ОБЛАСТЬ ТЕХНИКИ
Настоящее изобретение относится к области фармацевтики и, в частности, относится к цефалоспориновому антибактериальному соединению и его фармацевтическому применению.
ПРЕДШЕСТВУЮЩИЙ УРОВЕНЬ ТЕХНИКИ
Разработка антибактериальных схем лечения является постоянной задачей современного общества. Антибактериальные агенты включают различные химически синтезированные лекарственные препараты, такие как антибиотики, сульфонамиды, имидазолы, нитроимидазолы и хинолоны, среди которых β-лактамные антибиотики являются очень важным классом. До настоящего времени различные ингибиторы β-лактамаз упоминались в литературе или продавались, и они стали чрезвычайно важными клиническими антибактериальными агентами. Однако устойчивость к ингибиторам β-лактамаз является растущей проблемой, и все большее число бактерий приобретают устойчивость, продуцируя β-лактамазы и разлагая ингибиторы β-лактамаз.
β-лактамазы в основном классифицируются на 4 типа в соответствии с молекулярной классификацией Ambler, в частности, включая тип А (тип ТЕМ, тип SHV, тип СТХ-М, тип КРС и т.д.), тип В (тип IMP, тип VIM, тип L-1 и т.д.), С-типа (тип AmpC) и D-типа (тип ОХА и т.д.). Среди этих типов типы А, С и D в основном относятся к серин-β-лактамазам, а тип В относится к металло-β-лактамазам, оба из которых имеют свои собственные различные механизмы гидролиза ингибиторов β-лактамаз.
Появление грамотрицательных бактерий, которые становятся высокоустойчивыми к ингибиторам β-лактамаз (включая цефалоспорины и карбапенемы) путем продуцирования сериновых β-лактамаз типа А или D и металло-β-лактамаз типа В, которые расширяют спектр их субстратов, представляет собой значительную клиническую проблему. Известно, что металло-β-лактамаза является одной из причин приобретения грамотрицательными бактериями множественной лекарственной устойчивости, однако разработка соединений с более эффективной антибактериальной активностью, в особенности цефалоспориновых соединений, демонстрирующих эффективность в отношении грамотрицательных бактерий, продуцирующих различные β-лактамазы, является в настоящее время проблемой в области исследований антибактериальных агентов.
Об этом сообщалось в источнике (Antimicrob Agents Chemother. 1982, 22(2), 181 185.), что цефалоспориновые соединения, содержащие катехольную группу в молекуле, обладают высокой активностью против грамотрицательных бактерий. Механизм действия заключается в том, что катехольная группа в молекуле образует хелат с внеклеточным Fe3+, так что соединение эффективно включается в бактерии через систему транспорта Fe3+ (TonB-зависимая транспортная система) на клеточной мембране. Эта стратегия троянского коня позволяет соединению иметь более высокую концентрацию в периплазматическом пространстве (узком пространстве между внешней мембраной и клеточной стенкой) и связывать рецептор для ингибирования синтеза бактериальной клеточной стенки. Таким образом, были изучены соединения, содержащие катехол или аналогичную структуру в 3-й позиции боковой цепи или 7-й позиции боковой цепи скелета цефалоспорина (ЕР 0416410 В1). Цефидерокол представляет собой новый сидерофорный цефалоспорин (WO 2010050468, WO 2017216765, Eur. J Med. Chem. 2018, 155, 847-868.), и до настоящего времени Fetroja (цифедерокол) от Shionogi Pharmaceutical была одобрена FDA (Управление по контролю качества пищевых продуктов и лекарственных средств США) для лечения осложненной инфекции мочевыводящих путей (cUTI), включая инфекции почек, вызванные чувствительными грамотрицательными бактериями, у пациентов в возрасте 18 лет и старше.
КРАТКОЕ ОПИСАНИЕ ИЗОБРЕТЕНИЯ
Настоящее изобретение предназначено для получения цефалоспоринового антибактериального соединения, способного проявлять эффективный антибактериальный спектр против грамотрицательных бактерий, в частности, устойчивых к лекарственным средствам грамотрицательных бактерий.
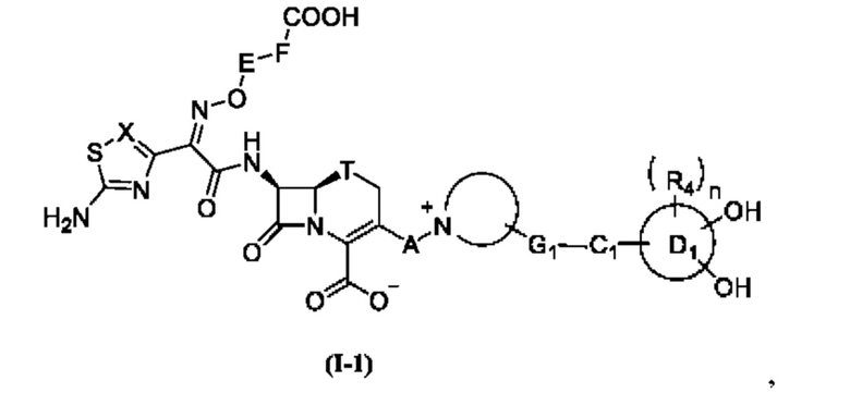
В одном аспекте настоящее изобретение относится к соединению формулы (I-1) или его фармацевтически приемлемой соли, стереоизомеру, ротамеру, таутомеру или дейтерированному соединению, 
где
X выбран из группы, состоящей из N, СН и C-Cl;
Т выбран из группы, состоящей из S, S=O, СН2 и O;
Е выбран из группы, состоящей из
где каждый из R1 и R2 независимо выбран из группы, состоящей из водорода, галогена, фенила, алкилтио и алкила, необязательно замещенного карбамоилом (предпочтительно C1-C6 алкила, то же самое применимо ниже); каждый из R11 и R12 независимо выбран из группы, состоящей из водорода, карбоксила и алкила, необязательно замещенного карбамоилом; и m представляет собой целое число от 1 до 5;
F представляет собой одинарную связь;
А выбран из группы, состоящей из алкилена (предпочтительно C1-С6 алкилена, то же самое применимо ниже), алкенилена (предпочтительно C2-C6 алкенилена, то же самое применимо ниже) и алкинилена (предпочтительно C2-C6 алкинилена, то же самое применимо ниже);
представляет собой четвертичную аммониевую группу, содержащую один или более атомов N и выбранную из группы, состоящей из гетероциклила (предпочтительно 3-12-членного, и более предпочтительно 3-6-членного, то же самое применимо ниже), конденсированного гетероциклила (предпочтительно 6-14-членного, и более предпочтительно 7-10-членного, то же самое применимо ниже), гетероарила (предпочтительно 5-12-членного, и более предпочтительно, 5-8-членного, то же самое применимо ниже) и конденсированного гетероарила (предпочтительно 5-14-членного, и более предпочтительно 5-12-членного, то же самое применимо ниже), где каждый из гетероциклила, конденсированного гетероциклила, гетероарила и конденсированного гетероарила независимо необязательно замещен одним или более заместителями, выбранными из группы, состоящей из алкила, галогена, гидрокси, меркапто, -NRiRj, оксо, тио, -C(O)Rk, -C(O)ORk, -C(S)Rk, нитро, циано, алкокси (предпочтительно С1-С6 алкокси, то же самое применимо ниже), алкилтио (предпочтительно C1-C6 алкилтио, то же самое применимо ниже), циклоалкила (предпочтительно 3-12-членного и более предпочтительно 3-6-членного, то же самое применимо ниже), гетероциклила, арила (предпочтительно 6-14-членного и более предпочтительно 6-10-членного, то же самое применимо ниже), и гетероарила;
G1 представляет собой 
где х представляет собой целое число от 1 до 6;
Ai выбран из группы, состоящей из одинарной связи, алкилена, алкенилена и алкинилена, где каждый из алкилена, алкенилена и алкинилена независимо необязательно замещен одним или более заместителями, выбранными из группы, состоящей из алкила, галогена, гидрокси, меркапто, -NRiRj, оксо, тио, -C(O)Rk, -C(O)ORk, -C(S)Rk, нитро, циано, алкокси и алкилтио;
А2 выбран из группы, состоящей из одинарной связи, алкилена, алкенилена и алкинилена, где каждый из алкилена, алкенилена и алкинилена независимо необязательно замещен одним или более заместителями, выбранными из группы, состоящей из алкила, галогена, гидрокси, меркапто, -NRiRj, оксо, тио, -C(O)Rk, -C(O)ORk, -C(S)Rk, нитро, циано, алкокси и алкилтио;
кольцо D3 выбрано из группы, состоящей из циклоалкила, конденсированного циклоалкила (предпочтительно 6-14-членного и более предпочтительно 7-10-членного, то же самое применимо ниже), гетероциклила и конденсированного гетероциклила;
R9 выбран из группы, состоящей из алкила, галогена, гидрокси, меркапто, оксо, тио, -NRiRj, -C(O)Rk, -C(O)ORk, нитро, циано, алкокси и алкилтио, где каждый из алкила, алкокси и алкилтио независимо необязательно замещен одним или более заместителями, выбранными из группы, состоящей из алкила, галогена, гидрокси, меркапто, -NRiRj, оксо, тио, -C(O)Rk, -C(O)ORk, -C(S)Rk, нитро, циано, алкокси, алкилтио, циклоалкила, гетероциклила, арила и гетероарила;
k1 представляет собой целое число от 0 до 8;
C1 выбран из группы, состоящей из -О-, -С(=O)-, -С(=O)-С(=O)-, -O-С(=O)-, -С(=O)-О-, -NR3-, -NR3-C(=O)-, -C(=O)-NR3-, -C(=O)-C(=O)-NR3-, -C(=N-OR31)-C(=O)-NR3-, -NR3-C(=O)-C(=O)-, -NR3-C(=O)-C(=N-OR31)-, -NR3-NR3-C(=O)-, -C(=O)-NR3-NR3-, -N=N-C(=O)-, -C(=O)-N=N-, -C(=O)-NR3-C(=O)-, -NR3-C(=O)-NR3-, -S-, -S(=O)-, -SO2-, -SO2-NR3-, -NR3-SO2-, -CH2-NR3-C(=O)-, -NR3-C(=NH)-, -C(=NH)-NR3-, -NR3-C(=S)-, -C(=S)-NR3-, -NR3-C(=S)-NR3-, -NR3-C(=NH)-NR3-,
и -NR3-, где каждый R3 независимо выбран из группы, состоящей из водорода, гидрокси, алкила и алкокси, где каждый из алкила и алкокси независимо необязательно замещен одним или более заместителями, выбранными из группы, состоящей из алкила, галогена, гидрокси, меркапто, -NRiRj,
оксо, тио, -C(O)Rk, -C(O)ORk, -C(S)Rk, нитро, циано, алкокси, алкилтио, циклоалкила, гетероциклила, арила и гетероарила; Rm выбран из группы, состоящей из водорода, алкила, гидрокси, арила и гетероарила, где каждый из алкила, арила и гетероарила независимо необязательно замещен одним или более заместителями, выбранными из группы, состоящей из алкила, галогена, гидрокси, меркапто, -NRiRj, карбоксила, нитро, циано, алкокси, алкилтио, циклоалкила, гетероциклила, арила и гетероарила; R31 представляет собой водород или алкил; и кольцо D2 представляет собой гетероциклил или гетероарил;
кольцо D1 выбрано из группы, состоящей из арила, конденсированного циклоарила (предпочтительно 8-14-членного и более предпочтительно 8-12-членного, то же самое применимо ниже), гетероциклила, конденсированного гетероциклила, гетероарила и конденсированного гетероарила;
каждый R4 независимо выбран из группы, состоящей из алкила, галогена, гидрокси, меркапто, оксо, тио, -NRiRj, -C(O)Rk, -C(O)ORk, нитро, циано, алкокси и алкилтио, где каждый из алкила, алкокси и алкилтио независимо необязательно замещен одним или более заместителями, выбранными из группы, состоящей из алкила, галогена, гидрокси, меркапто, -NRiRj, оксо, тио, -C(O)Rk, -C(O)ORk, -C(S)Rk, нитро, циано, алкокси, алкилтио, циклоалкила, гетероциклила, арила и гетероарила; п представляет собой целое число от 0 до 8;
каждый из Ri и Rj независимо выбран из группы, состоящей из водорода, гидрокси, C1-C6 алкила и С1-Св алкокси; и
каждый Rk независимо выбран из группы, состоящей из водорода, алкила, галогеналкила, алкокси, гидрокси и -NRiRj, где каждый из алкила, галогеналкила и алкокси независимо необязательно замещен одним или более заместителями, выбранными из группы, состоящей из алкила, галогена, гидрокси, меркапто, -NRiRj, оксо, тио, карбоксила, нитро, циано, алкокси, алкилтио, циклоалкила, гетероциклила, арила и гетероарила.
«С» в формуле представляет собой атом углерода.
В некоторых вариантах осуществления Е представляет собой
где каждый из R1 и R2 независимо выбран из группы, состоящей из водорода, галогена и алкила, необязательно замещенного карбамоилом.
В некоторых вариантах осуществления
выбран из группы, состоящей из:
где каждый R8 независимо выбран из группы, состоящей из галогена, гидрокси, C1-С6 алкила, C1-C6 алкокси, C1-C6 галогеналкила и C1-C6 галогеналкокси;
каждый q независимо представляет собой целое число от 0 до 5;
каждый r независимо представляет собой целое число от 0 до 5; и
каждый s независимо представляет собой целое число от 0 до 3.
В некоторых вариантах осуществления
представляет собой 
где каждый R8 независимо выбран из группы, состоящей из галогена, гидрокси, C1-С6 алкила, C1-С6 алкокси, C1-С6 галогеналкила и С1-С6 галогеналкокси, q представляет собой целое число от 0 до 5, и R представляет собой целое число от 0 до 5.
В некоторых вариантах осуществления G1 выбран из группы, состоящей из:
где каждый R9 независимо выбран из группы, состоящей из галогена, гидрокси, алкила, алкокси, галогеналкила и галогеналкокси;
каждый k2 независимо представляет собой целое число от 1 до 6;
каждый k3 независимо представляет собой целое число от 0 до 3; и
каждый k4 независимо представляет собой целое число от 0 до 3.
В некоторых вариантах осуществления каждый R9 независимо выбран из группы, состоящей из галогена, гидрокси, C1-С6 алкила, C1-С6 алкокси, C1-С6 галогеналкила и C1-С6 галогеналкокси;
A1 представляет собой одинарную связь или C1-С6 алкилен, где алкилен необязательно замещен одним или более заместителями, выбранными из группы, состоящей из C1-С6 алкила, галогена, гидрокси, меркапто, -NRiRj, оксо, тио, -C(O)Rk, -C(O)ORk, -C(S)Rk, нитро, циано, C1-C6 алкокси и C1-C6 алкилтио;
А2 представляет собой одинарную связь или C1-C6 алкилен, где алкилен необязательно замещен одним или более заместителями, выбранными из группы, состоящей из C1-С6 алкила, галогена, гидрокси, меркапто, -NRiRj, оксо, тио, -C(O)Rk, -C(O)ORk, -C(S)Rk, нитро, циано, C1-С6 алкокси и С1-С6 алкилтио;
каждый k2 независимо представляет собой целое число от 1 до 6; каждый k3 независимо представляет собой целое число от 0 до 3; каждый k4 независимо представляет собой целое число от 0 до 3; и
х представляет собой целое число от 1 до 3.
В некоторых вариантах осуществления примеры кольца D2 включают
В некоторых вариантах осуществления C1 выбран из группы, состоящей из -NR3-, -NR3-C(=O)-, -NR3-C(=S)-, -NR3-C(=NH)-, -NR3-C(=NH)-NR3-, -NR3-C(=S)-NR3- и 
В некоторых вариантах осуществления R3 выбран из группы, состоящей из водорода, гидрокси, C1-С6 алкила и C1-С6 алкокси, где каждый из алкила и алкокси независимо необязательно замещен одним или более заместителями, выбранными из группы, состоящей из C1-C6 алкила, галогена, гидрокси, -NRiRj,
, оксо, -С(О) ORk и циано; каждый Rn независимо выбран из группы, состоящей из C1-С6 алкила, гидрокси и галогена; и k5 представляет собой целое число от 0 до 5.
В некоторых вариантах осуществления, где
представляет собой
каждый Rn независимо выбран из группы, состоящей из C1-C6 алкила, гидрокси и галогена; и k5 представляет собой целое число от 0 до 3.
В некоторых вариантах осуществления кольцо D1 представляет собой фенил или нафтил.
В некоторых вариантах осуществления соединение формулы I-1 представляет собой
где A,
G1, C1, D1, R4 и n являются такими, как описано выше.
В одном аспекте настоящее изобретение относится к соединению формулы (I-2) или его фармацевтически приемлемой соли, стереоизомеру ротамеру, таутомеру или дейтерированному соединению,
где
X выбран из группы, состоящей из N, СН и C-Cl;
Т выбран из группы, состоящей из S, S=O, СН2 и О;
Е выбран из группы, состоящей из
где каждый из R1 и R2 независимо выбран из группы, состоящей из водорода, галогена, фенила, алкилтио и алкила, необязательно замещенного карбамоилом (предпочтительно C1-С6 алкила, то же самое применимо ниже); каждый из R11 и R12 независимо выбран из группы, состоящей из водорода, карбоксила и алкила, необязательно замещенного карбамоилом; и m представляет собой целое число от 1 до 5;
F представляет собой одинарную связь;
А выбран из группы, состоящей из алкилена (предпочтительно C1-С6 алкилена, то же самое применимо ниже), алкенилена (предпочтительно C2-C6 алкенилена, то же самое применимо ниже) и алкинилена (предпочтительно C2-C6 алкинилена, то же самое применимо ниже);
представляет собой четвертичную аммониевую группу, содержащую один или более атомов N и выбранную из группы, состоящей из гетероциклила (предпочтительно 3-12-членного, и более предпочтительно 3-6-членного, то же самое применимо ниже), конденсированного гетероциклила (предпочтительно 6-14-членного, и более предпочтительно 7-10-членного, то же самое применимо ниже), гетероарила (предпочтительно 5-12-членного, и более предпочтительно, 5-8-членного, то же самое применимо ниже) и конденсированного гетероарила (предпочтительно 5-14-членного, и более предпочтительно 5-12-членного, то же самое применимо ниже), где каждый из гетероциклила, конденсированного гетероциклила, гетероарила и конденсированного гетероарила независимо необязательно замещен одним или более заместителями, выбранными из группы, состоящей из алкила, галогена, гидрокси, меркапто, -NRiRj, оксо, тио, -C(O)Rk, -C(O)ORk, -C(S)Rk, нитро, циано, алкокси (предпочтительно C1-С6 алкокси, то же самое применимо ниже), алкилтио (предпочтительно C1-С6 алкилтио, то же самое применимо ниже), циклоалкила (предпочтительно 3-12-членного и более предпочтительно 3-6-членного, то же самое применимо ниже), гетероциклила, арила (предпочтительно 6-14-членного и более предпочтительно 6-10-членного, то же самое применимо ниже), и гетероарила;
G2 представляет собой G1 или алкилен, где алкилен необязательно замещен одним или более заместителями, выбранными из группы, состоящей из алкила, галогена, гидрокси, меркапто, -NRiRj, оксо, тио, -C(O)Rk, -C(O)ORk, -C(S)Rk, нитро, циано, алкокси и алкилтио; и G1 как описано выше;
С2 выбран из группы, состоящей из -NR31-C(=O)-, -NR3-C(=O)-R33-, -C(=O)-NR31-, -C(=O)-C(=O)-NR31-, -C(=N-OR32)-C(=O)-NR31-, -NR31-C(=O)-C(=O)-, -NR31-C(=O)-C(=N-OR32)-, -NR3-C(=NH)-, -C(=NH)-NR3-, -NR3-C(=S)-, -C(=S)-NR3-, -NR3-C(=S)-NR3-, -NR3-C(=NH)-NR3-, -NR3- и
где каждый R3 независимо выбран из группы, состоящей из водорода, гидрокси, алкила и алкокси, где каждый из алкила и алкокси независимо необязательно замещен одним или более заместителями, выбранными из группы, состоящей из алкила, галогена, гидрокси, меркапто, -NRiRj,
-оксо, тио, -C(O)Rk, -C(O)ORk, -C(S)Rk, нитро, циано, алкокси, алкилтио, циклоалкила, гетероциклила, арила и гетероарила; Rm выбран из группы, состоящей из водорода, алкила, гидрокси, арила и гетероарила, где каждый алкил, арил и гетероарил независимо необязательно замещен одним или более заместителями, выбранными из группы, состоящей из алкила, галогена, гидрокси, меркапто, -NRiRj, карбоксила, нитро, циано, алкокси, алкилтио, циклоалкила, гетероциклила, арила и гетероарила; каждый R3i независимо выбран из группы, состоящей из гидрокси, алкила и алкокси, где каждый из алкила и алкокси независимо необязательно замещен одним или более заместителями, выбранными из группы, состоящей из алкила, галогена, гидрокси, меркапто, -NRiRj,
оксо, тио, -C(O)Rk, -C(O)ORk, -C(S)Rk, нитро, циано, алкокси, алкилтио, циклоалкила, гетероциклила, арила и гетероарила; R32 представляет собой водород или алкил; кольцо D2 представляет собой, как описано выше; и R33 выбран из группы, состоящей из необязательно замещенного алкилена, необязательно замещенного алкенилена и необязательно замещенного алкинила;
кольцо D1 выбрано из группы, состоящей из арила, конденсированного циклоарила (предпочтительно 8-14-членного и более предпочтительно 8-12-членного, то же самое применимо ниже), гетероциклила, конденсированного гетероциклила, гетероарила и конденсированного гетероарила;
каждый R4 независимо выбран из группы, состоящей из алкила, галогена, гидрокси, меркапто, оксо, тио, -NRiRj, -C(O)Rk, -C(O)ORk, нитро, циано, алкокси и алкилтио, где каждый из алкила, алкокси и алкилтио независимо необязательно замещен одним или более заместителями, выбранными из группы, состоящей из алкила, галогена, гидрокси, меркапто, -NRiRj, оксо, тио, -C(O)Rk, -C(O)ORk, -C(S)Rk, нитро, циано, алкокси, алкилтио, циклоалкила, гетероциклила, арила и гетероарила;
n представляет собой целое число от 0 до 8;
каждый из Ri и Rj независимо выбран из группы, состоящей из водорода, гидрокси, C1-С6 алкила и C1-С6 алкокси; и
каждый Rk независимо выбран из группы, состоящей из водорода, алкила, галогеналкила, алкокси, гидрокси и -NRiRj, где каждый из алкила, галогеналкила и алкокси независимо необязательно замещен одним или более заместителями, выбранными из группы, состоящей из алкила, галогена, гидрокси, меркапто, -NRiRj, оксо, тио, карбоксила, нитро, циано, алкокси, алкилтио, циклоалкила, гетероциклила, арила и гетероарила.
В некоторых вариантах осуществления изобретения, когда R31 представляет собой алкил, он замещен одним или более заместителями, выбранными из группы, состоящей из алкила, галогена, гидрокси, меркапто, -NRiRj,
оксо, тио, -C(O)Rk, -C(O)ORk, -C(S)Rk, нитро, циано, алкокси, алкилтио, циклоалкила, гетероциклила, арила и гетероарила.
В некоторых вариантах осуществления Е представляет собой
, где каждый из R1 и R2 независимо выбран из группы, состоящей из водорода, галогена и алкила, необязательно замещенного карбамоилом.
В некоторых вариантах осуществления, где
выбран из группы, состоящей из: 
где каждый R8 независимо выбран из группы, состоящей из водорода, галогена, гидрокси, алкила, алкокси, галогеналкила и галогеналкокси;
каждый q независимо представляет собой целое число от 0 до 5;
каждый r независимо представляет собой целое число от 0 до 5; и
каждый s независимо представляет собой целое число от 0 до 3.
В некоторых вариантах осуществления
представляет собой 
где каждый R8 независимо выбран из группы, состоящей из галогена, гидрокси, C1-С6 алкила, C1-С6 алкокси, C1-С6 галогеналкила и С1-С6 галогеналкокси, q представляет собой целое число от 0 до 5, и R представляет собой целое число от 0 до 5.
В некоторых вариантах осуществления G2 выбран из группы, состоящей из:
где каждый R9 независимо выбран из группы, состоящей из галогена, гидрокси, алкила, алкокси, галогеналкила и галогеналкокси;
каждый k2 независимо представляет собой целое число от 1 до 6;
каждый k3 независимо представляет собой целое число от 0 до 3; и
каждый k4 независимо представляет собой целое число от 0 до 3.
В некоторых вариантах осуществления каждый R9 независимо выбран из группы, состоящей из галогена, гидрокси, C1-С6 алкила, C1-С6 алкокси, C1-С6 галогеналкила и С1-C6 галогеналкокси;
A1 представляет собой одинарную связь или C1-C6 алкилен, где алкиле необязательно замещен одним или более заместителями, выбранными из группы состоящей из C1-С6 алкила, галогена, гидрокси, меркапто, -NRiRj, оксо, тио, -C(O)Rk, C(O)ORk, -C(S)Rk, нитро, циано, C1-С6 алкокси и С1-С6 алкилтио;
А2 представляет собой одинарную связь или C1-C6 алкилен, где алкиле необязательно замещен одним или более заместителями, выбранными из группы состоящей из C1-С6 алкила, галогена, гидрокси, меркапто, -NRiRj, оксо, тио, -С(O)Rk, C(O)ORk, -C(S)Rk, нитро, циано, C1-С6 алкокси и C1-С6 алкилтио;
каждый k2 независимо представляет собой целое число от 1 до 6; каждый к независимо представляет собой целое число от 0 до 3; каждый k4 независим представляет собой целое число от 0 до 3; и
х представляет собой целое число от 1 до 3.
В некоторых вариантах осуществления, где G2 представляет собой C1-С6 алкилен, необязательно замещенный одним или более заместителями, выбранными из группы состоящей из C1-С6 алкила, галогена, гидрокси, меркапто, -NRiRj, оксо, тио, -C(O)Rk, C(O)ORk, -C(S)Rk, нитро, циано, C1-С6 алкокси и C1-С6 алкилтио.
В некоторых вариантах осуществления С2 выбран из группы, состоящей из -NR3-, NR31-C(=O)-, -NR3-C(=S)-, -NR3-C(=NH)-, -NR3-C(=NH)-NR3-, -NR3-C(=S)-NR3- и
предпочтительно, -NR31-C(=O)- или -NR3-C(=S)-.
В некоторых вариантах осуществления R3 выбран из группы, состоящей водорода, гидрокси, алкила и алкокси, где каждый из алкила и алкокси независим необязательно замещен одним или более заместителями, выбранными из группы, состоящей из алкила, галогена, гидрокси, -NRiRj.
оксо, -C(O)ORk и циано; каждый Rn независимо выбран из группы, состоящей из алкила, гидрокси галогена; и k5 представляет собой целое число от 0 до 5.
В некоторых вариантах осуществления R31 выбран из группы, состоящей из гидрокси, алкила и алкокси, где каждый из алкила и алкокси независимо необязательно замещен одним или более заместителями, выбранными из группы, состоящей из алкила, галогена, гидрокси, -NRiRj,
оксо, -C(O)ORk и циано; каждый Rn независимо выбран из группы, состоящей из алкила, гидрокси и галогена; и k5 представляет собой целое число от 0 до 5.
В некоторых вариантах осуществления R31 выбран из группы, состоящей из гидрокси, C1-С6 алкила, замещенного заместителем, и C1-С6 алкокси, необязательно замещенных заместителем, где заместитель выбран из группы, состоящей из одного или более из C1-С6 алкила, галогена, гидрокси, -NRiRj,
оксо, -C(O)ORk и циано.
В некоторых вариантах осуществления, где
представляет собой
каждый Rn независимо выбран из группы, состоящей из C1-С6 алкила, гидрокси и галогена; и k5 представляет собой целое число от 0 до 3.
В некоторых вариантах осуществления кольцо D1 представляет собой фенил или нафтил.
В некоторых вариантах осуществления соединение формулы (I-2) представляет собой
где А,
, G2, С2, D1, R4 и n являются такими, как описано выше.
В одном аспекте настоящее изобретение относится к соединению формулы (I-3) или его фармацевтически приемлемой соли, стереоизомеру ротамеру, таутомеру или дейтерированному соединению,
где
X выбран из группы, состоящей из N, СН и C-Cl;
Т выбран из группы, состоящей из S, S=O, СН2 и О;
Е выбран из группы, состоящей из
где каждый из R1 и R2 независимо выбран из группы, состоящей из водорода, галогена, фенила, алкилтио и алкила, необязательно замещенного карбамоилом (предпочтительно C1-С6 алкил, то же самое применимо ниже); каждый из R11 и R12 независимо выбран из группы, состоящей из водорода, карбоксила и алкила, необязательно замещенного карбамоилом; и m представляет собой целое число от 1 до 5;
F представляет собой одинарную связь;
А выбран из группы, состоящей из алкилена (предпочтительно C1-С6 алкилена, то же самое применимо ниже), алкенилена (предпочтительно С2-С6 алкенилена, то же самое применимо ниже) и алкинилена (предпочтительно C2-C6 алкинилена, то же самое применимо ниже);
представляет собой четвертичную аммониевую группу содержащую один или более атомов N и выбранную из группы, состоящей из гетероциклила (предпочтительно 3-12-членного, и более предпочтительно 3-6-членного, то же самое применимо ниже), конденсированного гетероциклила (предпочтительно 6-14-членного, и более предпочтительно 7-10-членного, то же самое применимо ниже), гетероарила (предпочтительно 5-12-членного, и более предпочтительно, 5-8-членного, то же самое применимо ниже) и конденсированного гетероарила (предпочтительно 5-14-членного, и более предпочтительно 5-12-членного, то же самое применимо ниже), где каждый из гетероциклила, конденсированного гетероциклила, гетероарила и конденсированного гетероарила независимо необязательно замещен одним или более заместителями, выбранными из группы, состоящей из алкила, галогена, гидрокси, меркапто, -NRiRj, оксо, тио, -C(O)Rk, -C(O)ORk, -C(S)Rk, нитро, циано, алкокси (предпочтительно С1-С6 алкокси, то же самое применимо ниже), алкилтио (предпочтительно С1-С6 алкилтио, то же самое применимо ниже), циклоалкила (предпочтительно 3-12-членного и более предпочтительно 3-6-членного, то же самое применимо ниже), гетероциклила, арила (предпочтительно 6-14-членного и более предпочтительно 6-10-членного, то же самое применимо ниже), и гетероарила;
G2 представляет собой G1 или алкилен, где алкилен необязательно замещен одним или более заместителями, выбранными из группы, состоящей из алкила, галогена, гидрокси, меркапто, -NRiRj, оксо, тио, -C(O)Rk, -C(O)ORk, -C(S)Rk, нитро, циано, алкокси и алкилтио;
G1 представляет собой
где
каждый х независимо представляет собой целое число от 1 до 6;
A1 выбран из группы, состоящей из одинарной связи, алкилена, алкенилена и алкинилена, где каждый из алкилена, алкенилена и алкинилена независимо необязательно замещен одним или более заместителями, выбранными из группы, состоящей из алкила, галогена, гидрокси, меркапто, -NRiRj, оксо, тио, -C(O)Rk, -C(O)ORk, -C(S)Rk, нитро, циано, алкокси и алкилтио;
А2 выбран из группы, состоящей из одинарной связи, алкилена, алкенилена и алкинилена, где каждый из алкилена, алкенилена и алкинилена независимо необязательно замещен одним или более заместителями, выбранными из группы, состоящей из алкила, галогена, гидрокси, меркапто, -NRiRj, оксо, тио, -C(O)Rk, -C(O)ORk, -C(S)Rk, нитро, циано, алкокси и алкилтио;
D3 выбран из группы, состоящей из циклоалкила, конденсированного циклоалкила, гетероциклила и конденсированного гетероциклила;
R9 выбран из группы, состоящей из алкила, галогена, гидрокси, меркапто, оксо, тио, -NRiRj, -C(O)Rk, -C(O)ORk, нитро, циано, алкокси и алкилтио, где каждый из алкила, алкокси и алкилтио независимо необязательно замещен одним или более заместителями, выбранными из группы, состоящей из алкила, галогена, гидрокси, меркапто, -NRiRj, оксо, тио, -C(O)Rk, -C(O)ORk, -C(S)Rk, нитро, циано, алкокси, алкилтио, циклоалкила, гетероциклила, арила и гетероарила;
k1 представляет собой целое число от 0 до 8;
C1 выбран из группы, состоящей из -О-, -С(=O)-, -С(=O)-С(=O)-, -O-С(=O)-, -С(=O)-О-, -NR3-, -NR3-C(=O)-, -C(=O)-NR3-, -C(=O)-C(=O)-NR3-, -C(=N-OR31)-C(=O)-NR3-, -NR3-C(=O)-C(=O)-, -NR3-C(=O)-C(=N-OR31)-, -NR3-NR3-C(=O)-, -C(=O)-NR3-NR3-, -N=N-C(=O)-, -C(=O)-N=N-, -C(=O)-NR3-C(=O)-, -NR3-C(=O)-NR3-, -S-, -S(=O)-, -SO2-, -SO2-NR3-, -NR3-SO2-, -CH2-NR3-C(=O)-, -NR3-C(=NH)-, -C(=NH)-NR3-, -NR3-C(=S)-, -C(=S)-NR3-, - NR3-C(=S)-NR3-, -NR3-C(=NH)-NR3-,
и -NR3-, где каждый R3 независимо выбран из группы, состоящей из водорода, гидрокси, алкила и алкокси, где каждый из алкила и алкокси независимо необязательно замещен одним или более заместителями, выбранными из группы, состоящей из алкила, галогена, гидрокси, меркапто, -NRiRj,
оксо, тио, -C(O)Rk, -C(O)ORk, -C(S)Rk, нитро, циано, алкокси, алкилтио, циклоалкила, гетероциклила, арила и гетероарила; Rm выбран из группы, состоящей из водорода, алкила, гидрокси, арила и гетероарила, где каждый из алкила, арила и гетероарила независимо необязательно замещен одним или более заместителями, выбранными из группы, состоящей из алкила, галогена, гидрокси, меркапто, -NRiRj, карбоксила, нитро, циано, алкокси, алкилтио, циклоалкила, гетероциклила, арила и гетероарила; R31 представляет собой водород или алкил; и кольцо D2 является таким, как описано выше;
каждый R4 независимо выбран из группы, состоящей из алкила, галогена, гидрокси, меркапто, оксо, тио, -NRiRj, -C(O)Rk, -C(O)ORk, нитро, циано, алкокси и алкилтио, где каждый из алкила, алкокси и алкилтио независимо необязательно замещен одним или более заместителями, выбранными из группы, состоящей из алкила, галогена, гидрокси, меркапто, -NRiRj, оксо, тио, -C(O)Rk, -C(O)ORk, -C(S)Rk, нитро, циано, алкокси, алкилтио, циклоалкила, гетероциклила, арила и гетероарила;
n представляет собой целое число от 0 до 5;
каждый из Ri и Rj независимо выбран из группы, состоящей из водорода, гидрокси, C1-С6 алкила и С1-С6 алкокси; и
Rk выбран из группы, состоящей из водорода, алкила, галогеналкила, гидрокси и -NRiRj, где каждый из алкила и галогеналкила независимо необязательно замещен одним или более заместителями, выбранными из группы, состоящей из алкила, галогена, гидрокси, меркапто, -NRiRj, оксо, тио, карбоксила, нитро, циано, алкокси, алкилтио, циклоалкила, гетероциклила, арила и гетероарила.
В некоторых вариантах осуществления Е представляет собой
, где каждый из R1 и R2 независимо выбран из группы, состоящей из водорода, галогена и алкила, необязательно замещенного карбамоилом.
В некоторых вариантах осуществления
выбран из группы, состоящей из:
где каждый R8 независимо выбран из группы, состоящей из галогена, гидрокси, алкила, алкокси, галогеналкила и галогеналкокси;
каждый q независимо представляет собой целое число от 0 до 5;
каждый r независимо представляет собой целое число от 0 до 5; и
каждый s независимо представляет собой целое число от 0 до 3.
В некоторых вариантах осуществления
представляет собой 
где каждый R8 независимо выбран из группы, состоящей из галогена, гидрокси, C1-С6 алкила, C1-С6 алкокси, C1-С6 галогеналкила и С1-С6 галогеналкокси, q представляет собой целое число от 0 до 5, и R представляет собой целое число от 0 до 5.
В некоторых вариантах осуществления G2 выбран из группы, состоящей из:
где каждый R9 независимо выбран из группы, состоящей из водорода, галогена, гидрокси, алкила, алкокси, галогеналкила и галогеналкокси;
каждый k2 независимо представляет собой целое число от 1 до 6;
каждый k3 независимо представляет собой целое число от 0 до 3; и
каждый k4 независимо представляет собой целое число от 0 до 3.
В некоторых вариантах осуществления каждый R9 независимо выбран из группы, состоящей из галогена, гидрокси, C1-С6 алкила, C1-С6 алкокси, C1-С6 галогеналкила и C1-С6 галогеналкокси;
A1 представляет собой одинарную связь или C1-С6 алкилен, где алкилен необязательно замещен одним или более заместителями, выбранными из группы, состоящей из C1-С6 алкила, галогена, гидрокси, меркапто, -NRiRj, оксо, тио, -C(O)Rk, -C(O)ORk, -C(S)Rk, нитро, циано, C1-C6 алкокси и C1-C6 алкилтио;
А2 представляет собой одинарную связь или C1-С6 алкилен, где алкилен необязательно замещен одним или более заместителями, выбранными из группы, состоящей из Ci-Ce алкила, галогена, гидрокси, меркапто, -NRiRj, оксо, тио, -C(O)Rk, -C(O)ORk, -C(S)Rk, нитро, циано, C1-C6 алкокси и C1-C6 алкилтио;
каждый k2 независимо представляет собой целое число от 1 до 6; каждый k3 независимо представляет собой целое число от 0 до 3; каждый k4 независимо представляет собой целое число от 0 до 3; и
х представляет собой целое число от 1 до 3.
В некоторых вариантах осуществления G2 представляет собой С1-С6 алкилен, необязательно замещенный одним или более заместителями, выбранными из группы, состоящей из C1-С6 алкила, галогена, гидрокси, меркапто, NRiRj, оксо, тио, -C(O)Rk, -C(O)ORk, -C(S)Rk, нитро, циано, C1-С6 алкокси и C1-С6 алкилтио.
В некоторых вариантах осуществления C1 выбран из группы, состоящей из -NR3-, -NR3-C(=O)-, -NR3-C(=S)-, -NR3-C(=NH)-, -NR3-C(=NH)-NR3-, -NR3-C(=S)-NR3- и 
В некоторых вариантах осуществления R3 выбран из группы, состоящей из водорода, гидрокси, алкила и алкокси, где каждый из алкила и алкокси независимо необязательно замещен одним или более заместителями, выбранными из группы, состоящей из алкила, галогена, гидрокси, -NRi,Rj,
оксо, -C(O)ORk и циано; каждый Rn независимо выбран из группы, состоящей из алкила, гидрокси и галогена; и k5 представляет собой целое число от 0 до 5.
В некоторых вариантах осуществления, где
представляет собой
каждый Rn независимо выбран из группы, состоящей из C1-С6 алкила, гидрокси и галогена; и k5 представляет собой целое число от 0 до 3.
В некоторых вариантах осуществления соединение формулы (I-3) представляет собой
где А,
, G2, C1, R4 и n являются такими, как описано выше.
В одном аспекте настоящее изобретение относится к соединению формулы (I-4) или его фармацевтически приемлемой соли, стереоизомеру, ротамеру, таутомеру или дейтерированному соединению,
где
X выбран из группы, состоящей из N, СН и C-Cl;
Т выбран из группы, состоящей из S, S=O, СН2 и О;
Е выбран из группы, состоящей из
где каждый из R1 и R2 независимо выбран из группы, состоящей из водорода, галогена, фенила, алкилтио и алкила, необязательно замещенного карбамоилом (предпочтительно C1-С6 алкил, то же самое применимо ниже); каждый из R11 и R12 независимо выбран из группы, состоящей из водорода, карбоксила и алкила, необязательно замещенного карбамоилом; и m представляет собой целое число от 1 до 5;
F представляет собой одинарную связь;
А выбран из группы, состоящей из алкилена (предпочтительно C1-С6 алкилена, то же самое применимо ниже), алкенилена (предпочтительно С2-С6 алкенилена, то же самое применимо ниже) и алкинилена (предпочтительно C2-C6 алкинилена, то же самое применимо ниже);
представляет собой четвертичную аммониевую группу, содержащую один или более атомов N и выбранную из группы, состоящей из гетероциклила (предпочтительно 3-12-членного, и более предпочтительно 3-6-членного, то же самое применимо ниже), конденсированного гетероциклила (предпочтительно 6-14-членного, и более предпочтительно 7-10-членного, то же самое применимо ниже), гетероарила (предпочтительно 5-12-членного, и более предпочтительно, 5-8-членного, то же самое применимо ниже) и конденсированного гетероарила (предпочтительно 5-14-членного, и более предпочтительно 5-12-членного, то же самое применимо ниже), где каждый из гетероциклила, конденсированного гетероциклила, гетероарила и конденсированного гетероарила независимо необязательно замещен одним или более заместителями, выбранными из группы, состоящей из алкила, галогена, гидрокси, меркапто, -NRiRj, оксо, тио, -C(O)Rk, -C(O)ORk, -C(S)Rk, нитро, циано, алкокси (предпочтительно С1-С6 алкокси, то же самое применимо ниже), алкилтио (предпочтительно С1-С6 алкилтио, то же самое применимо ниже), циклоалкила (предпочтительно 3-12-членного и более предпочтительно 3-6-членного, то же самое применимо ниже), гетероциклила, арила (предпочтительно 6-14-членного и более предпочтительно 6-10-членного, то же самое применимо ниже), и гетероарила;
G2 является таким, как описано выше;
С3 выбран из группы, состоящей из одинарной связи, -О-, -С(=O)-, -С(=O)-С(=O)-, -О-С(Ю)-, -С(=O)-O-, -NR3-, -NR3-C(=O)-, -C(=O)-NR3-, -C(=O)-C(=O)-NR3-, -C(=N-OR31)-C(=O)-NR3-, -NR3-C(=O)-C(=O)-, -NR3-C(=O)-C(=N-OR31)-, -NR3-NR3-C(=O)-, -C(=O)-NR3-NR3-, -N=N-C(=O)-, -C(=O)-N=N-, -C(=O)-NR3-C(=O)-, -NR3-C(=O)-NR3-, -O-, -S-, -S(=O)-, -SO2-, -SO2-NR3-, -NR3-SO2-, -CH2-NR3-C(=O)-, -NR3-C(=NH)-, -C(=NH)-NR3-, -NR3-C(=S)-, -C(=S)-NR3-, -NR3-C(=S)-NR3-, -NR3-C(=NH)-NR3-,
и -NR3-, где каждый R3 независимо выбран из группы, состоящей из водорода, гидрокси, алкила и алкокси, где каждый из алкила и алкокси независимо необязательно замещен одним или более заместителями, выбранными из группы, состоящей из алкила, галогена, гидрокси, меркапто, -NRi,Rj,
оксо, тио, -C(O)Rk, -C(O)ORk, -C(S)Rk, нитро, циано, алкокси, алкилтио, циклоалкила, гетероциклила, арила и гетероарила; Rm выбран из группы, состоящей из водорода, алкила, гидрокси, арила и гетероарила, где каждый из алкила, арила и гетероарила независимо необязательно замещен одним или более заместителями, выбранными из группы, состоящей из алкила, галогена, гидрокси, меркапто, -NRiRj, карбоксила, нитро, циано, алкокси, алкилтио, циклоалкила, гетероциклила, арила и гетероарила; R31 представляет собой водород или алкил; и кольцо D2 представляет собой, как описано выше;
A3 выбран из группы, состоящей из алкилена, алкенилена и алкинилена, где каждый из алкилена, алкенилена и алкинилена независимо необязательно замещен одним или более заместителями, выбранными из группы, состоящей из алкила, галогена, гидрокси, меркапто, -NRiRj, оксо, тио, -C(O)Rk, -C(O)ORk, -C(S)Rk, нитро, циано, алкокси и алкилтио;
каждый из Ri и Rj независимо представляет собой водород или C1-C6 алкил; и
каждый Rk независимо выбран из группы, состоящей из водорода, алкила, галогеналкила, гидрокси и -NRiRj, где каждый из алкила и галогеналкила независимо необязательно замещен одним или более заместителями, выбранными из группы, состоящей из алкила, галогена, гидрокси, меркапто, -NRiRj, оксо, тио, карбоксила, нитро, циано, алкокси, алкилтио, циклоалкила, гетероциклила, арила и гетероарила.
В некоторых вариантах осуществления Е представляет собой
, где каждый из R1 и R2 независимо выбран из группы, состоящей из водорода, галогена и алкила, необязательно замещенного карбамоилом.
В некоторых вариантах осуществления
выбран из группы, состоящей из:
где каждый R8 независимо выбран из группы, состоящей из водорода, галогена, гидрокси, алкила, алкокси, галогеналкила и галогеналкокси;
каждый q независимо представляет собой целое число от 0 до 5;
каждый r независимо представляет собой целое число от 0 до 5; и
каждый s независимо представляет собой целое число от 0 до 3.
В некоторых вариантах осуществления С3 выбран из группы, состоящей из одинарной связи, -NR3-, -NR3-C(=O)-, -NR3-C(=S)-, -NR3-C(=NH)-, -NR3-C(=NH)-NR3-, -NR3-C(=S)-NR3-,
и -NR3-.
В некоторых вариантах осуществления R3 выбран из группы, состоящей из водорода, гидрокси, алкила и алкокси, где каждый из алкила и алкокси независимо необязательно замещен одним или более заместителями, выбранными из группы, состоящей из алкила, галогена, гидрокси, -NRi,Rj,
оксо, -C(O)ORk и циано; Rn выбран из группы, состоящей из водорода, алкила, гидрокси и галогена; и k5 представляет собой целое число от 0 до 5.
В некоторых вариантах осуществления формула -C3-A3-COOHk представляет собой 
в некоторых вариантах осуществления соединение формулы (1-4) представляет собой
где A,
G2, С3 А3 и Rk являются такими, как описано выше.
В другом аспекте настоящее изобретение относится к соединению формулы (I-5) или его фармацевтически приемлемой соли, стереоизомеру ротамеру, таутомеру или дейтерированному соединению,
где
X выбран из группы, состоящей из N, СН и C-Cl;
Т выбран из группы, состоящей из S, S=O, СН2 и О;
Е выбран из группы, состоящей из
где каждый из R1 и R2 независимо выбран из группы, состоящей из водорода, галогена, фенила, алкилтио и алкила, необязательно замещенного карбамоилом (предпочтительно C1-C6 алкил, то же самое применимо ниже); каждый из R11 и R12 независимо выбран из группы, состоящей из водорода, карбоксила и алкила, необязательно замещенного карбамоилом; и m представляет собой целое число от 1 до 5;
F представляет собой одинарную связь;
R13 представляет собой водород или карбоксильную защитную группу;
R14 представляет собой необязательно замещенный арил или необязательно замещенный гетероциклил;
А выбран из группы, состоящей из алкилена, алкенилена и алкинилена;
Q представляет собой необязательно замещенный гетероциклил (предпочтительно гетероциклил, содержащий по меньшей мере один атом N);
Y1 выбран из группы, состоящей из необязательно замещенного алкилена, необязательно замещенного алкенилена, необязательно замещенного алкинилена, -N=CH-CH=N-, -N=CH-CH=N-O-, -N=CH-CH2-, -N=CH(C=O)-, -N=CH(C=S)-, -NR71-C(=O)-, -NR71-C(=NH)-, -NR71-C(=S)-, -NR71-C(=O)CH2-, -NR71C(=NH)CH2-, -NR71C(=S)CH2-, -NR71C(=O)NR71-, -NR71C(=NH)NR71-, -NR71C(=S)NR71-, -NR71C(=O)NR71-O-, NR71C(=NH)NR71-O-, -NR71C(=S)NR71-O-, -NR71C(=O)-C(=O)NR71, -NR71C(=NH)-C(=O)NR71-, -NR71C(=S)-C(=O)NR71-, -NR71C(=NH)-C(=NH)NR71-, -NR71C(=S)-C(=S)NR71-, -NR71CH2C(=O)-, -NR71CH2C(=S)-, -NR71S(=O)2NR71C(=O)-, -NR71S(=O)2NR71C(=NH)-, -NR71S(=O)2NR71C(=S)-, -NR71C(=O)NR71S(=O)2-, -NR71C(=NH)NR71S(=O)2-, NR71C(=S)NR71S(=O)2- и одинврной связи;
каждый R71 может быть независимо выбран из группы, состоящей из водорода, гидрокси, алкила и необязательно замещенного алкокси;
Y2 выбран из группы, состоящей из одинарной связи, необязательно замещенного алкилена, необязательно замещенного алкенилена и необязательно замещенного алкинилена;
Y3 выбран из группы, состоящей из -С(=O)-, -C(=S)-, -C(=O)-C(=O)-, -C(=S)-C(=O)-, -C(=S)-C(=S)-, -C(=O)-C(=NR15)-, -C(=S)-C(=NR15)- и -N=CR16-, где R15 выбран из группы, состоящей из гидрокси, уреидо и необязательно замещенного алкокси; и R16 представляет собой необязательно замещенный карбамоил или карбоксил или его соль, необязательно защищенную карбоксильной защитной группой;
Ъ\ выбран из группы, состоящей из -NR16-, -N+R17R18-, -NR19-C(=O)-NR20-, -NR19-C(=NH)-NR20-, -NR19-C(=S)-NR20- и одинарной связи, где R16 выбран из группы, состоящей из водорода, карбамоила, необязательно замещенного алкила и гидрокси, необязательно защищенного гидроксизащитной группой; каждый из R17 и R18 независимо выбран из группы, состоящей из необязательно замещенного алкила, необязательно замещенного алкила, необязательно замещенного алкилена и необязательно замещенного алкенилена; каждый из R19 и R20 независимо выбран из группы, состоящей из водорода, необязательно замещенного алкила, гидрокси, необязательно защищенного гидроксизащитной группой и необязательно замещенного гетероциклила; и
Z2 представляет собой -NR21- или одинарную связь, где R21 выбран из группы, состоящей из водорода, необязательно замещенного алкила и необязательно защищенного гидрокси.
В некоторых вариантах осуществления Q не содержит четвертичной аммониевой структуры.
В некоторых вариантах осуществления гетероциклил в Q выбран из группы, состоящей из пирролидинила, имидазолидинила, тетрагидрофуранила, тетрагидротиенила, дигидроимидазолила, дигидрофуранила, дигидропиразолила, дигидропирролила, пиперидинила, пиперазинила, морфолинила, тиоморфолинила и гомопиперазинила, где гетероциклил необязательно замещен одним или более заместителями, выбранными из группы, состоящей из алкила, галогена, гидрокси, меркапто, -NRiRj, оксо, тио, -C(O)Rk, -C(O)ORk, -C(S)Rk, нитро, циано, алкокси и алкилтио; предпочтительные примеры Q включают
например, может быть
где каждый R8 независимо выбран из группы, состоящей из водорода, галогена, гидрокси, алкила, алкокси, галогеналкила и галогеналкокси; и
каждый q независимо представляет собой целое число от 0 до 5.
В некоторых вариантах осуществления R14 представляет собой
где D4 представляет собой арил или гетероциклил, предпочтительно фенил или нафтил, каждый R41 независимо выбран из группы, состоящей из алкила, галогена, гидрокси, меркапто, оксо, тио, -NRiRj, -C(O)Rk, -C(O)ORk, нитро, циано, алкокси и алкилтио, где каждый из алкила, алкокси и алкилтио независимо необязательно замещен одним или более заместителями, выбранными из группы, состоящей из алкила, галогена, гидрокси, меркапто, -NRiRj, оксо, тио, -C(O)Rk, -C(O)ORk, -C(S)Rk, нитро, циано, алкокси, алкилтио, циклоалкила, гетероциклила, арила и гетероарила и n представляет собой целое число от 0 до 8.
В некоторых вариантах осуществления соединение формулы (I-5) представляет собой
где A, Q, Y1, Z1, Y2, Z2, Y3, R13 и R14 являются такими, как описано выше.
В некоторых вариантах осуществления соединение выбрано из группы, состоящей из: 
«Алкил», описанный в настоящем документе, предпочтительно представляет собой C1-С6 алкил.
«Алкилен», описанный в настоящем документе, предпочтительно представляет собой C1-С6 алкилен.
«Алкенилен», описанный в настоящем документе, предпочтительно представляет собой С2-С6 алкенилен.
«Алкенилен», описанный в настоящем документе, предпочтительно представляет собой С2-С6 алкинилен.
«Алкокси», описанный в настоящем документе, предпочтительно представляет собой C1-C6 алкокси.
«Алкилтио», описанный в настоящем документе, предпочтительно представляет собой C1-C6 алкилтио.
«Циклоалкил», описанный в настоящем документе, предпочтительно является 3-12-членным циклоалкилом и более предпочтительно 3-6-членным циклоалкилом.
«Конденсированный циклоалкил», описанный в настоящем документе, предпочтительно является 6-14-членным конденсированным циклоалкилом и более предпочтительно 7-10-членным конденсированным циклоалкилом.
«Гетероциклил», описанный в настоящем документе, предпочтительно является 3-12-членным гетероциклилом и более предпочтительно 3-6-членным гетероциклилом.
«Конденсированный гетероциклил», описанный в настоящем документе, предпочтительно является 6-14-членным конденсированным гетероциклилом и более предпочтительно 7-10-членным конденсированным гетероциклилом.
«Арил», описанный в настоящем документе, предпочтительно явялется 6-14-членным арилом и более предпочтительно 6-10-членным арилом.
«Конденсированный циклоарил», описанный в настоящем документе, предпочтительно является 8-14-членным конденсированным циклоарилом и более предпочтительно 8-12-членным конденсированным циклоарилом.
«Гетероарил», описанный в настоящем документе, предпочтительно является 5-12-членным гетероарилом и более предпочтительно 5-8-членным гетероарилом.
«Конденсированный гетероарил», описанный в настоящем документе, предпочтительно является 5-14-членным конденсированным гетероарилом и более предпочтительно 5-12-членным конденсированным гетероарилом.
«Необязательно замещенная» группа, описанная в настоящем документе, может представлять собой группу, необязательно замещенную одним или более заместителями, выбранными из группы, состоящей из алкила (предпочтительно C1-С6 алкила), галогена, дейтерия, гидрокси, меркапто, -NRiRj, оксо, тио, -C(O)Rk, -C(O)ORk, -S(O)Rk, -S(O)ORk, -S(O)(O)Rk, -S(O)(O)ORk, -C(S)Rk, нитро, циано, алкокси (предпочтительно C1-С6 алкокси), алкилтио (предпочтительно С1-С6 алкилтио), алкенила (предпочтительно C2-C6 алкенила), алкинила (предпочтительно C2-C6 алкинила), циклоалкила (предпочтительно 3-6-членного циклоалкила), гетероциклила (предпочтительно 3-6-членного гетероциклила), конденсированного циклоалкила (предпочтительно 7-10-членного циклоалкила), конденсированного гетероциклила (предпочтительно 7-10-членного конденсироавнного гетероциклила), арила, (предпочтительно 6-10 членного арила), гетероарила (предпочтительно от 5-10-членного гетероарила), конденсированного циклоарила (предпочтительно от 8-12-членного конденсированного циклоарила) и конденсированного гетероарила (предпочтительно 5-12-членного конденсированного гетероарила). Ri, Rj и Rk являются такими, как описано выше. Сочетание необязательных заместителей для каждой «необязательно замещенной» группы может быть идентичным или различным.
В некоторых вариантах осуществления соединение согласно настоящему изобретению находится в Z-конфигурации.
Настоящее изобретение также относится к фармацевтической композиции, содержащей по меньшей мере одно из соединений или его фармацевтически приемлемую соль, или его стереоизомер, ротамер, таутомер или дейтерированное соединение, описанное выше, и фармацевтически приемлемый носитель, разбавитель или эксципиент.
В некоторых вариантах осуществления фармацевтическая композиция находится в стандартной дозе 0,001-1000 мг.
В некоторых вариантах осуществления фармацевтическая композиция содержит от 0,01 до 99,99% вышеуказанных соединений относительно общей массы композиции. В некоторых вариантах осуществления фармацевтическая композиция содержит от 0,1 до 99,9% вышеуказанных соединений. В некоторых вариантах осуществления фармацевтическая композиция содержит от 0,5 до 99,5% вышеуказанных соединений. В некоторых вариантах осуществления фармацевтическая композиция содержит от 1 до 99% вышеуказанных соединений. В некоторых вариантах осуществления фармацевтическая композиция содержит от 2 до 98% вышеуказанных соединений.
В некоторых вариантах осуществления фармацевтическая композиция содержит от 0,01 до 99,99% фармацевтически приемлемого носителя, разбавителя или эксципиента относительно общей массы композиции. В некоторых вариантах осуществления фармацевтическая композиция содержит от 0,1 до 99,9% фармацевтически приемлемого носителя, разбавителя или эксципиента. В некоторых вариантах осуществления фармацевтическая композиция содержит от 0,5 до 99,5% фармацевтически приемлемого носителя, разбавителя или эксципиента. В некоторых вариантах осуществления фармацевтическая композиция содержит от 1 до 99% фармацевтически приемлемого носителя, разбавителя или эксципиента. В некоторых вариантах осуществления фармацевтическая композиция содержит от 2 до 98% фармацевтически приемлемого носителя, разбавителя или эксципиента.
Настоящее изобретение также относится к применению соединения или его фармацевтически приемлемой соли, стереоизомера, ротамера таутомера или дейтерированного соединения, или содержащей их фармацевтической композиции, описанных в настоящем изобретении, для получения лекарственного средства для предотвращения и лечения заболевания, вызванного патогенными бактериями у млекопитающего, включая человека.
Настоящее изобретение также относится к применению соединения или его фармацевтически приемлемой соли, или его стереоизомера, ротамера или таутомера, или дейтерированного соединения, описанных в настоящем изобретении, для получения лекарственного средства для предотвращения и лечения заболевания, вызванного грамотрицательными бактериями.
Настоящее изобретение также относится к соединению или его фармацевтически приемлемой соли, стереоизомеру ротамеру, таутомеру или дейтерированному соединению, или к фармацевтической композиции, содержащей их, описанных в настоящем изобретении, для применения в качестве лекарственного средства.
Настоящее изобретение также относится к соединению или его фармацевтически приемлемой соли, стереоизомеру, ротамеру, таутомеру или дейтерированному соединению, или содержащей их фармацевтической композиции, описанных в настоящем изобретении, для применения в предотвращении или лечении заболевания, вызванного патогенными бактериями у млекопитающего, включая человека.
Настоящее изобретение также относится к соединению или его фармацевтически приемлемой соли, стереоизомеру ротамеру таутомеру или дейтерированному соединению, или к фармацевтической композиции, содержащей их, описанной в настоящем изобретении, для применения в предотвращении или лечении заболевания, вызванного грамотрицательными бактериями.
Настоящее изобретение также относится к способу предотвращения и лечения заболевания, вызванного патогенными бактериями, который включает введение пациенту, нуждающемуся в этом, терапевтически эффективной дозы соединения или его фармацевтически приемлемой соли, стереоизомера, ротамера, таутомера или дейтерированного соединения, или фармацевтической композиции, содержащей их, описанной в настоящем изобретении.
Настоящее изобретение также относится к способу предотвращения и лечения заболевания, вызванного грамотрицательными бактериями, который включает введение пациенту, нуждающемуся в этом, терапевтически эффективной дозы соединения или его фармацевтически приемлемой соли, стереоизомера, ротамера, таутомера или дейтерированного соединения, или фармацевтической композиции, содержащей их, описанных в настоящем изобретении.
В настоящем документе заболевание, вызванное патогенными бактериями, или заболевание, вызванное грамотрицательными бактериями, включает, но не ограничивается ими, инфекционные заболевания дыхательных путей, инфекционные заболевания мочевыводящих путей, инфекционные заболевания органов дыхания, сепсис, нефрит, холецистит, инфекционные заболевания полости рта, эндокардит, пневмонию, миелит мембраны костного мозга, средний отит, энтерит, эмпиему, травматические инфекционные заболевания, оппортунистические инфекции и т.п.
В настоящем документе грамотрицательные бактерии предпочтительно представляют собой грамотрицательные бактерии, относящиеся к кишечным бактериям (Е. coli, Klebsiella, Serratia, Enterobacter, Citrobacter, Morganella, Providencia, Proteusn т.д.), грамотрицательные бактерии, обитающие в дыхательной системе (Haemophilus, Моrахеlla и т.д.), и неферментирующие глюкозу грамотрицательные бактерии (Pseudomonas aeruginosa, Pseudomonas, отличные от P. aeruginosa, Stenotrophomonas, Burkholderia, Acinetobactera т.д.).
Настоящее изобретение также относится к применению соединения или его фармацевтически приемлемой соли, или его стереоизомера, ротамера, таутомера или дейтерированного соединения, описанных в настоящем изобретении, в качестве лекарственного средства для предотвращения и лечения заболевания, вызванного грамотрицательными бактериями.
В настоящем документе млекопитающее может быть человеком или млекопитающим, не являющимся человеком.
Настоящее изобретение дополнительно относится к набору, содержащему соединение или его фармацевтически приемлемую соль, стереоизомер, ротамер, таутомер или дейтерированное соединение, или фармацевтическую композицию, описанных в настоящем описании.
Согласно способу испытания, хорошо известному в данной области техники (например, WO 2010050468), соединения по настоящему изобретению обладают ингибирующей активностью в отношении грамотрицательных бактерий и превосходной эффективностью.
Термины и определения:
Если не указано иное, термины, используемые в описании и формуле изобретения, имеют приведенные ниже значения.
Термин «алкил» относится к насыщенной алифатической углеводородной группе, которая представляет собой линейную или разветвленную группу, содержащую от 1 до 20 атомов углерода, предпочтительно алкильную группу, содержащую от 1 до 12 атомов углерода. Неограничивающие примеры включают метил, этил, н-пропил, изопропил, н-бутил, изобутил, трет-бутил, втор-бутил, н-пентил, 1,1-диметилпропил, 1,2-диметилпропил, 2,2-диметилпропил, 1-этилпропил, 2-метилбутил, 3-метилбутил, н-гексил, 1-этил-2-метилпропил, 1,1,2-триметилпропил, 1,1-диметилбутил, 1,2-диметилбутил, 2,2-диметилбутил, 1,3-диметилбутил, 2-этилбутил, 2-метилпентил, 3-метилпентил, 4-метилпентил, 2,3-диметилбутил, н-гептил, 2-метилгексил, 3-метилгексил, 4-метилгексил, 5-метилгексил, 2,3-диметилпентил, 2,4-диметилпентил, 2,2-диметилпентил, 3,3-диметилпентил, 2-этилпентил, 3-этилпентил, н-октил, 2,3-диметилгексил, 2,4-диметилгексил, 2,5-диметилгексил, 2,2-диметилгексил, 3,3-диметилгексил, 4,4-диметилгексил, 2-этилгексил, 3-этилгексил, 4-этилгексил, 2-метил-2-этилпентил, 2-метил-3-этилпентил, н-нонил, 2-метил-2-этилгексил, 2-метил-3-этилгексил, 2,2-диэтилпентил, н-децил, 3,3-диэтилгексил, 2,2-диэтилгексил и их различные изомеры боковых цепей и т.д. Более предпочтительно, алкил представляет собой алкил, содержащий от 1 до 6 атомов углерода, и неограничивающие примеры включают метил, этил, н-пропил, изопропил, н-бутил, изобутил, трет-бутил, втор-бутил, н-пентил, 1,1-диметилпропил, 1,2-диметилпропил, 2,2-диметилпропил, 1-этилпропил, 2-метилбутил, 3-метилбутил, н-гексил, 1-этил-2-метилпропил, 1,1,2-триметилпропил, 1,1-диметилбутил, 1,2-диметилбутил, 2,2-диметилбутил, 1,3-диметилбутил, 2-этилбутил, 2-метилпентил, 3-метилпентил, 4-метилпентил, 2,3-диметилбутил и т.д. Алкил может быть замещенным или незамещенным, и при его замещении замещение заместителем может быть выполнено в любом доступном месте соединения, где заместитель представляет собой одну или более групп, независимо выбранных из группы, состоящей из алкила, алкенила, алкинила, алкокси, алкилтио, алкиламино, галогена, меркапто, гидрокси, нитро, циано, циклоалкила, гетероциклоалкила, арила, гетероарила, циклоалкокси, гетероциклоалкокси, циклоалкилтио, гетероциклоалкилтио, оксо, карбоксила и карбоксилатной группы.
Термин «алкилен» относится к насыщенной линейной или разветвленной алифатической углеводородной группе, имеющей 2 остатка, полученных из исходного алкана путем удаления двух атомов водорода из одного и того же атома углерода или двух разных атомов углерода. Это линейная или разветвленная группа, содержащая от 1 до 20 атомов углерода, предпочтительно алкилен, содержащий от 1 до 12 атомов углерода, и более предпочтительно алкилен, содержащий от 1 до 6 атомов углерода. Неограничивающие примеры алкилена включают, но не ограничиваются ими, метилен (-СН2-), 1,1-этилен(-СН(СН3)-), 1,2-этилен(-СН2СН2-), 1,1-пропилен(-СН(СН2СН3)-), 1,2-пропилен(-СН2СН(СН3)-), 1,3-пропилен(-СН2СН2СН2-), 1,4-бутилен(-СН2СН2СН2СН2-) и т.д. Алкилен может быть замещенным или незамещенным, и при его замещении замещение заместителем может быть выполнено в любом доступном месте соединения.
Термин «алкенилен» относится к линейной алкенильной группе, содержащей от 2 до 8 атомов углерода, предпочтительно от 2 до 6 атомов углерода и более предпочтительно от 2 до 4 атомов углерода, и имеющей по меньшей мере одну двойную связь в любых положениях, включая, например, этенилен, аллилен, пропенилен, бутенилен, пренилен, бутадиенилен, пентенилен, пентадиенилен, гексенилен, гексадиенилен и т.д.
Термин «алкинилен» относится к линейной алкиниленовой группе, содержащей от 2 до 8 атомов углерода, предпочтительно от 2 до 6 атомов углерода и более предпочтительно от 2 до 4 атомов углерода, и имеющей по меньшей мере одну тройную связь в любых положениях, включая, например, этинилен, пропинилен, бутинелен, пентинилен, гексинилен и т.д.
Термин «циклоалкил» относится к насыщенному или частично ненасыщенному моноциклическому или полициклическому углеводородному заместителю. Циклоалкильное кольцо содержит от 3 до 20 атомов углерода, предпочтительно от 3 до 12 атомов углерода и более предпочтительно от 3 до 6 атомов углерода. Неограничивающие примеры моноциклического циклоалкила включают циклопропил, циклобутил, циклопентил, циклопентенил, циклогексил, циклогексенил, циклогексадиенил, циклогептил, циклогептагриенил, циклооктил и т.д. Неограничивающие примеры полициклического циклоалкила включают спироциклоалкил, конденсированный цикл о алкил и мостиковый цикл о алкил.
Термин «спироциклоалкил» относится к 5-20-членной полициклической группе, в которой моноциклические кольца имеют один общий атом углерода (называемый спироагомом), где данные кольца могут содержать одну или более двойных связей, но ни одно из них не имеет полностью сопряженной π-алектронной системы. Спироциклоалкил предпочтительно является 6-14-членным и более предпочтительно 7-10-членным. В соответствии с количеством спироагомов, которые явлются общими между кольцами, спироциклоалкил может являться моноспироциклоалкилом, биспироциклоалкилом или полиспироциклоалкилом, предпочтительно моноспироциклоалкилом и
биспироциклоалкилом, и более предпочтительно 4-членным/4-членным, 4-членным/5-членным, 4-членным/6-членным, 5-членным/5-членным или 5-членным/6-членным моноспироциклоалкилом. Неограничивающие примеры спироциклоалкил а включают:
Термин «конденсированный циклоалкил» относится к 5-20-членной полностью углеродной полициклической группе, в которой каждое кольцо в системе имеет общую пару соседних атомов углерода с другими кольцами в системе, где одно или более колец могут содержать одну или более двойных связей, но ни одно из них не имеет полностью сопряженной π-алектронной системы. Конденсированный циклоалкил предпочтительно является 6-14-членным и более предпочтительно 7-10-членным. В соответствии с количеством образованных колец, конденсированный циклоалкил может быть бициклическим, трициклическим, тетрациклическим или поли циклическим конденсированным циклоалкилом, предпочтительно бициклическим или трициклическим конденсированным циклоалкилом и более предпочтительно 5-членным/5-членным или 5-членным/6-членным бициклическим конденсированным гетер о цикли лом.
Неограничивающие примеры конденсированного циклоалкила включают:
Термин «мостиковый циклоалкил» относится к 5-20-членной полностью углеродной полициклической группе, в которой любые два кольца имеют два общих атома углерода, которые непосредственно не связаны друг с другом, где эти кольца могут содержать одну или более двойных связей, но ни одно из них не имеет полностью сопряженной π-электронной системы. Мостиковый циклоалкил предпочтительно является 6-14-членным и более предпочтительно 7-10-членным. В соответствии с количеством образованных колец, мостиковый циклоалкил может быть бициклическим, трициклическим, тетрациклическим или полициклическим мостиковым циклоалкилом, предпочтительно бициклическим, трициклическим или тетрациклическим мостиковым циклоалкилом и более предпочтительно бициклическим или трициклическим мостиковым циклоалкилом. Неограничивающие примеры мостикового циклоалкила включают:
Циклоалкильное кольцо может быть конденсировано с арильным, гетеро ар ильным или гетероциклоалкильным кольцом, где кольцо, присоединенное к исходной структуре, представляет собой циклоалкил. Неограничивающие примеры циклоалкильного кольца включают, но не ограничиваются ими, инданил, тетрагидронафтил, бензоциклогептил и т.д. Циклоалкил может быть необязательно замещенным или незамещенным, и когда он замещен, заместитель предпочтительно представляет собой одну или более из групп, независимо выбранных из группы, состоящей из: алкила, алкенила, алкинила, алкокси, алкилтио, алкиламино, галогена, меркапто, гидрокси, нитро, циано, циклоалкила, гетероциклоалкила, арила, гетероарила, циклоалкокси, гетероциклоалкокси, циклоалкилтио, гетероциклоалкилтио, оксо, карбоксила и карбоксилатной группы.
Термин «гетеро цикл ил» относится к насыщенному или частично ненасыщенному моноциклическому или полициклическому углеводородному заместителю, содержащему от 3 до 20 атомов кольца, где один или более атомов кольца представляют собой гетероатомы, выбранные из группы, состоящей из азота, кислорода и S(O)m (где m представляет собой целое число от 0 до 2), за исключением части кольца -О-О-, -O-S- или -S-S-, а остальные атомы кольца представляют собой атомы углерода. Гетероциклил предпочтительно содержит от 3 до 12 атомов кольца, из которых от 1 до 4 представляют собой гетер о атомы; и более предпочтительно содержит от 3 до 6 атомов кольца. Неограничивающне примеры моноциклического гетероциклила включают пирролидинил, имидазолидинил, тетрагидрофуранил, тетрагидротиенил, дигадроимидазолил, днгидрофуранил, дигндропиразолнл, дигидропирролил, пнперндинил, пиперазинил, морфолинил, тио морфолинил, гомопнперазннил и т.п., предпочтительно, пиперидинил и пирролидинил. Неограничивающие примеры полициклического гетероциклила включают спирогетероциклил, конденсированный гетероциклил и мостиковый гетероциклил.
Термин «спирогетероциклил» относится к 5-20-членной полициклической гетероциклильной группе, в которой моноциклические кольца имеют общий один атом (называемый спироатомом), где одни или более атомов кольца представляют собой гетероатомы, выбранные из группы, состоящей из азота, кислорода и S(O)m (где m представляет собой целое число от 0 до 2), а остальные атомы кольца представляют собой атомы углерода. Эти кольца могут содержать одну или более двойных связей, но ни одно из них не имеет полностью сопряженной π-алектронной системы. Спиро гетероциклил предпочтительно является 6-14-членным и более предпочтительно 7-10-членным. В соответствии с количеством спироатомов, являющихся общими между кольцами, спирогетероциклил может являться моноспирогетероциклилом, бнспирогетероциклилом или поли спирогетероциклилом, предпочтительно моноспирогетероциклилом и биспирогетероциклилом и более предпочтительно 4-членным/4-членным, 4-членным/5-членным, 4-членным/6-членным, 5-членным/5-членным или 5-членным/6-членным моноспирогетероциклилом. Неограничивающие примеры спирогетероциклила включают:
Термин «конденсированный гетероциклил» относится к 5-20-членному полициклическому гетероциклилу, в котором каждое кольцо имеет общую пару соседних атомов с другими кольцами в системе, где одно или более колец могут содержать одну или более двойных связей, но ни одно из них не имеет полностью сопряженной π-электронной системы, и один или более атомов кольца представляют собой гетероатомы, выбранные из группы, состоящей из азота, кислорода или S(O)ь (где m представляет собой целое число от 0 до 2), а остальные атомы кольца представляют собой атомы углерода. Конденсированный гетероциклил предпочтительно является 6-14-членным и более предпочтительно 7-10-членным. В соответствии с количеством образованных колец, конденсированный гетероциклил может быть бициклическим, трициклическим, тетрациклическим или полициклическим конденсированным гетероциклилом, предпочтительно бициклическим или трициклическим конденсированным гетероциклилом и более предпочтительно 5-членным/5-членным или 5-членным/6-членным бициклическим конденсированным гетероциклилом. Неограничивающие примеры конденсированного гетер о циклила включают:
Термин «мостиковый гетероциклил» относится к 5-14-членному полициклическому гетероциклилу, в котором любые два кольца имеют общих два атома углерода, которые непосредственно не присоединены друг к другу, где эти кольца могут содержать одну или более двойных связей, но ни одно из них не имеет полностью сопряженной π-элекгронной системы, и один или более кольцевых атомов представляют собой гетероатомы, выбранные из группы, состоящей из азота, кислорода и S(O)m (где m представляет собой целое число от 0 до 2), а остальные кольцевые атомы представляют собой атомы углерода. Мостиковый гетероциклил предпочтительно является 6-14-членным и более предпочтительно 7-10-членным. В соответствии с количеством образованных колец, мостиковый гетероциклил может быть бициклическим, трициклическим, тетрациклическим или полициклическим мостиковый гетероциклилом, предпочтительно бициклическим, трициклическим или тетрациклическим мостиковым гетероциклилом и более предпочтительно бициклическим или трициклическим мостиковым гетероциклилом. Неограничивающие примеры мостикового гетероциклила включают:
Гетероциклильное кольцо может быть конденсировано с арильным, гетероарильным или циклоалкильным кольцом, где кольцо, соединенное с исходной структурой, представляет собой гетероциклил. Неограничивающие примеры гетероциклильного кольца включают, но не ограничиваются ими:
Гетероциклил может быть необязательно замещенным или незамещенным, и когда он замещен, заместитель предпочтительно представляет собой одну или более из групп, независимо выбранных из группы, состоящей из: алкила, алкенила, алкинила, алкокси, алкилтио, алкиламино, галогена, меркапто, гидрокси, нитро, циано, циклоалкила, гетероциклоалкила, арила, гетероарила, циклоалкокси, гетероциклоалкокси, циклоалкилтио, гетероциклоалкилтио, оксо, карбоксила и карбоксилатной группы.
Термин «арил» относится к 6-14-членной, предпочтительно 6-10-членной полностью углеродной моноциклической или конденсированной полициклической (т.е., кольца, имеющие общую пару соседних атомов углерода) группе, имеющей сопряженную π-электронную систему, такой как фенил и нафтил. Арильное кольцо может быть конденсировано с гетероарильным, гетероциклильным или циклоалкильным кольцом, где кольцо, соединенное с исходной структурой, представляет собой арильное кольцо. Неограничивающие примеры арильного кольца включают, но не ограничиваются ими:
арильное кольцо может быть необязательно замещенным или незамещенным, и когда он замещен, заместитель предпочтительно представляет собой одну или более из групп, независимо выбранных из группы, состоящей из: алкила, алкенила, алкинила, алкокси, алкилтио, алкиламино, галогена, меркапто, гидрокси, нитро, циано, циклоалкила, гетероциклоалкила, арила, гетероарила, циклоалкокси, гетероциклоалкокси, циклоалкилтио, гетероциклоалкилтио, карбоксила и карбоксилатной группы, предпочтительно фенила.
Термин «конденсированный циклоарил» может представлять собой ненасыщенную ароматическую конденсированную кольцевую структуру, содержащую от 8 до 14 атомов кольца, предпочтительно от 8 до 12 атомов кольца, образованную путем соединения двух или более кольцевых структур, которые имеют два соседних атома друг с другом, например, включая все ненасыщенные конденсированные циклоарильные группы, такие как нафталин, фенантрен и т.д., и частично насыщенные конденсированные циклоарильные группы, такие как бензо 3-8-членный насыщенный моноциклический циклоалкил, бензо 3-8-членный частично насыщенный моноциклический циклоалкил, в частности, 2,3-дигидро-1Н-инденил, 1H-инденил, 1,2,3,4-тетрагидронафтил, 1,4-дигидронафтил и т.д.
Термин «гетероарил» относится к гетероароматической системе, содержащей от 1 до 4 гетероатомов и от 5 до 14 атомов кольца, где гетероатомы выбраны из группы, состоящей из кислорода, серы и азота. Гетероарил предпочтительно является 5-12-членным, например, имидазолилом, фурилом, тиенилом, тиазолилом, пиразолилом, оксазолилом, пирролилом, тетразолилом, пиридилом, пиримидинилом, тиадиазолом, пиразинилом и т.п., предпочтительно имидазолилом, пиразолилом, пиримидинилом или тиазолилом; и более предпочтительно пиразолилом или тиазолилом. Гетероарильное кольцо может быть конденсировано с арильным, гетероциклильным или циклоалкильным кольцом, где кольцо, соединенное с исходной структурой, представляет собой гетероарил. Неограничивающие примеры гетероарильного кольца включают:
Гетероарил может быть необязательно замещенным или незамещенным, и когда он замещен, заместитель предпочтительно представляет собой одну или более из групп, независимо выбранных из группы, состоящей из: алкила, алкенила, алкинила, алкокси, алкилтио, алкиламино, галогена, меркапто, гидрокси, нитро, циано, циклоалкила, гетероциклоалкила, арила, гетероарила, циклоалкокси, гетероциклоалкокси, циклоалкилтио, гетероциклоалкилтио, карбоксила и карбоксилатной группы.
Термин «конденсированный гетероарил» может представлять собой ненасыщенную ароматическую конденсированную кольцевую структуру, содержащую от 5 до 14 атомов кольца (по меньшей мере, один гетероатом), образованную соединением двух или более кольцевых структур, которые имеют два соседних общих атома друг с другом, включая случай, когда может быть окислен атом углерода, атом азота и атом серы, предпочтительно, «5-12-членный конденсированный гетероарил», «7-12-членный конденсированный гетероарил», «9-12-членную конденсированную гетероарильную группу» и т.п., например, бензофуранил, бензоизотиафуранил, бензотиенил, индолил, изоиндолил, бензоксазолил, бензимидазолил, индазолил, бензотриазолил, хинолил, 2-хинолинон, 4-хинолинон, 1-изохинолинон, изохинолинил, акридинил, фенантридинил, бензопиридазинил, фталазинил, хиназолинил, хиноксалинил, феназинил, птеридинил, пуринил, нафтиридинил, феназин, фенотиазин и т.п.
Конденсированный гетероарил может быть необязательно замещенным или незамещенным, и когда он замещен, заместитель предпочтительно представляет собой одну или более из групп, независимо выбранных из группы, состоящей из: алкила, алкенила, алкинила, алкокси, алкилтио, алкиламино, галогена, меркапто, гидрокси, нитро, циано, циклоалкила, гетероциклоалкила, арила, гетероарила, циклоалкокси, гетероциклоалкокси, циклоалкилтио, гетероциклоалкилтио, карбоксила и карбоксилатной группы.
Термин «алкокси» относится к -О-(алкилу) и -O-(незамещенному циклоалкилу), где алкил является таким, как определено выше. Неограничивающие примеры алкокси включают метокси, этокси, пропокси, бутокси, циклопропокси, циклобутокси, циклопентилокси и циклогексилокси. Алкокси может быть необязательно замещенным или незамещенным, и когда он замещен, заместитель предпочтительно представляет собой одну или более из групп, независимо выбранных из группы, состоящей из: алкила, алкенила, алкинила, алкокси, алкилтио, алкиламино, галогена, меркапто, гидрокси, нитро, циано, циклоалкила, гетероциклоалкила, арила, гетероарила, циклоалкокси, гетероциклоалкокси, циклоалкилтио, гетероциклоалкилтио, карбоксила и карбоксилатной группы.
Термин «алкилтио» относится к -S-(алкилу) и -S-(незамещенному циклоалкилу), где алкил является таким, как определено выше. Неограничивающие примеры алкилтио включают: метилтио, этилтио, пропилтио, бутилтио, циклопропилтио, циклобутилтио, циклопентилтио и циклогексилтио. Алкилтио может быть необязательно замещенным или незамещенным, и когда он замещен, заместитель предпочтительно представляет собой одну или более групп, независимо выбранных из группы, состоящей из алкила, алкенила, алкинила, алкокси, алкилтио, алкиламино, галогена, меркапто, гидрокси, нитро, циано, циклоалкила, гетероциклоалкила, арила, гетероарила, циклоалкокси, гетероциклоалкокси, циклоалкилтио и гетероциклоалкилтио.
Термин «гидроксиалкил» относится к алкильной группе, замещенной гидрокси, где алкильная группа является такой, как определено выше.
Термин «галогеналкил» относится к алкильной группе, замещенной галогеном, где алкильная группа является такой, как определено выше.
Термин «дейтерированный алкил» относится к алкильной группе, замещенной атомом дейтерия, где алкильная группа является такой, как определено выше.
Термин «гидрокси» относится к -ОН.
Термин «оксо» относится к =O. Например, атом углерода соединен с атомом кислорода посредством двойной связи с образованием кетонной или альдегидной группы.
Термин «тио» относится к =S. Например, атом углерода соединен с атомом серы посредством двойной связи с образованием тиокарбонила -C(S)-.
Термин «галоген» относится ко фтору, хлору, брому или иоду.
Термин «амино» относится к -NH2.
Термин «циано» относится к -CN.
Термин «нитро» относится к -NO2.
Термин «карбоксил» относится к -С(O)ОН.
Термин «альдегид» относится к -СНО.
Термин «карбоксилат» относится к -С(O)O(алкилу) или -С(O)O(циклоалкилу), где алкил и циклоалкил являются такими, как определено выше.
Термин «ацилгалид» относится к соединению, содержащему группу -С(O)-галоген.
«Карбоксильная защитная группа» представляет собой подходящую группу, известную в данной области техники для защиты карбоксила, со ссылкой на источник («Protective Groups in Organic Synthesis», 5е Изд. Т. W. Greene & P. G. M. Wilts) для карбоксильных защитных групп. В качестве примера, предпочтительно, карбоксильная защитная группа может быть замещенным или незамещенным C1-10 линейным или разветвленным алкилом, замещенным или незамещенным С2-10 линейным или разветвленным алкенилом или алкинилом, замещенным или незамещенным С3-8 циклическим алкилом, замещенным или незамещенным С5-10 арилом или гетероарилом, или (C1-8 алкилом или арилом)3 силилом; предпочтительно С1-6 линейным или разветвленным алкилом, и более предпочтительно C1-4 линейным или разветвленным алкилом. Например, карбоксильная защитная группа может представлять собой метил, этил, аллил, изопентенил, триметилсилилэтил или т.п.
«Аминозащитная группа» представляет собой подходящую группу, известную в данной области техники для защиты аминогруппы, со ссылкой на источник («Protective Groups in Organic Synthesis», 5е. Изд. Т. W. Greene & P. G. M. Wuts) для аминозащитных групп. Предпочтительно аминозащитная группа может представлять собой (С1-10 алкил или арил)ацил, например, формил, ацетил, бензоил или т.п.; (C1-6 алкил или С6-10 арил)сульфонил; (C1-6 алкокси или С6-10 арилокси)карбонил, например, Boc (трет-бутоксикарбонильная группа) или Cbz (бензилоксикарбонильная группа); или замещенный или незамещенный алкил, например, тритил (Tr), 2,4-диметоксибензил (DMB), п-метоксибензил (РМВ) или бензил (Bn).
«Гидроксизащитная группа» представляет собой подходящую группу, известную в данной области техники для защиты гидроксигруппы, со ссылкой на источник («Protective Groups in Organic Synthesis», 5е Изд. Т. W. Greene & P. G. M. Wuts) для гидроксизащитных групп.В качестве примера, предпочтительно, гидроксизащитная группа может представлять собой (С1-10 алкил или арил)3 силил, например, триэтилсилил, триизопропилсилил, трет-бутилдиметилсилил, трет-бутилдифенилсилил или т.п.; С1-10 алкил или замещенный алкил, предпочтительно алкокси или арилзамещенный алкил, и более предпочтительно С1-6 алкоксизамещенный С1-6 алкил или фенилзамещенный С1-6 алкил, и наиболее предпочтительно С1-4 алкоксизамещенный С1-4 алкил, например, метил, трет-бутил, аллил, бензил, метоксиметил (MOM), этоксиэтил, 2-тетрагидропиранил (ТИР) или тому подобное; (С1-10 алкил или арил)ацил, например, формил, ацетил, бензоил или тому подобное; (С1-6 алкил или С6-10 арил)сульфонил; или (С1-6 алкокси или арилокси)карбонил.
Термин «уходящая группа» относится к атому или функциональной группе, которая отделена от более крупной молекулы в химической реакции. Типичные уходящие группы включают галоген, замещенный сульфонилокси, фосфорилокси, амино, RjRjN-, циано, RmS- и т.д.
Замещенный сульфонилокси может представлять собой C1-C6 алкилсульфонилокси, перфтор C1-C6 алкилсульфонилокси, арилсульфонилокси, аралкилсульфонилокси или т.п.
Конкретные примеры C1-С6 алкилсульфонилокси включают C1-С6 линейный или разветвленный алкилсульфонилокси, например, метилсульфонилокси, этилсульфонилокси, н-пропилсульфонилокси, изопропилсульфонилокси, н-бутилсульфонилокси, трет-бутилсульфонилокси, н-пентилсульфонилокси и н-гексилсульфонилокси.
Конкретные примеры перфтор C1-C6 алкилсульфонилокси включают C1-C6 линейный или разветвленный перфторалкилсульфонилокси, например, трифторметилсульфонилокси, 1,1,2,2,2-пентафтор-1-этилсульфонилокси, 1,1,2,2,3,3,3-гептафтор-1-пропилсульфонилокси и 1,1,2,2,3,3,4,4,4-нонафтор-1-бутилсульфонилокси.
Примеры арилсульфонилокси включают: фенилсульфонилокси и нафтилсульфонилокси, необязательно имеющие от 1 до 3 заместителей на фенильном кольце, выбранных из группы, состоящей из линейного или разветвленного C1-C6 алкила, линейного или разветвленного алкила C1-С6, атомов нитро и галогена. Конкретные примеры фенилсульфонилокси, имеющего заместитель, включают фенилсульфонилокси, 4-метилфенилсульфонилокси, 2-метилфенилсульфонилокси, 4-нитро фенилсульфонилокси, 4-толилсульфонилокси, 2-нитрофенилсульфонилокси, 3-хлорфенилсульфонилокси и т.д. Конкретные примеры нафтилсульфонилоксигруппы включают α-нафтилсульфонилокси, β-нафтилсульфонилокси и т.д.
Примеры аралкилсульфонилокси включают: линейный или разветвленный С1-С6 алкилсульфонилокси, замещенный фенилом (который необязательно имеет от 1 до 3 заместителей на фенильном кольце, выбранных из группы, состоящей из линейного или разветвленного C1-С6 алкила, линейного или разветвленного C1-С6 алкила, нитро и атомов галогена); и линейный или разветвленный C1-С6 алкилсульфонилокси, замещенный нафтилом. Конкретные примеры алкилсульфонилокси, замещенного фенилом, включают бензилсульфонилокси, 2-фенилэтилсульфонилокси, 4-фенилбутилсульфонилокси, 4-метилбензилсульфонилокси, 2-метилбензилсульфонилокси, 4-нитробензилсульфонилокси, 4-метилбензилсульфонилокси, 3-хлорбензилсульфонилокси и т.д. Конкретные примеры алкилсульфонилокси, замещенного нафтилом, включают α-нафтилметилсульфонилокси, β-нафтилметилсульфонилокси и т.д.
Термин «необязательный» или «необязательно» означает, что событие или обстоятельство, описанное впоследствии, может, но не обязательно, иметь место, и что описание включает случаи, когда событие или обстоятельство происходит или не происходит. Например, «гетероциклильная группа, необязательно замещенная алкилом» означает, что алкил может присутствовать, но не обязательно, и что описание включает случаи, когда гетероциклильная группа является или не является замещенной алкилом.
Термин «замещенный» означает, что один или более, предпочтительно до 5 и более предпочтительно от 1 до 3 атомов водорода в группе независимо замещены соответствующим количеством заместителей. Само собой разумеется, что заместитель находится только в своем возможном химическом положении, и специалисты в данной области техники смогут определить (экспериментально или теоретически) возможную или невозможную замену без особых усилий.
В химической структуре соединения, описанного в настоящем документе,
связь не указана с конфигурацией, то есть связь
может быть
или
или включает как
, так и
конфигурации. В химической структуре соединения, описанного в настоящем документе, связь
не указана с конфигурацией, то есть она может быть Z-конфигурацией или Е-конфигурацией, или включает обе конфигурации.
Таутомеры представляют собой структурные изомеры органических соединений, которые легко переходят в химическую реакцию, называемую таутомеризацией. Эта реакция часто приводит к формальной миграции атомов водорода или протонов, сопровождающейся преобразованием одной связи в соседнюю двойную связь. Некоторые распространенные таутомерные пары включают: кето-енол и лактам-лактим. Пример лактамно-лактимного равновесия присутствует между А и В, как показано ниже.
Все соединения в настоящем изобретении могут быть нарисованы как форма А или форма В. Все таутомерные формы находятся в пределах объема настоящего изобретения. Номенклатура соединений не исключает никаких таутомеров.
«Каждый независимо» или «независимо» означает, что заместители, имеющие одинаковый диапазон отбора, могут быть идентичными или различными группами в их соответствующих случаях, и выбор заместителя в каждом случае не зависит от выбора этого заместителя (или заместителей в том же диапазоне) в других случаях.
Любое изотопно-меченное производное соединения, описанного в настоящем документе, или его фармацевтически приемлемая соль, или его изомер, охватывается настоящим изобретением. Атомы, которые могут быть изотопно мечены, включают, но не ограничиваются ими, водород, углерод, азот, кислород, фосфор, фтор, хлор, йод и т.д. Они могут быть по отдельности заменены изотопами 2Н (D), 3Н, 11C, 13С, 14С, 15N, 18F, 31Р, 32Р, 35S 36Cl и 125I и т.д. Если не указано иное, когда положение конкретно обозначено как дейтерий (D), это положение следует понимать как дейтерий, имеющий содержание, которое по меньшей мере в 3000 раз больше, чем природное содержание дейтерия (которое составляет 0,015%) (то есть, по меньшей мере 45% включения дейтерия).
ПОДРОБНОЕ ОПИСАНИЕ ИЗОБРЕТЕНИЯ
Получение соединения, описанного в настоящем документе, и его фармацевтически приемлемой соли дополнительно описано ниже в сочетании с примерами, которые не предназначены для ограничения объема настоящего изобретения.
Экспериментальные процедуры без условий, указанные в примерах настоящего изобретения, как правило, проводили в соответствии с общепринятыми условиями или в соответствии с условиями, рекомендованными производителем исходных материалов или коммерческих продуктов. Реагенты без указания конкретного происхождения являются коммерчески доступными обычными реагентами.
Структуры соединений определяли с помощью спектроскопии ядерного магнитного резонанса (ЯМР) и/или масс-спектрометрии (LCMS (жидкостная хроматография с масс-спектрометрией). Сдвиг ЯМР (δ) задается в единицах измерения 10-6 (млн-1). Спектры ЯМР измеряли с использованием прибора ядерного магнитного резонанса Bruker AVANCE-400, с дейтерированным диметилсульфоксидом (DMSO-d6), дейтерированным хлороформом (CDCl3) и дейтерированным метанолом (CD3OD) в качестве растворителей для определения и тетраметилсиланом (TMS) в качестве внутреннего стандарта. Пространственные конфигурации оптических изомеров (изомеров) соединений могут быть дополнительно подтверждены путем определения параметров монокристаллов.
Анализ HPLC (высокоэффективная жидкостная хроматография) проводили с использованием жидкостного хроматографа WATERS ACQUITY сверхвысокоэффективная LC, систем Shimadzu LC-20A, серии Shimadzu LC-2010HT или высокоэффективного жидкостного хроматографа Agilent 1200 LC (колонка ACQUITY UPLC ВЕН С18 1,7 мкм 2,1×50 мм, колонка Ultimate ХВ-С18 3,0×150 мм или колонка Xtimate С18 2,1×30 мм).
MS-анализ проводили масс-спектрометром Waters SQD2 в режиме положительных/отрицательных ионов с диапазоном массового сканирования от 100 до 1200.
Аналитическое определение хиральной HPLC проводили с использованием Chiralpak IC-3 100×4,6 мм внутр. диам., 3 мкм, Chiralpak AD-3 150×4,6 мм внутр. диам., 3 мкм, Chiralpak AD-3 50×4,6 мм внутр. диам., 3 мкм, Chiralpak AS-3 150×4,6 мм внутр. диам., 3 мкм, Chiralpak AS-3 100×4,6 мм внутр. диам., 3 мкм, ChiralCel OD-3 150×4,6 мм внутр. диам., 3 мкм, ChiralCel OD-3 100×4,6 мм внутр. диам., 3 мкм, ChiralCel OJ-H 150×4,6 мм внутр. диам., 5 мкм или ChiralCel OJ-3 150×4,6 мм внутр. диам., 3 мкм хроматографической колонки.
Силикагелевая пластина Yantai Huanghai HSGF254 или Qingdao GF254 принята в качестве силикагелевой пластины для тонкослойной хроматографии (TLC). Спецификация силикагелевой пластины составляет 0,15-0,2 мм для тонкослойной хроматографии (TLC) и 0,4-0,5 мм для разделения и очистки продуктов TLC.
Очистку колонки флеш-хроматографии проводят с использованием системы Combiflash Rfl50 (TELEDYNE ISCO) или Isolara One (Biotage).
Колоночную хроматографию с прямой фазой, как правило, проводили с использованием 100-200 меш, 200-300 меш или 300-400 меш силикагеля Yantai Huanghai в качестве носителя или с использованием предварительно заполненной колонки Чанчжоу Сантай с ультрачистым силикагелем прямой фазы (40-63 мкм, 60 г, 12 г, 25 г, 40 г, 80 r или других спецификаций).
Обращенно-фазовую колоночную хроматографию обычно проводили с использованием предварительно заполненной колонки Changzhou Santai с ультрачистым силикагелем С18 (20-45 мкм, 100 Å, 40 г, 80 г, 120 г, 220 r или других спецификаций).
Очистку колонки высокого давления проводили с использованием системы Waters AutoP в комбинации с подготовительной колонкой Waters XBridge ВЕН С18 OBD, 130 Å, 5 мкм, 19×150 мм или подготовительной колонкой Atlantis ТЗ OBD, 100 Å, 5 мкм, 19×150 мм.
Хиральный препарат осуществляли с использованием колонки DAICEL CHIRALPAK 1С (250×30 мм, 10 мкм) или Phenomenex-Amylose-1 (250×30 мм, 5 мкм).
Исходные материалы, известные в настоящем описании, могут быть синтезированы с использованием или в соответствии со способами, известными в данной области техники, или могут быть приобретены у Shanghai Titan Scientific, ABCR GmbH & Co. KG, Acros Organics, Aldrich Chemical Company, Accela ChemBio Inc., Chembee Chemicals и других компаний.
В примере все реакции могут быть проведены в атмосфере азота, если не указано иное.
Атмосфера аргона или атмосфера азота означает, что реакционная колба соединена с баллоном, содержащим около 1 л аргона или азота.
Атмосфера водорода означает, что реакционная колба соединена с баллоном, содержащим около 1 л водорода.
Реакцию гидрирования под давлением проводили с использованием гидрогенизатора Parr 3916ЕКХ, гидрогенизатора Qinglan QL-500 или гидрогенизатора HC2-SS.
Реакция гидрирования обычно включает 3 цикла вакуумирования и продувки водородом.
Микроволновую реакцию проводили в микроволновом реакторе СЕМ Discover-S 908860.
В примерах раствор относится к водному раствору, если не указано иное.
В примерах температура реакции представляла собой комнатную температуру, то есть от 20 до 30°С, если не указано иное.
За процессом реакции в примерах наблюдали с помощью тонкослойной хроматографии (TLC). Проявляющий растворитель для реакций, система элюента для очистки колоночной хроматографии и система проявляющего растворителя для тонкослойной хроматографии включают: А: систему дихлорметан/метанол, В: систему н-гексан/этилацетат, С: систему петролейный эфир/этилацетат, D: систему петролейный эфир/этилацетат/метанол и Е: систему петролейный эфир/тетрагидрофуран. Объемное соотношение растворителей корректировали в соответствии с полярностью соединения или путем добавления небольшого количества основных или кислотных реагентов, таких как триэтиламин и уксусная кислота.
Пример 1
Стадия 1
(Fmoc - флуоренилметилоксикарбонильная группа)
Соединение 1-1 (2,46 г, 10 ммоль) растворяли в 5% водном растворе бикарбоната натрия (86 мл) и перемешивали раствор до его осветления с последующим добавлением Fmoc-OSu (N-(9-флуоренилметоксикарбонилокси)сукцинимид) (3,37 г, 10 ммоль, растворенного в 24 мл диоксана). После добавления смесь подвергали реакции в течение ночи. Реакционную смесь концентрировали при пониженном давлении для удаления большей части диоксана, добавляли соляную кислоту для регулирования рН, экстрагировали этилацетатом для отделения жидкости, сушили над сульфатом магния, фильтровали и выпаривали досуха с получением соединения 1-2 (5,2 г), которое непосредственно использовали на следующей стадии.
LC/MS (ESI (ионизация жлектроспреем)): м/з 469,1 [М+Н]+
Стадия 2
(РМВ - п-метоксибензил)
Соединение 1-2 (2,08 г, 4 ммоль), EDCI (1-этил-3-3-диметиламинопропил-карбодиимид) (1,15 г, 6 ммоль) и DMAP (диметиламинопиридин) (49 мг, 0,4 ммоль) растворяли в дихлорметане (20 мл) с последующим добавлением п-метоксибензилового спирта (828 мг, 6 ммоль) и перемешивали смесь. После завершения реакции реакционную смесь концентрировали при пониженном давлении, суспендировали с простым трет-бутилметиловым эфиром, фильтровали и концентрировали в вакууме для удаления растворителя с получением соединения 1-3 (1,31 г, 2,23 ммоль, выход 56%).
LC/MS (ESI): м/з 589,1 [М+Н]+
Стадия 3
Соединение 1-3 (945 мг, 1,6 ммоль) растворяли в дихлорметане (10 мл) с последующим добавлением DBU (диазабициклоундецен) (243 мг, 1,6 ммоль) и перемешивали смесь. После завершения реакции, реакцию гасили водным раствором лимонной кислоты и реакционную смесь разбавляли МТВЕ (простой трет-бутилметиловый эфир) для отделения жидкости. Водную фазу доводили до рН 8 посредством 1 н. раствора NaOH, экстрагировали дихлорметаном, сушили, фильтровали и концентрировали с получением соединения 1-4 (562 мг, выход 96%).
LC/MS (ESI): м/з 367,1 [М+Н]+
Стадия 4
Соединение 1-4 (534 мг, 1,46 ммоль) растворяли в ацетонитриле (20 мл) с последующим добавлением 1,4-дибромбутана (330 мг, 1,53 ммоль) и N,N-диизопропилэтиламина (395 мг, 3,06 ммоль), и смесь нагревали с обратным холодильником в течение 6 часов. После завершения реакции реакцию гасили водным раствором лимонной кислоты и реакционную смесь разбавляли простым трет-метилбутиловым эфиром для отделения жидкости. Водную фазу экстрагировали дихлорметаном, выпаривали досуха при пониженном давлении, доводили рН до 8 насыщенным водным раствором бикарбоната натрия и экстрагировали простой трет-бутилметиловым эфиром. Органические фазы объединяли, сушили над безводным MgSO4, фильтровали и концентрировали с получением соединения 1-5 (400 мг, выход 66%).
LC/MS (ESI): м/з 421,1 [М+Н]+
Стадия 5
Соединение 1-5 (211 мг, 0,5 ммоль), соединение 1-6 (синтезированное способом, описанным в патенте WO 2016035847, 360 мг, 0,45 ммоль) и йодид натрия (225 мг, 1,5 ммоль) растворяли в N,N-диметилформамиде (0,8 мл) и перемешивали раствор. После завершения реакции реакционную смесь охлаждали до 0°С, добавляли йодид калия (523 мг, 3,15 ммоль), N,N-диметилформамид (1,6 мл) и ацетилхлорид (177 мг, 2,25 ммоль) и перемешивали. После завершения реакции реакционную смесь добавляли к 5% водному Na2S2O5, перемешивали, фильтровали и концентрировали при пониженном давлении для удаления растворителя с получением соединения 1-7 (540 мг).
LC/MS (ESI): м/з 1164,2 [М]+
Стадия 6
Соединение 1-7 (233 мг) растворяли в анизоле (0,5 мл) и трифторуксусной кислоте (2 мл) и перемешивали раствор. После завершения реакции реакционный раствор концентрировали при пониженном давлении, а остаток растворяли в метил-трет-бутиловом эфире и промывали разбавленной соляной кислотой. Водные фазы объединяли и концентрировали при пониженном давлении с получением неочищенного продукта (110 мг), который очищали с помощью HPLC с получением соединения 1 (4 мг).
LC/MS (ESI): м/з 668,0 [М+Н]+
1H-ЯМР (400 MHz, DMSO-d6) δ: 1,27-1,38 (m, 1H), 1,44 (s, 3H), 1,45 (s, 3H), 1,56-1,80 (m, 4 H), 1,82-1,96 (m, 1H), 1,97-2,15 (m, 4H), 3,04-3,20 (m, 3H), 3,27-3,71 (m, 5H), 3,92 (d, 1H), 3,96-4,10 (m, 2H), 4,65-4,88 (m, 1H), 5,27 (d, 1H), 5,90-5,93 (m, 1H), 6,71 (s, 1H), 7,32 (s, 2H), 8,06-8,56 (m, 2H), 9,50 (d, 1H), 12,62 (brs, 1H).
Пример 2.
Стадия 1
Соединение 2-1 (2,0 г, 10,69 ммоль, 1 экв.) растворяли в дихлорметане (10 мл) и добавляли триэтиламин (3,24 г, 32,07 ммоль, 3 экв.) с последующим добавлением по каплям метансульфонилхлорида (2,43 г, 21,38 ммоль, 2 экв.). Смесь подвергали реакции при комнатной температуре. После завершения реакции реакционную смесь разбавляли дихлорметаном, промывали водой, сушили, фильтровали и концентрировали с получением неочищенного продукта. Неочищенный продукт (2,6 г, около 8,96 ммоль) растворяли в ацетонитриле (20 мл) с последующим добавлением карбоната калия (2,76 г, 20 ммоль, 2,23 экв.), тетрагидропиррола (1,06 г, 15 ммоль, 1,67 экв.) и перемешивали смесь при 40°С в течение ночи. После завершения реакции реакционную смесь концентрировали при пониженном давлении для удаления растворителя, растворяли в дихлорметане, промывали водой, сушили, фильтровали и концентрировали при пониженном давлении, и остаток отделяли с помощью колоночной хроматографии с получением соединения 2-2 (1,7 г, выход 79%).
Стадия 2
Соединение 2-2 (300 мг, 1,25 ммоль) растворяли в дихлорметане (4 мл) с последующим добавлением трифторуксусной кислоты (1 мл) и перемешивали смесь. После завершения реакции реакционную смесь концентрировали при пониженном давлении, разбавляли метанолом, нейтрализовали карбонатом калия, фильтровали и концентрировали с получением неочищенного соединения 2-3, которое непосредственно использовали на следующей стадии.
LC/MS (ESI): м/з 141,1 [М+Н]+
Стадия 3
Неочищенное соединение 2-3, полученное на предыдущей стадии, соединение 2-4 (синтезированное способом, описанным в патенте CN 106661052 A, 1,07 г, 2,5 ммоль) и HATU (1-бис(диметиламино)метилен-1Н-1,2,3-триазоло[4,5-b]пиридиний 3-оксид-гексафторфосфат) (1,43 г, 3,75 ммоль) растворяли в N,N-диметилформамиде (10 мл) с последующим добавлением DIPEA (1,1 мл, 6,25 ммоль) и перемешивали реакционную смесь в течение ночи. После завершения реакции реакционную смесь добавляли к водному раствору гидроксида натрия, перемешивали и фильтровали, а осадок на фильтре промывали водой и концентрировали в вакууме для удаления растворителя с получением неочищенного продукта, который отделяли с помощью колоночной хроматографии с получением соединения 2-5 (600 мг, 1,09 ммоль, выход 87% в течение двух стадий).
LC/MS (ESI): м/з 555,1 [М+Н]+
Стадия 4
Соединение 2-5 (219 мг, 0,4 ммоль), соединение 1-6 (398 мг, 0,5 ммоль), йодид натрия (180 мг, 1,2 ммоль) и борную кислоту (7,5 мг, 0,12 ммоль) растворяли в N-метилпирролидоне (1 мл) и перемешивали раствор. После завершения реакции реакционную смесь охлаждали ледяной водой, добавляли KI (465 мг, 2,8 ммоль), N-метилпирролидон (2 мл) и ацетилхлорид (188 мг, 2,4 ммоль) и перемешивали. После завершения реакции реакционную смесь непосредственно добавляли в большое количество водного раствора метабисульфита натрия на ледяной бане, перемешивали и фильтровали, а осадок на фильтре промывали водой и концентрировали в вакууме для удаления растворителя с получением соединения 2-6 (635 мг).
LC/MS (ESI): м/з 1294,4 [М]+
Стадия 5
Соединение 2-6 (200 мг) растворяли в анизоле (0,4 мл) и трифторуксусной кислотой (1,6 мл) и перемешивали раствор. После завершения реакции реакционную смесь добавляли с помощью МТВЕ (4 мл) для осаждения твердого вещества и фильтровали, а твердое вещество промывали с помощью МТВЕ и сушили с получением неочищенного продукта (170 мг), который очищали с помощью HPLC с получением соединения 2 (4,2 мг).
LC/MS (ESI): м/з 777,9 [М+Н]+
1H-ЯМР (400 MHz, DMSO-d6) δ: 1,00-1,08 (m, 4Н), 1,44 (s, 3Н), 1,45 (s, 3Н), 1,91-2,14 (m, 4 Н), 3,36-3,44 (m, 2Н), 3,48-3,60 (m, 3Н), 3,60-3,74 (m, 3Н), 3,80 (d, 1Н), 4,18 (d, 1H), 5,01 (d, 1H), 5,18-5,24 (m, 1H), 5,67-5,82 (m, 1H), 6,66-6,84 (m, 3H), 7,29 (s, 2H), 8,76 (s, 1H), 9,24-9,55 (m, 2H), 10,26 (br s, 1H).
Пример 3.
Стадия 1
Соединение 3-1 (5 г, 29,40 ммоль) и соединение 3-2 (3,68 г, 44,10 ммоль) растворяли в метаноле (30 мл) и воде (15 мл) и перемешивали раствор. После добавления карбоната калия (14,22 г, 102,89 ммоль) смесь нагревали до кипения с обратным холодильником. После завершения реакции реакционную смесь охлаждали до комнатной температуры и добавляли МТВЕ и водный раствор NaOH для отделения жидкости, а водную фазу экстрагировали МТВЕ. Органические фазы объединяли, сушили над безводным сульфатом натрия, фильтровали и концентрировали досуха с получением соединения 3-3 (0,7 г).
LC/MS (ESI): м/з 145,1 [М+Н]+
Стадия 2
Соединение 2-4 (1,9 г, 4,43 ммоль) добавляли к тетрагидрофурану (30 мл) и перемешивали на ледяной бане, и добавляли триэтиламин (0,98 мл, 7,09 ммоль) с последующим добавлением по каплям метансульфонилхлорида (0,45 мл, 5,80 ммоль). После добавления смесь подвергали реакции на ледяной бане. Соединение 3-3 растворяли в THF (тетрагидрофуран) (10 мл) и по каплям добавляли раствор к указанной выше реакционной смеси. После добавления полученную реакционную смесь нагревали до комнатной температуры и подвергали реакции. Добавляли этилацетат, и органическую фазу промывали насыщенным солевым раствором, сушили над безводным сульфатом натрия, фильтровали и концентрировали досуха с получением неочищенного продукта. Неочищенный продукт очищали с помощью HPLC с получением соединения 3-4 (220 мг).
LC/MS (ESI): м/з 555,1 [М+Н]+
Стадия 3
Соединение 1-6 (315 мг, 0,395 ммоль), соединение 3-4 (220 мг, 0,395 ммоль) и йодид натрия (178 мг, 1,19 ммоль) добавляли N,N-диметилформамиду (0,9 мл) и перемешивали смесь. После завершения реакции колбу охлаждали на ледяной бане с последующим добавлением PBr3 (751 мг, 2,77 ммоль) и перемешивали смесь. После завершения реакции реакционную смесь по каплям добавляли к водному раствору NaHSO3 и фильтровали, а осадок на фильтре промывали чистой водой и сушили в вакууме с получением неочищенного соединения 3-5 (623 мг).
LC/MS (ESI): м/з 1298,1 [М]+
Стадия 4
Соединение 3-5 (200 мг, 0,154 ммоль) добавляли к анизолу (0,4 мл) и трифторуксусной кислоте (1,6 мл), и смесь подвергали реакции при комнатной температуре. В реакционную смесь добавляли простой трет-бутил метил о вый эфир, перемешивали и фильтровали. Осадок на фильтре промывали МТВЕ и сушили с получением неочищенного продукта (112 мг). Неочищенный продукт очищали с помощью HPLC с получением соединения 3 (7,1 мг).
LC/MS (ESI): м/з 781,9 [М+Н]+
1Н-ЯМР (400 MHz, DMSO-d6) δ: 1,43 (s, 3Н), 1,46 (s, 3Н), 1,94-2,09 (m, 3Н), 2,10-2,21 (m, 1H), 3,43-3,56 (m, 8Н), 3,57-3,67 (m, 3Н), 3,67-3,83 (m, 2Н), 3,92-4,06 (m, 1H), 4,07-4,36 (m, 3Н), 5,03-5,11 (m, 1H), 5,15 (d, 1H), 5,69-5,75 (m, 1H), 6,71-6,82 (m, 3H), 7,27 (s, 2H), 8,15 (s, 1H).
Пример 4.
Стадия 1
Соединение 2-4 (3,0 г, 7,0 ммоль) и триэтиламин (0,85 г, 8,39 ммоль) добавляли к толуолу (50 мл) и медленно по каплям добавляли дифенилфосфорилазид (2,31 г, 8,39 ммоль). После добавления смесь перемешивали в течение ночи, нагревали до 110°С и подвергали реакции, добавляли 9-фторенилметанол (2,06 г, 10,49 ммоль) и подвергали реакции при 110°С. После завершения реакции реакционную смесь охлаждали до комнатной температуры, добавляли пиперидин (2,98 г, 34,97 ммоль) и перемешивали в течение ночи. Нагревание прекращали, и реакционную смесь концентрировали для удаления толуола, добавляли дихлорметан и воду и перемешивали для отделения жидкости. Водную фазу экстрагировали дихлорметаном, а органические фазы объединяли, сушили, фильтровали и концентрировали с получением неочищенного продукта. Неочищенный продукт непосредственно очищали с помощью колоночной хроматографии с получением соединения 4-1 (462 мг, выход 17%).
LC/MS(ESI): м/з 400,0 [М+Н]+
Стадия 2
Соединение 4-1 (0,46 г, 1,15 ммоль) растворяли в дихлорметане (8 мл) и добавляли тиофосген (0,40 г, 3,45 ммоль) с последующим добавлением DMAP (0,70 г, 5,73 ммоль) при 0°С. Смесь нагревали до комнатной температуры и перемешивали. После завершения реакции реакционную смесь непосредственно очищали с помощью колоночной хроматографии с получением соединения 4-2 (432 мг, выход 85%).
Стадия 3
Соединение 4-2 (0,43 г, 1,01 ммоль), соединение 4-3 (0,13 г, 1,1 ммоль) и DMАР (0,61 г, 5,0 ммоль) добавляли в реакционную колбу с последующим добавлением DMF (N,N-диметилформамид) (0,5 мл). Смесь перемешивали при комнатной температуре в течение ночи. Реакционную смесь добавляли к воде для осаждения твердого вещества и фильтровали, а осадок на фильтре собирали и очищали с помощью колоночной хроматографии с получением соединения 4-4 (467 мг, выход 83%).
LC/MS (ESI):m/3 556,0 [М+Н]+
Стадия 4
Соединение 4-4 (200 мг, 0,36 ммоль), соединение 1-6 (315 мг, 0,4 ммоль) и йодид натрия (180 мг, 1,2 ммоль) растворяли в NMP (N-метил-2-пирролидон) (0,9 мл) и перемешивали смесь. После завершения реакции реакционную смесь охлаждали до 0°С, добавляли PBr3 (650 мг, 2,4 ммоль) и перемешивали. После завершения реакции реакционный раствор добавляли к водному раствору Na2S2O5 на ледяной бане, перемешивали и фильтровали, а осадок на фильтре осаждали водой и концентрировали в вакууме для удаления растворителя с получением соединения 4-5 (515 мг).
LC/MS (ESI): м/з 1299,0 [М]+
Стадия 5
Соединение 4-5 (200 мг, 0,154 ммоль) добавляли в реакционную колбу с последующим добавлением анизола (0,4 мл) и трифторуксусной кислоты (1,6 мл) и перемешивали смесь. После завершения реакции реакционную смесь добавляли с помощью МТВЕ и фильтровали, а осадок на фильтре промывали с помощью МТВЕ и сушили с получением неочищенного продукта (68 мг). Неочищенный продукт очищали с помощью HPLC с получением соединения 4 (4,4 мг).
LC/MS (ESI): м/з 782,9 [М+Н]+
1H-ЯМР (400 MHz, DMSO-d6) δ: 1,43 (s, 3Н), 1,44 (s, 3Н), 1,46-1,57 (m, 1H), 1,78-2,11 (m, 4Н), 2,96 (d, 1Н), 3,41 (d, 2H), 3,48-3,93 (m, 9H), 4,57 (s, 1H), 5,26 (s, 1H), 5,38-5,45 (m, 1H), 6,57 (d, 1H), 6,64 (d, 1H), 6,88 (s, 1H), 7,22-7,51 (m, 2H), 9,05 (s, 1H), 9,22-9,34 (m, 1H), 9,36 (s, 1H), 9,77 (brs, 1H).
Пример 5.
Стадия 1
Соединение 3-1 (50,0 г, 0,294 моль), гидрохлорид гидроксиламина (40,8 г, 0,59 моль), карбонат натрия (62,3 г, 0,59 моль), этанол (300 мл) и воду (150 мл) добавляли в трехгорлую колбу. Смесь подвергали реакции на масляной бане при 50°С.После завершения реакции реакционную смесь концентрировали, добавляли простой изопропиловый эфир и воду и перемешивали для отделения жидкости. Органическую фазу промывали насыщенным солевым раствором, сушили и концентрировали с получением неочищенного продукта, который дистиллировали при пониженном давлении с получением соединения 5-1 (12,5 г, выход 33%).
LC/MS (ESI): м/з 131,1 [М+Н]+
Стадия 2
Соединение 5-1 (1,0 г, 7,7 ммоль), ацетонитрил (10 мл) и бикарбонат натрия (1,3 г, 15,4 ммоль) добавляли в одногорлую колбу, и смесь охлаждали на ледяной бане, добавляли по каплям ацетилхлорид (0,66 г, 8,5 ммоль) и подвергали реакции на ледяной бане. После завершения реакции в реакционную смесь добавляли дихлорметан и воду для отделения жидкости. Водную фазу экстрагировали дихлорметаном, сушили и концентрировали с получением соединения 5-2 (0,9 г, выход 68%).
LC/MS (ESI): м/з 173,1 [М+Н]+
Стадия 3
Соединение 5-2 (510 г, 3 ммоль), DCM (дихлорметан) (10 мл) и имидазол (410 мг, 6 ммоль) добавляли в одногорлую колбу с последующим добавлением по каплям трет-бутилдифенилхлорсилана (910 мг, 3,3 ммоль). После завершения реакции реакционную смесь добавляли к DCM и H2O и перемешивали для отделения жидкости. Водную фракцию экстрагировали DCM. Органическую фазу промывали насыщенным солевым раствором, сушили, концентрировали и очищали с помощью колоночной хроматографии с получением соединения 5-3 (1,1 г, выход 92%).
LC/MS (ESI): м/з 411,1 [М+Н]+
Стадия 4
Соединение 5-4 (синтезированное способом, описанным в патенте WO 2016035847, 330 мг, 0,43 ммоль), соединение 5-3 (210 мг, 0,5 ммоль), йодид натрия (194 мг, 1,3 ммоль) и NMP (1,0 мл) добавляли в одногорлую колбу, и смесь подвергали реакции при комнатной температуре. После завершения реакции реакционную смесь по каплям добавляли к 5% водному раствору бисульфита натрия и фильтровали, а осадок на фильтре промывали водой и концентрировали в вакууме для удаления растворителя с получением соединения 5-5 (230 мг).
LC/MS (ESI): м/з 1154,1 [М]+
Стадия 5
Соединение 5-5 (200 мг, 0,164 ммоль) растворяли в анизоле (0,4 мл) и трифторуксусной кислоте (1,6 мл) и перемешивали раствор. После завершения реакции реакционную смесь добавляли с помощью МТВЕ и фильтровали, а осадок на фильтре промывали с помощью МТВЕ и сушили с получением неочищенного продукта (66 мг). Неочищенный продукт очищали с помощью HPLC с получением соединения 5 (1,9 мг).
LC/MS (ESI): м/з 640,0 [М+Н]+
1Н-ЯМР (400 MHz, DMSO-d6) δ: 1,39 (s, 3Н), 1,45 (s, 3Н), 1,89-2,16 (m, 4Н), 2,00 (s, 3Н), 3,41-3,90 (m, 12Н), 3,93-4,25 (m, 2H), 5,13-5,17 (m, 1H), 5,70-5,80 (m, 1H), 6,73 (s, 1H), 7,22 (s, 2H), 8,20 (s, 1H).
Пример 6.
Стадия 1
Соединение 5-1 (0,5 г, 3,8 ммоль), дихлорметан и имидазол (0,8 г, 11,5 ммоль) добавляли в реакционную колбу, и смесь охлаждали на ледяной бане, добавляли по каплям трет-бутилдифенилхлорсилан (1,15 г, 4,3 ммоль) и перемешивали. После завершения реакции к реакционной смеси добавляли дихлорметан и воду и перемешивали для отделения жидкости, а водную фазу экстрагировали дихлорметаном. Органические фазы объединяли, сушили, концентрировали и очищали с помощью колоночной хроматографии с получением соединения 6-1 (1,2 г, выход 85%).
LC/MS (ESI): м/з 369,1 [М+Н]+
Стадия 2
Соединение 2-4 (428 мг, 1,0 ммоль) и N,N-диметилацетамид (4 мл) добавляли в трехгорлую колбу, и смесь охлаждали на ледяной солевой бане, добавляли по каплям MsCl (метансульфонилхлорид) (126 мг, 1,1 ммоль) и TEA (триэтиламин) (111 мг, 1,1 ммоль) и перемешивали. Добавляли соединение 6-1 (410 мг, 1,0 ммоль) и по каплям добавляли N-метилморфолин (172 мг, 1,7 ммоль). После завершения реакции реакцию гасили и водную фазу экстрагировали ЕА (этилацетат). Органические фазы объединяли, сушили, концентрировали и очищали с помощью колоночной хроматографии с получением соединения 6-2 (240 мг, выход 30,8%).
LC/MS (ESI): м/з 779,0 [М+Н]+
Стадия 3
Соединение 5-4 (270 мг, 0,35 ммоль), соединение 6-2 (240 мг, 0,31 ммоль), йодид натрия (157 мг, 1,05 ммоль) и NMP (0,81 мл) добавляли в одногорлую колбу, и смесь подвергали реакции при комнатной температуре в течение ночи. Реакционную смесь по каплям добавляли к 5% водному раствору метабисульфита натрия, фильтровали и концентрировали в вакууме для удаления растворителя с получением соединения 6-3 (501 мг).
LC/MS (ESI): м/з 1523,1 [М]+
Стадия 4
Соединение 6-3 (501 мг) добавляли в реакционную колбу с последующим добавлением TFA (трифторуксусная кислота) (4 мл) и анизола (1 мл) и перемешивали смесь. После завершения реакции реакционную смесь по каплям добавляли с помощью МТВЕ и фильтровали, а осадок на фильтре промывали с помощью МТВЕ с получением неочищенного продукта (210 мг), который очищали с помощью колоночной обращенно-фазовой хроматографии с получением соединения 6(10 мг).
LC/MS (ESI): м/з 767,8 [М+Н]+
1H-ЯМР (400 MHz, DMSO-d6) δ: 1,42 (s, 3Н), 1,48 (s, 3Н), 1,85-2,25 (m, 4Н), 3,40-3,86 (m, 11Н), 3,88-4,07 (m, 2Н), 4,17-4,39 (m, 1H), 4,91-5,06 (m, 1H), 5,14-5,20 (m, 1Н), 5,74-5,83 (m, 1H), 6,58-6,91 (m, 3H), 7,22 (s, 2H), 10,65 (br s, 1H), 11,60 (br s, 1H).
Пример 7.
Стадия 1
Соединение 7-1 (0,40 г, 0,76 ммоль) взвешивали в реакционной колбе (синтезированной в соответствии с известным документом European Journal of Medicinal Chemistry, 2018, 155, 847-868) и в атмосфере азота добавляли безводный дихлорметан (4 мл). Смесь охлаждали до -40°С, добавляли по каплям пиридин (0,20 г, 2,5 ммоль) и трифторметансульфоновый ангидрид (0,28 г, 0,99 ммоль), нагревали до -5°С и подвергали реакции в течение 2 часов. Затем реакционную смесь подвергали реакции при комнатной температуре в течение 2 часов, охлаждали до -5°С, добавляли по каплям сульфид аммония и подвергали реакции при комнатной температуре. После реакции реакционную смесь разбавляли дихлорметаном, промывали водой, сушили над безводным сульфатом натрия, фильтровали и концентрировали при пониженном давлении для удаления растворителя, а остаток отделяли и очищали с помощью колоночной хроматографии на силикагеле с получением соединения 7-2 (0,35 г, 0,65 ммоль, выход 85%).
LC/MS (ESI): м/з 541,0 [М+Н]+
Стадия 2
Соединение 7-2 (350 мг, 0,65 ммоль), соединение 1-6 (647 мг, 0,81 ммоль) и йодид натрия (369 мг, 2,46 ммоль) добавляли к N,N-диметилформамиду (2 мл) и перемешивали смесь. После завершения реакции колбу охлаждали на ледяной бане с последующим добавлением PBr3 (360 мг, 1,33 ммоль) и перемешивали смесь. После завершения реакции реакционную смесь по каплям добавляли к водному раствору NaHSO3 и фильтровали, а осадок на фильтре промывали чистой водой и сушили в вакууме с получением неочищенного соединения 7-3 (1,1 г).
Стадия 3
Соединение 7-3 (1,06 г, 0,824 ммоль) добавляли к анизолу (2 мл) и трифторуксусной кислоте (8 мл), и смесь подвергали реакции при комнатной температуре. В реакционную смесь добавляли метил-трет-бутиловый эфир, перемешивали и фильтровали. Осадок на фильтре промывали МТВЕ и сушили с получением неочищенного продукта (550 мг). 50 мг неочищенного продукта очищали с помощью HPLC с получением соединения 7 (4,8 мг).
HRMS (масс-спектрометрия высокого разрешения): 768,1334 [М+Н]+
Пример 8.
Стадия 1
К раствору соединения 8-1 (200 мг, 0,92 ммоль) (синтезированному в соответствии с известным документом J. Med. Chem. 1997, 40, 1186-1194) в DMF (10 мл) добавляли PMBCl (п-метоксибензилхлорид) (503 мг, 3,21 ммоль), K2CO3 (509 мг, 3,68 ммоль) и NaI (138 мг, 0,92 ммоль). Смесь нагревали до 50°С и перемешивали. Реакционную смесь добавляли водой и экстрагировали этилацетатом. Органическую фазу последовательно промывали водой и насыщенным солевым раствором, сушили над безводным сульфатом натрия, фильтровали и выпаривали досуха с получением неочищенного продукта. Неочищенный продукт очищали с помощью колоночной хроматографии на силикагеле с обращенной фазой с получением соединения 8-2 (105 мг, выход 25%).
1Н-ЯМР (400 MHz, DMSO-d6) δ: 3,76 (s, 6Н), 3,18 (s, 3Н), 5,18 (s, 2Н), 5,19 (s, 2Н), 6,96 (d, 4Н), 7,44 (d, 4Н), 7,53 (s, 1H), 7,67 (s, 1H), 7,81 (s, 2Н), 8,44 (s, 1Н).
Стадия 2
К смешанному раствору соединения 8-2 (105 мг, 0,23 ммоль) в THF (3 мл) и МеОН (1,5 мл) добавляли раствор LiOH⋅Н2О (20 мг, 0,46 ммоль) в Н2О (1,5 мл). Смесь перемешивали при комнатной температуре. Реакционную смесь охлаждали до комнатной температуры на ледяной бане, доводили до нейтральной среды 2 М HCl и экстрагировали этилацетатом. Органическую фазу последовательно промывали водой и насыщенным солевым раствором, сушили над безводным сульфатом натрия, фильтровали и выпаривали досуха с получением неочищенного соединения 8-3 (100 мг).
1Н-ЯМР (400 MHz, DMSO-d6) δ: 3,76 (s, 6Н), 5,18 (s, 2Н), 5,19 (s, 2Н), 6,96 (d, 4Н), 7,44 (d, 4Н), 7,52 (s, 1H), 7,64 (s, 1H), 7,79 (s, 2Н), 8,40 (s, 1Н), 12,85 (br s, 1H).
Стадия 3
Раствор соединения 8-3 (100 мг, 0,23 ммоль) в THF (3 мл) охлаждали на ледяной бане и в атмосфере аргона добавляли MsCl (53 мг, 0,46 ммоль) и Et3N (триэтиламин) (70 мг, 0,69 ммоль). Смесь перемешивали при этой температуре. К указанной выше смеси добавляли раствор соединения 8-А (40 мг, 0,35 ммоль) в THF (1 мл), и полученную смесь нагревали до комнатной температуры и перемешивали. К реакционной смеси добавляли воду и экстрагировали ЕА. Органическую фазу последовательно промывали водой и насыщенным солевым раствором, сушили над безводным сульфатом натрия, фильтровали и выпаривали досуха с получением неочищенного продукта. Неочищенный продукт очищали с помощью колоночной флэш-хроматографии на силикагеле с получением соединения 8-4 (70 мг, выход 57%).
LC/MS (ESI): м/з 541,1 [М+Н]+
Стадия 4
Соединение 8-4 (86 мг, 0,16 ммоль), соединение 1-6 (139 мг, 0,18 ммоль) и йодид натрия (81 мг, 0,54 ммоль) добавляли к N,N-диметилформамиду (0,5 мл) и перемешивали смесь. После завершения реакции колбу охлаждали на ледяной бане с последующим добавлением PBr3 (72 мг, 0,26 ммоль) и перемешивали смесь. После завершения реакции реакционную смесь по каплям добавляли к водному раствору NaHSO3 и фильтровали, а осадок на фильтре промывали чистой водой и сушили в вакууме с получением неочищенного соединения 8-5 (150 мг).
LC/MS (ESI): м/з 1284,1 [М]+
Стадия 5
Соединение 8-5 (150 мг, 0,117 ммоль) добавляли в одногорлую колбу с последующим добавлением анизола (0,3 мл) и TFA (1,2 мл) и перемешивали смесь. Реакционную смесь добавляли с помощью МТВЕ и фильтровали с получением неочищенного продукта (78 мг). Неочищенный продукт очищали с помощью HPLC с получением соединения 8 (11,21 мг).
HRMS: 768,2109 [М+Н]+
Пример 9.
Стадия 1
К раствору соединения 2-4 (500 мг, 1,17 ммоль) в DMF (12 мл) добавляли йодметан (5 г, 35,1 ммоль) и карбонат калия (323 мг, 2,34 ммоль), и смесь перемешивали при комнатной температуре. После завершения реакции реакционную смесь добавляли к воде, экстрагировали этилацетатом, сушили над безводным сульфатом натрия, фильтровали и выпаривали досуха с получением неочищенного продукта. Неочищенный продукт очищали с помощью колоночной флэш-хроматографии на силикагеле с получением соединения 9-2 (505 мг, выход 97%).
LC/MS (ESI): м/з 465,0 [M+Na]+
Стадия 2
Раствор LiAlH4 (1,1 мл, 1,14 ммоль) в 1 М THF добавляли по каплям к раствору соединения 9-2 (505 мг, 1,14 ммоль) в THF (4,2 мл), охлажденному в ледяной воде. Смесь медленно нагревали до комнатной температуры и подврегали реакции до завершения реакции. Реакционную смесь охлаждали на ледяной бане, добавляли Na2SO4⋅Н2О, перемешивали при комнатной температуре и фильтровали для удаления твердого вещества, и фильтровали, концентрировали при пониженном давлении для получения неочищенного соединения 9-3. Неочищенный продукт непосредственно использовали на следующей стадии (465 мг, выход 98%).
LC/MS (ESI): м/з 437,1 [M+Na]+
Стадия 3
Реагент Десса-Мартина (712 мг, 1,68 ммоль) добавляли к раствору соединения 9-3 (465 мг, 1,12 ммоль) в DCM (23 мл), охлажденному в смеси лед/вода. Смесь медленно нагревали до комнатной температуры и подвергали реакции до завершения реакции. Добавляли Н2О для гашения реакции, и реакционную смесь экстрагировали DCM. Органическую фазу последовательно промывали водой и насыщенным солевым раствором, сушили над безводным сульфатом натрия, фильтровали и выпаривали досуха с получением неочищенного продукта. Неочищенный продукт очищали с помощью колоночной флэш-хроматографии на силикагеле с получением соединения 9-4 (440 мг, выход 95%).
LC/MS (ESI): м/з 412,9 [М+Н]+
Стадия 4
Раствор смеси NH2OH⋅HCl (82 мг, 1,18 ммоль) и Et3N (199 мг, 197 ммоль) в CH3CN (5 мл) перемешивали при комнатной температуре, затем по каплям добавляли раствор соединения 9-4 (405 мг, 0,98 ммоль) в CH3CN (5 мл), и полученную смесь перемешивали при комнатной температуре. К реакционной смеси добавляли MsCl (280 мг, 2,45 ммоль) и Et3N (104 мг, 1,03 ммоль). Смесь перемешивали при комнатной температуре до завершения реакции. Добавляли H2O для гашения реакции, и реакционную смесь последовательно промывали насыщенным солевым раствором, сушили над безводным сульфатом натрия, фильтровали и выпаривали досуха с получением неочищенного продукта. Неочищенный продукт очищали с помощью колоночной флэш-хроматографии на силикагеле с получением соединения 9-5 (290 мг, выход 72%).
LC/MS (ESI): м/з 432,0 [M+Na]+
Стадия 5
n-BuLi (н-бутиллитий) (0,64 мл, 1,02 ммоль) медленно по каплям добавляли к раствору соединения 9-5 (210 мг, 0,51 ммоль) в THF (5 мл), охлажденному в ледяной воде. К указанной выше смеси добавляли раствор соединения 8-А (88 мг, 0,77 ммоль) в THF (1 мл), и полученную смесь нагревали до комнатной температуры и перемешивали. После завершения реакции добавляли насыщенный раствор NH4Cl для гашения реакции и экстрагировали реакционную смесь с помощью ЕА. Органическую фазу последовательно промывали водой и насыщенным солевым раствором, сушили над безводным сульфатом натрия, фильтровали и выпаривали досуха с получением неочищенного продукта. Неочищенный продукт очищали с помощью колоночной флэш-хроматографии на силикагеле с получением соединения 9-6 (147 мг, выход 54%).
LC/MS (ESI): м/з 524,2 [М+Н]+
Стадия 6
Соединение 9-6 (140 мг, 0,267 ммоль), соединение 1-6 (265 мг, 0,334 ммоль) и йодид натрия (150 мг, 1 ммоль) добавляли к N,N-диметилформамиду (0,8 мл) и перемешивали смесь. После завершения реакции колбу охлаждали на ледяной бане с последующим добавлением PBr3 (144 мг, 0,52 ммоль) и перемешивали смесь. После завершения реакции реакционную смесь по каплям добавляли к водному раствору NaHSO3 и фильтровали, а осадок на фильтре промывали чистой водой и сушили в вакууме с получением неочищенного соединения 9-7 (400 мг).
LC/MS (ESI): м/з 1267,1 [М]+
Стадия 7
Соединение 9-7 (100 мг, 0,0788 ммоль) добавляли в одногорлую колбу с последующим добавлением анизола (0,3 мл) и TFA (1,2 мл), и смесь подвергали реакции при комнатной температуре. После завершения реакции реакционную смесь добавляли с помощью МТВЕ и фильтровали, а неочищенный продукт очищали с помощью HPLC с получением соединения 9 (4,4 мг).
HRMS: 751,1716 [М+Н]+
Пример 10.
Стадия 1
К раствору соединения 2-4 (1,5 г, 3,50 ммоль) в DMF (35 мл) добавляли DMTMM (4-(4,6-диметокси-1,3,5-триазин-2-ил)-4-метилморфолиния хлорид) (1,55 г, 5,26 ммоль) и DIEA (диизопропилэтиламин) (905 мг, 7,0 ммоль). После трехкратной продувки аргоном к указанной выше смеси добавляли соединение 10-А (525 мг, 7,0 ммоль) и полученную смесь перемешивали при комнатной температуре в течение 2 часов. Реакционный раствор медленно добавляли к воде, и твердый продукт постепенно осаждали. Твердый продукт, полученный фильтрацией, растворяли в DCM и экстрагировали с последующим отделением жидкости. Органическую фазу последовательно промывали водой и насыщенным солевым раствором, сушили над безводным сульфатом натрия, фильтровали и выпаривали досуха с получением соединения 10-2 (1,6 г, выход 94%). LC/MS (ESI): м/з 486,1 [М+Н]+
Стадия 2
Раствор оксалилхлорида (1,05 г, 8,24 ммоль) в DCM (10 мл) охлаждали до -78°С на сухой ледяной/ацетоновой бане, по каплям добавляли DMSO (1,29 г, 16,5 ммоль) в атмосфере аргона и перемешивали смесь. Раствор соединения 10-2 (1,6 г, 3,30 ммоль) в DCM (6 мл) по каплям медленно добавляли к вышеуказанной смеси, и полученную смесь перемешивали при -78°С. Реакционную смесь добавляли Et3N (3,34 г, 33,0 ммоль), перемешивали при -78°С и медленно нагревали до 0°С до завершения реакции. Добавляли Н2О для гашения реакции, и реакционную смесь экстрагировали DCM. Органическую фазу последовательно промывали водой и насыщенным солевым раствором, сушили над безводным сульфатом натрия, фильтровали и выпаривали досуха с получением неочищенного продукта. Неочищенный продукт очищали с помощью колоночной флэш-хроматографии на силикагеле с получением соединения 10-3 (1,28 г, выход 80%).
LC/MS (ESI): м/з 484,0 [М+Н]+
Стадия 3
К раствору соединения 10-3 (1,28 г, 2,65 ммоль) в DCM (26 мл) добавляли соединение 8-А (605 мг, 5,30 ммоль), и смесь охлаждали на ледяной бане, добавляли NaBH(OAc)3 (триацетоксиборгидрид натрия) (1,68 г, 7,95 ммоль), нагревали до комнатной температуры и перемешивали. После завершения реакции добавляли насыщенный раствор NaHCO3 для гашения реакции и экстрагировали реакционную смесь с помощью DCM. Органическую фазу последовательно промывали водой и насыщенным солевым раствором, сушили над безводным сульфатом натрия, фильтровали и выпаривали досуха с получением неочищенного продукта. Неочищенный продукт очищали с помощью колоночной флэш-хроматографии на силикагеле с получением соединения 10-4 (735 мг, выход 48%).
LC/MS (ESI): м/з 582,1 [М+Н]+
Стадия 4
К раствору соединения 2-4 (650 мг, 1,51 ммоль) в DMF (13 мл) добавляли HATU (961 мг, 2,52 ммоль) и DIEA (490 мг, 3,78 ммоль). Смесь перемешивали при комнатной температуре в атмосфере аргона. Соединение 10-4 (735 мг, 1,26 ммоль) добавляли к вышеуказанной реакционной смеси, и полученную смесь перемешивали при комнатной температуре. Реакционную смесь медленно добавляли к воде, фильтровали и сушили в вакууме с получением соединения 10-5 (1,2 г, выход 96%).
LC/MS (ESI): м/з 992,1 [М+Н]+
Стадия 5
Соединение 10-5 (546 мг, 0,55 ммоль), соединение 1-6 (398 мг, 0,5 ммоль) и йодид натрия (225 мг, 1,5 ммоль) добавляли к N,N-диметилформамиду (1,5 мл) и перемешивали смесь. После завершения реакции колбу охлаждали на ледяной бане с последующим добавлением PBr3 (360 мг, 1,33 ммоль) и перемешивали смесь. После завершения реакции реакционную смесь по каплям добавляли к водному раствору NaHSO3 и фильтровали, а осадок на фильтре промывали чистой водой и сушили в вакууме с получением неочищенного соединения 10-6 (1,13 г).
LC/MS (ESI): м/з 1737,1 [М]+
Стадия 6
Соединение 10-6 (1,13 г, 0,5 ммоль) добавляли к анизолу (2 мл) и трифторуксусной кислоте (8 мл), и смесь подвергали реакции при комнатной температуре. В реакционную смесь добавляли простой трет-бутилметиловый эфир, перемешивали и фильтровали. Осадок на фильтре промывали МТВЕ и сушили с получением неочищенного продукта (600 мг). Неочищенный продукт очищали с помощью HPLC с получением соединения 10 (4 мг).
HRMS: 979,1874 [М+Н]+
1Н-ЯМР (400 MHz, DMSO-d6) δ: 1,44 (s, 3Н), 1,46 (s, 3Н), 1,66-2,06 (m, 6Н), 2,93-3,88 (m, 14Н), 3,04-3,05 (m, 2H), 4,00-4,03 (m, 2H), 4,82-5,13 (m, 1H), 5,18 (d, 1H), 5,74 (dd, 1H), 6,54 (d, 1H), 6,60 (d, 1H), 6,73-6,85 (m, 3H), 7,28 (s, 2H), 8,05-8,33 (m, 1H), 9,46 (br s, 2H), 10,26 (brs, 2H).
Пример 11.
Стадия 1
В реакционную колбу добавляли соединение 11-1 (30,3 г, 174,1 ммоль, 1,0 экв.), 2,4-диметоксибензальдегид (29,5 г, 177,6 ммоль, 1,02 экв.), метанол (300 мл) и безводный сульфат натрия (24,7 г, 174,1 ммоль, 1,0 экв.) и перемешивали смесь при комнатной температуре. Реакционную смесь охлаждали на ледяной бане, добавляли борогидрид натрия (3,3 г, 87,0 ммоль, 0,5 экв.) порциями, перемешивали в течение 5 мин, а затем перемешивали при комнатной температуре до завершения реакции. Реакционную смесь добавляли ледяную уксусную кислоту (3,3 мл), перемешивали, фильтровали и промывали этилацетатом. Фильтрат концентрировали, и к остатку добавляли воду и этилацетат и перемешивали для отделения жидкости. Водную фазу экстрагировали этилацетатом. Органические фазы объединяли, промывали насыщенным солевым раствором, сушили над безводным сульфатом натрия, фильтровали и концентрировали с получением соединения 11-2 (58,0 г, выход 102,8%).
MS м/з 325,1 [М+Н]+
Стадия 2
Соединение 11-2 (2,0 г, 6,2 ммоль, 1,0 экв.), S-пропиленоксид (0,54 г, 9,3 ммоль, 1,5 экв.) и EtOH (20 мл) добавляли в реакционную колбу и нагревали смесь до 60°С. После полного расходования исходного материала, как было обнаружено с помощью LC-MS, реакционную смесь концентрировали и очищали неочищенный продукт с помощью колоночной хроматографии с получением соединения 11-3 (1,2 г, выход 51,1%).
MS м/з 383,2 [М+Н]+
Стадия 3
Соединение 11-3 (1,2 г, 3,2 ммоль, 1,0 экв.), DCM (20 мл) и TEA (0,65 г, 6,4 ммоль, 2,0 экв.) добавляли в реакционную колбу, и смесь охлаждали на ледяной бане, медленно по каплям добавляли MsCl (0,54 г, 4,7 ммоль, 1,5 экв.) и перемешивали. После полного расходования исходного материала, как было обнаружено с помощью LC-MS, реакционную смесь промывали водой и насыщенным раствором хлорида натрия, сушили над безводным сульфатом натрия и концентрировали с получением неочищенного соединения 11-4 (1,34 г), которое непосредственно использовали в следующей реакции.
MS м/з 461,1 [М+Н]+
Стадия 4
Неочищенное соединение 11-4 (1,34 г, 3,2 ммоль, 1,0 экв.), тетрагидропиррол (0,56 г, 8,0 ммоль, 2,5 экв.), MeCN (ацетонитрил) (15 мл) и карбонат калия (0,66 г, 4,8 ммоль, 1,5 экв.) добавляли в реакционную колбу, и смесь нагревали до 40°С и перемешивали. После того, как исходный материал был полностью израсходован, как было обнаружено с помощью LC-MS, реакционную смесь добавляли воду (30 мл) и ЕА (30 мл) и перемешивали для отделения жидкости. Водную фазу промывали ЕА. Органические фазы объединяли, промывали насыщенным раствором хлорида натрия, сушили над безводным сульфатом натрия и концентрировали. Неочищенный продукт очищали с помощью колоночной хроматографии с получением соединения 11-5 (0,66 г, выход 48,5% на двух стадиях).
MS м/з 436,1 [М+Н]+
Стадия 5
Соединение 11-5 (600 мг, 1,38 ммоль) и TFA (10 мл) растворяли в реакционной колбе и нагревали раствор до 60°С и подвергали реакции до завершения реакции. Реакционную смесь концентрировали досуха, добавляли МТВЕ (10 мл) и суспендировали, и супернатант удаляли. Полученное масло концентрировали в вакууме для удаления большей части растворителя и непосредственно использовали на следующей стадии.
MS м/з 186,1 [М+Н]+
Стадия 6
Неочищенное соединение 11-6 и соединение 2-4 (1,31 г, 3,05 ммоль) растворяли в DCM (15 мл) и перемешивали смесь при 0°С.Добавляли DIPEA (2,02 мл, 12,22 ммоль) и HATU (1,39 г, 3,67 ммоль). Полученную смесь нагревали до комнатной температуры и подвергали реакции до завершения реакции. Реакционную смесь добавляли воду (10 мл) с последующим отделением жидкости. Органическую фазу промывали водой, сушили над безводным сульфатом натрия, фильтровали и концентрировали досуха. Неочищенный продукт отделяли с помощью колоночной хроматографии (DCM:MeOH (метанол) = 10:1) с получением соединения 11-7 (0,85 г).
MS м/з 1006,3 [М+Н]+
Стадия 7
Соединение 1-6 (720 мг, 0,904 ммоль), соединение 11-7 (650 мг, 0,645 ммоль), йодид натрия (0,406 г, 2,71 ммоль) и борную кислоту (17 мг, 0,271 ммоль) добавляли в реакционную колбу и после трехкратной продувки аргоном добавляли NMP (н-метил-2-пирролидон) (2,1 мл). Реакционную смесь подвергали реакции при комнатной температуре до завершения реакции. Реакционный раствор непосредственно использовали на следующей стадии без дополнительной обработки.
MS м/з 1767.5 [М]+
Стадия 8
К вышеуказанной реакционной смеси добавляли NMP (0,7 мл), а полученную реакционную смесь охлаждали до 0°С, добавляли трихлорид фосфора (0,103 мл, 1,17 ммоль) и подвергали реакции при 0°С до завершения реакции. Реакционную смесь добавляли 5% водный раствор гидросульфита натрия (20 мл), суспендировали на ледяной бане и фильтровали, и осадок на фильтре растворяли в DCM (20 мл), сушили над безводным сульфатом натрия, фильтровали и концентрировали досуха с получением соединения 11-9 (1,21 г).
MS м/з 1751,4 [М]+
Стадия 9.
Соединение 11-9 (1,21 г, 0,69 ммоль) растворяли в анизоле (0,2 мл) и трифторуксусной кислоте (0,8 мл), и раствор подвергалии реакции при комнатной температуре до завершения реакции. Реакционную смесь охлаждали до 0°С, добавляли МТВЕ (20 мл), суспендировали на водяной бане со льдом и фильтровали, осадок на фильтре промывали МТВЕ и сушили с получением неочищенного продукта (0,82 г). Неочищенный продукт очищали с помощью HPLC с обращенной фазой получением соединения 11 (107 мг).
MS м/з 993,1 [М+Н]+
Биологическая оценка
Настоящее изобретение дополнительно описано ниже со ссылкой на тестовые примеры, которые не предназначены для ограничения объема настоящего изобретения.
Тестовый пример 1: Тест на антибактериальную активность
Испытуемые соединения разбавляли в градиенте и использовали для анализа MIC (минимальная ингибиторующая концентрация) на испытуемых штаммах. Испытуемые соединения при начальной концентрации 32 мкг/мл разводили в 2-кратном градиенте (всего 11 точек концентрации), и для каждой концентрации устанавливали по две лунки в двух повторностях. Дополнительные лунки без дозирования препарата были заданы в качестве контроля роста. Анализ минимальной ингибирующей концентрации (MIC) проводили в соответствии с рекомендациями Института клинических и лабораторных стандартов (CLSI).
1. Получение бактериальной инокуляционной жидкости
После субкультивирования замороженных штаммов отбирали одну колонию и повторно суспендировали в пробирке в физиологическом растворе или стерильной воде. Бактериальную суспензию перемешивали на вортексе и доводили до 0,5 мкФ (МакФарланда) с помощью спектрофотометра при длине волны 530 нм. Бактериальный раствор отбирали с помощью пипетки, добавляли в культуральную среду, разбавляли и хорошо перемешивали и высевали на бактериальный аналитический планшет.
2. Культура
Планшет для бактериального анализа помещали в инкубатор, инкубировали при 35°С с влажностью 85% в течение 24 часов и считывали значения MIC.
3. Интерпретация MIC
96-луночный планшет прикрепляли с помощью одноразовой герметизирующей пленки, встряхивали и хорошо перемешивали и визуально наблюдали с помощью планшет-ридера. Минимальную концентрацию соединений, способных ингибировать рост бактерий, определяли как значения MIC по сравнению со значениями контроля роста.
Результаты MIC
Как показано выше, соединения по настоящему изобретению имеют широкий антибактериальный спектр, в частности, эффективный антибактериальный спектр против грамотрицательных бактерий, и/или обладают эффективностью против мультирезистентных бактерий, и дополнительно проявляют высокую стабильность в своей активности против грамотрицательных бактерий, продуцирующих β-лактамазы.
Тестовый пример 2: Тест на антибактериальную активность
1. Тестируемые соединения растворяли в стерильном физиологическом растворе, перемешивали на вортексе для равномерного перемешивания и разбавляли в 2-кратном разведении стерильным физиологическим раствором (всего 11 точек концентрации). Диапазон тестируемых концентраций составлял 32-0,031 мкг/мл, и для каждой концентрации устанавливали по две лунки в двух повторностях. Дополнительные лунки без дозирования препарата были заданы в качестве контроля роста.
2. 4 мкл разбавителя добавляли к 196 мкл бактериальной суспензии в 96-луночном планшете (количество бактерий в бактериальной суспензии составляло 2-8хЮ5 колонне образующих единиц/мл).
3. Планшет инкубировали при 36°С в течение 24 ч и считывали значения MIC путем визуального наблюдения.
Анализ минимальной ингибирующей концентрации (MIC) проводили в соответствии с рекомендациями Института клинических и лабораторных стандартов (CLSI).
Как показано выше, соединения по настоящему изобретению имеют широкий антибактериальный спектр, в частности, эффективный антибактериальный спектр против грамотрицательных бактерий, и/или обладают эффективностью против мультирезистентных бактерий, и дополнительно проявляют высокую стабильность в своей активности против грамотрицательных бактерий, продуцирующих β-лактамазы.
Тестовый пример 3: Фармакокинетическое исследование на яванских макаках
1. Подготовка образцов
Соответствующее количество тестируемого соединения точно взвешивали и добавляли в контейнер, и к нему добавляли 0,9% хлорида натрия для инъекций и 0,2 М раствор NaOH на ледяной бане до полного растворения тестируемого соединения, так что получали испытуемый раствор в концентрации 2 мг/мл с последующим хранением при 2-8°С для последующего использования.
2. Исследование на животных Виды и штаммы: яванские макаки Класс животного: общий класс
Источник: Guangxi Xiongsen Primate Experimental Animal Breeding Development Co., Ltd.
Номер использования лабораторного животного: SYXK (Bc) 2019-0012
3. Метод тестирования
Были отобраны 6 яванских макак (половина самцов и половина самок), которые были случайным образом разделены на 3 группы по 1 животному/полу в каждой группе. Яванским макакам вводили исследуемый образец в дозе 10 мг/кг путем однократной внутривенной инфузии. Образцы крови отбирали у каждой группы животных в следующие моменты времени: до введения и 5 мин, 15 мин, 0,5 ч, 1 ч, 2 ч, 4 ч, 6 ч и 8 ч после введения. В ходе испытания концентрация каждого исследуемого соединения в плазме яванского макака определялась методом LC-MS/MS, а нижний предел количественного определения методов анализа образцов плазмы составлял 1 мкг/мл. Данные по концентрации в плазме анализировали с помощью некомпартментного анализа (NCA) программного обеспечения для анализа фармакокинетических данных WinNonlin, рассчитывали фармакокинетические параметры и изучали фармакокинетические характеристики тестируемых соединений у яванских макак после введения, результаты приведены в следующей таблице.
Соединения по настоящему изобретению превосходят по Cmax по сравнению с цефидероколом.
| название | год | авторы | номер документа |
|---|---|---|---|
| СПОСОБ ПОЛУЧЕНИЯ ИНГИБИТОРА ФАКТОРА СВЕРТЫВАНИЯ КРОВИ XIA И ЕГО ИНТЕРМЕДИАТА | 2019 |
|
RU2779013C2 |
| ТРИЦИКЛИЧЕСКОЕ ТЕТРАГИДРОИЗОХИНОЛИНОВОЕ ПРОИЗВОДНОЕ, СПОСОБ ЕГО ПОЛУЧЕНИЯ И ЕГО ПРИМЕНЕНИЕ В МЕДИЦИНЕ | 2021 |
|
RU2830109C1 |
| ПРОИЗВОДНОЕ ПИРАЗОЛО-ГЕТЕРОАРИЛА, СПОСОБ ЕГО ПОЛУЧЕНИЯ И МЕДИЦИНСКОЕ ПРИМЕНЕНИЕ | 2017 |
|
RU2748833C2 |
| АНТАГОНИСТ НЕЙРОКИНИНА-1 | 2020 |
|
RU2827715C2 |
| ОКСАСПИРОПРОИЗВОДНОЕ, СПОСОБ ЕГО ПОЛУЧЕНИЯ И ЕГО ПРИМЕНЕНИЯ В ЛЕКАРСТВЕННЫХ СРЕДСТВАХ | 2016 |
|
RU2733373C2 |
| СПОСОБ ПОЛУЧЕНИЯ ПРОИЗВОДНОГО БЕНЗОФУРАНА | 2018 |
|
RU2777624C2 |
| ИНГИБИТОР, ПРЕДСТАВЛЯЮЩИЙ СОБОЙ ПРОИЗВОДНОЕ ПИРИДАЗИНА, СПОСОБ ЕГО ПОЛУЧЕНИЯ И ЕГО ПРИМЕНЕНИЕ | 2020 |
|
RU2807611C2 |
| АНАЛОГИ ЭХИНОКАНДИНА И СПОСОБ ИХ ПОЛУЧЕНИЯ | 2020 |
|
RU2832679C1 |
| ПРОИЗВОДНОЕ ИНДАЗОЛА, СПОСОБ ЕГО ПОЛУЧЕНИЯ И ЕГО ФАРМАЦЕВТИЧЕСКОЕ ПРИМЕНЕНИЕ | 2020 |
|
RU2817737C2 |
| ПРОИЗВОДНОЕ ПИРИДОПИРИМИДИНА, СПОСОБ ЕГО ПОЛУЧЕНИЯ И ЕГО ПРИМЕНЕНИЕ В МЕДИЦИНЕ | 2019 |
|
RU2778524C2 |
Изобретение относится области химии и фармацевтики, а именно к соединению формулы (I-2), конкретным соединениям, указанным ниже, их его фармацевтически приемлемым солям, фармацевтической композиции на их основе и их применению для получения лекарственного средства для предотвращения и лечения заболевания, вызванного грамотрицательными бактериями, представляющими собой E. coli, Klebsiella, Enterobacter, Pseudomonas aeruginosa и Acinetobacter. В общей формуле (I-2) X представляет собой CH; T представляет собой S; E представляет собой
где каждый из R1 и R2 независимо выбран из группы, состоящей из С1-С6 алкила; F представляет собой одинарную связь; А представляет собой С1-С6 алкилен;
представляет собой четвертичную аммониевую группу, содержащую один или более атомов N и выбранную из группы, состоящей из гетероциклила, содержащего от 5 атомов кольца, где один атом кольца представляет собой гетероатом, выбранный из азота; G2 представляет собой С1-С6 алкилен; C2 представляет собой -NR31-C(=O)-, где каждый R31 независимо выбран из группы, состоящей из С1-С6 алкила и С1-С6 алкокси, где каждый из алкила и алкокси независимо замещен одним или более заместителями, выбранными из
; кольцо D1 представляет собой фенил; Rm выбран из фенила, где фенил замещен тремя заместителями, выбранными из группы, состоящей из галогена и гидрокси, каждый R4 независимо выбран из галогена; n представляет собой 1; Ri представляет собой водород. 4 н. и 2 з.п. ф-лы, 1 табл., 14 пр.
,

1. Соединение формулы (I-2) или его фармацевтически приемлемая соль
,
где X представляет собой CH;
T представляет собой S;
E представляет собой
, где каждый из R1 и R2 независимо выбран из группы, состоящей из С1-С6 алкила;
F представляет собой одинарную связь;
А представляет собой С1-С6 алкилен;
представляет собой четвертичную аммониевую группу, содержащую один или более атомов N и выбранную из группы, состоящей из гетероциклила, содержащего от 5 атомов кольца, где один атом кольца представляет собой гетероатом, выбранный из азота;
G2 представляет собой С1-С6 алкилен;
C2 представляет собой -NR31-C(=O)-,
где каждый R31 независимо выбран из группы, состоящей из С1-С6 алкила и С1-С6 алкокси, где каждый из алкила и алкокси независимо замещен одним или более заместителями, выбранными из
;
кольцо D1 представляет собой фенил;
Rm выбран из фенила, где фенил замещен тремя заместителями, выбранными из группы, состоящей из галогена и гидрокси,
каждый R4 независимо выбран из галогена;
n представляет собой 1;
Ri представляет собой водород.
2. Соединение или его фармацевтически приемлемая соль по п. 1, где
представляет собой
.
3. Соединение, показанное ниже, или его фармацевтически приемлемая соль
и
.
4. Фармацевтическая композиция для лечения заболеваний, вызванных грамотрицательными бактериями, где грамотрицательные бактерии представляют собой E. coli, Klebsiella, Enterobacter, Pseudomonas aeruginosa и Acinetobacter, содержащая соединение или его фармацевтически приемлемую соль по любому из пп. 1-3 и фармацевтически приемлемый носитель, разбавитель или эксципиент.
5. Применение соединения или его фармацевтически приемлемой соли по любому из пп. 1-3 или фармацевтической композиции по п. 4 для получения лекарственного средства для предотвращения и лечения заболевания, вызванного грамотрицательными бактериями, где грамотрицательные бактерии представляют собой E. coli, Klebsiella, Enterobacter, Pseudomonas aeruginosa и Acinetobacter.
6. Применение по п. 5, где заболевание выбрано из группы, состоящей из инфекционных заболеваний дыхательных путей, инфекционных заболеваний мочевыводящих путей, инфекционных заболеваний органов дыхания, сепсиса, нефрита, холецистита, инфекционных заболеваний полости рта, эндокардита, пневмонии, мембранного миелита костного мозга, среднего отита, энтерита, эмпиемы, травматических инфекционных заболеваний и оппортунистических инфекций.
| СПОСОБ ПРЕДПОСЕВНОЙ ОБРАБОТКИ СЕМЯН | 2007 |
|
RU2341053C1 |
| CN 105073759 A, 18.11.2015 | |||
| AOKI T | |||
| et al., Cefiderocol (S-649266), A new siderophore cephalosporin exhibiting potent activities against Pseudomonas aeruginosa and other gram-negative pathogens including multi-drug resistant bacteria: Structure activity relationship, European journal of medicinal chemistry, 2018, vol | |||
Авторы
Даты
2024-11-28—Публикация
2021-01-22—Подача