ТОНКАЯ ПЛЕНКА ДЛЯ ПЕРОРАЛЬНОГО ПРИМЕНЕНИЯ Российский патент 2025 года по МПК A61K9/70 A61K31/135 A61K47/32 A61K47/58 A61P29/00 A61P25/24 

Описание патента на изобретение RU2838392C1

Настоящее изобретение относится к тонкой пленке для перорального применения, содержащей по меньшей мере один фармацевтически активный агент, способу ее получения и применению такой тонкой пленки для перорального применения в качестве лекарственного средства, в частности, при лечении боли и/или депрессии.

Тонкие пленки для перорального применения представляют собой тонкие пленки, содержащие по меньшей мере один фармацевтически активный агент, которые помещаются непосредственно в ротовую полость или на слизистую оболочку полости рта и там растворяются или размачиваются и таким образом доставляют активный агент. Эти пленки представляют собой, в частности, тонкие пленки на полимерной основе, содержащие активный агент, которые при нанесении на слизистую оболочку, в частности, на слизистую оболочку полости рта, могут доставлять активный агент непосредственно в эту оболочку. Очень хорошее кровоснабжение слизистой оболочки полости рта обеспечивает быстрый перенос активного вещества в кровоток. Эта система дозирования имеет то преимущество, что активный агент ресорбируется по большей части слизистой оболочкой, что позволяет избежать эффекта первого прохождения, который имеет место в случае обычной лекарственной формы активного агента в виде таблеток. Активный агент может быть растворен, эмульгирован или диспергирован в этой пленке.

Как более подробно объяснено ниже, тонкая пленка для перорального применения согласно изобретению предпочтительно содержит в качестве фармацевтически активного агента кетамин и предпочтительно применяется для лечения или предотвращения боли.

Перепозиционирование кетамина с медицинской точки зрения как анальгетика указывает на возможность нового варианта лечения боли. Кетамин доказал свою эффективность при лечении от умеренной до сильной боли и представляет собой полезную альтернативу опиоидной анальгезии. Также было обнаружено, что кетамин уменьшает гипералгезию (повышенную чувствительность к ощущению боли), которая возникает при многих болевых состояниях, более конкретно, также при длительном приеме опиоидов. В сочетании с опиоидами кетамин также обладает эффектом снижения дозировки опиоидов, что необходимо для достижения этой анальгезии.

Антагонизм кетамина к рецептору NMDA предлагает «неопиоидный» вариант лечения боли, который удовлетворяет невыполненным требованиям современной терапии (например, сниженные тяжелые побочные эффекты в сочетании с опиоидами). (S)-кетамин, по сравнению с рацематом, обладает примерно в два раза более сильным анальгезирующим действием, а также антидепрессивным действием. В отличие от опиоидов летальная доза (S)-кетамина очень высока (летальная доза в среднем составляет 4,2 г/70 кг, например, летальная доза фентанила 2 мг/70 кг, оксикодона 40 мг/70 кг).

При введении некоторых фармацевтически активных агентов желательно высокое содержание активного агента в тонкой пленке для перорального применения. Высокое содержание активного вещества в тонких пленках для перорального применения представляет собой известную проблему, поскольку это может привести к образованию хрупких пленок или может непосредственно препятствовать образованию пленки из содержащихся полимеров. Для того чтобы все же этого достичь, обычно требуются тонкие пленки для перорального применения большого размера или тонкие пленки для перорального применения с очень большой толщиной слоя. Имеющие большой размер или большую толщину тонкие пленки для перорального применения имеют недостаток, заключающийся в том, что они вызывают проблемы с нанесением и могут вызвать у пациента ощущение инородного тела и могут приводить к длительному времени растворения.

Однако, в зависимости от назначения, длительное время дезинтеграции является нежелательным.

Кроме того, известные тонкие пленки для перорального применения с высоким содержанием активного вещества имеют недостаток, заключающийся в том, что максимальная поверхностная плотность и, следовательно, количество содержащегося фармацевтически активного вещества определяется сушкой тонкой пленки для перорального применения в процессе ее изготовления. Чем больше поверхностная плотность тонкой пленки для перорального применения, тем больше в ней может содержаться фармацевтически активного вещества, однако время высыхания этой тонкой пленки для перорального применения в результате увеличивается до времени, которое уже не является экономически выгодным, и кроме того, активный агент может быть неоднородно распределен в этой тонкой пленке для перорального применения.

Цель настоящего изобретения заключается в преодолении вышеупомянутых недостатков из предшествующего уровня техники. В частности, цель настоящего изобретения заключается в предоставлении тонкой пленки для перорального введения для введения большого количества по меньшей мере одного фармацевтически активного агента, причем эта тонкая пленка для перорального применения имеет приемлемое время дезинтеграции и причем фармацевтически активный агент распределяется в этой тонкой пленке для перорального применения относительно равномерно. Кроме того, эта тонкая пленка для перорального применения предпочтительно будет иметь приятную и мягкую текстуру и поэтому предпочтительно не будет вызывать у пациента ощущение инородного тела. Тонкая пленка для перорального применения согласно изобретению также обеспечит максимально возможную биодоступность, составляющую например, более 10 %, или более 20 %, или более 30 %, или более 40 %, или более 50 %, или более 60 %, или более 70 % или более 80 % или более 90 % фармацевтически активного агента.

Тонкая пленка для перорального применения согласно изобретению предпочтительно имеет биодоступность от 20 до 30 % фармацевтически активного агента.

Кроме того, тонкая пленка для перорального применения согласно изобретению будет выполнена таким образом, что в течение первой минуты после нанесения может высвобождаться около от 40 до 60 % содержащегося фармацевтически активного агента, или спустя первые две минуты после нанесения может высвобождаться около от 75 до 90 % содержащегося фармацевтически активного агента.

Кроме того, после введения тонкой пленки для перорального применения будут возникать минимальные побочные эффекты, в частности, минимальные психоделические эффекты (психологические и психомиметические побочные эффекты).

Кроме того, можно будет изготовить эту тонкую пленку для перорального применения максимально просто и экономично.

В частности, по меньшей мере один фармацевтически активный агент будет содержать кетамин.

Вышеупомянутая цель достигается с помощью тонкой пленки для перорального применения согласно пункту 1 формулы изобретения, которая имеет по меньшей мере один матричный слой, причем этот по меньшей мере один матричный слой содержит по меньшей мере один фармацевтически активный агент, в частности, кетамин, по меньшей мере один поливиниловый спирт и по меньшей мере один привитой сополимер поливинилового спирта и полиэтиленгликоля.

Было обнаружено, что привитой сополимер поливинилового спирта и полиэтиленгликоля может абсорбировать большое количество активного агента.

Это также наблюдалось уже в поливиниловых спиртах, где этот эффект отчасти выражен даже больше. Однако пленки на основе одного только поливинилового спирта являются твердыми и поэтому имеют текстуру, которая неприятна для пациента.

Пленки на основе одного только привитого сополимера поливинилового спирта и полиэтиленгликоля, напротив, имеют более мягкую текстуру, поскольку сам полимер образует более мягкие пленки. Однако эти пленки являются не настолько стабильными.

Благодаря смеси привитого сополимера поливинилового спирта и полиэтиленгликоля и поливинилового спирта стало возможным получить пленку, которая при высоком содержании активного агента имеет мягкую текстуру пленки из привитого сополимера поливинилового спирта и полиэтиленгликоля наряду со стабильностью, приближенной к стабильности пленки из поливинилового спирта.

Привитой сополимер поливинилового спирта и полиэтиленгликоля предпочтительно образует основную структуру и в решающей степени определяет свойства пленки, а поливиниловый спирт действует как дополнительный стабилизатор.

Таким образом, может быть достигнуто высокое содержание активного агента при толщине слоя и размерах пленки в приемлемых пределах. Время растворения также находится в приемлемом диапазоне, причем этот приемлемый диапазон предпочтительно включает в себя значения менее 1 мин. Кроме того, такая тонкая пленка для перорального применения приятна для пациента и может быть изготовлена легко и экономично.

Предпочтительные варианты осуществления описаны в зависимых пунктах формулы изобретения.

В настоящем документе слово «содержащий» может также означать «состоящий из».

Тонкая пленка для перорального применения согласно изобретению имеет по меньшей мере один матричный слой, причем этот по меньшей мере один матричный слой содержит по меньшей мере один фармацевтически активный агент, в частности, кетамин, по меньшей мере один поливиниловый спирт и по меньшей мере один привитой сополимер поливинилового спирта и полиэтиленгликоля.

По меньшей мере один фармацевтически активный агент в принципе не подлежит какому-либо ограничению, но предпочтительно выбирается из всех фармацевтически активных агентов, которые подходят для перорального и/или чресслизистого применения.

Согласно настоящему изобретению все фармацевтически приемлемые соли и сольваты конкретного фармацевтически активного агента также включаются в понятие фармацевтически активного агента.

Активные агенты предпочтительно выбирают из группы, включающей классы активных агентов анальгетиков, гормонов, снотворных, седативных средств, противоэпилептических средств, аналептиков, психонейротропных лекарственных средств, миорелаксантов, спазмолитиков, антигистаминных средств, противоаллергических средств, кардиотоников, антиаритмических средств, диуретиков, гипотензивных средств, вазопрессоров, антидепрессантов, противокашлевых средств, отхаркивающих средств, гормонов щитовидной железы, половых гормонов, противодиабетических средств, противоопухолевых активных агентов, антибиотиков, химиотерапевтических и наркотических средств, однако эта группа не является исчерпывающей.

Поливиниловые спирты (сокращенно называемые PVA или PVAL, иногда также PVOH) представляют собой полимеры общей структуры

,

которые также могут содержать небольшие количества (около 2 %) структурных единиц типа

.

Они относятся к группе винильных полимеров.

Общепринятые в коммерческом отношении поливиниловые спирты, которые предлагаются в виде бело-желтого порошка или гранул, обычно имеют степень гидролиза от 98 до 99 или от 87 до 89 % мольн., то есть также имеют остаточное содержание ацетильных групп. Эти поливиниловые спирты характеризуются изготовителем путем указания степени полимеризации исходных полимеров или средней молекулярной массы, степени гидролиза, числа омыления или вязкости раствора.

Привитые сополимеры представляют собой разветвленные полимеры, которые содержат различные мономерные структурные единицы в основной цепи и разветвленной цепи.

Термин «привитые сополимеры» является общепринятым термином.

Предлагаемый здесь привитой сополимер поливинилового спирта и полиэтиленгликоля предпочтительно имеет основную цепь, содержащую полиэтиленгликоль, на которую привиты структурные единицы поливинилового спирта.

Тонкая пленка для перорального применения согласно изобретению предпочтительно также характеризуется тем, что по меньшей мере один фармацевтически активный агент содержит кетамин, предпочтительно, (S)-кетамин или его фармацевтически приемлемую соль.

Тонкая пленка для перорального применения согласно изобретению в другом варианте осуществления предпочтительно отличается тем, что по меньшей мере один фармацевтически активный агент содержит кетамин, предпочтительно, R-кетамин или его фармацевтически приемлемую соль.

Кетамин предпочтительно представлен в форме соли с HCl или в форме свободного основания.

В данном случае под кетамином понимают (S)-(±)-2-(2-хлорфенил)-2-(метиламино)циклогексан-1-он, (R)-(±)-2-(2-хлорфенил)-2-(метиламино)циклогексан-1-он и рацемический (RS)-(±)-2-(2-хлорфенил)-2-(метиламино)циклогексан-1-он.

После приема кетамин метаболизируется в норкетамин, гидроксиноркетамин и другие вещества.

Как (S)-кетамин, так и R-кетамин, а также их рацемическая смесь могут содержаться в матричном слое тонкой пленки для перорального применения согласно изобретению. Однако (S)-кетамин в форме свободного основания или его фармацевтически приемлемой соли, особенно (S)-кетамин HCl ((S)-кетамина гидрохлорид), особенно предпочтительно, присутствует в виде единственного стереоизомера кетамина, поскольку анальгетическая и анестезирующая активность (S)-кетамина примерно в три раза выше, чем у (R)-формы.

Тонкая пленка для перорального применения согласно изобретению также предпочтительно характеризуется тем, что по меньшей мере один фармацевтически активный агент, предпочтительно кетамин, присутствует в матричном слое в количестве от 45 до 70 % масс., предпочтительно, от 50 до 65 % масс., или от 55 до 65 % масс., или от 55 до 60 % масс., или от 60 до 65 % масс., по отношению к общей массе матричного слоя.

В частности, тонкая пленка для перорального применения согласно изобретению предпочтительно также характеризуется тем, что по меньшей мере один фармацевтически активный агент, предпочтительно кетамин, присутствует в матричном слое в количестве 60 % масс. по отношению к общей массе матричного слоя.

Тонкая пленка для перорального применения согласно изобретению предпочтительно также характеризуется тем, что по меньшей мере один фармацевтически активный агент, предпочтительно кетамин, присутствует в форме микрокристаллов.

Подходящие средние размеры кристаллов для этих микрокристаллов предпочтительно находятся в диапазоне от 1 до 1000 мкм, или в диапазоне от 5 до 500 мкм, или в диапазоне от 10 до 200 мкм. Средний размер кристаллов особенно предпочтительно находится в диапазоне от 15 до 25 мкм, в частности, в диапазоне от 20 до 22 мкм. Размер кристаллов можно определить, например, с помощью световой микроскопии или с помощью микрокомпьютерной рентгеновской томографии (микро-КТ).

Если не указано иное, все приведенные молекулярные массы полимеров относятся к среднемассовой молекулярной массе (Mw), определенной с помощью гельпроникающей хроматографии.

Тонкая пленка для перорального применения согласно изобретению также предпочтительно характеризуется тем, что по меньшей мере один поливиниловый спирт содержит поливиниловый спирт со средней молекулярной массой от около 25000 до около 250000 г/моль.

Тонкая пленка для перорального применения согласно изобретению также предпочтительно характеризуется тем, что по меньшей мере один поливиниловый спирт содержит поливиниловый спирт со средней молекулярной массой от около 25000 до около 35000 г/моль и/или поливиниловый спирт со средней молекулярной массой около от 200000 до 210000 г/моль.

Согласно настоящему изобретению особенно подходящими являются поливиниловые спирты со средней молекулярной массой от около 31000 (4-88) до около 205000 (40-88) г/моль.

Согласно настоящему изобретению особенно подходящими являются поливиниловые спирты со средней молекулярной массой от около 31000 (4-88) до около 205000 (40-88) г/моль.

Согласно настоящему изобретению особенно подходящими также являются поливиниловые спирты с вязкостью от значений от 3,4 до 4,6 мПа⋅с (4-88) до значений от 34 до 46 мПа⋅с (40-88) мПа⋅с в водном растворе с концентрацией 40 г/л, определяемой «методом падающего шарика» (Ph.Eur. 2.2.49), или смеси двух или более различных спиртов из этих типов PVA.

Согласно настоящему изобретению особенно подходящими также являются поливиниловые спирты с вязкостью от значений от 3,4 до 4,6 мПа⋅с (4-88) до значений от 34 до 46 мПа⋅с (40-88) мПа⋅с в водном растворе с концентрацией 40 г/л, определяемой «методом падающего шарика» (Ph.Eur. 2.2.49), или смеси двух или более различных спиртов из этих типов PVA.

Тонкая пленка для перорального применения согласно изобретению также предпочтительно характеризуется тем, что по меньшей мере один привитой сополимер поливинилового спирта и полиэтиленгликоля имеет основную цепь из полиэтиленгликоля, на которую привиты структурные единицы поливинилового спирта.

Тонкая пленка для перорального применения согласно изобретению также предпочтительно отличается тем, что по меньшей мере один привитой сополимер поливинилового спирта и полиэтиленгликоля имеет основную цепь из полиэтиленгликоля, на которую привиты структурные единицы поливинилового спирта, причем молярное соотношение полиэтиленгликоля и поливинилового спирта составляет 1 : 3.

Тонкая пленка для перорального применения согласно изобретению также предпочтительно характеризуется тем, что по меньшей мере один привитой сополимер поливинилового спирта и полиэтиленгликоля имеет основную цепь из полиэтиленгликоля, на которую привиты структурные единицы поливинилового спирта, причем этот привитой сополимер поливинилового спирта и полиэтиленгликоля имеет среднюю молекулярную массу в диапазоне от 40000 до 50000 г/моль, предпочтительно, около 45000 г/моль.

Подходящий и предпочтительный привитой сополимер поливинилового спирта и полиэтиленгликоля известен под торговым названием Kollicoat IR (BASF).

Тонкая пленка для перорального применения согласно изобретению также предпочтительно отличается тем, что по меньшей мере один поливиниловый спирт содержится в матричном слое в количестве от 5 до 40 % масс., предпочтительно, от 5 до 20 % масс., от 5 до 19 % масс., от 5 до 18 % масс., от 5 до 17 % масс., от 5 до 16 % масс., от 5 до 15 % масс., от 5 до 14 % масс., от 5 до 13 % % масс., от 5 до 12 % масс., от 5 до 11 % масс. или от 5 до 10 % масс. по отношению к общей массе матричного слоя.

Тонкая пленка для перорального применения согласно изобретению также предпочтительно отличается тем, что по меньшей мере один привитой сополимер поливинилового спирта и полиэтиленгликоля присутствует в матричном слое в количестве от 15 до 45 % масс., предпочтительно, от 17 до 40 % масс. или от 20 до 30 % масс. по отношению к общей массе матричного слоя.

В другом варианте осуществления тонкая пленка для перорального применения согласно изобретению также предпочтительно отличается тем, что по меньшей мере один привитой сополимер поливинилового спирта и полиэтиленгликоля присутствует в матричном слое в количестве от 10 до 30 % масс., предпочтительно, от 15 до 25 % масс., от 17,5 до 22,5 % масс. или от 19 до 21 % масс., в частности, около от 19,5 до 20,5 % масс. и, особенно предпочтительно, около 20 % масс. или 20,1 % масс. по отношению к общей массе матричного слоя.

Тонкая пленка для перорального применения согласно изобретению также предпочтительно отличается тем, что матричный слой также содержит по меньшей мере одно вспомогательное вещество, выбранное из группы, включающей в себя окрашивающие агенты, ароматизаторы, подсластители, смягчители, вещества, маскирующие вкус, эмульгаторы, усилители, регуляторы pH, увлажнители, консерванты и/или антиоксиданты.

Каждое из этих вспомогательных веществ предпочтительно содержится в каждом случае в количестве от 0,1 до 15 % масс., предпочтительно, от 0,1 до 10 % масс. или от 0,1 до 5 % масс., по отношению к общей массе матричного слоя.

Подсластители, такие как сахаринат Na и/или сукралоза, предпочтительно содержатся в матричном слое в общем количестве от 2 до 5 % масс., в частности, около 3 % масс., по отношению к общей массе матричного слоя.

Помимо подсластителей, ароматизирующие вещества предпочтительно содержатся в матричном слое в общем количестве от 2 до 5 % масс., в частности, около 3 % масс., по отношению к общей массе матричного слоя.

Окрашивающие агенты предпочтительно содержатся в матричном слое в общем количестве от 0,1 до 1 % масс., в частности, около 0,4 % масс., по отношению к общей массе матричного слоя.

Тонкая пленка для перорального применения согласно изобретению не подвергается никаким ограничениям в отношении ее структуры.

Таким образом, тонкая пленка для перорального применения согласно изобретению может быть представлена в виде однослойной тонкой пленки для перорального применения и, таким образом, может состоять только из матричного слоя, как определено выше.

Таким образом в другом варианте осуществления тонкая пленка для перорального применения согласно изобретению может быть представлена в виде многослойной тонкой пленки для перорального применения и, таким образом, может содержать другие слои в дополнение к матричному слою, как определено выше.

Это множество слоев может наслаиваться непосредственно друг на друга или может соединяться с клеевым слоем, расположенным между ними.

Под клеевым слоем понимают слой, который может действовать в качестве клея, как определено в стандарте DIN EN 923:2016-03. Следовательно, не клеевой слой не может действовать в качестве клея, как определено выше.

В частности, водорастворимые клеевые слои, как описано в немецком патенте DE 10 2014 127 452 A1, являются подходящими в качестве клеевых слоев, и содержание этого документа в данном отношении, таким образом, является полностью включенным в настоящее изобретение.

Например, в качестве дополнительных слоев могут быть предусмотрены буферные слои для установления значения рН или медленно растворяющиеся или нерастворимые слои, которые защищают тонкую пленку для перорального применения от преждевременного размывания.

В качестве альтернативы могут быть предусмотрены дополнительные матричные слои, которые содержат другие фармацевтически активные агенты или ароматизаторы или агенты, маскирующие вкус.

В одном варианте осуществления тонкая пленка для перорального применения согласно изобретению отличается тем, что матричный слой выполнен в виде гладкой пленки. Это означает, что матричный слой, например, не выполнен в виде пены.

Гладкая пленка предпочтительно характеризуется тем, что гладкая пленка имеет объемную долю пузырьков или полостей от 0 до 5 % по отношению к общему объему матричного слоя. Полости в данном случае заполнены предпочтительно воздухом или газом, предпочтительно, инертным газом, особенно предпочтительно, азотом, диоксидом углерода, гелием или смесью по меньшей мере двух из этих газов. Диаметр пузырьков или полостей обычно находится в диапазоне от 0,01 до 350 мкм. Диаметр пузырьков или полостей особенно предпочтительно находится в диапазоне от 10 до 200 мкм.

В другом варианте осуществления тонкая пленка для перорального применения согласно изобретению отличается тем, что матричный слой имеет форму отвердевшей пленки, имеющей полости.

В частности, за счет полостей и связанной с этим большей поверхности пленок облегчается проникновение воды или слюны или других телесных жидкостей внутрь лекарственной формы, и благодаря этому растворение лекарственной формы и высвобождение активного агента ускоряются.

В случае быстро всасывающегося активного агента трансмукозная резорбция может быть дополнительно улучшена за счет быстрого растворения матричного слоя.

С другой стороны, толщина стенок указанных полостей предпочтительно мала, поскольку они представляют собой, например, затвердевшие пузырьки, и поэтому эти полости быстро растворяются или разрушаются.

Другое преимущество этого варианта осуществления заключается в том, что благодаря композиции в виде пены может быть обеспечено более быстрое высыхание, чем для сравнимой невспененной композиции, несмотря на сравнительно высокую поверхностную плотность.

Многослойная тонкая пленка для перорального применения согласно изобретению предпочтительно отличается тем, что полости изолированы друг от друга и предпочтительно выполнены в виде пузырьков, причем эти полости заполнены воздухом или газом, предпочтительно, инертным газом, особенно предпочтительно, азотом, диоксидом углерода, гелием или смесью по меньшей мере двух из этих газов.

В соответствии с другим вариантом осуществления предусмотрено, что эти полости соединены друг с другом, предпочтительно, путем образования когезионной системы каналов, пронизывающих матрицу.

Указанные полости предпочтительно имеют объемную долю от 5 до 98 %, предпочтительно, от 50 до 80 %, по отношению к общему объему матричного слоя. Таким образом оказывается благоприятное влияние на положительный эффект ускорения растворения матричного слоя.

Кроме того, к матричному слою для образования пены или в полученную пену до или после сушки для повышения стабильности пены до или после сушки могут быть добавлены поверхностно-активные вещества или сурфактанты.

Еще одним параметром, который влияет на свойства лекарственной формы согласно изобретению, является диаметр этих полостей или пузырьков. Пузырьки или полости предпочтительно получают с помощью машины для вспенивания, с помощью которой диаметр пузырьков может устанавливаться в широком диапазоне практически произвольно. Таким образом, диаметр пузырьков или полостей может находиться в диапазоне от 0,01 до 350 мкм. Этот диаметр особенно предпочтительно находится в диапазоне от 10 до 200 мкм.

Тонкая пленка для перорального применения согласно изобретению предпочтительно имеет площадь от 0,5 см2 до 10 см2, особенно предпочтительно, от 2 см2 до 8 см2 или от 4 см2 до 5 см2.

Поверхностная плотность матричного слоя или возможного предусмотренного дополнительного слоя составляет в каждом случае предпочтительно по меньшей мере 10 г/м², более предпочтительно, по меньшей мере 20 г/м² или по меньшей мере 30 г/м² или, наиболее предпочтительно, 50 г/м² или меньше или равна 400 г/м², более предпочтительно, меньше или равна 350 г/м², или меньше или равна 300 г/м², или, наиболее предпочтительно, меньше 250 г/м². Поверхностная плотность предпочтительно составляет от 10 до 400 г/м², более предпочтительно, от 20 до 350 г/м² или от 30 до 300 г/м² и, наиболее предпочтительно, от 50 до 250 г/м².

Каждый из предусмотренных слоев, в частности, матричный слой, предпочтительно, имеет в каждом случае толщину слоя, предпочтительно, от 10 мкм до 500 мкм, особенно предпочтительно, от 20 мкм до 300 мкм.

Если различные слои, в частности, матричный слой, присутствуют в виде затвердевшей пены, то таким образом, предпочтительно, чтобы каждый из слоев, выполненных в виде пены, в каждом случае имел толщину слоя, предпочтительно, от 10 мкм до 3000 мкм, особенно предпочтительно, от 90 мкм до 2000 мкм.

Тонкая пленка для перорального применения согласно изобретению также предпочтительно характеризуется тем, что по меньшей мере один фармацевтически активный агент присутствует в матричном слое в общем количестве от 25 до 150 мг, предпочтительно, от 25 до 125 мг, в частности, около от 50 мг до 150 мг.

Тонкая пленка для перорального применения согласно изобретению, в частности, характеризуется тем, что по меньшей мере один фармацевтически активный агент присутствует в матричном слое в общем количестве от 50 мг до 100 мг, предпочтительно, около 50 мг или около 100 мг.

Тонкая пленка для перорального применения согласно изобретению также предпочтительно характеризуется тем, что по меньшей мере один фармацевтически активный агент содержит кетамин, предпочтительно, в форме свободного основания или кетамина HCl, в общем количестве от 25 мг до 150 мг, предпочтительно, от 25 мг до 125 мг, в частности, около от 50 мг до 150 мг.

Тонкая пленка для перорального применения согласно изобретению, в частности, характеризуется тем, что по меньшей мере один фармацевтически активный агент кетамин, предпочтительно, в форме свободного основания или гидрохлорида кетамина, присутствует в матричном слое в общем количестве от 50 мг до 100 мг, предпочтительно, около 50 мг или около 100 мг.

Тонкая пленка для перорального применения согласно изобретению также предпочтительно характеризуется тем, что по меньшей мере один фармацевтически активный агент, присутствующий в виде кетамина, предпочтительно, в форме свободного основания или кетамина HCl, присутствует в матричном слое в общем количестве от 25 мг до 150 мг, предпочтительно, от 25 мг до 125 мг, в частности, около от 50 мг до 150 мг.

Тонкая пленка для перорального применения согласно изобретению, в частности, характеризуется тем, что по меньшей мере один фармацевтически активный агент, такой как кетамин, предпочтительно, в форме свободного основания или кетамина HCl, присутствует в матричном слое в общем количестве от 50 мг до 100 мг, предпочтительно, около 50 мг или около 100 мг.

Тонкая пленка для перорального применения согласно изобретению также предпочтительно характеризуется тем, что по меньшей мере один фармацевтически активный агент, такой как кетамин, предпочтительно, в форме свободного основания или кетамина HCl, присутствует в матричном слое в общем количестве 2 мг, или 5 мг, или 7 мг, или 10 м,г или 15 мг, или 20 мг, или 25 мг, или 30 мг, или 35 мг, или 40 мг, или 45 мг, или 50 мг, или 55 мг, или 60 мг, или 65 мг, или 70 мг, или 80 мг, или 90 мг, или 95 мг, или 100 мг, или 105 мг, или 110 мг, или 115 мг, или 120 мг, или 125 мг, или 130 мг, или 135 мг, или 140 мг, или 145 мг, или 150 мг.

Тонкая пленка для перорального применения согласно изобретению также предпочтительно характеризуется тем, что прочность на прокол составляет по меньшей мере 0,15 Н/мм2, предпочтительно, по меньшей мере 0,18 Н/мм2, особенно предпочтительно, 0,20 Н/мм2 или более. Поверхностная плотность в данном случае предпочтительно составляет от 150 до 250 г/м2, особенно предпочтительно, от 180 до 220 г/м2.

Прочность на прокол предпочтительно определяют следующим образом:

Используемый прибор для испытаний: динамометр Sauter FH-20.

Испытательная зона: круглая испытательная зона диаметром 5 мм.

Выполнение теста:

Динамометр фиксируют и образец ламината площадью 10 см² помещают по центру испытательной зоны прибора (круглая испытательная зона диаметром 5 мм). Этот образец ламината фиксируют по краям и в направлении образца для испытаний прикладывают усилие, причем это усилие увеличивают до тех пор, пока образец ламината не будет проколот. Измеряют результирующее максимальное значение силы, которая была приложена к образцу до момента прокола. Измерение проводят с образцами ламината при n = 3 на каждую партию ламината.

Тонкая пленка для перорального применения согласно изобретению также предпочтительно характеризуется тем, что биодоступность по меньшей мере одного фармацевтически активного агента, в частности, кетамина, предпочтительно, в форме свободного основания или кетамина HCl, составляет по меньшей мере 5 %, или по меньшей мере 10 %, или по меньшей мере 15 %, или по меньшей мере 20 %, или по меньшей мере 25 %, или по меньшей мере 30 %, или по меньшей мере 35 %, или по меньшей мере 40 %, или по меньшей мере 45 %, или по меньшей мере 50 %, или по меньшей мере 55 %, или по меньшей мере 60 %, или по меньшей мере 65 %, или по меньшей мере 70 %, или по меньшей мере 75 %, или по меньшей мере 80 %, или по меньшей мере 85 %, или по меньшей мере 90 %, или по меньшей мере 95 %, или по меньшей мере 97 %, или по меньшей мере 99 %.

Тонкая пленка для перорального применения согласно изобретению также предпочтительно характеризуется следующими скоростями высвобождения, причем скорость высвобождения относится к высвобождению по меньшей мере одного фармацевтически активного агента, предпочтительно кетамина, спустя определенное время после нанесения тонкой пленки для перорального применения согласно изобретению.

Предпочтительно, если спустя 1 мин высвобождается по меньшей мере 40 % или по меньшей мере 50 % по меньшей мере одного фармацевтически активного агента, предпочтительно, кетамина.

Предпочтительно, если спустя 2 мин высвобождается по меньшей мере 75 %, или по меньшей мере 80 %, или по меньшей мере 85 % по меньшей мере одного фармацевтически активного агента, предпочтительно, кетамина.

Предпочтительно, если спустя 15 с высвобождается около от 5 до 10 % по меньшей мере одного фармацевтически активного агента, предпочтительно, кетамина.

Предпочтительно, если спустя 30 с высвобождается около от 20 до 25 % по меньшей мере одного фармацевтически активного агента, предпочтительно, кетамина.

Предпочтительно, если спустя 45 с высвобождается около от 30 до 40 % по меньшей мере одного фармацевтически активного агента, предпочтительно, кетамина.

Предпочтительно, если спустя 1 мин высвобождается около от 50 до 60 % по меньшей мере одного фармацевтически активного агента, предпочтительно, кетамина.

Предпочтительно, если спустя 1 мин и 15 с высвобождается около от 60 до 70 % по меньшей мере одного фармацевтически активного агента, предпочтительно, кетамина.

Предпочтительно, если спустя 1 мин и 30 с высвобождается около от 70 до 80 % по меньшей мере одного фармацевтически активного агента, предпочтительно, кетамина.

Предпочтительно, если спустя 1 мин и 45 с высвобождается около от 80 до 85 % по меньшей мере одного фармацевтически активного агента, предпочтительно, кетамина.

Предпочтительно, если спустя 2 мин высвобождается около от 82 до 88 % по меньшей мере одного фармацевтически активного агента, предпочтительно, кетамина.

Предпочтительно, если спустя 2 мин и 15 с высвобождается около от 84 до 90 % по меньшей мере одного фармацевтически активного агента, предпочтительно, кетамина.

Предпочтительно, если спустя 2 мин 30 с высвобождается примерно от 86 до 92 % по меньшей мере одного фармацевтически активного агента, предпочтительно, кетамина.

Далее будут описаны предпочтительные варианты осуществления в отношении максимальной концентрации в плазме (Cmax) активного агента или его метаболитов для тонкой пленки для перорального применения согласно изобретению, в которой в качестве фармацевтически активного агента используется (S)-кетамин.

В данном случае 100 мг (S)-кетамина можно вводить в виде одной дозы или посредством двух доз (S)-кетамина по 50 мг каждая.

Тонкая пленка для перорального применения согласно изобретению предпочтительно характеризуется тем, что максимальная концентрация в плазме (S)-кетамина после приема дозы 50 мг (S)-кетамина составляет от 50 до 200 нг/мл.

Тонкая пленка для перорального применения согласно изобретению также предпочтительно характеризуется тем, что максимальная концентрация в плазме метаболита кетамина (S)-норкетамина после приема дозы 50 мг (S)-кетамина составляет от 200 до 400 нг/мл.

Тонкая пленка для перорального применения согласно изобретению также предпочтительно характеризуется тем, что максимальная концентрация в плазме метаболита кетамина (S)-гидроксиноркетамина после приема дозы 50 мг (S)-кетамина составляет от 50 до 150 нг/мл.

Тонкая пленка для перорального применения согласно изобретению предпочтительно характеризуется тем, что максимальная концентрация в плазме (S)-кетамина после приема дозы 100 мг (S)-кетамина составляет от 100 до 200 нг/мл.

Тонкая пленка для перорального применения согласно изобретению также предпочтительно характеризуется тем, что максимальная концентрация в плазме метаболита кетамина (S)-норкетамина после приема дозы 100 мг (S)-кетамина составляет от 300 до 500 нг/мл.

Тонкая пленка для перорального применения согласно изобретению также предпочтительно характеризуется тем, что максимальная концентрация в плазме метаболита кетамина (S)-гидроксиноркетамина после приема дозы 100 мг (S)-кетамина составляет от 100 до 250 нг/мл.

Тонкая пленка для перорального применения согласно изобретению предпочтительно характеризуется тем, что максимальная концентрация в плазме (S)-кетамина после приема дозы 50 мг (S)-кетамина составляет от 70 до 120 нг/мл.

Тонкая пленка для перорального применения согласно изобретению также предпочтительно характеризуется тем, что максимальная концентрация в плазме метаболита кетамина (S)-норкетамина после приема дозы 50 мг (S)-кетамина составляет от 200 до 300 нг/мл.

Тонкая пленка для перорального применения согласно изобретению также предпочтительно характеризуется тем, что максимальная концентрация в плазме метаболита кетамина (S)-гидроксиноркетамина после приема дозы 50 мг (S)-кетамина составляет от 70 до 120 нг/мл.

Тонкая пленка для перорального применения согласно изобретению предпочтительно характеризуется тем, что максимальная концентрация в плазме (S)-кетамина после приема дозы 100 мг (S)-кетамина составляет от 120 до 160 нг/мл.

Тонкая пленка для перорального применения согласно изобретению предпочтительно характеризуется тем, что максимальная концентрация в плазме метаболита кетамина (S)-норкетамина после приема дозы 100 мг (S)-кетамина составляет от 300 до 350 нг/мл.

Тонкая пленка для перорального применения согласно изобретению предпочтительно характеризуется тем, что максимальная концентрация в плазме метаболита кетамина (S)-гидроксиноркетамина после приема дозы 100 мг (S)-кетамина составляет от 150 до 220 нг/мл.

Тонкая пленка для перорального применения согласно изобретению предпочтительно характеризуется тем, что максимальная концентрация в плазме (S)-кетамина после сублингвального введения дозы 50 мг (S)-кетамина составляет от 70 до 120 нг/мл.

Тонкая пленка для перорального применения согласно изобретению предпочтительно характеризуется тем, что максимальная концентрация в плазме метаболита кетамина (S)-норкетамина после сублингвального введения дозы 50 мг (S)-кетамина составляет от 200 до 300 нг/мл.

Тонкая пленка для перорального применения согласно изобретению предпочтительно характеризуется тем, что максимальная концентрация в плазме метаболита кетамина (S)-гидроксиноркетамина после приема дозы 50 мг (S)-кетамина составляет от 70 до 120 нг/мл.

Тонкая пленка для перорального применения согласно изобретению предпочтительно характеризуется тем, что максимальная концентрация в плазме (S)-кетамина после сублингвального введения дозы 100 мг (S)-кетамина составляет от 120 до 160 нг/мл.

Тонкая пленка для перорального применения согласно изобретению предпочтительно характеризуется тем, что максимальная концентрация в плазме метаболита кетамина (S)-норкетамина после сублингвального введения дозы 100 мг (S)кетамина составляет от 300 до 350 нг/мл.

Тонкая пленка для перорального применения согласно изобретению предпочтительно характеризуется тем, что максимальная концентрация в плазме метаболита кетамина (S)-гидроксиноркетамина после сублингвального введения дозы 100 мг (S)-кетамина составляет от 150 до 220 нг/мл.

Тонкая пленка для перорального применения согласно изобретению предпочтительно характеризуется тем, что максимальная концентрация в плазме (S)-кетамина после трансбуккального введения дозы 50 мг (S)-кетамина составляет от 80 до 160 нг/мл.

Тонкая пленка для перорального применения согласно изобретению предпочтительно характеризуется тем, что максимальная концентрация в плазме метаболита кетамина (S)-норкетамина после трансбуккального введения дозы 50 мг (S)-кетамина составляет от 200 до 280 нг/мл.

Тонкая пленка для перорального применения согласно изобретению предпочтительно характеризуется тем, что максимальная концентрация в плазме метаболита кетамина (S)-гидроксиноркетамина после трансбуккального введения дозы 50 мг (S)-кетамина составляет от 60 до 100 нг/мл.

Тонкая пленка для перорального применения согласно изобретению предпочтительно характеризуется тем, что максимальная концентрация в плазме (S)-кетамина после трансбуккального введения дозы 100 мг (S)-кетамина составляет от 120 до 200 нг/мл.

Тонкая пленка для перорального применения согласно изобретению предпочтительно характеризуется тем, что максимальная концентрация в плазме метаболита кетамина (S)-норкетамина после трансбуккального введения дозы 100 мг (S)-кетамина составляет от 400 до 500 нг/мл.

Тонкая пленка для перорального применения согласно изобретению предпочтительно характеризуется тем, что максимальная концентрация в плазме метаболита кетамина (S)-гидроксиноркетамина после трансбуккального введения дозы 50 мг (S)-кетамина составляет от 120 до 200 нг/мл.

Тонкая пленка для перорального применения согласно изобретению также предпочтительно характеризуется тем, что матричный слой содержит 60 % масс. (S)-кетамина HCl, 10 % масс. поливинилового спирта 40-88, как определено ранее, и 20 % масс. или 20,1 % масс. привитого сополимера поливинилового спирта и полиэтиленгликоля, как определено ранее.

Тонкая пленка для перорального применения согласно изобретению также предпочтительно характеризуется тем, что матричный слой содержит 60 % масс. (S)-кетамина HCl, 10 % масс. поливинилового спирта 40-88, как определено ранее, и 20,1 % масс. привитого сополимера поливинилового спирта и полиэтиленгликоля, предпочтительно, как определено выше, 1,0 % масс. сахарината Na, 2,0 % масс. сукралозы, 3,5 % масс. глицерина, 3,0 % масс. фармацевтически приемлемого ароматизатора и 0,4 % масс. фармацевтически приемлемого красящего агента. В качестве растворителя предпочтительно используют чистую воду.

В особенно предпочтительном варианте осуществления тонкая пленка для перорального применения имеет состав, соответствующий композиции 15 в Таблице 3.

Тонкая пленка для перорального применения согласно изобретению может быть изготовлена обычными способами.

Приведенные выше определения в отношении тонких пленок для перорального применения аналогичным образом применимы к способу согласно изобретению.

Способ изготовления тонкой пленки для перорального применения согласно изобретению, предпочтительно, включает стадии:

а) получение раствора, дисперсии или расплава, содержащих по меньшей мере один фармацевтически активный агент, по меньшей мере один поливиниловый спирт и по меньшей мере один привитой сополимер поливинилового спирта и полиэтиленгликоля,

а1) при необходимости вспенивание раствора, дисперсии или расплава со стадии а) путем введения газа или газовой смеси, в результате химического образования газа или расширения растворенного газа,

b) раствор, дисперсия или расплав со стадии а) или при необходимости вспененный раствор, дисперсия или расплав со стадии а1.

Специалисту в данной области техники ясно, что стадия а1) необходима только в том случае, если матричный слой должен быть представлен в виде затвердевшей пены, имеющей полости.

Пузырьки или полости предпочтительно получают с помощью машины для вспенивания, с помощью которой диаметр пузырьков может устанавливаться в широком диапазоне практически произвольно.

Настоящее изобретение также относится к тонкой пленке для перорального применения, которую получают описанным выше способом.

Кроме того, настоящее изобретение относится к тонкой пленке для перорального применения, как описанная выше или которую получают описанным выше способом, в качестве лекарственного средства.

Кроме того, настоящее изобретение относится к тонкой пленке для перорального применения, как описанная выше или которую получают описанным выше способом, в качестве лекарственного средства для сублингвального и/или трансбуккального введения.

Кроме того, настоящее изобретение относится к тонкой пленке для перорального применения, как описанная выше или которую получают описанным выше способом, в качестве лекарственного средства для применения при лечении боли и/или депрессии.

Кроме того, настоящее изобретение относится к тонкой пленке для перорального применения, как описанная выше или которую получают описанным выше способом, в качестве лекарственного средства для применения при лечении боли и/или депрессии путем сублингвального и/или трансбуккального введения этой тонкой пленки для перорального применения.

Настоящее изобретение дополнительно относится к тонкой пленке для перорального применения, как описанная выше или которую получают описанным выше способом, причем в качестве фармацевтически активного агента в матричном слое используется кетамин, предпочтительно (S)-кетамин, или его фармацевтически приемлемая соль, для применения при лечении боли и/или депрессии, в частности, для снижения риска суицида и/или для применения в качестве общего анестетика, предпочтительно, для начала и проведения общей анестезии, или в качестве дополнения в случае местной анестезии и/или в качестве анальгетика.

Настоящее изобретение относится, в частности, к тонкой пленке для перорального применения, как описанная выше или которую получают описанным выше способом, причем в качестве фармацевтически активного агента в матричном слое используется кетамин, предпочтительно (S)-кетамин, или его фармацевтически приемлемая соль, для применение при лечении боли, предпочтительно, как определено ниже.

Под термином «боль» обычно понимают чувство боли, которое часто вызывается интенсивными или вредными раздражителями. Боль, которая является хронической или постоянной, считается продолжительной, а боль, которая быстро исчезает, считается острой.

Ноцицептивная боль представляет собой боль, вызванную стимуляцией чувствительных нервных волокон, которые реагируют на раздражители, приближающиеся или превышающие болевую интенсивность, (ноцицепторов) и может быть классифицирована в соответствии с режимом болевой стимуляции. Наиболее распространенными категориями являются тепловая, механическая и химическая стимуляция. Некоторые ноцицепторы реагируют более чем на одну модальность и поэтому называются полимодальными.

Ноцицептивную боль также можно подразделить на «висцеральную», «глубокую соматическую» и «поверхностную соматическую» боль.

Нейропатическая боль обычно вызывается травмой или заболеванием, поражающим часть нервной системы, отвечающую за чувствительность тела (соматосенсорная система). Нейропатическая боль может подразделяться на периферическую, центральную или смешанную (периферическую и центральную) нейропатическую боль. Периферическую нейропатическую боль часто описывают как «жгучую», «покалывающую», «электрическую» или «пронзающую».

Настоящее изобретение также относится к способу лечения боли и/или депрессии у пациента, включающему в себя нанесение тонкой пленки для перорального применения, как описано выше, на слизистую оболочку пациента.

Способ лечения боли и/или депрессии у пациента предпочтительно отличается тем, что эта слизистая оболочка включает в себя слизистую оболочку полости рта.

Способ лечения боли и/или депрессии у пациента предпочтительно отличается тем, что тонкую пленку для перорального применения согласно изобретению наносят сублингвально или трансбуккально.

Способ лечения боли и/или депрессии у пациента предпочтительно отличается тем, что дозировка по меньшей мере одного фармацевтически активного агента, предпочтительно кетамина, в частности, в форме свободного основания или кетамина HCl, составляет около от 50 мг до 150 мг, предпочтительно, около 50 мг или около 100 мг.

Способ лечения боли и/или депрессии у пациента предпочтительно отличается тем, что тонкая пленка для перорального применения предпочтительно наносится на период менее 2 мин, в частности, от 30 с до 90 с, предпочтительно, от 30 с до 60 с, и предпочтительно растворяется в течение этого времени.

Далее изобретение будет описано более подробно на основе неограничивающих примеров.

Примеры:

Пример 1:

Исходные материалы, указанные в Таблице 1, использовали в следующих примерах.

Таблица 1: Исходный материал Назначение (S)-кетамин HCl Активный фармацевтический агент (API) Поливиниловый спирт (PVA) 4-88
(35 %-ный раствор)
Матричный полимер
Поливиниловый спирт (PVA) 40-88
(15 %-ный раствор)
Матричный полимер
Kollicoat IR
(30 %-ный раствор)
Матричный полимер
Глицерин Пластификатор Сукралоза Подсластитель Сахаринат Na Подсластитель Cherry Flavour M55394 (EU taste) Ароматизатор FD&C Red 40 Красящий агент Очищенная вода Технологический растворитель P 120 г/м², PE2 AB1 Наружное покрытие

Из этих исходных материалов с помощью способа согласно изобретению было изготовлено множество тонких пленок для перорального применения, которые были исследованы. Состав этих пленок указан в Таблице 2.

Таблица 2: Материал 1
[%масс.]
2
[%масс.]
3
[% масс.]
4
[% масс.]
5
[% масс.]
6
[% масс.]
7
[% масс.]
8
[% масс.]
9
[% масс.]
10
[% масс.]
(S)-кетамин HCl 55,0 50,0 50,0 60,0 60,0 55,0 60,0 65,0 60,0 60,0 PVA 4-88 35,0 -- -- 30,5 -- -- -- -- -- -- PVA 40-88 -- -- 9,9 -- 7,6 8,8 9,9 6,4 -- 2,0 Kollicoat IR -- 39,5 29,6 -- 22,9 26,2 20,6 19,1 30,5 28,5 Сахаринат Na 1,0 1,0 1,0 1,0 1,0 1,0 1,0 1,0 1,0 1,0 Сукралоза 2,0 2,0 2,0 2,0 2,0 2,0 2,0 2,0 2,0 2,0 Гицерин 4,0 4,0 4,5 3,5 3,5 4,0 3,5 3,5 3,5 3,5 Cherry Flavour M55394 3,0 3,0 3,0 3,0 3,0 3,0 3,0 3,0 3,0 3,0 Растворитель Очищ. вода Очищ. вода Очищ. вода Очищ. вода Очищ. вода Очищ. вода Очищ. вода Очищ. вода Очищ. вода Очищ. вода Вспененный/
Пленка
Вспененный Пленка Вспененный Вспененный Вспененный Вспененный Вспененный Вспененный Пленка Вспененный

Все тонкие пленки для перорального применения согласно изобретению с составами, указанными в Таблице 2, решают проблему, на которую направлено изобретение.

На основе композиции 2 были изготовлены и подвергнуты испытаниям дополнительные тонкие пленки для перорального применения, имеющие состав в соответствии с Таблицей 3.

Таблица 3: Материал 11
[% масс.]
12
[% масс.]
13
[% масс.]
14
[% масс.]
15
[% масс.]
(S)-кетамин HCl 60,0 55,0 60,0 60,0 60,0 PVA 4-88 -- -- 5,0 10,0 -- PVA 40-88 5,0 5,0 -- -- 10,0 Kollicoat IR 25,1 30,1 25,1 20,1 20,1 Сахаринат Na 1,0 1,0 1,0 1,0 1,0 Сукралоза 2,0 2,0 2,0 2,0 2,0 Гицерин 3,5 3,5 3,5 3,5 3,5 Cherry Flavour M55394 3,0 3,0 3,0 3,0 3,0 FD&C Red No 40 0,4 0,4 0,4 0,4 0,4 Растворитель Очищ. вода Очищ. вода Очищ. вода Очищ. вода Очищ. вода Испытания Хорошая пленка, видны мелкие частицы Хорошая пленка, видны пузырьки, шероховатая поверхность Хорошая пленка, видны пузырьки, шероховатая поверхность Хорошая пленка, видны мелкие частицы Очень хорошая пленка, мало пузырьков, очень хорошая прочность на разрыв

Все тонкие пленки для перорального применения согласно изобретению с составами, указанными в Таблице 3, решают проблему, на которую направлено изобретение.

Композицию 15 исследовали подробно.

Композиция 15 является стабильной в течение 9 месяцев при 25°С/60 % отн. влажн. - 40°/75 % отн. влажн.

Остаточное содержание воды в композиции 15 определяли титрованием по Карлу Фишеру.

Было определено остаточное содержание воды для 6 образцов. Определенное остаточное содержание воды составило 4,40 % масс., 3,82 % масс., 4,02 % масс., 4,51 % масс., 4,91 % масс. и 4,57 % масс.

Это остаточное содержание воды является приемлемым.

Время дезинтеграции композиции 15 определяли в стеклянном стакане объемом 1 л с 900 мл диминерализованной воды (с регулированием температуры при 37°С ± 2°С).

Было определено время дезинтеграции для шести образцов. Определенное время дезинтеграции составило 52 с, 55 с, 58 с, 56 с, 54 с и 55 с.

Таким образом, композиция 15 имеет хорошее время дезинтеграции.

Также для композиции 15 определяли высвобождение активного агента in vitro.

При высвобождении in vitro (S)-кетамин высвобождается из тонких пленок для перорального применения, содержащих (S)-кетамин HCl, и определяется. Активный агент высвобождается в фосфатном буфере с рН 6,8 USP (Фармакопея США), а затем определяется in situ с помощью оптоволоконной УФ-системы. Количественное определение проводили по отношению к внешнему стандарту.

Высвобождение осуществляется с помощью устройства для растворения 2 - (лопасть над диском) в соответствии с USP <711>.

Таблица 4: Грузило: Грузило для капсул из нержавеющей стали с 10 витками спирали, размером 31,0 x 11,0 мм (Sotax Style) Скорость перемешивания: 50 об. мин Расстояние между основанием сосуда и нижним краем лопасти: 25 мм ± 2 мм Температура: 37°C ± 0,5°C Среда высвобождения: Фосфатный буфер pH 6,8 USP Объем среды высвобождения: 500 мл Интервалы измерения для образцов: Каждые 5 секунд (от 0 до 5 мин)
Каждые 10 секунд (от 5 до 10 мин)
Каждые 15 секунд (от 10 до 15 мин)

Результаты исследования высвобождения показаны на Фигуре 1 и были следующими:

спустя 15 с около 11 % спустя 30 с около 24 % спустя 45 с около 38 % спустя 1 мин около 54 % спустя 1 мин 15 с около 68 % спустя 1 мин 30 с около 78 % спустя 1 мин 45 с около 83 % спустя 2 мин около 85 % спустя 2 мин 15 с около 86 % спустя 2 мин 30 с около 87 %

Пример 2

Композиции из Таблицы 3 были изучены более подробно в дальнейших исследованиях.

1. Измерение прочности на прокол

Выполнение измерения (проверка прочности ламината на прокол):

Используемый измерительный прибор: динамометр Sauter FH-20.

Испытательная зона: круглая испытательная зона диаметром 5 мм.

В качестве продукта для сравнения использовали коммерчески доступный продукт: «LISTERINE POCKETPAKS® COOL MINT ORAL CARE FRESH BREATH STRIPS». Этот продукт содержит пуллулан, ментол, ацесульфам калия, глюконат меди, полисорбат 80, смолу хондруса курчавого (каррагинан), глицерилолеат, тимол, эвкалиптол, метилсалицилат, камедь Ceratonia siliqua (камедь рожкового дерева), пропиленгликоль, ксантановую камедь, ароматизатор (вкусоароматическую добавку), FD&C Blue № 1 (красящий агент) и FD&C Green № 3 (красящий агент).

Выполнение теста:

Динамометр фиксировали, а образец ламината площадью 10 см² (для Listerine использовали тонкую пленку для перорального применения (OTF) из Listerine размером 32 мм x 22 мм) помещали по центру испытательной зоны прибора (круглая испытательная зона диаметром 5 мм). Этот образец ламината фиксировали по краям и в направлении образца для испытаний прикладывали усилие, причем это усилие увеличивали до тех пор, пока образец ламината не был проколот. Измеряли результирующее максимальное значение силы, которое было приложено к образцу до момента прокола. Измерение проводили при n = 3 образца ламината на каждую партию ламината (для Listerine n = 3 измерения с OTF).

Результаты обобщены в следующей Таблице 5:

Таблица 5: Композиция Среднее значение Стандартное отклонение Поверхностная плотность Прочность на прокол [Н] [Н] [г/м²] [Н/мм²] 2 1,96 0,09 150 0,10 3 2,22 0,10 130 0,11 5 1,85 0,06 157 0,09 5 2,88 0,19 206 0,15 7 2,92 0,08 167 0,15 8 1,27 0,12 145 0,06 9 1,55 0,12 190 0,08 10 1,79 0,15 156 0,09 11 2,68 0,20 188 0,14 12 2,63 0,05 172 0,13 13 2,04 0,05 184 0,10 14 2,26 0,11 180 0,12 15 4,00 0,15 206 0,20 Listerine (сравнение) 3,14 0,80 46,3 0,16

Все представленные образцы обладают хорошей прочностью на прокол (сравнимой с продуктом Listerine в качестве эталона), несмотря на высокое содержание активного агента.

Пример 3:

Как указано в описании, тонкая пленка для перорального применения согласно изобретению предпочтительно характеризуется тем, что по меньшей мере один фармацевтически активный агент, предпочтительно кетамин, присутствует в форме микрокристаллов. Подходящие средние размеры кристаллов для этих микрокристаллов предпочтительно лежат в диапазоне от 1 до 1000 мкм, или в диапазоне от 5 до 500 мкм, или в диапазоне от 10 до 200 мкм. Размер кристалла можно определить, например, с помощью световой микроскопии или с помощью микрокомпьютерной рентгеновской томографии (микро-КТ).

Метод рентгенологического исследования микрокомпьютерной томографией (микро-КТ) и условия измерения:

Прибор SkyScan 2211

Энергия рентгеновского излучения 60 кВ

Разрешение 0,75 мкм/объемный пиксель

Реконструкция согласно Фельдкампу

Результаты обобщены в следующей Таблице 6:

Таблица 6: Композиция Размер кристалла и стандартное отклонение 4 20,1 мкм +- 7,2 мкм 7 18,4 мкм +- 6,8 мкм 14 16,9 мкм +- 6,2 мкм 15 21,0 мкм +- 7,8 мкм

Пример 4:

Результаты клинического исследования с OTF на основе композиции 15 согласно Таблице 3.

Цель:

Первичная цель: определение фармакокинетического профиля тонкой пленки для перорального применения (S)-кетамина с 50 мг (S)-кетамина; вторичная цель: (1) определение фармакодинамического профиля тонкой пленки для перорального применения (S)-кетамина с 50 или 100 мг (S)-кетамина с ожидаемыми результатами антиноцицепторных и психомиметических побочных эффектов; (2) определение безопасности и совместимости тонкой пленки для перорального применения (S)-кетамина.

План исследования:

Исследование имело эксплоративную, открытую, перекрестную и рандомизированную модель. Всех испытуемых лечили дважды. Испытуемые получали 50 мг (S)-кетамина OTF (тонкую пленку для перорального применения) один раз и две 50 мг (S)-кетамина OTF один раз (общая доза, таким образом, составляет 100 мг) в случайном порядке. 15 испытуемых получали OTF сублингвально; 5 других испытуемых получали OTF трансбуккально.

Выполнение исследования:

Во время одной серии тестов испытуемые получали индивидуально 50 мг (S)-кетамина OTF сублингвально (n = 15) или трансбуккально (n = 5). Во время еще одной серии тестов испытуемые получали одновременно две 50 мг (S)-кетамина OTF сублингвально (n = 15) или трансбуккально (n = 5). Через шесть часов после приема OTF испытуемым внутривенно вводили низкую дозу (S)-кетамина (20 мг). Между днями исследования была предусмотрена фаза вымывания продолжительностью по меньшей мере 2 дня.

Отбор образцов крови:

Для отбора образцов крови артериальный доступ устанавливали в левую или правую лучевую или плечевую артерию. Образцы крови (4 мл) отбирали со следующими интервалами после начала введения OTF (t = 0 мин): 0, 5, 10, 20, 40, 60, 90, 120, 180, 240, 300, 360 мин и со следующими интервалами после начала внутривенного введения: 2, 4, 10, 15, 20, 30, 40, 60, 75, 90 и 120 мин.

Испытания болевых ощущений:

Было проведено три испытания болевых ощущений с интервалами от 10 до 20 минут (с интервалами от 10 до 60 минут (0 - 10 - 20 - 30 - 40 - 60 - 80 - 100 - 120 - 150 - 180 - 240 - 300 - 360 минут)

a) боль при надавливании,

b) боль при электростимуляции и

c) боль при тепловой стимуляции.

a) Испытуемые оценивали свой болевой порог при надавливании в ответ на усиливающееся стимулирование надавливанием с помощью альгезиметра Algometer FDN 200 от Wagner Instruments.

b) Испытуемый использовал модель чрескожной электростимуляции боли для оценки болевого порога при фиксированной стимуляции кожи так, чтобы значение боли составляло от 7 до 8.

c) С помощью системы Medoc Pathway к коже применяли фиксированную тепловую стимуляцию, которая вызывала значение боли от 7 до 8 баллов.

Все оценки боли проводились с использованием 11-ступенчатой шкалы Лайкерта (Verbal Rating Scale, VRS), которая варьировалась от 0 (отсутствие боли) до 10 (максимально вообразимая боль).

Качественные результаты:

Вкус композиций пленки описывался испытуемыми как приемлемый. Ни о каких результатах, связанных с безопасностью, не сообщалось. Ни сублингвальное, ни трансбуккальное введение не считались проблематичными.

Концентрации в плазме:

Концентрацию в плазме измеряли с помощью жидкостной хроматографии в сочетании с времяпролётной квадрупольной микромасс-спектрометрией QTOF-MS в качестве метода обнаружения. Нижний предел обнаружения составлял 6 нг/мл, 6 нг/мл и 4 нг/мл для (S)-кетамина, (S)-норкетамина и (S)-гидроксиноркетамина соответственно. Верхний предел обнаружения составлял 1000, 500 и 200 нг/мл для (S)-кетамина, (S)-норкетамина и (S)-гидроксиноркетамина соответственно.

Опросник:

Непосредственно перед испытанием болевых ощущений с интервалом 30 минут заполняли два опросника для оценки эффекта медикаментозного лечения в отношении психологических и психомиметических побочных эффектов (0 - 30 - 60 - 90 - и т.д. от 0 до 360 минут).

1. Опросник Боудла. На основании опросника Боудла (Bowdle et al «Psychedelic effects of ketamine in healthy volunteers: relationship to steady-state plasma concentrations» Anesthesiology 1998 Jan; 88(1): 82-8) можно сделать вывод о трех факторах психоделических воздействий: лекарственная интоксикация, внутреннее восприятие и внешнее восприятие.

2. Опросник Бонда и Ладера: Шкалы Бонда и Ладера рассчитываются на основе шестнадцати 100-мм визуальных аналоговых шкал. Конечные точки устанавливаются для антонимичных пар слов, таких как «бодрый - сонливый», «хорошо скоординированный - неловкий», «медленно мыслящий - быстро схватывающий» и «неработоспособный - профессиональный».

Результаты:

Результаты показывают быстрое начало мощного и длительного уменьшения боли (смотрите Фигуру 2). Для состава OTF для облегчения боли не наблюдалось зависимости от дозы. Предположительно, это связано с высокой концентрацией метаболита норкетамина, который вызывает антианальгетический эффект (смотрите Olofsen et al «Estimation of contribution of norketamine to ketamine-induced acute pain relief and neurocognitive impairment in healthy volunteers» Anesthesiology 2012; 117; Addendum 5).

Для композиции OTF наблюдалось нелинейное дозозависимое увеличение концентрации кетамина и метаболитов норкетамина и гидроксиноркетамина.

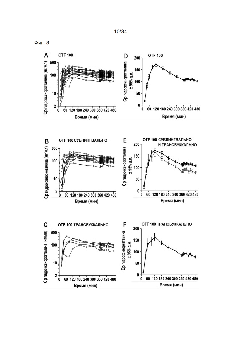
Уровень содержания в плазме метаболитов (S)-норкетамина (смотрите Фигуры 3, 4 и 5) и (S)-гидроксиноркетамина (Фигуры 6, 7 и 8) выше после приема OTF (смотрите также Таблицу 7 ниже) по сравнению с внутривенным введением 20 мг (S)-кетамина.

Уровни содержания в плазме кетамина при внутривенном введении выше, чем после приема OTF (смотрите Фигуры 9, 10, 11 и Таблицу 7 ниже).

Исследуемая композиция пленки является пригодной для лечения боли.

Таблица 7: Концентрация в плазме Cmax (нг/мл) Все данные 50 мг Все данные 2x50 мг Сублингвально 50 мг Сублингвально 2x50 мг Трансбук-кально 50 мг Трансбук-кально 2x50 мг (S)-кетамин 101 143 95 138 117 158 (S)-норкетамин 254 330 258 323 242 450 (S)-гидроксинор-кетамин 94 171 98 173 81 165

После приема пленки достигаемые значения в плазме предпочтительно находятся в следующих диапазонах: cmax ((S)-кетамина) = 50 - 200 нг/мл; cmax ((S)-норкетамина) = 200 - 400 нг/мл; cmax ((S)-гидроксиноркетамина) = 50 - 150 нг/мл.

Если принимают две пленки, достигаемые значения в плазме предпочтительно находятся в следующих диапазонах: cmax ((S)-кетамина) = 100 - 200 нг/мл; cmax ((S)-норкетамина) = 300 - 500 нг/мл; cmax (гидроксиноркетамина) = 100 - 250 нг/мл.

Пероральная биодоступность

Пероральная биодоступность для (S)-кетамина OTF составляет 26,3 % ± 1,0 %.

Пероральная биодоступность 50 мг и 100 мг (S)-кетамина OTF различается примерно на 20 % (F1 50 мг = 29 %, F1 100 мг = 23 %), но это не достигает уровня значимости (p » 0,01).

Tmax, данные по площади под кривой «концентрация-время» (AUC) рассчитывали с использованием фармакокинетической модели.

Анализ данных для измеренных концентраций в плазме (S)-кетамина и его метаболитов для определения фармакокинетической модели проводили с использованием NONMEM версии 7.5.0 (ICON Development Solutions, Ганновер, Мэриленд, США).

Для расчета параметров фармакокинетической модели использовали FOCI-I (условную оценку первого порядка с взаимодействием). На основе созданной фармакокинетической модели были рассчитаны данные TMax и данные AUC для (S)-кетамина и его метаболитов, которые представлены в Таблице 8.

Таблица 8: 50 мг (S)-кетамина OTF 100 мг (S)-кетамина OTF (S)-кетамин Tmax (мин) 18,8 (16,6 - 21,2) 19,1 (17,1 - 21,2) AUC (0 - 6) (нг/мл.мин) 8,363 (7,263 - 9,464) 13,347 (11,933 - 14,760) (S)-норкетамин Tmax (мин) 61 (53-68) 78 (66-91) AUC (0 - 6) (нг/мл.мин) 38,497 (34,131 - 42,863) 67,959 (60,045 - 75,872) (S)-гидроксиноркетамин Tmax (мин) 81 (69-92) 109 (89 - 130) AUC (0 - 6) (нг/мл.мин) 24,087 (20,694 - 27,480) 44,972 (38,563 - 51,382)

Другие результаты исследования были следующими:

1. Композиция OTF согласно изобретению оказывает обезболивающее действие при всех трех модальностях боли, независимо от локализации.

2. Ни один из использованных тестов на болевые ощущения не показал четкой зависимости доза-эффект.

3. В испытаниях на индуцируемую электричеством и теплом боль анальгетический эффект является продолжительным и составляет от 2 до 6 часов, особенно после сублингвального введения OTF.

4. Нет явных различий в данных, полученных во время и после сублингвального и трансбуккального введения.

5. Психоделические эффекты для введенной OTF можно считать очень мягкими.

6. Восемнадцать (18) испытуемых сообщили как минимум об одном нежелательном явлении. Всего было 33 нежелательных явления. Ни одно из них не было серьезным нежелательным явлением (распространенность этих явлений смотрите в Таблице 9 ниже). Эти нежелательные явления наблюдались в основном при внутривенном введении 20 мг (S)-кетамина.

Таблица 9: Побочный эффект 50 мг (S)-кетамина 100 мг (S)-кетамина 20 мг (S)-кетамина в/в Затуманенное зрение 1 --- --- Чувство опьянения 2 --- --- Брадикинезия 1 1 --- Свистящий шум в ушах --- --- 1 Головокружение 1 3 4 Сонливость --- --- 3 Тошнота 1 1 2 Головная боль 1 2 3 Онемение языка --- 2 --- Высокое артериальное давление (САД > 180 мм рт.ст.) --- --- 2 Потоотделение --- --- 1 Сухость глаз --- --- 1 В сумме 7 9 17

Данные, относящиеся к наблюдаемым психоделическим эффектам (психологические и психомиметические побочные эффекты) в соответствии с опросником Боудла суммированы на Фигурах с 12 по 15, а в соответствии с опросником Бонда и Лейда суммированы на Фигурах с 16 по 31.

Пример 5:

Сравнили активные агенты R-кетамин и (S)-кетамин.

С этой целью были изготовлены тонкие пленки для перорального применения с составом согласно Таблице 10.

Таблица 10: Материал 15 [% масс.] 16 [% масс.] S-кетамин HCl 60,0 -- R-кетамин HCl 60,0 PVA 4-88 -- -- PVA 40-88 10,0 10,0 Kollicoat IR 20,1 20,1 Сахаринат Na 1,0 1,0 Сукралоза 2,0 2,0 Гицерин 3,5 3,5 Cherry Flavour M55394 3,0 3,0 FD&C Red No. 40 0,4 0,4 Растворитель Очищ. вода Очищ. вода Поверхностная плотность 215,73 г/м2 221,4 г/м2

Поток для активного агента определяли ниже в модели in vitro.

Поток активного агента осуществлялся в рамках типичной проницаемости in vitro с помощью диффузионных ячеек Франца (объемом 10 мл) при 37°С. Использованную акцепторную среду полностью заменяли на новую среду через заданное время замены и определяли содержание проникшего количества активного агента в этих акцепторных растворах с помощью ВЭЖХ.

В качестве акцепторной среды использовали фосфатный буфер (рН 7,4).

В качестве модели кожи использовали дерматомированную кожу пищевода свиньи с толщиной слоя 400 мкм.

Результаты исследования проникания показаны на Фигуре 32.

Краткое описание фигур

Фигура 1 представляет собой графическое изображение результатов исследования высвобождения фармацевтически активного агента композиции 15;

Фигуры 2A-I представляют собой графические изображения, демонстрирующие уменьшение боли при надавливании, боли при электростимуляции и боли при тепловой стимуляции;

На фиг. 3 показано, что уровень метаболита (S)-норкетамина в плазме выше после приема OTF по сравнению с внутривенным введением 20 мг (S)-кетамина;

На фиг. 4A-F и 5A-F показано, что уровень метаболита (S)-норкетамина в плазме выше после приема OTF по сравнению с внутривенным введением 20 мг (S)-кетамина;

На фиг. 6 показано, что уровень метаболита (S)-гидроксиноркетамина в плазме выше после приема OTF по сравнению с внутривенным введением 20 мг (S)-кетамина;

На фиг. 7A-F и 8A-F показано, что уровень метаболита (S)- гидроксиноркетамина в плазме выше после приема OTF по сравнению с внутривенным введением 20 мг (S)-кетамина;

На фиг. 9 показано, что уровень кетамина в плазме при внутривенном введении выше, чем после приема OTF;

На фиг. 10A-F и 11A-F показано, что уровень кетамина в плазме при
внутривенном введении выше, чем после приема OTF; На фиг. 12-15 приведены данные о наблюдаемых психоделических эффектах (психологических и психомиметических побочных эффектах) в соответствии с опросником Боудла;

На фиг. 16-31 представлены данные, касающиеся ответов на вопросы опросника Бонда и Лэйда; и

На фиг. 32 представлены результаты исследования проникания по примеру 5.

Похожие патенты RU2838392C1

название год авторы номер документа
МНОГОСЛОЙНАЯ ПЕРОРАЛЬНАЯ ТОНКАЯ ПЛЕНКА 2022
  • Линн, Михаэль
  • Шмитц, Кристоф
  • Норелли, Клаудиа
  • Фикер, Марио
RU2832736C1
НЕЙРО-АТТЕНУИРУЮЩИЕ КЕТАМИНОВЫЕ И НОРКЕТАМИНОВЫЕ СОЕДИНЕНИЯ, ИХ ПРОИЗВОДНЫЕ И СПОСОБЫ ИХ ПОЛУЧЕНИЯ 2015
  • Ниворожкин Алекс
  • Ландрау Нельсон
RU2771275C2
ПЕРОРАЛЬНАЯ ТОНКАЯ ПЛЕНКА 2022
  • Шмитц, Кристоф
  • Бауэр, Мариус
  • Линн, Михаэль
RU2829451C1
БЫСТРО РАСПАДАЮЩИЕСЯ ВСПЕНЕННЫЕ ПАСТИЛКИ С ВЫСОКОЙ МАССОЙ В ПЕРЕСЧЕТЕ НА ЕДИНИЦУ ПЛОЩАДИ 2018
  • Мюллер, Маркус
  • Бауэр, Мариус
  • Линн, Михаэль
RU2826556C1
ФАРМАЦЕВТИЧЕСКИЕ ЛЕКАРСТВЕННЫЕ ФОРМЫ И КОМПОЗИЦИИ ФЕНИЛЭФРИНА ДЛЯ АБСОРБЦИИ В ОБОДОЧНОЙ КИШКЕ 2007
  • Монтейс Дэйвид
  • О'Муллан Джон
  • Рео Джозеф П.
  • Новак Роберт Т.
  • Ван Джианшенг
  • Кабир Мохаммед А.
  • Абутариф Малаз А.
  • Фритц Гленн Е.
RU2454225C2
КАРМАНООБРАЗНЫЕ ПЕРОРАЛЬНЫЕ РАСТВОРИМЫЕ ПЛЕНКИ С ВЫСОКОЙ ЗАГРУЗКОЙ АКТИВНОГО ВЕЩЕСТВА 2018
  • Шмиц, Кристоф
  • Бауэр, Мариус
RU2742415C1
НАНОЧАСТИЦЫ, СОДЕРЖАЩИЕ ТАКРОЛИМУС 2019
  • Байер, Вольфганг
  • Хорсткотте, Эльке
RU2828228C2
СПОСОБ ПОЛУЧЕНИЯ СОСТАВА ДЛЯ РЕГУЛИРОВАННОГО ВЫДЕЛЕНИЯ АКТИВНЫХ СОЕДИНЕНИЙ 1990
  • Удо Венцель[Dd]
  • Юрген Метцнер[Dd]
  • Томас Розин[Dd]
  • Хальвор Егер[De]
  • Цозер Б.Салама[De]
RU2073998C1
ТВЕРДАЯ ПЕРОРАЛЬНАЯ ЛЕКАРСТВЕННАЯ ФОРМА И СПОСОБ ЛЕЧЕНИЯ 2011
  • Ригасси-Дитрих Петра Гизела
  • Шмид Мартин
RU2480210C1
МАТРИЧНАЯ ТАБЛЕТКА С МОДИФИЦИРОВАННЫМ ВЫСВОБОЖДЕНИЕМ НЕРАМЕКСАНА 2006
  • Хауптмайер Бернхард
  • Беккер Андреас
RU2422135C2

Иллюстрации к изобретению RU 2 838 392 C1

Реферат патента 2025 года ТОНКАЯ ПЛЕНКА ДЛЯ ПЕРОРАЛЬНОГО ПРИМЕНЕНИЯ

Группа изобретений относится к тонкой пленке для перорального применения в качестве лекарственного средства, содержащей по меньшей мере один матричный слой, причем этот по меньшей мере один матричный слой содержит по меньшей мере один фармацевтически активный агент, по меньшей мере один поливиниловый спирт и по меньшей мере один привитой сополимер поливинилового спирта и полиэтиленгликоля, причем по меньшей мере один фармацевтически активный агент содержит кетамин или его фармацевтически приемлемую соль, причем по меньшей мере один поливиниловый спирт включает поливиниловый спирт со средней молекулярной массой от 25 000 до 35 000 г/моль и/или поливиниловый спирт со средней молекулярной массой от 200 000 до 210 000 г/моль, причем привитой сополимер поливинилового спирта и полиэтиленгликоля имеет среднюю молекулярную массу в диапазоне от 40 000 до 50 000 г/моль, также относится к способу изготовления тонкой пленки для перорального применения, включающий стадии: а) получения раствора, дисперсии или расплава, содержащих по меньшей мере один фармацевтически активный агент, причем по меньшей мере один фармацевтически активный агент содержит кетамин или его фармацевтически приемлемую соль, по меньшей мере один поливиниловый спирт и по меньшей мере один привитой сополимер поливинилового спирта и полиэтиленгликоля, причем по меньшей мере один поливиниловый спирт включает поливиниловый спирт со средней молекулярной массой от 25 000 до 35 000 г/моль и/или поливиниловый спирт со средней молекулярной массой от 200 000 до 210 000 г/моль, причем привитой сополимер поливинилового спирта и полиэтиленгликоля имеет среднюю молекулярную массу в диапазоне от 40 000 до 50 000 г/моль, b) распределения раствора, дисперсии или расплава со стадии а), и также относится к применению тонкой пленки для перорального применения в качестве лекарственного средства при лечении боли и к применению тонкой пленки для перорального применения в качестве лекарственного средства при лечении депрессии. Группа изобретений обеспечивает разработку тонкой пленки для перорального применения, которая имеет приемлемое время дезинтеграции и фармацевтически активный агент распределяется равномерно в этой пленке, при этом тонкая пленка для перорального применения имеет приятную и мягкую текстуру, не вызывает у пациента ощущение инородного тела и обладает хорошей прочностью на прокол, несмотря на высокое содержание активного агента. 3 н. и 12 з.п. ф-лы, 32 ил., 10 табл., 5 пр.

Формула изобретения RU 2 838 392 C1

1. Тонкая пленка для перорального применения в качестве лекарственного средства, содержащая по меньшей мере один матричный слой, причем этот матричный слой содержит по меньшей мере один фармацевтически активный агент, по меньшей мере один поливиниловый спирт и по меньшей мере один привитой сополимер поливинилового спирта и полиэтиленгликоля, причем по меньшей мере один фармацевтически активный агент содержит кетамин или его фармацевтически приемлемую соль, причем по меньшей мере один поливиниловый спирт включает поливиниловый спирт со средней молекулярной массой от 25 000 до 35 000 г/моль и/или поливиниловый спирт со средней молекулярной массой от 200 000 до 210 000 г/моль, причем привитой сополимер поливинилового спирта и полиэтиленгликоля имеет среднюю молекулярную массу в диапазоне от 40 000 до 50 000 г/моль.

2. Тонкая пленка для перорального применения по п. 1, отличающаяся тем, что кетамин или его фармацевтически приемлемая соль представляет собой (S)-кетамин или его фармацевтически приемлемую соль.

3. Тонкая пленка для перорального применения по п. 1, отличающаяся тем, что по меньшей мере один фармацевтически активный агент присутствует в матричном слое в количестве от 45 до 70 мас.% по отношению к общей массе матричного слоя.

4. Тонкая пленка для перорального применения по п. 1, отличающаяся тем, что по меньшей мере один привитой сополимер поливинилового спирта и полиэтиленгликоля имеет основную цепь из полиэтиленгликоля, на которую привиты структурные единицы поливинилового спирта.

5. Тонкая пленка для перорального применения по п. 1, отличающаяся тем, что по меньшей мере один привитой сополимер поливинилового спирта и полиэтиленгликоля имеет основную цепь из полиэтиленгликоля, на которую привиты структурные единицы поливинилового спирта, при этом молярное соотношение полиэтиленгликоля и поливинилового спирта составляет 1:3.

6. Тонкая пленка для перорального применения по п. 1, отличающаяся тем, что по меньшей мере один привитой сополимер поливинилового спирта и полиэтиленгликоля имеет основную цепь из полиэтиленгликоля, на которую привиты структурные единицы поливинилового спирта, причем этот привитой сополимер поливинилового спирта и полиэтиленгликоля имеет среднюю молекулярную массу в диапазоне от 40 000 до 50 000 г/моль.

7. Тонкая пленка для перорального применения по п. 1, отличающаяся тем, что по меньшей мере один поливиниловый спирт присутствует в матричном слое в количестве от 5 до 40 мас.% по отношению к общей массе матричного слоя.

8. Тонкая пленка для перорального применения по п. 1, отличающаяся тем, что по меньшей мере один привитой сополимер поливинилового спирта и полиэтиленгликоля присутствует в матричном слое в количестве от 15 до 45 мас.% по отношению к общей массе матричного слоя.

9. Тонкая пленка для перорального применения по п. 1, отличающаяся тем, что эта тонкая пленка для перорального применения дополнительно содержит по меньшей мере одно вспомогательное вещество, выбранное из группы, включающей окрашивающие агенты, ароматизаторы, подсластители, пластификаторы, вещества, маскирующие вкус, эмульгаторы, усилители, регуляторы pH, увлажнители, консерванты и/или антиоксиданты.

10. Тонкая пленка для перорального применения по п. 1, отличающаяся тем, что по меньшей мере один фармацевтически активный агент содержит кетамин в виде свободного основания в общем количестве от 25 до 150 мг.

11. Тонкая пленка для перорального применения по п. 1, отличающаяся тем, что матричный слой содержит 60 мас.% (S)-кетамина HCl, 10 мас.% поливинилового спирта со средней молекулярной массой от 200 000 до 210 000 г/моль, и 20,1 мас.% привитого сополимера поливинилового спирта и полиэтиленгликоля, причем привитой сополимер поливинилового спирта и полиэтиленгликоля имеет основную цепь из полиэтиленгликоля, на которую привиты структурные единицы поливинилового спирта, и причем привитой сополимер поливинилового спирта и полиэтиленгликоля имеет среднюю молекулярную массу в диапазоне от 40 000 до 50 000 г/моль.

12. Способ изготовления тонкой пленки для перорального применения по любому из пп. 1-11, включающий стадии: а) получения раствора, дисперсии или расплава, содержащих по меньшей мере один фармацевтически активный агент, причем по меньшей мере один фармацевтически активный агент содержит кетамин или его фармацевтически приемлемую соль, по меньшей мере один поливиниловый спирт и по меньшей мере один привитой сополимер поливинилового спирта и полиэтиленгликоля, причем по меньшей мере один поливиниловый спирт включает поливиниловый спирт со средней молекулярной массой от 25 000 до 35 000 г/моль и/или поливиниловый спирт со средней молекулярной массой от 200 000 до 210 000 г/моль, причем привитой сополимер поливинилового спирта и полиэтиленгликоля имеет среднюю молекулярную массу в диапазоне от 40 000 до 50 000 г/моль, b) распределения раствора, дисперсии или расплава со стадии а).

13. Способ по п. 12, отличающийся тем, что раствор, дисперсию или расплав со стадии а) вспенивают путем введения газа или газовой смеси в результате химического образования газа или расширения растворенного газа.

14. Применение тонкой пленки для перорального применения по любому из пп. 1-11 или получаемой способом по п. 12 или 13 в качестве лекарственного средства при лечении боли.

15. Применение тонкой пленки для перорального применения по любому из пп. 1-11 или получаемой способом по п. 12 или 13 в качестве лекарственного средства при лечении депрессии.

Документы, цитированные в отчете о поиске Патент 2025 года RU2838392C1

US 2020016092 A1, 16.01.2020
AU 2018281944 A1, 02.01.2020
US 2014079740 A1, 20.03.2014
US 2015342947 A1, 03.12.2015.

RU 2 838 392 C1

Авторы

Мюллер, Маркус

Фикер, Марио

Хаммес, Флориан

Линн, Михаэль

Даты

2025-04-18Публикация

2021-11-05Подача