Изобретение относится к области радионавигации, позволяет осуществить способ реализации помехоустойчивой радионавигационной системы, обеспечивающей высокоточное позиционирование движущихся объектов.
Глобальные навигационные спутниковые системы (ГНСС) такие, как ГЛОНАСС, GPS, Galileo, Beidou имеют ряд неоспоримых преимуществ, таких как:
- полное покрытие земли и околоземного пространства;
- бесплатное использование систем;
- унификация оборудования для всех пользователей и т.д.
Но ГНСС имеют и ряд существенных недостатков:
- плохой прием сигналов в лесистых и горных местностях, в условиях городской застройки;
- недостаточная помехоустойчивость - локальные помехи небольшой мощности могут затруднить или сделать невозможной навигацию по сигналам ГНСС.
Инерциальные навигационные системы (ИНС) не подвержены воздействию радиопомех, но в случае автономной работы имеют свойство накапливать ошибку позиционирования во времени и требуют постоянной внешней коррекции. Известны спутниково-инерциальные системы, в которых информация, поступающая с ИНС, периодически корректируется информацией, поступающей с приемника ГНСС, который имеет перечисленные выше недостатки.
Локальные системы навигации (ЛСН) дополняют системы ГНСС в случаях невозможности использования последних из-за мощных поставленных помех или отсутствия сигнала ГНСС в точке приема. Но в автономном режиме ЛСН и ГНСС не обеспечивают заданную точность позиционирования движущихся объектов в реальном времени из-за низкой частоты обновления данных, когда транспортное средство движется быстро. Отсюда возникает необходимость использования высокочастотных инерциальных датчиков, которые обновляют навигационные данные с частотой до 1 кГц. Но так, как и сам инерциальный датчик также имеет проблемы, например, накопленные ошибки, отклонение и шум, то возникает необходимость объединения ЛСН и ГНСС с ИНС, при котором каждая система использует свои сильные стороны для достижения лучших результатов позиционирования.
Из уровня техники известна наземная импульсно-фазовая радионавигационная система (ИФРНС) «Чайка» (Loran) [1]. Система работает на сверхдлинных волнах, включает в себя мощные передатчики (мощность более 200 кВт) и работает на расстояниях более 1000 км.
Недостатком этой системы является низкая точность позиционирования (десятки метров) и отсутствие обеспечения навигации высокоскоростных объектов.
Известна локальная радионавигационная система «Крабик» [2]. В системе используется дальномерный, разностно-дальномерный и комбинированный метод позиционирования. Используется фазовый метод измерения псевдодальности, позволяющий выполнить точные измерения на основании измерения фазы несущей частоты сигнала.
Недостатками РНС «Крабик» являются:
- низкая устойчивость к маскирующим помехам, так как фаза сигнала в высокой степени подвержена воздействию таких помех;
- низкая устойчивость к имитационным помехам, так как в системе не предусмотрено изменение кода сигнала в процессе работы, при этом имеется высокая вероятность имитации известного кода сигнала;
- возможность любого несанкционированного пользователя, имеющего соответствующий навигационный приемник, использовать данную систему для навигации;
- отсутствие обеспечения навигации высокоскоростных объектов.
Известна также локальная радионавигационная система компании ООО «ВедаПроект», представляющая собой наземное дополнение к системе ГЛОНАСС на основе псевдоспутников (ПС) [3]. Локальная радионавигационная система (ЛРНС) предназначена для обеспечения высокоточной навигации в условиях затруднения приема сигналов ГНСС GPS/ТЛОНАСС. В системе может использоваться стандартный навигационный приемник ГНСС, с минимальными программными модификациями, но с внешним конвертором, позволяющим менять диапазон используемых несущих частот.
Недостатками ЛРНС на основе ПС компании 000«ВедаПроект» являются:
- низкая электромагнитная совместимость со стандартным оборудованием ГНСС;
- низкая устойчивость к имитационным помехам, так как в системе используются известные коды сигналов ГНСС, при этом имеется высокая вероятность имитации известного кода сигнала;
- возможность любого несанкционированного пользователя, имеющего соответствующий навигационный приемник, использовать данную систему для навигации.
- отсутствие обеспечения навигации высокоскоростных объектов.
Известна локальная система навигации, описанная в патенте на изобретение №2555860 (RU) [5].
Навигационная система, описанная в этом патенте, состоит из нескольких передатчиков, передающих радионавигационные сигналы, с помощью которых навигационный приемник, способный обрабатывать эти сигналы, в состоянии осуществить навигацию, определить свои координаты и, по возможности, другие свои характеристики, например, скорость, вектор движения и т.д. Навигационная система может содержать подсистему управления, необходимую для управления работой передатчиков и/или для взаимодействия с навигационными приемниками. Местоположение может использоваться в навигационном приемнике или пересылаться им в подсистему управления, или подсистема управления может получать его от системы связи.
Недостатками навигационной системы, описанной в патенте на изобретение №2555860 (RU) являются следующие моменты:
- система не обеспечивает сантиметровую точность навигации движущихся объектов, так, как частота выдачи навигационного решения, как в ГНСС, не превышает 10 Гц, а для навигации беспилотного транспорта, движущегося со скоростью 30 км/час, требуется частота выдачи результата порядка 200 Гц;
- используются отдельно приемники в абонентских терминалах и передатчики в опорных станциях, то есть реализуется только беззапросный режим, при котором невозможно использование дальномерного метода для синхронизации сети опорных станций;
- так как у абонентов нет передатчиков, то невозможно решить задачу мониторинга без использования внешней системы связи, которая может отсутствовать;
- способ синхронизации передатчиков отдельно не приводится, это значит, что для синхронизации передатчиков используется такой же метод как в системе LocataNet на основе измерения фазы несущей, которая подвержена воздействию помех в первую очередь;
- не приводится способ обеспечения высокоточной навигации;
- не приводится способ обеспечения устойчивости к маскирующим и имитационным помехам.
Самым близким аналогом ЛСН, описанном в настоящем изобретении, является известная локальная система навигации LocataNet, комплексированная с ИНС [4] и обеспечивающая высокоточную навигацию движущихся объектов. Навигационная система LocataNet представляет собой наземную сеть передатчиков, которые передают в эфир навигационные радиосигналы, в целом очень похожие на принципы работы радиосигналов спутниковых навигационных систем. Навигационный приемник, способен принимать и обрабатывать сигналы передатчиков системы LocataNet и самостоятельно осуществлять навигацию, в целом очень похожую на навигацию (позиционирование) по радиосигналам спутниковых навигационных систем.
Отличительной особенностью системы LocataNet от аналогичных систем спутниковой навигации является: временное разделение каналов (временное разделение радиосигналов передатчиков), изменение в процессе работы временного расположения сигнала передатчика, отличающаяся информация навигационного сообщения в каждом передатчике, произвольные допустимые рабочие частоты подсетей, отличающаяся система синхронизации передатчиков подсети и групп подсетей.
Недостатками системы LocataNet, комплексированной с ИНС являются:
- возможность любого (несанкционированного, неавторизованного) пользователя, имеющего соответствующий навигационный приемник, использовать данную систему для навигации;
- отсутствие взаимодействия (помимо сигналов передатчиков) между навигационной системой и навигационными приемниками, в частности, затрудняющее изменение сигналов передатчиков в процессе ее работы и изменения структуры и режима работы навигационной системы;
- точность позиционирования и синхронизации в системе LocataNet обеспечивается точным измерением фазы, несущей в системе. Следует отметить, что фаза несущей, прежде всего, сбивается под действием помех;
- низкая помехоустойчивость, так как всем известен сигнал, используемый в системе.
Сущность изобретения
Сущность изобретения, описанного в настоящем патенте, состоит в создании способа и устройства абонентского терминала высокоточного с отсутствием указанных выше в описании недостатков наиболее близкого аналога, характеризующейся следующими критериями:
- используется как сигнал глобальных навигационных спутниковых систем (ГНСС) так и навигационный сигнал локальной системы навигации (ЛСН), свободный от воздействия ионосферы и погрешности определения эфемерид спутников;
- используются беззапросный режим и разностно-дальномерный метод позиционирования;
- повышенная точность позиционирования в условиях приема сигналов ГНСС обеспечивается использованием высокоточного приемника ГНСС, работающего с дифференциальными поправками в режимах RTK (real time kinematic), РРР (precise point position), A-GNSS (Assisted GNSS) и обеспечивающего сантиметровую точность позиционирования в условиях приема сигналов ГНСС.
- повышенная точность позиционирования в отсутствие сигналов ГНСС обеспечивается использованием в абонентском терминале помехоустойчивого оригинального способа корреляционной обработки кода сигнала локальной системы навигации (далее по тексту описания изобретения - псевдослучайной последовательности (ПСП);
- высокоточная навигация движущихся объектов обеспечивается путем комплексирования аппаратуры ГНСС и ЛСН с ИНС, при котором частота выдачи навигационных данных соответствует скорости движущихся объектов, при этом повышается и помехоустойчивость системы;
- обеспечение высокоточной навигации при комплексировании с ИНС дает возможность использования системы в качестве дополнительной в контуре управления роботами и беспилотными транспортными средствами.
-устойчивость к сгенерированным имитационным помехам (100%) обеспечивается использованием в абонентском терминале множества ПСП, динамически меняющихся по сложному закону;
- устойчивость к ретранслированным имитационным помехам обеспечивается методами борьбы с переотраженными сигналами;
- устойчивость к маскирующим помехам обеспечивается мощностью сигнала в точке приема в 10000 раз превышающей мощность сигнала ГНСС и использованием шумоподобных сигналов, для которых подавление помехи на выходе согласованного фильтра по мощности составляет 2 В раз, где В - база сигнала.
Пример структуры радионавигационной локальной системы навигации в разностно-дальномерном методе приведен на Фиг. 1
Здесь 1, 2, 3, 4 - радионавигационные опорные станции (РОС), 5, 6 - абонентские терминалы (AT), 7 - аппаратно-программный комплекс (АПК)
В системе может решаться: как навигационная задача, когда абонентские терминалы принимают сигналы опорных станций и определяют свои координаты, направление движения и скорость, так и задача мониторинга, когда навигационные данные от абонентских терминалов передаются на аппаратно-программный комплекс (АПК), где собираются данные мониторинга, производится управление работой системы, в том числе, управление сменой ПСП в опорных станциях и абонентских терминалах по сложному закону.
Техническое описание системы
Абонентский терминал высокоточный работает в беззапросном режиме, при котором реализован разностно-дальномерный метод позиционирования [6].
Беззапросый режим имеет аналогию с созданием созвездия «псевдоспутников» и предполагает наличие синхронизированной сети опорных станций.
Как показано на Фиг. 1, опорные станции 1, 2, 3, 4 выдают навигационный сигнал, принимаемые абонентскими терминалами (5, 6), которые решают навигационную задачу и определяют свои координаты. Одна из станций - ведущая 4 выдает сигнал синхронизации (синхр.) на ведомые станции 1, 2, 3. Для синхронизации используется навигационный сигнал с изменяемыми ПСП, передающийся от ведущей опорной станции на все опорные станции в сети. Для получения такого сигнала в режиме синхронизации требуется запрос от ведомых станций.
Достоинство беззапросного режима:
- практически неограниченное число абонентов в сети.
Техническим результатом заявляемого изобретения является обеспечение высокоточного позиционирования движущихся объектов вплоть до беспилотных транспортных средств и роботов путем комплексирования в абонентском терминале локальной системы навигации и приемника ГНСС с приемником дифференциальных поправок с инерциальной навигационной системой с использованием разностно-дальномерного метода позиционирования, при практически неограниченном количестве пользователей системы, синхронизации радионавигационных опорных станций в запросном режиме и высокоточного способа корреляционной обработки шумоподобных сигналов, обеспечивающего сантиметровую точность позиционирования и высокую устойчивость к маскирующим и имитационным помехам. Обеспечение высокоточной навигации при комплексировании с ИНС дает возможность использование системы в качестве дополнительной в контуре управления роботами и беспилотными транспортными средствами.
Использование разностно-дальномерного метода позиционирования в абонентском терминале высокоточном в локальной системе навигации.
В беззапросном режиме используется разностно-дальномерный метод для неограниченного числа абонентских терминалов, которые принимают сигнал и по разности времени прихода сигналов от нескольких опорных станций определяют свои координаты и другие параметры. При этом решение навигационной задачи лежит в точке пересечения линий положения в виде гипербол, фокусы которых находятся в местах расположения опорных станций.
Линии положения в разностно-дальномерном методе приведены на Фиг. 2
Для обеспечения работы системы в беззапросном режиме необходима точная синхронизация опорных станций. Разностно-дальномерный метод требует наличия двух пар опорных станций (1, 3) и (2, 4). Каждая пара станций используется для получения линий положения в виде гипербол с фокусами в местах расположения опорных станций, как показано на Фиг. 2.
Эти линии - геометрические места точек с постоянной разностью расстояний, определяемых временем запаздывания сигналов от разных опорных станций: R1, R2, R3, R4 - расстояния от AT до РОС.
Гиперболы определяются равенствами: R1-R3=const; R3-R1=const; R2-R4=const; R4-R2=const, R4-R3=const, R3-R4=const, R2-R1=const, R1-R2=const, где const - изменяемый параметр.
Точки пересечения гипербол (5, 6) совпадают с местами нахождения AT.
Обеспечение высокой точности позиционирования в системе.
Расчет инструментальной ошибки измерения псевдодальности и позиционирования в системе.
1. Исходная инструментальная ошибка измерения разности расстояний при дискретизации входного сигнала в аналого-цифровом преобразователе (АЦП) в абонентском терминале.
Навигационный сигнал представляет собой шумоподобный сигнал с базой В, то есть псевдослучайную последовательность (ПСП) из В символов.
Разные РОС излучают навигационные сигналы, которые принимаются AT. Так как скорость распространения радиоволн в воздухе постоянна, то принятые в AT сигналы от пары POCi и POCj проходят разные расстояния Ri и Rj до AT, при этом измеряется разница в задержках прихода сигнала Δtз:
Δtз=(Ri-Rj)/c
(Ri-Rj)=Δtз/c.
где (Ri-Rj) - разность расстояний от AT до POCi и POCj (м);
c=299796459,2±1,1 м/с - скорость света в среде (скорость распространения радиоволн).
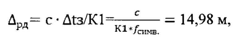
Так как инструментальная точность позиционирования в ЛСН определяется точностью измерения времени задержки сигнала, зависящей от ошибки дискретизации входного сигнала в приемнике во времени, то предлагается следующий оценочный расчет Δинстр. - инструментальной ошибки определения разности расстояний в паре (Ri-Rj) при дискретизации входного сигнала в аналого-цифровом преобразователе (АЦП) приемника в AT с точностью до одного символа ПСП (оценочный расчет приведен с численными вычислениями для лучшего восприятия, естественно, значения могут быть другими):
где fсимв.=1 МГц - частота следования символов ПСП
2. Повышение частоты дискретизации входного сигнала.
Для повышения точности измерения псевдодальности, которая определяется точностью нахождения фронта импульса сигнала, частота дискретизации сигнала на выходе АЦП повышается в К1=20 раз до 20 МГц. При этом точность определения фронта импульса после демодуляции сигнала (для фазоманипулированного сигнала BPSK при переходе фазы из «0» в «π» и обратно) повышается до 50 нс, как показано на Фиг. 3
Таким образом, инструментальная ошибка измерения разности расстояний при дискретизации входного сигнала в АЦП приемника на частоте К1*ƒсимв. в разностно-дальномерном методе равна:
3.Далънейшее повышение частоты дискретизации входного сигнала. Для уменьшения инструментальной ошибки выполняется повышение частоты дискретизации входного сигнала в К2 раз без повышения частоты работы АЦП.
Инструментальная ошибка измерения псевдодальности при дискретизации входного сигнала в АЦП с частотой отсчетов
повышается в К2=10 раз путем сдвига тактирующего сигнала в АЦП и тракте обработки сигнала последовательно на каждой из 10 посылок ПСП. При этом результирующая частота отсчетов на выходе АЦП будет аналогична той, при которой АЦП работает на частоте 200 МГц, как показано на Фиг. 4.
При обработке К2=10 посылок ПСП инструментальная ошибка измерения разности расстояний в разностно-дальномерном методе равна:
4. Точное определение положения пика функции корреляции.
Как показано на Фиг. 5, график отсчетов функции корреляции (ФК) в районе пика выглядит как треугольник с основанием К1=20 отсчетов по оси времени. При этом пик ФК «растянут» на К1 тактов длительностью 50 нс.
Положение пика ФК вычисляется, как точка пересечения двух прямых, составляющих треугольник и проведенных оптимально среди 10 отсчетов до пика ФК и 10 отсчетов после пика ФК с использованием метода наименьших квадратов. Получаем более точное положение пика ФК - tи (смещенное на Δtи), как показано на Фиг. 5.
По имеющимся данным статистики инструментальная ошибка измерения псевдодальности (σпд) уменьшается в К3=2-3 раз и представляет собой среднеквадратичное отклонение (СКО) с учетом ошибки распространения и обработки сигнала.
5. Увеличение числа измерений псевдодальности в абонентском терминале высокоточном.
Согласно закону теории погрешностей, если необходимо повысить точность результата (при исключенной систематической погрешности), необходимо увеличить число измерений.
Если увеличить число измерений L1 при измерении псевдодальности в 25 раз, то есть обрабатывать кадр из 25 ПСП, то СКО будет меньше в √L1=5 раз. Кроме того, кадр из 25 ПСП
необходим, так как в нем содержится адрес абонента и опорной станции, а также, другая необходимая информация. Такой подход имеет предел.
При этом получаем инструментальную ошибку СКО (σрд) при использовании метода наименьших квадратов при измерении псевдодальности:
Для K1=20, К2=10, К3=3, √L1=5:
6.Обеспечение высокой точности и помехоустойчивости синхронизации в сети опорных станций
Точная синхронизация сети РОС необходима при реализации разностно-дальномерного метода позиционирования. Для синхронизации РОС предлагается использовать дальномерный метод, как при позиционировании AT в запросном режиме.
Синхронизация сети РОС выполняется с использованием дальномерного метода измерения псевдодальности между ведущей РОС4 (4) и ведомыми POC1, РОС2, РОС3 (1,2,3), как было показано на Фиг. 1
Достоинство метода - для синхронизации сети РОС используется помехоустойчивый защищенный шумоподобный синхросигнал.
Каждая ведомая РОС в запросном режиме (дальномерном методе) посылает сигнал запроса, содержащий 25 ПСП, принимаемый ведущей РОС, которая излучает сигнал ответа, синхронизированный с сигналом эталонного генератора ведущей РОС.
Расчет производится аналогично расчету ошибки измерения псевдодальности с учетом того, что расстояние между РОС измерено с точностью до сантиметра. Синхросигнал на генераторе каждой ведомой РОС, находящейся в сети, должен быть подстроен так, чтобы полученная псевдодальность была равна известному точному расстоянию до ведущей РОС.
Так как сигнал проходит двойное расстояние в запросном режиме ошибка измерения будет [9]:
где: ΔRинстр. - инструментальная ошибка измерения дальности;
ΔRзапр=ΔRотв=с⋅Δtз - инструментальные ошибки измерения дальности при запросе и ответе;
Δtз - ошибка измерения времени запаздывания (инструментальная ошибка дальномера.
При этом получаем инструментальную ошибку (СКО) вычисления псевдодальности между опорными станциями в дальномерном методе σд, при измерении двойного расстояния от РОС ведомой до РОС ведущей и обратно.
При этом получаем инструментальную ошибку СКО (σд) при использовании метода наименьших квадратов при измерении псевдодальности:
Для K1=20, К2=10, К3=3, √L1=5:
Эта ошибка пересчитывается в ошибку синхронизации во времени:
σat=σд/ с=0,12/2,997*108=0,04*10-8 с=0,4 нс.
С такой оценкой инструментальной погрешности будет обеспечена синхронизация сети РОС, что сопоставимо с точностью синхронизации передатчиков системы LocataNet (1 нс).
Процедура синхронизации должна периодически повторяться. Период повторения определяется нестабильностью генераторов, используемых на РОС.
В качестве примера, в представленной РОС используется генератор с кратковременной нестабильностью частоты Δf/f=2*10-11 за 1 секунду [8].
Нестабильность (ошибка) синхронизации по времени:
Δt/t=Δf/f.
Если ошибка синхронизации σat=0,4 нс, a Δt/t=Δf/f.=σat/t’, то интервал времени, в котором ошибка синхронизации не превышает σat:
То есть, процедура синхронизации должна повторяться каждые 200 сек. При этом получим СКО измерения псевдодальности в разностно-дальномерном методе с учетом ошибки синхронизации опорных станций [4]:
Полученные значения инструментальной ошибки определения псевдодальности (σрдс=0,15 м) составляют лишь часть реальной ошибки, которая может быть определена только при измерении на имитаторе сигнала и при проведении натурных испытаний.
7. Влияние геометрического фактора на точность позиционирования в системе
В разностно-дальномерном методе измеряемым параметром является разность расстояний от абонента до двух опорных станций. Ошибка позиционирования СКО (σП) абонента по двум опорным станциям, расположенным в точках А и В, имеющим ошибки измерения линий положения σА=σВ, будет [7]:
где n=2 - количество РОС.
Геометрический фактор (Dilution of Precision) DOP=1/sinβ, где β - угол пересечения линий положения - гипербол (между векторами R4 и R3, направленными от опорных станций 4 и 3 к абоненту 6, как показано на Фиг. 6.
Геометрический фактор DOP в зависимости от угла β приведен в таблице 1.
Погрешность позиционирования (СКО) пропорциональна DOP, так как
В разностно-дальномерном методе при СКО измерения псевдодальности σрдс=0,15 м с учетом ошибки синхронизации опорных станций, получаем СКО (бпрдс) позиционирования (при значении DOP=1/sin β=2,0 и n=2):
При sin β=1 (β=90°):
σпрд1=0,21 м.
8 Дальнейшее увеличение числа измерений при позиционировании
Если увеличить число измерений L2 при позиционировании в ЛСН в 16 раз, то есть обрабатывать 16 кадров по 25 ПСП, то согласно закону теории погрешностей СКО будет меньше в √L2=4 раза:
При идеальном геометрическом факторе DOP=1 (угол β=90°) получим σпрдс=0,05 м. При этом частота выдачи результата - 1 Гц.
Результаты расчета инструментальных ошибок определения координат в зависимости от геометрического фактора и частоты выдачи результата приведены в таблице 2.
Структурная схема абонентского терминала высокоточного приведена на Фиг. 7
Здесь:
11 - радиочастотная часть приемо-передатчика
12 - блок ЦАП/АЦП
13 - цифрвой модем BPSK
14 - согласованный фильтр
15 - блок интерфейсов
16 - формирователь ансамбля ПСП
17 - контроллер
18 - формирователь тактового сигнала
19 - фильтр Калмана
20 - приемник ГНСС с приемником дифференциальных поправок
Приемник ГНСС с приемником дифференциальных поправок
Схема приемника ГНСС с приемником дифференциальных поправок приведена на Фиг. 8
Здесь:
22 - приемник дифференциальных поправок (по каналам GSM или УКВ)
23 - высокоточный приемник ГНСС
24 - связной контроллер
Блок 20 работает в трех режимах: RTK (real time kinematic), РРР (precise point position), A-GNSS (Assisted GNSS) и обеспечивает сантиметровую точность позиционирования в условиях приема сигналов ГНСС.
Обеспечение высокой точности позиционирования движущихся объектов в динамике путем комплексирования с инерциальной навигационной системой в абонентском терминале высокоточном.
Позиционирование транспортных средств является одной из основных технологий беспилотного вождения. Беспилотные транспортные средства движутся в сложных динамических условиях, особенно в крупных городах, проблема переотражений будет очевидна. Полученная таким образом информация о местоположении по ГНСС и ЛСН может легко иметь ошибки в несколько метров. Для автомобилей, движущихся на высоких скоростях, такие ошибки могут стать причиной дорожно-транспортных происшествий. Поэтому необходимо использовать инерциальные датчики, чтобы повысить точность позиционирования. Кроме того, из-за низкой частоты обновления ГНСС и ЛСН трудно обеспечить точное позиционирование в реальном времени, когда транспортное средство движется быстро.
Так как ГНСС не отличаются высокой помехоустойчивостью и сигнал может быть недоступен, то используется дополняющая помехоустойчивая ЛСН, объединенная с инерциальными датчиками (ИД).
Инерциальный датчик - это высокочастотный (до 1 кГц) датчик, который обнаруживает ускорение и вращательное движение. После обработки данных инерциального датчика можно получать информацию о смещении и повороте автомобиля в режиме реального времени. Но сам инерциальный датчик также имеет проблемы, такие как отклонение и шум. влияющие на результаты. Ошибка позиционирования инерциального датчика будет увеличиваться со временем работы, но, поскольку он является высокочастотным датчиком, он может обеспечить стабильное обновление положения в реальном времени. Поэтому, используя преимущества ЛСН и ГНСС с ИД можно получить более точное позиционирование в реальном времени в слабосвязанной системе. В идеале такое навигационное обеспечение должно войти в контур управления беспилотным транспортом.
Проблема переотражений
Проблема переотражений относится к ошибке времени распространения сигнала из-за отражения и преломления навигационного сигнала, что приведет к ошибке позиционирования. Особенно в городских условиях в воздухе имеется множество взвешенных сред, которые отражают и преломляют сигналы, кроме того, сигналы также отражают и преломляют наружные стены высотных зданий, что приводит к путанице при измерении расстояний. ЛСН может достичь сантиметрового уровня точности в статических и «идеальных» условиях, при которых в атмосфере не слишком много взвешенной среды, и ЛСН имеет мощный принятый сигнал во время измерения. Тем не менее, беспилотные транспортные средства путешествуют в сложных динамических условиях, особенно в крупных городах, проблема переотражения ЛСН будет более очевидной. Переотраженный сигнал может сильно изменить решение ЛСН, но ИД, не подверженный влиянию переотраженных сигналов, устраняет это влияние на ЛСН. Инерциальные датчики
Основные инерциальные датчики включают акселерометры и измерители угловой скорости; рассматриваются шести-осевой инерциальный датчик на основе микроэлектромеханических систем (МЭМС), который в основном состоит из трех-осевых датчиков ускорения и трехосных гироскопов. Инерциальные датчики МЭМС делятся на три уровня: Инерциальные датчики низкой точности в основном используются в смартфонах в качестве продуктов бытовой электроники, но ошибка измерения будет относительно большой. Промежуточные инерциальные датчики в основном используются в автомобильных электронных системах стабилизации и навигационных системах с ГНСС. Такие датчики имеют высокую стоимость и продаются за сотни тысяч долларов. По сравнению с инерциальными датчиками низкого уровня промежуточные инерциальные датчики имеют определенные поправки в микросхеме управления для ошибки измерения. Таким образом, результаты измерений являются более точными. Существуют высокоточные инерциальные датчики, как изделия военного и аэрокосмического назначения.
Беспилотные транспортные средства обычно используют инерциальные датчики низкого уровня, представляющий информацию о местоположении в режиме реального времени с частотой 1 кГц. Данные, измеренные инерциальным датчиком, обычно имеют определенную ошибку. Первая ошибка - ошибка смещения, то есть гироскоп и акселерометр будут иметь ненулевые выходные данные, даже когда нет вращения или ускорения. Чтобы получить данные о смещении, необходимо интегрировать выход акселерометра дважды. В автономном режиме после двух интегрирований даже небольшая ошибка смещения будет усиливаться, и с течением времени ошибка смещения будет продолжать накапливаться, что в конечном итоге приведет к нашей неспособности отслеживать положение беспилотного транспортного средства. Вторая ошибка - это пропорциональная ошибка, соотношение между измеренным выходом и изменением обнаруженного входа. Подобно ошибке смещения, после двух интегрирований, с течением времени, ошибка смещения, вызванная этим, будет продолжать накапливаться. Третий тип ошибки - это фоновый белый шум. Чтобы исправить эти ошибки, необходимо откалибровать инерциальный датчик, найти ошибку смещения, пропорциональную ошибку, а затем использовать параметры калибровки, чтобы исправить исходные данные инерцильного датчика при объединении с ЛСИ и высокоточного приемника ГНСС с приемником дифференциальных поправок.
Объединение ЛСН. ГНСС и инерциальных датчиков
Даже если ЛСН и ГНСС являются точными датчиками позиционирования, но частота обновления низкая, и они не могут соответствовать требованиям расчета в реальном времени. Ошибка позиционирования инерциального датчика будет увеличиваться со временем работы, но, поскольку он является высокочастотным датчиком, он может обеспечить стабильное обновление положения в реальном времени за короткое время. Поэтому, путем объединения преимущества этих трех датчиков, каждый из которых использует свои сильные стороны, можно получить более точное позиционирование в реальном времени.
Для примера, пусть полученная инструментальная ошибка СКО лсн, ГНСС=0,05 м (Таблица 2) при частоте выдачи результата 1 Гц и требуемой точности позиционирования в динамике СКО дин=0,1 м. За 1 сек объект при скорости 3 м/сек сместится на 3 м и требуемая точность не будет обеспечена. Чтобы обеспечить требуемую точность позиционирования движущихся объектов необходимо использовать комплексирование ЛСН и ГНСС с ИНС [11].
На Фиг. 9 приведен график зависимости инструментальной ошибки позиционирования СКО инс с использованием ИНС от скорости объекта и частоты выдачи результата ИНС.
При объединении с ЛСН и приемника ГНСС ошибка установки нуля инерциального датчика устраняется при калибровке ИНС, поэтому прямые СКО инс выходят из нуля.
Влияние скорости различных объектов на частоту выдачи результата в динамике для заданной инструментальной СКО дин позиционирования при комплексировании ЛСН и ГНСС с ИНС приведено в таблице 3.
Здесь: б/э буксир - безэкипажный морской/речной буксир, б/п грузовик - беспилотный грузовик в горнодобывающем карьере, БПЛА - беспилотный летательный аппарат, б/п автомобиль - беспилотный автомобиль на трассе,
В представленной системе ЛСН и ГНСС корректируют значения ИНС с частотой 1 Гц. ИНС выдает значения с частотой до 900 Гц для объектов, движущихся со скоростью до 154 км/час (45 м/с).
Как пример, если требуется инструментальная СКО дин=0,1 м при СКО лсн,гнсс=0,05 м, СКО инс=0,05 м при заданной скорости объекта и соответствующей частоте выдачи результата до 900 Гц:
что меньше требуемой СКО дин=0,1 м
Для достижения такого результата необходимо объединить преимущества этих трех датчиком, каждый из которых имеет свои сильные стороны для получения более точного позиционирования в реальном времени с использованием фильтра Калмана.
Фильтр Калмана в абонентском терминале высокоточном
Фильтр Калмана предсказывает координаты положения и скорость объекта из ограниченного набора последовательностей наблюдений положений объекта, которые содержат шум. Это очень надежно. Даже если есть ошибка в наблюдении за положением объекта, можно более точно рассчитать положение объекта на основе исторического состояния объекта и текущего наблюдения за положением. Филыр Калмана работает в двух основных фазах: фаза прогнозирования текущей позиции на основе информации о положении в последний момент времени, а фаза обновления корректирует прогнозированную позицию посредством текущего наблюдения положения объекта, тем самым обновляя положение объекта. Фильтр Калмана стоит в каждом абонентском терминале для объединения инерциального датчика и данных ЛСН и ГНСС, как показано на Фиг. 10
Здесь:
8 - Инерциальный датчик,
9 - Блок прогноза,
10 - Клок коррекции,
21 - Коммутатор.
Во-первых, инерциальный датчик 8 используется для прогнозирования текущей позиции в режиме реального времени на основе оценки предыдущей позиции. Прежде чем получить новые данные ЛСН и ГНСС можно предсказать текущее положение в блоке прогноза 9, интегрируя данные инерциального датчика. Блок коррекции 10 оценивает предварительную позицию, вычисленную на шаге предсказания, так и позиции, поступающие от блока ЛСН и ГНСС [11]. Но основе этих данных, блок коррекции вычисляет финальную позицию, а также производит коррекцию параметров блока прогноза. Постоянно выполняя эти шаги, можно воспользоваться преимуществами точного и в реальном времени определения местоположения беспилотного транспортного средства. Предполагая, что частота инерциального датчика составляет 900 Гц, а частота ЛСН и ГНСС равна 1 Гц, то между двумя обновлениями ЛСН и ГНСС используются 900 точек данных инерциального датчика для прогнозирования положения. Частота смены данных в каждом тракте между блоками указана на Фиг. 8.
Использование представленной системы для навигации беспилотного транспорта
Таким образом, ЛСН и ГНСС, комплексированные с ИНС, используется для точного определения местоположения транспортных средств и беспилотных транспортных средств. Эта система состоит из трех частей: точной ЛСН и ГНСС, обновляемых на низких частотах, инерциального датчика, обновляемого на высоких частотах и математической модели, основанной на фильтре Калмана.
Таким образом информация, поступающая с ИНС, дополняет результат работы ЛСН и ГНСС и не допускает выбросы в позиционировании движущихся объектов. В свою очередь ЛСН и ГНСС эффективно корректирует нарастающую во времени ошибку ИНС, при этом обеспечивая возможность использования недорогих инерциальных датчиков, что позволяет использовать представленную систему в качестве дополнительной в контуре управления роботами и беспилотными транспортными средствами.
Однако, поскольку беспилотное вождение предъявляет очень высокие требования к надежности и безопасности, в дополнение к ЛСН, ГНСС и инерциальным датчикам, обычно используются такие дополнительные методы позиционирования, как облака точек LiDAR, высокоточные карты и визуальные методы позиционирования.
Обеспечение помехоустойчивости системы
Устойчивость к маскирующим помехам
Устойчивость к маскирующим помехам обеспечивается тем, что:
- в системе используется шумоподобный сигнал, для которого подавление помехи на выходе согласованного фильтра по мощности составляет 2 В раз, где В - база сигнала;
- решение задачи в навигационном приемнике принимается не по фазе несущей, подверженной воздействию помех, а по высокоточному измерению псевдодальности и точной синхронизации на основе кода сигнала, устойчивого к воздействию помех, что обеспечивается согласованной фильтрацией сигнала с точным определением момента пика функции корреляции;
- в системе обеспечивается комплексирование с инерциальной навигационной системой, не подверженной воздействию маскирующих помех.
Устойчивость к имитационным помехам
- устойчивость к генерируемым имитационным помехам (100%) обеспечивается использованием большого количества ПСП (более 1000 ПСП), динамически меняющихся по определенному сложному закону под управлением АПК;
- устойчивость к ретранслированным имитационным помехам обеспечивается тем, что они подобны переотраженным сигналам и устраняются методами борьбы с переотражениями.
Рабочая зона ЛСН (гиперболы) на испытательном полигоне в разностно-дальномерном методе представлена на Фиг. 11. Фокусы гипербол, находящиеся в местах расположения опорных станций, показаны точками. Пять РОС находятся в точках РОС 1-РОС 5. Гиперболы от сигналов, включенных в систему опорных станций, пересекаются в одной точке. Абонент (AT) находится в этой точке пересечения множества гипербол. Решение навигационной задачи - нахождение этой точки.
Переотраженные сигналы нс входят в решение навигационной задачи, так как не попадают в точки пересечения гипербол, в фокусах которых расположены опорные станции с известными координатами.
Таким образом, борьба с влиянием имитационных ретранслированных помех производится такими же методами, как борьба с переотраженными сигналами.
В результате комплексирования с ИНС, не подверженной воздействию переотраженных сигналов, также повышается устойчивость к ретранслированным имитационным помехам.
Обеспечение решения задачи мониторинга
Задача точного позиционирования решается в AT с использованием разностно-дальномерного методов. После точного позиционирования эта информация в AT накладывается на помехоустойчивый навигационный сигнал с использованием функции Исключающее ИЛИ (сложение по модулю 2) и передается в АПК. На приемном конце на сигнал накладывается текущая ПСП с использованием функции Исключающее ИЛИ и навигационная информация выделяется. Так решается задача мониторинга. Это возможно, так как в AT есть передатчики.
Литература.
1. Сайт: http://seaman-sea.ru/plavanie/687-radionavigatsionnye-sistemy-dlya-opredeleniya-mesta-sudna.html
2. Сайт: https://cyberleninka.ru/article/n/ispolzovanie-morskoy-radionavigatsionnoy-sistemy-krabik-dlya-koordinatnogo-obespecheniya-nazemnyh-obektov/viewer
3. Сайт: https://www.slideserve.com/margot/5001638
4. Сайт: https://www.locata.com/
5. Сайт: https://findpatent.ru/patent/255/2555860.html
6. Сайт: https://studopedia.su/8_10216_metodi-i-rezhimi-izmere
7. Сайт: https://www.bookasutp.ru/chapter4_4.aspx
8. Сайт: https://morion.com.ru//files/oscillators/78_file-ru.pdi?1599562600
9. Сайт: https://russianblogs.com/article/16919870/
10. Сайт: https://www.researchgate.net/publication/228412145_Implementation_of_microcontroller-aided_PC104_platform_for_multisensor_integrated_system
11. Сайт: https://www.researchgate.net/publication/272536056_Flighn_Evaluation_of_a_Locata-augmented_Multisensor_Navigation_System
| название | год | авторы | номер документа |
|---|---|---|---|
| Помехоустойчивая разностно-дальномерная локальная радионавигационная система, комплексированная с инерциальной навигационной системой, обеспечивающая высокоточное позиционирование движущихся объектов | 2023 |
|
RU2802322C1 |
| Способ навигации с интеграцией систем и средств обеспечения сквозного позиционирования повышенной точности и устойчивости к помехам | 2023 |
|
RU2836625C1 |
| Способ навигации с использованием абонентского терминала и абонентский терминал | 2023 |
|
RU2837647C1 |
| Помехоустойчивая разностно-дальномерная локальная радионавигационная система, обеспечивающая высокоточное позиционирование | 2022 |
|
RU2802323C1 |
| Помехоустойчивая дальномерная локальная радионавигационная система, обеспечивающая высокоточное позиционирование | 2022 |
|
RU2784802C1 |
| Способ, реализующий точную помехоустойчивую синхронизацию опорных станций локальной навигационной системы | 2023 |
|
RU2827095C1 |
| Способ навигации с использованием радионавигационных опорных станций и опорная станция для его осуществления | 2023 |
|
RU2837598C1 |
| Способ определения местоположения абонентских терминалов, перемещающихся в зоне покрытия локальной системы навигации | 2023 |
|
RU2825248C1 |
| Интегрированный комплекс бортового оборудования беспилотного летательного аппарата | 2023 |
|
RU2809930C1 |
| СПОСОБ НАВИГАЦИИ В ПОМЕЩЕНИИ И РАДИОНАВИГАЦИОННЫЙ ДАТЧИК ДЛЯ ЕГО РЕАЛИЗАЦИИ | 2023 |
|
RU2838877C1 |
Изобретение относится к области радионавигации, позволяет осуществить способ реализации помехоустойчивой радионавигационной системы, обеспечивающей высокоточное позиционирование движущихся объектов. Техническим результатом является обеспечение высокоточного позиционирования движущихся объектов путем комплексирования в абонентском терминале локальной системы навигации и приемника глобальной навигационной спутниковой системы (ГНСС) с приемником дифференциальных поправок с инерциальной навигационной системой с использованием высокоточного способа корреляционной обработки шумоподобных сигналов, обеспечивающего сантиметровую точность позиционирования и высокую устойчивость к маскирующим и имитационным помехам. В заявленном способе навигации используют абонентский высокоточный терминал, являющийся частью локальной радионавигационной системы, комплексированной с ГНСС и инерциальной навигационной системой (ИНС). В способе используют навигационный сигнал ГНСС и сигнал, свободный от воздействия ионосферы и погрешности определения эфемерид спутников, использующий беззапросный режим и разностно-дальномерный метод позиционирования. Кроме того, используют помехоустойчивый способ корреляционной обработки кода сигнала и динамически меняющиеся по сложному закону псевдослучайные последовательности (ПСП), методы борьбы с переотраженными сигналами, шумоподобные сигналы большой мощности в точке приема, для которых подавление помехи на выходе согласованного фильтра по мощности составляет 2В раз, где В - база сигнала. Способ обеспечивает высокоточную навигацию движущихся объектов с использованием инерциальной навигационной системы, входящей в фильтр Калмана, и высокоточного приемника ГНСС с приемником дифференциальных поправок. 2 н.п. ф-лы, 11 ил., 3 табл.
1. Способ навигации с использованием абонентского высокоточного терминала, являющегося частью локальной радионавигационной системы (JIPC), комплексированной с глобальными навигационными спутниковыми системами (ГНСС) и инерциальной навигационной системой (ИНС), использующий беззапросный режим и разностно-дальномерный метод позиционирования, отличающийся тем, что JIPC состоит из сети радионавигационных опорных станций (РОС), абонентских терминалов (АТ) и аппаратно-программного комплекса (АПК), при этом решение навигационной задачи позиционирования АТ обеспечивают посредством разностно-дальномерного метода позиционирования, при котором абонентские терминалы принимают навигационные сигналы РОС и по разности времени прихода сигналов от нескольких РОС определяют свои координаты, направление движения и скорость, а решение задачи мониторинга обеспечивают путем передачи навигационных данных от АТ на АПК, который осуществляет сбор данных мониторинга и управление сменой псевдослучайных последовательностей (ПСП) в РОС и АТ по определенному закону, причем в синхронизированной сети РОС используют беззапросный режим, в процессе которого одна из РОС, являющаяся ведущей, выдает на все остальные ведомые станции сети РОС сигнал синхронизации, в качестве которого используют навигационный сигнал, представляющий собой шумоподобный навигационный сигнал с базой В в виде динамически меняющихся по определенному закону под управлением АПК псевдослучайных последовательностей из В символов, а период повторения процедуры синхронизации определяется нестабильностью используемых на РОС генераторов, при этом в способе используют методы борьбы с переотраженными сигналами и помехоустойчивую корреляционную обработку кода шумоподобного навигационного сигнала в АТ посредством согласованной фильтрации шумоподобного навигационного сигнала с определением момента пика функции корреляции, и используют шумоподобные навигационные сигналы, мощность которых в точке приема в 10000 раз превышает мощность сигнала ГНСС и для которых подавление помехи на выходе согласованного фильтра по мощности составляет 2В раз, причем комплексирование ЛРС с ГНСС и ИНС обеспечивают при использовании АТ, каждый из которых включает радиочастотную часть приемопередатчика, блок ЦАП/АЦП, цифровой модем, согласованный фильтр, блок интерфейсов, формирователь ансамбля ПСП, контроллер, формирователь тактового сигнала, приемник ГНСС с приемником дифференциальных поправок и фильтр Калмана, выдающий с частотой до 1 кГц навигационные данные с инерционного датчика ИНС с периодической высокоточной коррекцией данных со стороны ЛРС и ГНСС, причем в фильтре Калмана осуществляют с использованием инерциального датчика прогнозирование текущей позиции в режиме реального времени на основе оценки предыдущей позиции, интегрирование данных инерционного датчика, оценку предварительной позиции, вычисленную на шаге прогнозирования, оценку позиций, поступающих от блоков ЛCH и ГНСС, на основе которых определяют финальную позицию и коррекцию параметров прогнозирования фильтра Калмана.
2. Абонентский высокоточный терминал, в котором первый вход/выход (В/в.1) радиочастотной части (11) подключен к антенне локальной системы навигации, второй вход/выход подключен к блоку ЦАП/АЦП (12), третий вход /выход подключен к общей шине устройства, вход/выход блока ЦАП/АЦП (12) подключен к первому входу /выходу цифрового модема (13), второй вход/выход блока (12) подключен к общей шине устройства, второй вход/выход цифрового модема (13) подключен к общей шине устройства, первый вход/ выход блока интерфейсов (15) подключен ко второму входу/выходу устройства (В/в2), второй вход/выход блока (15) подключен к общей шине устройства, к которой подключен вход/выход контроллера (17), отличающийся тем, что добавлен блок формирования ансамбля ПСП (16), согласованный фильтр (14), фильтр Калмана (19), приемник ГНСС с приемником дифференциальных поправок (20), при этом вход/выход формирователя ансамбля ПСП (16) подключен к общей шине устройства, а выход подключен к второму входу модема (13) и ко второму входу согласованного фильтра (14), выход модема (13) подключен ко входу согласованного фильтра (14), а вход/выход к общей шине устройства, выход формирователя тактового сигнала (18) подключен к тактовым входам всех блоков устройства, первый вход фильтра Калмана (19) подключен к выходу согласованного фильтра (14), второй вход фильтра Калмана подключен к выходу приемника ГНСС с приемником дифференциальных поправок (20), первый вход которого подключен к антенне приемника дифференциальных поправок (Вх1), второй вход блока (20) подключен к антенне сигналов ГНСС (Вх2), а вход/выход к общей шине устройства, вход/выход фильтра Калмана (19) подключен к общей шине устройства.
| Помехоустойчивая разностно-дальномерная локальная радионавигационная система, комплексированная с инерциальной навигационной системой, обеспечивающая высокоточное позиционирование движущихся объектов | 2023 |
|
RU2802322C1 |
| СПОСОБ НАВИГАЦИИ ОБЪЕКТА С ИСПОЛЬЗОВАНИЕМ РАДИОТЕХНИЧЕСКОЙ ДАЛЬНОМЕРНОЙ СИСТЕМЫ | 2020 |
|
RU2770311C2 |
| Помехоустойчивая дальномерная локальная радионавигационная система, обеспечивающая высокоточное позиционирование | 2022 |
|
RU2784802C1 |
| СИСТЕМА КОМПЛЕКСНОЙ ОБРАБОТКИ ИНФОРМАЦИИ РАДИОНАВИГАЦИОННЫХ И АВТОНОМНЫХ СРЕДСТВ НАВИГАЦИИ ДЛЯ ОПРЕДЕЛЕНИЯ ДЕЙСТВИТЕЛЬНЫХ ЗНАЧЕНИЙ ПАРАМЕТРОВ САМОЛЕТОВОЖДЕНИЯ | 2012 |
|
RU2487419C1 |
| СЕЛЕКТИВНЫЙ НАВИГАЦИОННЫЙ КОМПЛЕКС | 2014 |
|
RU2561252C1 |
| МАРУГИН А.С., ОРЛОВ В.К., ХАЗИАХМЕТОВА Р.Р | |||
| Поиск широкополосного сигнала радионавигационной системы // Журнал "Известия высших учебных заведений России | |||
| Радиоэлектроника", 2018 | |||
| Вып | |||
| Приспособление для точного наложения листов бумаги при снятии оттисков | 1922 |
|
SU6A1 |
| Сс | |||
| Приспособление для соединения пучка кисти с трубкою или втулкою, служащей для прикрепления ручки | 1915 |
|
SU66A1 |
| US 7372400 B2, | |||
Авторы
Даты
2024-12-25—Публикация
2023-12-08—Подача