоке) после многократных подкожных доз SAR440340, вводимых пациентам с астмой умеренной степени тяжести.

[00423] Экспериментальные цели исследования были следующими: оценить влияние SAR440340 на потенциальные циркулирующие в кровотоке PD-маркеры активации пути IL-33, включая без ограничения концентрации в кровотоке растворимого рецептора IL-33 (sST2); оценить влияние SAR440340 на результаты измерения суточного FEV1, измеряемого с помощью амбулаторного устройства для спирометрического мониторинга на дому; оценить влияние SAR440340 на результаты измерения показателей оценки симптомов астмы, измеряемые с помощью бумажного опросника по контролю астмы (ACQ-6); и оценить общее количество в кровотоке IL-33 до и после лечения с использованием SAR440340.

Дизайн испытания

[00424] Это было первое исследование SAR440340 на пациентах, направленное на определение профиля безопасности и фармакокинетического/фармакодинамического (PK/PD) профиля многократного подкожного (п/к) введения доз данного моноклонального антитела (mAb) у пациентов с астмой.

[00425] Двадцать три пациента, включенных в данное исследование, рандомизировали в группы получения SAR440340 или плацебо в одной из следующих 2 когорт с последовательными нарастающими п/к дозами: когорта 1 - SAR440340 75 мг п/к раз в нед. (6 пациентов) или плацебо п/к раз в нед. (2 пациента) и когорта 2 - SAR440340 150 мг подкожно раз в нед. (11 пациентов) или плацебо п/к раз в нед. (4 пациента) (фиг. 123).

[00426] Для каждой когорты исследование состояло из периода скрининга (от дня -28 до дня -1, с визитом в клинику, который должен быть проведен между днем -28 и днем -14), визита на исходном уровне (день 1), периода лечения (с дня 8 по день 22) и периода последующего наблюдения (с дня 29 по день 250) с визитом в конце исследования в день 250. Общая запланированная продолжительность участия пациента в исследовании составляла примерно 40 недель (включая скрининговый период до 4 недель).

Обобщенные результаты

[00427] Всего в исследование было включено 23 пациента с астмой умеренной степени тяжести: 6 на плацебо (PBO), 6 на SAR440340 в дозе 75 мг п/к раз в нед. x 4 нед., 11 на 150 мг п/к раз в нед. x 4 нед. SAR440340 хорошо переносилось.

[00428] Количество эозинофилов в крови снижалось при лечении с использованием SAR440340 (фиг. 124 - фиг. 129). Активное лечение с использованием SAR440340 (75 мг и 150 мг) от исходного уровня приводило в результате к снижению на примерно 35%, наблюдаемым в день 29 и сохраняющимся до дня 197. Данные согласовывались с данными доклинических исследований, демонстрирующими, что лечение с использованием SAR440340 обеспечивало снижение уровней IL-5.

[00429] Биомаркер FeNO демонстрировал высокую вариабельность у небольшого числа пациентов, но при активном лечении имел место потенциальный умеренный эффект (фиг. 130 - фиг. 134).

[00430] PK SAR440340 была схожей у пациентов с астмой и у здоровых добровольцев. Данное антитело характеризовалось линейной кинетикой клиренса с дозозависимой AUC, t1/2= 30 дней. Явно выраженного дозозависимого ответа не наблюдали при дозе от 75 мг до 150 мг в отношении концентраций суммарного IL-33 с течением времени после введения дозы.

Нежелательные явления, возникавшие в ходе лечения

[00431] Летальные исходы отсутствовали. Прекращения лечения из-за нежелательных явлений (AE) не было. Серьезных возникших при лечении побочных эффектов (TEAE) не было. Серьезные TEAE отсутствовали.

[00432] Количество пациентов по меньшей мере с одним TEAE была аналогичной группам SAR440340 и плацебо.

[00433] Наиболее частыми TEAE были головная боль (1 [16,7%] в группе плацебо и 4 [23,5%] в группе SAR440340), инфекция верхних дыхательных путей (1 [16,7%] в группе плацебо и 2 [11,8%] в группе SAR440340), гастроэнтерит (2 [33,3%] в группе плацебо и 1 [5,9%] в группе SAR440340) и ринофарингит (2 [33,3%] в группе плацебо и 1 [5,9%] в группе SAR440340).

[00434] Частота количества пациентов по меньшей мере с одним связанным с применением лекарственного средства TEAE была аналогичной группам SAR440340 и плацебо. Единственным TEAE, связанным с применением лекарственного средства, о котором сообщалось в исследовании, была головная боль (1 [16,7%] в группе плацебо и 1 [5,9%] в группе SAR440340).

Результаты лабораторных исследований, параметры жизненно важных функций и ЭКГ

[00435] Возникшие при лечении потенциальные клинически значимые величины (PCSV) в результатах лабораторных исследований, параметров жизненно важных функций и ЭКГ были схожими между группами плацебо и получавшими лечение SAR440340 за исключением того, что в группе плацебо был более высокий процент пациентов по меньшей мере с одной появившейся в ходе лечения гематологической PCSV (83,3%), чем в группе SAR440340 (29,4%).

Пример 2. Рандомизированное, двойное слепое, плацебо-контролируемое, 12-недельное доказательное исследование (PoC) в параллельных группах для оценки эффективности, безопасности и переносимости SAR440340, а также совместного введения SAR440340 и дупилумаба у пациентов с астмой со степенью тяжести от умеренной до тяжелой, которая плохо контролируются терапией ингаляционными кортикостероидами (ICS) в сочетании с длительнодействующими β2-адренергическими агонистами (LABA) (NCT03387852)

Основная цель

[00436] Оценить эффекты SAR440340 с дупилумабом или без него в сравнении с плацебо в отношении снижения частоты возникновения явлений «потери контроля астмы» (LOAC).

[00437] Критерии LOAC, определенные протоколом, включали возникновение по меньшей мере одного из следующих событий: 1) снижение утреннего PEF на 30% или больше от исходного уровня в течение 2 последних дней; ≥ 6 дополнительных впрыскиваний облегчающего дыхание лекарственного средства сальбутамола/альбутерола или левосальбутамола/левальбутерола в течение 24-часового периода (по сравнению с исходным уровнем) в течение 2 последовательных дней; увеличение ICS в ≥ 4 раза относительно последней назначенной дозы ICS (или ≥ 50% от назначенной дозы ICS в момент V2, если завершена отмена фоновой терапии); необходимость применения системного стероида (перорального и/или парентерального) для лечения; и необходимость госпитализации или визита в отделение неотложной помощи.

Вторичные цели

[00438] Оценить эффекты SAR440340 и одновременного введения SAR440340 и дупилумаба по сравнению с плацебо в отношении FEV1. Установить эффекты одновременного введения SAR440340 и дупилумаба по сравнению с SAR440340 и по сравнению с дупилумабом в отношении FEV1. Определить безопасность и переносимость SAR440340 отдельно и при совместном введении с дупилумабом.

[00439] Методология

[00440] Рандомизированное, двойное слепое, плацебо-контролируемое, 12-недельное доказательное исследование (PoC) в параллельных группах (4 группах) для оценки эффективности, безопасности и переносимости SAR440340 300 мг q2w, а также совместное введение SAR440340 300 мг q2w и дупилумаба 300 мг q2w у пациентов с астмой со степенью тяжести от умеренной до тяжелой, которая плохо контролируется терапией ингаляционными кортикостероидами (ICS) в сочетании с длительнодействующими β2-адренергическими агонистами (LABA). Фоновую терапию (ICS и LABA) постепенно отменяли, и пациенты не получали никакой фоновой терапии в течение периода 3-4 недель в конце фазы лечения. SAR440340 вводили в виде 2 подкожных инъекций. Дупилумаб вводили в виде 1 подкожной (п/к) инъекции.

Диагноз и критерии для включения

[00441] 1. Взрослые пациенты с поставленным врачом диагнозом астмы в течение по меньшей мере 12 месяцев согласно Руководствам Глобальной инициативы по бронхиальной астме (GINA) 2017 года. 2. Продолжающееся лечение средней - высокой дозой ICS (≥ 250 мкг флутиказона пропионата два раза в день (BID) или равноэффективная суточная доза ICS до максимальной 2000 мкг/день флутиказона пропионата или клинически сопоставимой) в комбинации с LABA в качестве второго средства для контроля в течение по меньшей мере 3 месяцев со стабильной дозой ≥ 1 месяца до визита 1. 3. Объем форсированного выдоха за одну секунду (FEV1) до приемом бронходилататора > 40% от прогнозируемой нормы на момент визита 1/скрининга. 4. FEV1 до приемом бронходилататора ≥ 50%, но ≤ 85% от прогнозируемой нормы на момент визита 2/исходном уровне. 5. Обратимость по меньшей мере 12% и 200 мл FEV1 после 2-4 впрыскиваний (200-400 мкг) альбутерола/сальбутамола или левальбутерола/левосальбутамола в ходе скрининга или в задокументированном анамнезе теста на обратимость, соответствующего таким критериям, за 12 месяцев до визита 1 или документально подтвержденный положительный ответ на провокационную пробу с метахолином (снижение FEV на 20% [PC20] < 8 мг/мл) за 12 месяцев до визита 1/скрининга. 6. Перенес по меньшей мере один раз в течение 1 года до визита 1 либо госпитализацию, либо визит за неотложной медицинской помощью из-за ухудшения астмы или лечения системными стероидами (пероральными или парентеральными) по причине ухудшения течения астмы (см. также фиг. 92 - фиг. 96).

Основные и главные вторичные ключевые конечные точки

Эффективность

[00442] Основной конечной точкой была доля пациентов с LOAC. Вторичной конечной точкой было изменение FEV1 от исходного уровня на неделе 12 (до и после приема бронходилататора).

[00443] Безопасность Нежелательные явления (AE), стандартный общий анализ крови и биохимический анализ крови, параметры жизненно важных функций, физикальное обследование и электрокардиограмма (ЭКГ).

Статистические методы

[00444] Популяция для анализа эффективности представляла собой модифицированную группу по назначенному лечению (mITT), определяемую как все рандомизированные пациенты, получавшие по меньшей мере одну дозу исследуемого лекарственного препарата. Пациентов анализировали в соответствии с группами лечения, распределенными посредством рандомизации. Рандомизированные группы были стратифицированы по содержанию эозинофилов в крови в ходе скринингового визита (< 0,15 гига/л, 0,15 - < 0,3 гига/л, ≥ 0,3 гига/л) и по стране.

[00445] Первичную конечную точку частоты возникновения LOAC анализировали с помощью модели логистической регрессии. Ковариатами, включенными в модель, были лечение, страты по содержанию эозинофилов на исходном уровне, регион (объединенные страны), уровень дозы при фоновой терапии ICS на момент рандомизации и количество явлений обострения в течение 1 года до скрининга.

[00446] Вторичные конечные точки, изменение FEV1 от исходного уровня до и после BD на неделе 12 анализировали с помощью подхода использования модели смешанных эффектов с повторными измерениями (MMRM). Модель включала изменение от значений на исходном уровне до недели 12 в качестве переменной ответа и лечение, пол, рост на исходном уровне, страты по количеству эозинофилов на исходном уровне, регион, уровень дозы при фоновой терапии ICS на момент рандомизации, визит, взаимодействие с эффектом фактора лечения в зависимости от визита, значение на исходном уровне и взаимодействие с эффектом фактора исходного уровня в зависимости от визита в качестве ковариат. Для пациентов, у которых имела место LOAC с приемом лекарственных препаратов неотложной терапии, результаты по FEV1, собранные в начале и после начала явления, были отмечены как отсутствующие для первичного анализа. Отсутствующие данные не принимались в расчет.

[00447] Результаты всех попарных сравнений лечения в анализах эффективности были протестированы при двустороннем уровне значимости 5%. Популяция для оценки безопасности включала всех пациентов, подвергшихся воздействию IMP, независимо от количества воздействия. Пациентов анализировали в соответствии с фактически получаемым лечением. Краткие сводки по безопасности были описательными, и проверку гипотез не проводили.

Краткое описание

Характеристики популяций

[00448] На момент закрытия этой основной базы данных из 296 рандомизированных пациентов 228 (77,0%) пациентов продолжали находиться в периоде последующего наблюдения после лечения, тогда как 58 (19,6%) пациентов завершили исследование, как и было запланировано, и 10 (3,4%) пациентов прекратили участие до окончания исследования. Из 295 рандомизированных и получивших лечение пациентов 199 (67,5%) завершили лечение в соответствии с планом. Девяносто шесть (32,5%) пациентов преждевременно прекратили лечение.

[00449] Семьдесят восемь пациентов полностью прекратили лечение из-за потери контроля астмы (требование протокола), 5 пациентов из-за нежелательного явления, 1 пациент из-за низкого уровня комплаентности терапии и 5 пациентов из-за другой причины, не связанной с безопасностью. Семь пациентов отказались от лечения по собственному желанию. В группе плацебо больше пациентов прекратили лечение из-за LOAC. Количество случаев досрочного прекращения лечения из-за нежелательного явления было низким: два пациента прекратили лечение в группе SAR440340+дупилумаб и три пациента прекратили лечение в группе плацебо.

[00450] Демографические данные пациентов, другие характеристики и характеристики заболевания на исходном уровне были в целом схожими во всех четырех группах по варианту лечения: общее среднее количество обострений астмы за прошедший год составляло 1,3, средний показатель FEV1 до приема бронходилататора составлял 2,02 л, средний прогнозируемый процентный показатель FEV1 до приема бронходилататора составлял 64,69%, средняя обратимость FEV1 составляла 14,9%, средний показатель по ACQ-5 (опроснику контроля астмы из 5 вопросов) составлял 2,16, среднее содержание эозинофилов составляло 0,37 10^9/л и средний показатель фракции оксида азота в выдыхаемом воздухе (FeNO) составлял 29,2 ppb. В группе SAR440340+дупилумаб более высокая доля пациентов перенесла два или более обострений или обострений, потребовавших госпитализации, чем в других группах лечения. В данной группе лечения также было больше пациентов, которые в прошлом были курильщиками.

Результаты анализа эффективности

[00451] Доля пациентов с LOAC составляла 21,9% в группе SAR440340, 27% в группе SAR440340+дупилумаб, 18,9% в группе дупилумаба и 40,5% в группе плацебо. Монотерапия посредством SAR440340 снижала шансы возникновения LOAC по сравнению с плацебо (p=0,02). Снижение соотношения шансов в группе SAR440340+дупилумаб не было значимым (p=0,07). Соотношение шансов (95% CI) составляло 0,423 (0,203-0,880) для SAR440340 по сравнению с плацебо и 0,520 (0,256-1,057) для комбинации по сравнению с плацебо.

[00452] Несмотря на отсутствие доказательства дифференциального эффекта лечения в подгруппах, определяемого по содержанию эозинофилов на исходном уровне (p=0,5365 для взаимодействия с эффектом фактора лечения в зависимости от подгруппы), количество пациентов в каждой подгруппе было небольшим. Как правило, наибольший эффект по сравнению с плацебо наблюдали в подгруппе пациентов с содержанием эозинофилов на исходном уровне ≥ 300/мм3 как для SAR440340, так и для комбинации SAR440340 с дупилумабом.

[00453] Различие средних значений, полученных по методу наименьших квадратов, от исходного уровня в FEV1 до приема бронходилататора на неделе 12 составляло 0,10 л для SAR440340, 0,06 л для SAR440340+дупилумаб, 0,12 л для дупилумаба и -0,04 л для группы плацебо. Различие средних значений, полученных по методу наименьших квадратов, в изменении от исходного уровня до недели 12 в FEV1 до приема бронходилататора по сравнению с плацебо было значимым для группы SAR440340 (0,14 [0,01-0,27], p=0,03), но не для группы SAR440340+дупилумаб (0,10 [-0,03-0,23], p=0,13).

[00454] Несмотря на отсутствие доказательства дифференциального эффекта лечения в подгруппах, определяемого по содержанию эозинофилов на исходном уровне (p=0,1111 для взаимодействия с эффектом фактора лечения в зависимости от подгруппы), количество пациентов в каждой подгруппе было небольшим. Как правило, наибольший эффект по сравнению с плацебо наблюдали в подгруппе пациентов с содержанием эозинофилов на исходном уровне ≥ 300/мм3 как для SAR440340, так и для комбинации SAR440340 с дупилумабом.

[00455] Изменение средних значений, полученных по методу наименьших квадратов, от исходного уровня в FEV1 после приема бронходилататора на неделе 12 составляло -0,00 л для SAR440340, 0,07 л для SAR440340+дупилумаб, 0,09 л для дупилумаба и -0,05 л для группы плацебо. Различие средних значений, полученных по методу наименьших квадратов, в изменении от исходного уровня до недели 12 в FEV1 после приема бронходилататора по сравнению с плацебо было значимым для группы SAR440340+дупилумаб (0,13 [0,01-0,25], p=0,04), но не для группы SAR440340 (0,05 [-0,07-0,17], p=0,41).

Результаты анализа безопасности (частота возникновения во всех случаях регистрировалась по группам SAR440340, SAR440340+дупилумаб, дупилумаб, плацебо)

[00456] Суммарное воздействие SAR440340 отдельно или в комбинации с дупилумабом составляло 30,2 пациенто-лет. Частота возникновения возникших при лечении нежелательных явлений (TEAE) была пропорциональной среди групп лечения (60,3%, 66,2%, 55,4% и 64,9%). Большинство TEAE характеризовались слабой или умеренной интенсивностью. Наиболее частые TEAE были в классе системных органов (SOC) инфекций и инвазий (в основном обусловленные ринофарингитом и вирусными инфекциями верхних дыхательных путей).

[00457] Частота возникновения возникших при лечении серьезных нежелательных явлений (SAE) была низкой. В каждой из групп лечения SAR440340, SAR440340+дупилумаб и дупилумабом у одного пациента (1,4%) имело место возникающее при лечении SAE по сравнению с тремя пациентами (4,1%) в группе плацебо. †Один пациент умер в результате отравления этиловым спиртом в период последующего наблюдения после лечения (информация получена после закрытия базы данных).

[00458] Общий показатель прекращения лечения из-за TEAE был низким (2 пациента (2,7%) прекратили лечение в группе SAR440340+дупилумаб и 3 пациента (4,1%) прекратили лечение в группе плацебо).

Предварительные заключения

[00459] У пациентов с персистирующей астмой со степенью тяжести умеренной до тяжелой монотерапия SAR440340 была эффективной. По сравнению с плацебо монотерапия SAR440340 демонстрировала значимое снижение доли пациентов с LOAC и улучшение FEV1 до приема бронходилататора на неделе 12 в общей популяции. Какого-либо эффекта от лечения в отношении улучшения FEV1 после приема бронходилататора на неделе 12 не наблюдали. По результатам анализа подгрупп на основе содержания эозинофилов в крови на исходном уровне была выявлена тенденция к снижению частоты возникновения LOAC в эозинофильных подгруппах. В противоположность этому, тенденцию к улучшению FEV1 до приема бронходилататора на неделе 12 в основном наблюдали в подгруппе ≥ 300/мм3 по сравнению с плацебо.

[00460] SAR440340 в комбинации с дупилумабом не продемонстрировал эффективность по сравнению с плацебо в отношении снижения у пациентов с LOAC и улучшения FEV1 до приема бронходилататора на неделе 12 в общей популяции. Однако эффективность наблюдалась в отношении улучшения FEV1 после приема бронходилататора на неделе 12. По результатам анализов подгрупп на основе содержания эозинофилов в крови на исходном уровне было определено, что в целом наибольший лечебный эффект, как в отношении LOAC, так и в отношении FEV1 до приема бронходилататора, был в подгруппе пациентов с содержанием эозинофилов ≥ 300/мм3 на исходном уровне по сравнению с плацебо.

[00461] Группа дупилумаба была включена в данное исследование в качестве калибровочного стандарта. Как в отношении LOAC, так и в отношении FEV1 с дупилумабом были получены ожидаемые результаты.

[00462] SAR440340 отдельно и в комбинации с дупилумабом в целом хорошо переносился с приемлемым профилем безопасности.

Результаты

Распределение пациентов

[00463] Из 498 пациентов, прошедших скрининг, 296 пациентов были рандомизированы (показатель отсеивания по результатам скрининга составил 41%). Основными причинами отсеивания по результатам скрининга были положительный результат скрининга на туберкулез и FEV1 до приема бронходилататора, выходящий за пределы предварительно указанного диапазона для включения. Распределение пациентов по рандомизированным группам лечения показано в таблице 1. Распределение по группам лечения соответствовало запланированной схеме рандомизации 1:1:1:1.

[00464] Окончательное распределение в соответствии со стратой по содержанию эозинофилов на исходном уровне (используемой для статистического анализа) представляло собой следующее: 63 пациента (21,4%) с содержанием эозинофилов < 0,15×109/л, 92 пациента (31,2%) ≥ 0,15×109/л и < 0,3×109/л, 140 пациентов (47,5%) ≥ 0,3×109/л (таблица 12). Это несколько отличалось от стратификации с помощью IVRS, которая была основана на результатах скрининга по содержанию эозинофилов (таблица 3).

[00465] Из 295 рандомизированных и получивших лечение пациентов 199 (67,5%) завершили лечение в соответствии с планом. Девяносто шесть (32,5%) пациентов преждевременно прекратили лечение. На момент закрытия этой основной базы данных из 296 рандомизированных пациентов 228 (77,0%) пациентов продолжали находиться в периоде последующего наблюдения после лечения, тогда как 58 (19,6%) пациентов завершили исследование, как и было запланировано, и 10 (3,4%) пациентов прекратили участие до окончания исследования.

[00466] Семьдесят восемь пациентов полностью прекратили лечение из-за потери контроля астмы (требование протокола), пять пациентов из-за нежелательного явления, один пациент из-за низкого уровня комплаентности терапии и пять пациентов из-за других причин, не связанных с безопасностью. Семь пациентов отказались от лечения по собственному желанию. В группе плацебо больше пациентов прекратили лечение из-за LOAC. Количество досрочного прекращения лечения из-за нежелательного явления было низким: два пациента прекратили лечение в группе SAR440340+плацебо и три пациента прекратили лечение в группе плацебо.

[00467] В группе лечения дупилумабом 1 пациент был зарегистрирован как потерянный для последующего наблюдения. После блокировки базы данных была получена новая информация о том, что пациент умер в период последующего наблюдения после лечения в результате SAE от отравления этиловым спиртом. Данное явление было оценено как не связанное с IMP.

[00468] Таблица 1. Распределение пациентов, рандомизированная популяция

n (%) Плацебо
(N=74)
SAR440340
300 мг q2w
(N=73)
SAR440340 q2w +
Дупилумаб q2w
(N=74)
Дупилумаб
300 мг q2w
(N=75)
Рандомизированные и не получавшие лечения 0 0 0 1 (1.3) Рандомизированные и получавшие лечение 74 (100) 73 (100) 74 (100) 74 (98.7) Завершили лечение в рамках исследования 41 (55.4) 55 (75.3) 47 (63.5) 56 (74.7) Не завершили лечение в рамках исследования 33 (44.6) 18 (24.7) 27 (36.5) 18 (24.0) Причина прекращения лечения Нежелательное явление 3 (4.1) 0 2 (2.7) 0 Отсутствие эффективности 0 0 0 0 Потеря контроля астмы 28 (37.8) 16 (21.9) 20 (27.0) 14 (18.7) Ненадлежащая комплаентность протоколу 0 0 0 1 (1.3) Прекращение участия по желанию субъекта 1 (1.4) 1 (1.4) 3 (4.1) 2 (2.7) Другая 1 (1.4) 1 (1.4) 2 (2.7) 1 (1.3) Причина прекращения лечения по желанию субъекта Нежелательное явление 0 0 0 0 Другая 1 (1.4) 1 (1.4) 3 (4.1) 2 (2.7) Завершили период исследования 18 (24.3) 15 (20.5) 14 (18.9) 11 (14.7) Прекращение участия в исследовании 2 (2.7) 1 (1.4) 3 (4.1) 4 (5.3) Причина прекращения исследования Нежелательное явление 0 0 0 0 Потерян для последующего наблюдения 0 0 0 1 (1.3) Другая 2 (2.7) 1 (1.4) 3 (4.1) 3 (4.0) Статус на момент последнего контакта в ходе исследования Проходит период последующего наблюдения 54 (73.0) 57 (78.1) 57 (77.0) 60 (80.0) Живые 20 (27.0) 16 (21.9) 17 (23.0) 15 (20.0) Умершие 0 0 0 0 Примечание: процентные доли рассчитаны с использованием количества рандомизированных пациентов в качестве знаменателя.

Демографические данные и характеристики на исходном уровне

[00469] Демографические данные пациентов и характеристики на исходном уровне были достаточно пропорциональными среди групп лечения (таблица 2). Средний возраст общей популяции составлял 49 лет с диапазоном от 18 до 70 лет. Примерно две трети пациентов составляли женщины (63,9%). 94,9% пациентов были европеоидной, 2,0% негроидной, 1,4% монголоидной рас, 1,4% американскими индейцами или коренными жителями Аляски и 0,3% принадлежали к разным расам.

[00470] Таблица 2. Демографические данные и характеристики пациентов в начале исследования, рандомизированная популяция

Плацебо
(N=74)
SAR440340
300 мг q2w
(N=73)
SAR440340 q2w +
Дупилумаб q2w
(N=74)
Дупилумаб
300 мг q2w
(N=75)
Все
(N=296)
Возраст (лет) Количество 74 73 74 75 296 Среднее значение (SD) 47.0 (11.4) 49.0 (13.9) 49.1 (12.0) 51.3 (12.7) 49.1 (12.6) Медианное значение 48.0 52.0 49.0 52.0 50.0 Q1; Q3 37.0 ; 55.0 40.0 ; 60.0 39.0 ; 60.0 42.0 ; 61.0 39.0 ; 59.0 Мин.; макс. 23 ; 70 21 ; 69 24 ; 69 18 ; 70 18 ; 70 Возрастная группа 1 (лет) [n (%)] Количество 74 73 74 75 296 < 45 29 (39.2) 28 (38.4) 28 (37.8) 22 (29.3) 107 (36.1) ≥ 45 45 (60.8) 45 (61.6) 46 (62.2) 53 (70.7) 189 (63.9) Возрастная группа 2 (лет) [n (%)] Количество 74 73 74 75 296 < 65 69 (93.2) 62 (84.9) 69 (93.2) 62 (82.7) 262 (88.5) ≥ 65 5 (6.8) 11 (15.1) 5 (6.8) 13 (17.3) 34 (11.5) Пол [n (%)] Количество 74 73 74 75 296 Мужской 27 (36.5) 23 (31.5) 23 (31.1) 34 (45.3) 107 (36.1) Женский 47 (63.5) 50 (68.5) 51 (68.9) 41 (54.7) 189 (63.9) Раса [n (%)] Количество 74 73 74 75 296 Европеоиды 71 (95.9) 68 (93.2) 69 (93.2) 73 (97.3) 281 (94.9) Негроидная раса или афроамериканцы 1 (1.4) 3 (4.1) 2 (2.7) 0 6 (2.0) Монголоиды 0 2 (2.7) 1 (1.4) 1 (1.3) 4 (1.4) Уроженец Гавайских островов или других островов Тихого океана 0 0 0 0 0 Американский индеец или коренной житель Аляски 2 (2.7) 0 1 (1.4) 1 (1.3) 4 (1.4) Несколько 0 0 1 (1.4) 0 1 (0.3) Неизвестная 0 0 0 0 0 Не сообщается 0 0 0 0 0 Этническая принадлежность [n (%)] Количество 74 73 74 75 296 Индивидуумы испанского или латиноамериканского происхождения 17 (23.0) 17 (23.3) 17 (23.0) 14 (18.7) 65 (22.0) Индивидуумы, отличный от испанского или латиноамериканского 57 (77.0) 56 (76.7) 57 (77.0) 61 (81.3) 231 (78.0) Неизвестная 0 0 0 0 0 Не сообщается 0 0 0 0 0 Вес (кг) Количество 74 73 74 75 296 Среднее значение (SD) 83.11 (19.74) 78.20 (15.31) 83.35 (19.17) 81.31 (18.42) 81.50 (18.27) Медианное значение 80.20 76.50 81.00 78.30 79.60 Q1; Q3 69.00 ; 90.50 67.00 ; 90.00 68.00 ; 94.00 68.00 ; 89.50 67.70 ; 91.35 Мин.; макс. 54.0 ; 176.3 46.0 ; 116.8 55.0 ; 147.8 46.3 ; 139.8 46.0 ; 176.3 Группа по весу (кг) [n (%)] Количество 74 73 74 75 296 < 60 3 (4.1) 5 (6.8) 4 (5.4) 5 (6.7) 17 (5.7) ≥ 60 - < 100 59 (79.7) 62 (84.9) 60 (81.1) 57 (76.0) 238 (80.4) ≥ 100 12 (16.2) 6 (8.2) 10 (13.5) 13 (17.3) 41 (13.9) BMI (кг/м2) Количество 74 73 74 75 296 Среднее значение (SD) 29.92 (6.89) 28.66 (5.57) 30.27 (6.20) 28.93 (5.99) 29.45 (6.19) Медианное значение 29.31 27.67 28.53 27.50 28.41 Q1; Q3 24.24 ; 33.40 25.00 ; 31.43 25.59 ; 34.13 24.52 ; 32.39 24.79 ; 32.86 Мин.; макс. 19.6 ; 57.6 17.3 ; 47.1 20.4 ; 49.1 17.4 ; 43.2 17.3 ; 57.6 Группа по BMI (кг/м2) [n (%)] Количество 74 73 74 75 296 < 25 22 (29.7) 18 (24.7) 16 (21.6) 21 (28.0) 77 (26.0) ≥ 25 - < 30 20 (27.0) 31 (42.5) 30 (40.5) 25 (33.3) 106 (35.8) ≥ 30 32 (43.2) 24 (32.9) 28 (37.8) 29 (38.7) 113 (38.2) Регионa [n (%)] Количество 74 73 74 75 296 Восточная Европа 43 (58.1) 41 (56.2) 42 (56.8) 44 (58.7) 170 (57.4) Латинская Америка 16 (21.6) 18 (24.7) 18 (24.3) 16 (21.3) 68 (23.0) Северная Америка 15 (20.3) 14 (19.2) 14 (18.9) 15 (20.0) 58 (19.6) Частота употребления алкоголя за последние 12 месяцев [n (%)] Количество 74 73 74 75 296 Никогда не употреблял 46 (62.2) 50 (68.5) 42 (56.8) 53 (70.7) 191 (64.5) По меньшей мере ежемесячно 21 (28.4) 18 (24.7) 27 (36.5) 15 (20.0) 81 (27.4) По меньшей мере еженедельно 7 (9.5) 5 (6.8) 4 (5.4) 6 (8.0) 22 (7.4) По меньшей мере ежедневно 0 0 1 (1.4) 1 (1.3) 2 (0.7) Количество стандартно употребляемых алкогольных напитков в день при употреблении алкоголя [n (%)] Количество 28 23 32 22 105 1 или 2 26 (92.9) 22 (95.7) 32 (100) 21 (95.5) 101 (96.2) > 2 2 (7.1) 1 (4.3) 0 1 (4.5) 4 (3.8) BMI: индекс массы тела Примечание: количество=количество оцененных пациентов. Процентные доли рассчитаны с использованием количества оцененных пациентов в качестве знаменателя. a Восточная Европа: Польша, Россия, Турция и Украина; Латинская Америка: Аргентина, Чили и Мексика; Северная Америка: США.

[00471] Характеристики заболевания пациентов на исходном уровне в целом были схожими в группах лечения в общей популяции (таблица 3). В группе SAR440340+дупилумаб более высокая доля пациентов перенесла два или более обострений или обострений, потребовавших госпитализации, за прошедший год, чем в других группах лечения. В данной группе лечения также было больше пациентов, которые в прошлом были курильщиками.

[00472] В общем 27,4% пациентов заболели астмой в возрасте < 18 лет, 36,5% пациентов в возрасте от 18 до 40 лет и 36,1% в возрасте ≥ 40 лет. В целом 65,9% пациентов получали высокую дозу ICS на исходном уровне, и у большинства (85,5%) сохранялось атопическое патологическое состояние. Среднее количество обострений астмы в предыдущем году было схожим в группах лечения (1,3-1,4), при этом 26,4% всех рандомизированных пациентов (78) перенесли более одного обострения астмы в предыдущем году.

[00473] Специфические для астмы характеристики на исходном уровне, а также характеристики биомаркеров на исходном уровне (таблица 12) были схожими среди групп лечения: общий средний показатель FEV1 до приема бронходилататора составлял 2,02 л, средний прогнозируемый показатель FEV1 до приема бронходилататора составлял 64,69%, средняя обратимость FEV1 составляла 14,9%, средний показатель по ACQ-5 (опросник контроля астмы из 5 вопросов) составлял 2,16, средний суммарный показатель по AQLQ (опросник по оценке качества жизни у больных астмой со стандартизированными видами деятельности) составлял 4,68, среднее содержание эозинофилов составляло 0,37×109/л и средний показатель фракции оксида азота в выдыхаемом воздухе (FeNO) составлял 29,2 ppb.

[00474] Между группами лечения наблюдались отличия в средних уровнях суммарного IgE на исходном уровне, что было, вероятно, обусловлено выбросами, поскольку средние значения на исходном уровне были сопоставимы.

[00475] Таблица 3. Характеристики заболевания на исходном уровне, рандомизированная популяция

Плацебо
(N=74)
SAR440340
300 мг q2w
(N=73)
SAR440340 q2w +
Дупилумаб q2w
(N=74)
Дупилумаб
300 мг q2w
(N=75)
Все
(N=296)
Уровень дозы ICS в режиме фоновой терапии при рандомизации [n (%)] Количество 74 73 74 75 296 Высокий 48 (64.9) 45 (61.6) 49 (66.2) 53 (70.7) 195 (65.9) Средний 26 (35.1) 28 (38.4) 25 (33.8) 22 (29.3) 101 (34.1) Возраст на момент возникновения астмы (лет) Количество 74 73 74 75 296 Среднее значение (SD) 28.8 (17.6) 31.6 (19.9) 31.5 (18.1) 32.6 (17.8) 31.1 (18.3) Медианное значение 30.5 34.0 34.5 34.0 33.0 Q1; Q3 12.0 ; 42.0 14.0 ; 49.0 16.0 ; 44.0 19.0 ; 48.0 15.0 ; 45.5 Мин.; макс. 0 ; 63 0 ; 65 2 ; 62 1 ; 63 0 ; 65 < 12 18 (24.3) 18 (24.7) 16 (21.6) 13 (17.3) 65 (22.0) ≥ 12 - < 18 3 (4.1) 5 (6.8) 4 (5.4) 4 (5.3) 16 (5.4) ≥ 18 - < 40 31 (41.9) 22 (30.1) 24 (32.4) 31 (41.3) 108 (36.5) ≥ 40 22 (29.7) 28 (38.4) 30 (40.5) 27 (36.0) 107 (36.1) Время с момента впервые постановленного диагноза астмы при рандомизации (лет) Количество 74 73 74 75 296 Среднее значение (SD) 19.13 (15.13) 18.14 (13.21) 18.42 (10.49) 19.50 (14.68) 18.80 (13.45) Медианное значение 16.38 15.83 18.13 16.83 16.75 Q1; Q3 4.75 ; 29.67 7.25 ; 25.92 10.00 ; 24.92 6.83 ; 30.50 6.92 ; 28.50 Мин.; макс. 1.3 ; 60.6 1.3 ; 59.8 1.9 ; 43.0 1.3 ; 54.6 1.3 ; 60.6 Время с момента последнего обостренияa астмы при рандомизации (месяцев) Количество 74 73 74 75 296 Среднее значение (SD) 6.3 (2.9) 6.5 (2.5) 6.4 (2.8) 6.2 (2.9) 6.3 (2.8) Медианное значение 6.0 6.0 6.0 6.0 6.0 Q1; Q3 4.0 ; 8.0 5.0 ; 8.0 4.0 ; 8.0 4.0 ; 8.0 4.0 ; 8.0 Мин.; макс. 2 ; 13 2 ; 13 2 ; 13 2 ; 13 2 ; 13 Количество обостренийa астмы, перенесенных в течение 1 года до скринингового визита Количество 74 73 74 75 296 Среднее значение (SD) 1.3 (0.8) 1.3 (0.5) 1.4 (0.7) 1.3 (0.6) 1.3 (0.6) Медианное значение 1.0 1.0 1.0 1.0 1.0 Q1; Q3 1.0 ; 1.0 1.0 ; 1.0 1.0 ; 2.0 1.0 ; 1.0 1.0 ; 2.0 Мин.; макс. 1 ; 6 1 ; 3 1 ; 4 1 ; 3 1 ; 6 ≤ 1 56 (75.7) 55 (75.3) 50 (67.6) 57 (76.0) 218 (73.6) 2 14 (18.9) 15 (20.5) 20 (27.0) 13 (17.3) 62 (20.9) 3 3 (4.1) 3 (4.1) 2 (2.7) 5 (6.7) 13 (4.4) ≥ 4 1 (1.4) 0 2 (2.7) 0 3 (1.0) Количество обостренийa астмы, потребовавших госпитализации или визита скорой медицинской помощи, в течение 1 года до скринингового визита Количество 74 73 74 75 296 Среднее значение (SD) 0.4 (0.6) 0.3 (0.7) 0.5 (0.8) 0.3 (0.6) 0.4 (0.7) Медианное значение 0.0 0.0 0.0 0.0 0.0 Q1; Q3 0.0 ; 1.0 0.0 ; 1.0 0.0 ; 1.0 0.0 ; 1.0 0.0 ; 1.0 Мин.; макс. 0 ; 2 0 ; 3 0 ; 4 0 ; 3 0 ; 4 0 49 (66.2) 53 (72.6) 43 (58.1) 55 (73.3) 200 (67.6) 1 22 (29.7) 17 (23.3) 24 (32.4) 17 (22.7) 80 (27.0) 2 3 (4.1) 1 (1.4) 6 (8.1) 2 (2.7) 12 (4.1) 3 0 2 (2.7) 0 1 (1.3) 3 (1.0) ≥ 4 0 0 1 (1.4) 0 1 (0.3) С сохраняющимся атопическим патологическим состояниемb [n (%)] Количество 74 73 74 75 296 Да 67 (90.5) 58 (79.5) 62 (83.8) 66 (88.0) 253 (85.5) Курение в анамнезе [n (%)] Количество 74 73 74 75 296 Курил ранее 12 (16.2) 11 (15.1) 21 (28.4) 14 (18.7) 58 (19.6) Никогда не курил 62 (83.8) 62 (84.9) 53 (71.6) 61 (81.3) 238 (80.4) Время с момента прекращения курения (лет) Количество 12 11 21 14 58 Среднее значение (SD) 15.15 (14.14) 12.84 (7.84) 14.62 (12.17) 17.44 (10.72) 15.07 (11.40) Медианное значение 12.17 11.75 11.92 15.54 12.33 Q1; Q3 3.96 ; 23.21 5.33 ; 18.92 4.75 ; 20.75 9.50 ; 27.83 5.33 ; 23.67 Мин.; макс. 0.7 ; 46.6 3.3 ; 23.9 0.8 ; 40.9 2.9 ; 33.5 0.7 ; 46.6 Пачка/лет Количество 12 11 21 14 58 Среднее значение (SD) 3.48 (2.92) 4.33 (2.62) 3.54 (2.96) 4.62 (3.08) 3.94 (2.89) Медианное значение 3.00 5.00 2.50 5.00 4.00 Q1; Q3 0.95 ; 5.00 2.50 ; 6.00 0.80 ; 6.00 2.20 ; 7.50 1.00 ; 6.00 Мин.; макс. 0.1 ; 8.5 0.2 ; 9.0 0.1 ; 9.0 0.2 ; 9.0 0.1 ; 9.0 Рандомизационная страта по содержанию эозинофилов в кровиc (/мм3) [n (%)] Количество 74 73 74 75 296 < 150 15 (20.3) 14 (19.2) 16 (21.6) 16 (21.3) 61 (20.6) 150 - < 300 23 (31.1) 22 (30.1) 24 (32.4) 25 (33.3) 94 (31.8) ≥ 300 36 (48.6) 37 (50.7) 34 (45.9) 34 (45.3) 141 (47.6) FEV1 (л) до приема бронходилататора на исходном уровне Количество 74 73 74 75 296 Среднее значение (SD) 2.12 (0.61) 1.93 (0.47) 2.00 (0.57) 2.04 (0.63) 2.02 (0.57) Медианное значение 1.93 1.85 1.88 2.01 1.90 Q1; Q3 1.72 ; 2.44 1.62 ; 2.23 1.59 ; 2.31 1.52 ; 2.43 1.62 ; 2.33 Мин.; макс. 1.2 ; 4.0 1.0 ; 3.2 1.0 ; 3.5 1.1 ; 3.6 1.0 ; 4.0 Прогнозируемый процентный показатель FEV1 до приема бронходилататора на исходном уровне (%) Количество 74 73 74 75 296 Среднее значение (SD) 65.90 (9.54) 63.71 (9.35) 65.04 (9.00) 64.10 (10.26) 64.69 (9.54) Медианное значение 64.64 61.45 65.27 62.86 63.82 Q1; Q3 58.61 ; 74.20 56.71 ; 69.96 58.97 ; 70.35 55.68 ; 71.72 56.94 ; 71.83 Мин.; макс. 47.4 ; 84.8 50.9 ; 96.7 44.4 ; 83.7 49.6 ; 85.3 44.4 ; 96.7 FEV1 (л) после приема бронходилататора на исходном уровне Количество 74 73 74 75 296 Среднее значение (SD) 2.44 (0.71) 2.24 (0.62) 2.29 (0.71) 2.30 (0.70) 2.32 (0.69) Медианное значение 2.30 2.19 2.18 2.26 2.22 Q1; Q3 1.94 ; 2.92 1.83 ; 2.54 1.80 ; 2.73 1.73 ; 2.74 1.82 ; 2.72 Мин.; макс. 1.2 ; 4.5 1.1 ; 4.0 0.9 ; 4.9 1.2 ; 3.9 0.9 ; 4.9 Обратимость FEV1 на исходном уровне (%) Количество 74 73 74 75 296 Среднее значение (SD) 15.58 (15.84) 16.22 (13.27) 14.52 (17.98) 13.32 (11.76) 14.90 (14.87) Медианное значение 12.17 13.87 11.42 10.47 12.02 Q1; Q3 7.21 ; 19.58 5.31 ; 24.03 3.64 ; 20.00 4.18 ; 19.23 5.13 ; 20.22 Мин.; макс. -6.7 ; 88.1 -4.3 ; 51.7 -11.9 ; 111.9 -4.8 ; 51.5 -11.9 ; 111.9 PEF до полудня на исходном уровне (л/мин) Количество 74 72 74 75 295 Среднее значение (SD) 335.5 (123.0) 311.7 (111.0) 308.6 (100.5) 302.2 (109.2) 314.5 (111.3) Медианное значение 317.0 297.0 281.5 292.0 299.0 Q1; Q3 245.0 ; 405.0 234.5 ; 391.5 222.0 ; 391.0 222.0 ; 385.0 228.0 ; 392.0 Мин.; макс. 117 ; 645 121 ; 635 140 ; 549 98 ; 534 98 ; 645 PEF после полудня на исходном уровне (л/мин) Количество 74 72 73 75 294 Среднее значение (SD) 343.8 (120.2) 323.3 (113.5) 316.6 (102.5) 311.4 (109.2) 323.8 (111.7) Медианное значение 326.5 305.5 306.0 300.0 310.0 Q1; Q3 247.0 ; 411.0 240.5 ; 402.5 233.0 ; 389.0 231.0 ; 376.0 238.0 ; 399.0 Мин.; макс. 76 ; 631 128 ; 668 123 ; 556 96 ; 565 76 ; 668 Показатель оценки симптомов астмы до полудня на исходном уровне Количество 74 73 74 75 296 Среднее значение (SD) 0.85 (0.78) 0.77 (0.71) 0.93 (0.68) 1.00 (0.83) 0.89 (0.76) Медианное значение 0.92 0.86 1.00 1.00 1.00 Q1; Q3 0.14 ; 1.00 0.14 ; 1.00 0.43 ; 1.29 0.29 ; 1.57 0.18 ; 1.24 Мин.; макс. 0.0 ; 3.0 0.0 ; 3.6 0.0 ; 2.6 0.0 ; 3.9 0.0 ; 3.9 Показатель оценки симптомов астмы после полудня на исходном уровне Количество 74 73 74 75 296 Среднее значение (SD) 1.09 (0.80) 0.96 (0.75) 1.02 (0.72) 1.14 (0.84) 1.05 (0.78) Медианное значение 1.00 0.86 1.00 1.17 1.00 Q1; Q3 0.43 ; 1.71 0.33 ; 1.43 0.29 ; 1.50 0.33 ; 1.71 0.37 ; 1.67 Мин.; макс. 0.0 ; 3.0 0.0 ; 2.9 0.0 ; 2.4 0.0 ; 4.0 0.0 ; 4.0 Количество ночных пробуждений на исходном уровне Количество 74 73 74 75 296 Среднее значение (SD) 0.35 (0.86) 0.20 (0.51) 0.32 (0.60) 0.41 (0.79) 0.32 (0.71) Медианное значение 0.00 0.00 0.00 0.00 0.00 Q1; Q3 0.00 ; 0.14 0.00 ; 0.14 0.00 ; 0.33 0.00 ; 0.57 0.00 ; 0.31 Мин.; макс. 0.0 ; 5.4 0.0 ; 3.2 0.0 ; 3.3 0.0 ; 5.0 0.0 ; 5.4 Показатель по ACQ-5 на исходном уровне Количество 74 73 74 75 296 Среднее значение (SD) 2.19 (0.38) 2.12 (0.40) 2.07 (0.38) 2.25 (0.41) 2.16 (0.40) Медианное значение 2.20 2.20 2.00 2.20 2.20 Q1; Q3 2.00 ; 2.40 1.80 ; 2.40 1.80 ; 2.40 2.00 ; 2.60 1.80 ; 2.40 Мин.; макс. 1.4 ; 3.0 1.4 ; 2.8 1.4 ; 3.0 1.2 ; 3.0 1.2 ; 3.0 Суммарный показатель по AQLQ(S) на исходном уровне Количество 74 73 74 74 295 Среднее значение (SD) 4.68 (0.95) 4.58 (0.94) 4.77 (0.79) 4.67 (0.90) 4.68 (0.90) Медианное значение 4.75 4.63 4.77 4.67 4.66 Q1; Q3 3.97 ; 5.31 3.97 ; 5.28 4.25 ; 5.38 4.03 ; 5.31 4.03 ; 5.31 Мин.; макс. 2.2 ; 6.9 1.7 ; 6.6 2.6 ; 6.6 2.1 ; 6.7 1.7 ; 6.9 Суммарный показатель по RQLQ(S)d на исходном уровне Количество 52 41 43 49 185 Среднее значение (SD) 2.19 (1.35) 1.92 (1.28) 1.88 (1.05) 2.02 (0.90) 2.01 (1.16) Медианное значение 2.07 1.57 1.71 1.89 1.86 Q1; Q3 1.11 ; 3.07 1.07 ; 2.46 1.14 ; 2.36 1.29 ; 2.61 1.21 ; 2.64 Мин.; макс. 0.2 ; 5.6 0.0 ; 6.0 0.0 ; 5.0 0.3 ; 3.9 0.0 ; 6.0 Количество ингаляций сальбутамола/альбутерола и левосальбутамола/левабутерола/24 ч на исходном уровне Количество 74 73 74 75 296 Среднее значение (SD) 2.2 (3.0) 1.8 (2.0) 2.1 (2.2) 2.7 (3.2) 2.2 (2.7) Медианное значение 1.0 1.0 2.0 2.0 1.0 Q1; Q3 0.0 ; 4.0 0.0 ; 3.0 0.0 ; 4.0 0.0 ; 4.0 0.0 ; 4.0 Мин.; макс. 0 ; 13 0 ; 9 0 ; 8 0 ; 14 0 ; 14 С гиперчувствительностью к аспирину [n (%)] Количество 74 73 74 75 296 Да 5 (6.8) 6 (8.2) 4 (5.4) 6 (8.0) 21 (7.1) Сохраняющееся состояние 5 (6.8) 6 (8.2) 4 (5.4) 6 (8.0) 21 (7.1) С гиперчувствительностью к NSAID [n (%)] Количество 74 73 74 75 296 Да 5 (6.8) 5 (6.8) 3 (4.1) 5 (6.7) 18 (6.1) Сохраняющееся состояние 5 (6.8) 5 (6.8) 3 (4.1) 5 (6.7) 18 (6.1) ICS: ингаляционный кортикостероид, FEV1: объем форсированного выдоха за одну секунду, PEF: пиковая объемная скорость выдоха, ACQ-5: опросник по контролю астмы в версии из 5 пунктов, AQLQ (S): опросник по оценке качества жизни у больных астмой со стандартизированными видами деятельности, RQLQ(S): опросник по оценке качества жизни у больных риноконъюнктивитом со стандартизированными видами деятельности, NSAID: нестероидное противовоспалительное лекарственное средство, IRT: технология интерактивного ответа. aОбострение астмы до начала исследования определяли как любое лечение с применением 1 системной стероидной пульс-терапии (пероральной или парентеральной) или больше по причине ухудшения астмы или госпитализацию или визит неотложной медицинской помощи по причине ухудшения астмы. bПациент считался имеющим атопическое патологическое состояние, если у него/ее было диагностировано одно из следующих сохраняющихся состояний: атопический дерматит, аллергический конъюнктивит, аллергический ринит, эозинофильный эзофагит, пищевая аллергия, крапивница; или у него/нее на исходном уровне суммарный IgE составлял >= 100 МЕ/мл. cРандомизационная страта из системы IRT. dОценивали только у пациентов с сопутствующим аллергическим ринитом.

Дозы и длительность

[00476] Степень воздействия исследуемого лекарственного препарата (IMP) на популяцию для оценки безопасности кратко обобщена в таблице 13. Средняя продолжительность воздействия лечением составляла 77,3 дня для группы SAR440340, 72,7 дня для группы SAR440340+дупилумаб, 76,2 дня для группы дупилумаба и 70,6 дня для группы плацебо. Более меньшее воздействие, наблюдаемое в группе плацебо, было обусловлено более высокой частотой прекращения приема из-за LOAC. Суммарное воздействие SAR440340 отдельно и в комбинации с дупилумабом составляло 30,2 пациенто-лет.

Эффективность

Первичная конечная точка эффективности

[00477] Первичной конечной точкой исследования была доля пациентов с потерей контроля астмы (LOAC). Частота возникновения LOAC была ниже у пациентов в группах SAR440340 и SAR440340+дупилумаб по сравнению с группой плацебо: 21,9% и 27% в сравнении с 40,5%. Монотерапия посредством SAR440340 значительно снижала шансы возникновения LOAC по сравнению с плацебо (p=0,02). Снижение соотношения шансов в группе SAR440340+дупилумаб по сравнению с плацебо не было значимым (p=0,07). Соотношение шансов (95% CI) составляло 0,423 (0,203-0,880) для SAR440340 по сравнению с плацебо и 0,520 (0,256-1,057) для комбинации по сравнению с плацебо (таблица 4).

[00478] SAR440340 в комбинации с дупилумабом не снижало шансы возникновения LOAC по сравнению с SAR440340 (p=0,60) или по сравнению с дупилумабом (p=0,25). Соотношение шансов (95% CI) составляло 1,231 (0,571-2,653) для сравнения с SAR440340 и 1,589 (0,723-3,492) для сравнения с дупилумабом (таблица 14). Результаты анализов чувствительности к смещениям подтверждали выводы первичного анализа.

[00479] Таблица 4. Первичный подход: частота возникновения LOAC (первичные сравнения), популяция mITT

Плацебо
(N=74)
SAR440340
300 мг q2w
(N=73)
SAR440340 q2w +
Дупилумаб q2w
(N=74)
Дупилумаб
300 мг q2w
(N=74)
Количество пациентов с LOAC Количество 74 73 74 74 Нет 44 (59.5) 57 (78.1) 54 (73.0) 60 (81.1) Да 30 (40.5) 16 (21.9) 20 (27.0) 14 (18.9) OR по сравнению с плацебо (95% CI)a 0.423 (0.203 to 0.880) 0.520 (0.256 to 1.057) Р-значение по сравнению с плацебоa 0.0214 0.0709 LOAC: потеря контроля астмы, OR: соотношение шансов, ICS: ингаляционный кортикостероид. a Получено по результатам логистической регрессии с лечением, стратами по содержанию эозинофилов на исходном уровне, регионом, дозой ICS в режиме фоновой терапии на момент рандомизации и количеством явлений обострения в течение 1 года до скрининга.

[00480]

[00481] В целом, за время исследования в группах лечения было зарегистрировано 80 явлений LOAC. Семьдесят восемь прекратили прием из-за LOAC согласно протоколу. У двух пациентов имело место одновременное появление LOAC и нежелательного явления, и исследователи посчитали нежелательное явление основной причиной отмены лечения. Большая часть LOAC была связана с уменьшением утреннего PEF от исходного уровня с последующим увеличением частоты впрыскиваний облегчающего дыхание лекарственного средства и применением системных стероидов (таблица 15).

[00482] Несмотря на отсутствие доказательства дифференциального эффекта лечения в подгруппах, определяемого по содержанию эозинофилов на исходном уровне (p=0,5365 для взаимодействия с эффектом фактора лечения в зависимости от подгруппы), количество пациентов в каждой подгруппе было небольшим. При монотерапии с использованием SAR440340 наблюдали снижение LOAC во всех подгруппах по содержанию эозинофилов на исходном уровне с соотношениями шансов 0,401 (0,072-2,239) для < 150/мм3, 0,473 (0,099-2,270) для ≥ 150 - < 300/мм3 и 0,388 (0,143-1,054) для ≥300/мм3.

[00483] SAR440340 в комбинации с дупилумабом продемонстрировало численное снижение LOAC в подгруппе пациентов с содержанием эозинофилов на исходном уровне < 150/мм3 и ≥300/мм3 с соотношениями шансов 0,623 (0,122-3,182) и 0,298 (0,102-0,868) соответственно. В случае подгруппы пациентов с содержанием эозинофилов на исходном уровне 150 - < 300/мм3 снижения не наблюдали, соотношение шансов составляло 1,086 (0,270-4,372) (таблица 16).

Основные вторичные ключевые конечные точки эффективности

Изменение FEV1 до приема бронходилататора от исходного уровня на неделе 12

[00484] Различие средних значений, полученных по методу наименьших квадратов, в изменении от исходного уровня до недели 12 в FEV1 до приема бронходилататора (95% CI, p-значение) было значимым для группы SAR440340 (0,14 [0,01-0,27], p=0,03), но не для группы SAR440340+дупилумаб (0,10 [-0,03-0,23], p=0,13) (таблица 5).

[00485] Различие средних значений, полученных по методу наименьших квадратов, в изменении от исходного уровня до недели 12 в FEV1 до приема бронходилататора в группе SAR440340+дупилумаб по сравнению с группой SAR440340 составляло -0,04 ([-0,17-0,09], p=0,53). Различие средних значений, полученных по методу наименьших квадратов, в изменении от исходного уровня до недели 12 в FEV1 до приема бронходилататора в группе SAR440340+дупилумаб по сравнению с группой дупилумаба составляло -0,06 ([-0,19-0,06], p=0,33).

[00486] Изменение от исходного уровня в FEV1 до приема бронходилататора на неделе 12 для всех сравнений представлено в таблице 17.

[00487] Таблица 5. Первичный подход: изменение от исходного уровня в FEV1 (л) до приема бронходилататора на неделе 12 (первичные сравнения) - популяция mITT

FEV1 (л) до приема бронходилататора Плацебо
(N=74)
SAR440340
300 мг q2w
(N=73)
SAR440340 q2w +
дупилумаб q2w
(N=74)
Дупилумаб
300 мг q2w
(N=74)
Исходный уровень Количество 74 73 74 74 Среднее значение (SD) 2.12 (0.61) 1.93 (0.47) 2.00 (0.57) 2.03 (0.62) Медианное значение 1.93 1.85 1.88 1.99 Q1; Q3 1.72 ; 2.44 1.62 ; 2.23 1.59 ; 2.31 1.52 ; 2.27 Мин.; макс. 1.2 ; 4.0 1.0 ; 3.2 1.0 ; 3.5 1.1 ; 3.6 Неделя 12 Количество 41 58 49 56 Среднее значение (SD) 2.32 (0.74) 2.03 (0.60) 2.01 (0.59) 2.20 (0.81) Медианное значение 2.17 1.92 1.86 2.11 Q1; Q3 1.73 ; 2.85 1.68 ; 2.19 1.55 ; 2.59 1.58 ; 2.70 Мин.; макс. 1.2 ; 4.3 1.0 ; 3.8 0.9 ; 3.2 0.8 ; 4.5 Изменение от исходного уровня Количество 41 58 49 56 Среднее значение (SD) 0.06 (0.35) 0.11 (0.34) 0.06 (0.37) 0.14 (0.43) Медианное значение 0.01 0.06 -0.03 0.06 Q1; Q3 -0.18 ; 0.21 -0.11 ; 0.34 -0.13 ; 0.29 -0.18 ; 0.39 Мин.; макс. -0.6 ; 1.2 -0.7 ; 1.0 -1.0 ; 1.0 -0.9 ; 1.4 Среднее значение, полученное по методу наименьших квадратов (SE)a -0.04 (0.05) 0.10 (0.05) 0.06 (0.05) 0.12 (0.05) Различие средних значений, полученных по методу наименьших квадратов, по сравнению с плацебо (95% CI)a 0.14 (0.01 to 0.27) 0.10 (-0.03 to 0.23) P-значение по сравнению с плацебоa 0.0344 0.1337 Различие средних значений, полученных по методу наименьших квадратов, по сравнению с SAR440340 (95% CI)a -0.04 (-0.17 to 0.09) P-значение по сравнению с SAR440340a 0.5289 Различие средних значений, полученных по методу наименьших квадратов, по сравнению с дупилумабом (95% CI)a -0.06 (-0.19 to 0.06) P-значение по сравнению с дупилумабомa 0.3293 FEV1: объем форсированного выдоха за одну секунду, LOAC: потеря контроля астмы, ICS: ингаляционный кортикостероид. Были включены данные, собранные до визита завершения лечения. Для пациентов, у которых имела место LOAC с приемом лекарственных препаратов неотложной терапии, результаты по FEV1, собранные в начале и после начала явления, были отмечены как отсутствующие. Отсутствующие данные не принимались в расчет. a Получены на основе модели MMRM с изменением от значений на исходном уровне до недели 12 в качестве переменной ответа и лечением, полом, ростом на исходном уровне, стратами по количеству эозинофилов на исходном уровне, регионом, уровнем дозы ICS в режиме фоновой терапии на момент рандомизации, визитом, взаимодействием с эффектом фактора лечения в зависимости от визита, значением на исходном уровне и взаимодействием с эффектом фактора исходного уровня в зависимости от визита в качестве ковариат.

[00488] Результаты анализов чувствительности к смещениям и группы всех пациентов, полностью удовлетворяющих требованиям протокола исследования, подтверждали заключения первичного анализа. Несмотря на отсутствие доказательства дифференциального эффекта лечения в подгруппах, определяемого по содержанию эозинофилов на исходном уровне (p=0,1111 для взаимодействия с эффектом фактора лечения в зависимости от подгруппы), количество пациентов в каждой подгруппе было небольшим.

[00489] В случае подгруппы пациентов с содержанием эозинофилов на исходном уровне ≥ 300/мм3 различие средних значений, полученных по методу наименьших квадратов, в изменении от исходного уровня до недели 12 в FEV1 до приема бронходилататора (0,22 [0,02-0,41]) было значимым для сравнения только SAR440340 с плацебо. SAR440340 в комбинации с дупилумабом демонстрировало тенденцию к улучшению, при этом среднее значение, полученное по методу наименьших квадратов, составляло 0,19 (-0,01-0,40).

[00490] В случае подгруппы пациентов с содержанием эозинофилов на исходном уровне ≥ 150 - < 300/мм3 различие средних значений, полученных по методу наименьших квадратов, в изменении от исходного уровня до недели 12 в FEV1 до приема бронходилататора не было значимым для SAR440340 отдельно или в комбинации с дупилумабом. Высокий FEV1 в группе плацебо мог привести в результате к отрицательной динамике FEV1 во всех группах лечения.

[00491] В подгруппе пациентов с содержанием эозинофилов на исходном уровне < 150/мм3 различие средних значений, полученных по методу наименьших квадратов, в изменении от исходного уровня до недели 12 в FEV1 до приема бронходилататора демонстрировало тенденцию к улучшению: 0,17 (-0,12-0,45) для группы SAR440340 и 0,11 (-0,17-0,39) для группы SAR440340+дупилумаб (таблица 18).

Изменение FEV1 после приема бронходилататора от исходного уровня на неделе 12

[00492] Различие средних значений, полученных по методу наименьших квадратов, в изменении от исходного уровня до недели 12 в FEV1 после приема бронходилататора было значимым для группы SAR440340+дупилумаб (0,13 [0,01-0,25], p=0,04), но не для группы SAR440340 (0,05 [-0,07-0,17], p=0,41) (таблица 6).

[00493] Различие средних значений, полученных по методу наименьших квадратов, в изменении от исходного уровня до недели 12 в FEV1 после приема бронходилататора в группе SAR440340+дупилумаб по сравнению с группой SAR440340 составляло 0,08 ([-0,04-0,19], p=0,19). Различие средних значений, полученных по методу наименьших квадратов, в абсолютном изменении от исходного уровня до недели 12 в FEV1 после приема бронходилататора в группе SAR440340+дупилумаб по сравнению с группой дупилумаба составляло -0,02 ([-0,13-0,10], p=0,78). Результаты анализов чувствительности к смещениям и группы всех пациентов, полностью удовлетворяющих требованиям протокола исследования, подтверждали заключения первичного анализа.

[00494] Таблица 6. Первичный подход: изменение от исходного уровня в FEV1 (л) после приема бронходилататора на неделе 12 (первичные сравнения), популяция mITT

FEV1 (л) после приема бронходилататора Плацебо
(N=74)
SAR440340
300 мг q2w
(N=73)
SAR440340 q2w +
дупилумаб q2w
(N=74)
Дупилумаб
300 мг q2w
(N=74)
Исходный уровень Количество 74 73 74 74 Среднее значение (SD) 2.44 (0.71) 2.24 (0.62) 2.29 (0.71) 2.30 (0.70) Медианное значение 2.30 2.19 2.18 2.24 Q1; Q3 1.94 ; 2.92 1.83 ; 2.54 1.80 ; 2.73 1.73 ; 2.74 Мин.; макс. 1.2 ; 4.5 1.1 ; 4.0 0.9 ; 4.9 1.2 ; 3.9 Неделя 12 Количество 42 58 51 57 Среднее значение (SD) 2.54 (0.75) 2.23 (0.64) 2.24 (0.64) 2.43 (0.86) Медианное значение 2.32 2.14 2.14 2.39 Q1; Q3 2.04 ; 2.92 1.83 ; 2.48 1.73 ; 2.82 1.82 ; 2.98 Мин.; макс. 1.1 ; 4.6 1.1 ; 3.9 1.0 ; 3.4 1.0 ; 4.7 Изменение от исходного уровня Количество 42 58 51 57 Среднее значение (SD) -0.02 (0.27) -0.00 (0.33) 0.06 (0.41) 0.09 (0.42) Медианное значение -0.02 -0.05 0.03 0.03 Q1; Q3 -0.09 ; 0.08 -0.17 ; 0.11 -0.09 ; 0.26 -0.15 ; 0.28 Мин.; макс. -1.0 ; 0.5 -0.7 ; 1.4 -2.0 ; 0.8 -0.7 ; 1.6 Среднее значение, полученное по методу наименьших квадратов (SE)a -0.05 (0.05) -0.00 (0.04) 0.07 (0.04) 0.09 (0.04) Различие средних значений, полученных по методу наименьших квадратов, по сравнению с плацебо (95% CI)a 0.05 (-0.07 to 0.17) 0.13 (0.01 to 0.25) P-значение по сравнению с плацебоa 0.4085 0.0379 Различие средних значений, полученных по методу наименьших квадратов, по сравнению с SAR440340 (95% CI)a 0.08 (-0.04 to 0.19) P-значение по сравнению с SAR440340a 0.1935 Различие средних значений, полученных по методу наименьших квадратов, по сравнению с дупилумабом (95% CI)a -0.02 (-0.13 to 0.10) P-значение по сравнению с дупилумабомa 0.7800 FEV1: объем форсированного выдоха за одну секунду, LOAC: потеря контроля астмы, ICS: ингаляционный кортикостероид. Были включены данные, собранные до визита завершения лечения. Для пациентов, у которых имела место LOAC с приемом лекарственных препаратов неотложной терапии, результаты по FEV1, собранные в начале и после начала явления, были отмечены как отсутствующие. Отсутствующие данные не принимались в расчет. a Получены на основе модели MMRM с изменением от значений на исходном уровне до недели 12 в качестве переменной ответа и лечением, полом, ростом на исходном уровне, стратами по количеству эозинофилов на исходном уровне, регионом, уровнем дозы ICS в режиме фоновой терапии на момент рандомизации, визитом, взаимодействием с эффектом фактора лечения в зависимости от визита, значением на исходном уровне и взаимодействием с эффектом фактора исходного уровня в зависимости от визита в качестве ковариат.

[00495] Исследование было проведено надлежащим образом, четыре группы по варианту лечения были пропорциональны по характеристикам на исходном уровне, а группа дупилумаба, используемая в качестве калибровочного стандарта, демонстрировала ожидаемые результаты в отношении безопасности и эффективности (ITT: LOAC: 53% RR; FEV1: 160 мл; более высокая эффективность при содержании эозинофилов ≥ 300/мкл: LOAC: 72% RR; FEV1: 340 мл).

[00496] У SAR440340 наблюдали благоприятный профиль безопасности, и данное антитело продемонстрировало значимую эффективность во всех конечных точках (ITT: LOAC 42% RR; FEV1: 140 мл; ACQ5 и AQLQ, среднее изменение по сравнению с плацебо -0,42 и 0,45 соответственно).

[00497] Хотя данные по LOAC указывали на более однородный профиль эффективности при низком/высоком содержании эозинофилов в крови* (SAR: 42%/45%; дупилумаб: 30%/72%) и страты по FeNO* (SAR: 48%/39%; дупилумаб: 43%/67%), профиль данных по FEV1 напоминал профиль таких данных для дупилумаба с превосходной эффективностью при высоком уровне 2-го типа (220 мл при высоком содержании эозинофилов* по сравнению с 20 мл при низком содержании эозинофилов; 200 мл при высоком уровне FeNO* по сравнению с 70 мл при низком уровне FeNO).

[00498] Помимо ожидаемого снижения эозинофилов в крови, отсутствовало значимое влияния на все остальные биомаркеры 2-го типа.

БЕЗОПАСНОСТЬ

[00499] Результаты исследования безопасности свидетельствовали, что SAR440340 можно безопасно применять у пациентов с астмой со степенью тяжести от умеренной до тяжелой. SAR440340, по отдельности и в комбинации с дупилумабом, был безопасным и в целом хорошо переносился. Общая частота прекращения лечения из-за AE была низкой. Общая частота возникновения AESI или других выбранных явлений из группы AE была низкой. Наиболее частыми явлениями были гиперчувствительность и реакции в месте инъекции. ISR были менее частыми в группе монотерапии с использованием SAR440340.

Возникшие при лечении нежелательные явления (TEAE)

[00500] Частота возникновения TEAE была схожей во всех группах лечения. Количество возникающих при лечении SAE и TEAE, приведших к прекращению лечения, было низким (таблица 7). Один пациент в группе дупилумаба умер в результате отравления этиловым спиртом в ходе последующего наблюдения после лечения (информация получена после блокировки базы данных).

[00501] Таблица 7. Обзор профиля нежелательных явлений: возникшие при лечении нежелательные явления, популяция для оценки безопасности

n (%) Плацебо
(N=74)
SAR440340
300 мг q2w
(N=73)
SAR440340 q2w +
дупилумаб q2w
(N=74)
Дупилумаб
300 мг q2w
(N=74)
Пациенты с каким-либо TEAE 48 (64.9) 44 (60.3) 49 (66.2) 41 (55.4) Пациенты с каким-либо тяжелым TEAE 2 (2.7) 0 1 (1.4) 1 (1.4) Пациенты с каким-либо возникшим при лечении SAE 3 (4.1) 1 (1.4) 1 (1.4) 1 (1.4) Пациенты с каким-либо TEAE, приведшим к летальному исходу 0 0 0 0 Пациенты с каким-либо TEAE, которое приводило к полному прекращению лечения 3 (4.1) 0 2 (2.7) 0 Пациенты с каким-либо TEAE, связанным с SAR440340 или соответствующим плацебоa 5 (6.8) 1 (1.4) 8 (10.8) 3 (4.1) Пациенты с каким-либо TEAE, связанным с дупилумабом или соответствующим плацебоa 7 (9.5) 1 (1.4) 7 (9.5) 8 (10.8) TEAE: возникшее при лечении нежелательное явление, SAE: серьезное нежелательное явление, IMP: исследуемый лекарственный препарат. n (%)=количество и процентная доля пациентов с по меньшей мере одним TEAE. a По сообщениям исследователя.

[00502] Основная доля TEAE характеризовались слабой или умеренной интенсивностью. Количество тяжелых TEAE было низким. Из 4 явлений 3 явления были возникшими при лечении SAE, а 1 явление было в виде тяжелой реакции в месте инъекции, которое представляло собой AESI.

[00503] В таблице 8 представлено количество (%) пациентов с TEAE, которые возникали с частотой ≥ 3% в любой группе лечения по первичному SOC и предпочтительному термину (PT). Наиболее частые TEAE были в SOC инфекций и инвазий, главным образом обусловленные ринофарингитом и вирусной инфекцией верхних дыхательных путей, а также нарушений нервной системы, главным образом обусловленные головной болью. Незначительно большее количество пациентов в группе SAR440340 перенесли назофарингит по сравнению с другими группами лечения, но частота других инфекций верхних дыхательных путей в этой группе была ниже по сравнению с другими группами. Частота возникновения реакций в месте инъекции (покраснение в месте инъекции и сыпь в месте инъекции по PT) была менее частой в группе SAR440340 по сравнению с другими группами лечения.

[00504] В группе SAR440340+дупилумаб было зарегистрировано три пациента с зудящей сыпью по РТ в сравнении с тем, что в других группах по варианту лечения ни у одного пациента не было зарегистрировано таких реакций. Два явления были оценены как гиперчувствительность, представляющие собой AESI.

[00505] Согласно правилам отчетности e-CRF взаимосвязь SAR440340/соответствующее плацебо и дупилумаб/соответствующее плацебо следует оценивать по отдельности для каждого нежелательного явления. Для большинства явлений, за исключением реакций в месте инъекции, оценка может быть затруднительной, поэтому исследователи могут проявлять склонность к связыванию нежелательных явлений с обоими исследуемыми лекарственными препаратами. Из-за такой настройки базы данных в группе дупилумаба было два пациента с TEAE, оцененные как относящиеся как к дупилумабу/соответствующему плацебо, так и к SAR440340/соответствующему плацебо. Один пациент испытывал тошноту и тахикардию в день введения IMP, а второй пациент испытывал нейтропению. Кроме того, в группе SAR440340 был один пациент с реакцией в месте инъекции, связанной с дупилумабом/соответствующим плацебо, а в группе дупилумаба был один пациент, который испытывал реакцию в месте инъекции в месте инъекции SAR440340/соответствующего плацебо помимо реакции в месте инъекции в месте инъекции дупилумаба.

[00506] Таблица 8. Количество (%) пациентов с TEAE, которые возникали с частотой >=3% в любой группе лечения по первичному SOC и PT, популяция для оценки безопасности

ГЛАВНЫЙ СИСТЕМНО-ОРГАННЫЙ КЛАСС
Предпочтительный термин n(%)
Плацебо
(N=74)
SAR440340
300 мг q2w
(N=73)
SAR440340 q2w +
дупилумаб q2w
(N=74)
дупилумаб
300 мг q2w
(N=74)
Любой класс 48 (64.9) 44 (60.3) 49 (66.2) 41 (55.4) ИНФЕКЦИИ И ИНВАЗИИ 27 (36.5) 27 (37.0) 25 (33.8) 23 (31.1) Назофарингит 9 (12.2) 12 (16.4) 8 (10.8) 9 (12.2) Вирусная инфекция верхних дыхательных путей 5 (6.8) 3 (4.1) 5 (6.8) 2 (2.7) Бактериальная инфекция верхних дыхательных путей 2 (2.7) 1 (1.4) 4 (5.4) 2 (2.7) Инфекция мочевыводящих путей 1 (1.4) 1 (1.4) 3 (4.1) 2 (2.7) НАРУШЕНИЯ СО СТОРОНЫ НЕРВНОЙ СИСТЕМЫ 8 (10.8) 7 (9.6) 5 (6.8) 10 (13.5) Головная боль 7 (9.5) 6 (8.2) 5 (6.8) 10 (13.5) НАРУШЕНИЯ СО СТОРОНЫ ОРГАНОВ ДЫХАНИЯ, ГРУДНОЙ КЛЕТКИ И СРЕДОСТЕНИЯ 11 (14.9) 8 (11.0) 4 (5.4) 4 (5.4) Кашель 5 (6.8) 1 (1.4) 0 1 (1.4) Одышка 3 (4.1) 0 0 0 НАРУШЕНИЯ СО СТОРОНЫ ЖЕЛУДОЧНО-КИШЕЧНОГО ТРАКТА 7 (9.5) 8 (11.0) 8 (10.8) 5 (6.8) Тошнота 2 (2.7) 4 (5.5) 2 (2.7) 1 (1.4) НАРУШЕНИЯ СО СТОРОНЫ КОЖИ И ПОДКОЖНЫХ ТКАНЕЙ 1 (1.4) 3 (4.1) 4 (5.4) 4 (5.4) Зудящая сыпь 0 0 3 (4.1) 0 НАРУШЕНИЯ СО СТОРОНЫ КОСТНО-МЫШЕЧНОЙ СИСТЕМЫ И СОЕДИНИТЕЛЬНОЙ ТКАНЕЙ 5 (6.8) 7 (9.6) 2 (2.7) 9 (12.2) Артралгия 1 (1.4) 1 (1.4) 1 (1.4) 4 (5.4) Боль в спине 1 (1.4) 3 (4.1) 1 (1.4) 1 (1.4) ОБЩИЕ НАРУШЕНИЯ И ОСЛОЖНЕНИЯ В МЕСТЕ ВВЕДЕНИЯ 7 (9.5) 3 (4.1) 8 (10.8) 7 (9.5) Реакция в месте инъекции 4 (5.4) 1 (1.4) 4 (5.4) 4 (5.4) Покраснение в месте инъекции 2 (2.7) 1 (1.4) 3 (4.1) 1 (1.4) TEAE: возникшее при лечении нежелательное явление, SOC: системно-органный класс, PT: предпочтительный термин MedDRA 21.1. n (%)=количество и процентная доля пациентов с по меньшей мере одним TEAE. Примечание: таблица упорядочена по международном согласованному порядку SOC и снижению частоты PT в группе совместного введения. Представлены только SOC по меньшей мере при одном PT >= 3% в по меньшей мере одной группе.

Случаи летальных исходов, возникшие при лечении серьезные нежелательные явления

[00507] В группе дупилумаба был один пациент, который скончался во время последующего наблюдения после лечения. На момент блокировки базы данных пациент был определен как потерянный для последующего наблюдения. После блокировки базы данных была получена новая информация о том, что пациент умер от отравления этиловым спиртом, что зарегистрировано как не связанное с IMP. Пациентом был 62-летний мужчина из России с артериальной гипертонией в анамнезе. На стадии скрининга он сообщил, что выпивает более 2 порций алкоголя по меньшей мере каждую неделю. Пациент прекратил лечение из-за LOAC (со снижением утреннего PEF на 30% или больше в течение 2 последовательных дней) после 4-го введения IMP. Он скончался через приблизительно 40 дней после последней дозы IMP. В ходе исследования пациент не сообщал о нежелательных явлениях, его ЭКГ и лабораторные результаты были без отклонений.

[00508] Частота возникновения возникших при лечении SAE была низкой. Возникшие при лечении SAE по PT были зарегистрированы только у отдельных пациентов (таблица 9).

[00509] Таблица 9. Количество (%) пациентов с возникшими при лечении SAE по первичным SOC и PT, популяция для оценки безопасности

ГЛАВНЫЙ СИСТЕМНО-ОРГАННЫЙ КЛАСС
Предпочтительный термин n(%)
Плацебо
(N=74)
SAR440340
300 мг q2w
(N=73)
SAR440340 q2w +
дупилумаб q2w
(N=74)
Дупилумаб
300 мг q2w
(N=74)
Любой класс 3 (4.1) 1 (1.4) 1 (1.4) 1 (1.4) ИНФЕКЦИИ И ИНВАЗИИ 0 0 0 1 (1.4) Абсцесс челюсти 0 0 0 1 (1.4) НАРУШЕНИЯ СО СТОРОНЫ НЕРВНОЙ СИСТЕМЫ 1 (1.4) 0 0 0 Сосудистая энцефалопатия 1 (1.4) 0 0 0 НАРУШЕНИЯ СО СТОРОНЫ ОРГАНОВ ДЫХАНИЯ, ГРУДНОЙ КЛЕТКИ И СРЕДОСТЕНИЯ 1 (1.4) 1 (1.4) 0 0 Астма 0 1 (1.4) 0 0 Полипы носовой полости 1 (1.4) 0 0 0 НАРУШЕНИЯ СО СТОРОНЫ ПЕЧЕНИ И ЖЕЛЧЕВЫВОДЯЩИХ ПУТЕЙ 1 (1.4) 0 0 0 Острый холецистит 1 (1.4) 0 0 0 ИССЛЕДОВАНИЯ 0 0 1 (1.4) 0 Повышенные уровни аланинаминотрансферазы 0 0 1 (1.4) 0 SAE: серьезное нежелательное явление, SOC: системно-органный класс, PT: предпочтительный термин MedDRA 21.1. n (%)=количество и процентная доля пациентов с по меньшей мере одним возникшим при лечении SAE. Примечание: таблица упорядочена по международном согласованному порядку SOC и снижению частоты PT в группе совместного введения.

[00510] Нежелательные явления, приведшие к отказу от участия

[00511] Общая частота прекращения лечения из-за AE была низкой (таблица 10). Лишь 5 пациентов прекратили лечение из-за TEAE (2 в группе SAR440340+дупилумаб и 3 в группе плацебо). Согласно протоколу 2 пациента прекратили прием IMP из-за системной гиперчувствительности, связанной с IMP и требующей лечения (по PT сыпь, зуд и крапивница).

[00512] Таблица 10. Количество (%) пациентов с TEAE, которые приводили к полному прекращению лечения, указанное в соответствии с главным SOC и PT, популяция для оценки безопасности

ГЛАВНЫЙ СИСТЕМНО-ОРГАННЫЙ КЛАСС
Предпочтительный термин n(%)
Плацебо
(N=74)
SAR440340
300 мг q2w
(N=73)
SAR440340 q2w +
дупилумаб q2w
(N=74)
Дупилумаб
300 мг q2w
(N=74)
Любой класс 3 (4.1) 0 2 (2.7) 0 НАРУШЕНИЯ СО СТОРОНЫ СЕРДЕЧНО-СОСУДИСТОЙ СИСТЕМЫ 1 (1.4) 0 0 0 Пальпитации 1 (1.4) 0 0 0 НАРУШЕНИЯ СО СТОРОНЫ ПЕЧЕНИ И ЖЕЛЧЕВЫВОДЯЩИХ ПУТЕЙ 1 (1.4) 0 0 0 Острый холецистит 1 (1.4) 0 0 0 НАРУШЕНИЯ СО СТОРОНЫ КОЖИ И ПОДКОЖНЫХ ТКАНЕЙ 1 (1.4) 0 1 (1.4) 0 Зудящая сыпь 0 0 1 (1.4) 0 Крапивница 1 (1.4) 0 0 0 ОБЩИЕ НАРУШЕНИЯ И ОСЛОЖНЕНИЯ В МЕСТЕ ВВЕДЕНИЯ 0 0 1 (1.4) 0 Реакция в месте инъекции 0 0 1 (1.4) 0 TEAE: возникшее при лечении нежелательное явление, SOC: системно-органный класс, PT: предпочтительный термин MedDRA 21.1. n (%)=количество и процентная доля пациентов с по меньшей мере одним TEAE, которое приводило к полному прекращению лечения. Примечание: таблица упорядочена по международном согласованному порядку SOC и снижению частоты PT в группе совместного введения. PGM=DEVOPS/SAR440340/ACT15102/CSR/REPORT/PGM/ae_socpt_s_t.sas OUT=REPORT/OUTPUT/ae_socpt_disc_s_t_i.rtf (22APR2019 5:16)

Другие значимые нежелательные явления (в том числе AESI, лабораторные исследования)

[00513] В таблице 11 представлен обзор количества (%) пациентов с возникшими при лечении AESI или другим выбранным явлением из группы AE. Общая частота возникновения AESI или других выбранных явлений из группы AE была низкой. Наиболее частыми явлениями были гиперчувствительность и реакции в месте инъекции.

[00514] Таблица 11. Количество (%) пациентов с возникшими при лечении AESI и другими выбранными из группы AE по категории, популяция для оценки безопасности

Категория, n (%) Плацебо
(N=74)
SAR440340
300 мг q2w
(N=73)
SAR440340 q2w +
дупилумаб q2w
(N=74)
Дупилумаб
300 мг q2w
(N=74)
Любое возникшее при лечении AESI 3 (4.1) 4 (5.5) 5 (6.8) 2 (2.7) Анафилактическая реакция (клинически проверена) 0 0 0 0 Гиперчувствительность (клинически проверена) 1 (1.4) 3 (4.1) 3 (4.1) 1 (1.4) Реакция в месте инъекции (серьезная или тяжелая и сохраняющаяся 24 часа или дольше) 0 0 1 (1.4) 0 Инфекция 2 (2.7) 0 0 1 (1.4) Паразитарная инфекция 0 0 0 0 Оппортунистическая инфекция 0 0 0 0 Возможное нарушение функции печени, связанное с лекарственной терапией 0 0 1 (1.4) 0 Злокачественное новообразование 0 0 0 0 Беременность 0 1 (1.4) 0 0 Передозировка IMP с клиническими проявлениями 0 0 0 0 Передозировка NIMP с клиническими проявлениями 0 0 0 0 Любое другое возникшее при лечении явление из группы AE 6 (8.1) 4 (5.5) 7 (9.5) 6 (8.1) Реакция в месте инъекции 5 (6.8) 3 (4.1) 7 (9.5) 6 (8.1) Эозинофилия 1 (1.4) 1 (1.4) 0 0 AESI: нежелательное явление, представляющее особый интерес, IMP: исследуемый лекарственный препарат, NIMP: неисследуемый лекарственный препарат. MedDRA 21.1. n (%)=количество и процентная доля пациентов с по меньшей мере одним возникшим при лечении AESI/другим явлением из группы AE. Примечание: данная таблица основана на SMQ MedDRA или заданных компанией критериях поиска.

Нежелательное явление, представляющее особый интерес (AESI)

Анафилактическая реакция/системная гиперчувствительность

[00515] Частота возникновения гиперчувствительности была несколько выше в группе SAR440340 и SAR440340+дупилумаб по сравнению с группами плацебо и дупилумаба. Сообщали о гиперчувствительности у 3 (4,1%) пациентов в группе SAR440340 и SAR440340+дупилумаб, а также у 1 (1,4%) пациента в группах дупилумаба и плацебо. Явления гиперчувствительности включали следующие PT: отек губ, зуд и генерализированный зуд в группе SAR440340; зудящую сыпь и гиперчувствительность в группе SAR440340+дупилумаб; конъюнктивит в группе дупилумаба и крапивница в группе плацебо. Все TEAE гиперчувствительности были легкой или умеренной интенсивности, и при этом ни одно из них не относилось к SAE.

Реакция в месте инъекции

[00516] Реакции в месте инъекции представляли собой главным образом покраснение в месте инъекции и характеризовались умеренной интенсивностью. В группе SAR440340+дупилумаб был один пациент с тяжелой не являющейся серьезной реакцией в месте инъекции (AESI), что привело к полному прекращению лечения. Частота возникновения реакций в месте инъекции была несколько ниже в группе SAR440340 по сравнению с другими группами лечения.

Тяжелые и серьезные инфекции

[00517] У одного пациента в группе дупилумаба наблюдали тяжелое возникшее в ходе лечения SAE в виде абсцесса челюсти. Сообщали, что пациент восстановился от данного явления после корректирующего лечения. В группе плацебо было две несерьезных инфекции умеренной степени тяжести (две пневмонии), и сообщалось, что они были вылечены после корректирующего лечения.

Возможные нарушения функции печени, связанные с лекарственной терапией

[00518] Сообщали об одном возникшем в ходе лечения SAE с повышением аланинаминотрансферазы у пациента в группе SAR440340+дупилумаб, которое согласно оценке характеризовалось умеренной интенсивностью. Уровень ALT у пациента повышался до 431 ед./л (13,33 х ULN); уровень ALT на исходном уровне составлял 11 ед./л (диапазон значений в пределах нормы: 10-33 ед./л). Сообщали, что повышение уровня ALT возникало вследствие приема алкоголя (2 стакана пива, 1 стакан крепкого алкогольного напитка). Пациент не получал корректирующее лечение. Лечение IMP было временно прекращено. После чего данное событие исчезало.

Беременность

[00519] Одна пациентка из группы лечения с использованием SAR440340 сообщила о беременности. Ее последняя менструация произошла через 8 дней после последней дозы IMP. На 6-недельном сроке беременности пациентке было выполнено плановое прерывание беременности.

Другие выбранные группы нежелательных явлений

Эозинофилия

[00520] Два пациента сообщали об эозинофилии. Одна пациентка в группе SAR440340 перенесла обострение эозинофильного колита умеренной интенсивности. У пациентки был эозинофильный колит, сохраняющийся с 2017 года. Уровни содержания эозинофилов у нее были постоянно низкими в ходе исследования (< 0,3 гига/литр). Пациентка выздоровела при корректирующем лечении. Один пациент в группе плацебо перенес бессимптомное повышение содержания эозинофилов легкой интенсивности с содержанием эозинофилов >3 гига/литр без рецидива (согласно протоколу любое повышение содержания эозинофилов > 3 гига/литр должно регистрироваться как AE). Пациент выздоровел без корректирующего лечения.

Результаты лабораторных исследований, ЭКГ и параметры жизненно важных функций

[00521] Между группами лечения отсутствовали клинически значимые отличия по результатам потенциально клинически значимых отклонений от нормы (PCSA), полученных в ходе лабораторных исследований.

[00522] Между группами лечения отсутствовали значимые отличия по всем параметрам жизненно важных функций, массе тела и ЭКГ. У одного 62-летнего пациента мужского пола в группе лечения SAR440340 регистрировали увеличение интервала QTCF относительно исходного уровня на > 60 мсек. У пациента в анамнезе имелась гипертония. На ЭКГ наблюдали гипертрофию левого желудочка. Не поступало сообщений о соответствующем TEAE, связанным с удлинением QTCF.

[00523] Таблица 12. Обобщенные результаты исследований по биомаркерам на исходном уровне, рандомизированная популяция

Плацебо
(N=74)
SAR440340
300 мг q2w
(N=73)
SAR440340 q2w +
дупилумаб q2w
(N=74)
Дупилумаб
300 мг q2w
(N=75)
Все
(N=296)
Содержание эозинофилов в крови на исходном уровне (109/л) Количество 74 73 74 74 295 Среднее значение (SD) 0.41 (0.35) 0.42 (0.57) 0.34 (0.25) 0.33 (0.26) 0.37 (0.38) Медианное значение 0.33 0.29 0.25 0.26 0.28 Q1; Q3 0.19 ; 0.51 0.17 ; 0.47 0.15 ; 0.50 0.16 ; 0.44 0.16 ; 0.48 Мин.; макс. 0.0 ; 1.9 0.0 ; 4.5 0.0 ; 1.0 0.0 ; 1.8 0.0 ; 4.5 < 0,15 14 (18.9) 15 (20.5) 17 (23.0) 17 (23.0) 63 (21.4) ≥ 0,15 - < 0,3 19 (25.7) 22 (30.1) 25 (33.8) 26 (35.1) 92 (31.2) ≥ 0,3 41 (55.4) 36 (49.3) 32 (43.2) 31 (41.9) 140 (47.5) Содержание нейтрофилов в крови на исходном уровне (109/л) Количество 74 73 74 74 295 Среднее значение (SD) 4.20 (1.69) 4.27 (1.77) 4.20 (1.62) 4.19 (1.82) 4.22 (1.72) Медианное значение 3.88 3.84 3.78 3.67 3.80 Q1; Q3 3.19 ; 5.05 3.31 ; 4.89 3.16 ; 5.15 2.98 ; 4.95 3.16 ; 4.97 Мин.; макс. 1.9 ; 12.1 2.0 ; 11.7 2.1 ; 11.2 1.5 ; 11.3 1.5 ; 12.1 FeNO на исходном уровне (ppb) Количество 74 73 74 75 296 Среднее значение (SD) 34.1 (42.9) 30.2 (24.6) 24.1 (18.0) 28.5 (27.4) 29.2 (29.7) Медианное значение 19.5 23.0 18.5 19.0 20.0 Q1; Q3 14.0 ; 33.0 12.0 ; 41.0 13.0 ; 29.0 12.0 ; 32.0 13.0 ; 32.0 Мин.; макс. 2 ; 238 4 ; 111 5 ; 87 4 ; 151 2 ; 238 < 25 45 (60.8) 39 (53.4) 47 (63.5) 48 (64.0) 179 (60.5) ≥ 25 - < 50 19 (25.7) 20 (27.4) 20 (27.0) 18 (24.0) 77 (26.0) ≥ 50 10 (13.5) 14 (19.2) 7 (9.5) 9 (12.0) 40 (13.5) Суммарный уровень IL33 на исходном уровне (пг/мл) Количество 74 73 74 74 295 Среднее значение (SD) 17.1 (5.7) 16.1 (2.7) 16.4 (5.0) 16.4 (3.9) 16.5 (4.5) Медианное значение 15.7 15.7 15.7 15.7 15.7 Q1; Q3 15.7 ; 15.7 15.7 ; 15.7 15.7 ; 15.7 15.7 ; 15.7 15.7 ; 15.7 Мин.; макс. 16 ; 49 16 ; 32 16 ; 55 16 ; 36 16 ; 55 sST2 на исходном уровне (пг/мл) Количество 72 71 73 74 290 Среднее значение (SD) 6423.9 (3914.4) 5708.6 (2549.2) 5571.5 (2234.2) 6408.4 (5095.3) 6030.2 (3646.0) Медианное значение 5720.0 5280.0 5050.0 5350.0 5270.0 Q1; Q3 3935.0 ; 7405.0 3950.0 ; 6890.0 4310.0 ; 6630.0 4090.0 ; 7120.0 4040.0 ; 6960.0 Мин.; макс. 1300 ; 22800 1690 ; 16700 1960 ; 14900 1010 ; 35700 1010 ; 35700 Кальцитонин на исходном уровне (пг/мл) Количество 74 73 74 75 296 Среднее значение (SD) 2.20 (2.34) 2.99 (5.04) 2.07 (2.65) 2.29 (2.76) 2.39 (3.36) Медианное значение 1.00 1.00 1.00 1.00 1.00 Q1; Q3 1.00 ; 2.80 1.00 ; 2.80 1.00 ; 1.00 1.00 ; 2.70 1.00 ; 2.60 Мин.; макс. 1.0 ; 13.4 1.0 ; 33.0 1.0 ; 14.9 1.0 ; 13.8 1.0 ; 33.0 PARC на исходном уровне (пг/мл) Количество 74 73 74 74 295 Среднее значение (SD) 70144.6 (35045.7) 75116.4 (67004.6) 66778.9 (41623.6) 76910.5 (54318.6) 72227.9 (50827.3) Медианное значение 64550.0 59500.0 53900.0 62150.0 61800.0 Q1; Q3 47600.0 ; 84100.0 44900.0 ; 78300.0 39700.0 ; 85700.0 43600.0 ; 90000.0 43500.0 ; 85700.0 Мин.; макс. 17500 ; 201000 21500 ; 466000 940 ; 231000 2080 ; 326000 940 ; 466000 Уровень эотаксина-3 на исходном уровне (пг/мл) Количество 74 73 74 74 295 Среднее значение (SD) 47.14 (26.50) 50.83 (67.80) 77.85 (206.33) 99.44 (327.66) 68.88 (197.44) Медианное значение 46.65 34.20 41.95 41.60 41.40 Q1; Q3 25.80 ; 64.60 28.10 ; 51.50 23.60 ; 63.40 31.10 ; 66.60 26.80 ; 61.00 Мин.; макс. 4.6 ; 134.0 2.0 ; 559.0 2.0 ; 1760.0 2.0 ; 2820.0 2.0 ; 2820.0 Суммарный IgE на исходном уровне (кЕ/л) Количество 74 73 74 75 296 Среднее значение (SD) 317.56 (523.05) 682.04 (1798.02) 314.36 (412.73) 367.48 (548.84) 419.30 (998.79) Медианное значение 161.50 140.00 144.50 170.00 160.50 Q1; Q3 41.90 ; 400.00 47.30 ; 510.00 63.10 ; 396.00 57.30 ; 462.00 55.00 ; 416.00 Мин.; макс. 9.2 ; 3339.0 1.0 ; 12975.0 3.7 ; 2556.0 1.0 ; 3452.0 1.0 ; 12975.0 Периостин на исходном уровне (нг/мл) Количество 74 73 74 74 295 Среднее значение (SD) 84.72 (45.93) 86.12 (48.17) 83.45 (47.18) 95.13 (58.45) 87.36 (50.14) Медианное значение 74.40 73.30 77.90 76.20 74.40 Q1; Q3 52.20 ; 94.80 58.80 ; 98.00 47.80 ; 105.00 56.10 ; 107.00 55.40 ; 101.00 Мин.; макс. 38.4 ; 290.0 7.3 ; 267.0 3.1 ; 278.0 30.9 ; 326.0 3.1 ; 326.0

[00524] Таблица 13. Степень воздействия исследуемого лекарственного препарата, популяция для оценки безопасности

Плацебо
(N=39)
SAR440340
300 мг q2w
(N=71)
SAR440340 q2w +
дупилумаб q2w
(N=104)
Дупилумаб
300 мг q2w
(N=81)
Суммарное воздействие лечения (пациенто-лет) 6.5 12.3 16.5 14.6 Продолжительность лечения в рамках исследования (дни) Количество 39 71 104 81 Среднее значение (SD) 61.0 (24.7) 63.2 (21.2) 58.1 (23.5) 65.7 (21.3) Медианное значение 68.0 69.0 56.0 70.0 Q1; Q3 42.0 ; 84.0 43.0 ; 84.0 42.0 ; 84.0 46.0 ; 84.0 Мин.; макс. 14 ; 86 14 ; 89 14 ; 92 14 ; 92 Продолжительность лечения в рамках исследования по категориям [n(%)] > 0 и ≤ 2 недель 4 (10.3) 2 (2.8) 6 (5.8) 3 (3.7) > 2 и ≤ 4 недель 2 (5.1) 3 (4.2) 7 (6.7) 3 (3.7) > 4 и ≤ 8 недель 11 (28.2) 23 (32.4) 44 (42.3) 24 (29.6) > 8 и < 12 недель - 3 дня 5 (12.8) 14 (19.7) 9 (8.7) 14 (17.3) ≥ 12 недель - 3 дня 17 (43.6) 29 (40.8) 38 (36.5) 37 (45.7) Количество пациентов с продолжительностью лечения в рамках исследования по категориям [n(%)] > 0 недель 39 (100) 71 (100) 104 (100) 81 (100) > 2 недель 35 (89.7) 69 (97.2) 98 (94.2) 78 (96.3) > 4 недель 33 (84.6) 66 (93.0) 91 (87.5) 75 (92.6) > 8 недель 22 (56.4) 43 (60.6) 47 (45.2) 51 (63.0) ≥ 12 недель - 3 дня 17 (43.6) 29 (40.8) 38 (36.5) 37 (45.7) Примечание: считалось, что пациенты находились в группе лечения, в которую их фактически определили. Продолжительность определяли следующим образом: дата введения последней дозы - дата введения первой дозы+14 дней независимо от незапланированных периодических периодов приостановления лечения.

[00525] Таблица 14. Первичный подход: частота возникновения LOAC (все сравнения), группа mITT

Плацебо
(N=74)
SAR440340
300 мг q2w
(N=73)
SAR440340 q2w +
дупилумаб q2w
(N=74)
Дупилумаб
300 мг q2w
(N=74)
Количество пациентов с LOAC Количество 74 73 74 74 Нет 44 (59.5) 57 (78.1) 54 (73.0) 60 (81.1) Да 30 (40.5) 16 (21.9) 20 (27.0) 14 (18.9) OR по сравнению с плацебо (95% CI)a 0.423 (0.203 to 0.880) 0.520 (0.256 to 1.057) 0.328 (0.153 to 0.700) Р-значение по сравнению с плацебоa 0.0214 0.0709 0.0040 OR по сравнению с SAR440340 (95% CI)a 1.231 (0.571 to 2.653) P-значение по сравнению с SAR440340a 0.5956 OR по сравнению с дупилумабом (95% CI)a 1.589 (0.723 to 3.492) P-значение по сравнению с дупилумабомa 0.2494 LOAC: потеря контроля астмы, OR: соотношение шансов, ICS: ингаляционный кортикостероид. a Получено по результатам логистической регрессии с лечением, стратами по содержанию эозинофилов на исходном уровне, регионом, дозой ICS в режиме фоновой терапии на момент рандомизации и количеством явлений обострения в течение 1 года до скрининга.

[00526] Таблица 15. Обобщенная информация по явлениям LOAC, группа mITT

Плацебо
(N=74)
SAR440340
300 мг q2w
(N=73)
SAR440340 q2w +
дупилумаб q2w
(N=74)
Дупилумаб
300 мг q2w
(N=74)
Количество пациентов с LOAC Количество 74 73 74 74 Нет 44 (59.5) 57 (78.1) 54 (73.0) 60 (81.1) Да 30 (40.5) 16 (21.9) 20 (27.0) 14 (18.9) С приемом лекарственного препарата неотложной терапииa 13 (17.6) 6 (8.2) 11 (14.9) 5 (6.8) Без приема лекарственного препарата неотложной терапииb 17 (23.0) 10 (13.7) 9 (12.2) 9 (12.2) Количество пациентов со снижением уровня PEF до полудня на ≥ 30% от исходного уровня в течение 2 последовательных дней 22 (29.7) 12 (16.4) 14 (18.9) 11 (14.9) Количество пациентов с ≥ 6 дополнительными впрыскиваниями облегчающего дыхание лекарственного средства сальбутамола/альбутерола или левосальбутамола/левалбутерола за 24-часовой период (от исходного уровня) в течение 2 последовательных дней 7 (9.5) 3 (4.1) 9 (12.2) 3 (4.1) Количество пациентов с повышением ICS в ≥ 4 раза относительно последней назначенной дозы ICS (или ≥ 50% от назначенной дозы ICS на исходном уровне, если завершена отмена фоновой терапии) 1 (1.4) 0 0 0 Количество пациентов, которым требовалось лечение системным (пероральным и/или парентеральным) стероидом 7 (9.5) 3 (4.1) 3 (4.1) 3 (4.1) Количество пациентов, которым требовались госпитализация или визит в отделение неотложной помощи 0 1 (1.4) 0 0 LOAC: потеря контроля астмы, PEF: пиковая объемная скорость выдоха, ICS: ингаляционный кортикостероид. a Если пациент соответствовал по меньшей мере одному из следующих трех критериев: (1) >= 6 дополнительных впрыскиваний облегчающего дыхание лекарственного средства сальбутамола/альбутерола или левосальбутамола/левальбутерола за 24-часовой период (от исходного уровня) в течение 2 последовательных дней; (2) увеличение ICS в >= 4 раза относительно последней назначенной дозы ICS (или >= 50% от назначенной дозы ICS в момент V2, если завершена отмена фоновой терапии); (3) необходимость применения системного (перорального и/или парентерального) стероида для лечения. b Если пациент не соответствовал ни одному из трех критериев, перечисленных выше, и соответствовал одному или обоим из следующих критериев: (1) снижение PEF до полудня на 30% или больше от исходного уровня в течение 2 последовательных дней, (2) необходимость госпитализации или визита в отделение неотложной помощи.

[00527] Таблица 16. Анализ в подгруппах: частота возникновения LOAC по содержанию эозинофилов в крови на исходном уровне (первичные сравнения), группа mITT

Плацебо
(N=74)
SAR440340
300 мг q2w
(N=73)
SAR440340 q2w +
дупилумаб q2w
(N=74)
Дупилумаб
300 мг q2w
(N=74)
Р-значение для
взаимодействияa
Содержание эозинофилов в крови на исходном уровне (/мм3) 0.5365 < 150 Количество 14 15 17 17 Нет 9 (64.3) 12 (80.0) 13 (76.5) 13 (76.5) Да 5 (35.7) 3 (20.0) 4 (23.5) 4 (23.5) OR по сравнению с плацебо (95% CI)a 0.401 (0.072 to 2.239) 0.623 (0.122 to 3.182) P-значение по сравнению с плацебоb 0.2975 0.5694 ≥ 150 - < 300 Количество 19 22 25 26 Нет 13 (68.4) 18 (81.8) 16 (64.0) 20 (76.9) Да 6 (31.6) 4 (18.2) 9 (36.0) 6 (23.1) OR по сравнению с плацебо (95% CI)a 0.473 (0.099 to 2.270) 1.086 (0.270 to 4.372) P-значение по сравнению с плацебоb 0.3495 0.9079 ≥ 300 Количество 41 36 32 31 Нет 22 (53.7) 27 (75.0) 25 (78.1) 27 (87.1) Да 19 (46.3) 9 (25.0) 7 (21.9) 4 (12.9) OR по сравнению с плацебо (95% CI)a 0.388 (0.143 to 1.054) 0.298 (0.102 to 0.868) P-значение по сравнению с плацебоb 0.0633 0.0265 LOAC: потеря контроля астмы, OR: соотношение шансов, ICS: ингаляционный кортикостероид. a Получено по результатам логистической регрессии с лечением, стратами по содержанию эозинофилов на исходном уровне, регионом, дозой ICS в режиме фоновой терапии на момент рандомизации и количеством явлений обострения в течение 1 года до скрининга, подгруппой (если отличалась от вышеупомянутых ковариат) и взаимодействием с эффектом фактора подгруппы в зависимости от лечения. b Получено по результатам логистической регрессии с лечением, стратами по количеству эозинофилов на исходном уровне, регионом, фоновой терапией. Уровень дозы ICS на момент рандомизации и количество явлений обострения в течение 1 года до скрининга.

[00528] Таблица 17. Первичный подход: изменение от исходного уровня в FEV1 (л) до приема бронходилататора на неделе 12 (все сравнения), группа mITT

FEV1 (л) до приема бронходилататора Плацебо
(N=74)
SAR440340
300 мг q2w
(N=73)
SAR440340 q2w +
дупилумаб q2w
(N=74)
Дупилумаб
300 мг q2w
(N=74)
Исходный уровень Количество 74 73 74 74 Среднее значение (SD) 2.12 (0.61) 1.93 (0.47) 2.00 (0.57) 2.03 (0.62) Медианное значение 1.93 1.85 1.88 1.99 Q1; Q3 1.72 ; 2.44 1.62 ; 2.23 1.59 ; 2.31 1.52 ; 2.27 Мин.; макс. 1.2 ; 4.0 1.0 ; 3.2 1.0 ; 3.5 1.1 ; 3.6 Неделя 12 Количество 41 58 49 56 Среднее значение (SD) 2.32 (0.74) 2.03 (0.60) 2.01 (0.59) 2.20 (0.81) Медианное значение 2.17 1.92 1.86 2.11 Q1; Q3 1.73 ; 2.85 1.68 ; 2.19 1.55 ; 2.59 1.58 ; 2.70 Мин.; макс. 1.2 ; 4.3 1.0 ; 3.8 0.9 ; 3.2 0.8 ; 4.5 Изменение от исходного уровня Количество 41 58 49 56 Среднее значение (SD) 0.06 (0.35) 0.11 (0.34) 0.06 (0.37) 0.14 (0.43) Медианное значение 0.01 0.06 -0.03 0.06 Q1; Q3 -0.18 ; 0.21 -0.11 ; 0.34 -0.13 ; 0.29 -0.18 ; 0.39 Мин.; макс. -0.6 ; 1.2 -0.7 ; 1.0 -1.0 ; 1.0 -0.9 ; 1.4 Среднее значение, полученное по методу наименьших квадратов (SE)a -0.04 (0.05) 0.10 (0.05) 0.06 (0.05) 0.12 (0.05) Различие средних значений, полученных по методу наименьших квадратов, по сравнению с плацебо (95% CI)a 0.14 (0.01 to 0.27) 0.10 (-0.03 to 0.23) 0.16 (0.03 to 0.29) P-значение по сравнению с плацебоa 0.0344 0.1337 0.0140 Различие средних значений, полученных по методу наименьших квадратов, по сравнению с SAR440340 (95% CI)a -0.04 (-0.17 to 0.09) P-значение по сравнению с SAR440340a 0.5289 Различие средних значений, полученных по методу наименьших квадратов, по сравнению с дупилумабом (95% CI)a -0.06 (-0.19 to 0.06) P-значение по сравнению с дупилумабомa 0.3293 FEV1: объем форсированного выдоха за одну секунду, LOAC: потеря контроля астмы, ICS: ингаляционный кортикостероид. Были включены данные, собранные до визита завершения лечения. Для пациентов, у которых имела место LOAC с приемом лекарственных препаратов неотложной терапии, результаты по FEV1, собранные в начале и после начала явления, были отмечены как отсутствующие. Отсутствующие данные не принимались в расчет. a Получены на основе модели MMRM с изменением от значений на исходном уровне до недели 12 в качестве переменной ответа и лечением, полом, ростом на исходном уровне, стратами по количеству эозинофилов на исходном уровне, регионом, уровнем дозы ICS в режиме фоновой терапии на момент рандомизации, визитом, взаимодействием с эффектом фактора лечения в зависимости от визита, значением на исходном уровне и взаимодействием с эффектом фактора исходного уровня в зависимости от визита в качестве ковариат.

[00529] Таблица 18. Анализ в подгруппах: изменение от исходного уровня в FEV1 (л) до приема бронходилататора на неделе 12 по содержанию эозинофилов в крови на исходном уровне (первичные сравнения) - группа mITT

FEV1 (л) до приема бронходилататора Плацебо
(N=74)
SAR440340
300 мг q2w
(N=73)
SAR440340 q2w +
дупилумаб q2w
(N=74)
Дупилумаб
300 мг q2w
(N=74)
Р-значение для
взаимодействияa
Содержание эозинофилов в крови на исходном уровне (/мм3) 0.1111 < 150 Количество 9 12 14 13 Среднее значение на исходном уровне (SE) 2.50 (0.93) 2.07 (0.49) 1.97 (0.49) 2.19 (0.77) Среднее значение на неделе 12 (SD) 2.51 (1.00) 2.16 (0.70) 1.98 (0.66) 2.19 (1.08) Среднее изменение (SD) 0.02 (0.24) 0.09 (0.32) 0.01 (0.28) -0.00 (0.53) Среднее значение, полученное по методу наименьших квадратов (SE)a -0.06 (0.11) 0.10 (0.10) 0.05 (0.10) -0.05 (0.09) Различие средних значений, полученных по методу наименьших квадратов, по сравнению с плацебо (95% CI)b 0.17 (-0.12 to 0.45) 0.11 (-0.17 to 0.39) 0.01 (-0.27 to 0.29) P-значение по сравнению с плацебоb 0.2407 0.4304 0.9457 Различие средних значений, полученных по методу наименьших квадратов, по сравнению с SAR440340 (95% CI)b -0.06 (-0.33 to 0.21) P-значение по сравнению с SAR440340b 0.6627 Различие средних значений, полученных по методу наименьших квадратов, по сравнению с дупилумабом (95% CI)b 0.10 (-0.16 to 0.36) P-значение по сравнению с дупилумабомb 0.4494 ≥ 150 - < 300 Количество 10 20 16 18 Среднее значение на исходном уровне (SE) 2.06 (0.47) 1.78 (0.45) 1.87 (0.46) 1.92 (0.67) Среднее значение на неделе 12 (SD) 2.28 (0.48) 1.81 (0.42) 1.83 (0.50) 1.92 (0.73) Среднее изменение (SD) 0.22 (0.41) 0.03 (0.29) -0.04 (0.26) -0.00 (0.29) Среднее значение, полученное по методу наименьших квадратов (SE)a 0.13 (0.09) 0.00 (0.07) -0.07 (0.07) 0.06 (0.07) Различие средних значений, полученных по методу наименьших квадратов, по сравнению с плацебо (95% CI)b -0.13 (-0.34 to 0.07) -0.21 (-0.41 to 0.00) -0.07 (-0.28 to 0.14) P-значение по сравнению с плацебоb 0.2063 0.0506 0.5087 Различие средних значений, полученных по методу наименьших квадратов, по сравнению с SAR440340 (95% CI)b -0.08 (-0.26 to 0.11) P-значение по сравнению с SAR440340b 0.4108 Различие средних значений, полученных по методу наименьших квадратов, по сравнению с дупилумабом (95% CI)b -0.14 (-0.32 to 0.05) P-значение по сравнению с дупилумабомb 0.1488 ≥ 300 Количество 22 26 19 25 Среднее значение на исходном уровне (SE) 2.26 (0.64) 1.95 (0.43) 2.00 (0.39) 2.11 (0.54) Среднее значение на неделе 12 (SD) 2.26 (0.74) 2.14 (0.65) 2.18 (0.60) 2.41 (0.67) Среднее изменение (SD) 0.00 (0.35) 0.19 (0.38) 0.17 (0.49) 0.31 (0.40) Среднее значение, полученное по методу наименьших квадратов (SE)a -0.04 (0.07) 0.18 (0.07) 0.15 (0.08) 0.30 (0.08) Различие средних значений, полученных по методу наименьших квадратов, по сравнению с плацебо (95% CI)b 0.22 (0.02 to 0.41) 0.19 (-0.01 to 0.40) 0.34 (0.14 to 0.54) P-значение по сравнению с плацебоb 0.0312 0.0624 0.0010 Различие средних значений, полученных по методу наименьших квадратов, по сравнению с SAR440340 (95% CI)b -0.02 (-0.23 to 0.19) P-значение по сравнению с SAR440340b 0.8218 Различие средних значений, полученных по методу наименьших квадратов, по сравнению с дупилумабом (95% CI)b -0.14 (-0.35 to 0.07) P-значение по сравнению с дупилумабомb 0.1780 FEV1: объем форсированного выдоха за одну секунду, ICS: ингаляционный кортикостероид, LOAC: потеря контроля астмы. Были включены данные, собранные до визита завершения лечения. Для пациентов, у которых имела место LOAC с приемом лекарственных препаратов неотложной терапии, результаты по FEV1, собранные в начале и после начала явления, были отмечены как отсутствующие. Отсутствующие данные не принимались в расчет. a Получены на основе модели MMRM с изменением от значений на исходном уровне до недели 12 в качестве переменной ответа и лечением, и полом, ростом на исходном уровне, стратами по количеству эозинофилов на исходном уровне, регионом, уровнем дозы ICS в режиме фоновой терапии на момент рандомизации, визитом, взаимодействием с эффектом фактора лечения в зависимости от визита, значением на исходном уровне, взаимодействием с эффектом фактора исходного уровня в зависимости от визита, подгруппой (если отличается от вышеупомянутых ковариат), взаимодействием с эффектом фактора подгруппы в зависимости от лечения и взаимодействием с эффектом фактора подгруппы в зависимости от лечения и от визита в качестве ковариат. b Получены на основе модели MMRM с изменением от значений на исходном уровне до недели 12 в качестве переменной ответа и лечением, и полом, ростом на исходном уровне, стратами по количеству эозинофилов на исходном уровне, регионом, уровнем дозы ICS в режиме фоновой терапии на момент рандомизации, визитом, взаимодействием с эффектом фактора лечения в зависимости от визита, значением на исходном уровне и взаимодействием с эффектом фактора исходного уровня в зависимости от визита в качестве ковариат.

[00530] Таблица 19. Обобщенная информация по реакции гиперчувствительности (клинически проверена), популяция для оценки безопасности

Плацебо
(N=74)
SAR440340
300 мг q2w
(N=73)
SAR440340 q2w +
дупилумаб q2w
(N=74)
Дупилумаб
300 мг q2w
(N=74)
Пациенты с каким-либо TEAE 1 (1.4) 3 (4.1) 3 (4.1) 1 (1.4) Пациенты с каким-либо SAE 0 0 0 0 Пациенты с каким-либо возникшим при лечении SAE 0 0 0 0 Пациенты с каким-либо AE, приведшим к летальному исходу 0 0 0 0 Пациенты с каким-либо TEAE, приведшим к летальному исходу 0 0 0 0 Пациенты с каким-либо TEAE, которое приводило к полному прекращению лечения 1 (1.4) 0 1 (1.4) 0 Пациенты с каким-либо TEAE, связанным с SAR440340 или соответствующим плацебо, по сообщению исследователя 1 (1.4) 0 1 (1.4) 0 Пациенты с каким-либо TEAE, связанным с дупилумабом или соответствующим плацебо, по сообщению исследователя 1 (1.4) 0 0 0 Количество TEAE (количество TEAE на 100 пациенто-лет) 1 (3.5) 3 (10.1) 3 (10.3) 1 (3.4) Количество пациентов с по меньшей мере одним TEAE (количество пациентов с по меньшей мере одним TEAE на 100 пациенто-лет) 1 (3.5) 3 (10.1) 3 (10.3) 1 (3.4) Максимальная интенсивность Слабая 0 2 (2.7) 0 0 Умеренная 1 (1.4) 1 (1.4) 3 (4.1) 1 (1.4) Сильная 0 0 0 0 Корректирующее лечение Нет 0 0 0 0 Да 1 (1.4) 3 (4.1) 3 (4.1) 1 (1.4) Исход Летальный исход 0 0 0 0 Не выздоровели/не возвратились к нормальному состоянию 0 0 0 0 Выздоровели или возвратились к нормальному состоянию 1 (1.4) 3 (4.1) 3 (4.1) 1 (1.4) Выздоровели или возвратились к нормальному состоянию с последствиями 0 0 0 0 Выздоравливающие или возвращающиеся к нормальному состоянию 0 0 0 0 Неизвестно 0 0 0 0 Главный системно-органный класс/предпочтительный термин, n(%) Нарушения со стороны иммунной системы 0 0 1 (1.4) 0 Гиперчувствительность 0 0 1 (1.4) 0 Нарушения со стороны органов зрения 0 0 0 1 (1.4) Аллергический конъюнктивит 0 0 0 1 (1.4) Нарушения со стороны желудочно-кишечного тракта 0 1 (1.4) 0 0 Отек губ 0 1 (1.4) 0 0 Нарушения со стороны кожи и подкожных тканей 1 (1.4) 2 (2.7) 2 (2.7) 0 Зудящая сыпь 0 0 2 (2.7) 0 Зуд 0 1 (1.4) 0 0 Генерализованный зуд 0 1 (1.4) 0 0 Крапивница 1 (1.4) 0 0 0 TEAE: возникшее при лечении нежелательное явление, SAE: серьезное нежелательное явление, SOC: системно-органный класс, PT: предпочтительный термин. MedDRA 21.1. Примечание: таблица упорядочена по международном согласованному порядку SOC и снижению частоты PT в группе совместного введения.

--->

ПЕРЕЧЕНЬ ПОСЛЕДОВАТЕЛЬНОСТЕЙ

<110> SANOFI BIOTECHNOLOGY

<120> СПОСОБЫ ЛЕЧЕНИЯ ИЛИ ПРЕДУПРЕЖДЕНИЯ АСТМЫ ПУТЕМ ВВЕДЕНИЯ АНТАГОНИСТА IL-33

<130> 705537: SA9-255PC

<140> PCT/US2020/030824

<141> 2020-04-30

<150> 62/898,900

<151> 2019-09-11

<150> 62/848,248

<151> 2019-05-15

<150> 62/841,481

<151> 2019-05-01

<160> 28

<170> PatentIn версия 3.5

<210> 1

<211> 365

<212> ДНК

<213> Искусственная последовательность

<220>

<221> источник

<223> /примечание="Описание искусственной последовательности: синтетический

полинуклеотид"

<400> 1

aggtgcagct ggtggagtct gggggaaact tggaacagcc tggggggtcc cttagactct 60

cctgtacagc ctctggattc acctttagca gatctgccat gaactgggtc cgccgggctc 120

cagggaaggg gctggagtgg gtctcaggaa ttagtggtag tggtggtcga acatactacg 180

cagactccgt gaagggccgg ttcaccatct ccagagacaa ttccaagaat acgctatatc 240

tgcaaatgaa cagcctgagc gccgaggaca cggccgcata ttactgtgcg aaagattcgt 300

atactaccag ttggtacgga ggtatggacg tctggggcca cgggaccacg gtcaccgtct 360

cctca 365

<210> 2

<211> 121

<212> БЕЛОК

<213> Искусственная последовательность

<220>

<221> источник

<223> /примечание="Описание искусственной последовательности: синтетический

полипептид"

<400> 2

Val Gln Leu Val Glu Ser Gly Gly Asn Leu Glu Gln Pro Gly Gly Ser

1 5 10 15

Leu Arg Leu Ser Cys Thr Ala Ser Gly Phe Thr Phe Ser Arg Ser Ala

20 25 30

Met Asn Trp Val Arg Arg Ala Pro Gly Lys Gly Leu Glu Trp Val Ser

35 40 45

Gly Ile Ser Gly Ser Gly Gly Arg Thr Tyr Tyr Ala Asp Ser Val Lys

50 55 60

Gly Arg Phe Thr Ile Ser Arg Asp Asn Ser Lys Asn Thr Leu Tyr Leu

65 70 75 80

Gln Met Asn Ser Leu Ser Ala Glu Asp Thr Ala Ala Tyr Tyr Cys Ala

85 90 95

Lys Asp Ser Tyr Thr Thr Ser Trp Tyr Gly Gly Met Asp Val Trp Gly

100 105 110

His Gly Thr Thr Val Thr Val Ser Ser

115 120

<210> 3

<211> 23

<212> ДНК

<213> Искусственная последовательность

<220>

<221> источник

<223> /примечание="Описание искусственной последовательности: Синтетический

олигонуклеотид"

<400> 3

gattcacctt tagcagatct gcc 23

<210> 4

<211> 7

<212> БЕЛОК

<213> Искусственная последовательность

<220>

<221> источник

<223> /примечание="Описание искусственной последовательности: синтетический

пептид"

<400> 4

Phe Thr Phe Ser Arg Ser Ala

1 5

<210> 5

<211> 23

<212> ДНК

<213> Искусственная последовательность

<220>

<221> источник

<223> /примечание="Описание искусственной последовательности: Синтетический

олигонуклеотид"

<400> 5

ttagtggtag tggtggtcga aca 23

<210> 6

<211> 7

<212> БЕЛОК

<213> Искусственная последовательность

<220>

<221> источник

<223> /примечание="Описание искусственной последовательности: синтетический

пептид"

<400> 6

Ser Gly Ser Gly Gly Arg Thr

1 5

<210> 7

<211> 44

<212> ДНК

<213> Искусственная последовательность

<220>

<221> источник

<223> /примечание="Описание искусственной последовательности: Синтетический

олигонуклеотид"

<400> 7

cgaaagattc gtatactacc agttggtacg gaggtatgga cgtc 44

<210> 8

<211> 14

<212> БЕЛОК

<213> Искусственная последовательность

<220>

<221> источник

<223> /примечание="Описание искусственной последовательности: синтетический

пептид"

<400> 8

Lys Asp Ser Tyr Thr Thr Ser Trp Tyr Gly Gly Met Asp Val

1 5 10

<210> 9

<211> 323

<212> ДНК

<213> Искусственная последовательность

<220>

<221> источник

<223> /примечание="Описание искусственной последовательности: синтетический

полинуклеотид"

<400> 9

acatccagat gacccagtct ccatcttccg tgtctgcatc tgtaggagac agagtcacca 60

tcacttgtcg ggcgagtcag ggtattttca gctggttagc ctggtatcag cagaaaccag 120

gaaaagcccc taagctcctg atctatgctg cttccagttt acaaagtggg gtcccatcaa 180

gattcagcgg cagtggatct gggacagatt tcactctcac catcagcagc ctgcagcctg 240

aggattttgc aatttactat tgtcaacagg ctaacagtgt cccgatcacc ttcggccaag 300

ggacacgact ggagattaaa cga 323

<210> 10

<211> 107

<212> БЕЛОК

<213> Искусственная последовательность

<220>

<221> источник

<223> /примечание="Описание искусственной последовательности: синтетический

полипептид"

<400> 10

Ile Gln Met Thr Gln Ser Pro Ser Ser Val Ser Ala Ser Val Gly Asp

1 5 10 15

Arg Val Thr Ile Thr Cys Arg Ala Ser Gln Gly Ile Phe Ser Trp Leu

20 25 30

Ala Trp Tyr Gln Gln Lys Pro Gly Lys Ala Pro Lys Leu Leu Ile Tyr

35 40 45

Ala Ala Ser Ser Leu Gln Ser Gly Val Pro Ser Arg Phe Ser Gly Ser

50 55 60

Gly Ser Gly Thr Asp Phe Thr Leu Thr Ile Ser Ser Leu Gln Pro Glu

65 70 75 80

Asp Phe Ala Ile Tyr Tyr Cys Gln Gln Ala Asn Ser Val Pro Ile Thr

85 90 95

Phe Gly Gln Gly Thr Arg Leu Glu Ile Lys Arg

100 105

<210> 11

<211> 17

<212> ДНК

<213> Искусственная последовательность

<220>

<221> источник

<223> /примечание="Описание искусственной последовательности: Синтетический

олигонуклеотид"

<400> 11

agggtatttt cagctgg 17

<210> 12

<211> 5

<212> БЕЛОК

<213> Искусственная последовательность

<220>

<221> источник

<223> /примечание="Описание искусственной последовательности: синтетический

пептид"

<400> 12

Gly Ile Phe Ser Trp

1 5

<210> 13

<211> 8

<212> ДНК

<213> Искусственная последовательность

<220>

<221> источник

<223> /примечание="Описание искусственной последовательности: Синтетический

олигонуклеотид"

<400> 13

ctgcttcc 8

<210> 14

<211> 2

<212> БЕЛОК

<213> Искусственная последовательность

<220>

<221> источник

<223> /примечание="Описание искусственной последовательности: синтетический

пептид"

<400> 14

Ala Ser

1

<210> 15

<211> 26

<212> ДНК

<213> Искусственная последовательность

<220>

<221> источник

<223> /примечание="Описание искусственной последовательности: Синтетический

олигонуклеотид"

<400> 15

aacaggctaa cagtgtcccg atcacc 26

<210> 16

<211> 8

<212> БЕЛОК

<213> Искусственная последовательность

<220>

<221> источник

<223> /примечание="Описание искусственной последовательности: синтетический

пептид"

<400> 16

Gln Ala Asn Ser Val Pro Ile Thr

1 5

<210> 17

<211> 1349

<212> ДНК

<213> Искусственная последовательность

<220>

<221> источник

<223> /примечание="Описание искусственной последовательности: синтетический

полинуклеотид"

<400> 17

aggtgcagct ggtggagtct gggggaaact tggaacagcc tggggggtcc cttagactct 60

cctgtacagc ctctggattc acctttagca gatctgccat gaactgggtc cgccgggctc 120

cagggaaggg gctggagtgg gtctcaggaa ttagtggtag tggtggtcga acatactacg 180

cagactccgt gaagggccgg ttcaccatct ccagagacaa ttccaagaat acgctatatc 240

tgcaaatgaa cagcctgagc gccgaggaca cggccgcata ttactgtgcg aaagattcgt 300

atactaccag ttggtacgga ggtatggacg tctggggcca cgggaccacg gtcaccgtct 360

cctcagcctc caccaagggc ccatcggtct tccccctggc gccctgctcc aggagcacct 420

ccgagagcac agccgccctg ggctgcctgg tcaaggacta cttccccgaa ccggtgacgg 480

tgtcgtggaa ctcaggcgcc ctgaccagcg gcgtgcacac cttcccggct gtcctacagt 540

cctcaggact ctactccctc agcagcgtgg tgaccgtgcc ctccagcagc ttgggcacga 600

agacctacac ctgcaacgta gatcacaagc ccagcaacac caaggtggac aagagagttg 660

agtccaaata tggtccccca tgcccaccct gcccagcacc tgagttcctg gggggaccat 720

cagtcttcct gttcccccca aaacccaagg acactctcat gatctcccgg acccctgagg 780

tcacgtgcgt ggtggtggac gtgagccagg aagaccccga ggtccagttc aactggtacg 840

tggatggcgt ggaggtgcat aatgccaaga caaagccgcg ggaggagcag ttcaacagca 900

cgtaccgtgt ggtcagcgtc ctcaccgtcc tgcaccagga ctggctgaac ggcaaggagt 960

acaagtgcaa ggtctccaac aaaggcctcc cgtcctccat cgagaaaacc atctccaaag 1020

ccaaagggca gccccgagag ccacaggtgt acaccctgcc cccatcccag gaggagatga 1080

ccaagaacca ggtcagcctg acctgcctgg tcaaaggctt ctaccccagc gacatcgccg 1140

tggagtggga gagcaatggg cagccggaga acaactacaa gaccacgcct cccgtgctgg 1200

actccgacgg ctccttcttc ctctacagca ggctcaccgt ggacaagagc aggtggcagg 1260

aggggaatgt cttctcatgc tccgtgatgc atgaggctct gcacaaccac tacacacaga 1320

agtccctctc cctgtctctg ggtaaatga 1349

<210> 18

<211> 448

<212> БЕЛОК

<213> Искусственная последовательность

<220>

<221> источник

<223> /примечание="Описание искусственной последовательности: синтетический

полипептид"

<400> 18

Val Gln Leu Val Glu Ser Gly Gly Asn Leu Glu Gln Pro Gly Gly Ser

1 5 10 15

Leu Arg Leu Ser Cys Thr Ala Ser Gly Phe Thr Phe Ser Arg Ser Ala

20 25 30

Met Asn Trp Val Arg Arg Ala Pro Gly Lys Gly Leu Glu Trp Val Ser

35 40 45

Gly Ile Ser Gly Ser Gly Gly Arg Thr Tyr Tyr Ala Asp Ser Val Lys

50 55 60

Gly Arg Phe Thr Ile Ser Arg Asp Asn Ser Lys Asn Thr Leu Tyr Leu

65 70 75 80

Gln Met Asn Ser Leu Ser Ala Glu Asp Thr Ala Ala Tyr Tyr Cys Ala

85 90 95

Lys Asp Ser Tyr Thr Thr Ser Trp Tyr Gly Gly Met Asp Val Trp Gly

100 105 110

His Gly Thr Thr Val Thr Val Ser Ser Ala Ser Thr Lys Gly Pro Ser

115 120 125

Val Phe Pro Leu Ala Pro Cys Ser Arg Ser Thr Ser Glu Ser Thr Ala

130 135 140

Ala Leu Gly Cys Leu Val Lys Asp Tyr Phe Pro Glu Pro Val Thr Val

145 150 155 160

Ser Trp Asn Ser Gly Ala Leu Thr Ser Gly Val His Thr Phe Pro Ala

165 170 175

Val Leu Gln Ser Ser Gly Leu Tyr Ser Leu Ser Ser Val Val Thr Val

180 185 190

Pro Ser Ser Ser Leu Gly Thr Lys Thr Tyr Thr Cys Asn Val Asp His

195 200 205

Lys Pro Ser Asn Thr Lys Val Asp Lys Arg Val Glu Ser Lys Tyr Gly

210 215 220

Pro Pro Cys Pro Pro Cys Pro Ala Pro Glu Phe Leu Gly Gly Pro Ser

225 230 235 240

Val Phe Leu Phe Pro Pro Lys Pro Lys Asp Thr Leu Met Ile Ser Arg

245 250 255

Thr Pro Glu Val Thr Cys Val Val Val Asp Val Ser Gln Glu Asp Pro

260 265 270

Glu Val Gln Phe Asn Trp Tyr Val Asp Gly Val Glu Val His Asn Ala

275 280 285

Lys Thr Lys Pro Arg Glu Glu Gln Phe Asn Ser Thr Tyr Arg Val Val

290 295 300

Ser Val Leu Thr Val Leu His Gln Asp Trp Leu Asn Gly Lys Glu Tyr

305 310 315 320

Lys Cys Lys Val Ser Asn Lys Gly Leu Pro Ser Ser Ile Glu Lys Thr

325 330 335

Ile Ser Lys Ala Lys Gly Gln Pro Arg Glu Pro Gln Val Tyr Thr Leu

340 345 350

Pro Pro Ser Gln Glu Glu Met Thr Lys Asn Gln Val Ser Leu Thr Cys

355 360 365

Leu Val Lys Gly Phe Tyr Pro Ser Asp Ile Ala Val Glu Trp Glu Ser

370 375 380

Asn Gly Gln Pro Glu Asn Asn Tyr Lys Thr Thr Pro Pro Val Leu Asp

385 390 395 400

Ser Asp Gly Ser Phe Phe Leu Tyr Ser Arg Leu Thr Val Asp Lys Ser

405 410 415

Arg Trp Gln Glu Gly Asn Val Phe Ser Cys Ser Val Met His Glu Ala

420 425 430

Leu His Asn His Tyr Thr Gln Lys Ser Leu Ser Leu Ser Leu Gly Lys

435 440 445

<210> 19

<211> 644

<212> ДНК

<213> Искусственная последовательность

<220>

<221> источник

<223> /примечание="Описание искусственной последовательности: синтетический

полинуклеотид"

<400> 19

acatccagat gacccagtct ccatcttccg tgtctgcatc tgtaggagac agagtcacca 60

tcacttgtcg ggcgagtcag ggtattttca gctggttagc ctggtatcag cagaaaccag 120

gaaaagcccc taagctcctg atctatgctg cttccagttt acaaagtggg gtcccatcaa 180

gattcagcgg cagtggatct gggacagatt tcactctcac catcagcagc ctgcagcctg 240

aggattttgc aatttactat tgtcaacagg ctaacagtgt cccgatcacc ttcggccaag 300

ggacacgact ggagattaaa cgaactgtgg ctgcaccatc tgtcttcatc ttcccgccat 360

ctgatgagca gttgaaatct ggaactgcct ctgttgtgtg cctgctgaat aacttctatc 420

ccagagaggc caaagtacag tggaaggtgg ataacgccct ccaatcgggt aactcccagg 480

agagtgtcac agagcaggac agcaaggaca gcacctacag cctcagcagc accctgacgc 540

tgagcaaagc agactacgag aaacacaaag tctacgcctg cgaagtcacc catcagggcc 600

tgagctcgcc cgtcacaaag agcttcaaca ggggagagtg ttag 644

<210> 20

<211> 213

<212> БЕЛОК

<213> Искусственная последовательность

<220>

<221> источник

<223> /примечание="Описание искусственной последовательности: синтетический

полипептид"

<400> 20

Ile Gln Met Thr Gln Ser Pro Ser Ser Val Ser Ala Ser Val Gly Asp

1 5 10 15

Arg Val Thr Ile Thr Cys Arg Ala Ser Gln Gly Ile Phe Ser Trp Leu

20 25 30

Ala Trp Tyr Gln Gln Lys Pro Gly Lys Ala Pro Lys Leu Leu Ile Tyr

35 40 45

Ala Ala Ser Ser Leu Gln Ser Gly Val Pro Ser Arg Phe Ser Gly Ser

50 55 60

Gly Ser Gly Thr Asp Phe Thr Leu Thr Ile Ser Ser Leu Gln Pro Glu

65 70 75 80

Asp Phe Ala Ile Tyr Tyr Cys Gln Gln Ala Asn Ser Val Pro Ile Thr

85 90 95

Phe Gly Gln Gly Thr Arg Leu Glu Ile Lys Arg Thr Val Ala Ala Pro

100 105 110

Ser Val Phe Ile Phe Pro Pro Ser Asp Glu Gln Leu Lys Ser Gly Thr

115 120 125

Ala Ser Val Val Cys Leu Leu Asn Asn Phe Tyr Pro Arg Glu Ala Lys

130 135 140

Val Gln Trp Lys Val Asp Asn Ala Leu Gln Ser Gly Asn Ser Gln Glu

145 150 155 160

Ser Val Thr Glu Gln Asp Ser Lys Asp Ser Thr Tyr Ser Leu Ser Ser

165 170 175

Thr Leu Thr Leu Ser Lys Ala Asp Tyr Glu Lys His Lys Val Tyr Ala

180 185 190

Cys Glu Val Thr His Gln Gly Leu Ser Ser Pro Val Thr Lys Ser Phe

195 200 205

Asn Arg Gly Glu Cys

210

<210> 21

<211> 8

<212> БЕЛОК

<213> Искусственная последовательность

<220>

<221> источник

<223> /примечание="Описание искусственной последовательности: синтетический

пептид"

<400> 21

Gly Phe Thr Phe Arg Asp Tyr Ala

1 5

<210> 22

<211> 8

<212> БЕЛОК

<213> Искусственная последовательность

<220>

<221> источник

<223> /примечание="Описание искусственной последовательности: синтетический

пептид"

<400> 22

Ile Ser Gly Ser Gly Gly Asn Thr

1 5

<210> 23

<211> 16

<212> БЕЛОК

<213> Искусственная последовательность

<220>

<221> источник

<223> /примечание="Описание искусственной последовательности: синтетический

пептид"

<400> 23

Ala Lys Asp Arg Leu Ser Ile Thr Ile Arg Pro Arg Tyr Tyr Gly Leu

1 5 10 15

<210> 24

<211> 11

<212> БЕЛОК

<213> Искусственная последовательность

<220>

<221> источник

<223> /примечание="Описание искусственной последовательности: синтетический

пептид"

<400> 24

Gln Ser Leu Leu Tyr Ser Ile Gly Tyr Asn Tyr

1 5 10

<210> 25

<211> 3

<212> БЕЛОК

<213> Искусственная последовательность

<220>

<221> источник

<223> /примечание="Описание искусственной последовательности: синтетический

пептид"

<400> 25

Leu Gly Ser

1

<210> 26

<211> 9

<212> БЕЛОК

<213> Искусственная последовательность

<220>

<221> источник

<223> /примечание="Описание искусственной последовательности: синтетический

пептид"

<400> 26

Met Gln Ala Leu Gln Thr Pro Tyr Thr

1 5

<210> 27

<211> 124

<212> БЕЛОК

<213> Искусственная последовательность

<220>

<221> источник

<223> /примечание="Описание искусственной последовательности: синтетический

полипептид"

<400> 27

Glu Val Gln Leu Val Glu Ser Gly Gly Gly Leu Glu Gln Pro Gly Gly

1 5 10 15

Ser Leu Arg Leu Ser Cys Ala Gly Ser Gly Phe Thr Phe Arg Asp Tyr

20 25 30

Ala Met Thr Trp Val Arg Gln Ala Pro Gly Lys Gly Leu Glu Trp Val

35 40 45

Ser Ser Ile Ser Gly Ser Gly Gly Asn Thr Tyr Tyr Ala Asp Ser Val

50 55 60

Lys Gly Arg Phe Thr Ile Ser Arg Asp Asn Ser Lys Asn Thr Leu Tyr

65 70 75 80

Leu Gln Met Asn Ser Leu Arg Ala Glu Asp Thr Ala Val Tyr Tyr Cys

85 90 95

Ala Lys Asp Arg Leu Ser Ile Thr Ile Arg Pro Arg Tyr Tyr Gly Leu

100 105 110

Asp Val Trp Gly Gln Gly Thr Thr Val Thr Val Ser

115 120

<210> 28

<211> 112

<212> БЕЛОК

<213> Искусственная последовательность

<220>

<221> источник

<223> /примечание="Описание искусственной последовательности: синтетический

полипептид"

<400> 28

Asp Ile Val Met Thr Gln Ser Pro Leu Ser Leu Pro Val Thr Pro Gly

1 5 10 15

Glu Pro Ala Ser Ile Ser Cys Arg Ser Ser Gln Ser Leu Leu Tyr Ser

20 25 30

Ile Gly Tyr Asn Tyr Leu Asp Trp Tyr Leu Gln Lys Ser Gly Gln Ser

35 40 45

Pro Gln Leu Leu Ile Tyr Leu Gly Ser Asn Arg Ala Ser Gly Val Pro

50 55 60

Asp Arg Phe Ser Gly Ser Gly Ser Gly Thr Asp Phe Thr Leu Lys Ile

65 70 75 80

Ser Arg Val Glu Ala Glu Asp Val Gly Phe Tyr Tyr Cys Met Gln Ala

85 90 95

Leu Gln Thr Pro Tyr Thr Phe Gly Gln Gly Thr Lys Leu Glu Ile Lys

100 105 110

<---

Похожие патенты RU2838119C2

название год авторы номер документа
СПОСОБЫ ЛЕЧЕНИЯ ИЛИ ПРЕДУПРЕЖДЕНИЯ АСТМЫ ПОСРЕДСТВОМ ВВЕДЕНИЯ АНТАГОНИСТА IL-4R 2015
  • Пироцци Джанлука
  • Скобьеранда Френк
  • Ли Юнтао
  • Грэхем Нейл
  • Ванштайн Стивен П.
RU2713406C2
СПОСОБЫ ЛЕЧЕНИЯ ИЛИ ПРЕДУПРЕЖДЕНИЯ АСТМЫ ПОСРЕДСТВОМ ВВЕДЕНИЯ АНТАГОНИСТА IL-4R 2020
  • Стодинджер, Хериберт
  • Тепер, Ариэль
  • Амин, Никхил
  • Харел, Сайвен
  • Грэхем, Нейл
RU2832774C2
СПОСОБЫ ЛЕЧЕНИЯ ИЛИ ПРЕДУПРЕЖДЕНИЯ АСТМЫ ПУТЕМ ВВЕДЕНИЯ АНТАГОНИСТА IL-4R 2018
  • Амин, Никхил
  • Грэхем, Нейл
  • Пироцци, Джанлука
  • Тепер, Ариэль
RU2793745C2
СПОСОБЫ ЛЕЧЕНИЯ ХРОНИЧЕСКОГО СИНУСИТА С ПОЛИПАМИ НОСА ПУТЕМ ВВЕДЕНИЯ АНТАГОНИСТА IL-4R 2015
  • Маннен Леда
  • Пироцци Джанлука
  • Свонсон Брайан Н.
  • Рейдин Аллен
  • Гандхи Намита А.
  • Эванс Роберт
  • Хэмилтон Дженнифер Дэвидсон
RU2734490C2
СПОСОБЫ НОРМАЛИЗАЦИИ СИМПТОМОВ АСТМЫ С ПРИМЕНЕНИЕМ БЕНРАЛИЗУМАБА 2020
  • Уорд, Кристин
  • Роскос, Лорин
  • Ван, Бин
  • Рэйбл, Дональд
RU2840902C2
СПОСОБЫ НОРМАЛИЗАЦИИ СИМПТОМОВ АСТМЫ С ПРИМЕНЕНИЕМ БЕНРАЛИЗУМАБА 2014
  • Уорд Кристин
  • Роскос Лорин
  • Ван Бин
  • Рэйбл Дональд
RU2728578C2
СПОСОБЫ ДИАГНОСТИКИ И ЛЕЧЕНИЯ, СВЯЗАННЫЕ С ИНГИБИРОВАНИЕМ TH2 2020
  • Аррон, Джозеф Р.
  • Эриксон, Ричард У.
  • Фример, Мишель
  • Хейзен, Мередит
  • Цзя, Гуйцюань
  • Мэттьюз, Джон Дж.
  • Путнэм, Уэнди
  • Схеренс, Хелен
  • Чжэн, Яньань
RU2832013C2
СПОСОБЫ ПОВЫШЕНИЯ ФОРСИРОВАННОГО ОБЪЕМА ВЫДОХА У БОЛЬНЫХ АСТМОЙ С ПРИМЕНЕНИЕМ БЕНРАЛИЗУМАБА 2014
  • Уорд Кристин
  • Роскос Лорин
  • Ван Бин
  • Рэйбл Дональд
RU2703568C2
СПОСОБЫ СНИЖЕНИЯ ЧАСТОТЫ ПРИСТУПОВ АСТМЫ С ПРИМЕНЕНИЕМ БЕНРАЛИЗУМАБА 2014
  • Уорд Кристин
  • Роскос Лорин
  • Ван Бин
  • Рэйбл Дональд
RU2676333C2
СПОСОБЫ ПРЕДУПРЕЖДЕНИЯ ИЛИ ЛЕЧЕНИЯ АЛЛЕРГИИ ПОСРЕДСТВОМ ВВЕДЕНИЯ АНТАГОНИСТА IL-4R 2017
  • Хэмилтон, Дженнифер Д.
  • Свэнсон, Брайан Н.
RU2777328C2

Иллюстрации к изобретению RU 2 838 119 C2

Реферат патента 2025 года СПОСОБЫ ЛЕЧЕНИЯ ИЛИ ПРЕДУПРЕЖДЕНИЯ АСТМЫ ПОСРЕДСТВОМ ВВЕДЕНИЯ АНТАГОНИСТА IL-33

Предложенная группа изобретений относится к медицине, а именно к пульмонологии. Предложен способ лечения астмы, предусматривающий введение субъекту с содержанием эозинофилов в крови, превышающим 300 клеток на мкл, и уровнем периостина в крови ≥74,4 нг/мл начальной дозы, составляющей 300 мг первого антитела или его антигенсвязывающего фрагмента, которые специфически связывают IL-33, и начальной дозы, составляющей 300 мг второго антитела или его антигенсвязывающего фрагмента, которые специфически связывают IL-4R один раз в две недели. Предложен способ лечения астмы со степенью тяжести от умеренной до тяжелой, предусматривающий введение субъекту 300 мг SAR440340 и 300 мг дупилумаба подкожно один раз в две недели. Предложен способ снижения у пациента с астмой зависимости от ингаляционного кортикостероида (ICS) и длительнодействующего β2-адренергического агониста (LABA). Предложенная группа изобретений обеспечивает снижение потери контроля астмы за счет комбинированной терапии антителом к IL-33 и антителом к IL-4R. 3 н. и 13 з.п. ф-лы, 134 ил., 19 табл., 2 пр.

Формула изобретения RU 2 838 119 C2

1. Способ лечения астмы у нуждающегося в этом субъекта, предусматривающий:

1) отбор пациента, имеющего астму, характеризующегося содержанием эозинофилов в крови, превышающим 300 клеток на мкл, и уровнем периостина в крови ≥74,4 нг/мл; и

2) введение субъекту:

начальной дозы, составляющей 300 мг первого антитела или его антигенсвязывающего фрагмента, которые специфически связывают интерлейкин-33 (IL-33) и содержат три последовательности определяющих комплементарность участков тяжелой цепи (HCDR), предусматривающие последовательности под SEQ ID NO: 4, 6 и 8, и три последовательности определяющих комплементарность участков легкой цепи (LCDR), предусматривающие последовательности под SEQ ID NO: 12, 14 и 16;

где первое антитело или его антигенсвязывающий фрагмент вводят в одной или нескольких поддерживающих дозах, составляющих 300 мг; и

начальной дозы, составляющей 300 мг второго антитела или его антигенсвязывающего фрагмента, которые специфически связывают рецептор интерлейкина-4 (IL-4R) и содержат три последовательности определяющих комплементарность участков тяжелой цепи (HCDR), предусматривающие последовательности под SEQ ID NO: 21, 22 и 23, и три последовательности определяющих комплементарность участков легкой цепи (LCDR), предусматривающие последовательности под SEQ ID NO: 24, 25 и 26;

где второе антитело или его антигенсвязывающий фрагмент вводят в одной или нескольких поддерживающих дозах, составляющих 300 мг; и

где каждое из первого антитела или его антигенсвязывающего фрагмента и второго антитела или его антигенсвязывающего фрагмента вводят один раз в две недели, и

при этом объем форсированного выдоха (FEV1) улучшается у субъекта.

2. Способ по п. 1, где:

(а) у субъекта снижается потеря контроля астмы (LOAC);

(b) у субъекта улучшаются один или несколько дополнительных ассоциированных с астмой параметров;

(с) улучшаются один или оба из показателя по опроснику по контролю астмы в версии из 5 пунктов (ACQ-5) и показателя по опроснику по оценке качества жизни у больных астмой со стандартизованными видами деятельности (AQLQ), необязательно, где улучшается показатель оценки эмоциональной функции по AQLQ;

(d) астма представляет собой астму со степенью тяжести от умеренной до тяжелой, которая плохо контролируется фоновой терапией, необязательно, где фоновая терапия предусматривает ингаляционный кортикостероид (ICS) и длительнодействующий β2-адренергический агонист (LABA), и необязательно, прием ICS/LABA в дозе от умеренной до высокой; и/или

(e) уровни эозинофилов в крови снижаются.

3. Способ по п. 2, где ассоциированный с астмой параметр выбран из группы, состоящей из пиковой объемной скорости выдоха (PEF), форсированной жизненной емкости легких (FVC), объемной форсированной скорости выдоха (FEF) в интервале 25-75% форсированной жизненной емкости легких, частоты приема или дозы длительнодействующего β2-адренергического агониста (LABA), частоты приема или дозы ингаляционного кортикостероида и частоты приема или дозы системного стероида,

необязательно, где снижается частота приема или доза длительнодействующего β2-адренергического агониста (LABA), снижается частота приема или доза ингаляционного кортикостероида или снижается частота приема или доза системного стероида.

4. Способ по п. 1, где первое антитело или его антигенсвязывающий фрагмент содержат вариабельный участок тяжелой цепи (HCVR), содержащий аминокислотную последовательность под SEQ ID NO: 2, и вариабельный участок легкой цепи (LCVR), содержащий аминокислотную последовательность под SEQ ID NO: 10, необязательно, где первое антитело предусматривает SAR440340.

5. Способ по п. 1, где второе антитело или его антигенсвязывающий фрагмент содержат вариабельный участок тяжелой цепи (HCVR), содержащий аминокислотную последовательность под SEQ ID NO: 27, и вариабельный участок легкой цепи (LCVR), содержащий аминокислотную последовательность под SEQ ID NO: 28, необязательно, где второе антитело предусматривает дупилумаб.

6. Способ по п. 1, где каждое из первого антитела или его антигенсвязывающего фрагмента и второго антитела или его антигенсвязывающего фрагмента вводят подкожно.

7. Способ по п. 1, где второе антитело или его антигенсвязывающий фрагмент вводят субъекту до, после первого антитела или его антигенсвязывающего фрагмента или одновременно с ними.

8. Способ по п. 1, где первое антитело или его антигенсвязывающий фрагмент вводят в виде двух инъекций и второе антитело или его антигенсвязывающий фрагмент вводят в виде одной инъекции.

9. Способ по п. 1, где каждое из первого антитела или его антигенсвязывающего фрагмента и второго антитела или его антигенсвязывающего фрагмента вводят подкожно с применением автоинъектора, иглы и шприца или устройства для доставки в виде шприца-ручки.

10. Способ по п. 1, дополнительно включающий введение субъекту дополнительного терапевтического средства, содержащего ICS и LABA.

11. Способ по п. 10, где ICS представляет собой флутиказон, и LABA представляет собой сальметерол.

12. Способ лечения астмы со степенью тяжести от умеренной до тяжелой у нуждающегося в этом субъекта, предусматривающий:

1) отбор пациента, имеющего астму со степенью тяжести от умеренной до тяжелой, характеризующегося содержанием эозинофилов в крови, превышающим 300 клеток на мкл, и уровнем периостина в крови по меньшей мере 74,4 нг/мл; и

2) введение субъекту:

начальной дозы, составляющей 300 мг SAR440340;

одной или нескольких поддерживающих доз, составляющих 300 мг SAR440340;

начальной дозы, составляющей 300 мг дупилумаба; и

одной или нескольких поддерживающих доз, составляющих 300 мг дупилумаба;

где SAR440340 и дупилумаб вводят подкожно один раз в две недели, и при этом объем форсированного выдоха (FEV1) улучшается у субъекта.

13. Способ снижения у пациента с астмой зависимости от ингаляционного кортикостероида (ICS) и длительнодействующего β2-адренергического агониста (LABA), предназначенных для лечения одного или нескольких обострений астмы, который предусматривает:

1) отбор пациента, имеющего астму, характеризующегося содержанием эозинофилов в крови, превышающим 300 клеток на мкл и уровнем периостина в крови ≥74,4 нг/мл;

2) введение субъекту с астмой со степенью тяжести от умеренной до тяжелой, которая частично контролируется или не контролируется фоновой терапией астмы, предусматривающей ICS и LABA:

начальной дозы, составляющей 300 мг первого антитела или его антигенсвязывающего фрагмента, которые специфически связываются с интерлейкином-33 (IL-33) и содержат три последовательности определяющих комплементарность участков тяжелой цепи (HCDR), предусматривающие последовательности под SEQ ID NO: 4, 6 и 8, и три последовательности определяющих комплементарность участков легкой цепи (LCDR), предусматривающие последовательности под SEQ ID NO: 12, 14 и 16,

где первое антитело или его антигенсвязывающий фрагмент вводят в одной или более поддерживающих дозах, составляющих 300 мг; и

начальной дозы, составляющей 300 мг второго антитела или его антигенсвязывающего фрагмента, которые специфически связывают рецептор интерлейкина-4 (IL-4R) и содержат три последовательности определяющих комплементарность участков тяжелой цепи (HCDR), предусматривающие последовательности под SEQ ID NO: 21, 22 и 23, и три последовательности определяющих комплементарность участков легкой цепи (LCDR), предусматривающие последовательности под SEQ ID NO: 24, 25 и 26,

где второе антитело или его антигенсвязывающий фрагмент вводят в одной или более поддерживающих доз, составляющих 300 мг, в течение начального периода лечения, составляющего две недели, с сохранением фоновой терапии астмы у субъекта в течение начального периода лечения; и

3) постепенное снижение или отмену дозы ICS, LABA или их комбинации, вводимых субъекту в течение курса последующего периода лечения, с продолжением введения субъекту первого антитела или его антигенсвязывающего фрагмента и второго антитела или его антигенсвязывающего фрагмента,

где одна или более поддерживающих доз первого антитела или его антигенсвязывающего фрагмента и второго антитела или его антигенсвязывающего фрагмента вводятся один раз в две недели, при этом у субъекта снижается потеря контроля астмы (LOAC), и объем форсированного выдоха (FEV1) улучшается у субъекта.

14. Способ по п. 13, где ICS представляет собой флутиказон, и LABA представляет собой сальметерол.

15. Способ по п. 13 или 14, где дозу LABA и ICS отменяют в конце начального периода лечения.

16. Способ по п. 13 или 14, где дозу LABA и ICS постепенно снижают или отменяют в течение курса длительностью от 2 до 8 недель.

Документы, цитированные в отчете о поиске Патент 2025 года RU2838119C2

АНТИТЕЛА, СВЯЗЫВАЮЩИЕ IL-4 И/ИЛИ IL-13, И ИХ ПРИМЕНЕНИЕ 2008
  • Рао Эрколе
  • Миколь Венсан
  • Ли Даньси
  • Круйп Йохен
  • Дэвисон Меттью
RU2488595C2
WO 2015127229 A1, 27.08.2015
US 2018155436 A1, 07.06.2018
CASWELL-SMITH R
et al
Day-time variation of serum periostin in asthmatic adults treated with ICS/LABA and adults without asthma
Allergy Asthma Clin Immunol
Автомобиль-сани, движущиеся на полозьях посредством устанавливающихся по высоте колес с шинами 1924
  • Ф.А. Клейн
SU2017A1
Способ получения азотнокислого висмута 1972
  • Гулевитская Ираида Александровна
  • Иллювиева Галина Викторовна
  • Копыленко Марк Иосифович
  • Эпштейн Лев Анатольевич
SU440340A1

RU 2 838 119 C2

Авторы

Гулауич, Хелен

Йессель, Андреас

Абдулай, Раолат

Тепер, Ариэль

Бодди, Алекс

Ху, Чих-Чи

Дукович, Дебора

Радди, Марселла

Амин, Никхил

Харел, Сайвен

Каллиолиас, Георгиос

Даты

2025-04-11Публикация

2020-04-30Подача