СИНТЕЗ ЦЕЛЕНТЕРАЗИНА Российский патент 2024 года по МПК C07D487/04 A61F13/42 B01J20/22 C07B51/00 

Описание патента на изобретение RU2832144C2

Перекрестные ссылки на родственные заявки

Согласно настоящей заявке испрашивается приоритет в соответствии с предварительной заявкой США №62/845189, поданной 8 мая 2019 года, предварительной заявкой США №62/692485, поданной 29 июня 2018 года, и предварительной заявкой США №16/457788, поданной 28 июня 2019 года; каждая из этих заявок явно включена в настоящий документ посредством ссылки во всей полноте.

Предшествующий уровень техники настоящего изобретения

Впитывающие изделия личной гигиены, такие как детские подгузники, прокладки для взрослых, страдающих недержанием мочи, и предметы женской гигиены, в типичном случае содержат впитывающий жидкость слой. Многие впитывающие изделия включают впитывающий жидкость слой, расположенный между верхним листом и задним листом. Верхний лист может быть образован из проницаемого для жидкости материала, приспособленного для обеспечения переноса жидкости во впитывающий слой, например, при воздействии жидкости, обычно с минимальным удержанием жидкости верхним листом. Волокнистая масса южной сосны из США широко используется во впитывающем слое, как правило, в форме волокнистой матрицы, а иногда и в сочетании со сверхвпитывающим полимером (SAP), диспергированным по всей волокнистой матрице. Эта волокнистая масса признана во всем мире предпочтительным волокном для впитывающих изделий на основе таких факторов, как большая длина волокна, грубость волокна волокнистой массы и ее относительная простота переработки из листовой целлюлозы, полученной влажным формованием и высушиванием, в полотно, полученное суховоздушным формованием. Сырьем для этого типа целлюлозной волокнистой массы является южная сосна (например, сосна ладанная, Pinus taeda L.). Сырье подлежит повторной переработке, а древесная масса легко поддается биологическому разложению. По сравнению с SAP эти волокна являются недорогими в расчете на массу, однако имеют тенденцию быть более дорогими в расчете на единицу жидкой удерживающей основы. Эти волокна волокнистой массы в основном поглощают в промежутках между волокнами. По этой причине волокнистая матрица легко выделяет накопленную жидкость при приложении давления. Тенденция к выделению накопленной жидкости может приводить к значительному увлажнению кожи во время применения поглощающего изделия, которое включает слой, образованный исключительно из целлюлозных волокон. Такие изделия также имеют тенденцию пропускать накопленную жидкость, поскольку жидкость не удерживается эффективно в таком волокнистом поглощающем слое.

SAP представляют собой способные набухать в воде, как правило, нерастворимые в воде впитывающие материалы, обладающие высокой впитывающей способностью в отношении жидкостей. Они применяются во впитывающих изделиях, таких как детские подгузники или изделия для взрослых, страдающих недержанием мочи, для впитывания и удержания жидкостей организма. SAP при впитывании жидкостей набухает и превращается в гель, удерживающий больше, чем его масса, таких жидкостей. Широко применяемые SAP получают из акриловой кислоты. Полимеры на основе акриловой кислоты также составляют значительную часть структуры затрат на подгузники и прокладки для страдающих недержанием мочи. SAP разработаны для обеспечения высокой прочности геля (о чем свидетельствует высокая впитывающая способность под нагрузкой или AUL). Высокая прочность геля (при набухании) применяемых в настоящее время частиц SAP помогает им сохранять значительные пустоты между частицами, что способствует быстрому поглощению жидкости. Однако этот значительный «объем пустот» одновременно приводит к появлению значительного количества промежуточной (между частицами) жидкости в продукте в насыщенном состоянии. В случае, если имеется промежуточная жидкость, значение «повторного увлажнения» или «ощущение влажности» поглощающего изделия ухудшается.

Некоторые впитывающие изделия, такие как подгузники или прокладки для взрослых, страдающих недержанием мочи, также включают в себя поступления и распределения (ADL) для сбора и равномерного и своевременного распределения жидкости от места воздействия жидкости к впитывающему слою. ADL обычно помещается между верхним листом и впитывающим слоем и обычно имеет форму композитной ткани, причем наиболее вероятно, что верхняя треть ткани имеет низкую плотность (волокно с более высоким денье) с относительно большими пустотами и большим объемом пустот для эффективного поступления представленной жидкости даже при относительно более высоких скоростях расхода. Средняя треть композитной ткани ADL обычно состоит из волокон более высокой плотности (низкий денье) с меньшими пустотами, в то время как нижняя треть ткани состоит из волокон еще более высокой плотности (более низкого и меньшего денье) и при этом с более мелкими пустотами. Части композита с более высокой плотностью имеют больше и более мелкие капилляры и, следовательно, создают большее капиллярное давление, тем самым перемещая большие объемы жидкости к внешним областям структуры, таким образом, обеспечивая надлежащее формирование каналов и равномерное распределение жидкости с тем, чтобы впитывающий слой поглощал весь напор жидкости зависимым от времени образом для обеспечения удержания SAP внутри впитывающего слоя и превращения жидкости в гель не слишком медленно и не слишком быстро. ADL обеспечивает более быстрое поступление жидкости (минимизируя наполнение в целевой зоне) и обеспечивает более быстрое передвижение и полное распределение жидкости во впитывающем слое.

Как отмечалось выше, впитывающий слой приспособлен для удержания жидкости и, таким образом, может состоять из одного или нескольких слоев, например, слоев для поступления, распределения и/или хранения жидкости. Во многих случаях матрица из целлюлозных волокон, например, в форме прокладки, полученной суховоздушным формованием, и/или нетканого полотна, используется во впитывающем слое впитывающих изделий (или в качестве него). В некоторых случаях разные слои могут состоять из одного или нескольких различных типов целлюлозных волокон, таких как сшитые целлюлозные волокна. Впитывающий слой может также содержать одно или несколько средств, удерживающих жидкость, таких как один или несколько SAP, распределенных по волокнистой матрице, обычно в виде частиц. Достижения в технологии SAP позволили разработать конфигурации впитывающего слоя, в которых волокнистая масса вносит меньший вклад во впитывающую способность слоя и больше в обеспечение структуры матрицы, в которой SAP устойчиво удерживается. Волокна волокнистой массы также обеспечивают функцию распределения жидкости, направляя жидкость в SAP. Однако было обнаружено, что эти структурные функции и функции распределения жидкости могут быть обеспечены в некоторых конфигурациях синтетическими волокнами, что приводит к разработке впитывающих слоев, содержащих как волокна волокнистой массы, так и синтетические волокна, и даже «безворсовые» впитывающие слои, не содержит волокон волокнистой массы. Преимущество этих конфигураций заключается в том, что они являются менее громоздкими без утраты впитываемости.

Задний лист обычно образован из непроницаемого для жидкости материала с тем, чтобы сформировать барьер для предотвращения воздействия удерживаемой жидкости.

Какой бы ни была структура, когда впитывающее изделие намокает в результате одного или нескольких попаданий жидкости, вероятность контакта жидкости с кожей значительно возрастает, и, если ее оставить без изменений в течение длительного времени, это может привести к появлению опрелостей у младенцев или проблеме, связанной с дерматитом у взрослых, тем самым создавая опасность для состоянии кожи. Однако, как правило, единственным способом узнать, является ли сухим или влажным подгузник или прокладка для недержания мочи, является их физический осмотр. В дневное время это может не представлять серьезной проблемы, поскольку лицо, осуществляющее уход, может проверять подгузники или изделия для взрослых, страдающих недержанием мочи, много раз. Однако осмотр в ночное время может доставлять дискомфорт как ребенку, так и взрослому, нарушая их сон. Более того, частые осмотры в ночное время, например, несколько раз за одну ночь, могут нарушить режим сна потребителя, что представляет опасность для здоровья ребенка, а также взрослого пациента.

Кроме того, типичным является то, что предмет одежды, такой как брюки, пижамы и/или нижнее белье, надевается поверх подгузника или впитывающего изделия. Соответственно, даже впитывающие изделия, которые включают в себя различные типы индикаторов влаги и/или влажности, представляют сложности для своевременного обнаружения воздействия.

В результате между утечкой и ее обнаружением обычно проходит промежуток времени. Если этот период времени продлится, то существует вероятность развития опрелостей, раздражения кожи и/или шелушения кожи. Эти состояния могут быть очень болезненными для пораженных лиц. Это является особенно справедливым для младенцев и взрослых, находящихся в учреждениях по уходу, и особенно справедливо для утечек в ночное время, которые могут приводить к более длительным периодам времени до замены впитывающего изделия.

В предыдущих индикаторах влажности, включенных во впитывающие изделия, использовали изменение цвета в качестве визуальной индикации определения влажности. Чернила, которые появляются или исчезают при контакте с жидкостью, являются распространенными механизмами определения влажности. Флуоресценцию также использовали для определения влажности, например, путем включения соединения, которое флуоресцирует в присутствии жидкости. Механизмы действия для таких индикаторов, как правило, делятся на три большие категории: (1) нанесение паттерна, указывающего на влажность, на один из элементов ворса впитывающего изделия; (2) отдельные индикаторные полоски или слои, которые включены между слоями впитывающего изделия; и (3) дискретную (т.е. не являющуюся частью конструкции впитывающего изделия) индикаторную полоску, которая прикрепляется к внутренней части впитывающего изделия непосредственно перед применением.

Каким бы ни был механизм действия, эти визуальные индикаторы не функционируют в условиях низкой освещенности (например, в ночное время). Появляющиеся или исчезающие чернила необходимо обнаруживать непосредственно визуально, чтобы лицо, осуществляющее уход, могло видеть впитывающее изделие. В условиях низкой освещенности для этого может потребоваться как источник света (например, верхний свет или фонарик), так и снятие закрывающей одежды (например, пижамы или нижнего белья). Флуоресцентные индикаторы имеют аналогичные проблемы, поскольку они требуют внешнего источника света для возбуждения флуоресцентного соединения. Такое возбуждение обычно обеспечивается путем воздействия на индикатор ультрафиолетового излучения (которое представляет опасность для здоровья потребителя и лица, осуществляющего уход), и должно иметь прямую оптическую связь с флуоресцентным соединением, что затем требует удаления покрывающей одежды, одеял и т.д. Таким образом, использование визуальных индикаторов, ранее использовавшихся для определения влажности впитывающих предметов одежды, имеет множество недостатков в условиях низкой освещенности, что значительно снижает пригодность их механизмов индикации.

Существует потребность в хемилюминесцентных материалах, которые могут генерировать свет при воздействии влажности, при этом хемилюминесцентные материалы легко синтезируются с большим выходом и высокой чистотой. Настоящее раскрытие направлено на удовлетворение этих потребностей и предоставляет дополнительные преимущества.

Краткое раскрытие настоящего изобретения

Это краткое описание предусмотрено для ознакомления с выбором концепций в упрощенной форме, которые дополнительно описаны ниже в подробном описании. Это краткое изложение не предназначено для идентификации ключевых характеристик заявленного объекта изобретения и не предназначено для использования при содействии в определении объема заявленного объекта изобретения.

В соответствии с одним аспектом в настоящем раскрытии описан способ получения целентеразина, предусматривающий:

(a) взаимодействие 3-бензилпиразин-2-амина (25) с N-бромсукцинимидом с получением 3-бензил-5-бромпиразин-2-амина (2);

(b) взаимодействие 3-бензил-5-бромпиразин-2-амина (2) в две последовательные стадии с получением 4-(5-амино-6-бензилпиразин-2-ил)фенола (7) (целентерамина); и

(с) связывание 4-(5-амино-6-бензилпиразин-2-ил)фенола (7) с силил-защищенным 1,1-диэтокси-3-(4-гидроксифенил)пропан-2-оном с получением целентеразина или его соли.

В соответствии с другим аспектом в настоящем раскрытии описан способ получения целентеразина, предусматривающий:

связывание 4-(5-амино-6-бензилпиразин-2-ил)фенола (7) с 3-(4-((трет-бутилдиметилсилил)окси)фенил)-1,1-диэтоксипропан-2-оном (23) с получением целентеразина (16) или его соли;

при этом 3-(4-((трет-бутилдиметилсилил)окси)фенил)-1,1-диэтоксипропан-2-он (23) синтезируется

i. путем взаимодействия 4-гидроксибензальдегида (8) с трет-бутилдиметилсилилхлоридом с получением 4-((трет-бутилдиметилсилил)окси)бензальдегида(20а);

ii. взаимодействие 4-((трет-бутилдиметилсилил)окси)бензальдегида с боргидридом натрия с получением (4-((трет-бутилдиметилсилил)окси)фенил)метанола (20b);

iii. взаимодействие (4-((трет-бутилдиметилсилил)окси)фенил)метанола с метансульфонилхлоридом с получением трет-бутил(4-(хлорметил)фенокси)диметилсилана (21);

iv. взаимодействие трет-бутил(4-(хлорметил)фенокси)диметилсилана с магнием с получением (4-((трет-бутилдиметилсилил)окси)бензил)хлорида магния (22); и

v. взаимодействие (4-((трет-бутилдиметилсилил)окси)бензил)магния хлорида с этил-2,2-диэтоксиацетатом с получением 3-(4-((трет-бутилдиметилсилил)окси)фенил)-1,1-диэтоксипропан-2-она (23).

В соответствии с еще одним аспектом в настоящем раскрытии описан способ получения целентеразина, предусматривающий:

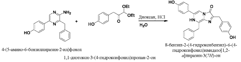
связывание 4-(5-амино-6-бензилпиразин-2-ил)фенола (7) с 1,1-диэтокси-3-(4-гидроксифенил)пропан-2-оном (14) с получением целентеразина или его соли.

В соответствии с дополнительным аспектом в настоящем раскрытии описан способ получения целентеразина, предусматривающий:

(a) взаимодействие 3,5-дибромпиразин-2-амина и (бромметил)бензола в присутствии цинка, йода и первого палладиевого катализатора с получением 3-бензил-5-бромпиразин-2-амина (2);

(b) взаимодействие 3-бензил-5-бромпиразин-2-амина (2) на первой стадии с получением хлористоводородной соли 3-бензил-5-(4-метоксифенил)пиразин-2-амина (5), и взаимодействие хлористоводородной соли 3-бензил-5-(4-метоксифенил)пиразин-2-амина (5) на второй стадии с получением 4-(5-амино-6-бензилпиразин-2-ил)фенола (7); и

(с) связывание 4-(5-амино-6-бензилпиразин-2-ил)фенола (7) с 1,1-диэтокси-3-(4-гидроксифенил)пропан-2-оном (14) с получением целентеразина (16) или его соли.

В соответствии с еще одним аспектом в настоящем раскрытии описан способ получения целентеразина, предусматривающий:

связывание 4-(5-амино-6-бензилпиразин-2-ил)фенола (7) с 1,1-диэтокси-3-(4-гидроксифенил)пропан-2-оном (14) в течение от 16 часов до 28 часов с получением целентеразина или его соли;

при этом реакция связывания контролируется обращенно-фазовой HPLC и подавляется, когда 4-(5-амино-6-бензилпиразин-2-ил)фенол (7) перестает истощаться или когда целентеразин начинает разлагаться.

В соответствии с еще одним аспектом в настоящем раскрытии описан способ получения целентеразина, предусматривающий:

взаимодействие 4-(5-амино-6-бензилпиразин-2-ил)фенола (7) с 1,1-диэтокси-3-(4-гидроксифенил)пропан-2-оном (14) в течение от 16 часов до 28 часов с получением неочищенного целентеразина или его соли;

растирание неочищенного целентеразина с этилацетатом; и

выделение целентеразина или его соли.

В соответствии с еще одним аспектом в настоящем раскрытии описан способ получения целелентеразина, предусматривающий (а) взаимодействие пиразин-2-амина (24) с бензилхлоридом с получением 3-бензилпиразин-2-амина (25) (например, в условиях Гриньяра, например, сначала с получением раствора магния, йода и этилбромида в растворителе перед взаимодействием пиразин-2-амина (24) с бензилхлоридом с получением 3-бензилпиразин-2-амина (25)); (b) взаимодействие 3-бензилпиразин-2-амина (25) с N-бромсукцинимидом с получением 3-бензил-5-бромпиразин-2-амина (2); (с) взаимодействие 3-бензил-5-бромпиразин-2-амина (2) в две последовательные стадии с получением 4-(5-амино-6-бензилпиразин-2-ил)фенола (7) (целентерамина); и (d) связывание 4-(5-амино-6-бензилпиразин-2-ил)фенола (7) с силил-защищенным 1,1-диметокси-3-(4-гидроксифенил)пропан-2-оном или силил-защищенным 1,1-диэтокси-3-(4-гидроксифенил)пропан-2-оном с получением целентеразина (16) или его соли.

В соответствии с другим аспектом в настоящем раскрытии описан способ получения впитывающего изделия, предусматривающий включение целентеразина, полученного в соответствии со способами настоящего раскрытия, во впитывающее изделие.

В соответствии с еще одним аспектом в настоящем раскрытии описано впитывающее изделие, содержащее целентеразин, синтезированный с помощью способов настоящего раскрытия.

Подробное раскрытие настоящего изобретения

В настоящем документе раскрыты способы синтеза для получения целентеразина с высоким выходом и высокой чистотой. Также раскрыты изделия, содержащие целентеразин и производные целентеразина. Иллюстративные впитывающие изделия включают одноразовые подгузники и изделия для взрослых, страдающих недержанием мочи.

Хемилюминесценция возникает в результате химической реакции, которая приводит к образованию света и, следовательно, обеспечивает световую индикацию влажности, которую можно увидеть при слабом освещении и/или в отсутствие света, а также через одежду. Кроме того, хемилюминесценция не требует внешнего возбуждающего света, как это требуется для фотолюминесцентных (например, флуоресцентных) индикаторов. Соответственно, за счет генерирования света при контакте с водной системой (например, мочой) раскрываемые варианты осуществления значительно повышают способность впитывающих изделий указывать на возникновение воздействия в затемненных условиях (например, ночью). Более того, генерируя свет, который можно увидеть сквозь одежду, лицо, осуществляющее уход, может определить возникновение воздействия, не перемещая или не беспокоя младенца или взрослого, носящего такое впитывающее изделие, например, во время сна.

Изделия, предусмотренные в настоящем документе, могут обеспечивать явные преимущества индикации воздействия в ночное время и через одежду, что может уменьшить или даже исключить необходимость для лиц, осуществляющих уход, нарушать сон (например, снимая одежду и/или зажигая свет) человека, носящего впитывающее изделие, для проверки в отношении воздействия. Кроме того, поскольку свет (например, видимый свет) образуется хемилюминесцентными системами, описанными в настоящем документе, отсутствует необходимость подвергать впитывающее изделие и/или потребителя воздействию УФ-света, чтобы определить, произошла ли утечка, что позволяет избегать проблем со здоровьем, ассоциированным с УФ-излучением. Примеры изделий, содержащих хемилюминесцентные материалы, описаны, например, в заявке США №14/516255, раскрытие которой включено в настоящий документ в полном объеме.

Изделия по настоящему раскрытию обеспечивают повышенную легкость, при которой может быть обнаружена утечка, что позволяет лицу, осуществляющему уход, чаще проверять наличие воздействия в результате снижения необходимого вмешательства. Более частые проверки могут позволить выявлять утечку раньше, а впитывающее изделие заменять вскоре после воздействия, тем самым сокращая время контакта при утечке с кожей потребителя, а также снижая вероятность контакта жидкости в результате нескольких утечек с кожей потребителя. Здоровье кожи и общий комфорт потребителя улучшаются, когда продолжительность контакта жидкости с кожей сокращается. В соответствии с некоторыми вариантами осуществления количества/соотношения компонентов могут быть точно установлены таким образом, что вместо того, чтобы наблюдать пик, а затем исчезновение после каждого из последовательности воздействий, когда во впитывающем изделии присутствует достаточное количество воды, люминесценция может поддерживаться при относительно постоянной интенсивности (например, люминесценция может изменяться на менее чем приблизительно 30%, на менее чем приблизительно 20%, на менее чем приблизительно 10%, на менее чем приблизительно 30%, на менее чем приблизительно 20% или на менее чем 10%) в течение периода времени (например, приблизительно 24 часов, приблизительно 12 часов, приблизительно 6 часов, приблизительно 3 часов, приблизительно 2 часов, приблизительно 1 часа, приблизительно 30 минут, приблизительно 15 минут, 24 часов, 12 часов, 6 часов, 3 часов, 2 часов, 1 часа, 30 минут или 15 минут). Используемое в настоящем документе слово «приблизительно», когда оно относится к количеству, указывает число в пределах диапазона незначительного отклонения выше или ниже указанного референтного числа. Например, «приблизительно» может относиться к числу в диапазоне 10%, 9%, 8%, 7%, 6%, 5%, 4%, 3%, 2% или 1% выше или ниже указанного референтного числа. В соответствии с некоторыми вариантами осуществления «приблизительно» относится к числу в диапазоне выше или ниже 5% указанного референтного числа. В соответствии с некоторыми вариантами осуществления «приблизительно» относится к числу в диапазоне выше или ниже 10% указанного референтного числа. В соответствии с некоторыми вариантами осуществления «приблизительно» относится к числу в диапазоне выше или ниже 1% указанного референтного числа.

Синтез целентеразина

В соответствии с одним аспектом в настоящем раскрытии описан способ получения целентеразина, предусматривающий связывание целентерамина или его соли с защищенным 1,1-диэтокси-3-(4-гидроксифенил)пропан-2-оном; или связывание целентерамина или его соли с 1,1-диэтокси-3-(4-гидроксифенил)пропан-2-оном (14) с получением целентеразина или его соли.

В соответствии с другим аспектом в настоящем раскрытии описан способ получения целентеразина, предусматривающий связывание целентерамина или его соли, с защищенным 1,1-диметокси-3-(4-гидроксифенил)пропан-2-оном (например, силил-защищенным 1,1-диметокси-3-(4-гидроксифенил)пропан-2-оном) с получением целентеразина или его соли.

Целентерамин может быть получен разными путями, как описано ниже. Эти способы позволяют получать целентеразин с высоким выходом и высокой чистотой.

Синтез целентерамина

В соответствии с некоторыми вариантами осуществления целентерамин получают сначала (a1) с помощью взаимодействия 3-бензилпиразин-2-амина (25) с N-бромсукцинимидом с получением 3-бензил-5-бромпиразин-2-амина (2) или его соли; или (а2) с помощью взаимодействия 3,5-дибромпиразин-2-амина и (бромметил)бензола в присутствии цинка, йода и палладиевого катализатора с получением 3-бензил-5-бромпиразин-2-амина (2) или его соли. На стадии (b) 3-бензил-5-бромпиразин-2-амин (2) затем взаимодействует на двух последовательных стадиях с получением 4-(5-амино-6-бензилпиразин-2-ил) фенола (7) (целентерамина).

Реакция (a1) 3-бензилпиразин-2-амина (25) с N-бромсукцинимидом может быть проведена в органическом растворителе, таком как CHCl3 (хлороформ), при комнатной температуре (например, примерно от 22°С до 23°С, от 22°С до 23°С или 22°С) при атмосферном давлении (т.е. приблизительно 1 атм или 1 атм). После завершения реакции реакционную смесь можно промыть водой и 3-бензил-5-бромпиразин-2-амин (2) можно выделить путем удаления органического растворителя при пониженном давлении. В соответствии с некоторыми вариантами осуществления (a1) приводит к получению 3-бензил-5-бромпиразин-2-амина (2) с выходом от приблизительно 60% до приблизительно 85% (например, от 60% до 85%) по отношению к 3-бензилпиразин-2-амину (25) и с чистотой по меньшей мере приблизительно 85% (например, с чистотой от приблизительно 85% до приблизительно 95%, с чистотой от приблизительно 85% до приблизительно 100%, с чистотой от 85% до 95% или с чистотой от 85% до 100%). Как используется в настоящем документе, подразумевается, что % выхода относится к выходу в мольных %. Как используется в настоящем документе, чистота данного соединения (когда она сопровождается процентным выходом данного соединения) относится к чистоте в массовых процентах относительно массы чистого соединения, рассчитанной на основе выхода в мольных процентах.

В соответствии с некоторыми вариантами осуществления в (а2) палладиевый катализатор представляет собой бис(трифенилфосфин)палладия дихлорид (II). Палладиевый катализатор может присутствовать в количестве от приблизительно 5 до приблизительно 10 мольных процентов (например, от 5 до 10 мольных процентов) по отношению к 3,5-дибромпиразин-2-амину. В соответствии с некоторыми вариантами осуществления (а2) включает от приблизительно 1:2 до приблизительно 1:3 молярного эквивалента (например, от 1:2 до 1:3 молярного эквивалента) 3,5-дибромпиразин-2-амина по отношению к (бромметил)бензолу. (а2) Может приводить к получению 3-бензил-5-бромпиразин-2-амина (2) с выходом от приблизительно 55% до приблизительно 75% (например, от 55% до 75%) по отношению к 3,5-дибромпиразин-2-амину, с чистотой от приблизительно 80% до приблизительно 95% (от 80% до 95%). В соответствии с некоторыми вариантами осуществления (а2) предусматривает взаимодействие 3,5-дибромпиразин-2-амина и (бромметил)бензола в течение от приблизительно 18 часов до приблизительно 30 часов (например, от 18 часов до 30 часов). Взаимодействие 3,5-дибромпиразин-2-амина и (бромметил)бензола может происходить при температуре от приблизительно 25 до примерно 40°С (например, от 25 до 40°С) при давлении приблизительно 1 атм (например, 1 атм).

В соответствии с некоторыми вариантами осуществления стадия (b) предусматривает первую стадию взаимодействия 3-бензил-5-бромпиразин-2-амина (2) с 4-метоксифенилбороновой кислотой (4) в присутствии палладиевого катализатора с получением 3-бензил-5-(4-метоксифенил)пиразин-2-амина (5) или его соли. Палладиевый катализатор может представлять собой катализатор на основе палладия (0), например, тетракис(трифенилфосфин)палладий (0). Палладиевый катализатор может присутствовать в количестве от приблизительно 5 до приблизительно 10 процентов по массе (например, от 5 до 10 масс. процентов) по отношению к 3-бензил-5-бромпиразин-2-амину (2). Первая стадия в (b) может предусматривать от приблизительно 1:1 до приблизительно 1:1,3 молярного эквивалента (например, от 1:1 до 1:1,3 молярного эквивалента) 3-бензил-5-бромпиразин-2-амина (2) к 4-метоксифенилбороновой кислоте (4). В соответствии с некоторыми вариантами осуществления 3-бензил-5-бромпиразин-2-амин (2) и 4-метоксифенилбороновая кислота (4) взаимодействуют вместе в течение от приблизительно 120 минут до приблизительно 300 минут (например, от 120 до 300 минут). 3-Бензил-5-бромпиразин-2-амин (2) и 4-метоксифенилбороновая кислота (4) могут взаимодействовать вместе при температуре от приблизительно 60°С до приблизительно 90°С (например, от 60°С до 90°С) и при атмосферном давлении (т.е. давлении приблизительно 1 атм или 1 атм). Первая стадия в (b) может приводить к получению 3-бензил-5-(4-метоксифенил)пиразин-2-амина (5) или его соли с выходом от приблизительно 60% до приблизительно 85% (например, 60% до 85%) по сравнению с 3-бензил-5-бромпиразин-2-амином (2) продукта, с чистотой от приблизительно 80 до приблизительно 95% (т.е. выход от 60% до 85%, от 80% до 95% чистого продукта). Как используется в настоящем документе, выход в заданном диапазоне чистоты относится к выходу продукта, имеющего описанный диапазон чистоты.

В качестве альтернативы, в соответствии с некоторыми вариантами осуществления (b) предусматривает первую стадию взаимодействия 3-бензил-5-бромпиразин-2-амина (2) с (4-метоксифенил)бороновой кислотой в присутствии палладиевого катализатора (например, катализатора на основе палладия (II), такого как бис(бензонитрил)палладия (II) дихлорид) для получения 3-бензил-5-(4-метоксифенил)пиразин-2-амина (5) (целентерамина) или его соли. Катализатор на основе палладия (II) может присутствовать в количестве от приблизительно 5 до приблизительно 10 (например, от 5 до 10) мольных процентов по отношению к 3-бензил-5-бромпиразин-2-амину (2). Реакционная смесь может дополнительно содержать 1,4-бис(дифенилфосфино)бутан, например, в количестве от приблизительно 5 до приблизительно 10 (например, от 5 до 10) мольных процентов по отношению к 3-бензил-5-бромпиразин-2-амину (2). В соответствии с некоторыми вариантами осуществления реакционная смесь дополнительно содержит толуол, водный карбонат натрия и этанол. 3-бензил-5-бромпиразин-2-амин (2) может взаимодействовать с (4-метоксифенил)бороновой кислотой в течение от приблизительно 200 минут до приблизительно 350 минут (например, от 200 до 350 минут) и/или при температуре от приблизительно 80 до приблизительно 110°С (например, от 80 до 100°С) и при давлении около 1 атм (например, 1 атм). Когда используется катализатор на основе палладия (II), 3-бензил-5-(4-метоксифенил)пиразин-2-амин (5) может быть получен с выходом от приблизительно 65% до приблизительно 85% (например, от 65% до 85%) по отношению к 3-бензил-5-бромпиразин-2-амину (2). 3-бензил-5-(4-метоксифенил)пиразин-2-амин (5) может быть выделен путем разбавления реакционной смеси водой и экстрагирования этилацетатом. Этилацетатный экстракт можно удалить из экстракта при пониженном давлении с получением 3-бензил-5-(4-метоксифенил)пиразин-2-амина (5).

3-Бензил-5-(4-метоксифенил)пиразин-2-амин (5) или его соль, независимо от того, получены ли они с катализатором на основе палладия (0) или палладия (II), можно выделять осаждением 3-бензил-5-(4-метоксифенил)пиразин-2-амина (5) в виде хлористоводородной соли. Осаждение является предпочтительным, поскольку оно может исключить колоночную хроматографию, которая может быть трудоемкой, дорогостоящей и длительной; и/или может также увеличить выход по сравнению с колоночной хроматографией. В соответствии с некоторыми вариантами осуществления выделение 3-бензил-5-(4-метоксифенил)пиразин-2-амина (5) не предусматривает хроматографию (например, жидкостную хроматографию), не предусматривает перекристаллизацию или не предусматривает хроматографию и перекристаллизацию. В соответствии с некоторыми вариантами осуществления реакционную смесь, полученную в результате взаимодействия 3-бензил-5-бромпиразин-2-амина (2) с (4-метоксифенил)бороновой кислотой, разбавляют водным раствором хлорида натрия (например, приблизительно 20% (например, 20 масс. % раствора хлорида натрия) и экстрагируют этилацетатом. Затем экстракт этилацетата можно обработать водным раствором HCl (например, приблизительно 3 н. (например, 3 н.) раствором HCl(водн.)) и продукт хлористоводородной соли 3-бензил-5-(4-метоксифенил)пиразин-2-амина (5) можно выделить фильтрованием, с чистотой от приблизительно 75% до приблизительно 95% (например, от 75% до 95%).

В соответствии с некоторыми вариантами осуществления (b) дополнительно предусматривает вторую стадию снятия защиты с 3-бензил-5-(4-метоксифенил)пиразин-2-амина (5) или его соли с получением 4-(5-амино-6-бензилпиразин-2-ил)фенола (7) (целентерамина). Снятие защиты может предусматривать воздействие на 3-бензил-5-(4-метоксифенил)пиразин-2-амин (5) хлоридом пиридиния. Обработка хлоридом пиридиния может происходить при повышенной температуре от приблизительно 180 до приблизительно 220С (например, от 180 до 220°С или 200°С) при атмосферном давлении. В соответствии с некоторыми вариантами осуществления повышенная температура может вызывать отделение хлорида пиридиния от реакционной смеси путем испарения из реакционной смеси. В качестве альтернативы, в соответствии с некоторыми вариантами осуществления снятие защиты может предусматривать воздействие на 3-бензил-5-(4-метоксифенил)пиразин-2-амин (5) гидрида натрия и этантиола в N,N'-диметилформамиде (DMF). При обработке гидридом натрия и этантиолом в DMF реакционная смесь может иметь температуру от приблизительно 90°С до приблизительно 120°С (например, от приблизительно 100°С до 110°С, от 90°С до 120°С или от 100°С до 110°С) и/или в течение периода от приблизительно 15 минут до приблизительно 5 часов (например, от приблизительно 30 минут до приблизительно 2 часов, от приблизительно 30 минут до приблизительно 1 часа, от 30 минут до 2 часов, от 30 минут до 1 часа или 30 минут). После завершения реакции смесь можно охладить до от приблизительно от 30°С до приблизительно 50°С (например, от приблизительно 35°С до приблизительно 45°С, приблизительно 40°С, от 35°С до 45°С или 40°С), экстрагировать водой и органическим растворителем (например, этилацетатом). Затем органический слой можно отделить, нагреть с обратным холодильником и затем охладить до от приблизительно 5°С до 20°С (например, от приблизительно 10°С до 15°С, от 5°С до 20°С или от 10°С до 15°), 4-(5-амино-6-бензилпиразин-2-ил)фенол (7) (целентерамин) можно выделить фильтрованием. В обоих способах снятия защиты целентерамин может быть необязательно очищен промыванием водным раствором гидроксида натрия/диоксана, перемешиванием с активированным углем/диоксидом кремния, фильтрацией с последующим осаждением путем подкисления фильтрата и выделением осажденного продукта фильтрацией. Снятие защиты может приводить к получению 4-(5-амино-6-бензилпиразин-2-ил)фенола (7) (целентерамина) с выходом от приблизительно 90% до приблизительно 100% (например, от 90% до 100%, по меньшей мере приблизительно 95%, по меньшей мере 95%, по меньшей мере приблизительно 98%, по меньшей мере 98%, по меньшей мере приблизительно 99% или по меньшей мере 99%), с чистотой от приблизительно 85% до приблизительно 100% (например, от 85% до 100%, приблизительно 90% или 90%) по отношению к 3-бензил-5-(4-метоксифенил)пиразин-2-амину (5).

В соответствии с некоторыми вариантами осуществления целентерамин синтезируется путем (а) взаимодействия 3,5-дибромпиразин-2-амина и (бромметил)бензола в присутствии цинка, йода и первого палладиевого катализатора с получением 3-бензил-5-бромпиразина-2-амина (2); (b) взаимодействия 3-бензил-5-бромпиразин-2-амина (2) с 4-метоксифенилбороновой кислотой (4) в присутствии палладиевого катализатора на первой стадии с получением хлористоводородной соли 3-бензил-5-(4-метоксифенил) пиразина-амина (5) и снятия защиты с хлористоводородной соли 3-бензил-5-(4-метоксифенил)пиразин-2-амина (5) на второй стадии с получением 4-(5-амино-6-бензилпиразин-2-ил)фенола (7) (целентерамина).

В соответствии с некоторыми вариантами осуществления целентерамин синтезируется путем взаимодействия пиразин-2-амина с бензилхлоридом с получением 3-бензилпиразин-2-амина; взаимодействия 3-бензилпиразин-2-амина (25) с N-бромсукцинимидом с получением 3-бензил-5-бромпиразин-2-амина (2); и взаимодействия 3-бензил-5-бромпиразин-2-амина (2) в две последовательные стадии с получением 4-(5-амино-6-бензилпиразин-2-ил)фенола (7) (целентерамина). Две последовательные стадии получения целентерамина из 3-бензил-5-бромпиразин-2-амина (2) могут предусматривать первую стадию взаимодействия 3-бензил-5-бромпиразин-2-амина (2) с силил-защищенным 4-бромфенолом в присутствии магния и палладиевого катализатора с получением силил-защищенного 4-(5-амино-6-бензилпиразин-2-ил)фенола. В соответствии с некоторыми вариантами осуществления палладиевый катализатор представляет собой тетракис(трифенилфосфин)палладий (0), который может присутствовать в количестве 1 или более процентов (например, 2 процента или более, 3 процента или более, 4 процента или более, 5 процентов или более, 6 процентов или более, 7 процентов или более, 8 процентов или более или 9 процентов или более) и/или 10 процентов или менее (например, 9 процентов или менее, 8 процентов или менее, 7 процентов или менее, 6 процентов или менее, 5 процентов или менее, 4 процентов или менее, 3 процентов или менее или 2 процентов или менее) по массе по отношению к 3-бензил-5-бромпиразин-2-амину (2). Например, на каждые 100 граммов 3-бензил-5-бромпиразин-2-амина (2) можно использовать 1 грамм палладиевого катализатора. В качестве примера на каждые 100 граммов 3-бензил-5-бромпиразин-2-амина (2) можно использовать 1 грамм палладиевого катализатора. Две последовательные стадии могут предусматривать вторую стадию снятия защиты силил-защищенного 4-(5-амино-6-бензилпиразин-2-ил)фенола с получением 4-(5-амино-6-бензилпиразин-2-ил)фенола (7), например, в результате воздействия на силил-защищенный 4-(5-амино-6-бензилпиразин-2-ил)фенол водной НС1. Эта процедура синтеза снижает или исключает применение: н-бутиллития на первой стадии синтеза путем замены взаимодействия н-бутиллития в толуоле на бензилхлорид и THF (тетрагидрофуран). Таким образом, этот синтез дает возможность расширить химический состав реакции и может снижать стоимость синтеза. Кроме того, изменения могут повышать общую безопасность химической структуры за счет замены материалов с высокой реакционной способностью на более стабильные. Исключение соединений бороновой кислоты в синтезе может значительно снизить количество дорогостоящего палладиевого катализатора в реакции.

Синтез защищенного 1.1-диэтокси-3-(4-гидроксифенил)пропан-2-она

В соответствии с некоторыми вариантами осуществления силил-защищенный 1,1-диэтокси-3-(4-гидроксифенил)пропан-2-он представляет собой 3-(4-((трет-бутилдиметилсилил)окси)фенил)-1,1 -диэтоксипропан-2-он (23). 3-(4-((Трет-бутилдиметилсилил)окси)фенил)-1,1-диэтоксипропан-2-он (23) может быть синтезирован путем: i) взаимодействия 4-гидроксибензальдегида (8) с трет-бутилдиметилсилилхлоридом с получением 4-((трет-бутилдиметилсилил)окси)бензальдегида (20а); ii) взаимодействия 4-((трет-бутилдиметилсилил)окси)бензальдегида с боргидридом натрия с получением (4-((трет-бутилдиметилсилил)окси)фенил)метанола (20b); iii) взаимодействия (4-((трет-бутилдиметилсилил)окси)фенил)метанола с метансульфонилхлоридом в присутствии основания (например, триэтиламина) с получением трет-бутил (4-(хлорметил)фенокси)диметилсилана (21); iv) взаимодействия трет-бутил(4-(хлорметил)фенокси)диметилсилана с магнием с получением (4-((трет-бутилдиметилсилил)окси)бензил)хлорида магния (22); и v) взаимодействия (4-((трет-бутилдиметилсилил)окси)бензил)магния хлорида с этил-2,2-диэтоксиацетатом с получением 3-(4-((трет-бутилдиметилсилил)окси)фенил)-1,1-диэтоксипропан-2-оном (23).

В соответствии с некоторыми вариантами осуществления трет-бутилдиметилсилил-защищенный 1,1-диэтокси-3-(4-гидроксифенил)пропан-2-он может разлагаться в кислых условиях и может быть стабилизирован в основной среде. Таким образом, основание можно добавлять в реакционную смесь и/или во время очистки. Например, трет-бутил (4-(хлорметил)фенокси)диметилсилан (21) может быть очищен с помощью хроматографии с элюентом, который содержит триэтиламин. В соответствии с некоторыми вариантами осуществления 3-(4-((трет-бутилдиметилсилил)окси)фенил)-1,1-диэтоксипропан-2-он (23) дополнительно очищают хроматографией с элюентом, содержащим триэтиламин.

3-(4-((трет-Бутилдиметилсилил)окси)фенил)-1,1-диэтоксипропан-2-он (23) может быть получен с выходом от приблизительно 20% до приблизительно 40% (например, от 20% до 40%, от приблизительно 20% до 25% или от 20% до 25%) по отношению к трет-бутил(4- (хлорметил)фенокси)диметилсилану (21), с чистотой от приблизительно 85% до приблизительно 95% (например, 85% до 95%, приблизительно 90% или 90%).

1,1 -Диэтокси-3-(4-гидроксифенил)пропан-2-он (14)

1,1-Диэтокси-3-(4-гидроксифенил)пропан-2-он (14) может быть получен, например, в соответствии с приведенной ниже схемой реакции.

Синтез 3-(4-((трет-бутилдиметилсилил)окси)фенил)-1,1-диметоксипропан-2-она)

В соответствии с некоторыми вариантами осуществления 4-(трет-бутилдиметилсилокси)бензилхлорид может быть таким, как синтезирован выше, и может взаимодействовать в реакции Гриньяра с метил-2,2-диметоксиацетатом с получением 3-(4-((трет-бутилдиметилсилил)окси)фенил)-1,1-диметоксипропан-2-она). Например, 4-(трет-бутилдиметилсилокси)бензилхлорид может взаимодействовать с метил-2,2-диметоксиацетатом в реакции Гриньяра с Mg, а также I2 и дибромэтаном в качестве инициаторов Гриньяра с получением 3-(4-((трет-бутилдиметилсилил)окси)фенил)-1,1-диметоксипропан-2-она).

Целентеразин

В соответствии с некоторыми вариантами осуществления целентеразин получают путем связывания 4-(5-амино-6-бензилпиразин-2-ил)фенола (7) с силил-защищенным 1,1-диэтокси-3-(4-гидроксифенил)пропан-2-оном или силил-защищенным 1,1-диметокси-3-(4-гидроксифенил)пропан-2-оном с получением целентеразина или его соли. В качестве альтернативы, в соответствии с некоторыми вариантами осуществления целентеразин получают путем связывания 4- (5-амино-6-бензилпиразин-2-ил)фенола (7) с 1,1-диэтокси-3-(4-гидроксифенил)пропан-2-оном (14) с получением целентеразина или его соли. Стадия связывания, независимо от связывания с силил-защищенным 1,1-диэтокси-3- (4-гидроксифенил)пропан-2-оном, силил-защищенным 1,1-диметокси-3-(4-гидроксифенил)пропан-2-оном или 1,1-диэтокси-3-(4-гидроксифенил)пропан-2-оном (14), может быть проведена в присутствии диоксана, воды и HCl (например, в соотношении приблизительно 90:5:5 диоксана к воде и HCl; или при соотношении НСl в концентрации 35%-38% (т.е. концентрированной НС1) к воде от приблизительно 10:приблизительно 1 (например, 10:1) до приблизительно 1 приблизительно 1 (например, 1:1), при этом соотношение диоксан:(HCl+H2O) составляет приблизительно 9:1); и/или может быть проведена при температуре от приблизительно 60 до приблизительно 90°С (например, от 60 до 90°С) и при давлении приблизительно 1 атм (например, 1 атм); и/или может продолжаться в течение от приблизительно 16 часов до приблизительно 28 часов (например, от 16 до 28 часов).

В соответствии с некоторыми вариантами осуществления независимо от того, связан ли 4-(5-амино-6-бензилпиразин-2-ил)фенол (7) с силил-защищенным 1,1-диэтокси-3-(4-гидроксифенил)пропан-2-оном, силил-защищенным 1,1-диметокси-3-(4-гидроксифенил)пропан-2-оном или 1,1-диэтокси-3-(4-гидроксифенил)пропан-2-оном (14), реакция связывания может быть проведена в смеси растворителей диоксана, метанола и изопропилового спирта. Каждый из метанола и изопропилового спирта могут независимо находиться в смеси растворителей в концентрации 3% или более (например, 5% или более, 7% или более или 9% или более и/или 10% или менее (например, 9% или менее, 7% или менее, 5% или менее) по объему. В соответствии с некоторыми вариантами осуществления каждый из метанола и изопропилового спирта независимо присутствуют в смеси растворителей в концентрации приблизительно 5% (например, 5%) по объему. В соответствии с некоторыми вариантами осуществления 4-(5-амино-6-бензилпиразин-2-ил)фенол (7) взаимодействует в смеси растворителей диоксана, метанола и изопропилового спирта с силил-защищенным 1,1-диэтокси-3-(4-гидроксифенил)пропан-2-оном, таким как 3-(4-((трет-бутилдиметилсилил)окси) фенил)-1,1-диэтоксипропан-2-он (23). Не желая ограничиваться теорией, считается, что метанол может способствовать кинетике реакции и выходу за счет увеличения растворимости 4-(5-амино-6-бензилпиразин-2-ил)фенола (7) в смеси растворителей, тем самым повышая его доступность для реакции с силил-защищенным 1,1-диэтокси-3-(4-гидроксифенил)пропан-2-оном, силил-защищенным 1,1-диметокси-3-(4-гидроксифенил)пропан-2-оном или с 1,1-диэтокси-3-(4-гидроксифенил)пропан-2-оном (14). В соответствии с некоторыми вариантами осуществления реакция связывания может быть проведена при температуре от приблизительно 60 до приблизительно 90°С (например, от приблизительно 70 до 85°С, приблизительно 80°С или 80°С) и при давлении приблизительно 1 атм (например, 1 атм); и/или может продолжаться от приблизительно 24 часов до приблизительно 36 часов (например, от 24 до 36 часов или 36 часов).

В соответствии с некоторыми вариантами осуществления 4-(5-амино-6-бензилпиразин-2-ил)фенол (7) связывается с силил-защищенным 1,1-диэтокси-3-(4-гидроксифенил)пропан-2-оном (например, 3-(4-((трет-бутилдиметилсилил)окси)фенил)-1,1-диэтоксипропан-2-оном (23)), силил-защищенным 1,1-диметокси-3-(4-гидроксифенил)пропан-2-оном или 1,1-диэтокси-3-(4-гидроксифенил)пропан-2-оном (14) в молярном соотношении от приблизительно 1:1,3 до приблизительно 1:2. В соответствии с определенными вариантами осуществления 4-(5-амино-6-бензилпиразин-2-ил)фенол (7) связывается с силил-защищенным 1,1-диэтокси-3-(4-гидроксифенил)пропан-2-оном (например, 3-(4-((трет-бутилдиметилсилил)окси)фенил)-1,1-диэтоксипропан-2-оном (23)) в молярном соотношении от приблизительно 1:1,3 до приблизительно 1,2 (например, приблизительно 1:1,3 или 1:1,3).

В соответствии с некоторыми вариантами осуществления независимо от того, связан ли 4-(5-амино-6-бензилпиразин-2-ил)фенол (7) с силил-защищенным 1,1-диэтокси-3-(4-гидроксифенил)пропан-2-оном, силил-защищенным 1,1-диметокси-3-(4-гидроксифенил)пропан-2-оном или 1,1-диэтокси-3-(4-гидроксифенил)пропан-2-оном (14), реакция связывания контролируется обращенно-фазовой HPLC и останавливается, когда 4-(5-амино-6-бензилпиразин-2-ил)фенол (7) перестает истощаться или когда целентеразин начинает разлагаться. Не желая ограничиваться теорией, считается, что контроль обращенно-фазовой HPLC может быть важным, поскольку целентеразин может начинать разлагаться или расщеплять после того, как целентерамин перестает истощаться.

В соответствии с некоторыми вариантами осуществления остановка реакционной смеси предусматривает охлаждение реакционной смеси (например, до комнатной температуры, приблизительно 23°С) и необязательно перемешивание реакционной смеси с активированным углем и диоксидом кремния. Затем целентеразин или его соль можно выделить фильтрованием реакционной смеси (если используются активированный уголь и диоксид кремния), удалением растворителей (например, при пониженном давлении), растиранием с этилацетатом с последующей фильтрацией с получением твердого целентеразина. В соответствии с некоторыми вариантами осуществления целентеразин выделяют в виде соли, такой как хлористоводородная соль.

В соответствии с некоторыми вариантами осуществления, когда используется силил-защищенный 1,1-диэтокси-3-(4-гидроксифенил)пропан-2-он или силил-защищенный 1,1-диметокси-3-(4-гидроксифенил)пропан-2-он в качестве одного из исходных материалов в реакции связывания, целентеразин или его соль получают с выходом от приблизительно 50% до приблизительно 70% (например, от 50% до 70%) по отношению к 4-(5-амино-6-бензилпиразин-2-ил)фенолу (7), с чистотой от приблизительно 55% до приблизительно 70% (например, от 55% до 70%).

В соответствии с некоторыми вариантами осуществления, когда 1,1-диэтокси-3-(4-гидроксифенил)пропан-2-он (14) используется в качестве одного из исходных материалов в реакции связывания, целентеразин или его соль получают с выходом от приблизительно 60% до приблизительно 70% (например, от 60% до 70%) по отношению к 4-(5-амино-6-бензилпиразин-2-ил)фенолу (7), с чистотой от приблизительно 60% до приблизительно 75% (например, от 60% до 75%). В соответствии с некоторыми вариантами осуществления целентеразин (или его соль) получают с чистотой от 60% до 65% в выделенной композиции. Не желая ограничиваться теорией, считается, что выделенный целентеразин или его соль стабилизированы (например, защищены от разложения) присутствием определенного количества 4-(5-амино-6-бензилпиразин-2-ил)фенола (7) (целентерамина). Таким образом, выделенная композиция может содержать целентеразин (или его соль) в количестве от 60 до 65 масс. % и 4-(5-амино-6-бензилпиразин-2-ил)фенол (7) (целентерамин). В соответствии с некоторыми вариантами осуществления выделенная композиция состоит в основном из целентеразина (или его соли) в количестве от 60% до 65% по массе и 4-(5-амино-6-бензилпиразин-2-ил)фенола (7) (целентерамина); вследствие чего примеси, присутствующие в композиции, не вносят существенного вклада (например, вносят вклад более 10%, более 5% или более 1%) в люминесценцию целентеразина или его соли.

Относительное количество целентеразина (или его соли) по отношению к 4-(5-амино-6-бензилпиразин-2-ил)фенолу (7) (целентерамину) в выделенной композиции можно оценить с помощью жидкостной хроматографии-масс-спектрометрии (LC-MS). Например, метанольный раствор выделенной композиции целентеразина с концентрацией 1 мг/мл можно десятикратно разбавить в растворителе для инъекций, состоящем из 70:30 реагента вода:ацетонитрил (об./об.), при этом в каждый добавлено 0,05% муравьиной кислоты. Разбавленный раствор, содержащий выделенную композицию целентеразина, разделяют с помощью LC на колонке с обращенной фазой С-18, используя градиентное элюирование. В соответствии с некоторыми вариантами осуществления разделение обеспечивает реакцию на целентеразин (или его соль) через приблизительно 1,7 минут и реакцию на целентерамин (7) через приблизительно 2,5 минут. Тандемную МС выполняют с возможностью мониторинга (М+Н)+ родительского иона каждого соединения, который впоследствии фрагментируется на его характерный дочерний ион. Интенсивность дочернего иона создает хроматографический сигнал для каждого соединения, который затем интегрируется для получения площади сигнала. Родительский ион целентеразина составляет 424,1 Да с дочерним ионом 302,2 Да. Родительский ион целентерамина составляет 278,1 Да, а его дочерний ион составляет 132,0 Да. В соответствии с некоторыми вариантами осуществления отношение целентеразина (или его соли) к целентерамину в выделенной композиции составляет приблизительно 20:1 или более (например, приблизительно 24:1 или более, приблизительно 30:1 или более, приблизительно 40:1 или более, приблизительно 50:1 или более, приблизительно 60:1 или более, приблизительно 70:1 или более, приблизительно 80:1 или более или приблизительно 90:1 или более) и/или приблизительно 100:1 или менее (например, приблизительно 90:1 или менее, приблизительно 80:1 или менее, приблизительно 70:1 или менее, приблизительно 60:1 или менее, приблизительно 50:1 или менее, приблизительно 40:1 или менее, приблизительно 30:1 или менее или приблизительно 24:1 или менее). В соответствии с некоторыми вариантами осуществления отношение целентеразина (или его соли) к целентерамину в выделенной композиции составляет 24:1 или более и/или 80:1 или менее. Выделенная композиция может быть включена в изделие, такое как впитывающее изделие, как будет описано ниже.

Иллюстративные виды синтеза

В соответствии с некоторыми вариантами осуществления целентеразин по настоящему раскрытию может быть получен в соответствии со схемами А, В и С, приведенным ниже. Схема А иллюстрирует синтез целентерамина (промежуточное соединение I), схема В иллюстрирует синтез силил-защищенного 1,1-диэтокси-3-(4-гидроксифенил)пропан-2-она (промежуточное соединение II) и схема С иллюстрирует связывание целентерамина и силил-защищенного 1,1-диэтокси-3- (4-гидроксифенил)пропан-2-она с образованием целентеразина.

Схема В. Синтез промежуточного соединения П.

Схема С. Синтез целентеразина.

В соответствии с некоторыми вариантами осуществления целентеразин по настоящему раскрытию может быть получен в соответствии со схемами D, Е и F, приведенным ниже. Схема D иллюстрирует синтез целентерамина, схема Е иллюстрирует синтез 1,1-диэтокси-3-(4-гидроксифенил)пропан-2-она (14) и схема F иллюстрирует связывание целентерамина и 1,1-диэтокси-3-(4-гидроксифенил)пропан-2-она (14) с образованием целентеразина (16).

Схема D. Синтез целентерамина.

Схема Е. Синтез 1,1-диэтокси-3-(4-гидроксифенил)пропан-2-она (14)

Схема F. Синтез целентеразина.

Впитывающие изделия

Целентеразин или его соль, полученные в соответствии со способами настоящего раскрытия, могут быть включены во впитывающее изделие.

В соответствии с некоторыми вариантами осуществления настоящее раскрытие относится к впитывающему изделию, содержащему целентеразин или его соль, синтезированному с помощью способов настоящего раскрытия.

Материалы и структурные элементы для впитывающих изделий, которые содержат один или несколько компонентов хемилюминесцентной системы, описаны, например, в предварительной заявке США №62/692502 под названием «Хемилюминесцентный индикатор влажности для впитывающих продуктов» и поданной 29 июня 2018 года; предварительной заявке США №62/753024 под названием «Хемилюминесцентный индикатор влажности для впитывающих продуктов» и поданной 30 октября 2018 года; и заявке США№16/457732 под названием «Хемилюминесцентный индикатор влажности для впитывающих продуктов» и поданной 28 июня 2019 года, полное содержание каждой из которых включено в настоящий документ посредством ссылки.

Хемилюминесцентная система

Хемилюминесцентная система выполнена с возможностью образования света при контакте с водной системой. Водная система инициирует реакцию хемилюминесценции с целью образования света. Используемый в настоящем документе термин «водная система» относится к воде или водосодержащим композициям. В контексте настоящего раскрытия такие водосодержащие композиции, как правило, находятся в форме жидкости организма, такой как моча, менструальные выделения, каловые массы и т.д. Возникновение выделения биологической жидкости (или самой жидкости) обозначается в настоящем документе как «утечка», «утечка жидкости» или «жидкая утечка». Соответственно, хемилюминесцентные системы по настоящему раскрытию образуют свет при утечке из изделия, в которое встроена система.

Будучи выполненной с возможностью образования света при контакте с водной системой, хемилюминесцентная система содержит по меньшей мере одно соединение или вещество, которое люминесцирует при контакте с водной системой. В соответствии с одним вариантом осуществления вода инициирует хемилюминесценцию.

В соответствии с одним вариантом осуществления хемилюминесцентная система содержит два или более материала, которые люминесцируют при контакте с водной системой. В соответствии с этим вариантом осуществления существуют два или более материала, которые вместе не люминесцируют без присутствия водной системы.

Иллюстративные хемилюминесцентные системы, которые включают два или более материала, включают биолюминесцентные системы, такие как система, которая содержит люциферин и люциферазу.

Биолюминесценция представляет собой свет, который образуется в результате химической реакции, которая происходит в организме или в выделениях определенных типов организмов. Биолюминесценция включает в себя сочетание двух типов веществ в реакции образования света: люциферина и люциферазы. Люциферин представляет собой соединение, которое фактически образует свет, например, люциферин может представлять собой целентеразин. Люцифераза представляет собой фермент, катализирующий реакцию. В некоторых случаях люцифераза представляет собой белок, известный как фотопротеин, и для процесса образования света требуется заряженный ион (например, катион, такой как кальций), чтобы активировать реакцию. Фотопротеин представляет собой вариант люциферазы, в котором факторы, необходимые для излучения света (включая люциферин и кислород), связаны вместе в виде одной единицы. Часто процесс биолюминесценции требует присутствия такого вещества, как кислород или аденозинтрифосфат (АТФ), чтобы инициировать реакцию окисления. Скорость реакции в отношении люциферина контролируется люциферазой или фотопротеином. Реакция люциферина и люциферазы может также приводить к образованию побочных продуктов, таких как неактивный оксилюциферин и вода.

Люциферин и люцифераза представляют собой общие названия, а не конкретные вещества. Например, целентеразин люциферина (естественная форма) является обычным явлением в морской биолюминесценции, однако его варианты могут быть синтезированы химическим путем, и эти различные формы вместе называются люциферинами. В другом примере динофлагелляты (морские планктоны), которые получают пищу посредством фотосинтеза, используют люциферин, который напоминает структуру хлорофилла.

Механизм образования света посредством химической реакции отличает биолюминесценцию от других оптических явлений, таких как флуоресценция или фосфоресценция.

Например, флуоресцентные молекулы не излучают собственный свет. Им нужен внешний источник фотонов, чтобы возбуждать электроны до более высокого энергетического состояния. При возврате из состояния с высокой энергией в свое естественное основное состояние они высвобождают полученную энергию в качестве источника света, но обычно с большей длиной волны. Поскольку возбуждение и затухание происходят одновременно, флуоресцентный свет виден только при освещении (возбуждении).

Термин фосфоресценция технически относится к частному случаю оптически возбужденного излучения света, когда возврат из возбужденного состояния в основное состояние, в отличие от флуоресценции, не происходит мгновенно, а излучение фотонов сохраняется от секунд до минут после первоначального возбуждения.

Техническое различие между биолюминесценцией и флуоресценцией иногда размывается в практическом контексте, но технически они представляют собой два разных явления. В большинстве случаев биолюминесцентный может представлять собой автофлуоресцентный, но обратное неверно для флуоресцентного; последнему все еще требуется фотон для возбуждения, чтобы излучать свет. В некоторых случаях биолюминесцентные книдарии, ракообразные или рыбы могут содержать флуоресцентный белок, такой как зеленый флуоресцентный белок (GFP), и свет, излучаемый биолюминесцентным веществом, будет действовать в качестве фотонов для возбуждения GFP. GFP, в свою очередь, в затухающем состоянии будет излучать свет с другой длиной волны (скорее всего, с большей длиной волны), чем длина волны биолюминесцентного света, который он получил в виде фотона. В этом примере GFP может быть возбужден синим светом, излучаемым биолюминесцентным веществом (длина волны приблизительно 470 нм или 470 нм), однако, в свою очередь, будет излучать зеленый свет в затухающем состоянии (длина волны от приблизительно 510 нм до приблизительно 520 нм, или от 510 нм до 520 нм).

Биолюминесцентные системы могут быть включены в композиции волокнистой массы, волокнистые матрицы или впитывающие изделия любым способом, который обеспечивает необходимую хемилюминесценцию.

В соответствии с одним вариантом осуществления композиция из волокнистой массы или абсорбирующее изделие содержит люциферин, выбранный из группы, состоящей из целентеразина, люциферина динофлагеллят, люциферина бактерий, люциферина грибов, люциферина светлячка и варгулина. Что касается целентеразина, существует множество вариантов, любой из которых может быть использован в составе рыхлой целлюлозы.

Определенные варианты осуществления целентеразина, согласующиеся с этим раскрытием, представляют собой одно или несколько из следующего: нативный целентеразин, метилцелентеразин, целетеразин 400а (2-2'(4-дегидрокси)), целентеразин е, целентеразин f, целентеразин h, целентеразин i, целентеразин n, целентеразин ср, целентеразин ip, целентеразин fcp и целентеразин hep. В качестве дополнительного примера, целентеразин может представлять собой одно или несколько из следующего: нативный целентеразин, целентеразин 400а, метилцелентеразин, целентеразин f, целентеразин ср, целентеразин fcp и целентеразин hep. В качестве еще одного примера, целентеразин может представлять собой одно или несколько из целентеразина 400а, метилцелентеразина и целентеразина fcp. В качестве еще одного примера, целентеразин может представлять собой одно или несколько из целентеразина 400а, метилцелентеразина и целентеразина hep. В еще одном примере целентеразин может представлять собой одно или несколько из целентеразина 400а и целентеразина hep.

В соответствии с одним вариантом осуществления люциферин имеет концентрацию от 0,0005% до 0,002% от массы рыхлой целлюлозы. В соответствии с одним вариантом осуществления люциферин имеет концентрацию от 0,0005% до 0,0015% от массы рыхлой целлюлозы. В соответствии с одним вариантом осуществления люциферин имеет концентрацию от 0,0005% до 0,001% от массы рыхлой целлюлозы.

В соответствии с некоторыми вариантами осуществления люциферин может быть включен в любой компонент впитывающего изделия. Например, люциферин (например, целентеразин или соль целентеразина в по настоящему раскрытию) может быть включен во впитывающее изделие в количестве от приблизительно 0,01 до приблизительно 100 мг (например, от приблизительно 0,01 до приблизительно 75 мг, от приблизительно от 0,01 до приблизительно 50 мг, от приблизительно 0,01 до приблизительно 25 мг, от приблизительно 0,01 до приблизительно 10 мг или от приблизительно 0,01 до приблизительно 5 мг), или от 0,01 до 100 мг (например, от 0,01 до 75 мг, от 0,01 до 50 мг, от 0,01 до 25 мг, от 0,01 до 10 мг или от 0,01 до 5 мг).

В соответствии с одним вариантом осуществления композиция из рыхлой целлюлозы или впитывающее изделие содержит люциферазу, выбранную из группы, состоящей из люциферазы Gaussia (Gluc), люциферазы Renilla (RLuc), люциферазы динофлагеллят, люциферазы светлячка, люциферазы грибов, люциферазы бактерий и люциферазы варгулы. Определенные варианты осуществления люциферазы, согласующиеся с настоящим раскрытием, включают одно или несколько из люциферазы Gaussia, люциферазы Renilla, люциферазы динофлагеллят и люциферазы светлячка. В качестве дополнительного примера люцифераза может представлять собой одно или несколько из люциферазы Gaussia, люциферазы Renilla, люциферазы динофлагеллят и люциферазы светлячка. В качестве еще одного дополнительного примера люцифераза может представлять собой одно или несколько из люциферазы Gaussia и люциферазы Renilla.

В соответствии с одним вариантом осуществления люцифераза имеет концентрацию от приблизительно 0,005% до приблизительно 0,04% (например, от 0,005% до 0,04%) от массы рыхлой целлюлозы. В соответствии с одним вариантом осуществления люцифераза имеет концентрацию от приблизительно 0,005% до приблизительно 0,02% (например, от 0,005% до 0,02%) от массы рыхлой целлюлозы. В соответствии с одним вариантом осуществления люцифераза имеет концентрацию от приблизительно 0,005% до приблизительно 0,01% (например, от 0,005% до 0,01%) от массы рыхлой целлюлозы.

В соответствии с некоторыми вариантами осуществления люцифераза может быть включена в любой компонент впитывающего изделия. Например, люцифераза (например, GLuc) может быть включена во впитывающее изделие в количестве от приблизительно 0,2 мг до приблизительно 40 мг (например, от приблизительно 0,2 мг до приблизительно 30 мг, от приблизительно 0,2 мг до приблизительно 20 мг, от приблизительно 0,2 мг до приблизительно 15 мг, от приблизительно 0,2 мг до приблизительно 10 мг, от приблизительно 0,2 мг до приблизительно 5 мг или от приблизительно 0,2 до приблизительно 2 мг); или от 0,2 мг до 40 мг (например, от 0,2 мг до 30 мг, от 0,2 мг до 20 мг, от 0,2 мг до 15 мг, от 0,2 мг до 10 мг, от 0,2 мг до 5 мг или от 0,2 до 2 мг).

В соответствии с одним вариантом осуществления хемилюминесцентная система содержит целентеразин в качестве люциферина и люциферазу Gaussia или Renilla.

Иллюстративные люциферины включают люциферины семейства целентеразинов. Целентеразин в нативной форме, а также его аналоги имеют разные люминесцентные характеристики вследствие различий в их структурных фрагментах. Учитывая структурные различия в семействе целентеразинов, некоторые из них являются подходящими субстратами для определенных люцифераз, а некоторые не являются ими. Ниже приводится краткое описание нативного целентеразина и его иллюстративных аналогов.

Целентеразин (нативная форма) представляет собой люминесцентный ферментный субстрат для люциферазы Renilla (reniformis) (Rluc). Люциферазу/целентеразин Renilla также использовали в качестве донора биолюминесценции в исследованиях резонансного переноса энергии биолюминесценции (BRET).

Целентеразин 400а представляет собой производное целентеразина и представляет собой подходящий субстрат для люциферазы Renilla, однако недостаточно окисляется люциферазой Gaussia (Gluc). Это предпочтительный субстрат для BRET (резонансный перенос энергии биолюминесценции), поскольку его максимум излучения приблизительно 400 нм (например, 400 нм) имеет минимальную интерференцию в отношении излучения GFP.

Резонансный перенос энергии флуоресценции (FRET), BRET, резонансный перенос энергии (RET) и перенос энергии электронов (ЕЕТ) представляют собой механизмы, описывающие перенос энергии между двумя светочувствительными молекулами (хромофорами) и могут определять интерференцию люминесцентного химического вещества по отношении к переносу энергии другого люминесцентного вещества. Донорный хромофор, первоначально находящийся в возбужденном электронном состоянии, может передавать энергию акцепторному хромофору посредством безызлучательного диполь-дипольного взаимодействия. Эффективность этой передачи энергии обратно пропорциональна шестой степени расстояния между донором и акцептором, что делает FRET чрезвычайно чувствительным к небольшим изменениям расстояния. Измерения эффективности FRET можно использовать, чтобы определить, находятся ли два флуорофора на определенном расстоянии друг от друга.

Такие измерения используются в качестве инструмента исследования в таких областях, как биология и химия.

Целентеразин ср в комплексе целентеразин-экворин генерирует интенсивность люминесценции приблизительно в 15 раз (например, в 15 раз) выше, чем целентеразин (нативная форма).

Целентеразин f имеет приблизительно в 20 раз (например, в 20 раз) более высокую интенсивность люминесценции (комплекс целентеразин-апоэкворин), чем нативная форма целентеразина, в то время как его максимум излучения на приблизительно 8 нм (например, 8 нм) длиннее, чем у нативной формы.

Целентеразин fcp представляет собой аналог, в котором α-бензольная структура в целентеразиновом фрагменте структуры целентеразина f заменена циклическим пентаном (аналогично целентеразину ср). Целентеразин fcp имеет интенсивность люминесценции приблизительно в 135 раз (например, в 135 раз) больше, чем у целентеразина (нативная форма).

Комплексы целентеразина fcp с экворином с образованием комплекса целентеразин fcp-апоэкворин и в качестве субстрата для экворина имеют относительную интенсивность люминесценции приблизительно в 135 раз (например, в 135 раза) выше, чем нативный целентеразин. В то же время целентеразин fcp является неэффективным субстратом для люциферазы Renilla.

Другими иллюстративными аналогами целентеразина в качестве субстрата для фермента люциферазы Renilla являются целентеразин е, h и n. Хотя эти три аналога являются эффективными или отличными субстратами для люциферазы Renilla, они являются неэффективными субстратами для апоэкворина.

Люминесцентные свойства аналогов целентеразина различаются. Например, определенные аналоги излучают меньше света (измеряемого в люменах), но с более высокой интенсивностью люминесценции (люмен/стерадиан). В Табл. А приведены люминесцентные свойства целентеразина (нативная форма) и его аналогов по отношению к люциферазе Renilla. Интенсивность люминесценции выражается в процентах от исходной интенсивности. Например, аналог, имеющий исходную интенсивность 900%, приблизительно в 20 раз (например, в 20 раз) интенсивнее, чем нативный целентеразин с исходной интенсивностью приблизительно 45% (например, 45%).

Свет образуется хемилюминесцентной системой. Свет визуально обнаруживается лицом, осуществляющим уход, в темноте и через одежду, и поэтому свет имеет длину, интенсивность и продолжительность, достаточную для обеспечения необходимой индикации. Эти спектральные характеристики хемилюминесцентной системы могут быть адаптированы на основе хемилюминесцентного соединения или соединений. Например, в биолюминесцентных системах люциферин и люцифераза могут быть выбраны для получения необходимых характеристик света. В зависимости от используемой биолюминесцентной системы могут иметь место разные спектральные характеристики. В присутствии супероксид-анионов и/или соединений пероксинитрила целентеразин может также излучать свет независимо от ферментативного (люциферазного) окисления, процесса, известного как автолюминесценция.

Хемилюминесцентная система может быть адаптирована для получения света определенных цветов. Как отмечено выше в Табл. А, даже в пределах семейства целентеразинов длина волны излучения может находиться в диапазоне от приблизительно 400 нм (фиолетовый, например, 400 нм) до приблизительно 475 нм (синий с зеленым оттенком, например, 475 нм).

Что касается продолжительности, продолжительность излучаемого света можно контролировать путем выбора целентеразина (люциферина) в нативной форме по сравнению с его аналогами и фермента (люциферазы), например, Gaussia по сравнению с Renilla. Используемое соотношение и концентрация люциферина и люциферазы также может изменять продолжительность светового излучения. В качестве иллюстративного и неограничивающего примера аналог люциферина, целентеразин е, имеет суммарный свет 130% и исходную интенсивность 900% по сравнению с нативным целентеразином. При разумном выборе концентрации целентеразина е и люциферазы Renilla продолжительность излучаемого света может составлять от приблизительно 8 до приблизительно 10 часов (например, от 8 до 10 часов).

В соответствии с одним вариантом осуществления свет имеет продолжительность излучения от приблизительно 0,5 до приблизительно 6 часов (например, от 0,5 до 6 часов). В соответствии с другим вариантом осуществления свет имеет продолжительность излучения от приблизительно 1 до приблизительно 4 часов (например, от 1 до 4 часов). В соответствии с другим вариантом осуществления свет имеет продолжительность излучения от приблизительно 2 до приблизительно 3 часов (например, от 2 до 3 часов).

Касательно интенсивности, квантовая эффективность хемилюминесценции влияет на интенсивность, глубину и оттенок цвета излучения.

Квантовая эффективность (QE) представляет собой долю потока фотонов, используемую для возбуждения люминесцентного химического вещества с целью поднятия его до более высокого энергетического состояния. Квантовая эффективность представляет собой один из наиболее важных параметров, используемых для оценки качества детектора, и его часто называют «спектральным откликом» с тем, чтобы отразить его зависимость от длины волны. Он определяется как количество сигнальных электронов, создаваемых на падающий фотон. В некоторых случаях он может превышать 100% (т.е. когда на падающий фотон создается более одного электрона). Если спектральный отклик превышает 100%, тогда интенсивность и глубина излучаемого цвета будут яркими, но в зависимости от состояния возбужденного состояния первичного электрона будет определяться продолжительность излучения (т.е. чем выше возбужденное состояние, тем больше времени потребуется для возврата в основное (нормальное) состояние).

Спектральная чувствительность представляет собой аналогичное измерение, но в других единицах измерения; единицей измерения являются амперы или ватты (т.е., количество тока, которое выходит из устройства на приходящий фотон с заданной энергией и длиной волны).

Как квантовая эффективность, так и спектральная чувствительность зависят от длины волны фотонов. Например, в случае целентеразина люциферина, находящегося между нативной формой и одним из его аналогов, целентеразином е, последний имеет не только высокую интенсивность света, но и излучает на 30% больше световой энергии, чем первый, поскольку последний при возбуждении определенными квантами (hυ) падающего фотона генерируют два электрона, и первичный электрон при длине волны 475 имеет ту же интенсивность излучения, что и нативный целентеразин, но с интенсивностью люменов приблизительно в 20 раз (например, в 20 раз) большей, чем у нативного продукта. Соответственно, свет, излучаемый возбужденным аналогом целентеразина, будет в двадцать раз ярче, чем у нативной формы, но при суммарной световой энергии приблизительно 130% (например, 130%) будет длиться дольше, чем у нативной формы.

Длина волны определяет цвет излучаемого света.

В соответствии с одним вариантом осуществления композиция волокнистой массы содержит люциферин и люциферазу. Такая волокнистая масса имеет оба элемента хемилюминесцентной системы, необходимые для люминесценции при контакте с водной системой. Однако в соответствии с другим вариантом осуществления композиция волокнистой массы содержит по меньшей мере один компонент, выбранный из люциферина и люциферазы. В соответствии с таким вариантом осуществления композиция волокнистой массы может содержать только одно из люциферина и люциферазы. Такая композиция волокнистой массы может быть включена во впитывающее изделие таким образом, что другое из люциферина и люциферазы может располагаться в верхнем листе или другом слое впитывающего изделия таким образом, что два компонента объединяются только при переносе воздействия жидкости (например, воды из водной системы, проходящая через верхний лист в композицию волокнистой массы). В соответствии с одним вариантом осуществления композиция волокнистой массы содержит люциферин, но не люциферазу. В соответствии с одним вариантом осуществления композиция волокнистой массы содержит люциферазу, но не люциферин.

Волокнистая масса

Волокнистая масса из композиции волокнистой массы может быть получена из любой древесной массы. В соответствии с одним вариантом осуществления волокнистую массу получают из лигноцеллюлозного волокна. В соответствии с одним вариантом осуществления волокнистую массу получают из лигноцеллюлозного волокна, полученного из древесины. В соответствии с одним вариантом осуществления волокнистую массу получают из лигноцеллюлозного волокна, полученного из древесины химическими, механическими, химико-механическими или термомеханическими способами. В соответствии с одним вариантом осуществления волокнистую массу получают из целлюлозного волокна, полученного из древесины путем химической варки целлюлозы. В соответствии с одним вариантом осуществления волокнистую массу получают из целлюлозного волокна, полученного в результате химической варки древесины или путем спиртовой варки целлюлозы, гидроорганической варки целлюлозы, кислой сульфитной варки целлюлозы, щелочной сульфитной варки целлюлозы, нейтральной сульфитной варки целлюлозы, щелочной пероксидной варки целлюлозы, крафт-варки целлюлозы, крафт-AQ-варки целлюлозы, полисульфидной варки целлюлозы или полисульфидной-AQ-варки целлюлозы.

В соответствии с одним вариантом осуществления волокнистую массу получают из целлюлозного волокна, полученного в результате химической варки древесины с помощью последующего удаления лигнина из указанной древесины или путем спиртовой варки целлюлозы, гидроорганической варки целлюлозы, кислой сульфитной варки целлюлозы, щелочной сульфитной варки целлюлозы, нейтральной сульфитной варки целлюлозы, щелочной пероксидной варки целлюлозы, крафт-варки целлюлозы, крафт-AQ-варки целлюлозы, полисульфидной варки целлюлозы или полисульфидной-AQ-варки целлюлозы для получения впитывающих изделий (волокнистой массы). В соответствии с одним вариантом осуществления волокнистую массу получают из целлюлозной волокнистой массы, полученной при крафт-варке целлюлозы. В соответствии с одним вариантом осуществления волокнистую массу получают из целлюлозной отбеленной волокнистой массы, полученной при крафт-варке целлюлозы. В соответствии с одним вариантом осуществления волокнистую массу получают из целлюлозной отбеленной волокнистой массы, полученной при крафт-варке целлюлозы мягкой древесины. В соответствии с одним вариантом осуществления волокнистую массу получают из целлюлозной отбеленной волокнистой массы, полученной при крафт-варке целлюлозы южной мягкой древесины. В соответствии с одним вариантом осуществления волокнистую массу получают из целлюлозной отбеленной волокнистой массы, полученной при крафт-варке целлюлозы южной сосны. В соответствии с одним вариантом осуществления волокнистую массу получают из южной мягкой древесины. В соответствии с одним вариантом осуществления волокнистую массу получают из южной сосны.

Композиция волокнистой массы может быть получена из целлюлозы в любой форме, такой как лист, полученный мокрым способом, который сушат для достижения содержания влаги в диапазоне от приблизительно 6% до приблизительно 11% (например, от 6% до 11%).

В соответствии с другим аспектом предусмотрены способы получения композиции волокнистой массы. Композицию волокнистой массы получают путем включения по меньшей мере одного компонента хемилюминесцентной системы в волокнистую массу.

Это может быть достигнуто с использованием различных способов, которые позволяют обрабатывать волокнистую массу одним или несколькими компонентами хемилюминесцентной системы. Одной из проблем химической обработки волокнистой массы является поддержание химических веществ в состоянии, при котором предполагаемая хемилюминесцентная реакция не запускается преждевременно, например, до того, как обработанная волокнистая масса будет включена во впитывающее изделие, которое затем подвергается воздействию жидкости. Для применения в мокрой части химические вещества, как правило, не могут смешиваться с водой и применяться вместе. Соответственно, в одном иллюстративном примере люцифераза или люциферин могут быть микрокапсулированы и введены в способе мокрой укладки, при этом неинкапсулированный компонент наносится на лист в неводной среде стандартными способами, такими как нанесение покрытия, погружение, распыление или печать (или их комбинация) перед операцией воздушной укладки во время изготовления впитывающего изделия. В другом иллюстративном примере система из двух листов, один из которых содержит люциферазу, а другой содержит люциферин, может быть изготовлена и обработана дополнительно перед операцией воздушной укладки во время изготовления впитывающего изделия. В еще одних примерах одно из химических веществ может быть добавлено во время способа влажной укладки, а другое во время последующей обработки целлюлозы; или два компонента могут быть добавлены к древесной массе во время или перед процессом воздушной укладки, например, путем промывки и/или распыления волокнистой массы неводными растворами одного или обоих соответствующих компонентов.

Впитывающие изделия

В соответствии с одним вариантом осуществления композиция волокнистой массы; выделенная композиция, содержащая целентеразин или его соль; и/или целентеразин или его соль могут быть включены во впитывающие изделия. Иллюстративные впитывающие изделия включают детские подгузники, подгузники для взрослых, изделия для взрослых, страдающих недержанием мочи, изделия женской гигиены, впитывающие прокладки и перевязочные изделия для ухода за ранами. Например, композиция волокнистой массы и/или целентеразин или его соль могут быть включены в один или несколько впитывающих слоев или частей впитывающего изделия.

В соответствии с другим аспектом предусмотрено впитывающее изделие. В соответствии с одним вариантом осуществления впитывающее изделие содержит верхний лист, который является проницаемым для жидкости, задний лист, который является непроницаемым для жидкости, волокнистую массу, расположенную между верхним листом и задним листом, и/или матрицу из нетканого материала без ворса или почти без ворса, расположенную между верхним листом и задним листом, а также хемилюминесцентную систему, выполненную с возможностью образования света при контакте с водной системой.

Хемилюминесцентная система (например, люциферин, такой как целентеразин или его соль по настоящему раскрытию, и люцифераза) впитывающего изделия описана в настоящем документе. В то же время хемилюминесцентную систему не требуется размещать полностью или частично внутри волокнистой массы. Как обсуждалось выше, эти структурные функции и функции распределения жидкости могут быть обеспечены в некоторых конфигурациях синтетическими волокнами, что приводит к разработке впитывающих слоев, содержащих как волокна волокнистой массы, так и синтетические волокна, и даже «безворсовые» впитывающие слои, не содержит волокон волокнистой массы. В соответствии с некоторыми вариантами осуществления хемилюминесцентная система или части хемилюминесцентной системы могут быть независимо интегрированы в проницаемый для жидкости верхний лист, непроницаемый для жидкости задний лист, SAP или другую структуру во впитывающем изделии.

В соответствии с одним вариантом осуществления хемилюминесцентная система содержит люциферин и люциферазу. В соответствии с одним вариантом осуществления люциферин и люцифераза находятся внутри волокнистой массы. В соответствии с другим вариантом осуществления одно из люциферина и люциферазы расположено внутри волокнистой массы, а другое расположено в другом слое (например, верхнем листе или ADL) впитывающего изделия таким образом, что два компонента объединяются только тогда, когда по меньшей мере один двух компонентов переносится жидкостью (например, проходя через верхний лист или ADL в композицию волокнистой массы). В соответствии с одним вариантом осуществления волокнистая масса содержит люциферин, но не люциферазу. В соответствии с одним вариантом осуществления волокнистая масса содержит люциферазу, но не люциферин.

В соответствии с еще одном вариантом осуществления по меньшей мере один компонент хемилюминесцентной системы расположен на (например, напечатан) на внутренней поверхности заднего листа.

В соответствии с одним вариантом осуществления одно из люциферина и люциферазы расположено внутри волокнистой массы, а другое ассоциировано с верхним листом или другой структурой внутри изделия и выполнено с возможностью проникновения в волокнистую массу при воздействии жидкости.

В соответствии с одним вариантом осуществления впитывающее изделие дополнительно содержит рН-буфер, как раскрыто в настоящем документе. В соответствии с одним вариантом осуществления рН-буфер расположен внутри волокнистой массы. Как обсуждалось выше, эти структурные функции и функции распределения жидкости могут быть обеспечены в некоторых конфигурациях синтетическими волокнами, что приводит к разработке впитывающих слоев, содержащих как волокна волокнистой массы, так и синтетические волокна, и даже «безворсовые» впитывающие слои, не содержит волокон волокнистой массы. В соответствии с некоторыми вариантами осуществления хемилюминесцентная система или части хемилюминесцентной системы могут быть независимо интегрированы в проницаемый для жидкости верхний лист, непроницаемый для жидкости задний лист, SAP или другую структуру во впитывающем изделии.

В соответствии с одним вариантом осуществления впитывающее изделие дополнительно содержит фотолюминесцентное соединение, как раскрыто в настоящем документе. В соответствии с одним вариантом осуществления фотолюминесцентное соединение находится внутри волокнистой массы.

В соответствии с одним вариантом осуществления впитывающее изделие дополнительно содержит фотолюминесцентное соединение и рН-буфер, как раскрыто в настоящем документе. В соответствии с одним вариантом осуществления фотолюминесцентное соединение и рН-буфер расположены внутри волокнистой массы.

В соответствии с одним вариантом осуществления рН-буфер, фотолюминесцентное соединение, люциферин и люцифераза расположены внутри волокнистой массы.

В соответствии с одним вариантом осуществления по меньшей мере одно из рН-буфера, фотолюминесцентного соединения, люциферина и люциферазы не находится внутри волокнистой массы. В соответствии с некоторыми вариантами осуществления по меньшей мере одно из рН-буфера, фотолюминесцентного соединения, люциферина и люциферазы может быть независимо включено в синтетические волокна, «безворсовые» впитывающие слои, не содержащие волокон волокнистой массы, в проницаемый для жидкости верхний лист, непроницаемый для жидкости задний лист и/или SAP впитывающего изделия. В соответствии с некоторыми вариантами осуществления рН-буфер, фотолюминесцентное соединение, люциферин и/или люцифераза могут мигрировать во впитывающий слой из другой структуры изделия. В соответствии с некоторыми вариантами осуществления рН-буфер, фотолюминесцентное соединение, люциферин и/или люцифераза могут мигрировать из впитывающего слоя в другую структуру изделия.

В соответствии с одним вариантом осуществления впитывающее изделие дополнительно содержит супервпитывающий полимер (SAP), например, включенный во впитывающий слой. В соответствии с таким вариантом осуществления по меньшей мере один компонент хемилюминесцентной системы может быть расположен в SAP таким образом, что хемилюминесценция генерируется в результате переноса жидкости в результате воздействия во впитывающий слой.

В соответствии с одним вариантом осуществления хемилюминесцентная система полностью содержится внутри впитывающего слоя впитывающего изделия. Поскольку впитывающий слой почти всегда представляет собой многокомпонентную систему, существует несколько подходов для включения хемилюминесцентной системы во впитывающий слой. Например, волокна волокнистой массы могут представлять собой носитель хемилюминесцентной системы. В качестве альтернативы хемилюминесцентная система может содержаться внутри сверхвпитывающих частиц, включенных во впитывающее изделие. В соответствии с некоторыми вариантами осуществления впитывающий слой может содержать волокна целлюлозы, производные волокон целлюлозы (вискозу, лиоцелл и т.д.), нетканые волокна целлюлозы и/или производные волокон целлюлозы, нецеллюлозные волокна или любую их комбинацию.

Кроме того, если только часть частиц или волокон SAP содержит химическую структуру хемилюминесцентной системы, может быть получен необходимый паттерн, такой как эстетически приятный паттерн.

Хемилюминесцентная система может быть добавлена к волокнам волокнистой массы во время изготовления впитывающего или во время предшествующего процесса, полностью отделенного от сборки конечного продукта. Как отмечалось выше, например, хемилюминесцентная система может быть распылена или иным образом включена в лист волокнистой массы перед молотовым валянием.

В соответствии с другим аспектом также предусмотрены способы изготовления впитывающих изделий.

Впитывающие изделия производятся в соответствии с общими методиками, известными специалистам в данной области техники, которые позволяют включать хемилюминесцентную систему во впитывающее изделие раскрываемым в настоящем документе способом.

Следующие ниже примеры предназначены для иллюстрации, а не для ограничения. В Примере 1 описан синтез целентеразина в размере 1 кг. В Примере 2 описан синтез целентеразина в размере 25 граммов. В Примере 3 описан синтез целентеразина в размере 100 граммов. В Примере 4 описан синтез целентеразина в размере нескольких килограммов.

Примеры

Пример 1. Синтез целентеразина (1 килограмм) Синтез 3-бензилпиразин-2-амина (25)

В круглодонную колбу на 100 л загружали 10 л толуола, а затем 10 л тетраметилэтилендиамина (TMEDA). Смесь охлаждали при 0-5°С ледяной водой. К этой перемешиваемой смеси добавляли по каплям 20 л раствора н-бутиллития (2,5 М в н-гексане) при температуре от 0°С до 8°С в течение 1-1½ часа в атмосфере азота. После завершения добавления реакционной смеси давали нагреться до комнатной температуры (22°С). Через 20 минут при комнатной температуре смесь медленно нагревали до 60°С (за это время выделялся бутан). Реакционную смесь поддерживали при 60°С±1°С в течение 30 минут, а затем давали остыть до комнатной температуры.

Тем временем в другую колбу емкостью 30 л загружали тетрагидрофуран (THF) (15 л) и пиразин-2-амин (24) (также называемый 2-аминопиразином (24)) (1 кг). Смесь перемешивали при 25-35°С в течение 20 минут. Этот раствор добавляли в течение 1-1,5 часов к вышеуказанному раствору бензиллития с использованием дополнительной колбы. Смесь перемешивали при комнатной температуре в течение 1 часа. К реакционной смеси по каплям добавляли воду (16 л) при 20°С, поддерживая температуру между 20-25°С. Смесь перемешивали при комнатной температуре в течение 30 минут, а затем органический слой отделяли и отгоняли избыток растворителей. Остаток обрабатывали толуолом (8 л) и водой (3 л) и перемешивали в течение 10 минут. Органический слой отделяли и растворитель отгоняли при пониженном давлении с получением необходимого 3-бензилпиразин-2-амина (25) с выходом 60-65%. Чистота 94%-95%.

Синтез 3-бензил-5-бромпиразин-2-амина (2)

В круглодонную колбу объемом 20 л загружали хлороформ (6 л) и 3-бензилпиразин-2-амин (25) (также называемый 2-амино-3-бензилпиразином, (25)) (1 кг) и перемешивали смесь при комнатной температуре (22°С). N-бромсукцинимид (NBS) (800 граммов) добавляли медленно в течение от 1 до 1,5 часов. После завершения добавления смесь перемешивали в течение 30 минут. Добавляли воду (2 л) и перемешивали в течение 10 минут. Органический слой отделяли и промывали водой (2×1 л). Слой хлороформа концентрировали при пониженном давлении и маслянистый остаток сушили под вакуумом. Выход 77%-85%. Чистота 93%-95%.

Синтез 3-бензил-5-(4-метоксифенил)пиразин-2-амина (5)

В колбу на 50 л загружали 1,4-диоксан (30 л) и 3-бензил-5-бромпиразин-2-амин (2) (1 кг) при комнатной температуре. Добавляли карбонат калия (1,6 кг), а затем воду (5 л). Реакционную смесь перемешивали 10 минут. Добавляли 4-метоксифенилбороновую кислоту (4) (600 граммов), а затем палладиевый катализатор (300 граммов). Реакционную смесь медленно нагревали до 82°С и перемешивали при 80-82°С в течение 5 часов. Смесь охлаждали до комнатной температуры и переносили в круглодонную колбу на 100 л, загружали этилацетат (15 л) и воду (15 л) при комнатной температуре и перемешивали в течение 20 минут. Органический слой отделяли и концентрировали при пониженном давлении с получением необходимого продукта. Выход 85%-90%. Чистота 92%-95%. Синтез 4-(5-амино-6-бензилпиразин-2-ил)фенола (7)

В круглодонную колбу на 30 л загружали 3-бензил-5-(4-метоксифенил)пиразин-2-амин (5) (1 кг) и гидрохлорид пиридина (6) (6,5 кг). Реакционную смесь медленно нагревали до 200°С на масляной бане. Температуру реакции поддерживали на уровне 200-210°С в течение 30 минут. Смесь охлаждали до 40°С и загружали водой (13 л) и этилацетатом (15 л) при 35-40°С. Реакционную смесь перемешивали в течение 20 минут. Слой этилацетата отделяли, и водный слой повторно экстрагировали этилацетатом (3 л×2). Объединенные экстракты этилацетата концентрировали при пониженном давлении. Остаток обрабатывали 2 л этилацетата и кипятили с обратным холодильником. Раствор медленно охлаждали до 10-15°С и образовавшееся твердое вещество фильтровали с получением необходимого продукта. Выход 90%-95%. Чистота 90%.

В качестве альтернативы вместо использования хлорида пиридиния в круглодонную колбу объемом 30 л загружали 3-бензил-5-(4-метоксифенил)пиразин-2-амин (1 кг), NaH (1 кг), DMF (20 л) и этантиол (2 кг). Реакционную смесь медленно нагревали до 100°С на масляной бане. Температуру реакции поддерживали на уровне 100-110°С в течение 30 минут. Смесь охлаждали до 40°С и загружали водой (13 л) и этилацетатом (15 л) при 35-40°С. Реакционную смесь перемешивали в течение 20 минут. Слой этилацетата отделяли, и водный слой повторно экстрагировали этилацетатом (3 л×2). Объединенные экстракты этилацетата концентрировали при пониженном давлении. Остаток обрабатывали 2 л этилацетата и кипятили с обратным холодильником. Раствор медленно охлаждали до 10-15°С и образовавшееся твердое вещество фильтровали с получением необходимого продукта. Выход 90%-95%. Чистота 90%.

В обоих вариантах продукт можно дополнительно очистить путем загружения 1 кг продукта и 5 л 1,4-диоксана при комнатной температуре в круглодонную колбу на 10 л, добавления в раствор раствора гидроксида натрия (250 г гидроксида натрия в 1 л воды), загружения в колбу 100 г древесного угля и 100 г силикагеля при комнатной температуре, перемешивания смеси при комнатной температуре в течение 20 минут, фильтрования и промывания твердых частиц 250 мл 1,4-диоксана. Затем фильтрат переносили в другую круглодонную колбу на 20,0 лик реакционной смеси медленно добавляли 200 мл НСl для доведения рН до 7-7,5 при комнатной температуре, при этом наблюдали твердый осадок. Затем реакционную смесь перемешивали при комнатной температуре в течение 30 минут, фильтровали и промывали 200 мл 1,4-диоксана. Выделенный твердый продукт сушили под вакуумом и выдерживали в печи при 50-55°С в течение 4 часов. Выход 90%-95%. Чистота 90%.

Синтез 4-(трет-бутилдиметилсилокси)бензилового спирта (20b)

В круглодонную колбу на 20 л загружали дихлорметан (10 л), 4-гидроксибензальдегид (8) (1 кг), N,N'-диметиламинопиридин (50 граммов) и имидазол (1,33 кг). Реакционную смесь охлаждали до 20°С и перемешивали. К этой перемешиваемой смеси добавляли порциями трет-бутилдиметилсилил хлорид (TBDMS-Cl, 500 граммов × 3). Через 1 час реакционную смесь фильтровали и концентрировали при пониженном давлении с получением маслянистого продукта (20а).

Вышеупомянутый продукт (20а) помещали в круглодонную колбу на 10 л и растворяли в метаноле (6 л). Реакционную смесь охлаждали до 10-15°С и при перемешивании добавляли боргидрид натрия (100 граммов). Через 30 минут рН реакции доводили до 7,0 с помощью уксусной кислоты. После перемешивания в течение 20 минут метанол отгоняли с получением необходимого 4-(трет-бутилдиметилсилокси)бензилового спирта (20b). Выход 85%-90%, чистота 80%-85%.

Синтез 4 (трет-бутилдиметилсилокси)бензилхлорида (21)

В круглодонную колбу на 10 л загружали 4-(трет-бутилдиметилсилокси)бензиловый спирт (20b) (1 кг) и дихлорметан (6 л), а затем триэтиламин (1,4 л). Реакционную смесь перемешивали в течение 30 минут при комнатной температуре. Медленно добавляли метансульфонилхлорид (600 мл) при 30-35°С в течение приблизительно 1-1,5 часов. После завершения реакции добавляли 30% водный раствор бикарбоната натрия (400 мл) и перемешивали в течение 20 минут. Слой дихлорметана отделяли и промывали водным раствором хлорида натрия (2×500 мл). Дихлорметан удаляли при пониженном давлении. Остаток использовали на следующей стадии без дополнительной очистки.

Синтез 3-(4-((трет-бутилдиметилсилил)окси)фенил)-1,1-диэтоксипропан-2-она (23)

В круглодонную колбу на 50 л загружали стружку магния (1 кг) и безводный тетрагидрофуран (3 л), затем йод (10 г) и дибромэтан (50 мл). Раствор трет-бутил(4-(хлорметил)фенокси)диметилсилана (21) (1,6 кг) в безводном тетрагидрофуране (12 л) добавляли по каплям при 40-45°С в течение 4 часов. Реакционную смесь охлаждали до 35°С. В другую круглодонную колбу на 50 л загружали этил-2,2-диэтоксиацетат (12) (2 кг) и безводный тетрагидрофуран (10 л) и охлаждали до -35°С. Приготовленную выше реакционную смесь Гриньяра добавляли к этому раствору при -35°С в течение 1-1,5 часов. После завершения реакции реакционную смесь подавляли насыщенным водным раствором хлорида аммония (1,2 кг в 7 л воды). Органический слой отделяли, промывали насыщенным раствором хлорида натрия и растворитель удаляли при пониженном давлении. Маслянистый остаток очищали с помощью колоночной хроматографии на силикагеле с элюентом, который содержит триэтиламин, с получением 3-(4-((трет-бутилдиметилсилил)окси)фенил)-1,1-диэтоксипропан-2-она(23)(0,48 кг). Выход 20%-25%. Чистота 90%.

Синтез целентеразина, 8-бензил-2-(4-гидроксибензил)-6-(4-гидроксифенил)имидазо [1,2-а]пиразин-3(7Н)-она

В круглодонную колбу объемом 30 л загружали 4-(5-амино-6-бензилпиразин-2-ил)фенол (7) (0,9 кг) и 3-(4-((трет-бутилдиметилсилил)окси)фенил)-1,1-диэтоксипропан-2-он (23) (1,4 кг), а затем 1,4-диоксан (14 л). Реакционную смесь перемешивали при комнатной температуре в течение 30 минут. Добавляли концентрированную соляную кислоту (0,75 л) и воду (0,75 л), и реакционную смесь нагревали до 80-85°С в течение 15 часов. Реакционную смесь охлаждали до 40°С, затем добавляли активированный уголь (100 г) и активированный силикагель (100 г) и фильтровали. Растворитель удаляли при пониженном давлении и остаток осаждали при перемешивании с дегазированным этилацетатом (2 л). Выход 60%-65%. Чистота 60%-63%.

Пример 2. Синтез целентеразина (16) 3-бензил-5-бромпиразин-2-амин (2)

Пыль цинка и гранулированный цинк размером 30 меш (1:1, 16,05/16,05 г, 491,2 ммоль, 3,5 экв.) и I2 (6,23 г, 5% моль Zn) добавляли в сухую двухгорлую круглодонную колбу объемом 1 л в атмосфере аргона. Добавляли N,N-диметилацетамид (125 мл, свежеперегнанный над CaH2). Смесь перемешивали при комнатной температуре до исчезновения коричневого цвета I2. По каплям добавляли бензилбромид (61,04 г, 356,9 ммоль, 2,5 экв.) и смесь перемешивали при 80°С в течение 4 часов. Смесь охлаждали до комнатной температуры и добавляли суспензию 3,5-дибром-2-аминопиразина (1) (36,0 г, 140,3 ммоль, 1 экв.) и PdCl2(PPh3)2 (5,04 г, 0,712 ммоль, 5% пиразина) в N,N-диметилацетамиде (150 мл). Смесь непрерывно перемешивали в атмосфере аргона в течение 1 дня. Тонкослойная хроматография (TLC) (30% этилацетат/гексан) указывала на то, что реакция завершилась. Реакционную смесь фильтровали через укороченный слой целита. Фильтрат медленно выливали в ледяную воду (1 л) и экстрагировали с помощью EtOAc (3×200 мл). Объединенный органический слой промывали водой (200 мл), солевым раствором (200 мл) и сушили над безводным MgSO4. Органический слой фильтровали и концентрировали на роторном испарителе при пониженном давлении. Очистка коричневого остатка на хроматографической колонке с силикагелем при элюировании смесью гексан/EtOAc, 2:1 приводила к образованию 3-бензил-5-бромпиразин-2-амина (2) в виде коричневого вязкого масла, выход 28,0 г, 74%. 1Н NMR (CDCl3): δ 8,05 (s, 1 Н), 7,22-7,35 (m, 5 Н), 4,41(s, 2 Н), 4,11 (s, 2 Н), 4,08 (s, 2Н).

Реакция связывания с участием палладия п-метоксифенилбороновой кислоты (4) с 3-бензил-5-бромпиразин-2-амином (2)

1,4-бис(дифенилфосфино)бутан (2,71 г, 6,34 ммоль) добавляли к суспензии бис(бензонитрил)дихлорпалладия (II) (2,03 г, 5,29 ммоль) в толуоле (210 мл) при комнатной температуре в атмосфере аргона и перемешивали в течение 30 минут. К этой смеси добавляли раствор 3-бензил-5-бромпиразин-2-амина (2) (28,0 г, 106,0 ммоль) в толуоле (180 мл), а затем 4-метоксифенилбороновую кислоту (20,94 г, 137,8 ммоль), этанол (42 мл) и 1,0 М водн. Na2CO3 (108 мл) добавляли последовательно при комнатной температуре при перемешивании. Полученную смесь кипятили с обратным холодильником в течение 4 ч, а затем давали остыть до комнатной температуры. Смесь разбавляли 20% водн. раствором NaCl (400 мл) и экстрагировали этилацетатом (EtOAc, 3×300 мл). Объединенный органический слой промывали водой (200 мл), солевым раствором (200 мл) и сушили над безводным MgSO4. Органический слой фильтровали и раствор этилацетата обрабатывали 2 н. HCl (200 мл) для осаждения продукта в виде его хлористоводородной соли. Сразу образовывался желтый осадок. Осажденное твердое вещество отделяли фильтрованием и сушили под вакуумом. Высушенное твердое вещество промывали этилацетатом (2×100 мл) для удаления неполярных примесей, а затем сушили в вакууме с получением соли хлористоводородной кислоты 3-бензил-5-(4-метоксифенил)пиразин-2-амина (5), выход 24 г, 78%. 'H NMR (CDCl3): δ 8,05 (s, 1 Н), 7,22-7,35 (m, 5 Н), 4,41(s, 2 Н), 4,11 (s, 2 Н), 4,08 (s, 2Н). Анализ LCMS продемонстрировал, что продукт имел чистоту приблизительно 99%.

Деметоксилирование хлористоводородной соли метилового эфира до фенола с использованием гидрохлорида пиридиния

Смесь соли хлористоводородной кислоты 3-бензил-5-(4-метоксифенил)пиразин-2-амина (5) (20,0 г, 61,0 ммоль) и гидрохлорида пиридиния (6) (70,5 г, 0,61 моль) нагревали при 200°С в течение 2 ч в атмосфере аргона. Смесь темно-коричневого цвета охлаждали до комнатной температуры и к твердому веществу медленно добавляли насыщенный раствор бикарбоната натрия (750 мл), а затем этилацетат (750 мл)). Органический слой отделяли, а водный слой экстрагировали EtOAc (3×200 мл). Объединенные экстракты этилацетата промывали водой (2×300 мл), сушили над безводным MgSO4. Раствор фильтровали и концентрировали на роторном испарителе при пониженном давлении. Очистка коричневого остатка на хроматографической колонке с силикагелем с элюированием смесью гексан-EtOAc (3:7) приводила к образованию 4-(5-амино-6-бензилпиразин-2-ил)фенола (7), выход в виде светло-желтого твердого вещества 14 г, 82%. Твердое вещество перекристаллизовывали из смеси этилацетат/1% метанол с получением светло-коричневого порошка. 1Н NMR (DMSO-D6) δ 9,36 (s, l Н), 8,17 (s, 1H), 7,60 (d, J=8,4 Гц, 2Н), 7,13-7,22 (m, 5Н), 6,68 (d, J=8,6 Гц, 2Н), 6,09 (s, 2Н), 3,94 (s, 2Н). Анализ продукта с помощью LCMS указывал на то, что он имел чистоту около 99%.

Смесь 4-гидроксибензальдегида (8) (122,1 г, 1,0 моль), бензилхлорида (132,9 г, 1,05 моль) и безводного карбоната калия (165,6 г, 1,2 моль) в N,N-диметилформамиде (DMF, 1 л) нагревали при 70-80°С в течение 3 дней при интенсивном перемешивании. Ход реакции контролировали с помощью TLC (20% этилацетат/гексан). Смесь выливали в ледяную воду (4 л). Полученное твердое вещество собирали фильтрованием, промывали водой (2×500 мл) и сушили с получением необходимого продукта в виде белого твердого вещества. Масса=210 г и выход 96,3%.

4-Бензилоксибензиловый спирт (10)

Боргидрид натрия (40,0 г, 1,08 моль) медленно порциями добавляли к раствору 4-(бензилокси)бензальдегида (9) (218,0 г, 1,02 ммоль) в смеси этилацетат/метанол (1:1, 1 л) при 0-5°С в течение 1 часа. После полного добавления боргидрида натрия реакционную смесь медленно нагревали до комнатной температуры и перемешивали в течение 2 часов. Ход реакции контролировали с помощью TLC (20% этилацетат/гексан). Смесь концентрировали при пониженном давлении и остаток распределяли между этилацетатом (750 мл) и водой (500 мл). Органический слой отделяли. Водный слой экстрагировали этилацетатом (2×200 мл). Объединенные экстракты этила промывали водой (500 мл) и сушили над безводным MgSO4, фильтровали и концентрировали при пониженном давлении. Остаток перекристаллизовывали из 20% смеси этилацетат/гексан с получением необходимого продукта. Масса=180,5 g и выход 82,7%.

4-Бензилоксибензилохлорид (11)

а) Применение тионилхлорида

Тионилхлорид (101,2 г, 0,86 моль) по каплям добавляли к охлажденному раствору (4-(бензилокси)фенил)метанола (10) (167,0 г, 0,78 моль) в этилацетате (600 мл) при 0°С в течение 1 часа. После добавления реакционную смесь нагревали до комнатной температуры и перемешивали. Ход реакции контролировали с помощью TLC, через 4 часа реакцию завершали. Реакционную смесь концентрировали при пониженном давлении (<50°С). Полученный остаток дважды перекристаллизовывали из гексана с получением необходимо продукта в виде белого твердого вещества. Масса=180 г, выход 77%. 'Н NMR (400 МГц, CDCl3): δ=4,57 (s, 2 Н), 5,08 (s, 2 Н), 6,96 (d, J=8,7 Гц, 2 Н), 7,32 (d, J=8,7 Гц, 2 Н), 7,43-7,37 (m, 5 Н).

b) Применение циануровой кислоты

Цианурхлорид (1,0 г) добавляли к безводному N,M'-диметилформамиду (5 мл) при комнатной температуре в атмосфере аргона и перемешивали в течение 30 минут. Образовалась белая суспензия. Добавляли раствор (4-(бензилокси)фенил)метанола (1,0 г) в дихлорметане (30 мл) и перемешивали в течение ночи. Выпавшие в осадок твердые вещества удаляли фильтрацией. Фильтрат разбавляли гексаном (50 мл) и промывали водой, солевым раствором (по 20 мл каждого), сушили над безводным сульфатом магния. Растворитель удаляли при пониженном давлении. Продукт дополнительно очищали колоночной хроматографией на силикагеле, элюируя смесью 5% этилацетат/гексан, с получением продукта, масса 650 мг, выход=59,5%.

c) Применение метансульфонилхлорида

Метансульфонилхлорид (13,74 г; 0,12 моль) по каплям добавляли к раствору (4-(бензилокси)фенил)метанола (21,8 г; 0,10 моль) и триэтиламина (15,15 г; 0,15 моль) в дихлорметане (250 мл) при 0°С. После добавления реакционную смесь нагревали до комнатной температуры и перемешивали в течение 12 часов. Растворитель удаляли при пониженном давлении. Остаток распределяли между этилацетатом (200 мл) и водой (100 мл). Слой этилацетата отделяли, промывали водой, солевым раствором (по 75 мл каждого), сушили над безводным сульфатом магния. Неочищенный продукт, полученный после удаления растворителя, перекристаллизовывали из гексана с получением 18 граммов продукта. Масса=18 граммов (выход 70%).

3-[4-(Бензилокси)фенил]-1Л-диэтоксипропан-2-он (13)

Стружки Mg (10,57 г, 0,435 моль, 1,5 экв.) суспендировали в сухом дистиллированном THF (100 мл) в промытой аргоном двухгорлой круглодонной колбе на 500 мл. Готовили раствор (11) (68,14 г, 0,29 моль) в THF (600 мл), незамедлительно добавляли 25 мл раствора и колбу нагревали до 40-50°С при постоянном перемешивании до тех пор, пока не инициировали реакцию Гриньяра. После инициирования медленно добавляли оставшийся раствор с такой скоростью, чтобы реакционная смесь была теплой на ощупь в результате температуры реакции. После добавления смесь перемешивали при комнатной температуре в течение 30 минут и затем кипятили с обратным холодильником в течение 1 часа для завершения реакции. Бледно-желтому реагенту Гриньяра давали остыть до комнатной температуры и затем хранили на ледяной бане. Раствор этилдиэтоксиацетата (12) (51 г 0,29 моль) в THF (200 мл) в отдельной круглодонной колбе объемом 1 л в атмосфере аргона и охлаждении до 78°С. Реагент Гриньяра переносили в капельную воронку и добавляли по каплям в охлаждаемую колбу в течение 45 минут. Затем смесь перемешивали в течение 6 часов при 78°С, нагревали до 20°С и перемешивали в течение 2 ч. Реакцию подавляли насыщенным раствором хлорида аммония (200 мл). Реакционную смесь экстрагировали этилацетатом (500 мл). Слой этилацетата промывали H2O (3×200 мл), а затем насыщенным солевым раствором (2×200 мл). Органический слой сушили (безводный сульфат магния) и растворитель удаляли роторным испарением при пониженном давлении. Продукт нагревали до 150°С при пониженном давлении для удаления примесей и непрореагировавших исходных материалов. NMR продукта продемонстрировал, что он был достаточно чистым для проведения следующей реакции. Масса=66,58 г, выход 70%.

1Н NMR (400 МГц, CDCl3): δ=1,25 (t, J=7,3 Гц, 6 Н), 3,57 (m, 2 Н), 3,69 (m, 2 Н), 3,84 (s, 2Н), 4,64 (s, 1 Н), 5,05 (s, 2 Н), 6,94 (d, J=8,4 Гц, 2 Н), 7,14 (d, J=8,4 Гц, 2 Н), 7,43-7,35 (m, 5 Н).

1.1-Диэтокси-3-(4-гидроксифенил)-2-пропан-2-он (14)

Первоначальные попытки дебензилирования в атмосфере водорода с использованием 10% палладия на древесном угле без реактора высокого давления не увенчались успехом.

Раствор соединения (13) (66 г, 20,4 моль) в этаноле (400 мл) помещали в колбу для гидрирования Парра и добавляли 10% Pd/C (7 г). Смесь гидрировали в течение 24 часов в атмосфере водорода при 60 Psi. Черную суспензию фильтровали и растворитель удаляли с помощью роторного испарителя. Продукт очищали, пропуская через небольшую подушку из силикагеля для удаления любых взвешенных частиц углерода с элюированием смесью 50% этилацетат/гексан. Необходимый продукт выделяли на колонке с силикагелем с элюированием смесью 30% этилацетат/гексан до получения 21,7 г бесцветного масла.

1Н NMR (400 МГц, CDCl3): δ=1,25 (t, J=7,0 Гц, 6 Н), 3,55 (т, 2 Н), 3,71 (m, 2 Н), 3,82 (s, 2 Н), 4,64 (s, 1 Н), 5,11 (brs, 1 Н), 6,77 (d, J=8,6 Гц, 2 Н), 7,07 (d, J=8,6 Гц, 2 Н).

Целентеразин, [8-бензил-6-(4-гидроксифенил)-2-[(4-гидроксифенил)метил]имидазо[1,2-а]пиразин-3(7H)-он(16)

Оценивали влияние сухой хлористоводородной кислоты, органических кислот и водной хлористоводородной кислоты на конечную реакцию конденсации, перегруппировки и циклизации целентеразина. Следующие эксперименты проводили в этаноле или в 1,4-диоксане. Результаты представлены в следующей Табл. 1.

Результаты вышеупомянутых экспериментов (Табл. 1) продемонстрировали, что для реакции конечной конденсации, перегруппировки и циклизации целентеразина требуется водная хлористоводородная кислота, а необходимый растворитель представляет собой 1,4-диоксан, который оказался более эффективный, чем этанол.

После обнаружения подходящего растворителя и кислоты проводили эксперименты с различными количествами исходного материала (14). Исходный материал (15) поддерживали постоянным на уровне 1 эквивалента и количество исходного материала (14) увеличивали. Не прореагировавший избыток реагента (исходный материал 14) можно было удалять промыванием органическим растворителем. Кроме того, в кислых условиях реакции только продукт, являющийся производным исходного вещества пиразинамина (15), будет образовывать соль, но не ацеталь (14). Чтобы получить представление о правильном количестве реагентов, необходимых для оптимальных условий реакции, проводили следующие эксперименты. Результаты представлены в следующей Табл. 2.

Целентеразин, [8-бензил-6-(4-гидроксифенил)-2-[(4-

гидроксифенил)метил]имидазо[1,2-а]пиразин-3(7Н)-он (16)

1,4-Диоксан (2,3 мл), воду (225 мкл) и конц. HCl (225 мкл), помещенную в круглодонную колбу объемом 25 мл, дегазировали и заполняли аргоном. К этой смеси добавляли 4-(5-амино-6-бензилпиразин-2-ил)фенол ((7), 441 мг, 1,59 ммоль). К этой смеси добавляли раствор 1,1-диэтокси-3-(4-гидроксифенил)-2-пропан-2-она) ((14), 493 мг, 2,06 ммоль, 1,3 экв.) в 1,4-диоксане (2 мл). Полученную смесь дегазировали и перемешивали в атмосфере аргона при 78-82°С в течение 14 часов. Темно-коричневый раствор охлаждали до комнатной температуры и аликвоту анализировали обращенно-фазовой HPLC. Анализ HPLC показал, что в реакционной смеси присутствовало незначительное количество исходного материала. Реакционную смесь дегазировали и нагревание продолжали еще в течение 6 часов (всего 20 часов). Реакционную смесь охлаждали до комнатной температуры и концентрировали при пониженном давлении. Темно-коричневый остаток сушили в глубоком вакууме в течение ночи. К остатку добавляли этилацетат (40 мл) и растирали. Твердому веществу давали отстояться, декантировали и сушили в вакууме с получением коричневого сухого порошка. Дегазированный этилацетат (40 мл), содержащий 1% метанола, добавляли к коричневому твердому веществу и растирали при 65°С. Твердому веществу давали возможность осесть, декантировали и сушили с помощью насоса с получением коричневого сухого порошка, количественный выход 720 мг. Данные протонного ЯМР идентичны заявленным значениям. При обращенно-фазовой HPLC его элюировали вместе с аутентичным образцом. Твердое вещество повторно суспендировали в 40 мл дегазированного этилацетата, содержащего 1% метанол, перемешивали в течение 15 минут и декантировали. Образец сушили с помощью насоса с получением коричневого твердого вещества.

Целентеразин, [8-бензил-6-(4-гидроксифенил)-2- [(4-гидроксифенил)метил]имидазо[1,2-а]пиразин-3(7Н)-он (16)

Синтез в количестве 25 г

1,4-Диоксан (80,0 мл), воду (9,1 мкл) и конц. HCl (9,1 мкл), помещенную в круглодонную колбу объемом 300 мл, дегазировали и заполняли аргоном. К этой смеси добавляли 4-(5-амино-6-бензилпиразин-2-ил)фенол (7, 15,94 г, 59,93 ммоль) и перемешивали. К этой суспензии добавляли дегазированный 1,4-диоксановый (71 мл) раствор 1,1-диэтокси-3-(4-гидроксифенил)-2-пропан-2-она) (14, 16,4 г, 68,82 ммоль, 1,2 экв.). Полученную смесь дегазировали и перемешивали в атмосфере аргона при 78-84°С в течение 34 ч (ход реакции контролировали с помощью обращенно-фазовой HPLC). Реакционную смесь охлаждали до комнатной температуры и концентрировали при пониженном давлении. Темно-коричневый остаток сушили в глубоком вакууме в течение ночи. К этому коричневому остатку добавляли дегазированный этилацетат (250 мл) и растирали. Твердому веществу давали отстояться и декантировали. Этот процесс повторяли второй раз, и твердое вещество сушили с помощью насоса в течение 24 часов с получением коричневого сухого порошка, в количественном выходе 25,8 г.

Пример 3. Синтез НСl соли целентеразина в количестве 100 г

Синтез исходного вещества

Исходное вещество 4-(5-амино-6-бензилпиразин-2-ил)фенол (7) (53,0 г) и 1,1-диэтокси-3-(4-гидроксифенил)пропан-2-он (14) (57,0 г) синтезировали в соответствии с процедурой, описанной ранее в Примере 2.

8-Бензил-6-(4-гидроксифенил)-2-[(4-гидроксифенил)метил]-7Н-имидазо[1,2-а]пиразин-3-он (3)

В круглодонную колбу объемом 1 л, снабженную мешалкой, загружали 4-(5-амино-6-бензилпиразин-2-ил)фенол (7) (53,0 г, 191,25 ммоль), а затем 1,4-диоксан (275 мл). Полученную смесь дегазировали и заполняли аргоном. К этой перемешиваемой смеси добавляли дегазированную 1:1 воду/конц. HCl (62,0 мл). Полученную смесь повторно дегазировали, наполняли аргоном и перемешивали при комнатной температуре в течение 15 минут. К этой перемешиваемой суспензии добавляли дегазированный 1,4-диоксановый (244 мл) раствор 1,1-диэтокси-3-(4-гидроксифенил)-2-пропан-2-она (14) (57,0 г, 239,21 ммоль, 1,25 экв). Полученную смесь дегазировали и перемешивали в атмосфере аргона при 80-85°С в течение 38 ч (ход реакции контролировали с помощью обращенно-фазовой HPLC).

Реакционную смесь охлаждали до комнатной температуры и концентрировали при пониженном давлении. Полученный темно-коричневый остаток сушили в глубоком вакууме в течение ночи. К нему добавляли дегазированный этилацетат (250 мл) и растирали. Твердому веществу давали отстояться и декантировали. Этот процесс повторяли еще один раз. Затем к коричневому твердому веществу добавляли дегазированный этилацетат (200 мл), содержащий 1% метанол, и растирали. Твердому веществу давали отстояться и декантировали. Остаточное темно-коричневое твердое вещество сушили в глубоком вакууме при 40°С в течение 36 часов и хранили в атмосфере аргона с получением 101,8 г. При обращенно-фазовой HPLC его элюировали вместе с аутентичным образцом. Спектральные данные протонного NMR соответствовали заявленным значениям.

Пример 4. Синтез целентеразина (несколько килограммов)

Синтез 3-бензилпиразин-2-амина (25)

В круглодонную колбу на 100 л загружали 7,5 л THF, 2,5 кг металлического магния, 10 г йода и 200 мл этилбромида. Реакционную массу инициировали. После инициирования медленно добавляли бензилхлорид в растворе THF (10 л бензилхлорида, растворенного в 45 л THF) при 20-25°С в течение периода от 4 до 4,5 часов, а затем выдерживали в течение одного часа при 30-35°С. Затем медленно добавляли раствор 2-аминопиразина (2,5 кг 2-аминопиразина, растворенного в 25 л THF при 30-35°С за 1-1,5 часов), и реакционную массу выдерживали в течение 5-6 часов при 30-35°С. После завершения проверки с использованием TLC, после установления соответствия, медленно добавляли 10 л воды и реакционную массу перемешивали в течение 20 минут. Затем реакционной массе давали отстояться в течение 30 минут. Слой THF отделяли и полностью отгоняли под вакуумом ниже 70°С. После завершения перегонки реакционную массу охлаждали до комнатной температуры, добавляли 20 л толуола и 5 л воды и перемешивали в течение 10 минут. Затем реакционной массе давали отстояться в течение 20 минут и слой толуола отделяли. После этого в слой толуола добавляли 3 л HCl и давали ему отстояться в течение 10 минут. Затем слой толуола отделяли и удерживали. После этого кислотный слой НС1 доводили до рН приблизительно 8-9 с помощью 3 кг кальцинированной соды и выдерживали в течение 30 минут. Затем органический слой отделяли с получением необходимого моноалкилированного продукта с выходом 40-45%, чистотой 94-95%.

Настоящая модификация сокращала или исключала применение: н-бутиллития на первой стадии синтеза из Примера 1, где реакцию н-бутиллития в толуоле заменяли реакцией с бензилхлоридом и THF (тетрагидрофураном). Таким образом, настоящий пример повышает возможность увеличения химической структуры реакционной смеси и снижает стоимость синтеза. Кроме того, изменения повышают общую безопасность химической структуры за счет замены материалов с высокой реакционной способностью на более стабильные.

Синтез 3-бензил-5-бромпиразин-2-амина (2)

Синтез 3-бензил-5-бромпиразин-2-амина описан выше в Примере 1. В частности, в круглодонную колбу на 20 л загружали хлороформ (6 л) и 3-бензилпиразин-2-амин (25) (также называемый 2-амино-3-бензилпиразином, (25)) (1 кг), и смесь перемешивали при комнатной температуре (22°С). N-бромсукцинимид (NBS) (800 граммов) добавляли медленно в течение от 1 до 1,5 часов. После завершения добавления смесь перемешивали в течение 30 минут. Добавляли воду (2 л) и перемешивали в течение 10 минут. Органический слой отделяли и промывали водой (2×1 л). Слой хлороформа концентрировали при пониженном давлении и маслянистый остаток сушили под вакуумом. Выход 77%-85%. Чистота 93%-95%.

Синтез 4-(5-амино-6-бензилпиразин-2-ил)фенола (7)

2 кг 3-бензил-5-бромпиразин-2-амина (2) растворяли в 10 л THF и 20 г палладиевого катализатора (значительно уменьшенного из Примера 1, 1/15 от 300 г палладиевого катализатора в Примере 1) и перемешивали при комнатной температуре в течение 30 минут. Этот раствор добавляли к реагенту Гриньяра, полученному с использованием 3 кг парабромфенола, 4 кг TBDMS хлорида (трет-бутилдиметилсилилхлорид) и 2,5 кг металлического магния. Реакционную смесь нагревали до 50°С в течение 24 часов. После завершения реакции с получением (26) металлический Mg отфильтровывали, к реакционной смеси добавляли 3 л разбавленной НС1 и нагревали до 70°С в течение 8 часов. К этой реакционной смеси, содержащей (26), добавляли 2 л воды и продукт экстрагировали 2 л этилацетата, это повторяли три раза. Объединенные слои этилацетата дважды промывали 1,5 л воды. Этилацетат дистиллировали с получением продукта (7) в виде густой жидкости массой приблизительно 2,5 кг. Выход 70%-75%, чистота 84%-88%.

Таким образом, в данном примере исключается применение соединений бороновой кислоты в синтезе и значительно снижается количество дорогостоящего палладиевого катализатора в реакции.

Синтез 4-((трет-бутил(4-(хлорметил)фенокси)диметилсилана)

В круглодонную колбу на 20 л загружали дихлорметан (10 л), 4-гидроксибензальдегид (8) (1 кг), N,N'-диметиламинопиридин (50 граммов) и имидазол (1,33 кг). Реакционную смесь охлаждали до 20°С и перемешивали. К этой перемешиваемой смеси добавляли порциями трет-бутилдиметилсилил хлор ид (TBDMS-Cl, 500 граммов × 3). Через 1 час реакционную смесь фильтровали и концентрировали при пониженном давлении с получением маслянистого продукта (4-((трет-бутилдиметилсилил)окси)бензальдегида (20а)).

Вышеупомянутый продукт (20а) помещали в круглодонную колбу на 10 л и растворяли в метаноле (6 л). Реакционную смесь охлаждали до 10-15°С и при перемешивании добавляли боргидрид натрия (100 граммов). Через 30 минут рН реакции доводили до 7,0 с помощью уксусной кислоты. После перемешивания в течение 20 минут метанол отгоняли с получением необходимого продукта (20b). Выход 85%-90%, чистота 80%-85%.

В круглодонную колбу на 10 л загружали 4-(трет-бутилдиметилсилокси)бензиловый спирт (20b) (1 кг) и дихлорметан (6 л), а затем триэтиламин (1,4 л). Реакционную смесь перемешивали в течение 30 минут при комнатной температуре. Медленно добавляли метансульфонилхлорид (600 мл) при 30-35°С в течение приблизительно 1-1,5 часов. После завершения реакции добавляли 30% водный раствор бикарбоната натрия (400 мл) и перемешивали в течение 20 минут. Слой дихлорметана отделяли и промывали водным раствором хлорида натрия (2×500 мл). Дихлорметан удаляли при пониженном давлении. Остаток, содержащий трет-бутил (4-(хлорметил)фенокси)диметилсилан (21), использовали на следующей стадии без дополнительной очистки.

Синтез 3-(4-((трет-бутилдиметилсилил)окси)фенил)-1,1-диметоксипропан-2-она) (27)

В круглодонную колбу на 50 л загружали стружку магния (1 кг) и безводный тетрагидрофуран (3 л), а затем йод (10 г) и дибромэтан (50 мл). Раствор трет-бутил(4-(хлорметил)фенокси)диметилсилана (21) (1,6 кг) в безводном тетрагидрофуране (12 л) добавляли по каплям при 40-45°С в течение 4 часов. Реакционную смесь охлаждали до 35°С. В другую круглодонную колбу на 50 л загружали метил-2,2-диметоксиацетат (1,2 кг) и безводный тетрагидрофуран (10 л) и охлаждали до 30-35°С. Приготовленную выше реакционную смесь Гриньяра добавляли к этому раствору при -10°С в течение 1-1,5 часов. После завершения реакции реакционную смесь подавляли насыщенным водным раствором хлорида аммония (1,2 кг в 7 л воды). Органический слой отделяли, промывали насыщенным раствором хлорида натрия и растворитель удаляли при пониженном давлении. Маслянистый остаток очищали с помощью колоночной хроматографии на силикагеле с получением 3-(4-((трет-бутилдиметилсилил)окси)фенил)-1,1-диметоксипропан-2-она (27) (0,48 кг). Выход 40%-45%. Чистота 90%.

Синтез целентеразина 8-бензил-2-(4-гидроксибензил)-6-(4-гидроксифенил)имидазо[1,2-а]пиразин-3(7Н)-она (16)

В круглодонную колбу объемом 30 л загружали 4-(5-амино-6-бензилпиразин-2-ил)фенол (7) (0,9 кг) и 3-(4-((трет-бутилдиметилсилил)окси)фенил)-1,1-диметоксипропан-2-он (27) (1,4 кг), а затем 1,4-диоксан (14 л). Реакционную смесь перемешивали при комнатной температуре в течение 30 минут. Добавляли концентрированную соляную кислоту (0,75 л) и воду (0,75 л), и реакционную смесь нагревали до 80-85°С в течение 15 часов. Реакционную смесь охлаждали до 40°С, затем добавляли активированный уголь (100 г) и активированный силикагель (100 г) и фильтровали. Растворитель удаляли при пониженном давлении и остаток (16) осаждали при перемешивании с дегазированным этилацетатом (2 л). Выход 60%-65%. Чистота 60%-63%.

Пример 5. Характеристика выделенных композиций целентеразина на основе LC-MS

Относительное количество целентеразина по отношению к 4-(5-амино-6-бензилпиразин-2-ил)фенолу (7) (целентерамину) в конечной выделенной композиции из конечной реакции связывания с образованием целентеразина в Примерах 1-3 можно оценить с помощью жидкостной хроматографии-масс-спектрометрии (LC-MS).

Метанольный раствор выделенных композиций целентеразина с концентрацией 1 мг/мл, полученный в результате реакций связывания 4-(5-амино-6-бензилпиразин-2-ил)фенола (7) и 3-(4-((трет-бутилдиметилсилил)окси)фенил)-1,1-диэтоксипропан-2-она (23), как описано, например, в Примере 1 выше, разбавляли в десять раз растворителем для инъекций, состоящим из 70:30 реагента вода: ацетонитрил (об./об.), каждый с добавлением 0,05% муравьиной кислоты. Разбавленный раствор, содержащий выделенную композицию целентеразина, разделяли с помощью LC на колонке с обращенной фазой С-18, используя градиентное элюирование. Разделение обеспечивало реакцию на целентеразин через приблизительно 1,7 минут и реакцию на целентерамин (7) через приблизительно 2,5 минут. Тандемную МС выполняли с возможностью мониторинга (М+Н)+ родительского иона каждого соединения, который впоследствии фрагментировался на его характерный дочерний ион. Интенсивность дочернего иона создавала хроматографический сигнал для каждого соединения, который затем интегрировался для получения площади сигнала. Родительский ион целентеразина составляет 424,1 Да с дочерним ионом 302,2 Да. Родительский ион целентерамина составлял 278,1 Да, а его дочерний ион составлял 132,0 Да. В приведенной ниже Табл. 4 соотношение целентеразина и целентерамина в выделенной композиции составляло от приблизительно 24:1 до 80:1.

Хотя были проиллюстрированы и описаны иллюстративные варианты осуществления, следует понимать, что в них могут быть внесены различные изменения, не выходящие за рамки сущности и объема настоящего раскрытия.

Похожие патенты RU2832144C2

название год авторы номер документа
ГЕТЕРОАРИЛЬНЫЕ СОЕДИНЕНИЯ, СОДЕРЖАЩИЕ ИХ КОМПОЗИЦИИ И СПОСОБЫ ЛЕЧЕНИЯ С ПРИМЕНЕНИЕМ ЭТИХ СОЕДИНЕНИЙ 2007
  • Мортенсен Дебора Сью
  • Медерос Мария Мерседес Дельгадо
  • Сапиенза Джон Джозеф
  • Альберс Роналд Дж.
  • Ли Брэнден Г.
  • Харрис Рой Леонард Iii
  • Шевлин Гразиэлла Изабел
  • Хуан Дехуа
  • Шварц Кимберли Лин
  • Пакард Гаррик К.
  • Парнс Джейсон Саймон
  • Папа Патрик Уилльям
  • Терани Лида Радния
  • Перрен-Нинкович Софи
  • Риггз Дженнифер Р.
RU2478635C2
НОВЫЕ ХЕМИЛЮМИНЕСЦЕНТНЫЕ СУБСТРАТЫ ДЛЯ ФАКТОРА Xa 2019
  • Ван Херде, Вандер Лауренс
  • Ван Геффен, Марк
  • Стегс, Даник
RU2820234C2
АПОПТОЗ-ИНДУЦИРУЮЩИЕ АГЕНТЫ 2018
  • Лю, Хонгбинь
  • Жун, Юэ
  • Чжан, Хуацзе
  • Чэнь, Чжифан
  • Тань, Жуй
  • Хэ, Чэнси
  • Ли, Чжифу
  • Чжоу, Цзувэнь
  • Тань, Хаохань
  • Ран, Кай
  • Ван, Сяньлун
  • Цзоу, Цзуняо
  • Цзян, Лихуа
  • Лю, Яньсинь
  • Чжао, Синдун
  • Ван, Вэйбо
  • Фу, Цземинь
RU2782469C2
НОВОЕ ФОСФОРАМИДАТНОЕ ПРОИЗВОДНОЕ НУКЛЕОЗИДА И ЕГО ПРИМЕНЕНИЕ 2014
  • Ван Юн
  • Чжао Ливэнь
  • Чжан Сян
  • Би Шэн
  • Гао Ипин
  • Чэнь Хунянь
  • Ван Дэчжун
  • Нан Ян
  • Чжан Цан
  • Ли Юйсю
  • Чжан Ди
RU2621709C2
АЛЬФА-СПИРАЛЬНЫЕ МИМЕТИКИ И СПОСОБЫ, СВЯЗАННЫЕ С НИМИ 2009
  • Одагами Такенао
  • Когами Юдзи
  • Коудзи Хироюки
RU2512538C2
Ингибиторы лизинспецифической гистондеметилазы 1A (KDM1A) для терапии заболеваний 2019
  • Таппер, Эми, Е..
  • Келатка, Кассандра
  • Клэр, Майкл
  • Ренхофф, Джр, Хью, Ю.
RU2813145C2
ИНГИБИТОРЫ СЕРИНПРОТЕАЗЫ, ФАРМАЦЕВТИЧЕСКАЯ КОМПОЗИЦИЯ И СПОСОБЫ ЛЕЧЕНИЯ НА ИХ ОСНОВЕ 2000
  • Алиагас-Мартин Игнасио
  • Артис Дин Р.
  • Дайна Майкл С.
  • Флайгар Джон А.
  • Голдсмит Ричард А.
  • Манроу Реджайна А.
  • Оливеро Алан Г.
  • Пастор Ричард
  • Росон Томас И.
  • Робардж Кирк Д.
  • Сутерлин Даниел П.
  • Уиз Кеннет Дж.
  • Джоу Айе
  • Джу Янь
RU2252935C2
СОЕДИНЕНИЯ, ЦЕЛЕНАПРАВЛЕННО ВОЗДЕЙСТВУЮЩИЕ НА BRM, И СВЯЗАННЫЕ С НИМИ СПОСОБЫ ПРИМЕНЕНИЯ 2019
  • Крю, Эндрю, П.
  • Ван, Цзин
  • Берлин, Михаэль
  • Драгович, Питер
  • Чэнь, Хуэйфэнь
  • Стейбен, Лианна
RU2797832C2
Метод и реактивы для детекции активности люциферазы 2020
  • Ямпольский Илья Викторович
RU2826202C2
ПРОИЗВОДНЫЕ АМИНОКИСЛОТ ДЛЯ ЛЕЧЕНИЯ ВОСПАЛИТЕЛЬНЫХ ЗАБОЛЕВАНИЙ 2020
  • Цзинь, Чао
  • Пари, Даниель
  • Муллан, Майкл
RU2837702C2

Реферат патента 2024 года СИНТЕЗ ЦЕЛЕНТЕРАЗИНА

Изобретение относится к способу получения целентеразина, предусматривающему связывание 4-(5-амино-6-бензилпиразин-2-ил)фенола с 3-(4-((трет-бутилдиметилсилил)окси)фенил)-1,1-диэтоксипропан-2-оном с получением целентеразина. Причем 4-(5-амино-6-бензилпиразин-2-ил)фенол получают (a) путем обработки 3-бензилпиразин-2-амина N-бромсукцинимидом с получением 3-бензил-5-бромпиразин-2-амина и (b) путем взаимодействия 3-бензил-5-бромпиразин-2-амина в две последовательные стадии с получением 4-(5-амино-6-бензилпиразин-2-ил)фенола; где (b) предусматривает первую стадию взаимодействия 3-бензил-5-бромпиразин-2-амина с 4-метоксифенилбороновой кислотой в присутствии палладиевого катализатора - тетракис(трифенилфосфин)палладия (0) с получением 3-бензил-5-(4-метоксифенил)пиразин-2-амина, где палладиевый катализатор тетракис(трифенилфосфин)палладия (0) присутствует в количестве от 5 до 10 процентов по массе по отношению к 3-бензил-5-бромпиразин-2-амину, и вторую стадию - снятие защиты с 3-бензил-5-(4-метоксифенил)пиразин-2-амина с получением 4-(5-амино-6-бензилпиразин-2-ил)фенола; (c) дополнительно предусматривает связывание 4-(5-амино-6-бензилпиразин-2-ил)фенола с 3-(4-((трет-бутилдиметилсилил)окси)фенил)-1,1-диэтоксипропан-2-оном в течение от 16 часов до 28 часов, при этом смесь растворителей содержит диоксан, воду и HCl; или в течение от 24 часов до 36 часов, при этом смесь растворителей содержит диоксан, метанол и изопропиловый спирт, и перемешивание реакционной смеси с активированным углем и диоксидом кремния. При этом 3-(4-((трет-бутилдиметилсилил)окси)фенил)-1,1-диэтоксипропан-2-он синтезируют i) путем взаимодействия 4-гидроксибензальдегида с трет-бутилдиметилсилилхлоридом с получением 4-((трет-бутилдиметилсилил)окси)бензальдегида; ii) путем взаимодействия 4-((трет-бутилдиметилсилил)окси)бензальдегида с боргидридом натрия с получением (4-((трет-бутилдиметилсилил)окси)фенил)метанола; iii) путем взаимодействия (4-((трет-бутилдиметилсилил)окси)фенил)метанола с метансульфонилхлоридом с получением трет-бутил(4-(хлорметил)фенокси)диметилсилана; iv) взаимодействием трет-бутил(4-(хлорметил)фенокси)диметилсилана с магнием с получением (4-((трет-бутилдиметилсилил)окси)бензил)хлорида магния и v) путем взаимодействия (4-((трет-бутилдиметилсилил)окси)бензил)магния хлорида с этил-2,2-диэтоксиацетатом с получением 3-(4-((трет-бутилдиметилсилил)окси)фенил)-1,1-диэтоксипропан-2-она. Также изобретение относится к вариантам способа получения целентеразина. Технический результат - способы получения целентеразина с высокими выходом и чистотой. 3 н. и 8 з.п. ф-лы, 4 табл., 5 пр.

Формула изобретения RU 2 832 144 C2

1. Способ получения целентеразина, предусматривающий:

связывание 4-(5-амино-6-бензилпиразин-2-ил)фенола (7) с 3-(4-((трет-бутилдиметилсилил)окси)фенил)-1,1-диэтоксипропан-2-оном (23) с получением целентеразина (16); причем 4-(5-амино-6-бензилпиразин-2-ил)фенол (7) получают:

(a) путем обработки 3-бензилпиразин-2-амина (25) N-бромсукцинимидом с получением 3-бензил-5-бромпиразин-2-амина (2); и

(b) путем взаимодействия 3-бензил-5-бромпиразин-2-амина (2) в две последовательные стадии с получением 4-(5-амино-6-бензилпиразин-2-ил)фенола (7); где (b) предусматривает первую стадию взаимодействия 3-бензил-5-бромпиразин-2-амина (2) с 4-метоксифенилбороновой кислотой (4) в присутствии палладиевого катализатора - тетракис(трифенилфосфин)палладия (0) с получением 3-бензил-5-(4-метоксифенил)пиразин-2-амина (5), где палладиевый катализатор тетракис(трифенилфосфин)палладия (0) присутствует в количестве от 5 до 10 процентов по массе по отношению к 3-бензил-5-бромпиразин-2-амину (2), и вторую стадию - снятие защиты с 3-бензил-5-(4-метоксифенил)пиразин-2-амина (5) с получением 4-(5-амино-6-бензилпиразин-2-ил)фенола (7);

(c) дополнительно предусматривает связывание 4-(5-амино-6-бензилпиразин-2-ил)фенола (7) с 3-(4-((трет-бутилдиметилсилил)окси)фенил)-1,1-диэтоксипропан-2-оном (23) в течение от 16 часов до 28 часов, при этом смесь растворителей содержит диоксан, воду и HCl; или в течение от 24 часов до 36 часов, при этом смесь растворителей содержит диоксан, метанол и изопропиловый спирт, и перемешивание реакционной смеси с активированным углем и диоксидом кремния;

где 3-(4-((трет-бутилдиметилсилил)окси)фенил)-1,1-диэтоксипропан-2-он (23) синтезируется

i. путем взаимодействия 4-гидроксибензальдегида (8) с трет-бутилдиметилсилилхлоридом с получением 4-((трет-бутилдиметилсилил)окси)бензальдегида (20а);

ii. путем взаимодействия 4-((трет-бутилдиметилсилил)окси)бензальдегида (20а) с боргидридом натрия с получением (4-((трет-бутилдиметилсилил)окси)фенил)метанола (20b);

iii. путем взаимодействия (4-((трет-бутилдиметилсилил)окси)фенил)метанола (20b) с метансульфонилхлоридом с получением трет-бутил(4-(хлорметил)фенокси)диметилсилана (21);

iv. взаимодействие трет-бутил(4-(хлорметил)фенокси)диметилсилана (21) с магнием с получением (4-((трет-бутилдиметилсилил)окси)бензил)хлорида магния (22); и

v. путем взаимодействия (4-((трет-бутилдиметилсилил)окси)бензил)магния хлорида с этил-2,2-диэтоксиацетатом с получением 3-(4-((трет-бутилдиметилсилил)окси)фенил)-1,1-диэтоксипропан-2-она (23).

2. Способ по п. 1, где снятие защиты с 3-бензил-5-(4-метоксифенил)пиразин-2-амина (5) предусматривает воздействие на 3-бензил-5-(4-метоксифенил)пиразин-2-амин (5) хлорида пиридиния.

3. Способ по п. 2, где снятие защиты с 3-бензил-5-(4-метоксифенил)пиразин-2-амина (5) предусматривает воздействие на 3-бензил-5-(4-метоксифенил) пиразин-2-амин (5) гидрида натрия и этантиола в N,N'-диметилформамиде.

4. Способ по любому из пп. 1-3, где трет-бутил(4-(хлорметил)фенокси)диметилсилан очищают с помощью хроматографии с элюентом, содержащим триэтиламин.

5. Способ по любому из пп. 1-4, где 3-(4-((трет-бутилдиметилсилил)окси)фенил)-1,1-диэтоксипропан-2-он (23) очищают хроматографией с элюентом, содержащим триэтиламин.

6. Способ по п. 1, где после перемешивания реакционной смеси с активированным углем и диоксидом кремния целентеразин или его соль выделяют фильтрованием, удалением растворителей в фильтрате, растиранием с этилацетатом с последующей фильтрацией.

7. Способ получения целентеразина, предусматривающий:

(a) взаимодействие пиразин-2-амина (24) с бензилхлоридом с получением 3-бензилпиразин-2-амина (25);

(b) взаимодействие 3-бензилпиразин-2-амина (25) с N-бромсукцинимидом с получением 3-бензил-5-бромпиразин-2-амина (2);

(c) взаимодействие 3-бензил-5-бромпиразин-2-амина (2) в две последовательные стадии с получением 4-(5-амино-6-бензилпиразин-2-ил)фенола (7), при этом первая стадия - взаимодействие 3-бензил-5-бромпиразин-2-амина (2) с силил-защищенным 4-бромфенолом в присутствии магния и палладиевого катализатора с получением силил-защищенного 4-(5-амино-6-бензилпиразин-2-ил)фенола, а вторая стадия - снятие защиты с силил-защищенного 4-(5-амино-6-бензилпиразин-2-ил)фенола с получением 4-(5-амино-6-бензилпиразин-2-ил)фенола (7), при этом палладиевый катализатор представляет собой тетракис(трифенилфосфин)палладий (0) и присутствует в количестве от 1 до 10 процентов по массе по отношению к 3-бензил-5-бромпиразин-2-амину (2); и

(d) связывание 4-(5-амино-6-бензилпиразин-2-ил)фенола (7) с силил-защищенным 1,1-диметокси-3-(4-гидроксифенил)пропан-2-оном или силил-защищенным 1,1-диэтокси-3-(4-гидроксифенил)пропан-2-оном с получением целентеразина.

8. Способ по п. 7, где (а) дополнительно предусматривает сначала получение раствора магния, йода и этилбромида в растворителе перед взаимодействием пиразин-2-амина (24) с бензилхлоридом с получением 3-бензилпиразин-2-амина (25).

9. Способ по п. 7, где снятие защиты с силил-защищенного 4-(5-амино-6-бензилпиразин-2-ил)фенола предусматривает воздействие на силил-защищенный 4-(5-амино-6-бензилпиразин-2-ил)фенол водной HCl.

10. Способ по любому из пп. 7-9, где (d) предусматривает связывание 4-(5-амино-6-бензилпиразин-2-ил)фенола (7) с силил-защищенным 1,1-диметокси-3-(4-гидроксифенил)пропан-2-оном с получением целентеразина.

11. Способ получения целентеразина, предусматривающий:

(a) взаимодействие 3,5-дибромпиразин-2-амина и (бромметил)бензола в присутствии цинка, йода и первого палладиевого катализатора с получением 3-бензил-5-бромпиразин-2-амина (2), при этом первый палладиевый катализатор представляет собой бис(трифенилфосфин)палладия (II) дихлорид;

(b) взаимодействие 3-бензил-5-бромпиразин-2-амина (2) с 4-метоксифенилбороновой кислотой (4) на первой стадии с получением хлористоводородной соли 3-бензил-5-(4-метоксифенил)пиразин-2-амина (5), и взаимодействие хлористоводородной соли 3-бензил-5-(4-метоксифенил)пиразин-2-амина (5) с хлоридом пиридиния на второй стадии с получением 4-(5-амино-6-бензилпиразин-2-ил)фенола (7); и

(c) связывание 4-(5-амино-6-бензилпиразин-2-ил)фенола (7) с 1,1-диэтокси-3-(4-гидроксифенил)пропан-2-оном (14) с получением целентеразина.

Документы, цитированные в отчете о поиске Патент 2024 года RU2832144C2

Maciej Adamczyk et al
SYNTHESIS OF COELENTERAZINE, Organic Preparations and Procedures International: The New Journal For Organic Synthesis, 2001, v
Способ сопряжения брусьев в срубах 1921
  • Муравьев Г.В.
SU33A1
КАТОК ДЛЯ ФОРМОВКИ КИРПИЧЕЙ ПРЯМОУГОЛЬНОГО СЕЧЕНИЯ ИЗ РАЗЛИТОЙ ПО ПОЛЮ СУШКИ ТОРФЯНОЙ МАССЫ 1923
  • Классон Р.Э.
  • Кирпичников В.Д.
SU477A1
Vito Vece; Vuocolo, Giuseppina, Multicomponent Synthesis of Novel Coelenterazine Derivatives Substituted at the C-3 Position, Tetrahedron, 2015, v
Контрольный стрелочный замок 1920
  • Адамский Н.А.
SU71A1
Способ изготовления звездочек для французской бороны-катка 1922
  • Тарасов К.Ф.
SU46A1
Прибор для проверки параллельности валиков механизмов 1928
  • Бехтерев П.В.
SU8781A1

RU 2 832 144 C2

Авторы

Дуввуру, Раджагопала Редди

Бхатт, Рама

Кумар, Анил

Даты

2024-12-19Публикация

2019-06-28Подача