Изобретение относится к области радионавигации, позволяет осуществить способ реализации помехоустойчивой радионавигационной системы, обеспечивающей высокоточное позиционирование движущихся объектов.
Глобальные навигационные спутниковые системы (ГНСС) такие, как ГЛОНАСС, GPS, Galileo, Beidou имеют ряд неоспоримых преимуществ, таких как:
- полное покрытие земли и околоземного пространства;
- бесплатное использование систем;
- унификация оборудования для всех пользователей и т.д.
Но ГНСС имеют и ряд существенных недостатков:
- плохой прием сигналов в лесистых и горных местностях, в условиях городской застройки;
- недостаточная помехоустойчивость - локальные помехи небольшой мощности могут затруднить или сделать невозможной навигацию по сигналам ГНСС.
Локальные системы навигации (ЛСН) дополняют системы ГНСС в случаях невозможности использования последних из-за мощных поставленных помех или отсутствия сигнала ГНСС в точке приема.
Из уровня техники известна наземная импульсно-фазовая радионавигационная система (ИФРНС) «Чайка» (Loran) [1]. Система работает на сверхдлинных волнах, включает в себя мощные передатчики (мощность более 200 кВт) и работает на расстояниях более 1000 км. Недостатком этой системы является низкая точность позиционирования (десятки метров) и отсутствие обеспечения навигации высокоскоростных объектов.
Известна локальная радионавигационная система «Крабик» [2]. В системе используется дальномерный, разностно-дальномерный и комбинированный метод позиционирования. Используется фазовый метод измерения псевдодальности, позволяющий выполнить точные измерения на основании измерения фазы несущей частоты сигнала.
Недостатками РНС «Крабик» являются:
- низкая устойчивость к маскирующим помехам, так как фаза сигнала в высокой степени подвержена воздействию таких помех;
- низкая устойчивость к имитационным помехам, так как в системе не предусмотрено изменение кода сигнала в процессе работы, при этом имеется высокая вероятность имитации известного кода сигнала;
- возможность любого несанкционированного пользователя, имеющего соответствующий навигационный приемник, использовать данную систему для навигации;
- отсутствие обеспечения навигации высокоскоростных объектов.
Известна, также, локальная радионавигационная система компании ООО «ВедаПроект», представляющая собой наземное дополнение к системе ГЛОНАСС на основе псевдоспутников (ПС) [3]. Локальная радионавигационная система (ЛРНС) предназначена для обеспечения высокоточной навигации в условиях затруднения приема сигналов ГНСС GPS/ГЛОНАСС. В системе может использоваться стандартный навигационный приемник ГНСС, с минимальными программными модификациями, но с внешним конвертором, позволяющим менять диапазон используемых несущих частот.
Недостатками ЛРНС на основе ПС компании ООО «ВедаПроект» являются:
- низкая электромагнитная совместимость со стандартным оборудованием ГНСС;
- низкая устойчивость к имитационным помехам, так как в системе используются известные коды сигналов ГНСС, при этом имеется высокая вероятность имитации известного кода сигнала;
- возможность любого несанкционированного пользователя, имеющего соответствующий навигационный приемник, использовать данную систему для навигации.
- отсутствие обеспечения навигации высокоскоростных объектов.
Известна локальная система навигации, описанная в патенте на изобретение №2555860 (RU) [5].
Навигационная система, описанная в этом патенте, состоит из нескольких передатчиков, передающих радионавигационные сигналы, с помощью которых навигационный приемник, способный обрабатывать эти сигналы, в состоянии осуществить навигацию, определить свои координаты и, по возможности, другие свои характеристики, например, скорость, вектор движения и т.д. Навигационная система может содержать подсистему управления, необходимую для управления работой передатчиков и/или для взаимодействия с навигационными приемниками. Местоположение может использоваться в навигационном приемнике или пересылаться им в подсистему управления, или подсистема управления может получать его от системы связи.
Недостатками навигационной системы, описанной в патенте на изобретение №2555860 (RU) являются следующие моменты:
- используются отдельно приемники в абонентских терминалах и передатчики в опорных станциях, то есть реализуется только беззапросный режим, при котором невозможно использование дальномерного метода для синхронизации сети опорных станций;
- так как у абонентов нет передатчиков, то невозможно решить задачу мониторинга без использования внешней системы связи, которая может отсутствовать;
- способ синхронизации передатчиков отдельно не приводится, это значит, что для синхронизации передатчиков используется такой же метод как в системе LocataNet на основе измерения фазы несущей, которая подвержена воздействию помех в первую очередь;
- не приводится способ обеспечения высокоточной навигации;
- не приводится способ обеспечения устойчивости к маскирующим и имитационным помехам.
Самым близким аналогом ЛСН, описанном в настоящем изобретении, является известная локальная система навигации LocataNet [4] и обеспечивающая высокоточную навигацию движущихся объектов. Навигационная система LocataNet представляет собой наземную сеть передатчиков, которые передают в эфир навигационные радиосигналы, в целом очень похожие на принципы работы радиосигналов спутниковых навигационных систем. Навигационный приемник, способен принимать и обрабатывать сигналы передатчиков системы LocataNet и самостоятельно осуществлять навигацию, в целом очень похожую на навигацию (позиционирование) по радиосигналам спутниковых навигационных систем.
Отличительной особенностью системы LocataNet от аналогичных систем спутниковой навигации является: временное разделение каналов (временное разделение радиосигналов передатчиков), изменение в процессе работы временного расположения сигнала передатчика, отличающаяся информация навигационного сообщения в каждом передатчике, произвольные допустимые рабочие частоты подсетей, отличающаяся система синхронизации передатчиков подсети и групп подсетей.
Недостатками системы LocataNet являются:
- возможность любого (несанкционированного, неавторизованного) пользователя, имеющего соответствующий навигационный приемник, использовать данную систему для навигации;
- отсутствие взаимодействия (помимо сигналов передатчиков) между навигационной системой и навигационными приемниками, в частности, затрудняющее изменение сигналов передатчиков в процессе ее работы и изменения структуры и режима работы навигационной системы;
- точность позиционирования и синхронизации в системе LocataNet обеспечивается точным измерением фазы, несущей в системе. Следует отметить, что фаза несущей, прежде всего, сбивается под действием помех;
- низкая помехоустойчивость, так как всем известен сигнал, используемый в системе.
Сущность изобретения
Сущность изобретения, описанного в настоящем патенте, состоит в создании способа локальной навигации и устройства абонентского терминала локальной системы навигации с отсутствием указанных выше в описании недостатков наиболее близкого аналога, характеризующегося следующими критериями:
- используется навигационный сигнал, свободный от воздействия ионосферы и погрешности определения эфемерид спутников;
- используются беззапросный режим и разностно-дальномерный метод позиционирования;
- используются запросный режим и дальномерный метод позиционирования
- повышенная точность позиционирования обеспечивается использованием помехоустойчивого оригинального способа корреляционной обработки кода сигнала (далее по тексту описания изобретения - псевдослучайной последовательности (ПСП);
- устойчивость к сгенерированным имитационным помехам (100%) обеспечивается использованием множества ПСП, динамически меняющихся по сложному закону;
- устойчивость к ретранслированным имитационным помехам обеспечивается методами борьбы с переотраженными сигналами;
- устойчивость к маскирующим помехам обеспечивается мощностью сигнала в точке приема в 10000 раз превышающей мощность сигнала ГНСС и использованием шумоподобных сигналов, для которых подавление помехи на выходе согласованного фильтра по мощности составляет 2 В раз, где В - база сигнала;
Техническое описание изобретения
Техническим результатом заявляемого изобретения является обеспечение высокоточного позиционирования в отсутствие сигналов глобальных навигационных спутниковых систем с использованием базового абонентского терминала, работающего в запросном и беззапросном режимах с использованием дальномерного и разностно-дальномерного методов позиционирования и оригинального способа корреляционной обработки шумоподобных сигналов, обеспечивающего сантиметровую точность позиционирования и высокую устойчивость к маскирующим и имитационным помехам.
Использование дальномерного метода позиционирования в абонентском терминале базовом в локальной системе навигации
Пример включения абонентского терминала базового в дальномерном методе в структуре радионавигационной локальной системы навигации приведен на Фиг. 1.
В запросном режиме в абонентском (5,6) терминале базовом используется дальномерный метод позиционирования, при котором абонентский терминал базовый излучает дальномерный код, модулирующий несущую. При этом нет необходимости в синхронизации опорных станций. Несколько опорных станций (1,2,3.4) с известными координатами принимают сигнал и посылают ответные сигналы, которые принимаются абонентскими терминалами, в которых и решается навигационная задача В режиме мониторинга навигационная информация передается от абонентских терминалов (5,6) в аппаратно-программный комплекс (7), который управляет работой системы. С учетом скорости света в атмосфере и задержек в аппаратуре при приеме-передаче сигналов в абонентском терминале вычисляется двойное расстояние между абонентским терминалом и несколькими опорными станциями и решается навигационная задача.
Дальномерный метод решения навигационной задачи заключается в определении местоположения абонентского терминала (5) измерением расстояний между ним и опорными станциями (1, 2). Каждая поверхность положения - сфера с центром в опорной станции и радиусом, равным дальности. Так как точки 5, 1, 2 находятся в одной плоскости, то поверхности положения переходят в окружности радиусами R1 и R2 с точкой пересечения в 5, как показано на Фиг. 2. Вторую точку пересечения сфер надо отбросить, исходя из дополнительных данных.
Использование разностно-дальномерного метода позиционирования в локальной системе навигации.
Пример включения абонентского терминала базового в разностно-дальномерном методе в локальной системе навигации приведен на Фиг. 3
Радионавигационная система представляет собой локальную систему навигации, состоящую из сети приемопередатчиков, входящих в состав радионавигационных опорных станций РОС (1, 2, 3, 4), приемопередатчиков, входящих в состав абонентских терминалов (5, 6) и аппаратно-программного комплекса (7).
В системе может решаться: как навигационная задача, когда абонентские терминалы принимают сигналы опорных станций и определяют свои координаты, направление движения и скорость, так и задача мониторинга, когда навигационные данные от абонентских терминалов передаются на аппаратно-программный комплекс (7), где собираются данные мониторинга, производится управление работой системы, в том числе, управление сменой ПСП в опорных станциях (1, 2, 3, 4) и абонентских терминалах (5, 6) по сложному закону.
В абонентском терминале обеспечивается беззапросный режим и разностно-дальномерный метод позиционирования [6].
Беззапросный режим имеет аналогию с созданием созвездия «псевдоспутников» и предполагает наличие синхронизированной сети опорных станций.
Как показано на Фиг. 3, опорные станции (1, 2, 3, 4). выдают навигационный сигнал, принимаемый абонентскими терминалами AT (5, 6), которые решают навигационную задачу и определяют свои координаты. Одна из станций - ведущая РОС4 (4) выдает сигнал синхронизации (синхр.) на ведомые станции РОС1, РОС2, РОС3 (1, 2, 3). Для синхронизации используется навигационный сигнал с изменяемыми ПСП, передающийся от ведущей опорной станции на все опорные станции в сети. Для получения такого сигнала в режиме синхронизации требуется запрос от ведомых станций.
Достоинство беззапросного режима:
- практически неограниченное число абонентов в сети.
В беззапросном режиме используется разностно-дальномерный метод для неограниченного числа абонентских терминалов, которые принимают сигнал и по разности времени прихода сигналов от нескольких опорных станций определяют свои координаты и другие параметры. При этом решение навигационной задачи лежит в точке пересечения линий положения в виде гипербол, фокусы которых находятся в местах расположения опорных станций.
Линии положения в разностно-дальномерном методе приведены на Фиг. 4
Для обеспечения работы системы в беззапросном режиме необходима точная синхронизация опорных станций. Разностно-дальномерный метод требует наличия двух пар опорных станций (1, 3) и (2, 4). Каждая пара станций используется для получения линий положения в виде гипербол с фокусами в местах расположения опорных станций, как показано на Фиг. 4.
Эти линии - геометрические места точек с постоянной разностью расстояний, определяемых временем запаздывания сигналов от разных опорных станций: R1, R2, R3, R4 - расстояния от AT до РОС.
Гиперболы определяются равенствами: R1 - R3=const; R3 - R1=const; R2 - R4=const; R4 - R2=const, R4 - R3=const, R3 - R4=const, R2 - R1=const, R1 - R2=const, где const - изменяемый параметр.
Точки пересечения гипербол (5, 6) совпадают с местами нахождения абонентских терминалов.
Обеспечение высокой точности позиционирования в абонентском терминале.
Расчет инструментальной ошибки измерения псевдодальности и позиционирования в абонентском терминале.
1 Инструментальная ошибка измерения разности расстояний при дискретизации входного сигнала в аналого-цифровом преобразователе (АЦП) абонентского терминала.
В разностно-дальномерном методе разные РОС излучают навигационные сигналы, которые принимаются AT. Так как скорость распространения радиоволн в воздухе постоянна, то принятые в AT сигналы от пары POCi и POCj проходят разные расстояния Ri и Rj до AT, при этом измеряется разница в задержках прихода сигнала Δtз:
Δtз=(Ri - Rj)/c
(Ri - Rj)=Δtз/c.
где (Ri - Rj) - разность расстояний от AT до POCi и POCj (м);
c=299796459,2±1,1 м/с - скорость света в среде (скорость распространения радиоволн).
Так как инструментальная точность позиционирования в ЛСН определяется точностью измерения времени задержки сигнала, зависящей от ошибки дискретизации входного сигнала в приемнике во времени, то предлагается следующий оценочный расчет Δинстр. - инструментальной ошибки определения разности расстояний в паре (Ri - Rj) при дискретизации входного сигнала в аналого-цифровом преобразователе (АЦП) приемника в AT с точностью до одного символа ПСП (оценочный расчет приведен с численными вычислениями для лучшего восприятия, естественно, значения могут быть другими):
где
fсимв. = 1 МГц - частота следования символов ПСП
2. Частота дискретизации входного сигнала.
Для повышения точности измерения псевдодальности, которая определяется точностью нахождения фронта импульса сигнала, частота дискретизации сигнала на выходе АЦП абонентского терминала повышается в К1=20 раз до 20МГц. При этом точность определения фронта импульса после демодуляции сигнала (для фазоманипулированного сигнала BPSK при переходе фазы из «0» в «π» и обратно) повышается до 50 нс, как показано на Фиг. 5
в абонентском терминале частота К1*ƒсимв. в разностно-дальномерном методе равна:
3. Повышение частоты дискретизации входного сигнала.
Для уменьшения инструментальной ошибки выполняется повышение частоты дискретизации входного сигнала в К2 раз без повышения частоты работы АЦП.
Инструментальная ошибка измерения псевдодальности при дискретизации входного сигнала в АЦП с частотой отсчетов К1*ƒсимв.=20 МГц, повышается в К2=10 раз путем сдвига тактирующего сигнала в АЦП и тракте обработки сигнала последовательно на каждой из 10 посылок ПСП. При этом результирующая частота отсчетов на выходе АЦП будет аналогична той, при которой АЦП работает на частоте 200 МГц, как показано на Фиг. 6:
При обработке К2=10 посылок ПСП инструментальная ошибка измерения разности расстояний в разностно-дальномерном методе равна:
4. Точное определение положения пика функции корреляции.
Как показано на Фиг. 5, график отсчетов функции корреляции (ФК) в районе пика выглядит как треугольник с основанием К1=20 отсчетов по оси времени. При этом пик ФК «растянут» на К1 тактов длительностью 50 нс.
Положение пика ФК вычисляется, как точка пересечения двух прямых, составляющих треугольник и проведенных оптимально среди 10 отсчетов до пика ФК и 10 отсчетов после пика ФК с использованием метода наименьших квадратов. Получаем более точное положение пика ФК - tи (смещенное на Δtи), как показано на Фиг. 7.
По имеющимся данным статистики инструментальная ошибка измерения псевдодальности (σпд) уменьшается в К3=2-3 раз и представляет собой среднеквадратичное отклонение (СКО) с учетом ошибки распространения и обработки сигнала.
5. Увеличение числа измерений псевдодальности.
Согласно закону теории погрешностей, если необходимо повысить точность результата (при исключенной систематической погрешности), необходимо увеличить число измерений.
Если увеличить число измерений L1 при измерении псевдодальности в 25 раз, то есть обрабатывать кадр из 25 ПСП, то СКО будет меньше в √L1=5 раз. Кроме того, кадр из 25 ПСП необходим, так как в нем содержится адрес абонента и опорной станции, а также, другая необходимая информация. Такой подход имеет предел.
При этом получаем инструментальную ошибку СКО (σрд) при использовании разностно-дальномерного метода при измерении псевдодальности:
Для К1=20, К2=10, К3=3, √L1=5
(при доверительной вероятности 0,67).
В дальномерном методе сигнал проходит двойное расстояние в запросном режиме ошибка измерения будет [9]:
где: ΔRинстр. - инструментальная ошибка измерения дальности;
ΔRзапр=ΔRотв=c⋅Δtз - инструментальные ошибки измерения дальности при запросе и ответе;
Δtз - ошибка измерения времени запаздывания (инструментальная ошибка дальномера.
При этом получаем инструментальную ошибку СКО (σд) при использовании дальномерного метода при измерении псевдо дальности:
Для К1=20, К2=10, К3=3, √L1=5:
(при доверительной вероятности 0,67).
В разностно-дальномерном методе с учетом ошибки синхронизации опорных станций расчет производится аналогично расчету ошибки измерения псевдодальности с учетом того, что расстояние между РОС измерено с точностью до сантиметра. Синхросигнал на генераторе каждой ведомой РОС, находящейся в сети, должен быть подстроен так, чтобы полученная псевдо дальность была равна известному точному расстоянию до ведущей РОС.
При этом получим СКО измерения псевдодальности в разностно-дальномерном методе с учетом ошибки синхронизации опорных станций [4]:
(при доверительной вероятности 0,67).
Полученные значения инструментальной ошибки определения псевдодальности (σрдс=0,15 м) составляют лишь часть реальной ошибки, которая может быть определена только при измерении на имитаторе сигнала и при проведении натурных испытаний.
7 Влияние геометрического фактора на точность позиционирования в системе
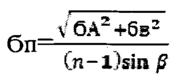
В разностно-дальномерном методе измеряемым параметром является разность расстояний от абонента до двух опорных станций. Ошибка позиционирования СКО (σп) абонента по двум опорным станциям, расположенным в точках А и В, имеющим ошибки измерения линий положения σА=σВ, будет [7]:
, где n=2 - количество РОС при определении DOP.
Геометрический фактор (Dilution of Precision) DOP=1/sin β, где β - угол пересечения линий положения - гипербол (между векторами R4 и R3, направленными от опорных станций 4 и 3 к абоненту 6), как показано на Фиг. 8.
Геометрический фактор DOP в зависимости от угла β приведен в таблице 1.
Погрешность позиционирования (СКО) пропорциональна DOP, так как 
При значении DOP=1/sin β=2,0 и n=2:
Для дальномерного метода:
Для разностно-дальномерного метода:
При значении DOP=1/sin β=1,0 и n=2:
Для дальномерного метода:
σпд=0,17/1,0=0,17 м
Для разностно-дальномерного метода:
σпрд=0,21/1,0=0,21 м
При n>2 для вычисления DOP составляется ковариационная матрица.
9. Результаты расчета инструментальных ошибок определения координат в зависимости от геометрического фактора и частоты выдачи результата приведены в таблице 2.
Структурная схема Абонентского терминала приведена на Фиг 9, где.
11 - радиочастотная часть приемопередатчика
12 - блок ЦАП/АЦП
13 - цифрвой модем BPSK
14 - согласованный фильтр
15 - блок интерфейсов
16 - формирователь ПСП
17 - контроллер
18 - формирователь тактового сигнала
Обеспечение помехоустойчивости системы
Устойчивость к маскирующим помехам
Устойчивость к маскирующим помехам обеспечивается тем, что:
- в системе используется шумоподобный сигнал, для которого подавление помехи на выходе согласованного фильтра по мощности составляет 2 В раз, где В - база сигнала;
- решение задачи в навигационном приемнике принимается не по фазе несущей, подверженной воздействию помех, а по высокоточному измерению псевдодальности и точной синхронизации на основе кода сигнала, устойчивого к воздействию помех, что обеспечивается согласованной фильтрацией сигнала с точным определением момента пика функции корреляции;
Устойчивость к имитационным помехам
- устойчивость к генерируемым имитационным помехам (100%) обеспечивается использованием большого количества ПСП (более 1000 ПСП), динамически меняющихся по определенному сложному закону под управлением АПК;
- устойчивость к ретранслированным имитационным помехам обеспечивается тем, что они подобны переотраженным сигналам и устраняются методами борьбы с переотражениями.
Рабочая зона ЛРС (гиперболы) на испытательном полигоне в разностно-дальномерном методе представлена на Фиг. 10. Фокусы гипербол, находящиеся в местах расположения пяти опорных станций, показаны точками. Гиперболы от сигналов, включенных в систему опорных станций, пересекаются в одной точке. Абонент находится в этой точке пересечения множества гипербол.
Переотраженные сигналы не входят в решение навигационной задачи, так как не попадают в точки пересечения гипербол, в фокусах которых расположены опорные станции с известными координатами.
Таким образом, борьба с влиянием имитационных ретранслированных помех производится такими же методами, как борьба с переотраженными сигналами.
Обеспечение решения задачи мониторинга
Задача точного позиционирования решается в AT с использованием разностно-дальномерного методов. После точного позиционирования эта информация в AT накладывается на помехоустойчивый навигационный сигнал с использованием функции Исключающее ИЛИ (сложение по модулю 2) и передается в АПК. На приемном конце на сигнал накладывается текущая ПСП с использованием функции Исключающее ИЛИ и навигационная информация выделяется. Так решается задача мониторинга. Это возможно, так как в AT есть передатчики.
Литература.
1. Сайт:http://seaman-sea.ru/plavanie/687-radionavigatsionnye-sistemy-dlya-opredeleniya-mesta-sudna.html
2. Сайт:https://cyberleninka.ru/article/n/ispolzovanie-morskoy-radionavigatsionnoy-sistemy-krabik-dlya-koordinatnogo-obespecheniya-nazemnyh-obektov/viewer
3. Сайт: https://www.slideserve.com/margot/5001638
4. Сайт:https://www.locata.com/
5. Сайт:https://findpatent.ru/patent/255/2555860.html
6. Сайт:https://studopedia.su/8_10216_metodi-i-rezhimi-izmere
7. Сайт:https://www.bookasutp.ru/chapter4_4.aspx
8. Сайт: https://morion.com.ru/files/oscillators/78 file-ru.pdf?1599562600
9. Сайт: https://russianblogs.com/article/16919870/
10. Сайт: https://www.researchgate.net/publication/228412145_Implementation_of_microcontroller-aided_PC104_platform_for_multisensor integratedsystem
11. Сайт: https://www.researchgate.net/publication/272536056_Flight_Evaluationof_a_Locata-augmented_Multisensor_Navigation_System
| название | год | авторы | номер документа |
|---|---|---|---|
| Способ навигации с использованием высокоточного абонентского терминала и высокоточный абонентский терминал | 2023 |
|
RU2832572C1 |
| Способ навигации с использованием радионавигационных опорных станций и опорная станция для его осуществления | 2023 |
|
RU2837598C1 |
| Помехоустойчивая разностно-дальномерная локальная радионавигационная система, комплексированная с инерциальной навигационной системой, обеспечивающая высокоточное позиционирование движущихся объектов | 2023 |
|
RU2802322C1 |
| Способ навигации с интеграцией систем и средств обеспечения сквозного позиционирования повышенной точности и устойчивости к помехам | 2023 |
|
RU2836625C1 |
| Помехоустойчивая разностно-дальномерная локальная радионавигационная система, обеспечивающая высокоточное позиционирование | 2022 |
|
RU2802323C1 |
| Способ, реализующий точную помехоустойчивую синхронизацию опорных станций локальной навигационной системы | 2023 |
|
RU2827095C1 |
| Помехоустойчивая дальномерная локальная радионавигационная система, обеспечивающая высокоточное позиционирование | 2022 |
|
RU2784802C1 |
| Способ определения местоположения абонентских терминалов, перемещающихся в зоне покрытия локальной системы навигации | 2023 |
|
RU2825248C1 |
| СПОСОБ НАВИГАЦИИ В ПОМЕЩЕНИИ И РАДИОНАВИГАЦИОННЫЙ ДАТЧИК ДЛЯ ЕГО РЕАЛИЗАЦИИ | 2023 |
|
RU2838877C1 |
| Способ определения местоположения объекта навигации | 2024 |
|
RU2824861C1 |
Изобретение относится к области радионавигации, позволяет осуществить помехоустойчивость радионавигационной системы и обеспечить высокоточное позиционирование движущихся объектов. Техническим результатом заявляемого изобретения является обеспечение высокоточного позиционирования в отсутствие сигналов глобальных навигационных спутниковых систем с использованием базового абонентского терминала, работающего в запросном и беззапросном режимах с использованием дальномерного и разностно-дальномерного методов позиционирования и оригинального способа корреляционной обработки шумоподобных сигналов, обеспечивающего сантиметровую точность позиционирования и высокую устойчивость к маскирующим и имитационным помехам. Для достижения заявленного технического результата предложен способ навигации с использованием абонентского терминала и абонентский терминал, обеспечивающие высокоточное позиционирование, использующие навигационный сигнал, свободный от воздействия ионосферы и погрешности определения эфемерид спутников, независимой от глобальных навигационных спутниковых систем, решающей как задачу позиционирования, так и задачу мониторинга объектов, использующей запросный и беззапросный режимы, дальномерный и разностно-дальномерный методы позиционирования, отличающийся использованием помехоустойчивого способа корреляционной обработки кода сигнала, а также устойчивостью к сгенерированным имитационным помехам с использованием динамически меняющихся по сложному закону псевдослучайных последовательностей (ПСП), устойчивостью к ретранслированным имитационным помехам с использованием методов борьбы с переотраженными сигналами, устойчивостью к маскирующим помехам с использованием шумоподобных сигналов большой мощности в точке приема. 2 н.п. ф-лы, 10 ил., 2 табл.
1. Способ навигации с использованием абонентского терминала, содержащего радиочастотную часть приемопередатчика (11), блок ЦАП/АЦП (12), цифровой модем BPSK (13), согласованный фильтр (14), блок интерфейсов (15), формирователь псевдослучайных последовательностей (ПСП) (16), контроллер (17), формирователь тактового сигнала (18) и являющегося частью локальной радионавигационной системы (ЛРС), использующий запросный и беззапросный режимы, дальномерный и разностно-дальномерный методы позиционирования, отличающийся тем, что ЛРС состоит из сети радионавигационных опорных станций (РОС), абонентских терминалов (AT) и аппаратно-программного комплекса (АПК), при этом решение навигационной задачи позиционирования AT обеспечивают посредством разностно-дальномерного метода позиционирования, при котором AT принимают навигационные сигналы РОС и по разности времени прихода сигналов от нескольких РОС определяют свои координаты, направление движения и скорость, и дальномерного метода, при котором определяют местоположение AT измерением расстояний между ним и РОС, а решение задачи мониторинга обеспечивают путем передачи навигационных данных от AT на АПК, который осуществляет сбор данных мониторинга и управление сменой ПСП в РОС и AT по заданному закону, причем используют беззапросный режим с использованием синхронизированной сети опорных станций, в процессе которого одна РОС, являющаяся ведущей, выдает на все остальные ведомые станции сети РОС сигнал синхронизации, в качестве которого используют навигационный сигнал, представляющий собой шумоподобный навигационный сигнал с базой В в виде динамически меняющихся по заданному закону под управлением АПК ПСП из В символов, и запросный режим, в котором AT базовый излучает дальномерный код, модулирующий несущую без необходимости в синхронизации РОС, а несколько РОС с известными координатами принимают сигнал и посылают ответные сигналы, которые принимаются AT, при этом в способе проводят расчет инструментальной ошибки измерения псевдодальности и позиционирования в AT, повышают частоту дискретизации входного сигнала в К2 = 10 раз путем сдвига тактирующего сигнала в АЦП и тракте обработки сигнала последовательно на каждой из 10 посылок псевдослучайных последовательностей, определяют точное положение пика функции корреляции, увеличивают число измерений псевдодальности в 25 раз, рассчитывают ошибку позиционирования среднеквадратичного отклонения с учетом геометрического фактора, при этом используют шумоподобные сигналы с мощностью сигналов в точке приема, в 10000 раз превышающей мощность сигнала глобальных навигационных спутниковых систем, для которых подавление помехи на выходе согласованного фильтра по мощности составляет 2В раз, при этом используют динамически меняющиеся псевдослучайные последовательности под управлением аппаратно-программного комплекса.
2. Абонентский терминал, содержащий радиочастотную часть приемопередатчика (11), блок ЦАП/АЦП (12), цифровой модем BPSK (13), блок интерфейсов (15) и контроллер (17), в котором радиочастотная часть приемопередатчика (11) подключена к входу абонентского терминала, первый вход/выход радиочастотной части приемопередатчика (11) подключен к первому входу/выходу блока ЦАП/АЦП (12), второй вход/выход которого подключен к общей шине устройства, третий вход/выход блока ЦАП/АЦП (12) подключен к первому входу/выходу цифрового модема BPSK (13), второй вход/выход цифрового модема BPSK (13) подключен к общей шине устройства, вход/выход блока интерфейсов (15) подключен к общей шине устройства, к которой подключен вход/выход контроллера (17), отличающийся тем, что дополнительно содержит формирователь ПСП (16), согласованный фильтр (14) и формирователь тактового сигнала (18), причем вход формирователя ПСП (16) подключен к выходу блока формирования тактового сигнала (18), а выход формирователя ПСП (16) подключен к входу цифрового модема BPSK (13) и к первому входу согласованного фильтра (14), вход/выход формирователя ПСП (16) подключен к общей шине устройства, выход цифрового модема BPSK (13) подключен ко второму входу согласованного фильтра (14), вход/выход которого подключен к общей шине устройства, выход формирователя тактового сигнала (18) подключен к тактовым входам всех блоков устройства.
| Помехоустойчивая дальномерная локальная радионавигационная система, обеспечивающая высокоточное позиционирование | 2022 |
|
RU2784802C1 |
| НАВИГАЦИОННАЯ СИСТЕМА | 2012 |
|
RU2555860C2 |
| СПОСОБ НАВИГАЦИИ ОБЪЕКТА С ИСПОЛЬЗОВАНИЕМ РАДИОТЕХНИЧЕСКОЙ ДАЛЬНОМЕРНОЙ СИСТЕМЫ | 2020 |
|
RU2770311C2 |
| СИСТЕМА КОМПЛЕКСНОЙ ОБРАБОТКИ ИНФОРМАЦИИ РАДИОНАВИГАЦИОННЫХ И АВТОНОМНЫХ СРЕДСТВ НАВИГАЦИИ ДЛЯ ОПРЕДЕЛЕНИЯ ДЕЙСТВИТЕЛЬНЫХ ЗНАЧЕНИЙ ПАРАМЕТРОВ САМОЛЕТОВОЖДЕНИЯ | 2012 |
|
RU2487419C1 |
| СЕЛЕКТИВНЫЙ НАВИГАЦИОННЫЙ КОМПЛЕКС | 2014 |
|
RU2561252C1 |
| US 7372400 B2, 13.05.2008 | |||
| CN 105093247 A, 25.11.2015 | |||
| CN 103364810 A, 23.10.2013 | |||
| МАРУГИН А.С., ОРЛОВ В.К., ХАЗИАХМЕТОВА Р.Р | |||
| Поиск широкополосного сигнала радионавигационной системы // Журнал "Известия высших | |||
Авторы
Даты
2025-04-02—Публикация
2023-12-08—Подача