ОБЛАСТЬ ТЕХНИКИ
Настоящее изобретение относится к лекарственному конъюгату производного эрибулина, способу его получения и его применению в медицине.
ПРЕДШЕСТВУЮЩИЙ УРОВЕНЬ ТЕХНИКИ
Конъюгат антитела и лекарственного средства (ADC) связывает моноклональное антитело или фрагмент антитела с биологически активным лекарственным средством через стабильное химическое линкерное соединение, полностью используя специфичность связывания антитела с поверхностными антигенами нормальных клеток и опухолевых клеток и высокую эффективность лекарственного средства, а также устраняя недостаток первого, связанный с тем, что оно имеет плохой терапевтический эффект, недостаток последнего, связанный с тем, что оно имеет серьезные токсические побочные эффекты, и тому подобное. Это означает, что конъюгат антитела и лекарственного средства может более точно связываться с опухолевыми клетками и оказывает сниженное влияние на нормальные клетки по сравнению с обычными химиотерапевтическими лекарственными средствами, обсуждаемыми в прошлом (Milliard А, (2013) Nature Reviews Drug Discovery, 12:329-332; DiJoseph JF, Armellino DC, (2004) Blood, 103:1807-1814).
Милотарг (гемтузумаб озогамицин, Wyeth Pharmaceutical Co., Ltd.), первый конъюгат антитела и лекарственного средства, был одобрен FDA США (Управление по санитарному надзору за качеством пищевых продуктов и медикаментов США) в 2000 году для лечения острого миелоцитарного лейкоза (Drugs of the Future (2000) 25(7):686; US 4970198; US 5079233; US 5585089; US 5606040; US 5693762; US 5739116; US 5767285; US 5773001).
Адцетрис (брентуксимаб ведотин, Seattle Genetics) был одобрен на основании исследования по ускоренной процедуре, разработанного FDA США, в августе 2011 года для лечения лимфомы Ходжкина и рецидивирующей анапластической крупноклеточной лимфомы (Nat. Biotechnol (2003) 21(7):778-784; WO 2004010957; WO 2005001038; US 7090843 A; US 7659241; WO 2008025020). Адцетрис® представляет собой новое ADC-нацеленное лекарственное средство, которое может позволить лекарственному средству непосредственно воздействовать на CD30-мишень на клетках лимфомы, а затем осуществлять эндоцитоз, чтобы индуцировать апоптоз опухолевых клеток.
И Милотарг, и Адцетрис являются средствами направленной терапии в отношении гематологических опухолей, которые относительно просты по структуре ткани по сравнению с солидными опухолями. Кадцила (адо-трастузумаб эмтанзин, T-DM1) был одобрен FDA США в феврале 2013 года для лечения НЕИ2-положительных пациентов с распространенным или метастатическим раком молочной железы, имеющих лекарственную резистентность к трастузумабу (Трастузумаб, торговое название: Герцептин®) и паклитакселу (WO 2005037992; US 8088387). Кадцила является первым ADC на основе лекарственного средства, одобренным FDA США для лечения солидных опухолей.
Микротрубочки являются мощными нитевидными цитоскелетными белками, ассоциированными с различными клеточными функциями, включая внутриклеточную миграцию и транспорт, передачу сигналов клеток и поддержание формы клеток. Микротрубочки также играют важную роль в митотическом делении клеток, образуя митотическое веретено, необходимое для деления хромосом на две дочерних клетки. Биологические функции микротрубочек во всех клетках в значительной степени регулируются их динамикой полимеризации, и полимеризация микротрубочек происходит путем обратимого нековалентного добавления димеров α и β тубулина на обоих концах микротрубочек. Это динамическое поведение и результирующий контроль длины микротрубочек необходимы для правильного функционирования митотического веретена. Даже незначительные изменения в динамике микротрубочек включают контрольные точки веретена, ингибируют прогрессирование клеточного цикла при митозе и впоследствии вызывают гибель клеток (Mukhtar et al. (2014) Mol.Cancer Ther. 13: 275-84). Поскольку раковые клетки быстро делятся, они, как правило, более чувствительны к соединениям, которые связываются с тубулином и нарушают их нормальные функции, чем нормальные клетки. Таким образом, ожидается, что ингибиторы тубулина и другие агенты, нацеленные на микротрубочки, будут представлять собой класс лекарственных средств для лечения рака (Dumontet and Jordan(2010) Nat.Rev.Drug Discov.9:790-803).
КРАТКОЕ ОПИСАНИЕ ИЗОБРЕТЕНИЯ
В настоящем изобретении предложен конъюгат антитела и лекарственного средства (ADC), имеющий структуру формулы (I), или его фармацевтически приемлемая соль или сольват:
где Ab представляет собой антитело или его антигенсвязывающий фрагмент,
L представляет собой линкер, ко валентно связывающий Ab с D, и k представляет собой от 1 до 20 (включая 1, 2, 3, 4, 5, 6, 7, 8, 9, 10, 11, 12, 13, 14, 15, 16, 17, 18, 19, 20 или любое значение между любыми двумя значениями),
-D показан в формуле ниже:
где R1a выбран из группы, состоящей из водорода, алкила (например, C1-6 алкила, включая, но не ограничиваясь, метил, этил и изопропил), циклоалкила (например, С3-8 циклоалкила, включая, но не ограничиваясь, циклопропил, циклопентил или циклогексил), арила и гетероарила, и каждый из указанного алкила, циклоалкила, арила и гетероарила независимо необязательно замещен одним или более заместителями, выбранными из группы, состоящей из алкила (например, C1-6 алкила, включая, но не ограничиваясь, метил, этил и изопропил), алкокси (например, C1-6 алкокси, включая, но не ограничиваясь, метокси, этокси, пропокси и изопропокси), галогена (например, фтора, хлора и брома), дейтерия, амино, циано, нитро, гидрокси, гидроксиалкила, циклоалкила, гетероциклоалкила, арила и гетероарила, предпочтительно метила;
где R1b выбран из группы, состоящей из водорода, алкила (например, C1-6 алкила, включая, но не ограничиваясь, метил, этил и изопропил), алкокси, циклоалкила (например, С3-8 циклоалкила, включая, но не ограничиваясь, циклопропил, циклопентил или циклогексил), арила и гетероарила, и каждый из указанного алкила, циклоалкила, арила и гетероарила независимо необязательно замещен одним или более заместителями, выбранными из группы, состоящей из алкила (например, C1-6 алкила, включая, но не ограничиваясь, метил, этил и изопропил), алкокси (например, C1-6 алкокси, включая, но не ограничиваясь, метокси, этокси, пропокси и изопропокси), галогена (например, фтора, хлора и брома), дейтерия, амино, циано, нитро, гидрокси, гидроксиалкила, циклоалкила, гетероциклоалкила, арила и гетероарила, предпочтительно водорода;
или R1a и R1b вместе с присоединенными к ним атомами углерода образуют 5-8-членный гетероциклоалкил, причем указанный гетероциклоалкил необязательно замещен одним или более заместителями в ал киле (например, C1-6 алкиле, включая, но не ограничиваясь, метил, этил и изопропил), алкокси (например, C1-6 алкокси, включая, но не ограничиваясь, метокси, этокси, пропокси и изопропокси), галогене (например, фтор, хлор и бром), дейтерии, амино, циано, нитро, гидрокси, гидроксиалкиле, циклоалкиле (например, С3-8 циклоалкиле, включая, но не ограничиваясь, циклопропил, циклопентил или циклогексил), гетероциклоалкиле, ариле и гетероариле, причем указанный гетероциклоалкил представляет собой водород, когда R1a и R1b являются различными.
В некоторых вариантах осуществления изобретения R1a и R1b в -D в конъюгате антитела и лекарственного средства вместе с присоединенными к ним атомами углерода образуют 6-8-членный гетероциклоалкил.
В некоторых вариантах осуществления изобретения R1a в -D в конъюгате антитела и лекарственного средства выбран из метила.
В некоторых вариантах осуществления изобретения каждый из R1a и R1b в -D в конъюгате антитела и лекарственного средства независимо выбран из метила.
В некоторых вариантах осуществления изобретения -D в конъюгате антитела и лекарственного средства представляет собой
В некоторых вариантах осуществления k в Ab-(L-D)k в конъюгате антитела и лекарственного средства может быть выбран из группы, состоящей из 1-10, и может представлять собой целое число или десятичное число.
В другом аспекте настоящее изобретение также относится к конъюгату антитела и лекарственного средства (ADC), имеющему структуру формулы (I), или его фармацевтически приемлемой соли или сольвату:
где -D выбран из:
В некоторых вариантах осуществления изобретения линкер является стабильным внеклеточно, так что ADC остается интактным, когда находится во внеклеточной среде, но способен расщепляться при интернализации в клетку, такую как раковая клетка. В некоторых вариантах осуществления изобретения фрагмент лекарственного средства аналога эрибулина отщепляется от фрагмента антитела, когда ADC входит в клетку, которая экспрессирует специфический антиген против фрагмента антитела ADC, и высвобождает немодифицированную форму аналога эрибулина при расщеплении.
В некоторых вариантах осуществления изобретения расщепляемый фрагмент в линкере представляет собой расщепляемый пептидный фрагмент. В некоторых вариантах осуществления изобретения ADC, содержащий расщепляемый пептидный фрагмент, демонстрирует более низкий уровень агрегации, улучшенное соотношение антитела к лекарственному средству, повышенное целевое уничтожение раковых клеток, уменьшенное нецелевое уничтожение нераковых клеток и/или более высокую нагрузку лекарственным средством (р) по сравнению с ADC, содержащим другие расщепляемые фрагменты. В некоторых вариантах осуществления изобретения добавление расщепляемого фрагмента увеличивает цитотоксичность и/или эффективность по сравнению с нерасщепляемым линкером. В некоторых вариантах осуществления изобретения повышенная эффективность и/или цитотоксичность присутствует в раковых заболеваниях, экспрессирующих умеренные уровни антигена, на который нацелен фрагмента антитела ADC (например, умеренная экспрессия FRA (рецептор фолиевой кислоты альфа)). В некоторых вариантах осуществления расщепляемый пептидный фрагмент способен расщепляться ферментом, и линкер является таким, который способен расщепляться ферментом. В некоторых вариантах осуществления фермент представляет собой катепсин, и линкер является таким, который способен расщепляться катепсином. В некоторых вариантах осуществления изобретения линкер, способный расщепляться ферментом (например, линкер, способный расщепляться катепсином), демонстрирует одно или более из улучшенных свойств, описанных выше, по сравнению с другими механизмами расщепления.
В некоторых вариантах осуществления изобретения линкер содержит аминокислотное звено, и указанное аминокислотное звено предпочтительно содержит пептидный остаток, состоящий из 2-7 аминокислот, выбранных из группы, состоящей из фенилаланина, глицина, валина, лизина, цитруллина, серина, глутаминовой кислоты и аспарагиновой кислоты, и более предпочтительно валин-цитруллина (Val-Cit), аланин-аланин-аспарагина (Ala-Ala-Asn), глицин-глицин-лизина (Gly-Gly-Lys), валин-лизина (Val-Lys), валин-аланина (Val-Ala), валин-фенилаланина (Val-Phe) и глицин-глицин-фенилаланин-глицина (Gly-Gly-Phe-Gly).
В некоторых вариантах осуществления изобретения линкер, содержащий аминокислотное звено по настоящему изобретению, выбран из группы, состоящей из:
В некоторых вариантах осуществления изобретения аминокислотное звено содержит валин-цитруллин (Val-Cit). В некоторых вариантах осуществления изобретения ADC, содержащий Val-Cit, демонстрирует повышенную стабильность, сниженное нецелевое уничтожение клеток, повышенное целевое уничтожение клеток, более низкий уровень агрегации и/или более высокую нагрузку лекарственным средством по сравнению с ADC, содержащим другие аминокислотные звенья или другие расщепляемые фрагменты.
В другом аспекте линкер, предложенный в некоторых вариантах осуществления изобретения, содержит расщепляемый сульфонамидный фрагмент, и указанный линкер способен расщепляться в восстанавливающих условиях.
В некоторых вариантах осуществления изобретения линкер содержит расщепляемый дисульфидный фрагмент, и указанный линкер способен расщепляться в восстанавливающих условиях.
В другом аспекте линкер в конъюгате на основе антитела по настоящему изобретению содержит по меньшей мере одно спейсерное звено, которое связывает производное эрибулина D с расщепляемым фрагментом. В некоторых вариантах осуществления изобретения линкер содержит спейсерное звено, связывающееся с D.
В некоторых вариантах осуществления изобретения спейсерное звено содержит п-аминобензилоксикарбонил (РАВ) 
В некоторых вариантах осуществления изобретения спейсерное звено содержит п-аминобензоил,
В некоторых вариантах осуществления изобретения спейсерное звено содержит:
где каждый из Z1-Z5 независимо выбран из группы, состоящей из атомов углерода и атомов азота; R14 выбран из группы, состоящей из алкила, циклоалкила, арила и гетероарила, и каждый из указанного алкила, циклоалкила, арила и гетероарила независимо необязательно замещен одним или более заместителями, выбранными из группы, состоящей из алкила, алкокси, галогена, дейтерия, амино, циано, нитро, гидрокси, гидроксиалкила, циклоалкила, гетероциклоалкила, арила и гетероарила; каждый из R11 и R12 независимо выбран из группы, состоящей из водорода, дейтерия, C1-6 алкила и С3-6 циклоалкила, предпочтительно водорода; или R11 и R12 вместе с присоединенными к ним атомами углерода образуют С3-6 циклоалкил; х выбран из группы, состоящей из -О- и -NH-; L выбран из целого числа от 1 до 4;
Q представляет собой V-E-, причем указанный V-E- обеспечивает гликозидную связь, расщепляемую внутриклеточно расположенной гликозидазой, Е выбран из группы, состоящей из -О-, -S- и -NR13-, причем R13 выбран из группы, состоящей из водорода и метила, и дополнительно V выбран из
, где R15 выбран из группы, состоящей из -СООН и СН2ОН. В некоторых вариантах осуществления изобретения V выбран из -СООН.
В некоторых вариантах осуществления изобретения спейсерное звено содержит:
Z1, Z3, Z3, X, Q, R11, R12 и R14 являются такими, как описано выше. В некоторых вариантах осуществления изобретения спейсерное звено содержит следующие фрагменты, выбранные из группы, состоящей из:
-(CRaRb)m1-O(CRaRb)m2-CR8R9-C(O)-,
-(CRaRb)m1NH-(CRaRb)m2-CR8R9-C(O)-,
-(CRaRb)m1O-CR8R9(CRaRb)m2-,
-(CRaRb)m1OCR8R9-C(O)-, и
-(CRaRb)m1-O-(CRaRb)m2C(O)- n-(CRaRb)m1-S-(CRaRb)m2-CR8R9-C(O)-,
где Ra и Rb являются одинаковыми или различными и каждый независимо выбран из группы, состоящей из водорода, дейтерия, галогена и алкила; R8 выбран из группы, состоящей из водорода, С3-6 циклоалкилалкила и С3-6 циклоалкила; R9 выбран из группы, состоящей из водорода, галогеналкила и С3-6 циклоалкила, предпочтительно водорода; или R8 и R9 вместе с присоединенными к ним атомами углерода образуют С3-6 циклоалкил; каждый из m1 и m2 независимо выбран из группы, состоящей из 0, 1, 2 и 3.
В некоторых вариантах осуществления изобретения спейсерное звено содержит следующие фрагменты, выбранные из группы, состоящей из:
В другом аспекте L-D в конъюгате антитела и лекарственного средства (ADC) по настоящему изобретению представляет собой химический фрагмент, представленный формулой:
Str представляет собой удлиняющее звено, ковалентно связанное с Ab,
Sp представляет собой спейсерное звено,
Pep выбран из группы, состоящей из аминокислотного звена, дисульфидного фрагмента, сульфонамидного фрагмента и следующего непептидного химического фрагмента:
, где W представляет собой -NH-гетероциклоалкил- или гетероциклоалкил; Y представляет собой гетероарил, арил, -C(O)C1-6 алкилен, С2-6 алкенилен, C1-6 алкилен или -C1-6 алкилен-NH-;
каждый R2 независимо выбран из группы, состоящей из C1-10 алкила, С2-10 алкенила, C1-6 алкилен-NH2, -(C1-10 алкилен)NHC(NH)NH2 и -(C1-10 алкилен)NHC(O)NH2;
каждый из R3 и R4 независимо представляет собой Н, C1-10 алкил, С2-10 алкенил, арилалкил и гетероарилалкил, или R3 и R4 вместе могут образовать С3-7 циклоалкил;
каждый из R5 и R6 независимо представляет собой C1-10 алкил, С2-10 алкенил, арилалкил, гетероарилалкил и (C1-10 алкилен)ОСН2-, или R5 и R6 вместе могут образовать С3-7 циклоалкильное кольцо.
В некоторых вариантах осуществления изобретения Y в конъюгате антитела и лекарственного средства (ADC) выбран из группы, состоящей из следующих фрагментов:
В другом аспекте Str в конъюгате антитела и лекарственного средства (ADC) выбран из химического фрагмента, представленного следующей формулой:
, где R7 выбран из группы, состоящей из -W1-C(O)-, -C(O)-W1-C(O)-, -(CH2CH2O)р1С(O)-, -(CH2CH2O)p1CH2C(O)- и -(CH2CH2O)p1CH2CH2C(O)-, где W1 выбран из группы, состоящей из C1-8 алкилена, C1-8 алкилен-цикл о алкила и линейного гетероалкила от 1 до 8 атомов, причем указанный гетероалкил содержит от 1 до 3 гетероатомов, выбранных из группы, состоящей из N, О и S, где каждый из указанного C1-8 алкилена, циклоалкила и линейного гетероалкила независимо необязательно дополнительно замещен одним или более заместителями, выбранными из группы, состоящей из галогена, дейтерия, гидрокси, циано, амино, алкила, галогеналкила, дейтерированного алкила, алкокси и циклоалкила;
L1 выбран из группы, состоящей из -NR10(CH2CH2O)p1CH2CH2C(O)-, -NR10(CH2CH2O)p1CH2C(O)-, -S(CH2)p1C(O)-, -(CH2)p1C(O)- и химической связи, предпочтительно химической связи; где p1 представляет собой целое число от 1 до 20, и R10 выбран из группы, состоящей из водорода, алкила, галогеналкила, дейтерированного алкила и гидроксиалкила.
В некоторых вариантах осуществления изобретения C1-8 алкилен-циклоалкил выбран из группы, состоящей из метилен-циклогексила
этилен-циклогексила
и метилен-циклопентила 
В некоторых вариантах осуществления изобретения линкер может содержать по меньшей мере один фрагмент полиэтиленгликоля (PEG). Указанный фрагмент PEG может, например, включать -(PEG)p1-,
где pi представляет собой целое число от 1 до 20, например,
, (PEG)2;
, (PEG)4;
, (PEG)5.
В некоторых вариантах осуществления изобретения удлиняющее звено в линкере содержит (PEG)2. В некоторых вариантах осуществления изобретения ADC, содержащий более короткое удлиняющее звено (например, (PEG)2), демонстрирует более низкий уровень агрегации и/или более высокую нагрузку лекарственным средством по сравнению с ADC, содержащим более длинное удлиняющее звено (например, (PEG)8), несмотря на более короткую длину линкера.
В некоторых вариантах осуществления R7 в Str
в конъюгате антитела и лекарственного средства выбран из группы, состоящей из C1-6 алкилена С(О)-, -(СН2-CH2O)2С(O)-, -(СН2-CH2O)2СН2С(O)-, -(СН2-CH2O)2СН2СН2С(O)-, -(СН2-CH2O)3С(O)- и -(СН2-CH2O)4С(O)-.
В некоторых вариантах осуществления R7 в Str
в конъюгате антитела и лекарственного средства выбран из группы, состоящей из -C1-8 алкилен-циклоалкил-С(О)-, -(СН2-CH2O)4СН2С(O)- и -(СН2-CH2O)6СН2С(O)-.
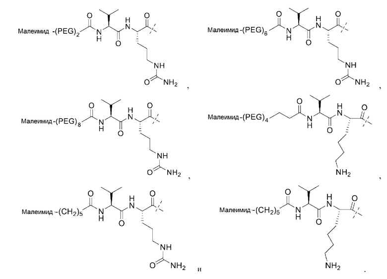
В некоторых вариантах осуществления линкер L в конъюгате антитела и лекарственного средства содержит: малеимид-(PEG)2-Va1-Cit, малеимид-(PEG)6-Val-Cit, малеимид-(PEG)8-Va1-Cit, малеимид-(PEG)4-СН2СН2С(O)-Va1-lys, малеимид-(СН2)5-Va1-Cit, малеимид-(СН2)5-Va1-lys, малеимид-(СН2)5-Gly-Gly-Phe-Gly, малеимид-(PEG)2-Ala-Ala-Asn, малеимид-(PEG)6-Ala-Ala-Asn, малеимид-(PEG)8-Ala-Ala-Asn, малеимид-(PEG)4-триазол-(PEG)3-сульфонамид, малеимид-(PEG)2-СН2СН2С(O)-Va1-lys, малеимид-(PEG)4-триазол-(PEG)3-сульфонамид или Mal-(PEG)4-триазол-(PEG)3-дисульфид.
В некоторых вариантах осуществления изобретения линкер L в конъюгате антитела и лекарственного средства содержит: малеимид-(PEG)4-СН2С(O)-Gly-Phe-Gly, малеимид-(PEG)2-СН2СН2С(O)-Gly-Gly-Phe-Gly,
малеимид-(PEG)6-СН2С(O)-Gly-Gly-Phe-Gly-, малеимид-(СН2)5С(O)-Gly-Gly-Phe-Gly-, малеимид-С1-8 алкилен-циклоалкил-С(O)-NH(CH2CH2O4CH2C(O)-Gly-Gly-Phe-Gly-, малеимид-(PEG)2-СН2С(O)-Gly-Gly-Phe-Gly-, малеимид-(PEG)2-СН2СН2С(O)-Va1-Cit-, малеимид-(PEG)2-Gly-Gly-Phe-Gly-, малеимид-(PEG)2-СН2С(O)-Va1-Cut-, малеимид-(PEG)4-СН2С(O)-Va1-Cit- и малеимид-(PEG)6-СН2С(O)-Va1-Cit-.
В другом аспекте Str в конъюгате антитела и лекарственного средства, предложенный в некоторых вариантах осуществления, выбран из химического фрагмента, представленного следующей формулой:
, где R8 выбран из группы, состоящей из C1-10 алкилена, С2-10 алкенилена, (C1-10 алкилен)O-, N(Rd)-(C2-6 алкилен)-N(Rd) и N(Rd)-(C2-6 алкилена); каждый Rd независимо представляет собой Н или C1-6 алкил.
В некоторых вариантах осуществления изобретения L-D в конъюгате антитела и лекарственного средства представлен формулой, выбранной из группы, состоящей из:
, где R2 представляет собой C1-6 алкилен, (C1-6 алкил)NHC(NH)NH2 или (C1-6 алкилен)NHC(O)NH2;
, где R2 представляет собой C1-6 алкил, (C1-6 алкилен)NHC(NH)NH2 или (C1-6 алкилен)NHC(O)NH2;
, где R2 представляет собой С1-6 алкил, С2-6 алкенилен, (C1-6 алкилен)NHC(NH)NH2 или (C1-6 алкилен)NHC(O)NH2;
, где R2 представляет собой C1-6 алкил, С2-6 алкенилен, (С1-6 алкилен)NHC(NH)NH2 или (С1-6 алкилен)NHC(O)NH2;
, где R2 представляет собой С1-6 алкил, (C1-6 алкилен)NHC(NH)NH2 или (C1-6 алкилен)NHC(O)NH2, и R5 и R6 вместе образуют С3-7 циклоалкильное кольцо;
, где R2 представляет собой C1-6 алкил, (C1-6 алкилен)NHC(NH)NH2 или (C1-6 алкилен)NHC(O)NH2, и R5 и R6 вместе образуют С3-7 циклоалкильное кольцо;
W, Str и D являются такими, как описано выше.
В других вариантах осуществления конъюгат антитела и лекарственного средства (ADC) согласно настоящему изобретению представлен следующими формулами:
, где R2 выбран из группы, состоящей из C1-6 алкилен-NH2, (C1-6 алкилен)NHC(NH)NH2 и (C1-6 алкилен)NHC(O)NH2, k выбран из группы, состоящей из 1-10, и может представлять собой целое число или десятичное число, и р2 выбран из целого числа от 2 до 6;
, где R2 выбран из группы, состоящей из C1-6 алкилен-NH2, (C1-6 алкилен)NHC(NH)NH2 и (C1-6 алкилен)NHC(O)NH2, k выбран из группы, состоящей из 1-10, и может представлять собой целое число или десятичное число, и р2 выбран из целого числа от 2 до 6;
, где R2 представляет собой C1-6 алкилен-NH2, (C1-6 алкилен)NHC(NH)NH2 или (C1-6 алкилен)NHC(O)NH2, и R5 и R6 образуют С3-7 циклоалкильное кольцо, k выбран из группы, состоящей из 1-10, и может представлять собой целое число или десятичное число, и р2 выбран из целого числа от 2 до 6;
, где R2 представляет собой C1-6 алкилен-NH2, (C1-6 алкилен)NHC(NH)NH2 или (C1-6 алкилен)NHC(O)NH2, и R5 и R6 образуют С3-7 циклоалкильное кольцо; к выбран из группы, состоящей из 1-10, и может представлять собой целое число или десятичное число, и р2 выбран из целого числа от 2 до 6;
Y, R3, R4, Ab и D являются такими, как определено выше.
В другом аспекте конъюгат антитела и лекарственного средства (ADC), предложенный в некоторых вариантах осуществления, представлен следующими формулами:
, где R8 выбран из группы, состоящей из водорода, С3-6 циклоалкилалкила и С3-6 циклоалкила, предпочтительно водорода; R9 выбран из группы, состоящей из водорода, галогеналкила и С3-6 циклоалкила, предпочтительно водорода, или R8 и R9 вместе с присоединенными к ним атомами углерода образуют С3-6 циклоалкил, k выбран из группы, состоящей из 1-10, и может представлять собой целое число или десятичное число, и р2 выбран из целого числа от 2 до 6;
где R8 выбран из группы, состоящей из водорода, С3-6 циклоалкилалкила и С3-6 циклоалкила, предпочтительно водорода; R9 выбран из группы, состоящей из водорода, галогеналкила и С3-6 циклоалкила, предпочтительно водорода; или R8 и R9 вместе с присоединенными к ним атомами углерода образуют С3-6 циклоалкил; k выбран из группы, состоящей из 1-10, и может представлять собой целое число или десятичное число, p1 выбран из группы, состоящей из 2, 4, 6 и 8, и р3 выбран из группы, состоящей из 0, 1 и 2;
, k выбран из группы, состоящей из 1-10, и может представлять собой целое число или десятичное число, и р2 выбран из целого числа от 2 до 6;
, k выбран из группы, состоящей из 1-10, и может представлять собой целое число или десятичное число, и р2 выбран из целого числа от 2 до 6;
, k выбран из группы, состоящей из 1-10, и может представлять собой целое число или десятичное число, и p1 выбран из группы, состоящей из 2, 4, 6 и 8; р3 выбран из группы, состоящей из 0, 1и2;
, k выбран из группы, состоящей из 1-10, и может представлять собой целое число или десятичное число, p1 выбран из группы, состоящей из 2, 4, 6 и 8, и р3 выбран из группы, состоящей из 0, 1 и 2;
, k выбран из группы, состоящей из 1-10, и может представлять собой целое число или десятичное число, и p1 выбран из группы, состоящей из 2, 4, 6 и 8;
, k выбран из группы, состоящей из 1-10, и может представлять собой целое число или десятичное число, и p1 выбран из группы, состоящей из 2, 4, 6 и 8; р3 выбран из группы, состоящей из 0, 1 и 2;
, k выбран из группы, состоящей из 1-10, и может представлять собой целое число или десятичное число, и p1 выбран из группы, состоящей из 2, 4, 6 и 8;
, k выбран из группы, состоящей из 1-10, и может представлять собой целое число или десятичное число, p1 выбран из группы, состоящей из 2, 4, 6 и 8, и р3 выбран из группы, состоящей из 0, 1 и 2;
, k выбран из группы, состоящей из 1-10, и может представлять собой целое число или десятичное число, и р2 выбран из группы, состоящей из 2, 4, 6 и 8;
, k выбран из группы, состоящей из 1-10, и может представлять собой целое число или десятичное число, и р2 выбран из группы, состоящей из 2, 4, 6 и 8;
, k выбран из группы, состоящей из 1-10, и может представлять собой целое число или десятичное число, и р2 выбран из группы, состоящей из 2, 4, 6 и 8;
, k выбран из группы, состоящей из 1-10, и может представлять собой целое число или десятичное число, и р2 выбран из группы, состоящей из 2, 4, 6 и 8;
, k выбран из группы, состоящей из 1-10, и может представлять собой целое число или десятичное число, и р2 выбран из группы, состоящей из 2, 4, 6 и 8;
, k выбран из группы, состоящей из 1-10, и может представлять собой целое число или десятичное число, p1 выбран из группы, состоящей из 2, 4, 6 и 8, и р3 выбран из группы, состоящей из 0, 1 и 2;
, k выбран из группы, состоящей из 1-10, и может представлять собой целое число или десятичное число, p1 выбран из группы, состоящей из 2, 4, 6 и 8, и р3 выбран из группы, состоящей из 0, 1 и 2;
, где R8 выбран из группы, состоящей из водорода, галогеналкила и С3-6 циклоалкила, предпочтительно водорода; R9 выбран из группы, состоящей из водорода, галогеналкила и С3-6 циклоалкила, предпочтительно водорода, или R8 и R9 вместе с присоединенными к ним атомами углерода образуют С3-6 циклоалкил, k выбран из группы, состоящей из 1-10, и может представлять собой целое число или десятичное число, и р2 выбран из целого числа от 2 до 6;
, где R8 выбран из группы, состоящей из водорода, галогеналкила и С3-6 циклоалкила, предпочтительно водорода; R9 выбран из группы, состоящей из водорода, галогеналкила и С3-6 циклоалкила, предпочтительно водорода, или R8 и R9 вместе с присоединенными к ним атомами углерода образуют С3-6 циклоалкил; к выбран из группы, состоящей из 1-10, и может представлять собой целое число или десятичное число, и р2 выбран из целого числа от 2 до 6;
, где R8 выбран из группы, состоящей из водорода, галогеналкила и С3-6 циклоалкила, предпочтительно водорода; R9 выбран из группы, состоящей из водорода, галогеналкила и С3-6 циклоалкила, предпочтительно водорода, или R8 и R9 вместе с присоединенными к ним атомами углерода образуют С3-6 циклоалкил, k выбран из группы, состоящей из 1-10, и может представлять собой целое число или десятичное число, p1 выбран из группы, состоящей из 2, 4, 6 и 8, и р3 выбран из группы, состоящей из 0, 1 и 2;
, где R8 выбран из группы, состоящей из водорода, галогеналкила и С3-6 циклоалкила, предпочтительно водорода; R9 выбран из группы, состоящей из водорода, галогеналкила и С3-6 циклоалкила, предпочтительно водорода, или R8 и R9 вместе с присоединенными к ним атомами углерода образуют С3-6 циклоалкил, k выбран из группы, состоящей из 1-10, и может представлять собой целое число или десятичное число, p1 выбран из группы, состоящей из 2, 4, 6 и 8, и р3 выбран из группы, состоящей из 0, 1 и 2.
В некоторых вариантах осуществления конъюгат антитела и лекарственного средства (ADC) представлен следующими формулами:
где k выбран из группы, состоящей из 1-10, и может представлять собой целое число или десятичное число; дополнительно R1a в D предпочтительно выбран из метила, и R1b в D предпочтительно выбран из водорода.
В другом аспекте антитело в конъюгате антитела и лекарственного средства (ADC) по настоящему изобретению выбрано из группы, состоящей из мышиного антитела, химерного антитела, гуманизированного антитела и полностью гуманизированного антитела.
В некоторых вариантах осуществления изобретения антитело или его антигенсвязывающий фрагмент в конъюгате антитела и лекарственного средства (ADC) выбрано из группы, состоящей из антитела против HER2 (ErbB2), антитела против EGFR, антитела против В7-Н3, антитела против c-Met, антитела против HER3 (ErbB3), антитела против HER4 (ErbB4), антитела против CD20, антитела против CD22, антитела против CD30, антитела против CD33, антитела против CD44, антитела против CD56, антитела против CD70, антитела против CD73, антитела против CD105, антитела против СЕА, антитела против А33, антитела против Крипто, антитела против EphA2, антитела против G250, антитела против MUC1, антитела против Льюис Y, антитела против VEGFR, антитела против GPNMB, антитела против Интегрина, антитела против PSMA, антитела против Тенасцина-С, антитела против SLC44A4, антитела против CD79, антитела против TROP-2, антитела против CD79B, антитела против Мезотелина и его антигенсвязывающего фрагмента.
В некоторых вариантах осуществления изобретения антитело в конъюгате антитела и лекарственного средства (ADC) представляет собой известное антитело, выбранное из группы, состоящей из трастузумаба, пертузумаба, нимотузумаба, эноблитузумаба, эмибетузумаба, инотузумаба, пинатузумаба, брентуксимаба, гемтузумаба, биватузумаба, лорвотузумаба, cBR96, глематумамаба и их антигенсвязывающего фрагмента, но не ограничивающееся ими.
В других вариантах осуществления изобретения антитело в конъюгате антитела и лекарственного средства (ADC) выбрано из антитела против CD79B или его антигенсвязывающего фрагмента и содержит вариабельную область тяжелой цепи антитела и/или вариабельную область легкой цепи антитела, где:
вариабельная область тяжелой цепи антитела содержит:
1) HCDR1 (CDR - область, определяющая комплементарность), HCDR2 и HCDR3, представленные в SEQ ID NO: 7, SEQ ID NO: 8 и SEQ ID NO: 9, соответственно; или
2) HCDR1, HCDR2 и HCDR3, представленные в SEQ ID NO: 13, SEQ ID NO: 14 и SEQ ID NO: 15, соответственно;
и/или вариабельная область легкой цепи антитела содержит:
1) LCDR1, LCDR2 и LCDR3, представленные в SEQ ID NO: 10, SEQ ID NO: 11 и SEQ ID NO: 12, соответственно; или
2) LCDR1, LCDR2 и LCDR3, представленные в SEQ ID NO: 16, SEQ ID NO: 17 и SEQ ID NO: 18, соответственно.
В некоторых вариантах осуществления изобретения антитело против CD79B в конъюгате антитела и лекарственного средства (ADC) содержит вариабельную область тяжелой цепи и вариабельную область легкой цепи, содержащие любую, выбранную из группы, состоящей из (1)-(П) ниже:
1) вариабельная область тяжелой цепи, содержащая HCDR1, HCDR2 и HCDR3, представленные в SEQ ID NO: 7, SEQ ID NO: 8 и SEQ ID NO: 9, соответственно; и
вариабельная область легкой цепи, содержащая LCDR1, LCDR2 и LCDR3, представленные в SEQ ID NO: 10, SEQ ID NO: 11 и SEQ ID NO: 12, соответственно;
2) вариабельная область тяжелой цепи, содержащая HCDR1, HCDR2 и HCDR3, представленные в SEQ ID NO: 13, SEQ ID NO: 14 и SEQ ID NO: 15, соответственно; и
вариабельная область легкой цепи, содержащая LCDR1, LCDR2 и LCDR3, представленные в SEQ ID NO: 16, SEQ ID NO: 17 и SEQ ID NO: 18, соответственно.
В некоторых вариантах осуществления изобретения антитело против CD79B в конъюгате антитела и лекарственного средства (ADC) содержит вариабельную область тяжелой цепи и вариабельную область легкой цепи, где:
вариабельная область тяжелой цепи антитела содержит:
1) последовательность, представленную в SEQ ID NO: 3 или имеющую по меньшей мере 90%, 95%, 98% или 99% идентичность с SEQ ID NO: 3; или
2) последовательность, представленную в SEQ ID NO: 5 или имеющую по меньшей мере 90%, 95%, 98% или 99% идентичность с SEQ ID NO: 5;
и/или вариабельная область легкой цепи содержит:
1) последовательность, представленную в SEQ ID NO: 4 или имеющую по меньшей мере 90%, 95%, 98% или 99% идентичность с SEQ ID NO: 4; или
2) последовательность, представленную в SEQ ID NO: 6 или имеющую по меньшей мере 90%, 95%, 98% или 99% идентичность с SEQ ID NO: 6.
Предпочтительно вариабельная область тяжелой цепи антитела против CD79B или антигенсвязывающего фрагмента представлена в SEQ ID NO: 3, и вариабельная область легкой цепи представлена в SEQ ID NO: 4; или вариабельная область тяжелой цепи представлена в SEQ ID NO: 5, и вариабельная область легкой цепи представлена в SEQ ID NO: 6.
Вариабельная область тяжелой цепи моноклонального антитела mAb015 мышиной гибридомной клетки:
Вариабельная область легкой цепи моноклонального антитела mAb015 мышиной гибридомной клетки:
Вариабельная область тяжелой цепи моноклонального антитела mAb017 мышиной гибридомной клетки:
Вариабельная область легкой цепи моноклонального антитела mAb017 мышиной гибридомной клетки:
В некоторых вариантах осуществления изобретения антитело против CD79B в конъюгате антитела и лекарственного средства (ADC) содержит вариабельную область тяжелой цепи и вариабельную область легкой цепи, где:
вариабельная область тяжелой цепи антитела содержит:
1) последовательность, представленную в SEQ ID NO: 19 или имеющую по меньшей мере 90%, 95%, 98% или 99% идентичность с SEQ ID NO: 19; или
2) последовательность, представленную в SEQ ID NO: 21 или имеющую по меньшей мере 90%, 95%, 98% или 99% идентичность с SEQ ID NO: 21;
и/или вариабельная область легкой цепи содержит:
1) последовательность, представленную в SEQ ID NO: 20 или имеющую по меньшей мере 90%, 95%, 98% или 99% идентичность с SEQ ID NO: 20; или
2) последовательность, представленную в SEQ ID NO: 22 или имеющую по меньшей мере 90%, 95%, 98% или 99% идентичность с SEQ ID NO: 22;
предпочтительно вариабельная область тяжелой цепи антитела против CD79B или его антигенсвязывающего фрагмента представлена в SEQ ID NO: 19, и вариабельная область легкой цепи представлена в SEQ ID NO: 20; или вариабельная область тяжелой цепи представлена в SEQ ID NO: 21, и вариабельная область легкой цепи представлена в SEQ ID NO: 22.
Последовательность тяжелой цепи гуманизированного антитела hAb015-10:
Последовательность легкой цепи гуманизированного антитела hAb015-10:
Последовательность тяжелой цепи гуманизированного антитела hAb017-10:
Последовательность легкой цепи гуманизированного антитела hAb017-10:
В другом аспекте аминокислотная последовательность слитого белка внеклеточного домена (ECD) CD79B человека и домена Fc человека (ECD-hFc CD79B человека):
Аминокислотная последовательность слитого белка внеклеточного домена (ECD) CD79B человека и His-метки (ECD-His CD79B человека):
В другом аспекте в некоторых вариантах осуществления антитело в конъюгате антитела и лекарственного средства (ADC) выбрано из антитела против TROP-2. В некоторых вариантах осуществления изобретения антитело в конъюгате антитела и лекарственного средства (ADC) содержит вариабельную область тяжелой цепи и вариабельную область легкой цепи, где вариабельная область тяжелой цепи содержит HCDR1, HCDR2 и HCDR3, имеющие последовательности, представленные в SEQ ID NO: 23, SEQ ID NO: 24 и SEQ ID NO: 25, соответственно, и вариабельная область легкой цепи содержит LCDR1, LCDR2 и LCDR3, имеющие последовательности, представленные в SEQ ID NO: 26, SEQ ID NO: 27 и SEQ ID NO: 28, соответственно.
В некоторых вариантах осуществления изобретения антитело против TROP-2 в конъюгате антитела и лекарственного средства содержит вариабельную область тяжелой цепи и вариабельную область легкой цепи, где вариабельная область тяжелой цепи содержит HCDR1, HCDR2 и HCDR3, имеющие последовательности, идентичные последовательностям HCDR1, HCDR2 и HCDR3 вариабельной области тяжелой цепи, представленной в SEQ ID NO: 29, и вариабельная область легкой цепи содержит LCDR1, LCDR2 и LCDR3, имеющие последовательности, идентичные последовательностям LCDR1, LCDR2 и LCDR3 вариабельной области легкой цепи, представленной в SEQ ID NO: 30.
В некоторых вариантах осуществления изобретения антитело против TROP-2 в конъюгате антитела и лекарственного средства (ADC) содержит вариабельную область тяжелой цепи и вариабельную область легкой цепи, где вариабельная область тяжелой цепи имеет аминокислотную последовательность, представленную в SEQ ID NO: 29 или имеющую по меньшей мере 90% идентичность с ней, и вариабельная область легкой цепи имеет аминокислотную последовательность, представленную в SEQ ID NO: 30 или имеющую по меньшей мере 90% идентичность с ней.
В других вариантах осуществления изобретения антитело против TROP-2 в конъюгате антитела и лекарственного средства (ADC) содержит вариабельную область тяжелой цепи, имеющую последовательность, представленную в SEQ ID NO: 29, и вариабельную область легкой цепи, имеющую последовательность, представленную в SEQ ID NO: 30.
В некоторых вариантах осуществления изобретения антитело против TROP-2 в конъюгате антитела и лекарственного средства (ADC) содержит константную область тяжелой цепи и константную область легкой цепи антитела; предпочтительно константная область тяжелой цепи выбрана из группы, состоящей из константных областей IgG1, IgG2, IgG3 и IgG4 человека и их обычных вариантов, и константная область легкой цепи выбрана из группы, состоящей из константных областей κ- и λ-цетш антитела человека и их обычных вариантов; более предпочтительно антитело содержит константную область тяжелой цепи, имеющую последовательность, представленную в SEQ ID NO: 31, и константную область легкой цепи, имеющую последовательность, представленную в SEQ ID NO: 32.
В некоторых вариантах осуществления изобретения антитело против TROP-2 в конъюгате антитела и лекарственного средства (ADC) содержит тяжелую цепь, имеющую последовательность, представленную в SEQ ID NO: 33, и легкую цепь, имеющую последовательность, представленную в SEQ ID NO: 34.
Аминокислотная последовательность (Genbank: NP_002344.2) TROP-2 выглядит следующим образом:
Аминокислотная последовательность TROP-2-His:
Вариабельная область тяжелой цепи антитела против TROP-2 PD3:
Вариабельная область легкой цепи антитела против TROP-2 PD3:
Константная область тяжелой цепи антитела (антитело против TROP-2) может быть выбрана из группы, состоящей из константных областей IgG1, IgG2, IgG4 человека и их вариантов, и константная область легкой цепи может быть выбрана из группы, состоящей из константных областей легкой цепи κ- и λ-цепей человека и их вариантов. В качестве примера, константная область тяжелой цепи антитела выбрана из IgG1 человека, имеющего последовательность, представленную в SEQ ID NO: 31, и константная область легкой цепи выбрана из константной области κ-цепи человека, имеющей последовательность, представленную в SEQ ID NO: 32.
Константная область тяжелой цепи IgG1 человека:
Константная область легкой κ-цепи человека:
В качестве примера, константные области легкой/тяжелой цепи, описанные выше, объединяют с вариабельными областями вышеупомянутого антитела PD3 с образованием полного антитела, последовательности легкой/тяжелой цепи которого являются следующими:
Тяжелая цепь антитела против TROP-2 (PD3):
Легкая цепь антитела против TROP-2 (PD3):
Дополнительно, конъюгат антитела и лекарственного средства (ADC) по настоящему изобретению выбран из группы, состоящей из:
где k выбран из группы, состоящей из 1-10, и может представлять собой целое число или десятичное число; дополнительно R1a в D выбран из метила, и R1b в D выбран из водорода.
Настоящее изобретение также относится к соединению формулы D или его таутомеру, мезомеру, рацемату, энантиомеру или диастереомеру или их смеси, или его фармацевтически приемлемой соли,
где
R1a выбран из группы, состоящей из водорода, алкила (например, C1-6 алкила, включая, но не ограничиваясь, метил, этил и изопропил), циклоалкила (например, С3--8 циклоалкила, включая, но не ограничиваясь, циклопропил, циклопентил или циклогексил), арила и гетероарила, и каждый из указанного алкила, циклоалкила, арила и гетероарила независимо необязательно замещен одним или более заместителями, выбранными из группы, состоящей из алкила (например, C1-6 алкила, включая, но не ограничиваясь, метил, этил и изопропил), алкокси (например, C1-6 алкокси, включая, но не ограничиваясь, метокси, этокси, пропокси и изопропокси), галогена (например, фтора, хлора и брома), дейтерия, амино, циано, нитро, гидрокси, гидроксиалкила, циклоалкила, гетероциклоалкила, арила и гетероарила, предпочтительно метила; R1b выбран из группы, состоящей из водорода, алкила (например, C1-6 алкила, включая, но не ограничиваясь, метил, этил и изопропил), алкокси, циклоалкила (например, С3-8 циклоалкила, включая, но не ограничиваясь, циклопропил, циклопентил или циклогексил), арила и гетероарила, и каждый из указанного алкила, циклоалкила, арила и гетероарила независимо необязательно замещен одним или более заместителями, выбранными из группы, состоящей из алкила (например, С1-6 алкила, включая, но не ограничиваясь, метил, этил и изопропил), алкокси (например, C1-6 алкокси, включая, но не ограничиваясь, метокси, этокси, пропокси и изопропокси), галогена (например, фтора, хлора и брома), дейтерия, амино, циано, нитро, гидрокси, гидроксиалкила, циклоалкила, гетероциклоалкила, арила и гетероарила, предпочтительно водорода и метила; или R1a и R1b вместе с присоединенными к ним атомами углерода образуют 5-8-членный гетероциклоалкил, причем указанный гетероциклоалкил необязательно замещен одним или более заместителями в алкиле (например, C1-6алкиле, включая, но не ограничиваясь, метил, этил и изопропил), алкокси (например, C1-6 алкокси, включая, но не ограничиваясь, метокси, этокси, пропокси и изопропокси), галогене (например, фтор, хлор и бром), дейтерии, амино, циано, нитро, гидрокси, гидроксиалкиле, циклоалкиле (например, С3-8 циклоалкиле, включая, но не ограничиваясь, циклопропил, циклопентил или циклогексил), гетероциклоалкиле, ариле и гетероариле, причем указанный гетероциклоалкил представляет собой водород, когда R1a и R1b являются различными.
В некоторых вариантах осуществления изобретения каждый из R1a и R1b в соединении формулы D независимо выбран из C1-6 алкила, включая, но не ограничиваясь, метил, этил и изопропил. В некоторых вариантах осуществления R1a в соединении формулы D выбран из C1-6 алкила, включая, но не ограничиваясь, метил, этил и изопропил; R1b выбран из водорода.
В некоторых вариантах осуществления изобретения R1a и R1b в соединении формулы D вместе с присоединенными к ним атомами углерода образуют 5-8-членный гетероциклоалкил.
В некоторых вариантах осуществления соединение формулы D представляет собой:
В некоторых вариантах осуществления соединение формулы D представляет собой:
В некоторых вариантах осуществления соединение формулы D представляет собой:
Настоящее изобретение также относится к соединению формулы DZ или его таутомеру, мезомеру, рацемату, энантиомеру или диастереомеру или их смеси, или его фармацевтически приемлемой соли,
где R1a выбран из группы, состоящей из водорода, алкила (например, C1-6 алкила, включая, но не ограничиваясь, метил, этил и изопропил), циклоалкила (например, С3-8 циклоалкила, включая, но не ограничиваясь, циклопропил, циклопентил или циклогексил), арила и гетероарила, и каждый из указанного алкила, циклоалкила, арила и гетероарила независимо необязательно замещен одним или более заместителями, выбранными из группы, состоящей из алкила (например, C1-6 алкила, включая, но не ограничиваясь, метил, этил и изопропил), алкокси (например, C1-6 алкокси, включая, но не ограничиваясь, метокси, этокси, пропокси и изопропокси), галогена (например, фтора, хлора и брома), дейтерия, амино, циано, нитро, гидрокси, гидроксиалкила, циклоалкила, гетероциклоалкила, арила и гетероарила, предпочтительно метила;
где R1b выбран из группы, состоящей из водорода, алкила (например, C1-6 алкила, включая, но не ограничиваясь, метил, этил и изопропил), алкокси, циклоалкила (например, С3-8 циклоалкила, включая, но не ограничиваясь, циклопропил, циклопентил или циклогексил), арила и гетероарила, и каждый из указанного алкила, циклоалкила, арила и гетероарила независимо необязательно замещен одним или более заместителями, выбранными из группы, состоящей из алкила (например, C1-6 алкила, включая, но не ограничиваясь, метил, этил и изопропил), алкокси (например, C1-6 алкокси, включая, но не ограничиваясь, метокси, этокси, пропокси и изопропокси), галогена (например, фтора, хлора и брома), дейтерия, амино, циано, нитро, гидрокси, гидроксиалкила, циклоалкила, гетероциклоалкила, арила и гетероарила, предпочтительно водорода;
или R1a и R1b вместе с присоединенными к ним атомами углерода образуют 5-8-членный гетероциклоалкил, причем указанный гетероциклоалкил необязательно замещен одним или более заместителями в алкиле (например, C1-6 алкиле, включая, но не ограничиваясь, метил, этил и изопропил), алкокси (например, C1-6 алкокси, включая, но не ограничиваясь, метокси, этокси, пропокси и изопропокси), галогене (например, фтор, хлор и бром), дейтерии, амино, циано, нитро, гидрокси, гидроксиалкиле, циклоалкиле (например, С3-8 циклоалкиле, включая, но не ограничиваясь, циклопропил, циклопентил или циклогексил), гетероциклоалкиле, ариле и гетероариле, причем указанный гетероциклоалкил представляет собой водород, когда R1a и R1b являются различными;
Y выбран из группы, состоящей из -O(CRaRb)m2-CR8R9-C(O)-, -NH-(CRaRb)m2-CR8R9-C(O)-, -O-CR8R9(CRaRb)m2-, -OCR8R9-C(O)-, -O(CRaRb)m2C(O)- и -S-(CRaRb)m2-CR8R9-C(O)-, где Ra и Rb одинаковые или различные и каждый независимо выбран из группы, состоящей из водорода, дейтерия, галогена и алкила;
R8 выбран из группы, состоящей из водорода, С3-6 циклоалкилалкила и С3-6 циклоалкила;
R9 выбран из группы, состоящей из водорода, галогеналкила и С3-6 циклоалкила, предпочтительно водорода;
или R8 и R9 вместе с присоединенными к ним атомами углерода образуют С3-6 циклоалкил;
m2 выбран из группы, состоящей из 0, 1, 2 и 3.
В некоторых вариантах осуществления изобретения каждый из R1a и R1b в соединении формулы DZ независимо выбран из C1-6 алкила, включая, но не ограничиваясь, метил, этил и изопропил.
В некоторых вариантах осуществления изобретения R1a в соединении формулы DZ выбран из С1-6 алкила, включая, но не ограничиваясь, метил, этил и изопропил; R1b выбран из водорода.
В некоторых вариантах осуществления изобретения R1a и R1b в соединении формулы DZ вместе с присоединенными к ним атомами углерода образуют 5-8-членный гетероциклоалкил.
В некоторых вариантах осуществления соединение формулы DZ или его таутомер, мезомер, рацемат, энантиомер или диастереомер или их смесь, или его фармацевтически приемлемая соль представляет собой соединение формулы DZ-1 или его таутомер, мезомер, рацемат, энантиомер или диастереомер или их смесь, или его фармацевтически приемлемую соль,
где R8 выбран из группы, состоящей из водорода, С3-6 циклоалкилалкила и С3-6 циклоалкила; R9 выбран из группы, состоящей из водорода, галогеналкила и С3-6 циклоалкила, предпочтительно водорода; или R8 и R9 вместе с присоединенными к ним атомами углерода образуют С3-6 циклоалкил; m2 выбран из группы, состоящей из 0, 1, 2 и 3.
В некоторых вариантах осуществления соединение формулы DZ выбрано из группы, состоящей из:
В другом аспекте соединение формулы DZ, предложенное в некоторых вариантах осуществления, может содержать один или более асимметричных центров, например,
В другом аспекте настоящее изобретение также относится к фармацевтической композиции, содержащей терапевтически эффективное количество вышеупомянутого конъюгата антитела и лекарственного средства и фармацевтически приемлемый носитель, разбавитель или эксципиент.
Настоящее изобретение также относится к применению вышеупомянутого конъюгата антитела и лекарственного средства или вышеупомянутой фармацевтической композиции в получении лекарственного препарата для лечения или предотвращения опухоли. В некоторых вариантах осуществления изобретения опухоль представляет собой рак, ассоциированный с экспрессией HER2, HER3, В7Н3 или EGFR.
Настоящее изобретение также относится к применению вышеупомянутого конъюгата антитела и лекарственного средства или вышеупомянутой фармацевтической композиции в получении лекарственного препарата для лечения и/или предотвращения рака. В некоторых вариантах осуществления изобретения рак предпочтительно представляет собой рак молочной железы, рак яичника, рак шейки матки, рак матки, рак предстательной железы, рак почки, рак мочевыводящих путей, рак мочевого пузыря, рак печени, рак желудка, рак эндометрия, карциному слюнной железы, рак пищевода, меланому, глиому, нейробластому, саркому, рак легкого, рак толстой кишки, рак прямой кишки, колоректальный рак, лейкоз, рак кости, рак кожи, рак щитовидной железы, рак поджелудочной железы и лимфому.
Настоящее изобретение также относится к способу лечения или предотвращения опухоли, включающему введение пациенту, нуждающемуся в этом, терапевтически эффективного количества вышеупомянутого конъюгата антитела и лекарственного средства или вышеупомянутой фармацевтической композиции; где опухоль предпочтительно представляет собой рак, ассоциированный с экспрессией HER2, HER3, В7Н3 или EGFR.
Настоящее изобретение также относится к способу лечения и/или предотвращения рака, включающему введение пациенту, нуждающемуся в этом, терапевтически эффективного количества вышеупомянутого конъюгата антитела и лекарственного средства или вышеупомянутой фармацевтической композиции; причем указанный рак предпочтительно представляет собой рак молочной железы, рак яичника, рак шейки матки, рак матки, рак предстательной железы, рак почки, рак мочевыводящих путей, рак мочевого пузыря, рак печени, рак желудка, рак эндометрия, карциному слюнной железы, рак пищевода, меланому, глиому, нейробластому, саркому, рак легкого, рак толстой кишки, рак прямой кишки, колоректальный рак, лейкоз, рак кости, рак кожи, рак щитовидной железы, рак поджелудочной железы и лимфому.
Настоящее изобретение дополнительно относится к вышеупомянутому конъюгату антитела и лекарственного средства или вышеупомянутой фармацевтической композиции для применения в лечении или предотвращении опухоли; где опухоль предпочтительно представляет собой рак, ассоциированный с экспрессией HER2, HER3, В7Н3 или EGFR.
Настоящее изобретение дополнительно относится к вышеупомянутому конъюгату антитела и лекарственного средства или вышеупомянутой фармацевтической композиции для применения в лечении и/или предотвращении рака; причем указанный рак предпочтительно представляет собой рак молочной железы, рак яичника, рак шейки матки, рак матки, рак предстательной железы, рак почки, рак мочевыводящих путей, рак мочевого пузыря, рак печени, рак желудка, рак эндометрия, карциному слюнной железы, рак пищевода, меланому, глиому, нейробластому, саркому, рак легкого, рак толстой кишки, рак прямой кишки, колоректальный рак, лейкоз, рак кости, рак кожи, рак щитовидной железы, рак поджелудочной железы и лимфому.
Активное соединение может быть составлено в форме, подходящей для введения любым подходящим способом, предпочтительно в форме стандартной дозы или в форме однократной дозы, которую может самостоятельно вводить пациент. Стандартная доза соединения или композиции по настоящему изобретению может находиться в таблетке, капсуле, крахмальной капсуле, флаконе, порошке, грануле, пастилке, суппозитории, регенерирующем порошке или жидком составе.
Дозировка соединения или композиции, используемая в способе лечения по настоящему изобретению, обычно будет варьироваться в зависимости от тяжести заболевания, массы тела пациента и относительной эффективности соединения. Однако, как правило, подходящая стандартная доза может составлять от 0,1 до 1000 мг.
Фармацевтическая композиция по настоящему изобретению может содержать, в дополнение к активному соединению, одно или более вспомогательных веществ, выбранных из группы, состоящей из наполнителя (разбавителя), связующего вещества, смачивающего агента, разрыхлителя, эксципиента и тому подобного. В зависимости от способа введения композиции могут содержать от 0,1 до 99 мас. % активного соединения.
ПОДРОБНОЕ ОПИСАНИЕ ИЗОБРЕТЕНИЯ
Если не указано иное, все технические и научные термины, используемые в настоящем изобретении, имеют такое же значение, которое обычно подразумевается специалистом в области техники, к которой относится настоящее изобретение. Хотя любые способы и материалы, аналогичные или эквивалентные описанным в настоящем документе, также могут быть использованы для осуществления или тестирования настоящего изобретения, предпочтительные способы и материалы описаны в настоящем документе. В описании и формуле изобретения по настоящему изобретению используются следующие термины в соответствии с приведенными ниже определениями.
При использовании торгового наименования в настоящем описании предполагается, что оно включает состав коммерческого продукта под указанным торговым наименованием и непатентное лекарственное средство и активный компонент лекарственного средства коммерческого продукта под указанным торговым наименованием.
Если не указано иное, термины, используемые в описании и формуле изобретения, имеют следующие значения.
Термин «лекарственное средство» относится к цитотоксическому лекарственному средству или иммуномодулирующему агенту. Цитотоксическое лекарственное средство может иметь химическую молекулу в опухолевой клетке, которая является достаточно сильной, чтобы нарушить ее нормальный рост. Цитотоксическое лекарственное средство может уничтожать опухолевые клетки в целом при достаточно высокой концентрации; однако из-за отсутствия специфичности, цитотоксическое лекарственное средство может вызывать апоптоз нормальных клеток при уничтожении опухолевых клеток, что приводит к серьезным побочным эффектам. Цитотоксическое лекарственное средство включает токсины, такие как низкомолекулярные токсины или ферментативно активные токсины бактериального, грибкового, растительного или животного происхождения, радиоизотопы (например, At211, I131, I125, Y90, Re186, Re188, Sm153, Bi212, P32 и радиоактивные изотопы Lu), токсические лекарственные средства, химиотерапевтические лекарственные средства, антибиотики и нуклеолитические ферменты. Иммуномодулирующий агент представляет собой ингибитор молекул иммунных контрольных точек. В некоторых вариантах осуществления настоящего изобретения лекарственное средство обозначено как D и принадлежит иммуномодулирующему агенту, в частности, агонисту TLR8.
Термин «линкерное звено», «линкер» или «линкерный фрагмент» относится к химическому структурному фрагменту или связи, который связан с лигандом на одном конце и связан с лекарственным средством на другом конце, а также может быть связан с другими линкерами, а затем связан с лекарственным средством.
Линкер может содержать один или более линкерных компонентов. Иллюстративные линкерные компоненты включают 6-малеимидокапроил (МС), малеимидопропионил (MP), валин-цитруллин (Val-Cit или vc), аланин-фенилаланин (ala-phe), п-аминобензилоксикарбонил (РАВ) и те, которые получены в результате связывания с линкерным реагентом: N-сукцинимидил-4-(2-пиридилтио)пентаноат (SPP), N-сукцинимидил-4-(N-малеимидометил)циклогексан-1 карбоксилат (SMCC, также упоминаемый в настоящем документе как МСС) и N-сукцинимидил(4-йод-ацетил)аминобензоат (SIAB). Линкер может содержать удлиняющее звено, спейсерное звено, аминокислотное звено и увеличивающее звено. Линкер может быть синтезирован с использованием способов, известных в данной области техники, таких как описанные в US 2005-0238649 A1. Линкер может представлять собой «расщепляемый линкер», способствующий высвобождению лекарственных средств в клетках. Например, могут быть использованы кислотолабильные линкеры (например, гидразоны), линкеры, чувствительные к протеазе (например, чувствительные к пептидазе), фотолабильные линкеры, диметильные линкеры или дисульфидсодержащие линкеры (Chari et al., Cancer Research 52: 127-131(1992); патент США №5208020).
Термин «удлиняющее звено» относится к химическому структурному фрагменту, который ковалентно связывается с антителом через атомы углерода на одном конце и связан с аминокислотным звеном, дисульфидным фрагментом, сульфонамидным фрагментом или непептидным химическим фрагментом на другом конце.
Термин «спейсерное звено» представляет собой структурный фрагмент бифункционального соединения, который может быть использован для связывания аминокислотного звена с цитотоксическим лекарственным средством с образованием конъюгата антитела и лекарственного средства таким образом, что цитотоксическое лекарственное средство селективно связано с аминокислотным звеном.
Термин «аминокислота» относится к органическому соединению, которое содержит аминогруппу и карбоксил в молекулярной структуре, и в котором как аминогруппа, так и карбоксил непосредственно связаны со структурой -СН-. Общая формула представляет собой H2NCHRCOOH, и R представляет собой Н, замещенный или незамещенный алкил и тому подобное. Аминокислоты классифицируются как α, β, γ, δ, ε… - аминокислоты в соответствии с положением атома углерода, с которым аминогруппа связана в карбоновой кислоте. В биологическом мире аминокислоты, составляющие природные белки, имеют свои специфические структурные особенности, а именно их аминогруппа непосредственно связана с α-атомом углерода, то есть это α-аминокислоты, включая глицин, аланин, валин, лейцин, изолейцин, фенилаланин, триптофан, тирозин, аспарагиновую кислоту, гистидин, аспарагин, глутаминовую кислоту, лизин, глутамин, метионин, аргинин, серии, треонин, цистеин, пролин и тому подобное. Неприродные аминокислоты представляют собой, например, цитруллин. Как хорошо известно специалистам в данной области техники, неприродные аминокислоты не составляют природные белки и, следовательно, не участвуют в синтезе антител в настоящем описании. Трехбуквенные и однобуквенные коды для аминокислот, используемые в настоящем описании, раскрыты в J. biol. chem, 243, р3558 (1968).
Спейсерное звено в настоящем изобретении представляет собой РАВ, который имеет структуру, представленную п-аминобензилоксикарбонильным фрагментом, имеет структуру, представленную формулой (VI), и связан с D,
Линкерные компоненты включают, но не ограничиваются:
МС представляет собой 6-малеимидокапроил со структурой:
Val-Cit или «vc» представляет собой валин-цитруллин (иллюстративный дипептид в расщепляемом протеазой линкере);
цитруллин представляет собой 2-амино-5-уреидопентановую кислоту;
Me-Val-Cit представляет собой N-метил-валин-цитруллин (где линкерная пептидная связь была модифицирована для предотвращения ее расщепления катепсином В);
MC(PEG)6-OH представляет собой малеимидокапроил-полиэтиленгликоль (присоединяемый к цистеину антитела);
SPP представляет собой N-сукцинимидил-4-(2-пиридилтио)валерат;
SPDP представляет собой N-сукцинимидил-3-(2-пиридилдитио)пропионат;
SMCC представляет собой сукцинимидил-4-(N-малеимидометил)циклогексан-1-карбоксилат;
IT представляет собой иминотиолан;
PBS представляет собой фосфатно-солевой буфер.
Термин «конъюгат антитела и лекарственного средства» означает, что лиганд связан с биологически активным лекарственным средством посредством стабильного линкерного звена. В настоящем описании «конъюгат антитела и лекарственного средства» (ADC) означает, что моноклональное антитело или фрагмент антитела связаны с биологически активным токсическим лекарственным средством посредством стабильного линкерного звена.
Термин «нагрузка лекарственным средством» также может быть представлен как соотношение лекарственного средства к антителу. Нагрузка лекарственным средством может составлять от 1 до 20, предпочтительно от 1 до 10 цитотоксических лекарственных средств (D), присоединенных к антителу (Ab). В вариантах осуществления настоящего изобретения нагрузка лекарственным средством представлена в виде к и может в качестве примера составлять 1, 2, 3, 4, 5, 6, 7, 8, 9, 10, 11, 12, 13, 14, 15, 16, 17, 18, 19, 20 или среднее из любых двух значений; предпочтительно среднее от 1 до 10 и более предпочтительно среднее от 1 до 8, или от 2 до 8, или от 2 до 7, или от 3 до 8, или от 3 до 7, или от 3 до 6, или от 4 до 7, или от 4 до 6, или от 4 до 5. Среднее количество лекарственных средств на молекулу ADC после реакций связывания может быть охарактеризовано обычными способами, такими как УФ/видимая спектроскопия, масс-спектрометрия, анализы ELISA (иммуноферментный анализ), анализ на основе варианта размера молекулы моноклонального антитела (CE-SDS) и ВЭЖХ (высокоэффективная жидкостная хроматография).
Анализ на основе варианта размера молекулы моноклонального антитела (CE-SDS) по настоящему изобретению может быть использован для количественного определения чистоты продукта на основе рекомбинантного моноклонального антитела путем применения ультрафиолетового анализа с использованием капиллярного электрофореза в присутствии додецилсульфата натрия (CE-SDS) на основе молекулярной массы в восстанавливающих и невосстанавливающих условиях и в соответствии со способом капиллярного электрофореза (Китайская фармакопея 0542, издание 2015 года).
В одном варианте осуществления настоящего изобретения цитотоксическое лекарственное средство связано с N-концевой аминогруппой лиганда и/или ε-аминогруппой остатка лизина через связующее звено, и, как правило, количество молекул лекарственного средства, которые могут быть связаны с антителом в реакции связывания, будет меньше теоретического максимума.
Нагрузка конъюгата антитела и лекарственного средства может контролироваться следующими неограничивающими способами, включая:
(1) контроль молярного соотношения линкерного реагента к моноклональному антителу,
(2) контроль времени и температуры реакции и
(3) выбор различных реагентов.
Термин «антитело» относится к иммуноглобулину, который имеет структуру тетрапептидной цепи, образованную путем соединения между двумя идентичными тяжелыми цепями и двумя идентичными легкими цепями с помощью межцепочечных дисульфидных связей. Константные области тяжелой цепи иммуноглобулина отличаются по своему аминокислотному составу и расположению, и, таким образом, по своей антигенности. Соответственно, иммуноглобулины можно разделить на пять классов, иначе называемых изотипами иммуноглобулинов, а именно IgM, IgD, IgG, IgA и IgE, при этом их соответствующие тяжелые цепи представляют собой μ-цепь, δ-цепь, γ-цепь, α-цепь и ε-цепь, соответственно. Ig одного класса может быть разделен на различные подклассы в зависимости от различий в аминокислотном составе шарнирных областей и количества и положения дисульфидных связей тяжелых цепей; например, IgG может быть разделен на IgG1, IgG2, IgG3 и IgG4. Легкие цепи классифицируются на κ- или δ-цепи по различиям в константных областях. Каждый из пяти классов Ig может иметь κ-цепь или δ-цепь. Антитело, описанное в настоящем изобретении, предпочтительно представляет собой специфические антитела против антигенов клеточной поверхности на клетках-мишенях, при этом неограничивающими примерами антител являются следующие: антитело против HER2 (ErbB2), антитело против EGFR, антитело против В7-Н3, антитело против c-Met, антитело против HER3 (ErbB3), антитело против HER4 (ErbB4), антитело против CD20, антитело против CD22, антитело против CD30, антитело против CD33, антитело против CD44, антитело против CD56, антитело против CD70, антитело против CD73, антитело против CD105, антитело против СЕА, антитело против А33, антитело против Крипто, антитело против EphA2, антитело против G250, антитело против MUC1, антитело против Льюис Y, антитело против VEGFR, антитело против GPNMB, антитело против Интегрина, антитело против PSMA, антитело против Тенасцина-С, антитело против SLC44A4, антитело против CD79, антитело против TROP-2, антитело против CD79B, антитело против Мезотелина и их антигенсвязывающий фрагмент. В некоторых вариантах осуществления изобретения антитело выбрано из группы, состоящей из трастузумаба (торговое название: Герцептин®), пертузумаба (также известного как 2С4, торговое название: Перьета®), нимотузумаба (торговое название: Тайсинынэн®), эноблитузумаба, эмибетузумаба, инотузумаба, пинатузумаба, брентуксимаба, гемтузумаба, биватузумаба, лорвотузумаба, cBR96 и глематумамаба.
В тяжелых и легких цепях антитела последовательности около 110 аминокислот вблизи N-конца значительно варьируются и, таким образом, называются вариабельными областями (Fv-области); остальные аминокислотные последовательности вблизи С-конца являются относительно стабильными и, таким образом, называются константными областями. Вариабельная область включает 3 гипервариабельные области (HVR) и 4 каркасные области (FR) с относительно консервативными последовательностями. Три гипервариабельные области определяют специфичность антитела и также известны как области, определяющие комплементарность (CDR). Каждая вариабельная область легкой цепи (LCVR) или вариабельная область тяжелой цепи (HCVR) состоит из 3 CDR и 4 FR, расположенных от аминоконца к карбоксиконцу в следующем порядке: FR1, CDR1, FR2, CDR2, FR3, CDR3 и FR4. Три области CDR легкой цепи обозначаются как LCDR1, LCDR2 и LCDR3, три области CDR тяжелой цепи обозначаются как HCDR1, HCDR2 и HCDR3.
Антитело согласно настоящему изобретению включает мышиное антитело, химерное антитело, гуманизированное антитело и полностью гуманизированное антитело, предпочтительно гуманизированное антитело и полностью гуманизированное антитело.
Термин «мышиное антитело», используемый в настоящем документе, относится к антителу, полученному из мыши в соответствии со знаниями и опытом в данной области техники. Во время получения тестируемому субъекту вводят определенный антиген, а затем выделяют гибридому антител, экспрессирующих желаемую последовательность или функциональные свойства.
Термин «химерное антитело» относится к антителу, полученному путем слияния вариабельной области мышиного антитела и константной области человеческого антитела, которое может снижать иммунный ответ, индуцированный мышиным антителом. Химерное антитело устанавливают, сначала устанавливая гибридому, секретирующую мышиное специфическое моноклональное антитело, затем клонируя ген вариабельной области из мышиных гибридомных клеток, клонируя ген константной области человеческого антитела по мере необходимости, соединяя ген вариабельной области мыши и ген константной области человека в химерный ген, вставляя химерный ген в вектор экспрессии и, наконец, экспрессируя молекулы химерного антитела в эукариотической системе или прокариотической системе.
Термин «гуманизированное антитело», также известное как CDR-привитое антитело, относится к антителу, полученному путем прививания последовательностей мышиных CDR в каркас вариабельной области человеческого антитела, то есть другой тип каркасной последовательности человеческого антитела зародышевой линии. Такое антитело может преодолеть гетерогенную реакцию, индуцированную химерным антителом, из-за переноса большого количества белковых компонентов мыши. Такие каркасные последовательности можно получить из общедоступных баз данных ДНК или опубликованных ссылок, которые включают последовательности генов антител зародышевой линии. Например, последовательности ДНК зародышевой линии генов вариабельных областей тяжелой и легкой цепи человека можно найти в базе данных последовательностей зародышевой линии человека «VBase» (доступна по адресу в Интернете www.mrccpe.com.ас.uk/vbase), а также в Kabat, Е.A. et al., 1991 Sequences of Proteins of Immunological Interest, 5th edition. Чтобы избежать снижения иммуногенности и в то же время снижения активности, каркасные последовательности вариабельной области человеческого антитела могут быть подвергнуты минимальной реверсивной мутации или обратной мутации для сохранения активности. Гуманизированное антитело по настоящему изобретению также включает гуманизированное антитело, образованное после дальнейшего аффинного созревания на CDR с помощью фагового дисплея. Литература, дополнительно описывающая способы, используемые для гуманизации доступных мышиных антител, включает, например, Queen et al., Ргос, Natl. Acad. Sci. USA, 88, 2869, 1991, и литература, описывающая гуманизацию с использованием способа, предложенного Winter и коллегами, включает Jones et al., Nature, 321, 522 (1986); Riechmann et al., Nature, 332, 323-327 (1988), Verhoeyen et al, Science, 239, 1534 (1988).
Термины «полностью гуманизированное антитело», «полностью человеческое антитело» или «абсолютно человеческое антитело», также известное как «полностью гуманизированное моноклональное антитело», могут иметь как гуманизированную вариабельную область, так и константную область, для устранения иммуногенности и токсических побочных эффектов. Развитие моноклональных антител имеет четыре стадии, а именно мышиные моноклональные антитела, химерные моноклональные антитела, гуманизированные моноклональные антитела и полностью гуманизированные моноклональные антитела. Антитело по настоящему изобретению представляет собой полностью гуманизированное моноклональное антитело. Основные подходящие технологии для получения полностью человеческого антитела включают технологию на основе гибридомы человека, технологию на основе EBV (вирус Эпштейна-Барр)-трансформированных В-лимфоцитов, технологию фагового дисплея, технологию получения антител из трансгенной мыши, технологию получения единичного В-клеточного антитела и тому подобное.
Термин «антигенсвязывающий фрагмент» относится к одному или более фрагментам антитела, которые сохраняют способность специфически связываться с антигеном. Показано, что фрагмент полноразмерного антитела может быть использован для выполнения антигенсвязывающей функции антитела. Примеры связывающего фрагмента, включенного в «антигенсвязывающий фрагмент», включают (i) фрагменты Fab, одновалентные фрагменты, состоящие из доменов VL, VH, CL и CH1; (ii) фрагменты F(ab')2, двухвалентные фрагменты, содержащие два фрагмента Fab, соединенные дисульфидными мостиками в шарнирных областях; (iii) фрагменты Fd, состоящие из доменов VH и CH1; (iv) фрагменты Fv, состоящие из доменов VH и VL одного плеча антитела; (v) одиночные домены или фрагменты dAb (Ward et al., (1989) Nature 341: 544-546), состоящие из доменов VH; и (vi) выделенные области, определяющие комплементарность (CDR), или (vii) комбинации двух или более выделенных CDR, которые необязательно могут быть связаны синтетическими линкерами. Кроме того, хотя два домена фрагмента Fv, VL и VH, кодируются отдельными генами, они могут быть связаны синтетическим линкером путем рекомбинации, что позволяет ему продуцировать одну белковую цепь, в которой области VL и VH спариваются с образованием одновалентной молекулы (называемой одноцепочечным Fv (scFv); см., например, Bird et al. (1988) Science 242:423-426; и Huston et al. (1988) Proc. Natl. Acad. Sci USA 85:5879-5883). Такие одноцепочечные антитела также предназначены для включения в термин «антигенсвязывающий фрагмент» антитела. Такие фрагменты антитела получают с использованием общепринятых методик, известных специалистам в данной области техники, и подвергают скринингу на пригодность таким же образом, что и интактные антитела. Антигенсвязывающие части могут быть получены с использованием технологии рекомбинантной ДНК или путем ферментативного или химического расщепления интактных иммуноглобулинов. Антитела могут быть различных изотипов, например, IgG (например, подтип IgG1, IgG2, IgG3 или IgG4), IgA1, IgA2, IgD, IgE или IgM антитела.
Fab представляет собой фрагмент антитела, имеющий молекулярную массу около 50000 и обладающий антигенсвязывающей активностью, среди фрагментов, полученных путем обработки молекулы антитела IgG протеазой папаином (расщепление аминокислотного остатка в положении 224 Н-цепи), в котором примерно половина и вся N-концевая сторона Н-цепи объединена с L-цепью с помощью дисульфидной связи.
F(ab')2 представляет собой фрагмент антитела, имеющий молекулярную массу около 100000, и обладающий антигенсвязывающей активностью, и содержащий две области Fab, связанные в шарнирном положении, который получен путем расщепления части ниже двух дисульфидных связей в шарнирной области IgG с помощью фермента пепсина.
Fab' представляет собой фрагмент антитела, имеющий молекулярную массу около 50000 и обладающий антигенсвязывающей активностью, полученный путем расщепления дисульфидной связи в шарнирной области F(ab')2, описанного выше.
Кроме того, Fab' может быть получен путем вставки ДНК, кодирующей фрагмент Fab' антитела, в прокариотический или эукариотический вектор экспрессии и введения вектора в прокариот или эукариот для экспрессии Fab'.
Термин «одноцепочечное антитело», «одноцепочечный Fv» или «scFv» относится к молекуле, содержащей вариабельный домен тяжелой цепи антитела (или область; VH) и вариабельный домен легкой цепи антитела (или область; VL), связанные линкером. Такие молекулы scFv имеют общую структуру: NH2-VL-линкер-VH-СООН или NH2-VH-линкер-VL-COOH. Подходящие линкеры, раскрытые в предшествующем уровне техники, состоят из повторяющихся аминокислотных последовательностей GGGGS или их вариантов, например, от 1 до 4 повторяющихся вариантов (Holliger et al. (1993), Proc. Natl. Acad. Sci. USA 90: 6444-6448). Другие линкеры, которые можно использовать в настоящем изобретении, описаны в Alfthan et al. (1995), Protein Eng. 8:725-731, Choi et al. (2001), Eur. J. Immunol. 31:94-106, Hu et al. (1996), Cancer Res. 56:3055-3061, Kipriyanov et al. (1999) J. Mol. Biol. 293:41-56 и Roovers et al. (2001), Cancer Immunol.
Термин «CDR» относится к одной из 6 гипервариабельных областей в пределах вариабельного домена антитела, которые в основном способствуют связыванию антигена. Одно из наиболее распространенных определений для 6 CDR представлено в Kabat Е.А. et al., (1991) Sequences of proteins of immunological interest. NIH Publication 91-3242. В настоящем изобретении определение CDR по Кабату (Kabat) может применяться только к CDR1, CDR2 и CDR3 вариабельного домена легкой цепи (CDR L1, CDR L2, CDR L3 или LI, L2, L3) и CDR2 и CDR3 вариабельного домена тяжелой цепи (CDR Н2, CDR Н3 или Н2, Н3). В целом, существует три CDR (HCDR1, HCDR2 и HCDR3) в каждой вариабельной области тяжелой цепи и три CDR (LCDR1, LCDR2 и LCDR3) в каждой вариабельной области легкой цепи. Границы аминокислотных последовательностей CDR могут быть определены с использованием любой из множества хорошо известных схем, включая схему нумерации «Кабат» (см. Kabat et al. (1991), "Sequences of Proteins of Immunological Interest", 5th edition, Public Health Service, National Institutes of Health, Bethesda, MD), схему нумерации "Чотиа" (см. A1-Lazikani et al. (1997) JMB 273: 927-948) и схему нумерации ImMunoGenTics (IMGT) (см. Lefranc M.P., Immunologist, 7, 132-136(1999); Lefranc, M.P. et al., Dev. Сотр. Immunol., 27, 55-77(2003)) и тому подобное. Например, для классического формата, согласно схеме Кабата, аминокислотные остатки CDR в вариабельном домене тяжелой цепи (VH) пронумерованы как 31-35 (HCDR1), 50-65 (HCDR2) и 95-102 (HCDR3); аминокислотные остатки CDR в вариабельном домене легкой цепи (VL) пронумерованы как 24-34 (LCDR1), 50-56 (LCDR2) и 89-97 (LCDR3). Согласно схеме Чотиа аминокислоты CDR в VH пронумерованы как 26-32 (HCDR1), 52-56 (HCDR2) и 95-102 (HCDR3); и аминокислотные остатки в VL пронумерованы как 26-32 (LCDR1), 50-52 (LCDR2) и 91-96 (LCDR3). Согласно определениям CDR, полученным путем объединения схемы Кабата и схемы Чотиа, CDR состоит из аминокислотных остатков 26-35 (HCDR1), 50-65 (HCDR2) и 95-102 (HCDR3) в VH человека и аминокислотных остатков 24-34 (LCDR1), 50-56 (LCDR2) и 89-97 (LCDR3) в VL человека. Согласно схеме IMGT, аминокислотные остатки CDR в VH примерно пронумерованы как 26-35 (CDR1), 51-57 (CDR2) и 93-102 (CDR3), и аминокислотные остатки CDR в VL примерно пронумерованы как 27-32 (CDR1), 50-52 (CDR2) и 89-97 (CDR3). Согласно схеме IMGT, CDR антитела могут быть определены с помощью программы IMGT/DomainGap Align.
Термин «каркас антитела» относится к части вариабельного домена VL или VH, которая служит каркасом для антигенсвязывающих петель (CDR) вариабельного домена. Она по существу представляет собой вариабельный домен без CDR.
Термин «эпитоп» или «антигенная детерминанта» относится к сайту на антигене, с которым специфически связывается иммуноглобулин или антитело. Эпитопы, как правило, содержат по меньшей мере 3, 4, 5, 6, 7, 8, 9, 10, 11, 12, 13, 14 или 15 смежных или несмежных аминокислот в уникальной пространственной конформации (см., например, Epitope Mapping Protocols in Methods in Molecular Biology, Vol.66, G.E. Morris, Ed. (1996)).
Термины «специфическое связывание», «селективное связывание», «селективное связывание с» и «специфическое связывание с» относятся к связыванию антитела с эпитопом на заданном антигене. Как правило, антитело связывается с аффинностью (KD) менее чем около 10-7 М, например, менее чем около 10-8 М, 10-9 М или 10-10 М или менее.
Термин «молекула нуклеиновой кислоты» относится к молекуле ДНК или молекуле РНК. Молекула нуклеиновой кислоты может быть одноцепочечной или двухцепочечной, но предпочтительно представляет собой двухцепочечную ДНК. Нуклеиновая кислота является «функционально связанной», когда она помещена в функциональную связь с другой последовательностью нуклеиновой кислоты. Например, промотор или энхансер функционально связан с кодирующей последовательностью, если он влияет на транскрипцию кодирующей последовательности.
Термин «вектор» относится к молекуле нуклеиновой кислоты, способной транспортировать другую нуклеиновую кислоту, с которой она была связана. В одном варианте осуществления изобретения вектор представляет собой «плазмиду», которая относится к кольцевой двухцепочечной петле ДНК, в которую могут быть лигированы дополнительные сегменты ДНК. В другом варианте осуществления вектор представляет собой вирусный вектор, где дополнительные сегменты ДНК могут быть лигированы в вирусный геном. Векторы, раскрытые в настоящем документе, способны автономно реплицироваться в клетке-хозяине, в которую они введены (например, бактериальные векторы, имеющие бактериальное происхождение репликации, и эписомальные векторы млекопитающих), или способны интегрироваться в геном клетки-хозяин а после введения в клетку-хозяина и, таким образом, реплицироваться с геномом хозяина (например, неэписомальные векторы млекопитающих).
Способы получения и очистки антител и антигенсвязывающих фрагментов хорошо известны в данной области техники, например, описанные в главах 5-8 и 15 публикации Antibodies: A Laboratory Manual, Cold Spring Harbor Press. Антигенсвязывающие фрагменты также могут быть получены с использованием общепринятых способов. Антитело или антигенсвязывающий фрагмент, описанные в настоящем изобретении, генетически сконструированы таким образом, чтобы содержать одну или более дополнительных FR человека в CDR нечеловеческого происхождения. Последовательности FR зародышевой линии человека можно получить на веб-сайте http://imgt.cines.fr ImMunoGeneTics (IMGT) или в журнале иммуноглобулинов, 2001ISBN012441351, путем сравнения с базой данных генов вариабельной области человеческих антител зародышевой линии с помощью программного обеспечения МОЕ.
Термин «клетка-хозяин» относится к клетке, в которую был введен вектор экспрессии. Клетки-хозяева могут включать бактериальные, микробные, растительные или животные клетки. Бактерии, чувствительные к трансформации, включают членов семейства Enterobacteriaceae, таких как штаммы Escherichia coli или Salmonella; членов семейства Bacillaceae, таких как Bacillus subtilis; Pneumococcus; Streptococcus; и Haemophilus influenzae. Подходящие микроорганизмы включают Saccharomyces cerevisiae и Pichia pastoris. Подходящие линии клеток-хозяев животных включают СНО (линия клеток яичника китайского хомячка) и клетки NS0.
Сконструированное антитело или антигенсвязывающий фрагмент согласно настоящему изобретению могут быть получены и очищены обычными методами. Например, последовательности кДНК, кодирующие тяжелую и легкую цепи, можно клонировать и рекомбинировать в вектор экспрессии GS. Векторы экспрессии рекомбинантного иммуноглобулина могут быть стабильно трансфицированы в клетки СНО. В качестве более рекомендуемых в предшествующем уровне техники системы экспрессии млекопитающих могут привести к гликозилированию антител, в частности, в высококонсервативном N-концевом сайте области Fc. Положительные клоны размножали в бессывороточной среде биореактора для получения антител. Культуру с секретируемым антителом можно очистить с помощью обычных методик, например, очистку проводят на колонке А или G Sepharose FF, содержащей отрегулированный буфер. Неспецифически связанные фракции вымывали. Связанное антитело элюируют методом градиента рН, а фрагменты антител детектируют с помощью ДСН-ПААГ-электрофореза (электрофорез в полиакриламидном геле с додецилсульфатом натрия) и собирают. Антитело можно фильтровать и концентрировать обычными методами. Растворимые смеси и полимеры также могут быть удалены обычными методами, такими как молекулярные сита и ионный обмен. Полученный продукт должен быть немедленно заморожен, например, при минус 70°С, или лиофилизирован.
«Идентичность» аминокислотной последовательности относится к проценту аминокислотных остатков, разделяемых первой последовательностью и второй последовательностью, причем при выравнивании аминокислотных последовательностей при необходимости вводятся гэпы для достижения максимального процента идентичности последовательности, и любая консервативная замена не рассматривается как часть идентичности последовательности. С целью определения процента идентичности аминокислотных последовательностей, выравнивания могут быть достигнуты различными способами, которые входят в область техники, например, с использованием общедоступного компьютерного программного обеспечения, такого как программное обеспечение BLAST, BLAST-2, ALIGN, ALIGN-2 или Megalign (DNASTAR). Специалисты в данной области техники могут определить параметры, подходящие для измерения выравнивания, включая любые алгоритмы, необходимые для достижения максимального выравнивания всей длины выровненных последовательностей.
Термин «пептид» относится к фрагменту соединения между аминокислотой и белком. Он образуется путем соединения 2 или более аминокислотных молекул пептидными связями и является структурным и функциональным фрагментом белка, таким как гормоны и ферменты, которые по существу являются пептидами.
Термин «сахар» относится к биомакромолекулам, состоящим из С, Н и О элементов. Они могут быть классифированы на моносахариды, дисахариды, полисахариды и тому подобное.
Термин «флуоресцентный зонд» относится к типу флуоресцентной молекулы, которая имеет характерную флуоресценцию в ультрафиолетовой видимой ближней инфракрасной области, и чьи флуоресцентные свойства (длины волн возбуждения и излучения, интенсивность, время жизни, поляризацияи т.д.) могут быть чувствительно изменены путем изменения свойств окружающей среды, таких как полярность, показатель преломления и вязкость, и которые могут быть использованы для изучения свойств и поведения макромолекулярных веществ посредством нековалентного взаимодействия с нуклеиновыми кислотами (ДНК или РНК), белками или другими макромолекулярными структурами для изменения одного или более из флуоресцентных свойств.
Термин «алкил» относится к насыщенной алифатической углеводородной группе, которая представляет собой линейную или разветвленную группу, содержащую от 1 до 20 атомов углерода, предпочтительно алкилу, содержащему от 1 до 12 атомов углерода, более предпочтительно алкилу, содержащему от 1 до 10 атомов углерода, и наиболее предпочтительно алкилу, содержащему от 1 до 6 атомов углерода. Неограничивающие примеры включают метил, этил, н-пропил, изопропил, н-бутил, изобутил, трет-бутил, втор-бутил, н-пентил, 1,1-диметилпропил, 1,2-диметилпропил, 2,2-диметилпропил, 1-этилпропил, 2-метилбутил, 3-метилбутил, н-гексил, 1-этил-2-метилпропил, 1,1,2-триметилпропил, 1,1-диметилбутил, 1,2-диметилбутил, 2,2-диметилбутил, 1,3-диметилбутил, 2-этилбутил, 2-метилпентил, 3-метил пентил, 4-метилпентил, 2,3-диметилбутил, н-гептил, 2-метилгексил, 3-метилгексил, 4-метилгексил, 5-метилгексил, 2,3-диметилпентил, 2,4-диметилпентил, 2,2-диметилпентил, 3,3-диметилпентил, 2-этилпентил, 3-этилпентил, н-октил, 2,3-диметилгексил, 2,4-диметилгексил, 2,5-диметилгексил, 2,2-диметилгексил, 3,3-диметилгексил, 4,4-диметилгексил, 2-этилгексил, 3-этилгексил, 4-этилгексил, 2-метил-2-этилпентил, 2-метил-3-этилпентил, н-нонил, 2-метил-2-этилгексил, 2-метил-3-этилгексил, 2,2-диэтилпентил, н-децил, 3,3-диэтилгексил, 2,2-диэтилгексил и его различные изомеры с боковой цепью и т.д. Более предпочтительным является низший алкил, имеющий от 1 до 6 атомов углерода, и неограничивающие примеры включают метил, этил, н-пропил, изопропил, н-бутил, изобутил, трет-бутил, втор-бутил, н-пентил, 1,1-диметилпропил, 1,2-диметилпропил, 2,2-диметилпропил, 1-этилпропил, 2-метилбутил, 3-метилбутил, н-гексил, 1-этил-2-метилпропил, 1,1,2-триметилпропил, 1,1-диметилбутил, 1,2-диметилбутил, 2,2-диметилбутил, 1,3-диметилбутил, 2-этилбутил, 2-метилпентил, 3-метилпентил, 4-метилпентил, 2,3-диметилбутил и т.д. Алкил может быть замещенным или незамещенным. При замещении заместитель может быть замещен в любом доступном месте соединения, где заместитель предпочтительно представляет собой одну или более из следующих групп, независимо выбранных из группы, состоящей из алкила, алкенила, алкинила, алкокси, алкилтио, алкиламино, галогена, меркапто, гидрокси, нитро, циано, циклоалкила, гетероциклоалкила, арила, гетероарила, циклоалкокси, гетероциклоалкокси, циклоалкилтио, гетероциклоалкилтио и оксо.
Термин «гетероалкил» относится к алкилу, содержащему один или более гетероатомов, выбранных из группы, состоящей из N, О и S, где алкил является таким, как определено выше.
«Одновалентную группу» получают путем «формального» удаления одновалентного атома или группы из соединения. «Субъединицу» получают путем «формального» удаления двух одновалентных атомов или атомных групп или одного двухвалентного образованного атома или атомной группы из соединения. Иллюстративный «алкил» относится к фрагменту оставшемуся от молекулы алкана после удаления 1 атома водорода, и включает одновалентную линейную или разветвленную группу с 1-20 атомами углерода. Неограничивающие примеры алкила, содержащего от 1 до 6 атомов углерода, включают метил, этил, н-пропил, изопропил, н-бутил, изобутил, трет-бутил, втор-бутил, н-пентил, 1,1-диметилпропил, 1,2-диметилпропил, 2,2-диметилпропил, их различные разветвленные изомеры и тому подобное.
Термин «алкилен» относится к насыщенной линейной или разветвленной алифатической углеводородной группе, имеющей 2 остатка, полученные из исходного алкана путем удаления двух атомов водорода из одного и того же атома углерода или двух разных атомов углерода. Это линейная или разветвленная группа, содержащая от 1 до 20 атомов углерода, предпочтительно алкилен, содержащий от 1 до 12 атомов углерода, более предпочтительно алкилен, содержащий от 1 до 6 атомов углерода. Неограничивающие примеры алкилена включают, но не ограничиваются ими, метилен (-CH2-), 1,1-этилиден (-СН(СН3)-), 1,2-этилиден (-СН2СН2)-, 1,1-пропилиден (-СН(СН2СН3)-), 1,2-пропилиден (-СН2СН(СН3)-), 1,3-пропилиден (-СН2СН2СН2-), 1,4-бутилиден (-СН2СН2СН2СН2-), 1,5-бутилиден (-СН2СН2СН2СН2СН2-) и др. Алкилен может быть замещенным или незамещенным. При замещении заместитель может быть замещен в любом доступном месте соединения одним или более заместителями, предпочтительно независимо необязательно выбранными из группы, состоящей из алкила, алкенила, алкинила, алкокси, алкилтио, алкиламино, галогена, меркапто, гидрокси, нитро, циано, циклоалкила, гетероциклоалкила, арила, гетероарила, циклоалкокси, гетероциклоалкокси, циклоалкилтио, гетероциклоалкилтио и оксо. Аналогичным образом, «алкенилен» является таким, как определено выше.
Термин «алкокси» относится к группе -О-(алкил) и -O-(незамещенный циклоалкил), где алкил или циклоалкил является таким, как определено выше. Неограничивающие примеры алкокси включают метокси, этокси, пропокси, бутокси, циклопропилокси, циклобутокси, циклопентилокси и циклогексилокси. Алкокси может быть необязательно замещенным или незамещенным, и когда он замещен, заместитель предпочтительно представляет собой одну или более из следующих групп, независимо выбранных из группы, состоящей из алкила, алкенила, алкинила, алкокси, алкилтио, алкиламино, галогена, меркапто, гидрокси, нитро, циано, циклоалкила, гетероциклоалкила, арила, гетероарила, циклоалкокси, гетероциклоалкокси, циклоалкилтио и гетероциклоалкилтио.
Термин «циклоалкил» относится к насыщенному или частично ненасыщенному моноциклическому или полициклическому углеводородному заместителю. Циклоалкильное кольцо содержит от 3 до 20 атомов углерода, предпочтительно от 3 до 12 атомов углерода, более предпочтительно от 3 до 10 атомов углерода и наиболее предпочтительно от 3 до 8 атомов углерода. Неограничивающие примеры моноциклического циклоалкила включают циклопропил, циклобутил, циклопентил, циклопентенил, циклогексил, циклогексенил, циклогексадиенил, циклогептил, циклогептатриенил, циклооктил и тому подобное. Полициклический циклоалкил включает спироциклоалкил, конденсированный циклоалкил и мостиковый циклоалкил.
Термин «гетероциклоалкил» относится к насыщенному или частично ненасыщенному моноциклическому или полициклическому углеводородному заместителю, содержащему от 3 до 20 кольцевых атомов, где один или более кольцевых атомов представляют собой гетероатомы, выбранные из группы, состоящей из азота, кислорода и S(O)m (где m представляет собой целое число от 0 до 2), за исключением циклической части -О-О-, -O-S- или -S-S-, и остальные кольцевые атомы представляют собой атомы углерода. Гетероциклоалкил предпочтительно содержит от 3 до 12 кольцевых атомов, из которых от 1 до 4 представляют собой гетероатомы; более предпочтительно циклоалкильное кольцо содержит от 3 до 10 кольцевых атомов. Неограничивающие примеры моноциклического гетероциклоалкила включают пирролидинил, пиперидинил, пиперазинил, морфолинил, тиоморфолинил, гомопиперазинил и т.д. Полициклический гетероциклоалкил включает спирогетероциклил, конденсированный гетероциклил и мостиковый гетероциклоалкил.
Термин «спирогетероциклоалкил» относится к 5-20-членной полициклической гетероциклоалкильной группе, в которой моноциклические кольца имеют общий один атом (называемый спироатомом), где один или более кольцевых атомов представляют собой гетероатомы, выбранные из группы, состоящей из азота, кислорода и S(O)m (где m представляет собой целое число от 0 до 2), и остальные кольцевые атомы представляют собой атомы углерода. Эти кольца могут содержать одну или более двойных связей, но ни одно из них не имеет полностью сопряженной π-электронной системы. Предпочтительно спирогетероциклоалкил является 6-14-членным и более предпочтительно 7-10-членным. В соответствии с количеством спироатомов, распределенных между кольцами, спирогетероциклоалкил может представлять собой моноспирогетероциклоалкил, биспирогетероциклоалкил или полиспирогетероциклоалкил, предпочтительно моноспирогетероциклоалкил и биспирогетероциклоалкил и более предпочтительно 4-членный/4-членный, 4-членный/5-членный, 4-членный/6-членный, 5-членный/5-членный или 5-членный/6-членный моноспирогетероциклоалкил. Неограничивающие примеры спирогетероциклоалкила включают:
Термин «конденсированный гетероциклоалкил» относится к 5-20-членной полициклической гетероциклоалкильной группе, в которой каждое кольцо имеет общую пару соседних атомов с другими кольцами в системе, при этом одно или более колец могут содержать одну или более двойных связей, но ни одно из них не имеет полностью сопряженной π-электронной системы, при этом один или более кольцевых атомов представляют собой гетероатомы, выбранные из группы, состоящей из азота, кислорода или S(O)m (где m представляет собой целое число от 0 до 2), и остальные кольцевые атомы представляют собой атомы углерода. Предпочтительно конденсированный гетероциклоалкил является 6-14-членным и более предпочтительно 7-10-членным. В соответствии с количеством образованных колец, конденсированный гетероциклоалкил может быть бициклическим, трициклическим, тетрациклическим или полициклическим, предпочтительно бициклическим или трициклическим и более предпочтительно 5-членным/5-членным или 5-членным/6-членным бициклическим конденсированным гетероциклоалкилом. Неограничивающие примеры конденсированного гетероциклоалкила включают:
Термин «мостиковый гетероциклоалкил» относится к 5-14-членной полициклической гетероциклоалкильной группе, в которой любые два кольца имеют общих два атома углерода, которые непосредственно не присоединены друг к другу, причем эти кольца могут содержать одну или более двойных связей, но ни одно из них не имеет полностью сопряженной π-электронной системы, причем один или более кольцевых атомов представляют собой гетероатомы, выбранные из группы, состоящей из азота, кислорода и S(O)m (где m представляет собой целое число от 0 до 2), и остальные кольцевые атомы представляют собой атомы углерода. Предпочтительно мостиковый гетероциклил является 6-14-членным и более предпочтительно 7-10-членным. В соответствии с количеством образованных колец, мостиковый гетероциклоалкил может быть бициклическим, трициклическим, тетрациклическим или полициклическим, предпочтительно бициклическим, трициклическим или тетрациклическим и более предпочтительно бициклическим или трициклическим. Неограничивающие примеры мостикового гетероциклоалкила включают:
Гетероциклоалкильное кольцо может быть конденсировано с арильным, гетероарильным или циклоалкильным кольцом, причем кольцо, присоединенное к исходной структуре, представляет собой гетероциклоалкил; неограничивающие примеры гетероциклоалкильного кольца включают, но не ограничиваются:
Гетероциклоалкил может быть необязательно замещенным или незамещенным, и когда он замещен, заместитель предпочтительно представляет собой одну или более из следующих групп, независимо выбранных из группы, состоящей из алкила, алкенила, алкинила, алкокси, алкилтио, алкиламино, галогена, меркапто, гидрокси, нитро, циано, циклоалкила, гетероциклоалкила, арила, гетероарила, циклоалкокси, гетероциклоалкокси, циклоалкилтио, гетероциклоалкилтио и оксо.
Термин «арил» относится к 6-14-членной, предпочтительно 6-10-членной углеродной моноциклической или конденсированной полициклической (т.е., кольца, имеющие общую пару соседних атомов углерода) группе, имеющей сопряженную π-электронную систему, такой как фенил и нафтил, предпочтительно фенил. Арильное кольцо может быть конденсировано с гетероарильным, гетероциклоалкильным или циклоалкильным кольцом, причем кольцо, присоединенное к исходной структуре, представляет собой арильное кольцо; неограничивающие примеры циклоалкильного кольца включают, но не ограничиваются:
Арил может быть замещенным или незамещенным, и когда он замещен, заместитель предпочтительно представляет собой одну или более из следующих групп, независимо выбранных из группы, состоящей из: алкила, алкенила, алкинила, алкокси, алкилтио, алкиламино, галогена, меркапто, гидрокси, нитро, циано, циклоалкила, гетероциклоалкила, арила, гетероарила, циклоалкокси, гетероциклоалкокси, циклоалкилтио и гетероциклоалкилтио.
Термин «гетероарил» относится к гетероароматической системе, содержащей от 1 до 4 гетероатомов и от 5 до 14 кольцевых атомов, где гетероатомы выбраны из группы, состоящей из кислорода, серы и азота. Гетероарил предпочтительно представляет собой 5-10-членный, более предпочтительно 5- или 6-членный, такой как фуранил, тиенил, пиридинил, пирролил, N-алкилпирролил, пиримидинил, пиразинил, имидазолил и тетразолил. Гетероарильное кольцо может быть конденсировано с арильным, гетероциклоалкильным или циклоалкильным кольцом, где кольцо, соединенное с исходной структурой, представляет собой гетероарил. Неограничивающие примеры гетероарильного кольца включают:
Гетероарил может быть необязательно замещенным или незамещенным, и когда он замещен, заместитель предпочтительно представляет собой одну или более из следующих групп, независимо выбранных из группы, состоящей из: алкила, алкенила, алкинила, алкокси, алкилтио, алкиламино, галогена, меркапто, гидрокси, нитро, циано, циклоалкила, гетероциклоалкила, арила, гетероарила, циклоалкокси, гетероциклоалкокси, циклоалкилтио и гетероциклоалкилтио.
Термин «аминозащитная группа» относится к группе, которая может быть легко удалена и предназначена для защиты аминогруппы от изменения, когда реакция проводится в другом месте молекулы. Неограничивающие примеры аминозащитных групп включают 9-флуоренилметоксикарбонил, трет-бутоксикарбонил, ацетил, бензил, аллил, п-метоксибензил и т.д. Эти группы могут быть необязательно замещены 1-3 заместителями, выбранными из группы, состоящей из галогена, алкокси и нитро. Аминозащитная группа предпочтительно представляет собой 9-флуоренилметоксикарбонил.
Термин «аминогетероциклоалкил» относится к гетероциклоалкилу, замещенному одной или более аминогруппами, предпочтительно одной аминогруппой, где гетероциклоалкил является таким, как определено выше, и «аминогруппа» означает -NH2. Типичными примерами настоящего раскрытия являются следующие:
Термин «гетероциклоалкиламино» относится к аминогруппе, замещенной одной или более гетероциклоалкильными группами, предпочтительно одной гетероциклоалкильной группой, где аминогруппа является такой, как определено выше, и гетероциклоалкил является таким, как определено выше. Типичными примерами настоящего раскрытия являются следующие:
Термин «циклоалкиламино» относится к аминогруппе, замещенной одной или более циклоалкильными группами, предпочтительно одной циклоалкильной группой, где аминогруппа является такой, как определено выше, и циклоалкил является таким, как определено выше. Типичными примерами настоящего изобретения являются следующие:
Термин «циклоалкилалкил» относится к алкилу, замещенному одной или более циклоалкильными группами, предпочтительно одной циклоалкильной группой, где алкил является таким, как определено выше, и циклоалкил является таким, как определено выше.
Термин «галогеналкил» относится к алкилу, замещенному одним или более галогенами, где алкил является таким, как определено выше.
Термин «дейтерированный алкил» относится к алкилу, замещенному одним или более атомами дейтерия, где алкил является таким, как определено выше.
Термин «гидрокси» относится к группе -ОН.
Термин «галоген» относится к фтору, хлору, брому или иоду.
Термин «амино» относится к -NH2.
Термин «нитро» относится к -NO2.
В химической формуле аббревиатура «Ме» относится к метилу.
Настоящее изобретение также включает различные дейтерированные формы соединений формулы (I). Каждый доступный атом водорода, соединенный с атомом углерода, может быть независимо замещен атомом дейтерия. Специалисты в данной области техники могут синтезировать дейтерированные формы соединения общей формулы (I) согласно соответствующей литературе. Коммерчески доступные дейтерированные исходные материалы могут быть использованы для получения дейтерированных форм соединения формулы (I), или они могут быть синтезированы с использованием обычных методов с дейтерированными реагентами, включая, но не ограничиваясь, дейтерированный боран, тридейтерированный боран в тетрагидрофуране, дейтерированный алюмогидрид лития, дейтерированный иодэтан, дейтерированный иодметан и тому подобное.
В другом аспекте водород в функциональной группе соединения по настоящему изобретению является дейтерированным для того, чтобы получить соответствующее дейтерированное соединение. Дейтерированное соединение сохраняет селективность и эффективность, эквивалентные таким значениям водородного производного; дейтериевые связи более стабильны, что делает «ADME» (абсорбция, распределение, метаболизм и выведение) другим, тем самым обеспечивая клинически благоприятные эффекты.
ADME относится к абсорбции, распределению, метаболизму и выведению экзогенных химических веществ организмом.
Термин «необязательный» или «необязательно» означает, что событие или обстоятельство, описанное впоследствии, может, но не обязательно, иметь место, и что описание включает случаи, когда событие или обстоятельство происходит или не происходит. Например, «гетероциклоалкильная группа, необязательно замещенная алкилом» означает, что алкил может присутствовать, но не обязательно, и что описание включает случаи, когда гетероциклоалкильная группа является или не является замещенной алкилом.
Термин «замещенный» означает, что один или более, предпочтительно вплоть до 5, более предпочтительно от 1 до 3 атомов водорода в группе независимо замещены соответствующим количеством заместителей. Само собой разумеется, что заместитель находится только в своем возможном химическом положении, и специалисты в данной области техники смогут определить (экспериментально или теоретически) возможное или невозможное замещение без особых усилий. Например, оно может быть нестабильным, когда аминогруппа или гидроксигруппа, имеющая свободный водород, связана с атомом углерода, имеющим ненасыщенную (например, олефиновую) связь.
Термин «фармацевтическая композиция» относится к смеси, содержащей одно или более соединений, описанных в настоящем документе или их физиологически/фармацевтически приемлемую соль или пролекарство и другие химические компоненты, например, физиологически/фармацевтически приемлемые носители и эксципиенты. Назначение фармацевтической композиции состоит в том, чтобы способствовать введению в организм, что облегчает абсорбцию активного ингредиента, тем самым осуществляя биологическую активность.
Термин «фармацевтически приемлемая соль» относится к соли конъюгатов антитела и лекарственного средства по настоящему изобретению или соли соединения, описанного в настоящем изобретении. Такие соли являются безопасными и эффективными при использовании в организме млекопитающего и обладают требуемой биологической активностью. Конъюгат антитела и лекарственного средства по настоящему изобретению содержит по меньшей мере одну аминогруппу и, таким образом, может образовывать соль с кислотой. Неограничивающие примеры фармацевтически приемлемых солей включают: гидрохлорид, гидробромид, гидроиодат, сульфат, бисульфат, цитрат, ацетат, сукцинат, аскорбат, оксалат, нитрат, сорбат, гидрофосфат, дигидрофосфат, салицилат, гидроцитрат, тартрат, малеат, фумарат, формиат, бензоат, мезилат, этансульфонат, бензолсульфонат и п-толуолсульфонат.
Термин «сольват» относится к фармацевтически приемлемому сольвату, образованному соединением конъюгата лиганда и лекарственного средства по настоящему изобретению и одной или более молекулами растворителя, и неограничивающие примеры молекул растворителя включают воду, этанол, ацетонитрил, изопропанол, ДМСО (диметилсульфокид) и этилацетат.
Термин «носитель лекарственного средства» для лекарственного средства по настоящему изобретению относится к системе, которая может изменять способ попадания лекарственного средства в организм человека и распределение лекарственного средства в организме человека, контролировать скорость высвобождения лекарственного средства и доставлять лекарственное средство в орган-мишень. Система высвобождения и нацеливания на основе носителя лекарственного средства может уменьшить деградацию и потерю лекарственного средства, уменьшить побочные эффекты и улучшить биодоступность. Например, полимерные поверхностно-активные вещества, которые могут быть использованы в качестве носителей, могут самостоятельно собираться благодаря своим уникальным амфифильным структурам с образованием различных форм агрегатов, таких как мицеллы, микроэмульсии, гели, жидкие кристаллы и везикулы, в качестве предпочтительных примеров. Агрегаты имеют способность инкапсулировать молекулы лекарственного средства и имеют хорошую проницаемость для мембран, и поэтому могут быть использованы как превосходные носители лекарственного средства.
Термин «экципиент» представляет собой дополнение, помимо основного лекарственного средства, к фармацевтической композиции. Оно также может быть обозначено как адъювант. Например, связующие вещества, наполнители, разрыхлители, смазывающие вещества в таблетках; основная часть в полутвердой мази и кремовых препаратах; консерванты, антиоксиданты, корригенты, ароматизаторы, сорастворители, эмульгаторы, солюбилизаторы, агенты, регулирующие тоничность, красители и тому подобное в жидких составах могут быть названы эксципиентами.
Термин «разбавитель», также называемый наполнителем, используется в первую очередь для увеличения массы и объема таблетки. Добавление разбавителя не только обеспечивает определенный объем, но и уменьшает отклонение дозы основных ингредиентов, а также улучшает способность лекарственного средства к прессованию и тому подобное. Когда лекарственное средство в форме таблетки содержит маслянистые компоненты, в обязательном порядке добавляют абсорбент для абсорбции маслянистых компонентов так, чтобы поддерживать «сухое» состояние и, таким образом, облегчать получение таблетки.
Соединение по настоящему изобретению может содержать один или более асимметричных центров и, таким образом, могут быть получены энантиомеры и диастереомеры. Энантиомеры и диастереомеры могут быть определены в терминах абсолютной стереохимии как (R)- или (S)- или других стереоизомерных форм (D)- или (L)- для аминокислот. Настоящее изобретение включает все возможные изомеры, а также их рацемические и оптически чистые формы. Оптически активные (+) и (-), (R)- и (S)-, или (D)- и (L)-изомеры могут быть получены с использованием хиральных синтонов или хиральных реагентов, или могут быть получены с использованием обычных способов, таких как хроматография и фракционная кристаллизация. Обычные способы получения/разделения энантиомеров включают хиральный синтез из подходящих оптически чистых предшественников или разделение рацемата (или рацемата соли или производного) с использованием, например, хиральной высокоэффективной жидкостной хроматографии (ВЭЖХ). Когда соединение, описанное в настоящем документе, содержит олефиновую двойную связь или другие геометрические асимметричные центры, подразумевается, что соединение содержит как Е, так и Z геометрические изомеры, если не указано иное. Более того, также подразумевается, что включены все таутомерные формы.
В химической структуре соединения по настоящему изобретению связь
представляет собой неопределенную конфигурацию, а именно, если хиральные изомеры существуют в химической структуре, связь
может бытьили
или
включает обе конфигурации
одновременно.
«Стереоизомеры» относятся к соединению, состоящему из одних и тех же атомов, связанных одними и теми же связями, но с различными трехмерными структурами, которые не являются взаимозаменяемыми. Настоящее изобретение предусматривает различные стереоизомеры и их смеси, в том числе «энантиомеры», которые относятся к паре стереоизомеров, которые являются несовпадающими зеркальными изображениями друг друга.
«Таутомер» относится к переносу протона от одного атома молекулы к другому атому той же молекулы. Таутомеры любого из соединений включены в настоящее изобретение.
КРАТКОЕ ОПИСАНИЕ ГРАФИЧЕСКИХ МАТЕРИАЛОВ
Фиг. 1 представляет собой диаграмму, демонстрирующую тенденцию изменения массы тела животного в контрольной группе носителя и различных тестовых группах введения в Тестовом примере 7 (абсцисса: дни, ордината: масса).
Фиг. 2 представляет собой диаграмму, демонстрирующую тенденцию изменения объема опухоли животного в носителе и различных тестовых группах введения исследуемого лекарственного средства (абсцисса: дни, ордината: объем опухоли).
ПОДРОБНОЕ ОПИСАНИЕ ИЗОБРЕТЕНИЯ
Следующие примеры дополнительно иллюстрируют настоящее изобретение, но настоящее изобретение не ограничивается ими.
Экспериментальные процедуры без конкретных условий, указанных в примерах настоящего изобретения, обычно проводят в соответствии с обычными условиями или в соответствии с условиями, рекомендованными производителями исходных материалов или коммерческих продуктов, см. Sambrook et al., Molecular Cloning: A Laboratory Manual, Cold Spring Harbor Laboratory Press; CurrentProtocols in Molecular Biology, Ausubel et al., Greene Publishing Association, Wiley Interscience, NY. Реагенты без указания конкретного происхождения являются коммерчески доступными обычными реагентами.
Структуру соединения определяли с помощью спектроскопии ядерного магнитного резонанса (ЯМР) и/или масс-спектрометрии (МС). Сдвиг ЯМР (5) приведен в единицах измерения 10-6 (млн-1). Спектры ЯМР измеряли с использованием прибора ядерного магнитного резонанса Bruker AVANCE-400 с дейтерированным диметилсульфоксидом (ДМСО-d6), дейтерированным хлороформом (CDCl3) и дейтерированным метанолом (CD3OD) в качестве растворителей и тетраметилсиланом (ТМС) в качестве внутреннего стандарта.
Масс-спектры измеряли с использованием системы жидкостной хроматографии-масс-спектрометрии Agilent 1200/1290 DAD-6110/6120 Quadrupole MS (производитель: Agilent; модель МС: 6110/6120 Quadrupole MS), Waters ACQuity UPLC-QD/SQD (производитель: Waters, модель МС: Waters ACQuity Qda Detector/Waters SQ Detector) и THERMO Ultimate 3000-Q Exactive (производитель: THERMO, модель МС: THERMO Q Exactive).
Высокоэффективную жидкостную хроматографию (ВЭЖХ) осуществляли с использованием жидкостной хроматографии высокого давления Agilent HPLC 1200DAD, Agilent HPLC 1200VWD и Waters HPLC e2695-2489.
Хиральную ВЭЖХ осуществляли на ВЭЖХ Agilent 1260 DAD.
Получение ВЭЖХ проводили с использованием препаративных хроматографов Waters 2545-2767, Waters 2767-SQ Detecor2, Shimadzu LC-20AP и Gilson GX-281.
Хиральный препаративное разделение проводили на препаративном хроматографе Shimadzu LC-20AP.
Для быстрого разделения использовали систему CombiFlash Rf200 (TELEDYNE ISCO).
Силикагелевые пластины Huanghai HSGF254 или Qingdao GF254 со спецификациями от 0,15 мм до 0,2 мм применяли для тонкослойной хроматографии (ТСХ) и от 0,4 мм до 0,5 мм для разделения и очистки с помощью ТСХ.
В колоночной хроматографии на силикагеле в качестве носителя обычно использовали силикагель 200-300 меш (Хуанхай, Яньтай).
Известные исходные материалы, описанные в настоящем документе, могут быть синтезированы с использованием или в соответствии со способами, известными в данной области техники, или могут быть приобретены у ABCR GmbH & Co. KG, Acros Organics, Aldrich Chemical Company, Accela ChemBio Inc., Chembee Chemicals и других компаний.
В примерах все реакции можно проводить в атмосфере аргона или в атмосфере азота, если не указано иное.
Атмосфера аргона или атмосфера азота означает, что реакционная колба соединена с баллоном, содержащим около 1 л аргона или азота.
Атмосфера водорода означает, что реакционная колба соединена с баллоном, содержащим около 1 л водорода.
Гидрогенизатор Parr 3916EKX, гидрогенизатор Qinglan QL-500 или гидрогенизатор HC2-SS использовали в реакциях гидрирования под давлением.
Реакции гидрирования обычно включают 3 цикла вакуумирования и продувки водородом.
В реакциях, проводимых под воздействием микроволнового излучения, использовали микроволновый реактор СЕМ Discover-S 908860.
В примерах раствор относится к водному раствору, если не указано иное.
В примерах температура реакции представляла собой комнатную температуру, то есть от 20 до 30°С, если не указано иное.
Мониторинг хода реакции в примерах проводили с помощью тонкослойной хроматографии (ТСХ). Проявляющий растворитель для реакций, систему элюента для очистки с помощью колоночной хроматографии, систему проявляющего растворителя для тонкослойной хроматографической системы и объемное соотношение растворителей корректировали в соответствии с полярностью соединения или путем добавления небольшого количества основных или кислых реагентов, таких как триэтиламин и уксусная кислота.
Конъюгат антитела и лекарственного средства согласно настоящему изобретению содержится в WO2020063676A, а синтез и тестирования соответствующих соединений включены в настоящий документ посредством ссылки в полном объеме. Неограничивающие примеры синтеза включены следующим образом:
1. Получение антител
Пример 1-1. Клонирование и экспрессия белковых антигенов
Антитела (содержащие легкую и тяжелую цепи) и антигены конструировали с помощью метода ПЦР (полимеразная цепная реакция) с перекрывающимися праймерами, известного в данной области техники, а фрагменты ДНК, полученные с помощью ПЦР с перекрывающимися праймерами, вставляли в вектор экспрессии рЕЕ6.4 (Lonza Biologics) с использованием сайта ферментативного расщепления HindIII/BstBI и экспрессировали в клетках 293F (Invitrogen, Кат. №R790-07) для получения рекомбинантных белков. Полученные рекомбинантные белки использовали для иммунизации или скрининга. Последовательность гена CD79B человека была получена из NCBI (NP_000617.1), внеклеточный домен (ECD) которого содержит 159 аминокислот (Metl-Asp159).
Аминокислотная последовательность слитого белка внеклеточного домена (ECD) CD79B человека и домена Fc человека (ECD-hFc CD79B человека) показана в SEQ ID NO: 1:
ARSEDRYRNPKGSACSRIWQSPRFIARKRGFTVKMHCYMNSASGNVSWLWKQEMDENPQQLKLEKGRMEESQNESLATLTIQGIRFEDNGIYFCQQKCNNTSEVYQGCGTELRVMGFSTLAQLKQRNTLKDGIIMIQTLLIILFIIVPIFLLLDKDDSKAGMEEDHTYEGLDIDQTATYEDIVTLRTGEVKWSVGEHPGQEEPKSCDKTHTCPPCPAPELLGGPSVFLFPPKPKDTLMISRTPEVTCVVVDVSHEDPEVKFNWYVDGVEVHNAKTKPREEQYNSTYRVVSVLTVLHQDWLNGKEYKCKVSNKALPAPIEKTISKAKGQPREPQVYTLPPSREEMTKNQVSLTCLVKGFYPSDIAVEWESNGQPENNYKTTPPVLDSDGSFFLYSKLTVDKSRWQQGNVFSCSVMHEALHNHYTQKSLSLSPGK
SEQ ID NO: 1
Аминокислотная последовательность слитого белка внеклеточного домена (ECD) CD79B человека и His-метки (ECD-His CD79B человека) показана в SEQ ID NO: 2:
ARSEDRYRNPKGSACSRIWQSPRFIARKRGFTVKMHCYMNSASGNVSWLWKQEMDENPQQLKLEKGRMEESQNESLATLTIQGIRFEDNGIYFCQQKCNNTSEVYQGCGTELRVMGFSTLAQLKQRNTLKDGIIMIQTLLIILFIIVPIFLLLDKDDSKAGMEEDHTYEGLDIDQTATYEDIVTLRTGEVKWSVGEHPGQEHHHHHH
SEQ ID NO: 2
Пример 1-2. Получение мышиного моноклонального антитела
1. Иммунизация мышей и определение титра сыворотки
Слитый белок внеклеточного домена (ECD) CD79B человека и домена Fc человека (ECD-hFc CD79B человека) и слитый белок внеклеточного домена (ECD) CD79B человека и His-метки (ECD-His CD79B человека) применяли в качестве иммуногенов, а мышей Balb/c и SJL иммунизировали методом внутрибрюшинной инъекции и стимулировали к выработке антител против внеклеточного домена (ECD) CD79B человека. Кроме того, слитый белок внеклеточного домена (ECD) CD79B яванского макака и His-метки (ECD-His CD79B яванского макака) применяли в качестве иммуногенов, а мышей SJL иммунизировали методом внутрибрюшинной инъекции и стимулировали к выработке антител против внеклеточного домена (ECD) CD79B обезьяны.
Экспериментальные процедуры
1) Иммунизация методом внутрибрюшинной инъекции: рассчитывали количество антигена, необходимое для иммунизации в соответствии с программой иммунизации. Белковые антигены при необходимости разбавляли до соответствующих концентраций с помощью PBS с последующим эмульгированием антигенов. Смесь эмульгированного антигена и адъюванта переносили в стерильный шприц, объемом 2,0 мл, и удаляли пузырьки воздуха в нем. Хвост мыши захватывали правой рукой, кожу головы и шеи мыши аккуратно захватывали большим и указательным пальцами левой руки, и место инъекции на животе мыши справа протирали 75% спиртовым ватным шариком, с брюшной полостью, направленной вверх. Кочник иглы шприца с предварительно забранным антигенным препаратом наклоняли вверх и параллельно прокалывали кожу мыши, которую держали головой вниз, шприц вводили в брюшную полость мыши под углом 45 градусов к брюшной полости и медленно инъецировали смесь антигена и адъюванта. После завершения иммунизации проводили наблюдение в течение по меньшей мере 2 часов.
2) Сбор сыворотки у мышей: соответствующую пробирку с сывороткой каждой мыши помечали, проверяли ушную бирку мыши, мышь захватывали одной рукой, и через подчелюстную вену морды мыши брали около 100 мкл цельной крови, оставляли стоять при комнатной температуре в течение около 2 часов, а затем центрифугировали для сбора верхней сыворотки пробирки для центрифуги. Сыворотку можно хранить в холодильнике при 4°С в течение одной недели и использовать для связанных обнаружений, таких как титр антитела и тому подобное. Если сыворотку хранили в течение длительного времени, ее можно было поместить в холодильник при температуре минус 80°С, чтобы избежать повторного замораживания и размораживания.
3) Определение титра сыворотки иммунизированной мыши методом ELISA: 96-луночные планшеты соответственно маркировали перед экспериментом и покрывали 1 мкг/мл антигена из расчета 50 мкл на лунку в холодильнике при 4°С в течение ночи. На следующий день планшеты с покрытием антигеном с предыдущего дня вынимали и промывали один раз с помощью устройства для отмывки планшетов (очищающий раствор: 1×PBST (фосфатно-солевой буфер с твином)). После промывки планшеты блокировали 1% блокирующим раствором BSA (бычий сывороточный альбумин), приготовленным в 1×PBST при 37°С в течение 1 часа. После промывки очищающим раствором 1×PBST 3 раза в планшеты добавляли сыворотку для обнаружения с различными концентрациями разбавления и инкубировали в инкубаторе при 37°С в течение 1 часа. После промывки очищающим раствором 1×PBST 3 раза в планшеты добавляли 100 мкл козьего анти-мышиного вторичного антитела, разбавленного при 1:5000, и инкубировали в инкубаторе при 37°С в течение 0,5 часа. Планшеты промывали, проявляющий цвет раствор ТМБ (тетраметил бензидин) раствор А и раствор В в соотношении 1:1 применяли для проявления цвета. Реакцию проявления цвета останавливали 1 Н соляной кислотой в течение 15 мин. Значение флуоресценции считывали при 450 нм на многофункциональном планшет-ридере Spectra Max М5.
4) Анализ титра сыворотки иммунизированной мыши с помощью FACS (метод анализа сортировки клеток с активированной флуоресценцией): после центрифугирования суспензию клеток DoHH2 или мононуклеарных клеток периферической крови обезьян ресуспендировали в PBS, содержащем 0,1% BSA, подсчитывали, добавляли к ней тестируемую сыворотку каждой группы иммунизированных мышей и инкубировали при комнатной температуре в течение 60 минут. Клетки промывали три раза, затем добавляли вторичное антитело против IgG мыши (Fc-специфичное)-FITC (флуоресцеин изотиоцианат) и инкубировали при комнатной температуре в течение 30 минут в темноте. Клетки промывали три раза, осторожно ресуспендировали в PBS, содержащем 0,1% BSA, а затем анализировали с использованием устройства.
Специфические антитела против CD79B получали в иммунизированных мышах с помощью вышеуказанных анализов, и мыши могут быть использованы для слияния клеток для получения гибридомных линий клеток, способных секретировать антитела, специфичные к CD79B.
2. Получение гибридомы и скрининг антител
Слияние клеток способствует слиянию лимфоцитов мышей и миеломных клеток SP2/0 (АТСС, CCL-121™) в гибридомные клетки при спонтанной или искусственной индукции, и гибридомные клетки обладают функцией секреции антител и могут пролиферировать без ограничений. Лимфоциты и миеломные клетки иммунизированных мышей сливали с помощью электрофузии и использовали для последующего скрининга антител.
1) Эксперимент с электрофузией: клетки SP2/0 размножали в 10% среде DMEM за неделю до слияния. Селезенку и лимфатические узлы убитых мышей собирали в боксе биологической безопасности, промывали и измельчали в чашке Петри и собирали лимфоциты. SP2/0 и лимфоциты смешивали в пропорции, и электрофузионное устройство запускали и программировали для выполнения слияния. После слияния клетки высевали в 96-луночный планшет и культивировали в течение ночи в инкубаторе при 37°С с 5% СО2; состояние клеток наблюдали ежедневно, и степень слияния клеток подсчитывали через 5 дней после слияния. Слитые гибридомные клетки подвергали скринингу через 9-14 дней после слияния, а клетки в положительных лунках отбирали для амплификации в культуре в 24-луночном планшете.
2) Субклонирование методом серийного разведения: линии клеток, подлежащие субклонированию, ресуспендировали в 24-луночных лунках для культивирования и подсчитывали. Концентрацию клеток каждого клеточного штамма разбавляли до 5-10 клеток/мл, разбавленную суспензию клеток добавляли в 15 см одноразовую чашку Петри, и в каждую лунку в 96-луночном планшете для культур добавляли 0,2 мл суспензии, и они содержали 1-2 клетки. 96-луночный планшет с высеянными клетками культивировали в инкубаторе при 37°С с 5% СО2. Через 7-10 дней субклональные планшеты подвергали обнаружению и скриннингу в соответствии с условиями роста клеток, а положительные клоны отбирали в 24 лунки для дальнейшего подтверждения положительного результата.
3) Скриннинг методом ELISA: 96-луночные планшеты соответственно маркировали перед экспериментом и покрывали 1 мкг/мл антигена из расчета 50 мкл на лунку в холодильнике при 4°С в течение ночи. На следующий день планшеты с покрытием антигеном с предыдущего дня вынимали и промывали один раз с помощью устройства для отмывки планшетов (очищающий раствор: 1×PBST). После промывки планшеты блокировали 1% блокирующим раствором BSA, приготовленным в 1×PBST, при 37°С в течение 1 часа. После промывки очищающим раствором 1×PBST 3 раза в планшеты добавляли 50 мкл супернатанта, подлежащего обнаружению, и инкубировали в инкубаторе при 37°С в течение 1 часа. После промывки очищающим раствором 1×PBST 3 раза в планшеты добавляли 100 мкл козьего анти-мышиного вторичного антитела, разбавленного при 1:5000, и инкубировали в инкубаторе при 37°С в течение 0,5 часа. Планшеты промывали, проявляющий цвет раствор ТМБ раствор А и раствор В в соотношении 1:1 применяли для проявления цвета. Реакцию проявления цвета останавливали 1 Н соляной кислотой в течение 15 мин. Значение флуоресценции считывали при 450 нм на многофункциональном планшет-ридере Spectra Max М5.
4) Скрининг с помощью FACS: после центрифугирования суспензию клеток DOHH2 ресуспендировали в PBS, содержащем 0,1% BSA, подсчитывали, добавляли тестируемый супернатант клеток и инкубировали при комнатной температуре в течение 60 минут. Клетки промывали три раза, затем добавляли вторичное антитело против IgG мыши (Fc-специфичное)-FITC и инкубировали при комнатной температуре в течение 30 минут в темноте. Клетки промывали три раза, осторожно ресуспендировали в PBS, содержащем 0,1% BSA, а затем анализировали с использованием устройства.
5) Идентификация клонов, положительных по гибридоме: после слияния и субклонального скрининга спленоцитов мыши получали множественные специфические антитела против антигена CD79B человека, и антитела из 17 штаммов гибридом, обладающих наибольшим связыванием в соответствии с ELISA и FACS, получали и очищали. Результаты анализа ELISA супернатанта культуры клеток клона, положительных по гибридоме против CD79B человека, показаны в таблице 1. Результаты анализа FACS супернатанта культуры клеток клона, положительных по гибридоме против CD79B человека, показаны в таблице 2. Между тем, получали специфические антитела против антигена CD79B обезьяны, и 4 штамма гибридом, имеющих самое высокое связывание в соответствии с ELISA и FACS, отбирали для продуцирования и очистки антител. mIgG использовали в качестве отрицательного контроля в обоих анализах.
3. Продукция, очистка и идентификация мышиных моноклональных антител
1) Продукция и очистка мышиного моноклонального антитела: гибридомные клетки, требующие продукции антитела, наблюдали под микроскопом до роста до значения больше или равно 70% или более и наличия хорошего клеточного статуса, и клетки собирали и подсчитывали с помощью счетчика клеток типа Countstar IC1000. Концентрацию клеток доводили до 1-5×105 клеток/мл с помощью приготовленной среды и переносили в роллерный флакон. Роллерный флакон с перенесенными клетками направляли в инкубатор для роллерный флаконов для культивирования при 37°С в течение 10-15 дней, ежедневно наблюдали условия роста клеток, и клетки отбирали для очистки, когда культуральный раствор становился оранжевым и прозрачным. Супернатант клеток подвергали очистке антител с использованием колонки с белком А в соответствии с обычным способом.
2) Анализ ELISA на мышиных моноклональных антителах против CD79B человека: 96-луночные планшеты соответственно маркировали перед экспериментом и покрывали 1 мкг/мл антигена из расчета 50 мкл на лунку в холодильнике при 4°С в течение ночи. На следующий день планшеты с покрытием антигеном с предыдущего дня вынимали и промывали один раз с помощью устройства для отмывки планшетов (очищающий раствор: l×PBST). После промывки планшеты блокировали 1% блокирующим раствором BSA, приготовленным в 1×PBST, при 37°С в течение 1 часа. После промывки очищающим раствором 1×PBST 3 раза в планшеты добавляли 50 мкл разбавленного антитела при 1:10 при 100 нМ и инкубировали в инкубаторе при 37°С в течение 1 часа. После промывки очищающим раствором 1×PBST 3 раза в планшеты добавляли 100 мкл козьего анти-мышиного вторичного антитела, разбавленного при 1:5000, и инкубировали в инкубаторе при 37°С в течение 0,5 часа. Планшеты промывали, проявляющий цвет раствор ТМБ раствор А и раствор В в соотношении 1:1 применяли для проявления цвета. Реакцию проявления цвета останавливали 1 Н соляной кислотой в течение 15 мин. Значение флуоресценции считывали при 450 нм на многофункциональном планшет-ридере Spectra Max М5. Среди них 4 мышиных моноклональных антитела против CD79B человека имели самую высокую способность связывания в соответствии с ELISA, включая mAb015 и mAb017.
3) Анализ FACS на мышиных моноклональных антителах против CD79B человека: после центрифугирования суспензию клеток DOHH2 ресуспендировали в PBS, содержащем 0,1% BSA, подсчитывали, добавляли 100 мкл антитела, разведенного 1:10 при 100 нМ, и инкубировали при комнатной температуре в течение 1 часа. Клетки промывали три раза, затем добавляли вторичное антитело против IgG мыши (Fc-специфичное)-FITC и инкубировали при комнатной температуре в течение 30 минут в темноте. Клетки промывали три раза, осторожно ресуспендировали в PBS, содержащем 0,1% BSA, а затем анализировали с использованием устройства. Среди них 4 мышиных моноклональных антитела против CD79B человека имели самую высокую способность связывания в соответствии с FACS, включая mAb015 и mAb017.
4) Анализ SPR на мышиных моноклональных антителах против CD79B человека: аффинность антитела против CD79B человека к антигену CD79B-His человека анализировали с помощью технологии поверхностного плазмонного резонанса (SPR). Белковый антиген CD79B-His человека иммобилизовали на чипе СМ5. Уровень связывания устанавливали на уровне 100 ОЕ (относительные единицы). Подвижный буфер представлял собой HBS-EP+ (10 мМ HEPES (4-(2-гидроксиэтил)-1-пиперазин этансульфоновая кислота), 150 мМ NaCl, 3 мМ ЭДТА (этилендиаминтетрауксусная кислота), 0,05% поверхностно-активное вещество Р20). Разбавленные антитела пропускали через экспериментальный и контрольный каналы со скоростью потока 30 мкл/мин в течение 3 мин и диссоциировали в течение 5 мин. Затем буфер регенерации (10 мМ глицина, рН 1,5) запускали со скоростью потока 30 мкл/мин в течение 30 секунд. Данные анализировали с использованием программного обеспечения для оценки Biacore 8К.
Примеры 1-3. Секвенирование аминокислоты вариабельной области мышиных моноклональных антител
Линии гибридомных моноклональных клеток с высокой аффинностью, полученные в Примере 1-2, подвергали секвенированию аминокислоты вариабельной области с последующей рекомбинантной экспрессией химерного антитела человека и мыши (cAb) и дополнительной идентификацией антитела. Вариабельные области тяжелой цепи и легкой цепи гена антитела амплифицировали с помощью ПЦР с обратной транскрипцией и соединяли с вектором для секвенирования с получением последовательностей легкой и тяжелой цепи моноклонального антитела. Тотальную клеточную РНК хорошо активированного одноклеточного штамма в Примере 2 сначала экстрагировали с использованием набора для очистки РНК (Qiagen, кат. №74134, стадии, указанные в руководстве). Затем получали одноцепочечную кДНК, праймеры кДНК Oligo-dT с обратной транскрипцией, используя набор для синтеза кДНК, доступный от Invitrogen, кат. №18080-051. С помощью одной цепи в качестве матрицы последовательности вариабельной области легкой и тяжелой цепи антитела синтезировали с помощью метода ПЦР, и продукты ПЦР клонировали в ТА вектор pMD-18T, а затем отправляли на секвенирование. Полученные последовательности легкой и тяжелой цепи антитела клонировали в векторы экспрессии (см. Пример 1-1), экспрессировали рекомбинантные моноклональные антитела и после проверки активности (см. Пример 1-2) проводили гуманизацию.
Аминокислотные остатки CDR VH/VL антитела против CD79B человека идентифицировали с использованием системы нумерации Чотиа и аннотировали.
Последовательность моноклонального антитела mAb015 мышиной гибридомной клетки:
Вариабельная область тяжелой цепи:
QVQLQQSGAELARPGASVKLSCKASGSSFTSYGINWVKQRTGQGLEWIGEIFPRSGNTYYNEKFEGKATLTADKSSSTAYMELRSLTSEDSAVYFCAKGDLGDFDYWGQGTTLTVSS
SEQ ID NO: 3
Вариабельная область легкой цепи:
DFLMTQTPLSLPVRLGDQASISCRSSQSIVHSDGNTYFEWYLQKPGQSPKLLIYKVSNRFSGVPDRFSGSGSGTDFTLKISRVEAEDLGVYYCFQGSHVPWTFGGGTKLEIK
SEQ ID NO: 4
Последовательность моноклонального антитела mAb017 мышиной гибридомной клетки:
Вариабельная область тяжелой цепи:
QVQLQQSGAELARPGASVKLSCKASGYTFTTYGINWVKQRTGQGLEWIGEIYPRSGNIYYNEKFKGKATLTADKSSSTAYMELRSLTSEDSAVYFCARGSDYDGDFAYWGQGTLVTVSA
SEQ ID NO: 5
Вариабельная область легкой цепи:
DVLMTQTPLSLPVSLGDQASISCRSSQSIVHHDGNTYLEWYLQKPGQSPKLLIYKVSNRFSGVPDRFSGSGSGTDFTLKISRVEAEDLGVYYCFQGSHVPWTFGGGTQLEIK
SEQ ID NO: 6
Последовательности CDR мыши показаны в таблице 3:
Примеры 1-4. Гуманизация антител против CD79B человека
После проводили гомологичное сравнение последовательностей легкой и тяжелой цепи мышиного моноклонального антитела против CD79B, полученного в Примере 1-3, по базе данных антител, устанавливали модель гуманизированного антитела и оптимальное гуманизированное моноклональное антитело против CD79B подвергали скринингу в качестве предпочтительной молекулы в соответствии с моделью выбора обратной мутации. Метод начинался с поиска опубликованной в базе данных (такой как база данных PDB) модели кристаллической структуры мышиного Fab, где кристаллическая структура имела аналогичную гомологию с полученными мышиными молекулами-кандидатами, и модель мышиного Fab устанавливали путем выбора кристаллической структуры Fab с высоким разрешением (таким как менее 2,5 Å). Последовательности легкой и тяжелой цепи мышиного антитела сравнивали с последовательностями в модели, последовательности, согласующиеся с последовательностями мышиного антитела в модели, использовали для получения структурной модели мышиного антитела, и несогласующиеся аминокислоты могли быть возможными сайтами обратных мутаций. Модель структуры мышиных антител запускали с помощью программного обеспечения Swiss-pdb viewer для оптимизации энергии (минимизации). Различные положения аминокислот в модели, за исключением CDR, подвергали обратной мутации, и полученные мутированные антитела (гуманизированные) сравнивали с антителами перед гуманизацией для обнаружения активности. Гуманизированное антитело, обладающее хорошей активностью, сохраняли. После этого области CDR оптимизировали, включая предотвращение гликозилирования, дезамидирования, сайтов окисления и тому подобное. Антитела клонировали, экспрессировали и очищали с использованием способа на основе клонирования гена и рекомбинантной экспрессии, и гуманизированные антитела hAb015-10 и hAb017-10 с самой высокой активностью окончательно отбирали с помощью анализов ELISA, FACS, SPR и тому подобного.
Последовательности гуманизированных антител hAb015-10 и hAb017-10 показаны ниже.
тяжелая цепь гуманизированного антитела hAb015-10:
EVQLVQSGAEVKKPGSSVKVSCKASGSSFSSYGINWVKQAPGQGLEWIGEIFPRSGNTYYNEKFEGRATLTADKSTSTAYMELRSLRSEDTAVYYCAKGDLGDFDYWGQGTTVTVSSASTKGPSVFPLAPSSKSTSGGTAALGCLVKDYFPEPVTVSWNSGALTSGVHTFPAVLQSSGLYSLSSVVTVPSSSLGTQTYICNVNHKPSNTKVDKKVEPKSCDKTHTCPPCPAPELLGGPSVFLFPPKPKDTLMISRTPEVTCVVVDVSHEDPEVKFNWYVDGVEVHNAKTKPREEQYNSTYRVVSVLTVLHQDWLNGKEYKCKVSNKALPAPIEKTISKAKGQPREPQVYTLPPSREEMTKNQVSLTCLVKGFYPSDIAVEWESNGQPENNYKTTPPVLDSDGSFFLYSKLTVDKSRWQQGNVFSCSVMHEALHNHYTQKSLSLSPGK
SEQ ID NO: 19
легкая цепь гуманизированного антитела gAb015-10:
DFVMTQTPLSLPVTPGEPASISCRSSQSIVHSDGNTYFEWYLQKPGQSPKLLIYKVSNRFSGVPDRFSGSGSGTDFTLKISRVEAEDVGVYYCFQGSHVPWTFGGGTKVEIKRTVAAPSVFIFPPSDEQLKSGTASVVCLLNNFYPREAKVQWKVDNALQSGNSQESVTEQDSKDSTYSLSSTLTLSKADYEKHKVYACEVTHQGLSSPVTKSFNRGEC
SEQ ID NO: 20
тяжелая цепь гуманизированного антитела hAb017-10:
EVQLVQSGAEVKKPGASVKVSCKASGYTFTTYGINWVKQAPGQGLEWIGEIYPRSGNIYYNEKFKGKATLTADKSTSTAYMELRSLRSDDTAVYYCARGSDYDGDFAYWGQGTLVTVSSASTKGPSVFPLAPSSKSTSGGTAALGCLVKDYFPEPVTVSWNSGALTSGVHTFPAVLQSSGLYSLSSVVTVPSSSLGTQTYICNVNHKPSNTKVDKKVEPKSCDKTHTCPPCPAPELLGGPSVFLFPPKPKDTLMISRTPEVTCVVVDVSHEDPEVKFNWYVDGVEVHNAKTKPREEQYNSTYRVVSVLTVLHQDWLNGKEYKCKVSNKALPAPIEKTISKAKGQPREPQVYTLPPSREEMTKNQVSLTCLVKGFYPSDIAVEWESNGQPENNYKTTPPVLDSDGSFFLYSKLTVDKSRWQQGNVFSCSVMHEALHNHYTQKSLSLSPGK
SEQ ID NO: 21
легкая цепь гуманизированного антитела hAb017-10:
DVVMTQTPLSLPVTPGEPASISCRSSQSIVHHDGNTYLEWYLQKPGQSPQLLIYKVSNRFSGVPDRFSGSGSGTDFTLKISRVEAEDVGVYYCFQGSHVPWTFGGGTKVEIKRTVAAPSVFIFPPSDEQLKSGTASVVCLLNNFYPREAKVQWKVDNALQSGNSQESVTEQDSKDSTYSLSSTLTLSKADYEKHKVYACEVTHQGLSSPVTKSFNRGEC
SEQ ID NO: 22
Пример 1-5. Конструирование линии клеток с высокой экспрессией TROP-2 Лентивирусные плазмидные векторы экспрессии pCDH-hTROP-2, лентивирусную систему упаковочных векторов pVSV-G и pCMV-dR8.91 трансфицировали в вирусные упаковывающие клетки 293Т с использованием трансфекционного реагента Lipofectamine 3000. Супернатант среды, содержащий вирусы, собирали, фильтровали и центрифугировали на сверхвысокой скорости. Клетки яичника китайского хомяка СНО-K1 оставляли для инфицирования концентрированным вирусом, подвергали скринингу с использованием пуромицина в течение двух-трех недель и подвергали одноклеточной сортировке FACS.
По уровню экспрессии TROP-2 на поверхности клеток СНО-K1, инфицированных лентивирусом, определенному с помощью FACS, отбирали моноклональные штаммы клеток CHO-K1/hTROP-2 с высокой экспрессией TROP-2.
Аминокислотная последовательность (Genbank: NP 002344.2) TROP-2 выглядит следующим образом:
MARGPGLAPPPLRLPLLLLVLAAVTGHTAAQDNCTCPTNKMTVCSPDGPGGRCQCRALGSGMAVDCSTLTSKCLLLKARMSAPKNARTLVRPSEHALVDNDGLYDPDCDPEGRFKARQCNQTSVCWCVNSVGVRRTDKGDLSLRCDELVRTHHILIDLRHRPTAGAFNHSDLDAELRRLFRERYRLHPKFVAAVHYEQPTIQIELRQNTSQKAAGDVDIGDAAYYFERDIKGESLFQGRGGLDLRVRGEPLQVERTLIYYLDEIPPKPSMKRLTAGLIAVIVVVVVALVAGMAVLVITNRRKSGKYKKVEIKELGELRKEPSL
SEQ ID NO: 35
Аминокислотная последовательность TROP-2-His:
MARGPGLAPPPLRLPLLLLVLAAVTGHTAAQDNCTCPTNKMTVCSPDGPGGRCQCRALGSGMAVDCSTLTSKCLLLKARMSAPKNARTLVRPSEHALVDNDGLYDPDCDPEGRFKARQCNQTSVCWCVNSVGVRRTDKGDLSLRCDELVRTHHILIDLRHRPTAGAFNHSDLDAELRRLFRERYRLHPKFVAAVHYEQPTIQIELRQNTSQKAAGDVDIGDAAYYFERDIKGESLFQGRGGLDLRVRGEPLQVERTLIYYLDEIPPKFSMKRLTAGLIAVIVVVVVALVAGMAVLVITNRRKSGKYKKVEIKELGELRKEPSLHHHHHH
SEQ ID NO: 36
Пример 1-6. Получение моноклонального антитела против TROP-2 человека Моноклональное антитело против TROP-2 человека в настоящей заявке получали в соответствии со способом, раскрытым в WO03074566, и дизайн модификации сайта мутации проводили на CDR с использованием компьютерного программного обеспечения и использования гена вариабельной области антитела hRS7 в качестве матрицы. Ген вариабельной области антитела вставляли в вектор экспрессии белка Phr-IgG (с сигнальным пептидом и фрагментом гена константной области (CH1-Fc/CL)) путем молекулярного клонирования, а затем экспрессировали в клетках НЕК293 и Expi-CHO-S. Очистку антител проводили в соответствии с обычным способом. Проверку активности проводили с использованием клеток СНО-K1 и белка huTROP-2 (His27-Thr274 учетный номер NP_002344.2) сверхэкспрессирующий белок huTROP-2, и антитело с лучшей активностью связывания мишени отбирали, причем последовательность вариабельной области PD3 выглядит следующим образом:
Вариабельная область тяжелой цепи PD3:
SEQ ID NO: 29
Вариабельная область легкой цепи PD3:
DIQLTQSPSSLSASVGDRVSITCKASQDVSIAVAWYQQKPGKAPKLLIYSASYRYTGVPDRFSGSGSGTDFTLTISSLQPEDFAVYYCQQHYITPLTFGAGTKVEIK
SEQ ID NO: 30
Примечание: подчеркнутые части являются областями CDR, определенными по схеме нумерации Кабата.
Константная область тяжелой цепи антитела может быть выбрана из группы, состоящей из константных областей IgG1, IgG2, IgG4 человека и их вариантов, и константная область легкой цепи антитела может быть выбрана из группы, состоящей из константных областей легкой цепи κ- и λ-цепей человека и их вариантов. В качестве примера, константная область тяжелой цепи антитела выбрана из константной области IgG1 человека, имеющей последовательность, представленную в SEQ ID NO: 11, и константная область легкой цепи антитела выбрана из константной области κ-цепи человека, имеющей последовательность, представленную в SEQ ID NO: 12.
Константная область тяжелой цепи IgG1 человека:
ASTKGPSVFPLAPSSKSTSGGTAALGCLVKDYFPEPVTVSWNSGALTSGVHTFPAVLQSSGLYSLSSVVTVPSSSLGTQTYICNVNHKPSNTKVDKKVEPKSCDKTHTCPPCPAPELLGGPSVFLFPPKPKDTLMISRTPEVTCVVVDVSHEDPEVKFNWYVDGVEVHNAKTKPREEQYNSTYRVVSVLTVLHQDWLNGKEYKCKVSNKALPAPIEKTISKAKGQPREPQVYTLPPSRDELTKNQVSLTCLVKGFYPSDIAVEWESNGQPENNYKTTPPVLDSDGSFFLYSKLTVDKSRWQQGNVFSCSVMHEALHNHYTQKSLSLSPGK
SEQ ID NO: 31
Константная область легкой κ-цепи человека:
RTVAAPSVFIFPPSDEQLKSGTASVVCLLNNFYPREAKVQWKVDNALQSGNSQESVTEQDSKDSTYSLSSTLTLSKADYEKHKVYACEVTHQGLSSРVTKSFNRGEC
SEQ ID NO: 32
В качестве примера, константные области легкой/тяжелой цепи, описанные выше, объединяют с вариабельными областями вышеупомянутого антитела PD3 с образованием полного антитела, последовательности легкой/тяжелой цепи которого являются следующими:
Тяжелая цепь PD3:
SEQ ID NO: 33
Легкая цепь PD3:
DIQLTOSPSSLSASVGDRVSITCKASQDVSIAVAWYQQKPGKAPKLLIYSASYRYTGVPDRFSGSGSGTDFTLTISSLQPEDFAYYYCQQHYITPLTFGAGTKVEIKRTVAAPSVFIFPPSDEQLKSGTASVVCLLNNFYPREAKVQWKVDNALQSGNSQESVTEQDSKDSTYSLSSTLTLSKADYEKHKVYACEVTHQGLSSPVTSFNRGEC
SEQ ID NO: 34
2. Получение соединений
Пример 2-1: Синтез Соединения L-1

Стадия 1: Получение соединения 2
Соединение 1 (50 мг, 0,08 ммоль, полученное согласно методу, описанному в WO2017151979) растворяли в 1,5 мл N,N-диметилформамида на водяной бане со льдом, и в реакционную систему добавляли DIPEA (N,N-диизопропилэтиламин, 18 мг, 0,14 ммоль), а затем добавляли бис(п-нитрофенил)карбонат (49 мг, 0,16 ммоль). Затем смесь перемешивали при комнатной температуре, добавляли 20 мл метил-трет-бутилового эфира, перемешивали в течение 20 мин, фильтровали и сушили с получением 36 мг твердого соединения 2.
ЖХ-МС (ESI): m/z 784,1 [М+Н]+.
Стадия 2: Получение соединения D-1b
Соединение D-1a (эрибулин, полученный, как описано в ZL201010236637.2) (72,91 мг, 0,1 ммоль) растворяли в 10 мл тетрагидрофурана (THF) на водяной бане со льдом и в реакционную систему добавляли Fmoc-OSu (флуоренилметоксикарбонилсукцинимид, 41 мг, 0,12 ммоль) и перемешивали при комнатной температуре до завершения реакции. Систему концентрировали при пониженном давлении и использовали непосредственно на следующей стадии.
Стадия 3: Получение соединения D-1с
Неочищенное соединение D-1b, полученное на вышеуказанной стадии, растворяли в 10 мл безводного эфира; в реакционную систему добавляли оксид серебра (34,8 мг, 0,15 ммоль), затем добавляли йодистый метил (28,4 мг, 0,2 ммоль) и перемешивали при комнатной температуре до завершения реакции. Реакционную смесь фильтровали и концентрировали при пониженном давлении с получением неочищенного продукта, который непосредственно использовали на следующей стадии.
Стадия 4: Получение соединения D-1
Неочищенное соединение D-1c, полученное на вышеуказанной стадии, растворяли в 10 мл тетрагидрофурана; в реакционную систему добавляли 2 мл диэтиламина, а затем перемешивали при комнатной температуре до завершения реакции. Реакционную смесь концентрировали при пониженном давлении с получением неочищенного продукта и очищали с помощью колоночной хроматографии на силикагеле (элюент: дихлорметан/этилацетат/петролейный эфир) с получением 3 мг целевого соединения D-1.
ЖХ-МС (ESI): m/z 744,2 [М+Н]+.
Стадия 5: Получение соединения L-1
Соединение D-1 (13,5 мг, 0,018 ммоль) растворяли в 1,5 мл DMF (диметилформамид); в реакционную систему добавляли DIPEA (7 мг, 0,054 ммоль) и добавляли соединение 2 (18 мг, 1,3 ммоль) порциями. Реакционную смесь перемешивали до практически полного завершения реакции и концентрировали с получением неочищенного продукта. Неочищенный продукт разделяли с помощью препаративной ВЭЖХ (колонка: Welch XTimate С18 (5,0 мкм × 30,0 × 150 мм), подвижная фаза: А-вода (0,1% муравьиная кислота): В-ацетонитрил, градиентное элюирование=70:30-5:95 (16 мин, скорость потока: 30,0 мл/мин)) с получением 6,5 мг соединения L-1 (чистота 96,95%).
ЖХ/МС (ESI): m/z 1388,3 [М+Н]+.
1Н ЯМР (CDCl3, 400 М) δ 0,85~0,90 (m, 3Н), 0,93~1,00 (m, 3Н), 1,08~1,10 (m, 3Н), 1,20~1,50 (m, 15Н), 1,75~2,04 (m, 6Н), 2,13~2,55 (m, 16Н), 2,70~2,77 (m, 1H), 2,80~2,96 (m, 2Н), 3,16~3,97 (m 20Н), 3,99~4,39 (m, 8Н), 4,60~4,80 (m, 6Н), 4,88~5,10 (m, 5Н), 5,24~5,37 (m, 4Н), 6,71 (s, 2Н), 7,03 (d, J=6,8 Hz, 1H), 7,18~7,30 (m, 3Н), 7,63 (d, J=8,0 Hz, 2Н), 8,92 (bs, 1Н).
Пример 2-2: Синтез Соединения D-2
В реакционную колбу добавляли (R)-2-циклопропил-2-гидроксиуксусную кислоту (4,7 мг, 0,04 ммоль, 1,5 экв.) и добавляли к ней THF. Смесь перемешивали для растворения и охлаждали на водяной бане со льдом. В реакционную систему добавляли EDCI HCl (8,0 мг, 0,04 ммоль, 1,5 экв., 1-этил-3(3-диметилпропиламин)карбодиимида гидрохлорид) и НОВТ (5,4 мг, 0,04 ммоль, 1,50 экв., 1-гидроксибензотриазол), затем добавляли соединение D-1a (20 мг, 0,027 ммоль, 1,0 экв.) и, наконец, добавляли DIPEA (10,5 мг, 0,08 ммоль, 3,0 экв.). После завершения добавления реакционную систему нагревали до комнатной температуры (20°С) и перемешивали до практически полного завершения реакции, и добавляли 2 мл воды для гашения реакции. Реакционную смесь экстрагировали этилацетатом (2×5 мл), органические фазы объединяли, сушили над безводным сульфатом натрия, фильтровали и концентрировали при пониженном давлении с получением неочищенного продукта, который очищали с помощью колоночной хроматографии на силикагеле (элюент: этилацетат/петролейный эфир) с получением 6,0 мг соединения D-2 (чистота 98%).
МС: 827,8[М+Н]+.
1Н ЯМР (400 МГц, CDCl3) δ 6,82 (s, 1H), 5,08 (s, 1Н), 4,93 (s, 1H), 4,89 (s, 1H), 4,81 (s, 1H), 4,70 (t, J=4,4 Hz, 1H), 4,61 (t, J=4,4 Hz, 1H), 4,42-4,25 (m, 3H), 4,23-4,16 (m, 1H), 4,12 (s, 1H), 4,03 (d, J=9,3 Hz, 3H), 4,02-3,87 (m, 3H), 3,82 (d, J=9,4 Hz, 1H), 3,78-3,70 (m, 3H), 3,58 (dd, J=50,7, 8,9 Hz, 4H), 3,43 (s, 3H), 3,32-3,23 (m, 2H), 2,88 (d, J=9,5 Hz, 2H), 2,72 (dd, J=16,0, 10,0 Hz, 1H), 2,46 (d, J=13,9 Hz, 4H), 2,33 (d, J=13,8 Hz, 3H), 2,19 (dd, J=21,4, 14,3 Hz, 4H), 2,08 (s, 1H), 1,97 (ddd, J=13,6, 9,4, 4,7 Hz, 5H), 1,44 (d, J=11,5 Hz, 3H), 1,27 (d, J=12,2 Hz, 4H), 1,10 (d, J=6,2 Hz, 3H), 0,68-0,45 (m, 4H).
Пример 2-3: Синтез Соединения D-3
Соединение D-1 (22 мг, 0,03 ммоль) и (R)-2-циклопропил-2-гидроксиуксусную кислоту (7,0 мг, 0,06 ммоль) растворяли в 2 мл ДХМ (дихлорметан) при комнатной температуре в атмосфере азота; в реакционную смесь последовательно добавляли Et3N (21 мкл, 0,15 ммоль) и DMTMM (20,3 мг, 0,069 ммоль, 4-(4,6-диметокситриазин-2-ил)-4-метилморфолина гидрохлорид) и перемешивали в течение ночи при комнатной температуре. После завершения реакции добавляли Н2О (2 мл) для гашения реакции, экстрагировали реакционную смесь ДХМ (2 мл × 3) и концентрировали органическую фазу при пониженном давлении (температура ванны 30°С). Остаток очищали с помощью колоночной хроматографии на силикагеле (элюент: этилацетат/петролейный эфир) с получением соединения D-3 (18 мг, чистота 95%). МС: 863,8 [M+Na]+.
Пример 2-4: Синтез Соединения D-4
Соединение D-4 получали способом, описанным в Примере 2-2, с заменой (R)-2-циклопропил-2-гликолевой кислоты на гликолевую кислоту. МС: 787,82 [М+Н]+.
1Н ЯМР (CDCl3, 400М): 0,86-0,90 (m, 1H), 1,04-1,13 (m, 4Н), 1,22-1,41 (m, 4Н), 1,71-1,74 (m, 3Н), 1,94-2,00 (m, 5Н), 2,15-2,22 (m, 8Н), 2,48 (S, 3Н), 2,71-2,75 (m, 2Н), 2,87-2,89 (m, 2Н), 3,26-3,31 (m, 2Н), 3,43 (S, 3Н), 3,53-3,55 (m, 1H), 3,64-3,70 (m, 2Н), 3,74 (s, 1H), 3,80-3,84 (m, 1H), 3,90-4,05 (m, 4Н), 4,12 (s, 3Н), 4,18-4,20 (m,1Н), 4,26-4,39 (m, 3Н), 4,61 (t, J=4,8 Hz, 1H), 4,619 (t, J=4,8 Hz, 1H), 4,82 (s, 1H), 4,82 (s, 1H), 4,88 (s, 1H), 4,93 (s, 1H), 5,08 (s, 1H), 6,89 (m, 1H).
Пример 2-5: Получение Соединения D-5
Соединение D-5 получали способом, описанным в Примере 2-2, с заменой (R)-2-циклопропил-2-гидроксиуксусной кислоты на 1-гидроксициклопропан-1-карбоновую кислоту.
МС: 835,7 [M+Na]+.
Пример 2-6: Синтез Соединения D-6
Соединение формулы D-6 получали способом, описанным в Примере 2-2, с использованием исходных материалов (R)-2-циклопропил-2-гидроксиуксусной кислоты и Е1-30 (синтезировали и получали согласно Bioorg. Med. Chem. Lett. 14 (2004) 5551-5554).
МС: 850,64 [M+Na]+.
Пример 2-7: Синтез Соединения D-7
Соединение формулы D-7 получали споосбом, описанным в Примере 2-2, с использованием исходных материалов 1-гидроксициклопропан-1-карбоновой кислоты и Е1-30 (синтезировали и получали согласно Bioorg. Med. Chem. Lett. 14 (2004) 5551-5554).
МС: 836,73 [M+Na]+.
Пример 2-8: Синтез Соединения D-8
Соединение формулы D-8 получали способом, описанным в Примере 2-2, с использованием исходных материалов п-гидроксиэтилбензойной кислоты и Е1-30.
МС: 886,75 [M+Na]+.
Тестовый пример 1: Скрининг цитотоксической активности in vitro
1.1. Принцип и метод
В эксперименте для определения содержания АТФ (аденозинтрифосфат) используют CTG (люминесцентный анализ жизнеспособности клеток) и отражают состояние выживаемости опухолевых клеток. Окончательные условия культивирования сначала определяли путем посева клеток с различными плотностями и культивирования клеток в течение 3 дней и 5 дней на основе IC50 (концентрация полумаксимального ингибирования) и максимальной степени ингибирования. Цитотоксическое действие молекулы токсина затем анализировали в соответствии с этим условием.
1.2. Выбор линий клеток
В соответствии с целью эксперимента были отобраны две модели заболевания - рак молочной железы и НМРЛ (немелкоклеточный рак легкого), а для скрининга были отобраны опухолевые клетки SKBR3 (HER2+, АТСС, кат. №НТВ-30), MDA-MB-468 (HER2-, АТСС, кат.№НТВ-132) и А549 (клетки не мелкоклеточного рака легкого человека, АТСС, кат. №CCL-185).
1.3. Определение условий культивирования клеток
1) Культура клеток: клетки А549, SK-BR-3 и MDA-MB-468 культивировали со средой Ham's F-12K (Kaighn's) (Gibco, 21127030) и средой McCoy's 5A (ThermoFisher, кат.№16600108) и средой Leibovitz's L-15 (ThermoFisher, кат.№11415-114), содержащей 10% FBS (Gibco, 10099-141), соответственно.
2) Посев клеток: клетки А549 расщепляли трипсином, и клетки заканчивали вышеуказанной средой, и добавляли 4,3×105, 7,2×105 и 11,5×105 клеток к среде с получением конечного объема 26 мл. 180 мкл суспензии клеток добавляли в каждую лунку в колонках от 2 до 11 в 96-луночном планшете (Corning, кат.№3903) для получения плотности клеток 3K, 5K и 8K на лунку. Лунки в колонке 12 заполняли 200 мкл культуральной среды, а остальные лунки заполняли PBS. Вышеуказанные операции повторяли на клетках SKBR3 и MDA-MB-468. Образец дублировали.
3) Получение лекарственного средства: исходные растворы положительного контроля эрибулина и соединения по настоящему изобретению получали в ДМСО в 96-луночном круглодонном планшете (Corning, кат. №3788). 2 мМ исходного раствора (исходный раствор, разведенный 10-кратно в ДМСО) готовили в колонке 1 планшета для получения лекарственного средства 1, затем в колонке 10 выполняли 10-кратное градиентное разведение в ДМСО, и лунки в колонке 11 заполняли ДМСО. 95 мкл соответствующего культурального раствора добавляли в каждую лунку в колонках от 2 до 11 планшета для получения лекарственного средства 2, 5 мкл раствора пипетировали из колонки 2 по колонку 11 планшета для получения лекарственного средства 1 в планшет для получения лекарственного средства 2, раствор хорошо перемешивали, 20 мкл раствора пипетировали, добавляли в высеянные клетки и непрерывно культивировали в течение 3 дней и 5 дней.
4) Анализ CTG (Cell Titer-GloTM, люминесцентный анализ жизнеспособности клеток, Promega): планшеты с клетками удаляли на день 3 и день 5 и уравновешивали до комнатной температуры. 90 мкл CTG добавляли в каждую лунку и осуществляли реакцию при комнатной температуре в течение 10 минут в темноте. Значение абсорбции считывали с помощью считывающего устройства для микропланшетов и рассчитывали IC50.
1.4. Результаты анализа данных
Вывод: соединение D-1 обладало хорошим цитотоксическим действием в трех линиях опухолевых клеток и имело значительно превосходящий эффект по сравнению с положительным лекарственным средством эрибулин.
Пример 2-9: Синтез Соединения D-9
Стадия 1: Получение соединения D-9a
Отбирали 0,3 мл 1,4-диоксана и 0,3 мл соединения Е-305 (31 мг, 0,042 ммоль, синтезированное и полученное в соответствии с Bioorg. Med. chem. Lett. 14 (2004) 5551-5554) при комнатной температуре, и затем в смесь последовательно добавляли флуоренилметоксикарбонилсукцинимид (Fmoc-OSu) (17 мг, 0,050 ммоль) и твердый карбонат натрия (18 мг, 0,168 ммоль). Смесь перемешивали в течение ночи при комнатной температуре до обнаружения практически полного превращения исходных материалов. Реакцию гасили водой, экстрагировали этилацетатом и концентрировали при пониженном давлении. Остаток очищали с помощью колоночной хроматографии на силикагеле (элюент: этилацетат/петролейный эфир) с получением 15 мг продукта.
ЖХ/МС (ESI): m/z 965,64 [М+Н]+.
Стадия 2: получение соединения D-9b
Соединение D-9a (7 мг, 0,007 ммоль) растворяли в дихлорметане (0,5 мл) при комнатной температуре с последующим последовательным добавлением молекулярных сит 4А (10 мг), триметилоксония тетрафторбората (11 мг, 0,07 ммоль) и протонной губки (16 мг, 0,07 ммоль) и перемешивали смесь при комнатной температуре в течение 1 часа. Когда обнаруживали полное превращение исходного материала, реакционную систему гасили добавлением воды, экстрагировали метил-трет-бутиловым эфиром, промывали 1 Н разбавленной соляной кислотой и концентрировали при пониженном давлении. Остаток очищали с помощью колоночной хроматографии на силикагеле (элюент: этилацетат/петролейный эфир=1:1) с получением 7 мг продукта.
ЖХ/МС (ESI): m/z 979,68 [M+H]+.
Стадия 3: Получение соединения D-9
Брали 1 мл тетрагидрофурана для растворения соединения D-9b (10 мг, 0,01 ммоль) на водяной бане со льдом, в реакционную смесь по каплям добавляли DBU (6 мкл, 0,04 ммоль, диазабициклоундецен) и перемешивали до завершения реакции. Реакцию гасили добавлением воды, экстрагировали дихлорметаном и концентрировали при пониженном давлении. Остаток отделяли с помощью препаративной ВЭЖХ (колонка: Welch Xtimate С18 (10 × 150 мм × 5 мкм), подвижная фаза: А-вода (20 мМ NH4HCO3): В-ацетонитрил, градиентное элюирование = от 30% В до 95% В) с получением 5 мг соединения D-9.
ЖХ/МС (ESI): m/z 757,85 [М+Н]+.
Пример 2-10: Синтез Соединения D-10
Стадия 1: Получение соединения D-10b
Брали 2 мл тетрагидрофурана для растворения соединения D-10a (6 мг, 0,008 ммоль, синтезированное и полученное в соответствии с Bioorg. Med. Chem. Lett. 21 (2011) 1639 1643) на водяной бане со льдом, и в смесь по каплям добавляли раствор алюмогидрида лития (80 мкл, 1 M в THF, 0,08 ммоль) и перемешивали. Температуру реакции медленно повышали до 40°С. Когда с помощью ЖХМС (жидкостная хроматография-масс-спектрометрия) обнаруживали практически полное превращение исходного материала, реакцию гасили декагидратом сульфата натрия, перемешивали в течение получаса на водяной бане со льдом и фильтровали. Полученный фильтрат концентрировали при пониженном давлении с получением неочищенного продукта, который непосредственно использовали на следующей стадии.
ЖХ/МС (ESI): m/z 758,4 [М+Н]+.
Стадия 2: Получение соединения D-10c
Брали 0,5 мл 1,4-диоксана и 0,5 мл воды для растворения соединения D-10b, полученного на предыдущих стадиях, при комнатной температуре, в реакционную систему последовательно добавляли флуоренилметоксикарбонилсукцинимид (6,5 мг, 0,019 ммоль) и карбонат натрия (6,8 мг, 0,064 ммоль) и перемешивали в течение ночи при комнатной температуре до обнаружения практически полного превращения исходного материала. Реакцию гасили водой, экстрагировали этилацетатом и концентрировали при пониженном давлении. Остаток очищали с помощью колоночной хроматографии на силикагеле (элюент: этилацетат/петролейный эфир=3:2) с получением 14 мг соединения D-10c.
ЖХ/МС (ESI): m/z 980,4 [М+Н]+.
Стадия 3: Получение соединения D-10d
Брали 1 мл дихлорметана для растворения соединения D-10c (14 мг, 0,014 ммоль), полученного на предыдущих стадиях, на водяной бане со льдом с последующим добавлением периодинана Десс-Мартина (DMP, 18,2 мг, 0,042 ммоль). Реакционную систему перемешивали и оставляли медленно нагреваться до комнатной температуры, а затем перемешивали до тех пор, пока не обнаруживали с помощью ЖХМС практически полное превращение исходного материала. Реакцию гасили добавлением водного раствора бикарбоната натрия, экстрагировали дихлорметаном и концентрировали при пониженном давлении; остаток очищали с помощью колоночной хроматографии на силикагеле (элюент: этилацетат/петролейный эфир=3:2) с получением 8 мг соединения D-10d.
ЖХ/МС (ESI): m/z 978,4 [М+Н]+.
Стадия 4: Получение соединения D-10
Соединение D-10D (8 мг, 0,008 ммоль), полученное на предыдущих стадиях, растворяли в 1 мл тетрагидрофурана на водяной бане со льдом, в реакционную систему по каплям добавляли DBU (6 мкл, 0,032 ммоль) и перемешивали в течение 1 часа, пока не обнаруживали с помощью ЖХМС практически полное превращение исходного материала. Реакцию гасили добавлением воды, реакционную смесь экстрагировали дихлорметаном и концентрировали при пониженном давлении, и остаток отделяли с помощью препаративной ВЭЖХ (колонка: Welch Boltimate C18 Core-Shell (4,6 × 50 мм × 2,7 мкм), подвижная фаза: вода А (20 мМ NH4HCO3)) с получением целевого соединения D-10 (1,3 мг).
ЖХ/МС (ESI): m/z 755,93 [М+Н]+.
Тестовый пример 2: Скрининг цитотоксической активности in vitro
2.1. Принцип и метод
В эксперименте для определения содержания АТФ использовали CTG и отражали состояние выживаемости опухолевых клеток.
2.2. Определение условий культивирования клеток
1) Культура клеток: клетки А549, SK-BR-3 и MDA-MB-468 культивировали со средой Ham's F-12K (Kaighn's) (Gibco, 21127030) и средой McCoy's 5 A (ThermoFisher, кат. №16600108) и средой Leibovitz's L-15 (ThermoFisher, кат. №11415-114), содержащей 10% FBS (Gibco, 10099-141), соответственно.
А549, SKBR3 и MDA-MB-468 расщепляли трипсином, и каждую из них ресуспендировали в культуральной среде до плотности клеток 2,2×104 клеток/мл, и 135 мкл суспензии клеток добавляли в каждую лунку в колонках от 2 по 11 в 96-луночном планшете, и колонку 12 устанавливали в качестве холостого контроля. Клетки инкубировали в инкубаторе в течение 24 часов при 37°С с 5% СО2.
2) Получение лекарственного средства:
a) Получение исходного раствора: тестовое соединение и положительное контрольное лекарственное средство растворяли в ДМСО с получением исходного раствора в концентрации 5 мМ.
b) Планшет для получения лекарственного средства 1: исходный раствор в колонке 1 изначально разбавляли 40-кратно, и 3-кратные градиентные разведения выполняли последовательно в колонке 2 по колонку 11. Колонку 12 заполняли ДМСО.
c) Планшет для получения лекарственного средства 2: 196 мкл соответствующей культуральной среды добавляли в колонки от 2 по 11, и 4 мкл культуральной среды пипетировали из колонки 3 по колонку 12 планшета для получения лекарственного средства 1 в колонку 2 по колонку 11 планшета для получения лекарственного средства 2. Культуральную среду хорошо перемешивали.
2.3. Обработка клеток
15 мкл культуральной среды пипетировали из планшета для получения лекарственного средства 2 и добавляли в высеянные клетки. Клетки непрерывно инкубировали в инкубаторе в течение 5 часов при 37 С с 5% СО2.
2.4) Анализ CTG (Cell Titer-GloTM, люминесцентный анализ жизнеспособности клеток): планшеты с клетками удаляли и уравновешивали до комнатной температуры. В каждую лунку добавляли 75 мкл CTG и осуществляли реакцию при комнатной температуре в течение 10 минут в темноте. Значение абсорбции считывали с помощью считывающего устройства для микропланшетов и рассчитывали IC50.
2.5. Результаты анализа данных
Положительные контрольные лекарственные средства, соединение Е-305 и соединение Е1-30, имели структурную формулу, как показано ниже, и были получены, как описано в Bioorganic & Medicinal Chemistry Letters 14 (2004) 5551-5554:
Пример 2-11: Синтез Соединения L-2
Соединение D-1а (9 мг, 0,012 ммоль) растворяли в 0,3 мл DMF на водяной бане со льдом, и к смеси добавляли DIPEA (3,5 мг, 0,028 ммоль), затем соединение 2 (7,8 мг, 0,011 ммоль) порциями, и перемешивали до практически полного завершения реакции. Реакционную смесь концентрировали при пониженном давлении с получением неочищенного продукта, который разделяли с помощью препаративной ВЭЖХ (колонка: Xbridge Prep С18 OBD 5 мкм × 19 × 250 мм; подвижная фаза: А-вода (10 ммоль NH4OAc); В-ацетонитрил, градиентное элюирование) с получением 4,95 мг соединения L-2 (чистота 97%).
ЖХ/МС (ESI): m/z 1374,3 [М+Н]+.
Пример 2-12: Синтез Соединения L-3
Стадия 1: Получение соединения 4
Соединение 4а (1,3 г, полученное способом, описанным в WO 2013106717) растворяли в 50 мл ацетонитрила с последующим добавлением последовательно карбоната калия (6,2 г), бензилбромида (1,35 мл) и тетрабутиламмония йодида (415 мг). Реакционную смесь перемешивали при комнатной температуре до практически полного завершения реакции, фильтровали, концентрировали и очищали с помощью колоночной хроматографии на силикагеле с петролейным эфиром/этил ацетатом в качестве проявляющего растворителя с получением соединения 4b.
Соединение 4b (121 мг) и 4 с (180 мг) добавляли в реакционную колбу, и в смесь добавляли 4 мл тетрагидрофурана. В атмосфере азота реакционную систему восстанавливали до около 0°С на водяной бане со льдом, добавляли трет-бутоксидкалия (109 мг, 0,98 ммоль), нагревали до комнатной температуры и перемешивали в течение 40 мин. В реакционную смесь добавляли 10 мл ледяной воды и экстрагировали этилацетатом (20 мл ×2) и хлороформом (10 мл ×5); органические фазы объединяли и концентрировали. Полученный остаток растворяли в 4 мл диоксана и добавляли 2 мл воды, бикарбонат натрия (49,2 мг, 0,586 ммоль) и 9-флуоренилметилхлорформиат (126 мг, 0,49 ммоль). Смесь перемешивали при комнатной температуре в течение 2 часов. Добавляли 20 мл воды с последующей экстракцией этилацетатом (10 мл ×3). Органическую фазу промывали насыщенным раствором хлорида натрия (20 мл), сушили над безводным сульфатом натрия и фильтровали. Фильтрат концентрировали при пониженном давлении. Реакционную смесь очищали с помощью колоночной хроматографии на силикагеле с петролейным эфиром/этилацетатом в качестве проявляющего растворителя с получением соединения 4b, MC m/z (ESI): 515,0 [M+1]+.
Соединение 4b (20 мг, 0,038 ммоль) растворяли в 4,5 мл смеси растворителей тетрагидрофурана и этилацетата (V:V=2:1) и добавляли палладий на угле (12 мг, 10% нагрузка, сухое вещество). Систему трижды продували водородом, и реакционную смесь перемешивали при комнатной температуре в течение 1 часа. Реакционную смесь фильтровали через целит, а осадок на фильтре промывали этилацетатом. Фильтрат концентрировали с получением неочищенного указанного в заголовке соединения 4 (13 мг), которое непосредственно использовали на следующей стадии без очистки.
MC m/z (ESI): 424,9 [М+1].
Стадия 2: Получение соединения DZ-1a
Соединение 4 (13,4 мг, 0,0316 ммоль, 1,7 экв.) и мезилат соединения D-1a (15 мг, 0,0182 ммоль, 1 экв.) взвешивали и растворяли в DMF (0,5 мл); к реакционной смеси добавляли триэтиламин (10 мг, 0,0988 ммоль, 5,4 экв.) и DMTMM (9,8 мг, 0,0332 ммоль, 1,8 экв., 4-(4,6-диметокси-1,3,5-триазин-2-ил)-4-метилморфолиния хлорид) на водяной бане со льдом, естественным образом нагревали до комнатной температуры и перемешивали до практически полного завершения реакции. Добавляли воду (2 мл) и этилацетат (3 мл) для разбавления с целью отделения, водную фазу экстрагировали этилацетатом, органические фазы объединяли, сушили над безводным сульфатом натрия и фильтровали, фильтрат концентрировали при пониженном давлении и остаток очищали с помощью препаративной тонкослойной хроматографии (этилацетат/петролейный эфир) с получением 16 мг соединения DZ-1a с выходом 86,7%.
ЖХ/МС (ESI): m/z 1136,3 [М+Н]+.
Стадия 3: Получение соединения DZ-1b
Соединение DZ-1a (16 мг, 0,0141 ммоль, 1 экв.), полученное на вышеуказанной стадии, взвешивали и растворяли в THF (0,4 мл) на водяной бане со льдом; в реакционную смесь добавляли триэтиламин (4,2 мг, 0,057 ммоль, 4 экв.) и перемешивали на ледяной бане до практически полного завершения реакции. Реакционную смесь разбавляли дихлорметаном (5 мл) и промывали водой (2 мл ×3); органическую фазу сушили над безводным сульфатом натрия и фильтровали, а фильтрат концентрировали при пониженном давлении с получением неочищенного продукта, который использовали непосредственно на следующей стадии.
ЖХ/МС (ESI): m/z 914,3 [М+Н]+.
Стадия 4: Получение соединения L-3
Неочищенное соединение DZ-1b (16 мг, 0,0175 ммоль, 1 экв.), полученное на вышеуказанной стадии, и соединение 6 (11,6 мг, 0,0246 ммоль, 1,4 экв., полученное способом, описанным в ЕР 2907824) взвешивали и растворяли в DMF (0,5 мл); в реакционную смесь добавляли HATU (9,9 мг, 0,026 ммоль, 1,5 экв., 1-[бис(диметиламино)метилен]-1Н-1,2,3-триазоло[4,5-b]пиридиния 3-оксид гексафторфосфат) и N,N-диизопропилэтиламин (DIPEA) (5,5 мг, 0,0426 ммоль, 2,4 экв.) и перемешивали на ледяной бане до практически полного завершения реакции. Добавляли воду (2 мл) и этилацетат (3 мл) для разбавления для разделения, водную фазу экстрагировали этилацетатом, органические фазы объединяли, сушили над безводным сульфатом натрия и фильтровали, фильтрат концентрировали при пониженном давлении и остаток очищали с помощью препаративной ВЭЖХ (колонка: XBridge Prep C18 OBD 5 мкм × 19 × 250 мм; подвижная фаза: А-вода (10 ммоль NH4OAC): В-ацетонитрил, градиентное элюирование) с получением 10 мг соединения L-3.
ЖХ/МС (ESI): m/z 1368,3 [М+Н]+.
Пример 2-13: Синтез Соединения L-4
Стадия 1: Получение соединения DZ-2a
Соединение 4 (11,6 мг, 0,0273 ммоль, 1,5 экв.) и соединение D-1 (13,5 мг, 0,0181 ммоль, 1 экв.) взвешивали и растворяли в N,N-диметилформамиде (0,5 мл); к реакционной смеси добавляли DMTMM (10,1 мг, 0,0343 ммоль, 1,3 экв.) на водяной бане со льдом и перемешивали до практически полного завершения реакции. Добавляли воду (2 мл) и этилацетат (3 мл) для завершения и разведения реакции, реакционную смесь отделяли, водную фазу экстрагировали этилацетатом, органические фазы объединяли, сушили над безводным сульфатом натрия и фильтровали, фильтрат концентрировали при пониженном давлении и остаток очищали с помощью препаративной тонкослойной хроматографии (этилацетат/петролейный эфир) с получением 10 мг соединения с выходом 47,9%.
ЖХ/МС (ESI): m/z 1150,2 [М+Н]+.
Стадия 2: Получение соединения DZ-2b
Продукт соединение DZ-2a (10 мг, 0,0087 ммоль, 1 экв.), полученный на предыдущей стадии, взвешивали и растворяли в THF (1 мл); в реакционную смесь добавляли DBU (1,8-диазабициклоундец-7-ен) (5,2 мг, 0,034 ммоль, 4 экв.) и перемешивали на водяной бане со льдом до практически полного завершения реакции. Реакционную смесь разбавляли дихлорметаном (5 мл) и промывали водой (2 мл ×3); органическую фазу сушили над безводным сульфатом натрия и фильтровали, а фильтрат концентрировали при пониженном давлении с получением неочищенного продукта, который использовали непосредственно на следующей стадии.
ЖХ/МС (ESI): m/z 928,2 [М+Н]+.
Стадия 3: Получение соединения L-4
Продукт соединение DZ-2b (16 мг, 0,0087 ммоль, 1 экв.), полученный на вышеуказанной стадии, и соединение 6 (7,8 мг, 0,0165 ммоль, 1,9 экв.) взвешивали и растворяли в DMF (0,5 мл); в реакционную смесь добавляли HATU (6,2 мг, 0,0163 ммоль, 1,9 экв.) и DIEA (5,7 мг, 0,0441 ммоль, 5 экв.) и перемешивали на ледяной бане до практически полного завершения реакции. Добавляли воду (2 мл) и этилацетат (3 мл) для разведения для разделения, водную фазу экстрагировали этилацетатом, органические фазы объединяли, сушили над безводным сульфатом натрия и фильтровали, фильтрат концентрировали при пониженном давлении, и остаток очищали препаративной ВЭЖХ (колонка: XBridge Prep C18 OBD 5 мкм × 19 × 250 мм; подвижная фаза: А-вода (10 ммоль NH4OAC): В-ацетонитрил, градиентное элюирование) с получением 3,5 мг соединения L-4 с выходом 29,1% за две стадии.
ЖХ/МС (ESI): m/z 1382,2 [М+Н]+.
Примеры 2-14: Получение конъюгата антитела и лекарственного средства ADC-1
К водному буферу PBS антитела PD3 (0,05 М водный буфер PBS при рН 6,5; 10,0 мг/мл, 0,9 мл, 60,6 нмоль) добавляли при 37°С подготовленный водный раствор трис(2-карбоксиэтил)фосфина (ТСЕР) (10 мМ, 15,2 мкл, 152 нмоль). Реакционную смесь встряхивали на водяной бане-шейкере при 37°С в течение 3 часов до завершения реакции. Реакционную смесь охлаждали до 25°С на водяной бане.
Соединение L-3 (0,83 мг, 606 нмоль) растворяли в 50 мкл ДМСО, и полученный раствор добавляли к указанной выше реакционной смеси, которую затем встряхивали на водной бане-шейкере при 25°С в течение 3 часов до завершения реакции. Реакционную смесь обессоливали и очищали через колонку с гелем Sephadex G25 (фаза элюента: 0,05 М буфер PBS при рН 6,5, содержащий 0,001 М ЭДТА) с получением указанного в заголовке продукта ADC-1 в буфере PBS (0,76 мг/мл, 10 мл), который замораживали и хранили при 4°С.
Среднее значение рассчитывали с помощью ультрафиолетового анализа на основе капиллярного электрофореза в присутствии додецилсульфата натрия (CE-SDS): k=3,87.
Примеры 2-15: Получение конъюгата антитела и лекарственного средства ADC-2
К водному буферу PBS антитела PD3 (0,05 М водного буфера PBS при рН 6,5; 10,0 мг/мл, 1,14 мл, 77,2 нмоль) добавляли при 37°С приготовленный водный раствор трис(2-карбоксиэтил)фосфина (ТСЕР) (10 мМ, 19,3 мкл, 193 нмоль). Реакционную смесь встряхивали на водяной бане-шейкере при 37°С в течение 3 часов до завершения реакции. Реакционную смесь охлаждали до 25°С на водяной бане.
Соединение L-2 (0,83 мг, 772 нмоль) растворяли в 50 мкл ДМСО, и полученный раствор добавляли к указанной выше реакционной смеси, которую затем встряхивали на водяной бане-шейкере при 25°С в течение 3 часов до завершения реакции. Реакционную смесь обессоливали и очищали через колонку с гелем Sephadex G25 (фаза элюента: 0,05 М буфер PBS при рН 6,5, содержащий 0,001 М ЭДТА) с получением указанного в заголовке продукта ADC-2 в буфере PBS (0,71 мг/мл, 12 мл), который замораживали и хранили при 4°С.
Среднее значение рассчитывали с помощью CE-SDS: k=3,88.
Примеры 2-16: Получение конъюгата антитела и лекарственного средства ADC-3
К водному буферу PBS антитела PD3 (0,05 М водный буфер PBS при рН 6,5; 10,0 мг/мл, 0,9 мл, 60,6 нмоль) добавляли при 37°С подготовленный водный раствор трис(2-карбоксиэтил)фосфина (ТСЕР) (10 мМ, 15,2 мкл, 152 нмоль). Реакционную смесь встряхивали на водяной бане-шейкере при 37°С в течение 3 часов до завершения реакции. Реакционную смесь охлаждали до 25°С на водяной бане.
Соединение L-1 (0,84 мг, 605 нмоль) растворяли в 50 мкл ДМСО, и полученный раствор добавляли к указанной выше реакционной смеси, которую затем встряхивали на водяной бане-шейкере при 25°С в течение 3 часов до завершения реакции. Реакционную смесь обессоливали и очищали через колонку с гелем Sephadex G25 (фаза элюента: 0,05 М буфер PBS при рН 6,5, содержащий 0,001 М ЭДТА) с получением указанного в заголовке продукта ADC-3 в буфере PBS (0,77 мг/мл, 10,2 мл), который замораживали и хранили при 4°С.
Среднее значение рассчитывали с помощью CE-SDS: k=3,81.
Примеры 2-17: Получение конъюгата антитела и лекарственного средства ADC-4
К водному буферу PBS антитела PD3 (0,05 М водный буфер PBS при рН 6,5; 10,0 мг/мл, 0,9 мл, 60,6 нмоль) добавляли при 37°С подготовленный водный раствор трис(2-карбоксиэтил)фосфина (ТСЕР) (10 мМ, 15,2 мкл, 152 нмоль). Реакционную смесь встряхивали на водяной бане-шейкере при 37°С в течение 3 часов до завершения реакции. Реакционную смесь охлаждали до 25°С на водяной бане.
Соединение L-4 (0,84 мг, 608 нмоль) растворяли в 50 мкл ДМСО, и полученный раствор добавляли к указанной выше реакционной смеси, которую затем встряхивали на водяной бане-шейкере при 25°С в течение 3 часов до завершения реакции. Реакционную смесь обессоливали и очищали через колонку с гелем Sephadex G25 (фаза элюента: 0,05 М буфер PBS при рН 6,5, содержащий 0,001 М ЭДТА) с получением указанного в заголовке продукта ADC-4 в буфере PBS (0,64 мг/мл, 13,5 мл), который замораживали и хранили при 4°С.
Среднее значение рассчитывали с помощью CE-SDS: k=3,88.
Примеры 2-18: Получение конъюгата антитела и лекарственного средства ADC-5
К водному буферу PBS антитела против CD79B hAb015-10 (0,05 М водный буфер PBS при рН 6,5; 10,0 мг/мл, 1,0 мл, 67,3 нмоль) добавляли при 37°С подготовленный водный раствор трис(2-карбоксиэтил)фосфина (ТСЕР) (10 мМ, 16,8 мкл, 168 нмоль). Реакционную смесь встряхивали на водяной бане-шейкере при 37°С в течение 3 часов до завершения реакции. Реакционную смесь охлаждали до 25°С на водяной бане.
Соединение L-1 (0,93 мг, 673 нмоль) растворяли в 50 мкл ДМСО, и полученный раствор добавляли к указанной выше реакционной смеси, которую затем встряхивали на водяной бане-шейкере при 25°С в течение 3 часов до завершения реакции. Реакционную смесь обессоливали и очищали через колонку с гелем Sephadex G25 (фаза элюента: 0,05 М буфер PBS при рН 6,5, содержащий 0,001 М ЭДТА) с получением указанного в заголовке продукта ADC-5 в буфере PBS (0,68 мг/мл, 9,6 мл), который замораживали и хранили при 4°С.
Среднее значение рассчитывали с помощью CE-SDS: k=4,07.
Тестовый пример 3: Оценка и сравнение эффективности ADC-5 и Polivy на подкожной ксенотрансплантатной опухоли голой мыши диффузной В-крупноклеточной лимфомой человека WSU-DLCL2
3.1 Информация о лекарственном средстве
Контрольная группа: hIgG1;
ADC-5: бесцветная и прозрачная жидкость с концентрацией 0,68 мг/мл и чистотой 98,00%, затемненная и герметизированная при 2-8°С;
Polivy (полатузумаб): бесцветная и прозрачная жидкость с концентрацией 5,83 мг/мл и чистотой 97,69%, затемненная и герметизированная при 2-8°С.
3.2 Лекарственный препарат
Все растворы разбавляли физиологическим раствором до желаемой концентрации. Физиологический раствор со спецификацией 10 мл:0,09 г был приобретен у China Otsuka Pharmaceutical Co., Ltd.
3.3 Клетки
Клетки диффузной В-крупноклеточной лимфомы человека WSU-DLCL2 приобретали у DSMZ. Клетки WSU-DLCL2 культивировали в 10 см чашке Петри со средой RPMI 1640 (Gibco), содержащей 10% фетальную бычью сыворотку, пенициллин и стрептомицин (GIBCO, кат. №15070-063), и инкубировали в инкубаторе при 37°С с 5% СО2. Субкультивирование проводили 2-3 раза в неделю, и клетки собирали, подсчитывали и инокулировали при длительном экспоненциальном росте клеток.
3.4 Экспериментальные животные
Самки голых мышей BALB/c-nu с периодом роста 28-35 дней приобретали у Beijing Huafukang Biotechnology Co., Ltd. Лицензия на производство №: SCXK (Пекин) 2019-0008, сертификат животных №: 1103221911012510. Среда содержания: класс SPF (свободные от специфической патогенной микрофлоры).
3.5 Экспериментальные стадии
Каждой голой мыши подкожно инокулировали 2,0×107 клеток WSU-DLCL2, и после того, как объем опухоли вырос до -100 мм3, животных группировали в соответствии с объемом опухоли (D0). Мышам вводили внутривенную инъекцию (в/в), и объем введения составлял 10 мл/кг; конкретные дозы и схемы показаны в таблице 3. Объемы опухоли и массы тела измеряли два раза в неделю, а результаты записывали.
Использование и благополучие лабораторных животных осуществлялось в соответствии с положениями Международной ассоциации по оценке и аккредитации лабораторных животных (AAALAC). Здоровье и смерть животных контролировали ежедневно, и рутинные обследования включали наблюдение за воздействием тестового вещества и лекарственного средства на ежедневные показатели животных, такие как поведенческая активность, изменения массы и внешний вид.
3.6 Экспериментальный индекс
Экспериментальный индекс предназначен для изучения влияния лекарственного средства на рост опухоли, а специфический индекс представляет собой Т/С% или ингибирование роста опухоли TGI(%).
Диаметры опухоли измеряли два раза в неделю с помощью штангенциркуля, а объем опухоли (V) рассчитывали по следующей формуле:
V=1/2 × а × b2, где а и b обозначают соответственно длину и ширину.
Т/С(%)=(Т-Т0)/(С-С0)×100, где Т и С представляют собой объемы опухоли в конце эксперимента; Т0 и С0 представляют собой объемы опухоли в начале эксперимента.
Степень ингибирования опухоли TGI(%)=100-Т/С(%).
Ингибирование роста опухоли (TGI)(%)=100-(Т-Т0)/Т0×100, когда опухоль начала регрессировать.
Если объем опухоли уменьшался по сравнению с ее исходным объемом, т.е. Т меньше Т0 или С меньше С0, это определялось как частичная регрессия (PR) опухоли; если опухоль полностью исчезала, это определялось как полная регрессия (CR) опухоли.
В конце эксперимента, в конечной точке эксперимента, или когда средний объем опухоли в группе растворителя достигал 1500 мм3, животных умерщвляли с помощью СО2-анестезии и препарировали для получения опухолей. Опухоли фотографировали.
3.7 Статистический анализ
Если не указано иное, сравнение между объемами опухолей двух групп проводили с помощью двустороннего t-критерия Стьюдента, где Р меньше 0,05 определяли как статистически значимое различие.
3.8. Результаты
Степени ингибирования опухоли ADC-5 и Polivy (в/в; D0, 1 мг/кг) при подкожной ксенотрансплантатной опухоли голой мыши диффузной В-крупноклеточной лимфомой человека WSU-DLCL2 составляли 53% и 37%, соответственно; мыши с опухолью могли хорошо переносить вышеуказанные лекарственные средства, и симптомы, такие как значительная потеря массы и тому подобное, не возникали.
Выводы
Степени ингибирования опухоли для конъюгата антитела и лекарственного средства ADC-5 и Polivy (положительная контрольная группа) при подкожной ксенотрансплантатной опухоли голой мыши диффузной В-крупноклеточной лимфомой человека WSU-DLCL2 составляли 53% и 37%, соответственно; конъюгат антитела и лекарственного средства ADC-5 и Polivy обладают значительной противоопухолевой активностью; мыши, несущие опухоль, могут хорошо переносить вышеуказанное лекарственное средство.
Тестовый пример 4: Исследование гибели клеток
4.1 Цель
Целью данного исследования является проверка ингибирующей активности конъюгата антитела против TROP-2 (PD3) и лекарственного средства по настоящему изобретению в отношении пролиферации различных линий опухолевых клеток: опухолевых клеток Miapaca2 (клетки рака поджелудочной железы человека, Nanjing Kebai Biotechnology Co., Ltd., кат.№ CBP60544), опухолевых клеток Fadu (плоскоклеточная карцинома человека, АТСС, кат.№ НТВ-43), SK-OV-3 (клетки рака яичника человека, АТСС, кат.№ НТВ-77), K562 (клетки хронического гранулоцитарного лейкоза человека, АТСС, кат. № CCL-243), НСС827 (клетки рака легкого человека, АТСС, кат. № CRL-2868) и ВХРС3 (клетки рака поджелудочной железы человека, АТСС, кат. № CRL-1687). Клетки обрабатывали in vitro конъюгатом антитела и лекарственного средства в различных концентрациях. После 6 дней культивирования пролиферацию клеток тестировали с использованием реагентов для CTG (CellTiter-Glo® Luminescent Cell Viability Assay, Promega, кат. № G7573) и оценивали активность конъюгата антитела и лекарственного средства in vitro в соответствии со значением IC50.
4.2. Способ
1) Культура клеток: клетки MiaPaCa2, Fadu, SK-OV-3, K562, НСС827 и ВХРС3 культивировали в среде DMEM (модифицированная по способу Дульбекко среда Игла)/с высоким содержанием глюкозы (GE, SH30243.01), среде MEM (минимальная питательная среда, Gibco, 11095080), среде McCoy'S 5а (Gibco, 16600108), среде IMDM (среда Дульбекко, модифицированная по способу Исков, Thermo Fisher, 12440061), среде RPIM1640 (Gibco, 11875119), содержащей 10% FBS (Gibco, 10099-141).
2) Посев клеток: в день исследования, после того, как клетки расщепляли трипсином (0,25% трипсин-ЭДТА (1×), Life Technologies, кат. №25200-072), MiaPaCa2, Fadu, SK-OV-3, K562, HCC827 и ВХРС3 суспендировали в суспензии клеток с использованием соответствующих сред до плотности 3,7×103 клеток/мл, и 135 мкл суспензии добавляли в каждую лунку 96-луночного планшета (Corning, кат. №3903) для культивирования 500 клеток на лунку при 37°С в течение 24 часов.
3) Получение лекарственного средства: исходный раствор тестируемого ADC сначала доводили до концентрации 4 мкМ и добавляли в первую колонку планшета для получения лекарсвтенного средства (Corning, кат. №3599). Планшет градиентно 5-кратно разбавляли от колонки 2 до колонки 9, с PBS в колонке 10. 15 мкл исходного раствора в каждой лунке добавляли к планшету для культивирования клеток.
4) Анализ CTG: после культивирования при 37°С в течение 6 дней планшет для культивирования клеток удаляли и уравновешивали до комнатной температуры. 75 мкл CTG добавляли в каждую лунку и осуществляли реакцию при комнатной температуре в течение 10 минут в темноте. Значение абсорбции считывали с помощью планшет-ридера (BMG labtech, PHERAstar FS).
4.3 Анализ данных
Данные обрабатывали и анализировали с помощью Graphpad Prism
5. Результаты приведены в Таблице 8 ниже:
Тестовый пример 5: Исследование неспецифического цитолиза
5.1 Цель
Когда конъюгат антитела и лекарственного средства, раскрытый в настоящем изобретении, совместно культивировали в TROP-2-положительных клетках ВХРС3 (клетка аденокарциномы поджелудочной железы человека in situ, Procell) и TROP-2-отрицательных клетках MiaPaCa2 (клетка аденокарциномы поджелудочной железы человека, Procell), для исследования выбирали концентрацию 5 нМ, при которой конъюгат антитела и лекарственного средства оказывает цитотоксическое действие на TROP-2-положительные клетки ВХРС3 и не оказывает цитотоксического действия на TROP-2-отрицательные клетки MiaPaCa2, и изучали, оказывает ли конъюгат антитела и лекарственного средства побочное цитотоксическое действие на TROP-2-отрицательные клетки Miapaca2 в системе совместного культивирования этих двух клеток.
5.2 Способ
1) Культура клеток: клетки MiaPaCa2 и ВХРС3 культивировали в среде DMEM/c высоким содержанием глюкозы (GE, SH30243.01) и среде RPIM1640 (Gibco, 11875119), содержащей 10% FBS (Gibco, 10099-141).
2) Посев клеток: в день исследования клетки расщепляли трипсином (0,25% трипсин-ЭДТА (1×), Life Technologies, кат. №25200-072), нейтрализовали свежей средой RPIM1640 (содержащей 10% FBS) и центрифугировали при 1000 об/мин в течение 3 минут. Супернатант отбрасывали, и клетки ресуспендировали в RPMI1640+10% FBS. После подсчета клеток плотность клеток ВхРС3 доводили до 6×104 клеток/мл, а плотность клеток MiaPaCa2 доводили до 1,5×104 клеток/мл. 500 мкл клеток ВХРС3 и 500 мкл клеток MiaPaCa2 добавляли в каждую лунку в планшете 1 в 12-луночном планшете. 500 мкл клеток MiaPaCa2 и 500 мкл культуральной среды, содержащей RPMI1640+10% FBS, добавляли в планшет 2 в 12-луночном планшете. Планшет культивировали при 37°С в 5% диоксиде углерода в течение 24 часов.
3) Получение конъюгата антитела и лекарственного средства: конъюгаты антитела и лекарственного средства ADC-1, ADC-2, ADC-3 и ADC-4 разбавляли до концентрации 600 нМ с помощью RPMI1640 и отбирали 50 мкл конъюгата антитела и лекарственного средства и разбавляли до концентрации 200 нМ с помощью 100 мкл культуральной среды (40×, конечная концентрация 5 нМ). 25 мкл конъюгата антитела и лекарственного средства добавляли в планшет для культивирования клеток. Дополнительно устанавливали контрольную группу растворителя PBS, и культивирование продолжали в течение 6 дней.
4) Поточный анализ: клетки в 12-луночном планшете (планшет 1 и планшет 2) расщепляли трипсином, нейтрализовали свежей средой и центрифугировали при 1000 об/мин в течение 3 мин. Супернатант отбрасывали, и клетки ресуспендировали в 1 мл буфера FACS (PBS+2,5% FBS). Отбирали 20 мкл клеток, окрашивали с помощью 20 мкл трипанового синего (Sigma, T8154-100ML) и подсчитывали. Клетки в планшете 1 центрифугировали при 1000 об/мин в течение 3 минут, супернатант отбрасывали, клетки ресуспендировали в 100 мкл буфера FACS, добавляли 2 мкл моноклонального антитела (MR54) против TROP-2 (EGP-1) (ThermoFisher, кат. №12-6024-42), и клетки инкубировали на льду в течение 30 минут. Затем клетки центрифугировали при 2000 об/мин в течение 1 мин при 4°С, добавляли 150 мкл буфера FACS для ресуспендирования клеток, и вышеуказанную процедуру повторяли дважды. Обнаружение проводили с помощью проточной цитометрии (BD, FACSVerse).
5.3 Анализ данных
Данные обработывали и анализировали с использованием Flowjo 10.0. Вывод: все конъюгаты антител продемонстрировали эффект «свидетеля» в исследовании.
Тестовый пример
6. Фармакокинетическое исследование
1. Общие положения
В качестве тестовых животных брали ранее не получавших лечения биглей, концентрации лекарственного средства в плазме в различное время после внутривенного введения биглям соединения D-1 и эрибулина измеряли с использованием ЖХ/МС. Изучали фармакокинетические характеристики у биглей для соединений по настоящему изобретению и оценивали их фармакокинетический профиль.
2. Методология
2.1 Тестовые соединения
Соединение D-1 и эрибулин
2.2. Тестовые животные
Шесть самцов биглей разделяли на 2 группы по 3, приобретены у Shanghai Medicilon Inc., и подвергали тестированию на введение.
2.3. Получение лекарственного средства
Соединение D-1 взвешивали, растворяли, добавляя 5% объем ДМСО, 20% PG и 20% PEG400, а затем получали бесцветный и прозрачный раствор 0,25 мг/мл, добавляя 55% физиологический раствор.
Эрибулин взвешивали, растворяли, добавляя 5% объем ДМСО, 20% PG и 20% PEG400, а затем готовили бесцветный и прозрачный раствор 0,25 мг/мл, добавляя 55% физиологического раствора.
2.4. Введение
Группе биглей внутривенно вводили соединение D-1 в дозе 0,5 мг/кг и в объеме 2 мл/кг.
Другой группе биглей внутривенно вводили эрибулин в дозе 0,5 мг/кг и в объеме 2 мл/кг.
3. Процедуры
Биглям вводили соединение D-1, 1 мл образцов крови собирали перед введением и через 5 мин, 0,25 ч, 0,5 ч, 1,0 ч, 2,0 ч, 4,0 ч, 8,0 ч, 12,0 ч и 24,0 ч после введения, собранные образцы крови помещали в пробирки для забора крови с антикоагулянтом ЭДТА-K2, собранные образцы цельной крови помещали на лед и плазму центрифугировали (центробежная сила: 2200 g, время центрифугирования: 10 мин, 2-8°С) через 1 час. Перед тестированием образцы плазмы хранили в холодильнике при минус 80°С.
Биглям вводили соединение эрибулин, 1 мл образцов крови собирали перед введением и через 5 мин, 0,25 ч, 0,5 ч, 1,0 ч, 2,0 ч, 4,0 ч, 8,0 ч, 12,0 ч и 24,0 ч после введения, собранные образцы крови помещали в пробирки для забора крови с антикоагулянтом ЭДТА-K2, собранные образцы цельной крови помещали на лед и плазму центрифугировали (центробежная сила: 2200 g, время центрифугирования: 10 мин, 2 8°С) через 1 час. Перед тестированием образцы плазмы хранили в холодильнике при минус 80°С.
Определяли концентрацию тестируемых соединений в плазме у биглей после инъекции лекарственного средства: после введения брали 25 мкл плазмы биглей в разное время после введения и добавляли 50 мкл (100 нг/мл) внутреннего стандартного раствора камптотецина (National Institutes for Drug Control) и 200 мкл ацетонитрила. Смесь перемешивали вихревым способом в течение 5 мин и центрифугировали в течение 10 мин (3700 об/мин). 3-4 мкл супернатанта образца плазмы подвергали ЖХ/МС анализу (тройной квадрупольный тандемный масс-спектрометр API4000 (№2), Applied Biosystems, США; Shimadzu, ультравысокоэффективная жидкостная хроматографическая система LC-30AD, Shimadzu, Япония). Проводили анализ.
4. Фармакокинетические параметры
Фармакокинетические параметры соединения по настоящему изобретению показаны в таблице 9 ниже.
Тестовый пример 7: Эффективность ADC-2 и ADC-3 в отношении линии клеток FaDu глоточной плоскоклеточной карциномы человека при подкожной ксенотрансплантатной опухоли голым мышам BALB/c
(1) Культура клеток
Линию клеток Fadu глоточной плоскоклеточной карциномы человека (ScienCell Laboratory, ml-cs-0374), использованную в этом тестировании, культивировали в среде MEM (с добавлением 10 об.% фетальной бычьей сыворотки (FBS) (GIBCO, 10099-141) и 0,1% фосфатного буфера) в инкубаторе при 37°С с 5% СО2. Перед инокуляцией мышей анестезировали 3-4% изофлураном. Перед тем, как клетки непрерывно культивировали в течение десяти пассажей, 100 мкл среды для культивирования клеток Fadu с плотностью 5×106 и равным объемом матригеля (solarbio) хорошо перемешивали и инокулировали подкожно в правую сторону спины мышей вблизи подмышечной впадины.
(2) Группировка животных и схема введения
Когда опухоли выросли в среднем до около 100-150 мм3, мышей случайным образом группировали по 8 по объему опухоли и массе тела. День группировки и введения определяли как день 0. Группировка и схема введения показана в таблице 10 ниже:
Объем введения: объем введения доводили до 10 мкл/г в соответствии с массой тела мышей.
Объем опухоли: объемы опухоли измеряли два раза в неделю в течение 4 последовательных недель после группировки. Объем опухоли (V) рассчитывали следующим образом: v=(длина × ширина2)/2. Относительный объем опухоли (RTV) на мышь рассчитывали как: RTV=Vt/V0, где Vt представляет собой измеренный объем для каждого времени, a V0 представляет собой объем в начале лечения.
Масса тела животных: массы тела мышей измеряли и записывали два раза в неделю после группировки.
Наблюдение за состоянием животных: в этом исследовании у животных, получавших носитель или тестируемые лекарственные средства, не наблюдалось никаких отклонений от нормы. В конце эксперимента у некоторых животных развились язвы.
(3) Отмена лекарственного средства и восстановление критерия введения в тестировании
В процессе тестирования, когда масса тела мышей снижалась на ≥15%, введение прерывали; и период прерывания должен быть достаточно продолжительным, чтобы восстановить массу тела мышей. Прерывали введение только одной мыши, в то время как введение другим мышам проходило нормально; тестирование проводили непрерывно, когда масса тела мышей восстанавливалась при отмене лекарственного средства со ссылкой на следующие критерии: масса тела мышей снижалась на ≤10%.
(4) Конечная точка
В конце эксперимента in vivo всем животным проводили асфиксию СО2, а затем умерщвляли их цервикальной дислокацией. Опухоли собирали, взвешивали и фотографировали. У мертвых животных, несущих опухоли, не брали образцы до завершения эксперимента in vivo.
(5) Статистический анализ
Результаты представлены в виде среднего ±S.E.M. Сравнения между двумя группами тестировали с помощью критерия множественного сравнения Даннетта. Различия считались статистически значимыми, если р менее 0,05, записанное как *, р менее 0,01, записанное как **, и р менее 0,001, записанное как ***.
(6) Результаты
Масса: тенденция изменения массы тела животных в группе носителя и группах введения с различными тестируемыми лекарственными средствами показана на фиг. 1. Масса тела животных увеличивалась нормально с ходом эксперимента.
Объем опухоли:
В экспериментальный период, после того, как животных из контрольной группы носителя (G1) инокулировали, группировали и проводили введение, опухоль медленно росла; объем опухоли быстро увеличивался до 14 дня. Среднее значение объема опухоли для G1 в день 0 эксперимента составило: 125,05±3,66 мм3; среднее значение объема опухоли в день 25 составило: 1854,48±99,50 мм3. Экспериментальные данные объема опухоли и относительного объема опухоли показали, что линия клеток Fadu глоточной плоскоклеточной карциномы человека была успешно установлена в модели подкожной ксенотрансплантатной опухоли мыши BALB/c.
Среднее значение объема опухоли животных в группе ADC-3 с высокой дозой (3 мг/кг) (G2) в день 0 эксперимента составило: 121,40±3,18 мм3; среднее значение объема опухоли в день 25 составило: 721,56±169,15 мм3. В течение экспериментального периода группа ADC-3 с высокой дозой могла значительно ингибировать рост опухоли по сравнению с контрольной группой носителя.
Относительная степень пролиферации опухоли и степень ингибирования массы опухоли:
Относительную степень пролиферации опухоли (Т/С%) использовали для оценки влияния противоопухолевой активности лекарственного средства, относительная степень пролиферации опухоли Т/С(%)=средний RTV группы лечения (Т)/средний RTV группы отрицательного контроля (С) × 100%. Относительная степень пролиферации опухоли каждой группы в каждый момент времени показана в таблице 11, а диаграмма тенденций показана на фиг. 2.
Вывод:
После введения группы ADC-3 объем опухоли в группе с высокой дозой был значительно уменьшен по сравнению с таким значением в модельной группе, и объем опухоли в группе с низкой дозой был уменьшен по сравнению с таким значением в модельной группе, в то время как две группы не имели статистической разницы. Лекарственное средство продемонстрировало эффект ингибирования дозозависимого роста опухоли. Между тем, эффективность in vivo группы ADC-3 была лучше, чем у группы ADC-2 на день 25 после введения дозы 3 мг/кг, и две группы имели существенную разницу.
Хотя конкретные варианты осуществления настоящего изобретения были описаны выше, специалистам в данной области техники будет понятно, что эти варианты осуществления являются просто иллюстративными и что многие изменения или модификации могут быть внесены в эти варианты осуществления без отступления от принципов и сущности настоящего изобретения. Таким образом, объем защиты настоящего изобретения определяется прилагаемой формулой изобретения.
--->
ПЕРЕЧЕНЬ ПОСЛЕДОВАТЕЛЬНОСТЕЙ
<110> SHANGHAI SENHUI MEDICINE CO., LTD.
SHANGHAI SHENGDI PHARMACEUTICAL CO., LTD
SHANGHAI HENGRUI PHARMACEUTICAL CO., LTD.
JIANGSU HENGRUI MEDICINE CO., LTD.
<120> ЛЕКАРСТВЕННЫЙ КОНЪЮГАТ ПРОИЗВОДНОГО ЭРИБУЛИНА, СПОСОБ ЕГО ПОЛУЧЕНИЯ
И ЕГО ПРИМЕНЕНИЕ В МЕДИЦИНЕ
<160> 36
<170> SIPOSequenceListing 1.0
<210> 1
<211> 433
<212> БЕЛОК
<213> Искусственная последовательность
<400> 1
Ala Arg Ser Glu Asp Arg Tyr Arg Asn Pro Lys Gly Ser Ala Cys Ser
1 5 10 15
Arg Ile Trp Gln Ser Pro Arg Phe Ile Ala Arg Lys Arg Gly Phe Thr
20 25 30
Val Lys Met His Cys Tyr Met Asn Ser Ala Ser Gly Asn Val Ser Trp
35 40 45
Leu Trp Lys Gln Glu Met Asp Glu Asn Pro Gln Gln Leu Lys Leu Glu
50 55 60
Lys Gly Arg Met Glu Glu Ser Gln Asn Glu Ser Leu Ala Thr Leu Thr
65 70 75 80
Ile Gln Gly Ile Arg Phe Glu Asp Asn Gly Ile Tyr Phe Cys Gln Gln
85 90 95
Lys Cys Asn Asn Thr Ser Glu Val Tyr Gln Gly Cys Gly Thr Glu Leu
100 105 110
Arg Val Met Gly Phe Ser Thr Leu Ala Gln Leu Lys Gln Arg Asn Thr
115 120 125
Leu Lys Asp Gly Ile Ile Met Ile Gln Thr Leu Leu Ile Ile Leu Phe
130 135 140
Ile Ile Val Pro Ile Phe Leu Leu Leu Asp Lys Asp Asp Ser Lys Ala
145 150 155 160
Gly Met Glu Glu Asp His Thr Tyr Glu Gly Leu Asp Ile Asp Gln Thr
165 170 175
Ala Thr Tyr Glu Asp Ile Val Thr Leu Arg Thr Gly Glu Val Lys Trp
180 185 190
Ser Val Gly Glu His Pro Gly Gln Glu Glu Pro Lys Ser Cys Asp Lys
195 200 205
Thr His Thr Cys Pro Pro Cys Pro Ala Pro Glu Leu Leu Gly Gly Pro
210 215 220
Ser Val Phe Leu Phe Pro Pro Lys Pro Lys Asp Thr Leu Met Ile Ser
225 230 235 240
Arg Thr Pro Glu Val Thr Cys Val Val Val Asp Val Ser His Glu Asp
245 250 255
Pro Glu Val Lys Phe Asn Trp Tyr Val Asp Gly Val Glu Val His Asn
260 265 270
Ala Lys Thr Lys Pro Arg Glu Glu Gln Tyr Asn Ser Thr Tyr Arg Val
275 280 285
Val Ser Val Leu Thr Val Leu His Gln Asp Trp Leu Asn Gly Lys Glu
290 295 300
Tyr Lys Cys Lys Val Ser Asn Lys Ala Leu Pro Ala Pro Ile Glu Lys
305 310 315 320
Thr Ile Ser Lys Ala Lys Gly Gln Pro Arg Glu Pro Gln Val Tyr Thr
325 330 335
Leu Pro Pro Ser Arg Glu Glu Met Thr Lys Asn Gln Val Ser Leu Thr
340 345 350
Cys Leu Val Lys Gly Phe Tyr Pro Ser Asp Ile Ala Val Glu Trp Glu
355 360 365
Ser Asn Gly Gln Pro Glu Asn Asn Tyr Lys Thr Thr Pro Pro Val Leu
370 375 380
Asp Ser Asp Gly Ser Phe Phe Leu Tyr Ser Lys Leu Thr Val Asp Lys
385 390 395 400
Ser Arg Trp Gln Gln Gly Asn Val Phe Ser Cys Ser Val Met His Glu
405 410 415
Ala Leu His Asn His Tyr Thr Gln Lys Ser Leu Ser Leu Ser Pro Gly
420 425 430
Lys
<210> 2
<211> 207
<212> БЕЛОК
<213> Искусственная последовательность
<400> 2
Ala Arg Ser Glu Asp Arg Tyr Arg Asn Pro Lys Gly Ser Ala Cys Ser
1 5 10 15
Arg Ile Trp Gln Ser Pro Arg Phe Ile Ala Arg Lys Arg Gly Phe Thr
20 25 30
Val Lys Met His Cys Tyr Met Asn Ser Ala Ser Gly Asn Val Ser Trp
35 40 45
Leu Trp Lys Gln Glu Met Asp Glu Asn Pro Gln Gln Leu Lys Leu Glu
50 55 60
Lys Gly Arg Met Glu Glu Ser Gln Asn Glu Ser Leu Ala Thr Leu Thr
65 70 75 80
Ile Gln Gly Ile Arg Phe Glu Asp Asn Gly Ile Tyr Phe Cys Gln Gln
85 90 95
Lys Cys Asn Asn Thr Ser Glu Val Tyr Gln Gly Cys Gly Thr Glu Leu
100 105 110
Arg Val Met Gly Phe Ser Thr Leu Ala Gln Leu Lys Gln Arg Asn Thr
115 120 125
Leu Lys Asp Gly Ile Ile Met Ile Gln Thr Leu Leu Ile Ile Leu Phe
130 135 140
Ile Ile Val Pro Ile Phe Leu Leu Leu Asp Lys Asp Asp Ser Lys Ala
145 150 155 160
Gly Met Glu Glu Asp His Thr Tyr Glu Gly Leu Asp Ile Asp Gln Thr
165 170 175
Ala Thr Tyr Glu Asp Ile Val Thr Leu Arg Thr Gly Glu Val Lys Trp
180 185 190
Ser Val Gly Glu His Pro Gly Gln Glu His His His His His His
195 200 205
<210> 3
<211> 117
<212> БЕЛОК
<213> Искусственная последовательность
<400> 3
Gln Val Gln Leu Gln Gln Ser Gly Ala Glu Leu Ala Arg Pro Gly Ala
1 5 10 15
Ser Val Lys Leu Ser Cys Lys Ala Ser Gly Ser Ser Phe Thr Ser Tyr
20 25 30
Gly Ile Asn Trp Val Lys Gln Arg Thr Gly Gln Gly Leu Glu Trp Ile
35 40 45
Gly Glu Ile Phe Pro Arg Ser Gly Asn Thr Tyr Tyr Asn Glu Lys Phe
50 55 60
Glu Gly Lys Ala Thr Leu Thr Ala Asp Lys Ser Ser Ser Thr Ala Tyr
65 70 75 80
Met Glu Leu Arg Ser Leu Thr Ser Glu Asp Ser Ala Val Tyr Phe Cys
85 90 95
Ala Lys Gly Asp Leu Gly Asp Phe Asp Tyr Trp Gly Gln Gly Thr Thr
100 105 110
Leu Thr Val Ser Ser
115
<210> 4
<211> 112
<212> БЕЛОК
<213> Искусственная последовательность
<400> 4
Asp Phe Leu Met Thr Gln Thr Pro Leu Ser Leu Pro Val Arg Leu Gly
1 5 10 15
Asp Gln Ala Ser Ile Ser Cys Arg Ser Ser Gln Ser Ile Val His Ser
20 25 30
Asp Gly Asn Thr Tyr Phe Glu Trp Tyr Leu Gln Lys Pro Gly Gln Ser
35 40 45
Pro Lys Leu Leu Ile Tyr Lys Val Ser Asn Arg Phe Ser Gly Val Pro
50 55 60
Asp Arg Phe Ser Gly Ser Gly Ser Gly Thr Asp Phe Thr Leu Lys Ile
65 70 75 80
Ser Arg Val Glu Ala Glu Asp Leu Gly Val Tyr Tyr Cys Phe Gln Gly
85 90 95
Ser His Val Pro Trp Thr Phe Gly Gly Gly Thr Lys Leu Glu Ile Lys
100 105 110
<210> 5
<211> 119
<212> БЕЛОК
<213> Искусственная последовательность
<400> 5
Gln Val Gln Leu Gln Gln Ser Gly Ala Glu Leu Ala Arg Pro Gly Ala
1 5 10 15
Ser Val Lys Leu Ser Cys Lys Ala Ser Gly Tyr Thr Phe Thr Thr Tyr
20 25 30
Gly Ile Asn Trp Val Lys Gln Arg Thr Gly Gln Gly Leu Glu Trp Ile
35 40 45
Gly Glu Ile Tyr Pro Arg Ser Gly Asn Ile Tyr Tyr Asn Glu Lys Phe
50 55 60
Lys Gly Lys Ala Thr Leu Thr Ala Asp Lys Ser Ser Ser Thr Ala Tyr
65 70 75 80
Met Glu Leu Arg Ser Leu Thr Ser Glu Asp Ser Ala Val Tyr Phe Cys
85 90 95
Ala Arg Gly Ser Asp Tyr Asp Gly Asp Phe Ala Tyr Trp Gly Gln Gly
100 105 110
Thr Leu Val Thr Val Ser Ala
115
<210> 6
<211> 112
<212> БЕЛОК
<213> Искусственная последовательность
<400> 6
Asp Val Leu Met Thr Gln Thr Pro Leu Ser Leu Pro Val Ser Leu Gly
1 5 10 15
Asp Gln Ala Ser Ile Ser Cys Arg Ser Ser Gln Ser Ile Val His His
20 25 30
Asp Gly Asn Thr Tyr Leu Glu Trp Tyr Leu Gln Lys Pro Gly Gln Ser
35 40 45
Pro Lys Leu Leu Ile Tyr Lys Val Ser Asn Arg Phe Ser Gly Val Pro
50 55 60
Asp Arg Phe Ser Gly Ser Gly Ser Gly Thr Asp Phe Thr Leu Lys Ile
65 70 75 80
Ser Arg Val Glu Ala Glu Asp Leu Gly Val Tyr Tyr Cys Phe Gln Gly
85 90 95
Ser His Val Pro Trp Thr Phe Gly Gly Gly Thr Gln Leu Glu Ile Lys
100 105 110
<210> 7
<211> 7
<212> БЕЛОК
<213> Искусственная последовательность
<400> 7
Gly Ser Ser Phe Thr Ser Tyr
1 5
<210> 8
<211> 6
<212> БЕЛОК
<213> Искусственная последовательность
<400> 8
Phe Pro Arg Ser Gly Asn
1 5
<210> 9
<211> 8
<212> БЕЛОК
<213> Искусственная последовательность
<400> 9
Gly Asp Leu Gly Asp Phe Asp Tyr
1 5
<210> 10
<211> 16
<212> БЕЛОК
<213> Искусственная последовательность
<400> 10
Arg Ser Ser Gln Ser Ile Val His Ser Asp Gly Asn Thr Tyr Phe Glu
1 5 10 15
<210> 11
<211> 7
<212> БЕЛОК
<213> Искусственная последовательность
<400> 11
Lys Val Ser Asn Arg Phe Ser
1 5
<210> 12
<211> 9
<212> БЕЛОК
<213> Искусственная последовательность
<400> 12
Phe Gln Gly Ser His Val Pro Trp Thr
1 5
<210> 13
<211> 7
<212> БЕЛОК
<213> Искусственная последовательность
<400> 13
Gly Tyr Thr Phe Thr Thr Tyr
1 5
<210> 14
<211> 6
<212> БЕЛОК
<213> Искусственная последовательность
<400> 14
Tyr Pro Arg Ser Gly Asn
1 5
<210> 15
<211> 10
<212> БЕЛОК
<213> Искусственная последовательность
<400> 15
Gly Ser Asp Tyr Asp Gly Asp Phe Ala Tyr
1 5 10
<210> 16
<211> 16
<212> БЕЛОК
<213> Искусственная последовательность
<400> 16
Arg Ser Ser Gln Ser Ile Val His His Asp Gly Asn Thr Tyr Leu Glu
1 5 10 15
<210> 17
<211> 7
<212> БЕЛОК
<213> Искусственная последовательность
<400> 17
Lys Val Ser Asn Arg Phe Ser
1 5
<210> 18
<211> 9
<212> БЕЛОК
<213> Искусственная последовательность
<400> 18
Phe Gln Gly Ser His Val Pro Trp Thr
1 5
<210> 19
<211> 447
<212> БЕЛОК
<213> Искусственная последовательность
<400> 19
Glu Val Gln Leu Val Gln Ser Gly Ala Glu Val Lys Lys Pro Gly Ser
1 5 10 15
Ser Val Lys Val Ser Cys Lys Ala Ser Gly Ser Ser Phe Ser Ser Tyr
20 25 30
Gly Ile Asn Trp Val Lys Gln Ala Pro Gly Gln Gly Leu Glu Trp Ile
35 40 45
Gly Glu Ile Phe Pro Arg Ser Gly Asn Thr Tyr Tyr Asn Glu Lys Phe
50 55 60
Glu Gly Arg Ala Thr Leu Thr Ala Asp Lys Ser Thr Ser Thr Ala Tyr
65 70 75 80
Met Glu Leu Arg Ser Leu Arg Ser Glu Asp Thr Ala Val Tyr Tyr Cys
85 90 95
Ala Lys Gly Asp Leu Gly Asp Phe Asp Tyr Trp Gly Gln Gly Thr Thr
100 105 110
Val Thr Val Ser Ser Ala Ser Thr Lys Gly Pro Ser Val Phe Pro Leu
115 120 125
Ala Pro Ser Ser Lys Ser Thr Ser Gly Gly Thr Ala Ala Leu Gly Cys
130 135 140
Leu Val Lys Asp Tyr Phe Pro Glu Pro Val Thr Val Ser Trp Asn Ser
145 150 155 160
Gly Ala Leu Thr Ser Gly Val His Thr Phe Pro Ala Val Leu Gln Ser
165 170 175
Ser Gly Leu Tyr Ser Leu Ser Ser Val Val Thr Val Pro Ser Ser Ser
180 185 190
Leu Gly Thr Gln Thr Tyr Ile Cys Asn Val Asn His Lys Pro Ser Asn
195 200 205
Thr Lys Val Asp Lys Lys Val Glu Pro Lys Ser Cys Asp Lys Thr His
210 215 220
Thr Cys Pro Pro Cys Pro Ala Pro Glu Leu Leu Gly Gly Pro Ser Val
225 230 235 240
Phe Leu Phe Pro Pro Lys Pro Lys Asp Thr Leu Met Ile Ser Arg Thr
245 250 255
Pro Glu Val Thr Cys Val Val Val Asp Val Ser His Glu Asp Pro Glu
260 265 270
Val Lys Phe Asn Trp Tyr Val Asp Gly Val Glu Val His Asn Ala Lys
275 280 285
Thr Lys Pro Arg Glu Glu Gln Tyr Asn Ser Thr Tyr Arg Val Val Ser
290 295 300
Val Leu Thr Val Leu His Gln Asp Trp Leu Asn Gly Lys Glu Tyr Lys
305 310 315 320
Cys Lys Val Ser Asn Lys Ala Leu Pro Ala Pro Ile Glu Lys Thr Ile
325 330 335
Ser Lys Ala Lys Gly Gln Pro Arg Glu Pro Gln Val Tyr Thr Leu Pro
340 345 350
Pro Ser Arg Glu Glu Met Thr Lys Asn Gln Val Ser Leu Thr Cys Leu
355 360 365
Val Lys Gly Phe Tyr Pro Ser Asp Ile Ala Val Glu Trp Glu Ser Asn
370 375 380
Gly Gln Pro Glu Asn Asn Tyr Lys Thr Thr Pro Pro Val Leu Asp Ser
385 390 395 400
Asp Gly Ser Phe Phe Leu Tyr Ser Lys Leu Thr Val Asp Lys Ser Arg
405 410 415
Trp Gln Gln Gly Asn Val Phe Ser Cys Ser Val Met His Glu Ala Leu
420 425 430
His Asn His Tyr Thr Gln Lys Ser Leu Ser Leu Ser Pro Gly Lys
435 440 445
<210> 20
<211> 219
<212> БЕЛОК
<213> Искусственная последовательность
<400> 20
Asp Phe Val Met Thr Gln Thr Pro Leu Ser Leu Pro Val Thr Pro Gly
1 5 10 15
Glu Pro Ala Ser Ile Ser Cys Arg Ser Ser Gln Ser Ile Val His Ser
20 25 30
Asp Gly Asn Thr Tyr Phe Glu Trp Tyr Leu Gln Lys Pro Gly Gln Ser
35 40 45
Pro Lys Leu Leu Ile Tyr Lys Val Ser Asn Arg Phe Ser Gly Val Pro
50 55 60
Asp Arg Phe Ser Gly Ser Gly Ser Gly Thr Asp Phe Thr Leu Lys Ile
65 70 75 80
Ser Arg Val Glu Ala Glu Asp Val Gly Val Tyr Tyr Cys Phe Gln Gly
85 90 95
Ser His Val Pro Trp Thr Phe Gly Gly Gly Thr Lys Val Glu Ile Lys
100 105 110
Arg Thr Val Ala Ala Pro Ser Val Phe Ile Phe Pro Pro Ser Asp Glu
115 120 125
Gln Leu Lys Ser Gly Thr Ala Ser Val Val Cys Leu Leu Asn Asn Phe
130 135 140
Tyr Pro Arg Glu Ala Lys Val Gln Trp Lys Val Asp Asn Ala Leu Gln
145 150 155 160
Ser Gly Asn Ser Gln Glu Ser Val Thr Glu Gln Asp Ser Lys Asp Ser
165 170 175
Thr Tyr Ser Leu Ser Ser Thr Leu Thr Leu Ser Lys Ala Asp Tyr Glu
180 185 190
Lys His Lys Val Tyr Ala Cys Glu Val Thr His Gln Gly Leu Ser Ser
195 200 205
Pro Val Thr Lys Ser Phe Asn Arg Gly Glu Cys
210 215
<210> 21
<211> 449
<212> БЕЛОК
<213> Искусственная последовательность
<400> 21
Glu Val Gln Leu Val Gln Ser Gly Ala Glu Val Lys Lys Pro Gly Ala
1 5 10 15
Ser Val Lys Val Ser Cys Lys Ala Ser Gly Tyr Thr Phe Thr Thr Tyr
20 25 30
Gly Ile Asn Trp Val Lys Gln Ala Pro Gly Gln Gly Leu Glu Trp Ile
35 40 45
Gly Glu Ile Tyr Pro Arg Ser Gly Asn Ile Tyr Tyr Asn Glu Lys Phe
50 55 60
Lys Gly Lys Ala Thr Leu Thr Ala Asp Lys Ser Thr Ser Thr Ala Tyr
65 70 75 80
Met Glu Leu Arg Ser Leu Arg Ser Asp Asp Thr Ala Val Tyr Tyr Cys
85 90 95
Ala Arg Gly Ser Asp Tyr Asp Gly Asp Phe Ala Tyr Trp Gly Gln Gly
100 105 110
Thr Leu Val Thr Val Ser Ser Ala Ser Thr Lys Gly Pro Ser Val Phe
115 120 125
Pro Leu Ala Pro Ser Ser Lys Ser Thr Ser Gly Gly Thr Ala Ala Leu
130 135 140
Gly Cys Leu Val Lys Asp Tyr Phe Pro Glu Pro Val Thr Val Ser Trp
145 150 155 160
Asn Ser Gly Ala Leu Thr Ser Gly Val His Thr Phe Pro Ala Val Leu
165 170 175
Gln Ser Ser Gly Leu Tyr Ser Leu Ser Ser Val Val Thr Val Pro Ser
180 185 190
Ser Ser Leu Gly Thr Gln Thr Tyr Ile Cys Asn Val Asn His Lys Pro
195 200 205
Ser Asn Thr Lys Val Asp Lys Lys Val Glu Pro Lys Ser Cys Asp Lys
210 215 220
Thr His Thr Cys Pro Pro Cys Pro Ala Pro Glu Leu Leu Gly Gly Pro
225 230 235 240
Ser Val Phe Leu Phe Pro Pro Lys Pro Lys Asp Thr Leu Met Ile Ser
245 250 255
Arg Thr Pro Glu Val Thr Cys Val Val Val Asp Val Ser His Glu Asp
260 265 270
Pro Glu Val Lys Phe Asn Trp Tyr Val Asp Gly Val Glu Val His Asn
275 280 285
Ala Lys Thr Lys Pro Arg Glu Glu Gln Tyr Asn Ser Thr Tyr Arg Val
290 295 300
Val Ser Val Leu Thr Val Leu His Gln Asp Trp Leu Asn Gly Lys Glu
305 310 315 320
Tyr Lys Cys Lys Val Ser Asn Lys Ala Leu Pro Ala Pro Ile Glu Lys
325 330 335
Thr Ile Ser Lys Ala Lys Gly Gln Pro Arg Glu Pro Gln Val Tyr Thr
340 345 350
Leu Pro Pro Ser Arg Glu Glu Met Thr Lys Asn Gln Val Ser Leu Thr
355 360 365
Cys Leu Val Lys Gly Phe Tyr Pro Ser Asp Ile Ala Val Glu Trp Glu
370 375 380
Ser Asn Gly Gln Pro Glu Asn Asn Tyr Lys Thr Thr Pro Pro Val Leu
385 390 395 400
Asp Ser Asp Gly Ser Phe Phe Leu Tyr Ser Lys Leu Thr Val Asp Lys
405 410 415
Ser Arg Trp Gln Gln Gly Asn Val Phe Ser Cys Ser Val Met His Glu
420 425 430
Ala Leu His Asn His Tyr Thr Gln Lys Ser Leu Ser Leu Ser Pro Gly
435 440 445
Lys
<210> 22
<211> 219
<212> БЕЛОК
<213> Искусственная последовательность
<400> 22
Asp Val Val Met Thr Gln Thr Pro Leu Ser Leu Pro Val Thr Pro Gly
1 5 10 15
Glu Pro Ala Ser Ile Ser Cys Arg Ser Ser Gln Ser Ile Val His His
20 25 30
Asp Gly Asn Thr Tyr Leu Glu Trp Tyr Leu Gln Lys Pro Gly Gln Ser
35 40 45
Pro Gln Leu Leu Ile Tyr Lys Val Ser Asn Arg Phe Ser Gly Val Pro
50 55 60
Asp Arg Phe Ser Gly Ser Gly Ser Gly Thr Asp Phe Thr Leu Lys Ile
65 70 75 80
Ser Arg Val Glu Ala Glu Asp Val Gly Val Tyr Tyr Cys Phe Gln Gly
85 90 95
Ser His Val Pro Trp Thr Phe Gly Gly Gly Thr Lys Val Glu Ile Lys
100 105 110
Arg Thr Val Ala Ala Pro Ser Val Phe Ile Phe Pro Pro Ser Asp Glu
115 120 125
Gln Leu Lys Ser Gly Thr Ala Ser Val Val Cys Leu Leu Asn Asn Phe
130 135 140
Tyr Pro Arg Glu Ala Lys Val Gln Trp Lys Val Asp Asn Ala Leu Gln
145 150 155 160
Ser Gly Asn Ser Gln Glu Ser Val Thr Glu Gln Asp Ser Lys Asp Ser
165 170 175
Thr Tyr Ser Leu Ser Ser Thr Leu Thr Leu Ser Lys Ala Asp Tyr Glu
180 185 190
Lys His Lys Val Tyr Ala Cys Glu Val Thr His Gln Gly Leu Ser Ser
195 200 205
Pro Val Thr Lys Ser Phe Asn Arg Gly Glu Cys
210 215
<210> 23
<211> 5
<212> БЕЛОК
<213> Искусственная последовательность
<400> 23
Asn Tyr Gly Met Asn
1 5
<210> 24
<211> 17
<212> БЕЛОК
<213> Искусственная последовательность
<400> 24
Trp Ile Asn Thr Tyr Thr Gly Glu Pro Thr Tyr Thr Gln Asp Phe Lys
1 5 10 15
Gly
<210> 25
<211> 12
<212> БЕЛОК
<213> Искусственная последовательность
<400> 25
Gly Gly Phe Gly Ser Ser Tyr Trp Tyr Phe Asp Val
1 5 10
<210> 26
<211> 11
<212> БЕЛОК
<213> Искусственная последовательность
<400> 26
Lys Ala Ser Gln Asp Val Ser Ile Ala Val Ala
1 5 10
<210> 27
<211> 7
<212> БЕЛОК
<213> Искусственная последовательность
<400> 27
Ser Ala Ser Tyr Arg Tyr Thr
1 5
<210> 28
<211> 9
<212> БЕЛОК
<213> Искусственная последовательность
<400> 28
Gln Gln His Tyr Ile Thr Pro Leu Thr
1 5
<210> 29
<211> 121
<212> БЕЛОК
<213> Искусственная последовательность
<400> 29
Glu Val Gln Leu Val Gln Ser Gly Ser Glu Leu Lys Lys Pro Gly Ala
1 5 10 15
Ser Val Lys Val Ser Cys Lys Ala Ser Gly Tyr Thr Phe Thr Asn Tyr
20 25 30
Gly Met Asn Trp Val Lys Gln Ala Pro Gly Gln Gly Leu Lys Trp Met
35 40 45
Gly Trp Ile Asn Thr Tyr Thr Gly Glu Pro Thr Tyr Thr Gln Asp Phe
50 55 60
Lys Gly Arg Phe Ala Phe Ser Leu Asp Thr Ser Val Ser Thr Ala Tyr
65 70 75 80
Leu Gln Ile Ser Ser Leu Lys Ala Glu Asp Thr Ala Val Tyr Tyr Cys
85 90 95
Ala Arg Gly Gly Phe Gly Ser Ser Tyr Trp Tyr Phe Asp Val Trp Gly
100 105 110
Gln Gly Thr Leu Val Thr Val Ser Ser
115 120
<210> 30
<211> 107
<212> БЕЛОК
<213> Искусственная последовательность
<400> 30
Asp Ile Gln Leu Thr Gln Ser Pro Ser Ser Leu Ser Ala Ser Val Gly
1 5 10 15
Asp Arg Val Ser Ile Thr Cys Lys Ala Ser Gln Asp Val Ser Ile Ala
20 25 30
Val Ala Trp Tyr Gln Gln Lys Pro Gly Lys Ala Pro Lys Leu Leu Ile
35 40 45
Tyr Ser Ala Ser Tyr Arg Tyr Thr Gly Val Pro Asp Arg Phe Ser Gly
50 55 60
Ser Gly Ser Gly Thr Asp Phe Thr Leu Thr Ile Ser Ser Leu Gln Pro
65 70 75 80
Glu Asp Phe Ala Val Tyr Tyr Cys Gln Gln His Tyr Ile Thr Pro Leu
85 90 95
Thr Phe Gly Ala Gly Thr Lys Val Glu Ile Lys
100 105
<210> 31
<211> 330
<212> БЕЛОК
<213> Искусственная последовательность
<400> 31
Ala Ser Thr Lys Gly Pro Ser Val Phe Pro Leu Ala Pro Ser Ser Lys
1 5 10 15
Ser Thr Ser Gly Gly Thr Ala Ala Leu Gly Cys Leu Val Lys Asp Tyr
20 25 30
Phe Pro Glu Pro Val Thr Val Ser Trp Asn Ser Gly Ala Leu Thr Ser
35 40 45
Gly Val His Thr Phe Pro Ala Val Leu Gln Ser Ser Gly Leu Tyr Ser
50 55 60
Leu Ser Ser Val Val Thr Val Pro Ser Ser Ser Leu Gly Thr Gln Thr
65 70 75 80
Tyr Ile Cys Asn Val Asn His Lys Pro Ser Asn Thr Lys Val Asp Lys
85 90 95
Lys Val Glu Pro Lys Ser Cys Asp Lys Thr His Thr Cys Pro Pro Cys
100 105 110
Pro Ala Pro Glu Leu Leu Gly Gly Pro Ser Val Phe Leu Phe Pro Pro
115 120 125
Lys Pro Lys Asp Thr Leu Met Ile Ser Arg Thr Pro Glu Val Thr Cys
130 135 140
Val Val Val Asp Val Ser His Glu Asp Pro Glu Val Lys Phe Asn Trp
145 150 155 160
Tyr Val Asp Gly Val Glu Val His Asn Ala Lys Thr Lys Pro Arg Glu
165 170 175
Glu Gln Tyr Asn Ser Thr Tyr Arg Val Val Ser Val Leu Thr Val Leu
180 185 190
His Gln Asp Trp Leu Asn Gly Lys Glu Tyr Lys Cys Lys Val Ser Asn
195 200 205
Lys Ala Leu Pro Ala Pro Ile Glu Lys Thr Ile Ser Lys Ala Lys Gly
210 215 220
Gln Pro Arg Glu Pro Gln Val Tyr Thr Leu Pro Pro Ser Arg Asp Glu
225 230 235 240
Leu Thr Lys Asn Gln Val Ser Leu Thr Cys Leu Val Lys Gly Phe Tyr
245 250 255
Pro Ser Asp Ile Ala Val Glu Trp Glu Ser Asn Gly Gln Pro Glu Asn
260 265 270
Asn Tyr Lys Thr Thr Pro Pro Val Leu Asp Ser Asp Gly Ser Phe Phe
275 280 285
Leu Tyr Ser Lys Leu Thr Val Asp Lys Ser Arg Trp Gln Gln Gly Asn
290 295 300
Val Phe Ser Cys Ser Val Met His Glu Ala Leu His Asn His Tyr Thr
305 310 315 320
Gln Lys Ser Leu Ser Leu Ser Pro Gly Lys
325 330
<210> 32
<211> 107
<212> БЕЛОК
<213> Искусственная последовательность
<400> 32
Arg Thr Val Ala Ala Pro Ser Val Phe Ile Phe Pro Pro Ser Asp Glu
1 5 10 15
Gln Leu Lys Ser Gly Thr Ala Ser Val Val Cys Leu Leu Asn Asn Phe
20 25 30
Tyr Pro Arg Glu Ala Lys Val Gln Trp Lys Val Asp Asn Ala Leu Gln
35 40 45
Ser Gly Asn Ser Gln Glu Ser Val Thr Glu Gln Asp Ser Lys Asp Ser
50 55 60
Thr Tyr Ser Leu Ser Ser Thr Leu Thr Leu Ser Lys Ala Asp Tyr Glu
65 70 75 80
Lys His Lys Val Tyr Ala Cys Glu Val Thr His Gln Gly Leu Ser Ser
85 90 95
Pro Val Thr Lys Ser Phe Asn Arg Gly Glu Cys
100 105
<210> 33
<211> 451
<212> БЕЛОК
<213> Искусственная последовательность
<400> 33
Glu Val Gln Leu Val Gln Ser Gly Ser Glu Leu Lys Lys Pro Gly Ala
1 5 10 15
Ser Val Lys Val Ser Cys Lys Ala Ser Gly Tyr Thr Phe Thr Asn Tyr
20 25 30
Gly Met Asn Trp Val Lys Gln Ala Pro Gly Gln Gly Leu Lys Trp Met
35 40 45
Gly Trp Ile Asn Thr Tyr Thr Gly Glu Pro Thr Tyr Thr Gln Asp Phe
50 55 60
Lys Gly Arg Phe Ala Phe Ser Leu Asp Thr Ser Val Ser Thr Ala Tyr
65 70 75 80
Leu Gln Ile Ser Ser Leu Lys Ala Glu Asp Thr Ala Val Tyr Tyr Cys
85 90 95
Ala Arg Gly Gly Phe Gly Ser Ser Tyr Trp Tyr Phe Asp Val Trp Gly
100 105 110
Gln Gly Thr Leu Val Thr Val Ser Ser Ala Ser Thr Lys Gly Pro Ser
115 120 125
Val Phe Pro Leu Ala Pro Ser Ser Lys Ser Thr Ser Gly Gly Thr Ala
130 135 140
Ala Leu Gly Cys Leu Val Lys Asp Tyr Phe Pro Glu Pro Val Thr Val
145 150 155 160
Ser Trp Asn Ser Gly Ala Leu Thr Ser Gly Val His Thr Phe Pro Ala
165 170 175
Val Leu Gln Ser Ser Gly Leu Tyr Ser Leu Ser Ser Val Val Thr Val
180 185 190
Pro Ser Ser Ser Leu Gly Thr Gln Thr Tyr Ile Cys Asn Val Asn His
195 200 205
Lys Pro Ser Asn Thr Lys Val Asp Lys Lys Val Glu Pro Lys Ser Cys
210 215 220
Asp Lys Thr His Thr Cys Pro Pro Cys Pro Ala Pro Glu Leu Leu Gly
225 230 235 240
Gly Pro Ser Val Phe Leu Phe Pro Pro Lys Pro Lys Asp Thr Leu Met
245 250 255
Ile Ser Arg Thr Pro Glu Val Thr Cys Val Val Val Asp Val Ser His
260 265 270
Glu Asp Pro Glu Val Lys Phe Asn Trp Tyr Val Asp Gly Val Glu Val
275 280 285
His Asn Ala Lys Thr Lys Pro Arg Glu Glu Gln Tyr Asn Ser Thr Tyr
290 295 300
Arg Val Val Ser Val Leu Thr Val Leu His Gln Asp Trp Leu Asn Gly
305 310 315 320
Lys Glu Tyr Lys Cys Lys Val Ser Asn Lys Ala Leu Pro Ala Pro Ile
325 330 335
Glu Lys Thr Ile Ser Lys Ala Lys Gly Gln Pro Arg Glu Pro Gln Val
340 345 350
Tyr Thr Leu Pro Pro Ser Arg Asp Glu Leu Thr Lys Asn Gln Val Ser
355 360 365
Leu Thr Cys Leu Val Lys Gly Phe Tyr Pro Ser Asp Ile Ala Val Glu
370 375 380
Trp Glu Ser Asn Gly Gln Pro Glu Asn Asn Tyr Lys Thr Thr Pro Pro
385 390 395 400
Val Leu Asp Ser Asp Gly Ser Phe Phe Leu Tyr Ser Lys Leu Thr Val
405 410 415
Asp Lys Ser Arg Trp Gln Gln Gly Asn Val Phe Ser Cys Ser Val Met
420 425 430
His Glu Ala Leu His Asn His Tyr Thr Gln Lys Ser Leu Ser Leu Ser
435 440 445
Pro Gly Lys
450
<210> 34
<211> 214
<212> БЕЛОК
<213> Искусственная последовательность
<400> 34
Asp Ile Gln Leu Thr Gln Ser Pro Ser Ser Leu Ser Ala Ser Val Gly
1 5 10 15
Asp Arg Val Ser Ile Thr Cys Lys Ala Ser Gln Asp Val Ser Ile Ala
20 25 30
Val Ala Trp Tyr Gln Gln Lys Pro Gly Lys Ala Pro Lys Leu Leu Ile
35 40 45
Tyr Ser Ala Ser Tyr Arg Tyr Thr Gly Val Pro Asp Arg Phe Ser Gly
50 55 60
Ser Gly Ser Gly Thr Asp Phe Thr Leu Thr Ile Ser Ser Leu Gln Pro
65 70 75 80
Glu Asp Phe Ala Val Tyr Tyr Cys Gln Gln His Tyr Ile Thr Pro Leu
85 90 95
Thr Phe Gly Ala Gly Thr Lys Val Glu Ile Lys Arg Thr Val Ala Ala
100 105 110
Pro Ser Val Phe Ile Phe Pro Pro Ser Asp Glu Gln Leu Lys Ser Gly
115 120 125
Thr Ala Ser Val Val Cys Leu Leu Asn Asn Phe Tyr Pro Arg Glu Ala
130 135 140
Lys Val Gln Trp Lys Val Asp Asn Ala Leu Gln Ser Gly Asn Ser Gln
145 150 155 160
Glu Ser Val Thr Glu Gln Asp Ser Lys Asp Ser Thr Tyr Ser Leu Ser
165 170 175
Ser Thr Leu Thr Leu Ser Lys Ala Asp Tyr Glu Lys His Lys Val Tyr
180 185 190
Ala Cys Glu Val Thr His Gln Gly Leu Ser Ser Pro Val Thr Lys Ser
195 200 205
Phe Asn Arg Gly Glu Cys
210
<210> 35
<211> 323
<212> БЕЛОК
<213> Искусственная последовательность
<400> 35
Met Ala Arg Gly Pro Gly Leu Ala Pro Pro Pro Leu Arg Leu Pro Leu
1 5 10 15
Leu Leu Leu Val Leu Ala Ala Val Thr Gly His Thr Ala Ala Gln Asp
20 25 30
Asn Cys Thr Cys Pro Thr Asn Lys Met Thr Val Cys Ser Pro Asp Gly
35 40 45
Pro Gly Gly Arg Cys Gln Cys Arg Ala Leu Gly Ser Gly Met Ala Val
50 55 60
Asp Cys Ser Thr Leu Thr Ser Lys Cys Leu Leu Leu Lys Ala Arg Met
65 70 75 80
Ser Ala Pro Lys Asn Ala Arg Thr Leu Val Arg Pro Ser Glu His Ala
85 90 95
Leu Val Asp Asn Asp Gly Leu Tyr Asp Pro Asp Cys Asp Pro Glu Gly
100 105 110
Arg Phe Lys Ala Arg Gln Cys Asn Gln Thr Ser Val Cys Trp Cys Val
115 120 125
Asn Ser Val Gly Val Arg Arg Thr Asp Lys Gly Asp Leu Ser Leu Arg
130 135 140
Cys Asp Glu Leu Val Arg Thr His His Ile Leu Ile Asp Leu Arg His
145 150 155 160
Arg Pro Thr Ala Gly Ala Phe Asn His Ser Asp Leu Asp Ala Glu Leu
165 170 175
Arg Arg Leu Phe Arg Glu Arg Tyr Arg Leu His Pro Lys Phe Val Ala
180 185 190
Ala Val His Tyr Glu Gln Pro Thr Ile Gln Ile Glu Leu Arg Gln Asn
195 200 205
Thr Ser Gln Lys Ala Ala Gly Asp Val Asp Ile Gly Asp Ala Ala Tyr
210 215 220
Tyr Phe Glu Arg Asp Ile Lys Gly Glu Ser Leu Phe Gln Gly Arg Gly
225 230 235 240
Gly Leu Asp Leu Arg Val Arg Gly Glu Pro Leu Gln Val Glu Arg Thr
245 250 255
Leu Ile Tyr Tyr Leu Asp Glu Ile Pro Pro Lys Phe Ser Met Lys Arg
260 265 270
Leu Thr Ala Gly Leu Ile Ala Val Ile Val Val Val Val Val Ala Leu
275 280 285
Val Ala Gly Met Ala Val Leu Val Ile Thr Asn Arg Arg Lys Ser Gly
290 295 300
Lys Tyr Lys Lys Val Glu Ile Lys Glu Leu Gly Glu Leu Arg Lys Glu
305 310 315 320
Pro Ser Leu
<210> 36
<211> 329
<212> БЕЛОК
<213> Искусственная последовательность
<400> 36
Met Ala Arg Gly Pro Gly Leu Ala Pro Pro Pro Leu Arg Leu Pro Leu
1 5 10 15
Leu Leu Leu Val Leu Ala Ala Val Thr Gly His Thr Ala Ala Gln Asp
20 25 30
Asn Cys Thr Cys Pro Thr Asn Lys Met Thr Val Cys Ser Pro Asp Gly
35 40 45
Pro Gly Gly Arg Cys Gln Cys Arg Ala Leu Gly Ser Gly Met Ala Val
50 55 60
Asp Cys Ser Thr Leu Thr Ser Lys Cys Leu Leu Leu Lys Ala Arg Met
65 70 75 80
Ser Ala Pro Lys Asn Ala Arg Thr Leu Val Arg Pro Ser Glu His Ala
85 90 95
Leu Val Asp Asn Asp Gly Leu Tyr Asp Pro Asp Cys Asp Pro Glu Gly
100 105 110
Arg Phe Lys Ala Arg Gln Cys Asn Gln Thr Ser Val Cys Trp Cys Val
115 120 125
Asn Ser Val Gly Val Arg Arg Thr Asp Lys Gly Asp Leu Ser Leu Arg
130 135 140
Cys Asp Glu Leu Val Arg Thr His His Ile Leu Ile Asp Leu Arg His
145 150 155 160
Arg Pro Thr Ala Gly Ala Phe Asn His Ser Asp Leu Asp Ala Glu Leu
165 170 175
Arg Arg Leu Phe Arg Glu Arg Tyr Arg Leu His Pro Lys Phe Val Ala
180 185 190
Ala Val His Tyr Glu Gln Pro Thr Ile Gln Ile Glu Leu Arg Gln Asn
195 200 205
Thr Ser Gln Lys Ala Ala Gly Asp Val Asp Ile Gly Asp Ala Ala Tyr
210 215 220
Tyr Phe Glu Arg Asp Ile Lys Gly Glu Ser Leu Phe Gln Gly Arg Gly
225 230 235 240
Gly Leu Asp Leu Arg Val Arg Gly Glu Pro Leu Gln Val Glu Arg Thr
245 250 255
Leu Ile Tyr Tyr Leu Asp Glu Ile Pro Pro Lys Phe Ser Met Lys Arg
260 265 270
Leu Thr Ala Gly Leu Ile Ala Val Ile Val Val Val Val Val Ala Leu
275 280 285
Val Ala Gly Met Ala Val Leu Val Ile Thr Asn Arg Arg Lys Ser Gly
290 295 300
Lys Tyr Lys Lys Val Glu Ile Lys Glu Leu Gly Glu Leu Arg Lys Glu
305 310 315 320
Pro Ser Leu His His His His His His
325
<---
Группа изобретений относится к области биотехнологии и может быть использована в медицине. Раскрывается конъюгат антитела, нацеленного на опухолевый антиген, с производными эрибулина – воздействующими на тубулин цитотоксическими агентами, препятствующими нормальному протеканию митоза клеток. Изобретение может быть применимо в терапии различных злокачественных новообразований. 6 н. и 50 з.п. ф-лы, 7 пр., 11 табл., 2 ил.
1. Конъюгат антитела и лекарственного средства для лечения опухоли, имеющий структуру формулы (I), или его фармацевтически приемлемая соль:
Ab-(L-D)k (I),
где Ab представляет собой антитело или его антигенсвязывающий фрагмент,
L представляет собой линкер, ковалентно связывающий Ab с D, и
k представляет собой от 1 до 20,
при этом D показан в формуле ниже:
где R1a представляет собой C1-6 алкил, а R1b представляет собой водород.
2. Конъюгат антитела и лекарственного средства по п. 1, где R1a представляет собой метил.
3. Конъюгат антитела и лекарственного средства по п. 1, где k выбран из группы, состоящей из 1-10, и может представлять собой целое число или десятичное число.
4. Конъюгат антитела и лекарственного средства по п. 1 или 2, где линкер содержит расщепляемый пептидный фрагмент.
5. Конъюгат антитела и лекарственного средства по п. 4, где расщепляемый пептидный фрагмент способен расщепляться ферментом.
6. Конъюгат антитела и лекарственного средства по п. 4 или 5, где линкер содержит аминокислотное звено.
7. Конъюгат антитела и лекарственного средства по п. 6, где аминокислотное звено содержит пептидный остаток, состоящий из 2-7 аминокислот, выбранных из группы, состоящей из фенилаланина, глицина, валина, лизина, цитруллина, серина, глутаминовой кислоты и аспарагиновой кислоты.
8. Конъюгат антитела и лекарственного средства по п. 6, где аминокислотное звено содержит валин-цитруллин (Val-Cit), аланин-аланин-аспарагин (Ala-Ala-Asn), глицин-глицин-лизин (Gly-Gly-Lys), валин-лизин (Val-Lys), валин-аланин (Val-Ala), валин-фенилаланин (Val-Phe) и глицин-глицин-фенилаланин-глицин (Gly-Gly-Phe-Gly).
9. Конъюгат антитела и лекарственного средства по п. 1 или 2, где линкер содержит расщепляемый сульфонамидный фрагмент.
10. Конъюгат антитела и лекарственного средства по п. 1 или 2, где линкер содержит расщепляемый дисульфидный фрагмент.
11. Конъюгат антитела и лекарственного средства по п. 9 или 10, где линкер способен расщепляться в восстанавливающих условиях.
12. Конъюгат антитела и лекарственного средства по любому из пп. 1-11, где линкер содержит спейсерное звено, связывающееся с D.
13. Конъюгат антитела и лекарственного средства по п. 12, где спейсерное звено содержит п-аминобензилоксикарбонил (РАВ).
14. Конъюгат антитела и лекарственного средства по п. 12, где спейсерное звено содержит
где каждый из Z1-Z5 независимо выбран из группы, состоящей из атомов углерода и атомов азота;
R14 выбран из группы, состоящей из алкила, циклоалкила, арила и гетероарила, и каждый из указанного алкила, циклоалкила, арила и гетероарила независимо необязательно замещен одним или более заместителями, выбранными из группы, состоящей из алкила, алкокси, галогена, дейтерия, амино, циано, нитро, гидрокси, гидроксиалкила, циклоалкила, гетероциклоалкила, арила и гетероарила;
каждый из R11 и R12 независимо выбран из группы, состоящей из водорода, дейтерия, C1-6 алкила и С3-6 циклоалкила; или R11 и R12 вместе с присоединенными к ним атомами углерода образуют С3-6 циклоалкил;
X выбран из группы, состоящей из -О- и -NH-; L выбран из целого числа от 1 до 4;
Q представляет собой V-E-, причем указанный V-E- обеспечивает гликозидную связь, расщепляемую внутриклеточно расположенной гликозидазой, и
Е выбран из группы, состоящей из -О-, -S- и -NR13-, и R13 выбран из группы, состоящей из водорода и метила;
V представляет собой
, где R15 выбран из группы, состоящей из -СООН и СН2ОН.
15. Конъюгат антитела и лекарственного средства по п. 12, где спейсерное звено содержит следующие фрагменты, выбранные из группы, состоящей из:
-(CRaRb)m1-O(CRaRb)m2-CR8R9-C(O)-, -(CRaRb)m1NH-(CRaRb)m2-CR8R9-C(O)-, (CRaRb)m1O-CR8R9(CRaRb)m2-, -(CRaRb)m1OCR8R9-C(O)-, -(CRaRb)m1-O-(CRaRb)m2C(O)- и -(CRaRb)m1-S-(CRaRb)m2-CR8R9-C(O)-, где Ra и Rb являются одинаковыми или различными и каждый независимо выбран из группы, состоящей из водорода, дейтерия, галогена и алкила; R8 выбран из группы, состоящей из водорода, С3-6 циклоалкилалкила и С3-6 циклоалкила; R9 выбран из группы, состоящей из водорода, галогеналкила и С3-6 циклоалкила; или R8 и R9 вместе с присоединенными к ним атомами углерода образуют С3-6 циклоалкил; каждый из m1 и m2 независимо выбран из группы, состоящей из 0, 1, 2 и 3.
16. Конъюгат антитела и лекарственного средства по п. 15, где спейсерное звено содержит следующие фрагменты, выбранные из группы, состоящей из:
-(CH2)3-С(О)-, -СН2-O-СН2-С(O)-, -(СН2)2-O-СН2-С(O)-,
17. Конъюгат антитела и лекарственного средства по любому из пп. 1-16, где L-D представляет собой химический фрагмент, представленный формулой ниже:
-Str-(Pep)-Sp-D,
Str представляет собой удлиняющее звено, ковалентно связанное с Ab,
Sp представляет собой спейсерное звено,
Pep выбран из группы, состоящей из аминокислотного звена, дисульфидного фрагмента, сульфонамидного фрагмента и следующего непептидного химического фрагмента:
где W представляет собой -NH-гетероциклоалкил- или гетероциклоалкил;
Y представляет собой гетероарил, арил, -C(O)C1-6 алкилен, С2-6 алкенилен, С1-6 алкилен или -C1-6 алкилен-NH-;
каждый R2 независимо выбран из группы, состоящей из C1-10 алкила, С2-10 алкенила, C1-6 алкилен-NH2, -(C1-10 алкилен)NHC(NH)NH2 и -(C1-10 алкилен)NHC(O)NH2;
каждый из R3 и R4 независимо представляет собой Н, C1-10 алкил, С2-10 алкенил, арилалкил и гетероарилалкил или R3 и R4 вместе могут образовывать С3-7 циклоалкил;
каждый из R5 и R6 независимо представляет собой C1-10 алкил, С2-10 алкенил, арилалкил, гетероарилалкил и (C1-10 алкил)ОСН2- или R5 и R6 вместе могут образовывать С3-7 циклоалкильное кольцо.
18. Конъюгат антитела и лекарственного средства по п. 17, где Y выбран из группы, состоящей из следующих фрагментов:
19. Конъюгат антитела и лекарственного средства по п. 17, где Str выбран из химического фрагмента, представленного следующей формулой:
где R7 выбран из группы, состоящей из -W1-C(O)-, -C(O)-W1-С(О)-, -(CH2CH2O)р1С(O)-, -(CH2CH2O)p1CH2C(O)- и -(CH2CH2O)p1CH2CH2C(O)-,
где W1 выбран из группы, состоящей из C1-8 алкилена, C1-8 алкиленциклоалкила и линейного гетероалкила из 1-8 атомов, причем указанный гетероалкил содержит от 1 до 3 гетероатомов, выбранных из группы, состоящей N, О и S, где каждый из указанного C1-8 алкилена, циклоалкила и линейного гетероалкила независимо необязательно дополнительно замещен одним или более заместителями, выбранными из группы, состоящей из галогена, дейтерия, гидрокси, циано, амино, алкила, галогеналкила, дейтерированного алкила, алкокси и циклоалкила;
L1 выбран из группы, состоящей из -NR10(CH2CH2O)p1CH2CH2C(O)-, -NR10(CH2CH2O)p1CH2C(O)-, -S(CH2)p1C(O)-, -(CH2)p1C(O)- и химической связи;
где p1 представляет собой целое число от 1 до 20 и R10 выбран из группы, состоящей из водорода, алкила, галогеналкила, дейтерированного алкила и гидроксиалкила.
20. Конъюгат антитела и лекарственного средства по п. 19, где R7 выбран из группы, состоящей из C1-6 алкилен-С(О)-, -(СН2-CH2O)2С(O)-, -(СН2-CH2O)2СН2С(O)-, -(СН2-CH2O)2СН2СН2С(O)-, -(СН2-CH2O)3С(O)- и -(СН2-CH2O)4С(O)-.
21. Конъюгат антитела и лекарственного средства по п. 19, где R7 выбран из группы, состоящей из -C1-8 алкиленциклоалкил-С(О)-, -(CH2-CH2O)4CH2C(О)- и -(СН2-CH2O)6СН2С(O)-.
22. Конъюгат антитела и лекарственного средства по любому из пп. 19-21, где линкер L содержит малеимид-(PEG)2-Val-Cit, малеимид-(PEG)6-Val-Cit, малеимид-(PEG)8-Val-Cit, малеимид-(PEG)4-СН2СН2С(O)-Val-Lys, малеимид-(СН2)5-Val-Cit, малеимид-(CH2)5-Val-Lys, малеимид-(СН2)5-Gly-Gly-Phe-Gly, малеимид-(PEG)2-Ala-Ala-Asn, малеимид-(PEG)6-Ala-Ala-Asn, малеимид-(PEG)8-Ala-Ala-Asn, малеимид-(PEG)4-триазол-(PEG)3-сульфонамид, малеимид-(PEG)2-СН2СН2С(O)-Val-Lys, малеимид-(PEG)4-триазол-(PEG)3-сульфонамид или Mal-(PEG)4-триазол-(PEG)3-дисульфид.
23. Конъюгат антитела и лекарственного средства по любому из пп. 19-21, где линкер L содержит малеимид-(PEG)4-СН2С(O)-Gly-Gly-Phe-Gly, малеимид-(PEG)2-CH2CH2C(O)-Gly-Gly-Phe-Gly, малеимид-(PEG)6-СН2С(O)-Gly-Gly-Phe-Gly-, малеимид-(CH2)5C(O)-Gly-Gly-Phe-Gly-, малеимид-C1-8 алкилен-циклоалкил-С(О)-NH(CH2CH2O)4CH2C(O)-Gly-Phe-Gly-, малеимид-(PEG)2-СН2С(O)-Gly-Gly-Phe-Gly-, малеимид-(PEG)2-СН2СН2С(O)-Val-Cit-, малеимид-(PEG)2-Gly-Gly-Phe-Gly-, малеимид-(PEG)2-CH2C(O)-Val-Cit-, малеимид-(PEG)4-СН2С(O)-Val-Cit- и малеимид-(PEG)6-СН2С(О)-Val-Cit-.
24. Конъюгат антитела и лекарственного средства по п. 17, где Str представляет собой химический фрагмент, представленный следующей формулой:
где R8 выбран из группы, состоящей из C1-10 алкилена, С2-10 алкенилена, (C1-10 алкилена)O-, N(Rd)-(C2-6 алкилена)-N(Rd) и N(Rd)-(C2-6 алкилена), и каждый Rd независимо представляет собой Н или C1-6 алкил.
25. Конъюгат антитела и лекарственного средства по п. 17 или 18, где L-D представлен формулой, выбранной из группы, состоящей из:
где R2 представляет собой C1-6 алкил, (C1-6 алкилен)NHC(NH)NH2 или (C1-6 алкилен)NHC(O)NH2;
где R2 представляет собой C1-6 алкил, (C1-6 алкилен)NHC(NH)NH2 или (C1-6 алкилен)NHC(O)NH2;
где R2 представляет собой C1-6 алкил, С2-6 алкенилен, (C1-6 алкилен)NHC(NH)NH2 или (C1-6 алкилен)NHC(O)NH2;
где R2 представляет собой C1-6 алкил, С2-6 алкенилен, (C1-6 алкилен)NHC(NH)NH2 или (C1-6 алкилен)NHC(O)NH2;
где R2 представляет собой С1-6 алкил, (С1-6 алкилен)NHC(NH)NH2 или (C1-6 алкилен)NHC(O)NH2 или R5 и R6 вместе образуют С3-7 циклоалкильное кольцо;
где R2 представляет собой C1-6 алкил, (C1-6 алкилен)NHC(NH)NH2 или (C1-6 алкилен)NHC(O)NH2 и R5 и R6 вместе образуют С3-7 циклоалкильное кольцо;
W и Str являются такими, как определено в п. 17, и
D является таким, как определено в п. 1.
26. Конъюгат антитела и лекарственного средства по п. 25, представленный следующими формулами:
где R2 выбран из группы, состоящей из C1-6 алкилен-NH2, (C1-6 алкилен)NHC(NH)NH2 и (C1-6 алкилен)NHC(O)NH2, k выбран из группы, состоящей из 1-10, и может представлять собой целое число или десятичное число, р2 выбран из целого числа от 2 до 6 и Y, R3 и R4 являются такими, как определено в п. 17;
где R2 выбран из группы, состоящей из С1-6 алкилен-NH2, (C1-6 алкилен)NHC(NH)NH2 и (C1-6 алкилен)NHC(O)NH2, k выбран из группы, состоящей из 1-10, и может представлять собой целое число или десятичное число, р2 выбран из целого числа от 2 до 6 и Y, R3 и R4 являются такими, как определено в п. 17;
где R2 представляет собой C1-6 алкилен-NH2, (C1-6 алкилен)NHC(NH)NH2 или (C1-6 алкилен)NHC(O)NH2 и R5 и R6 образуют С3-7 циклоалкильное кольцо, k выбран из группы, состоящей из 1-10, и может представлять собой целое число или десятичное число и р2 выбран из целого числа от 2 до 6;
где R2 представляет собой C1-6 алкилен-NH2, (C1-6 алкилен)NHC(NH)NH2 или (C1-6 алкилен)NHC(O)NH2 и R5 и R6 образуют С3-7 циклоалкильное кольцо, k выбран из группы, состоящей из 1-10, и может представлять собой целое число или десятичное число и р2 выбран из целого числа от 2 до 6;
Ab и D являются такими, как определено в п. 1.
27. Конъюгат антитела и лекарственного средства по любому из пп. 17-23, представленный следующими формулами:
где R8 выбран из группы, состоящей из водорода, С3-6 циклоалкилалкила и С3-6 циклоалкила; R9 выбран из группы, состоящей из водорода, галогеналкила и С3-6 циклоалкила, или R8 и R9 вместе с присоединенными к ним атомами углерода образуют С3-6 циклоалкил, k выбран из группы, состоящей из 1-10, и может представлять собой целое число или десятичное число и р2 выбран из целого числа от 2 до 6;
где R8 выбран из группы, состоящей из водорода, С3-6 циклоалкилалкила и С3-6 циклоалкила; R9 выбран из группы, состоящей из водорода, галогеналкила и С3-6 циклоалкила, или R8 и R9 вместе с присоединенными к ним атомами углерода образуют С3-6 циклоалкил, k выбран из группы, состоящей из 1-10, и может представлять собой целое число или десятичное число, p1 выбран из группы, состоящей из 2, 4, 6 и 8, и р3 выбран из группы, состоящей из 0, 1 и 2;
k выбран из группы, состоящей из 1-10, и может представлять собой целое число или десятичное число и р2 выбран из целого числа от 2 до 6;
k выбран из группы, состоящей из 1-10, и может представлять собой целое число или десятичное число и р2 выбран из целого числа от 2 до 6;
k выбран из группы, состоящей из 1-10, и может представлять собой целое число или десятичное число, p1 выбран из группы, состоящей из 2, 4, 6 и 8, и р3 выбран из группы, состоящей из 0, 1 и 2;
k выбран из группы, состоящей из 1-10, и может представлять собой целое число или десятичное число и p1 выбран из группы, состоящей из 2, 4, 6 и 8, р3 выбран из группы, состоящей из 0, 1 и 2;
k выбран из группы, состоящей из 1-10, и может представлять собой целое число или десятичное число и p1 выбран из группы, состоящей из 2, 4, 6 и 8;
k выбран из группы, состоящей из 1-10, и может представлять собой целое число или десятичное число и p1 выбран из группы, состоящей из 2, 4, 6 и 8, р3 выбран из группы, состоящей из 0, 1 и 2;
k выбран из группы, состоящей из 1-10, и может представлять собой целое число или десятичное число и p1 выбран из группы, состоящей из 2, 4, 6 и 8;
k выбран из группы, состоящей из 1-10, и может представлять собой целое число или десятичное число, p1 выбран из группы, состоящей из 2, 4, 6 и 8, и р3 выбран из группы, состоящей из 0, 1 и 2;
k выбран из группы, состоящей из 1-10, и может представлять собой целое число или десятичное число и р2 выбран из группы, состоящей из 2, 4, 6 и 8;
k выбран из группы, состоящей из 1-10, и может представлять собой целое число или десятичное число и р2 выбран из группы, состоящей из 2, 4, 6 и 8;
k выбран из группы, состоящей из 1-10, и может представлять собой целое число или десятичное число и р2 выбран из группы, состоящей из 2, 4, 6 и 8;
k выбран из группы, состоящей из 1-10, и может представлять собой целое число или десятичное число и р2 выбран из группы, состоящей из 2, 4, 6 и 8;
k выбран из группы, состоящей из 1-10, и может представлять собой целое число или десятичное число и р2 выбран из группы, состоящей из 2, 4, 6 и 8;
k выбран из группы, состоящей из 1-10, и может представлять собой целое число или десятичное число, p1 выбран из группы, состоящей из 2, 4, 6 и 8, и р3 выбран из группы, состоящей из 0, 1 и 2;
k выбран из группы, состоящей из 1-10, и может представлять собой целое число или десятичное число, p1 выбран из группы, состоящей из 2, 4, 6 и 8, и р3 выбран из группы, состоящей из 0, 1 и 2;
где R8 выбран из группы, состоящей из водорода, галогеналкила и С3-6 циклоалкила; R9 выбран из группы, состоящей из водорода, галогеналкила и С3-6 циклоалкила, или R8 и R9 вместе с присоединенными к ним атомами углерода образуют С3-6 циклоалкил, k выбран из группы, состоящей из 1-10, и может представлять собой целое число или десятичное число и р2 выбран из целого числа от 2 до 6;
где R8 выбран из группы, состоящей из водорода, галогеналкила и С3-6 циклоалкила; R9 выбран из группы, состоящей из водорода, галогеналкила и С3-6 циклоалкила, или R8 и R9 вместе с присоединенными к ним атомами углерода образуют С3-6 циклоалкил, k выбран из группы, состоящей из 1-10, и может представлять собой целое число или десятичное число и р2 выбран из целого числа от 2 до 6;
где R8 выбран из группы, состоящей из водорода, галогеналкила и С3-6 циклоалкила; R9 выбран из группы, состоящей из водорода, галогеналкила и С3-6 циклоалкила, или R8 и R9 вместе с присоединенными к ним атомами углерода образуют С3-6 циклоалкил, k выбран из группы, состоящей из 1-10, и может представлять собой целое число или десятичное число, p1 выбран из группы, состоящей из 2, 4, 6 и 8, и р3 выбран из группы, состоящей из 0, 1 и 2;
где R8 выбран из группы, состоящей из водорода, галогеналкила и С3-6 циклоалкила; R9 выбран из группы, состоящей из водорода, галогеналкила и С3-6 циклоалкила, или R8 и R9 вместе с присоединенными к ним атомами углерода образуют С3-6 циклоалкил, k выбран из группы, состоящей из 1-10, и может представлять собой целое число или десятичное число, p1 выбран из группы, состоящей из 2, 4, 6 и 8, и р3 выбран из группы, состоящей из 0, 1 и 2;
Ab и D являются такими, как определено в п. 1.
28. Конъюгат антитела и лекарственного средства по п. 1, представленный следующими формулами:
где k выбран из группы, состоящей из 1-10, и может представлять собой целое число или десятичное число;
Ab и D являются такими, как определено в п. 1.
29. Конъюгат антитела и лекарственного средства по п. 1, где антитело выбрано из группы, состоящей из мышиного антитела, химерного антитела, гуманизированного антитела и полностью человеческого антитела.
30. Конъюгат антитела и лекарственного средства по п. 1, где антитело или его антигенсвязывающий фрагмент выбрано из группы, состоящей из антитела против HER2 (ErbB2), антитела против EGFR, антитела против В7-Н3, антитела против c-Met, антитела против HER3 (ErbB3), антитела против HER4 (ErbB4), антитела против CD20, антитела против CD22, антитела против CD30, антитела против CD33, антитела против CD44, антитела против CD56, антитела против CD70, антитела против CD73, антитела против CD105, антитела против СЕА, антитела против А33, антитела против Cripto, антитела против EphA2, антитела против G250, антитела против MUC1, антитела против Льюис Y, антитела против VEGFR, антитела против GPNMB, антитела против Интегрина, антитела против PSMA, антитела против Тенасцина-С, антитела против SLC44A4, антитела против CD79, антитела против TROP-2, антитела против CD79B, антитела против Мезотелина и их антигенсвязывающего фрагмента.
31. Конъюгат антитела и лекарственного средства по любому из пп. 1-30, где антитело или его антигенсвязывающий фрагмент выбрано из группы, состоящей из трастузумаба, пертузумаба, нимотузумаба, эноблитузумаба, эмибетузумаба, инотузумаба, пинатузумаба, брентуксимаба, гемтузумаба, биватузумаба, лорвотузумаба, cBR96, глематумамаба и их антигеневязывающего фрагмента.
32. Конъюгат антитела и лекарственного средства по любому из пп. 1-30, где антитело выбрано из антитела против CD79B или его антигенсвязывающего фрагмента и содержит вариабельную область тяжелой цепи антитела и/или вариабельную область легкой цепи антитела, где
вариабельная область тяжелой цепи антитела содержит:
1) HCDR1, HCDR2 и HCDR3, представленные в SEQ ID NO: 7, SEQ ID NO: 8 и SEQ ID NO: 9 соответственно; или
2) HCDR1, HCDR2 и HCDR3, представленные в SEQ ID NO: 13, SEQ ID NO: 14 и SEQ ID NO: 15 соответственно;
и/или вариабельная область легкой цепи антитела содержит:
1) LCDR1, LCDR2 и LCDR3, представленные в SEQ ID NO: 10, SEQ ID NO: 11 и SEQ ID NO: 12 соответственно; или
2) LCDR1, LCDR2 и LCDR3, представленные в SEQ ID NO: 16, SEQ ID NO: 17 и SEQ ID NO: 18 соответственно.
33. Конъюгат антитела и лекарственного средства по п. 32, где антитело против CD79B содержит вариабельную область тяжелой цепи и вариабельную область легкой цепи, содержащие любую, выбранную из группы, состоящей из 1)-2) ниже:
1) вариабельная область тяжелой цепи, содержащая HCDR1, HCDR2 и HCDR3, представленные в SEQ ID NO: 7, SEQ ID NO: 8 и SEQ ID NO: 9 соответственно; и
вариабельная область легкой цепи, содержащая LCDR1, LCDR2 и LCDR3, представленные в SEQ ID NO: 10, SEQ ID NO: 11 и SEQ ID NO: 12 соответственно;
2) вариабельная область тяжелой цепи, содержащая HCDR1, HCDR2 и HCDR3, представленные в SEQ ID NO: 13, SEQ ID NO: 14 и SEQ ID NO: 15 соответственно; и
вариабельная область легкой цепи, содержащая LCDR1, LCDR2 и LCDR3, представленные в SEQ ID NO: 16, SEQ ID NO: 17 и SEQ ID NO: 18 соответственно.
34. Конъюгат антитела и лекарственного средства по п. 32 или 33, где антитело против CD79B содержит вариабельную область тяжелой цепи и вариабельную область легкой цепи, где:
вариабельная область тяжелой цепи содержит:
1) последовательность, представленную в SEQ ID NO: 3 или имеющую по меньшей мере 90%, 95%, 98% или 99% идентичность с SEQ ID NO: 3; или
2) последовательность, представленную в SEQ ID NO: 5 или имеющую по меньшей мере 90%, 95%, 98% или 99% идентичность с SEQ ID NO: 5; и/или
вариабельная область легкой цепи содержит:
1) последовательность, представленную в SEQ ID NO: 4 или имеющую по меньшей мере 90%, 95%, 98% или 99% идентичность с SEQ ID NO: 4; или
2) последовательность, представленную в SEQ ID NO: 6 или имеющую по меньшей мере 90%, 95%, 98% или 99% идентичность с SEQ ID NO: 6.
35. Конъюгат антитела и лекарственного средства по п. 34, где вариабельная область тяжелой цепи антитела против CD79B или его антигенсвязывающего фрагмента представлена в SEQ ID NO: 3 и вариабельная область легкой цепи представлена в SEQ ID NO: 4; или вариабельная область тяжелой цепи представлена в SEQ ID NO: 5 и вариабельная область легкой цепи представлена в SEQ ID NO: 6.
36. Конъюгат антитела и лекарственного средства по любому из пп. 32-35, где антитело против CD79B содержит вариабельную область тяжелой цепи и вариабельную область легкой цепи, где:
вариабельная область тяжелой цепи содержит:
1) последовательность, представленную в SEQ ID NO: 19 или имеющую по меньшей мере 90%, 95%, 98% или 99% идентичность с SEQ ID NO: 19; или
2) последовательность, представленную в SEQ ID NO: 21 или имеющую по меньшей мере 90%, 95%, 98% или 99% идентичность с SEQ ID NO: 21; и/или
вариабельная область легкой цепи содержит:
1) последовательность, представленную в SEQ ID NO: 20 или имеющую по меньшей мере 90%, 95%, 98% или 99% идентичность с SEQ ID NO: 20; или
2) последовательность, представленную в SEQ ID NO: 22 или имеющую по меньшей мере 90%, 95%, 98% или 99% идентичность с SEQ ID NO: 22.
37. Конъюгат антитела и лекарственного средства по п. 36, где вариабельная область тяжелой цепи антитела против CD79B или его антигенсвязывающего фрагмента представлена в SEQ ID NO: 19 и вариабельная область легкой цепи представлена в SEQ ID NO: 20; или вариабельная область тяжелой цепи представлена в SEQ ID NO: 21 и вариабельная область легкой цепи представлена в SEQ ID NO: 22.
38. Конъюгат антитела и лекарственного средства по любому из пп. 1-30, где антитело против TROP-2 содержит вариабельную область тяжелой цепи и вариабельную область легкой цепи, где вариабельная область тяжелой цепи содержит HCDR1, HCDR2 и HCDR3, имеющие последовательности, идентичные последовательностям HCDR1, HCDR2 и HCDR3 вариабельной области тяжелой цепи, представленной в SEQ ID NO: 29, и вариабельная область легкой цепи содержит LCDR1, LCDR2 и LCDR3, имеющие последовательности, идентичные последовательностям LCDR1, LCDR2 и LCDR3 вариабельной области легкой цепи, представленной в SEQ ID NO: 30.
39. Конъюгат антитела и лекарственного средства по п. 38, где антитело выбрано из антитела против TROP-2 и содержит вариабельную область тяжелой цепи и вариабельную область легкой цепи, где вариабельная область тяжелой цепи содержит HCDR1, HCDR2 и HCDR3, имеющие последовательности, представленные в SEQ ID NO: 23, SEQ ID NO: 24 и SEQ ID NO: 25 соответственно, и вариабельная область легкой цепи содержит LCDR1, LCDR2 и LCDR3, имеющие последовательности, представленные в SEQ ID NO: 26, SEQ ID NO: 27 и SEQ ID NO: 28 соответственно.
40. Конъюгат антитела и лекарственного средства по п. 38 или 39, где антитело против TROP-2 содержит вариабельную область тяжелой цепи и вариабельную область легкой цепи, где: вариабельная область тяжелой цепи имеет аминокислотную последовательность, представленную в SEQ ID NO: 29 или имеющую по меньшей мере 90% идентичность с ней, и вариабельная область легкой цепи имеет аминокислотную последовательность, представленную в SEQ ID NO: 30 или имеющую по меньшей мере 90% идентичность с ней.
41. Конъюгат антитела и лекарственного средства по любому из пп. 38-40, где антитело против TROP-2 содержит вариабельную область тяжелой цепи, имеющую последовательность, представленную в SEQ ID NO: 29, и вариабельную область легкой цепи, имеющую последовательность, представленную в SEQ ID NO: 30.
42. Конъюгат антитела и лекарственного средства по любому из пп. 38-41, где антитело против TROP-2 содержит константную область тяжелой цепи и константную область легкой цепи антитела.
43. Конъюгат антитела и лекарственного средства по п. 42, где константная область тяжелой цепи выбрана из группы, состоящей из константных областей IgG1, IgG2, IgG3 и IgG4 человека, и константная область легкой цепи выбрана из группы, состоящей из константных областей κ- и λ-цепи человеческого антитела.
44. Конъюгат антитела и лекарственного средства по п. 42, где антитело содержит константную область тяжелой цепи, имеющую последовательность, представленную в SEQ ID NO: 31, и константную область легкой цепи, имеющую последовательность, представленную в SEQ ID NO: 32.
45. Конъюгат антитела и лекарственного средства по любому из пп. 38-44, где антитело против TROP-2 содержит тяжелую цепь, имеющую последовательность, представленную в SEQ ID NO: 33, и легкую цепь, имеющую последовательность, представленную в SEQ ID NO: 34.
46. Конъюгат антитела и лекарственного средства по п. 1, выбранный из группы, состоящей из следующих структурных формул:
где k выбран из группы, состоящей из 1-10, и может представлять собой целое число или десятичное число, дополнительно R1a в D выбран из метила и R1b в D выбран из водорода;
где тяжелая цепь антитела PD3 представляет собой:
где легкая цепь антитела PD3 представляет собой:
где тяжелая цепь антитела hAb015-10 представляет собой:
где легкая цепь антитела hAb015-10 представляет собой:
47. Соединение формулы D или его фармацевтически приемлемая соль,
где R1a представляет собой C1-6 алкил, R1b представляет собой водород.
48. Соединение формулы D или его фармацевтически приемлемая соль по п. 47, где R1a представляет собой метил.
49. Соединение формулы DZ или его фармацевтически приемлемая соль,
где R1a представляет собой C1-6 алкил;
R1b представляет собой водород;
Y выбран из группы, состоящей из -O(CRaRb)m2-CR8R9-C(O)-, -NH-(CRaRb)m2-CR8R9-C(O)-, -O-CR8R9(CRaRb)m2-, -OCR8R9-C(O)-, -O(CRaRb)m2C(O)- и -S-(CRaRb)m2-CR8R9-C(O)-, где Ra и Rb являются одинаковыми или различными и каждый независимо выбран из группы, состоящей из водорода, дейтерия, галогена и алкила;
R8 выбран из группы, состоящей из водорода, С3-6 циклоалкилалкила и С3-6 циклоалкила;
R9 выбран из группы, состоящей из водорода, галогеналкила и С3-6 циклоалкила, или R8 и R9 вместе с присоединенными к ним атомами углерода образуют С3-6 циклоалкил;
m2 выбран из группы, состоящей из 0, 1, 2 и 3.
50. Соединение формулы DZ или его фармацевтически приемлемая соль по п. 49, представляющее собой соединение формулы DZ-1 или его фармацевтически приемлемую соль,
где R8 выбран из группы, состоящей из водорода, С3-6 циклоалкилалкила и С3-6 циклоалкила, R9 выбран из группы, состоящей из водорода, галогеналкила и С3-6 циклоалкила, или R8 и R9 вместе с присоединенными к ним атомами углерода образуют С3-6 циклоалкил, m2 выбран из группы, состоящей из 0, 1, 2 и 3.
51. Соединение формулы DZ или его фармацевтически приемлемая соль по п. 49, выбранное из группы, состоящей из:
52. Фармацевтическая композиция для лечения опухоли, содержащая терапевтически эффективное количество конъюгата антитела и лекарственного средства по любому из пп. 1-46 и фармацевтически приемлемый носитель, разбавитель или эксципиент.
53. Применение конъюгата антитела и лекарственного средства по любому из пп. 1-46 или фармацевтической композиции по п. 52 в получении лекарственного препарата для лечения или предотвращения опухоли.
54. Применение по п. 53, где опухоль предпочтительно представляет собой рак, ассоциированный с экспрессией HER2, HER3, В7Н3 или EGFR.
55. Применение конъюгата антитела и лекарственного средства по любому из пп. 1-46 или фармацевтической композиции по п. 52 в получении лекарственного препарата для лечения и/или предотвращения рака.
56. Применение по п. 55, где рак представляет собой рак молочной железы, рак яичника, рак шейки матки, рак матки, рак предстательной железы, рак почки, рак мочевыводящих путей, рак мочевого пузыря, рак печени, рак желудка, рак эндометрия, карциному слюнной железы, рак пищевода, меланому, глиому, нейробластому, саркому, рак легкого, рак толстой кишки, рак прямой кишки, колоректальный рак, лейкоз, рак кости, рак кожи, рак щитовидной железы, рак поджелудочной железы и лимфому.
| WO 2017151979 A1, 08.09.2017 | |||
| US 10322192 B2, 18.06.2019 | |||
| WO 2019114666 A1, 20.06.2019 | |||
| WO 2018217894 A8, 14.03.2019 | |||
| МАКРОЦИКЛИЧЕСКОЕ СОЕДИНЕНИЕ И СПОСОБ ИДЕНТИФИКАЦИИ АГЕНТА НА ЕГО ОСНОВЕ | 1999 |
|
RU2245335C2 |
Авторы
Даты
2024-11-18—Публикация
2021-01-22—Подача