ПИЩЕВОЙ БУТИРАТ И ЕГО ПРИМЕНЕНИЕ Российский патент 2024 года по МПК A23L29/00 A23L33/115 A61K31/231 A61P25/00 A61P25/22 A61P25/28 

Описание патента на изобретение RU2831429C2

Область применения изобретения

Настоящее изобретение относится к новым способам применения пищевого источника бутирата, имеющего улучшенные органолептические свойства. В частности, в настоящем изобретении предложен пищевой источник бутирата для применения в активации и/или ускорении миелинизации.

Предпосылки создания изобретения

Соли и сложные эфиры масляной кислоты известны как бутираты или бутаноаты. Масляная кислота в форме сложных эфиров обнаруживается во многих пищевых продуктах, таких как молоко, в частности в козьем, овечьем, коровьем, верблюжьем и буйволином молоке, и продуктах, полученных из молока, таких как масло, а также сыры, такие как пармезан. Масляная кислота также является продуктом анаэробной ферментации, например, продуктом ферментации, продуцируемым кишечной микробиотой. Трибутирин представляет собой триглицерид, состоящий из трех сложноэфирных функциональных групп с тремя бутиратными остатками и глицериновым каркасом. В условиях гидролиза, например, возникающих во время расщепления, трибутирин потенциально является источником трех молей масляной кислоты на моль трибутирина.

Множество полезных эффектов бутирата широко документировано у млекопитающих и домашнего скота. На уровне кишечника бутират играет регулирующую роль в транспорте трансэпителиальной жидкости, при воспалении слизистой оболочки и окислительном состоянии, укрепляет барьерную функцию кишечника и влияет на висцеральную чувствительность и моторику кишечника.

Было показано, что бутират улучшает структуру кишечника поросят с синдромом короткого кишечника (Bartholome et al., J of Parenter Enteral Nutr. 2004; 28(4):210-222) и уменьшает пролиферацию раковых клеток толстой кишки в человеческих клеточных линиях (Lupton, J Nutr., 2004; 134(2):479-482). Выработка летучих жирных кислот, таких как масляная кислота, из ферментируемых волокон может усиливать роль пищевых волокон при раке толстой кишки (Lupton, The Journal of Nutrition. 134 (2): 479–82). Короткоцепочечные жирные кислоты (SCFA), которые включают в себя, без ограничений, уксусную, пропионовую и масляную кислоту, вырабатываются бактериями толстой кишки, которые питаются нерасщепляемыми волокнами и/или пребиотиками или ферментируют их. Масляная кислота также полезна для колоноцитов тем, что увеличивает выработку энергии. Кроме того, было показано, что бутират снижает частоту возникновения диареи (Berni Canani et al., Gastroenterol., 2004; 127(2):630-634), облегчает симптомы со стороны желудочно-кишечного тракта у субъектов с синдромом раздраженного кишечника с преобладанием диареи (Scarpellini et al., Dig Liver Dis., 2007; 1(1):19-22) и увеличивает темпы развития тонкого кишечника у новорожденных поросят (Kotunia et al., J Physiol Pharmacol. 2004; 55(2):59-68).

В международной заявке на патент, опубликованной под номером WO2018/108841, представлены данные, указывающие на способность бутирата активировать дифференцирование клеток-предшественников олигодендроцитов (OPC) в зрелые олигодендритные клетки, ответственные за формирование миелина в центральной нервной системе (ЦНС). Миелинизация представляет собой процесс покрытия аксона жиросодержащим веществом, называемым миелином. Надлежащая миелинизация обеспечивает более эффективное проведение неврологических сигналов. Это также улучшает связь в определенных областях мозга.

Масляная кислота и трибутирин являются пищевыми добавками, которые считаются, по существу, общепризнано безопасными (GRAS) (21CFR582,60 и 21CFR184.1903 соответственно) и являются натуральными компонентами многих молочных продуктов. Однако масляная кислота ассоциируется с отрицательными органолептическими свойствами, например, запахом рвоты, кала и сыра. Трибутирин также обладает отрицательными органолептическими свойствами, в частности, высокой горечью. Неприятный вкус и запах может усложнить пероральное введение композиций, содержащих эти соединения, особенно у пациентов детского возраста. Таким образом, было бы полезно предоставить источник бутирата пищевого качества, обладающий улучшенными органолептическими свойствами по сравнению с доступными продуктами, с потенциалом использования для активации и/или ускорения миелинизации.

Изложение сущности изобретения

В настоящем изобретении предложены соединения, являющиеся источником бутирата, имеющие улучшенные органолептические свойства, для применения в активации и/или ускорении миелинизации.

В частности, соединения имеют улучшенный запах и/или вкус по сравнению с масляной кислотой, бутиратными солями и трибутирином. Эти соединения можно использовать в качестве пищевого источника масляной кислоты. Эти соединения можно использовать, например, в питательных композициях, диетических добавках, детских смесях и смесях для прикармливаемых детей.

В настоящем изобретении предложены соединения, которые являются источником бутирата с улучшенными органолептическими свойствами и потенциалом для применения в активации и/или ускорении миелинизации. Соединения имеют улучшенный запах и/или вкус по сравнению с масляной кислотой, бутиратными солями и/или трибутирином. Эти соединения можно использовать в качестве пищевого источника масляной кислоты. Эти соединения можно использовать, например, в питательных композициях, диетических добавках, детских смесях и смесях для прикармливаемых детей.

Жирные кислоты высвобождаются из триглицеридов под действием липаз, которые естественным образом присутствуют в желудочно-кишечном тракте. По сравнению с бутиратными солями, соединения не добавляют к итоговому составу дополнительные минеральные соли.

В соответствии с одним аспектом настоящего изобретения предлагается соединение формулы

или его комбинации для применения в активации и/или ускорении миелинизации, причем R1, R2, R3, R4, R5 и R6 независимо представляют собой длинноцепочечную жирную кислоту, содержащую от 16 до 20 атомов углерода.

В соответствии с одним аспектом настоящего изобретения предлагается соединение формулы

или его комбинации, для применения в активации и/или ускорении миелинизации, причем R1, R2, R3, R4, R5 и R6 независимо представляют собой длинноцепочечную жирную кислоту, содержащую от 16 до 20 атомов углерода.

В соответствии с другим аспектом настоящего изобретения предложен способ активации и/или ускорения миелинизации у пациента, включающий введение эффективного количества соединения формулы

или их комбинаций, упомянутому пациенту, причем R1, R2, R3, R4, R5 и R6 независимо представляют собой длинноцепочечную жирную кислоту, содержащую от 16 до 20 атомов углерода.

В соответствии с другим аспектом настоящего изобретения предложен способ лечения или предотвращения неврологического заболевания, нарушения метаболизма, рака или сердечной ишемии у пациента, включающий введение эффективного количества соединения формулы

или их комбинаций, упомянутому пациенту, причем R1, R2, R3, R4, R5 и R6 независимо представляют собой длинноцепочечную жирную кислоту, содержащую от 16 до 20 атомов углерода.

В одном варианте осуществления комбинация соединения формулы (1) и соединения формулы (2) используется в соответствии с определением в настоящем документе или присутствует в составе композиции (например, питательной композиции, диетической добавке, детской смеси или смеси для прикармливаемых детей), как определено в настоящем документе. Предпочтительно, чтобы соединение формулы (1) присутствовало в количестве по меньшей мере 10 мас.% от общей массы триглицеридов в композиции и соединение формулы (2) присутствовало в количестве по меньшей мере 10 мас.% от общей массы триглицеридов в композиции.

В одном варианте осуществления комбинация соединения формулы (1) и соединения формулы (2) используется в соответствии с определением в настоящем документе или присутствует в композиции (например, питательной композиции, диетической добавке, детской смеси или смеси для прикармливаемых детей), как определено в настоящем документе, причем соединение формулы (1) присутствует в количестве по меньшей мере 10 мас.% от общей массы содержащих масляную кислоту триглицеридов в композиции и соединение формулы (2) присутствует в количестве по меньшей мере 10 мас.% от общей массы содержащих масляную кислоту триглицеридов в композиции.

В другом варианте осуществления комбинация соединения формулы (1) и соединения формулы (2) используется в соответствии с определением в настоящем документе или присутствует в композиции (например, питательной композиции, диетической добавке, детской смеси или смеси для прикармливаемых детей), как определено в настоящем документе, причем соединение формулы (1) присутствует в количестве по меньшей мере 15 мас.%. от общей массы содержащих масляную кислоту триглицеридов в композиции и соединение формулы (2) присутствует в количестве по меньшей мере 15 мас.% от общей массы содержащих масляную кислоту триглицеридов в композиции.

В одном варианте осуществления комбинация соединения формулы (1), соединения формулы (2), соединения формулы (3) и соединения формулы (4) используется в соответствии с определением в настоящем документе или присутствует в композиции, питательной композиции, диетической добавке, детской смеси или смеси для прикармливаемых детей, как определено в настоящем документе.

В одном варианте осуществления R1, R2, R3, R4, R5 и/или R6, как определено в настоящем документе, представляют собой ненасыщенную жирную кислоту, предпочтительно мононенасыщенную.

В одном варианте осуществления R1, R2, R3, R4, R5 и/или R6, как определено в настоящем документе, выбраны из группы, состоящей из олеиновой кислоты, пальмитиновой кислоты, стеариновой кислоты или линолевой кислоты.

В одном варианте осуществления R1, R2, R3, R4, R5 и/или R6, как определено в настоящем документе, представляют собой олеиновую кислоту.

В одном варианте осуществления R1, R2, R3, R4, R5 и/или R6, как определено в настоящем документе, представляют собой пальмитиновую кислоту.

В одном варианте осуществления соединение (1) представляет собой 1,3-дибутирил-2-пальмитоилглицерин.

В одном варианте осуществления каждый из R1, R2, R3, R4, R5 и R6 представляет собой олеиновую кислоту.

В одном варианте осуществления соединение формулы (1) представляет собой:

В одном варианте осуществления соединение формулы (2) представляет собой:

В одном варианте осуществления соединение формулы (3) представляет собой:

В одном варианте осуществления соединение формулы (4) представляет собой:

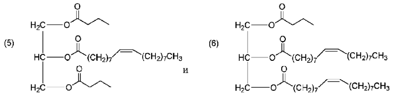
В соответствии с другим аспектом настоящего изобретения предлагается композиция для применения

в активации и/или ускорении миелинизации, содержащая соединения формулы

,

причем соединение формулы (5) составляет по меньшей мере 10 мас.% от общей массы триглицеридов в композиции, и соединение формулы (6) составляет по меньшей мере 10 мас.% от общей массы триглицеридов в композиции.

В соответствии с другим аспектом настоящего изобретения предлагается композиция для применения в активации и/или ускорении миелинизации, содержащая соединения формулы

,

причем соединение формулы (5) составляет по меньшей мере 10 мас.% от общей массы триглицеридов в композиции, и соединение формулы (6) составляет по меньшей мере 10 мас.% от общей массы триглицеридов в композиции.

В одном варианте осуществления соединение формулы (5) составляет по меньшей мере 15 мас.% от общей массы триглицеридов в композиции, и соединение формулы (6) составляет по меньшей мере 15 мас.% от общей массы триглицеридов в композиции.

В одном варианте осуществления соединение формулы (5) составляет по меньшей мере 15 мас.% от общей массы триглицеридов в композиции, и соединение формулы (6) составляет по меньшей мере 20 мас.% от общей массы триглицеридов в композиции.

В одном варианте осуществления соединение формулы (5) составляет по меньшей мере 20 мас.% от общей массы триглицеридов в композиции, и соединение формулы (6) составляет по меньшей мере 20 мас.% от общей массы триглицеридов в композиции.

В одном варианте осуществления соединение формулы (5) составляет от около 15 мас.% до около 30 мас.% от общей массы триглицеридов в композиции, и соединение, имеющее формулу (6), составляет от около 20 мас.% до около 30 мас.% от общей массы триглицеридов в композиции.

В одном варианте осуществления композиция для применения в активации и/или ускорении миелинизации дополнительно содержит соединение формулы

,

причем предпочтительно соединение формулы (7) составляет по меньшей мере 2 мас.% или 3 мас.% от общей массы триглицеридов в композиции и/или дополнительно содержит соединение формулы

,

причем предпочтительно соединение формулы (8) составляет по меньшей мере 2 мас.% или 3 мас.% от общей массы триглицеридов в композиции.

В одном варианте осуществления композиция для применения в активации и/или ускорении миелинизации дополнительно содержит соединение формулы

причем предпочтительно соединение формулы (7) составляет по меньшей мере 2 мас.% или 3 мас.% от общей массы триглицеридов в композиции и/или дополнительно содержит соединение формулы

,

причем предпочтительно соединение формулы (8) составляет по меньшей мере 2 мас.% или 3 мас.% от общей массы триглицеридов в композиции.

В соответствии с другим вариантом осуществления настоящего изобретения предлагается композиция для применения

в активации и/или ускорении миелинизации, содержащая соединения формулы

,

причем соединение формулы (5) составляет по меньшей мере 10 мас.% от общей массы триглицеридов, содержащих бутиратный остаток, в композиции и соединение формулы (6) составляет по меньшей мере 10 мас.% от общей массы триглицеридов, содержащих бутиратный остаток, в композиции.

В соответствии с другим вариантом осуществления настоящего изобретения предлагается композиция для применения

в активации и/или ускорении миелинизации, содержащая соединения формулы

,

причем соединение формулы (5) составляет по меньшей мере 10 мас.% от общей массы триглицеридов, содержащих бутиратный остаток, в композиции и соединение формулы (6) составляет по меньшей мере 10 мас.% от общей массы триглицеридов, содержащих бутиратный остаток, в композиции.

В одном варианте осуществления соединение формулы (5) составляет по меньшей мере 15 мас.% от общей массы триглицеридов, содержащих бутиратный остаток, в композиции, и соединение формулы (6) составляет по меньшей мере 15 мас.% от общей массы триглицеридов, содержащих бутиратный остаток, в композиции.

В одном варианте осуществления соединение формулы (5) составляет по меньшей мере 15%, предпочтительно по меньшей мере 20 мас.%, от общей массы триглицеридов, содержащих бутиратный остаток, в композиции, и соединение формулы (6) составляет по меньшей мере 20%, предпочтительно по меньшей мере 25 мас.%, от общей массы триглицеридов, содержащих бутиратный остаток, в композиции.

Композиция для применения в активации и/или ускорении миелинизации дополнительно содержит соединение формулы (7), причем предпочтительно соединение формулы (7) составляет по меньшей мере 2 мас.% или 3 мас.% от общей массы триглицеридов, содержащих бутиратный остаток, в композиции; и/или дополнительно содержит соединение формулы (8), причем предпочтительно соединение формулы (8), составляет по меньшей мере 2 мас.% или 3 мас.% от общей массы триглицеридов, содержащих бутиратный остаток, в композиции.

Композиция для применения в активации и/или ускорении миелинизации дополнительно содержит соединение формулы (7), причем предпочтительно соединение формулы (7) составляет по меньшей мере 2 мас.% или 3 мас.% от общей массы триглицеридов, содержащих бутиратный остаток, в композиции; и/или дополнительно содержит соединение формулы (8), причем предпочтительно соединение формулы (8), составляет по меньшей мере 2 мас.% или 3 мас.% от общей массы триглицеридов, содержащих бутиратный остаток, в композиции.

Композиция по настоящему изобретению для применения в активации и/или ускорении миелинизации может дополнительно содержать 1,3-дибутирил-2-линолеоилглицерин, 1,3-дибутирил-2-стеароилглицерин, 1-бутирил-2-олеоил-3-пальмитоилглицерин, 1-пальмитоил-2-олеоил-3-бутирилглицерин,1-бутирил-2-олеоил-3-линолеоилглицерин, 1-линолеоил-2-олеоил-3-бутирилглицерин, 1-олеоил-2-бутирил-3-линолеоилглицерин, 1-линолеоил-2-бутирил-3-олеоилглицерин, 1-бутирил-2-линолеоил-3-олеоилглицерин, 1-олеоил-2-линолеоил-3-бутирилглицерин, 1-бутирил-2-стеароил-3-олеоилглицерин, 1-олеоил-2-стеароил-3-бутирилглицерин, 1-бутирил-2-олеоил-3-стеароилглицерин, 1-стеароил-2-олеоил-3-бутирилглицерин, 1,2-диолеоил-3-пальмитоилглицерин, 1-пальмитоил-2,3-диолеоилглицерин, 1,2-диолеоил-3-линолеоилглицерин и/или 1-линолеоил-2,3-диолеоилглицерин.

Композиция по настоящему изобретению для применения в активации и/или ускорении миелинизации может дополнительно содержать 1,3-дибутирил-2-линолеоилглицерин, 1,3-дибутирил-2-стеароилглицерин, 1-бутирил-2-олеоил-3-пальмитоилглицерин, 1-пальмитоил-2-олеоил-3-бутирилглицерин,1-бутирил-2-олеоил-3-линолеоилглицерин, 1-линолеоил-2-олеоил-3-бутирилглицерин, 1-олеоил-2-бутирил-3-линолеоилглицерин, 1-линолеоил-2-бутирил-3-олеоилглицерин, 1-бутирил-2-линолеоил-3-олеоилглицерин, 1-олеоил-2-линолеоил-3-бутирилглицерин, 1-бутирил-2-стеароил-3-олеоилглицерин, 1-олеоил-2-стеароил-3-бутирилглицерин, 1-бутирил-2-олеоил-3-стеароилглицерин, 1-стеароил-2-олеоил-3-бутирилглицерин, 1,2-диолеоил-3-пальмитоилглицерин, 1-пальмитоил-2,3-диолеоилглицерин, 1,2-диолеоил-3-линолеоилглицерин и/или 1-линолеоил-2,3-диолеоилглицерин.

Композиция для применения в соответствии с настоящим изобретением может быть в форме питательной композиции.

Композиция для применения в соответствии с настоящим изобретением может быть в форме детской смеси или смеси для прикармливаемых детей.

Композиция для применения в соответствии с настоящим изобретением может быть в форме диетической добавки.

В соответствии с другим аспектом настоящего изобретения предложен способ активации и/или ускорения миелинизации у субъекта, включающий введение субъекту эффективного количества композиции, определенной в настоящем документе.

В соответствии с другим аспектом настоящего изобретения предложен способ активации и/или ускорения миелинизации у субъекта, включающий введение субъекту эффективного количества композиции, определенной в настоящем документе.

В соответствии с другим аспектом настоящего изобретения предлагается применение соединения и/или композиции, определенных в настоящем документе, для активации и/или ускорения миелинизации у субъекта, например, для активации по меньшей мере одного положительного неврологического эффекта из группы, состоящей из: когнитивной функции, функции памяти, способности к обучению, навыков социального взаимодействия, остроты зрения, двигательных навыков, речевых навыков и уменьшения тревоги.

Краткое описание графических материалов

На фиг. 1 показано высвобождение жирной кислоты из эмульсий, содержащих 200 мг (A) трибутирина, (B) подсолнечного масла с высоким содержанием олеиновой кислоты и (C) смеси бутиратного остатка, содержащей триацилглицерин (TAG) в соответствии с изобретением, расщепленный либо i) имитацией кишечного сока (SIF), либо (ii) последовательно желудочным соком (SGF), а затем имитацией кишечного сока (SIF).

На фиг. 2 показана общая степень расщепления липидов при воздействии как SIF, так и SGF-SIF на трибутирин, подсолнечное масло с высоким содержанием олеиновой кислоты и смесь TAG, содержащую бутиратный остаток, в соответствии с изобретением.

Подробное описание изобретения

Триглицериды

Триглицерид (также известный как триацилглицерин) представляет собой сложный триэфир, полученный из глицерина и трех жирных кислот.

Жирные кислоты представляют собой карбоновые кислоты с длинным хвостом (цепью). Жирные кислоты могут быть ненасыщенными или насыщенными. Жирные кислоты, которые не присоединены к другим молекулам, называют свободными жирными кислотами (СЖК).

Термин «фрагмент жирной кислоты» относится к части триглицерида, которую получают из жирной кислоты в реакции эстерификации с глицерином. Триглицериды, используемые в настоящем изобретении, содержат по меньшей мере один остаток масляной кислоты и по меньшей мере один остаток длинноцепочечной жирной кислоты.

Предпочтительными длинноцепочечными жирными кислотами для применения в настоящем изобретении являются жирные кислоты, имеющие от 16 до 20 атомов углерода.

Примеры длинноцепочечных жирных кислот включают олеиновую кислоту, пальмитиновую кислоту, стеариновую кислоту и линолевую кислоту.

Триглицериды настоящего изобретения можно синтезировать, например, путем эстерификации длинноцепочечной(-ых) жирной(-ых) кислоты (кислот) и масляной кислоты с глицерином.

Триглицериды настоящего изобретения можно синтезировать, например, путем переэтерификации между трибутирином и другим триглицеридом, содержащим длинноцепочечные жирные кислоты. В одном варианте осуществления источником длинноцепочечных жирных кислот является подсолнечное масло с высоким содержанием олеиновой кислоты. Это приводит к образованию триглицеридов, содержащих преимущественно бутиратные и олеатные функциональные группы. Олеиновая кислота является преобладающей жирной кислотой, присутствующей в грудном молоке. Соединения не содержат молочных продуктов, не содержат холестерина и подходят для веганов. Жирные кислоты высвобождаются из триглицеридов под действием липаз, которые естественным образом присутствуют в желудочно-кишечном тракте. По сравнению с бутиратными солями, соединения не добавляют к итоговому составу дополнительные минеральные соли.

Специалист в данной области может на практике определить альтернативные способы синтеза триглицеридов. В качестве примера ниже показан способ получения 1,3-дибутирил-2-пальмитоилглицерина (BPB):

В настоящем изобретении можно использовать триглицерид, содержащий один бутиратный остаток. В альтернативном варианте осуществления можно использовать смесь различных триглицеридов, содержащих бутиратные остатки.

Композиции

В настоящем изобретении предложены композиции, включающие триглицериды, содержащие бутиратный остаток, упомянутые в настоящем документе. Композиция может представлять собой, например, питательную композицию, диетическую добавку, детскую смесь или смесь для прикармливаемых детей.

Выражение «питательная композиция» означает композицию, которой питается субъект. Данная питательная композиция обычно предназначена для перорального применения и может включать в себя источник липидов или жира и источник белка. Она также может содержать источник углеводов. В одном варианте осуществления питательная композиция содержит только источник липидов или жира. В других конкретных вариантах осуществления питательная композиция содержит источник липидов (или жира) в сочетании с источником белка и/или источником углеводов.

В некоторых конкретных вариантах осуществления питательная композиция в соответствии с изобретением представляет собой «энтеральную питательную композицию», и это означает, что для введения продукта питания используется пищеварительный тракт. Введение в желудок может включать использование трубки, вводимой через рото-носовой ход, или трубки в животе, ведущей непосредственно в желудок. В частности, это можно применять в больницах и клиниках.

Композицию по изобретению можно вводить субъекту, такому как человек, например, человек пожилого возраста, младенец, ребенок и/или взрослый, в терапевтически эффективной дозе. Терапевтически эффективную дозу может определить специалист в данной области в зависимости от ряда факторов, известных таким специалистам в данной области, например, от тяжести состояния и веса, а также общего состояния субъекта.

Композицию по изобретению можно вводить субъекту, такому как человек, например, человек пожилого возраста, младенец, ребенок и/или взрослый, в терапевтически эффективной дозе. Терапевтически эффективную дозу может определить специалист в данной области в зависимости от ряда факторов, известных таким специалистам в данной области, например, от тяжести состояния и веса, а также общего состояния субъекта.

Композиция в соответствии с изобретением может представлять собой детскую смесь (например, начальную детскую смесь), смесь последующего уровня или смесь для прикармливаемых детей, молочную смесь для детей от 1 до 3 лет, детское питание, детскую композицию на зерновой основе, или обогатитель, такой как обогатитель человеческого грудного молока, или добавку.

Выражение «детская смесь» при использовании в настоящем документе относится к продукту питания, специально предназначенному для применения в пищу детьми грудного возраста в течение первых месяцев жизни, который сам по себе удовлетворяет потребности в питании этой категории лиц (например, статья 2(c) Директивы Европейской комиссии 91/321/EEC 2006/141/EC от 22 декабря 2006 г. о детских смесях и смесях для прикармливаемых детей).

Обычно начальная смесь в качестве заменителя грудного молока предназначена для младенцев с рождения. Смесь последующего уровня или для прикармливаемых детей, как правило, начинают давать с 6-го месяца. Она составляет главный жидкий элемент в постепенно увеличивающемся разнообразии рациона питания для данной категории лиц. «Молочные смеси для детей от 1 до 3 лет» (или GUM) дают после одного года и далее. По существу, это напиток на основе молока, адаптированный для специфических потребностей в питании у детей младшего возраста.

Термин «обогатитель» относится к жидким или сухим питательным композициям, подходящим для смешивания с грудным молоком (человеческим молоком) или детской смесью. Термин «грудное молоко» следует понимать как материнское молоко, или молозиво материнского молока, или донорское молоко, или молозиво донорского молока.

Термин «диетическая добавка» можно использовать для обозначения дополнения к питанию субъекта (как правило, его используют отдельно, но его также можно добавлять к любым видам композиций, предназначенных для приема в пищу). Она может быть представлена, например, в форме таблеток, капсул, пастилок или жидкости. Добавка может дополнительно содержать защитные гидроколлоиды (такие как камеди, белки, модифицированные крахмалы), связующие вещества, пленкообразующие агенты, инкапсулирующие агенты/материалы, материалы стенок/оболочек, соединения матриц, покрытия, эмульгаторы, поверхностно-активные вещества, солюбилизирующие агенты (масла, жиры, воски, лецитины и т.п.), адсорбенты, носители, наполнители, вспомогательные соединения, диспергирующие агенты, увлажняющие агенты, технологические добавки (растворители), антислеживающие агенты, маскирующие вкус агенты, утяжеляющие агенты, желирующие агенты и гелеобразующие агенты. Диетическая добавка также может содержать традиционные фармацевтические добавки и вспомогательные вещества, эксципиенты и разбавители, включая, без ограничений, воду, желатин любого происхождения, растительные камеди, лигнинсульфонат, тальк, сахара, крахмал, гуммиарабик, растительные масла, полиалкиленгликоли, ароматизирующие агенты, консерванты, стабилизаторы, эмульгирующие агенты, буферы, смазывающие вещества, красители, увлажняющие агенты, наполнители и т.п.

В другом конкретном варианте осуществления композиция настоящего изобретения представляет собой обогатитель. Обогатитель может представлять собой обогатитель грудного молока или обогатитель смеси, такой как обогатитель детской смеси. Таким образом, обогатитель представляет собой особенно предпочтительный вариант осуществления изобретения, если ребенок грудного или раннего возраста родился недоношенным.

Когда композиция является добавкой, ее можно предоставлять в виде стандартных доз.

Питательная композиция изобретения, и особенно детская смесь, по существу, содержит источник белка, источник углеводов и источник липидов. Однако в некоторых вариантах осуществления, особенно в случае, если питательная композиция изобретения представляет собой добавку или обогатитель, могут присутствовать только липиды (или источник липидов).

Питательная композиция в соответствии с изобретением может содержать источник белка. Белок может содержаться в количестве от 1,6 до 3 г на 100 ккал. В некоторых вариантах осуществления, в частности, когда композиция предназначена для недоношенных младенцев/детей младшего возраста, количество белка может составлять от 2,4 до 4 г/100 ккал или более 3,6 г/100 ккал. В некоторых других вариантах осуществления количество белка может быть ниже 2,0 г на 100 ккал, например, от 1,8 до 2 г/100 ккал, или белок может содержаться в количестве ниже 1,8 г на 100 ккал.

Можно применять источники белка на основе, например, молочной сыворотки, казеина и их смесей, а также растительные источники белка, например, на основе сои. Что касается сывороточных белков, источник белка может быть основан на кислой молочной сыворотке или сладкой молочной сыворотке или их смесях и может включать альфа-лактальбумин и бета-лактоглобулин в любых желаемых пропорциях. В некоторых вариантах осуществления в источнике белка преобладает молочная сыворотка (т.е. более 50% белков происходят из сывороточных белков, например, >60% или >70%). Белки могут быть нативными или гидролизованными либо они могут представлять собой смесь нативных и гидролизованных белков. Под термином «нативный» подразумевают, что основная часть белков является нативной, т.е. их молекулярная структура не изменена, например, не изменено по меньшей мере 80% белков, например не изменено по меньшей мере 85% белков, предпочтительно не изменено по меньшей мере 90% белков, еще более предпочтительно не изменено по меньшей мере 95% белков, например не изменено по меньшей мере 98% белков. В конкретном варианте осуществления не изменено 100% белков.

Термин «гидролизованный» в контексте настоящего изобретения означает белок, который был гидролизован или расщеплен на составляющие его аминокислоты.

Белки могут быть полностью или частично гидролизованными. При необходимости использования гидролизованных белков процесс гидролиза можно проводить по желанию и способом, известным в данной области. Например, гидролизаты сывороточного белка можно получать ферментативным гидролизом фракции молочной сыворотки в одну или более стадий. Если фракция молочной сыворотки, применяемая в качестве исходного материала, по существу, не содержит лактозы, установлено, что в процессе гидролиза блокировка лизина белка проявляется в гораздо меньшей степени. Это позволяет снизить степень блокировки лизина с около 15 мас.% общего лизина до менее около >10 мас.% лизина; например приблизительно 7 мас.% лизина, что значительно улучшает питательное качество источника белка.

В одном конкретном варианте осуществления белки композиции гидролизованы, полностью гидролизованы или частично гидролизованы. Степень гидролиза (DH) белка может составлять от 2 до 20, либо от 8 до 40, либо от 20 до 60, либо от 20 до 80, либо более 10, 20, 40, 60, 80 или 90. Например, компания Nestle предлагает к продаже питательные композиции под торговой маркой Peptamen®, содержащие гидролизаты со степенью гидролиза менее чем около 15%.

По меньшей мере 70%, 80%, 85%, 90%, 95% или 97% белков могут быть гидролизованы. В конкретном варианте осуществления гидролизовано 100% белков.

В одном конкретном варианте осуществления белки композиции представляют собой растительный белок.

Питательная композиция в соответствии с настоящим изобретением может содержать источник углеводов. Это особенно предпочтительно в том случае, когда питательная композиция изобретения представляет собой детскую смесь. В этом случае можно применять любой источник углеводов, обычно находящийся в детских смесях, такой как лактоза, сахароза, мальтодекстрин, крахмал и их смеси, хотя одним из предпочтительных источников углеводов в детских смесях является лактоза. Питательная композиция изобретения может также содержать все витамины и минеральные вещества, считающиеся обязательными в повседневном рационе питания, в значимых с точки зрения питания количествах. Для некоторых витаминов и минеральных веществ установлены минимальные требования. Примеры минеральных веществ, витаминов и других питательных веществ, которые необязательно присутствуют в композиции изобретения, включают витамин А, витамин В1, витамин В2, витамин B3, витамин В6, витамин В12, витамин Е, витамин K, витамин С, витамин D, фолиевую кислоту, инозит, ниацин, биотин, пантотеновую кислоту, холин, кальций, фосфор, йод, железо, магний, медь, цинк, марганец, хлор, калий, натрий, селен, хром, молибден, таурин и L-карнитин. Минеральные вещества обычно добавляют в форме солей. Присутствие и количества конкретных минеральных веществ и других витаминов будут варьироваться в зависимости от предполагаемой популяции. При необходимости питательная композиция изобретения может содержать эмульгаторы и стабилизаторы, такие как соя, лецитин, моно- и диглицериловые сложные эфиры лимонной кислоты и т.п. Питательная композиция изобретения может также содержать другие вещества, которые могут оказывать благоприятное воздействие, такие как лактоферрин, остеопонтин, TGFbeta, sIgA, глутамин, нуклеотиды, нуклеозиды и т.п.

Композиция по изобретению может дополнительно содержать по меньшей мере один нерасщепляемый олигосахарид (например, пребиотик). Они, как правило, присутствуют в количестве от 0,3 до 10 мас.% композиции.

Пребиотики, как правило, не перевариваются в том смысле, что они не расщепляются и не всасываются в желудке или тонком кишечнике и, таким образом, остаются в нативном виде при переходе в толстый кишечник, в котором их селективно ферментируют полезные бактерии. Примеры пребиотиков включают конкретные олигосахариды, такие как фруктоолигосахариды (FOS), инулин, ксилоолигосахариды (XOS), полидекстроза или любая их смесь. В конкретном варианте осуществления пребиотики могут представлять собой фруктоолигосахариды и/или инулин. В конкретном варианте осуществления пребиотики представляют собой комбинацию FOS с инулином, такую как продукт, продаваемый компанией BENEO-Orafti под товарным знаком олигофруктоза Orafti® (прежде Raftilose®), или продукт, продаваемый компанией BENEO-Orafti под товарным знаком инулин Orafti® (прежде Raftiline®). Другим примером является комбинация 70% короткоцепочечных фруктоолигосахаридов и 30% инулина, зарегистрированная компанией Nestle под товарным знаком Prebio 1. Питательная композиция изобретения также может содержать по меньшей мере один олигосахарид из молока, который может представлять собой BMO (олигосахарид из коровьего молока) и/или ОГМ (олигосахарид из грудного молока).

Чаще всего применяют пробиотические микроорганизмы, которые главным образом представляют собой бактерии и дрожжи следующих родов: Lactobacillus, Streptococcus, Enterococcus, Bifidobacterium и Saccharomyces.

В некоторых конкретных вариантах осуществления пробиотик представляет собой пробиотический бактериальный штамм. В некоторых конкретных вариантах осуществления это Bifidobacterium и/или Lactobacillus.

Питательная композиция в соответствии с изобретением может содержать от 103 до 1012 КОЕ пробиотического штамма, более предпочтительно от 107 до 1012 КОЕ, например, от 108 до 1010 КОЕ пробиотического штамма на грамм композиции в расчете на массу сухого вещества.

В одном варианте осуществления пробиотики являются жизнеспособными. В другом варианте осуществления пробиотики являются неразмножающимися или инактивированными. Это могут быть также части пробиотиков, например, компоненты клеточных стенок или продукты метаболизма пробиотиков. В некоторых других вариантах осуществления можно использовать как жизнеспособные пробиотики, так и инактивированные пробиотики. Питательная композиция изобретения может дополнительно содержать по меньшей мере один фаг (бактериофаг) или смесь фагов, предпочтительно направленных против патогенных микроорганизмов Streptococci, Haemophilus, Moraxella и Staphylococci.

Питательную композицию в соответствии с изобретением можно получать любым подходящим способом.

Например, смесь, такую как детская смесь, можно получать путем смешивания источника белка, источника углеводов и источника жира в соответствующих пропорциях. На данном этапе можно включать эмульгаторы в случае их применения. На данном этапе можно добавлять витамины и минеральные вещества, но обычно их добавляют позднее для предотвращения термического разложения. Перед смешиванием в источнике жира можно растворять любые липофильные витамины, эмульгаторы и т.п. Затем можно домешивать воду, предпочтительно очищенную обратным осмосом, с образованием жидкой смеси. Температура воды для удобства находится в диапазоне от около 50°С до около 80°С для облегчения диспергирования ингредиентов. Для образования жидкой смеси можно применять доступные в продаже разжижители.

На этой стадии можно добавлять любые олигосахариды, особенно в случае, если конечный продукт должен иметь жидкую форму. Если конечный продукт должен представлять собой порошок, эти компоненты при желании также можно добавлять на данной стадии.

Затем жидкую смесь гомогенизируют, например, в две стадии.

В одном варианте осуществления изобретения питательную композицию по изобретению дают ребенку грудного/раннего возраста в качестве композиции, дополнительной к материнскому молоку.

Композиция настоящего изобретения может быть представлена, например, в сухой (например, порошок), жидкой или желеобразной форме.

Композиция настоящего изобретения может быть представлена, например, в форме таблетки, драже, капсулы, желатиновой капсулы, порошка, гранулы, раствора, эмульсии, суспензии, покрытой оболочкой частицы, высушенной распылением частицы или таблетки.

Композиция может находиться в форме фармацевтической композиции и может содержать один или более подходящих фармацевтически приемлемых носителей, разбавителей и/или эксципиентов.

Примеры таких подходящих эксципиентов для композиций, описанных в настоящем документе, можно найти в издании Handbook of Pharmaceutical Excipients, 2nd Edition, (1994), под ред. A Wade и PJ Weller.

Подходящие носители или разбавители для терапевтического применения хорошо известны в фармацевтической области и описаны, например, в издании Remington's Pharmaceutical Sciences, Mack Publishing Co. (A. R. Gennaro edit. 1985).

В качестве или в дополнение к носителю, эксципиенту или разбавителю фармацевтические композиции могут содержать любое(-ые) подходящее(-ие) связующее(-ие) вещество(-а), смазывающее(-ие) вещество(-а), суспендирующий(-ие) агент(-ы), покрывающий(-ие) агент(-ы) и/или солюбилизирующее(-ие) вещество(-а). Примеры подходящих связующих веществ включают крахмал, желатин, натуральные сахара, такие как глюкоза, безводная лактоза, сыпучая лактоза, бета-лактоза, кукурузные подсластители, натуральные и синтетические камеди, такие как аравийская, трагакантовая камедь или альгинат натрия, карбоксиметилцеллюлоза и полиэтиленгликоль.

Примеры подходящих смазывающих веществ включают олеат натрия, стеарат натрия, стеарат магния, бензоат натрия, ацетат натрия, хлорид натрия и т.п.

В композицию могут быть включены консерванты, стабилизаторы, красители и даже ароматизирующие агенты. Примеры консервантов включают бензоат натрия, сорбиновую кислоту и сложные эфиры п-гидроксибензойной кислоты. Можно также применять антиоксиданты и суспендирующие агенты.

Питательная композиция в соответствии с настоящим изобретением может в одном варианте осуществления представлять собой молочный продукт. Молочные продукты представляют собой продукты, содержащие продукты на основе молока. Молочные продукты, как правило, изготавливают из подходящей смеси концентрированных источников молочных белков и жира. Молочные продукты могут быть подкислены. Молочные продукты включают готовые к употреблению молочные напитки, концентрированное молоко, топленое молоко, подслащенное и сгущенное молоко, сухое молоко, йогурты, молодой сыр, сыр, мороженое и молочные пасты, такие как пастообразный молодой сыр, мягкий сыр, творог, крем-фреш, свернутые сливки и сливочный сыр. Сухое молоко может быть изготовлено, например, с помощью распылительной сушки или сушки сублимацией.

В зависимости от содержания жира молочные продукты могут быть получены из необезжиренного или цельного молока, полуобезжиренного молока, обезжиренного молока или молока пониженной жирности. Обезжиренное молоко представляет собой молоко, которое содержит менее 0,1% молочного жира. Полуобезжиренное молоко представляет собой молоко, которое содержит от 1,5% до 2,5% молочного жира. Обычно цельное молоко представляет собой молоко, которое содержит от 3% до 4% жира. Точное содержание жира в обезжиренном, полуобезжиренном и необезжиренном молоке зависит главным образом от местного пищевого законодательства.

Молочные продукты обычно изготавливают из коровьего молока. Молочные продукты также могут быть изготовлены из буйволиного молока, молока яка, козьего молока, овечьего молока, кобыльего молока, ослиного молока, верблюжьего молока, оленьего молока, лосиного молока или их комбинаций.

Подкисленные молочные продукты могут быть получены путем ферментации с применением подходящих микроорганизмов. Ферментация обеспечивает вкусоароматические свойства и кислотность молочного продукта. Она также может влиять на текстуру молочного продукта. Кроме того, микроорганизмы, используемые при ферментации, выбирают по их способности ферментировать молоко в потребительский ферментированный молочный продукт. Как правило, упомянутые микроорганизмы известны своими полезными свойствами. Указанные микроорганизмы включают молочнокислые бактерии и дрожжи. Некоторые из этих микроорганизмов можно рассматривать как пробиотики. Примеры молочнокислых бактерий включают Lactobacillus delbrueckii, подвид bulgaricus, и Streptococcus thermophilus, оба из которых применяют в производстве йогурта, или другие молочнокислые бактерии, относящиеся к роду Lactobacillus, Streptococcus, Lactococcus, Leuconostoc, Bifidobacterium, Pediococcus или любой их смеси.

Другой пример ферментированных молочных продуктов, также известных как культивированные молочные продукты, культивированные молокопродукты, или кисломолочные продукты, представляют собой пахту, ферментированную Lactococcus lactis (Lactococcus lactis, подвид lactis, Lactococcus lactis, подвид cremoris, Lactococcus lactis, подвид Lactis, биотип diacetylactis), и/или Leuconostoc mesenteroides, подвид cremoris.

Микроорганизмы могут быть живыми или инактивированными.

Аналоги молочных продуктов представляют собой продукты, полученные способом, аналогичным способу получения описанных выше молочных продуктов, но в котором применяют (полностью или частично) немолочный источник белка и/или (полностью или частично) немолочный источник пищевого жира. Подходящие источники белка включают растительные белки, такие как соя, картофель и горох. Подходящие источники жиров включают в себя масла и жиры растительного или морского происхождения. «Жиры» и «масла» используются в качестве взаимозаменяемых терминов. Предполагается, что приготовление, аналогичное упомянутому выше, включает в себя процессы применительно к продуктам, в которых опущена традиционная стадия сепарации молочной сыворотки, поскольку состав аналога молочного продукта позволяет пропустить эту стадию.

Питательная композиция в соответствии с настоящим изобретением может в одном варианте осуществления представлять собой пищевой продукт.

Обработка

Следует понимать, что каждая ссылка на лечение в настоящем документе включают в себя лечебное, паллиативное и профилактическое лечение. Лечение может также включать остановку прогрессирования тяжести заболевания.

Способы лечения человека и животных входят в объем настоящего изобретения

Миелинизация

Как обсуждалось выше, соединения и композиции в соответствии с настоящим изобретением активируют и/или ускоряют миелинизацию.

В одном варианте осуществления соединения и композиции в соответствии с настоящим изобретением активируют и/или ускоряют миелинизацию у субъекта, при этом миелинизация носит субоптимальный характер, что также влияет на когнитивную функцию, функции памяти, способность к обучению, навыки социального взаимодействия, остроту зрения, двигательные навыки или речевые навыки и тревогу.

В контексте настоящего изобретения термин «субоптимальный» при упоминании определенного состояния (например, миелинизации и/или положительного неврологического эффекта) указывает на степень этого состояния, которая отличается от норматива общей популяции и которая может потенциально приводить к состоянию, требующему лечения.

В одном варианте осуществления миелинизация происходит на клетках центральной нервной системы (ЦНС) посредством воздействия олигодендритных клеток.

В другом варианте осуществления миелинизация происходит на клетках периферической нервной системы (ПНС) посредством действия шванновских клеток.

В одном варианте осуществления соединение или композиция в соответствии с настоящим изобретением предназначены для применения в активации и/или ускорении миелинизации.

В одном варианте осуществления соединение или композиция в соответствии с настоящим изобретением предназначены для применения в активации и/или ускорении миелинизации для активации положительных неврологических эффектов.

В другом варианте осуществления соединение или композиция в соответствии с настоящим изобретением предназначены для применения в улучшении ветвления нейронов. В дополнительном варианте осуществления соединение или композиция в соответствии с настоящим изобретением предназначены для применения в улучшении ветвления и связи нейронов. В еще одном дополнительном варианте осуществления соединение или композиция в соответствии с настоящим изобретением предназначены для применения в активации когнитивной функции посредством улучшения ветвления и связей нейронов.

В контексте настоящего изобретения термин «положительный неврологический эффект» означает по меньшей мере один эффект из группы, включающей: когнитивную функцию, функцию памяти, способность к обучению, навыки социального взаимодействия, остроту зрения, двигательные навыки, речевые навыки и уменьшение тревоги.

Термин «когнитивная функция» относится к набору всех умственных способностей и процессов, включая знания, внимание, память и рабочую память, суждение и оценку, мышление и «вычисление», решение задач и принятие решений, понимание и воспроизведение речи.

Специалисты могут легко оценить уровни и улучшения когнитивной функции с использованием любых подходящих неврологических и когнитивных тестов, известных в данной области, включая когнитивные тесты, предназначенные для оценки скорости обработки информации, исполнительной функции и памяти. Подходящие примеры тестов включают: краткую шкалу оценки психического статуса (MMSE), кембриджскую автоматизированную батарею нейропсихологических тестов (CANTAB), шкалу оценки тяжести болезни Альцгеймера (ADAScog), висконсинский тест сортировки карточек, тест беглости речевых ответов и тест на зрительно-моторную координацию, шкалу памяти Векслера (WMS), тест на немедленное и отсроченное визуальное воспроизведение (Trahan et al. Neuropsychology, 1988 19(3) p. 173-89), тест Рея с оценкой запоминания при восприятии на слух (RAVLT) (Ivnik, RJ. et al. Psychological Assessment: A Journal of Consulting and Clinical Psychology, 1990 (2): p. 304-312), электроэнцефалографию (ЭЭГ), магнитоэнцефалографию (МЭГ), позитронно-эмиссионную томографию (ПЭТ), однофотонную эмиссионную компьютерную томографию (ОЭКТ), магнитно-резонансную спектроскопию (МРС), магнитно-резонансную томографию (МРТ), функциональную магнитно-резонансную томографию (фМРТ), компьютерную томографию и долгосрочную потенциацию.

Введение

Предпочтительно соединения и композиции, описанные в настоящем документе, вводят энтерально.

Энтеральное введение может быть, например, пероральным, желудочным и/или ректальным.

В общем введение комбинации или композиции, описанной в настоящем документе, в желудочно-кишечный тракт может, например, осуществляться пероральным путем или другим путем, например, введение может осуществляться посредством зонда.

В предпочтительном варианте осуществления введение осуществляется перорально.

Субъект может представлять собой млекопитающее, такое как человек, собака, кошка, лошадь, козел, бык, овца, свинья, олень и приматы. Предпочтительно субъект представляет собой человека.

В одном варианте осуществления субъект представляет собой новорожденного и/или детеныша или молодую особь из семейства собачьих и/или кошачьих.

В одном варианте осуществления субъект представляет собой новорожденного и/или ребенка младшего возраста.

Термин «ребенок» означает человека между стадиями рождения и пубертата. Взрослый представляет собой человека старше ребенка. Термин «младенец» означает ребенка в возрасте до 12 месяцев и включает недоношенных младенцев и младенцев с низким весом при рождении. Термин «недоношенный младенец» означает младенца, родившегося в гестационном возрасте менее 37 недель. Термин «младенец с низким весом при рождении» означает младенца, имеющего вес при рождении менее 2500 г. Термин «ребенок младшего возраста» означает ребенка в возрасте от одного до трех лет.

В одном варианте осуществления соединение и/или композицию настоящего изобретения дают младенцу или ребенку, получающему детскую смесь.

Органолептические свойства

В настоящем изобретении предложены соединения, являющиеся источником бутирата, имеющим улучшенные органолептические свойства. В частности, соединения имеют улучшенный запах и/или вкус по сравнению с масляной кислотой, бутиратными солями и/или трибутирином. В одном варианте осуществления соединения имеют улучшенный вкус по сравнению с трибутирином. В одном варианте осуществления соединения имеют улучшенный запах по сравнению с бутиратными солями (например, бутиратом натрия).

В одном варианте осуществления улучшенные органолептические свойства представляют собой улучшенный запах. В одном варианте осуществления улучшенные органолептические свойства представляют собой улучшенный вкус. В одном варианте осуществления улучшенные органолептические свойства представляют собой улучшенный запах и улучшенный вкус. В одном варианте осуществления улучшенный вкус представляет собой уменьшение горечи.

Ниже описаны дополнительные предпочтительные признаки и варианты осуществления настоящего изобретения в виде неограничивающих примеров.

Примеры

При практическом применении настоящего изобретения, если не указано иное, будут использоваться стандартные методы, применяемые в химии, молекулярной биологии, микробиологии, методы рекомбинантной ДНК и иммунологии, известные специалистам в данной области. Такие методы описаны в литературе. См., например, J. Sambrook, E. F. Fritsch и T. Maniatis, 1989, Molecular Cloning: A Laboratory Manual, Second Edition, Books 1-3, Cold Spring Harbor Laboratory Press; Ausubel, F. M. et al. (1995 and periodic supplements; Current Protocols in Molecular Biology, ch. 9, 13, and 16, John Wiley & Sons, New York, N.Y.); B. Roe, J. Crabtree, and A. Kahn, 1996, DNA Isolation and Sequencing: Essential Techniques, John Wiley & Sons; J. M. Polak and James O’D. McGee, 1990, In Situ Hybridization: Principles and Practice; Oxford University Press; M. J. Gait (Editor), 1984, Oligonucleotide Synthesis: A Practical Approach, Irl Press; D. M. J. Lilley and J. E. Dahlberg, 1992, Methods of Enzymology: DNA Structure Part A: Synthesis and Physical Analysis of DNA Methods in Enzymology, Academic Press; and E. M. Shevach and W. Strober, 1992 and periodic supplements, Current Protocols in Immunology, John Wiley & Sons, New York, NY. Каждый из этих общих текстов включен в настоящий документ путем ссылки.

Примеры

Пример 1. Приготовление триглицеридов, содержащих бутиратный остаток

Композиции, включающие триглицериды, содержащие бутиратный остаток, получали путем химической переэтерификации между трибутирином и подсолнечным маслом с высоким содержанием олеиновой кислоты в присутствии катализатора, такого как метаноат натрия. Использовали молярный избыток трибутирина относительно подсолнечного масла с высоким содержанием олеиновой кислоты.

Три реагента, трибутирин, подсолнечное масло с высоким содержанием олеиновой кислоты и катализатор, смешивали в реакторе в атмосфере азота и затем нагревали при перемешивании при 80°C в течение 3 ч. После завершения реакции продукт промывали водой и сушили под вакуумом (25 мбар при 60°C в течение 2 ч). Затем полученный масляный продукт подвергали стадии обесцвечивания под действием отбеливающей земли и очищали посредством перегонки с короткой траекторией (130°C, 0,001–0,003 мбар) и/или посредством дезодорирования (160°C, 2 мбар, 2 ч) с впрыском водяного пара.

Компоненты полученных масляных композиций, главным образом триглицериды, показаны ниже в таблице 1. Эти триглицериды характеризуются содержанием трех жирных кислот. Эти жирные кислоты характеризуются липидным числом: 4 : 0 для бутирата, 16 : 0 для пальмитата, 18 : 0 для стеарата, 18 : 1 для олеата и 18 : 2 для линолеата. Жирная кислота, указанная в середине, находится в положении sn-2 триглицерида. Например, 16 : 0 – 4 : 0 – 18 : 1 означает два различных триглицерида, каждый из которых имеет бутират в положении sn-2 и либо пальмитат в положении sn-1 и олеат в положении sn-3, либо олеат в положении sn-1 и пальмитат в положении sn-3.

Профиль триглицеридов и региоизомеры анализировали с помощью жидкостной хроматографии в сочетании с масс-спектрометром высокого разрешения. Долю липидных классов оценивали с помощью жидкостной хроматографии, связанной с испарительным детектором светорассеяния (ELSD).

Таблица 1. Региоизомерный профиль триглицеридов [г/100 г]

Региоизомер триглицерида [г/100 г]

Композиция

4 : 0 – 4 : 0 – 4 : 0 < 0,4–4,7 4 : 0 – 16 : 0 – 4 : 0 0,8–1,0 4 : 0 – 18 : 2 – 4 : 0 4,0–6,3 4 : 0 – 4 : 0 – 18 : 1 3,0–6,1 4 : 0 – 18 : 1 – 4 : 0 16,2–27,0 4 : 0 – 18 : 0 – 4 : 0 0,8–1,3 4 : 0 – 22 : 0 – 4 : 0 ≤ 0,4 4 : 0 – 16 : 0 – 18 : 1 1,1–1,5 16 : 0 – 4 : 0 – 18 : 1 0,5–0,7 4 : 0 – 18 : 1 – 16 : 0 1,2–1,6 4 : 0 – 18 : 1 – 18 : 2 2,6–3,1 18 : 1 – 4 : 0 – 18 : 2 1,1–1,6 4 : 0 – 18 : 2 – 18 : 1 2,9–3,6 18 : 1 – 18 : 1 – 4 : 0 23,3–25,8 18 : 1 – 4 : 0 – 18 : 1 3,3–4,8 4 : 0 – 18 : 0 – 18 : 1 0,9–1,3 4 : 0 – 18 : 1 – 18 : 0 0,8–1,1 4 : 0 – 22 : 0 – 18 : 1 < 0,4–0,5 18 : 1 – 18 : 1 – 16 : 0 0,6–1,4 18 : 1 – 18 : 1 – 18 : 2 1,3–1,5 18 : 1 – 18 : 2 – 18 : 1 0,5–0,7 18 : 1 – 18 : 1 – 18 : 1 6,1–10,7 18 : 1 – 18 : 1 – 18 : 0 0,5–0,8 Итого 93,1–94,1

В образцах композиции двумя наиболее распространенными триглицеридами являются 4 : 0 – 18 : 1 – 4 : 0 и 18 : 1 – 18 : 1 – 4 : 0, и они составляют вместе приблизительно от 40 до 50 г / 100 г.

Пример 2. Ароматические свойства триглицеридов, содержащих бутиратный остаток

Запах раствора триглицеридов, содержащего бутиратный остаток (состоящего главным образом из олеиновой и масляной жирных кислот), сравнивали с раствором, содержащим бутират натрия.

Получение образца

Готовили растворы триглицеридов, содержащих бутиратный остаток, (см. пример 1) или бутирата натрия и хранили при 4°C перед предъявлением группе дегустаторов. Каждые 250 мл раствора содержали 600 мг масляной кислоты (эквивалентно одной капсуле доступного в продаже бутирата натрия в виде добавки; концентрация 2,4 мг/мл) и 1 мас./об.% детской смеси BEBA Optipro 1 в подкисленной деионизированной воде.

Образцы готовили за день до испытания, помещая 4 мл каждого раствора (раствора триглицерид-бутирата; раствора бутирата натрия) во флаконы Agilent.

Методика

Был проведен тест по схеме «два из пяти». В этом тесте дегустатору предоставляли пять образцов. Дегустатору предлагали выявить два образца, которые отличаются от трех других. Порядок предъявления образцов рандомизирован во избежание систематической ошибки порядка предъявления.

В дополнение к схеме «два из пяти», дегустаторам предоставляли поле для комментариев, чтобы они могли описать характер воспринимаемой разницы (например, интенсивность запаха, качество запаха).

Результаты

Пять образцов обеспечивали для дегустаторов одновременно. Им было предложено открыть крышку, понюхать, а затем закрыть каждый флакон в заданном порядке. Результаты показаны в таблице 2.

Таблица 2

Количество ответов Количество верных ответов Значимость 11 9 p < 0,0001***

P-значение рассчитывали с использованием биномиального теста, выполняемого с помощью программного обеспечения Fizz (Biosystemes, Франция).

Дегустаторы, которые нашли правильные ответы (TAG, содержащий бутиратный остаток, отличался от бутирата натрия), отметили, что бутират натрия пахнет «сыром», тогда как в образцах TAG, содержащих бутиратный остаток, этот «сырный запах» был значительно меньше, а запах был довольно нейтральным.

Пример 3. Вкусовые свойства триглицеридов, содержащих бутиратный остаток

Было выполнено органолептическое сравнение раствора с триглицеридами, содержащим бутиратный остаток (см. пример 1), состоящего главным образом из олеиновой и масляной жирных кислот, и раствора, содержащего трибутирин.

Подготовка образцов

К теплой воде (охлажденной кипяченой водопроводной воде в соответствии с инструкциями) добавляли одну мерную ложку (4,6 г) детской смеси BEBA Optipro 1 с получением конечного объема 150 мл (раствор приблизительно 3 мас./об.%). Каждую триглицеридную форму бутирата взвешивали отдельно, чтобы получить 600 мг бутирата, и к каждому раствору добавляли детскую смесь до конечного объема 50 мл.

Раствор A включал в себя триглицериды, содержащие бутиратный остаток (см. пример 1); а раствор B содержал трибутирин.

Методика

Группа дегустаторов провела повторную дегустацию без информации о кодировке.

Образцы готовили непосредственно перед предварительной оценкой горечи и каждый раствор интенсивно встряхивали. Чашки для дегустации, помеченные буквой A и B, заполняли одновременно небольшим объемом соответствующего раствора.

Два образца предъявлялись дегустаторам одновременно. Им было предложено попробовать раствор, набрав его в рот и выплюнув, и оценить воспринимаемую горечь по шкале от 0-10; где 0 – горечь не чувствуется, а 10 – похоже на самую сильную представимую горечь.

Результаты

Горечь раствора A была оценена группой дегустаторов как 4,33 ± 1,52, среднее ± СО.

Горечь раствора B была оценена группой дегустаторов как 8,33 ± 1,52, среднее ± СО.

Эти данные показывают, что композиция с триглицеридами, содержащими бутиратный остаток, имела значительно менее горький вкус по сравнению с композицией, содержащей трибутирин.

Пример 4. Вкусовые свойства 1,3-дибутирил-2-пальмитоилглицерина

1,3-дибутирил-2-пальмитоилглицерин (BPB) синтезировали в виде одного соединения с использованием следующей схемы синтеза:

BPB оценивали в ходе описательной оценки группой дегустаторов и обнаружили, что он имеет нейтральный вкус и запах.

Пример 5. Расщепление триглицеридов, содержащих бутиратный остаток

5.1. Материалы

Таурохолат натрия, хлорид натрия, хлористоводородная кислота, гидроксид натрия, гидроксид калия, малеиновая кислота, трис(гидроксиметил)аминометан, пепсин (свиной, 800–111 2500 Ед/мг, P7000, фактическая активность 674 Ед/мг и 561 Ед/мг), панкреатин (свиной, показатель по Фарм. США x 8, P7585) и экстракт свиной желчи (общее содержание солей желчных кислот = 49 мас.%; с 10-15%-ной гликодезоксихолевой кислотой, 3-9%-ной тауродезоксихолевой кислотой, 0,5-7%-ной дезоксихолевой кислотой; фосфолипиды 5%, B8631) использовали в том виде, как получено, и приобретали в компании Sigma-Aldrich (г. Сент-Луис, штат Миссури, США). Экстракт из желудка кролика (RGE 70 с содержанием ≥ 70 Ед/мл RGL и ≥ 280 Ед/мл пепсина) приобретали в компании Lipolytech (г. Марсель, Франция). Вся вода, использованная в данном исследовании, имела качество очистки Milli Q. Трибутирин (пищевой) производства компании Sigma, подсолнечное масло с высоким содержанием олеиновой кислоты производства компании Florin. Переэтерифицированные триглицериды получали путем химической переэтерификации с метаноатом натрия (от компании Evonik) в качестве катализатора.

5.2. Получение эмульсии

Эмульсии типа «масло в воде» 10 мас.%, стабилизированные полиоксиэтиленсорбитанмоноолеатом 0,3 мас.% (Tween® 80), получали путем смешивания Tween 80 с масляной фазой при 40°C и последующего смешивания с водной фазой с помощью магнитной мешалки. Затем создавали эмульсию с использованием гомогенизатора Hielscher UP 400S, оснащенного стержнеобразным зондом диаметром 5 мм, путем применения амплитуды 100% при цикле 100% в течение 2 минут при охлаждении образца ледяной водой.

5.3. Гранулометрия

Размер капель каждой липидной эмульсии измеряли путем рассеяния лазерного света с помощью анализатора Mastersizer 3000, оснащенного модулем Hydro SM от компании Malvern Instruments (г. Малвер, Вустершир, Великобритания). Лазерные характеристики двух лазеров составляют 4 мВт, 632,8 нм и 10 мВт, 470 нм. Образцы разводили до приблизительно 0,002 мас.%, чтобы избежать эффектов множественного рассеяния. Затем информацию о размере частиц эмульсии получали посредством нахождения наилучшего соответствия между показателем рассеяния света (теория Ми) и измеренным распределением частиц по размерам. Для масляной фазы использовали показатель преломления 1,456 и адсорбцию 0,01. Размеры частиц эмульсии приведены в виде двух значений: среднеобъемный диаметр поверхности D3,2 (D3,2 ¼ Pnidi 3/nidi 2) или среднеобъемный диаметр D4,3 (D4,3 ¼ Pnidi 4/nidi 3). Результаты измерения размера частиц эмульсии представляют собой среднее значение между тремя процедурами измерения двух свежеприготовленных эмульсий.

5.4. Статистический анализ

Статистический анализ проводили с использованием двухстороннего t-критерия с неравными вариациями с использованием программного обеспечения Igor Pro.

5.5. Расщепление in vitro

Липидную эмульсию (2 мл), содержащую 200 мг жира, подвергали желудочно-кишечному липолизу in vitro. Расщепление проводили в термостатных стеклянных сосудах (37°C) в установке pH-STAT, производя контроль с помощью двухбюреточной установки pH-STAT TIM 856 (Radiometer Analytical, Франция). Для желудочного расщепления образец инкубировали в течение 90 минут с 8,5 мл жидкости, имитирующей желудочный сок (SGF), состоящей из 150 мМ NaCl, 450 Ед/мл пепсина, 18 Ед/мл кроличьей желудочной липазы при 37°C и pH 5,5. Расщепление инициировали путем добавления 18 Ед/мл трибутирина (TBU) (активность определяли при pH 5,4) кроличьей желудочной липазы.

Стадию кишечного расщепления проводили в установке pH-STAT, при этом pH поддерживали на постоянном уровне 6,8 путем добавления NaOH (0,05 M). Смесь солей желчных кислот (соли желчных кислот, приготовленные с использованием буферного раствора TRIS, 5 мМ TRIS, 150 мМ NaCl) и раствора кальция (20 мМ Ca, 176,5 мМ TRIS, 150 мМ NaCl), добавляли к смеси SGF-образцов. Эту смесь переносили в установку pH-stat, где pH доводили приблизительно до 6,78. Стадия кишечного расщепления начинается, когда температура достигает 37 ± 0,5°C. pH доводили до 6,8 и после инкубации в течение двух минут при этих pH и температуре добавляли раствор панкреатина (5 мМ tris, 150 мМ NaCl при pH 6,8). Итоговый состав кишечной жидкости составил 10 мМ CaCl2, 12 мМ солей смешанных желчных кислот, 0,75 мМ фосфолипида, 150 мМ NaCl и 4 мМ буферного раствора трис(гидроксиметил)аминометана. Стадию кишечного расщепления проводили в течение 3 часов в диспетчере титрования от радиометра. Во время кишечной фазы расщепления кинетику расщепления отслеживали с использованием установки pH-stat (TIM856, Radiometer) и выражали в виде количества титруемой кислоты (а не жирной кислоты), которое рассчитывали по следующему уравнению:

TA = VNaOH x 0 : 05 x 1000

ТА: общее количество выделяемой кислоты, ммоль; VNaOH: объем NaOH, использованный для титрования высвобожденной кислоты в течение 3 ч, мл.

5.6. Результаты

Поскольку расщепление пищевых липидов происходит под действием липаз как желудочного, так и кишечного происхождения, усвояемость липидов оценивали с использованием двух моделей расщепления, i) с помощью имитации кишечного сока (SIF) с липазой поджелудочной железы свиньи (PPL) и ii) последовательно с помощью имитации желудочного сока (SGF) с липазой желудка кролика (RGL), а затем с помощью имитации кишечного сока (SIF) с липазой поджелудочной железы свиньи (PPL). Все липиды эмульгировали с использованием полиоксиэтиленсорбитана моноолеата (Tween® 80); они имели аналогичные распределения частиц по размерам и удельные площади поверхности (фиг. 2), что означает, что различия в расщеплении преимущественно обусловлены молекулярной структурой триглицеридов.

На фиг. 1i A-C показано расщепление трибутирина (C4), подсолнечного масла с высоким содержанием олеиновой кислоты (HOSFO, в основном C18:1) и триглицеридов, содержащих бутиратный остаток, в соответствии с изобретением, получаемое путем химической переэтерификации трибутирина и подсолнечного масла с высоким содержанием олеиновой кислоты (см. пример 1) «C4-C18:1», липазой поджелудочной железы свиньи (из панкреатина) в присутствии смешанных желчных кислот и кальция (модель SIF). Липиды, по существу, проявляют такое же поведение во время липолиза, подвергаясь начальному быстрому периоду липолиза в течение первых 15 минут, который постепенно замедляется в течение последних 2,5 часов имитации кишечного расщепления. Триглицерид C4 демонстрировал начальные максимальные скорости липолиза 223 ± 59 мкмоль/мин-1. Начальная скорость липолиза подсолнечного масла с высоким содержанием олеиновой кислоты, 34,5 ± 2,3 мкмоль/мин-1, была значительно ниже (p < 0,0001), чем у триглицерида с короткой цепью. C4-C18:1 продемонстрировал начальную скорость гидролиза 153 ± 47 мкмоль/мин-1, находящуюся между показателями C4 и C18:1. В целом, видно, что все триглицериды быстро и в значительной степени расщепляются в присутствии липазы поджелудочной железы свиньи.

Затем триглицериды расщепляли с использованием последовательной модели SGF (RGL) SIF (PPL), расщепление в отделении с SIF показано на фиг. 1ii A-C. Измерения в отделении с желудочным соком не проводили из-за ограниченной ионизации нужных жирных кислот. По сравнению с тем, когда их расщепляли только SIF, триглицериды C4 и C18:1, по существу, высвобождали меньшее количество титруемой кислоты в течение 3 часов расщепления. Наибольший эффект обнаружен с трибутирином, который при расщеплении SGF-SIF имеет значительно более низкую (p < 0,0001) начальную скорость липолиза 44,1 ± 8,8 мкмоль/мин-1 по сравнению с одним SIF, 223 ± 59 мкмоль/мин-1. Общее количество кислоты, высвобождаемой после расщепления трибутирина SGF-SIF 381 ± 20 мкмоль, составляет почти 1/3 от количества, высвобождаемого после расщепления с использованием только SIF, 958 ± 12,5 мкмоль. Эти результаты четко показывают, что внутри отделения модели с желудочным соком наблюдается значительное расщепление трибутирина.

При последовательном воздействии SGF и SIF частота липолиза триглицеридов C4-C18:1, содержащих бутиратный остаток, с помощью SIF составляет 124 ± 20 мкмоль/мин-1, что демонстрирует небольшое, но не существенное снижение по сравнению с одним SIF (124 ± 20 мкмоль/мин-1). Наиболее интересным наблюдением является влияние длины вторичной цепи жирных кислот на уменьшение липолиза под действием SIF, вызванного предварительным воздействием RGL. Первоначально трибутирин продемонстрировал снижение общего уровня высвобождения жирных кислот во время липолиза под действием SIF после предварительного воздействия RGL в SGF на 60,2% (147 ± 7,6 мкмоль). Для сравнения, переэтерифицированные триглицериды C4-C18:1 показали снижение этого показателя на 6,1% (45 ± 7,6 мкмоль).

Общая степень расщепления липидов после воздействия как SIF, так и SGF-SIF представлена на фиг. 2 применительно к трем триглицеридам при прямом и обратном титровании. Поскольку многие жирные кислоты лишь частично ионизируются при pH 6,8, прямое титрование дает лишь частичную картину степени расщепления липидов, вместо этого для оценки полной степени расщепления требуется обратное титрование до pH 11,5 или анализ с помощью ГХ МЭЖК. Результаты обратного титрования трех триглицеридов показывают, что трибутирин и триглицериды C4-C18:1, содержащие бутиратный остаток, подверглись расщеплению на 101,5 ± 0,9% и 101 ± 1,6% соответственно, что указывает на высвобождение трех жирных кислот на молекулу для полного расщепления, тогда как подсолнечное масло с высоким содержанием олеиновой кислоты подвергалось расщеплению на 72,3 ± 2%, что указывает на высвобождение двух жирных кислот на молекулу для полного расщепления.

В целом было показано, что трибутирин подвергался интенсивному гидролизу в желудке, тогда как триглицерид подсолнечного масла с высоким содержанием олеиновой кислоты подвергался очень ограниченному гидролизу в желудке. Неожиданно было обнаружено, что триглицериды, содержащие бутиратный остаток, полученные путем переэтерификации C4 длинноцепочечными жирными кислотами (C4-C18:1), уменьшают степень желудочного липолиза жирных кислот C4. Трибутирин подвергался ~60%-ному липолизу желудочной липазой, о чем свидетельствует снижение общего уровня высвобождения жирных кислот во время липолиза под действием SIF после предварительного воздействия RGL в SGF. Для сравнения, триглицериды C4-C18:1, содержащие бутиратный остаток, показали снижение общего уровня высвобождения жирных кислот в SGF-SIF лишь на 6,1%. Эти результаты свидетельствуют о том, что переэтерификация C4 длинноцепочечными жирными кислотами (C4-C18:1) модулирует высвобождение масляной кислоты в желудке до последующей стадии в кишечнике после расщепления, и что формирование структурированных липидов изменяет время (но не степень) доставки короткоцепочечных жирных кислот в желудочно-кишечный тракт.

Похожие патенты RU2831429C2

название год авторы номер документа
ПИЩЕВОЙ БУТИРАТ И ЕГО ПРИМЕНЕНИЕ 2020
  • Патен, Амори
  • Форбс-Блом, Элизабет
  • Кулкарни, Самир
  • Даримон-Николау, Кристиан
RU2830822C2
ПИЩЕВОЙ БУТИРАТ И ЕГО ПРИМЕНЕНИЕ 2020
  • Оркажада, Мари-Ноэль
  • Патен, Амори
  • Форбс-Блом, Элизабет
RU2826229C2
ПИЩЕВОЙ БУТИРАТ И ЕГО ПРИМЕНЕНИЕ 2020
  • Патен, Амори
  • Форбс-Блом, Элизабет
  • Кулкарни, Самир
  • Даримон-Николау, Кристиан
RU2832646C2
ПИЩЕВОЙ БУТИРАТ 2020
  • Патен, Амори
  • Форбс-Блом, Элизабет
  • Штайнер, Паскаль
  • Пулер, Эми
  • Соннэ, Сара
  • Кёну, Бернар
RU2832710C2
ПИЩЕВОЙ БУТИРАТ ДЛЯ ЛЕЧЕНИЯ ИЛИ ПРОФИЛАКТИКИ АЛЛЕРГИЧЕСКОГО РАССТРОЙСТВА 2019
  • Бланшар, Карин
  • Бурдо, Тристан
  • Дестайя, Фредерик
  • Форбс-Блом, Элизабет
  • Нюттен, Софи
  • Эртлинг, Хайко
  • Патен, Амори
RU2809650C2
ПИЩЕВАЯ КОМПОЗИЦИЯ, СОДЕРЖАЩАЯ 2’-ФУКОЗИЛЛАКТОЗУ И ПИЩЕВОЙ БУТИРАТ 2020
  • Потаппел Ван Ланд, Белинда
  • Ренес, Ингрид Брюнхилде
  • Виртсема, Селма Паулин
  • Томассен, Габрил
  • Овербик, Саскиа Адриана
  • Бен Амор, Каоутер
  • Брабер, Саскиа
RU2820217C2
ПИТАТЕЛЬНАЯ КОМПОЗИЦИЯ, ВКЛЮЧАЮЩАЯ 2'ФУКОЗИЛЛАКТОЗУ И 3'ГАЛАКТОЗИЛЛАКТОЗУ 2020
  • Потаппел-Ван'Т Ланд, Белинда
  • Ренес, Ингрид Брюнхилде
  • Виртсема, Селма Паулин
  • Томассен, Габрил
  • Овербик, Саскиа Адриана
  • Бен Амор, Каоутер
  • Брабер, Саскиа
RU2818570C2
ПИТАНИЕ С ЛИПИДАМИ И НЕПЕРЕВАРИВАЕМЫМИ САХАРИДАМИ 2006
  • Спелманс Гелске
  • Аллес Мартин Сандра
  • Кнол Ян
RU2428056C2
ПИТАТЕЛЬНАЯ КОМПОЗИЦИЯ И ДЕТСКАЯ СМЕСЬ ДЛЯ СТИМУЛЯЦИИ МИЕЛИНИЗАЦИИ ГОЛОВНОГО МОЗГА 2016
  • Шнайдер Нора
  • Хаузер Йонас
  • Деони Шон
  • Бартфаи Тамаш
RU2766208C2
ПИТАТЕЛЬНЫЕ КОМПОЗИЦИИ И ДЕТСКИЕ СМЕСИ, СПОСОБСТВУЮЩИЕ ПЕРВИЧНОЙ МИЕЛИНИЗАЦИИ 2016
  • Шнайдер Нора
  • Хаузер Йонас
  • Деони Шон
  • Бартфаи Тамаш
RU2766014C2

Иллюстрации к изобретению RU 2 831 429 C2

Реферат патента 2024 года ПИЩЕВОЙ БУТИРАТ И ЕГО ПРИМЕНЕНИЕ

Изобретение относится к применению соединения формулы (1), (2), (3) или (4) или его комбинации для активации и/или ускорения миелинизации, для активации положительного неврологического эффекта, выбранного из группы, состоящей из когнитивной функции, функции памяти, способности к обучению, навыков социального взаимодействия, остроты зрения, двигательных навыков, речевых навыков и уменьшения тревоги. В формулах (1)-(4) R1, R2, R3, R4, R5 и R6 независимо представляют собой длинноцепочечную жирную кислоту, содержащую от 16 до 20 атомов углерода. Применение указанных соединений обеспечивает источник бутирата пищевого качества, который обладает улучшенными органолептическими свойствами, в частности улучшенным запахом и/или вкусом, для активации и/или ускорения миелинизации. Их можно использовать в питательных композициях, диетических добавках, детских смесях и смесях для прикармливаемых детей. Изобретение относится также к применению композиции для активации и/или ускорения миелинизации, для активации положительного неврологического эффекта, выбранного из группы, состоящей из когнитивной функции, функции памяти, способности к обучению, навыков социального взаимодействия, остроты зрения, двигательных навыков, речевых навыков и уменьшения тревоги, содержащей соединения формул (5) и (6). Соединение формулы (5) составляет по меньшей мере 10 мас.% от общей массы триглицеридов, содержащих бутиратный остаток, в композиции и соединение формулы (6) составляет по меньшей мере 10 мас.% от общей массы триглицеридов, содержащих бутиратный остаток, в композиции. 2 н. и 13 з.п. ф-лы, 2 ил., 2 табл., 5 пр.

Формула изобретения RU 2 831 429 C2

1. Применение соединения формулы

или его комбинации для активации и/или ускорения миелинизации, для активации положительного неврологического эффекта, выбранного из группы, состоящей из когнитивной функции, функции памяти, способности к обучению, навыков социального взаимодействия, остроты зрения, двигательных навыков, речевых навыков и уменьшения тревоги,

причем R1, R2, R3, R4, R5 и R6 независимо представляют собой длинноцепочечную жирную кислоту, содержащую от 16 до 20 атомов углерода.

2. Применение по п. 1, в котором применяется комбинация соединения формулы (1) и соединения формулы (2), причем предпочтительно комбинация присутствует в композиции, содержащей соединение формулы (1), в количестве по меньшей мере 10 мас.% от общей массы триглицеридов в композиции и соединение формулы (2) в количестве по меньшей мере 10 мас.% от общей массы триглицеридов в композиции.

3. Применение по п. 1, в котором применяется комбинация соединения формулы (1) и соединения формулы (2), и при этом комбинация присутствует в композиции, содержащей соединение формулы (1), в количестве по меньшей мере 10 мас.% от общей массы триглицеридов, содержащих бутиратный остаток, в композиции и соединение формулы (2) в количестве по меньшей мере 10 мас.% от общей массы триглицеридов, содержащих бутиратный остаток, в композиции.

4. Применение по пп. 1, 2 или 3, в котором применяется комбинация соединения формулы (1), соединения формулы (2), соединения формулы (3) и соединения формулы (4).

5. Применение по п. 1 или 2-4, где в соединении R1, R2, R3, R4, R5 и/или R6 представляют собой ненасыщенную жирную кислоту, предпочтительно мононенасыщенную.

6. Применение по п. 1 или 2-4, где в соединении R1, R2, R3, R4, R5 и/или R6 выбраны из группы, состоящей из олеиновой кислоты, пальмитиновой кислоты или линолевой кислоты.

7. Применение по п. 1 или 2-4, где в соединении каждый из R1, R2, R3, R4, R5 и R6 представляет собой олеиновую кислоту.

8. Применение композиции для активации и/или ускорения миелинизации, для активации положительного неврологического эффекта, выбранного из группы, состоящей из когнитивной функции, функции памяти, способности к обучению, навыков социального взаимодействия, остроты зрения, двигательных навыков, речевых навыков и уменьшения тревоги, содержащей соединения формул

причем соединение формулы (5) составляет по меньшей мере 10 мас.% от общей массы триглицеридов, содержащих бутиратный остаток, в композиции и при этом соединение формулы (6) составляет по меньшей мере 10 мас.% от общей массы триглицеридов, содержащих бутиратный остаток, в композиции.

9. Применение по п. 8, где в композиции соединение формулы (5) составляет по меньшей мере 15 мас.% от общей массы триглицеридов в композиции и при этом соединение формулы (6) составляет по меньшей мере 20 мас.% от общей массы триглицеридов в композиции.

10. Применение по п. 8 или 9, где композиция дополнительно содержит соединение формулы

причем предпочтительно соединение формулы (7) составляет по меньшей мере 2 мас.% от общей массы триглицеридов в композиции, и/или дополнительно содержит соединение формулы

при этом предпочтительно соединение формулы (8) составляет по меньшей мере 2 мас.% от общей массы триглицеридов в композиции.

11. Применение по п. 8, где в композиции соединение формулы (5) составляет по меньшей мере 15 мас.%, предпочтительно по меньшей мере 20 мас.%, от общей массы триглицеридов, содержащих бутиратный остаток, в композиции, и при этом соединение формулы (6) составляет по меньшей мере 20 мас.%, предпочтительно по меньшей мере 25 мас.%, от общей массы триглицеридов, содержащих бутиратный остаток, в композиции.

12. Применение по п. 8 или 11, где композиция дополнительно содержит соединение формулы (7), причем предпочтительно соединение формулы (7) составляет по меньшей мере 2 мас.% от общей массы триглицеридов, содержащих бутиратный остаток, в композиции, и/или дополнительно содержит соединение формулы (8), причем предпочтительно соединение формулы (8) составляет по меньшей мере 2 мас.% от общей массы триглицеридов, содержащих бутиратный остаток, в композиции.

13. Применение по любому из пп. 8-12, где композиция дополнительно содержит 1,3-дибутирил-2-линолеоилглицерин, 1,3-дибутирил-2-стеароилглицерин, 1-бутирил-2-олеоил-3-пальмитоилглицерин, 1-пальмитоил-2-олеоил-3-бутирилглицерин, 1-бутирил-2-олеоил-3-линолеоилглицерин, 1-линолеоил-2-олеоил-3-бутирилглицерин, 1-олеоил-2-бутирил-3-линолеоилглицерин, 1-линолеоил-2-бутирил-3-олеоилглицерин, 1-бутирил-2-линолеоил-3-олеоилглицерин, 1-олеоил-2-линолеоил-3-бутирилглицерин, 1-бутирил-2-стеароил-3-олеоилглицерин, 1-олеоил-2-стеароил-3-бутирилглицерин, 1-бутирил-2-олеоил-3-стеароилглицерин, 1-стеароил-2-олеоил-3-бутирилглицерин, 1,2-диолеоил-3-пальмитоилглицерин, 1-пальмитоил-2,3-диолеоилглицерин, 1,2-диолеоил-3-линолеоилглицерин и/или 1-линолеоил-2,3-диолеоилглицерин.

14. Применение по любому из пп. 8-13, причем композиция представляет собой питательную композицию.

15. Применение по любому из пп. 8-13, причем композиция представляет собой детскую смесь, смесь для прикармливаемых детей или диетическую добавку.

Документы, цитированные в отчете о поиске Патент 2024 года RU2831429C2

US 5662953 А, 02.09.1997
Колосоуборка 1923
  • Беляков И.Д.
SU2009A1
R.G
JENSEN et al., The Composition of Milk Fat, JOURNAL OF DAIRY SCIENCE, 1991, v
Приспособление в центрифугах для регулирования количества жидкости или газа, оставляемых в обрабатываемом в формах материале, в особенности при пробеливании рафинада 0
  • Названов М.К.
SU74A1
Разборный с внутренней печью кипятильник 1922
  • Петухов Г.Г.
SU9A1
Станок для изготовления щитов из куги, соломы и т.п. 1919
  • Стерлигов П.И.
SU3228A1
Способ преобразования тепловой энергии в механическую 1986
  • Сахно Юрий Васильевич
SU1495493A1
Способ получения цианистых соединений 1924
  • Климов Б.К.
SU2018A1
US 9826767 В2, 28.11.2017
СПОСОБ ВОЗДЕЙСТВИЯ НА НЕЙРОДЕГЕНЕРАТИВНОЕ НАРУШЕНИЕ ИЛИ НАРУШЕНИЕ МИЕЛИНИЗАЦИИ 1997
  • О`Брайен Джон С.
RU2266129C2

RU 2 831 429 C2

Авторы

Патен, Амори

Форбс-Блом, Элизабет

Штайнер, Паскаль

Шнайдер, Нора

Даты

2024-12-06Публикация

2020-05-20Подача