АНТИТЕЛА, НАПРАВЛЕННЫЕ ПРОТИВ ILT2, И ИХ ПРИМЕНЕНИЕ Российский патент 2024 года по МПК C07K16/28 A61K39/395 C12N15/13 C12N15/63 A61P35/00 

Описание патента на изобретение RU2832673C2

ПЕРЕКРЕСТНАЯ ССЫЛКА НА РОДСТВЕННЫЕ ЗАЯВКИ

[001] Настоящая заявка испрашивает приоритет согласно предварительной заявке на патент США № 63/034569, поданной 4 июня 2020 г., и предварительной заявке на патент США № 62/885374, поданной 12 августа 2019 г., содержание каждой из которых включено в данный документ посредством ссылки во всей своей полноте.

ОБЛАСТЬ ТЕХНИКИ, К КОТОРОЙ ОТНОСИТСЯ ИЗОБРЕТЕНИЕ

[002] Настоящее изобретение относится к области техники, связанной с моноклональными антителами и модулированием иммунного ответа в отношении рака.

ПРЕДПОСЫЛКИ ИЗОБРЕТЕНИЯ

[003] ILT2, также известный как LILRB1, LIR1 и CD85j, представляет собой белок клеточной поверхности, экспрессируемый на иммунных клетках, который характеризуется известной функцией подавления иммунного ответа. Белок содержит 4 домена IgC во внеклеточной области и 4 внутриклеточных домена ITIM. Он является членом семейства ILT, которое состоит из ILT1, ILT2, ILT3 и ILT4. ILT2 является наиболее схожим с ILT4, характеризуясь ~80% гомологией. Известные лиганды ILT2 включают MHC-1, а также неклассические молекулы MHC, такие как HLA-F, HLA-G, HLA-B27 и UL18 (CMV человека). Наиболее сильно взаимодействующим с ILT2 белком, о котором известно, представленном в геноме человека, является HLA-G1.

[004] HLA-G1 широко экспрессируется на поверхности клеток различных злокачественных новообразований, включая клетки рака молочной железы, шейки матки, CRC, легкого, желудочно-кишечного тракта, поджелудочной железы, щитовидной железы и яичника, а также клетки мультиформной глиобластомы и меланомы. Его экспрессия ассоциирована с неблагоприятными клиническими исходами. Кроме того, экспрессия ILT2 в микроокружении опухоли была ассоциирована с неблагоприятным клиническим ответом на онколитическую иммунную терапию даже при отсутствии HLA-G1. Задействование иммунного ответа в качестве средства борьбы с раком, а также для осуществления надзора в отношении развития рака является перспективным направлением в предупреждении и лечении рака. Однако ILT2 представляет собой препятствие на пути к эффективной иммунной терапии. Крайне необходимы методы лечения, которые могут обеспечить преодоление оси ILT2-HLA-G1, а также HLA-G1-независимых функций ILT2.

СУЩНОСТЬ ИЗОБРЕТЕНИЯ

[005] В настоящем изобретении представлены моноклональные антитела, которые связываются с ILT2 и подавляют ILT2-опосредованную супрессию иммунных клеток; а также фармацевтические композиции, содержащие их. Также предусмотрены способы лечения рака, включающие введение композиций по настоящему изобретению, способы получения антител, связывающих фрагментов и композиций по настоящему изобретению, а также способы повышения эффективности терапии, основанной на воздействии на PD-1/PD-L1.

[006] В соответствии с первым аспектом предусмотрены моноклональное антитело или антигенсвязывающий фрагмент, содержащие три CDR тяжелой цепи (CDR-H) и три CDR легкой цепи (CDR-L), где:

CDR-H1 содержит аминокислотную последовательность, представленную под SEQ ID NO: 13 (SGYYWN), CDR-H2 содержит аминокислотную последовательность, представленную под SEQ ID NO: 14 (YISYDGSNNYNPSLKN), CDR-H3 содержит аминокислотную последовательность, представленную под SEQ ID NO: 15 (GYSYYYAMDX), CDR-L1 содержит аминокислотную последовательность, представленную под SEQ ID NO: 16 (RTSQDISNYLN), CDR-L2 содержит аминокислотную последовательность, представленную под SEQ ID NO: 17 (YTSRLHS), и CDR-L3 содержит аминокислотную последовательность, представленную под SEQ ID NO: 18 (QQGNTLPT), где X выбран из A, C и S;

CDR-H1 содержит аминокислотную последовательность, представленную под SEQ ID NO: 1 (DHTIH), CDR-H2 содержит аминокислотную последовательность, представленную под SEQ ID NO: 2 (YIYPRDGSTKYNEKFKG), CDR-H3 содержит аминокислотную последовательность, представленную под SEQ ID NO: 3 (TWDYFDY), CDR-L1 содержит аминокислотную последовательность, представленную под SEQ ID NO: 4 (RASESVDSYGNSFMH), CDR-L2 содержит аминокислотную последовательность, представленную под SEQ ID NO: 5 (RASNLES), и CDR-L3 содержит аминокислотную последовательность, представленную под SEQ ID NO: 6 (QQSNEDPYT); или

CDR-H1 содержит аминокислотную последовательность, представленную под SEQ ID NO: 7 (GYTFTSYGIS), CDR-H2 содержит аминокислотную последовательность, представленную под SEQ ID NO: 8 (EIYPGSGNSYYNEKFKG), CDR-H3 содержит аминокислотную последовательность, представленную под SEQ ID NO: 9 (SNDGYPDY), CDR-L1 содержит аминокислотную последовательность, представленную под SEQ ID NO: 10 (KASDHINNWLA), CDR-L2 содержит аминокислотную последовательность, представленную под SEQ ID NO: 11 (GATSLET), и CDR-L3 содержит аминокислотную последовательность, представленную под SEQ ID NO: 12 (QQYWSTPWT).

[007] В соответствии с некоторыми вариантами осуществления антитело или антигенсвязывающий фрагмент по настоящему изобретению содержат тяжелую цепь, содержащую аминокислотную последовательность, выбранную из:

где X выбран из A, C и S.

[008] В соответствии с некоторыми вариантами осуществления антитело или антигенсвязывающий фрагмент по настоящему изобретению содержат легкую цепь, содержащую аминокислотную последовательность, выбранную из:

[009] В соответствии с некоторыми вариантами осуществления антитело или антигенсвязывающий фрагмент являются гуманизированными, а X выбран из A и S.

[010] В соответствии с некоторыми вариантами осуществления X представляет собой A, SEQ ID NO: 15 представляет собой GYSYYYAMDA (SEQ ID NO: 25), и SEQ ID NO: 23 представляет собой DVQLQGSGPGLVKPSETLSLTCSVTGYSITSGYYWNWIRQFPGKKLEWMGYISYDGSNNYNPSLKNRITISRDTSKNQFSLKLNSVTAADTATYYCAHGYSYYYAMDAWGQGTSVTVSS (SEQ ID NO: 28).

[011] В соответствии с другим аспектом предусмотрены моноклональное антитело или антигенсвязывающий фрагмент, которые связывают эпитоп члена 1 подсемейства В иммуноглобулиноподобных рецепторов лейкоцитов (ILT2) человека в пределах последовательности ILT2 человека, выбранной из VKKGQFPIPSITWEH (SEQ ID NO: 41), LELVVTGAYIKPTLS (SEQ ID NO: 42), VILQCDSQVAFDGFS (SEQ ID NO: 43) и WYRCYAYDSNSPYEW (SEQ ID NO: 44).

[012] В соответствии с некоторыми вариантами осуществления эпитоп представляет собой 3-мерный эпитоп, предусматривающий SEQ ID NO: 41, 42, 43 и 44.

[013] В соответствии с другим аспектом предусмотрены моноклональное антитело или антигенсвязывающий фрагмент, которые связывают ILT2 и подавляют непосредственное взаимодействие между ILT2 и бета-2-микроглобулином (B2M).

[014] В соответствии с некоторыми вариантами осуществления антитело или антигенсвязывающий фрагмент подавляют взаимодействие ILT2 и белка HLA или белка MHC-I посредством подавления непосредственного взаимодействия ILT2 с B2M.

[015] В соответствии с некоторыми вариантам осуществления HLA представляет собой HLA-G.

[016] В соответствии с другим аспектом предусмотрены моноклональное антитело или антигенсвязывающий фрагмент, которые связывают ILT2 и индуцируют у субъекта, страдающего раком, по меньшей мере три из:

повышенной цитотоксичности естественных киллерных клеток (NK);

повышенной Т-клеточной цитотоксичности, пролиферации или и того и другого;

повышенного макрофагального фагоцитоза, повышенного образования воспалительных макрофагов М1, сниженного образования супрессорных макрофагов М2 или их комбинации и

повышенного хоминга дендритных клеток к раковой опухоли, повышенной активации дендритных клеток или их комбинации.

[017] В соответствии с некоторыми вариантами осуществления рак представляет собой рак, характеризующийся экспрессией HLA-G или MHC-I.

[018] В соответствии с некоторыми вариантами осуществления антитело или антигенсвязывающий фрагмент по настоящему изобретению предназначены для применения в по меньшей мере одном из связывания ILT2, индуцирования/усиления противоопухолевого Т-клеточного ответа, повышения пролиферации Т-клеток, снижения индуцированной раком активности супрессорных клеток миелоидного происхождения, повышения цитотоксичности естественных киллерных клеток, усиления макрофагального фагоцитоза, повышения образования воспалительных макрофагов M1, снижения образования супрессорных макрофагов M2, повышения количества дендритных клеток в микроокружении опухоли, повышения активации дендритных клеток, лечения рака, характеризующегося экспрессией HLA-G, и лечения рака, характеризующегося экспрессией MHC-I.

[019] В соответствии с некоторыми вариантами осуществления антитело или антигенсвязывающий фрагмент по настоящему изобретению предназначены для применения в комбинации с опсонизирующим средством для лечения рака, характеризующегося экспрессией HLA-G или MHC-I.

[020] В соответствии с некоторыми вариантами осуществления антитело или антигенсвязывающий фрагмент по настоящему изобретению предназначены для применения в комбинации со средством терапии на основе антитела к PD-L1/PD-1 для лечения рака, характеризующегося экспрессией HLA-G или MHC-I.

[021] В соответствии с другим аспектом предусмотрен способ лечения рака, характеризующегося экспрессией HLA-G или MHC-I, у субъекта, нуждающегося в этом, при этом способ включает введение субъекту фармацевтической композиции, содержащей антитело или антигенсвязывающий фрагмент по настоящему изобретению.

[022] В соответствии с некоторыми вариантами осуществления способ по настоящему изобретению дополнительно включает введение субъекту опсонизирующего средства.

[023] В соответствии с некоторыми вариантами осуществления опсонизирующее средство представляет собой ингибитор EGFR, при этом ингибитор EGFR необязательно представляет собой цетуксимаб.

[024] В соответствии с некоторыми вариантами осуществления способ по настоящему изобретению дополнительно включает введение субъекту средства иммунотерапии на основе антитела к PD-L1/PD-1.

[025] В соответствии с другим аспектом предусмотрен способ лечения рака, характеризующегося экспрессией HLA-G или MHC-I, у субъекта, нуждающегося в этом, при этом способ включает:

подтверждение того, что экспрессия ILT2 или растворимой формы HLA-G у субъекта превышает предварительно определенный порог; и

введение субъекту средства, которое подавляет иммуносупрессию, обуславливаемую ILT2; за счет чего осуществляется лечение рака у субъекта.

[026] В соответствии с некоторыми вариантами осуществления подтверждение предусматривает измерение уровня экспрессии ILT2 или растворимой формы HLA-G у субъекта перед осуществлением введения.

[027] В соответствии с некоторыми вариантами осуществления способ по настоящему изобретению включает подтверждение наличия экспрессии ILT2, и при этом экспрессия ILT2 происходит в иммунной клетке субъекта.

[028] В соответствии с некоторыми вариантами осуществления иммунная клетка выбрана из иммунной клетки периферической крови и внутриопухолевой иммунной клетки.

[029] В соответствии с некоторыми вариантами осуществления иммунная клетка выбрана из CD8-положительной Т-клетки, макрофага, NK-клетки и TEMRA-клетки.

[030] В соответствии с некоторыми вариантами осуществления иммунная клетка представляет собой CD8-положительную Т-клетку периферической крови.

[031] В соответствии с некоторыми вариантами осуществления способ по настоящему изобретению включает подтверждение наличия экспрессии растворимой формы HLA-G.

[032] В соответствии с некоторыми вариантами осуществления способ по настоящему изобретению дополнительно включает введение субъекту средства терапии на основе антитела к PD-L1/PD-1.

[033] В соответствии с другим аспектом предусмотрен способ лечения рака, характеризующегося экспрессией HLA-G или MHC-I, у субъекта, нуждающегося в этом, при этом способ включает:

введение субъекту средства, которое подавляет иммуносупрессию, обуславливаемую ILT2; и

введение субъекту средства терапии на основе антитела к PD-L1/PD-1;

за счет чего осуществляется лечение рака у субъекта.

[034] В соответствии с другим аспектом предусмотрен способ повышения эффективности средства терапии на основе антитела к PD-L1/PD-1, направленного против раковой клетки, характеризующейся экспрессией HLA-G, MHC-I или и того и другого, при этом способ включает приведение раковой клетки в контакт с антагонистом ILT2.

[035] В соответствии с некоторыми вариантами осуществления средство, который подавляет иммуносупрессию, обуславливаемую ILT2, представляет собой антагонист ILT2.

[036] В соответствии с некоторыми вариантами осуществления антагонист ILT2 представляет собой антитело или антигенсвязывающий фрагмент, которые специфически связываются с ILT2 и подавляют ILT2-опосредованную супрессию иммунных клеток.

[037] В соответствии с некоторыми вариантами осуществления антитело или антигенсвязывающий фрагмент согласно настоящему способу представляют собой антитело или антигенсвязывающий фрагмент, как описано в данном документе.

[038] В соответствии с некоторыми вариантами осуществления средство иммунотерапии на основе антитела к PD-L1/PD-1 представляет собой блокирующее антитело к PD-1.

[039] В соответствии с некоторыми вариантами осуществления рак является рефрактерным по отношению к средству терапии на основе антитела к PD-L1/PD-1.

[040] В соответствии с некоторыми вариантами осуществления способ по настоящему изобретению дополнительно включает введение субъекту опсонизирующего средства.

[041] В соответствии с некоторыми вариантами осуществления опсонизирующее средство представляет собой ингибитор EGFR, при этом ингибитор EGFR необязательно представляет собой цетуксимаб.

[042] В соответствии с другим аспектом предусмотрена фармацевтическая композиция, содержащая средство, которое связывается с ILT2 и подавляет ILT2-опосредованную супрессию иммунных клеток, для применения в комбинации со средством терапии на основе антитела к PD-L1/PD-1 для лечения субъекта, страдающего раком.

[043] В соответствии с другим аспектом предусмотрена фармацевтическая композиция, содержащая антитело или антигенсвязывающий фрагмент по настоящему изобретению.

[044] В соответствии с другим аспектом предусмотрен способ получения средства, при этом способ включает

получение средства, которое связывается с внеклеточным доменом ILT2 или его фрагментом, тестирование способности средства индуцировать по меньшей мере два из усиленного фагоцитоза раковой клетки макрофагами, повышенной активности Т-клеток, направленной против раковой клетки, повышенного образования макрофагов M1, сниженного образования макрофагов М2, повышенного рекрутинга дендритных клеток в микроокружение опухоли, повышенной активации дендритных клеток и повышенной цитотоксичности естественных киллерных клеток (NK) в отношении раковой клетки и выбор по меньшей мере одного средства, которое индуцирует по меньшей мере два из повышенного фагоцитоза, повышенной активности, повышенного образования, сниженного образования, рекрутинга, повышенной активации, сниженной активности и повышенной цитотоксичности; или

культивирование клетки-хозяина, содержащей один или несколько векторов, содержащих последовательность нуклеиновой кислоты, кодирующую средство, при этом последовательность нуклеиновой кислоты представляет собой последовательность средства, которое было выбрано посредством:

получения средства, которое связывается с внеклеточным доменом ILT2 или его фрагментом;

тестирования способности средства индуцировать по меньшей мере два из усиленного фагоцитоза раковой клетки макрофагами, повышенной активности Т-клеток, направленной против раковой клетки, повышенного образования макрофагов М1, сниженного образования макрофагов М2, повышенного рекрутинга дендритных клеток в микроокружение опухоли, повышенной активации дендритных клеток и повышенной цитотоксичности естественных киллерных клеток (NK) в отношении раковой клетки и

выбора по меньшей мере одного средства, которое обеспечивает увеличение в отношении по меньшей мере двух из повышенного фагоцитоза, повышенной активности, повышенного образования, сниженного образования, рекрутинга, повышенной активации, сниженной активности и повышенной цитотоксичности;

за счет чего обеспечивается получение средства.

[045] В соответствии с некоторыми вариантами осуществления способ по настоящему изобретению включает тестирование способности средства индуцировать по меньшей мере три из усиленного фагоцитоза раковой клетки макрофагами, повышенной активности Т-клеток, направленной против раковой клетки, повышенного образования макрофагов M1, сниженного образования макрофагов М2, повышенного рекрутинга дендритных клеток в микроокружение опухоли, повышенной активации дендритных клеток и повышенной цитотоксичности естественных киллерных клеток (NK) в отношении и выбор по меньшей мере одного средства, которое индуцирует по меньшей мере три из перечисленного.

[046] В соответствии с другим аспектом предусмотрен способ получения средства, при этом способ включает

получение средства, которое связывается с внеклеточным доменом ILT2 или его фрагментом, тестирование способности средства повышать эффективность средства терапии на основе антитела к PD-L1/PD-1, направленного против раковой клетки, и выбор по меньшей мере одного средства, которое повышает эффективность средства терапии на основе антитела к PD-L1/PD-1; или культивирование клетки-хозяина, содержащей один или несколько векторов, содержащих последовательность нуклеиновой кислоты, кодирующую средство, где последовательность нуклеиновой кислоты представляет собой последовательность средства, которое было выбрано посредством:

получения средства, которое связывается с внеклеточным доменом ILT2 или его фрагментом;

тестирования способности средства повышать эффективность средства терапии на основе антитела к PD-L1/PD-1, направленного против раковой клетки; и

выбора по меньшей мере одного средства, которое повышает эффективность средства терапии на основе антитела к PD-L1/PD-1, направленного против раковой клетки;

за счет чего обеспечивается получение средства.

[047] В соответствии с некоторыми вариантами осуществления повышение эффективности предусматривает синергетическое повышение секреции провоспалительного цитокина, или при этом повышенная цитотоксичность предусматривает повышение секреции провоспалительного цитокина.

[048] В соответствии с некоторыми вариантами осуществления провоспалительный цитокин выбран из GM-CSF, TNFα и IFNγ.

[049] В соответствии с некоторыми вариантами осуществления повышение эффективности предусматривает синергетическое повышение Т-клеточной активации, цитотоксичности или и того и другого.

[050] В соответствии с некоторыми вариантами осуществления повышение Т-клеточной активации, цитотоксичности или и того и другого предусматривает повышенную мембранную экспрессию CD107a.

[051] В соответствии с некоторыми вариантами осуществления повышение эффективности предусматривает преобразование рака, рефрактерного по отношению к средству терапии на основе антитела к PD-L1/PD-1, в рак, который отвечает на средство терапии на основе антитела к PD-L1/PD-1.

[052] В соответствии с некоторыми вариантами осуществления раковая клетка относится к раку, характеризующемуся экспрессией HLA-G или MHC-I.

[053] В соответствии с другим аспектом предусмотрен способ получения средства, при этом способ включает

получение средства, которое связывается с внеклеточным доменом ILT2 или его фрагментом, тестирование способности средства подавлять взаимодействие между ILT2 и B2M и выбор по меньшей мере одного средства, которое подавляет взаимодействие между ILT2 и B2M; или культивирование клетки-хозяина, содержащей один или несколько векторов, содержащих последовательность нуклеиновой кислоты, кодирующую средство, где последовательность нуклеиновой кислоты представляет собой последовательность средства, которое было выбрано посредством:

получения средства, которое связывается с внеклеточным доменом ILT2 или его фрагментом;

тестирования способности средства подавлять взаимодействие между ILT2 и B2M и

выбора по меньшей мере одного средства, которое подавляет взаимодействие между ILT2 и B2M;

за счет чего обеспечивается получение средства.

[054] В соответствии с другим аспектом предусмотрен способ получения средства, при этом способ включает

получение средства, которое связывается с эпитопом ILT2 в пределах последовательности ILT2 человека, выбранной из SEQ ID NO: 41, 42, 43 и 44, или культивирование клетки-хозяина, содержащей один или несколько векторов, содержащих последовательность нуклеиновой кислоты, кодирующую средство, где последовательность нуклеиновой кислоты представляет собой последовательность средства, которое было выбрано посредством получения средства, которое связывается с эпитопом ILT2 в пределах последовательности ILT2 человека, выбранной из SEQ ID NO: 41, 42, 43 и 44; за счет чего обеспечивается получение средства.

[055] В соответствии с другим аспектом предусмотрена молекула нуклеиновой кислоты, кодирующая антитело или антигенсвязывающий фрагмент по настоящему изобретению.

[056] В соответствии с некоторыми вариантами осуществления молекула нуклеиновой кислоты представляет собой вектор экспрессии.

[057] Дополнительные варианты осуществления и полный объем применимости настоящего изобретения станут очевидными из подробного описания, приведенного в данном документе ниже. Однако следует понимать, что подробное описание и конкретные примеры, представляя предпочтительные варианты осуществления настоящего изобретения, приводятся исключительно в иллюстративных целях, поскольку из данного подробного описания для специалистов в данной области техники станут очевидными различные изменения и модификации в пределах объема и сущности настоящего изобретения.

КРАТКОЕ ОПИСАНИЕ ГРАФИЧЕСКИХ МАТЕРИАЛОВ

[058] Фигура 1. Представлены гистограммы, на которых изображена экспрессия ILT2 на лимфоцитах. Использовали коммерческое антитело №1 в конечной концентрации 5 мкг/мл. Связывание показано в виде гистограммы черного цвета, в то время как окрашивание изотипического контроля показано в виде гистограммы светло-серого цвета.

[059] Фигура 2. Представлены гистограммы, на которых изображена экспрессия ILT2 на различных иммунных клетках. Использовали коммерческое антитело №1 в конечной концентрации 5 мкг/мл. Связывание показано в виде гистограммы черного цвета, в то время как окрашивание изотипического контроля показано в виде гистограммы светло-серого цвета.

[060] Фигуры 3A-3C. (3A) Представлена таблица видов рака из базы данных TCGA, согласно которой имеет место сверхэкспрессия РНК ILT2. (3B) Представлена точечная диаграмма корреляции между обогащением опухолей MDSC и уровнем экспрессии ILT2. Также представлена столбчатая диаграмма, на которой изображена корреляция между обогащением M2 и уровнем экспрессии ILT2. (3C). Представлена диаграмма рассеяния для процентного количества различных иммунных клеток, которые экспрессируют ILT2, в разных опухолях.

[061] Фигуры 4A-4B. (4A) Представлена столбчатая диаграмма процентного количества случаев различных видов рака, которые являются HLA-G-положительными, как определено посредством иммуногистохимического анализа (IHC). (4B) Представлены диаграммы рассеяния применительно к балльному показателю окрашивания HLA-G согласно результатам IHC для различных видов рака.

[062] Фигура 5. Представлена диаграмма рассеяния для уровней растворимой формы HLA-G при различных видах рака.

[063] Фигура 6. Представлены последовательности тяжелой и легкой цепей трех антител к ILT2. CDR, определенные согласно системе KABAT, подчеркнуты или выделены красным цветом.

[064] Фигуры 7A-7E. (7A) Представлена таблица значений связывания антител с ILT2 и членами семейства ILT2. (7B) Представлены гистограммы для связывания антител с ILT2 на клеточной поверхности клеток BW, трансфицированных ILT2 человека. (7C) Представлен линейный график связывания химерного и гуманизированного 19E3 (левая панель) и химерного и гуманизированного 15G8 (правая панель) с ILT2, экспрессированным на поверхности клеток BW, трансфицированных ILT2 человека. (7D) Представлено иммуноокрашивание образцов рака желудочно-кишечного тракта с помощью антитела 19E3. (7E) Представлена диаграмма рассеяния для процентного количества различных иммунных клеток, которые экспрессируют ILT2, в образцах РВМС от здоровых контролей и пациентов, страдающих раком, при использовании гуманизированного антитела 15G8.

[065] Фигуры 8A-8P. (8A) Представлена столбчатая диаграмма для процентного показателя блокирования для каждого антитела к ILT2 и положительного контроля (PC, антитело GHI/75). (8B) Представлена гистограмма для связывания ILT2-биотина с клетками, экспрессирующими HLA-G, в присутствии блокирующего ILT2 антитела. Связывание ILT2-биотина с клетками определяли с применением стрептавидина-PE посредством проточно-цитометрического анализа. Отсутствие антител (серая линия), 15G8 (светло-серая линия), изотипический контроль (черная линия). (8C) Представлен линейный график блокирующей активности гуманизированного антитела 15G8, определенной по связыванию ILT2-биотина с клетками, экспрессирующими HLA-G. (8D) Представлен линейный график блокирующей активности химерного и гуманизированного 19E3 (левая панель) и химерного и гуманизированного 15G8 (правая панель), определенной по связыванию ILT2-биотина с клетками, экспрессирующими HLA-G, в присутствии антител. (8E) Представлена столбчатая диаграмма для секреции мышиного IL-2 клетками, экспрессирующими репортерную в отношении передачи сигнала ILT2 конструкцию, в присутствии клеток, экспрессирующих HLA-G, а также в присутствии или в отсутствие блокирующих ILT2 антител. PC - положительный контроль (антитело GHI/75). (8F) Представлен линейный график блокирующей активности гуманизированного антитела 15G8, определенной посредством репортерного анализа. (8G) Представлена столбчатая диаграмма секреции мышиного IL-2 клетками, экспрессирующими репортерную в отношении передачи сигнала ILT2 конструкцию в присутствии или в отсутствие блокирующего ILT2 антитела и антитела положительного контроля. (8H-8K) Представлена столбчатая диаграмма для секреции человеческого IL-2 клетками Jurkat (8H), лишенными ILT2 или (8I-8K) экспрессирующими ILT2, совместно культивируемыми с раковыми клетками A375 (8I), характеризующимися экспрессией только MHC-I, или (8J-8K) экспрессирующими как MHC-I, так и экзогенный HLA-G, в присутствии или в отсутствие блокирующего ILT2 антитела и положительного контроля (8I-J) в виде антитела ко всем формам HLA или (8K) HLA-G-специфичного антитела. (8L-8N) Представлены гистограммы для секреции человеческого IL-2 клетками Jurkat, экспрессирующими ILT2, культивируемыми совместно с раковыми клетками A375, экспрессирующими HLA-G, в присутствии или в отсутствие (8L) антитела 15G8, (8M) антитела GHI/75 и (8N) антитела HP-F1. (8O-8P) Представлены точечные диаграммы для экспрессии маркеров активации, представленных (8O) фосфорилированным ZAP70 и (8P) фосфорилированным Syk, в клетках TIL и NK-клетках соответственно, инкубированных с HLA-G-положительными раковыми клетками в присутствии и в отсутствие антитела 15G8.

[066] Фигуры 9A-9D. (9A) Представлена столбчатая диаграмма, измеряющая в процентах относительно контроля фагоцитоз экспрессирующих HLA-G раковых клеток, совместно культивируемыми с макрофагами, в присутствии антител к ILT2, определенный с применением способа на основе FACS. (9B) Представлен линейный график фагоцитоза раковых клеток макрофагами в реальном времени в присутствии антител к ILT2, определенного с применением системы Incucyte®. (9C) Представлены столбчатые диаграммы, измеряющие в процентах относительно контроля фагоцитоз различных раковых клеток, экспрессирующих HLA-G и MHC-I, совместно культивируемых с макрофагами, в присутствии антитела к ILT2 15G8. (9D) Представлена столбчатая диаграмма для фагоцитоза, осуществляемого макрофагами, совместно культивируемыми с клетками A253-HLA-G, в присутствии антител к ILT2, эрбитукс, контрольного hIgG или их комбинаций.

[067] Фигуры 10A-10B. Представлены столбчатые диаграммы для секреции IFNγ и секреции гранзима B активированными CD8 T-клетками, совместно культивируемыми с (10A) клетками 721.221 дикого типа, или клетками 721.221, экспрессирующими HLA-G, или (10B) клетками A375, экспрессирующими HLA-G, в присутствии антител к ILT2.

[068] Фигуры 11A-11H. (11A-11B) Представлены столбчатые диаграммы для процентного значения уровня цитотоксичности клеток линии NK-клеток, совместно культивируемых с различными линиями раковых клеток, экспрессирующих (11A) HLA-G и (11B) MHC-I, в присутствии антител к ILT2. (11C-11D) Представлены столбчатые диаграммы для секреции (11C) гранзима B и (11D) IFNγ клетками линии NK-клеток, совместно культивируемыми с клетками рака H&N и меланомными клетками соответственно, в присутствии антител к ILT2 15G8. (11E-11F) Представлены столбчатые диаграммы (11E) для экспрессии IFNγ и (11F) экспрессии CD107A ILT2-положительными первичными NK-клетками, инкубированными с раковыми клетками-мишенями, в присутствии антител к ILT2. (11G-11H) Представлены диаграммы рассеяния для индивидуальной экспрессии, демонстрирующие корреляцию между ILT2-положительными клетками и (11G) экспрессией IFNγ и (11H) экспрессией CD107A в ответ на антитела к ILT2.

[069] Фигура 12. Представлены линейные графики экспрессии HLA-DR и CD80 (MFI), определенной с применением проточной цитометрии, макрофагами, которые дифференцировались из моноцитов, выделенных от здоровых доноров, в макрофаги M0, M1 или M2, в присутствии IgG или антитела к ILT2. Для каждого тестируемого состояния указано количество пациентов, у которых наблюдалась повышенная экспрессия указанного маркера по сравнению с контрольным IgG.

[070] Фигуры 13A-13C. (13A) Представлена столбчатая диаграмма для фагоцитоза, осуществляемого макрофагами, совместно культивируемыми с различными первичными опухолевыми клетками. (13B-13C) Представлены столбчатые диаграммы для дозозависимого фагоцитоза первичных опухолевых клеток, выделенных от пациента с RCC (13B) и пациента с раком H&N (13C), осуществляемого аутологичными макрофагами, в присутствии гуманизированного антитела по настоящему изобретению.

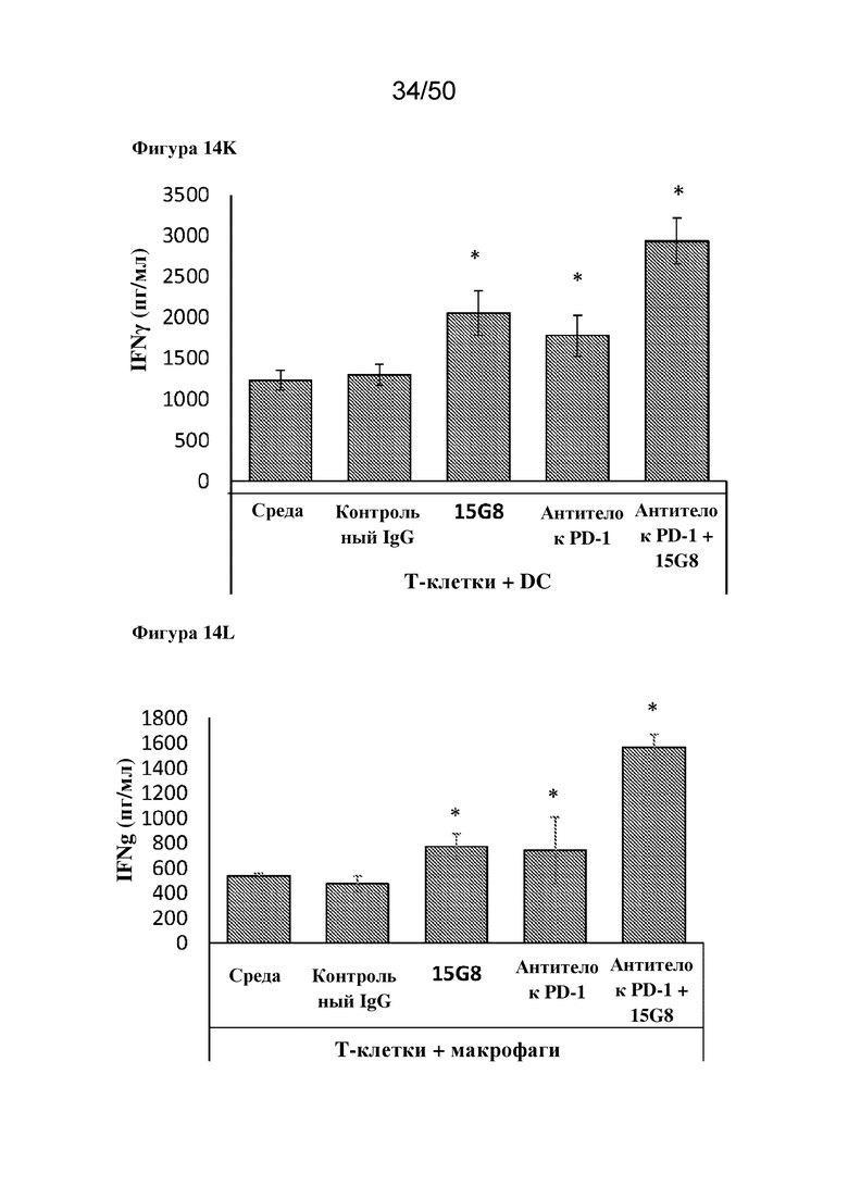
[071] Фигуры 14A-14L. (14A) Представлены точечные диаграммы для экспрессии ILT2 и PD-1 в опухолевых клетках (левые панели) и РВМС (правые панели) у пациентов с RCC и раком пищевода. (14B-14C) Представлены диаграммы размаха для (14B) экспрессии РНК PD-1 и (14C) ILT2 в популяциях CD8 T-клеток в TME пациентов с CRC. (14D-14E) Представлены точечные диаграммы экспрессии (14D) ILT2 в CD8 T-клетках из периферической крови здоровых доноров и экспрессии (14E) ILT2 и PD-1 в TIL при раке пищевода. (14F) Представлена диаграмма рассеяния для повышения количества мембранного CD107a на РВМС от 10 здоровых доноров, активированных стафилококковым энтеротоксином B (SEB), в присутствии 15G8, антитела к PD-1 или комбинации обоих из них. (14G) Представлены столбиковые диаграммы для повышения уровня экспрессии CD107a в иллюстративных РВМС от 3 доноров. (14H-14J) Представлены столбиковые диаграммы для уровней секреции воспалительных цитокинов (14H) IFNγ, (14I) TNFα, (14J) GM-CSF, осуществляемой активированными РВМС, совместно культивируемыми с различными первичными раковыми клетками, в присутствии антитела к PD-1, гуманизированного антитела к ILT2 или обоих из них. (14K-14L). Представлены столбиковые диаграммы для уровней секреции IFNγ Т-клетками, совместно культивируемыми с (14K) дендритными клетками или (14L) макрофагами, в ходе реакции смешанной культуры лимфоцитов.

[072] Фигуры 15A-15F. (15A) Представлены линейные графики изменения объема опухолей, характеризующихся экспрессией HLA-G и MHC-I, выращенных у мышей с ослабленным иммунитетом, в присутствии макрофагов человека и антител к ILT2. (15B). Проиллюстрирована схема обработки мышей, проводимой с целью предупреждения развития опухолей легкого. (15C) Представлены фотографии легких мышей с ослабленным иммунитетом, инокулированных HLA-G-положительными раковыми клетками совместно с PBMC человека и антителом к ILT2 или без них. (15D) Представлена диаграмма рассеяния, обобщающая данные для 15C. (15E) Проиллюстрирована схема обработки мышей, проводимой с целью лечения уже развившихся опухолей легкого. (15F) Представлена диаграмма размаха для значений массы опухолей.

[073] Фигуры 16A-16F. (16A-16F) Представлены диаграммы размаха для (16A) экспрессии CD107A в общем количестве CD8 Т-клеток, (16B) экспрессии CD107A в TEMRA-клетках, (16C) экспрессии CD69 в NK-клетках, (16D) экспрессии CD69 в общем количестве CD8 T-клеток, (16E) экспрессии CD107 в TEMRA-клетках и (16F) экспрессии CD69 в обработанных комбинацией NK-клетках у мышей, которым вводили РВМС от доноров с низким или высоким уровнями ILT2 в их TEMRA-клетках или NK-клетках соответственно. * обозначает P < 0,005. ** обозначает P < 0,0005. *** обозначает P < 0,0001.

[074] Фигуры 17A-17F. (17A) Проиллюстрирована схема обработки мышей, являющихся гуманизированными мышами NSG, инокулированных клетками рака H&N и обработанных антителом к ILT2 или контрольными антителами. (17B) Представлен линейный график изменения массы опухоли у мышей, обработанных IgG и антителом к ILT2. (17C-17E) Представлены столбчатые диаграммы для (17C) исходных уровней ILT2 в периферических CD8 T-клетках у мышей, у которых имелся ответ (R) или отсутствовал ответ (NR) на обработку с помощью BND-22. Представлены внутриопухолевая экспрессия CD107A после обработки (17D), (17E) соотношение M1/M2 и (17F) общее количество CD80-положительных дендритных клеток у четырех мышей, обработанных антителом к ILT2.

[075] Фигуры 18A-18F. (18A) Представлена частичная последовательность ILT2, демонстрирующая остатки со значительной степенью прогнозируемого связывания. Эти остатки разделены на четыре категории в зависимости от первоначальной вероятности того, что они принадлежат эпитопу: от фиолетового цвета для наиболее высокой вероятности до светло-цианового цвета для наиболее низкой вероятности (но при этом еще сохраняющей значимость). Посредством звездочек указаны положения выбранных мутаций. (18B-18C) Представлены трехмерные изображения структуры поверхности ILT2, демонстрирующие (18B) расположение остатков, указанных на 18A, и (18C) четырех основных областей взаимодействия на ILT2. (18D-18F) Представлены трехмерные ленточные диаграммы или диаграммы поверхности ILT2, демонстрирующие (18D) эпитоп антитела 15G8 (желтый/розовый цвет) и эпитоп антител 3H5, 12D12 и 27H5 из WO2020/136145 (красный цвет), а также вторичный эпитоп антитела 3H5 (темно-синий цвет) (18E-18F) и взаимодействие эпитопа 15G8 на ILT2 (розовый цвет) с B2M (сиреневый цвет) в комплексе с (18E) HLA-A (синий цвет) или (18F) HLA-G (синий цвет).

[076] Фигуры 19A-19C. (19A-19B) Представлены столбчатые диаграммы для выраженного в % повышения фагоцитоза по сравнению с контрольным IgG, осуществляемого в отношении раковых клеток (19A) A375-HLA-G и (19B) SKMEL28-HLA-G, совместно культивируемых с макрофагами, в присутствии различных антител к ILT2. (19C) Представлен линейный график для конкурентного связывания ILT2 в ходе проведения ELISA с использованием биотинилированного антитела 15G8 в присутствии конкурирующих небиотинилированных антител GHI/75, HP-F1 и 15G8.

ПОДРОБНОЕ ОПИСАНИЕ ИЗОБРЕТЕНИЯ

[077] Настоящее изобретение относится к моноклональным антителам или антигенсвязывающим фрагментам и фармацевтическим композициям, которые обеспечивают связывание ILT2 и подавление ILT2-опосредованной иммуносупрессии. Также предусмотрены способы лечения рака и усиления эффективности средства иммунотерапии, направленного на PD-1/PD-L1.

[078] Настоящее изобретение по меньшей мере частично основано на неожиданном обнаружении того, что антагонизм ILT2 действует синергетическим образом со средствами иммунотерапии, направленными на PD-1 и PD-L1, при борьбе с раковыми клетками. В частности, было обнаружено, что блокирующие ILT2 антитела в комбинации с антителами к PD-1 повышали секрецию провоспалительного цитокина иммунными клетками. Это повышение было не просто аддитивным, а превышающим сумму эффектов каждого средства в отдельности. Фактически, по меньшей мере в случае одного цитокина наблюдалось впервые обнаруженное повышение, тогда как ни одно из средств по отдельности не оказывало какого-либо эффекта. Данное комбинированное лечение позволяет преобразовывать рефрактерные в отношении воздействия на PD-1/PD-L1 виды рака в восприимчивые к таковому.

[079] Кроме того, неожиданно было обнаружено, что уровень экспрессии ILT2 в иммунных клетках пациентов коррелировал с эффективностью блокирующей ILT2 терапии. У ответивших на терапию пациентов уровень ILT2 являлся высоким, тогда как у пациентов с отсутствием ответа уровень ILT2 являлся низким. В частности, циркулирующие CD8-положительные Т-клетки позволяли осуществлять прогнозирование исхода лечения.

[080] Наконец, было обнаружено, что антитела по настоящему изобретению связывают уникальный эпитоп в пределах междоменной области ILT2 между доменами D1 и D2. Известно, что эта область представляет собой домен взаимодействия между ILT2 и B2M, и антитела по настоящему изобретению являются первыми известными антителами, непосредственно блокирующими это взаимодействие. Кроме того, было обнаружено, что антитела по настоящему изобретению характеризуются иммуностимулирующими эффектами, о которых не сообщалось для других антител к ILT2. Антитела были способны модулировать иммунологический надзор, осуществляемый Т-клетками, NK-клетками, дендритными клетками и макрофагами в отношении раковых клеток, экспрессирующих HLA-G и MHC-I. В частности, впервые антитело к ILT2, используемое в качестве монотерапии, было способно усиливать фагоцитоз раковых клеток.

Антитела

[081] В первом аспекте предусмотрены антитело или антигенсвязывающий фрагмент, содержащие три CDR тяжелой цепи (CDR-H) и три CDR легкой цепи (CDR-L), где CDR-H1 содержит аминокислотную последовательность, представленную под SEQ ID NO: 1 (DHTIH), CDR-H2 содержит аминокислотную последовательность, представленную под SEQ ID NO: 2 (YIYPRDGSTKYNEKFKG), CDR-H3 содержит аминокислотную последовательность, представленную под SEQ ID NO: 3 (TWDYFDY), CDR-L1 содержит аминокислотную последовательность, представленную под SEQ ID NO: 4 (RASESVDSYGNSFMH), CDR-L2 содержит аминокислотную последовательность, представленную под SEQ ID NO: 5 (RASNLES), и CDR-L3 содержит аминокислотную последовательность, представленную под SEQ ID NO: 6 (QQSNEDPYT).

[082] В другом аспекте предусмотрены антитело или антигенсвязывающий фрагмент, содержащие три CDR тяжелой цепи (CDR-H) и три CDR легкой цепи (CDR-L), где CDR-H1 содержит аминокислотную последовательность, представленную под SEQ ID NO: 7 (GYTFTSYGIS), CDR-H2 содержит аминокислотную последовательность, представленную под SEQ ID NO: 8 (EIYPGSGNSYYNEKFKG), CDR-H3 содержит аминокислотную последовательность, представленную под SEQ ID NO: 9 (SNDGYPDY), CDR-L1 содержит аминокислотную последовательность, представленную под SEQ ID NO: 10 (KASDHINNWLA), CDR-L2 содержит аминокислотную последовательность, представленную под SEQ ID NO: 11 (GATSLET), и CDR-L3 содержит аминокислотную последовательность, представленную под SEQ ID NO: 12 (QQYWSTPWT).

[083] В другом аспекте предусмотрены антитело или антигенсвязывающий фрагмент, содержащие три CDR тяжелой цепи (CDR-H) и три CDR легкой цепи (CDR-L), где CDR-H1 содержит аминокислотную последовательность, представленную под SEQ ID NO: 13 (SGYYWN), CDR-H2 содержит аминокислотную последовательность, представленную под SEQ ID NO: 14 (YISYDGSNNYNPSLKN), CDR-H3 содержит аминокислотную последовательность, представленную под SEQ ID NO: 15 (GYSYYYAMDX), CDR-L1 содержит аминокислотную последовательность, представленную под SEQ ID NO: 16 (RTSQDISNYLN), CDR-L2 содержит аминокислотную последовательность, представленную под SEQ ID NO: 17 (YTSRLHS), и CDR-L3 содержит аминокислотную последовательность, представленную под SEQ ID NO: 18 (QQGNTLPT), где X выбран из A, C и S.

[084] В некоторых вариантах осуществления SEQ ID NO: 16 представляет собой GYSYYYAMDA (SEQ ID NO: 25). В некоторых вариантах осуществления SEQ ID NO: 16 представляет собой SEQ ID NO: 25, и антитело или антигенсвязывающий фрагмент представляют собой гуманизированное антитело. В некоторых вариантах осуществления SEQ ID NO: 16 представляет собой GYSYYYAMDS (SEQ ID NO: 26). В некоторых вариантах осуществления SEQ ID NO: 16 представляет собой SEQ ID NO: 26, и антитело или антигенсвязывающий фрагмент представляют собой гуманизированное антитело. В некоторых вариантах осуществления SEQ ID NO: 16 представляет собой GYSYYYAMDC (SEQ ID NO: 27). В некоторых вариантах осуществления SEQ ID NO: 16 представляет собой SEQ ID NO: 27, и антитело или антигенсвязывающий фрагмент представляют собой мышиное антитело.

[085] В другом аспекте предусмотрены антитело или антигенсвязывающий фрагмент, которые связывают междоменную область члена 1 подсемейства В иммуноглобулиноподобных рецепторов лейкоцитов (ILT2) человека между доменами D1 и D2.

[086] В другом аспекте предусмотрены антитело или антигенсвязывающий фрагмент, которые связывают эпитоп ILT2 в пределах последовательности ILT2, выбранной из VKKGQFPIPSITWEH (SEQ ID NO: 41), LELVVTGAYIKPTLS (SEQ ID NO: 42), VILQCDSQVAFDGFS (SEQ ID NO: 43) и WYRCYAYDSNSPYEW (SEQ ID NO: 44).

[087] В другом аспекте предусмотрены антитело или антигенсвязывающий фрагмент, которые связывают ILT2 и подавляют взаимодействие между ILT2 и бета-2-микроглобулином (B2M).

[088] В другом аспекте предусмотрены антитело или антигенсвязывающий фрагмент, которые связывают ILT2 и индуцируют у субъекта, страдающего раком, по меньшей мере одно из:

повышенной цитотоксичности естественных киллерных клеток (NK);

повышенной Т-клеточной цитотоксичности, пролиферации или и того и другого;

повышенного макрофагального фагоцитоза, повышенного образования воспалительных макрофагов М1, сниженного образования супрессорных макрофагов М2 или их комбинации и

повышенного хоминга дендритных клеток к опухоли, имеющейся при указанном раке, повышенной активации дендритных клеток или их комбинации.

[089] В некоторых вариантах осуществления антитело представляет собой моноклональное антитело. В некоторых вариантах осуществления антитело представляет собой поликлональное антитело. В некоторых вариантах осуществления антитело представляет собой человеческое антитело. В некоторых вариантах осуществления антитело представляет собой мышиное антитело. В некоторых вариантах осуществления антитело представляет собой гуманизированное антитело. Используемый в данном документе термин "гуманизированное" антитело относится к антителу с остовом человеческого антитела, однако которое содержит CDR, которые происходят или взяты из антитела, отличного от человеческого. В некоторых вариантах осуществления во время гуманизации CDR могут повергаться изменению, но, как правило, их все еще получают из CDR антитела, отличного от человеческого. В некоторых вариантах осуществления антигенсвязывающий фрагмент представляет собой одноцепочечное антитело. В некоторых вариантах осуществления антигенсвязывающий фрагмент представляет собой однодоменное антитело.

[090] В некоторых вариантах осуществления антитело или антигенсвязывающий фрагмент связываются с членом 1 подсемейства B иммуноглобулиноподобных рецепторов лейкоцитов (ILT2). В некоторых вариантах осуществления ILT2 представляет собой ILT2 человека. В некоторых вариантах осуществления ILT2 представляет собой ILT2 млекопитающего. В некоторых вариантах осуществления ILT2 представляет собой ILT2 примата. В некоторых вариантах осуществления ILT2 представляет собой мышиный ILT2. В некоторых вариантах осуществления антитело или антигенсвязывающий фрагмент связывают внеклеточный домен ILT2. В некоторых вариантах осуществления антитело или антигенсвязывающий фрагмент связывают лигандный карман ILT2. В некоторых вариантах осуществления лиганд представляет собой B2M. В некоторых вариантах осуществления лиганд не представляет собой HLA. В некоторых вариантах осуществления лиганд представляет собой HLA. В некоторых вариантах осуществления HLA представляет собой HLA-G. В некоторых вариантах осуществления лиганд не представляет собой MHC. В некоторых вариантах осуществления лиганд представляет собой MHC. В некоторых вариантах осуществления MHC представляет собой MHC класса I (MHC-I). В некоторых вариантах осуществления антитело или антигенсвязывающий фрагмент связывают междоменную область ILT2. В некоторых вариантах осуществления междоменная область представляет собой поверхность раздела между доменами D1 и D2. В некоторых вариантах осуществления междоменная область представляет собой шарнирный домен между доменами D1 и D2. В некоторых вариантах осуществления междоменная область не предусматривает N-концевой домен D1. В некоторых вариантах осуществления междоменная область находится в пределах аминокислот 54-184 из SEQ ID NO: 31. В некоторых вариантах осуществления аминокислоты 54-184 из SEQ ID NO: 31 предусматривают междоменную область. В некоторых вариантах осуществления междоменная область находится в пределах аминокислот 90-184 из SEQ ID NO: 31. В некоторых вариантах осуществления аминокислоты 90-184 предусматривают междоменную область. В некоторых вариантах осуществления антитело или антигенсвязывающий фрагмент связывают эпитоп в пределах междоменной области. В некоторых вариантах осуществления эпитоп охватывает по меньшей мере 25, 30, 35, 40, 45, 50, 55, 60, 65, 70, 75, 80, 85, 90, 95, 97, 99 или 100% междоменной области. Каждая возможность представляет собой отдельный вариант осуществления настоящего изобретения. В некоторых вариантах осуществления эпитоп находится в пределах D2. В некоторых вариантах осуществления антитело или антигенсвязывающий домен связывают эпитоп в D2. В некоторых вариантах осуществления эпитоп по меньшей мере частично находится в D2. В некоторых вариантах осуществления антитело или антигенсвязывающий домен связывают эпитоп, по меньшей мере частично находящийся в D2. В некоторых вариантах осуществления эпитоп охватывает D1 и D2. В некоторых вариантах осуществления антитело или антигенсвязывающий фрагмент не связывают домен ILT2, который взаимодействует с доменом α3 HLA-G.

[091] В некоторых вариантах осуществления ILT2 представляет собой ILT2 млекопитающего. В некоторых вариантах осуществления ILT2 представляет собой ILT2 человека. В некоторых вариантах осуществления ILT2 характеризуется аминокислотной последовательностью, представленной в референтной последовательности NCBI NP_006660.4. В некоторых вариантах осуществления ILT2 характеризуется следующей аминокислотной последовательностью: MTPILTVLICLGLSLGPRTHVQAGHLPKPTLWAEPGSVITQGSPVTLRCQGGQETQEYRLYREKKTALWITRIPQELVKKGQFPIPSITWEHAGRYRCYYGSDTAGRSESSDPLELVVTGAYIKPTLSAQPSPVVNSGGNVILQCDSQVAFDGFSLCKEGEDEHPQCLNSQPHARGSSRAIFSVGPVSPSRRWWYRCYAYDSNSPYEWSLPSDLLELLVLGVSKKPSLSVQPGPIVAPEETLTLQCGSDAGYNRFVLYKDGERDFLQLAGAQPQAGLSQANFTLGPVSRSYGGQYRCYGAHNLSSEWSAPSDPLDILIAGQFYDRVSLSVQPGPTVASGENVTLLCQSQGWMQTFLLTKEGAADDPWRLRSTYQSQKYQAEFPMGPVTSAHAGTYRCYGSQSSKPYLLTHPSDPLELVVSGPSGGPSSPTTGPTSTSGPEDQPLTPTGSDPQSGLGRHLGVVIGILVAVILLLLLLLLLFLILRHRRQGKHWTSTQRKADFQHPAGAVGPEPTDRGLQWRSSPAADAQEENLYAAVKHTQPEDGVEMDTRSPHDEDPQAVTYAEVKHSRPRREMASPPSPLSGEFLDTKDRQAEEDRQMDTEAAASEAPQDVTYAQLHSLTLRREATEPPPSQEGPSPAVPSIYATLAIH (SEQ ID NO: 31).

[092] В некоторых вариантах осуществления ILT2 характеризуется аминокислотной последовательностью, представленной в референтной последовательности NCBI NP_001075106.2. В некоторых вариантах осуществления ILT2 характеризуется аминокислотной последовательностью, представленной в референтной последовательности NCBI NP_001075107.2. В некоторых вариантах осуществления ILT2 характеризуется аминокислотной последовательностью, представленной в референтной последовательности NCBI NP_001075108.2. В некоторых вариантах осуществления ILT2 характеризуется аминокислотной последовательностью, представленной в референтной последовательности NCBI NP_001265328.2.

[093] В некоторых вариантах осуществления домен D1 ILT2 содержит аминокислотную последовательность GHLPKPTLWAEPGSVITQGSPVTLRCQGGQETQEYRLYREKKTALWITRIPQELVKKGQFPIPSITWEHAGRYRCYYGSDTAGRSESSDPLELVVTGA (SEQ ID NO: 46) или состоит из нее. В некоторых вариантах осуществления домен D1 ILT2 содержит аминокислоты 24-121 из SEQ ID NO: 31 или состоит из них. В некоторых вариантах осуществления домен D2 ILT2 содержит аминокислотную последовательность YIKPTLSAQPSPVVNSGGNVILQCDSQVAFDGFSLCKEGEDEHPQCLNSQPHARGSSRAIFSVGPVSPSRRWWYRCYAYDSNSPYEWSLPSDLLELLVLGV (SEQ ID NO: 47) или состоит из нее. В некоторых вариантах осуществления домен D2 ILT2 содержит аминокислоты 122-222 из SEQ ID NO: 31 или состоит из них. В некоторых вариантах осуществления междоменная область ILT2 содержит аминокислоты Gln41, Lys65, Trp90, Gly120, Ala121, Val122, Ile123, Gln148, Val149, Ala150, Phe151, Asp201, Asn203 и Glu207 из SEQ ID NO: 31. В некоторых вариантах осуществления эпитоп содержит аминокислоты Gln41, Lys65, Trp90, Gly120, Ala121, Val122, Ile123, Gln148, Val149, Ala150, Phe151, Asp201, Asn203 и Glu207 из SEQ ID NO: 31. В некоторых вариантах осуществления эпитоп содержит по меньшей мере 5, 6, 7, 8, 9, 10, 11, 12, 13 или 14 аминокислот, выбранных из аминокислот Gln41, Lys65, Trp90, Gly120, Ala121, Val122, Ile123, Gln148, Val149, Ala150, Phe151, Asp201, Asn203 и Glu207 из SEQ ID NO: 31. В некоторых вариантах осуществления эпитоп содержит по меньшей мере 10 аминокислот, выбранных из аминокислот Gln41, Lys65, Trp90, Gly120, Ala121, Val122, Ile123, Gln148, Val149, Ala150, Phe151, Asp201, Asn203 и Glu207 из SEQ ID NO: 31. В некоторых вариантах осуществления антитело или антигенсвязывающий фрагмент связывают эпитоп ILT2, представленный под SEQ ID NO: 41. В некоторых вариантах осуществления антитело или антигенсвязывающий фрагмент связывают эпитоп ILT2, представленный под SEQ ID NO: 42. В некоторых вариантах осуществления антитело или антигенсвязывающий фрагмент связывают эпитоп ILT2, представленный под SEQ ID NO: 43. В некоторых вариантах осуществления антитело или антигенсвязывающий фрагмент связывают эпитоп ILT2, представленный под SEQ ID NO: 44. В некоторых вариантах осуществления антитело или антигенсвязывающий фрагмент связывают 3-мерный эпитоп, предусматривающий по меньшей мере две из последовательностей под SEQ ID NO: 41, 42, 43 и 44. В некоторых вариантах осуществления 3-мерный эпитоп предусматривает по меньшей мере 3 из последовательностей под SEQ ID NO: 41, 42, 43 и 44. В некоторых вариантах осуществления 3-мерный эпитоп предусматривает SEQ ID NO: 41, 42, 43 и 44.

[094] В некоторых вариантах осуществления антитело или антигенсвязывающий фрагмент связывают эпитоп ILT2, содержащий остаток из ILT2, выбранный из Q18, G19, K42, L45, S64, I65, T66, W67, E68, G97, A98, Y99, I100, Q125, V126, A127, F128, D178, N180, S181 и E184. В некоторых вариантах осуществления антитело или антигенсвязывающий фрагмент связывают эпитоп ILT2, содержащий остаток из ILT2, выбранный из G97, A98, Y99, I100, Q125 и V126. В некоторых вариантах осуществления антитело или антигенсвязывающий фрагмент связывают эпитоп ILT2, содержащий множество остатков из ILT2, выбранных из Q18, G19, K42, L45, S64, I65, T66, W67, E68, G97, A98, Y99, I100, Q125, V126, A127, F128, D178, N180, S181 и E184. В некоторых вариантах осуществления антитело или антигенсвязывающий фрагмент связывают эпитоп ILT2, содержащий множество остатков из ILT2, выбранных из G97, A98, Y99, I100, Q125 и V126. В некоторых вариантах осуществления антитело или антигенсвязывающий фрагмент связывают по меньшей мере 1, 2, 3, 4, 5, 6, 7, 8, 9, 10, 11, 12, 13, 14, 15, 16, 17, 18, 19, 20 или 21 остаток, выбранные из Q18, G19, K42, L45, S64, I65, T66, W67, E68, G97, A98, Y99, I100, Q125, V126, A127, F128, D178, N180, S181 и E184. Каждая возможность представляет собой отдельный вариант осуществления настоящего изобретения. В некоторых вариантах осуществления антитело или антигенсвязывающий фрагмент связывают по меньшей мере 1, 2, 3, 4, 5 или 6 остатков, выбранных из G97, A98, Y99, I100, Q125 и V126. Каждая возможность представляет собой отдельный вариант осуществления настоящего изобретения. В некоторых вариантах осуществления антитело или антигенсвязывающий фрагмент связывают G97, A98, Y99, I100, Q125 и V126. Следует понимать, что номер, используемый в данном документе, относится к SEQ ID NO: 31.

[095] В некоторых вариантах осуществления антитело или антигенсвязывающий фрагмент являются антагонистом ILT2. В некоторых вариантах осуществления антитело или антигенсвязывающий фрагмент не являются агонистом ILT2. В некоторых вариантах осуществления антагонизм относится к ILT2-опосредованной иммуносупрессии. В некоторых вариантах осуществления антитело или антигенсвязывающий фрагмент подавляют ILT2-опосредованную иммуносупрессию. В некоторых вариантах осуществления антитело или антигенсвязывающий фрагмент подавляют передачу сигнала, опосредуемую ILT2.

[096] В некоторых вариантах осуществления антитело или антигенсвязывающий фрагмент подавляют взаимодействие между ILT2 и B2M. В некоторых вариантах осуществления взаимодействие представляет собой непосредственное взаимодействие. В некоторых вариантах осуществления антитело или антигенсвязывающий фрагмент подавляют контактное взаимодействие между ILT2 и B2M. В некоторых вариантах осуществления контактное взаимодействие представляет собой непосредственное контактное взаимодействие. В некоторых вариантах осуществления антитело или антигенсвязывающий фрагмент подавляют взаимодействие между ILT2 и HLA, MHC или ими обоими. В некоторых вариантах осуществления антитело или антигенсвязывающий фрагмент подавляют взаимодействие между ILT2 и HLA, MHC или ими обоими посредством подавления взаимодействия ILT2 с B2M. В некоторых вариантах осуществления взаимодействие опосредовано B2M. В некоторых вариантах осуществления антитело опосредованно подавляет взаимодействие с HLA, MHC или ими обоими посредством подавления взаимодействия с B2M. В некоторых вариантах осуществления взаимодействие представляет собой опосредованное B2M взаимодействие. В некоторых вариантах осуществления антитело или антигенсвязывающий фрагмент подавляют взаимодействие между ILT2 и комплексом B2M/HLA. В некоторых вариантах осуществления антитело или антигенсвязывающий фрагмент подавляют взаимодействие между ILT2 и комплексом B2M/MHC. В некоторых вариантах осуществления комплекс содержит мономер B2M. В некоторых вариантах осуществления комплекс содержит мономер HLA или MHC. В некоторых вариантах осуществления комплекс содержит димер B2M. В некоторых вариантах осуществления комплекс содержит димер HLA или MHC.

[097] В некоторых вариантах осуществления ILT2-опосредованная иммуносупресси представляет собой супрессию иммунной клетки. В некоторых вариантах осуществления иммунная клетка выбрана из Т-клетки, макрофага, дендритной клетки и естественной киллерной клетки (NK). В некоторых вариантах осуществления ILT2-опосредованная иммуносупрессия представляет собой супрессию Т-клетки, макрофага, дендритной клетки и NK-клетки. В некоторых вариантах осуществления ILT2-опосредованная иммуносупрессия представляет собой супрессию Т-клетки, макрофага и NK-клетки. В некоторых вариантах осуществления Т-клетка представляет собой CD8-положительную Т-клетку. В некоторых вариантах осуществления Т-клетка представляет собой TEMRA-клетку (терминально дифференцированную эффекторную клетку памяти, повторно экспрессирующую CD45RA). В некоторых вариантах осуществления иммунная клетка выбрана из CD8-положительной Т-клетки, TEMRA-клетки, дендритной клетки, макрофага и естественной киллерной клетки (NK). В некоторых вариантах осуществления иммунная клетка представляет собой Т-клетку. В некоторых вариантах осуществления иммунная клетка представляет собой NK-клетку. В некоторых вариантах осуществления иммунная клетка представляет собой макрофаг. В некоторых вариантах осуществления макрофаг представляет собой опухоль-ассоциированный макрофаг (ТАМ). В некоторых вариантах осуществления иммунная клетка представляет собой дендритную клетку. В некоторых вариантах осуществления дендритная клетка представляет собой толерогенную дендритную клетку. В некоторых вариантах осуществления иммунная клетка представляет собой иммунную клетку периферической крови. В некоторых вариантах осуществления иммунная клетка представляет собой мононуклеарную клетку периферической крови (РВМС). В некоторых вариантах осуществления иммунная клетка представляет собой внутриопухолевую иммунную клетку. В некоторых вариантах осуществления иммунная клетка представляет собой иммунную клетку, находящуюся в микроокружении опухоли (TME). В некоторых вариантах осуществления ILT2-опосредованная иммуносупрессия представляет собой подавление макрофагального фагоцитоза. В некоторых вариантах осуществления ILT2-опосредованная иммуносупрессия представляет собой супрессию цитотоксичности NK-клеток. В некоторых вариантах осуществления ILT2-опосредованная иммуносупрессия представляет собой супрессию цитотоксичности Т-клеток. В некоторых вариантах осуществления ILT2-опосредованная иммуносупрессия представляет собой супрессию пролиферации Т-клеток. В некоторых вариантах осуществления ILT2-опосредованная иммуносупрессия представляет собой супрессию пролиферации иммунных клеток.

[098] В некоторых вариантах осуществления антитело или антигенсвязывающий фрагмент не связывают член подсемейства В иммуноглобулиноподобных рецепторов лейкоцитов, отличный от ILT2. В некоторых вариантах осуществления антитело или антигенсвязывающий фрагмент являются специфичными в отношении ILT2. В некоторых вариантах осуществления антитело или антигенсвязывающий фрагмент преимущественно связываются с ILT2. В некоторых вариантах осуществления антитело или антигенсвязывающий фрагмент не подавляют член подсемейства В иммуноглобулиноподобных рецепторов лейкоцитов, отличный от ILT2.

[099] Как используется в данном документе, "повышенная эффективность связывания" относится к уровню специфического связывания с мишенью или антигеном, который является более высоким, чем уровень связывания для изотипического контроля. В некоторых вариантах осуществления повышенный уровень связывания предусматривает повышение эффективности связывания на по меньшей мере 10, 20, 30, 40, 50, 60, 70, 80, 90, 100, 200, 300, 400, 500, 600, 700, 800, 900 или 1000%. Каждая возможность представляет собой отдельный вариант осуществления настоящего изобретения. В некоторых вариантах осуществления повышенный уровень связывания предусматривает наличие связывания по сравнению с изотипическим контролем, в случае которого связывание отсутствует. Специалист в данной области техники будет хорошо осведомлен относительно связывания антитела со специфическим доменом. Связывание антител можно анализировать посредством любого способа, известного специалисту в данной области техники, включая без ограничения рентгеновскую кристаллографию, иммунопреципитацию, иммуноблоттинг, конкурентные анализы и анализы кинетического исключения. В некоторых вариантах осуществления повышенная эффективность связывания предусматривает специфическое связывание.

[0100] Можно утверждать, что антитело или антигенсвязывающий фрагмент, вариант или производное, раскрытые в данном документе, связывают антиген-мишень, например, ILT2, со скоростью ассоциации (k(on)), превышающей или равной 103 M"1 с"1, 5×103 M"1 с"1, 104 M"1 с"1 или 5×104 M"1 с". Каждая возможность представляет собой отдельный вариант осуществления настоящего изобретения. Можно утверждать, что антитело или антигенсвязывающий фрагмент, вариант или производное, раскрытые в данном документе, связывают антиген-мишень с аффинностью 10-6 M или больше, тогда как большинство антител характеризуются типичными значениями аффинности, составляющими 10-9 M.

[0101] В некоторых вариантах осуществления антитело или антигенсвязывающий фрагмент содержат тяжелую цепь, содержащую аминокислотную последовательность под

SEQ ID NO: 19

В некоторых вариантах осуществления антитело или антигенсвязывающий фрагмент содержат тяжелую цепь, содержащую аминокислотную последовательность под

SEQ ID NO: 21

В некоторых вариантах осуществления антитело или антигенсвязывающий фрагмент содержат тяжелую цепь, содержащую аминокислотную последовательность под

SEQ ID NO: 23

где X выбран из A, C и S.

[0102] В некоторых вариантах осуществления антитело или антигенсвязывающий фрагмент содержат легкую цепь, содержащую аминокислотную последовательность под

SEQ ID NO: 20

В некоторых вариантах осуществления антитело или антигенсвязывающий фрагмент содержат легкую цепь, содержащую аминокислотную последовательность под

SEQ ID NO: 22

В некоторых вариантах осуществления антитело или антигенсвязывающий фрагмент содержат легкую цепь, содержащую аминокислотную последовательность под

SEQ ID NO: 24

В некоторых вариантах осуществления антитело или антигенсвязывающий фрагмент содержат легкую цепь, содержащую аминокислотную последовательность под

SEQ ID NO: 45

[0103] В некоторых вариантах осуществления SEQ ID NO: 23 представляет собой

DVQLQGSGPGLVKPSETLSLTCSVTGYSITSGYYWNWIRQFPGKKLEWMGYISYDGSNNYNPSLKNRITISRDTSKNQFSLKLNSVTAADTATYYCAHGYSYYYAMDAWGQGTSVTVSS (SEQ ID NO: 28).

В некоторых вариантах осуществления SEQ ID NO: 23 представляет собой SEQ ID NO: 28, и антитело или антигенсвязывающий фрагмент являются гуманизированными. В некоторых вариантах осуществления SEQ ID NO: 23 представляет собой

DVQLQGSGPGLVKPSETLSLTCSVTGYSITSGYYWNWIRQFPGKKLEWMGYISYDGSNNYNPSLKNRITISRDTSKNQFSLKLNSVTAADTATYYCAHGYSYYYAMDSWGQGTSVTVSS (SEQ ID NO: 29).

В некоторых вариантах осуществления SEQ ID NO: 23 представляет собой SEQ ID NO: 29, и антитело или антигенсвязывающий фрагмент являются гуманизированными. В некоторых вариантах осуществления SEQ ID NO: 23 представляет собой

DVQLQGSGPGLVKPSQSLSLTCSVTGYSITSGYYWNWIRQFPGNKLEWMGYISYDGSNNYNPSLKNRISITRDTSKNQFFLKLNSVTSEDTATYYCAHGYSYYYAMDCWGQGTSVTVSS (SEQ ID NO: 30).

В некоторых вариантах осуществления SEQ ID NO: 23 представляет собой SEQ ID NO: 30, и антитело или антигенсвязывающий фрагмент являются мышиными.

[0104] В некоторых вариантах осуществления антитело или антигенсвязывающий фрагмент по настоящему изобретению предназначены для лечения или уменьшения интенсивности проявлений рака у субъекта, нуждающегося в этом. В некоторых вариантах осуществления рак представляет собой HLA-G-положительный рак. В некоторых вариантах осуществления рак представляет собой MHC-I-положительный рак. В некоторых вариантах осуществления рак представляет собой рак, характеризующийся экспрессией HLA-G. В некоторых вариантах осуществления рак представляет собой рак, характеризующийся экспрессией MHC-I. В некоторых вариантах осуществления антитело или антигенсвязывающий фрагмент по настоящему изобретению предназначены для применения в изменении статуса микроокружения опухоли с иммуносупрессивного на иммуностимулирующий. В некоторых вариантах осуществления указанное изменение статуса микроокружения опухоли предусматривает одно или несколько из индуцирования/усиления противоопухолевого Т-клеточного ответа, повышения пролиферации Т-клеток, снижения индуцированной раком активности супрессорных клеток миелоидного происхождения, повышения активации дендритных клеток (DC), повышения хоминга дендритных клеток к опухоли, усиления макрофагального фагоцитоза, повышения образования макрофагов M1, снижения образования макрофагов M2 и повышения активности NK-клеток. В некоторых вариантах осуществления антитело или антигенсвязывающий фрагмент по настоящему изобретению предназначены для применения в повышении Т-клеточного ответа, направленного против раковой клетки. В некоторых вариантах осуществления Т-клеточный ответ предусматривает повышенную секрецию провоспалительного цитокина. В некоторых вариантах осуществления Т-клеточный ответ предусматривает повышенную цитотоксичность. В некоторых вариантах осуществления Т-клеточный ответ предусматривает повышенную пролиферацию Т-клеток. В некоторых вариантах осуществления антитело или антигенсвязывающий фрагмент по настоящему изобретению предназначены для применения в усилении макрофагального фагоцитоза раковой клетки. В некоторых вариантах осуществления антитело или антигенсвязывающий фрагмент по настоящему изобретению предназначены для применения в повышении хоминга дендритных клеток к опухоли или раковому очагу. В некоторых вариантах осуществления антитело или антигенсвязывающий фрагмент по настоящему изобретению предназначены для применения в усилении макрофагального фагоцитоза. В некоторых вариантах осуществления антитело или антигенсвязывающий фрагмент по настоящему изобретению предназначены для применения в усилении макрофагального фагоцитоза раковых клеток. В некоторых вариантах осуществления антитело или антигенсвязывающий фрагмент по настоящему изобретению предназначены для применения в повышении образования макрофагов M1. В некоторых вариантах осуществления антитело или антигенсвязывающий фрагмент по настоящему изобретению предназначены применения в снижении образования макрофагов М2. В некоторых вариантах осуществления антитело или антигенсвязывающий фрагмент по настоящему изобретению предназначены для применения в повышении цитотоксичности NK-клеток в отношении раковой клетки. В некоторых вариантах осуществления антитело или антигенсвязывающий фрагмент по настоящему изобретению предназначены для применения в снижении индуцированной раком активности супрессорных клеток миелоидного происхождения. В некоторых вариантах осуществления антитело или антигенсвязывающий фрагмент по настоящему изобретению предназначены для применения в снижении активности толерогенных дендритных клеток (DC). В некоторых вариантах осуществления антитело или антигенсвязывающий фрагмент по настоящему изобретению предназначены для повышения активности или количества моноцитов M1. В некоторых вариантах осуществления антитело или антигенсвязывающий фрагмент по настоящему изобретению предназначены для снижения активности или количества моноцитов М2. В некоторых вариантах осуществления антитело или антигенсвязывающий фрагмент по настоящему изобретению предназначены для повышения образования макрофагов M1. В некоторых вариантах осуществления антитело или антигенсвязывающий фрагмент по настоящему изобретению предназначены для снижения образования макрофагов М2. В некоторых вариантах осуществления моноциты/макрофаги M1 представляют собой воспалительные макрофаги/моноциты. В некоторых вариантах осуществления моноциты/макрофаги М2 представляют собой супрессорные макрофаги/моноциты. В некоторых вариантах осуществления антитело или антигенсвязывающий фрагмент по настоящему изобретению предназначены для повышения количества DC в опухоли. В некоторых вариантах осуществления антитело или антигенсвязывающий фрагмент по настоящему изобретению предназначены для повышения рекрутинга DC в опухоль. В некоторых вариантах осуществления антитело или антигенсвязывающий фрагмент по настоящему изобретению предназначены для повышения рекрутинга DC в опухоль. В некоторых вариантах осуществления антитело или антигенсвязывающий фрагмент по настоящему изобретению предназначены для повышения активации DC. В некоторых вариантах осуществления повышение активации DC предусматривает снижение активности толерогенных дендритных клеток. В некоторых вариантах осуществления антитело или антигенсвязывающий фрагмент по настоящему изобретению предназначены для повышения уровня презентации антигена. В некоторых вариантах осуществления "в опухоль" предусматривает "в микроокружение опухоли (TME)".

[0105] В некоторых вариантах осуществления антитело или антигенсвязывающий фрагмент индуцируют у субъекта по меньшей мере 1, 2, 3, 4, 5, 6, 7, 8, 9 или 10 противораковых эффектов. Каждая возможность представляет собой отдельный вариант осуществления настоящего изобретения. В некоторых вариантах осуществления антитело или антигенсвязывающий фрагмент индуцируют у субъекта по меньшей мере 2 эффекта. В некоторых вариантах осуществления антитело или антигенсвязывающий фрагмент индуцируют у субъекта по меньшей мере 3 эффекта. В некоторых вариантах осуществления антитело или антигенсвязывающий фрагмент индуцируют у субъекта по меньшей мере 4 эффекта. В некоторых вариантах осуществления эффекты выбраны из повышенной цитотоксичности NK-клеток, повышенной Т-клеточной цитотоксичности, повышенной пролиферации Т-клеток, повышенного макрофагального фагоцитоза, повышенного образования макрофагов М1, сниженного образования макрофагов М2, повышенного хоминга дендритных клеток к раковой опухоли и повышенной активации дендритных клеток. В некоторых вариантах осуществления эффекты выбраны из а) повышенной цитотоксичности NK-клеток; b) повышенной Т-клеточной цитотоксичности, пролиферации или и того и другого; с) повышенного макрофагального фагоцитоза, повышенного образования макрофагов М1, сниженного образования макрофагов М2 или их комбинации и d) повышенного хоминга дендритных клеток к раковой опухоли, повышенной активации дендритных клеток и их комбинации. В некоторых вариантах осуществления цитотоксичность представляет собой цитотоксичность в отношении рака. В некоторых вариантах осуществления фагоцитоз представляет собой фагоцитоз, осуществляемый в отношении рака или раковых клеток. В некоторых вариантах осуществления антитело или антигенсвязывающий фрагмент индуцируют у субъекта противораковый эффект в отношении Т-клеток, NK-клеток, дендритных клеток и макрофагов. В некоторых вариантах осуществления антитело или антигенсвязывающий фрагмент индуцируют у субъекта противораковый эффект в отношении по меньшей мере 3 из Т-клеток, NK-клеток, дендритных клеток и макрофагов. В некоторых вариантах осуществления индуцирование эффекта обеспечивается антителом или антигенсвязывающим фрагментом в качестве монотерапии. В некоторых вариантах осуществления индуцирование эффекта обеспечивается антителом или антигенсвязывающим фрагментом, не являющимися компонентами комбинации.

[0106] В некоторых вариантах осуществления повышенная цитотоксичность предусматривает повышенную секрецию провоспалительного цитокина. Провоспалительные цитокины хорошо известны из уровня техники и включают без ограничения IL-1, IL-1B, IL-6, TNFα, IFNγ, MCP-1, IL-12, IL-18, IL-2, IL-15, IL-17, IL-21 и гранулоцитарно-макрофагальный колониестимулирующий фактор (GM-CSF). В некоторых вариантах осуществления провоспалительный цитокин выбран из IL-6, интерферона гамма (IFNγ) и GM-CSF. В некоторых вариантах осуществления провоспалительный цитокин представляет собой GM-CSF.

[0107] "Антитело к ILT2", "антитело, которое распознает ILT2" или "антитело, направленное против ILT2" представляет собой антитело, которое связывается с ILT2 с достаточной степенью аффинности и специфичности. В некоторых вариантах осуществления антитело к ILT2 предусматривает ILT2 в качестве антигена, с которым оно связывается.

[0108] "Антиген" представляет собой молекулу или часть молекулы, способную вызывать образование антител и подвергаться связыванию антителом. Антиген может содержать один или более чем один эпитоп. Предусматривается, что специфическая реакция, упомянутая выше, означает то, что антиген будет высокоселективным образом реагировать с соответствующим ему антителом, а не с множеством других антител, образование которых могло быть индуцировано другими антигенами.

[0109] Термин "антигенная детерминанта" или "эпитоп" в соответствии с настоящим изобретением относится к области молекулы антигена, которая специфически реагирует с конкретным антителом. Пептидные последовательности, полученные из эпитопа, можно использовать отдельно или в сочетании с фрагментом-носителем, применяя способы, известные из уровня техники, для иммунизации животных и получения дополнительных поликлональных или моноклональных антител. Вариабельные домены иммуноглобулинов также можно анализировать с применением информационной системы IMGT (www://imgt.cines.fr/) (IMGT®/V-Quest) для идентификации сегментов вариабельных областей, включая CDR. См., например, Brochet, X. et al, Nucl. Acids Res. J6:W503-508 (2008).

[0110] Kabat et al. также была определена система нумерации последовательностей вариабельных доменов, которая применима к любому антителу. Специалист в данной области техники может однозначно соотнести эту систему "нумерации согласно Kabat" с любой последовательностью вариабельного домена без использования каких-либо экспериментальных данных, помимо самой последовательности. Как используется в данном документе, "нумерация согласно Kabat" относится к системе нумерации, изложенной Kabat et al., Министерство здравоохранения и социальных служб США, "Последовательности белков, представляющих иммунологический интерес" ("Sequence of Proteins of Immunological Interest") (1983 г.).

[0111] В некоторых вариантах осуществления антитело или антигенсвязывающий фрагмент предназначены для применения в комбинации с другим средством. В некоторых вариантах осуществления применение в комбинации с другим средством предназначено для лечения рака, характеризующегося экспрессией HLA-G и/или MHC-I. В некоторых вариантах осуществления средство представляет собой опсонизирующее средство. В некоторых вариантах осуществления средство представляет собой средство на основе антитела к PD-1 и/или антитела к PD-L1. В некоторых вариантах осуществления антитело или антигенсвязывающий фрагмент предназначены для применения в комбинации со средством терапии на основе антитела к PD-1/PD-L1.

[0112] Как используется в данном документе, "опсонизирующее средство" представляет собой любое средство, которое может связываться с клеткой-мишенью (например, раковой клеткой, клеткой, несущей внутриклеточный патоген, и т. д.) и опсонизировать клетку-мишень. Например, любое антитело, которое может связываться с клеткой-мишенью, где антитело содержит Fc-область, считается средством, которое опсонизирует клетку-мишень. В некоторых вариантах осуществления опсонизирующее средство представляет собой антитело, которое индуцирует антителозависимый клеточный фагоцитоз (ADCP). Примеры опсонизирующих средств включают без ограничения антитела к CD47, антитела к CD20, антитела к HER2, антитела к EGFR, антитела к CD52 и антитела к CD30. В некоторых вариантах осуществления опсонизирующее средство выбрано из ритуксимаба, трастузумаба, пертузумаба, герцептина, цетуксимаба, панитумумаба и эрбитукса. В некоторых вариантах осуществления опсонизирующее средство представляет собой антитело к EGFR. В некоторых вариантах осуществления опсонизирующее средство представляет собой эрбитукс.

[0113] Как используется в данном документе, "средство терапии на основе антитела к PD-1/PD-L1" и "средство терапии, направленное на PD-1/PD-L1" являются синонимами, и используются взаимозаменяемо, и относятся к средствам, применяемым в рамках терапевтического режима, который предусматривает блокаду оси передачи сигналов PD-1 и PD-L1. В некоторых вариантах осуществления рак представляет собой PD-L1-положительный рак. В некоторых вариантах осуществления средство терапии, направленное на PD-1/PD-L1, представляет собой средство иммунотерапии, направленное на PD-1/PD-L1. В некоторых вариантах осуществления средство терапии, направленное на PD-1/PD-L1, предусматривает блокаду PD-1/PD-L1. В некоторых вариантах осуществления средство терапии, направленное на PD-1/PD-L1, представляет собой средство, которое блокирует опосредуемое PD-1 подавление иммунного ответа. В некоторых вариантах осуществления средство терапии, направленное на PD-1/PD-L1, предусматривает блокирующее антитело к PD-1. В некоторых вариантах осуществления средство терапии, направленное на PD-1/PD-L1, предусматривает блокирующее антитело к PD-L1. В некоторых вариантах осуществления средство терапии, направленное на PD-1/PD-L1, усиливает иммунологический надзор. В некоторых вариантах осуществления средство терапии, направленное на PD-1/PD-L1, представляет собой средство противораковой терапии. В некоторых вариантах осуществления средство терапии, направленное на PD-1/PD-L1, усиливает иммунологический надзор в отношении опухолей. Термин "антитело" (также обозначаемое как "иммуноглобулин") используется в самом широком смысле и, в частности, охватывает моноклональные антитела и фрагменты антител при условии, что они проявляют необходимую биологическую активность. В некоторых вариантах осуществления настоящее изобретение также охватывает применение химерного антитела или гуманизированного антитела.

[0114] Основной единицей структуры встречающихся в природе антител является гетеротетрамерный гликопротеиновый комплекс с массой приблизительно 150000 Да, состоящий из двух идентичных легких (L) цепей и двух идентичных тяжелых (H) цепей, связанных друг с другом как посредством нековалентных взаимодействий, так и посредством дисульфидных связей. Каждая тяжелая и легкая цепи также содержат расположенные с регулярными интервалами внутрицепочечные дисульфидные мостики. Существует пять классов человеческих антител (IgG, IgA, IgM, IgD и IgE), и в пределах этих классов различают различные подклассы на основании структурных различий, таких как количество единиц иммуноглобулинов в одной молекуле антитела, структура дисульфидных мостиков в отдельных единицах, а также различия в длине цепи и последовательности. Класс и подкласс антитела представляет собой его изотип.

[0115] Аминоконцевые области тяжелой и легкой цепей более разнообразны в отношении последовательности, чем карбоксиконцевые области, и поэтому называются вариабельными доменами. Эта часть структуры антитела придает антителу антигенсвязывающую специфичность. Вариабельный домен тяжелой цепи (VH) и вариабельный домен легкой цепи (VL) вместе образуют единый антигенсвязывающий сайт, вследствие чего основная единица иммуноглобулина содержит два антигенсвязывающих сайта. Считается, что определенные аминокислотные остатки образуют поверхность раздела между вариабельными доменами легкой и тяжелой цепей (Chothia et al., J. Mol. Biol. 186, 651-63 (1985); Novotny and Haber, (1985) Proc. Natl. Acad. Sci. USA 82 4592-4596).

[0116] Карбоксиконцевые части тяжелой и легкой цепей образуют константные домены, т. е. CH1, CH2, CH3, CL. Хотя эти домены характеризуются гораздо более низким разнообразием, существуют различия от одного вида животных к другому, и, кроме того, у одного и того же индивидуума существует несколько разных изотипов антител, каждый из которых характеризуется отличающейся функцией.

[0117] Термин "каркасная область" или "FR" относится к аминокислотным остаткам в вариабельном домене антитела, которые не относятся к аминокислотным остаткам гипервариабельной области, как определено в данном документе. Используемый в данном документе термин "гипервариабельная область" относится к аминокислотным остаткам в вариабельном домене антитела, которые отвечают за связывание антигена. Гипервариабельная область содержит аминокислотные остатки из "определяющей комплементарность области" или "CDR". CDR в первую очередь отвечают за связывание с эпитопом антигена. Протяженность FR и CDR была точно определена (см. Kabat et al.). В некоторых вариантах осуществления CDR определяют с применением системы KABAT. В некоторых вариантах осуществления CDR определяют с применением системы Clothia. В некоторых вариантах осуществления система Clothia представляет собой улучшенную систему Clothia (система Martin).

[0118] Моноклональные антитела, предусматриваемые в данном документе, в частности, включают "химерные" антитела, в которых часть тяжелой и/или легкой цепей идентична или гомологична соответствующим последовательностям в антителах, полученных от определенного вида или принадлежащих к определенному классу или подклассу антител, тогда как остальная часть цепи(-ей) идентична или гомологична соответствующим последовательностям в антителах, полученных из другого вида или принадлежащих к другому классу или подклассу антител, а также фрагменты таких антител, при условии, что они проявляют необходимую биологическую активность (патент США № 4816567 и Morrison et al, Proc. Natl. Acad. Sci. USA 57:6851-6855 (1984)). Кроме того, для изменения некоторых свойств молекулы антитела, включая аффинность или специфичность, может быть выполнено прививание определяющей комплементарность области (CDR). Неограничивающий пример прививания CDR раскрыт в патенте США 5225539.

[0119] Химерные антитела представляют собой молекулы, различные части которых получены от разных видов животных, такие как антитела, содержащие вариабельную область, полученную из мышиного mAb, и константную область человеческого иммуноглобулина. Антитела, которые содержат каркасные остатки вариабельной области, по сути полученные из человеческого антитела (называемого акцепторным антителом), и определяющие комплементарность области, по сути полученные из мышиного антитела (называемого донорным антителом), также обозначаются как гуманизированные антитела. Химерные антитела главным образом используют для снижения иммуногенности при применении и увеличения выхода при получении, например в случае, когда мышиные mAb характеризуются более высоким выходом из гибридом, но более высокой иммуногенностью у человека, вследствие чего применяются химерные mAb человека/мыши. Химерные антитела и способы их получения известны из уровня техники (например, заявки на патенты согласно РСТ WO 86/01533, WO 97/02671, WO 90/07861, WO 92/22653 и патенты США 5693762, 5693761, 5585089, 5530101 и 5225539). Используемый в данном документе термин "гуманизированное антитело" относится к антителу, содержащему каркасную область из человеческого антитела и одну или несколько CDR из отличного от человеческого (обычно мышиного или крысиного) иммуноглобулина. Части гуманизированного иммуноглобулина, за исключением, возможно, CDR, по сути идентичны соответствующим частям последовательностей природного иммуноглобулина человека. Однако в некоторых случаях определенные аминокислотные остатки, например, в каркасных областях, могут быть модифицированы с оптимизацией характеристик гуманизированного антитела. Важно отметить, что ожидается, что гуманизированное антитело будет связываться с тем же антигеном, что и донорное антитело, которое предоставляет CDR. Для получения дополнительной информации см., например, патент США № 5225539, выданный Совету по исследованиям в области медицины, Великобритания. Термины "каркасная область из акцепторного иммуноглобулина человека" и "каркасная область, полученная из акцепторного иммуноглобулина человека" и аналогичные варианты выражения грамматического значения используются в данном документе взаимозаменяемо для обозначения каркасной области или ее части, которые характеризуются такой же аминокислотную последовательностью, что и акцепторный иммуноглобулин человека.

[0120] Термин "моноклональное антитело" или "mAb", как используется в данном документе, относится к антителу, полученному из популяции по сути гомогенных антител, т. е. отдельных антител, составляющих популяцию, которые являются идентичными и/или связывают один и тот же эпитоп, за исключением возможных вариантов, которые могут возникать в ходе получения моноклонального антитела, при этом такие варианты обычно присутствуют в незначительных количествах. В отличие от препаратов на основе поликлональных антител, которые обычно включают разные антитела, направленные против разных детерминант (эпитопов), каждое моноклональное антитело направлено против одной детерминанты на антигене. В дополнение к их специфичности моноклональные антитела характеризуются тем преимуществом, что они не загрязнены другими иммуноглобулинами. Определение "моноклональный" указывает на характеристику антитела как полученного из по сути однородной популяции антител, и его не следует толковать как антитела, применяемые в соответствии со способами, предусмотренными в данном документе, которые могут быть получены с применением гибридомного способа, впервые описанного Kohler. et al., Nature 256:495 (1975), или которые могут быть получены с применением способов рекомбинантной ДНК (см., например, патент США № 4816567). "Моноклональные антитела" также могут быть выделены из фаговых библиотек антител с применением методик, описанных, например, Clackson et al., Nature 352:624-628 (1991) и Marks et al, J. Mol. Biol. 222:581-597 (1991).

[0121] mAb по настоящему изобретению может относиться к любому классу иммуноглобулинов, включая IgG, IgM, IgE или IgA. Гибридому, продуцирующую mAb, можно культивировать in vitro или in vivo. Высокие титры mAb могут быть получены в рамках получения in vivo, где клетки, относящиеся к отдельным гибридомам, внутрибрюшинно вводят путем инъекции примированным пристаном мышам Balb/c для получения асцитной жидкости, содержащей высокие концентрации необходимых mAb. mAb изотипа IgM или IgG могут быть очищены из таких асцитных жидкостей или из культуральных супернатантов с применением способов колоночной хроматографии, хорошо известных специалистам в данной области техники.

[0122] "Фрагменты антитела" или "антигенсвязывающий фрагмент" используются как синонимы и предусматривают часть интактного антитела, предпочтительно содержащую его антигенсвязывающую область. Примеры фрагментов антител включают фрагменты Fab, Fab', F(ab')2 и Fv; диатела; тандемные диатела (taDb), линейные антитела (например, патент США № 5641870, пример 2; Zapata et al., Protein Eng. 8(10): 1057-1062 (1995)); одноплечие антитела, антитела с одним вариабельным доменом, минитела, молекулы одноцепочечных антител; мультиспецифические антитела, образованные из фрагментов антител (например, включая без ограничения Db-Fc, taDb-Fc, taDb-CH3, (scFV)4-Fc, ди-scFv, би-scFv или тандемные (ди, три)-scFv); и привлекающие Т-клетки биспецифические активаторы (BiTE).

[0123] Расщепление антител папаином приводит к образованию двух идентичных антигенсвязывающих фрагментов, называемых фрагментами "Fab", каждый из которых содержит один антигенсвязывающий сайт, и остаточного фрагмента "Fc", название которого отражает его способность легко кристаллизоваться. Обработка пепсином приводит к образованию фрагмента F(ab')2, который содержит два антигенсвязывающих сайта и все еще способен к перекрестному связыванию антигена.

[0124] "Fv" представляет собой минимальный фрагмент антитела, который содержит полный сайт распознавания антигена и антигенсвязывающий сайт. Эта область состоит из димера одной тяжелой цепи и одного вариабельного домена легкой цепи, находящихся в тесной нековалентной ассоциации. Именно в этой конфигурации представлена трехмерная поверхность димера VH-VL. В совокупности шесть гипервариабельных областей придают антителу антигенсвязывающую специфичность. Однако даже один вариабельный домен (или половина Fv, содержащая только три гипервариабельные области, специфичные в отношении антигена) характеризуется способностью распознавать и связывать антиген, хотя и с более низкой аффинностью, чем весь сайт связывания.

[0125] Фрагмент Fab также содержит константный домен легкой цепи и первый константный домен (СН1) тяжелой цепи. Фрагменты Fab' отличаются от фрагментов Fab добавлением нескольких остатков на карбоксильном конце домена CH1 тяжелой цепи, включая один или несколько цистеинов из шарнирной области антитела. В данном документе Fab'-SH является обозначением для Fab', в котором цистеиновый(-ые) остаток(-ки) константных доменов несет(-ут) по меньшей мере одну свободную тиоловую группу. Фрагменты антител F(ab')2 первоначально были получены в виде пар фрагментов Fab', между которыми имеются шарнирные цистеины. Также известны другие варианты соединения фрагментов антител посредством химических связей.

[0126] "Легкие цепи" антител (иммуноглобулинов) любых видов позвоночных могут быть отнесены к одному из двух четко различающихся типов, называемых каппа и лямбда, на основании аминокислотных последовательностей их константных доменов.

[0127] В зависимости от аминокислотной последовательности константного домена их тяжелых цепей антитела можно отнести к разным классам. Существует пять основных классов интактных антител: IgA, IgD, IgE, IgG и IgM, и некоторые из них могут быть дополнительно разделены на подклассы (изотипы), например, IgG1, IgG2, IgG3, IgG4, IgA и IgA2. Константные домены тяжелой цепи, которые соответствуют различным классам антител, называются альфа, дельта, эпсилон, гамма и мю соответственно. Структуры субъединиц и пространственные конфигурации различных классов иммуноглобулинов хорошо известны.

[0128] Фрагменты антител, представляющие собой "одноцепочечный Fv" или "scFv", содержат домены VH и VL антитела, при этом эти домены присутствуют в одной полипептидной цепи. В некоторых вариантах осуществления полипептид Fv дополнительно содержит полипептидный линкер между доменами VH и VL, который позволяет scFv образовывать необходимую структуру для связывания антигена. Обзор в отношении scFv см. у Pluckthun в The Pharmacology of Monoclonal Antibodies, vol. 113, Rosenburg and Moore eds., Springer- Verlag, New York, pp. 269-315 (1994).

[0129] Термин "диатела" относится к небольшим фрагментам антител с двумя антигенсвязывающими сайтами, при этом данные фрагменты содержат вариабельный домен тяжелой цепи (VH), соединенный с вариабельным доменом легкой цепи (VL) в пределах одной и той же полипептидной цепи (VH-VL). Вследствие применения линкера, являющегося слишком коротким для обеспечения образования пары между двумя доменами, находящимися в пределах одной и той же цепи, домены вынуждены формировать пару с комплементарными доменами другой цепи и образовывать два антигенсвязывающих сайта. Диатела представлены в Natl. Acad. Sci. USA, 90:6444-6448 (1993).

[0130] Термин "мультиспецифическое антитело" используется в самом широком смысле и конкретно охватывает антитело, которое характеризуется полиэпитопной специфичностью. Такие мультиспецифические антитела включают без ограничения антитело, содержащее вариабельный домен тяжелой цепи (VH) и вариабельный домен легкой цепи (VL), где единица VHVL характеризуется полиэпитопной специфичностью, антитела, содержащие два или более доменов VL и VH, при этом каждая единица VHVL связывается с отличающимся эпитопом, антитела, содержащие два или более отдельных вариабельных домена, при этом каждый отдельный вариабельный домен связывается с отличающимся эпитопом, полноразмерные антитела, фрагменты антител, такие как Fab, Fv, dsFv, scFv, диатела, биспецифические диатела, триатела, трифункциональные антитела, фрагменты антител, которые были связаны ковалентным или нековалентным образом. "Полиэпитопная специфичность" относится к способности специфически связываться с двумя или более различными эпитопами на одной или разных мишенях.

[0131] Моноклональные антитела по настоящему изобретению могут быть получены с применением способов, хорошо известных из уровня техники. Примеры включают различные методики, такие как методики, представленные в Kohler, G. and Milstein, C, Nature 256: 495-497 (1975); Kozbor et al, Immunology Today 4: 72 (1983); Cole et al, стр. 77-96 в MONOCLONAL ANTIBODIES AND CANCER THERAPY, Alan R. Liss, Inc. (1985).

[0132] Помимо стандартного способа увеличения количества антител in vivo, антитела могут быть получены in vitro с применением технологии фагового дисплея. Такое получение рекомбинантных антител является гораздо более быстрым по сравнению со стандартным способом получения антител, и они могут быть получены со специфичностями против огромного количества антигенов. Кроме того, при использовании стандартного способа многие антигены оказываются неиммуногенными или чрезвычайно токсичными и, следовательно, не могут быть использованы для получения антител у животных. Более того, процесс созревания аффинности (т. е. повышение аффинности и специфичности) рекомбинантных антител является очень простым и относительно быстрым. В конечном итоге, за одну процедуру отбора можно получить большое количество различных антител, направленных против определенного антигена. Для получения рекомбинантных моноклональных антител можно использовать различные способы, все из которых основаны на дисплейных библиотеках для создания большого пула антител с различными сайтами распознавания антигена. Такую библиотеку можно создать несколькими способами. Можно получать синтетический репертуар путем клонирования синтетических областей CDR3 в пуле генов тяжелых цепей зародышевой линии и, таким образом, получать большой репертуар антител, из которого могут быть выбраны фрагменты рекомбинантных антител с различными специфичностями. В качестве исходного материала для создания библиотеки антител можно использовать пул лимфоцитов человека. Имеется возможность конструирования наивного репертуара человеческих антител класса IgM и, таким образом, создания библиотеки человеческих антител, характеризующейся большим разнообразием. Этот способ широко и успешно используется для отбора большого количества антител, направленных против различных антигенов. Протоколы конструирования библиотеки бактериофагов и выбора рекомбинантных антител представлены в хорошо известном справочном тексте Current Protocols in Immunology, Colligan et al (Eds.), John Wiley & Sons, Inc. (1992-2000), Chapter 17, Section 17.1.

[0133] Отличные от человеческих антитела могут быть гуманизированы любыми способами, известными из уровня техники. В одном способе определяющие комплементарность области (CDR), отличные от человеческих, встраивают в каркасную последовательность человеческого антитела или консенсусного антитела. Затем в каркас антитела могут быть внесены дополнительные изменения для модулирования аффинности или иммуногенности.

[0134] В некоторых вариантах осуществления антитела, описанные в данном документе, представляют собой нейтрализующие антитела. "Нейтрализация", как обсуждается в данном документе, определяется как снижение функции белка с помощью антител по настоящему изобретению. В одном варианте осуществления "нейтрализация", как обсуждается в данном документе, представляет собой связывание антител с поверхностью иммунных клеток, предпочтительно с незрелыми и зрелыми клетками, происходящими из миелоидной линии, Т-клетками и NK-клетками, за счет чего блокируется распространение ингибирующих сигналов внутри этих клеток и придается фенотип и функция, характеризующиеся сниженной способностью к супрессии.

[0135] В некоторых вариантах осуществления в настоящем изобретении представлены последовательности нуклеиновых кислот, кодирующие антитело по настоящему изобретению. В одном варианте осуществления антитело, описанное в данном документе, кодируется молекулой ДНК, предусматривающей последовательность ДНК, характеризующуюся по меньшей мере 75% идентичностью с последовательностью ДНК, описанной в данном документе. В одном варианте осуществления антитело, описанное в данном документе, кодируется молекулой ДНК, предусматривающей последовательность ДНК, характеризующуюся по меньшей мере 80% идентичностью с последовательностью ДНК, описанной в данном документе. В одном варианте осуществления антитело, описанное в данном документе, кодируется молекулой ДНК, предусматривающей последовательность ДНК, характеризующуюся по меньшей мере 85% идентичностью с последовательностью ДНК, описанной в данном документе. В одном варианте осуществления антитело, описанное в данном документе, кодируется молекулой ДНК, предусматривающей последовательность ДНК, характеризующуюся по меньшей мере 90% идентичностью с последовательностью ДНК, описанной в данном документе. В одном варианте осуществления антитело, описанное в данном документе, кодируется молекулой ДНК, предусматривающей последовательность ДНК, характеризующуюся по меньшей мере 95% идентичностью с последовательностью ДНК, описанной в данном документе.

[0136] В другом аспекте предусмотрена последовательность нуклеиновой кислоты, кодирующая антитело или антигенсвязывающий фрагмент по настоящему изобретению.

[0137] В другом аспекте предусмотрена молекула нуклеиновой кислоты, кодирующая антитело или антигенсвязывающий фрагмент по настоящему изобретению.

[0138] В некоторых вариантах осуществления последовательность нуклеиновой кислоты, кодирующая тяжелую цепь антитела или антигенсвязывающего фрагмента по настоящему изобретению, выбрана из CAGGTTCAGCTGCAGCAGTCTGGAGCTGAGCTGGCGAGGCCTGGGGCTTCAGTGAAGCTGTCCTGCAAGGCTTCTGGCTACACCTTCACAAGCTATGGTATAAGCTGGGTGAAGCAGAGAACTGGACAGGGCCTTGAGTGGGTTGGAGAGATTTATCCTGGAAGTGGTAATTCTTACTACAATGAGAAGTTCAAGGGCAAGGCCACACTGACTGCAGACAAATCCTCCAGCACAGCGTACATGGAGCTCCGCAGCCTGACATCTGAGGACTCTGCGGTCTATTTCTGTGCAAGATCGAATGATGGTTACCCTGACTACTGGGGCCAAGGCACCACTCTCACAGTCTCCTCA (SEQ ID NO: 32), GATGTACAGCTTCAGGGGTCAGGACCTGGCCTCGTGAAACCTTCTCAGTCTCTGTCTCTCACCTGCTCTGTCACTGGCTACTCCATCACCAGTGGTTATTACTGGAACTGGATCCGGCAGTTTCCAGGAAACAAACTGGAATGGATGGGCTACATAAGCTACGATGGTAGCAATAACTACAACCCATCTCTCAAAAATCGAATCTCCATCACTCGTGACACATCTAAGAACCAGTTTTTCCTGAAGTTGAATTCTGTGACTTCTGAGGACACAGCCACATATTACTGTGCCCATGGTTACTCATATTACTATGCTATGGACTGCTGGGGTCAAGGAACCTCAGTCACCGTCTCCTCA (SEQ ID NO: 33), GATGTCCAGCTGCAAGGCTCTGGCCCTGGACTGGTTAAGCCTTCCGAGACACTGTCCCTGACCTGCTCTGTGACCGGCTACTCTATCACCTCCGGCTACTACTGGAACTGGATCAGACAGTTCCCCGGCAAGAAACTGGAATGGATGGGCTACATCTCCTACGACGGCTCCAACAACTACAACCCCAGCCTGAAGAACCGGATCACCATCTCTCGGGACACCTCCAAGAACCAGTTCTCCCTGAAGCTGAACTCCGTGACCGCTGCCGATACCGCTACCTACTACTGTGCTCACGGCTACTCCTACTACTACGCCATGGATGCTTGGGGCCAGGGCACATCTGTGACAGTGTCCTCT (SEQ ID NO: 34) и CAGGTTCAGCTGCAACAGTCTGACGCTGAGTTGGTGAAACCTGGAGCTTCAGTGAAGATATCCTGCAAGGTTTCTGGCTACACCTTCACTGACCATACTATTCACTGGATGAAGCAGAGGCCTGAACAGGGCCTGGAATGGATTGGATATATTTATCCTAGAGATGGTAGTACTAAGTACAATGAGAAGTTCAAGGGCAAGGCCACATTGACTGCAGACAAATCCTCCAGCACAGCCTACATGCAGCTCAACAGCCTGACATCTGAGGACTCTGCAGTCTATTTCTGTGCAAGAACCTGGGACTACTTTGACTACTGGGGCCAAGGCACCACTCTCACAGTCTCCTCA (SEQ ID NO: 35).

[0139] В некоторых вариантах осуществления последовательность нуклеиновой кислоты, кодирующая легкую цепь антитела или антигенсвязывающего фрагмента по настоящему изобретению, выбрана из GACATTGTGCTGACCCAATCTCCAGCTTCTTTGGCTGTGTCTCTAGGGCAGAGGGCCACCATATCCTGCAGAGCCAGTGAAAGTGTTGATAGTTATGGCAATAGTTTTATGCACTGGTACCAGCAGAAACCAGGACAGCCACCCAAACTCCTCATCTATCGTGCATCCAACCTAGAATCTGGGATCCCTGCCAGGTTCAGTGGCAGTGGGTCTAGGACAGACTTCACCCTCACCATTAATCCTGTGGAGGCTGATGATGTTGCAACCTATTACTGTCAGCAAAGTAATGAGGATCCGTACACGTTCGGAGGGGGGACCAAGCTGGAAATAAAA (SEQ ID NO: 36), GATATCCAGATGACACAGACTACATCCTCCCTGTCTGCCTCTCTGGGAGACAGAGTCACCATCAGTTGCAGGACAAGTCAGGACATTAGCAATTATTTAAACTGGTATCAGCAGAAACCAGATGGAACTGTTAAACTCCTGATCTCCTACACATCAAGATTGCACTCAGGAGTCCCATCAAGGTTCAGTGGCAGTGGGTCTGGAACAGATTATTCTCTCACCATTAGCAACCTGGAGCAAGAAGATATTGCCACTTACTTTTGCCAACAGGGTAATACGCTTCCCACGTTCGGCTCGGGGACAAAGTTGGAAATAAAA (SEQ ID NO: 37), GACATCCAGATGACCCAGTCTCCATCCTCTCTGTCTGCCTCTGTGGGCGACAGAGTGACCATCACCTGTCGGACCTCTCAGGACATCTCCAACTACCTGAACTGGTATCAGCAGAAACCCGGCAAGGCCGTGAAGCTGCTGATCTCCTACACCTCCAGACTGCACTCTGGCGTGCCCTCCAGATTTTCTGGCTCTGGATCTGGCACCGACTACACCCTGACCATCAGTTCTCTGCAGCCTGAGGACTTCGCCACCTACTACTGTCAGCAGGGCAACACCCTGCCTACCTTTGGCCAGGGCACCAAGCTGGAAATCAAG (SEQ ID NO: 38) и GACATCCAGATGACACAATCTTCATCCTACTTGTCTGTATCTCTAGGAGGCAGAGTCACCATTACTTGCAAGGCAAGTGACCACATTAATAATTGGTTAGCCTGGTATCAGCAGAAACCAGGAAATGCTCCTAGGCTCTTAATATCTGGTGCAACCAGTTTGGAAACTGGGGTTCCTTCAAGATTCAGTGGCAGTGGATCTGGAAAGGATTACACTCTCAGCATTACCAGTCTTCAGACTGAAGATGTTGCTACTTATTACTGTCAACAGTATTGGAGTACTCCGTGGACGTTCGGTGGAGGCACCAAGCTGGAAATCAAA (SEQ ID NO: 39).

[0140] В некоторых вариантах осуществления антитело или антигенсвязывающий фрагмент являются мышиными, и последовательность, кодирующая тяжелую цепь, выбрана из SEQ ID NO: 32, 33 и 35. В некоторых вариантах осуществления антитело или антигенсвязывающий фрагмент являются мышиными, и последовательность, кодирующая легкую цепь, выбрана из SEQ ID NO: 36, 37 и 39. В некоторых вариантах осуществления антитело или антигенсвязывающий фрагмент являются гуманизированными, и последовательность, кодирующая тяжелую цепь, представляет собой последовательность под SEQ ID NO: 34. В некоторых вариантах осуществления антитело или антигенсвязывающий фрагмент являются гуманизированными, и последовательность, кодирующая легкую цепь, представляет собой последовательность под SEQ ID NO: 38.

[0141] "Полинуклеотид" или "нуклеиновая кислота", используемые в данном документе взаимозаменяемо, относятся к имеющим любую длину полимерам из нуклеотидов и включают ДНК и РНК.

[0142] Полинуклеотиды, кодирующие полипептиды, могут быть получены из любого источника, включая без ограничения библиотеку cDNA, полученную из ткани, которая, как предполагается, содержит mRNA полипептида и обеспечивает ее экспрессию ее на поддающемся обнаружению уровне. Соответственно, полинуклеотиды, кодирующие полипептид, могут быть легко получены из библиотеки cDNA, полученной из тканей человека. Ген, кодирующий полипептид, также может быть получен из геномной библиотеки или посредством известных процедур синтеза (например, автоматизированного синтеза нуклеиновой кислоты).

[0143] Например, полинуклеотид может кодировать всю цепь молекулы иммуноглобулина, такую как легкая цепь или тяжелая цепь. Полная тяжелая цепь содержит не только вариабельную область тяжелой цепи (VH), но также и константную область тяжелой цепи (СН), которая обычно будет содержать три константных домена: CH1, CH2 и CH3; а также "шарнирную" область. В некоторых ситуациях необходимо наличие константной области.

[0144] Другие полипептиды, которые могут кодироваться полинуклеотидом, включают антигенсвязывающие фрагменты антитела, такие как однодоменные антитела ("dAb"), Fv, scFv, Fab', и при этом домены CHI и CK или CL были вырезаны. Поскольку минитела являются менее крупными, чем обычные антитела, они должны обеспечивать более эффективное проникновение в ткани при клиническом/диагностическом применении, но при этом, являясь бивалентными, они должны сохранять более высокую аффинность связывания, чем моновалентные фрагменты антител, такие как dAb. Соответственно, если из контекста не следует иное, термин "антитело", используемый в данном документе, охватывает не только целые молекулы антител, но также и антигенсвязывающие фрагменты антител, относящиеся к типу, обсуждаемому выше. Каждая каркасная область, присутствующая в кодируемом полипептиде, может предусматривать по меньшей мере одну аминокислотную замену относительно соответствующей каркасной области акцепторного иммуноглобулина человека. Таким образом, например, каркасные области могут предусматривать в общей сложности три, четыре, пять, шесть, семь, восемь, девять, десять, одиннадцать, двенадцать, тринадцать, четырнадцать или пятнадцать аминокислотных замен относительно каркасных областей акцепторного иммуноглобулина. Учитывая свойства отдельных аминокислот, входящих в состав раскрытых белковых продуктов, специалист в данной области техники распознает некоторые рациональные замены. Аминокислотные замены, т. е. "консервативные замены", могут быть выполнены, например, на основе сходства в отношении полярности, заряда, растворимости, гидрофобности, гидрофильности и/или амфипатической природы затрагиваемых остатков.

[0145] Предпочтительно, полинуклеотиды, описанные в данном документе, могут являться выделенными и/или очищенными. В некоторых вариантах осуществления полинуклеотиды представляют собой выделенные полинуклеотиды.

[0146] Используемый в данном документе термин "не встречающиеся в природе" вещество, композиция, объект и/или любая комбинация веществ, композиций или объектов или любые его грамматические варианты являются условными терминами, которые явно предусматривают исключение, однако при этом они исключают только те формы вещества, композиции, объекта и/или любой комбинации веществ, композиций или объектов, которые хорошо понимаются специалистами в данной области техники как "встречающиеся в природе" или которые являются или могут в любое время являться, как определено или истолковано экспертом, административным или экспертным органом, "встречающимися в природе".

Способы лечения и диагностики

[0147] В другом аспекте предусмотрен способ лечения рака, характеризующегося экспрессией HLA, MHC-I или и того и другого, у субъекта, нуждающегося в этом, при этом способ включает введение субъекту антитела или антигенсвязывающего фрагмента по настоящему изобретению.

[0148] В другом аспекте предусмотрен способ лечения рака у субъекта, нуждающегося в этом, при этом способ включает подтверждение того, что экспрессия ILT2 у субъекта превышает предварительно определенный порог, и введение субъекту средства, которое подавляет иммуносупрессию, обуславливаемую ILT2, за счет чего осуществляется лечение рака у субъекта.

[0149] В другом аспекте предусмотрен способ лечения рака у субъекта, нуждающегося в этом, при этом способ включает введение субъекту средства, которое подавляет ILT2-опосредованную иммуносупрессию; и введение субъекту средства терапии на основе антитела к PD-1/PD-L1; за счет чего осуществляется лечение рака у субъекта.

[0150] В другом аспекте предусмотрен способ повышения эффективности средства терапии на основе антитела к PD-1/PD-L1, направленного против раковой клетки, при этом способ включает приведение раковой клетки в контакт со средством, которое подавляет ILT2-опосредованную иммуносупрессию.

[0151] В другом аспекте предусмотрено средство, которое связывается с ILT2 и подавляет опосредованную им супрессию иммунных клеток, для применения в комбинации со средством терапии на основе антитела к PD-L1/PD-1 для лечения субъекта, страдающего раком.

[0152] Используемые в данном документе термины "лечение" или "осуществление лечения" заболевания, нарушения или состояния включают уменьшение выраженности по меньшей мере одного их симптома, снижение их тяжести или подавление их прогрессирования. Лечение не обязательно должно означать, что произойдет полное излечение заболевания, нарушения или состояния. Для того, чтобы являться эффективным средством лечения, применимая композиция по настоящему изобретению должна только приводить к снижению тяжести заболевания, нарушения или состояния, снижению тяжести ассоциированных с ними симптомов или обеспечению улучшения качества жизни пациента или субъекта.

[0153] Используемый в данном документе термин "лечение" относится к клиническому вмешательству, осуществляемому в попытке изменить течение заболевания у индивидуума, который подлежит лечению, и может проводиться либо для профилактики, либо во время течения клинически проявляющейся патологии. Необходимые эффекты лечения включают предупреждение возникновения или рецидива заболевания, уменьшение выраженности симптомов, снижение патологических последствий заболевания, снижение скорости прогрессирования заболевания, снижение тяжести патологического состояния, ремиссию или улучшение прогноза. Термин "лечение" может также охватывать процедуры ex vivo, предусматривающие воздействие на клетки или ткани в культуре.

[0154] В некоторых вариантах осуществления антитело или антигенсвязывающий фрагмент вводят в качестве монотерапии. В некоторых вариантах осуществления антитело или антигенсвязывающий фрагмент вводят вместе со средством терапии, направленным на PD-1/PD-L1. В некоторых вариантах осуществления антитело или антигенсвязывающий фрагмент вводят с опсонизирующим средством. В некоторых вариантах осуществления опсонизирующее средство не является средством на основе антитела к CD47. В некоторых вариантах осуществления средство на основе антитела к CD47 представляет собой антитело к CD47. В некоторых вариантах осуществления антитело или антигенсвязывающий фрагмент не вводят со средством или средством терапии на основе антитела к CD47. В некоторых вариантах осуществления антитело или антигенсвязывающий фрагмент не комбинируют со средством или средством терапии на основе антитела к CD47.

[0155] В некоторых вариантах осуществления лечение предусматривает усиление иммунологического надзора. В некоторых вариантах осуществления лечение предусматривает повышение иммунного ответа. В некоторых вариантах осуществления лечение предусматривает снижение опухолевой нагрузки. В некоторых вариантах осуществления лечение предусматривает снижение метастазирования рака. В некоторых вариантах осуществления лечение предусматривает повышение цитотоксичности в отношении рака. В некоторых вариантах осуществления лечение предусматривает повышение воспалительного ответа в отношении рака. В некоторых вариантах осуществления лечение предусматривает усиленный фагоцитоз в отношении рака.

[0156] Используемый в данном документе термин "субъект" относится к индивидууму или пациенту, который относится к позвоночным, например млекопитающим, включая, в частности, человека. В некоторых вариантах осуществления субъектом является человек. В некоторых вариантах осуществления субъектом является млекопитающее. В некоторых вариантах осуществления субъект страдает раком.

[0157] В некоторых вариантах осуществления рак представляет собой рак, характеризующийся экспрессией HLA. В некоторых вариантах осуществления HLA представляет собой HLA-G. В некоторых вариантах осуществления рак представляет собой рак, характеризующийся экспрессией MHC-I. В некоторых вариантах осуществления рак представляет собой рак, характеризующийся экспрессией PD-1. В некоторых вариантах осуществления рак представляет собой солидный рак. В некоторых вариантах осуществления рак представляет собой гемобластоз. В некоторых вариантах осуществления рак является рефрактерным по отношению к средству терапии, направленному на PD-1 и/или PD-L1. В некоторых вариантах осуществления рак никогда не являлся восприимчивым к средству терапии, направленному на PD-1 и/или PD-L1. В некоторых вариантах осуществления рак являлся восприимчивым к средству терапии, направленному на PD-1 и/или PD-L1, однако стал рефрактерным. В некоторых вариантах осуществления способ по настоящему изобретению обеспечивает преобразование рефрактерного рака в восприимчивый рак.

[0158] В некоторых вариантах осуществления способ включает подтверждение того, что рак характеризуется экспрессией HLA, MHC-I или и того и другого. В некоторых вариантах осуществления способ включает подтверждение того, что рак характеризуется экспрессией HLA. В некоторых вариантах осуществления способ включает подтверждение того, что рак характеризуется экспрессией MHC-I. В некоторых вариантах осуществления способ включает подтверждение того, что рак характеризуется экспрессией HLA и MHC-I. В некоторых вариантах осуществления подтверждение предусматривает измерение уровня экспрессии, которой характеризуется рак. В некоторых вариантах осуществления подтверждение предусматривает измерение уровня экспрессии на поверхности ракового очага. В некоторых вариантах осуществления внутри и/или на поверхности ракового очага означает внутри и/или на поверхности раковой клетки. В некоторых вариантах осуществления подтверждение предусматривает измерение уровня HLA-G, секретируемого в раком очаге. В некоторых вариантах осуществления подтверждение предусматривает измерение уровня растворимой формы HLA-G. В некоторых вариантах осуществления растворимая форма HLA-G находится в биологической жидкости. В некоторых вариантах осуществления биологическая жидкость представляет собой кровь.

[0159] В некоторых вариантах осуществления способ включает подтверждение наличия экспрессии ILT2 у субъекта. В некоторых вариантах осуществления способ включает подтверждение того, что уровень экспрессии ILT2 у субъекта превышает предварительно определенный порог. В некоторых вариантах осуществления подтверждение предусматривает измерение уровня экспрессии ILT2 у субъекта. В некоторых вариантах осуществления подтверждение осуществляют перед осуществлением введения. В некоторых вариантах осуществления измерение осуществляют перед осуществлением введения. В некоторых вариантах осуществления экспрессия ILT2 представляет собой экспрессию в иммунной клетке. В некоторых вариантах осуществления экспрессия ILT2 представляет собой экспрессию в иммунной клетке субъекта. В некоторых вариантах осуществления иммунная клетка представляет собой иммунную клетку периферической крови. В некоторых вариантах осуществления иммунная клетка представляет собой мононуклеарную клетку периферической крови (РВМС). В некоторых вариантах осуществления иммунная клетка представляет собой внутриопухолевую иммунную клетку. В некоторых вариантах осуществления иммунная клетка представляет собой иммунную клетку, находящуюся в микроокружении опухоли (TME). В некоторых вариантах осуществления иммунная клетка выбрана из CD8-положительной Т-клетки, макрофага, NK-клетки и TEMRA-клетки. В некоторых вариантах осуществления иммунная клетка представляет собой CD8-положительную Т-клетку. В некоторых вариантах осуществления иммунная клетка представляет собой CD8-положительную Т-клетку периферической крови.

[0160] В некоторых вариантах осуществления введение антитела или антигенсвязывающего фрагмента по настоящему изобретению предусматривает введение фармацевтической композиции, содержащей антитело или антигенсвязывающий фрагмент по настоящему изобретению. В некоторых вариантах осуществления вводят терапевтически эффективное количество антитела или антигенсвязывающего фрагмента. В некоторых вариантах осуществления фармацевтическая композиция дополнительно содержит носитель, вспомогательное вещество или вспомогательное средство. В некоторых вариантах осуществления носитель представляет собой фармацевтически приемлемый носитель.

[0161] Используемый в данном документе термин "носитель", "вспомогательное вещество" или "вспомогательное средство" относится к любому компоненту фармацевтической композиции, который не представляет собой активное средство. Используемый в данном документе термин "фармацевтически приемлемый носитель" относится к нетоксичному, инертному твердому, полутвердому, жидкому наполнителю, разбавителю, инкапсулирующему материалу, вспомогательному средству для составления любого типа или просто к стерильной водной среде, такой как солевой раствор. Некоторыми примерами материалов, которые могут служить в качестве фармацевтически приемлемых носителей, являются сахара, такие как лактоза, глюкоза и сахароза, крахмалы, такие как кукурузный крахмал и картофельный крахмал, целлюлоза и ее производные, такие как карбоксиметилцеллюлоза натрия, этилцеллюлоза и ацетилцеллюлоза; порошкообразный трагакант; солод, желатин, тальк; вспомогательные вещества, такие как масло какао и воска для суппозиториев; масла, такие как арахисовое масло, хлопковое масло, сафлоровое масло, кунжутное масло, оливковое масло, кукурузное масло и соевое масло; гликоли, такие как пропиленгликоль, полиолы, такие как глицерин, сорбит, маннит и полиэтиленгликоль; сложные эфиры, такие как этилолеат и этиллаурат, агар; буферные средства, такие как гидроксид магния и гидроксид алюминия; альгиновая кислота; апирогенная вода; изотонический раствор, раствор Рингера; этиловый спирт и фосфатные буферные растворы, а также другие нетоксичные совместимые вещества, используемые в фармацевтических составах. Некоторые неограничивающие примеры веществ, которые могут выступать в данном документе в качестве носителя, включают сахар, крахмал, целлюлозу и ее производные, порошкообразный трагакант, солод, желатин, тальк, стеариновую кислоту, стеарат магния, сульфат кальция, растительные масла, полиолы, альгиновую кислоту, апирогенную воду, изотонический солевой раствор, фосфатные буферные растворы, масло какао (основа суппозиториев), эмульгатор, а также другие нетоксичные фармацевтически совместимые вещества, используемые в других фармацевтических составах. Также могут присутствовать смачивающие средства и смазывающие вещества, такие как лаурилсульфат натрия, а также красящие вещества, ароматизаторы, вспомогательные вещества, стабилизаторы, антиоксиданты и консерванты. Любой нетоксичный, инертный и эффективный носитель может быть использован для составления композиций, рассматриваемых в данном документе. Подходящие в этом отношении фармацевтически приемлемые носители, вспомогательные вещества и разбавители хорошо известны специалистам в данной области техники, как например описанные в The Merck Index, Thirteenth Edition, Budavari et al., Eds., Merck & Co., Inc., Rahway, N.J. (2001); Международном словаре и справочнике косметических ингредиентов (International Cosmetic Ingredient Dictionary and Handbook), десятое издание (2004 г.), CTFA (Ассоциация по парфюмерно-косметическим товарам и душистым веществам); и "Руководстве по неактивным ингредиентам" ("Inactive Ingredient Guide"), Отдел управления Центра по оценке и исследованию лекарственных средств (CDER) Управления по санитарному надзору за качеством пищевых продуктов и медикаментов США (FDA), содержание которых включено в данный документ посредством ссылки во всей полноте. Примеры фармацевтически приемлемых вспомогательных веществ, носителей и разбавителей, применимых в композициях по настоящему изобретению, включают дистиллированную воду, физиологический раствор, раствор Рингера, раствор декстрозы, раствор Хенкса и DMSO. Эти дополнительные неактивные компоненты, а также эффективные составы и процедуры введения хорошо известны из уровня техники и описаны в стандартных руководствах, таких как Goodman and Gillman's: The Pharmacological Bases of Therapeutics, 8th Ed., Gilman et al. Eds. Pergamon Press (1990); Remington's Pharmaceutical Sciences, 18th Ed., Mack Publishing Co., Easton, Pa. (1990); и Remington: The Science and Practice of Pharmacy, 21st Ed., Lippincott Williams & Wilkins, Philadelphia, Pa., (2005), каждое из которых включено в данный документ посредством ссылки во всей полноте. Описанная в настоящем изобретении композиция может также содержаться в искусственно созданных структурах, таких как липосомы, ISCOMS, частицы с медленным высвобождением и другие среды-носители, которые повышают время полужизни пептидов или полипептидов в сыворотке крови. Липосомы включают эмульсии, пены, мицеллы, нерастворимые монослои, жидкие кристаллы, дисперсии фосфолипидов, ламеллярные слои и т. п. Липосомы для применения с описанными в настоящем изобретении пептидами образуются из стандартных везикулообразующих липидов, которые обычно включают нейтральные и отрицательно заряженные фосфолипиды и стерол, как например холестерин. Выбор липидов обычно определяется такими соображениями, как размер липосомы и стабильность в крови. Для получения липосом доступно множество способов, как описано, например, в Coligan, J. E. et al, Current Protocols in Protein Science, 1999, John Wiley & Sons, Inc., New York, а также см. патенты США №№ 4235871, 4501728, 4837028 и 5019369.

[0162] Носитель может составлять в целом от приблизительно 0,1% до приблизительно 99,99999% по весу фармацевтических композиций, представленных в данном документе.

[0163] Термин "терапевтически эффективное количество" относится к количеству лекарственного средства, эффективному для лечения заболевания или нарушения у млекопитающего. Термин "терапевтически эффективное количество" относится к количеству, эффективному в дозах и в течение периодов времени, требуемых для достижения необходимого терапевтического или профилактического результата. Точные дозы и режим будут определяться врачом в соответствии с состоянием пациента.

[0164] В некоторых вариантах осуществления способ дополнительно включает введение субъекту опсонизирующего средства. В некоторых вариантах осуществления способ дополнительно включает приведение клетки в контакт с опсонизирующим средством. В некоторых вариантах осуществления опсонизирующее средство представляет собой ингибитор рецептора эпидермального фактора роста (EGFR). В некоторых вариантах осуществления ингибитор EGFR представляет собой цетуксимаб. В некоторых вариантах осуществления опсонизирующее средство не является средством на основе антитела к CD47. В некоторых вариантах осуществления способ дополнительно включает введение субъекту средства терапии, направленного на PD-1/PD-L1. В некоторых вариантах осуществления способ дополнительно включает приведение клетки в контакт со средством терапии, направленным на PD-1/PD-L1. В некоторых вариантах осуществления способ дополнительно включает выращивание клетки в присутствии средства терапии, направленного на PD-1/PD-L1. В некоторых вариантах осуществления средство терапии, направленное на PD-1/PD-L1, представляет собой блокирующее антитело к PD-1 или PD-L1. В некоторых вариантах осуществления способ не включает введение средства или средства терапии на основе антитела к CD47. В некоторых вариантах осуществления способ не предусматривает введения средства или средства терапии на основе антитела к CD47. В некоторых вариантах осуществления способ дополнительно включает введение средства или средства терапии на основе антитела к CD47.

[0165] В некоторых вариантах осуществления средство, которое подавляет иммуносупрессию, обуславливаемую ILT2, связывается с ILT2. В некоторых вариантах осуществления средство связывает внеклеточный домен ILT2. В некоторых вариантах осуществления средство представляет собой антагонист ILT2. В некоторых вариантах осуществления средство представляет собой блокирующее антитело к ILT2. В некоторых вариантах осуществления средство подавляет взаимодействие ILT2 с B2M. В некоторых вариантах осуществления средство представляет собой антитело по настоящему изобретению.

[0166] В некоторых вариантах осуществления средство, которое подавляет иммуносупрессию, обуславливаемую ILT2, вводят до опсонизирующего средства, после него или совместно с ним. В некоторых вариантах осуществления средство, которое подавляет иммуносупрессию, обуславливаемую ILT2, и опсонизирующее средство вводят в одной композиции. В некоторых вариантах осуществления средство, которое подавляет иммуносупрессию, обуславливаемую ILT2, и опсонизирующее средство вводят в виде отдельных композиций.

[0167] В некоторых вариантах осуществления средство, которое подавляет иммуносупрессию, обуславливаемую ILT2, вводят до средства терапии, направленного на PD-1/PD-L1, после него или совместно с ним. В некоторых вариантах осуществления средство, которое подавляет иммуносупрессию, обуславливаемую ILT2, и средство терапии, направленное на PD-1/PD-L1, вводят в одной композиции. В некоторых вариантах осуществления средство, которое подавляет иммуносупрессию, обуславливаемую ILT2, и средство терапии, направленное на PD-1/PD-L1, вводят в виде отдельных композиций. В некоторых вариантах осуществления по меньшей мере одно из средств или средств терапии адаптировано для совместного введения.

[0168] Термин "адаптированные для совместного введения", используемый в данном документе, относится к антителам, представленным в такой форме, что их можно безопасно и легко вводить субъекту. Совместное введение в некоторых неограничивающих вариантах осуществления можно осуществлять перорально, путем инъекции или путем ингаляции. В некоторых вариантах осуществления антитела будут содержаться в фармацевтической композиции, которую можно безопасно и легко вводить субъекту. В некоторых вариантах осуществления фармацевтическая композиция содержит антитела и фармацевтически приемлемые носитель или вспомогательное вещество.

[0169] В некоторых вариантах осуществления HLA представляет собой HLA-G. В некоторых вариантах осуществления HLA представляет собой неканонический HLA. В некоторых вариантах осуществления HLA представляет собой канонический HLA. В некоторых вариантах осуществления подтверждается экспрессия mRNA. В некоторых вариантах осуществления подтверждается экспрессия белка. В некоторых вариантах осуществления подтверждается поверхностная экспрессия белка. Способы измерения экспрессии хорошо известны из уровня техники и включают ПЦР, Q-PCR, нозерн-блоттинг, иммуноблоттинг, гибридизацию in situ, иммуноокрашивание и FACS. В некоторых вариантах осуществления способ включает анализ FACS, проводимый в отношении раковых клеток для подтверждения поверхностной экспрессии.

Составы

[0170] В настоящем изобретении также рассматриваются фармацевтические составы для медицинского применения у человека, которые содержат в качестве активного средства по меньшей мере одно антитело, распознающее ILT2, предназначенные для изготовления терапевтической композиции для лечения, диагностики или профилактики различных состояний, описанных в данном документе.

[0171] В таких фармацевтических и лекарственных составах активное средство предпочтительно используют вместе с одним или несколькими фармацевтически приемлемыми носителями и необязательно любыми другими терапевтическими ингредиентами. Носитель(-и) должен(-ны) являться фармацевтически приемлемым(-и) в том смысле, что он(-и) должен(-ны) являться совместимым(-и) с другими ингредиентами состава и не оказывать чрезмерного вредного воздействия в отношении его реципиента. Активное средство предоставляется в количестве, эффективном для достижения необходимого фармакологического эффекта, как описано выше, и в количестве, подходящем для достижения необходимой суточной дозы.

[0172] Как правило, молекулы по настоящему изобретению, содержащие антигенсвязывающую часть антитела, будут являться суспендированными в стерильном солевом растворе для вариантов терапевтического применения. В качестве альтернативы фармацевтические композиции могут быть составлены для контроля высвобождения активного ингредиента (молекулы, содержащей антигенсвязывающую часть антитела) или для продления его присутствия в организме пациента. Известны многочисленные подходящие системы доставки лекарственных средств, и они включают, например, имплантируемые системы высвобождения лекарственных средств, гидрогели, гидроксиметилцеллюлозу, микрокапсулы, липосомы, микроэмульсии, микросферы и т. п. Препараты с контролируемым высвобождением могут быть получены с использованием полимеров для образования комплекса с молекулой в соответствии с настоящим изобретением или ее адсорбции. Например, биосовместимые полимеры включают матрицы из сополимера этилена и винилацетата и матрицы из полиангидридного сополимера димера стеариновой кислоты и себариновой кислоты. Скорость высвобождения молекулы по настоящему изобретению, т. е. антитела или фрагмента антитела, из такой матрицы зависит от молекулярной массы молекулы, количества молекулы в пределах матрицы и размера диспергированных частиц.

[0173] Фармацевтическую композицию по настоящему изобретению можно вводить любым подходящим способом, как например перорально, местно, интраназально, подкожно, внутримышечно, внутривенно, внутриартериально, внутрисуставно, внутриочагово или парентерально. Как правило, предпочтительным будет являться внутривенное (i.v.), внутрисуставное, местное или парентеральное введение.

[0174] Для специалистов в данной области техники будет очевидно, что терапевтически эффективное количество молекулы по настоящему изобретению будет зависеть, среди прочего, от схемы введения, стандартной дозы вводимой молекулы, от того, вводится ли молекула в комбинации с другими терапевтическими средствами, иммунного статуса и состояния здоровья пациента, терапевтической активности вводимой молекулы и заключения лечащего врача.

[0175] Хотя подходящая доза молекулы (антитела или его фрагмента) по настоящему изобретению варьируется в зависимости от пути введения, типа молекулы (полипептид, полинуклеотид, органическая молекула и т. д.), возраста, массы тела, пола или состояний, имеющихся у пациента, и в конечном итоге должна определяться врачом, в случае перорального введения суточная доза обычно может составлять от приблизительно 0,01 мг до приблизительно 500 мг, предпочтительно от приблизительно 0,01 мг до приблизительно 50 мг, более предпочтительно от приблизительно 0,1 мг до приблизительно 10 мг на кг массы тела. В случае парентерального введения суточная доза обычно может составлять от приблизительно 0,001 до приблизительно 100 мг, предпочтительно от приблизительно 0,001 до приблизительно 10 мг, более предпочтительно от приблизительно 0,01 до приблизительно 1 мг на кг массы тела. Суточная доза может быть введена, например, в рамках режимов, как правило, предусматривающих 1-4 отдельные процедуры введения в день. Другие предпочтительные способы введения включают внутрисуставное введение от приблизительно 0,01 мг до приблизительно 100 мг на кг массы тела. Различные соображения в отношении определения эффективного количества описаны, например, в Goodman and Gilman's: The Pharmacological Bases of Therapeutics, 8th ed., Pergamon Press, 1990; и Remington's Pharmaceutical Sciences, 17th ed., Mack Publishing Co., Easton, Pa., 1990.

[0176] Подходящие режимы введения доз комбинированных средств химиотерапии известны из уровня техники и описаны, например, в Saltz et al. Proc ASCO 1999, 18, 233a, и Douillard et al., Lancet 2000, 355, 1041-7.

[0177] Молекулы по настоящему изобретению в качестве активных ингредиентов растворяют, диспергируют во вспомогательном веществе, которое является фармацевтически приемлемым и совместимым с активным ингредиентом, как это хорошо известно, или смешивают с ним. Подходящими вспомогательным веществами являются, например, вода, солевой раствор, фосфатно-солевой буфер (PBS), декстроза, глицерин, этанол и т. п. и их комбинации. Другие подходящие носители хорошо известны специалистам в данной области техники. Кроме того, в случае необходимости композиция может содержать незначительные количества вспомогательных веществ, таких как смачивающие или эмульгирующие средства, рН-буферные средства.

Способы получения

[0178] В другом аспекте предусмотрен способ получения средства, при этом способ включает получение средства, которое связывается с внеклеточным доменом ILT2 или его фрагментом, тестирование способности средства повышать по меньшей мере одно из воспалительной активности макрофагов, активности Т-клеток, направленной против раковой клетки, активности дендритных клеток и цитотоксичности естественных киллерных клеток (NK) в отношении раковой клетки и выбор по меньшей мере одного средства, которое повышает по меньшей мере одно из активности макрофагов, активности Т-клеток, активности дендритных клеток и цитотоксичности; за счет чего обеспечивается получение средства.

[0179] В другом аспекте предусмотрен способ получения средства, при этом способ включает культивирование клетки-хозяина, содержащей один или несколько векторов, содержащих последовательность нуклеиновой кислоты, кодирующую средство, при этом последовательность нуклеиновой кислоты представляет собой последовательность средства, которое было выбрано посредством:

получения средства, которое связывается с внеклеточным доменом ILT2 или его фрагментом;

тестирования способности указанного средства повышать по меньшей мере одно из воспалительной активности макрофагов, активности Т-клеток, направленной против раковой клетки, активности дендритных клеток и цитотоксичности NK-клеток в отношении раковой клетки и

выбора по меньшей мере одного средства, которое повышает по меньшей мере одно из фагоцитоза, активности и цитотоксичности;

за счет чего обеспечивается получение средства.

[0180] В другом аспекте предусмотрен способ получения средства, при этом способ включает получение средства, которое связывается с внеклеточным доменом ILT2 или его фрагментом, тестирование способности средства повышать эффективность средства терапии на основе антитела к PD-L1/PD-1, направленного против раковой клетки, и выбор по меньшей мере одного средства, которое повышает эффективность средства терапии на основе антитела к PD-L1/PD-1; за счет чего обеспечивается получение средства.

[0181] В другом аспекте предусмотрен способ получения средства, при этом способ включает культивирование клетки-хозяина, содержащей один или несколько векторов, содержащих последовательность нуклеиновой кислоты, кодирующую средство, при этом последовательность нуклеиновой кислоты представляет собой последовательность средства, которое было выбрано посредством:

получения средства, которое связывается с внеклеточным доменом ILT2 или его фрагментом;

тестирования способности средства повышать эффективность средства терапии на основе антитела к PD-L1/PD-1, направленного против раковой клетки; и

выбора по меньшей мере одного средства, которое повышает эффективность средства терапии на основе антитела к PD-L1/PD-1, направленного против раковой клетки;

за счет чего обеспечивается получение средства.

[0182] В другом аспекте предусмотрен способ получения средства, при этом способ включает

получение средства, которое связывается с внеклеточным доменом ILT2 или его фрагментом, тестирование способности указанного средства индуцировать по меньшей мере два из усиленного фагоцитоза раковой клетки макрофагами, повышенной активности Т-клеток, направленной против раковой клетки, повышенного образования макрофагов M1, сниженного образования макрофагов М2, повышенного рекрутинга дендритных клеток в микроокружение опухоли, повышенной активации дендритных клеток и повышенной цитотоксичности естественных киллерных клеток (NK) в отношении раковой клетки и выбор по меньшей мере одного средства, которое индуцирует по меньшей мере два из указанного усиленного фагоцитоза, указанной повышенной активности, указанного повышенного образования, указанного сниженного образования, указанного рекрутинга, указанной повышенной активации, указанной сниженной активности и указанной повышенной цитотоксичности; за счет чего обеспечивается получение средства.

[0183] В другом аспекте предусмотрен способ получения средства, при этом способ включает

культивирование клетки-хозяина, содержащей один или несколько векторов, содержащих последовательность нуклеиновой кислоты, кодирующую средство, при этом последовательность нуклеиновой кислоты представляет собой последовательность средства, которое было выбрано посредством:

получения средства, которое связывается с внеклеточным доменом ILT2 или его фрагментом;

тестирования способности указанного средства индуцировать по меньшей мере два из усиленного фагоцитоза раковой клетки макрофагами, повышенной активности Т-клеток, направленной против раковой клетки, повышенного образования макрофагов М1, сниженного образования макрофагов М2, повышенного рекрутинга дендритных клеток в микроокружение опухоли, повышенной активации дендритных клеток и повышенной цитотоксичности естественных киллерных клеток (NK) в отношении раковой клетки и

выбора по меньшей мере одного средства, которое обеспечивает увеличение в отношении по меньшей мере двух из указанного усиленного фагоцитоза, указанной повышенной активности, указанного повышенного образования, указанного сниженного образования, указанного рекрутинга, указанной повышенной активации, указанной сниженной активности и указанной повышенной цитотоксичности;

за счет чего обеспечивается получение средства.

[0184] В другом аспекте предусмотрен способ получения средства, при этом способ включает

получение средства, которое связывается с внеклеточным доменом ILT2 или его фрагментом, тестирование способности указанного средства подавлять взаимодействие между ILT2 и B2M и выбор по меньшей мере одного средства, которое подавляет взаимодействие между ILT2 и B2M; за счет чего обеспечивается получение средства.

[0185] В другом аспекте предусмотрен способ получения средства, при этом способ включает

культивирование клетки-хозяина, содержащей один или несколько векторов, содержащих последовательность нуклеиновой кислоты, кодирующую средство, при этом последовательность нуклеиновой кислоты представляет собой последовательность средства, которое было выбрано посредством:

получения средства, которое связывается с внеклеточным доменом ILT2 или его фрагментом;

тестирования способности указанного средства подавлять взаимодействие между ILT2 и B2M и

выбора по меньшей мере одного средства, которое подавляет взаимодействие между ILT2 и B2M;

за счет чего обеспечивается получение средства.

[0186] В другом аспекте предусмотрен способ получения средства, при этом способ включает получение средства, которое связывается с эпитопом ILT2 в пределах последовательности ILT2 человека, выбранной из SEQ ID NO: 41, 42, 43 и 44; за счет чего обеспечивается получение средства.

[0187] В другом аспекте предусмотрен способ получения средства, при этом способ включает культивирование клетки-хозяина, содержащей один или несколько векторов, содержащих последовательность нуклеиновой кислоты, кодирующую средство, при этом последовательность нуклеиновой кислоты представляет собой последовательность средства, которое было выбрано посредством получения средства, которое связывается с эпитопом ILT2 в пределах последовательности ILT2 человека, выбранной из SEQ ID NO: 41, 42, 43 и 44; за счет чего обеспечивается получение средства.

[0188] В некоторых вариантах осуществления способ дополнительно включает тестирование способности средства подавлять ILT2-опосредованную иммуносупрессию и выбор по меньшей мере одного средства, которое подавляет ILT2-опосредованную иммуносупрессию. В некоторых вариантах осуществления последовательность нуклеиновой кислоты относится к средству, выбранному посредством тестирования способности средства подавлять ILT2-опосредованную иммуносупрессию и выбора средства, которое подавляет ILT2-опосредованную иммуносупрессию. В некоторых вариантах осуществления способ включает тестирование способности указанного средства индуцировать по меньшей мере три из усиленного фагоцитоза раковой клетки макрофагами, повышенной активности Т-клеток, направленной против раковой клетки, повышенного образования макрофагов M1, сниженного образования макрофагов М2, повышенного рекрутинга дендритных клеток в микроокружение опухоли, повышенной активации дендритных клеток и повышенной цитотоксичности естественных киллерных клеток (NK) в отношении и выбор по меньшей мере одного средства, которое индуцирует по меньшей мере три из перечисленного. В некоторых вариантах осуществления способ включает тестирование способности средства индуцировать эффект в отношении по меньшей мере трех из Т-клеток, NK-клеток, дендритных клеток и макрофагов. В некоторых вариантах осуществления способ включает тестирование способности средства индуцировать эффект в отношении Т-клеток, NK-клеток, дендритных клеток и макрофагов.

[0189] В некоторых вариантах осуществления повышение эффективности предусматривает синергетическое усиление противоракового эффекта. В некоторых вариантах осуществления противораковый эффект представлен секрецией провоспалительного цитокина. В некоторых вариантах осуществления провоспалительный цитокин выбран из GM-CSF, IL-6 и IFNγ. В некоторых вариантах осуществления провоспалительный цитокин представляет собой GM-CSF, IL-6 или IFNγ. Каждая возможность представляет собой отдельный вариант осуществления настоящего изобретения. В некоторых вариантах осуществления провоспалительный цитокин представляет собой GM-CSF. В некоторых вариантах осуществления повышенная эффективность предусматривает синергетическое повышение активации Т-клеток. В некоторых вариантах осуществления повышенная эффективность предусматривает синергетическое повышение цитотоксичности Т-клеток. В некоторых вариантах осуществления повышенная эффективность предусматривает синергетическое повышение как активации, так и цитотоксичности Т-клеток. В некоторых вариантах осуществления повышение предусматривает повышенную мембранную экспрессию CD107a. В некоторых вариантах осуществления повышение характеризуется повышенной мембранной экспрессией CD107a. В некоторых вариантах осуществления повышение сопоставимо с эффективностью, когда не осуществляют введение средства или его приведение в контакт. В некоторых вариантах осуществления повышение эффективности предусматривает преобразование рака, рефрактерного по отношению к средству терапии, направленному на PD-1/PD-L1, в рак, который отвечает на терапию. В некоторых вариантах осуществления рак характеризуется экспрессией HLA. В некоторых вариантах осуществления рак характеризуется экспрессией MHC-I.

[0190] В некоторых вариантах осуществления повышенная воспалительная активность макрофагов предусматривает усиленный фагоцитоз раковой клетки макрофагом. В некоторых вариантах осуществления повышенная воспалительная активность макрофагов предусматривает повышение образования макрофагов M1. В некоторых вариантах осуществления повышенная воспалительная активность макрофагов предусматривает снижение образования макрофагов М2. В некоторых вариантах осуществления повышенная воспалительная активность макрофагов предусматривает повышение встречаемости фенотипа M1 на макрофагах. В некоторых вариантах осуществления повышенная воспалительная активность макрофагов предусматривает снижение встречаемости фенотипа М2 на макрофагах.

[0191] В некоторых вариантах осуществления активность дендритных клеток предусматривает активацию дендритных клеток. В некоторых вариантах осуществления активность дендритных клеток предусматривает рекрутинг дендритных клеток в опухоль. В некоторых вариантах осуществления активность дендритной клетки представляет собой активность, направленную против раковой клетки. В некоторых вариантах осуществления активность, направленная против раковой клетки, представляет собой активность в TME. В некоторых вариантах осуществления опухоль представлена ТМЕ. В некоторых вариантах осуществления активность дендритных клеток предусматривает презентацию антигена.

[0192] В некоторых вариантах осуществления тестирование способности средства предусматривает способность средства повышать по меньшей мере 1, 2, 3, 4, 5 или все из активности Т-клеток, направленной против раковой клетки, воспалительной активности макрофагов, активности дендритных клеток и цитотоксичности естественных киллерных клеток (NK) в отношении раковой клетки. Каждая возможность представляет собой отдельный вариант осуществления настоящего изобретения. В некоторых вариантах осуществления выбор по меньшей мере одного средства предусматривает выбор средства, которое повышает по меньшей мере 1, 2, 3, 4, 5 или все из активности Т-клеток, направленной против раковой клетки, воспалительной активности макрофагов, активности дендритных клеток и цитотоксичности естественных киллерных клеток (NK) в отношении раковой клетки. В некоторых вариантах осуществления повышение воспалительной активности макрофагов представляет собой повышение образования макрофагов M1 и/или повышение фагоцитоза раковой клетки макрофагами. В некоторых вариантах осуществления повышение воспалительной активности макрофагов представляет собой снижение образования макрофагов М2. В некоторых вариантах осуществления тестирование способности средства предусматривает способность средства повышать воспалительную активность макрофагов. В некоторых вариантах осуществления тестирование способности средства предусматривает способность средства повышать активность дендритных клеток. В некоторых вариантах осуществления опухоль представлена TME. В некоторых вариантах осуществления тестирование способности средства предусматривает способность средства повышать цитотоксичность NK-клеток в отношении раковой клетки.

[0193] В некоторых вариантах осуществления способ дополнительно предусматривает тестирование способности средства подавлять взаимодействие ILT2 и B2M. В некоторых вариантах осуществления взаимодействие представляет собой непосредственное взаимодействие. В некоторых вариантах осуществления способ дополнительно предусматривает тестирование способности средства подавлять контактное взаимодействие ILT2 и B2M. В некоторых вариантах осуществления взаимодействие представляет собой связывание. В некоторых вариантах осуществления контактное взаимодействие представляет собой связывание. В некоторых вариантах осуществления способ дополнительно включает тестирование способности средства связывать эпитоп.

[0194] Следующие примеры предназначены для иллюстрации того, каким образом можно получать и применять соединения и способы по настоящему изобретению, и никоим образом не должны рассматриваться как носящие ограничительный характер. Несмотря на то, что настоящее изобретение будет теперь описываться в связи с его конкретными вариантами осуществления, очевидно, что многие модификации и вариации будут являться очевидными для специалистов в данной области техники. Соответственно, предполагается, что оно охватывает все такие модификации и вариации, которые находятся в пределах сути и широкого объема прилагаемой формулы изобретения.

ПРИМЕРЫ

[0195] Как правило, номенклатура, используемая в данном документе, и лабораторные процедуры, используемые в данном изобретении, включают молекулярные, биохимические, микробиологические методики и методики рекомбинантной ДНК. Такие методики подробно описаны в литературе. См., например, "Molecular Cloning: A laboratory Manual" Sambrook et al., (1989); "Current Protocols in Molecular Biology" Volumes I-III Ausubel, R. M., ed. (1994); Ausubel et al., "Current Protocols in Molecular Biology", John Wiley and Sons, Baltimore, Maryland (1989); Perbal, "A Practical Guide to Molecular Cloning", John Wiley & Sons, New York (1988); Watson et al., "Recombinant DNA", Scientific American Books, New York; Birren et al. (eds) "Genome Analysis: A Laboratory Manual Series", Vols. 1-4, Cold Spring Harbor Laboratory Press, New York (1998); методики, изложенные в патентах США №№ 4666828; 4683202; 4801531; 5192659 и 5272057; "Cell Biology: A Laboratory Handbook", Volumes I-III Cellis, J. E., ed. (1994); "Culture of Animal Cells - A Manual of Basic Technique" by Freshney, Wiley-Liss, N. Y. (1994), Third Edition; "Current Protocols in Immunology" Volumes I-III Coligan J. E., ed. (1994); Stites et al. (eds), "Basic and Clinical Immunology" (8th Edition), Appleton & Lange, Norwalk, CT (1994); Mishell and Shiigi (eds), "Strategies for Protein Purification and Characterization - A Laboratory Course Manual" CSHL Press (1996); "Monoclonal Antibodies: Methods and Protocols". Vincent Ossipow, Nicolas Fischer. Humana Press (2014); "Monoclonal Antibodies: Methods and Protocols". Maher Albitar. Springer Science & Business Media (2007), все из которых включены посредством ссылки. Другие общие ссылки представлены во всем данном документе.

Материалы и методы

[0196] Антитела. Коммерческими mAb к ILT2 являются клон №1 - GHI/75 (BioLegend, кат. № 333704), клон №2 - HP-F1 (eBioscience, кат. № 16-5129). Дополнительные используемые mAb: HLA-G (MEM-G/9; Abcam, кат. № ab7758; G-0031,), ILT4 (42D1, Biolegend, кат. № 338704), ILT6 (Sino Biological, кат. № 13549-MM06), LILRA1 (R&D systems, кат. № MAB30851), ко всем формам HLA (W6/22; eBioscience, кат. № 16-9983-85) и His (Proteintech, кат. № 10001-0-AP).

[0197] Проточная цитометрия. Как правило, клетки хранили на льду или при 4°C на всех стадиях. Перед окрашиванием 5 × 105 клеток блокировали с помощью человеческого IgG в концентрации 50 мкг/мл (Sigma, кат. № I4506) в буфере для FACS (PBS с 0,1% BSA) в течение 15 мин. Антитела использовали в концентрациях, рекомендованных производителем, и инкубировали в течение 30 мин в темноте. Инкубацию осуществляли в 100 мкл в 96-луночных планшетах с U-образным дном, клетки дважды промывали с помощью 200 мкл буфера для FACS и переносили в пробирки для FACS в 150 мкл буфера для FACS для проведения анализа. Клетки анализировали на проточном цитометре Gallios (Beckman coulter) с применением программного обеспечения для получения данных проточной цитометрии Kaluza для Gallios.

[0198] Дифференцировка миелоидных клеток. Моноциты выделяли из образцов свежей крови здоровых доноров с использованием набора для обогащения моноцитами человека EasySep™ (STEMCELL, кат. № 19059) посредством способа отрицательной селекции. Различные клеточные популяции тестировали в отношении указанных фенотипов посредством анализа FACS соответствующих маркеров и посредством анализа секреции характерных цитокинов. Для созревания моноциты культивировали при плотности 0,8 × 106/мл в среде RPMI с факторами роста, которые обновляли в день 3 и день 6. Воспалительные макрофаги M1 созревали в присутствии GM-CSF в концентрации 50 нг/мл (фенотип M1) в течение 6 дней, а затем в присутствии IFN-гамма в концентрации 20 нг/мл и LPS в концентрации 50 нг/мл в течение 48 ч. Супрессорные макрофаги М2 дифференцировали с использованием M-CSF в концентрации 50 нг/мл в течение 6 дней, а затем M-CSF в концентрации 10 нг/мл и IL-4 и IL-10 в концентрации 20 нг/мл в течение 48 ч. Дендритные клетки индуцировали с помощью GM-CSF в концентрации 50 нг/мл и IL-4 в концентрации 20 нг/мл в течение 6 дней и далее дифференцировали в зрелые (LPS в концентрации 100 нг/мл) или толерогенные (IL-10 в концентрации 100 ЕД/мл и IFN-a2b (1000 ЕД/мл) дендритные клетки.

[0199] Трансфекция. Плазмиды HLA-G1 (кодирующие транскрипт полноразмерного HLA-G) создавали посредством встраивания cDNA HLA-G1 в вектор PCDNA3.1. Трансфекцию проводили с использованием реагента для трансфекции jetPEI® (PolyPlus Transfections). Плазмиду ILT2/CD3z получали посредством объединения в рамке считывания внеклеточной части человеческого белка ILT2 с остатками, соответствующими трансмембранным и цитоплазматическим участкам, кодируемым мышиным геном CD3. Плазмидой нуклеофицировали клетки, относящиеся к линии мышиных Т-клеток BW5417.3, с использованием Nucleofector II (Lonza), как описано производителем. Стабильные трансфектанты отбирали в среде, содержащей G418.

[0200] Анализ совместного культивирования NK и линий раковых клеток. NK-клетки инкубировали совместно с указанными клеточными линиями в присутствии антител к ILT2 и соответствующих изотипических контролей в течение 5 часов при 37ºC. Уровни цитотоксичности измеряли с применением набора для флуорометрического обнаружения LDH (Promega).

[0201] Анализ блокирования посредством проточной цитометрии. Рекомбинантный белок человеческого ILT2, слитый с Fc-участком человеческого IgG1 на N-конце, конъюгировали с биотином (Innova bioscience). В общей сложности 5 × 105 клеток A375/HLA-G1 инкубировали в объеме 100 мкл в присутствии клона №1 антитела к ILT2 или изотипически сходного контрольного mAb и ILT2-Fc, конъюгированного с биотином (10 мкг/мл), в течение 30 минут при комнатной температуре. После нескольких стадий промывки добавляли стрептавидин-PE в конечной концентрации 0,2 мкг/мл и инкубировали в течение 30 мин на льду с последующим анализом FACS.

[0202] Анализ с использованием химеры BW ILT2/CD3z-цепь. 3× 104 BW/ILT2z смешивали с эквивалентным количеством клеток A375/WT или A375/HLA-G1 в течение 24 ч. Использовали функциональные mAb в указанных концентрациях и соответствующие изотипические контроли. Количество секретируемого мышиного IL2 оценивали с помощью коммерческого набора ELISA (BioLegend).

ПРИМЕР 1

ILT2 и HLA-G обнаружены на раковых клетках и иммунных клетках, связанных с раком

[0203] ILT2 представляет собой известную иммуносупрессорную молекулу, обнаруженную на поверхности здоровых иммунных клеток, а также многих опухолевых клеток. Было показано, что ILT2 связывает MHC-1, а также молекулы класса HLA (HLA-G, а также HLA-F и HLA-B27) и конкурирует с CD8, и за счет этого подавляет активацию Т-клеток. Для того, чтобы лучше понять разнообразие клеток, экспрессирующих ILT2, анализ посредством проточной цитометрии с использованием коммерческого антитела (антитело №1) проводили в отношении различных иммунных клетках. Как сообщалось в литературе, цитотоксические Т-клетки (CTL), полученные от пациента с меланомой, а также естественные киллерные клетки (NK) являлись положительными в отношении поверхностной экспрессии ILT2 (фиг. 1). Также исследовали моноциты из крови здоровых доноров, и обнаружили, что они характеризуются высоким уровнем экспрессии ILT2 (фиг. 2, крайние левые панели). При дифференцировке моноцитов в различные популяции миелоидных клеток (дендритные клетки и макрофаги), вне зависимости от того, являются ли они незрелыми воспалительными или толерогенными, экспрессия ILT2 сохранялась (фиг. 2, правые панели).

[0204] Экспрессию ILT2 при различных видах рака исследовали посредством биоинформатического анализа базы данных TCGA (фиг. 3A). Интересно отметить, что наблюдалась корреляция между уровнями экспрессии РНК ILT2 и присутствием супрессорных клеток миелоидного происхождения (MDSC) и супрессорных опухоль-ассоциированных макрофагов M2 (TAM) в опухолевых образцах, представленных в TCGA (фиг. 3B). Анализ свежих опухолевых образцов, отобранных из разных солидных опухолей, посредством проточной цитометрии продемонстрировал экспрессию ILT2 клетками, относящимися к врожденной и адаптивной иммунным системам, в микроокружении опухоли (TME). Опухолевые образцы от пациентов с немелкоклеточным раком легкого (NSCLC), раком почки (RCC), раком головы и шеи, раком пищевода и раком толстой кишки собирали и путем ферментативного расщепления получали суспензии отдельных клеток. Процент ILT2-положительных клеток представлен на фигуре 3C для всего количества иммунных клеток, опухоль-ассоциированных макрофагов (ТАМ), CD4-положительных Т-клеток, CD8-положительных Т-клеток и естественных киллерных клеток (NK). Таким образом, очевидно, что ILT2 экспрессируется как на клетках с противораковой активностью (воспалительные клетки), так и на клетках со стимулирующей развитие рака и иммуносупрессорной активностью (толерогенные и MDSC).

[0205] Экспрессию HLA-G также исследовали при различных видах рака. Тканевые матрицы (ТМА) образцов пораженных раком тканей при его различных видах окрашивали коммерческим поликлональным антителом к HLA-G в рамках иммуногистохимического анализа. Указан процент положительных случаев для каждого типа рака (фиг. 4A). Кроме того, для нескольких видов рака исследовали расширенные ТМА. Балльный показатель окрашивания HLA-G рассчитывали посредством умножения интенсивности окрашивания на процент положительных клеток. Высокий балльный показатель окрашивания HLA-G, превышающий 100, обнаруживали при высоком проценте случаев рака пищевода, желудочно-кишечного тракта, головы и шеи, а также почки (фиг. 4B). Процент положительных случаев по каждому виду показан в таблице 1.

[0206] Таблица 1

Рак Типы опухолей N Положительные случаи (%) Мужской мочеполовой системы Аденокарцинома предстательной железы и семинома яичка 6 0 Щитовидной железы Карцинома щитовидной железы 6 0 Яичника Аденокарцинома и зернистоклеточная опухоль яичника 8 11 ЦНС Головного мозга, мозжечка, глаза 15 17 Легкого Аденокарцинома, крупноклеточная, мелкоклеточная и плоскоклеточная карцинома легкого 12 17 Саркома Кости, брюшной полости, забрюшинного пространства, мягких тканей 15 20 Поджелудочной железы Аденокарцинома поджелудочной железы 9 22 Мочевого пузыря Переходно-клеточная карцинома мочевого пузыря 3 33 Кожи Плоскоклеточная карцинома и меланома 6 33 Толстого кишечника Аденокарцинома толстой кишки и аденокарцинома прямой кишки 5 40 Почки Светлоклеточная карцинома, нефробластома, хромофобная аденома, саркоматоидная карцинома почки 12 42 Верхние отделы желудочно-кишечного тракта Карцинома пищевода и аденокарцинома желудка 9 56 Молочной железы Инвазивная протоковая карцинома молочной железы 3 67 H&N H&N - плоскоклеточная карцинома гортани 3 67 Виды лимфом Лимфома Ходжкина, диффузная мелкоклеточная В- и Т-клеточная лимфома 9 78

[0207] HLA-G характеризуется наличием у него растворимой секретируемой формы, а также более распространенной мембранной формы. Для исследования уровней экспрессии растворимой формы HLA-G у пациентов, страдающих раком, образцы плазмы крови исследовали в отношении наличия HLA-G с использованием коммерческого ELISA. Было обнаружено, что сверхэкспрессия HLA-G наблюдается при некоторых видах рака по сравнению с нормальными (здоровыми) контролями (фиг. 5). Кроме того, при определенных типах рака может быть выявлена популяция пациентов со значительно более высокими уровнями.

ПРИМЕР 2

Получение блокирующих антител к ILT2

[0208] Гибридомную технологию использовали для получения моноклональных антагонистических антител к ILT2. Первоначально получали 69 специфичных в отношении ILT2 гибридом. 3 лидерных антитела выбирали в соответствии с их предпочтительным связыванием, профилем перекрестной реактивности и функциональной активностью в различных выполненных в рамках исследования анализах. Выбранными антителами были 19E3, 15G8 и 17F2. Эти антитела секвенировали с применением обычных способов. Последовательности выбранных антител указаны на фигуре 6. CDR определяли по системе KABAT. 15G8 и 19E3 гуманизировали с применением обычного подхода с прививанием CDR. Вкратце, идентифицировали основные CDR и каркасные остатки из исходных антител, полученных из гибридомы, и прививали к вариабельным и константным областям человеческих антител зародышевой линии. Конечными гуманизированными антителами являются антитела на основе IgG4. Конечное гуманизированное 15G8 также предусматривало единственную аминокислотную замену с удалением цистеина в CDR-H3 и заменой его на аланин или серин. Это изменение выполняли для того, чтобы улучшить возможности разработки. Было подтверждено связывание обоих полученных антител, и для дополнительного тестирования выбирали антитело 15G8, предусматривающее замену на аланин. Все последующие ссылки на гуманизированное 15G8 относятся к варианту с заменой на аланин.

[0209] Способность антител к ILT2 связываться с ILT2 тестировали с применением трех различных систем. Связывание с рекомбинантным ILT2 тестировали с применением ELISA (фиг. 7A) и с применением Biacore T200 (таблица 2), а связывание с мембранным ILT2 тестировали с использованием клеток BW, трансфицированных с помощью ILT2 (фиг. 7B-7C). Химерные мышиные и гуманизированные антитела продемонстрировали аналогичное связывание (фиг. 7D). Коммерческое мышиное антитело к ILT2 человека (Biolegend; клон GHI/75) использовали в качестве положительного контроля. Три протестированных антитела успешно связывали ILT2 как в растворе, так и на поверхности клеток. Перекрестную реактивность в отношении нескольких аналогичных членов семейства ILT - PIRB, ILT6 и LILRA1 также исследовали с применением связывающего ELISA. Антитела к этим белкам использовали в качестве положительного контроля. Ни одно из антител не реагировало перекрестно с PIRB, ILT6 и LILRA1. Антитела также были эффективны в отношении иммуноокрашивания (фиг. 7E). Интересным является то, что в случае РВМС, выделенных из крови пациентов, страдающих раком, было обнаружено, что ILT2 экспрессировался на большем количестве Т-клеток и NK-клеток у пациентов, страдающих раком, чем у здоровых контролей (фиг. 7F).

Таблица 2

Ka (1/Mс) Kd (1/с) KD (/M) 1,37-1,76 E+06 2,22-5,22 E-03 1,26-3,16 E-09

ПРИМЕР 3

Антитела к ILT2 блокируют взаимодействие ILT2-HLA-G

[0210] Способность полученных антител к ILT2 блокировать взаимодействие между HLA-G и ILT2 тестировали с применением четырех различных анализов. Сначала проводили проточно-цитометрический анализ с блокированием. Клетки A375, трансфицированные HLA-G, инкубировали совместно с биотинилированным ILT2 в присутствии антител по настоящему изобретению и антитела положительного контроля. В качестве положительного контроля использовали коммерчески доступное антитело к ILT2 GHI/75 (BioLegend, кат. № 333704). Связывание ILT2-биотина с клетками определяли с использованием стрептавидина-PE посредством проточно-цитометрического анализа (фиг. 8A). Процент блокирования определяли путем нормализации относительно отрицательного контроля (связывание ILT2 в присутствии контрольного IgG). Репрезентативный анализ FACS, демонстрирующий связывание ILT2 без антитела (серая линия), в присутствии 15G8 (светло-серая линия) и изотипического контроля (черная линия), представлен на фиг. 8B. Процент блокирования рассчитывали при различных концентрациях антитела (фиг. 8C). Химерные мышиные и гуманизированные антитела продемонстрировали аналогичную блокирующую способность (фиг. 8D).

[0211] Способность антител к ILT2 функционально блокировать взаимодействие между HLA-G и ILT2 также исследовали в ходе репортерного анализа с использованием химеры BW ILT2/мышиная Z-цепь. Клетки BW трансфицировали человеческим ILT2, слитым с дзета-цепью мышиного Т-клеточного рецептора (BW-ILT2). Затем клетки инкубировали совместно с клетками A375-HLA-G в присутствии выбранных антител к ILT2. При функциональном взаимодействии ILT2-HLA-G клетки BW секретируют репортерный цитокин, представляющий собой мышиный IL-2. Блокирование взаимодействия будет приводить к снижению секреции репортерного цитокина. Секрецию мышиного IL-2 определяли посредством ELISA через 24 часа инкубации. Результаты представляют собой среднее значение уровней mIL-2 ± SE для трех лунок на обработку (фиг. 8E). Коммерческое мышиное антитело к ILT2 человека (Biolegend; клон GHI/75) использовали в качестве положительного контроля (PC) для обоих анализов. Процент блокирования рассчитывали при различных концентрациях антитела (фиг. 8F). Этот же репортерный анализ с использованием химеры BW ILT2/мышиная Z-цепь применяли для исключения возможности того, что новые антитела сами по себе могут характеризоваться эффектом активации ILT2. Клетки инкубировали совместно с антителами к ILT2 без раковых клеток и повторно измеряли секрецию мышиного IL-2 (фиг. 8G). Было обнаружено, что новые антитела к ILT2 не характеризуются агонистическим эффектом, хотя другие антитела, полученные с помощью того же гибридомного способа (1G7), могут связывать ILT2 и индуцировать его активность.

[0212] Функциональное блокирование также исследовали в линии человеческих клеток Jurkat (Т-клетки). Клетки Jurkat инкубировали совместно с раковыми клетками A375, экзогенно экспрессирующими HLA-G и одноцепочечное антитело к CD3 (OKT3), или без них. Измеряли секрецию провоспалительного человеческого IL-2. При использовании немодифицированных клеток Jurkat (клетки, которые являются ILT2-отрицательными) происходила секреция высоких уровней IL-2 при совместном культивировании клеток Jurkat с раковыми клетками (фиг. 8H). Неудивительным стало то, что добавление антитела 15G8 не оказало какого-либо эффекта в отношении секреции IL-2, так как ILT2, который подлежал блокированию, отсутствовал. Таким образом, клетки Jurkat трансфицировали для обеспечения экспрессии человеческого ILT2. Сначала ILT2-положительные клетки Jurkat культивировали совместно с раковыми клетками A375, экзогенно экспрессирующими OKT3, и без них. Эти раковые клетки по своей природе являются MHC-I-положительными. MHC-I из раковых клеток значительно подавлял секрецию IL-2 (фиг. 8I). В этом случае добавление антитела 15G8 блокировало взаимодействие ILT2/MHC-I и повышало секрецию IL-2 дозозависимым образом. Антитело ко всем формам HLA использовали в качестве положительного контроля, и при равных концентрациях антитело 15G8 было сопоставимо с антителом ко всем формам HLA (фиг. 8I). Для усиления эффекта подавления клетки A375 также трансфицировали HLA-G, что делало их MHC-I- и HLA-G-положительными. Эти клетки обеспечивали еще более значительный эффект подавления в отношении ILT2-положительных клеток, снижая секрецию IL-2 до уровня, характерного для клеток Jurkat, культивируемых отдельно (фиг. 8J). Дозозависимый эффект снова наблюдался при введении антитела 15G8, и снова при равных дозах антитело 15G8 и антитело ко всем формам HLA характеризовались сопоставимой эффективностью (фиг. 8J). Примечательно, что когда вместо антитела ко всем формам HLA использовали антитело, специфичное только в отношении HLA-G, эффект был значительно снижен и был сопоставим с эффектом антитела 15G8, используемого при 1/100 величины его концентрации (фиг. 8K).

[0213] Эту систему на основе Jurkat также использовали для сравнения антитела 15G8 с двумя коммерчески доступными антителами: GHI/75 и HP-F1. Клетки Jurkat, экспрессирующие человеческий ILT2, культивировали совместно с клетками A375, экспрессирующими HLA-G/OKT3, в присутствии и в отсутствие различных концентраций 15G8, GHI/75 и HP-F1. Как уже наблюдали, 15G8 вызывало статистически значимое дозозависимое повышение секреции IL-2 (фиг. 8L). GHI/75 не оказало какого-либо эффекта в отношении секреции IL2 по сравнению с одной только средой, но приводило к небольшому повышению по сравнению с контрольным IgG (фиг. 8M). HP-F1 обеспечивало небольшое, но значимое повышение, которое стабилизировалось и не продолжало увеличиваться при увеличении дозы (фиг. 8N). Даже при концентрации 20 мкг/мл HP-F1 уступало только 15G8 в концентрации 4 мкг/мл.

[0214] В конечном итоге, активацию непосредственно измеряли в TIL и NK-клетках. TIL инкубировали совместно с клетками A375-HLA-G-OKT3 в течение 5 минут с последующим обнаружением маркера активации Т-клеток, представляющего собой фосфорилированный ZAP70. NK-клетки инкубировали совместно с клетками A253-HLA-G в течение 2 минут с последующим обнаружением маркера активации NK-клеток, представляющего собой фосфорилированный Syk. Активацию наблюдали в обоих типах клеток при совместном культивировании с раковыми клетками, однако эта активация усиливалась в присутствии антитела к ILT2 (фиг. 8O-8P). Эти результаты демонстрируют, что антитела к ILT2 могут эффективно блокировать взаимодействие ILT2-HLA-G, что приводит к усиленной активации Т-клеток и NK-клеток.

ПРИМЕР 4

Антитела к ILT2 усиливают фагоцитоз HLA-G- и MHC-I-положительных опухолевых клеток

[0215] Способность полученных антител к ILT2 усиливать фагоцитоз опухолевых клеток тестировали с использованием двух разных систем. Моноциты выделяли из крови здоровых доноров и инкубировали в течение 6-7 дней в присутствии M-CSF с образованием макрофагов. Сначала использовали анализ на основе проточной цитометрии. Раковые клетки, относящиеся к различным линиям, окрашенные с помощью PKH67-FITC, инкубировали совместно с макрофагами, окрашенными с помощью eFluor 670-APC, в присутствии указанных антител. Уровни фагоцитоза определяли по проценту макрофагов, которые характеризовались двойным окрашиванием, что указывало на поглощение клеток-мишеней. Уровни фагоцитоза представлены в процентах от контроля (только среда). Как показано на фиг. 9A, различные блокирующие антитела к ILT2 могут усиливать фагоцитоз HLA-G-положительных клеток A375 макрофагами. Кроме того, способность макрофагов усиливать фагоцитоз опухолевых клеток исследовали с применением системы анализа IncuCyte® в режиме реального времени. Клетки, относящиеся к линиям клеток-мишеней, метили красным красителем для мечения клеток pHrodo, промывали и добавляли к макрофагам наряду с проведением повторных процедур различных видов обработки. Флуоресценция красного красителя для мечения клеток pHrodo IncuCyte® увеличивается в кислой среде, такой как та, которая имеется в фагосоме, что, таким образом, позволяет количественно оценивать события фагоцитоза путем измерения флуоресценции. Инструмент IncuCyte® каждые 30 минут отбирал образцы из аналитического планшета для определения интенсивности сигнала красной флуоресценции и получения фазовых изображений. События фагоцитоза отражаются как накопление сигнала красной флуоресценции, а скорость фагоцитоза отражается кинетикой накопления сигнала красной флуоресценции. Используя эту систему в режиме реального времени, подтверждали способность гуманизированного антитела к ILT2 усиливать фагоцитоз HLA-G-положительных клеток A375 (фиг. 9B). Кроме того, с применением системы IncuCyte® было продемонстрировано, что полученные блокирующие антитела к ILT2 могут усиливать фагоцитоз как HLA-G-положительных, так и различных MHC-I-положительных (WT) клеток в линиях раковых клеток (фиг. 9C).

[0216] Эффект объединения полученных антител к ILT2 с антителом, индуцирующим антителозависимый клеточный фагоцитоз (ADCP), представляющим собой эрбитукс, в отношении фагоцитоза раковых клеток исследовали с применением системы в режиме реального времени IncuCyte®, описанной выше. Комбинация блокирующего антитела к ILT2 с эрбитуксом значительно усиливала фагоцитоз клеток линии раковых клеток, сверхэкспрессирующих HLA-G (фиг. 9D), по сравнению с активностью каждого антитела в отдельности. Действительно, комбинация эрбитукса и гуманизированного антитела 15G8 оказывала синергетический эффект, при этом усиление фагоцитоза при комбинированной обработке являлось более высоким, чем просто аддитивное усиление.

Пример 5

Выбранные антитела к ILT2 способны восстанавливать активность Т-клеток, подавляемую HLA-G

[0217] Для изучения способности полученных антител к ILT2 восстанавливать активность Т-клеток, подавляемую HLA-G, CD8 Т-клетки человека совместно инкубировали либо с клетками 721.221 дикого типа (221 WT), либо с клетками 721.221, которые сверхэкспрессируют растворимую форму HLA-G5 (221-HLA-G). Уровни секреции IFNγ Т-клетками измеряли через 5 дней с применением стандартного ELISA. Результаты представлены в виде процентного кратного увеличения относительно эффекта для одних только 221-HLA-G и представляют собой среднее значение для 4 независимых экспериментов. Результаты, представленные на фиг. 10A, демонстрируют, что некоторое число антител к ILT2 может обеспечивать восстановление активности Т-клеток, подавляемой HLA-G. Это также тестировали при инкубации совместно с клетками A375-HLA-G-OKT3. Через 72 часа также измеряли секрецию человеческого гранзима В, и было обнаружено, что она повышалась в присутствии антитела 15G8 дозозависимым образом (фиг. 10B).

Пример 6

Выбранные антитела к ILT2 способны усиливать цитотоксичность NK в отношении HLA-G- и MHC-I-положительных опухолевых клеток

[0218] Способность полученных антител к ILT2 усиливать эффекторную активность NK-клеток тестировали в системе, в которой NK-клетки инкубировали совместно с различными линиями раковых клеток-мишеней. Клетки совместно инкубировали в течение 5 часов при соотношении эффектор/мишень, составляющем 7,5:1, с последующим определением уровней цитотоксичности с использованием набора для флуорометрического обнаружения LDH. Процент специфической цитотоксичности рассчитывали следующим образом:

[0219] Как продемонстрировано на фиг. 11A, антитела к ILT2 по настоящему изобретению обладали способностью значительно усиливать цитотоксичность NK-клеток как в отношении HLA-G-положительных клеток, так и в отношении различных MHC-I-положительных линий раковых клеток (фиг. 11B) дозозависимым образом. Также измеряли секрецию гранзима В (фиг. 11C) и интерферона гамма (фиг. 11D), и было обнаружено, что она повышается дозозависимым образом. Первичные NK-клетки совместного культивировали с HLA-G+ меланомными клетками-мишенями с последующим анализом посредством FACS в отношении экспрессии IFNγ, ILT2, CD56 и CD107A. Анализировали конкретно ILT2-положительную, CD56-положительную популяцию NK-клеток и наблюдали дозозависимое повышение уровня экспрессии IFNγ и мембранной экспрессии CD107A (фиг. 11E-11F). При нанесении результатов каждого эксперимента на отдельные графики корреляция между % ILT2-положительных клеток и повышенной экспрессией IFNγ и CD107A была явно очевидной (фиг. 11G-H).

Пример 7

Антитела к ILT2 повышают образование воспалительных макрофагов

[0220] Эффект блокирования ILT2 в отношении созревания макрофагов исследовали in vitro. Моноциты, выделенные от здоровых доноров, подвергали дифференцировке в присутствии M-CSF (50 мг/мл) в течение 5 дней с образованием зрелых макрофагов (M0) в присутствии гуманизированного блокирующего антитела к ILT2 или контрольного IgG. Макрофаги подвергали дополнительной дифференцировке в присутствии LPS (50 нг/мл) с образованием макрофагов M1 или с использованием IL-4 (25 нг/мл) с образованием макрофагов M2. Как продемонстрировано на фиг. 12, присутствие блокирующих антител к ILT2 в процессе созревания макрофагов повышало экспрессию HLA-DR (маркера воспалительных макрофагов M1) на макрофагах большинства протестированных доноров, независимо от того, были ли они дифференцированы в макрофаги M0, М1 или М2. Кроме того, макрофаги, дифференцированные в макрофаги M1, также характеризовались повышенными уровнями CD80 для большинства протестированных доноров. В совокупности эти результаты демонстрируют, что выбранные антагонистические антитела к ILT2 могут индуцировать макрофаги, которые демонстрируют более высокие уровни HLA-DR и CD80, которые представляют собой макрофаги с фенотипом M1, характеризующимся более высокой воспалительной активностью.

Пример 8

Блокирующие антитела к ILT2 усиливают активность иммунных клеток, направленную против опухолевых клеток от пациентов

[0221] Активность полученных антител к ILT2 исследовали в системах ex vivo с использованием опухолевых образцов от пациентов, страдающих раком (RCC и H&N). Для тестирования способности антител усиливать фагоцитоз опухолевых клеток от пациентов макрофаги, полученные из моноцитов, инкубировали совместно с опухолевыми клетками, выделенными из опухолевых образцов. Уровни фагоцитоза исследовали с применением системы анализа в реальном времени IncuCyte®, как подробно описано выше. Как продемонстрировано на фиг. 13A, антитела к ILT2 могут усиливать фагоцитоз опухолевых клеток от пациентов, страдающими различными видами рака. Кроме того, эффект являлся дозозависимым и присутствовал даже при использовании аутологичных макрофагов, а также наблюдался как при RCC (фиг. 13B), так и при плоскоклеточной карциноме H&N (13C). Кроме того, исследовали эффект антител к ILT2 в отношении усиления активности РВМС. Суспензии одиночных клеток из опухолевых образцов от пациентов инкубировали совместно с РВМС, выделенными от тех же пациентов, в присутствии IL-2 (активированные РВМС). Как продемонстрировано на фиг. 14G, секреция РВМС провоспалительного цитокина TNF-α в присутствии опухолевых клеток повышалась в присутствии антител к ILT2. В совокупности эти результаты демонстрируют способность блокирующих антител к ILT2 повышать активность иммунных клеток, направленную против опухолевых клеток, при различных видах рака.

Пример 9

Блокирующие антитела к ILT2 можно комбинировать со средством терапии, направленным на PD-1/PD-L1

[0222] ILT2 и PD-1 по большей части экспрессируются на различных иммунных клетках, которые включают как клетки периферической крови, так и резидентные иммунные клетки микроокружения опухоли (фиг. 14A). Анализ экспрессии ILT2 и PD-1 во внутриопухолевых CD8-положительных Т-клетках от пациентов с CRC выявил, что как центральные Т-клетки памяти (Tcm), так и истощенные Т-клетки (Tex) экспрессируют высокие уровни PD-1 (фиг. 14B), но низкие уровни ILT2 (фиг. 14C). Т-клетки, повторно экспрессирующие CD45RA (TEMRA), продемонстрировали прямо противоположный паттерн, экспрессируя высокие уровни ILT2 и низкие уровни PD-1. Эта дихотомия не была специфичным для рака явлением, при этом было обнаружено, что большой процент (83%) TEMRA-клеток из крови здоровых доноров является ILT2-положительным, в то время как лишь небольшой процент (17%) от общего числа CD8-положительных Т-клеток характеризовался положительным статусом (фиг. 14D). Тем не менее, экспрессия ILT2 являлась усиленной в Т-клетках, находящихся в TME. Суспензию отдельных клеток получали посредством ферментативного расщепления опухоли, выделенной из организма пациента, страдающего раком пищевода. Анализ FACS показал, что большая часть CD8-положительных инфильтрирующих опухоль лимфоцитов (TIL) представляла собой TEMRA-клетки (50%), а также то, что эти TEMRA-клетки были на 100% ILT2-положительными, но почти полностью PD-1-отрицательными (95%) (фиг. 14E).

[0223] Эффект комбинации антитела к ILT2 по настоящему изобретению и антитела к PD-1 тестировали на SEB-активированных (10 нг/мл) PBMC от 10 здоровых доноров. Экспрессию мембранного CD107a использовали в качестве маркера повышенной цитотоксичности. В целом, антитело 15G8 вызывало в среднем небольшое повышение уровня поверхностного CD107a, в то время как антитело к PD-1 вызывало несколько больший ответ, который зависел от донора (фиг. 14F). Комбинация двух антител в среднем обеспечивала достижение повышенных уровней CD107a; однако эти изменения варьировались в зависимости от образца от конкретного донора. На фигуре 14G представлены три иллюстративных образца. У первого донора наблюдали аддитивный эффект, когда антитело к PD-1 комбинировали с 15G8, при этом общий уровень CD107a был приблизительно равен сумме эффектов каждого антитела в отдельности. Второй донор характеризовался более сильным ответом на антитело к PD-1, чем на антитело к ILT2, но неожиданно комбинация двух антител характеризовалась более сильным эффектом, чем аддитивный эффект. Антитело к PD-1 вызывало повышение уровня экспрессии на 19%, антитело к ILT2 вызывало повышение уровня экспрессии на 3,7%, однако комбинированная обработка приводила к повышению на 33,2%. Этот синергетический эффект был еще более выражен в клетках от донора №3. В случае донора № 3 15G8 было более эффективно, чем антитело к PD-1 (повышение на 13,1% по сравнению с повышением на 9,3%), а комбинированная терапия была значительно более эффективной (41%), обеспечивая достижение почти вдвое большего эффекта, чем прогнозируемый эффект при простой аддитивной комбинации.

[0224] Затем оценивали комбинированную обработку опухолевых клеток от пациента блокирующим антителом к PD-1 и полученными антителами к ILT2. Раковые клетки от различных пациентов инкубировали совместно с аутологичными PBMC в присутствии антитела к PD1, антител по настоящему изобретению и их комбинаций. IgG использовали в качестве контроля, а секрецию провоспалительных молекул измеряли в качестве показателя. При комбинированных обработках наблюдали повышенную секрецию провоспалительных цитокинов (фиг. 14H-14J). Обработка клеток аденокарциномы толстой кишки от первого пациента гуманизированным антителом 15G8 вообще не увеличивала секрецию IFNγ по сравнению с контрольным IgG, в то время как антитело к PD-1 обеспечивало достижение значительного повышения секреции цитокинов (фиг. 14H). Однако неожиданным образом было обнаружено, что комбинация антитела к PD-1 с антителом к ILT2 повышала секрецию на более чем 50%. Второй пациент продемонстрировал аналогичную тенденцию с небольшими повышениями, индуцированными антителом к ILT2 или антителом к PD-1, и с усиленным синергетическим повышением при использовании двух антител в комбинации (фиг. 14I). Ни одно из антител в отдельности не изменяло уровень экспрессии GM-CSF по сравнению с контролем, однако, неожиданно было обнаружено, что комбинация двух антител обеспечивала достижение почти 100% устойчивого повышения относительно контрольных уровней GM-CSF (фиг. 14J).

[0225] Затем для оценки комбинированной терапии использовали реакцию смешанной культуры лимфоцитов. Дендритные клетки и CD8-положительные Т-клетки выделяли из организма разных здоровых доноров, а макрофаги получали из моноцитов, выделенных из организма пациента, страдающего раком H&N. Клетки объединяли при соотношении эффекторных клеток и мишеней, составляющем 5:1, с проведением указанных обработок (каждая при концентрации 20 мкг/мг). Секреция IFNγ Т-клетками усиливалась, когда присутствовали либо антитела к ILT2, либо антитела к PD-1, и этот эффект повышался при использовании обоих антител в комбинации (фиг. 14K-14L). Более выраженный кумулятивный эффект наблюдали в культуре макрофагов (фиг. 14L) по сравнению с культурой дендритных клеток (фиг. 14K). Эти результаты явно показывают, что терапия на основе антитела к ILT2 и антитела к PD-1 оказывает эффект в отношении усиления воспалительного ответа иммунных клеток, являющийся синергетическим и новым.

Пример 10

Блокирующие антитела к ILT2 снижают опухолевую нагрузку in vivo

[0226] Эффективность антител к ILT2 исследовали на ксенотрансплантатной модели in vivo. Мышам линий SCID-NOD или NSG с ослабленным иммунитетом вводили клетки, относящиеся к линиям раковых клеток (A375-HLA-G, A375-WT, COLO-320-HLA-G), а человеческие макрофаги, полученные из крови здоровых доноров, вводили мышам в присутствии антител к ILT2. Как продемонстрировано на фиг. 15A, введение полученных антител к ILT2 приводило к значительному подавлению опухоли в этой модели, что, скорее всего, было опосредовано активностью макрофагов человека в этой системе. Кроме того, наличие противоопухолевой эффективности наблюдали в случаях HLA-G-положительных, а также MHC-I-положительных опухолевых клеток.

[0227] Эффективность антител к ILT2 также исследовали на модели ксенотрансплантата пораженного меланомой участка легкого in vivo. Мышам линии SCID-NOD с ослабленным иммунитетом инокулировали меланомные клетки (MEL526-HLA-G). РВМС человека, выделенные из крови здоровых доноров, путем инъекции вводили мышам в присутствии выбранных антител к ILT2, начиная через один день после проведения процедур инокуляции и повторяя процедуру в дни 2, 10, 18 (фиг. 15B). Антитела к ILT2 вводили в дни 1, 4, 8, 11, 15, 18, 22 и 25. Как продемонстрировано на фиг. 15C, введение полученного антитела к ILT2 приводило к значительному снижению метастазирования опухолевых клеток, что представлено образованием черных пораженных участков в легких мышей. В легких мышей, которых обрабатывали антителом к ILT2, количество таких поражений было крайне небольшим по сравнению с мышами, которых обрабатывали контрольным IgG. Этот эффект также проявлялся в виде снижения массы легких у этих мышей (фиг. 15D) и, по всей вероятности, был опосредован человеческими лимфоцитами, которые вводили мышам в комбинации с подавлением ILT2 посредством вводимого антитела. Таким образом, антитела к ILT2 являлись эффективными в предупреждении метастазирования и образования опухолей.

[0228] Затем эффективность новых антител в лечении уже сформировавшейся опухоли тестировали в той же мышиной модели in vivo. Мышам линии SCID-NOD прививали путем введения IV клетки MEL526-HLA-G, как и ранее. Через 15 дней РВМС человека, выделенные из организма здоровых доноров, вводили соответствующим группам мышей, и данную процедуру введения повторяли в дни 25, 35 и 51 (см. фиг. 15E). Антитела (антитела к ILT2, антитела к PD-1 или комбинацию их обоих) вводили в дни 14, 17, 20, 24, 27, 30, 34, 37 и 50 (см. фиг. 15E). В день 53 мышей умерщвляли и легкие взвешивали. Массу опухоли рассчитывали путем вычитания массы легких мышей, не подвергавшихся обработке, из массы легких тестируемых мышей. Антитело к PD-1 обеспечивало снижение массы опухоли, хотя и в незначительной степени, тогда как антитело к ILT2 и комбинированная обработка оказывали значительный эффект (фиг. 15F).

[0229] CD8 Т-клетки, TEMRA-клетки и NK-клетки, полученные из опухоли, тестировали в отношении экспрессии CD107A и CD69. Для общего количества CD8 Т-клеток антитело к PD-1 индуцировало незначительное повышение уровня экспрессии CD107A, тогда как антитело к ILT2, но не комбинированная терапия, индуцировало значительное изменение (фиг. 16A). Для TEMRA-клеток как антитело к ILT2, так и комбинированная терапия индуцировали значительное повышение (фиг. 16B). Для NK-клеток как антитело к PD1, так и антитело к ILT2-антитела значительно повышали процент CD69-положительных клеток, но неожиданным образом было обнаружено, что комбинированная терапия оказывала значительно более сильный эффект, при этом общий процент CD69-положительных клеток был выше, чем сумма значений, полученных для каждого из средств терапии в отдельности (фиг. 16C). Неожиданным образом, при исследовании экспрессии CD69 в CD8 Т-клетках было обнаружено, что ни антитело к PD1, ни антитело к ILT2 не обеспечивали повышение уровня экспрессии, однако комбинированная обработка индуцировала весьма значимое повышение уровня экспрессии CD69 (фиг. 16D). Кроме того, было установлено, что эффект антитела к ILT2 коррелировал с экспрессией ILT2. Когда результаты экспериментов распределяли в зависимости от мышей, которые получали РВМС с низким или высоким уровнями экспрессии ILT2, наблюдали значительную разницу в маркерах активации. Для TEMRA-клеток РВМС с высоким уровнем экспрессии ILT2 характеризовались более чем удвоенным уровнем экспрессии CD107A по сравнению с РВМС с низким уровнем экспрессии ILT2 (фиг. 16E). Аналогичным образом, при исследовании NK-клеток РВМС с высоким уровнем экспрессии ILT2 индуцировали экспрессию CD69 у почти 90% клеток при применении комбинированной обработки; в то время как РВМС с низким уровнем экспрессии ILT2 индуцировали экспрессию CD69 у менее чем 40% NK-клеток (фиг. 16F). Таким образом, определенный уровень экспрессии ILT2 в РВМС необходим для обеспечения наиболее сильных эффектов, оказываемых антителами.

Пример 11

Модель рака H&N in vivo на гуманизированных мышах

[0230] В случае второй модели in vivo гуманизированным мышам (мышам с привитыми CD34+ клетками человека) инокулировали клетки A253-HLA-G. Когда опухоли достигали размера 80 кубических миллиметров, мышей обрабатывали контрольным IgG или антителом к ILT2 (15G8, 10 мг/кг в обоих случаях). Обработку повторяли два раза в неделю (фиг. 17A) до достижения дня 43, и опухоли измеряли штангенциркулем в различные временные точки с определением размера опухоли. Антитела к ILT2 полностью замедляли рост опухоли у 2 из 4 мышей (мыши №№ 23 и 28), при этом опухоль устранялась по достижении дня 43 (фиг. 17B). Для определения того, являлись ли различающиеся ответы на обработку обусловленными различающимися уровнями экспрессии ILT2 в иммунных клетках мышей, CD8 Т-клетки из периферической крови анализировали в отношении экспрессии ILT2 на исходном уровне. Фактически, у обеих мышей, которые характеризовались полным ответом, имелись Т-клетки с высоким уровнем экспрессии ILT2, при этом две другие мыши характеризовались значительно более низкими уровнями экспрессии (фиг. 17C). Кроме того, путем изучения TME после обработки были продемонстрированы три других фармакодинамических маркера ответа, которые отличают ответивших на терапию пациентов от пациентов с отсутствием ответа, представляющих собой экспрессию CD107A в Т-клетках (фиг. 17D), соотношение макрофагов M1/M2 (фиг. 17E) и общее количество CD80-положительных дендритных клеток (фиг. 17F). Эти результаты указывают на тот факт, что антитело к ILT2 вызывает сдвиг в миелоидных и лимфоидных компартментах микроокружения опухоли, а также может повышать способность дендритных клеток презентировать антигены и рекрутировать большее количество Т-клеток в опухоль.

Пример 12

Картирование эпитопов гуманизированного антитела 15G8

[0231] Антитело 15G8 отправляли на картирование эпитопов для определения положения на ILT2, с которым оно связывается. Картирование выполнялось компанией MAbSilico. Используемую структуру ILT2 моделировали с использованием следующих структур: 6AEE (четыре Ig-подобных домена, некоторые петли отсутствуют), 1VDG (неопубликованная, домены 1 и 2), 1G0X (домены 1 и 2) и 4LL9 (домены 3 и 4). Структуры 6AEE и 1G0X были взяты из Wang, Q., et al., (2019). "Structures of the four Ig-like domain LILRB2 and the four-domain LILRB1 and HLA-G1 complex." Cell. Mol. Immunol., а структура 4LL9 была взята из Chapman, T. L., et al., (2000). "Crystal structure and ligand binding properties of the D1D2 region of the inhibitory receptor LIR-1 (ILT2)". Immunity, 13(5), 727-736. Область D1 была определена как остатки 24-121 ILT2. Область D2 была определена как остатки 122-222 ILT2. Область D3 была определена как остатки 223-321 ILT2. Область D4 была определена как остатки 322-409 ILT2. Трехмерную модель антитела строили с применением Modeller.

[0232] Основываясь на 30 наилучших положениях докинга, остатки, принадлежащие мишени, оценивали по вероятности их принадлежности к эпитопу. Остатки, которые, вероятно, принадлежат эпитопу, показаны на последовательности, представленной на фигуре 18A, и на структуре мишени, представленной на фигуре 18B. Исходя из этих остатков на мишени определены четыре основные области взаимодействия (фиг. 18C). Все четыре из этих областей взаимодействия обнаружены в междоменном участке ILT2, т. е. в шарнирном участке между D1 и D2. В пределах этих областей выбирали мутации для осуществления валидации, а их краткое описание приведено в таблице 3. Эти мутации получают в пределах полноразмерного ILT2 или усеченного белка D1+D2, и осуществляют тестирование связывания антитела 15G8. Утеря способности или снижение связывания с мутантом указывает на то, что область является аутентичным эпитопом антитела 15G8.

[0233] Таблица 3. Тестируемые мутации

Название Мутации 15G8_область 1 K56A, Q58A, S63A, E67A 15G8_область 2 D177A, N179A, E183A 15G8_область 3 Y98A, I99A, K100A, T102A 15G8_область 4 V125A, Q124A

[0234] Эпитопы, с которыми происходит связывание, для большинства антител к ILT2 неизвестны, однако в публикации Международной заявки на патент WO 2020/136145 раскрыта информация относительно эпитопов для ряда различных антител. Были обнаружены две главные области связывания, при этом одна находится в пределах области D1 и одна находится в пределах области D4. В частности, три антитела, обозначенные как 3H5, 12D12 и 27H5, характеризовались потерей связывания с мутантом, предусматривающим наличие замен в E34, R36, Y76, A82 и R84 в D1. Одно из этих антител, представляющее собой 3H5, продемонстрировало сниженное связывание при наличии мутации, предусматривающей замены в G29, Q30, T32, Q33 и D80 в D1. Эти остатки находятся исключительно в области D1, и все они находятся за пределами 4 областей (все в пределах междоменной области), определенных как связывающий эпитоп антитела 15G8 (следует обратить внимание, что на фигуре 18A последовательность начинается на одну аминокислоту позже, ввиду чего E34 из WO2020/136145, например, представляет собой E33 на 18A). Таким образом, антитело 15G8 связывается с 3-мерным эпитопом, отличающимся от такового для антител согласно публикации WO 2020/136145 (фиг. 18D).

[0235] Интересным является то, что область, определяемую как эпитоп 15G8, т. е. междоменную область между D1 и D2, идентифицировали в качестве основной области взаимодействия ILT2, которая связывается с бета-2-микроглобулином (B2M), когда он находится в комплексе с HLA (см. Kuroki et al., "Structural and functional basis for LILRB immune checkpoint receptor recognition of HLA-G isoforms", J. Immuno., 2019, Dec. 15;203(12):3386-3394.) (фиг. 18E-F). Действительно, остатки G97, A98, Y99, I100, Q125 и V126 были конкретно идентифицированы Kuroki et al. (дополнительная фигура S2 у Kuroki) в качестве взаимодействующих с B2M. Эти остатки находятся в пределах областей взаимодействия 3 и 4 для 15G8, и все они считаются остатками, с очень высокой вероятностью или высокой вероятностью принадлежащими эпитопу. Это убедительно свидетельствует о том, что 15G8 подавляет связывание ILT2 с HLA зависимым от B2M образом и действительно блокирует непосредственное связывание ILT2 с B2M. В отличие от этого, антитела 3H5, 12D12 и 27H5 связываются с N-концевой областью D1 ILT2, которая взаимодействует с доменом α3 HLA-G (см. дополнительную фигуру S2 у Kuroki). Это является крайне важным, поскольку Kuroki et al. обнаружили, что основным сайтом взаимодействия для ILT2 является сайт B2M, а связывание с доменом α3 является дополнительным и гибким. Это может объяснить уникальную способность 15G8 воздействовать на функцию Т-клеток, NK-клеток и макрофагов/дендритных клеток: оно блокирует основной сайт взаимодействия ILT2, а не вторичный сайт.

[0236] Единственным антителом к ILT2, которое, как было установлено, оказывает какой-либо эффект в отношении фагоцитоза, является GHI/75, которое, как было показано, усиливает опосредованный блокадой антителом к CD47 фагоцитоз раковых клеток, но при этом, как было показано, не оказывает какого-либо эффекта само по себе (см. Barkal et al., "Engagement of MHC class I by the inhibitory receptor LILRB1 suppresses macrophages and is a target of cancer immunotherapy", Nat. Immunol. Jan;19(1):76-84). Было обнаружено, что комбинированный эффект GHI/75 и антитела к CD47 не зависит от B2M, поскольку устранение B2M не влияло на усиление фагоцитоза. Таким образом, вполне возможно, что эффект, оказываемый одним только 15G8 в отношении фагоцитоза (фиг. 13A-13C), зависит от B2M, что могло бы объяснить уникальные возможности этого антитела. Превосходство антител по настоящему изобретению в этом отношении тестировали непосредственно. Раковые клетки A375 или SKMEL28, экспрессирующие экзогенный HLA-G, совместного культивировали с макрофагами в присутствии контрольного IgG, антител по настоящему изобретению или GHI/75. Антитело HP-F1 также тестировали на клетках A375. Линии раковых клеток, окрашенных с помощью PKH67-FITC, инкубировали совместно с макрофагами, которые окрашивали с помощью eFluor 670-APC, в присутствии указанных антител. Уровни фагоцитоза определяли по проценту макрофагов, которые характеризовались двойным окрашиванием, что указывало на поглощение клеток-мишеней. Рассчитывали %-ное усиление фагоцитоза по сравнению с контрольным IgG. Все три антитела по настоящему изобретению усиливали фагоцитоз по сравнению с контролем в случае клеток обоих типов (фиг. 19A-19B) с некоторой вариабельностью между антителами и между типами клеток. Как и ожидалось, ни GHI/75, ни HP-F1 не оказывали какого-либо эффекта в отношении фагоцитоза. Это подтверждает то, что антитела по настоящему изобретению являются первыми антителами к ILT2, которые могут усиливать фагоцитоз в качестве средства монотерапии.

[0237] Это поднимает вопрос относительно эпитопа GHI/75 и других коммерческих антител. Хотя эпитопы этих антител не опубликованы, проводили конкурентный анализ ELISA для того, чтобы определить, способны ли 15G8, а также GHI/75 и HP-F1 одновременно связывать ILT2. Биотинилированное антитело 15G8 использовали в постоянной концентрации (1 мкг/мл) в ходе анализа связывания ILT2 посредством ELISA. GHI/75 и HP-F1 добавляли в возрастающих концентрациях, и проводили оценку конкурентных взаимодействий. Независимо от добавляемого количества этих двух антител ни одно из них не конкурировало с 15G8 за связывание с ILT2 (фиг. 19). В отличие от этого, при добавлении чистого (небиотинилированного) 15G8 связывание снижалось дозозависимым образом, как и ожидалось. Это указывает на то, что GHI/75 и HP-F1 связываются с эпитопами, отличающимися от эпитопа 15G8. Это делает 15G8 первым из когда-либо идентифицированных антител к ILT2, связывающим данный эпитоп, которое специфически блокирует взаимодействие с B2M и способно одновременно обеспечивать активирование/рекрутинг Т-клеток, NK-клеток и макрофагов/дендритных клеток, направленные против рака.

Вышеприведенное описание конкретных вариантов осуществления настолько полно раскрывает общую сущность настоящего изобретения, что другие смогут, применяя современные знания, легко модифицировать и/или адаптировать для различных областей применения такие конкретные варианты осуществления без проведения излишних экспериментов и без отклонения от общей концепции, и, следовательно, такие адаптации и модификации должны находится и должны пониматься в пределах значения и диапазона эквивалентов раскрытых вариантов осуществления. Следует понимать, что формулировки или терминология, используемые в данном документе, предназначены с целью описания, а не с целью ограничения. Средства, материалы и стадии для реализации различных раскрываемых функций могут принимать множество альтернативных форм, не выходя за рамки настоящего изобретения.

--->

ПЕРЕЧЕНЬ ПОСЛЕДОВАТЕЛЬНОСТЕЙ

<110> Biond Biologics LTD

<120> АНТИТЕЛА, НАПРАВЛЕННЫЕ ПРОТИВ ILT2, И ИХ ПРИМЕНЕНИЕ

<130> BDB-P-002-PCT

<150> 62/885,374

<151> 2019-08-12

<150> 63/034,569

<151> 2020-06-04

<160> 47

<170> PatentIn версия 3.5

<210> 1

<211> 5

<212> БЕЛОК

<213> Искусственная

<220>

<223> синтетический

<400> 1

Asp His Thr Ile His

1 5

<210> 2

<211> 17

<212> БЕЛОК

<213> Искусственная

<220>

<223> синтетический

<400> 2

Tyr Ile Tyr Pro Arg Asp Gly Ser Thr Lys Tyr Asn Glu Lys Phe Lys

1 5 10 15

Gly

<210> 3

<211> 7

<212> БЕЛОК

<213> Искусственная

<220>

<223> синтетический

<400> 3

Thr Trp Asp Tyr Phe Asp Tyr

1 5

<210> 4

<211> 15

<212> БЕЛОК

<213> Искусственная

<220>

<223> синтетический

<400> 4

Arg Ala Ser Glu Ser Val Asp Ser Tyr Gly Asn Ser Phe Met His

1 5 10 15

<210> 5

<211> 7

<212> БЕЛОК

<213> Искусственная

<220>

<223> синтетический

<400> 5

Arg Ala Ser Asn Leu Glu Ser

1 5

<210> 6

<211> 9

<212> БЕЛОК

<213> Искусственная

<220>

<223> синтетический

<400> 6

Gln Gln Ser Asn Glu Asp Pro Tyr Thr

1 5

<210> 7

<211> 10

<212> БЕЛОК

<213> Искусственная

<220>

<223> синтетический

<400> 7

Gly Tyr Thr Phe Thr Ser Tyr Gly Ile Ser

1 5 10

<210> 8

<211> 17

<212> БЕЛОК

<213> Искусственная

<220>

<223> синтетический

<400> 8

Glu Ile Tyr Pro Gly Ser Gly Asn Ser Tyr Tyr Asn Glu Lys Phe Lys

1 5 10 15

Gly

<210> 9

<211> 8

<212> БЕЛОК

<213> Искусственная

<220>

<223> синтетический

<400> 9

Ser Asn Asp Gly Tyr Pro Asp Tyr

1 5

<210> 10

<211> 11

<212> БЕЛОК

<213> Искусственная

<220>

<223> синтетический

<400> 10

Lys Ala Ser Asp His Ile Asn Asn Trp Leu Ala

1 5 10

<210> 11

<211> 7

<212> БЕЛОК

<213> Искусственная

<220>

<223> синтетический

<400> 11

Gly Ala Thr Ser Leu Glu Thr

1 5

<210> 12

<211> 9

<212> БЕЛОК

<213> Искусственная

<220>

<223> синтетический

<400> 12

Gln Gln Tyr Trp Ser Thr Pro Trp Thr

1 5

<210> 13

<211> 6

<212> БЕЛОК

<213> Искусственная

<220>

<223> синтетический

<400> 13

Ser Gly Tyr Tyr Trp Asn

1 5

<210> 14

<211> 16

<212> БЕЛОК

<213> Искусственная

<220>

<223> синтетический

<400> 14

Tyr Ile Ser Tyr Asp Gly Ser Asn Asn Tyr Asn Pro Ser Leu Lys Asn

1 5 10 15

<210> 15

<211> 10

<212> БЕЛОК

<213> Искусственная

<220>

<223> синтетический

<220>

<221> X

<222> (10)..(10)

<223> X выбран из A, C и S.

<400> 15

Gly Tyr Ser Tyr Tyr Tyr Ala Met Asp Xaa

1 5 10

<210> 16

<211> 11

<212> БЕЛОК

<213> Искусственная

<220>

<223> синтетический

<400> 16

Arg Thr Ser Gln Asp Ile Ser Asn Tyr Leu Asn

1 5 10

<210> 17

<211> 7

<212> БЕЛОК

<213> Искусственная

<220>

<223> синтетический

<400> 17

Tyr Thr Ser Arg Leu His Ser

1 5

<210> 18

<211> 8

<212> БЕЛОК

<213> Искусственная

<220>

<223> синтетический

<400> 18

Gln Gln Gly Asn Thr Leu Pro Thr

1 5

<210> 19

<211> 116

<212> БЕЛОК

<213> Искусственная

<220>

<223> синтетический

<400> 19

Gln Val Gln Leu Gln Gln Ser Asp Ala Glu Leu Val Lys Pro Gly Ala

1 5 10 15

Ser Val Lys Ile Ser Cys Lys Val Ser Gly Tyr Thr Phe Thr Asp His

20 25 30

Thr Ile His Trp Met Lys Gln Arg Pro Glu Gln Gly Leu Glu Trp Ile

35 40 45

Gly Tyr Ile Tyr Pro Arg Asp Gly Ser Thr Lys Tyr Asn Glu Lys Phe

50 55 60

Lys Gly Lys Ala Thr Leu Thr Ala Asp Lys Ser Ser Ser Thr Ala Tyr

65 70 75 80

Met Gln Leu Asn Ser Leu Thr Ser Glu Asp Ser Ala Val Tyr Phe Cys

85 90 95

Ala Arg Thr Trp Asp Tyr Phe Asp Tyr Trp Gly Gln Gly Thr Thr Leu

100 105 110

Thr Val Ser Ser

115

<210> 20

<211> 111

<212> БЕЛОК

<213> Искусственная

<220>

<223> синтетический

<400> 20

Asp Ile Val Leu Thr Gln Ser Pro Ala Ser Leu Ala Val Ser Leu Gly

1 5 10 15

Gln Arg Ala Thr Ile Ser Cys Arg Ala Ser Glu Ser Val Asp Ser Tyr

20 25 30

Gly Asn Ser Phe Met His Trp Tyr Gln Gln Lys Pro Gly Gln Pro Pro

35 40 45

Lys Leu Leu Ile Tyr Arg Ala Ser Asn Leu Glu Ser Gly Ile Pro Ala

50 55 60

Arg Phe Ser Gly Ser Gly Ser Arg Thr Asp Phe Thr Leu Thr Ile Asn

65 70 75 80

Pro Val Glu Ala Asp Asp Val Ala Thr Tyr Tyr Cys Gln Gln Ser Asn

85 90 95

Glu Asp Pro Tyr Thr Phe Gly Gly Gly Thr Lys Leu Glu Ile Lys

100 105 110

<210> 21

<211> 117

<212> БЕЛОК

<213> Искусственная

<220>

<223> синтетический

<400> 21

Gln Val Gln Leu Gln Gln Ser Gly Ala Glu Leu Ala Arg Pro Gly Ala

1 5 10 15

Ser Val Lys Leu Ser Cys Lys Ala Ser Gly Tyr Thr Phe Thr Ser Tyr

20 25 30

Gly Ile Ser Trp Val Lys Gln Arg Thr Gly Gln Gly Leu Glu Trp Val

35 40 45

Gly Glu Ile Tyr Pro Gly Ser Gly Asn Ser Tyr Tyr Asn Glu Lys Phe

50 55 60

Lys Gly Lys Ala Thr Leu Thr Ala Asp Lys Ser Ser Ser Thr Ala Tyr

65 70 75 80

Met Glu Leu Arg Ser Leu Thr Ser Glu Asp Ser Ala Val Tyr Phe Cys

85 90 95

Ala Arg Ser Asn Asp Gly Tyr Pro Asp Tyr Trp Gly Gln Gly Thr Thr

100 105 110

Leu Thr Val Ser Ser

115

<210> 22

<211> 107

<212> БЕЛОК

<213> Искусственная

<220>

<223> синтетический

<400> 22

Asp Ile Gln Met Thr Gln Ser Ser Ser Tyr Leu Ser Val Ser Leu Gly

1 5 10 15

Gly Arg Val Thr Ile Thr Cys Lys Ala Ser Asp His Ile Asn Asn Trp

20 25 30

Leu Ala Trp Tyr Gln Gln Lys Pro Gly Asn Ala Pro Arg Leu Leu Ile

35 40 45

Ser Gly Ala Thr Ser Leu Glu Thr Gly Val Pro Ser Arg Phe Ser Gly

50 55 60

Ser Gly Ser Gly Lys Asp Tyr Thr Leu Ser Ile Thr Ser Leu Gln Thr

65 70 75 80

Glu Asp Val Ala Thr Tyr Tyr Cys Gln Gln Tyr Trp Ser Thr Pro Trp

85 90 95

Thr Phe Gly Gly Gly Thr Lys Leu Glu Ile Lys

100 105

<210> 23

<211> 119

<212> БЕЛОК

<213> Искусственная

<220>

<223> синтетический

<220>

<221> X

<222> (108)..(108)

<223> X выбран из A, C и S.

<400> 23

Asp Val Gln Leu Gln Gly Ser Gly Pro Gly Leu Val Lys Pro Ser Glu

1 5 10 15

Thr Leu Ser Leu Thr Cys Ser Val Thr Gly Tyr Ser Ile Thr Ser Gly

20 25 30

Tyr Tyr Trp Asn Trp Ile Arg Gln Phe Pro Gly Lys Lys Leu Glu Trp

35 40 45

Met Gly Tyr Ile Ser Tyr Asp Gly Ser Asn Asn Tyr Asn Pro Ser Leu

50 55 60

Lys Asn Arg Ile Thr Ile Ser Arg Asp Thr Ser Lys Asn Gln Phe Ser

65 70 75 80

Leu Lys Leu Asn Ser Val Thr Ala Ala Asp Thr Ala Thr Tyr Tyr Cys

85 90 95

Ala His Gly Tyr Ser Tyr Tyr Tyr Ala Met Asp Xaa Trp Gly Gln Gly

100 105 110

Thr Ser Val Thr Val Ser Ser

115

<210> 24

<211> 106

<212> БЕЛОК

<213> Искусственная

<220>

<223> синтетический

<400> 24

Asp Ile Gln Met Thr Gln Ser Pro Ser Ser Leu Ser Ala Ser Val Gly

1 5 10 15

Asp Arg Val Thr Ile Thr Cys Arg Thr Ser Gln Asp Ile Ser Asn Tyr

20 25 30

Leu Asn Trp Tyr Gln Gln Lys Pro Gly Lys Ala Val Lys Leu Leu Ile

35 40 45

Ser Tyr Thr Ser Arg Leu His Ser Gly Val Pro Ser Arg Phe Ser Gly

50 55 60

Ser Gly Ser Gly Thr Asp Tyr Thr Leu Thr Ile Ser Ser Leu Gln Pro

65 70 75 80

Glu Asp Phe Ala Thr Tyr Tyr Cys Gln Gln Gly Asn Thr Leu Pro Thr

85 90 95

Phe Gly Gln Gly Thr Lys Leu Glu Ile Lys

100 105

<210> 25

<211> 10

<212> БЕЛОК

<213> Искусственная

<220>

<223> синтетический

<400> 25

Gly Tyr Ser Tyr Tyr Tyr Ala Met Asp Ala

1 5 10

<210> 26

<211> 10

<212> БЕЛОК

<213> Искусственная

<220>

<223> синтетический

<400> 26

Gly Tyr Ser Tyr Tyr Tyr Ala Met Asp Ser

1 5 10

<210> 27

<211> 10

<212> БЕЛОК

<213> Искусственная

<220>

<223> синтетический

<400> 27

Gly Tyr Ser Tyr Tyr Tyr Ala Met Asp Cys

1 5 10

<210> 28

<211> 119

<212> БЕЛОК

<213> Искусственная

<220>

<223> синтетический

<400> 28

Asp Val Gln Leu Gln Gly Ser Gly Pro Gly Leu Val Lys Pro Ser Glu

1 5 10 15

Thr Leu Ser Leu Thr Cys Ser Val Thr Gly Tyr Ser Ile Thr Ser Gly

20 25 30

Tyr Tyr Trp Asn Trp Ile Arg Gln Phe Pro Gly Lys Lys Leu Glu Trp

35 40 45

Met Gly Tyr Ile Ser Tyr Asp Gly Ser Asn Asn Tyr Asn Pro Ser Leu

50 55 60

Lys Asn Arg Ile Thr Ile Ser Arg Asp Thr Ser Lys Asn Gln Phe Ser

65 70 75 80

Leu Lys Leu Asn Ser Val Thr Ala Ala Asp Thr Ala Thr Tyr Tyr Cys

85 90 95

Ala His Gly Tyr Ser Tyr Tyr Tyr Ala Met Asp Ala Trp Gly Gln Gly

100 105 110

Thr Ser Val Thr Val Ser Ser

115

<210> 29

<211> 119

<212> БЕЛОК

<213> Искусственная

<220>

<223> синтетический

<400> 29

Asp Val Gln Leu Gln Gly Ser Gly Pro Gly Leu Val Lys Pro Ser Glu

1 5 10 15

Thr Leu Ser Leu Thr Cys Ser Val Thr Gly Tyr Ser Ile Thr Ser Gly

20 25 30

Tyr Tyr Trp Asn Trp Ile Arg Gln Phe Pro Gly Lys Lys Leu Glu Trp

35 40 45

Met Gly Tyr Ile Ser Tyr Asp Gly Ser Asn Asn Tyr Asn Pro Ser Leu

50 55 60

Lys Asn Arg Ile Thr Ile Ser Arg Asp Thr Ser Lys Asn Gln Phe Ser

65 70 75 80

Leu Lys Leu Asn Ser Val Thr Ala Ala Asp Thr Ala Thr Tyr Tyr Cys

85 90 95

Ala His Gly Tyr Ser Tyr Tyr Tyr Ala Met Asp Ser Trp Gly Gln Gly

100 105 110

Thr Ser Val Thr Val Ser Ser

115

<210> 30

<211> 119

<212> БЕЛОК

<213> Искусственная

<220>

<223> синтетический

<400> 30

Asp Val Gln Leu Gln Gly Ser Gly Pro Gly Leu Val Lys Pro Ser Gln

1 5 10 15

Ser Leu Ser Leu Thr Cys Ser Val Thr Gly Tyr Ser Ile Thr Ser Gly

20 25 30

Tyr Tyr Trp Asn Trp Ile Arg Gln Phe Pro Gly Asn Lys Leu Glu Trp

35 40 45

Met Gly Tyr Ile Ser Tyr Asp Gly Ser Asn Asn Tyr Asn Pro Ser Leu

50 55 60

Lys Asn Arg Ile Ser Ile Thr Arg Asp Thr Ser Lys Asn Gln Phe Phe

65 70 75 80

Leu Lys Leu Asn Ser Val Thr Ser Glu Asp Thr Ala Thr Tyr Tyr Cys

85 90 95

Ala His Gly Tyr Ser Tyr Tyr Tyr Ala Met Asp Cys Trp Gly Gln Gly

100 105 110

Thr Ser Val Thr Val Ser Ser

115

<210> 31

<211> 650

<212> БЕЛОК

<213> Homo sapiens

<400> 31

Met Thr Pro Ile Leu Thr Val Leu Ile Cys Leu Gly Leu Ser Leu Gly

1 5 10 15

Pro Arg Thr His Val Gln Ala Gly His Leu Pro Lys Pro Thr Leu Trp

20 25 30

Ala Glu Pro Gly Ser Val Ile Thr Gln Gly Ser Pro Val Thr Leu Arg

35 40 45

Cys Gln Gly Gly Gln Glu Thr Gln Glu Tyr Arg Leu Tyr Arg Glu Lys

50 55 60

Lys Thr Ala Leu Trp Ile Thr Arg Ile Pro Gln Glu Leu Val Lys Lys

65 70 75 80

Gly Gln Phe Pro Ile Pro Ser Ile Thr Trp Glu His Ala Gly Arg Tyr

85 90 95

Arg Cys Tyr Tyr Gly Ser Asp Thr Ala Gly Arg Ser Glu Ser Ser Asp

100 105 110

Pro Leu Glu Leu Val Val Thr Gly Ala Tyr Ile Lys Pro Thr Leu Ser

115 120 125

Ala Gln Pro Ser Pro Val Val Asn Ser Gly Gly Asn Val Ile Leu Gln

130 135 140

Cys Asp Ser Gln Val Ala Phe Asp Gly Phe Ser Leu Cys Lys Glu Gly

145 150 155 160

Glu Asp Glu His Pro Gln Cys Leu Asn Ser Gln Pro His Ala Arg Gly

165 170 175

Ser Ser Arg Ala Ile Phe Ser Val Gly Pro Val Ser Pro Ser Arg Arg

180 185 190

Trp Trp Tyr Arg Cys Tyr Ala Tyr Asp Ser Asn Ser Pro Tyr Glu Trp

195 200 205

Ser Leu Pro Ser Asp Leu Leu Glu Leu Leu Val Leu Gly Val Ser Lys

210 215 220

Lys Pro Ser Leu Ser Val Gln Pro Gly Pro Ile Val Ala Pro Glu Glu

225 230 235 240

Thr Leu Thr Leu Gln Cys Gly Ser Asp Ala Gly Tyr Asn Arg Phe Val

245 250 255

Leu Tyr Lys Asp Gly Glu Arg Asp Phe Leu Gln Leu Ala Gly Ala Gln

260 265 270

Pro Gln Ala Gly Leu Ser Gln Ala Asn Phe Thr Leu Gly Pro Val Ser

275 280 285

Arg Ser Tyr Gly Gly Gln Tyr Arg Cys Tyr Gly Ala His Asn Leu Ser

290 295 300

Ser Glu Trp Ser Ala Pro Ser Asp Pro Leu Asp Ile Leu Ile Ala Gly

305 310 315 320

Gln Phe Tyr Asp Arg Val Ser Leu Ser Val Gln Pro Gly Pro Thr Val

325 330 335

Ala Ser Gly Glu Asn Val Thr Leu Leu Cys Gln Ser Gln Gly Trp Met

340 345 350

Gln Thr Phe Leu Leu Thr Lys Glu Gly Ala Ala Asp Asp Pro Trp Arg

355 360 365

Leu Arg Ser Thr Tyr Gln Ser Gln Lys Tyr Gln Ala Glu Phe Pro Met

370 375 380

Gly Pro Val Thr Ser Ala His Ala Gly Thr Tyr Arg Cys Tyr Gly Ser

385 390 395 400

Gln Ser Ser Lys Pro Tyr Leu Leu Thr His Pro Ser Asp Pro Leu Glu

405 410 415

Leu Val Val Ser Gly Pro Ser Gly Gly Pro Ser Ser Pro Thr Thr Gly

420 425 430

Pro Thr Ser Thr Ser Gly Pro Glu Asp Gln Pro Leu Thr Pro Thr Gly

435 440 445

Ser Asp Pro Gln Ser Gly Leu Gly Arg His Leu Gly Val Val Ile Gly

450 455 460

Ile Leu Val Ala Val Ile Leu Leu Leu Leu Leu Leu Leu Leu Leu Phe

465 470 475 480

Leu Ile Leu Arg His Arg Arg Gln Gly Lys His Trp Thr Ser Thr Gln

485 490 495

Arg Lys Ala Asp Phe Gln His Pro Ala Gly Ala Val Gly Pro Glu Pro

500 505 510

Thr Asp Arg Gly Leu Gln Trp Arg Ser Ser Pro Ala Ala Asp Ala Gln

515 520 525

Glu Glu Asn Leu Tyr Ala Ala Val Lys His Thr Gln Pro Glu Asp Gly

530 535 540

Val Glu Met Asp Thr Arg Ser Pro His Asp Glu Asp Pro Gln Ala Val

545 550 555 560

Thr Tyr Ala Glu Val Lys His Ser Arg Pro Arg Arg Glu Met Ala Ser

565 570 575

Pro Pro Ser Pro Leu Ser Gly Glu Phe Leu Asp Thr Lys Asp Arg Gln

580 585 590

Ala Glu Glu Asp Arg Gln Met Asp Thr Glu Ala Ala Ala Ser Glu Ala

595 600 605

Pro Gln Asp Val Thr Tyr Ala Gln Leu His Ser Leu Thr Leu Arg Arg

610 615 620

Glu Ala Thr Glu Pro Pro Pro Ser Gln Glu Gly Pro Ser Pro Ala Val

625 630 635 640

Pro Ser Ile Tyr Ala Thr Leu Ala Ile His

645 650

<210> 32

<211> 351

<212> ДНК

<213> Искусственная

<220>

<223> синтетический

<400> 32

caggttcagc tgcagcagtc tggagctgag ctggcgaggc ctggggcttc agtgaagctg 60

tcctgcaagg cttctggcta caccttcaca agctatggta taagctgggt gaagcagaga 120

actggacagg gccttgagtg ggttggagag atttatcctg gaagtggtaa ttcttactac 180

aatgagaagt tcaagggcaa ggccacactg actgcagaca aatcctccag cacagcgtac 240

atggagctcc gcagcctgac atctgaggac tctgcggtct atttctgtgc aagatcgaat 300

gatggttacc ctgactactg gggccaaggc accactctca cagtctcctc a 351

<210> 33

<211> 357

<212> ДНК

<213> Искусственная

<220>

<223> синтетический

<400> 33

gatgtacagc ttcaggggtc aggacctggc ctcgtgaaac cttctcagtc tctgtctctc 60

acctgctctg tcactggcta ctccatcacc agtggttatt actggaactg gatccggcag 120

tttccaggaa acaaactgga atggatgggc tacataagct acgatggtag caataactac 180

aacccatctc tcaaaaatcg aatctccatc actcgtgaca catctaagaa ccagtttttc 240

ctgaagttga attctgtgac ttctgaggac acagccacat attactgtgc ccatggttac 300

tcatattact atgctatgga ctgctggggt caaggaacct cagtcaccgt ctcctca 357

<210> 34

<211> 357

<212> ДНК

<213> Искусственная

<220>

<223> синтетический

<400> 34

gatgtccagc tgcaaggctc tggccctgga ctggttaagc cttccgagac actgtccctg 60

acctgctctg tgaccggcta ctctatcacc tccggctact actggaactg gatcagacag 120

ttccccggca agaaactgga atggatgggc tacatctcct acgacggctc caacaactac 180

aaccccagcc tgaagaaccg gatcaccatc tctcgggaca cctccaagaa ccagttctcc 240

ctgaagctga actccgtgac cgctgccgat accgctacct actactgtgc tcacggctac 300

tcctactact acgccatgga tgcttggggc cagggcacat ctgtgacagt gtcctct 357

<210> 35

<211> 348

<212> ДНК

<213> Искусственная

<220>

<223> синтетический

<400> 35

caggttcagc tgcaacagtc tgacgctgag ttggtgaaac ctggagcttc agtgaagata 60

tcctgcaagg tttctggcta caccttcact gaccatacta ttcactggat gaagcagagg 120

cctgaacagg gcctggaatg gattggatat atttatccta gagatggtag tactaagtac 180

aatgagaagt tcaagggcaa ggccacattg actgcagaca aatcctccag cacagcctac 240

atgcagctca acagcctgac atctgaggac tctgcagtct atttctgtgc aagaacctgg 300

gactactttg actactgggg ccaaggcacc actctcacag tctcctca 348

<210> 36

<211> 333

<212> ДНК

<213> Искусственная

<220>

<223> синтетический

<400> 36

gacattgtgc tgacccaatc tccagcttct ttggctgtgt ctctagggca gagggccacc 60

atatcctgca gagccagtga aagtgttgat agttatggca atagttttat gcactggtac 120

cagcagaaac caggacagcc acccaaactc ctcatctatc gtgcatccaa cctagaatct 180

gggatccctg ccaggttcag tggcagtggg tctaggacag acttcaccct caccattaat 240

cctgtggagg ctgatgatgt tgcaacctat tactgtcagc aaagtaatga ggatccgtac 300

acgttcggag gggggaccaa gctggaaata aaa 333

<210> 37

<211> 318

<212> ДНК

<213> Искусственная

<220>

<223> синтетический

<400> 37

gatatccaga tgacacagac tacatcctcc ctgtctgcct ctctgggaga cagagtcacc 60

atcagttgca ggacaagtca ggacattagc aattatttaa actggtatca gcagaaacca 120

gatggaactg ttaaactcct gatctcctac acatcaagat tgcactcagg agtcccatca 180

aggttcagtg gcagtgggtc tggaacagat tattctctca ccattagcaa cctggagcaa 240

gaagatattg ccacttactt ttgccaacag ggtaatacgc ttcccacgtt cggctcgggg 300

acaaagttgg aaataaaa 318

<210> 38

<211> 318

<212> ДНК

<213> Искусственная

<220>

<223> синтетический

<400> 38

gacatccaga tgacccagtc tccatcctct ctgtctgcct ctgtgggcga cagagtgacc 60

atcacctgtc ggacctctca ggacatctcc aactacctga actggtatca gcagaaaccc 120

ggcaaggccg tgaagctgct gatctcctac acctccagac tgcactctgg cgtgccctcc 180

agattttctg gctctggatc tggcaccgac tacaccctga ccatcagttc tctgcagcct 240

gaggacttcg ccacctacta ctgtcagcag ggcaacaccc tgcctacctt tggccagggc 300

accaagctgg aaatcaag 318

<210> 39

<211> 321

<212> ДНК

<213> Искусственная

<220>

<223> синтетический

<400> 39

gacatccaga tgacacaatc ttcatcctac ttgtctgtat ctctaggagg cagagtcacc 60

attacttgca aggcaagtga ccacattaat aattggttag cctggtatca gcagaaacca 120

ggaaatgctc ctaggctctt aatatctggt gcaaccagtt tggaaactgg ggttccttca 180

agattcagtg gcagtggatc tggaaaggat tacactctca gcattaccag tcttcagact 240

gaagatgttg ctacttatta ctgtcaacag tattggagta ctccgtggac gttcggtgga 300

ggcaccaagc tggaaatcaa a 321

<210> 40

<211> 393

<212> БЕЛОК

<213> Homo sapiens

<400> 40

His Leu Pro Lys Pro Thr Leu Trp Ala Glu Pro Gly Ser Val Ile Thr

1 5 10 15

Gln Gly Ser Pro Val Thr Leu Arg Cys Gln Gly Gly Gln Glu Thr Gln

20 25 30

Glu Tyr Arg Leu Tyr Arg Glu Lys Lys Thr Ala Leu Trp Ile Thr Arg

35 40 45

Ile Pro Gln Glu Leu Val Lys Lys Gly Gln Phe Pro Ile Pro Ser Ile

50 55 60

Thr Trp Glu His Ala Gly Arg Tyr Arg Cys Tyr Tyr Gly Ser Asp Thr

65 70 75 80

Ala Gly Arg Ser Glu Ser Ser Asp Pro Leu Glu Leu Val Val Thr Gly

85 90 95

Ala Tyr Ile Lys Pro Thr Leu Ser Ala Gln Pro Ser Pro Val Val Asn

100 105 110

Ser Gly Gly Asn Val Ile Leu Gln Cys Asp Ser Gln Val Ala Phe Asp

115 120 125

Gly Phe Ser Leu Cys Lys Glu Gly Glu Asp Glu His Pro Gln Cys Leu

130 135 140

Asn Ser Gln Pro His Ala Arg Gly Ser Ser Arg Ala Ile Phe Ser Val

145 150 155 160

Gly Pro Val Ser Pro Ser Arg Arg Trp Trp Tyr Arg Cys Tyr Ala Tyr

165 170 175

Asp Ser Asn Ser Pro Tyr Glu Trp Ser Leu Pro Ser Asp Leu Leu Glu

180 185 190

Leu Leu Val Leu Gly Val Ser Lys Lys Pro Ser Leu Ser Val Gln Pro

195 200 205

Gly Pro Ile Val Ala Pro Glu Glu Thr Leu Thr Leu Gln Cys Gly Ser

210 215 220

Asp Ala Gly Tyr Asn Arg Phe Val Leu Tyr Lys Asp Gly Glu Arg Asp

225 230 235 240

Phe Leu Gln Leu Ala Gly Ala Gln Pro Gln Ala Gly Leu Ser Gln Ala

245 250 255

Asn Phe Thr Leu Gly Pro Val Ser Arg Ser Tyr Gly Gly Gln Tyr Arg

260 265 270

Cys Tyr Gly Ala His Asn Leu Ser Ser Glu Trp Ser Ala Pro Ser Asp

275 280 285

Pro Leu Asp Ile Leu Ile Ala Gly Gln Phe Tyr Asp Arg Val Ser Leu

290 295 300

Ser Val Gln Pro Gly Pro Thr Val Ala Ser Gly Glu Asn Val Thr Leu

305 310 315 320

Leu Cys Gln Ser Gln Gly Trp Met Gln Thr Phe Leu Leu Thr Lys Glu

325 330 335

Gly Ala Ala Asp Asp Pro Trp Arg Leu Arg Ser Thr Tyr Gln Ser Gln

340 345 350

Lys Tyr Gln Ala Glu Phe Pro Met Gly Pro Val Thr Ser Ala His Ala

355 360 365

Gly Thr Tyr Arg Cys Tyr Gly Ser Gln Ser Ser Lys Pro Tyr Leu Leu

370 375 380

Thr His Pro Ser Asp Pro Leu Glu Leu

385 390

<210> 41

<211> 15

<212> БЕЛОК

<213> Homo sapiens

<400> 41

Val Lys Lys Gly Gln Phe Pro Ile Pro Ser Ile Thr Trp Glu His

1 5 10 15

<210> 42

<211> 15

<212> БЕЛОК

<213> Homo sapiens

<400> 42

Leu Glu Leu Val Val Thr Gly Ala Tyr Ile Lys Pro Thr Leu Ser

1 5 10 15

<210> 43

<211> 15

<212> БЕЛОК

<213> Homo sapiens

<400> 43

Val Ile Leu Gln Cys Asp Ser Gln Val Ala Phe Asp Gly Phe Ser

1 5 10 15

<210> 44

<211> 15

<212> БЕЛОК

<213> Homo sapiens

<400> 44

Trp Tyr Arg Cys Tyr Ala Tyr Asp Ser Asn Ser Pro Tyr Glu Trp

1 5 10 15

<210> 45

<211> 106

<212> БЕЛОК

<213> Искусственная

<220>

<223> синтетический

<400> 45

Asp Ile Gln Met Thr Gln Thr Thr Ser Ser Leu Ser Ala Ser Leu Gly

1 5 10 15

Asp Arg Val Thr Ile Ser Cys Arg Thr Ser Gln Asp Ile Ser Asn Tyr

20 25 30

Leu Asn Trp Tyr Gln Gln Lys Pro Asp Gly Thr Val Lys Leu Leu Ile

35 40 45

Ser Tyr Thr Ser Arg Leu His Ser Gly Val Pro Ser Arg Phe Ser Gly

50 55 60

Ser Gly Ser Gly Thr Asp Tyr Ser Leu Thr Ile Ser Asn Leu Glu Gln

65 70 75 80

Glu Asp Ile Ala Thr Tyr Phe Cys Gln Gln Gly Asn Thr Leu Pro Thr

85 90 95

Phe Gly Ser Gly Thr Lys Leu Glu Ile Lys

100 105

<210> 46

<211> 98

<212> БЕЛОК

<213> Homo sapiens

<400> 46

Gly His Leu Pro Lys Pro Thr Leu Trp Ala Glu Pro Gly Ser Val Ile

1 5 10 15

Thr Gln Gly Ser Pro Val Thr Leu Arg Cys Gln Gly Gly Gln Glu Thr

20 25 30

Gln Glu Tyr Arg Leu Tyr Arg Glu Lys Lys Thr Ala Leu Trp Ile Thr

35 40 45

Arg Ile Pro Gln Glu Leu Val Lys Lys Gly Gln Phe Pro Ile Pro Ser

50 55 60

Ile Thr Trp Glu His Ala Gly Arg Tyr Arg Cys Tyr Tyr Gly Ser Asp

65 70 75 80

Thr Ala Gly Arg Ser Glu Ser Ser Asp Pro Leu Glu Leu Val Val Thr

85 90 95

Gly Ala

<210> 47

<211> 101

<212> БЕЛОК

<213> Homo sapiens

<400> 47

Tyr Ile Lys Pro Thr Leu Ser Ala Gln Pro Ser Pro Val Val Asn Ser

1 5 10 15

Gly Gly Asn Val Ile Leu Gln Cys Asp Ser Gln Val Ala Phe Asp Gly

20 25 30

Phe Ser Leu Cys Lys Glu Gly Glu Asp Glu His Pro Gln Cys Leu Asn

35 40 45

Ser Gln Pro His Ala Arg Gly Ser Ser Arg Ala Ile Phe Ser Val Gly

50 55 60

Pro Val Ser Pro Ser Arg Arg Trp Trp Tyr Arg Cys Tyr Ala Tyr Asp

65 70 75 80

Ser Asn Ser Pro Tyr Glu Trp Ser Leu Pro Ser Asp Leu Leu Glu Leu

85 90 95

Leu Val Leu Gly Val

100

<---

Похожие патенты RU2832673C2

название год авторы номер документа
КОМПОЗИЦИИ, СОДЕРЖАЩИЕ АНТИ-СЕАСАМ 1 И АНТИ-PD АНТИТЕЛА ДЛЯ ТЕРАПИИ РАКА 2014
  • Бен-Моше Техила
  • Сапир Яр
  • Мендел Илана
  • Мейлин Эдна
RU2697522C1
АНТИ-HLA-G АНТИТЕЛА И ИХ ПРИМЕНЕНИЕ 2019
  • Денгль Штефан
  • Фенн Зебастиан
  • Фишер Йенс
  • Хинц Андреас
  • Кирстенпфад Клаудия
  • Клостерманн Штефан
  • Мёллекен Йёрг
  • Тифенталер Георг
  • Ховес Забине
  • Буйотцек Александер
  • Маджети Мехер
RU2797724C2
АНТИТЕЛА ПРОТИВ VSIG4 ЧЕЛОВЕКА И ИХ ПРИМЕНЕНИЕ 2019
  • Квон, Биоунг С.
  • Ким, Хие Дзеонг
  • Хванг, Сунхее
  • Ли, Дзоонгвон
  • Ли, Сеунг Хиун
  • Им, Сун-Воо
  • Чой, Дзин Киунг
  • Сон, Хиун Тае
  • Парк, Хиеок-Дзун
RU2776638C1
ИММУНОЦИТОКИНЫ И ИХ ПРИМЕНЕНИЕ 2021
  • Ву Эллен
  • Ву Сяоюнь
  • Уэйкфилд Джон
RU2818371C1
АНТИ-αvβ8 АНТИТЕЛА И КОМПОЗИЦИИ И ИХ ПРИМЕНЕНИЕ 2019
  • Ниссен, Кайл, Стивен
  • Сэмьюэл, Дхармарадж
  • Холст, Чарльз, Рэй
  • Дривер, Мэттью, Росс
  • Шеппард, Дин
  • Экхерст, Розмэри, Дж.
  • Атакилит, Амха
  • Мейер, Доминик
  • Рондон, Исаак, Дж.
  • Дал Порто, Джозеф
RU2812478C2
АНТИТЕЛО К PD-L1, ЕГО АНТИГЕНСВЯЗЫВАЮЩИЙ ФРАГМЕНТ И ИХ ФАРМАЦЕВТИЧЕСКОЕ ПРИМЕНЕНИЕ 2019
  • Гу, Сяолин
  • Цзян, Цзяхуа
  • Чжан, Лэй
  • Ху, Циюэ
  • Гу, Цзиньмин
  • Тао, Вэйкан
RU2778085C2
ХИМЕРНЫЕ КОНСТРУКЦИИ АНТИТЕЛО/Т-КЛЕТОЧНЫЙ РЕЦЕПТОР И ИХ ПРИМЕНЕНИЯ 2016
  • Лу Цзинвэй
  • Ян Чжиюань
  • Лю Чэн
  • Лю Хун
  • Сюй Иян
  • Янь Су
  • Чань Вивьен Вай-Фань
  • Хоран Лукас
RU2767209C2
КЛЕТКИ, ЭКСПРЕССИРУЮЩИЕ ХИМЕРНЫЕ АКТИВИРУЮЩИЕ РЕЦЕПТОРЫ И ХИМЕРНЫЕ СТИМУЛИРУЮЩИЕ РЕЦЕПТОРЫ, И ИХ ПРИМЕНЕНИЕ 2018
  • Лю, Хун
  • Чжан, Пэнбо
  • Хоран, Лукас
  • Сюй, Иян
  • Стэйли, Бинназ К.
  • Лю, Ляньсин
  • Юнь, Хунжо
RU2780020C2
АНТИ-PD-1 АНТИТЕЛА 2019
  • Фаядат-Дилман, Лоренс
  • Цзюань, Вероника
  • Хан, Ширин
  • Хуан, Шаопэн
  • Ин, Хуа
RU2788095C2
НОВЫЕ КОНСТРУКЦИИ ХИМЕРНОГО АНТИГЕННОГО РЕЦЕПТОРА, СОДЕРЖАЩИЕ ДОМЕНЫ TNFR2 2019
  • Абель, Тобиас
  • Фенар, Давид
  • Гертнер-Дарденн, Жюли
  • Майер, Франсуа
RU2808254C2

Иллюстрации к изобретению RU 2 832 673 C2

Реферат патента 2024 года АНТИТЕЛА, НАПРАВЛЕННЫЕ ПРОТИВ ILT2, И ИХ ПРИМЕНЕНИЕ

Изобретение относится к области биотехнологии. Представлены моноклональные антитела или их антигенсвязывающие фрагменты, направленные против ILT2, а также фармацевтические композиции, содержащие их. Также представлены молекулы нуклеиновых кислот, кодирующие указанные антитела или их фрагменты, векторы экспрессии и клетки-хозяева, содержащие указанные нуклеиновые кислоты, способ получения антител. Кроме того, представлены способы лечения рака, включающие введение антител по настоящему изобретению. Изобретение обеспечивает повышенную активность иммунных клеток, направленную против опухолевых клеток, и может найти дальнейшее применение в терапии рака. 12 н. и 11 з.п. ф-лы, 87 ил., 3 табл., 12 пр.

Формула изобретения RU 2 832 673 C2

1. Моноклональное антитело против иммуноглобулин-подобного транскрипта 2 (ILT2) или его антигенсвязывающий фрагмент, содержащие три CDR тяжелой цепи (CDR-H) и три CDR легкой цепи (CDR-L), где

a) CDR-H1, CDR-H2 и CDR-H3 содержат SEQ ID NO: 13, 14 и 15 соответственно, где X в SEQ ID NO: 15 выбран из A, C и S, и

b) CDR-L1, CDR-L2 и CDR-L3 содержат SEQ ID NO: 16, 17 и 18 соответственно.

2. Антитело или антигенсвязывающий фрагмент по п. 1, где указанные антитело или антигенсвязывающий фрагмент являются гуманизированными, а указанный X выбран из A и S, необязательно, где указанный X представляет собой A и SEQ ID NO: 15 идентична SEQ ID NO: 25.

3. Антитело или антигенсвязывающий фрагмент по п. 1, содержащие тяжелую цепь и легкую цепь, содержащие аминокислотные последовательности

a) SEQ ID NO: 23 и 24 соответственно, где указанный X в SEQ ID NO: 23 выбран из A, C и S;

b) SEQ ID NO: 23 и 45 соответственно, где X в SEQ ID NO: 23 выбран из A, C и S;

c) SEQ ID NO: 28 и 24 соответственно;

d) SEQ ID NO: 29 и 24 соответственно; или

e) SEQ ID NO: 30 и 45 соответственно.

4. Моноклональное антитело против ILT2 или его антигенсвязывающий фрагмент, где антитело содержит тяжелую цепь, содержащую SEQ ID NO: 28, и легкую цепь, содержащую SEQ ID NO: 24.

5. Моноклональное антитело против ILT2, содержащее тяжелую цепь, содержащую SEQ ID NO: 28, и легкую цепь, содержащую SEQ ID NO: 24, где указанное антитело относится к изотипу IgG4 человека.

6. Антитело или его антигенсвязывающий фрагмент по любому из пп. 1-5, где указанное антитело или его антигенсвязывающий фрагмент:

a) связывают эпитоп члена 1 подсемейства В рецептора, подобного лейкоцитарному иммуноглобулину (ILT2), в последовательности ILT2 человека, выбранной из SEQ ID NO: 41, 42, 43 и 44, необязательно, где указанный эпитоп представляет собой трехмерный эпитоп, содержащий остатки в SEQ ID NO: 41, 42, 43 и 44;

b) связывает ILT2 и ингибирует прямое взаимодействие между указанным ILT2 и бета-2-микроглобулином (B2M), при этом указанное антитело или его антигенсвязывающий фрагмент необязательно ингибируют взаимодействие указанного ILT2 с белком HLA или белком MHC-I посредством указанного ингибирования ILT2, направленного на взаимодействие с B2M, где указанный HLA необязательно представляет собой HLA-G; или

с) как a), так и b).

7. Антитело или антигенсвязывающий фрагмент по любому из пп. 1-6, которые связывают ILT2 и индуцируют у субъекта, страдающего раком, по крайней мере три из:

a) повышенной цитотоксичности естественных киллерных клеток (NK);

b) повышенной Т-клеточной цитотоксичности, пролиферации или и того и другого;

c) повышенного макрофагального фагоцитоза, повышенного образования воспалительных макрофагов М1, сниженного образования супрессорных макрофагов М2 или их комбинации, и

d) повышенного хоминга дендритных клеток к опухоли, имеющейся при указанном раке, повышенной активации дендритных клеток или их комбинации;

необязательно, где указанный рак представляет собой рак, характеризующийся экспрессией HLA-G или MHC-I.

8. Фармацевтическая композиция для лечения рака, характеризующегося экспрессией HLA-G или MHC-I, содержащая антитело или антигенсвязывающий фрагмент по любому из пп. 1-7 и фармацевтически приемлемое вспомогательное вещество.

9. Способ индукции/усиления противоопухолевого клеточного ответа у нуждающегося в этом субъекта-человека, включающий введение субъекту антитела или антигенсвязывающего фрагмента по любому из пп. 1-7.

10. Способ по п. 9, где указанная индукция/усиление противоопухолевого клеточного ответа выбрана из следующего:

индукция/усиление противоопухолевого Т-клеточного ответа,

повышение пролиферации Т-клеток,

снижение индуцированной раком активности супрессорных клеток миелоидного происхождения,

повышение цитотоксичности естественных клеток-киллеров,

усиление макрофагального фагоцитоза,

повышение образования воспалительных макрофагов M1,

снижение образования макрофагов-супрессоров М2,

увеличение числа дендритных клеток в микроокружении опухоли, и

усиление активации дендритных клеток.

11. Способ лечения рака, характеризующегося экспрессией HLA-G или MHC-I, у субъекта-человека, нуждающегося в этом, при этом способ включает введение указанному субъекту антитела или антигенсвязывающего фрагмента по любому из пп. 1-7.

12. Способ лечения рака, характеризующегося экспрессией HLA-G или MHC-I, у субъекта-человека, нуждающегося в этом, при этом способ включает:

a) подтверждение того, что уровень ILT2 или растворимой формы HLA-G у указанного субъекта превышает уровень указанной молекулы в образце от здоровых контрольных субъектов; и

b) введение указанному субъекту антитела или антигенсвязывающего фрагмента по любому из пп. 1-7;

за счет чего осуществляется лечение рака у субъекта.

13. Способ по п. 12, где указанное подтверждение предусматривает измерение уровня экспрессии указанного ILT2 или растворимой формы HLA-G у указанного субъекта перед осуществлением указанного введения.

14. Способ по любому из пп. 11-13, включающий подтверждение наличия уровня ILT2 в иммунной клетке указанного субъекта, необязательно, где указанная иммунная клетка выбрана из иммунной клетки периферической крови и внутриопухолевой иммунной клетки, CD8-положительной Т-клетки, макрофага, NK-клетки и TEMRA-клетки, необязательно, где указанная иммунная клетка представляет собой CD8-положительную Т-клетку периферической крови.

15. Способ лечения рака путем усиления эффективности терапии на основе антитела к PD-L1 или PD-1 против раковых клеток, характеризующихся экспрессией HLA-G, MHC-I или того и другого, у субъекта-человека, нуждающегося в этом, включающий введение субъекту антитела или антигенсвязывающий фрагмент по любому из пп. 1-7.

16. Способ по п. 15, где указанное средство иммунотерапии на основе антитела к PD-L1 или PD-1 представляет собой блокирующее антитело к PD-1.

17. Способ по любому из пп. 9-16, где указанный рак является рефрактерным по отношению к средству терапии на основе антитела к PD-L1 или PD-1.

18. Способ по любому из пп. 9-17, дополнительно включающий введение указанному субъекту опсонизирующего средства, необязательно, где указанное опсонизирующее средство представляет собой ингибитор EGFR, при этом указанный ингибитор EGFR, необязательно, представляет собой цетуксимаб.

19. Способ по любому из пп. 9-18, дополнительно включающий введение указанному субъекту терапии на основе антитела к PD-L1 или PD-1.

20. Набор молекул нуклеиновых кислот, содержащий нуклеотидную последовательность, кодирующую последовательность тяжелой цепи, и нуклеотидную последовательность, кодирующую последовательность легкой цепи, антитела или антигенсвязывающего фрагмента по любому из пп. 1-7.

21. Набор векторов экспрессии, содержащий набор молекул нуклеиновых кислот по п. 20.

22. Клетка-хозяин для получения антитела против ILT2 или его антигенсвязывающего фрагмента, содержащая набор векторов экспрессии по п. 21.

23. Способ получения антитела против ILT2 или его антигенсвязывающего фрагмента, включающий:

культивирование клетки-хозяина по п. 22 в условиях, обеспечивающих экспрессию антитела или антигенсвязывающего фрагмента, и

выделение антитела или антигенсвязывающего фрагмента из клеточной культуры.

Документы, цитированные в отчете о поиске Патент 2024 года RU2832673C2

WO 2019144052 A1, 25.07.2019
WO 2016065329 A1, 28.04.2016
FAVIER BENOIT et al., ILT2/HLA-G interaction impairs NK-cell functions through the inhibition of the late but not the early events of the NK-cell activating synapse, THE FASEB JOURNAL, 2010, vol
Пишущая машина для тюркско-арабского шрифта 1922
  • Мадьярова А.
  • Туганов Т.
SU24A1
Переносная печь для варки пищи и отопления в окопах, походных помещениях и т.п. 1921
  • Богач Б.И.
SU3A1
МОДУЛЯТОРЫ НЕЙРОНАЛЬНОЙ РЕГЕНЕРАЦИИ 2007
  • Этвол Джасвиндер
  • Тессье-Лавинь Марк
RU2447449C2

RU 2 832 673 C2

Авторы

Мендел, Илана

Перетц, Тсури

Хавес Зив, Дана

Голдштейн, Илана

Алишекевитц, Дрор

Фридман-Дрор, Анна

Хаким, Мотти

Шульман, Авидор

Сапир, Яр

Бен-Моше, Техила

Даты

2024-12-27Публикация

2020-08-12Подача