ТРИАРИЛЬНЫЕ СОЕДИНЕНИЯ ДЛЯ ЛЕЧЕНИЯ PD-L1 ЗАБОЛЕВАНИЙ Российский патент 2025 года по МПК C07D247/02 C07C25/02 C07C25/24 A61K31/03 A61K31/505 A61K31/513 

Описание патента на изобретение RU2840345C2

Предшествующий уровень техники

Белок запрограммированной смерти клеток-1 (PD-1) является представителем надсемейства CD28, который обуславливает негативные сигналы при взаимодействии с двумя своими лигандами, PD-L1 или PD-L2. PD-1 и его лиганды широко экспрессированы и выполняют ряд иммунорегуляторных функций в активации и толерантности Т-клеток. PD-1 и его лиганды участвуют в ослаблении иммунитета к инфекциям и иммунитета к опухолям, и способствуют развитию хронических инфекций и развитию опухоли.

Модулирование PD-1 сигнального пути имеет терапевтический потенциал при различных заболеваниях человека (Hyun-Tak Jin et al., Curr Top Microbiol Immunol. (2011); 350:17-37). Блокада PD-1 сигнального пути стала привлекательной мишенью в терапии рака. Терапевтические антитела, блокирующие иммунную контрольную точку белка запрограммированной смерти клеток-1 (PD-1), предотвращают снижение выработки Т-клеток и промотируют иммунный ответ против рака. Несколько ингибиторов PD-1 пути показали сильную активность на разных фазах клинических испытаний (RD Harvey, Clinical Pharmacology and Therapeutics (2014); 96(2), 214-223).

Есть потребность в агентах, которые блокируют взаимодействие PD-L1 с PD-1 или CD80. Некоторые антитела были разработаны и выпущены на рынок. Было опубликовано несколько патентных заявок, раскрывающих непептидные низкомолекулярные молекулы (WO 2015/160641, WO 2015/034820, и WO 2017/066227 и WO 2018/009505 от BMS; WO 2015/033299 и WO 2015/033301 от Aurigene; WO 2017/070089, US 2017/0145025, WO 2017/106634, US 2017/0174679, WO 2017/192961, WO 2017/222976, WO 2017/205464, WO 2017/112730, WO 2017/041899 и WO 2018/013789 от Incyte, WO 2018/006795 от Maxinovel и WO 2018/005374 от Заявителя, ChemoCentryx). Однако все еще есть потребность в альтернативных соединениях, таких как низкомолекулярные молекулы, в качестве ингибиторов PD-L1, которые бы имели улучшенные характеристики в разрезе перорального введения, стабильности, биодоступности, терапевтического индекса и токсичности.

Краткое описание изобретения

В одном аспекте, в настоящем изобретении описаны соединения, имеющие формулу (I):

или их фармацевтически приемлемая соль; где A, Z, X1, R1a, R1b, R1c, R1d, R2a, R2b, R3, R3a, R4, R6, R7, R8 и подстрочный индекс n имеют указанные в настоящем тексте значения.

Помимо описанных в настоящей заявке соединений, настоящее изобретение включает также фармацевтические композиции, содержащие одно или больше из этих соединений, а также способы, связанные с получением и применением этих соединений. В некоторых вариантах осуществления, описанные в настоящем изобретении соединения применяются в терапевтических способах лечения заболеваний, ассоциированных с PD-1/PD-L1 путем.

Краткое описание чертежей

Неприменимо

Подробное описание изобретения

Аббревиатуры и определения

При использовании в настоящем тексте, применение единственного числа охватывает не только аспекты с одним представителем, но также и аспекты с несколькими представителями. Например, формы единственного числа могут означать несколько представителей, если из контекста явно не следует иное. Так, например, слово «клетка» включает случаи с множеством клеток, а «агент» может означать один или несколько агентов, известных в данной области, и т.д.

Термины «около» и «примерно» в целом означают приемлемую степень ошибки для измеренного значения, принимая во внимание природу и точность проведенного измерения. В типичном случае примеры степени погрешности находятся в диапазоне 20 процентов (%), предпочтительно в диапазоне 10%, и более предпочтительно - в диапазоне 5% от указанного значения или диапазона значений. Альтернативно, и особенно в биологических системах, термины «около» и «примерно» могут означать значения, находящиеся в пределах одного порядка, предпочтительно в 5-кратных пределах, и более предпочтительно - в 2-кратных пределах от указанного значения. Приведенные в настоящем тексте числовые значения являются приблизительными, если не указано иное, и это значит, что термин «около» или «примерно» может подразумеваться в тех случаях, когда он не применен в явном виде.

Термин «алкил», сам по себе и как часть другого заместителя, означает, если не указано иное, линейную или разветвленную углеводородную группу, имеющую обозначенное число атомов углерода (например, C1-8 означает 1-8 атомов углерода). Примеры алкильных групп включают метил, этил, н-пропил, изопропил, н-бутил, трет-бутил, изобутил, втор-бутил, н-пентил, н-гексил, н-гептил, н-октил и т.п. Термин «алкенил» означает ненасыщенную алкильную группу, содержащую одну или больше двойных связей. Аналогично, термин «алкинил» означает ненасыщенную алкильную группу, содержащую одну или больше тройных связей. Примеры алкенильных групп включают винил, 2-пропенил, кротил, 2-изопентенил, 2-(бутадиенил), 2,4-пентадиенил, 3-(1,4-пентадиенил). Примеры алкинильных групп включают этинил, 1- и 3-пропинил, 3-бутинил и их высшие гомологи и изомеры. Термин «циклоалкил» относится к углеводородным кольцам, содержащим указанное число атомов в кольце (например, C3-6 циклоалкил) и являющимся полностью насыщенными или содержащим не более одной двойной связи между вершинами цикла. Термин «циклоалкил» относится также к бициклическим и полициклическим углеводородным кольцам, таким как, например, бицикло[2.2.1]гептан, бицикло[2.2.2]октан и т.д. Бициклические или полициклические кольца могут быть конденсированными, мостиковыми, спиро- или представлять собой их комбинацию. Термин «гетероциклоалкил» или «гетероциклил» относится к циклоалкильной группе, содержащей 1-5 гетероатомов, выбранных из N, O, и S, где атомы азота и серы необязательно окислены, и атом(ы) азота необязательно кватернизован(ы). Гетероциклоалкил может представлять собой моноциклическую, бициклическую или полициклическую кольцевую систему. Бициклические или полициклические кольца могут быть конденсированными, мостиковыми, спиро- или представлять собой их комбинацию. Термин «C4-12 гетероциклил», например, означает группу, содержащую от 4 до 12 членов в цикле, где по меньшей один из членов цикла представляет собой гетероатом. Неограничивающие примеры гетероциклоалкильных групп включают пирролидин, имидазолидин, пиразолидин, бутиролактам, валеролактам, имидазолидинон, тетразолон, гидантоин, диоксолан, фталимид, пиперидин, 1,4-диоксан, морфолин, тиоморфолин, тиоморфолин-S-оксид, тиоморфолин-S,S-оксид, пиперазин, пиран, пиридон, 3-пирролин, тиопиран, пирон, тетрагидрофуран, тетрагидротиофен, хинуклидин и т.п. Гетероциклоалкильная группа может быть присоединена к остальной части молекулы через атом углерода в цикле или гетероатом в цикле.

Термин «алкилен» в отдельности или как часть другого заместителя означает двухвалентную группу, являющуюся производным алкана, в качестве примера можно привести -CH2CH2CH2CH2-. Алкиленовая группа может быть линейной или разветвленной. Примерами последних являются -CH2C(CH3)2CH2-, -CH2C(CH3)2- или -CH(CH3)CH2CH2-. В типичном случае алкильная (или алкиленовая) группа содержит от 1 до 12 атомов углерода, предпочтительными по настоящему изобретению являются группы, содержащие 8 или меньше атомов углерода. Аналогично, «алкенилен» и «алкинилен» означает ненасыщенные формы «алкилена», содержащие двойные или тройные связи, соответственно.

Термин «гетероалкил», в отдельности или в комбинации с другим термином, означает, если не указано иное, устойчивый линейную или разветвленную цепочечную или циклическую углеводородную группу, или их комбинацию, состоящую из указанного числа атомов углерода и 1-3 гетероатомов, выбранных из группы, состоящей из O, N, Si и S, где атомы азота и серы необязательно могут быть окислены, а гетероатом азота необязательно может быть кватернизован. Гетероатом(ы) O, N и S могут располагаться во внутреннем положении гетероалкильной группы. Гетероатом Si может располагаться в любом положении гетероалкильной группы, включая положение, в котором алкильная группа присоединена к остальной части молекулы. Примеры включают -CH2-CH2-O-CH3, -CH2-CH2-NH-CH3, -CH2-CH2-N(CH3)-CH3, -CH2-S-CH2-CH3, -CH2-CH2,-S(O)-CH3, -CH2-CH2-S(O)2-CH3, -CH=CH-O-CH3, -Si(CH3)3, -CH2-CH=N-OCH3 и -CH=CH-N(CH3)-CH3. До двух гетероатомов могут располагаться последовательно, как, например, в -CH2-NH-OCH3 и -CH2-O-Si(CH3)3. Сходным образом, термин «гетероалкенил» и «гетероалкинил», в отдельности или в комбинации с другим термином, означает, если не указано иное, алкенильную группу или алкинильную группу, соответственно, которая содержит указанное число атомов углерода и 1-3 гетероатомов, выбранных из группы, состоящей из O, N, Si и S, где атомы азота и серы необязательно могут быть окислены, а гетероатом азота необязательно может быть кватернизован. Гетероатом(ы) O, N и S могут располагаться во внутреннем положении гетероалкильной группы.

Термин «гетероалкилен», в отдельности или как часть другого заместителя, означает двухвалентную группу, насыщенную или ненасыщенную или полиненасыщенную, образованную из гетероалкила, например: -CH2-CH2-S-CH2CH2- и -CH2-S-CH2-CH2-NH-CH2-, -O-CH2-CH=CH-, -CH2-CH=C(H)CH2-O-CH2- и -S-CH2-C≡C-. В случае гетероалкиленовых групп, гетероатомы могут также занимать одно или оба терминальных положений (например, алкиленокси, алкилендиокси, алкиленамино, алкилендиамино и т.п.).

Термины «алкокси», «алкиламино» и «алкилтио» (или тиоалкокси) применяются в их обычном смысле и относятся к алкильным группам, присоединенным к остальной части молекулы через атом кислорода, аминогруппу или атом серы, соответственно. Кроме того, для диалкиламиногрупп, алкильные фрагменты могут быть одинаковыми или разными, а также могут объединяться с формированием 3-7-членного цикла с атомом азота, к которому они присоединены. Соответственно, группа, изображаемая как -NRaRb, включает пиперидинил, пирролидинил, морфолинил, азетидинил и т.п.

Термин «галоген» сам по себе или как часть другого заместителя означает, если не указано иное, атом фтора, хлора, брома или иода. Кроме того, такие термины как «галогеналкил» включают моногалогеналкил и полигалогеналкил. Например, термин «C1-4 галогеналкил» включает трифторметил, 2.2.2-трифторэтил, 4-хлорбутил, 3-бромпропил и т.п.

Термин «гидроксиалкил» или «алкил-OH» означает алкильную группу, определение которой приведено выше, в которой по меньшей мере один (и до трех) атомов водорода заменены на гидроксигруппу. Что касается алкильной группы, гидроксиалкильные группы могут содержать любое подходящее число атомов углерода, например, C1-6. Примеры гидроксиалкильных групп включают (но не ограничиваются только ими) гидроксиметил, гидроксиэтил (где гидроксигруппа находится в положении 1 или 2), гидроксипропил (где гидроксигруппа находится в положении 1, 2 или 3) и 2,3-дигидроксипропил.

Термин «C1-3 алкилгуанидинил» означает C1-3 алкильную группу, определение которой дано выше, в которой по меньшей мере один из атомов водорода заменен на гуанидинильную группу (-NHC(NH)NH2).

Термин «арил» означает, если не указано иное, полиненасыщенную, в типичном случае ароматическую, углеводородную группу, которая может представлять собой один цикл или несколько циклов (до трех циклов), сопряженные или связанные ковалентно. Термин «гетероарил» означает арильные группы (или циклы), содержащие от одного до пяти гетероатомов, выбранных из N, O и S, где атомы азота и серы необязательно окислены, и атом(ы) азота необязательно кватернизован(ы). Гетероарильная группа может быть присоединена к остальной части молекулы через гетероатом. Под «C5-10 гетероарилом» понимается гетероарильный фрагмент, содержащий 5-10 членов в кольце, где по меньшей мере один из членов кольца представляет собой гетероатом. Неограничивающие примеры арильных групп включают фенил, нафтил и бифенил, а неограничивающие примеры гетероарильных групп включают пиридил, пиридазинил, пиразинил, пиримидинил, триазинил, хинолинил, хиноксалинил, хиназолинил, циннолил, фталазинил, бензотриазинил, пуринил, бензоимидазолил, бензопиразолил, бензотриазолил, бензизоксазалил, изобензофурил, изоиндолил, индолизинил, бензотриазинил, тиенопиридинил, тиенопиримидинил, пиразолопиримидинил, имидазопиридины, бензотиаксолил, бензофуранил, бензотиенил, индолил, хинолил, изохинолил, изотиазолил, пиразолил, индазолил, птеридинил, имидазолил, триазолил, тетразолил, оксазолил, изоксазолил, тиадиазолил, пирролил, тиазолил, фурил, тиенил и т.п. Заместители в каждой из перечисленных выше арильных или гетероарильных циклических системах выбраны из группы приемлемых заместителей, описанных ниже.

Термин «карбоциклическое кольцо», «карбоциклический» или «карбоциклил» означает циклические фрагменты, имеющие в качестве вершин цикла только атомы углерода. Карбоциклические кольцевые фрагменты могут быть насыщенными или ненасыщенными, и могут быть ароматическими. В целом, карбоциклические фрагменты содержат от 3 до 10 членов в кольце. Карбоциклические фрагменты со структурами из нескольких колец (например, бициклические) могут включать циклоалкильное кольцо, сконденсированное с ароматическим кольцом (например, 1.2.3.4-тетрагидронафталин). Таким образом, карбоциклические кольца включают циклопентил, циклогексенил, нафтил и 1.2.3.4-тетрагидронафтил. Термин «гетероциклическое кольцо» относится и к «гетероциклоалкильным», и к «гетероарильным» фрагментам. Гетероциклические кольца могут быть насыщенными или ненасыщенными, и могут быть ароматическими. В целом, гетероциклические кольца содержат от 4 до 10 членов в кольце и включают пиперидинил, тетразинил, пиразолил и индолил.

Когда любой из упомянутых выше терминов (например, «алкил», «арил» и «гетероарил») имеет приставку «замещенный» без дополнительного описания заместителей, то замещенные формы указанных групп будут такими как описано ниже.

Заместителями для алкильных групп (включая группы, часто именуемые алкилен, алкенил, алкинил и циклоалкил) могут быть различные группы, выбранные из следующих:

-галоген, -OR', -NR'R'', -SR', -SiR'R''R''', -OC(O)R', -C(O)R', -CO2R', -CONR'R'',
-OC(O)NR'R”, -NR”C(O)R', -NR'-C(O)NR”R”', -NR”C(O)2R', -NH-C(NH2)=NH,
-NR'C(NH2)=NH, -NH-C(NH2)=NR', -S(O)R', -S(O)2R', -S(O)2NR'R'', -NR'S(O)2R'', -CN и
-NO2, в количестве от нуля до (2m'+1), где m' - это общее число атомов углерода в такой группе. R', R'' и R''' каждый независимо представляют собой атом водорода, незамещенный C1-8 алкил, незамещенный гетероалкил, незамещенный арил, арил, замещенный 1-3 галогенами, незамещенный C1-8 алкил, C1-8 алкокси или C1-8 тиоалкокси группы, или незамещенные арил-C1-4 алкильные группы. Когда R' и R” присоединены к одном атому азота, они могут объединяться с этим атомом азота, образуя 3-, 4-, 5-, 6- или 7-членное кольцо. Например, -NR'R” включает 1-пирролидинил и 4-морфолинил. Термин «ацил» при использовании в отдельности или как часть другой группы означает алкильную группу, в которой два заместителя у атома углерода, ближайшего к точке присоединения данной группы, заменены на заместитель =O (например, -C(O)CH3, -C(O)CH2CH2OR' и т.п.).

Аналогично, заместители у арильных и гетероарильных групп варьируются и в целом выбраны из следующих: -галоген, -OR', -OC(O)R', -NR'R”, -SR', -R', -CN, -NO2,
-CO2R', -CONR'R''', -C(O)R', -OC(O)NR'R”, -NR”C(O)R', -NR”C(O)2R', -NR'-C(O)NR''R''', -NH-C(NH2)=NH, -NR'C(NH2)=NH, -NH-C(NH2)=NR', -S(O)R', -S(O)2R', -S(O)2NR'R'', -NR'S(O)2R'', -N3, перфтор(C1-C4)алкокси и перфтор(C1-C4)алкил, в количестве от нуля до общего числа свободных валентностей в ароматической системе; и где R', R'' и R''' независимо выбраны из атома водорода, C1-8 алкила, C3-6 циклоалкила, C2-8 алкенила, C2-8 алкинила, незамещенного арила и гетероарила, (незамещенный арил)-C1-4 алкила и незамещенного арилокси-C1-4 алкила. Другие подходящие заместители включают все описанные выше арильные заместители, присоединенные к атому кольца через алкиленовый мостик, содержащий 1-4 атомов углерода.

Два заместителя у соседних атомов в арильном или гетероарильном кольце могут быть опционально заменены на заместитель формулы -T-C(O)-(CH2)q-U-, где T и U независимо представляют собой -NH-, -O-, -CH2- или простую связь, и q представляет собой целое число от 0 до 2. Альтернативно, два из заместителей у соседних атомов в арильном или гетероарильном кольце могут быть опционально заменены на заместитель формулы -A-(CH2)r-B-, где A и B независимо представляют собой -CH2-, -O-, -NH-, -S-, -S(O)-, -S(O)2-, -S(O)2NR'- или простую связь, и r представляет собой целое число от 1 до 3. Одна из простых связей в новом образовавшемся таким образом кольце опционально может быть заменена двойной связью. Альтернативно, два из заместителей у соседних атомов в арильном или гетероарильном кольце могут быть опционально заменены на заместитель формулы -(CH2)s-X-(CH2)t-, где s и t независимо представляют собой целые числа от 0 до 3, и X представляет собой -O-, -NR'-,-S-, -S(O)-, -S(O)2- или -S(O)2NR'-. Заместитель R' в -NR'- и -S(O)2NR'- выбран из атома водорода или незамещенного C1-6 алкила.

При использовании в настоящем тексте, термин «гетероатом» включает кислород (O), азот (N), серу (S) и кремний (Si).

Настоящее описание касается также пролекарств и биоизостеров. Подходящие биоизостеры, например, включают замены карбоксилатов (фосфоновые кислоты, фосфиновые кислоты, сульфокислоты, сульфиновые кислоты и кислые гетероциклические группы, такие как тетразолы). Подходящие пролекарства включают распространенные группы, которые известны как гидролизующиеся и/или окисляющиеся в физиологических условиях с получением соединения формулы I.

Термины «пациент» и «субъект» включают приматов (в особенности человека), домашних животных-компаньонов (таких как собаки, кошки, лошади и т.п.) и сельскохозяйственных животных (таких как крупный рогатый скот, свиньи, овцы и т.п.).

При использовании в настоящем тексте, термин «лечить» или «лечение» охватывает как лечение, модифицирующее заболевание, так и симптоматическое лечение, любое из которых может быть профилактическим (т.е. до появления симптомов, для предотвращения, задержки или уменьшения степени тяжести симптомов) или терапевтическим (т.е. после появления симптомов, для уменьшения степени тяжести и/или длительности симптомов).

Термин «фармацевтически приемлемые соли» включает соли веществ, полученные с относительно нетоксичными кислотами или основаниями, в зависимости от конкретных заместителей в описанных в настоящем тексте соединениях. Когда соединения по настоящему изобретению содержат относительно кислые функциональные группы, можно получить основно-аддитивные соли путем взаимодействия нейтральной формы таких соединений с достаточным количество желаемого основания, даже без растворителя или в подходящем инертном растворителе. Примеры солей, являющихся производными фармацевтически приемлемых неорганических оснований, включают соли алюминия, аммония, кальция, меди, железа(II), железа (III), лития, магния, марганца, калия, натрия, цинка и т.д. Соли, являющиеся производными фармацевтически приемлемых органических оснований, включают соли первичных, вторичных и третичных аминов, включая замещенные амины, циклические амины, природные амины и т.д., такие как аргинин, бетаин, кофеин, холин, N,N'-дибензилэтилендиамин, диэтиламин, 2-диэтиламиноэтанол, 2-диметиламиноэтанол, этаноламин, этилендиамин, N-этилморфолин, N-этилпиперидин, глюкамин, глюкозамин, гистидин, гидрабамин, изопропиламин, лизин, метилглюкамин, морфолин, пиперазин, пиперидин, полиаминовые смолы, прокаин, пурины, теобромин, триэтиламин, триметиламин, трипропиламин, трометамин и т.п. Когда соединения по настоящему изобретению содержат относительно основные функциональные группы, можно получить кислотно-аддитивные соли путем взаимодействия нейтральной формы таких соединений с достаточным количеством желаемой кислоты, без растворителя или в подходящем инертном растворителе. Примеры фармацевтически приемлемых кислотно-аддитивных солей включают соли с неорганическими кислотами, такими как хлористоводородная, бромистоводородная, азотная, угольная, моногидроугольная, фосфорная, моногидрофосфорная, дигидрофосфорная, серная, моногидросерная, иодистоводородная или фосфористая кислота и т.п., а также соли с относительно нетоксичными органическими кислотами, такими как уксусная, пропионовая, изомасляная, малоновая, бензойная, янтарная, субериновая, фумаровая, миндальная, фталевая, бензолсульфоновая, пара-толуолсульфоновая, лимонная, винная, метансульфоновая и т.п. Также охватываются соли с аминокислотами, такие как аргинаты и т.п., и соли таких органических кислот, как глюкуроновая или галактуроновая кислоты и т.п. (см., например, Berge, S.M., et al., “Pharmaceutical Salts”, Journal of Pharmaceutical Science, 1977, 66, 1-19). Некоторые частные соединения по настоящему изобретению содержат и основные, и кислотные функциональные группы, что позволяет таким соединениям образовывать как основно-аддитивные, так и кислотно-аддитивные соли.

Нейтральные формы соединений можно регенерировать путем взаимодействия соли с основанием или кислотой и выделения материнского соединения обычным способом. Материнская форма соединения отличается от различных солевых форм определенными физическими характеристиками, такими как растворимость в полярных растворителях, но во всем остальном соли эквивалентны материнским соединениям, в терминах настоящего изобретения.

Некоторые соединения по настоящему изобретению могут существовать в несольватированных формах, а также в сольватированных формах, включая гидратированные формы. В целом, сольватированные формы эквивалентны несольватированным формам, и все они охватываются настоящим изобретением. Некоторые соединения по настоящему изобретению могут существовать в нескольких кристаллических или аморфных формах. В целом, все физические формы эквивалентны для областей применения, охватываемых настоящим изобретением, и входят в объем настоящего изобретения.

Некоторые соединения по настоящему изобретению имеют асимметрические атомы углерода (оптические центры) или двойные связи; все рацематы, диастереомеры, геометрические изомеры, региоизомеры и индивидуальные изомеры (например, отдельные энантиомеры) входят в объем настоящего изобретения. Когда показаны стереохимические обозначения, это относится к соединению, которое представляет собой один из изомеров и практически не содержит другого изомера. «Практически не содержит» другого изомера означает соотношение двух изомеров по меньшей мере 80/20, более предпочтительно 90/10 или 95/5 или больше. В некоторых вариантах осуществления, один из изомеров присутствует в количестве по меньшей мере 99%.

Соединения по настоящему изобретению могут также иметь неприродные соотношения изотопов по одному или больше атомов, составляющих эти соединения. Например, соединения могут быть радиоактивно мечены радиоактивными изотопами, такими как, например, тритий (3H), иод-125 (125I) или углерод-14 (14C). Все изотопные вариации соединений по настоящему изобретению, радиоактивные и нерадиоактивные, входят в объем настоящего изобретения. Например, соединения могут быть получены так, что какое-то число атомов углерода заменено на изотоп дейтерия (2H). Соединения по настоящему изобретению могут также иметь неприродные соотношения изотопов по одному или больше атомов, составляющих эти соединения. Неприродное содержание изотопа может находиться в диапазоне от природного содержания до 100%. Например, соединения могут содержать радиоактивные изотопы, такие как, например, тритий (3H), иод-125 (125I) или углерод-14 (14C), или нерадиоактивные изотопы, такие как дейтерий (2H) или углерод-13 (13C). Такие изотопные вариации могут придавать дополнительное применение, вдобавок к уже описанному в настоящем тексте. Например, изотопные вариации соединений по настоящему изобретению могут найти дополнительное применение, включая (но не ограничиваясь только ими) применение в качестве диагностических и/или визуализирующих реагентов, или в качестве цитостатических/радиотоксических терапевтических агентов. В дополнение, изотопные вариации соединений по настоящему изобретению могут иметь измененные фармакокинетические и фармакодинамические характеристики, которые могут вносить вклад в повышение безопасности, переносимости или эффективности при лечении ими. Все изотопные вариации соединений по настоящему изобретению, как радиоактивные, так и нерадиоактивные, входят в объем настоящего изобретения.

Соединения

В одном аспекте, в настоящем изобретении описаны соединения, имеющие формулу (I):

или их фармацевтически приемлемая соль, пролекарство или биоизостер, где:

R1a, R1b, R1c и R1d каждый независимо выбраны из группы, состоящей из H, галогена, C1-3 алкила, C1-3 галогеналкила, C1-3 алкоксигруппы и CN;

X1 представляет собой C1-3 алкилен, необязательно замещенный одним или двумя C1-2 алкилами или CO2H;

R2a и R2b каждый независимо выбраны из группы, состоящей из H, C1-8 алкила, C1-8 галогеналкила, -Y, -X2-C(O)2Ra, -X2-ORa, -X2-NRaRb, -X2-CONRaRb, -X2-SO2Ra,
-X2-SO2NRaRb, -X2-SO3Ra и -X2-Y, где каждый X2 представляет собой C1-6 алкилен, и любой C1-8 алкил или C1-6 алкилен необязательно дополнительно замещен одним или двумя заместителями, независимо выбранными из OH, SO2NH2, CONH2, C(O)NHOH, PO3H2, COO-C1-8 алкила или CO2H, и каждый Y выбран из группы, состоящей из C3-6 циклоалкила, C4-8 гетероциклила и 5-6-членного гетероарила, каждый из которых необязательно дополнительно замещен 1-4 заместителями, независимо выбранными из группы, состоящей из оксогруппы, OH, C1-4 алкила, C1-4 галогеналкила, C1-4 гидроксиалкила, C1-4 алкоксигруппы, C1-4 галогеналкоксигруппы, C1-4 гидроксиалкоксигруппы, SO2NH2, CONH2, C(O)NHOH, PO3H2, COO-C1-8 алкила, SO3H и CO2H;

или R2a и R2b объединены с образованием 4-10-членного кольца или спироциклического кольца, необязательно имеющего один или два дополнительных члена цикла, выбранных из O, N или S;

где кольцо, образовавшееся при объединении R2a и R2b, замещено 0-4 заместителями, независимо выбранными из группы, состоящей из оксогруппы, C1-8 алкила, C1-8 галогеналкила, C1-8 гидроксиалкила, -X3-C(O)2Ra, -X3-ORa, -X3-NRaRb, -X3-CONRaRb, -X3-SO2Ra, -X3-SO2NRaRb и -X3-SO3Ra; где X3 представляет собой связь или C1-6 алкилен;

R3 и R4 каждый независимо выбраны из группы, состоящей из F, Cl, CN, CH3, OCH3, CH2CH3 и CF3;

подстрочный индекс n равен 0, 1, 2 или 3;

каждый R3a независимо выбран из группы, состоящей из H, F, Cl, C1-3 алкила, C1-3 алкоксигруппы, C1-3 галогеналкила, C1-3 галогеналкоксигруппы, C2-3 алкенила и CN;

R6, R7 и R8 каждый независимо выбраны из группы, состоящей из H, F, Cl, CN, CH3, OCH3, CH2CH3 и CF3;

A представляет собой фрагмент, выбранный из группы, состоящей из -N(Ra)-, -C(=O)N(Ra)-, -S(O)N(Ra)- и -S(O)2N(Ra)-;

Z выбран из группы, состоящей из следующих:

i) моноциклическое, бициклическое или спироциклическое неароматическое гетероциклическое кольцо, необязательно замещенное одной или двумя оксогруппами и необязательно имеющее до четырех заместителей Ra и/или Rb;

ii) моноциклическое 5- или 6-членное гетероарильное кольцо, необязательно замещенное 1-3 заместителями Rc; и

iii) конденсированное бициклическое гетероарильное кольцо, необязательно замещенное 1-3 заместителями Rc;

где если A представляет собой -N(Ra)-, то Z представляет собой конденсированное бициклическое гетероарильное кольцо, необязательно замещенное 1-3 заместителями Rc;

каждый Ra независимо выбран из группы, состоящей из H, C1-6 алкила, C3-6 циклоалкила, C1-6 галогеналкила, C1-6 гидроксиалкила, C1-6 алкилен-CO2H, C1-6 алкилен-SO3H;

каждый Rb независимо выбран из группы, состоящей из H, C1-6 алкила, C3-6 циклоалкила, C1-6 галогеналкила, C1-6 гидроксиалкила, C1-6 алкилен-CO2H и C1-6 алкилен-SO3H, каждый из которых необязательно дополнительно замещен одним или двумя заместителями, независимо выбранными из OH, SO2NH2, CONH2, C(O)NHOH, PO3H2, COO-C1-8 алкила и CO2H;

и Ra и Rb, когда они присоединены к одном атому азота, необязательно объединены с образованием 4-8-членного кольца или спироциклического кольца, необязательно замещенного галогеном, OH, SO2NH2, CONH2, C(O)NHOH, PO3H2, COO-C1-8 алкилом или CO2H;

каждый Rc независимо выбран из группы, состоящей из H, галогена, CN, C1-6 алкила, C1-6 галогеналкила, -Y1, -X4-C(O)2Ra, -O-X4-C(O)2Ra, -X4-ORa, -X4-NRaRb, -X4-CONRaRb, -O-X4-CONRaRb, -X4-SO2Ra, -X4-SO2NRaRb, -X4-SO3Ra и -N(Ra)-X4-C(O)2Ra, где каждый X4 представляет собой связь или C1-6 алкилен, и каждый Y1 выбран из группы, состоящей из C3-6 циклоалкила и C4-8 гетероциклила; и необязательно два Rc на соседних вершинах цикла объединены с образованием конденсированного 5- или 6-членного гетероциклического кольца.

В одном аспекте, в настоящем изобретении описаны соединения, имеющие формулу (I):

или их фармацевтически приемлемая соль, пролекарство или биоизостер, где:

R1a, R1b, R1c и R1d каждый независимо выбраны из группы, состоящей из H, галогена, C1-3 алкила, C1-3 галогеналкила, C1-3 алкоксигруппы и CN;

X1 представляет собой C1-3 алкилен, необязательно замещенный одним или двумя C1-2 алкилами или CO2H;

R2a и R2b каждый независимо выбраны из группы, состоящей из H, C1-8 алкила, C1-8 галогеналкила, -Y, -X2-C(O)2Ra, -X2-ORa, -X2-NRaRb, -X2-CONRaRb, -X2-SO2Ra,
-X2-SO2NRaRb, -X2-SO3Ra и -X2-Y, где каждый X2 представляет собой C1-6 алкилен и любой C1-8 алкил или C1-6 алкилен необязательно дополнительно замещен одним или двумя заместителями, независимо выбранными из OH, SO2NH2, CONH2, C(O)NHOH, PO3H2, COO-C1-8 алкила или CO2H, и каждый Y выбран из группы, состоящей из C3-6 циклоалкила, C4-8 гетероциклила и 5-6-членного гетероарила, каждый из которых необязательно дополнительно замещен 1-4 заместителями, независимо выбранными из группы, состоящей из оксогруппы, OH, C1-4 алкила, C1-4 галогеналкила, C1-4 гидроксиалкила, C1-4 алкоксигруппы, C1-4 галогеналкоксигруппы, C1-4 гидроксиалкоксигруппы, SO2NH2, CONH2, C(O)NHOH, PO3H2, COO-C1-8алкила, SO3H и CO2H;

или R2a и R2b объединены с образованием 4-9-членного кольца или спироциклического кольца, необязательно имеющего один или два дополнительных члена цикла, выбранных из O, N или S;

где кольцо, образовавшееся при объединении R2a и R2b, замещено 0-4 заместителями, независимо выбранными из группы, состоящей из оксогруппы, C1-8 алкила, C1-8 галогеналкила, C1-8 гидроксиалкила, -X3-C(O)2Ra, -X3-ORa, -X3-NRaRb, -X3-CONRaRb, -X3-SO2Ra, -X3-SO2NRaRb и -X3-SO3Ra; где X3 представляет собой связь или C1-6 алкилен;

R3 и R4 каждый независимо выбраны из группы, состоящей из F, Cl, CN, CH3, OCH3, CH2CH3 и CF3;

подстрочный индекс n равен 0, 1, 2 или 3;

каждый R3a независимо выбран из группы, состоящей из H, F, Cl, C1-3 алкила, C1-3 алкоксигруппы, C1-3 галогеналкила, C1-3 галогеналкоксигруппы, C2-3 алкенила и CN;

R6, R7 и R8 каждый независимо выбраны из группы, состоящей из H, F, Cl, CN, CH3, OCH3, CH2CH3 и CF3;

A представляет собой фрагмент, выбранный из группы, состоящей из -N(Ra)-, -C(=O)N(Ra)-, -S(O)N(Ra)- и -S(O)2N(Ra)-;

Z выбран из группы, состоящей из следующих:

i) моноциклическое, бициклическое или спироциклическое неароматическое гетероциклическое кольцо, необязательно замещенное одной или двумя оксогруппами и необязательно имеющее до четырех заместителей Ra и/или Rb;

ii) моноциклическое 5- или 6-членное гетероарильное кольцо, необязательно замещенное 1-3 заместителями Rc; и

iii) конденсированное бициклическое гетероарильное кольцо, необязательно замещенное 1-3 заместителями Rc;

где если A представляет собой -N(Ra)-, то Z представляет собой конденсированное бициклическое гетероарильное кольцо, необязательно замещенное 1-3 заместителями Rc;

каждый Ra независимо выбран из группы, состоящей из H, C1-6 алкила, C3-6 циклоалкила, C1-6 галогеналкила, C1-6 гидроксиалкила, C1-6 алкилен-CO2H, C1-6 алкилен-SO3H;

каждый Rb независимо выбран из группы, состоящей из H, C1-6 алкила, C3-6 циклоалкила, C1-6 галогеналкила, C1-6 гидроксиалкила, C1-6 алкилен-CO2H и C1-6 алкилен-SO3H, каждый из которых необязательно дополнительно замещен одним или двумя заместителями, независимо выбранными из OH, SO2NH2, CONH2, C(O)NHOH, PO3H2, COO-C1-8 алкила и CO2H;

и Ra и Rb, когда они присоединены к одном атому азота, необязательно объединены с образованием 4-8-членного кольца или спироциклического кольца, необязательно замещенного галогеном, OH, SO2NH2, CONH2, C(O)NHOH, PO3H2, COO-C1-8 алкилом или CO2H;

каждый Rc независимо выбран из группы, состоящей из H, галогена, CN, C1-6 алкил, C1-6 галогеналкил, -Y1, -X4-C(O)2Ra, -O-X4-C(O)2Ra, -X4-ORa, -X4-NRaRb, -X4-CONRaRb, -O-X4-CONRaRb, -X4-SO2Ra, -X4-SO2NRaRb, -X4-SO3Ra и -N(Ra)-X4-C(O)2Ra, где каждый X4 представляет собой связь или C1-6 алкилен, и каждый Y1 выбран из группы, состоящей из C3-6 циклоалкила и C4-8 гетероциклила; и необязательно два Rc на соседних вершинах цикла объединены с образованием конденсированного 5- или 6-членного гетероциклического кольца.

В некоторых вариантах осуществления, в настоящем изобретении описаны соединения формулы (I), представленные формулой (Ia):

где группы R1a, R1b, R1c, R1d, R2a, R2b, R3, R4, A, X1 и Z имеют значения, указанные для формулы (I).

В некоторых вариантах осуществления, в настоящем изобретении описаны соединения формулы (I), представленные формулой (Ib):

где группы R1a, R1b, R1c, R2a, R2b, R3, R4, A, X1 и Z имеют значения, указанные для формулы (I).

В некоторых вариантах осуществления, в настоящем изобретении описаны соединения формулы (I), представленные формулой (Ic):

где группы R1a, R1b, R2a, R2b, R3, R4, A, X1 и Z имеют значения, указанные для формулы (I).

В некоторых вариантах осуществления, в настоящем изобретении описаны соединения формулы (I), представленные формулой (Id):

где группы R1a, R1b, R2a, R2b, R3, R4, A и Z имеют значения, указанные для формулы (I).

В некоторых частных вариантах осуществления, соединения формул (I), (Ia), (Ib), (Ic) или (Id) представляют собой соединения, в которых Z представляет собой неароматическое гетероциклическое кольцо, имеющее формулу, выбранную из группы, состоящей из:

.

В некоторых частных вариантах осуществления, соединения формул (I), (Ia), (Ib), (Ic) или (Id) представляют собой соединения, в которых Z представляет собой неароматическое гетероциклическое кольцо, выбранное из группы, состоящей из пиперидинила, морфолинила, тетрагидропиранила и тетрагидрофуранила, каждый из которых необязательно имеет до 4 заместителей Ra и/или Rb.

В некоторых частных вариантах осуществления, соединения формул (I), (Ia), (Ib), (Ic) или (Id) представляют собой соединения, в которых Z представляет собой конденсированное бициклическое гетероарильное кольцо, имеющее формулу, выбранную из группы, состоящей из:

.

В некоторых частных вариантах осуществления, соединения формул (I), (Ia), (Ib), (Ic) или (Id) представляют собой соединения, в которых Z представляет собой моноциклическое 5- или 6-членное гетероарильное кольцо, необязательно замещенное 1-3 заместителями Rc; и это гетероциклическое кольцо выбрано из группы, состоящей из пиридинила, пиримидинила, пиразинила, оксазолила, тиазолила и пиразолила.

В некоторых вариантах осуществления, включая любые из описанных выше для соединений формул (I), (Ia), (Ib), (Ic) или (Id), дополнительными вариантами осуществления являются такие, где A представляет собой -C(=O)N(Ra)-.

В некоторых вариантах осуществления, включая любые из описанных выше для соединений формул (I), (Ia), (Ib), (Ic) или (Id), дополнительными вариантами осуществления являются такие, где группа R1a представляет собой OCH3, и R1b представляет собой F.

В некоторых вариантах осуществления, включая любые из описанных выше для соединений формул (I), (Ia), (Ib), (Ic) или (Id), дополнительными вариантами осуществления являются такие, где R2a и R2b каждый представляют собой H.

В некоторых вариантах осуществления, включая любые из описанных выше для соединений формул (I), (Ia), (Ib), (Ic) или (Id), дополнительными вариантами осуществления являются такие, где R2a и R2b объединены с образованием 4-9-членного кольца или спироциклического кольца, необязательно имеющего один или два дополнительных члена цикла, выбранных из O, N или S; где указанное кольцо или спироциклическое кольцо замещено 0-4 заместителями, независимо выбранными из группы, состоящей из оксогруппы, C1-8 алкила, C1-8 галогеналкила, C1-8 гидроксиалкила, -X2-C(O)2Ra, -X2-ORa, -X2-NRaRb, -X2-CONRaRb, -X2-SO2Ra, -X2-SO2NRaRb и -X2-SO3Ra; где X2 представляет собой связь или C1-6 алкилен.

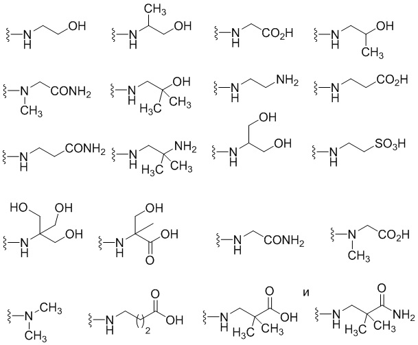
В некоторых вариантах осуществления, включая любые из описанных выше для соединений формул (I), (Ia), (Ib), (Ic) или (Id), дополнительными вариантами осуществления являются такие, где -N(R2a)(R2b) выбран из группы, состоящей из следующих:

.

В некоторых вариантах осуществления, включая любые из описанных выше для соединений формул (I), (Ia), (Ib), (Ic) или (Id), дополнительными вариантами осуществления являются такие, где -N(R2a)(R2b) выбран из группы, состоящей из следующих:

.

В некоторых вариантах осуществления, включая любые из описанных выше для соединений формул (I), (Ia), (Ib), (Ic) или (Id), дополнительными вариантами осуществления являются такие, где -N(R2a)(R2b) выбран из группы, состоящей из следующих:

.

В некоторых вариантах осуществления, включая любые из описанных выше для соединений формул (I), (Ia), (Ib), (Ic) или (Id), дополнительными вариантами осуществления являются такие, где R2a представляет собой H или C1-8 алкил; и R2b представляет собой -Y или -X2-Y.

В некоторых вариантах осуществления, включая любые из описанных выше для соединений формул (I), (Ia), (Ib), (Ic) или (Id), дополнительными вариантами осуществления являются такие, где R2a представляет собой H или C1-8 алкил; R2b представляет собой -Y или -X2-Y; и Y выбран из группы, состоящей из C3-6 циклоалкила и C4-8 гетероциклила, каждый из которых необязательно дополнительно замещен 1-4 заместителями, независимо выбранными из группы, состоящей из оксогруппы, OH, C1-4 алкила, C1-4 галогеналкила, C1-4 гидроксиалкила, C1-4 алкоксигруппы, C1-4 галогеналкоксигруппы, C1-4 гидроксиалкоксигруппы, SO2NH2, CONH2, C(O)NHOH, PO3H2, COO-C1-8алкила и CO2H.

В некоторых вариантах осуществления, включая любые из описанных выше для соединений формул (I), (Ia), (Ib), (Ic) или (Id), дополнительными вариантами осуществления являются такие, где A представляет собой -C(=O)N(Ra)-, и Z представляет собой 5- или 6-членное неароматическое гетероциклическое кольцо, необязательно замещенное одной или двумя оксогруппами и необязательно замещенное Ra и/или Rb.

В некоторых вариантах осуществления, включая любые из описанных выше для соединений формул (I), (Ia), (Ib), (Ic) или (Id), дополнительными вариантами осуществления являются такие, где A представляет собой -C(=O)N(Ra)-, и Z представляет собой моноциклическое 5- или 6-членное гетероарильное кольцо, необязательно замещенное 1-3 заместителями Rc.

В некоторых вариантах осуществления, включая любые из описанных выше для соединений формул (I), (Ia), (Ib), (Ic) или (Id), дополнительными вариантами осуществления являются такие, где A представляет собой -C(=O)N(Ra)-; Z представляет собой 5- или 6-членное неароматическое гетероциклическое кольцо, необязательно замещенное одной или двумя оксогруппами и необязательно замещенное Ra и/или Rb; и каждый из R1c, R6, R7 и R8 представляет собой H.

В некоторых вариантах осуществления, включая любые из описанных выше для соединений формул (I), (Ia), (Ib), (Ic) или (Id), дополнительными вариантами осуществления являются такие, где A представляет собой -C(=O)N(Ra)-; Z представляет собой моноциклическое 5- или 6-членное гетероарильное кольцо, необязательно замещенное 1-3 заместителями Rc; и каждый из R1c, R6, R7 и R8 представляет собой H.

В некоторых вариантах осуществления, включая любые из описанных выше для соединений формул (I), (Ia), (Ib), (Ic) или (Id), дополнительными вариантами осуществления являются такие, где A представляет собой -C(=O)N(Ra)-; Z представляет собой 5- или 6-членное неароматическое гетероциклическое кольцо, необязательно замещенное одной или двумя оксогруппами и необязательно замещенное Ra и/или Rb; и указанное неароматическое гетероциклическое кольцо выбрано из группы, состоящей из пиперидинила, морфолинила, тетрагидропиранила и тетрагидрофуранила.

В некоторых вариантах осуществления, включая любые из описанных выше для соединений формул (I), (Ia), (Ib), (Ic) или (Id), дополнительными вариантами осуществления являются такие, где A представляет собой -C(=O)N(Ra)-; Z представляет собой моноциклическое 5- или 6-членное гетероарильное кольцо, необязательно замещенное 1-3 заместителями Rc; и это гетероциклическое кольцо выбрано из группы, состоящей из пиридинила, пиримидинила, пиразинила, оксазолила, тиазолила и пиразолила.

В некоторых вариантах осуществления, включая любые из описанных выше для соединений формул (I), (Ia), (Ib), (Ic) или (Id), дополнительными вариантами осуществления являются такие, где соединение выбрано из таблицы 1. В некоторых вариантах осуществления, включая любые из описанных выше для соединений формул (I), (Ia), (Ib), (Ic) или (Id), дополнительными вариантами осуществления являются такие, где соединение выбрано из таблицы 2.

В некоторых вариантах осуществления, включая любые из описанных выше для соединений формул (I), (Ia), (Ib), (Ic) или (Id), дополнительными вариантами осуществления являются такие, где соединение выбрано из таблицы 1 и имеет активность ++ или +++. В некоторых вариантах осуществления, включая любые из описанных выше для соединений формул (I), (Ia), (Ib), (Ic) или (Id), дополнительными вариантами осуществления являются такие, где соединение выбрано из таблицы 2 и имеет активность ++ или +++.

В некоторых вариантах осуществления, включая любые из описанных выше для соединений формул (I), (Ia), (Ib), (Ic) или (Id), дополнительными вариантами осуществления являются такие, где соединение выбрано из таблицы 1 и имеет активность +++. В некоторых вариантах осуществления, включая любые из описанных выше для соединений формул (I), (Ia), (Ib), (Ic) или (Id), дополнительными вариантами осуществления являются такие, где соединение выбрано из таблицы 2 и имеет активность +++.

В дополнение к описанным выше соединениям, настоящее изобретение охватывает также фармацевтически приемлемые соли этих соединений. В некоторых вариантах осуществления, фармацевтически приемлемые соли выбраны из солей аммония, кальция, магния, калия, натрия, цинка, аргинина, бетаина, кофеина, холина, N,N'-дибензилэтилендиамина, диэтиламина, 2-диэтиламиноэтанола, 2-диметиламиноэтанола, этаноламина, этилендиамина, N-этилморфолина, N-этилпиперидина, глюкамина, глюкозамина, гистидина, гидрабамина, изопропиламина, лизина, метилглюкамина, морфолина, пиперазина, пиперидина, прокаина, пуринов, теобромина, триэтиламина, триметиламина, трипропиламина, трометамина, солей с соляной, угольной кислотами, из моногидрокарбонатов, солей с фосфорной кислотой, моногидрофосфатов, дигидрофосфатов, солей с уксусной, пропионовой, изомасляной, малоновой, бензойной, янтарной, субериновой, фумаровой, миндальной, фталевой кислотой, бензолсульфокислотой, п-толуолсульфокислотой, лимонной кислотой, винной кислотой, метансульфокислотой, аргинатов, солей с глюкуроновой кислотой и галактуроновой кислотой. В некоторых вариантах осуществления, фармацевтически приемлемые соли выбраны из солей аммония, кальция, магния, калия, натрия, солей с соляной, угольной кислотами, из моногидрокарбонатов, солей с фосфорной кислотой, моногидрофосфатов, дигидрофосфатов, солей с уксусной, пропионовой, изомасляной, малоновой, бензойной, янтарной, субериновой, фумаровой, миндальной, фталевой кислотой, бензолсульфокислотой, п-толуолсульфокислотой, лимонной кислотой, винной кислотой, метансульфокислотой, аргинатов, солей с глюкуроновой кислотой и галактуроновой кислотой. В некоторых вариантах осуществления, фармацевтически приемлемые соли представляют собой соли натрия или гидрохлориды.

Помимо солевых форм, в настоящем изобретении описаны соединения в форме пролекарства. Пролекарствами описанных в настоящем изобретении соединений являются соединения, которые легко претерпевают химические изменения в физиологических условиях, давая соединения по настоящему изобретению. Кроме того, пролекарства могут быть превращены в соединения по настоящему изобретению химическими или биологическими методами в условиях ex vivo. Например, пролекарства могут медленно превращаться в соединения по настоящему изобретению при помещении в резервуар чрезскожного пластыря с подходящим ферментом или химическим реагентом.

Сложный эфир может применяться в качестве пролекарства для соответствующей карбоновой кислоты. Можно применять C1-10 алкиловый эфир или C1-10 галогеналкиловый эфир в качестве пролекарства для соответствующей карбоновой кислоты. Могут применяться следующие сложные эфиры: трет-бутиловый эфир, метиловый эфир, этиловый эфир, изопропиловый эфир.

Фармацевтические композиции

Помимо соединений по настоящему изобретению, композиции этих соединений в типичном случае содержат фармацевтически приемлемый носитель или разбавитель.

Термин «композиция» при использовании в настоящем тексте охватывает продукт, содержащий указанные ингредиенты и указанных количествах, а также любой продукт, который образуется, напрямую или косвенно, из комбинации указанных ингредиентов в указанных количествах. Термин «фармацевтически приемлемый» означает, что носитель, разбавитель или вспомогательное вещество должны быть совместимыми с другими ингредиентами препарата и не вредными для самого пациента.

В другом варианте осуществления описана фармацевтическая композиция, содержащая соединение по настоящему изобретению, включая соединение формул (I), (Ia), (Ib), (Ic) или (Id), или его фармацевтически приемлемую соль, и фармацевтически приемлемое вспомогательное вещество.

В некоторых вариантах осуществления, фармацевтическая композиция дополнительно содержит один или больше дополнительных терапевтических агентов. В некоторых вариантах осуществления, указанные один или больше дополнительных терапевтических агентов выбраны из группы, состоящей из противомикробного агента, противовирусного агента, цитотоксического агента, агента, модулирующего экспрессию гена, химиотерапевтического агента, противоракового агента, антиангиогенного агента, иммунотерапевтического агента, противогормонального агента, противофиброзного агента, лучевой терапии, агента для лучевой терапии, противоопухолевого агента и антипролиферативного агента. В некоторых вариантах осуществления, один или больше дополнительных терапевтических агентов представляют собой антагонист хемокинового и/или хемотаксического рецептора, который включает (но не ограничивается только ими) CCR1, CCR2, CCR3, CCR4, CCR5, CCR6, CCR7, CCR8, CCR9, CCR10, CCR11, CCR12, CXCR1, CXCR2, CXCR3, CXCR4, CXCR5, CXCR6, CXCR7, C3aR и/или C5aR. Антагонисты хемокинового и/или хемотаксического рецептора известны в данной области и описаны, например, в WO 2007/002667, WO 2007/002293, WO 2003/105853, WO 2007/022257, WO 2007/059108, WO 2007/044804, WO 2007/115232, WO 2007/115231, WO 2008/147815, WO 2010/030815, WO 2010/075257, WO 2011/163640, WO 2010/054006, WO 2010/051561, WO 2011/035332, WO 2013/082490, WO 2013/082429, WO 2014/085490, WO 2014/100735, WO 2014/089495, WO 2015/084842, WO 2016/187393, WO 2017/127409, WO 2017/087607, WO 2017/087610, WO 2017/176620, WO 2018/222598, WO 2018/222601, WO 2013/130811, WO 2006/076644, WO 2008/008431, WO 2009/038847, WO 2008/008375, WO 2008/008374, WO 2008/010934, WO 2009/009740, WO 2005/112925, WO 2005/112916, WO 2005/113513, WO 2004/085384, WO 2004/046092. Антагонисты хемокинового и/или хемотаксического рецептора включают также CCX354, CCX9588, CCX140, CCX872, CCX598, CCX6239, CCX9664, CCX2553, CCX3587, CCX3624, CCX 2991, CCX282, CCX025, CCX507, CCX430, CCX765, CCX224, CCX662, CCX650, CCX832, CCX168, CCX168-M1, CCX3022 и/или CCX3384.

Фармацевтические композиции для введения соединений по настоящему изобретению можно выпускать в виде дозированных лекарственных форм, и их можно готовить любым из способов, известных в фармакологии и введении лекарственных препаратов. Все способы включают стадию объединения действующего вещества с носителем, который содержит один или несколько вспомогательных ингредиентов. В целом, фармацевтические композиции получают путем однородного и тщательного смешивания действующего вещества с жидким носителем или тонко измельченным твердым носителем, или с обоими, и затем, при необходимости, придание продукту формы желаемого препарата. В фармацевтической композиции действующее вещество присутствует в количестве, достаточном для оказания целевого эффекта на болезнь или на патологическое состояние.

Фармацевтические композиции, содержащие действующее вещество, могут иметь форму, подходящую для перорального применения, например, они могут быть в виде таблеток, саше, пастилок, водных или масляных суспензий, диспергируемых порошков или гранул, эмульсий и самоэмульгирующихся препаратов, как описано в Заявке на Патент США 2002-0012680, твердых или мягких капсул, сиропов, эликсиров, растворов, буккальных пластырей, геля для полости рта, жевательной резинки, жевательных таблеток, шипучих порошков и шипучих таблеток. Композиции, предназначенные для перорального приема, можно готовить любыми способами, известными в области производства фармацевтических композиций. Такие композиции могут содержать один или больше агентов, выбранных из группы, состоящей из подсластителей, ароматизаторов, красителей, антиоксидантов и консервантов, для создания фармацевтически привлекательных и приятных на вкус препаратов. Таблетки содержат действующее вещество в смеси с нетоксичными фармацевтически приемлемыми вспомогательными веществами, подходящими для производства таблеток. Такими вспомогательными веществами могут быть, например, инертные разбавители, такие как целлюлоза, диоксид углерода, оксид алюминия, карбонат кальция, карбонат натрия, глюкоза, маннит, сорбит, лактоза, фосфат кальция или фосфат натрия; гранулирующие агенты и агенты, ускоряющие распад таблеток, например, кукурузный крахмал или альгиновую кислоту; связующие агенты, например, поливинилпирролидон, целлюлозу, крахмал, желатин или смолу акации, и лубриканты, например, стеарат магния, стеариновую кислоту или тальк. Таблетки могут не иметь покрытия или они могут быть покрыты кишечнорастворимой оболочкой, или иметь покрытие, нанесенное каким-либо другим известным способом, с целью замедления распадения и всасывания в желудочно-кишечном тракте, тем самым обеспечивая пролонгированное действие в течение более длительного времени. Например, можно применять такие замедляющие распадение материалы как глицерил моностеарат или глицерил дистеарат. На таблетки можно также наносить покрытие способами, описанными в Патентах США № 4,256,108; 4,166,452 и 4,265,874, с образованием осмотических таблеток с замедленным высвобождением.

Препараты, предназначенные для перорального приема, могут также иметь вид твердых желатиновых капсул, где действующее вещество смешано с инертным твердым разбавителем, например, карбонатом кальция, фосфатом кальция или каолином, полиэтиленгликолем (ПЭГ) с разным средним размером молекул (например, ПЭГ400, ПЭГ4000), или в виде мягких желатиновых капсул, где действующее вещество смешано с водной или масляной средой, например, арахисовым маслом, жидким парафином или оливковым маслом. Кроме того, можно готовить эмульсии с нерастворяющимися в воде ингредиентами, такими как масла, и стабилизировать их поверхностно-активными веществами, такими как моно- или диглицериды, сложные эфиры ПЭГ и т.п.

Водные суспензии содержат действующие вещества в смеси со вспомогательными веществами, подходящими для производства водных суспензий. Такие вспомогательные вещества представляют собой суспендирующие агенты, например, натрия карбоксиметилцеллюлозу, метилцеллюлозу, гидроксипропилметилцеллюлозу, альгинат натрия, поливинилпирролидон, трагакантовую камедь, и смолу акации; диспергирующие или увлажняющие агенты могут представлять собой природные фосфатиды, например, лецитин, или продукты конденсации алкиленоксида с жирными кислотами, например, полиоксиэтилен стеарат, или продукты конденсации этиленоксида с длинноцепочечными алифатическими спиртами, например, гептадекаэтиленоксицетанол, или продукты конденсации этиленоксида с неполными сложными эфирами, полученными из жирных кислот и гекситола, такие как полиоксиэтилен сорбитмоноолеат, или продукты конденсации этиленоксида с неполными сложными эфирами, полученными из жирных кислот и ангидридами гекситола, например, полиэтилен сорбитанмоноолеат. Водные суспензии могут также содержать один или больше консервантов, например, этил или н-пропил парагидроксибензоат, один или больше красителей, один или больше ароматизаторов, и один или больше подсластителей, таких как сахароза или сахарин.

Масляные суспензии можно получать путем суспендирования действующего вещества в растительном масле, например, в арахисовом масле, оливковом масле, сезамовом масле или кокосовом масле, или в минеральном масле, таком как жидкий парафин. Масляные суспензии могут содержать загустители, например, пчелиный воск, твердый парафин или цетиловые спирты. Можно добавлять подсластители, такие как перечисленные выше, и красители, для получения приятной на вкус композиции для перорального приема. Такие композиции можно стабилизировать добавлением антиоксиданта, такого как аскорбиновая кислота.

Диспергируемые порошки и гранулы, подходящие для приготовления водной суспензии при добавлении воды, содержат действующее вещество в смеси с диспергирующим или увлажняющим агентом, суспендирующим агентом и одним или больше консервантами. Примеры диспергирующих или увлажняющих агентов, суспендирующих агентов приведены выше. Могут также присутствовать дополнительные вспомогательные вещества, например, подсластители, ароматизаторы и красители.

Фармацевтические композиции по настоящему изобретению могут также иметь форму эмульсий типа масло-в-воде. Масляной фазой может служить растительное масло, например, оливковое масло или арахисовое масло, или минеральное масло, например, жидкий парафин, или их смесь. Подходящие эмульгаторы могут представлять собой природные смолы, например, смолу акации или трагакантовую камедь, природные фосфатиды, например, соевое масло, лецитин, и сложные эфиры или неполные сложные эфиры, полученные из жирных кислот и ангидридов гекситола, например, сорбитан моноолеат, и продукты конденсации указанных неполных сложных эфиров с этиленоксидом, например, полиоксиэтилен сорбитанмоноолеат. Эмульсия может также содержать подсластители и ароматизаторы.

В состав сиропов и эликсиров могут входить подсластители, например, глицерин, пропиленгликоль, сорбит или сахароза. Такие препараты могут также содержать средства, уменьшающие раздражение, консервант, ароматизаторы и красители. Растворы для перорального приема можно готовить в комбинации с, например, циклодекстрином, ПЭГ и поверхностно-активными веществами.

Фармацевтические композиции могут иметь форму стерильных инъецируемых водных или масляных суспензий. Такую суспензию можно готовить по известным в данной области методикам, с применением подходящих диспергаторов или увлажняющих агентов и суспендирующих агентов, которые были указаны выше. Стерильные инъецируемые препараты могут также представлять собой стерильные инъецируемые растворы или суспензии в нетоксичном парентерально приемлемом разбавителе или растворителе, например, могут иметь форму раствора в 1,3-бутандиоле. Среди подходящих носителей и растворителей, которые можно использовать, находятся вода, раствор Рингера и изотонический раствор хлорида натрия. Кроме того, стерильные масла часто применяют в качестве растворителя или суспендирующей среды. Для этой цели можно использовать любое безвкусное нелетучее масло, включая синтетические моно- и диглицериды. Кроме того, в приготовлении инъецируемых препаратов находят применение жирные кислоты, такие как олеиновая кислота.

Описанные в настоящем тексте соединения можно также вводить в форме суппозиториев для ректального введения лекарственного средства. Такие композиции можно готовить путем смешивания лекарственного средства с подходящим нераздражающим вспомогательным веществом, которое твердое при комнатной температуре, но переходит в жидкое состояние при температуре тела, и поэтому плавится в прямой кишке с высвобождением лекарственного средства. Такие материалы включают масло какао и полиэтиленгликоли. Кроме того, соединения можно вводить в виде глазных препаратов как капли или мази. Кроме того, можно осуществлять чрескожное введение рассматриваемых соединений посредством ионофорезных пластырей и т.п. Для местного нанесения применяют кремы, мази, гели, растворы или суспензии, содержащие соединения по настоящему изобретению. В контексте настоящего изобретения, местное нанесение включает также применение полосканий и растворов для рта.

Соединения по настоящему изобретению можно также соединять с носителем, представляющем собой подходящие полимеры, в качестве целенаправленных носителей лекарственного средства. Такие полимеры могут включать поливинилпирролидон, пирановый сополимер, полигидроксипропилметакриламидфенол, полигидроксиэтиласпартамидфенол или полиэтиленоксидполилизин, замещенный пальмитоильными остатками. Кроме того, соединения по настоящему изобретению можно соединять с носителем, относящимся к классу биоразлагаемых полимеров, которые можно применять для достижения контролируемого высвобождения лекарственного средства, например: полимолочная кислота, полигликолевая кислота, сополимеры полимолочной и полигликолевой кислоты, полиэпсилонкапролактон, полигидроксимасляная кислота, полиортоэфиры, полиацетали, полидигидропираны, полицианоакрилаты и сшитые или амфипатические блок-сополимеры гидрогелей. Полимеры и полупроницаемые полимерные матриксы можно формовать в изделия, такие как клапаны, стенты, трубки, протезы и т.п. В одном варианте осуществления настоящего изобретения, соединение по настоящему изобретению соединяют с полимером или полупроницаемым полимерным матриксом, сформованным в виде стента или стент-графта.

Способы лечения заболеваний и нарушений

Соединения по настоящему изобретению могут применяться в качестве иммуномодуляторов. Соединения по настоящему изобретению могут применяться в качестве агонистов, антагонистов, частичных агонистов, обратных агонистов и ингибиторов PD-1 и/или PD-L1 в различном контексте, как in vitro, так и in vivo. В некоторых вариантах осуществления, соединения по настоящему изобретению могут применяться в качестве ингибиторов PD-1/PD-L1 белок-белкового взаимодействия. В некоторых вариантах осуществления, соединения по настоящему изобретению могут применяться в качестве ингибиторов PD-L1. В некоторых вариантах осуществления, соединения по настоящему изобретению могут применяться в качестве ингибиторов CD80/PD-L1 белок-белкового взаимодействия. В некоторых вариантах осуществления, соединения по настоящему изобретению могут применяться для ингибирования взаимодействия между PD-1 и PD-L1 и/или PD-1 и CD80 и/или PD-1 и PD-L2 in vitro или in vivo. В некоторых вариантах осуществления, соединения по настоящему изобретению могут применяться для ингибирования VISTA и/или TIM-3. В некоторых вариантах осуществления, соединения по настоящему изобретению могут являться ингибиторами PD-1/PD-L1 белок-белкового взаимодействия и ингибиторами VISTA и/или TIM-3. В некоторых вариантах осуществления, в дополнение к функции ингибиторов PD-1/PD-L1 белок-белкового взаимодействия, соединения по настоящему изобретению могут являться ингибиторами CTLA-4 и/или BTLA и/или LAG-3 и/или KLRG-1 и/или 2B4 и/или CD160 и/или HVEM и/или CD48 и/или E-кадгерина и/или MHC-II и/или галектина-9 и/или CD86 и/или PD-L2 и/или VISTA и/или TIM-3 и/или CD80.

Соединения по настоящему изобретению можно вводить в контакт с рецептором, с которым они взаимодействуют, в водном растворе и в условиях, в остальном подходящих для связывания лиганда с рецептором. Рецептор может находиться в суспензии (например, в выделенной мембране или в препарате клеток), в выращенной или выделенной клетке, или в ткани или органе.

Предпочтительно, количество соединений по настоящему изобретению, контактирующих с рецептором, должно быть достаточно для ингибирования PD-1/PD-L1 связывания in vitro, согласно, например, измерениям методом ELISA. Рецептор может находиться в растворе или суспензии, в препарате выращенных или выделенных клеток, или в организме пациента.

В некоторых вариантах осуществления, соединения по настоящему изобретению могут применяться для восстановления и усиления активации Т-клеток. В некоторых вариантах осуществления, соединения по настоящему изобретению могут применяться для усиления иммунного ответа у пациента. В некоторых вариантах осуществления, соединения по настоящему изобретению могут применяться для лечения, предотвращения или замедления развития заболеваний или нарушений в различных областях терапии, таких как рак и инфекционные заболевания.

В некоторых вариантах осуществления, соединения по настоящему изобретению могут применяться для лечения пациентов, страдающих от патологических состояний, реагирующих на модулирование PD-1/PD-L1 белок-белкового взаимодействия.

В некоторых вариантах осуществления описан способ модулирования у субъекта иммунного ответа, осуществляемого через PD-1 сигнальный путь, включающий введение субъекту терапевтически эффективного количества соединения по настоящему изобретению, включая соединение формул (I), (Ia), (Ib), (Ic) или (Id) или его фармацевтически приемлемую соль, или композицию, содержащую соединение формул (I), (Ia), (Ib), (Ic) или (Id) или его фармацевтически приемлемую соль.

В некоторых вариантах осуществления описан способ усиления, стимулирования, модулирования и/или повышения иммунного ответа у субъекта, нуждающегося в этом, включающий введение субъекту терапевтически эффективного количества соединения по настоящему изобретению, включая соединение формул (I), (Ia), (Ib), (Ic) или (Id) или его фармацевтически приемлемую соль, или композицию, содержащую соединение формул (I), (Ia), (Ib), (Ic) или (Id) или его фармацевтически приемлемую соль.

В некоторых вариантах осуществления описан способ подавления роста, пролиферации или развития метастазов раковых клеток у субъекта, нуждающегося в этом, включающий введение субъекту терапевтически эффективного количества соединения по настоящему изобретению, включая соединение формулы (I), (Ia), (Ib), (Ic), или (Id) или его фармацевтически приемлемую соль, или композицию соединения по настоящему изобретению, включая соединение формулы (I), (Ia), (Ib), (Ic), или (Id) или его фармацевтически приемлемую соль.

В некоторых вариантах осуществления описан способ лечения субъекта, нуждающегося в этом, включающий введение субъекту терапевтически эффективного количества соединения по настоящему изобретению, включая соединение формул (I), (Ia), (Ib), (Ic) или (Id) или его фармацевтически приемлемую соль, или композицию соединения по настоящему изобретению, включая соединение формул (I), (Ia), (Ib), (Ic) или (Id) или его фармацевтически приемлемую соль.

В некоторых вариантах осуществления, субъект страдает заболеванием или нарушением, выбранным из группы, состоящей из инфекционного заболевания, бактериального инфекционного заболевания, вирусного инфекционного заболевания, грибкового инфекционного заболевания, солидной опухоли, гематологической злокачественной опухоли, иммунного расстройства, воспалительного заболевания и рака. В некоторых вариантах осуществления, заболевание или нарушение выбрано из группы, состоящей из следующих: меланома, глиобластома, рак пищевода, рак носоглотки, увеальная меланома, лимфома, лимфоцитарная лимфома, первичная лимфома ЦНС, Т-клеточная лимфома, диффузная крупноклеточная В-клеточная лимфома, первичная медиастианальная В-крупноклеточная лимфома, рак предстательной железы, кастрационно-резистентный рак предстательной железы, хроническая миелоцитарная лейкемия, саркома Капоши, фибросаркома, липосаркома, хондросаркома, остеогенная саркома, ангиосаркома, лимфангиосаркома, синовиома, менингиома, лейомиосаркома, рабдомиосаркома, саркома мягких тканей, саркома, сепсис, рак желчного пузыря, базальноклеточная карцинома, рак вилочковой железы, рак щитовидной железы, рак паращитовидной железы, рак матки, рак надпочечников, инфекция печени, карцинома из клеток Меркеля, рак нервной системы, лимфома из клеток центра фолликула, рак ободочной кишки, лимфома Ходжкина, неходжкинская лимфома, лейкоз, хронический или острый лейкоз, включая острый миелобластный лейкоз, хронический миелобластный лейкоз, острый лимфобластный лейкоз, хронический лимфобластный лейкоз, множественная миелома, рак яичника, миелодиспластический синдром, кожная или внутриглазная злокачественная меланома, почечно-клеточный рак, мелкоклеточный рак легких, рак легких, мезотелиома, рак груди, плоскоклеточный немелкоклеточный рак легких, неплоскоклеточный немелкоклеточный рак легких, колоректальный рак, рак яичника, рак желудка, печеночно-клеточный рак, карцинома поджелудочной железы, рак поджелудочной железы, аденокарцинома протоков поджелудочной железы, плоскоклеточный рак головы и шеи, рак головы и шеи, рак желудочно-кишечного тракта, рак желудка, ВИЧ, гепатит А, гепатит В, гепатит С, гепатит D, вирус герпеса, папилломавирус, грипп, рак костей, рак кожи, рак прямой кишки, рак анального отверстия, рак яичка, рак фаллопиевых труб, рак эндометрия, рак шейки матки, рак вагины, рак вульвы, рак пищевода, рак тонкого кишечника, рак эндокринной системы, рак уретры, рак пениса, рак мочевого пузыря, рак почки, рак уретры, рак почечной лоханки, новообразования в центральной нервной системе (ЦНС), ангиогенез опухоли, рак оси позвоночника, глиома стволовой части мозга, аденома гипофиза, эпидермоидный рак, асбестоз, карционома, аденокарцинома, папиллярная карцинома, цистаденокарцинома, бронхогенная карцинома, почечно-клеточный рак, переходноклеточный рак, хориокарцинома, семинома, эмбриональный рак, опухоль Вильмса, плеоморфная аденома, папиллома клеток печени, почечная канальцевая аденома, цистаденома, папиллома, аденома, лейомиома, рабдомиома, гемангиома, лимфангиома, остеома, хондрома, липома и фиброма.

В некоторых вариантах осуществления, субъекту дополнительно вводят терапевтически эффективное количество одного или больше дополнительных терапевтических агентов. В некоторых вариантах осуществления, один или больше дополнительных терапевтических агентов выбраны из группы, состоящей из противомикробного агента, противовирусного агента, цитотоксического агента, агента, модулирующего экспрессию гена, химиотерапевтического агента, противоракового агента, антиангиогенного агента, иммунотерапевтического агента, противогормонального агента, противофиброзного агента, лучевой терапии, агента для лучевой терапии, противоопухолевого агента и антипролиферативного агента. В некоторых вариантах осуществления, один или больше дополнительных терапевтических агентов представляют собой антагонист хемокинового и/или хемотаксического рецептора, который включает (но не ограничивается только ими) CCR1, CCR2, CCR3, CCR4, CCR5, CCR6, CCR7, CCR8, CCR9, CCR10, CCR11, CCR12, CXCR1, CXCR2, CXCR3, CXCR4, CXCR5, CXCR6, CXCR7, C3aR и/или C5aR. Антагонисты хемокинового и/или хемотаксического рецептора известны в данной области и описаны, например, в WO 2007/002667, WO 2007/002293, WO 2003/105853, WO 2007/022257, WO 2007/059108, WO 2007/044804, WO 2007/115232, WO 2007/115231, WO 2008/147815, WO 2010/030815, WO 2010/075257, WO 2011/163640, WO 2010/054006, WO 2010/051561, WO 2011/035332, WO 2013/082490, WO 2013/082429, WO 2014/085490, WO 2014/100735, WO 2014/089495, WO 2015/084842, WO 2016/187393, WO 2017/127409, WO 2017/087607, WO 2017/087610, WO 2017/176620, WO 2018/222598, WO 2018/222601, WO 2013/130811, WO 2006/076644, WO 2008/008431, WO 2009/038847, WO 2008/008375, WO 2008/008374, WO 2008/010934, WO 2009/009740, WO 2005/112925, WO 2005/112916, WO 2005/113513, WO 2004/085384, WO 2004/046092. Антагонисты хемокинового и/или хемотаксического рецептора включают также CCX354, CCX9588, CCX140, CCX872, CCX598, CCX6239, CCX9664, CCX2553, CCX3587, CCX3624, CCX 2991, CCX282, CCX025, CCX507, CCX430, CCX765, CCX224, CCX662, CCX650, CCX832, CCX168, CCX168-M1, CCX3022 и/или CCX3384.

В некоторых вариантах осуществления, соединения по настоящему изобретению могут применяться для подавления инфекционного заболевания. Инфекционное заболевание включает (но не ограничивается только ими) ВИЧ, грипп, лямблиоз, малярию, лейшманиоз, патогенные инфекции, вызванные вирусом гепатита (А, В и С), вирусом герпеса (например, VZV, HSV-I, HAV-6, HSV-II и CMV, вирус Эпштейна-Барр), аденовирусом, вирусом гриппа, флавивирусами, эховирусом, риновирусом, вирусом Коксаки, коронавирусом, респираторно-синцитиальным вирусом, вирусом свинки, ротавирусом, вирусом кори, вирусом краснухи, парвовирусом, вирусом коровьей оспы, Т-лимфотропным вирусом человека, вирусом денге, папилломавирусом, вирусом моллюска, вирусом полиомиелита, вирусом бешенства, вирусом Джона Каннингема и вирусом арбовирусного энцефалита, патогенные бактериальные инфекции, вызванные хламидиями, риккетсиальными бактериями, микобактериями, стафилококками, стрептококками, пневмококками, менингококками и гонококками, клебсиеллой, протеусом, серрацией, синегнойной палочкой, кишечной палочкой, легионеллой, бактерией дифтерии, сальмонеллой, палочковидными бактериями (бациллами), бактериями, вызывающими холеру, столбняк, ботулизм, сибирскую язву, чуму, лептоспироз и болезнь Лайма, патогенные инфекции, вызываемые грибами из рода Candida (albicans, krusei, glabrata, tropicalis и т.д.), дрожжевыми грибами, грибами из рода Aspergillus (fumigatus, niger и т.д.), плесневыми грибами (мукор, абсидия, ризопус), Sporothrix schenkii, Blastomyces dermatitidis, Paracoccidioides brasiliensis, Coccidioides immitis и Histoplasma capsulatum, и патогенные инфекции, вызываемые паразитами Entamoeba histolytica, Balantidium coli, Naegleriafowleri, Acanthamoeba sp., Giardia lambia, Cryptosporidium sp., Pneumocystis carinii, Plasmodium vivax, Babesia microti, Trypanosoma brucei, Trypanosoma cruzi, Leishmania donovani, Toxoplasma gondi, Nippostrongylus brasiliensis.

В некоторых вариантах осуществления, соединения по настоящему изобретению могут применяться для подавления ВИЧ инфекции, замедления развития СПИД, уничтожения резервуара вируса ВИЧ или снижения степени тяжести симптомов или ВИЧ-инфекции и СПИД.

Соединения по настоящему изобретению могут применяться для лечения раковых и предраковых состояний у субъекта.

Методы лечения, описанные в настоящем изобретении, включают введение пациенту эффективного количества одного или больше соединений, описанных в настоящем тексте. Подходящие пациенты включают пациентов, страдающих заболеванием или расстройством или подверженных (т.е. профилактическое лечение) заболеванию или расстройству, указанным в настоящем тексте. Типичные пациенты для описанного в настоящем изобретении лечения включают млекопитающих, в частности приматов, в особенности людей. Другие подходящие пациенты включают домашних животных-компаньонов, таких как собаки, кошки, лошади и т.п., или сельскохозяйственных животных, таких как крупный рогатый скот, свиньи, овцы и т.п.

В целом, описанные в настоящем изобретении способы лечения включают введение пациенту эффективного количества одного или больше соединений, описанных в настоящем тексте. В предпочтительном варианте осуществления, соединение (соединения) по настоящему изобретению предпочтительно вводят пациенту (например, человеку) внутривенно, перорально или наружно. Эффективное количество может представлять собой количество, достаточное для модулирования PD-1/PD-L1 взаимодействия, и/или количество, достаточное для уменьшения или ослабления симптомов у пациента. Предпочтительно, вводимое количество достаточно для создания в плазме крови концентрации соединения (или его активного метаболита, если соединение представляет собой пролекарство) достаточно высокой для существенного модулирования PD-1/PD-L1 взаимодействия. Режимы лечения могут варьироваться в зависимости от применяемого соединения и конкретного состояния, подвергающегося лечению; для лечения большинства нарушений, предпочтительная частота введения составляет 4 раза в сутки или меньше. В целом, прием 2 раза в сутки более предпочтителен, и особенно предпочтительно введение 1 раз в сутки. Следует понимать, однако, что конкретный уровень дозировки и режим введения для каждого конкретного пациента зависит от ряда факторов, включая активность конкретного соединения, возраст, вес тела, общее состояние здоровья, пол, диета, время введения, способ введения, скорость выведения, комбинация лекарств (например, другие лекарственные средства, которые вводят пациенту) и степень тяжести конкретного заболевания, подвергающегося лечению, а также мнение лечащего врача. В целом, предпочтительно применение минимальной дозировки, достаточной для обеспечения эффективной терапии. За терапевтической эффективностью для пациентов можно следить с помощью медицинских или ветеринарных критериев, подходящих для конкретного состояния, подвергающегося лечению.

Комбинации

Комбинированный препарат, содержащий соединения по настоящему изобретению и другое лекарственное средство, можно вводить в виде комбинированного препарата, в котором оба компонента содержатся в одной готовой форме, или в виде раздельных препаратов. Введение раздельных препаратов включает одновременное введение и введение с некоторыми интервалами времени. В случае введения с некоторыми интервалами времени, соединение по настоящему изобретению можно вводить первым, и затем вводить другое лекарственное средство, или другое лекарственное средство можно вводить первым, и затем вводить соединение по настоящему изобретению. Способ введения соответствующих лекарственных средств может быть одинаковым или различаться.

Дозировку другого лекарственного средства можно подобрать надлежащим образом на основе клинически применяемых дозировок. Соотношение количеств соединения по настоящему изобретению и другого лекарственного средства можно надлежащим образом подобрать в соответствии с возрастом и весом тела субъекта, которому осуществляется введение, способом введения, временем введения, заболеванием, которое подвергается лечению, его симптомами и их комбинацией. Например, другое лекарственное средство можно применять в количестве от 0,01 до 100 массовых частей относительно 1 массовой части соединения по настоящему изобретению. Другое лекарственное средство может представлять собой комбинацию двух или больше видов независимых лекарственных средств в нужном соотношении.

Соединения по настоящему изобретению можно применять или комбинировать с одним или больше терапевтическими агентами, такими как противомикробный агент, противовирусный агент, цитотоксический агент, агент, модулирующий экспрессию гена, химиотерапевтический агент, противораковый агент, антиангиогенный агент, иммунотерапевтический агент, противогормональный агент, противофиброзный агент, лучевая терапия, агент для лучевой терапии, противоопухолевый агент и антипролиферативный агент. Эти терапевтические агенты могут быть в форме соединений, антител, полипептидов или полинуклеотидов.

Соединения по настоящему изобретению можно применять или комбинировать с одним или больше агентами из следующих: терапевтические антитела, биспецифические антитела и «антителоподобные» терапевтические белки (такие как DARTs®, Duobodies®, Bites®, XmAbs®, TandAbs®, Fab производные), конъюгаты антитело-лекарство, вирус, онколитический вирус, генные модификаторы или редакторы, такие как CRISPR (включая CRISPR Cas9), нуклеазы цинкового пальца или синтетические нуклеазы (TALEN), агенты иммунотерапии с использованием Т-клеток с химерными антигенными рецепторами, или любая их комбинация.

Примеры химиотерапевтических средств включают алкилирующий агент, нитрозомочевинный агент, антиметаболит, противораковые антибиотики, алкалоид растительного происхождения, ингибитор топоизомеразы, гормональный лекарственный препарат, антагонист гормонов, ингибитор ароматазы, ингибитор P-гликопротеина, комплексные производные платины, другие иммунотерапевтические агенты и другие противораковые лекарственные средства.

Соединения по настоящему изобретению можно применять или комбинировать со вспомогательным средством противораковой терапии, таким как лекарство для лечения лейкопении (нейтропении), лекарство для лечения тромбоцитопении, противорвотное лекарство и лекарство для лечения раковой боли, в форме сопутствующей или комбинированной терапии.

Соединения по настоящему изобретению можно применять или комбинировать с ингибитором киназ.

В одном варианте осуществления, соединения по настоящему изобретению можно применять с другим иммуномодулятором и/или стимулирующим агентом в форме сопутствующей или комбинированной терапии. Примеры иммуномодулятора включают различные цитокины, вакцины и адъюванты. Примеры таких цитокинов, вакцин и адъювантов, стимулирующих иммунный ответ, включают (но не ограничиваются только ими) GM-CSF, M-CSF, G-CSF, интерферон-альфа, бета или гамма, IL-1, IL-2, IL- 3, IL-12, Poly (I:C) и CPG. Стимулирующие агенты включают циклофосфамид и аналоги циклофосфамида, анти-ТФР и иматиниб (Gleevac), ингибитор митоза, такой как паклитаксел, сунитиниб (Sutent) или другие антиангиогенные агенты, ингибитор ароматазы, такой как летрозол, антагонист A2a аденозинового рецептора (A2AR), ингибитор ангиогенеза, антрациклины, оксалиплатин, доксорубицин, антагонисты TLR4 и антагонисты IL-18.

В некоторых вариантах осуществления, соединения по настоящему изобретению могут применяться или комбинироваться с одним или больше модуляторами CCR1, CCR2, CCR3, CCR4, CCR5, CCR6, CCR7, CCR8, CCR9, CCR10, CCR11, CXCR1, CXCR2, CXCR3, CXCR4, CXCR5, CXCR6, CXCR7, ChemR23, C5aR, C5a, и C5. В некоторых вариантах осуществления, модулятор является антагонистом.

В некоторых вариантах осуществления, соединения по настоящему изобретению могут применяться или комбинироваться с одним или больше антагонистами хемокинового и/или хемотаксического рецептора, описанными, например, в WO 2007/002667, WO 2007/002293, WO 2003/105853, WO 2007/022257, WO 2007/059108, WO 2007/044804, WO 2007/115232, WO 2007/115231, WO 2008/147815, WO 2010/030815, WO 2010/075257, WO 2011/163640, WO 2010/054006, WO 2010/051561, WO 2011/035332, WO 2013/082490, WO 2013/082429, WO 2014/085490, WO 2014/100735, WO 2014/089495, WO 2015/084842, WO 2016/187393, WO 2017/127409, WO 2017/087607, WO 2017/087610, WO 2017/176620, WO 2018/222598, WO 2018/222601, WO 2013/130811, WO 2006/076644, WO 2008/008431, WO 2009/038847, WO 2008/008375, WO 2008/008374, WO 2008/010934, WO 2009/009740, WO 2005/112925, WO 2005/112916, WO 2005/113513, WO 2004/085384, WO 2004/046092. Антагонисты хемокинового и/или хемотаксического рецептора, которые могут применяться по настоящему изобретению, включают также CCX354, CCX9588, CCX140, CCX872, CCX598, CCX6239, CCX9664, CCX2553, CCX3587, CCX3624, CCX 2991, CCX282, CCX025, CCX507, CCX430, CCX765, CCX224, CCX662, CCX650, CCX832, CCX168, CCX168-M1, CCX3022 и/или CCX3384.

Дозировка

Дозировки порядка от примерно 0,1 мг до примерно 140 мг на килограмм веса тела в сутки могут применяться в лечении или профилактики состояний, включающих PD-1/PD-L1 взаимодействие (от примерно 0,5 мг до примерно 7 г на человека в сутки). Количество действующего вещества, которое можно комбинировать с носителями для производства однократной дозированной формы, варьируется в зависимости от конкретного пациента, подвергающегося лечению, и от применяемого способа введения. Дозированные готовые формы обычно содержат от примерно 1 мг до примерно 500 мг действующего вещества. Для соединений, которые вводят перорально, чрескожно, внутривенно или подкожно, предпочтительно, чтобы вводилось достаточное количество соединения для достижения концентрации в плазме крови от 5 нг (нанограмм)/мл до 10 мкг (микрограмм)/мл плазмы крови, более предпочтительно - достаточное количество соединения для достижения концентрации в плазме крови от 20 нг/мл до 1 мкг/мл плазмы крови, наиболее предпочтительно - достаточное количество соединения для достижения концентрации в плазме крови от 50 нг/мл до 200 нг/мл плазмы крови. Для прямого введения в синовиальную оболочку (для лечения артрита), следует вводить достаточное количество соединения для локального достижения примерно 1 микромолярной концентрации.

Частота введения также может варьироваться в зависимости от применяемого соединения и конкретного состояния, подвергающегося лечению. Однако для лечения большинства заболеваний предпочтителен режим введения 4 раза в сутки, три раза в сутки или меньше, при этом особенно предпочтителен режим введения один раз в сутки или 2 раза в сутки. Следует понимать, однако, что конкретный уровень дозировки для каждого конкретного пациента зависит от ряда факторов, включая активность конкретного соединения, возраст, вес тела, общее состояние здоровья, пол, диета, время введения, способ введения, скорость выведения, комбинация лекарств (например, другие лекарственные средства, которые вводят пациенту), степень тяжести конкретного заболевания, подвергающегося лечению, и другие факторы, включая мнение лечащего врача.

В другом аспекте настоящего изобретения, соединения по настоящему изобретению можно использовать в различных нефармацевтических in vitro и in vivo областях. Соединения по настоящему изобретению можно также применять в качестве положительного контроля в тестах активности в отношении PD-1/PD-L1 взаимодействий, т.е. в качестве стандартов для определения способности кандидата связываться с PD-1 и/или PD-L1, или в качестве радиоактивных индикаторов для позитронно-эмиссионной томографии (ПЭТ) или однофотонной эмиссионной компьютерной томографии (SPECT).

Также в объем настоящего изобретения входят наборы, содержащие соединение по настоящему изобретению или его фармацевтически приемлемую соль и инструкции по применению. Набор может также содержать по меньшей мере один дополнительный реагент. Наборы обычно включают этикетку, на которой указано назначение содержимого набора. Термин «этикетка» включает любые письменные или записанные материалы, находящиеся на упаковке или внутри набора, или иным образом сопровождающие набор.

Примеры

Описанные ниже примеры иллюстрируют различные способы получения соединений по настоящему изобретению, включая соединения формул (I), (Ia), (Ib), (Ic) или (Id). Следующие далее примеры приведены для иллюстрации, а не для ограничения объема настоящего изобретения.

Описанные ниже реагенты и растворители могут быть получены из коммерческих источников, таких как Aldrich Chemical Co. (Milwaukee, Wisconsin, USA). 1H-ЯМР спектры записывали на Varian Mercury 400 МГц ЯМР-спектрометре. Значения хим.сдвигов приведены относительно тетраметилсилана (ТМС) и описаны в порядке: мультиплетность (с, синглет; д, дублет; т, триплет; кв, квартет; м, мультиплет) и число протонов. Результаты масс-спектрометрии приведены в виде значения массы, деленной на заряд. В примерах приведено одно значение m/e для каждого M+H (или, если указано, M-H) иона, содержащего наиболее распространенные изотопы атомов. Во всех случаях изотопное распределение соответствует ожидаемой формуле. Масс-спектрометрию с ионизацией электрораспылением (ESI) проводили на масс-спектрометре Hewlett-Packard MSD с ионизацией электрораспылением, оснащенном ВЭЖХ HP1100 для ввода образца. Обычно аналит растворяли в метаноле или CH3CN в концентрации 0,1 мг/мл, и 1 микролитр полученного раствора вводили в масс-спектрометр, сканирующий ионы в диапазоне от 100 до 1000 дальтон. Все соединения анализировали в режиме ESI с регистрацией положительных или отрицательных ионов, используя смесь ацетонитрил/вода с 1% муравьиной кислоты в качестве растворителя.

В примерах и остальном тексте заявки применяются следующие сокращения: ТСХ означает тонкослойную хроматографию.

Соединения по настоящему изобретению можно синтезировать, как описано ниже, применяя разнообразные реакции, известные квалифицированному специалисту в данной области техники. Квалифицированному специалисту в данной области будет также понятно, что могут применяться альтернативные методы синтеза целевых соединений, и что подходы, используемые в тексте настоящего документа, не являются исчерпывающими, но дают работающие и практичные способы получения соединений по настоящему изобретению.

Некоторые молекулы, заявленные в настоящем патенте, могут существовать в различных энантиомерных и диастереомерных формах, и все такие варианты соединений входят в объем настоящего изобретения, если только не указан конкретный энантиомер.

Подробное описание экспериментальных методик, используемых для синтеза ключевых соединений в настоящем тексте, ведут к молекулам, которые описаны идентифицирующими их физическими данными, а также описывающими их изображениями химической структуры.

Квалифицированным специалистам в данной области техники будет также понятно, что во время стандартных методик обработки в органической химии часто применяются кислоты и основания. Иногда образуются соли материнских соединений, если они обладают необходимой собственной кислотностью или основностью, во время описанных в настоящем тексте экспериментальных процедур.

Пример 1. (S)-N-(3''-фтор-5''-метокси-2.2'-диметил-4''-(((5-оксопирролидин-3-ил)амино) метил)-[1.1':3'.1''-терфенил]-3-ил)-1-метил-6-оксо-1.6-дигидропиримидин-5-карбоксамид

Стадия a. В смесь 1-метил-6-оксо-1,6-дигидропиримидин-5-карбоновой кислоты (0,75 г, 4,87 ммоль), 3-бром-2-метиланилина (0,91 г, 4,87 ммоль) в ДМФА (30 мл) добавляли HATU (2,22 г, 5,84 ммоль) и диизопропилэтиламин (0,94 г, 7,30 ммоль). Реакционную смесь перемешивали при комнатной температуре в течение 16 часов. После окончания реакции, половину растворителя упаривали. Полученный раствор разбавляли водой (100 мл) и смесь перемешивали в течение 20 мин. Твердый осадок отфильтровывали на пластиковой воронке, промывали водой (10 мл), и сушили в вакууме, получая целевой продукт N-(3-бром-2-метилфенил)-1-метил-6-оксо-1,6-дигидропиримидин-5-карбоксамид в виде белого твердого вещества. 1H ЯМР (400 МГц, CD3OD) δ 8,89 (с, 1H), 8,68 (с, 1H), 8,08-8,05 (м, 1H), 7,44-7,42 (м, 1H), 7,13 (тд, J = 8,1, 0,7 Гц, 1H), 3,67 (с, 3H), 2,49 (с, 3H). MS: (ES) m/z вычислено для C13H13BrN3O2 [M + H]+ 322,0, найдено 322,0.

Стадия b. В смесь N-(3-бром-2-метилфенил)-1-метил-6-оксо-1,6-дигидропиримидин-5-карбоксамида (1,2 г, 3,72 ммоль), трет-бутил ((3-фтор-5-метокси-2'-метил-3'-(4.4.5.5-тетраметил-1.3.2-диоксаборолан-2-ил)-[1.1'-бифенил]-4-ил)метил)карбамата (1,4 г, 3,72 ммоль) и 2M K2CO3 (5,6 мл, 11,2 ммоль) в п-диоксане (32 мл) добавляли комплекс Pd(dppf)Cl2 с дихлорметаном (456 мг, 0,559 ммоль). Реакционную смесь дегазировали (N2) в течение 2 минут и перемешивали в атмосфере азота при 95°C в течение 5 часов. Реакционную смесь разбавляли этилацетатом, фильтровали через целит, промывали насыщенным водным раствором хлорида натрия и сушили над MgSO4. Растворитель удаляли при пониженном давлении, и остаток очищали методом флэш-хроматографии на силикагеле (от 5 до 20% до 40% EtOAc/гексан), получая N-(3''-фтор-4''-формил-5''-метокси-2.2'-диметил-[1.1':3'.1''-терфенил]-3-ил)-1-метил-6-оксо-1,6-дигидропиримидин-5-карбоксамид в виде коричневого твердого вещества. 1H ЯМР (400 МГц, CD3OD) δ 10,40 (с, 1H), 8,91 (с, 1H), 8,67 (с, 1H), 8,15 (дд, J = 8,3, 1,3 Гц, 1H), 7,37-7,25 (м, 3H), 7,18 (дд, J = 7,3, 1,5 Гц, 1H), 6,99 (дд, J = 7,3, 1,5 Гц, 1H), 6,95 (с, 1H), 6,85-6,77 (м, 1H), 3,98 (с, 3H), 3,65 (с, 3H), 2,12 (с, 3H), 1,96 (с, 3H). MS: (ES) m/z вычислено для C28H25FN3O4 [M + H]+ 486,2, найдено 486,2.

Стадия c. В перемешиваемый раствор N-(3''-фтор-4''-формил-5''-метокси-2.2'-диметил-[1.1':3'.1''-терфенил]-3-ил)-1-метил-6-оксо-1,6-дигидропиримидин-5-карбоксамида (100 мг, 0,206 ммоль) и (S)-4-аминопирролидин-2-она (82 мг, 0,824 ммоль) в этаноле (1 мл) добавляли уксусную кислоту (5 капель). Реакционную смесь перемешивали при 70°C в течение 1 часа. Смесь затем охлаждали до 0°C и медленно добавляли NaCNBH3 (13 мг, 0,206 ммоль). Смесь перемешивали при 0°C в течение 10 мин. Растворитель удаляли при пониженном давлении, и остаток очищали методом ВЭЖХ (от 0 до 40% до 100% MeCN/H2O), получая (S)-N-(3''-фтор-5''-метокси-2.2'-диметил-4''-(((5-оксопирролидин-3-ил)амино)метил)-[1.1':3'.1''-терфенил]-3-ил)-1-метил-6-оксо-1,6-дигидропиримидин-5-карбоксамид. 1H ЯМР (400 МГц, CD3OD) δ 11,41 (с, 1H), 8,92 (с, 1H), 8,68 (с, 1H), 8,13-8,10 (м, 1H), 7,38-7,21 (м, 3H), 7,20-7,13 (м, 1H), 7,01-6,97 (м, 1H), 6,96-6,94 (м, 1H), 6,91-6,88 (м, 1H), 4,37 (с, 2H), 4,26-4,21 (м, 1H), 4,00 (с, 3H), 3,88 (дд, J = 11,6, 7,6 Гц, 1H), 3,66 (с, 3H), 3,57 (дд, J = 11,6, 3,9 Гц, 1H), 2,91 (дд, J = 17,8, 8,8 Гц, 1H), 2,55 (дд, J = 17,8, 4,7 Гц, 1H), 2,11 (с, 3H), 1,94 (с, 3H). MS: (ES) m/z вычислено для C32H33FN5O4 [M + H]+ 570,2, найдено 570,3.

Пример 2. (S)-N-(3''-фтор-5''-метокси-2.2'-диметил-4''-((((5-оксопирролидин-2-ил)метил) амино)метил)-[1.1':3'.1''-терфенил]-3-ил)-1-метил-6-оксо-1,6-дигидропиримидин-5-карбоксамид

Указанное в заголовке соединение получали из N-(3''-фтор-4''-формил-5''-метокси-2.2'-диметил-[1.1':3'.1''-терфенил]-3-ил)-1-метил-6-оксо-1,6-дигидропиримидин-5-карбоксамида по методике, аналогичной описанной для стадии c из примера 1. Полученный продукт очищали методом ВЭЖХ (MeCN/H2O с 0,1% ТФУК), получая целевой продукт (S)-N-(3''-фтор-5''-метокси-2.2'-диметил-4''-((((5-оксопирролидин-2-ил)метил)амино)метил)-[1.1':3'.1''-терфенил]-3-ил)-1-метил-6-оксо-1,6-дигидропиримидин-5-карбоксамид в виде белого твердого вещества. 1H ЯМР (400 МГц, CD3OD) δ 11,41 (с, 1H), 8,92 (с, 1H), 8,68 (с, 1H), 8,15-8,13 (м, 1H), 7,39-7,21 (м, 3H), 7,20-7,13 (м, 1H), 7,03-6,86 (м, 3H), 4,41 (с, 2H), 4,07-4,01 (м, 1H), 4,00 (с, 3H), 3,66 (с, 3H), 3,28-3,25 (м, 1H), 2,49-2,29 (м, 3H), 2,12 (с, 3H), 1,95 (с, 3H), 1,92-1,88 (м, 2H). MS: (ES) m/z вычислено для C33H35FN5O4 [M + H]+ 584,3, найдено 584,3.

Пример 3. (R)-N-(3''-фтор-5''-метокси-2.2'-диметил-4''-((((5-оксопирролидин-2-ил)метил) амино)метил)-[1.1':3'.1''-терфенил]-3-ил)-1-метил-6-оксо-1,6-дигидропиримидин-5-карбоксамид

Указанное в заголовке соединение получали из N-(3''-фтор-4''-формил-5''-метокси-2.2'-диметил-[1.1':3'.1''-терфенил]-3-ил)-1-метил-6-оксо-1,6-дигидропиримидин-5-карбоксамида по методике, аналогичной описанной для стадии c из примера 1. Полученный продукт очищали методом ВЭЖХ (MeCN/H2O с 0,1% ТФУК), получая целевой продукт (R)-N-(3''-фтор-5''-метокси-2.2'-диметил-4''-((((5-оксопирролидин-2-ил)метил)амино)метил)-[1.1':3'.1''-терфенил]-3-ил)-1-метил-6-оксо-1,6-дигидропиримидин-5-карбоксамид в виде белого твердого вещества. 1H ЯМР (400 МГц, CD3OD) δ 11,41 (с, 1H), 8,92 (с, 1H), 8,68 (с, 1H), 8,15-8,13 (м, 1H), 7,39-7,21 (м, 3H), 7,20-7,13 (м, 1H), 7,03-6,86 (м, 3H), 4,41 (с, 2H), 4,07-4,01 (м, 1H), 4,00 (с, 3H), 3,66 (с, 3H), 3,28-3,25 (м, 1H), 2,49-2,29 (м, 3H), 2,12 (с, 3H), 1,95 (с, 3H), 1,92-1,88 (м, 2H). MS: (ES) m/z вычислено для C33H35FN5O4 [M + H]+ 584,3, найдено 584,3.

Пример 4. (S)-N-(3''-фтор-5''-метокси-2.2'-диметил-4''-((метил((5-оксопирролидин-2-ил) метил)амино)метил)-[1.1':3'.1''-терфенил]-3-ил)-1-метил-6-оксо-1,6-дигидропиримидин-5-карбоксамид

Указанное в заголовке соединение получали из N-(3''-фтор-4''-формил-5''-метокси-2.2'-диметил-[1.1':3'.1''-терфенил]-3-ил)-1-метил-6-оксо-1,6-дигидропиримидин-5-карбоксамида по методике, аналогичной описанной для стадии c из примера 1. Полученный продукт очищали методом ВЭЖХ (MeCN/H2O с 0,1% ТФУК), получая целевой продукт (S)-N-(3''-фтор-5''-метокси-2.2'-диметил-4''-((метил((5-оксопирролидин-2-ил)метил)амино)метил)-[1.1':3'.1''-терфенил]-3-ил)-1-метил-6-оксо-1,6-дигидропиримидин-5-карбоксамид в виде белого твердого вещества. 1H ЯМР (400 МГц, CD3OD) δ 11,41 (с, 1H), 8,92 (с, 1H), 8,67 (с, 1H), 8,15-8,11 (м, 1H), 7,39-7,23 (м, 3H), 7,17 (дд, J = 7,5, 1,5 Гц, 1H), 7,02-6,88 (м, 3H), 4,76-4,67 (м, 1H), 4,27 (с, 1H), 4,09-4,04 (м, 1H), 4,02 (с, 3H), 4,01 (с, 2H), 3,65 (с, 3H), 3,07 (с, 3H), 2,97-2,78 (м, 2H), 2,61-2,33 (м, 2H), 2,11 (с, 3H), 1,96 (с, 3H). MS: (ES) m/z вычислено для C34H37FN5O4 [M + H]+ 598,3, найдено 598,3.

Пример 5. (R)-N-(3''-фтор-5''-метокси-2.2'-диметил-4''-((метил((5-оксопирролидин-2-ил) метил)амино)метил)-[1.1':3'.1''-терфенил]-3-ил)-1-метил-6-оксо-1,6-дигидропиримидин-5-карбоксамид

Указанное в заголовке соединение получали из N-(3''-фтор-4''-формил-5''-метокси-2.2'-диметил-[1.1':3'.1''-терфенил]-3-ил)-1-метил-6-оксо-1,6-дигидропиримидин-5-карбоксамида по методике, аналогичной описанной для стадии c из примера 1. Полученный продукт очищали методом ВЭЖХ (MeCN/H2O с 0,1% ТФУК), получая целевой продукт (R)-N-(3''-фтор-5''-метокси-2.2'-диметил-4''-((метил((5-оксопирролидин-2-ил)метил)амино)метил)-[1.1':3'.1''-терфенил]-3-ил)-1-метил-6-оксо-1,6-дигидропиримидин-5-карбоксамид в виде белого твердого вещества. 1H ЯМР (400 МГц, CD3OD) δ 11,41 (с, 1H), 8,92 (с, 1H), 8,67 (с, 1H), 8,15-8,11 (м, 1H), 7,39-7,23 (м, 3H), 7,17 (дд, J = 7,5, 1,5 Гц, 1H), 7,02-6,88 (м, 3H), 4,76-4,67 (м, 1H), 4,27 (с, 1H), 4,09-4,04 (м, 1H), 4,02 (с, 3H), 4,01 (с, 2H), 3,65 (с, 3H), 3,07 (с, 3H), 2,97-2,78 (м, 2H), 2,61-2,33 (м, 2H), 2,11 (с, 3H), 1,96 (с, 3H). MS: (ES) m/z вычислено для C34H37FN5O4 [M + H]+ 598,3, найдено 598,3.

Пример 6. (S)-N-(3''-фтор-5''-метокси-2.2'-диметил-4''-((((1-метил-5-оксопирролидин-2-ил)метил)амино)метил)-[1.1':3'.1''-терфенил]-3-ил)-1-метил-6-оксо-1,6-дигидропиримидин-5-карбоксамид

Указанное в заголовке соединение получали из N-(3''-фтор-4''-формил-5''-метокси-2.2'-диметил-[1.1':3'.1''-терфенил]-3-ил)-1-метил-6-оксо-1,6-дигидропиримидин-5-карбоксамида по методике, аналогичной описанной для стадии c из примера 1. Полученный продукт очищали методом ВЭЖХ (MeCN/H2O с 0,1% ТФУК), получая целевой продукт (S)-N-(3''-фтор-5''-метокси-2.2'-диметил-4''-((((1-метил-5-оксопирролидин-2-ил)метил)амино) метил)-[1.1':3'.1''-терфенил]-3-ил)-1-метил-6-оксо-1,6-дигидропиримидин-5-карбоксамид в виде белого твердого вещества. 1H ЯМР (400 МГц, CD3OD) δ 11,41 (с, 1H), 8,92 (с, 1H), 8,68 (с, 1H), 8,13-8,11 (м, 1H), 7,37-7,23 (м, 3H), 7,14-7,12 (м, 1H), 7,01-6,88 (м, 3H), 4,43 (с, 2H), 4,00 (с, 3H), 3,97-3,92 (м, 1H), 3,66 (с, 3H), 3,49 (дд, J = 13,0, 3,0 Гц, 1H), 3,38-3,22 (м, 1H), 2,86 (с, 3H), 2,58-2,26 (м, 3H), 2,12 (с, 3H), 2,00-1,91 (м, 4H). MS: (ES) m/z вычислено для C34H37FN5O4 [M + H]+ 598,3, найдено 598,3.

Пример 7. N-(4''-((((2,4-диоксо-1.2.3.4-тетрагидропиримидин-5-ил)метил)амино)метил)-3''-фтор-5''-метокси-2.2'-диметил-[1.1':3'.1''-терфенил]-3-ил)-1-метил-6-оксо-1,6-дигидропиримидин-5-карбоксамид

Указанное в заголовке соединение получали из N-(3''-фтор-4''-формил-5''-метокси-2.2'-диметил-[1.1':3'.1''-терфенил]-3-ил)-1-метил-6-оксо-1,6-дигидропиримидин-5-карбоксамида по методике, аналогичной описанной для стадии c из примера 1. Полученный продукт очищали методом ВЭЖХ (MeCN/H2O с 0,1% ТФУК), получая целевой продукт N-(4''-((((2,4-диоксо-1.2.3.4-тетрагидропиримидин-5-ил)метил)амино)метил)-3''-фтор-5''-метокси-2.2'-диметил-[1.1':3'.1''-терфенил]-3-ил)-1-метил-6-оксо-1,6-дигидропиримидин-5-карбоксамид в виде белого твердого вещества. 1H ЯМР (400 МГц, CD3OD) δ 11,41 (с, 1H), 8,92 (с, 1H), 8,68 (с, 1H), 8,13-8,11 (м, 1H), 7,66 (с, 1H), 7,34-7,22 (м, 3H), 7,20-7,13 (м, 1H), 6,99 (д, J = 7,6 Гц, 1H), 6,91 (с, 1H), 6,89-6,81 (м, 1H), 4,34 (с, 2H), 4,01 (с, 2H), 3,98 (с, 3H), 3,66 (с, 3H), 2,11 (с, 3H), 1,93 (с, 3H). MS: (ES) m/z вычислено для C33H32FN6O5 [M + H]+ 611,2, найдено 611,2.

Пример 8. (S)-N-(3''-фтор-5''-метокси-2.2'-диметил-4''-(((6-оксопиперидин-3-ил)амино) метил)-[1.1':3'.1''-терфенил]-3-ил)-1-метил-6-оксо-1,6-дигидропиримидин-5-карбоксамид

Указанное в заголовке соединение получали из N-(3''-фтор-4''-формил-5''-метокси-2.2'-диметил-[1.1':3'.1''-терфенил]-3-ил)-1-метил-6-оксо-1,6-дигидропиримидин-5-карбоксамида по методике, аналогичной описанной для стадии c из примера 1. Полученный продукт очищали методом ВЭЖХ (MeCN/H2O с 0,1% ТФУК), получая целевой продукт (S)-N-(3''-фтор-5''-метокси-2.2'-диметил-4''-(((6-оксопиперидин-3-ил)амино)метил)-[1.1':3'.1''-терфенил]-3-ил)-1-метил-6-оксо-1,6-дигидропиримидин-5-карбоксамид в виде белого твердого вещества. 1H ЯМР (400 МГц, CD3OD) δ 11,41 (с, 1H), 8,92 (с, 1H), 8,67 (с, 1H), 8,14-8,07 (м, 1H), 7,38-7,21 (м, 3H), 7,20-7,13 (м, 1H), 7,02-6,86 (м, 3H), 4,48-4,35 (м, 2H), 4,00 (с, 3H), 3,79-3,71 (м, 2H), 3,66 (с, 3H), 3,25 (с, 2H), 2,50 (дд, J = 7,6, 6,1 Гц, 2H), 2,42-2,35 (м, 1H), 2,11 (с, 3H), 1,94 (с, 3H). MS: (ES) m/z вычислено для C33H35FN5O4 [M + H]+ 584,3, найдено 584,3.

Пример 9. (R)-N-(3''-фтор-5''-метокси-2.2'-диметил-4''-(((6-оксопиперидин-3-ил)амино) метил)-[1.1':3'.1''-терфенил]-3-ил)-1-метил-6-оксо-1,6-дигидропиримидин-5-карбоксамид

Указанное в заголовке соединение получали из N-(3''-фтор-4''-формил-5''-метокси-2.2'-диметил-[1.1':3'.1''-терфенил]-3-ил)-1-метил-6-оксо-1,6-дигидропиримидин-5-карбоксамида по методике, аналогичной описанной для стадии c из примера 1. Полученный продукт очищали методом ВЭЖХ (MeCN/H2O с 0,1% ТФУК), получая целевой продукт (R)-N-(3''-фтор-5''-метокси-2.2'-диметил-4''-(((6-оксопиперидин-3-ил)амино)метил)-[1.1':3'.1''-терфенил]-3-ил)-1-метил-6-оксо-1,6-дигидропиримидин-5-карбоксамид в виде белого твердого вещества. 1H ЯМР (400 МГц, CD3OD) δ 11,41 (с, 1H), 8,92 (с, 1H), 8,67 (с, 1H), 8,14-8,07 (м, 1H), 7,38-7,21 (м, 3H), 7,20-7,13 (м, 1H), 7,02-6,86 (м, 3H), 4,48-4,35 (м, 2H), 4,00 (с, 3H), 3,79-3,71 (м, 2H), 3,66 (с, 3H), 3,25 (с, 2H), 2,50 (дд, J = 7,6, 6,1 Гц, 2H), 2,42-2,35 (м, 1H), 2,11 (с, 3H), 1,94 (с, 3H). MS: (ES) m/z вычислено для C33H35FN5O4 [M + H]+ 584,3, найдено 584,3.

Пример 10. N-(3''-фтор-5''-метокси-2.2'-диметил-4''-(((2-(2-оксопирролидин-1-ил)этил) амино)метил)-[1.1':3'.1''-терфенил]-3-ил)-1-метил-6-оксо-1,6-дигидропиримидин-5-карбоксамид

Указанное в заголовке соединение получали из N-(3''-фтор-4''-формил-5''-метокси-2.2'-диметил-[1.1':3'.1''-терфенил]-3-ил)-1-метил-6-оксо-1,6-дигидропиримидин-5-карбоксамида по методике, аналогичной описанной для стадии c из примера 1. Полученный продукт очищали методом ВЭЖХ (MeCN/H2O с 0,1% ТФУК), получая целевой продукт N-(3''-фтор-5''-метокси-2.2'-диметил-4''-(((2-(2-оксопирролидин-1-ил)этил)амино)метил)-[1.1':3'.1''-терфенил]-3-ил)-1-метил-6-оксо-1,6-дигидропиримидин-5-карбоксамид в виде белого твердого вещества. 1H ЯМР (400 МГц, CD3OD) δ 11,41 (с, 1H), 8,92 (с, 1H), 8,67 (с, 1H), 8,12 (м, 1H), 7,38-7,22 (м, 3H), 7,17 (д, J = 7,5 Гц, 1H), 7,03-6,84 (м, 3H), 4,38 (с, 2H), 3,99 (с, 3H), 3,65 (м, 5H), 3,52 (т, J = 7,1 Гц, 2H), 2,42 (т, J = 8,1 Гц, 2H), 2,46-2,39 (м, 2H), 2,14-2,04 (м, 5H), 1,94 (с, 3H). MS: (ES) m/z вычислено для C34H37FN5O4 [M + H]+ 598,3, найдено 598,3.

Пример 11. N-(4''-(((3-амино-3-оксопропил)амино)метил)-3''-фтор-5''-метокси-2.2'-диметил-[1.1':3'.1''-терфенил]-3-ил)-1-метил-6-оксо-1,6-дигидропиримидин-5-карбоксамид

Указанное в заголовке соединение получали из N-(3''-фтор-4''-формил-5''-метокси-2.2'-диметил-[1.1':3'.1''-терфенил]-3-ил)-1-метил-6-оксо-1,6-дигидропиримидин-5-карбоксамида по методике, аналогичной описанной для стадии c из примера 1. Полученный продукт очищали методом ВЭЖХ (MeCN/H2O с 0,1% ТФУК), получая целевой продукт N-(4''-(((3-амино-3-оксопропил)амино)метил)-3''-фтор-5''-метокси-2.2'-диметил-[1.1':3'.1''-терфенил]-3-ил)-1-метил-6-оксо-1,6-дигидропиримидин-5-карбоксамид в виде белого твердого вещества. 1H ЯМР (400 МГц, CD3OD) δ 11,41 (с, 1H), 8,91 (с, 1H), 8,67 (с, 1H), 8,12 (м, 1H), 7,36-7,27 (м, 3H), 7,20-7,13 (м, 1H), 7,03-6,83 (м, 3H), 4,35 (с, 2H), 4,00 (с, 3H), 3,66 (с, 3H), 3,37-3,27 (м, 2H), 2,71 (т, J = 6,2 Гц, 2H), 2,12 (с, 3H), 1,94 (с, 3H). MS: (ES) m/z вычислено для C31H33FN5O4 [M + H]+ 558,2, найдено 558,3.

Пример 12. N-(3''-фтор-5''-метокси-2.2'-диметил-4''-((оксетан-3-иламино)метил)-[1.1':3'.1''-терфенил]-3-ил)-1-метил-6-оксо-1,6-дигидропиримидин-5-карбоксамид

Указанное в заголовке соединение получали из N-(3''-фтор-4''-формил-5''-метокси-2.2'-диметил-[1.1':3'.1''-терфенил]-3-ил)-1-метил-6-оксо-1,6-дигидропиримидин-5-карбоксамида по методике, аналогичной описанной для стадии c из примера 1. Полученный продукт очищали методом ВЭЖХ (MeCN/H2O с 0,1% ТФУК), получая целевой продукт N-(3''-фтор-5''-метокси-2.2'-диметил-4''-((оксетан-3-иламино)метил)-[1.1':3'.1''-терфенил]-3-ил)-1-метил-6-оксо-1,6-дигидропиримидин-5-карбоксамид в виде белого твердого вещества. 1H ЯМР (400 МГц, CD3OD) δ 11,41 (с, 1H), 8,92 (с, 1H), 8,68 (м, 1H), 7,39-7,13 (м, 4H), 7,12-7,03 (м, 1H), 7,03-6,86 (м, 3H), 4,71-4,63 (м, 2H), 4,54-4,43 (м, 1H), 4,29 (м, 2H), 4,00 (с, 3H), 3,70-3,63 (м, 5H), 2,12 (с, 3H), 1,94 (с, 3H). MS: (ES) m/z вычислено для C31H32FN4O4 [M + H]+ 543,2, найдено 543,3.

Пример 13. N-(3''-фтор-5''-метокси-2.2'-диметил-4''-(((тетрагидро-2H-пиран-4-ил)амино) метил)-[1.1':3'.1''-терфенил]-3-ил)-1-метил-6-оксо-1,6-дигидропиримидин-5-карбоксамид

Указанное в заголовке соединение получали из N-(3''-фтор-4''-формил-5''-метокси-2.2'-диметил-[1.1':3'.1''-терфенил]-3-ил)-1-метил-6-оксо-1,6-дигидропиримидин-5-карбоксамида по методике, аналогичной описанной для стадии c из примера 1. Полученный продукт очищали методом ВЭЖХ (MeCN/H2O с 0,1% ТФУК), получая целевой продукт N-(3''-фтор-5''-метокси-2.2'-диметил-4''-(((тетрагидро-2H-пиран-4-ил)амино)метил)-[1.1':3'.1''-терфенил]-3-ил)-1-метил-6-оксо-1,6-дигидропиримидин-5-карбоксамид в виде белого твердого вещества. 1H ЯМР (400 МГц, CD3OD) δ 11,41 (с, 1H), 8,92 (с, 1H), 8,67 (с, 1H), 8,16-8,07 (м, 1H), 7,36-7,24 (м, 3H), 7,20-7,13 (м, 1H), 7,03-6,84 (м, 3H), 4,35 (с, 2H), 4,06 (м, 2H), 3,99 (с, 3H), 3,66 (с, 3H), 3,51-3,45 (м, 3H), 2,14 (м, 5H), 1,94 (с, 3H), 1,74 (м, 2H). MS: (ES) m/z вычислено для C33H36FN4O4 [M + H]+ 571,3, найдено 571,3.

Пример 14. N-(3''-фтор-4''-(((3-гидроксициклобутил)амино)метил)-5''-метокси-2.2'-диметил-[1.1':3'.1''-терфенил]-3-ил)-1-метил-6-оксо-1,6-дигидропиримидин-5-карбоксамид

Указанное в заголовке соединение получали из N-(3''-фтор-4''-формил-5''-метокси-2.2'-диметил-[1.1':3'.1''-терфенил]-3-ил)-1-метил-6-оксо-1,6-дигидропиримидин-5-карбоксамида по методике, аналогичной описанной для стадии c из примера 1. Полученный продукт очищали методом ВЭЖХ (MeCN/H2O с 0,1% ТФУК), получая целевой продукт N-(3''-фтор-4''-(((3-гидроксициклобутил)амино)метил)-5''-метокси-2.2'-диметил-[1.1':3'.1''-терфенил]-3-ил)-1-метил-6-оксо-1,6-дигидропиримидин-5-карбоксамид в виде белого твердого вещества. 1H ЯМР (400 МГц, CD3OD) δ 8,58 (дд, J = 7,4, 2,2 Гц, 1H), 8,15 (дд, J = 8,2, 1,3 Гц, 1H), 8,00 (дд, J = 6,6, 2,2 Гц, 1H), 7,40-7,22 (м, 3H), 7,17 (дд, J = 7,5, 1,5 Гц, 1H), 7,00-6,86 (м, 3H), 6,62 (дд, J = 7,4, 6,5 Гц, 1H), 4,64-4,49 (м, 3H), 4,47-4,33 (м, 2H), 4,12-3,95 (м, 5H), 3,70 (с, 3H), 2,13 (с, 3H), 1,94 (с, 3H). MS: (ES) m/z вычислено для C32H34FN4O4 [M + H]+ 557,3, найдено 557,3.

Пример 15. N-(3''-фтор-4''-((((1S,2R)-2-гидроксициклопентил)амино)метил)-5''-метокси-2.2'-диметил-[1.1':3'.1''-терфенил]-3-ил)-1-метил-6-оксо-1,6-дигидропиримидин-5-карбоксамид

Указанное в заголовке соединение получали из N-(3''-фтор-4''-формил-5''-метокси-2.2'-диметил-[1.1':3'.1''-терфенил]-3-ил)-1-метил-6-оксо-1,6-дигидропиримидин-5-карбоксамида по методике, аналогичной описанной для стадии c из примера 1. Полученный продукт очищали методом ВЭЖХ (MeCN/H2O с 0,1% ТФУК), получая целевой продукт N-(3''-фтор-4''-((((1S,2R)-2-гидроксициклопентил)амино)метил)-5''-метокси-2.2'-диметил-[1.1':3'.1''-терфенил]-3-ил)-1-метил-6-оксо-1,6-дигидропиримидин-5-карбоксамид в виде белого твердого вещества. 1H ЯМР (400 МГц, CD3OD) δ 11,41 (с, 1H), 8,92 (с, 1H), 8,67 (с, 1H), 8,16-8,07 (м, 1H), 7,38-7,21 (м, 3H), 7,16 (дд, J = 7,5, 1,5 Гц, 1H), 7,03-6,96 (м, 1H), 6,94-6,82 (м, 2H), 4,44-4,28 (м, 3H), 3,98 (с, 3H), 3,66 (с, 3H), 3,53-3,41 (м, 2H), 3,40-3,30 (м, 1H), 3,30-3,21 (м, 1H), 2,12 (с, 3H), 1,87 (с, 3H), 1,92-1,77 (м, 2H), 1,73-1,65 (м, 1H). MS: (ES) m/z вычислено для C33H36FN4O4 [M + H]+ 571,3, найдено 571,3.

Пример 16. N-(3''-фтор-4''-((((1R,2S)-2-гидроксициклопентил)амино)метил)-5''-метокси-2.2'-диметил-[1.1':3'.1''-терфенил]-3-ил)-1-метил-6-оксо-1,6-дигидропиримидин-5-карбоксамид

Указанное в заголовке соединение получали из N-(3''-фтор-4''-формил-5''-метокси-2.2'-диметил-[1.1':3'.1''-терфенил]-3-ил)-1-метил-6-оксо-1,6-дигидропиримидин-5-карбоксамида по методике, аналогичной описанной для стадии c из примера 1. Полученный продукт очищали методом ВЭЖХ (MeCN/H2O с 0,1% ТФУК), получая целевой продукт N-(3''-фтор-4''-((((1R,2S)-2-гидроксициклопентил)амино)метил)-5''-метокси-2.2'-диметил-[1.1':3'.1''-терфенил]-3-ил)-1-метил-6-оксо-1,6-дигидропиримидин-5-карбоксамид в виде белого твердого вещества. 1H ЯМР (400 МГц, CD3OD) δ 11,41 (с, 1H), 8,92 (с, 1H), 8,67 (с, 1H), 8,16-8,07 (м, 1H), 7,38-7,21 (м, 3H), 7,16 (дд, J = 7,5, 1,5 Гц, 1H), 7,03-6,96 (м, 1H), 6,94-6,82 (м, 2H), 4,44-4,28 (м, 3H), 3,98 (с, 3H), 3,66 (с, 3H), 3,53-3,41 (м, 2H), 3,40-3,30 (м, 1H), 3,30-3,21 (м, 1H), 2,12 (с, 3H), 1,87 (с, 3H), 1,92-1,77 (м, 2H), 1,73-1,65 (м, 1H). MS: (ES) m/z вычислено для C33H36FN4O4 [M + H]+ 571,3, найдено 571,3.

Пример 17. N-(3''-фтор-4''-((((1S,2S)-2-гидроксициклопентил)амино)метил)-5''-метокси-2.2'-диметил-[1.1':3'.1''-терфенил]-3-ил)-1-метил-6-оксо-1,6-дигидропиримидин-5-карбоксамид

Указанное в заголовке соединение получали из N-(3''-фтор-4''-формил-5''-метокси-2.2'-диметил-[1.1':3'.1''-терфенил]-3-ил)-1-метил-6-оксо-1,6-дигидропиримидин-5-карбоксамида по методике, аналогичной описанной для стадии c из примера 1. Полученный продукт очищали методом ВЭЖХ (MeCN/H2O с 0,1% ТФУК), получая целевой продукт N-(3''-фтор-4''-((((1S,2S)-2-гидроксициклопентил)амино)метил)-5''-метокси-2.2'-диметил-[1.1':3'.1''-терфенил]-3-ил)-1-метил-6-оксо-1,6-дигидропиримидин-5-карбоксамид в виде белого твердого вещества. 1H ЯМР (400 МГц, CD3OD) δ 11,41 (с, 1H), 8,92 (с, 1H), 8,67 (с, 1H), 8,16-8,07 (м, 1H), 7,38-7,21 (м, 3H), 7,16 (дд, J = 7,5, 1,5 Гц, 1H), 7,03-6,96 (м, 1H), 6,94-6,82 (м, 2H), 4,44-4,28 (м, 3H), 3,98 (с, 3H), 3,66 (с, 3H), 3,53-3,41 (м, 2H), 3,40-3,30 (м, 1H), 3,30-3,21 (м, 1H), 2,12 (с, 3H), 1,87 (с, 3H), 1,92-1,77 (м, 2H), 1,73-1,65 (м, 1H). MS: (ES) m/z вычислено для C33H36FN4O4 [M + H]+ 571,3, найдено 571,3.

Пример 18. N-(3''-фтор-4''-((((1R,2R)-2-гидроксициклопентил)амино)метил)-5''-метокси-2.2'-диметил-[1.1':3'.1''-терфенил]-3-ил)-1-метил-6-оксо-1,6-дигидропиримидин-5-карбоксамид

Указанное в заголовке соединение получали из N-(3''-фтор-4''-формил-5''-метокси-2.2'-диметил-[1.1':3'.1''-терфенил]-3-ил)-1-метил-6-оксо-1,6-дигидропиримидин-5-карбоксамида по методике, аналогичной описанной для стадии c из примера 1. Полученный продукт очищали методом ВЭЖХ (MeCN/H2O с 0,1% ТФУК), получая целевой продукт N-(3''-фтор-4''-((((1R,2R)-2-гидроксициклопентил)амино)метил)-5''-метокси-2.2'-диметил-[1.1':3'.1''-терфенил]-3-ил)-1-метил-6-оксо-1,6-дигидропиримидин-5-карбоксамид в виде белого твердого вещества. 1H ЯМР (400 МГц, CD3OD) δ 11,41 (с, 1H), 8,92 (с, 1H), 8,67 (с, 1H), 8,16-8,07 (м, 1H), 7,38-7,21 (м, 3H), 7,16 (дд, J = 7,5, 1,5 Гц, 1H), 7,03-6,96 (м, 1H), 6,94-6,82 (м, 2H), 4,44-4,28 (м, 3H), 3,98 (с, 3H), 3,66 (с, 3H), 3,53-3,41 (м, 2H), 3,40-3,30 (м, 1H), 3,30-3,21 (м, 1H), 2,12 (с, 3H), 1,87 (с, 3H), 1,92-1,77 (м, 2H), 1,73-1,65 (м, 1H). MS: (ES) m/z вычислено для C33H36FN4O4 [M + H]+ 571,3, найдено 571,3.

Пример 19. N-(3''-фтор-4''-((((3R,4R)-3-гидрокситетрагидро-2H-пиран-4-ил)амино) метил)-5''-метокси-2.2'-диметил-[1.1':3'.1''-терфенил]-3-ил)-1-метил-6-оксо-1,6-дигидропиримидин-5-карбоксамид

Указанное в заголовке соединение получали из N-(3''-фтор-4''-формил-5''-метокси-2.2'-диметил-[1.1':3'.1''-терфенил]-3-ил)-1-метил-6-оксо-1,6-дигидропиримидин-5-карбоксамида по методике, аналогичной описанной для стадии c из примера 1. Полученный продукт очищали методом ВЭЖХ (MeCN/H2O с 0,1% ТФУК), получая целевой продукт N-(3''-фтор-4''-((((3R,4R)-3-гидрокситетрагидро-2H-пиран-4-ил)амино)метил)-5''-метокси-2.2'-диметил-[1.1':3'.1''-терфенил]-3-ил)-1-метил-6-оксо-1,6-дигидропиримидин-5-карбоксамид в виде белого твердого вещества. 1H ЯМР (400 МГц, CD3OD) δ 11,41 (с, 1H), 8,92 (с, 1H), 8,68 (с, 1H), 8,14-8,12 (м, 1H), 7,38-7,21 (м, 3H), 7,16 (д, J = 7,6 Гц, 1H), 6,99 (д, J = 7,6 Гц, 1H), 6,95-6,83 (м, 2H), 4,40 (д, J = 13,2 Гц, 1H), 4,31 (д, J = 13,2 Гц, 1H), 4,09-3,93 (м, 6H), 3,65 (с, 3H), 3,60-3,42 (м, 3H), 2,11 (с, 3H), 1,94 (с, 3H), 1,90-1,82 (м, 1H). MS: (ES) m/z вычислено для C33H36FN4O5 [M + H]+ 587,3, найдено 587,3.

Пример 20. N-(3''-фтор-4''-(((2-гидроксиэтил)амино)метил)-5''-метокси-2.2'-диметил-[1.1':3'.1''-терфенил]-3-ил)-1-метил-6-оксо-1,6-дигидропиримидин-5-карбоксамид

Указанное в заголовке соединение получали из N-(3''-фтор-4''-формил-5''-метокси-2.2'-диметил-[1.1':3'.1''-терфенил]-3-ил)-1-метил-6-оксо-1,6-дигидропиримидин-5-карбоксамида по методике, аналогичной описанной для стадии c из примера 1. Полученный продукт очищали методом ВЭЖХ (MeCN/H2O с 0,1% ТФУК), получая целевой продукт N-(3''-фтор-4''-(((2-гидроксиэтил)амино)метил)-5''-метокси-2.2'-диметил-[1.1':3'.1''-терфенил]-3-ил)-1-метил-6-оксо-1,6-дигидропиримидин-5-карбоксамид в виде белого твердого вещества. 1H ЯМР (400 МГц, CD3OD) δ 11,42 (с, 1H), 8,92 (с, 1H), 8,68 (с, 1H), 8,11 (дд, J = 8,1, 1,3 Гц, 1H), 7,38-7,22 (м, 3H), 7,20-7,13 (м, 1H), 7,03-6,83 (м, 3H), 4,37 (с, 2H), 3,99 (с, 3H), 3,88-3,81 (м, 2H), 3,66 (с, 3H), 3,23-3,15 (м, 2H), 2,12 (с, 3H), 1,95 (с, 3H). MS: (ES) m/z вычислено для C30H32FN4O4 [M + H]+ 531,2, найдено 531,2.

Пример 21. (R)-N-(3''-фтор-4''-(((1-гидроксипропан-2-ил)амино)метил)-5''-метокси-2.2'-диметил-[1.1':3'.1''-терфенил]-3-ил)-1-метил-6-оксо-1,6-дигидропиримидин-5-карбоксамид

Указанное в заголовке соединение получали из N-(3''-фтор-4''-формил-5''-метокси-2.2'-диметил-[1.1':3'.1''-терфенил]-3-ил)-1-метил-6-оксо-1,6-дигидропиримидин-5-карбоксамида по методике, аналогичной описанной для стадии c из примера 1. Полученный продукт очищали методом ВЭЖХ (MeCN/H2O с 0,1% ТФУК), получая целевой продукт (R)-N-(3''-фтор-4''-(((1-гидроксипропан-2-ил)амино)метил)-5''-метокси-2.2'-диметил-[1.1':3'.1''-терфенил]-3-ил)-1-метил-6-оксо-1,6-дигидропиримидин-5-карбоксамид в виде белого твердого вещества. 1H ЯМР (400 МГц, CD3OD) δ 11,42 (с, 1H), 8,92 (с, 1H), 8,68 (с, 1H), 8,14-8,07 (м, 1H), 7,38-7,21 (м, 3H), 7,16 (дд, J = 7,5, 1,5 Гц, 1H), 7,03-6,96 (м, 1H), 6,95-6,83 (м, 2H), 4,36 (с, 2H), 3,98 (с, 3H), 3,91-3,82 (м, 1H), 3,69-3,58 (м, 4H), 3,45-3,21 (м, 1H), 2,11 (с, 3H), 1,94 (с, 3H), 1,38 (д, J = 6,7 Гц, 3H). MS: (ES) m/z вычислено для C31H34FN4O4 [M + H]+ 545,3, найдено 545,3.

Пример 22. (R)-N-(3''-фтор-4''-(((2-гидроксипропил)амино)метил)-5''-метокси-2.2'-диметил-[1.1':3'.1''-терфенил]-3-ил)-1-метил-6-оксо-1,6-дигидропиримидин-5-карбоксамид

Указанное в заголовке соединение получали из N-(3''-фтор-4''-формил-5''-метокси-2.2'-диметил-[1.1':3'.1''-терфенил]-3-ил)-1-метил-6-оксо-1,6-дигидропиримидин-5-карбоксамида по методике, аналогичной описанной для стадии c из примера 1. Полученный продукт очищали методом ВЭЖХ (MeCN/H2O с 0,1% ТФУК), получая целевой продукт (R)-N-(3''-фтор-4''-(((2-гидроксипропил)амино)метил)-5''-метокси-2.2'-диметил-[1.1':3'.1''-терфенил]-3-ил)-1-метил-6-оксо-1,6-дигидропиримидин-5-карбоксамид в виде белого твердого вещества. 1H ЯМР (400 МГц, CD3OD) δ 11,41 (с, 1H), 8,92 (с, 1H), 8,68 (с, 1H), 8,13-8,10 (м, 1H), 7,38-7,22 (м, 3H), 7,20-7,13 (м, 1H), 7,03-6,83 (м, 3H), 4,36 (с, 2H), 4,13-4,09 (м, 1H), 3,98 (с, 3H), 3,66 (с, 3H), 3,17-3,08 (м, 1H), 2,94-2,84 (м, 1H), 2,11 (с, 3H), 1,95 (с, 3H), 1,24 (д, J = 6,3 Гц, 3H). MS: (ES) m/z вычислено для C31H34FN4O4 [M + H]+ 545,3, найдено 545,3.

Пример 23. N-(3''-фтор-4''-(((2-гидрокси-2-метилпропил)амино)метил)-5''-метокси-2.2'-диметил-[1.1':3'.1''-терфенил]-3-ил)-1-метил-6-оксо-1,6-дигидропиримидин-5-карбоксамид

Указанное в заголовке соединение получали из N-(3''-фтор-4''-формил-5''-метокси-2.2'-диметил-[1.1':3'.1''-терфенил]-3-ил)-1-метил-6-оксо-1,6-дигидропиримидин-5-карбоксамида по методике, аналогичной описанной для стадии c из примера 1. Полученный продукт очищали методом ВЭЖХ (MeCN/H2O с 0,1% ТФУК), получая целевой продукт N-(3''-фтор-4''-(((2-гидрокси-2-метилпропил)амино)метил)-5''-метокси-2.2'-диметил-[1.1':3'.1''-терфенил]-3-ил)-1-метил-6-оксо-1,6-дигидропиримидин-5-карбоксамид в виде белого твердого вещества. 1H ЯМР (400 МГц, CD3OD) δ 11,41 (с, 1H), 8,92 (с, 1H), 8,68 (с, 1H), 8,13-8,10 (м, 1H), 7,38-7,22 (м, 3H), 7,20-7,13 (м, 1H), 7,03-6,84 (м, 3H), 4,40 (с, 2H), 4,00 (с, 3H), 3,66 (с, 3H), 3,03 (с, 2H), 2,12 (с, 3H), 1,95 (с, 3H), 1,30 (с, 6H). MS: (ES) m/z вычислено для C32H36FN4O4 [M + H]+ 559,3, найдено 559,3.

Пример 24. N-(3''-фтор-4''-((((1-гидроксициклопропил)метил)амино)метил)-5''-метокси-2.2'-диметил-[1.1':3'.1''-терфенил]-3-ил)-1-метил-6-оксо-1,6-дигидропиримидин-5-карбоксамид

Указанное в заголовке соединение получали из N-(3''-фтор-4''-формил-5''-метокси-2.2'-диметил-[1.1':3'.1''-терфенил]-3-ил)-1-метил-6-оксо-1,6-дигидропиримидин-5-карбоксамида по методике, аналогичной описанной для стадии c из примера 1. Полученный продукт очищали методом ВЭЖХ (MeCN/H2O с 0,1% ТФУК), получая целевой продукт N-(3''-фтор-4''-((((1-гидроксициклопропил)метил)амино)метил)-5''-метокси-2.2'-диметил-[1.1':3'.1''-терфенил]-3-ил)-1-метил-6-оксо-1,6-дигидропиримидин-5-карбоксамид в виде белого твердого вещества. 1H ЯМР (400 МГц, CD3OD) δ 11,41 (с, 1H), 8,92 (с, 1H), 8,67 (с, 1H), 8,13-8,10 (с, 1H), 7,38-7,22 (м, 3H), 7,17 (дд, J = 7,5, 1,5 Гц, 1H), 7,03-6,84 (м, 3H), 4,44 (с, 2H), 3,99 (с, 3H), 3,66 (с, 3H), 3,20 (с, 2H), 2,12 (с, 3H), 1,95 (с, 3H), 0,92 (т, J = 6,3 Гц, 2H), 0,78-0,70 (м, 2H). MS: (ES) m/z вычислено для C32H34FN4O4 [M + H]+ 557,3, найдено 557,3.

Пример 25. N-(3''-фтор-4''-(((1-гидрокси-2-метилпропан-2-ил)амино)метил)-5''-метокси-2.2'-диметил-[1.1':3'.1''-терфенил]-3-ил)-1-метил-6-оксо-1,6-дигидропиримидин-5-карбоксамид

Указанное в заголовке соединение получали из N-(3''-фтор-4''-формил-5''-метокси-2.2'-диметил-[1.1':3'.1''-терфенил]-3-ил)-1-метил-6-оксо-1,6-дигидропиримидин-5-карбоксамида по методике, аналогичной описанной для стадии c из примера 1. Полученный продукт очищали методом ВЭЖХ (MeCN/H2O с 0,1% ТФУК), получая целевой продукт N-(3''-фтор-4''-(((1-гидрокси-2-метилпропан-2-ил)амино)метил)-5''-метокси-2.2'-диметил-[1.1':3'.1''-терфенил]-3-ил)-1-метил-6-оксо-1,6-дигидропиримидин-5-карбоксамид в виде белого твердого вещества. 1H ЯМР (400 МГц, CD3OD) δ 11,41 (с, 1H), 8,92 (с, 1H), 8,68 (с, 1H), 8,13-8,10 (д, J = 7,6 Гц, 1H), 7,38-7,21 (м, 3H), 7,16 (д, J = 7,5 Гц, 1H), 6,99-6,82 (м, 3H), 4,30 (с, 2H), 3,98 (с, 3H), 3,67 (с, 5H), 2,12 (с, 3H), 1,94 (с, 3H), 1,42 (с, 6H). MS: (ES) m/z вычислено для C32H36FN4O4 [M + H]+ 559,3, найдено 559,3.

Пример 26. N-(3''-фтор-4''-(((2-гидроксиэтил)(метил)амино)метил)-5''-метокси-2.2'-диметил-[1.1':3'.1''-терфенил]-3-ил)-1-метил-6-оксо-1,6-дигидропиримидин-5-карбоксамид

Указанное в заголовке соединение получали из N-(3''-фтор-4''-формил-5''-метокси-2.2'-диметил-[1.1':3'.1''-терфенил]-3-ил)-1-метил-6-оксо-1,6-дигидропиримидин-5-карбоксамида по методике, аналогичной описанной для стадии c из примера 1. Полученный продукт очищали методом ВЭЖХ (MeCN/H2O с 0,1% ТФУК), получая целевой продукт N-(3''-фтор-4''-(((2-гидроксиэтил)(метил)амино)метил)-5''-метокси-2.2'-диметил-[1.1':3'.1''-терфенил]-3-ил)-1-метил-6-оксо-1,6-дигидропиримидин-5-карбоксамид в виде белого твердого вещества. 1H ЯМР (400 МГц, CD3OD) δ 11,42 (с, 1H), 8,92 (с, 1H), 8,67 (с, 1H), 8,15-8,11 (м, 1H), 7,39-7,23 (м, 3H), 7,17 (дд, J = 7,5, 1,5 Гц, 1H), 7,03-6,87 (м, 3H), 4,62 (д, J = 13,4 Гц, 1H), 4,43-4,34 (м, 1H), 4,01-3,86 (м, 5H), 3,65 (с, 3H), 3,43 (м, 2H), 2,89 (с, 3H), 2,12 (с, 3H), 1,95 (с, 3H). MS: (ES) m/z вычислено для C31H34FN4O4 [M + H]+ 545,3, найдено 545,3.

Пример 27. N-(3''-фтор-4''-(((2-гидрокси-2-метилпропил)(метил)амино)метил)-5''-метокси-2.2'-диметил-[1.1':3'.1''-терфенил]-3-ил)-1-метил-6-оксо-1,6-дигидропиримидин-5-карбоксамид

Указанное в заголовке соединение получали из N-(3''-фтор-4''-формил-5''-метокси-2.2'-диметил-[1.1':3'.1''-терфенил]-3-ил)-1-метил-6-оксо-1,6-дигидропиримидин-5-карбоксамида по методике, аналогичной описанной для стадии c из примера 1. Полученный продукт очищали методом ВЭЖХ (MeCN/H2O с 0,1% ТФУК), получая целевой продукт N-(3''-фтор-4''-(((2-гидрокси-2-метилпропил)(метил)амино)метил)-5''-метокси-2.2'-диметил-[1.1':3'.1''-терфенил]-3-ил)-1-метил-6-оксо-1,6-дигидропиримидин-5-карбоксамид в виде белого твердого вещества. 1H ЯМР (400 МГц, CD3OD) δ 11,42 (с, 1H), 8,92 (с, 1H), 8,68 (с, 1H), 8,13-8,11 (м, 1H), 7,39-7,23 (м, 3H), 7,18 (дд, J = 7,5, 1,5 Гц, 1H), 7,03-6,87 (м, 3H), 4,85 (д, J = 13,2 Гц, 1H), 4,39 (д, J = 13,2 Гц, 1H), 4,00 (с, 3H), 3,66 (с, 3H), 3,42 (д, J = 13,5 Гц, 1H), 3,26 (д, J = 13,5 Гц, 1H), 2,93 (с, 3H), 2,12 (с, 3H), 1,96 (с, 3H), 1,40 (с, 3H), 1,36 (с, 3H). MS: (ES) m/z вычислено для C33H38FN4O4 [M + H]+ 573,3, найдено 573,3.

Пример 28. 1-((3-фтор-5-метокси-2',2''-диметил-3''-(1-метил-6-оксо-1,6-дигидропиримидин-5-карбоксамидо)-[1.1':3'.1''-терфенил]-4-ил)метил)азетидин-3-карбоновая кислота

Указанное в заголовке соединение получали из N-(3''-фтор-4''-формил-5''-метокси-2.2'-диметил-[1.1':3'.1''-терфенил]-3-ил)-1-метил-6-оксо-1,6-дигидропиримидин-5-карбоксамида по методике, аналогичной описанной для стадии c из примера 1. Полученный продукт очищали методом ВЭЖХ (MeCN/H2O с 0,1% ТФУК), получая целевой продукт 1-((3-фтор-5-метокси-2',2''-диметил-3''-(1-метил-6-оксо-1,6-дигидропиримидин-5-карбоксамидо)-[1.1':3'.1''-терфенил]-4-ил)метил)азетидин-3-карбоновую кислоту в виде белого твердого вещества. 1H ЯМР (400 МГц, CD3OD) δ 11,41 (с, 1H), 8,92 (с, 1H), 8,67 (с, 1H), 8,15-8,11 (м, 1H), 7,36-7,25 (м, 3H), 7,17 (ддд, J = 7,5, 1,5, 0,5 Гц, 1H), 7,02-6,85 (м, 3H), 4,57 (с, 2H), 4,43-4,41 (м, 4H), 3,99 (с, 3H), 3,73-3,68 (м, 1H), 3,66 (с, 3H), 2,11 (с, 3H), 1,94 (с, 3H). MS: (ES) m/z вычислено для C32H32FN4O5 [M + H]+ 571,3, найдено 571,3.

Пример 29. ((3-фтор-5-метокси-2',2''-диметил-3''-(1-метил-6-оксо-1,6-дигидропиримидин-5-карбоксамидо)-[1.1':3'.1''-терфенил]-4-ил)метил)глицин

Указанное в заголовке соединение получали из N-(3''-фтор-4''-формил-5''-метокси-2.2'-диметил-[1.1':3'.1''-терфенил]-3-ил)-1-метил-6-оксо-1,6-дигидропиримидин-5-карбоксамида по методике, аналогичной описанной для стадии c из примера 1. Полученный продукт очищали методом ВЭЖХ (MeCN/H2O с 0,1% ТФУК), получая целевой продукт ((3-фтор-5-метокси-2',2''-диметил-3''-(1-метил-6-оксо-1,6-дигидропиримидин-5-карбоксамидо)-[1.1':3'.1''-терфенил]-4-ил)метил)глицин в виде белого твердого вещества. 1H ЯМР (400 МГц, CD3OD) δ 11,42 (с, 1H), 8,92 (с, 1H), 8,68 (с, 1H), 8,14-8,11 (м, 1H), 7,36-7,25 (м, 3H), 7,17 (дд, J = 7,4, 1,5 Гц, 1H), 7,03-6,84 (м, 3H), 4,42 (с, 2H), 3,99 (с, 3H), 3,93 (с, 2H), 3,66 (с, 3H), 2,12 (с, 3H), 1,95 (с, 3H). MS: (ES) m/z вычислено для C30H30FN4O5 [M + H]+ 545,2, найдено 545,3.

Пример 30. N-(3''-фтор-4''-(((2-гидроксиэтил)амино)метил)-5''-метокси-2.2'-диметил-[1.1':3'.1''-терфенил]-3-ил)-1-метил-2-оксо-1,2-дигидропиридин-3-карбоксамид

Указанное в заголовке соединение получали из N-(3''-фтор-4''-формил-5''-метокси-2.2'-диметил-[1.1':3'.1''-терфенил]-3-ил)-1-метил-2-оксо-1,2-дигидропиридин-3-карбоксамида по методике, аналогичной описанной для стадии c из примера 1. Полученный продукт очищали методом ВЭЖХ (MeCN/H2O с 0,1% ТФУК), получая целевой продукт N-(3''-фтор-4''-(((2-гидроксиэтил)амино)метил)-5''-метокси-2.2'-диметил-[1.1':3'.1''-терфенил]-3-ил)-1-метил-2-оксо-1,2-дигидропиридин-3-карбоксамид в виде белого твердого вещества. 1H ЯМР (400 МГц, CD3OD) δ 8,58 (дд, J = 7,4, 2,1 Гц, 1H), 8,19-8,10 (м, 1H), 8,00 (дд, J = 6,6, 2,1 Гц, 1H), 7,38-7,21 (м, 3H), 7,17 (дд, J = 7,5, 1,5 Гц, 1H), 7,01-6,83 (м, 3H), 6,66-6,57 (м, 1H), 4,37 (с, 2H), 3,99 (с, 3H), 3,88-3,81 (м, 2H), 3,71 (с, 3H), 3,23-3,15 (м, 2H), 2,13 (с, 3H), 1,95 (с, 3H). MS: (ES) m/z вычислено для C31H33FN3O4 [M + H]+ 530,2, найдено 530,2.

Пример 31. N-(3''-фтор-4''-(((2-гидрокси-2-метилпропил)амино)метил)-5''-метокси-2.2'-диметил-[1.1':3'.1''-терфенил]-3-ил)-1-метил-2-оксо-1,2-дигидропиридин-3-карбоксамид

Указанное в заголовке соединение получали из N-(3''-фтор-4''-формил-5''-метокси-2.2'-диметил-[1.1':3'.1''-терфенил]-3-ил)-1-метил-2-оксо-1,2-дигидропиридин-3-карбоксамида по методике, аналогичной описанной для стадии c из примера 1. Полученный продукт очищали методом ВЭЖХ (MeCN/H2O с 0,1% ТФУК), получая целевой продукт N-(3''-фтор-4''-(((2-гидрокси-2-метилпропил)амино)метил)-5''-метокси-2.2'-диметил-[1.1':3'.1''-терфенил]-3-ил)-1-метил-2-оксо-1,2-дигидропиридин-3-карбоксамид в виде белого твердого вещества. 1H ЯМР (400 МГц, CD3OD) δ 8,58 (дд, J = 7,4, 2,2 Гц, 1H), 8,19-8,10 (м, 1H), 8,00 (ддд, J = 6,5, 2,1, 0,4 Гц, 1H), 7,38-7,22 (м, 3H), 7,17 (ддд, J = 7,5, 1,5, 0,5 Гц, 1H), 7,01-6,84 (м, 3H), 6,62 (ддд, J = 7,4, 6,5, 0,8 Гц, 1H), 4,39 (с, 2H), 4,00 (с, 3H), 3,71 (с, 3H), 3,04 (с, 2H), 2,14 (с, 3H), 1,96 (с, 3H), 1,31 (с, 6H). MS: (ES) m/z вычислено для C33H37FN3O4 [M + H]+ 558,3, найдено 558,3.

Пример 32. 1-((3-фтор-5-метокси-2',2''-диметил-3''-(1-метил-2-оксо-1,2-дигидропиридин-3-карбоксамидо)-[1.1':3'.1''-терфенил]-4-ил)метил)азетидин-3-карбоновая кислота

Указанное в заголовке соединение получали из N-(3''-фтор-4''-формил-5''-метокси-2.2'-диметил-[1.1':3'.1''-терфенил]-3-ил)-1-метил-2-оксо-1,2-дигидропиридин-3-карбоксамида по методике, аналогичной описанной для стадии c из примера 1. Полученный продукт очищали методом ВЭЖХ (MeCN/H2O с 0,1% ТФУК), получая целевой продукт 1-((3-фтор-5-метокси-2',2''-диметил-3''-(1-метил-2-оксо-1,2-дигидропиридин-3-карбоксамидо)-[1.1':3'.1''-терфенил]-4-ил)метил)азетидин-3-карбоновую кислоту в виде белого твердого вещества. 1H ЯМР (400 МГц, CD3OD) δ 8,60 (дд, J = 7,3, 2,1 Гц, 1H), 8,17-8,15 (м, 1H), 8,01 (дд, J = 6,5, 2,1 Гц, 1H), 7,37-7,25 (м, 3H), 7,18 (д, J = 7,5 Гц, 1H), 6,99-6,81 (м, 3H), 6,62 (т, J = 6,9 Гц, 1H), 4,57 (с, 2H), 4,43-4,41 (м, 4H), 3,99 (с, 3H), 3,71 (м, 4H), 2,13 (с, 3H), 1,95 (с, 3H). MS: (ES) m/z вычислено для C33H33FN3O5 [M + H]+ 570,2, найдено 570,3.

Пример 33. ((3-фтор-5-метокси-2',2''-диметил-3''-(1-метил-2-оксо-1,2-дигидропиридин-3-карбоксамидо)-[1.1':3'.1''-терфенил]-4-ил)метил)глицин

Указанное в заголовке соединение получали из N-(3''-фтор-4''-формил-5''-метокси-2.2'-диметил-[1.1':3'.1''-терфенил]-3-ил)-1-метил-2-оксо-1,2-дигидропиридин-3-карбоксамида по методике, аналогичной описанной для стадии c из примера 1. Полученный продукт очищали методом ВЭЖХ (MeCN/H2O с 0,1% ТФУК), получая целевой продукт ((3-фтор-5-метокси-2',2''-диметил-3''-(1-метил-2-оксо-1,2-дигидропиридин-3-карбоксамидо)-[1.1':3'.1''-терфенил]-4-ил)метил)глицин в виде белого твердого вещества. 1H ЯМР (400 МГц, CD3OD) δ 8,58 (дд, J = 7,4, 2,2 Гц, 1H), 8,19-8,10 (м, 1H), 8,02-7,99 (м, 1H), 7,38-7,22 (м, 3H), 7,18-7,16 (м, 1H), 7,01-6,84 (м, 3H), 6,64-6,61 (м, 1H), 4,42 (с, 2H), 3,99 (с, 3H), 3,93 (с, 2H), 3,71 (с, 3H), 2,14 (с, 3H), 1,95 (с, 3H). MS: (ES) m/z вычислено для C31H31FN3O5 [M + H]+ 544,2, найдено 544,3.

Пример 34. (S)-N-(3''-фтор-5''-метокси-2.2'-диметил-4''-(((5-оксопирролидин-3-ил) амино)метил)-[1.1':3'.1''-терфенил]-3-ил)-3-метил-2.4-диоксо-1.2.3.4-тетрагидропиримидин-5-карбоксамид

Указанное в заголовке соединение получали из N-(3''-фтор-4''-формил-5''-метокси-2.2'-диметил-[1.1':3'.1''-терфенил]-3-ил)-3-метил-2.4-диоксо-1.2.3.4-тетрагидропиримидин-5-карбоксамида по методике, аналогичной описанной для стадии c из примера 1. Полученный продукт очищали методом ВЭЖХ (MeCN/H2O с 0,1% ТФУК), получая целевой продукт (S)-N-(3''-фтор-5''-метокси-2.2'-диметил-4''-(((5-оксопирролидин-3-ил)амино)метил)-[1.1':3'.1''-терфенил]-3-ил)-3-метил-2.4-диоксо-1.2.3.4-тетрагидропиримидин-5-карбоксамид в виде белого твердого вещества. 1H ЯМР (400 МГц, CD3OD) δ 11,16 (с, 1H), 8,42 (с, 1H), 8,07-8,05 (м, 1H), 7,38-7,21 (м, 3H), 7,16 (дд, J = 7,5, 1,5 Гц, 1H), 7,00-6,85 (м, 3H), 4,37 (с, 2H), 4,26-4,21 (м, 1H), 4,00 (с, 3H), 3,88 (дд, J = 11,6, 7,6 Гц, 1H), 3,57 (дд, J = 11,6, 3,9 Гц, 1H), 3,35 (м, 3H), 2,91 (дд, J = 17,8, 8,8 Гц, 1H), 2,55 (дд, J = 17,8, 4,7 Гц, 1H), 2,10 (с, 3H), 1,94 (с, 3H). MS: (ES) m/z вычислено для C32H33FN5O5 [M + H]+ 586,2, найдено 586,3.

Пример 35. (S)-N-(3''-фтор-5''-метокси-2.2'-диметил-4''-((метил((5-оксопирролидин-2-ил)метил)амино)метил)-[1.1':3'.1''-терфенил]-3-ил)-3-метил-2.4-диоксо-1.2.3.4-тетрагидропиримидин-5-карбоксамид

Указанное в заголовке соединение получали из N-(3''-фтор-4''-формил-5''-метокси-2.2'-диметил-[1.1':3'.1''-терфенил]-3-ил)-3-метил-2.4-диоксо-1.2.3.4-тетрагидропиримидин-5-карбоксамида по методике, аналогичной описанной для стадии c из примера 1. Полученный продукт очищали методом ВЭЖХ (MeCN/H2O с 0,1% ТФУК), получая целевой продукт (S)-N-(3''-фтор-5''-метокси-2.2'-диметил-4''-((метил((5-оксопирролидин-2-ил)метил)амино)метил)-[1.1':3'.1''-терфенил]-3-ил)-3-метил-2.4-диоксо-1.2.3.4-тетрагидропиримидин-5-карбоксамид в виде белого твердого вещества. 1H ЯМР (400 МГц, CD3OD) δ 11,15 (с, 1H), 8,41 (с, 1H), 8,09-8,05 (м, 1H), 7,36-7,24 (м, 3H), 7,16 (дд, J = 7,6, 1,5 Гц, 1H), 7,01-6,87 (м, 3H), 4,74-4,68 (м, 1H), 4,08-4,03 (м, 1H), 4,02 (с, 3H), 4,00 (с, 2H), 3,35 (с, 3H), 3,06 (с, 3H), 2,95-2,80 (м, 2H), 2,60-2,32 (м, 3H), 2,10 (с, 3H), 1,95 (с, 3H). MS: (ES) m/z вычислено для C34H37FN5O5 [M + H]+ 614,3, найдено 614,3.

Пример 36. (S)-N-(3''-фтор-5''-метокси-2.2'-диметил-4''-(((6-оксопиперидин-3-ил)амино) метил)-[1.1':3'.1''-терфенил]-3-ил)-3-метил-2.4-диоксо-1.2.3.4-тетрагидропиримидин-5-карбоксамид

Указанное в заголовке соединение получали из N-(3''-фтор-4''-формил-5''-метокси-2.2'-диметил-[1.1':3'.1''-терфенил]-3-ил)-3-метил-2.4-диоксо-1.2.3.4-тетрагидропиримидин-5-карбоксамида по методике, аналогичной описанной для стадии c из примера 1. Полученный продукт очищали методом ВЭЖХ (MeCN/H2O с 0,1% ТФУК), получая целевой продукт (S)-N-(3''-фтор-5''-метокси-2.2'-диметил-4''-(((6-оксопиперидин-3-ил)амино)метил)-[1.1':3'.1''-терфенил]-3-ил)-3-метил-2.4-диоксо-1.2.3.4-тетрагидропиримидин-5-карбоксамид в виде белого твердого вещества. 1H ЯМР (400 МГц, CD3OD) δ 11,16 (с, 1H), 8,41 (с, 1H), 8,07-8,05 (м, 1H), 7,36-7,24 (м, 3H), 7,16 (д, J = 7,9 Гц, 1H), 7,00-6,86 (м, 3H), 4,48-4,35 (м, 2H), 4,00 (с, 3H), 3,77-3,74 (м, 2H), 3,52-3,41 (м, 1H), 3,36 (с, 3H), 2,50-2,49 (м, 2H), 2,42-2,38 (м, 1H), 2,14-2,04 (м, 4H), 1,94 (с, 3H). MS: (ES) m/z вычислено для C33H35FN5O5 [M + H]+ 600,3, найдено 600,3.

Пример 37. (R)-N-(3''-фтор-5''-метокси-2.2'-диметил-4''-(((6-оксопиперидин-3-ил)амино)метил)-[1.1':3'.1''-терфенил]-3-ил)-3-метил-2.4-диоксо-1.2.3.4-тетрагидропиримидин-5-карбоксамид

Указанное в заголовке соединение получали из N-(3''-фтор-4''-формил-5''-метокси-2.2'-диметил-[1.1':3'.1''-терфенил]-3-ил)-3-метил-2.4-диоксо-1.2.3.4-тетрагидропиримидин-5-карбоксамида по методике, аналогичной описанной для стадии c из примера 1. Полученный продукт очищали методом ВЭЖХ (MeCN/H2O с 0,1% ТФУК), получая целевой продукт (R)-N-(3''-фтор-5''-метокси-2.2'-диметил-4''-(((6-оксопиперидин-3-ил)амино)метил)-[1.1':3'.1''-терфенил]-3-ил)-3-метил-2.4-диоксо-1.2.3.4-тетрагидропиримидин-5-карбоксамид в виде белого твердого вещества. 1H ЯМР (400 МГц, CD3OD) δ 11,16 (с, 1H), 8,41 (с, 1H), 8,07-8,05 (м, 1H), 7,36-7,24 (м, 3H), 7,16 (д, J = 7,9 Гц, 1H), 7,00-6,86 (м, 3H), 4,48-4,35 (м, 2H), 4,00 (с, 3H), 3,77-3,74 (м, 2H), 3,52-3,41 (м, 1H), 3,36 (с, 3H), 2,50-2,49 (м, 2H), 2,42-2,38 (м, 1H), 2,14-2,04 (м, 4H), 1,94 (с, 3H). MS: (ES) m/z вычислено для C33H35FN5O5 [M + H]+ 600,3, найдено 600,3.

Пример 38. N-(4''-(((3-амино-2,2-диметил-3-оксопропил)амино)метил)-3''-фтор-5''-метокси-2.2'-диметил-[1.1':3'.1''-терфенил]-3-ил)-3-метил-2.4-диоксо-1.2.3.4-тетрагидропиримидин-5-карбоксамид

Указанное в заголовке соединение получали из N-(3''-фтор-4''-формил-5''-метокси-2.2'-диметил-[1.1':3'.1''-терфенил]-3-ил)-3-метил-2.4-диоксо-1.2.3.4-тетрагидропиримидин-5-карбоксамида по методике, аналогичной описанной для стадии c из примера 1. Полученный продукт очищали методом ВЭЖХ (MeCN/H2O с 0,1% ТФУК), получая целевой продукт N-(4''-(((3-амино-2,2-диметил-3-оксопропил)амино)метил)-3''-фтор-5''-метокси-2.2'-диметил-[1.1':3'.1''-терфенил]-3-ил)-3-метил-2.4-диоксо-1.2.3.4-тетрагидропиримидин-5-карбоксамид в виде белого твердого вещества. 1H ЯМР (400 МГц, CD3OD) δ 11,16 (с, 1H), 8,42 (с, 1H), 8,07-8,05 (м, 1H), 7,38-7,22 (м, 3H), 7,19-7,12 (м, 1H), 7,01-6,91 (м, 2H), 6,87 (д, J = 9,9 Гц, 1H), 4,34 (с, 2H), 4,01 (с, 3H), 3,36 (с, 3H), 3,14 (с, 2H), 2,10 (с, 3H), 1,94 (с, 3H), 1,34 (с, 6H). MS: (ES) m/z вычислено для C33H37FN5O5 [M + H]+ 602,3, найдено 602,3.

Пример 39. (S)-N-(3''-фтор-5''-метокси-2.2'-диметил-4''-(((тетрагидрофуран-3-ил)амино) метил)-[1.1':3'.1''-терфенил]-3-ил)-3-метил-2.4-диоксо-1.2.3.4-тетрагидропиримидин-5-карбоксамид

Указанное в заголовке соединение получали из N-(3''-фтор-4''-формил-5''-метокси-2.2'-диметил-[1.1':3'.1''-терфенил]-3-ил)-3-метил-2.4-диоксо-1.2.3.4-тетрагидропиримидин-5-карбоксамида по методике, аналогичной описанной для стадии c из примера 1. Полученный продукт очищали методом ВЭЖХ (MeCN/H2O с 0,1% ТФУК), получая целевой продукт (S)-N-(3''-фтор-5''-метокси-2.2'-диметил-4''-(((тетрагидрофуран-3-ил)амино)метил)-[1.1':3'.1''-терфенил]-3-ил)-3-метил-2.4-диоксо-1.2.3.4-тетрагидропиримидин-5-карбоксамид в виде белого твердого вещества. 1H ЯМР (400 МГц, CD3OD) δ 11,15 (с, 1H), 8,41 (с, 1H), 8,09-8,05 (м, 1H), 7,37-7,24 (м, 3H), 7,19-7,12 (м, 1H), 6,98-6,87 (м, 3H), 4,34 (с, 2H), 4,07 (д, J = 9,7 Гц, 2H), 3,98 (с, 3H), 3,90-3,82 (м, 1H), 3,77-3,71 (м, 1H), 3,34 (с, 3H), 2,50-2,41 (м, 1H), 2,15-2,10 (м, 1H), 2,16-2,07 (м, 4H), 1,94 (с, 3H). MS: (ES) m/z вычислено для C32H34FN4O5 [M + H]+ 573,2, найдено 573,3.

Пример 40. (R)-N-(3''-фтор-5''-метокси-2.2'-диметил-4''-(((тетрагидрофуран-3-ил)амино) метил)-[1.1':3'.1''-терфенил]-3-ил)-3-метил-2.4-диоксо-1.2.3.4-тетрагидропиримидин-5-карбоксамид

Указанное в заголовке соединение получали из N-(3''-фтор-4''-формил-5''-метокси-2.2'-диметил-[1.1':3'.1''-терфенил]-3-ил)-3-метил-2.4-диоксо-1.2.3.4-тетрагидропиримидин-5-карбоксамида по методике, аналогичной описанной для стадии c из примера 1. Полученный продукт очищали методом ВЭЖХ (MeCN/H2O с 0,1% ТФУК), получая целевой продукт (R)-N-(3''-фтор-5''-метокси-2.2'-диметил-4''-(((тетрагидрофуран-3-ил)амино)метил)-[1.1':3'.1''-терфенил]-3-ил)-3-метил-2.4-диоксо-1.2.3.4-тетрагидропиримидин-5-карбоксамид в виде белого твердого вещества. 1H ЯМР (400 МГц, CD3OD) δ 11,15 (с, 1H), 8,41 (с, 1H), 8,09-8,05 (м, 1H), 7,37-7,24 (м, 3H), 7,19-7,12 (м, 1H), 6,98-6,87 (м, 3H), 4,34 (с, 2H), 4,07 (д, J = 9,7 Гц, 2H), 3,98 (с, 3H), 3,90-3,82 (м, 1H), 3,77-3,71 (м, 1H), 3,34 (с, 3H), 2,50-2,41 (м, 1H), 2,15-2,10 (м, 1H), 2,16-2,07 (м, 4H), 1,94 (с, 3H). MS: (ES) m/z вычислено для C32H34FN4O5 [M + H]+ 573,2, найдено 573,3.

Пример 41. N-(3''-фтор-5''-метокси-2.2'-диметил-4''-(((тетрагидро-2H-пиран-4-ил)амино) метил)-[1.1':3'.1''-терфенил]-3-ил)-3-метил-2.4-диоксо-1.2.3.4-тетрагидропиримидин-5-карбоксамид

Указанное в заголовке соединение получали из N-(3''-фтор-4''-формил-5''-метокси-2.2'-диметил-[1.1':3'.1''-терфенил]-3-ил)-3-метил-2.4-диоксо-1.2.3.4-тетрагидропиримидин-5-карбоксамида по методике, аналогичной описанной для стадии c из примера 1. Полученный продукт очищали методом ВЭЖХ (MeCN/H2O с 0,1% ТФУК), получая целевой продукт N-(3''-фтор-5''-метокси-2.2'-диметил-4''-(((тетрагидро-2H-пиран-4-ил)амино)метил)-[1.1':3'.1''-терфенил]-3-ил)-3-метил-2.4-диоксо-1.2.3.4-тетрагидропиримидин-5-карбоксамид в виде белого твердого вещества. 1H ЯМР (400 МГц, CD3OD) δ 11,15 (с, 1H), 8,41 (с, 1H), 8,09-8,05 (м, 1H), 7,37-7,20 (м, 3H), 7,15 (дд, J = 7,6, 1,6 Гц, 1H), 6,96-6,86 (м, 3H), 4,34 (с, 2H), 4,10-4,01 (м, 2H), 3,98 (с, 3H), 3,55-3,41 (м, 3H), 3,34 (с, 3H), 2,18-2,11 (м, 2H), 2,10 (с, 3H), 1,93 (с, 3H), 1,73 (м, 2H). MS: (ES) m/z вычислено для C33H36FN4O5 [M + H]+ 587,3, найдено 587,3.

Пример 42. N-(3''-фтор-4''-((((1R,2S)-2-гидроксициклопентил)амино)метил)-5''-метокси-2.2'-диметил-[1.1':3'.1''-терфенил]-3-ил)-3-метил-2.4-диоксо-1.2.3.4-тетрагидропиримидин-5-карбоксамид

Указанное в заголовке соединение получали из N-(3''-фтор-4''-формил-5''-метокси-2.2'-диметил-[1.1':3'.1''-терфенил]-3-ил)-3-метил-2.4-диоксо-1.2.3.4-тетрагидропиримидин-5-карбоксамида по методике, аналогичной описанной для стадии c из примера 1. Полученный продукт очищали методом ВЭЖХ (MeCN/H2O с 0,1% ТФУК), получая целевой продукт N-(3''-фтор-4''-((((1R,2S)-2-гидроксициклопентил)амино)метил)-5''-метокси-2.2'-диметил-[1.1':3'.1''-терфенил]-3-ил)-3-метил-2.4-диоксо-1.2.3.4-тетрагидропиримидин-5-карбоксамид в виде белого твердого вещества. 1H ЯМР (400 МГц, CD3OD) δ 11,16 (с, 1H), 8,42 (с, 1H), 8,07-8,05 (м, 1H), 7,38-7,21 (м, 3H), 7,17-7,15 (м, 1H), 7,01-6,82 (м, 3H), 4,42-4,30 (м, 3H), 3,98 (с, 3H), 3,53-3,43 (м, 1H), 3,36 (с, 3H), 2,18-2,05 (м, 5H), 2,06-1,61 (м, 6H), 1,40-1,32 (м, 1H). MS: (ES) m/z вычислено для C33H36FN4O5 [M + H]+ 587,3, найдено 587,3.

Пример 43. (R)-N-(3''-фтор-4''-(((2-гидроксипропил)амино)метил)-5''-метокси-2.2'-диметил-[1.1':3'.1''-терфенил]-3-ил)-3-метил-2.4-диоксо-1.2.3.4-тетрагидропиримидин-5-карбоксамид

Указанное в заголовке соединение получали из N-(3''-фтор-4''-формил-5''-метокси-2.2'-диметил-[1.1':3'.1''-терфенил]-3-ил)-3-метил-2.4-диоксо-1.2.3.4-тетрагидропиримидин-5-карбоксамида по методике, аналогичной описанной для стадии c из примера 1. Полученный продукт очищали методом ВЭЖХ (MeCN/H2O с 0,1% ТФУК), получая целевой продукт (R)-N-(3''-фтор-4''-(((2-гидроксипропил)амино)метил)-5''-метокси-2.2'-диметил-[1.1':3'.1''-терфенил]-3-ил)-3-метил-2.4-диоксо-1.2.3.4-тетрагидропиримидин-5-карбоксамид в виде белого твердого вещества. 1H ЯМР (400 МГц, CD3OD) δ 11,16 (с, 1H), 8,42 (с, 1H), 8,07-8,05 (м, 1H), 7,38-7,21 (м, 3H), 7,19-7,12 (м, 1H), 7,01-6,83 (м, 3H), 4,36 (с, 2H), 4,14-4,04 (м, 1H), 3,98 (с, 3H), 3,36 (с, 3H), 3,16-3,08 (м, 1H), 2,93-2,88 (м, 1H), 2,10 (с, 3H), 1,95 (с, 3H), 1,24 (д, J = 6,3 Гц, 3H). MS: (ES) m/z вычислено для C31H34FN4O5 [M + H]+ 561,2, найдено 561,3.

Пример 44. N-(3''-фтор-4''-(((2-гидрокси-2-метилпропил)амино)метил)-5''-метокси-2.2'-диметил-[1.1':3'.1''-терфенил]-3-ил)-3-метил-2.4-диоксо-1.2.3.4-тетрагидропиримидин-5-карбоксамид

Указанное в заголовке соединение получали из N-(3''-фтор-4''-формил-5''-метокси-2.2'-диметил-[1.1':3'.1''-терфенил]-3-ил)-3-метил-2.4-диоксо-1.2.3.4-тетрагидропиримидин-5-карбоксамида по методике, аналогичной описанной для стадии c из примера 1. Полученный продукт очищали методом ВЭЖХ (MeCN/H2O с 0,1% ТФУК), получая целевой продукт N-(3''-фтор-4''-(((2-гидрокси-2-метилпропил)амино)метил)-5''-метокси-2.2'-диметил-[1.1':3'.1''-терфенил]-3-ил)-3-метил-2.4-диоксо-1.2.3.4-тетрагидропиримидин-5-карбоксамид в виде белого твердого вещества. 1H ЯМР (400 МГц, CD3OD) δ 11,14 (с, 1H), 8,43 (с, 1H), 8,04-8,02 (м, 1H), 7,37-7,25 (м, 3H), 7,17-7,15 (м, 1H), 6,99-6,86 (м, 3H), 4,40 (с, 2H), 3,99 (с, 3H), 3,36 (с, 3H), 3,04 (с, 2H), 2,10 (с, 3H), 1,94 (с, 3H), 1,31 (с, 6H). MS: (ES) m/z вычислено для C32H36FN4O5 [M + H]+ 575,3, найдено 575,3.

Пример 45. N-(4''-(((3-амино-2,2-диметил-3-оксопропил)амино)метил)-3''-фтор-5''-метокси-2.2'-диметил-[1.1':3'.1''-терфенил]-3-ил)-1,3-диметил-2.4-диоксо-1.2.3.4-тетрагидропиримидин-5-карбоксамид

Указанное в заголовке соединение получали из N-(3''-фтор-4''-формил-5''-метокси-2.2'-диметил-[1.1':3'.1''-терфенил]-3-ил)-1,3-диметил-2.4-диоксо-1.2.3.4-тетрагидропиримидин-5-карбоксамида по методике, аналогичной описанной для стадии c из примера 1. Полученный продукт очищали методом ВЭЖХ (MeCN/H2O с 0,1% ТФУК), получая целевой продукт N-(4''-(((3-амино-2,2-диметил-3-оксопропил)амино)метил)-3''-фтор-5''-метокси-2.2'-диметил-[1.1':3'.1''-терфенил]-3-ил)-1,3-диметил-2.4-диоксо-1.2.3.4-тетрагидропиримидин-5-карбоксамид в виде белого твердого вещества. 1H ЯМР (400 МГц, CD3OD) δ 11,16 (с, 1H), 8,63 (с, 1H), 8,09-8,05 (м, 1H), 7,36-7,25 (м, 3H), 7,17-7,15 (м, 1H), 6,98-6,86 (м, 3H), 4,34 (с, 2H), 4,02 (с, 3H), 3,55 (с, 3H), 3,39 (с, 3H), 3,15 (с, 2H), 2,10 (с, 3H), 1,94 (с, 3H), 1,35 (с, 6H). MS: (ES) m/z вычислено для C34H39FN5O5 [M + H]+ 616,3, найдено 616,3.

Пример 46. (S)-N-(3''-фтор-5''-метокси-2.2'-диметил-4''-(((тетрагидрофуран-3-ил)амино) метил)-[1.1':3'.1''-терфенил]-3-ил)-1,3-диметил-2.4-диоксо-1.2.3.4-тетрагидропиримидин-5-карбоксамид

Указанное в заголовке соединение получали из N-(3''-фтор-4''-формил-5''-метокси-2.2'-диметил-[1.1':3'.1''-терфенил]-3-ил)-1,3-диметил-2.4-диоксо-1.2.3.4-тетрагидропиримидин-5-карбоксамида по методике, аналогичной описанной для стадии c из примера 1. Полученный продукт очищали методом ВЭЖХ (MeCN/H2O с 0,1% ТФУК), получая целевой продукт (S)-N-(3''-фтор-5''-метокси-2.2'-диметил-4''-(((тетрагидрофуран-3-ил)амино)метил)-[1.1':3'.1''-терфенил]-3-ил)-1,3-диметил-2.4-диоксо-1.2.3.4-тетрагидропиримидин-5-карбоксамид в виде белого твердого вещества. 1H ЯМР (400 МГц, CD3OD) δ 11,16 (с, 1H), 8,62 (с, 1H), 8,09-8,06 (м, 1H), 7,36-7,21 (м, 3H), 7,17-7,15 (м, 1H), 6,98-6,87 (м, 3H), 4,34 (с, 2H), 4,10-4,03 (м, 2H), 3,98 (с, 4H), 3,89-3,82 (м, 1H), 3,78-3,71 (м, 1H), 3,54 (с, 3H), 3,37 (с, 3H), 2,48-2,38 (м, 1H), 2,15-2,10 (м, 4H), 1,93 (с, 3H). MS: (ES) m/z вычислено для C33H36FN4O5 [M + H]+ 587,3, найдено 587,3.

Пример 47. (R)-N-(3''-фтор-5''-метокси-2.2'-диметил-4''-(((тетрагидрофуран-3-ил)амино) метил)-[1.1':3'.1''-терфенил]-3-ил)-1,3-диметил-2.4-диоксо-1.2.3.4-тетрагидропиримидин-5-карбоксамид

Указанное в заголовке соединение получали из N-(3''-фтор-4''-формил-5''-метокси-2.2'-диметил-[1.1':3'.1''-терфенил]-3-ил)-1,3-диметил-2.4-диоксо-1.2.3.4-тетрагидропиримидин-5-карбоксамида по методике, аналогичной описанной для стадии c из примера 1. Полученный продукт очищали методом ВЭЖХ (MeCN/H2O с 0,1% ТФУК), получая целевой продукт (R)-N-(3''-фтор-5''-метокси-2.2'-диметил-4''-(((тетрагидрофуран-3-ил)амино)метил)-[1.1':3'.1''-терфенил]-3-ил)-1,3-диметил-2.4-диоксо-1.2.3.4-тетрагидропиримидин-5-карбоксамид в виде белого твердого вещества. 1H ЯМР (400 МГц, CD3OD) δ 11,16 (с, 1H), 8,62 (с, 1H), 8,09-8,06 (м, 1H), 7,36-7,21 (м, 3H), 7,17-7,15 (м, 1H), 6,98-6,87 (м, 3H), 4,34 (с, 2H), 4,10-4,03 (м, 2H), 3,98 (с, 4H), 3,89-3,82 (м, 1H), 3,78-3,71 (м, 1H), 3,54 (с, 3H), 3,37 (с, 3H), 2,48-2,38 (м, 1H), 2,15-2,10 (м, 4H), 1,93 (с, 3H). MS: (ES) m/z вычислено для C33H36FN4O5 [M + H]+ 587,3, найдено 587,3.

Пример 48. N-(3''-фтор-5''-метокси-2.2'-диметил-4''-(((тетрагидро-2H-пиран-4-ил)амино) метил)-[1.1':3'.1''-терфенил]-3-ил)-1,3-диметил-2.4-диоксо-1.2.3.4-тетрагидропиримидин-5-карбоксамид

Указанное в заголовке соединение получали из N-(3''-фтор-4''-формил-5''-метокси-2.2'-диметил-[1.1':3'.1''-терфенил]-3-ил)-1,3-диметил-2.4-диоксо-1.2.3.4-тетрагидропиримидин-5-карбоксамида по методике, аналогичной описанной для стадии c из примера 1. Полученный продукт очищали методом ВЭЖХ (MeCN/H2O с 0,1% ТФУК), получая целевой продукт N-(3''-фтор-5''-метокси-2.2'-диметил-4''-(((тетрагидро-2H-пиран-4-ил)амино)метил)-[1.1':3'.1''-терфенил]-3-ил)-1,3-диметил-2.4-диоксо-1.2.3.4-тетрагидропиримидин-5-карбоксамид в виде белого твердого вещества. 1H ЯМР (400 МГц, CD3OD) δ 11,17 (с, 1H), 8,63 (с, 1H), 8,09-8,05 (м, 1H), 7,36-7,24 (м, 3H), 7,16 (д, J = 7,5 Гц, 1H), 7,00-6,84 (м, 3H), 4,36 (с, 2H), 4,09-4,05 (м, 2H), 3,99 (с, 3H), 3,56 (с, 3H), 3,51-3,43 (м, 3H), 3,38 (с, 3H), 2,18-2,10 (м, 5H), 1,93 (с, 3H), 1,77-1,69 (м, 2H). MS: (ES) m/z вычислено для C34H38FN4O5 [M + H]+ 601,3, найдено 601,3.

Пример 49. N-(3''-фтор-4''-((((3R,4R)-3-гидрокситетрагидро-2H-пиран-4-ил)амино) метил)-5''-метокси-2.2'-диметил-[1.1':3'.1''-терфенил]-3-ил)-1,3-диметил-2.4-диоксо-1.2.3.4-тетрагидропиримидин-5-карбоксамид

Указанное в заголовке соединение получали из N-(3''-фтор-4''-формил-5''-метокси-2.2'-диметил-[1.1':3'.1''-терфенил]-3-ил)-1,3-диметил-2.4-диоксо-1.2.3.4-тетрагидропиримидин-5-карбоксамида по методике, аналогичной описанной для стадии c из примера 1. Полученный продукт очищали методом ВЭЖХ (MeCN/H2O с 0,1% ТФУК), получая целевой продукт N-(3''-фтор-4''-((((3R,4R)-3-гидрокситетрагидро-2H-пиран-4-ил) амино)метил)-5''-метокси-2.2'-диметил-[1.1':3'.1''-терфенил]-3-ил)-1,3-диметил-2.4-диоксо-1.2.3.4-тетрагидропиримидин-5-карбоксамид в виде белого твердого вещества. 1H ЯМР (400 МГц, CD3OD) δ 11,17 (с, 1H), 8,63 (с, 1H), 8,10-8,06 (м, 1H), 7,36-7,24 (м, 3H), 7,19-7,12 (м, 1H), 7,00-6,82 (м, 3H), 4,43-4,29 (м, 2H), 4,10-3,95 (м, 6H), 3,61-3,40 (м, 6H), 3,37 (с, 3H), 2,15-2,10 (м, 1H), 2,09 (с, 3H), 1,93 (с, 3H), 1,91-1,82 (м, 1H). MS: (ES) m/z вычислено для C34H38FN4O6 [M + H]+ 617,3, найдено 618,3.

Пример 50. N-(4''-(((3-амино-2,2-диметил-3-оксопропил)амино)метил)-2',3''-дифтор-5''-метокси-2-метил-[1.1':3'.1''-терфенил]-3-ил)-1,3-диметил-2.4-диоксо-1.2.3.4-тетрагидропиримидин-5-карбоксамид

Указанное в заголовке соединение получали из N-(2',3''-дифтор-4''-формил-5''-метокси-2-метил-[1.1':3'.1''-терфенил]-3-ил)-1,3-диметил-2.4-диоксо-1.2.3.4-тетрагидропиримидин-5-карбоксамида по методике, аналогичной описанной для стадии c из примера 1. Полученный продукт очищали методом ВЭЖХ (MeCN/H2O с 0,1% ТФУК), получая целевой продукт N-(4''-(((3-амино-2,2-диметил-3-оксопропил)амино)метил)-2',3''-дифтор-5''-метокси-2-метил-[1.1':3'.1''-терфенил]-3-ил)-1,3-диметил-2.4-диоксо-1.2.3.4-тетрагидропиримидин-5-карбоксамид в виде белого твердого вещества. 1H ЯМР (400 МГц, CD3OD) δ 11,19 (с, 1H), 8,63 (с, 1H), 8,14-8,12 (м, 1H), 7,62-7,57 (м, 1H), 7,42-7,29 (м, 3H), 7,15-7,09 (м, 3H), 4,34 (с, 2H), 4,04 (с, 3H), 3,56 (с, 3H), 3,39 (с, 3H), 3,13 (с, 2H), 2,20 (с, 3H), 1,34 (с, 6H). MS: (ES) m/z вычислено для C33H36F2N5O5 [M + H]+ 620,3, найдено 620,3.

Пример 51. (S)-N-(2',3''-дифтор-5''-метокси-2-метил-4''-((((5-оксопирролидин-2-ил) метил)амино)метил)-[1.1':3'.1''-терфенил]-3-ил)-1,3-диметил-2.4-диоксо-1.2.3.4-тетрагидропиримидин-5-карбоксамид

Указанное в заголовке соединение получали из N-(2',3''-дифтор-4''-формил-5''-метокси-2-метил-[1.1':3'.1''-терфенил]-3-ил)-1,3-диметил-2.4-диоксо-1.2.3.4-тетрагидропиримидин-5-карбоксамида по методике, аналогичной описанной для стадии c из примера 1. Полученный продукт очищали методом ВЭЖХ (MeCN/H2O с 0,1% ТФУК), получая целевой продукт (S)-N-(2',3''-дифтор-5''-метокси-2-метил-4''-((((5-оксопирролидин-2-ил)метил)амино)метил)-[1.1':3'.1''-терфенил]-3-ил)-1,3-диметил-2.4-диоксо-1.2.3.4-тетрагидропиримидин-5-карбоксамид в виде белого твердого вещества. 1H ЯМР (400 МГц, CD3OD) δ 11,19 (с, 1H), 8,63 (с, 1H), 8,12 (т, J = 7,5 Гц, 1H), 7,61-7,57 (м, 1H), 7,42-7,29 (м, 3H), 7,17-7,08 (м, 3H), 4,40 (с, 2H), 4,08-4,02 (м, 1H), 4,02 (с, 3H), 3,55 (с, 3H), 3,38 (с, 3H), 3,27-3,22 (м, 2H), 2,46-2,34 (м, 3H), 2,20 (с, 3H), 1,96-1,88 (м, 1H). MS: (ES) m/z вычислено для C33H34F2N5O5 [M + H]+ 618,2, найдено 618,3.

Пример 52. (S)-N-(2',3''-дифтор-5''-метокси-2-метил-4''-(((5-оксопирролидин-3-ил) амино)метил)-[1.1':3'.1''-терфенил]-3-ил)-1,3-диметил-2.4-диоксо-1.2.3.4-тетрагидропиримидин-5-карбоксамид

Указанное в заголовке соединение получали из N-(2',3''-дифтор-4''-формил-5''-метокси-2-метил-[1.1':3'.1''-терфенил]-3-ил)-1,3-диметил-2.4-диоксо-1.2.3.4-тетрагидропиримидин-5-карбоксамида по методике, аналогичной описанной для стадии c из примера 1. Полученный продукт очищали методом ВЭЖХ (MeCN/H2O с 0,1% ТФУК), получая целевой продукт (S)-N-(2',3''-дифтор-5''-метокси-2-метил-4''-(((5-оксопирролидин-3-ил)амино)метил)-[1.1':3'.1''-терфенил]-3-ил)-1,3-диметил-2.4-диоксо-1.2.3.4-тетрагидропиримидин-5-карбоксамид в виде белого твердого вещества. 1H ЯМР (400 МГц, CD3OD) δ 11,18 (с, 1H), 8,63 (с, 1H), 8,12 (т, J = 7,6 Гц, 1H), 7,61-7,57 (м, 1H), 7,42-7,29 (м, 3H), 7,17-7,08 (м, 3H), 4,37 (с, 2H), 4,28-4,16 (м, 1H), 4,03 (с, 3H), 3,90-3,82 (м, 1H), 3,60-3,55 (м, 1H), 3,54 (с, 3H), 3,39 (с, 3H), 2,95-2,86 (м, 1H), 2,59-2,52 (м, 1H), 2,20 (с, 3H). MS: (ES) m/z вычислено для C32H32F2N5O5 [M + H]+ 604,2, найдено 604,3.

Пример 53. (S)-N-(3''-фтор-5''-метокси-2.2'-диметил-4''-((((1-метил-5-оксопирролидин-2-ил)метил)амино)метил)-[1.1':3'.1''-терфенил]-3-ил)-2.4-диметил-3,5-диоксо-2,3,4,5-тетрагидро-1,2,4-триазин-6-карбоксамид

Указанное в заголовке соединение получали из N-(3''-фтор-4''-формил-5''-метокси-2.2'-диметил-[1.1':3'.1''-терфенил]-3-ил)-2.4-диметил-3,5-диоксо-2,3,4,5-тетрагидро-1,2,4-триазин-6-карбоксамида по методике, аналогичной описанной для стадии c из примера 1. Полученный продукт очищали методом ВЭЖХ (MeCN/H2O с 0,1% ТФУК), получая целевой продукт (S)-N-(3''-фтор-5''-метокси-2.2'-диметил-4''-((((1-метил-5-оксопирролидин-2-ил) метил)амино)метил)-[1.1':3'.1''-терфенил]-3-ил)-2.4-диметил-3,5-диоксо-2,3,4,5-тетрагидро-1,2,4-триазин-6-карбоксамид в виде белого твердого вещества. 1H ЯМР (400 МГц, CD3OD) δ 11,08 (с, 1H), 8,10-8,06 (м, 1H), 7,35-7,26 (м, 3H), 7,17 (д, J = 7,6 Гц, 1H), 7,02 (д, J = 7,8 Гц, 1H), 6,98-6,86 (м, 2H), 4,44 (с, 2H), 4,01 (с, 3H), 3,99-3,93 (м, 1H), 3,77 (с, 3H), 3,48 (д, J = 12,7 Гц, 1H), 3,38 (с, 3H), 3,30 (с, 3H), 3,28-3,22 (м, 1H), 2,85 (с, 2H), 2,56-2,47 (м, 1H), 2,44-2,30 (м, 2H), 2,00-1,92 (м, 4H), 1,95 (с, 3H). MS: (ES) m/z вычислено для C34H38FN6O5 [M + H]+ 629,3, найдено 629,3.

Пример 54. (R)-3-(((3-фтор-5-метокси-2',2''-диметил-3''-(пиридо[3,4-b]пиразин-5-иламино)-[1.1':3'.1''-терфенил]-4-ил)метил)амино)пирролидин-2-он

Указанное в заголовке соединение получали из 3-фтор-5-метокси-2',2''-диметил-3''-(пиридо[3,4-b]пиразин-5-иламино)-[1.1':3'.1''-терфенил]-4-карбальдегида по методике, аналогичной описанной для стадии c из примера 1. Полученный продукт очищали методом ВЭЖХ (MeCN/H2O с 0,1% ТФУК), получая целевой продукт (R)-3-(((3-фтор-5-метокси-2',2''-диметил-3''-(пиридо[3,4-b]пиразин-5-иламино)-[1.1':3'.1''-терфенил]-4-ил)метил)амино) пирролидин-2-он в виде белого твердого вещества. 1H ЯМР (400 МГц, CD3OD) δ 9,24 (с, 1H), 9,05 (с, 1H), 7,79 (д, J = 7,1 Гц, 1H), 7,64-7,49 (м, 3H), 7,41-7,32 (м, 2H), 7,33-7,20 (м, 2H), 6,96-6,84 (м, 2H), 4,63 (д, J = 13,1 Гц, 1H), 4,39 (д, J = 13,2 Гц, 1H), 4,26-4,17 (м, 1H), 3,98 (с, 3H), 3,49-3,40 (м, 2H), 2,68-2,59 (м, 1H), 2,28-2,18 (м, 1H), 2,10 (с, 3H), 2,02 (с, 3H). MS: (ES) m/z вычислено для C33H32FN6O2 [M + H]+ 563,3, найдено 563,3.

Пример 55. (S)-3-(((3-фтор-5-метокси-2',2''-диметил-3''-(пиридо[3,4-b]пиразин-5-иламино)-[1.1':3'.1''-терфенил]-4-ил)метил)амино)пирролидин-2-он

Указанное в заголовке соединение получали из 3-фтор-5-метокси-2',2''-диметил-3''-(пиридо[3,4-b]пиразин-5-иламино)-[1.1':3'.1''-терфенил]-4-карбальдегида по методике, аналогичной описанной для стадии c из примера 1. Полученный продукт очищали методом ВЭЖХ (MeCN/H2O с 0,1% ТФУК), получая целевой продукт (S)-3-(((3-фтор-5-метокси-2',2''-диметил-3''-(пиридо[3,4-b]пиразин-5-иламино)-[1.1':3'.1''-терфенил]-4-ил)метил)амино) пирролидин-2-он в виде белого твердого вещества. 1H ЯМР (400 МГц, CD3OD) δ 9,24 (с, 1H), 9,05 (с, 1H), 7,79 (д, J = 7,1 Гц, 1H), 7,64-7,49 (м, 3H), 7,41-7,32 (м, 2H), 7,33-7,20 (м, 2H), 6,96-6,84 (м, 2H), 4,63 (д, J = 13,1 Гц, 1H), 4,39 (д, J = 13,2 Гц, 1H), 4,26-4,17 (м, 1H), 3,98 (с, 3H), 3,49-3,40 (м, 2H), 2,68-2,59 (м, 1H), 2,28-2,18 (м, 1H), 2,10 (с, 3H), 2,02 (с, 3H). MS: (ES) m/z вычислено для C33H32FN6O2 [M + H]+ 563,3, найдено 563,3.

Пример 56. 5-((((3-фтор-5-метокси-2',2''-диметил-3''-(пиридо[3,4-b]пиразин-5-иламино)-[1.1':3'.1''-терфенил]-4-ил)метил)амино)метил)пиримидин-2,4(1H,3H)-дион

Указанное в заголовке соединение получали из 3-фтор-5-метокси-2',2''-диметил-3''-(пиридо[3,4-b]пиразин-5-иламино)-[1.1':3'.1''-терфенил]-4-карбальдегида по методике, аналогичной описанной для стадии c из примера 1. Полученный продукт очищали методом ВЭЖХ (MeCN/H2O с 0,1% ТФУК), получая целевой продукт 5-((((3-фтор-5-метокси-2',2''-диметил-3''-(пиридо[3,4-b]пиразин-5-иламино)-[1.1':3'.1''-терфенил]-4-ил)метил)амино)метил) пиримидин-2,4(1H,3H)-дион в виде белого твердого вещества. MS: (ES) m/z вычислено для C34H31FN7O3 [M + H]+ 604,2, найдено 604,2.

Пример 57. 1-(2-(((3-фтор-5-метокси-2',2''-диметил-3''-(пиридо[3,4-b]пиразин-5-иламино)-[1.1':3'.1''-терфенил]-4-ил)метил)амино)этил)пирролидин-2-он

Указанное в заголовке соединение получали из 3-фтор-5-метокси-2',2''-диметил-3''-(пиридо[3,4-b]пиразин-5-иламино)-[1.1':3'.1''-терфенил]-4-карбальдегид по методике, аналогичной описанной для стадии c из примера 1. Полученный продукт очищали методом ВЭЖХ (MeCN/H2O с 0,1% ТФУК), получая целевой продукт 1-(2-(((3-фтор-5-метокси-2',2''-диметил-3''-(пиридо[3,4-b]пиразин-5-иламино)-[1.1':3'.1''-терфенил]-4-ил)метил)амино)этил) пирролидин-2-он в виде белого твердого вещества. 1H ЯМР (400 МГц, CD3OD) δ 9,25 (д, J = 2,0 Гц, 1H), 9,05 (д, J = 2,0 Гц, 1H), 7,79 (д, J = 7,2 Гц, 1H), 7,64-7,49 (м, 2H), 7,40-7,35 (м, 3H), 7,30-7,22 (м, 2H), 6,97-6,84 (м, 2H), 4,39 (с, 2H), 3,99 (с, 3H), 3,66 (т, J = 5,8 Гц, 2H), 3,53 (т, J = 5,8 Гц, 2H), 3,37-3,27 (м, 3H), 2,42 (т, J = 8,1 Гц, 2H), 2,17-2,04 (м, 4H), 2,02 (с, 3H). MS: (ES) m/z вычислено для C35H36FN6O2 [M + H]+ 591,3, найдено 592,3.

Пример 58. N-(4''-((((1H-пиррол-2-ил)метил)амино)метил)-3''-фтор-5''-метокси-2.2'-диметил-[1.1':3'.1''-терфенил]-3-ил)пиридо[3,4-b]пиразин-5-амин

Указанное в заголовке соединение получали из 3-фтор-5-метокси-2',2''-диметил-3''-(пиридо[3,4-b]пиразин-5-иламино)-[1.1':3'.1''-терфенил]-4-карбальдегида по методике, аналогичной описанной для стадии c из примера 1. Полученный продукт очищали методом ВЭЖХ (MeCN/H2O с 0,1% ТФУК), получая целевой продукт N-(4''-((((1H-пиррол-2-ил)метил) амино)метил)-3''-фтор-5''-метокси-2.2'-диметил-[1.1':3'.1''-терфенил]-3-ил)пиридо[3,4-b] пиразин-5-амин в виде белого твердого вещества. MS: (ES) m/z вычислено для C34H32FN6O [M + H]+ 559,3, найдено 559,3.

Пример 59. 3-(((2',3-дифтор-5-метокси-2''-метил-3''-(пиридо[3,4-b]пиразин-5-иламино)-[1.1':3'.1''-терфенил]-4-ил)метил)амино)-2,2-диметилпропанамид

Указанное в заголовке соединение получали из 2',3-дифтор-5-метокси-2''-метил-3''-(пиридо[3,4-b]пиразин-5-иламино)-[1.1':3'.1''-терфенил]-4-карбальдегида по методике, аналогичной описанной для стадии c из примера 1. Полученный продукт очищали методом ВЭЖХ (MeCN/H2O с 0,1% ТФУК), получая целевой продукт 3-(((2',3-дифтор-5-метокси-2''-метил-3''-(пиридо[3,4-b]пиразин-5-иламино)-[1.1':3'.1''-терфенил]-4-ил)метил)амино)-2,2-диметилпропанамид в виде белого твердого вещества. 1H ЯМР (400 МГц, CD3OD) δ 9,22 (с, 1H), 9,04 (с, 1H), 7,83-7,82 (м, 1H), 7,63-7,45 (м, 3H), 7,44-7,28 (м, 4H), 7,10-7,00 (м, 2H), 4,34 (с, 2H), 4,04 (с, 3H), 3,13 (с, 2H), 2,29 (с, 3H), 1,34 (с, 6H). MS: (ES) m/z вычислено для C33H33F2N6O2 [M + H]+ 583,3, найдено 583,3.

Пример 60. (S)-5-((((2',3-дифтор-5-метокси-2''-метил-3''-(пиридо[3,4-b]пиразин-5-иламино)-[1.1':3'.1''-терфенил]-4-ил)метил)амино)метил)пирролидин-2-он

Указанное в заголовке соединение получали из 2',3-дифтор-5-метокси-2''-метил-3''-(пиридо[3,4-b]пиразин-5-иламино)-[1.1':3'.1''-терфенил]-4-карбальдегида по методике, аналогичной описанной для стадии c из примера 1. Полученный продукт очищали методом ВЭЖХ (MeCN/H2O с 0,1% ТФУК), получая целевой продукт (S)-5-((((2',3-дифтор-5-метокси-2''-метил-3''-(пиридо[3,4-b]пиразин-5-иламино)-[1.1':3'.1''-терфенил]-4-ил)метил)амино)метил) пирролидин-2-он в виде белого твердого вещества. 1H ЯМР (400 МГц, CD3OD) δ 9,24 (с, 1H), 9,05 (с, 1H), 7,81 (д, J = 7,1 Гц, 1H), 7,68-7,37 (м, 7H), 7,17-7,12 (м, 2H), 4,41 (с, 2H), 4,06-4,03 (м, 4H), 3,27-3,23 (м, 2H), 2,44-2,32 (м, 3H), 2,23 (с, 3H), 1,94-1,89 (м, 1H). MS: (ES) m/z вычислено для C33H31F2N6O2 [M + H]+ 581,2, найдено 581,3.

Пример 61. 1-((3-фтор-3''-(изохинолин-1-иламино)-5-метокси-2',2''-диметил-[1.1':3'.1''-терфенил]-4-ил)метил)азетидин-3-карбоновая кислота

Указанное в заголовке соединение получали из 3-фтор-3''-(изохинолин-1-иламино)-5-метокси-2',2''-диметил-[1.1':3'.1''-терфенил]-4-карбальдегида по методике, аналогичной описанной для стадии c из примера 1. Полученный продукт очищали методом ВЭЖХ (MeCN/H2O с 0,1% ТФУК), получая целевой продукт 1-((3-фтор-3''-(изохинолин-1-иламино)-5-метокси-2',2''-диметил-[1.1':3'.1''-терфенил]-4-ил)метил)азетидин-3-карбоновую кислоту в виде белого твердого вещества. 1H ЯМР (400 МГц, CD3OD) δ 8,67-8,63 (м, 1H), 8,11-7,99 (м, 2H), 7,93-7,89 (м, 1H), 7,61-7,45 (м, 3H), 7,44-7,22 (м, 5H), 6,97-6,86 (м, 2H), 4,56 (с, 2H), 4,43-4,41 (м, 4H), 3,98 (с, 3H), 3,73-3,68 (м, 1H), 2,07 (с, 3H), 2,03 (с, 3H). MS: (ES) m/z вычислено для C35H33FN3O3 [M + H]+ 562,2, найдено 562,3.

Пример 62. 1-((3''-((1,6-нафтиридин-8-ил)амино)-3-фтор-5-метокси-2',2''-диметил-[1.1':3'.1''-терфенил]-4-ил)метил)азетидин-3-карбоновой кислоты

Указанное в заголовке соединение получали из 3''-((1,6-нафтиридин-8-ил)амино)-3-фтор-5-метокси-2',2''-диметил-[1.1':3'.1''-терфенил]-4-карбальдегида по методике, аналогичной описанной для стадии c из примера 1. Полученный продукт очищали методом ВЭЖХ (MeCN/H2O с 0,1% ТФУК), получая целевой продукт 1-((3''-((1,6-нафтиридин-8-ил)амино)-3-фтор-5-метокси-2',2''-диметил-[1.1':3'.1''-терфенил]-4-ил)метил)азетидин-3-карбоновую кислоту в виде белого твердого вещества. 1H ЯМР (400 МГц, CD3OD) δ 9,34 (дд, J = 4,3, 1,7 Гц, 1H), 8,92 (с, 1H), 8,72 (дд, J = 8,4, 1,7 Гц, 1H), 7,97 (дд, J = 8,4, 4,3 Гц, 1H), 7,73 (с, 1H), 7,55-7,32 (м, 3H), 7,31-7,16 (м, 3H), 6,97-6,86 (м, 2H), 4,56 (с, 2H), 4,43-4,40 (м, 4H), 3,98 (с, 3H), 3,75-3,65 (м, 1H), 2,08 (с, 3H), 2,01 (с, 3H). MS: (ES) m/z вычислено для C34H32FN4O3 [M + H]+ 563,2, найдено 563,3.

Пример 63. 1-((3-фтор-5-метокси-2',2''-диметил-3''-(хиноксалин-5-иламино)-[1.1':3'.1''-терфенил]-4-ил)метил)азетидин-3-карбоновая кислота

Указанное в заголовке соединение получали из 3-фтор-5-метокси-2',2''-диметил-3''-(хиноксалин-5-иламино)-[1.1':3'.1''-терфенил]-4-карбальдегида по методике, аналогичной описанной для стадии c из примера 1. Полученный продукт очищали методом ВЭЖХ (MeCN/H2O с 0,1% ТФУК), получая целевой продукт 1-((3-фтор-5-метокси-2',2''-диметил-3''-(хиноксалин-5-иламино)-[1.1':3'.1''-терфенил]-4-ил)метил)азетидин-3-карбоновую кислоту в виде белого твердого вещества. 1H ЯМР (400 МГц, CD3OD) δ 8,87 (с, 1H), 8,82 (с, 1H), 7,64-7,62 (м, 1H), 7,50 (дд, J = 7,9, 1,4 Гц, 1H), 7,41-7,29 (м, 3H), 7,25-7,21 (м, 2H), 7,04-6,86 (м, 4H), 4,57 (с, 2H), 4,46-4,39 (м, 4H), 3,99 (с, 3H), 3,74-3,66 (м, 1H), 2,05 (с, 3H), 2,01 (с, 3H). MS: (ES) m/z вычислено для C34H32FN4O3 [M + H]+ 563,2, найдено 563,3.

Пример 64. 1-((3-фтор-5-метокси-2',2''-диметил-3''-(хиназолин-8-иламино)-[1.1':3'.1''-терфенил]-4-ил)метил)азетидин-3-карбоновая кислота

Указанное в заголовке соединение получали из 3-фтор-5-метокси-2',2''-диметил-3''-(хиназолин-8-иламино)-[1.1':3'.1''-терфенил]-4-карбальдегида по методике, аналогичной описанной для стадии c из примера 1. Полученный продукт очищали методом ВЭЖХ (MeCN/H2O с 0,1% ТФУК), получая целевой продукт 1-((3-фтор-5-метокси-2',2''-диметил-3''-(хиназолин-8-иламино)-[1.1':3'.1''-терфенил]-4-ил)метил)азетидин-3-карбоновую кислоту в виде белого твердого вещества. 1H ЯМР (400 МГц, CD3OD) δ 9,41 (с, 1H), 9,20 (с, 1H), 7,58-7,46 (м, 2H), 7,45-7,29 (м, 3H), 7,29-7,09 (м, 3H), 7,01 (дд, J = 7,4, 1,3 Гц, 1H), 6,97-6,85 (м, 2H), 4,51 (с, 2H), 4,43-4,28 (м, 4H), 3,98 (с, 3H), 3,52-3,44 (м, 1H), 2,05 (с, 3H), 2,00 (с, 3H). MS: (ES) m/z вычислено для C34H32FN4O3 [M + H]+ 563,2, найдено 563,3.

Пример 65. 1-((3-фтор-5-метокси-2',2''-диметил-3''-(пиридо[3,2-d]пиримидин-4-иламино)-[1.1':3'.1''-терфенил]-4-ил)метил)азетидин-3-карбоновая кислота

Указанное в заголовке соединение получали из 3-фтор-5-метокси-2',2''-диметил-3''-(пиридо[3,2-d]пиримидин-4-иламино)-[1.1':3'.1''-терфенил]-4-карбальдегида по методике, аналогичной описанной для стадии c из примера 1. Полученный продукт очищали методом ВЭЖХ (MeCN/H2O с 0,1% ТФУК), получая целевой продукт 1-((3-фтор-5-метокси-2',2''-диметил-3''-(пиридо[3,2-d]пиримидин-4-иламино)-[1.1':3'.1''-терфенил]-4-ил)метил)азетидин-3-карбоновую кислоту в виде белого твердого вещества. MS: (ES) m/z вычислено для C33H31FN5O3 [M + H]+ 564,2, найдено 564,2.

Пример 66. (S)-N-(3''-фтор-5''-метокси-2.2'-диметил-4''-((метил(5-оксопирролидин-3-ил)амино)метил)-[1.1':3'.1''-терфенил]-3-ил)-1-метил-6-оксо-1,6-дигидропиримидин-5-карбоксамид

Стадия d. В перемешиваемый раствор 3-фтор-5-метокси-2'-метил-3'-(4,4,5,5-тетраметил-1,3,2-диоксаборолан-2-ил)-[1,1'-бифенил]-4-карбальдегида (75 мг, 0,203 ммоль) и (S)-4-аминопирролидин-2-она (41 мг, 0,406 ммоль) в смеси MeOH:ДХЭ (2 мл) добавляли NaBH(OAc)3 (86 мг, 0,406 ммоль) и AcOH (5 капель). Реакционную смесь перемешивали при комнатной температуре в течение 2 часов. Растворитель удаляли при пониженном давлении, и остаток очищали методом флэш-хроматографии на силикагеле (от 0% до 20% MeOH/ДХМ), получая (S)-4-(((3-фтор-5-метокси-2'-метил-3'-(4,4,5,5-тетраметил-1,3,2-диоксаборолан-2-ил)-[1,1'-бифенил]-4-ил)метил)амино)пирролидин-2-он в виде желтого твердого вещества. MS: (ES) m/z вычислено для C25H33BFN2O4 [M + H]+ 455,2, найдено 455,3.

Стадия e. В перемешиваемый раствор (S)-4-(((3-фтор-5-метокси-2'-метил-3'-(4,4,5,5-тетраметил-1,3,2-диоксаборолан-2-ил)-[1,1'-бифенил]-4-ил)метил)амино)пирролидин-2-она (86 мг, 0,189 ммоль) и 37%-ного водного раствора параформальдегида (78 мкл) в смеси MeOH:ДХЭ (2 мл) добавляли NaBH(OAc)3 (201 мг, 0,945 ммоль). Реакционную смесь перемешивали при комнатной температуре в течение 16 часов. Растворитель удаляли при пониженном давлении, и остаток очищали методом флэш-хроматографии на силикагеле (от 0% до 20% MeOH/ДХМ), получая (S)-4-(((3-фтор-5-метокси-2'-метил-3'-(4,4,5,5-тетраметил-1,3,2-диоксаборолан-2-ил)-[1,1'-бифенил]-4-ил)метил)(метил)амино)пирролидин-2-он в виде желтого твердого вещества. MS: (ES) m/z вычислено для C26H35BFN2O4 [M + H]+ 469,3, найдено 469,3.

Стадия f. В смесь (S)-4-(((3-фтор-5-метокси-2'-метил-3'-(4,4,5,5-тетраметил-1,3,2-диоксаборолан-2-ил)-[1,1'-бифенил]-4-ил)метил)(метил)амино)пирролидин-2-она (78 мг, 0,167 ммоль), N-(3-бром-2-метилфенил)-1-метил-6-оксо-1,6-дигидропиримидин-5-карбоксамида (54 мг, 0,167 ммоль) и 2M раствора K2CO3 (0,25 мл, 0,501 ммоль) в п-диоксане (5 мл) добавляли комплекс Pd(dppf)Cl2 с дихлорметаном (20 мг, 0,022 ммоль). Реакционную смесь дегазировали (N2) в течение 2 минут и перемешивали в атмосфере азота при 95°C в течение 5 часов. Реакционную смесь разбавляли этилацетатом, фильтровали через целит, промывали насыщенным водным раствором хлорида натрия и сушили над MgSO4. Растворитель удаляли при пониженном давлении, и остаток очищали методом флэш-хроматографии на силикагеле (от 0% до 20% метанол/дихлорметан) и затем методом ВЭЖХ (MeCN/H2O с 0,1% ТФУК), получая (S)-N-(3''-фтор-5''-метокси-2.2'-диметил-4''-((метил(5-оксопирролидин-3-ил)амино)метил)-[1.1':3'.1''-терфенил]-3-ил)-1-метил-6-оксо-1,6-дигидропиримидин-5-карбоксамид в виде белого твердого вещества. 1H ЯМР (400 МГц, CD3OD) δ 8,92 (с, 1H), 8,67 (с, 1H), 8,15-8,11 (м, 1H), 7,39-7,23 (м, 3H), 7,17 (дд, J = 7,7, 1,7 Гц, 1H), 7,03-6,90 (м, 3H), 4,47 (с, 2H), 4,39 (д, J = 7,4 Гц, 1H), 4,01 (с, 3H), 3,96-3,87 (м, 1H), 3,78-3,71 (м, 1H), 3,65 (с, 3H), 2,91 (с, 3H), 2,85-2,74 (м, 1H), 2,12 (с, 3H), 1,96 (с, 3H). MS: (ES) m/z вычислено для C33H35FN5O4 [M + H]+ 584,3, найдено 584,3.

Пример 67. (S)-N-(3''-фтор-5''-метокси-2.2'-диметил-4''-((метил(5-оксопирролидин-3-ил)амино)метил)-[1.1':3'.1''-терфенил]-3-ил)-1-метил-2-оксо-1,2-дигидропиридин-3-карбоксамид

Указанное в заголовке соединение получали из N-(3-бром-2-метилфенил)-1-метил-2-оксо-1,2-дигидропиридин-3-карбоксамида по методике, аналогичной описанной для стадии f из примера 66. Полученный продукт очищали методом ВЭЖХ (MeCN/H2O с 0,1% ТФУК), получая целевой продукт (S)-N-(3''-фтор-5''-метокси-2.2'-диметил-4''-((метил(5-оксопирролидин-3-ил)амино)метил)-[1.1':3'.1''-терфенил]-3-ил)-1-метил-2-оксо-1,2-дигидропиридин-3-карбоксамид в виде белого твердого вещества. 1H ЯМР (400 МГц, CD3OD) δ 12,19 (с, 1H), 8,60 (дд, J = 7,3, 2,0 Гц, 1H), 8,17-8,14 (м, 1H), 8,02-8,00 (м, 1H), 7,38-7,24 (м, 3H), 7,19 (дд, J = 7,6, 1,6 Гц, 1H), 7,00-6,94 (м, 3H), 4,48-4,40 (м, 3H), 4,01 (с, 3H), 3,95-3,85 (м, 1H), 3,77-3,73 (м, 2H), 3,70 (с, 3H), 2,90 (с, 3H), 2,82-2,78 (м, 1H), 2,13 (с, 3H), 1,95 (с, 3H). MS: (ES) m/z вычислено для C34H36FN4O4 [M + H]+ 583,3, найдено 583,3.

Пример 68. N-(4''-(аминометил)-3''-фтор-5''-метокси-2.2'-диметил-[1.1':3'.1''-терфенил]-3-ил)-1-метил-2-оксо-1,2-дигидропиридин-3-карбоксамид

Стадия a. В раствор 1-метил-2-оксо-1,2-дигидропиридин-3-карбоновой кислоты (0,36 г, 2,35 ммоль), 3-бром-2-метиланилина (0,43 г, 2,35 ммоль) в ДМФА (5,0 мл) добавляли HATU (1,34 г, 3,52 ммоль) и диизопропилэтиламин (0,75 г, 5,87 ммоль). Реакционную смесь перемешивали при комнатной температуре в течение 16 часов. После окончания реакции половину растворителя удаляли и смесь разбавляли водой (15 мл), затем перемешивали 20 мин. Выпавший твердый осадок отфильтровывали на пластиковой воронке, промывали водой (10 мл) и сушили в вакууме.

Стадия b. В раствор N-(3-бром-2-метилфенил)-1-метил-2-оксо-1,2-дигидропиридин-3-карбоксамида (100 мг, 0,31 ммоль), трет-бутил ((3-фтор-5-метокси-2'-метил-3'-(4,4,5,5-тетраметил-1,3,2-диоксаборолан-2-ил)-[1,1'-бифенил]-4-ил)метил)карбамата (146 мг, 0,31 ммоль) и 2M раствора K2CO3 (0,38 мл, 0,77 ммоль) в п-диоксане (3 мл) добавляли комплекс Pd(dppf)Cl2 с дихлорметаном (26 мг, 0,032 ммоль). Реакционную смесь дегазировали (N2) в течение 2 минут и перемешивали в атмосфере азота при 95°C в течение 4 часов. Реакционную смесь разбавляли этилацетатом, фильтровали через целит, промывали насыщенным водным раствором хлорида натрия и сушили над MgSO4. Растворитель удаляли при пониженном давлении, и остаток очищали методом флэш-хроматографии на силикагеле (от 5 до 20% до 40% EtOAc/гексан), получая трет-бутил ((3-фтор-5-метокси-2',2''-диметил-3''-(1-метил-2-оксо-1,2-дигидропиридин-3-карбоксамидо)-[1.1':3'.1''-терфенил]-4-ил)метил)карбамат. MS: (ES) m/z вычислено для C33H37FN3O5 [M + H]+ 586,3, найдено 586,2.

Стадия c. В перемешиваемый раствор трет-бутил ((3-фтор-5-метокси-2',2''-диметил-3''-(1-метил-2-оксо-1,2-дигидропиридин-3-карбоксамидо)-[1.1':3'.1''-терфенил]-4-ил)метил) карбамата (75 мг, 0,123 ммоль) в безводном дихлорметане (2,5 мл) при комнатной температуре добавляли ТФУК (141 мг, 1,23 ммоль) по каплям в течение 5 мин. Реакционную смесь перемешивали при комнатной температуре в течение 2 часов. После окончания реакции растворитель удаляли в вакууме, получая вязкий остаток. Полученный продукт очищали методом ВЭЖХ (MeCN/H2O с 0,1% ТФУК), получая N-(4''-(аминометил)-3''-фтор-5''-метокси-2.2'-диметил-[1.1':3'.1''-терфенил]-3-ил)-1-метил-2-оксо-1,2-дигидропиридин-3-карбоксамид (48 мг, 77%). 1H ЯМР (400 МГц, CD3OD) δ 12,19 (с, 1H), 8,59 (дд, J = 7,4, 2,2 Гц, 1H), 8,14 (д, J = 8,2 Гц, 1H), 8,00 (дд, J = 2,2, 6,6 Гц, 1H), 7,38-7,21 (м, 3H), 7,15 (д, J = 7,2 Гц, 1H), 6,96 (д, J = 7,2 Гц, 1H), 6,91 (с, 1H), 6,86 (д, J = 9,8 Гц, 1H), 6,62 (ддд, J = 7,5, 6,5, 0,8 Гц, 1H), 4,22 (с, 2H), 3,97 (с, 3H), 3,71 (с, 3H), 2,12 (с, 3H), 1,93 (с, 3H). MS: (ES) m/z вычислено для C29H29FN3O3 [M + H]+ 486,2, найдено 486,2.

Пример 69. 6-амино-N-(3''-фтор-4''-(((2-гидроксиэтил)амино)метил)-5''-метокси-2.2'-диметил-[1.1':3'.1''-терфенил]-3-ил)никотинамид

Стадия a. В перемешиваемую суспензию 6-аминоникотиновой кислоты (0,75 г, 5,34 ммоль) в CH2Cl2 (10 мл) добавляли оксалилхлорид (1,02 г, 8,15 ммоль) при комнатной температуре. Полученную смесь перемешивали в течение 4 часов. Растворитель удаляли при пониженном давлении, полученный остаток сушили в вакууме и использовали без очистки в следующей стадии. Остаток добавляли в раствор 3-бром-2-метиланилина (1,0 г, 6,41 ммоль) и N,N-диизопропилэтиламина (2,06 мг, 16,0 ммоль) в ТГФ (15 мл), и смесь перемешивали при комнатной температуре в течение ночи. После окончания реакции смесь промывали водой и экстрагировали этилацетатом. Полученный сырой продукт очищали методом хроматографии на силикагеле (20-100% EtOAc/гексан), получая целевой продукт 6-амино-N-(3-бром-2-метилфенил)никотинамид. MS: (ES) m/z вычислено для C13H13BrN3O [M + H]+ 306,0, найдено 306,1.

Стадия b. В смесь 6-амино-N-(3-бром-2-метилфенил)никотинамида (150 мг, 0,49 ммоль), 3-фтор-5-метокси-2'-метил-3'-(4,4,5,5-тетраметил-1,3,2-диоксаборолан-2-ил)-[1,1'-бифенил]-4-карбальдегида (199 мг, 0,53 ммоль) и 2M раствора K2CO3 (0,61 мл, 1,22 ммоль) в п-диоксане (15 мл) добавляли комплекс Pd(dppf)Cl2 с дихлорметаном (40 мг, 0,049 ммоль). Реакционную смесь дегазировали (N2) в течение 2 минут и перемешивали в атмосфере азота при 95°C в течение 3 часов. Смесь разбавляли этилацетатом, фильтровали через целит, промывали насыщенным водным раствором хлорида натрия и сушили над MgSO4. Растворитель удаляли при пониженном давлении, и остаток очищали методом флэш-хроматографии на силикагеле (от 5 до 20% до 40% EtOAc/гексан), получая 6-амино-N-(3''-фтор-4''-формил-5''-метокси-2.2'-диметил-[1.1':3'.1''-терфенил]-3-ил)никотинамид. MS: (ES) m/z вычислено для C28H25FN3O3[M + H]+ 470,2, найдено 470,2.

Стадия c. В перемешиваемый раствор 6-амино-N-(3''-фтор-4''-формил-5''-метокси-2.2'-диметил-[1.1':3'.1''-терфенил]-3-ил)никотинамида (50 мг, 0,106 ммоль) и этаноламина (26 мг, 0,42 ммоль) в ДМФА (2 мл) добавляли NaBH(OAc)3 (56 мг, 0,26 ммоль). Реакционную смесь перемешивали при комнатной температуре в течение 2 часов. Растворитель удаляли при пониженном давлении, и остаток очищали методом ВЭЖХ (от 0 до 40% до 100% MeCN/H2O), получая 6-амино-N-(3''-фтор-4''-(((2-гидроксиэтил)амино)метил)-5''-метокси-2.2'-диметил-[1.1':3'.1''-терфенил]-3-ил)никотинамид. 1H ЯМР (400 МГц, CD3OD) δ 8,55-8,49 (м, 1H), 8,38 (дд, J = 9,4, 2,3 Гц, 1H), 7,38-7,21 (м, 4H), 7,15-7,02 (м, 3H), 6,94-6,82 (м, 2H), 4,36 (с, 2H), 3,98 (с, 3H), 3,88-3,81 (м, 2H), 3,19 (т, J = 5,2 Гц, 2H), 2,05 (с, 3H), 1,98 (с, 3H). MS: (ES) m/z вычислено для C30H32FN4O3 [M + H]+ 515,2, найдено 515,2.

Пример 70. 1-((3-фтор-5-метокси-2',2''-диметил-3''-(пиримидин-4-карбоксамидо)-[1.1':3'.1''-терфенил]-4-ил)метил)азетидин-3-карбоновая кислота

Стадия a. В перемешиваемую суспензию пиримидин-4-карбоновой кислоты (0. 5 г, 4,03 ммоль) в CH2Cl2 (10 мл) добавляли оксалилхлорид (0,76 г, 6,04 ммоль) при комнатной температуре. Полученную смесь перемешивали в течение 4 часов. Растворитель удаляли при пониженном давлении и сушили в вакууме, полученный остаток использовали без очистки в следующей стадии. Остаток добавляли в раствор 3-бром-2-метиланилина (0,72 г, 3,90 ммоль) и N,N-диизопропилэтиламина (1,14 мг, 8,85 ммоль) в ТГФ (15 мл). Реакционную смесь перемешивали при комнатной температуре в течение ночи. После окончания реакции смесь промывали водой и экстрагировали этилацетатом. Полученный сырой продукт очищали методом хроматографии на силикагеле (20-100% EtOAc/гексан), получая целевой продукт N-(3-бром-2-метилфенил)пиримидин-4-карбоксамид. MS: (ES) m/z вычислено для C12H11BrN3O [M + H]+ 292,0, найдено 292,0.

Стадия b. В смесь N-(3-бром-2-метилфенил)пиримидин-4-карбоксамида (150 мг, 0,49 ммоль), 3-фтор-5-метокси-2'-метил-3'-(4,4,5,5-тетраметил-1,3,2-диоксаборолан-2-ил)-[1,1'-бифенил]-4-карбальдегида (199 мг, 0,53 ммоль) и 2M раствора K2CO3 (0,61 мл, 1,22 ммоль) в п-диоксане (15 мл) добавляли комплекс Pd(dppf)Cl2 с дихлорметаном (40 мг, 0,049 ммоль). Реакционную смесь дегазировали (N2) в течение 2 минут и перемешивали в атмосфере азота при 95°C в течение 3 часов. Смесь разбавляли этилацетатом, фильтровали через целит, промывали насыщенным водным раствором хлорида натрия и сушили над MgSO4. Растворитель удаляли при пониженном давлении, и остаток очищали методом флэш-хроматографии на силикагеле (от 5 до 20% до 40% EtOAc/гексан), получая N-(3''-фтор-4''-формил-5''-метокси-2.2'-диметил-[1.1':3'.1''-терфенил]-3-ил)пиримидин-4-карбоксамид. MS: (ES) m/z вычислено для C27H23FN3O3[M + H]+ 456,2, найдено 456,2.

Стадия c. В перемешиваемый раствор N-(3''-фтор-4''-формил-5''-метокси-2.2'-диметил-[1.1':3'.1''-терфенил]-3-ил)пиримидин-4-карбоксамида (50 мг, 0,106 ммоль) и азетидин-3-карбоновой кислоты (26 мг, 0,42 ммоль) в ДМФА (2 мл) добавляли NaBH(OAc)3 (56 мг, 0,26 ммоль). Реакционную смесь перемешивали при комнатной температуре в течение 2 часов. Растворитель удаляли при пониженном давлении, и остаток очищали методом ВЭЖХ (от 0 до 40% до 100% MeCN/H2O), получая 1-((3-фтор-5-метокси-2',2''-диметил-3''-(пиримидин-4-карбоксамидо)-[1.1':3'.1''-терфенил]-4-ил)метил)азетидин-3-карбоновую кислоту. 1H ЯМР (400 МГц, CD3OD) δ 9,34 (д, J = 1,4 Гц, 1H), 9,09 (д, J = 5,1 Гц, 1H), 8,21 (дд, J = 5,2, 1,4 Гц, 1H), 7,80 (т, J = 8,7 Гц, 1H), 7,34 (д, J = 7,7 Гц, 2H), 7,26 (д, J = 7,9 Гц, 1H), 7,22-7,15 (м, 1H), 7,12-7,05 (м, 1H), 6,97-6,85 (м, 2H), 4,56 (с, 2H), 4,41 (д, J = 9,7 Гц, 4H), 3,98 (с, 3H), 3,69 (с, 1H), 2,09 (с, 3H), 1,96 (с, 3H). MS: (ES) m/z вычислено для C31H30FN4O3 [M + H]+ 541,2, найдено 541,2.

Пример 71. N-(4''-(аминометил)-3''-фтор-5''-метокси-2.2'-диметил-[1.1':3'.1''-терфенил]-3-ил)никотинамид

Указанное в заголовке соединение получали по методике, аналогичной описанной в примере 68. Полученный продукт очищали методом ВЭЖХ (MeCN/H2O с 0,1% ТФУК), получая целевой продукт N-(4''-(аминометил)-3''-фтор-5''-метокси-2.2'-диметил-[1.1':3'.1''-терфенил]-3-ил)никотинамид в виде белого твердого вещества. 1H ЯМР (400 МГц, CD3OD) δ 9,18 (с, 1H), 8,83-8,76 (м, 1H), 8,52 (д, J = 8,1 Гц, 1H), 7,72 (дд, J = 8,0, 5,0 Гц, 1H), 7,43-7,29 (м, 3H), 7,29-7,09 (м, 3H), 6,93-6,80 (м, 2H), 4,22 (с, 2H), 3,97 (с, 3H), 2,04 (с, 3H), 1,96 (с, 3H). MS: (ES) m/z вычислено для C28H27FN3O2 [M + H]+ 456,2, найдено 456,2.

Пример 72. N-(4''-(аминометил)-3''-фтор-5''-метокси-2.2'-диметил-[1.1':3'.1''-терфенил]-3-ил)изоникотинамид

Указанное в заголовке соединение получали по методике, аналогичной описанной в примере 68. Полученный продукт очищали методом ВЭЖХ (MeCN/H2O с 0,1% ТФУК), получая целевой продукт N-(4''-(аминометил)-3''-фтор-5''-метокси-2.2'-диметил-[1.1':3'.1''-терфенил]-3-ил)никотинамид в виде белого твердого вещества. 1H ЯМР (400 МГц, CD3OD) δ 9,18 (с, 1H), 8,82 (д, J = 5,1 Гц, 1H), 8,07 (д, J = 4,3 Гц, 1H), 7,44-7,29 (м, 3H), 7,28-7,09 (м, 3H), 6,90 (д, J = 1,3 Гц, 1H), 6,84 (д, J = 9,9 Гц, 2H), 4,22 (с, 2H), 3,97 (с, 3H), 2,03 (с, 3H), 1,96 (с, 3H). MS: (ES) m/z вычислено для C28H27FN3O2 [M + H]+ 456,2, найдено 456,2.

Пример 73. N-(4''-(аминометил)-3''-фтор-5''-метокси-2.2'-диметил-[1.1':3'.1''-терфенил]-3-ил)-6-метилпиколинамид

Указанное в заголовке соединение получали по методике, аналогичной описанной в примере 68. Полученный продукт очищали методом ВЭЖХ (MeCN/H2O с 0,1% ТФУК), получая целевой продукт N-(4''-(аминометил)-3''-фтор-5''-метокси-2.2'-диметил-[1.1':3'.1''-терфенил]-3-ил)-6-метилпиколинамид в виде белого твердого вещества. 1H ЯМР (400 МГц, CD3OD) δ 8,03 (д, J = 5,1 Гц, 1H), 7,95-7,86 (м, 2H), 7,49 (д, J = 7,8 Гц, 1H), 7,33 (дт, J = 7,7, 3,1 Гц, 2H), 7,28-7,14 (м, 2H), 7,04 (д, J = 7,5 Гц, 1H), 6,91 (с, 1H), 6,85 (д, J = 9,9 Гц, 1H), 4,22 (с, 2H), 3,97 (с, 3H), 2,64 (с, 3H), 2,11 (с, 3H), 1,96 (с, 3H). MS: (ES) m/z вычислено для C29H29FN3O2 [M + H]+ 470,2, найдено 453,1 [M-17].

Пример 74. 4''-(аминометил)-3''-фтор-5''-метокси-2.2'-диметил-N-(пиридин-2-ил)-[1.1':3'.1''-терфенил]-3-карбоксамид

Указанное в заголовке соединение получали по методике, аналогичной описанной в примере 68. Полученный продукт очищали методом ВЭЖХ (MeCN/H2O с 0,1% ТФУК), получая целевой продукт 4''-(аминометил)-3''-фтор-5''-метокси-2.2'-диметил-N-(пиридин-2-ил)-[1.1':3'.1''-терфенил]-3-карбоксамид в виде белого твердого вещества. 1H ЯМР (400 МГц, CD3OD) δ 9,18 (с, 1H), 8,82 (д, J = 5,1 Гц, 1H), 8,07 (д, J = 4,3 Гц, 1H), 7,44-7,29 (м, 3H), 7,28-7,09 (м, 3H), 6,90 (д, J = 1,3 Гц, 1H), 6,84 (д, J = 9,9 Гц, 2H), 4,22 (с, 2H), 3,97 (с, 3H), 2,03 (с, 3H), 1,96 (с, 3H). MS: (ES) m/z вычислено для C28H27FN3O2 [M + H]+ 456,2, найдено 439,0 [M-17].

Пример 75. N-(4''-(аминометил)-3''-фтор-5''-метокси-2.2'-диметил-[1.1':3'.1''-терфенил]-3-ил)пиримидин-2-карбоксамид

Указанное в заголовке соединение получали по методике, аналогичной описанной в примере 68. Полученный продукт очищали методом ВЭЖХ (MeCN/H2O с 0,1% ТФУК), получая целевой продукт N-(4''-(аминометил)-3''-фтор-5''-метокси-2.2'-диметил-[1.1':3'.1''-терфенил]-3-ил)пиримидин-2-карбоксамид в виде белого твердого вещества. 1H ЯМР (400 МГц, CD3OD) δ 9,02 (д, J = 5,0 Гц, 2H), 7,87-7,80 (м, 1H), 7,70 (т, J = 4,9 Гц, 1H), 7,39-7,29 (м, 2H), 7,28-7,14 (м, 2H), 7,12-7,04 (м, 1H), 6,90 (с, 1H), 6,84 (д, J = 9,9 Гц, 1H), 4,21 (с, 2H), 3,97 (с, 3H), 2,10 (с, 3H), 1,96 (с, 3H). MS: (ES) m/z вычислено для C27H26FN4O2 [M + H]+ 457,2, найдено 440,0 [M-17].

Пример 76. N-(4''-(аминометил)-3''-фтор-5''-метокси-2.2'-диметил-[1.1':3'.1''-терфенил]-3-ил)пиримидин-4-карбоксамид

Указанное в заголовке соединение получали по методике, аналогичной описанной в примере 68. Полученный продукт очищали методом ВЭЖХ (MeCN/H2O с 0,1% ТФУК), получая целевой продукт N-(4''-(аминометил)-3''-фтор-5''-метокси-2.2'-диметил-[1.1':3'.1''-терфенил]-3-ил)пиримидин-4-карбоксамид в виде белого твердого вещества. 1H ЯМР (400 МГц, CD3OD) δ 9,34 (д, J = 1,4 Гц, 1H), 9,09 (д, J = 5,1 Гц, 1H), 8,21 (дд, J = 5,1, 1,4 Гц, 1H), 7,85-7,77 (м, 1H), 7,34 (т, J = 7,9 Гц, 1H), 7,28-7,21 (м, 1H), 7,18 (дд, J = 7,6, 1,1 Гц, 1H), 7,08 (дд, J = 7,8, 1,2 Гц, 1H), 6,93-6,81 (м, 2H), 4,22 (с, 2H), 3,97 (с, 3H), 2,09 (с, 3H), 1,95 (с, 3H). MS: (ES) m/z вычислено для C27H26FN4O2 [M + H]+ 457,2, найдено 440,0 [M-17].

Пример 77. N-(4''-(аминометил)-3''-фтор-5''-метокси-2.2'-диметил-[1.1':3'.1''-терфенил]-3-ил)пиразин-2-карбоксамид

Указанное в заголовке соединение получали по методике, аналогичной описанной в примере 68. Полученный продукт очищали методом ВЭЖХ (MeCN/H2O с 0,1% ТФУК), получая целевой продукт N-(4''-(аминометил)-3''-фтор-5''-метокси-2.2'-диметил-[1.1':3'.1''-терфенил]-3-ил)пиразин-2-карбоксамид в виде белого твердого вещества. 1H ЯМР (400 МГц, CD3OD) δ 9,36 (д, J = 1,4 Гц, 1H), 8,85 (д, J = 2,4 Гц, 1H), 8,75 (дд, J = 2,5, 1,4 Гц, 1H), 7,76 (т, J = 8,3 Гц, 1H), 7,38-7,29 (м, 2H), 7,28-7,14 (м, 2H), 7,08 (дд, J = 7,8, 1,2 Гц, 1H), 6,93-6,81 (м, 2H), 4,22 (с, 2H), 3,97 (с, 3H), 2,08 (с, 3H), 1,96 (с, 3H). MS: (ES) m/z вычислено для C27H26FN4O2 [M + H]+ 457,2, найдено 440,0 [M-17].

Пример 78. N-(4''-(аминометил)-3''-фтор-5''-метокси-2.2'-диметил-[1.1':3'.1''-терфенил]-3-ил)тетрагидро-2H-пиран-2-карбоксамид

Указанное в заголовке соединение получали по методике, аналогичной описанной в примере 68. Полученный продукт очищали методом ВЭЖХ (MeCN/H2O с 0,1% ТФУК), получая целевой продукт N-(4''-(аминометил)-3''-фтор-5''-метокси-2.2'-диметил-[1.1':3'.1''-терфенил]-3-ил)тетрагидро-2H-пиран-2-карбоксамид в виде белого твердого вещества. 1H ЯМР (400 МГц, CD3OD) δ 7,52-7,43 (м, 1H), 7,36-7,19 (м, 3H), 7,13 (д, J = 7,4 Гц, 1H), 7,06-6,99 (м, 1H), 6,92-6,79 (м, 2H), 4,22 (с, 2H), 4,14 (дд, J = 11,4, 3,5 Гц, 1H), 3,96 (с, 4H), 3,61 (т, J = 10,1 Гц, 1H), 2,10 (д, J = 13,4 Гц, 1H), 1,96 (с, 3H), 1,96 (с, 3H), 1,71-1,58 (м, 4H) 1,53 (д, J = 11,7 Гц, 1H). MS: (ES) m/z вычислено для C28H32FN2O3 [M + H]+ 463,2, найдено 463,2.

Пример 79. ((3-фтор-5-метокси-2',2''-диметил-3''-(пиримидин-4-карбоксамидо)-[1.1':3'.1''-терфенил]-4-ил)метил)глицин

Указанное в заголовке соединение получали из N-(3''-фтор-4''-формил-5''-метокси-2.2'-диметил-[1.1':3'.1''-терфенил]-3-ил)пиримидин-4-карбоксамида по методике, аналогичной описанной для стадии c из примера 1. Полученный продукт очищали методом ВЭЖХ (MeCN/H2O с 0,1% ТФУК), получая целевой продукт ((3-фтор-5-метокси-2',2''-диметил-3''-(пиримидин-4-карбоксамидо)-[1.1':3'.1''-терфенил]-4-ил)метил)глицин в виде белого твердого вещества. 1H ЯМР (400 МГц, CD3OD) δ 9,35 (д, J = 1,4 Гц, 1H), 9,09 (д, J = 5,1 Гц, 1H), 8,21 (дд, J = 5,1, 1,4 Гц, 1H), 7,82 (д, J = 7,9 Гц, 1H), 7,35 (т, J = 7,7 Гц, 2H), 7,26 (дд, J = 7,8, 1,4 Гц, 1H), 7,22-7,15 (м, 1H), 7,12-7,05 (м, 1H), 6,96-6,84 (м, 2H), 4,41 (д, J = 1,2 Гц, 2H), 3,98 (с, 3H), 3,93 (с, 2H), 2,10 (с, 3H), 1,95 (с, 3H). MS: (ES) m/z вычислено для C29H28FN4O4 [M + H]+ 515,2, найдено 515,5.

Пример 80. N-(3''-фтор-4''-(((2-гидроксиэтил)амино)метил)-5''-метокси-2.2'-диметил-[1.1':3'.1''-терфенил]-3-ил)пиримидин-4-карбоксамид

Указанное в заголовке соединение получали из N-(3''-фтор-4''-формил-5''-метокси-2.2'-диметил-[1.1':3'.1''-терфенил]-3-ил)пиримидин-4-карбоксамида по методике, аналогичной описанной для стадии c в примере 1. Полученный продукт очищали методом ВЭЖХ (MeCN/H2O с 0,1% ТФУК), получая целевой продукт N-(3''-фтор-4''-(((2-гидроксиэтил)амино) метил)-5''-метокси-2.2'-диметил-[1.1':3'.1''-терфенил]-3-ил)пиримидин-4-карбоксамид в виде белого твердого вещества. 1H ЯМР (400 МГц, CD3OD) δ 9,35 (д, J = 1,4 Гц, 1H), 9,09 (д, J = 5,1 Гц, 1H), 8,21 (дд, J = 5,1, 1,4 Гц, 1H), 7,82 (дд, J = 8,1, 1,1 Гц, 1H), 7,34 (т, J = 7,7 Гц, 2H), 7,26 (дд, J = 7,8, 1,5 Гц, 1H), 7,18 (дд, J = 7,5, 1,5 Гц, 1H), 7,09 (дд, J = 7,8, 1,3 Гц, 1H), 6,96-6,84 (м, 2H), 4,36 (д, J = 1,2 Гц, 2H), 3,98 (с, 3H), 3,88-3,81 (м, 2H), 3,19 (т, J = 5,2 Гц, 2H), 2,10 (с, 3H), 1,95 (с, 3H). MS: (ES) m/z вычислено для C29H30FN4O3 [M + H]+ 501,2, найдено 501,5.

Пример 81. N-(3''-фтор-4''-((3-гидроксиазетидин-1-ил)метил)-5''-метокси-2.2'-диметил-[1.1':3'.1''-терфенил]-3-ил)пиримидин-4-карбоксамид

Указанное в заголовке соединение получали из N-(3''-фтор-4''-формил-5''-метокси-2.2'-диметил-[1.1':3'.1''-терфенил]-3-ил)пиримидин-4-карбоксамида по методике, аналогичной описанной для стадии c в примере 1. Полученный продукт очищали методом ВЭЖХ (MeCN/H2O с 0,1% ТФУК), получая целевой продукт N-(3''-фтор-4''-((3-гидроксиазетидин-1-ил)метил)-5''-метокси-2.2'-диметил-[1.1':3'.1''-терфенил]-3-ил)пиримидин-4-карбоксамид в виде белого твердого вещества. 1H ЯМР (400 МГц, CD3OD) δ 9,35 (д, J = 1,4 Гц, 1H), 9,09 (д, J = 5,1 Гц, 1H), 8,21 (дд, J = 5,1, 1,4 Гц, 1H), 7,81 (д, J = 8,1 Гц, 1H), 7,35 (т, J = 7,6 Гц, 2H), 7,30-7,22 (м, 1H), 7,22-7,15 (м, 1H), 7,08 (д, J = 7,4 Гц, 1H), 6,97-6,86 (м, 2H), 4,64-4,49 (м, 3H), 4,46-4,33 (м, 2H), 4,11-4,01 (м, 2H), 3,98 (с, 3H), 2,09 (с, 3H), 1,96 (с, 3H). MS: (ES) m/z вычислено для C30H30FN4O3 [M + H]+ 513,2, найдено 513,5.

Пример 82. 6-((3''-фтор-4''-(((2-гидроксиэтил)амино)метил)-5''-метокси-2.2'-диметил-[1.1':3'.1''-терфенил]-3-ил)карбамоил)никотиновая кислота

Указанное в заголовке соединение получали по методике, аналогичной описанной в примере 1. Полученный продукт очищали методом ВЭЖХ (MeCN/H2O с 0,1% ТФУК), получая целевой продукт 6-((3''-фтор-4''-(((2-гидроксиэтил)амино)метил)-5''-метокси-2.2'-диметил-[1.1':3'.1''-терфенил]-3-ил)карбамоил)никотиновую кислоту в виде белого твердого вещества. 1H ЯМР (400 МГц, CD3OD) δ 9,25 (д, J = 1,4 Гц, 1H), 8,58 (дд, J = 8,1, 2,1 Гц, 1H), 8,33 (д, J = 8,1 Гц, 1H), 7,90-7,81 (м, 1H), 7,34 (т, J = 7,4 Гц, 2H), 7,29-7,15 (м, 2H), 7,07 (д, J = 7,6 Гц, 1H), 6,96-6,84 (м, 2H), 4,36 (с, 2H), 3,99 (с, 3H), 3,88-3,81 (м, 2H), 3,19 (т, J = 5,3 Гц, 2H), 2,11 (с, 3H), 1,97 (с, 3H). MS: (ES) m/z вычислено для C31H31FN3O5 [M + H]+ 544,2, найдено 544,5.

Пример 83. 1-((3''-(5-аминопиразин-2-карбоксамидо)-3-фтор-5-метокси-2',2''-диметил-[1.1':3'.1''-терфенил]-4-ил)метил)азетидин-3-карбоновая кислота

Указанное в заголовке соединение получали по методике, аналогичной описанной в примере 1. Полученный продукт очищали методом ВЭЖХ (MeCN/H2O с 0,1% ТФУК), получая целевой продукт 1-((3''-(5-аминопиразин-2-карбоксамидо)-3-фтор-5-метокси-2',2''-диметил-[1.1':3'.1''-терфенил]-4-ил)метил)азетидин-3-карбоновую кислоту в виде белого твердого вещества. 1H ЯМР (400 МГц, CD3OD) δ 8,65 (д, J = 1,4 Гц, 1H), 7,97 (д, J = 1,4 Гц, 1H), 7,82-7,72 (м, 1H), 7,38-7,21 (м, 3H), 7,21-7,14 (м, 1H), 7,06-6,99 (м, 1H), 6,97-6,85 (м, 2H), 4,56 (с, 2H), 4,41 (д, J = 10,8 Гц, 4H), 3,98 (с, 3H), 3,70 (т, J = 10,2 Гц, 1H), 2,06 (с, 3H), 1,96 (с, 3H). MS: (ES) m/z вычислено для C31H31FN5O4 [M + H]+ 556,2, найдено 556,5.

Пример 84. 1-((3''-(2-аминопиримидин-4-карбоксамидо)-3-фтор-5-метокси-2',2''-диметил-[1.1':3'.1''-терфенил]-4-ил)метил)азетидин-3-карбоновая кислота

Указанное в заголовке соединение получали по методике, аналогичной описанной в примере 1. Полученный продукт очищали методом ВЭЖХ (MeCN/H2O с 0,1% ТФУК), получая целевой продукт 1-((3''-(2-аминопиримидин-4-карбоксамидо)-3-фтор-5-метокси-2',2''-диметил-[1.1':3'.1''-терфенил]-4-ил)метил)азетидин-3-карбоновую кислоту в виде белого твердого вещества. 1H ЯМР (400 МГц, CD3OD) δ 8,52 (д, J = 5,1 Гц, 1H), 7,85-7,78 (м, 1H), 7,39-7,21 (м, 4H), 7,21-7,14 (м, 1H), 7,10-7,03 (м, 1H), 6,97-6,85 (м, 2H), 4,56 (с, 2H), 4,45-4,40 (м, 4H), 3,98 (с, 3H), 3,71 (т, J = 11,4 Гц, 1H), 2,09 (с, 3H), 1,96 (с, 3H). MS: (ES) m/z вычислено для C31H31FN5O4 [M + H]+ 556,2, найдено 556,5.

Пример 85. 1-((3-фтор-5-метокси-2',2''-диметил-3''-(тиазол-2-карбоксамидо)-[1.1':3'.1''-терфенил]-4-ил)метил)азетидин-3-карбоновая кислота

Указанное в заголовке соединение получали по методике, аналогичной описанной в примере 1. Полученный продукт очищали методом ВЭЖХ (MeCN/H2O с 0,1% ТФУК), получая целевой продукт 1-((3-фтор-5-метокси-2',2''-диметил-3''-(тиазол-2-карбоксамидо)-[1.1':3'.1''-терфенил]-4-ил)метил)азетидин-3-карбоновую кислоту в виде белого твердого вещества. 1H ЯМР (400 МГц, CD3OD) δ 8,02 (д, J = 3,1 Гц, 1H), 7,92 (д, J = 3,1 Гц, 1H), 7,66 (дд, J = 7,9, 1,3 Гц, 1H), 7,39-7,21 (м, 3H), 7,18 (дд, J = 7,4, 1,5 Гц, 1H), 7,09 (дд, J = 7,6, 1,3 Гц, 1H), 6,99-6,86 (м, 2H), 4,56 (с, 2H), 4,45-4,40 (м, 4H), 3,98 (с, 3H), 3,74 (ушир.с, 1H), 2,07 (с, 3H), 1,96 (с, 3H). MS: (ES) m/z вычислено для C30H29FN3O4S [M + H]+ 546,2, найдено 546,2.

Пример 86. 1-((3-фтор-5-метокси-3''-(5-метоксипиколинамидо)-2',2''-диметил-[1.1':3'.1''-терфенил]-4-ил)метил)азетидин-3-карбоновая кислота

Указанное в заголовке соединение получали по методике, аналогичной описанной в примере 1. Полученный продукт очищали методом ВЭЖХ (MeCN/H2O с 0,1% ТФУК), получая целевой продукт 1-((3-фтор-5-метокси-3''-(5-метоксипиколинамидо)-2',2''-диметил-[1.1':3'.1''-терфенил]-4-ил)метил)азетидин-3-карбоновую кислоту в виде белого твердого вещества. 1H ЯМР (400 МГц, CD3OD) δ 8,36 (дд, J = 2,8, 0,6 Гц, 1H), 8,18 (дд, J = 8,7, 0,7 Гц, 1H), 7,90-7,83 (м, 1H), 7,55 (дд, J = 8,7, 2,9 Гц, 1H), 7,38-7,14 (м, 4H), 7,07-6,99 (м, 1H), 6,97-6,86 (м, 2H), 4,56 (с, 2H), 4,45-4,40 (м, 4H), 3,97 (с, 3H), 3,95 (с, 3H), 3,70 (ушир.с, 1H), 2,09 (с, 3H), 1,96 (с, 3H). MS: (ES) m/z вычислено для C33H33FN3O5 [M + H]+ 570,2, найдено 570,2.

Пример 87. 1-((3-фтор-5-метокси-2',2''-диметил-3''-(5-метилпиколинамидо)-[1.1':3'.1''-терфенил]-4-ил)метил)азетидин-3-карбоновая кислота

Указанное в заголовке соединение получали по методике, аналогичной описанной в примере 1. Полученный продукт очищали методом ВЭЖХ (MeCN/H2O с 0,1% ТФУК), получая целевой продукт 1-((3-фтор-5-метокси-2',2''-диметил-3''-(5-метилпиколинамидо)-[1.1':3'.1''-терфенил]-4-ил)метил)азетидин-3-карбоновую кислоту в виде белого твердого вещества. 1H ЯМР (400 МГц, CD3OD) δ 8,54 (дт, J = 2,2, 0,8 Гц, 1H), 8,11 (д, J = 8,7 Гц, 1H), 7,92-7,83 (м, 2H), 7,38-7,14 (м, 4H), 7,07-7,00 (м, 1H), 6,96-6,86 (м, 2H), 4,56 (с, 2H), 4,45-4,40 (м, 4H), 3,98 (с, 3H), 3,70 (ушир.с, 1H), 2,46 (с, 3H), 2,09 (с, 3H), 1,96 (с, 3H). MS: (ES) m/z вычислено для C33H33FN3O4 [M + H]+ 554,2, найдено 554,2.

Пример 88. N-(3''-фтор-4''-(((2-гидроксиэтил)амино)метил)-5''-метокси-2.2'-диметил-[1.1':3'.1''-терфенил]-3-ил)-5-(((2-гидроксиэтил)амино)метил)пиколинамид

Указанное в заголовке соединение получали по методике, аналогичной описанной в примере 1. Полученный продукт очищали методом ВЭЖХ (MeCN/H2O с 0,1% ТФУК), получая целевой продукт N-(3''-фтор-4''-(((2-гидроксиэтил)амино)метил)-5''-метокси-2.2'-диметил-[1.1':3'.1''-терфенил]-3-ил)-5-(((2-гидроксиэтил)амино)метил)пиколинамид в виде белого твердого вещества. 1H ЯМР (400 МГц, CD3OD) δ 8,82 (с, 1H), 8,31 (д, J = 6,2 Гц, 1H), 8,18 (дд, J = 8,1, 2,2 Гц, 1H), 7,90-7,79 (м, 1H), 7,34 (т, J = 7,7 Гц, 2H), 7,26 (дд, J = 7,7, 1,5 Гц, 1H), 7,18 (дд, J = 7,5, 1,5 Гц, 1H), 7,07-7,03 (м, 1H), 6,96-6,84 (м, 2H), 4,43 (с, 2H), 4,36 (с, 2H), 3,98 (с, 3H), 3,88-3,81 (м, 4H), 3,21 (дт, J = 5,3 Гц, 4H), 2,09 (с, 3H), 1,97 (с, 3H). MS: (ES) m/z вычислено для C33H38FN4O4 [M + H]+ 573,28, найдено 573,5.

Пример 89. 4-(((3-фтор-3''-(5-(((2-гидроксиэтил)амино)метил)пиколинамидо)-5-метокси-2',2''-диметил-[1.1':3'.1''-терфенил]-4-ил)метил)амино)бутановая кислота

Указанное в заголовке соединение получали по методике, аналогичной описанной в примере 1. Полученный продукт очищали методом ВЭЖХ (MeCN/H2O с 0,1% ТФУК), получая целевой продукт 4-(((3-фтор-3''-(5-(((2-гидроксиэтил)амино)метил)пиколинамидо)-5-метокси-2',2''-диметил-[1.1':3'.1''-терфенил]-4-ил)метил)амино)бутановую кислоту в виде белого твердого вещества. 1H ЯМР (400 МГц, CD3OD) δ 8,82 (с, 1H), 8,31 (д, J = 8,1 Гц, 1H), 8,18 (дд, J = 8,1, 2,2 Гц, 1H), 7,84 (д, J = 8,0 Гц, 1H), 7,34 (т, J = 7,7 Гц, 2H), 7,29-7,22 (м, 1H), 7,21-7,15 (м, 1H), 7,10-7,03 (м, 1H), 6,96-6,84 (м, 2H), 4,43 (с, 2H), 4,33 (с, 2H), 3,98 (с, 3H), 3,88-3,81 (м, 2H), 3,27-3,12 (м, 4H), 2,49 (т, J = 6,9 Гц, 2H), 2,10 (с, 3H), 1,97-2,05 (м, 5H). MS: (ES) m/z вычислено для C35H40FN4O5 [M + H]+ 615,3, найдено 615,2.

Пример 90. 2-(((3-фтор-3''-(5-(((2-гидроксиэтил)амино)метил)пиколинамидо)-5-метокси-2',2''-диметил-[1.1':3'.1''-терфенил]-4-ил)метил)амино)этан-1-сульфокислота

Указанное в заголовке соединение получали по методике, аналогичной описанной в примере 1. Полученный продукт очищали методом ВЭЖХ (MeCN/H2O с 0,1% ТФУК), получая целевой продукт 2-(((3-фтор-3''-(5-(((2-гидроксиэтил)амино)метил)пиколинамидо)-5-метокси-2',2''-диметил-[1.1':3'.1''-терфенил]-4-ил)метил)амино)этан-1-сульфокислоту в виде белого твердого вещества. 1H ЯМР (400 МГц, CD3OD) δ 8,82 (с, 1H), 8,31 (д, J = 8,3 Гц, 1H), 8,18 (дд, J = 8,2, 2,2 Гц, 1H), 7,86 (д, J = 8,2 Гц, 1H), 7,34 (т, J = 7,7 Гц, 2H), 7,29-7,22 (м, 1H), 7,17 (дд, J = 8,2, 2,2 Гц 1H), 7,07 (дд, J = 8,2, 2,2 Гц, 1H), 6,96-6,84 (м, 2H), 4,41 (с, 2H), 4,38 (с, 2H), 3,99 (с, 3H), 3,88-3,81 (м, 2H), 3,49 (т, J = 6,2 Гц, 2H), 3,24 (кв, J = 7,2 Гц, 2H), 3,15 (т, J = 6,3 Гц, 2H), 2,09 (с, 3H), 1,97 (с, 3H). MS: (ES) m/z вычислено для C33H38FN4O6S [M + H]+ 637,2, найдено 637,2.

Пример 91. N-(3''-фтор-4''-((изопропиламино)метил)-5''-метокси-2.2'-диметил-[1.1':3'.1''-терфенил]-3-ил)пиридо[3,4-b]пиразин-5-амин

Смесь 3-фтор-5-метокси-2',2''-диметил-3''-(пиридо[3,4-b]пиразин-5-иламино)-[1.1':3'.1''-терфенил]-4-карбальдегиад (24 мг, 0,042 ммоль), пропан-2-амина (30 мг, 0,51 ммоль) и HOAc (90 мг, 1,50 ммоль) в EtOH (1,5 мл) нагревали при 70°C в течение 0,5 час. Смесь охлаждали до 0°C и добавляли NaBH3CN (45 мг, 0,71 ммоль). После перемешивания в течение 20 минут при комнатной температуре, смесь упаривали в вакууме. Полученный остаток очищали методом ВЭЖХ (MeCN/H2O с 0,1% ТФУК), получая N-(3''-фтор-4''-((изопропиламино)метил)-5''-метокси-2.2'-диметил-[1.1':3'.1''-терфенил]-3-ил)пиридо[3,4-b]пиразин-5-амин (в виде соли с ТФУК). 1H ЯМР (400 МГц, CD3OD) δ 9,25 (д, J = 2,0 Гц, 1H), 9,05 (д, J = 2,0 Гц, 1H), 7,79 (д, J = 7,6 Гц, 1H), 7,59 (д, J = 7,6 Гц, 1H), 7,53 (т, J = 7,8 Гц, 1H), 7,40-7,34 (м, 3H), 7,28 (д, J = 7,6 Гц, 1H), 7,24 (д, J = 7,2 Гц, 1H), 6,93 (с, 1H), 6,87 (д, J = 10,0 Гц, 1H), 4,30 (с, 2H), 3,98 (с, 3H), 3,55-3,44 (м, 1H), 2,10 (с, 3H), 2,01 (с, 3H), 1,42 (д, J = 6,8 Гц, 6H). MS: (ES) m/z вычислено для C32H33FN5O [M + H]+ 522,3, найдено 522,3.

Пример 92. N-(3''-фтор-4''-((изопропиламино)метил)-5''-метокси-2.2'-диметил-[1.1':3'.1''-терфенил]-3-ил)-1-метил-2-оксо-1,2-дигидропиридин-3-карбоксамид

Стадия a. В раствор N-(3-бром-2-метилфенил)-1-метил-2-оксо-1,2-дигидропиридин-3-карбоксамида (500 мг, 1,48 ммоль), 3-фтор-5-метокси-2'-метил-3'-(4,4,5,5-тетраметил-1,3,2-диоксаборолан-2-ил)-[1,1'-бифенил]-4-карбальдегида (600 мг, 1,63 ммоль) и 2M раствора K2CO3 (1,85 мл, 3,7 ммоль) в п-диоксане (10 мл) добавляли комплекс Pd(dppf)Cl2 с дихлорметаном (121 мг, 0,148 ммоль). Реакционную смесь дегазировали (N2) в течение 2 минут и перемешивали в атмосфере азота при 95°С в течение 5 часов. Реакционную смесь разбавляли этилацетатом, фильтровали через целит, промывали насыщенным водным раствором хлорида натрия и сушили над MgSO4. Растворитель удаляли при пониженном давлении, и остаток очищали методом флэш-хроматографии на силикагеле (от 5 до 20% до 100% EtOAc/гексан), получая N-(3''-фтор-4''-формил-5''-метокси-2.2'-диметил-[1.1':3'.1''-терфенил]-3-ил)-1-метил-2-оксо-1,2-дигидропиридин-3-карбоксамид. MS: (ES) m/z вычислено для C29H25FN2O4 [M + H]+ 485,2, найдено 485,2.

Стадия b. В перемешиваемый раствор N-(3''-фтор-4''-формил-5''-метокси-2.2'-диметил-[1.1':3'.1''-терфенил]-3-ил)-1-метил-2-оксо-1,2-дигидропиридин-3-карбоксамида (40 мг, 0,082 ммоль) и пропан-2-амина (10 мг, 0,16 ммоль) в смеси MeOH:ДХЭ (2 мл) добавляли NaBH(OAc)3 (52 мг, 0,24 ммоль) и AcOH (5 капель). Реакционную смесь перемешивали при комнатной температуре в течение 2 часов. Растворитель удаляли при пониженном давлении, и остаток очищали методом ВЭЖХ (от 0 до 40% до 100% MeCN/H2O), получая N-(3''-фтор-4''-((изопропиламино)метил)-5''-метокси-2.2'-диметил-[1.1':3'.1''-терфенил]-3-ил)-1-метил-2-оксо-1,2-дигидропиридин-3-карбоксамид. 1H ЯМР (400 МГц, CD3OD) δ 12,18 (с, 1H), 8,59 (дд, J = 7,3, 2,0 Гц, 1H), 8,13 (д, J = 8,2 Гц, 1H), 7,99 (дд, J = 6,3, 2,0 Гц, 1H), 7,36-7,24 (м, 3H), 7,15 (д, J = 7,2 Гц, 1H), 6,96 (д, J = 7,4 Гц, 1H), 6,93 (с, 1H), 6,86 (д, J = 9,8 Гц, 1H), 6,61 (т, J = 7,5 Гц, 1H), 4,29 (с, 2H), 3,98 (с, 3H), 3,70 (с, 3H), 3,55-3,45 (м, 1H), 2,12 (с, 3H), 1,93 (с, 3H), 1,41 (д, J = 6,3 Гц, 6H). MS: (ES) m/z вычислено для C32H35FN3O3 [M + H]+ 528,3, найдено 528,2.

Пример 93. (S)-N-(3''-фтор-5''-метокси-2.2'-диметил-4''-(((5-оксопирролидин-3-ил) амино)метил)-[1.1':3'.1''-терфенил]-3-ил)-1-метил-2-оксо-1,2-дигидропиридин-3-карбоксамид

Указанное в заголовке соединение получали из N-(3''-фтор-4''-формил-5''-метокси-2.2'-диметил-[1.1':3'.1''-терфенил]-3-ил)-1-метил-2-оксо-1,2-дигидропиридин-3-карбоксамида по методике, аналогичной описанной для стадии c из примера 1. Полученный продукт очищали методом ВЭЖХ (MeCN/H2O с 0,1% ТФУК), получая целевой продукт (S)-N-(3''-фтор-5''-метокси-2.2'-диметил-4''-(((5-оксопирролидин-3-ил)амино)метил)-[1.1':3'.1''-терфенил]-3-ил)-1-метил-2-оксо-1,2-дигидропиридин-3-карбоксамид в виде белого твердого вещества. 1H ЯМР (400 МГц, CD3OD) δ 12,18 (с, 1H), 8,59 (дд, J = 8,2, 2,4 Гц, 1H), 8,14 (д, J = 8,2 Гц, 1H), 7,98 (дд, J = 6,3, 2,0 Гц, 1H), 7,36-7,24 (м, 3H), 7,16 (д, J = 7,2 Гц, 1H), 6,97 (д, J = 7,4 Гц, 1H), 6,95 (с, 1H), 6,88 (д, J = 9,8 Гц, 1H), 6,61 (т, J = 7,5 Гц, 1H), 4,36 (с, 2H), 4,28-4,20 (м, 1H), 3,99 (с, 3H), 3,87 (дд, J = 11,8, 7,5 Гц, 1H), 3,70 (с, 3H), 3,56 (дд, J = 12,0, 4,4 Гц, 1H), 2,89 (дд, J = 18,0, 9,0 Гц, 1H), 2,54 (дд, J = 17,6, 4,7 Гц, 1H), 2,12 (с, 3H), 1,93 (с, 3H). MS: (ES) m/z вычислено для C33H34FN4O4 [M + H]+ 569,3, найдено 569,3.

Пример 94. (R)-N-(3''-фтор-5''-метокси-2.2'-диметил-4''-(((5-оксопирролидин-3-ил) амино)метил)-[1.1':3'.1''-терфенил]-3-ил)-1-метил-2-оксо-1,2-дигидропиридин-3-карбоксамид

Указанное в заголовке соединение получали из N-(3''-фтор-4''-формил-5''-метокси-2.2'-диметил-[1.1':3'.1''-терфенил]-3-ил)-1-метил-2-оксо-1,2-дигидропиридин-3-карбоксамида по методике, аналогичной описанной для стадии c из примера 1. Полученный продукт очищали методом ВЭЖХ (MeCN/H2O с 0,1% ТФУК), получая целевой продукт (R)-N-(3''-фтор-5''-метокси-2.2'-диметил-4''-(((5-оксопирролидин-3-ил)амино)метил)-[1.1':3'.1''-терфенил]-3-ил)-1-метил-2-оксо-1,2-дигидропиридин-3-карбоксамид в виде белого твердого вещества. 1H ЯМР (400 МГц, CD3OD) δ 12,18 (с, 1H), 8,59 (дд, J = 8,2, 2,4 Гц, 1H), 8,14 (д, J = 8,2 Гц, 1H), 7,98 (дд, J = 6,3, 2,0 Гц, 1H), 7,36-7,25 (м, 3H), 7,16 (д, J = 7,8 Гц, 1H), 6,96 (д, J = 7,4 Гц, 1H), 6,95 (с, 1H), 6,88 (д, J = 9,8 Гц, 1H), 6,61 (т, J = 7,5 Гц, 1H), 4,36 (с, 2H), 4,28-4,20 (м, 2H), 3,99 (с, 3H), 3,87 (дд, J = 11,8, 7,5 Гц, 1H), 3,70 (с, 3H), 3,56 (дд, J = 12,0, 4,4 Гц, 1H), 2,90 (дд, J = 18,0, 9,0 Гц, 1H), 2,54 (дд, J = 17,6, 4,7 Гц, 1H), 2,12 (с, 3H), 1,93 (с, 3H). MS: (ES) m/z вычислено для C33H34FN4O4 [M + H]+ 569,3, найдено 569,3.

Пример 95. (S)-N-(3''-фтор-5''-метокси-2.2'-диметил-4''-((((5-оксопирролидин-2-ил) метил)амино)метил)-[1.1':3'.1''-терфенил]-3-ил)-1-метил-2-оксо-1,2-дигидропиридин-3-карбоксамид

Указанное в заголовке соединение получали из N-(3''-фтор-4''-формил-5''-метокси-2.2'-диметил-[1.1':3'.1''-терфенил]-3-ил)-1-метил-2-оксо-1,2-дигидропиридин-3-карбоксамида по методике, аналогичной описанной для стадии c из примера 1. Полученный продукт очищали методом ВЭЖХ (MeCN/H2O с 0,1% ТФУК), получая целевой продукт (S)-N-(3''-фтор-5''-метокси-2.2'-диметил-4''-((((5-оксопирролидин-2-ил)метил)амино)метил)-[1.1':3'.1''-терфенил]-3-ил)-1-метил-2-оксо-1,2-дигидропиридин-3-карбоксамид в виде белого твердого вещества. 1H ЯМР (400 МГц, CD3OD) δ 12,18 (с, 1H), 8,57 (д, J = 7,0 Гц, 1H), 8,16 (т, J = 8,2 Гц, 1H), 7,98 (д, J = 6,2 Гц, 1H), 7,36-7,24 (м, 2H), 7,16 (д, J = 7,4 Гц, 1H), 6,98-6,92 (м, 2H), 6,95 (с, 1H), 6,89 (д, J = 9,8 Гц, 1H), 6,60 (т, J = 7,5 Гц, 1H), 4,39 (с, 2H), 4,10-4,05 (м, 1H), 3,99 (с, 3H), 3,70 (с, 3H), 3,26 (дд, J = 6,8, 2,7 Гц, 2H), 2,45-2,35 (м, 3H), 2,13 (с, 3H), 1,94 (с, 3H) 1,93-1,89 (м, 1H). MS: (ES) m/z вычислено для C34H36FN4O4 [M + H]+ 583,3, найдено 583,3.

Пример 96. (R)-N-(3''-фтор-5''-метокси-2.2'-диметил-4''-((((5-оксопирролидин-2-ил) метил)амино)метил)-[1.1':3'.1''-терфенил]-3-ил)-1-метил-2-оксо-1,2-дигидропиридин-3-карбоксамид

Указанное в заголовке соединение получали из N-(3''-фтор-4''-формил-5''-метокси-2.2'-диметил-[1.1':3'.1''-терфенил]-3-ил)-1-метил-2-оксо-1,2-дигидропиридин-3-карбоксамида по методике, аналогичной описанной для стадии c из примера 1. Полученный продукт очищали методом ВЭЖХ (MeCN/H2O с 0,1% ТФУК), получая целевой продукт (R)-N-(3''-фтор-5''-метокси-2.2'-диметил-4''-((((5-оксопирролидин-2-ил)метил)амино)метил)-[1.1':3'.1''-терфенил]-3-ил)-1-метил-2-оксо-1,2-дигидропиридин-3-карбоксамид в виде белого твердого вещества. 1H ЯМР (400 МГц, CD3OD) δ 12,18 (с, 1H), 8,57 (дд, J = 7,8, 2,4 Гц, 1H), 8,16 (т, J = 8,2 Гц, 1H), 8,01 (дд, J = 6,2, 1,9 Гц, 1H), 7,36-7,24 (м, 3H), 7,16 (д, J = 7,2 Гц, 1H), 6,98 (д, J = 7,4 Гц, 1H), 6,95 (с, 1H), 6,82 (д, J = 9,8 Гц, 1H), 6,60 (т, J = 7,5 Гц, 1H), 4,39 (с, 2H), 4,10-4,00 (м, 1H), 3,99 (с, 3H), 3,70 (с, 3H), 3,30-3,25 (м, 2H), 2,45-2,30 (м, 3H), 2,13 (с, 3H), 1,94 (с, 3H) 1,92-1,85 (м, 1H). MS: (ES) m/z вычислено для C34H36FN4O4 [M + H]+ 583,3, найдено 583,3.

Пример 97. (S)-N-(3''-фтор-5''-метокси-2.2'-диметил-4''-((метил((5-оксопирролидин-2-ил) метил)амино)метил)-[1.1':3'.1''-терфенил]-3-ил)-1-метил-2-оксо-1,2-дигидропиридин-3-карбоксамид

Указанное в заголовке соединение получали из N-(3''-фтор-4''-формил-5''-метокси-2.2'-диметил-[1.1':3'.1''-терфенил]-3-ил)-1-метил-2-оксо-1,2-дигидропиридин-3-карбоксамида по методике, аналогичной описанной для стадии c из примера 1. Полученный продукт очищали методом ВЭЖХ (MeCN/H2O с 0,1% ТФУК), получая целевой продукт (S)-N-(3''-фтор-5''-метокси-2.2'-диметил-4''-((метил((5-оксопирролидин-2-ил)метил)амино)метил)-[1.1':3'.1''-терфенил]-3-ил)-1-метил-2-оксо-1,2-дигидропиридин-3-карбоксамид в виде белого твердого вещества. 1H ЯМР (400 МГц, CD3OD) δ 12,18 (с, 1H), 8,58 (дд, J = 7,8, 2,4 Гц, 1H), 8,15 (т, J = 7,7 Гц, 1H), 7,98 (дд, J = 6,3, 2,0 Гц, 1H), 7,35-7,24 (м, 3H), 7,17 (д, J = 7,4 Гц, 1H), 7,00-6,90 (м, 3H), 6,62 (т, J = 7,5 Гц, 1H), 4,60-4,40 (м, 2H), 4,30-4,25 (м, 1H), 4,01 (с, 3H), 3,70 (с, 3H), 3,55-3,35 (м, 2H), 2,94 (с, 3H), 2,50-2,32 (м, 3H), 2,13 (с, 3H), 1,94 (с, 3H) 1,92-1,85 (м, 1H). MS: (ES) m/z вычислено для C35H38FN4O4 [M + H]+ 597,3, найдено 597,3.

Пример 98. (S)-N-(3''-фтор-5''-метокси-2.2'-диметил-4''-((((1-метил-5-оксопирролидин-2-ил)метил)амино)метил)-[1.1':3'.1''-терфенил]-3-ил)-1-метил-2-оксо-1,2-дигидропиридин-3-карбоксамид

Указанное в заголовке соединение получали из N-(3''-фтор-4''-формил-5''-метокси-2.2'-диметил-[1.1':3'.1''-терфенил]-3-ил)-1-метил-2-оксо-1,2-дигидропиридин-3-карбоксамида по методике, аналогичной описанной для стадии c из примера 1. Полученный продукт очищали методом ВЭЖХ (MeCN/H2O с 0,1% ТФУК), получая целевой (S)-N-(3''-фтор-5''-метокси-2.2'-диметил-4''-((((1-метил-5-оксопирролидин-2-ил)метил)амино)метил)-[1.1':3'.1''-терфенил]-3-ил)-1-метил-2-оксо-1,2-дигидропиридин-3-карбоксамид в виде белого твердого вещества. 1H ЯМР (400 МГц, CD3OD) δ 12,18 (с, 1H), 8,58 (дд, J = 7,8, 2,4 Гц, 1H), 8,15 (т, J = 8,2 Гц, 1H), 8,01 (дд, J = 6,6, 1,9 Гц, 1H), 7,35-7,24 (м, 3H), 7,16 (д, J = 7,4 Гц, 1H), 6,97 (д, J = 7,4 Гц, 1H), 6,96 (с, 1H), 6,89 (д, J = 9,8 Гц, 1H), 6,62 (т, J = 7,5 Гц, 1H), 4,43 (м, 2H), 4,00 (с, 3H), 3,98-3,90 (м, 1H), 3,70 (с, 3H), 3,46 (дд, J = 7,8, 4,0 Гц, 1H), 3,25-3,20 (м, 1H), 2,85 (с, 3H), 2,60-2,35 (м, 3H), 2,13 (с, 3H), 1,93 (с, 3H), 1,98-1,90 (м, 1H). MS: (ES) m/z вычислено для C35H38FN4O4 [M + H]+ 597,3, найдено 597,3.

Пример 99. N-(4''-((((2,4-диоксо-1.2.3.4-тетрагидропиримидин-5-ил)метил)амино)метил)-3''-фтор-5''-метокси-2.2'-диметил-[1.1':3'.1''-терфенил]-3-ил)-1-метил-2-оксо-1,2-дигидропиридин-3-карбоксамид

Указанное в заголовке соединение получали из N-(3''-фтор-4''-формил-5''-метокси-2.2'-диметил-[1.1':3'.1''-терфенил]-3-ил)-1-метил-2-оксо-1,2-дигидропиридин-3-карбоксамида по методике, аналогичной описанной для стадии c из примера 1. Полученный продукт очищали методом ВЭЖХ (MeCN/H2O с 0,1% ТФУК), получая целевой продукт N-(4''-((((2,4-диоксо-1.2.3.4-тетрагидропиримидин-5-ил)метил)амино)метил)-3''-фтор-5''-метокси-2.2'-диметил-[1.1':3'.1''-терфенил]-3-ил)-1-метил-2-оксо-1,2-дигидропиридин-3-карбоксамид в виде белого твердого вещества. 1H ЯМР (400 МГц, CD3OD) δ 12,18 (с, 1H), 8,57 (д, J = 7,8 Гц, 1H), 8,12 (т, J = 7,5 Гц, 1H), 7,99 (дд, J = 6,7 Гц, 1H), 7,65 (с, 1H), 7,35-7,24 (м, 3H), 7,15 (д, J = 6,2 Гц, 1H), 6,95 (д, J = 7,8 Гц, 1H), 6,91 (с, 1H), 6,84 (д, J = 9,8 Гц, 1H), 6,62 (т, J = 7,0 Гц, 1H), 4,43 (с, 2H), 4,00 (с, 2H), 3,98 (с, 3H), 3,70 (с, 3H), 2,11 (с, 3H), 1,93 (с, 3H). MS: (ES) m/z вычислено для C34H36FN5O5 [M + H]+ 610,3, найдено 610,2.

Пример 100. N-(3''-фтор-4''-(((1-гидрокси-2-метилпропан-2-ил)амино)метил)-5''-метокси-2.2'-диметил-[1.1':3'.1''-терфенил]-3-ил)-1-метил-2-оксо-1,2-дигидропиридин-3-карбоксамид

Указанное в заголовке соединение получали из N-(3''-фтор-4''-формил-5''-метокси-2.2'-диметил-[1.1':3'.1''-терфенил]-3-ил)-1-метил-2-оксо-1,2-дигидропиридин-3-карбоксамида по методике, аналогичной описанной для стадии c из примера 1. Полученный продукт очищали методом ВЭЖХ (MeCN/H2O с 0,1% ТФУК), получая целевой продукт N-(3''-фтор-4''-(((1-гидрокси-2-метилпропан-2-ил)амино)метил)-5''-метокси-2.2'-диметил-[1.1':3'.1''-терфенил]-3-ил)-1-метил-2-оксо-1,2-дигидропиридин-3-карбоксамид в виде белого твердого вещества. 1H ЯМР (400 МГц, CD3OD) δ 12,18 (с, 1H), 8,59 (дд, J = 7,8, 2,4 Гц, 1H), 8,14 (т, J = 8,2 Гц, 1H), 7,99 (д, J = 6,8 Гц, 1H), 7,36-7,24 (м, 3H), 7,15 (д, J = 7,4 Гц, 1H), 6,96 (д, J = 7,4 Гц, 1H), 6,91 (с, 1H), 6,84 (д, J = 9,8 Гц, 1H), 6,60 (т, J = 7,5 Гц, 1H), 4,29 (с, 2H), 3,97 (с, 3H), 3,70 (с, 3H), 3,66 (с, 2H), 2,12 (с, 3H), 1,93 (с, 3H), 1,42 (с, 6H). MS: (ES) m/z вычислено для C33H37FN3O4 [M + H]+ 558,3, найдено 558,2.

Пример 101. N-(3''-фтор-4''-(((2-гидроксиэтил)(метил)амино)метил)-5''-метокси-2.2'-диметил-[1.1':3'.1''-терфенил]-3-ил)-1-метил-2-оксо-1,2-дигидропиридин-3-карбоксамид

Указанное в заголовке соединение получали из N-(3''-фтор-4''-формил-5''-метокси-2.2'-диметил-[1.1':3'.1''-терфенил]-3-ил)-1-метил-2-оксо-1,2-дигидропиридин-3-карбоксамида по методике, аналогичной описанной для стадии c из примера 1. Полученный продукт очищали методом ВЭЖХ (MeCN/H2O с 0,1% ТФУК), получая целевой продукт N-(3''-фтор-4''-(((2-гидроксиэтил)(метил)амино)метил)-5''-метокси-2.2'-диметил-[1.1':3'.1''-терфенил]-3-ил)-1-метил-2-оксо-1,2-дигидропиридин-3-карбоксамид в виде белого твердого вещества. 1H ЯМР (400 МГц, CD3OD) δ 12,18 (с, 1H), 8,57 (дд, J = 7,8, 2,4 Гц, 1H), 8,16 (т, J = 8,2 Гц, 1H), 7,99 (дд, J = 6,3, 2,0 Гц, 1H), 7,36-7,24 (м, 3H), 7,16 (д, J = 7,4 Гц, 1H), 6,97 (д, J = 7,4 Гц, 1H), 6,96 (с, 1H), 6,89 (д, J = 9,8 Гц, 1H), 6,61 (т, J = 13,7 Гц, 1H), 4,60 (д, J = 13,0 Гц, 1H), 4,37 (д, J = 13,3 Гц, 1H), 3,98 (с, 3H), 3,95-3,85 (м, 2H), 3,70 (с, 3H), 3,45-3,30 (м, 2H), 2,89 (с, 3H), 2,13 (с, 3H), 1,95 (с, 3H). MS: (ES) m/z вычислено для C32H35FN3O4 [M + H]+ 544,3, найдено 544,2.

Пример 102. N-(3''-фтор-5''-метокси-2.2'-диметил-4''-((оксетан-3-иламино)метил)-[1.1':3'.1''-терфенил]-3-ил)-1-метил-2-оксо-1,2-дигидропиридин-3-карбоксамид

Указанное в заголовке соединение получали из N-(3''-фтор-4''-формил-5''-метокси-2.2'-диметил-[1.1':3'.1''-терфенил]-3-ил)-1-метил-2-оксо-1,2-дигидропиридин-3-карбоксамида по методике, аналогичной описанной для стадии c из примера 1. Полученный продукт очищали методом ВЭЖХ (MeCN/H2O с 0,1% ТФУК), получая целевой продукт N-(3''-фтор-5''-метокси-2.2'-диметил-4''-((оксетан-3-иламино)метил)-[1.1':3'.1''-терфенил]-3-ил)-1-метил-2-оксо-1,2-дигидропиридин-3-карбоксамид в виде белого твердого вещества. 1H ЯМР (400 МГц, CD3OD) δ 12,18 (с, 1H), 8,59 (дд, J = 7,3, 2,0 Гц, 1H), 8,13 (т, J = 8,2 Гц, 1H), 7,99 (дд, J = 6,3, 2,0 Гц, 1H), 7,36-7,24 (м, 3H), 7,16 (д, J = 7,4 Гц, 1H), 6,96 (д, J = 7,4 Гц, 1H), 6,92 (с, 1H), 6,88 (д, J = 9,8 Гц, 1H), 6,60 (т, J = 7,5 Гц, 1H), 4,65 (дд, J = 8,2, 5,5 Гц, 2H), 4,55-4,45 (м, 3H), 4,29 (с, 2H), 3,99 (с, 3H), 3,70 (с, 3H), 2,13 (с, 3H), 1,94 (с, 3H). MS: (ES) m/z вычислено для C32H33FN3O4 [M + H]+ 542,2, найдено 542,2.

Пример 103. N-(3''-фтор-5''-метокси-2.2'-диметил-4''-(((тетрагидрофуран-3-ил)амино) метил)-[1.1':3'.1''-терфенил]-3-ил)-1-метил-2-оксо-1,2-дигидропиридин-3-карбоксамид

Указанное в заголовке соединение получали из N-(3''-фтор-4''-формил-5''-метокси-2.2'-диметил-[1.1':3'.1''-терфенил]-3-ил)-1-метил-2-оксо-1,2-дигидропиридин-3-карбоксамида по методике, аналогичной описанной для стадии c из примера 1. Полученный продукт очищали методом ВЭЖХ (MeCN/H2O с 0,1% ТФУК), получая целевой продукт N-(3''-фтор-5''-метокси-2.2'-диметил-4''-(((тетрагидрофуран-3-ил)амино)метил)-[1.1':3'.1''-терфенил]-3-ил)-1-метил-2-оксо-1,2-дигидропиридин-3-карбоксамид в виде белого твердого вещества. 1H ЯМР (400 МГц, CD3OD) δ 12,18 (с, 1H), 8,59 (дд, J = 7,8, 2,4 Гц, 1H), 8,14 (т, J = 8,2 Гц, 1H), 7,98 (дд, J = 6,3, 2,0 Гц, 1H), 7,36-7,24 (м, 3H), 7,16 (д, J = 7,2 Гц, 1H), 6,96 (д, J = 7,4 Гц, 1H), 6,94 (с, 1H), 6,87 (д, J = 9,8 Гц, 1H), 6,61 (т, J = 7,5 Гц, 1H), 4,33 (с, 2H), 4,10-4,05 (м, 2H), 4,04-4,00 (м, 1H), 3,98 (с, 3H), 3,85 (дд, J = 10,4, 5,6 Гц, 1H), 3,73 (дд, J = 8,2, 4,0 Гц, 1H), 3,70 (с, 3H), 2,50-2,41 (м, 1H), 2,12 (с, 3H), 2,10-2,05 (м, 1H), 1,94 (с, 3H). MS: (ES) m/z вычислено для C33H35FN3O4 [M + H]+ 556,3, найдено 556,2.

Пример 104. N-(4''-(аминометил)-3''-фтор-5''-метокси-2.2'-диметил-[1.1':3'.1''-терфенил]-3-ил)-3-метил-2.4-диоксо-1.2.3.4-тетрагидропиримидин-5-карбоксамид

Стадия a. В смесь 3-метил-2.4-диоксо-1.2.3.4-тетрагидропиримидин-5-карбоновой кислоты (0,36 г, 2,35 ммоль) и 3-бром-2-метиланилина (0,43 г, 2,35 ммоль) в виале с ДМФА (5,0 мл) добавляли HATU (1,34 г, 3,52 ммоль) и диизопропилэтиламин (0,75 г, 5,87 ммоль). Реакционную смесь перемешивали при комнатной температуре в течение 16 часов. После окончания реакции упаривали половину растворителя, остаток разбавляли водой (15 мл), и смесь перемешивали в течение 20 мин. Твердый осадок отфильтровывали на пластиковой воронке, промывали водой (10 мл) и сушили в вакууме, получая N-(3-бром-2-метилфенил)-3-метил-2.4-диоксо-1.2.3.4-тетрагидропиримидин-5-карбоксамид.

Стадия b. В смесь N-(3-бром-2-метилфенил)-3-метил-2.4-диоксо-1.2.3.4-тетрагидропиримидин-5-карбоксамида (100 мг, 0,31 ммоль), трет-бутил ((3-фтор-5-метокси-2'-метил-3'-(4,4,5,5-тетраметил-1,3,2-диоксаборолан-2-ил)-[1,1'-бифенил]-4-ил)метил) карбамата (146 мг, 0,31 ммоль) и 2M раствора K2CO3 (0,38 мл, 0,77 ммоль) в п-диоксане (4 мл) добавляли комплекс Pd(dppf)Cl2 с дихлорметаном (26 мг, 0,032 ммоль). Реакционную смесь дегазировали (N2) в течение 2 минут и перемешивали в атмосфере азота при 95°C в течение 4 часов. Смесь разбавляли этилацетатом, фильтровали через целит, промывали насыщенным водным раствором хлорида натрия и сушили над MgSO4. Растворитель удаляли при пониженном давлении, и остаток очищали методом флэш-хроматографии на силикагеле (от 5 до 20% до 40% EtOAc/гексан), получая трет-бутил ((3-фтор-5-метокси-2',2''-диметил-3''-(3-метил-2.4-диоксо-1.2.3.4-тетрагидропиримидин-5-карбоксамидо)-[1.1':3'.1''-терфенил]-4-ил)метил)карбамат. MS: (ES) m/z вычислено для C33H36FN4O6 [M + H]+ 603,3, найдено 603,3.

Стадия c. В перемешиваемый раствор трет-бутил ((3-фтор-5-метокси-2',2''-диметил-3''-(3-метил-2.4-диоксо-1.2.3.4-тетрагидропиримидин-5-карбоксамидо)-[1.1':3'.1''-терфенил]-4-ил)-метил)-карбамата (75 мг, 0,123 ммоль) в безводном дихлорметане (2,5 мл) при комнатной температуре добавляли ТФУК (141 мг, 1,23 ммоль) по каплям в течение 5 мин. Реакционную смесь перемешивали при комнатной температуре в течение 2 часов. После окончания реакции растворитель удаляли в вакууме, получая вязкое соединение, которое очищали методом ВЭЖХ (MeCN/H2O с 0,1% ТФУК), получая N-(4''-(аминометил)-3''-фтор-5''-метокси-2.2'-диметил-[1.1':3'.1''-терфенил]-3-ил)-3-метил-2.4-диоксо-1.2.3.4-тетрагидропиримидин-5-карбоксамид. 1H ЯМР (400 МГц, CD3OD) δ 11,19 (с, 1H), 8,41 (с, 1H), 8,06 (д, J = 6,2 Гц, 1H), 7,38-7,21 (м, 3H), 7,15 (дд, J = 7,5, 1,5 Гц, 1H), 6,96 (д, J = 7,2 Гц, 1H), 6,93 (с, 1H), 6,86 (д, J = 8,2 Гц, 1H), 4,22 (с, 2H), 3,97 (с, 3H), 3,36 (с, 3H), 2,10 (с, 3H), 1,93 (с, 3H). MS: (ES) m/z вычислено для C28H28FN4O4 [M + H]+ 503,2, найдено 486,2 [M-17].

Пример 105. N-(3''-фтор-4''-((изопропиламино)-метил)-5''-метокси-2.2'-диметил-[1.1':3'.1''-терфенил]-3-ил)-3-метил-2.4-диоксо-1.2.3.4-тетрагидропиримидин-5-карбоксамид

Стадия a. В смесь N-(3-бром-2-метилфенил)-3-метил-2.4-диоксо-1.2.3.4-тетрагидропиримидин-5-карбоксамида (500 мг, 1,48 ммоль), 3-фтор-5-метокси-2'-метил-3'-(4,4,5,5-тетраметил-1,3,2-диоксаборолан-2-ил)-[1,1'-бифенил]-4-карбальдегида (939 мг, 2,53 ммоль) и 2M раствора K2CO3 (1,85 мл, 3,7 ммоль) в п-диоксане (10 мл) добавляли комплекс Pd(dppf)Cl2 с дихлорметаном (121 мг, 0,148 ммоль). Реакционную смесь дегазировали (N2) в течение 2 минут и перемешивали в атмосфере азота при 95°C в течение 5 часов. Реакционную смесь разбавляли этилацетатом, фильтровали через целит, промывали насыщенным водным раствором хлорида натрия и сушили над MgSO4. Растворитель удаляли при пониженном давлении, и остаток очищали методом флэш-хроматографии на силикагеле (от 5 до 20% до 40% EtOAc/гексан), получая N-(3''-фтор-4''-формил-5''-метокси-2.2'-диметил-[1.1':3'.1''-терфенил]-3-ил)-3-метил-2.4-диоксо-1.2.3.4-тетрагидропиримидин-5-карбоксамид. MS: (ES) m/z вычислено для C28H25FN3O5 [M + H]+ 502,2, найдено 502,2

Стадия b. В перемешиваемый раствор N-(3''-фтор-4''-формил-5''-метокси-2.2'-диметил-[1.1':3'.1''-терфенил]-3-ил)-3-метил-2.4-диоксо-1.2.3.4-тетрагидропиримидин-5-карбоксамида (40 мг, 0,079 ммоль) и пропан-2-амина (10 мг, 0,16 ммоль) в смеси MeOH:ДХЭ (2 мл) добавляли NaBH(OAc)3 (33 мг, 0,16 ммоль) и AcOH (4 капель). Реакционную смесь перемешивали при комнатной температуре в течение 2 часов. Растворитель удаляли при пониженном давлении, и остаток очищали методом препаративной ВЭЖХ (от 0 до 40% до 100% MeCN/H2O), получая N-(3''-фтор-4''-((изопропиламино)метил)-5''-метокси-2.2'-диметил-[1.1':3'.1''-терфенил]-3-ил)-3-метил-2.4-диоксо-1.2.3.4-тетрагидропиримидин-5-карбоксамид в виде белого твердого вещества. 1H ЯМР (400 МГц, CD3OD) δ 11,15 (с, 1H), 8,41 (с, 1H), 8,05 (д, J = 8,0 Гц, 1H), 7,39-7,24 (м, 3H), 7,15 (д, J = 6,2 Гц, 1H), 6,96 (д, J = 7,4 Гц, 1H), 6,94 (с, 1H), 6,86 (д, J = 9,7 Гц, 1H), 4,30 (д, J = 1,5 Гц, 2H), 3,56-3,46 (м, 1H), 3,98 (с, 3H), 3,36 (с, 3H), 2,10 (с, 3H), 1,93 (с, 3H), 1,42 (д, J = 6,5 Гц, 6H). MS: (ES) m/z вычислено для C31H34FN4O4 [M + H]+ 544,3, найдено 544,2.

Пример 106. N-(4''-((диметиламино)метил)-3''-фтор-5''-метокси-2.2'-диметил-[1.1':3'.1''-терфенил]-3-ил)-3-метил-2.4-диоксо-1.2.3.4-тетрагидропиримидин-5-карбоксамид

Указанное в заголовке соединение получали из N-(3''-фтор-4''-формил-5''-метокси-2.2'-диметил-[1.1':3'.1''-терфенил]-3-ил)-3-метил-2.4-диоксо-1.2.3.4-тетрагидропиримидин-5-карбоксамида по методике, аналогичной описанной для стадии c из примера 1. Полученный продукт очищали методом ВЭЖХ (MeCN/H2O с 0,1% ТФУК), получая целевой продукт N-(4''-((диметиламино)метил)-3''-фтор-5''-метокси-2.2'-диметил-[1.1':3'.1''-терфенил]-3-ил)-3-метил-2.4-диоксо-1.2.3.4-тетрагидропиримидин-5-карбоксамид в виде белого твердого вещества. 1H ЯМР (400 МГц, CD3OD) δ 11,15 (с, 1H), 8,41 (с, 1H), 8,05 (д, J = 8,0 Гц, 1H), 7,39-7,24 (м, 3H), 7,17 (д, J = 6,2 Гц, 1H), 6,96 (д, J = 7,4 Гц, 1H), 6,94 (с, 1H), 6,86 (д, J = 9,7 Гц, 1H), 4,43 (с, 2H), 3,99 (с, 3H), 3,36 (с, 3H), 2,93 (с, 6H), 2,10 (с, 3H), 1,93 (с, 3H). MS: (ES) m/z вычислено для C30H32FN4O4 [M + H]+ 531,2, найдено 531,2.

Пример 107. N-(3''-фтор-5''-метокси-2.2'-диметил-4''-(морфолинометил)-[1.1':3'.1''-терфенил]-3-ил)-3-метил-2.4-диоксо-1.2.3.4-тетрагидропиримидин-5-карбоксамид

Указанное в заголовке соединение получали из N-(3''-фтор-4''-формил-5''-метокси-2.2'-диметил-[1.1':3'.1''-терфенил]-3-ил)-3-метил-2.4-диоксо-1.2.3.4-тетрагидропиримидин-5-карбоксамида по методике, аналогичной описанной для стадии c из примера 1. Полученный продукт очищали методом ВЭЖХ (MeCN/H2O с 0,1% ТФУК), получая целевой продукт N-(3''-фтор-5''-метокси-2.2'-диметил-4''-(морфолинометил)-[1.1':3'.1''-терфенил]-3-ил)-3-метил-2.4-диоксо-1.2.3.4-тетрагидропиримидин-5-карбоксамид в виде белого твердого вещества. 1H ЯМР (400 МГц, CD3OD) δ 11,15 (с, 1H), 8,41 (с, 1H), 8,05 (д, J = 8,0 Гц, 1H), 7,39-7,24 (м, 3H), 7,16 (д, J = 6,2 Гц, 1H), 6,96 (д, J = 7,0 Гц, 1H), 6,95 (с, 1H), 6,88 (д, J = 9,7 Гц, 1H), 4,47 (д, J = 1,5 Гц, 2H), 4,06 (д, J = 11,0 Гц, 2H), 3,99 (с, 3H), 3,77 (т, J = 12,5 Гц, 2H), 3,49 (д, J = 12,7 Гц, 4H), 3,36 (с, 3H), 2,10 (с, 3H), 1,93 (с, 3H). MS: (ES) m/z вычислено для C32H34FN4O5 [M + H]+ 572,2, найдено 572,2.

Пример 108. N-(4''-((3-аминопирролидин-1-ил)метил)-3''-фтор-5''-метокси-2.2'-диметил-[1.1':3'.1''-терфенил]-3-ил)-3-метил-2.4-диоксо-1.2.3.4-тетрагидропиримидин-5-карбоксамид

Указанное в заголовке соединение получали из N-(3''-фтор-4''-формил-5''-метокси-2.2'-диметил-[1.1':3'.1''-терфенил]-3-ил)-3-метил-2.4-диоксо-1.2.3.4-тетрагидропиримидин-5-карбоксамида по методике, аналогичной описанной для стадии c из примера 1. Полученный продукт очищали методом ВЭЖХ (MeCN/H2O с 0,1% ТФУК), получая целевой продукт N-(4''-((3-аминопирролидин-1-ил)метил)-3''-фтор-5''-метокси-2.2'-диметил-[1.1':3'.1''-терфенил]-3-ил)-3-метил-2.4-диоксо-1.2.3.4-тетрагидропиримидин-5-карбоксамид в виде белого твердого вещества. 1H ЯМР (400 МГц, CD3OD) δ 11,16 (с, 1H), 8,40 (д, J = 11,2 Гц, 1H), 8,05 (д, J = 7,7 Гц, 1H), 7,39-7,24 (м, 3H), 7,16 (дд, J = 7,4, 1,5 Гц, 1H), 6,98 (д, J = 7,0 Гц, 1H), 6,95 (с, 1H), 6,85 (д, J = 9,7 Гц, 1H), 4,55-4,50 (м, 2H), 4,45-4,39 (м, 2H), 4,30-4,20 (м, 3H), 3,98 (с, 3H), 3,40-3,17 (м, 5H), 2,10 (с, 3H), 1,93 (с, 3H). MS: (ES) m/z вычислено для C32H35FN5O4 [M + H]+ 572,3, найдено 572,2.

Пример 109. N-(4''-(((2-аминоэтил)амино)метил)-3''-фтор-5''-метокси-2.2'-диметил-[1.1':3'.1''-терфенил]-3-ил)-3-метил-2.4-диоксо-1.2.3.4-тетрагидропиримидин-5-карбоксамид

Указанное в заголовке соединение получали из N-(3''-фтор-4''-формил-5''-метокси-2.2'-диметил-[1.1':3'.1''-терфенил]-3-ил)-3-метил-2.4-диоксо-1.2.3.4-тетрагидропиримидин-5-карбоксамида по методике, аналогичной описанной для стадии c из примера 1. Полученный продукт очищали методом ВЭЖХ (MeCN/H2O с 0,1% ТФУК), получая целевой продукт N-(4''-(((2-аминоэтил)амино)метил)-3''-фтор-5''-метокси-2.2'-диметил-[1.1':3'.1''-терфенил]-3-ил)-3-метил-2.4-диоксо-1.2.3.4-тетрагидропиримидин-5-карбоксамид в виде белого твердого вещества. 1H ЯМР (400 МГц, CD3OD) δ 11,15 (с, 1H), 8,42 (с, 1H), 8,05 (д, J = 7,8 Гц, 1H), 7,39-7,24 (м, 3H), 7,16 (д, J = 7,3 Гц, 1H), 6,96 (д, J = 7,0 Гц, 1H), 6,95 (с, 1H), 6,88 (д, J = 9,7 Гц, 1H), 4,41 (с, 2H), 3,98 (с, 3H), 3,77-3,68 (м, 4H), 3,36 (с, 3H), 2,10 (с, 3H), 1,93 (с, 3H). MS: (ES) m/z вычислено для C30H33FN5O4 [M + H]+ 546,2, найдено 564,2.

Пример 110. N-(3''-фтор-5''-метокси-2.2'-диметил-4''-((оксетан-3-иламино)метил)-[1.1':3'.1''-терфенил]-3-ил)-3-метил-2.4-диоксо-1.2.3.4-тетрагидропиримидин-5-карбоксамид

Указанное в заголовке соединение получали из N-(3''-фтор-4''-формил-5''-метокси-2.2'-диметил-[1.1':3'.1''-терфенил]-3-ил)-3-метил-2.4-диоксо-1.2.3.4-тетрагидропиримидин-5-карбоксамида по методике, аналогичной описанной для стадии c из примера 1. Полученный продукт очищали методом ВЭЖХ (MeCN/H2O с 0,1% ТФУК), получая целевой продукт N-(3''-фтор-5''-метокси-2.2'-диметил-4''-((оксетан-3-иламино)метил)-[1.1':3'.1''-терфенил]-3-ил)-3-метил-2.4-диоксо-1.2.3.4-тетрагидропиримидин-5-карбоксамид в виде белого твердого вещества. 1H ЯМР (400 МГц, CD3OD) δ 11,15 (с, 1H), 8,41 (с, 1H), 8,05 (д, J = 8,2 Гц, 1H), 7,38-7,21 (м, 3H), 7,16 (д, J = 7,3 Гц, 1H), 6,96 (д, J = 7,0 Гц, 1H), 6,94 (с, 1H), 6,88 (д, J = 9,7 Гц, 1H), 4,90 (д, J = 7,0 Гц, 1H), 4,71-4,63 (м, 2H), 4,49-4,41 (м, 2H), 4,29 (с, 2H), 4,00 (с, 3H), 3,36 (с, 3H), 2,10 (с, 3H), 1,93 (с, 3H). MS: (ES) m/z вычислено для C31H32FN4O5 [M + H]+ 559,2, найдено 559,2.

Пример 111. N-(3''-фтор-5''-метокси-2.2'-диметил-4''-(((тетрагидрофуран-3-ил)амино) метил)-[1.1':3'.1''-терфенил]-3-ил)-3-метил-2.4-диоксо-1.2.3.4-тетрагидропиримидин-5-карбоксамид

Указанное в заголовке соединение получали из N-(3''-фтор-4''-формил-5''-метокси-2.2'-диметил-[1.1':3'.1''-терфенил]-3-ил)-3-метил-2.4-диоксо-1.2.3.4-тетрагидропиримидин-5-карбоксамида по методике, аналогичной описанной для стадии c из примера 1. Полученный продукт очищали методом ВЭЖХ (MeCN/H2O с 0,1% ТФУК), получая целевой продукт N-(3''-фтор-5''-метокси-2.2'-диметил-4''-(((тетрагидрофуран-3-ил)амино)метил)-[1.1':3'.1''-терфенил]-3-ил)-3-метил-2.4-диоксо-1.2.3.4-тетрагидропиримидин-5-карбоксамид в виде белого твердого вещества. 1H ЯМР (400 МГц, CD3OD) δ 11,15 (с, 1H), 8,42 (с, 1H), 8,05 (д, J = 8,2 Гц, 1H), 7,38-7,21 (м, 3H), 7,16 (дд, J = 7,3, 1,5 Гц, 1H), 7,01-6,85 (м, 3H), 4,33 (с, 2H), 4,07 (дд, J = 8,6, 3,3 Гц, 2H), 3,99 (с, 3H), 3,86 (дд, J = 10,8, 5,7 Гц, 1H), 3,80-3,67 (м, 1H), 3,36 (с, 3H), 3,30-3,20 (м, 1H), 2,48-2,38 (м, 1H), 2,15-2,05 (м, 4H), 1,93 (с, 3H). MS: (ES) m/z вычислено для C32H34FN4O5 [M + H]+ 573,2, найдено 573,2.

Пример 112. N-(3''-фтор-4''-((((1-гидроксициклопропил)метил)амино)метил)-5''-метокси-2.2'-диметил-[1.1':3'.1''-терфенил]-3-ил)-3-метил-2.4-диоксо-1.2.3.4-тетрагидропиримидин-5-карбоксамид

Указанное в заголовке соединение получали из N-(3''-фтор-4''-формил-5''-метокси-2.2'-диметил-[1.1':3'.1''-терфенил]-3-ил)-3-метил-2.4-диоксо-1.2.3.4-тетрагидропиримидин-5-карбоксамида по методике, аналогичной описанной для стадии c из примера 1. Полученный продукт очищали методом ВЭЖХ (MeCN/H2O с 0,1% ТФУК), получая целевой продукт N-(3''-фтор-4''-((((1-гидроксициклопропил)метил)амино)метил)-5''-метокси-2.2'-диметил-[1.1':3'.1''-терфенил]-3-ил)-3-метил-2.4-диоксо-1.2.3.4-тетрагидропиримидин-5-карбоксамид в виде белого твердого вещества. 1H ЯМР (400 МГц, CD3OD) δ 11,15 (с, 1H), 8,42 (с, 1H), 8,04 (д, J = 8,1 Гц, 1H), 7,38-7,21 (м, 3H), 7,14 (дд, J = 7,3, 1,5 Гц, 1H), 6,96 (д, J = 7,0 Гц, 1H), 6,93 (с, 1H), 6,85 (д, J = 9,7 Гц, 1H), 4,43 (с, 2H), 3,98 (с, 3H), 3,36 (с, 3H), 3,20 (с, 1H), 2,11-2,08 (м, 4H), 1,93 (с, 3H) 0,89-0,94 (м, 2H), 0,70-0,78 (м, 2H). MS: (ES) m/z вычислено для C32H34FN4O5 [M + H]+ 573,2, найдено 573,2.

Пример 113. N-(3''-фтор-4''-((3-гидроксиазетидин-1-ил)метил)-5''-метокси-2.2'-диметил-[1.1':3'.1''-терфенил]-3-ил)-3-метил-2.4-диоксо-1.2.3.4-тетрагидропиримидин-5-карбоксамид

Указанное в заголовке соединение получали из N-(3''-фтор-4''-формил-5''-метокси-2.2'-диметил-[1.1':3'.1''-терфенил]-3-ил)-3-метил-2.4-диоксо-1.2.3.4-тетрагидропиримидин-5-карбоксамида по методике, аналогичной описанной для стадии c из примера 1. Полученный продукт очищали методом ВЭЖХ (MeCN/H2O с 0,1% ТФУК), получая целевой продукт N-(3''-фтор-4''-((3-гидроксиазетидин-1-ил)метил)-5''-метокси-2.2'-диметил-[1.1':3'.1''-терфенил]-3-ил)-3-метил-2.4-диоксо-1.2.3.4-тетрагидропиримидин-5-карбоксамид в виде белого твердого вещества. 1H ЯМР (400 МГц, CD3OD) δ 11,15 (с, 1H), 8,41 (с, 1H), 8,05 (д, J = 8,2 Гц, 1H), 7,38-7,21 (м, 3H), 7,16 (д, J = 7,3 Гц, 1H), 6,96 (д, J = 7,0 Гц, 1H), 6,94 (с, 1H), 6,88 (д, J = 9,7 Гц, 1H), 4,90 (д, J = 7,0 Гц, 1H), 4,71-4,63 (м, 2H), 4,49-4,41 (м, 2H), 4,29 (с, 2H), 4,00 (с, 3H), 3,36 (с, 3H), 2,10 (с, 3H), 1,93 (с, 3H). MS: (ES) m/z вычислено для C31H32FN4O5 [M + H]+ 559,2, найдено 559,2.

Пример 114. (S)-N-(3''-фтор-5''-метокси-2.2'-диметил-4''-((((5-оксопирролидин-2-ил)метил)амино)метил)-[1.1':3'.1''-терфенил]-3-ил)-3-метил-2.4-диоксо-1.2.3.4-тетрагидропиримидин-5-карбоксамид

Указанное в заголовке соединение получали из N-(3''-фтор-4''-формил-5''-метокси-2.2'-диметил-[1.1':3'.1''-терфенил]-3-ил)-3-метил-2.4-диоксо-1.2.3.4-тетрагидропиримидин-5-карбоксамида по методике, аналогичной описанной для стадии c из примера 1. Полученный продукт очищали методом ВЭЖХ (MeCN/H2O с 0,1% ТФУК), получая целевой продукт (S)-N-(3''-фтор-5''-метокси-2.2'-диметил-4''-((((5-оксопирролидин-2-ил)метил)амино)метил)-[1.1':3'.1''-терфенил]-3-ил)-3-метил-2.4-диоксо-1.2.3.4-тетрагидропиримидин-5-карбоксамид в виде белого твердого вещества. 1H ЯМР (400 МГц, CD3OD) δ 11,17 (с, 1H), 8,41 (с, 1H), 8,04 (д, J = 8,2 Гц, 1H), 7,38-7,21 (м, 3H), 7,15 (д, J = 7,3 Гц, 1H), 7,01-6,85 (м, 3H), 4,40 (с, 2H), 4,20-4,10 (м, 1H), 3,98 (с, 3H), 3,36 (с, 3H), 3,20-3,30 (м, 1H), 2,45-2,35 (м, 3H), 2,10 (с, 3H), 1,97-1,87 (м, 4H) 1,90-1,85 (м, 1H). MS: (ES) m/z вычислено для C33H35FN5O5 [M + H]+ 600,3, найдено 600,2.

Пример 115. (R)-N-(3''-фтор-5''-метокси-2.2'-диметил-4''-((((5-оксопирролидин-2-ил)метил)амино)метил)-[1.1':3'.1''-терфенил]-3-ил)-3-метил-2.4-диоксо-1.2.3.4-тетрагидропиримидин-5-карбоксамид

Указанное в заголовке соединение получали из N-(3''-фтор-4''-формил-5''-метокси-2.2'-диметил-[1.1':3'.1''-терфенил]-3-ил)-3-метил-2.4-диоксо-1.2.3.4-тетрагидропиримидин-5-карбоксамида по методике, аналогичной описанной для стадии c из примера 1. Полученный продукт очищали методом ВЭЖХ (MeCN/H2O с 0,1% ТФУК), получая целевой продукт (R)-N-(3''-фтор-5''-метокси-2.2'-диметил-4''-((((5-оксопирролидин-2-ил)метил)амино)метил)-[1.1':3'.1''-терфенил]-3-ил)-3-метил-2.4-диоксо-1.2.3.4-тетрагидропиримидин-5-карбоксамид в виде белого твердого вещества. 1H ЯМР (400 МГц, CD3OD) δ 11,17 (с, 1H), 8,41 (с, 1H), 8,04 (д, J = 8,2 Гц, 1H), 7,38-7,21 (м, 3H), 7,15 (д, J = 9,0 Гц, 1H), 7,01-6,85 (м, 3H), 4,39 (с, 2H), 4,10-4,05 (м, 1H), 3,99 (с, 3H), 3,36 (с, 3H), 3,30-3,25 (м, 1H), 2,45-2,35 (м, 3H), 2,10 (с, 3H), 1,97-1,89 (м, 4H) 1,92-1,89 (м, 1H). MS: (ES) m/z вычислено для C33H35FN5O5 [M + H]+ 600,3, найдено 600,2.

Пример 116. N-(3''-фтор-5''-метокси-2.2'-диметил-4''-((3-оксопиперазин-1-ил)метил)-[1.1':3'.1''-терфенил]-3-ил)-3-метил-2.4-диоксо-1.2.3.4-тетрагидропиримидин-5-карбоксамид

Указанное в заголовке соединение получали из N-(3''-фтор-4''-формил-5''-метокси-2.2'-диметил-[1.1':3'.1''-терфенил]-3-ил)-3-метил-2.4-диоксо-1.2.3.4-тетрагидропиримидин-5-карбоксамида по методике, аналогичной описанной для стадии c из примера 1. Полученный продукт очищали методом ВЭЖХ (MeCN/H2O с 0,1% ТФУК), получая целевой продукт N-(3''-фтор-5''-метокси-2.2'-диметил-4''-((3-оксопиперазин-1-ил)метил)-[1.1':3'.1''-терфенил]-3-ил)-3-метил-2.4-диоксо-1.2.3.4-тетрагидропиримидин-5-карбоксамид в виде белого твердого вещества. 1H ЯМР (400 МГц, CD3OD) δ 11,15 (с, 1H), 8,41 (с, 1H), 8,04 (д, J = 7,4 Гц, 1H), 7,38-7,21 (м, 3H), 7,16 (дд, J = 1,5, 7,3 Гц, 1H), 7,01-6,85 (м, 3H), 4,55 (с, 2H), 3,99 (с, 3H), 3,94 (с, 2H), 3,45-3,65 (м, 3H), 3,36 (с, 3H), 3,30-3,20 (м, 1H), 2,10 (с, 3H), 1,95 (с, 3H). MS: (ES) m/z вычислено для C32H33FN5O5 [M + H]+ 585,2, найдено 585,2.

Пример 117. (R)-N-(3''-фтор-5''-метокси-2.2'-диметил-4''-(((5-оксопирролидин-3-ил)амино)метил)-[1.1':3'.1''-терфенил]-3-ил)-3-метил-2.4-диоксо-1.2.3.4-тетрагидропиримидин-5-карбоксамид

Указанное в заголовке соединение получали из N-(3''-фтор-4''-формил-5''-метокси-2.2'-диметил-[1.1':3'.1''-терфенил]-3-ил)-3-метил-2.4-диоксо-1.2.3.4-тетрагидропиримидин-5-карбоксамида по методике, аналогичной описанной для стадии c из примера 1. Полученный продукт очищали методом ВЭЖХ (MeCN/H2O с 0,1% ТФУК), получая целевой продукт (R)-N-(3''-фтор-5''-метокси-2.2'-диметил-4''-(((5-оксопирролидин-3-ил)амино)метил)-[1.1':3'.1''-терфенил]-3-ил)-3-метил-2.4-диоксо-1.2.3.4-тетрагидропиримидин-5-карбоксамид в виде белого твердого вещества. 1H ЯМР (400 МГц, CD3OD) δ 11,15 (с, 1H), 8,41 (с, 1H), 8,04 (д, J = 8,2 Гц, 1H), 7,38-7,21 (м, 3H), 7,15 (д, J = 7,3 Гц, 1H), 7,01-6,85 (м, 3H), 4,36 (с, 2H), 4,26-4,20 (м, 1H), 3,99 (с, 3H), 3,87 (дд, J = 11,3, 7,4 Гц, 1H), 3,56 (дд, J = 11,7, 3,9 Гц, 1H), 3,36 (с, 3H), 2,90 (дд, J = 11,3, 7,4 Гц, 1H), 2,53 (дд, J = 18,0, 5,1 Гц, 1H), 2,10 (с, 3H), 1,93 (с, 3H). MS: (ES) m/z вычислено для C32H33FN5O5 [M + H]+ 586,2, найдено 586,2.

Пример 118. N-(3''-фтор-5''-метокси-2.2'-диметил-4''-((((5-оксо-4,5-дигидро-1,2,4-оксадиазол-3-ил)метил)амино)метил)-[1.1':3'.1''-терфенил]-3-ил)-3-метил-2.4-диоксо-1.2.3.4-тетрагидропиримидин-5-карбоксамид

Указанное в заголовке соединение получали из N-(3''-фтор-4''-формил-5''-метокси-2.2'-диметил-[1.1':3'.1''-терфенил]-3-ил)-3-метил-2.4-диоксо-1.2.3.4-тетрагидропиримидин-5-карбоксамида по методике, аналогичной описанной для стадии c из примера 1. Полученный продукт очищали методом ВЭЖХ (MeCN/H2O с 0,1% ТФУК), получая целевой продукт N-(3''-фтор-5''-метокси-2.2'-диметил-4''-((((5-оксо-4,5-дигидро-1,2,4-оксадиазол-3-ил)метил) амино)метил)-[1.1':3'.1''-терфенил]-3-ил)-3-метил-2.4-диоксо-1.2.3.4-тетрагидропиримидин-5-карбоксамид в виде белого твердого вещества. 1H ЯМР (400 МГц, CD3OD) δ 11,17 (с, 1H), 8,41 (с, 1H), 8,04 (д, J = 8,2 Гц, 1H), 7,38-7,21 (м, 3H), 7,15 (д, J = 7,8 Гц, 1H), 7,01-6,85 (м, 3H), 4,49 (с, 2H), 4,32 (с, 2H), 3,98 (с, 3H), 3,36 (с, 3H), 2,09 (с, 3H), 1,93 (с, 3H). MS: (ES) m/z вычислено для C31H30FN6O6 [M + H]+ 601,2, найдено 601,2.

Пример 119. N-(3''-фтор-4''-((((3R,4R)-4-гидрокситетрагидрофуран-3-ил)амино)метил)-5''-метокси-2.2'-диметил-[1.1':3'.1''-терфенил]-3-ил)-3-метил-2.4-диоксо-1.2.3.4-тетрагидропиримидин-5-карбоксамид

Указанное в заголовке соединение получали из N-(3''-фтор-4''-формил-5''-метокси-2.2'-диметил-[1.1':3'.1''-терфенил]-3-ил)-3-метил-2.4-диоксо-1.2.3.4-тетрагидропиримидин-5-карбоксамида по методике, аналогичной описанной для стадии c из примера 1. Полученный продукт очищали методом ВЭЖХ (MeCN/H2O с 0,1% ТФУК), получая целевой продукт N-(3''-фтор-4''-((((3R,4R)-4-гидрокситетрагидрофуран-3-ил)амино)метил)-5''-метокси-2.2'-диметил-[1.1':3'.1''-терфенил]-3-ил)-3-метил-2.4-диоксо-1.2.3.4-тетрагидропиримидин-5-карбоксамид в виде белого твердого вещества. 1H ЯМР (400 МГц, CD3OD) δ 11,15 (с, 1H), 8,41 (с, 1H), 8,04 (д, J = 8,2 Гц, 1H), 7,38-7,21 (м, 3H), 7,15 (д, J = 7,2 Гц, 1H), 7,01-6,85 (м, 3H), 4,88-4,47 (м, 1H), 4,39 (дд, J = 22,0, 13,4 Гц, 2H), 4,20-4,05 (м, 2H), 4,01-3,95 (м, 4H), 3,75-3,70 (м, 1H), 3,60 (дд, J = 9,8, 4,3 Гц, 1H), 3,36 (с, 3H), 2,09 (с, 3H), 1,93 (с, 3H). MS: (ES) m/z вычислено для C32H34FN4O6 [M + H]+ 589,2, найдено 589,2.

Пример 120. N-(3''-фтор-4''-((((3R,4R)-3-гидрокситетрагидро-2H-пиран-4-ил)амино) метил)-5''-метокси-2.2'-диметил-[1.1':3'.1''-терфенил]-3-ил)-3-метил-2.4-диоксо-1.2.3.4-тетрагидропиримидин-5-карбоксамид

Указанное в заголовке соединение получали из N-(3''-фтор-4''-формил-5''-метокси-2.2'-диметил-[1.1':3'.1''-терфенил]-3-ил)-3-метил-2.4-диоксо-1.2.3.4-тетрагидропиримидин-5-карбоксамида по методике, аналогичной описанной для стадии c из примера 1. Полученный продукт очищали методом ВЭЖХ (MeCN/H2O с 0,1% ТФУК), получая целевой продукт N-(3''-фтор-4''-((((3R,4R)-3-гидрокситетрагидро-2H-пиран-4-ил)амино)метил)-5''-метокси-2.2'-диметил-[1.1':3'.1''-терфенил]-3-ил)-3-метил-2.4-диоксо-1.2.3.4-тетрагидропиримидин-5-карбоксамид в виде белого твердого вещества. 1H ЯМР (400 МГц, CD3OD) δ 11,15 (с, 1H), 8,41 (с, 1H), 8,05 (д, J = 7,1 Гц, 1H), 7,38-7,21 (м, 3H), 7,15 (д, J = 7,4 Гц, 1H), 7,01-6,85 (м, 3H), 4,39 (д, J = 13,7 Гц, 1H), 4,29 (д, J = 13,3 Гц, 1H), 4,10-3,96 (м, 2H), 3,98 (с, 3H), 3,60-3,40 (м, 2H), 3,35 (с, 3H), 2,15-2,05 (м, 2H), 2,09 (с, 3H), 1,93 (с, 3H), 1,90-1,85 (м, 2H). MS: (ES) m/z вычислено для C33H36FN4O6 [M + H]+ 603,3, найдено 603,2.

Пример 121. 1-((3-фтор-5-метокси-2',2''-диметил-3''-(3-метил-2.4-диоксо-1.2.3.4-тетрагидропиримидин-5-карбоксамидо)-[1.1':3'.1''-терфенил]-4-ил)метил)азетидин-3-карбоновая кислота

Указанное в заголовке соединение получали из N-(3''-фтор-4''-формил-5''-метокси-2.2'-диметил-[1.1':3'.1''-терфенил]-3-ил)-3-метил-2.4-диоксо-1.2.3.4-тетрагидропиримидин-5-карбоксамида по методике, аналогичной описанной для стадии c из примера 1. Полученный продукт очищали методом ВЭЖХ (MeCN/H2O с 0,1% ТФУК), получая целевой продукт 1-((3-фтор-5-метокси-2',2''-диметил-3''-(3-метил-2.4-диоксо-1.2.3.4-тетрагидропиримидин-5-карбоксамидо)-[1.1':3'.1''-терфенил]-4-ил)метил)азетидин-3-карбоновую кислоту в виде белого твердого вещества. 1H ЯМР (400 МГц, CD3OD) δ 11,15 (с, 1H), 8,41 (с, 1H), 8,05 (д, J = 8,1 Гц, 1H), 7,38-7,21 (м, 3H), 7,16 (д, J = 7,5 Гц, 1H), 7,01-6,85 (м, 3H), 4,56 (с, 2H), 4,42 (т, J = 9,1 Гц, 4H), 3,98 (с, 3H), 3,71 (с, 1H), 3,36 (с, 3H), 2,10 (с, 3H), 1,93 (с, 3H). MS: (ES) m/z вычислено для C32H32FN4O6 [M + H]+ 589,2, найдено 589,2.

Пример 122. N-(4''-(аминометил)-3''-фтор-5''-метокси-2.2'-диметил-[1.1':3'.1''-терфенил]-3-ил)-1,3-диметил-2.4-диоксо-1.2.3.4-тетрагидропиримидин-5-карбоксамид

Стадия a. В смесь 1,3-диметил-2.4-диоксо-1.2.3.4-тетрагидропиримидин-5-карбоновой кислоты (0,3 г, 2,35 ммоль), 3-бром-2-метиланилина (0,43 г, 2,35 ммоль) в ДМФА (8 мл) добавляли HATU (1,34 г, 3,52 ммоль) и диизопропилэтиламин (0,75 г, 5,87 ммоль). Реакционную смесь перемешивали при комнатной температуре в течение 16 часов. После окончания реакции упаривали половину растворителя, и полученную смесь разбавляли водой (15 мл). Смесь перемешивали в течение 20 минут, затем твердый осадок отфильтровывали, промывали водой (10 мл) и сушили в вакууме, получая N-(3-бром-2-метилфенил)-1,3-диметил-2.4-диоксо-1.2.3.4-тетрагидропиримидин-5-карбоксамид.

Стадия b. В смесь N-(3-бром-2-метилфенил)-1,3-диметил-2.4-диоксо-1.2.3.4-тетрагидропиримидин-5-карбоксамида (100 мг, 0,31 ммоль), трет-бутил ((3-фтор-5-метокси-2'-метил-3'-(4,4,5,5-тетраметил-1,3,2-диоксаборолан-2-ил)-[1,1'-бифенил]-4-ил)метил) карбамата (146 мг, 0,31 ммоль) и 2M раствора K2CO3 (0,38 мл, 0,77 ммоль) в п-диоксане (4 мл) добавляли комплекс Pd(dppf)Cl2 с дихлорметаном (26 мг, 0,032 ммоль). Реакционную смесь дегазировали (N2) в течение 2 минут и перемешивали в атмосфере азота при 95°C в течение 4 часов. Реакционную смесь разбавляли этилацетатом, фильтровали через целит, промывали насыщенным водным раствором хлорида натрия и сушили над MgSO4. Растворитель удаляли при пониженном давлении, и остаток очищали методом флэш-хроматографии на силикагеле (от 5 до 20% до 60% EtOAc/гексан), получая трет-бутил ((3''-(1,3-диметил-2.4-диоксо-1.2.3.4-тетрагидропиримидин-5-карбоксамидо)-3-фтор-5-метокси-2',2''-диметил-[1.1':3'.1''-терфенил]-4-ил)метил)карбамат.

Стадия c. В перемешиваемый раствор трет-бутил ((3''-(1,3-диметил-2.4-диоксо-1.2.3.4-тетрагидропиримидин-5-карбоксамидо)-3-фтор-5-метокси-2',2''-диметил-[1.1':3'.1''-терфенил]-4-ил)метил)карбамата (75 мг, 0,123 ммоль) в безводном дихлорметане (2,5 мл) при комнатной температуре по каплям добавляли ТФУК (141 мг, 1,23 ммоль) в течение 5 мин. Реакционную смесь перемешивали при комнатной температуре в течение 2 часов. После окончания реакции растворитель удаляли в вакууме, получая вязкое соединение, которое очищали методом ВЭЖХ (MeCN/H2O с 0,1% ТФУК), получая N-(4''-(аминометил)-3''-фтор-5''-метокси-2.2'-диметил-[1.1':3'.1''-терфенил]-3-ил)-1,3-диметил-2.4-диоксо-1.2.3.4-тетрагидропиримидин-5-карбоксамид. 1H ЯМР (400 МГц, CD3OD) δ 11,16 (с, 1H), 8,63 (с, 1H), 8,05 (д, J = 6,2 Гц, 1H), 7,37-7,21 (м, 3H), 7,15 (д, J = 7,4, 1,5 Гц, 1H), 7,01-6,85 (м, 3H), 4,22 (с, 2H), 3,97 (с, 3H), 3,55 (с, 3H), 3,39 (с, 3H), 2,09 (с, 3H), 1,93 (с, 3H). MS: (ES) m/z вычислено для C29H30FN4O4 [M+H]+ 517,2, найдено 500,1 [M-17].

Пример 123. (R)-N-(3''-фтор-5''-метокси-2.2'-диметил-4''-(((6-оксопиперидин-3-ил)амино)метил)-[1.1':3'.1''-терфенил]-3-ил)-1,3-диметил-2.4-диоксо-1.2.3.4-тетрагидропиримидин-5-карбоксамид

Стадия a. В смесь N-(3-бром-2-метилфенил)-1,3-диметил-2.4-диоксо-1.2.3.4-тетрагидропиримидин-5-карбоксамида (500 мг, 1,48 ммоль), 3-фтор-5-метокси-2'-метил-3'-(4,4,5,5-тетраметил-1,3,2-диоксаборолан-2-ил)-[1,1'-бифенил]-4-карбальдегида (939 мг, 2,53 ммоль) и 2M раствора K2CO3 (1,85 мл, 3,7 ммоль) в п-диоксане (10 мл) добавляли комплекс Pd(dppf)Cl2 с дихлорметаном (121 мг, 0,148 ммоль). Реакционную смесь дегазировали (N2) в течение 2 минут и перемешивали в атмосфере азота при 95°C в течение 5 часов. Реакционную смесь разбавляли этилацетатом, фильтровали через целит, промывали насыщенным водным раствором хлорида натрия и сушили над MgSO4. Растворитель удаляли при пониженном давлении, и остаток очищали методом флэш-хроматографии на силикагеле (от 5 до 20% до 40% EtOAc/гексан), получая N-(3''-фтор-4''-формил-5''-метокси-2.2'-диметил-[1.1':3'.1''-терфенил]-3-ил)-1,3-диметил-2.4-диоксо-1.2.3.4-тетрагидропиримидин-5-карбоксамид. MS: (ES) m/z вычислено для C29H27FN3O5 [M + H]+ 516,2, найдено 516,2.

Стадия b. В перемешиваемый раствор N-(3''-фтор-4''-формил-5''-метокси-2.2'-диметил-[1.1':3'.1''-терфенил]-3-ил)-1,3-диметил-2.4-диоксо-1.2.3.4-тетрагидропиримидин-5-карбоксамида (40 мг, 0,079 ммоль) и (R)-5-аминопиперидин-2-она (20 мг, 0,16 ммоль) в смеси MeOH:ДХЭ (2 мл) добавляли NaBH(OAc)3 (45 мг, 0,16 ммоль) и AcOH (4 капель). Реакционную смесь перемешивали при комнатной температуре в течение 2 часов. Растворитель удаляли при пониженном давлении, и остаток очищали методом препаративной ВЭЖХ (от 0 до 40% до 100% MeCN/H2O), получая (R)-N-(3''-фтор-5''-метокси-2.2'-диметил-4''-(((6-оксопиперидин-3-ил)амино)метил)-[1.1':3'.1''-терфенил]-3-ил)-1,3-диметил-2.4-диоксо-1.2.3.4-тетрагидропиримидин-5-карбоксамид в виде белого твердого вещества. 1H ЯМР (400 МГц, CD3OD) δ 11,16 (с, 1H), 8,63 (с, 1H), 8,05 (д, J = 6,2 Гц, 1H), 7,37-7,21 (м, 3H), 7,15 (д, J = 6,2 Гц, 1H), 7,01-6,85 (м, 3H), 4,41 (дд, J = 13,7, 5,1 Гц, 2H), 4,00 (с, 3H), 3,77-3,55 (м, 2H), 3,54 (с, 3H), 3,50-3,45 (м, 1H), 3,38 (с, 3H), 3,31-3,29 (м, 1H), 2,50 (т, J = 7,2 Гц, 1H), 2,42-2,35 (м, 1H), 2,15-2,05 (м, 1H), 2,09 (с, 3H), 1,93 (с, 3H). MS: (ES) m/z вычислено для C34H37FN5O5 [M + H]+ 614,3, найдено 614,2.

Пример 124. (S)-N-(3''-фтор-5''-метокси-2.2'-диметил-4''-(((6-оксопиперидин-3-ил)амино) метил)-[1.1':3'.1''-терфенил]-3-ил)-1,3-диметил-2.4-диоксо-1.2.3.4-тетрагидропиримидин-5-карбоксамид

Указанное в заголовке соединение получали из N-(3''-фтор-4''-формил-5''-метокси-2.2'-диметил-[1.1':3'.1''-терфенил]-3-ил)-1,3-диметил-2.4-диоксо-1.2.3.4-тетрагидропиримидин-5-карбоксамида по методике, аналогичной описанной для стадии b из примера 123. Полученный продукт очищали методом ВЭЖХ (MeCN/H2O с 0,1% ТФУК), получая целевой продукт (S)-N-(3''-фтор-5''-метокси-2.2'-диметил-4''-(((6-оксопиперидин-3-ил)амино)метил)-[1.1':3'.1''-терфенил]-3-ил)-1,3-диметил-2.4-диоксо-1.2.3.4-тетрагидропиримидин-5-карбоксамид в виде белого твердого вещества. 1H ЯМР (400 МГц, CD3OD) δ 11,16 (с, 1H), 8,63 (с, 1H), 8,05 (д, J = 6,2 Гц, 1H), 7,37-7,21 (м, 3H), 7,15 (д, J = 6,2 Гц, 1H), 7,01-6,85 (м, 3H), 4,41 (дд, J = 13,7, 5,1 Гц, 2H), 4,00 (с, 3 H), 3,77-3,55 (м, 2H), 3,54 (с, 3H), 3,50-3,45 (м, 1H), 3,38 (с, 3H), 2,50 (т, J = 7,2 Гц, 2H), 2,42-2,35 (м, 1H), 2,12-2,07 (м, 1H), 2,10 (с, 3H), 1,93 (с, 3H). MS: (ES) m/z вычислено для C34H37FN5O5 [M + H]+ 614,3, найдено 614,2.

Пример 125. N-(3''-фтор-5''-метокси-2.2'-диметил-4''-((((1-метил-1H-пиразол-5-ил)метил)-амино)-метил)-[1.1':3'.1''-терфенил]-3-ил)-1,3-диметил-2.4-диоксо-1.2.3.4-тетрагидро-пиримидин-5-карбоксамид

Указанное в заголовке соединение получали из N-(3''-фтор-4''-формил-5''-метокси-2.2'-диметил-[1.1':3'.1''-терфенил]-3-ил)-1,3-диметил-2.4-диоксо-1.2.3.4-тетрагидропиримидин-5-карбоксамида по методике, аналогичной описанной для стадии b из примера 123. Полученный продукт очищали методом ВЭЖХ (MeCN/H2O с 0,1% ТФУК), получая целевой продукт N-(3''-фтор-5''-метокси-2.2'-диметил-4''-((((1-метил-1H-пиразол-5-ил)метил)амино)метил)-[1.1':3'.1''-терфенил]-3-ил)-1,3-диметил-2.4-диоксо-1.2.3.4-тетрагидропиримидин-5-карбоксамид в виде белого твердого вещества. 1H ЯМР (400 МГц, CD3OD) δ 11,15 (с, 1H), 8,62 (с, 1H), 8,04 (д, J = 8,1 Гц, 1H), 7,54 (д, J = 2,1 Гц, 1H), 7,38-7,21 (м, 3H), 7,14 (дд, J = 7,4, 1,2 Гц, 1H), 6,96 (д, J = 7,0 Гц, 1H), 6,93 (с, 1H), 6,88 (д, J = 9,7 Гц, 1H), 6,56 (д, J = 2,0 Гц, 1H), 4,49 (с, 2H), 4,40 (с, 2H), 3,97 (с, 3H), 3,92 (с, 3H), 3,55 (с, 3H), 3,38 (с, 3H), 2,10 (с, 3H), 1,93 (с, 3H). MS: (ES) m/z вычислено для C34H36FN6O4 [M + H]+ 611,3, найдено 611,2.

Пример 126. N-(4''-(((2,5-диоксопирролидин-3-ил)амино)метил)-3''-фтор-5''-метокси-2.2'-диметил-[1.1':3'.1''-терфенил]-3-ил)-1,3-диметил-2.4-диоксо-1.2.3.4-тетрагидропиримидин-5-карбоксамид

Указанное в заголовке соединение получали из N-(3''-фтор-4''-формил-5''-метокси-2.2'-диметил-[1.1':3'.1''-терфенил]-3-ил)-1,3-диметил-2.4-диоксо-1.2.3.4-тетрагидропиримидин-5-карбоксамида по методике, аналогичной описанной для стадии b из примера 123. Полученный продукт очищали методом ВЭЖХ (MeCN/H2O с 0,1% ТФУК), получая целевой продукт N-(4''-(((2,5-диоксопирролидин-3-ил)амино)метил)-3''-фтор-5''-метокси-2.2'-диметил-[1.1':3'.1''-терфенил]-3-ил)-1,3-диметил-2.4-диоксо-1.2.3.4-тетрагидропиримидин-5-карбоксамид в виде белого твердого вещества. 1H ЯМР (400 МГц, CD3OD) δ 11,16 (с, 1H), 8,62 (с, 1H), 8,04 (д, J = 6,2 Гц, 1H), 7,37-7,21 (м, 3H), 7,15 (д, J = 6,2 Гц, 1H), 7,01-6,85 (м, 3H), 4,68-4,59 (м, 2H), 4,43 (д, J = 13,7 Гц, 1H), 3,99 (с, 3H), 3,54 (с, 3H), 3,31 (с, 3H), 3,16 (дд, J = 18,0, 9,0 Гц, 1H), 2,80 (дд, J = 18,0, 5,9 Гц, 1H), 2,09 (с, 3H), 1,93 (с, 3H). MS: (ES) m/z вычислено для C33H33FN5O6 [M + H]+ 614,2, найдено 614,2.

Пример 127. N-(4''-((((2,4-диоксо-1.2.3.4-тетрагидропиримидин-5-ил)метил)амино) метил)-3''-фтор-5''-метокси-2.2'-диметил-[1.1':3'.1''-терфенил]-3-ил)-1,3-диметил-2.4-диоксо-1.2.3.4-тетрагидропиримидин-5-карбоксамид

Указанное в заголовке соединение получали из N-(3''-фтор-4''-формил-5''-метокси-2.2'-диметил-[1.1':3'.1''-терфенил]-3-ил)-1,3-диметил-2.4-диоксо-1.2.3.4-тетрагидропиримидин-5-карбоксамида по методике, аналогичной описанной для стадии b из примера 123. Полученный продукт очищали методом ВЭЖХ (MeCN/H2O с 0,1% ТФУК), получая целевой продукт N-(4''-((((2,4-диоксо-1.2.3.4-тетрагидропиримидин-5-ил)метил) амино)метил)-3''-фтор-5''-метокси-2.2'-диметил-[1.1':3'.1''-терфенил]-3-ил)-1,3-диметил-2.4-диоксо-1.2.3.4-тетрагидропиримидин-5-карбоксамид в виде белого твердого вещества. 1H ЯМР (400 МГц, CD3OD) δ 11,16 (с, 1H), 8,62 (с, 1H), 8,04 (д, J = 8,1 Гц, 1H), 7,65 (с, 1H), 7,38-7,21 (м, 3H), 7,15 (д, J = 6,2 Гц, 1H), 6,96 (д, J = 7,8 Гц, 1H), 6,91 (с, 1H), 6,83 (д, J = 10,2 Гц, 1H), 4,33 (с, 2H), 4,00 (с, 2H), 3,98 (с, 3H), 3,55 (с, 3H), 3,31 (с, 3H), 2,10 (с, 3H), 1,93 (с, 3H). MS: (ES) m/z вычислено для C34H34FN6O6 [M + H]+ 641,2, найдено 641,2.

Пример 128. N-(4''-((((1,3-диметил-2.4-диоксо-1.2.3.4-тетрагидропиримидин-5-ил)метил)-амино)метил)-3''-фтор-5''-метокси-2.2'-диметил-[1.1':3'.1''-терфенил]-3-ил)-1,3-диметил-2.4-диоксо-1.2.3.4-тетрагидропиримидин-5-карбоксамид

Указанное в заголовке соединение получали из N-(3''-фтор-4''-формил-5''-метокси-2.2'-диметил-[1.1':3'.1''-терфенил]-3-ил)-1,3-диметил-2.4-диоксо-1.2.3.4-тетрагидропиримидин-5-карбоксамида по методике, аналогичной описанной для стадии b из примера 123. Продукт очищали методом ВЭЖХ (MeCN/H2O с 0,1% ТФУК), получая целевой продукт N-(4''-((((1,3-диметил-2.4-диоксо-1.2.3.4-тетрагидропиримидин-5-ил)метил)амино) метил)-3''-фтор-5''-метокси-2.2'-диметил-[1.1':3'.1''-терфенил]-3-ил)-1,3-диметил-2.4-диоксо-1.2.3.4-тетрагидропиримидин-5-карбоксамид в виде белого твердого вещества. 1H ЯМР (400 МГц, CD3OD) 11,16 (с, 1H), 8,62 (с, 1H), 8,07 (д, J = 8,2 Гц, 1H), 7,83 (с, 1H), 7,38-7,21 (м, 3H), 7,15 (д, J = 6,2 Гц, 1H), 6,95 (д, J = 7,8 Гц, 1H), 6,92 (с, 1H), 6,84 (д, J = 10,2 Гц, 1H), 4,34 (с, 2H), 4,03 (с, 2H), 3,98 (с, 3H), 3,55 (с, 3H), 3,38 (с, 3H), 3,30 (с, 6H), 2,10 (с, 3H), 1,93 (с, 3H). MS: (ES) m/z вычислено для C36H38FN6O6 [M + H]+ 669,3, найдено 669,2.

Пример 129. (S)-N-(3''-фтор-5''-метокси-2.2'-диметил-4''-(((5-оксопирролидин-3-ил)амино)метил)-[1.1':3'.1''-терфенил]-3-ил)-2.4-диметил-3,5-диоксо-2,3,4,5-тетрагидро-1,2,4-триазин-6-карбоксамид

Стадия a. В перемешиваемый раствор 3,5-диоксо-2,3,4,5-тетрагидро-1,2,4-триазин-6-карбоновой кислоты (380 мг, 2,4 ммоль) в безводном ДМФА (7 мл) добавляли метилиодид (1,2 мл, 19 ммоль) и карбонат калия (2,0 г, 14 ммоль) при комнатной температуре. После перемешивания при 60°C в течение 2 часов, смесь выливали в воду (25 мл) и экстрагировали 60 мл смесью CHCl3:2-пропанол (2:1). Сырой продукт очищали методом хроматографии на силикагеле (от 45 до 60% EtOAc/гексан), получая целевой продукт метил 2,4-диметил-3,5-диоксо-2,3,4,5-тетрагидро-1,2,4-триазин-6-карбоксилат.

Стадия b. В виалу, содержащую метил 2,4-диметил-3,5-диоксо-2,3,4,5-тетрагидро-1,2,4-триазин-6-карбоксилат (284 мг, 1,4 ммоль), добавляли уксусную кислоту (2 мл) и 12M раствор HCl (2 мл) при комнатной температуре. Смесь нагревали при 60°C в течение 2 часов, затем упаривали при пониженном давлении и сушили в вакууме. Остаток, 2,4-диметил-3,5-диоксо-2,3,4,5-тетрагидро-1,2,4-триазин-6-карбоновую кислоту, использовали в следующей стадии без очистки.

Стадия c. В перемешиваемый раствор 2,4-диметил-3,5-диоксо-2,3,4,5-тетрагидро-1,2,4-триазин-6-карбоновой кислоты (238 мг, 1,28 ммоль) и 3-бром-2-метиланилина (287 мг, 1,54 ммоль) в ДМФА (6,0 мл) добавляли HATU (730 мг, 1,92 ммоль) и диизопропилэтиламин (330 мг, 2,56 ммоль). Реакционную смесь перемешивали при комнатной температуре в течение 16 часов. После окончания реакции упаривали половину растворителя, полученную смесь разбавляли водой (15 мл), и смесь перемешивали в течение 20 мин. Твердый осадок отфильтровывали, промывали водой (10 мл) и сушили в вакууме, получая N-(3-бром-2-метилфенил)-2.4-диметил-3,5-диоксо-2,3,4,5-тетрагидро-1,2,4-триазин-6-карбоксамид в виде белого твердого вещества.

Стадия d. В смесь N-(3-бром-2-метилфенил)-1-метил-2-оксо-1,2-дигидропиридин-3-карбоксамида (450 мг, 1,27 ммоль), 3-фтор-5-метокси-2'-метил-3'-(4,4,5,5-тетраметил-1,3,2-диоксаборолан-2-ил)-[1,1'-бифенил]-4-карбальдегида (550 мг, 1,27 ммоль) и K2CO3 (500 мг, 3,17 ммоль) в п-диоксане/H2O (9:1 мл) добавляли комплекс Pd(dppf)Cl2 с дихлорметаном (120 мг, 0,127 ммоль). Реакционную смесь дегазировали (N2) в течение 2 минут и перемешивали в атмосфере азота при 95°C в течение 5 часов. Реакционную смесь разбавляли этилацетатом, фильтровали через целит, промывали насыщенным водным раствором хлорида натрия и сушили над MgSO4. Растворитель удаляли при пониженном давлении, и остаток очищали методом флэш-хроматографии на силикагеле (от 20% до 100% EtOAc/гексан), получая N-(3''-фтор-4''-формил-5''-метокси-2.2'-диметил-[1.1':3'.1''-терфенил]-3-ил)-2.4-диметил-3,5-диоксо-2,3,4,5-тетрагидро-1,2,4-триазин-6-карбоксамид. MS: (ES) m/z вычислено для C28H26FN4O5 [M + H]+ 517,2, найдено 517,2.

Стадия e. В перемешиваемый раствор N-(3''-фтор-4''-формил-5''-метокси-2.2'-диметил-[1.1':3'.1''-терфенил]-3-ил)-2.4-диметил-3,5-диоксо-2,3,4,5-тетрагидро-1,2,4-триазин-6-карбоксамида (125 мг, 0,32 ммоль) и (S)-4-аминопирролидин-2-он-гидрохлорида (23 мг, 0,155 ммоль), в смеси MeOH:ДХЭ (1:1 мл) добавляли диизопропилэтиламин (25 мг, 0,231 ммоль), NaBH(OAc)3 (49 мг, 0,231 ммоль) и AcOH (5 капель). Реакционную смесь перемешивали при комнатной температуре в течение 3 часов. Растворитель удаляли при пониженном давлении, и остаток очищали методом препаративной ВЭЖХ (от 0% до 40% до 100% MeCN/H2O), получая (S)-N-(3''-фтор-5''-метокси-2.2'-диметил-4''-(((5-оксопирролидин-3-ил)амино)метил)-[1.1':3'.1''-терфенил]-3-ил)-2.4-диметил-3,5-диоксо-2,3,4,5-тетрагидро-1,2,4-триазин-6-карбоксамид в виде белого твердого вещества. 1H ЯМР (400 МГц, CD3OD) δ 11,08 (с, 1H), 8,07 (д, J = 8,2 Гц, 1H), 7,37-7,29 (м, 2H), 7,24 (д, J = 7,8 Гц, 1H), 7,16 (д, J = 8,2 Гц, 1H), 7,01 (д, J = 7,8 Гц, 1H), 6,95 (с, 1H), 6,88 (д, J = 9,8 Гц, 1H), 4,36 (с, 2H), 4,26-4,20 (м, 1H), 3,99 (с, 3H), 3,87 (дд, J = 11,7, 7,8 Гц, 1H), 3,77 (с, 3H), 3,56 (дд, J = 11,4, 4,0 Гц, 1H), 3,38 (с, 3H), 2,92 (дд, J = 18,6, 4,7 Гц, 1H), 2,52 (дд, J = 18,0, 4,7 Гц, 1H), 2,11 (с, 3H), 1,94 (с, 3H). MS: (ES) m/z вычислено для C32H34FN6O5 [M + H]+ 601,3, найдено 601,2.

Пример 130. (R)-N-(3''-фтор-5''-метокси-2.2'-диметил-4''-(((5-оксопирролидин-3-ил) амино)метил)-[1.1':3'.1''-терфенил]-3-ил)-2.4-диметил-3,5-диоксо-2,3,4,5-тетрагидро-1,2,4-триазин-6-карбоксамид

Указанное в заголовке соединение получали из N-(3''-фтор-4''-формил-5''-метокси-2.2'-диметил-[1.1':3'.1''-терфенил]-3-ил)-2.4-диметил-3,5-диоксо-2,3,4,5-тетрагидро-1,2,4-триазин-6-карбоксамида и (S)-4-аминопирролидин-2-он-гидрохлорид-карбоксамида по методике, аналогичной описанной для стадии e из примера 129. Полученный продукт очищали методом ВЭЖХ (MeCN/H2O с 0,1% ТФУК), получая целевой продукт (R)-N-(3''-фтор-5''-метокси-2.2'-диметил-4''-(((5-оксопирролидин-3-ил)амино)метил)-[1.1':3'.1''-терфенил]-3-ил)-2.4-диметил-3,5-диоксо-2,3,4,5-тетрагидро-1,2,4-триазин-6-карбоксамид в виде белого твердого вещества. 1H ЯМР (400 МГц, CD3OD) δ 11,07 (с, 1H), 8,05 (т, J = 7,8 Гц, 1H), 7,37-7,29 (м, 2H), 7,24 (д, J = 8,2 Гц, 1H), 7,16 (д, J = 7,4 Гц, 1H), 7,01 (д, J = 7,8 Гц, 1H), 6,94 (с, 1H), 6,88 (д, J = 9,3 Гц, 1H), 4,36 (с, 2H), 4,26-4,20 (м, 1H), 3,99 (с, 3H), 3,92-3,85 (м, 1H), 3,77 (с, 3H), 3,60-3,50 (м, 1H), 3,38 (с, 3H), 2,92 (дд, J = 18,0, 9,0 Гц, 1H), 2,60-2,52 (м, 1H), 2,11 (с, 3H), 1,94 (с, 3H). MS: (ES) m/z вычислено для C32H34FN6O5 [M + H]+ 601,3, найдено 601,2.

Пример 131. (S)-N-(3''-фтор-5''-метокси-2.2'-диметил-4''-((((5-оксопирролидин-2-ил) метил)амино)метил)-[1.1':3'.1''-терфенил]-3-ил)-2.4-диметил-3,5-диоксо-2,3,4,5-тетрагидро-1,2,4-триазин-6-карбоксамид

Указанное в заголовке соединение получали из N-(3''-фтор-4''-формил-5''-метокси-2.2'-диметил-[1.1':3'.1''-терфенил]-3-ил)-2.4-диметил-3,5-диоксо-2,3,4,5-тетрагидро-1,2,4-триазин-6-карбоксамида и (S)-5-(аминометил)пирролидин-2-она гидрохлорида по методике, аналогичной описанной для стадии e из примера 129. Полученный продукт очищали методом ВЭЖХ (MeCN/H2O с 0,1% ТФУК), получая целевой продукт (S)-N-(3''-фтор-5''-метокси-2.2'-диметил-4''-((((5-оксопирролидин-2-ил)метил)амино)метил)-[1.1':3'.1''-терфенил]-3-ил)-2.4-диметил-3,5-диоксо-2,3,4,5-тетрагидро-1,2,4-триазин-6-карбоксамид в виде белого твердого вещества. 1H ЯМР (400 МГц, CD3OD) δ 11,08 (с, 1H), 8,07 (т, J = 7,8 Гц, 1H), 7,37-7,26 (м, 2H), 7,24 (д, J = 8,2 Гц, 1H), 7,16 (д, J = 7,8 Гц, 1H), 7,01 (д, J = 7,2 Гц, 1H), 6,95 (с, 1H), 6,88 (д, J = 9,4 Гц, 1H), 4,40 (с, 2H), 4,10-4,02 (м, 1H), 4,00 (с, 3H), 3,77 (с, 3H), 3,39 (с, 3H), 3,30-3,25 (м, 2H), 2,46-2,34 (м, 3H), 2,11 (с, 3H), 1,94 (с, 3H), 1,92-1,89 (м, 1H). MS: (ES) m/z вычислено для C32H36FN6O5 [M + H]+ 615,3, найдено 615,2.

Пример 132. (R)-N-(3''-фтор-5''-метокси-2.2'-диметил-4''-((((5-оксопирролидин-2-ил)метил)амино)метил)-[1.1':3'.1''-терфенил]-3-ил)-2.4-диметил-3,5-диоксо-2,3,4,5-тетрагидро-1,2,4-триазин-6-карбоксамид

Указанное в заголовке соединение получали из N-(3''-фтор-4''-формил-5''-метокси-2.2'-диметил-[1.1':3'.1''-терфенил]-3-ил)-2.4-диметил-3,5-диоксо-2,3,4,5-тетрагидро-1,2,4-триазин-6-карбоксамида и (R)-5-(аминометил)пирролидин-2-она гидрохлорида по методике, аналогичной описанной для стадии e из примера 129. Полученный продукт очищали методом ВЭЖХ (MeCN/H2O с 0,1% ТФУК), получая целевой продукт (R)-N-(3''-фтор-5''-метокси-2.2'-диметил-4''-((((5-оксопирролидин-2-ил)метил)амино)метил)-[1.1':3'.1''-терфенил]-3-ил)-2.4-диметил-3,5-диоксо-2,3,4,5-тетрагидро-1,2,4-триазин-6-карбоксамид в виде белого твердого вещества. 1H ЯМР (400 МГц, CD3OD) δ 11,08 (с, 1H), 8,07 (т, J = 8,2 Гц, 1H), 7,37-7,26 (м, 2H), 7,24 (д, J = 8,2 Гц, 1H), 7,16 (д, J = 7,8 Гц, 1H), 7,01 (д, J = 7,8 Гц, 1H), 6,95 (с, 1H), 6,88 (д, J = 9,0 Гц, 1H), 4,39 (с, 2H), 4,05-4,00 (м, 1H), 3,99 (с, 3H), 3,77 (с, 3H), 3,38 (с, 3H), 3,30-3,20 (м, 2H), 2,46-2,34 (м, 3H), 2,11 (с, 3H), 1,94 (с, 3H), 1,92-1,89 (м, 1H). MS: (ES) m/z вычислено для C32H36FN6O5 [M + H]+ 615,3, найдено 615,2.

Пример 133. (S)-N-(3''-фтор-5''-метокси-2.2'-диметил-4''-((метил((5-оксопирролидин-2-ил)-метил)амино)метил)-[1.1':3'.1''-терфенил]-3-ил)-2.4-диметил-3,5-диоксо-2,3,4,5-тетрагидро-1,2,4-триазин-6-карбоксамид

Указанное в заголовке соединение получали из N-(3''-фтор-4''-формил-5''-метокси-2.2'-диметил-[1.1':3'.1''-терфенил]-3-ил)-2.4-диметил-3,5-диоксо-2,3,4,5-тетрагидро-1,2,4-триазин-6-карбоксамида и 1-(4-фторфенил)-4,5,6,7-тетрагидро-1H-пиразолo[4,3-b]пиридина по методике, аналогичной описанной для стадии e из примера 129. Полученный продукт очищали методом ВЭЖХ (MeCN/H2O с 0,1% ТФУК), получая целевой продукт (S)-N-(3''-фтор-5''-метокси-2.2'-диметил-4''-((метил((5-оксопирролидин-2-ил)метил)амино)метил)-[1.1':3'.1''-терфенил]-3-ил)-2.4-диметил-3,5-диоксо-2,3,4,5-тетрагидро-1,2,4-триазин-6-карбоксамид в виде белого твердого вещества. 1H ЯМР (400 МГц, CD3OD) δ 11,08 (с, 1H), 8,07 (т, J = 8,5 Гц, 1H), 7,37-7,22 (м, 3H), 7,17 (д, J = 7,1 Гц, 1H), 7,01 (д, J = 8,2 Гц, 1H), 6,99 (с, 1H), 6,93 (д, J = 9,7 Гц, 1H), 4,65-4,55 (м, 1H), 4,50-4,42 (м, 2H), 4,30-4,20 (м, 2H), 4,01 (с, 3H), 3,77 (с, 3H), 3,38 (с, 3H), 2,94 (с, 3H), 2,55-2,30 (м, 3H), 2,11 (с, 3H), 1,95 (с, 3H), 1,90-1,85 (м, 1H). MS: (ES) m/z вычислено для C34H38FN6O5 [M + H]+ 629,3, найдено 629,2.

Пример 134. (S)-N-(3''-фтор-5''-метокси-2.2'-диметил-4''-(((6-оксопиперидин-3-ил)амино) метил)-[1.1':3'.1''-терфенил]-3-ил)-2.4-диметил-3,5-диоксо-2,3,4,5-тетрагидро-1,2,4-триазин-6-карбоксамид

Указанное в заголовке соединение получали из N-(3''-фтор-4''-формил-5''-метокси-2.2'-диметил-[1.1':3'.1''-терфенил]-3-ил)-2.4-диметил-3,5-диоксо-2,3,4,5-тетрагидро-1,2,4-триазин-6-карбоксамида и (S)-5-аминопиперидин-2-она по методике, аналогичной описанной для стадии e из примера 129. Полученный продукт очищали методом ВЭЖХ (MeCN/H2O с 0,1% ТФУК), получая целевой продукт (S)-N-(3''-фтор-5''-метокси-2.2'-диметил-4''-(((6-оксопиперидин-3-ил)амино)метил)-[1.1':3'.1''-терфенил]-3-ил)-2.4-диметил-3,5-диоксо-2,3,4,5-тетрагидро-1,2,4-триазин-6-карбоксамид в виде белого твердого вещества. 1H ЯМР (400 МГц, CD3OD) δ 11,09 (с, 1H), 8,07 (т, J = 7,8 Гц, 1H), 7,37-7,26 (м, 2H), 7,24 (д, J = 7,0 Гц, 1H), 7,16 (д, J = 7,8 Гц, 1H), 7,01 (д, J = 7,8 Гц, 1H), 6,95 (с, 1H), 6,88 (д, J = 9,7 Гц, 1H), 4,41 (дд, J = 18,4, 12,9 Гц, 2H), 3,99 (с, 3H), 3,77 (с, 3H), 3,75-3,70 (м, 1H), 3,50-3,45 (м, 1H), 3,38 (с, 3H), 2,50 (т, J = 6,2 Гц, 2H), 2,45-2,35 (м, 2H), 2,11 (с, 3H), 2,15-2,05 (м, 1H), 1,94 (с, 3H). MS: (ES) m/z вычислено для C33H36FN6O5 [M + H]+ 615,3, найдено 615,2.

Пример 135. (R)-N-(3''-фтор-5''-метокси-2.2'-диметил-4''-(((6-оксопиперидин-3-ил) амино)метил)-[1.1':3'.1''-терфенил]-3-ил)-2.4-диметил-3,5-диоксо-2,3,4,5-тетрагидро-1,2,4-триазин-6-карбоксамид

Указанное в заголовке соединение получали из N-(3''-фтор-4''-формил-5''-метокси-2.2'-диметил-[1.1':3'.1''-терфенил]-3-ил)-2.4-диметил-3,5-диоксо-2,3,4,5-тетрагидро-1,2,4-триазин-6-карбоксамида и (R)-5-аминопиперидин-2-она по методике, аналогичной описанной для стадии e из примера 129. Полученный продукт очищали методом ВЭЖХ (MeCN/H2O с 0,1% ТФУК), получая целевой продукт (R)-N-(3''-фтор-5''-метокси-2.2'-диметил-4''-(((6-оксопиперидин-3-ил)амино)метил)-[1.1':3'.1''-терфенил]-3-ил)-2.4-диметил-3,5-диоксо-2,3,4,5-тетрагидро-1,2,4-триазин-6-карбоксамид в виде белого твердого вещества. 1H ЯМР (400 МГц, CD3OD) δ 11,09 (с, 1H), 8,06 (т, J = 8,2 Гц, 1H), 7,37-7,26 (м, 2H), 7,24 (д, J = 7,0 Гц, 1H), 7,15 (д, J = 7,2 Гц, 1H), 7,01 (д, J = 7,8 Гц, 1H), 6,94 (с, 1H), 6,88 (д, J = 10,1 Гц, 1H), 4,40 (дд, J = 12,6, 5,4 Гц, 2H), 3,99 (с, 3H), 3,77 (с, 3H), 3,75-3,65 (м, 2H), 3,50-3,45 (м, 1H), 3,38 (с, 3H), 2,50 (т, J = 7,1 Гц, 2H), 2,45-2,35 (м, 1H), 2,11 (с, 3H), 2,10-2,00 (м, 1H), 1,94 (с, 3H). MS: (ES) m/z вычислено для C33H36FN6O5 [M + H]+ 615,3, найдено 615,2.

Пример 136. (1S,2R)-2-(((3-фтор-5-метокси-2',2''-диметил-3''-(пиридо[3,4-b]пиразин-5-иламино)-[1.1':3'.1''-терфенил]-4-ил)метил)амино)циклопентан-1-ол

Смесь 3-фтор-5-метокси-2',2''-диметил-3''-(пиридо[3,4-b]пиразин-5-иламино)-[1.1':3'.1''-терфенил]-4-карбальдегида (23 мг, 0,041 ммоль), (1S,2R)-2-аминоциклопентан-1-ола гидрохлорида (30 мг, 0,22 ммоль), Et3N (15 мг, 0,15 ммоль) и HOAc (75 мг, 1,25 ммоль) в EtOH (1,5 мл) нагревали при 70°C в течение 0,5 часа. Смесь охлаждали до 0°C и добавляли NaBH(OAc)3 (70 мг, 0,33 ммоль). После перемешивания в течение 30 минут при комнатной температуре, смесь упаривали в вакууме. Полученный остаток очищали методом ВЭЖХ (MeCN/H2O с 0,1% ТФУК), получая (1S,2R)-2-(((3-фтор-5-метокси-2',2''-диметил-3''-(пиридо[3,4-b]пиразин-5-иламино)-[1.1':3'.1''-терфенил]-4-ил)метил)амино)циклопентан-1-ол (в виде соли с ТФУК). 1H ЯМР (400 МГц, CD3OD) δ 9,25 (д, J = 2,0 Гц, 1H), 9,06 (д, J = 2,0 Гц, 1H), 7,78 (д, J = 7,6 Гц, 1H), 7,60-7,51 (м, 2H), 7,41-7,34 (м, 3H), 7,28 (дд, J = 7,6, 1,2 Гц, 1H), 7,23 (дд, J = 7,2, 1,2 Гц, 1H), 6,92 (с, 1H), 6,86 (дд, J = 9,6, 1,2 Гц, 1H), 4,44-4,28 (м, 3H), 3,97 (с, 3H), 3,52-3,44 (м, 1H), 2,18-2,07 (м, 1H), 2,10 (с, 3H), 2,02 (с, 3H), 2,00-1,77 (м, 4H), 1,62-1,74 (м, 1H). MS: (ES) m/z вычислено для C34H35FN5O2 [M + H]+ 564,3, найдено 564,3.

Пример 137. (S)-N-(3''-фтор-5''-метокси-2.2'-диметил-4''-(((2-(5-оксопирролидин-2-ил) этил)амино)метил)-[1.1':3'.1''-терфенил]-3-ил)-2.4-диметил-3,5-диоксо-2,3,4,5-тетрагидро-1,2,4-триазин-6-карбоксамид

Указанное в заголовке соединение получали из N-(3''-фтор-4''-формил-5''-метокси-2.2'-диметил-[1.1':3'.1''-терфенил]-3-ил)-2.4-диметил-3,5-диоксо-2,3,4,5-тетрагидро-1,2,4-триазин-6-карбоксамида и (S)-5-(2-аминоэтил)пирролидин-2-она гидрохлорида по методике, аналогичной описанной для стадии e из примера 129. Полученный продукт очищали методом ВЭЖХ (MeCN/H2O с 0,1% ТФУК), получая целевой продукт (S)-N-(3''-фтор-5''-метокси-2.2'-диметил-4''-(((2-(5-оксопирролидин-2-ил)этил)амино)метил)-[1.1':3'.1''-терфенил]-3-ил)-2.4-диметил-3,5-диоксо-2,3,4,5-тетрагидро-1,2,4-триазин-6-карбоксамид в виде белого твердого вещества. 1H ЯМР (400 МГц, CD3OD) δ 11,08 (с, 1H), 8,07 (т, J = 8,7 Гц, 1H), 7,37-7,26 (м, 2H), 7,24 (д, J = 7,0 Гц, 1H), 7,15 (д, J = 7,8 Гц, 1H), 7,01 (д, J = 7,8 Гц, 1H), 6,94 (с, 1H), 6,87 (д, J = 10,2 Гц, 1H), 4,34 (с, 2H), 3,98 (с, 3H), 3,77 (с, 3H), 3,80-3,70 (м, 2H), 3,38 (с, 3H), 3,25-3,10 (м, 2H), 2,40-2,30 (м, 3H), 2,12 (с, 3H), 2,10-1,95 (м, 1H), 1,94 (с, 3H), 1,85-1,75 (м, 1H). MS: (ES) m/z вычислено для C34H38FN6O5 [M + H]+ 629,3, найдено 629,2.

Пример 138. N-(4''-(((3-амино-3-оксопропил)амино)метил)-3''-фтор-5''-метокси-2.2'-диметил-[1.1':3'.1''-терфенил]-3-ил)-2.4-диметил-3,5-диоксо-2,3,4,5-тетрагидро-1,2,4-триазин-6-карбоксамид

Указанное в заголовке соединение получали из N-(3''-фтор-4''-формил-5''-метокси-2.2'-диметил-[1.1':3'.1''-терфенил]-3-ил)-2.4-диметил-3,5-диоксо-2,3,4,5-тетрагидро-1,2,4-триазин-6-карбоксамида и 3-аминопропанамида по методике, аналогичной описанной для стадии e из примера 129. Полученный продукт очищали методом ВЭЖХ (MeCN/H2O с 0,1% ТФУК), получая целевой продукт N-(4''-(((3-амино-3-оксопропил)амино)метил)-3''-фтор-5''-метокси-2.2'-диметил-[1.1':3'.1''-терфенил]-3-ил)-2.4-диметил-3,5-диоксо-2,3,4,5-тетрагидро-1,2,4-триазин-6-карбоксамид в виде белого твердого вещества. 1H ЯМР (400 МГц, CD3OD) δ 11,09 (с, 1H), 8,08 (т, J = 7,4 Гц, 1H), 7,37-7,26 (м, 2H), 7,25 (д, J = 6,6 Гц, 1H), 7,15 (д, J = 7,1 Гц, 1H), 7,01 (д, J = 7,2 Гц, 1H), 6,93 (с, 1H), 6,86 (д, J = 10,2 Гц, 1H), 4,35 (с, 2H), 3,99 (с, 3H), 3,77 (с, 3H), 3,38 (с, 3H), 3,34-3,30 (м, 2H), 2,70 (д, J = 12,0 Гц, 2H), 2,11 (с, 3H), 1,94 (с, 3H). MS: (ES) m/z вычислено для C31H34FN6O5 [M + H]+ 589,3, найдено 589,2.

Пример 139. (S)-N-(3''-фтор-5''-метокси-2.2'-диметил-4''-(((3-оксоизоксазолидин-4-ил) амино)метил)-[1.1':3'.1''-терфенил]-3-ил)-2.4-диметил-3,5-диоксо-2,3,4,5-тетрагидро-1,2,4-триазин-6-карбоксамид

Указанное в заголовке соединение получали из N-(3''-фтор-4''-формил-5''-метокси-2.2'-диметил-[1.1':3'.1''-терфенил]-3-ил)-2.4-диметил-3,5-диоксо-2,3,4,5-тетрагидро-1,2,4-триазин-6-карбоксамида и (S)-4-аминоизоксазолидин-3-она по методике, аналогичной описанной для стадии e из примера 129. Полученный продукт очищали методом ВЭЖХ (MeCN/H2O с 0,1% ТФУК), получая целевой продукт (S)-N-(3''-фтор-5''-метокси-2.2'-диметил-4''-(((3-оксоизоксазолидин-4-ил)амино)метил)-[1.1':3'.1''-терфенил]-3-ил)-2.4-диметил-3,5-диоксо-2,3,4,5-тетрагидро-1,2,4-триазин-6-карбоксамид в виде белого твердого вещества. 1H ЯМР (400 МГц, CD3OD) δ 11,08 (с, 1H), 8,07 (т, J = 7,8 Гц, 1H), 7,37-7,26 (м, 2H), 7,24 (д, J = 8,2 Гц, 1H), 7,16 (д, J = 7,2 Гц, 1H), 7,01 (д, J = 7,8 Гц, 1H), 6,94 (с, 1H), 6,85 (д, J = 9,7 Гц, 1H), 4,73 (с, 2H), 4,70-4,61 (м, 1H), 4,39 (д, J = 10,7 Гц, 2H), 3,98 (с, 3H), 3,77 (с, 3H), 3,38 (с, 3H), 2,11 (с, 3H), 1,94 (с, 3H). MS: (ES) m/z вычислено для C31H32FN6O6 [M + H]+ 603,2, найдено 603,2.

Пример 140. (S)-N-(3''-фтор-5''-метокси-2.2'-диметил-4''-(((2-оксопиперидин-3-ил)амино) метил)-[1.1':3'.1''-терфенил]-3-ил)-2.4-диметил-3,5-диоксо-2,3,4,5-тетрагидро-1,2,4-триазин-6-карбоксамид

Указанное в заголовке соединение получали из N-(3''-фтор-4''-формил-5''-метокси-2.2'-диметил-[1.1':3'.1''-терфенил]-3-ил)-2.4-диметил-3,5-диоксо-2,3,4,5-тетрагидро-1,2,4-триазин-6-карбоксамида и (S)-3-аминопиперидин-2-она гидрохлорида по методике, аналогичной описанной для стадии e из примера 129. Полученный продукт очищали методом ВЭЖХ (MeCN/H2O с 0,1% ТФУК), получая целевой продукт (S)-N-(3''-фтор-5''-метокси-2.2'-диметил-4''-(((2-оксопиперидин-3-ил)амино)метил)-[1.1':3'.1''-терфенил]-3-ил)-2.4-диметил-3,5-диоксо-2,3,4,5-тетрагидро-1,2,4-триазин-6-карбоксамид в виде белого твердого вещества. 1H ЯМР (400 МГц, CD3OD) δ 11,08 (с, 1H), 8,07 (т, J = 8,2 Гц, 1H), 7,37-7,26 (м, 2H), 7,15 (д, J = 7,2 Гц, 1H), 7,01 (д, J = 8,2 Гц, 1H), 6,92 (с, 1H), 6,85 (д, J = 10,5 Гц, 1H), 4,49 (д, J = 13,2 Гц, 1H), 4,40 (д, J = 13,1 Гц, 1H), 4,05-3,90 (м, 1H), 3,99 (с, 3H), 3,77 (с, 3H), 3,38 (с, 3H), 3,37-3,15 (м, 2H), 2,45-2,38 (м, 1H), 2,12 (с, 3H), 2,01-1,97 (м, 3H), 1,94 (с, 3H). MS: (ES) m/z вычислено для C33H36FN6O5 [M + H]+ 615,3, найдено 615,2.

Пример 141. (R)-N-(3''-фтор-5''-метокси-2.2'-диметил-4''-(((2-оксопиперидин-3-ил) амино)метил)-[1.1':3'.1''-терфенил]-3-ил)-2.4-диметил-3,5-диоксо-2,3,4,5-тетрагидро-1,2,4-триазин-6-карбоксамид

Указанное в заголовке соединение получали из N-(3''-фтор-4''-формил-5''-метокси-2.2'-диметил-[1.1':3'.1''-терфенил]-3-ил)-2.4-диметил-3,5-диоксо-2,3,4,5-тетрагидро-1,2,4-триазин-6-карбоксамида и (R)-3-аминопиперидин-2-она гидрохлорида по методике, аналогичной описанной для стадии e из примера 129. Полученный продукт очищали методом ВЭЖХ (MeCN/H2O с 0,1% ТФУК), получая целевой продукт (R)-N-(3''-фтор-5''-метокси-2.2'-диметил-4''-(((2-оксопиперидин-3-ил)амино)метил)-[1.1':3'.1''-терфенил]-3-ил)-2.4-диметил-3,5-диоксо-2,3,4,5-тетрагидро-1,2,4-триазин-6-карбоксамид в виде белого твердого вещества. 1H ЯМР (400 МГц, CD3OD) δ 11,08 (с, 1H), 8,07 (т, J = 8,2 Гц, 1H), 7,37-7,26 (м, 2H), 7,15 (д, J = 7,2 Гц, 1H), 7,01 (д, J = 8,2 Гц, 1H), 6,92 (с, 1H), 6,85 (д, J = 10,5 Гц, 1H), 4,47 (д, J = 13,5 Гц, 1H), 4,37 (д, J = 12,6 Гц, 1H), 4,10-3,90 (м, 1H), 3,99 (с, 3H), 3,77 (с, 3H), 3,38 (с, 3H), 3,35-3,05 (м, 2H), 2,45-2,38 (м, 1H), 2,15-2,10 (м, 1H), 2,12 (с, 3H), 1,90-2,00 (м, 2H), 1,94 (с, 3H). MS: (ES) m/z вычислено для C33H36FN6O5 [M + H]+ 615,3, найдено 615,2.

Пример 142. (S)-N-(4''-(((2,6-диоксопиперидин-3-ил)амино)метил)-3''-фтор-5''-метокси-2.2'-диметил-[1.1':3'.1''-терфенил]-3-ил)-2.4-диметил-3,5-диоксо-2,3,4,5-тетрагидро-1,2,4-триазин-6-карбоксамид

Указанное в заголовке соединение получали из N-(3''-фтор-4''-формил-5''-метокси-2.2'-диметил-[1.1':3'.1''-терфенил]-3-ил)-2.4-диметил-3,5-диоксо-2,3,4,5-тетрагидро-1,2,4-триазин-6-карбоксамида и 3-аминопиперидин-2,6-диона гидрохлорида по методике, аналогичной описанной для стадии e из примера 129. Полученный продукт очищали методом ВЭЖХ (MeCN/H2O с 0,1% ТФУК), получая целевой продукт (S)-N-(4''-(((2,6-диоксопиперидин-3-ил)амино)метил)-3''-фтор-5''-метокси-2.2'-диметил-[1.1':3'.1''-терфенил]-3-ил)-2.4-диметил-3,5-диоксо-2,3,4,5-тетрагидро-1,2,4-триазин-6-карбоксамид в виде белого твердого вещества. 1H ЯМР (400 МГц, CD3OD) δ 11,08 (с, 1H), 8,06 (т, J = 8,2 Гц, 1H), 7,33-7,26 (м, 3H), 7,15 (д, J = 7,0 Гц, 1H), 7,00 (д, J = 8,2 Гц, 1H), 6,93 (с, 1H), 6,87 (д, J = 10,1 Гц, 1H), 4,55 (д, J = 14,1 Гц, 1H), 4,50-4,42 (м, 2H), 3,99 (с, 3H), 3,77 (с, 3H), 3,38 (с, 3H), 2,85-2,79 (м, 2H), 2,50-2,42 (м, 1H), 2,30-2,20 (м, 1H), 2,11 (с, 3H), 1,94 (с, 3H). MS: (ES) m/z вычислено для C33H34FN6O6 [M + H]+ 629,2, найдено 629,1.

Пример 143. N-(4''-((((2,4-диоксо-1.2.3.4-тетрагидропиримидин-5-ил)метил)амино) метил)-3''-фтор-5''-метокси-2.2'-диметил-[1.1':3'.1''-терфенил]-3-ил)-2.4-диметил-3,5-диоксо-2,3,4,5-тетрагидро-1,2,4-триазин-6-карбоксамид

Указанное в заголовке соединение получали из N-(3''-фтор-4''-формил-5''-метокси-2.2'-диметил-[1.1':3'.1''-терфенил]-3-ил)-2.4-диметил-3,5-диоксо-2,3,4,5-тетрагидро-1,2,4-триазин-6-карбоксамида и 5-(аминометил)пиримидин-2,4(1H,3H)-диона гидрохлорида по методике, аналогичной описанной для стадии e из примера 129. Полученный продукт очищали методом ВЭЖХ (MeCN/H2O с 0,1% ТФУК), получая целевой продукт N-(4''-((((2,4-диоксо-1.2.3.4-тетрагидропиримидин-5-ил)метил)амино)метил)-3''-фтор-5''-метокси-2.2'-диметил-[1.1':3'.1''-терфенил]-3-ил)-2.4-диметил-3,5-диоксо-2,3,4,5-тетрагидро-1,2,4-триазин-6-карбоксамид в виде белого твердого вещества. 1H ЯМР (400 МГц, CD3OD) δ 11,08 (с, 1H), 8,07 (т, J = 7,8 Гц, 1H), 7,65 (с, 1H), 7,30 (дд, J = 17,2, 7,8 Гц, 2H), 7,24 (д, J = 7,4 Гц, 1H), 7,14 (д, J = 7,0 Гц, 1H), 7,00 (д, J = 7,8 Гц, 1H), 6,90 (с, 1H), 6,83 (д, J = 9,8 Гц, 1H), 4,33 (с, 2H), 4,00 (с, 2H), 3,98 (с, 3H), 3,77 (с, 3H), 3,38 (с, 3H), 2,11 (с, 3H), 1,94 (с, 3H). MS: (ES) m/z вычислено для C33H33FN7O6 [M + H]+ 642,2, найдено 642,1.

Пример 144. N-(4''-(((2,4-диоксогексагидропиримидин-5-ил)амино)метил)-3''-фтор-5''-метокси-2.2'-диметил-[1.1':3'.1''-терфенил]-3-ил)-2.4-диметил-3,5-диоксо-2,3,4,5-тетрагидро-1,2,4-триазин-6-карбоксамид

Указанное в заголовке соединение получали из N-(3''-фтор-4''-формил-5''-метокси-2.2'-диметил-[1.1':3'.1''-терфенил]-3-ил)-2.4-диметил-3,5-диоксо-2,3,4,5-тетрагидро-1,2,4-триазин-6-карбоксамида и 5-аминодигидропиримидин-2,4(1H,3H)-диона по методике, аналогичной описанной для стадии e из примера 129. Полученный продукт очищали методом ВЭЖХ (MeCN/H2O с 0,1% ТФУК), получая целевой продукт N-(4''-(((2,4-диоксогексагидропиримидин-5-ил)амино)метил)-3''-фтор-5''-метокси-2.2'-диметил-[1.1':3'.1''-терфенил]-3-ил)-2.4-диметил-3,5-диоксо-2,3,4,5-тетрагидро-1,2,4-триазин-6-карбоксамид в виде белого твердого вещества. 1H ЯМР (400 МГц, CD3OD) δ 11,08 (с, 1H), 8,06 (т, J = 8,0 Гц, 1H), 7,39-7,22 (м, 3H), 7,15 (д, J = 7,0 Гц, 1H), 7,00 (д, J = 6,2 Гц, 1H), 6,93 (с, 1H), 6,87 (д, J = 10,1 Гц, 1H), 4,66-4,58 (м, 1H), 4,55-4,42 (м, 2H), 3,99 (с, 3H), 3,86-3,75 (м, 4H), 3,55 (т, J = 12,2 Гц, 1H), 3,38 (с, 3H), 2,12 (с, 3H), 1,94 (с, 3H). MS: (ES) m/z вычислено для C32H33FN7O6 [M + H]+ 630,2, найдено 630,2.

Пример 145. (S)-N-(3''-фтор-5''-метокси-2.2'-диметил-4''-(((5-оксопирролидин-3-ил)амино)метил)-[1.1':3'.1''-терфенил]-3-ил)-1,3-диметил-2.4-диоксо-1.2.3.4-тетрагидропиримидин-5-карбоксамид

В раствор N-(3''-фтор-4''-формил-5''-метокси-2.2'-диметил-[1.1':3'.1''-терфенил]-3-ил)-1,3-диметил-2.4-диоксо-1.2.3.4-тетрагидропиримидин-5-карбоксамида (46 мг, 0,089 ммоль) в 1:1 смеси MeOH:ДХЭ (2 мл) добавляли (S)-4-аминопирролидин-2-он (28 мг, 0,28 ммоль). После перемешивания при комнатной температуре в течение 75 минут, добавляли триацетоксиборгидрид натрия (82 мг, 0,39 ммоль). Реакционную смесь упаривали в вакууме, и полученный остаток очищали методом ВЭЖХ (MeCN/H2O с 0,1% ТФУК), получая (S)-N-(3''-фтор-5''-метокси-2.2'-диметил-4''-(((5-оксопирролидин-3-ил)амино)метил)-[1.1':3'.1''-терфенил]-3-ил)-1,3-диметил-2.4-диоксо-1.2.3.4-тетрагидропиримидин-5-карбоксамид (в виде соли с ТФУК). 1H ЯМР (400 МГц, CD3OD) δ 11,17 (с, 1H), 8,63 (с, 1H), 8,06 (д, J = 7,9 Гц, 1H), 7,38-7,21 (м, 3H), 7,16 (д, J = 7,7 Гц, 1H), 7,00-6,86 (м, 3H), 4,37 (с, 2H), 4,23 (м, 1H), 4,00 (с, 3H), 3,88 (дд, J = 11,7, 7,6 Гц, 1H), 3,60-3,55 (м, 1H), 3,55 (с, 3H), 3,39 (с, 3H), 2,91 (дд, J = 17,8, 8,8 Гц, 1H), 2,55 (дд, J = 17,8, 4,7 Гц, 1H), 2,09 (с, 3H), 1,94 (с, 3H). MS: (ES) m/z вычислено для C33H35FN5O5 [M+H]+ 600,3, найдено 600,3.

Пример 146. (R)-N-(3''-фтор-5''-метокси-2.2'-диметил-4''-(((5-оксопирролидин-3-ил)амино)метил)-[1.1':3'.1''-терфенил]-3-ил)-1,3-диметил-2.4-диоксо-1.2.3.4-тетрагидропиримидин-5-карбоксамид

Указанное в заголовке соединение получали из N-(3''-фтор-4''-формил-5''-метокси-2.2'-диметил-[1.1':3'.1''-терфенил]-3-ил)-1,3-диметил-2.4-диоксо-1.2.3.4-тетрагидропиримидин-5-карбоксамида по методике, аналогичной описанной в примере 145. Полученный продукт очищали методом ВЭЖХ (MeCN/H2O с 0,1% ТФУК), получая целевой продукт (R)-N-(3''-фтор-5''-метокси-2.2'-диметил-4''-(((5-оксопирролидин-3-ил)амино)метил)-[1.1':3'.1''-терфенил]-3-ил)-1,3-диметил-2.4-диоксо-1.2.3.4-тетрагидропиримидин-5-карбоксамид в виде белого твердого вещества. 1H ЯМР (400 МГц, CD3OD) δ 11,16 (с, 1H), 8,63 (с, 1H), 8,06 (д, J = 8,2 Гц, 1H), 7,38-7,21 (м, 3H), 7,16 (д, J = 7,5 Гц, 1H), 7,00-6,86 (м, 3H), 4,37 (с, 2H), 4,23 (м, 1H), 4,00 (с, 3H), 3,88 (дд, J = 11,7, 7,6 Гц, 1H), 3,60-3,55 (м, 1H), 3,55 (с, 3H), 3,39 (с, 3H), 2,91 (дд, J = 17,8, 8,8 Гц, 1H), 2,55 (дд, J = 17,8, 4,7 Гц, 1H), 2,09 (с, 3H), 1,94 (с, 3H). MS: (ES) m/z вычислено для C33H35FN5O5 [M+H]+ 600,3, найдено 600,2.

Пример 147. (S)-N-(3''-фтор-5''-метокси-2.2'-диметил-4''-((метил(5-оксопирролидин-3-ил)амино)метил)-[1.1':3'.1''-терфенил]-3-ил)-1,3-диметил-2.4-диоксо-1.2.3.4-тетрагидропиримидин-5-карбоксамид

В раствор (S)-N-(3''-фтор-5''-метокси-2.2'-диметил-4''-(((5-оксопирролидин-3-ил)амино)метил)-[1.1':3'.1''-терфенил]-3-ил)-1,3-диметил-2.4-диоксо-1.2.3.4-тетрагидропиримидин-5-карбоксамида (87 мг, 0,15 ммоль) в 1:1 смеси MeOH:ДХЭ (2 мл) добавляли 37%-ный водный формалин (210 мг, 2,6 ммоль). После перемешивания при комнатной температуре в течение 30 минут, добавляли триацетоксиборгидрид натрия (128 мг, 0,60 ммоль). После перемешивания в течение еще 18 часов, растворитель удаляли при пониженном давлении, и остаток очищали методом ВЭЖХ (MeCN/H2O с 0,1% ТФУК), получая целевой продукт (S)-N-(3''-фтор-5''-метокси-2.2'-диметил-4''-((метил(5-оксопирролидин-3-ил)амино)метил)-[1.1':3'.1''-терфенил]-3-ил)-1,3-диметил-2.4-диоксо-1.2.3.4-тетрагидропиримидин-5-карбоксамид. 1H ЯМР (400 МГц, CD3OD) δ 11,16 (с, 1H), 8,63 (с, 1H), 8,06 (д, J = 7,7 Гц, 1H), 7,39-7,23 (м, 3H), 7,21-7,13 (м, 1H), 7,01-6,90 (м, 3H), 4,47 (с, 2H), 4,43-4,35 (м, 1H), 4,01 (с, 3H), 3,93 (ушир.с, 1H), 3,75 (дд, J = 11,6, 5,1 Гц, 1H), 3,55 (с, 3H), 3,39 (с, 3H), 2,97-2,88 (м, 1H), 2,91 (с, 3H), 2,81 (д, J = 6,0 Гц, 1H), 2,10 (с, 3H), 1,95 (с, 3H). MS: (ES) m/z вычислено для C34H37FN5O5 [M+H]+ 614,3, найдено 614,2.

Пример 148. (R)-N-(3''-фтор-5''-метокси-2.2'-диметил-4''-((метил(5-оксопирролидин-3-ил)амино)метил)-[1.1':3'.1''-терфенил]-3-ил)-1,3-диметил-2.4-диоксо-1.2.3.4-тетрагидропиримидин-5-карбоксамид

Указанное в заголовке соединение получали из (R)-N-(3''-фтор-5''-метокси-2.2'-диметил-4''-(((5-оксопирролидин-3-ил)амино)метил)-[1.1':3'.1''-терфенил]-3-ил)-1,3-диметил-2.4-диоксо-1.2.3.4-тетрагидропиримидин-5-карбоксамида по методике, аналогичной описанной в примере 147. Полученный продукт очищали методом ВЭЖХ (MeCN/H2O с 0,1% ТФУК), получая (R)-N-(3''-фтор-5''-метокси-2.2'-диметил-4''-((метил(5-оксопирролидин-3-ил)амино)метил)-[1.1':3'.1''-терфенил]-3-ил)-1,3-диметил-2.4-диоксо-1.2.3.4-тетрагидропиримидин-5-карбоксамид. 1H ЯМР (400 МГц, CD3OD) δ 11,16 (с, 1H), 8,63 (с, 1H), 8,06 (д, J = 7,7 Гц, 1H), 7,39-7,23 (м, 3H), 7,21-7,13 (м, 1H), 7,01-6,90 (м, 3H), 4,47 (с, 2H), 4,43-4,35 (м, 1H), 4,01 (с, 3H), 3,93 (ушир.с, 1H), 3,75 (дд, J = 11,6, 5,1 Гц, 1H), 3,55 (с, 3H), 3,39 (с, 3H), 2,97-2,88 (м, 1H), 2,91 (с, 3H), 2,81 (д, J = 6,0 Гц, 1H), 2,10 (с, 3H), 1,95 (с, 3H). MS: (ES) m/z вычислено для C34H37FN5O5 [M+H]+ 614,3, найдено 614,2.

Пример 149. (S)-N-(3''-фтор-5''-метокси-2.2'-диметил-4''-((((5-оксопирролидин-2-ил)метил)амино)метил)-[1.1':3'.1''-терфенил]-3-ил)-1,3-диметил-2.4-диоксо-1.2.3.4-тетрагидропиримидин-5-карбоксамид

В раствор N-(3''-фтор-4''-формил-5''-метокси-2.2'-диметил-[1.1':3'.1''-терфенил]-3-ил)-1,3-диметил-2.4-диоксо-1.2.3.4-тетрагидропиримидин-5-карбоксамида (46 мг, 0,089 ммоль) в 1:1 смеси MeOH:ДХЭ (2 мл) добавляли (S)-5-аминометилпирролидин-2-он гидрохлорид (57 мг, 0,38 ммоль) и диизопропилэтиламин (0,066 мл, 0,38 ммоль). Смесь перемешивали в течение 1 часа при комнатной температуре, затем добавляли триацетоксиборгидрид натрия (111 мг, 0,52 ммоль). После перемешивания при комнатной температуре в течение 2 дней, растворитель удаляли при пониженном давлении, и остаток очищали методом ВЭЖХ (MeCN/H2O с 0,1% ТФУК), получая целевой продукт (S)-N-(3''-фтор-5''-метокси-2.2'-диметил-4''-((((5-оксопирролидин-2-ил)метил)амино)метил)-[1.1':3'.1''-терфенил]-3-ил)-1,3-диметил-2.4-диоксо-1.2.3.4-тетрагидропиримидин-5-карбоксамид. 1H ЯМР (400 МГц, CD3OD) δ 11,17 (с, 1H), 8,63 (с, 1H), 8,06 (д, J = 7,7 Гц, 1H), 7,38-7,21 (м, 3H), 7,16 (д, J = 7,4 Гц, 1H), 7,00-6,86 (м, 3H), 4,40 (с, 2H), 4,08-4,03 (м, 1H), 4,00 (с, 3H), 3,55 (с, 3H), 3,39 (с, 3H), 3,26 (дд, J = 6,2, 2,0 Гц, 2H), 2,46-2,34 (м, 3H), 2,09 (с, 3H), 1,94 (с, 4H). MS: (ES) m/z вычислено для C34H37FN5O5 [M+H]+ 614,3, найдено 614,3.

Пример 150. (R)-N-(3''-фтор-5''-метокси-2.2'-диметил-4''-((((5-оксопирролидин-2-ил)метил)амино)метил)-[1.1':3'.1''-терфенил]-3-ил)-1,3-диметил-2.4-диоксо-1.2.3.4-тетрагидропиримидин-5-карбоксамид

Указанное в заголовке соединение получали из N-(3''-фтор-4''-формил-5''-метокси-2.2'-диметил-[1.1':3'.1''-терфенил]-3-ил)-1,3-диметил-2.4-диоксо-1.2.3.4-тетрагидропиримидин-5-карбоксамида по методике, аналогичной описанной в примере 149. Реакционную смесь очищали методом ВЭЖХ (MeCN/H2O с 0,1% ТФУК), получая (R)-N-(3''-фтор-5''-метокси-2.2'-диметил-4''-((((5-оксопирролидин-2-ил)метил)амино)метил)-[1.1':3'.1''-терфенил]-3-ил)-1,3-диметил-2.4-диоксо-1.2.3.4-тетрагидропиримидин-5-карбоксамид. 1H ЯМР (400 МГц, CD3OD) δ 11,17 (с, 1H), 8,63 (с, 1H), 8,06 (д, J = 7,7 Гц, 1H), 7,38-7,21 (м, 3H), 7,16 (д, J = 7,4 Гц, 1H), 7,00-6,86 (м, 3H), 4,40 (с, 2H), 4,08-4,03 (м, 1H), 4,00 (с, 3H), 3,55 (с, 3H), 3,39 (с, 3H), 3,26 (дд, J = 6,2, 2,0 Гц, 2H), 2,46-2,34 (м, 3H), 2,09 (с, 3H), 1,94 (с, 4H). MS: (ES) m/z вычислено для C34H37FN5O5 [M+H]+ 614,3, найдено 614,2.

Пример 151. (S)-N-(3''-фтор-5''-метокси-2.2'-диметил-4''-((метил((5-оксопирролидин-2-ил)метил)амино)метил)-[1.1':3'.1''-терфенил]-3-ил)-1,3-диметил-2.4-диоксо-1.2.3.4-тетрагидропиримидин-5-карбоксамид

В раствор N-(3''-фтор-4''-формил-5''-метокси-2.2'-диметил-[1.1':3'.1''-терфенил]-3-ил)-1,3-диметил-2.4-диоксо-1.2.3.4-тетрагидропиримидин-5-карбоксамида (46 мг, 0,089 ммоль) в 1:1 смеси MeOH:ДХЭ (2 мл) добавляли (5S)-5-[(метиламино)метил]пирролидин-2-он гидрохлорид (58 мг, 0,35 ммоль) и диизопропилэтиламин (0,061 мл, 0,35 ммоль). После перемешивания при комнатной температуре в течение 1 часа, триацетоксиборгидрид натрия (78 мг, 0,37 ммоль) добавляли и реакционную смесь перемешивали в течение дополнительных двух дней. Растворители удаляли при пониженном давлении, и остаток очищали методом ВЭЖХ (MeCN/H2O с 0,1% ТФУК), получая (S)-N-(3''-фтор-5''-метокси-2.2'-диметил-4''-((метил((5-оксопирролидин-2-ил)метил)амино)метил)-[1.1':3'.1''-терфенил]-3-ил)-1,3-диметил-2.4-диоксо-1.2.3.4-тетрагидропиримидин-5-карбоксамид. 1H ЯМР (400 МГц, CD3OD) δ 8,63 (с, 1H), 8,08 (д, J = 7,5 Гц, 1H), 7,34 (т, J = 7,6 Гц, 1H), 7,30-7,25 (м, 2H), 7,17 (дд, J = 7,4, 1,5 Гц, 1H), 7,02-6,92 (м, 3H), 4,49 (ушир.с, 2H), 4,27 (ушир.с, 1H), 4,01 (с, 3H), 3,55 (с, 3H), 3,44 (ушир.с, 2H), 3,38 (с, 3H) 2,95 (с, 3H), 2,53-2,33 (м, 3H), 2,10 (с, 3H), 1,95 (с, 3H), 1,94 (ушир.с, 1H). MS: (ES) m/z вычислено для C35H39FN5O5 [M+H]+ 628,3, найдено 628,3.

Пример 152. (R)-N-(3''-фтор-5''-метокси-2.2'-диметил-4''-((метил((5-оксопирролидин-2-ил)метил)амино)метил)-[1.1':3'.1''-терфенил]-3-ил)-1,3-диметил-2.4-диоксо-1.2.3.4-тетрагидропиримидин-5-карбоксамид

Данное вещество получали из (R)-N-(3''-фтор-5''-метокси-2.2'-диметил-4''-((((5-оксопирролидин-2-ил)метил)амино)метил)-[1.1':3'.1''-терфенил]-3-ил)-1,3-диметил-2.4-диоксо-1.2.3.4-тетрагидропиримидин-5-карбоксамида по методике, аналогичной описанной в примере 147. Остаток очищали методом ВЭЖХ (MeCN/H2O с 0,1% ТФУК), получая (R)-N-(3''-фтор-5''-метокси-2.2'-диметил-4''-((метил((5-оксопирролидин-2-ил)метил)амино)метил)-[1.1':3'.1''-терфенил]-3-ил)-1,3-диметил-2.4-диоксо-1.2.3.4-тетрагидропиримидин-5-карбоксамид. 1H ЯМР (400 МГц, CD3OD) δ 11,17 (с, 1H), 8,63 (с, 1H), 8,08 (д, J = 7,5 Гц, 1H), 7,34 (т, J = 7,6 Гц, 1H), 7,30-7,25 (м, 2H), 7,17 (дд, J = 7,4, 1,5 Гц, 1H), 7,02-6,92 (м, 3H), 4,49 (ушир.с, 2H), 4,27 (ушир.с, 1H), 4,01 (с, 3H), 3,55 (с, 3H), 3,44 (ушир.с, 2H), 3,38 (с, 3H) 2,95 (с, 3H), 2,53-2,33 (м, 3H), 2,10 (с, 3H), 1,95 (с, 3H), 1,94 (ушир.с, 1H). MS: (ES) m/z вычислено для C35H39FN5O5 [M+H]+ 628,3, найдено 628,3.

Пример 153. (S)-4-(((3-фтор-5-метокси-2',2''-диметил-3''-(пиридо[3,4-b]пиразин-5-иламино)-[1.1':3'.1''-терфенил]-4-ил)метил)амино)пирролидин-2-он

Стадия a. В 100-миллилитровой круглодонной колбе объединяли 5-хлорпиридо[3,4-b]пиразин (1,1 г, 6,6 ммоль), 3-бром-2-метиланилин (2,9 г, 16 ммоль), карбонат цезия (6,6 г, 20 ммоль) и ДМСО (25 мл). Смесь перемешивали при 60°C в течение 42 часов. После охлаждения до комнатной температуры, реакционную смесь выливали в воду (100 мл) и экстрагировали 20% ТГФ в EtOAc (3 x 200 мл). Объединенные экстракты упаривали и остаток очищали методом флэш-хроматографии на силикагеле (6 - 25% EtOAc/гексан), получая N-(3-бром-2-метилфенил)пиридо[3,4-b]пиразин-5-амин.

Стадия b. В смесь N-(3-бром-2-метилфенил)пиридо[3,4-b]пиразин-5-амин (700 мг, 2,2 ммоль), 3-фтор-5-метокси-2'-метил-3'-(4,4,5,5-тетраметил-1,3,2-диоксаборолан-2-ил)-[1,1'-бифенил]-4-карбальдегида (1,0 г, 2,7 ммоль) и 2M раствора K2CO3 (2,5 мл, 5,0 ммоль) в п-диоксане (10 мл) добавляли комплекс Pd(dppf)Cl2 с дихлорметаном (300 мг, 0,37 ммоль). Смесь дегазировали азотом и затем перемешивали при 90°C в течение 2 часов. После охлаждения до комнатной температуры, смесь разбавляли этилацетатом и водой. Органическую фазу упаривали и очищали методом флэш-хроматографии на силикагеле (16 - 100% EtOAc/гексан, затем 10% MeOH/ДХМ), затем второй флэш-хроматографией на силикагеле (от 4 до 6% EtOAc/ДХМ), получая целевой продукт, 3-фтор-5-метокси-2',2''-диметил-3''-(пиридо[3,4-b]пиразин-5-иламино)-[1.1':3'.1''-терфенил]-4-карбальдегид.

Стадия c. В 40-миллилитровой круглодонной колбе объединяли 3-фтор-5-метокси-2',2''-диметил-3''-(пиридо[3,4-b]пиразин-5-иламино)-[1.1':3'.1''-терфенил]-4-карбальдегид (44 мг, 0,092 ммоль), (S)-4-амино-2-пирролидинон (54 мг, 0,54 ммоль) и 1:1 смесь MeOH:ДХЭ (2 мл). Смесь нагревали до полного растворения, затем перемешивали 30 минут при комнатной температуре. Добавляли триацетоксиборгидрид натрия (82 мг, 0,39 ммоль), и смесь перемешивали еще 1,5 часа. Растворитель удаляли при пониженном давлении, и остаток очищали методом ВЭЖХ (MeCN/H2O с 0,1% ТФУК), получая (S)-4-(((3-фтор-5-метокси-2',2''-диметил-3''-(пиридо[3,4-b]пиразин-5-иламино)-[1.1':3'.1''-терфенил]-4-ил)метил)амино) пирролидин-2-он. 1H ЯМР (400 МГц, CD3OD) δ 9,23 (д, J = 2,0 Гц, 1H), 9,04 (д, J = 2,0 Гц, 1H), 7,80 (д, J = 7,1 Гц, 1H), 7,65-7,58 (м, 1H), 7,57-7,48 (м, 1H), 7,42-7,20 (м, 5H), 6,98-6,86 (м, 2H), 4,37 (с, 2H), 4,27-4,19 (м, 1H), 3,99 (с, 3H), 3,88 (дд, J = 11,6, 7,6 Гц, 1H), 3,58 (дд, J = 11,6, 3,9 Гц, 1H), 2,90 (дд, J = 17,8, 8,8 Гц, 1H), 2,56 (дд, J = 17,8, 4,7 Гц, 1H), 2,10 (с, 3H), 2,01 (с, 3H). MS: (ES) m/z вычислено для C33H32FN6O2 [M+H]+ 563,3, найдено 563,3.

Пример 154. (S)-5-((((3-фтор-5-метокси-2',2''-диметил-3''-(пиридо[3,4-b]пиразин-5-иламино)-[1.1':3'.1''-терфенил]-4-ил)метил)амино)метил)пирролидин-2-он

Указанное в заголовке соединение получали из 3-фтор-5-метокси-2',2''-диметил-3''-(пиридо[3,4-b]пиразин-5-иламино)-[1.1':3'.1''-терфенил]-4-карбальдегида и (S)-5-аминометилпирролидин-2-она гидрохлорида по методике, аналогичной описанной для стадии c из примера 153. Полученный продукт очищали методом ВЭЖХ (MeCN/H2O с 0,1% ТФУК), получая (S)-5-((((3-фтор-5-метокси-2',2''-диметил-3''-(пиридо[3,4-b]пиразин-5-иламино)-[1.1':3'.1''-терфенил]-4-ил)метил)амино)метил)пирролидин-2-он. 1H ЯМР (400 МГц, CD3OD) δ 9,24 (д, J = 2,0 Гц, 1H), 9,05 (д, J = 2,0 Гц, 1H), 7,79 (д, J = 7,1 Гц, 1H), 7,64-7,49 (м, 2H), 7,42-7,33 (м, 3H), 7,26 (ддд, J = 19,6, 7,6, 1,5 Гц, 2H), 6,98-6,85 (м, 2H), 4,40 (с, 2H), 4,10-4,02 (м, 1H), 3,99 (с, 3H), 3,28-3,23 (м, 2H), 2,48-2,32 (м, 3H), 2,10 (с, 3H), 2,02 (с, 3H), 1,96-1,87 (м, 1H). MS: (ES) m/z вычислено для C34H34FN6O2 [M+H]+ 577,3, найдено 577,2.

Пример 155. (S)-4-(((2''-хлор-3-фтор-5-метокси-2'-метил-3''-(пиридо[3,4-b]пиразин-5-иламино)-[1.1':3'.1''-терфенил]-4-ил)метил)амино)пирролидин-2-он

Стадия a. Смесь 5-хлорпиридо[3,4-b]пиразина (250 мг, 1,5 ммоль), 3-бром-2-хлоранилина (800 мг, 3,9 ммоль) и карбоната цезия (900 мг, 2,8 ммоль) в ДМСО (2,5 мл) перемешивали при 60°C в течение 19 часов. После окончания реакции смесь охлаждали и разбавляли этилацетатом и водой. Органическую фазу отделяли и очищали методом флэш-хроматографии на силикагеле (от 4 до 34% ДХМ/гексан), затем еще одной флэш-хроматографией на силикагеле (от 2 до 10% MeOH/ДХМ), получая N-(3-бром-2-хлорфенил)пиридо[3,4-b]пиразин-5-амин.

Стадия b. В смесь N-(3-бром-2-хлорфенил)пиридо[3,4-b]пиразин-5-амина (320 мг, 0,94 ммоль), 3-фтор-5-метокси-2'-метил-3'-(4,4,5,5-тетраметил-1,3,2-диоксаборолан-2-ил)-[1,1'-бифенил]-4-карбальдегида (400 мг, 1,1 ммоль) и 2M раствора K2CO3 (1,5 мл, 3,0 ммоль) в диоксане (4 мл) добавляли комплекс Pd(dppf)Cl2 с дихлорметаном (220 мг, 0,27 ммоль). Смесь дегазировали азотом и перемешивали при 90°C в течение 75 мин. После окончания реакции смесь разбавляли этилацетатом и водой. Органическую фазу отделяли, сушили и упаривали, и полученный остаток очищали методом флэш-хроматографии на силикагеле (от 4 до 30% EtOAc/гексан, затем от 2 до 5% MeOH/ДХМ), получая 2''-хлор-3-фтор-5-метокси-2'-метил-3''-(пиридо[3,4-b]пиразин-5-иламино)-[1.1':3'.1''-терфенил]-4-карбальдегид.

Стадия c. В раствор 2''-хлор-3-фтор-5-метокси-2'-метил-3''-(пиридо[3,4-b]пиразин-5-иламино)-[1.1':3'.1''-терфенил]-4-карбальдегида (40 мг, 0,084 ммоль) в 1:1 смеси MeOH:ДХЭ (2 мл) добавляли (S)-4-аминопирролидин-2-он (40 мг, 0,40 ммоль). Смесь перемешивали при комнатной температуре в течение 1,5 часов и добавляли триацетоксиборгидрид натрия (123 мг, 0,58 ммоль). Смесь перемешивали еще 20 мин. Растворитель удаляли при пониженном давлении, и остаток очищали методом ВЭЖХ (MeCN/H2O с 0,1% ТФУК), получая целевой продукт (S)-4-(((2''-хлор-3-фтор-5-метокси-2'-метил-3''-(пиридо[3,4-b]пиразин-5-иламино)-[1.1':3'.1''-терфенил]-4-ил)метил)амино)пирролидин-2-он. 1H ЯМР (400 МГц, CD3OD) δ 9,11 (д, J = 1,9 Гц, 1H), 8,93 (д, J = 1,9 Гц, 1H), 8,82-8,74 (м, 1H), 8,27 (д, J = 6,3 Гц, 1H), 7,51 (т, J = 7,9 Гц, 1H), 7,38 (дд, J = 9,2, 6,8 Гц, 2H), 7,33-7,21 (м, 2H), 7,12 (дд, J = 7,5, 1,5 Гц, 1H), 6,98-6,87 (м, 2H), 4,37 (с, 2H), 4,24 (м, 1H), 4,00 (с, 3H), 3,88 (дд, J = 11,7, 7,6 Гц, 1H), 3,57 (дд, J = 11,6, 3,9 Гц, 1H), 2,91 (дд, J = 17,8, 8,8 Гц, 1H), 2,55 (дд, J = 17,8, 4,6 Гц, 1H), 2,03 (с, 3H). MS: (ES) m/z вычислено для C32H29FClN6O2 [M + H]+ 583,2, найдено 583,1.

Пример 156. 3-(((2''-хлор-3-фтор-5-метокси-2'-метил-3''-(пиридо[3,4-b]пиразин-5-иламино)-[1.1':3'.1''-терфенил]-4-ил)метил)амино)-2,2-диметилпропанамид

Указанное в заголовке соединение получали из 2''-хлор-3-фтор-5-метокси-2'-метил-3''-(пиридо[3,4-b]пиразин-5-иламино)-[1.1':3'.1''-терфенил]-4-карбальдегида и 3-амино-2,2-диметилпропанамида по методике, аналогичной описанной для стадии c из примера 155. Реакционную смесь очищали методом ВЭЖХ (MeCN/H2O с 0,1% ТФУК), получая целевой продукт 3-(((2''-хлор-3-фтор-5-метокси-2'-метил-3''-(пиридо[3,4-b]пиразин-5-иламино)-[1.1':3'.1''-терфенил]-4-ил)метил)амино)-2,2-диметилпропанамид. 1H ЯМР (400 МГц, CD3OD) δ 9,11 (д, J = 1,9 Гц, 1H), 8,94 (д, J = 1,9 Гц, 1H), 8,72 (д, J = 8,2 Гц, 1H), 8,28-8,21 (м, 1H), 7,51 (т, J = 7,9 Гц, 1H), 7,42-7,21 (м, 4H), 7,18-7,11 (м, 1H), 6,94 (с, 1H), 6,91-6,83 (м, 1H), 4,34 (с, 2H), 4,02 (с, 3H), 3,14 (с, 2H), 2,04 (с, 3H), 1,34 (с, 6H). MS: (ES) m/z вычислено для C33H33FClN6O2 [M + H]+ 599,2, найдено 599,1.

Пример 157. (S)-5-((((2''-хлор-3-фтор-5-метокси-2'-метил-3''-(пиридо[3,4-b]пиразин-5-иламино)-[1.1':3'.1''-терфенил]-4-ил)метил)амино)метил)пирролидин-2-он

Указанное в заголовке соединение получали из 2''-хлор-3-фтор-5-метокси-2'-метил-3''-(пиридо[3,4-b]пиразин-5-иламино)-[1.1':3'.1''-терфенил]-4-карбальдегида и (S)-5-(аминометил)пирролидин-2-она гидрохлорида по методике, аналогичной описанной для стадии c из примера 155. Реакционную смесь очищали методом ВЭЖХ (MeCN/H2O с 0,1% ТФУК), получая (S)-5-((((2''-хлор-3-фтор-5-метокси-2'-метил-3''-(пиридо[3,4-b]пиразин-5-иламино)-[1.1':3'.1''-терфенил]-4-ил)метил)амино)метил)пирролидин-2-он. 1H ЯМР (400 МГц, CD3OD) δ 9,13 (д, J = 1,9 Гц, 1H), 8,95 (д, J = 1,9 Гц, 1H), 8,66 (д, J = 8,3 Гц, 1H), 8,22 (д, J = 6,4 Гц, 1H), 7,53 (т, J = 7,9 Гц, 1H), 7,38 (дд, J = 11,7, 7,0 Гц, 2H), 7,33-7,22 (м, 2H), 7,21-7,14 (м, 1H), 6,98-6,86 (м, 2H), 4,40 (с, 2H), 4,09-4,03 (м, 1H), 4,00 (с, 3H), 3,28-3,24 (м, 2H), 2,48-2,34 (м, 3H), 2,04 (с, 3H), 1,95-1,88 (м, 1H). MS: (ES) m/z вычислено для C33H31FClN6O2 [M + H]+ 597,2, найдено 597,2.

Пример 158. (S)-N-(2-хлор-3''-фтор-5''-метокси-2'-метил-4''-(((5-оксопирролидин-3-ил)амино)метил)-[1.1':3'.1''-терфенил]-3-ил)-1,3-диметил-2.4-диоксо-1.2.3.4-тетрагидропиримидин-5-карбоксамид

Стадия a. В смесь 3-бром-2-хлоранилина (240 мг, 1,2 ммоль), 3-фтор-5-метокси-2'-метил-3'-(4,4,5,5-тетраметил-1,3,2-диоксаборолан-2-ил)-[1,1'-бифенил]-4-карбальдегида (370 мг, 1,0 ммоль) и 2M раствора K2CO3 (1,5 мл, 3,0 ммоль) в диоксане (8 мл) добавляли комплекс Pd(dppf)Cl2 с дихлорметаном (120 мг, 0,15 ммоль). Смесь дегазировали азотом и перемешивали при 90°C в течение 2,5 часов. После охлаждения до комнатной температуры реакционную смесь разбавляли этилацетатом и водой, органическую фазу отделяли и очищали методом флэш-хроматографии на силикагеле, получая 3''-амино-3-фтор-5-метокси-2',2''-диметил-[1.1':3'.1''-терфенил]-4-карбальдегид.

Стадия b. В раствор 1,3-диметил-2.4-диоксо-1.2.3.4-тетрагидропиримидин-5-карбонил хлорида в ТГФ (4 мл) добавляли раствор 3''-амино-3-фтор-5-метокси-2',2''-диметил-[1.1':3'.1''-терфенил]-4-карбальдегида (200 мг, 0,54 ммоль) и пиридина (0,12 ммоль, 1,5 ммоль). Смесь обрабатывали ультразвуком, ненадолго нагревали и оставляли при комнатной температуре на 4 дня. Растворители упаривали, получая N-(2-хлор-3''-фтор-4''-формил-5''-метокси-2'-метил-[1.1':3'.1''-терфенил]-3-ил)-1,3-диметил-2.4-диоксо-1.2.3.4-тетрагидропиримидин-5-карбоксамид.

Стадия c. Смесь сырого альдегида N-(2-хлор-3''-фтор-4''-формил-5''-метокси-2'-метил-[1.1':3'.1''-терфенил]-3-ил)-1,3-диметил-2.4-диоксо-1.2.3.4-тетрагидропиримидин-5-карбоксамида (примерно 0,11 ммоль) и (S)-4-аминопирролидин-2-она (36 мг, 0,36 ммоль) в 1:1 смеси MeOH:ДХЭ (1,4 мл) ненадолго нагревали, обрабатывали ультразвуком и затем перемешивали при комнатной температуре в течение 15 мин. Добавляли триацетоксиборгидрид натрия (81 мг, 0,38 ммоль), и смесь перемешивали при комнатной температуре еще 15 мин. Растворители удаляли при пониженном давлении, и остаток очищали методом ВЭЖХ (MeCN/H2O с 0,1% ТФУК), получая (S)-N-(2-хлор-3''-фтор-5''-метокси-2'-метил-4''-(((5-оксопирролидин-3-ил)амино)метил)-[1.1':3'.1''-терфенил]-3-ил)-1,3-диметил-2.4-диоксо-1.2.3.4-тетрагидропиримидин-5-карбоксамид. 1H ЯМР (400 МГц, CD3OD) δ 11,68 (с, 1H), 8,66 (с, 1H), 8,50 (д, J = 8,5 Гц, 1H), 7,44-7,24 (м, 3H), 7,19 (д, J = 7,6 Гц, 1H), 7,09-7,02 (м, 1H), 6,97-6,85 (м, 2H), 4,37 (с, 2H), 4,23 (с, 1H), 3,99 (с, 3H), 3,88 (дд, J = 11,7, 7,7 Гц, 1H), 3,61-3,58 (м, 1H), 3,55 (с, 3H), 3,38 (с, 3H), 2,91 (дд, J = 17,6, 9,1 Гц, 1H), 2,56 (дд, J = 17,7, 4,6 Гц, 1H), 1,98 (с, 3H). MS: (ES) m/z вычислено для C32H32FClN5O5 [M + H]+ 620,2, найдено 620,1.

Пример 159. N-(4''-(((3-амино-2,2-диметил-3-оксопропил)амино)метил)-2-хлор-3''-фтор-5''-метокси-2'-метил-[1.1':3'.1''-терфенил]-3-ил)-1,3-диметил-2.4-диоксо-1.2.3.4-тетрагидропиримидин-5-карбоксамид

Указанное в заголовке соединение получали из N-(2-хлор-3''-фтор-4''-формил-5''-метокси-2'-метил-[1.1':3'.1''-терфенил]-3-ил)-1,3-диметил-2.4-диоксо-1.2.3.4-тетрагидропиримидин-5-карбоксамида и 3-амино-2,2-диметилпропанамида по методике, аналогичной описанной для стадии c из примера 158. Полученный остаток очищали методом ВЭЖХ (MeCN/H2O с 0,1% ТФУК), получая N-(4''-(((3-амино-2,2-диметил-3-оксопропил)амино)метил)-2-хлор-3''-фтор-5''-метокси-2'-метил-[1.1':3'.1''-терфенил]-3-ил)-1,3-диметил-2.4-диоксо-1.2.3.4-тетрагидропиримидин-5-карбоксамид. 1H ЯМР (400 МГц, CD3OD) δ 11,63 (с, 1H), 8,61 (с, 1H), 8,45 (дд, J = 8,3, 1,6 Гц, 1H), 7,39-7,20 (м, 3H), 7,17-7,10 (м, 1H), 7,01 (дд, J = 7,2, 1,6 Гц, 1H), 6,88 (с, 1H), 6,85-6,77 (м, 1H), 4,28 (с, 2H), 3,96 (с, 3H), 3,50 (с, 3H), 3,33 (с, 3H), 3,09 (с, 2H), 1,93 (с, 3H), 1,29 (с, 6H). MS: (ES) m/z вычислено для C33H36FClN5O5 [M + H]+ 636,2, найдено 636,3.

Пример 160. (S)-N-(2-хлор-3''-фтор-5''-метокси-2'-метил-4''-((((5-оксопирролидин-2-ил)метил)амино)метил)-[1.1':3'.1''-терфенил]-3-ил)-1,3-диметил-2.4-диоксо-1.2.3.4-тетрагидропиримидин-5-карбоксамид

Указанное в заголовке соединение получали из N-(2-хлор-3''-фтор-4''-формил-5''-метокси-2'-метил-[1.1':3'.1''-терфенил]-3-ил)-1,3-диметил-2.4-диоксо-1.2.3.4-тетрагидропиримидин-5-карбоксамида и (S)-5-(аминометил)пирролидин-2-она по методике, аналогичной описанной для стадии c из примера 158. Полученный остаток очищали методом ВЭЖХ (MeCN/H2O с 0,1% ТФУК), получая (S)-N-(2-хлор-3''-фтор-5''-метокси-2'-метил-4''-((((5-оксопирролидин-2-ил)метил)амино)метил)-[1.1':3'.1''-терфенил]-3-ил)-1,3-диметил-2.4-диоксо-1.2.3.4-тетрагидропиримидин-5-карбоксамид. 1H ЯМР (400 МГц, CD3OD) δ 11,61 (с, 1H), 8,59 (с, 1H), 8,47-8,40 (м, 1H), 7,37-7,18 (м, 3H), 7,12 (д, J = 7,6 Гц, 1H), 6,99 (д, J = 7,7 Гц, 1H), 6,91-6,78 (м, 2H), 4,33 (с, 2H), 4,03-3,95 (м, 1H), 3,93 (с, 3H), 3,48 (с, 3H), 3,31 (с, 3H), 3,25-3,16 (м, 2H), 2,39-2,27 (м, 3H), 1,92 (с, 3H), 1,89-1,81 (м, 1H). MS: (ES) m/z вычислено для C33H34ClFN5O5 [M + H]+ 634,2, найдено 634,1.

Пример 161. (S)-N-(2-хлор-3''-фтор-5''-метокси-2'-метил-4''-(((6-оксопиперидин-3-ил)амино)метил)-[1.1':3'.1''-терфенил]-3-ил)-1,3-диметил-2.4-диоксо-1.2.3.4-тетрагидропиримидин-5-карбоксамид

Указанное в заголовке соединение получали из N-(2-хлор-3''-фтор-4''-формил-5''-метокси-2'-метил-[1.1':3'.1''-терфенил]-3-ил)-1,3-диметил-2.4-диоксо-1.2.3.4-тетрагидропиримидин-5-карбоксамида и (S)-5-аминопиперидин-2-она по методике, аналогичной описанной для стадии c из примера 158. Полученный остаток очищали методом ВЭЖХ (MeCN/H2O с 0,1% ТФУК), получая (S)-N-(2-хлор-3''-фтор-5''-метокси-2'-метил-4''-(((6-оксопиперидин-3-ил)амино)метил)-[1.1':3'.1''-терфенил]-3-ил)-1,3-диметил-2.4-диоксо-1.2.3.4-тетрагидропиримидин-5-карбоксамид. 1H ЯМР (400 МГц, CD3OD) δ 11,61 (с, 1H), 8,59 (с, 1H), 8,44 (д, J = 8,3 Гц, 1H), 7,37-7,18 (м, 3H), 7,16-7,09 (м, 1H), 7,03-6,95 (м, 1H), 6,90-6,78 (м, 2H), 4,42-4,29 (м, 2H), 3,93 (с, 3H), 3,73-3,64 (м, 2H), 3,48 (с, 3H), 3,45-3,36 (м, 1H), 3,31 (с, 3H), 2,44 (т, J = 6,9 Гц, 2H), 2,32 (ушир.с, 1H), 2,10-1,97 (м, 1H), 1,92 (с, 3H). MS: (ES) m/z вычислено для C33H34ClFN5O5 [M + H]+ 634,2, найдено 634,2.

Пример 162. N-(2'-хлор-3''-фтор-4''-((((3R,4R)-3-гидрокситетрагидро-2H-пиран-4-ил)амино)метил)-5''-метокси-2-метил-[1.1':3'.1''-терфенил]-3-ил)-1,3-диметил-2.4-диоксо-1.2.3.4-тетрагидропиримидин-5-карбоксамид

Стадия a. Смесь 2-фтор-6-метокси-4-(4,4,5,5-тетраметил-1,3,2-диоксаборолан-2-ил)бензальдегида (511 мг, 1,82 ммоль), 1,3-дибром-2-хлорбензола (750 мг, 2,77 ммоль), K2CO3 (756 мг, 5,48 ммоль) и комплекса Pd(dppf)Cl2 с дихлорметаном (200 мг, 0,24 ммоль) в диоксане (9 мл) и воде (1,3 мл) перемешивали в атмосфере азота при 95°C в течение 8 часов. Смесь охлаждали до комнатной температуры и очищали методом флэш-хроматографии на силикагеле (от 0 до 100% EtOAc/гексан), получая 3'-бром-2'-хлор-3-фтор-5-метокси-[1,1'-бифенил]-4-карбальдегид. MS: (ES) m/z вычислено для C14H9BrClFO2Na [M + Na]+ 365,0, найдено 365,0.

Стадия b. Смесь 3'-бром-2'-хлор-3-фтор-5-метокси-[1,1'-бифенил]-4-карбальдегида (330 мг, 0,96 ммоль), 4,4,4',4',5,5,5',5'-октаметил-2.2'-би(1,3,2-диоксаборолана) (270 мг, 1,06 ммоль), KOAc (236 мг, 2,40 ммоль) и комплекса Pd(dppf)Cl2 с дихлорметаном (120 мг, 0,15 ммоль) в диоксане (5 мл) перемешивали в атмосфере азота при 95°C в течение 5 часов. Смесь охлаждали до комнатной температуры и очищали методом флэш-хроматографии на силикагеле (от 0 до 100% EtOAc/гексан), получая 2'-хлор-3-фтор-5-метокси-3'-(4,4,5,5-тетраметил-1,3,2-диоксаборолан-2-ил)-[1,1'-бифенил]-4-карбальдегид. MS: (ES) m/z вычислено для C20H22BClFO4 [M + H]+ 391,1, найдено 391,0.

Стадия c. Смесь 2'-хлор-3-фтор-5-метокси-3'-(4,4,5,5-тетраметил-1,3,2-диоксаборолан-2-ил)-[1,1'-бифенил]-4-карбальдегида (80 мг, 0,20 ммоль), N-(3-бром-2-метилфенил)-1,3-диметил-2.4-диоксо-1.2.3.4-тетрагидропиримидин-5-карбоксамида (70 мг, 0,20 ммоль), K2CO3 (100 мг, 0,72 ммоль) и комплекса Pd(dppf)Cl2 с дихлорметаном (45 мг, 0,055 ммоль) в диоксане (3 мл) и воде (0,45 мл) перемешивали в атмосфере азота при 95°C в течение 2,5 часов. Смесь охлаждали до комнатной температуры и очищали методом флэш-хроматографии на силикагеле (от 0 до 100% EtOAc/гексан), получая N-(2'-хлор-3''-фтор-4''-формил-5''-метокси-2-метил-[1.1':3'.1''-терфенил]-3-ил)-1,3-диметил-2.4-диоксо-1.2.3.4-тетрагидропиримидин-5-карбоксамид. MS: (ES) m/z вычислено для C28H23ClFN3O5 [M + H]+ 536,1, найдено 536,1.

Стадия d. Смесь N-(2'-хлор-3''-фтор-4''-формил-5''-метокси-2-метил-[1.1':3'.1''-терфенил]-3-ил)-1,3-диметил-2.4-диоксо-1.2.3.4-тетрагидропиримидин-5-карбоксамида (20 мг, 0,037 ммоль), (3R,4R)-4-аминотетрагидро-2H-пиран-3-ола гидрохлорида (12 мг, 0,078 ммоль), Et3N (15 мг, 0,15 ммоль) и HOAc (90 мг, 1,5 ммоль) в EtOH (1,5 мл) нагревали при 70°C в течение 0,5 часа. Смесь охлаждали до 0°C и добавляли NaBH3CN (45 мг, 0,71 ммоль). После перемешивания в течение 3 минут при 0°C, смесь упаривали в вакууме. Полученный остаток очищали методом ВЭЖХ (MeCN/H2O с 0,1% ТФУК), получая N-(2'-хлор-3''-фтор-4''-((((3R,4R)-3-гидрокситетрагидро-2H-пиран-4-ил)амино)метил)-5''-метокси-2-метил-[1.1':3'.1''-терфенил]-3-ил)-1,3-диметил-2.4-диоксо-1.2.3.4-тетрагидропиримидин-5-карбоксамид (в виде соли с ТФУК). 1H ЯМР (400 МГц, CD3OD) δ 8,62 (с, 1H), 8,11 (д, J = 7,2 Гц, 1H), 7,49 (т, J = 7,4 Гц, 1H), 7,43 (дд, J = 7,2, 2,0 Гц, 1H), 7,34 (дд, J = 7,6, 2,0 Гц, 1H), 7,29 (т, J = 8,0 Гц, 1H), 7,03 (с, 1H), 7,05-6,97 (м, 2H), 4,41 (д, J = 13,2 Гц, 1H), 4,33 (д, J = 13,2 Гц, 1H), 4,07 (с, 1H), 3,99 (с, 3H), 4,04-3,94 (м, 2H), 3,55 (с, 3H), 3,60-3,42 (м, 3H), 3,39 (с, 3H), 2,13 (с, 3H), 2,17-2,05 (м, 1H), 1,90-1,85 (м, 1H). MS: (ES) m/z вычислено для C33H35ClFN4O6 [M + H]+ 637,2, найдено 637,2.

Пример 163. (S)-N-(2'-хлор-3''-фтор-5''-метокси-2-метил-4''-(((6-оксопиперидин-3-ил)амино)метил)-[1.1':3'.1''-терфенил]-3-ил)-1,3-диметил-2.4-диоксо-1.2.3.4-тетрагидропиримидин-5-карбоксамид

Смесь N-(2'-хлор-3''-фтор-4''-формил-5''-метокси-2-метил-[1.1':3'.1''-терфенил]-3-ил)-1,3-диметил-2.4-диоксо-1.2.3.4-тетрагидропиримидин-5-карбоксамида (20 мг, 0,037 ммоль), (S)-5-аминопиперидин-2-она гидрохлорида (10 мг, 0,066 ммоль), Et3N (15 мг, 0,15 ммоль) и HOAc (75 мг, 1,25 ммоль) в EtOH (1,5 мл) нагревали при 70°C в течение 0,5 часа. Смесь охлаждали до 0°C и добавляли NaBH3CN (45 мг, 0,71 ммоль). После перемешивания в течение 3 минут при 0°C, смесь упаривали в вакууме. Полученный остаток очищали методом ВЭЖХ (MeCN/H2O с 0,1% ТФУК), получая (S)-N-(2'-хлор-3''-фтор-5''-метокси-2-метил-4''-(((6-оксопиперидин-3-ил)амино)метил)-[1.1':3'.1''-терфенил]-3-ил)-1,3-диметил-2.4-диоксо-1.2.3.4-тетрагидропиримидин-5-карбоксамид (в виде соли с ТФУК). 1H ЯМР (400 МГц, CD3OD) δ 11,17 (с, 1H), 8,63 (с, 1H), 8,09 (д, J = 7,6 Гц, 1H), 7,49 (т, J = 7,4 Гц, 1H), 7,43 (дд, J = 7,6, 1,6 Гц, 1H), 7,34 (дд, J = 7,2, 2,0 Гц, 1H), 7,29 (т, J = 8,0 Гц, 1H), 7,05 (с, 1H), 6,97-7,20 (м, 2H), 4,47-4,37 (м, 2H), 4,01 (с, 3H), 3,80-3,72 (м, 2H), 3,55 (с, 3H), 3,50-3,42 (м, 1H), 3,39 (с, 3H), 2,53-2,47 (м, 2H), 2,44-2,34 (м, 1H), 2,13 (с, 3H), 2,14-2,02 (м, 1H). MS: (ES) m/z вычислено для C33H34ClFN5O5 [M + H]+ 634,2, найдено 634,2.

Пример 164. N-(4''-(((3-амино-2,2-диметил-3-оксопропил)амино)метил)-2'-хлор-3''-фтор-5''-метокси-2-метил-[1.1':3'.1''-терфенил]-3-ил)-1,3-диметил-2.4-диоксо-1.2.3.4-тетрагидропиримидин-5-карбоксамид

Смесь N-(2'-хлор-3''-фтор-4''-формил-5''-метокси-2-метил-[1.1':3'.1''-терфенил]-3-ил)-1,3-диметил-2.4-диоксо-1.2.3.4-тетрагидропиримидин-5-карбоксамида (25 мг, 0,046 ммоль), 3-амино-2,2-диметилпропанамида (25 мг, 0,021 ммоль) и HOAc (120 мг, 2,0 ммоль) в EtOH (1,5 мл) нагревали при 70°C в течение 0,5 часа. Смесь охлаждали до 0°C и добавляли NaBH3CN (40 мг, 0,63 ммоль). После перемешивания в течение 3 минут при 0°C, смесь упаривали в вакууме. Полученный остаток очищали методом ВЭЖХ (MeCN/H2O с 0,1% ТФУК), получая N-(4''-(((3-амино-2,2-диметил-3-оксопропил)амино)метил)-2'-хлор-3''-фтор-5''-метокси-2-метил-[1.1':3'.1''-терфенил]-3-ил)-1,3-диметил-2.4-диоксо-1.2.3.4-тетрагидропиримидин-5-карбоксамид (в виде соли с ТФУК). 1H ЯМР (400 МГц, CD3OD) δ 8,56 (с, 1H), 8,05 (д, J = 8,0 Гц, 1H), 7,43-7,34 (м, 2H), 7,19-7,27 (м, 2H), 6,93 (д, J = 7,2 Гц, 1H), 6,87 (с, 1H), 6,79 (д, J = 9,6, 1H), 5,43 (с, 1H), 3,92 (с, 2H), 3,88 (с, 3H), 3,49 (с, 3H), 3,32 (с, 3H), 2,69 (с, 2H), 2,07 (с, 3H), 1,14 (с, 6H). MS: (ES) m/z вычислено для C33H36ClFN5O5 [M + H]+ 636,2, найдено 636,2.

Пример 165. (S)-N-(2'-хлор-3''-фтор-5''-метокси-2-метил-4''-(((5-оксопирролидин-3-ил)амино)метил)-[1.1':3'.1''-терфенил]-3-ил)-1,3-диметил-2.4-диоксо-1.2.3.4-тетрагидропиримидин-5-карбоксамид

Смесь N-(2'-хлор-3''-фтор-4''-формил-5''-метокси-2-метил-[1.1':3'.1''-терфенил]-3-ил)-1,3-диметил-2.4-диоксо-1.2.3.4-тетрагидропиримидин-5-карбоксамида (19 мг, 0,035 ммоль), (S)-4-аминопирролидин-2-она (10 мг, 0,010 ммоль) и HOAc (60 мг, 1,0 ммоль) в EtOH (1,5 мл) нагревали при 70°C в течение 0,5 часа. Смесь охлаждали до 0°C и добавляли NaBH3CN (40 мг, 0,63 ммоль). После перемешивания в течение 3 минут при 0°C, смесь упаривали в вакууме. Полученный остаток очищали методом ВЭЖХ (MeCN/H2O с 0,1% ТФУК), получая (S)-N-(2'-хлор-3''-фтор-5''-метокси-2-метил-4''-(((5-оксопирролидин-3-ил)амино)метил)-[1.1':3'.1''-терфенил]-3-ил)-1,3-диметил-2.4-диоксо-1.2.3.4-тетрагидропиримидин-5-карбоксамид (в виде соли с ТФУК). 1H ЯМР (400 МГц, CD3OD) δ 11,10 (с, 1H), 8,56 (с, 1H), 8,05 (дд, J = 7,2, 7,2 Гц, 1H), 7,46-7,35 (м, 2H), 7,28 (д, J = 7,2 Гц, 1H), 7,23 (т, J = 7,8 Гц, 1H), 6,99 (с, 1H), 6,96-6,90 (м, 2H), 4,31 (с, 2H), 4,18 (ушир.с, 1H), 3,94 (с, 3H), 3,78-3,86 (м, 1H), 3,60-3,40 (м, 1H), 3,48 (с, 3H), 3,32 (с, 3H), 2,85-2,80 (м, 1H), 2,50 (д, J = 18,0, 4,0 Гц, 1H), 2,06 (с, 3H). MS: (ES) m/z вычислено для C32H32ClFN5O5 [M + H]+ 620,2, найдено 620,1.

Пример 166. (S)-N-(2'-хлор-3''-фтор-5''-метокси-2-метил-4''-((((5-оксопирролидин-2-ил)метил)амино)метил)-[1.1':3'.1''-терфенил]-3-ил)-1,3-диметил-2.4-диоксо-1.2.3.4-тетрагидропиримидин-5-карбоксамид

Смесь N-(2'-хлор-3''-фтор-4''-формил-5''-метокси-2-метил-[1.1':3'.1''-терфенил]-3-ил)-1,3-диметил-2.4-диоксо-1.2.3.4-тетрагидропиримидин-5-карбоксамида (22 мг, 0,040 ммоль), (S)-5-(аминометил)пирролидин-2-она гидрохлорида (15 мг, 0,10 ммоль), Et3N (15 мг, 0,15 ммоль) и HOAc (75 мг, 1,25 ммоль) в EtOH (1,5 мл) нагревали при 70°C в течение 0,5 часа. Смесь охлаждали до 0°C и добавляли NaBH3CN (45 мг, 0,71 ммоль). После перемешивания в течение 3 минут при 0°C, смесь упаривали в вакууме. Полученный остаток очищали методом ВЭЖХ (MeCN/H2O с 0,1% ТФУК), получая (S)-N-(2'-хлор-3''-фтор-5''-метокси-2-метил-4''-((((5-оксопирролидин-2-ил)метил)амино)метил)-[1.1':3'.1''-терфенил]-3-ил)-1,3-диметил-2.4-диоксо-1.2.3.4-тетрагидропиримидин-5-карбоксамид (в виде соли с ТФУК). 1H ЯМР (400 МГц, CD3OD) δ 11,08 (с, 1H), 8,54 (с, 1H), 8,02 (т, J = 7,0 Гц, 1H), 7,43-7,32 (м, 2H), 7,25 (д, J = 6,8 Гц, 1H), 7,20 (т, J = 8,0 Гц, 1H), 6,97 (с, 1H), 6,93-6,88 (м, 2H), 4,32 (с, 2H), 4,10-3,93 (м, 1H), 3,92 (с, 3H), 3,46 (с, 3H), 3,29 (с, 3H), 3,20-3,15 (м, 2H), 2,40-2,24 (м, 3H), 2,04 (с, 3H), 1,90-1,78 (м, 1H). MS: (ES) m/z вычислено для C33H34ClFN5O5 [M + H]+ 634,2, найдено 634,2.

Пример 167. (S)-5-((((2'-хлор-3-фтор-5-метокси-2''-метил-3''-(пиридо[3,4-b]пиразин-5-иламино)-[1.1':3'.1''-терфенил]-4-ил)метил)амино)метил)пирролидин-2-он

Стадия a. Смесь 2'-хлор-3-фтор-5-метокси-3'-(4,4,5,5-тетраметил-1,3,2-диоксаборолан-2-ил)-[1,1'-бифенил]-4-карбальдегида (86 мг, 0,22 ммоль), N-(3-бром-2-метилфенил)пиридо[3,4-b]пиразин-5-амина (70 мг, 0,22 ммоль), K2CO3 (92 мг, 0,67 ммоль) и комплекса Pd(dppf)Cl2 с дихлорметаном (45 мг, 0,049 ммоль) в диоксане (3 мл) и воде (0,45 мл) перемешивали в атмосфере азота при 95°C в течение 2 часов. Смесь охлаждали до комнатной температуры и очищали методом флэш-хроматографии на силикагеле (от 0 до 100% EtOAc/гексан), получая 2'-хлор-3-фтор-5-метокси-2''-метил-3''-(пиридо[3,4-b]пиразин-5-иламино)-[1.1':3'.1''-терфенил]-4-карбальдегид. MS: (ES) m/z вычислено для C28H21ClFN4O2 [M + H]+ 499,1, найдено 499,0.

Стадия b. Смесь 2'-хлор-3-фтор-5-метокси-2''-метил-3''-(пиридо[3,4-b]пиразин-5-иламино)-[1.1':3'.1''-терфенил]-4-карбальдегида (20 мг, 0,040 ммоль), (S)-5-(аминометил)пирролидин-2-она гидрохлорида (11 мг, 0,073 ммоль), Et3N (15 мг, 0,15 ммоль) и HOAc (90 мг, 1,5 ммоль) в EtOH (1,5 мл) нагревали при 70°C в течение 0,5 часа. Смесь охлаждали до 0°C и добавляли NaBH(OAc)3 (50 мг, 0,24 ммоль). После перемешивания в течение 5 минут при 0°C, смесь упаривали в вакууме. Полученный остаток очищали методом ВЭЖХ (MeCN/H2O с 0,1% ТФУК), получая (S)-5-((((2'-хлор-3-фтор-5-метокси-2''-метил-3''-(пиридо[3,4-b]пиразин-5-иламино)-[1.1':3'.1''-терфенил]-4-ил)метил)амино)метил) пирролидин-2-он (в виде соли с ТФУК). 1H ЯМР (400 МГц, CD3OD) δ 9,01 (д, J = 2,0 Гц, 1H), 8,86 (д, J = 2,0 Гц, 1H), 8,14 (д, J = 5,6 Гц, 1H), 8,03 (д, J = 7,2, 1H), 7,50-7,40 (м, 2H), 7,40-7,32 (м, 2H), 7,20 (д, J = 6,0 Гц, 1H), 7,05 (д, J = 6,8 Гц, 1H), 6,91 (с, 1H), 6,83 (дд, J = 10,0, 1,6 Гц, 1H), 3,91 (с, 3H), 3,90 (с, 2H), 3,88-3,78 (м, 1H), 2,73-2,60 (м, 2H), 2,38-2,20 (м, 3H), 2,13 (с, 3H), 1,82-1,70 (м, 1H). MS: (ES) m/z вычислено для C33H31ClFN6O2 [M + H]+ 597,2, найдено 597,2.

Пример 168. (S)-4-(((2'-хлор-3-фтор-5-метокси-2''-метил-3''-(пиридо[3,4-b]пиразин-5-иламино)-[1.1':3'.1''-терфенил]-4-ил)метил)амино)пирролидин-2-он

Смесь 2'-хлор-3-фтор-5-метокси-2''-метил-3''-(пиридо[3,4-b]пиразин-5-иламино)-[1.1':3'.1''-терфенил]-4-карбальдегида (26 мг, 0,052 ммоль), (S)-4-аминопирролидин-2-она (15 мг, 0,15 ммоль) и HOAc (75 мг, 1,25 ммоль) в EtOH (1,5 мл) нагревали при 70°C в течение 0,5 часа. Смесь охлаждали до 0°C и добавляли NaBH(OAc)3 (45 мг, 0,21 ммоль). После перемешивания в течение 5 минут при 0°C, смесь упаривали в вакууме. Полученный остаток очищали методом ВЭЖХ (MeCN/H2O с 0,1% ТФУК), получая (S)-4-(((2'-хлор-3-фтор-5-метокси-2''-метил-3''-(пиридо[3,4-b]пиразин-5-иламино)-[1.1':3'.1''-терфенил]-4-ил)метил) амино)пирролидин-2-он (в виде соли с ТФУК). 1H ЯМР (400 МГц, CD3OD) δ 9,24 (д, J = 2,0 Гц, 1H), 9,05 (д, J = 2,0 Гц, 1H), 7,79 (д, J = 7,2 Гц, 1H), 7,63 (дд, J = 7,9, 1,4 Гц, 1H), 7,58-7,51 (м, 2H), 7,48 (дд, J = 7,7, 1,9 Гц, 1H), 7,44-7,37 (м, 3H), 7,05 (с, 1H), 6,90 (дд, J = 10,4, 1,2 Гц, 1H), 4,37 (с, 2H), 4,28-4,20 (м, 1H), 4,00 (с, 3H), 3,86-3,83 (м, 1H), 3,58 (дд, J = 11,6, 3,6 Гц, 1H), 2,94-2,86 (м, 1H), 2,57 (дд, J = 18,0, 4,8 Гц, 1H), 2,15 (с, 3H). MS: (ES) m/z вычислено для C32H29ClFN6O2 [M + H]+ 583,2, найдено 583,2.

Пример 169. (3R,4R)-4-(((2'-хлор-3-фтор-5-метокси-2''-метил-3''-(пиридо[3,4-b]пиразин-5-иламино)-[1.1':3'.1''-терфенил]-4-ил)метил)амино)тетрагидро-2H-пиран-3-ол

Смесь 2'-хлор-3-фтор-5-метокси-2''-метил-3''-(пиридо[3,4-b]пиразин-5-иламино)-[1.1':3'.1''-терфенил]-4-карбальдегида (20 мг, 0,04 ммоль), (3R,4R)-4-аминотетрагидро-2H-пиран-3-ола (13 мг, 0,085 ммоль), Et3N (15 мг, 0,15 ммоль) и HOAc (90 мг, 1,5 ммоль) в EtOH (1,5 мл) нагревали при 70°C в течение 0,5 часа. Смесь охлаждали до 0°C и добавляли NaBH(OAc)3 (45 мг, 0,21 ммоль). После перемешивания в течение 5 минут при 0°C, смесь упаривали в вакууме. Полученный остаток очищали методом ВЭЖХ (MeCN/H2O с 0,1% ТФУК), получая (3R,4R)-4-(((2'-хлор-3-фтор-5-метокси-2''-метил-3''-(пиридо[3,4-b]пиразин-5-иламино)-[1.1':3'.1''-терфенил]-4-ил)метил)амино)тетрагидро-2H-пиран-3-ол (в виде соли с ТФУК). 1H ЯМР (400 МГц, CD3OD) δ 9,24 (д, J = 2,0 Гц, 1H), 9,05 (д, J = 2,0 Гц, 1H), 7,78 (д, J = 7,2 Гц, 1H), 7,63 (д, J = 7,2, 1,4 Гц, 1H), 7,58-7,51 (м, 2H), 7,48 (дд, J = 7,6, 2,0 Гц, 1H), 7,43-7,37 (м, 3H), 7,03 (с, 1H), 6,98 (дд, J = 9,6 Гц, 1H), 4,41 (д, J = 13,6 Гц, 1H), 4,32 (д, J = 13,2 Гц, 1H), 4,08 (с, 3H), 4,10-3,94 (м, 3H), 3,60-3,40 (м, 3H), 2,15 (с, 3H), 2,20-2,00 (м, 1H), 1,95-1,91 (м, 1H). MS: (ES) m/z вычислено для C33H31ClFN5O2 [M - OH, + H]+ 583,2, найдено 583,1.

Пример 170. (S)-N-(2,2'-дихлор-3''-фтор-5''-метокси-4''-((((5-оксопирролидин-2-ил)метил)амино)метил)-[1.1':3'.1''-терфенил]-3-ил)-1,3-диметил-2.4-диоксо-1.2.3.4-тетрагидропиримидин-5-карбоксамид

Стадия a. Смесь 2'-хлор-3-фтор-5-метокси-3'-(4,4,5,5-тетраметил-1,3,2-диоксаборолан-2-ил)-[1,1'-бифенил]-4-карбальдегида (110 мг, 0,28 ммоль), N-(3-бром-2-хлорфенил)-1,3-диметил-2.4-диоксо-1.2.3.4-тетрагидропиримидин-5-карбоксамида (110 мг, 0,30 ммоль), K2CO3 (116 мг, 0,84 ммоль) и комплекса Pd(dppf)Cl2 с дихлорметаном (45 мг, 0,055 ммоль) в диоксане (3 мл) и воде (0,45 мл) перемешивали в атмосфере азота при 95°C в течение 3 часов. Смесь охлаждали до комнатной температуры и очищали методом флэш-хроматографии на силикагеле (от 0 до 100% EtOAc/гексан), получая N-(2,2'-дихлор-3''-фтор-4''-формил-5''-метокси-[1.1':3'.1''-терфенил]-3-ил)-1,3-диметил-2.4-диоксо-1.2.3.4-тетрагидропиримидин-5-карбоксамид. MS: (ES) m/z вычислено для C27H21Cl2FN3O5 [M + H]+ 556,1, найдено 556,0.

Стадия b. Смесь N-(2,2'-дихлор-3''-фтор-4''-формил-5''-метокси-[1.1':3'.1''-терфенил]-3-ил)-1,3-диметил-2.4-диоксо-1.2.3.4-тетрагидропиримидин-5-карбоксамида (20 мг, 0,036 ммоль), (S)-5-(аминометил)пирролидин-2-она гидрохлорида (12 мг, 0,080 ммоль), Et3N (15 мг, 0,15 ммоль) и HOAc (90 мг, 1,5 ммоль) в EtOH (1,5 мл) нагревали при 70°C в течение 0,5 часа. Смесь охлаждали до 0°C и добавляли NaBH3CN (45 мг, 0,71 ммоль). После перемешивания в течение 3 минут при 0°C, смесь упаривали в вакууме. Полученный остаток очищали методом ВЭЖХ (MeCN/H2O с 0,1% ТФУК), получая (S)-N-(2,2'-дихлор-3''-фтор-5''-метокси-4''-((((5-оксопирролидин-2-ил)метил)амино)метил)-[1.1':3'.1''-терфенил]-3-ил)-1,3-диметил-2.4-диоксо-1.2.3.4-тетрагидропиримидин-5-карбоксамид (в виде соли с ТФУК). 1H ЯМР (400 МГц, CD3OD) δ 11,57 (с, 1H), 8,54 (с, 1H), 8,42 (д, J = 8,4 Гц, 1H), 7,42-7,35 (м, 2H), 7,32-7,24 (м, 2H), 7,00-6,93 (м, 2H), 6,88 (д, J = 9,6 Гц, 1H), 4,29 (с, 2H), 3,98-3,90 (м, 1H), 3,90 (с, 3H), 3,44 (с, 3H), 3,27 (с, 3H), 3,20-3,12 (м, 2H), 2,36-2,20 (м, 3H), 2,07-1,95 (м, 1H). MS: (ES) m/z вычислено для C32H31Cl2FN5O2 [M + H]+ 654,0, найдено 654,0.

Пример 171. (3R,4R)-4-(((3-фтор-5-метокси-2',2''-диметил-3''-(пиридо[3,4-b]пиразин-5-иламино)-[1.1':3'.1''-терфенил]-4-ил)метил)амино)тетрагидро-2H-пиран-3-ол

Смесь 3-фтор-5-метокси-2',2''-диметил-3''-(пиридо[3,4-b]пиразин-5-иламино)-[1.1':3'.1''-терфенил]-4-карбальдегида (20 мг, 0,041 ммоль), (3R,4R)-4-аминотетрагидро-2H-пиран-3-ола (10 мг, 0,065 ммоль), Et3N (15 мг, 0,15 ммоль) и HOAc (75 мг, 1,25 ммоль) в EtOH (1,5 мл) нагревали при 70°C в течение 0,5 часа. Смесь охлаждали до 0°C и добавляли NaBH(OAc)3 (45 мг, 0,21 ммоль). После перемешивания в течение 5 минут при 0°C, смесь упаривали в вакууме. Полученный остаток очищали методом ВЭЖХ (MeCN/H2O с 0,1% ТФУК), получая (3R,4R)-4-(((3-фтор-5-метокси-2',2''-диметил-3''-(пиридо[3,4-b]пиразин-5-иламино)-[1.1':3'.1''-терфенил]-4-ил)метил)амино)тетрагидро-2H-пиран-3-ол (в виде соли с ТФУК). 1H ЯМР (400 МГц, CD3OD) δ 9,23 (д, J = 1,6 Гц, 1H), 9,04 (с, 1H), 7,80 (д, J = 7,2 Гц, 1H), 7,60 (д, J = 7,2 Гц, 1H), 7,52 (т, J = 7,6, 2,0 Гц, 1H), 7,40-7,33 (м, 3H), 7,28 (д, J = 7,2 Гц, 1H), 7,23 (д, J = 7,2 Гц, 1H), 6,92 (с, 1H), 6,86 (д, J = 10 Гц, 1H), 4,41 (д, J =13,2 Гц, 1H), 4,31 (д, J = 12,8 Гц, 1H), 4,07 (с, 1H), 3,98 (с, 5H), 3,57 (д, J = 12,4 Гц, 1H), 3,60-3,42 (м, 2H), 2,20-2,04 (м, 1H), 2,12 (с, 3H), 2,02 (с, 3H), 1,86-1,80 (м, 1H). MS: (ES) m/z вычислено для C34H35FN5O3 [M + H]+ 580,3, найдено 580,2.

Пример 172. (3R,4R)-4-(((3-фтор-5-метокси-2',2''-диметил-3''-(пиридо[3,4-b]пиразин-8-иламино)-[1.1':3'.1''-терфенил]-4-ил)метил)амино)тетрагидро-2H-пиран-3-ол

Стадия a. Смесь 8-бромпиридо[3,4-b]пиразина (450 мг, 2,14 ммоль), 3-бром-2-метиланилина (437 мг, 2,35 ммоль), NaOtBu (514 мг, 5,35 ммоль), Pd2(dba)3 (195 мг, 0,21 ммоль) и рацемического BINAP (266 мг, 0,43 ммоль) в толуоле (8 мл) перемешивали в атмосфере азота при 100°C в течение 4 часов. Смесь охлаждали до комнатной температуры и очищали методом флэш-хроматографии на силикагеле (от 0 до 100% EtOAc в гексане), получая N-(3-бром-2-метилфенил)пиридо[3,4-b]пиразин-8-амин. MS: (ES) m/z вычислено для C14H12BrN4 [M + H]+ 315,0, найдено 315,0.

Стадия b. Смесь N-(3-бром-2-метилфенил)пиридо[3,4-b]пиразин-8-амин (480 мг, 1,52 ммоль), 3-фтор-5-метокси-2'-метил-3'-(4,4,5,5-тетраметил-1,3,2-диоксаборолан-2-ил)-[1,1'-бифенил]-4-карбальдегид (540 мг, 1,45 ммоль), K2CO3 (600 мг, 4,35 ммоль) и комплекса Pd(dppf)Cl2 с дихлорметаном (142 мг, 0,17 ммоль) в диоксане (7 мл) и воде (1,0 мл) перемешивали в атмосфере азота при 95°C в течение 1,5 часов. Смесь охлаждали до комнатной температуры и очищали методом флэш-хроматографии на силикагеле (от 0 до 100% EtOAc/гексан), получая 3-фтор-5-метокси-2',2''-диметил-3''-(пиридо[3,4-b]пиразин-8-иламино)-[1.1':3'.1''-терфенил]-4-карбальдегид.

Стадия c. Смесь 3-фтор-5-метокси-2',2''-диметил-3''-(пиридо[3,4-b]пиразин-8-иламино)-[1.1':3'.1''-терфенил]-4-карбальдегида (25 мг, 0,051 ммоль), (3R,4R)-4-аминотетрагидро-2H-пиран-3-ола (12 мг, 0,078 ммоль), Et3N (15 мг, 0,15 ммоль) и HOAc (75 мг, 1,25 ммоль) в EtOH (1,5 мл) нагревали при 70°C в течение 0,5 часа. Смесь охлаждали до 0°C и добавляли NaBH(OAc)3 (45 мг, 0,21 ммоль). После перемешивания в течение 5 минут при 0°C, смесь упаривали в вакууме. Полученный остаток очищали методом ВЭЖХ (MeCN/H2O с 0,1% ТФУК), затем методом флэш-хроматографии на силикагеле (от 0 до 100% MeOH в ДХМ), получая (3R,4R)-4-(((3-фтор-5-метокси-2',2''-диметил-3''-(пиридо[3,4-b] пиразин-8-иламино)-[1.1':3'.1''-терфенил]-4-ил)метил)амино)тетрагидро-2H-пиран-3-ол (в виде соли с ТФУК). 1H ЯМР (400 МГц, CD3OD) δ 9,04 (с, 2H), 8,74 (с, 1H), 7,94 (с, 1H), 7,46 (д, J = 8,4 Гц, 1H), 7,40-7,28 (м, 2H), 7,23 (д, J = 7,2 Гц, 1H), 7,17 (д, J = 7,6 Гц, 1H), 7,08 (д, J = 7,6 Гц, 1H), 6,81 (с, 1H), 6,74 (д, J = 10,4 Гц, 1H), 3,91 (с, 3H), 4,06-3,82 (м, 5H), 3,54-3,38 (м, 2H), 2,96 (д, J = 10,4 Гц, 1H), 2,03 (с, 3H), 1,98 (с, 3H), 1,94-1,82 (м, 1H), 1,72 (д, J = 12,4 Гц, 1H). MS: (ES) m/z вычислено для C34H35FN5O3 [M + H]+ 580,3, найдено 580,2.

Пример 173. (S)-5-(((3-фтор-5-метокси-2',2''-диметил-3''-(пиридо[3,4-b]пиразин-8-иламино)-[1.1':3'.1''-терфенил]-4-ил)метил)амино)пиперидин-2-он

Смесь 3-фтор-5-метокси-2',2''-диметил-3''-(пиридо[3,4-b]пиразин-8-иламино)-[1.1':3'.1''-терфенил]-4-карбальдегида (25 мг, 0,052 ммоль), (S)-5-аминопиперидин-2-она (15 мг, 0,10 ммоль) и HOAc (60 мг, 1,0 ммоль) в EtOH (1,5 мл) нагревали при 70°C в течение 0,5 часа. Смесь охлаждали до 0°C и добавляли NaBH(OAc)3 (45 мг, 0,21 ммоль). После перемешивания в течение 5 минут при 0°C, смесь упаривали в вакууме. Полученный остаток очищали методом ВЭЖХ (MeCN/H2O с 0,1% ТФУК), затем методом флэш-хроматографии на силикагеле (от 0 до 100% MeOH в ДХМ), получая (S)-5-(((3-фтор-5-метокси-2',2''-диметил-3''-(пиридо[3,4-b]пиразин-8-иламино)-[1.1':3'.1''-терфенил]-4-ил)метил)амино)пиперидин-2-он (в виде соли с ТФУК). 1H ЯМР (400 МГц, CD3OD) δ 9,03 (с, 2H), 8,74 (с, 1H), 7,94 (с, 1H), 7,45 (д, J = 8,0 Гц, 1H), 7,40-7,28 (м, 2H), 7,23 (д, J = 6,8 Гц, 1H), 7,16 (д, J = 7,6 Гц, 1H), 7,08 (д, J = 8,0 Гц, 1H), 6,80 (с, 1H), 6,73 (д, J =10,0 Гц, 1H), 3,96 (с, 2H), 3,91 (с, 3H), 3,51 (дд, J = 12,4, 3,6 Гц, 1H), 3,20-3,10 (м, 1H), 3,04 (ушир.с, 1H), 2,50-2,40 (м, 1H), 2,38-2,27 (м, 1H), 2,13-2,03 (м, 1H), 2,03 (с, 3H), 1,98 (с, 3H), 1,86-1,74 (м, 1H). MS: (ES) m/z вычислено для C34H34FN6O2 [M + H]+ 577,3, найдено 577,2.

Пример 174. (S)-4-(((3-фтор-5-метокси-2',2''-диметил-3''-(пиридо[3,4-b]пиразин-8-иламино)-[1.1':3'.1''-терфенил]-4-ил)метил)амино)пирролидин-2-он

Смесь 3-фтор-5-метокси-2',2''-диметил-3''-(пиридо[3,4-b]пиразин-8-иламино)-[1.1':3'.1''-терфенил]-4-карбальдегида (25 мг, 0,052 ммоль), (S)-5-аминопиперидин-2-она (15 мг, 0,10 ммоль) и HOAc (45 мг, 0,75 ммоль) в EtOH (1,5 мл) нагревали при 70°C в течение 0,5 часа. Смесь охлаждали до 0°C и NaBH(OAc)3 (45 мг, 0,21 ммоль) добавляли. После перемешивания в течение 5 минут при 0°C, смесь упаривали в вакууме. Полученный остаток очищали методом ВЭЖХ (MeCN/H2O с 0,1% ТФУК), затем методом флэш-хроматографии на силикагеле (от 0 до 100% MeOH в ДХМ), получая (S)-4-(((3-фтор-5-метокси-2',2''-диметил-3''-(пиридо[3,4-b]пиразин-8-иламино)-[1.1':3'.1''-терфенил]-4-ил)метил)амино)пирролидин-2-он (в виде соли с ТФУК). 1H ЯМР (400 МГц, CD3OD) δ 9,03 (с, 2H), 8,73 (с, 1H), 7,94 (с, 1H), 7,45 (д, J = 8,0 Гц, 1H), 7,40-7,28 (м, 2H), 7,23 (д, J = 7,2 Гц, 1H), 7,16 (д, J = 7,6 Гц, 1H), 7,08 (д, J = 7,6 Гц, 1H), 6,80 (с, 1H), 6,73 (д, J = 9,6 Гц, 1H), 3,92 (с, 2H), 3,90 (с, 3H), 3,70-3,58 (м, 2H), 3,30-3,23 (м, 1H), 2,65-2,56 (м, 1H), 2,24 (дд, J = 17,2, 4,8 Гц, 1H), 2,03 (с, 3H), 1,98 (с, 3H). MS: (ES) m/z вычислено для C33H32FN6O2 [M + H]+ 563,3, найдено 563,3.

Пример 175. (S)-5-((((3-фтор-5-метокси-2',2''-диметил-3''-(пиридо[3,4-b]пиразин-8-иламино)-[1.1':3'.1''-терфенил]-4-ил)метил)амино)метил)пирролидин-2-он

Смесь 3-фтор-5-метокси-2',2''-диметил-3''-(пиридо[3,4-b]пиразин-8-иламино)-[1.1':3'.1''-терфенил]-4-карбальдегида (30 мг, 0,065 ммоль), (S)-5-(аминометил)пирролидин-2-она гидрохлорида (15 мг, 0,15 ммоль), Et3N (15 мг, 0,15 ммоль) и HOAc (75 мг, 1,25 ммоль) в EtOH (1,5 мл) нагревали при 70°C в течение 0,5 часа. Смесь охлаждали до 0°C и добавляли NaBH(OAc)3 (45 мг, 0,21 ммоль). После перемешивания в течение 5 минут при 0°C, смесь упаривали в вакууме. Полученный остаток очищали методом ВЭЖХ (MeCN/H2O с 0,1% ТФУК), затем методом флэш-хроматографии на силикагеле (от 0 до 100% MeOH в ДХМ), получая (S)-5-((((3-фтор-5-метокси-2',2''-диметил-3''-(пиридо[3,4-b]пиразин-8-иламино)-[1.1':3'.1''-терфенил]-4-ил)метил)амино)метил)пирролидин-2-он (в виде соли с ТФУК). 1H ЯМР (400 МГц, CD3OD) δ 9,04 (с, 1H), 8,74 (с, 1H), 7,94 (с, 1H), 7,46 (д, J = 8,4 Гц, 1H), 7,40-7,29 (м, 2H), 7,23 (д, J = 7,2 Гц, 1H), 7,18 (д, J = 6,8 Гц, 1H), 7,08 (д, J = 7,6 Гц, 1H), 6,84 (с, 1H), 6,77 (д, J = 9,6 Гц, 1H), 5,48 (с, 1H), 4,08 (с, 2H), 3,93 (с, 3H), 3,94-3,89 (м, 1H), 2,94-2,82 (м, 2H), 2,40-2,25 (м, 3H), 2,03 (с, 3H), 1,99 (с, 3H), 1,94-1,88 (м, 1H). MS: (ES) m/z вычислено для C34H34FN6O2 [M + H]+ 577,3, найдено 577,2.

Пример 176. N-(3''-фтор-4''-((((3R,4S)-4-гидрокситетрагидрофуран-3-ил)амино)метил)-5''-метокси-2.2'-диметил-[1.1':3'.1''-терфенил]-3-ил)-1,3-диметил-2.4-диоксо-1.2.3.4-тетрагидропиримидин-5-карбоксамид

Смесь N-(3''-фтор-4''-формил-5''-метокси-2.2'-диметил-[1.1':3'.1''-терфенил]-3-ил)-1,3-диметил-2.4-диоксо-1.2.3.4-тетрагидропиримидин-5-карбоксамида (25 мг, 0,048 ммоль), (3S,4R)-4-аминотетрагидрофуран-3-ола (20 мг, 0,020 ммоль) и HOAc (75 мг, 1,25 ммоль) в EtOH (1,5 мл) нагревали при 70°C в течение 0,5 часа. Смесь охлаждали до 0°C и добавляли NaBH3CN (40 мг, 0,63 ммоль). После перемешивания в течение 3 минут при 0°C, смесь упаривали в вакууме. Полученный остаток очищали методом ВЭЖХ (MeCN/H2O с 0,1% ТФУК), получая N-(3''-фтор-4''-((((3R,4S)-4-гидрокситетрагидрофуран-3-ил)амино)метил)-5''-метокси-2.2'-диметил-[1.1':3'.1''-терфенил]-3-ил)-1,3-диметил-2.4-диоксо-1.2.3.4-тетрагидропиримидин-5-карбоксамид (в виде соли с ТФУК). 1H ЯМР (400 МГц, CD3OD) δ 11,14 (с, 1H), 8,61 (с, 1H), 8,07 (дд, J = 7,2, 7,2 Гц, 1H), 7,36-7,22 (м, 3H), 7,15 (д, J = 6,8 Гц, 1H), 6,98-6,92 (м, 2H), 6,87 (д, J = 9,6 Гц, 1H), 4,53 (ушир.с, 1H), 4,48-4,34 (м, 2H), 4,20-4,08 (м, 2H), 4,20-3,98 (м, 1H), 3,99 (с, 3H), 3,71 (с, 1H), 3,60 (дд, J = 9,6, 4 Гц, 1H), 3,54 (с, 3H), 3,37 (с, 3H), 2,09 (с, 3H), 1,93 (с, 3H). MS: (ES) m/z вычислено для C33H36FN4O6 [M + H]+ 603,3, найдено 603,2.

Пример 177. N-(4''-(((4-амино-4-оксобутил)амино)метил)-3''-фтор-5''-метокси-2.2'-диметил-[1.1':3'.1''-терфенил]-3-ил)-2.4-диметил-3,5-диоксо-2,3,4,5-тетрагидро-1,2,4-триазин-6-карбоксамид

Смесь N-(3''-фтор-4''-формил-5''-метокси-2.2'-диметил-[1.1':3'.1''-терфенил]-3-ил)-2.4-диметил-3,5-диоксо-2,3,4,5-тетрагидро-1,2,4-триазин-6-карбоксамида (22 мг, 0,042 ммоль), 4-аминобутанамида гидрохлорида (15 мг, 0,11 ммоль), Et3N (15 мг, 0,15 ммоль) и HOAc (90 мг, 1,5 ммоль) в EtOH (1,5 мл) нагревали при 70°C в течение 0,5 часа. Смесь охлаждали до 0°C и добавляли NaBH3CN (40 мг, 0,63 ммоль). После перемешивания в течение 5 минут при 0°C, смесь упаривали в вакууме. Полученный остаток очищали методом ВЭЖХ (MeCN/H2O с 0,1% ТФУК), получая N-(4''-(((4-амино-4-оксобутил)амино)метил)-3''-фтор-5''-метокси-2.2'-диметил-[1.1':3'.1''-терфенил]-3-ил)-2.4-диметил-3,5-диоксо-2,3,4,5-тетрагидро-1,2,4-триазин-6-карбоксамид (в виде соли с ТФУК). 1H ЯМР (400 МГц, CD3OD) δ 8,08 (д, J = 8,0 Гц, 1H), 7,36-7,28 (м, 2H), 7,25 (д, J = 8,0 Гц, 1H), 7,16 (д, J = 7,6 Гц, 1H), 7,02 (д, J = 7,2 Гц, 1H), 6,92 (с, 1H), 6,86 (д, J = 9,6 Гц, 1H), 4,31 (с, 2H), 3,98 (с, 3H), 3,77 (с, 3H), 3,38 (с, 3H), 3,15 (т, J = 7,0 Гц, 2H), 2,43 (т, J = 6,6 Гц, 2H), 2,11 (с, 3H), 2,03-1,94 (м, 2H), 1,94 (с, 3H). MS: (ES) m/z вычислено для C32H36FN6O5 [M + H]+ 603,3, найдено 603,2.

Пример 178. N-(4''-(((3-амино-2,2-диметил-3-оксопропил)амино)метил)-3''-фтор-5''-метокси-2.2'-диметил-[1.1':3'.1''-терфенил]-3-ил)-2.4-диметил-3,5-диоксо-2,3,4,5-тетрагидро-1,2,4-триазин-6-карбоксамид

Смесь N-(3''-фтор-4''-формил-5''-метокси-2.2'-диметил-[1.1':3'.1''-терфенил]-3-ил)-2.4-диметил-3,5-диоксо-2,3,4,5-тетрагидро-1,2,4-триазин-6-карбоксамида (22 мг, 0,042 ммоль), 3-амино-2,2-диметилпропанамида (30 мг, 0,26 ммоль) и HOAc (90 мг, 1,5 ммоль) в EtOH (1,5 мл) нагревали при 70°C в течение 0,5 часа. Смесь охлаждали до 0°C и добавляли NaBH3CN (40 мг, 0,63 ммоль). После перемешивания в течение 5 минут при 0°C, смесь упаривали в вакууме. Полученный остаток очищали методом ВЭЖХ (MeCN/H2O с 0,1% ТФУК), затем методом флэш-хроматографии на силикагеле (от 0 до 100% MeOH в ДХМ), получая N-(4''-(((3-амино-2,2-диметил-3-оксопропил)амино)метил)-3''-фтор-5''-метокси-2.2'-диметил-[1.1':3'.1''-терфенил]-3-ил)-2.4-диметил-3,5-диоксо-2,3,4,5-тетрагидро-1,2,4-триазин-6-карбоксамид (в виде соли с ТФУК). 1H ЯМР (400 МГц, CD3OD) δ 8,09 (д, J = 8,4 Гц, 1H), 7,36-7,27 (м, 2H), 7,24 (д, J = 8,0 Гц, 1H), 7,12 (д, J = 7,6 Гц, 1H), 7,01 (д, J = 7,2 Гц, 1H), 6,80 (с, 1H), 6,72 (д, J = 9,6 Гц, 1H), 3,93 (с, 2H), 3,91 (с, 3H), 3,77 (с, 3H), 3,37 (с, 3H), 2,70 (с, 2H), 2,12 (с, 3H), 1,93 (с, 3H), 1,18 (с, 6H). MS: (ES) m/z вычислено для C33H38FN6O5 [M + H]+ 617,3, найдено 617,3.

Пример 179. N-(4''-(((2-амино-2-оксоэтил)амино)метил)-3''-фтор-5''-метокси-2.2'-диметил-[1.1':3'.1''-терфенил]-3-ил)-2.4-диметил-3,5-диоксо-2,3,4,5-тетрагидро-1,2,4-триазин-6-карбоксамид

Смесь N-(3''-фтор-4''-формил-5''-метокси-2.2'-диметил-[1.1':3'.1''-терфенил]-3-ил)-2.4-диметил-3,5-диоксо-2,3,4,5-тетрагидро-1,2,4-триазин-6-карбоксамида (23 мг, 0,044 ммоль), 2-аминоацетамида гидрохлорида (30 мг, 0,27 ммоль), Et3N (20 мг, 0,20 ммоль) и HOAc (120 мг, 2,0 ммоль) в EtOH (1,5 мл) нагревали при 70°C в течение 0,5 часа. Смесь охлаждали до 0°C,и добавляли NaBH3CN (40 мг, 0,63 ммоль). После перемешивания в течение 5 минут при 0°C, смесь упаривали в вакууме. Полученный остаток очищали методом ВЭЖХ (MeCN/H2O с 0,1% ТФУК), получая N-(4''-(((2-амино-2-оксоэтил)амино)метил)-3''-фтор-5''-метокси-2.2'-диметил-[1.1':3'.1''-терфенил]-3-ил)-2.4-диметил-3,5-диоксо-2,3,4,5-тетрагидро-1,2,4-триазин-6-карбоксамид (в виде соли с ТФУК). 1H ЯМР (400 МГц, CD3OD) δ 11,08 (с, 1H), 8,07 (т, J = 7,6 Гц, 1H), 7,38-7,28 (м, 2H), 7,25 (д, J = 8,4 Гц, 1H), 7,16 (д, J = 8,0 Гц, 1H), 7,02 (д, J = 7,2 Гц, 1H), 6,93 (с, 1H), 6,87 (д, J = 10,0 Гц, 1H), 4,38 (с, 2H), 3,98 (с, 3H), 3,82 (с, 2H), 3,78 (с, 3H), 3,38 (с, 3H), 2,12 (с, 3H), 1,94 (с, 3H). MS: (ES) m/z вычислено для C30H32FN6O5 [M + H]+ 575,2, найдено 575,1.

Пример 180. N-(3''-фтор-4''-((изопропиламино)метил)-5''-метокси-2.2'-диметил-[1.1':3'.1''-терфенил]-3-ил)-2.4-диметил-3,5-диоксо-2,3,4,5-тетрагидро-1,2,4-триазин-6-карбоксамид

Смесь N-(3''-фтор-4''-формил-5''-метокси-2.2'-диметил-[1.1':3'.1''-терфенил]-3-ил)-2.4-диметил-3,5-диоксо-2,3,4,5-тетрагидро-1,2,4-триазин-6-карбоксамида (23 мг, 0,044 ммоль), пропан-2-амина (60 мг, 1,0 ммоль) и HOAc (120 мг, 2,0 ммоль) в EtOH (1,5 мл) нагревали при 70°C в течение 0,5 часа. Смесь охлаждали до 0°C и добавляли NaBH3CN (40 мг, 0,63 ммоль). После перемешивания в течение 5 минут при 0°C, смесь упаривали в вакууме. Полученный остаток очищали методом ВЭЖХ (MeCN/H2O с 0,1% ТФУК), получая N-(3''-фтор-4''-((изопропиламино)метил)-5''-метокси-2.2'-диметил-[1.1':3'.1''-терфенил]-3-ил)-2.4-диметил-3,5-диоксо-2,3,4,5-тетрагидро-1,2,4-триазин-6-карбоксамид (в виде соли с ТФУК). 1H ЯМР (400 МГц, CD3OD) δ 8,08 (д, J = 8,0 Гц, 1H), 7,37-7,27 (м, 2H), 7,24 (д, J = 7,6 Гц, 1H), 7,15 (д, J = 7,6 Гц, 1H), 7,01 (д, J = 7,2 Гц, 1H), 6,92 (с, 1H), 6,86 (д, J = 10,0 Гц, 1H), 4,30 (с, 2H), 3,98 (с, 3H), 3,77 (с, 3H), 3,50 (м, 1H), 3,38 (с, 3H), 2,11 (с, 3H), 1,93 (с, 3H), 1,43 (с, 3H), 1,41 (с, 3H). MS: (ES) m/z вычислено для C31H35FN5O4 [M + H]+ 560,3, найдено 560,2.

Пример 181. N-(3''-фтор-4''-((((3S,4R)-4-гидрокситетрагидрофуран-3-ил)амино)метил)-5''-метокси-2.2'-диметил-[1.1':3'.1''-терфенил]-3-ил)-1,3-диметил-2.4-диоксо-1.2.3.4-тетрагидропиримидин-5-карбоксамид

Смесь N-(3''-фтор-4''-формил-5''-метокси-2.2'-диметил-[1.1':3'.1''-терфенил]-3-ил)-1,3-диметил-2.4-диоксо-1.2.3.4-тетрагидропиримидин-5-карбоксамида (25 мг, 0,048 ммоль), (3R,4S)-4-аминотетрагидрофуран-3-ола (15 мг, 0,015 ммоль) и HOAc (60 мг, 1,0 ммоль) в EtOH (1,5 мл) нагревали при 70°C в течение 0,5 часа. Смесь охлаждали до 0°C и добавляли NaBH3CN (45 мг, 0,71 ммоль). После перемешивания в течение 3 минут при 0°C, смесь упаривали в вакууме. Полученный остаток очищали методом ВЭЖХ (MeCN/H2O с 0,1% ТФУК), получая N-(3''-фтор-4''-((((3S,4R)-4-гидрокситетрагидрофуран-3-ил)амино)метил)-5''-метокси-2.2'-диметил-[1.1':3'.1''-терфенил]-3-ил)-1,3-диметил-2.4-диоксо-1.2.3.4-тетрагидропиримидин-5-карбоксамид (в виде соли с ТФУК). 1H ЯМР (400 МГц, CD3OD) δ 11,15 (с, 1H), 8,61 (с, 1H), 8,07 (т, J = 7,2 Гц, 1H), 7,36-7,22 (м, 3H), 7,15 (д, J = 6,8 Гц, 1H), 6,98-6,92 (м, 2H), 6,87 (д, J = 9,6 Гц, 1H), 4,53 (ушир.с, 1H), 4,48-4,34 (м, 2H), 4,20-4,08 (м, 2H), 4,02-3,98 (м, 1H), 3,99 (с, 3H), 3,71 (с, 1H), 3,60 (дд, J = 9,6, 4,4 Гц, 1H), 3,54 (с, 3H), 3,37 (с, 3H), 2,09 (с, 3H), 1,93 (с, 3H). MS: (ES) m/z вычислено для C33H36FN4O6 [M + H]+ 603,2, найдено 603,2.

Пример 182. (S)-N-(3''-фтор-5''-метокси-2.2'-диметил-4''-((метил(5-оксопирролидин-3-ил)амино)метил)-[1.1':3'.1''-терфенил]-3-ил)-3-метил-2.4-диоксо-1.2.3.4-тетрагидропиримидин-5-карбоксамид

Смесь (S)-4-(((3-фтор-5-метокси-2'-метил-3'-(4,4,5,5-тетраметил-1,3,2-диоксаборолан-2-ил)-[1,1'-бифенил]-4-ил)метил)(метил)амино)пирролидин-2-она (40 мг, 0,085 ммоль), N-(3-бром-2-метилфенил)-3-метил-2.4-диоксо-1.2.3.4-тетрагидропиримидин-5-карбоксамида (29 мг, 0,085 ммоль), K2CO3 (41 мг, 0,30 ммоль) и комплекса Pd(dppf)Cl2 с дихлорметаном (25 мг, 0,030 ммоль) в диоксане (2 мл) и воде (0,30 мл) перемешивали в атмосфере азота при 95°C в течение 4 часов. Смесь охлаждали до комнатной температуры и очищали методом флэш-хроматографии на силикагеле (от 0 до 100% MeOH в ДХМ), затем методом ВЭЖХ (MeCN/H2O с 0,1% ТФУК), получая (S)-N-(3''-фтор-5''-метокси-2.2'-диметил-4''-((метил(5-оксопирролидин-3-ил)амино)метил)-[1.1':3'.1''-терфенил]-3-ил)-3-метил-2.4-диоксо-1.2.3.4-тетрагидропиримидин-5-карбоксамид (в виде соли с ТФУК). 1H ЯМР (400 МГц, CD3OD) δ 11,15 (с, 1H), 8,41 (с, 1H), 8,05 (д, J = 8,0 Гц, 1H), 7,38-7,22 (м, 3H), 7,16 (д, J = 8,0 Гц, 1H), 6,98 (с, 1H), 6,96-6,90 (м, 2H), 4,50-4,32 (м, 3H), 4,00 (с, 3H), 3,92 (ушир.с, 1H), 3,78-3,71 (м, 1H), 3,35 (с, 3H), 2,94-2,88 (м, 1H), 2,90 (с, 3H), 2,78 (дд, J = 17,2, 6,0 Гц, 1H), 2,10 (с, 3H), 1,94 (с, 3H). MS: (ES) m/z вычислено для C33H35FN5O5 [M + H]+ 600,3, найдено 600,2.

Пример 183. N-(3''-фтор-4''-((((3R,4S)-4-гидрокситетрагидрофуран-3-ил)амино)метил)-5''-метокси-2.2'-диметил-[1.1':3'.1''-терфенил]-3-ил)-3-метил-2.4-диоксо-1.2.3.4-тетрагидропиримидин-5-карбоксамид

Смесь N-(3''-фтор-4''-формил-5''-метокси-2.2'-диметил-[1.1':3'.1''-терфенил]-3-ил)-3-метил-2.4-диоксо-1.2.3.4-тетрагидропиримидин-5-карбоксамида (23 мг, 0,046 ммоль), (3S,4R)-4-аминотетрагидрофуран-3-ола (12 мг, 0,012 ммоль) и HOAc (60 мг, 1,0 ммоль) в EtOH (1,5 мл) нагревали при 70°C в течение 0,5 часа. Смесь охлаждали до 0°C и добавляли NaBH3CN (45 мг, 0,71 ммоль). После перемешивания в течение 3 минут при 0°C, смесь упаривали в вакууме. Полученный остаток очищали методом ВЭЖХ (MeCN/H2O с 0,1% ТФУК), получая N-(3''-фтор-4''-((((3R,4S)-4-гидрокситетрагидрофуран-3-ил)амино)метил)-5''-метокси-2.2'-диметил-[1.1':3'.1''-терфенил]-3-ил)-3-метил-2.4-диоксо-1.2.3.4-тетрагидропиримидин-5-карбоксамид (в виде соли с ТФУК). 1H ЯМР (400 МГц, CD3OD) δ 11,13 (с, 1H), 8,40 (с, 1H), 8,06 (т, J = 7,2 Гц, 1H), 7,35-7,22 (м, 3H), 7,14 (д, J = 7,2 Гц, 1H), 6,98-6,92 (м, 2H), 6,87 (д, J = 10,4 Гц, 1H), 4,53 (ушир.с, 1H), 4,48-4,34 (м, 2H), 4,19-4,08 (м, 2H), 4,20-3,97 (м, 1H), 3,99 (с, 3H), 3,71 (с, 1H), 3,60 (дд, J = 9,6, 4,0 Гц, 1H), 3,34 (с, 3H), 2,09 (с, 3H), 1,93 (с, 3H). MS: (ES) m/z вычислено для C32H34FN4O6 [M + H]+ 589,3, найдено 589,3.

Пример 184. N-(3''-фтор-4''-((((3S,4R)-4-гидрокситетрагидрофуран-3-ил)амино)метил)-5''-метокси-2.2'-диметил-[1.1':3'.1''-терфенил]-3-ил)-3-метил-2.4-диоксо-1.2.3.4-тетрагидропиримидин-5-карбоксамид

Смесь N-(3''-фтор-4''-формил-5''-метокси-2.2'-диметил-[1.1':3'.1''-терфенил]-3-ил)-3-метил-2.4-диоксо-1.2.3.4-тетрагидропиримидин-5-карбоксамида (23 мг, 0,046 ммоль), (3R,4S)-4-аминотетрагидрофуран-3-ола (12 мг, 0,012 ммоль) и HOAc (60 мг, 1,0 ммоль) в EtOH (1,5 мл) нагревали при 70°C в течение 0,5 часа. Смесь охлаждали до 0°C и добавляли NaBH3CN (45 мг, 0,71 ммоль). После перемешивания в течение 3 минут при 0°C, смесь упаривали в вакууме. Полученный остаток очищали методом ВЭЖХ (MeCN/H2O с 0,1% ТФУК), получая N-(3''-фтор-4''-((((3S,4R)-4-гидрокситетрагидрофуран-3-ил)амино)метил)-5''-метокси-2.2'-диметил-[1.1':3'.1''-терфенил]-3-ил)-3-метил-2.4-диоксо-1.2.3.4-тетрагидропиримидин-5-карбоксамид (в виде соли с ТФУК). 1H ЯМР (400 МГц, CD3OD) δ 11,13 (с, 1H), 8,40 (с, 1H), 8,06 (т, J = 7,4 Гц, 1H), 7,35-7,22 (м, 3H), 7,14 (д, J = 7,2 Гц, 1H), 6,98-6,91 (м, 2H), 6,87 (д, J = 10 Гц, 1H), 4,54 (ушир.с, 1H), 4,48-4,34 (м, 2H), 4,19-4,08 (м, 2H), 4,20-3,97 (м, 1H), 3,99 (с, 3H), 3,71 (ушир.с, 1H), 3,60 (дд, J = 10, 4,4 Гц, 1H), 3,33 (с, 3H), 2,08 (с, 3H), 1,93 (с, 3H). MS: (ES) m/z вычислено для C32H34FN4O6 [M + H]+ 589,2, найдено 589,2.

Пример 185. N-(4''-(((4-амино-4-оксобутил)амино)метил)-3''-фтор-5''-метокси-2.2'-диметил-[1.1':3'.1''-терфенил]-3-ил)-1,3-диметил-2.4-диоксо-1.2.3.4-тетрагидропиримидин-5-карбоксамид

Смесь N-(3''-фтор-4''-формил-5''-метокси-2.2'-диметил-[1.1':3'.1''-терфенил]-3-ил)-1,3-диметил-2.4-диоксо-1.2.3.4-тетрагидропиримидин-5-карбоксамида (28 мг, 0,054 ммоль), 4-аминобутанамида гидрохлорида (15 мг, 0,11 ммоль), Et3N (15 мг, 0,15 ммоль) и HOAc (90 мг, 1,5 ммоль) в EtOH (1,5 мл) нагревали при 70°C в течение 0,5 часа. Смесь охлаждали до 0°C и добавляли NaBH3CN (45 мг, 0,71 ммоль). После перемешивания в течение 5 минут при 0°C, смесь упаривали в вакууме. Полученный остаток очищали методом ВЭЖХ (MeCN/H2O с 0,1% ТФУК), получая N-(4''-(((4-амино-4-оксобутил)амино)метил)-3''-фтор-5''-метокси-2.2'-диметил-[1.1':3'.1''-терфенил]-3-ил)-1,3-диметил-2.4-диоксо-1.2.3.4-тетрагидропиримидин-5-карбоксамид (в виде соли с ТФУК). 1H ЯМР (400 МГц, CD3OD) δ 11,15 (с, 1H), 8,61 (с, 1H), 8,07 (т, J = 7,2 Гц, 1H), 7,36-7,22 (м, 3H), 7,15 (д, J = 7,6 Гц, 1H), 6,96 (д, J = 7,6 Гц, 1H), 6,92 (с, 1H), 6,85 (д, J = 10 Гц, 1H), 4,31 (с, 2H), 3,98 (с, 3H), 3,54 (с, 3H), 3,37 (с, 3H), 3,15 (т, J = 5,8 Гц, 2H), 2,43 (т, J = 6,6 Гц, 2H), 2,09 (с, 3H), 2,03-1,94 (м, 2H), 1,93 (с, 3H). MS: (ES) m/z вычислено для C33H37FN5O5 [M + H]+ 602,3, найдено 602,2.

Пример 186. N-(4''-(((4-амино-4-оксобутил)амино)метил)-3''-фтор-5''-метокси-2.2'-диметил-[1.1':3'.1''-терфенил]-3-ил)-3-метил-2.4-диоксо-1.2.3.4-тетрагидропиримидин-5-карбоксамид

Смесь N-(3''-фтор-4''-формил-5''-метокси-2.2'-диметил-[1.1':3'.1''-терфенил]-3-ил)-3-метил-2.4-диоксо-1.2.3.4-тетрагидропиримидин-5-карбоксамида (25 мг, 0,050 ммоль), 4-аминобутанамида гидрохлорида (15 мг, 0,11 ммоль), Et3N (15 мг, 0,15 ммоль) и HOAc (90 мг, 1,5 ммоль) в EtOH (1,5 мл) нагревали при 70°C в течение 0,5 часа. Смесь охлаждали до 0°C и добавляли NaBH3CN (45 мг, 0,71 ммоль). После перемешивания в течение 5 минут при 0°C, смесь упаривали в вакууме. Полученный остаток очищали методом ВЭЖХ (MeCN/H2O с 0,1% ТФУК), получая N-(4''-(((4-амино-4-оксобутил)амино)метил)-3''-фтор-5''-метокси-2.2'-диметил-[1.1':3'.1''-терфенил]-3-ил)-3-метил-2.4-диоксо-1.2.3.4-тетрагидропиримидин-5-карбоксамид (в виде соли с ТФУК). 1H ЯМР (400 МГц, CD3OD) δ 11,14 (с, 1H), 8,41 (с, 1H), 8,06 (т, J = 7,4 Гц, 1H), 7,36-7,22 (м, 3H), 7,15 (д, J = 6,8 Гц, 1H), 6,96 (д, J = 7,6 Гц, 1H), 6,92 (с, 1H), 6,86 (д, J = 10,0 Гц, 1H), 4,31 (с, 2H), 3,98 (с, 3H), 3,35 (с, 3H), 3,16 (т, J = 7,0 Гц, 2H), 2,44 (т, J = 6,6 Гц, 2H), 2,09 (с, 3H), 2,04-1,94 (м, 2H), 1,93 (с, 3H). MS: (ES) m/z вычислено для C32H35FN5O5 [M + H]+ 588,3, найдено 588,2.

Пример 187. N-(3''-фтор-5''-метокси-2.2'-диметил-4''-(((2-(2-оксопирролидин-1-ил)этил)амино)метил)-[1.1':3'.1''-терфенил]-3-ил)-2.4-диметил-3,5-диоксо-2,3,4,5-тетрагидро-1,2,4-триазин-6-карбоксамид

Смесь N-(3''-фтор-4''-формил-5''-метокси-2.2'-диметил-[1.1':3'.1''-терфенил]-3-ил)-2.4-диметил-3,5-диоксо-2,3,4,5-тетрагидро-1,2,4-триазин-6-карбоксамида (10 мг, 0,019 ммоль), 1-(2-аминоэтил)пирролидин-2-она (25 мг, 0,020 ммоль) и HOAc (75 мг, 1,25 ммоль) в EtOH (1,5 мл) нагревали при 70°C в течение 0,5 часа. Смесь охлаждали до 0°C и добавляли NaBH3CN (40 мг, 0,63 ммоль). После перемешивания в течение 5 минут при 0°C, смесь упаривали в вакууме. Полученный остаток очищали методом ВЭЖХ (MeCN/H2O с 0,1% ТФУК), получая N-(3''-фтор-5''-метокси-2.2'-диметил-4''-(((2-(2-оксопирролидин-1-ил)этил)амино)метил)-[1.1':3'.1''-терфенил]-3-ил)-2.4-диметил-3,5-диоксо-2,3,4,5-тетрагидро-1,2,4-триазин-6-карбоксамид (в виде соли с ТФУК). 1H ЯМР (400 МГц, CD3OD) δ 11,08 (с, 1H), 8,07 (т, J = 7,8 Гц, 1H), 7,38-7,28 (м, 2H), 7,25 (д, J = 7,6 Гц, 1H), 7,16 (д, J = 7,6 Гц, 1H), 7,02 (д, J = 7,2 Гц, 1H), 6,93 (с, 1H), 6,87 (д, J = 10,0 Гц, 1H), 4,39 (с, 2H), 3,99 (с, 3H), 3,78 (с, 3H), 3,65 (т, J = 5,6 Гц, 2H), 3,52 (т, J = 7,2 Гц, 2H), 3,39 (с, 3H), 3,35-3,30 (м, 2H), 2,46-2,37 (м, 2H), 2,12 (с, 3H), 2,15-2,06 (м, 2H), 1,94 (с, 3H). MS: (ES) m/z вычислено для C34H38FN6O5 [M + H]+ 629,3, найдено 629,2.

Пример 188. N-(3''-фтор-5''-метокси-2.2'-диметил-4''-(((2-(2-оксопирролидин-1-ил)этил) амино)метил)-[1.1':3'.1''-терфенил]-3-ил)-1-метил-6-оксо-1,6-дигидропиримидин-5-карбоксамид

Смесь N-(3''-фтор-4''-формил-5''-метокси-2.2'-диметил-[1.1':3'.1''-терфенил]-3-ил)-1-метил-6-оксо-1,6-дигидропиримидин-5-карбоксамида (30 мг, 0,061 ммоль), 1-(2-аминоэтил)пирролидин-2-она (30 мг, 0,024 ммоль) и HOAc (75 мг, 1,25 ммоль) в EtOH (1,5 мл) нагревали при 70°C в течение 0,5 часа. Смесь охлаждали до 0°C и добавляли NaBH(OAc)3 (50 мг, 0,23 ммоль). После перемешивания в течение 5 минут при 0°C, смесь упаривали в вакууме. Полученный остаток очищали методом ВЭЖХ (MeCN/H2O с 0,1% ТФУК), получая N-(3''-фтор-5''-метокси-2.2'-диметил-4''-(((2-(2-оксопирролидин-1-ил)этил)амино)метил)-[1.1':3'.1''-терфенил]-3-ил)-1-метил-6-оксо-1,6-дигидропиримидин-5-карбоксамид (в виде соли с ТФУК). 1H ЯМР (400 МГц, CD3OD) δ 11,41 (с, 1H), 8,92 (с, 1H), 8,67 (с, 1H), 8,12 (т, J = 7,4 Гц, 1H), 7,37-7,23 (м, 3H), 7,16 (д, J = 8,0 Гц, 1H), 6,99 (д, J = 7,6 Гц, 1H), 6,94 (с, 1H), 6,88 (д, J = 10 Гц, 1H), 4,39 (с, 2H), 3,99 (с, 3H), 3,66 (с, 3H), 3,67-3,62 (м, 2H), 3,52 (т, J = 7,0 Гц, 2H), 3,36-3,30 (м, 2H), 2,42 (т, J = 8,2 Гц, 2H), 2,12 (с, 3H), 2,15-2,04 (м, 2H), 1,94 (с, 3H). MS: (ES) m/z вычислено для C34H37FN5O4 [M + H]+ 598,3, найдено 598,2.

Пример 189. (S)-N-(3''-фтор-5''-метокси-2.2'-диметил-4''-(((2-(5-оксопирролидин-2-ил)этил)амино)метил)-[1.1':3'.1''-терфенил]-3-ил)-1,3-диметил-2.4-диоксо-1.2.3.4-тетрагидропиримидин-5-карбоксамид

Смесь N-(3''-фтор-4''-формил-5''-метокси-2.2'-диметил-[1.1':3'.1''-терфенил]-3-ил)-1,3-диметил-2.4-диоксо-1.2.3.4-тетрагидропиримидин-5-карбоксамида (25 мг, 0,048 ммоль), (S)-5-(2-аминоэтил)пирролидин-2-она гидрохлорида (15 мг, 0,091 ммоль), Et3N (15 мг, 0,15 ммоль) и HOAc (90 мг, 1,5 ммоль) в EtOH (1,5 мл) нагревали при 70°C в течение 0,5 часа. Смесь охлаждали до 0°C и добавляли NaBH3CN (50 мг, 0,78 ммоль). После перемешивания в течение 5 минут при 0°C, смесь упаривали в вакууме. Полученный остаток очищали методом флэш-хроматографии на силикагеле (от 0 до 100% MeOH в ДХМ), затем методом ВЭЖХ (MeCN/H2O с 0,1% ТФУК), получая (S)-N-(3''-фтор-5''-метокси-2.2'-диметил-4''-(((2-(5-оксопирролидин-2-ил)этил)амино)метил)-[1.1':3'.1''-терфенил]-3-ил)-1,3-диметил-2.4-диоксо-1.2.3.4-тетрагидропиримидин-5-карбоксамид (в виде соли с ТФУК). 1H ЯМР (400 МГц,CD3OD) δ 11,16 (с, 1H), 8,62 (с, 1H), 8,07 (т, J = 7,4 Гц, 1H), 7,36-7,22 (м, 3H), 7,16 (д, J = 7,6 Гц, 1H), 6,98-6,92 (м, 2H), 6,88 (д, J = 10,0 Гц, 1H), 4,34 (с, 2H), 3,98 (с, 3H), 3,80-3,72 (м, 1H), 3,55 (с, 3H), 3,38 (с, 3H), 3,24-3,10 (м, 2H), 2,40-2,30 (м, 2H), 2,09 (с, 3H), 2,00-1,90 (м, 3H), 1,94 (с, 3H), 1,84-1,74 (м, 1H). MS: (ES) m/z вычислено для C35H39FN5O5 [M + H]+ 628,3, найдено 628,2.

Пример 190. (S)-N-(3''-фтор-5''-метокси-2.2'-диметил-4''-(((2-(5-оксопирролидин-2-ил)этил)амино)метил)-[1.1':3'.1''-терфенил]-3-ил)-3-метил-2.4-диоксо-1.2.3.4-тетрагидропиримидин-5-карбоксамид

Смесь N-(3''-фтор-4''-формил-5''-метокси-2.2'-диметил-[1.1':3'.1''-терфенил]-3-ил)-3-метил-2.4-диоксо-1.2.3.4-тетрагидропиримидин-5-карбоксамида (25 мг, 0,050 ммоль), (S)-5-(2-аминоэтил)пирролидин-2-она гидрохлорида (15 мг, 0,091 ммоль), Et3N (15 мг, 0,15 ммоль) и HOAc (90 мг, 1,5 ммоль) в EtOH (1,5 мл) нагревали при 70°C в течение 0,5 часа. Смесь охлаждали до 0°C и добавляли NaBH3CN (50 мг, 0,78 ммоль). После перемешивания в течение 5 минут при 0°C, смесь упаривали в вакууме. Полученный остаток очищали методом ВЭЖХ (MeCN/H2O с 0,1% ТФУК), затем методом флэш-хроматографии на силикагеле (от 0 до 100% MeOH в ДХМ), получая (S)-N-(3''-фтор-5''-метокси-2.2'-диметил-4''-(((2-(5-оксопирролидин-2-ил)этил)амино)метил)-[1.1':3'.1''-терфенил]-3-ил)-3-метил-2.4-диоксо-1.2.3.4-тетрагидропиримидин-5-карбоксамид (в виде соли с ТФУК). 1H ЯМР (400 МГц, CD3OD) δ 8,42 (с, 1H), 8,07 (дд, J = 8,0, 1,2 Гц, 1H), 7,34-7,22 (м, 3H), 7,14 (дд, J = 7,2, 1,2 Гц, 1H), 6,95 (дд, J = 8,0, 1,2 Гц, 1H), 6,88 (с, 1H), 6,81 (дд, J = 9,6, 1,6 Гц, 1H), 4,17 (с, 2H), 3,95 (с, 3H), 3,78-3,70 (м, 1H), 3,34 (с, 3H), 3,05-2,94 (м, 2H), 2,37-2,26 (м, 3H), 2,09 (с, 3H), 1,93 (с, 3H), 1,92-1,72 (м, 3H). MS: (ES) m/z вычислено для C34H37FN5O5 [M + H]+ 614,3, найдено 614,2.

Пример 191. N-(4''-(((3-амино-3-оксопропил)амино)метил)-3''-фтор-5''-метокси-2.2'-диметил-[1.1':3'.1''-терфенил]-3-ил)-1,3-диметил-2.4-диоксо-1.2.3.4-тетрагидропиримидин-5-карбоксамид

Смесь N-(3''-фтор-4''-формил-5''-метокси-2.2'-диметил-[1.1':3'.1''-терфенил]-3-ил)-1,3-диметил-2.4-диоксо-1.2.3.4-тетрагидропиримидин-5-карбоксамида (25 мг, 0,048 ммоль), 3-аминопропанамида (30 мг, 0,37 ммоль) и HOAc (60 мг, 1,0 ммоль) в EtOH (1,5 мл) нагревали при 70°C в течение 0,5 часа. Смесь охлаждали до 0°C и добавляли NaBH3CN (50 мг, 0,78 ммоль). После перемешивания в течение 5 минут при 0°C, смесь упаривали в вакууме. Полученный остаток очищали методом ВЭЖХ (MeCN/H2O с 0,1% ТФУК), получая N-(4''-(((3-амино-3-оксопропил)амино)метил)-3''-фтор-5''-метокси-2.2'-диметил-[1.1':3'.1''-терфенил]-3-ил)-1,3-диметил-2.4-диоксо-1.2.3.4-тетрагидропиримидин-5-карбоксамид (в виде соли с ТФУК). 1H ЯМР (400 МГц, CD3OD) δ 11,16 (с, 1H), 8,62 (с, 1H), 8,07 (т, J = 7,4 Гц, 1H), 7,36-7,22 (м, 3H), 7,15 (дд, J = 7,6, 0,8 Гц, 1H), 6,96 (дд, J = 7,6, 0,8 Гц, 1H), 6,93 (с, 1H), 6,86 (дд, J = 10,0, 0,8 Гц, 1H), 4,35 (с, 2H), 4,00 (с, 3H), 3,55 (с, 3H), 3,38 (с, 3H), 3,36-3,28 (м, 2H), 2,71 (т, J = 6,4 Гц, 2H), 2,09 (с, 3H), 1,94 (с, 3H). MS: (ES) m/z вычислено для C32H35FN5O5 [M + H]+ 588,3, найдено 588,2.

Пример 192. N-(3''-фтор-5''-метокси-2.2'-диметил-4''-(((2-(2-оксопирролидин-1-ил)этил)амино)метил)-[1.1':3'.1''-терфенил]-3-ил)-1,3-диметил-2.4-диоксо-1.2.3.4-тетрагидропиримидин-5-карбоксамид

Смесь N-(3''-фтор-4''-формил-5''-метокси-2.2'-диметил-[1.1':3'.1''-терфенил]-3-ил)-1,3-диметил-2.4-диоксо-1.2.3.4-тетрагидропиримидин-5-карбоксамида (23 мг, 0,044 ммоль), 1-(2-аминоэтил)пирролидин-2-она (25 мг, 0,20 ммоль) и HOAc (60 мг, 1,0 ммоль) в EtOH (1,5 мл) нагревали при 70°C в течение 0,5 часа. Смесь охлаждали до 0°C и добавляли NaBH3CN (45 мг, 0,63 ммоль). После перемешивания в течение 5 минут при 0°C, смесь упаривали в вакууме. Полученный остаток очищали методом ВЭЖХ (MeCN/H2O с 0,1% ТФУК), получая N-(3''-фтор-5''-метокси-2.2'-диметил-4''-(((2-(2-оксопирролидин-1-ил)этил)амино)метил)-[1.1':3'.1''-терфенил]-3-ил)-1,3-диметил-2.4-диоксо-1.2.3.4-тетрагидропиримидин-5-карбоксамид (в виде соли с ТФУК). 1H ЯМР (400 МГц, CD3OD) δ 11,16 (с, 1H), 8,63 (с, 1H), 8,06 (т, J = 8,0 Гц, 1H), 7,36-7,22 (м, 3H), 7,16 (дд, J = 7,6, 1,2 Гц, 1H), 6,97 (дд, J = 6,8, 1,2 Гц, 1H), 6,94 (с, 1H), 6,87 (дд, J = 10,4, 1,2 Гц, 1H), 4,38 (с, 2H), 3,99 (с, 3H), 3,65 (т, J = 5,6 Гц, 2H), 3,55 (с, 3H), 3,55-3,50 (м, 2H), 3,34-3,00 (м, 2H), 3,88 (с, 3H), 2,45-2,34 (м, 2H), 2,15-2,06 (м, 2H), 2,09 (с, 3H), 1,94 (с, 3H). MS: (ES) m/z вычислено для C35H39FN5O5 [M + H]+ 628,3, найдено 628,2.

Пример 193. N-(4''-((((1H-имидазол-2-ил)метил)амино)метил)-3''-фтор-5''-метокси-2.2'-диметил-[1.1':3'.1''-терфенил]-3-ил)-3-метил-2.4-диоксо-1.2.3.4-тетрагидропиримидин-5-карбоксамид

Смесь N-(3''-фтор-4''-формил-5''-метокси-2.2'-диметил-[1.1':3'.1''-терфенил]-3-ил)-3-метил-2.4-диоксо-1.2.3.4-тетрагидропиримидин-5-карбоксамида (25 мг, 0,050 ммоль), (1H-имидазол-2-ил)метанамина гидрохлорида (28 мг, 0,16ммоль), Et3N (25 мг, 0,25 ммоль) и HOAc (120 мг, 2,0 ммоль) в EtOH (1,5 мл) нагревали при 70°C в течение 0,5 часа. Смесь охлаждали до 0°C и добавляли NaBH3CN (45 мг, 0,71 ммоль). После перемешивания в течение 25 минут при комнатной температуре, смесь упаривали в вакууме. Полученный остаток очищали методом ВЭЖХ (MeCN/H2O с 0,1% ТФУК), получая N-(4''-((((1H-имидазол-2-ил)метил)амино)метил)-3''-фтор-5''-метокси-2.2'-диметил-[1.1':3'.1''-терфенил]-3-ил)-3-метил-2.4-диоксо-1.2.3.4-тетрагидропиримидин-5-карбоксамид (в виде соли с ТФУК). 1H ЯМР (400 МГц, CD3OD) δ 11,15 (с, 1H), 8,41 (с, 1H), 8,04 (т, J = 7,2 Гц, 1H), 7,41 (с, 2H), 7,35-7,22 (м, 3H), 7,15 (дд, J = 7,2, 1,6 Гц, 1H), 6,97 (дд, J = 7,2, 0,8 Гц, 1H), 6,88 (с, 1H), 6,82 (дд, J = 10,0, 1,2 Гц, 1H), 4,40 (с, 2H), 4,29 (с, 2H), 3,93 (с, 3H), 3,36 (с, 3H), 2,10 (с, 3H), 1,93 (с, 3H). MS: (ES) m/z вычислено для C32H32FN6O4 [M + H]+ 583,2, найдено 583,2.

Пример 194. N-(3''-фтор-5''-метокси-2.2'-диметил-4''-(((тетрагидро-2H-пиран-4-ил)амино)метил)-[1.1':3'.1''-терфенил]-3-ил)пиридо[3,4-b]пиразин-5-амин

Смесь 3-фтор-5-метокси-2',2''-диметил-3''-(пиридо[3,4-b]пиразин-5-иламино)-[1.1':3'.1''-терфенил]-4-карбальдегида (25 мг, 0,052 ммоль), тетрагидро-2H-пиран-4-амина (18 мг, 0,18 ммоль) и HOAc (60 мг, 1,0 ммоль) в EtOH (1,5 мл) нагревали при 70°C в течение 0,5 часа. Смесь охлаждали до 0°C и добавляли NaBH(OAc)3 (45 мг, 0,21 ммоль). После перемешивания в течение 5 минут при 0°C, смесь упаривали в вакууме. Полученный остаток очищали методом ВЭЖХ (MeCN/H2O с 0,1% ТФУК), получая N-(3''-фтор-5''-метокси-2.2'-диметил-4''-(((тетрагидро-2H-пиран-4-ил)амино)метил)-[1.1':3'.1''-терфенил]-3-ил)пиридо[3,4-b]пиразин-5-амин (в виде соли с ТФУК). 1H ЯМР (400 МГц, CD3OD) δ 9,23 (д, J = 2,0 Гц, 1H), 9,04 (д, J = 2,0 Гц, 1H), 7,80 (д, J = 7,2 Гц, 1H), 7,61 (д, J = 7,6 Гц, 1H), 7,53 (т, J = 7,8 Гц, 1H), 7,40-7,34 (м, 3H), 7,28 (дд, J = 8,0, 1,2 Гц, 1H), 7,23 (д, J = 7,2 Гц, 1H), 6,94 (с, 1H), 6,88 (д, J =10,0 Гц, 1H), 4,36 (с, 2H), 4,06 (дд, J = 11,2, 4,4 Гц, 2H), 3,98 (с, 3H), 3,52-3,44 (м, 3H), 2,18-2,12 (м, 2H), 2,10 (с, 3H), 2,01 (с, 3H), 1,80-1,68 (м, 2H). MS: (ES) m/z вычислено для C34H35FN5O2 [M + H]+ 564,3, найдено 564,2.

Пример 195. N-(4''-(((3-амино-3-оксопропил)амино)метил)-3''-фтор-5''-метокси-2.2'-диметил-[1.1':3'.1''-терфенил]-3-ил)-3-метил-2.4-диоксо-1.2.3.4-тетрагидропиримидин-5-карбоксамид

Смесь N-(3''-фтор-4''-формил-5''-метокси-2.2'-диметил-[1.1':3'.1''-терфенил]-3-ил)-3-метил-2.4-диоксо-1.2.3.4-тетрагидропиримидин-5-карбоксамида (25 мг, 0,050 ммоль), 3-аминопропанамида гидрохлорида (30 мг, 0,24 ммоль), Et3N (20 мг, 0,20 ммоль) и HOAc (105 мг, 1,75 ммоль) в EtOH (1,5 мл) нагревали при 70°C в течение 0,5 часа. Смесь охлаждали до 0°C и добавляли NaBH3CN (45 мг, 0,79 ммоль). После перемешивания в течение 5 минут при 0°C, смесь упаривали в вакууме. Полученный остаток очищали методом ВЭЖХ (MeCN/H2O с 0,1% ТФУК), получая N-(4''-(((3-амино-3-оксопропил)амино)метил)-3''-фтор-5''-метокси-2.2'-диметил-[1.1':3'.1''-терфенил]-3-ил)-3-метил-2.4-диоксо-1.2.3.4-тетрагидропиримидин-5-карбоксамид (в виде соли с ТФУК). 1H ЯМР (400 МГц, CD3OD) δ 11,14 (с, 1H), 8,41 (с, 1H), 8,06 (т, J = 6,8 Гц, 1H), 7,35-7,23 (м, 3H), 7,15 (дд, J = 7,2, 1,2 Гц, 1H), 6,96 (д, J = 8,0 Гц, 1H), 6,93 (с, 1H), 6,87 (д, J = 10,0 Гц, 1H), 4,35 (с, 2H), 3,99 (с, 3H), 3,35 (с, 3H), 3,34-3,30 (м, 2H), 2,71 (т, J = 6,4 Гц, 2H), 2,09 (с, 3H), 1,93 (с, 3H). MS: (ES) m/z вычислено для C31H33FN5O5 [M + H]+ 574,2, найдено 574,2.

Пример 196. N-(3''-фтор-5''-метокси-2.2'-диметил-4''-(((2-(2-оксопирролидин-1-ил)этил)амино)метил)-[1.1':3'.1''-терфенил]-3-ил)-3-метил-2.4-диоксо-1.2.3.4-тетрагидропиримидин-5-карбоксамид

Смесь N-(3''-фтор-4''-формил-5''-метокси-2.2'-диметил-[1.1':3'.1''-терфенил]-3-ил)-3-метил-2.4-диоксо-1.2.3.4-тетрагидропиримидин-5-карбоксамида (24 мг, 0,046 ммоль), 1-(2-аминоэтил)пирролидин-2-она (30 мг, 0,23 ммоль) и HOAc (60 мг, 1,0 ммоль) в EtOH (1,5 мл) нагревали при 70°C в течение 0,5 часа. Смесь охлаждали до 0°C и добавляли NaBH3CN (45 мг, 0,63 ммоль). После перемешивания в течение 5 минут при 0°C, смесь упаривали в вакууме. Полученный остаток очищали методом ВЭЖХ (MeCN/H2O с 0,1% ТФУК), получая N-(3''-фтор-5''-метокси-2.2'-диметил-4''-(((2-(2-оксопирролидин-1-ил)этил)амино)метил)-[1.1':3'.1''-терфенил]-3-ил)-3-метил-2.4-диоксо-1.2.3.4-тетрагидропиримидин-5-карбоксамид (в виде соли с ТФУК). 1H ЯМР (400 МГц, CD3OD) δ 11,15 (с, 1H), 8,41 (с, 1H), 8,06 (т, J = 7,6 Гц, 1H), 7,36-7,23 (м, 3H), 7,15 (д, J = 7,6 Гц, 1H), 6,98 (д, J = 7,6 Гц, 1H), 6,93 (с, 1H), 6,87 (д, J = 10,4 Гц, 1H), 4,38 (с, 2H), 3,99 (с, 3H), 3,65 (т, J = 5,6 Гц, 2H), 3,52 (т, J = 7,2 Гц, 2H), 3,35 (с, 3H), 3,34-3,30 (м, 2H), 2,42 (т, J = 8,0 Гц, 2H), 2,15-2,16 (м, 2H), 2,10 (с, 3H), 1,94 (с, 3H). MS: (ES) m/z вычислено для C34H37FN5O5 [M + H]+ 614,3, найдено 614,2.

Пример 197. N-(4''-((((1H-пиразол-5-ил)метил)амино)метил)-3''-фтор-5''-метокси-2.2'-диметил-[1.1':3'.1''-терфенил]-3-ил)-3-метил-2.4-диоксо-1.2.3.4-тетрагидропиримидин-5-карбоксамид

Смесь N-(3''-фтор-4''-формил-5''-метокси-2.2'-диметил-[1.1':3'.1''-терфенил]-3-ил)-3-метил-2.4-диоксо-1.2.3.4-тетрагидропиримидин-5-карбоксамида (25 мг, 0,048 ммоль), (1H-пиразол-5-ил)метанамина гидрохлорида (25 мг, 0,19 ммоль), Et3N (15 мг, 0,15 ммоль) и HOAc (90 мг, 1,5 ммоль) в EtOH (1,5 мл) нагревали при 70°C в течение 0,5 часа. Смесь охлаждали до 0°C и добавляли NaBH3CN (45 мг, 0,70 ммоль). После перемешивания в течение 5 минут при 0°C, смесь упаривали в вакууме. Полученный остаток очищали методом ВЭЖХ (MeCN/H2O с 0,1% ТФУК), получая N-(4''-((((1H-пиразол-5-ил)метил)амино)метил)-3''-фтор-5''-метокси-2.2'-диметил-[1.1':3'.1''-терфенил]-3-ил)-3-метил-2.4-диоксо-1.2.3.4-тетрагидропиримидин-5-карбоксамид (в виде соли с ТФУК). 1H ЯМР (400 МГц, CD3OD) δ 11,15 (с, 1H), 8,41 (с, 1H), 8,06 (т, J = 7,4 Гц, 1H), 7,75 (д, J = 2,4 Гц, 1H), 7,35-7,22 (м, 3H), 7,15 (д, J = 7,2 Гц, 1H), 6,96 (д, J = 7,6 Гц, 1H), 6,90 (с, 1H), 6,84 (д, J = 9,6 Гц, 1H), 6,50 (д, J = 2,4 Гц, 1H), 4,30 (с, 4H), 3,95 (с, 3H), 3,36 (с, 3H), 2,10 (с, 3H), 1,93 (с, 3H). MS: (ES) m/z вычислено для C32H32FN6O4 [M + H]+ 583,2, найдено 583,2.

Пример 198. (S)-N-(3''-фтор-5''-метокси-2.2'-диметил-4''-(((2-оксопирролидин-3-ил)амино)метил)-[1.1':3'.1''-терфенил]-3-ил)-3-метил-2.4-диоксо-1.2.3.4-тетрагидропиримидин-5-карбоксамид

Смесь N-(3''-фтор-4''-формил-5''-метокси-2.2'-диметил-[1.1':3'.1''-терфенил]-3-ил)-3-метил-2.4-диоксо-1.2.3.4-тетрагидропиримидин-5-карбоксамида (22 мг, 0,042 ммоль), (S)-3-аминопирролидин-2-она гидрохлорида (15 мг, 0,11 ммоль), Et3N (15 мг, 0,15 ммоль) и HOAc (90 мг, 1,5 ммоль) в EtOH (1,5 мл) нагревали при 70°C в течение 0,5 часа. Смесь охлаждали до 0°C и добавляли NaBH3CN (50 мг, 0,78 ммоль). После перемешивания в течение 5 минут при 0°C, смесь упаривали в вакууме. Полученный остаток очищали методом ВЭЖХ (MeCN/H2O с 0,1% ТФУК), получая (S)-N-(3''-фтор-5''-метокси-2.2'-диметил-4''-(((2-оксопирролидин-3-ил)амино)метил)-[1.1':3'.1''-терфенил]-3-ил)-3-метил-2.4-диоксо-1.2.3.4-тетрагидропиримидин-5-карбоксамид (в виде соли с ТФУК). 1H ЯМР (400 МГц, CD3OD) δ 11,15 (с, 1H), 8,41 (с, 1H), 8,06 (т, J = 7,6 Гц, 1H), 7,23-7,36 (м, 3H), 7,16 (д, J = 7,6 Гц, 1H), 6,97 (д, J = 7,6 Гц, 1H), 6,93 (с, 1H), 6,87 (д, J = 10,0 Гц, 1H), 4,63 (д, J = 13,6 Гц, 1H), 4,39 (д, J = 12,8 Гц, 1H), 4,24-4,18 (м, 1H), 3,99 (с, 3H), 3,50-3,40 (м, 2H), 3,36 (с, 3H), 2,67-2,58 (м, 1H), 2,28-2,16 (м, 1H), 2,10 (с, 3H), 1,94 (с, 3H). MS: (ES) m/z вычислено для C32H33FN5O5 [M + H]+ 586,2, найдено 586,2.

Пример 199. (R)-N-(3''-фтор-5''-метокси-2.2'-диметил-4''-(((2-оксопирролидин-3-ил)амино)метил)-[1.1':3'.1''-терфенил]-3-ил)-3-метил-2.4-диоксо-1.2.3.4-тетрагидропиримидин-5-карбоксамид

Смесь N-(3''-фтор-4''-формил-5''-метокси-2.2'-диметил-[1.1':3'.1''-терфенил]-3-ил)-3-метил-2.4-диоксо-1.2.3.4-тетрагидропиримидин-5-карбоксамида (23 мг, 0,044 ммоль), (R)-3-аминопирролидин-2-она гидрохлорида (15 мг, 0,11 ммоль), Et3N (15 мг, 0,15 ммоль) и HOAc (90 мг, 1,5 ммоль) в EtOH (1,5 мл) нагревали при 70°C в течение 0,5 часа. Смесь охлаждали до 0°C и добавляли NaBH(OAc)3 (60 мг, 0,28 ммоль). После перемешивания в течение 25 минут при комнатной температуре, смесь упаривали в вакууме. Полученный остаток очищали методом ВЭЖХ (MeCN/H2O с 0,1% ТФУК), получая (R)-N-(3''-фтор-5''-метокси-2.2'-диметил-4''-(((2-оксопирролидин-3-ил)амино)метил)-[1.1':3'.1''-терфенил]-3-ил)-3-метил-2.4-диоксо-1.2.3.4-тетрагидропиримидин-5-карбоксамид (в виде соли с ТФУК). 1H ЯМР (400 МГц, CD3OD) δ 11,15 (с, 1H), 8,41 (с, 1H), 8,06 (т, J = 7,4 Гц, 1H), 7,36-7,23 (м, 3H), 7,16 (д, J = 7,6 Гц, 1H), 6,97 (д, J = 7,6 Гц, 1H), 6,93 (с, 1H), 6,87 (д, J = 10,4 Гц, 1H), 4,63 (д, J = 13,6 Гц, 1H), 4,39 (д, J = 12,8 Гц, 1H), 4,24-4,18 (м, 1H), 3,99 (с, 3H), 3,50-3,40 (м, 2H), 3,36 (с, 3H), 2,67-2,58 (м, 1H), 2,28-2,16 (м, 1H), 2,10 (с, 3H), 1,94 (с, 3H). MS: (ES) m/z вычислено для C32H33FN5O5 [M + H]+ 586,2, найдено 586,2.

Пример 200. (1S,2S)-2-(((3-фтор-5-метокси-2',2''-диметил-3''-(пиридо[3,4-b]пиразин-5-иламино)-[1.1':3'.1''-терфенил]-4-ил)метил)амино)циклопентан-1-ол

Смесь 3-фтор-5-метокси-2',2''-диметил-3''-(пиридо[3,4-b]пиразин-5-иламино)-[1.1':3'.1''-терфенил]-4-карбальдегида (25 мг, 0,045 ммоль), (1S,2S)-2-аминоциклопентан-1-ола гидрохлорида (15 мг, 0,11 ммоль), Et3N (15 мг, 0,15 ммоль) и HOAc (90 мг, 1,5 ммоль) в EtOH (1,5 мл) нагревали при 70°C в течение 0,5 часа. Смесь охлаждали до 0°C и добавляли NaBH(OAc)3 (60 мг, 0,28 ммоль). После перемешивания в течение 30 минут при комнатной температуре, смесь упаривали в вакууме. Полученный остаток очищали методом ВЭЖХ (MeCN/H2O с 0,1% ТФУК), получая (1S,2S)-2-(((3-фтор-5-метокси-2',2''-диметил-3''-(пиридо[3,4-b]пиразин-5-иламино)-[1.1':3'.1''-терфенил]-4-ил)метил)амино)циклопентан-1-ол (в виде соли с ТФУК). 1H ЯМР (400 МГц, CD3OD) δ 9,23 (д, J = 2,0 Гц, 1H), 9,04 (д, J = 2,0 Гц, 1H), 7,80 (д, J = 7,2 Гц, 1H), 7,61 (д, J = 7,6 Гц, 1H), 7,53 (т, J = 7,6 Гц, 1H), 7,34-7,40 (м, 3H), 7,28 (дд, J = 7,6, 1,2 Гц, 1H), 7,23 (дд, J = 7,2, 1,2 Гц, 1H), 6,93 (с, 1H), 6,87 (д, J = 10,0 Гц, 1H), 4,49 (д, J = 13,2 Гц, 1H), 4,34 (д, J = 13,2 Гц, 1H), 4,30-4,22 (м, 1H), 3,98 (с, 3H), 3,45-3,38 (м, 1H), 2,33-2,23 (м, 1H), 2,10 (с, 3H), 2,10-2,00 (м, 1H), 2,01 (с, 3H), 1,90-1,62 (м, 4H). MS: (ES) m/z вычислено для C34H35FN5O2 [M + H]+ 564,3, найдено 564,2.

Пример 201. (R)-4-(((3-фтор-5-метокси-2',2''-диметил-3''-(пиридо[3,4-b]пиразин-5-иламино)-[1.1':3'.1''-терфенил]-4-ил)метил)амино)пирролидин-2-он

Смесь 3-фтор-5-метокси-2',2''-диметил-3''-(пиридо[3,4-b]пиразин-5-иламино)-[1.1':3'.1''-терфенил]-4-карбальдегида (23 мг, 0,041 ммоль), (R)-4-аминопирролидин-2-она гидрохлорида (18 мг, 0,13 ммоль), Et3N (15 мг, 0,15 ммоль) и HOAc (90 мг, 1,5 ммоль) в EtOH (1,5 мл) нагревали при 70°C в течение 0,5 часа. Смесь охлаждали до 0°C и добавляли NaBH(OAc)3 (60 мг, 0,28 ммоль). После перемешивания в течение 20 минут при комнатной температуре, смесь упаривали в вакууме. Полученный остаток очищали методом ВЭЖХ (MeCN/H2O с 0,1% ТФУК), получая (R)-4-(((3-фтор-5-метокси-2',2''-диметил-3''-(пиридо[3,4-b]пиразин-5-иламино)-[1.1':3'.1''-терфенил]-4-ил)метил)амино)пирролидин-2-он (в виде соли с ТФУК). 1H ЯМР (400 МГц, CD3OD) δ 9,24 (д, J = 2,0 Гц, 1H), 9,05 (д, J = 2,4 Гц, 1H), 7,79 (д, J = 7,2 Гц, 1H), 7,60 (дд, J = 7,6, 1,2 Гц, 1H), 7,53 (т, J = 7,6 Гц, 1H), 7,40-7,34 (м, 3H), 7,28 (дд, J = 8,0, 1,6 Гц, 1H), 7,24 (дд, J = 7,6, 1,2 Гц, 1H), 6,94 (с, 1H), 6,88 (дд, J = 9,6, 1,2 Гц, 1H), 4,37 (с, 2H), 4,28-4,20 (м, 1H), 3,99 (с, 3H), 3,91-3,85 (м, 1H), 3,62-3,57 (м, 1H), 2,94-2,86 (м, 1H), 2,58 (дд, J = 17,2, 4,4 Гц, 1H), 2,10 (с, 3H), 2,02 (с, 3H). MS: (ES) m/z вычислено для C33H32FN6O2 [M + H]+ 563,3, найдено 563,3.

Пример 202. (R)-N-(3''-фтор-5''-метокси-2.2'-диметил-4''-(((5-оксопирролидин-3-ил) амино)метил)-[1.1':3'.1''-терфенил]-3-ил)-1-метил-6-оксо-1,6-дигидропиримидин-5-карбоксамид

Смесь N-(3''-фтор-4''-формил-5''-метокси-2.2'-диметил-[1.1':3'.1''-терфенил]-3-ил)-1-метил-6-оксо-1,6-дигидропиримидин-5-карбоксамида (22 мг, 0,045 ммоль), (R)-4-аминопирролидин-2-она гидрохлорида (15 мг, 0,11 ммоль), Et3N (15 мг, 0,15 ммоль) и HOAc (90 мг, 1,5 ммоль) в EtOH (1,5 мл) нагревали при 70°C в течение 0,5 часа. Смесь охлаждали до 0°C и добавляли NaBH(OAc)3 (50 мг, 0,23 ммоль). После перемешивания в течение 20 минут при комнатной температуре, смесь упаривали в вакууме. Полученный остаток очищали методом ВЭЖХ (MeCN/H2O с 0,1% ТФУК), получая (R)-N-(3''-фтор-5''-метокси-2.2'-диметил-4''-(((5-оксопирролидин-3-ил)амино)метил)-[1.1':3'.1''-терфенил]-3-ил)-1-метил-6-оксо-1,6-дигидропиримидин-5-карбоксамид (в виде соли с ТФУК). 1H ЯМР (400 МГц, CD3OD) δ 11,41 (с, 1H), 8,91 (с, 1H), 8,67 (с, 1H), 8,12 (т, J = 7,6 Гц, 1H), 7,36-7,23 (м, 3H), 7,17 (дд, J = 7,6, 1,6 Гц, 1H), 6,99 (дд, J = 8,0, 0,8 Гц, 1H), 6,95 (с, 1H), 6,89 (дд, J = 10,0 , 1,2 Гц, 1H), 4,37 (с, 2H), 4,27-4,20 (м, 1H), 4,00 (с, 3H), 3,91-3,85 (м, 1H), 3,66 (с, 3H), 3,60-3,55 (м, 1H), 2,95-2,87 (м, 1H), 2,56 (дд, J = 18,0, 4,8 Гц, 1H), 2,11 (с, 3H), 1,94 (с, 3H). MS: (ES) m/z вычислено для C32H33FN5O4 [M + H]+ 570,2, найдено 570,2.

Пример 203. (R)-5-((((3-фтор-5-метокси-2',2''-диметил-3''-(пиридо[3,4-b]пиразин-5-иламино)-[1.1':3'.1''-терфенил]-4-ил)метил)амино)метил)пирролидин-2-он

Смесь 3-фтор-5-метокси-2',2''-диметил-3''-(пиридо[3,4-b]пиразин-5-иламино)-[1.1':3'.1''-терфенил]-4-карбальдегида (23 мг, 0,035 ммоль), (R)-5-(аминометил)пирролидин-2-она гидрохлорида (20 мг, 0,13 ммоль), Et3N (15 мг, 0,15 ммоль) и HOAc (90 мг, 1,5 ммоль) в EtOH (1,5 мл) нагревали при 70°C в течение 0,5 часа. Смесь охлаждали до 0°C и добавляли NaBH(OAc)3 (50 мг, 0,24 ммоль). После перемешивания в течение 20 минут при комнатной температуре, смесь упаривали в вакууме. Полученный остаток очищали методом ВЭЖХ (MeCN/H2O с 0,1% ТФУК), получая (R)-5-((((3-фтор-5-метокси-2',2''-диметил-3''-(пиридо[3,4-b]пиразин-5-иламино)-[1.1':3'.1''-терфенил]-4-ил)метил)амино)метил)пирролидин-2-он (в виде соли с ТФУК). 1H ЯМР (400 МГц, CD3OD) δ 9,24 (д, J = 2,0 Гц, 1H), 9,05 (д, J = 2,4 Гц, 1H), 7,79 (д, J = 7,2 Гц, 1H), 7,60 (дд, J = 7,6, 1,2 Гц, 1H), 7,53 (т, J = 7,8 Гц, 1H), 7,40-7,34 (м, 3H), 7,28 (дд, J = 8,0, 1,2 Гц, 1H), 7,24 (дд, J = 8,0, 0,8 Гц, 1H), 6,94 (с, 1H), 6,88 (дд, J = 9,6, 1,6 Гц, 1H), 4,40 (с, 2H), 4,11-4,04 (м, 1H), 3,99 (с, 3H), 3,28-3,24 (м, 2H), 2,46-2,33 (м, 3H), 2,10 (с, 3H), 2,02 (с, 3H), 1,98-1,85 (м, 1H). MS: (ES) m/z вычислено для C34H34FN6O2 [M + H]+ 577,3, найдено 577,2.

Пример 204. N-(3''-фтор-4''-((((1S,2S)-2-гидроксициклопентил)амино)метил)-5''-метокси-2.2'-диметил-[1.1':3'.1''-терфенил]-3-ил)-1-метил-6-оксо-1,6-дигидропиримидин-5-карбоксамид

Смесь N-(3''-фтор-4''-формил-5''-метокси-2.2'-диметил-[1.1':3'.1''-терфенил]-3-ил)-1-метил-6-оксо-1,6-дигидропиримидин-5-карбоксамида (23 мг, 0,047 ммоль), (1S,2S)-2-аминоциклопентан-1-ола гидрохлорида (25 мг, 0,18 ммоль), Et3N (15 мг, 0,15 ммоль) и HOAc (90 мг, 1,5 ммоль) в EtOH (1,5 мл) нагревали при 70°C в течение 0,5 часа. Смесь охлаждали до 0°C и добавляли NaBH(OAc)3 (50 мг, 0,23 ммоль). После перемешивания в течение 20 минут при комнатной температуре, смесь упаривали в вакууме. Полученный остаток очищали методом ВЭЖХ (MeCN/H2O с 0,1% ТФУК), получая N-(3''-фтор-4''-((((1S,2S)-2-гидроксициклопентил)амино)метил)-5''-метокси-2.2'-диметил-[1.1':3'.1''-терфенил]-3-ил)-1-метил-6-оксо-1,6-дигидропиримидин-5-карбоксамид (в виде соли с ТФУК). 1H ЯМР (400 МГц, CD3OD) δ 8,91 (с, 1H), 8,67 (с, 1H), 8,12 (дд, J = 8,4, 1,2 Гц, 1H), 7,36-7,22 (м, 3H), 7,16 (дд, J = 7,6, 1,6 Гц, 1H), 6,99 (дд, J = 7,2, 0,8 Гц, 1H), 6,93 (с, 1H), 6,87 (дд, J = 10,4, 1,2 Гц, 1H), 4,49 (д, J = 13,2 Гц, 1H), 4,33 (д, J = 13,6 Гц, 1H), 4,29-4,22 (м, 1H), 3,99 (с, 3H), 3,65 (с, 3H), 3,45-3,38 (м, 1H), 2,33-2,23 (м, 1H), 2,12 (с, 3H), 2,10-2,01 (м, 1H), 1,94 (с, 3H), 1,90-1,75 (m 2H), 1,75-1,62 (м, 2H). MS: (ES) m/z вычислено для C33H36FN4O2 [M + H]+ 571,3, найдено 571,2.

Пример 205. (1S,2R)-2-(((3-фтор-5-метокси-2',2''-диметил-3''-((1.2.3.4-тетрагидропиридо[3,4-b]пиразин-5-ил)амино)-[1.1':3'.1''-терфенил]-4-ил)метил)амино)циклопентан-1-ол

Смесь 3-фтор-5-метокси-2',2''-диметил-3''-(пиридо[3,4-b]пиразин-5-иламино)-[1.1':3'.1''-терфенил]-4-карбальдегида (22 мг, 0,046 ммоль), (1S,2R)-2-аминоциклопентан-1-ола гидрохлорида (25 мг, 0,18 ммоль), Et3N (0,040 мл, 0,23 ммоль) и HOAc (90 мг, 1,5 ммоль) в EtOH (2,5 мл) нагревали при 70°C в течение 0,5 часа. Смесь охлаждали до 0°C и добавляли NaBH3CN (45 мг, 0,71 ммоль). После перемешивания в течение 20 минут при комнатной температуре, смесь упаривали в вакууме. Полученный остаток очищали методом ВЭЖХ (MeCN/H2O с 0,1% ТФУК), получая (1S,2R)-2-(((3-фтор-5-метокси-2',2''-диметил-3''-((1.2.3.4-тетрагидропиридо[3,4-b]пиразин-5-ил)амино)-[1.1':3'.1''-терфенил]-4-ил)метил)амино) циклопентан-1-ол (в виде соли с ТФУК). 1H ЯМР (400 МГц, CD3OD) δ 7,39-7,31 (м, 2H), 7,25 (д, J = 6,8 Гц, 1H), 7,20-7,10 (м, 4H), 6,91 (с, 1H), 6,85 (д, J = 9,6 Гц, 1H), 6,34 (д, J = 7,2 Гц, 1H), 4,42-4,28 (м, 3H), 3,97 (с, 3H), 3,52-3,42 (м, 3H), 3,35-3,28 (м, 2H), 2,18-2,05 (м, 1H), 2,01 (с, 3H), 1,97 (с, 3H), 1,95-1,77 (м, 4H), 1,74-1,62 (м, 1H). MS: (ES) m/z вычислено для C34H39FN5O2 [M + H]+ 568,3, найдено 568,3.

Пример 206. N-(2,2'-дихлор-3''-фтор-4''-((((3S,4S)-3-гидрокситетрагидро-2H-пиран-4-ил)амино)метил)-5''-метокси-[1.1':3'.1''-терфенил]-3-ил)-1,3-диметил-2.4-диоксо-1.2.3.4-тетрагидропиримидин-5-карбоксамид

Смесь N-(2,2'-дихлор-3''-фтор-4''-формил-5''-метокси-[1.1':3'.1''-терфенил]-3-ил)-1,3-диметил-2.4-диоксо-1.2.3.4-тетрагидропиримидин-5-карбоксамида (25 мг, 0,045 ммоль), (3S,4S)-4-аминотетрагидро-2H-пиран-3-ола гидрохлорида (12 мг, 0,078 ммоль), ТЭА (60 мг, 0,60 ммоль) и HOAc (120 мг, 2,0 ммоль) в EtOH (2 мл) нагревали при 70°C в течение 0,5 часа. Смесь охлаждали до 0°C и добавляли NaBH3CN (40 мг, 0,56 ммоль). После перемешивания в течение 5 минут при 0°C, смесь упаривали в вакууме. Остаток очищали методом ВЭЖХ (MeCN/H2O с 0,1% ТФУК), получая N-(2,2'-дихлор-3''-фтор-4''-((((3S,4S)-3-гидрокситетрагидро-2H-пиран-4-ил)амино)метил)-5''-метокси-[1.1':3'.1''-терфенил]-3-ил)-1,3-диметил-2.4-диоксо-1.2.3.4-тетрагидропиримидин-5-карбоксамид. 1H ЯМР (400 МГц, CD3OD) δ 11,69 (с, 1H), 8,66 (с, 1H), 8,53 (дд, J = 8,4, 1,6 Гц, 1H), 7,53-7,45 (м, 2H), 7,43-7,35 (м, 2H), 7,08 (дд, J = 7,6, 1,6 Гц, 1H), 7,03 (с, 1H), 6,98 (дд, J = 9,6, 1,2 Гц, 1H), 4,41 (д, J = 13,2 Гц, 1H), 4,30 (д, J = 13,2 Гц, 1H), 4,10-3,95 (м, 4H), 3,99 (с, 3H), 3,60-3,54 (м, 1H), 3,55 (с, 3H), 3,52-3,42 (м, 2H), 3,39 (с, 3H), 2,17-2,05 (м, 1H), 1,90-1,82 (м, 1H). MS: (ES) m/z вычислено для C32H32Cl2FN4O6 [M + H]+ 657,2, найдено 657,0.

Пример 207. N-(2,2'-дихлор-3''-фтор-4''-((((3R,4R)-3-гидрокситетрагидро-2H-пиран-4-ил)амино)метил)-5''-метокси-[1.1':3'.1''-терфенил]-3-ил)-1,3-диметил-2.4-диоксо-1.2.3.4-тетрагидропиримидин-5-карбоксамид

Смесь N-(2,2'-дихлор-3''-фтор-4''-формил-5''-метокси-[1.1':3'.1''-терфенил]-3-ил)-1,3-диметил-2.4-диоксо-1.2.3.4-тетрагидропиримидин-5-карбоксамида (200 мг, 0,36 ммоль), (3R,4R)-4-аминотетрагидро-2H-пиран-3-ола гидрохлорида (66 мг, 0,43 ммоль), ТЭА (0,12 мл, 0,86 ммоль) и HOAc (0,10 мл, 1,7 ммоль) в EtOH (4 мл) и ДХМ (4 мл) нагревали при 70°C в течение 1 часа. Смесь охлаждали до 0°C и добавляли NaBH3CN (36 мг, 0,57 ммоль). После перемешивания в течение 10 минут при 0°C, реакцию гасили насыщенным раствором NaHCO3 и экстрагировали дихлорметаном. Органический слой отделяли, сушили над Na2SO4, упаривали в вакууме и очищали методом хроматографии на силикагеле, используя в качестве элюента 0-100% EtOAc/ДХМ и затем 0-50% MeOH/EtOAc, получая белое твердое вещество. В полученный твердый продукт добавляли HCl (1 мл, 1M/эфир) в MeOH (4 мл) и ДХМ (4 мл) при 0°C, затем упаривали в вакууме, получая HCl-соль N-(2,2'-дихлор-3''-фтор-4''-((((3R,4R)-3-гидрокситетрагидро-2H-пиран-4-ил)амино)метил)-5''-метокси-[1.1':3'.1''-терфенил]-3-ил)-1,3-диметил-2.4-диоксо-1.2.3.4-тетрагидропиримидин-5-карбоксамида. 1H ЯМР (400 МГц, CD3OD) δ 11,68 (с, 1H), 8,66 (с, 1H), 8,53 (д, J = 8,4, 1H), 7,53-7,45 (м, 2H), 7,43-7,35 (м, 2H), 7,08 (дд, J = 8,0, 1,2 Гц, 1H), 7,03 (с, 1H), 6,98 (дд, J = 9,6, 1,2 Гц, 1H), 4,42 (д, J = 13,6 Гц, 1H), 4,32 (д, J = 12,8 Гц, 1H), 4,10-3,95 (м, 4H), 4,00 (с, 3H), 3,60-3,54 (м, 1H), 3,55 (с, 3H), 3,52-3,42 (м, 2H), 3,38 (с, 3H), 2,17-2,05 (м, 1H), 1,90-1,83 (м, 1H). MS: (ES) m/z вычислено для C32H32Cl2FN4O6 [M + H]+ 657,2, найдено 657,2.

Пример 208. (S)-N-(2,2'-дихлор-3''-фтор-5''-метокси-4''-(((5-оксопирролидин-3-ил)амино)метил)-[1.1':3'.1''-терфенил]-3-ил)-1,3-диметил-2.4-диоксо-1.2.3.4-тетрагидропиримидин-5-карбоксамид

Смесь N-(2,2'-дихлор-3''-фтор-4''-формил-5''-метокси-[1.1':3'.1''-терфенил]-3-ил)-1,3-диметил-2.4-диоксо-1.2.3.4-тетрагидропиримидин-5-карбоксамида (3,90 г, 7,0 ммоль), (S)-4-аминопирролидин-2-она (0,70 г, 7,0 ммоль) и HOAc (0,84 мл, 14 ммоль) в EtOH (30 мл) и ДХМ (60 мл) нагревали при 70°C в течение 1 часа. Смесь охлаждали до 0°C и добавляли NaBH3CN (656 мг, 10,5 ммоль). После перемешивания в течение 30 минут при 0°C, реакцию гасили насыщенным раствором NaHCO3 и экстрагировали дихлорметаном. Органический слой отделяли, сушили над Na2SO4, упаривали в вакууме и очищали методом хроматографии на силикагеле, используя в качестве элюента 0-100% EtOAc/ДХМ и затем 0-80% MeOH/EtOAc получая белое твердое вещество. В полученный твердый продукт добавляли HCl (14 мл, 1M/эфир) в MeOH (40 мл) и ДХМ (40 мл) при 0°C, затем упаривали в вакууме, получая HCl-соль (S)-N-(2,2'-дихлор-3''-фтор-5''-метокси-4''-(((5-оксопирролидин-3-ил)амино) метил)-[1.1':3'.1''-терфенил]-3-ил)-1,3-диметил-2.4-диоксо-1.2.3.4-тетрагидропиримидин-5-карбоксамида. 1H ЯМР (400 МГц, CD3OD) δ 11,69 (с, 1H), 8,66 (с, 1H), 8,53 (д, J = 8,4 Гц, 1H), 7,54-7,45 (м, 2H), 7,43-7,35 (м, 2H), 7,08 (дд, J = 7,6, 1,2 Гц, 1H), 7,06 (с, 1H), 7,00 (д, J = 10 Гц, 1H), 4,37 (с, 2H), 4,28-4,20 (м, 1H), 4,01 (с, 3H), 3,92-3,85 (м, 1H), 3,60-3,55 (м, 1H), 3,55 (с, 3H), 3,38 (с, 3H), 2,95-2,87 (м, 1H), 2,56 (дд, J = 17,6, 4,8 Гц, 1H). MS: (ES) m/z вычислено для C32H29Cl2FN5O5 [M + H]+ 640,2, найдено 640,0.

Пример 209. Синтез 1-((2',2''-дихлор-3-фтор-5-метокси-3''-(пиридо[3,4-b]пиразин-5-иламино)-[1.1':3'.1''-терфенил]-4-ил)метил)-3-метилазетидин-3-карбоновой кислоты

В перемешиваемый раствор 2',2''-дихлор-3-фтор-5-метокси-3''-(пиридо[3,4-b] пиразин-5-иламино)-[1.1':3'.1''-терфенил]-4-карбальдегида (40 мг, 0,077 ммоль) и 3-метилазетидин-3-карбоновой кислоты (18 мг, 0,154 ммоль) в дихлорэтане (2 мл) и этаноле (1 мл) добавляли триэтиламин (2 капли) и затем уксусную кислоту (2 капли). Реакционную смесь перемешивали при 70°C в течение 1 часа. Смесь затем охлаждали до 0°C и медленно добавляли NaCNBH3 (10 мг, 0,154 ммоль). Смесь перемешивали при 0°C в течение 10 минут. Смесь пропускали через шприцевой фильтр и затем очищали методом препаративной ВЭЖХ (от 0 до 40% до 100% ацетонитрил/H2O), получая 1-((2',2''-дихлор-3-фтор-5-метокси-3''-(пиридо[3,4-b]пиразин-5-иламино)-[1.1':3'.1''-терфенил]-4-ил)метил)-3-метилазетидин-3-карбоновую кислоту. 1H ЯМР (400 МГц, CD3OD) δ 9,11 (с, 1H), 8,93 (д, J = 1,8 Гц, 1H), 8,80 (д, J = 8,5 Гц, 1H), 8,26 (д, J = 6,3 Гц, 1H), 7,57 - 7,36 (м, 5H), 7,20 - 7,13 (м, 1H), 7,09 - 6,98 (м, 2H), 4,56 (д, J = 17,3 Гц, 4H), 4,13 (д, J = 11,1 Гц, 2H), 4,00 (с, 3H), 3,34 - 3,28 (м, 13H), 3,25 (с, 1H), 1,60 (с, 3H). MS: (ES) m/z вычислено для C32H26Cl2FN5O3 [M + H]+ 618,2, найдено 618,2.

Условия, используемые при характеризации соединений

Условия проведения обращенно-фазной ВЭЖХ для определения времени удерживания, указанного в таблице 1.

Колонка - ZORBAX (SB-C18 2,1 x 50 мм, 5 мкм)

Подвижная фаза A - 95% H2O, 5% MeCN (с 0,1% муравьиной кислоты)

Подвижная фаза B - 5% H2O, 95% MeCN (с 0,1% муравьиной кислоты)

Скорость потока - 1,0 мл/мин

Градиент - от 0 до 100% фазы B за 4,5 мин (метод A) или от 20 до 100% B за 3,5 мин (метод B)

Биологический пример. Твердофазный иммуноферментный анализ (ИФА) - ELISA

96-луночные планшеты покрывали 1 мкг/мл раствором человеческого PD-L1 (получено от R&D) в фосфатно-солевом буфере (PBS) на ночь при 4°C. Затем лунки блокировали 2%-ным BSA в PBS (вес/об) с 0,05 % TWEEN-20 в течение 1 часа при 37°C. Затем планшеты промывали 3 раза раствором PBS/0,05% TWEEN-20, тестируемые соединения подвергали серийным разведениям (1:5) в среде и добавляли в ELISA планшеты. Добавляли человеческий PD-1 и биотин 0,3мкг/мл (ACRO Biosystems) и инкубировали 1 час при 37°C, затем промывали 3 раза раствором PBS/0,05% TWEEN-20. Второе блокирование проводили с помощью 2% BSA в PBS (вес/об)/0,05% TWEEN-20 в течение 10 минут при 37°C, и планшеты промывали 3 раза раствором PBS/0,05% TWEEN-20. Добавляли стрептавидин-HRP на 1 час при 37°C, затем планшеты промывали 3 раза раствором PBS/0,05% TWEEN-20. Добавляли TMB субстрат и проводили реакцию 20 минут при 37°C. Добавляли стоп-раствор (2н. водный раствор H2SO4). Считывали поглощение при 450 нм с помощью спектрофотометра для микропланшетов. Полученные результаты приведены в таблице 1. Значения IC50 приведены в следующем виде: от 1000 до 10000 нM (+); от 10 до 1000 нM (++); меньше 10 нM (+++).

Таблица 1 Соед. № Структура ELISA IC50 (нM) m/z [M+H]+ ВЭЖХ RT (мин) ВЭЖХ метод 1.001 +++ 617,2 2,9 A 1.002 +++ 617,2 2,9 A 1.003 +++ 639,2 2,1 B 1.004 +++ 618,3 2,1 B 1.005 +++ 618,3 2,1 B 1.006 +++ 657,0 2,9 A 1.007 +++ 654,0 2,7 A 1.008 +++ 657,0 2,8 A 1.009 +++ 634,3 2,4 B 1.010 +++ 637,2 2,6 B 1.011
и энантиомер
+++ 637,2 3,0 A
1.012 +++ 617,3 2,2 B 1.013
и энантиомер
+++ 617,3 2,2 B
1.014 +++ 658,2 2,6 B 1.015 +++ 641,1 2,1 B 1.016 +++ 621,3 2,2 B 1.017 +++ 637,2 2,8 A 1.018 +++ 634,2 2,7 A 1.019 +++ 597,2 2,4 B 1.020 +++ 604,3 2,2 B 1.021 +++ 618,3 2,1 B 1.022 ++ 599,1 2,5 B 1.023 ++ 583,1 2,2 B 1.024 +++ 583,2 2,6 A 1.025 +++ 601,1 2,6 A 1.026 +++ 634,2 2,1 B 1.027 +++ 597,2 2,7 A 1.028 ++ 581,3 2,0 B 1.029 ++ 583,3 2,5 B 1.030 +++ 634,1 2,3 B 1.031 +++ 654,0 2,8 A 1.032 +++ 636,1 2,5 B 1.033 +++ 620,3 2,4 B 1.034 +++ 636,2 2,9 A 1.035 +++ 620,1 2,7 A 1.036 +++ 634,2 2,8 A 1.037 +++ 618,2 2,3 B 1.038 +++ 587,3 2,0 B 1.039 +++ 587,3 2,0 B 1.040 +++ 580,2 2,8 A 1.041 +++ 580,2 2,9 A 1.042 +++ 577,2 2,8 A 1.043 +++ 563,3 2,8 A 1.044 ++ 604,2 2,1 B 1.045 ++ 630,2 2,7 A 1.046 ++ 629,1 2,8 A 1.047 +++ 620,1 2,2 B 1.048 +++ 577,2 2,8 A 1.049 +++ 573,3 2,4 B 1.050 +++ 573,3 2,2 B 1.051 +++ 598,3 1,9 B 1.052 +++ 601,3 2,7 B 1.053 +++ 587,3 2,5 B 1.054 +++ 642,2 2,7 A 1.055 +++ 615,3 2,1 B 1.056 +++ 629,3 2,1 B 1.057 +++ 603,2 2,8 A 1.058 ++ 629,1 2,8 A 1.059 ++ 615,2 2,5 A 1.060 ++ 615,2 2,9 A 1.061 +++ 629,2 2,8 A 1.062 +++ 603,2 2,8 A 1.063 +++ 617,3 2,9 A 1.064 +++ 575,1 2,9 A 1.065 +++ 560,2 3,0 A 1.066 +++ 587,3 2,1 B 1.067 +++ 628,2 2,2 B 1.068 +++ 615,2 2,7 A 1.069 +++ 615,2 2,7 A 1.070 +++ 601,2 2,6 A 1.071 +++ 614,2 2,1 B 1.072 +++ 603,2 2,9 A 1.073 ++ 600,2 2,8 A 1.074 ++ 583,3 2,3 B 1.075 +++ 618,3 2,4 B 1.076 +++ 618,2 2,7 A 1.077 +++ 629,2 2,7 A 1.078 +++ 589,3 2,6 A 1.079 +++ 589,2 2,7 A 1.080 +++ 616,3 2,2 B 1.081 +++ 602,2 2,8 A 1.082 +++ 628,2 2,8 A 1.083 +++ 588,2 2,7 A 1.084 ++ 584,3 2,0 B 1.085 +++ 602,3 2,2 B 1.086 +++ 614,2 2,7 A 1.087 +++ 571,3 2,4 B 1.088 +++ 629,2 2,6 A 1.089 +++ 615,2 2,6 A 1.090 +++ 589,2 2,7 A 1.091 +++ 558,3 2,2 B 1.092 +++ 629,2 2,8 A 1.093 +++ 614,3 2,1 B 1.094 +++ 600,3 2,1 B 1.095 +++ 628,3 2,2 B 1.096 +++ 600,3 2,1 B 1.097 ++ 610,2 2,8 A 1.098 +++ 598,3 2,2 B 1.099 +++ 598,2 2,8 A 1.100 +++ 614,2 2,8 A 1.101 ++ 604,3 2,3 B 1.102 +++ 584,3 2,0 B 1.103 +++ 584,3 2,0 B 1.104 +++ 615,2 2,7 A 1.105 +++ 601,2 2,6 A 1.106 +++ 629,2 2,6 A 1.107 +++ 614,2 2,7 A 1.108 +++ 628,2 2,8 A 1.109 +++ 614,2 2,7 A 1.110 +++ 614,2 2,7 A 1.111 +++ 603,2 2,7 A 1.112 ++ 611,1 2,8 A 1.113 +++ 611,2 2,1 B 1.114 +++ 588,2 2,7 A 1.115 +++ 628,2 2,8 A 1.116 ++ 560,3 2,6 B 1.117 +++ 570,2 2,9 A 1.118 +++ 628,2 2,9 A 1.119 ++ 583,2 2,6 A 1.120 ++ 601,2 2,8 A 1.121 ++ 614,2 2,8 A 1.122 +++ 592,3 2,3 B 1.123 +++ 564,2 2,7 A 1.124 +++ 592,3 2,0 B 1.125 ++ 563,3 2,1 B 1.126 ++ 614,2 1,8 B 1.127 +++ 600,2 1,9 B 1.128 +++ 574,2 2,7 A 1.129 +++ 601,3 2,3 B 1.130 ++ 563,3 2,0 B 1.131 +++ 614,2 2,8 A 1.132 ++ 598,3 2,3 B 1.133 +++ 589,3 2,2 B 1.134 +++ 583,2 2,8 A 1.135 ++ 586,2 2,7 A 1.136
и энантиомер
+++ 589,2 2,7 A
1.137 +++ 601,3 2,2 B 1.138 ++ 586,2 2,7 A 1.139 +++ 557,3 2,0 B 1.140 +++ 557,3 2,4 B 1.141 +++ 614,2 2,7 A 1.142 +++ 569,3 3,3 A 1.143 +++ 586,2 2,9 A 1.144 +++ 564,2 2,7 A 1.145 +++ 583,2 3,0 A 1.146 +++ 669,2 3,1 A 1.147 +++ 601,3 1,6 B 1.148 +++ 614,2 1,9 B 1.149 +++ 641,2 3,1 A 1.150 +++ 558,2 3,1 A 1.151 +++ 559,3 2,4 B 1.152 ++ 628,3 2,0 B 1.153 +++ 563,3 2,8 A 1.154 +++ 570,2 2,9 A 1.155 +++ 614,2 2,5 B 1.156 +++ 597,2 3,0 A 1.157 +++ 583,2 3,0 A 1.158 +++ 600,2 2,9 A 1.159 +++ 577,3 3,2 A 1.160 +++ 571,2 3,2 A 1.161 +++ 571,2 3,2 A 1.162 +++ 587,2 2,3 B 1.163
и энантиомер
+++ 557,3 2,6 A
1.164 +++ 544,2 3,2 A 1.165 +++ 570,2 3,2 A 1.166 ++ 573,3 2,5 B 1.167 +++ 597,2 3,1 A 1.168 +++ 556,2 3,1 A 1.169 ++ 542,2 3,2 A 1.170 +++ 528,2 3,2 A 1.171 +++ 569,3 3,0 A 1.172 +++ 571,2 3,2 A 1.173 ++ 568,3 2,6 A 1.174 +++ 275,2 2,2 B 1.175 +++ 628,2 2,5 B 1.176 +++ 545,3 2,2 B 1.177 +++ 573,3 2,1 B 1.178 +++ 601,2 2,6 B 1.179 +++ 561,2 2,7 B 1.180 +++ 564,3 2,9 A 1.181 +++ 522,3 3,0 A 1.182 + 570,2 3,0 A 1.183 + 586,2 3,0 A 1.184 ++ 553,2 3,1 A 1.185 ++ 569,3 3,1 A 1.186 +++ 584,3 2,2 B 1.187 +++ 614,2 2,1 B 1.188 +++ 600,3 1,9 B 1.189 ++ 612,3 2,3 B 1.190 +++ 569,3 2,9 A 1.191 +++ 595,3 2,9 A 1.192 ++ 622,3 2,8 A 1.193 +++ 608,3 2,8 A 1.194 ++ 600,3 2,0 B 1.195 +++ 598,3 2,2 B 1.196 ++ 594,2 3,1 A 1.197 +++ 543,3 2,3 B 1.198 +++ 555,3 2,9 B 1.199 +++ 571,3 2,5 B 1.200 +++ 577,2 2,1 B 1.201 +++ 600,2 3,0 A 1.202 +++ 541,3 2,8 B 1.203 +++ 545,3 2,4 B 1.204 +++ 545,3 2,3 B 1.205 +++ 559,3 2,5 B 1.206 +++ 563,3 1,9 B 1.207 +++ 538,2 2,0 B 1.208 +++ 538,2 2,0 B 1.209 +++ 570,2 2,6 B 1.210 +++ 533,3 1,9 B 1.211 +++ 584,5 2,2 B 1.212 ++ 558,3 2,2 B 1.213 +++ 550,2 2,0 B 1.214 +++ 573,2 3,1 A 1.215 ++ 555,3 2,9 A 1.216 ++ 559,3 2,8 A 1.217 +++ 601,3 2,6 B 1.218 +++ 587,3 2,3 B 1.219 ++ 637,3 3,7 A 1.220 +++ 561,2 3,0 A 1.221 +++ 531,2 2,3 B 1.222 +++ 561,3 2,3 B 1.223 +++ 561,2 3,0 A 1.224 +++ 573,2 3,0 A 1.225 +++ 561,2 2,1 B 1.226 +++ 561,2 2,1 B 1.227 +++ 558,2 2,8 A 1.228 ++ 572,3 2,8 A 1.229 +++ 586,3 2,0 B 1.230 +++ 600,3 2,1 B 1.231 +++ 536,2 2,0 B 1.232 +++ 575,3 2,3 B 1.233 ++ 575,3 2,5 B 1.234 +++ 546,2 2,8 A 1.235 ++ 573,2 3,1 A 1.236 +++ 545,3 2,4 B 1.237 ++ 612,3 2,1 B 1.238 +++ 524,3 2,2 B 1.239 ++ 537,2 2,1 B 1.240 +++ 538,2 1,9 B 1.241 +++ 531,2 3,2 A 1.242 ++ 627,3 2,2 B 1.243 + 564,3 3,0 B 1.244 ++ 569,3 2,6 A 1.245 +++ 564,3 2,4 A 1.246 ++ 563,3 3,5 B 1.247 ++ 589,2 2,5 B 1.248 ++ 563,3 3,9 B 1.249 ++ 552,2 2,9 A 1.250 ++ 580,2 3,6 A 1.251 ++ 574,2 2,1 B 1.252 ++ 560,2 2,1 B 1.253 +++ 564,2 3,2 A 1.254 +++ 596,3 2,2 B 1.255 +++ 584,3 2,1 B 1.256 ++ 562,2 3,6 A 1.257 ++ 641,3 2,1 B 1.258 ++ 564,3 2,9 B 1.259 +++ 500,1 3,0 A 1.260 +++ 595,2 2,8 A 1.261 +++ 561,2 2,1 B 1.262 + 562,3 2,1 B 1.263 ++ 563,3 3,2 A 1.264 ++ 581,3 0,8 B 1.265 +++ 595,2 2,8 A 1.266 +++ 559,3 2,2 B 1.267 +++ 545,3 2,1 B 1.268 +++ 573,3 2,1 B 1.269 +++ 625,3 2,1 B 1.270 +++ 547,2 2,8 A 1.271 +++ 559,2 2,8 A 1.272 ++ 571,2 2,5 A 1.273 +++ 564,2 2,7 A 1.274 +++ 486,1 2,6 A 1.275 ++ 598,2 2,8 A 1.276 +++ 600,2 1,5 B 1.277 +++ 600,3 2,1 B 1.278 +++ 593,3 2,4 A 1.279 +++ 572,3 2,6 A 1.280 +++ 594,2 2,7 A 1.281 +++ 558,3 2,3 B 1.282 +++ 558,3 2,4 B 1.283 +++ 587,3 2,6 A 1.284 ++ 592,2 3,2 A 1.285 +++ 627,3 2,5 A 1.286 +++ 513,2 2,6 A 1.287 +++ 593,3 3,0 A 1.288 ++ 512,3 1,8 B 1.289 ++ 588,3 2,1 B 1.290 +++ 544,3 2,1 B 1.291 + 513,2 2,0 B 1.292 +++ 571,2 1,7 B 1.293 +++ 572,3 1,9 B 1.294 +++ 472,2 2,3 A 1.295 ++ 484,2 2,4 A 1.296 +++ 529,2 2,4 A 1.297 ++ 472,9 2,1 B 1.298 +++ 483,1 2,5 A 1.299 +++ 500,3 2,5 A 1.300 +++ 530,2 2,7 B 1.301 +++ 570,3 2,5 B 1.302 + 497,1 2,7 A 1.303 ++ 511,2 3,0 A 1.304 + 489,1 2,4 A 1.305 +++ 557,3 2,4 A 1.306 +++ 527,2 2,6 A 1.307 +++ 514,2 2,4 A 1.308 ++ 522,3 1,7 B 1.309 +++ 515,1 2,5 A 1.310 +++ 513,2 2,4 A 1.311 +++ 486,2 2,5 A 1.312 ++ 465,1 2,0 A 1.313 +++ 465,1 1,9 A 1.314 ++ 522,2 2,1 A 1.315 ++ 478,3 1,5 B 1.316 ++ 509,3 1,6 B 1.317 +++ 482,1 2,4 A 1.318 ++ 563,3 2,3 A 1.319 ++ 464,2 2,0 A 1.320 +++ 556,5 2,5 A 1.321 +++ 555,2 2,7 A 1.322 +++ 501,4 2,4 A 1.323 ++ 465,4 2,0 A 1.324 ++ 508,3 1,7 B 1.325 ++ 463,3 1,5 B 1.326 +++ 571,5 2,5 A 1.327 +++ 556,5 2,5 A 1.328 ++ 549,3 1,6 B 1.329 + 565,3 1,4 B 1.330 ++ 547,3 1,5 B 1.331 +++ 528,4 3,2 A 1.332 +++ 556,5 2,5 A 1.333 ++ 544,5 2,5 A 1.334 ++ 558,5 2,8 A 1.335 ++ 514,3 2,6 A 1.336 + 551,3 3,1 A 1.337 +++ 513,5 2,6 A 1.338 +++ 501,5 2,5 A 1.339 ++ 515,5 2,6 A 1.340 +++ 555,3 2,4 B 1.341 ++ 533,3 3,2 A 1.342 +++ 570,5 2,6 A 1.343 ++ 560,3 2,3 B 1.344 ++ 470,5 2,8 A 1.345 +++ 542,7 2,6 A 1.346 ++ 546,2 2,9 A 1.347 ++ 556,3 2,7 A 1.348 ++ 544,2 2,5 B 1.349 ++ 530,1 2,5 A 1.350 + 546,0 2,6 A 1.351 +++ 570,2 2,8 A 1.352 ++ 483,1 2,6 A 1.353 ++ 497,1 2,9 A 1.354 ++ 568,3 3,3 B 1.355 ++ 568,3 2,6 B 1.356 ++ 551,1 2,5 A 1.357 +++ 541,2 2,6 A 1.358 ++ 568,3 2,9 B 1.359 ++ 558,0 2,9 A 1.360 +++ 554,3 2,3 B 1.361 +++ 458,1 2,5 A 1.362 ++ 594,3 2,7 B 1.363 ++ 463,2 2,5 A 1.364 ++ 555,2 2,2 B 1.365 +++ 560,1 2,8 A 1.366 +++ 554,3 2,3 B 1.367 +++ 541,2 2,6 A 1.368 ++ 554,3 2,4 B 1.369 ++ 574,0 3,0 A 1.370 ++ 544,0 2,9 A 1.371 +++ 554,1 2,9 A 1.372 ++ 578,3 2,6 B 1.373 ++ 578,3 2,7 B 1.374 +++ 467,1 2,6 A 1.375 ++ 526,1 2,8 A 1.376 ++ 530,3 2,6 B 1.377 + 568,3 2,6 B 1.378 +++ 458,1 2,3 A 1.379 +++ 560,2 2,7 A 1.380 ++ 568,2 3,1 A 1.381 +++ 540,2 2,8 A 1.382 ++ 471,1 2,8 A 1.383 ++ 457,0 2,4 A 1.384 + 457,0 2,3 A 1.385 ++ 514,2 2,8 A 1.386 ++ 471,0 2,5 A 1.387 +++ 457,0 2,1 B 1.388 +++ 512,1 2,8 A 1.389 + 515,1 2,1 A 1.390 + 515,1 2,1 A 1.391 +++ 530,0 2,1 B 1.392 ++ 463,2 2,1 A 1.393 ++ 506,2 2,0 A 1.394 + 462,1 2,0 A 1.395 ++ 550,2 2,0 A 1.396 +++ 500,0 2,3 B 1.397 ++ 506,1 2,4 A 1.398 +++ 579,2 1,4 B 1.399 +++ 637,2 2,2 A 1.400 +++ 609,2 1,4 B 1.401 +++ 615,2 2,2 A 1.402 +++ 689,1 2,3 A 1.403 +++ 607,2 1,6 B 1.404 +++ 573,2 2,2 A

Используя методики, описанные выше в примерах, соединения в таблице 2 были получены и протестированы на биологическую активность с помощью описанного выше метода ELISA. Значения IC50 приведены в следующем формате: от 1000 до 10000 нM (+); от 10 до 1000 нM (++); меньше 10 нM (+++).

В настоящем тексте описаны частные варианты осуществления изобретения, включая наилучший способ реализации изобретения, известный авторам изобретения. При чтении приведенного выше описания, квалифицированным специалистам в данной области могут быть очевидны вариации описанных вариантов осуществления, и квалифицированный специалист ожидаемо способен применить такие вариации надлежащим образом. Соответственно, настоящее изобретение может быть реализовано на практике способом, отличным от описанных в настоящем тексте частных вариантов, и настоящее изобретение включает все модификации и эквиваленты предмета изобретения, охарактеризованного в прилагающейся Формуле изобретения, в рамках действующего законодательства. Кроме того, любая комбинация описанных выше элементов в их любых возможных вариациях входит в настоящее изобретение, если иное не указано особо или явным образом противоречит контексту.

Все публикации, патентные публикации, учетные номера и другие ссылки, приведенные в настоящей спецификации, включены в настоящий текст посредством ссылки, как если бы каждая отдельная публикация или патентная публикация были конкретно и индивидуально обозначены как включенные в настоящий текст посредством ссылки.

Похожие патенты RU2840345C2

название год авторы номер документа
СОЕДИНЕНИЯ ДЛЯ ЛЕЧЕНИЯ PD-L1 ЗАБОЛЕВАНИЙ 2020
  • Малатонг, Виенгкхам
  • Фань, Пинчэнь
  • Лэнг, Кристофер
  • Мали, Венкат Редди
  • Макмертри, Даррен Дж.
  • Пунна, Шринивас
  • Рот, Говард С.
  • Сингх, Раджиндер
  • Ян, Цзюй
  • Чжан, Пэнли
RU2838028C2
ЛИГАНДЫ РЕЦЕПТОРОВ ЭСТРОГЕНА 2012
  • Чэн Айпин
  • Гарг Нерай
  • Крюгер Ларс
  • Лёфстедт Йоаким
  • Кох Эва
  • Кёхлер Конрад
  • Хагберг Ларс
  • Нётеберг Даниель
RU2620375C9
ПРОЛЕКАРСТВА СОПРЯЖЕННО-БИЦИКЛИЧЕСКИХ АНТАГОНИСТОВ C5aR 2019
  • Фань, Пинчэнь
  • Лю, Ребекка М.
  • Сингх, Раджиндер
  • Мали, Венкат Редди
  • Цзэн, Ибинь
  • Чжан, Пэнли
RU2794327C2
АНИЛИДЫ АМИНОКИСЛОТ В КАЧЕСТВЕ НИЗКОМОЛЕКУЛЯРНЫХ МОДУЛЯТОРОВ IL-17 2019
  • Дэк, Кевин Нил
  • Лян, Сифу
  • Ларсен, Могенс
  • Эндрюс, Марк
  • Йессиман, Алан Стюарт
  • Бурхардт, Миа Нёрресков
  • Джонсон, Патрик Стефен
  • Андерсен, Петер
  • Йергенсен, Ларс
RU2815505C2
ИНГИБИТОРЫ СЕТР 2006
  • Али Амджад
  • Лу Чжицзянь
  • Синклер Питер Дж
  • Чэнь И-Хэн
  • Смит Камерон Дж
  • Ли Хун
RU2513107C2
ХИМИЧЕСКИЕ СОЕДИНЕНИЯ 637: ПИРИДОПИРИМИДИНДИОНЫ В КАЧЕСТВЕ ИНГИБИТОРОВ PDE4 2008
  • Боннерт Роджер Виктор
  • Буркамп Франк
  • Кокс Рона Джейн
  • Де Соуза Саймон
  • Диккинсон Марк
  • Хант Саймон Фрейзер
  • Мегани Премджи
  • Пимм Остен
  • Сангани Хитеш Джаянтилал
RU2479584C2
НОВЫЕ АЗАХИНОЛИНОВЫЕ ПРОИЗВОДНЫЕ 2018
  • Грибенов, Нильс
  • Чжуанг, Вей
  • Кёлер, Аделине
  • Кульке, Даниэль
  • Бём, Клаудиа
  • Бёрнген, Кирстен
  • Ильг, Томас
  • Шварц, Ханс-Георг
  • Халленбах, Вернер
  • Гёргенс, Ульрих
  • Хюбш, Вальтер
  • Алиг, Бернд
  • Хайслер, Иринг
  • Йанссен, Иса, Яна, Ирина
RU2773290C2
ГЕТЕРОЦИКЛИЧЕСКИЕ СОЕДИНЕНИЯ И ИХ ПРИМЕНЕНИЕ В ПРОФИЛАКТИКЕ ИЛИ ЛЕЧЕНИИ БАКТЕРИАЛЬНЫХ ИНФЕКЦИЙ 2017
  • Барбьон, Жульен
  • Каравано, Одри
  • Шассе, Софи
  • Шеврёй, Франси
  • Февр, Фабьен
  • Лебел, Реми
  • Лекуант, Никола
  • Ледусаль, Бенуа
  • Лё-Стра, Фредерик
  • Симон, Кристоф
  • Оливеира, Кристель
  • Лё Фраллик, Жеральдин
  • Бриа, Жюли
  • Фарскур, Лоранс
  • Вомшейд, Софи
  • Ришар, Себастьян
RU2783160C2
Бициклические конденсированные гетероарильные или арильные соединения в качестве модуляторов IRAK4 2016
  • Ли Кэтрин Лин
  • Аллэс Кристоф Филипп
  • Денхардт Кристоф Мартин
  • Гэврин Лори Крим
  • Хан Сюнгил
  • Хепуорт Дэвид
  • Ли Артур
  • Лаверинг Фрэнк Элридж
  • Матиас Джон Пол
  • Оуэн Дэфидд Рис
  • Папаиоанноу Николаос
  • Сейа Эддин
  • Стробах Джозеф Уолтер
  • Тшупек Джон Дэвид
  • Райт Стивен Уэйн
  • Запф Кристоф Вольфганг
RU2684324C1
НИТРИЛСОДЕРЖАЩИЕ ПРОТИВОВИРУСНЫЕ СОЕДИНЕНИЯ 2021
  • Оуэн, Дэфидд Рис
  • Петтерссон, Мартин Юнгчин
  • Риз, Мэттью Ричард
  • Сэммонс, Мэттью Форрест
  • Таттл, Джеймисон Брайс
  • Верхуст, Патрик Роберт
  • Вэй, Люцин
  • Ян, Сяоцзин
  • Ян, Циньгюй
RU2786722C1

Реферат патента 2025 года ТРИАРИЛЬНЫЕ СОЕДИНЕНИЯ ДЛЯ ЛЕЧЕНИЯ PD-L1 ЗАБОЛЕВАНИЙ

Изобретение относится к соединению общей формулы (Ia) или его фармацевтически приемлемой соли, где: R1a, R1b, R1c, и R1d каждый независимо выбраны из группы, состоящей из H, галогена, и C1-3 алкоксигруппы; X1 представляет собой C1-3 алкилен, необязательно замещенный одним C1-2 алкилом; R2a и R2b каждый независимо выбраны из группы, состоящей из H, C1-8 алкила, -Y, -X2-C(O)2Ra, -X2-ORa, -X2-NRaRb, -X2-CONRaRb, -X2-SO3Ra, и -X2-Y, где каждый X2 представляет собой C1-6 алкилен, любой C1-8 алкил или C1-6 алкилен необязательно дополнительно замещен одним или двумя заместителями, независимо выбранными из OH и CO2H, и каждый Y выбран из группы, состоящей из C3-6 циклоалкила, C4-8 гетероциклила, содержащего 1-3 гетероатома, независимо выбранных из N и О, и 5-6-членного гетероарила, содержащего два гетероатома N, каждый из которых необязательно дополнительно замещен 1-4 заместителями, независимо выбранными из группы, состоящей из оксогруппы, OH, C1-4 алкила, C1-4 алкоксигруппы и CONH2; или R2a и R2b объединены с образованием 4-10-членного кольца или спироциклического кольца, необязательно имеющего один или два дополнительных члена цикла, выбранных из O и N; где кольцо или спироциклическое кольцо, образовавшееся при объединении R2a и R2b, замещено 0-4 заместителями, независимо выбранными из группы, состоящей из оксогруппы, C1-8 алкила, -X3-C(O)2Ra, -X3-ORa, и -X3-NRaRb, где X3 представляет собой связь или C1-6 алкилен; R3 и R4 каждый независимо выбраны из группы, состоящей из F, Cl, CN, и CH3; A выбран из группы, состоящей из -N(Ra)-, и -C(=O)N(Ra)-; Z выбран из группы, состоящей из структур i), ii) и iii), указанных в формуле изобретения; где если A представляет собой -N(Ra)-, то Z представляет собой конденсированное бициклическое 9- или 10-членное гетероарильное кольцо, содержащее 1-4 гетероатома, независимо выбранные из N, О и S, необязательно замещенное 1-3 заместителями Rc; каждый Ra независимо выбран из группы, состоящей из H, C1-6 алкила, C1-6 гидроксиалкила, и C1-6 алкилен-CO2H; каждый Rb независимо выбран из группы, состоящей из H, C1-6 алкила, C1-6 гидроксиалкила, и C1-6 алкилен-CO2H, каждый из которых необязательно дополнительно замещен одним или двумя заместителями, независимо выбранными из OH, CONH2, и CO2H; и каждый Rc независимо выбран из группы, состоящей из H, галогена, C1-6 алкила, -X4-C(O)2Ra, -O-X4-C(O)2Ra, -X4-ORa, -X4-NRaRb, -X4-CONRaRb, и -O-X4-CONRaRb, где каждый X4 представляет собой связь или C1-6 алкилен. Также изобретение относится к индивидуальному соединению, выбранному из группы соединений, указанных в формуле изобретения и способу лечения субъекта, страдающего или подверженного заболеванию или нарушению с участием PD-1 сигнального пути. Технический результат - соединения для лечения заболеваний или нарушений, ассоциированных с PD-1 сигнальным путем. 4 н. и 22 з.п. ф-лы, 209 пр., 2 табл.

(Iа)

Формула изобретения RU 2 840 345 C2

1. Соединение формулы (I):

(Iа)

или его фармацевтически приемлемая соль, где:

R1a, R1b, R1c, и R1d каждый независимо выбраны из группы, состоящей из H, галогена, и C1-3 алкоксигруппы;

X1 представляет собой C1-3 алкилен, необязательно замещенный одним C1-2 алкилом;

R2a и R2b каждый независимо выбраны из группы, состоящей из H, C1-8 алкила, -Y, -X2-C(O)2Ra, -X2-ORa, -X2-NRaRb, -X2-CONRaRb, -X2-SO3Ra, и -X2-Y, где каждый X2 представляет собой C1-6 алкилен, любой C1-8 алкил или C1-6 алкилен необязательно дополнительно замещен одним или двумя заместителями, независимо выбранными из OH и CO2H, и каждый Y выбран из группы, состоящей из C3-6 циклоалкила, C4-8 гетероциклила, содержащего 1-3 гетероатома, независимо выбранных из N и О, и 5-6-членного гетероарила, содержащего два гетероатома N, каждый из которых необязательно дополнительно замещен 1-4 заместителями, независимо выбранными из группы, состоящей из оксогруппы, OH, C1-4 алкила, C1-4 алкоксигруппы и CONH2;

или R2a и R2b объединены с образованием 4-10-членного кольца или спироциклического кольца, необязательно имеющего один или два дополнительных члена цикла, выбранных из O и N;

где кольцо или спироциклическое кольцо, образовавшееся при объединении R2a и R2b, замещено 0-4 заместителями, независимо выбранными из группы, состоящей из оксогруппы, C1-8 алкила, -X3-C(O)2Ra, -X3-ORa, и -X3-NRaRb, где X3 представляет собой связь или C1-6 алкилен;

R3 и R4 каждый независимо выбраны из группы, состоящей из F, Cl, CN, и CH3;

A выбран из группы, состоящей из -N(Ra)-, и -C(=O)N(Ra)-;

Z выбран из группы, состоящей из следующих:

i) моноциклическое неароматическое 5- или 6-членное гетероциклическое кольцо, содержащее 1-3 гетероатома, независимо выбранных из N и О, необязательно замещенное одной или двумя оксогруппами и необязательно имеющее до четырех заместителей Ra и/или Rb;

ii) моноциклическое 5- или 6-членное гетероарильное кольцо, содержащее 1-2 гетероатома, независимо выбранных из N, О и S, необязательно замещенное 1-3 заместителями Rc; и

iii) конденсированное бициклическое 9- или 10-членное гетероарильное кольцо, содержащее 1-4 гетероатома, независимо выбранных из N, О и S, необязательно замещенное 1-3 заместителями Rc;

где если A представляет собой -N(Ra)-, то Z представляет собой конденсированное бициклическое 9- или 10-членное гетероарильное кольцо, содержащее 1-4 гетероатома, независимо выбранные из N, О и S, необязательно замещенное 1-3 заместителями Rc;

каждый Ra независимо выбран из группы, состоящей из H, C1-6 алкила, C1-6 гидроксиалкила, и C1-6 алкилен-CO2H;

каждый Rb независимо выбран из группы, состоящей из H, C1-6 алкила, C1-6 гидроксиалкила, и C1-6 алкилен-CO2H, каждый из которых необязательно дополнительно замещен одним или двумя заместителями, независимо выбранными из OH, CONH2, и CO2H; и

каждый Rc независимо выбран из группы, состоящей из H, галогена, C1-6 алкила, -X4-C(O)2Ra, -O-X4-C(O)2Ra, -X4-ORa, -X4-NRaRb, -X4-CONRaRb, и -O-X4-CONRaRb, где каждый X4 представляет собой связь или C1-6 алкилен.

2. Соединение по п. 1, или его фармацевтически приемлемая соль, где R2a и R2b объединены с образованием 4-9-членного кольца или спироциклического кольца, необязательно имеющего один или два дополнительных члена цикла, выбранных из O и N; где кольцо или спироциклическое кольцо, образовавшееся при объединении R2a и R2b, замещено 0-4 заместителями, независимо выбранными из группы, состоящей из оксогруппы, C1-8 алкила, -X3-C(O)2Ra, -X3-ORa, и -X3-NRaRb; где X3 представляет собой связь или C1-6 алкилен.

3. Соединение по п. 1 или 2, или его фармацевтически приемлемая соль, имеющее формулу (Ib):

(Ib).

4. Соединение по п. 1 или 2, или его фармацевтически приемлемая соль, имеющее формулу (Iс):

(Ic).

5. Соединение по п. 1 или 2, или его фармацевтически приемлемая соль, имеющее формулу (Id):

(Id).

6. Соединение по п. 1 или 2 или его фармацевтически приемлемая соль, где:

R1a представляет собой OCH3; и

R1b представляет собой F.

7. Соединение по п. 1 или 2 или его фармацевтически приемлемая соль, где:

A представляет собой -C(=O)N(Ra)-; и

Z выбран из группы, состоящей из следующих:

i) моноциклическое неароматическое 5- или 6-членное гетероциклическое кольцо, содержащее 1-3 гетероатома, независимо выбранных из N и О, необязательно замещенное одной или двумя оксогруппами и необязательно имеющее до четырех заместителей Ra и/или Rb; и

ii) моноциклическое 5- или 6-членное гетероарильное кольцо, содержащее 1-2 гетероатома, независимо выбранных из N, О и S, необязательно замещенное 1-3 заместителями Rc.

8. Соединение по п. 1 или 2 или его фармацевтически приемлемая соль, где:

A представляет собой -C(=O)N(Ra)-; и

Z представляет собой неароматическое гетероциклическое кольцо, имеющее формулу, выбранную из группы, состоящей из:

.

9. Соединение по п. 1 или 2 или его фармацевтически приемлемая соль, где:

A представляет собой -C(=O)N(Ra)-; и

Z представляет собой моноциклическое 5- или 6-членное гетероарильное кольцо, необязательно замещенное 1-3 заместителями Rc; где указанное гетероарильное кольцо выбрано из группы, состоящей из пиридинила, пиримидинила, пиразинила, оксазолила, тиазолила и пиразолила.

10. Соединение по п. 1 или 2 или его фармацевтически приемлемая соль, где:

A представляет собой -C(=O)N(Ra)-; и

Z представляет собой неароматическое гетероциклическое кольцо, выбранное из группы, состоящей из пиперидинила, морфолинила, тетрагидропиранила и тетрагидрофуранила, каждый из которых необязательно имеет до 4 заместителей Ra и/или Rb.

11. Соединение по п. 1 или 2 или его фармацевтически приемлемая соль, где A представляет собой –N(Ra)-; и

Z представляет собой конденсированное бициклическое 9- или 10-членное гетероарильное кольцо, содержащее 1-4 гетероатома, независимо выбранных из N, О и S, необязательно замещенное 1-3 заместителями Rc.

12. Соединение по п. 1 или 2, или его фармацевтически приемлемая соль, где Z представляет собой конденсированное бициклическое гетероарильное кольцо, имеющее формулу, выбранную из группы, состоящей из:

13. Соединение по п. 1 или 2 или его фармацевтически приемлемая соль, где

R2a и R2b каждый представляют собой H.

14. Соединение по п. 1 или 2 или его фармацевтически приемлемая соль, где

R2a и R2b объединены с образованием 4-9-членного кольца или спироциклического кольца, необязательно имеющего один или два дополнительных члена цикла, выбранных из O и N, где указанное кольцо или спироциклическое кольцо замещено 0-4 заместителями, независимо выбранными из группы, состоящей из оксогруппы, C1-8 алкила, -X3-C(O)2Ra, -X3-ORa, и -X3-NRaRb; где X3 представляет собой связь или C1-6 алкилен.

15. Соединение по п. 1 или 2 или его фармацевтически приемлемая соль, где -N(R2a)(R2b) выбран из группы, состоящей из:

.

16. Соединение по п. 1 или 2 или его фармацевтически приемлемая соль, где

-N(R2a)(R2b) выбран из группы, состоящей из:

.

17. Соединение по п. 1 или 2 или его фармацевтически приемлемая соль, где

-N(R2a)(R2b) выбран из группы, состоящей из:

.

18. Соединение по п. 1 или 2 или его фармацевтически приемлемая соль, где:

R2a представляет собой H или C1-8 алкил; и

R2b представляет собой -Y или -X2-Y.

19. Соединение по п. 1 или 2 или его фармацевтически приемлемая соль, где соединение представляет собой оптически чистый или обогащенный изомер.

20. Соединение по п. 18 или его фармацевтически приемлемая соль, где Y выбран из группы, состоящей из C3-6 циклоалкила и C4-8 гетероциклила, каждый из которых необязательно дополнительно замещен 1-4 заместителями, независимо выбранными из группы, состоящей из оксогруппы, OH, C1-4 алкила, C1-4 алкоксигруппы, и CONH2.

21. Соединение по п. 1 или 2, или его фармацевтически приемлемая соль, где A представляет собой -C(=O)N(Ra)-;

Z представляет собой моноциклическое неароматическое 5- или 6-членное гетероциклическое кольцо, содержащее 1-3 гетероатома, независимо выбранных из N и О, необязательно замещенное одной или двумя оксогруппами и необязательно имеющее до 4 заместителей Ra и/или Rb; и R1c представляет собой H.

22. Соединение по п. 1 или 2, или его фармацевтически приемлемая соль, где A представляет собой -C(=O)N(Ra)-;

Z представляет собой моноциклическое 5- или 6-членное гетероарильное кольцо, содержащее 1-2 гетероатома, независимо выбранные из N, О и S, необязательно замещенное 1-3 заместителями Rc; и R1cпредставляет собой H.

23. Соединение по п. 1 или 2, или его фармацевтически приемлемая соль, где A представляет собой -C(=O)N(Ra)-; и

Z представляет собой моноциклическое неароматическое 5- или 6-членное гетероциклическое кольцо, необязательно замещенное одной или двумя оксогруппами и необязательно замещенное заместителями Ra и/или Rb; где указанное неароматическое гетероциклическое кольцо выбрано из группы, состоящей из пиперидинила, морфолинила, тетрагидропиранила и тетрагидрофуранила.

24. Соединение, выбранное из

Соед.
No.
Структура
1.001 1.002 1.003 1.004 1.005 1.006 1.007 1.008 1.009 1.010 1.011 1.012 1.013 1.014 1.015 1.016 1.017 1.018 1.019 1.020 1.021 1.022 1.023 1.024 1.025 1.026 1.027 1.028 1.029 1.030 1.031 1.032 1.033 1.034 1.035 1.036 1.037 1.038 1.039 1.040 1.041 1.042 1.043 1.044 1.045 1.046 1.047 1.048 1.049 1.050 1.051 1.052 1.053 1.054 1.055 1.056 1.057 1.058 1.059 1.060 1.061 1.062 1.063 1.064 1.065 1.066 1.067 1.068 1.069 1.070 1.071 1.072 1.073 1.074 1.075 1.076 1.077 1.078 1.079 1.080 1.081 1.082 1.083 1.084 1.085 1.086 1.087 1.088 1.089 1.090 1.091 1.092 1.093 1.094 1.095 1.096 1.097 1.098 1.099 1.100 1.101 1.102 1.103 1.104 1.105 1.106 1.107 1.108 1.109 1.110 1.111 1.112 1.113 1.114 1.115 1.116 1.117 1.118 1.119 1.120 1.121 1.122 1.123 1.124 1.125 1.126 1.127 1.128 1.129 1.130 1.131 1.132 1.133 1.134 1.135 1.136 1.137 1.138 1.139 1.140 1.141 1.142 1.143 1.144 1.145 1.146 1.147 1.148 1.149 1.150 1.151 1.152 1.153 1.154 1.155 1.156 1.157 1.158 1.159 1.160 1.161 1.162 1.163 1.164 1.165 1.166 1.167 1.168 1.169 1.170 1.171 1.172 1.173 1.174 1.175 1.176 1.177 1.178 1.179 1.180 1.181 1.182 1.183 1.184 1.185 1.186 1.187 1.188 1.189 1.190 1.191 1.192 1.193 1.194 1.195 1.196 1.197 1.198 1.199 1.200 1.201 1.202 1.203 1.204 1.205 1.206 1.207 1.208 1.209 1.210 1.211 1.212 1.213 1.214 1.215 1.216 1.217 1.218 1.219 1.220 1.221 1.222 1.223 1.224 1.225 1.226 1.227 1.228 1.229 1.230 1.231 1.232 1.233 1.234 1.235 1.236 1.237 1.238 1.239 1.240 1.241 1.242 1.243 1.244 1.245 1.246 1.247 1.248 1.249 1.250 1.251 1.252 1.253 1.254 1.255 1.256 1.257 1.258 1.259 1.260 1.261 1.262 1.263 1.264 1.265 1.266 1.267 1.268 1.269 1.270 1.271 1.272 1.273 1.274 1.275 1.276 1.277 1.278 1.279 1.280 1.281 1.282 1.283 1.284 1.285 1.286 1.287 1.288 1.289 1.290 1.291 1.292 1.293 1.294 1.295 1.296 1.297 1.298 1.299 1.300 1.301 1.302 1.303 1.304 1.305 1.306 1.307 1.308 1.309 1.310 1.311 1.312 1.313 1.314 1.315 1.316 1.317 1.318 1.319 1.320 1.321 1.322 1.323 1.324 1.325 1.326 1.327 1.328 1.329 1.330 1.331 1.332 1.333 1.334 1.335 1.336 1.337 1.338 1.339 1.340 1.341 1.342 1.343 1.344 1.345 1.346 1.347 1.348 1.349 1.350 1.351 1.352 1.353 1.354 1.355 1.356 1.357 1.358 1.359 1.360 1.361 1.362 1.363 1.364 1.365 1.366 1.367 1.368 1.369 1.370 1.371 1.372 1.373 1.374 1.375 1.376 1.377 1.378 1.379 1.380 1.381 1.382 1.383 1.384 1.385 1.386 1.387 1.388 1.389 1.390 1.391 1.392 1.393 1.394 1.395 1.396 1.397 1.398 1.399 1.400 1.401 1.402

или его фармацевтически приемлемая соль.

25. Соединение, выбранное из

или его фармацевтически приемлемая соль.

26. Способ лечения субъекта, страдающего или подверженного заболеванию или нарушению с участием PD-1 сигнального пути, включающий введение субъекту терапевтически эффективного количества соединения по любому из пп. 1-25 или его фармацевтически приемлемой соли,

где заболевание или нарушение выбрано из группы, состоящей из следующих: меланома, глиобластома, рак пищевода, рак носоглотки, увеальная меланома, лимфома, лимфоцитарная лимфома, первичная лимфома ЦНС, Т-клеточная лимфома, диффузная крупноклеточная В-клеточная лимфома, первичная медиастианальная В-крупноклеточная лимфома, рак предстательной железы, кастрационно-резистентный рак предстательной железы, хроническая миелоцитарная лейкемия, саркома Капоши, фибросаркома, липосаркома, хондросаркома, остеогенная саркома, ангиосаркома, лимфангиосаркома, синовиома, менингиома, лейомиосаркома, рабдомиосаркома, саркома мягких тканей, саркома, сепсис, рак желчного пузыря, базальноклеточная карцинома, рак вилочковой железы, рак щитовидной железы, рак паращитовидной железы, рак матки, рак надпочечников, инфекция печени, карцинома из клеток Меркеля, рак нервной системы, лимфома из клеток центра фолликула, рак ободочной кишки, лимфома Ходжкина, неходжкинская лимфома, лейкоз, хронический или острый лейкоз, острый миелобластный лейкоз, хронический миелобластный лейкоз, острый лимфобластный лейкоз, хронический лимфобластный лейкоз, множественная миелома, рак яичника, миелодиспластический синдром, кожная или внутриглазная злокачественная меланома, почечно-клеточный рак, мелкоклеточный рак легких, рак легких, мезотелиом, рак груди, плоскоклеточный немелкоклеточный рак легких, неплоскоклеточный немелкоклеточный рак легких, колоректальный рак, рак яичника, рак желудка, печеночно-клеточный рак, карцинома поджелудочной железы, рак поджелудочной железы, аденокарцинома протоков поджелудочной железы, плоскоклеточный рак головы и шеи, рак головы и шеи, рак желудочно-кишечного тракта, рак желудка, ВИЧ, гепатит А, гепатит В, гепатит С, гепатит D, вирус герпеса, папилломавирус, грипп, рак костей, рак кожи, рак прямой кишки, рак анального отверстия, рак яичка, рак фаллопиевых труб, рак эндометрия, рак шейки матки, рак вагины, рак вульвы, рак пищевода, рак тонкого кишечника, рак эндокринной системы, рак уретры, рак пениса, рак мочевого пузыря, рак почки, рак уретры, рак почечной лоханки, новообразования в центральной нервной системе (ЦНС), ангиогенез опухоли, рак оси позвоночника, глиома стволовой части мозга, аденома гипофиза, эпидермоидный рак, асбестоз, карционома, аденокарцинома, папиллярная карцинома, цистаденокарцинома, бронхогенная карцинома, почечно-клеточный рак, переходно-клеточный рак, хориокарцинома, семинома, эмбриональный рак, опухоль Вильмса, плеоморфная аденома, папиллома клеток печени, почечная канальцевая аденома, цистаденома, папиллома, аденома, лейомиома, рабдомиома, гемангиома, лимфангиома, остеома, хондрома, липома, и фиброма.

Документы, цитированные в отчете о поиске Патент 2025 года RU2840345C2

US 6410547 B1, 25.06.2002
US 20170362253 A1, 21.12.2017
WO 2018013789 A1, 18.01.2018
Устройство для учета расхода двигателем горючего 1928
  • Ковлер С.Я.
SU26924A1
WANG, T
et al
Печь для непрерывного получения сернистого натрия 1921
  • Настюков А.М.
  • Настюков К.И.
SU1A1
Journal of Medical Chemistry, 2018, 62(4), p.1715-1730.

RU 2 840 345 C2

Авторы

Фань, Пинчэнь

Лэнг, Кристофер

Мали, Венкат Редди

Макмертри, Даррен, Дж.

Малатонг, Виенгкхам

Пунна, Сринивас

Сингх, Раджиндер

Ян, Цзюй

Цзэн, Ибинь

Чжан, Пэнли

Даты

2025-05-21Публикация

2020-05-14Подача